Plots of the potential energy vs interatomic spacing, r, are shown below for all diatom sets associated with the interatomic potential. This calculation provides insights into the functional form of the potential's two-body interactions. A system consisting of only two atoms is created, and the potential energy is evaluated for the atoms separated by 0.02 Å <= r <= 6.0> Å in intervals of 0.02 Å. Two plots are shown: one for the "standard" interaction distance range, and one for small values of r. The small r plot is useful for determining whether the potential is suitable for radiation studies.
The calculation method used is available as the iprPy diatom_scan calculation method.
Clicking on the image of a plot will open an interactive version of it in a new tab. The underlying data for the plots can be downloaded by clicking on the links above each plot.
Notes and Disclaimers:
Version Information:
Plots of potential energy vs interatomic spacing, r, are shown below for a number of crystal structures. The structures are generated based on the ideal atomic positions and b/a and c/a lattice parameter ratios for a given crystal prototype. The size of the system is then uniformly scaled, and the energy calculated without relaxing the system. To obtain these plots, values of r are evaluated every 0.02 Å up to 6 Å.
The calculation method used is available as the iprPy E_vs_r_scan calculation method.
Clicking on the image of a plot will open an interactive version of it in a new tab. The underlying data for the plots can be downloaded by clicking on the links above each plot.
Notes and Disclaimers:
Version Information:
Computed lattice constants and cohesive/potential energies are displayed for a variety of crystal structures. The values displayed here are obtained using the following process.
The calculation methods used are implemented into iprPy as the following calculation styles
Notes and Disclaimers:
Version Information:
Download raw data (including filtered results)
Reference structure matches:
A1--Cu--fcc = oqmd-1214512
A15--beta-W = oqmd-1214957
A2--W--bcc = oqmd-1215135
A3'--alpha-La--double-hcp = oqmd-1215403
A3--Mg--hcp = oqmd-1215313
A4--C--dc = mp-66, oqmd-675640
A5--beta-Sn = oqmd-1215581
A6--In--bct = mp-1181996, oqmd-1215670
A7--alpha-As = oqmd-594528
Ah--alpha-Po--sc = mp-998866, oqmd-636457, oqmd-1214601
| prototype | method | Ecoh (eV/atom) | Epot (eV/atom) | a0 (Å) | b0 (Å) | c0 (Å) | α (degrees) | β (degrees) | γ (degrees) |
|---|---|---|---|---|---|---|---|---|---|
| A4--C--dc | dynamic | -7.37 | -7.37 | 3.5565 | 3.5565 | 3.5565 | 90.0 | 90.0 | 90.0 |
| oqmd-599492 | dynamic | -7.3658 | -7.3658 | 2.5098 | 2.5098 | 16.5018 | 90.0 | 90.0 | 120.0 |
| oqmd-599494 | dynamic | -7.3652 | -7.3652 | 2.5091 | 2.5091 | 43.3426 | 90.0 | 90.0 | 120.0 |
| oqmd-599491 | dynamic | -7.3645 | -7.3645 | 2.5083 | 2.5083 | 12.3931 | 90.0 | 90.0 | 120.0 |
| mp-569517 | dynamic | -7.3637 | -7.3637 | 2.5073 | 2.5073 | 31.009 | 90.0 | 90.0 | 120.0 |
| oqmd-599492 | box | -7.3627 | -7.3627 | 2.5075 | 2.5075 | 16.5454 | 90.0 | 90.0 | 120.0 |
| mp-616440 | box | -7.3625 | -7.3625 | 2.5075 | 2.5075 | 16.5468 | 90.0 | 90.0 | 120.0 |
| oqmd-599490 | dynamic | -7.3625 | -7.3625 | 2.5059 | 2.5059 | 8.2795 | 90.0 | 90.0 | 120.0 |
| oqmd-599494 | static | -7.3617 | -7.3617 | 2.5065 | 2.5065 | 43.4745 | 90.0 | 90.0 | 120.0 |
| mp-569567 | box | -7.3615 | -7.3615 | 2.5066 | 2.5066 | 43.4735 | 90.0 | 90.0 | 120.0 |
| oqmd-599491 | box | -7.3603 | -7.3603 | 2.5054 | 2.5054 | 12.4354 | 90.0 | 90.0 | 120.0 |
| mp-611448 | box | -7.3602 | -7.3602 | 2.5054 | 2.5054 | 12.4353 | 90.0 | 90.0 | 120.0 |
| oqmd-599489 | dynamic | -7.3597 | -7.3597 | 2.5033 | 2.5033 | 4.1494 | 90.0 | 90.0 | 120.0 |
| mp-569517 | box | -7.3586 | -7.3586 | 2.5039 | 2.5039 | 31.1346 | 90.0 | 90.0 | 120.0 |
| oqmd-599493 | box | -7.3582 | -7.3582 | 2.5037 | 2.5037 | 31.1432 | 90.0 | 90.0 | 120.0 |
| mp-611426 | box | -7.3562 | -7.3562 | 2.5019 | 2.5019 | 8.3196 | 90.0 | 90.0 | 120.0 |
| oqmd-599490 | box | -7.356 | -7.356 | 2.5018 | 2.5018 | 8.3205 | 90.0 | 90.0 | 120.0 |
| mp-47 | box | -7.3477 | -7.3477 | 2.4941 | 2.4941 | 4.191 | 90.0 | 90.0 | 120.0 |
| oqmd-599489 | box | -7.3474 | -7.3474 | 2.494 | 2.494 | 4.1917 | 90.0 | 90.0 | 120.0 |
| mp-1078845 | dynamic | -7.2829 | -7.2829 | 4.2567 | 8.7241 | 2.5013 | 90.0 | 90.0 | 90.0 |
| mp-1078845 | box | -7.2577 | -7.2577 | 4.2661 | 8.8332 | 2.4788 | 90.0 | 90.0 | 90.0 |
| oqmd-637353 | dynamic | -7.2518 | -7.2518 | 4.3993 | 4.3993 | 2.4801 | 90.0 | 90.0 | 90.0 |
| mp-1008374 | dynamic | -7.2345 | -7.2345 | 2.5428 | 7.9145 | 2.5252 | 90.0 | 90.0 | 90.0 |
| oqmd-637353 | box | -7.2248 | -7.2248 | 4.4381 | 4.4381 | 2.4464 | 90.0 | 90.0 | 90.0 |
| mp-1008395 | box | -7.2241 | -7.2241 | 4.4387 | 4.4387 | 2.4459 | 90.0 | 90.0 | 90.0 |
| mp-1008374 | box | -7.2109 | -7.2109 | 2.5046 | 8.076 | 2.502 | 90.0 | 90.0 | 90.0 |
| oqmd-637352 | dynamic | -7.2102 | -7.2102 | 9.2134 | 2.5312 | 4.176 | 90.0 | 99.2 | 90.0 |
| mp-1190171 | dynamic | -7.2069 | -7.2069 | 9.1075 | 2.5298 | 4.1764 | 90.0 | 90.0 | 90.0 |
| mp-624889 | static | -7.1679 | -7.1679 | 4.6133 | 5.0353 | 4.3452 | 90.0 | 90.0 | 90.0 |
| mp-1080826 | box | -7.1652 | -7.1652 | 9.1665 | 2.5469 | 4.1489 | 90.0 | 97.2 | 90.0 |
| oqmd-637352 | box | -7.1652 | -7.1652 | 9.1651 | 2.5471 | 4.1486 | 90.0 | 97.2 | 90.0 |
| oqmd-637130 | box | -7.1617 | -7.1617 | 9.072 | 2.5488 | 4.1493 | 90.0 | 90.0 | 90.0 |
| mp-1190171 | box | -7.1616 | -7.1616 | 9.0732 | 2.5485 | 4.1499 | 90.0 | 90.0 | 90.0 |
| mp-568806 | dynamic | -7.1528 | -7.1528 | 2.5172 | 2.5172 | 2.6807 | 90.0 | 90.0 | 120.0 |
| A7--alpha-As | dynamic | -7.1451 | -7.1451 | 2.5069 | 2.5069 | 8.821 | 90.0 | 90.0 | 120.0 |
| oqmd-637443 | dynamic | -7.1352 | -7.1352 | 5.2175 | 5.2175 | 5.2175 | 90.0 | 90.0 | 90.0 |
| mp-48 | static | -7.1248 | -7.1248 | 2.5119 | 2.5119 | 5.6242 | 90.0 | 90.0 | 120.0 |
| oqmd-683820 | dynamic | -7.1199 | -7.1199 | 2.5367 | 4.3133 | 5.4679 | 90.0 | 90.0 | 90.0 |
| oqmd-637443 | box | -7.1126 | -7.1126 | 5.2215 | 5.2215 | 5.2215 | 90.0 | 90.0 | 90.0 |
| mp-1188817 | box | -7.1091 | -7.1091 | 5.2217 | 5.2217 | 5.2217 | 90.0 | 90.0 | 90.0 |
| mp-1192619 | dynamic | -7.1079 | -7.1079 | 7.1108 | 7.1108 | 7.1108 | 90.0 | 90.0 | 90.0 |
| oqmd-589492 | static | -7.0952 | -7.0952 | 2.511 | 2.511 | 42.5961 | 90.0 | 90.0 | 120.0 |
| mp-569416 | static | -7.0937 | -7.0937 | 2.5106 | 2.5106 | 44.6894 | 90.0 | 90.0 | 120.0 |
| mp-569304 | static | -7.0613 | -7.0613 | 2.5098 | 2.5098 | 28.5458 | 90.0 | 90.0 | 120.0 |
| mp-569304 | dynamic | -7.0613 | -7.0613 | 2.5098 | 2.5098 | 32.3193 | 90.0 | 90.0 | 120.0 |
| oqmd-589491 | static | -7.0613 | -7.0613 | 2.5098 | 2.5098 | 29.2224 | 90.0 | 90.0 | 120.0 |
| oqmd-589491 | dynamic | -7.0613 | -7.0613 | 2.5098 | 2.5098 | 33.3056 | 90.0 | 90.0 | 120.0 |
| oqmd-610557 | box | -7.0508 | -7.0508 | 4.7842 | 5.3113 | 4.469 | 90.0 | 90.0 | 90.0 |
| oqmd-610556 | box | -7.0489 | -7.0489 | 4.7793 | 5.3221 | 4.469 | 90.0 | 90.0 | 90.0 |
| mp-568410 | box | -7.0467 | -7.0467 | 4.7753 | 5.3291 | 4.4706 | 90.0 | 90.0 | 90.0 |
| mp-1182684 | dynamic | -7.0066 | -7.0066 | 5.7919 | 7.4786 | 12.6068 | 90.0 | 90.0 | 90.0 |
| mp-680372 | dynamic | -6.9843 | -6.9843 | 9.7493 | 9.7493 | 18.8242 | 90.0 | 90.0 | 120.0 |
| oqmd-637444 | static | -6.9788 | -6.9788 | 4.1018 | 4.1018 | 4.1018 | 90.0 | 90.0 | 90.0 |
| mp-1040425 | dynamic | -6.9777 | -6.9777 | 2.5119 | 2.5119 | 19.9989 | 90.0 | 90.0 | 120.0 |
| mp-990448 | static | -6.9777 | -6.9777 | 2.5119 | 2.5119 | 8.5238 | 90.0 | 90.0 | 120.0 |
| mp-1040425 | static | -6.9777 | -6.9777 | 2.5119 | 2.5119 | 19.9983 | 90.0 | 90.0 | 120.0 |
| mp-997182 | dynamic | -6.9777 | -6.9777 | 2.5119 | 2.5119 | 12.046 | 90.0 | 90.0 | 120.0 |
| mp-990448 | dynamic | -6.9777 | -6.9777 | 2.5119 | 2.5119 | 9.1562 | 90.0 | 90.0 | 120.0 |
| mp-997182 | static | -6.9777 | -6.9777 | 2.5119 | 2.5119 | 12.0458 | 90.0 | 90.0 | 120.0 |
| mp-683919 | dynamic | -6.9305 | -6.9305 | 8.8241 | 15.5066 | 16.8946 | 90.0 | 90.0 | 90.0 |
| mp-1245190 | dynamic | -6.9257 | -6.9257 | 8.5 | 9.0069 | 9.3526 | 91.5 | 92.4 | 93.1 |
| mp-630227 | dynamic | -6.9136 | -6.9136 | 8.522 | 9.1978 | 12.8065 | 90.0 | 90.0 | 90.0 |
| oqmd-595714 | dynamic | -6.9116 | -6.9116 | 8.4974 | 8.9354 | 13.1162 | 90.0 | 90.0 | 90.0 |
| mp-24 | dynamic | -6.9025 | -6.9025 | 4.4231 | 4.4231 | 4.4231 | 90.0 | 90.0 | 90.0 |
| mp-667273 | dynamic | -6.8779 | -6.8779 | 12.9389 | 12.9389 | 12.9389 | 90.0 | 90.0 | 90.0 |
| oqmd-603085 | static | -6.8779 | -6.8779 | 12.9354 | 12.9354 | 12.9354 | 90.0 | 90.0 | 90.0 |
| mp-24 | box | -6.8412 | -6.8412 | 4.488 | 4.488 | 4.488 | 90.0 | 90.0 | 90.0 |
| mp-1196583 | dynamic | -6.8364 | -6.8364 | 12.6489 | 12.6489 | 12.6489 | 90.0 | 90.0 | 90.0 |
| mp-568028 | static | -6.8301 | -6.8301 | 7.9862 | 14.1585 | 9.5037 | 90.0 | 90.0 | 90.0 |
| mp-680372 | static | -6.8176 | -6.8176 | 9.1952 | 9.1952 | 24.4296 | 90.0 | 90.0 | 120.0 |
| oqmd-614417 | static | -6.8176 | -6.8176 | 9.2042 | 9.2042 | 24.4167 | 90.0 | 90.0 | 120.0 |
| mp-1205283 | static | -6.8137 | -6.8137 | 8.7522 | 13.4098 | 9.2439 | 90.0 | 90.0 | 90.0 |
| mp-1244964 | dynamic | -6.812 | -6.812 | 8.8821 | 9.7946 | 9.8286 | 96.5 | 94.6 | 90.8 |
| oqmd-677227 | dynamic | -6.8103 | -6.8103 | 12.7209 | 12.7209 | 12.7209 | 90.0 | 90.0 | 90.0 |
| mp-570002 | dynamic | -6.8012 | -6.8012 | 4.945 | 4.945 | 4.945 | 90.0 | 90.0 | 90.0 |
| oqmd-595714 | static | -6.7983 | -6.7983 | 8.8095 | 9.1343 | 14.3225 | 90.0 | 90.0 | 90.0 |
| mp-630227 | static | -6.791 | -6.791 | 8.9413 | 9.1406 | 14.4951 | 90.0 | 90.0 | 90.0 |
| oqmd-614417 | box | -6.7901 | -6.7901 | 9.3537 | 9.3537 | 24.4938 | 90.0 | 90.0 | 120.0 |
| oqmd-689315 | static | -6.7817 | -6.7817 | 9.4679 | 17.1777 | 18.174 | 90.0 | 90.0 | 90.0 |
| mp-680372 | box | -6.7804 | -6.7804 | 9.4008 | 9.4008 | 25.4471 | 90.0 | 90.0 | 120.0 |
| mp-683919 | static | -6.7742 | -6.7742 | 9.7817 | 16.9197 | 18.0337 | 90.0 | 90.0 | 90.0 |
| mp-1147718 | static | -6.7656 | -6.7656 | 9.6004 | 14.0611 | 9.121 | 90.0 | 90.0 | 90.0 |
| mp-1244913 | dynamic | -6.7631 | -6.7631 | 9.2632 | 9.3716 | 10.3318 | 87.1 | 83.7 | 83.2 |
| oqmd-595714 | box | -6.7563 | -6.7563 | 9.2289 | 9.3986 | 14.7705 | 90.0 | 90.0 | 90.0 |
| oqmd-684315 | static | -6.753 | -6.753 | 8.3596 | 14.2325 | 9.3692 | 90.0 | 90.0 | 90.0 |
| mp-1197903 | dynamic | -6.7489 | -6.7489 | 5.7802 | 6.5295 | 18.8506 | 81.6 | 83.2 | 76.5 |
| mp-683919 | box | -6.7327 | -6.7327 | 10.3536 | 17.8494 | 18.4291 | 90.0 | 90.0 | 90.0 |
| mp-630227 | box | -6.7244 | -6.7244 | 9.3304 | 9.3821 | 15.7228 | 90.0 | 90.0 | 90.0 |
| oqmd-684627 | box | -6.7208 | -6.7208 | 9.3422 | 9.3422 | 15.4406 | 90.0 | 90.0 | 90.0 |
| oqmd-689315 | box | -6.7203 | -6.7203 | 10.2965 | 17.8589 | 18.455 | 90.0 | 90.0 | 90.0 |
| mp-568028 | box | -6.7034 | -6.7034 | 8.5307 | 14.2988 | 9.7744 | 90.0 | 90.0 | 90.0 |
| mp-667273 | static | -6.7025 | -6.7025 | 13.9731 | 13.9731 | 13.9731 | 90.0 | 90.0 | 90.0 |
| mp-1147718 | box | -6.6905 | -6.6905 | 10.4526 | 14.9479 | 9.4628 | 90.0 | 90.0 | 90.0 |
| oqmd-603085 | box | -6.6758 | -6.6758 | 14.265 | 14.265 | 14.265 | 90.0 | 90.0 | 90.0 |
| mp-624889 | box | -6.6564 | -6.6564 | 4.8889 | 5.2723 | 5.6072 | 90.0 | 90.0 | 90.0 |
| mp-667273 | box | -6.656 | -6.656 | 14.7629 | 14.7629 | 14.7629 | 90.0 | 90.0 | 90.0 |
| oqmd-677227 | box | -6.6508 | -6.6508 | 14.478 | 14.478 | 14.478 | 90.0 | 90.0 | 90.0 |
| mp-1196583 | box | -6.6485 | -6.6485 | 14.7055 | 14.7055 | 14.7055 | 90.0 | 90.0 | 90.0 |
| oqmd-610552 | box | -6.5971 | -6.5971 | 4.7435 | 5.6558 | 6.3836 | 90.0 | 90.0 | 90.0 |
| oqmd-585286 | box | -6.5936 | -6.5936 | 5.0095 | 5.0095 | 5.0095 | 90.0 | 90.0 | 90.0 |
| mp-570002 | box | -6.593 | -6.593 | 5.0097 | 5.0097 | 5.0097 | 90.0 | 90.0 | 90.0 |
| mp-579909 | box | -6.5622 | -6.5622 | 4.7359 | 5.6696 | 6.8531 | 90.0 | 90.0 | 90.0 |
| mp-1244964 | static | -6.5318 | -6.5318 | 9.8896 | 10.0722 | 10.731 | 83.6 | 89.6 | 88.7 |
| mp-1245190 | static | -6.5253 | -6.5253 | 9.8893 | 10.2274 | 10.2718 | 90.6 | 92.0 | 90.8 |
| mp-1205283 | box | -6.4674 | -6.4674 | 10.2924 | 13.4878 | 9.2704 | 90.0 | 90.0 | 90.0 |
| mp-1244913 | static | -6.463 | -6.463 | 10.0671 | 10.4165 | 10.5659 | 96.4 | 91.7 | 93.2 |
| A7--alpha-As | box | -6.2603 | -6.2603 | 2.5131 | 2.5131 | 6.3019 | 90.0 | 90.0 | 120.0 |
| mp-1197903 | static | -6.1526 | -6.1526 | 5.6185 | 7.062 | 20.9171 | 87.3 | 89.7 | 84.2 |
| oqmd-684315 | box | -6.1444 | -6.1444 | 10.2725 | 15.4593 | 9.4108 | 90.0 | 90.0 | 90.0 |
| mp-1205417 | static | -6.1381 | -6.1381 | 13.8411 | 13.8411 | 3.7628 | 90.0 | 90.0 | 90.0 |
| A3'--alpha-La--double-hcp | box | -6.1287 | -6.1287 | 2.4469 | 2.4469 | 4.3316 | 90.0 | 90.0 | 120.0 |
| mp-1095633 | dynamic | -6.1087 | -6.1087 | 6.7293 | 6.7293 | 6.6253 | 90.0 | 90.0 | 90.0 |
| Ah--alpha-Po--sc | static | -6.0855 | -6.0855 | 1.7874 | 1.7874 | 1.7874 | 90.0 | 90.0 | 90.0 |
| A5--beta-Sn | box | -6.0713 | -6.0713 | 3.441 | 3.441 | 1.8106 | 90.0 | 90.0 | 90.0 |
| mp-1245190 | box | -6.0652 | -6.0652 | 10.7691 | 10.928 | 11.0842 | 88.1 | 89.8 | 87.3 |
| mp-1244964 | box | -5.952 | -5.952 | 10.7419 | 11.0629 | 11.5295 | 90.5 | 95.1 | 93.1 |
| A6--In--bct | static | -5.8883 | -5.8883 | 1.6796 | 1.6796 | 5.4071 | 90.0 | 90.0 | 90.0 |
| mp-1095534 | box | -5.8169 | -5.8169 | 10.6883 | 10.6883 | 2.3579 | 90.0 | 90.0 | 90.0 |
| mp-1244913 | box | -5.74 | -5.74 | 11.2819 | 11.4335 | 11.8492 | 89.3 | 83.2 | 88.4 |
| mp-1095633 | box | -5.687 | -5.687 | 6.3188 | 6.3188 | 8.1812 | 90.0 | 90.0 | 90.0 |
| mp-1097832 | static | -5.5377 | -5.5377 | 2.3976 | 2.3976 | 9.8799 | 90.0 | 90.0 | 90.0 |
| mp-1205417 | box | -5.3481 | -5.3481 | 13.1746 | 13.1746 | 7.644 | 90.0 | 90.0 | 90.0 |
| A2--W--bcc | static | -5.3285 | -5.3285 | 2.2637 | 2.2637 | 2.2637 | 90.0 | 90.0 | 90.0 |
| mp-1197903 | box | -5.2703 | -5.2703 | 8.6703 | 11.4488 | 26.2794 | 100.4 | 94.2 | 108.0 |
| A3--Mg--hcp | box | -5.2154 | -5.2154 | 1.8733 | 1.8733 | 4.6758 | 90.0 | 90.0 | 120.0 |
| A3--Mg--hcp | box | -5.0412 | -5.0412 | 2.0684 | 2.0684 | 3.4018 | 90.0 | 90.0 | 120.0 |
| A3'--alpha-La--double-hcp | box | -5.0396 | -5.0396 | 2.071 | 2.071 | 6.7887 | 90.0 | 90.0 | 120.0 |
| A1--Cu--fcc | box | -5.0379 | -5.0379 | 2.9328 | 2.9328 | 2.9328 | 90.0 | 90.0 | 90.0 |
| mp-1192619 | box | -5.0217 | -5.0217 | 10.1666 | 10.1666 | 10.1666 | 90.0 | 90.0 | 90.0 |
| A15--beta-W | static | -4.9685 | -4.9685 | 3.7219 | 3.7219 | 3.7219 | 90.0 | 90.0 | 90.0 |
| oqmd-1214868 | box | -4.4119 | -4.4119 | 8.1298 | 8.1298 | 8.1298 | 90.0 | 90.0 | 90.0 |
Download raw data (including filtered results)
Reference structure matches:
| prototype | method | Ecoh (eV/atom) | Epot (eV/atom) | a0 (Å) | b0 (Å) | c0 (Å) | α (degrees) | β (degrees) | γ (degrees) |
|---|---|---|---|---|---|---|---|---|---|
| mp-1019097 | dynamic | -6.6385 | -6.6385 | 2.9595 | 2.9595 | 6.6255 | 90.0 | 90.0 | 90.0 |
| mp-1019097 | box | -6.6379 | -6.6379 | 2.956 | 2.956 | 6.6441 | 90.0 | 90.0 | 90.0 |
| mp-1102811 | dynamic | -6.384 | -6.384 | 4.712 | 4.712 | 4.712 | 90.0 | 90.0 | 90.0 |
| C1--CaF2--fluorite | dynamic | -6.3672 | -6.3672 | 4.7523 | 4.7523 | 4.7523 | 90.0 | 90.0 | 90.0 |
| mp-1102811 | box | -6.3305 | -6.3305 | 4.7335 | 4.7335 | 4.7335 | 90.0 | 90.0 | 90.0 |
Download raw data (including filtered results)
Reference structure matches:
| prototype | method | Ecoh (eV/atom) | Epot (eV/atom) | a0 (Å) | b0 (Å) | c0 (Å) | α (degrees) | β (degrees) | γ (degrees) |
|---|---|---|---|---|---|---|---|---|---|
| A15--Cr3Si | static | -5.8625 | -5.8625 | 3.9701 | 3.9701 | 3.9701 | 90.0 | 90.0 | 90.0 |
| mp-972848 | dynamic | -5.8614 | -5.8614 | 3.1865 | 3.1865 | 6.1085 | 90.0 | 90.0 | 90.0 |
| D0_3--BiF3 | static | -5.841 | -5.841 | 4.8923 | 4.8923 | 4.8923 | 90.0 | 90.0 | 90.0 |
| L1_2--AuCu3 | static | -5.7588 | -5.7588 | 3.1671 | 3.1671 | 3.1671 | 90.0 | 90.0 | 90.0 |
Download raw data (including filtered results)
Reference structure matches:
| prototype | method | Ecoh (eV/atom) | Epot (eV/atom) | a0 (Å) | b0 (Å) | c0 (Å) | α (degrees) | β (degrees) | γ (degrees) |
|---|---|---|---|---|---|---|---|---|---|
| mp-1219306 | box | -3.8501 | -3.8501 | 9.5583 | 9.5583 | 9.574 | 90.0 | 90.0 | 120.0 |
Download raw data (including filtered results)
Reference structure matches:
| prototype | method | Ecoh (eV/atom) | Epot (eV/atom) | a0 (Å) | b0 (Å) | c0 (Å) | α (degrees) | β (degrees) | γ (degrees) |
|---|---|---|---|---|---|---|---|---|---|
| mp-1179504 | dynamic | -5.0483 | -5.0483 | 5.0899 | 10.9982 | 11.2908 | 106.1 | 90.4 | 90.2 |
| mp-1202928 | dynamic | -4.9899 | -4.9899 | 4.9655 | 11.8656 | 12.6137 | 117.7 | 98.1 | 90.8 |
| mp-1202928 | static | -4.9222 | -4.9222 | 4.8973 | 12.1568 | 12.1935 | 117.2 | 91.8 | 96.4 |
| mp-1179504 | static | -4.7761 | -4.7761 | 5.1453 | 11.8592 | 12.8962 | 116.6 | 91.2 | 90.4 |
| mp-1202928 | box | -2.9882 | -2.9882 | 5.4335 | 13.9941 | 14.5945 | 98.6 | 92.2 | 95.8 |
Download raw data (including filtered results)
Reference structure matches:
B1--NaCl--rock-salt = mp-1002206
B3--ZnS--cubic-zinc-blende = mp-8062
| prototype | method | Ecoh (eV/atom) | Epot (eV/atom) | a0 (Å) | b0 (Å) | c0 (Å) | α (degrees) | β (degrees) | γ (degrees) |
|---|---|---|---|---|---|---|---|---|---|
| B3--ZnS--cubic-zinc-blende | dynamic | -6.3753 | -6.3753 | 4.3595 | 4.3595 | 4.3595 | 90.0 | 90.0 | 90.0 |
| mp-570641 | dynamic | -6.372 | -6.372 | 3.0706 | 3.0706 | 60.8652 | 90.0 | 90.0 | 120.0 |
| mp-567505 | dynamic | -6.372 | -6.372 | 3.0706 | 3.0706 | 20.2884 | 90.0 | 90.0 | 120.0 |
| mp-582034 | dynamic | -6.3715 | -6.3715 | 3.0692 | 3.0692 | 53.3035 | 90.0 | 90.0 | 120.0 |
| mp-568696 | dynamic | -6.3715 | -6.3715 | 3.0692 | 3.0692 | 35.5357 | 90.0 | 90.0 | 120.0 |
| mp-582034 | static | -6.3715 | -6.3715 | 3.0691 | 3.0691 | 53.3049 | 90.0 | 90.0 | 120.0 |
| mp-570804 | dynamic | -6.3713 | -6.3713 | 3.0683 | 3.0683 | 99.0435 | 90.0 | 90.0 | 120.0 |
| mp-1204356 | dynamic | -6.3712 | -6.3712 | 3.068 | 3.068 | 144.7829 | 90.0 | 90.0 | 120.0 |
| mp-7631 | dynamic | -6.371 | -6.371 | 3.0674 | 3.0674 | 15.2464 | 90.0 | 90.0 | 120.0 |
| mp-571286 | dynamic | -6.371 | -6.371 | 3.0674 | 3.0674 | 91.4787 | 90.0 | 90.0 | 120.0 |
| mp-571286 | static | -6.371 | -6.371 | 3.0674 | 3.0674 | 91.4798 | 90.0 | 90.0 | 120.0 |
| mp-1200168 | dynamic | -6.3709 | -6.3709 | 3.067 | 3.067 | 221.1304 | 90.0 | 90.0 | 120.0 |
| mp-1200168 | static | -6.3709 | -6.3709 | 3.0669 | 3.0669 | 221.134 | 90.0 | 90.0 | 120.0 |
| mp-568619 | dynamic | -6.3708 | -6.3708 | 3.0672 | 3.0672 | 12.7079 | 90.0 | 90.0 | 120.0 |
| mp-1200692 | dynamic | -6.3708 | -6.3708 | 3.0667 | 3.0667 | 129.6519 | 90.0 | 90.0 | 120.0 |
| mp-1199063 | dynamic | -6.3708 | -6.3708 | 3.0665 | 3.0665 | 213.5644 | 90.0 | 90.0 | 120.0 |
| mp-1199063 | static | -6.3707 | -6.3707 | 3.0664 | 3.0664 | 213.5768 | 90.0 | 90.0 | 120.0 |
| mp-624397 | dynamic | -6.3707 | -6.3707 | 3.0663 | 3.0663 | 83.9124 | 90.0 | 90.0 | 120.0 |
| mp-570985 | dynamic | -6.3706 | -6.3706 | 3.0661 | 3.0661 | 68.6658 | 90.0 | 90.0 | 120.0 |
| mp-567551 | dynamic | -6.3706 | -6.3706 | 3.0659 | 3.0659 | 40.695 | 90.0 | 90.0 | 120.0 |
| mp-571298 | dynamic | -6.3704 | -6.3704 | 3.0652 | 3.0652 | 99.2368 | 90.0 | 90.0 | 120.0 |
| mp-571298 | static | -6.3703 | -6.3703 | 3.0652 | 3.0652 | 99.2407 | 90.0 | 90.0 | 120.0 |
| mp-11713 | dynamic | -6.3703 | -6.3703 | 3.065 | 3.065 | 38.172 | 90.0 | 90.0 | 120.0 |
| mp-1200848 | dynamic | -6.3703 | -6.3703 | 3.065 | 3.065 | 190.8601 | 90.0 | 90.0 | 120.0 |
| mp-568656 | dynamic | -6.3703 | -6.3703 | 3.065 | 3.065 | 25.448 | 90.0 | 90.0 | 120.0 |
| mp-1200848 | static | -6.3703 | -6.3703 | 3.065 | 3.065 | 190.8666 | 90.0 | 90.0 | 120.0 |
| mp-570791 | dynamic | -6.3701 | -6.3701 | 3.0643 | 3.0643 | 48.3725 | 90.0 | 90.0 | 120.0 |
| mp-567505 | box | -6.37 | -6.37 | 3.0755 | 3.0755 | 20.2149 | 90.0 | 90.0 | 120.0 |
| mp-570690 | dynamic | -6.3699 | -6.3699 | 3.0635 | 3.0635 | 68.7725 | 90.0 | 90.0 | 120.0 |
| mp-568735 | dynamic | -6.3699 | -6.3699 | 3.0635 | 3.0635 | 45.8483 | 90.0 | 90.0 | 120.0 |
| mp-568735 | static | -6.3699 | -6.3699 | 3.0635 | 3.0635 | 45.849 | 90.0 | 90.0 | 120.0 |
| mp-1197730 | dynamic | -6.3696 | -6.3696 | 3.0627 | 3.0627 | 129.9706 | 90.0 | 90.0 | 120.0 |
| mp-11714 | dynamic | -6.3694 | -6.3694 | 3.0618 | 3.0618 | 10.1995 | 90.0 | 90.0 | 120.0 |
| mp-568696 | box | -6.3693 | -6.3693 | 3.0747 | 3.0747 | 35.3933 | 90.0 | 90.0 | 120.0 |
| mp-582034 | box | -6.3693 | -6.3693 | 3.0746 | 3.0746 | 53.0916 | 90.0 | 90.0 | 120.0 |
| mp-9947 | box | -6.3693 | -6.3693 | 3.0747 | 3.0747 | 53.0897 | 90.0 | 90.0 | 120.0 |
| mp-570641 | box | -6.3693 | -6.3693 | 3.0772 | 3.0772 | 60.5744 | 90.0 | 90.0 | 120.0 |
| mp-1204356 | box | -6.3687 | -6.3687 | 3.0739 | 3.0739 | 144.1621 | 90.0 | 90.0 | 120.0 |
| mp-571286 | box | -6.3684 | -6.3684 | 3.0735 | 3.0735 | 91.0726 | 90.0 | 90.0 | 120.0 |
| mp-7631 | box | -6.3684 | -6.3684 | 3.0735 | 3.0735 | 15.1786 | 90.0 | 90.0 | 120.0 |
| mp-570804 | box | -6.3682 | -6.3682 | 3.0753 | 3.0753 | 98.543 | 90.0 | 90.0 | 120.0 |
| mp-1200692 | box | -6.368 | -6.368 | 3.073 | 3.073 | 129.0523 | 90.0 | 90.0 | 120.0 |
| mp-570985 | box | -6.3676 | -6.3676 | 3.0726 | 3.0726 | 68.338 | 90.0 | 90.0 | 120.0 |
| mp-567551 | box | -6.3676 | -6.3676 | 3.0725 | 3.0725 | 40.4996 | 90.0 | 90.0 | 120.0 |
| mp-568619 | box | -6.3671 | -6.3671 | 3.0721 | 3.0721 | 12.6593 | 90.0 | 90.0 | 120.0 |
| mp-1200168 | box | -6.3671 | -6.3671 | 3.0747 | 3.0747 | 219.8868 | 90.0 | 90.0 | 120.0 |
| mp-568656 | box | -6.3671 | -6.3671 | 3.072 | 3.072 | 25.32 | 90.0 | 90.0 | 120.0 |
| mp-11713 | box | -6.367 | -6.367 | 3.072 | 3.072 | 37.979 | 90.0 | 90.0 | 120.0 |
| mp-571298 | box | -6.3669 | -6.3669 | 3.0717 | 3.0717 | 98.7615 | 90.0 | 90.0 | 120.0 |
| B4--ZnS--wurtzite | dynamic | -6.3668 | -6.3668 | 3.0549 | 3.0549 | 5.1222 | 90.0 | 90.0 | 120.0 |
| mp-570791 | box | -6.3667 | -6.3667 | 3.0715 | 3.0715 | 48.1208 | 90.0 | 90.0 | 120.0 |
| mp-624397 | box | -6.3666 | -6.3666 | 3.0743 | 3.0743 | 83.4213 | 90.0 | 90.0 | 120.0 |
| mp-1199063 | box | -6.3666 | -6.3666 | 3.0744 | 3.0744 | 212.3367 | 90.0 | 90.0 | 120.0 |
| mp-568735 | box | -6.3662 | -6.3662 | 3.071 | 3.071 | 45.6015 | 90.0 | 90.0 | 120.0 |
| mp-1197730 | box | -6.3657 | -6.3657 | 3.0704 | 3.0704 | 129.246 | 90.0 | 90.0 | 120.0 |
| mp-1200848 | box | -6.3656 | -6.3656 | 3.0734 | 3.0734 | 189.6979 | 90.0 | 90.0 | 120.0 |
| mp-11714 | box | -6.3651 | -6.3651 | 3.0698 | 3.0698 | 10.1406 | 90.0 | 90.0 | 120.0 |
| mp-570690 | box | -6.3649 | -6.3649 | 3.0724 | 3.0724 | 68.3292 | 90.0 | 90.0 | 120.0 |
| B4--ZnS--wurtzite | box | -6.3599 | -6.3599 | 3.0601 | 3.0601 | 5.1017 | 90.0 | 90.0 | 120.0 |
| mp-7140 | box | -6.3568 | -6.3568 | 3.061 | 3.061 | 5.0972 | 90.0 | 90.0 | 120.0 |
| L1_0--AuCu | dynamic | -5.5438 | -5.5438 | 2.5037 | 2.5037 | 2.913 | 90.0 | 90.0 | 90.0 |
| B1--NaCl--rock-salt | static | -5.539 | -5.539 | 4.3137 | 4.3137 | 4.3137 | 90.0 | 90.0 | 90.0 |
| B2--CsCl | dynamic | -5.4475 | -5.4475 | 2.582 | 2.582 | 2.582 | 90.0 | 90.0 | 90.0 |
| L1_0--AuCu | box | -5.0239 | -5.0239 | 2.8131 | 2.8131 | 2.3698 | 90.0 | 90.0 | 90.0 |
Download raw data (including filtered results)
Reference structure matches:
| prototype | method | Ecoh (eV/atom) | Epot (eV/atom) | a0 (Å) | b0 (Å) | c0 (Å) | α (degrees) | β (degrees) | γ (degrees) |
|---|---|---|---|---|---|---|---|---|---|
| C1--CaF2--fluorite | dynamic | -4.8869 | -4.8869 | 4.8412 | 4.8412 | 4.8412 | 90.0 | 90.0 | 90.0 |
Download raw data (including filtered results)
Reference structure matches:
| prototype | method | Ecoh (eV/atom) | Epot (eV/atom) | a0 (Å) | b0 (Å) | c0 (Å) | α (degrees) | β (degrees) | γ (degrees) |
|---|---|---|---|---|---|---|---|---|---|
| D0_3--BiF3 | static | -4.6255 | -4.6255 | 5.7884 | 5.7884 | 5.7884 | 90.0 | 90.0 | 90.0 |
| L1_2--AuCu3 | static | -4.2939 | -4.2939 | 3.6986 | 3.6986 | 3.6986 | 90.0 | 90.0 | 90.0 |
| A15--Cr3Si | box | -4.1328 | -4.1328 | 4.6984 | 4.6984 | 4.6984 | 90.0 | 90.0 | 90.0 |
| A15--Cr3Si | static | -1.3056 | -1.3056 | 6.5161 | 6.5161 | 6.5161 | 90.0 | 90.0 | 90.0 |
| L1_2--AuCu3 | box | -0.8529 | -0.8529 | 5.6037 | 5.6037 | 5.6037 | 90.0 | 90.0 | 90.0 |
Download raw data (including filtered results)
Reference structure matches:
A1--Cu--fcc = mp-27, oqmd-9287, oqmd-1214570
A15--beta-W = oqmd-1215015, oqmd-1236371, oqmd-1280410
A2--W--bcc = mp-1014212, oqmd-1215193
A3'--alpha-La--double-hcp = oqmd-1215461
A3--Mg--hcp = mp-10649, oqmd-9288, oqmd-1215371
A4--C--dc = mp-149, oqmd-5714, oqmd-12378, oqmd-1215550
A5--beta-Sn = mp-92, oqmd-18979, oqmd-1215639
A6--In--bct = mp-1056579, oqmd-691768, oqmd-1215728
A7--alpha-As = oqmd-1215817
Ah--alpha-Po--sc = oqmd-1215906
| prototype | method | Ecoh (eV/atom) | Epot (eV/atom) | a0 (Å) | b0 (Å) | c0 (Å) | α (degrees) | β (degrees) | γ (degrees) |
|---|---|---|---|---|---|---|---|---|---|
| A4--C--dc | dynamic | -4.63 | -4.63 | 5.4271 | 5.4271 | 5.4271 | 90.0 | 90.0 | 90.0 |
| mp-165 | dynamic | -4.6275 | -4.6275 | 3.8238 | 3.8238 | 6.3518 | 90.0 | 90.0 | 120.0 |
| oqmd-22507 | box | -4.6242 | -4.6242 | 3.8363 | 6.631 | 6.3868 | 90.0 | 90.0 | 90.0 |
| oqmd-717362 | dynamic | -4.5841 | -4.5841 | 14.6036 | 14.6036 | 14.6036 | 90.0 | 90.0 | 90.0 |
| oqmd-717362 | box | -4.5835 | -4.5835 | 14.6054 | 14.6054 | 14.6054 | 90.0 | 90.0 | 90.0 |
| mp-1203790 | dynamic | -4.5803 | -4.5803 | 10.3213 | 10.3213 | 16.8811 | 90.0 | 90.0 | 120.0 |
| mp-1203790 | box | -4.5797 | -4.5797 | 10.3192 | 10.3192 | 16.8901 | 90.0 | 90.0 | 120.0 |
| oqmd-717360 | dynamic | -4.5611 | -4.5611 | 10.139 | 10.139 | 10.139 | 90.0 | 90.0 | 90.0 |
| oqmd-717360 | box | -4.561 | -4.561 | 10.1396 | 10.1396 | 10.1396 | 90.0 | 90.0 | 90.0 |
| mp-1196961 | dynamic | -4.545 | -4.545 | 10.1144 | 10.1144 | 10.3198 | 90.0 | 90.0 | 120.0 |
| mp-1196961 | box | -4.5446 | -4.5446 | 10.114 | 10.114 | 10.3184 | 90.0 | 90.0 | 120.0 |
| mp-1204627 | dynamic | -4.5034 | -4.5034 | 16.6743 | 12.7698 | 9.9003 | 90.0 | 90.0 | 90.0 |
| mp-1204627 | box | -4.5001 | -4.5001 | 16.7136 | 12.7567 | 9.9139 | 90.0 | 90.0 | 90.0 |
| mp-1120747 | dynamic | -4.4931 | -4.4931 | 5.7518 | 5.7518 | 3.5832 | 90.0 | 90.0 | 120.0 |
| oqmd-22407 | dynamic | -4.4627 | -4.4627 | 6.5444 | 6.5444 | 3.8943 | 90.0 | 90.0 | 90.0 |
| mp-1079297 | dynamic | -4.4622 | -4.4622 | 13.8076 | 3.8559 | 6.3331 | 90.0 | 97.6 | 90.0 |
| mp-1079297 | box | -4.4536 | -4.4536 | 13.8565 | 3.8386 | 6.3549 | 90.0 | 97.0 | 90.0 |
| oqmd-22408 | box | -4.4528 | -4.4528 | 13.8619 | 3.8391 | 6.3546 | 90.0 | 97.0 | 90.0 |
| mp-999200 | box | -4.4394 | -4.4394 | 6.6346 | 6.6346 | 3.8166 | 90.0 | 90.0 | 90.0 |
| oqmd-22407 | box | -4.4378 | -4.4378 | 6.6377 | 6.6377 | 3.8141 | 90.0 | 90.0 | 90.0 |
| mp-1199894 | dynamic | -4.4336 | -4.4336 | 25.2619 | 15.1046 | 9.8008 | 90.0 | 94.5 | 90.0 |
| mp-1201492 | dynamic | -4.4314 | -4.4314 | 17.4899 | 17.4899 | 17.4899 | 90.0 | 90.0 | 90.0 |
| mp-1200830 | dynamic | -4.4294 | -4.4294 | 12.358 | 12.358 | 12.358 | 90.0 | 90.0 | 90.0 |
| mp-1200830 | static | -4.4294 | -4.4294 | 12.3583 | 12.3583 | 12.3583 | 90.0 | 90.0 | 90.0 |
| mp-1199894 | box | -4.4255 | -4.4255 | 25.2884 | 15.1253 | 9.8142 | 90.0 | 94.4 | 90.0 |
| mp-1201492 | box | -4.4254 | -4.4254 | 17.5027 | 17.5027 | 17.5027 | 90.0 | 90.0 | 90.0 |
| mp-1200830 | box | -4.4168 | -4.4168 | 12.3827 | 12.3827 | 12.3827 | 90.0 | 90.0 | 90.0 |
| mp-971661 | dynamic | -4.3884 | -4.3884 | 10.0344 | 10.0344 | 10.0344 | 90.0 | 90.0 | 90.0 |
| mp-1095269 | dynamic | -4.3812 | -4.3812 | 3.8436 | 10.7047 | 12.7517 | 90.0 | 90.0 | 90.0 |
| mp-971661 | box | -4.3799 | -4.3799 | 10.0396 | 10.0396 | 10.0396 | 90.0 | 90.0 | 90.0 |
| mp-1095269 | box | -4.3702 | -4.3702 | 3.8339 | 10.7548 | 12.7402 | 90.0 | 90.0 | 90.0 |
| mp-1202745 | dynamic | -4.3695 | -4.3695 | 9.884 | 9.884 | 16.0823 | 90.0 | 90.0 | 120.0 |
| mp-1202745 | box | -4.3629 | -4.3629 | 9.9036 | 9.9036 | 16.032 | 90.0 | 90.0 | 120.0 |
| mp-1204046 | dynamic | -4.3335 | -4.3335 | 10.0837 | 10.0837 | 24.0961 | 90.0 | 90.0 | 90.0 |
| mp-1204046 | box | -4.3175 | -4.3175 | 10.1016 | 10.1016 | 24.1008 | 90.0 | 90.0 | 90.0 |
| mp-168 | static | -4.3074 | -4.3074 | 6.5642 | 6.5642 | 6.5642 | 90.0 | 90.0 | 90.0 |
| Ah--alpha-Po--sc | static | -4.2928 | -4.2928 | 2.6208 | 2.6208 | 2.6208 | 90.0 | 90.0 | 90.0 |
| A7--alpha-As | box | -4.2928 | -4.2928 | 3.7063 | 3.7063 | 9.0786 | 90.0 | 90.0 | 120.0 |
| A5--beta-Sn | dynamic | -4.2826 | -4.2826 | 5.0362 | 5.0362 | 2.5954 | 90.0 | 90.0 | 90.0 |
| mp-168 | box | -4.2489 | -4.2489 | 6.6361 | 6.6361 | 6.6361 | 90.0 | 90.0 | 90.0 |
| oqmd-3484 | box | -4.2476 | -4.2476 | 6.637 | 6.637 | 6.637 | 90.0 | 90.0 | 90.0 |
| A7--alpha-As | box | -4.2199 | -4.2199 | 3.7523 | 3.7523 | 8.9666 | 90.0 | 90.0 | 120.0 |
| oqmd-7479 | box | -4.2105 | -4.2105 | 5.0644 | 5.1211 | 2.5671 | 90.0 | 90.0 | 90.0 |
| oqmd-1214748 | box | -4.2052 | -4.2052 | 4.8696 | 7.6954 | 3.8566 | 90.0 | 90.0 | 90.0 |
| mp-1079649 | dynamic | -4.1899 | -4.1899 | 8.156 | 5.1581 | 6.101 | 90.0 | 90.0 | 90.0 |
| mp-1245041 | dynamic | -4.1829 | -4.1829 | 12.844 | 12.8502 | 13.101 | 72.7 | 71.7 | 75.3 |
| mp-1001113 | dynamic | -4.1791 | -4.1791 | 3.6765 | 10.7158 | 3.3284 | 90.0 | 90.0 | 90.0 |
| mp-1079649 | box | -4.1678 | -4.1678 | 8.177 | 5.158 | 6.0774 | 90.0 | 90.0 | 90.0 |
| mp-1244990 | dynamic | -4.1652 | -4.1652 | 12.1511 | 12.4223 | 13.044 | 104.2 | 100.0 | 101.0 |
| mp-1245242 | dynamic | -4.1528 | -4.1528 | 12.2566 | 12.6991 | 12.7086 | 79.9 | 82.6 | 82.1 |
| mp-1244933 | dynamic | -4.1527 | -4.1527 | 12.3209 | 12.4535 | 12.761 | 79.2 | 77.8 | 73.4 |
| mp-1245041 | static | -4.1491 | -4.1491 | 12.8145 | 12.9285 | 13.0697 | 72.8 | 70.9 | 74.6 |
| mp-1244971 | dynamic | -4.1427 | -4.1427 | 11.6587 | 12.8086 | 13.2812 | 98.6 | 98.4 | 99.3 |
| mp-1244933 | static | -4.1405 | -4.1405 | 12.3557 | 12.4808 | 12.6946 | 77.4 | 79.0 | 74.0 |
| A2--W--bcc | static | -4.1378 | -4.1378 | 3.1381 | 3.1381 | 3.1381 | 90.0 | 90.0 | 90.0 |
| mp-1244971 | static | -4.123 | -4.123 | 11.582 | 12.9484 | 13.3476 | 97.3 | 98.3 | 100.1 |
| mp-571520 | box | -4.1167 | -4.1167 | 9.4836 | 9.4836 | 5.7252 | 90.0 | 90.0 | 120.0 |
| mp-1245242 | static | -4.1134 | -4.1134 | 12.3662 | 12.6072 | 12.7233 | 79.7 | 81.9 | 82.4 |
| oqmd-691764 | box | -4.1133 | -4.1133 | 2.704 | 2.704 | 7.4962 | 90.0 | 90.0 | 120.0 |
| oqmd-18985 | box | -4.1113 | -4.1113 | 9.4339 | 9.4339 | 5.7566 | 90.0 | 90.0 | 120.0 |
| mp-644693 | static | -4.1107 | -4.1107 | 4.0749 | 5.2453 | 8.1448 | 87.0 | 86.6 | 71.9 |
| oqmd-717361 | dynamic | -4.109 | -4.109 | 7.5376 | 7.5376 | 7.5376 | 90.0 | 90.0 | 90.0 |
| mp-1244990 | static | -4.1085 | -4.1085 | 12.228 | 12.4549 | 12.8472 | 103.5 | 100.3 | 101.8 |
| oqmd-78174 | dynamic | -4.1069 | -4.1069 | 8.6441 | 5.4039 | 5.4261 | 90.0 | 90.0 | 90.0 |
| A3--Mg--hcp | dynamic | -4.0684 | -4.0684 | 2.8168 | 2.8168 | 4.5884 | 90.0 | 90.0 | 120.0 |
| mp-1094057 | dynamic | -4.0664 | -4.0664 | 2.8165 | 2.8165 | 20.6633 | 90.0 | 90.0 | 120.0 |
| oqmd-1216087 | dynamic | -4.0664 | -4.0664 | 2.8165 | 2.8165 | 20.6636 | 90.0 | 90.0 | 120.0 |
| oqmd-1216087 | static | -4.0663 | -4.0663 | 2.8166 | 2.8166 | 20.6623 | 90.0 | 90.0 | 120.0 |
| mp-1094057 | box | -4.066 | -4.066 | 2.8165 | 2.8165 | 20.6649 | 90.0 | 90.0 | 120.0 |
| A3'--alpha-La--double-hcp | dynamic | -4.0653 | -4.0653 | 2.8164 | 2.8164 | 9.1871 | 90.0 | 90.0 | 120.0 |
| A1--Cu--fcc | dynamic | -4.0623 | -4.0623 | 3.9824 | 3.9824 | 3.9824 | 90.0 | 90.0 | 90.0 |
| A6--In--bct | static | -4.06 | -4.06 | 3.5741 | 3.5741 | 2.5684 | 90.0 | 90.0 | 90.0 |
| oqmd-1214926 | dynamic | -4.0583 | -4.0583 | 7.0045 | 7.0045 | 7.0045 | 90.0 | 90.0 | 90.0 |
| oqmd-10215 | static | -4.043 | -4.043 | 14.7874 | 14.7874 | 14.7874 | 90.0 | 90.0 | 90.0 |
| mp-16220 | static | -4.0429 | -4.0429 | 14.786 | 14.786 | 14.786 | 90.0 | 90.0 | 90.0 |
| mp-1072544 | dynamic | -4.0246 | -4.0246 | 6.6574 | 6.6574 | 6.6574 | 90.0 | 90.0 | 90.0 |
| oqmd-1214926 | box | -4.0183 | -4.0183 | 6.9616 | 6.9616 | 6.9616 | 90.0 | 90.0 | 90.0 |
| mp-1001113 | box | -4.0106 | -4.0106 | 3.1143 | 9.7766 | 4.3065 | 90.0 | 90.0 | 90.0 |
| mp-1244971 | box | -3.958 | -3.958 | 11.7043 | 12.8505 | 13.4444 | 98.0 | 96.2 | 100.6 |
| oqmd-78173 | box | -3.9562 | -3.9562 | 4.9369 | 5.1502 | 11.2654 | 90.0 | 90.0 | 90.0 |
| mp-1244933 | box | -3.9539 | -3.9539 | 12.3712 | 12.524 | 12.6739 | 78.9 | 78.2 | 74.4 |
| mp-1245242 | box | -3.9522 | -3.9522 | 12.4058 | 12.723 | 12.7575 | 79.7 | 82.1 | 81.0 |
| mp-16220 | box | -3.9517 | -3.9517 | 14.7525 | 14.7525 | 14.7525 | 90.0 | 90.0 | 90.0 |
| oqmd-10215 | box | -3.9478 | -3.9478 | 14.7407 | 14.7407 | 14.7407 | 90.0 | 90.0 | 90.0 |
| oqmd-1214837 | dynamic | -3.9382 | -3.9382 | 10.4239 | 10.4239 | 10.4239 | 90.0 | 90.0 | 90.0 |
| oqmd-1214837 | box | -3.929 | -3.929 | 10.428 | 10.428 | 10.428 | 90.0 | 90.0 | 90.0 |
| mp-1244990 | box | -3.8984 | -3.8984 | 12.2234 | 12.4748 | 12.7812 | 104.0 | 100.2 | 100.8 |
| mp-1120447 | dynamic | -3.875 | -3.875 | 5.0606 | 5.6083 | 6.8657 | 70.7 | 69.1 | 83.7 |
| mp-676011 | static | -3.8478 | -3.8478 | 5.1714 | 5.3617 | 7.0865 | 71.2 | 71.5 | 64.3 |
| oqmd-51152 | static | -3.8391 | -3.8391 | 2.6796 | 2.6796 | 2.6796 | 90.0 | 90.0 | 120.0 |
| oqmd-1215104 | box | -3.8387 | -3.8387 | 5.359 | 9.2826 | 2.6795 | 90.0 | 90.0 | 90.0 |
| mp-1268191 | box | -3.828 | -3.828 | 6.9613 | 6.9613 | 2.6446 | 90.0 | 90.0 | 120.0 |
| mp-109 | box | -3.7811 | -3.7811 | 5.2594 | 5.2911 | 9.5416 | 90.0 | 90.0 | 90.0 |
| oqmd-717361 | box | -3.7183 | -3.7183 | 7.4487 | 7.4487 | 7.4487 | 90.0 | 90.0 | 90.0 |
| mp-1120447 | box | -3.6795 | -3.6795 | 5.2584 | 5.4418 | 6.7796 | 71.5 | 71.3 | 84.2 |
| oqmd-1215995 | box | -3.5927 | -3.5927 | 3.9106 | 3.9106 | 7.929 | 90.0 | 90.0 | 120.0 |
| A15--beta-W | static | -3.5444 | -3.5444 | 5.0766 | 5.0766 | 5.0766 | 90.0 | 90.0 | 90.0 |
| mp-1120747 | box | -3.539 | -3.539 | 5.4108 | 5.4108 | 4.2659 | 90.0 | 90.0 | 120.0 |
| mp-1245041 | box | -3.1921 | -3.1921 | 9.9724 | 10.5191 | 12.4118 | 77.8 | 75.7 | 72.8 |
| oqmd-78174 | box | -1.8105 | -1.8105 | 4.8602 | 12.7154 | 5.0695 | 90.0 | 90.0 | 90.0 |
| A15--beta-W | static | -1.7733 | -1.7733 | 6.4796 | 6.4796 | 6.4796 | 90.0 | 90.0 | 90.0 |
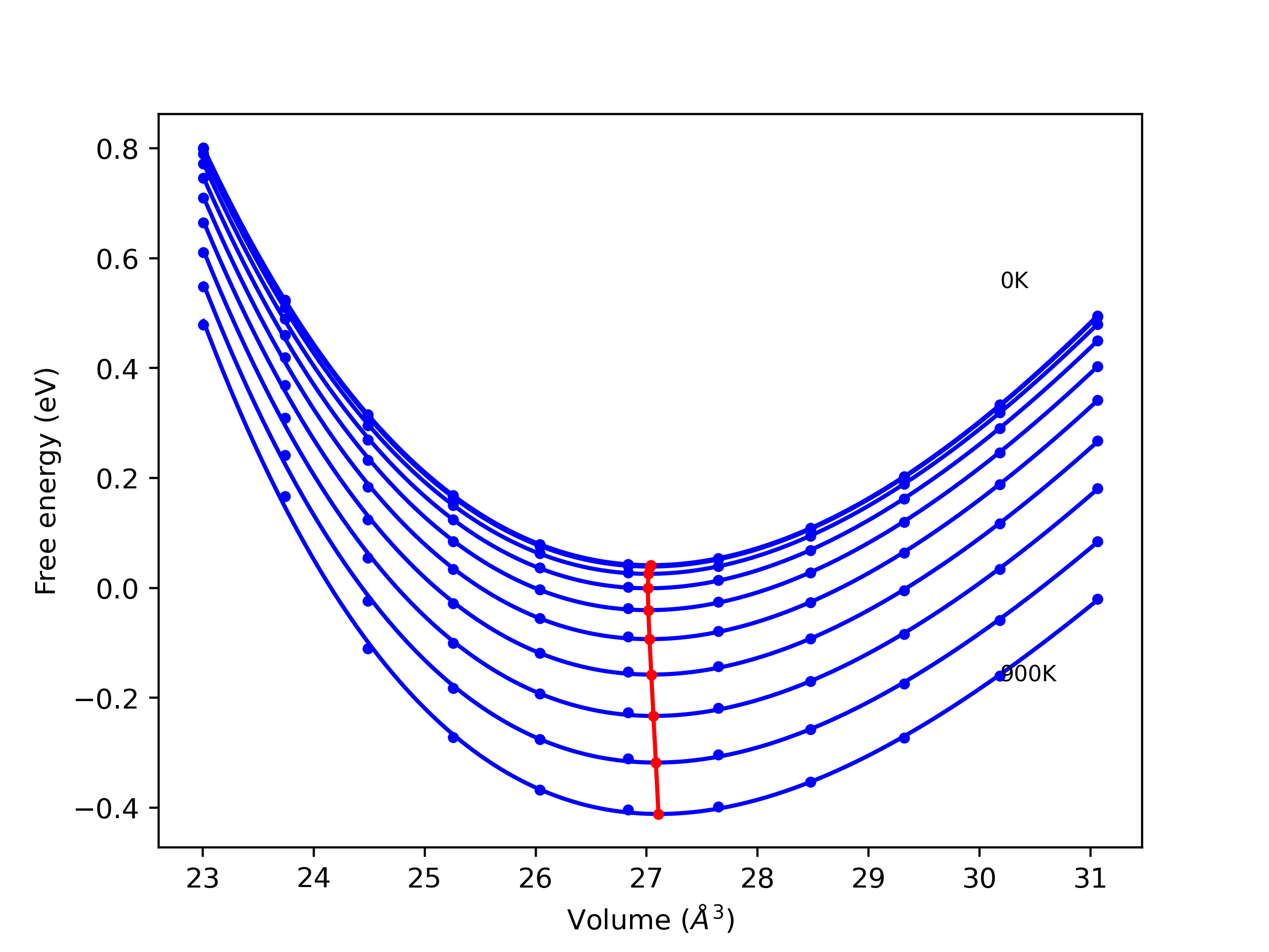
Static elastic constants are displayed for the unique structures identified in Crystal Structure Predictions above. The values displayed here are obtained by measuring the change in virial stresses due to applying small strains to the relaxed crystals. The initial structure and the strained states are all relaxed using force minimization.
The calculation method used is available as the iprPy elastic_constants_static calculation method.
Notes and Disclaimers:
Version Information:
| 507.401 | 520.007 | 520.007 | -0.000 | 0.000 | 0.000 |
| 520.007 | 507.401 | 520.007 | 0.000 | -0.000 | -0.000 |
| 520.007 | 520.007 | 507.401 | 0.000 | 0.000 | -0.000 |
| 0.000 | 0.000 | 0.000 | -72.453 | -0.000 | -0.000 |
| 0.000 | 0.000 | 0.000 | -0.000 | -72.453 | -0.000 |
| 0.000 | 0.000 | 0.000 | -0.000 | -0.000 | -72.453 |
| 507.401 | 520.007 | 520.007 | 0.000 | 0.000 | 0.000 |
| 520.007 | 507.401 | 520.007 | 0.000 | 0.000 | 0.000 |
| 520.007 | 520.007 | 507.401 | 0.000 | 0.000 | 0.000 |
| -0.000 | -0.000 | -0.000 | -72.453 | 0.000 | 0.000 |
| -0.000 | -0.000 | -0.000 | 0.000 | -72.453 | 0.000 |
| -0.000 | -0.000 | -0.000 | 0.000 | 0.000 | -72.453 |
| 507.401 | 520.007 | 520.007 | 0.000 | 0.000 | 0.000 |
| 520.007 | 507.401 | 520.007 | 0.000 | -0.000 | -0.000 |
| 520.007 | 520.007 | 507.401 | 0.000 | 0.000 | -0.000 |
| 0.000 | 0.000 | 0.000 | -72.453 | -0.000 | -0.000 |
| 0.000 | 0.000 | 0.000 | -0.000 | -72.453 | 0.000 |
| 0.000 | 0.000 | 0.000 | -0.000 | 0.000 | -72.453 |
| 507.401 | 520.007 | 520.007 | 0.000 | 0.000 | 0.000 |
| 520.007 | 507.401 | 520.007 | 0.000 | 0.000 | 0.000 |
| 520.007 | 520.007 | 507.401 | 0.000 | 0.000 | 0.000 |
| -0.000 | -0.000 | -0.000 | -72.453 | 0.000 | 0.000 |
| -0.000 | -0.000 | -0.000 | 0.000 | -72.453 | 0.000 |
| -0.000 | -0.000 | -0.000 | 0.000 | 0.000 | -72.453 |
| 507.403 | 520.008 | 520.008 | -0.000 | -0.000 | -0.000 |
| 520.008 | 507.403 | 520.008 | 0.000 | -0.000 | -0.000 |
| 520.008 | 520.008 | 507.403 | -0.000 | -0.000 | -0.000 |
| 0.000 | 0.000 | 0.000 | -72.453 | -0.000 | -0.000 |
| 0.000 | 0.000 | 0.000 | -0.000 | -72.453 | -0.000 |
| 0.000 | 0.000 | 0.000 | 0.000 | -0.000 | -72.453 |
| 507.399 | 520.006 | 520.006 | 0.000 | 0.000 | 0.000 |
| 520.006 | 507.399 | 520.006 | 0.000 | 0.000 | 0.000 |
| 520.006 | 520.006 | 507.399 | 0.000 | 0.000 | 0.000 |
| -0.000 | -0.000 | -0.000 | -72.453 | 0.000 | 0.000 |
| -0.000 | -0.000 | -0.000 | 0.000 | -72.453 | 0.000 |
| -0.000 | -0.000 | -0.000 | 0.000 | 0.000 | -72.453 |
| 318.729 | 586.071 | 586.071 | 0.000 | -0.000 | 0.000 |
| 586.071 | 318.729 | 586.071 | 0.000 | 0.000 | -0.000 |
| 586.071 | 586.071 | 318.729 | 0.000 | -0.000 | -0.000 |
| -0.000 | -0.000 | -0.000 | -403.895 | -0.000 | -0.000 |
| -0.000 | -0.000 | -0.000 | -0.000 | -403.895 | 0.000 |
| -0.000 | -0.000 | -0.000 | 0.000 | -0.000 | -403.895 |
| 318.729 | 586.071 | 586.071 | -0.000 | -0.000 | 0.000 |
| 586.071 | 318.729 | 586.071 | 0.000 | 0.000 | -0.000 |
| 586.071 | 586.071 | 318.729 | 0.000 | 0.000 | -0.000 |
| 0.000 | 0.000 | 0.000 | -403.895 | 0.000 | -0.000 |
| 0.000 | 0.000 | 0.000 | -0.000 | -403.895 | -0.000 |
| 0.000 | 0.000 | 0.000 | 0.000 | -0.000 | -403.895 |
| 318.488 | 586.192 | 586.192 | -0.000 | -0.000 | 0.000 |
| 586.192 | 318.488 | 586.192 | -0.000 | -0.000 | 0.000 |
| 586.192 | 586.192 | 318.488 | -0.000 | 0.000 | 0.000 |
| -0.000 | -0.000 | -0.000 | -403.895 | 0.000 | -0.000 |
| -0.000 | -0.000 | -0.000 | -0.000 | -403.895 | 0.000 |
| -0.000 | -0.000 | -0.000 | 0.000 | 0.000 | -403.895 |
| 318.729 | 586.071 | 586.071 | -0.000 | 0.000 | 0.000 |
| 586.071 | 318.729 | 586.071 | -0.000 | 0.000 | -0.000 |
| 586.071 | 586.071 | 318.729 | -0.000 | 0.000 | -0.000 |
| 0.000 | 0.000 | 0.000 | -403.895 | 0.000 | -0.000 |
| 0.000 | 0.000 | 0.000 | -0.000 | -403.895 | -0.000 |
| 0.000 | 0.000 | 0.000 | -0.000 | -0.000 | -403.895 |
| 318.730 | 586.073 | 586.073 | 0.000 | 0.000 | 0.000 |
| 586.073 | 318.730 | 586.073 | 0.000 | -0.000 | 0.000 |
| 586.073 | 586.073 | 318.730 | -0.000 | -0.000 | 0.000 |
| -2183004.499 | -1095739.322 | -2990495.907 | -282713.326 | -136698.208 | 578359.702 |
| -926443.753 | -756522.236 | -1547312.731 | 803160.952 | 82003.425 | 278965.321 |
| -1559119.107 | -1740150.864 | -1972072.588 | 242465.908 | 498286.322 | 44740.915 |
| 318.487 | 586.190 | 586.190 | 0.000 | 0.000 | -0.000 |
| 586.190 | 318.487 | 586.190 | -0.000 | 0.000 | -0.000 |
| 586.190 | 586.190 | 318.487 | -0.000 | -0.000 | 0.000 |
| 983337.720 | 2036983.188 | 2631537.300 | -137571.101 | -473701.554 | 15923.702 |
| 1377120.133 | 2243623.504 | 528295.240 | -711005.903 | 367814.081 | -352969.544 |
| 986145.670 | 2190758.803 | 1348519.210 | -807785.298 | -91871.607 | -268374.264 |
| 2051.951 | -201.955 | -201.955 | -0.000 | -0.000 | 0.000 |
| -201.955 | 2051.951 | -201.955 | -0.000 | -0.000 | 0.000 |
| -201.955 | -201.955 | 2051.951 | -0.000 | -0.000 | 0.000 |
| -0.000 | 0.000 | -0.000 | -273.640 | -0.000 | 0.000 |
| 0.000 | -0.000 | -0.000 | 0.000 | -273.640 | 0.000 |
| 0.000 | -0.000 | -0.000 | -0.000 | 0.000 | -273.640 |
| 2051.951 | -201.955 | -201.955 | -0.000 | 0.000 | -0.000 |
| -201.955 | 2051.951 | -201.955 | -0.000 | -0.000 | -0.000 |
| -201.955 | -201.955 | 2051.951 | -0.000 | -0.000 | -0.000 |
| 0.000 | -0.000 | 0.000 | -273.640 | 0.000 | -0.000 |
| -0.000 | 0.000 | 0.000 | 0.000 | -273.640 | 0.000 |
| -0.000 | 0.000 | 0.000 | 0.000 | -0.000 | -273.640 |
| 2051.952 | -201.955 | -201.955 | -0.000 | -0.000 | 0.000 |
| -201.955 | 2051.952 | -201.955 | 0.000 | -0.000 | -0.000 |
| -201.955 | -201.955 | 2051.952 | 0.000 | 0.000 | 0.000 |
| -0.000 | 0.000 | 0.000 | -273.640 | -0.000 | 0.000 |
| 0.000 | -0.000 | 0.000 | -0.000 | -273.640 | 0.000 |
| 0.000 | 0.000 | -0.000 | 0.000 | -0.000 | -273.640 |
| 2051.950 | -201.955 | -201.955 | -0.000 | -0.000 | -0.000 |
| -201.955 | 2051.950 | -201.955 | -0.000 | 0.000 | -0.000 |
| -201.955 | -201.955 | 2051.950 | -0.000 | -0.000 | -0.000 |
| 0.000 | -0.000 | -0.000 | -273.640 | 0.000 | -0.000 |
| -0.000 | 0.000 | -0.000 | -0.000 | -273.640 | -0.000 |
| -0.000 | -0.000 | 0.000 | -0.000 | -0.000 | -273.640 |
| 2051.964 | -201.954 | -201.954 | -0.000 | 0.000 | 0.000 |
| -201.954 | 2051.964 | -201.954 | 0.000 | -0.000 | -0.000 |
| -201.954 | -201.954 | 2051.964 | -0.000 | -0.000 | 0.000 |
| -0.003 | 0.002 | 0.000 | -273.640 | 0.000 | 0.000 |
| 0.002 | -0.003 | 0.000 | 0.000 | -273.640 | 0.000 |
| 0.002 | 0.000 | -0.003 | 0.000 | 0.000 | -273.640 |
| 2051.938 | -201.956 | -201.956 | -0.000 | -0.000 | -0.000 |
| -201.956 | 2051.938 | -201.956 | -0.000 | 0.000 | -0.000 |
| -201.956 | -201.956 | 2051.938 | -0.000 | 0.000 | -0.000 |
| 0.003 | -0.002 | -0.000 | -273.640 | 0.000 | -0.000 |
| -0.002 | 0.003 | -0.000 | -0.000 | -273.640 | -0.000 |
| -0.002 | -0.000 | 0.003 | -0.000 | 0.000 | -273.640 |
| 441.990 | 547.249 | 563.669 | 0.000 | -0.000 | -0.000 |
| 547.249 | 441.990 | 563.669 | 0.000 | -0.000 | -0.000 |
| 563.669 | 563.669 | 410.029 | 0.000 | -0.000 | -0.000 |
| 0.000 | 0.000 | 0.000 | -39.490 | -0.000 | -0.000 |
| 0.000 | 0.000 | 0.000 | -0.000 | -39.490 | -0.000 |
| 0.000 | 0.000 | 0.000 | 0.000 | -0.000 | -82.291 |
| -944206210.739 | -144883506.747 | 259633330.628 | -15068094.912 | 20780043.571 | 3097947.071 |
| 547.249 | 441.990 | 563.669 | -0.000 | 0.000 | 0.000 |
| 563.669 | 563.669 | 410.029 | 0.000 | 0.000 | 0.000 |
| -0.000 | -0.000 | -0.000 | -39.490 | 0.000 | 0.000 |
| -0.000 | -0.000 | -0.000 | -0.000 | -39.490 | 0.000 |
| -0.000 | -0.000 | -0.000 | -0.000 | 0.000 | -82.291 |
| 441.990 | 547.249 | 563.669 | 0.000 | -0.000 | -0.000 |
| 547.249 | 441.990 | 563.669 | -0.000 | -0.000 | -0.000 |
| 563.669 | 563.669 | 410.029 | 0.000 | -0.000 | -0.000 |
| 0.000 | 0.000 | -0.000 | -39.490 | -0.000 | -0.000 |
| 0.000 | 0.000 | -0.000 | 0.000 | -39.490 | -0.000 |
| 0.000 | 0.000 | 0.000 | -0.000 | -0.000 | -82.291 |
| 441.990 | 547.249 | 563.669 | -0.000 | 0.000 | 0.000 |
| 547.249 | 441.990 | 563.669 | -0.000 | 0.000 | 0.000 |
| 563.669 | 563.669 | 410.029 | 0.000 | -0.000 | 0.000 |
| -0.000 | -0.000 | 0.000 | -39.490 | 0.000 | 0.000 |
| -0.000 | -0.000 | 0.000 | -0.000 | -39.490 | -0.000 |
| -0.000 | -0.000 | -0.000 | -0.000 | 0.000 | -82.291 |
| 441.992 | 547.251 | 563.671 | 0.000 | -0.000 | -0.000 |
| 547.250 | 441.992 | 563.671 | 0.000 | -0.000 | -0.000 |
| 563.671 | 563.671 | 410.031 | 0.000 | -0.000 | -0.000 |
| 0.000 | 0.000 | -0.000 | -39.490 | 0.000 | -0.000 |
| 0.000 | 0.000 | -0.000 | 0.000 | -39.490 | 0.000 |
| 0.000 | -0.000 | 0.000 | 0.000 | -0.000 | -52.629 |
| -9123332.004 | -2390878.666 | 3198372.580 | -411624.490 | -371726.444 | 46975.919 |
| 547.247 | 441.988 | 563.668 | -0.000 | -0.000 | 0.000 |
| 563.668 | 563.668 | 410.027 | 0.000 | 0.000 | 0.000 |
| -0.000 | -0.000 | 0.000 | -39.490 | -0.000 | 0.000 |
| -0.000 | -0.000 | 0.000 | -0.000 | -39.490 | 0.000 |
| -0.000 | 0.000 | -0.000 | -0.000 | 0.000 | -52.629 |
| 775.624 | 494.678 | 165.495 | -0.000 | 0.000 | 0.000 |
| 602.405 | 667.897 | 165.495 | -0.000 | 0.000 | -0.000 |
| 165.496 | 165.496 | 1490.364 | 0.000 | -0.000 | 0.000 |
| 0.000 | 0.000 | -0.000 | -17.251 | 0.000 | -0.000 |
| 0.000 | -0.000 | -0.000 | 0.000 | -17.251 | 0.000 |
| 0.000 | 0.000 | -0.000 | -0.000 | 0.000 | 32.746 |
| 775.624 | 494.678 | 165.495 | 0.000 | 0.000 | -0.000 |
| 602.405 | 667.897 | 165.495 | 0.000 | -0.000 | -0.000 |
| 165.496 | 165.496 | 1490.364 | -0.000 | -0.000 | -0.000 |
| -0.000 | -0.000 | 0.000 | -17.251 | -0.000 | -0.000 |
| -0.000 | 0.000 | 0.000 | 0.000 | -17.251 | -0.000 |
| -0.000 | -0.000 | 0.000 | 0.000 | -0.000 | 32.746 |
| 775.624 | 494.678 | 165.495 | -0.000 | -0.000 | -0.000 |
| 494.678 | 775.624 | 165.495 | -0.000 | -0.000 | -0.000 |
| 165.495 | 165.495 | 1490.365 | -0.000 | -0.000 | 0.000 |
| 0.000 | 0.000 | -0.000 | -17.251 | 0.000 | 0.000 |
| 0.000 | 0.000 | -0.000 | -0.000 | -17.251 | 0.000 |
| 0.000 | 0.001 | -0.001 | -0.000 | 0.000 | 32.746 |
| 667.894 | 602.406 | 165.496 | 0.000 | -0.000 | -0.000 |
| 602.404 | 667.896 | 165.496 | 0.000 | -0.000 | -0.000 |
| 165.496 | 165.496 | 1490.363 | 0.000 | -0.000 | 0.000 |
| -0.000 | -0.000 | 0.000 | -17.251 | -0.000 | -0.000 |
| -0.000 | -0.000 | 0.000 | 0.000 | -17.251 | -0.000 |
| -0.000 | -0.001 | 0.001 | 0.000 | -0.000 | 32.746 |
| 775.626 | 494.678 | 165.497 | -0.000 | -0.000 | 0.000 |
| 602.408 | 667.907 | 165.492 | -0.000 | -0.000 | 0.000 |
| 165.494 | 165.494 | 1490.376 | 0.000 | 0.000 | 0.000 |
| 0.000 | 0.001 | 0.000 | -17.251 | 0.000 | -0.000 |
| 0.001 | 0.000 | 0.000 | -0.000 | -17.251 | -0.000 |
| 0.004 | 0.007 | -0.005 | -0.000 | -0.000 | 32.746 |
| 667.873 | 602.414 | 165.499 | 0.000 | -0.000 | -0.000 |
| 602.403 | 667.884 | 165.499 | 0.000 | -0.000 | -0.000 |
| 165.497 | 165.497 | 1490.352 | 0.000 | -0.000 | 0.000 |
| -0.000 | -0.001 | -0.000 | -17.251 | -0.000 | 0.000 |
| -0.001 | -0.000 | -0.000 | 0.000 | -17.251 | -0.000 |
| -0.004 | -0.007 | 0.005 | 0.000 | -0.000 | 32.746 |
| 663.968 | 776.960 | 100.791 | 0.000 | -0.000 | 0.000 |
| 776.960 | 663.968 | 100.791 | 0.000 | 0.000 | 0.000 |
| 100.792 | 100.792 | 193.875 | 0.000 | -0.000 | 0.000 |
| 0.000 | 0.000 | -0.000 | 120.209 | -0.000 | -0.000 |
| 0.000 | 0.000 | -0.000 | 0.000 | 120.209 | 0.000 |
| -0.000 | 0.000 | 0.000 | -0.000 | 0.000 | -56.496 |
| 663.968 | 776.960 | 100.791 | 0.000 | -0.000 | -0.000 |
| 776.960 | 663.968 | 100.791 | -0.000 | 0.000 | -0.000 |
| 100.792 | 100.792 | 193.875 | -0.000 | -0.000 | -0.000 |
| -0.000 | -0.000 | 0.000 | 120.209 | -0.000 | -0.000 |
| -0.000 | -0.000 | 0.000 | -0.000 | 120.209 | -0.000 |
| 0.000 | -0.000 | -0.000 | -0.000 | 0.000 | -56.496 |
| 668.339 | 772.590 | 100.791 | -0.000 | 0.000 | -0.000 |
| 772.590 | 668.339 | 100.791 | 0.000 | -0.000 | 0.000 |
| 100.792 | 100.792 | 193.875 | 0.000 | -0.000 | 0.000 |
| 0.000 | 0.000 | -0.000 | 120.209 | -0.000 | 0.000 |
| 0.000 | 0.000 | -0.000 | -0.000 | 120.209 | 0.000 |
| 0.000 | 0.000 | -0.000 | -0.000 | -0.000 | -52.125 |
| 663.968 | 776.960 | 100.791 | 0.000 | -0.000 | -0.000 |
| 772.589 | 668.338 | 100.791 | -0.000 | -0.000 | 0.000 |
| 100.792 | 100.792 | 193.875 | 0.000 | 0.000 | -0.000 |
| -0.000 | -0.000 | 0.000 | 120.209 | -0.000 | -0.000 |
| -0.000 | -0.000 | 0.000 | -0.000 | 120.209 | -0.000 |
| -0.000 | -0.000 | 0.000 | -0.000 | -0.000 | -52.125 |
| 663.971 | 776.962 | 100.791 | 0.000 | -0.000 | 0.000 |
| 772.592 | 668.342 | 100.791 | -0.000 | -0.000 | -0.000 |
| 100.793 | 100.793 | 193.876 | -0.000 | 0.000 | 0.000 |
| 0.000 | 0.000 | -0.002 | 120.209 | -0.000 | 0.000 |
| 0.000 | 0.000 | -0.002 | -0.000 | 120.209 | 0.000 |
| 0.000 | 0.000 | -0.000 | -0.000 | 0.000 | -52.125 |
| 668.336 | 772.587 | 100.791 | -0.000 | -0.000 | -0.000 |
| 772.587 | 668.336 | 100.791 | -0.000 | 0.000 | 0.000 |
| 100.791 | 100.791 | 193.874 | -0.000 | 0.000 | -0.000 |
| -0.000 | -0.000 | 0.002 | 120.209 | -0.000 | -0.000 |
| -0.000 | -0.000 | 0.002 | 0.000 | 120.209 | -0.000 |
| -0.000 | -0.000 | 0.000 | 0.000 | -0.000 | -52.125 |
| 442.665 | 552.301 | 563.198 | -0.000 | -0.000 | 0.000 |
| 369386609.424 | 201511915.034 | -303659314.912 | 17021373.592 | -20024745.999 | 49451779.459 |
| 563.198 | 563.198 | 401.210 | 0.000 | -0.000 | -0.000 |
| 0.000 | 0.000 | -0.000 | -50.237 | 0.000 | -0.000 |
| 0.000 | 0.000 | -0.000 | -0.000 | -50.237 | -0.000 |
| 0.000 | 0.000 | 0.000 | -0.000 | -0.000 | -119.794 |
| 442.665 | 552.301 | 563.198 | 0.000 | 0.000 | 0.000 |
| 552.301 | 442.665 | 563.198 | 0.000 | -0.000 | 0.000 |
| 563.198 | 563.198 | 401.210 | 0.000 | 0.000 | 0.000 |
| -0.000 | -0.000 | -0.000 | -50.237 | 0.000 | 0.000 |
| -0.000 | -0.000 | 0.000 | 0.000 | -50.237 | -0.000 |
| -0.000 | -0.000 | -0.000 | 0.000 | 0.000 | -119.794 |
| 1457431.041 | -14505066.925 | -45096678.263 | -1865463.226 | -3743185.298 | 9657452.876 |
| 617.277 | 377.689 | 563.199 | -0.000 | -0.000 | -0.000 |
| 563.199 | 563.199 | 401.210 | -0.000 | -0.000 | -0.000 |
| 0.000 | 0.000 | -0.000 | -50.237 | -0.000 | -0.000 |
| 0.000 | 0.000 | -0.000 | -0.000 | -50.237 | 0.000 |
| 100336090.989 | 27404159.756 | -28289526.059 | -38343.847 | -4477293.984 | -4244745.964 |
| 442.665 | 552.301 | 563.198 | 0.000 | 0.000 | 0.000 |
| 552.301 | 442.665 | 563.198 | 0.000 | 0.000 | 0.000 |
| 563.198 | 563.198 | 401.210 | 0.000 | 0.000 | 0.000 |
| -0.000 | -0.000 | 0.000 | -50.237 | -0.000 | 0.000 |
| -0.000 | -0.000 | 0.000 | 0.000 | -50.237 | 0.000 |
| -95142802.726 | -29364967.205 | 24848589.530 | -153801.699 | -2599178.039 | -205633.969 |
| 2889162.523 | -1092934.706 | -3321480.093 | -589827.317 | -256752.958 | 550556.602 |
| 3245065.404 | 1942091.679 | -2841357.622 | -52944.639 | 679596.930 | 148629.129 |
| 563.200 | 563.200 | 401.212 | -0.000 | -0.000 | -0.000 |
| 0.000 | 0.000 | -0.000 | -50.237 | -0.000 | -0.000 |
| 0.000 | 0.000 | -0.000 | -0.000 | -50.237 | -0.000 |
| 9473047.146 | 2172965.289 | -2900907.912 | 14947.279 | 592888.293 | -484261.579 |
| -4209144.434 | -2471167.561 | 3426780.754 | 468344.845 | 29686.511 | 263393.939 |
| 552.299 | 442.663 | 563.197 | -0.000 | 0.000 | 0.000 |
| 563.197 | 563.197 | 401.208 | 0.000 | 0.000 | 0.000 |
| -0.000 | -0.000 | 0.000 | -50.237 | -0.000 | 0.000 |
| -0.000 | -0.000 | 0.000 | 0.000 | -50.237 | -0.000 |
| -9574579.317 | -3210749.721 | 2104311.517 | -77428.454 | -79797.977 | -429743.500 |
| 641.553 | 346.131 | 346.131 | 0.000 | 0.000 | 0.000 |
| 346.131 | 641.553 | 346.131 | 0.000 | 0.000 | 0.000 |
| 346.131 | 346.131 | 641.553 | 0.000 | 0.000 | 0.000 |
| 0.000 | 0.000 | 0.000 | 458.099 | 0.000 | 0.000 |
| 0.000 | 0.000 | 0.000 | 0.000 | 458.099 | 0.000 |
| 0.000 | 0.000 | 0.000 | 0.000 | 0.000 | 458.099 |
| 641.553 | 346.131 | 346.131 | -0.000 | -0.000 | -0.000 |
| 346.131 | 641.553 | 346.131 | -0.000 | -0.000 | -0.000 |
| 346.131 | 346.131 | 641.553 | -0.000 | -0.000 | -0.000 |
| -0.000 | -0.000 | -0.000 | 458.099 | -0.000 | -0.000 |
| -0.000 | -0.000 | -0.000 | -0.000 | 458.099 | -0.000 |
| -0.000 | -0.000 | -0.000 | -0.000 | -0.000 | 458.099 |
| 641.553 | 346.131 | 346.131 | 0.000 | 0.000 | 0.000 |
| 346.131 | 641.553 | 346.131 | 0.000 | 0.000 | 0.000 |
| 346.131 | 346.131 | 641.553 | 0.000 | 0.000 | 0.000 |
| 0.000 | 0.000 | 0.000 | 458.099 | 0.000 | 0.000 |
| 0.000 | 0.000 | 0.000 | 0.000 | 458.099 | 0.000 |
| 0.000 | 0.000 | 0.000 | 0.000 | 0.000 | 458.099 |
| 641.553 | 346.131 | 346.131 | -0.000 | -0.000 | -0.000 |
| 346.131 | 641.553 | 346.131 | -0.000 | -0.000 | -0.000 |
| 346.131 | 346.131 | 641.553 | -0.000 | -0.000 | -0.000 |
| -0.000 | -0.000 | -0.000 | 458.099 | -0.000 | -0.000 |
| -0.000 | -0.000 | -0.000 | -0.000 | 458.099 | -0.000 |
| -0.000 | -0.000 | -0.000 | -0.000 | -0.000 | 458.099 |
| 641.554 | 346.132 | 346.132 | 0.000 | 0.000 | 0.000 |
| 346.132 | 641.554 | 346.132 | 0.000 | 0.000 | 0.000 |
| 346.132 | 346.132 | 641.554 | 0.000 | 0.000 | 0.000 |
| 0.000 | 0.000 | 0.001 | 458.099 | 0.000 | 0.000 |
| 0.000 | 0.000 | 0.001 | 0.000 | 458.099 | 0.000 |
| 0.000 | 0.001 | 0.000 | 0.000 | 0.000 | 458.099 |
| 641.552 | 346.130 | 346.130 | -0.000 | -0.000 | -0.000 |
| 346.130 | 641.552 | 346.130 | -0.000 | -0.000 | -0.000 |
| 346.130 | 346.130 | 641.552 | -0.000 | -0.000 | -0.000 |
| -0.000 | -0.000 | -0.001 | 458.099 | -0.000 | -0.000 |
| -0.000 | -0.000 | -0.001 | -0.000 | 458.099 | -0.000 |
| -0.000 | -0.001 | -0.000 | -0.000 | -0.000 | 458.099 |
| 679.029 | 517.500 | 457.151 | -0.000 | 0.000 | -0.000 |
| 517.500 | 679.029 | 457.151 | -0.000 | 0.000 | -0.000 |
| 457.152 | 457.150 | 742.634 | -0.000 | 0.000 | -0.000 |
| 0.001 | -0.001 | 0.000 | 93.447 | -0.000 | -0.000 |
| 0.001 | -0.001 | 0.000 | 0.000 | 93.447 | -0.000 |
| 0.001 | -0.001 | -0.000 | -0.000 | 0.000 | 123.051 |
| 679.029 | 517.500 | 457.151 | 0.000 | 0.000 | 0.000 |
| 517.500 | 679.029 | 457.151 | 0.000 | 0.000 | 0.000 |
| 457.150 | 457.152 | 742.633 | -0.000 | -0.000 | 0.000 |
| -0.001 | 0.001 | -0.000 | 93.447 | 0.000 | 0.000 |
| -0.001 | 0.001 | -0.000 | 0.000 | 93.447 | 0.000 |
| -0.001 | 0.001 | 0.000 | 0.000 | -0.000 | 123.051 |
| 679.029 | 517.500 | 457.151 | 0.000 | 0.000 | -0.000 |
| 517.500 | 679.029 | 457.151 | 0.000 | 0.000 | -0.000 |
| 457.151 | 457.151 | 742.634 | -0.000 | 0.000 | -0.000 |
| 0.000 | 0.000 | 0.000 | 93.447 | -0.000 | -0.000 |
| 0.000 | 0.000 | 0.000 | -0.000 | 93.447 | -0.000 |
| 0.000 | -0.000 | -0.000 | 0.000 | 0.000 | 123.051 |
| 679.028 | 517.500 | 457.151 | 0.000 | -0.000 | 0.000 |
| 517.500 | 679.028 | 457.151 | 0.000 | -0.000 | 0.000 |
| 457.151 | 457.151 | 742.633 | -0.000 | -0.000 | 0.000 |
| -0.000 | -0.000 | -0.000 | 93.447 | 0.000 | 0.000 |
| -0.000 | -0.000 | -0.000 | 0.000 | 93.447 | 0.000 |
| -0.000 | 0.000 | 0.000 | -0.000 | -0.000 | 123.051 |
| 679.033 | 517.501 | 457.152 | -0.000 | 0.000 | -0.000 |
| 517.501 | 679.033 | 457.152 | 0.000 | -0.000 | -0.000 |
| 457.152 | 457.152 | 742.638 | -0.000 | 0.000 | -0.000 |
| 0.003 | 0.002 | 0.004 | 93.447 | -0.000 | -0.000 |
| 0.002 | 0.003 | 0.004 | -0.000 | 93.447 | -0.000 |
| -0.000 | -0.000 | -0.000 | -0.000 | 0.000 | 123.051 |
| 679.024 | 517.498 | 457.150 | 0.000 | 0.000 | 0.000 |
| 517.498 | 679.024 | 457.150 | 0.000 | -0.000 | 0.000 |
| 457.150 | 457.150 | 742.629 | 0.000 | -0.000 | 0.000 |
| -0.003 | -0.002 | -0.004 | 93.447 | -0.000 | -0.000 |
| -0.002 | -0.003 | -0.004 | 0.000 | 93.447 | 0.000 |
| 0.000 | 0.000 | 0.000 | -0.000 | -0.000 | 123.051 |
| 768.720 | 606.328 | 5.574 | 0.000 | -0.000 | -0.000 |
| 606.328 | 768.720 | 5.574 | -0.000 | -0.000 | 0.000 |
| 5.574 | 5.574 | 164.734 | -0.000 | -0.000 | -0.000 |
| 0.000 | 0.000 | -0.000 | 500.253 | -0.000 | -0.000 |
| 0.000 | 0.000 | -0.000 | -0.000 | 500.253 | -0.000 |
| -0.000 | -0.000 | -0.000 | 0.000 | -0.000 | 128.393 |
| 768.720 | 606.328 | 5.574 | -0.000 | 0.000 | 0.000 |
| 606.328 | 768.720 | 5.574 | 0.000 | 0.000 | 0.000 |
| 5.574 | 5.574 | 164.734 | -0.000 | 0.000 | 0.000 |
| -0.000 | -0.000 | 0.000 | 500.253 | 0.000 | -0.000 |
| -0.000 | -0.000 | 0.000 | -0.000 | 500.253 | -0.000 |
| 0.000 | 0.000 | 0.000 | -0.000 | 0.000 | 128.393 |
| 768.720 | 606.328 | 5.574 | 0.000 | -0.000 | -0.000 |
| 606.328 | 768.720 | 5.574 | 0.000 | -0.000 | -0.000 |
| 5.574 | 5.574 | 164.734 | 0.000 | -0.000 | -0.000 |
| 0.000 | 0.000 | -0.000 | 500.253 | -0.000 | -0.000 |
| 0.000 | 0.000 | -0.000 | 0.000 | 500.253 | 0.000 |
| -0.000 | -0.000 | -0.000 | 0.000 | -0.000 | 128.393 |
| 768.719 | 606.328 | 5.574 | -0.000 | 0.000 | 0.000 |
| 606.328 | 768.719 | 5.574 | 0.000 | 0.000 | 0.000 |
| 5.574 | 5.574 | 164.734 | 0.000 | 0.000 | 0.000 |
| -0.000 | -0.000 | 0.000 | 500.253 | 0.000 | 0.000 |
| -0.000 | -0.000 | 0.000 | 0.000 | 500.253 | 0.000 |
| 0.000 | 0.000 | 0.000 | -0.000 | 0.000 | 128.393 |
| 768.724 | 606.329 | 5.574 | -0.000 | -0.000 | -0.000 |
| 606.329 | 768.724 | 5.574 | -0.000 | -0.000 | 0.000 |
| 5.575 | 5.575 | 164.735 | 0.000 | -0.000 | 0.000 |
| 0.001 | 0.001 | -0.002 | 500.253 | -0.000 | -0.000 |
| 0.001 | 0.001 | -0.002 | 0.000 | 500.253 | -0.000 |
| -0.000 | -0.000 | -0.000 | 0.000 | -0.000 | 128.393 |
| 768.715 | 606.326 | 5.574 | 0.000 | 0.000 | -0.000 |
| 606.326 | 768.715 | 5.574 | 0.000 | 0.000 | 0.000 |
| 5.574 | 5.574 | 164.733 | -0.000 | -0.000 | 0.000 |
| -0.001 | -0.001 | 0.002 | 500.253 | -0.000 | 0.000 |
| -0.001 | -0.001 | 0.002 | -0.000 | 500.253 | 0.000 |
| 0.000 | 0.000 | 0.000 | -0.000 | 0.000 | 128.393 |
| 905.672 | 374.286 | 220.158 | -168.909 | -0.000 | -0.000 |
| 440.541 | 943.767 | -275.699 | 139.658 | -0.000 | -0.000 |
| 145.767 | 145.767 | 1122.198 | 0.000 | -0.000 | -0.000 |
| -73.434 | 201.839 | -610.168 | -388.905 | -0.000 | -0.000 |
| 64.203 | 64.203 | -610.168 | 0.000 | -388.906 | -137.636 |
| 59.593 | 59.593 | -566.362 | -0.000 | -139.882 | 251.721 |
| 905.672 | 374.286 | 220.158 | -168.909 | 0.000 | 0.000 |
| 321.125 | 824.712 | 857.485 | 140.033 | 0.000 | -0.000 |
| 160.122 | 160.122 | 985.775 | -0.000 | 0.000 | -0.000 |
| -83.869 | -32.464 | 552.804 | -621.453 | -0.000 | 0.000 |
| -64.203 | -64.203 | 610.168 | 0.000 | -388.905 | -137.636 |
| -59.593 | -59.593 | 566.362 | 0.000 | -139.881 | 251.721 |
| 834.927 | 441.403 | 237.398 | -25.703 | -0.000 | -0.000 |
| 441.403 | 834.927 | 237.399 | 25.702 | -0.000 | -0.000 |
| 224.101 | 224.101 | 377.736 | 0.000 | -0.000 | -0.000 |
| -19.883 | 31.517 | -55.283 | -621.457 | -0.000 | 0.000 |
| 0.000 | 0.000 | -0.000 | -0.000 | -323.935 | -168.909 |
| 0.000 | 0.000 | -0.000 | -0.000 | -168.909 | 265.693 |
| 905.671 | 374.286 | 220.158 | -168.909 | 0.000 | 0.000 |
| 374.286 | 905.671 | 220.158 | 168.909 | 0.000 | -0.000 |
| 212.476 | 212.476 | 488.212 | -0.000 | 0.000 | -0.000 |
| -31.518 | 19.885 | 55.282 | -621.455 | 0.000 | 0.000 |
| -0.000 | -0.000 | 0.000 | 0.000 | -323.935 | -168.909 |
| -0.000 | -0.000 | 0.000 | 0.000 | -168.909 | 265.693 |
| 905.677 | 374.288 | 220.156 | -168.909 | -0.000 | -0.000 |
| 388.702 | 860.416 | 366.730 | 106.922 | -0.000 | 0.000 |
| 218.827 | 218.827 | 427.868 | 0.000 | -0.000 | 0.000 |
| -23.192 | 29.054 | -27.842 | -620.577 | -0.000 | 0.000 |
| 0.001 | 0.002 | -0.004 | -0.000 | -323.935 | -168.909 |
| 2.902 | 2.902 | -27.578 | 0.000 | -27.561 | 197.656 |
| 828.528 | 435.000 | 298.207 | -25.709 | 0.000 | -0.000 |
| 435.003 | 828.524 | 298.209 | 25.701 | 0.000 | -0.000 |
| 217.706 | 217.706 | 438.494 | 0.000 | 0.000 | 0.000 |
| -26.296 | 25.131 | 5.527 | -621.431 | -0.000 | -0.000 |
| -0.001 | -0.002 | 0.004 | 0.000 | -323.935 | -168.909 |
| -2.902 | -2.902 | 27.578 | -0.000 | -27.561 | 197.656 |
| 642.220 | 457.875 | 457.875 | -0.000 | -0.000 | 0.000 |
| 457.875 | 642.220 | 457.875 | 0.000 | -0.000 | -0.000 |
| 457.875 | 457.875 | 642.220 | -0.000 | 0.000 | -0.000 |
| -0.000 | -0.000 | 0.000 | 114.529 | -0.000 | -0.000 |
| -0.000 | -0.000 | 0.000 | -0.000 | 114.529 | 0.000 |
| -0.000 | 0.000 | -0.000 | -0.000 | 0.000 | 114.529 |
| 642.220 | 457.875 | 457.875 | 0.000 | 0.000 | 0.000 |
| 457.875 | 642.220 | 457.875 | -0.000 | 0.000 | 0.000 |
| 457.875 | 457.875 | 642.220 | 0.000 | 0.000 | -0.000 |
| 0.000 | 0.000 | -0.000 | 114.529 | 0.000 | 0.000 |
| 0.000 | 0.000 | -0.000 | 0.000 | 114.529 | -0.000 |
| 0.000 | -0.000 | 0.000 | -0.000 | -0.000 | 114.529 |
| 642.220 | 457.875 | 457.875 | -0.000 | -0.000 | -0.000 |
| 457.875 | 642.220 | 457.875 | 0.000 | -0.000 | -0.000 |
| 457.875 | 457.875 | 642.220 | 0.000 | -0.000 | 0.000 |
| -0.000 | -0.000 | -0.000 | 114.529 | -0.000 | 0.000 |
| -0.000 | -0.000 | -0.000 | -0.000 | 114.529 | 0.000 |
| -0.000 | -0.000 | -0.000 | -0.000 | 0.000 | 114.529 |
| 642.219 | 457.875 | 457.875 | -0.000 | -0.000 | 0.000 |
| 457.875 | 642.219 | 457.875 | -0.000 | 0.000 | -0.000 |
| 457.875 | 457.875 | 642.219 | -0.000 | -0.000 | 0.000 |
| 0.000 | 0.000 | 0.000 | 114.529 | 0.000 | 0.000 |
| 0.000 | 0.000 | 0.000 | 0.000 | 114.529 | 0.000 |
| 0.000 | 0.000 | 0.000 | 0.000 | -0.000 | 114.529 |
| 642.224 | 457.876 | 457.876 | -0.000 | -0.000 | 0.000 |
| 457.876 | 642.224 | 457.876 | 0.000 | -0.000 | 0.000 |
| 457.876 | 457.876 | 642.224 | 0.000 | 0.000 | -0.000 |
| -0.000 | -0.000 | -0.000 | 114.529 | 0.000 | -0.000 |
| -0.000 | -0.000 | -0.000 | -0.000 | 114.529 | 0.000 |
| -0.000 | -0.000 | -0.000 | -0.000 | -0.000 | 114.529 |
| 642.215 | 457.874 | 457.874 | -0.000 | 0.000 | 0.000 |
| 457.874 | 642.215 | 457.874 | -0.000 | 0.000 | 0.000 |
| 457.874 | 457.874 | 642.215 | 0.000 | -0.000 | -0.000 |
| 0.000 | 0.000 | 0.000 | 114.529 | -0.000 | 0.000 |
| 0.000 | 0.000 | 0.000 | 0.000 | 114.529 | -0.000 |
| 0.000 | 0.000 | 0.000 | 0.000 | -0.000 | 114.529 |
| 366.912 | 226.513 | 46.795 | 0.000 | 0.000 | -0.000 |
| 195.933 | 859.355 | 247.166 | 0.000 | -0.000 | -0.000 |
| 38.880 | 269.304 | 1063.873 | 0.000 | 0.000 | -0.000 |
| -0.011 | 0.044 | -0.034 | 412.703 | 0.000 | 0.000 |
| -0.009 | 0.039 | -0.030 | 0.000 | 80.009 | -0.000 |
| 0.065 | -0.262 | 0.199 | 0.000 | 0.000 | 121.416 |
| 366.930 | 226.437 | 46.856 | -0.000 | -0.000 | 0.000 |
| 224.633 | 779.609 | 288.356 | -0.000 | -0.000 | 0.000 |
| 38.898 | 269.228 | 1063.932 | -0.000 | -0.000 | 0.000 |
| 0.011 | -0.044 | 0.034 | 412.703 | 0.000 | 0.000 |
| 0.009 | -0.039 | 0.030 | -0.000 | 80.009 | 0.000 |
| -0.065 | 0.262 | -0.199 | -0.000 | 0.000 | 121.416 |
| 370.161 | 228.154 | 37.537 | 0.000 | 0.000 | 0.000 |
| 237.110 | 767.804 | 276.432 | 0.000 | 0.000 | 0.000 |
| 45.686 | 233.116 | 1096.184 | -0.000 | 0.000 | 0.000 |
| -0.001 | 0.002 | -0.002 | 412.325 | 0.000 | -0.000 |
| -0.001 | 0.004 | -0.003 | 0.000 | 80.009 | -0.000 |
| 0.006 | -0.026 | 0.020 | 0.000 | 0.000 | 121.415 |
| 370.159 | 228.151 | 37.545 | -0.000 | -0.000 | 0.000 |
| 237.111 | 767.798 | 276.437 | -0.000 | -0.000 | 0.000 |
| 43.412 | 262.381 | 1062.978 | -0.000 | 0.000 | 0.000 |
| 0.001 | -0.002 | 0.002 | 412.325 | -0.000 | 0.000 |
| 0.001 | -0.004 | 0.003 | -0.000 | 80.009 | 0.000 |
| -0.006 | 0.026 | -0.020 | 0.000 | 0.000 | 121.415 |
| 366.922 | 226.476 | 46.825 | 0.000 | 0.000 | -0.000 |
| 237.114 | 767.796 | 276.439 | 0.000 | 0.000 | -0.000 |
| 43.412 | 262.385 | 1062.980 | 0.000 | 0.000 | 0.000 |
| 0.000 | 0.000 | 0.000 | 412.325 | 0.000 | -0.000 |
| -0.000 | 0.000 | -0.001 | 0.000 | 80.009 | -0.000 |
| 0.001 | -0.003 | 0.002 | -0.000 | -0.000 | 121.415 |
| 366.920 | 226.474 | 46.825 | -0.000 | -0.000 | -0.000 |
| 237.107 | 767.806 | 276.430 | -0.000 | 0.000 | 0.000 |
| 43.411 | 262.385 | 1062.971 | -0.000 | -0.000 | 0.000 |
| -0.000 | -0.000 | -0.000 | 412.325 | -0.000 | -0.000 |
| 0.000 | -0.000 | 0.001 | -0.000 | 80.009 | 0.000 |
| -0.001 | 0.003 | -0.002 | 0.000 | 0.000 | 121.415 |
| 375.136 | 231.071 | 41.420 | 0.000 | -0.000 | 0.000 |
| 231.247 | 771.888 | 284.497 | 0.000 | -0.000 | -0.000 |
| 40.042 | 286.992 | 1036.427 | 0.000 | 0.000 | 0.000 |
| 0.034 | -0.032 | -0.036 | 422.649 | 0.000 | 0.000 |
| 0.055 | -0.051 | -0.059 | -0.000 | 86.755 | 0.000 |
| 0.115 | -0.337 | 0.163 | -0.000 | -0.000 | 101.801 |
| 374.990 | 231.275 | 41.493 | 0.000 | -0.000 | -0.000 |
| 231.100 | 772.093 | 284.570 | -0.000 | -0.000 | -0.000 |
| 39.992 | 287.025 | 1036.498 | 0.000 | 0.000 | -0.000 |
| -0.034 | 0.032 | 0.036 | 422.649 | 0.000 | -0.000 |
| -0.055 | 0.051 | 0.059 | 0.000 | 86.755 | -0.000 |
| -0.115 | 0.337 | -0.163 | 0.000 | -0.000 | 101.801 |
| 377.886 | 231.340 | 34.964 | -0.000 | -0.000 | 0.000 |
| 189.807 | 875.515 | 247.956 | 0.000 | -0.000 | 0.000 |
| 41.464 | 284.523 | 1036.332 | -0.000 | 0.000 | 0.000 |
| 0.010 | -0.016 | -0.002 | 422.536 | 0.000 | 0.000 |
| 0.006 | -0.005 | -0.006 | -0.000 | 86.755 | 0.000 |
| 0.011 | -0.034 | 0.016 | -0.000 | -0.000 | 101.800 |
| 375.055 | 231.183 | 41.460 | -0.000 | 0.000 | 0.000 |
| 231.166 | 772.001 | 284.536 | -0.000 | 0.000 | -0.000 |
| 40.014 | 287.010 | 1036.466 | 0.000 | 0.000 | -0.000 |
| -0.010 | 0.016 | 0.002 | 422.536 | 0.000 | 0.000 |
| -0.006 | 0.005 | 0.006 | 0.000 | 86.755 | -0.000 |
| -0.011 | 0.034 | -0.016 | 0.000 | -0.000 | 101.800 |
| 375.065 | 231.173 | 41.456 | 0.000 | -0.000 | 0.000 |
| 231.178 | 771.982 | 284.539 | -0.000 | -0.000 | 0.000 |
| 41.457 | 284.531 | 1036.340 | 0.000 | 0.000 | 0.000 |
| 0.001 | -0.002 | 0.000 | 422.536 | -0.000 | -0.000 |
| 0.001 | -0.001 | -0.001 | -0.000 | 86.755 | 0.000 |
| 0.001 | -0.001 | -0.002 | 0.000 | -0.000 | 103.756 |
| 375.061 | 231.174 | 41.456 | 0.000 | -0.000 | 0.000 |
| 231.169 | 771.999 | 284.528 | 0.000 | -0.000 | -0.000 |
| 41.455 | 284.535 | 1036.331 | -0.000 | 0.000 | -0.000 |
| -0.001 | 0.002 | -0.000 | 422.536 | -0.000 | 0.000 |
| -0.001 | 0.001 | 0.001 | 0.000 | 86.755 | 0.000 |
| -0.001 | 0.001 | 0.002 | 0.000 | -0.000 | 103.756 |
| 708.876 | 208.407 | 179.561 | 0.000 | 0.000 | 0.000 |
| 208.407 | 708.876 | 179.561 | 0.000 | 0.000 | -0.000 |
| 119.706 | 119.706 | 1207.960 | -0.000 | 0.000 | -0.000 |
| 0.668 | 0.668 | -2.386 | 232.982 | -0.000 | -0.000 |
| 0.668 | 0.668 | -2.386 | 0.000 | 232.982 | -0.000 |
| 0.666 | 0.666 | -2.378 | 0.000 | 0.000 | 117.009 |
| 723.464 | 217.422 | 137.409 | 0.000 | -0.000 | 0.000 |
| 217.422 | 723.464 | 137.409 | 0.000 | -0.000 | 0.000 |
| 119.706 | 119.706 | 1207.960 | -0.000 | -0.000 | 0.000 |
| -0.668 | -0.668 | 2.386 | 232.982 | 0.000 | 0.000 |
| -0.668 | -0.668 | 2.386 | 0.000 | 232.982 | 0.000 |
| -0.666 | -0.666 | 2.378 | -0.000 | -0.000 | 117.009 |
| 708.443 | 207.877 | 181.280 | 0.000 | 0.000 | -0.000 |
| 207.877 | 708.443 | 181.280 | 0.000 | 0.000 | -0.000 |
| 157.239 | 157.239 | 1073.900 | -0.000 | 0.000 | 0.000 |
| 0.067 | 0.067 | -0.239 | 232.980 | 0.000 | -0.000 |
| 0.067 | 0.067 | -0.239 | -0.000 | 232.980 | -0.000 |
| 0.067 | 0.067 | -0.238 | 0.000 | 0.000 | 117.008 |
| 708.344 | 207.759 | 181.667 | -0.000 | 0.000 | -0.000 |
| 207.759 | 708.344 | 181.667 | 0.000 | -0.000 | 0.000 |
| 119.706 | 119.706 | 1207.960 | -0.000 | -0.000 | 0.000 |
| -0.067 | -0.067 | 0.239 | 232.980 | 0.000 | 0.000 |
| -0.067 | -0.067 | 0.239 | 0.000 | 232.980 | 0.000 |
| -0.067 | -0.067 | 0.238 | -0.000 | -0.000 | 117.008 |
| 699.685 | 220.237 | 174.857 | 0.000 | -0.000 | 0.000 |
| 220.237 | 699.685 | 174.857 | -0.000 | -0.000 | 0.000 |
| 157.182 | 157.182 | 1074.110 | 0.000 | 0.000 | -0.000 |
| 0.007 | 0.007 | -0.024 | 232.980 | -0.000 | 0.000 |
| 0.007 | 0.007 | -0.024 | -0.000 | 232.980 | -0.000 |
| 0.007 | 0.006 | -0.024 | 0.000 | 0.000 | 117.008 |
| 699.664 | 220.224 | 174.900 | 0.000 | -0.000 | 0.000 |
| 220.224 | 699.664 | 174.900 | -0.000 | -0.000 | 0.000 |
| 157.168 | 157.168 | 1074.151 | -0.000 | 0.000 | 0.000 |
| -0.007 | -0.007 | 0.024 | 232.980 | -0.000 | 0.000 |
| -0.007 | -0.007 | 0.024 | 0.000 | 232.980 | 0.000 |
| -0.007 | -0.006 | 0.024 | -0.000 | -0.000 | 117.008 |
| 134.310 | 21.647 | 0.000 | 0.000 | 0.000 | 0.000 |
| 21.647 | 134.310 | 0.000 | 0.000 | 0.000 | 0.000 |
| 0.000 | -0.000 | 0.000 | 0.000 | 0.000 | 0.000 |
| 0.000 | -0.000 | 0.000 | 0.000 | 0.000 | 0.000 |
| 0.000 | -0.000 | 0.000 | 0.000 | 0.000 | 0.000 |
| 0.000 | -0.000 | 0.000 | 0.000 | 0.000 | 56.332 |
| 138.937 | 17.020 | -0.000 | -0.000 | -0.000 | 0.000 |
| 17.020 | 138.937 | -0.000 | -0.000 | -0.000 | 0.000 |
| -0.000 | 0.000 | -0.000 | -0.000 | -0.000 | -0.000 |
| -0.000 | 0.000 | -0.000 | -0.000 | -0.000 | -0.000 |
| -0.000 | 0.000 | -0.000 | -0.000 | -0.000 | -0.000 |
| -0.000 | 0.000 | -0.000 | -0.000 | -0.000 | 56.332 |
| 134.311 | 21.647 | 0.000 | 0.000 | 0.000 | 0.000 |
| 21.647 | 134.310 | 0.000 | 0.000 | 0.000 | 0.000 |
| 0.000 | -0.000 | 0.000 | 0.000 | 0.000 | 0.000 |
| 0.000 | -0.000 | 0.000 | 0.000 | 0.000 | 0.000 |
| 0.000 | -0.000 | 0.000 | 0.000 | 0.000 | 0.000 |
| 0.000 | 0.000 | 0.000 | 0.000 | 0.000 | 60.959 |
| 134.310 | 21.647 | -0.000 | -0.000 | -0.000 | -0.000 |
| 21.647 | 134.310 | -0.000 | -0.000 | -0.000 | -0.000 |
| -0.000 | 0.000 | -0.000 | -0.000 | -0.000 | -0.000 |
| -0.000 | 0.000 | -0.000 | -0.000 | -0.000 | -0.000 |
| -0.000 | 0.000 | -0.000 | -0.000 | -0.000 | -0.000 |
| -0.000 | -0.000 | -0.000 | -0.000 | -0.000 | 60.959 |
| 134.311 | 21.647 | 0.000 | 0.000 | 0.000 | 0.000 |
| 21.647 | 134.311 | 0.000 | 0.000 | 0.000 | 0.000 |
| 0.000 | -0.000 | 0.000 | 0.000 | 0.000 | 0.000 |
| 0.000 | -0.000 | 0.000 | 0.000 | 0.000 | 0.000 |
| 0.000 | -0.000 | 0.000 | 0.000 | 0.000 | 0.000 |
| -0.000 | 0.000 | 0.000 | 0.000 | 0.000 | 56.332 |
| 134.310 | 21.647 | -0.000 | -0.000 | -0.000 | -0.000 |
| 21.646 | 134.310 | -0.000 | -0.000 | -0.000 | -0.000 |
| -0.000 | 0.000 | -0.000 | -0.000 | -0.000 | -0.000 |
| -0.000 | 0.000 | -0.000 | -0.000 | -0.000 | -0.000 |
| -0.000 | 0.000 | -0.000 | -0.000 | -0.000 | -0.000 |
| 0.000 | -0.000 | -0.000 | -0.000 | -0.000 | 56.332 |
| 1063.268 | 138.246 | 41.103 | -0.000 | -0.000 | 0.000 |
| 93.354 | 913.112 | 243.702 | -0.000 | 0.000 | -0.000 |
| 14.771 | 352.017 | 1066.104 | 0.000 | 0.000 | 0.000 |
| -108.123 | 123.118 | 67.870 | 258.485 | 0.000 | -0.000 |
| -0.000 | 0.000 | 0.000 | -0.000 | 261.541 | 0.000 |
| -66.387 | 133.920 | -3.245 | -0.000 | 0.000 | 151.010 |
| 1063.268 | 138.246 | 41.103 | 0.000 | 0.000 | -0.000 |
| 138.246 | 826.713 | 212.087 | 0.000 | -0.000 | -0.000 |
| 41.103 | 212.087 | 1139.793 | 0.000 | -0.000 | -0.000 |
| 108.123 | -123.118 | -67.870 | 258.485 | -0.000 | 0.000 |
| 0.000 | -0.000 | -0.000 | 0.000 | 261.541 | 0.000 |
| 66.387 | -133.920 | 3.245 | -0.000 | -0.000 | 151.010 |
| 974.211 | 182.646 | 80.846 | 0.000 | 0.000 | -0.000 |
| 153.231 | 796.855 | 233.559 | 0.000 | 0.000 | -0.000 |
| 66.231 | 252.099 | 1065.375 | -0.000 | 0.000 | 0.000 |
| 0.000 | 0.000 | 0.000 | 327.908 | 0.000 | 0.000 |
| -6.712 | 13.540 | -0.328 | 0.000 | 222.784 | -0.000 |
| -13.309 | 13.411 | 11.819 | 0.000 | 0.000 | 150.365 |
| 1063.268 | 138.246 | 41.103 | 0.000 | 0.000 | -0.000 |
| 162.531 | 774.864 | 236.510 | 0.000 | -0.000 | -0.000 |
| 111.858 | 214.440 | 1031.699 | -0.000 | -0.000 | -0.000 |
| -0.000 | -0.000 | -0.000 | 327.908 | -0.000 | -0.000 |
| 6.712 | -13.540 | 0.328 | 0.000 | 222.784 | -0.000 |
| 13.309 | -13.411 | -11.819 | 0.000 | -0.000 | 150.365 |
| 975.864 | 162.779 | 99.775 | -0.000 | 0.000 | -0.000 |
| 155.619 | 789.024 | 234.443 | -0.000 | 0.000 | 0.000 |
| 102.230 | 229.446 | 1039.868 | -0.000 | 0.000 | 0.000 |
| -0.636 | 1.284 | -0.031 | 259.265 | 0.000 | 0.000 |
| -0.672 | 1.355 | -0.033 | 0.000 | 222.743 | -0.000 |
| -0.825 | 0.857 | 0.728 | -0.000 | 0.000 | 145.869 |
| 977.550 | 162.951 | 99.398 | -0.000 | -0.000 | -0.000 |
| 164.597 | 783.431 | 226.432 | 0.000 | -0.000 | 0.000 |
| 104.579 | 226.783 | 1038.228 | 0.000 | -0.000 | -0.000 |
| 0.636 | -1.284 | 0.031 | 259.265 | -0.000 | -0.000 |
| 0.672 | -1.355 | 0.033 | 0.000 | 222.743 | 0.000 |
| 0.825 | -0.857 | -0.728 | -0.000 | -0.000 | 145.869 |
| 952.391 | 149.324 | 102.753 | -0.000 | 0.000 | -0.000 |
| 149.911 | 749.686 | 236.588 | -0.000 | 0.000 | -0.000 |
| 108.158 | 197.891 | 1048.319 | -0.000 | 0.000 | -0.000 |
| 1.816 | -5.377 | 6.542 | 251.387 | -0.000 | -0.000 |
| 1.953 | -5.783 | 7.037 | -0.000 | 216.596 | -0.000 |
| 1.045 | -3.155 | 7.488 | -0.000 | -0.000 | 155.171 |
| 945.618 | 156.876 | 104.082 | 0.000 | -0.000 | 0.000 |
| 129.028 | 790.826 | 210.730 | 0.000 | -0.000 | 0.000 |
| 46.245 | 196.276 | 1160.890 | 0.000 | -0.000 | -0.000 |
| -1.816 | 5.377 | -6.542 | 251.387 | 0.000 | 0.000 |
| -1.953 | 5.783 | -7.037 | 0.000 | 216.596 | 0.000 |
| -1.045 | 3.155 | -7.488 | 0.000 | 0.000 | 155.171 |
| 947.137 | 151.678 | 112.413 | -0.000 | 0.000 | -0.000 |
| 156.909 | 749.685 | 220.417 | -0.000 | 0.000 | -0.000 |
| 77.413 | 223.645 | 1063.615 | -0.000 | 0.000 | -0.000 |
| 0.000 | 0.000 | 0.000 | 315.647 | -0.000 | -0.000 |
| 0.044 | -0.136 | 0.435 | -0.000 | 212.652 | -0.000 |
| 0.078 | -0.240 | 0.795 | -0.000 | -0.000 | 153.862 |
| 946.859 | 152.617 | 110.870 | 0.000 | 0.000 | 0.000 |
| 156.697 | 750.526 | 219.017 | 0.000 | -0.000 | 0.000 |
| 106.582 | 203.064 | 1040.293 | 0.000 | 0.000 | 0.000 |
| -0.000 | -0.000 | -0.000 | 315.647 | 0.000 | 0.000 |
| -0.044 | 0.136 | -0.435 | 0.000 | 212.652 | 0.000 |
| -0.078 | 0.240 | -0.795 | 0.000 | 0.000 | 153.862 |
| 947.009 | 152.104 | 111.722 | -0.000 | 0.000 | -0.000 |
| 156.813 | 750.068 | 219.790 | -0.000 | 0.000 | -0.000 |
| 106.745 | 202.544 | 1041.096 | -0.000 | 0.000 | -0.000 |
| -0.004 | 0.010 | 0.033 | 250.111 | -0.000 | -0.000 |
| 0.005 | -0.014 | 0.043 | -0.000 | 212.650 | -0.000 |
| 0.029 | -0.077 | 0.123 | -0.000 | -0.000 | 153.754 |
| 946.986 | 152.189 | 111.561 | 0.000 | -0.000 | 0.000 |
| 156.791 | 750.145 | 219.647 | 0.000 | -0.000 | 0.000 |
| 106.692 | 202.658 | 1040.956 | 0.000 | -0.000 | 0.000 |
| 0.004 | -0.010 | -0.033 | 250.111 | 0.000 | 0.000 |
| -0.005 | 0.014 | -0.043 | 0.000 | 212.650 | 0.000 |
| -0.029 | 0.077 | -0.123 | 0.000 | 0.000 | 153.754 |
| 689.212 | 102.338 | 210.182 | 0.000 | 72.713 | -0.000 |
| 112.456 | 924.735 | 231.095 | -0.000 | -71.922 | -0.000 |
| 199.893 | 329.146 | 728.451 | -0.000 | -26.856 | -0.000 |
| -7.472 | 63.143 | -94.932 | 321.774 | -71.425 | -35.486 |
| 41.718 | -3.471 | -12.230 | -0.000 | -6.288 | -0.000 |
| -7.474 | 63.159 | -94.955 | -40.445 | -71.443 | 148.571 |
| 668.949 | 36.211 | 306.811 | 0.000 | 148.484 | 0.000 |
| 112.456 | 924.735 | 231.095 | 0.000 | -71.922 | 0.000 |
| 209.065 | 196.582 | 933.932 | 0.000 | 233.388 | 0.000 |
| 7.472 | -63.143 | 94.932 | 321.774 | 71.425 | -35.486 |
| 51.318 | -66.953 | 47.968 | 0.000 | 249.323 | 0.000 |
| 7.474 | -63.159 | 94.955 | -40.445 | 71.443 | 148.571 |
| 649.280 | 110.871 | 199.940 | -0.000 | 61.148 | -0.000 |
| 114.273 | 893.494 | 253.115 | -0.000 | -97.796 | -0.000 |
| 204.984 | 266.738 | 823.087 | -0.000 | 34.742 | -0.000 |
| -0.320 | 6.424 | -10.172 | 321.367 | -17.944 | -33.740 |
| 71.074 | -65.424 | 54.926 | -0.000 | 166.098 | -0.000 |
| -0.747 | 6.310 | -9.487 | -40.484 | -7.138 | 148.610 |
| 689.211 | 102.338 | 210.182 | 0.000 | 72.713 | 0.000 |
| 118.201 | 880.555 | 267.848 | 0.000 | -58.256 | 0.000 |
| 207.803 | 256.780 | 837.569 | 0.000 | 51.287 | 0.000 |
| 0.320 | -6.424 | 10.172 | 321.367 | 17.944 | -33.740 |
| 51.318 | -66.953 | 47.967 | 0.000 | 249.323 | 0.000 |
| 0.747 | -6.310 | 9.487 | -40.484 | 7.138 | 148.610 |
| 651.815 | 99.056 | 211.366 | -0.000 | 77.732 | -0.000 |
| 114.864 | 887.254 | 259.693 | -0.000 | -80.892 | -0.000 |
| 202.144 | 260.033 | 827.908 | -0.000 | 55.874 | -0.000 |
| -0.071 | 0.599 | -0.899 | 324.106 | -0.677 | -37.611 |
| 77.809 | -71.999 | 57.106 | 0.000 | 181.538 | -0.000 |
| -0.239 | 0.633 | -0.617 | -40.398 | -2.072 | 148.196 |
| 638.112 | 103.581 | 209.752 | 0.000 | 94.251 | 0.000 |
| 116.653 | 885.699 | 261.509 | 0.000 | -76.138 | 0.000 |
| 204.611 | 259.957 | 830.097 | 0.000 | 57.526 | 0.000 |
| 0.071 | -0.599 | 0.899 | 324.106 | 0.677 | -37.611 |
| 82.063 | -73.049 | 59.730 | 0.000 | 181.756 | 0.000 |
| 0.239 | -0.633 | 0.617 | -40.398 | 2.072 | 148.196 |
| 588.636 | 91.655 | 209.367 | -0.000 | 91.268 | 0.000 |
| 107.197 | 965.586 | 226.448 | -0.000 | -62.870 | 0.000 |
| 202.627 | 264.277 | 875.462 | -0.000 | 42.137 | 0.000 |
| 0.003 | 0.004 | -0.004 | 344.366 | -0.003 | -49.481 |
| 60.124 | -62.654 | 30.458 | -0.000 | 184.385 | -0.000 |
| 0.003 | 0.005 | -0.005 | -44.913 | -0.004 | 143.899 |
| 588.629 | 91.642 | 209.380 | -0.000 | 91.278 | -0.000 |
| 107.197 | 965.586 | 226.448 | 0.000 | -62.870 | -0.000 |
| 202.620 | 264.271 | 875.466 | -0.000 | 42.146 | 0.000 |
| -0.003 | -0.004 | 0.004 | 344.366 | 0.003 | -49.481 |
| 90.698 | -56.787 | 51.169 | -0.000 | 148.754 | -0.000 |
| -0.003 | -0.005 | 0.005 | -44.913 | 0.004 | 143.899 |
| 572.658 | 99.682 | 210.037 | -0.000 | 107.212 | 0.000 |
| 107.197 | 965.586 | 226.448 | 0.000 | -62.870 | 0.000 |
| 203.681 | 260.558 | 879.416 | -0.000 | 33.486 | 0.000 |
| 0.000 | 0.000 | -0.000 | 342.654 | -0.000 | -45.763 |
| 48.546 | -62.870 | 42.862 | 0.000 | 239.585 | 0.000 |
| 0.000 | -0.000 | 0.000 | -81.336 | 0.000 | 180.437 |
| 572.656 | 99.681 | 210.037 | 0.000 | 107.213 | 0.000 |
| 107.197 | 965.586 | 226.448 | -0.000 | -62.870 | 0.000 |
| 203.680 | 260.557 | 879.416 | 0.000 | 33.486 | -0.000 |
| -0.000 | -0.000 | 0.000 | 342.654 | 0.000 | -45.763 |
| 76.347 | -68.719 | 52.866 | 0.000 | 162.898 | -0.000 |
| -0.000 | 0.000 | -0.000 | -81.336 | -0.000 | 180.437 |
| 572.659 | 99.682 | 210.038 | -0.000 | 107.212 | -0.000 |
| 106.322 | 919.450 | 262.515 | 0.000 | -65.826 | 0.000 |
| 202.624 | 264.277 | 875.463 | -0.000 | 42.141 | 0.000 |
| 0.000 | 0.000 | 0.000 | 342.477 | 0.000 | -45.642 |
| 98.893 | -55.245 | 53.303 | -0.000 | 142.488 | -0.000 |
| 0.000 | -0.000 | 0.000 | -81.336 | 0.000 | 180.437 |
| 560.280 | 91.320 | 203.539 | -0.000 | 119.498 | -0.000 |
| 103.910 | 921.960 | 266.259 | 0.000 | -62.683 | -0.000 |
| 200.244 | 262.201 | 874.330 | -0.000 | 46.437 | -0.000 |
| -0.000 | -0.000 | -0.000 | 342.477 | -0.000 | -45.642 |
| 90.703 | -56.784 | 51.168 | -0.000 | 148.750 | -0.000 |
| -0.000 | 0.000 | -0.000 | -81.336 | -0.000 | 180.437 |
| 360.100 | -21.635 | 73.160 | -0.000 | -0.000 | 0.000 |
| -21.635 | 360.100 | 73.160 | -0.000 | -0.000 | 0.000 |
| 64.777 | 64.777 | 71.596 | -0.000 | -0.000 | -0.000 |
| 0.000 | 0.000 | -0.000 | 36.060 | -0.000 | 0.000 |
| 0.000 | 0.000 | -0.000 | -0.000 | 36.060 | 0.000 |
| 0.000 | 0.000 | 0.000 | -0.000 | 0.000 | 59.812 |
| 419.107 | 14.200 | 56.629 | 0.000 | 0.000 | -0.000 |
| 14.200 | 419.107 | 56.629 | 0.000 | 0.000 | -0.000 |
| 64.915 | 64.915 | 70.190 | 0.000 | -0.000 | -0.000 |
| -0.000 | -0.000 | -0.000 | 36.060 | 0.000 | -0.000 |
| -0.000 | -0.000 | -0.000 | 0.000 | 36.060 | -0.000 |
| -0.000 | -0.000 | -0.000 | 0.000 | 0.000 | 59.812 |
| 419.107 | 14.200 | 56.629 | -0.000 | 0.000 | 0.000 |
| 14.200 | 419.107 | 56.629 | -0.000 | -0.000 | 0.000 |
| 46.682 | 46.682 | 116.868 | -0.000 | -0.000 | 0.000 |
| -0.000 | 0.000 | -0.000 | 34.491 | -0.000 | -0.000 |
| 0.000 | -0.000 | -0.000 | -0.000 | 34.491 | -0.000 |
| -19548927.775 | -17715125.449 | -78308213.752 | -1444365.498 | 39841.026 | 215508.500 |
| 419.107 | 14.200 | 56.629 | 0.000 | 0.000 | -0.000 |
| 14.200 | 419.107 | 56.629 | 0.000 | 0.000 | -0.000 |
| 46.682 | 46.682 | 116.868 | 0.000 | 0.000 | -0.000 |
| 0.000 | -0.000 | 0.000 | 34.491 | 0.000 | 0.000 |
| -0.000 | 0.000 | 0.000 | 0.000 | 34.491 | 0.000 |
| 20028793.438 | 19246918.792 | 78781384.277 | 1907787.814 | 1043355.385 | -500906.257 |
| 367.952 | -13.337 | 84.439 | -0.000 | -0.000 | -0.000 |
| -13.337 | 367.952 | 84.439 | -0.000 | -0.000 | -0.000 |
| 64.916 | 64.916 | 70.189 | -0.000 | 0.000 | -0.000 |
| -0.001 | 0.001 | -0.001 | 34.491 | -0.000 | -0.000 |
| 0.001 | -0.001 | -0.001 | -0.000 | 34.491 | -0.000 |
| -1906150.573 | -1877085.330 | -7776781.215 | -41722.478 | -27285.202 | 67250.646 |
| 359.532 | -21.011 | 73.173 | -0.000 | 0.000 | 0.000 |
| 1638999.669 | 1863560.558 | 7985050.631 | 188970.472 | -19335.847 | -103154.963 |
| 64.917 | 64.917 | 70.185 | 0.000 | 0.000 | 0.000 |
| 0.001 | -0.001 | 0.001 | 34.491 | 0.000 | 0.000 |
| -0.001 | 0.001 | 0.001 | 0.000 | 34.491 | 0.000 |
| 1920871.818 | 1860815.645 | 7746116.460 | 52475.188 | 124916.522 | -67143.703 |
| 61.257 | 24.784 | 42.907 | 0.000 | -0.000 | -0.000 |
| 24.784 | 61.257 | 42.907 | 0.000 | -0.000 | -0.000 |
| 62.853 | 62.853 | 241.212 | -0.000 | -0.000 | -0.000 |
| -9.730 | -9.730 | -16.547 | 73.719 | -0.000 | -0.000 |
| -9.730 | -9.730 | -16.547 | 0.000 | 73.719 | -0.000 |
| -25.361 | -25.361 | -56.678 | 0.000 | -0.000 | 23.837 |
| 61.257 | 24.784 | 42.907 | 0.000 | 0.000 | 0.000 |
| 24.784 | 61.257 | 42.907 | -0.000 | 0.000 | 0.000 |
| 49.056 | 49.056 | 197.559 | -0.000 | 0.000 | 0.000 |
| 9.730 | 9.730 | 16.547 | 73.719 | 0.000 | 0.000 |
| 9.730 | 9.730 | 16.547 | -0.000 | 73.719 | 0.000 |
| 25.361 | 25.361 | 56.678 | -0.000 | 0.000 | 23.837 |
| -7.416 | -24.283 | -5.688 | 0.000 | -0.000 | -0.000 |
| -24.283 | -7.416 | -5.688 | 0.000 | -0.000 | -0.000 |
| 19.448 | 19.448 | 131.418 | 0.000 | -0.000 | -0.000 |
| -6.561 | -6.561 | -12.984 | 67.373 | -0.000 | -0.000 |
| -6.561 | -6.561 | -12.984 | 0.000 | 67.373 | -0.000 |
| -0.893 | -0.893 | -1.518 | -0.000 | -0.000 | 28.306 |
| -1.563 | -17.176 | 6.786 | -0.000 | 0.000 | 0.000 |
| -17.176 | -1.563 | 6.786 | -0.000 | 0.000 | 0.000 |
| 62.853 | 62.853 | 241.212 | 0.000 | 0.000 | 0.000 |
| 6.561 | 6.561 | 12.984 | 67.373 | 0.000 | -0.000 |
| 6.561 | 6.561 | 12.984 | -0.000 | 67.373 | 0.000 |
| 0.893 | 0.893 | 1.518 | 0.000 | 0.000 | 28.306 |
| 1501133.678 | -4489664.943 | -5031634.004 | -53472.342 | -22251.954 | -15431.614 |
| -4370090.985 | 1533650.314 | -4112682.738 | -14068.986 | -275487.739 | 4096.725 |
| 21.873 | 21.873 | 136.825 | 0.000 | -0.000 | -0.000 |
| -0.155 | -0.155 | -0.332 | 70.094 | -0.000 | -0.000 |
| -0.155 | -0.155 | -0.332 | 0.000 | 70.094 | -0.000 |
| -0.089 | -0.089 | -0.152 | 0.000 | -0.000 | 28.318 |
| 4149413.381 | -1848477.500 | 3420087.163 | -96.085 | 119511.035 | -5913.015 |
| -1724672.037 | 4508674.195 | 4889950.308 | 55469.407 | -32399.319 | -299.357 |
| 17.068 | 17.068 | 137.029 | -0.000 | 0.000 | 0.000 |
| 0.155 | 0.155 | 0.332 | 70.094 | 0.000 | 0.000 |
| 0.155 | 0.155 | 0.332 | -0.000 | 70.094 | 0.000 |
| 0.089 | 0.089 | 0.152 | -0.000 | 0.000 | 28.318 |
| 140.967 | 47.184 | 94.115 | -0.000 | 0.000 | -0.000 |
| 47.184 | 140.967 | 94.115 | 0.000 | -0.000 | -0.000 |
| 84.368 | 84.368 | 386.659 | 0.000 | 0.000 | 0.000 |
| -0.144 | -0.144 | 0.130 | 111.283 | -0.000 | 0.000 |
| -0.144 | -0.144 | 0.130 | 0.000 | 111.283 | 0.000 |
| 0.047 | 0.047 | -0.035 | -0.000 | 0.000 | 55.439 |
| 140.944 | 47.144 | 94.157 | -0.000 | 0.000 | 0.000 |
| 68.272 | 116.337 | 80.615 | 0.000 | 0.000 | 0.000 |
| 99.527 | 99.527 | 218.762 | -0.000 | 0.000 | 0.000 |
| 0.144 | 0.144 | -0.130 | 111.283 | 0.000 | -0.000 |
| 0.144 | 0.144 | -0.130 | 0.000 | 111.283 | -0.000 |
| -0.047 | -0.047 | 0.035 | -0.000 | -0.000 | 55.439 |
| 140.956 | 47.166 | 94.134 | -0.000 | -0.000 | 0.000 |
| 47.166 | 140.956 | 94.134 | -0.000 | -0.000 | 0.000 |
| 78.747 | 78.747 | 173.112 | 0.000 | -0.000 | 0.000 |
| -0.014 | -0.014 | 0.013 | 111.280 | 0.000 | -0.000 |
| -0.014 | -0.014 | 0.013 | -0.000 | 111.280 | 0.000 |
| 0.005 | 0.005 | -0.004 | -0.000 | -0.000 | 55.439 |
| 140.954 | 47.162 | 94.138 | -0.000 | 0.000 | -0.000 |
| 47.162 | 140.954 | 94.138 | 0.000 | -0.000 | -0.000 |
| 84.368 | 84.368 | 386.659 | 0.000 | 0.000 | -0.000 |
| 0.014 | 0.014 | -0.013 | 111.280 | 0.000 | 0.000 |
| 0.014 | 0.014 | -0.013 | 0.000 | 111.280 | 0.000 |
| -0.005 | -0.005 | 0.004 | 0.000 | 0.000 | 55.439 |
| 116.383 | 68.315 | 80.651 | 0.000 | -0.000 | -0.000 |
| 68.315 | 116.383 | 80.651 | -0.000 | -0.000 | 0.000 |
| 81.189 | 81.189 | 172.606 | -0.000 | -0.000 | 0.000 |
| 0.000 | -0.000 | 0.000 | 134.204 | 0.000 | 0.000 |
| -0.000 | 0.000 | 0.000 | -0.000 | 134.204 | 0.000 |
| 0.000 | 0.000 | 0.000 | 0.000 | -0.000 | 38.651 |
| 116.346 | 68.293 | 80.652 | 0.000 | 0.000 | -0.000 |
| 68.293 | 116.346 | 80.652 | 0.000 | 0.000 | -0.000 |
| 81.192 | 81.192 | 172.609 | 0.000 | 0.000 | 0.000 |
| 0.000 | 0.001 | -0.001 | 119.211 | 0.000 | 0.000 |
| 0.001 | 0.000 | -0.001 | 0.000 | 119.211 | 0.000 |
| -0.000 | -0.000 | -0.000 | -0.000 | 0.000 | 38.651 |
| -544.732 | 283.600 | 331.788 | -0.000 | -0.000 | 0.000 |
| -1173.350 | 391.991 | 192.368 | 0.000 | -0.000 | 0.000 |
| -1166.718 | 262.451 | 369.378 | -0.000 | 0.000 | -0.000 |
| -805.305 | 257.680 | 289.760 | 122.122 | -0.000 | 0.000 |
| -1373.172 | -12.053 | 10.380 | -0.000 | 53.159 | 0.000 |
| -1182.614 | 217.867 | 148.575 | -0.000 | 0.000 | 75.279 |
| 1066.007 | -231.837 | -247.806 | 0.000 | 0.000 | -0.000 |
| 28.361 | 314.525 | 55.014 | 0.000 | -0.000 | -0.000 |
| 1347.624 | 14.330 | 145.839 | 0.000 | 0.000 | -0.000 |
| 805.305 | -257.680 | -289.760 | 122.122 | -0.000 | -0.000 |
| 1373.172 | 12.053 | -10.380 | 0.000 | 53.160 | -0.000 |
| 0.000 | -0.000 | 0.000 | 0.000 | -0.000 | 145.057 |
| -95.362 | -79.097 | -103.601 | -0.000 | -0.000 | 0.000 |
| -161.026 | 93.018 | -2.352 | -0.000 | -0.000 | -0.000 |
| -163.539 | 0.866 | 155.016 | -0.000 | -0.000 | 0.000 |
| 0.000 | -0.000 | 0.000 | 150.926 | -0.000 | -0.000 |
| 0.000 | 0.000 | 0.000 | -0.000 | 138.919 | 0.000 |
| -136.830 | -1.116 | 1.144 | -0.000 | -0.000 | 52.637 |
| 132.413 | -60.056 | -13.129 | 0.000 | -0.000 | -0.000 |
| 106.004 | 233.876 | 30.877 | 0.000 | 0.000 | -0.000 |
| 121.996 | 35.332 | 272.184 | 0.000 | -0.000 | -0.000 |
| -0.000 | 0.000 | -0.000 | 150.926 | 0.000 | 0.000 |
| -0.000 | -0.000 | -0.000 | 0.000 | 138.919 | -0.000 |
| 136.830 | 1.116 | -1.144 | 0.000 | -0.000 | 52.637 |
| 22.363 | -81.235 | -57.561 | -0.000 | -0.000 | -0.000 |
| -102.462 | 41.707 | -48.439 | -0.000 | -0.000 | 0.000 |
| -53.740 | -26.251 | 137.543 | 0.000 | -0.000 | 0.000 |
| 0.000 | -0.000 | 0.000 | 150.926 | -0.000 | -0.000 |
| -13.069 | 0.357 | 0.735 | 0.000 | 62.296 | 0.000 |
| -12.880 | 0.052 | 0.342 | -0.000 | -0.000 | 59.875 |
| 44.626 | -71.631 | -53.900 | -0.000 | 0.000 | -0.000 |
| -42.811 | 74.682 | -17.800 | -0.000 | -0.000 | 0.000 |
| -29.966 | -20.102 | 141.203 | 0.000 | -0.000 | -0.000 |
| -0.000 | 0.000 | -0.000 | 150.926 | 0.000 | 0.000 |
| 13.069 | -0.357 | -0.735 | 0.000 | 62.296 | -0.000 |
| 12.880 | -0.052 | -0.342 | 0.000 | 0.000 | 59.875 |
| 102.194 | 5.084 | 220.123 | -22.146 | 32.237 | -77.083 |
| 53.550 | 250.095 | 60.696 | -16.203 | 4.392 | -11.186 |
| 72.124 | 61.731 | 379.745 | 7.079 | -11.728 | 0.305 |
| -0.342 | -0.482 | 7.079 | 107.544 | 0.827 | 2.148 |
| -18.671 | 4.513 | -11.728 | 0.827 | 152.325 | 0.944 |
| -2.387 | 15.661 | -36.920 | -11.744 | 95.173 | 4.001 |
| 298.346 | 41.343 | 119.055 | 15.052 | -128.617 | 29.267 |
| 235.858 | 73.711 | -143.076 | 53.350 | -64.939 | 75.622 |
| 71.188 | 43.462 | 354.121 | 17.913 | -120.071 | 71.795 |
| -8.578 | -28.272 | 41.047 | 89.092 | -110.152 | 74.378 |
| 106.149 | 54.338 | -157.072 | 14.628 | 31.336 | 58.125 |
| 283.300 | -25.560 | -234.114 | 91.825 | -27.228 | 285.899 |
| 373.929 | 57.307 | 72.080 | -1.104 | -19.826 | -55.404 |
| 43.848 | 120.936 | 71.844 | -5.383 | 4.556 | -18.298 |
| 83.222 | 72.185 | 317.108 | 3.850 | 1.688 | -9.371 |
| -27.685 | 2.937 | 28.074 | 17.153 | -8.358 | -24.091 |
| -18.671 | 4.513 | -11.728 | 0.827 | 152.325 | 0.944 |
| -12.518 | -7.909 | -4.589 | -0.271 | -3.562 | 70.206 |
| 220.631 | 9.674 | 5.820 | 7.799 | -12.230 | 1.363 |
| 62.425 | 189.958 | 72.914 | -11.823 | -9.772 | -3.014 |
| 72.124 | 61.731 | 379.745 | 7.079 | -11.728 | 0.305 |
| 1.644 | -4.705 | 8.647 | 76.900 | -11.342 | 8.440 |
| -18.671 | 4.513 | -11.728 | 0.827 | 152.325 | 0.944 |
| -14.889 | -13.242 | 2.543 | 2.265 | -25.612 | 81.722 |
| 240.429 | 43.249 | 52.338 | -1.569 | -15.607 | -31.135 |
| 28.163 | 121.013 | 33.907 | -5.231 | 2.198 | -15.327 |
| 47.056 | 42.839 | 247.110 | 6.343 | -8.516 | -6.113 |
| -3.348 | 2.467 | 7.415 | 45.960 | -5.038 | -1.591 |
| -12.770 | -1.762 | -4.577 | -7.852 | 81.532 | -1.505 |
| -12.861 | -14.306 | -3.031 | -0.061 | -10.459 | 44.416 |
| 224.205 | 27.147 | 38.086 | 1.268 | -11.556 | -21.346 |
| 31.714 | 121.212 | 31.030 | -4.370 | 1.444 | -12.320 |
| 34.952 | 24.613 | 200.951 | 8.562 | -7.125 | 1.497 |
| -0.684 | 1.687 | 5.917 | 47.710 | -6.884 | 0.401 |
| -17.819 | 1.036 | -8.422 | 0.058 | 116.603 | 3.771 |
| -10.950 | -14.369 | -4.379 | 0.817 | -12.548 | 47.313 |
| -129.971 | 3.671 | 79.380 | -131.300 | 68.464 | -164.258 |
| -87.851 | -49.094 | 57.741 | -97.239 | 48.194 | -146.840 |
| 44.356 | -17.875 | 69.450 | 10.396 | 42.389 | -44.321 |
| -112.103 | 12.846 | 87.298 | -168.365 | 71.599 | -169.234 |
| -125.243 | 8.604 | 82.064 | -146.025 | 66.743 | -158.822 |
| 253.247 | -38.058 | 75.058 | -357.837 | 578.348 | -166.363 |
| -17.660 | 46.504 | -44.960 | 16.203 | -31.028 | 86.467 |
| 105.586 | -61.702 | -102.600 | 147.298 | -76.134 | 156.822 |
| 159.806 | -62.011 | -114.411 | 192.230 | -63.234 | 150.429 |
| 0.700 | 53.159 | -42.869 | 19.159 | -30.541 | 96.514 |
| -1.937 | 54.388 | -39.673 | 16.175 | -21.606 | 95.810 |
| -27.458 | 47.448 | -22.281 | -6.997 | -34.877 | 63.811 |
| 17.987 | -2.649 | 13.675 | 0.354 | 10.462 | -9.260 |
| -2.600 | -6.718 | 4.914 | -3.413 | 6.536 | -6.638 |
| 23.228 | 27.909 | 96.089 | -11.074 | 13.818 | -1.486 |
| -10.758 | 2.403 | 6.231 | -14.641 | 2.341 | -13.348 |
| 6.409 | -4.932 | 11.512 | 1.070 | 16.607 | -7.666 |
| 2.734 | 2.677 | 3.292 | 3.392 | 1.662 | 3.896 |
| 73.254 | 21.659 | 24.727 | -4.379 | 5.936 | 1.078 |
| -0.028 | 39.328 | 9.648 | -2.654 | -2.644 | 15.340 |
| 14.032 | -0.492 | 1.994 | 10.387 | 0.857 | 9.204 |
| 0.601 | 2.414 | -3.138 | 13.257 | -2.161 | 11.194 |
| 12.902 | 1.436 | 3.260 | 8.161 | -15.260 | 10.888 |
| 3.632 | 12.327 | -4.184 | 4.086 | -8.629 | 27.847 |
| 21.250 | 3.938 | 9.798 | 1.149 | 5.074 | -4.403 |
| 0.553 | 11.684 | 3.586 | 0.238 | 1.451 | 0.974 |
| -1.960 | -2.645 | -1.271 | -0.034 | -1.033 | 0.940 |
| -0.669 | -0.604 | 1.393 | 4.040 | -0.217 | -0.701 |
| 8.106 | -0.157 | 9.943 | 1.542 | 17.363 | -1.031 |
| -0.618 | 2.593 | -0.474 | -0.347 | -0.240 | 5.606 |
| 13.779 | 2.799 | 7.014 | 0.174 | 3.158 | -1.156 |
| 3.713 | 14.491 | 4.272 | 2.262 | 0.667 | 3.569 |
| -0.555 | 0.123 | 4.000 | 2.199 | -0.419 | 2.273 |
| 0.123 | 0.768 | -0.277 | 1.182 | -1.432 | -0.010 |
| 7.651 | 0.932 | 8.899 | 1.786 | 16.333 | 0.372 |
| -0.564 | 8.812 | -1.648 | 3.201 | -1.539 | 11.598 |
| 480.285 | 180.595 | 180.595 | 0.000 | -0.000 | 0.000 |
| 180.595 | 480.285 | 180.595 | 0.000 | -0.000 | 0.000 |
| 180.595 | 180.595 | 480.285 | 0.000 | -0.000 | 0.000 |
| -26.331 | -26.331 | -26.331 | 146.347 | -0.000 | 0.000 |
| -26.331 | -26.331 | -26.331 | 0.000 | 146.347 | 0.000 |
| -26.331 | -26.331 | -26.331 | -0.000 | -0.000 | 146.347 |
| 643.497 | 140.079 | 140.079 | 0.000 | 0.000 | -0.000 |
| 140.079 | 643.497 | 140.079 | -0.000 | -0.000 | -0.000 |
| 140.079 | 140.079 | 643.497 | 0.000 | 0.000 | -0.000 |
| 26.331 | 26.331 | 26.331 | 146.347 | 0.000 | -0.000 |
| 26.331 | 26.331 | 26.331 | -0.000 | 146.347 | -0.000 |
| 26.331 | 26.331 | 26.331 | 0.000 | 0.000 | 146.347 |
| 535.211 | 177.049 | 177.049 | 0.000 | -0.000 | -0.000 |
| 177.049 | 535.211 | 177.049 | -0.000 | -0.000 | 0.000 |
| 177.049 | 177.049 | 535.211 | -0.000 | -0.000 | 0.000 |
| -2.413 | -2.413 | -2.413 | 153.626 | -0.000 | 0.000 |
| -2.413 | -2.413 | -2.413 | -0.000 | 153.626 | 0.000 |
| -2.413 | -2.413 | -2.413 | 0.000 | -0.000 | 153.626 |
| 555.648 | 197.488 | 197.488 | -0.000 | 0.000 | -0.000 |
| 197.488 | 555.648 | 197.488 | -0.000 | 0.000 | 0.000 |
| 140.079 | 140.079 | 643.496 | 0.000 | 0.000 | 0.000 |
| 2.413 | 2.413 | 2.413 | 153.626 | 0.000 | -0.000 |
| 2.413 | 2.413 | 2.413 | -0.000 | 153.626 | -0.000 |
| 2.413 | 2.413 | 2.413 | -0.000 | 0.000 | 153.626 |
| 545.773 | 185.562 | 185.562 | 0.000 | 0.000 | 0.000 |
| 185.562 | 545.773 | 185.562 | -0.000 | 0.000 | -0.000 |
| 185.465 | 185.465 | 550.154 | -0.000 | -0.000 | 0.000 |
| -1.182 | -1.181 | -1.181 | 170.862 | 0.000 | 0.000 |
| -1.181 | -1.182 | -1.181 | -0.000 | 170.862 | 0.000 |
| -1.181 | -1.181 | -1.182 | -0.000 | 0.000 | 170.862 |
| 547.884 | 187.291 | 187.291 | 0.000 | -0.000 | -0.000 |
| 187.291 | 547.884 | 187.291 | 0.000 | -0.000 | -0.000 |
| 187.305 | 187.305 | 547.854 | 0.000 | -0.000 | -0.000 |
| 1.182 | 1.181 | 1.181 | 170.862 | 0.000 | -0.000 |
| 1.181 | 1.182 | 1.181 | -0.000 | 170.862 | -0.000 |
| 1.181 | 1.181 | 1.182 | 0.000 | 0.000 | 170.862 |
| 3577.903 | -653.899 | 2564.521 | -0.000 | -0.000 | -0.000 |
| 1104.686 | 1178.445 | 779.373 | -0.000 | 0.000 | -0.000 |
| 3274.107 | -343.457 | 3103.644 | 0.000 | 0.000 | 0.000 |
| 231.904 | 319.898 | -125.165 | 345.873 | 0.000 | 0.000 |
| 231.770 | 319.713 | -125.093 | -0.000 | 194.929 | -0.000 |
| 959.358 | 312.778 | 435.857 | -0.000 | 0.000 | 107.894 |
| 427.522 | -236.356 | 346.142 | -0.000 | -0.000 | 0.000 |
| -133.944 | 577.737 | 409.264 | 0.000 | -0.000 | 0.000 |
| -785.691 | 0.371 | 275.369 | 0.000 | 0.000 | 0.000 |
| -231.904 | -319.898 | 125.165 | 345.873 | -0.000 | -0.000 |
| -231.770 | -319.713 | 125.093 | 0.000 | 194.929 | 0.000 |
| -959.358 | -312.778 | -435.857 | 0.000 | -0.000 | 107.894 |
| 702.459 | 88.833 | 216.812 | -0.000 | 0.000 | 0.000 |
| 122.185 | 924.393 | 277.530 | -0.000 | -0.000 | 0.000 |
| 384.114 | 263.664 | 867.658 | -0.000 | 0.000 | -0.000 |
| 72.456 | 25.541 | 31.108 | 306.060 | -0.000 | 0.000 |
| 79.986 | 28.307 | 34.235 | -0.000 | 161.915 | 0.000 |
| 0.000 | -0.000 | 0.000 | -0.000 | -0.000 | 170.958 |
| 193.892 | 178.206 | -108.197 | 0.000 | -0.000 | 0.000 |
| 73.654 | 866.439 | 294.938 | 0.000 | -0.000 | -0.000 |
| 215.540 | 241.206 | 878.184 | -0.000 | -0.000 | -0.000 |
| -72.456 | -25.541 | -31.108 | 306.060 | 0.000 | -0.000 |
| -79.986 | -28.307 | -34.235 | 0.000 | 161.915 | 0.000 |
| -0.000 | 0.000 | -0.000 | 0.000 | -0.000 | 170.958 |
| 568.526 | 110.025 | 156.444 | 0.000 | -0.000 | -0.000 |
| 146.259 | 875.477 | 326.003 | -0.000 | -0.000 | 0.000 |
| 161.671 | 295.090 | 760.644 | -0.000 | -0.000 | 0.000 |
| 27.478 | -6.252 | 21.765 | 336.371 | -0.000 | 0.000 |
| 7.707 | 0.857 | 3.554 | -0.000 | 180.460 | 0.000 |
| 2.748 | 3.791 | -1.483 | -0.000 | 0.000 | 142.553 |
| 489.120 | 129.169 | 97.897 | 0.000 | -0.000 | -0.000 |
| 93.002 | 892.643 | 284.965 | 0.000 | -0.000 | 0.000 |
| 89.690 | 309.582 | 705.245 | 0.000 | -0.000 | -0.000 |
| -27.478 | 6.252 | -21.765 | 336.371 | 0.000 | 0.000 |
| -7.707 | -0.857 | -3.554 | 0.000 | 180.460 | -0.000 |
| -2.748 | -3.791 | 1.483 | 0.000 | -0.000 | 142.553 |
| 545.861 | 93.283 | 204.037 | 0.000 | 0.000 | 0.000 |
| 90.080 | 923.713 | 282.386 | 0.000 | -0.000 | 0.000 |
| 203.682 | 243.112 | 888.645 | 0.000 | -0.000 | 0.000 |
| 0.000 | -0.000 | 0.000 | 401.873 | -0.000 | -0.000 |
| 0.056 | 0.026 | 0.016 | 0.000 | 178.184 | 0.000 |
| 0.028 | 0.016 | 0.011 | 0.000 | -0.000 | 133.378 |
| 578.203 | 91.123 | 204.295 | -0.000 | 0.000 | -0.000 |
| 89.041 | 967.747 | 243.112 | 0.000 | -0.000 | 0.000 |
| 203.682 | 243.112 | 888.645 | -0.000 | 0.000 | -0.000 |
| -0.000 | 0.000 | -0.000 | 401.873 | -0.000 | 0.000 |
| -0.056 | -0.026 | -0.016 | -0.000 | 178.184 | -0.000 |
| -0.028 | -0.016 | -0.011 | -0.000 | 0.000 | 133.378 |
| 660.430 | 89.041 | 203.682 | 0.000 | 0.000 | 0.000 |
| 89.041 | 967.748 | 243.112 | 0.000 | 0.000 | -0.000 |
| 204.236 | 285.167 | 812.835 | 0.000 | 0.000 | 0.000 |
| 0.002 | 0.001 | 0.001 | 352.914 | -0.000 | 0.000 |
| 0.006 | 0.003 | 0.002 | 0.000 | 178.184 | 0.000 |
| 0.000 | -0.000 | 0.000 | 0.000 | 0.000 | 160.727 |
| 660.429 | 89.041 | 203.682 | -0.000 | -0.000 | 0.000 |
| 90.054 | 923.684 | 282.388 | -0.000 | 0.000 | -0.000 |
| 204.000 | 284.467 | 828.213 | -0.000 | 0.000 | -0.000 |
| -0.002 | -0.001 | -0.001 | 352.914 | 0.000 | -0.000 |
| -0.006 | -0.003 | -0.002 | -0.000 | 178.184 | -0.000 |
| -0.000 | 0.000 | -0.000 | -0.000 | -0.000 | 160.727 |
| 396.286 | 113.618 | 62.881 | -0.000 | -0.000 | 0.000 |
| 90.057 | 923.687 | 282.391 | 0.000 | -0.000 | 0.000 |
| 62.894 | 298.338 | 711.436 | 0.000 | 0.000 | 0.000 |
| 0.001 | 0.000 | 0.000 | 351.509 | -0.000 | 0.000 |
| 0.000 | 0.000 | 0.000 | 0.000 | 242.425 | 0.000 |
| 0.000 | -0.000 | 0.000 | -0.000 | 0.000 | 160.727 |
| 396.454 | 111.223 | 64.916 | -0.000 | -0.000 | -0.000 |
| 92.682 | 917.500 | 281.295 | 0.000 | -0.000 | -0.000 |
| 65.703 | 292.836 | 718.355 | 0.000 | -0.000 | -0.000 |
| -0.001 | -0.000 | -0.000 | 351.509 | 0.000 | -0.000 |
| -0.000 | -0.000 | -0.000 | 0.000 | 242.425 | -0.000 |
| -0.000 | 0.000 | -0.000 | -0.000 | 0.000 | 160.727 |
| -91.554 | -107.171 | -107.171 | -0.006 | -0.004 | -0.004 |
| -107.171 | -91.554 | -107.171 | -0.006 | -0.004 | -0.004 |
| -393726452.750 | -391529901.300 | -215917910.506 | 1904084.036 | 2085649.333 | -3310130.421 |
| -137.475 | -137.475 | -137.475 | 11.761 | -0.004 | -0.004 |
| -137.475 | -137.475 | -137.475 | -0.005 | 11.763 | -0.004 |
| -137.475 | -137.475 | -137.475 | -0.005 | -0.004 | 11.763 |
| 185.458 | 169.146 | 169.146 | 0.005 | 0.004 | 0.003 |
| 169.145 | 185.458 | 169.146 | 0.005 | 0.004 | 0.003 |
| 169.145 | 169.146 | 185.458 | 0.005 | 0.004 | 0.003 |
| 137.474 | 137.474 | 137.474 | 11.772 | 0.004 | 0.004 |
| 137.475 | 137.475 | 137.475 | 0.005 | 11.771 | 0.004 |
| 137.475 | 137.475 | 137.475 | 0.005 | 0.004 | 11.770 |
| -22097523.484 | -40737781.269 | -40967854.331 | -452200.044 | 43326.850 | 294677.008 |
| -40903754.318 | -21816931.120 | -40233819.558 | 118344.570 | -212312.090 | -79184.530 |
| -40101811.385 | -40640414.115 | -22160883.968 | -128383.579 | 83512.992 | -353405.154 |
| -29603197.801 | -22577189.277 | -22819157.465 | 10456959.095 | -207463.503 | 225533.422 |
| -23090660.221 | -29748865.870 | -22837165.783 | -137459.759 | 10328749.510 | 137050.588 |
| -23179596.938 | -22893800.079 | -29518609.041 | -100683.836 | -197471.307 | 10588194.688 |
| 66.031 | 49.031 | 49.031 | 0.000 | 0.000 | 0.000 |
| 49.031 | 66.031 | 49.031 | 0.000 | 0.000 | 0.000 |
| 49.031 | 49.031 | 66.031 | 0.000 | 0.000 | 0.000 |
| 29476598.146 | 22722443.350 | 22545017.126 | 10787997.687 | -374132.777 | -247932.419 |
| 22586563.727 | 29090267.422 | 22540529.172 | -3286.859 | 10444122.450 | 234459.079 |
| 22950961.367 | 22618276.989 | 29776602.742 | 21300.001 | 249481.604 | 10646380.556 |
| -2210794.464 | -4031601.328 | -3975811.712 | -62580.544 | 28157.500 | 21367.625 |
| -3982373.279 | -2198613.481 | -3969767.891 | 10564.592 | -7274.817 | 10583.355 |
| -4003058.068 | -3944835.961 | -2188856.536 | 22849.860 | 30583.481 | -56847.374 |
| -3185893.599 | -2490150.245 | -2554033.399 | 1013453.404 | -9832.787 | 29132.064 |
| -2561038.399 | -3208961.742 | -2564100.854 | 4382.522 | 1004872.988 | -20530.413 |
| -2511125.536 | -2505906.057 | -3160660.556 | -17232.790 | 15742.805 | 999419.073 |
| 2848469.037 | 3226697.573 | 3164129.899 | 23880.914 | -11019.906 | 1484.883 |
| 3254416.333 | 2864159.748 | 3193047.419 | 3480.412 | 8092.584 | 5094.905 |
| 3164096.395 | 3177679.506 | 2813794.539 | -8159.011 | -5827.036 | -27583.902 |
| 3062536.803 | 2386884.786 | 2384013.307 | 998309.249 | 21964.892 | -1298.835 |
| 2446184.624 | 3110672.445 | 2430957.980 | 5032.969 | 1010399.482 | 9926.153 |
| 2454442.565 | 2439714.402 | 3074738.563 | 27504.621 | 25328.542 | 957886.514 |
| 26.428 | 107.745 | -204.449 | 0.000 | -83.456 | -0.000 |
| 18.074 | 454.881 | 64.747 | -0.000 | -9.979 | 0.000 |
| 84.344 | 160.483 | 86.985 | 0.000 | -131.627 | -0.000 |
| 46.292 | 102.835 | -222.423 | 125.956 | -70.660 | -24.073 |
| -7.405 | -9.979 | -74.284 | -0.000 | 67.690 | -0.000 |
| -279.529 | 69.812 | -1171.661 | -24.946 | -305.947 | 2.584 |
| 13.119 | -181.833 | 223.005 | -0.000 | -14.066 | 0.000 |
| -25.442 | 187.035 | 284.392 | -0.000 | -28.913 | 0.000 |
| 218.080 | -147.212 | 773.378 | -0.000 | -49.314 | 0.000 |
| -46.292 | -102.835 | 222.423 | 125.956 | 70.660 | -24.073 |
| -58.532 | -215.254 | 135.113 | -0.000 | 34.664 | 0.000 |
| 268.918 | -29.970 | 1161.547 | -23.779 | 238.587 | 6.161 |
| 100.694 | 16.030 | 14.847 | -0.000 | 6.461 | -0.000 |
| 10.670 | 365.659 | 36.500 | 0.000 | -14.449 | -0.000 |
| 1.693 | 69.723 | 291.200 | 0.000 | -65.062 | -0.000 |
| 4.171 | 17.245 | -17.117 | 163.428 | 1.171 | -25.244 |
| -39.993 | 6.737 | -151.719 | 0.000 | 8.950 | -0.000 |
| -12.487 | 18.098 | -39.040 | -22.823 | -3.478 | 21.660 |
| 100.694 | 16.030 | 14.847 | 0.000 | 6.461 | -0.000 |
| 1.901 | 341.485 | 87.832 | -0.000 | -10.220 | 0.000 |
| 31.461 | 49.847 | 384.021 | -0.000 | -59.658 | 0.000 |
| 14.788 | -11.569 | 84.966 | 112.279 | 7.503 | -22.222 |
| 20.799 | -20.101 | -8.121 | -0.000 | 23.035 | 0.000 |
| 12.487 | -18.098 | 39.040 | -22.823 | 3.478 | 21.660 |
| 13.878 | 6.926 | 3.256 | -0.000 | -0.665 | 0.000 |
| 5.239 | 362.197 | 59.374 | 0.000 | -12.649 | -0.000 |
| 15.999 | 62.766 | 309.155 | 0.000 | -64.288 | -0.000 |
| -1.880 | 0.916 | -8.513 | 125.570 | -1.470 | -23.807 |
| -7.089 | -14.051 | -62.780 | 0.000 | 30.705 | -0.000 |
| -0.000 | -0.000 | 0.000 | -30.976 | -0.000 | 59.328 |
| 6.989 | -2.634 | 17.337 | -0.000 | -3.037 | 0.000 |
| 7.964 | 360.194 | 68.620 | -0.000 | -11.971 | 0.000 |
| 24.151 | 60.280 | 341.479 | -0.000 | -59.857 | 0.000 |
| 1.880 | -0.916 | 8.513 | 125.570 | 1.470 | -23.807 |
| -11.172 | -18.937 | -59.274 | -0.000 | 46.397 | 0.000 |
| 0.000 | 0.000 | -0.000 | -30.976 | 0.000 | 59.328 |
| 246.297 | 68.232 | 68.232 | 0.000 | -0.000 | -0.000 |
| 68.232 | 246.297 | 68.232 | -0.000 | -0.000 | -0.000 |
| 68.232 | 68.232 | 246.297 | 0.000 | -0.000 | -0.000 |
| 21.830 | 21.830 | 21.830 | 93.816 | -0.000 | -0.000 |
| 21.830 | 21.830 | 21.830 | -0.000 | 93.816 | -0.000 |
| 21.830 | 21.830 | 21.830 | 0.000 | -0.000 | 93.816 |
| 70.354 | 9.417 | 9.417 | 0.000 | -0.000 | -0.000 |
| 9.417 | 70.354 | 9.417 | -0.000 | 0.000 | -0.000 |
| 9.417 | 9.417 | 70.354 | -0.000 | 0.000 | 0.000 |
| -21.830 | -21.830 | -21.830 | 93.816 | 0.000 | 0.000 |
| -21.830 | -21.830 | -21.830 | 0.000 | 93.816 | 0.000 |
| -21.830 | -21.830 | -21.830 | 0.000 | -0.000 | 93.816 |
| 225.773 | 48.644 | 48.644 | 0.000 | -0.000 | -0.000 |
| 48.644 | 225.773 | 48.644 | 0.000 | -0.000 | -0.000 |
| 48.644 | 48.644 | 225.773 | 0.000 | -0.000 | -0.000 |
| 1.594 | 1.594 | 1.594 | 82.069 | -0.000 | -0.000 |
| 1.594 | 1.594 | 1.594 | 0.000 | 82.069 | -0.000 |
| 1.594 | 1.594 | 1.594 | -0.000 | -0.000 | 82.069 |
| 221.454 | 44.221 | 44.221 | 0.000 | 0.000 | 0.000 |
| 44.221 | 221.454 | 44.221 | -0.000 | 0.000 | -0.000 |
| 44.221 | 44.221 | 221.454 | 0.000 | 0.000 | 0.000 |
| -1.594 | -1.594 | -1.594 | 82.069 | 0.000 | -0.000 |
| -1.594 | -1.594 | -1.594 | -0.000 | 82.069 | 0.000 |
| -1.594 | -1.594 | -1.594 | -0.000 | 0.000 | 82.069 |
| 56.822 | -11.199 | -11.199 | -0.000 | 0.000 | -0.000 |
| -11.199 | 56.822 | -11.199 | 0.000 | 0.000 | -0.000 |
| -11.199 | -11.199 | 56.822 | 0.000 | -0.000 | 0.000 |
| -0.148 | -0.148 | -0.148 | 49.026 | -0.000 | -0.000 |
| -0.148 | -0.148 | -0.148 | -0.000 | 49.083 | -0.000 |
| -0.148 | -0.148 | -0.148 | 0.000 | -0.000 | 49.026 |
| 16.038 | -57.449 | -57.449 | 0.000 | -0.000 | 0.000 |
| -57.449 | 16.038 | -57.449 | -0.000 | 0.000 | 0.000 |
| -57.449 | -57.449 | 16.038 | 0.000 | -0.000 | 0.000 |
| 0.148 | 0.148 | 0.148 | 49.026 | -0.000 | 0.000 |
| 0.148 | 0.148 | 0.148 | -0.000 | 49.083 | 0.000 |
| 0.148 | 0.148 | 0.148 | -0.000 | 0.000 | 49.026 |
| 542.369 | 150.377 | 169.306 | -0.000 | -0.000 | 0.000 |
| 146.537 | 775.698 | 211.616 | -0.000 | 0.000 | 0.000 |
| 148.424 | 211.616 | 364.549 | -0.000 | 0.000 | 0.000 |
| 0.000 | 0.000 | 0.000 | 276.658 | 0.000 | -0.000 |
| -0.000 | 0.000 | 0.000 | -0.000 | 262.281 | -0.000 |
| -0.003 | 0.001 | 0.001 | 0.000 | -0.000 | 182.683 |
| 542.372 | 150.374 | 169.305 | -0.000 | 0.000 | -0.000 |
| 146.537 | 775.698 | 211.616 | 0.000 | -0.000 | -0.000 |
| 174.649 | 206.373 | 295.338 | -0.000 | 0.000 | -0.000 |
| -0.000 | -0.000 | -0.000 | 276.658 | -0.000 | 0.000 |
| 0.000 | -0.000 | -0.000 | 0.000 | 262.281 | 0.000 |
| 0.003 | -0.001 | -0.001 | -0.000 | 0.000 | 182.683 |
| 542.370 | 150.375 | 169.306 | -0.000 | -0.000 | 0.000 |
| 151.763 | 699.035 | 205.932 | 0.000 | -0.000 | 0.000 |
| 148.424 | 211.616 | 364.549 | -0.000 | 0.000 | -0.000 |
| 0.000 | 0.000 | 0.000 | 276.658 | -0.000 | -0.000 |
| -0.000 | 0.000 | -0.000 | -0.000 | 176.098 | 0.000 |
| 0.000 | 0.000 | -0.000 | -0.000 | -0.000 | 249.761 |
| 621.238 | 146.537 | 148.424 | -0.000 | 0.000 | 0.000 |
| 151.764 | 699.035 | 205.932 | 0.000 | 0.000 | -0.000 |
| 174.646 | 206.374 | 295.337 | 0.000 | -0.000 | -0.000 |
| -0.000 | -0.000 | -0.000 | 276.658 | -0.000 | -0.000 |
| 0.000 | -0.000 | 0.000 | 0.000 | 176.098 | -0.000 |
| -0.000 | -0.000 | 0.000 | 0.000 | 0.000 | 249.761 |
| 542.372 | 150.376 | 169.306 | 0.000 | -0.000 | 0.000 |
| 70.232 | 592.740 | 117.629 | 0.000 | -0.000 | 0.000 |
| 126.410 | 167.659 | 248.666 | -0.000 | -0.000 | 0.000 |
| 0.000 | -0.000 | -0.000 | 198.138 | -0.000 | 0.000 |
| -0.000 | 0.000 | 0.000 | -0.000 | 199.365 | 0.000 |
| -0.000 | 0.000 | 0.000 | 0.000 | -0.000 | 182.683 |
| 497.076 | 131.970 | 131.832 | -0.000 | 0.000 | -0.000 |
| 62.309 | 574.059 | 102.999 | -0.000 | 0.000 | 0.000 |
| 126.412 | 167.646 | 248.620 | 0.000 | 0.000 | -0.000 |
| -0.000 | 0.000 | 0.000 | 198.138 | 0.000 | -0.000 |
| 0.000 | -0.000 | -0.000 | 0.000 | 199.365 | -0.000 |
| 0.000 | -0.000 | -0.000 | -0.000 | 0.000 | 182.683 |
| 520.135 | 109.778 | 122.855 | -0.000 | -0.000 | -0.000 |
| -144.258 | 644.845 | -17.236 | -0.000 | -0.000 | -0.000 |
| -139.706 | 325.249 | 249.288 | -0.000 | -0.000 | 0.000 |
| -229.602 | 255.655 | -410.012 | 82.595 | -0.000 | -0.000 |
| -281.776 | 199.524 | -141.976 | -0.000 | 124.652 | 0.000 |
| -281.797 | 199.538 | -141.986 | -0.000 | -0.000 | 144.033 |
| 520.135 | 109.778 | 122.855 | 0.000 | -0.000 | 0.000 |
| 419.171 | 246.198 | 266.547 | 0.000 | 0.000 | 0.000 |
| 423.688 | -74.031 | 533.896 | 0.000 | 0.000 | -0.000 |
| 229.602 | -255.655 | 410.012 | 82.595 | 0.000 | 0.000 |
| 281.776 | -199.524 | 141.976 | 0.000 | 124.652 | -0.000 |
| 281.797 | -199.538 | 141.986 | 0.000 | 0.000 | 144.033 |
| 334.955 | 157.481 | 49.420 | 0.000 | -0.000 | -0.000 |
| 109.888 | 466.134 | 110.392 | -0.000 | -0.000 | -0.000 |
| 122.854 | 86.067 | 495.146 | -0.000 | -0.000 | -0.000 |
| -27.777 | 19.669 | -13.996 | 114.409 | -0.000 | -0.000 |
| -23.133 | 25.174 | -39.463 | 0.000 | 102.103 | -0.000 |
| 0.000 | 0.000 | 0.000 | -0.000 | -0.000 | 192.768 |
| 447.964 | 118.230 | 157.577 | 0.000 | 0.000 | -0.000 |
| 163.620 | 430.353 | 136.692 | 0.000 | 0.000 | -0.000 |
| 130.443 | 68.288 | 366.116 | 0.000 | -0.000 | 0.000 |
| 27.777 | -19.669 | 13.996 | 114.409 | 0.000 | 0.000 |
| 23.133 | -25.174 | 39.463 | 0.000 | 102.103 | 0.000 |
| -0.000 | -0.000 | -0.000 | 0.000 | 0.000 | 192.768 |
| 520.136 | 109.779 | 122.855 | -0.000 | -0.000 | -0.000 |
| 125.117 | 411.131 | 108.383 | -0.000 | -0.000 | 0.000 |
| 91.986 | 112.271 | 339.795 | -0.000 | -0.000 | -0.000 |
| -2.104 | 2.132 | -3.090 | 99.522 | -0.000 | 0.000 |
| -2.232 | 1.580 | -1.124 | 0.000 | 140.079 | -0.000 |
| 0.000 | 0.000 | 0.000 | 0.000 | -0.000 | 192.768 |
| 383.506 | 122.510 | 111.624 | 0.000 | 0.000 | 0.000 |
| 132.112 | 420.687 | 124.362 | 0.000 | 0.000 | 0.000 |
| 122.854 | 86.067 | 495.144 | 0.000 | 0.000 | 0.000 |
| 2.104 | -2.132 | 3.090 | 99.522 | -0.000 | 0.000 |
| 2.232 | -1.580 | 1.124 | 0.000 | 140.079 | 0.000 |
| -0.000 | -0.000 | -0.000 | 0.000 | 0.000 | 192.768 |
| 436.208 | 52.268 | -45.173 | -0.000 | 0.000 | -0.000 |
| 357.602 | 30.325 | 111.362 | -0.000 | 0.000 | 0.000 |
| 1250.971 | -652.965 | 12.847 | -0.000 | 0.000 | 0.000 |
| -0.000 | 0.000 | 0.000 | 155.397 | -0.000 | -0.000 |
| 140.844 | 12.970 | -99.471 | -0.000 | 114.739 | -0.000 |
| 345.153 | -3.299 | 102.006 | -0.000 | 0.000 | -14.686 |
| 154.504 | 26.327 | 153.779 | 0.000 | -0.000 | 0.000 |
| -98.551 | 270.841 | 165.395 | 0.000 | 0.000 | 0.000 |
| 49.785 | 59.960 | 393.227 | 0.000 | -0.000 | 0.000 |
| -0.000 | -0.000 | 0.000 | 155.397 | 0.000 | 0.000 |
| -140.844 | -12.970 | 99.471 | 0.000 | 114.739 | 0.000 |
| -345.153 | 3.299 | -102.006 | 0.000 | -0.000 | -14.686 |
| 307.332 | 40.694 | 44.096 | -0.000 | -0.000 | 0.000 |
| 41.373 | 338.299 | 63.292 | -0.000 | 0.000 | -0.000 |
| 68.506 | 63.989 | 317.711 | -0.000 | 0.000 | 0.000 |
| 14.357 | 1.322 | -10.139 | 128.624 | 0.000 | 0.000 |
| 0.000 | 0.000 | 0.000 | -0.000 | 144.740 | -0.000 |
| 31.766 | -0.197 | 8.338 | -0.000 | 0.000 | -0.596 |
| -175.453 | -14.976 | -77.416 | 0.000 | -0.000 | -0.000 |
| 27.651 | 280.155 | 76.404 | 0.000 | -0.000 | 0.000 |
| 49.785 | 59.960 | 393.227 | 0.000 | -0.000 | 0.000 |
| -14.357 | -1.322 | 10.139 | 128.624 | 0.000 | 0.000 |
| -0.000 | -0.000 | -0.000 | -0.000 | 144.740 | 0.000 |
| -31.766 | 0.197 | -8.338 | 0.000 | -0.000 | -0.596 |
| 130.086 | 11.841 | 3.503 | -0.000 | 0.000 | 0.000 |
| -97.041 | 3.681 | -70.563 | -0.000 | 0.000 | -0.000 |
| -33.211 | -32.354 | 144.686 | -0.000 | 0.000 | -0.000 |
| 0.000 | 0.000 | 0.000 | 155.397 | 0.000 | -0.000 |
| 6.928 | -8.724 | 8.096 | -0.000 | 43.066 | -0.000 |
| 2.308 | 0.213 | -1.630 | -0.000 | 0.000 | 85.025 |
| 46.295 | -61.095 | -66.496 | 0.000 | -0.000 | -0.000 |
| 11.126 | 118.776 | 14.300 | 0.000 | -0.000 | -0.000 |
| 6.296 | 21.042 | 175.558 | 0.000 | -0.000 | 0.000 |
| -0.000 | -0.000 | -0.000 | 155.397 | -0.000 | 0.000 |
| -6.928 | 8.724 | -8.096 | 0.000 | 43.066 | 0.000 |
| -2.308 | -0.213 | 1.630 | 0.000 | -0.000 | 85.025 |
| 77.997 | 6.048 | 11.271 | -0.000 | 0.000 | 0.000 |
| 6.048 | 77.997 | 11.271 | -0.000 | 0.000 | 0.000 |
| 12.206 | 12.206 | 59.218 | 0.000 | 0.000 | 0.000 |
| 0.000 | 0.000 | 0.000 | 21.301 | 0.000 | 0.000 |
| 0.000 | 0.000 | -0.000 | -0.000 | 21.301 | 0.000 |
| 0.000 | 0.000 | 0.000 | -0.000 | -0.000 | 13.198 |
| 77.997 | 6.048 | 11.271 | 0.000 | -0.000 | -0.000 |
| 6.048 | 77.997 | 11.271 | 0.000 | -0.000 | -0.000 |
| -49.338 | -49.338 | 106.776 | 0.000 | -0.000 | -0.000 |
| -0.000 | -0.000 | 0.000 | 21.301 | 0.000 | -0.000 |
| -0.000 | -0.000 | 0.000 | 0.000 | 21.301 | 0.000 |
| -0.000 | -0.000 | 0.000 | 0.000 | -0.000 | 13.198 |
| 70.397 | 16.912 | 9.471 | -0.000 | 0.000 | 0.000 |
| 16.912 | 70.397 | 9.471 | -0.000 | 0.000 | 0.000 |
| 12.206 | 12.206 | 59.218 | -0.000 | 0.000 | 0.000 |
| 0.000 | 0.000 | 0.000 | 21.301 | 0.000 | 0.000 |
| 0.000 | 0.000 | 0.000 | -0.000 | 21.301 | -0.000 |
| 16.169 | 16.169 | -8.677 | -0.000 | 0.000 | 4.510 |
| 28.491 | 3.063 | 28.047 | 0.000 | -0.000 | -0.000 |
| -13.937 | 18.950 | 26.928 | 0.000 | -0.000 | 0.000 |
| 12.206 | 12.206 | 59.217 | -0.000 | 0.000 | -0.000 |
| -0.000 | -0.000 | -0.000 | 21.301 | 0.000 | -0.000 |
| -0.000 | -0.000 | -0.000 | 0.000 | 21.301 | -0.000 |
| -16.169 | -16.169 | 8.677 | 0.000 | -0.000 | 4.510 |
| -1958632.670 | -1962398.615 | -1447997.237 | -6011.019 | -1655.878 | -22.045 |
| -1960287.281 | -1959891.659 | -1446477.654 | -955.258 | 772.033 | -249.232 |
| 20.740 | 20.740 | -11.409 | -0.000 | 0.000 | 0.000 |
| -1978377.328 | -1985653.924 | -1480458.429 | -39953.322 | 7929.066 | -1850.561 |
| -2006626.962 | -2001150.184 | -1510373.124 | -13805.384 | -29512.651 | 2717.454 |
| -1971429.650 | -1972804.363 | -1463987.660 | -5799.965 | 616.080 | -213.237 |
| 1961105.599 | 1960415.550 | 1447289.753 | 2090.884 | -1521.388 | 591.347 |
| 1957899.535 | 1962253.741 | 1447156.205 | 7347.913 | 840.433 | 79.016 |
| 16.461 | 16.461 | -14.281 | 0.000 | -0.000 | -0.000 |
| 1970875.832 | 1980104.078 | 1471504.326 | -47486.658 | 4320.936 | 561.529 |
| 1998757.790 | 1993426.839 | 1500065.959 | 8341.427 | -37001.211 | 1583.253 |
| 1971351.145 | 1973556.813 | 1464061.286 | 3192.753 | -354.755 | 544.749 |
| 813.411 | 365.109 | 624.809 | 149.262 | -297.004 | 384.498 |
| 1491.359 | 1129.506 | 728.145 | -217.771 | 59.459 | 1243.953 |
| 1041.634 | 904.551 | 1034.741 | 14.344 | -226.128 | 1061.400 |
| 1459.561 | 830.890 | 615.715 | 66.399 | 153.094 | 878.427 |
| 553.550 | 289.489 | 545.351 | 138.990 | -200.108 | 391.566 |
| 516.694 | 266.394 | 538.669 | 139.754 | -317.882 | 487.140 |
| -167.801 | 277.968 | 235.498 | -287.229 | 387.661 | -208.618 |
| -453.677 | -53.693 | -459.408 | -157.669 | 321.970 | -413.969 |
| -402.423 | 279.210 | 510.031 | -278.353 | 392.936 | -204.552 |
| -517.108 | 140.991 | 128.193 | -183.650 | 385.741 | -197.892 |
| -519.501 | 163.016 | 122.903 | -287.071 | 506.807 | -201.235 |
| -1005.098 | -463.524 | -644.330 | -33.171 | 194.194 | -660.452 |
| 400.569 | 96.960 | 108.576 | 31.319 | -34.098 | 12.118 |
| 164.905 | 277.907 | 102.021 | 5.494 | -40.304 | 7.218 |
| 138.188 | 112.031 | 405.739 | 19.588 | -25.873 | 36.742 |
| 18.098 | -7.992 | -4.659 | 147.582 | -26.582 | 71.495 |
| -0.374 | -4.963 | 0.439 | 0.739 | 186.741 | -8.277 |
| 15.372 | -32.366 | 57.654 | 23.420 | -64.541 | 139.413 |
| 145.615 | 29.800 | 8.995 | 9.797 | 33.742 | -85.448 |
| -14.896 | 97.423 | 11.943 | -21.831 | 29.453 | -105.932 |
| 66.959 | 131.362 | 401.118 | -17.336 | 47.625 | -23.804 |
| -0.807 | -21.002 | 11.034 | 183.288 | 0.739 | -0.506 |
| -0.374 | -4.963 | 0.439 | 0.739 | 186.741 | -8.277 |
| -26.772 | -7.856 | 3.880 | -0.499 | -6.461 | 198.069 |
| 278.304 | 90.342 | 88.142 | 11.856 | 5.335 | -2.573 |
| 93.926 | 226.182 | 92.228 | -17.766 | 4.771 | -10.395 |
| 95.208 | 89.436 | 358.806 | 6.322 | 6.211 | 5.344 |
| 22.165 | -12.264 | 13.915 | 85.839 | -0.054 | 8.916 |
| 11.745 | 8.736 | 13.877 | 1.424 | 91.901 | 4.225 |
| -2.774 | -5.079 | 9.876 | 4.006 | -7.512 | 90.086 |
| 226.031 | 69.499 | 79.411 | 12.623 | 3.099 | -12.176 |
| 85.445 | 242.268 | 87.713 | -19.969 | 7.789 | -18.124 |
| 110.831 | 113.037 | 403.016 | 8.720 | 8.975 | 0.843 |
| -1.152 | -19.652 | 8.191 | 111.792 | 4.942 | 2.138 |
| -3.272 | 1.141 | 2.429 | 1.502 | 101.222 | -12.719 |
| -24.413 | -13.626 | -7.383 | -2.475 | 2.023 | 100.983 |
| 212.850 | 25.417 | 61.784 | -1.814 | -18.937 | -11.035 |
| -64.640 | 231.355 | -48.992 | 40.558 | 54.087 | 0.840 |
| 57.015 | 26.563 | 227.507 | -14.145 | -24.929 | 6.161 |
| -94.315 | 46.510 | -83.742 | 95.035 | 50.185 | 7.010 |
| -84.155 | 51.213 | -75.170 | 39.525 | 99.529 | -1.169 |
| -9.555 | -1.862 | 6.253 | 0.683 | -8.520 | 90.314 |
| 249.725 | -18.594 | 127.067 | -39.712 | -46.890 | -15.398 |
| 91.476 | 77.280 | 76.480 | -59.912 | -8.557 | -21.825 |
| 139.683 | -18.575 | 208.322 | -43.908 | -45.708 | -3.872 |
| 94.539 | -47.819 | 76.464 | 15.002 | -51.998 | 1.733 |
| 103.461 | -42.790 | 83.459 | -40.169 | -0.293 | -6.543 |
| 83.209 | -49.127 | 79.169 | -36.356 | -55.612 | 62.588 |
| 125.016 | 29.678 | 33.164 | 8.216 | 3.211 | -8.582 |
| 20.700 | 190.437 | 23.469 | 4.060 | 7.782 | -1.542 |
| 23.487 | 25.661 | 84.555 | -3.433 | -7.514 | 8.372 |
| -3.662 | 4.114 | -8.873 | 47.177 | -0.156 | 5.214 |
| 0.947 | 7.385 | -5.335 | 3.329 | 60.522 | -4.163 |
| -9.555 | -1.862 | 6.253 | 0.683 | -8.520 | 90.314 |
| 99.518 | -3.247 | 17.697 | -6.156 | 4.852 | -8.912 |
| 25.744 | 226.892 | 28.694 | -3.932 | 2.431 | -1.847 |
| 44.763 | 12.892 | 113.054 | -8.515 | 3.842 | 0.401 |
| 10.284 | -16.307 | -3.978 | 34.221 | 5.361 | -3.592 |
| 14.904 | -0.395 | 5.063 | -2.630 | 57.246 | -4.931 |
| -2.293 | -5.968 | 8.343 | -2.623 | -7.993 | 52.544 |
| 94.467 | 9.542 | 27.291 | -0.796 | -2.121 | -6.845 |
| 14.589 | 157.776 | 20.275 | -2.911 | -1.841 | 2.388 |
| 26.650 | 14.686 | 87.197 | -6.719 | -0.588 | 2.914 |
| -1.409 | -4.191 | -6.662 | 41.956 | 2.164 | 2.813 |
| 5.594 | -0.557 | -0.911 | 2.802 | 48.094 | -6.881 |
| -12.145 | -1.386 | -0.946 | 3.814 | -4.432 | 68.727 |
| 123.706 | 16.003 | 36.790 | 0.554 | -2.264 | -6.708 |
| 11.829 | 144.364 | 14.912 | -4.963 | -0.241 | 2.152 |
| 35.203 | 18.149 | 101.601 | -7.908 | -4.607 | 3.665 |
| -0.484 | -6.075 | -5.835 | 40.540 | 2.640 | 2.428 |
| 6.430 | -1.312 | -2.753 | 0.605 | 52.181 | -7.609 |
| -8.884 | -0.026 | 3.391 | 2.067 | -7.073 | 59.928 |
| 385.374 | 140.075 | 187.256 | 131.499 | 222.044 | 30.608 |
| 194.570 | 395.148 | 200.531 | 138.181 | 230.053 | 35.118 |
| 458.733 | 73.142 | 985.225 | 184.923 | 166.077 | -132.829 |
| 385.480 | -3.635 | 669.812 | 313.254 | 158.183 | -122.631 |
| -4.027 | 2.580 | 7.344 | -6.937 | 173.777 | -0.606 |
| 1922.469 | -1495.684 | 849.443 | 654.826 | 133.960 | 42.848 |
| 383.626 | 86.978 | 82.379 | 6.089 | -1.531 | 0.639 |
| 87.481 | 443.440 | 83.419 | 8.089 | 2.014 | -7.559 |
| 69.035 | 125.688 | -222.413 | -311.031 | -258.183 | 22.826 |
| -88.337 | -38.591 | -107.607 | 8.024 | -239.888 | -36.366 |
| -28.670 | 29.833 | -546.739 | -307.683 | -177.875 | 24.198 |
| -0.519 | -7.958 | -7.050 | 6.911 | 13.553 | 177.166 |
| 302.896 | 108.046 | 105.405 | 14.839 | 17.737 | -5.178 |
| 116.495 | 219.710 | 134.997 | 70.777 | 3.584 | -37.011 |
| 82.309 | 84.220 | 492.592 | -9.827 | 7.344 | -7.649 |
| 10.847 | 0.714 | -7.338 | 151.367 | 9.528 | 7.221 |
| 2.115 | 7.536 | 17.438 | 0.134 | 138.863 | 3.806 |
| -9.331 | -16.540 | 54.594 | 33.912 | 35.630 | 83.800 |
| 383.626 | 86.978 | 82.379 | 6.089 | -1.531 | 0.639 |
| 87.481 | 443.440 | 83.419 | 8.089 | 2.014 | -7.559 |
| 82.309 | 84.220 | 492.592 | -9.827 | 7.344 | -7.649 |
| -6.993 | -6.313 | -25.388 | 125.270 | -35.302 | -0.634 |
| -4.027 | 2.579 | 7.344 | -6.937 | 173.776 | -0.606 |
| -15.040 | -10.675 | -52.789 | -24.191 | -16.946 | 88.690 |
| 221.726 | 68.346 | 87.464 | 4.473 | -1.121 | -14.549 |
| 78.140 | 290.975 | 86.996 | 5.280 | 0.014 | -10.245 |
| 84.213 | 60.456 | 278.175 | -10.352 | 9.844 | -13.139 |
| 4.134 | -7.829 | -9.914 | 132.068 | -8.109 | 5.195 |
| -0.258 | -4.616 | 14.204 | -1.731 | 87.780 | -3.318 |
| -13.907 | -10.516 | -0.248 | 4.874 | 8.291 | 94.792 |
| 223.025 | 76.316 | 75.827 | -1.624 | -3.621 | -15.192 |
| 36.364 | 245.286 | 56.025 | -4.585 | -8.259 | -15.956 |
| 77.699 | 84.273 | 325.174 | -19.328 | 2.497 | -6.947 |
| 1.847 | -3.801 | -16.102 | 145.376 | -13.795 | 3.609 |
| -7.445 | -3.645 | 1.157 | -10.825 | 89.014 | -0.054 |
| -17.355 | -10.326 | -10.125 | 0.723 | 4.578 | 95.541 |
| 59.148 | 265.321 | 151.571 | -373.276 | 8.264 | 28.784 |
| -61.816 | -38.246 | 207.003 | -247.614 | -19.445 | 55.145 |
| 38.977 | 54.103 | 229.553 | -10.766 | -1.160 | 5.441 |
| -117.287 | -237.644 | 142.664 | -147.673 | -11.319 | 46.563 |
| -118.351 | -216.913 | 145.704 | -212.720 | 49.447 | 48.323 |
| 547.429 | 100.893 | 1136.924 | -347.691 | 1122.039 | -42.784 |
| 400.153 | -163.869 | -67.035 | 378.752 | 2.930 | -24.128 |
| -100.818 | 121.830 | -500.817 | 442.479 | -269.015 | 176.378 |
| -126.426 | 48.853 | -424.049 | 448.549 | -279.115 | 171.527 |
| -797.639 | 363.820 | -1010.879 | 138.626 | -992.745 | 187.693 |
| -580.040 | -59.429 | -1016.886 | 565.164 | -687.941 | 119.058 |
| -10.740 | 9.250 | 3.139 | 0.163 | 2.189 | 107.111 |
| 190.307 | 29.940 | 50.395 | -21.602 | 1.627 | 7.648 |
| 39.187 | 167.132 | 70.647 | -59.027 | -4.130 | 10.174 |
| 24.098 | 30.471 | 172.609 | -30.268 | -7.686 | 9.517 |
| -13.732 | 17.639 | 9.323 | 37.245 | 7.738 | -2.799 |
| -19.189 | 16.465 | 6.457 | -30.210 | 77.653 | 4.847 |
| 7.277 | 6.134 | 51.909 | -50.795 | 19.905 | 35.610 |
| 74.376 | 63.023 | -36.258 | 30.724 | -40.877 | -0.767 |
| 65.511 | 151.498 | 34.936 | 28.075 | -4.353 | 11.084 |
| 38.977 | 54.103 | 229.553 | -10.766 | -1.160 | 5.441 |
| -22.711 | 3.567 | -55.302 | 90.234 | -27.163 | 9.343 |
| -58.397 | 18.949 | -116.624 | 11.098 | -64.385 | 8.463 |
| -68.789 | -3.524 | -101.075 | 52.253 | -79.406 | 52.729 |
| 150.052 | 37.720 | 26.603 | -5.254 | 11.509 | -2.218 |
| 40.685 | 121.043 | 38.422 | -18.208 | 2.984 | 5.262 |
| 26.080 | 30.301 | 122.545 | -9.346 | -2.838 | 4.906 |
| -1.482 | -13.546 | -0.564 | 49.744 | 7.409 | -4.463 |
| 2.990 | -2.459 | -2.525 | 0.684 | 52.975 | -1.815 |
| -6.093 | 6.196 | 8.256 | -8.223 | 0.829 | 54.016 |
| 150.887 | 35.707 | 14.018 | -1.115 | -3.668 | -1.364 |
| 35.010 | 115.940 | 27.330 | -9.966 | -5.054 | 5.890 |
| 15.030 | 28.943 | 90.796 | -1.417 | -17.685 | 3.678 |
| 2.559 | -19.458 | -6.489 | 74.788 | 5.975 | -4.394 |
| -4.838 | -3.779 | -21.921 | 6.490 | 33.798 | -0.395 |
| -4.830 | 6.340 | -0.510 | 0.810 | -0.893 | 68.456 |
| 574.344 | -195.301 | 698.923 | -204.891 | -577.468 | -699.590 |
| 1113.273 | -540.308 | 863.734 | -453.670 | -503.249 | -1046.417 |
| 76.639 | 136.051 | 670.422 | -108.788 | -435.991 | -182.536 |
| 0.588 | -54.382 | -26.229 | 198.126 | 1.308 | -1.836 |
| -10.792 | -3.576 | 3.599 | 1.308 | 199.227 | -8.571 |
| -7.396 | 1.966 | 10.172 | -1.827 | -7.034 | 205.898 |
| 277.868 | 315.951 | 34.224 | 14.565 | 278.139 | 53.898 |
| 15.224 | 561.638 | 16.261 | -26.095 | 286.627 | 53.938 |
| 113.708 | 103.340 | 474.375 | -26.229 | 3.599 | 10.143 |
| -134.012 | 124.966 | -140.682 | 145.876 | 291.738 | 45.584 |
| -10.792 | -3.576 | 3.599 | 1.308 | 199.227 | -8.571 |
| 56.020 | -3.595 | -364.978 | 64.629 | 423.563 | 311.221 |
| 419.561 | 129.108 | 155.589 | -5.720 | -38.677 | 1.607 |
| 163.793 | 211.412 | 150.712 | -99.333 | -58.915 | -73.844 |
| 138.657 | 23.516 | 315.290 | -70.548 | -36.695 | -63.305 |
| 0.588 | -54.382 | -26.229 | 198.126 | 1.308 | -1.836 |
| -17.106 | -3.827 | 35.320 | -1.893 | 51.991 | -29.254 |
| -7.396 | 1.966 | 10.172 | -1.827 | -7.034 | 205.898 |
| 402.041 | 159.950 | 132.210 | -1.851 | 17.892 | 10.685 |
| 133.359 | 405.659 | 116.283 | -42.609 | 26.052 | 10.967 |
| 130.927 | 144.433 | 354.883 | -28.462 | 32.421 | 10.766 |
| 4.252 | -53.281 | -75.097 | 103.488 | 46.665 | 14.451 |
| -24.988 | 18.658 | -54.431 | 18.956 | 144.915 | 54.030 |
| -13.562 | 22.378 | -4.525 | -0.292 | 22.554 | 148.303 |
| 327.729 | 104.675 | 94.798 | -8.698 | -9.978 | 8.570 |
| 123.175 | 333.542 | 115.785 | -52.623 | -11.659 | 3.671 |
| 99.432 | 88.726 | 287.830 | -45.094 | 0.392 | 15.447 |
| -6.299 | -67.856 | -37.763 | 96.543 | -1.358 | -5.541 |
| 13.132 | -24.875 | 20.229 | -1.251 | 76.767 | -32.595 |
| 9.948 | 7.472 | 27.488 | 0.003 | -21.459 | 111.743 |
| 274.265 | 119.479 | 60.392 | -4.031 | 1.213 | 36.970 |
| 112.781 | 314.473 | 92.349 | -58.163 | -3.113 | 15.998 |
| 90.491 | 98.092 | 272.592 | -41.327 | 13.137 | 25.853 |
| -17.784 | -62.931 | -55.516 | 94.281 | 4.051 | 11.147 |
| -6.598 | -7.608 | -0.457 | 3.669 | 110.079 | -11.046 |
| 0.055 | 7.437 | 9.867 | -1.141 | -8.685 | 137.864 |
| -273.439 | 13.363 | -693.700 | 368.170 | -924.756 | 40.479 |
| -1249.101 | 272.037 | -433.497 | -1485.378 | -88.912 | -768.830 |
| -1254.898 | 230.617 | -374.983 | -1481.130 | -95.065 | -759.192 |
| -1699.294 | 520.802 | -331.732 | -1607.460 | -284.048 | -874.966 |
| -1904.653 | 1122.904 | -290.687 | -1677.021 | -392.948 | -1732.315 |
| -13.097 | -3.089 | -1.636 | 1.059 | -4.960 | 110.980 |
| 1120.026 | 84.880 | 27.696 | 1178.676 | -48.809 | 1010.616 |
| 518.888 | 299.941 | 24.552 | -120.935 | 444.289 | -22.015 |
| 45.695 | 42.254 | 293.466 | 3.732 | 11.394 | 0.782 |
| 905.055 | 162.219 | 639.890 | 80.873 | 469.935 | 33.172 |
| 1924.344 | -1311.388 | 467.230 | 1677.391 | 655.215 | 1810.117 |
| 1008.389 | -478.159 | 200.860 | 1214.835 | -27.774 | 831.981 |
| -39.470 | 57.528 | -34.046 | -165.752 | -34.999 | -96.713 |
| -166.951 | 100.877 | -34.388 | -161.788 | -30.334 | -89.875 |
| -188.639 | 122.231 | 44.315 | -168.007 | -66.026 | -168.955 |
| 1.692 | 2.606 | 3.732 | 104.887 | -3.012 | 0.224 |
| -136.440 | 20.742 | -53.601 | -151.355 | 37.795 | -86.267 |
| -207.874 | 134.888 | -70.411 | -170.490 | -83.641 | -139.195 |
| 324.084 | -98.475 | 48.865 | 152.909 | 40.646 | 143.661 |
| 96.241 | 189.514 | 122.708 | -37.662 | 92.868 | -7.025 |
| 125.306 | -8.853 | 102.815 | 145.413 | -3.316 | 83.559 |
| 169.246 | -46.854 | 38.924 | 195.807 | 27.031 | 85.266 |
| 183.864 | -101.148 | 32.110 | 154.189 | 91.259 | 145.556 |
| 33.506 | 19.675 | 3.339 | -10.911 | 41.676 | 54.689 |
| 186.890 | 40.907 | 42.826 | -2.637 | -5.857 | -13.062 |
| 3.131 | 87.859 | 13.453 | 1.546 | -0.074 | 1.628 |
| -12.761 | 11.989 | 89.926 | -14.521 | -8.325 | -6.057 |
| -6.119 | 8.824 | 4.553 | 57.898 | -4.112 | 0.994 |
| -26.307 | 12.456 | -12.035 | -19.936 | 48.615 | -21.128 |
| -19.797 | -4.222 | 5.339 | -14.606 | -6.875 | 21.686 |
| 180.071 | 25.616 | 25.294 | -1.788 | -2.477 | -13.430 |
| 26.980 | 118.962 | 29.966 | 5.334 | 10.141 | 3.013 |
| 19.713 | 19.239 | 90.020 | 4.194 | -4.996 | 13.011 |
| 11.992 | -5.513 | 3.285 | 53.354 | 0.053 | 10.881 |
| 11.323 | -6.522 | -1.860 | 11.874 | 63.247 | 11.979 |
| -6.799 | 4.057 | 12.021 | 1.107 | 3.959 | 60.409 |
| 625.706 | 314.961 | 314.961 | 0.000 | -0.000 | 0.000 |
| 314.961 | 625.706 | 314.961 | 0.000 | -0.000 | 0.000 |
| 314.961 | 314.961 | 625.706 | -0.000 | -0.000 | 0.000 |
| 0.000 | -0.000 | 0.000 | 245.145 | -0.000 | 0.000 |
| 0.000 | -0.000 | 0.000 | 0.000 | 245.145 | 0.000 |
| 0.000 | -0.000 | -0.000 | 0.000 | -0.000 | 245.145 |
| 625.706 | 314.961 | 314.961 | 0.000 | 0.000 | -0.000 |
| 314.961 | 625.706 | 314.961 | -0.000 | 0.000 | -0.000 |
| 314.961 | 314.961 | 625.706 | -0.000 | 0.000 | -0.000 |
| -0.000 | 0.000 | 0.000 | 245.145 | 0.000 | -0.000 |
| -0.000 | 0.000 | 0.000 | 0.000 | 245.145 | -0.000 |
| -0.000 | 0.000 | -0.000 | -0.000 | 0.000 | 245.145 |
| 625.706 | 314.962 | 314.962 | 0.000 | -0.000 | 0.000 |
| 314.962 | 625.706 | 314.962 | 0.000 | -0.000 | 0.000 |
| 314.962 | 314.962 | 625.706 | 0.000 | -0.000 | 0.000 |
| 0.000 | -0.000 | 0.000 | 188.347 | -0.000 | 0.000 |
| 0.000 | 0.000 | 0.000 | -0.000 | 188.347 | 0.000 |
| -0.000 | 0.000 | 0.000 | 0.000 | -0.000 | 188.347 |
| 832.653 | 309.982 | 309.982 | -0.000 | 0.000 | -0.000 |
| 309.982 | 832.653 | 309.982 | 0.000 | 0.000 | -0.000 |
| 320.161 | 320.161 | 625.431 | -0.000 | 0.000 | -0.000 |
| -0.000 | 0.000 | -0.000 | 188.347 | 0.000 | -0.000 |
| -0.000 | -0.000 | -0.000 | 0.000 | 188.347 | -0.000 |
| 0.000 | -0.000 | -0.000 | -0.000 | 0.000 | 188.347 |
| 625.432 | 320.163 | 320.161 | 0.000 | -0.000 | 0.000 |
| 320.161 | 625.432 | 320.163 | 0.000 | -0.000 | 0.000 |
| 320.163 | 320.161 | 625.432 | -0.000 | -0.000 | 0.000 |
| 0.000 | -0.000 | 0.001 | 188.347 | -0.000 | 0.000 |
| 0.001 | 0.000 | 0.000 | 0.000 | 188.347 | 0.000 |
| -0.000 | 0.001 | 0.000 | -0.000 | -0.000 | 188.347 |
| 625.430 | 320.159 | 320.161 | 0.000 | 0.000 | -0.000 |
| 320.161 | 625.430 | 320.159 | 0.000 | 0.000 | -0.000 |
| 320.159 | 320.161 | 625.430 | 0.000 | 0.000 | -0.000 |
| -0.000 | 0.000 | -0.001 | 188.347 | 0.000 | -0.000 |
| -0.001 | -0.000 | -0.000 | -0.000 | 188.347 | -0.000 |
| 0.000 | -0.001 | -0.000 | -0.000 | 0.000 | 188.347 |
| 743.212 | 241.619 | 241.619 | 0.000 | 0.000 | 0.000 |
| 241.619 | 743.212 | 241.619 | -0.000 | 0.000 | 0.000 |
| 241.619 | 241.619 | 743.212 | -0.000 | -0.000 | 0.000 |
| 0.000 | 0.000 | 0.000 | 216.067 | 0.000 | 0.000 |
| 0.000 | 0.000 | -0.000 | 0.000 | 216.067 | 0.000 |
| 0.000 | -0.000 | 0.000 | 0.000 | -0.000 | 216.067 |
| 484.793 | 260.996 | 260.996 | 0.000 | 0.000 | -0.000 |
| 260.996 | 484.793 | 260.996 | 0.000 | 0.000 | -0.000 |
| 260.996 | 260.996 | 484.793 | 0.000 | 0.000 | -0.000 |
| -0.000 | -0.000 | -0.000 | 216.067 | -0.000 | -0.000 |
| -0.000 | -0.000 | -0.000 | -0.000 | 216.067 | -0.000 |
| -0.000 | 0.000 | 0.000 | -0.000 | 0.000 | 216.067 |
| 743.213 | 241.619 | 241.619 | 0.000 | -0.000 | 0.000 |
| 241.619 | 743.213 | 241.619 | -0.000 | -0.000 | 0.000 |
| 241.619 | 241.619 | 743.213 | 0.000 | -0.000 | 0.000 |
| 0.000 | 0.000 | 0.000 | 149.437 | 0.000 | 0.000 |
| 0.000 | 0.000 | 0.000 | 0.000 | 149.437 | 0.000 |
| 0.000 | 0.000 | 0.000 | 0.000 | 0.000 | 149.437 |
| 743.212 | 241.619 | 241.619 | -0.000 | -0.000 | -0.000 |
| 241.619 | 743.212 | 241.619 | 0.000 | -0.000 | -0.000 |
| 241.619 | 241.619 | 743.212 | -0.000 | -0.000 | -0.000 |
| -0.000 | -0.000 | -0.000 | 149.437 | -0.000 | -0.000 |
| -0.000 | -0.000 | -0.000 | -0.000 | 149.437 | -0.000 |
| -0.000 | -0.000 | -0.000 | -0.000 | -0.000 | 149.437 |
| 484.813 | 261.008 | 261.007 | -0.000 | -0.000 | 0.000 |
| 261.007 | 484.813 | 261.008 | 0.000 | -0.000 | 0.000 |
| 261.008 | 261.007 | 484.813 | -0.000 | -0.000 | 0.000 |
| 0.000 | 0.000 | 0.000 | 216.067 | 0.000 | 0.000 |
| 0.001 | 0.000 | 0.001 | 0.000 | 140.786 | 0.000 |
| 0.000 | 0.000 | 0.000 | 0.000 | -0.000 | 216.067 |
| 484.788 | 260.999 | 261.000 | 0.000 | 0.000 | -0.000 |
| 261.000 | 484.788 | 260.999 | 0.000 | 0.000 | -0.000 |
| 260.999 | 261.000 | 484.788 | 0.000 | 0.000 | -0.000 |
| -0.000 | -0.000 | -0.000 | 216.067 | 0.000 | -0.000 |
| -0.001 | -0.000 | -0.001 | -0.000 | 140.786 | -0.000 |
| -0.000 | -0.000 | -0.000 | 0.000 | 0.000 | 216.067 |
| 1004.586 | 329.097 | -24.044 | -0.000 | 0.000 | -0.000 |
| 329.097 | 1004.586 | -24.044 | 0.000 | 0.000 | -0.000 |
| 32.390 | 32.390 | 1237.537 | 0.000 | 0.000 | -0.000 |
| 1.434 | 1.434 | -3.785 | 235.418 | -0.000 | 0.000 |
| 1.434 | 1.434 | -3.785 | -0.000 | 235.418 | 0.000 |
| 0.000 | 0.000 | 0.000 | 0.000 | 0.000 | 337.744 |
| 1004.586 | 329.097 | -24.044 | 0.000 | -0.000 | 0.000 |
| 372.546 | 930.959 | 15.775 | -0.000 | -0.000 | -0.000 |
| 30.977 | 30.977 | 1241.265 | -0.000 | -0.000 | -0.000 |
| -1.434 | -1.434 | 3.785 | 235.418 | 0.000 | -0.000 |
| -1.434 | -1.434 | 3.785 | 0.000 | 235.418 | -0.000 |
| -0.000 | -0.000 | -0.000 | -0.000 | -0.000 | 337.744 |
| 1004.586 | 329.097 | -24.044 | -0.000 | 0.000 | 0.000 |
| 329.097 | 1004.586 | -24.044 | -0.000 | 0.000 | -0.000 |
| -6.271 | -6.271 | 1339.557 | 0.000 | 0.000 | 0.000 |
| 0.162 | 0.162 | -0.427 | 235.337 | 0.000 | 0.000 |
| 0.000 | 0.000 | -0.000 | 0.000 | 236.054 | 0.000 |
| 0.000 | 0.000 | 0.000 | 0.000 | 0.000 | 337.744 |
| 1004.586 | 329.097 | -24.044 | -0.000 | -0.000 | 0.000 |
| 329.097 | 1004.586 | -24.044 | 0.000 | -0.000 | 0.000 |
| -6.271 | -6.271 | 1339.555 | -0.000 | 0.000 | -0.000 |
| -0.162 | -0.162 | 0.427 | 235.337 | 0.000 | -0.000 |
| -0.000 | -0.000 | 0.000 | -0.000 | 236.054 | -0.000 |
| -0.000 | -0.000 | -0.000 | -0.000 | -0.000 | 337.744 |
| 946.806 | 340.566 | 37.067 | 0.000 | 0.000 | 0.000 |
| 373.249 | 931.684 | 13.896 | 0.000 | 0.000 | 0.000 |
| 31.700 | 31.700 | 1239.363 | 0.000 | 0.000 | -0.000 |
| 0.016 | 0.016 | -0.042 | 235.336 | 0.000 | 0.000 |
| 0.000 | 0.000 | -0.001 | 0.000 | 236.054 | 0.000 |
| 0.019 | 0.019 | -0.051 | 0.000 | 0.000 | 279.206 |
| 931.650 | 373.245 | 13.935 | -0.000 | -0.000 | -0.000 |
| 373.243 | 931.659 | 13.927 | 0.000 | -0.000 | -0.000 |
| 31.959 | 31.959 | 1238.666 | -0.000 | 0.000 | -0.000 |
| -0.016 | -0.016 | 0.042 | 235.336 | -0.000 | -0.000 |
| -0.000 | -0.000 | 0.001 | 0.000 | 236.054 | -0.000 |
| -0.019 | -0.019 | 0.051 | -0.000 | -0.000 | 279.206 |
| -8113.206 | 10149.845 | 4821.522 | 0.000 | -0.000 | -0.000 |
| -3198.889 | 4862.359 | 486.584 | 0.000 | -0.000 | 0.000 |
| -7540.758 | 12695.939 | 3003.726 | 0.000 | 0.000 | 0.000 |
| -3310.181 | 4458.682 | 340.537 | 160.839 | -0.000 | 0.000 |
| -7366.839 | 11897.937 | 3488.827 | 0.000 | 203.212 | -0.000 |
| -8391.870 | 10082.107 | 4713.884 | 0.000 | 0.000 | 91.309 |
| 3663.723 | -4340.810 | -207.091 | 0.000 | -0.000 | -0.000 |
| 8485.920 | -9780.388 | -4608.882 | -0.000 | -0.000 | 0.000 |
| 3464.816 | -4341.343 | 104.981 | 0.000 | -0.000 | -0.000 |
| 3310.181 | -4458.682 | -340.537 | 160.838 | 0.000 | -0.000 |
| 8190.778 | -13166.424 | -2974.082 | -0.000 | 37.441 | 0.000 |
| 8391.870 | -10082.107 | -4713.884 | 0.000 | -0.000 | 91.309 |
| -496.948 | 1239.658 | 394.556 | -0.000 | 0.000 | -0.000 |
| -696.932 | 1497.059 | 281.145 | 0.000 | -0.000 | -0.000 |
| -179.687 | 562.237 | 487.646 | 0.000 | -0.000 | 0.000 |
| -762.969 | 1270.536 | 277.145 | 132.454 | -0.000 | 0.000 |
| -331.259 | 446.193 | 34.078 | 0.000 | 136.533 | 0.000 |
| -331.382 | 446.358 | 34.091 | -0.000 | -0.000 | 154.666 |
| 685.014 | -327.854 | 99.161 | 0.000 | -0.000 | -0.000 |
| 443.124 | -42.505 | 111.626 | -0.000 | -0.000 | -0.000 |
| 927.930 | -884.468 | -128.402 | 0.000 | -0.000 | 0.000 |
| 794.472 | -1338.343 | -273.444 | 108.421 | 0.000 | -0.000 |
| 331.259 | -446.193 | -34.078 | -0.000 | 136.533 | -0.000 |
| 331.381 | -446.358 | -34.091 | -0.000 | -0.000 | 154.666 |
| 215.784 | 202.723 | 158.487 | 0.000 | -0.000 | -0.000 |
| 107.486 | 499.123 | 113.763 | 0.000 | 0.000 | 0.000 |
| 40.969 | 165.450 | 349.000 | 0.000 | -0.000 | 0.000 |
| -80.481 | 124.201 | 35.118 | 126.508 | -0.000 | 0.000 |
| -55.614 | 67.272 | 29.799 | -0.000 | 102.169 | -0.000 |
| -0.000 | 0.000 | 0.000 | 0.000 | 0.000 | 190.704 |
| 279.878 | -80.462 | 26.127 | 0.000 | -0.000 | -0.000 |
| 195.087 | 221.081 | 59.757 | -0.000 | 0.000 | 0.000 |
| 175.976 | -61.580 | 300.395 | -0.000 | -0.000 | -0.000 |
| 63.871 | -76.849 | -35.522 | 130.647 | -0.000 | 0.000 |
| 55.614 | -67.272 | -29.799 | -0.000 | 102.169 | 0.000 |
| 0.000 | -0.000 | -0.000 | -0.000 | 0.000 | 190.704 |
| 1644.550 | 3455.995 | -249.056 | -0.000 | 0.000 | 0.000 |
| 123.593 | 687.688 | 33.585 | -0.000 | -0.000 | 0.000 |
| 67.001 | 59.897 | 391.644 | 0.000 | -0.000 | -0.000 |
| 54.222 | 349.776 | -34.123 | 138.130 | -0.000 | 0.000 |
| 0.000 | 0.000 | 0.000 | 0.000 | 162.750 | -0.000 |
| 1054.155 | 2282.555 | -347.648 | 0.000 | -0.000 | 59.304 |
| -940.537 | -2196.252 | 405.396 | 0.000 | 0.000 | -0.000 |
| -977.184 | -2130.091 | 388.207 | -0.000 | 0.000 | -0.000 |
| 15.117 | -277.305 | 378.842 | 0.000 | 0.000 | -0.000 |
| -54.222 | -349.776 | 34.123 | 138.130 | 0.000 | -0.000 |
| -0.000 | -0.000 | -0.000 | -0.000 | 162.750 | 0.000 |
| -1054.155 | -2282.555 | 347.648 | -0.000 | 0.000 | 59.304 |
| 322.102 | 63.642 | 66.568 | 0.000 | -0.000 | -0.000 |
| 74.744 | 374.334 | 64.054 | -0.000 | -0.000 | 0.000 |
| 67.001 | 59.897 | 391.644 | 0.000 | 0.000 | -0.000 |
| 5.445 | 35.124 | -3.427 | 138.040 | -0.000 | 0.000 |
| 149.110 | 326.221 | -25.342 | -0.000 | 32.959 | 0.000 |
| 191.169 | 373.335 | -66.651 | -0.000 | -0.000 | 98.440 |
| 267.318 | 38.125 | 72.477 | 0.000 | 0.000 | -0.000 |
| 64.401 | 299.906 | 71.759 | 0.000 | 0.000 | -0.000 |
| 63.879 | 37.238 | 347.890 | 0.000 | 0.000 | -0.000 |
| -5.445 | -35.124 | 3.427 | 138.040 | 0.000 | -0.000 |
| -149.110 | -326.221 | 25.342 | 0.000 | 32.959 | -0.000 |
| -149.941 | -327.915 | 25.456 | 0.000 | 0.000 | 47.868 |
| 191.931 | 69.437 | 35.461 | -0.000 | -0.000 | 0.000 |
| 47.013 | 214.721 | 9.717 | -0.000 | -0.000 | 0.000 |
| 68.585 | 63.904 | 257.346 | -0.000 | -0.000 | 0.000 |
| 5.894 | 13.230 | -1.976 | 108.703 | -0.000 | 0.000 |
| 6.268 | 13.956 | -2.094 | -0.000 | 96.034 | 0.000 |
| 5.745 | 12.900 | -1.927 | -0.000 | -0.000 | 102.998 |
| 165.815 | 18.247 | 35.897 | 0.000 | 0.000 | -0.000 |
| 20.293 | 159.095 | 6.179 | 0.000 | 0.000 | -0.000 |
| 37.029 | 8.481 | 246.483 | 0.000 | 0.000 | -0.000 |
| -5.894 | -13.230 | 1.976 | 108.703 | 0.000 | -0.000 |
| -6.268 | -13.956 | 2.094 | 0.000 | 96.034 | -0.000 |
| -5.745 | -12.900 | 1.927 | 0.000 | 0.000 | 102.998 |
| 771.754 | 51.478 | 213.018 | 0.000 | 0.000 | -0.000 |
| -152.090 | 209.383 | 127.948 | -0.000 | 0.000 | 0.000 |
| 104.639 | 99.938 | 913.320 | -0.000 | -0.000 | 0.000 |
| -121.494 | 27.830 | 48.951 | 99.484 | 0.000 | 0.000 |
| -112.914 | 25.865 | 45.494 | -0.000 | 332.785 | 0.000 |
| -0.000 | -0.000 | 0.000 | 0.000 | 0.000 | 201.690 |
| 948.841 | -34.887 | 163.885 | -0.000 | -0.000 | 0.000 |
| 209.871 | 228.329 | 10.893 | 0.000 | -0.000 | -0.000 |
| 335.611 | 45.308 | 826.536 | 0.000 | -0.000 | -0.000 |
| 121.494 | -27.830 | -48.951 | 99.484 | 0.000 | -0.000 |
| 112.914 | -25.865 | -45.494 | 0.000 | 332.785 | -0.000 |
| 0.000 | 0.000 | -0.000 | -0.000 | -0.000 | 201.690 |
| 917.085 | 62.899 | 194.520 | -0.000 | 0.000 | 0.000 |
| 82.325 | 268.633 | 66.003 | -0.000 | 0.000 | -0.000 |
| 209.616 | 73.840 | 878.031 | -0.000 | -0.000 | 0.000 |
| -15.117 | 0.552 | 4.517 | 96.513 | 0.000 | -0.000 |
| -8.828 | 2.022 | 3.557 | -0.000 | 344.705 | 0.000 |
| 0.000 | -0.000 | 0.000 | -0.000 | 0.000 | 201.690 |
| 814.703 | -22.168 | 201.523 | -0.000 | -0.000 | -0.000 |
| 82.325 | 268.633 | 66.003 | -0.000 | -0.000 | -0.000 |
| 228.998 | 69.162 | 870.748 | 0.000 | -0.000 | -0.000 |
| 15.117 | -0.552 | -4.517 | 96.513 | -0.000 | -0.000 |
| 8.828 | -2.022 | -3.557 | 0.000 | 344.705 | -0.000 |
| -0.000 | 0.000 | -0.000 | -0.000 | -0.000 | 201.690 |
| 794.771 | -29.478 | 212.209 | -0.000 | 0.000 | 0.000 |
| 92.302 | 241.446 | 53.628 | -0.000 | 0.000 | 0.000 |
| 234.118 | 87.497 | 870.419 | 0.000 | -0.000 | 0.000 |
| -1.428 | 0.302 | 0.466 | 96.749 | 0.000 | 0.000 |
| -3.253 | 0.642 | 0.871 | -0.000 | 329.955 | 0.000 |
| -1.180 | 0.246 | 0.376 | -0.000 | 0.000 | 165.455 |
| 797.754 | -29.591 | 211.279 | 0.000 | -0.000 | -0.000 |
| -0.066 | 204.261 | 80.985 | 0.000 | 0.000 | -0.000 |
| 219.867 | 71.285 | 874.354 | 0.000 | -0.000 | -0.000 |
| 1.428 | -0.302 | -0.466 | 96.749 | -0.000 | -0.000 |
| 3.253 | -0.642 | -0.871 | 0.000 | 329.955 | 0.000 |
| 1.180 | -0.246 | -0.376 | -0.000 | -0.000 | 165.455 |
| 1031.342 | 161.144 | 43.001 | -0.000 | -0.000 | 0.000 |
| 198.704 | 993.782 | 43.001 | 0.000 | 0.000 | 0.000 |
| 43.001 | 43.001 | 64.146 | 0.000 | -0.000 | 0.000 |
| 0.000 | -0.000 | 0.000 | 29.934 | 0.000 | 0.000 |
| 0.000 | -0.000 | 0.000 | 0.000 | 29.934 | 0.000 |
| 0.000 | -0.000 | -0.000 | -0.000 | -0.000 | 397.539 |
| 1031.342 | 161.144 | 43.001 | 0.000 | -0.000 | 0.000 |
| 198.704 | 993.782 | 43.001 | 0.000 | -0.000 | -0.000 |
| 43.001 | 43.001 | 64.146 | -0.000 | -0.000 | -0.000 |
| -0.000 | 0.000 | -0.000 | 29.934 | 0.000 | -0.000 |
| -0.000 | 0.000 | -0.000 | 0.000 | 29.934 | -0.000 |
| -0.000 | 0.000 | 0.000 | 0.000 | -0.000 | 397.539 |
| 993.783 | 198.704 | 43.001 | -0.000 | 0.000 | 0.000 |
| 161.144 | 1031.343 | 43.001 | -0.000 | -0.000 | 0.000 |
| 43.001 | 43.001 | 64.146 | 0.000 | 0.000 | 0.000 |
| 0.000 | -0.000 | 0.000 | 29.934 | 0.000 | 0.000 |
| -0.000 | -0.000 | 0.000 | 0.000 | 29.934 | 0.000 |
| -0.000 | 0.000 | -0.000 | 0.000 | -0.000 | 397.539 |
| 993.782 | 198.704 | 43.001 | 0.000 | 0.000 | -0.000 |
| 161.144 | 1031.342 | 43.001 | 0.000 | -0.000 | -0.000 |
| 43.001 | 43.001 | 64.146 | 0.000 | 0.000 | -0.000 |
| -0.000 | 0.000 | -0.000 | 29.934 | -0.000 | -0.000 |
| 0.000 | 0.000 | -0.000 | 0.000 | 29.934 | -0.000 |
| 0.000 | -0.000 | 0.000 | 0.000 | -0.000 | 397.539 |
| 993.786 | 198.704 | 43.001 | 0.000 | 0.000 | 0.000 |
| 198.706 | 993.785 | 43.001 | -0.000 | 0.000 | 0.000 |
| 43.001 | 43.001 | 64.147 | 0.000 | 0.000 | 0.000 |
| -0.000 | -0.000 | 0.000 | 29.934 | 0.000 | 0.000 |
| -0.000 | -0.000 | 0.000 | -0.000 | 29.934 | 0.000 |
| -0.000 | 0.001 | -0.000 | 0.000 | -0.000 | 397.539 |
| 993.778 | 198.704 | 43.001 | -0.000 | 0.000 | -0.000 |
| 198.702 | 993.780 | 43.001 | 0.000 | -0.000 | -0.000 |
| 43.001 | 43.001 | 64.146 | -0.000 | -0.000 | -0.000 |
| 0.000 | 0.000 | -0.000 | 29.934 | -0.000 | -0.000 |
| 0.000 | 0.000 | -0.000 | -0.000 | 29.934 | -0.000 |
| 0.000 | -0.001 | 0.000 | -0.000 | -0.000 | 397.539 |
| 483.022 | 54.676 | 3.544 | 6.224 | 0.000 | 0.000 |
| 54.676 | 483.022 | 3.544 | -6.224 | 0.000 | -0.000 |
| 3.544 | 3.544 | 20.636 | 0.000 | -0.000 | 0.000 |
| 6.224 | -6.224 | -0.000 | 106.788 | -0.000 | 0.000 |
| -0.000 | -0.000 | -0.000 | 0.000 | 106.788 | 6.224 |
| 0.000 | 0.000 | -0.000 | 0.000 | 6.224 | 214.173 |
| 483.022 | 54.676 | 3.544 | 6.224 | -0.000 | -0.000 |
| 54.676 | 483.022 | 3.543 | -6.224 | -0.000 | 0.000 |
| 3.544 | 3.544 | 20.636 | 0.000 | -0.000 | 0.000 |
| -12.111 | 12.173 | 0.177 | 63.830 | 0.000 | 0.000 |
| 0.000 | 0.000 | 0.000 | 0.000 | 106.788 | 6.224 |
| 0.000 | -0.000 | -0.000 | -0.000 | 6.224 | 214.173 |
| 472.616 | 64.363 | 3.572 | 2.718 | -0.000 | 0.000 |
| 64.631 | 472.714 | 3.592 | -3.161 | 0.000 | 0.000 |
| 3.976 | 3.976 | 18.148 | -0.000 | -0.000 | -0.000 |
| -12.136 | 12.130 | -0.018 | 63.850 | -0.000 | -0.000 |
| -0.003 | -0.003 | -0.018 | 0.000 | 63.850 | -12.133 |
| -0.001 | -0.000 | -0.003 | -0.000 | 3.183 | 204.115 |
| 472.717 | 64.630 | 3.598 | 3.161 | 0.000 | -0.000 |
| 63.920 | 471.985 | 0.254 | -0.003 | 0.000 | 0.000 |
| 3.544 | 3.544 | 20.636 | -0.000 | 0.000 | -0.000 |
| -12.130 | 12.136 | 0.018 | 63.850 | -0.000 | 0.000 |
| 0.003 | 0.003 | 0.018 | -0.000 | 63.850 | -12.133 |
| 0.001 | 0.000 | 0.003 | 0.000 | 3.183 | 204.115 |
| 472.234 | 64.378 | 2.202 | -2.802 | 0.000 | -0.000 |
| 64.631 | 472.717 | 3.595 | -3.161 | 0.000 | -0.000 |
| 3.544 | 3.544 | 20.636 | 0.000 | 0.000 | 0.000 |
| -12.134 | 12.133 | -0.002 | 63.851 | -0.000 | -0.000 |
| -0.001 | -0.001 | -0.005 | 0.000 | -0.000 | 0.000 |
| 0.000 | 0.000 | -0.000 | -0.000 | 6.224 | 214.173 |
| 472.714 | 64.630 | 3.596 | 3.161 | -0.000 | -0.000 |
| 64.630 | 472.714 | 3.596 | -3.161 | -0.000 | 0.000 |
| 0.005 | 0.005 | 0.025 | 0.000 | -0.000 | -0.000 |
| -12.133 | 12.133 | 0.002 | 63.851 | -0.000 | 0.000 |
| 0.001 | 0.001 | 0.005 | -0.000 | -0.000 | 0.000 |
| -0.000 | -0.000 | 0.000 | 0.000 | 6.224 | 214.173 |
| -367.122 | -1028.201 | 3016.150 | 29.840 | 0.000 | -0.000 |
| -787.378 | -150.487 | 2343.050 | -29.330 | 0.000 | -0.000 |
| -1028.076 | -1028.076 | 3510.123 | -0.000 | 0.000 | -0.000 |
| 30.505 | -30.505 | -0.000 | 236.349 | 0.000 | 0.000 |
| -1093.659 | -1093.659 | 2285.043 | 0.000 | 233.432 | 29.330 |
| -1093.650 | -1093.650 | 2285.006 | 0.000 | 29.330 | 318.451 |
| 2278.897 | 1617.919 | -2901.625 | 29.837 | -0.000 | 0.000 |
| 1544.030 | 2156.250 | -2559.695 | -29.051 | -0.000 | 0.000 |
| 1158.853 | 1158.853 | -1059.093 | 0.000 | -0.000 | -0.000 |
| 1253.542 | 1195.439 | -2615.781 | 231.961 | 0.000 | 0.000 |
| 1093.659 | 1093.659 | -2285.043 | -0.000 | 233.432 | 29.330 |
| 1093.650 | 1093.650 | -2285.006 | 0.000 | 29.330 | 318.451 |
| 975.760 | 290.945 | 37.702 | 30.505 | 0.000 | -0.000 |
| 290.945 | 975.760 | 37.702 | -30.505 | 0.000 | -0.000 |
| 44.348 | 44.348 | 1275.819 | -0.000 | 0.000 | 0.000 |
| -102.566 | -162.242 | 296.114 | 234.896 | 0.000 | -0.000 |
| -109.407 | -109.407 | 228.574 | 0.000 | 233.429 | 29.329 |
| 0.000 | 0.000 | 0.000 | 0.000 | 30.505 | 342.407 |
| 1088.211 | 427.798 | -239.316 | 29.821 | -0.000 | 0.000 |
| 427.761 | 1088.180 | -239.240 | -29.821 | -0.000 | -0.000 |
| 194.848 | 194.848 | 934.768 | 0.000 | -0.000 | 0.000 |
| 151.627 | 93.528 | -261.866 | 231.954 | -0.000 | 0.000 |
| 109.407 | 109.407 | -228.574 | -0.000 | 233.429 | 29.329 |
| -0.000 | -0.000 | -0.000 | -0.000 | 30.505 | 342.407 |
| 902.962 | 319.357 | 87.958 | 28.776 | 0.000 | -0.000 |
| 302.796 | 924.753 | 80.005 | -28.994 | 0.000 | -0.000 |
| 44.347 | 44.347 | 1275.826 | -0.000 | 0.000 | 0.000 |
| 18.426 | -40.090 | 22.418 | 233.231 | 0.000 | -0.000 |
| -13.644 | -13.644 | 30.515 | 0.000 | 234.852 | 29.818 |
| 0.000 | 0.001 | 0.000 | 0.000 | 30.505 | 342.407 |
| 975.755 | 290.944 | 37.701 | 30.505 | -0.000 | 0.000 |
| 358.479 | 913.812 | 33.706 | -28.463 | -0.000 | 0.000 |
| 44.348 | 44.348 | 1275.811 | 0.000 | -0.000 | -0.000 |
| 43.463 | -16.172 | -30.518 | 234.851 | -0.000 | 0.000 |
| 13.644 | 13.644 | -30.515 | -0.000 | 234.852 | 29.818 |
| -0.000 | -0.001 | -0.000 | -0.000 | 30.505 | 342.407 |
| 1469.252 | 858.016 | -902.141 | 29.279 | 0.000 | 0.000 |
| 287.427 | 968.403 | 40.023 | -30.849 | -0.000 | 0.000 |
| 641.707 | 641.707 | 281.714 | -0.000 | 0.000 | 0.000 |
| 606.868 | 548.794 | -990.191 | 225.687 | -0.000 | 0.000 |
| 0.000 | 0.000 | -0.000 | -0.000 | 231.272 | 30.849 |
| 0.000 | 0.000 | -0.000 | -0.000 | 30.849 | 340.488 |
| 968.403 | 287.427 | 40.024 | 30.849 | 0.000 | 0.000 |
| -1860.193 | -1205.287 | 4757.177 | -30.014 | 0.000 | -0.000 |
| -2100.366 | -2100.366 | 5994.902 | 0.000 | 0.000 | -0.000 |
| -548.170 | -606.243 | 988.826 | 225.687 | 0.000 | -0.000 |
| -0.000 | -0.000 | 0.000 | -0.000 | 231.272 | 30.849 |
| -0.000 | -0.000 | 0.000 | 0.000 | 30.849 | 340.488 |
| 968.404 | 287.427 | 40.024 | 30.849 | -0.000 | 0.000 |
| 367.259 | 982.112 | -34.060 | -29.033 | 0.000 | 0.000 |
| 269.364 | 269.364 | 822.957 | 0.000 | -0.000 | -0.000 |
| 83.823 | 25.266 | -96.421 | 225.412 | -0.000 | 0.000 |
| 0.000 | 0.000 | -0.000 | 0.000 | 231.272 | 30.849 |
| 0.000 | 0.000 | -0.000 | 0.000 | 30.849 | 340.488 |
| 968.403 | 287.427 | 40.024 | 30.849 | 0.000 | -0.000 |
| 257.641 | 868.805 | 159.449 | -29.281 | 0.000 | -0.000 |
| 8.502 | 8.502 | 1370.311 | 0.000 | 0.000 | -0.000 |
| 30.849 | -30.849 | 0.000 | 231.272 | 0.000 | 0.000 |
| -0.000 | -0.000 | 0.000 | -0.000 | 231.272 | 30.849 |
| -0.000 | -0.000 | 0.000 | -0.000 | 30.849 | 340.488 |
| 951.028 | 323.732 | 21.891 | 29.130 | -0.000 | 0.000 |
| 323.722 | 951.033 | 21.896 | -29.130 | 0.000 | 0.000 |
| 77.377 | 77.377 | 1242.834 | 0.000 | -0.000 | 0.000 |
| 51.874 | -8.120 | -47.749 | 229.012 | 0.000 | 0.000 |
| 0.000 | 0.000 | -0.000 | 0.000 | 231.272 | 30.849 |
| 0.000 | 0.001 | 0.000 | 0.000 | 30.849 | 340.488 |
| 968.400 | 287.426 | 40.023 | 30.849 | 0.000 | -0.000 |
| 267.784 | 928.476 | 105.981 | -30.199 | -0.000 | -0.000 |
| 55.842 | 55.842 | 1286.944 | 0.000 | 0.000 | -0.000 |
| 8.123 | -51.871 | 47.743 | 229.013 | 0.000 | -0.000 |
| -0.000 | -0.000 | 0.000 | -0.000 | 231.272 | 30.849 |
| -0.000 | -0.001 | -0.000 | -0.000 | 30.849 | 340.488 |
| 971.150 | 278.029 | 60.395 | 21.819 | -0.000 | 0.000 |
| 278.029 | 971.150 | 60.395 | -21.819 | -0.000 | 0.000 |
| 969.356 | 969.356 | -720.970 | 0.000 | -0.000 | 0.000 |
| 21.819 | -21.819 | 0.002 | 239.918 | -0.000 | 0.000 |
| 0.000 | 0.000 | 0.001 | -0.000 | 239.918 | 21.819 |
| 0.000 | 0.000 | 0.001 | -0.000 | 21.819 | 346.560 |
| 971.150 | 278.029 | 60.396 | 21.819 | 0.000 | -0.000 |
| 278.029 | 971.150 | 60.396 | -21.819 | 0.000 | -0.000 |
| -761.851 | -761.851 | 2993.240 | -0.000 | 0.000 | -0.000 |
| -845.553 | -887.088 | 1858.780 | 236.553 | 0.000 | -0.000 |
| -0.000 | -0.000 | -0.001 | 0.000 | 239.918 | 21.819 |
| -0.000 | -0.000 | -0.001 | 0.000 | 21.819 | 346.560 |
| 971.150 | 278.029 | 60.395 | 21.819 | -0.000 | 0.000 |
| 367.632 | 1020.086 | -83.408 | -20.717 | -0.000 | 0.000 |
| 65.086 | 65.086 | 1230.921 | -0.000 | -0.000 | 0.000 |
| 21.819 | -21.819 | 0.000 | 239.918 | -0.000 | 0.000 |
| 86.644 | 86.644 | -185.903 | 0.000 | 236.552 | 20.767 |
| 0.000 | 0.000 | 0.000 | 0.000 | 21.819 | 346.560 |
| 851.087 | 194.774 | 282.879 | 20.821 | 0.000 | -0.000 |
| 299.930 | 917.079 | 74.946 | -20.209 | 0.000 | -0.000 |
| 65.086 | 65.086 | 1230.919 | -0.000 | 0.000 | -0.000 |
| -65.876 | -107.411 | 185.903 | 236.552 | 0.000 | -0.000 |
| -86.644 | -86.644 | 185.903 | -0.000 | 236.552 | 20.767 |
| -0.000 | -0.000 | -0.000 | -0.000 | 21.819 | 346.560 |
| 971.154 | 278.030 | 60.395 | 21.819 | -0.000 | 0.000 |
| 278.030 | 971.153 | 60.395 | -21.819 | -0.000 | 0.000 |
| 91.135 | 91.135 | 1173.100 | -0.000 | -0.000 | 0.000 |
| 27.346 | -13.799 | -15.272 | 233.185 | -0.000 | 0.000 |
| 0.000 | 0.000 | -0.000 | 0.000 | 239.918 | 21.819 |
| 0.000 | 0.001 | 0.000 | 0.000 | 21.819 | 346.560 |
| 971.146 | 278.029 | 60.395 | 21.819 | 0.000 | -0.000 |
| 278.028 | 971.146 | 60.395 | -21.819 | 0.000 | -0.000 |
| 84.178 | 84.178 | 1184.306 | -0.000 | 0.000 | -0.000 |
| 19.902 | -20.582 | -1.259 | 233.453 | 0.000 | -0.000 |
| -0.000 | -0.000 | 0.000 | -0.000 | 239.918 | 21.819 |
| -0.000 | -0.001 | -0.000 | -0.000 | 21.819 | 346.560 |
| 977.515 | 305.751 | -140.820 | 21.411 | -0.000 | 0.000 |
| 274.841 | 966.250 | 63.579 | -22.003 | -0.000 | 0.000 |
| 128.237 | 128.237 | 956.817 | -0.000 | 0.000 | -0.000 |
| 130.508 | 88.361 | -400.418 | 232.163 | -0.000 | -0.000 |
| 34.222 | 34.222 | -234.879 | 0.000 | 234.761 | 21.410 |
| 146.988 | 146.988 | -488.872 | -0.000 | 21.154 | 328.711 |
| 909.047 | 237.304 | 328.967 | 21.410 | 0.000 | -0.000 |
| 237.304 | 909.047 | 328.967 | -21.410 | 0.000 | 0.000 |
| 59.727 | 59.727 | 1426.691 | 0.000 | 0.000 | -0.000 |
| -125.770 | -168.078 | 488.719 | 233.249 | 0.000 | -0.000 |
| -34.222 | -34.222 | 234.879 | -0.000 | 234.761 | 21.410 |
| -146.988 | -146.988 | 488.872 | 0.000 | 21.154 | 328.711 |
| 946.838 | 274.968 | 70.415 | 21.414 | -0.000 | 0.000 |
| 298.464 | 957.695 | 31.061 | -21.185 | -0.000 | -0.000 |
| 97.383 | 97.383 | 1168.500 | -0.000 | -0.000 | 0.000 |
| 24.834 | -17.987 | -23.496 | 234.760 | -0.000 | -0.000 |
| 0.000 | 0.000 | -0.000 | 0.000 | 236.916 | 22.003 |
| 3.428 | 3.428 | -23.528 | 0.000 | 21.409 | 335.860 |
| 928.867 | 273.180 | 123.472 | 21.123 | -0.000 | -0.000 |
| 274.841 | 966.249 | 63.579 | -22.003 | 0.000 | -0.000 |
| 89.890 | 89.890 | 1216.621 | -0.000 | 0.000 | 0.000 |
| 17.987 | -24.834 | 23.496 | 234.760 | 0.000 | -0.000 |
| -0.000 | -0.000 | 0.000 | -0.000 | 236.916 | 22.003 |
| -3.428 | -3.428 | 23.528 | -0.000 | 21.409 | 335.860 |
| 966.253 | 274.842 | 63.579 | 22.003 | -0.000 | -0.000 |
| 288.428 | 941.605 | 74.507 | -21.028 | -0.000 | -0.000 |
| 86.756 | 86.756 | 1207.529 | 0.000 | -0.000 | 0.000 |
| 21.327 | -20.440 | -2.452 | 229.785 | 0.000 | 0.000 |
| 0.354 | 0.355 | -2.432 | 0.000 | 234.684 | 21.389 |
| 3.622 | 3.622 | -9.703 | 0.000 | 20.675 | 315.197 |
| 966.246 | 274.840 | 63.579 | 22.003 | 0.000 | 0.000 |
| 330.592 | 890.356 | 88.501 | -21.268 | 0.000 | 0.000 |
| 84.447 | 84.447 | 1215.124 | 0.000 | 0.000 | -0.000 |
| 20.439 | -21.327 | 2.453 | 229.784 | 0.000 | -0.000 |
| -0.354 | -0.355 | 2.432 | -0.000 | 234.684 | 21.389 |
| -3.622 | -3.622 | 9.703 | -0.000 | 20.675 | 315.197 |
| 505.656 | 191.051 | 191.051 | 0.000 | -0.000 | 0.000 |
| 191.051 | 505.656 | 191.051 | -0.000 | -0.000 | -0.000 |
| 191.051 | 191.051 | 505.656 | 0.000 | -0.000 | 0.000 |
| 0.000 | -0.000 | -0.000 | 173.185 | -0.000 | 0.000 |
| -0.000 | 0.000 | -0.000 | 0.000 | 173.185 | 0.000 |
| -0.000 | -0.000 | -0.000 | 0.000 | -0.000 | 173.185 |
| 487.722 | 199.956 | 199.956 | -0.000 | 0.000 | 0.000 |
| 199.956 | 487.722 | 199.956 | -0.000 | 0.000 | -0.000 |
| 199.956 | 199.956 | 487.723 | 0.000 | 0.000 | 0.000 |
| -0.000 | 0.000 | 0.000 | 173.185 | 0.000 | 0.000 |
| 0.000 | 0.000 | 0.000 | -0.000 | 173.185 | 0.000 |
| 0.000 | 0.000 | 0.000 | -0.000 | 0.000 | 173.185 |
| 487.723 | 199.956 | 199.956 | -0.000 | -0.000 | -0.000 |
| 191.051 | 505.656 | 191.051 | -0.000 | -0.000 | -0.000 |
| 199.956 | 199.956 | 487.723 | -0.000 | -0.000 | -0.000 |
| -0.000 | -0.000 | -0.000 | 104.955 | 0.000 | -0.000 |
| -0.000 | -0.000 | -0.000 | -0.000 | 104.955 | 0.000 |
| -0.000 | -0.000 | -0.000 | -0.000 | -0.000 | 104.955 |
| 505.655 | 191.051 | 191.051 | -0.000 | 0.000 | -0.000 |
| 191.051 | 505.655 | 191.051 | -0.000 | 0.000 | -0.000 |
| 191.051 | 191.051 | 505.655 | -0.000 | -0.000 | -0.000 |
| 0.000 | 0.000 | 0.000 | 104.955 | 0.000 | 0.000 |
| 0.000 | 0.000 | 0.000 | 0.000 | 104.955 | -0.000 |
| 0.000 | 0.000 | 0.000 | 0.000 | -0.000 | 104.955 |
| 487.724 | 199.957 | 199.957 | -0.000 | 0.000 | -0.000 |
| 199.957 | 487.724 | 199.957 | -0.000 | 0.000 | -0.000 |
| 199.957 | 199.957 | 487.724 | -0.000 | 0.000 | 0.000 |
| -0.000 | -0.000 | -0.000 | 113.646 | 0.000 | -0.000 |
| -0.000 | -0.000 | -0.000 | -0.000 | 113.646 | 0.000 |
| -0.000 | -0.000 | -0.000 | 0.000 | -0.000 | 113.646 |
| 488.952 | 199.021 | 199.021 | 0.000 | -0.000 | 0.000 |
| 199.021 | 488.952 | 199.021 | 0.000 | 0.000 | -0.000 |
| 199.021 | 199.021 | 488.952 | 0.000 | -0.000 | 0.000 |
| 0.000 | 0.000 | 0.000 | 113.646 | 0.000 | 0.000 |
| 0.000 | 0.000 | 0.000 | 0.000 | 113.646 | -0.000 |
| 0.000 | 0.000 | 0.000 | -0.000 | 0.000 | 113.646 |
| 427.241 | 160.796 | 160.796 | -0.000 | -0.000 | 0.000 |
| 160.796 | 427.241 | 160.796 | -0.000 | -0.000 | 0.000 |
| 160.796 | 160.796 | 427.241 | -0.000 | -0.000 | 0.000 |
| 0.000 | 0.000 | 0.000 | 163.054 | -0.000 | -0.000 |
| 0.000 | 0.000 | 0.000 | -0.000 | 163.054 | -0.000 |
| 0.000 | 0.000 | 0.000 | -0.000 | -0.000 | 163.054 |
| 425.221 | 160.658 | 160.658 | 0.000 | 0.000 | -0.000 |
| 160.658 | 425.221 | 160.658 | 0.000 | 0.000 | 0.000 |
| 160.658 | 160.658 | 425.221 | 0.000 | 0.000 | -0.000 |
| -0.000 | -0.000 | -0.000 | 163.054 | 0.000 | 0.000 |
| -0.000 | -0.000 | -0.000 | 0.000 | 163.054 | -0.000 |
| -0.000 | -0.000 | -0.000 | 0.000 | 0.000 | 163.054 |
| 427.242 | 160.796 | 160.796 | -0.000 | -0.000 | 0.000 |
| 160.796 | 427.242 | 160.796 | -0.000 | -0.000 | -0.000 |
| 160.796 | 160.796 | 427.242 | -0.000 | -0.000 | 0.000 |
| 0.000 | -0.000 | 0.000 | 163.054 | -0.000 | 0.000 |
| -0.000 | 0.000 | 0.000 | -0.000 | 163.054 | 0.000 |
| -0.000 | 0.000 | 0.000 | -0.000 | -0.000 | 163.054 |
| 427.241 | 160.796 | 160.796 | 0.000 | 0.000 | 0.000 |
| 160.796 | 427.241 | 160.796 | 0.000 | 0.000 | -0.000 |
| 160.796 | 160.796 | 427.241 | 0.000 | 0.000 | -0.000 |
| -0.000 | 0.000 | -0.000 | 163.054 | 0.000 | 0.000 |
| 0.000 | -0.000 | -0.000 | 0.000 | 163.054 | -0.000 |
| 0.000 | -0.000 | -0.000 | 0.000 | 0.000 | 163.054 |
| 427.243 | 160.797 | 160.797 | -0.000 | -0.000 | -0.000 |
| 160.797 | 427.243 | 160.797 | -0.000 | -0.000 | -0.000 |
| 160.797 | 160.797 | 427.243 | -0.000 | -0.000 | 0.000 |
| 0.000 | -0.000 | 0.000 | 163.054 | -0.000 | -0.000 |
| -0.000 | 0.000 | 0.000 | -0.000 | 163.054 | 0.000 |
| -0.000 | 0.000 | 0.000 | -0.000 | -0.000 | 163.054 |
| 427.239 | 160.796 | 160.796 | 0.000 | 0.000 | -0.000 |
| 160.796 | 427.239 | 160.796 | 0.000 | 0.000 | 0.000 |
| 160.796 | 160.796 | 427.239 | 0.000 | 0.000 | -0.000 |
| -0.000 | 0.000 | -0.000 | 163.054 | 0.000 | -0.000 |
| 0.000 | -0.000 | -0.000 | 0.000 | 163.054 | -0.000 |
| 0.000 | -0.000 | -0.000 | 0.000 | 0.000 | 163.054 |
| 388.532 | 114.267 | 61.979 | -0.000 | 0.000 | 0.000 |
| 80.818 | 300.021 | 16.029 | 0.000 | -0.000 | -0.000 |
| 60.191 | 11.056 | 300.767 | 0.000 | -0.000 | -0.000 |
| -19.139 | -20.342 | 44.434 | 14.415 | -0.000 | 0.000 |
| -23.483 | -21.682 | 39.013 | -0.000 | -0.057 | 0.000 |
| -29.154 | -17.425 | 29.077 | -0.000 | 0.000 | 144.531 |
| 434.337 | 158.460 | 0.254 | 0.000 | -0.000 | -0.000 |
| 168.623 | 223.660 | -5.890 | -0.000 | -0.000 | 0.000 |
| 27.961 | 16.508 | -40.160 | 0.000 | -0.000 | -0.000 |
| 19.139 | 20.342 | -44.434 | 14.415 | 0.000 | -0.000 |
| 23.483 | 21.682 | -39.013 | 0.000 | -0.057 | -0.000 |
| 29.154 | 17.425 | -29.077 | -0.000 | 0.000 | 144.531 |
| 412.210 | 129.500 | 37.332 | -0.000 | -0.000 | 0.000 |
| 133.579 | 195.448 | 14.047 | -0.000 | -0.000 | 0.000 |
| 60.191 | 11.056 | 300.767 | 0.000 | -0.000 | -0.000 |
| -3.485 | -2.083 | 3.476 | 29.407 | 0.000 | 0.000 |
| -2.951 | -1.764 | 2.943 | -0.000 | 71.035 | 0.000 |
| 0.000 | 0.000 | 0.000 | 0.000 | -0.000 | 165.705 |
| 416.513 | 133.692 | 31.495 | -0.000 | 0.000 | -0.000 |
| 138.572 | 198.991 | -4.016 | 0.000 | -0.000 | -0.000 |
| 6.998 | -2.825 | -4.014 | 0.000 | 0.000 | -0.000 |
| 3.485 | 2.083 | -3.476 | 29.407 | -0.000 | -0.000 |
| 2.951 | 1.764 | -2.943 | 0.000 | 71.035 | -0.000 |
| -0.000 | -0.000 | -0.000 | -0.000 | 0.000 | 165.705 |
| 410.211 | 128.662 | 0.697 | 0.000 | 0.000 | 0.000 |
| 136.004 | 196.637 | 0.401 | -0.000 | -0.000 | 0.000 |
| 4.432 | -5.189 | 0.384 | -0.000 | -0.000 | 0.000 |
| 0.961 | 0.961 | -0.451 | 0.570 | -0.000 | -0.000 |
| -0.367 | -0.665 | 0.942 | 0.000 | 2.732 | 0.000 |
| -0.281 | -0.168 | 0.280 | -0.000 | -0.000 | 145.287 |
| 414.627 | 131.744 | 34.158 | 0.000 | 0.000 | -0.000 |
| 136.281 | 197.493 | 9.892 | -0.000 | -0.000 | -0.000 |
| 3.309 | -3.350 | -0.341 | -0.000 | 0.000 | -0.000 |
| 0.285 | 0.330 | -0.491 | 21.861 | 0.000 | -0.000 |
| 0.367 | 0.665 | -0.942 | -0.000 | 2.732 | 0.000 |
| 0.281 | 0.168 | -0.280 | 0.000 | 0.000 | 145.287 |
| 979.725 | 300.909 | 20.121 | 0.000 | -0.000 | 0.000 |
| 300.909 | 979.725 | 20.121 | 0.000 | -0.000 | -0.000 |
| 65.355 | 65.355 | 1211.638 | -0.000 | -0.000 | -0.000 |
| 20.626 | 20.626 | -56.348 | 232.457 | -0.000 | 0.000 |
| 0.000 | 0.000 | -0.000 | -0.000 | 233.833 | 0.000 |
| 0.000 | 0.000 | -0.000 | -0.000 | -0.000 | 339.408 |
| 979.725 | 300.909 | 20.121 | 0.000 | 0.000 | 0.000 |
| 300.909 | 979.725 | 20.121 | 0.000 | 0.000 | 0.000 |
| 28.237 | 28.237 | 1310.115 | 0.000 | 0.000 | 0.000 |
| -20.626 | -20.626 | 56.348 | 232.457 | 0.000 | 0.000 |
| -0.000 | -0.000 | 0.000 | 0.000 | 233.833 | 0.000 |
| -0.000 | -0.000 | 0.000 | 0.000 | -0.000 | 339.408 |
| 979.725 | 300.909 | 20.121 | -0.000 | -0.000 | -0.000 |
| 308.584 | 945.791 | 51.061 | 0.000 | -0.000 | -0.000 |
| 50.884 | 50.884 | 1254.206 | -0.000 | -0.000 | -0.000 |
| 0.000 | 0.000 | -0.000 | 233.833 | -0.000 | -0.000 |
| 0.000 | 0.000 | -0.000 | -0.000 | 233.833 | 0.000 |
| 5.096 | 5.096 | -13.920 | -0.000 | 0.000 | 303.033 |
| 947.012 | 302.427 | 58.676 | 0.000 | 0.000 | -0.000 |
| 300.909 | 979.724 | 20.121 | 0.000 | 0.000 | 0.000 |
| 47.307 | 47.307 | 1263.848 | -0.000 | 0.000 | -0.000 |
| -0.000 | -0.000 | 0.000 | 233.833 | -0.000 | -0.000 |
| -0.000 | -0.000 | 0.000 | 0.000 | 233.833 | 0.000 |
| -5.096 | -5.096 | 13.920 | 0.000 | 0.000 | 303.033 |
| 946.549 | 305.495 | 54.706 | -0.000 | 0.000 | -0.000 |
| 305.496 | 946.548 | 54.706 | 0.000 | -0.000 | 0.000 |
| 49.152 | 49.152 | 1258.856 | 0.000 | -0.000 | -0.000 |
| 0.000 | 0.000 | -0.000 | 233.833 | -0.000 | -0.000 |
| 0.000 | 0.000 | -0.000 | -0.000 | 233.833 | 0.000 |
| 0.565 | 0.565 | -1.543 | -0.000 | 0.000 | 299.089 |
| 923.709 | 341.634 | 39.086 | 0.000 | 0.000 | 0.000 |
| 341.637 | 923.707 | 39.084 | 0.000 | 0.000 | 0.000 |
| 48.805 | 48.805 | 1259.304 | 0.000 | 0.000 | -0.000 |
| -0.000 | -0.000 | 0.000 | 233.833 | 0.000 | -0.000 |
| -0.000 | -0.000 | 0.000 | 0.000 | 233.833 | -0.000 |
| -0.565 | -0.565 | 1.543 | 0.000 | 0.000 | 299.089 |
| 972.797 | 283.893 | 50.075 | 0.000 | 0.000 | 0.000 |
| 261.842 | 922.943 | 127.658 | -0.000 | -0.000 | -0.000 |
| 55.421 | 55.421 | 1254.047 | -0.000 | 0.000 | -0.000 |
| 0.000 | 0.000 | -0.000 | 237.961 | -0.000 | -0.000 |
| -21.988 | -21.988 | 43.825 | -0.000 | 235.860 | -0.000 |
| 0.000 | 0.000 | -0.000 | -0.000 | -0.000 | 344.452 |
| 972.796 | 283.893 | 50.076 | 0.000 | 0.000 | 0.000 |
| 324.011 | 969.076 | 17.179 | 0.000 | 0.000 | 0.000 |
| 106.027 | 106.027 | 1139.862 | -0.000 | -0.000 | -0.000 |
| -0.000 | -0.000 | 0.000 | 237.961 | 0.000 | 0.000 |
| 21.988 | 21.988 | -43.825 | 0.000 | 235.860 | 0.000 |
| -0.000 | -0.000 | 0.000 | -0.000 | -0.000 | 344.452 |
| 972.797 | 283.893 | 50.076 | -0.000 | -0.000 | -0.000 |
| 348.330 | 888.328 | 73.209 | -0.000 | 0.000 | -0.000 |
| 73.086 | 73.086 | 1210.804 | -0.000 | -0.000 | -0.000 |
| -2.126 | -2.126 | 3.618 | 232.981 | -0.000 | -0.000 |
| -2.598 | -2.598 | 5.178 | -0.000 | 235.479 | -0.000 |
| 0.000 | 0.000 | -0.000 | -0.000 | -0.000 | 344.452 |
| 949.623 | 285.516 | 76.836 | 0.000 | 0.000 | 0.000 |
| 283.893 | 972.796 | 50.076 | 0.000 | -0.000 | 0.000 |
| 55.421 | 55.421 | 1254.047 | 0.000 | 0.000 | -0.000 |
| 2.126 | 2.126 | -3.618 | 232.981 | 0.000 | 0.000 |
| 2.598 | 2.598 | -5.178 | 0.000 | 235.479 | -0.000 |
| -0.000 | -0.000 | 0.000 | -0.000 | 0.000 | 344.452 |
| 930.802 | 308.833 | 69.520 | 0.000 | -0.000 | -0.000 |
| 283.894 | 972.800 | 50.076 | -0.000 | -0.000 | 0.000 |
| 74.387 | 74.387 | 1208.051 | -0.000 | 0.000 | -0.000 |
| -0.430 | -0.431 | 0.859 | 233.847 | -0.000 | 0.000 |
| 0.000 | 0.000 | -0.000 | 0.000 | 237.961 | -0.000 |
| -0.441 | -0.441 | 0.880 | -0.000 | -0.000 | 316.183 |
| 930.692 | 310.200 | 68.337 | 0.000 | 0.000 | -0.000 |
| 350.162 | 890.004 | 69.642 | 0.000 | -0.000 | 0.000 |
| 74.865 | 74.865 | 1206.987 | 0.000 | 0.000 | -0.000 |
| 0.430 | 0.431 | -0.859 | 233.847 | 0.000 | 0.000 |
| -0.000 | -0.000 | 0.000 | 0.000 | 237.961 | -0.000 |
| 0.441 | 0.441 | -0.880 | 0.000 | 0.000 | 316.183 |
| -265.553 | -930.019 | 3277.475 | -0.000 | -0.000 | 0.000 |
| -930.019 | -265.553 | 3277.475 | -0.000 | -0.000 | 0.000 |
| -1710.256 | -1710.256 | 5675.128 | -0.000 | -0.000 | 0.000 |
| -1800.364 | -1800.364 | 4501.797 | 239.682 | -0.000 | 0.000 |
| -1800.364 | -1800.364 | 4501.797 | -0.000 | 239.682 | -0.000 |
| -1800.370 | -1800.370 | 4501.814 | 0.000 | -0.000 | 339.121 |
| 2754.155 | 2075.940 | -4416.720 | -0.000 | 0.000 | -0.000 |
| 1489.746 | 2154.271 | -3094.381 | -0.000 | 0.000 | -0.000 |
| 1890.381 | 1890.381 | -3328.261 | 0.000 | 0.000 | -0.000 |
| 1800.364 | 1800.364 | -4501.797 | 239.682 | 0.000 | -0.000 |
| 1800.364 | 1800.364 | -4501.797 | -0.000 | 239.682 | -0.000 |
| 1800.370 | 1800.370 | -4501.814 | 0.000 | 0.000 | 339.121 |
| 970.273 | 273.658 | 68.422 | 0.000 | -0.000 | 0.000 |
| 161.026 | 825.409 | 404.922 | -0.000 | -0.000 | -0.000 |
| -29.826 | -29.826 | 1488.990 | 0.000 | 0.000 | 0.000 |
| -180.051 | -180.051 | 450.218 | 239.681 | -0.000 | 0.000 |
| -140.802 | -140.802 | 365.590 | -0.000 | 237.470 | 0.000 |
| -120.744 | -120.744 | 318.007 | 0.000 | -0.000 | 332.243 |
| 1133.549 | 455.574 | -364.726 | -0.000 | 0.000 | -0.000 |
| 402.415 | 1066.996 | -231.093 | -0.000 | 0.000 | -0.000 |
| 269.747 | 269.747 | 724.041 | 0.000 | 0.000 | -0.000 |
| 180.051 | 180.051 | -450.218 | 239.681 | 0.000 | -0.000 |
| 140.802 | 140.802 | -365.590 | -0.000 | 237.470 | 0.000 |
| 120.744 | 120.744 | -318.007 | 0.000 | 0.000 | 332.243 |
| 935.999 | 256.358 | 131.475 | 0.000 | -0.000 | 0.000 |
| 256.294 | 935.872 | 131.709 | 0.000 | -0.000 | 0.000 |
| 77.263 | 77.263 | 1206.811 | -0.000 | -0.000 | 0.000 |
| -11.985 | -11.985 | 31.621 | 238.349 | -0.000 | -0.000 |
| -11.984 | -11.983 | 31.618 | 0.000 | 238.349 | 0.000 |
| -18.801 | -18.800 | 47.012 | 0.000 | -0.000 | 338.714 |
| 955.771 | 293.985 | 57.591 | -0.000 | 0.000 | -0.000 |
| 293.985 | 955.773 | 57.590 | -0.000 | 0.000 | -0.000 |
| 103.387 | 103.387 | 1138.314 | -0.000 | 0.000 | -0.000 |
| 11.985 | 11.985 | -31.621 | 238.349 | 0.000 | -0.000 |
| 11.984 | 11.983 | -31.618 | -0.000 | 238.349 | 0.000 |
| 18.801 | 18.800 | -47.012 | -0.000 | 0.000 | 338.714 |
| 160.305 | -233.990 | 70.034 | -0.000 | 0.000 | 0.000 |
| 112.223 | 549.538 | 82.360 | -0.000 | -0.000 | 0.000 |
| -98.273 | -267.650 | 486.492 | 0.000 | 0.000 | -0.000 |
| 0.000 | -0.000 | 0.000 | 195.584 | -0.000 | 0.000 |
| 0.000 | -0.000 | 0.000 | 0.000 | 167.411 | -0.000 |
| 0.000 | -0.000 | 0.000 | 0.000 | 0.000 | 201.210 |
| 546.099 | 488.596 | 119.718 | -0.000 | 0.000 | 0.000 |
| 112.223 | 549.538 | 82.360 | -0.000 | -0.000 | 0.000 |
| -102.239 | 358.560 | 592.542 | -0.000 | 0.000 | 0.000 |
| -0.000 | 0.000 | -0.000 | 195.584 | -0.000 | -0.000 |
| -0.000 | 0.000 | -0.000 | 0.000 | 167.411 | -0.000 |
| -0.000 | 0.000 | -0.000 | -0.000 | -0.000 | 201.210 |
| 392.207 | 119.209 | 93.643 | 0.000 | 0.000 | -0.000 |
| 77.048 | 304.316 | 61.491 | -0.000 | 0.000 | -0.000 |
| 28.122 | -2.306 | 474.459 | -0.000 | 0.000 | -0.000 |
| 18.487 | -22.942 | -5.532 | 124.090 | -0.000 | -0.000 |
| 0.000 | 0.000 | 0.000 | -0.000 | 167.411 | 0.000 |
| 18.859 | -23.404 | -5.643 | 0.000 | 0.000 | 136.110 |
| 521.500 | 112.226 | 96.814 | 0.000 | -0.000 | -0.000 |
| 121.513 | 470.906 | 111.391 | 0.000 | -0.000 | 0.000 |
| 79.884 | 133.439 | 535.956 | -0.000 | 0.000 | 0.000 |
| -18.487 | 22.942 | 5.532 | 124.090 | 0.000 | 0.000 |
| -0.000 | -0.000 | -0.000 | -0.000 | 167.411 | 0.000 |
| -18.859 | 23.404 | 5.643 | -0.000 | -0.000 | 136.110 |
| 232.455 | 101.961 | 71.552 | 0.000 | 0.000 | -0.000 |
| 82.773 | 338.248 | 43.176 | -0.000 | 0.000 | -0.000 |
| 82.072 | 67.721 | 483.257 | -0.000 | 0.000 | -0.000 |
| 0.000 | -0.000 | 0.000 | 195.584 | 0.000 | -0.000 |
| 0.000 | 0.000 | 0.000 | 0.000 | 167.411 | 0.000 |
| -1.509 | -3.478 | -0.277 | -0.000 | -0.000 | 130.853 |
| 343.163 | 146.689 | 92.745 | -0.000 | 0.000 | 0.000 |
| 139.098 | 393.320 | 93.522 | -0.000 | -0.000 | 0.000 |
| 93.386 | 95.888 | 505.036 | -0.000 | 0.000 | -0.000 |
| -0.000 | 0.000 | -0.000 | 195.584 | -0.000 | -0.000 |
| -0.000 | -0.000 | -0.000 | 0.000 | 167.411 | 0.000 |
| 1.509 | 3.478 | 0.277 | 0.000 | 0.000 | 130.853 |
| 541.529 | 2162.409 | 1089.270 | 0.000 | 0.000 | -0.000 |
| 410.120 | -18.508 | 1189.671 | 0.000 | 0.000 | -0.000 |
| 443.533 | -239.610 | 1350.156 | 0.000 | -0.000 | -0.000 |
| 382.937 | -315.811 | 1120.508 | 92.912 | -0.000 | -0.000 |
| 0.000 | -0.000 | 0.000 | 0.000 | 142.353 | -0.000 |
| 1333.133 | 1071.259 | 407.766 | 0.000 | 0.000 | 75.386 |
| 406.202 | 41.414 | 25.773 | -0.000 | -0.000 | 0.000 |
| -1341.461 | -873.449 | -350.815 | -0.000 | -0.000 | 0.000 |
| -1298.844 | -1000.034 | -254.724 | -0.000 | -0.000 | -0.000 |
| -382.937 | 315.811 | -1120.508 | 92.912 | 0.000 | 0.000 |
| -0.000 | 0.000 | -0.000 | -0.000 | 142.353 | 0.000 |
| -1333.133 | -1071.259 | -407.766 | -0.000 | -0.000 | 75.386 |
| 350.730 | 1.724 | 165.686 | 0.000 | 0.000 | 0.000 |
| 66.530 | 270.912 | 181.037 | 0.000 | -0.000 | -0.000 |
| 24.065 | 57.069 | 333.339 | 0.000 | 0.000 | -0.000 |
| 132.854 | 106.566 | 40.942 | 66.412 | 0.000 | -0.000 |
| 0.000 | 0.000 | 0.000 | 0.000 | 142.353 | -0.000 |
| 0.000 | 0.000 | 0.000 | 0.000 | 0.000 | 153.395 |
| 267.143 | 64.222 | -56.127 | -0.000 | -0.000 | 0.000 |
| -146.771 | 75.378 | 12.634 | -0.000 | -0.000 | 0.000 |
| -96.974 | -37.973 | 117.027 | -0.000 | -0.000 | -0.000 |
| -132.854 | -106.566 | -40.942 | 66.412 | -0.000 | -0.000 |
| -0.000 | -0.000 | -0.000 | -0.000 | 142.353 | 0.000 |
| -0.000 | -0.000 | -0.000 | -0.000 | -0.000 | 153.395 |
| 208.996 | 15.463 | 31.359 | 0.000 | 0.000 | -0.000 |
| 39.949 | 378.253 | 57.312 | 0.000 | 0.000 | -0.000 |
| -2.257 | 46.893 | 92.930 | 0.000 | 0.000 | 0.000 |
| 3.586 | -2.958 | 10.493 | 96.024 | 0.000 | 0.000 |
| 0.000 | 0.000 | 0.000 | 0.000 | 142.353 | 0.000 |
| 0.000 | 0.000 | 0.000 | 0.000 | 0.000 | 153.395 |
| 298.031 | 34.440 | 49.494 | -0.000 | -0.000 | 0.000 |
| -40.805 | 143.783 | 21.343 | -0.000 | -0.000 | 0.000 |
| -17.493 | -34.235 | 72.303 | -0.000 | -0.000 | -0.000 |
| -3.586 | 2.958 | -10.493 | 96.024 | -0.000 | 0.000 |
| -0.000 | -0.000 | -0.000 | -0.000 | 142.353 | -0.000 |
| -0.000 | -0.000 | -0.000 | -0.000 | -0.000 | 153.395 |
| -2307.454 | -2425.995 | -2425.995 | 0.000 | 0.000 | -0.000 |
| -2425.995 | -2307.454 | -2425.995 | 0.000 | 0.000 | 0.000 |
| -2425.995 | -2425.995 | -2307.454 | 0.000 | -0.000 | -0.000 |
| -0.000 | 0.000 | 0.000 | 118.127 | -0.000 | -0.000 |
| -0.000 | 0.000 | 0.000 | 0.000 | 118.127 | 0.000 |
| -0.000 | 0.000 | 0.000 | 0.000 | 0.000 | 118.127 |
| 297.542 | 51.687 | 51.687 | -0.000 | 0.000 | -0.000 |
| 51.687 | 297.542 | 51.687 | -0.000 | -0.000 | 0.000 |
| 6576.624 | 6576.624 | 6616.433 | -0.000 | -0.000 | -0.000 |
| 0.000 | 0.000 | -0.000 | 118.127 | -0.000 | -0.000 |
| 0.000 | -0.000 | -0.000 | -0.000 | 118.127 | 0.000 |
| 0.000 | -0.000 | -0.000 | -0.000 | -0.000 | 118.127 |
| -107.052 | -214.781 | -214.781 | 0.000 | 0.000 | -0.000 |
| -214.781 | -107.052 | -214.781 | 0.000 | 0.000 | 0.000 |
| -214.781 | -214.781 | -107.052 | 0.000 | 0.000 | -0.000 |
| -930.583 | -930.583 | -930.583 | 11.275 | 0.000 | 0.000 |
| -930.583 | -930.583 | -930.583 | 0.000 | 11.275 | 0.000 |
| -930.583 | -930.583 | -930.583 | 0.000 | 0.000 | 11.275 |
| 912.301 | 892.917 | 892.917 | -0.000 | -0.000 | -0.000 |
| 892.917 | 912.301 | 892.917 | -0.000 | -0.000 | 0.000 |
| 892.917 | 892.917 | 912.301 | -0.000 | -0.000 | -0.000 |
| 930.583 | 930.583 | 930.583 | 11.275 | -0.000 | -0.000 |
| 930.583 | 930.583 | 930.583 | -0.000 | 11.275 | 0.000 |
| 930.583 | 930.583 | 930.583 | -0.000 | -0.000 | 11.275 |
| 100.727 | 22.237 | 22.237 | 0.000 | 0.000 | -0.000 |
| 22.237 | 100.727 | 22.237 | 0.000 | -0.000 | 0.000 |
| 22.237 | 22.237 | 100.727 | 0.000 | 0.000 | 0.000 |
| -22.142 | -22.142 | -22.142 | 62.753 | 0.000 | -0.000 |
| -77.991 | -77.991 | -77.991 | 0.000 | 27.090 | 0.000 |
| -22.142 | -22.142 | -22.142 | 0.000 | 0.000 | 62.753 |
| 297.541 | 51.687 | 51.687 | -0.000 | -0.000 | 0.000 |
| 51.687 | 297.541 | 51.687 | -0.000 | -0.000 | -0.000 |
| 51.687 | 51.687 | 297.541 | -0.000 | -0.000 | 0.000 |
| 22.142 | 22.142 | 22.142 | 62.753 | -0.000 | 0.000 |
| 77.991 | 77.991 | 77.991 | -0.000 | 27.090 | -0.000 |
| 22.142 | 22.142 | 22.142 | -0.000 | -0.000 | 62.753 |
| -2575.481 | -2764.111 | -4475.256 | -9.793 | 0.000 | 0.000 |
| -2764.052 | -2575.408 | -4475.137 | 9.793 | 0.000 | -0.000 |
| 48.213 | 48.213 | 345.712 | -0.000 | 0.000 | -0.000 |
| -4.874 | 4.874 | 0.000 | 151.698 | 0.000 | -0.000 |
| -495.792 | -495.792 | -1474.131 | 0.000 | 112.417 | -7.781 |
| -0.000 | 0.000 | 0.000 | 0.000 | -4.874 | 166.648 |
| 2052.902 | 1868.218 | 3246.204 | -8.877 | -0.000 | 0.000 |
| 573.749 | 826.837 | 1544.110 | 7.774 | 0.000 | 0.000 |
| 1857.431 | 1857.431 | 3368.772 | 0.000 | -0.000 | -0.000 |
| 488.073 | 503.636 | 1474.317 | 112.412 | -0.000 | -0.000 |
| 495.792 | 495.792 | 1474.131 | 0.000 | 112.417 | -7.781 |
| 0.000 | -0.000 | -0.000 | -0.000 | -4.874 | 166.648 |
| 278.483 | 28.076 | -77.438 | -7.871 | 0.000 | 0.000 |
| 28.076 | 278.483 | -77.438 | 7.871 | 0.000 | 0.000 |
| -130.295 | -130.295 | -141.696 | 0.000 | 0.000 | -0.000 |
| -4.874 | 4.874 | 0.000 | 151.698 | 0.000 | 0.000 |
| 0.000 | 0.000 | 0.000 | -0.000 | 151.698 | -4.874 |
| -49.649 | -49.649 | -147.620 | 0.000 | -7.785 | 126.387 |
| 382.326 | 127.729 | 217.463 | -7.719 | -0.000 | 0.000 |
| 243.406 | 428.853 | 379.004 | 8.853 | -0.000 | 0.000 |
| 48.213 | 48.213 | 345.711 | 0.000 | -0.000 | 0.000 |
| 41.851 | 57.420 | 147.581 | 112.372 | 0.000 | -0.000 |
| -0.000 | -0.000 | -0.000 | 0.000 | 151.698 | -4.874 |
| 49.649 | 49.649 | 147.620 | -0.000 | -7.785 | 126.387 |
| 299.041 | 72.493 | 62.573 | -8.733 | 0.000 | 0.000 |
| 72.492 | 299.019 | 62.576 | 8.734 | 0.000 | 0.000 |
| 70.078 | 70.078 | 231.205 | -0.000 | 0.000 | 0.000 |
| -4.874 | 4.874 | 0.000 | 151.698 | -0.000 | 0.000 |
| 0.000 | 0.000 | 0.000 | -0.000 | 151.698 | -4.874 |
| 0.000 | 0.000 | 0.000 | -0.000 | -4.874 | 166.648 |
| 253.360 | 80.495 | 91.695 | -8.903 | -0.000 | -0.000 |
| 84.545 | 330.563 | 91.924 | 8.030 | -0.000 | -0.000 |
| 65.947 | 65.947 | 226.660 | 0.000 | -0.000 | -0.000 |
| 9.070 | 26.233 | 30.455 | 81.073 | -0.000 | -0.000 |
| -0.000 | -0.000 | -0.000 | 0.000 | 151.698 | -4.874 |
| -0.000 | -0.000 | -0.000 | 0.000 | -4.874 | 166.648 |
| 358.711 | 112.910 | 160.682 | -16.105 | 0.000 | -0.000 |
| 125.779 | 503.944 | 147.088 | 19.903 | 0.000 | 0.000 |
| 147.088 | 147.088 | 469.517 | 0.000 | -0.000 | -0.000 |
| -19.903 | 19.903 | 0.000 | 190.767 | 0.000 | -0.000 |
| -25.505 | -25.505 | 7.580 | 0.000 | 151.345 | -18.472 |
| -25.313 | -25.313 | 7.523 | 0.000 | -18.483 | 142.155 |
| 432.209 | 179.646 | 200.854 | -16.411 | -0.000 | 0.000 |
| 179.646 | 432.209 | 200.854 | 16.411 | -0.000 | -0.000 |
| 147.088 | 147.088 | 469.517 | -0.000 | -0.000 | 0.000 |
| -19.903 | 19.903 | -0.000 | 190.767 | -0.000 | 0.000 |
| 25.505 | 25.505 | -7.580 | -0.000 | 151.345 | -18.472 |
| 25.313 | 25.313 | -7.523 | -0.000 | -18.483 | 142.155 |
| 384.761 | 140.008 | 179.667 | -15.379 | 0.000 | -0.000 |
| 125.779 | 503.944 | 147.088 | 19.903 | 0.000 | -0.000 |
| 147.088 | 147.088 | 469.517 | 0.000 | -0.000 | -0.000 |
| -19.903 | 19.903 | 0.000 | 190.767 | 0.000 | -0.000 |
| 0.000 | 0.000 | 0.000 | -0.000 | 190.767 | -19.903 |
| -7.113 | -7.113 | -3.811 | -0.000 | -14.612 | 117.684 |
| 426.822 | 154.217 | 175.778 | -18.306 | -0.000 | 0.000 |
| 154.217 | 426.822 | 175.778 | 18.306 | 0.000 | -0.000 |
| 182.055 | 182.055 | 370.335 | -0.000 | -0.000 | 0.000 |
| -19.903 | 19.903 | -0.000 | 190.767 | -0.000 | 0.000 |
| -0.000 | -0.000 | -0.000 | 0.000 | 190.767 | -19.903 |
| 7.113 | 7.113 | 3.811 | 0.000 | -14.612 | 117.684 |
| 424.137 | 150.946 | 176.545 | -18.315 | 0.000 | 0.000 |
| 150.945 | 424.139 | 176.544 | 18.315 | 0.000 | 0.000 |
| 175.675 | 175.675 | 356.825 | 0.000 | 0.000 | 0.000 |
| -18.625 | 18.070 | 0.082 | 147.910 | 0.000 | -0.000 |
| -0.277 | -0.277 | 0.082 | -0.000 | 147.910 | -18.348 |
| -0.531 | -0.531 | -0.440 | -0.000 | -14.007 | 119.293 |
| 389.723 | 142.451 | 182.850 | -15.297 | -0.000 | 0.000 |
| 142.471 | 389.659 | 182.873 | 15.296 | -0.000 | 0.000 |
| 147.087 | 147.087 | 469.516 | -0.000 | 0.000 | 0.000 |
| -19.903 | 19.903 | -0.000 | 190.767 | 0.000 | 0.000 |
| 0.277 | 0.277 | -0.082 | 0.000 | 147.910 | -18.348 |
| 0.531 | 0.531 | 0.440 | 0.000 | -14.007 | 119.293 |
| 521.825 | 91.614 | 106.313 | 0.000 | 0.000 | 0.000 |
| 91.614 | 514.052 | 142.165 | 0.000 | 0.000 | 0.000 |
| 83.674 | -497.646 | -443.232 | -0.000 | 0.000 | 0.000 |
| 127.405 | -147.744 | -314.888 | 171.930 | 0.000 | -0.000 |
| 127.389 | -147.725 | -314.847 | -0.000 | 130.842 | -0.000 |
| -460.798 | -827.013 | -853.010 | 0.000 | 0.000 | 74.054 |
| 329.814 | 776.073 | 881.370 | 0.000 | -0.000 | 0.000 |
| 155.789 | 984.117 | 935.245 | -0.000 | 0.000 | -0.000 |
| 1.795 | 313.418 | 755.629 | -0.000 | -0.000 | 0.000 |
| -127.405 | 147.744 | 314.888 | 171.930 | -0.000 | 0.000 |
| -127.389 | 147.725 | 314.847 | 0.000 | 130.842 | 0.000 |
| 460.798 | 827.013 | 853.010 | 0.000 | -0.000 | 74.054 |
| 521.825 | 91.614 | 106.313 | 0.000 | 0.000 | 0.000 |
| 91.614 | 514.052 | 142.165 | 0.000 | 0.000 | -0.000 |
| 142.271 | 151.250 | 407.776 | 0.000 | 0.000 | -0.000 |
| 0.000 | 0.000 | 0.000 | 221.423 | 0.000 | 0.000 |
| -3.707 | -64.148 | -73.579 | -0.000 | 91.905 | 0.000 |
| -4.039 | -65.427 | -74.770 | 0.000 | 0.000 | 79.180 |
| 521.825 | 91.614 | 106.313 | -0.000 | -0.000 | -0.000 |
| 117.400 | 390.826 | 240.376 | 0.000 | -0.000 | -0.000 |
| 106.313 | 142.165 | 542.404 | -0.000 | -0.000 | -0.000 |
| -0.000 | -0.000 | -0.000 | 221.423 | -0.000 | 0.000 |
| 3.707 | 64.148 | 73.579 | 0.000 | 91.905 | -0.000 |
| 4.039 | 65.427 | 74.770 | 0.000 | -0.000 | 79.180 |
| 241.027 | 57.772 | 74.333 | 0.000 | 0.000 | -0.000 |
| 104.421 | 362.279 | 154.883 | 0.000 | 0.000 | -0.000 |
| 101.650 | 126.244 | 306.072 | -0.000 | 0.000 | -0.000 |
| 1.139 | -1.321 | -2.815 | 177.169 | 0.000 | 0.000 |
| 0.000 | 0.000 | 0.000 | -0.000 | 191.540 | -0.000 |
| 0.957 | -1.109 | -2.364 | 0.000 | 0.000 | 128.391 |
| 415.885 | 119.049 | 132.204 | -0.000 | -0.000 | -0.000 |
| 114.311 | 428.873 | 166.887 | -0.000 | -0.000 | -0.000 |
| 125.390 | 154.378 | 327.822 | -0.000 | -0.000 | 0.000 |
| -1.139 | 1.321 | 2.815 | 177.169 | -0.000 | 0.000 |
| -0.000 | -0.000 | -0.000 | -0.000 | 191.540 | -0.000 |
| -0.957 | 1.109 | 2.364 | 0.000 | -0.000 | 128.391 |
| 2630.477 | -1768.963 | 3304.019 | -0.000 | 0.000 | -0.000 |
| 56.630 | 292.436 | 55.314 | -0.000 | -0.000 | -0.000 |
| 1549.889 | -4810.096 | 1814.814 | -0.000 | 0.000 | 0.000 |
| 9171.882 | 5075.730 | 10746.608 | -50.774 | -0.000 | 0.000 |
| 2827.518 | -3331.896 | 1149.358 | 0.000 | 9.861 | 0.000 |
| 1084.902 | -3094.771 | 668.649 | 0.000 | -0.000 | 38.155 |
| -1046.129 | 2090.754 | -16.331 | -0.000 | -0.000 | -0.000 |
| -3046.890 | 3177.979 | -1323.049 | -0.000 | 0.000 | 0.000 |
| -1166.605 | 2092.725 | 185.176 | -0.000 | -0.000 | -0.000 |
| -9171.882 | -5075.730 | -10746.608 | -50.774 | 0.000 | -0.000 |
| -2827.518 | 3331.896 | -1149.358 | -0.000 | 9.861 | 0.000 |
| -1084.902 | 3094.771 | -668.649 | 0.000 | 0.000 | 38.155 |
| 78.915 | -539.274 | -43.389 | 0.000 | 0.000 | 0.000 |
| 56.630 | 292.436 | 55.314 | -0.000 | -0.000 | 0.000 |
| 113.836 | -357.089 | 191.688 | 0.000 | 0.000 | 0.000 |
| 994.214 | 639.728 | 1358.266 | -10.582 | -0.000 | 0.000 |
| 100.194 | -361.939 | 86.279 | 0.000 | 38.319 | 0.000 |
| 717.299 | 239.221 | 619.791 | -0.000 | -0.000 | 0.909 |
| 5.664 | 352.067 | -16.042 | 0.000 | 0.000 | -0.000 |
| -60.131 | 404.203 | 53.862 | -0.000 | 0.000 | -0.000 |
| -87.195 | 366.654 | 17.475 | -0.000 | 0.000 | 0.000 |
| -994.214 | -639.728 | -1358.266 | -10.582 | -0.000 | 0.000 |
| -100.194 | 361.939 | -86.279 | -0.000 | 38.319 | 0.000 |
| -717.299 | -239.221 | -619.791 | 0.000 | 0.000 | 0.909 |
| -34.869 | 78.956 | 148.405 | 0.000 | -0.000 | -0.000 |
| -22.472 | -35.826 | -12.462 | 0.000 | 0.000 | -0.000 |
| 0.329 | -59.656 | 55.415 | 0.000 | 0.000 | 0.000 |
| 10.905 | -30.972 | 6.660 | 70.018 | -0.000 | -0.000 |
| 11.018 | -31.172 | 6.674 | -0.000 | 63.873 | 0.000 |
| 74.295 | 85.369 | 129.171 | -0.000 | 0.000 | -39.677 |
| -101.783 | -85.647 | -90.457 | -0.000 | 0.000 | 0.000 |
| -78.800 | -141.940 | -5.370 | -0.000 | -0.000 | 0.000 |
| 3.979 | 41.779 | 95.470 | -0.000 | 0.000 | 0.000 |
| -10.905 | 30.972 | -6.660 | 70.018 | -0.000 | 0.000 |
| -11.018 | 31.172 | -6.674 | 0.000 | 63.873 | -0.000 |
| -74.295 | -85.369 | -129.171 | 0.000 | -0.000 | -39.677 |
| 673.176 | 108.495 | 0.000 | 0.000 | 0.000 | -0.000 |
| 108.495 | 673.176 | 0.000 | 0.000 | 0.000 | -0.000 |
| -0.000 | 0.000 | 0.000 | 0.000 | 0.000 | -0.000 |
| -0.000 | 0.000 | 0.000 | 0.000 | 0.000 | 0.000 |
| -0.000 | 0.000 | 0.000 | 0.000 | 0.000 | -0.000 |
| -0.000 | 0.000 | 0.000 | 0.000 | 0.000 | 282.340 |
| 673.176 | 108.495 | -0.000 | -0.000 | -0.000 | 0.000 |
| 108.495 | 673.176 | -0.000 | -0.000 | -0.000 | 0.000 |
| 0.000 | -0.000 | -0.000 | -0.000 | -0.000 | 0.000 |
| 0.000 | -0.000 | -0.000 | -0.000 | -0.000 | -0.000 |
| 0.000 | -0.000 | -0.000 | -0.000 | -0.000 | 0.000 |
| 0.000 | -0.000 | -0.000 | -0.000 | -0.000 | 282.340 |
| 673.176 | 108.495 | 0.000 | 0.000 | 0.000 | -0.000 |
| 108.495 | 673.176 | 0.000 | 0.000 | 0.000 | -0.000 |
| -0.000 | 0.000 | 0.000 | 0.000 | 0.000 | -0.000 |
| -0.000 | 0.000 | 0.000 | 0.000 | 0.000 | 0.000 |
| -0.000 | 0.000 | 0.000 | 0.000 | 0.000 | -0.000 |
| 0.000 | 0.000 | 0.000 | 0.000 | 0.000 | 305.531 |
| 673.175 | 108.495 | -0.000 | -0.000 | -0.000 | 0.000 |
| 108.495 | 673.175 | -0.000 | -0.000 | -0.000 | 0.000 |
| 0.000 | -0.000 | -0.000 | -0.000 | -0.000 | 0.000 |
| 0.000 | -0.000 | -0.000 | -0.000 | -0.000 | 0.000 |
| 0.000 | -0.000 | -0.000 | -0.000 | -0.000 | 0.000 |
| -0.000 | -0.000 | -0.000 | -0.000 | -0.000 | 305.531 |
| 673.178 | 108.495 | 0.000 | 0.000 | 0.000 | -0.000 |
| 108.496 | 673.177 | 0.000 | 0.000 | 0.000 | -0.000 |
| -0.000 | 0.000 | 0.000 | 0.000 | 0.000 | -0.000 |
| -0.000 | 0.000 | 0.000 | 0.000 | 0.000 | -0.000 |
| -0.000 | 0.000 | 0.000 | 0.000 | 0.000 | -0.000 |
| -0.000 | 0.001 | 0.000 | 0.000 | 0.000 | 282.340 |
| 673.173 | 108.495 | -0.000 | -0.000 | -0.000 | 0.000 |
| 108.494 | 673.174 | -0.000 | -0.000 | -0.000 | 0.000 |
| 0.000 | -0.000 | -0.000 | -0.000 | -0.000 | 0.000 |
| 0.000 | -0.000 | -0.000 | -0.000 | -0.000 | 0.000 |
| 0.000 | -0.000 | -0.000 | -0.000 | -0.000 | 0.000 |
| 0.000 | -0.001 | -0.000 | -0.000 | -0.000 | 282.340 |
| 268.623 | 43.294 | 0.000 | 0.000 | 0.000 | 0.000 |
| 43.294 | 268.623 | 0.000 | 0.000 | 0.000 | 0.000 |
| 0.000 | -0.000 | 0.000 | 0.000 | 0.000 | 0.000 |
| 0.000 | -0.000 | 0.000 | 0.000 | 0.000 | 0.000 |
| 0.000 | -0.000 | 0.000 | 0.000 | 0.000 | 0.000 |
| 0.000 | -0.000 | 0.000 | 0.000 | 0.000 | 112.665 |
| 277.877 | 34.040 | -0.000 | -0.000 | -0.000 | 0.000 |
| 34.040 | 277.877 | -0.000 | -0.000 | -0.000 | 0.000 |
| -0.000 | 0.000 | -0.000 | -0.000 | -0.000 | -0.000 |
| -0.000 | 0.000 | -0.000 | -0.000 | -0.000 | -0.000 |
| -0.000 | 0.000 | -0.000 | -0.000 | -0.000 | -0.000 |
| -0.000 | 0.000 | -0.000 | -0.000 | -0.000 | 112.665 |
| 268.623 | 43.294 | 0.000 | 0.000 | 0.000 | 0.000 |
| 43.294 | 268.623 | 0.000 | 0.000 | 0.000 | 0.000 |
| 0.000 | -0.000 | 0.000 | 0.000 | 0.000 | 0.000 |
| 0.000 | -0.000 | 0.000 | 0.000 | 0.000 | 0.000 |
| 0.000 | -0.000 | 0.000 | 0.000 | 0.000 | 0.000 |
| 0.000 | 0.000 | 0.000 | 0.000 | 0.000 | 121.919 |
| 268.623 | 43.294 | -0.000 | -0.000 | -0.000 | -0.000 |
| 43.294 | 268.623 | -0.000 | -0.000 | -0.000 | -0.000 |
| -0.000 | 0.000 | -0.000 | -0.000 | -0.000 | -0.000 |
| -0.000 | 0.000 | -0.000 | -0.000 | -0.000 | -0.000 |
| -0.000 | 0.000 | -0.000 | -0.000 | -0.000 | -0.000 |
| -0.000 | -0.000 | -0.000 | -0.000 | -0.000 | 121.919 |
| 268.624 | 43.294 | 0.000 | 0.000 | 0.000 | 0.000 |
| 43.294 | 268.624 | 0.000 | 0.000 | 0.000 | 0.000 |
| 0.000 | -0.000 | 0.000 | 0.000 | 0.000 | 0.000 |
| 0.000 | -0.000 | 0.000 | 0.000 | 0.000 | 0.000 |
| 0.000 | -0.000 | 0.000 | 0.000 | 0.000 | 0.000 |
| -0.000 | 0.000 | 0.000 | 0.000 | 0.000 | 112.665 |
| 268.622 | 43.294 | -0.000 | -0.000 | -0.000 | -0.000 |
| 43.293 | 268.623 | -0.000 | -0.000 | -0.000 | -0.000 |
| -0.000 | 0.000 | -0.000 | -0.000 | -0.000 | -0.000 |
| -0.000 | 0.000 | -0.000 | -0.000 | -0.000 | -0.000 |
| -0.000 | 0.000 | -0.000 | -0.000 | -0.000 | -0.000 |
| 0.000 | -0.000 | -0.000 | -0.000 | -0.000 | 112.665 |
| 35.368 | 43.643 | 43.643 | 0.000 | -0.000 | -0.000 |
| 43.643 | 35.368 | 43.643 | -0.000 | -0.000 | 0.000 |
| 43.643 | 43.643 | 35.368 | -0.000 | -0.000 | 0.000 |
| 44.399 | 44.399 | 44.399 | -7.196 | 0.000 | 0.000 |
| 0.000 | 0.000 | 0.000 | 0.000 | 33.621 | -0.000 |
| 0.000 | 0.000 | 0.000 | 0.000 | -0.000 | 33.621 |
| -34.236 | -29.950 | -29.950 | -0.000 | -0.000 | -0.000 |
| -29.950 | -34.236 | -29.950 | -0.000 | -0.000 | -0.000 |
| -29.950 | -29.950 | -34.236 | 0.000 | 0.000 | -0.000 |
| -0.000 | -0.000 | -0.000 | 33.621 | -0.000 | -0.000 |
| -44.399 | -44.399 | -44.399 | -0.000 | -7.196 | 0.000 |
| -44.399 | -44.399 | -44.399 | -0.000 | 0.000 | -7.196 |
| 2.658 | 7.527 | 7.527 | 0.000 | -0.000 | -0.000 |
| 7.527 | 2.658 | 7.527 | 0.000 | 0.000 | 0.000 |
| 7.527 | 7.527 | 2.658 | 0.000 | 0.000 | 0.000 |
| 4.145 | 4.145 | 4.145 | 0.512 | 0.000 | -0.000 |
| 4.148 | 4.148 | 4.148 | 0.000 | 0.493 | -0.000 |
| 4.145 | 4.145 | 4.145 | -0.000 | -0.000 | 0.512 |
| 49.491 | 51.805 | 51.805 | 0.000 | 0.000 | 0.000 |
| 51.805 | 49.491 | 51.805 | -0.000 | 0.000 | -0.000 |
| 51.805 | 51.805 | 49.491 | 0.000 | -0.000 | -0.000 |
| -4.148 | -4.148 | -4.148 | 0.493 | 0.000 | 0.000 |
| -4.148 | -4.148 | -4.148 | 0.000 | 0.493 | -0.000 |
| -4.148 | -4.148 | -4.148 | 0.000 | 0.000 | 0.493 |
| -8022115.648 | -534062.389 | -534062.389 | 0.000 | 0.003 | -0.001 |
| -534062.396 | -8022115.656 | -534062.397 | 0.001 | -0.000 | 0.001 |
| -534062.390 | -534062.389 | -8022115.652 | -0.000 | -0.001 | 0.000 |
| -8198430.930 | -601810.380 | -603313.493 | 73661.024 | 1224.937 | -1680.319 |
| -622534.972 | -8258295.241 | -651697.146 | -21810.114 | 115201.362 | 8767.823 |
| -599589.175 | -602108.528 | -8165718.427 | 6271.303 | -4095.198 | 83416.380 |
| -5.964 | 1.382 | 1.382 | 0.000 | -0.000 | -0.000 |
| 1.382 | -5.964 | 1.382 | 0.000 | 0.000 | 0.000 |
| 1.382 | 1.382 | -5.964 | -0.000 | 0.000 | 0.000 |
| 8314109.622 | 683840.132 | 672567.686 | 102188.402 | 5925.083 | 3366.301 |
| 661249.600 | 8258964.294 | 658889.153 | -3334.806 | 61565.208 | 2053.671 |
| 565270.554 | 570230.738 | 8174985.380 | -1525.434 | -1823.367 | 55566.437 |
| 447.056 | 180.934 | 180.934 | -0.000 | -0.000 | -0.000 |
| 180.934 | 447.056 | 180.934 | -0.000 | -0.000 | -0.000 |
| 180.934 | 180.934 | 447.056 | 0.000 | -0.000 | 0.000 |
| 0.000 | 0.000 | 0.000 | 163.179 | -0.000 | 0.000 |
| 0.000 | 0.000 | 0.000 | -0.000 | 163.179 | -0.000 |
| 0.000 | 0.000 | 0.000 | 0.000 | -0.000 | 163.179 |
| 428.173 | 161.151 | 161.151 | -0.000 | 0.000 | 0.000 |
| 161.151 | 428.173 | 161.151 | -0.000 | 0.000 | -0.000 |
| 161.151 | 161.151 | 428.173 | -0.000 | 0.000 | 0.000 |
| -0.000 | -0.000 | -0.000 | 163.179 | 0.000 | 0.000 |
| -0.000 | -0.000 | -0.000 | -0.000 | 163.179 | -0.000 |
| -0.000 | -0.000 | -0.000 | 0.000 | 0.000 | 163.179 |
| 428.174 | 161.151 | 161.151 | -0.000 | -0.000 | 0.000 |
| 161.151 | 428.174 | 161.151 | -0.000 | -0.000 | -0.000 |
| 161.151 | 161.151 | 428.174 | 0.000 | -0.000 | -0.000 |
| 0.000 | 0.000 | 0.000 | 163.179 | -0.000 | 0.000 |
| -0.000 | 0.000 | 0.000 | -0.000 | 163.179 | -0.000 |
| -0.000 | 0.000 | 0.000 | 0.000 | -0.000 | 163.179 |
| 421.497 | 160.991 | 160.991 | 0.000 | -0.000 | 0.000 |
| 160.991 | 421.497 | 160.991 | 0.000 | 0.000 | -0.000 |
| 160.991 | 160.991 | 421.497 | -0.000 | 0.000 | -0.000 |
| -0.000 | -0.000 | -0.000 | 163.179 | 0.000 | 0.000 |
| 0.000 | -0.000 | -0.000 | 0.000 | 163.179 | -0.000 |
| 0.000 | -0.000 | -0.000 | 0.000 | 0.000 | 163.179 |
| 428.175 | 161.151 | 161.151 | -0.000 | -0.000 | 0.000 |
| 161.151 | 428.175 | 161.151 | 0.000 | -0.000 | 0.000 |
| 161.151 | 161.151 | 428.175 | 0.000 | -0.000 | 0.000 |
| 0.198 | 0.198 | 0.198 | 106.872 | -0.000 | -0.000 |
| 0.198 | 0.198 | 0.198 | -0.000 | 106.872 | 0.000 |
| 0.198 | 0.198 | 0.198 | 0.000 | -0.000 | 106.872 |
| 426.394 | 160.766 | 160.766 | 0.000 | 0.000 | -0.000 |
| 160.766 | 426.394 | 160.766 | -0.000 | 0.000 | 0.000 |
| 160.766 | 160.766 | 426.394 | -0.000 | -0.000 | -0.000 |
| -0.198 | -0.198 | -0.198 | 106.872 | 0.000 | 0.000 |
| -0.198 | -0.198 | -0.198 | -0.000 | 106.872 | 0.000 |
| -0.198 | -0.198 | -0.198 | -0.000 | 0.000 | 106.872 |
| 560.264 | 334.608 | 671.860 | -0.000 | -0.000 | 0.000 |
| -3257.936 | 1696.438 | 4182.363 | 0.000 | -0.000 | 0.000 |
| -3308.021 | 1435.798 | 4574.603 | 0.000 | -0.000 | 0.000 |
| -1644.012 | 829.240 | 3658.047 | 88.112 | -0.000 | 0.000 |
| -3396.284 | 1370.905 | 4113.197 | -0.000 | 70.018 | 0.000 |
| 118.913 | 200.078 | 571.130 | 0.000 | 0.000 | 150.194 |
| 3656.015 | -1236.552 | -4049.219 | -0.000 | -0.000 | -0.000 |
| 1742.110 | -502.371 | -3602.891 | 0.000 | 0.000 | -0.000 |
| 1719.403 | -779.452 | -3196.039 | 0.000 | 0.000 | -0.000 |
| 1644.012 | -829.240 | -3658.047 | 88.112 | 0.000 | -0.000 |
| 3396.284 | -1370.905 | -4113.197 | 0.000 | 70.018 | -0.000 |
| -118.913 | -200.078 | -571.130 | 0.000 | -0.000 | 150.194 |
| 521.524 | 112.231 | 96.815 | -0.000 | 0.000 | 0.000 |
| 33.204 | 440.442 | 359.744 | 0.000 | 0.000 | 0.000 |
| 45.893 | 124.780 | 857.781 | -0.000 | -0.000 | 0.000 |
| -107.384 | 85.859 | 260.320 | 92.266 | -0.000 | 0.000 |
| 11.907 | 20.035 | 57.190 | -0.000 | 116.394 | 0.000 |
| -338.401 | 136.642 | 409.972 | -0.000 | 0.000 | 99.706 |
| 490.548 | 13.822 | -311.770 | -0.000 | 0.000 | -0.000 |
| 247.444 | 271.571 | -160.003 | 0.000 | -0.000 | -0.000 |
| 87.557 | 80.067 | 491.364 | 0.000 | -0.000 | -0.000 |
| 107.384 | -85.859 | -260.320 | 92.266 | 0.000 | -0.000 |
| -11.907 | -20.035 | -57.190 | 0.000 | 116.394 | -0.000 |
| 338.401 | -136.642 | -409.972 | -0.000 | 0.000 | 99.706 |
| 251.873 | 122.719 | 112.495 | 0.000 | -0.000 | 0.000 |
| 128.777 | 379.244 | 119.476 | -0.000 | -0.000 | 0.000 |
| 100.843 | 102.223 | 556.150 | -0.000 | -0.000 | 0.000 |
| -10.192 | 7.982 | 24.222 | 101.403 | -0.000 | 0.000 |
| -18.545 | 8.962 | 36.560 | -0.000 | 77.580 | 0.000 |
| -26.411 | 11.147 | 33.439 | -0.000 | 0.000 | 113.104 |
| 198.236 | 59.435 | 0.533 | 0.000 | 0.000 | -0.000 |
| 148.568 | 369.417 | 73.976 | -0.000 | 0.000 | -0.000 |
| 99.444 | 89.327 | 463.403 | 0.000 | 0.000 | -0.000 |
| 10.192 | -7.982 | -24.222 | 101.403 | -0.000 | -0.000 |
| 18.545 | -8.962 | -36.560 | 0.000 | 77.580 | -0.000 |
| 26.411 | -11.147 | -33.439 | 0.000 | -0.000 | 113.104 |
| -2210.500 | -1028.462 | 2136.427 | -0.000 | 0.000 | 0.000 |
| -777.391 | 19.741 | 806.423 | 0.000 | 0.000 | 0.000 |
| -2646.941 | -944.252 | 2557.562 | -0.000 | -0.000 | 0.000 |
| 0.000 | -0.000 | -0.000 | 152.920 | 0.000 | 0.000 |
| 0.000 | 0.000 | 0.000 | 0.000 | 148.218 | 0.000 |
| 0.000 | 0.000 | 0.000 | -0.000 | 0.000 | 159.450 |
| 427.113 | 47.018 | 31.652 | 0.000 | 0.000 | -0.000 |
| 860.416 | 654.673 | -646.107 | 0.000 | -0.000 | -0.000 |
| 2279.312 | 1257.841 | -2273.619 | -0.000 | -0.000 | -0.000 |
| -0.000 | -0.000 | -0.000 | 152.920 | 0.000 | -0.000 |
| -0.000 | -0.000 | 0.000 | -0.000 | 148.218 | -0.000 |
| -0.000 | -0.000 | -0.000 | 0.000 | 0.000 | 159.450 |
| 111.581 | -55.861 | 157.041 | 0.000 | 0.000 | 0.000 |
| 47.052 | 393.130 | 70.482 | -0.000 | 0.000 | 0.000 |
| 29.744 | 68.541 | 362.108 | -0.000 | -0.000 | 0.000 |
| -82.240 | -31.878 | 72.936 | 113.442 | -0.000 | 0.000 |
| 0.000 | 0.000 | 0.000 | 0.000 | 148.218 | 0.000 |
| 0.000 | 0.000 | 0.000 | -0.000 | -0.000 | 159.450 |
| 436.683 | 74.262 | -18.655 | 0.000 | 0.000 | -0.000 |
| 188.916 | 263.277 | -215.910 | 0.000 | 0.000 | -0.000 |
| 136.005 | 109.902 | 211.831 | -0.000 | 0.000 | -0.000 |
| 82.240 | 31.878 | -72.936 | 113.442 | 0.000 | -0.000 |
| -0.000 | -0.000 | -0.000 | 0.000 | 148.218 | -0.000 |
| -0.000 | -0.000 | -0.000 | -0.000 | 0.000 | 159.450 |
| 148.514 | -53.563 | 2.404 | -0.000 | -0.000 | 0.000 |
| 27.194 | 303.836 | 95.323 | -0.000 | 0.000 | 0.000 |
| 2.556 | 41.427 | 174.373 | -0.000 | -0.000 | -0.000 |
| -12.065 | -6.108 | 11.039 | 78.352 | 0.000 | 0.000 |
| -10.602 | -4.109 | 9.403 | 0.000 | 112.240 | 0.000 |
| 0.000 | 0.000 | 0.000 | -0.000 | -0.000 | 159.450 |
| 210.116 | -27.636 | -17.667 | -0.000 | -0.000 | -0.000 |
| -14.079 | 195.437 | 7.500 | 0.000 | -0.000 | -0.000 |
| 45.920 | 65.858 | 155.483 | 0.000 | 0.000 | -0.000 |
| 12.065 | 6.108 | -11.039 | 78.352 | 0.000 | 0.000 |
| 10.602 | 4.109 | -9.403 | -0.000 | 112.240 | 0.000 |
| -0.000 | -0.000 | -0.000 | 0.000 | 0.000 | 159.450 |
| 1004.666 | 329.087 | -23.951 | -0.000 | -0.000 | -0.000 |
| 329.087 | 1004.666 | -23.951 | -0.000 | 0.000 | 0.000 |
| -6.073 | -6.073 | 1338.439 | 0.000 | 0.000 | 0.000 |
| 0.000 | 0.000 | -0.000 | 236.137 | -0.000 | 0.000 |
| 3.527 | 3.527 | -9.323 | 0.000 | 235.743 | 0.000 |
| 0.000 | 0.000 | -0.000 | 0.000 | 0.000 | 337.789 |
| 1004.665 | 329.087 | -23.951 | -0.000 | -0.000 | -0.000 |
| 370.545 | 928.944 | 21.332 | 0.000 | 0.000 | -0.000 |
| -6.073 | -6.073 | 1338.439 | 0.000 | 0.000 | 0.000 |
| -0.000 | -0.000 | 0.000 | 236.137 | -0.000 | -0.000 |
| -3.527 | -3.527 | 9.323 | -0.000 | 235.743 | -0.000 |
| -0.000 | -0.000 | 0.000 | -0.000 | -0.000 | 337.789 |
| 946.709 | 341.317 | 36.482 | -0.000 | -0.000 | -0.000 |
| 329.087 | 1004.666 | -23.951 | 0.000 | 0.000 | 0.000 |
| 32.045 | 32.045 | 1237.684 | -0.000 | 0.000 | 0.000 |
| 0.000 | 0.000 | -0.000 | 236.137 | 0.000 | -0.000 |
| 0.000 | 0.000 | -0.000 | -0.000 | 236.137 | -0.000 |
| 0.000 | 0.000 | -0.000 | -0.000 | -0.000 | 337.789 |
| 931.469 | 373.070 | 14.658 | 0.000 | 0.000 | -0.000 |
| 329.087 | 1004.665 | -23.951 | -0.000 | -0.000 | 0.000 |
| 31.540 | 31.540 | 1239.017 | 0.000 | -0.000 | -0.000 |
| -0.000 | -0.000 | 0.000 | 236.137 | 0.000 | -0.000 |
| -0.000 | -0.000 | 0.000 | 0.000 | 236.137 | -0.000 |
| -0.000 | -0.000 | -0.000 | 0.000 | -0.000 | 337.789 |
| 931.786 | 373.379 | 13.836 | -0.000 | 0.000 | 0.000 |
| 373.376 | 931.786 | 13.839 | -0.000 | -0.000 | 0.000 |
| 31.832 | 31.832 | 1238.255 | -0.000 | 0.000 | 0.000 |
| 0.000 | 0.000 | -0.001 | 236.137 | 0.000 | 0.000 |
| 0.028 | 0.029 | -0.074 | -0.000 | 235.420 | 0.000 |
| 0.028 | 0.028 | -0.074 | 0.000 | 0.000 | 279.200 |
| 931.715 | 373.321 | 13.996 | 0.000 | -0.000 | -0.000 |
| 373.308 | 931.783 | 13.923 | 0.000 | 0.000 | -0.000 |
| 31.755 | 31.755 | 1238.443 | -0.000 | -0.000 | -0.000 |
| -0.000 | -0.000 | 0.001 | 236.137 | 0.000 | -0.000 |
| -0.028 | -0.029 | 0.074 | 0.000 | 235.420 | -0.000 |
| -0.028 | -0.028 | 0.074 | -0.000 | -0.000 | 279.200 |
| 937.598 | 314.040 | 30.630 | -0.000 | -0.000 | 0.000 |
| 329.069 | 987.220 | -39.472 | -0.000 | -0.000 | -0.000 |
| -39.472 | -39.472 | 1520.522 | -0.000 | -0.000 | -0.000 |
| 0.000 | 0.000 | -0.000 | 219.925 | -0.000 | -0.000 |
| 0.000 | 0.000 | -0.001 | -0.000 | 219.134 | 0.000 |
| 0.000 | 0.000 | -0.001 | -0.000 | -0.000 | 280.062 |
| 937.598 | 314.040 | 30.631 | 0.000 | 0.000 | -0.000 |
| 329.069 | 987.220 | -39.472 | 0.000 | 0.000 | 0.000 |
| 12.600 | 12.600 | 1407.598 | 0.000 | 0.000 | 0.000 |
| -0.000 | -0.000 | 0.000 | 219.925 | 0.000 | 0.000 |
| -0.000 | -0.000 | 0.001 | -0.000 | 219.134 | -0.000 |
| -0.000 | -0.000 | 0.001 | -0.000 | 0.000 | 280.062 |
| 937.599 | 314.040 | 30.630 | -0.000 | -0.000 | 0.000 |
| 329.069 | 987.220 | -39.472 | -0.000 | -0.000 | -0.000 |
| 12.588 | 12.588 | 1407.626 | -0.000 | -0.000 | 0.000 |
| 0.000 | -0.000 | 0.000 | 219.134 | -0.000 | 0.000 |
| -0.000 | 0.000 | 0.000 | -0.000 | 219.134 | 0.000 |
| 0.000 | 0.000 | -0.000 | 0.000 | -0.000 | 329.075 |
| 937.597 | 314.040 | 30.631 | 0.000 | 0.000 | 0.000 |
| 314.040 | 937.597 | 30.631 | 0.000 | 0.000 | -0.000 |
| 12.653 | 12.653 | 1407.484 | 0.000 | 0.000 | 0.000 |
| -0.000 | 0.000 | -0.000 | 219.134 | 0.000 | -0.000 |
| -0.000 | -0.000 | 0.000 | 0.000 | 219.925 | -0.000 |
| -0.000 | -0.000 | 0.000 | -0.000 | 0.000 | 329.075 |
| 914.206 | 354.075 | 12.589 | 0.000 | -0.000 | 0.000 |
| 354.076 | 914.205 | 12.589 | -0.000 | -0.000 | 0.000 |
| 12.080 | 12.080 | 1408.734 | -0.000 | -0.000 | -0.000 |
| 0.000 | -0.000 | 0.001 | 219.134 | -0.000 | 0.000 |
| -0.000 | 0.000 | 0.001 | -0.000 | 219.134 | 0.000 |
| -0.000 | 0.000 | 0.000 | 0.000 | -0.000 | 280.062 |
| 914.194 | 354.070 | 12.598 | -0.000 | 0.000 | -0.000 |
| 354.067 | 914.184 | 12.612 | -0.000 | -0.000 | -0.000 |
| 12.586 | 12.586 | 1407.622 | 0.000 | 0.000 | 0.000 |
| -0.000 | 0.000 | -0.001 | 219.134 | 0.000 | -0.000 |
| 0.000 | -0.000 | -0.001 | 0.000 | 219.134 | 0.000 |
| 0.000 | -0.000 | -0.000 | 0.000 | 0.000 | 280.062 |
| 979.554 | 300.839 | 20.108 | -0.000 | -0.000 | -0.000 |
| 300.839 | 979.554 | 20.108 | -0.000 | 0.000 | -0.000 |
| -26.178 | -26.178 | 1422.865 | -0.000 | -0.000 | -0.000 |
| 0.000 | 0.000 | 0.000 | 233.780 | -0.000 | 0.000 |
| 0.000 | 0.000 | 0.000 | -0.000 | 233.780 | -0.000 |
| -61.034 | -61.034 | 126.249 | -0.000 | 0.000 | 276.139 |
| 1032.614 | 380.360 | -122.884 | 0.000 | -0.000 | 0.000 |
| 380.360 | 1032.614 | -122.884 | 0.000 | -0.000 | -0.000 |
| 28.179 | 28.179 | 1310.316 | 0.000 | 0.000 | -0.000 |
| -0.000 | -0.000 | -0.000 | 233.780 | 0.000 | -0.000 |
| -0.000 | -0.000 | -0.000 | 0.000 | 233.780 | 0.000 |
| 61.034 | 61.034 | -126.249 | 0.000 | 0.000 | 276.139 |
| 979.554 | 300.839 | 20.108 | -0.000 | -0.000 | 0.000 |
| 300.839 | 979.554 | 20.108 | -0.000 | -0.000 | 0.000 |
| 44.245 | 44.245 | 1269.177 | -0.000 | -0.000 | 0.000 |
| 0.000 | 0.000 | -0.000 | 233.780 | -0.000 | -0.000 |
| -7.918 | -7.918 | 17.361 | -0.000 | 232.499 | 0.000 |
| 0.000 | 0.000 | 0.000 | -0.000 | -0.000 | 339.357 |
| 946.240 | 323.256 | 37.024 | 0.000 | 0.000 | -0.000 |
| 323.256 | 946.240 | 37.024 | 0.000 | 0.000 | 0.000 |
| 55.030 | 55.030 | 1246.436 | 0.000 | 0.000 | 0.000 |
| -0.000 | -0.000 | 0.000 | 233.780 | 0.000 | -0.000 |
| 7.918 | 7.918 | -17.361 | 0.000 | 232.499 | 0.000 |
| -0.000 | -0.000 | -0.000 | 0.000 | 0.000 | 339.357 |
| 902.394 | 359.812 | 41.902 | -0.000 | -0.000 | -0.000 |
| 303.835 | 946.951 | 55.747 | -0.000 | -0.000 | 0.000 |
| 48.462 | 48.462 | 1260.524 | -0.000 | -0.000 | 0.000 |
| -2.011 | -2.012 | 4.411 | 230.525 | -0.000 | 0.000 |
| -2.012 | -2.011 | 4.411 | -0.000 | 230.525 | 0.000 |
| -2.293 | -2.292 | 5.027 | -0.000 | -0.000 | 299.721 |
| 945.892 | 306.406 | 54.403 | 0.000 | 0.000 | 0.000 |
| 342.309 | 924.536 | 37.174 | 0.000 | 0.000 | 0.000 |
| 49.567 | 49.567 | 1258.133 | 0.000 | 0.000 | -0.000 |
| 2.011 | 2.012 | -4.411 | 230.525 | 0.000 | -0.000 |
| 2.012 | 2.011 | -4.411 | 0.000 | 230.525 | -0.000 |
| 2.293 | 2.292 | -5.027 | 0.000 | 0.000 | 299.721 |
| 970.627 | 297.711 | 20.729 | 0.000 | 0.000 | -0.000 |
| 297.711 | 970.627 | 20.729 | -0.000 | -0.000 | -0.000 |
| 45.645 | 45.645 | 1305.783 | 0.000 | 0.000 | -0.000 |
| -2.328 | -2.328 | -11.796 | 220.066 | 0.000 | -0.000 |
| -1.813 | -1.813 | -12.946 | -0.000 | 224.130 | -0.000 |
| 0.000 | 0.000 | -0.000 | -0.000 | 0.000 | 336.458 |
| 925.417 | 312.799 | 70.808 | -0.000 | -0.000 | 0.000 |
| 312.799 | 925.417 | 70.808 | 0.000 | -0.000 | 0.000 |
| 66.374 | 66.374 | 1292.939 | 0.000 | -0.000 | 0.000 |
| 2.328 | 2.328 | 11.796 | 220.066 | -0.000 | 0.000 |
| 1.813 | 1.813 | 12.946 | 0.000 | 224.130 | -0.000 |
| -0.000 | -0.000 | 0.000 | 0.000 | -0.000 | 336.458 |
| 941.291 | 293.856 | 55.613 | -0.000 | -0.000 | -0.000 |
| 293.856 | 941.291 | 55.613 | -0.000 | -0.000 | -0.000 |
| 43.806 | 43.806 | 1324.963 | -0.000 | 0.000 | -0.000 |
| 0.000 | 0.000 | -0.000 | 226.907 | 0.000 | -0.000 |
| 0.000 | 0.000 | -0.000 | -0.000 | 226.907 | -0.000 |
| -1.714 | -1.714 | 1.379 | -0.000 | 0.000 | 316.902 |
| 939.810 | 295.866 | 58.351 | -0.000 | -0.000 | 0.000 |
| 297.711 | 970.626 | 20.729 | 0.000 | 0.000 | 0.000 |
| 20.729 | 20.729 | 1377.619 | 0.000 | 0.000 | 0.000 |
| -0.000 | -0.000 | 0.000 | 226.907 | -0.000 | 0.000 |
| -0.000 | -0.000 | 0.000 | -0.000 | 226.907 | 0.000 |
| 1.714 | 1.714 | -1.379 | 0.000 | -0.000 | 316.902 |
| 914.831 | 333.854 | 42.182 | -0.000 | 0.000 | -0.000 |
| 333.855 | 914.829 | 42.185 | -0.000 | 0.000 | -0.000 |
| 44.018 | 44.018 | 1326.024 | 0.000 | -0.000 | -0.000 |
| 0.664 | 0.664 | -1.530 | 220.294 | 0.000 | -0.000 |
| 0.664 | 0.664 | -1.530 | -0.000 | 220.294 | -0.000 |
| 0.000 | 0.001 | -0.000 | 0.000 | 0.000 | 336.458 |
| 940.772 | 294.919 | 56.728 | 0.000 | 0.000 | 0.000 |
| 333.054 | 915.612 | 42.826 | 0.000 | -0.000 | 0.000 |
| 20.729 | 20.729 | 1377.612 | 0.000 | -0.000 | 0.000 |
| -0.664 | -0.664 | 1.530 | 220.294 | -0.000 | 0.000 |
| -0.664 | -0.664 | 1.530 | 0.000 | 220.294 | 0.000 |
| -0.000 | -0.001 | 0.000 | 0.000 | -0.000 | 336.458 |
| 839.159 | 178.719 | 301.822 | -0.000 | -0.000 | -0.000 |
| 178.720 | 839.161 | 301.819 | 0.000 | -0.000 | -0.000 |
| 55.329 | 55.329 | 1255.389 | -0.000 | -0.000 | -0.000 |
| -0.000 | -0.000 | 0.000 | 237.835 | -0.000 | -0.000 |
| -0.000 | -0.000 | 0.000 | -0.000 | 237.835 | -0.000 |
| -0.000 | -0.000 | 0.000 | -0.000 | -0.000 | 344.408 |
| 972.599 | 283.782 | 50.170 | -0.000 | 0.000 | 0.000 |
| 377.706 | 1026.407 | -85.527 | 0.000 | 0.000 | -0.000 |
| 55.329 | 55.329 | 1255.389 | 0.000 | 0.000 | 0.000 |
| 0.000 | 0.000 | -0.000 | 237.835 | 0.000 | -0.000 |
| 0.000 | 0.000 | -0.000 | -0.000 | 237.835 | -0.000 |
| 0.000 | 0.000 | -0.000 | 0.000 | 0.000 | 344.408 |
| 972.599 | 283.783 | 50.170 | 0.000 | -0.000 | 0.000 |
| 283.783 | 972.599 | 50.170 | -0.000 | -0.000 | -0.000 |
| 71.048 | 71.048 | 1215.059 | -0.000 | -0.000 | -0.000 |
| 0.000 | 0.000 | -0.000 | 237.835 | -0.000 | -0.000 |
| 0.000 | 0.000 | -0.000 | -0.000 | 237.835 | -0.000 |
| -12.156 | -12.156 | 25.147 | -0.000 | -0.000 | 327.914 |
| 972.599 | 283.782 | 50.170 | 0.000 | 0.000 | 0.000 |
| 313.733 | 950.985 | 44.547 | 0.000 | 0.000 | -0.000 |
| 85.253 | 85.253 | 1185.403 | 0.000 | 0.000 | 0.000 |
| -0.000 | -0.000 | 0.000 | 237.835 | -0.000 | -0.000 |
| -0.000 | -0.000 | 0.000 | -0.000 | 237.835 | 0.000 |
| 12.156 | 12.156 | -25.147 | 0.000 | 0.000 | 327.914 |
| 972.603 | 283.783 | 50.170 | 0.000 | 0.000 | 0.000 |
| 348.667 | 888.842 | 71.969 | -0.000 | -0.000 | 0.000 |
| 73.926 | 73.926 | 1210.217 | -0.000 | -0.000 | -0.000 |
| 0.000 | 0.000 | -0.000 | 237.835 | -0.000 | -0.000 |
| 0.000 | 0.000 | -0.000 | 0.000 | 237.835 | 0.000 |
| -0.555 | -0.555 | 0.928 | 0.000 | -0.000 | 270.254 |
| 948.224 | 284.257 | 79.221 | 0.000 | 0.000 | 0.000 |
| 284.257 | 948.203 | 79.246 | -0.000 | 0.000 | -0.000 |
| 55.329 | 55.329 | 1255.382 | -0.000 | 0.000 | 0.000 |
| -0.000 | -0.000 | 0.000 | 237.835 | 0.000 | -0.000 |
| -0.000 | -0.000 | 0.000 | 0.000 | 237.835 | 0.000 |
| 0.555 | 0.555 | -0.928 | 0.000 | 0.000 | 270.254 |
| 966.908 | 280.575 | 52.918 | -0.000 | -0.000 | -0.000 |
| 280.575 | 966.908 | 52.918 | 0.000 | -0.000 | 0.000 |
| 31.165 | 31.165 | 1340.516 | -0.000 | -0.000 | 0.000 |
| -30.786 | -30.786 | 69.718 | 229.324 | -0.000 | -0.000 |
| 0.000 | 0.000 | -0.000 | -0.000 | 234.191 | -0.000 |
| 0.000 | 0.000 | -0.000 | -0.000 | -0.000 | 343.167 |
| 966.908 | 280.574 | 52.918 | 0.000 | 0.000 | 0.000 |
| 318.462 | 971.360 | 5.946 | -0.000 | 0.000 | 0.000 |
| 106.856 | 106.856 | 1168.865 | -0.000 | 0.000 | -0.000 |
| 30.786 | 30.786 | -69.718 | 229.324 | 0.000 | 0.000 |
| -0.000 | -0.000 | 0.000 | 0.000 | 234.191 | -0.000 |
| -0.000 | -0.000 | 0.000 | 0.000 | 0.000 | 343.167 |
| 966.908 | 280.575 | 52.918 | -0.000 | -0.000 | 0.000 |
| 280.575 | 966.908 | 52.918 | -0.000 | -0.000 | 0.000 |
| 71.376 | 71.376 | 1248.848 | -0.000 | -0.000 | -0.000 |
| 0.000 | 0.000 | -0.000 | 234.191 | -0.000 | 0.000 |
| 0.000 | 0.000 | -0.000 | 0.000 | 234.191 | -0.000 |
| -8.290 | -8.290 | 18.969 | 0.000 | -0.000 | 327.585 |
| 966.908 | 280.574 | 52.918 | -0.000 | 0.000 | -0.000 |
| 280.574 | 966.908 | 52.918 | 0.000 | 0.000 | -0.000 |
| 77.337 | 77.337 | 1235.261 | 0.000 | 0.000 | 0.000 |
| -0.000 | -0.000 | 0.000 | 234.191 | 0.000 | 0.000 |
| -0.000 | -0.000 | 0.000 | 0.000 | 234.191 | -0.000 |
| 8.290 | 8.290 | -18.969 | -0.000 | 0.000 | 327.585 |
| 966.912 | 280.575 | 52.918 | 0.000 | -0.000 | 0.000 |
| 303.100 | 924.721 | 75.455 | -0.000 | -0.000 | 0.000 |
| 73.746 | 73.746 | 1243.470 | -0.000 | -0.000 | -0.000 |
| 0.000 | 0.000 | -0.000 | 234.191 | -0.000 | 0.000 |
| 1.647 | 1.647 | -3.845 | -0.000 | 227.151 | -0.000 |
| 0.000 | 0.001 | 0.000 | -0.000 | -0.000 | 343.167 |
| 925.607 | 303.521 | 74.008 | 0.000 | 0.000 | 0.000 |
| 303.521 | 925.603 | 74.012 | 0.000 | 0.000 | 0.000 |
| 74.344 | 74.344 | 1242.094 | -0.000 | 0.000 | 0.000 |
| -0.000 | -0.000 | 0.000 | 234.191 | 0.000 | 0.000 |
| -1.647 | -1.647 | 3.845 | 0.000 | 227.151 | 0.000 |
| -0.000 | -0.001 | -0.000 | 0.000 | 0.000 | 343.167 |
| 950.047 | 271.368 | 95.700 | -0.000 | -0.000 | -0.000 |
| 273.440 | 969.970 | 68.655 | -0.000 | 0.000 | -0.000 |
| 99.492 | 99.492 | 1153.873 | -0.000 | -0.000 | -0.000 |
| -0.000 | -0.000 | -0.000 | 241.302 | 0.000 | -0.000 |
| -0.000 | -0.000 | -0.000 | 0.000 | 241.302 | -0.000 |
| -0.000 | -0.000 | -0.000 | 0.000 | 0.000 | 348.265 |
| 969.970 | 273.440 | 68.655 | 0.000 | 0.000 | 0.000 |
| 273.440 | 969.970 | 68.655 | 0.000 | 0.000 | 0.000 |
| 90.202 | 90.202 | 1173.276 | -0.000 | -0.000 | 0.000 |
| 0.000 | 0.000 | 0.000 | 241.302 | -0.000 | -0.000 |
| 0.000 | 0.000 | 0.000 | -0.000 | 241.302 | -0.000 |
| 0.000 | 0.000 | 0.000 | -0.000 | -0.000 | 348.265 |
| 969.970 | 273.440 | 68.655 | -0.000 | 0.000 | -0.000 |
| 272.409 | 949.938 | 93.453 | -0.000 | 0.000 | -0.000 |
| 89.972 | 89.972 | 1174.854 | 0.000 | 0.000 | 0.000 |
| 0.000 | 0.000 | -0.000 | 241.302 | -0.000 | -0.000 |
| 0.000 | 0.000 | -0.000 | 0.000 | 241.302 | 0.000 |
| 0.000 | 0.000 | -0.000 | 0.000 | 0.000 | 348.265 |
| 969.969 | 273.440 | 68.655 | -0.000 | -0.000 | 0.000 |
| 273.440 | 969.969 | 68.655 | -0.000 | -0.000 | 0.000 |
| 89.092 | 89.092 | 1176.738 | 0.000 | -0.000 | 0.000 |
| -0.000 | -0.000 | 0.000 | 241.302 | 0.000 | 0.000 |
| -0.000 | -0.000 | 0.000 | -0.000 | 241.302 | -0.000 |
| -0.000 | -0.000 | 0.000 | -0.000 | 0.000 | 348.265 |
| 969.973 | 273.441 | 68.655 | -0.000 | -0.000 | 0.000 |
| 273.441 | 969.973 | 68.655 | -0.000 | 0.000 | -0.000 |
| 91.837 | 91.837 | 1171.110 | 0.000 | 0.000 | -0.000 |
| 0.000 | 0.000 | -0.000 | 241.302 | 0.000 | -0.000 |
| -0.289 | -0.289 | 0.717 | -0.000 | 234.645 | -0.000 |
| 1.747 | 1.746 | -4.100 | 0.000 | -0.000 | 297.654 |
| 969.966 | 273.439 | 68.655 | 0.000 | -0.000 | -0.000 |
| 290.820 | 935.344 | 88.108 | -0.000 | -0.000 | 0.000 |
| 91.802 | 91.802 | 1171.134 | -0.000 | -0.000 | 0.000 |
| -0.000 | -0.000 | 0.000 | 241.302 | -0.000 | -0.000 |
| 0.289 | 0.289 | -0.717 | -0.000 | 234.645 | 0.000 |
| -1.747 | -1.746 | 4.100 | -0.000 | 0.000 | 297.654 |
| 1136.918 | 461.051 | -333.940 | -0.000 | 0.000 | -0.000 |
| 461.070 | 1136.935 | -333.979 | -0.000 | 0.000 | -0.000 |
| 252.120 | 252.120 | 833.754 | -0.000 | 0.000 | -0.000 |
| 185.155 | 185.155 | -421.060 | 234.289 | 0.000 | -0.000 |
| 189.974 | 189.974 | -426.899 | -0.000 | 236.710 | 0.000 |
| 0.000 | 0.000 | -0.000 | -0.000 | -0.000 | 347.631 |
| 757.494 | 80.926 | 519.440 | 0.000 | -0.000 | 0.000 |
| 80.926 | 757.494 | 519.440 | 0.000 | -0.000 | -0.000 |
| -96.172 | -96.172 | 1615.160 | 0.000 | -0.000 | 0.000 |
| -185.155 | -185.155 | 421.060 | 234.289 | -0.000 | 0.000 |
| -189.974 | -189.974 | 426.899 | 0.000 | 236.710 | 0.000 |
| -0.000 | -0.000 | -0.000 | -0.000 | -0.000 | 347.631 |
| 965.786 | 270.524 | 71.617 | -0.000 | -0.000 | 0.000 |
| 290.421 | 961.965 | 54.525 | -0.000 | 0.000 | -0.000 |
| 109.430 | 109.430 | 1153.698 | -0.000 | 0.000 | 0.000 |
| 0.000 | 0.000 | -0.000 | 238.992 | -0.000 | -0.000 |
| 0.000 | 0.000 | -0.000 | -0.000 | 238.992 | -0.000 |
| 20.219 | 20.219 | -45.434 | -0.000 | 0.000 | 337.504 |
| 921.958 | 263.110 | 129.684 | -0.000 | -0.000 | -0.000 |
| 250.858 | 929.133 | 135.589 | 0.000 | -0.000 | 0.000 |
| 80.561 | 80.561 | 1218.299 | 0.000 | -0.000 | 0.000 |
| -0.000 | -0.000 | 0.000 | 238.992 | -0.000 | 0.000 |
| -0.000 | -0.000 | 0.000 | 0.000 | 238.992 | -0.000 |
| -20.219 | -20.219 | 45.434 | 0.000 | -0.000 | 337.504 |
| 946.306 | 269.430 | 95.490 | -0.000 | 0.000 | 0.000 |
| 269.431 | 946.317 | 95.476 | -0.000 | -0.000 | -0.000 |
| 71.616 | 71.616 | 1240.144 | 0.000 | 0.000 | -0.000 |
| 0.000 | 0.000 | -0.000 | 238.992 | -0.000 | 0.000 |
| 3.119 | 3.119 | -7.009 | -0.000 | 235.245 | -0.000 |
| 0.000 | 0.001 | 0.000 | -0.000 | -0.000 | 347.631 |
| 930.529 | 283.143 | 97.669 | 0.000 | -0.000 | -0.000 |
| 283.141 | 930.520 | 97.682 | -0.000 | 0.000 | 0.000 |
| 88.410 | 88.410 | 1201.190 | 0.000 | -0.000 | -0.000 |
| -0.000 | -0.000 | 0.000 | 238.992 | 0.000 | 0.000 |
| -3.119 | -3.119 | 7.009 | 0.000 | 235.245 | -0.000 |
| -0.000 | -0.001 | -0.000 | 0.000 | 0.000 | 347.631 |
| 975.915 | 291.016 | 37.678 | 30.502 | -0.000 | 0.000 |
| 291.016 | 975.915 | 37.678 | -30.502 | -0.000 | -0.000 |
| 44.420 | 44.420 | 1275.151 | 0.000 | 0.000 | 0.000 |
| 30.502 | -30.502 | -0.000 | 236.426 | 0.000 | 0.000 |
| -5.082 | -5.082 | 21.835 | 0.000 | 234.392 | 29.566 |
| 0.000 | 0.000 | -0.000 | 0.000 | 30.502 | 342.450 |
| 975.915 | 291.016 | 37.679 | 30.502 | -0.000 | 0.000 |
| 291.016 | 975.915 | 37.679 | -30.502 | 0.000 | -0.000 |
| 83.980 | 83.980 | 1170.263 | 0.000 | 0.000 | -0.000 |
| 30.502 | -30.502 | 0.001 | 236.426 | -0.000 | 0.000 |
| 5.082 | 5.082 | -21.835 | -0.000 | 234.392 | 29.566 |
| 0.000 | -0.000 | 0.000 | -0.000 | 30.502 | 342.450 |
| 975.915 | 291.016 | 37.679 | 30.502 | -0.000 | -0.000 |
| 314.651 | 939.024 | 54.394 | -29.061 | 0.000 | -0.000 |
| 66.150 | 66.150 | 1223.131 | 0.000 | -0.000 | 0.000 |
| 29.001 | -30.057 | 2.269 | 234.312 | 0.000 | 0.000 |
| 0.874 | 0.874 | -1.198 | 0.000 | 232.566 | 29.148 |
| 0.000 | 0.000 | -0.000 | 0.000 | 30.502 | 342.450 |
| 945.963 | 293.059 | 70.216 | 29.607 | -0.000 | -0.000 |
| 291.016 | 975.915 | 37.679 | -30.502 | -0.000 | -0.000 |
| 66.530 | 66.530 | 1221.056 | 0.000 | -0.000 | -0.000 |
| 28.275 | -30.022 | 1.198 | 232.566 | 0.000 | -0.000 |
| -0.874 | -0.874 | 1.198 | -0.000 | 232.566 | 29.148 |
| -0.000 | -0.000 | 0.000 | -0.000 | 30.502 | 342.450 |
| 947.752 | 292.411 | 69.860 | 29.676 | -0.000 | 0.000 |
| 323.316 | 928.017 | 56.025 | -28.606 | 0.000 | 0.000 |
| 64.189 | 64.189 | 1227.355 | 0.000 | 0.000 | 0.000 |
| 28.748 | -28.928 | 0.388 | 232.810 | 0.000 | -0.000 |
| -0.090 | -0.090 | 0.388 | 0.000 | 232.810 | 28.838 |
| 0.000 | 0.001 | 0.000 | 0.000 | 30.502 | 342.450 |
| 975.911 | 291.015 | 37.678 | 30.502 | 0.000 | 0.000 |
| 349.433 | 899.365 | 58.849 | -28.079 | -0.000 | -0.000 |
| 64.233 | 64.233 | 1227.131 | 0.000 | 0.000 | 0.000 |
| 28.928 | -28.747 | -0.388 | 232.810 | -0.000 | 0.000 |
| 0.090 | 0.090 | -0.388 | -0.000 | 232.810 | 28.838 |
| -0.000 | -0.001 | -0.000 | -0.000 | 30.502 | 342.450 |
| 971.311 | 278.051 | 60.575 | 21.838 | -0.000 | 0.000 |
| -8.677 | 664.828 | 739.454 | -21.299 | -0.000 | 0.000 |
| 65.074 | 65.074 | 1232.689 | 0.000 | -0.000 | 0.000 |
| 21.838 | -21.838 | 0.000 | 239.851 | -0.000 | -0.000 |
| 0.000 | 0.000 | 0.000 | 0.000 | 239.851 | 21.838 |
| -181.742 | -181.742 | 373.004 | 0.000 | 20.761 | 323.443 |
| 971.311 | 278.051 | 60.575 | 21.838 | 0.000 | -0.000 |
| 571.723 | 1244.657 | -586.629 | -21.284 | 0.000 | -0.000 |
| 65.074 | 65.074 | 1232.688 | 0.000 | 0.000 | -0.000 |
| 21.838 | -21.838 | -0.000 | 239.851 | 0.000 | -0.000 |
| -0.000 | -0.000 | -0.000 | -0.000 | 239.851 | 21.838 |
| 181.742 | 181.742 | -373.004 | -0.000 | 20.761 | 323.443 |
| 925.781 | 250.870 | 144.478 | 21.338 | -0.000 | -0.000 |
| 278.051 | 971.312 | 60.574 | -21.838 | -0.000 | 0.000 |
| 65.074 | 65.074 | 1232.689 | 0.000 | -0.000 | 0.000 |
| -7.872 | -50.450 | 66.661 | 238.087 | -0.000 | 0.000 |
| 0.000 | 0.000 | -0.000 | 0.000 | 239.851 | 21.838 |
| -17.821 | -17.821 | 36.278 | 0.000 | 20.730 | 322.709 |
| 981.608 | 313.171 | 9.739 | 21.161 | 0.000 | -0.000 |
| 310.505 | 953.573 | 48.602 | -20.695 | 0.000 | -0.000 |
| 65.074 | 65.074 | 1232.688 | -0.000 | 0.000 | 0.000 |
| 21.838 | -21.838 | 0.000 | 239.851 | 0.000 | 0.000 |
| -0.000 | -0.000 | 0.000 | -0.000 | 239.851 | 21.838 |
| 17.821 | 17.821 | -36.278 | -0.000 | 20.730 | 322.709 |
| 971.315 | 278.052 | 60.575 | 21.838 | -0.000 | -0.000 |
| 274.561 | 948.213 | 91.819 | -21.303 | -0.000 | 0.000 |
| 81.380 | 81.380 | 1193.594 | -0.000 | -0.000 | 0.000 |
| 17.016 | -25.133 | 9.278 | 237.395 | -0.000 | -0.000 |
| 0.000 | 0.000 | -0.000 | 0.000 | 239.851 | 21.838 |
| 0.000 | 0.001 | 0.000 | 0.000 | 21.838 | 346.630 |
| 971.307 | 278.050 | 60.574 | 21.838 | 0.000 | 0.000 |
| 301.902 | 935.596 | 74.425 | -20.482 | 0.000 | -0.000 |
| 85.053 | 85.053 | 1185.235 | -0.000 | 0.000 | -0.000 |
| 25.132 | -17.015 | -9.278 | 237.395 | 0.000 | -0.000 |
| -0.000 | -0.000 | 0.000 | -0.000 | 239.851 | 21.838 |
| -0.000 | -0.001 | -0.000 | -0.000 | 21.838 | 346.630 |
| 495.645 | 91.065 | 91.065 | -0.000 | 0.000 | 0.000 |
| 91.065 | 495.645 | 91.065 | -0.000 | 0.000 | 0.000 |
| 91.065 | 91.065 | 495.645 | -0.000 | -0.000 | 0.000 |
| 0.000 | 0.000 | 0.000 | 153.748 | 0.000 | 0.000 |
| 0.000 | 0.000 | -0.000 | -0.000 | 153.748 | 0.000 |
| 0.000 | 0.000 | -0.000 | 0.000 | 0.000 | 153.748 |
| 397.537 | 154.300 | 154.300 | 0.000 | -0.000 | -0.000 |
| 154.300 | 397.537 | 154.300 | -0.000 | -0.000 | 0.000 |
| 154.300 | 154.300 | 397.537 | -0.000 | 0.000 | -0.000 |
| -0.000 | -0.000 | -0.000 | 153.748 | -0.000 | -0.000 |
| -0.000 | -0.000 | -0.000 | -0.000 | 153.748 | -0.000 |
| -0.000 | -0.000 | 0.000 | 0.000 | -0.000 | 153.748 |
| 495.645 | 91.065 | 91.065 | -0.000 | -0.000 | -0.000 |
| 91.065 | 495.645 | 91.065 | 0.000 | 0.000 | 0.000 |
| 91.065 | 91.065 | 495.645 | 0.000 | 0.000 | 0.000 |
| -3.309 | -3.309 | -3.309 | 63.192 | 0.000 | 0.000 |
| -3.309 | -3.309 | -3.309 | 0.000 | 63.192 | 0.000 |
| -3.309 | -3.309 | -3.309 | 0.000 | 0.000 | 63.192 |
| 495.645 | 91.065 | 91.065 | 0.000 | -0.000 | -0.000 |
| 91.065 | 495.645 | 91.065 | 0.000 | -0.000 | -0.000 |
| 91.065 | 91.065 | 495.645 | -0.000 | 0.000 | 0.000 |
| 3.309 | 3.309 | 3.309 | 63.192 | -0.000 | -0.000 |
| 3.309 | 3.309 | 3.309 | -0.000 | 63.192 | -0.000 |
| 3.309 | 3.309 | 3.309 | -0.000 | -0.000 | 63.192 |
| 416.943 | 115.282 | 115.282 | 0.000 | 0.000 | 0.000 |
| 115.282 | 416.943 | 115.282 | 0.000 | 0.000 | -0.000 |
| 115.282 | 115.282 | 416.943 | 0.000 | 0.000 | 0.000 |
| -0.295 | -0.295 | -0.295 | 73.110 | 0.000 | 0.000 |
| -0.295 | -0.295 | -0.295 | -0.000 | 73.110 | -0.000 |
| -0.295 | -0.295 | -0.295 | -0.000 | 0.000 | 73.110 |
| 367.825 | 117.021 | 117.022 | -0.000 | 0.000 | -0.000 |
| 117.022 | 367.825 | 117.021 | 0.000 | 0.000 | 0.000 |
| 117.021 | 117.022 | 367.825 | 0.000 | -0.000 | -0.000 |
| 0.295 | 0.295 | 0.295 | 73.110 | -0.000 | 0.000 |
| 0.295 | 0.295 | 0.295 | -0.000 | 73.110 | 0.000 |
| 0.295 | 0.295 | 0.295 | -0.000 | -0.000 | 73.110 |
| 306.484 | 52.041 | 52.041 | 0.000 | 0.000 | 0.000 |
| 52.041 | 306.484 | 52.041 | -0.000 | 0.000 | -0.000 |
| 52.041 | 52.041 | 306.484 | -0.000 | 0.000 | -0.000 |
| -335.120 | -335.120 | -335.120 | 93.143 | 0.000 | 0.000 |
| -335.120 | -335.120 | -335.120 | 0.000 | 93.143 | -0.000 |
| -335.120 | -335.120 | -335.120 | -0.000 | 0.000 | 93.143 |
| 1185.495 | 1056.855 | 1056.854 | 0.000 | 0.000 | 0.000 |
| 1056.854 | 1185.495 | 1056.854 | -0.000 | -0.000 | -0.000 |
| 1056.855 | 1056.854 | 1185.495 | -0.000 | -0.000 | -0.000 |
| 335.120 | 335.120 | 335.120 | 93.143 | -0.000 | 0.000 |
| 335.120 | 335.120 | 335.120 | 0.000 | 93.143 | 0.000 |
| 335.120 | 335.120 | 335.120 | -0.000 | -0.000 | 93.143 |
| -243.719 | -274.455 | -274.455 | -0.000 | 0.000 | 0.000 |
| -274.455 | -243.719 | -274.455 | 0.000 | 0.000 | 0.000 |
| -274.455 | -274.455 | -243.719 | -0.000 | 0.000 | 0.000 |
| -347.056 | -347.056 | -347.056 | 7.604 | 0.000 | -0.000 |
| 0.000 | 0.000 | 0.000 | -0.000 | 121.183 | -0.000 |
| 0.000 | 0.000 | 0.000 | -0.000 | 0.000 | 121.183 |
| 306.484 | 52.041 | 52.041 | 0.000 | -0.000 | 0.000 |
| 52.041 | 306.484 | 52.041 | 0.000 | -0.000 | 0.000 |
| 52.041 | 52.041 | 306.484 | 0.000 | -0.000 | 0.000 |
| 347.056 | 347.056 | 347.056 | 7.604 | -0.000 | -0.000 |
| -0.000 | -0.000 | -0.000 | 0.000 | 121.183 | 0.000 |
| -0.000 | -0.000 | -0.000 | 0.000 | -0.000 | 121.183 |
| 306.485 | 52.041 | 52.041 | -0.000 | 0.000 | -0.000 |
| 52.041 | 306.485 | 52.041 | -0.000 | 0.000 | -0.000 |
| 52.041 | 52.041 | 306.485 | -0.000 | 0.000 | -0.000 |
| -12.721 | -12.721 | -12.721 | 48.814 | 0.000 | 0.000 |
| -12.721 | -12.721 | -12.721 | 0.000 | 48.815 | 0.000 |
| -12.721 | -12.721 | -12.721 | -0.000 | 0.000 | 48.814 |
| 222.566 | 58.506 | 58.506 | 0.000 | -0.000 | 0.000 |
| 58.506 | 222.566 | 58.506 | 0.000 | -0.000 | 0.000 |
| 58.506 | 58.506 | 222.566 | 0.000 | -0.000 | 0.000 |
| 12.721 | 12.721 | 12.721 | 48.814 | -0.000 | 0.000 |
| 12.721 | 12.721 | 12.721 | -0.000 | 48.815 | 0.000 |
| 12.721 | 12.721 | 12.721 | 0.000 | -0.000 | 48.814 |
| 436.273 | 135.374 | 5.065 | -0.000 | 0.000 | -0.000 |
| 85.015 | 318.722 | 13.467 | -0.000 | 0.000 | -0.000 |
| 21.084 | 29.662 | 16.795 | 0.000 | 0.000 | 0.000 |
| 6.779 | 2.424 | 7.848 | 37.697 | -0.000 | 0.000 |
| 6.837 | 4.716 | 30.278 | -0.000 | 12.192 | -0.000 |
| 7.834 | 5.229 | 18.082 | -0.000 | -0.000 | 153.280 |
| 528.365 | 75.654 | 56.066 | 0.000 | -0.000 | 0.000 |
| 127.672 | 200.812 | -16.232 | 0.000 | -0.000 | 0.000 |
| 64.388 | 12.429 | 294.524 | 0.000 | -0.000 | 0.000 |
| -6.779 | -2.424 | -7.848 | 37.697 | -0.000 | -0.000 |
| -6.837 | -4.716 | -30.278 | 0.000 | 12.192 | -0.000 |
| -7.834 | -5.229 | -18.082 | 0.000 | -0.000 | 153.280 |
| 428.310 | 130.213 | -13.767 | 0.000 | 0.000 | -0.000 |
| 152.378 | 209.673 | 20.297 | -0.000 | 0.000 | -0.000 |
| -7.705 | -9.916 | -37.726 | 0.000 | -0.000 | -0.000 |
| 0.932 | 0.550 | 1.885 | 30.639 | 0.000 | -0.000 |
| 0.000 | 0.000 | -0.000 | 0.000 | 138.422 | -0.000 |
| 0.555 | 0.198 | 0.642 | -0.000 | 0.000 | 153.459 |
| 433.518 | 138.267 | 30.390 | 0.000 | -0.000 | -0.000 |
| 137.025 | 204.533 | -12.656 | -0.000 | 0.000 | -0.000 |
| -9.186 | -11.146 | -41.823 | -0.000 | -0.000 | 0.000 |
| -0.932 | -0.550 | -1.885 | 30.639 | -0.000 | 0.000 |
| -0.000 | -0.000 | 0.000 | 0.000 | 138.422 | 0.000 |
| -0.555 | -0.198 | -0.642 | 0.000 | -0.000 | 153.459 |
| 427.528 | 129.692 | -15.611 | -0.000 | -0.000 | -0.000 |
| 137.965 | 205.090 | -10.399 | -0.000 | 0.000 | -0.000 |
| -7.071 | -11.593 | -39.609 | -0.000 | 0.000 | -0.000 |
| 0.067 | 0.024 | 0.077 | 38.012 | 0.000 | -0.000 |
| 0.092 | 0.034 | 0.190 | -0.000 | 11.108 | -0.000 |
| 0.070 | 0.041 | 0.140 | -0.000 | 0.000 | 153.372 |
| 427.346 | 129.580 | -16.027 | 0.000 | 0.000 | 0.000 |
| 137.706 | 205.761 | 3.163 | 0.000 | -0.000 | 0.000 |
| -7.235 | -11.691 | -39.981 | 0.000 | 0.000 | 0.000 |
| -0.067 | -0.024 | -0.077 | 38.012 | -0.000 | -0.000 |
| -0.092 | -0.034 | -0.190 | 0.000 | 11.108 | -0.000 |
| -0.070 | -0.041 | -0.140 | 0.000 | -0.000 | 153.372 |
| 1035.163 | 66.442 | 124.688 | 0.000 | -0.000 | -0.000 |
| 90.213 | 266.702 | 72.546 | -0.000 | -0.000 | -0.000 |
| -79.200 | 144.463 | 981.123 | 0.000 | 0.000 | 0.000 |
| 0.000 | -0.000 | 0.000 | 116.088 | -0.000 | -0.000 |
| 0.000 | 0.000 | 0.000 | 0.000 | 387.180 | -0.000 |
| 0.000 | -0.000 | 0.000 | 0.000 | -0.000 | 189.814 |
| 1207.014 | 1.307 | 70.346 | 0.000 | -0.000 | -0.000 |
| 395.475 | 194.695 | -64.934 | 0.000 | -0.000 | -0.000 |
| 161.003 | 85.090 | 907.989 | -0.000 | 0.000 | -0.000 |
| -0.000 | 0.000 | -0.000 | 116.088 | 0.000 | 0.000 |
| -0.000 | -0.000 | -0.000 | 0.000 | 387.180 | 0.000 |
| -0.000 | 0.000 | -0.000 | -0.000 | 0.000 | 189.814 |
| 731.511 | 0.411 | 222.038 | -0.000 | 0.000 | -0.000 |
| -9.032 | 231.579 | 91.607 | 0.000 | -0.000 | -0.000 |
| 207.744 | 99.811 | 878.219 | -0.000 | 0.000 | -0.000 |
| 0.000 | -0.000 | -0.000 | 116.088 | -0.000 | -0.000 |
| -23.496 | 5.018 | 10.432 | -0.000 | 342.378 | -0.000 |
| 0.000 | -0.000 | 0.000 | 0.000 | 0.000 | 189.814 |
| 1035.163 | 66.442 | 124.688 | 0.000 | 0.000 | 0.000 |
| 90.213 | 266.702 | 72.546 | 0.000 | 0.000 | 0.000 |
| 238.013 | 75.039 | 860.735 | 0.000 | -0.000 | -0.000 |
| -0.000 | 0.000 | 0.000 | 116.088 | 0.000 | 0.000 |
| 23.496 | -5.018 | -10.432 | -0.000 | 342.378 | 0.000 |
| -0.000 | 0.000 | -0.000 | 0.000 | -0.000 | 189.814 |
| 765.511 | -1.735 | 210.470 | -0.000 | 0.000 | -0.000 |
| 17.985 | 225.637 | 86.173 | -0.000 | 0.000 | 0.000 |
| 209.083 | 81.278 | 873.461 | -0.000 | 0.000 | 0.000 |
| 0.000 | -0.000 | -0.000 | 116.088 | 0.000 | -0.000 |
| -0.534 | -0.514 | -0.232 | -0.000 | 326.633 | -0.000 |
| 0.000 | -0.001 | 0.000 | 0.000 | -0.000 | 189.814 |
| 773.018 | -2.226 | 207.902 | 0.000 | -0.000 | 0.000 |
| 37.724 | 230.963 | 88.274 | -0.000 | 0.000 | 0.000 |
| 236.340 | 94.882 | 865.302 | 0.000 | 0.000 | -0.000 |
| -0.000 | 0.000 | 0.000 | 116.088 | -0.000 | 0.000 |
| 0.534 | 0.514 | 0.232 | 0.000 | 326.633 | 0.000 |
| -0.000 | 0.001 | -0.000 | 0.000 | -0.000 | 189.814 |
| 1268.072 | -46.918 | -317.302 | 0.000 | -0.000 | 0.000 |
| 93.050 | 264.802 | 74.605 | -0.000 | -0.000 | 0.000 |
| 159.669 | 87.643 | 907.553 | 0.000 | -0.000 | 0.000 |
| -1038.775 | -378.740 | -114.394 | 90.479 | 0.000 | -0.000 |
| 0.000 | 0.000 | 0.000 | 0.000 | 387.421 | 0.000 |
| 0.000 | 0.000 | 0.000 | 0.000 | -0.000 | 186.184 |
| 1780.421 | 405.038 | 334.373 | -0.000 | -0.000 | -0.000 |
| -230.619 | 368.830 | 525.290 | -0.000 | 0.000 | 0.000 |
| -124.443 | 201.110 | 1343.252 | -0.000 | 0.000 | 0.000 |
| 1038.775 | 378.740 | 114.394 | 90.479 | -0.000 | -0.000 |
| -0.000 | -0.000 | -0.000 | -0.000 | 387.421 | -0.000 |
| -0.000 | -0.000 | -0.000 | -0.000 | -0.000 | 186.184 |
| 1032.382 | 70.454 | 124.036 | 0.000 | -0.000 | 0.000 |
| 93.050 | 264.802 | 74.605 | 0.000 | -0.000 | 0.000 |
| 115.749 | 32.997 | 860.434 | 0.000 | -0.000 | -0.000 |
| 0.000 | -0.000 | -0.000 | 114.986 | 0.000 | 0.000 |
| 0.000 | 0.000 | 0.000 | 0.000 | 387.421 | -0.000 |
| -128.865 | -65.868 | -4.264 | -0.000 | -0.000 | 146.799 |
| 1032.381 | 70.454 | 124.036 | -0.000 | 0.000 | 0.000 |
| 93.049 | 264.802 | 74.605 | -0.000 | -0.000 | 0.000 |
| 251.411 | 105.540 | 909.152 | -0.000 | 0.000 | 0.000 |
| -0.000 | 0.000 | 0.000 | 114.986 | 0.000 | -0.000 |
| -0.000 | -0.000 | -0.000 | -0.000 | 387.421 | -0.000 |
| 128.865 | 65.868 | 4.264 | -0.000 | -0.000 | 146.799 |
| 744.087 | 0.589 | 208.448 | 0.000 | -0.000 | 0.000 |
| 16.851 | 223.569 | 85.263 | -0.000 | -0.000 | 0.000 |
| 213.864 | 86.992 | 867.729 | 0.000 | -0.000 | 0.000 |
| -7.735 | -5.607 | -2.396 | 94.298 | -0.000 | 0.000 |
| -5.983 | -4.946 | -6.497 | 0.000 | 329.458 | -0.000 |
| -10.354 | -6.651 | -1.472 | -0.000 | -0.000 | 147.763 |
| 769.738 | 13.731 | 209.428 | -0.000 | 0.000 | 0.000 |
| 93.049 | 264.802 | 74.604 | 0.000 | 0.000 | 0.000 |
| 257.441 | 105.347 | 865.648 | -0.000 | 0.000 | 0.000 |
| 7.735 | 5.607 | 2.396 | 94.298 | 0.000 | 0.000 |
| 5.983 | 4.946 | 6.497 | -0.000 | 329.458 | 0.000 |
| 10.354 | 6.651 | 1.472 | -0.000 | 0.000 | 147.763 |
| -7118.488 | -7237.499 | -8080.612 | -13.548 | -0.000 | -0.000 |
| -7237.499 | -7118.488 | -8080.612 | 13.548 | 0.000 | -0.000 |
| -11030.111 | -11030.111 | -12893.487 | 0.000 | 0.000 | -0.000 |
| -3536.897 | -3514.361 | -2469.006 | 66.368 | 0.000 | -0.000 |
| -7214.163 | -7214.163 | -8074.387 | 0.000 | 34.592 | -13.530 |
| -3522.007 | -3522.007 | -2470.415 | 0.000 | -11.254 | 85.878 |
| 1403.384 | 1138.770 | -217.201 | -9.396 | -0.000 | 0.000 |
| 1141.215 | 1405.669 | -217.853 | 9.404 | -0.000 | 0.000 |
| 3569.150 | 3569.150 | 2638.542 | 0.000 | 0.000 | 0.000 |
| 3510.377 | 3532.883 | 2470.526 | 66.513 | -0.000 | 0.000 |
| 7214.163 | 7214.163 | 8074.387 | 0.000 | 34.592 | -13.530 |
| 3522.007 | 3522.007 | 2470.415 | -0.000 | -11.254 | 85.878 |
| 236.075 | -27.760 | 114.195 | -9.438 | 0.000 | -0.000 |
| -27.747 | 236.096 | 114.189 | 9.437 | 0.000 | -0.000 |
| -25.654 | -25.654 | 300.013 | 0.000 | 0.000 | -0.000 |
| -733.059 | -706.030 | -805.166 | 34.908 | 0.000 | -0.000 |
| -106.091 | -106.091 | 30.120 | -0.000 | 119.329 | -9.401 |
| -1095.189 | -1095.189 | -1286.019 | -0.000 | -17.260 | 65.220 |
| 449.798 | 184.922 | 53.534 | -9.381 | -0.000 | 0.000 |
| 395.243 | 571.768 | 303.174 | 11.139 | -0.000 | 0.000 |
| 1037.061 | 1037.061 | 1283.510 | -0.000 | 0.000 | 0.000 |
| 340.905 | 363.431 | 246.561 | 66.463 | -0.000 | 0.000 |
| 106.091 | 106.091 | -30.120 | 0.000 | 119.329 | -9.401 |
| 1095.189 | 1095.189 | 1286.019 | 0.000 | -17.260 | 65.220 |
| 317.709 | 66.582 | 90.818 | -10.128 | 0.000 | -0.000 |
| 80.064 | 413.497 | 64.925 | 5.658 | 0.000 | -0.000 |
| 63.087 | 63.087 | 347.773 | -0.000 | 0.000 | -0.000 |
| -43.457 | -21.640 | -22.432 | 72.959 | 0.000 | -0.000 |
| -32.549 | -32.549 | -22.432 | -0.000 | 72.959 | -10.908 |
| -11.137 | -11.137 | 3.162 | 0.000 | -9.587 | 130.542 |
| 350.175 | 90.722 | 81.731 | -9.676 | -0.000 | 0.000 |
| 68.422 | 248.844 | 104.859 | 14.188 | -0.000 | 0.000 |
| 93.020 | 93.020 | 229.702 | -0.000 | -0.000 | 0.000 |
| 21.641 | 43.457 | 22.432 | 72.959 | -0.000 | 0.000 |
| 32.549 | 32.549 | 22.432 | 0.000 | 72.959 | -10.908 |
| 11.137 | 11.137 | -3.162 | -0.000 | -9.587 | 130.542 |
| 789.640 | 306.965 | -87.979 | 0.000 | -0.000 | 0.000 |
| 94.572 | 931.952 | 248.256 | 0.000 | -0.000 | -0.000 |
| 215.292 | 241.210 | 878.299 | -0.000 | -0.000 | -0.000 |
| 0.000 | 0.000 | 0.000 | 392.575 | -0.000 | -0.000 |
| 798.948 | 301.630 | -130.217 | 0.000 | 128.424 | -0.000 |
| 0.000 | 0.000 | 0.000 | -0.000 | -0.000 | 170.800 |
| 530.662 | -145.581 | 548.872 | 0.000 | -0.000 | 0.000 |
| 94.572 | 931.951 | 248.256 | 0.000 | 0.000 | 0.000 |
| -1519.098 | 333.940 | -35.198 | -0.000 | -0.000 | 0.000 |
| -0.000 | -0.000 | -0.000 | 392.575 | 0.000 | 0.000 |
| -798.948 | -301.630 | 130.217 | -0.000 | 128.424 | -0.000 |
| -0.000 | -0.000 | -0.000 | -0.000 | 0.000 | 170.800 |
| 679.132 | 110.687 | 188.115 | 0.000 | -0.000 | -0.000 |
| 179.105 | 876.126 | 315.875 | -0.000 | 0.000 | 0.000 |
| 228.118 | 293.048 | 799.035 | 0.000 | -0.000 | -0.000 |
| 175.065 | -1.614 | 87.289 | 343.687 | 0.000 | -0.000 |
| 106.251 | 3.466 | 37.189 | 0.000 | 157.723 | -0.000 |
| 13.550 | 23.937 | -33.675 | -0.000 | 0.000 | 146.493 |
| 329.822 | 136.744 | -9.293 | 0.000 | -0.000 | -0.000 |
| 94.572 | 931.951 | 248.256 | -0.000 | 0.000 | 0.000 |
| -94.730 | 330.080 | 610.589 | 0.000 | 0.000 | -0.000 |
| -175.065 | 1.614 | -87.289 | 343.687 | -0.000 | 0.000 |
| -106.251 | -3.466 | -37.189 | 0.000 | 157.723 | 0.000 |
| -13.550 | -23.937 | 33.675 | -0.000 | 0.000 | 146.493 |
| 539.749 | 119.113 | 137.594 | 0.000 | -0.000 | -0.000 |
| 96.446 | 895.871 | 282.883 | 0.000 | 0.000 | -0.000 |
| 144.968 | 300.678 | 743.646 | -0.000 | 0.000 | -0.000 |
| 2.779 | 1.598 | -1.370 | 339.279 | -0.000 | 0.000 |
| 7.164 | 1.071 | 1.557 | -0.000 | 178.627 | -0.000 |
| 4.964 | 1.296 | -0.115 | -0.000 | 0.000 | 141.079 |
| 498.897 | 124.767 | 111.652 | 0.000 | -0.000 | 0.000 |
| 93.805 | 893.452 | 287.199 | -0.000 | -0.000 | 0.000 |
| 103.095 | 308.130 | 716.138 | 0.000 | -0.000 | 0.000 |
| -2.779 | -1.598 | 1.370 | 339.279 | 0.000 | 0.000 |
| -7.164 | -1.071 | -1.557 | -0.000 | 178.627 | 0.000 |
| -4.964 | -1.296 | 0.115 | 0.000 | 0.000 | 141.079 |
| 689.158 | 102.305 | 210.217 | 0.000 | 72.695 | 0.000 |
| 115.025 | 889.453 | 258.509 | -0.000 | -79.855 | 0.000 |
| 207.424 | 262.755 | 831.963 | -0.000 | 44.331 | 0.000 |
| 0.655 | 4.082 | -2.595 | 324.143 | -1.076 | -37.682 |
| 61.635 | -67.998 | 42.864 | 0.000 | 200.712 | -0.000 |
| -0.332 | 3.285 | -2.556 | -40.121 | -0.584 | 147.959 |
| 654.637 | 93.328 | 215.761 | 0.000 | 79.478 | 0.000 |
| 109.785 | 884.722 | 264.061 | 0.000 | -75.717 | 0.000 |
| 205.354 | 258.507 | 832.794 | -0.000 | 54.409 | -0.000 |
| -0.655 | -4.082 | 2.595 | 324.143 | 1.076 | -37.682 |
| 60.627 | -75.349 | 47.440 | -0.000 | 201.844 | -0.000 |
| 0.332 | -3.285 | 2.556 | -40.121 | 0.584 | 147.959 |
| 689.158 | 102.305 | 210.218 | 0.000 | 72.695 | -0.000 |
| 112.408 | 924.556 | 231.232 | -0.000 | -71.936 | -0.000 |
| 205.206 | 262.725 | 829.932 | -0.000 | 54.390 | 0.000 |
| -0.001 | 0.360 | -0.261 | 323.170 | -0.076 | -35.331 |
| 51.356 | -66.953 | 48.030 | 0.000 | 249.285 | 0.000 |
| 0.069 | 0.431 | -0.274 | -40.538 | -0.113 | 148.744 |
| 689.158 | 102.305 | 210.217 | -0.000 | 72.695 | 0.000 |
| 112.408 | 924.555 | 231.232 | -0.000 | -71.936 | -0.000 |
| 206.780 | 258.465 | 835.128 | 0.000 | 45.385 | -0.000 |
| 0.001 | -0.360 | 0.261 | 323.170 | 0.076 | -35.331 |
| 61.070 | -72.004 | 45.366 | -0.000 | 201.401 | -0.000 |
| -0.069 | -0.431 | 0.274 | -40.538 | 0.113 | 148.744 |
| 637.440 | 104.974 | 207.570 | -0.000 | 94.533 | 0.000 |
| 110.366 | 888.164 | 261.934 | -0.000 | -76.735 | -0.000 |
| 205.229 | 262.369 | 830.187 | -0.000 | 54.361 | 0.000 |
| 0.000 | 0.000 | 0.001 | 366.550 | -0.000 | -76.271 |
| 78.867 | -73.267 | 58.561 | -0.000 | 182.827 | 0.000 |
| 0.000 | 0.000 | 0.000 | -81.255 | 0.000 | 189.229 |
| 638.140 | 104.693 | 208.556 | 0.000 | 91.245 | -0.000 |
| 115.190 | 886.380 | 260.750 | 0.000 | -79.022 | -0.000 |
| 204.312 | 260.608 | 829.342 | -0.000 | 55.344 | -0.000 |
| -0.000 | -0.000 | -0.001 | 366.550 | 0.000 | -76.271 |
| 71.983 | -75.826 | 58.949 | 0.000 | 189.125 | 0.000 |
| -0.000 | -0.000 | -0.000 | -81.255 | -0.000 | 189.229 |
| 737.527 | 221.390 | 165.092 | 0.000 | 0.000 | 0.000 |
| 221.390 | 737.527 | 165.092 | 0.000 | 0.000 | 0.000 |
| 127.344 | 127.344 | 1161.366 | 0.000 | 0.000 | 0.000 |
| 0.000 | 0.000 | -0.000 | 245.959 | 0.000 | 0.000 |
| 0.000 | 0.000 | -0.000 | 0.000 | 245.959 | 0.000 |
| 0.000 | 0.000 | -0.000 | 0.000 | 0.000 | 109.310 |
| 732.944 | 227.865 | 162.233 | 0.000 | 0.000 | -0.000 |
| 227.865 | 732.944 | 162.233 | 0.000 | 0.000 | -0.000 |
| 127.344 | 127.344 | 1161.366 | -0.000 | -0.000 | -0.000 |
| -0.000 | -0.000 | 0.000 | 245.959 | -0.000 | -0.000 |
| -0.000 | -0.000 | 0.000 | -0.000 | 245.959 | -0.000 |
| -0.000 | -0.000 | 0.000 | -0.000 | -0.000 | 109.310 |
| 732.944 | 227.865 | 162.233 | 0.000 | -0.000 | -0.000 |
| 227.865 | 732.944 | 162.233 | -0.000 | 0.000 | 0.000 |
| 127.344 | 127.344 | 1161.366 | 0.000 | 0.000 | 0.000 |
| 0.000 | 0.000 | -0.000 | 245.959 | 0.000 | -0.000 |
| 0.000 | 0.000 | -0.000 | 0.000 | 245.959 | -0.000 |
| -0.000 | -0.000 | -0.000 | 0.000 | 0.000 | 109.310 |
| 737.527 | 221.390 | 165.092 | -0.000 | -0.000 | -0.000 |
| 221.390 | 737.527 | 165.092 | -0.000 | -0.000 | -0.000 |
| 162.233 | 162.233 | 1055.857 | -0.000 | -0.000 | -0.000 |
| -0.000 | -0.000 | 0.000 | 245.959 | -0.000 | 0.000 |
| -0.000 | -0.000 | 0.000 | -0.000 | 245.959 | 0.000 |
| 0.000 | 0.000 | 0.000 | -0.000 | -0.000 | 109.310 |
| 732.948 | 227.865 | 162.234 | 0.000 | 0.000 | -0.000 |
| 227.865 | 732.948 | 162.234 | 0.000 | 0.000 | -0.000 |
| 162.234 | 162.234 | 1055.859 | 0.000 | 0.000 | 0.000 |
| 0.000 | 0.000 | -0.000 | 245.959 | 0.000 | -0.000 |
| 0.000 | 0.000 | -0.000 | 0.000 | 245.959 | -0.000 |
| -0.000 | -0.000 | 0.000 | 0.000 | 0.000 | 109.310 |
| 732.939 | 227.864 | 162.235 | 0.000 | 0.000 | -0.000 |
| 227.864 | 732.939 | 162.235 | 0.000 | 0.000 | -0.000 |
| 162.232 | 162.232 | 1055.854 | -0.000 | -0.000 | -0.000 |
| -0.000 | -0.000 | 0.000 | 245.959 | -0.000 | 0.000 |
| -0.000 | -0.000 | 0.000 | -0.000 | 245.959 | 0.000 |
| 0.000 | 0.000 | -0.000 | -0.000 | -0.000 | 109.310 |
| 700.357 | 220.881 | 172.567 | 0.000 | -0.000 | 0.000 |
| 220.881 | 700.357 | 172.567 | 0.000 | -0.000 | 0.000 |
| 157.826 | 157.826 | 1071.824 | 0.000 | -0.000 | 0.000 |
| 0.666 | 0.666 | -2.378 | 232.994 | 0.000 | 0.000 |
| 0.666 | 0.666 | -2.378 | 0.000 | 232.994 | 0.000 |
| 0.664 | 0.664 | -2.370 | 0.000 | -0.000 | 117.002 |
| 707.925 | 207.242 | 183.407 | -0.000 | 0.000 | -0.000 |
| 207.242 | 707.925 | 183.407 | 0.000 | 0.000 | -0.000 |
| 156.536 | 156.536 | 1076.430 | -0.000 | 0.000 | 0.000 |
| -0.666 | -0.666 | 2.378 | 232.994 | 0.000 | -0.000 |
| -0.666 | -0.666 | 2.378 | -0.000 | 232.994 | -0.000 |
| -0.664 | -0.664 | 2.370 | -0.000 | 0.000 | 117.002 |
| 699.777 | 220.301 | 174.640 | 0.000 | -0.000 | 0.000 |
| 220.301 | 699.777 | 174.640 | 0.000 | -0.000 | 0.000 |
| 157.246 | 157.246 | 1073.897 | -0.000 | -0.000 | 0.000 |
| 0.000 | 0.000 | 0.000 | 295.598 | -0.000 | 0.000 |
| 0.000 | 0.000 | 0.000 | 0.000 | 295.598 | 0.000 |
| 0.066 | 0.066 | -0.237 | 0.000 | -0.000 | 117.001 |
| 723.494 | 217.438 | 137.403 | -0.000 | 0.000 | -0.000 |
| 217.438 | 723.494 | 137.403 | 0.000 | 0.000 | -0.000 |
| 157.117 | 157.117 | 1074.357 | -0.000 | 0.000 | -0.000 |
| -0.000 | -0.000 | -0.000 | 295.598 | -0.000 | -0.000 |
| -0.000 | -0.000 | -0.000 | -0.000 | 295.598 | -0.000 |
| -0.066 | -0.066 | 0.237 | -0.000 | 0.000 | 117.001 |
| 699.722 | 220.243 | 174.848 | 0.000 | -0.000 | 0.000 |
| 220.243 | 699.722 | 174.848 | 0.000 | 0.000 | 0.000 |
| 157.188 | 157.188 | 1074.107 | 0.000 | -0.000 | 0.000 |
| 0.007 | 0.007 | -0.024 | 232.992 | 0.000 | 0.000 |
| 0.007 | 0.007 | -0.024 | 0.000 | 232.992 | 0.000 |
| 0.006 | 0.006 | -0.024 | 0.000 | -0.000 | 117.001 |
| 699.702 | 220.230 | 174.892 | -0.000 | -0.000 | -0.000 |
| 220.230 | 699.702 | 174.892 | -0.000 | -0.000 | 0.000 |
| 157.174 | 157.174 | 1074.148 | -0.000 | 0.000 | -0.000 |
| -0.007 | -0.007 | 0.024 | 232.992 | -0.000 | -0.000 |
| -0.007 | -0.007 | 0.024 | -0.000 | 232.992 | -0.000 |
| -0.006 | -0.006 | 0.024 | -0.000 | 0.000 | 117.001 |
| 544.131 | 189.532 | 189.532 | 0.000 | 0.000 | -0.000 |
| 189.532 | 544.131 | 189.532 | 0.000 | 0.000 | 0.000 |
| 189.532 | 189.532 | 544.131 | 0.000 | 0.000 | -0.000 |
| -0.000 | -0.000 | 0.000 | 234.521 | -0.000 | -0.000 |
| -0.000 | 0.000 | 0.000 | 0.000 | 234.521 | 0.000 |
| -0.000 | 0.000 | 0.000 | 0.000 | -0.000 | 234.521 |
| 554.066 | 194.061 | 194.061 | -0.000 | -0.000 | 0.000 |
| 194.061 | 554.066 | 194.061 | -0.000 | 0.000 | 0.000 |
| 194.061 | 194.061 | 554.066 | 0.000 | 0.000 | 0.000 |
| 0.000 | -0.000 | -0.000 | 234.521 | 0.000 | -0.000 |
| 0.000 | -0.000 | -0.000 | -0.000 | 234.521 | -0.000 |
| 0.000 | -0.000 | -0.000 | -0.000 | 0.000 | 234.521 |
| 648.545 | 141.819 | 141.819 | 0.000 | -0.000 | 0.000 |
| 141.819 | 648.545 | 141.819 | 0.000 | -0.000 | -0.000 |
| 141.819 | 141.819 | 648.545 | 0.000 | -0.000 | -0.000 |
| -0.660 | -0.660 | -0.660 | 169.759 | -0.000 | 0.000 |
| -0.660 | -0.660 | -0.660 | -0.000 | 169.759 | 0.000 |
| -0.660 | -0.660 | -0.660 | -0.000 | -0.000 | 169.759 |
| 648.544 | 141.819 | 141.819 | -0.000 | 0.000 | -0.000 |
| 141.819 | 648.544 | 141.819 | -0.000 | 0.000 | 0.000 |
| 141.819 | 141.819 | 648.544 | -0.000 | 0.000 | -0.000 |
| 0.660 | 0.660 | 0.660 | 169.759 | 0.000 | 0.000 |
| 0.660 | 0.660 | 0.660 | 0.000 | 169.759 | -0.000 |
| 0.660 | 0.660 | 0.660 | 0.000 | 0.000 | 169.759 |
| 555.973 | 187.103 | 187.103 | 0.000 | -0.000 | -0.000 |
| 187.103 | 555.973 | 187.103 | 0.000 | 0.000 | -0.000 |
| 187.103 | 187.103 | 555.973 | 0.000 | 0.000 | 0.000 |
| -0.083 | -0.083 | -0.083 | 161.442 | 0.000 | -0.000 |
| -0.083 | -0.083 | -0.083 | 0.000 | 161.442 | 0.000 |
| -0.083 | -0.083 | -0.083 | 0.000 | -0.000 | 161.442 |
| 550.972 | 189.037 | 189.037 | 0.000 | 0.000 | 0.000 |
| 189.037 | 550.972 | 189.037 | 0.000 | 0.000 | -0.000 |
| 189.037 | 189.037 | 550.972 | 0.000 | 0.000 | -0.000 |
| 0.083 | 0.083 | 0.083 | 161.442 | -0.000 | 0.000 |
| 0.083 | 0.083 | 0.083 | -0.000 | 161.442 | -0.000 |
| 0.083 | 0.083 | 0.083 | -0.000 | -0.000 | 161.442 |
| 546.546 | 186.456 | 186.456 | -0.000 | 0.000 | 0.000 |
| 186.456 | 546.546 | 186.456 | -0.000 | 0.000 | 0.000 |
| 186.456 | 186.456 | 546.546 | -0.000 | 0.000 | 0.000 |
| -0.000 | 0.000 | 0.000 | 233.363 | 0.000 | -0.000 |
| 0.000 | 0.000 | 0.000 | -0.000 | 233.363 | -0.000 |
| 0.000 | 0.000 | 0.000 | -0.000 | -0.000 | 233.363 |
| 643.575 | 140.106 | 140.106 | 0.000 | -0.000 | -0.000 |
| 140.106 | 643.575 | 140.106 | 0.000 | 0.000 | -0.000 |
| 140.106 | 140.106 | 643.575 | 0.000 | 0.000 | -0.000 |
| 0.000 | 0.000 | -0.000 | 233.363 | -0.000 | -0.000 |
| -0.000 | -0.000 | -0.000 | 0.000 | 233.363 | 0.000 |
| -0.000 | -0.000 | -0.000 | 0.000 | -0.000 | 233.363 |
| 551.944 | 184.888 | 184.888 | -0.000 | -0.000 | 0.000 |
| 184.888 | 551.944 | 184.888 | -0.000 | -0.000 | 0.000 |
| 184.888 | 184.888 | 551.944 | 0.000 | 0.000 | 0.000 |
| 0.000 | 0.000 | 0.000 | 233.363 | -0.000 | 0.000 |
| 0.000 | 0.000 | 0.000 | -0.000 | 233.363 | -0.000 |
| 0.000 | 0.000 | 0.000 | -0.000 | 0.000 | 233.363 |
| 546.919 | 186.818 | 186.818 | 0.000 | -0.000 | -0.000 |
| 186.818 | 546.919 | 186.818 | 0.000 | -0.000 | -0.000 |
| 186.818 | 186.818 | 546.919 | 0.000 | -0.000 | -0.000 |
| -0.000 | -0.000 | -0.000 | 233.363 | 0.000 | -0.000 |
| -0.000 | -0.000 | -0.000 | 0.000 | 233.363 | -0.000 |
| -0.000 | -0.000 | -0.000 | 0.000 | 0.000 | 233.363 |
| 546.870 | 186.789 | 186.789 | -0.000 | 0.000 | -0.000 |
| 186.789 | 546.870 | 186.789 | -0.000 | 0.000 | 0.000 |
| 186.789 | 186.789 | 546.870 | -0.000 | 0.000 | 0.000 |
| -0.002 | -0.002 | -0.002 | 176.689 | -0.000 | 0.000 |
| -0.002 | -0.002 | -0.002 | -0.000 | 176.689 | 0.000 |
| -0.002 | -0.002 | -0.002 | -0.000 | -0.000 | 176.689 |
| 546.897 | 186.783 | 186.783 | -0.000 | -0.000 | -0.000 |
| 186.783 | 546.897 | 186.783 | 0.000 | 0.000 | -0.000 |
| 186.783 | 186.783 | 546.897 | -0.000 | -0.000 | -0.000 |
| 0.002 | 0.002 | 0.002 | 176.689 | -0.000 | -0.000 |
| 0.002 | 0.002 | 0.002 | -0.000 | 176.689 | -0.000 |
| 0.002 | 0.002 | 0.002 | 0.000 | -0.000 | 176.689 |
| 307.933 | 175.412 | 175.412 | -0.000 | 0.000 | 0.000 |
| 175.412 | 307.933 | 175.412 | -0.000 | -0.000 | 0.000 |
| 175.412 | 175.412 | 307.933 | -0.000 | 0.000 | 0.000 |
| 0.000 | -0.000 | -0.000 | 141.912 | -0.000 | 0.000 |
| 0.000 | -0.000 | 0.000 | -0.000 | 141.912 | 0.000 |
| 0.000 | -0.000 | 0.000 | -0.000 | 0.000 | 141.912 |
| 307.933 | 175.412 | 175.412 | 0.000 | 0.000 | -0.000 |
| 175.412 | 307.933 | 175.412 | 0.000 | 0.000 | -0.000 |
| 175.412 | 175.412 | 307.933 | -0.000 | 0.000 | -0.000 |
| -0.000 | 0.000 | -0.000 | 141.912 | 0.000 | -0.000 |
| -0.000 | 0.000 | -0.000 | 0.000 | 141.912 | -0.000 |
| -0.000 | 0.000 | -0.000 | 0.000 | 0.000 | 141.912 |
| 307.934 | 175.412 | 175.412 | 0.000 | 0.000 | 0.000 |
| 175.412 | 307.934 | 175.412 | 0.000 | 0.000 | 0.000 |
| 175.412 | 175.412 | 307.934 | -0.000 | -0.000 | 0.000 |
| 0.000 | -0.000 | -0.000 | 141.912 | 0.000 | 0.000 |
| -0.000 | 0.000 | -0.000 | -0.000 | 141.912 | 0.000 |
| -0.000 | -0.000 | 0.000 | -0.000 | -0.000 | 141.912 |
| 395.592 | 131.582 | 131.582 | -0.000 | 0.000 | 0.000 |
| 131.582 | 395.592 | 131.582 | -0.000 | -0.000 | 0.000 |
| 131.582 | 131.582 | 395.592 | -0.000 | -0.000 | -0.000 |
| -0.000 | 0.000 | 0.000 | 141.912 | 0.000 | -0.000 |
| 0.000 | -0.000 | 0.000 | -0.000 | 141.912 | -0.000 |
| 0.000 | 0.000 | -0.000 | 0.000 | 0.000 | 141.912 |
| 307.939 | 175.410 | 175.410 | -0.000 | -0.000 | 0.000 |
| 175.410 | 307.939 | 175.410 | 0.000 | -0.000 | 0.000 |
| 175.410 | 175.410 | 307.939 | -0.000 | -0.000 | 0.000 |
| 0.000 | -0.000 | -0.000 | 141.912 | -0.000 | 0.000 |
| -0.000 | 0.000 | -0.000 | 0.000 | 141.912 | 0.000 |
| -0.000 | -0.000 | 0.000 | -0.000 | -0.000 | 141.912 |
| 307.927 | 175.414 | 175.414 | 0.000 | 0.000 | -0.000 |
| 175.414 | 307.927 | 175.414 | -0.000 | 0.000 | -0.000 |
| 175.414 | 175.414 | 307.927 | 0.000 | 0.000 | -0.000 |
| -0.000 | 0.000 | 0.000 | 141.912 | -0.000 | -0.000 |
| 0.000 | -0.000 | 0.000 | 0.000 | 141.912 | -0.000 |
| 0.000 | 0.000 | -0.000 | -0.000 | -0.000 | 141.912 |
| 251.983 | 99.703 | 99.703 | 0.000 | -0.000 | 0.000 |
| -295.957 | -267.449 | -295.957 | -0.000 | 0.000 | -0.000 |
| -295.957 | -295.957 | -267.449 | -0.000 | 0.000 | -0.000 |
| 0.000 | -0.000 | 0.000 | 186.368 | 0.000 | -0.000 |
| -0.000 | 0.000 | 0.000 | 0.000 | 186.368 | 0.000 |
| -0.000 | 0.000 | 0.000 | 0.000 | 0.000 | 186.368 |
| 468.514 | 118.733 | 118.733 | -0.000 | -0.000 | -0.000 |
| 118.733 | 468.514 | 118.733 | -0.000 | -0.000 | -0.000 |
| 118.733 | 118.733 | 468.514 | -0.000 | -0.000 | -0.000 |
| -0.000 | 0.000 | -0.000 | 186.368 | -0.000 | 0.000 |
| 0.000 | 0.000 | -0.000 | -0.000 | 186.368 | -0.000 |
| 0.000 | -0.000 | -0.000 | -0.000 | -0.000 | 186.368 |
| 122.875 | 86.059 | 86.059 | -0.000 | 0.000 | -0.000 |
| 86.059 | 122.875 | 86.059 | -0.000 | 0.000 | -0.000 |
| 86.059 | 86.059 | 122.873 | -0.000 | 0.000 | -0.000 |
| -3.063 | -3.063 | -3.063 | 94.811 | -0.000 | 0.000 |
| -3.063 | -3.063 | -3.063 | 0.000 | 94.811 | 0.000 |
| -3.063 | -3.063 | -3.063 | 0.000 | -0.000 | 94.811 |
| 323.575 | 148.182 | 148.182 | 0.000 | -0.000 | 0.000 |
| 148.182 | 323.575 | 148.182 | 0.000 | -0.000 | 0.000 |
| 148.182 | 148.182 | 323.575 | 0.000 | -0.000 | 0.000 |
| 3.063 | 3.063 | 3.063 | 94.811 | 0.000 | -0.000 |
| 3.063 | 3.063 | 3.063 | -0.000 | 94.811 | -0.000 |
| 3.063 | 3.063 | 3.063 | -0.000 | 0.000 | 94.811 |
| 257.368 | 130.612 | 130.612 | -0.000 | 0.000 | -0.000 |
| 130.612 | 257.368 | 130.612 | -0.000 | 0.000 | -0.000 |
| 130.612 | 130.612 | 257.368 | -0.000 | 0.000 | -0.000 |
| -0.010 | -0.010 | -0.010 | 103.367 | -0.000 | 0.000 |
| -0.010 | -0.010 | -0.010 | -0.000 | 103.367 | 0.000 |
| -0.010 | -0.010 | -0.010 | -0.000 | 0.000 | 103.367 |
| 295.429 | 139.326 | 139.326 | -0.000 | 0.000 | -0.000 |
| 139.326 | 295.429 | 139.326 | -0.000 | -0.000 | -0.000 |
| 139.326 | 139.326 | 295.429 | -0.000 | 0.000 | -0.000 |
| 0.010 | 0.010 | 0.010 | 103.367 | -0.000 | -0.000 |
| 0.010 | 0.010 | 0.010 | 0.000 | 103.367 | -0.000 |
| 0.010 | 0.010 | 0.010 | -0.000 | 0.000 | 103.367 |
| 261.633 | 59.225 | 59.225 | 0.000 | -0.000 | 0.000 |
| 59.225 | 261.633 | 59.225 | 0.000 | 0.000 | 0.000 |
| 59.225 | 59.225 | 261.633 | 0.000 | 0.000 | -0.000 |
| 25.677 | 25.677 | 25.677 | 80.446 | 0.000 | -0.000 |
| 25.677 | 25.677 | 25.677 | 0.000 | 80.446 | -0.000 |
| 25.677 | 25.677 | 25.677 | 0.000 | 0.000 | 80.446 |
| 237.253 | 34.851 | 34.851 | -0.000 | -0.000 | 0.000 |
| 34.851 | 237.253 | 34.851 | -0.000 | -0.000 | -0.000 |
| 34.851 | 34.851 | 237.253 | -0.000 | 0.000 | 0.000 |
| -25.677 | -25.677 | -25.677 | 80.446 | -0.000 | 0.000 |
| -25.677 | -25.677 | -25.677 | -0.000 | 80.446 | -0.000 |
| -25.677 | -25.677 | -25.677 | -0.000 | 0.000 | 80.446 |
| -12.136 | -26.121 | -26.121 | 0.000 | 0.000 | 0.000 |
| -26.121 | -12.136 | -26.121 | 0.000 | -0.000 | 0.000 |
| -26.121 | -26.121 | -12.136 | -0.000 | 0.000 | 0.000 |
| 7.235 | 7.235 | 7.235 | 11.584 | 0.000 | 0.000 |
| 7.235 | 7.235 | 7.235 | 0.000 | 11.584 | 0.000 |
| 7.235 | 7.235 | 7.235 | 0.000 | 0.000 | 11.584 |
| 168.944 | 29.145 | 29.145 | -0.000 | -0.000 | 0.000 |
| 29.145 | 168.944 | 29.145 | -0.000 | 0.000 | 0.000 |
| 29.145 | 29.145 | 168.944 | -0.000 | -0.000 | -0.000 |
| -7.235 | -7.235 | -7.235 | 11.584 | -0.000 | -0.000 |
| -7.235 | -7.235 | -7.235 | -0.000 | 11.584 | -0.000 |
| -7.235 | -7.235 | -7.235 | -0.000 | -0.000 | 11.584 |
| 11.307 | -68.079 | -68.079 | 0.000 | 0.000 | 0.000 |
| -68.079 | 11.307 | -68.079 | 0.000 | 0.000 | 0.000 |
| -68.079 | -68.079 | 11.307 | -0.000 | 0.000 | 0.000 |
| 0.144 | 0.144 | 0.144 | 100.226 | 0.000 | -0.000 |
| 0.144 | 0.144 | 0.144 | -0.000 | 100.226 | 0.000 |
| 0.144 | 0.144 | 0.144 | 0.000 | -0.000 | 100.226 |
| 56.434 | -13.047 | -13.047 | -0.000 | -0.000 | -0.000 |
| -13.047 | 56.434 | -13.047 | -0.000 | 0.000 | -0.000 |
| -13.047 | -13.047 | 56.434 | -0.000 | -0.000 | -0.000 |
| -0.144 | -0.144 | -0.144 | 100.226 | -0.000 | -0.000 |
| -0.144 | -0.144 | -0.144 | -0.000 | 100.226 | -0.000 |
| -0.144 | -0.144 | -0.144 | -0.000 | -0.000 | 100.226 |
| 1174.976 | -62.408 | 95.130 | 0.000 | -0.000 | -0.000 |
| 402.449 | 756.928 | 18.059 | -0.000 | 0.000 | -0.000 |
| 277.977 | -263.952 | 82.003 | -0.000 | 0.000 | -0.000 |
| 213.539 | -252.084 | 30.392 | 9.663 | 0.000 | 0.000 |
| -0.000 | 0.000 | 0.000 | -0.000 | 22.560 | -0.000 |
| 213.378 | -251.893 | 30.369 | 0.000 | 0.000 | 404.232 |
| 748.599 | 440.930 | 34.447 | 0.000 | -0.000 | 0.000 |
| -23.927 | 1260.266 | -42.625 | -0.000 | 0.000 | 0.000 |
| -148.400 | 239.386 | 21.319 | -0.000 | -0.000 | 0.000 |
| -213.539 | 252.084 | -30.392 | 9.663 | 0.000 | 0.000 |
| 0.000 | -0.000 | -0.000 | 0.000 | 22.560 | -0.000 |
| -213.378 | 251.893 | -30.369 | -0.000 | 0.000 | 404.232 |
| 983.107 | 164.094 | 67.823 | -0.000 | 0.000 | 0.000 |
| 210.580 | 983.430 | -9.249 | -0.000 | -0.000 | -0.000 |
| 86.107 | -37.450 | 54.695 | 0.000 | -0.000 | -0.000 |
| 24.670 | -29.123 | 3.511 | 9.180 | 0.000 | -0.000 |
| -0.000 | 0.000 | 0.000 | 0.000 | 22.560 | -0.000 |
| 22.038 | -26.016 | 3.137 | 0.000 | 0.000 | 403.385 |
| 940.468 | 214.428 | 61.754 | -0.000 | -0.000 | -0.000 |
| 167.942 | 1033.764 | -15.317 | -0.000 | -0.000 | 0.000 |
| 43.469 | 12.884 | 48.627 | 0.000 | -0.000 | -0.000 |
| -24.670 | 29.123 | -3.511 | 9.180 | -0.000 | 0.000 |
| 0.000 | -0.000 | -0.000 | -0.000 | 22.560 | 0.000 |
| -22.038 | 26.016 | -3.137 | -0.000 | 0.000 | 403.385 |
| 963.923 | 186.744 | 65.092 | 0.000 | -0.000 | -0.000 |
| 191.395 | 1006.082 | -11.980 | 0.000 | -0.000 | -0.000 |
| 66.921 | -14.800 | 51.965 | 0.000 | 0.000 | 0.000 |
| 2.132 | -2.517 | 0.303 | -1.033 | -0.000 | -0.000 |
| -0.000 | 0.000 | 0.000 | -0.000 | 22.560 | -0.000 |
| 2.132 | -2.516 | 0.303 | 0.000 | -0.000 | 402.866 |
| 959.652 | 191.778 | 64.485 | 0.000 | 0.000 | 0.000 |
| 187.127 | 1011.112 | -12.587 | 0.000 | 0.000 | -0.000 |
| 62.656 | -9.766 | 51.357 | 0.000 | -0.000 | -0.000 |
| -2.132 | 2.517 | -0.303 | -1.033 | 0.000 | -0.000 |
| 0.000 | -0.000 | -0.000 | 0.000 | 22.560 | 0.000 |
| -2.132 | 2.516 | -0.303 | -0.000 | -0.000 | 402.866 |
| 967.441 | -197.651 | 1245.812 | -0.000 | -0.000 | 0.000 |
| 1310.468 | -306.083 | 1396.284 | -0.000 | -0.000 | -0.000 |
| 68.684 | 54.794 | 332.992 | -0.000 | -0.000 | -0.000 |
| -272.926 | 378.457 | 136.431 | 107.557 | 0.000 | -0.000 |
| 406.876 | 7.258 | 705.625 | -0.000 | 58.088 | -0.000 |
| -273.041 | 378.616 | 136.488 | -0.000 | -0.000 | 104.236 |
| -956.280 | 108.495 | -1266.273 | -0.000 | 0.000 | 0.000 |
| -2915.628 | 1321.457 | -943.920 | -0.000 | 0.000 | 0.000 |
| 345.510 | -317.359 | 140.838 | 0.000 | 0.000 | 0.000 |
| 272.926 | -378.457 | -136.431 | 107.557 | -0.000 | 0.000 |
| -406.876 | -7.258 | -705.625 | 0.000 | 58.088 | 0.000 |
| 273.041 | -378.616 | -136.488 | 0.000 | 0.000 | 104.236 |
| 130.934 | -42.457 | 123.989 | -0.000 | 0.000 | -0.000 |
| -4.941 | 317.562 | 77.033 | -0.000 | -0.000 | -0.000 |
| 97.733 | -29.552 | 172.291 | -0.000 | -0.000 | 0.000 |
| -27.760 | 38.493 | 13.877 | 107.054 | -0.000 | -0.000 |
| -0.000 | -0.000 | -0.000 | -0.000 | 151.912 | -0.000 |
| -0.000 | -0.000 | -0.000 | -0.000 | -0.000 | 140.127 |
| -80.541 | -39.384 | -130.607 | 0.000 | -0.000 | 0.000 |
| -30.484 | 136.820 | -31.084 | -0.000 | 0.000 | 0.000 |
| -135.672 | -17.232 | -54.127 | 0.000 | 0.000 | 0.000 |
| 27.760 | -38.493 | -13.877 | 107.054 | -0.000 | 0.000 |
| 0.000 | 0.000 | 0.000 | 0.000 | 151.912 | 0.000 |
| 0.000 | 0.000 | 0.000 | -0.000 | 0.000 | 140.127 |
| 78.695 | -45.276 | 15.284 | 0.000 | -0.000 | -0.000 |
| -49.855 | 69.670 | -8.983 | 0.000 | -0.000 | -0.000 |
| 25.735 | 4.293 | 145.911 | -0.000 | -0.000 | -0.000 |
| -0.000 | -0.001 | -0.000 | 136.967 | -0.000 | 0.000 |
| 3.677 | -0.505 | 5.472 | -0.000 | 81.201 | -0.000 |
| 9.897 | -1.639 | 10.067 | -0.000 | -0.000 | 40.978 |
| 29.144 | -61.617 | -18.765 | 0.000 | 0.000 | 0.000 |
| -1.127 | 147.749 | 27.965 | 0.000 | -0.000 | 0.000 |
| 8.354 | 2.651 | 129.095 | -0.000 | 0.000 | 0.000 |
| 0.000 | 0.001 | 0.000 | 136.967 | 0.000 | -0.000 |
| -3.677 | 0.505 | -5.472 | -0.000 | 81.201 | 0.000 |
| -9.897 | 1.639 | -10.067 | -0.000 | 0.000 | 40.978 |
| -522.237 | -661.521 | -4731.103 | 0.000 | 0.000 | -0.000 |
| -661.521 | -522.237 | -4731.103 | 0.000 | 0.000 | -0.000 |
| -771.814 | -771.814 | -3578.797 | 0.000 | -0.000 | -0.000 |
| -434.693 | -434.693 | -1359.915 | -13.734 | 0.000 | -0.000 |
| -434.693 | -434.693 | -1359.915 | 0.000 | -13.734 | -0.000 |
| -434.688 | -434.688 | -1359.963 | 0.000 | 0.000 | 4.175 |
| 701.047 | 559.682 | 4538.769 | -0.000 | -0.000 | 0.000 |
| 559.682 | 701.047 | 4538.769 | -0.000 | -0.000 | 0.000 |
| 402.620 | 402.620 | 1244.177 | -0.000 | -0.000 | 0.000 |
| 434.693 | 434.693 | 1359.915 | -13.734 | -0.000 | -0.000 |
| 434.693 | 434.693 | 1359.915 | -0.000 | -13.734 | 0.000 |
| 434.688 | 434.688 | 1359.963 | -0.000 | -0.000 | 4.175 |
| 366.719 | 66.274 | 56.612 | 0.000 | 0.000 | -0.000 |
| 66.274 | 366.719 | 56.612 | -0.000 | 0.000 | -0.000 |
| -15.679 | -15.679 | 67.472 | 0.000 | 0.000 | -0.000 |
| -16.022 | -16.022 | 14.674 | 91.561 | 0.000 | -0.000 |
| -16.022 | -16.022 | 14.674 | 0.000 | 91.561 | 0.000 |
| -60.939 | -60.939 | -459.028 | 0.000 | 0.000 | 59.813 |
| 58.342 | -15.662 | 104.096 | -0.000 | -0.000 | 0.000 |
| -15.662 | 58.342 | 104.096 | -0.000 | -0.000 | 0.000 |
| 57.137 | 57.137 | 309.105 | -0.000 | -0.000 | -0.000 |
| 16.022 | 16.022 | -14.674 | 91.561 | -0.000 | 0.000 |
| 16.022 | 16.022 | -14.674 | -0.000 | 91.561 | -0.000 |
| 60.939 | 60.939 | 459.028 | -0.000 | -0.000 | 59.813 |
| 142.814 | -0.431 | 6.120 | 0.000 | 0.000 | -0.000 |
| -0.431 | 142.814 | 6.120 | 0.000 | 0.000 | -0.000 |
| -17.525 | -17.525 | 0.019 | 0.000 | 0.000 | 0.000 |
| -3.334 | -3.335 | 1.012 | 60.400 | 0.000 | -0.000 |
| -3.335 | -3.334 | 1.012 | 0.000 | 60.400 | -0.000 |
| -2.262 | -2.262 | -8.581 | 0.000 | 0.000 | 59.225 |
| 177.549 | 29.041 | 41.565 | -0.000 | -0.000 | -0.000 |
| 29.041 | 177.549 | 41.565 | -0.000 | -0.000 | -0.000 |
| -17.672 | -17.672 | 60.327 | -0.000 | -0.000 | 0.000 |
| 3.334 | 3.335 | -1.012 | 60.400 | -0.000 | -0.000 |
| 3.335 | 3.334 | -1.012 | -0.000 | 60.400 | 0.000 |
| 2.262 | 2.262 | 8.581 | 0.000 | -0.000 | 59.225 |
| -3941.841 | 2527.898 | 1381.519 | 0.000 | -0.000 | -0.000 |
| 61.860 | 288.464 | 54.450 | 0.000 | 0.000 | 0.000 |
| 61.474 | 54.112 | 368.438 | 0.000 | 0.000 | -0.000 |
| -1292.819 | 1335.715 | 32.014 | 100.318 | -0.000 | -0.000 |
| 0.000 | 0.000 | 0.000 | 0.000 | 135.185 | -0.000 |
| -2504.416 | 2021.395 | 508.778 | 0.000 | -0.000 | 31.732 |
| 2605.274 | -1960.651 | -457.237 | -0.000 | -0.000 | 0.000 |
| 61.860 | 288.464 | 54.450 | 0.000 | 0.000 | 0.000 |
| 61.474 | 54.112 | 368.438 | -0.000 | 0.000 | 0.000 |
| 1292.819 | -1335.715 | -32.014 | 100.317 | -0.000 | 0.000 |
| -0.000 | -0.000 | -0.000 | -0.000 | 135.185 | -0.000 |
| 2504.416 | -2021.395 | -508.778 | -0.000 | 0.000 | 31.732 |
| -400.418 | 271.813 | 138.555 | 0.000 | -0.000 | 0.000 |
| -187.722 | 309.203 | 94.112 | 0.000 | -0.000 | -0.000 |
| 61.474 | 54.112 | 368.438 | 0.000 | 0.000 | 0.000 |
| -250.552 | 202.262 | 50.874 | 60.841 | -0.000 | 0.000 |
| -250.708 | 202.376 | 50.915 | 0.000 | 62.358 | -0.000 |
| -129.623 | 133.924 | 3.210 | 0.000 | -0.000 | 80.702 |
| 350.515 | -139.418 | 0.444 | -0.000 | 0.000 | 0.000 |
| 315.348 | -99.495 | -8.816 | -0.000 | 0.000 | 0.000 |
| 303.140 | -160.628 | 151.119 | -0.000 | 0.000 | 0.000 |
| 250.552 | -202.262 | -50.874 | 60.841 | 0.000 | 0.000 |
| 250.708 | -202.376 | -50.915 | -0.000 | 62.358 | 0.000 |
| 129.623 | -133.924 | -3.210 | -0.000 | 0.000 | 80.702 |
| -65.919 | 17.988 | -19.906 | 0.000 | 0.000 | -0.000 |
| 33.541 | 102.913 | 45.861 | 0.000 | 0.000 | -0.000 |
| 51.949 | 77.228 | 290.318 | 0.000 | 0.000 | -0.000 |
| -32.669 | 22.239 | 10.384 | 49.573 | 0.000 | -0.000 |
| -33.043 | 22.267 | 10.713 | 0.000 | 45.535 | -0.000 |
| -23.973 | 19.190 | 4.996 | 0.000 | -0.000 | 34.781 |
| 28.447 | -30.985 | -15.511 | -0.000 | 0.000 | 0.000 |
| -26.519 | -82.618 | -88.325 | -0.000 | 0.000 | -0.000 |
| 74.996 | 15.788 | 163.934 | -0.000 | -0.000 | 0.000 |
| 32.669 | -22.239 | -10.384 | 49.573 | -0.000 | 0.000 |
| 33.043 | -22.267 | -10.713 | -0.000 | 45.535 | 0.000 |
| 23.973 | -19.190 | -4.996 | -0.000 | 0.000 | 34.781 |
| 660.986 | 159.873 | 159.873 | 0.000 | -0.000 | 0.000 |
| 159.873 | 660.986 | 159.873 | -0.000 | -0.000 | 0.000 |
| 159.873 | 159.873 | 660.986 | -0.000 | 0.000 | 0.000 |
| 0.000 | 0.000 | 0.000 | 104.659 | -0.000 | -0.000 |
| 0.000 | 0.000 | 0.000 | -0.000 | 104.659 | 0.000 |
| 0.000 | 0.000 | -0.000 | 0.000 | 0.000 | 104.659 |
| 660.986 | 159.873 | 159.873 | 0.000 | -0.000 | -0.000 |
| 159.873 | 660.986 | 159.873 | 0.000 | -0.000 | -0.000 |
| 159.873 | 159.873 | 660.986 | -0.000 | -0.000 | -0.000 |
| -0.000 | -0.000 | -0.000 | 104.659 | -0.000 | -0.000 |
| -0.000 | -0.000 | -0.000 | -0.000 | 104.659 | -0.000 |
| -0.000 | -0.000 | 0.000 | -0.000 | -0.000 | 104.659 |
| 660.986 | 159.873 | 159.873 | 0.000 | -0.000 | 0.000 |
| 159.873 | 660.986 | 159.873 | -0.000 | -0.000 | 0.000 |
| 159.873 | 159.873 | 660.986 | 0.000 | -0.000 | 0.000 |
| -0.000 | 0.000 | 0.000 | 104.659 | 0.000 | 0.000 |
| 0.000 | -0.000 | 0.000 | -0.000 | 104.659 | 0.000 |
| 0.000 | 0.000 | -0.000 | -0.000 | 0.000 | 104.659 |
| 660.986 | 159.873 | 159.873 | -0.000 | 0.000 | -0.000 |
| 159.873 | 660.986 | 159.873 | 0.000 | 0.000 | -0.000 |
| 159.873 | 159.873 | 660.986 | 0.000 | 0.000 | -0.000 |
| 0.000 | -0.000 | -0.000 | 104.659 | -0.000 | -0.000 |
| -0.000 | 0.000 | -0.000 | 0.000 | 104.659 | -0.000 |
| -0.000 | -0.000 | 0.000 | 0.000 | -0.000 | 104.659 |
| 660.987 | 159.874 | 159.874 | -0.000 | 0.000 | 0.000 |
| 159.874 | 660.987 | 159.874 | -0.000 | 0.000 | 0.000 |
| 159.874 | 159.874 | 660.987 | -0.000 | 0.000 | 0.000 |
| 0.000 | 0.000 | 0.000 | 299.409 | 0.000 | 0.000 |
| 0.000 | 0.000 | 0.000 | -0.000 | 299.409 | 0.000 |
| 0.000 | 0.000 | 0.000 | -0.000 | -0.000 | 299.409 |
| 660.984 | 159.872 | 159.872 | 0.000 | -0.000 | -0.000 |
| 159.872 | 660.984 | 159.872 | -0.000 | -0.000 | -0.000 |
| 159.872 | 159.872 | 660.984 | -0.000 | -0.000 | -0.000 |
| -0.000 | -0.000 | -0.000 | 299.409 | 0.000 | -0.000 |
| -0.000 | -0.000 | -0.000 | -0.000 | 299.409 | -0.000 |
| -0.000 | -0.000 | -0.000 | -0.000 | 0.000 | 299.409 |
| 326.511 | 21.981 | -62.457 | 0.000 | -0.000 | -0.000 |
| 21.981 | 326.511 | -62.457 | -0.000 | 0.000 | -0.000 |
| -64.077 | -64.077 | 469.010 | 0.000 | 0.000 | -0.000 |
| -0.823 | -0.814 | 1.973 | 69.401 | 0.000 | -0.000 |
| -0.823 | -0.814 | 1.973 | 0.000 | 69.401 | -0.000 |
| -0.819 | -0.819 | 1.973 | -0.000 | -0.000 | 112.054 |
| 328.139 | 23.611 | -66.383 | -0.000 | -0.000 | 0.000 |
| 23.611 | 328.139 | -66.383 | 0.000 | 0.000 | -0.000 |
| -62.440 | -62.440 | 465.065 | 0.000 | 0.000 | 0.000 |
| 0.823 | 0.814 | -1.973 | 69.401 | -0.000 | -0.000 |
| 0.823 | 0.814 | -1.973 | -0.000 | 69.401 | -0.000 |
| 0.819 | 0.819 | -1.973 | -0.000 | -0.000 | 112.054 |
| 327.155 | 23.031 | -64.497 | -0.000 | 0.000 | 0.000 |
| 23.031 | 327.155 | -64.497 | -0.000 | 0.000 | 0.000 |
| -63.340 | -63.340 | 467.234 | -0.000 | 0.000 | -0.000 |
| -0.083 | -0.081 | 0.197 | 69.401 | 0.000 | -0.000 |
| -0.081 | -0.082 | 0.197 | -0.000 | 69.401 | -0.000 |
| -0.082 | -0.082 | 0.197 | 0.000 | 0.000 | 112.054 |
| 327.323 | 23.193 | -64.895 | 0.000 | 0.000 | 0.000 |
| 23.193 | 327.323 | -64.895 | -0.000 | -0.000 | 0.000 |
| -63.177 | -63.177 | 466.841 | -0.000 | 0.000 | -0.000 |
| 0.083 | 0.081 | -0.197 | 69.401 | -0.000 | -0.000 |
| 0.081 | 0.082 | -0.197 | -0.000 | 69.401 | -0.000 |
| 0.082 | 0.082 | -0.197 | -0.000 | -0.000 | 112.054 |
| 327.209 | 23.111 | -64.659 | 0.000 | 0.000 | 0.000 |
| 23.111 | 327.209 | -64.659 | -0.000 | 0.000 | -0.000 |
| -63.262 | -63.262 | 467.046 | 0.000 | 0.000 | -0.000 |
| -0.016 | -0.001 | 0.020 | 69.401 | 0.000 | 0.000 |
| -0.001 | -0.016 | 0.020 | -0.000 | 69.401 | 0.000 |
| -0.008 | -0.008 | 0.020 | 0.000 | -0.000 | 112.054 |
| 327.269 | 23.112 | -64.734 | -0.000 | 0.000 | -0.000 |
| 23.112 | 327.269 | -64.734 | 0.000 | -0.000 | 0.000 |
| -63.255 | -63.255 | 467.029 | -0.000 | 0.000 | 0.000 |
| 0.016 | 0.001 | -0.020 | 69.401 | -0.000 | -0.000 |
| 0.001 | 0.016 | -0.020 | -0.000 | 69.401 | -0.000 |
| 0.008 | 0.008 | -0.020 | -0.000 | 0.000 | 112.054 |
| 1022.426 | -98.182 | -98.182 | 0.000 | 0.000 | -0.000 |
| -98.182 | 1022.426 | -98.182 | -0.000 | 0.000 | -0.000 |
| -98.182 | -98.182 | 1022.426 | 0.000 | 0.000 | -0.000 |
| 0.001 | 0.001 | 0.001 | 289.304 | -0.000 | -0.000 |
| 0.001 | 0.001 | 0.001 | 0.000 | 289.304 | -0.000 |
| 0.001 | 0.001 | 0.001 | -0.000 | 0.000 | 289.304 |
| 1038.924 | -101.840 | -101.840 | -0.000 | -0.000 | 0.000 |
| -101.840 | 1038.924 | -101.840 | -0.000 | -0.000 | 0.000 |
| -101.840 | -101.840 | 1038.924 | 0.000 | -0.000 | 0.000 |
| -0.001 | -0.001 | -0.001 | 289.304 | 0.000 | 0.000 |
| -0.001 | -0.001 | -0.001 | -0.000 | 289.304 | 0.000 |
| -0.001 | -0.001 | -0.001 | -0.000 | -0.000 | 289.304 |
| 1022.391 | -97.749 | -97.749 | 0.000 | 0.000 | -0.000 |
| -97.749 | 1022.391 | -97.749 | -0.000 | -0.000 | -0.000 |
| -97.749 | -97.749 | 1022.391 | 0.000 | 0.000 | -0.000 |
| 0.000 | 0.000 | 0.000 | 357.404 | 0.000 | 0.000 |
| 0.000 | 0.000 | 0.000 | -0.000 | 357.404 | -0.000 |
| 0.000 | 0.000 | 0.000 | 0.000 | 0.000 | 357.404 |
| 1022.425 | -98.183 | -98.183 | 0.000 | 0.000 | 0.000 |
| -98.183 | 1022.425 | -98.183 | 0.000 | 0.000 | 0.000 |
| -98.183 | -98.183 | 1022.425 | 0.000 | 0.000 | 0.000 |
| -0.000 | -0.000 | -0.000 | 357.404 | -0.000 | 0.000 |
| -0.000 | -0.000 | -0.000 | -0.000 | 357.404 | 0.000 |
| -0.000 | -0.000 | -0.000 | -0.000 | -0.000 | 357.404 |
| 1022.439 | -98.185 | -98.186 | 0.000 | -0.000 | -0.000 |
| -98.186 | 1022.439 | -98.185 | -0.000 | -0.000 | -0.000 |
| -98.185 | -98.186 | 1022.439 | 0.000 | 0.000 | -0.000 |
| 0.000 | 0.000 | 0.000 | 289.304 | 0.000 | -0.000 |
| 0.000 | 0.000 | 0.000 | -0.000 | 288.221 | -0.000 |
| 0.000 | 0.000 | 0.000 | -0.000 | 0.000 | 288.221 |
| 1022.420 | -98.183 | -98.182 | 0.000 | 0.000 | 0.000 |
| -98.182 | 1022.420 | -98.183 | 0.000 | 0.000 | 0.000 |
| -98.183 | -98.182 | 1022.420 | 0.000 | 0.000 | 0.000 |
| -0.000 | -0.000 | -0.000 | 288.221 | -0.000 | 0.000 |
| -0.000 | -0.000 | -0.000 | 0.000 | 288.221 | 0.000 |
| -0.000 | -0.000 | -0.000 | 0.000 | -0.000 | 288.221 |
| 997.033 | -102.361 | -102.361 | -0.000 | -0.000 | -0.000 |
| -102.361 | 997.033 | -102.361 | -0.000 | -0.000 | 0.000 |
| -102.361 | -102.361 | 997.033 | 0.000 | -0.000 | -0.000 |
| 0.341 | 0.341 | 0.341 | 281.585 | 0.000 | -0.000 |
| 0.341 | 0.341 | 0.341 | 0.000 | 281.585 | -0.000 |
| 0.341 | 0.341 | 0.341 | 0.000 | -0.000 | 281.585 |
| 980.565 | -99.743 | -99.743 | 0.000 | -0.000 | 0.000 |
| -99.743 | 980.565 | -99.743 | -0.000 | 0.000 | 0.000 |
| -99.743 | -99.743 | 980.565 | -0.000 | 0.000 | 0.000 |
| -0.341 | -0.341 | -0.341 | 281.585 | -0.000 | 0.000 |
| -0.341 | -0.341 | -0.341 | -0.000 | 281.585 | 0.000 |
| -0.341 | -0.341 | -0.341 | -0.000 | 0.000 | 281.585 |
| 980.891 | -99.310 | -99.310 | 0.000 | 0.000 | -0.000 |
| -99.310 | 980.891 | -99.310 | -0.000 | -0.000 | -0.000 |
| -99.310 | -99.310 | 980.891 | 0.000 | 0.000 | -0.000 |
| 0.029 | 0.029 | 0.029 | 282.586 | -0.000 | -0.000 |
| 0.029 | 0.029 | 0.029 | -0.000 | 282.586 | -0.000 |
| 0.029 | 0.029 | 0.029 | -0.000 | -0.000 | 282.586 |
| 980.780 | -98.868 | -98.868 | 0.000 | -0.000 | 0.000 |
| -98.868 | 980.780 | -98.868 | -0.000 | 0.000 | 0.000 |
| -98.868 | -98.868 | 980.780 | 0.000 | -0.000 | 0.000 |
| -0.029 | -0.029 | -0.029 | 282.586 | 0.000 | 0.000 |
| -0.029 | -0.029 | -0.029 | 0.000 | 282.586 | 0.000 |
| -0.029 | -0.029 | -0.029 | 0.000 | -0.000 | 282.586 |
| 980.823 | -98.830 | -98.832 | -0.000 | -0.000 | -0.000 |
| -98.832 | 980.823 | -98.830 | -0.000 | 0.000 | -0.000 |
| -98.830 | -98.832 | 980.823 | -0.000 | 0.000 | -0.000 |
| 0.004 | 0.003 | 0.004 | 281.585 | 0.000 | -0.000 |
| 0.004 | 0.004 | 0.003 | -0.000 | 281.585 | -0.000 |
| 0.003 | 0.004 | 0.004 | -0.000 | -0.000 | 281.585 |
| 980.807 | -98.838 | -98.836 | 0.000 | 0.000 | 0.000 |
| -98.836 | 980.807 | -98.838 | -0.000 | 0.000 | 0.000 |
| -98.838 | -98.836 | 980.807 | -0.000 | 0.000 | 0.000 |
| -0.004 | -0.003 | -0.004 | 281.585 | 0.000 | -0.000 |
| -0.004 | -0.004 | -0.003 | 0.000 | 281.585 | 0.000 |
| -0.003 | -0.004 | -0.004 | -0.000 | 0.000 | 281.585 |
| 544.389 | 406.303 | 406.303 | 0.000 | -0.000 | 0.000 |
| 406.303 | 544.389 | 406.303 | 0.000 | -0.000 | 0.000 |
| 406.303 | 406.303 | 544.389 | 0.000 | -0.000 | 0.000 |
| 0.000 | 0.002 | -0.002 | -564.667 | -0.000 | 0.000 |
| 0.000 | -0.003 | 0.002 | -0.000 | -564.667 | 0.000 |
| -0.000 | -0.002 | 0.001 | 0.000 | -0.000 | -564.667 |
| 579.277 | 388.860 | 388.860 | -0.000 | -0.000 | -0.000 |
| 388.860 | 579.277 | 388.860 | -0.000 | -0.000 | -0.000 |
| 388.860 | 388.860 | 579.277 | -0.000 | 0.000 | -0.000 |
| 0.000 | -0.001 | 0.002 | -564.667 | 0.000 | -0.000 |
| -0.000 | 0.004 | -0.003 | -0.000 | -564.667 | -0.000 |
| 0.000 | 0.001 | -0.001 | -0.000 | 0.000 | -564.667 |
| 544.389 | 406.303 | 406.303 | 0.000 | -0.000 | 0.000 |
| 406.303 | 544.389 | 406.303 | 0.000 | -0.000 | 0.000 |
| 406.303 | 406.303 | 544.389 | 0.000 | -0.000 | 0.000 |
| 0.001 | -0.003 | -0.002 | -452.564 | -0.000 | 0.000 |
| -0.003 | 0.001 | -0.002 | 0.000 | -452.564 | 0.000 |
| -0.003 | -0.002 | 0.001 | -0.000 | -0.000 | -452.564 |
| 579.276 | 388.859 | 388.859 | -0.000 | -0.000 | -0.000 |
| 388.859 | 579.276 | 388.859 | -0.000 | -0.000 | -0.000 |
| 388.859 | 388.859 | 579.276 | -0.000 | -0.000 | 0.000 |
| -0.001 | 0.003 | 0.002 | -452.564 | 0.000 | -0.000 |
| 0.003 | -0.001 | 0.002 | -0.000 | -452.564 | -0.000 |
| 0.003 | 0.002 | -0.001 | -0.000 | -0.000 | -452.564 |
| 544.392 | 406.305 | 406.305 | 0.000 | -0.000 | 0.000 |
| 406.305 | 544.392 | 406.305 | 0.000 | -0.000 | 0.000 |
| 406.305 | 406.305 | 544.392 | 0.000 | -0.000 | 0.000 |
| 0.012 | -0.025 | -0.025 | -452.564 | -0.000 | 0.000 |
| -0.025 | 0.012 | -0.025 | -0.000 | -452.564 | 0.000 |
| -0.025 | -0.025 | 0.012 | 0.000 | -0.000 | -452.564 |
| 544.387 | 406.302 | 406.302 | -0.000 | 0.000 | -0.000 |
| 406.302 | 544.387 | 406.302 | -0.000 | 0.000 | -0.000 |
| 406.302 | 406.302 | 544.387 | -0.000 | 0.000 | -0.000 |
| -0.012 | 0.025 | 0.025 | -452.564 | -0.000 | -0.000 |
| 0.025 | -0.012 | 0.025 | -0.000 | -452.564 | 0.000 |
| 0.025 | 0.025 | -0.012 | -0.000 | 0.000 | -452.564 |
| 1480.101 | -58.482 | -58.482 | -0.000 | -0.000 | -0.000 |
| -58.482 | 1480.101 | -58.482 | -0.000 | 0.000 | -0.000 |
| -58.482 | -58.482 | 1480.101 | -0.000 | -0.000 | 0.000 |
| 0.000 | 0.000 | -0.000 | 123.134 | 0.000 | 0.000 |
| 0.000 | 0.000 | -0.000 | -0.000 | 123.134 | -0.000 |
| 0.000 | 0.000 | -0.000 | -0.000 | -0.000 | 123.134 |
| 1480.100 | -58.482 | -58.482 | 0.000 | 0.000 | 0.000 |
| -58.482 | 1480.100 | -58.482 | 0.000 | 0.000 | 0.000 |
| -58.482 | -58.482 | 1480.100 | 0.000 | 0.000 | 0.000 |
| -0.000 | -0.000 | 0.000 | 123.134 | 0.000 | -0.000 |
| -0.000 | 0.000 | 0.000 | 0.000 | 123.134 | 0.000 |
| -0.000 | -0.000 | 0.000 | 0.000 | 0.000 | 123.134 |
| 1480.102 | -58.483 | -58.483 | 0.000 | -0.000 | -0.000 |
| -58.483 | 1480.102 | -58.483 | -0.000 | -0.000 | -0.000 |
| -58.483 | -58.483 | 1480.102 | -0.000 | -0.000 | -0.000 |
| -0.000 | 0.000 | 0.000 | 123.134 | 0.000 | -0.000 |
| 0.000 | -0.000 | 0.000 | 0.000 | 123.134 | 0.000 |
| 0.000 | 0.000 | -0.000 | -0.000 | -0.000 | 123.134 |
| 1480.099 | -58.482 | -58.482 | 0.000 | 0.000 | 0.000 |
| -58.482 | 1480.099 | -58.482 | 0.000 | 0.000 | -0.000 |
| -58.482 | -58.482 | 1480.099 | -0.000 | -0.000 | 0.000 |
| 0.000 | -0.000 | -0.000 | 123.134 | -0.000 | -0.000 |
| -0.000 | 0.000 | -0.000 | 0.000 | 123.134 | 0.000 |
| -0.000 | -0.000 | 0.000 | -0.000 | 0.000 | 123.134 |
| 1480.119 | -58.487 | -58.487 | -0.000 | -0.000 | -0.000 |
| -58.487 | 1480.119 | -58.487 | -0.000 | -0.000 | -0.000 |
| -58.487 | -58.487 | 1480.119 | -0.000 | -0.000 | -0.000 |
| -0.001 | 0.001 | 0.001 | 123.134 | 0.000 | -0.000 |
| 0.001 | -0.001 | 0.001 | 0.000 | 123.134 | 0.000 |
| 0.001 | 0.001 | -0.001 | -0.000 | -0.000 | 123.134 |
| 1480.082 | -58.478 | -58.478 | 0.000 | 0.000 | 0.000 |
| -58.478 | 1480.082 | -58.478 | 0.000 | 0.000 | 0.000 |
| -58.478 | -58.478 | 1480.082 | -0.000 | -0.000 | 0.000 |
| 0.001 | -0.001 | -0.001 | 123.134 | 0.000 | -0.000 |
| -0.001 | 0.001 | -0.001 | 0.000 | 123.134 | 0.000 |
| -0.001 | -0.001 | 0.001 | 0.000 | 0.000 | 123.134 |
| 624.303 | 394.548 | 394.548 | -0.000 | -0.000 | -0.000 |
| 394.548 | 624.303 | 394.548 | -0.000 | -0.000 | 0.000 |
| 394.548 | 394.548 | 624.303 | 0.000 | 0.000 | -0.000 |
| -0.000 | 0.000 | 0.000 | 121.502 | 0.000 | -0.000 |
| 0.000 | -0.000 | -0.000 | 0.000 | 121.502 | 0.000 |
| 0.000 | 0.000 | -0.000 | 0.000 | 0.000 | 121.502 |
| 624.303 | 394.548 | 394.548 | 0.000 | 0.000 | -0.000 |
| 394.548 | 624.303 | 394.548 | 0.000 | 0.000 | -0.000 |
| 394.548 | 394.548 | 624.303 | 0.000 | 0.000 | -0.000 |
| 0.000 | -0.000 | -0.000 | 121.502 | 0.000 | -0.000 |
| -0.000 | 0.000 | 0.000 | -0.000 | 121.502 | -0.000 |
| -0.000 | 0.000 | 0.000 | 0.000 | 0.000 | 121.502 |
| 624.303 | 394.549 | 394.549 | 0.000 | -0.000 | 0.000 |
| 394.549 | 624.303 | 394.549 | -0.000 | -0.000 | 0.000 |
| 394.549 | 394.549 | 624.303 | -0.000 | 0.000 | -0.000 |
| 0.000 | 0.000 | 0.000 | 121.502 | -0.000 | 0.000 |
| 0.000 | 0.000 | 0.000 | -0.000 | 121.502 | -0.000 |
| 0.000 | 0.000 | 0.000 | -0.000 | -0.000 | 121.502 |
| 624.303 | 394.548 | 394.548 | 0.000 | 0.000 | 0.000 |
| 394.548 | 624.303 | 394.548 | 0.000 | 0.000 | -0.000 |
| 394.548 | 394.548 | 624.303 | 0.000 | 0.000 | -0.000 |
| -0.000 | -0.000 | -0.000 | 121.502 | 0.000 | 0.000 |
| -0.000 | -0.000 | -0.000 | 0.000 | 121.502 | 0.000 |
| -0.000 | -0.000 | -0.000 | -0.000 | -0.000 | 121.502 |
| 624.305 | 394.550 | 394.550 | 0.000 | -0.000 | 0.000 |
| 394.550 | 624.305 | 394.550 | -0.000 | -0.000 | -0.000 |
| 394.550 | 394.550 | 624.305 | -0.000 | -0.000 | 0.000 |
| 0.000 | 0.000 | 0.000 | 121.502 | -0.000 | 0.000 |
| 0.000 | 0.000 | 0.000 | -0.000 | 121.502 | -0.000 |
| 0.000 | 0.000 | 0.000 | -0.000 | -0.000 | 121.502 |
| 624.301 | 394.547 | 394.547 | 0.000 | 0.000 | -0.000 |
| 394.547 | 624.301 | 394.547 | 0.000 | -0.000 | -0.000 |
| 394.547 | 394.547 | 624.301 | 0.000 | 0.000 | -0.000 |
| -0.000 | -0.000 | -0.000 | 121.502 | 0.000 | 0.000 |
| -0.000 | -0.000 | -0.000 | 0.000 | 121.502 | 0.000 |
| -0.000 | -0.000 | -0.000 | 0.000 | 0.000 | 121.502 |
| 642.913 | 435.089 | 366.461 | -0.000 | -0.000 | -0.000 |
| 435.089 | 642.913 | 366.461 | -0.000 | -0.000 | 0.000 |
| 366.461 | 366.461 | 592.299 | 0.000 | -0.000 | 0.000 |
| -0.000 | -0.000 | 0.000 | 74.878 | -0.000 | -0.000 |
| 0.000 | -0.000 | 0.000 | 0.000 | 74.878 | 0.000 |
| -0.000 | -0.000 | -0.000 | 0.000 | -0.000 | 130.657 |
| 641.784 | 436.219 | 366.461 | -0.000 | 0.000 | 0.000 |
| 436.219 | 641.784 | 366.461 | 0.000 | 0.000 | 0.000 |
| 366.461 | 366.461 | 592.299 | 0.000 | 0.000 | -0.000 |
| 0.000 | -0.000 | -0.000 | 74.878 | 0.000 | -0.000 |
| -0.000 | 0.000 | -0.000 | -0.000 | 74.878 | -0.000 |
| 0.000 | 0.000 | 0.000 | -0.000 | 0.000 | 130.657 |
| 641.784 | 436.219 | 366.461 | 0.000 | -0.000 | -0.000 |
| 436.219 | 641.784 | 366.461 | -0.000 | -0.000 | 0.000 |
| 366.461 | 366.461 | 592.299 | 0.000 | 0.000 | 0.000 |
| 0.000 | 0.000 | 0.000 | 74.878 | -0.000 | 0.000 |
| 0.000 | 0.000 | 0.000 | 0.000 | 74.878 | -0.000 |
| 0.000 | 0.000 | 0.000 | 0.000 | -0.000 | 130.657 |
| 642.913 | 435.089 | 366.461 | 0.000 | 0.000 | -0.000 |
| 435.089 | 642.913 | 366.461 | -0.000 | 0.000 | -0.000 |
| 366.461 | 366.461 | 592.299 | -0.000 | 0.000 | 0.000 |
| -0.000 | -0.000 | -0.000 | 74.878 | 0.000 | -0.000 |
| -0.000 | -0.000 | -0.000 | -0.000 | 74.878 | -0.000 |
| -0.000 | -0.000 | -0.000 | 0.000 | 0.000 | 130.657 |
| 641.786 | 436.220 | 366.462 | 0.000 | -0.000 | 0.000 |
| 436.220 | 641.786 | 366.462 | 0.000 | -0.000 | -0.000 |
| 366.462 | 366.462 | 592.301 | -0.000 | -0.000 | 0.000 |
| 0.000 | 0.000 | 0.000 | 107.174 | -0.000 | -0.000 |
| 0.000 | 0.000 | 0.000 | 0.000 | 107.174 | -0.000 |
| 0.000 | 0.000 | 0.000 | 0.000 | -0.000 | 130.657 |
| 641.781 | 436.217 | 366.460 | 0.000 | 0.000 | -0.000 |
| 436.217 | 641.781 | 366.460 | 0.000 | 0.000 | -0.000 |
| 366.460 | 366.460 | 592.297 | -0.000 | 0.000 | 0.000 |
| -0.000 | -0.000 | -0.000 | 107.174 | 0.000 | -0.000 |
| -0.000 | -0.000 | -0.000 | -0.000 | 107.174 | -0.000 |
| -0.000 | -0.000 | -0.000 | -0.000 | 0.000 | 130.657 |
| 327.116 | 351.684 | 622.158 | 1.320 | 3.444 | 0.931 |
| 65.935 | 53.946 | 347.117 | -21.724 | 18.541 | 0.301 |
| 172.399 | 177.331 | 354.558 | -1.907 | 4.636 | 1.330 |
| 220.516 | 205.503 | 411.913 | -5.305 | 4.916 | 6.828 |
| 156.230 | 187.885 | 595.112 | -2.679 | 5.345 | 25.403 |
| 103.761 | 111.084 | 466.102 | -10.068 | -5.368 | 53.209 |
| -180.307 | -233.609 | -722.262 | 4.031 | -3.121 | -0.728 |
| -246.963 | -252.747 | -536.394 | 0.422 | -1.238 | -0.324 |
| -120.004 | -121.899 | -335.109 | 2.064 | -5.003 | -0.364 |
| -146.773 | -196.928 | -594.581 | 3.598 | -4.736 | 16.899 |
| -99.434 | -126.585 | -474.172 | 1.991 | 23.681 | -14.172 |
| -338.811 | -342.411 | -625.697 | 4.561 | -1.508 | -9.510 |
| 48.054 | 29.673 | 60.086 | 12.905 | -8.015 | 0.018 |
| 15.704 | 52.430 | 70.896 | -7.083 | 3.936 | 0.102 |
| 15.201 | 15.474 | 39.576 | -0.210 | 0.436 | 0.059 |
| 30.077 | 12.742 | 72.442 | 11.921 | 0.333 | 4.682 |
| 11.523 | 21.900 | 57.769 | -0.230 | 12.706 | 9.557 |
| 27.865 | 28.208 | 54.268 | 2.421 | 4.998 | -3.138 |
| -1.212 | -9.502 | -33.648 | 5.539 | -2.518 | -0.079 |
| -20.565 | -12.481 | -54.774 | -5.932 | 2.989 | -0.069 |
| -3.984 | -4.600 | -50.090 | 0.125 | -0.224 | -0.176 |
| -12.705 | -19.841 | -41.766 | 8.846 | -0.399 | 2.468 |
| -19.156 | -14.447 | -41.359 | 0.198 | 8.054 | 2.608 |
| -18.387 | -18.545 | -47.392 | 3.293 | 3.299 | -2.433 |
| 16.556 | 2.146 | 11.397 | 6.239 | -3.051 | 0.005 |
| 4.044 | 15.958 | 10.236 | -4.948 | 2.292 | 0.006 |
| 5.281 | 5.284 | 9.075 | -0.024 | 0.063 | -0.002 |
| 10.490 | -6.763 | 6.865 | 11.393 | 0.043 | 4.458 |
| -1.695 | 3.099 | 2.997 | -0.026 | 7.229 | 5.472 |
| 1.827 | 1.859 | 5.884 | 3.460 | 6.211 | 6.526 |
| 16.817 | -3.840 | 2.205 | 5.950 | -3.739 | 0.004 |
| 0.711 | 14.444 | 3.458 | -6.225 | 3.327 | -0.006 |
| 5.400 | 5.374 | 2.780 | 0.020 | -0.038 | -0.006 |
| 3.651 | -4.992 | -4.372 | 8.046 | -0.047 | 3.436 |
| -3.298 | 1.434 | -3.313 | 0.021 | 7.353 | 5.491 |
| -1.649 | -1.674 | -4.942 | 3.285 | 6.313 | 6.468 |
| -361.415 | -449.403 | 911.850 | 1036.735 | -159.364 | -180.509 |
| -542.893 | -304.591 | 890.500 | 927.308 | -138.335 | -226.567 |
| -867.598 | -213.410 | 1727.963 | 562.620 | -84.571 | -734.202 |
| -909.143 | -274.180 | 1379.490 | 632.898 | -81.176 | -706.247 |
| -590.028 | -483.806 | 821.968 | 596.986 | 63.584 | -395.203 |
| -475.824 | -38.912 | 1114.610 | 541.955 | -62.605 | -252.872 |
| 1214.970 | 330.024 | -1324.770 | -542.110 | 78.774 | 693.377 |
| 600.940 | 567.475 | -881.704 | -437.295 | 73.853 | 592.204 |
| 908.590 | 311.045 | -959.547 | -457.258 | 97.915 | 632.437 |
| 864.042 | 250.947 | -1302.195 | -372.757 | 99.041 | 662.350 |
| 455.161 | 35.445 | -1087.208 | -574.470 | 101.773 | 315.428 |
| 592.670 | 482.823 | -804.898 | -616.813 | -31.194 | 454.245 |
| 184.882 | 8.008 | 149.326 | 105.214 | -24.339 | -7.737 |
| 89.886 | 343.415 | -5.447 | -143.218 | 2.032 | 18.277 |
| -2.194 | -27.823 | 256.809 | 35.066 | 20.038 | -39.301 |
| -31.920 | -3.553 | 73.425 | 109.010 | 12.123 | -42.923 |
| -68.253 | -39.778 | 93.316 | 91.572 | 68.731 | -48.147 |
| -42.165 | -69.871 | 90.397 | 50.081 | -42.263 | 48.451 |
| 282.248 | 92.060 | 19.151 | -20.617 | -13.227 | 39.681 |
| 149.828 | 256.829 | -46.026 | -114.096 | 17.101 | 58.063 |
| 118.208 | 70.697 | 146.411 | -46.950 | 5.348 | 23.646 |
| 13.598 | -7.413 | -59.410 | 33.222 | 13.539 | -11.361 |
| 36.760 | 10.470 | -99.928 | -35.023 | 87.163 | 22.689 |
| 63.834 | 28.541 | -96.896 | 25.358 | -83.308 | 215.002 |
| 262.271 | 64.719 | 82.463 | -0.634 | -13.185 | -4.656 |
| 33.503 | 163.253 | 72.979 | -17.690 | 13.355 | -27.339 |
| 58.967 | 74.792 | 232.060 | -6.783 | 2.322 | -10.170 |
| -15.292 | -1.911 | 8.316 | 85.554 | 12.316 | -7.634 |
| -10.535 | 3.701 | 7.752 | 14.968 | 88.244 | -15.204 |
| 2.878 | -19.089 | 9.322 | -3.971 | -49.953 | 92.804 |
| 266.236 | 64.850 | 53.991 | -17.047 | -11.514 | 5.217 |
| 57.546 | 190.797 | 58.661 | -24.918 | 10.290 | -11.814 |
| 80.845 | 77.499 | 201.631 | -4.645 | 1.278 | 9.821 |
| -8.421 | 2.435 | 1.236 | 88.124 | 13.217 | -3.171 |
| 0.226 | 11.953 | -8.816 | 4.970 | 88.180 | -6.548 |
| 12.381 | -11.149 | -11.789 | -10.235 | -49.115 | 98.467 |
| -497584.306 | 514284.874 | -1562027.095 | -608757.401 | -2947284.431 | 2133022.975 |
| -702512.091 | 365609.740 | -1742983.364 | -587098.635 | -2853981.439 | 2035997.511 |
| -638781.818 | 436868.112 | -1652232.347 | -619687.273 | -2885078.994 | 2048382.278 |
| -527991.996 | 444671.719 | -1685241.728 | -714316.135 | -3185218.604 | 2272477.498 |
| -518766.953 | 444328.004 | -1621686.765 | -635235.177 | -2968246.832 | 2116554.701 |
| -533764.286 | 367788.464 | -1718001.020 | -720537.660 | -2939787.733 | 2083845.365 |
| 434103.389 | -468141.666 | 1705614.016 | 648946.084 | 2896492.566 | -2254948.880 |
| 376734.292 | -468363.312 | 1610578.872 | 601084.498 | 2935206.373 | -2175757.531 |
| 552958.447 | -443118.677 | 1696030.531 | 608017.903 | 2763873.330 | -2063538.190 |
| 444424.445 | -523598.700 | 1629847.551 | 573846.321 | 3015861.850 | -2396777.515 |
| 744912.861 | -461253.864 | 1711227.582 | 540599.888 | 3011169.866 | -2242837.981 |
| 483778.618 | -534032.645 | 1576872.843 | 614991.658 | 2941688.440 | -2164826.206 |
| -34616.489 | 48648.720 | -170052.696 | -64209.300 | -291242.077 | 227723.690 |
| -45965.958 | 57553.382 | -163321.798 | -54151.582 | -300497.411 | 237368.583 |
| -60703.368 | 55595.795 | -171950.556 | -57103.097 | -291347.098 | 225933.979 |
| -52035.272 | 43322.171 | -176090.301 | -69964.579 | -278959.209 | 217574.763 |
| -54191.560 | 45283.820 | -164398.375 | -66914.183 | -296371.824 | 211977.876 |
| -50169.915 | 59188.262 | -160293.019 | -56512.836 | -303381.758 | 239000.995 |
| 40726.145 | -40549.362 | 170255.419 | 71318.592 | 283590.261 | -211370.832 |
| 59548.240 | -34069.342 | 182621.991 | 67548.268 | 260334.484 | -195461.256 |
| 41618.264 | -48796.612 | 160900.150 | 62714.835 | 293119.851 | -220882.249 |
| 70535.681 | -34378.140 | 168029.472 | 64104.083 | 268782.540 | -183620.507 |
| 48099.504 | -49924.891 | 165176.322 | 64257.459 | 305307.370 | -228398.294 |
| 64140.539 | -52168.424 | 170228.448 | 56827.596 | 290213.045 | -227632.607 |
| -4918.801 | 4293.790 | -17482.570 | -6231.559 | -28696.019 | 22407.253 |
| -5339.850 | 3820.571 | -16744.960 | -6760.656 | -30105.279 | 22102.170 |
| -4729.046 | 6098.059 | -15103.512 | -5956.948 | -31907.683 | 24615.355 |
| -6078.726 | 7585.308 | -16570.174 | -7173.235 | -30422.686 | 23072.998 |
| -4577.067 | 5558.249 | -16740.282 | -6076.703 | -30045.546 | 23485.994 |
| -4943.998 | 5274.060 | -16440.435 | -6346.944 | -29525.297 | 22826.756 |
| 4785.319 | -4861.207 | 18782.780 | 6850.546 | 28109.429 | -22795.589 |
| 7094.972 | -5701.701 | 16942.254 | 4510.363 | 32792.061 | -25980.496 |
| 5169.237 | -4844.786 | 16736.038 | 6384.838 | 29020.002 | -22377.428 |
| 5731.786 | -4890.553 | 17123.885 | 6352.773 | 30035.034 | -22502.898 |
| 5145.765 | -4472.373 | 17957.136 | 6492.743 | 27884.732 | -21924.514 |
| 5119.487 | -5055.089 | 15954.119 | 6230.055 | 29898.481 | -21614.671 |
| 1036.725 | -16.664 | -16.664 | 0.000 | 0.000 | -0.000 |
| -16.664 | 1036.725 | -16.664 | 0.000 | 0.000 | -0.000 |
| -16.664 | -16.664 | 1036.725 | 0.000 | 0.000 | -0.000 |
| 0.000 | 0.000 | -0.000 | 172.926 | 0.000 | -0.000 |
| 0.000 | -0.000 | -0.000 | 0.000 | 172.926 | -0.000 |
| 0.000 | -0.000 | -0.000 | 0.000 | 0.000 | 172.926 |
| 1036.725 | -16.664 | -16.664 | -0.000 | -0.000 | 0.000 |
| -16.664 | 1036.725 | -16.664 | -0.000 | -0.000 | 0.000 |
| -16.664 | -16.664 | 1036.725 | 0.000 | -0.000 | 0.000 |
| -0.000 | -0.000 | 0.000 | 172.926 | 0.000 | 0.000 |
| -0.000 | -0.000 | 0.000 | -0.000 | 172.926 | 0.000 |
| -0.000 | 0.000 | -0.000 | -0.000 | -0.000 | 172.926 |
| 1036.726 | -16.664 | -16.664 | 0.000 | 0.000 | -0.000 |
| -16.664 | 1036.726 | -16.664 | 0.000 | 0.000 | -0.000 |
| -16.664 | -16.664 | 1036.726 | -0.000 | -0.000 | -0.000 |
| 0.000 | 0.000 | -0.000 | 172.926 | -0.000 | -0.000 |
| 0.000 | 0.000 | -0.000 | 0.000 | 172.926 | -0.000 |
| 0.000 | -0.000 | 0.000 | 0.000 | 0.000 | 172.926 |
| 1036.725 | -16.664 | -16.664 | -0.000 | 0.000 | 0.000 |
| -16.664 | 1036.725 | -16.664 | 0.000 | 0.000 | 0.000 |
| -16.664 | -16.664 | 1036.725 | -0.000 | -0.000 | 0.000 |
| -0.000 | -0.000 | 0.000 | 172.926 | -0.000 | 0.000 |
| -0.000 | -0.000 | 0.000 | -0.000 | 172.926 | 0.000 |
| -0.000 | 0.000 | -0.000 | -0.000 | -0.000 | 172.926 |
| 1036.731 | -16.664 | -16.664 | 0.000 | 0.000 | -0.000 |
| -16.664 | 1036.731 | -16.664 | 0.000 | -0.000 | -0.000 |
| -16.664 | -16.664 | 1036.731 | -0.000 | -0.000 | -0.000 |
| 0.000 | 0.000 | -0.000 | 172.926 | 0.000 | -0.000 |
| 0.000 | 0.000 | -0.000 | 0.000 | 172.926 | -0.000 |
| 0.000 | -0.000 | 0.000 | -0.000 | 0.000 | 172.926 |
| 1036.719 | -16.664 | -16.664 | -0.000 | -0.000 | 0.000 |
| -16.664 | 1036.719 | -16.664 | -0.000 | 0.000 | 0.000 |
| -16.664 | -16.664 | 1036.719 | -0.000 | -0.000 | 0.000 |
| -0.000 | -0.000 | 0.000 | 172.926 | -0.000 | 0.000 |
| -0.000 | -0.000 | 0.000 | -0.000 | 172.926 | 0.000 |
| -0.000 | 0.000 | -0.000 | -0.000 | -0.000 | 172.926 |
| 818.226 | 231.107 | 231.107 | 0.000 | -0.000 | -0.000 |
| 231.107 | 818.226 | 231.107 | -0.000 | -0.000 | -0.000 |
| 231.107 | 231.107 | 818.226 | -0.000 | -0.000 | -0.000 |
| 0.000 | -0.000 | 0.000 | 274.479 | -0.000 | -0.000 |
| -0.000 | 0.000 | -0.000 | -0.000 | 274.479 | -0.000 |
| -0.000 | 0.000 | -0.000 | -0.000 | -0.000 | 274.479 |
| 818.226 | 231.107 | 231.107 | 0.000 | 0.000 | 0.000 |
| 231.107 | 818.226 | 231.107 | 0.000 | 0.000 | 0.000 |
| 231.107 | 231.107 | 818.226 | 0.000 | 0.000 | 0.000 |
| -0.000 | 0.000 | -0.000 | 274.479 | 0.000 | 0.000 |
| 0.000 | -0.000 | -0.000 | 0.000 | 274.479 | 0.000 |
| 0.000 | -0.000 | -0.000 | -0.000 | 0.000 | 274.479 |
| 818.226 | 231.107 | 231.107 | -0.000 | -0.000 | -0.000 |
| 231.107 | 818.226 | 231.107 | -0.000 | -0.000 | -0.000 |
| 231.107 | 231.107 | 818.226 | -0.000 | -0.000 | -0.000 |
| 0.000 | 0.000 | 0.000 | 274.479 | -0.000 | -0.000 |
| 0.000 | 0.000 | 0.000 | -0.000 | 274.479 | -0.000 |
| 0.000 | 0.000 | 0.000 | -0.000 | -0.000 | 274.479 |
| 818.225 | 231.107 | 231.107 | 0.000 | 0.000 | 0.000 |
| 231.107 | 818.225 | 231.107 | 0.000 | 0.000 | 0.000 |
| 231.107 | 231.107 | 818.225 | 0.000 | 0.000 | 0.000 |
| -0.000 | -0.000 | -0.000 | 274.479 | -0.000 | 0.000 |
| -0.000 | -0.000 | -0.000 | 0.000 | 274.479 | 0.000 |
| -0.000 | -0.000 | -0.000 | -0.000 | 0.000 | 274.479 |
| 818.227 | 231.109 | 231.109 | -0.000 | -0.000 | -0.000 |
| 231.109 | 818.227 | 231.109 | -0.000 | -0.000 | -0.000 |
| 231.109 | 231.109 | 818.227 | -0.000 | -0.000 | -0.000 |
| 0.001 | 0.000 | 0.001 | 274.479 | -0.000 | -0.000 |
| 0.000 | 0.001 | 0.001 | -0.000 | 274.479 | -0.000 |
| 0.000 | 0.001 | 0.001 | 0.000 | -0.000 | 274.479 |
| 818.224 | 231.106 | 231.106 | 0.000 | 0.000 | 0.000 |
| 231.106 | 818.224 | 231.106 | 0.000 | 0.000 | 0.000 |
| 231.106 | 231.106 | 818.224 | 0.000 | 0.000 | 0.000 |
| -0.001 | -0.000 | -0.001 | 274.479 | 0.000 | 0.000 |
| -0.000 | -0.001 | -0.001 | 0.000 | 274.479 | 0.000 |
| -0.000 | -0.001 | -0.001 | 0.000 | -0.000 | 274.479 |
| 396.553 | 147.079 | 147.079 | 0.000 | 0.000 | 0.000 |
| 147.079 | 396.553 | 147.079 | 0.000 | 0.000 | 0.000 |
| 147.079 | 147.079 | 396.553 | 0.000 | 0.000 | 0.000 |
| 0.000 | -0.000 | 0.000 | 135.532 | 0.000 | 0.000 |
| -0.000 | 0.000 | 0.000 | 0.000 | 135.532 | 0.000 |
| -0.000 | 0.000 | 0.000 | 0.000 | -0.000 | 135.532 |
| 396.553 | 147.079 | 147.079 | -0.000 | -0.000 | -0.000 |
| 147.079 | 396.553 | 147.079 | -0.000 | -0.000 | -0.000 |
| 147.079 | 147.079 | 396.553 | -0.000 | -0.000 | -0.000 |
| 0.000 | 0.000 | 0.000 | 135.532 | -0.000 | -0.000 |
| 0.000 | 0.000 | 0.000 | -0.000 | 135.532 | -0.000 |
| 0.000 | -0.000 | 0.000 | -0.000 | -0.000 | 135.532 |
| 396.553 | 147.079 | 147.079 | 0.000 | 0.000 | 0.000 |
| 147.079 | 396.553 | 147.079 | 0.000 | 0.000 | 0.000 |
| 147.079 | 147.079 | 396.553 | 0.000 | 0.000 | 0.000 |
| -0.000 | -0.000 | 0.000 | 135.532 | 0.000 | 0.000 |
| -0.000 | -0.000 | 0.000 | 0.000 | 135.532 | -0.000 |
| -0.000 | 0.000 | -0.000 | 0.000 | -0.000 | 135.532 |
| 396.553 | 147.079 | 147.079 | -0.000 | -0.000 | -0.000 |
| 147.079 | 396.553 | 147.079 | -0.000 | -0.000 | -0.000 |
| 147.079 | 147.079 | 396.553 | -0.000 | -0.000 | -0.000 |
| 0.000 | 0.000 | -0.000 | 135.532 | -0.000 | -0.000 |
| 0.000 | 0.000 | -0.000 | -0.000 | 135.532 | -0.000 |
| 0.000 | -0.000 | 0.000 | -0.000 | 0.000 | 135.532 |
| 396.554 | 147.079 | 147.079 | 0.000 | 0.000 | 0.000 |
| 147.079 | 396.554 | 147.079 | 0.000 | 0.000 | 0.000 |
| 147.079 | 147.079 | 396.554 | 0.000 | 0.000 | 0.000 |
| -0.000 | -0.000 | 0.000 | 135.532 | 0.000 | 0.000 |
| -0.000 | -0.000 | 0.000 | 0.000 | 135.532 | 0.000 |
| -0.000 | 0.000 | -0.000 | 0.000 | 0.000 | 135.532 |
| 396.553 | 147.078 | 147.078 | -0.000 | -0.000 | -0.000 |
| 147.078 | 396.553 | 147.078 | -0.000 | -0.000 | -0.000 |
| 147.078 | 147.078 | 396.553 | -0.000 | -0.000 | -0.000 |
| 0.000 | 0.000 | -0.000 | 135.532 | -0.000 | -0.000 |
| 0.000 | 0.000 | -0.000 | -0.000 | 135.532 | -0.000 |
| 0.000 | -0.000 | 0.000 | -0.000 | 0.000 | 135.532 |
| 14390.344 | -10717.600 | -1659.717 | 0.000 | 0.000 | 0.000 |
| -10717.600 | 14390.344 | -1659.717 | 0.000 | 0.000 | -0.000 |
| -1659.717 | -1659.717 | 3138.341 | 0.000 | 0.000 | 0.000 |
| -0.001 | 0.000 | 0.000 | 273.160 | 0.000 | -0.000 |
| 0.000 | -0.001 | 0.000 | 0.000 | 273.160 | 0.000 |
| 0.000 | -0.000 | 0.000 | 0.000 | 0.000 | 92.513 |
| 14390.343 | -10717.600 | -1659.717 | -0.000 | -0.000 | -0.000 |
| -10717.600 | 14390.343 | -1659.717 | -0.000 | -0.000 | -0.000 |
| -1659.717 | -1659.717 | 3138.341 | -0.000 | -0.000 | -0.000 |
| 0.001 | -0.000 | -0.000 | 273.160 | -0.000 | -0.000 |
| -0.000 | 0.001 | -0.000 | -0.000 | 273.160 | 0.000 |
| -0.000 | 0.000 | -0.000 | -0.000 | -0.000 | 92.513 |
| 14390.349 | -10717.602 | -1659.720 | -0.000 | 0.000 | 0.000 |
| -10717.602 | 14390.349 | -1659.720 | 0.000 | 0.000 | -0.000 |
| -1659.717 | -1659.717 | 3138.340 | 0.000 | 0.000 | -0.000 |
| -0.005 | 0.004 | 0.001 | 273.160 | 0.000 | 0.000 |
| 0.004 | -0.005 | 0.001 | 0.000 | 273.160 | 0.000 |
| 0.001 | -0.001 | 0.000 | 0.000 | 0.000 | 92.513 |
| 14390.338 | -10717.598 | -1659.715 | -0.000 | -0.000 | -0.000 |
| -10717.598 | 14390.338 | -1659.715 | -0.000 | -0.000 | -0.000 |
| -1659.717 | -1659.717 | 3138.341 | -0.000 | -0.000 | -0.000 |
| 0.005 | -0.004 | -0.001 | 273.160 | -0.000 | -0.000 |
| -0.004 | 0.005 | -0.001 | -0.000 | 273.160 | -0.000 |
| -0.001 | 0.001 | -0.000 | -0.000 | -0.000 | 92.513 |
| 14390.396 | -10717.619 | -1659.742 | 0.000 | 0.000 | 0.000 |
| -10717.619 | 14390.396 | -1659.742 | 0.000 | 0.000 | -0.000 |
| -1659.715 | -1659.715 | 3138.335 | 0.000 | 0.000 | 0.000 |
| -0.051 | 0.036 | 0.012 | 273.160 | 0.000 | 0.000 |
| 0.036 | -0.051 | 0.012 | 0.000 | 273.160 | -0.000 |
| 0.007 | -0.006 | 0.000 | 0.000 | 0.000 | 92.513 |
| 14390.291 | -10717.581 | -1659.693 | -0.000 | -0.000 | -0.000 |
| -10717.581 | 14390.291 | -1659.693 | -0.000 | -0.000 | 0.000 |
| -1659.720 | -1659.720 | 3138.346 | -0.000 | -0.000 | -0.000 |
| 0.051 | -0.036 | -0.012 | 273.160 | -0.000 | -0.000 |
| -0.036 | 0.051 | -0.012 | -0.000 | 273.160 | -0.000 |
| -0.007 | 0.006 | -0.000 | -0.000 | -0.000 | 92.513 |
| 654.493 | 134.021 | 188.489 | -0.000 | 0.000 | -0.000 |
| 134.021 | 654.493 | 188.489 | -0.000 | 0.000 | 0.000 |
| 188.489 | 188.489 | 1754.492 | 0.000 | 0.000 | 0.000 |
| 0.000 | 0.000 | 0.000 | 10.613 | 0.000 | -0.000 |
| 0.000 | 0.000 | -0.000 | -0.000 | 10.613 | 0.000 |
| 0.000 | 0.000 | 0.000 | -0.000 | 0.000 | 362.023 |
| 654.493 | 134.021 | 188.489 | -0.000 | -0.000 | -0.000 |
| 134.021 | 654.493 | 188.489 | -0.000 | -0.000 | -0.000 |
| 188.489 | 188.489 | 1754.491 | -0.000 | -0.000 | -0.000 |
| 0.000 | -0.000 | 0.000 | 10.613 | -0.000 | -0.000 |
| -0.000 | -0.000 | -0.000 | -0.000 | 10.613 | -0.000 |
| -0.000 | -0.000 | -0.000 | 0.000 | -0.000 | 362.023 |
| 654.494 | 134.021 | 188.489 | -0.000 | 0.000 | 0.000 |
| 134.021 | 654.494 | 188.489 | -0.000 | 0.000 | 0.000 |
| 188.489 | 188.489 | 1754.492 | 0.000 | 0.000 | 0.000 |
| 0.000 | 0.000 | -0.000 | 10.613 | 0.000 | -0.000 |
| 0.000 | 0.000 | -0.000 | -0.000 | 10.613 | -0.000 |
| 0.000 | 0.000 | 0.000 | -0.000 | 0.000 | 362.023 |
| 654.493 | 134.021 | 188.489 | 0.000 | -0.000 | -0.000 |
| 134.021 | 654.493 | 188.489 | -0.000 | -0.000 | -0.000 |
| 188.489 | 188.489 | 1754.491 | -0.000 | -0.000 | 0.000 |
| -0.000 | -0.000 | 0.000 | 10.613 | -0.000 | 0.000 |
| -0.000 | -0.000 | 0.000 | -0.000 | 10.613 | 0.000 |
| -0.000 | -0.000 | -0.000 | 0.000 | -0.000 | 362.023 |
| 654.495 | 134.022 | 188.490 | -0.000 | 0.000 | 0.000 |
| 134.022 | 654.495 | 188.490 | -0.000 | 0.000 | -0.000 |
| 188.490 | 188.490 | 1754.498 | 0.000 | 0.000 | 0.000 |
| 0.000 | 0.000 | -0.000 | 10.613 | 0.000 | 0.000 |
| 0.000 | 0.000 | -0.000 | -0.000 | 10.613 | 0.000 |
| 0.000 | 0.001 | 0.001 | 0.000 | 0.000 | 362.023 |
| 654.492 | 134.020 | 188.488 | -0.000 | -0.000 | 0.000 |
| 134.020 | 654.492 | 188.488 | 0.000 | -0.000 | 0.000 |
| 188.488 | 188.488 | 1754.485 | -0.000 | -0.000 | -0.000 |
| -0.000 | -0.000 | 0.000 | 10.613 | -0.000 | -0.000 |
| -0.000 | -0.000 | 0.000 | -0.000 | 10.613 | -0.000 |
| -0.000 | -0.001 | -0.001 | -0.000 | -0.000 | 362.023 |
| 1641.662 | 1440.343 | -2573.878 | -5.734 | 0.000 | -0.000 |
| 315.979 | 679.846 | -601.685 | -6.231 | 0.000 | -0.000 |
| 255.633 | 255.633 | -127.350 | -0.000 | -0.000 | -0.000 |
| 192.527 | 179.841 | -670.330 | 135.078 | -0.000 | -0.000 |
| 186.237 | 186.237 | -670.484 | -0.000 | 135.067 | 6.341 |
| 0.000 | 0.000 | -0.000 | -0.000 | 13.434 | 214.376 |
| 223.004 | 12.401 | 755.730 | -1.723 | -0.000 | 0.000 |
| 12.506 | 223.109 | 755.532 | 1.722 | -0.000 | 0.000 |
| -121.241 | -121.241 | 1223.859 | -0.000 | -0.000 | 0.000 |
| -195.063 | -191.585 | 685.851 | 100.255 | -0.000 | 0.000 |
| -186.237 | -186.237 | 670.484 | 0.000 | 135.067 | 6.341 |
| -0.000 | -0.000 | 0.000 | -0.000 | 13.434 | 214.376 |
| 519.422 | 346.695 | -193.398 | -8.144 | 0.000 | -0.000 |
| 216.630 | 434.481 | 11.489 | 1.087 | 0.000 | -0.000 |
| 17.299 | 17.299 | 646.930 | -0.000 | -0.000 | -0.000 |
| 16.152 | 19.209 | -65.133 | 101.011 | -0.000 | -0.000 |
| 0.000 | 0.000 | -0.000 | 0.000 | 159.210 | 13.434 |
| 19.539 | 19.539 | -69.021 | -0.000 | 1.500 | 136.669 |
| 552.071 | 123.319 | 17.299 | 13.434 | 0.000 | 0.000 |
| 123.319 | 552.071 | 17.299 | -13.434 | 0.000 | 0.000 |
| 17.299 | 17.299 | 646.930 | 0.000 | 0.000 | 0.000 |
| 13.434 | -13.434 | 0.000 | 159.210 | 0.000 | 0.000 |
| -0.000 | -0.000 | 0.000 | -0.000 | 159.210 | 13.434 |
| -19.539 | -19.539 | 69.021 | 0.000 | 1.500 | 136.669 |
| 552.072 | 123.320 | 17.299 | 13.434 | 0.000 | -0.000 |
| 188.585 | 445.862 | 54.816 | -2.224 | -0.000 | -0.000 |
| 73.617 | 73.617 | 531.986 | -0.000 | -0.000 | -0.000 |
| 3.124 | 1.411 | -7.655 | 111.935 | -0.000 | -0.000 |
| 2.078 | 2.078 | -6.910 | 0.000 | 109.539 | -0.267 |
| 9.188 | 9.189 | -19.747 | -0.000 | -0.737 | 130.307 |
| 440.379 | 164.912 | 89.182 | 0.515 | -0.000 | 0.000 |
| 180.773 | 437.591 | 76.222 | -0.687 | -0.000 | 0.000 |
| 69.858 | 69.858 | 545.680 | 0.000 | -0.000 | 0.000 |
| -9.103 | -8.627 | 19.052 | 109.291 | -0.000 | 0.000 |
| -2.078 | -2.078 | 6.910 | -0.000 | 109.539 | -0.267 |
| -9.188 | -9.189 | 19.747 | 0.000 | -0.737 | 130.307 |
| -52.045 | -233.125 | 1023.462 | -7.688 | 0.000 | -0.000 |
| -41.986 | 237.274 | 481.555 | -6.109 | 0.000 | 0.000 |
| 10.005 | 10.005 | 659.708 | 0.000 | -0.000 | -0.000 |
| -452.607 | -436.895 | 928.206 | 74.511 | -0.000 | -0.000 |
| -444.751 | -444.751 | 928.206 | 0.000 | 74.511 | -7.856 |
| 0.000 | 0.000 | 0.000 | 0.000 | 13.398 | 213.055 |
| 834.616 | 657.231 | -830.854 | -8.006 | 0.000 | -0.000 |
| 127.571 | 553.680 | 13.550 | -13.398 | 0.000 | 0.000 |
| 535.782 | 535.782 | -441.563 | -0.000 | -0.000 | 0.000 |
| 436.895 | 452.607 | -928.206 | 74.511 | 0.000 | 0.000 |
| 444.751 | 444.751 | -928.206 | -0.000 | 74.511 | -7.856 |
| -0.000 | -0.000 | -0.000 | -0.000 | 13.398 | 213.055 |
| 371.780 | 159.331 | 171.479 | -4.989 | 0.000 | -0.000 |
| 166.411 | 421.035 | 106.330 | -3.146 | -0.000 | 0.000 |
| 9.116 | 9.116 | 662.332 | 0.000 | 0.000 | 0.000 |
| -18.700 | -29.715 | 46.924 | 115.963 | -0.000 | -0.000 |
| 0.000 | 0.000 | -0.000 | 0.000 | 152.029 | 13.398 |
| -41.175 | -41.175 | 85.934 | -0.000 | -6.279 | 98.728 |
| 553.680 | 127.571 | 13.550 | 13.398 | 0.000 | 0.000 |
| 205.046 | 499.170 | -9.626 | -8.167 | -0.000 | -0.000 |
| 10.005 | 10.005 | 659.708 | -0.000 | 0.000 | 0.000 |
| 13.398 | -13.398 | 0.000 | 152.029 | 0.000 | 0.000 |
| -0.000 | -0.000 | 0.000 | -0.000 | 152.029 | 13.398 |
| 41.175 | 41.175 | -85.934 | 0.000 | -6.279 | 98.728 |
| 445.828 | 176.190 | 76.282 | -0.067 | -0.000 | -0.000 |
| 176.192 | 445.824 | 76.284 | 0.068 | 0.000 | -0.000 |
| 58.438 | 58.438 | 556.341 | 0.000 | -0.000 | -0.000 |
| -2.695 | -2.874 | 5.812 | 103.490 | -0.000 | -0.000 |
| 0.000 | 0.000 | -0.000 | 0.000 | 152.029 | 13.398 |
| -2.917 | -2.916 | 6.086 | -0.000 | -0.538 | 132.081 |
| 449.226 | 193.633 | 52.742 | 1.795 | -0.000 | 0.000 |
| 181.918 | 451.287 | 64.607 | 0.090 | 0.000 | 0.000 |
| 68.246 | 68.246 | 538.600 | 0.000 | -0.000 | 0.000 |
| 5.540 | 0.618 | -6.056 | 104.652 | -0.000 | 0.000 |
| -0.000 | -0.000 | 0.000 | -0.000 | 152.029 | 13.398 |
| 2.917 | 2.916 | -6.086 | 0.000 | -0.538 | 132.081 |
| 461.461 | 217.915 | 17.833 | -0.000 | -0.000 | 0.000 |
| 217.915 | 461.461 | 17.833 | -0.000 | -0.000 | 0.000 |
| 64.764 | 64.764 | 553.129 | -0.000 | -0.000 | 0.000 |
| 0.000 | -0.000 | -0.000 | 157.158 | 0.000 | 0.000 |
| -0.000 | 0.000 | -0.000 | -0.000 | 157.158 | 0.000 |
| -0.000 | 0.000 | -0.000 | -0.000 | 0.000 | 213.890 |
| 438.847 | 187.607 | 62.850 | 0.000 | -0.000 | -0.000 |
| 206.257 | 400.524 | 85.148 | 0.000 | -0.000 | -0.000 |
| 9.093 | 9.093 | 661.703 | 0.000 | -0.000 | -0.000 |
| 0.000 | -0.000 | 0.000 | 157.158 | -0.000 | -0.000 |
| -0.000 | -0.000 | 0.000 | 0.000 | 157.158 | 0.000 |
| 0.000 | -0.000 | -0.000 | 0.000 | 0.000 | 213.890 |
| 555.855 | 128.075 | 9.093 | -0.000 | -0.000 | 0.000 |
| 181.522 | 456.205 | 56.394 | -0.000 | -0.000 | 0.000 |
| 51.128 | 51.128 | 576.007 | -0.000 | 0.000 | 0.000 |
| 1.879 | 1.879 | -3.282 | 108.785 | 0.000 | 0.000 |
| 1.879 | 1.879 | -3.282 | -0.000 | 108.785 | 0.000 |
| 0.000 | 0.000 | -0.000 | -0.000 | 0.000 | 213.890 |
| 555.854 | 128.075 | 9.093 | 0.000 | 0.000 | 0.000 |
| 182.158 | 453.856 | 57.791 | 0.000 | -0.000 | -0.000 |
| 49.735 | 49.735 | 578.694 | 0.000 | 0.000 | -0.000 |
| -1.879 | -1.879 | 3.282 | 108.785 | -0.000 | -0.000 |
| -1.879 | -1.879 | 3.282 | 0.000 | 108.785 | -0.000 |
| -0.000 | -0.000 | 0.000 | 0.000 | -0.000 | 213.890 |
| 555.856 | 128.075 | 9.094 | -0.000 | 0.000 | 0.000 |
| 181.488 | 455.756 | 56.733 | -0.000 | -0.000 | 0.000 |
| 50.107 | 50.107 | 577.956 | 0.000 | 0.000 | 0.000 |
| 0.314 | 0.314 | -0.533 | 106.837 | -0.000 | 0.000 |
| 0.019 | 0.020 | -0.023 | -0.000 | 109.174 | 0.000 |
| 0.000 | 0.000 | -0.000 | -0.000 | 0.000 | 213.890 |
| 455.493 | 181.565 | 56.884 | 0.000 | 0.000 | -0.000 |
| 128.075 | 555.853 | 9.093 | 0.000 | -0.000 | -0.000 |
| 49.936 | 49.936 | 578.273 | 0.000 | -0.000 | -0.000 |
| -0.314 | -0.314 | 0.533 | 106.837 | 0.000 | -0.000 |
| -0.019 | -0.020 | 0.023 | 0.000 | 109.174 | -0.000 |
| -0.000 | -0.000 | 0.000 | 0.000 | -0.000 | 213.890 |
| 490.027 | 211.328 | -28.108 | 0.000 | 0.000 | 0.000 |
| 134.400 | 558.277 | 2.914 | -0.000 | -0.000 | 0.000 |
| 78.980 | 78.980 | 477.616 | 0.000 | 0.000 | -0.000 |
| 19.620 | 19.620 | -63.446 | 118.291 | 0.000 | 0.000 |
| 0.000 | 0.000 | 0.000 | 0.000 | 146.909 | 0.000 |
| -2.141 | -2.141 | -18.732 | -0.000 | 0.000 | 81.463 |
| 475.758 | 167.203 | 77.113 | 0.000 | 0.000 | -0.000 |
| 167.203 | 475.758 | 77.113 | 0.000 | -0.000 | -0.000 |
| 79.190 | 79.190 | 522.941 | 0.000 | -0.000 | -0.000 |
| -19.619 | -19.620 | 63.446 | 118.291 | -0.000 | -0.000 |
| -0.000 | -0.000 | -0.000 | 0.000 | 146.909 | 0.000 |
| 2.141 | 2.141 | 18.732 | 0.000 | -0.000 | 81.463 |
| 462.137 | 198.746 | 36.309 | -0.000 | -0.000 | 0.000 |
| 134.400 | 558.277 | 2.914 | 0.000 | -0.000 | -0.000 |
| -1.652 | -1.652 | 679.457 | -0.000 | -0.000 | 0.000 |
| 0.000 | 0.000 | -0.000 | 146.909 | 0.000 | 0.000 |
| 0.000 | 0.000 | -0.000 | 0.000 | 146.909 | 0.000 |
| -0.142 | -0.142 | -1.239 | -0.000 | 0.000 | 125.607 |
| 452.247 | 193.254 | 56.424 | 0.000 | 0.000 | -0.000 |
| 199.891 | 458.361 | 42.503 | -0.000 | -0.000 | 0.000 |
| -1.652 | -1.652 | 679.457 | -0.000 | 0.000 | -0.000 |
| -0.000 | -0.000 | 0.000 | 146.909 | 0.000 | 0.000 |
| 0.137 | 0.137 | 1.202 | 0.000 | 90.876 | -0.000 |
| 0.142 | 0.142 | 1.239 | 0.000 | -0.000 | 125.607 |
| 459.946 | 192.364 | 46.231 | -0.000 | 0.000 | -0.000 |
| 134.401 | 558.278 | 2.915 | -0.000 | -0.000 | 0.000 |
| 38.925 | 38.925 | 589.573 | 0.000 | -0.000 | 0.000 |
| 0.000 | 0.000 | -0.000 | 146.909 | -0.000 | 0.000 |
| 0.000 | 0.000 | -0.000 | -0.000 | 146.909 | 0.000 |
| 0.772 | 0.773 | -1.596 | 0.000 | 0.000 | 130.214 |
| 462.176 | 187.571 | 50.393 | -0.000 | -0.000 | -0.000 |
| 196.881 | 460.572 | 41.593 | -0.000 | -0.000 | 0.000 |
| 40.524 | 40.524 | 587.362 | 0.000 | -0.000 | 0.000 |
| -0.000 | -0.000 | 0.000 | 146.909 | 0.000 | -0.000 |
| -0.000 | -0.000 | 0.000 | 0.000 | 146.909 | 0.000 |
| -0.772 | -0.773 | 1.596 | -0.000 | -0.000 | 130.214 |
| 554.763 | 126.712 | 11.453 | 3.965 | -0.000 | -0.000 |
| 126.712 | 554.763 | 11.453 | -3.965 | -0.000 | -0.000 |
| 360.031 | 360.031 | -75.059 | 0.000 | -0.000 | 0.000 |
| -55.873 | -59.581 | 139.956 | 118.658 | -0.000 | -0.000 |
| -0.000 | 0.000 | -0.000 | -0.000 | 157.729 | 3.965 |
| -0.000 | -0.000 | -0.000 | -0.000 | 3.965 | 214.026 |
| 41.052 | -29.766 | 682.389 | -5.150 | 0.000 | 0.000 |
| 126.712 | 554.763 | 11.453 | -3.965 | 0.000 | 0.000 |
| -153.142 | -153.142 | 981.241 | -0.000 | -0.000 | 0.000 |
| 59.590 | 55.882 | -139.975 | 118.660 | 0.000 | 0.000 |
| 0.000 | -0.000 | 0.000 | -0.000 | 157.729 | 3.965 |
| 0.000 | 0.000 | 0.000 | 0.000 | 3.965 | 214.026 |
| 554.763 | 126.712 | 11.454 | 3.965 | -0.000 | 0.000 |
| 234.666 | 444.972 | 13.537 | -2.054 | -0.000 | -0.000 |
| 11.451 | 11.451 | 657.451 | 0.000 | -0.000 | -0.000 |
| 3.965 | -3.965 | -0.000 | 157.729 | -0.000 | -0.000 |
| 0.000 | 0.000 | -0.000 | 0.000 | 157.729 | 3.965 |
| -6.402 | -6.401 | 15.260 | -0.000 | 2.045 | 104.905 |
| 554.763 | 126.712 | 11.454 | 3.965 | 0.000 | 0.000 |
| 126.712 | 554.763 | 11.454 | -3.965 | 0.000 | 0.000 |
| 94.386 | 94.386 | 487.489 | -0.000 | 0.000 | 0.000 |
| -31.480 | -21.926 | 53.295 | 48.783 | 0.000 | 0.000 |
| -0.000 | -0.000 | 0.000 | -0.000 | 157.729 | 3.965 |
| 6.402 | 6.401 | -15.260 | 0.000 | 2.045 | 104.905 |
| 445.968 | 185.079 | 62.776 | -0.300 | -0.000 | -0.000 |
| 126.712 | 554.765 | 11.454 | -3.965 | 0.000 | -0.000 |
| 59.380 | 59.380 | 559.895 | -0.000 | -0.000 | -0.000 |
| 0.908 | 1.781 | -2.684 | 102.875 | -0.000 | -0.000 |
| 0.000 | 0.000 | -0.000 | 0.000 | 157.729 | 3.965 |
| 0.000 | 0.000 | -0.000 | 0.000 | 3.965 | 214.026 |
| 444.567 | 181.870 | 67.364 | -0.254 | 0.000 | 0.000 |
| 181.867 | 444.571 | 67.362 | 0.254 | 0.000 | 0.000 |
| 57.630 | 57.630 | 563.364 | -0.000 | 0.000 | 0.000 |
| 1.418 | -0.775 | -0.884 | 109.478 | 0.000 | 0.000 |
| -0.000 | -0.000 | 0.000 | -0.000 | 157.729 | 3.965 |
| -0.000 | -0.000 | 0.000 | -0.000 | 3.965 | 214.026 |
| -187.152 | -250.374 | 1053.466 | -4.155 | 0.000 | 0.000 |
| -2448.905 | -1978.989 | 5206.743 | -1.562 | -0.000 | 0.000 |
| -367.984 | -367.984 | 998.726 | -0.000 | -0.000 | 0.000 |
| -2529.965 | -2532.905 | 5144.310 | 130.373 | -0.000 | 0.000 |
| -2531.165 | -2531.165 | 5143.539 | 0.000 | 130.386 | 1.472 |
| -2531.512 | -2531.511 | 5144.565 | -0.000 | 1.470 | 233.821 |
| 2398.551 | 2382.950 | -4329.180 | -6.810 | 0.000 | -0.000 |
| 823.946 | 887.609 | -931.159 | 4.081 | 0.000 | -0.000 |
| 1.819 | 1.819 | 673.637 | 0.000 | 0.000 | -0.000 |
| 390.408 | 382.527 | -358.668 | 129.534 | -0.000 | -0.000 |
| 2531.165 | 2531.165 | -5143.539 | -0.000 | 130.386 | 1.472 |
| 2531.512 | 2531.512 | -5144.565 | -0.000 | 1.470 | 233.821 |
| 556.932 | 132.374 | 6.067 | 3.956 | -0.000 | 0.000 |
| 132.374 | 556.932 | 6.067 | -3.956 | -0.000 | 0.000 |
| -70.241 | -70.241 | 809.234 | 0.000 | -0.000 | 0.000 |
| -212.729 | -199.586 | 437.152 | 17.209 | -0.000 | 0.000 |
| 0.000 | 0.000 | -0.000 | 0.000 | 148.465 | 3.956 |
| -256.427 | -256.427 | 521.549 | 0.000 | 1.211 | 228.191 |
| 556.931 | 132.374 | 6.067 | 3.956 | 0.000 | -0.000 |
| 491.205 | 500.113 | -310.629 | 6.987 | 0.000 | -0.000 |
| 1.819 | 1.819 | 673.637 | -0.000 | 0.000 | -0.000 |
| 256.630 | 253.928 | -519.147 | 128.956 | 0.000 | -0.000 |
| -0.000 | -0.000 | 0.000 | -0.000 | 148.465 | 3.956 |
| 256.427 | 256.427 | -521.549 | -0.000 | 1.211 | 228.191 |
| 425.713 | 187.599 | 88.213 | -0.952 | -0.000 | 0.000 |
| 222.166 | 429.119 | 41.425 | -0.910 | 0.000 | 0.000 |
| 1.819 | 1.819 | 673.640 | -0.000 | -0.000 | 0.000 |
| 3.957 | -3.956 | -0.000 | 148.465 | 0.000 | 0.000 |
| -11.108 | -11.108 | 23.554 | 0.000 | 77.741 | -1.716 |
| -10.748 | -10.748 | 22.791 | -0.000 | -1.532 | 108.038 |
| 437.627 | 211.681 | 50.149 | -1.273 | 0.000 | -0.000 |
| 211.684 | 437.623 | 50.150 | 1.273 | 0.000 | -0.000 |
| 63.545 | 63.545 | 546.358 | 0.000 | 0.000 | -0.000 |
| 28.597 | 30.379 | -60.678 | 102.349 | 0.000 | 0.000 |
| 11.108 | 11.108 | -23.554 | -0.000 | 77.741 | -1.716 |
| 10.748 | 10.748 | -22.791 | 0.000 | -1.532 | 108.038 |
| 183.662 | 78.634 | 398.314 | -2.297 | -0.000 | -0.000 |
| 78.626 | 183.586 | 398.394 | 2.298 | -0.000 | -0.000 |
| -0.440 | -0.440 | 648.770 | -0.000 | -0.000 | -0.000 |
| 2.309 | -2.309 | 0.001 | 160.463 | -0.000 | -0.000 |
| 0.000 | 0.000 | 0.001 | -0.000 | 160.463 | 2.309 |
| -143.743 | -143.743 | 254.899 | 0.000 | -2.295 | 52.557 |
| 549.898 | 120.557 | 22.035 | 2.309 | -0.000 | 0.000 |
| 177.957 | 595.100 | -65.816 | -1.387 | 0.000 | 0.000 |
| 398.338 | 398.338 | -165.771 | 0.000 | 0.000 | -0.000 |
| 2.309 | -2.309 | -0.001 | 160.463 | -0.000 | 0.000 |
| -0.000 | -0.000 | -0.001 | 0.000 | 160.463 | 2.309 |
| 143.743 | 143.743 | -254.899 | -0.000 | -2.295 | 52.557 |
| 318.278 | 206.111 | 165.614 | -2.195 | -0.000 | -0.000 |
| 206.111 | 318.277 | 165.614 | 2.195 | -0.000 | -0.000 |
| 125.381 | 125.381 | 426.653 | 0.000 | -0.000 | -0.000 |
| 2.309 | -2.309 | 0.000 | 160.463 | -0.000 | -0.000 |
| -14.214 | -14.214 | 25.206 | -0.000 | 64.352 | -2.244 |
| -14.138 | -14.138 | 25.071 | -0.000 | -2.220 | 55.220 |
| 549.898 | 120.557 | 22.035 | 2.309 | 0.000 | 0.000 |
| 260.766 | 440.911 | -0.819 | 0.249 | 0.000 | 0.000 |
| 154.053 | 154.053 | 375.617 | -0.000 | 0.000 | 0.000 |
| 2.309 | -2.309 | 0.000 | 160.463 | -0.000 | 0.000 |
| 14.214 | 14.214 | -25.206 | 0.000 | 64.352 | -2.244 |
| 14.138 | 14.138 | -25.071 | 0.000 | -2.220 | 55.220 |
| 549.899 | 120.557 | 22.036 | 2.309 | 0.000 | -0.000 |
| 120.557 | 549.900 | 22.036 | -2.309 | -0.000 | -0.000 |
| 85.367 | 85.367 | 514.530 | 0.000 | 0.000 | -0.000 |
| 2.310 | -2.309 | -0.000 | 160.463 | -0.000 | -0.000 |
| 0.000 | 0.000 | -0.000 | 0.000 | 160.463 | 2.309 |
| 0.000 | 0.000 | -0.000 | 0.000 | 2.309 | 214.671 |
| 549.897 | 120.556 | 22.035 | 2.309 | 0.000 | 0.000 |
| 120.556 | 549.897 | 22.035 | -2.309 | -0.000 | 0.000 |
| 22.036 | 22.036 | 638.430 | -0.000 | -0.000 | 0.000 |
| 4.719 | 4.330 | -7.919 | 109.081 | 0.000 | 0.000 |
| -0.000 | -0.000 | 0.000 | -0.000 | 160.463 | 2.309 |
| -0.000 | -0.000 | 0.000 | -0.000 | 2.309 | 214.671 |
| -345.759 | -408.746 | 1401.724 | -2.928 | 0.000 | 0.000 |
| -611.927 | -372.390 | 1109.555 | -1.340 | 0.000 | -0.000 |
| -580.998 | -580.998 | 1788.988 | -0.000 | 0.000 | 0.000 |
| -783.842 | -786.631 | 1003.243 | 119.650 | 0.000 | -0.000 |
| 0.000 | 0.000 | 0.000 | -0.000 | 153.654 | 2.302 |
| 0.000 | 0.000 | 0.000 | -0.000 | 2.302 | 213.457 |
| 551.319 | 124.406 | 19.014 | 2.302 | -0.000 | 0.000 |
| 124.406 | 551.319 | 19.014 | -2.302 | -0.000 | 0.000 |
| 889.754 | 889.754 | -530.455 | 0.000 | -0.000 | -0.000 |
| 3038.202 | 3044.360 | -6333.948 | 40.332 | -0.000 | -0.000 |
| -0.000 | -0.000 | -0.000 | 0.000 | 153.654 | 2.302 |
| -0.000 | -0.000 | -0.000 | 0.000 | 2.302 | 213.457 |
| 205.084 | -242.201 | 720.920 | 0.890 | 0.000 | -0.000 |
| 124.406 | 551.319 | 19.015 | -2.302 | 0.000 | -0.000 |
| -287.874 | -287.874 | 1265.066 | -0.000 | 0.000 | 0.000 |
| 2.302 | -2.302 | 0.000 | 153.654 | 0.000 | -0.000 |
| -299.404 | -299.404 | 623.555 | -0.000 | 42.093 | -2.996 |
| -297.145 | -297.145 | 618.851 | -0.000 | -2.956 | 31.467 |
| 435.908 | 289.856 | -37.724 | -5.515 | -0.000 | -0.000 |
| 260.853 | 658.809 | -239.107 | -3.734 | -0.000 | 0.000 |
| 382.881 | 382.881 | -70.279 | 0.000 | -0.000 | 0.000 |
| 2.302 | -2.302 | -0.000 | 153.654 | -0.000 | -0.000 |
| 299.404 | 299.404 | -623.555 | 0.000 | 42.093 | -2.996 |
| 297.145 | 297.145 | -618.851 | 0.000 | -2.956 | 31.467 |
| 412.003 | 166.692 | 120.773 | -0.321 | 0.000 | 0.000 |
| 190.910 | 404.655 | 92.966 | -0.333 | 0.000 | -0.000 |
| 69.060 | 69.060 | 543.088 | -0.000 | 0.000 | 0.000 |
| 2.302 | -2.302 | -0.000 | 153.654 | 0.000 | -0.000 |
| -17.322 | -17.322 | 36.076 | 0.000 | 89.110 | -0.763 |
| 0.000 | 0.000 | -0.000 | 0.000 | 2.302 | 213.457 |
| 431.590 | 202.943 | 62.690 | -0.562 | -0.000 | -0.000 |
| 124.405 | 551.318 | 19.014 | -2.302 | -0.000 | 0.000 |
| 105.023 | 105.023 | 473.891 | 0.000 | -0.000 | 0.000 |
| 2.301 | -2.302 | 0.000 | 153.654 | -0.000 | 0.000 |
| 17.322 | 17.322 | -36.076 | -0.000 | 89.110 | -0.763 |
| -0.000 | -0.000 | 0.000 | -0.000 | 2.302 | 213.457 |
| 1129.117 | 725.206 | -1387.515 | 6.342 | 0.000 | -0.000 |
| 124.210 | 551.462 | 18.656 | -3.931 | -0.000 | 0.000 |
| 1139.959 | 1139.959 | -1948.591 | 0.000 | 0.000 | 0.000 |
| 1013.052 | 1019.576 | -2372.718 | 65.834 | -0.000 | -0.000 |
| 0.000 | 0.000 | 0.000 | -0.000 | 154.711 | 3.931 |
| 613.403 | 613.403 | -1455.382 | 0.000 | 6.380 | 202.200 |
| -662.168 | -798.170 | 2498.954 | -3.250 | -0.000 | -0.000 |
| 124.210 | 551.462 | 18.656 | -3.931 | -0.000 | -0.000 |
| 164.198 | 164.198 | 1629.852 | 0.000 | -0.000 | 0.000 |
| -1019.478 | -1012.955 | 2372.490 | 65.842 | -0.000 | -0.000 |
| -0.000 | -0.000 | -0.000 | -0.000 | 154.711 | 3.931 |
| -613.403 | -613.403 | 1455.382 | 0.000 | 6.380 | 202.200 |
| 452.899 | 320.042 | -108.127 | -3.328 | 0.000 | -0.000 |
| 320.042 | 452.899 | -108.127 | 3.328 | 0.000 | 0.000 |
| -282.763 | -282.763 | 1190.710 | 0.000 | 0.000 | 0.000 |
| -102.237 | -96.145 | 168.591 | 51.205 | 0.000 | -0.000 |
| -99.203 | -99.203 | 168.616 | -0.000 | 51.207 | -3.046 |
| 0.000 | 0.000 | 0.000 | 0.000 | 3.931 | 213.626 |
| 810.534 | 478.409 | -532.163 | 4.832 | 0.000 | -0.000 |
| 50.001 | 453.288 | 215.261 | -6.504 | -0.000 | 0.000 |
| 25.979 | 25.979 | 652.849 | 0.000 | -0.000 | -0.000 |
| 3.931 | -3.931 | -0.000 | 154.711 | -0.000 | 0.000 |
| 99.203 | 99.203 | -168.616 | 0.000 | 51.207 | -3.046 |
| -0.000 | -0.000 | -0.000 | -0.000 | 3.931 | 213.626 |
| 443.001 | 171.308 | 67.115 | 2.645 | -0.000 | -0.000 |
| 159.504 | 446.531 | 88.844 | -2.213 | 0.000 | 0.000 |
| 91.532 | 91.532 | 489.263 | 0.000 | 0.000 | 0.000 |
| 6.321 | 10.033 | -19.090 | 83.205 | -0.000 | -0.000 |
| 0.000 | 0.000 | -0.000 | 0.000 | 154.711 | 3.931 |
| 7.785 | 7.785 | -18.176 | -0.000 | -1.579 | 101.892 |
| 456.175 | 222.267 | 17.364 | 1.643 | 0.000 | 0.000 |
| 124.209 | 551.461 | 18.656 | -3.931 | 0.000 | 0.000 |
| 15.736 | 15.736 | 649.867 | 0.000 | 0.000 | -0.000 |
| -10.033 | -6.321 | 19.090 | 83.205 | 0.000 | -0.000 |
| -0.000 | -0.000 | 0.000 | -0.000 | 154.711 | 3.931 |
| -7.785 | -7.785 | 18.176 | 0.000 | -1.579 | 101.892 |
| -3420.134 | -3791.813 | 7257.473 | 3.253 | -0.000 | -0.000 |
| 123.318 | 552.070 | 17.301 | -2.687 | 0.000 | -0.000 |
| 593.609 | 593.609 | -566.738 | 0.000 | 0.000 | -0.000 |
| -3948.045 | -3954.530 | 7259.253 | 160.962 | -0.000 | -0.000 |
| -2247.933 | -2247.933 | 3718.687 | 0.000 | 96.435 | -0.228 |
| -2843.642 | -2843.642 | 4570.829 | 0.000 | -0.321 | 144.231 |
| -113.449 | -269.465 | 1135.421 | -1.910 | -0.000 | 0.000 |
| 4112.496 | 4483.259 | -7263.362 | -3.234 | 0.000 | 0.000 |
| 2959.583 | 2959.583 | -4120.331 | 0.000 | -0.000 | 0.000 |
| 2847.952 | 2848.593 | -4579.341 | 107.453 | -0.000 | 0.000 |
| 2247.933 | 2247.933 | -3718.687 | -0.000 | 96.435 | -0.228 |
| 2843.642 | 2843.642 | -4570.828 | -0.000 | -0.321 | 144.231 |
| 416.018 | 260.797 | 10.926 | -1.924 | 0.000 | -0.000 |
| 260.772 | 416.042 | 10.927 | 1.923 | 0.000 | -0.000 |
| -180.349 | -180.349 | 930.906 | 0.000 | 0.000 | -0.000 |
| -391.109 | -397.567 | 724.434 | 160.725 | -0.000 | -0.000 |
| -394.325 | -394.325 | 724.407 | 0.000 | 160.702 | 3.228 |
| -284.736 | -284.736 | 457.756 | -0.000 | -0.323 | 144.148 |
| 921.952 | 556.287 | -724.946 | 3.130 | -0.000 | 0.000 |
| 556.265 | 921.919 | -724.895 | -3.130 | -0.000 | 0.000 |
| 400.026 | 400.026 | -6.829 | -0.000 | -0.000 | 0.000 |
| -49.977 | -46.174 | 102.026 | 75.446 | -0.000 | 0.000 |
| 394.325 | 394.325 | -724.407 | -0.000 | 160.702 | 3.228 |
| 284.736 | 284.736 | -457.756 | 0.000 | -0.323 | 144.148 |
| 411.140 | 115.358 | 154.594 | -0.032 | -0.000 | -0.000 |
| 115.372 | 411.105 | 154.613 | 0.033 | -0.000 | -0.000 |
| 96.893 | 96.893 | 485.448 | -0.000 | -0.000 | -0.000 |
| -31.820 | -36.427 | 62.430 | 144.772 | 0.000 | -0.000 |
| -24.115 | -24.115 | 40.376 | -0.000 | 101.757 | 0.081 |
| -27.759 | -27.758 | 44.406 | -0.000 | -0.480 | 140.220 |
| 506.626 | 216.968 | -27.754 | 1.550 | -0.000 | 0.000 |
| 228.240 | 451.343 | 20.609 | 0.359 | -0.000 | 0.000 |
| 82.301 | 82.301 | 526.539 | 0.000 | -0.000 | -0.000 |
| 36.427 | 31.820 | -62.430 | 144.772 | 0.000 | 0.000 |
| 24.115 | 24.115 | -40.376 | 0.000 | 101.757 | 0.081 |
| 27.759 | 27.758 | -44.406 | 0.000 | -0.480 | 140.220 |
| -3270.618 | -3509.005 | 8232.240 | -0.557 | 0.000 | 0.000 |
| -1331.739 | -1121.558 | 3573.235 | -0.354 | 0.000 | 0.000 |
| -1490.317 | -1490.317 | 4086.387 | 0.000 | 0.000 | 0.000 |
| -5133.879 | -5137.055 | 10477.444 | 108.815 | 0.000 | -0.000 |
| 0.000 | 0.000 | 0.000 | 0.000 | 150.665 | 2.679 |
| -3126.591 | -3126.591 | 7288.426 | -0.000 | 1.056 | 190.372 |
| 4132.166 | 3894.048 | -8080.382 | -0.562 | -0.000 | -0.000 |
| 1742.665 | 1953.478 | -3425.036 | -0.368 | -0.000 | -0.000 |
| 1620.366 | 1620.366 | -2991.186 | 0.000 | -0.000 | -0.000 |
| 3088.701 | 3086.511 | -7201.855 | 124.710 | -0.000 | -0.000 |
| -0.000 | -0.000 | 0.000 | 0.000 | 150.665 | 2.679 |
| 3126.591 | 3126.591 | -7288.426 | -0.000 | 1.056 | 190.372 |
| 553.921 | 128.288 | 13.065 | 2.679 | 0.000 | 0.000 |
| -176.692 | 63.741 | 887.126 | 0.522 | 0.000 | 0.000 |
| -299.349 | -299.349 | 1344.397 | 0.000 | 0.000 | 0.000 |
| 2.679 | -2.679 | -0.000 | 150.665 | 0.000 | 0.000 |
| -312.128 | -312.128 | 727.644 | 0.000 | 124.049 | 1.061 |
| 0.000 | 0.000 | 0.000 | 0.000 | 2.679 | 212.817 |
| 555.431 | 391.717 | -279.692 | -1.352 | -0.000 | -0.000 |
| 564.102 | 800.581 | -740.929 | 0.590 | -0.000 | -0.000 |
| 219.729 | 219.729 | 195.477 | 0.000 | -0.000 | -0.000 |
| 2.679 | -2.679 | 0.000 | 150.665 | -0.000 | -0.000 |
| 312.128 | 312.128 | -727.644 | -0.000 | 124.049 | 1.061 |
| -0.000 | -0.000 | 0.000 | -0.000 | 2.679 | 212.817 |
| 408.012 | 150.302 | 147.738 | -0.223 | 0.000 | 0.000 |
| 176.682 | 400.336 | 120.526 | 0.883 | 0.000 | 0.000 |
| 42.009 | 42.009 | 592.282 | 0.000 | 0.000 | 0.000 |
| -35.866 | -35.022 | 78.103 | 94.119 | 0.000 | 0.000 |
| -35.444 | -35.444 | 78.102 | 0.000 | 94.119 | -0.422 |
| -35.339 | -35.339 | 77.870 | -0.000 | -0.413 | 123.369 |
| 453.467 | 214.164 | 22.330 | 0.909 | -0.000 | -0.000 |
| 227.231 | 464.819 | 0.168 | 0.571 | -0.000 | -0.000 |
| 87.405 | 87.405 | 496.308 | -0.000 | -0.000 | -0.000 |
| 48.254 | 45.932 | -97.075 | 65.861 | -0.000 | -0.000 |
| 35.444 | 35.444 | -78.102 | -0.000 | 94.119 | -0.422 |
| 35.339 | 35.339 | -77.870 | 0.000 | -0.413 | 123.369 |
| 548.740 | 119.074 | 24.556 | 3.517 | -0.000 | -0.000 |
| -1475.145 | -1255.859 | 2846.234 | 1.627 | 0.000 | 0.000 |
| -898.637 | -898.637 | 2053.024 | 0.000 | 0.000 | 0.000 |
| -474.318 | -470.321 | 460.211 | 84.991 | 0.000 | 0.000 |
| -472.320 | -472.320 | 460.211 | -0.000 | 84.991 | -1.999 |
| 785.286 | 785.286 | -1960.292 | -0.000 | 0.642 | 162.910 |
| 2594.425 | 2506.051 | -4080.894 | -2.878 | -0.000 | -0.000 |
| -653.449 | -326.330 | 2052.236 | -0.683 | -0.000 | 0.000 |
| -693.739 | -693.739 | 2475.903 | 0.000 | -0.000 | -0.000 |
| 2270.044 | 2275.733 | -4214.445 | 61.248 | -0.000 | 0.000 |
| 472.320 | 472.320 | -460.211 | 0.000 | 84.991 | -1.999 |
| -785.286 | -785.286 | 1960.292 | 0.000 | 0.642 | 162.910 |
| 548.740 | 119.074 | 24.556 | 3.517 | 0.000 | -0.000 |
| 151.370 | 322.396 | 170.410 | 2.020 | 0.000 | 0.000 |
| -78.551 | -78.551 | 783.890 | -0.000 | -0.000 | 0.000 |
| -96.041 | -99.511 | 152.496 | 130.263 | -0.000 | 0.000 |
| 79.222 | 79.222 | -197.458 | -0.000 | 122.727 | 0.632 |
| 79.550 | 79.550 | -198.160 | -0.000 | 0.624 | 162.593 |
| 548.740 | 119.074 | 24.556 | 3.517 | 0.000 | 0.000 |
| 244.579 | 418.910 | 77.324 | 1.949 | 0.000 | -0.000 |
| 172.606 | 172.606 | 385.450 | -0.000 | -0.000 | -0.000 |
| 3.517 | -3.517 | 0.000 | 161.153 | 0.000 | -0.000 |
| 97.815 | 97.815 | -152.596 | 0.000 | 130.135 | 1.726 |
| -79.550 | -79.550 | 198.160 | 0.000 | 0.624 | 162.593 |
| 548.741 | 119.074 | 24.557 | 3.517 | -0.000 | 0.000 |
| 185.044 | 387.124 | 116.310 | 1.355 | 0.000 | -0.000 |
| 73.613 | 73.613 | 532.362 | -0.000 | -0.000 | -0.000 |
| -31.031 | -29.308 | 57.695 | 88.143 | 0.000 | 0.000 |
| 0.000 | 0.000 | -0.000 | 0.000 | 161.153 | 3.517 |
| 0.000 | 0.000 | -0.000 | 0.000 | 3.517 | 214.833 |
| 446.794 | 179.104 | 69.756 | 1.010 | -0.000 | 0.000 |
| 187.473 | 407.667 | 101.522 | 0.968 | 0.000 | -0.000 |
| 116.389 | 116.389 | 453.377 | 0.000 | -0.000 | -0.000 |
| 15.867 | 16.464 | -26.937 | 106.075 | 0.000 | -0.000 |
| -0.000 | -0.000 | 0.000 | -0.000 | 161.153 | 3.517 |
| -0.000 | -0.000 | 0.000 | -0.000 | 3.517 | 214.833 |
| 744.087 | 381.405 | -132.715 | 4.335 | 0.000 | -0.000 |
| 121.737 | 549.784 | 22.525 | -3.507 | 0.000 | 0.000 |
| 744.238 | 744.238 | -1300.724 | -0.000 | 0.000 | 0.000 |
| 233.948 | 225.345 | -152.561 | 155.166 | 0.000 | 0.000 |
| 1695.245 | 1695.245 | -3203.620 | -0.000 | 92.494 | -1.501 |
| 226.209 | 226.209 | -145.705 | 0.000 | 4.316 | 180.963 |
| 549.784 | 121.737 | 22.525 | 3.507 | -0.000 | 0.000 |
| -1316.941 | -1171.960 | 3153.543 | 2.615 | -0.000 | 0.000 |
| -689.788 | -689.788 | 1807.050 | 0.000 | -0.000 | 0.000 |
| -221.891 | -230.523 | 145.701 | 155.359 | -0.000 | -0.000 |
| -1695.245 | -1695.245 | 3203.620 | 0.000 | 92.494 | -1.501 |
| -226.209 | -226.209 | 145.705 | -0.000 | 4.316 | 180.963 |
| 506.333 | 363.063 | -168.066 | -2.652 | 0.000 | -0.000 |
| 179.127 | 544.839 | -7.468 | -4.419 | 0.000 | 0.000 |
| 49.312 | 49.312 | 626.480 | 0.000 | 0.000 | -0.000 |
| 27.882 | 19.340 | -16.620 | 154.777 | 0.000 | -0.000 |
| 152.419 | 152.419 | -301.511 | 0.000 | 72.261 | -2.608 |
| 23.838 | 23.838 | -17.065 | 0.000 | 4.262 | 179.869 |
| 206.806 | 57.434 | 430.374 | -2.520 | -0.000 | 0.000 |
| 121.737 | 549.784 | 22.525 | -3.507 | -0.000 | -0.000 |
| 19.962 | 19.962 | 642.622 | -0.000 | 0.000 | -0.000 |
| -19.348 | -27.889 | 16.636 | 154.772 | -0.000 | 0.000 |
| -152.419 | -152.419 | 301.511 | 0.000 | 72.261 | -2.608 |
| -23.838 | -23.838 | 17.065 | -0.000 | 4.262 | 179.869 |
| 549.786 | 121.737 | 22.525 | 3.507 | 0.000 | -0.000 |
| 121.737 | 549.786 | 22.525 | -3.507 | 0.000 | 0.000 |
| 103.836 | 103.836 | 469.079 | -0.000 | 0.000 | -0.000 |
| 10.922 | 13.842 | -24.493 | 88.072 | 0.000 | -0.000 |
| 7.555 | 7.555 | -12.487 | -0.000 | 106.777 | 1.017 |
| 6.040 | 6.041 | -9.315 | 0.000 | 2.582 | 147.449 |
| 549.783 | 121.736 | 22.524 | 3.507 | -0.000 | 0.000 |
| 127.669 | 419.478 | 142.642 | -0.270 | -0.000 | 0.000 |
| 88.310 | 88.310 | 499.251 | 0.000 | -0.000 | 0.000 |
| 13.156 | 14.135 | -22.129 | 89.487 | -0.000 | 0.000 |
| -7.555 | -7.555 | 12.487 | 0.000 | 106.777 | 1.017 |
| -6.040 | -6.041 | 9.315 | -0.000 | 2.582 | 147.449 |
| 546.074 | 115.630 | 30.368 | 0.000 | 0.000 | -0.000 |
| 1040.599 | 1281.919 | -1480.338 | -0.000 | 0.000 | 0.000 |
| 1616.515 | 1616.515 | -2267.861 | 0.000 | 0.000 | -0.000 |
| 2085.636 | 2085.636 | -4168.238 | 59.676 | 0.000 | 0.000 |
| 871.781 | 871.781 | -1592.159 | 0.000 | 113.846 | 0.000 |
| 1532.764 | 1532.764 | -2786.766 | 0.000 | 0.000 | 207.131 |
| 546.074 | 115.630 | 30.368 | -0.000 | 0.000 | 0.000 |
| -700.606 | -462.307 | 1702.190 | -0.000 | -0.000 | -0.000 |
| -760.663 | -760.663 | 2056.113 | -0.000 | -0.000 | -0.000 |
| -2085.636 | -2085.636 | 4168.238 | 59.676 | -0.000 | -0.000 |
| -871.781 | -871.781 | 1592.159 | -0.000 | 113.846 | -0.000 |
| -1532.764 | -1532.764 | 2786.766 | -0.000 | -0.000 | 207.131 |
| 546.075 | 115.630 | 30.368 | 0.000 | 0.000 | -0.000 |
| 452.946 | 497.685 | -257.901 | 0.000 | 0.000 | 0.000 |
| 30.369 | 30.369 | 623.680 | -0.000 | 0.000 | -0.000 |
| 0.000 | 0.000 | -0.000 | 162.800 | 0.000 | 0.000 |
| 0.000 | 0.000 | -0.000 | 0.000 | 162.800 | -0.000 |
| 0.000 | 0.000 | -0.000 | 0.000 | 0.000 | 215.222 |
| 322.071 | 89.864 | 263.408 | -0.000 | -0.000 | -0.000 |
| 29.745 | 157.100 | 505.233 | -0.000 | -0.000 | -0.000 |
| 22.204 | 22.204 | 625.266 | 0.000 | -0.000 | -0.000 |
| -0.000 | -0.000 | 0.000 | 162.800 | -0.000 | 0.000 |
| -0.000 | -0.000 | 0.000 | -0.000 | 162.800 | -0.000 |
| -0.000 | -0.000 | 0.000 | -0.000 | -0.000 | 215.222 |
| 430.290 | 178.937 | 83.017 | -0.000 | 0.000 | 0.000 |
| 115.631 | 546.076 | 30.369 | -0.000 | 0.000 | -0.000 |
| 111.962 | 111.962 | 464.720 | 0.000 | -0.000 | 0.000 |
| 0.000 | 0.000 | -0.000 | 162.800 | 0.000 | 0.000 |
| 0.000 | 0.000 | -0.000 | 0.000 | 162.800 | 0.000 |
| 7.567 | 7.567 | -13.659 | 0.000 | 0.000 | 130.295 |
| 412.129 | 169.584 | 107.296 | -0.000 | 0.000 | -0.000 |
| 156.584 | 414.731 | 120.890 | -0.000 | -0.000 | -0.000 |
| 87.383 | 87.383 | 510.129 | 0.000 | 0.000 | -0.000 |
| -0.000 | -0.000 | 0.000 | 162.800 | -0.000 | 0.000 |
| -0.000 | -0.000 | 0.000 | -0.000 | 162.800 | 0.000 |
| -7.567 | -7.567 | 13.659 | 0.000 | -0.000 | 130.295 |
| 406.871 | 109.745 | 166.392 | -0.000 | 0.000 | -0.000 |
| 117.429 | 546.786 | 29.202 | 0.000 | 0.000 | 0.000 |
| 27.196 | 27.196 | 630.109 | -0.000 | 0.000 | 0.000 |
| -0.000 | 0.000 | 0.000 | 159.527 | 0.000 | -0.000 |
| -179.004 | -179.004 | 342.222 | 0.000 | 56.584 | -0.000 |
| -0.000 | -0.000 | 0.000 | 0.000 | 0.000 | 214.679 |
| 510.238 | 215.842 | -24.203 | -0.000 | -0.000 | 0.000 |
| 405.121 | 472.113 | -164.141 | 0.000 | 0.000 | 0.000 |
| 344.460 | 344.460 | 2.423 | 0.000 | 0.000 | 0.000 |
| -0.000 | 0.000 | -0.000 | 159.527 | -0.000 | -0.000 |
| 179.004 | 179.004 | -342.222 | 0.000 | 56.584 | -0.000 |
| 0.000 | 0.000 | -0.000 | -0.000 | -0.000 | 214.679 |
| 424.138 | 155.270 | 112.681 | -0.000 | 0.000 | -0.000 |
| 163.890 | 427.879 | 100.153 | 0.000 | -0.000 | -0.000 |
| 90.264 | 90.264 | 501.516 | 0.000 | 0.000 | -0.000 |
| -13.509 | -13.509 | 25.826 | 81.839 | 0.000 | -0.000 |
| -13.509 | -13.509 | 25.826 | 0.000 | 81.839 | 0.000 |
| -12.343 | -12.343 | 23.598 | 0.000 | -0.000 | 90.985 |
| 546.786 | 117.429 | 29.202 | -0.000 | -0.000 | -0.000 |
| 117.429 | 546.786 | 29.202 | -0.000 | -0.000 | -0.000 |
| 110.701 | 110.701 | 466.987 | 0.000 | 0.000 | 0.000 |
| 13.509 | 13.509 | -25.826 | 81.839 | 0.000 | 0.000 |
| 13.509 | 13.509 | -25.826 | -0.000 | 81.839 | 0.000 |
| 12.343 | 12.343 | -23.598 | 0.000 | -0.000 | 90.985 |
| 429.484 | 170.474 | 93.480 | -0.000 | 0.000 | 0.000 |
| 117.429 | 546.787 | 29.202 | 0.000 | 0.000 | 0.000 |
| 95.761 | 95.761 | 491.588 | -0.000 | -0.000 | 0.000 |
| 0.000 | 0.000 | -0.000 | 159.527 | 0.000 | 0.000 |
| -0.801 | -0.800 | 1.530 | 0.000 | 113.489 | -0.000 |
| 0.000 | 0.000 | -0.000 | 0.000 | 0.000 | 214.679 |
| 430.747 | 171.793 | 91.188 | -0.000 | 0.000 | 0.000 |
| 165.994 | 433.451 | 95.709 | -0.000 | -0.000 | 0.000 |
| 100.467 | 100.467 | 484.384 | 0.000 | -0.000 | 0.000 |
| -0.000 | -0.000 | 0.000 | 159.527 | -0.000 | -0.000 |
| 0.801 | 0.800 | -1.530 | -0.000 | 113.489 | 0.000 |
| -0.000 | -0.000 | 0.000 | -0.000 | -0.000 | 214.679 |
| 479.264 | 201.972 | -151.712 | 0.000 | -0.000 | 0.000 |
| 122.080 | 551.094 | 19.426 | -0.000 | 0.000 | -0.000 |
| 19.426 | 19.426 | 643.111 | 0.000 | -0.000 | 0.000 |
| -0.000 | -0.000 | -0.000 | 159.767 | -0.000 | -0.000 |
| -0.000 | -0.000 | -0.000 | 0.000 | 159.767 | -0.000 |
| -0.000 | -0.000 | -0.000 | 0.000 | -0.000 | 214.507 |
| 551.094 | 122.080 | 19.426 | -0.000 | -0.000 | 0.000 |
| 122.080 | 551.094 | 19.426 | -0.000 | 0.000 | -0.000 |
| -1021.147 | -1021.147 | 2862.482 | -0.000 | 0.000 | 0.000 |
| 0.000 | 0.000 | 0.000 | 159.767 | 0.000 | 0.000 |
| 0.000 | 0.000 | 0.000 | -0.000 | 159.767 | -0.000 |
| 0.000 | 0.000 | 0.000 | -0.000 | 0.000 | 214.507 |
| 461.525 | 336.114 | -118.428 | 0.000 | -0.000 | -0.000 |
| 122.080 | 551.094 | 19.426 | 0.000 | -0.000 | -0.000 |
| 202.361 | 202.361 | 263.899 | -0.000 | -0.000 | -0.000 |
| 0.000 | 0.000 | -0.000 | 159.767 | -0.000 | -0.000 |
| 0.000 | 0.000 | -0.000 | -0.000 | 159.767 | -0.000 |
| 0.000 | 0.000 | -0.000 | -0.000 | 0.000 | 214.507 |
| 551.093 | 122.080 | 19.426 | -0.000 | -0.000 | -0.000 |
| 105.364 | 272.434 | 327.872 | -0.000 | 0.000 | 0.000 |
| 11.927 | 11.927 | 671.202 | -0.000 | 0.000 | 0.000 |
| -0.000 | -0.000 | 0.000 | 159.767 | -0.000 | 0.000 |
| -0.000 | -0.000 | 0.000 | 0.000 | 159.767 | -0.000 |
| -0.000 | -0.000 | 0.000 | -0.000 | 0.000 | 214.507 |
| 442.961 | 172.595 | 73.954 | 0.000 | -0.000 | -0.000 |
| 191.512 | 444.098 | 54.151 | 0.000 | -0.000 | -0.000 |
| 80.526 | 80.526 | 520.412 | 0.000 | -0.000 | -0.000 |
| 6.788 | 6.788 | -14.407 | 106.060 | -0.000 | 0.000 |
| 6.788 | 6.788 | -14.407 | 0.000 | 106.060 | -0.000 |
| 1.273 | 1.273 | -4.135 | 0.000 | -0.000 | 131.723 |
| 432.524 | 168.682 | 92.648 | 0.000 | 0.000 | 0.000 |
| 168.682 | 432.523 | 92.649 | -0.000 | 0.000 | 0.000 |
| 72.787 | 72.787 | 539.599 | -0.000 | 0.000 | 0.000 |
| -6.788 | -6.788 | 14.407 | 106.060 | -0.000 | 0.000 |
| -6.788 | -6.788 | 14.407 | 0.000 | 106.060 | 0.000 |
| -1.273 | -1.273 | 4.135 | -0.000 | -0.000 | 131.723 |
| 552.462 | 125.676 | 16.339 | 0.000 | 0.000 | 0.000 |
| 338.183 | 478.543 | -176.951 | 0.000 | 0.000 | -0.000 |
| 13.221 | 13.221 | 654.195 | 0.000 | 0.000 | 0.000 |
| -0.000 | -0.000 | 0.000 | 153.655 | 0.000 | -0.000 |
| -0.000 | 0.000 | 0.000 | -0.000 | 153.655 | 0.000 |
| -0.000 | -0.000 | 0.000 | 0.000 | 0.000 | 213.393 |
| 552.462 | 125.676 | 16.339 | 0.000 | -0.000 | 0.000 |
| 125.676 | 552.462 | 16.339 | -0.000 | -0.000 | -0.000 |
| -0.167 | -0.167 | 729.342 | -0.000 | -0.000 | -0.000 |
| 0.000 | 0.000 | -0.000 | 153.655 | -0.000 | -0.000 |
| 0.000 | 0.000 | -0.000 | 0.000 | 153.655 | -0.000 |
| 0.000 | 0.000 | -0.000 | -0.000 | -0.000 | 213.393 |
| 395.664 | 215.530 | 82.550 | -0.000 | 0.000 | 0.000 |
| 215.530 | 395.663 | 82.550 | 0.000 | 0.000 | 0.000 |
| 73.105 | 73.105 | 530.870 | 0.000 | 0.000 | -0.000 |
| 0.000 | 0.000 | -0.000 | 153.655 | 0.000 | -0.000 |
| 0.000 | 0.000 | -0.000 | 0.000 | 153.655 | 0.000 |
| 0.000 | 0.000 | -0.000 | 0.000 | 0.000 | 213.393 |
| 392.425 | 188.029 | 122.653 | 0.000 | -0.000 | -0.000 |
| 125.676 | 552.462 | 16.339 | -0.000 | 0.000 | 0.000 |
| 93.436 | 93.436 | 488.788 | 0.000 | -0.000 | 0.000 |
| -0.000 | -0.000 | 0.000 | 153.655 | -0.000 | -0.000 |
| -0.000 | -0.000 | 0.000 | 0.000 | 153.655 | 0.000 |
| -0.000 | -0.000 | -0.000 | -0.000 | -0.000 | 213.393 |
| 445.388 | 177.591 | 74.015 | 0.000 | -0.000 | 0.000 |
| 177.589 | 445.393 | 74.013 | 0.000 | 0.000 | 0.000 |
| 66.916 | 66.916 | 540.612 | 0.000 | 0.000 | 0.000 |
| 0.652 | 0.652 | -1.628 | 105.719 | 0.000 | 0.000 |
| 0.000 | 0.000 | -0.000 | 0.000 | 153.655 | 0.000 |
| 0.680 | 0.681 | -1.700 | 0.000 | -0.000 | 132.278 |
| 446.024 | 175.336 | 76.238 | -0.000 | -0.000 | -0.000 |
| 175.356 | 445.981 | 76.262 | 0.000 | -0.000 | 0.000 |
| 73.391 | 73.391 | 531.953 | -0.000 | -0.000 | -0.000 |
| 1.717 | 1.717 | -2.283 | 105.903 | -0.000 | -0.000 |
| -0.000 | -0.000 | 0.000 | -0.000 | 153.655 | -0.000 |
| -0.680 | -0.681 | 1.700 | 0.000 | -0.000 | 132.278 |
| 428.775 | 172.146 | 90.108 | 3.072 | 0.000 | -0.000 |
| 172.147 | 428.774 | 90.108 | -3.072 | 0.000 | -0.000 |
| 19.364 | 19.364 | 644.715 | 0.000 | -0.000 | 0.000 |
| -39.827 | 39.827 | 0.000 | 160.813 | -0.000 | -0.000 |
| 0.000 | 0.000 | 0.000 | -0.000 | 160.813 | -39.827 |
| -14.863 | -14.863 | 24.687 | 0.000 | -13.630 | 127.207 |
| 551.035 | 121.680 | 19.364 | -39.827 | 0.000 | -0.000 |
| 121.680 | 551.035 | 19.364 | 39.827 | 0.000 | 0.000 |
| 19.364 | 19.364 | 644.715 | -0.000 | -0.000 | 0.000 |
| 21.478 | 26.389 | -39.953 | 113.741 | -0.000 | 0.000 |
| -0.000 | -0.000 | -0.000 | 0.000 | 160.813 | -39.827 |
| 14.863 | 14.863 | -24.687 | -0.000 | -13.630 | 127.207 |
| 551.035 | 121.680 | 19.364 | -39.827 | 0.000 | 0.000 |
| 121.680 | 551.035 | 19.364 | 39.827 | 0.000 | 0.000 |
| 84.479 | 84.479 | 518.373 | 0.000 | 0.000 | -0.000 |
| -39.827 | 39.827 | -0.000 | 160.813 | 0.000 | 0.000 |
| 0.000 | 0.000 | -0.000 | -0.000 | 160.813 | -39.827 |
| -0.329 | -0.329 | 0.573 | 0.000 | 0.599 | 133.293 |
| 439.470 | 178.600 | 73.206 | -2.490 | -0.000 | 0.000 |
| 171.507 | 442.368 | 78.138 | 0.463 | -0.000 | 0.000 |
| 75.232 | 75.232 | 533.057 | 0.000 | -0.000 | 0.000 |
| 1.063 | 6.399 | -6.215 | 113.298 | -0.000 | 0.000 |
| -0.000 | -0.000 | 0.000 | 0.000 | 160.813 | -39.827 |
| 0.329 | 0.329 | -0.573 | -0.000 | 0.599 | 133.293 |
| 437.864 | 179.214 | 73.836 | -2.710 | 0.000 | -0.000 |
| 171.338 | 441.614 | 78.972 | 0.318 | 0.000 | -0.000 |
| 79.939 | 79.939 | 525.868 | 0.000 | -0.000 | -0.000 |
| -3.830 | 2.451 | 1.147 | 112.280 | 0.000 | -0.000 |
| -0.031 | -0.031 | 0.054 | -0.000 | 114.342 | -1.532 |
| -0.033 | -0.033 | 0.057 | 0.000 | 0.571 | 133.350 |
| 441.763 | 171.362 | 78.812 | -0.349 | -0.000 | 0.000 |
| 179.084 | 438.185 | 73.713 | 2.668 | -0.000 | 0.000 |
| 74.640 | 74.640 | 534.172 | 0.000 | -0.000 | 0.000 |
| -1.502 | 1.564 | -0.054 | 114.342 | -0.000 | 0.000 |
| 0.031 | 0.031 | -0.054 | 0.000 | 114.342 | -1.532 |
| 0.033 | 0.033 | -0.057 | -0.000 | 0.571 | 133.350 |
| 552.577 | 124.315 | 17.139 | 39.656 | -0.000 | -0.000 |
| -244.428 | 50.705 | 637.603 | -28.316 | 0.000 | 0.000 |
| 62.435 | 62.435 | 475.980 | -0.000 | -0.000 | 0.000 |
| -393.674 | -450.191 | 600.130 | 134.460 | 0.000 | 0.000 |
| -0.000 | -0.000 | 0.000 | 0.000 | 157.330 | 39.656 |
| -421.888 | -421.888 | 600.066 | 0.000 | 28.259 | 147.690 |
| 442.017 | 220.388 | 112.659 | -12.013 | -0.000 | -0.000 |
| 886.177 | 1111.930 | -989.135 | 24.723 | 0.000 | 0.000 |
| 15.095 | 15.095 | 653.898 | -0.000 | 0.000 | 0.000 |
| 450.191 | 393.674 | -600.130 | 134.460 | -0.000 | -0.000 |
| 0.000 | 0.000 | -0.000 | -0.000 | 157.330 | 39.656 |
| 421.888 | 421.888 | -600.066 | -0.000 | 28.259 | 147.690 |
| 420.834 | 143.548 | 100.234 | 23.061 | 0.000 | 0.000 |
| 143.548 | 420.834 | 100.235 | -23.061 | 0.000 | 0.000 |
| 11.320 | 11.320 | 632.367 | -0.000 | 0.000 | 0.000 |
| -14.061 | 7.908 | -1.639 | 96.000 | -0.000 | 0.000 |
| -3.076 | -3.076 | -1.639 | 0.000 | 96.023 | -10.966 |
| 0.000 | 0.000 | 0.000 | 0.000 | 39.656 | 214.131 |
| 498.533 | 218.537 | -5.221 | 21.072 | -0.000 | -0.000 |
| 223.695 | 481.048 | 17.485 | 4.079 | 0.000 | -0.000 |
| 94.636 | 94.636 | 498.817 | 0.000 | 0.000 | -0.000 |
| -7.908 | 14.061 | 1.639 | 96.000 | 0.000 | -0.000 |
| 3.076 | 3.076 | 1.639 | -0.000 | 96.023 | -10.966 |
| -0.000 | -0.000 | -0.000 | -0.000 | 39.656 | 214.131 |
| 425.008 | 160.183 | 103.006 | 6.308 | -0.000 | 0.000 |
| 174.662 | 441.299 | 78.639 | 0.759 | -0.000 | 0.000 |
| 70.778 | 70.778 | 539.252 | -0.000 | -0.000 | 0.000 |
| -0.025 | -0.454 | -0.128 | 109.563 | -0.000 | 0.000 |
| -0.240 | -0.239 | -0.128 | 0.000 | 109.584 | 0.232 |
| -6.773 | -6.772 | 10.409 | -0.000 | 1.898 | 131.732 |
| 444.113 | 174.086 | 77.604 | 0.089 | 0.000 | -0.000 |
| 174.160 | 443.950 | 77.695 | -0.029 | 0.000 | -0.000 |
| 15.095 | 15.095 | 653.895 | 0.000 | 0.000 | -0.000 |
| 0.470 | 0.008 | 0.128 | 109.583 | 0.000 | -0.000 |
| 0.240 | 0.239 | 0.128 | -0.000 | 109.584 | 0.232 |
| 6.773 | 6.772 | -10.409 | 0.000 | 1.898 | 131.732 |
| 553.624 | 127.378 | 13.699 | 0.000 | 0.000 | -0.000 |
| 127.378 | 553.624 | 13.698 | 0.000 | -0.000 | -0.000 |
| 10.327 | 10.327 | 659.187 | -0.000 | -0.000 | 0.000 |
| 236.409 | 236.408 | -542.419 | 119.819 | -0.000 | -0.000 |
| 597.670 | 597.670 | -1264.072 | 0.000 | 73.636 | -0.000 |
| -0.000 | -0.000 | 0.000 | 0.000 | -0.000 | 213.123 |
| -202.482 | -380.849 | 1350.786 | -0.000 | -0.000 | 0.000 |
| -380.849 | -202.482 | 1350.786 | 0.000 | -0.000 | 0.000 |
| -93.549 | -93.548 | 860.138 | 0.000 | -0.000 | 0.000 |
| -156.223 | -156.223 | 308.021 | 111.510 | 0.000 | 0.000 |
| -597.670 | -597.670 | 1264.072 | -0.000 | 73.636 | -0.000 |
| 0.000 | 0.000 | -0.000 | 0.000 | -0.000 | 213.123 |
| 553.624 | 127.378 | 13.699 | -0.000 | 0.000 | -0.000 |
| 269.410 | 444.994 | -21.569 | 0.000 | -0.000 | -0.000 |
| 86.701 | 86.701 | 502.657 | 0.000 | 0.000 | -0.000 |
| 16.837 | 16.837 | -33.397 | 110.137 | 0.000 | -0.000 |
| 56.339 | 56.339 | -119.158 | 0.000 | 78.153 | -0.000 |
| 15.527 | 15.527 | -30.604 | -0.000 | -0.000 | 131.106 |
| 553.624 | 127.378 | 13.698 | -0.000 | -0.000 | 0.000 |
| 174.762 | 420.369 | 100.077 | 0.000 | -0.000 | 0.000 |
| 44.758 | 44.758 | 585.217 | -0.000 | 0.000 | 0.000 |
| -0.000 | -0.000 | 0.000 | 152.401 | 0.000 | 0.000 |
| -56.339 | -56.339 | 119.158 | -0.000 | 78.153 | -0.000 |
| -15.527 | -15.527 | 30.604 | -0.000 | -0.000 | 131.106 |
| 450.680 | 183.425 | 63.329 | -0.000 | -0.000 | -0.000 |
| 183.337 | 450.841 | 63.251 | 0.000 | -0.000 | -0.000 |
| 64.658 | 64.658 | 543.695 | 0.000 | -0.000 | 0.000 |
| 0.000 | 0.000 | -0.000 | 152.401 | -0.000 | -0.000 |
| 1.961 | 1.962 | -3.909 | 0.000 | 104.867 | -0.000 |
| 0.000 | 0.000 | -0.000 | 0.000 | -0.000 | 213.123 |
| 445.634 | 174.754 | 77.831 | -0.000 | 0.000 | 0.000 |
| 174.752 | 445.638 | 77.828 | 0.000 | 0.000 | 0.000 |
| 58.719 | 58.719 | 556.243 | -0.000 | -0.000 | 0.000 |
| -0.000 | -0.000 | 0.000 | 152.401 | -0.000 | 0.000 |
| -1.961 | -1.962 | 3.909 | -0.000 | 104.867 | -0.000 |
| -0.000 | -0.000 | 0.000 | -0.000 | -0.000 | 213.123 |
| 547.531 | 117.520 | 27.185 | 0.000 | -0.000 | 0.000 |
| -1993.625 | -1718.118 | 3838.964 | 0.000 | -0.000 | -0.000 |
| -989.839 | -989.840 | 2522.556 | 0.000 | -0.000 | -0.001 |
| -0.000 | -0.000 | -0.000 | 161.885 | 0.000 | 0.000 |
| -1134.490 | -1134.491 | 2129.995 | 0.000 | 73.052 | -0.001 |
| -1134.389 | -1134.390 | 2129.804 | 0.000 | -0.000 | 62.564 |
| 547.531 | 117.520 | 27.185 | -0.000 | 0.000 | -0.000 |
| 1346.066 | 1470.710 | -1984.951 | -0.000 | 0.000 | 0.001 |
| 27.185 | 27.185 | 629.296 | -0.000 | -0.000 | -0.000 |
| 1134.490 | 1134.492 | -2129.995 | 73.052 | 0.000 | 0.001 |
| 1134.490 | 1134.491 | -2129.995 | -0.000 | 73.052 | 0.001 |
| 1134.389 | 1134.390 | -2129.804 | -0.000 | 0.000 | 62.566 |
| 235.677 | 97.208 | 346.437 | 0.000 | -0.000 | -0.000 |
| 97.208 | 235.676 | 346.437 | 0.000 | -0.000 | -0.000 |
| 27.185 | 27.185 | 629.297 | 0.000 | 0.000 | 0.000 |
| -137.317 | -137.317 | 223.886 | 127.892 | -0.000 | -0.000 |
| -111.796 | -111.796 | 209.895 | 0.000 | 74.346 | -0.000 |
| 0.000 | 0.000 | -0.000 | -0.000 | -0.000 | 215.006 |
| 547.531 | 117.520 | 27.185 | -0.000 | 0.000 | -0.000 |
| 318.870 | 450.356 | -62.998 | -0.000 | 0.000 | 0.000 |
| 214.307 | 214.307 | 307.698 | -0.000 | 0.000 | 0.000 |
| -0.000 | -0.000 | 0.000 | 161.885 | 0.000 | -0.000 |
| 111.796 | 111.796 | -209.895 | -0.000 | 74.346 | 0.000 |
| -0.000 | -0.000 | 0.000 | -0.000 | -0.000 | 215.006 |
| 547.533 | 117.520 | 27.185 | -0.000 | 0.000 | 0.000 |
| 169.402 | 412.212 | 104.442 | -0.000 | -0.000 | -0.000 |
| 78.663 | 78.663 | 524.794 | 0.000 | -0.000 | -0.000 |
| -7.180 | -7.180 | 13.480 | 105.667 | -0.000 | -0.000 |
| -7.180 | -7.180 | 13.480 | 0.000 | 105.667 | -0.000 |
| -6.949 | -6.949 | 13.047 | 0.000 | -0.000 | 121.621 |
| 445.373 | 191.959 | 57.177 | 0.000 | 0.000 | 0.000 |
| 176.753 | 432.350 | 84.151 | 0.000 | 0.000 | 0.000 |
| 109.480 | 109.480 | 471.693 | -0.000 | 0.000 | 0.000 |
| 7.180 | 7.180 | -13.480 | 105.667 | 0.000 | 0.000 |
| 7.180 | 7.180 | -13.480 | -0.000 | 105.667 | -0.000 |
| 6.949 | 6.949 | -13.047 | -0.000 | -0.000 | 121.621 |
| -725.902 | -816.723 | 1793.700 | -0.001 | -0.000 | 0.000 |
| -618.272 | -335.818 | 1122.344 | -0.000 | -0.000 | 0.000 |
| -610.744 | -610.744 | 1375.582 | -0.000 | -0.000 | 0.000 |
| -70.706 | -70.706 | -43.776 | 56.400 | 0.000 | 0.000 |
| -1178.053 | -1178.053 | 2044.224 | -0.000 | 184.319 | -0.001 |
| -1083.826 | -1083.826 | 1729.819 | -0.000 | -0.001 | 44.849 |
| 1760.887 | 1295.392 | -2058.539 | -0.001 | 0.000 | 0.000 |
| 613.962 | 860.741 | -596.512 | 0.000 | 0.000 | -0.000 |
| 235.936 | 235.936 | 387.330 | 0.000 | -0.000 | -0.000 |
| -0.000 | 0.000 | -0.000 | 157.854 | 0.000 | -0.000 |
| 1178.053 | 1178.053 | -2044.224 | 0.000 | 184.319 | -0.001 |
| 1083.826 | 1083.826 | -1729.819 | 0.000 | -0.001 | 44.849 |
| 372.160 | 152.745 | 142.491 | -0.000 | -0.000 | 0.000 |
| 56.985 | 332.377 | 252.921 | -0.000 | -0.000 | 0.000 |
| -79.322 | -79.322 | 820.354 | -0.000 | -0.000 | 0.000 |
| -114.406 | -114.405 | 197.630 | 178.027 | -0.000 | 0.000 |
| -110.360 | -110.360 | 177.115 | -0.000 | 73.279 | -0.000 |
| -74.955 | -74.955 | 97.302 | -0.000 | 0.000 | 141.685 |
| 468.377 | 365.449 | -100.467 | -0.000 | 0.000 | -0.000 |
| 202.082 | 510.111 | 33.820 | -0.000 | 0.000 | -0.000 |
| 23.227 | 23.227 | 636.954 | 0.000 | 0.000 | 0.000 |
| 6.949 | 6.949 | 4.302 | 58.148 | 0.000 | -0.000 |
| 110.360 | 110.360 | -177.115 | 0.000 | 73.279 | -0.000 |
| 74.955 | 74.955 | -97.302 | 0.000 | 0.000 | 141.685 |
| 418.728 | 175.374 | 100.908 | 0.000 | -0.000 | 0.000 |
| 138.226 | 424.517 | 125.499 | -0.000 | -0.000 | 0.000 |
| 89.392 | 89.392 | 499.072 | -0.000 | -0.000 | 0.000 |
| -7.935 | -7.936 | 10.623 | 109.528 | -0.000 | 0.000 |
| -7.935 | -7.935 | 10.622 | 0.000 | 109.528 | 0.000 |
| -0.390 | -0.390 | -0.241 | -0.000 | 0.000 | 118.805 |
| 433.211 | 169.249 | 93.308 | -0.000 | 0.000 | -0.000 |
| 149.894 | 443.703 | 103.256 | -0.000 | 0.000 | -0.000 |
| 94.428 | 94.428 | 490.490 | 0.000 | 0.000 | -0.000 |
| -0.000 | -0.000 | 0.000 | 157.854 | 0.000 | -0.000 |
| 7.935 | 7.935 | -10.622 | 0.000 | 109.528 | 0.000 |
| 0.390 | 0.390 | 0.241 | 0.000 | 0.000 | 118.805 |
| -439.580 | -513.046 | 1217.578 | 0.000 | -0.000 | -0.000 |
| -908.205 | -798.661 | 2319.655 | 0.000 | 0.000 | -0.000 |
| -1828.702 | -1828.702 | 4088.424 | 0.000 | 0.000 | -0.000 |
| 181.532 | 181.532 | -605.035 | 170.824 | -0.000 | -0.000 |
| -1908.982 | -1908.982 | 3570.861 | 0.000 | 82.052 | -0.000 |
| -1909.710 | -1909.710 | 3572.322 | 0.000 | -0.000 | 134.845 |
| 553.778 | 125.471 | 13.594 | -0.000 | -0.000 | -0.000 |
| -28.818 | 361.231 | 600.300 | -0.000 | 0.000 | -0.000 |
| 1729.673 | 1729.673 | -2451.823 | -0.000 | 0.000 | 0.000 |
| 781.301 | 781.301 | -1134.733 | 67.505 | -0.000 | 0.000 |
| 1908.982 | 1908.982 | -3570.861 | -0.000 | 82.052 | -0.000 |
| 1909.710 | 1909.710 | -3572.322 | 0.000 | -0.000 | 134.845 |
| 521.446 | 182.302 | -36.537 | 0.000 | -0.000 | -0.000 |
| 182.301 | 521.440 | -36.530 | -0.000 | 0.000 | 0.000 |
| 5.514 | 5.514 | 657.878 | -0.000 | 0.000 | -0.000 |
| -57.443 | -57.444 | 78.643 | 14.729 | 0.000 | -0.000 |
| 14.106 | 14.106 | -52.233 | -0.000 | 167.333 | 0.000 |
| -112.434 | -112.434 | 216.832 | -0.000 | -0.000 | 57.054 |
| 582.380 | 366.968 | -229.891 | -0.000 | -0.000 | 0.000 |
| 305.548 | 422.964 | 0.983 | -0.001 | -0.000 | 0.000 |
| 236.174 | 236.174 | 233.235 | 0.000 | -0.000 | 0.000 |
| 187.483 | 187.483 | -350.183 | 84.262 | -0.000 | 0.000 |
| -14.106 | -14.106 | 52.233 | -0.000 | 167.333 | 0.000 |
| 112.434 | 112.434 | -216.832 | 0.000 | -0.000 | 57.054 |
| 443.420 | 151.715 | 94.536 | -0.000 | 0.000 | -0.000 |
| 181.556 | 422.846 | 83.761 | -0.000 | 0.000 | -0.000 |
| 57.380 | 57.380 | 564.233 | 0.000 | 0.000 | 0.000 |
| -7.142 | -7.142 | 13.773 | 95.562 | 0.000 | -0.000 |
| -15.339 | -15.339 | 28.120 | 0.000 | 106.331 | -0.000 |
| -21.427 | -21.427 | 39.539 | -0.000 | -0.001 | 132.776 |
| 436.961 | 194.502 | 62.711 | -0.000 | 0.000 | 0.000 |
| 166.478 | 460.034 | 68.542 | 0.000 | -0.000 | 0.000 |
| 73.081 | 73.081 | 533.341 | 0.000 | -0.000 | 0.000 |
| 16.470 | 16.471 | -28.759 | 105.932 | -0.000 | 0.000 |
| 15.339 | 15.339 | -28.120 | 0.000 | 106.331 | -0.000 |
| 21.427 | 21.427 | -39.539 | 0.000 | -0.001 | 132.776 |
| 385.224 | 300.783 | 158.281 | -0.000 | -0.000 | -0.000 |
| 564.648 | 811.293 | -625.478 | -0.000 | 0.000 | -0.000 |
| 5.087 | 5.087 | 668.114 | 0.000 | -0.000 | -0.000 |
| 61.865 | 61.865 | -25.904 | 111.902 | -0.000 | -0.000 |
| 0.000 | 0.000 | -0.000 | 0.000 | 150.065 | -0.000 |
| 359.465 | 359.465 | -663.663 | 0.000 | 0.000 | 123.575 |
| 276.179 | 192.288 | 93.430 | -0.000 | -0.000 | 0.000 |
| 192.288 | 276.179 | 93.430 | 0.000 | 0.000 | 0.000 |
| 5.087 | 5.087 | 668.114 | -0.000 | -0.000 | 0.000 |
| -61.924 | -61.924 | 26.018 | 111.898 | -0.000 | 0.000 |
| -0.000 | -0.000 | 0.000 | -0.000 | 150.065 | -0.000 |
| -359.465 | -359.465 | 663.663 | -0.000 | 0.000 | 123.575 |
| 482.194 | 160.794 | 64.500 | -0.000 | 0.000 | -0.000 |
| 242.456 | 484.476 | -26.036 | -0.000 | 0.000 | -0.000 |
| 124.845 | 124.845 | 424.215 | 0.000 | -0.000 | -0.000 |
| 5.351 | 5.351 | 3.202 | 41.757 | -0.000 | -0.000 |
| 5.351 | 5.351 | 3.202 | 0.000 | 41.757 | -0.000 |
| 0.000 | 0.000 | -0.000 | 0.000 | 0.000 | 212.616 |
| 555.675 | 130.443 | 8.950 | 0.000 | -0.000 | 0.000 |
| 130.443 | 555.675 | 8.950 | -0.000 | 0.000 | 0.000 |
| 29.489 | 29.489 | 612.995 | -0.000 | 0.000 | 0.000 |
| -5.351 | -5.351 | -3.202 | 41.757 | 0.000 | 0.000 |
| -5.351 | -5.351 | -3.202 | -0.000 | 41.757 | -0.000 |
| -0.000 | -0.000 | 0.000 | -0.000 | 0.000 | 212.616 |
| 448.623 | 208.816 | 38.950 | 0.000 | -0.000 | -0.000 |
| 191.433 | 438.387 | 70.242 | 0.000 | -0.000 | -0.000 |
| 56.796 | 56.796 | 560.508 | 0.000 | 0.000 | -0.000 |
| 0.460 | 0.460 | 0.181 | 102.803 | -0.000 | 0.000 |
| 3.567 | 3.567 | -6.534 | 0.000 | 102.399 | 0.000 |
| 0.309 | 0.309 | 0.185 | 0.000 | -0.000 | 115.646 |
| 447.247 | 200.295 | 47.433 | 0.000 | 0.000 | 0.000 |
| 192.567 | 434.496 | 71.619 | 0.000 | 0.000 | 0.000 |
| 53.438 | 53.438 | 565.505 | -0.000 | 0.000 | 0.000 |
| -0.316 | -0.315 | -0.188 | 86.243 | 0.000 | 0.000 |
| -3.567 | -3.567 | 6.534 | -0.000 | 102.399 | 0.000 |
| -0.309 | -0.309 | -0.185 | -0.000 | -0.000 | 115.646 |
| 656.251 | 314.035 | -288.771 | -6.012 | 0.000 | -0.000 |
| 647.792 | 725.451 | -706.144 | -18.257 | 0.000 | -0.000 |
| 532.055 | 532.055 | -402.910 | 0.000 | 0.000 | -0.000 |
| 134.730 | 135.551 | -280.339 | 113.331 | 0.000 | -0.000 |
| 410.624 | 410.624 | -845.506 | 0.000 | 65.882 | 16.850 |
| 0.000 | 0.000 | -0.000 | 0.000 | -16.641 | 215.222 |
| 546.074 | 115.631 | 30.368 | -16.641 | -0.000 | 0.000 |
| -180.307 | -72.488 | 968.261 | -15.274 | -0.000 | 0.000 |
| 30.367 | 30.367 | 623.681 | -0.000 | -0.000 | 0.000 |
| -16.641 | 16.641 | 0.000 | 162.799 | -0.000 | 0.000 |
| -410.624 | -410.624 | 845.506 | -0.000 | 65.882 | 16.850 |
| -0.000 | -0.000 | 0.000 | 0.000 | -16.641 | 215.222 |
| 400.102 | 219.986 | 70.407 | 8.122 | -0.000 | -0.000 |
| 115.631 | 546.074 | 30.368 | 16.641 | 0.000 | -0.000 |
| 112.471 | 112.471 | 460.104 | 0.000 | -0.000 | -0.000 |
| -16.641 | 16.641 | -0.000 | 162.799 | 0.000 | -0.000 |
| 0.000 | 0.000 | -0.000 | -0.000 | 162.799 | -16.641 |
| 11.433 | 11.433 | -23.756 | -0.000 | -1.932 | 128.280 |
| 376.763 | 151.371 | 165.584 | 3.643 | -0.000 | 0.000 |
| 115.631 | 546.074 | 30.368 | 16.641 | -0.000 | 0.000 |
| 84.959 | 84.959 | 518.522 | -0.000 | -0.000 | 0.000 |
| -16.641 | 16.641 | 0.000 | 162.799 | -0.000 | 0.000 |
| -0.000 | -0.000 | 0.000 | 0.000 | 162.799 | -16.641 |
| -11.433 | -11.433 | 23.756 | 0.000 | -1.932 | 128.280 |
| 432.504 | 166.112 | 93.481 | -0.413 | -0.000 | -0.000 |
| 115.631 | 546.075 | 30.368 | 16.641 | 0.000 | -0.000 |
| 95.152 | 95.152 | 493.475 | 0.000 | 0.000 | -0.000 |
| -16.641 | 16.641 | -0.000 | 162.799 | 0.000 | -0.000 |
| 0.000 | 0.000 | -0.000 | -0.000 | 162.799 | -16.641 |
| 2.018 | 2.018 | -4.155 | 0.000 | -0.183 | 132.033 |
| 426.897 | 169.115 | 95.328 | -1.207 | -0.000 | 0.000 |
| 161.648 | 429.746 | 100.933 | 0.582 | -0.000 | 0.000 |
| 98.495 | 98.495 | 490.078 | 0.000 | -0.000 | 0.000 |
| -2.590 | -1.337 | 4.043 | 116.454 | -0.000 | 0.000 |
| -0.000 | -0.000 | 0.000 | 0.000 | 162.799 | -16.641 |
| -2.018 | -2.018 | 4.155 | -0.000 | -0.183 | 132.033 |
| 546.879 | 117.944 | 28.857 | -16.574 | 0.000 | 0.000 |
| 117.944 | 546.879 | 28.857 | 16.574 | -0.000 | 0.000 |
| 26.185 | 26.185 | 631.909 | 0.000 | 0.000 | 0.000 |
| -16.574 | 16.574 | -0.000 | 158.380 | -0.000 | 0.000 |
| -0.000 | 0.000 | -0.000 | 0.000 | 158.380 | -16.574 |
| -2.734 | -2.734 | 56.545 | 0.000 | -9.359 | 163.147 |
| 546.879 | 117.944 | 28.857 | -16.574 | 0.000 | -0.000 |
| 216.761 | 381.552 | 85.396 | -9.731 | 0.000 | -0.000 |
| 26.185 | 26.185 | 631.909 | 0.000 | 0.000 | -0.000 |
| -6.790 | 12.100 | -56.503 | 134.031 | 0.000 | -0.000 |
| 0.000 | -0.000 | 0.000 | 0.000 | 158.380 | -16.574 |
| 2.734 | 2.734 | -56.545 | -0.000 | -9.359 | 163.147 |
| 546.879 | 117.944 | 28.857 | -16.574 | -0.000 | 0.000 |
| 174.115 | 407.022 | 116.189 | -2.948 | -0.000 | 0.000 |
| 94.669 | 94.669 | 497.233 | -0.000 | -0.000 | 0.000 |
| 3.423 | -6.897 | 4.592 | 95.694 | -0.000 | 0.000 |
| -0.794 | -0.794 | 5.946 | -0.000 | 118.238 | -3.677 |
| -1.648 | -1.648 | 4.357 | 0.000 | 4.046 | 110.940 |
| 546.879 | 117.944 | 28.857 | -16.574 | 0.000 | -0.000 |
| 117.944 | 546.879 | 28.857 | 16.574 | 0.000 | -0.000 |
| 26.185 | 26.185 | 631.908 | -0.000 | 0.000 | -0.000 |
| -16.574 | 16.574 | 0.000 | 158.380 | 0.000 | -0.000 |
| 0.794 | 0.794 | -5.946 | 0.000 | 118.238 | -3.677 |
| 1.648 | 1.648 | -4.357 | -0.000 | 4.046 | 110.940 |
| 546.880 | 117.944 | 28.858 | -16.575 | -0.000 | 0.000 |
| 169.553 | 431.699 | 93.554 | 1.509 | -0.000 | 0.000 |
| 26.185 | 26.185 | 631.911 | 0.000 | -0.000 | 0.000 |
| -0.903 | 0.651 | 0.334 | 112.817 | -0.000 | 0.000 |
| 0.000 | 0.000 | -0.000 | -0.000 | 158.380 | -16.574 |
| 0.000 | 0.000 | -0.000 | -0.000 | -16.574 | 214.467 |
| 546.878 | 117.944 | 28.857 | -16.574 | -0.000 | -0.000 |
| 161.560 | 428.667 | 102.795 | 1.488 | 0.000 | -0.000 |
| 91.234 | 91.234 | 496.916 | 0.000 | 0.000 | -0.000 |
| -16.575 | 16.574 | 0.000 | 158.380 | 0.000 | -0.000 |
| -0.000 | -0.000 | 0.000 | 0.000 | 158.380 | -16.574 |
| -0.000 | -0.000 | 0.000 | 0.000 | -16.574 | 214.467 |
| 1153.028 | 1044.299 | -1582.431 | -7.759 | 0.000 | -0.000 |
| 1044.060 | 1152.872 | -1582.017 | 7.755 | 0.000 | -0.000 |
| 13.592 | 13.592 | 653.596 | 0.000 | 0.000 | -0.000 |
| 7.480 | -7.480 | 0.000 | 158.264 | 0.000 | -0.000 |
| 0.000 | 0.000 | 0.000 | 0.000 | 158.264 | 7.480 |
| 0.000 | 0.000 | 0.000 | 0.000 | 7.480 | 214.153 |
| 553.778 | 125.473 | 13.593 | 7.480 | -0.000 | 0.000 |
| 416.871 | 689.183 | -507.235 | -5.050 | -0.000 | 0.000 |
| -1050.706 | -1050.706 | 2807.807 | 0.000 | 0.000 | 0.000 |
| 7.480 | -7.480 | -0.000 | 158.264 | -0.000 | 0.000 |
| -0.000 | -0.000 | -0.000 | -0.000 | 158.264 | 7.480 |
| -0.000 | -0.000 | -0.000 | -0.000 | 7.480 | 214.153 |
| 466.723 | 167.136 | 67.304 | 6.735 | 0.000 | 0.000 |
| 125.473 | 553.778 | 13.593 | -7.480 | 0.000 | -0.000 |
| 169.529 | 169.529 | 341.734 | -0.000 | 0.000 | -0.000 |
| 72.224 | 87.198 | -167.223 | 59.648 | 0.000 | -0.000 |
| 0.000 | 0.000 | -0.000 | 0.000 | 158.264 | 7.480 |
| 0.000 | 0.000 | 0.000 | 0.000 | 7.480 | 214.153 |
| 362.285 | 45.848 | 285.450 | 0.852 | 0.000 | 0.000 |
| 125.473 | 553.778 | 13.593 | -7.480 | -0.000 | 0.000 |
| 22.127 | 22.127 | 629.365 | 0.000 | -0.000 | 0.000 |
| 7.480 | -7.480 | 0.000 | 158.264 | -0.000 | 0.000 |
| -0.000 | -0.000 | 0.000 | -0.000 | 158.264 | 7.480 |
| -0.000 | -0.000 | -0.000 | -0.000 | 7.480 | 214.153 |
| 436.879 | 191.529 | 64.826 | -1.244 | -0.000 | -0.000 |
| 125.473 | 553.779 | 13.593 | -7.480 | 0.000 | -0.000 |
| 13.592 | 13.592 | 653.598 | -0.000 | 0.000 | -0.000 |
| 7.480 | -7.480 | -0.000 | 158.264 | 0.000 | -0.000 |
| 4.923 | 4.923 | -10.328 | 0.000 | 97.357 | -1.764 |
| 0.000 | 0.000 | -0.000 | 0.000 | 7.480 | 214.153 |
| 434.360 | 209.913 | 47.454 | 0.799 | -0.000 | 0.000 |
| 125.472 | 553.776 | 13.592 | -7.480 | -0.000 | 0.000 |
| 64.457 | 64.457 | 550.541 | 0.000 | -0.000 | -0.000 |
| 7.480 | -7.480 | 0.000 | 158.264 | -0.000 | 0.000 |
| -4.923 | -4.923 | 10.328 | -0.000 | 97.357 | -1.764 |
| -0.000 | -0.000 | 0.000 | -0.000 | 7.480 | 214.153 |
| 555.991 | 131.451 | 8.216 | 7.460 | 0.000 | -0.000 |
| 3733.754 | 3656.563 | -5474.722 | 13.554 | 0.000 | -0.000 |
| 4831.980 | 4831.980 | -8648.385 | 0.000 | 0.000 | -0.000 |
| 3811.703 | 3853.867 | -8321.470 | -39.925 | -0.000 | -0.000 |
| 3830.874 | 3830.874 | -6635.096 | -0.000 | 95.714 | 3.042 |
| 4807.118 | 4807.118 | -9279.305 | 0.000 | 1.774 | 236.655 |
| -3123.082 | -3046.434 | 5652.985 | -13.675 | -0.000 | -0.000 |
| -3480.085 | -3631.078 | 8474.666 | 20.894 | -0.000 | 0.000 |
| 3.507 | 3.508 | 670.605 | 0.000 | -0.000 | 0.000 |
| -4802.994 | -4806.565 | 9274.123 | 126.025 | -0.000 | -0.000 |
| -3830.874 | -3830.874 | 6635.096 | 0.000 | 95.714 | 3.042 |
| -4807.118 | -4807.118 | 9279.305 | -0.000 | 1.774 | 236.655 |
| 555.991 | 131.451 | 8.216 | 7.460 | -0.000 | -0.000 |
| 662.378 | 617.137 | -457.010 | 11.344 | -0.000 | -0.000 |
| 421.095 | 421.095 | -68.519 | -0.000 | 0.000 | -0.000 |
| 318.813 | 344.296 | -540.190 | -10.039 | 0.000 | -0.000 |
| 331.211 | 331.211 | -539.464 | -0.000 | -9.869 | -12.717 |
| 383.406 | 383.406 | -665.528 | -0.000 | 12.197 | 218.274 |
| 555.991 | 131.451 | 8.216 | 7.460 | -0.000 | 0.000 |
| 131.451 | 555.991 | 8.216 | -7.460 | -0.000 | 0.000 |
| -433.449 | -433.449 | 1507.973 | -0.000 | -0.000 | 0.000 |
| -354.578 | -338.263 | 590.010 | 55.631 | -0.000 | 0.000 |
| -331.211 | -331.211 | 539.464 | 0.000 | -9.869 | -12.717 |
| -383.406 | -383.406 | 665.528 | 0.000 | 12.197 | 218.274 |
| 485.220 | 221.665 | 2.825 | 2.952 | 0.000 | -0.000 |
| 131.451 | 555.993 | 8.216 | -7.460 | 0.000 | -0.000 |
| 81.231 | 81.231 | 514.705 | 0.000 | 0.000 | -0.000 |
| 17.014 | 5.177 | -16.822 | 112.649 | 0.000 | 0.000 |
| 0.000 | 0.000 | -0.000 | 0.000 | 148.138 | 7.460 |
| 54.560 | 54.560 | -107.905 | -0.000 | -5.831 | 150.848 |
| 396.458 | 191.811 | 116.087 | -3.373 | -0.000 | 0.000 |
| 191.803 | 396.480 | 116.072 | 3.372 | -0.000 | 0.000 |
| 17.463 | 17.463 | 625.102 | 0.000 | -0.000 | 0.000 |
| -21.526 | -21.982 | 29.456 | 76.763 | -0.000 | 0.000 |
| -0.000 | -0.000 | 0.000 | -0.000 | 148.138 | 7.460 |
| -54.560 | -54.560 | 107.905 | 0.000 | -5.831 | 150.848 |
| 552.885 | 124.347 | 15.533 | 10.617 | 0.000 | -0.000 |
| 246.390 | 207.440 | 248.956 | 20.758 | -0.000 | 0.000 |
| 15.533 | 15.533 | 650.105 | 0.000 | -0.000 | -0.000 |
| 10.617 | -10.617 | 0.000 | 158.757 | -0.000 | -0.000 |
| -0.000 | -0.000 | 0.000 | 0.000 | 158.757 | 10.617 |
| -0.000 | -0.000 | 0.000 | 0.000 | 10.617 | 214.269 |
| 268.259 | 314.146 | 103.998 | -21.224 | -0.000 | -0.000 |
| 124.347 | 552.885 | 15.533 | -10.617 | 0.000 | 0.000 |
| 206.520 | 206.520 | 255.697 | -0.000 | -0.000 | -0.000 |
| 11.747 | 54.070 | -74.066 | 11.602 | -0.000 | -0.000 |
| 0.000 | 0.000 | -0.000 | -0.000 | 158.757 | 10.617 |
| 0.000 | 0.000 | -0.000 | -0.000 | 10.617 | 214.269 |
| 552.885 | 124.347 | 15.533 | 10.617 | 0.000 | -0.000 |
| 124.347 | 552.885 | 15.533 | -10.617 | -0.000 | -0.000 |
| 106.050 | 106.050 | 467.001 | -0.000 | 0.000 | 0.000 |
| -1.606 | 9.952 | -0.941 | 116.377 | 0.000 | -0.000 |
| 4.173 | 4.173 | -0.941 | 0.000 | 116.377 | -5.779 |
| 0.000 | 0.000 | 0.000 | 0.000 | 10.617 | 214.269 |
| 552.885 | 124.347 | 15.533 | 10.617 | -0.000 | 0.000 |
| 124.347 | 552.885 | 15.533 | -10.617 | 0.000 | 0.000 |
| 101.778 | 101.778 | 474.862 | 0.000 | 0.000 | -0.000 |
| -9.598 | 14.269 | -5.256 | 54.333 | 0.000 | -0.000 |
| -4.173 | -4.173 | 0.941 | -0.000 | 116.377 | -5.779 |
| -0.000 | -0.000 | -0.000 | -0.000 | 10.617 | 214.269 |
| 446.986 | 176.475 | 69.967 | 0.011 | -0.000 | 0.000 |
| 176.472 | 446.992 | 69.964 | -0.012 | 0.000 | 0.000 |
| 70.076 | 70.076 | 542.504 | -0.000 | -0.000 | -0.000 |
| 4.316 | -1.369 | -2.679 | 110.478 | 0.000 | 0.000 |
| 0.000 | 0.000 | -0.000 | 0.000 | 158.757 | 10.617 |
| 0.000 | 0.000 | -0.000 | 0.000 | 10.617 | 214.269 |
| 446.505 | 177.041 | 69.828 | -0.059 | -0.000 | -0.000 |
| 177.040 | 446.506 | 69.828 | 0.059 | -0.000 | -0.000 |
| 67.956 | 67.956 | 545.766 | -0.000 | -0.000 | -0.000 |
| 0.222 | -0.005 | -0.244 | 110.119 | 0.000 | -0.000 |
| -0.000 | -0.000 | 0.000 | -0.000 | 158.757 | 10.617 |
| -0.000 | -0.000 | 0.000 | -0.000 | 10.617 | 214.269 |
| 706.143 | 469.716 | -288.689 | 2.522 | -0.000 | -0.000 |
| -24.601 | 210.196 | 589.578 | 2.526 | -0.000 | -0.000 |
| 798.868 | 798.868 | -538.171 | 0.000 | -0.000 | -0.000 |
| 713.871 | 711.185 | -1038.367 | 109.426 | -0.000 | -0.000 |
| 0.000 | 0.000 | 0.000 | -0.000 | 151.064 | 10.590 |
| 0.000 | 0.000 | -0.000 | -0.000 | 10.590 | 212.843 |
| 180.689 | -55.697 | 375.826 | 2.524 | 0.000 | 0.000 |
| -55.673 | 180.697 | 375.787 | -2.523 | -0.000 | 0.000 |
| 7.647 | 7.647 | 663.752 | 0.000 | -0.000 | 0.000 |
| 10.590 | -10.590 | -0.000 | 151.064 | 0.000 | 0.000 |
| -0.000 | -0.000 | -0.000 | 0.000 | 151.064 | 10.590 |
| -0.000 | -0.000 | -0.000 | 0.000 | 10.590 | 212.843 |
| 531.373 | 218.058 | -14.029 | 1.355 | -0.000 | -0.000 |
| 128.955 | 554.641 | 11.358 | -10.590 | 0.000 | -0.000 |
| 53.507 | 53.507 | 569.855 | 0.000 | 0.000 | -0.000 |
| 10.590 | -10.590 | -0.000 | 151.064 | 0.000 | 0.000 |
| 180.389 | 180.389 | -257.035 | 0.000 | 97.422 | 2.415 |
| 0.000 | 0.000 | -0.000 | 0.000 | 10.590 | 212.843 |
| 244.101 | 15.080 | 336.296 | 2.454 | 0.000 | 0.000 |
| 214.579 | 449.191 | 27.839 | 2.538 | 0.000 | 0.000 |
| 14.735 | 14.735 | 630.681 | -0.000 | 0.000 | 0.000 |
| 10.590 | -10.590 | 0.000 | 151.064 | 0.000 | -0.000 |
| -180.389 | -180.389 | 257.035 | -0.000 | 97.422 | 2.415 |
| -0.000 | -0.000 | 0.000 | -0.000 | 10.590 | 212.843 |
| 445.689 | 205.613 | 45.200 | 2.015 | -0.000 | -0.000 |
| 184.355 | 438.454 | 76.654 | 1.199 | -0.000 | -0.000 |
| 64.222 | 64.222 | 542.803 | 0.000 | -0.000 | -0.000 |
| 10.591 | -10.590 | -0.000 | 151.064 | -0.000 | 0.000 |
| 6.973 | 6.973 | -10.064 | 0.000 | 106.740 | 0.744 |
| 0.000 | 0.000 | -0.000 | 0.000 | 10.590 | 212.843 |
| 418.007 | 171.974 | 98.321 | 3.219 | -0.000 | 0.000 |
| 189.500 | 440.018 | 68.643 | 1.445 | 0.000 | 0.000 |
| 44.743 | 44.743 | 577.426 | 0.000 | 0.000 | 0.000 |
| -6.229 | -7.716 | 10.064 | 106.736 | 0.000 | 0.000 |
| -6.973 | -6.973 | 10.064 | -0.000 | 106.740 | 0.744 |
| -0.000 | -0.000 | 0.000 | -0.000 | 10.590 | 212.843 |
| 4634.145 | 4339.554 | -7856.142 | 0.903 | 0.000 | 0.000 |
| -2413.384 | -2125.824 | 5271.581 | -2.187 | 0.000 | 0.000 |
| 3491.228 | 3491.228 | -5515.163 | 0.000 | 0.000 | 0.000 |
| 3385.705 | 3394.730 | -5998.932 | 62.213 | 0.000 | -0.000 |
| 4652.722 | 4652.722 | -8470.096 | 0.000 | 162.835 | 5.622 |
| -2578.603 | -2578.603 | 5199.188 | 0.000 | 2.188 | 143.845 |
| -3048.200 | -3141.729 | 6097.766 | -4.517 | -0.000 | -0.000 |
| -2844.656 | -2632.977 | 6693.007 | 1.663 | -0.000 | -0.000 |
| -4578.792 | -4578.792 | 9006.135 | -0.000 | -0.000 | -0.000 |
| 5.138 | -5.138 | -0.000 | 161.348 | 0.000 | -0.000 |
| -4652.722 | -4652.722 | 8470.096 | -0.000 | 162.835 | 5.622 |
| 2578.603 | 2578.603 | -5199.188 | 0.000 | 2.188 | 143.845 |
| 189.603 | -103.046 | 609.500 | 2.375 | 0.000 | 0.000 |
| 566.987 | 971.029 | -763.332 | -5.406 | -0.000 | 0.000 |
| 506.499 | 506.499 | -282.308 | 0.000 | 0.000 | 0.000 |
| 419.203 | 417.407 | -793.813 | 120.863 | 0.000 | 0.000 |
| 338.170 | 338.170 | -598.051 | -0.000 | 62.456 | -4.487 |
| 338.164 | 338.164 | -598.065 | -0.000 | -4.476 | 47.432 |
| 29.752 | -266.084 | 882.830 | 0.956 | -0.000 | -0.000 |
| -266.084 | 29.752 | 882.830 | -0.956 | 0.000 | -0.000 |
| -238.263 | -238.263 | 1084.225 | 0.000 | -0.000 | -0.000 |
| -417.669 | -419.487 | 794.278 | 120.976 | -0.000 | -0.000 |
| -338.170 | -338.170 | 598.051 | 0.000 | 62.456 | -4.487 |
| -338.164 | -338.164 | 598.065 | 0.000 | -4.476 | 47.432 |
| 502.207 | 201.895 | -5.197 | 1.811 | 0.000 | 0.000 |
| 118.658 | 548.418 | 25.261 | -5.138 | 0.000 | 0.000 |
| 129.164 | 129.164 | 435.072 | 0.000 | 0.000 | 0.000 |
| 24.786 | 30.753 | -47.531 | 77.310 | 0.000 | 0.000 |
| 29.410 | 29.410 | -63.894 | 0.000 | 99.020 | -1.463 |
| 43.294 | 43.294 | -82.522 | 0.000 | 0.687 | 144.106 |
| 405.240 | 109.174 | 171.000 | 1.039 | 0.000 | -0.000 |
| 109.178 | 405.240 | 170.996 | -1.038 | 0.000 | -0.000 |
| 62.480 | 62.480 | 551.817 | 0.000 | -0.000 | 0.000 |
| 25.617 | 21.771 | -47.541 | 126.397 | -0.000 | -0.000 |
| -29.410 | -29.410 | 63.894 | -0.000 | 99.020 | -1.463 |
| -43.294 | -43.294 | 82.522 | 0.000 | 0.687 | 144.106 |
| 549.546 | 121.718 | 22.991 | 5.119 | 0.000 | 0.000 |
| 243.560 | 445.216 | 276.603 | 0.569 | 0.000 | 0.000 |
| 19.941 | 19.941 | 642.658 | -0.000 | 0.000 | 0.000 |
| 45.913 | 47.013 | 178.390 | 96.776 | 0.000 | 0.000 |
| -586.453 | -586.453 | 1355.939 | -0.000 | 86.249 | -2.269 |
| 0.000 | 0.000 | -0.001 | -0.000 | 5.119 | 213.914 |
| 986.357 | 799.769 | -1276.561 | -2.492 | 0.000 | -0.000 |
| 149.149 | 352.475 | -78.561 | 0.518 | -0.000 | -0.000 |
| 663.050 | 663.050 | -824.749 | 0.000 | 0.000 | -0.000 |
| 584.335 | 588.876 | -1356.291 | 86.231 | -0.000 | -0.000 |
| 586.453 | 586.453 | -1355.939 | 0.000 | 86.249 | -2.269 |
| -0.000 | -0.000 | 0.001 | 0.000 | 5.119 | 213.914 |
| 378.031 | 131.875 | 201.460 | -0.612 | 0.000 | 0.000 |
| 131.875 | 378.031 | 201.460 | 0.612 | 0.000 | 0.000 |
| 79.399 | 79.399 | 539.515 | 0.000 | 0.000 | 0.000 |
| -56.280 | -52.780 | 126.079 | 91.132 | 0.000 | 0.000 |
| -54.530 | -54.530 | 126.079 | 0.000 | 91.132 | -1.750 |
| 0.000 | 0.000 | -0.000 | 0.000 | 5.119 | 213.914 |
| 434.980 | 265.636 | -22.422 | -3.036 | -0.000 | -0.000 |
| 265.622 | 434.991 | -22.418 | 3.035 | -0.000 | -0.000 |
| 128.341 | 128.341 | 406.664 | 0.000 | -0.000 | -0.000 |
| -7.586 | -7.043 | -11.933 | 99.346 | -0.000 | -0.000 |
| 54.530 | 54.530 | -126.079 | -0.000 | 91.132 | -1.750 |
| -0.000 | -0.000 | 0.000 | -0.000 | 5.119 | 213.914 |
| 434.386 | 174.220 | 88.291 | 0.405 | 0.000 | 0.000 |
| 165.496 | 437.697 | 94.773 | -0.209 | 0.000 | 0.000 |
| 78.314 | 78.314 | 521.318 | -0.000 | 0.000 | 0.000 |
| 3.275 | 1.687 | -2.331 | 108.345 | 0.000 | 0.000 |
| 2.481 | 2.481 | -2.331 | 0.000 | 108.345 | 0.793 |
| -4.072 | -4.071 | 9.414 | -0.000 | -0.010 | 132.626 |
| 549.544 | 121.717 | 22.991 | 5.119 | -0.000 | -0.000 |
| 165.960 | 433.951 | 91.435 | -0.430 | 0.000 | -0.000 |
| 86.411 | 86.411 | 504.836 | -0.000 | -0.000 | -0.000 |
| 4.096 | 3.779 | -9.104 | 109.111 | -0.000 | -0.000 |
| -2.481 | -2.481 | 2.331 | -0.000 | 108.345 | 0.793 |
| 4.072 | 4.071 | -9.414 | 0.000 | -0.010 | 132.626 |
| -437.397 | -747.632 | 1991.324 | -1.110 | -0.000 | 0.000 |
| -174.512 | 81.305 | 790.277 | 2.437 | 0.000 | -0.000 |
| -1652.597 | -1652.597 | 3997.926 | -0.000 | -0.000 | 0.000 |
| -1234.739 | -1228.005 | 2469.596 | 128.062 | -0.000 | -0.000 |
| -893.123 | -893.123 | 1901.948 | -0.000 | 119.531 | -1.089 |
| -361.774 | -361.774 | 730.373 | -0.000 | -2.472 | 128.225 |
| 806.190 | 549.216 | -672.009 | -2.503 | 0.000 | 0.000 |
| 1961.257 | 2137.942 | -3418.383 | -4.222 | -0.000 | 0.000 |
| 423.183 | 423.183 | -167.411 | -0.000 | -0.000 | 0.000 |
| 359.082 | 364.028 | -729.935 | 121.091 | -0.000 | 0.000 |
| 893.123 | 893.123 | -1901.948 | -0.000 | 119.531 | -1.089 |
| 361.774 | 361.774 | -730.373 | -0.000 | -2.472 | 128.225 |
| 550.912 | 121.847 | 19.825 | -7.452 | -0.000 | -0.000 |
| 56.664 | 366.907 | 278.552 | 1.256 | -0.000 | -0.000 |
| -68.187 | -68.187 | 817.819 | 0.000 | -0.000 | 0.000 |
| -39.011 | -34.114 | 73.810 | 120.935 | 0.000 | -0.000 |
| -75.544 | -75.544 | 152.937 | 0.000 | 89.712 | 2.453 |
| -174.099 | -174.099 | 349.433 | 0.000 | 4.104 | 89.617 |
| 542.822 | 235.051 | -98.696 | -0.823 | 0.000 | 0.000 |
| 235.025 | 542.820 | -98.669 | 0.825 | -0.000 | -0.000 |
| 269.780 | 269.780 | 139.622 | -0.000 | 0.000 | -0.000 |
| 88.597 | 90.733 | -190.903 | 119.398 | 0.000 | -0.000 |
| 75.544 | 75.544 | -152.937 | -0.000 | 89.712 | 2.453 |
| 174.099 | 174.099 | -349.433 | -0.000 | 4.104 | 89.617 |
| 425.472 | 188.646 | 76.897 | -0.856 | 0.000 | 0.000 |
| 151.979 | 433.980 | 105.541 | 0.995 | -0.000 | -0.000 |
| 67.502 | 67.502 | 549.387 | -0.000 | -0.000 | -0.000 |
| -6.658 | -3.479 | 10.214 | 115.484 | 0.000 | -0.000 |
| -13.646 | -13.645 | 27.388 | -0.000 | 100.454 | 1.605 |
| -9.264 | -9.264 | 19.506 | -0.000 | -2.269 | 129.077 |
| 447.938 | 198.566 | 43.993 | -1.776 | -0.000 | 0.000 |
| 164.019 | 447.095 | 78.933 | 0.319 | -0.000 | -0.000 |
| 85.321 | 85.321 | 513.292 | -0.000 | 0.000 | 0.000 |
| 5.037 | 4.551 | -9.878 | 104.603 | -0.000 | 0.000 |
| 13.646 | 13.645 | -27.388 | 0.000 | 100.454 | 1.605 |
| 9.264 | 9.264 | -19.506 | 0.000 | -2.269 | 129.077 |
| 1569.013 | 1438.284 | -2441.278 | 6.490 | -0.000 | -0.000 |
| 779.824 | 954.939 | -777.439 | 0.927 | -0.000 | -0.000 |
| 1321.119 | 1321.119 | -2105.084 | 0.000 | -0.000 | -0.000 |
| -7.431 | 7.431 | 0.000 | 153.776 | -0.000 | -0.000 |
| -0.000 | -0.000 | 0.000 | -0.000 | 153.776 | -7.431 |
| -0.000 | -0.000 | -0.000 | -0.000 | -7.431 | 213.425 |
| 552.275 | 125.424 | 16.789 | -7.431 | 0.000 | -0.000 |
| -337.930 | -228.541 | 1090.145 | -5.756 | 0.000 | -0.000 |
| 13.663 | 13.663 | 653.444 | 0.000 | 0.000 | 0.000 |
| -7.431 | 7.431 | 0.000 | 153.776 | 0.000 | -0.000 |
| 0.000 | 0.000 | 0.000 | 0.000 | 153.776 | -7.431 |
| 0.000 | 0.000 | -0.000 | 0.000 | -7.431 | 213.425 |
| 437.635 | 311.189 | -38.205 | 4.713 | -0.000 | -0.000 |
| 311.169 | 437.718 | -38.266 | -4.711 | -0.000 | -0.000 |
| 137.998 | 137.998 | 433.149 | -0.000 | -0.000 | -0.000 |
| 125.297 | 112.926 | -251.305 | 64.579 | -0.000 | -0.000 |
| 0.000 | 0.000 | -0.000 | -0.000 | 153.776 | -7.431 |
| 0.000 | 0.000 | -0.000 | -0.000 | -7.431 | 213.425 |
| 255.418 | 100.894 | 355.328 | 5.371 | 0.000 | 0.000 |
| 125.424 | 552.275 | 16.789 | 7.431 | 0.000 | 0.000 |
| 1.676 | 1.676 | 656.822 | 0.000 | 0.000 | -0.000 |
| -161.715 | -154.950 | 299.150 | 133.558 | 0.000 | 0.000 |
| -0.000 | -0.000 | 0.000 | 0.000 | 153.776 | -7.431 |
| -0.000 | -0.000 | 0.000 | 0.000 | -7.431 | 213.425 |
| 552.276 | 125.424 | 16.789 | -7.431 | -0.000 | -0.000 |
| 188.615 | 441.044 | 67.151 | -0.769 | -0.000 | -0.000 |
| 77.642 | 77.642 | 518.450 | -0.000 | -0.000 | -0.000 |
| 8.558 | 6.363 | -15.740 | 97.909 | -0.000 | -0.000 |
| 7.460 | 7.461 | -15.740 | -0.000 | 97.909 | 1.097 |
| 3.013 | 3.013 | -3.419 | -0.000 | -3.815 | 124.215 |
| 431.007 | 172.592 | 94.649 | 0.487 | 0.000 | 0.000 |
| 169.608 | 430.576 | 94.171 | 1.709 | 0.000 | 0.000 |
| 13.663 | 13.663 | 653.442 | 0.000 | 0.000 | 0.000 |
| -6.556 | -2.959 | 6.704 | 103.365 | 0.000 | -0.000 |
| -7.460 | -7.461 | 15.740 | 0.000 | 97.909 | 1.097 |
| -3.013 | -3.013 | 3.419 | 0.000 | -3.815 | 124.215 |
| 1315.160 | 1095.180 | -1741.431 | -0.000 | -0.000 | 0.000 |
| 577.289 | 890.040 | -877.453 | -0.007 | 0.000 | 0.000 |
| 661.162 | 661.162 | -733.972 | 0.000 | 0.000 | 0.000 |
| 909.193 | 909.193 | -1842.323 | 98.324 | -0.000 | 0.000 |
| 909.193 | 909.193 | -1842.323 | 0.000 | 98.324 | -0.000 |
| 430.391 | 430.390 | -951.511 | 0.000 | 0.004 | 112.244 |
| -502.963 | -723.272 | 1943.016 | -0.000 | -0.000 | -0.000 |
| -723.272 | -502.963 | 1943.016 | 0.000 | -0.000 | -0.000 |
| 23.025 | 23.025 | 636.675 | -0.000 | -0.000 | -0.000 |
| -909.193 | -909.193 | 1842.323 | 98.324 | -0.000 | -0.000 |
| -909.193 | -909.193 | 1842.323 | -0.000 | 98.324 | -0.000 |
| -430.391 | -430.390 | 951.511 | -0.000 | 0.004 | 112.244 |
| 496.910 | 184.544 | -1.644 | 0.007 | 0.000 | 0.000 |
| 238.958 | 464.329 | -22.379 | -0.004 | -0.000 | 0.000 |
| 117.762 | 117.762 | 441.955 | -0.000 | 0.000 | 0.000 |
| 57.375 | 57.324 | -124.484 | 95.961 | -0.000 | 0.000 |
| 0.000 | 0.000 | -0.000 | -0.000 | 160.732 | -0.001 |
| 42.827 | 42.827 | -94.718 | -0.000 | 0.004 | 112.503 |
| 377.360 | 153.271 | 168.419 | 0.004 | -0.000 | -0.000 |
| 94.619 | 317.175 | 283.432 | 0.000 | 0.000 | -0.000 |
| 11.211 | 11.211 | 661.492 | -0.000 | 0.000 | -0.000 |
| -90.740 | -90.740 | 183.869 | 98.447 | 0.000 | -0.000 |
| -0.000 | -0.000 | 0.000 | -0.000 | 160.732 | -0.001 |
| -42.827 | -42.827 | 94.718 | -0.000 | 0.004 | 112.503 |
| 433.367 | 195.175 | 60.919 | 0.004 | -0.000 | 0.000 |
| 173.092 | 437.771 | 78.756 | 0.009 | -0.000 | 0.000 |
| 89.855 | 89.855 | 504.960 | 0.000 | -0.000 | 0.000 |
| 4.739 | 4.694 | -10.418 | 106.613 | -0.000 | 0.000 |
| 4.084 | 4.084 | -9.077 | 0.000 | 111.918 | 0.004 |
| 7.988 | 7.989 | -16.187 | -0.000 | -0.000 | 122.774 |
| 421.521 | 166.896 | 104.577 | -0.000 | 0.000 | -0.000 |
| 186.997 | 421.456 | 82.746 | -0.004 | -0.000 | -0.000 |
| 80.557 | 80.557 | 520.809 | -0.000 | 0.000 | -0.000 |
| -8.073 | -8.073 | 16.359 | 105.319 | 0.000 | -0.000 |
| -4.084 | -4.084 | 9.077 | -0.000 | 111.918 | 0.004 |
| -7.988 | -7.989 | 16.187 | -0.000 | -0.000 | 122.774 |
| 550.580 | 122.957 | 20.649 | 0.002 | -0.000 | -0.000 |
| -2184.059 | -1944.222 | 3940.165 | 0.008 | -0.000 | -0.000 |
| -2310.125 | -2310.125 | 4424.382 | 0.000 | 0.000 | -0.000 |
| -4256.460 | -4256.442 | 7567.779 | 139.295 | -0.000 | -0.000 |
| -2461.924 | -2461.924 | 3931.386 | 0.000 | 32.864 | -0.102 |
| -0.000 | -0.000 | 0.000 | -0.000 | 0.002 | 213.811 |
| 2838.131 | 2718.961 | -4743.180 | -0.000 | 0.000 | 0.000 |
| 2238.435 | 2557.429 | -3395.584 | 0.344 | -0.000 | 0.000 |
| 2625.910 | 2625.910 | -4466.364 | 0.000 | 0.000 | 0.000 |
| 2495.701 | 2495.702 | -4876.571 | 62.789 | 0.000 | 0.000 |
| 2461.924 | 2461.924 | -3931.386 | -0.000 | 32.864 | -0.102 |
| 0.000 | 0.000 | -0.000 | -0.000 | 0.002 | 213.811 |
| 99.827 | -26.913 | 614.648 | -0.000 | 0.000 | -0.000 |
| -219.282 | 153.083 | 691.667 | -0.114 | -0.000 | -0.000 |
| -114.413 | -114.413 | 887.758 | -0.000 | -0.000 | -0.000 |
| 0.002 | -0.002 | -0.000 | 155.543 | 0.000 | -0.000 |
| -208.803 | -208.803 | 346.988 | 0.000 | 86.605 | -0.341 |
| -425.836 | -425.836 | 757.364 | 0.000 | -0.009 | 216.984 |
| 671.475 | 427.297 | -318.887 | -0.008 | 0.000 | 0.000 |
| 470.969 | 588.609 | -349.099 | 0.000 | 0.000 | 0.000 |
| 309.661 | 309.661 | 152.239 | -0.000 | -0.000 | -0.000 |
| 237.566 | 237.582 | -387.136 | 111.270 | 0.000 | 0.000 |
| 208.803 | 208.803 | -346.988 | -0.000 | 86.605 | -0.341 |
| 425.836 | 425.836 | -757.364 | -0.000 | -0.009 | 216.984 |
| 400.832 | 171.418 | 112.076 | -0.007 | -0.000 | -0.000 |
| 172.409 | 385.604 | 123.995 | 0.070 | 0.000 | -0.000 |
| 52.777 | 52.777 | 566.496 | -0.000 | -0.000 | -0.000 |
| -25.047 | -24.882 | 39.399 | 82.183 | 0.000 | -0.000 |
| -24.137 | -24.137 | 39.498 | 0.000 | 109.612 | -0.008 |
| -43.673 | -43.673 | 78.304 | 0.000 | -0.009 | 158.349 |
| 420.718 | 207.150 | 70.383 | 0.000 | 0.000 | -0.000 |
| 207.148 | 420.723 | 70.381 | -0.000 | 0.000 | 0.000 |
| 110.584 | 110.584 | 468.599 | -0.000 | -0.000 | 0.000 |
| 24.884 | 25.050 | -39.399 | 82.221 | -0.000 | 0.000 |
| 24.137 | 24.137 | -39.498 | 0.000 | 109.612 | -0.008 |
| 43.673 | 43.673 | -78.304 | -0.000 | -0.009 | 158.349 |
| 1823.595 | 1595.885 | -2684.008 | 1.412 | 0.000 | 0.000 |
| 1871.265 | 2031.141 | -3392.586 | -1.350 | -0.000 | 0.000 |
| 1955.490 | 1955.490 | -3824.519 | 0.000 | -0.000 | 0.000 |
| 273.591 | 296.877 | -903.049 | 200.686 | 0.000 | -0.000 |
| -1020.279 | -1020.279 | 1564.984 | 0.000 | 107.327 | -0.766 |
| -1014.354 | -1014.354 | 1553.249 | 0.000 | -0.763 | 101.494 |
| 1432.883 | 1229.396 | -1495.502 | -0.761 | -0.000 | -0.000 |
| -1215.399 | -987.200 | 2853.408 | -1.396 | 0.000 | -0.000 |
| -1794.404 | -1794.404 | 4871.888 | -0.000 | 0.000 | -0.000 |
| -1402.980 | -1405.777 | 2766.462 | 97.658 | -0.000 | -0.000 |
| 1020.279 | 1020.279 | -1564.984 | -0.000 | 107.327 | -0.766 |
| 1014.354 | 1014.354 | -1553.249 | -0.000 | -0.763 | 101.494 |
| 504.014 | 462.770 | -335.625 | 7.995 | -0.000 | 0.000 |
| 313.758 | 341.377 | 13.350 | -6.558 | -0.000 | 0.000 |
| 265.446 | 265.446 | 94.065 | 0.000 | 0.000 | 0.000 |
| -5.084 | 5.084 | -0.000 | 159.388 | 0.000 | -0.000 |
| 164.236 | 164.236 | -346.523 | 0.000 | 91.540 | 1.341 |
| 163.852 | 163.852 | -345.746 | 0.000 | 1.325 | 80.377 |
| 552.191 | 123.394 | 17.003 | -5.084 | -0.000 | 0.000 |
| 203.078 | 640.834 | -124.876 | 4.551 | -0.000 | -0.000 |
| 181.752 | 181.752 | 367.639 | -0.000 | -0.000 | -0.000 |
| 114.181 | 123.645 | -208.700 | 156.327 | -0.000 | 0.000 |
| -164.236 | -164.236 | 346.523 | -0.000 | 91.540 | 1.341 |
| -163.852 | -163.852 | 345.745 | -0.000 | 1.325 | 80.377 |
| 433.485 | 181.878 | 73.909 | -0.364 | -0.000 | 0.000 |
| 176.025 | 434.059 | 76.539 | -0.524 | 0.000 | 0.000 |
| 89.414 | 89.414 | 502.199 | 0.000 | -0.000 | 0.000 |
| -5.084 | 5.085 | -0.000 | 159.388 | 0.000 | -0.000 |
| -10.591 | -10.590 | 16.445 | 0.000 | 108.599 | -0.895 |
| -0.867 | -0.866 | -0.891 | -0.000 | -1.832 | 160.785 |
| 418.324 | 169.053 | 105.279 | 0.715 | -0.000 | -0.000 |
| 196.433 | 402.650 | 93.159 | -0.128 | 0.000 | -0.000 |
| 73.539 | 73.539 | 538.425 | -0.000 | 0.000 | -0.000 |
| -12.172 | -14.156 | 25.932 | 101.525 | -0.000 | -0.000 |
| 10.591 | 10.590 | -16.445 | -0.000 | 108.599 | -0.895 |
| 0.867 | 0.866 | 0.891 | 0.000 | -1.832 | 160.785 |
| 557.037 | 321.886 | 14.201 | 2.000 | 0.000 | -0.000 |
| 321.886 | 557.037 | 14.201 | -2.000 | 0.000 | -0.000 |
| 630.404 | 630.404 | -113.277 | -0.000 | 0.000 | -0.000 |
| 5.027 | -5.027 | -0.000 | 153.053 | -0.000 | -0.000 |
| 115.192 | 115.192 | -27.834 | -0.000 | 112.095 | 1.977 |
| 115.179 | 115.179 | -27.805 | 0.000 | 1.978 | 117.279 |
| 553.867 | 127.362 | 13.455 | 5.027 | 0.000 | 0.000 |
| -1246.170 | -931.027 | 2548.856 | -7.310 | 0.000 | 0.000 |
| -76.829 | -76.829 | 638.167 | 0.000 | -0.000 | 0.000 |
| -215.907 | -201.757 | 416.488 | 37.836 | -0.000 | 0.000 |
| -115.192 | -115.192 | 27.834 | 0.000 | 112.095 | 1.977 |
| -115.179 | -115.179 | 27.805 | 0.000 | 1.977 | 117.279 |
| 456.278 | 217.046 | 37.320 | 2.150 | 0.000 | -0.000 |
| 217.046 | 456.277 | 37.320 | -2.150 | 0.000 | -0.000 |
| 10.237 | 10.237 | 660.120 | -0.000 | 0.000 | -0.000 |
| 13.660 | 27.403 | -40.947 | 39.778 | 0.000 | -0.000 |
| 11.569 | 11.569 | -2.908 | -0.000 | 111.792 | 1.943 |
| 0.000 | 0.000 | -0.000 | 0.000 | 5.027 | 213.252 |
| 553.867 | 127.362 | 13.455 | 5.027 | -0.000 | 0.000 |
| 127.362 | 553.867 | 13.455 | -5.027 | 0.000 | 0.000 |
| 26.301 | 26.301 | 614.618 | 0.000 | -0.000 | 0.000 |
| -27.403 | -13.660 | 40.947 | 39.778 | -0.000 | 0.000 |
| -11.569 | -11.569 | 2.908 | 0.000 | 111.792 | 1.943 |
| -0.000 | -0.000 | 0.000 | -0.000 | 5.027 | 213.252 |
| 553.868 | 127.363 | 13.455 | 5.027 | -0.000 | -0.000 |
| 204.607 | 439.422 | 49.590 | -1.292 | 0.000 | -0.000 |
| 71.631 | 71.631 | 530.567 | 0.000 | 0.000 | -0.000 |
| 9.773 | 9.543 | -18.238 | 112.779 | 0.000 | -0.000 |
| 0.000 | 0.000 | -0.000 | 0.000 | 153.053 | 5.027 |
| 1.119 | 1.119 | -2.232 | -0.000 | -1.459 | 114.495 |
| 428.543 | 186.574 | 82.785 | -1.033 | -0.000 | 0.000 |
| 204.747 | 430.687 | 55.391 | -0.919 | -0.000 | 0.000 |
| 69.474 | 69.474 | 540.262 | 0.000 | -0.000 | 0.000 |
| 0.070 | -2.575 | 0.519 | 106.105 | -0.000 | 0.000 |
| -0.000 | -0.000 | 0.000 | -0.000 | 153.053 | 5.027 |
| -1.119 | -1.119 | 2.232 | 0.000 | -1.459 | 114.495 |
| 572.132 | 468.725 | -202.870 | 6.089 | 0.000 | -0.000 |
| -367.613 | -180.676 | 1283.720 | -4.419 | 0.000 | -0.000 |
| -436.711 | -436.711 | 1599.044 | -0.000 | 0.000 | -0.000 |
| -9.530 | 9.530 | -0.000 | 161.879 | 0.000 | -0.000 |
| 0.000 | 0.000 | -0.000 | -0.000 | 161.879 | -9.530 |
| 222.571 | 222.571 | 105.414 | -0.000 | -9.121 | 138.729 |
| 865.369 | 526.496 | -797.146 | -2.354 | -0.000 | 0.000 |
| 526.473 | 865.343 | -797.097 | 2.354 | -0.000 | 0.000 |
| 157.756 | 157.756 | 326.115 | -0.000 | -0.000 | 0.000 |
| 406.389 | 411.133 | -912.531 | 128.151 | -0.000 | 0.000 |
| -0.000 | -0.000 | 0.000 | -0.000 | 161.879 | -9.530 |
| -222.571 | -222.571 | -105.414 | -0.000 | -9.121 | 138.729 |
| 426.129 | 171.875 | 96.372 | -2.180 | 0.000 | -0.000 |
| 134.789 | 326.903 | 235.050 | -4.122 | 0.000 | -0.000 |
| 68.025 | 68.025 | 550.860 | -0.000 | 0.000 | -0.000 |
| -9.530 | 9.530 | -0.000 | 161.879 | 0.000 | -0.000 |
| -55.655 | -55.655 | 115.582 | -0.000 | 91.326 | 4.367 |
| 0.000 | 0.000 | -0.000 | -0.000 | -9.530 | 215.004 |
| 433.756 | 246.977 | 7.528 | 4.428 | -0.000 | 0.000 |
| 247.001 | 433.735 | 7.524 | -4.431 | -0.000 | 0.000 |
| 150.832 | 150.832 | 376.216 | 0.000 | -0.000 | 0.000 |
| -9.530 | 9.530 | 0.000 | 161.879 | -0.000 | 0.000 |
| 55.655 | 55.655 | -115.582 | -0.000 | 91.326 | 4.367 |
| -0.000 | -0.000 | 0.000 | 0.000 | -9.530 | 215.004 |
| 418.985 | 180.086 | 91.193 | 1.121 | 0.000 | -0.000 |
| 180.732 | 424.465 | 85.563 | 1.012 | 0.000 | -0.000 |
| 98.125 | 98.125 | 493.768 | 0.000 | 0.000 | -0.000 |
| -2.940 | -5.863 | 9.141 | 106.078 | 0.000 | -0.000 |
| -1.198 | -1.198 | 2.876 | -0.000 | 117.157 | -1.658 |
| 0.000 | 0.000 | -0.000 | -0.000 | -9.530 | 215.004 |
| 425.257 | 176.499 | 90.394 | 0.872 | -0.000 | 0.000 |
| 117.522 | 547.530 | 27.181 | 9.530 | -0.000 | -0.000 |
| 95.916 | 95.916 | 493.928 | -0.000 | -0.000 | 0.000 |
| 5.865 | 2.940 | -9.143 | 106.070 | -0.000 | 0.000 |
| 1.198 | 1.198 | -2.876 | 0.000 | 117.157 | -1.658 |
| -0.000 | -0.000 | 0.000 | 0.000 | -9.530 | 215.004 |
| 552.210 | 125.764 | 16.958 | 6.075 | 0.000 | -0.000 |
| 125.764 | 552.210 | 16.958 | -6.075 | 0.000 | 0.000 |
| 123.162 | 123.162 | 585.893 | 0.000 | 0.000 | 0.000 |
| 6.075 | -6.075 | 0.000 | 152.557 | -0.000 | 0.000 |
| 206.040 | 206.040 | -193.252 | 0.000 | 103.549 | -0.148 |
| 0.000 | 0.000 | 0.000 | -0.000 | 6.075 | 213.223 |
| 552.210 | 125.764 | 16.958 | 6.075 | -0.000 | -0.000 |
| 182.351 | 371.872 | -17.157 | 3.044 | 0.000 | -0.000 |
| -117.763 | -117.763 | 695.367 | -0.000 | -0.000 | 0.000 |
| -22.016 | -15.971 | -124.472 | 79.779 | -0.000 | 0.000 |
| -206.040 | -206.040 | 193.252 | -0.000 | 103.549 | -0.148 |
| -0.000 | -0.000 | -0.000 | -0.000 | 6.075 | 213.223 |
| 539.029 | 242.534 | -76.281 | 3.836 | 0.000 | 0.000 |
| 125.764 | 552.210 | 16.958 | -6.075 | 0.000 | -0.000 |
| 105.034 | 105.034 | 475.103 | 0.000 | 0.000 | 0.000 |
| 6.075 | -6.075 | -0.000 | 152.557 | 0.000 | -0.000 |
| 1.863 | 1.863 | 12.209 | 0.000 | 81.169 | -2.848 |
| 0.000 | 0.000 | -0.000 | 0.000 | 6.075 | 213.223 |
| 552.210 | 125.764 | 16.958 | 6.075 | -0.000 | -0.000 |
| 125.764 | 552.210 | 16.958 | -6.075 | 0.000 | 0.000 |
| 13.143 | 13.143 | 654.292 | 0.000 | -0.000 | -0.000 |
| 6.075 | -6.075 | 0.000 | 152.557 | -0.000 | 0.000 |
| -1.863 | -1.863 | -12.209 | -0.000 | 81.169 | -2.848 |
| -0.000 | -0.000 | 0.000 | -0.000 | 6.075 | 213.223 |
| 444.473 | 176.465 | 78.417 | -0.023 | 0.000 | -0.000 |
| 125.764 | 552.211 | 16.959 | -6.075 | 0.000 | -0.000 |
| 71.767 | 71.767 | 530.573 | 0.000 | -0.000 | -0.000 |
| 1.989 | 2.362 | -2.090 | 103.294 | 0.000 | -0.000 |
| 0.000 | 0.000 | -0.000 | 0.000 | 152.557 | 6.075 |
| 0.134 | 0.134 | 0.879 | -0.000 | -0.353 | 129.723 |
| 439.703 | 178.318 | 79.246 | -0.278 | 0.000 | -0.000 |
| 178.369 | 439.594 | 79.307 | 0.284 | 0.000 | 0.000 |
| 68.126 | 68.126 | 536.250 | -0.000 | -0.000 | -0.000 |
| 6.074 | -6.075 | 0.000 | 152.557 | 0.000 | 0.000 |
| -0.000 | -0.000 | 0.000 | -0.000 | 152.557 | 6.075 |
| -0.134 | -0.134 | -0.879 | 0.000 | -0.353 | 129.723 |
| 575.363 | 154.192 | -33.190 | -0.000 | -0.000 | -0.000 |
| 154.192 | 575.363 | -33.190 | 0.000 | -0.000 | -0.000 |
| -38.094 | -38.094 | 751.898 | -0.000 | -0.000 | -0.000 |
| 0.000 | -0.000 | 0.000 | 141.956 | -0.000 | -0.000 |
| 0.000 | -0.000 | 0.000 | -0.000 | 141.956 | 0.000 |
| 0.000 | -0.000 | 0.000 | -0.000 | -0.000 | 210.586 |
| 494.599 | 215.957 | -11.091 | -0.000 | 0.000 | -0.000 |
| 225.582 | 492.499 | -19.843 | 0.000 | 0.000 | -0.000 |
| -38.094 | -38.093 | 751.897 | 0.000 | 0.000 | 0.000 |
| 0.000 | -0.000 | -0.000 | 141.956 | 0.000 | 0.000 |
| -0.000 | 0.000 | -0.000 | 0.000 | 141.956 | 0.000 |
| -0.000 | 0.000 | -0.000 | 0.000 | -0.000 | 210.586 |
| 494.462 | 214.553 | -9.298 | 0.000 | -0.000 | 0.000 |
| 214.553 | 494.462 | -9.298 | 0.000 | -0.000 | 0.000 |
| -21.535 | -21.535 | 713.377 | 0.000 | -0.000 | 0.000 |
| 0.000 | 0.000 | -0.000 | 141.956 | -0.000 | -0.000 |
| -0.069 | -0.069 | 0.160 | 0.000 | 92.293 | 0.000 |
| -0.083 | -0.083 | 0.193 | 0.000 | -0.000 | 135.238 |
| 494.484 | 214.808 | -9.621 | -0.000 | 0.000 | -0.000 |
| 154.192 | 575.363 | -33.190 | 0.000 | 0.000 | 0.000 |
| -38.093 | -38.093 | 751.897 | 0.000 | 0.000 | 0.000 |
| -0.000 | -0.000 | 0.000 | 141.956 | 0.000 | 0.000 |
| 0.069 | 0.069 | -0.160 | -0.000 | 92.293 | -0.000 |
| 0.083 | 0.083 | -0.193 | -0.000 | 0.000 | 135.238 |
| 494.473 | 214.667 | -9.443 | 0.000 | 0.000 | 0.000 |
| 232.371 | 482.896 | -16.568 | 0.000 | -0.000 | -0.000 |
| -21.494 | -21.494 | 713.282 | 0.000 | -0.000 | 0.000 |
| -0.006 | -0.007 | 0.015 | 92.293 | -0.000 | 0.000 |
| -0.007 | -0.006 | 0.015 | -0.000 | 92.293 | 0.000 |
| 0.056 | 0.056 | -0.130 | -0.000 | 0.000 | 125.247 |
| 494.473 | 214.694 | -9.476 | 0.000 | -0.000 | -0.000 |
| 224.963 | 491.911 | -18.442 | -0.000 | 0.000 | -0.000 |
| -21.474 | -21.474 | 713.235 | -0.000 | 0.000 | -0.000 |
| 0.006 | 0.007 | -0.015 | 92.293 | 0.000 | -0.000 |
| 0.007 | 0.006 | -0.015 | -0.000 | 92.293 | -0.000 |
| -0.056 | -0.056 | 0.130 | 0.000 | 0.000 | 125.247 |
| 549.438 | 119.968 | 23.042 | 0.000 | -0.000 | -0.000 |
| 194.687 | 420.549 | 81.173 | -0.000 | 0.000 | 0.000 |
| 23.042 | 23.042 | 636.630 | -0.000 | 0.000 | 0.000 |
| -0.000 | 0.000 | -0.000 | 160.736 | -0.000 | -0.000 |
| 0.000 | 0.000 | -0.000 | 0.000 | 160.736 | 0.000 |
| 0.000 | 0.000 | -0.000 | 0.000 | 0.000 | 214.735 |
| 549.438 | 119.968 | 23.042 | 0.000 | -0.000 | -0.000 |
| 119.968 | 549.438 | 23.042 | 0.000 | -0.000 | -0.000 |
| 23.042 | 23.042 | 636.630 | -0.000 | -0.000 | -0.000 |
| -0.000 | 0.000 | 0.000 | 160.736 | -0.000 | 0.000 |
| -0.000 | -0.000 | 0.000 | -0.000 | 160.736 | -0.000 |
| -0.000 | -0.000 | -0.000 | 0.000 | -0.000 | 214.735 |
| 549.438 | 119.968 | 23.042 | 0.000 | 0.000 | 0.000 |
| 170.363 | 440.927 | 81.747 | -0.000 | 0.000 | 0.000 |
| 23.042 | 23.042 | 636.630 | -0.000 | 0.000 | 0.000 |
| 0.000 | 0.000 | -0.000 | 160.736 | -0.000 | 0.000 |
| 0.000 | 0.000 | -0.000 | 0.000 | 160.736 | 0.000 |
| 0.000 | 0.000 | -0.000 | 0.000 | -0.000 | 214.735 |
| 549.438 | 119.968 | 23.042 | -0.000 | -0.000 | 0.000 |
| 169.641 | 436.814 | 86.026 | 0.000 | 0.000 | -0.000 |
| 77.637 | 77.637 | 526.347 | 0.000 | 0.000 | -0.000 |
| -0.000 | -0.000 | 0.000 | 160.736 | -0.000 | 0.000 |
| -0.000 | -0.000 | 0.000 | 0.000 | 160.736 | 0.000 |
| -0.000 | -0.000 | 0.000 | -0.000 | -0.000 | 214.735 |
| 439.515 | 169.853 | 83.422 | -0.000 | -0.000 | 0.000 |
| 168.381 | 434.518 | 87.953 | -0.000 | -0.000 | 0.000 |
| 86.522 | 86.522 | 512.068 | -0.000 | 0.000 | 0.000 |
| 0.000 | 0.000 | -0.000 | 160.736 | -0.000 | -0.000 |
| 0.000 | 0.000 | -0.000 | -0.000 | 160.736 | -0.000 |
| 0.000 | 0.000 | -0.000 | 0.000 | 0.000 | 214.735 |
| 439.125 | 169.771 | 83.835 | -0.000 | 0.000 | -0.000 |
| 169.780 | 439.106 | 83.846 | 0.000 | -0.000 | -0.000 |
| 78.982 | 78.982 | 523.876 | 0.000 | -0.000 | -0.000 |
| -0.000 | -0.000 | 0.000 | 160.736 | -0.000 | 0.000 |
| -0.000 | -0.000 | 0.000 | -0.000 | 160.736 | 0.000 |
| -0.000 | -0.000 | 0.000 | -0.000 | 0.000 | 214.735 |
| 550.561 | 122.935 | 20.677 | -0.000 | -0.000 | -0.000 |
| 122.935 | 550.561 | 20.677 | -0.000 | -0.000 | -0.000 |
| 201.489 | 201.489 | 274.433 | -0.000 | 0.000 | 0.000 |
| -0.000 | 0.000 | -0.000 | 155.565 | -0.000 | 0.000 |
| 0.000 | 0.000 | -0.000 | -0.000 | 155.565 | -0.000 |
| -0.000 | -0.000 | 0.000 | -0.000 | 0.000 | 213.813 |
| 550.561 | 122.935 | 20.677 | 0.000 | 0.000 | 0.000 |
| 93.681 | 300.380 | 300.129 | 0.000 | -0.000 | 0.000 |
| 17.892 | 17.892 | 646.110 | 0.000 | -0.000 | -0.000 |
| -0.000 | 0.000 | 0.000 | 155.565 | 0.000 | -0.000 |
| -0.000 | -0.000 | 0.000 | 0.000 | 155.565 | -0.000 |
| 0.000 | 0.000 | 0.000 | 0.000 | 0.000 | 213.813 |
| 550.562 | 122.935 | 20.677 | -0.000 | -0.000 | 0.000 |
| 122.935 | 550.562 | 20.677 | -0.000 | -0.000 | -0.000 |
| 17.892 | 17.892 | 646.110 | -0.000 | -0.000 | -0.000 |
| 0.000 | 0.000 | -0.000 | 155.565 | 0.000 | 0.000 |
| 0.000 | 0.000 | -0.000 | -0.000 | 155.565 | -0.000 |
| 0.000 | 0.000 | -0.000 | -0.000 | -0.000 | 213.813 |
| 550.561 | 122.935 | 20.677 | -0.000 | 0.000 | 0.000 |
| 168.916 | 424.690 | 102.912 | 0.000 | -0.000 | -0.000 |
| 67.878 | 67.878 | 540.804 | 0.000 | -0.000 | 0.000 |
| -0.000 | -0.000 | 0.000 | 155.565 | -0.000 | 0.000 |
| -0.000 | -0.000 | 0.000 | 0.000 | 155.565 | -0.000 |
| -0.000 | -0.000 | 0.000 | 0.000 | 0.000 | 213.813 |
| 443.142 | 172.665 | 80.773 | -0.000 | 0.000 | 0.000 |
| 122.935 | 550.563 | 20.678 | -0.000 | -0.000 | -0.000 |
| 82.247 | 82.247 | 515.193 | -0.000 | -0.000 | -0.000 |
| 0.000 | 0.000 | -0.000 | 155.565 | -0.000 | -0.000 |
| 0.000 | 0.000 | -0.000 | -0.000 | 155.565 | 0.000 |
| 0.000 | 0.000 | -0.000 | -0.000 | -0.000 | 213.813 |
| 437.228 | 178.014 | 79.355 | 0.000 | -0.000 | 0.000 |
| 178.027 | 437.198 | 79.372 | 0.000 | 0.000 | -0.000 |
| 74.088 | 74.088 | 528.539 | 0.000 | -0.000 | -0.000 |
| -0.000 | -0.000 | 0.000 | 155.565 | 0.000 | -0.000 |
| -0.000 | -0.000 | 0.000 | 0.000 | 155.565 | -0.000 |
| -0.000 | -0.000 | 0.000 | 0.000 | 0.000 | 213.813 |
| 547.532 | 117.517 | 27.188 | 9.530 | 0.000 | -0.000 |
| 117.517 | 547.532 | 27.188 | -9.530 | 0.000 | -0.000 |
| 256.900 | 256.900 | 232.172 | 0.000 | 0.000 | 0.000 |
| -0.371 | -6.196 | 64.763 | 131.440 | 0.000 | -0.000 |
| 0.000 | 0.000 | 0.000 | -0.000 | 161.891 | 9.530 |
| 0.000 | 0.000 | 0.000 | 0.000 | 9.530 | 215.007 |
| 547.532 | 117.517 | 27.188 | 9.530 | 0.000 | 0.000 |
| 117.517 | 547.532 | 27.188 | -9.530 | -0.000 | 0.000 |
| 27.191 | 27.191 | 629.287 | -0.000 | -0.000 | 0.000 |
| 9.530 | -9.530 | -0.000 | 161.891 | 0.000 | 0.000 |
| -0.000 | -0.000 | -0.000 | 0.000 | 161.891 | 9.530 |
| -0.000 | -0.000 | -0.000 | 0.000 | 9.530 | 215.007 |
| 398.360 | 241.408 | 51.815 | -0.052 | 0.000 | -0.000 |
| 117.517 | 547.532 | 27.188 | -9.530 | -0.000 | -0.000 |
| 27.191 | 27.191 | 629.287 | 0.000 | 0.000 | -0.000 |
| 17.877 | 17.599 | -30.272 | 103.044 | 0.000 | -0.000 |
| 0.000 | 0.000 | -0.000 | 0.000 | 161.891 | 9.530 |
| 0.000 | 0.000 | -0.000 | 0.000 | 9.530 | 215.007 |
| 547.532 | 117.517 | 27.188 | 9.530 | -0.000 | 0.000 |
| 195.116 | 377.418 | 117.862 | 4.685 | -0.000 | -0.000 |
| 120.116 | 120.116 | 440.466 | 0.000 | -0.000 | -0.000 |
| 9.530 | -9.530 | 0.000 | 161.891 | -0.000 | 0.000 |
| -0.000 | -0.000 | 0.000 | -0.000 | 161.891 | 9.530 |
| -0.000 | -0.000 | 0.000 | -0.000 | 9.530 | 215.007 |
| 433.577 | 166.664 | 92.348 | 0.170 | 0.000 | 0.000 |
| 166.595 | 433.736 | 92.257 | -0.183 | 0.000 | 0.000 |
| 97.311 | 97.311 | 492.868 | 0.000 | 0.000 | 0.000 |
| -0.041 | -0.314 | 0.498 | 114.201 | -0.000 | 0.000 |
| -0.178 | -0.178 | 0.498 | 0.000 | 114.206 | 0.138 |
| 0.000 | 0.000 | -0.000 | 0.000 | 9.530 | 215.007 |
| 547.531 | 117.517 | 27.188 | 9.530 | -0.000 | 0.000 |
| 167.322 | 433.230 | 91.750 | -0.113 | -0.000 | 0.000 |
| 94.608 | 94.608 | 496.526 | -0.000 | -0.000 | -0.000 |
| 9.530 | -9.530 | 0.000 | 161.891 | -0.000 | 0.000 |
| 0.178 | 0.178 | -0.498 | -0.000 | 114.206 | 0.138 |
| -0.000 | -0.000 | 0.000 | -0.000 | 9.530 | 215.007 |
| 245.478 | -82.339 | 344.926 | 6.956 | 0.000 | 0.000 |
| -1115.273 | -694.011 | 2179.843 | -5.780 | 0.000 | 0.000 |
| -161.688 | -161.688 | 823.507 | 0.000 | -0.000 | 0.000 |
| 9.500 | -9.500 | -0.000 | 157.692 | 0.000 | 0.000 |
| 0.000 | 0.000 | -0.000 | 0.000 | 157.692 | 9.500 |
| -743.213 | -743.213 | 1479.070 | 0.000 | -6.210 | 78.478 |
| 548.419 | 119.853 | 25.500 | 9.500 | -0.000 | -0.000 |
| 951.127 | 1106.105 | -1352.582 | 6.325 | -0.000 | -0.000 |
| 863.969 | 863.969 | -1045.268 | 0.000 | 0.000 | -0.000 |
| 233.960 | 219.297 | -268.703 | 139.796 | -0.000 | -0.000 |
| -0.000 | -0.000 | 0.000 | -0.000 | 157.692 | 9.500 |
| 743.213 | 743.213 | -1479.070 | -0.000 | -6.210 | 78.478 |
| 315.243 | 126.682 | 254.239 | -4.382 | 0.000 | 0.000 |
| 119.854 | 548.419 | 25.500 | -9.500 | 0.000 | 0.000 |
| 7.435 | 7.435 | 656.921 | 0.000 | 0.000 | 0.000 |
| 9.500 | -9.500 | -0.000 | 157.692 | 0.000 | 0.000 |
| 0.000 | 0.000 | -0.000 | 0.000 | 157.692 | 9.500 |
| 0.000 | 0.000 | -0.000 | 0.000 | 9.500 | 214.283 |
| 548.418 | 119.853 | 25.500 | 9.500 | -0.000 | 0.000 |
| 119.854 | 548.418 | 25.500 | -9.500 | -0.000 | -0.000 |
| 117.777 | 117.777 | 464.855 | -0.000 | 0.000 | -0.000 |
| 65.997 | 77.284 | -142.571 | 80.996 | 0.000 | -0.000 |
| -0.000 | -0.000 | 0.000 | -0.000 | 157.692 | 9.500 |
| -0.000 | -0.000 | 0.000 | -0.000 | 9.500 | 214.283 |
| 425.356 | 174.196 | 92.677 | 1.043 | 0.000 | 0.000 |
| 164.885 | 429.536 | 101.386 | -0.019 | 0.000 | 0.000 |
| 81.810 | 81.810 | 515.135 | 0.000 | -0.000 | 0.000 |
| -2.964 | -6.423 | 7.845 | 112.666 | 0.000 | 0.000 |
| 0.000 | 0.000 | -0.000 | 0.000 | 157.692 | 9.500 |
| -4.274 | -4.274 | 7.323 | 0.000 | 2.166 | 132.204 |
| 438.054 | 174.077 | 83.771 | -0.020 | -0.000 | -0.000 |
| 159.823 | 437.365 | 96.862 | -0.878 | -0.000 | -0.000 |
| 90.218 | 90.218 | 498.403 | -0.000 | -0.000 | -0.000 |
| 9.500 | -9.500 | 0.000 | 157.693 | 0.000 | -0.000 |
| -0.000 | -0.000 | 0.000 | -0.000 | 157.692 | 9.500 |
| 4.274 | 4.274 | -7.323 | -0.000 | 2.166 | 132.204 |
| 421.038 | 224.693 | 224.693 | -0.000 | -0.000 | 0.000 |
| 224.693 | 421.038 | 224.693 | -0.000 | -0.000 | 0.000 |
| 224.693 | 224.693 | 421.038 | -0.000 | -0.000 | 0.000 |
| 0.000 | 0.000 | 0.000 | 85.464 | -0.000 | -0.000 |
| 0.000 | 0.000 | 0.000 | -0.000 | 85.464 | -0.000 |
| 0.000 | 0.000 | 0.000 | -0.000 | 0.000 | 85.464 |
| 421.038 | 224.693 | 224.693 | 0.000 | -0.000 | -0.000 |
| 224.693 | 421.038 | 224.693 | -0.000 | 0.000 | -0.000 |
| 224.693 | 224.693 | 421.038 | 0.000 | 0.000 | -0.000 |
| -0.000 | -0.000 | -0.000 | 85.464 | 0.000 | 0.000 |
| -0.000 | -0.000 | -0.000 | 0.000 | 85.464 | -0.000 |
| -0.000 | -0.000 | -0.000 | 0.000 | -0.000 | 85.464 |
| 421.038 | 224.693 | 224.693 | -0.000 | 0.000 | 0.000 |
| 224.693 | 421.038 | 224.693 | 0.000 | -0.000 | -0.000 |
| 224.693 | 224.693 | 421.038 | -0.000 | -0.000 | -0.000 |
| -0.000 | -0.000 | 0.000 | 85.464 | -0.000 | -0.000 |
| -0.000 | -0.000 | 0.000 | -0.000 | 85.464 | 0.000 |
| -0.000 | 0.000 | -0.000 | 0.000 | 0.000 | 85.464 |
| 421.038 | 224.693 | 224.693 | 0.000 | -0.000 | 0.000 |
| 224.693 | 421.038 | 224.693 | -0.000 | 0.000 | 0.000 |
| 224.693 | 224.693 | 421.038 | 0.000 | 0.000 | 0.000 |
| 0.000 | 0.000 | -0.000 | 85.464 | 0.000 | -0.000 |
| 0.000 | 0.000 | -0.000 | 0.000 | 85.464 | 0.000 |
| 0.000 | -0.000 | 0.000 | 0.000 | -0.000 | 85.464 |
| 421.038 | 224.694 | 224.694 | -0.000 | -0.000 | 0.000 |
| 224.694 | 421.038 | 224.694 | -0.000 | -0.000 | 0.000 |
| 224.694 | 224.694 | 421.038 | -0.000 | -0.000 | 0.000 |
| -0.000 | -0.000 | 0.000 | 85.464 | -0.000 | 0.000 |
| -0.000 | -0.000 | 0.000 | -0.000 | 85.464 | 0.000 |
| -0.000 | 0.000 | -0.000 | 0.000 | 0.000 | 85.464 |
| 421.037 | 224.692 | 224.692 | 0.000 | -0.000 | 0.000 |
| 224.692 | 421.037 | 224.692 | -0.000 | 0.000 | -0.000 |
| 224.692 | 224.692 | 421.037 | 0.000 | 0.000 | -0.000 |
| 0.000 | 0.000 | -0.000 | 85.464 | 0.000 | 0.000 |
| 0.000 | 0.000 | -0.000 | 0.000 | 85.464 | -0.000 |
| 0.000 | -0.000 | 0.000 | -0.000 | -0.000 | 85.464 |
| 790.215 | -27.429 | -27.429 | -0.000 | 0.000 | -0.000 |
| -27.429 | 790.215 | -27.429 | -0.000 | 0.000 | -0.000 |
| -27.429 | -27.429 | 790.215 | -0.000 | -0.000 | -0.000 |
| -0.000 | 0.000 | 0.000 | -169.021 | -0.000 | -0.000 |
| 0.000 | -0.000 | 0.000 | -0.000 | -169.021 | 0.000 |
| 0.000 | 0.000 | -0.000 | -0.000 | 0.000 | -169.021 |
| 790.214 | -27.429 | -27.429 | -0.000 | -0.000 | 0.000 |
| -27.429 | 790.214 | -27.429 | 0.000 | 0.000 | -0.000 |
| -27.429 | -27.429 | 790.214 | -0.000 | 0.000 | 0.000 |
| 0.000 | -0.000 | -0.000 | -169.021 | 0.000 | -0.000 |
| -0.000 | 0.000 | -0.000 | 0.000 | -169.021 | -0.000 |
| -0.000 | -0.000 | 0.000 | 0.000 | 0.000 | -169.021 |
| 790.219 | -27.431 | -27.431 | -0.000 | -0.000 | -0.000 |
| -27.431 | 790.219 | -27.431 | 0.000 | 0.000 | -0.000 |
| -27.431 | -27.431 | 790.219 | -0.000 | -0.000 | -0.000 |
| -0.003 | 0.001 | 0.001 | -169.021 | 0.000 | 0.000 |
| 0.001 | -0.003 | 0.001 | -0.000 | -169.021 | 0.000 |
| 0.001 | 0.001 | -0.003 | 0.000 | -0.000 | -169.021 |
| 790.214 | -27.429 | -27.429 | -0.000 | 0.000 | -0.000 |
| -27.429 | 790.214 | -27.429 | -0.000 | -0.000 | -0.000 |
| -27.780 | -27.780 | 790.916 | -0.000 | 0.000 | 0.000 |
| 0.003 | -0.001 | -0.001 | -169.021 | 0.000 | -0.000 |
| -0.001 | 0.003 | -0.001 | 0.000 | -169.021 | -0.000 |
| -0.001 | -0.001 | 0.003 | -0.000 | 0.000 | -169.021 |
| 790.257 | -27.449 | -27.449 | -0.000 | -0.000 | -0.000 |
| -27.449 | 790.257 | -27.449 | 0.000 | -0.000 | -0.000 |
| -27.449 | -27.449 | 790.257 | -0.000 | -0.000 | -0.000 |
| -0.033 | 0.014 | 0.014 | -169.042 | -0.000 | -0.000 |
| 0.014 | -0.033 | 0.014 | -0.000 | -169.042 | 0.000 |
| 0.014 | 0.014 | -0.033 | -0.000 | -0.000 | -169.042 |
| 790.168 | -27.407 | -27.407 | -0.000 | 0.000 | 0.000 |
| -27.407 | 790.168 | -27.407 | -0.000 | -0.000 | -0.000 |
| -27.407 | -27.407 | 790.168 | 0.000 | 0.000 | 0.000 |
| 0.033 | -0.014 | -0.014 | -169.042 | 0.000 | -0.000 |
| -0.014 | 0.033 | -0.014 | 0.000 | -169.042 | 0.000 |
| -0.014 | -0.014 | 0.033 | 0.000 | 0.000 | -169.042 |
| 2261.460 | 1781.984 | 1781.984 | -0.000 | -0.000 | -0.000 |
| 1781.984 | 2261.460 | 1781.984 | -0.000 | -0.000 | -0.000 |
| 1781.984 | 1781.984 | 2261.460 | -0.000 | -0.000 | -0.000 |
| 0.000 | -0.000 | -0.000 | 434.172 | -0.000 | -0.000 |
| -0.000 | 0.000 | -0.000 | -0.000 | 434.172 | 0.000 |
| -0.000 | -0.000 | 0.000 | -0.000 | -0.000 | 434.172 |
| 1838.701 | 1993.361 | 1993.361 | 0.000 | 0.000 | -0.000 |
| 1993.361 | 1838.701 | 1993.361 | 0.000 | 0.000 | 0.000 |
| 1993.361 | 1993.361 | 1838.701 | 0.000 | 0.000 | 0.000 |
| -0.000 | 0.000 | 0.000 | 434.172 | 0.000 | 0.000 |
| 0.000 | -0.000 | 0.000 | 0.000 | 434.172 | 0.000 |
| 0.000 | 0.000 | -0.000 | 0.000 | 0.000 | 434.172 |
| 1838.720 | 1993.365 | 1993.365 | -0.000 | -0.000 | -0.000 |
| 1993.365 | 1838.720 | 1993.365 | -0.000 | -0.000 | 0.000 |
| 1993.365 | 1993.365 | 1838.720 | -0.000 | -0.000 | -0.000 |
| -0.003 | 0.001 | 0.001 | 240.515 | -0.000 | -0.000 |
| 0.001 | -0.003 | 0.001 | -0.000 | 240.515 | 0.000 |
| 0.001 | 0.001 | -0.003 | -0.000 | -0.000 | 240.515 |
| 1838.685 | 1993.358 | 1993.358 | 0.000 | 0.000 | -0.000 |
| 1993.358 | 1838.685 | 1993.358 | -0.000 | 0.000 | -0.000 |
| 1993.358 | 1993.358 | 1838.685 | 0.000 | 0.000 | -0.000 |
| 0.003 | -0.001 | -0.001 | 240.515 | 0.000 | -0.000 |
| -0.001 | 0.003 | -0.001 | 0.000 | 240.515 | 0.000 |
| -0.001 | -0.001 | 0.003 | 0.000 | 0.000 | 240.515 |
| 1838.881 | 1993.397 | 1993.397 | -0.000 | -0.000 | -0.000 |
| 1993.397 | 1838.881 | 1993.397 | 0.000 | -0.000 | -0.000 |
| 1993.397 | 1993.397 | 1838.881 | -0.000 | -0.000 | 0.000 |
| -0.026 | 0.012 | 0.013 | 240.522 | -0.000 | -0.000 |
| 0.012 | -0.026 | 0.013 | -0.000 | 240.522 | 0.000 |
| 0.012 | 0.013 | -0.026 | -0.000 | -0.000 | 240.522 |
| 1838.623 | 1993.278 | 1993.278 | 0.000 | 0.000 | -0.000 |
| 1993.278 | 1838.623 | 1993.278 | -0.000 | 0.000 | 0.000 |
| 1993.278 | 1993.278 | 1838.623 | 0.000 | 0.000 | 0.000 |
| 0.026 | -0.012 | -0.013 | 240.522 | 0.000 | 0.000 |
| -0.012 | 0.026 | -0.013 | 0.000 | 240.522 | 0.000 |
| -0.012 | -0.013 | 0.026 | 0.000 | 0.000 | 240.522 |
| 653.905 | 63.389 | 63.389 | 0.000 | 0.000 | 0.000 |
| 63.389 | 653.905 | 63.389 | 0.000 | 0.000 | 0.000 |
| 63.389 | 63.389 | 653.905 | 0.000 | 0.000 | 0.000 |
| 0.000 | 0.000 | -0.000 | -91.065 | 0.000 | 0.000 |
| 0.000 | 0.000 | 0.000 | 0.000 | -91.065 | 0.000 |
| 0.000 | -0.000 | 0.000 | 0.000 | 0.000 | -91.065 |
| 653.905 | 63.389 | 63.389 | -0.000 | -0.000 | -0.000 |
| 63.389 | 653.905 | 63.389 | -0.000 | -0.000 | -0.000 |
| 63.389 | 63.389 | 653.905 | -0.000 | 0.000 | -0.000 |
| -0.000 | -0.000 | -0.000 | -91.065 | -0.000 | -0.000 |
| -0.000 | -0.000 | 0.000 | -0.000 | -91.065 | -0.000 |
| -0.000 | -0.000 | -0.000 | -0.000 | -0.000 | -91.065 |
| 653.905 | 63.389 | 63.389 | 0.000 | 0.000 | 0.000 |
| 63.389 | 653.905 | 63.389 | 0.000 | 0.000 | 0.000 |
| 63.389 | 63.389 | 653.905 | -0.000 | 0.000 | 0.000 |
| 0.000 | -0.000 | -0.000 | -91.065 | 0.000 | 0.000 |
| -0.000 | 0.000 | -0.000 | 0.000 | -91.065 | 0.000 |
| -0.000 | -0.000 | 0.000 | 0.000 | 0.000 | -91.065 |
| 653.905 | 63.389 | 63.389 | 0.000 | -0.000 | -0.000 |
| 63.389 | 653.905 | 63.389 | -0.000 | -0.000 | -0.000 |
| 63.389 | 63.389 | 653.905 | -0.000 | 0.000 | -0.000 |
| -0.000 | 0.000 | 0.000 | -91.065 | -0.000 | -0.000 |
| 0.000 | -0.000 | 0.000 | -0.000 | -91.065 | -0.000 |
| 0.000 | 0.000 | -0.000 | -0.000 | -0.000 | -91.065 |
| 653.907 | 63.390 | 63.390 | -0.000 | 0.000 | 0.000 |
| 63.390 | 653.907 | 63.390 | 0.000 | 0.000 | 0.000 |
| 63.390 | 63.390 | 653.907 | 0.000 | 0.000 | 0.000 |
| 0.001 | -0.000 | -0.001 | -91.065 | 0.000 | 0.000 |
| -0.000 | 0.001 | -0.001 | 0.000 | -91.065 | 0.000 |
| -0.000 | -0.001 | 0.001 | 0.000 | 0.000 | -91.065 |
| 653.903 | 63.388 | 63.388 | 0.000 | -0.000 | -0.000 |
| 63.388 | 653.903 | 63.388 | 0.000 | -0.000 | -0.000 |
| 63.388 | 63.388 | 653.903 | -0.000 | -0.000 | -0.000 |
| -0.001 | 0.000 | 0.001 | -91.065 | -0.000 | -0.000 |
| 0.000 | -0.001 | 0.001 | -0.000 | -91.065 | -0.000 |
| 0.000 | 0.001 | -0.001 | -0.000 | -0.000 | -91.065 |
| 638.721 | 198.886 | 198.886 | -0.000 | -0.000 | 0.000 |
| 198.886 | 638.721 | 198.886 | 0.000 | 0.000 | -0.000 |
| 198.886 | 198.886 | 638.721 | 0.000 | 0.000 | -0.000 |
| 0.000 | 0.000 | 0.000 | 175.524 | -0.000 | 0.000 |
| 0.000 | 0.000 | 0.000 | -0.000 | 175.524 | -0.000 |
| 0.000 | 0.000 | 0.000 | -0.000 | 0.000 | 175.524 |
| 638.721 | 198.886 | 198.886 | -0.000 | 0.000 | 0.000 |
| 198.886 | 638.721 | 198.886 | 0.000 | 0.000 | 0.000 |
| 198.886 | 198.886 | 638.721 | -0.000 | -0.000 | 0.000 |
| -0.000 | -0.000 | -0.000 | 175.524 | 0.000 | 0.000 |
| -0.000 | -0.000 | -0.000 | -0.000 | 175.524 | 0.000 |
| -0.000 | -0.000 | -0.000 | -0.000 | 0.000 | 175.524 |
| 638.721 | 198.886 | 198.886 | 0.000 | -0.000 | -0.000 |
| 198.886 | 638.721 | 198.886 | -0.000 | -0.000 | 0.000 |
| 198.886 | 198.886 | 638.721 | 0.000 | -0.000 | -0.000 |
| 0.000 | 0.000 | 0.000 | 175.524 | -0.000 | 0.000 |
| 0.000 | 0.000 | 0.000 | 0.000 | 175.524 | 0.000 |
| 0.000 | 0.000 | 0.000 | -0.000 | -0.000 | 175.524 |
| 638.721 | 198.886 | 198.886 | -0.000 | 0.000 | 0.000 |
| 198.886 | 638.721 | 198.886 | -0.000 | 0.000 | 0.000 |
| 198.886 | 198.886 | 638.721 | -0.000 | -0.000 | 0.000 |
| -0.000 | -0.000 | -0.000 | 175.524 | -0.000 | -0.000 |
| -0.000 | -0.000 | -0.000 | -0.000 | 175.524 | 0.000 |
| -0.000 | -0.000 | -0.000 | -0.000 | 0.000 | 175.524 |
| 638.723 | 198.887 | 198.887 | 0.000 | 0.000 | -0.000 |
| 198.887 | 638.723 | 198.887 | 0.000 | -0.000 | 0.000 |
| 198.887 | 198.887 | 638.723 | -0.000 | -0.000 | -0.000 |
| 0.000 | 0.000 | 0.000 | 175.524 | -0.000 | 0.000 |
| 0.000 | 0.000 | 0.000 | 0.000 | 175.524 | -0.000 |
| 0.000 | 0.000 | 0.000 | 0.000 | -0.000 | 175.524 |
| 638.720 | 198.885 | 198.885 | -0.000 | 0.000 | 0.000 |
| 198.885 | 638.720 | 198.885 | -0.000 | 0.000 | -0.000 |
| 198.885 | 198.885 | 638.720 | -0.000 | -0.000 | 0.000 |
| -0.000 | -0.000 | -0.000 | 175.524 | 0.000 | 0.000 |
| -0.000 | -0.000 | -0.000 | 0.000 | 175.524 | 0.000 |
| -0.000 | -0.000 | -0.000 | -0.000 | 0.000 | 175.524 |
| -1976231.614 | 1224680.334 | -7630840.100 | 2530591.495 | 1863606.319 | 98650.990 |
| -6253673.153 | -3254362.252 | -12102734.946 | 1179085.826 | -2385441.221 | -1163968.839 |
| -4561878.844 | -1043273.442 | -8082794.235 | 2628332.274 | 734517.856 | 1398726.281 |
| -3064261.363 | 3329006.457 | -8525058.813 | 2444217.358 | 1755302.609 | 103534.526 |
| -7017195.874 | 1815829.654 | -8740810.287 | 3699405.239 | -2066300.300 | 87687.477 |
| -845531.770 | 1873488.736 | -8640914.636 | 3993280.327 | 403615.104 | -224471.147 |
| 6915582.139 | -296614.306 | 9930165.895 | -1386781.366 | -925256.418 | -1140515.296 |
| 1254948.279 | -4409175.710 | 5821958.500 | -3606095.097 | -649761.243 | -339132.042 |
| 2785990.066 | -1312349.574 | 13775922.260 | -2662073.817 | -1149173.037 | -610020.987 |
| 5078584.727 | -841289.153 | 10397601.068 | -4143610.013 | -198683.967 | -1302704.751 |
| 5580974.074 | -58492.978 | 11911108.574 | -2558937.026 | -1676565.326 | -2234013.657 |
| 9979285.730 | -672695.125 | 8290975.070 | -3379730.866 | -1338179.107 | -3250214.977 |
| -503971.079 | 185199.336 | -1091242.322 | 193514.486 | 1991.185 | 116291.015 |
| -281084.526 | 187076.443 | -994493.782 | 249982.069 | -36109.608 | 111918.974 |
| 154627.146 | -160529.603 | -1082273.217 | 210997.860 | -25237.971 | 25430.192 |
| -443127.305 | 277755.263 | -851513.909 | 402107.993 | -39014.884 | 121910.145 |
| -123291.658 | 351886.994 | -1259756.342 | 448722.802 | 25680.599 | 112866.737 |
| -116458.071 | 191404.474 | -1009147.402 | 346802.069 | 65901.643 | 180598.822 |
| 322146.891 | -46881.194 | 848818.780 | -529436.943 | -194110.925 | -29155.912 |
| 248637.102 | -210503.377 | 829213.823 | -467440.893 | -84952.327 | -232433.614 |
| 467413.666 | -228962.169 | 1076757.554 | -495455.164 | 28642.030 | -133579.871 |
| 295631.161 | -148444.606 | 817506.175 | -263209.258 | 127204.738 | -262789.091 |
| 244644.128 | -374752.706 | 1060063.253 | -533380.648 | 10343.851 | -78676.084 |
| 393697.904 | -500492.503 | 887488.698 | -281860.469 | 154400.565 | 29206.473 |
| -25395.120 | 19768.226 | -106205.525 | 38481.622 | 11077.207 | 22023.860 |
| -38353.336 | 14667.615 | -94789.042 | 32718.697 | -6189.045 | 7592.143 |
| -63817.047 | 5097.336 | -133189.898 | 33335.989 | -11170.875 | 15572.654 |
| -7244.833 | -24218.235 | -71785.793 | 27319.357 | -7928.588 | -872.911 |
| -56230.882 | 13672.996 | -86932.874 | 32328.143 | -3788.530 | 1440.803 |
| -49594.803 | 21284.616 | -68582.539 | 26942.418 | -11586.710 | 13787.591 |
| 48445.772 | -24562.103 | 61878.119 | -30090.331 | -527.010 | -7363.493 |
| 70529.897 | -7820.482 | 105165.932 | -14699.899 | 3365.521 | -10141.512 |
| 58303.695 | 2109.791 | 81613.056 | -36027.138 | 11500.036 | -7559.693 |
| 48558.758 | 9459.015 | 119369.908 | -27583.899 | -6063.179 | 7246.257 |
| 70150.680 | 21894.215 | 86861.105 | -44477.228 | 6791.766 | -3384.571 |
| 49631.401 | -32341.664 | 72205.421 | -31711.624 | 5407.614 | -15345.680 |
| 609.463 | 13.643 | 13.643 | -0.000 | -0.000 | -0.000 |
| 13.643 | 609.463 | 13.643 | -0.000 | -0.000 | -0.000 |
| 13.643 | 13.643 | 609.463 | -0.000 | -0.000 | -0.000 |
| 0.000 | 0.000 | 0.000 | 190.153 | -0.000 | -0.000 |
| 0.000 | 0.000 | 0.000 | -0.000 | 190.153 | 0.000 |
| 0.000 | 0.000 | 0.000 | -0.000 | -0.000 | 190.153 |
| 609.463 | 13.643 | 13.643 | 0.000 | 0.000 | -0.000 |
| 13.642 | 609.463 | 13.643 | -0.000 | 0.000 | 0.000 |
| 13.642 | 13.642 | 609.463 | 0.000 | 0.000 | 0.000 |
| -0.000 | -0.000 | -0.000 | 190.153 | 0.000 | 0.000 |
| -0.000 | -0.000 | -0.000 | 0.000 | 190.153 | 0.000 |
| -0.000 | -0.000 | -0.000 | 0.000 | 0.000 | 190.153 |
| 609.463 | 13.643 | 13.643 | -0.000 | -0.000 | -0.000 |
| 13.643 | 609.463 | 13.643 | 0.000 | -0.000 | -0.000 |
| 13.643 | 13.643 | 609.463 | -0.000 | -0.000 | -0.000 |
| 0.000 | 0.000 | 0.000 | 190.153 | -0.000 | -0.000 |
| 0.000 | 0.000 | 0.000 | -0.000 | 190.153 | -0.000 |
| 0.000 | 0.000 | 0.000 | -0.000 | -0.000 | 190.153 |
| 609.463 | 13.642 | 13.642 | 0.000 | -0.000 | -0.000 |
| 13.642 | 609.463 | 13.642 | -0.000 | 0.000 | 0.000 |
| 13.642 | 13.642 | 609.463 | 0.000 | 0.000 | 0.000 |
| -0.000 | -0.000 | -0.000 | 190.153 | 0.000 | 0.000 |
| -0.000 | -0.000 | -0.000 | 0.000 | 190.153 | -0.000 |
| -0.000 | -0.000 | -0.000 | 0.000 | 0.000 | 190.153 |
| 609.464 | 13.643 | 13.643 | -0.000 | -0.000 | -0.000 |
| 13.643 | 609.464 | 13.643 | -0.000 | -0.000 | -0.000 |
| 13.643 | 13.643 | 609.464 | -0.000 | -0.000 | -0.000 |
| 0.000 | 0.000 | 0.000 | 190.153 | -0.000 | -0.000 |
| 0.000 | 0.000 | 0.000 | -0.000 | 190.153 | 0.000 |
| 0.000 | 0.000 | 0.000 | -0.000 | -0.000 | 190.153 |
| 609.462 | 13.642 | 13.642 | 0.000 | 0.000 | 0.000 |
| 13.642 | 609.462 | 13.642 | 0.000 | 0.000 | 0.000 |
| 13.642 | 13.642 | 609.462 | 0.000 | 0.000 | 0.000 |
| -0.000 | -0.000 | -0.000 | 190.153 | 0.000 | 0.000 |
| -0.000 | -0.000 | -0.000 | 0.000 | 190.153 | -0.000 |
| -0.000 | -0.000 | -0.000 | 0.000 | 0.000 | 190.153 |
| 310.926 | 133.119 | 133.119 | -0.000 | 0.000 | 0.000 |
| 133.119 | 310.926 | 133.119 | -0.000 | 0.000 | 0.000 |
| 133.119 | 133.119 | 310.926 | -0.000 | -0.000 | 0.000 |
| -0.000 | 0.000 | -0.000 | -346.400 | 0.000 | 0.000 |
| 81674139.485 | 98457410.336 | 79074902.412 | 1248278.995 | -11709394.431 | -19727309.138 |
| 76828334.247 | 55499866.615 | 77773278.759 | -5161801.880 | -3637059.902 | -2741756.562 |
| 275.142 | 151.011 | 151.011 | 0.000 | -0.000 | -0.000 |
| 151.011 | 275.142 | 151.011 | -0.000 | -0.000 | -0.000 |
| 151.011 | 151.011 | 275.142 | -0.000 | -0.000 | -0.000 |
| -115849323.273 | -52754931.848 | -70475186.293 | 9676322.858 | 3896980.770 | 3633585.562 |
| -73431939.534 | -107714116.955 | -92983713.359 | -9179279.939 | 5059921.197 | -9388623.699 |
| -84341266.372 | -76076318.687 | -110146993.351 | 2540736.839 | -9740678.144 | 4923432.873 |
| 275.143 | 151.011 | 151.011 | 0.000 | 0.000 | 0.000 |
| 151.011 | 275.143 | 151.011 | 0.000 | 0.000 | 0.000 |
| 151.011 | 151.011 | 275.143 | 0.000 | 0.000 | 0.000 |
| 10062348.551 | 6597629.103 | 6973739.920 | -441311.027 | -676000.778 | -797557.751 |
| 11471960.234 | 10112939.542 | 8409175.953 | 183938.267 | 841094.301 | -105011.200 |
| 7214977.530 | 5643992.882 | 7338794.003 | -1098831.366 | -1661237.023 | -700377.313 |
| 310.926 | 133.119 | 133.119 | 0.000 | -0.000 | -0.000 |
| 133.119 | 310.926 | 133.119 | 0.000 | -0.000 | -0.000 |
| 133.119 | 133.119 | 310.926 | -0.000 | -0.000 | -0.000 |
| -6915873.047 | -8153625.061 | -6397783.663 | 7179.918 | 797748.798 | -271889.017 |
| -6407858.297 | -12980642.924 | -6409418.775 | -840256.161 | -342158.881 | 1383205.162 |
| -6932315.853 | -9315045.654 | -9886571.522 | -2709916.832 | 769207.364 | -272222.782 |
| 275.144 | 151.011 | 151.011 | 0.000 | 0.000 | 0.000 |
| 151.011 | 275.144 | 151.011 | 0.000 | 0.000 | 0.000 |
| 151.011 | 151.011 | 275.144 | 0.000 | 0.000 | 0.000 |
| 739477.380 | 796280.881 | 646427.738 | -50555.544 | 173629.522 | 108544.028 |
| 879074.394 | 709619.153 | 639155.482 | -12308.805 | -212498.299 | 242754.299 |
| 851215.855 | 602985.508 | 687204.775 | -33483.218 | -28319.853 | -254606.628 |
| 275.141 | 151.010 | 151.010 | -0.000 | -0.000 | -0.000 |
| 151.010 | 275.141 | 151.010 | -0.000 | -0.000 | -0.000 |
| 151.010 | 151.010 | 275.141 | -0.000 | -0.000 | -0.000 |
| -573151.841 | -866456.616 | -412756.783 | 100104.733 | 33230.577 | 167366.911 |
| -540701.030 | -867233.932 | -634473.724 | -4612.750 | -123940.152 | 46583.064 |
| -473343.762 | -534361.918 | -649148.882 | 37458.689 | 40370.084 | -95337.061 |
| 6461.538 | 6607.987 | 6607.987 | -0.000 | 0.000 | 0.000 |
| 6607.987 | 6461.538 | 6607.987 | -0.000 | -0.000 | -0.000 |
| 6607.987 | 6607.987 | 6461.538 | -0.000 | 0.000 | 0.000 |
| -0.008 | 0.001 | 0.001 | 2234.508 | 0.000 | 0.000 |
| 0.001 | -0.008 | 0.001 | -0.000 | 2234.508 | 0.000 |
| 0.001 | 0.001 | -0.008 | -0.000 | -0.000 | 2234.509 |
| 6459.427 | 6609.049 | 6609.049 | 0.000 | -0.000 | -0.000 |
| 6609.049 | 6459.427 | 6609.049 | 0.000 | 0.000 | -0.000 |
| 6609.049 | 6609.049 | 6459.427 | 0.000 | 0.000 | -0.000 |
| 0.008 | -0.001 | -0.001 | 2234.509 | -0.000 | -0.000 |
| -0.001 | 0.008 | -0.001 | 0.000 | 2234.508 | -0.000 |
| -0.001 | -0.001 | 0.008 | 0.000 | 0.000 | 2234.508 |
| 6459.468 | 6608.989 | 6608.989 | 0.000 | 0.000 | 0.000 |
| 6608.989 | 6459.468 | 6608.989 | 0.000 | 0.000 | 0.000 |
| 6608.989 | 6608.989 | 6459.468 | 0.000 | 0.000 | 0.000 |
| -0.043 | -0.011 | -0.011 | 2234.212 | -0.000 | 0.000 |
| -0.011 | -0.043 | -0.011 | -0.000 | 2234.212 | 0.000 |
| -0.011 | -0.011 | -0.043 | -0.000 | 0.000 | 2234.212 |
| 6459.519 | 6609.036 | 6609.036 | -0.000 | -0.000 | -0.000 |
| 6609.036 | 6459.519 | 6609.036 | -0.000 | -0.000 | -0.000 |
| 6609.036 | 6609.036 | 6459.519 | -0.000 | -0.000 | -0.000 |
| 0.043 | 0.011 | 0.011 | 2234.212 | 0.000 | -0.000 |
| 0.011 | 0.043 | 0.011 | 0.000 | 2234.212 | 0.000 |
| 0.011 | 0.011 | 0.043 | 0.000 | -0.000 | 2234.212 |
| 6459.236 | 6608.777 | 6608.777 | -0.000 | 0.000 | 0.000 |
| 6608.777 | 6459.236 | 6608.777 | -0.000 | -0.000 | 0.000 |
| 6608.777 | 6608.777 | 6459.236 | -0.000 | 0.000 | 0.000 |
| -0.211 | -0.219 | -0.214 | 2234.212 | 0.000 | 0.000 |
| -0.219 | -0.211 | -0.214 | -0.000 | 2234.212 | 0.000 |
| -0.219 | -0.214 | -0.211 | -0.000 | 0.000 | 2234.212 |
| 6459.749 | 6609.249 | 6609.249 | 0.000 | -0.000 | -0.000 |
| 6609.249 | 6459.749 | 6609.249 | 0.000 | 0.000 | -0.000 |
| 6609.249 | 6609.249 | 6459.749 | 0.000 | 0.000 | -0.000 |
| 0.211 | 0.219 | 0.214 | 2234.212 | -0.000 | -0.000 |
| 0.219 | 0.211 | 0.214 | 0.000 | 2234.212 | -0.000 |
| 0.219 | 0.214 | 0.211 | 0.000 | 0.000 | 2234.212 |
| 3556.590 | -1463.111 | -1463.111 | -0.000 | 0.000 | 0.000 |
| -1463.111 | 3556.590 | -1463.111 | -0.000 | 0.000 | 0.000 |
| -1463.111 | -1463.111 | 3556.590 | 0.000 | 0.000 | 0.000 |
| -0.000 | 0.000 | 0.000 | 142.250 | 0.000 | -0.000 |
| 0.000 | -0.000 | 0.000 | -0.000 | 142.250 | 0.000 |
| 0.000 | 0.000 | -0.000 | -0.000 | -0.000 | 142.250 |
| 3556.589 | -1463.111 | -1463.111 | 0.000 | -0.000 | -0.000 |
| -1463.111 | 3556.589 | -1463.111 | 0.000 | -0.000 | -0.000 |
| -1463.111 | -1463.111 | 3556.589 | 0.000 | 0.000 | -0.000 |
| 0.000 | -0.000 | -0.000 | 142.250 | -0.000 | -0.000 |
| -0.000 | 0.000 | -0.000 | 0.000 | 142.250 | -0.000 |
| -0.000 | -0.000 | 0.000 | 0.000 | -0.000 | 142.250 |
| 3556.591 | -1463.112 | -1463.112 | -0.000 | 0.000 | 0.000 |
| -1463.112 | 3556.591 | -1463.112 | -0.000 | 0.000 | 0.000 |
| -1463.112 | -1463.112 | 3556.591 | -0.000 | 0.000 | 0.000 |
| -0.001 | 0.000 | 0.000 | 142.250 | 0.000 | 0.000 |
| 0.000 | -0.001 | 0.000 | 0.000 | 142.250 | 0.000 |
| 0.000 | 0.000 | -0.001 | -0.000 | 0.000 | 142.250 |
| 3556.588 | -1463.111 | -1463.111 | 0.000 | 0.000 | -0.000 |
| -1463.111 | 3556.588 | -1463.111 | 0.000 | -0.000 | -0.000 |
| -1463.111 | -1463.111 | 3556.588 | -0.000 | -0.000 | -0.000 |
| 0.001 | -0.000 | -0.000 | 142.250 | -0.000 | 0.000 |
| -0.000 | 0.001 | -0.000 | -0.000 | 142.250 | -0.000 |
| -0.000 | -0.000 | 0.001 | 0.000 | 0.000 | 142.250 |
| 3556.603 | -1463.118 | -1463.118 | -0.000 | -0.000 | 0.000 |
| -1463.118 | 3556.603 | -1463.118 | -0.000 | -0.000 | 0.000 |
| -1463.118 | -1463.118 | 3556.603 | -0.000 | 0.000 | 0.000 |
| -0.006 | 0.005 | 0.002 | 142.250 | 0.000 | 0.000 |
| 0.005 | -0.006 | 0.002 | 0.000 | 142.250 | 0.000 |
| 0.005 | 0.002 | -0.006 | 0.000 | 0.000 | 142.250 |
| 3556.576 | -1463.105 | -1463.105 | -0.000 | -0.000 | -0.000 |
| -1463.105 | 3556.576 | -1463.105 | 0.000 | -0.000 | -0.000 |
| -1463.105 | -1463.105 | 3556.576 | 0.000 | -0.000 | -0.000 |
| 0.006 | -0.005 | -0.002 | 142.250 | 0.000 | -0.000 |
| -0.005 | 0.006 | -0.002 | -0.000 | 142.250 | -0.000 |
| -0.005 | -0.002 | 0.006 | 0.000 | 0.000 | 142.250 |
| 498.472 | 53.774 | 85.980 | -0.000 | 0.000 | 0.000 |
| 53.774 | 498.472 | 85.980 | -0.000 | 0.000 | 0.000 |
| 85.980 | 85.980 | 461.827 | -0.000 | 0.000 | 0.000 |
| 0.000 | 0.000 | 0.000 | 253.764 | 0.000 | 0.000 |
| 0.000 | 0.000 | 0.000 | -0.000 | 253.764 | -0.000 |
| 0.000 | 0.000 | 0.000 | -0.000 | -0.000 | 213.463 |
| 498.472 | 53.774 | 85.980 | 0.000 | -0.000 | 0.000 |
| 53.774 | 498.472 | 85.980 | 0.000 | -0.000 | -0.000 |
| 85.980 | 85.980 | 461.827 | 0.000 | -0.000 | -0.000 |
| -0.000 | -0.000 | -0.000 | 253.764 | -0.000 | -0.000 |
| -0.000 | -0.000 | -0.000 | 0.000 | 253.764 | -0.000 |
| -0.000 | -0.000 | -0.000 | 0.000 | -0.000 | 213.463 |
| 489.586 | 62.660 | 85.980 | -0.000 | 0.000 | -0.000 |
| 62.660 | 489.586 | 85.980 | -0.000 | -0.000 | 0.000 |
| 85.980 | 85.980 | 461.827 | -0.000 | 0.000 | 0.000 |
| 0.000 | -0.000 | 0.000 | 253.764 | 0.000 | 0.000 |
| -0.000 | 0.000 | 0.000 | -0.000 | 253.764 | 0.000 |
| 0.000 | 0.000 | 0.000 | -0.000 | 0.000 | 222.349 |
| 489.586 | 62.660 | 85.980 | 0.000 | -0.000 | 0.000 |
| 62.660 | 489.586 | 85.980 | 0.000 | 0.000 | -0.000 |
| 85.980 | 85.980 | 461.826 | 0.000 | -0.000 | 0.000 |
| -0.000 | 0.000 | -0.000 | 253.764 | -0.000 | 0.000 |
| 0.000 | -0.000 | -0.000 | 0.000 | 253.764 | 0.000 |
| -0.000 | -0.000 | -0.000 | 0.000 | 0.000 | 222.349 |
| 498.474 | 53.775 | 85.980 | -0.000 | 0.000 | 0.000 |
| 62.660 | 489.588 | 85.980 | -0.000 | -0.000 | 0.000 |
| 85.980 | 85.980 | 461.829 | -0.000 | 0.000 | -0.000 |
| 0.000 | -0.000 | 0.000 | 253.764 | -0.000 | 0.000 |
| -0.000 | 0.000 | 0.000 | -0.000 | 253.764 | 0.000 |
| 0.000 | 0.000 | 0.000 | -0.000 | 0.000 | 222.349 |
| 489.584 | 62.659 | 85.979 | 0.000 | -0.000 | -0.000 |
| 62.659 | 489.584 | 85.979 | 0.000 | 0.000 | 0.000 |
| 85.979 | 85.979 | 461.825 | 0.000 | -0.000 | -0.000 |
| -0.000 | 0.000 | -0.000 | 253.764 | 0.000 | -0.000 |
| 0.000 | -0.000 | -0.000 | 0.000 | 253.764 | -0.000 |
| -0.000 | -0.000 | -0.000 | 0.000 | 0.000 | 222.349 |
| 484.429 | 68.821 | 86.486 | 0.000 | -0.000 | 0.000 |
| 68.821 | 484.429 | 86.486 | -0.000 | -0.000 | 0.000 |
| 86.486 | 86.486 | 457.717 | -0.000 | -0.000 | 0.000 |
| -0.000 | -0.000 | 0.000 | 245.354 | -0.000 | 0.000 |
| -0.000 | 0.000 | 0.000 | -0.000 | 245.354 | -0.000 |
| -0.000 | 0.000 | 0.000 | -0.000 | -0.000 | 207.804 |
| 484.429 | 68.821 | 86.486 | 0.000 | 0.000 | -0.000 |
| 58.058 | 495.191 | 86.486 | 0.000 | 0.000 | -0.000 |
| 86.486 | 86.486 | 457.717 | 0.000 | 0.000 | -0.000 |
| -0.000 | 0.000 | -0.000 | 245.354 | 0.000 | -0.000 |
| 0.000 | -0.000 | -0.000 | 0.000 | 245.354 | -0.000 |
| 0.000 | -0.000 | -0.000 | 0.000 | 0.000 | 207.804 |
| 484.429 | 68.821 | 86.486 | -0.000 | -0.000 | 0.000 |
| 68.821 | 484.429 | 86.486 | -0.000 | -0.000 | 0.000 |
| 86.486 | 86.486 | 457.717 | -0.000 | -0.000 | 0.000 |
| 0.000 | -0.000 | 0.000 | 245.354 | -0.000 | 0.000 |
| -0.000 | 0.000 | 0.000 | 0.000 | 245.354 | -0.000 |
| 0.000 | 0.000 | 0.000 | -0.000 | -0.000 | 207.804 |
| 495.191 | 58.058 | 86.486 | -0.000 | -0.000 | -0.000 |
| 58.058 | 495.191 | 86.486 | 0.000 | 0.000 | -0.000 |
| 86.486 | 86.486 | 457.717 | 0.000 | 0.000 | -0.000 |
| -0.000 | 0.000 | -0.000 | 245.354 | 0.000 | -0.000 |
| 0.000 | -0.000 | -0.000 | -0.000 | 245.354 | -0.000 |
| -0.000 | -0.000 | -0.000 | 0.000 | 0.000 | 207.804 |
| 484.431 | 68.822 | 86.487 | -0.000 | -0.000 | 0.000 |
| 68.822 | 484.431 | 86.487 | 0.000 | -0.000 | 0.000 |
| 86.487 | 86.487 | 457.719 | -0.000 | -0.000 | 0.000 |
| 0.000 | -0.000 | 0.000 | 245.354 | -0.000 | 0.000 |
| -0.000 | 0.000 | 0.000 | 0.000 | 245.354 | 0.000 |
| 0.000 | 0.000 | 0.000 | 0.000 | -0.000 | 207.804 |
| 484.427 | 68.821 | 86.486 | -0.000 | 0.000 | 0.000 |
| 68.821 | 484.427 | 86.486 | 0.000 | 0.000 | -0.000 |
| 86.486 | 86.486 | 457.715 | 0.000 | 0.000 | -0.000 |
| -0.000 | 0.000 | -0.000 | 245.354 | 0.000 | -0.000 |
| 0.000 | -0.000 | -0.000 | 0.000 | 245.354 | -0.000 |
| -0.000 | -0.000 | -0.000 | 0.000 | 0.000 | 207.804 |
| 163.487 | 67.041 | 67.041 | 0.000 | 0.000 | 0.000 |
| 67.041 | 163.487 | 67.041 | 0.000 | 0.000 | 0.000 |
| 67.041 | 67.041 | 163.487 | 0.000 | 0.000 | 0.000 |
| -0.000 | -0.000 | -0.000 | 79.248 | -0.000 | -0.000 |
| -0.000 | -0.000 | -0.000 | -0.000 | 79.248 | -0.000 |
| -0.000 | -0.000 | -0.000 | -0.000 | -0.000 | 79.248 |
| 163.487 | 67.041 | 67.041 | 0.000 | -0.000 | -0.000 |
| 67.041 | 163.487 | 67.041 | -0.000 | 0.000 | -0.000 |
| 67.041 | 67.041 | 163.487 | -0.000 | -0.000 | 0.000 |
| 0.000 | 0.000 | 0.000 | 79.248 | 0.000 | 0.000 |
| 0.000 | 0.000 | 0.000 | 0.000 | 79.248 | 0.000 |
| 0.000 | 0.000 | 0.000 | 0.000 | 0.000 | 79.248 |
| 163.487 | 67.041 | 67.041 | -0.000 | 0.000 | 0.000 |
| 67.041 | 163.487 | 67.041 | 0.000 | -0.000 | 0.000 |
| 67.041 | 67.041 | 163.487 | 0.000 | 0.000 | -0.000 |
| 0.000 | -0.000 | 0.000 | 79.248 | -0.000 | 0.000 |
| -0.000 | 0.000 | 0.000 | -0.000 | 79.248 | 0.000 |
| -0.000 | 0.000 | 0.000 | -0.000 | 0.000 | 79.248 |
| 163.487 | 67.041 | 67.041 | 0.000 | -0.000 | -0.000 |
| 67.041 | 163.487 | 67.041 | -0.000 | 0.000 | -0.000 |
| 67.041 | 67.041 | 163.487 | -0.000 | -0.000 | 0.000 |
| -0.000 | 0.000 | -0.000 | 79.248 | 0.000 | -0.000 |
| 0.000 | -0.000 | -0.000 | 0.000 | 79.248 | -0.000 |
| 0.000 | -0.000 | -0.000 | 0.000 | -0.000 | 79.248 |
| 163.487 | 67.042 | 67.042 | -0.000 | 0.000 | 0.000 |
| 67.042 | 163.487 | 67.042 | 0.000 | -0.000 | 0.000 |
| 67.042 | 67.042 | 163.487 | 0.000 | 0.000 | -0.000 |
| 0.000 | -0.000 | 0.000 | 79.248 | -0.000 | -0.000 |
| -0.000 | 0.000 | 0.000 | -0.000 | 79.248 | -0.000 |
| -0.000 | 0.000 | 0.000 | -0.000 | -0.000 | 79.248 |
| 163.487 | 67.041 | 67.041 | -0.000 | -0.000 | -0.000 |
| 67.041 | 163.487 | 67.041 | -0.000 | -0.000 | -0.000 |
| 67.041 | 67.041 | 163.487 | -0.000 | -0.000 | -0.000 |
| -0.000 | 0.000 | -0.000 | 79.248 | 0.000 | -0.000 |
| 0.000 | -0.000 | -0.000 | 0.000 | 79.248 | -0.000 |
| 0.000 | -0.000 | -0.000 | 0.000 | -0.000 | 79.248 |
| 340.250 | 56.645 | 64.034 | 0.000 | -0.000 | -0.000 |
| 56.645 | 340.250 | 64.034 | -0.000 | -0.000 | -0.000 |
| 64.034 | 64.034 | 568.983 | -0.000 | 0.000 | 0.000 |
| -0.000 | 0.000 | -0.000 | 178.396 | 0.000 | -0.000 |
| -0.000 | 0.000 | -0.000 | -0.000 | 178.396 | -0.000 |
| -0.000 | 0.000 | -0.000 | 0.000 | -0.000 | 126.443 |
| 340.250 | 56.645 | 64.034 | 0.000 | -0.000 | -0.000 |
| 56.645 | 340.250 | 64.034 | -0.000 | -0.000 | 0.000 |
| 64.034 | 64.034 | 568.983 | 0.000 | 0.000 | 0.000 |
| 0.000 | -0.000 | 0.000 | 178.396 | 0.000 | -0.000 |
| 0.000 | -0.000 | 0.000 | -0.000 | 178.396 | -0.000 |
| 0.000 | -0.000 | -0.000 | -0.000 | 0.000 | 126.443 |
| 340.251 | 56.645 | 64.034 | 0.000 | 0.000 | -0.000 |
| 56.645 | 340.251 | 64.034 | 0.000 | -0.000 | -0.000 |
| 64.034 | 64.034 | 568.983 | -0.000 | -0.000 | 0.000 |
| -0.000 | 0.000 | -0.000 | 178.396 | -0.000 | -0.000 |
| 0.000 | -0.000 | -0.000 | 0.000 | 178.396 | 0.000 |
| -0.000 | -0.000 | -0.000 | 0.000 | -0.000 | 126.443 |
| 340.250 | 56.645 | 64.034 | -0.000 | 0.000 | 0.000 |
| 56.645 | 340.250 | 64.034 | 0.000 | 0.000 | -0.000 |
| 64.034 | 64.034 | 568.982 | -0.000 | 0.000 | 0.000 |
| 0.000 | -0.000 | 0.000 | 178.396 | 0.000 | 0.000 |
| -0.000 | 0.000 | 0.000 | 0.000 | 178.396 | 0.000 |
| 0.000 | 0.000 | 0.000 | 0.000 | -0.000 | 126.443 |
| 340.253 | 56.646 | 64.034 | -0.000 | -0.000 | 0.000 |
| 56.646 | 340.253 | 64.034 | -0.000 | -0.000 | 0.000 |
| 64.034 | 64.034 | 568.986 | -0.000 | 0.000 | -0.000 |
| -0.001 | 0.002 | -0.001 | 178.396 | -0.000 | -0.000 |
| 0.002 | -0.001 | -0.001 | 0.000 | 178.396 | 0.000 |
| -0.000 | -0.000 | -0.000 | -0.000 | -0.000 | 126.443 |
| 340.248 | 56.645 | 64.034 | -0.000 | 0.000 | -0.000 |
| 56.645 | 340.248 | 64.034 | 0.000 | 0.000 | 0.000 |
| 64.034 | 64.034 | 568.979 | 0.000 | 0.000 | -0.000 |
| 0.001 | -0.002 | 0.001 | 178.396 | -0.000 | -0.000 |
| -0.002 | 0.001 | 0.001 | -0.000 | 178.396 | -0.000 |
| 0.000 | 0.000 | 0.000 | -0.000 | -0.000 | 126.443 |
| 473.598 | -112.476 | 50.334 | -0.000 | -0.000 | -0.000 |
| -112.476 | 473.598 | 50.334 | -0.000 | 0.000 | -0.000 |
| 50.334 | 50.334 | 874.643 | -0.000 | -0.000 | -0.000 |
| 0.000 | 0.000 | -0.000 | 148.487 | -0.000 | -0.000 |
| 0.000 | 0.000 | 0.000 | -0.000 | 148.487 | -0.000 |
| 0.000 | 0.000 | 0.000 | -0.000 | 0.000 | 88.865 |
| 473.598 | -112.476 | 50.334 | 0.000 | -0.000 | 0.000 |
| -112.476 | 473.598 | 50.334 | 0.000 | -0.000 | 0.000 |
| 50.334 | 50.334 | 874.643 | 0.000 | 0.000 | 0.000 |
| -0.000 | -0.000 | -0.000 | 148.487 | 0.000 | 0.000 |
| -0.000 | -0.000 | -0.000 | 0.000 | 148.487 | 0.000 |
| -0.000 | -0.000 | -0.000 | 0.000 | 0.000 | 88.865 |
| 473.598 | -112.476 | 50.334 | -0.000 | 0.000 | -0.000 |
| -112.476 | 473.598 | 50.334 | 0.000 | -0.000 | -0.000 |
| 50.334 | 50.334 | 874.644 | 0.000 | 0.000 | -0.000 |
| 0.000 | 0.000 | -0.000 | 148.487 | -0.000 | -0.000 |
| 0.000 | 0.000 | -0.000 | -0.000 | 148.487 | -0.000 |
| 0.000 | 0.000 | 0.000 | -0.000 | 0.000 | 88.865 |
| 473.598 | -112.476 | 50.334 | 0.000 | 0.000 | 0.000 |
| -112.476 | 473.598 | 50.334 | 0.000 | 0.000 | 0.000 |
| 50.334 | 50.334 | 874.643 | 0.000 | -0.000 | 0.000 |
| -0.000 | -0.000 | 0.000 | 148.487 | 0.000 | 0.000 |
| -0.000 | -0.000 | 0.000 | 0.000 | 148.487 | 0.000 |
| -0.000 | -0.000 | -0.000 | 0.000 | -0.000 | 88.865 |
| 473.598 | -112.475 | 50.335 | -0.000 | -0.000 | -0.000 |
| -112.475 | 473.598 | 50.335 | -0.000 | -0.000 | 0.000 |
| 50.335 | 50.335 | 874.647 | -0.000 | 0.000 | -0.000 |
| 0.000 | 0.000 | -0.000 | 148.487 | 0.000 | -0.000 |
| 0.000 | 0.000 | -0.000 | -0.000 | 148.487 | -0.000 |
| 0.000 | 0.000 | 0.000 | -0.000 | 0.000 | 88.865 |
| 473.598 | -112.476 | 50.334 | 0.000 | -0.000 | 0.000 |
| -112.476 | 473.598 | 50.334 | 0.000 | -0.000 | 0.000 |
| 50.334 | 50.334 | 874.639 | 0.000 | 0.000 | 0.000 |
| -0.000 | -0.000 | 0.000 | 148.487 | -0.000 | 0.000 |
| -0.000 | -0.000 | 0.000 | -0.000 | 148.487 | 0.000 |
| -0.000 | -0.000 | -0.000 | 0.000 | 0.000 | 88.865 |
| 339.575 | 74.059 | 90.342 | -23.025 | -0.000 | -0.000 |
| 74.059 | 339.575 | 90.342 | 23.025 | 0.000 | -0.000 |
| 90.340 | 90.340 | 323.287 | 0.000 | -0.000 | -0.000 |
| -23.025 | 23.025 | 0.000 | 149.037 | -0.000 | -0.000 |
| 0.000 | 0.000 | 0.000 | -0.000 | 149.037 | -23.025 |
| 0.000 | -0.000 | 0.000 | -0.000 | -23.025 | 132.758 |
| 339.575 | 74.059 | 90.342 | -23.025 | -0.000 | 0.000 |
| 74.059 | 339.575 | 90.342 | 23.025 | -0.000 | 0.000 |
| 90.340 | 90.340 | 323.287 | -0.000 | 0.000 | 0.000 |
| -23.025 | 23.025 | -0.000 | 149.037 | 0.000 | 0.000 |
| -0.000 | -0.000 | -0.000 | 0.000 | 149.037 | -23.025 |
| -0.000 | 0.000 | -0.000 | 0.000 | -23.025 | 132.758 |
| 339.575 | 74.059 | 90.342 | -23.025 | -0.000 | -0.000 |
| 74.059 | 339.575 | 90.342 | 23.025 | -0.000 | -0.000 |
| 90.340 | 90.340 | 323.287 | -0.000 | 0.000 | -0.000 |
| -23.025 | 23.025 | 0.000 | 149.037 | -0.000 | -0.000 |
| 0.000 | 0.000 | 0.000 | -0.000 | 149.037 | -23.025 |
| 0.000 | 0.000 | 0.000 | -0.000 | -23.025 | 132.758 |
| 339.575 | 74.059 | 90.342 | -23.025 | -0.000 | 0.000 |
| 74.059 | 339.575 | 90.342 | 23.025 | -0.000 | 0.000 |
| 90.340 | 90.340 | 323.287 | 0.000 | -0.000 | 0.000 |
| -23.025 | 23.025 | -0.000 | 149.037 | 0.000 | 0.000 |
| -0.000 | -0.000 | -0.000 | 0.000 | 149.037 | -23.025 |
| -0.000 | -0.000 | -0.000 | 0.000 | -23.025 | 132.758 |
| 339.576 | 74.059 | 90.342 | -23.025 | 0.000 | -0.000 |
| 74.059 | 339.576 | 90.342 | 23.025 | 0.000 | -0.000 |
| 90.340 | 90.340 | 323.287 | -0.000 | -0.000 | -0.000 |
| -23.025 | 23.025 | 0.000 | 149.037 | 0.000 | -0.000 |
| 0.000 | 0.000 | 0.000 | -0.000 | 149.037 | -23.025 |
| 0.000 | 0.000 | 0.000 | -0.000 | -23.025 | 132.758 |
| 339.575 | 74.059 | 90.341 | -23.024 | 0.000 | 0.000 |
| 74.059 | 339.574 | 90.341 | 23.024 | -0.000 | 0.000 |
| 90.339 | 90.339 | 323.287 | 0.000 | -0.000 | 0.000 |
| -23.025 | 23.024 | -0.000 | 149.037 | -0.000 | 0.000 |
| -0.000 | -0.000 | -0.000 | 0.000 | 149.037 | -23.025 |
| -0.000 | -0.000 | -0.000 | 0.000 | -23.025 | 132.758 |
| 331.096 | 65.307 | 82.166 | -15.797 | 0.000 | 0.000 |
| 65.307 | 331.096 | 82.166 | 15.797 | -0.000 | 0.000 |
| 76.484 | 76.484 | 296.952 | 0.000 | 0.000 | 0.000 |
| -15.797 | 15.797 | 0.000 | 137.461 | 0.000 | -0.000 |
| 0.000 | 0.000 | 0.000 | 0.000 | 137.461 | -15.797 |
| 0.000 | -0.000 | 0.000 | -0.000 | -15.797 | 132.894 |
| 331.096 | 65.307 | 82.166 | -15.797 | 0.000 | -0.000 |
| 65.307 | 331.096 | 82.166 | 15.797 | -0.000 | -0.000 |
| 76.484 | 76.484 | 296.952 | -0.000 | 0.000 | -0.000 |
| -15.797 | 15.797 | -0.000 | 137.461 | -0.000 | -0.000 |
| -0.000 | -0.000 | -0.000 | -0.000 | 137.461 | -15.797 |
| -0.000 | -0.000 | -0.000 | 0.000 | -15.797 | 132.894 |
| 331.096 | 65.307 | 82.166 | -15.797 | 0.000 | 0.000 |
| 65.307 | 331.096 | 82.166 | 15.797 | 0.000 | -0.000 |
| 76.484 | 76.484 | 296.952 | 0.000 | 0.000 | -0.000 |
| -15.797 | 15.797 | 0.000 | 137.461 | 0.000 | 0.000 |
| 0.000 | 0.000 | 0.000 | -0.000 | 137.461 | -15.797 |
| 0.000 | 0.000 | 0.000 | -0.000 | -15.797 | 132.894 |
| 331.096 | 65.307 | 82.166 | -15.797 | 0.000 | -0.000 |
| 65.307 | 331.096 | 82.166 | 15.797 | -0.000 | 0.000 |
| 76.483 | 76.483 | 296.952 | -0.000 | -0.000 | -0.000 |
| -15.797 | 15.797 | -0.000 | 137.461 | -0.000 | 0.000 |
| -0.000 | -0.000 | -0.000 | 0.000 | 137.461 | -15.797 |
| -0.000 | -0.000 | -0.000 | 0.000 | -15.797 | 132.894 |
| 331.097 | 65.308 | 82.167 | -15.798 | -0.000 | -0.000 |
| 65.308 | 331.097 | 82.167 | 15.798 | 0.000 | -0.000 |
| 76.484 | 76.484 | 296.952 | 0.000 | 0.000 | 0.000 |
| -15.797 | 15.797 | 0.000 | 137.461 | 0.000 | 0.000 |
| 0.000 | 0.000 | 0.000 | -0.000 | 137.461 | -15.797 |
| 0.000 | 0.000 | 0.000 | -0.000 | -15.797 | 132.894 |
| 331.095 | 65.307 | 82.166 | -15.797 | -0.000 | -0.000 |
| 65.307 | 331.095 | 82.166 | 15.796 | -0.000 | 0.000 |
| 76.483 | 76.483 | 296.952 | -0.000 | -0.000 | -0.000 |
| -15.797 | 15.797 | -0.000 | 137.461 | -0.000 | 0.000 |
| -0.000 | -0.000 | -0.000 | 0.000 | 137.461 | -15.797 |
| -0.000 | -0.000 | -0.000 | 0.000 | -15.797 | 132.894 |
| 388.426 | 57.779 | 57.779 | -0.000 | 0.000 | -0.000 |
| 57.779 | 388.426 | 57.779 | 0.000 | 0.000 | 0.000 |
| 57.779 | 57.779 | 388.426 | 0.000 | -0.000 | -0.000 |
| -0.000 | -0.000 | -0.000 | 116.476 | 0.000 | -0.000 |
| -0.000 | -0.000 | -0.000 | 0.000 | 116.476 | 0.000 |
| -0.000 | -0.000 | -0.000 | -0.000 | 0.000 | 116.476 |
| 388.426 | 57.779 | 57.779 | 0.000 | -0.000 | 0.000 |
| 57.779 | 388.426 | 57.779 | -0.000 | 0.000 | -0.000 |
| 57.779 | 57.779 | 388.426 | -0.000 | -0.000 | 0.000 |
| 0.000 | 0.000 | 0.000 | 116.476 | -0.000 | -0.000 |
| 0.000 | 0.000 | 0.000 | 0.000 | 116.476 | -0.000 |
| 0.000 | 0.000 | 0.000 | 0.000 | -0.000 | 116.476 |
| 388.426 | 57.779 | 57.779 | 0.000 | -0.000 | 0.000 |
| 57.779 | 388.426 | 57.779 | -0.000 | -0.000 | -0.000 |
| 57.779 | 57.779 | 388.426 | -0.000 | -0.000 | -0.000 |
| -0.000 | -0.000 | -0.000 | 116.476 | -0.000 | -0.000 |
| -0.000 | -0.000 | -0.000 | 0.000 | 116.476 | 0.000 |
| -0.000 | -0.000 | -0.000 | -0.000 | -0.000 | 116.476 |
| 388.426 | 57.779 | 57.779 | -0.000 | -0.000 | -0.000 |
| 57.779 | 388.426 | 57.779 | -0.000 | -0.000 | -0.000 |
| 57.779 | 57.779 | 388.426 | 0.000 | -0.000 | -0.000 |
| 0.000 | 0.000 | 0.000 | 116.476 | -0.000 | 0.000 |
| 0.000 | 0.000 | 0.000 | 0.000 | 116.476 | -0.000 |
| 0.000 | 0.000 | 0.000 | 0.000 | -0.000 | 116.476 |
| 388.429 | 57.779 | 57.779 | -0.000 | 0.000 | 0.000 |
| 57.779 | 388.429 | 57.779 | -0.000 | 0.000 | 0.000 |
| 57.779 | 57.779 | 388.429 | 0.000 | 0.000 | 0.000 |
| -0.000 | -0.000 | -0.000 | 116.476 | 0.000 | 0.000 |
| -0.000 | -0.000 | -0.000 | 0.000 | 116.476 | 0.000 |
| -0.000 | -0.000 | -0.000 | 0.000 | -0.000 | 116.476 |
| 388.423 | 57.779 | 57.779 | -0.000 | 0.000 | -0.000 |
| 57.779 | 388.423 | 57.779 | 0.000 | 0.000 | 0.000 |
| 57.779 | 57.779 | 388.423 | 0.000 | 0.000 | 0.000 |
| 0.000 | 0.000 | 0.000 | 116.476 | 0.000 | -0.000 |
| 0.000 | 0.000 | 0.000 | 0.000 | 116.476 | 0.000 |
| 0.000 | 0.000 | 0.000 | 0.000 | -0.000 | 116.476 |
| 203.520 | 22.845 | 22.845 | -0.000 | 0.000 | 0.000 |
| 22.845 | 203.520 | 22.845 | -0.000 | 0.000 | 0.000 |
| 22.845 | 22.845 | 203.520 | -0.000 | 0.000 | 0.000 |
| 0.000 | -0.000 | -0.000 | 42.994 | 0.000 | 0.000 |
| -0.000 | 0.000 | -0.000 | -0.000 | 42.994 | 0.000 |
| -0.000 | -0.000 | 0.000 | -0.000 | 0.000 | 42.994 |
| 174.621 | 37.295 | 37.295 | -0.000 | 0.000 | -0.000 |
| 37.295 | 174.621 | 37.295 | 0.000 | -0.000 | -0.000 |
| 37.295 | 37.295 | 174.621 | -0.000 | 0.000 | -0.000 |
| -0.000 | 0.000 | 0.000 | 42.994 | -0.000 | -0.000 |
| 0.000 | -0.000 | 0.000 | 0.000 | 42.994 | 0.000 |
| 0.000 | 0.000 | -0.000 | 0.000 | -0.000 | 42.994 |
| 174.621 | 37.295 | 37.295 | -0.000 | 0.000 | -0.000 |
| 37.295 | 174.621 | 37.295 | -0.000 | -0.000 | 0.000 |
| 37.295 | 37.295 | 174.621 | -0.000 | 0.000 | -0.000 |
| 0.000 | -0.000 | -0.000 | 42.994 | 0.000 | 0.000 |
| -0.000 | 0.000 | -0.000 | -0.000 | 42.994 | -0.000 |
| -0.000 | -0.000 | 0.000 | -0.000 | -0.000 | 42.994 |
| 203.520 | 22.845 | 22.845 | 0.000 | -0.000 | -0.000 |
| 22.845 | 203.520 | 22.845 | 0.000 | -0.000 | -0.000 |
| 22.845 | 22.845 | 203.520 | 0.000 | -0.000 | -0.000 |
| -0.000 | 0.000 | 0.000 | 42.994 | -0.000 | -0.000 |
| 0.000 | -0.000 | 0.000 | 0.000 | 42.994 | 0.000 |
| 0.000 | 0.000 | -0.000 | 0.000 | -0.000 | 42.994 |
| 174.622 | 37.295 | 37.295 | -0.000 | 0.000 | -0.000 |
| 37.295 | 174.622 | 37.295 | 0.000 | 0.000 | 0.000 |
| 37.295 | 37.295 | 174.622 | 0.000 | -0.000 | 0.000 |
| 0.000 | -0.000 | -0.000 | 42.994 | 0.000 | 0.000 |
| -0.000 | 0.000 | -0.000 | -0.000 | 42.994 | -0.000 |
| -0.000 | -0.000 | 0.000 | -0.000 | -0.000 | 42.994 |
| 174.620 | 37.295 | 37.295 | 0.000 | -0.000 | -0.000 |
| 37.295 | 174.620 | 37.295 | -0.000 | -0.000 | -0.000 |
| 37.295 | 37.295 | 174.620 | -0.000 | -0.000 | -0.000 |
| -0.000 | 0.000 | 0.000 | 42.994 | -0.000 | -0.000 |
| 0.000 | -0.000 | 0.000 | 0.000 | 42.994 | -0.000 |
| 0.000 | 0.000 | -0.000 | 0.000 | -0.000 | 42.994 |
| 142.233 | 97.836 | -3.700 | 0.000 | -14.784 | 0.000 |
| 20.446 | 241.273 | 0.010 | 0.000 | -27.997 | 0.000 |
| 38.602 | 38.798 | 214.419 | 0.000 | 15.866 | -0.000 |
| -0.000 | 0.000 | 0.000 | 101.008 | 0.000 | -20.991 |
| 10.177 | -19.990 | 15.866 | 0.000 | 86.896 | 0.000 |
| -11.926 | 43.538 | -61.052 | -5.150 | -19.812 | 47.558 |
| 167.532 | -7.594 | 116.355 | -0.000 | 28.992 | -0.000 |
| 54.569 | 129.354 | 104.888 | -0.000 | 11.288 | 0.000 |
| 70.001 | -0.405 | 225.399 | 0.000 | 23.297 | 0.000 |
| 0.000 | -0.000 | -0.000 | 101.008 | -0.000 | -20.991 |
| 21.938 | -68.236 | 56.390 | -0.000 | 75.796 | 0.000 |
| 11.926 | -43.538 | 61.052 | -5.150 | 19.812 | 47.558 |
| 162.598 | 43.210 | 41.930 | 0.000 | 3.825 | -0.000 |
| 29.068 | 196.023 | 51.148 | -0.000 | -10.892 | -0.000 |
| 53.558 | 56.181 | 171.413 | 0.000 | 2.830 | 0.000 |
| -0.000 | 0.000 | 0.000 | 101.008 | -0.000 | -20.991 |
| 1.288 | -4.150 | -1.192 | 0.000 | 61.618 | 0.000 |
| -0.000 | -0.000 | -0.000 | -21.761 | 0.000 | 64.316 |
| 163.383 | 33.672 | 52.649 | -0.000 | 6.880 | 0.000 |
| 6.082 | 232.182 | 37.453 | 0.000 | -20.760 | 0.000 |
| 46.877 | 52.147 | 186.322 | 0.000 | 6.975 | 0.000 |
| 0.000 | -0.000 | -0.000 | 101.008 | 0.000 | -20.991 |
| 10.177 | -19.990 | 15.866 | -0.000 | 86.896 | 0.000 |
| 0.000 | 0.000 | 0.000 | -21.761 | -0.000 | 64.316 |
| 154.748 | 36.476 | 54.493 | 0.000 | 8.792 | 0.000 |
| 36.754 | 190.911 | 49.145 | 0.000 | -9.701 | 0.000 |
| 54.267 | 51.729 | 176.025 | 0.000 | 4.721 | -0.000 |
| -0.111 | 0.430 | -0.631 | 68.789 | -0.193 | -4.256 |
| 2.283 | -8.014 | 4.269 | 0.000 | 63.325 | -0.000 |
| -0.112 | 0.425 | -0.608 | -5.012 | -0.197 | 47.255 |
| 163.335 | 37.912 | 47.585 | -0.000 | 5.543 | 0.000 |
| 36.791 | 190.008 | 50.553 | -0.000 | -9.171 | -0.000 |
| 54.489 | 50.867 | 177.243 | 0.000 | 5.102 | -0.000 |
| 0.111 | -0.430 | 0.631 | 68.789 | 0.193 | -4.256 |
| 2.551 | -8.932 | 5.519 | -0.000 | 63.704 | -0.000 |
| 0.112 | -0.425 | 0.608 | -5.012 | 0.197 | 47.255 |
| 557.965 | -21.458 | -178.884 | -0.000 | -0.000 | 0.000 |
| 69.939 | 428.030 | 23.292 | -0.000 | -0.000 | 0.000 |
| 65.003 | 119.068 | 228.242 | -0.000 | -0.000 | 0.000 |
| 0.000 | -0.000 | 0.000 | 128.686 | -0.000 | 0.000 |
| 32.865 | -42.464 | -138.240 | -0.000 | 65.998 | 0.000 |
| 0.000 | 0.000 | 0.000 | -0.000 | -0.000 | 177.965 |
| 433.910 | 77.764 | 266.237 | 0.000 | 0.000 | -0.000 |
| 58.337 | 515.485 | 111.312 | 0.000 | 0.000 | -0.000 |
| -11.161 | 110.471 | 483.231 | 0.000 | -0.000 | -0.000 |
| -0.000 | 0.000 | -0.000 | 128.686 | 0.000 | -0.000 |
| -32.865 | 42.464 | 138.240 | 0.000 | 65.998 | -0.000 |
| -0.000 | -0.000 | -0.000 | 0.000 | 0.000 | 177.965 |
| 502.534 | 28.434 | 22.432 | -0.000 | -0.000 | 0.000 |
| 40.780 | 466.363 | 146.425 | -0.000 | -0.000 | 0.000 |
| 37.321 | 161.672 | 348.946 | -0.000 | -0.000 | 0.000 |
| -0.000 | -0.000 | 0.000 | 128.686 | -0.000 | 0.000 |
| 0.000 | 0.000 | 0.000 | -0.000 | 116.368 | 0.000 |
| 6.592 | -5.156 | -23.602 | -0.000 | -0.000 | 174.616 |
| 493.578 | 39.071 | 56.081 | 0.000 | 0.000 | -0.000 |
| 31.419 | 469.500 | 179.856 | 0.000 | 0.000 | -0.000 |
| 28.303 | 169.906 | 381.755 | 0.000 | 0.000 | -0.000 |
| 0.000 | 0.000 | -0.000 | 128.686 | 0.000 | -0.000 |
| -0.000 | -0.000 | -0.000 | 0.000 | 116.368 | -0.000 |
| -6.592 | 5.156 | 23.602 | 0.000 | 0.000 | 174.616 |
| 500.389 | 38.217 | 33.156 | -0.000 | -0.000 | 0.000 |
| 36.722 | 469.675 | 162.245 | -0.000 | -0.000 | 0.000 |
| 32.263 | 160.756 | 365.602 | -0.000 | -0.000 | 0.000 |
| 0.282 | -0.221 | -1.009 | 124.996 | -0.000 | 0.000 |
| 0.775 | -0.485 | -2.807 | -0.000 | 65.597 | 0.000 |
| 0.931 | -0.728 | -3.332 | 0.000 | -0.000 | 173.236 |
| 499.916 | 37.904 | 35.033 | 0.000 | 0.000 | -0.000 |
| 36.541 | 470.564 | 163.411 | 0.000 | 0.000 | -0.000 |
| 31.607 | 161.609 | 368.352 | -0.000 | 0.000 | -0.000 |
| -0.282 | 0.221 | 1.009 | 124.996 | 0.000 | -0.000 |
| -0.775 | 0.485 | 2.807 | 0.000 | 65.597 | -0.000 |
| -0.931 | 0.728 | 3.332 | -0.000 | 0.000 | 173.236 |
| 497.845 | 60.452 | 78.034 | -16.685 | -0.000 | -0.000 |
| 60.453 | 497.845 | 78.034 | 16.685 | -0.000 | -0.000 |
| 89.006 | 89.006 | 452.262 | 0.000 | -0.000 | -0.000 |
| -16.992 | 16.992 | 0.000 | 250.954 | 0.000 | -0.000 |
| 2.888 | 2.888 | -8.069 | 0.000 | 250.914 | -16.685 |
| -0.000 | 0.000 | 0.000 | 0.000 | -16.992 | 221.075 |
| 492.068 | 54.675 | 94.175 | -16.685 | 0.000 | 0.000 |
| 54.675 | 492.068 | 94.175 | 16.685 | 0.000 | 0.000 |
| 83.230 | 83.230 | 468.400 | -0.000 | 0.000 | 0.000 |
| -19.573 | 13.797 | 8.069 | 250.914 | 0.000 | 0.000 |
| -2.888 | -2.888 | 8.069 | -0.000 | 250.914 | -16.685 |
| 0.000 | -0.000 | -0.000 | -0.000 | -16.992 | 221.075 |
| 489.574 | 63.524 | 85.298 | -15.954 | -0.000 | -0.000 |
| 57.896 | 495.211 | 85.285 | 16.680 | -0.000 | -0.000 |
| 86.407 | 86.407 | 459.524 | 0.000 | -0.000 | -0.000 |
| -16.396 | 16.974 | -0.807 | 250.914 | -0.000 | -0.000 |
| 0.289 | 0.289 | -0.807 | 0.000 | 250.914 | -16.685 |
| 0.289 | 0.289 | -0.807 | -0.000 | -15.954 | 213.025 |
| 494.624 | 57.309 | 86.925 | -16.680 | 0.000 | 0.000 |
| 57.309 | 494.624 | 86.925 | 16.680 | 0.000 | 0.000 |
| 86.116 | 86.116 | 460.337 | -0.000 | 0.000 | -0.000 |
| -16.992 | 16.992 | -0.000 | 250.954 | 0.000 | 0.000 |
| -0.289 | -0.289 | 0.807 | -0.000 | 250.914 | -16.685 |
| -0.289 | -0.289 | 0.807 | 0.000 | -15.954 | 213.025 |
| 497.338 | 55.186 | 86.103 | -16.992 | 0.000 | 0.000 |
| 55.186 | 497.338 | 86.103 | 16.992 | 0.000 | -0.000 |
| 86.147 | 86.147 | 460.252 | 0.000 | -0.000 | -0.000 |
| -15.925 | 15.982 | -0.081 | 250.820 | -0.000 | -0.000 |
| 0.029 | 0.029 | -0.081 | 0.000 | 250.820 | -15.954 |
| 0.029 | 0.029 | -0.081 | -0.000 | -15.954 | 213.025 |
| 489.254 | 63.206 | 86.185 | -15.954 | 0.000 | 0.000 |
| 63.206 | 489.254 | 86.185 | 15.954 | 0.000 | 0.000 |
| 86.088 | 86.088 | 460.410 | -0.000 | 0.000 | 0.000 |
| -16.992 | 16.992 | -0.000 | 250.954 | -0.000 | 0.000 |
| -0.029 | -0.029 | 0.081 | -0.000 | 250.820 | -15.954 |
| -0.029 | -0.029 | 0.081 | 0.000 | -15.954 | 213.025 |
| 225.854 | 18.149 | -65.366 | -0.000 | -0.000 | 0.000 |
| -1.601 | 122.010 | 209.431 | -0.000 | -0.000 | 0.000 |
| -18.094 | 50.041 | 279.976 | -0.000 | 0.000 | -0.000 |
| -39.433 | -46.750 | 151.457 | 51.291 | -0.000 | -0.000 |
| 0.000 | -0.000 | -0.000 | -0.000 | 81.075 | -0.000 |
| -56.568 | -64.060 | 359.096 | -0.000 | -0.000 | 48.526 |
| 222.259 | 94.681 | -164.404 | -0.000 | 0.000 | 0.000 |
| 71.018 | 201.526 | -59.265 | 0.000 | 0.000 | -0.000 |
| 43.105 | 108.422 | 138.511 | -0.000 | 0.000 | -0.000 |
| 39.433 | 46.750 | -151.457 | 51.291 | -0.000 | -0.000 |
| -0.000 | 0.000 | 0.000 | 0.000 | 81.075 | -0.000 |
| 56.568 | 64.060 | -359.096 | 0.000 | 0.000 | 48.526 |
| 200.734 | 17.259 | 52.436 | -0.000 | -0.000 | -0.000 |
| 29.323 | 177.107 | 74.331 | 0.000 | -0.000 | -0.000 |
| -19.507 | 53.946 | 345.509 | -0.000 | -0.000 | -0.000 |
| -5.865 | -6.642 | 37.231 | 53.100 | 0.000 | 0.000 |
| 0.000 | 0.000 | -0.000 | -0.000 | 81.075 | 0.000 |
| 0.000 | 0.000 | -0.000 | -0.000 | 0.000 | 74.630 |
| 225.854 | 18.149 | -65.366 | 0.000 | -0.000 | 0.000 |
| 19.082 | 224.870 | 22.932 | 0.000 | -0.000 | 0.000 |
| 2.822 | 63.709 | 301.382 | 0.000 | 0.000 | -0.000 |
| 5.865 | 6.642 | -37.231 | 53.100 | 0.000 | -0.000 |
| -0.000 | -0.000 | 0.000 | 0.000 | 81.075 | 0.000 |
| -0.000 | -0.000 | 0.000 | 0.000 | 0.000 | 74.630 |
| 189.220 | 31.785 | -2.334 | 0.000 | -0.000 | -0.000 |
| 31.000 | 179.258 | 61.102 | -0.000 | -0.000 | 0.000 |
| 2.755 | 55.667 | 308.437 | -0.000 | 0.000 | -0.000 |
| -0.296 | -0.140 | 1.838 | 42.683 | 0.000 | -0.000 |
| 0.270 | 0.227 | -5.379 | -0.000 | 48.925 | -0.000 |
| 0.000 | 0.000 | -0.000 | -0.000 | -0.000 | 74.630 |
| 189.797 | 32.647 | -5.353 | 0.000 | 0.000 | 0.000 |
| 32.779 | 178.989 | 55.860 | -0.000 | 0.000 | 0.000 |
| 0.943 | 55.563 | 312.801 | -0.000 | 0.000 | 0.000 |
| 0.296 | 0.140 | -1.847 | 42.681 | 0.000 | -0.000 |
| -0.270 | -0.227 | 5.379 | 0.000 | 48.925 | -0.000 |
| -0.000 | -0.000 | 0.000 | 0.000 | 0.000 | 74.630 |
| 225.907 | 18.916 | -61.247 | 0.000 | -0.000 | -0.000 |
| -81.445 | 308.915 | 436.743 | 0.000 | 0.000 | 0.000 |
| -61.247 | 25.121 | 813.324 | 0.000 | -0.000 | -0.000 |
| -65.102 | 15.219 | 484.259 | 70.014 | 0.000 | -0.000 |
| -0.000 | -0.000 | 0.000 | 0.000 | 81.475 | -0.000 |
| -65.108 | 15.220 | 484.305 | 0.000 | 0.000 | 67.824 |
| 225.907 | 18.916 | -61.247 | -0.000 | -0.000 | 0.000 |
| 144.071 | 49.676 | -314.310 | -0.000 | -0.000 | -0.000 |
| 36.649 | 47.611 | -81.727 | -0.000 | -0.000 | 0.000 |
| 65.102 | -15.219 | -484.260 | 70.014 | -0.000 | 0.000 |
| 0.000 | 0.000 | -0.000 | -0.000 | 81.475 | -0.000 |
| 65.108 | -15.220 | -484.305 | -0.000 | 0.000 | 67.824 |
| 225.908 | 18.916 | -61.247 | 0.000 | -0.000 | -0.000 |
| 22.708 | 191.269 | 94.912 | 0.000 | 0.000 | -0.000 |
| -22.841 | 58.732 | 371.038 | 0.000 | 0.000 | 0.000 |
| 0.000 | 0.000 | -0.000 | 75.248 | -0.000 | -0.000 |
| -11.298 | 13.295 | 36.351 | 0.000 | 50.912 | 0.000 |
| 0.000 | 0.000 | -0.000 | 0.000 | -0.000 | 74.159 |
| 225.907 | 18.916 | -61.247 | -0.000 | -0.000 | 0.000 |
| 43.784 | 167.811 | 9.759 | -0.000 | -0.000 | -0.000 |
| 9.142 | 47.076 | 280.273 | -0.000 | -0.000 | -0.000 |
| -0.000 | -0.000 | 0.000 | 75.248 | 0.000 | 0.000 |
| 11.298 | -13.295 | -36.351 | -0.000 | 50.912 | -0.000 |
| -0.000 | -0.000 | 0.000 | -0.000 | 0.000 | 74.159 |
| 184.002 | 33.447 | 8.142 | 0.000 | 0.000 | 0.000 |
| 30.675 | 180.608 | 64.323 | 0.000 | 0.000 | 0.000 |
| 2.130 | 57.863 | 310.626 | 0.000 | 0.000 | 0.000 |
| -1.073 | 1.150 | 5.114 | 42.452 | 0.000 | -0.000 |
| -1.148 | 1.282 | 4.463 | 0.000 | 49.127 | 0.000 |
| -0.927 | 1.207 | 2.460 | 0.000 | 0.000 | 56.496 |
| 188.539 | 31.922 | -5.246 | -0.000 | -0.000 | -0.000 |
| 33.758 | 177.654 | 54.494 | -0.000 | -0.000 | -0.000 |
| 2.524 | 55.730 | 307.271 | -0.000 | -0.000 | 0.000 |
| 1.073 | -1.150 | -5.114 | 42.452 | -0.000 | 0.000 |
| 1.148 | -1.282 | -4.463 | -0.000 | 49.127 | -0.000 |
| 0.927 | -1.207 | -2.460 | -0.000 | -0.000 | 56.496 |
| 161.467 | 30.837 | 42.775 | 10.122 | -48.874 | -10.368 |
| 21.528 | 183.250 | 42.864 | -23.487 | 11.215 | 6.040 |
| 44.892 | 48.835 | 128.505 | -3.217 | 13.358 | 2.584 |
| 16.014 | -6.532 | -1.238 | 44.424 | -2.869 | -3.216 |
| -41.700 | 5.613 | 11.797 | -4.438 | 30.266 | 0.698 |
| -2.037 | 5.113 | -6.514 | 2.753 | -9.730 | 24.060 |
| 154.714 | 30.609 | 41.361 | 11.046 | -52.753 | -9.528 |
| 22.026 | 182.642 | 44.032 | -22.260 | 11.164 | 7.315 |
| 40.558 | 48.105 | 128.021 | -1.887 | 11.650 | 4.147 |
| 13.711 | -7.144 | 0.116 | 45.985 | -3.863 | -2.489 |
| -46.757 | 4.745 | 13.170 | -2.393 | 27.555 | 1.529 |
| -2.449 | 4.629 | -5.360 | 4.391 | -9.773 | 25.118 |
| 157.316 | 31.955 | 40.532 | 11.596 | -51.580 | -9.555 |
| 19.475 | 182.302 | 44.990 | -22.792 | 9.899 | 6.981 |
| 36.396 | 49.401 | 126.448 | -1.628 | 8.634 | 2.723 |
| 11.535 | -7.862 | -1.528 | 44.275 | -4.760 | -0.201 |
| -48.599 | 4.608 | 8.189 | -5.579 | 27.751 | 1.960 |
| 6.610 | 5.545 | -0.656 | 4.901 | -6.773 | 23.632 |
| 156.761 | 31.884 | 40.516 | 11.749 | -51.851 | -9.459 |
| 19.086 | 182.233 | 45.088 | -22.621 | 9.690 | 7.058 |
| 35.831 | 49.327 | 126.432 | -1.481 | 8.355 | 2.822 |
| 10.977 | -7.941 | -1.514 | 44.418 | -5.039 | -0.117 |
| -49.159 | 4.530 | 8.181 | -5.439 | 27.474 | 2.056 |
| 6.038 | 5.467 | -0.659 | 5.054 | -7.059 | 23.730 |
| 157.157 | 32.034 | 39.936 | 11.543 | -51.407 | -9.382 |
| 18.879 | 182.220 | 44.866 | -22.850 | 9.616 | 7.011 |
| 35.605 | 49.223 | 126.427 | -1.762 | 8.181 | 2.841 |
| 10.753 | -7.893 | -1.765 | 44.322 | -5.197 | -0.039 |
| -48.870 | 4.686 | 8.161 | -5.222 | 27.605 | 1.924 |
| 6.535 | 5.532 | -0.945 | 4.857 | -6.724 | 23.724 |
| 157.100 | 32.026 | 39.933 | 11.557 | -51.436 | -9.373 |
| 18.823 | 182.212 | 44.863 | -22.836 | 9.589 | 7.021 |
| 35.538 | 49.215 | 126.421 | -1.747 | 8.157 | 2.851 |
| 10.694 | -7.902 | -1.765 | 44.336 | -5.222 | -0.029 |
| -48.939 | 4.676 | 8.162 | -5.206 | 27.586 | 1.933 |
| 6.477 | 5.525 | -0.946 | 4.871 | -6.750 | 23.734 |
| 255.858 | 70.809 | 162.851 | 0.000 | 0.000 | 0.000 |
| 13.512 | 160.880 | 282.328 | -0.000 | -0.000 | -0.000 |
| 176.049 | 176.049 | 11.547 | -0.000 | 0.000 | 0.000 |
| 0.000 | 0.000 | -0.000 | 108.207 | -0.000 | 0.000 |
| -0.000 | 0.000 | -0.000 | -0.000 | 108.207 | 0.000 |
| 0.000 | 0.000 | -0.000 | 0.000 | -0.000 | -106.367 |
| 255.858 | 70.809 | 162.852 | -0.000 | -0.000 | -0.000 |
| 547.865 | -341.540 | 257.273 | 0.000 | 0.000 | -0.000 |
| 273.659 | 273.659 | -141.625 | -0.000 | -0.000 | -0.000 |
| 0.000 | -0.000 | 0.000 | 108.207 | 0.000 | -0.000 |
| 0.000 | -0.000 | 0.000 | 0.000 | 108.207 | 0.000 |
| -1079900711.735 | -1031326867.486 | 284802997.744 | -18497041.493 | -36495552.143 | -155338333.069 |
| 160.881 | 13.512 | 282.327 | -0.000 | 0.000 | -0.000 |
| 70.809 | 255.858 | 162.851 | 0.000 | 0.000 | 0.000 |
| 273.660 | 273.660 | -141.626 | 0.000 | 0.000 | 0.000 |
| 0.000 | -0.000 | -0.000 | 127.394 | -0.000 | -0.000 |
| -0.000 | 0.000 | -0.000 | -0.000 | 127.394 | -0.000 |
| 118091316.982 | 105167786.887 | -34474896.549 | 4340210.034 | -6979800.990 | -14403728.151 |
| 255.858 | 70.809 | 162.852 | -0.000 | -0.000 | -0.000 |
| 13.512 | 160.879 | 282.328 | 0.000 | -0.000 | 0.000 |
| 273.658 | 273.658 | -141.624 | -0.000 | -0.000 | 0.000 |
| -0.000 | 0.000 | 0.000 | 127.394 | 0.000 | -0.000 |
| 0.000 | -0.000 | 0.000 | -0.000 | 127.394 | 0.000 |
| -114391841.492 | -104987138.896 | 29169108.490 | -2627130.806 | -5448840.537 | -13255832.202 |
| 9181126.604 | 11859423.142 | -2937104.433 | -452698.883 | 33977.204 | -69191.090 |
| 12348878.908 | 7508312.440 | -4480525.962 | 23675.231 | 42022.102 | -4101.118 |
| 273.665 | 273.665 | -141.635 | 0.000 | -0.000 | 0.000 |
| 12407609.429 | 12450578.263 | -3226309.922 | 94399.047 | -131205.166 | -139579.143 |
| -0.000 | 0.000 | 0.000 | -0.000 | 127.394 | -0.000 |
| 12798718.193 | 11158197.499 | -4763186.660 | 611881.756 | -1023317.051 | -1556454.721 |
| -12302849.635 | -7484203.224 | 4414021.642 | -44534.703 | -3636.081 | -17539.658 |
| -9258864.750 | -12055970.657 | 3132577.412 | 461702.072 | -6248.692 | 3368.851 |
| 273.653 | 273.653 | -141.615 | -0.000 | 0.000 | 0.000 |
| -10148516.234 | -10988202.030 | 5150311.668 | 6333.048 | 2220.004 | -5844.538 |
| 0.000 | -0.000 | -0.000 | 0.000 | 127.394 | -0.000 |
| -12409192.093 | -10906741.372 | 4061984.295 | -516288.571 | -896160.225 | -1461734.869 |
| 311.584 | 118.498 | 59.524 | -0.000 | -0.000 | -0.000 |
| 118.498 | 311.584 | 59.524 | -0.000 | -0.000 | -0.000 |
| 58.877 | 58.877 | 374.742 | 0.000 | -0.000 | -0.000 |
| 0.000 | -0.000 | -0.000 | 96.989 | -0.000 | -0.000 |
| 0.000 | 0.000 | -0.000 | -0.000 | 96.627 | 0.000 |
| 0.000 | 0.000 | -0.000 | -0.000 | -0.000 | 95.329 |
| 310.825 | 120.204 | 58.873 | 0.000 | 0.000 | 0.000 |
| 120.051 | 315.304 | 55.899 | 0.000 | 0.000 | 0.000 |
| 58.877 | 58.877 | 374.742 | 0.000 | 0.000 | 0.000 |
| -0.000 | 0.000 | 0.000 | 96.989 | 0.000 | -0.000 |
| -0.000 | -0.000 | 0.000 | 0.000 | 96.627 | 0.000 |
| -0.000 | -0.000 | 0.000 | 0.000 | 0.000 | 95.329 |
| 315.304 | 120.051 | 55.899 | -0.000 | -0.000 | -0.000 |
| 120.051 | 315.304 | 55.899 | -0.000 | -0.000 | -0.000 |
| 58.877 | 58.877 | 374.742 | 0.000 | -0.000 | -0.000 |
| 0.000 | 0.000 | 0.000 | 96.989 | -0.000 | -0.000 |
| 0.000 | 0.000 | 0.000 | -0.000 | 96.989 | -0.000 |
| 0.000 | 0.000 | -0.000 | -0.000 | -0.000 | 97.626 |
| 311.584 | 118.498 | 59.524 | 0.000 | 0.000 | 0.000 |
| 118.498 | 311.584 | 59.524 | 0.000 | 0.000 | 0.000 |
| 58.877 | 58.877 | 374.742 | 0.000 | 0.000 | 0.000 |
| -0.000 | -0.000 | -0.000 | 96.989 | 0.000 | 0.000 |
| -0.000 | -0.000 | -0.000 | 0.000 | 96.989 | 0.000 |
| -0.000 | -0.000 | 0.000 | 0.000 | 0.000 | 97.626 |
| 311.585 | 118.499 | 59.524 | -0.000 | -0.000 | -0.000 |
| 118.499 | 311.585 | 59.524 | -0.000 | -0.000 | -0.000 |
| 58.878 | 58.878 | 374.742 | -0.000 | -0.000 | -0.000 |
| 0.000 | 0.000 | 0.000 | 96.627 | -0.000 | -0.000 |
| 0.000 | 0.000 | 0.000 | -0.000 | 96.627 | -0.000 |
| 0.000 | 0.000 | 0.000 | 0.000 | -0.000 | 95.310 |
| 311.583 | 118.498 | 59.524 | 0.000 | 0.000 | 0.000 |
| 120.050 | 315.303 | 55.899 | 0.000 | 0.000 | 0.000 |
| 58.876 | 58.876 | 374.742 | 0.000 | 0.000 | 0.000 |
| -0.000 | -0.000 | -0.000 | 96.627 | 0.000 | 0.000 |
| -0.000 | -0.000 | -0.000 | 0.000 | 96.627 | 0.000 |
| -0.000 | -0.000 | -0.000 | 0.000 | 0.000 | 95.310 |
| 190.930 | 34.437 | 34.412 | 0.000 | -0.000 | 0.000 |
| 34.464 | 192.995 | 27.381 | -0.000 | -0.000 | 0.000 |
| 34.465 | 27.407 | 192.992 | 0.000 | -0.000 | 0.000 |
| -62.966 | 212.581 | -91.977 | 42.752 | -0.000 | 0.000 |
| -62.966 | 212.580 | -91.977 | 0.000 | 41.776 | 0.000 |
| -62.966 | 212.580 | -91.977 | 0.000 | -0.000 | 41.729 |
| 243.874 | -116.795 | 54.744 | -0.000 | 0.000 | -0.000 |
| 110.446 | -50.994 | 172.258 | -0.000 | 0.000 | -0.000 |
| 34.465 | 27.407 | 192.992 | -0.000 | 0.000 | -0.000 |
| 62.966 | -212.581 | 91.977 | 42.752 | 0.000 | -0.000 |
| 62.966 | -212.580 | 91.977 | -0.000 | 41.776 | -0.000 |
| 62.966 | -212.580 | 91.977 | -0.000 | 0.000 | 41.729 |
| 190.930 | 34.437 | 34.412 | 0.000 | -0.000 | 0.000 |
| 34.464 | 192.995 | 27.381 | -0.000 | -0.000 | 0.000 |
| 37.678 | 59.393 | 156.006 | 0.000 | -0.000 | 0.000 |
| -8.171 | 17.411 | -8.602 | 57.517 | -0.000 | 0.000 |
| 0.000 | 0.000 | 0.000 | 0.000 | 87.065 | 0.000 |
| -6.513 | 19.659 | -11.647 | 0.000 | -0.000 | 54.273 |
| 190.930 | 34.437 | 34.412 | -0.000 | 0.000 | -0.000 |
| 34.464 | 192.995 | 27.381 | -0.000 | 0.000 | -0.000 |
| 58.798 | 34.235 | 153.151 | -0.000 | 0.000 | -0.000 |
| 8.171 | -17.411 | 8.602 | 57.517 | 0.000 | -0.000 |
| -0.000 | -0.000 | -0.000 | 0.000 | 87.065 | -0.000 |
| 6.513 | -19.659 | 11.647 | -0.000 | 0.000 | 54.273 |
| 153.913 | 47.738 | 45.112 | 0.000 | -0.000 | 0.000 |
| 47.340 | 158.267 | 44.410 | 0.000 | -0.000 | 0.000 |
| 47.401 | 46.610 | 155.814 | 0.000 | -0.000 | 0.000 |
| -0.664 | 1.708 | -0.507 | 55.681 | -0.000 | 0.000 |
| -0.435 | 1.469 | -0.636 | 0.000 | 55.766 | 0.000 |
| -0.756 | 1.721 | -0.383 | 0.000 | -0.000 | 55.210 |
| 159.274 | 47.141 | 49.322 | -0.000 | 0.000 | -0.000 |
| 46.360 | 154.553 | 45.801 | -0.000 | 0.000 | -0.000 |
| 48.219 | 45.372 | 158.521 | -0.000 | 0.000 | -0.000 |
| 0.664 | -1.708 | 0.507 | 55.681 | 0.000 | -0.000 |
| 0.435 | -1.469 | 0.636 | -0.000 | 55.766 | -0.000 |
| 0.756 | -1.721 | 0.383 | -0.000 | 0.000 | 55.210 |
| 188.816 | 29.392 | 35.443 | 0.000 | 8.587 | -0.000 |
| 29.427 | 186.582 | 34.720 | 0.000 | 0.643 | -0.000 |
| 35.515 | 34.669 | 186.861 | 0.000 | -0.356 | -0.000 |
| -225.104 | -10.287 | 306.569 | 37.671 | -472.615 | -0.408 |
| -314.471 | 214.163 | 320.612 | 0.000 | 147.075 | -0.000 |
| -225.112 | -10.288 | 306.580 | -0.576 | -472.632 | 38.713 |
| 365.743 | 63.666 | -252.948 | 0.000 | 474.236 | 0.000 |
| 430.614 | -182.457 | -295.962 | 0.000 | 211.070 | 0.000 |
| 366.023 | -164.116 | -177.370 | 0.000 | -101.807 | 0.000 |
| 225.104 | 10.287 | -306.569 | 37.671 | 472.615 | -0.408 |
| 2.275 | 0.811 | -0.356 | -0.000 | 88.668 | 0.000 |
| 225.112 | 10.288 | -306.580 | -0.576 | 472.632 | 38.713 |
| 188.816 | 29.392 | 35.443 | 0.000 | 8.587 | -0.000 |
| 29.427 | 186.582 | 34.720 | 0.000 | 0.643 | -0.000 |
| 35.515 | 34.669 | 186.861 | 0.000 | -0.356 | 0.000 |
| -0.000 | 0.000 | 0.000 | 83.372 | -0.000 | 0.300 |
| 2.275 | 0.811 | -0.356 | 0.000 | 88.668 | 0.000 |
| -31.372 | 21.837 | 31.364 | 1.640 | 11.069 | 46.065 |
| 188.816 | 29.392 | 35.443 | -0.000 | 8.587 | 0.000 |
| 81.905 | 117.423 | 21.374 | 0.000 | -10.445 | 0.000 |
| 80.326 | 6.852 | 130.477 | 0.000 | 22.650 | 0.000 |
| 0.000 | -0.000 | -0.000 | 83.372 | 0.000 | 0.300 |
| 23.088 | 2.385 | -30.665 | 0.000 | 78.064 | 0.000 |
| 31.372 | -21.837 | -31.364 | 1.640 | -11.069 | 46.065 |
| 151.953 | 46.656 | 48.849 | -0.000 | 6.000 | -0.000 |
| 39.853 | 155.302 | 48.664 | -0.000 | -2.491 | -0.000 |
| 41.836 | 48.975 | 157.714 | -0.000 | -0.271 | 0.000 |
| -1.377 | -0.063 | 1.875 | 55.422 | -2.890 | -0.133 |
| -0.437 | 0.966 | 2.982 | -0.000 | 54.254 | -0.000 |
| -1.374 | -0.063 | 1.871 | -0.300 | -2.884 | 54.414 |
| 157.186 | 43.220 | 42.857 | -0.000 | 7.796 | 0.000 |
| 47.727 | 149.243 | 45.573 | 0.000 | -1.029 | 0.000 |
| 49.028 | 43.928 | 153.693 | 0.000 | 2.762 | 0.000 |
| 1.377 | 0.063 | -1.875 | 55.422 | 2.890 | -0.133 |
| 2.275 | 0.811 | -0.356 | -0.000 | 88.668 | 0.000 |
| 1.374 | 0.063 | -1.871 | -0.300 | 2.884 | 54.414 |
| 156.045 | 59.056 | 59.056 | 0.000 | -0.000 | 0.000 |
| 59.056 | 156.045 | 59.056 | 0.000 | 0.000 | 0.000 |
| 59.056 | 59.056 | 156.045 | -0.000 | 0.000 | 0.000 |
| 8.782 | 8.782 | 8.782 | 50.200 | -0.000 | 0.000 |
| 8.782 | 8.782 | 8.782 | 0.000 | 50.200 | 0.000 |
| 8.782 | 8.782 | 8.782 | 0.000 | -0.000 | 50.200 |
| 162.804 | 43.259 | 43.259 | -0.000 | 0.000 | -0.000 |
| 43.259 | 162.804 | 43.259 | -0.000 | 0.000 | -0.000 |
| 43.259 | 43.259 | 162.804 | -0.000 | 0.000 | -0.000 |
| -8.782 | -8.782 | -8.782 | 50.200 | -0.000 | -0.000 |
| -8.782 | -8.782 | -8.782 | -0.000 | 50.200 | 0.000 |
| -8.782 | -8.782 | -8.782 | -0.000 | 0.000 | 50.200 |
| 148.947 | 50.770 | 50.770 | 0.000 | 0.000 | 0.000 |
| 50.770 | 148.947 | 50.770 | 0.000 | 0.000 | 0.000 |
| 50.770 | 50.770 | 148.947 | 0.000 | -0.000 | 0.000 |
| 0.873 | 0.873 | 0.873 | 50.359 | -0.000 | -0.000 |
| 0.873 | 0.873 | 0.873 | 0.000 | 50.359 | 0.000 |
| 0.873 | 0.873 | 0.873 | 0.000 | -0.000 | 50.359 |
| 147.405 | 48.965 | 48.965 | -0.000 | 0.000 | -0.000 |
| 48.965 | 147.405 | 48.965 | -0.000 | 0.000 | -0.000 |
| 48.965 | 48.965 | 147.405 | -0.000 | 0.000 | -0.000 |
| -0.873 | -0.873 | -0.873 | 50.359 | -0.000 | 0.000 |
| -0.873 | -0.873 | -0.873 | -0.000 | 50.359 | -0.000 |
| -0.873 | -0.873 | -0.873 | -0.000 | -0.000 | 50.359 |
| 160.360 | 44.543 | 44.543 | 0.000 | 0.000 | 0.000 |
| 44.543 | 160.360 | 44.543 | 0.000 | -0.000 | 0.000 |
| 44.543 | 44.543 | 160.360 | 0.000 | -0.000 | 0.000 |
| 0.075 | 0.075 | 0.075 | 54.278 | 0.000 | 0.000 |
| 0.075 | 0.075 | 0.075 | 0.000 | 54.278 | -0.000 |
| 0.075 | 0.075 | 0.075 | 0.000 | -0.000 | 54.278 |
| 159.694 | 44.046 | 44.046 | -0.000 | -0.000 | 0.000 |
| 44.046 | 159.694 | 44.046 | -0.000 | 0.000 | 0.000 |
| 44.046 | 44.046 | 159.694 | -0.000 | 0.000 | -0.000 |
| -0.075 | -0.075 | -0.075 | 54.278 | 0.000 | -0.000 |
| -0.075 | -0.075 | -0.075 | -0.000 | 54.278 | 0.000 |
| -0.075 | -0.075 | -0.075 | -0.000 | 0.000 | 54.278 |
| 193.520 | 26.791 | 26.791 | -0.000 | 0.000 | 0.000 |
| 26.791 | 193.520 | 26.791 | 0.000 | -0.000 | 0.000 |
| 26.791 | 26.791 | 193.520 | 0.000 | -0.000 | 0.000 |
| 10.328 | 10.328 | 10.328 | 52.727 | -0.000 | 0.000 |
| 10.328 | 10.328 | 10.328 | 0.000 | 52.727 | -0.000 |
| 10.328 | 10.328 | 10.328 | -0.000 | -0.000 | 52.727 |
| 139.247 | 35.870 | 35.870 | 0.000 | -0.000 | 0.000 |
| 35.870 | 139.247 | 35.870 | -0.000 | 0.000 | 0.000 |
| 35.870 | 35.870 | 139.247 | 0.000 | 0.000 | -0.000 |
| -10.328 | -10.328 | -10.328 | 52.727 | -0.000 | -0.000 |
| -10.328 | -10.328 | -10.328 | 0.000 | 52.727 | -0.000 |
| -10.328 | -10.328 | -10.328 | 0.000 | 0.000 | 52.727 |
| 161.989 | 44.287 | 44.287 | -0.000 | -0.000 | 0.000 |
| 43.538 | 158.624 | 43.538 | -0.000 | -0.000 | 0.000 |
| 44.287 | 44.287 | 161.989 | -0.000 | -0.000 | 0.000 |
| 0.986 | 0.986 | 0.986 | 53.831 | -0.000 | 0.000 |
| 0.986 | 0.986 | 0.986 | 0.000 | 53.831 | 0.000 |
| 0.986 | 0.986 | 0.986 | -0.000 | -0.000 | 53.831 |
| 152.831 | 43.522 | 43.522 | 0.000 | 0.000 | -0.000 |
| 43.522 | 152.831 | 43.522 | -0.000 | 0.000 | -0.000 |
| 43.522 | 43.522 | 152.831 | 0.000 | -0.000 | 0.000 |
| -0.986 | -0.986 | -0.986 | 53.831 | 0.000 | 0.000 |
| -0.986 | -0.986 | -0.986 | 0.000 | 53.831 | -0.000 |
| -0.986 | -0.986 | -0.986 | 0.000 | 0.000 | 53.831 |
| 157.971 | 42.853 | 42.853 | -0.000 | -0.000 | -0.000 |
| 42.853 | 157.971 | 42.853 | 0.000 | 0.000 | 0.000 |
| 42.853 | 42.853 | 157.971 | -0.000 | -0.000 | 0.000 |
| 0.091 | 0.091 | 0.091 | 55.567 | -0.000 | 0.000 |
| 0.091 | 0.091 | 0.091 | -0.000 | 55.567 | 0.000 |
| 0.091 | 0.091 | 0.091 | -0.000 | -0.000 | 55.567 |
| 159.804 | 41.670 | 41.670 | -0.000 | 0.000 | -0.000 |
| 41.670 | 159.804 | 41.670 | -0.000 | 0.000 | -0.000 |
| 41.670 | 41.670 | 159.804 | -0.000 | 0.000 | 0.000 |
| -0.091 | -0.091 | -0.091 | 55.567 | -0.000 | -0.000 |
| -0.091 | -0.091 | -0.091 | 0.000 | 55.567 | -0.000 |
| -0.091 | -0.091 | -0.091 | 0.000 | -0.000 | 55.567 |
| 217.771 | 63.046 | 63.046 | 0.000 | -0.000 | -0.000 |
| 63.046 | 217.771 | 63.046 | 0.000 | -0.000 | -0.000 |
| 63.046 | 63.046 | 217.771 | 0.000 | -0.000 | -0.000 |
| -0.000 | -0.000 | 0.000 | 78.371 | 0.000 | 0.000 |
| -0.000 | 0.000 | 0.000 | -0.000 | 78.371 | -0.000 |
| -0.000 | 0.000 | 0.000 | 0.000 | 0.000 | 78.371 |
| 194.804 | 29.467 | 29.467 | 0.000 | 0.000 | -0.000 |
| 29.467 | 194.804 | 29.467 | -0.000 | -0.000 | -0.000 |
| 29.467 | 29.467 | 194.804 | 0.000 | -0.000 | -0.000 |
| -0.000 | 0.000 | 0.000 | 78.371 | -0.000 | -0.000 |
| 0.000 | -0.000 | -0.000 | -0.000 | 78.371 | -0.000 |
| -0.000 | -0.000 | -0.000 | -0.000 | -0.000 | 78.371 |
| 141.080 | 56.075 | 56.075 | -0.000 | 0.000 | 0.000 |
| 56.075 | 141.080 | 56.075 | -0.000 | 0.000 | 0.000 |
| 56.075 | 56.075 | 141.080 | -0.000 | 0.000 | 0.000 |
| 1.305 | 1.305 | 1.305 | 47.668 | 0.000 | 0.000 |
| 1.305 | 1.305 | 1.305 | -0.000 | 47.668 | 0.000 |
| 1.305 | 1.305 | 1.305 | -0.000 | 0.000 | 47.668 |
| 137.570 | 52.600 | 52.600 | 0.000 | -0.000 | -0.000 |
| 52.600 | 137.570 | 52.600 | 0.000 | -0.000 | -0.000 |
| 52.600 | 52.600 | 137.570 | 0.000 | -0.000 | -0.000 |
| -1.305 | -1.305 | -1.305 | 47.668 | -0.000 | -0.000 |
| -1.305 | -1.305 | -1.305 | 0.000 | 47.668 | -0.000 |
| -1.305 | -1.305 | -1.305 | 0.000 | -0.000 | 47.668 |
| 155.552 | 44.466 | 44.466 | -0.000 | 0.000 | 0.000 |
| 44.466 | 155.552 | 44.466 | -0.000 | 0.000 | 0.000 |
| 44.466 | 44.466 | 155.552 | -0.000 | 0.000 | 0.000 |
| 0.119 | 0.119 | 0.119 | 55.333 | 0.000 | 0.000 |
| 0.119 | 0.119 | 0.119 | -0.000 | 55.333 | 0.000 |
| 0.119 | 0.119 | 0.119 | -0.000 | 0.000 | 55.333 |
| 157.711 | 45.927 | 45.927 | 0.000 | -0.000 | -0.000 |
| 45.927 | 157.711 | 45.927 | 0.000 | -0.000 | -0.000 |
| 45.927 | 45.927 | 157.711 | 0.000 | -0.000 | -0.000 |
| -0.119 | -0.119 | -0.119 | 55.333 | -0.000 | -0.000 |
| -0.119 | -0.119 | -0.119 | 0.000 | 55.333 | -0.000 |
| -0.119 | -0.119 | -0.119 | 0.000 | -0.000 | 55.333 |
| 246.430 | 133.488 | 133.586 | 0.036 | 0.040 | 0.007 |
| 151.375 | 229.681 | 150.979 | 0.192 | 0.213 | 0.037 |
| 111.174 | 110.956 | 224.733 | 0.046 | 0.050 | 0.009 |
| 95.744 | 95.942 | 95.829 | 55.010 | -0.046 | -0.008 |
| 95.744 | 95.942 | 95.829 | -0.041 | 55.006 | -0.008 |
| 95.742 | 95.940 | 95.827 | -0.041 | -0.046 | 55.044 |
| 61.691 | -52.530 | -52.418 | 0.041 | 0.046 | 0.008 |
| -46.437 | 66.683 | -46.363 | -0.036 | -0.040 | -0.007 |
| -46.437 | -46.266 | 66.586 | -0.036 | -0.040 | -0.007 |
| -95.738 | -95.937 | -95.824 | 55.093 | 0.046 | 0.008 |
| -90.020 | -89.848 | -89.946 | -0.036 | 56.041 | -0.007 |
| -90.020 | -89.848 | -89.946 | -0.036 | -0.040 | 56.074 |
| 159.862 | 52.305 | 52.307 | 0.001 | 0.001 | 0.000 |
| 52.009 | 164.938 | 52.010 | -0.001 | -0.001 | -0.000 |
| 52.009 | 52.012 | 164.942 | -0.001 | -0.001 | -0.000 |
| 9.087 | 9.078 | 9.083 | 59.820 | 0.002 | 0.000 |
| 9.087 | 9.078 | 9.083 | 0.002 | 59.820 | 0.000 |
| 6.876 | 6.872 | 6.874 | 0.001 | 0.001 | 53.385 |
| 147.884 | 34.477 | 34.467 | -0.003 | -0.004 | -0.001 |
| 36.716 | 149.831 | 36.725 | -0.004 | -0.005 | -0.001 |
| 36.715 | 36.735 | 149.821 | -0.004 | -0.005 | -0.001 |
| -8.987 | -8.970 | -8.980 | 55.991 | -0.004 | -0.001 |
| -9.087 | -9.078 | -9.083 | -0.002 | 59.812 | -0.000 |
| -8.987 | -8.970 | -8.980 | -0.004 | -0.004 | 55.994 |
| 156.098 | 45.450 | 45.450 | 0.000 | 0.000 | 0.000 |
| 45.451 | 156.096 | 45.450 | 0.000 | 0.000 | 0.000 |
| 45.451 | 45.450 | 156.097 | 0.000 | 0.000 | 0.000 |
| 0.767 | 0.765 | 0.766 | 55.138 | 0.000 | 0.000 |
| 0.767 | 0.765 | 0.766 | 0.000 | 55.138 | 0.000 |
| 0.739 | 0.737 | 0.738 | 0.000 | 0.000 | 55.420 |
| 154.273 | 43.645 | 43.644 | -0.000 | -0.000 | -0.000 |
| 43.463 | 154.640 | 43.463 | -0.000 | -0.000 | -0.000 |
| 43.525 | 43.527 | 154.691 | -0.000 | -0.000 | -0.000 |
| -0.314 | -0.313 | -0.313 | 54.767 | -0.000 | -0.000 |
| -0.767 | -0.765 | -0.766 | -0.000 | 55.137 | -0.000 |
| -0.993 | -0.992 | -0.993 | -0.000 | -0.000 | 54.975 |
| 181.138 | 28.035 | 37.177 | -4.499 | -0.000 | 0.000 |
| 28.035 | 181.138 | 37.177 | 4.499 | -0.000 | 0.000 |
| 37.177 | 37.177 | 186.789 | 0.000 | -0.000 | 0.000 |
| -4.499 | 4.499 | 0.000 | 84.414 | -0.000 | 0.000 |
| 0.000 | -0.000 | 0.000 | 0.000 | 84.414 | -4.499 |
| -0.000 | -0.000 | 0.000 | -0.000 | -4.499 | 76.552 |
| 160.228 | 60.828 | 21.938 | -3.725 | 0.000 | -0.000 |
| 60.828 | 160.228 | 21.938 | 3.725 | 0.000 | -0.000 |
| 37.177 | 37.177 | 186.789 | -0.000 | -0.000 | -0.000 |
| -4.499 | 4.499 | -0.000 | 84.414 | 0.000 | -0.000 |
| -0.000 | 0.000 | -0.000 | -0.000 | 84.414 | -4.499 |
| -0.000 | 0.000 | -0.000 | -0.000 | -4.499 | 76.552 |
| 148.013 | 44.200 | 50.960 | -3.789 | -0.000 | 0.000 |
| 28.035 | 181.138 | 37.177 | 4.499 | 0.000 | 0.000 |
| 53.534 | 53.534 | 149.194 | -0.000 | 0.000 | 0.000 |
| -4.499 | 4.499 | 0.000 | 84.414 | -0.000 | 0.000 |
| -0.000 | 0.000 | 0.000 | 0.000 | 84.414 | -4.499 |
| -0.000 | 0.000 | 0.000 | 0.000 | -4.499 | 76.552 |
| 149.159 | 47.581 | 46.307 | -3.757 | 0.000 | -0.000 |
| 47.581 | 149.158 | 46.307 | 3.757 | 0.000 | -0.000 |
| 37.177 | 37.177 | 186.789 | -0.000 | -0.000 | -0.000 |
| -4.499 | 4.499 | -0.000 | 84.414 | -0.000 | -0.000 |
| 0.000 | -0.000 | -0.000 | -0.000 | 84.414 | -4.499 |
| 0.000 | -0.000 | -0.000 | -0.000 | -4.499 | 76.552 |
| 150.786 | 44.456 | 48.100 | -3.825 | -0.000 | 0.000 |
| 44.457 | 150.784 | 48.101 | 3.825 | -0.000 | 0.000 |
| 37.177 | 37.177 | 186.789 | 0.000 | 0.000 | 0.000 |
| -4.499 | 4.499 | 0.000 | 84.414 | -0.000 | 0.000 |
| -0.000 | 0.000 | 0.000 | 0.000 | 84.414 | -4.499 |
| -0.000 | 0.000 | 0.000 | 0.000 | -4.499 | 76.552 |
| 150.780 | 44.833 | 47.706 | -3.820 | 0.000 | -0.000 |
| 44.832 | 150.780 | 47.706 | 3.820 | 0.000 | -0.000 |
| 37.177 | 37.177 | 186.788 | -0.000 | -0.000 | -0.000 |
| -4.859 | 4.847 | -0.391 | 56.533 | 0.000 | -0.000 |
| 0.000 | -0.000 | -0.000 | -0.000 | 84.414 | -4.499 |
| 0.000 | -0.000 | -0.000 | -0.000 | -4.499 | 76.552 |
| -218.495 | -304.477 | 318.547 | 3.553 | -0.000 | 0.000 |
| -89.768 | 26.740 | -109.398 | -5.439 | -0.000 | -0.000 |
| -306.263 | -306.263 | 419.792 | 0.000 | 0.000 | 0.000 |
| -353.445 | -360.545 | 266.533 | 44.763 | 0.000 | -0.000 |
| -0.000 | 0.000 | -0.000 | 0.000 | 84.082 | 4.456 |
| -356.999 | -356.999 | 266.536 | 0.000 | 3.550 | 42.894 |
| 180.696 | 27.753 | 37.320 | 4.456 | 0.000 | 0.000 |
| 166.168 | 282.945 | 203.731 | -5.451 | 0.000 | 0.000 |
| 36.787 | 36.787 | 186.264 | -0.000 | 0.000 | -0.000 |
| 360.584 | 353.484 | -266.563 | 44.758 | 0.000 | 0.000 |
| 0.000 | -0.000 | 0.000 | -0.000 | 84.082 | 4.456 |
| 356.999 | 356.999 | -266.536 | 0.000 | 3.550 | 42.894 |
| 180.696 | 27.753 | 37.320 | 4.456 | -0.000 | -0.000 |
| 28.913 | 132.748 | 37.001 | -4.872 | -0.000 | -0.000 |
| 15.788 | 15.788 | 178.554 | 0.000 | -0.000 | 0.000 |
| -7.782 | -18.625 | -15.099 | 60.665 | -0.000 | 0.000 |
| -35.299 | -35.299 | 26.354 | 0.000 | 45.204 | 3.560 |
| -35.331 | -35.331 | 26.378 | 0.000 | 3.559 | 43.241 |
| 180.696 | 27.753 | 37.320 | 4.456 | 0.000 | -0.000 |
| 88.238 | 172.919 | 25.989 | -3.535 | 0.000 | 0.000 |
| 36.787 | 36.787 | 186.264 | -0.000 | -0.000 | -0.000 |
| 20.271 | 10.583 | 9.934 | 55.912 | 0.000 | -0.000 |
| 35.299 | 35.299 | -26.354 | -0.000 | 45.204 | 3.560 |
| 35.331 | 35.331 | -26.378 | -0.000 | 3.559 | 43.241 |
| 146.348 | 42.566 | 50.623 | 3.793 | -0.000 | -0.000 |
| 27.753 | 180.696 | 37.321 | -4.456 | -0.000 | -0.000 |
| 47.728 | 47.728 | 157.480 | -0.000 | 0.000 | 0.000 |
| 1.073 | -6.470 | 2.014 | 54.364 | -0.000 | -0.000 |
| -0.000 | 0.000 | 0.000 | -0.000 | 84.082 | 4.456 |
| -2.683 | -2.683 | 2.003 | -0.000 | 3.775 | 51.236 |
| 150.098 | 48.809 | 47.197 | 3.759 | 0.000 | 0.000 |
| 27.753 | 180.696 | 37.320 | -4.456 | 0.000 | 0.000 |
| 48.547 | 48.547 | 157.386 | -0.000 | -0.000 | -0.000 |
| 6.469 | -1.073 | -2.014 | 54.364 | 0.000 | -0.000 |
| 0.000 | -0.000 | -0.000 | 0.000 | 84.082 | 4.456 |
| 2.683 | 2.683 | -2.003 | 0.000 | 3.775 | 51.236 |
| 461.064 | 362.122 | -495.645 | -0.000 | -0.000 | -0.000 |
| 356.722 | 474.544 | -489.329 | -0.000 | -0.000 | -0.000 |
| 356.843 | 356.843 | -371.735 | 0.000 | 0.000 | -0.000 |
| 309.398 | 309.398 | -547.429 | 49.664 | 0.000 | -0.000 |
| 309.398 | 309.398 | -547.429 | -0.000 | 49.664 | -0.000 |
| 309.399 | 309.399 | -547.430 | 0.000 | 0.000 | 49.498 |
| 197.527 | 29.407 | 30.838 | 0.000 | -0.000 | 0.000 |
| -256.692 | -157.636 | 599.141 | 0.000 | 0.000 | 0.000 |
| -265.434 | -265.434 | 698.086 | 0.000 | -0.000 | 0.000 |
| -309.398 | -309.398 | 547.429 | 49.664 | -0.000 | 0.000 |
| -309.398 | -309.398 | 547.429 | -0.000 | 49.664 | -0.000 |
| -309.399 | -309.399 | 547.430 | -0.000 | -0.000 | 49.498 |
| 193.821 | 77.442 | -7.908 | -0.000 | -0.000 | -0.000 |
| 29.407 | 197.527 | 30.838 | 0.000 | 0.000 | -0.000 |
| 81.714 | 81.714 | 99.267 | 0.000 | -0.000 | -0.000 |
| 0.000 | 0.000 | 0.000 | 85.357 | 0.000 | -0.000 |
| 0.000 | 0.000 | 0.000 | 0.000 | 85.357 | -0.000 |
| 0.000 | 0.000 | 0.000 | 0.000 | 0.000 | 84.060 |
| 122.365 | 21.710 | 105.117 | 0.000 | -0.000 | 0.000 |
| 29.407 | 197.527 | 30.838 | -0.000 | -0.000 | 0.000 |
| 21.401 | 21.401 | 205.800 | -0.000 | -0.000 | 0.000 |
| -0.000 | -0.000 | -0.000 | 85.357 | 0.000 | 0.000 |
| -0.000 | -0.000 | -0.000 | 0.000 | 85.357 | 0.000 |
| -0.000 | -0.000 | -0.000 | -0.000 | 0.000 | 84.060 |
| 162.450 | 50.840 | 42.170 | 0.000 | -0.000 | -0.000 |
| 29.407 | 197.527 | 30.838 | 0.000 | 0.000 | -0.000 |
| 50.689 | 50.689 | 154.416 | -0.000 | 0.000 | -0.000 |
| 2.538 | 2.538 | -4.490 | 56.079 | 0.000 | -0.000 |
| 3.193 | 3.193 | -5.522 | 0.000 | 56.471 | -0.000 |
| 3.023 | 3.023 | -5.103 | 0.000 | 0.000 | 55.947 |
| 197.526 | 29.407 | 30.838 | -0.000 | -0.000 | 0.000 |
| 43.981 | 156.875 | 53.056 | 0.000 | -0.000 | 0.000 |
| 45.489 | 45.489 | 164.531 | -0.000 | -0.000 | 0.000 |
| -2.538 | -2.538 | 4.490 | 56.079 | -0.000 | 0.000 |
| -3.193 | -3.193 | 5.522 | 0.000 | 56.471 | 0.000 |
| -3.023 | -3.023 | 5.103 | 0.000 | -0.000 | 55.947 |
| 1040.982 | 941.791 | -1748.231 | 0.000 | -0.000 | -0.000 |
| 29.443 | 197.682 | 30.982 | -0.000 | -0.000 | -0.000 |
| 659.883 | 659.883 | -1164.478 | -0.000 | -0.000 | 0.000 |
| 886.925 | 886.925 | -1795.803 | 49.662 | -0.000 | -0.000 |
| 886.877 | 886.877 | -1795.706 | -0.000 | 49.664 | -0.000 |
| -0.000 | 0.000 | -0.000 | 0.000 | -0.000 | 84.120 |
| -732.607 | -832.169 | 1843.233 | -0.000 | -0.000 | 0.000 |
| -566.181 | -449.617 | 1369.848 | -0.000 | 0.000 | -0.000 |
| -561.483 | -561.483 | 1477.269 | -0.000 | 0.000 | 0.000 |
| -886.925 | -886.925 | 1795.803 | 49.662 | -0.000 | 0.000 |
| -886.877 | -886.877 | 1795.706 | -0.000 | 49.664 | -0.000 |
| 0.000 | -0.000 | 0.000 | 0.000 | -0.000 | 84.120 |
| 197.683 | 29.443 | 30.982 | -0.000 | 0.000 | -0.000 |
| 143.685 | 241.477 | -130.884 | 0.000 | -0.000 | -0.000 |
| 136.308 | 136.308 | -18.922 | -0.000 | -0.000 | -0.000 |
| 88.298 | 88.298 | -178.782 | 49.821 | -0.000 | -0.000 |
| 0.000 | 0.000 | 0.000 | -0.000 | 85.327 | 0.000 |
| 88.305 | 88.305 | -178.795 | 0.000 | -0.000 | 49.838 |
| 197.682 | 29.443 | 30.982 | 0.000 | 0.000 | -0.000 |
| -34.418 | 66.897 | 226.257 | -0.000 | 0.000 | 0.000 |
| -40.012 | -40.012 | 337.943 | 0.000 | 0.000 | 0.000 |
| -88.298 | -88.298 | 178.782 | 49.821 | 0.000 | 0.000 |
| -0.000 | -0.000 | -0.000 | -0.000 | 85.327 | 0.000 |
| -88.305 | -88.305 | 178.795 | -0.000 | 0.000 | 49.838 |
| 164.781 | 57.755 | 34.000 | 0.000 | -0.000 | -0.000 |
| 57.753 | 164.783 | 34.000 | 0.000 | 0.000 | -0.000 |
| 54.603 | 54.603 | 144.639 | 0.000 | -0.000 | -0.000 |
| 7.641 | 7.641 | -15.471 | 54.602 | -0.000 | -0.000 |
| 7.641 | 7.641 | -15.471 | 0.000 | 54.602 | -0.000 |
| 7.635 | 7.635 | -15.458 | -0.000 | 0.000 | 54.480 |
| 153.221 | 40.562 | 62.098 | 0.000 | 0.000 | 0.000 |
| 41.252 | 151.865 | 63.878 | -0.000 | 0.000 | 0.000 |
| 42.834 | 42.834 | 170.351 | -0.000 | 0.000 | 0.000 |
| -7.641 | -7.641 | 15.471 | 54.602 | 0.000 | 0.000 |
| -7.641 | -7.641 | 15.471 | -0.000 | 54.602 | 0.000 |
| -7.635 | -7.635 | 15.458 | -0.000 | -0.000 | 54.480 |
| 176.754 | 33.752 | 33.457 | 0.000 | 0.000 | 0.000 |
| 33.752 | 176.754 | 33.457 | 0.000 | 0.000 | 0.000 |
| -89.516 | -89.516 | 671.144 | 0.000 | -0.000 | 0.000 |
| -140.611 | -140.611 | 516.495 | 37.088 | -0.000 | 0.000 |
| -140.611 | -140.611 | 516.495 | 0.000 | 37.088 | 0.000 |
| -140.609 | -140.609 | 516.487 | 0.000 | -0.000 | 33.126 |
| 176.754 | 33.752 | 33.457 | -0.000 | 0.000 | -0.000 |
| 33.752 | 176.754 | 33.457 | 0.000 | 0.000 | -0.000 |
| 112.546 | 112.546 | -502.572 | -0.000 | 0.000 | -0.000 |
| 140.611 | 140.611 | -516.495 | 37.088 | 0.000 | -0.000 |
| 140.611 | 140.611 | -516.495 | -0.000 | 37.088 | -0.000 |
| 140.609 | 140.609 | -516.487 | -0.000 | 0.000 | 33.126 |
| 120.863 | 26.554 | 99.675 | 0.000 | -0.000 | 0.000 |
| 26.554 | 120.863 | 99.675 | 0.000 | -0.000 | 0.000 |
| 37.771 | 37.771 | 203.832 | 0.000 | -0.000 | 0.000 |
| -13.557 | -13.557 | 49.799 | 38.668 | -0.000 | 0.000 |
| -13.557 | -13.557 | 49.799 | 0.000 | 38.668 | 0.000 |
| -13.558 | -13.558 | 49.801 | 0.000 | -0.000 | 34.753 |
| 132.395 | 30.280 | -8.768 | 0.000 | -0.000 | 0.000 |
| 30.280 | 132.395 | -8.768 | 0.000 | -0.000 | -0.000 |
| 63.501 | 63.501 | 107.457 | -0.000 | 0.000 | -0.000 |
| 13.557 | 13.557 | -49.799 | 38.668 | 0.000 | -0.000 |
| 13.557 | 13.557 | -49.799 | -0.000 | 38.668 | -0.000 |
| 13.558 | 13.558 | -49.801 | -0.000 | 0.000 | 34.753 |
| 132.258 | 34.074 | 46.236 | 0.000 | -0.000 | 0.000 |
| 34.074 | 132.258 | 46.236 | 0.000 | -0.000 | 0.000 |
| 43.998 | 43.998 | 172.698 | 0.000 | -0.000 | 0.000 |
| -0.876 | -0.876 | 3.217 | 53.730 | -0.000 | 0.000 |
| -0.876 | -0.876 | 3.217 | 0.000 | 53.730 | 0.000 |
| -0.000 | 0.000 | 0.000 | 0.000 | -0.000 | 78.608 |
| 127.490 | 33.543 | 29.779 | -0.000 | 0.000 | -0.000 |
| 33.543 | 127.490 | 29.779 | -0.000 | 0.000 | -0.000 |
| 33.457 | 33.457 | 198.304 | 0.000 | 0.000 | -0.000 |
| 0.876 | 0.876 | -3.217 | 53.730 | 0.000 | -0.000 |
| 0.876 | 0.876 | -3.217 | -0.000 | 53.730 | -0.000 |
| 0.000 | -0.000 | -0.000 | 0.000 | 0.000 | 78.608 |
| 173.645 | 32.742 | 32.866 | -0.000 | 0.000 | -0.000 |
| 32.742 | 173.645 | 32.866 | -0.000 | 0.000 | -0.000 |
| 32.736 | 32.736 | 194.856 | -0.000 | 0.000 | -0.000 |
| -0.000 | 0.000 | 0.000 | 80.314 | 0.000 | -0.000 |
| -0.000 | 0.000 | 0.000 | -0.000 | 80.314 | -0.000 |
| 95.344 | 95.344 | -258.584 | -0.000 | 0.000 | 40.127 |
| 173.645 | 32.742 | 32.866 | 0.000 | -0.000 | 0.000 |
| 32.742 | 173.645 | 32.866 | 0.000 | -0.000 | 0.000 |
| 205.395 | 205.395 | 14.647 | 0.000 | -0.000 | 0.000 |
| 0.000 | -0.000 | -0.000 | 80.314 | -0.000 | 0.000 |
| 0.000 | -0.000 | -0.000 | 0.000 | 80.314 | 0.000 |
| -95.344 | -95.344 | 258.584 | 0.000 | -0.000 | 40.127 |
| 134.378 | 37.734 | 34.485 | 0.000 | 0.000 | -0.000 |
| 37.734 | 134.378 | 34.485 | -0.000 | 0.000 | -0.000 |
| 32.736 | 32.736 | 194.856 | -0.000 | 0.000 | -0.000 |
| 0.000 | -0.000 | 0.000 | 80.314 | 0.000 | -0.000 |
| -0.000 | 0.000 | 0.000 | -0.000 | 80.314 | -0.000 |
| 9.706 | 9.706 | -25.921 | -0.000 | 0.000 | 40.809 |
| 173.645 | 32.742 | 32.866 | 0.000 | -0.000 | 0.000 |
| 32.742 | 173.645 | 32.866 | 0.000 | -0.000 | 0.000 |
| 32.736 | 32.736 | 194.856 | 0.000 | -0.000 | 0.000 |
| -0.000 | 0.000 | -0.000 | 80.314 | -0.000 | 0.000 |
| 0.000 | -0.000 | -0.000 | 0.000 | 80.314 | 0.000 |
| -9.706 | -9.706 | 25.921 | 0.000 | -0.000 | 40.809 |
| 125.765 | 30.835 | 36.434 | -0.000 | 0.000 | -0.000 |
| 31.983 | 128.702 | 39.412 | -0.000 | 0.000 | -0.000 |
| 40.833 | 40.833 | 159.957 | -0.000 | 0.000 | -0.000 |
| -1.279 | -1.279 | 1.175 | 54.188 | 0.000 | -0.000 |
| -1.279 | -1.279 | 1.175 | -0.000 | 54.188 | -0.000 |
| -1.293 | -1.293 | 1.188 | -0.000 | 0.000 | 50.717 |
| 130.935 | 34.147 | 41.151 | 0.000 | -0.000 | 0.000 |
| 34.147 | 130.935 | 41.151 | 0.000 | -0.000 | 0.000 |
| 43.553 | 43.553 | 162.903 | 0.000 | -0.000 | 0.000 |
| 1.279 | 1.279 | -1.175 | 54.188 | -0.000 | 0.000 |
| 1.279 | 1.279 | -1.175 | 0.000 | 54.188 | 0.000 |
| 1.293 | 1.293 | -1.188 | 0.000 | -0.000 | 50.717 |
| 175.133 | -24.398 | 173.062 | 0.000 | -0.000 | 0.000 |
| 29.639 | 196.063 | 30.062 | 0.000 | 0.000 | 0.000 |
| 88.326 | -33.539 | 263.070 | 0.000 | -0.000 | -0.000 |
| 37.243 | -103.579 | 176.059 | 28.208 | -0.000 | 0.000 |
| 37.281 | -103.685 | 176.239 | 0.000 | 29.751 | -0.000 |
| -90.530 | -31.359 | 212.383 | 0.000 | -0.000 | 61.808 |
| 88.531 | 170.272 | -113.461 | -0.000 | 0.000 | -0.000 |
| 128.743 | 203.804 | -175.490 | 0.000 | 0.000 | -0.000 |
| 33.657 | 30.062 | 188.533 | -0.000 | 0.000 | 0.000 |
| -37.243 | 103.579 | -176.059 | 28.208 | 0.000 | -0.000 |
| -37.281 | 103.685 | -176.239 | 0.000 | 29.751 | -0.000 |
| 90.530 | 31.359 | -212.383 | -0.000 | -0.000 | 61.808 |
| 198.279 | 29.640 | 33.657 | -0.000 | -0.000 | -0.000 |
| 29.639 | 196.064 | 30.062 | 0.000 | 0.000 | -0.000 |
| 57.586 | 44.751 | 151.146 | 0.000 | -0.000 | 0.000 |
| -1.212 | -5.496 | 14.170 | 54.734 | -0.000 | 0.000 |
| 3.036 | -8.443 | 14.351 | 0.000 | 39.682 | 0.000 |
| -0.000 | 0.000 | 0.000 | 0.000 | 0.000 | 80.413 |
| 198.279 | 29.640 | 33.657 | -0.000 | 0.000 | 0.000 |
| 29.639 | 196.063 | 30.062 | -0.000 | 0.000 | -0.000 |
| 51.549 | 60.785 | 124.007 | -0.000 | 0.000 | -0.000 |
| 1.212 | 5.496 | -14.170 | 54.734 | 0.000 | -0.000 |
| -3.036 | 8.443 | -14.351 | -0.000 | 39.682 | -0.000 |
| 0.000 | -0.000 | -0.000 | -0.000 | 0.000 | 80.413 |
| 161.097 | 48.880 | 47.960 | -0.000 | 0.000 | 0.000 |
| 50.200 | 158.776 | 46.026 | 0.000 | 0.000 | 0.000 |
| 47.700 | 44.597 | 155.635 | -0.000 | -0.000 | 0.000 |
| -0.268 | -0.559 | 1.677 | 57.154 | -0.000 | 0.000 |
| 0.202 | -0.562 | 0.956 | 0.000 | 54.217 | 0.000 |
| -0.000 | 0.000 | 0.000 | -0.000 | -0.000 | 80.413 |
| 160.314 | 49.907 | 46.100 | -0.000 | 0.000 | -0.000 |
| 47.822 | 158.423 | 42.415 | 0.000 | 0.000 | 0.000 |
| 47.220 | 43.817 | 150.869 | 0.000 | 0.000 | -0.000 |
| 0.268 | 0.559 | -1.677 | 57.154 | -0.000 | 0.000 |
| -0.202 | 0.562 | -0.956 | 0.000 | 54.217 | -0.000 |
| 0.000 | -0.000 | -0.000 | -0.000 | 0.000 | 80.413 |
| 453.185 | 14.244 | -143.386 | 0.000 | 0.000 | -0.000 |
| 28.728 | 194.433 | 29.246 | -0.000 | 0.000 | 0.000 |
| 411.944 | -85.299 | -54.554 | -0.000 | 0.000 | -0.000 |
| 364.108 | -134.512 | -200.377 | 47.557 | 0.000 | -0.000 |
| -0.000 | 0.000 | -0.000 | -0.000 | 82.787 | -0.000 |
| 291.379 | -34.533 | -188.881 | -0.000 | -0.000 | 56.234 |
| -131.115 | 84.094 | 234.864 | 0.000 | 0.000 | 0.000 |
| -272.140 | 194.008 | 181.081 | -0.000 | 0.000 | -0.000 |
| -316.374 | 184.089 | 345.833 | -0.000 | -0.000 | 0.000 |
| -364.108 | 134.512 | 200.377 | 47.557 | -0.000 | 0.000 |
| 0.000 | -0.000 | 0.000 | 0.000 | 82.787 | -0.000 |
| -291.379 | 34.533 | 188.881 | 0.000 | 0.000 | 56.234 |
| 196.643 | 28.999 | 32.781 | 0.000 | -0.000 | 0.000 |
| 28.728 | 194.433 | 29.246 | 0.000 | -0.000 | 0.000 |
| 32.736 | 29.471 | 186.948 | 0.000 | 0.000 | 0.000 |
| 33.512 | -12.380 | -18.442 | 50.593 | 0.000 | -0.000 |
| -0.000 | 0.000 | 0.000 | -0.000 | 82.787 | 0.000 |
| 29.698 | -3.973 | -19.074 | -0.000 | 0.000 | 55.870 |
| 122.765 | 63.205 | 65.398 | 0.000 | -0.000 | 0.000 |
| 28.728 | 194.433 | 29.246 | 0.000 | -0.000 | -0.000 |
| 14.215 | 61.084 | 165.037 | -0.000 | -0.000 | 0.000 |
| -33.512 | 12.380 | 18.442 | 50.593 | 0.000 | 0.000 |
| 0.000 | -0.000 | -0.000 | 0.000 | 82.787 | 0.000 |
| -29.698 | 3.973 | 19.074 | 0.000 | -0.000 | 55.870 |
| 163.667 | 47.034 | 44.122 | -0.000 | 0.000 | -0.000 |
| 51.302 | 157.323 | 42.333 | 0.000 | -0.000 | -0.000 |
| 48.150 | 42.417 | 150.336 | 0.000 | -0.000 | -0.000 |
| 3.133 | -0.543 | -1.565 | 57.202 | -0.000 | 0.000 |
| 2.907 | -0.624 | -1.775 | 0.000 | 53.879 | -0.000 |
| 3.019 | -0.678 | -1.832 | 0.000 | -0.000 | 56.013 |
| 196.642 | 28.999 | 32.781 | -0.000 | -0.000 | -0.000 |
| 46.054 | 158.684 | 45.732 | 0.000 | 0.000 | 0.000 |
| 43.488 | 45.456 | 155.166 | 0.000 | -0.000 | 0.000 |
| -3.133 | 0.543 | 1.565 | 57.202 | 0.000 | -0.000 |
| -2.907 | 0.624 | 1.775 | -0.000 | 53.879 | 0.000 |
| -3.019 | 0.678 | 1.832 | 0.000 | 0.000 | 56.013 |
| 785.379 | -147.265 | -184.374 | -227.788 | -153.015 | -302.706 |
| 6.845 | 342.296 | 17.452 | -24.134 | 2.544 | 0.091 |
| 413.262 | -190.969 | 211.441 | -200.142 | -109.591 | -224.203 |
| 235.851 | -272.091 | -145.331 | -281.651 | -20.890 | -162.740 |
| 341.912 | -253.931 | 35.027 | -208.066 | -49.270 | -218.958 |
| 218.007 | -334.995 | -201.416 | -285.041 | -12.391 | 81.450 |
| -18.772 | 58.962 | 287.085 | 239.916 | 111.180 | 111.243 |
| 6.845 | 342.296 | 17.452 | -24.134 | 2.544 | 0.091 |
| 9.098 | 17.407 | 329.982 | 12.030 | 7.503 | -2.407 |
| -225.480 | 355.703 | 200.754 | 352.425 | -1.735 | -2.216 |
| -5.633 | 2.924 | 7.503 | 8.758 | 178.200 | -10.582 |
| -496.676 | 181.903 | 211.532 | 219.239 | 109.505 | 393.401 |
| 319.360 | 19.842 | 18.358 | -29.168 | -31.740 | -50.823 |
| 91.488 | 191.376 | 63.096 | -24.769 | -10.351 | -5.488 |
| 81.423 | 26.952 | 247.733 | -15.345 | -4.433 | -31.871 |
| -16.262 | -0.312 | 12.030 | 150.997 | 8.758 | 13.967 |
| -5.633 | 2.924 | 7.503 | 8.758 | 178.200 | -10.582 |
| 30.679 | 2.268 | -25.579 | -28.336 | -31.085 | 75.452 |
| 237.062 | 45.899 | 54.435 | 11.770 | -7.897 | 2.902 |
| -13.944 | 291.227 | 69.544 | 3.792 | 14.166 | 31.291 |
| 9.098 | 17.407 | 329.982 | 12.030 | 7.503 | -2.407 |
| -57.087 | 17.731 | 26.887 | 128.390 | 16.330 | 27.905 |
| -30.169 | 8.966 | 27.508 | 29.922 | 100.326 | 10.147 |
| 2.843 | 1.721 | -4.451 | 13.587 | -36.886 | 155.821 |
| 235.241 | 42.280 | 51.596 | -13.195 | -18.537 | -21.368 |
| 51.482 | 218.830 | 53.529 | -14.037 | 2.890 | 7.597 |
| 53.707 | 53.849 | 211.192 | 7.381 | 4.289 | -4.728 |
| -8.121 | 0.933 | 8.268 | 90.399 | -0.008 | -0.964 |
| -0.664 | 1.068 | 3.164 | -1.634 | 91.406 | -3.986 |
| 8.981 | 3.495 | -5.861 | -3.274 | -21.044 | 95.814 |
| 225.297 | 46.702 | 51.548 | -8.296 | -14.700 | -17.693 |
| 45.118 | 229.818 | 57.346 | -7.440 | 4.495 | 9.801 |
| 48.014 | 57.349 | 216.782 | 12.732 | 5.489 | -2.455 |
| -13.240 | 3.548 | 11.305 | 87.252 | 0.795 | -0.372 |
| -4.961 | 3.745 | 6.455 | 2.540 | 94.500 | -1.819 |
| 1.882 | 8.756 | -3.181 | 0.754 | -16.645 | 94.857 |
| 223.553 | 1.863 | 14.471 | 16.193 | -19.166 | 15.472 |
| 34.078 | 77.087 | 44.536 | -68.236 | -64.130 | 4.030 |
| 25.156 | -9.964 | 141.057 | -31.959 | -9.633 | -4.928 |
| -1.022 | -68.376 | -4.149 | 5.947 | -55.125 | 17.018 |
| -42.311 | -21.085 | 0.239 | -8.416 | 7.998 | 18.567 |
| -30.125 | -28.546 | 31.747 | -11.402 | -55.421 | 82.880 |
| 246.867 | 19.009 | 14.717 | 8.515 | 75.939 | -21.005 |
| 16.153 | 325.661 | 0.999 | 17.686 | 4.403 | 14.970 |
| 86.837 | 60.850 | 221.777 | 8.176 | 18.328 | 1.779 |
| -16.314 | 45.413 | -8.323 | 100.850 | 68.299 | -1.929 |
| 44.391 | -13.229 | 4.654 | 8.124 | 76.705 | -21.985 |
| -19.378 | 80.425 | 3.299 | 55.816 | 65.193 | 56.936 |
| 194.183 | 46.488 | 36.432 | 6.058 | 13.507 | 17.237 |
| 44.007 | 174.923 | 37.288 | -2.646 | -4.810 | 4.598 |
| 32.929 | 41.742 | 188.270 | -6.181 | -7.452 | 5.708 |
| 7.608 | -14.004 | -3.269 | 74.044 | -7.149 | 2.365 |
| 9.722 | -7.116 | 0.289 | -2.064 | 66.046 | 1.864 |
| -0.864 | 3.034 | -1.808 | 1.228 | 11.181 | 84.187 |
| 223.954 | 50.216 | 37.428 | 4.200 | 21.987 | 17.698 |
| 45.361 | 194.770 | 38.756 | 5.324 | 1.755 | 1.934 |
| 33.984 | 46.181 | 182.981 | -3.611 | 7.631 | -2.241 |
| 7.625 | -7.421 | -3.994 | 82.298 | 1.407 | 2.588 |
| 11.672 | 6.103 | -0.562 | 5.185 | 70.978 | -3.082 |
| 2.109 | 5.672 | 0.668 | 0.131 | 11.847 | 77.427 |
| 191.180 | 42.350 | 33.877 | 8.412 | 13.314 | 15.070 |
| 42.500 | 187.595 | 38.594 | 3.242 | -2.625 | 4.328 |
| 32.815 | 40.315 | 185.029 | -7.194 | -0.931 | 1.215 |
| 8.688 | -8.436 | -7.206 | 74.304 | 0.500 | 3.390 |
| 7.413 | -1.682 | -0.536 | 0.476 | 72.954 | -0.585 |
| 0.172 | 3.114 | 0.603 | 1.445 | 10.626 | 80.157 |
| 191.005 | 43.359 | 33.090 | 8.677 | 14.576 | 14.975 |
| 42.504 | 188.488 | 38.143 | 3.938 | -1.833 | 4.552 |
| 33.373 | 40.600 | 185.242 | -7.071 | -0.359 | 1.348 |
| 9.039 | -7.282 | -7.118 | 74.771 | 1.065 | 3.137 |
| 7.348 | -0.582 | -0.653 | 1.226 | 73.910 | -1.001 |
| -0.859 | 4.273 | 1.413 | 1.901 | 11.760 | 80.075 |
| 337.362 | 46.860 | -74.189 | -23.596 | 23.901 | 1.321 |
| 186.056 | 149.879 | -63.835 | 148.634 | 22.684 | -132.028 |
| 98.014 | 66.999 | 194.309 | -17.403 | -25.029 | 18.000 |
| 21.096 | -6.785 | 0.635 | 116.884 | -15.661 | 22.324 |
| 58.352 | -14.563 | -65.437 | -11.919 | 108.126 | -20.748 |
| 24.754 | 27.883 | -29.791 | -16.492 | 32.515 | 114.542 |
| 143.210 | 71.448 | 125.169 | 4.117 | 26.115 | 50.732 |
| -4.897 | 337.856 | 51.374 | 36.434 | 15.468 | -20.749 |
| -39.590 | 63.965 | 261.413 | -27.527 | 2.141 | 3.664 |
| -49.769 | -7.321 | 48.145 | 137.632 | 5.973 | -20.114 |
| -21.212 | 23.527 | -6.764 | -1.445 | 122.366 | -28.884 |
| -165.175 | 151.427 | 91.766 | -108.065 | 19.938 | 247.277 |
| 251.151 | 46.945 | 24.917 | -2.842 | 23.507 | 8.671 |
| 40.898 | 280.246 | 48.299 | 24.560 | 1.610 | -3.096 |
| 40.290 | 49.060 | 239.286 | 6.825 | -0.910 | -16.590 |
| 3.084 | 2.100 | -3.654 | 109.122 | 1.121 | 10.499 |
| 3.839 | 3.965 | 2.583 | -1.458 | 93.256 | -1.579 |
| -2.445 | -1.662 | -3.962 | 6.350 | 33.105 | 127.350 |
| 230.999 | 62.828 | 41.376 | -4.834 | 24.012 | 11.617 |
| 28.525 | 334.105 | 53.237 | 54.445 | 4.069 | -0.929 |
| 28.290 | 37.350 | 294.467 | -0.756 | -3.827 | -4.584 |
| -2.848 | -1.401 | 3.672 | 112.766 | 2.646 | 6.600 |
| -6.298 | 16.271 | 9.391 | -8.264 | 101.058 | 11.460 |
| -16.328 | 0.281 | -8.631 | 10.328 | 28.884 | 94.767 |
| 250.290 | 42.270 | 31.893 | -0.055 | 25.316 | 8.227 |
| 41.810 | 275.157 | 47.239 | 30.084 | 3.445 | -4.460 |
| 31.120 | 45.282 | 245.257 | -0.659 | -2.254 | -12.381 |
| -0.832 | 1.941 | -0.264 | 107.456 | 2.356 | 12.797 |
| 4.472 | 4.090 | -2.937 | 2.470 | 101.216 | -2.093 |
| -5.372 | -6.192 | -13.487 | 12.381 | 28.608 | 91.793 |
| 247.999 | 42.911 | 33.445 | -1.669 | 25.129 | 9.821 |
| 38.700 | 277.002 | 49.435 | 29.282 | 3.670 | -3.305 |
| 29.941 | 47.449 | 246.892 | -0.741 | -2.207 | -11.674 |
| -1.687 | 1.684 | 0.865 | 108.966 | 2.090 | 10.938 |
| 3.038 | 4.519 | -1.637 | 2.083 | 101.941 | -1.099 |
| -7.028 | -4.842 | -12.164 | 12.007 | 28.628 | 93.091 |
| 339.414 | 36.246 | -171.822 | 197.082 | -11.943 | 133.366 |
| 142.252 | 351.556 | -780.121 | 282.904 | -11.337 | 111.482 |
| 126.101 | 66.801 | -452.548 | 204.247 | -16.507 | 103.240 |
| 140.036 | -57.087 | -275.407 | 449.681 | 82.414 | 217.553 |
| 133.584 | -48.783 | -337.247 | 354.227 | 184.759 | 231.125 |
| -4.032 | -2.910 | 10.910 | 6.440 | 57.927 | 179.370 |
| 146.470 | 108.686 | 309.250 | -318.907 | -52.911 | -186.904 |
| -72.149 | 327.674 | 314.204 | -302.262 | -76.001 | -213.513 |
| -73.189 | 91.783 | 626.893 | -247.066 | 43.877 | -137.258 |
| -113.342 | 56.594 | 251.556 | -213.920 | -80.899 | -206.806 |
| -50.647 | 47.380 | 256.781 | -241.294 | 111.789 | -113.829 |
| -127.153 | 55.289 | 266.667 | -327.047 | -43.395 | -83.526 |
| 374.869 | 2.056 | 4.175 | 18.464 | 39.785 | 34.011 |
| 83.707 | 228.552 | 15.124 | 45.759 | -2.275 | 10.689 |
| 67.170 | 57.592 | 186.076 | 11.154 | -6.002 | 19.400 |
| 26.651 | 0.336 | -103.679 | 174.730 | 1.317 | 16.916 |
| -10.946 | -1.558 | 16.701 | 6.877 | 170.668 | 12.868 |
| 11.846 | -6.597 | -24.182 | 37.037 | 43.016 | 141.015 |
| 270.782 | 52.415 | 67.504 | -18.323 | 21.819 | 5.071 |
| 12.495 | 318.916 | 119.999 | 12.760 | 5.643 | -12.421 |
| 43.568 | 61.725 | 266.642 | -31.066 | 2.701 | -5.797 |
| 0.567 | 4.884 | 12.426 | 93.163 | -7.045 | -16.859 |
| -15.754 | 10.407 | 18.660 | -30.036 | 104.750 | -10.286 |
| -13.617 | 4.367 | 27.415 | -27.690 | 31.752 | 112.206 |
| 267.083 | 53.306 | 47.952 | 15.349 | 28.777 | 19.545 |
| 58.200 | 243.094 | 47.169 | 29.417 | 4.918 | -1.214 |
| 48.023 | 52.364 | 238.992 | -3.655 | 1.438 | 6.386 |
| 12.399 | 2.532 | -17.871 | 98.508 | 4.204 | 4.425 |
| -3.926 | 0.877 | -2.297 | 7.073 | 97.750 | 7.933 |
| -5.254 | -6.780 | 1.963 | 6.862 | 32.750 | 108.644 |
| 284.725 | 47.355 | 33.715 | 10.473 | 27.989 | 22.498 |
| 52.694 | 274.322 | 42.532 | 28.782 | 3.873 | -3.595 |
| 41.098 | 49.580 | 276.255 | -13.572 | 2.784 | 6.274 |
| 9.752 | -4.480 | 14.872 | 141.562 | 3.851 | 0.537 |
| -7.704 | 2.907 | 6.053 | 0.352 | 101.508 | 7.183 |
| -7.856 | -5.327 | 11.619 | 3.716 | 33.515 | 107.074 |
| -292.781 | 2668.326 | -274.130 | -1098.099 | 347.132 | -220.852 |
| -62.180 | 1275.178 | 371.064 | -207.017 | 1264.231 | -216.954 |
| -1283.585 | 2936.666 | 799.838 | -803.435 | 433.556 | -308.982 |
| -1235.159 | 1486.422 | -260.688 | -188.140 | 639.561 | -848.827 |
| -919.531 | 2454.314 | -568.801 | -1032.692 | 609.413 | -137.957 |
| -1465.703 | 2053.581 | -150.615 | -345.284 | 764.428 | -518.605 |
| 1608.995 | -135.092 | -172.461 | 0.877 | -219.877 | -204.758 |
| 1710.440 | -2526.894 | 257.331 | 1065.290 | -489.196 | 427.301 |
| 1817.387 | -3226.586 | 854.358 | 1037.457 | -441.040 | 460.028 |
| 1521.559 | -1618.039 | 125.917 | 1337.991 | -75.894 | 2259.887 |
| 1560.566 | -3393.509 | 142.739 | 1045.194 | -170.256 | 420.854 |
| 1613.793 | -3309.338 | 116.602 | 1130.542 | -510.831 | 789.433 |
| 586.032 | 423.665 | 158.670 | -151.542 | 25.877 | -81.747 |
| 118.420 | 838.708 | 143.220 | -236.820 | 9.236 | -46.031 |
| 164.732 | 410.852 | 592.391 | -66.687 | 52.513 | -15.668 |
| -132.469 | 268.174 | -15.439 | 37.553 | 102.914 | -51.984 |
| -97.069 | 233.387 | -43.936 | -84.114 | 258.971 | -13.706 |
| 56.167 | 120.681 | -32.277 | -100.620 | 13.428 | 4.920 |
| 819.159 | 41.625 | 222.496 | 127.636 | -48.289 | 184.005 |
| 393.301 | 358.483 | 200.852 | 59.258 | -70.151 | 120.626 |
| 67.612 | 154.266 | 562.771 | 42.369 | -196.210 | 107.897 |
| 37.042 | -17.574 | -94.655 | 659.467 | -6.356 | 126.048 |
| 56.091 | -278.791 | 13.382 | 203.554 | 214.026 | 76.701 |
| 130.429 | -173.460 | 23.996 | 75.345 | -91.280 | 297.717 |
| 627.158 | 242.678 | 206.116 | -15.703 | -84.586 | -61.573 |
| 229.377 | 555.956 | 197.925 | -12.256 | 5.158 | 26.724 |
| 200.402 | 206.660 | 650.715 | -37.673 | -19.231 | 2.498 |
| -18.263 | 38.821 | -18.453 | 160.540 | 22.161 | 2.696 |
| -43.724 | 16.166 | -26.778 | 2.158 | 199.630 | -9.415 |
| 31.967 | 40.504 | 13.811 | -0.076 | -15.340 | 166.774 |
| 556.184 | 251.681 | 208.328 | -9.422 | -96.889 | -39.250 |
| 257.089 | 494.808 | 216.656 | 0.593 | -24.326 | 39.277 |
| 240.125 | 165.257 | 660.440 | -1.011 | -15.036 | 34.189 |
| -14.430 | 8.247 | -9.477 | 162.599 | 6.920 | 26.721 |
| -33.190 | -22.857 | -16.136 | 34.086 | 183.899 | 6.807 |
| 26.947 | 8.741 | 11.840 | 14.020 | -42.096 | 200.869 |
| 185.562 | -671.971 | -656.519 | -690.303 | -102.158 | -19.440 |
| -1381.154 | -4721.272 | -2283.724 | -1828.836 | -48.515 | -2168.079 |
| -393.942 | -1202.778 | -774.661 | -416.202 | 214.258 | -497.310 |
| -142.108 | -775.579 | -919.617 | -679.557 | -26.111 | 55.188 |
| -337.715 | -1756.840 | -399.925 | -711.723 | -108.911 | -714.177 |
| -59.666 | -1056.829 | -44.218 | -953.278 | -535.349 | 44.174 |
| 689.253 | 2426.016 | 530.065 | 1057.356 | 387.137 | 863.440 |
| 233.857 | 1073.193 | 184.952 | 147.294 | 1.648 | 349.298 |
| 41.832 | 1127.331 | 1171.810 | 967.578 | 189.883 | 36.392 |
| 68.367 | 719.561 | 695.423 | 920.384 | 128.152 | -70.769 |
| 413.841 | 1815.626 | 920.868 | 1086.723 | 316.586 | 474.182 |
| -240.473 | 1106.651 | 286.528 | 1123.433 | 521.224 | 72.158 |
| 631.430 | 116.055 | 498.460 | -114.460 | -349.065 | 119.388 |
| -38.490 | 180.713 | -219.313 | -101.223 | 69.750 | 7.007 |
| 41.127 | -48.795 | 269.030 | -42.275 | -27.979 | -3.719 |
| 8.531 | -77.378 | -16.900 | 15.379 | -46.186 | 21.060 |
| -65.626 | -133.291 | -88.010 | -78.731 | 83.029 | -51.230 |
| -8.348 | -69.610 | -70.099 | -78.678 | -59.967 | 148.865 |
| 298.268 | 150.709 | 70.262 | 107.216 | 8.836 | -25.367 |
| 69.892 | 326.485 | 68.318 | 81.118 | 29.326 | 31.817 |
| -1.628 | 94.622 | 322.649 | 71.768 | 30.376 | 1.904 |
| -16.363 | 71.729 | 39.217 | 229.045 | 45.624 | -18.773 |
| 70.070 | 94.243 | 106.528 | 62.722 | 18.742 | 55.751 |
| -15.526 | 76.263 | 51.348 | 97.720 | 12.315 | 70.771 |
| 243.775 | 30.916 | 30.289 | -13.806 | -28.105 | -30.177 |
| 45.721 | 202.525 | 50.547 | -26.625 | -8.669 | 7.167 |
| 38.628 | 25.304 | 236.074 | -9.694 | -2.387 | -9.306 |
| -2.235 | 20.150 | -3.536 | 94.226 | 4.363 | 7.725 |
| 4.484 | 7.793 | -6.077 | -9.166 | 106.958 | 4.930 |
| -9.909 | -1.678 | -20.097 | -11.747 | -19.146 | 105.027 |
| 222.030 | 51.652 | 14.732 | 16.940 | -2.422 | -34.838 |
| 43.099 | 243.320 | 37.321 | -6.016 | 3.243 | 5.621 |
| 52.531 | 46.714 | 235.944 | 5.321 | -0.941 | -1.269 |
| 10.321 | 5.179 | -28.130 | 145.345 | 15.146 | 1.038 |
| -19.138 | 7.419 | -9.115 | 19.819 | 111.732 | -10.672 |
| -7.182 | 0.708 | -13.199 | -2.028 | -20.024 | 100.565 |
| 830.729 | -103.820 | 546.114 | 766.415 | 362.886 | 126.019 |
| 436.675 | 16.223 | 242.098 | 668.747 | 578.891 | 27.325 |
| 757.152 | -151.868 | -101.130 | 274.777 | 287.791 | -237.512 |
| 20.116 | -11.158 | 14.434 | 166.124 | 18.988 | 6.411 |
| 744.405 | -212.033 | -294.440 | 309.116 | 394.523 | -229.737 |
| 321.982 | 25.614 | 239.107 | 323.954 | 446.319 | 219.243 |
| -211.466 | 239.477 | -137.731 | -683.477 | -580.121 | -24.550 |
| 22.689 | 306.768 | -1.660 | -37.894 | -1.971 | -8.934 |
| -527.326 | 161.505 | -249.680 | -754.378 | -373.690 | -141.557 |
| -548.451 | 134.443 | -522.363 | -634.099 | -357.328 | -145.048 |
| -732.220 | 216.316 | 258.015 | -318.938 | -249.264 | 226.089 |
| -333.015 | -25.152 | -224.758 | -335.945 | -472.550 | -106.536 |
| 218.820 | 44.952 | 66.592 | 66.347 | 63.639 | 9.457 |
| 89.869 | 178.705 | 81.242 | 19.439 | 44.178 | 11.309 |
| 102.288 | 35.594 | 169.616 | 8.816 | 13.507 | -27.221 |
| 61.490 | -18.981 | -35.334 | 93.184 | 26.372 | -31.450 |
| 74.849 | -17.867 | -45.845 | 23.111 | 104.188 | -23.945 |
| 44.112 | -18.651 | 15.736 | 65.035 | 48.166 | 73.273 |
| 145.700 | 53.749 | 35.075 | -34.975 | -58.077 | -17.993 |
| 23.733 | 209.558 | 19.137 | -79.486 | -57.619 | -4.962 |
| 4.988 | 59.604 | 155.457 | -75.417 | -53.716 | -14.776 |
| -75.356 | 20.520 | 23.837 | 43.525 | -33.509 | 13.923 |
| -60.814 | 21.750 | 15.331 | -26.885 | 50.382 | 22.943 |
| -56.072 | 17.887 | -13.093 | -55.625 | -46.351 | 45.262 |
| 249.458 | 44.317 | 37.112 | 5.816 | -2.210 | -9.696 |
| 56.933 | 202.978 | 45.578 | -12.671 | 3.800 | -1.993 |
| 46.329 | 42.016 | 203.055 | 3.547 | -1.944 | -1.412 |
| 6.341 | -6.169 | 3.580 | 88.765 | 8.770 | -1.461 |
| 9.429 | -4.469 | -3.052 | 7.266 | 83.416 | 1.877 |
| 7.507 | -4.914 | 1.524 | 1.256 | -9.617 | 74.887 |
| 209.355 | 48.859 | 42.095 | -3.007 | -14.041 | -10.134 |
| 45.908 | 213.907 | 42.163 | -23.030 | -7.175 | -3.144 |
| 40.082 | 44.860 | 200.060 | -4.120 | -9.515 | -1.326 |
| -4.083 | -5.343 | -4.104 | 74.196 | -2.986 | -4.305 |
| 3.389 | -2.661 | -9.056 | 0.827 | 77.524 | -0.713 |
| -2.107 | -1.435 | 1.220 | -8.024 | -14.550 | 87.129 |
| 945.446 | 154.236 | 79.034 | 39.227 | 94.855 | -47.065 |
| 210.768 | 1387.560 | 22.535 | 87.207 | 73.262 | 377.274 |
| 87.602 | 24.043 | 334.216 | -1.041 | 58.631 | 7.115 |
| 53.269 | 119.721 | -1.272 | 188.418 | 9.470 | 82.575 |
| 128.077 | 77.000 | 58.596 | 9.850 | 240.598 | 43.104 |
| -5.778 | 379.732 | -2.067 | 81.491 | 2.982 | 355.952 |
| 123131.880 | 140893.902 | -206248.538 | -297918.052 | 97047.403 | 76753.857 |
| 127318.730 | 146135.717 | -226183.998 | -319232.191 | 105230.977 | 78528.544 |
| 127425.484 | 145652.155 | -226399.517 | -319718.675 | 105191.078 | 78581.050 |
| 140477.227 | 157969.986 | -252180.850 | -340974.615 | 124263.348 | 70227.234 |
| 131555.353 | 145363.254 | -217952.458 | -309708.804 | 103200.953 | 75360.831 |
| 143373.412 | 173829.753 | -131036.959 | -257751.382 | 81942.168 | 126916.933 |
| 942.880 | 154.256 | 78.613 | 39.153 | 94.122 | -46.922 |
| 206.419 | 1382.734 | 21.538 | 86.074 | 71.370 | 374.466 |
| 87.507 | 24.057 | 334.181 | -1.051 | 58.578 | 7.109 |
| 53.142 | 119.622 | -1.308 | 188.377 | 9.406 | 82.491 |
| 127.783 | 76.916 | 58.505 | 9.804 | 240.440 | 43.038 |
| -6.398 | 379.095 | -2.243 | 81.281 | 2.651 | 355.430 |
| 14445.513 | 16518.227 | -25970.975 | -34802.786 | 11908.957 | 9269.483 |
| 213.053 | 1378.442 | 23.406 | 86.347 | 74.541 | 374.622 |
| 12841.760 | 14724.966 | -22462.709 | -32008.259 | 10531.039 | 7942.839 |
| 13629.950 | 16035.084 | -25975.067 | -34369.338 | 12709.852 | 6957.127 |
| 13278.874 | 14534.524 | -21796.718 | -30950.062 | 10308.814 | 7606.032 |
| 14633.252 | 16938.551 | -12506.306 | -26413.341 | 7995.111 | 13648.951 |
| -1089.046 | -1293.954 | 1280.825 | 2406.534 | -656.621 | -1198.360 |
| -1273.155 | -1281.952 | 2349.400 | 3161.117 | -1174.985 | -628.725 |
| 86.164 | 24.082 | 333.674 | -1.217 | 57.823 | 6.978 |
| 51.040 | 115.179 | -1.872 | 187.217 | 8.312 | 79.939 |
| 122.049 | 74.464 | 56.728 | 8.813 | 237.351 | 41.530 |
| -1235.838 | -1743.652 | 2280.218 | 3240.017 | -1104.137 | -709.054 |
| 921.910 | 124.723 | 78.225 | 36.863 | 92.728 | -49.579 |
| 1310.546 | 1558.664 | -2145.444 | -3100.248 | 1029.427 | 721.271 |
| 1409.476 | 1532.752 | -1193.926 | -2592.195 | 697.464 | 1276.670 |
| 53.986 | 117.216 | -1.038 | 188.124 | 9.817 | 81.780 |
| 1193.567 | 985.554 | -855.380 | -1782.489 | 555.272 | 1013.709 |
| -2.011 | 309.864 | -0.483 | 70.758 | 3.736 | 325.902 |
| 280.454 | 95.310 | 57.433 | 0.000 | 0.000 | 0.000 |
| 95.310 | 280.454 | 57.433 | -0.000 | 0.000 | 0.000 |
| 58.061 | 58.061 | 342.092 | 0.000 | -0.000 | 0.000 |
| 0.000 | -0.000 | 0.000 | 109.799 | -0.000 | 0.000 |
| -0.000 | -0.000 | 0.000 | -0.000 | 109.799 | 0.000 |
| 1.199 | 1.199 | 0.119 | 0.000 | 0.000 | 92.806 |
| 273.755 | 95.073 | 57.088 | 0.000 | -0.000 | -0.000 |
| 84.839 | 296.304 | 57.701 | 0.000 | -0.000 | -0.000 |
| 58.061 | 58.061 | 342.092 | -0.000 | 0.000 | -0.000 |
| -0.000 | 0.000 | -0.000 | 109.799 | -0.000 | 0.000 |
| 0.000 | 0.000 | -0.000 | -0.000 | 109.799 | 0.000 |
| -1.199 | -1.199 | -0.119 | 0.000 | -0.000 | 92.806 |
| 279.044 | 94.384 | 57.317 | 0.000 | 0.000 | 0.000 |
| 94.384 | 279.044 | 57.317 | 0.000 | 0.000 | 0.000 |
| 58.061 | 58.061 | 342.092 | 0.000 | 0.000 | 0.000 |
| -0.000 | -0.000 | -0.000 | 109.799 | 0.000 | 0.000 |
| -0.000 | -0.000 | -0.000 | -0.000 | 109.799 | 0.000 |
| 0.119 | 0.119 | 0.012 | 0.000 | 0.000 | 92.873 |
| 296.303 | 84.839 | 57.701 | -0.000 | -0.000 | 0.000 |
| 84.839 | 296.303 | 57.701 | -0.000 | -0.000 | 0.000 |
| 58.061 | 58.061 | 342.091 | -0.000 | -0.000 | 0.000 |
| 0.000 | 0.000 | 0.000 | 109.799 | -0.000 | 0.000 |
| 0.000 | 0.000 | 0.000 | -0.000 | 109.799 | 0.000 |
| -0.119 | -0.119 | -0.012 | -0.000 | 0.000 | 92.873 |
| 275.235 | 96.553 | 57.235 | 0.000 | 0.000 | 0.000 |
| 94.290 | 278.900 | 57.305 | -0.000 | -0.000 | 0.000 |
| 58.061 | 58.061 | 342.095 | 0.000 | 0.000 | 0.000 |
| -0.000 | -0.000 | -0.000 | 109.799 | -0.000 | 0.000 |
| -0.000 | -0.000 | -0.000 | 0.000 | 109.799 | 0.000 |
| 0.000 | 0.000 | 0.000 | 0.000 | 0.000 | 105.732 |
| 275.205 | 96.523 | 57.232 | -0.000 | 0.000 | -0.000 |
| 94.268 | 278.866 | 57.302 | -0.000 | 0.000 | -0.000 |
| 58.060 | 58.060 | 342.089 | 0.000 | -0.000 | -0.000 |
| 0.000 | 0.000 | 0.000 | 109.799 | -0.000 | -0.000 |
| 0.000 | 0.000 | 0.000 | -0.000 | 109.799 | -0.000 |
| -0.000 | -0.000 | -0.000 | -0.000 | -0.000 | 105.732 |
| 445.668 | -103.703 | -103.703 | 0.000 | -0.000 | 0.000 |
| -103.703 | 445.668 | -103.703 | -0.000 | -0.000 | 0.000 |
| -103.703 | -103.703 | 445.668 | -0.000 | -0.000 | 0.000 |
| -4.474 | -4.474 | -4.474 | 41.625 | -0.000 | -0.000 |
| -4.474 | -4.474 | -4.474 | -0.000 | 41.625 | -0.000 |
| -4.474 | -4.474 | -4.474 | -0.000 | -0.000 | 41.625 |
| 445.668 | -103.703 | -103.703 | 0.000 | 0.000 | -0.000 |
| -103.703 | 445.668 | -103.703 | -0.000 | 0.000 | -0.000 |
| -103.703 | -103.703 | 445.668 | 0.000 | 0.000 | -0.000 |
| 4.474 | 4.474 | 4.474 | 41.625 | 0.000 | 0.000 |
| 4.474 | 4.474 | 4.474 | 0.000 | 41.625 | 0.000 |
| 4.474 | 4.474 | 4.474 | 0.000 | 0.000 | 41.625 |
| 184.428 | 22.518 | 22.518 | -0.000 | -0.000 | -0.000 |
| 22.518 | 184.428 | 22.518 | -0.000 | -0.000 | -0.000 |
| 22.518 | 22.518 | 184.428 | -0.000 | -0.000 | -0.000 |
| 0.000 | -0.000 | -0.000 | 92.425 | -0.000 | 0.000 |
| -0.000 | 0.000 | -0.000 | -0.000 | 92.425 | 0.000 |
| -0.000 | -0.000 | 0.000 | -0.000 | -0.000 | 92.425 |
| 445.668 | -103.703 | -103.703 | 0.000 | 0.000 | -0.000 |
| -103.703 | 445.668 | -103.703 | 0.000 | 0.000 | -0.000 |
| -103.703 | -103.703 | 445.668 | -0.000 | 0.000 | 0.000 |
| -0.000 | 0.000 | 0.000 | 92.425 | 0.000 | -0.000 |
| 0.000 | -0.000 | 0.000 | 0.000 | 92.425 | -0.000 |
| 0.000 | 0.000 | -0.000 | -0.000 | 0.000 | 92.425 |
| 184.908 | 22.684 | 22.684 | -0.000 | -0.000 | -0.000 |
| 22.684 | 184.908 | 22.684 | -0.000 | -0.000 | -0.000 |
| 22.684 | 22.684 | 184.908 | -0.000 | -0.000 | -0.000 |
| -0.044 | -0.044 | -0.044 | 42.560 | -0.000 | -0.000 |
| -0.044 | -0.044 | -0.044 | -0.000 | 42.560 | -0.000 |
| -0.044 | -0.044 | -0.044 | -0.000 | -0.000 | 42.560 |
| 146.196 | 40.334 | 40.334 | 0.000 | 0.000 | 0.000 |
| 40.334 | 146.196 | 40.334 | 0.000 | 0.000 | 0.000 |
| 40.334 | 40.334 | 146.196 | 0.000 | 0.000 | 0.000 |
| 0.044 | 0.044 | 0.044 | 42.560 | 0.000 | 0.000 |
| 0.044 | 0.044 | 0.044 | 0.000 | 42.560 | 0.000 |
| 0.044 | 0.044 | 0.044 | 0.000 | 0.000 | 42.560 |
| 236.752 | 36.787 | 6.438 | 0.000 | 0.000 | 0.000 |
| 36.787 | 236.752 | 6.438 | 0.000 | -0.000 | 0.000 |
| 39.100 | 39.100 | 201.705 | 0.000 | -0.000 | -0.000 |
| -0.000 | 0.000 | 0.000 | 77.124 | -0.000 | 0.000 |
| -0.355 | -0.355 | 0.634 | -0.000 | 60.901 | -0.000 |
| -0.371 | -0.371 | 0.663 | 0.000 | -0.000 | 63.492 |
| 183.942 | 56.020 | 36.415 | -0.000 | 0.000 | -0.000 |
| 36.787 | 236.752 | 6.438 | -0.000 | 0.000 | -0.000 |
| 9.665 | 9.665 | 254.265 | -0.000 | 0.000 | -0.000 |
| 0.000 | -0.000 | -0.000 | 77.124 | -0.000 | -0.000 |
| 0.355 | 0.355 | -0.634 | -0.000 | 60.901 | 0.000 |
| 0.371 | 0.371 | -0.663 | -0.000 | -0.000 | 63.492 |
| 183.541 | 56.558 | 36.293 | 0.000 | -0.000 | 0.000 |
| 55.608 | 183.564 | 37.121 | 0.000 | -0.000 | 0.000 |
| 39.421 | 39.421 | 201.132 | 0.000 | -0.000 | 0.000 |
| 0.000 | 0.000 | 0.000 | 77.124 | -0.000 | 0.000 |
| 0.000 | 0.000 | 0.000 | 0.000 | 77.124 | 0.000 |
| -0.037 | -0.037 | 0.066 | 0.000 | -0.000 | 63.492 |
| 236.752 | 36.787 | 6.438 | -0.000 | 0.000 | -0.000 |
| 55.684 | 183.631 | 36.993 | -0.000 | 0.000 | -0.000 |
| 39.492 | 39.492 | 201.005 | -0.000 | 0.000 | 0.000 |
| 0.000 | -0.000 | -0.000 | 77.124 | 0.000 | -0.000 |
| -0.000 | -0.000 | -0.000 | -0.000 | 77.124 | -0.000 |
| 0.037 | 0.037 | -0.066 | -0.000 | 0.000 | 63.492 |
| 183.574 | 56.591 | 36.235 | 0.000 | -0.000 | -0.000 |
| 56.591 | 183.572 | 36.236 | 0.000 | -0.000 | 0.000 |
| 39.438 | 39.438 | 201.102 | 0.000 | -0.000 | 0.000 |
| 0.000 | 0.000 | 0.000 | 77.124 | -0.000 | 0.000 |
| -0.004 | -0.004 | 0.006 | 0.000 | 60.901 | 0.000 |
| -0.004 | -0.004 | 0.007 | 0.000 | -0.000 | 63.492 |
| 183.580 | 56.597 | 36.222 | -0.000 | 0.000 | 0.000 |
| 56.597 | 183.582 | 36.221 | -0.000 | 0.000 | -0.000 |
| 39.459 | 39.459 | 201.064 | -0.000 | 0.000 | -0.000 |
| -0.000 | -0.000 | -0.000 | 77.124 | 0.000 | -0.000 |
| 0.004 | 0.004 | -0.006 | -0.000 | 60.901 | 0.000 |
| 0.004 | 0.004 | -0.007 | -0.000 | 0.000 | 63.492 |
| 205.519 | 32.926 | 32.925 | -0.000 | 0.000 | -0.000 |
| 32.926 | 205.519 | 32.925 | -0.000 | 0.000 | -0.000 |
| 32.926 | 32.925 | 205.519 | -0.000 | 0.000 | -0.000 |
| 0.000 | 0.000 | -0.000 | 75.280 | 0.000 | -0.000 |
| 0.000 | 0.000 | -0.000 | -0.000 | 75.280 | -0.000 |
| 0.000 | 0.000 | -0.000 | -0.000 | 0.000 | 75.280 |
| 233.652 | 29.818 | 29.818 | 0.000 | 0.000 | -0.000 |
| 29.818 | 233.652 | 29.818 | 0.000 | 0.000 | -0.000 |
| 29.818 | 29.818 | 233.652 | 0.000 | 0.000 | -0.000 |
| -0.000 | -0.000 | 0.000 | 75.280 | -0.000 | 0.000 |
| -0.000 | -0.000 | 0.000 | 0.000 | 75.280 | 0.000 |
| -0.000 | -0.000 | 0.000 | 0.000 | -0.000 | 75.280 |
| 210.018 | 39.210 | 39.210 | -0.000 | 0.000 | -0.000 |
| 39.210 | 210.018 | 39.210 | -0.000 | 0.000 | -0.000 |
| 39.210 | 39.210 | 210.018 | -0.000 | 0.000 | -0.000 |
| 0.000 | -0.000 | -0.000 | 66.630 | 0.000 | -0.000 |
| 0.000 | 0.000 | -0.000 | -0.000 | 66.630 | -0.000 |
| -0.000 | 0.000 | 0.000 | -0.000 | 0.000 | 66.630 |
| 205.519 | 32.925 | 32.925 | 0.000 | -0.000 | 0.000 |
| 32.925 | 205.519 | 32.925 | 0.000 | -0.000 | 0.000 |
| 32.925 | 32.925 | 205.519 | 0.000 | -0.000 | 0.000 |
| -0.000 | 0.000 | 0.000 | 66.630 | -0.000 | 0.000 |
| -0.000 | -0.000 | 0.000 | 0.000 | 66.630 | 0.000 |
| 0.000 | -0.000 | -0.000 | 0.000 | -0.000 | 66.630 |
| 205.519 | 32.926 | 32.925 | -0.000 | 0.000 | -0.000 |
| 32.925 | 205.519 | 32.926 | -0.000 | 0.000 | -0.000 |
| 32.926 | 32.925 | 205.519 | -0.000 | 0.000 | -0.000 |
| 0.001 | -0.001 | 0.000 | 66.630 | 0.000 | -0.000 |
| 0.000 | 0.001 | -0.001 | -0.000 | 66.630 | -0.000 |
| -0.001 | 0.000 | 0.001 | -0.000 | 0.000 | 66.630 |
| 205.519 | 32.925 | 32.925 | 0.000 | -0.000 | 0.000 |
| 32.925 | 205.519 | 32.925 | 0.000 | -0.000 | 0.000 |
| 32.925 | 32.925 | 205.519 | 0.000 | -0.000 | 0.000 |
| -0.001 | 0.001 | -0.000 | 66.630 | -0.000 | 0.000 |
| -0.000 | -0.001 | 0.001 | 0.000 | 66.630 | 0.000 |
| 0.001 | -0.000 | -0.001 | 0.000 | -0.000 | 66.630 |
| 81.042 | -63.991 | 191.174 | -12.734 | -0.512 | -0.004 |
| -65.476 | 75.959 | 183.872 | 10.194 | 0.331 | -0.006 |
| 29.039 | 29.039 | 221.053 | -0.000 | -0.000 | -0.000 |
| -37.475 | -32.397 | 46.547 | 68.419 | 0.018 | -0.300 |
| -111.294 | -110.043 | 152.415 | 0.001 | 100.005 | -15.683 |
| -111.050 | -111.050 | 153.070 | 0.669 | -15.884 | 89.571 |
| 217.345 | 73.371 | 0.559 | -2.524 | 0.245 | 0.010 |
| 135.855 | 302.172 | -122.418 | 16.453 | 0.600 | -0.002 |
| 142.028 | 142.029 | 28.471 | 0.001 | -0.010 | 0.006 |
| 78.413 | 107.463 | -126.014 | 65.635 | -0.015 | 0.162 |
| 92.784 | 93.090 | -126.012 | 0.001 | 65.620 | -14.516 |
| 111.052 | 111.052 | -153.073 | 0.668 | -15.870 | 89.574 |
| 221.978 | 25.908 | 30.473 | -2.275 | -0.246 | -0.000 |
| 25.908 | 221.978 | 30.473 | 2.275 | 0.246 | -0.000 |
| 32.633 | 32.633 | 189.788 | -0.000 | 0.001 | -0.001 |
| -2.275 | 2.275 | 0.000 | 99.151 | 0.000 | 0.246 |
| -2.010 | -2.156 | 2.775 | -0.000 | 80.829 | -2.433 |
| -0.000 | 0.000 | 0.000 | 0.246 | -2.275 | 98.035 |
| 188.270 | 40.878 | 28.587 | -8.027 | -0.074 | 0.001 |
| 40.878 | 188.270 | 28.587 | 8.027 | 0.071 | 0.001 |
| 49.093 | 49.093 | 168.181 | 0.000 | -0.000 | 0.000 |
| -2.358 | 20.866 | -12.635 | 78.967 | -0.001 | 0.168 |
| -0.246 | 0.246 | -0.000 | -0.000 | 99.151 | -2.275 |
| 8.825 | 8.825 | -12.052 | 0.172 | -11.099 | 73.874 |
| 178.506 | 32.760 | 45.177 | -10.329 | -0.303 | -0.000 |
| 32.830 | 178.502 | 45.109 | 10.352 | 0.303 | -0.000 |
| 38.482 | 38.482 | 178.293 | -0.000 | 0.000 | -0.000 |
| -11.297 | 9.321 | 1.435 | 78.472 | 0.000 | 0.301 |
| -1.277 | -0.735 | 1.396 | 0.000 | 78.506 | -10.103 |
| -1.011 | -1.011 | 1.405 | 0.276 | -10.100 | 72.942 |
| 180.467 | 34.698 | 42.206 | -10.321 | -0.303 | 0.000 |
| 33.375 | 182.787 | 40.213 | 7.774 | -0.007 | 0.000 |
| 43.287 | 43.287 | 173.621 | 0.000 | -0.000 | 0.000 |
| -9.097 | 11.108 | -1.396 | 78.506 | -0.000 | 0.271 |
| 0.706 | 1.308 | -1.421 | -0.000 | 78.472 | -10.308 |
| 0.959 | 0.959 | -1.462 | 0.301 | -10.307 | 72.905 |
| 341.119 | 55.539 | 65.197 | -0.000 | 0.000 | -0.000 |
| 56.349 | 330.109 | 64.703 | 0.000 | -0.000 | 0.000 |
| 64.717 | 63.413 | 573.941 | 0.000 | -0.000 | -0.000 |
| 0.003 | -0.003 | 0.000 | 167.397 | -0.000 | -0.000 |
| 0.003 | -0.003 | 0.000 | -0.000 | 177.422 | 0.000 |
| 0.001 | -0.001 | 0.000 | 0.000 | 0.000 | 126.878 |
| 341.117 | 55.541 | 65.196 | -0.000 | 0.000 | 0.000 |
| 56.348 | 330.110 | 64.703 | -0.000 | -0.000 | 0.000 |
| 64.715 | 63.415 | 573.941 | -0.000 | 0.000 | 0.000 |
| -0.003 | 0.003 | -0.000 | 167.397 | -0.000 | 0.000 |
| -0.003 | 0.003 | -0.000 | 0.000 | 177.422 | 0.000 |
| -0.001 | 0.001 | -0.000 | -0.000 | 0.000 | 126.878 |
| 341.118 | 55.540 | 65.196 | -0.000 | 0.000 | -0.000 |
| 56.349 | 330.110 | 64.703 | 0.000 | -0.000 | -0.000 |
| 64.716 | 63.414 | 573.941 | 0.000 | -0.000 | 0.000 |
| 0.000 | -0.000 | -0.000 | 167.397 | -0.000 | -0.000 |
| 0.000 | -0.000 | -0.000 | 0.000 | 177.422 | 0.000 |
| 0.000 | -0.000 | -0.000 | 0.000 | 0.000 | 126.878 |
| 341.118 | 55.540 | 65.196 | -0.000 | 0.000 | 0.000 |
| 56.348 | 330.109 | 64.703 | -0.000 | 0.000 | 0.000 |
| 64.716 | 63.414 | 573.940 | -0.000 | -0.000 | 0.000 |
| -0.000 | 0.000 | 0.000 | 167.397 | 0.000 | 0.000 |
| -0.000 | 0.000 | 0.000 | 0.000 | 177.422 | 0.000 |
| -0.000 | 0.000 | 0.000 | 0.000 | 0.000 | 126.878 |
| 341.120 | 55.540 | 65.197 | 0.000 | -0.000 | -0.000 |
| 56.349 | 330.112 | 64.703 | 0.000 | -0.000 | 0.000 |
| 64.716 | 63.414 | 573.944 | -0.000 | -0.000 | -0.000 |
| -0.001 | 0.002 | -0.001 | 167.397 | -0.000 | -0.000 |
| 0.002 | -0.001 | -0.001 | 0.000 | 177.422 | -0.000 |
| -0.000 | -0.000 | -0.000 | 0.000 | -0.000 | 126.878 |
| 341.116 | 55.540 | 65.196 | -0.000 | -0.000 | -0.000 |
| 56.348 | 330.107 | 64.703 | -0.000 | 0.000 | -0.000 |
| 64.715 | 63.414 | 573.937 | 0.000 | 0.000 | 0.000 |
| 0.001 | -0.002 | 0.001 | 167.397 | 0.000 | 0.000 |
| -0.002 | 0.001 | 0.001 | -0.000 | 177.422 | 0.000 |
| 0.000 | 0.000 | 0.000 | -0.000 | 0.000 | 126.878 |
| 184.691 | 68.721 | 68.721 | -0.000 | -0.000 | -0.000 |
| 68.721 | 184.691 | 68.721 | -0.000 | -0.000 | -0.000 |
| 68.721 | 68.721 | 184.691 | -0.000 | -0.000 | -0.000 |
| 18.957 | 18.957 | 18.957 | 54.075 | -0.000 | -0.000 |
| 18.957 | 18.957 | 18.957 | -0.000 | 54.075 | -0.000 |
| 18.957 | 18.957 | 18.957 | -0.000 | -0.000 | 54.075 |
| 194.942 | 36.225 | 36.225 | -0.000 | -0.000 | -0.000 |
| 36.225 | 194.942 | 36.225 | -0.000 | -0.000 | -0.000 |
| 36.225 | 36.225 | 194.942 | -0.000 | -0.000 | -0.000 |
| -18.957 | -18.957 | -18.957 | 54.075 | 0.000 | 0.000 |
| -18.957 | -18.957 | -18.957 | 0.000 | 54.075 | 0.000 |
| -18.957 | -18.957 | -18.957 | 0.000 | 0.000 | 54.075 |
| 194.942 | 36.225 | 36.225 | -0.000 | 0.000 | 0.000 |
| 36.225 | 194.942 | 36.225 | 0.000 | -0.000 | 0.000 |
| 36.225 | 36.225 | 194.942 | 0.000 | 0.000 | -0.000 |
| 1.865 | 1.865 | 1.865 | 54.596 | -0.000 | -0.000 |
| 1.865 | 1.865 | 1.865 | -0.000 | 54.596 | -0.000 |
| 1.865 | 1.865 | 1.865 | -0.000 | -0.000 | 54.596 |
| 194.942 | 36.225 | 36.225 | -0.000 | -0.000 | -0.000 |
| 36.225 | 194.942 | 36.225 | -0.000 | -0.000 | -0.000 |
| 36.225 | 36.225 | 194.942 | -0.000 | -0.000 | -0.000 |
| -1.865 | -1.865 | -1.865 | 54.596 | 0.000 | 0.000 |
| -1.865 | -1.865 | -1.865 | 0.000 | 54.596 | 0.000 |
| -1.865 | -1.865 | -1.865 | 0.000 | 0.000 | 54.596 |
| 167.546 | 47.630 | 47.630 | -0.000 | -0.000 | -0.000 |
| 47.630 | 167.546 | 47.630 | -0.000 | -0.000 | -0.000 |
| 47.630 | 47.630 | 167.546 | -0.000 | -0.000 | -0.000 |
| 0.008 | 0.008 | 0.008 | 56.542 | -0.000 | -0.000 |
| 0.008 | 0.008 | 0.008 | -0.000 | 56.542 | -0.000 |
| 0.008 | 0.008 | 0.008 | -0.000 | -0.000 | 56.542 |
| 170.582 | 47.256 | 47.256 | 0.000 | 0.000 | 0.000 |
| 47.256 | 170.582 | 47.256 | 0.000 | 0.000 | 0.000 |
| 47.256 | 47.256 | 170.582 | 0.000 | 0.000 | 0.000 |
| -0.008 | -0.008 | -0.008 | 56.542 | 0.000 | 0.000 |
| -0.008 | -0.008 | -0.008 | 0.000 | 56.542 | 0.000 |
| -0.008 | -0.008 | -0.008 | 0.000 | 0.000 | 56.542 |
| 442.884 | 331.273 | 331.273 | 0.000 | 0.000 | 0.000 |
| 331.273 | 442.884 | 331.273 | 0.000 | 0.000 | 0.000 |
| 331.273 | 331.273 | 442.884 | 0.000 | -0.000 | 0.000 |
| 332.831 | 332.831 | 332.831 | 59.315 | 0.000 | 0.000 |
| 332.831 | 332.831 | 332.831 | 0.000 | 59.315 | 0.000 |
| 332.831 | 332.831 | 332.831 | -0.000 | 0.000 | 59.315 |
| -158.786 | -279.191 | -279.191 | -0.000 | -0.000 | -0.000 |
| -279.191 | -158.786 | -279.191 | -0.000 | -0.000 | -0.000 |
| -279.191 | -279.191 | -158.786 | 0.000 | -0.000 | -0.000 |
| -332.831 | -332.831 | -332.831 | 59.315 | 0.000 | -0.000 |
| -332.831 | -332.831 | -332.831 | -0.000 | 59.315 | -0.000 |
| -332.831 | -332.831 | -332.831 | -0.000 | -0.000 | 59.315 |
| 204.541 | 78.491 | 78.491 | 0.000 | 0.000 | 0.000 |
| 78.491 | 204.541 | 78.491 | 0.000 | 0.000 | -0.000 |
| 78.491 | 78.491 | 204.541 | 0.000 | 0.000 | 0.000 |
| 27.934 | 27.934 | 27.934 | 50.922 | 0.000 | 0.000 |
| 27.934 | 27.934 | 27.934 | 0.000 | 50.922 | 0.000 |
| 27.934 | 27.934 | 27.934 | 0.000 | 0.000 | 50.922 |
| 138.306 | 12.257 | 12.257 | -0.000 | -0.000 | -0.000 |
| 12.257 | 138.306 | 12.257 | 0.000 | -0.000 | -0.000 |
| 12.257 | 12.257 | 138.306 | -0.000 | -0.000 | -0.000 |
| -27.934 | -27.934 | -27.934 | 50.922 | -0.000 | -0.000 |
| -27.934 | -27.934 | -27.934 | -0.000 | 50.922 | -0.000 |
| -27.934 | -27.934 | -27.934 | -0.000 | 0.000 | 50.922 |
| 170.969 | 49.597 | 49.597 | 0.000 | 0.000 | 0.000 |
| 49.597 | 170.969 | 49.597 | 0.000 | -0.000 | 0.000 |
| 49.597 | 49.597 | 170.969 | 0.000 | 0.000 | 0.000 |
| 3.255 | 3.255 | 3.255 | 56.071 | 0.000 | 0.000 |
| 3.255 | 3.255 | 3.255 | -0.000 | 56.071 | 0.000 |
| 3.255 | 3.255 | 3.255 | 0.000 | 0.000 | 56.071 |
| 164.454 | 44.311 | 44.311 | -0.000 | -0.000 | -0.000 |
| 44.311 | 164.454 | 44.311 | 0.000 | -0.000 | -0.000 |
| 44.311 | 44.311 | 164.454 | -0.000 | -0.000 | -0.000 |
| -3.255 | -3.255 | -3.255 | 56.071 | -0.000 | -0.000 |
| -3.255 | -3.255 | -3.255 | -0.000 | 56.071 | -0.000 |
| -3.255 | -3.255 | -3.255 | -0.000 | -0.000 | 56.071 |
| 136.589 | 30.087 | 30.087 | 0.000 | -0.000 | 0.000 |
| 30.087 | 136.589 | 30.087 | 0.000 | -0.000 | 0.000 |
| 30.087 | 30.087 | 136.589 | 0.000 | -0.000 | 0.000 |
| -20.244 | -20.244 | -20.244 | 50.078 | -0.000 | 0.000 |
| -20.244 | -20.244 | -20.244 | 0.000 | 50.078 | 0.000 |
| -20.244 | -20.244 | -20.244 | 0.000 | -0.000 | 50.078 |
| 192.374 | 34.014 | 34.014 | 0.000 | 0.000 | -0.000 |
| 34.014 | 192.374 | 34.014 | -0.000 | 0.000 | -0.000 |
| 34.014 | 34.014 | 192.374 | 0.000 | 0.000 | -0.000 |
| 20.244 | 20.244 | 20.244 | 50.078 | 0.000 | -0.000 |
| 20.244 | 20.244 | 20.244 | -0.000 | 50.078 | -0.000 |
| 20.244 | 20.244 | 20.244 | -0.000 | 0.000 | 50.078 |
| 192.374 | 34.014 | 34.014 | 0.000 | -0.000 | -0.000 |
| 34.014 | 192.374 | 34.014 | -0.000 | -0.000 | 0.000 |
| 34.014 | 34.014 | 192.374 | -0.000 | -0.000 | 0.000 |
| -3.878 | -3.878 | -3.878 | 57.417 | -0.000 | 0.000 |
| -3.878 | -3.878 | -3.878 | 0.000 | 57.417 | 0.000 |
| -3.878 | -3.878 | -3.878 | -0.000 | -0.000 | 57.417 |
| 162.335 | 50.740 | 50.740 | -0.000 | 0.000 | -0.000 |
| 50.740 | 162.335 | 50.740 | -0.000 | 0.000 | -0.000 |
| 50.740 | 50.740 | 162.335 | -0.000 | -0.000 | -0.000 |
| 3.878 | 3.878 | 3.878 | 57.417 | 0.000 | -0.000 |
| 3.878 | 3.878 | 3.878 | -0.000 | 57.417 | -0.000 |
| 3.878 | 3.878 | 3.878 | 0.000 | 0.000 | 57.417 |
| 160.310 | 48.712 | 48.712 | -0.000 | -0.000 | 0.000 |
| 48.712 | 160.310 | 48.712 | 0.000 | -0.000 | 0.000 |
| 48.712 | 48.712 | 160.310 | 0.000 | -0.000 | 0.000 |
| -0.166 | -0.166 | -0.166 | 57.058 | -0.000 | 0.000 |
| -0.166 | -0.166 | -0.166 | 0.000 | 57.058 | 0.000 |
| -0.166 | -0.166 | -0.166 | 0.000 | -0.000 | 57.058 |
| 161.109 | 48.876 | 48.876 | 0.000 | 0.000 | -0.000 |
| 48.876 | 161.109 | 48.876 | -0.000 | 0.000 | -0.000 |
| 48.876 | 48.876 | 161.109 | -0.000 | 0.000 | -0.000 |
| 0.166 | 0.166 | 0.166 | 57.058 | 0.000 | -0.000 |
| 0.166 | 0.166 | 0.166 | 0.000 | 57.058 | -0.000 |
| 0.166 | 0.166 | 0.166 | -0.000 | 0.000 | 57.058 |
| 168.961 | 33.520 | 56.897 | -0.000 | -0.000 | -0.000 |
| 33.520 | 168.961 | 56.897 | 0.000 | -0.000 | -0.000 |
| 37.904 | 37.904 | 213.185 | -0.000 | -0.000 | -0.000 |
| 0.205 | 0.205 | -0.340 | 60.650 | -0.000 | 0.000 |
| 0.205 | 0.205 | -0.340 | -0.000 | 60.650 | 0.000 |
| 0.378 | 0.378 | -0.628 | 0.000 | 0.000 | 49.836 |
| 153.118 | 65.375 | 43.600 | 0.000 | 0.000 | 0.000 |
| 65.375 | 153.118 | 43.600 | -0.000 | -0.000 | 0.000 |
| 37.584 | 37.584 | 213.715 | 0.000 | 0.000 | -0.000 |
| -0.205 | -0.205 | 0.340 | 60.650 | 0.000 | 0.000 |
| -0.205 | -0.205 | 0.340 | -0.000 | 60.650 | 0.000 |
| -0.378 | -0.378 | 0.628 | 0.000 | -0.000 | 49.836 |
| 153.294 | 65.551 | 43.309 | 0.000 | -0.000 | -0.000 |
| 65.551 | 153.294 | 43.309 | -0.000 | -0.000 | -0.000 |
| 37.760 | 37.760 | 213.423 | -0.000 | -0.000 | 0.000 |
| 0.020 | 0.020 | -0.034 | 60.649 | 0.000 | 0.000 |
| 0.020 | 0.020 | -0.034 | 0.000 | 60.649 | 0.000 |
| 0.038 | 0.038 | -0.063 | 0.000 | 0.000 | 49.831 |
| 153.262 | 65.519 | 43.361 | 0.000 | 0.000 | 0.000 |
| 65.519 | 153.262 | 43.361 | 0.000 | -0.000 | -0.000 |
| 37.728 | 37.728 | 213.476 | 0.000 | -0.000 | -0.000 |
| -0.020 | -0.020 | 0.034 | 60.649 | -0.000 | 0.000 |
| -0.020 | -0.020 | 0.034 | -0.000 | 60.649 | 0.000 |
| -0.038 | -0.038 | 0.063 | -0.000 | 0.000 | 49.831 |
| 153.278 | 65.536 | 43.335 | -0.000 | -0.000 | -0.000 |
| 65.536 | 153.278 | 43.335 | -0.000 | -0.000 | -0.000 |
| 37.745 | 37.745 | 213.448 | -0.000 | 0.000 | 0.000 |
| 0.002 | 0.002 | -0.003 | 60.649 | 0.000 | 0.000 |
| 0.002 | 0.002 | -0.003 | -0.000 | 60.649 | -0.000 |
| 0.004 | 0.004 | -0.006 | 0.000 | 0.000 | 49.831 |
| 153.279 | 65.534 | 43.335 | 0.000 | -0.000 | 0.000 |
| 65.534 | 153.279 | 43.335 | -0.000 | -0.000 | 0.000 |
| 37.743 | 37.743 | 213.452 | 0.000 | 0.000 | 0.000 |
| -0.002 | -0.002 | 0.003 | 60.649 | -0.000 | -0.000 |
| -0.002 | -0.002 | 0.003 | -0.000 | 60.649 | 0.000 |
| -0.004 | -0.004 | 0.006 | -0.000 | 0.000 | 49.831 |
| -295.962 | 150.071 | 150.071 | -0.000 | -0.000 | -0.000 |
| 150.071 | -295.962 | 150.071 | -0.000 | -0.000 | -0.000 |
| 150.071 | 150.071 | -295.962 | -0.000 | -0.000 | -0.000 |
| 0.000 | -0.000 | -0.000 | 92.489 | 0.000 | -0.000 |
| 0.000 | 0.000 | 0.000 | 0.000 | 92.489 | -0.000 |
| 0.000 | -0.000 | 0.000 | 0.000 | -0.000 | 92.489 |
| 195.436 | 88.891 | 88.891 | 0.000 | 0.000 | 0.000 |
| 88.891 | 195.436 | 88.891 | 0.000 | 0.000 | 0.000 |
| 88.891 | 88.891 | 195.436 | 0.000 | 0.000 | 0.000 |
| -0.000 | 0.000 | 0.000 | 92.489 | 0.000 | 0.000 |
| -0.000 | -0.000 | 0.000 | 0.000 | 92.489 | 0.000 |
| -0.000 | 0.000 | -0.000 | 0.000 | 0.000 | 92.489 |
| 136.793 | 41.448 | 41.448 | -0.000 | -0.000 | -0.000 |
| 41.448 | 136.793 | 41.448 | -0.000 | -0.000 | -0.000 |
| 41.448 | 41.448 | 136.793 | -0.000 | -0.000 | -0.000 |
| 0.000 | -0.000 | -0.000 | 92.489 | -0.000 | -0.000 |
| -0.000 | 0.000 | -0.000 | -0.000 | 92.489 | -0.000 |
| -0.000 | -0.000 | 0.000 | -0.000 | -0.000 | 92.489 |
| 144.181 | 47.535 | 47.535 | 0.000 | 0.000 | 0.000 |
| 47.535 | 144.181 | 47.535 | 0.000 | 0.000 | 0.000 |
| 47.535 | 47.535 | 144.181 | 0.000 | 0.000 | 0.000 |
| -0.000 | 0.000 | 0.000 | 92.489 | 0.000 | 0.000 |
| 0.000 | -0.000 | 0.000 | 0.000 | 92.489 | 0.000 |
| 0.000 | 0.000 | -0.000 | 0.000 | 0.000 | 92.489 |
| 148.595 | 38.881 | 38.881 | -0.000 | -0.000 | -0.000 |
| 38.881 | 148.595 | 38.881 | -0.000 | -0.000 | -0.000 |
| 38.881 | 38.881 | 148.595 | -0.000 | -0.000 | -0.000 |
| 0.000 | -0.000 | -0.000 | 92.489 | -0.000 | -0.000 |
| -0.000 | 0.000 | -0.000 | -0.000 | 92.489 | -0.000 |
| -0.000 | -0.000 | 0.000 | -0.000 | -0.000 | 92.489 |
| 149.651 | 39.507 | 39.507 | 0.000 | 0.000 | 0.000 |
| 39.507 | 149.651 | 39.507 | 0.000 | 0.000 | 0.000 |
| 39.507 | 39.507 | 149.651 | 0.000 | 0.000 | 0.000 |
| -0.000 | 0.000 | 0.000 | 92.489 | -0.000 | 0.000 |
| 0.000 | -0.000 | 0.000 | -0.000 | 92.489 | 0.000 |
| 0.000 | 0.000 | -0.000 | -0.000 | 0.000 | 92.489 |
| 220.664 | 99.351 | 73.366 | 0.000 | 0.000 | 0.000 |
| 122.874 | 297.355 | 52.805 | 0.000 | 0.000 | 0.000 |
| 115.082 | 53.509 | 276.339 | -0.000 | -0.000 | 0.000 |
| 5.824 | -1.586 | -0.012 | 45.854 | 0.000 | -0.000 |
| 3.157 | -0.859 | -0.006 | -0.000 | 85.353 | 0.000 |
| 27.026 | -5.110 | -2.783 | 0.000 | -0.000 | -610.999 |
| 117.885 | 108.445 | 96.488 | 0.000 | -0.000 | 0.000 |
| 81.391 | 305.283 | 56.972 | 0.000 | -0.000 | 0.000 |
| 82.232 | 60.298 | 279.018 | -0.000 | -0.000 | -0.000 |
| -5.824 | 1.586 | 0.012 | 45.854 | -0.000 | 0.000 |
| -3.157 | 0.859 | 0.006 | 0.000 | 85.353 | 0.000 |
| -27.026 | 5.110 | 2.783 | -0.000 | -0.000 | -610.999 |
| 132.263 | 105.426 | 95.373 | -0.000 | 0.000 | 0.000 |
| 111.110 | 299.825 | 53.718 | 0.000 | 0.000 | 0.000 |
| 103.318 | 55.979 | 277.252 | 0.000 | 0.000 | 0.000 |
| 0.805 | -0.177 | -0.053 | 45.840 | 0.000 | -0.000 |
| 0.312 | -0.085 | -0.001 | -0.000 | 85.480 | 0.000 |
| 7.086 | -1.929 | -0.014 | 0.000 | 0.000 | 36.120 |
| 129.648 | 105.975 | 95.576 | 0.000 | -0.000 | -0.000 |
| 108.496 | 300.374 | 53.921 | -0.000 | -0.000 | 0.000 |
| 96.765 | 50.739 | 285.786 | -0.000 | -0.000 | 0.000 |
| -0.805 | 0.177 | 0.053 | 45.840 | -0.000 | 0.000 |
| -0.312 | 0.085 | 0.001 | 0.000 | 85.480 | 0.000 |
| -7.086 | 1.929 | 0.014 | -0.000 | -0.000 | 36.120 |
| 131.087 | 105.671 | 95.465 | -0.000 | -0.000 | 0.000 |
| 109.935 | 300.072 | 53.810 | 0.000 | 0.000 | 0.000 |
| 102.142 | 56.226 | 277.343 | -0.000 | 0.000 | -0.000 |
| 0.081 | -0.018 | -0.005 | 45.842 | 0.000 | -0.000 |
| 0.031 | -0.009 | 0.000 | -0.000 | 85.482 | 0.000 |
| -0.431 | -0.204 | 0.138 | 0.000 | 0.000 | -684.851 |
| 130.824 | 105.729 | 95.484 | 0.000 | -0.000 | 0.000 |
| 109.671 | 300.127 | 53.829 | 0.000 | -0.000 | 0.000 |
| 85.666 | 59.692 | 278.611 | 0.000 | -0.000 | 0.000 |
| -0.081 | 0.018 | 0.005 | 45.842 | -0.000 | 0.000 |
| -0.031 | 0.009 | -0.000 | 0.000 | 85.482 | 0.000 |
| 0.431 | 0.204 | -0.138 | -0.000 | -0.000 | -684.851 |
| 322.112 | 46.003 | 46.003 | 0.000 | -0.000 | 0.000 |
| 46.003 | 322.112 | 46.003 | -0.000 | -0.000 | 0.000 |
| 46.003 | 46.003 | 322.112 | -0.000 | -0.000 | 0.000 |
| -44.771 | -44.771 | -44.771 | 72.068 | 0.000 | 0.000 |
| -44.771 | -44.771 | -44.771 | 0.000 | 72.068 | 0.000 |
| -44.771 | -44.771 | -44.771 | 0.000 | 0.000 | 72.068 |
| 196.174 | 134.464 | 134.464 | -0.000 | -0.000 | -0.000 |
| 134.464 | 196.174 | 134.464 | -0.000 | -0.000 | -0.000 |
| 134.464 | 134.464 | 196.174 | -0.000 | -0.000 | -0.000 |
| 44.771 | 44.771 | 44.771 | 72.068 | -0.000 | -0.000 |
| 44.771 | 44.771 | 44.771 | -0.000 | 72.068 | -0.000 |
| 44.771 | 44.771 | 44.771 | -0.000 | -0.000 | 72.068 |
| 235.636 | 66.286 | 66.286 | 0.000 | 0.000 | 0.000 |
| 66.286 | 235.636 | 66.286 | 0.000 | 0.000 | 0.000 |
| 66.286 | 66.286 | 235.636 | 0.000 | 0.000 | 0.000 |
| -0.000 | -0.000 | -0.000 | 94.918 | -0.000 | 0.000 |
| -0.000 | -0.000 | -0.000 | -0.000 | 94.918 | 0.000 |
| -0.000 | -0.000 | -0.000 | -0.000 | -0.000 | 94.918 |
| 322.112 | 46.003 | 46.003 | 0.000 | 0.000 | -0.000 |
| 46.003 | 322.112 | 46.003 | 0.000 | 0.000 | -0.000 |
| 46.003 | 46.003 | 322.112 | 0.000 | 0.000 | -0.000 |
| 0.000 | 0.000 | 0.000 | 94.918 | 0.000 | 0.000 |
| 0.000 | 0.000 | 0.000 | 0.000 | 94.918 | -0.000 |
| 0.000 | 0.000 | 0.000 | 0.000 | 0.000 | 94.918 |
| 236.086 | 69.243 | 69.243 | 0.000 | -0.000 | 0.000 |
| 69.243 | 236.086 | 69.243 | -0.000 | -0.000 | 0.000 |
| 69.243 | 69.243 | 236.086 | -0.000 | -0.000 | 0.000 |
| -0.000 | -0.000 | -0.000 | 94.918 | -0.000 | 0.000 |
| -0.000 | -0.000 | -0.000 | -0.000 | 94.918 | 0.000 |
| -0.000 | -0.000 | -0.000 | 0.000 | -0.000 | 94.918 |
| 217.173 | 88.961 | 88.961 | -0.000 | -0.000 | -0.000 |
| 88.961 | 217.173 | 88.961 | -0.000 | -0.000 | -0.000 |
| 88.961 | 88.961 | 217.173 | -0.000 | -0.000 | -0.000 |
| 0.000 | 0.000 | 0.000 | 94.918 | 0.000 | 0.000 |
| 0.000 | 0.000 | 0.000 | 0.000 | 94.918 | -0.000 |
| 0.000 | 0.000 | 0.000 | 0.000 | 0.000 | 94.918 |
| 379.153 | 189.454 | 189.454 | 0.000 | 0.000 | 0.000 |
| 189.454 | 379.153 | 189.454 | 0.000 | 0.000 | 0.000 |
| 189.454 | 189.454 | 379.153 | 0.000 | 0.000 | 0.000 |
| 0.000 | 0.000 | -0.000 | 94.937 | -0.000 | -0.000 |
| 0.000 | 0.000 | -0.000 | -0.000 | 94.937 | -0.000 |
| -0.000 | -0.000 | 0.000 | 0.000 | -0.000 | 94.937 |
| 127.246 | -62.454 | -62.454 | -0.000 | -0.000 | -0.000 |
| -62.454 | 127.246 | -62.454 | -0.000 | 0.000 | -0.000 |
| -62.454 | -62.454 | 127.246 | -0.000 | -0.000 | -0.000 |
| -0.000 | 0.000 | 0.000 | 94.937 | 0.000 | -0.000 |
| -0.000 | 0.000 | -0.000 | 0.000 | 94.937 | 0.000 |
| -0.000 | 0.000 | -0.000 | -0.000 | 0.000 | 94.937 |
| 264.779 | 76.662 | 76.662 | 0.000 | 0.000 | 0.000 |
| 76.662 | 264.779 | 76.662 | 0.000 | 0.000 | 0.000 |
| 76.662 | 76.662 | 264.779 | 0.000 | 0.000 | 0.000 |
| 13.991 | 13.991 | 13.991 | 87.641 | 0.000 | -0.000 |
| 13.991 | 13.991 | 13.991 | 0.000 | 87.641 | -0.000 |
| 13.991 | 13.991 | 13.991 | -0.000 | 0.000 | 87.641 |
| 239.380 | 50.984 | 50.984 | -0.000 | -0.000 | -0.000 |
| 50.984 | 239.380 | 50.984 | -0.000 | -0.000 | -0.000 |
| 50.984 | 50.984 | 239.380 | -0.000 | -0.000 | -0.000 |
| -13.991 | -13.991 | -13.991 | 87.641 | -0.000 | 0.000 |
| -13.991 | -13.991 | -13.991 | 0.000 | 87.641 | -0.000 |
| -13.991 | -13.991 | -13.991 | -0.000 | -0.000 | 87.641 |
| 249.661 | 66.149 | 66.149 | 0.000 | 0.000 | 0.000 |
| 66.149 | 249.661 | 66.149 | 0.000 | 0.000 | 0.000 |
| 66.149 | 66.149 | 249.661 | 0.000 | 0.000 | 0.000 |
| 0.992 | 0.992 | 0.992 | 79.307 | 0.000 | 0.000 |
| 0.992 | 0.992 | 0.992 | 0.000 | 79.307 | 0.000 |
| 0.992 | 0.992 | 0.992 | 0.000 | 0.000 | 79.307 |
| 234.603 | 67.273 | 67.273 | -0.000 | -0.000 | 0.000 |
| 67.273 | 234.603 | 67.273 | 0.000 | -0.000 | 0.000 |
| 67.273 | 67.273 | 234.603 | 0.000 | 0.000 | -0.000 |
| -0.992 | -0.992 | -0.992 | 79.307 | -0.000 | -0.000 |
| -0.992 | -0.992 | -0.992 | -0.000 | 79.307 | -0.000 |
| -0.992 | -0.992 | -0.992 | -0.000 | -0.000 | 79.307 |
| 305.203 | 249.456 | 249.456 | -0.000 | -0.000 | 0.000 |
| 249.456 | 305.203 | 249.456 | -0.000 | -0.000 | 0.000 |
| 249.456 | 249.456 | 305.203 | -0.000 | -0.000 | 0.000 |
| 0.000 | -0.000 | 0.000 | 239.040 | -0.000 | -0.000 |
| -0.000 | 0.000 | 0.000 | 0.000 | 239.040 | -0.000 |
| -0.000 | 0.000 | 0.000 | -0.000 | 0.000 | 239.040 |
| 101.126 | 48.979 | 48.979 | 0.000 | 0.000 | -0.000 |
| 48.979 | 101.126 | 48.979 | 0.000 | 0.000 | -0.000 |
| 48.979 | 48.979 | 101.126 | -0.000 | 0.000 | -0.000 |
| -0.000 | -0.000 | -0.000 | 239.040 | 0.000 | 0.000 |
| 0.000 | -0.000 | -0.000 | 0.000 | 239.040 | 0.000 |
| 0.000 | -0.000 | -0.000 | 0.000 | 0.000 | 239.040 |
| 212.231 | 166.896 | 166.896 | 0.000 | -0.000 | 0.000 |
| 166.896 | 212.231 | 166.896 | -0.000 | -0.000 | 0.000 |
| 166.896 | 166.896 | 212.231 | -0.000 | -0.000 | 0.000 |
| 9.870 | 9.870 | 9.870 | 132.001 | 0.000 | -0.000 |
| 9.870 | 9.870 | 9.870 | -0.000 | 132.001 | 0.000 |
| 9.870 | 9.870 | 9.870 | -0.000 | -0.000 | 132.001 |
| 193.603 | 146.148 | 146.148 | 0.000 | 0.000 | -0.000 |
| 146.148 | 193.603 | 146.148 | 0.000 | 0.000 | -0.000 |
| 146.148 | 146.148 | 193.603 | 0.000 | -0.000 | -0.000 |
| -9.870 | -9.870 | -9.870 | 132.001 | 0.000 | -0.000 |
| -10.833 | -10.833 | -10.833 | 0.000 | 138.115 | -0.000 |
| -9.870 | -9.870 | -9.870 | 0.000 | 0.000 | 132.001 |
| 190.279 | 159.963 | 159.963 | 0.000 | 0.000 | 0.000 |
| 159.963 | 190.279 | 159.963 | 0.000 | -0.000 | 0.000 |
| 159.963 | 159.963 | 190.279 | -0.000 | 0.000 | 0.000 |
| 0.929 | 0.929 | 0.929 | 131.888 | -0.000 | -0.000 |
| 0.929 | 0.929 | 0.929 | -0.000 | 131.888 | -0.000 |
| 0.929 | 0.929 | 0.929 | 0.000 | -0.000 | 131.888 |
| 188.308 | 157.989 | 157.989 | -0.000 | -0.000 | -0.000 |
| 157.989 | 188.308 | 157.989 | 0.000 | 0.000 | -0.000 |
| 157.989 | 157.989 | 188.308 | 0.000 | -0.000 | 0.000 |
| -0.929 | -0.929 | -0.929 | 131.888 | 0.000 | -0.000 |
| -0.929 | -0.929 | -0.929 | 0.000 | 131.888 | -0.000 |
| -0.929 | -0.929 | -0.929 | 0.000 | 0.000 | 131.888 |
| 283.614 | 111.197 | 111.197 | -0.000 | -0.000 | 0.000 |
| 111.197 | 283.614 | 111.197 | -0.000 | 0.000 | -0.000 |
| 111.197 | 111.197 | 283.614 | -0.000 | 0.000 | -0.000 |
| -0.000 | -0.000 | -0.000 | 136.263 | 0.000 | 0.000 |
| -0.000 | -0.000 | -0.000 | 0.000 | 136.263 | 0.000 |
| -0.000 | -0.000 | -0.000 | 0.000 | 0.000 | 136.263 |
| 283.614 | 111.197 | 111.197 | 0.000 | 0.000 | -0.000 |
| 111.197 | 283.614 | 111.197 | 0.000 | 0.000 | 0.000 |
| 111.197 | 111.197 | 283.614 | 0.000 | 0.000 | -0.000 |
| 0.000 | 0.000 | 0.000 | 136.263 | -0.000 | -0.000 |
| 0.000 | 0.000 | 0.000 | -0.000 | 136.263 | -0.000 |
| 0.000 | 0.000 | 0.000 | -0.000 | -0.000 | 136.263 |
| 239.580 | 100.963 | 100.963 | 0.000 | 0.000 | 0.000 |
| 130.400 | 201.747 | 130.400 | 0.000 | 0.000 | 0.000 |
| 130.400 | 130.400 | 201.747 | 0.000 | 0.000 | 0.000 |
| 0.000 | -0.000 | -0.000 | 171.744 | 0.000 | 0.000 |
| -0.000 | 0.000 | -0.000 | 0.000 | 171.744 | 0.000 |
| -0.000 | -0.000 | 0.000 | -0.000 | 0.000 | 171.744 |
| 193.489 | 131.632 | 131.632 | -0.000 | 0.000 | -0.000 |
| 131.632 | 193.489 | 131.632 | -0.000 | 0.000 | -0.000 |
| 131.632 | 131.632 | 193.489 | -0.000 | 0.000 | -0.000 |
| -0.000 | 0.000 | 0.000 | 171.744 | -0.000 | -0.000 |
| 0.000 | -0.000 | 0.000 | -0.000 | 171.744 | -0.000 |
| 0.000 | 0.000 | -0.000 | 0.000 | -0.000 | 171.744 |
| 193.479 | 131.676 | 131.676 | -0.000 | 0.000 | -0.000 |
| 131.676 | 193.479 | 131.676 | -0.000 | 0.000 | -0.000 |
| 131.676 | 131.676 | 193.479 | -0.000 | 0.000 | -0.000 |
| 0.001 | 0.001 | 0.001 | 132.703 | 0.000 | 0.000 |
| 0.001 | 0.001 | 0.001 | 0.000 | 132.703 | 0.000 |
| 0.001 | 0.001 | 0.001 | 0.000 | 0.000 | 132.703 |
| 193.479 | 131.677 | 131.677 | 0.000 | -0.000 | 0.000 |
| 131.677 | 193.479 | 131.677 | 0.000 | -0.000 | 0.000 |
| 131.677 | 131.677 | 193.479 | 0.000 | -0.000 | 0.000 |
| -0.001 | -0.001 | -0.001 | 132.703 | -0.000 | -0.000 |
| -0.001 | -0.001 | -0.001 | 0.000 | 132.703 | -0.000 |
| -0.000 | -0.000 | -0.000 | -0.000 | -0.000 | 132.786 |
| 322.826 | 69.163 | 69.177 | -0.000 | 0.000 | 0.000 |
| 69.182 | 484.234 | 137.996 | -0.000 | -0.000 | 0.000 |
| 69.181 | 137.981 | 484.366 | -0.000 | 0.000 | 0.000 |
| 0.000 | 0.000 | 0.000 | 173.118 | -0.000 | -0.000 |
| -0.000 | 0.000 | 0.000 | -0.000 | 185.163 | 0.000 |
| -0.000 | -0.000 | -0.000 | -0.000 | -0.000 | 185.186 |
| 322.826 | 69.163 | 69.177 | 0.000 | 0.000 | -0.000 |
| 69.182 | 484.234 | 137.996 | 0.000 | 0.000 | -0.000 |
| 69.181 | 137.981 | 484.366 | 0.000 | 0.000 | -0.000 |
| -0.000 | -0.000 | -0.000 | 173.118 | 0.000 | -0.000 |
| 0.000 | -0.000 | -0.000 | 0.000 | 185.163 | -0.000 |
| 0.000 | 0.000 | 0.000 | 0.000 | 0.000 | 185.186 |
| 322.826 | 69.163 | 69.177 | -0.000 | -0.000 | 0.000 |
| 69.182 | 484.234 | 137.996 | -0.000 | 0.000 | 0.000 |
| 69.181 | 137.981 | 484.366 | -0.000 | -0.000 | 0.000 |
| -0.000 | 0.000 | 0.000 | 173.118 | 0.000 | 0.000 |
| -0.000 | -0.000 | -0.000 | -0.000 | 185.163 | 0.000 |
| -0.000 | -0.000 | -0.000 | -0.000 | 0.000 | 185.186 |
| 322.825 | 69.163 | 69.177 | 0.000 | -0.000 | -0.000 |
| 69.182 | 484.234 | 137.996 | 0.000 | 0.000 | 0.000 |
| 69.181 | 137.981 | 484.366 | 0.000 | 0.000 | -0.000 |
| 0.000 | -0.000 | -0.000 | 173.118 | 0.000 | -0.000 |
| 0.000 | 0.000 | 0.000 | 0.000 | 185.163 | 0.000 |
| 0.000 | 0.000 | 0.000 | 0.000 | -0.000 | 185.186 |
| 322.828 | 69.163 | 69.177 | -0.000 | -0.000 | 0.000 |
| 69.182 | 484.236 | 137.997 | -0.000 | -0.000 | 0.000 |
| 69.181 | 137.982 | 484.369 | -0.000 | -0.000 | 0.000 |
| -0.000 | 0.000 | 0.000 | 173.118 | 0.000 | 0.000 |
| -0.000 | -0.000 | -0.000 | -0.000 | 185.163 | 0.000 |
| -0.000 | -0.000 | -0.000 | -0.000 | -0.000 | 185.186 |
| 322.823 | 69.163 | 69.177 | 0.000 | 0.000 | 0.000 |
| 69.182 | 484.231 | 137.995 | -0.000 | -0.000 | -0.000 |
| 69.181 | 137.980 | 484.363 | 0.000 | 0.000 | -0.000 |
| 0.000 | -0.000 | -0.000 | 173.118 | -0.000 | -0.000 |
| 0.000 | 0.000 | 0.000 | 0.000 | 185.163 | -0.000 |
| 0.000 | 0.000 | 0.000 | 0.000 | 0.000 | 185.186 |
| 252.453 | 107.807 | 102.656 | -0.000 | -0.000 | -0.000 |
| 107.807 | 252.453 | 102.656 | 0.000 | -0.000 | -0.000 |
| 102.655 | 102.655 | 33825.472 | -0.000 | -0.000 | -0.000 |
| 0.000 | -0.000 | -0.000 | 10.527 | -0.000 | -0.000 |
| 0.000 | -0.000 | -0.000 | 0.000 | 10.527 | -0.000 |
| 0.000 | -0.000 | -0.000 | 0.000 | -0.000 | 87.851 |
| 252.453 | 107.807 | 102.656 | -0.000 | 0.000 | 0.000 |
| 107.807 | 252.453 | 102.656 | -0.000 | 0.000 | 0.000 |
| 102.657 | 102.657 | 33825.613 | -0.000 | -0.000 | 0.000 |
| -0.000 | 0.000 | 0.000 | 10.527 | 0.000 | 0.000 |
| -0.000 | 0.000 | 0.000 | 0.000 | 10.527 | 0.000 |
| -0.000 | 0.000 | 0.000 | -0.000 | 0.000 | 87.851 |
| 252.453 | 107.807 | 102.656 | -0.000 | -0.000 | -0.000 |
| 107.807 | 252.453 | 102.656 | 0.000 | -0.000 | -0.000 |
| 102.649 | 102.649 | 33824.843 | 0.000 | -0.000 | -0.000 |
| -0.000 | -0.000 | -0.002 | 10.527 | -0.000 | -0.000 |
| -0.000 | -0.000 | -0.002 | 0.000 | 10.527 | -0.000 |
| -0.000 | 0.000 | -0.000 | 0.000 | -0.000 | 87.851 |
| 252.453 | 107.807 | 102.656 | 0.000 | 0.000 | 0.000 |
| 107.807 | 252.453 | 102.656 | -0.000 | 0.000 | 0.000 |
| 102.663 | 102.663 | 33826.242 | -0.000 | -0.000 | 0.000 |
| 0.000 | 0.000 | 0.002 | 10.527 | 0.000 | 0.000 |
| 0.000 | 0.000 | 0.002 | -0.000 | 10.527 | 0.000 |
| 0.000 | -0.000 | 0.000 | -0.000 | 0.000 | 87.851 |
| 252.436 | 107.826 | 102.656 | 0.000 | 0.000 | -0.000 |
| 107.808 | 252.454 | 102.656 | 0.000 | 0.000 | -0.000 |
| 102.584 | 102.584 | 33818.549 | 0.000 | -0.000 | -0.000 |
| -0.000 | -0.000 | -0.016 | 10.527 | 0.000 | -0.000 |
| -0.000 | -0.000 | -0.016 | 0.000 | 10.527 | -0.000 |
| -0.000 | 0.000 | -0.000 | -0.000 | -0.000 | 72.323 |
| 252.452 | 107.807 | 102.656 | -0.000 | 0.000 | 0.000 |
| 107.824 | 252.435 | 102.656 | 0.000 | -0.000 | -0.000 |
| 102.728 | 102.728 | 33832.537 | 0.000 | 0.000 | 0.000 |
| 0.000 | 0.000 | 0.016 | 10.527 | 0.000 | 0.000 |
| 0.000 | 0.000 | 0.016 | -0.000 | 10.527 | 0.000 |
| 0.000 | -0.000 | 0.000 | 0.000 | 0.000 | 72.323 |
| 491.991 | 65.914 | 78.704 | -15.952 | 0.000 | -0.000 |
| 65.914 | 491.991 | 78.704 | 15.952 | -0.000 | -0.000 |
| 88.802 | 88.802 | 452.972 | -0.000 | 0.000 | -0.000 |
| -16.991 | 16.991 | 0.000 | 250.961 | -0.000 | -0.000 |
| 2.658 | 2.658 | -7.431 | -0.000 | 250.921 | -16.684 |
| 2.659 | 2.659 | -7.432 | -0.000 | -16.684 | 218.709 |
| 492.344 | 54.927 | 93.567 | -16.684 | 0.000 | 0.000 |
| 54.927 | 492.344 | 93.567 | 16.684 | -0.000 | -0.000 |
| 86.141 | 86.141 | 460.408 | 0.000 | 0.000 | -0.000 |
| -19.342 | 14.026 | 7.431 | 250.921 | -0.000 | -0.000 |
| -2.658 | -2.658 | 7.431 | 0.000 | 250.921 | -16.684 |
| -2.659 | -2.659 | 7.432 | -0.000 | -16.684 | 218.709 |
| 495.229 | 57.902 | 85.377 | -16.678 | 0.000 | -0.000 |
| 55.208 | 497.383 | 86.132 | 16.991 | -0.000 | 0.000 |
| 86.410 | 86.410 | 459.659 | -0.000 | 0.000 | 0.000 |
| -16.418 | 16.950 | -0.743 | 250.921 | 0.000 | -0.000 |
| 0.266 | 0.266 | -0.743 | 0.000 | 250.921 | -16.684 |
| 0.271 | 0.271 | -0.757 | -0.000 | -16.678 | 218.663 |
| 494.687 | 57.360 | 86.892 | -16.678 | -0.000 | 0.000 |
| 57.360 | 494.687 | 86.892 | 16.678 | -0.000 | -0.000 |
| 85.878 | 85.878 | 461.145 | 0.000 | -0.000 | -0.000 |
| -16.991 | 16.991 | -0.000 | 250.961 | 0.000 | 0.000 |
| -0.266 | -0.266 | 0.743 | -0.000 | 250.921 | -16.684 |
| -0.271 | -0.271 | 0.757 | 0.000 | -16.678 | 218.663 |
| 489.362 | 63.283 | 86.061 | -15.952 | -0.000 | -0.000 |
| 60.273 | 492.428 | 85.981 | 16.344 | -0.000 | -0.000 |
| 86.142 | 86.142 | 460.410 | -0.000 | -0.000 | -0.000 |
| -15.926 | 15.979 | -0.074 | 250.827 | -0.000 | -0.000 |
| 0.027 | 0.027 | -0.076 | 0.000 | 250.920 | -16.674 |
| 0.000 | 0.000 | 0.000 | -0.000 | -16.991 | 221.087 |
| 492.487 | 59.989 | 86.288 | -16.367 | -0.000 | -0.000 |
| 59.989 | 492.487 | 86.288 | 16.367 | 0.000 | 0.000 |
| 86.141 | 86.141 | 460.407 | 0.000 | 0.000 | -0.000 |
| -16.991 | 16.991 | -0.000 | 250.961 | 0.000 | -0.000 |
| -0.027 | -0.027 | 0.076 | -0.000 | 250.920 | -16.674 |
| -0.000 | -0.000 | -0.000 | 0.000 | -16.991 | 221.087 |
| 497.312 | 55.159 | 86.174 | -16.991 | 0.000 | 0.000 |
| 63.199 | 489.267 | 86.181 | 15.953 | -0.000 | -0.000 |
| 86.147 | 86.147 | 460.530 | 0.000 | 0.000 | 0.000 |
| -16.991 | 16.991 | 0.000 | 250.940 | 0.000 | 0.000 |
| 0.000 | 0.000 | -0.000 | -0.000 | 250.805 | -15.952 |
| 0.000 | 0.000 | -0.000 | -0.000 | -15.952 | 213.028 |
| 489.267 | 63.198 | 86.181 | -15.953 | 0.000 | 0.000 |
| 63.198 | 489.267 | 86.181 | 15.953 | 0.000 | 0.000 |
| 86.149 | 86.149 | 460.523 | -0.000 | 0.000 | 0.000 |
| -15.952 | 15.952 | 0.000 | 250.805 | 0.000 | 0.000 |
| -0.000 | -0.000 | 0.000 | 0.000 | 250.805 | -15.952 |
| -0.000 | -0.000 | 0.000 | 0.000 | -15.952 | 213.028 |
| 489.267 | 63.198 | 86.181 | -15.953 | -0.000 | -0.000 |
| 55.159 | 497.312 | 86.174 | 16.991 | 0.000 | -0.000 |
| 86.147 | 86.147 | 460.530 | 0.000 | -0.000 | -0.000 |
| -15.952 | 15.952 | 0.000 | 250.805 | -0.000 | -0.000 |
| -0.000 | 0.000 | 0.000 | 0.000 | 250.805 | -15.952 |
| 0.000 | 0.000 | 0.000 | -0.000 | -15.952 | 213.028 |
| 497.312 | 55.159 | 86.174 | -16.991 | -0.000 | -0.000 |
| 55.159 | 497.312 | 86.174 | 16.991 | -0.000 | -0.000 |
| 86.149 | 86.149 | 460.523 | 0.000 | -0.000 | -0.000 |
| -16.991 | 16.991 | -0.000 | 250.940 | 0.000 | -0.000 |
| 0.000 | -0.000 | -0.000 | -0.000 | 250.805 | -15.952 |
| -0.000 | -0.000 | -0.000 | 0.000 | -15.952 | 213.028 |
| 489.269 | 63.199 | 86.182 | -15.953 | -0.000 | -0.000 |
| 63.207 | 489.264 | 86.176 | 15.952 | -0.000 | 0.000 |
| 86.147 | 86.147 | 460.532 | -0.000 | 0.000 | 0.000 |
| -16.991 | 16.991 | 0.000 | 250.940 | 0.000 | -0.000 |
| -0.000 | 0.000 | 0.000 | 0.000 | 250.805 | -15.952 |
| 0.000 | 0.000 | 0.000 | -0.000 | -15.952 | 213.028 |
| 497.310 | 55.159 | 86.173 | -16.991 | 0.000 | -0.000 |
| 55.159 | 497.310 | 86.173 | 16.991 | -0.000 | 0.000 |
| 86.146 | 86.146 | 460.528 | 0.000 | -0.000 | -0.000 |
| -15.952 | 15.952 | -0.000 | 250.805 | 0.000 | 0.000 |
| 0.000 | -0.000 | -0.000 | -0.000 | 250.805 | -15.952 |
| -0.000 | -0.000 | -0.000 | 0.000 | -15.952 | 213.028 |
| 193.485 | 38.852 | 41.031 | -2.086 | -0.048 | -0.000 |
| 34.956 | 185.495 | 43.297 | 11.059 | -0.099 | -0.000 |
| 29.274 | 29.274 | 222.019 | -0.000 | -0.000 | -0.000 |
| -2.103 | 2.174 | -0.102 | 82.872 | 0.000 | 0.019 |
| 0.017 | 0.054 | -0.102 | -0.000 | 82.873 | -2.139 |
| 0.000 | 0.000 | 0.000 | -0.079 | -2.313 | 98.167 |
| 183.243 | 34.406 | 40.848 | -7.588 | -0.000 | 0.000 |
| 27.148 | 223.481 | 29.736 | 2.313 | -0.079 | 0.000 |
| 39.839 | 39.841 | 175.328 | 0.001 | -0.001 | 0.001 |
| -8.851 | 8.744 | 0.194 | 80.856 | -0.000 | -0.058 |
| -0.055 | -0.016 | 0.102 | 0.000 | 82.872 | -2.138 |
| -0.000 | -0.000 | -0.000 | -0.079 | -2.313 | 98.167 |
| 193.448 | 38.809 | 41.149 | -2.086 | -0.048 | -0.000 |
| 38.809 | 193.448 | 41.149 | 2.086 | 0.048 | -0.000 |
| 42.275 | 42.275 | 188.287 | -0.000 | 0.000 | -0.000 |
| -8.785 | 8.796 | -0.019 | 80.863 | 0.000 | -0.058 |
| 0.064 | -0.053 | -0.019 | -0.000 | 80.863 | -8.790 |
| -0.000 | 0.000 | 0.000 | -0.079 | -2.313 | 98.167 |
| 223.481 | 27.148 | 29.736 | -2.313 | 0.079 | -0.000 |
| 34.922 | 185.706 | 43.437 | 10.894 | -0.097 | 0.000 |
| 41.729 | 41.729 | 179.614 | 0.000 | -0.000 | 0.000 |
| -2.142 | 2.135 | 0.010 | 82.876 | -0.000 | 0.019 |
| -0.022 | 0.015 | 0.010 | 0.000 | 82.876 | -2.138 |
| -0.004 | -0.004 | 0.012 | 0.036 | -2.107 | 79.266 |
| 193.446 | 38.805 | 41.161 | -2.086 | -0.048 | -0.000 |
| 34.925 | 185.686 | 43.423 | 10.911 | -0.097 | 0.000 |
| 29.274 | 29.274 | 222.020 | -0.000 | 0.000 | 0.000 |
| -8.790 | 8.791 | -0.002 | 80.863 | -0.000 | -0.058 |
| 0.017 | -0.018 | -0.001 | 0.000 | 80.055 | -8.493 |
| 0.000 | 0.001 | -0.002 | -0.075 | -9.549 | 75.801 |
| 185.690 | 34.924 | 43.425 | -10.908 | 0.097 | -0.000 |
| 34.361 | 182.968 | 40.739 | 7.578 | 0.002 | 0.000 |
| 29.273 | 29.273 | 222.019 | 0.000 | 0.000 | 0.000 |
| -2.139 | 2.138 | 0.001 | 82.876 | -0.000 | 0.019 |
| 0.058 | -0.059 | 0.002 | -0.000 | 80.864 | -8.790 |
| -0.000 | -0.000 | 0.001 | 0.036 | -2.107 | 79.266 |
| 152.974 | 72.547 | 41.977 | -0.000 | 0.000 | -0.000 |
| 72.547 | 152.974 | 41.977 | 0.000 | -0.000 | -0.000 |
| 10.698 | 10.698 | 260.301 | -0.000 | -0.000 | 0.000 |
| 0.000 | 0.000 | -0.000 | 66.193 | -0.000 | -0.000 |
| 0.000 | 0.000 | -0.000 | -0.000 | 66.193 | -0.000 |
| 0.000 | 0.000 | -0.000 | 0.000 | -0.000 | 45.806 |
| 152.974 | 72.547 | 41.977 | -0.000 | -0.000 | 0.000 |
| 72.547 | 152.974 | 41.977 | -0.000 | 0.000 | 0.000 |
| 41.977 | 41.977 | 213.873 | 0.000 | 0.000 | 0.000 |
| -0.000 | -0.000 | 0.000 | 66.193 | 0.000 | 0.000 |
| -0.000 | -0.000 | 0.000 | 0.000 | 66.193 | 0.000 |
| -0.000 | -0.000 | 0.000 | -0.000 | 0.000 | 45.806 |
| 152.973 | 72.547 | 41.977 | -0.000 | -0.000 | -0.000 |
| 72.547 | 152.973 | 41.977 | -0.000 | 0.000 | -0.000 |
| 41.977 | 41.977 | 213.873 | -0.000 | -0.000 | 0.000 |
| 0.000 | 0.000 | -0.000 | 66.193 | -0.000 | -0.000 |
| 0.000 | 0.000 | -0.000 | -0.000 | 66.193 | -0.000 |
| -0.000 | -0.000 | -0.000 | -0.000 | 0.000 | 45.806 |
| 152.974 | 72.547 | 41.977 | -0.000 | -0.000 | 0.000 |
| 72.547 | 152.974 | 41.977 | -0.000 | -0.000 | 0.000 |
| 10.698 | 10.698 | 260.301 | -0.000 | -0.000 | -0.000 |
| -0.000 | -0.000 | 0.000 | 66.193 | -0.000 | 0.000 |
| -0.000 | -0.000 | 0.000 | -0.000 | 66.193 | 0.000 |
| 0.000 | 0.000 | 0.000 | 0.000 | -0.000 | 45.806 |
| 152.971 | 72.546 | 41.980 | 0.000 | -0.000 | -0.000 |
| 72.546 | 152.971 | 41.980 | -0.000 | 0.000 | 0.000 |
| 41.977 | 41.977 | 213.874 | -0.000 | 0.000 | -0.000 |
| 0.000 | -0.000 | -0.000 | 66.193 | -0.000 | -0.000 |
| -0.000 | 0.000 | -0.000 | -0.000 | 66.193 | 0.000 |
| -0.000 | -0.000 | -0.000 | -0.000 | 0.000 | 45.806 |
| 152.976 | 72.548 | 41.974 | 0.000 | 0.000 | 0.000 |
| 72.548 | 152.976 | 41.974 | -0.000 | 0.000 | 0.000 |
| 41.977 | 41.977 | 213.872 | 0.000 | 0.000 | -0.000 |
| -0.000 | 0.000 | 0.000 | 66.193 | 0.000 | 0.000 |
| 0.000 | -0.000 | 0.000 | 0.000 | 66.193 | 0.000 |
| 0.000 | 0.000 | 0.000 | -0.000 | -0.000 | 45.806 |
| 153.281 | 65.575 | 43.328 | -0.000 | -0.000 | -0.000 |
| 65.575 | 153.281 | 43.328 | -0.000 | -0.000 | -0.000 |
| 37.768 | 37.768 | 213.459 | -0.000 | -0.000 | 0.000 |
| 0.001 | 0.001 | -0.001 | 60.679 | -0.000 | 0.000 |
| 0.001 | 0.001 | -0.001 | -0.000 | 60.679 | 0.000 |
| 0.001 | 0.001 | -0.002 | -0.000 | -0.000 | 49.808 |
| 153.280 | 65.574 | 43.329 | 0.000 | 0.000 | 0.000 |
| 65.574 | 153.280 | 43.329 | 0.000 | 0.000 | -0.000 |
| 37.767 | 37.767 | 213.461 | 0.000 | 0.000 | 0.000 |
| -0.001 | -0.001 | 0.001 | 60.679 | 0.000 | -0.000 |
| -0.001 | -0.001 | 0.001 | 0.000 | 60.679 | -0.000 |
| -0.001 | -0.001 | 0.002 | 0.000 | 0.000 | 49.808 |
| 153.280 | 65.574 | 43.329 | -0.000 | -0.000 | 0.000 |
| 65.574 | 153.280 | 43.329 | -0.000 | -0.000 | -0.000 |
| 37.768 | 37.768 | 213.460 | -0.000 | -0.000 | 0.000 |
| 0.000 | 0.000 | -0.000 | 60.679 | -0.000 | 0.000 |
| 0.000 | 0.000 | -0.000 | -0.000 | 60.679 | 0.000 |
| 0.000 | 0.000 | -0.000 | -0.000 | -0.000 | 49.808 |
| 219.711 | 33.783 | 14.584 | -0.000 | 0.000 | -0.000 |
| 33.783 | 219.711 | 14.584 | 0.000 | 0.000 | 0.000 |
| 37.768 | 37.768 | 213.460 | 0.000 | 0.000 | -0.000 |
| -0.000 | -0.000 | 0.000 | 60.679 | 0.000 | -0.000 |
| -0.000 | -0.000 | 0.000 | 0.000 | 60.679 | -0.000 |
| -0.000 | -0.000 | 0.000 | 0.000 | 0.000 | 49.808 |
| 153.278 | 65.574 | 43.331 | -0.000 | -0.000 | -0.000 |
| 65.574 | 153.278 | 43.331 | -0.000 | -0.000 | 0.000 |
| 37.768 | 37.768 | 213.461 | -0.000 | -0.000 | -0.000 |
| 0.000 | -0.000 | -0.000 | 60.679 | -0.000 | 0.000 |
| -0.000 | 0.000 | -0.000 | -0.000 | 60.679 | 0.000 |
| -0.000 | -0.000 | -0.000 | -0.000 | -0.000 | 49.808 |
| 153.282 | 65.575 | 43.326 | 0.000 | 0.000 | -0.000 |
| 65.575 | 153.282 | 43.326 | 0.000 | 0.000 | 0.000 |
| 37.768 | 37.768 | 213.459 | 0.000 | 0.000 | 0.000 |
| -0.000 | 0.000 | 0.000 | 60.679 | 0.000 | 0.000 |
| 0.000 | -0.000 | 0.000 | 0.000 | 60.679 | -0.000 |
| 0.000 | 0.000 | 0.000 | 0.000 | 0.000 | 49.808 |
| 126.296 | 1.494 | 145.602 | -0.000 | 49.886 | 0.000 |
| -4.420 | 150.988 | 154.129 | 0.000 | 34.764 | 0.000 |
| 38.528 | 38.916 | 214.430 | 0.000 | 15.847 | 0.000 |
| -39.373 | -33.773 | 96.598 | 61.693 | 42.438 | -1.051 |
| -36.491 | -50.822 | 34.250 | -0.000 | 64.290 | 0.000 |
| -40.236 | -42.394 | 27.935 | -6.596 | -0.763 | 48.850 |
| 196.917 | 76.937 | 28.053 | -0.000 | 10.615 | -0.000 |
| 74.621 | 218.076 | -38.896 | 0.000 | -49.994 | -0.000 |
| 93.961 | 94.784 | 146.284 | -0.000 | 1.479 | -0.000 |
| 39.373 | 33.773 | -96.598 | 61.693 | -42.438 | -1.051 |
| 73.028 | 26.051 | -55.343 | 0.000 | 62.310 | -0.000 |
| 40.236 | 42.394 | -27.935 | -6.596 | 0.763 | 48.850 |
| 152.264 | 31.414 | 57.758 | 0.000 | 9.208 | 0.000 |
| 30.265 | 185.194 | 56.236 | -0.000 | -8.135 | 0.000 |
| 38.528 | 38.916 | 214.430 | -0.000 | 15.847 | -0.000 |
| -6.730 | -3.050 | 5.567 | 67.325 | -0.142 | -3.457 |
| -1.460 | -12.580 | 7.724 | -0.000 | 63.688 | -0.000 |
| -3.817 | -4.217 | 2.862 | -5.006 | 0.050 | 47.202 |
| 158.807 | 43.749 | 51.533 | 0.000 | 8.345 | -0.000 |
| 40.580 | 194.570 | 47.200 | 0.000 | -9.363 | -0.000 |
| 57.947 | 55.758 | 173.858 | 0.000 | 4.953 | -0.000 |
| 6.730 | 3.050 | -5.567 | 67.325 | 0.142 | -3.457 |
| 8.467 | -4.002 | -1.327 | 0.000 | 61.897 | -0.000 |
| 3.817 | 4.217 | -2.862 | -5.006 | -0.050 | 47.202 |
| 154.484 | 36.483 | 54.994 | -0.000 | 8.688 | 0.000 |
| 36.211 | 189.974 | 50.221 | -0.000 | -9.425 | -0.000 |
| 53.351 | 51.324 | 177.054 | -0.000 | 4.990 | 0.000 |
| -0.426 | -0.415 | 0.285 | 68.766 | -0.005 | -4.248 |
| 2.030 | -8.869 | 5.138 | -0.000 | 63.586 | 0.000 |
| -0.352 | -0.302 | 0.864 | -3.952 | 0.379 | 47.878 |
| 156.769 | 36.439 | 56.572 | -0.000 | 9.593 | 0.000 |
| 30.663 | 192.249 | 54.008 | 0.000 | -9.891 | -0.000 |
| 54.677 | 51.812 | 176.407 | 0.000 | 4.905 | -0.000 |
| 0.426 | 0.415 | -0.285 | 68.766 | 0.005 | -4.248 |
| 3.006 | -7.911 | 4.873 | 0.000 | 63.658 | -0.000 |
| 0.352 | 0.302 | -0.864 | -3.952 | -0.379 | 47.878 |
| 183.775 | 55.916 | 36.320 | 0.000 | -0.000 | -0.000 |
| 55.441 | 183.276 | 36.404 | 0.000 | -0.000 | -0.000 |
| 9.473 | 9.642 | 253.625 | 0.000 | -0.000 | 0.000 |
| 0.117 | 0.327 | -0.395 | 60.840 | 0.000 | -0.000 |
| 0.117 | 0.327 | -0.395 | 0.000 | 61.011 | -0.000 |
| 0.122 | 0.342 | -0.413 | 0.000 | -0.000 | 63.368 |
| 183.566 | 55.230 | 37.116 | 0.000 | 0.000 | 0.000 |
| 55.194 | 182.620 | 37.207 | -0.000 | 0.000 | -0.000 |
| 38.921 | 39.043 | 201.171 | -0.000 | 0.000 | 0.000 |
| -0.117 | -0.327 | 0.395 | 60.840 | 0.000 | 0.000 |
| -0.117 | -0.327 | 0.395 | -0.000 | 61.011 | -0.000 |
| -0.122 | -0.342 | 0.413 | -0.000 | 0.000 | 63.368 |
| 183.663 | 56.548 | 35.860 | 0.000 | -0.000 | 0.000 |
| 56.264 | 182.963 | 35.945 | 0.000 | -0.000 | -0.000 |
| 39.049 | 39.405 | 200.734 | 0.000 | -0.000 | -0.000 |
| 0.012 | 0.033 | -0.039 | 60.840 | -0.000 | 0.000 |
| 0.012 | 0.033 | -0.039 | 0.000 | 61.011 | 0.000 |
| 0.012 | 0.034 | -0.041 | 0.000 | -0.000 | 63.368 |
| 183.640 | 56.481 | 35.940 | -0.000 | 0.000 | 0.000 |
| 56.241 | 182.896 | 36.024 | -0.000 | 0.000 | -0.000 |
| 39.026 | 39.339 | 200.814 | -0.000 | 0.000 | 0.000 |
| -0.012 | -0.033 | 0.039 | 60.840 | 0.000 | 0.000 |
| -0.012 | -0.033 | 0.039 | -0.000 | 61.011 | -0.000 |
| -0.012 | -0.034 | 0.041 | -0.000 | 0.000 | 63.368 |
| 183.653 | 56.518 | 35.896 | 0.000 | -0.000 | 0.000 |
| 56.254 | 182.931 | 35.982 | 0.000 | -0.000 | 0.000 |
| 39.040 | 39.377 | 200.768 | 0.000 | -0.000 | -0.000 |
| 0.001 | 0.003 | -0.004 | 60.840 | -0.000 | -0.000 |
| 0.001 | 0.003 | -0.004 | 0.000 | 61.011 | -0.000 |
| 0.001 | 0.003 | -0.004 | 0.000 | -0.000 | 63.368 |
| 183.650 | 56.511 | 35.904 | -0.000 | 0.000 | -0.000 |
| 56.250 | 182.928 | 35.988 | -0.000 | 0.000 | 0.000 |
| 39.035 | 39.367 | 200.780 | -0.000 | 0.000 | 0.000 |
| -0.001 | -0.003 | 0.004 | 60.840 | 0.000 | 0.000 |
| -0.001 | -0.003 | 0.004 | -0.000 | 61.011 | -0.000 |
| -0.001 | -0.003 | 0.004 | -0.000 | 0.000 | 63.368 |
| 209.899 | 39.058 | 39.058 | -0.000 | -0.000 | 0.000 |
| 39.058 | 209.899 | 39.058 | -0.000 | -0.000 | 0.000 |
| 39.058 | 39.058 | 209.898 | -0.000 | -0.000 | 0.000 |
| 0.001 | 0.001 | -0.001 | 66.591 | -0.000 | 0.000 |
| 0.001 | 0.001 | -0.001 | -0.000 | 66.591 | 0.000 |
| 0.001 | 0.001 | -0.001 | -0.000 | -0.000 | 66.591 |
| 233.496 | 29.686 | 29.686 | 0.000 | -0.000 | 0.000 |
| 29.686 | 233.496 | 29.686 | -0.000 | 0.000 | 0.000 |
| 29.686 | 29.686 | 233.496 | -0.000 | 0.000 | 0.000 |
| -0.001 | -0.001 | 0.001 | 66.591 | 0.000 | -0.000 |
| -0.001 | -0.001 | 0.001 | 0.000 | 66.591 | -0.000 |
| -0.001 | -0.001 | 0.001 | 0.000 | 0.000 | 66.591 |
| 205.412 | 32.785 | 32.785 | -0.000 | -0.000 | 0.000 |
| 32.785 | 205.412 | 32.785 | -0.000 | -0.000 | 0.000 |
| 32.785 | 32.785 | 205.412 | -0.000 | -0.000 | 0.000 |
| 0.000 | 0.000 | -0.000 | 66.588 | -0.000 | 0.000 |
| -0.000 | 0.000 | -0.000 | -0.000 | 66.588 | 0.000 |
| 0.000 | 0.000 | -0.000 | -0.000 | -0.000 | 66.588 |
| 209.899 | 39.058 | 39.058 | 0.000 | 0.000 | -0.000 |
| 39.058 | 209.899 | 39.058 | 0.000 | 0.000 | -0.000 |
| 39.058 | 39.058 | 209.899 | 0.000 | 0.000 | -0.000 |
| -0.000 | -0.000 | 0.000 | 66.588 | 0.000 | -0.000 |
| 0.000 | -0.000 | 0.000 | 0.000 | 66.588 | -0.000 |
| -0.000 | -0.000 | 0.000 | 0.000 | 0.000 | 66.588 |
| 205.412 | 32.785 | 32.785 | -0.000 | -0.000 | 0.000 |
| 32.785 | 205.412 | 32.785 | -0.000 | -0.000 | 0.000 |
| 32.785 | 32.785 | 205.412 | -0.000 | -0.000 | 0.000 |
| 0.001 | 0.000 | -0.001 | 66.588 | -0.000 | 0.000 |
| -0.001 | 0.001 | 0.000 | -0.000 | 66.588 | 0.000 |
| 0.000 | -0.001 | 0.001 | -0.000 | -0.000 | 66.588 |
| 205.412 | 32.785 | 32.785 | 0.000 | 0.000 | -0.000 |
| 32.785 | 205.412 | 32.785 | 0.000 | 0.000 | -0.000 |
| 32.785 | 32.785 | 205.412 | 0.000 | 0.000 | -0.000 |
| -0.001 | -0.000 | 0.001 | 66.588 | 0.000 | -0.000 |
| 0.001 | -0.001 | -0.000 | 0.000 | 66.588 | -0.000 |
| -0.000 | 0.001 | -0.001 | 0.000 | 0.000 | 66.588 |
| 484.329 | 138.027 | 69.168 | 0.000 | 0.000 | 0.000 |
| 138.027 | 484.329 | 69.168 | -0.000 | -0.000 | 0.000 |
| 69.168 | 69.168 | 322.680 | 0.000 | -0.000 | 0.000 |
| -0.000 | -0.000 | 0.000 | 185.169 | 0.000 | 0.000 |
| 0.000 | 0.000 | 0.000 | -0.000 | 185.169 | 0.000 |
| 0.000 | 0.000 | 0.000 | 0.000 | 0.000 | 173.151 |
| 484.329 | 138.027 | 69.168 | 0.000 | -0.000 | -0.000 |
| 138.027 | 484.329 | 69.168 | 0.000 | -0.000 | -0.000 |
| 69.168 | 69.168 | 322.680 | 0.000 | -0.000 | -0.000 |
| 0.000 | 0.000 | -0.000 | 185.169 | 0.000 | -0.000 |
| 0.000 | -0.000 | -0.000 | -0.000 | 185.169 | -0.000 |
| -0.000 | -0.000 | -0.000 | -0.000 | -0.000 | 173.151 |
| 484.330 | 138.027 | 69.168 | -0.000 | 0.000 | 0.000 |
| 138.027 | 484.330 | 69.168 | 0.000 | -0.000 | 0.000 |
| 69.168 | 69.168 | 322.680 | 0.000 | 0.000 | 0.000 |
| -0.000 | -0.000 | -0.000 | 185.169 | 0.000 | 0.000 |
| -0.000 | -0.000 | -0.000 | -0.000 | 185.169 | 0.000 |
| 0.000 | 0.000 | -0.000 | -0.000 | 0.000 | 173.151 |
| 484.329 | 138.027 | 69.168 | -0.000 | -0.000 | -0.000 |
| 138.027 | 484.329 | 69.168 | 0.000 | 0.000 | -0.000 |
| 69.168 | 69.168 | 322.679 | -0.000 | -0.000 | -0.000 |
| 0.000 | 0.000 | 0.000 | 185.169 | -0.000 | -0.000 |
| 0.000 | 0.000 | 0.000 | -0.000 | 185.169 | -0.000 |
| -0.000 | -0.000 | 0.000 | 0.000 | -0.000 | 173.151 |
| 484.332 | 138.028 | 69.168 | 0.000 | 0.000 | 0.000 |
| 138.028 | 484.332 | 69.168 | -0.000 | 0.000 | 0.000 |
| 69.169 | 69.169 | 322.683 | 0.000 | 0.000 | 0.000 |
| -0.000 | -0.000 | -0.000 | 185.169 | -0.000 | 0.000 |
| -0.000 | -0.000 | -0.000 | -0.000 | 185.169 | 0.000 |
| 0.000 | 0.001 | -0.000 | 0.000 | 0.000 | 173.151 |
| 484.326 | 138.026 | 69.168 | 0.000 | 0.000 | -0.000 |
| 138.026 | 484.327 | 69.168 | 0.000 | 0.000 | -0.000 |
| 69.168 | 69.168 | 322.677 | -0.000 | -0.000 | -0.000 |
| 0.000 | 0.000 | 0.000 | 185.169 | -0.000 | -0.000 |
| 0.000 | 0.000 | 0.000 | 0.000 | 185.169 | -0.000 |
| -0.000 | -0.001 | 0.000 | -0.000 | -0.000 | 173.151 |
| 555.252 | 132.139 | 76.229 | -0.000 | -0.000 | 0.000 |
| 132.378 | 555.014 | 76.229 | -0.000 | 0.000 | 0.000 |
| 76.229 | 76.229 | 226.840 | -0.000 | 0.000 | 0.000 |
| 0.000 | 0.000 | -0.000 | 154.952 | 0.000 | 0.000 |
| 0.000 | 0.000 | -0.000 | -0.000 | 157.331 | 0.000 |
| 0.000 | 0.000 | 0.000 | -0.000 | -0.000 | 211.556 |
| 555.252 | 132.139 | 76.229 | 0.000 | -0.000 | -0.000 |
| 132.139 | 555.252 | 76.229 | 0.000 | -0.000 | -0.000 |
| 76.229 | 76.229 | 226.840 | -0.000 | -0.000 | -0.000 |
| 0.000 | -0.000 | 0.000 | 154.952 | -0.000 | -0.000 |
| -0.000 | -0.000 | 0.000 | 0.000 | 157.331 | -0.000 |
| -0.000 | -0.000 | -0.000 | 0.000 | -0.000 | 211.556 |
| 555.252 | 132.139 | 76.229 | -0.000 | 0.000 | 0.000 |
| 132.139 | 555.252 | 76.229 | -0.000 | -0.000 | 0.000 |
| 76.229 | 76.229 | 226.840 | -0.000 | 0.000 | 0.000 |
| 0.000 | -0.000 | -0.000 | 154.952 | 0.000 | 0.000 |
| -0.000 | 0.000 | -0.000 | 0.000 | 154.952 | 0.000 |
| -0.000 | 0.000 | -0.000 | -0.000 | 0.000 | 211.318 |
| 555.252 | 132.139 | 76.229 | 0.000 | 0.000 | -0.000 |
| 132.139 | 555.252 | 76.229 | 0.000 | -0.000 | -0.000 |
| 76.229 | 76.229 | 226.839 | 0.000 | -0.000 | -0.000 |
| -0.000 | 0.000 | 0.000 | 154.952 | -0.000 | -0.000 |
| 0.000 | -0.000 | 0.000 | -0.000 | 154.952 | -0.000 |
| 0.000 | -0.000 | 0.000 | 0.000 | -0.000 | 211.318 |
| 555.017 | 132.378 | 76.229 | -0.000 | 0.000 | 0.000 |
| 132.379 | 555.016 | 76.229 | -0.000 | 0.000 | 0.000 |
| 76.229 | 76.229 | 226.841 | -0.000 | 0.000 | 0.000 |
| 0.000 | -0.000 | -0.000 | 154.952 | 0.000 | 0.000 |
| -0.000 | 0.000 | -0.000 | 0.000 | 154.952 | 0.000 |
| -0.000 | 0.001 | -0.000 | -0.000 | 0.000 | 211.318 |
| 555.249 | 132.139 | 76.229 | 0.000 | -0.000 | -0.000 |
| 132.377 | 555.011 | 76.229 | 0.000 | -0.000 | -0.000 |
| 76.228 | 76.228 | 226.838 | 0.000 | -0.000 | -0.000 |
| -0.000 | 0.000 | 0.000 | 154.952 | -0.000 | -0.000 |
| 0.000 | -0.000 | 0.000 | 0.000 | 154.952 | -0.000 |
| 0.000 | -0.001 | 0.000 | 0.000 | -0.000 | 211.318 |
| 290.057 | 179.861 | 179.861 | 0.000 | 0.000 | -0.000 |
| 179.861 | 290.057 | 179.861 | -0.000 | -0.000 | -0.000 |
| 179.861 | 179.861 | 290.057 | 0.000 | 0.000 | -0.000 |
| 189.250 | 189.250 | 189.250 | 58.744 | -0.000 | -0.000 |
| 189.250 | 189.250 | 189.250 | 0.000 | 58.744 | -0.000 |
| 189.250 | 189.250 | 189.250 | 0.000 | -0.000 | 58.744 |
| 192.432 | 34.043 | 34.043 | 0.000 | 0.000 | 0.000 |
| 34.043 | 192.432 | 34.043 | -0.000 | 0.000 | 0.000 |
| 34.043 | 34.043 | 192.432 | 0.000 | 0.000 | -0.000 |
| -189.250 | -189.250 | -189.250 | 58.744 | 0.000 | -0.000 |
| -189.250 | -189.250 | -189.250 | -0.000 | 58.744 | -0.000 |
| -189.250 | -189.250 | -189.250 | -0.000 | 0.000 | 58.744 |
| 192.432 | 34.043 | 34.043 | 0.000 | -0.000 | 0.000 |
| 34.043 | 192.432 | 34.043 | 0.000 | -0.000 | 0.000 |
| 34.043 | 34.043 | 192.432 | -0.000 | 0.000 | -0.000 |
| 0.000 | -0.000 | 0.000 | 88.739 | 0.000 | -0.000 |
| 0.000 | 0.000 | 0.000 | 0.000 | 88.739 | 0.000 |
| -0.000 | 0.000 | 0.000 | 0.000 | -0.000 | 88.739 |
| 146.135 | 36.353 | 36.353 | -0.000 | 0.000 | 0.000 |
| 36.353 | 146.135 | 36.353 | -0.000 | 0.000 | 0.000 |
| 36.353 | 36.353 | 146.135 | -0.000 | 0.000 | 0.000 |
| -0.000 | 0.000 | -0.000 | 88.739 | -0.000 | 0.000 |
| 0.000 | -0.000 | -0.000 | -0.000 | 88.739 | 0.000 |
| 0.000 | -0.000 | -0.000 | -0.000 | 0.000 | 88.739 |
| 161.931 | 50.294 | 50.294 | 0.000 | -0.000 | -0.000 |
| 50.294 | 161.931 | 50.294 | 0.000 | -0.000 | -0.000 |
| 50.294 | 50.294 | 161.931 | 0.000 | 0.000 | 0.000 |
| 1.161 | 1.161 | 1.161 | 56.486 | -0.000 | -0.000 |
| 1.161 | 1.161 | 1.161 | 0.000 | 56.486 | -0.000 |
| 1.161 | 1.161 | 1.161 | 0.000 | -0.000 | 56.486 |
| 158.743 | 47.883 | 47.883 | -0.000 | 0.000 | 0.000 |
| 47.883 | 158.743 | 47.883 | 0.000 | -0.000 | 0.000 |
| 47.883 | 47.883 | 158.743 | -0.000 | 0.000 | 0.000 |
| -1.161 | -1.161 | -1.161 | 56.486 | 0.000 | 0.000 |
| -1.161 | -1.161 | -1.161 | -0.000 | 56.486 | 0.000 |
| -1.161 | -1.161 | -1.161 | -0.000 | -0.000 | 56.486 |
| 160.706 | 48.775 | 48.775 | -0.000 | 0.000 | 0.000 |
| 48.775 | 160.706 | 48.775 | -0.000 | -0.000 | 0.000 |
| 48.775 | 48.775 | 160.706 | -0.000 | -0.000 | 0.000 |
| 0.009 | 0.009 | 0.009 | 57.100 | -0.000 | 0.000 |
| 0.009 | 0.009 | 0.009 | -0.000 | 57.100 | 0.000 |
| 0.009 | 0.009 | 0.009 | 0.000 | -0.000 | 57.100 |
| 160.713 | 48.741 | 48.741 | -0.000 | 0.000 | -0.000 |
| 48.741 | 160.713 | 48.741 | 0.000 | 0.000 | -0.000 |
| 48.741 | 48.741 | 160.713 | 0.000 | 0.000 | -0.000 |
| -0.009 | -0.009 | -0.009 | 57.100 | -0.000 | -0.000 |
| -0.009 | -0.009 | -0.009 | 0.000 | 57.100 | -0.000 |
| -0.009 | -0.009 | -0.009 | 0.000 | -0.000 | 57.100 |
| 159.769 | 48.058 | 48.058 | -0.000 | -0.000 | 0.000 |
| 48.058 | 159.769 | 48.058 | -0.000 | -0.000 | 0.000 |
| 48.058 | 48.058 | 159.769 | -0.000 | -0.000 | 0.000 |
| 0.001 | 0.001 | 0.001 | 57.102 | -0.000 | 0.000 |
| 0.001 | 0.001 | 0.001 | -0.000 | 57.102 | 0.000 |
| 0.001 | 0.001 | 0.001 | -0.000 | -0.000 | 57.102 |
| 159.989 | 48.108 | 48.108 | 0.000 | -0.000 | -0.000 |
| 48.108 | 159.989 | 48.108 | 0.000 | 0.000 | -0.000 |
| 48.108 | 48.108 | 159.989 | 0.000 | 0.000 | -0.000 |
| -0.001 | -0.001 | -0.001 | 57.102 | 0.000 | -0.000 |
| -0.001 | -0.001 | -0.001 | 0.000 | 57.102 | -0.000 |
| -0.001 | -0.001 | -0.001 | -0.000 | 0.000 | 57.102 |
| 160.710 | 48.758 | 48.758 | 0.000 | -0.000 | 0.000 |
| 48.758 | 160.710 | 48.758 | 0.000 | -0.000 | 0.000 |
| 48.758 | 48.758 | 160.710 | -0.000 | -0.000 | 0.000 |
| 0.000 | 0.000 | 0.000 | 57.102 | -0.000 | 0.000 |
| 0.000 | 0.000 | 0.000 | 0.000 | 57.102 | 0.000 |
| 0.000 | 0.000 | 0.000 | -0.000 | -0.000 | 57.102 |
| 160.711 | 48.757 | 48.757 | 0.000 | 0.000 | -0.000 |
| 48.757 | 160.711 | 48.757 | 0.000 | 0.000 | -0.000 |
| 48.757 | 48.757 | 160.711 | -0.000 | -0.000 | -0.000 |
| -0.000 | -0.000 | -0.000 | 57.102 | 0.000 | -0.000 |
| -0.000 | -0.000 | -0.000 | 0.000 | 57.102 | -0.000 |
| -0.000 | -0.000 | -0.000 | 0.000 | 0.000 | 57.102 |
| 222.118 | 88.527 | 90.870 | -0.524 | 0.831 | -2.076 |
| 90.131 | 220.513 | 90.871 | -0.524 | 0.831 | -2.076 |
| 90.129 | 88.527 | 222.860 | -0.524 | 0.831 | -2.076 |
| 42977036.131 | 73688572.931 | -111528144.236 | -250356582.948 | -55463013.204 | -36550000.081 |
| -103074200.417 | 33304999.725 | 74548819.361 | -52422272.562 | -250416370.547 | -80087375.015 |
| 71270338.407 | -105792662.861 | 39656086.231 | 9846562.482 | 6524284.405 | -249088027.459 |
| 147.473 | 17.089 | 14.747 | 0.524 | -0.831 | 2.076 |
| 15.486 | 149.078 | 14.745 | 0.524 | -0.831 | 2.076 |
| 15.488 | 17.090 | 146.731 | 0.524 | -0.831 | 2.076 |
| -25588249.183 | -76568570.001 | 97631571.416 | -250702037.563 | -99743418.178 | 64877893.426 |
| 99601243.769 | -29493650.619 | -74577786.457 | -57486546.396 | -250583830.087 | 87994684.970 |
| -70988861.681 | 103405424.778 | -37067200.366 | 41472723.606 | -27139591.567 | -249414668.913 |
| 187.771 | 56.733 | 56.969 | -0.053 | 0.086 | -0.214 |
| 56.895 | 187.611 | 56.968 | -0.053 | 0.086 | -0.214 |
| 56.894 | 56.734 | 187.846 | -0.053 | 0.086 | -0.214 |
| 3625878.030 | 7350746.426 | -10491586.938 | -25020700.830 | -6405106.973 | -4192405.358 |
| -10204902.526 | 3238950.635 | 7438950.853 | -5287784.251 | -25039049.078 | -8083498.881 |
| 7121677.442 | -10294976.443 | 3668373.016 | 1333925.503 | 875828.342 | -24901536.248 |
| 180.308 | 49.594 | 49.358 | 0.053 | -0.086 | 0.214 |
| 49.433 | 180.469 | 49.359 | 0.053 | -0.086 | 0.214 |
| 49.433 | 49.593 | 180.234 | 0.053 | -0.086 | 0.214 |
| -2283978.330 | -7643836.913 | 9489881.982 | -25092656.011 | -9892457.650 | 6440070.416 |
| 10155064.299 | -3188129.726 | -7427515.526 | -5239072.511 | -25041908.367 | 8018400.158 |
| -7048235.596 | 10106847.351 | -3515773.579 | 4035798.989 | -2638088.474 | -24923651.780 |
| 184.422 | 53.515 | 53.544 | -0.005 | 0.009 | -0.021 |
| 53.537 | 184.406 | 53.539 | -0.005 | 0.009 | -0.021 |
| 53.531 | 53.521 | 184.430 | -0.005 | 0.009 | -0.021 |
| 335525.182 | 743740.875 | -1032340.883 | -2504519.766 | -747629.018 | -488603.307 |
| -1029819.561 | 336113.881 | 741234.786 | -498635.743 | -2502750.879 | -762535.933 |
| 713246.808 | -1032133.871 | 368715.833 | 144847.692 | 94937.012 | -2490057.566 |
| 183.672 | 52.807 | 52.778 | 0.005 | -0.009 | 0.021 |
| 52.785 | 183.688 | 52.783 | 0.005 | -0.009 | 0.021 |
| 52.791 | 52.801 | 183.664 | 0.005 | -0.009 | 0.021 |
| -225911.123 | -764842.673 | 947093.793 | -2509287.931 | -1001037.523 | 651456.588 |
| 1024455.349 | -334119.267 | -736971.510 | -455570.154 | -2501753.440 | 697799.229 |
| -711491.134 | 1008905.638 | -342990.399 | 499867.079 | -326587.651 | -2494177.944 |
| 165.649 | 53.400 | 53.400 | 0.000 | -0.000 | 0.000 |
| 53.400 | 165.649 | 53.400 | 0.000 | -0.000 | 0.000 |
| 53.400 | 53.400 | 165.649 | 0.000 | -0.000 | 0.000 |
| 0.000 | -0.000 | 0.000 | 83.019 | 0.000 | -0.000 |
| 0.000 | -0.000 | -0.000 | -0.000 | 83.019 | -0.000 |
| 0.000 | 0.000 | -0.000 | -0.000 | 0.000 | 83.019 |
| 201.257 | 28.420 | 28.420 | 0.000 | -0.000 | 0.000 |
| 28.420 | 201.257 | 28.420 | 0.000 | 0.000 | 0.000 |
| 28.420 | 28.420 | 201.257 | 0.000 | -0.000 | 0.000 |
| -0.000 | 0.000 | -0.000 | 83.019 | 0.000 | 0.000 |
| -0.000 | -0.000 | 0.000 | 0.000 | 83.019 | 0.000 |
| -0.000 | -0.000 | 0.000 | 0.000 | -0.000 | 83.019 |
| 201.257 | 28.420 | 28.420 | -0.000 | 0.000 | -0.000 |
| 28.420 | 201.257 | 28.420 | -0.000 | -0.000 | -0.000 |
| 28.420 | 28.420 | 201.257 | -0.000 | -0.000 | -0.000 |
| 0.000 | -0.000 | 0.000 | 83.019 | 0.000 | -0.000 |
| 0.000 | 0.000 | 0.000 | -0.000 | 83.019 | -0.000 |
| 0.000 | 0.000 | 0.000 | -0.000 | 0.000 | 83.019 |
| 160.685 | 47.728 | 47.728 | -0.000 | -0.000 | -0.000 |
| 47.728 | 160.685 | 47.728 | -0.000 | -0.000 | -0.000 |
| 47.728 | 47.728 | 160.685 | -0.000 | 0.000 | -0.000 |
| -0.000 | 0.000 | -0.000 | 83.019 | 0.000 | 0.000 |
| -0.000 | -0.000 | -0.000 | 0.000 | 83.019 | 0.000 |
| -0.000 | -0.000 | -0.000 | 0.000 | -0.000 | 83.019 |
| 160.448 | 47.654 | 47.654 | 0.000 | -0.000 | 0.000 |
| 47.654 | 160.448 | 47.654 | 0.000 | -0.000 | 0.000 |
| 47.654 | 47.654 | 160.448 | 0.000 | -0.000 | 0.000 |
| 0.000 | -0.000 | 0.000 | 83.019 | 0.000 | -0.000 |
| -0.000 | 0.000 | 0.000 | -0.000 | 83.019 | -0.000 |
| -0.000 | 0.000 | 0.000 | -0.000 | 0.000 | 83.019 |
| 160.318 | 47.557 | 47.557 | -0.000 | -0.000 | -0.000 |
| 47.557 | 160.318 | 47.557 | -0.000 | 0.000 | -0.000 |
| 47.557 | 47.557 | 160.318 | -0.000 | -0.000 | -0.000 |
| -0.000 | 0.000 | -0.000 | 83.019 | -0.000 | 0.000 |
| 0.000 | -0.000 | -0.000 | 0.000 | 83.019 | 0.000 |
| 0.000 | -0.000 | -0.000 | 0.000 | -0.000 | 83.019 |
| 514.593 | 354.670 | 354.670 | -0.000 | 0.000 | 0.000 |
| 354.670 | 514.593 | 354.670 | 0.000 | 0.000 | 0.000 |
| 354.670 | 354.670 | 514.593 | -0.000 | 0.000 | 0.000 |
| 234.124 | 234.124 | 234.124 | 32.659 | -0.000 | -0.000 |
| 234.124 | 234.124 | 234.124 | 0.000 | 32.659 | -0.000 |
| 234.124 | 234.124 | 234.124 | 0.000 | -0.000 | 32.659 |
| -131.517 | -291.465 | -291.465 | -0.000 | -0.000 | -0.000 |
| -291.465 | -131.517 | -291.465 | 0.000 | -0.000 | -0.000 |
| -291.465 | -291.465 | -131.517 | 0.000 | -0.000 | 0.000 |
| -234.124 | -234.124 | -234.124 | 32.659 | 0.000 | 0.000 |
| -234.124 | -234.124 | -234.124 | 0.000 | 32.659 | 0.000 |
| -234.124 | -234.124 | -234.124 | 0.000 | 0.000 | 32.659 |
| 192.992 | 79.417 | 79.417 | -0.000 | -0.000 | -0.000 |
| 79.417 | 192.992 | 79.417 | -0.000 | -0.000 | -0.000 |
| 79.417 | 79.417 | 192.992 | -0.000 | -0.000 | -0.000 |
| 22.919 | 22.919 | 22.919 | 33.719 | -0.000 | -0.000 |
| 22.919 | 22.919 | 22.919 | -0.000 | 33.719 | -0.000 |
| 22.919 | 22.919 | 22.919 | -0.000 | -0.000 | 33.719 |
| 144.765 | 9.170 | 9.170 | 0.000 | 0.000 | 0.000 |
| 9.170 | 144.765 | 9.170 | 0.000 | -0.000 | -0.000 |
| 9.170 | 9.170 | 144.765 | 0.000 | -0.000 | -0.000 |
| -22.919 | -22.919 | -22.919 | 33.719 | 0.000 | 0.000 |
| -22.919 | -22.919 | -22.919 | 0.000 | 33.719 | 0.000 |
| -22.919 | -22.919 | -22.919 | 0.000 | 0.000 | 33.719 |
| 159.495 | 50.494 | 50.494 | -0.000 | -0.000 | -0.000 |
| 50.494 | 159.495 | 50.494 | -0.000 | -0.000 | -0.000 |
| 50.494 | 50.494 | 159.495 | -0.000 | -0.000 | -0.000 |
| 0.000 | -0.000 | 0.000 | 82.968 | 0.000 | 0.000 |
| -0.000 | 0.000 | 0.000 | 0.000 | 82.968 | 0.000 |
| -0.000 | 0.000 | 0.000 | 0.000 | 0.000 | 82.968 |
| 201.051 | 28.330 | 28.330 | 0.000 | -0.000 | -0.000 |
| 28.330 | 201.051 | 28.330 | -0.000 | -0.000 | -0.000 |
| 28.330 | 28.330 | 201.051 | -0.000 | -0.000 | -0.000 |
| -0.000 | 0.000 | -0.000 | 82.968 | -0.000 | -0.000 |
| 0.000 | -0.000 | -0.000 | 0.000 | 82.968 | -0.000 |
| 0.000 | -0.000 | -0.000 | 0.000 | -0.000 | 82.968 |
| 314.139 | 48.463 | 72.638 | -0.000 | -0.000 | 0.000 |
| 51.164 | 274.898 | 70.595 | -0.000 | 0.000 | -0.000 |
| 65.629 | 60.885 | 616.952 | -0.000 | 0.000 | -0.000 |
| -0.042 | 0.039 | -0.014 | 109.577 | 0.000 | 0.000 |
| -0.032 | 0.030 | -0.010 | -0.000 | 141.168 | 0.000 |
| -0.012 | 0.012 | -0.004 | 0.000 | -0.000 | 128.118 |
| 314.163 | 48.439 | 72.646 | -0.000 | -0.000 | 0.000 |
| 51.188 | 274.875 | 70.603 | -0.000 | -0.000 | -0.000 |
| 65.654 | 60.862 | 616.960 | 0.000 | 0.000 | -0.000 |
| 0.042 | -0.039 | 0.014 | 109.577 | 0.000 | -0.000 |
| 0.032 | -0.030 | 0.010 | 0.000 | 141.168 | -0.000 |
| 0.012 | -0.012 | 0.004 | -0.000 | 0.000 | 128.118 |
| 314.150 | 48.452 | 72.642 | -0.000 | -0.000 | 0.000 |
| 51.175 | 274.888 | 70.599 | 0.000 | 0.000 | -0.000 |
| 65.640 | 60.875 | 616.956 | 0.000 | -0.000 | 0.000 |
| -0.004 | 0.004 | -0.001 | 109.576 | 0.000 | -0.000 |
| -0.003 | 0.003 | -0.001 | 0.000 | 141.167 | -0.000 |
| -0.001 | 0.001 | -0.000 | 0.000 | 0.000 | 128.118 |
| 314.152 | 48.450 | 72.643 | 0.000 | 0.000 | -0.000 |
| 51.177 | 274.885 | 70.600 | -0.000 | -0.000 | 0.000 |
| 65.642 | 60.872 | 616.956 | -0.000 | -0.000 | 0.000 |
| 0.004 | -0.004 | 0.001 | 109.576 | 0.000 | 0.000 |
| 0.003 | -0.003 | 0.001 | -0.000 | 141.167 | -0.000 |
| 0.001 | -0.001 | 0.000 | -0.000 | 0.000 | 128.118 |
| 314.153 | 48.451 | 72.642 | -0.000 | 0.000 | -0.000 |
| 51.176 | 274.889 | 70.600 | 0.000 | 0.000 | -0.000 |
| 65.641 | 60.874 | 616.959 | 0.000 | -0.000 | 0.000 |
| -0.001 | 0.002 | -0.001 | 109.576 | 0.000 | 0.000 |
| 0.001 | -0.000 | -0.001 | 0.000 | 141.167 | 0.000 |
| -0.000 | 0.000 | -0.000 | 0.000 | -0.000 | 128.118 |
| 314.149 | 48.451 | 72.642 | 0.000 | 0.000 | -0.000 |
| 51.176 | 274.884 | 70.599 | -0.000 | 0.000 | 0.000 |
| 65.641 | 60.873 | 616.952 | -0.000 | -0.000 | -0.000 |
| 0.001 | -0.002 | 0.001 | 109.576 | -0.000 | -0.000 |
| -0.001 | 0.000 | 0.001 | 0.000 | 141.167 | -0.000 |
| 0.000 | -0.000 | 0.000 | 0.000 | -0.000 | 128.118 |
| 698.913 | 52.083 | -32.807 | -0.000 | -0.000 | -0.000 |
| 87.519 | 342.911 | 26.090 | -0.000 | -0.000 | -0.000 |
| 28.690 | 36.099 | 104.959 | 0.000 | -0.000 | -0.000 |
| -0.002 | 0.002 | 0.003 | 102.705 | -0.000 | 0.000 |
| -0.000 | 0.000 | 0.000 | -0.000 | -46.591 | -0.000 |
| -0.002 | 0.001 | 0.002 | 0.000 | -0.000 | 130.464 |
| 656.357 | 68.850 | -5.372 | 0.000 | 0.000 | 0.000 |
| 65.724 | 357.984 | 51.960 | 0.000 | 0.000 | 0.000 |
| 28.690 | 36.099 | 104.959 | -0.000 | 0.000 | 0.000 |
| 0.002 | -0.002 | -0.003 | 102.705 | 0.000 | 0.000 |
| 0.000 | -0.000 | -0.000 | 0.000 | -46.591 | 0.000 |
| 0.002 | -0.001 | -0.002 | 0.000 | 0.000 | 130.464 |
| 657.168 | 71.452 | -0.571 | -0.000 | -0.000 | -0.000 |
| 65.724 | 357.985 | 51.959 | -0.000 | -0.000 | -0.000 |
| -8.502 | 62.624 | 150.567 | -0.000 | -0.000 | -0.000 |
| -0.000 | 0.000 | 0.000 | 102.705 | -0.000 | -0.000 |
| -0.000 | -0.000 | 0.000 | -0.000 | -46.591 | -0.000 |
| -0.000 | 0.000 | 0.000 | 0.000 | -0.000 | 130.464 |
| 698.913 | 52.083 | -32.807 | 0.000 | 0.000 | 0.000 |
| 87.518 | 342.911 | 26.091 | 0.000 | 0.000 | -0.000 |
| -8.501 | 62.624 | 150.566 | -0.000 | 0.000 | -0.000 |
| 0.000 | -0.000 | -0.000 | 102.705 | 0.000 | 0.000 |
| 0.000 | 0.000 | -0.000 | 0.000 | -46.591 | 0.000 |
| 0.000 | -0.000 | -0.000 | 0.000 | 0.000 | 130.464 |
| 656.373 | 68.844 | -5.381 | -0.000 | -0.000 | -0.000 |
| 65.724 | 357.987 | 51.960 | -0.000 | -0.000 | -0.000 |
| 28.704 | 36.089 | 104.945 | -0.000 | -0.000 | -0.000 |
| 0.000 | 0.000 | -0.000 | 102.705 | 0.000 | 0.000 |
| -12683517.219 | -10704578.440 | 8784369.072 | 0.000 | -5533459.320 | -0.000 |
| -0.000 | 0.000 | 0.000 | -0.000 | -0.000 | 130.464 |
| 656.342 | 68.855 | -5.363 | 0.000 | 0.000 | -0.000 |
| 82.605 | 340.540 | 21.416 | 0.000 | 0.000 | 0.000 |
| 18.918 | 32.227 | 97.190 | 0.000 | -0.000 | 0.000 |
| -0.000 | -0.000 | 0.000 | 102.705 | 0.000 | 0.000 |
| 12683517.219 | 10704578.440 | -8784369.072 | -0.000 | -5533459.320 | -0.000 |
| 0.000 | -0.000 | -0.000 | 0.000 | 0.000 | 130.464 |
| 191783401.340 | 83949282.540 | 181399086.860 | 9040078.418 | 5512087.327 | 902082.175 |
| 197043897.814 | 78797382.151 | 177717814.451 | 5205602.894 | 1428528.605 | 3447779.124 |
| 190633531.687 | 72402458.701 | 173071430.229 | 8285400.918 | 3229616.277 | 7082815.055 |
| 193211395.442 | 87795288.428 | 174408520.950 | -1496375.467 | -1280717.771 | 5555251.742 |
| 199003779.649 | 85909193.405 | 174785264.187 | 6408298.649 | 2189277.781 | 7141804.365 |
| 202191003.282 | 76222002.727 | 168938637.231 | 7398263.663 | -2671044.041 | 6844937.445 |
| -201116394.240 | -87388705.035 | -171297991.944 | -4161900.663 | -2075178.869 | -1990921.450 |
| -196050426.086 | -84013513.784 | -172184308.347 | -4556209.065 | -6691079.616 | -5085203.448 |
| -193426000.335 | -77954053.750 | -181068482.805 | 249367.496 | -1934409.560 | 713207.273 |
| -188816365.748 | -77599898.536 | -160826535.748 | 1814038.394 | -1143097.132 | -5782438.570 |
| -198614859.359 | -81694144.869 | -171983349.898 | -6460084.284 | 4107003.462 | -575566.214 |
| -191174009.080 | -71818597.879 | -167299124.399 | -1022706.280 | -4565309.656 | -5586569.046 |
| 19888340.476 | 8919952.829 | 16497932.513 | 171309.714 | 455009.690 | 701079.778 |
| 20577653.496 | 8971176.754 | 17679744.324 | -46119.739 | 557105.920 | 438532.125 |
| 19808865.192 | 8491976.047 | 16668334.578 | 768706.006 | 173212.928 | 678080.214 |
| 19726338.079 | 8854006.737 | 17262021.000 | 542637.099 | 375381.051 | 672720.004 |
| 19957216.533 | 8994206.926 | 19130638.824 | 234785.955 | 248701.409 | 786236.878 |
| 19381430.688 | 8267670.150 | 17685167.219 | 179471.087 | -292190.949 | 4647.736 |
| -18893013.093 | -8370380.503 | -17018352.768 | 479455.604 | -237253.181 | -378978.985 |
| -19576634.227 | -7823638.392 | -18161774.031 | 92683.963 | 288979.666 | -588695.594 |
| -19135499.142 | -8360503.635 | -17770175.767 | -199732.932 | -147904.156 | -49131.302 |
| -19851052.183 | -8627245.819 | -18301323.200 | -334564.004 | -80289.868 | -263786.621 |
| -19698680.218 | -8497995.878 | -17456943.351 | -753085.276 | -521341.654 | 276539.375 |
| -18945993.583 | -7727527.974 | -16509978.289 | 259087.733 | -828696.117 | -332424.268 |
| 1972040.963 | 721400.845 | 1564624.887 | 28068.146 | -5222.714 | 75282.187 |
| 2135293.158 | 909363.245 | 1919928.098 | 30552.689 | 113453.343 | 9344.601 |
| 1934444.014 | 836548.553 | 1771970.694 | -59552.433 | 85074.599 | 42907.388 |
| 1971245.401 | 726784.345 | 1704884.573 | 4660.678 | 62646.196 | 78060.660 |
| 1995992.749 | 789988.183 | 1778640.960 | 61230.216 | 12079.702 | 19889.047 |
| 1938077.110 | 814433.196 | 1847044.839 | 9858.351 | 33677.057 | 57602.046 |
| -1885450.977 | -703773.263 | -1678191.527 | -39009.001 | 32186.948 | -47214.115 |
| -1924125.175 | -824599.486 | -1771360.201 | 14574.414 | 28391.161 | -12543.525 |
| -1933573.300 | -928980.299 | -1722832.370 | -60066.505 | -14374.200 | -20038.834 |
| -2090943.885 | -774976.473 | -1737094.313 | -44661.932 | -29672.755 | -44034.301 |
| -2034385.822 | -869834.877 | -1746806.026 | 655.958 | -48436.732 | -84065.291 |
| -1850949.665 | -706372.410 | -1528424.077 | -20076.122 | -10242.869 | -46047.621 |
| 462.091 | 63.975 | 80.918 | 0.000 | -0.000 | -0.000 |
| 72.514 | 442.493 | 114.472 | -0.000 | -0.000 | 0.000 |
| 85.904 | 114.472 | 441.204 | -0.000 | -0.000 | 0.000 |
| -0.000 | -0.000 | 0.000 | 223.533 | -0.000 | 0.000 |
| 0.327 | -0.274 | -0.637 | -0.000 | 164.467 | 0.000 |
| 0.446 | -0.374 | -0.870 | -0.000 | -0.000 | 140.772 |
| 463.231 | 69.165 | 86.707 | 0.000 | 0.000 | -0.000 |
| 69.518 | 430.333 | 100.361 | 0.000 | -0.000 | -0.000 |
| 85.904 | 114.472 | 441.204 | 0.000 | 0.000 | 0.000 |
| 0.000 | 0.000 | -0.000 | 223.533 | 0.000 | 0.000 |
| -0.327 | 0.274 | 0.637 | 0.000 | 164.467 | -0.000 |
| -0.446 | 0.374 | 0.870 | 0.000 | 0.000 | 140.772 |
| 471.207 | 72.514 | 85.904 | -0.000 | -0.000 | 0.000 |
| 69.997 | 430.690 | 100.458 | -0.000 | -0.000 | 0.000 |
| 82.147 | 100.834 | 411.212 | -0.000 | -0.000 | -0.000 |
| -0.000 | -0.000 | 0.000 | 223.533 | -0.000 | 0.000 |
| -0.000 | 0.000 | 0.000 | -0.000 | 174.348 | 0.000 |
| -0.000 | 0.000 | 0.000 | -0.000 | -0.000 | 157.389 |
| 463.233 | 68.654 | 85.955 | 0.000 | -0.000 | 0.000 |
| 69.914 | 430.630 | 100.443 | 0.000 | -0.000 | 0.000 |
| 85.855 | 101.710 | 416.592 | 0.000 | -0.000 | -0.000 |
| 0.000 | 0.000 | -0.000 | 223.533 | 0.000 | -0.000 |
| 0.000 | -0.000 | -0.000 | 0.000 | 174.348 | -0.000 |
| 0.000 | -0.000 | -0.000 | 0.000 | 0.000 | 157.389 |
| 463.234 | 68.588 | 85.858 | -0.000 | -0.000 | -0.000 |
| 69.960 | 430.665 | 100.452 | -0.000 | -0.000 | 0.000 |
| 82.115 | 100.835 | 411.248 | -0.000 | -0.000 | 0.000 |
| 0.001 | -0.001 | -0.003 | 216.894 | -0.000 | 0.000 |
| 0.005 | 0.003 | -0.001 | -0.000 | 154.582 | 0.000 |
| 0.004 | -0.003 | -0.009 | -0.000 | -0.000 | 140.726 |
| 463.232 | 68.600 | 85.875 | 0.000 | -0.000 | -0.000 |
| 63.867 | 426.496 | 101.086 | 0.000 | -0.000 | 0.000 |
| 85.878 | 101.711 | 416.584 | 0.000 | -0.000 | -0.000 |
| -0.001 | 0.001 | 0.003 | 216.894 | 0.000 | -0.000 |
| -0.005 | -0.003 | 0.001 | 0.000 | 154.582 | -0.000 |
| -0.004 | 0.003 | 0.009 | 0.000 | 0.000 | 140.726 |
Phonon band structures and crystal properties estimated from quasi-harmonic approximation (QHA) calculations are displayed for select crystals. The calculations were performed using phonopy and LAMMPS. For the phonon calculations, 3x3 supercells of the potential-specific relaxed crystals were used. The QHA calculations were based on 11 strain states ranging from -0.05 to 0.05.
The calculation method used is available as the iprPy phonon calculation method.
Notes and Disclaimers:
Version Information:







































































































































Static free surface formation energies are displayed for select crystals. The values displayed here are obtained by taking a perfect periodic bulk crystal, slicing along a crystallographic plane, and using force minimization to statically relax the surfaces. The free surface formation energy is computed by comparing the energy of the defect system to the bulk system and dividing by the total surface area created by the cut.
The calculation method used is available as the iprPy surface_energy_static calculation method.
Notes and Disclaimers:
Version Information:
| Surface | γfs (mJ/m2) |
|---|---|
| (111) 2 | 2512.09 |
| (322) | 3328.07 |
| (331) 2 | 3430.90 |
| (332) | 3593.73 |
| (211) | 3757.48 |
| (110) | 3828.68 |
| (321) | 4058.29 |
| (221) | 4151.02 |
| (311) 2 | 4385.04 |
| (320) | 4467.24 |
| (311) 1 | 4529.33 |
| (331) 1 | 4581.04 |
| (210) | 4810.01 |
| (310) | 4955.23 |
| (100) | 5296.50 |
| (111) 1 | 8460.30 |
| Surface | γfs (mJ/m2) |
|---|---|
| (320) | 631.22 |
| (332) | 748.91 |
| (311) | 929.87 |
| (221) | 1139.72 |
| (210) | 1190.93 |
| (211) | 1296.47 |
| (322) | 1394.93 |
| (321) | 1580.18 |
| (310) | 1686.70 |
| (100) | 2326.14 |
| (110) | 2642.91 |
| (331) | 2973.55 |
| (111) | 3220.78 |
| Surface | γfs (mJ/m2) |
|---|---|
| (111) 2 | 1530.32 |
| (331) 2 | 1799.64 |
| (110) | 1843.79 |
| (321) | 1896.06 |
| (311) 2 | 1910.23 |
| (320) | 1966.02 |
| (310) | 1990.80 |
| (210) | 2007.46 |
| (332) | 2019.61 |
| (211) | 2147.35 |
| (221) | 2276.68 |
| (322) | 2330.26 |
| (311) 1 | 2378.85 |
| (331) 1 | 2529.14 |
| (100) | 2693.59 |
| (111) 1 | 4322.50 |
| Surface | γfs (mJ/m2) |
|---|---|
| (112) | 1473.19 |
| (101) 1 | 1618.53 |
| (111) | 1769.42 |
| (211) 1 | 1791.77 |
| (201) | 1858.82 |
| (211) 2 | 1914.90 |
| (001) | 1956.71 |
| (100) | 2260.06 |
| (101) 2 | 2675.01 |
| (110) | 2997.83 |
Static point defect formation energies, Ef, and elastic dipole tensors, pij, are displayed for select crystals. Relaxed defect configurations are obtained by taking a 12x12x12 supercell of a perfect periodic bulk crystal, inserting the point defect, and using force minimization to statically relax the atomic positions while keeping the system dimensions constant. Ef is computed by comparing the energy of the defect system to the same number of atoms in a perfect bulk crystal. pij is estimated as the difference in the system's global pressure with and without the defect multiplied by the system's volume.
Simple structural comparisons of the unrelaxed and relaxed defect configurations are used to help determine if the defect structure has relaxed to a different configuration. Relaxed structures that are identified as no longer consistent with the ideal defect definition are excluded from the table below. The only exception to this is if the lowest energy interstitial configuration does not coincide with a known ideal defect, its energies and pressure tensor are included under the listing "relaxed interstitial". The full list of calculation results including the transformed structures and the structural comparison values is included in the csv file available from the "Download raw data" link.
The calculation method used is available as the iprPy point_defect_static calculation method.
Notes and Disclaimers:
| Point Defect | Ef (eV) | p11 (eV) | p22 (eV) | p33 (eV) | p12 (eV) | p13 (eV) | p23 (eV) |
|---|---|---|---|---|---|---|---|
| vacancy | 2.409 | 0.777 | 0.777 | 0.777 | 0.000 | 0.000 | 0.000 |
| 1nn divacancy | 4.148 | 3.161 | 3.161 | 3.161 | 2.402 | 2.402 | 2.402 |
| 100 dumbbell | 6.285 | 20.910 | 20.910 | 34.632 | 0.000 | 0.000 | 0.000 |
| Point Defect | Ef (eV) | p11 (eV) | p22 (eV) | p33 (eV) | p12 (eV) | p13 (eV) | p23 (eV) |
|---|---|---|---|---|---|---|---|
| relaxed interstitial | 0.251 | 22.414 | -2.137 | -2.137 | 3.064 | 3.064 | 11.047 |
| 100 dumbbell | 2.250 | 52.180 | 52.180 | -8.797 | 0.000 | 0.000 | -0.000 |
| 1nn divacancy | 2.780 | 7.613 | -22.957 | -22.957 | 0.784 | -0.784 | 2.851 |
| octahedral interstitial | 3.006 | 32.228 | 32.228 | 32.228 | 0.000 | 0.000 | 0.000 |
| vacancy | 3.367 | -8.846 | -8.846 | -8.846 | 0.000 | -0.000 | 0.000 |
| 111 dumbbell | 4.758 | 32.079 | 32.079 | 32.079 | -12.613 | -12.613 | -12.613 |
| 2nn divacancy | 4.957 | -1.392 | -1.392 | -38.628 | 0.000 | 0.000 | 0.000 |
| Point Defect | Ef (eV) | p11 (eV) | p22 (eV) | p33 (eV) | p12 (eV) | p13 (eV) | p23 (eV) |
|---|---|---|---|---|---|---|---|
| vacancy | 3.002 | 1.384 | 1.384 | 1.384 | -0.000 | -0.000 | -0.000 |
| relaxed interstitial | 4.220 | 3.865 | 8.488 | 11.530 | -0.000 | -0.000 | 5.883 |
| tetragonal interstitial | 4.694 | 14.512 | 14.512 | 14.512 | 0.000 | 0.000 | -0.000 |
| 1nn divacancy | 5.538 | 1.333 | 1.333 | 1.333 | 0.887 | 0.887 | 0.887 |
Plots of the atomic structure of dislocation cores are shown here. The dislocations were constructed using dislocation monopole configurations in which a straight dislocation is created in the center of the system using anisotropic elasticity and the elastic constants computed above. A cylindrical region centered around the dislocation is allowed to relax while the remaining atoms are held fixed. The relaxation consists of 1 million NVT steps at 10 K followed by an energy/force minimization. The final plots show the atomic configuration near the center of the monopole system, and display differential displacement arrows and Nye tensor color maps that are both taken with respect to the Burgers vector direction.
These plots show a wide range of final structures, some corresponding to expected dislocation structures and others not. While the characterizations are dislocation-type dependent, some general classification guidelines are listed here.
The calculation method used is available as the iprPy dislocation_monopole calculation method.
Links are provided above the images allowing for users to download the final defect configuration and a corresponding defect-free configuration if they wish to further analyze the structures or use them for subsequent simulations.
Notes and Disclaimers:
Version Information:
Plots of lattice and elastic constants are shown as a function of temperature. The 0K points were taken from the Crystal Structure Predictions and the Elastic Constants Predictions sections above for the unique crystal structures relaxed with the "dynamic" method. Starting from the 0 K relaxed crystal unit cells, supercell systems are created by replicating all three dimensions by the same multiplier to achieve at least 4000 atoms. The systems are then relaxed at 50 K and zero pressure using 1 million NPT steps. Lattice constants are estimated by averaging the measured box dimensions. Temperatures are iteratively increased by 50 K, with each subsequent relaxation calculation starting from the final atomic configuration at the previous temperature and relaxing for another 1 million steps.
The elastic constants are calculated using the deformation–fluctuation hybrid method. Starting from the final atomic configurations of the dynamic relaxations, the system is allowed to evolve at constant volume with a Langevin thermostat. The Born matrix is computed during this run by evaluating how the atomic forces would vary due to applied linear strain fields. The elastic constants can then be estimated using the averaged Born matrix values and the averaged stresses on the system.
The calculation methods used are available as the iprPy relax_dynamic and elastic_constants_dynamic calculation methods.
Clicking on the image of a plot will open an interactive version of it in a new tab. The underlying data for the plots can be downloaded by clicking on the links above each plot.
Notes and Disclaimers:
Version Information:
Plots of radial distribution functions at different temperatures and the temperature-dependent diffusion and viscosity are shown here for elemental liquids. Melt phases are constructed by starting with a 10x10x10 fcc super cell and relaxing with 50,000 NPT steps at zero pressure and a high melting temperature (3000 K for most potentials and elements). Following the melt, liquid structures are relaxed by running NPT for 10,000 steps over which the temperature is dropped by 50 K, then 50,000 NPT at the target temperature to estimate the equilibrium volume, followed by 20,000 NVT steps at the averaged equilibrium volume and target temperature. Structures from the NVT run are sampled to compute the radial distribution function of the liquid at the corresponding temperature.
The final relaxed configurations at each temperature explored are used as the initial configurations for the diffusion and viscosity calculations. For diffusion, the system is integrated for 100 runs of 2,000 NVT steps during which both the mean squared displacement (MSD) and the velocity auto correlation function (VACF) are computed. From these simulations, three estimates of diffusion are computed: one from the MSD of the full 200,000 step run, one in which the MSD is reset for each short run and then averaged, and one from the VACF computed for each short run and averaged. For viscosity, the Green-Kubo method is used which is evaluated during a 1 million step NVT run.
The calculation methods used are available as the iprPy relax_liquid_redo, diffusion_liquid, and viscosity_green_kubo calculation methods.
Clicking on the image of a plot will open an interactive version of it in a new tab. The underlying data for the plots can be downloaded by clicking on the links above each plot.
Notes and Disclaimers:
Version Information:
Plots of internal energy, Gibbs free energy, entropy, heat capacity and volume are shown here as a function of temperature for various crystal structures and liquid phases. The included crystal structures correspond to those in the Solid Structures vs. Temperature section, and the liquid phases to those in the Liquid Properties section. Internal energy and volume are taken from the associated structure relaxations mentioned in those previous sections. Constant pressure heat capacity is estimated using 3-point numerical derivatives of enthalpy versus temperature. Note that since all simulations done here are at 0 pressure, internal energy and enthalpy are equivalent.
The Gibbs energies of the phases are estimated using thermodynamic integration between the interatomic potential in question and a simpler model with known Gibbs free energy values. For solids, the reference model is an Einstein solid, while for liquids it is the Uhlenbeck-Ford potential. Besides a short run at the start of the solid calculations to estimate Einstein model spring constants, the two calculations proceed similarly. Starting with the final relaxation configurations, the systems are stabilized for 25,000 steps. Then, over the next 50,000 steps the potential is swapped out for the reference potential. The system is then stabilized for another 25,000 steps with the reference model before a reverse swap of 50,000 steps is performed. The simulation ends with one final 25,000 step stabilization period. From the simulation, the irreversible work of transformation is estimated and used to compute the absolute Gibbs free energy of the target phase and potential relative to the reference potential. Entropy is estimated as the difference in enthalpy and Gibbs free energy and divided by temperature.
The calculation methods used are available as the iprPy relax_dynamic, relax_liquid_redo, free_energy, and free_energy_liquid calculation methods.
Clicking on the image of a plot will open an interactive version of it in a new tab. The underlying data for the plots can be downloaded by clicking on the links above each plot.
Notes and Disclaimers:
Version Information:






