Plots of the potential energy vs interatomic spacing, r, are shown below for all diatom sets associated with the interatomic potential. This calculation provides insights into the functional form of the potential's two-body interactions. A system consisting of only two atoms is created, and the potential energy is evaluated for the atoms separated by 0.02 Å <= r <= 6.0> Å in intervals of 0.02 Å. Two plots are shown: one for the "standard" interaction distance range, and one for small values of r. The small r plot is useful for determining whether the potential is suitable for radiation studies.
The calculation method used is available as the iprPy diatom_scan calculation method.
Clicking on the image of a plot will open an interactive version of it in a new tab. The underlying data for the plots can be downloaded by clicking on the links above each plot.
Notes and Disclaimers:
Version Information:
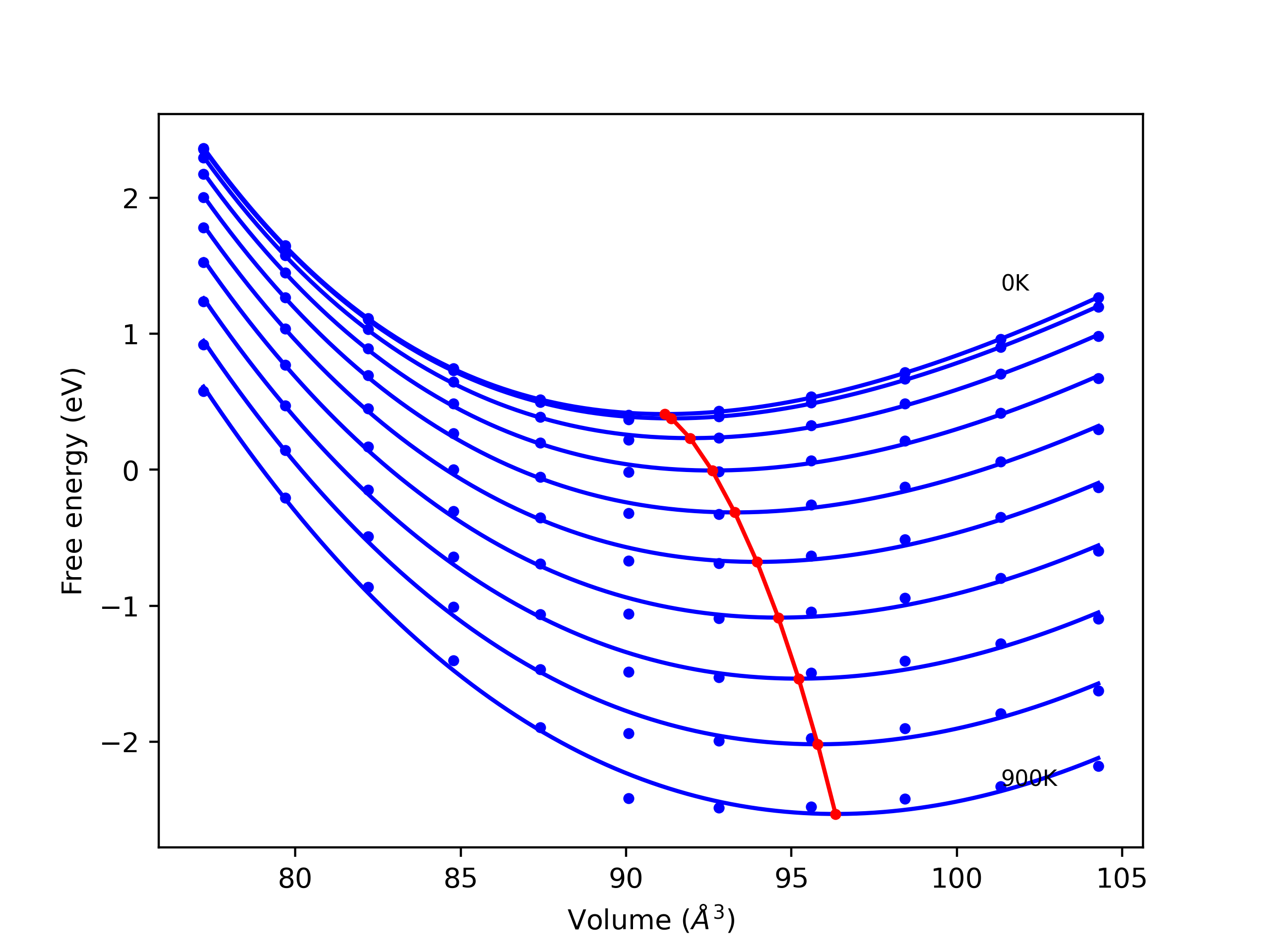
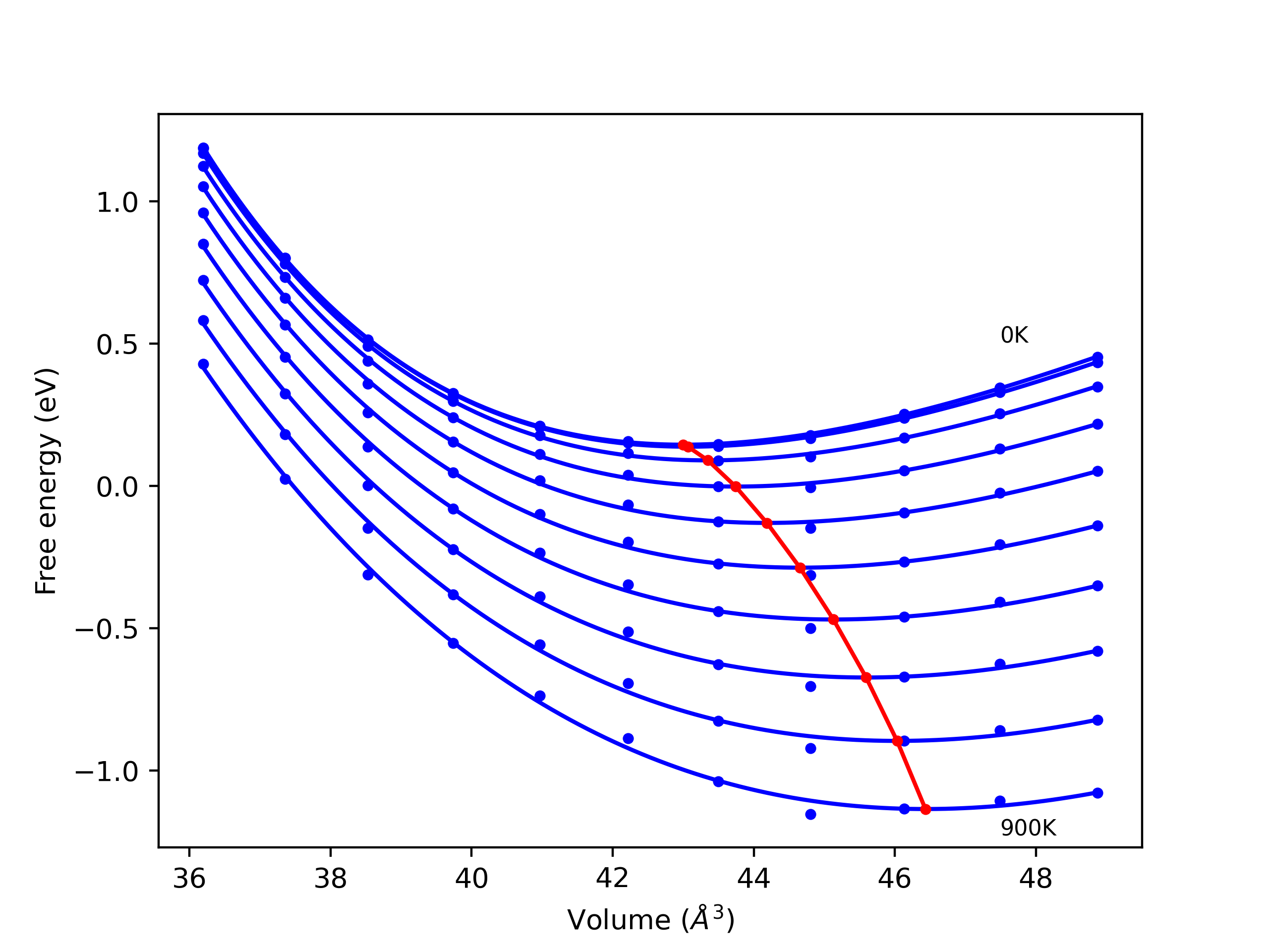
Plots of potential energy vs interatomic spacing, r, are shown below for a number of crystal structures. The structures are generated based on the ideal atomic positions and b/a and c/a lattice parameter ratios for a given crystal prototype. The size of the system is then uniformly scaled, and the energy calculated without relaxing the system. To obtain these plots, values of r are evaluated every 0.02 Å up to 6 Å.
The calculation method used is available as the iprPy E_vs_r_scan calculation method.
Clicking on the image of a plot will open an interactive version of it in a new tab. The underlying data for the plots can be downloaded by clicking on the links above each plot.
Notes and Disclaimers:
Version Information:
Computed lattice constants and cohesive/potential energies are displayed for a variety of crystal structures. The values displayed here are obtained using the following process.
The calculation methods used are implemented into iprPy as the following calculation styles
Notes and Disclaimers:
Version Information:
Download raw data (including filtered results)
Reference structure matches:
A1--Cu--fcc = mp-30, oqmd-592441, oqmd-593869, oqmd-594301, oqmd-594302, oqmd-594517, oqmd-594518, oqmd-594519, oqmd-594520, oqmd-598513, oqmd-635950, oqmd-1214520
A15--beta-W = oqmd-1214965
A2--W--bcc = oqmd-637373, oqmd-1215143
A3'--alpha-La--double-hcp = mp-989695, oqmd-1215411
A3--Mg--hcp = mp-989782, oqmd-1215321
A4--C--dc = oqmd-1215500
A5--beta-Sn = oqmd-1215589
A6--In--bct = mp-998890, mp-1010136, oqmd-1215678
| prototype | method | Ecoh (eV/atom) | Epot (eV/atom) | a0 (Å) | b0 (Å) | c0 (Å) | α (degrees) | β (degrees) | γ (degrees) |
|---|---|---|---|---|---|---|---|---|---|
| A1--Cu--fcc | dynamic | -3.5402 | -3.5402 | 3.6149 | 3.6149 | 3.6149 | 90.0 | 90.0 | 90.0 |
| A3'--alpha-La--double-hcp | dynamic | -3.5363 | -3.5363 | 2.5561 | 2.5561 | 8.3373 | 90.0 | 90.0 | 120.0 |
| oqmd-1216034 | dynamic | -3.535 | -3.535 | 2.556 | 2.556 | 18.7494 | 90.0 | 90.0 | 120.0 |
| oqmd-1216034 | box | -3.535 | -3.535 | 2.556 | 2.556 | 18.7505 | 90.0 | 90.0 | 120.0 |
| A3--Mg--hcp | dynamic | -3.5324 | -3.5324 | 2.556 | 2.556 | 4.1623 | 90.0 | 90.0 | 120.0 |
| oqmd-1215232 | box | -3.532 | -3.532 | 2.5458 | 4.4446 | 4.1632 | 90.0 | 90.0 | 90.0 |
| A6--In--bct | box | -3.4954 | -3.4953 | 2.941 | 2.941 | 2.7343 | 90.0 | 90.0 | 90.0 |
| A2--W--bcc | static | -3.4947 | -3.4947 | 2.8682 | 2.8682 | 2.8682 | 90.0 | 90.0 | 90.0 |
| oqmd-1214876 | dynamic | -3.4718 | -3.4718 | 6.2346 | 6.2346 | 6.2346 | 90.0 | 90.0 | 90.0 |
| oqmd-1214876 | box | -3.4713 | -3.4713 | 6.233 | 6.233 | 6.233 | 90.0 | 90.0 | 90.0 |
| oqmd-1214787 | dynamic | -3.4704 | -3.4704 | 8.8813 | 8.8813 | 8.8813 | 90.0 | 90.0 | 90.0 |
| oqmd-1214787 | box | -3.4702 | -3.4702 | 8.8813 | 8.8813 | 8.8813 | 90.0 | 90.0 | 90.0 |
| A15--beta-W | dynamic | -3.4544 | -3.4544 | 4.5958 | 4.5958 | 4.5958 | 90.0 | 90.0 | 90.0 |
| mp-1059259 | box | -3.4018 | -3.4018 | 2.4562 | 8.0242 | 2.515 | 90.0 | 90.0 | 90.0 |
| mp-1120774 | dynamic | -3.3952 | -3.3952 | 2.5395 | 2.5395 | 24.7819 | 90.0 | 90.0 | 120.0 |
| mp-1120774 | static | -3.3952 | -3.3952 | 2.5395 | 2.5395 | 24.7927 | 90.0 | 90.0 | 120.0 |
| mp-1120774 | box | -3.3947 | -3.3947 | 2.5393 | 2.5393 | 24.7417 | 90.0 | 90.0 | 120.0 |
| oqmd-1215054 | box | -3.3829 | -3.3829 | 4.2653 | 9.0834 | 2.5762 | 90.0 | 90.0 | 90.0 |
| oqmd-1214698 | box | -3.3067 | -3.3067 | 3.3448 | 8.5688 | 3.6207 | 90.0 | 90.0 | 90.0 |
| oqmd-1277912 | static | -3.2798 | -3.2798 | 11.4262 | 11.4262 | 11.4262 | 90.0 | 90.0 | 90.0 |
| oqmd-1277912 | box | -3.2794 | -3.2794 | 11.4231 | 11.4231 | 11.4231 | 90.0 | 90.0 | 90.0 |
| A5--beta-Sn | static | -3.2297 | -3.2297 | 4.6352 | 4.6352 | 2.4346 | 90.0 | 90.0 | 90.0 |
| Ah--alpha-Po--sc | static | -3.1071 | -3.1071 | 2.3928 | 2.3928 | 2.3928 | 90.0 | 90.0 | 90.0 |
| A7--alpha-As | box | -2.7851 | -2.7851 | 3.2256 | 3.2256 | 10.3064 | 90.0 | 90.0 | 120.0 |
| oqmd-1215945 | box | -2.7542 | -2.7542 | 4.0409 | 4.0409 | 4.4817 | 90.0 | 90.0 | 120.0 |
| A4--C--dc | static | -2.4194 | -2.4194 | 5.3545 | 5.3545 | 5.3545 | 90.0 | 90.0 | 90.0 |
| mp-1056079 | static | -1.4843 | -1.4843 | 11.5703 | 2.2852 | 22.2237 | 90.0 | 101.9 | 90.0 |
Download raw data (including filtered results)
Reference structure matches:
| prototype | method | Ecoh (eV/atom) | Epot (eV/atom) | a0 (Å) | b0 (Å) | c0 (Å) | α (degrees) | β (degrees) | γ (degrees) |
|---|---|---|---|---|---|---|---|---|---|
| C1--CaF2--fluorite | dynamic | -3.2038 | -3.2038 | 5.5465 | 5.5465 | 5.5465 | 90.0 | 90.0 | 90.0 |
Download raw data (including filtered results)
Reference structure matches:
L2_1--AlCu2Mn--heusler = oqmd-405567
| prototype | method | Ecoh (eV/atom) | Epot (eV/atom) | a0 (Å) | b0 (Å) | c0 (Å) | α (degrees) | β (degrees) | γ (degrees) |
|---|---|---|---|---|---|---|---|---|---|
| L2_1--AlCu2Mn--heusler | dynamic | -3.7356 | -3.7447 | 5.6194 | 5.6194 | 5.6194 | 90.0 | 90.0 | 90.0 |
Download raw data (including filtered results)
Reference structure matches:
| prototype | method | Ecoh (eV/atom) | Epot (eV/atom) | a0 (Å) | b0 (Å) | c0 (Å) | α (degrees) | β (degrees) | γ (degrees) |
|---|---|---|---|---|---|---|---|---|---|
| C1--CaF2--fluorite | dynamic | -3.3445 | -3.3567 | 5.4256 | 5.4256 | 5.4256 | 90.0 | 90.0 | 90.0 |
| oqmd-1232654 | box | -2.9613 | -2.9735 | 4.8694 | 4.8694 | 3.8973 | 90.0 | 90.0 | 90.0 |
| C1--CaF2--fluorite | static | -0.0 | -0.0121 | 12.6976 | 12.6976 | 12.6976 | 90.0 | 90.0 | 90.0 |
| C1--CaF2--fluorite | box | -0.0 | -0.0121 | 12.717 | 12.717 | 12.717 | 90.0 | 90.0 | 90.0 |
Download raw data (including filtered results)
Reference structure matches:
| prototype | method | Ecoh (eV/atom) | Epot (eV/atom) | a0 (Å) | b0 (Å) | c0 (Å) | α (degrees) | β (degrees) | γ (degrees) |
|---|---|---|---|---|---|---|---|---|---|
| oqmd-426732 | box | -3.6243 | -3.6461 | 5.972 | 5.972 | 12.2283 | 90.0 | 90.0 | 120.0 |
Download raw data (including filtered results)
Reference structure matches:
D0_3--BiF3 = oqmd-314614
| prototype | method | Ecoh (eV/atom) | Epot (eV/atom) | a0 (Å) | b0 (Å) | c0 (Å) | α (degrees) | β (degrees) | γ (degrees) |
|---|---|---|---|---|---|---|---|---|---|
| L1_2--AuCu3 | dynamic | -3.5941 | -3.5941 | 3.6259 | 3.6259 | 3.6259 | 90.0 | 90.0 | 90.0 |
| mp-1184444 | dynamic | -3.5853 | -3.5853 | 5.1342 | 5.1342 | 4.1433 | 90.0 | 90.0 | 120.0 |
| mp-1184444 | box | -3.5851 | -3.5851 | 5.1336 | 5.1336 | 4.1445 | 90.0 | 90.0 | 120.0 |
| oqmd-304072 | dynamic | -3.5675 | -3.5675 | 3.5808 | 3.5808 | 7.4937 | 90.0 | 90.0 | 90.0 |
| D0_3--BiF3 | dynamic | -3.5556 | -3.5556 | 5.7076 | 5.7076 | 5.7076 | 90.0 | 90.0 | 90.0 |
| A15--Cr3Si | dynamic | -3.4942 | -3.4942 | 4.6121 | 4.6121 | 4.6121 | 90.0 | 90.0 | 90.0 |
Download raw data (including filtered results)
Reference structure matches:
D0_3--BiF3 = oqmd-313298
L1_2--AuCu3 = oqmd-345531
| prototype | method | Ecoh (eV/atom) | Epot (eV/atom) | a0 (Å) | b0 (Å) | c0 (Å) | α (degrees) | β (degrees) | γ (degrees) |
|---|---|---|---|---|---|---|---|---|---|
| L1_2--AuCu3 | dynamic | -3.7133 | -3.7224 | 3.5572 | 3.5572 | 3.5572 | 90.0 | 90.0 | 90.0 |
| oqmd-321045 | dynamic | -3.7096 | -3.7187 | 5.0344 | 5.0344 | 4.0982 | 90.0 | 90.0 | 120.0 |
| oqmd-321045 | box | -3.7094 | -3.7185 | 5.033 | 5.033 | 4.0988 | 90.0 | 90.0 | 120.0 |
| oqmd-302756 | dynamic | -3.709 | -3.7181 | 3.5494 | 3.5494 | 7.1379 | 90.0 | 90.0 | 90.0 |
| mp-1225698 | box | -3.688 | -3.6971 | 2.681 | 4.174 | 8.2896 | 90.0 | 90.0 | 90.0 |
| D0_3--BiF3 | static | -3.6567 | -3.6658 | 5.6556 | 5.6556 | 5.6556 | 90.0 | 90.0 | 90.0 |
| A15--Cr3Si | dynamic | -3.6149 | -3.624 | 4.5206 | 4.5206 | 4.5206 | 90.0 | 90.0 | 90.0 |
| L1_2--AuCu3 | dynamic | -0.0 | -0.0091 | 7.8065 | 7.8065 | 7.8065 | 90.0 | 90.0 | 90.0 |
Download raw data (including filtered results)
Reference structure matches:
| prototype | method | Ecoh (eV/atom) | Epot (eV/atom) | a0 (Å) | b0 (Å) | c0 (Å) | α (degrees) | β (degrees) | γ (degrees) |
|---|---|---|---|---|---|---|---|---|---|
| mp-1224977 | dynamic | -3.5828 | -3.5828 | 2.5739 | 2.5739 | 31.4321 | 90.0 | 90.0 | 120.0 |
| mp-1224977 | box | -3.5825 | -3.5825 | 2.5742 | 2.5742 | 31.3945 | 90.0 | 90.0 | 120.0 |
Download raw data (including filtered results)
Reference structure matches:
B2--CsCl = oqmd-307730
| prototype | method | Ecoh (eV/atom) | Epot (eV/atom) | a0 (Å) | b0 (Å) | c0 (Å) | α (degrees) | β (degrees) | γ (degrees) |
|---|---|---|---|---|---|---|---|---|---|
| B2--CsCl | dynamic | -3.7135 | -3.7135 | 2.8423 | 2.8423 | 2.8423 | 90.0 | 90.0 | 90.0 |
| mp-1224945 | dynamic | -3.6988 | -3.6988 | 2.9719 | 3.9829 | 3.9992 | 90.0 | 90.0 | 90.0 |
| L1_0--AuCu | dynamic | -3.6841 | -3.6841 | 2.5549 | 2.5549 | 3.6773 | 90.0 | 90.0 | 90.0 |
| L1_0--AuCu | box | -3.678 | -3.678 | 2.6407 | 2.6407 | 3.381 | 90.0 | 90.0 | 90.0 |
| B1--NaCl--rock-salt | static | -3.1244 | -3.1244 | 4.7956 | 4.7956 | 4.7956 | 90.0 | 90.0 | 90.0 |
| B3--ZnS--cubic-zinc-blende | static | -2.5635 | -2.5635 | 5.403 | 5.403 | 5.403 | 90.0 | 90.0 | 90.0 |
Download raw data (including filtered results)
Reference structure matches:
| prototype | method | Ecoh (eV/atom) | Epot (eV/atom) | a0 (Å) | b0 (Å) | c0 (Å) | α (degrees) | β (degrees) | γ (degrees) |
|---|---|---|---|---|---|---|---|---|---|
| C1--CaF2--fluorite | dynamic | -3.3553 | -3.3553 | 5.546 | 5.546 | 5.546 | 90.0 | 90.0 | 90.0 |
Download raw data (including filtered results)
Reference structure matches:
L2_1--AlCu2Mn--heusler = oqmd-527159
| prototype | method | Ecoh (eV/atom) | Epot (eV/atom) | a0 (Å) | b0 (Å) | c0 (Å) | α (degrees) | β (degrees) | γ (degrees) |
|---|---|---|---|---|---|---|---|---|---|
| L2_1--AlCu2Mn--heusler | static | -3.9646 | -3.9737 | 5.6272 | 5.6272 | 5.6272 | 90.0 | 90.0 | 90.0 |
Download raw data (including filtered results)
Reference structure matches:
D0_3--BiF3 = mp-1184260, oqmd-311223
| prototype | method | Ecoh (eV/atom) | Epot (eV/atom) | a0 (Å) | b0 (Å) | c0 (Å) | α (degrees) | β (degrees) | γ (degrees) |
|---|---|---|---|---|---|---|---|---|---|
| mp-1225131 | dynamic | -3.9208 | -3.9208 | 2.8951 | 4.0218 | 8.0541 | 90.0 | 90.0 | 90.0 |
| mp-1225131 | box | -3.9202 | -3.9202 | 2.8944 | 4.0223 | 8.0577 | 90.0 | 90.0 | 90.0 |
| D0_3--BiF3 | dynamic | -3.8641 | -3.8641 | 5.6956 | 5.6956 | 5.6956 | 90.0 | 90.0 | 90.0 |
| L1_2--AuCu3 | dynamic | -3.818 | -3.818 | 3.6411 | 3.6411 | 3.6411 | 90.0 | 90.0 | 90.0 |
| A15--Cr3Si | dynamic | -3.8129 | -3.8129 | 4.5826 | 4.5826 | 4.5826 | 90.0 | 90.0 | 90.0 |
| oqmd-300681 | static | -3.7926 | -3.7926 | 3.5997 | 3.5997 | 7.5476 | 90.0 | 90.0 | 90.0 |
Download raw data (including filtered results)
Reference structure matches:
| prototype | method | Ecoh (eV/atom) | Epot (eV/atom) | a0 (Å) | b0 (Å) | c0 (Å) | α (degrees) | β (degrees) | γ (degrees) |
|---|---|---|---|---|---|---|---|---|---|
| mp-1224973 | dynamic | -3.9183 | -3.9305 | 2.5418 | 2.5418 | 6.0665 | 90.0 | 90.0 | 120.0 |
| mp-1224973 | box | -3.9096 | -3.9218 | 2.5412 | 2.5412 | 6.1047 | 90.0 | 90.0 | 120.0 |
| oqmd-961306 | static | -3.4836 | -3.4957 | 5.4803 | 5.4803 | 5.4803 | 90.0 | 90.0 | 90.0 |
| oqmd-958257 | static | -3.4364 | -3.4485 | 5.4792 | 5.4792 | 5.4792 | 90.0 | 90.0 | 90.0 |
| oqmd-853002 | static | -3.3861 | -3.3983 | 5.4085 | 5.4085 | 5.4085 | 90.0 | 90.0 | 90.0 |
Download raw data (including filtered results)
Reference structure matches:
L2_1--AlCu2Mn--heusler = oqmd-530208
| prototype | method | Ecoh (eV/atom) | Epot (eV/atom) | a0 (Å) | b0 (Å) | c0 (Å) | α (degrees) | β (degrees) | γ (degrees) |
|---|---|---|---|---|---|---|---|---|---|
| L2_1--AlCu2Mn--heusler | static | -4.0426 | -4.0608 | 5.5967 | 5.5967 | 5.5967 | 90.0 | 90.0 | 90.0 |
| L2_1--AlCu2Mn--heusler | static | -0.0 | -0.0182 | 12.6995 | 12.6995 | 12.6995 | 90.0 | 90.0 | 90.0 |
| L2_1--AlCu2Mn--heusler | dynamic | -0.0 | -0.0182 | 13.3319 | 13.3319 | 13.3319 | 90.0 | 90.0 | 90.0 |
Download raw data (including filtered results)
Reference structure matches:
B1--NaCl--rock-salt = oqmd-1106260
B2--CsCl = oqmd-307075
B3--ZnS--cubic-zinc-blende = oqmd-1222197
L1_0--AuCu = oqmd-338617
| prototype | method | Ecoh (eV/atom) | Epot (eV/atom) | a0 (Å) | b0 (Å) | c0 (Å) | α (degrees) | β (degrees) | γ (degrees) |
|---|---|---|---|---|---|---|---|---|---|
| L1_0--AuCu | dynamic | -3.9361 | -3.9544 | 2.5348 | 2.5348 | 3.4322 | 90.0 | 90.0 | 90.0 |
| oqmd-1220003 | dynamic | -3.9309 | -3.9491 | 4.0829 | 2.5344 | 4.2652 | 90.0 | 90.0 | 90.0 |
| oqmd-1220003 | box | -3.9298 | -3.948 | 4.085 | 2.5188 | 4.2912 | 90.0 | 90.0 | 90.0 |
| oqmd-328159 | dynamic | -3.9279 | -3.9461 | 2.5251 | 2.5251 | 12.1257 | 90.0 | 90.0 | 120.0 |
| mp-1184069 | dynamic | -3.9195 | -3.9378 | 2.5218 | 2.5218 | 4.0616 | 90.0 | 90.0 | 120.0 |
| B2--CsCl | static | -3.902 | -3.9202 | 2.8056 | 2.8056 | 2.8056 | 90.0 | 90.0 | 90.0 |
| mp-1225695 | box | -3.8706 | -3.8888 | 2.6315 | 4.1839 | 4.127 | 90.0 | 90.0 | 90.0 |
| B1--NaCl--rock-salt | static | -3.4723 | -3.4905 | 4.6686 | 4.6686 | 4.6686 | 90.0 | 90.0 | 90.0 |
| oqmd-1225682 | box | -2.9885 | -3.0068 | 3.9633 | 3.9633 | 4.6484 | 90.0 | 90.0 | 120.0 |
| B3--ZnS--cubic-zinc-blende | static | -2.6803 | -2.6985 | 5.1674 | 5.1674 | 5.1674 | 90.0 | 90.0 | 90.0 |
| B2--CsCl | static | -0.0 | -0.0182 | 6.3488 | 6.3488 | 6.3488 | 90.0 | 90.0 | 90.0 |
| L1_0--AuCu | static | -0.0 | -0.0182 | 5.7056 | 5.7056 | 7.4708 | 90.0 | 90.0 | 90.0 |
| B1--NaCl--rock-salt | static | -0.0 | -0.0182 | 10.9964 | 10.9964 | 10.9964 | 90.0 | 90.0 | 90.0 |
| B3--ZnS--cubic-zinc-blende | static | -0.0 | -0.0182 | 12.6976 | 12.6976 | 12.6976 | 90.0 | 90.0 | 90.0 |
| B3--ZnS--cubic-zinc-blende | box | -0.0 | -0.0182 | 12.717 | 12.717 | 12.717 | 90.0 | 90.0 | 90.0 |
| B1--NaCl--rock-salt | box | -0.0 | -0.0182 | 11.0132 | 11.0132 | 11.0132 | 90.0 | 90.0 | 90.0 |
| L1_0--AuCu | box | 0.0 | -0.0182 | 5.7151 | 5.7151 | 7.4811 | 90.0 | 90.0 | 90.0 |
| B2--CsCl | box | 0.0 | -0.0182 | 6.3585 | 6.3585 | 6.3585 | 90.0 | 90.0 | 90.0 |
Download raw data (including filtered results)
Reference structure matches:
| prototype | method | Ecoh (eV/atom) | Epot (eV/atom) | a0 (Å) | b0 (Å) | c0 (Å) | α (degrees) | β (degrees) | γ (degrees) |
|---|---|---|---|---|---|---|---|---|---|
| C1--CaF2--fluorite | static | -3.5708 | -3.5951 | 5.3663 | 5.3663 | 5.3663 | 90.0 | 90.0 | 90.0 |
| oqmd-1236617 | static | -1.8628 | -1.8871 | 10.246 | 10.246 | 10.246 | 90.0 | 90.0 | 90.0 |
| C1--CaF2--fluorite | static | -0.0 | -0.0243 | 12.6976 | 12.6976 | 12.6976 | 90.0 | 90.0 | 90.0 |
| C1--CaF2--fluorite | box | -0.0 | -0.0243 | 12.717 | 12.717 | 12.717 | 90.0 | 90.0 | 90.0 |
Download raw data (including filtered results)
Reference structure matches:
D0_3--BiF3 = oqmd-310503
L1_2--AuCu3 = oqmd-348326
| prototype | method | Ecoh (eV/atom) | Epot (eV/atom) | a0 (Å) | b0 (Å) | c0 (Å) | α (degrees) | β (degrees) | γ (degrees) |
|---|---|---|---|---|---|---|---|---|---|
| L1_2--AuCu3 | dynamic | -4.1678 | -4.1952 | 3.5254 | 3.5254 | 3.5254 | 90.0 | 90.0 | 90.0 |
| mp-1184054 | dynamic | -4.165 | -4.1923 | 3.5219 | 3.5219 | 7.0656 | 90.0 | 90.0 | 90.0 |
| oqmd-323840 | dynamic | -4.1607 | -4.188 | 4.9801 | 4.9801 | 4.0944 | 90.0 | 90.0 | 120.0 |
| oqmd-323840 | box | -4.1602 | -4.1875 | 4.9811 | 4.9811 | 4.0939 | 90.0 | 90.0 | 120.0 |
| mp-1225694 | box | -4.1048 | -4.1321 | 2.8238 | 4.0046 | 7.9715 | 90.0 | 90.0 | 90.0 |
| D0_3--BiF3 | static | -4.0959 | -4.1232 | 5.6243 | 5.6243 | 5.6243 | 90.0 | 90.0 | 90.0 |
| A15--Cr3Si | static | -4.0304 | -4.0577 | 4.4943 | 4.4943 | 4.4943 | 90.0 | 90.0 | 90.0 |
| A15--Cr3Si | static | -0.0 | -0.0273 | 9.8355 | 9.8355 | 9.8355 | 90.0 | 90.0 | 90.0 |
| L1_2--AuCu3 | static | -0.0 | -0.0273 | 7.7756 | 7.7756 | 7.7756 | 90.0 | 90.0 | 90.0 |
| D0_3--BiF3 | static | -0.0 | -0.0273 | 12.6976 | 12.6976 | 12.6976 | 90.0 | 90.0 | 90.0 |
| A15--Cr3Si | box | -0.0 | -0.0273 | 9.8505 | 9.8505 | 9.8505 | 90.0 | 90.0 | 90.0 |
| L1_2--AuCu3 | box | 0.0 | -0.0273 | 7.7875 | 7.7875 | 7.7875 | 90.0 | 90.0 | 90.0 |
| D0_3--BiF3 | box | 0.0 | -0.0273 | 12.717 | 12.717 | 12.717 | 90.0 | 90.0 | 90.0 |
Download raw data (including filtered results)
Reference structure matches:
A1--Cu--fcc = mp-150, oqmd-7505, oqmd-1214525
A15--beta-W = oqmd-1214970
A2--W--bcc = mp-13, oqmd-8568, oqmd-22514, oqmd-1215148
A3'--alpha-La--double-hcp = oqmd-1215416
A3--Mg--hcp = mp-136, oqmd-30158, oqmd-51781, oqmd-1215326, oqmd-1215391
A4--C--dc = oqmd-1215505
A5--beta-Sn = oqmd-1215594
A6--In--bct = oqmd-1215683
Ah--alpha-Po--sc = mp-568345
| prototype | method | Ecoh (eV/atom) | Epot (eV/atom) | a0 (Å) | b0 (Å) | c0 (Å) | α (degrees) | β (degrees) | γ (degrees) |
|---|---|---|---|---|---|---|---|---|---|
| A2--W--bcc | dynamic | -4.1224 | -4.1224 | 2.8553 | 2.8553 | 2.8553 | 90.0 | 90.0 | 90.0 |
| A15--beta-W | dynamic | -4.0464 | -4.0464 | 4.5362 | 4.5362 | 4.5362 | 90.0 | 90.0 | 90.0 |
| oqmd-1214792 | dynamic | -4.0341 | -4.0341 | 8.8485 | 8.8485 | 8.8485 | 90.0 | 90.0 | 90.0 |
| oqmd-1214792 | static | -4.0341 | -4.0341 | 8.8486 | 8.8486 | 8.8486 | 90.0 | 90.0 | 90.0 |
| oqmd-1214792 | box | -4.0286 | -4.0286 | 8.8332 | 8.8332 | 8.8332 | 90.0 | 90.0 | 90.0 |
| A3--Mg--hcp | dynamic | -4.0049 | -4.0049 | 2.6206 | 2.6206 | 4.1453 | 90.0 | 90.0 | 120.0 |
| oqmd-1216039 | dynamic | -4.0039 | -4.0039 | 2.6142 | 2.6142 | 18.7145 | 90.0 | 90.0 | 120.0 |
| oqmd-1216039 | box | -4.0039 | -4.0039 | 2.6145 | 2.6145 | 18.7112 | 90.0 | 90.0 | 120.0 |
| A3'--alpha-La--double-hcp | dynamic | -4.0034 | -4.0034 | 2.6094 | 2.6094 | 8.338 | 90.0 | 90.0 | 120.0 |
| A1--Cu--fcc | dynamic | -4.002 | -4.002 | 3.6584 | 3.6584 | 3.6584 | 90.0 | 90.0 | 90.0 |
| A6--In--bct | box | -4.0018 | -4.0018 | 2.6144 | 2.6144 | 3.5689 | 90.0 | 90.0 | 90.0 |
| oqmd-1214881 | static | -3.9963 | -3.9963 | 6.1773 | 6.1773 | 6.1773 | 90.0 | 90.0 | 90.0 |
| oqmd-1214881 | box | -3.9956 | -3.9956 | 6.1691 | 6.1691 | 6.1691 | 90.0 | 90.0 | 90.0 |
| oqmd-1215237 | box | -3.991 | -3.991 | 2.5624 | 4.3922 | 4.3431 | 90.0 | 90.0 | 90.0 |
| oqmd-21053 | dynamic | -3.9709 | -3.9709 | 8.6019 | 8.6019 | 4.6065 | 90.0 | 90.0 | 90.0 |
| mp-1245108 | dynamic | -3.964 | -3.964 | 10.346 | 10.7256 | 10.8018 | 92.4 | 90.8 | 90.8 |
| mp-1245108 | static | -3.9567 | -3.9567 | 10.3714 | 10.7282 | 10.7717 | 87.3 | 89.8 | 87.9 |
| oqmd-21053 | box | -3.9565 | -3.9565 | 8.5071 | 8.5071 | 4.6447 | 90.0 | 90.0 | 90.0 |
| mp-1194030 | box | -3.95 | -3.95 | 8.477 | 8.477 | 4.6589 | 90.0 | 90.0 | 90.0 |
| mp-1245108 | box | -3.914 | -3.914 | 10.5235 | 10.5496 | 10.8843 | 90.4 | 91.8 | 91.8 |
| oqmd-1215059 | box | -3.8174 | -3.8174 | 2.7217 | 4.0857 | 8.9267 | 90.0 | 90.0 | 90.0 |
| A5--beta-Sn | static | -3.629 | -3.629 | 4.667 | 4.667 | 2.4302 | 90.0 | 90.0 | 90.0 |
| mp-1096950 | static | -3.5569 | -3.5569 | 2.5227 | 2.5227 | 2.4982 | 90.0 | 90.0 | 120.0 |
| Ah--alpha-Po--sc | static | -3.4175 | -3.4175 | 2.2421 | 2.2421 | 2.2421 | 90.0 | 90.0 | 90.0 |
| oqmd-1215950 | box | -3.1876 | -3.1876 | 3.8695 | 4.1278 | 3.8835 | 90.0 | 119.6 | 90.0 |
| A7--alpha-As | box | -3.1046 | -3.1046 | 3.427 | 3.427 | 9.0029 | 90.0 | 90.0 | 120.0 |
| A4--C--dc | static | -2.7063 | -2.7063 | 5.4137 | 5.4137 | 5.4137 | 90.0 | 90.0 | 90.0 |
| oqmd-21731 | box | 0.0 | 0.0 | 5.3004 | 5.3004 | 15.9494 | 90.0 | 90.0 | 90.0 |
Download raw data (including filtered results)
Reference structure matches:
| prototype | method | Ecoh (eV/atom) | Epot (eV/atom) | a0 (Å) | b0 (Å) | c0 (Å) | α (degrees) | β (degrees) | γ (degrees) |
|---|---|---|---|---|---|---|---|---|---|
| mp-1224697 | dynamic | -4.1292 | -4.1414 | 2.5216 | 2.5216 | 5.9631 | 90.0 | 90.0 | 120.0 |
| mp-1077745 | dynamic | -3.9467 | -3.9589 | 6.425 | 6.425 | 6.425 | 90.0 | 90.0 | 90.0 |
| C1--CaF2--fluorite | static | -3.724 | -3.7362 | 5.5061 | 5.5061 | 5.5061 | 90.0 | 90.0 | 90.0 |
| mp-1224697 | box | -3.4834 | -3.4956 | 3.3648 | 3.3648 | 4.1173 | 90.0 | 90.0 | 120.0 |
| oqmd-1232964 | box | -3.076 | -3.0881 | 5.3525 | 5.3525 | 3.4636 | 90.0 | 90.0 | 90.0 |
| oqmd-1236414 | static | -2.1867 | -2.1989 | 10.8719 | 10.8719 | 10.8719 | 90.0 | 90.0 | 90.0 |
| C1--CaF2--fluorite | static | -0.0 | -0.0122 | 12.7014 | 12.7014 | 12.7014 | 90.0 | 90.0 | 90.0 |
| C1--CaF2--fluorite | dynamic | -0.0 | -0.0122 | 13.3152 | 13.3152 | 13.3152 | 90.0 | 90.0 | 90.0 |
Download raw data (including filtered results)
Reference structure matches:
| prototype | method | Ecoh (eV/atom) | Epot (eV/atom) | a0 (Å) | b0 (Å) | c0 (Å) | α (degrees) | β (degrees) | γ (degrees) |
|---|---|---|---|---|---|---|---|---|---|
| oqmd-427042 | box | -3.8009 | -3.8228 | 6.2233 | 6.2233 | 11.6097 | 90.0 | 90.0 | 120.0 |
Download raw data (including filtered results)
Reference structure matches:
D0_3--BiF3 = mp-1007853, oqmd-312075
L1_2--AuCu3 = mp-999189, oqmd-343549
| prototype | method | Ecoh (eV/atom) | Epot (eV/atom) | a0 (Å) | b0 (Å) | c0 (Å) | α (degrees) | β (degrees) | γ (degrees) |
|---|---|---|---|---|---|---|---|---|---|
| A15--Cr3Si | dynamic | -4.1806 | -4.1897 | 4.4826 | 4.4826 | 4.4826 | 90.0 | 90.0 | 90.0 |
| L1_2--AuCu3 | dynamic | -4.1728 | -4.1819 | 3.482 | 3.482 | 3.482 | 90.0 | 90.0 | 90.0 |
| mp-1224780 | dynamic | -4.1701 | -4.1792 | 2.985 | 3.8857 | 7.8317 | 90.0 | 90.0 | 90.0 |
| mp-1224780 | box | -4.1645 | -4.1736 | 2.9647 | 3.9121 | 7.8073 | 90.0 | 90.0 | 90.0 |
| oqmd-319063 | dynamic | -4.1461 | -4.1552 | 4.9157 | 4.9157 | 4.0817 | 90.0 | 90.0 | 120.0 |
| oqmd-319063 | box | -4.1461 | -4.1552 | 4.916 | 4.916 | 4.0821 | 90.0 | 90.0 | 120.0 |
| oqmd-301533 | static | -4.1339 | -4.143 | 3.4293 | 3.4293 | 7.3667 | 90.0 | 90.0 | 90.0 |
| D0_3--BiF3 | static | -4.125 | -4.1341 | 5.6104 | 5.6104 | 5.6104 | 90.0 | 90.0 | 90.0 |
| mp-1224827 | dynamic | -4.0948 | -4.1039 | 2.534 | 2.534 | 24.1654 | 90.0 | 90.0 | 120.0 |
| mp-1224827 | box | -4.0822 | -4.0913 | 2.5333 | 2.5333 | 23.9472 | 90.0 | 90.0 | 120.0 |
| A15--Cr3Si | static | -0.0007 | -0.0098 | 9.4262 | 9.4262 | 9.4262 | 90.0 | 90.0 | 90.0 |
| L1_2--AuCu3 | static | -0.0 | -0.0091 | 7.778 | 7.778 | 7.778 | 90.0 | 90.0 | 90.0 |
| D0_3--BiF3 | static | -0.0 | -0.0091 | 12.7014 | 12.7014 | 12.7014 | 90.0 | 90.0 | 90.0 |
| D0_3--BiF3 | dynamic | -0.0 | -0.0091 | 13.2115 | 13.2115 | 13.2115 | 90.0 | 90.0 | 90.0 |
| L1_2--AuCu3 | dynamic | 0.0 | -0.0091 | 8.4624 | 8.4624 | 8.4624 | 90.0 | 90.0 | 90.0 |
Download raw data (including filtered results)
Reference structure matches:
| prototype | method | Ecoh (eV/atom) | Epot (eV/atom) | a0 (Å) | b0 (Å) | c0 (Å) | α (degrees) | β (degrees) | γ (degrees) |
|---|---|---|---|---|---|---|---|---|---|
| mp-1225009 | dynamic | -4.2668 | -4.2814 | 2.5007 | 2.5007 | 16.903 | 90.0 | 90.0 | 90.0 |
| mp-1225009 | box | -4.2604 | -4.275 | 2.9389 | 2.9389 | 12.6885 | 90.0 | 90.0 | 90.0 |
Download raw data (including filtered results)
Reference structure matches:
B1--NaCl--rock-salt = oqmd-1105634
B2--CsCl = oqmd-306449
B3--ZnS--cubic-zinc-blende = oqmd-1222507
L1_0--AuCu = mp-2213, oqmd-17225, oqmd-30230, oqmd-337991
| prototype | method | Ecoh (eV/atom) | Epot (eV/atom) | a0 (Å) | b0 (Å) | c0 (Å) | α (degrees) | β (degrees) | γ (degrees) |
|---|---|---|---|---|---|---|---|---|---|
| L1_0--AuCu | dynamic | -4.3406 | -4.3588 | 2.4733 | 2.4733 | 3.3736 | 90.0 | 90.0 | 90.0 |
| L1_0--AuCu | box | -4.3123 | -4.3306 | 2.9349 | 2.9349 | 2.5006 | 90.0 | 90.0 | 90.0 |
| oqmd-1220313 | box | -4.3008 | -4.3191 | 4.0259 | 2.4736 | 4.1721 | 90.0 | 90.0 | 90.0 |
| B2--CsCl | static | -4.2828 | -4.301 | 2.7873 | 2.7873 | 2.7873 | 90.0 | 90.0 | 90.0 |
| mp-1224976 | dynamic | -4.1734 | -4.1916 | 2.4925 | 2.4925 | 11.8382 | 90.0 | 90.0 | 120.0 |
| oqmd-1229478 | dynamic | -4.1658 | -4.1841 | 2.4895 | 2.4895 | 3.9602 | 90.0 | 90.0 | 120.0 |
| B1--NaCl--rock-salt | static | -3.7291 | -3.7474 | 4.7583 | 4.7583 | 4.7583 | 90.0 | 90.0 | 90.0 |
| B3--ZnS--cubic-zinc-blende | static | -2.8575 | -2.8757 | 5.3593 | 5.3593 | 5.3593 | 90.0 | 90.0 | 90.0 |
| L1_0--AuCu | static | -0.0 | -0.0182 | 5.7069 | 5.7069 | 7.4737 | 90.0 | 90.0 | 90.0 |
| L1_0--AuCu | box | -0.0 | -0.0182 | 5.7069 | 5.7069 | 7.4738 | 90.0 | 90.0 | 90.0 |
| B2--CsCl | static | -0.0 | -0.0182 | 6.3507 | 6.3507 | 6.3507 | 90.0 | 90.0 | 90.0 |
| B1--NaCl--rock-salt | static | -0.0 | -0.0182 | 10.9998 | 10.9998 | 10.9998 | 90.0 | 90.0 | 90.0 |
| B3--ZnS--cubic-zinc-blende | static | -0.0 | -0.0182 | 12.7014 | 12.7014 | 12.7014 | 90.0 | 90.0 | 90.0 |
| B1--NaCl--rock-salt | dynamic | -0.0 | -0.0182 | 11.6672 | 11.6672 | 11.6672 | 90.0 | 90.0 | 90.0 |
| B3--ZnS--cubic-zinc-blende | dynamic | -0.0 | -0.0182 | 13.4354 | 13.4354 | 13.4354 | 90.0 | 90.0 | 90.0 |
| L1_0--AuCu | dynamic | 0.0 | -0.0182 | 6.3593 | 6.3593 | 8.8 | 90.0 | 90.0 | 90.0 |
| B2--CsCl | dynamic | 0.0 | -0.0182 | 7.2131 | 7.2131 | 7.2131 | 90.0 | 90.0 | 90.0 |
Download raw data (including filtered results)
Reference structure matches:
| prototype | method | Ecoh (eV/atom) | Epot (eV/atom) | a0 (Å) | b0 (Å) | c0 (Å) | α (degrees) | β (degrees) | γ (degrees) |
|---|---|---|---|---|---|---|---|---|---|
| mp-1072076 | static | -4.095 | -4.1193 | 6.4919 | 6.4919 | 6.4919 | 90.0 | 90.0 | 90.0 |
| C1--CaF2--fluorite | static | -3.7706 | -3.7949 | 5.4675 | 5.4675 | 5.4675 | 90.0 | 90.0 | 90.0 |
| oqmd-1236413 | static | -2.1001 | -2.1244 | 10.7475 | 10.7475 | 10.7475 | 90.0 | 90.0 | 90.0 |
| C1--CaF2--fluorite | static | -0.0 | -0.0243 | 12.7014 | 12.7014 | 12.7014 | 90.0 | 90.0 | 90.0 |
| C1--CaF2--fluorite | dynamic | -0.0 | -0.0243 | 13.3152 | 13.3152 | 13.3152 | 90.0 | 90.0 | 90.0 |
| oqmd-1236413 | box | 0.0033 | -0.021 | 22.1692 | 22.1692 | 22.1692 | 90.0 | 90.0 | 90.0 |
Download raw data (including filtered results)
Reference structure matches:
D0_3--BiF3 = mp-1007854, oqmd-308521
L1_2--AuCu3 = mp-1418, oqmd-7241, oqmd-347103
| prototype | method | Ecoh (eV/atom) | Epot (eV/atom) | a0 (Å) | b0 (Å) | c0 (Å) | α (degrees) | β (degrees) | γ (degrees) |
|---|---|---|---|---|---|---|---|---|---|
| L1_2--AuCu3 | dynamic | -4.4135 | -4.4408 | 3.4613 | 3.4613 | 3.4613 | 90.0 | 90.0 | 90.0 |
| oqmd-322617 | dynamic | -4.3769 | -4.4043 | 4.8887 | 4.8887 | 4.0293 | 90.0 | 90.0 | 120.0 |
| oqmd-322617 | box | -4.3755 | -4.4028 | 4.8896 | 4.8896 | 4.027 | 90.0 | 90.0 | 120.0 |
| oqmd-297990 | dynamic | -4.3643 | -4.3917 | 3.4413 | 3.4413 | 7.0906 | 90.0 | 90.0 | 90.0 |
| mp-1079337 | dynamic | -4.3365 | -4.3638 | 4.0405 | 4.8648 | 4.2919 | 90.0 | 90.0 | 90.0 |
| mp-1079337 | box | -4.3296 | -4.3569 | 4.0306 | 4.8946 | 4.2571 | 90.0 | 90.0 | 90.0 |
| mp-1225078 | dynamic | -4.3093 | -4.3366 | 2.4942 | 2.4942 | 23.906 | 90.0 | 90.0 | 120.0 |
| mp-1225078 | box | -4.3083 | -4.3356 | 2.4943 | 2.4943 | 23.8631 | 90.0 | 90.0 | 120.0 |
| A15--Cr3Si | dynamic | -4.2472 | -4.2745 | 4.4732 | 4.4732 | 4.4732 | 90.0 | 90.0 | 90.0 |
| D0_3--BiF3 | static | -4.2446 | -4.2719 | 5.569 | 5.569 | 5.569 | 90.0 | 90.0 | 90.0 |
| L1_2--AuCu3 | static | -0.0 | -0.0273 | 7.778 | 7.778 | 7.778 | 90.0 | 90.0 | 90.0 |
| D0_3--BiF3 | static | -0.0 | -0.0273 | 12.7014 | 12.7014 | 12.7014 | 90.0 | 90.0 | 90.0 |
| L1_2--AuCu3 | dynamic | -0.0 | -0.0273 | 8.4624 | 8.4624 | 8.4624 | 90.0 | 90.0 | 90.0 |
| D0_3--BiF3 | dynamic | 0.0 | -0.0273 | 13.2115 | 13.2115 | 13.2115 | 90.0 | 90.0 | 90.0 |
Download raw data (including filtered results)
Reference structure matches:
A1--Cu--fcc = mp-23, oqmd-676148, oqmd-1214550
A15--beta-W = oqmd-1214995, oqmd-1280360
A2--W--bcc = mp-1008728, oqmd-22516, oqmd-1215173
A3'--alpha-La--double-hcp = oqmd-1215441
A3--Mg--hcp = mp-10257, oqmd-677944, oqmd-1215351
A4--C--dc = oqmd-1215530
A5--beta-Sn = oqmd-1215619
A6--In--bct = oqmd-1215708
| prototype | method | Ecoh (eV/atom) | Epot (eV/atom) | a0 (Å) | b0 (Å) | c0 (Å) | α (degrees) | β (degrees) | γ (degrees) |
|---|---|---|---|---|---|---|---|---|---|
| A1--Cu--fcc | dynamic | -4.4138 | -4.4503 | 3.52 | 3.52 | 3.52 | 90.0 | 90.0 | 90.0 |
| A3'--alpha-La--double-hcp | dynamic | -4.4089 | -4.4453 | 2.4873 | 2.4873 | 8.1718 | 90.0 | 90.0 | 120.0 |
| oqmd-1216067 | dynamic | -4.4074 | -4.4439 | 2.4867 | 2.4867 | 18.4268 | 90.0 | 90.0 | 120.0 |
| A3--Mg--hcp | dynamic | -4.4045 | -4.441 | 2.4855 | 2.4855 | 4.1096 | 90.0 | 90.0 | 120.0 |
| oqmd-1215262 | box | -4.404 | -4.4404 | 2.4787 | 4.3167 | 4.1104 | 90.0 | 90.0 | 90.0 |
| A2--W--bcc | static | -4.3374 | -4.3739 | 2.812 | 2.812 | 2.812 | 90.0 | 90.0 | 90.0 |
| oqmd-1214906 | dynamic | -4.3262 | -4.3627 | 6.093 | 6.093 | 6.093 | 90.0 | 90.0 | 90.0 |
| oqmd-1214906 | box | -4.3248 | -4.3613 | 6.092 | 6.092 | 6.092 | 90.0 | 90.0 | 90.0 |
| oqmd-1214817 | dynamic | -4.3173 | -4.3538 | 8.6877 | 8.6877 | 8.6877 | 90.0 | 90.0 | 90.0 |
| oqmd-1214817 | box | -4.3141 | -4.3506 | 8.6852 | 8.6852 | 8.6852 | 90.0 | 90.0 | 90.0 |
| A15--beta-W | static | -4.2817 | -4.3182 | 4.4904 | 4.4904 | 4.4904 | 90.0 | 90.0 | 90.0 |
| oqmd-1215084 | box | -4.2178 | -4.2543 | 2.4895 | 4.2316 | 9.0083 | 90.0 | 90.0 | 90.0 |
| oqmd-1214728 | box | -4.1214 | -4.1579 | 2.4244 | 2.4244 | 8.3751 | 90.0 | 90.0 | 90.0 |
| A5--beta-Sn | static | -4.0191 | -4.0555 | 4.5769 | 4.5769 | 2.4183 | 90.0 | 90.0 | 90.0 |
| mp-1014111 | static | -3.8731 | -3.9096 | 2.4596 | 2.4596 | 13.526 | 90.0 | 90.0 | 120.0 |
| mp-1014111 | dynamic | -3.8731 | -3.9096 | 2.4596 | 2.4596 | 13.5228 | 90.0 | 90.0 | 120.0 |
| Ah--alpha-Po--sc | static | -3.8721 | -3.9085 | 2.3657 | 2.3657 | 2.3657 | 90.0 | 90.0 | 90.0 |
| A7--alpha-As | box | -3.4432 | -3.4796 | 3.1599 | 3.1599 | 10.266 | 90.0 | 90.0 | 120.0 |
| oqmd-1215975 | box | -3.4012 | -3.4376 | 3.9555 | 3.9555 | 4.4131 | 90.0 | 90.0 | 120.0 |
| A4--C--dc | static | -2.9388 | -2.9752 | 5.1966 | 5.1966 | 5.1966 | 90.0 | 90.0 | 90.0 |
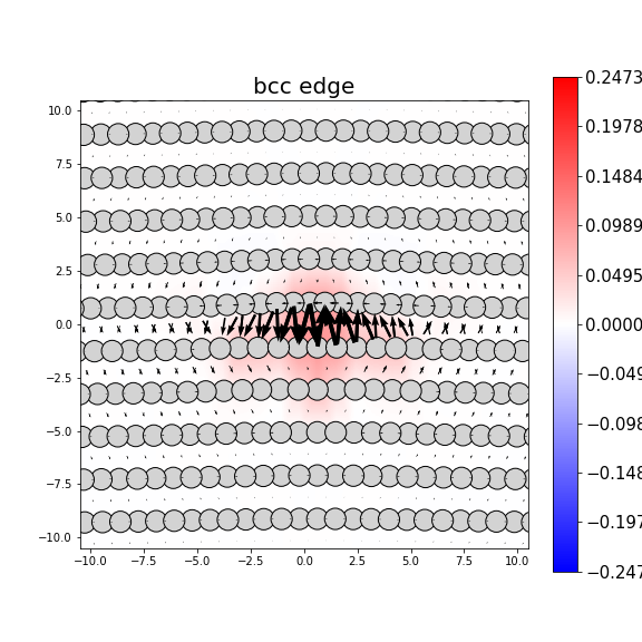
Static elastic constants are displayed for the unique structures identified in Crystal Structure Predictions above. The values displayed here are obtained by measuring the change in virial stresses due to applying small strains to the relaxed crystals. The initial structure and the strained states are all relaxed using force minimization.
The calculation method used is available as the iprPy elastic_constants_static calculation method.
Notes and Disclaimers:
Version Information:
| 169.876 | 122.584 | 122.584 | 0.000 | -0.000 | 0.000 |
| 122.584 | 169.876 | 122.584 | 0.000 | 0.000 | 0.000 |
| 122.584 | 122.584 | 169.876 | 0.000 | -0.000 | 0.000 |
| -0.000 | 0.000 | 0.000 | 76.206 | -0.000 | 0.000 |
| 0.000 | -0.000 | 0.000 | 0.000 | 76.206 | 0.000 |
| 0.000 | 0.000 | -0.000 | 0.000 | 0.000 | 76.206 |
| 169.876 | 122.584 | 122.584 | -0.000 | -0.000 | -0.000 |
| 122.584 | 169.876 | 122.584 | -0.000 | -0.000 | -0.000 |
| 122.584 | 122.584 | 169.876 | -0.000 | -0.000 | -0.000 |
| 0.000 | -0.000 | -0.000 | 76.206 | 0.000 | -0.000 |
| -0.000 | 0.000 | -0.000 | -0.000 | 76.206 | -0.000 |
| -0.000 | -0.000 | 0.000 | -0.000 | -0.000 | 76.206 |
| 169.876 | 122.584 | 122.584 | 0.000 | -0.000 | -0.000 |
| 122.584 | 169.876 | 122.584 | -0.000 | 0.000 | -0.000 |
| 122.584 | 122.584 | 169.876 | 0.000 | 0.000 | 0.000 |
| -0.000 | 0.000 | 0.000 | 76.206 | 0.000 | 0.000 |
| 0.000 | -0.000 | 0.000 | 0.000 | 76.206 | -0.000 |
| 0.000 | 0.000 | -0.000 | 0.000 | -0.000 | 76.206 |
| 169.876 | 122.584 | 122.584 | -0.000 | 0.000 | -0.000 |
| 122.584 | 169.876 | 122.584 | -0.000 | -0.000 | 0.000 |
| 122.584 | 122.584 | 169.876 | -0.000 | -0.000 | -0.000 |
| 0.000 | -0.000 | -0.000 | 76.206 | -0.000 | -0.000 |
| -0.000 | 0.000 | -0.000 | -0.000 | 76.206 | -0.000 |
| -0.000 | -0.000 | 0.000 | -0.000 | 0.000 | 76.206 |
| 169.876 | 122.584 | 122.584 | 0.000 | -0.000 | -0.000 |
| 122.584 | 169.876 | 122.584 | 0.000 | 0.000 | -0.000 |
| 122.584 | 122.584 | 169.876 | 0.000 | 0.000 | 0.000 |
| -0.000 | 0.000 | 0.000 | 76.206 | -0.000 | 0.000 |
| 0.000 | -0.000 | 0.000 | 0.000 | 76.206 | 0.000 |
| 0.000 | 0.000 | -0.000 | 0.000 | 0.000 | 76.206 |
| 169.875 | 122.583 | 122.583 | -0.000 | 0.000 | -0.000 |
| 122.583 | 169.875 | 122.583 | -0.000 | -0.000 | 0.000 |
| 122.583 | 122.583 | 169.875 | -0.000 | 0.000 | -0.000 |
| 0.000 | -0.000 | -0.000 | 76.206 | -0.000 | -0.000 |
| -0.000 | 0.000 | -0.000 | -0.000 | 76.206 | -0.000 |
| -0.000 | -0.000 | 0.000 | -0.000 | -0.000 | 76.206 |
| 289.205 | 77.976 | 77.976 | -0.000 | -0.000 | -0.000 |
| 77.976 | 289.205 | 77.976 | -0.000 | -0.000 | -0.000 |
| 77.976 | 77.976 | 289.205 | -0.000 | -0.000 | -0.000 |
| -0.000 | 0.000 | -0.000 | 27.609 | -0.000 | -0.000 |
| -0.000 | 0.000 | -0.000 | -0.000 | 27.609 | -0.000 |
| -0.000 | -0.000 | -0.000 | -0.000 | -0.000 | 27.609 |
| 287.805 | 78.676 | 78.676 | 0.000 | 0.000 | 0.000 |
| 78.676 | 287.805 | 78.676 | 0.000 | 0.000 | 0.000 |
| 78.676 | 78.676 | 287.805 | 0.000 | 0.000 | 0.000 |
| 0.000 | -0.000 | 0.000 | 27.609 | 0.000 | 0.000 |
| 0.000 | -0.000 | 0.000 | 0.000 | 27.609 | 0.000 |
| 0.000 | 0.000 | 0.000 | 0.000 | 0.000 | 27.609 |
| 287.806 | 78.676 | 78.676 | -0.000 | -0.000 | -0.000 |
| 78.676 | 287.806 | 78.676 | -0.000 | -0.000 | -0.000 |
| 78.676 | 78.676 | 287.806 | -0.000 | -0.000 | -0.000 |
| 0.000 | 0.000 | -0.000 | 12.072 | -0.000 | -0.000 |
| 0.000 | 0.000 | -0.000 | -0.000 | 12.072 | -0.000 |
| 0.000 | -0.000 | 0.000 | -0.000 | -0.000 | 12.072 |
| 289.205 | 77.976 | 77.976 | 0.000 | 0.000 | 0.000 |
| 77.976 | 289.205 | 77.976 | 0.000 | -0.000 | 0.000 |
| 77.976 | 77.976 | 289.205 | 0.000 | 0.000 | -0.000 |
| -0.000 | -0.000 | 0.000 | 12.072 | 0.000 | 0.000 |
| -0.000 | -0.000 | 0.000 | 0.000 | 12.072 | 0.000 |
| -0.000 | 0.000 | -0.000 | 0.000 | 0.000 | 12.072 |
| 289.206 | 77.976 | 77.976 | -0.000 | 0.000 | -0.000 |
| 77.976 | 289.206 | 77.976 | -0.000 | -0.000 | -0.000 |
| 77.976 | 77.976 | 289.206 | -0.000 | -0.000 | -0.000 |
| 0.000 | 0.000 | -0.000 | 12.072 | -0.000 | -0.000 |
| 0.000 | 0.000 | -0.000 | -0.000 | 12.072 | -0.000 |
| 0.000 | -0.000 | 0.000 | -0.000 | -0.000 | 12.072 |
| 287.804 | 78.676 | 78.676 | 0.000 | 0.000 | 0.000 |
| 78.676 | 287.804 | 78.676 | 0.000 | 0.000 | 0.000 |
| 78.676 | 78.676 | 287.804 | 0.000 | 0.000 | 0.000 |
| -0.000 | -0.000 | 0.000 | 12.072 | 0.000 | 0.000 |
| -0.000 | -0.000 | 0.000 | 0.000 | 12.072 | 0.000 |
| -0.000 | 0.000 | -0.000 | 0.000 | 0.000 | 12.072 |
| 120.949 | 134.989 | 134.989 | -0.000 | -0.000 | 0.000 |
| 134.989 | 120.949 | 134.989 | -0.000 | -0.000 | 0.000 |
| 134.989 | 134.989 | 120.949 | -0.000 | -0.000 | 0.000 |
| 0.000 | 0.000 | 0.000 | 87.714 | -0.000 | -0.000 |
| 0.000 | 0.000 | 0.000 | -0.000 | 87.714 | 0.000 |
| -0.000 | 0.000 | 0.000 | 0.000 | -0.000 | 87.714 |
| 120.949 | 134.989 | 134.989 | -0.000 | 0.000 | -0.000 |
| 134.989 | 120.949 | 134.989 | 0.000 | -0.000 | -0.000 |
| 134.989 | 134.989 | 120.949 | -0.000 | 0.000 | -0.000 |
| -0.000 | -0.000 | -0.000 | 87.714 | 0.000 | -0.000 |
| -0.000 | -0.000 | -0.000 | -0.000 | 87.714 | -0.000 |
| -0.000 | -0.000 | 0.000 | 0.000 | 0.000 | 87.714 |
| 120.949 | 134.989 | 134.989 | 0.000 | 0.000 | -0.000 |
| 134.989 | 120.949 | 134.989 | 0.000 | -0.000 | -0.000 |
| 134.989 | 134.989 | 120.949 | 0.000 | 0.000 | -0.000 |
| 0.000 | 0.000 | 0.000 | 87.714 | 0.000 | 0.000 |
| 0.000 | 0.000 | 0.000 | 0.000 | 87.714 | 0.000 |
| 0.000 | 0.000 | 0.000 | -0.000 | 0.000 | 87.714 |
| 120.949 | 134.989 | 134.989 | -0.000 | -0.000 | -0.000 |
| 134.989 | 120.949 | 134.989 | -0.000 | -0.000 | -0.000 |
| 134.989 | 134.989 | 120.949 | -0.000 | -0.000 | -0.000 |
| -0.000 | -0.000 | -0.000 | 87.714 | 0.000 | 0.000 |
| -0.000 | -0.000 | -0.000 | 0.000 | 87.714 | -0.000 |
| -0.000 | -0.000 | -0.000 | 0.000 | 0.000 | 87.714 |
| 120.950 | 134.989 | 134.989 | 0.000 | 0.000 | 0.000 |
| 134.989 | 120.950 | 134.989 | 0.000 | 0.000 | -0.000 |
| 134.989 | 134.989 | 120.950 | 0.000 | 0.000 | 0.000 |
| 0.000 | 0.000 | 0.000 | 87.714 | -0.000 | 0.000 |
| 0.000 | 0.000 | 0.000 | -0.000 | 87.714 | 0.000 |
| 0.000 | 0.000 | 0.000 | 0.000 | 0.000 | 87.714 |
| 120.949 | 134.989 | 134.989 | -0.000 | 0.000 | -0.000 |
| 134.989 | 120.949 | 134.989 | -0.000 | -0.000 | -0.000 |
| 134.989 | 134.989 | 120.949 | 0.000 | 0.000 | -0.000 |
| -0.000 | -0.000 | -0.000 | 87.714 | -0.000 | 0.000 |
| -0.000 | -0.000 | -0.000 | 0.000 | 87.714 | 0.000 |
| -0.000 | -0.000 | -0.000 | 0.000 | 0.000 | 87.714 |
| 222.294 | 105.033 | 85.548 | 0.000 | 0.000 | -0.000 |
| 120.303 | 207.023 | 85.548 | 0.000 | 0.000 | -0.000 |
| 85.548 | 85.548 | 226.778 | 0.000 | 0.000 | -0.000 |
| 0.000 | 0.000 | 0.000 | 38.902 | 0.000 | -0.000 |
| 0.000 | 0.000 | 0.000 | 0.000 | 38.902 | 0.000 |
| -0.000 | 0.000 | -0.000 | 0.000 | -0.000 | 58.631 |
| 207.023 | 120.303 | 85.548 | -0.000 | -0.000 | 0.000 |
| 105.033 | 222.294 | 85.548 | -0.000 | -0.000 | 0.000 |
| 85.548 | 85.548 | 226.778 | -0.000 | -0.000 | 0.000 |
| -0.000 | -0.000 | -0.000 | 38.902 | -0.000 | 0.000 |
| -0.000 | -0.000 | -0.000 | -0.000 | 38.902 | 0.000 |
| -0.000 | -0.000 | 0.000 | -0.000 | 0.000 | 58.631 |
| 222.294 | 105.033 | 85.548 | 0.000 | 0.000 | -0.000 |
| 120.303 | 207.023 | 85.548 | 0.000 | 0.000 | -0.000 |
| 85.548 | 85.548 | 226.778 | 0.000 | 0.000 | -0.000 |
| 0.000 | -0.000 | 0.000 | 38.902 | 0.000 | -0.000 |
| -0.000 | 0.000 | 0.000 | 0.000 | 38.902 | 0.000 |
| -0.000 | 0.000 | -0.000 | 0.000 | 0.000 | 43.360 |
| 222.294 | 105.033 | 85.548 | -0.000 | -0.000 | 0.000 |
| 120.303 | 207.023 | 85.548 | -0.000 | -0.000 | 0.000 |
| 85.548 | 85.548 | 226.778 | -0.000 | -0.000 | 0.000 |
| -0.000 | 0.000 | -0.000 | 38.902 | -0.000 | 0.000 |
| 0.000 | -0.000 | -0.000 | -0.000 | 38.902 | 0.000 |
| 0.000 | -0.000 | 0.000 | -0.000 | -0.000 | 43.360 |
| 207.024 | 120.304 | 85.548 | 0.000 | 0.000 | -0.000 |
| 120.304 | 207.024 | 85.548 | 0.000 | -0.000 | -0.000 |
| 85.548 | 85.548 | 226.779 | 0.000 | 0.000 | -0.000 |
| 0.000 | -0.000 | 0.000 | 38.902 | -0.000 | -0.000 |
| -0.000 | 0.000 | 0.000 | 0.000 | 38.902 | -0.000 |
| -0.000 | 0.000 | -0.000 | 0.000 | 0.000 | 43.360 |
| 222.293 | 105.033 | 85.548 | -0.000 | -0.000 | 0.000 |
| 120.303 | 207.023 | 85.548 | -0.000 | -0.000 | 0.000 |
| 85.547 | 85.547 | 226.777 | -0.000 | -0.000 | 0.000 |
| -0.000 | 0.000 | -0.000 | 38.902 | -0.000 | 0.000 |
| 0.000 | -0.000 | -0.000 | -0.000 | 38.902 | 0.000 |
| 0.000 | -0.000 | 0.000 | -0.000 | -0.000 | 43.360 |
| 206.616 | 120.730 | 84.029 | 0.000 | -0.000 | -0.000 |
| 120.730 | 206.616 | 84.029 | 0.000 | 0.000 | -0.000 |
| 84.029 | 84.029 | 215.674 | 0.000 | 0.000 | -0.000 |
| 0.000 | -0.000 | 0.000 | 37.136 | 0.000 | -0.000 |
| 0.000 | 0.000 | 0.000 | 0.000 | 37.136 | 0.000 |
| 0.000 | 0.000 | 0.000 | 0.000 | -0.000 | 42.943 |
| 222.304 | 105.042 | 84.029 | -0.000 | -0.000 | 0.000 |
| 120.730 | 206.616 | 84.029 | -0.000 | -0.000 | 0.000 |
| 84.029 | 84.029 | 215.674 | -0.000 | -0.000 | 0.000 |
| -0.000 | -0.000 | -0.000 | 37.136 | -0.000 | 0.000 |
| -0.000 | -0.000 | -0.000 | -0.000 | 37.136 | 0.000 |
| -0.000 | -0.000 | -0.000 | -0.000 | -0.000 | 42.943 |
| 206.616 | 120.730 | 84.029 | 0.000 | 0.000 | -0.000 |
| 105.042 | 222.304 | 84.029 | 0.000 | -0.000 | -0.000 |
| 84.029 | 84.029 | 215.674 | 0.000 | -0.000 | -0.000 |
| 0.000 | -0.000 | 0.000 | 37.136 | 0.000 | -0.000 |
| -0.000 | 0.000 | 0.000 | 0.000 | 37.136 | -0.000 |
| -0.000 | 0.000 | -0.000 | 0.000 | 0.000 | 42.943 |
| 206.616 | 120.730 | 84.029 | -0.000 | -0.000 | 0.000 |
| 120.730 | 206.616 | 84.029 | -0.000 | -0.000 | 0.000 |
| 84.029 | 84.029 | 215.674 | -0.000 | 0.000 | 0.000 |
| -0.000 | 0.000 | -0.000 | 37.136 | 0.000 | 0.000 |
| 0.000 | -0.000 | -0.000 | -0.000 | 37.136 | 0.000 |
| 0.000 | -0.000 | 0.000 | -0.000 | -0.000 | 42.943 |
| 222.305 | 105.042 | 84.030 | 0.000 | 0.000 | -0.000 |
| 120.731 | 206.617 | 84.030 | 0.000 | -0.000 | -0.000 |
| 84.030 | 84.030 | 215.675 | 0.000 | 0.000 | -0.000 |
| 0.000 | -0.000 | 0.000 | 37.136 | 0.000 | -0.000 |
| -0.000 | 0.000 | 0.000 | 0.000 | 37.136 | -0.000 |
| -0.000 | 0.000 | -0.000 | 0.000 | -0.000 | 42.943 |
| 206.615 | 120.730 | 84.029 | -0.000 | 0.000 | 0.000 |
| 105.042 | 222.304 | 84.029 | -0.000 | 0.000 | -0.000 |
| 84.029 | 84.029 | 215.673 | -0.000 | -0.000 | 0.000 |
| -0.000 | 0.000 | -0.000 | 37.136 | 0.000 | 0.000 |
| 0.000 | -0.000 | -0.000 | -0.000 | 37.136 | 0.000 |
| 0.000 | -0.000 | 0.000 | -0.000 | -0.000 | 42.943 |
| 45.506 | 65.546 | 65.546 | 0.000 | 0.000 | 0.000 |
| 65.546 | 45.506 | 65.546 | 0.000 | 0.000 | 0.000 |
| 65.546 | 65.546 | 45.506 | 0.000 | 0.000 | 0.000 |
| 0.000 | -0.000 | 0.000 | 46.885 | -0.000 | -0.000 |
| -0.000 | 0.000 | 0.000 | -0.000 | 46.885 | -0.000 |
| -0.000 | 0.000 | 0.000 | -0.000 | -0.000 | 46.885 |
| 45.506 | 65.546 | 65.546 | -0.000 | -0.000 | -0.000 |
| 65.546 | 45.506 | 65.546 | -0.000 | -0.000 | -0.000 |
| 65.546 | 65.546 | 45.506 | -0.000 | -0.000 | -0.000 |
| -0.000 | 0.000 | -0.000 | 46.885 | 0.000 | 0.000 |
| 0.000 | -0.000 | -0.000 | 0.000 | 46.885 | 0.000 |
| 0.000 | -0.000 | -0.000 | 0.000 | 0.000 | 46.885 |
| 45.506 | 65.546 | 65.546 | 0.000 | 0.000 | 0.000 |
| 65.546 | 45.506 | 65.546 | 0.000 | 0.000 | 0.000 |
| 65.546 | 65.546 | 45.506 | 0.000 | 0.000 | 0.000 |
| -0.000 | -0.000 | -0.000 | -32.547 | 0.000 | 0.000 |
| -0.000 | -0.000 | -0.000 | 0.000 | -32.547 | 0.000 |
| -0.000 | -0.000 | -0.000 | 0.000 | 0.000 | -32.547 |
| 45.506 | 65.546 | 65.546 | -0.000 | -0.000 | -0.000 |
| 65.546 | 45.506 | 65.546 | -0.000 | -0.000 | -0.000 |
| 65.546 | 65.546 | 45.506 | -0.000 | -0.000 | -0.000 |
| 0.000 | 0.000 | 0.000 | -32.547 | -0.000 | -0.000 |
| 0.000 | 0.000 | 0.000 | -0.000 | -32.547 | -0.000 |
| 0.000 | 0.000 | 0.000 | -0.000 | -0.000 | -32.547 |
| 45.507 | 65.546 | 65.546 | 0.000 | 0.000 | 0.000 |
| 65.546 | 45.507 | 65.546 | 0.000 | 0.000 | 0.000 |
| 65.546 | 65.546 | 45.507 | 0.000 | 0.000 | 0.000 |
| -0.000 | -0.000 | -0.000 | -32.547 | 0.000 | 0.000 |
| -0.000 | -0.000 | -0.000 | 0.000 | -32.547 | 0.000 |
| -0.000 | -0.000 | -0.000 | 0.000 | 0.000 | -32.547 |
| 45.506 | 65.546 | 65.546 | -0.000 | -0.000 | -0.000 |
| 65.546 | 45.506 | 65.546 | -0.000 | -0.000 | -0.000 |
| 65.546 | 65.546 | 45.506 | -0.000 | -0.000 | -0.000 |
| 0.000 | 0.000 | 0.000 | -32.547 | -0.000 | -0.000 |
| 0.000 | 0.000 | 0.000 | -0.000 | -32.547 | -0.000 |
| 0.000 | 0.000 | 0.000 | -0.000 | -0.000 | -32.547 |
| -8.226 | 344.058 | 50.094 | -0.000 | -0.000 | -0.000 |
| 344.058 | -8.226 | 50.094 | -0.000 | -0.000 | 0.000 |
| 50.094 | 50.094 | 258.520 | -0.000 | -0.000 | 0.000 |
| 0.000 | 0.000 | 0.000 | -21.518 | -0.000 | -0.000 |
| 0.000 | -0.000 | 0.000 | -0.000 | -21.518 | 0.000 |
| 0.000 | -0.000 | -0.000 | -0.000 | 0.000 | -23.291 |
| -8.226 | 344.058 | 50.094 | 0.000 | -0.000 | -0.000 |
| 344.058 | -8.226 | 50.094 | 0.000 | 0.000 | -0.000 |
| 50.094 | 50.094 | 258.520 | 0.000 | 0.000 | -0.000 |
| -0.000 | -0.000 | -0.000 | -21.518 | 0.000 | 0.000 |
| -0.000 | 0.000 | -0.000 | 0.000 | -21.518 | -0.000 |
| -0.000 | 0.000 | 0.000 | 0.000 | 0.000 | -23.291 |
| -826.841 | 1162.673 | 50.095 | -0.000 | 0.000 | 0.000 |
| 1162.673 | -826.841 | 50.095 | -0.000 | 0.000 | 0.000 |
| 50.094 | 50.094 | 258.520 | -0.000 | 0.000 | 0.000 |
| -0.000 | 0.000 | -0.000 | -21.518 | 0.000 | 0.000 |
| 0.000 | -0.000 | -0.000 | -0.000 | -21.518 | 0.000 |
| -0.000 | -0.000 | -0.000 | -0.000 | -0.000 | -23.291 |
| 309.858 | 25.974 | 50.094 | 0.000 | 0.000 | -0.000 |
| 25.974 | 309.858 | 50.094 | 0.000 | 0.000 | 0.000 |
| 50.094 | 50.094 | 258.520 | 0.000 | 0.000 | 0.000 |
| 0.000 | -0.000 | 0.000 | -21.518 | 0.000 | -0.000 |
| -0.000 | 0.000 | 0.000 | 0.000 | -21.518 | -0.000 |
| 0.000 | 0.000 | 0.000 | 0.000 | -0.000 | -23.291 |
| -3942.681 | 4278.582 | 50.161 | -0.001 | 0.001 | -0.000 |
| 4278.523 | -3942.623 | 50.161 | 0.001 | 0.000 | -0.000 |
| 50.094 | 50.094 | 258.522 | -0.000 | -0.000 | -0.000 |
| -0.000 | 0.000 | -0.000 | -21.518 | -0.000 | 0.000 |
| 0.000 | -0.000 | -0.000 | -0.000 | -21.518 | 0.000 |
| -0.000 | -0.000 | -0.000 | -0.000 | 0.000 | -23.291 |
| -3943.596 | 4279.359 | 50.027 | 0.000 | -0.000 | -0.000 |
| 4279.358 | -3943.595 | 50.027 | -0.000 | -0.000 | -0.000 |
| 50.094 | 50.094 | 258.518 | 0.000 | 0.000 | 0.000 |
| 0.000 | -0.000 | 0.000 | -21.518 | 0.000 | -0.000 |
| -0.000 | 0.000 | 0.000 | 0.000 | -21.518 | -0.000 |
| 0.000 | 0.000 | 0.000 | 0.000 | 0.000 | -23.291 |
| 101.364 | 141.729 | 126.729 | 0.000 | 0.000 | 0.000 |
| 141.729 | 101.364 | 126.729 | -0.000 | 0.000 | 0.000 |
| 126.729 | 126.729 | 156.340 | -0.000 | -0.000 | -0.000 |
| 0.000 | -0.000 | 0.000 | 79.033 | 0.000 | 0.000 |
| -0.000 | 0.000 | 0.000 | 0.000 | 79.033 | 0.000 |
| -0.000 | -0.000 | -0.000 | -0.000 | 0.000 | 94.109 |
| 101.364 | 141.729 | 126.729 | 0.000 | 0.000 | 0.000 |
| 141.729 | 101.364 | 126.729 | 0.000 | 0.000 | -0.000 |
| 126.729 | 126.729 | 156.340 | 0.000 | -0.000 | 0.000 |
| -0.000 | 0.000 | -0.000 | 79.033 | 0.000 | 0.000 |
| 0.000 | -0.000 | -0.000 | 0.000 | 79.033 | -0.000 |
| 0.000 | 0.000 | 0.000 | -0.000 | -0.000 | 94.109 |
| 101.364 | 141.729 | 126.729 | -0.000 | -0.000 | -0.000 |
| 141.729 | 101.364 | 126.729 | -0.000 | -0.000 | -0.000 |
| 126.729 | 126.729 | 156.340 | 0.000 | 0.000 | -0.000 |
| 0.000 | 0.000 | 0.000 | 79.033 | 0.000 | -0.000 |
| 0.000 | 0.000 | 0.000 | 0.000 | 79.033 | -0.000 |
| 0.000 | 0.000 | 0.000 | -0.000 | -0.000 | 94.109 |
| 101.363 | 141.729 | 126.728 | 0.000 | 0.000 | 0.000 |
| 141.729 | 101.363 | 126.728 | 0.000 | 0.000 | 0.000 |
| 126.728 | 126.728 | 156.340 | -0.000 | -0.000 | 0.000 |
| -0.000 | -0.000 | -0.000 | 79.033 | -0.000 | 0.000 |
| -0.000 | -0.000 | -0.000 | -0.000 | 79.033 | 0.000 |
| -0.000 | -0.000 | -0.000 | 0.000 | 0.000 | 94.109 |
| 101.364 | 141.729 | 126.729 | -0.000 | 0.000 | -0.000 |
| 141.729 | 101.364 | 126.729 | -0.000 | 0.000 | 0.000 |
| 126.729 | 126.729 | 156.340 | -0.000 | 0.000 | -0.000 |
| 0.000 | 0.000 | 0.000 | 79.033 | -0.000 | 0.000 |
| 0.000 | 0.000 | 0.000 | -0.000 | 79.033 | -0.000 |
| 0.000 | 0.000 | 0.000 | 0.000 | -0.000 | 94.109 |
| 101.363 | 141.729 | 126.728 | 0.000 | -0.000 | 0.000 |
| 141.729 | 101.363 | 126.728 | 0.000 | -0.000 | -0.000 |
| 126.728 | 126.728 | 156.339 | -0.000 | -0.000 | 0.000 |
| -0.000 | -0.000 | -0.000 | 79.033 | -0.000 | 0.000 |
| -0.000 | -0.000 | -0.000 | -0.000 | 79.033 | 0.000 |
| -0.000 | -0.000 | -0.000 | -0.000 | -0.000 | 94.109 |
| 39.521 | 14.989 | 62.099 | -31.956 | -0.000 | 0.000 |
| 14.989 | 39.521 | 62.099 | 31.956 | -0.000 | -0.000 |
| 55.925 | 55.924 | 74.646 | 0.000 | -0.000 | -0.000 |
| -31.956 | 31.956 | -0.000 | 44.209 | -0.000 | -0.000 |
| -0.000 | 0.000 | -0.000 | -0.000 | 44.209 | -31.956 |
| 0.000 | 0.000 | -0.000 | -0.000 | -31.956 | 12.266 |
| 39.521 | 14.989 | 62.099 | -31.956 | 0.000 | 0.000 |
| 14.990 | 39.521 | 62.099 | 31.956 | 0.000 | 0.000 |
| 55.925 | 55.925 | 74.647 | 0.000 | 0.000 | 0.000 |
| -31.956 | 31.956 | 0.000 | 44.209 | 0.000 | 0.000 |
| -0.000 | -0.000 | 0.000 | 0.000 | 44.209 | -31.956 |
| -0.000 | -0.000 | 0.000 | -0.000 | -31.956 | 12.266 |
| 39.521 | 14.989 | 62.099 | -31.956 | -0.000 | -0.000 |
| 14.989 | 39.521 | 62.099 | 31.956 | 0.000 | 0.000 |
| 55.925 | 55.925 | 74.646 | -0.000 | -0.000 | -0.000 |
| -31.956 | 31.956 | 0.000 | 44.209 | -0.000 | 0.000 |
| 0.000 | 0.000 | 0.000 | -0.000 | 44.209 | -31.956 |
| 0.000 | -0.000 | 0.000 | -0.000 | -31.956 | 12.266 |
| 39.521 | 14.989 | 62.099 | -31.956 | 0.000 | 0.000 |
| 14.989 | 39.521 | 62.099 | 31.956 | 0.000 | 0.000 |
| 55.925 | 55.925 | 74.646 | 0.000 | 0.000 | 0.000 |
| -31.956 | 31.956 | -0.000 | 44.209 | 0.000 | -0.000 |
| 0.000 | -0.000 | -0.000 | 0.000 | 44.209 | -31.956 |
| 0.000 | 0.000 | -0.000 | 0.000 | -31.956 | 12.266 |
| 39.521 | 14.989 | 62.099 | -31.956 | -0.000 | 0.000 |
| 14.989 | 39.521 | 62.099 | 31.956 | -0.000 | 0.000 |
| 55.925 | 55.925 | 74.646 | 0.000 | -0.000 | -0.000 |
| -31.956 | 31.956 | 0.000 | 44.209 | -0.000 | 0.000 |
| -0.000 | 0.000 | 0.000 | -0.000 | 44.209 | -31.956 |
| -0.000 | -0.000 | 0.000 | -0.000 | -31.956 | 12.266 |
| 39.521 | 14.989 | 62.099 | -31.956 | 0.000 | 0.000 |
| 14.989 | 39.521 | 62.099 | 31.956 | 0.000 | -0.000 |
| 55.924 | 55.924 | 74.647 | 0.000 | 0.000 | 0.000 |
| -31.956 | 31.956 | -0.000 | 44.208 | 0.000 | -0.000 |
| 0.000 | -0.000 | -0.000 | 0.000 | 44.209 | -31.956 |
| 0.000 | 0.000 | -0.000 | 0.000 | -31.956 | 12.266 |
| 321.378 | 24.996 | 24.996 | -0.000 | 0.000 | -0.000 |
| 24.996 | 321.378 | 24.996 | 0.000 | 0.000 | -0.000 |
| 24.996 | 24.996 | 321.378 | -0.000 | 0.000 | -0.000 |
| 0.000 | -0.000 | -0.000 | -19.958 | 0.000 | -0.000 |
| 0.000 | 0.000 | -0.000 | 0.000 | -19.958 | -0.000 |
| 0.000 | -0.000 | 0.000 | 0.000 | 0.000 | -19.958 |
| 321.378 | 24.996 | 24.996 | 0.000 | 0.000 | 0.000 |
| 24.996 | 321.378 | 24.996 | 0.000 | 0.000 | 0.000 |
| 24.996 | 24.996 | 321.378 | 0.000 | -0.000 | 0.000 |
| -0.000 | -0.000 | -0.000 | -19.958 | -0.000 | -0.000 |
| -0.000 | -0.000 | -0.000 | -0.000 | -19.958 | -0.000 |
| -0.000 | 0.000 | -0.000 | 0.000 | -0.000 | -19.958 |
| 321.378 | 24.996 | 24.996 | -0.000 | -0.000 | -0.000 |
| 24.996 | 321.378 | 24.996 | -0.000 | -0.000 | -0.000 |
| 24.996 | 24.996 | 321.378 | -0.000 | 0.000 | -0.000 |
| -0.000 | 0.000 | -0.000 | -19.958 | -0.000 | 0.000 |
| 0.000 | -0.000 | -0.000 | -0.000 | -19.958 | -0.000 |
| 0.000 | -0.000 | -0.000 | -0.000 | 0.000 | -19.958 |
| 321.377 | 24.996 | 24.996 | 0.000 | -0.000 | 0.000 |
| 24.996 | 321.377 | 24.996 | 0.000 | 0.000 | 0.000 |
| 24.996 | 24.996 | 321.377 | 0.000 | -0.000 | 0.000 |
| 0.000 | -0.000 | 0.000 | -19.958 | -0.000 | 0.000 |
| -0.000 | 0.000 | 0.000 | 0.000 | -19.958 | -0.000 |
| -0.000 | 0.000 | 0.000 | 0.000 | 0.000 | -19.958 |
| 321.380 | 24.996 | 24.996 | -0.000 | 0.000 | 0.000 |
| 24.996 | 321.380 | 24.996 | -0.000 | 0.000 | -0.000 |
| 24.996 | 24.996 | 321.380 | -0.000 | 0.000 | -0.000 |
| -0.000 | 0.000 | -0.000 | -19.958 | 0.000 | -0.000 |
| 0.000 | -0.000 | -0.000 | -0.000 | -19.958 | -0.000 |
| 0.000 | -0.000 | -0.000 | -0.000 | 0.000 | -19.958 |
| 321.375 | 24.996 | 24.996 | 0.000 | 0.000 | -0.000 |
| 24.996 | 321.375 | 24.996 | 0.000 | -0.000 | 0.000 |
| 24.996 | 24.996 | 321.375 | 0.000 | -0.000 | 0.000 |
| 0.000 | -0.000 | 0.000 | -19.958 | -0.000 | -0.000 |
| -0.000 | 0.000 | 0.000 | 0.000 | -19.958 | -0.000 |
| -0.000 | 0.000 | 0.000 | 0.000 | -0.000 | -19.958 |
| 207.707 | 71.743 | 115.604 | -0.000 | 1.450 | 0.000 |
| 71.972 | 259.094 | 37.173 | -0.000 | 0.454 | 0.000 |
| 115.643 | 36.982 | 222.991 | -0.000 | 0.278 | 0.000 |
| 0.000 | -0.000 | -0.000 | -10.658 | 0.000 | -0.456 |
| 1.120 | 0.280 | 0.265 | -0.000 | 62.321 | -0.000 |
| 0.000 | -0.000 | -0.000 | -0.344 | 0.000 | -85.507 |
| 208.456 | 68.447 | 114.931 | 0.000 | 1.458 | -0.000 |
| 68.677 | 273.586 | 40.131 | 0.000 | 0.392 | -0.000 |
| 115.643 | 36.982 | 222.991 | 0.000 | 0.278 | -0.000 |
| -0.000 | 0.000 | 0.000 | -10.658 | -0.000 | -0.456 |
| 1.098 | 0.463 | 0.305 | -0.000 | 61.649 | -0.000 |
| -0.000 | 0.000 | 0.000 | -0.344 | -0.000 | -85.507 |
| 208.456 | 68.447 | 114.931 | 0.000 | 1.458 | -0.000 |
| 71.972 | 259.094 | 37.173 | -0.000 | 0.454 | 0.000 |
| 114.970 | 39.940 | 223.595 | -0.000 | 0.265 | -0.000 |
| 0.000 | -0.000 | -0.000 | -10.658 | 0.000 | -0.456 |
| 1.098 | 0.463 | 0.305 | 0.000 | 61.649 | 0.000 |
| -0.000 | -0.000 | -0.000 | -0.344 | 0.000 | -85.507 |
| 208.456 | 68.447 | 114.931 | -0.000 | 1.458 | -0.000 |
| 68.677 | 273.586 | 40.131 | -0.000 | 0.392 | 0.000 |
| 115.643 | 36.982 | 222.991 | -0.000 | 0.278 | -0.000 |
| -0.000 | 0.000 | 0.000 | -10.658 | -0.000 | -0.456 |
| 1.098 | 0.463 | 0.305 | 0.000 | 61.649 | -0.000 |
| 0.000 | 0.000 | 0.000 | -0.344 | -0.000 | -85.507 |
| 207.707 | 71.743 | 115.605 | -0.000 | 1.450 | 0.000 |
| 71.973 | 259.096 | 37.173 | 0.000 | 0.454 | 0.000 |
| 115.643 | 36.982 | 222.992 | -0.000 | 0.278 | 0.000 |
| 0.000 | -0.000 | -0.000 | -10.658 | 0.000 | -0.456 |
| 1.122 | 0.358 | 0.284 | -0.000 | 61.648 | 0.000 |
| -0.000 | -0.000 | -0.000 | -0.344 | 0.000 | -85.507 |
| 207.706 | 71.743 | 115.604 | -0.000 | 1.450 | 0.000 |
| 71.972 | 259.092 | 37.173 | -0.000 | 0.454 | -0.000 |
| 115.643 | 36.982 | 222.990 | -0.000 | 0.278 | -0.000 |
| -0.000 | 0.000 | 0.000 | -10.658 | -0.000 | -0.456 |
| 1.122 | 0.358 | 0.283 | -0.000 | 61.648 | -0.000 |
| 0.000 | 0.000 | 0.000 | -0.344 | -0.000 | -85.507 |
| 334.569 | 277.576 | 656.699 | -7.409 | -0.000 | -0.000 |
| 69.362 | 130.127 | 79.842 | 10.530 | 0.000 | 0.000 |
| 39.306 | 39.306 | 106.523 | -0.000 | -0.000 | -0.000 |
| -10.812 | 10.812 | -0.000 | 17.935 | 0.000 | 0.000 |
| -11.811 | -11.811 | -11.139 | -0.000 | 16.657 | -10.040 |
| -11.807 | -11.807 | -11.131 | -0.000 | -10.040 | 30.087 |
| 99.304 | 38.538 | -13.665 | -10.530 | 0.000 | -0.000 |
| 38.538 | 99.304 | -13.665 | 10.530 | 0.000 | -0.000 |
| -233.829 | -233.829 | -656.622 | 0.000 | 0.000 | 0.000 |
| -10.812 | 10.812 | 0.000 | 17.935 | -0.000 | -0.000 |
| 11.811 | 11.811 | 11.139 | 0.000 | 16.657 | -10.040 |
| 11.807 | 11.807 | 11.131 | 0.000 | -10.040 | 30.087 |
| 111.778 | 51.487 | 27.608 | -10.138 | 0.000 | 0.000 |
| 51.487 | 111.778 | 27.608 | 10.138 | -0.000 | -0.000 |
| 34.219 | 34.219 | 93.922 | -0.000 | 0.000 | -0.000 |
| 16.766 | 31.423 | 67.605 | 12.171 | 0.000 | -0.000 |
| 1.544 | 1.544 | 4.685 | -0.000 | 17.467 | -10.530 |
| -1.202 | -1.202 | -1.157 | -0.000 | -10.036 | 30.084 |
| 112.859 | 52.927 | 26.596 | -9.840 | -0.000 | -0.000 |
| 52.417 | 113.186 | 28.434 | 10.532 | -0.000 | -0.000 |
| 39.306 | 39.306 | 106.523 | -0.000 | 0.000 | 0.000 |
| -10.812 | 10.812 | -0.000 | 17.935 | -0.000 | -0.000 |
| -1.544 | -1.544 | -4.685 | 0.000 | 17.467 | -10.530 |
| 1.202 | 1.202 | 1.157 | 0.000 | -10.036 | 30.084 |
| 113.345 | 52.790 | 29.884 | -10.355 | 0.000 | -0.000 |
| 56.164 | 117.271 | 39.298 | 10.812 | 0.000 | 0.000 |
| 25.634 | 25.634 | 70.932 | 0.000 | 0.000 | -0.000 |
| -10.812 | 10.812 | 0.000 | 17.935 | -0.000 | -0.000 |
| -0.551 | -0.551 | -1.016 | -0.000 | 15.259 | -9.195 |
| -0.000 | 0.000 | 0.000 | -0.000 | -10.812 | 30.554 |
| 113.821 | 53.145 | 30.781 | -10.456 | 0.000 | 0.000 |
| 53.145 | 113.821 | 30.781 | 10.456 | -0.000 | 0.000 |
| -2.330 | -2.330 | -6.566 | 0.000 | 0.000 | 0.000 |
| -10.661 | 10.296 | -0.554 | 17.382 | -0.000 | -0.000 |
| 0.551 | 0.551 | 1.016 | 0.000 | 15.259 | -9.195 |
| 0.000 | -0.000 | -0.000 | 0.000 | -10.812 | 30.554 |
| 111.244 | 50.950 | 25.456 | 10.272 | -0.000 | 0.000 |
| 55.977 | 116.890 | 39.191 | -10.784 | -0.000 | 0.000 |
| 39.191 | 39.191 | 106.213 | 0.000 | -0.000 | 0.000 |
| 7.404 | -4.526 | 4.165 | 9.915 | -0.000 | 0.000 |
| -0.000 | -0.000 | -0.000 | 0.000 | 17.887 | 10.784 |
| -0.000 | -0.000 | -0.000 | 0.000 | 10.784 | 30.456 |
| 112.396 | 52.235 | 28.231 | 10.162 | 0.000 | 0.000 |
| 55.977 | 116.890 | 39.191 | -10.784 | 0.000 | -0.000 |
| -0.541 | -0.541 | -1.756 | -0.000 | 0.000 | -0.000 |
| 10.784 | -10.784 | 0.000 | 17.887 | 0.000 | 0.000 |
| 0.000 | 0.000 | 0.000 | -0.000 | 17.887 | 10.784 |
| 0.000 | 0.000 | 0.000 | -0.000 | 10.784 | 30.456 |
| 111.180 | 51.008 | 25.287 | 10.171 | -0.000 | 0.000 |
| 51.008 | 111.180 | 25.287 | -10.171 | -0.000 | -0.000 |
| 39.191 | 39.191 | 106.213 | 0.000 | -0.000 | 0.000 |
| 6.436 | -6.393 | 0.098 | 10.660 | -0.000 | 0.000 |
| -0.608 | -0.608 | -1.473 | 0.000 | 12.591 | 7.582 |
| -0.000 | 0.000 | -0.000 | 0.000 | 10.784 | 30.456 |
| 116.890 | 55.977 | 39.191 | 10.784 | 0.000 | -0.000 |
| 55.977 | 116.890 | 39.191 | -10.784 | 0.000 | -0.000 |
| 39.191 | 39.191 | 106.213 | -0.000 | 0.000 | -0.000 |
| 10.784 | -10.784 | -0.000 | 17.887 | 0.000 | 0.000 |
| 0.608 | 0.608 | 1.473 | -0.000 | 12.591 | 7.582 |
| 0.000 | -0.000 | 0.000 | -0.000 | 10.784 | 30.456 |
| 116.890 | 55.977 | 39.191 | 10.784 | -0.000 | -0.000 |
| 55.977 | 116.890 | 39.191 | -10.784 | -0.000 | 0.000 |
| 25.169 | 25.169 | 69.571 | 0.000 | -0.000 | 0.000 |
| 4.765 | -3.974 | 0.985 | 7.271 | -0.000 | 0.000 |
| 0.324 | 0.324 | 0.827 | 0.000 | 5.717 | 3.434 |
| -0.000 | 0.000 | 0.000 | 0.000 | 10.784 | 30.456 |
| 104.774 | 46.400 | 10.202 | 8.684 | 0.000 | -0.000 |
| 51.029 | 111.184 | 25.297 | -10.158 | 0.000 | -0.000 |
| 39.191 | 39.191 | 106.213 | -0.000 | 0.000 | 0.000 |
| 9.002 | -8.933 | 0.084 | 14.882 | 0.000 | -0.000 |
| -0.324 | -0.324 | -0.827 | -0.000 | 5.717 | 3.434 |
| 0.000 | -0.000 | -0.000 | -0.000 | 10.784 | 30.456 |
| 116.929 | 55.996 | 39.204 | -10.788 | 0.000 | 0.000 |
| 1615.995 | 1675.039 | 4234.269 | 9.225 | 0.000 | 0.000 |
| 2749.542 | 2749.542 | 7490.744 | -0.000 | -0.000 | 0.000 |
| 2743.737 | 2758.728 | 7493.184 | 12.448 | 0.000 | 0.000 |
| 2751.233 | 2751.233 | 7493.184 | -0.000 | 12.448 | -7.495 |
| 0.000 | 0.000 | 0.000 | 0.000 | -10.788 | 30.467 |
| -1451.668 | -1510.733 | -4176.845 | -9.243 | -0.000 | -0.000 |
| 55.996 | 116.929 | 39.204 | 10.788 | -0.000 | -0.000 |
| 39.204 | 39.204 | 106.249 | 0.000 | -0.000 | -0.000 |
| -10.788 | 10.788 | -0.000 | 17.893 | 0.000 | -0.000 |
| -2751.233 | -2751.233 | -7493.184 | 0.000 | 12.448 | -7.495 |
| -0.000 | -0.000 | -0.000 | -0.000 | -10.788 | 30.467 |
| 370.408 | 313.581 | 737.458 | -7.391 | -0.000 | 0.000 |
| 314.065 | 370.038 | 737.607 | 6.680 | 0.000 | 0.000 |
| 177.413 | 177.413 | 481.051 | -0.000 | 0.000 | 0.000 |
| 147.189 | 165.656 | 420.788 | 15.322 | 0.000 | 0.000 |
| -0.000 | 0.000 | 0.000 | -0.000 | 17.893 | -10.788 |
| 275.149 | 275.149 | 749.389 | -0.000 | -7.495 | 28.476 |
| -174.528 | -231.528 | -748.197 | -7.534 | 0.000 | -0.000 |
| 55.996 | 116.929 | 39.204 | 10.788 | -0.000 | -0.000 |
| -270.017 | -270.017 | -737.470 | 0.000 | 0.000 | -0.000 |
| -10.788 | 10.788 | -0.000 | 17.893 | 0.000 | -0.000 |
| 0.000 | -0.000 | -0.000 | 0.000 | 17.893 | -10.788 |
| -275.149 | -275.149 | -749.389 | 0.000 | -7.495 | 28.476 |
| 116.929 | 55.996 | 39.204 | -10.788 | 0.000 | 0.000 |
| 58.302 | 117.934 | 44.410 | 9.711 | -0.000 | 0.000 |
| 34.152 | 34.152 | 93.365 | 0.000 | -0.000 | 0.000 |
| 20.553 | 35.423 | 76.233 | 12.347 | -0.000 | 0.000 |
| 16.427 | 16.427 | 44.191 | -0.000 | 15.193 | -9.155 |
| 27.692 | 27.692 | 75.424 | -0.000 | -7.472 | 28.462 |
| 75.904 | 18.459 | -66.951 | -7.904 | -0.000 | -0.000 |
| 55.995 | 116.929 | 39.204 | 10.787 | 0.000 | -0.000 |
| -18.334 | -18.334 | -48.727 | -0.000 | 0.000 | -0.000 |
| -10.788 | 10.788 | -0.000 | 17.893 | -0.000 | -0.000 |
| -16.427 | -16.427 | -44.191 | 0.000 | 15.193 | -9.155 |
| -27.692 | -27.692 | -75.424 | 0.000 | -7.472 | 28.462 |
| 147.892 | 78.772 | 154.838 | 0.000 | -0.000 | 0.000 |
| 80.697 | 254.077 | 63.220 | 0.000 | -0.000 | 0.000 |
| 137.847 | 66.853 | 148.556 | 0.000 | -0.000 | 0.000 |
| -2.264 | 0.689 | -1.616 | -63.459 | -0.000 | -0.000 |
| -2.278 | 0.693 | -1.626 | 0.000 | 107.289 | 0.000 |
| -11.557 | 3.515 | -8.249 | -0.000 | 0.000 | -46.211 |
| 147.892 | 78.772 | 154.838 | -0.000 | -0.000 | -0.000 |
| 85.247 | 252.693 | 66.468 | -0.000 | 0.000 | -0.000 |
| 142.398 | 65.468 | 151.805 | 0.000 | 0.000 | -0.000 |
| 2.264 | -0.689 | 1.616 | -63.459 | -0.000 | -0.000 |
| 2.278 | -0.693 | 1.626 | -0.000 | 107.289 | -0.000 |
| 11.557 | -3.515 | 8.249 | 0.000 | 0.000 | -46.211 |
| 127.791 | 84.887 | 140.490 | 0.000 | 0.000 | 0.000 |
| 82.744 | 253.455 | 64.681 | 0.000 | 0.000 | 0.000 |
| 139.895 | 66.230 | 150.018 | -0.000 | -0.000 | 0.000 |
| -2.619 | 0.797 | -1.869 | -63.148 | 0.000 | 0.000 |
| 0.000 | -0.000 | 0.000 | 0.000 | 107.289 | -0.000 |
| -0.227 | 0.069 | -0.162 | -0.000 | -0.000 | -52.039 |
| 147.892 | 78.772 | 154.838 | -0.000 | -0.000 | 0.000 |
| 83.199 | 253.316 | 65.006 | -0.000 | 0.000 | -0.000 |
| 140.350 | 66.091 | 150.343 | 0.000 | 0.000 | -0.000 |
| 2.619 | -0.797 | 1.869 | -63.148 | 0.000 | -0.000 |
| -0.000 | 0.000 | -0.000 | -0.000 | 107.289 | -0.000 |
| 0.227 | -0.069 | 0.162 | 0.000 | 0.000 | -52.039 |
| 127.995 | 84.825 | 140.636 | 0.000 | 0.000 | 0.000 |
| 76.926 | 255.225 | 60.528 | 0.000 | 0.000 | 0.000 |
| 140.101 | 66.168 | 150.165 | -0.000 | 0.000 | 0.000 |
| -0.023 | 0.007 | -0.016 | -63.466 | -0.000 | 0.000 |
| -0.023 | 0.007 | -0.016 | 0.000 | 107.289 | -0.000 |
| 0.000 | 0.000 | -0.000 | 0.000 | -0.000 | 29.273 |
| 128.040 | 84.811 | 140.668 | -0.000 | -0.000 | -0.000 |
| 76.925 | 255.223 | 60.528 | -0.000 | -0.000 | -0.000 |
| 154.308 | 61.845 | 160.306 | 0.000 | -0.000 | -0.000 |
| 0.023 | -0.007 | 0.016 | -63.466 | -0.000 | -0.000 |
| 0.023 | -0.007 | 0.016 | -0.000 | 107.289 | -0.000 |
| -0.000 | -0.000 | 0.000 | -0.000 | -0.000 | 29.273 |
| 234.178 | 89.252 | 89.252 | 0.000 | -0.000 | -0.000 |
| 89.252 | 234.178 | 89.252 | -0.000 | -0.000 | -0.000 |
| 89.252 | 89.252 | 234.178 | 0.000 | 0.000 | -0.000 |
| 0.000 | 0.000 | 0.000 | 39.531 | -0.000 | -0.000 |
| 0.000 | 0.000 | 0.000 | -0.000 | 39.531 | -0.000 |
| 0.000 | 0.000 | 0.000 | -0.000 | -0.000 | 39.531 |
| 223.052 | 101.481 | 101.481 | -0.000 | -0.000 | -0.000 |
| 101.481 | 223.052 | 101.481 | -0.000 | -0.000 | -0.000 |
| 101.481 | 101.481 | 223.052 | -0.000 | -0.000 | -0.000 |
| 0.000 | -0.000 | -0.000 | 39.531 | 0.000 | 0.000 |
| -0.000 | -0.000 | -0.000 | 0.000 | 39.531 | 0.000 |
| -0.000 | -0.000 | -0.000 | 0.000 | -0.000 | 39.531 |
| 215.527 | 98.298 | 98.298 | 0.000 | 0.000 | 0.000 |
| 98.298 | 215.527 | 98.298 | 0.000 | 0.000 | 0.000 |
| 98.298 | 98.298 | 215.527 | 0.000 | 0.000 | 0.000 |
| -0.000 | 0.000 | 0.000 | 39.531 | -0.000 | -0.000 |
| 0.000 | 0.000 | 0.000 | -0.000 | 39.531 | -0.000 |
| 0.000 | 0.000 | 0.000 | 0.000 | -0.000 | 39.531 |
| 215.769 | 98.493 | 98.493 | -0.000 | -0.000 | 0.000 |
| 98.493 | 215.769 | 98.493 | -0.000 | -0.000 | -0.000 |
| 98.493 | 98.493 | 215.769 | -0.000 | -0.000 | -0.000 |
| -0.000 | -0.000 | -0.000 | 39.531 | -0.000 | -0.000 |
| -0.000 | -0.000 | -0.000 | -0.000 | 39.531 | -0.000 |
| -0.000 | -0.000 | -0.000 | -0.000 | -0.000 | 39.531 |
| 234.179 | 89.252 | 89.252 | -0.000 | -0.000 | -0.000 |
| 89.252 | 234.179 | 89.252 | 0.000 | -0.000 | 0.000 |
| 89.252 | 89.252 | 234.179 | 0.000 | 0.000 | -0.000 |
| -0.009 | -0.009 | -0.009 | 25.612 | 0.000 | 0.000 |
| -0.009 | -0.009 | -0.009 | 0.000 | 25.612 | 0.000 |
| -0.009 | -0.009 | -0.009 | 0.000 | 0.000 | 25.612 |
| 234.177 | 89.252 | 89.252 | 0.000 | 0.000 | 0.000 |
| 89.252 | 234.177 | 89.252 | 0.000 | 0.000 | -0.000 |
| 89.252 | 89.252 | 234.177 | 0.000 | 0.000 | 0.000 |
| 0.009 | 0.009 | 0.009 | 25.612 | -0.000 | -0.000 |
| 0.009 | 0.009 | 0.009 | -0.000 | 25.612 | -0.000 |
| 0.009 | 0.009 | 0.009 | -0.000 | -0.000 | 25.612 |
| 247.013 | 131.826 | 131.826 | 0.000 | -0.000 | -0.000 |
| 131.826 | 247.013 | 131.826 | -0.000 | 0.000 | 0.000 |
| 131.826 | 131.826 | 247.013 | 0.000 | 0.000 | -0.000 |
| 0.000 | 0.000 | -0.000 | 39.529 | -0.000 | 0.000 |
| 0.000 | 0.000 | 0.000 | -0.000 | 39.529 | -0.000 |
| 0.000 | 0.000 | -0.000 | -0.000 | -0.000 | 39.529 |
| 177.303 | 67.022 | 67.022 | -0.000 | -0.000 | 0.000 |
| 67.022 | 177.303 | 67.022 | -0.000 | -0.000 | -0.000 |
| 67.022 | 67.022 | 177.303 | -0.000 | -0.000 | -0.000 |
| -0.000 | 0.000 | -0.000 | 39.529 | -0.000 | 0.000 |
| -0.000 | -0.000 | -0.000 | 0.000 | 39.529 | 0.000 |
| -0.000 | -0.000 | -0.000 | -0.000 | 0.000 | 39.529 |
| 234.162 | 89.247 | 89.247 | -0.000 | -0.000 | -0.000 |
| 89.247 | 234.162 | 89.247 | -0.000 | -0.000 | 0.000 |
| 89.247 | 89.247 | 234.162 | 0.000 | -0.000 | 0.000 |
| 3.353 | 3.353 | 3.353 | 18.875 | 0.000 | 0.000 |
| 3.353 | 3.353 | 3.353 | 0.000 | 18.875 | 0.000 |
| 3.353 | 3.353 | 3.353 | 0.000 | 0.000 | 18.875 |
| 207.713 | 97.291 | 97.291 | -0.000 | -0.000 | 0.000 |
| 97.291 | 207.713 | 97.291 | -0.000 | -0.000 | 0.000 |
| 97.291 | 97.291 | 207.713 | -0.000 | -0.000 | 0.000 |
| -3.353 | -3.353 | -3.353 | 18.875 | 0.000 | 0.000 |
| -3.353 | -3.353 | -3.353 | -0.000 | 18.875 | -0.000 |
| -3.353 | -3.353 | -3.353 | -0.000 | 0.000 | 18.875 |
| 214.993 | 99.129 | 99.129 | 0.000 | 0.000 | 0.000 |
| 99.129 | 214.993 | 99.129 | 0.000 | 0.000 | 0.000 |
| 99.129 | 99.129 | 214.993 | -0.000 | 0.000 | -0.000 |
| 0.270 | 0.270 | 0.270 | 22.907 | 0.000 | -0.000 |
| 0.270 | 0.270 | 0.270 | -0.000 | 22.907 | -0.000 |
| 0.270 | 0.270 | 0.270 | -0.000 | 0.000 | 22.907 |
| 214.513 | 98.354 | 98.354 | -0.000 | 0.000 | -0.000 |
| 98.354 | 214.513 | 98.354 | -0.000 | -0.000 | 0.000 |
| 98.354 | 98.354 | 214.513 | -0.000 | -0.000 | 0.000 |
| -0.270 | -0.270 | -0.270 | 22.907 | 0.000 | 0.000 |
| -0.270 | -0.270 | -0.270 | -0.000 | 22.907 | 0.000 |
| -0.270 | -0.270 | -0.270 | -0.000 | -0.000 | 22.907 |
| 131.853 | 73.943 | 73.943 | 0.000 | 0.000 | -0.000 |
| 73.943 | 131.852 | 73.943 | 0.000 | 0.000 | -0.000 |
| 73.943 | 73.943 | 131.852 | 0.000 | 0.000 | -0.000 |
| 0.000 | 0.000 | 0.000 | 56.412 | 0.000 | -0.000 |
| 0.000 | 0.000 | 0.000 | 0.000 | 56.412 | -0.000 |
| -35.902 | -35.903 | -35.903 | 0.000 | 0.000 | 40.476 |
| 203.644 | 145.684 | 145.684 | -0.000 | -0.000 | 0.000 |
| 145.684 | 203.644 | 145.684 | -0.000 | -0.000 | 0.000 |
| 145.684 | 145.684 | 203.644 | -0.000 | -0.000 | 0.000 |
| -0.000 | -0.000 | -0.000 | 56.412 | 0.000 | -0.000 |
| 35.902 | 35.903 | 35.903 | -0.000 | 40.476 | 0.000 |
| 35.902 | 35.903 | 35.903 | -0.000 | -0.000 | 40.476 |
| 164.503 | 106.315 | 106.315 | 0.000 | 0.000 | -0.000 |
| 106.315 | 164.503 | 106.315 | 0.000 | 0.000 | -0.000 |
| 106.315 | 106.315 | 164.503 | 0.000 | 0.000 | -0.000 |
| -4.884 | -4.884 | -4.884 | 37.435 | -0.000 | 0.000 |
| -4.884 | -4.884 | -4.884 | 0.000 | 37.435 | -0.000 |
| -4.884 | -4.884 | -4.884 | 0.000 | 0.000 | 37.435 |
| 175.953 | 106.672 | 106.672 | 0.000 | 0.000 | 0.000 |
| 106.672 | 175.953 | 106.672 | -0.000 | 0.000 | -0.000 |
| 106.672 | 106.672 | 175.953 | 0.000 | 0.000 | 0.000 |
| 4.884 | 4.884 | 4.884 | 37.435 | -0.000 | 0.000 |
| 4.884 | 4.884 | 4.884 | -0.000 | 37.435 | 0.000 |
| 4.884 | 4.884 | 4.884 | -0.000 | -0.000 | 37.435 |
| 168.637 | 109.142 | 109.142 | 0.000 | 0.000 | -0.000 |
| 109.142 | 168.637 | 109.142 | 0.000 | 0.000 | -0.000 |
| 109.142 | 109.142 | 168.637 | 0.000 | 0.000 | -0.000 |
| 0.000 | 0.000 | 0.000 | 56.412 | 0.000 | -0.000 |
| 0.000 | 0.000 | 0.000 | 0.000 | 56.412 | 0.000 |
| 0.000 | 0.000 | 0.000 | -0.000 | -0.000 | 56.412 |
| 175.953 | 106.671 | 106.671 | -0.000 | -0.000 | -0.000 |
| 106.671 | 175.953 | 106.671 | 0.000 | 0.000 | 0.000 |
| 106.671 | 106.671 | 175.953 | 0.000 | -0.000 | 0.000 |
| -0.000 | -0.000 | -0.000 | 56.412 | 0.000 | 0.000 |
| -0.000 | -0.000 | -0.000 | 0.000 | 56.412 | -0.000 |
| -0.000 | -0.000 | -0.000 | -0.000 | 0.000 | 56.412 |
| 175.531 | 106.381 | 106.381 | -0.000 | -0.000 | 0.000 |
| 106.381 | 175.531 | 106.381 | 0.000 | -0.000 | 0.000 |
| 109.154 | 109.154 | 162.837 | 0.000 | 0.000 | 0.000 |
| -0.368 | -0.368 | -0.368 | 40.202 | 0.000 | 0.000 |
| -0.368 | -0.368 | -0.368 | 0.000 | 40.202 | 0.000 |
| -0.368 | -0.368 | -0.368 | 0.000 | 0.000 | 40.202 |
| 175.531 | 106.381 | 106.381 | 0.000 | 0.000 | -0.000 |
| 106.381 | 175.531 | 106.381 | -0.000 | 0.000 | -0.000 |
| 106.381 | 106.381 | 175.531 | -0.000 | 0.000 | -0.000 |
| 0.368 | 0.368 | 0.368 | 40.202 | -0.000 | -0.000 |
| 0.368 | 0.368 | 0.368 | -0.000 | 40.202 | -0.000 |
| 0.368 | 0.368 | 0.368 | -0.000 | -0.000 | 40.202 |
| 168.636 | 109.069 | 109.069 | 0.000 | -0.000 | 0.000 |
| 109.069 | 168.636 | 109.069 | 0.000 | -0.000 | 0.000 |
| 109.069 | 109.069 | 168.636 | 0.000 | 0.000 | 0.000 |
| 0.000 | 0.000 | 0.000 | 56.270 | -0.000 | 0.000 |
| 0.000 | 0.000 | 0.000 | -0.000 | 56.270 | 0.000 |
| 0.000 | 0.000 | 0.000 | 0.000 | -0.000 | 56.270 |
| 175.531 | 106.381 | 106.381 | -0.000 | 0.000 | -0.000 |
| 106.381 | 175.531 | 106.381 | -0.000 | 0.000 | -0.000 |
| 106.381 | 106.381 | 175.531 | -0.000 | 0.000 | -0.000 |
| -0.000 | -0.000 | -0.000 | 56.270 | 0.000 | -0.000 |
| -0.000 | -0.000 | -0.000 | -0.000 | 56.270 | -0.000 |
| -0.000 | -0.000 | -0.000 | -0.000 | 0.000 | 56.270 |
| 175.531 | 106.381 | 106.381 | -0.000 | -0.000 | 0.000 |
| 106.381 | 175.531 | 106.381 | 0.000 | -0.000 | 0.000 |
| 106.381 | 106.381 | 175.531 | 0.000 | -0.000 | 0.000 |
| 0.000 | 0.000 | 0.000 | 56.270 | -0.000 | 0.000 |
| 0.000 | 0.000 | 0.000 | -0.000 | 56.270 | 0.000 |
| 0.000 | 0.000 | 0.000 | -0.000 | -0.000 | 56.270 |
| 168.697 | 109.092 | 109.092 | -0.000 | -0.000 | -0.000 |
| 109.092 | 168.697 | 109.092 | -0.000 | 0.000 | -0.000 |
| 109.092 | 109.092 | 168.697 | -0.000 | -0.000 | -0.000 |
| 0.004 | 0.004 | 0.004 | 40.293 | -0.000 | -0.000 |
| 0.004 | 0.004 | 0.004 | -0.000 | 40.293 | -0.000 |
| -0.000 | -0.000 | -0.000 | 0.000 | 0.000 | 56.270 |
| 217.380 | 19.366 | 117.740 | -0.000 | -0.000 | 0.000 |
| 19.338 | 261.757 | 70.748 | -0.000 | -0.000 | 0.000 |
| 115.797 | 71.417 | 188.148 | -0.000 | 0.000 | -0.000 |
| 0.255 | -0.034 | 1.650 | -96.986 | -0.000 | 0.000 |
| 0.000 | -0.000 | 0.000 | -0.000 | 64.816 | -0.000 |
| 0.406 | -0.054 | 2.626 | 0.000 | -0.000 | -33.089 |
| 216.997 | 19.418 | 115.265 | 0.000 | -0.000 | -0.000 |
| 19.360 | 261.754 | 70.887 | 0.000 | -0.000 | 0.000 |
| 118.077 | 71.113 | 202.907 | 0.000 | 0.000 | 0.000 |
| -0.255 | 0.034 | -1.650 | -96.986 | -0.000 | -0.000 |
| -0.000 | 0.000 | -0.000 | 0.000 | 64.816 | 0.000 |
| -0.406 | 0.054 | -2.626 | -0.000 | -0.000 | -33.089 |
| 217.026 | 19.414 | 115.451 | -0.000 | -0.000 | -0.000 |
| 19.389 | 261.750 | 71.073 | -0.000 | -0.000 | 0.000 |
| 115.773 | 71.421 | 187.996 | -0.000 | 0.000 | -0.000 |
| 0.026 | -0.003 | 0.165 | -97.148 | -0.000 | 0.000 |
| 0.000 | -0.000 | 0.000 | -0.000 | 64.816 | 0.000 |
| 0.041 | -0.005 | 0.263 | 0.000 | 0.000 | -33.089 |
| 217.021 | 19.414 | 115.417 | -0.000 | 0.000 | 0.000 |
| 19.383 | 261.751 | 71.039 | -0.000 | -0.000 | 0.000 |
| 115.768 | 71.421 | 187.962 | 0.000 | -0.000 | -0.000 |
| -0.026 | 0.003 | -0.165 | -97.148 | -0.000 | -0.000 |
| -0.000 | 0.000 | -0.000 | 0.000 | 64.816 | -0.000 |
| -0.041 | 0.005 | -0.263 | -0.000 | 0.000 | -33.089 |
| 217.025 | 19.414 | 115.437 | 0.000 | -0.000 | 0.000 |
| 19.386 | 261.752 | 71.058 | -0.000 | -0.000 | 0.000 |
| 115.771 | 71.421 | 187.981 | -0.000 | -0.000 | -0.000 |
| -0.000 | 0.000 | -0.000 | 19.715 | 0.000 | 0.000 |
| 0.000 | -0.000 | 0.000 | -0.000 | 64.816 | -0.000 |
| 2764752.511 | -10385724.646 | -4616402.257 | 0.000 | -0.000 | -4816539.266 |
| 217.378 | 19.366 | 117.740 | 0.000 | -0.000 | -0.000 |
| 19.386 | 261.749 | 71.054 | 0.000 | -0.000 | -0.000 |
| 115.770 | 71.421 | 187.977 | 0.000 | -0.000 | -0.000 |
| 0.000 | -0.000 | 0.000 | 19.715 | 0.000 | 0.000 |
| -0.000 | 0.000 | -0.000 | 0.000 | 64.816 | -0.000 |
| -2764752.511 | 10385724.646 | 4616402.257 | -0.000 | 0.000 | -4816539.266 |
| 211.019 | 118.487 | 82.966 | 0.000 | -0.000 | -0.000 |
| 119.184 | 206.422 | 84.764 | 0.000 | -0.000 | 0.000 |
| 83.378 | 84.433 | 215.287 | 0.000 | 0.000 | 0.000 |
| -0.000 | 0.000 | 0.000 | 37.951 | -0.000 | 0.000 |
| -0.000 | 0.000 | 0.000 | 0.000 | 36.142 | 0.000 |
| -0.000 | 0.000 | -0.000 | 0.000 | 0.000 | 41.446 |
| 211.019 | 118.486 | 82.966 | -0.000 | -0.000 | -0.000 |
| 119.184 | 206.422 | 84.764 | -0.000 | 0.000 | -0.000 |
| 83.378 | 84.433 | 215.287 | -0.000 | -0.000 | -0.000 |
| 0.000 | -0.000 | -0.000 | 37.951 | 0.000 | -0.000 |
| 0.000 | -0.000 | -0.000 | -0.000 | 36.142 | -0.000 |
| 0.000 | -0.000 | 0.000 | -0.000 | -0.000 | 41.446 |
| 211.019 | 118.487 | 82.966 | 0.000 | 0.000 | -0.000 |
| 119.184 | 206.422 | 84.764 | 0.000 | 0.000 | -0.000 |
| 83.356 | 84.455 | 215.287 | 0.000 | -0.000 | 0.000 |
| 0.000 | -0.000 | 0.000 | 37.951 | 0.000 | 0.000 |
| -0.000 | 0.000 | 0.000 | 0.000 | 36.142 | 0.000 |
| -0.000 | 0.000 | -0.000 | 0.000 | -0.000 | 41.446 |
| 211.019 | 118.487 | 82.966 | -0.000 | 0.000 | 0.000 |
| 103.976 | 221.455 | 84.728 | 0.000 | -0.000 | 0.000 |
| 83.356 | 84.455 | 215.287 | -0.000 | -0.000 | 0.000 |
| -0.000 | -0.000 | -0.000 | 37.951 | 0.000 | -0.000 |
| 0.000 | -0.000 | -0.000 | -0.000 | 36.142 | 0.000 |
| 0.000 | -0.000 | 0.000 | -0.000 | -0.000 | 41.446 |
| 211.020 | 118.487 | 82.966 | 0.000 | -0.000 | -0.000 |
| 119.185 | 206.422 | 84.764 | 0.000 | -0.000 | -0.000 |
| 83.356 | 84.456 | 215.288 | 0.000 | 0.000 | -0.000 |
| 0.000 | 0.000 | 0.000 | 37.951 | 0.000 | 0.000 |
| -0.000 | 0.000 | 0.000 | 0.000 | 36.142 | -0.000 |
| -0.000 | 0.000 | -0.000 | 0.000 | -0.000 | 41.446 |
| 211.018 | 118.487 | 82.966 | -0.000 | 0.000 | -0.000 |
| 119.184 | 206.421 | 84.764 | -0.000 | -0.000 | -0.000 |
| 83.355 | 84.455 | 215.286 | -0.000 | -0.000 | 0.000 |
| -0.000 | -0.000 | -0.000 | 37.951 | 0.000 | -0.000 |
| 0.000 | -0.000 | -0.000 | -0.000 | 36.142 | -0.000 |
| 0.000 | -0.000 | 0.000 | -0.000 | 0.000 | 41.446 |
| 168.123 | 76.705 | 5.794 | -0.000 | -0.000 | -0.000 |
| 76.705 | 168.123 | 5.794 | -0.000 | -0.000 | 0.000 |
| 5.794 | 5.794 | 202.452 | -0.000 | -0.000 | 0.000 |
| 0.000 | 0.000 | -0.000 | -24.564 | 0.000 | -0.000 |
| -0.000 | -0.000 | -0.000 | 0.000 | -24.564 | 0.000 |
| 0.000 | -0.000 | 0.000 | -0.000 | -0.000 | 45.709 |
| 168.123 | 76.705 | 5.794 | 0.000 | 0.000 | -0.000 |
| 180.313 | 64.515 | 5.794 | 0.000 | 0.000 | -0.000 |
| 5.794 | 5.794 | 202.452 | 0.000 | 0.000 | 0.000 |
| 0.000 | -0.000 | 0.000 | -24.564 | -0.000 | 0.000 |
| 0.000 | 0.000 | 0.000 | 0.000 | -24.564 | -0.000 |
| -0.000 | 0.000 | -0.000 | 0.000 | 0.000 | 45.709 |
| 168.123 | 76.705 | 5.794 | -0.000 | -0.000 | 0.000 |
| 76.705 | 168.123 | 5.794 | 0.000 | -0.000 | -0.000 |
| 5.794 | 5.794 | 202.452 | -0.000 | -0.000 | 0.000 |
| -0.000 | -0.000 | -0.000 | -24.564 | -0.000 | 0.000 |
| -0.000 | -0.000 | -0.000 | 0.000 | -24.564 | -0.000 |
| 0.000 | -0.000 | -0.000 | 0.000 | 0.000 | -57.899 |
| 168.123 | 76.705 | 5.794 | -0.000 | -0.000 | 0.000 |
| 76.705 | 168.123 | 5.794 | 0.000 | 0.000 | -0.000 |
| 5.794 | 5.794 | 202.452 | -0.000 | 0.000 | 0.000 |
| 0.000 | 0.000 | 0.000 | -24.564 | 0.000 | 0.000 |
| 0.000 | 0.000 | 0.000 | -0.000 | -24.564 | -0.000 |
| -0.000 | 0.000 | 0.000 | -0.000 | -0.000 | -57.899 |
| 82.676 | 162.152 | 5.794 | -0.000 | -0.000 | 0.000 |
| 76.705 | 168.124 | 5.794 | -0.000 | -0.000 | -0.000 |
| 5.794 | 5.794 | 202.453 | 0.000 | 0.000 | 0.000 |
| -0.000 | -0.000 | -0.000 | -24.564 | -0.000 | 0.000 |
| -0.000 | -0.000 | -0.000 | -0.000 | -24.564 | 0.000 |
| -4245502.776 | -4216697.820 | -5767372.509 | 26079.671 | -37831.915 | -62875.105 |
| 168.122 | 76.704 | 5.794 | 0.000 | 0.000 | 0.000 |
| 3954873.151 | 3817302.357 | 3208850.365 | -17932.113 | -30949.970 | -26555.401 |
| 5.794 | 5.794 | 202.451 | -0.000 | -0.000 | -0.000 |
| 0.000 | 0.000 | 0.000 | -24.564 | 0.000 | -0.000 |
| 0.000 | 0.000 | 0.000 | 0.000 | -24.564 | -0.000 |
| 4477169.699 | 4552649.057 | 6743806.534 | 13237.284 | -1547.199 | -92440.617 |
| 208.491 | 118.806 | 84.896 | 7.712 | -0.000 | -0.000 |
| 118.806 | 208.491 | 84.896 | -7.712 | -0.000 | 0.000 |
| 84.989 | 84.989 | 222.841 | 0.000 | 0.000 | 0.000 |
| 8.236 | -8.236 | 0.000 | 38.291 | 0.000 | 0.000 |
| -0.000 | -0.000 | -0.000 | 0.000 | 38.271 | 7.710 |
| -0.000 | 0.000 | -0.000 | -0.000 | 8.236 | 58.629 |
| 208.490 | 118.806 | 84.896 | 7.712 | 0.000 | -0.000 |
| 118.806 | 208.490 | 84.896 | -7.712 | -0.000 | 0.000 |
| 84.989 | 84.989 | 222.841 | -0.000 | -0.000 | 0.000 |
| 7.710 | -7.710 | 0.000 | 38.271 | -0.000 | 0.000 |
| 0.000 | 0.000 | 0.000 | -0.000 | 38.271 | 7.710 |
| 0.000 | -0.000 | 0.000 | -0.000 | 8.236 | 58.629 |
| 208.491 | 118.806 | 84.896 | 7.712 | -0.000 | 0.000 |
| 105.033 | 222.291 | 84.998 | -8.236 | 0.000 | -0.000 |
| 85.007 | 85.007 | 222.981 | -0.000 | 0.000 | 0.000 |
| 7.710 | -7.710 | 0.000 | 38.271 | -0.000 | 0.000 |
| -0.000 | 0.000 | 0.000 | 0.000 | 38.271 | 7.710 |
| -0.000 | 0.000 | -0.000 | -0.000 | 7.710 | 44.781 |
| 222.290 | 105.033 | 84.998 | 8.236 | 0.000 | 0.000 |
| 118.806 | 208.490 | 84.896 | -7.712 | -0.000 | 0.000 |
| 85.007 | 85.007 | 222.981 | -0.000 | -0.000 | 0.000 |
| 8.236 | -8.236 | -0.000 | 38.291 | 0.000 | -0.000 |
| 0.000 | -0.000 | -0.000 | -0.000 | 38.271 | 7.710 |
| 0.000 | -0.000 | 0.000 | 0.000 | 7.710 | 44.781 |
| 222.291 | 105.033 | 84.998 | 8.236 | -0.000 | 0.000 |
| 118.807 | 208.491 | 84.896 | -7.712 | -0.000 | 0.000 |
| 84.989 | 84.989 | 222.842 | -0.000 | 0.000 | -0.000 |
| 7.710 | -7.710 | 0.000 | 38.271 | -0.000 | -0.000 |
| -0.000 | 0.000 | 0.000 | 0.000 | 38.291 | 8.236 |
| -0.000 | 0.000 | 0.000 | 0.000 | 8.236 | 58.629 |
| 222.290 | 105.033 | 84.998 | 8.236 | 0.000 | -0.000 |
| 105.033 | 222.290 | 84.998 | -8.236 | 0.000 | -0.000 |
| 85.007 | 85.007 | 222.980 | 0.000 | 0.000 | -0.000 |
| 8.236 | -8.236 | -0.000 | 38.291 | 0.000 | 0.000 |
| 0.000 | -0.000 | -0.000 | -0.000 | 38.291 | 8.236 |
| 0.000 | -0.000 | -0.000 | -0.000 | 8.236 | 58.629 |
| 222.299 | 105.037 | 85.043 | 8.239 | 0.000 | -0.000 |
| 105.037 | 222.299 | 85.043 | -8.239 | 0.000 | -0.000 |
| 85.043 | 85.043 | 223.075 | 0.000 | 0.000 | -0.000 |
| 10.341 | -5.947 | 16.607 | 38.309 | -0.000 | -0.000 |
| 2.197 | 2.197 | 16.607 | 0.000 | 38.309 | 8.144 |
| 2.199 | 2.199 | 16.625 | 0.000 | 8.144 | 56.106 |
| 222.299 | 105.037 | 85.043 | 8.239 | 0.000 | 0.000 |
| 105.360 | 217.573 | 68.399 | -8.144 | -0.000 | 0.000 |
| 82.827 | 82.827 | 206.328 | -0.000 | -0.000 | 0.000 |
| 5.947 | -10.341 | -16.607 | 38.309 | -0.000 | 0.000 |
| -2.197 | -2.197 | -16.607 | -0.000 | 38.309 | 8.144 |
| -2.199 | -2.199 | -16.625 | -0.000 | 8.144 | 56.106 |
| 219.754 | 108.062 | 86.856 | 8.134 | 0.000 | -0.000 |
| 105.037 | 222.299 | 85.043 | -8.239 | -0.000 | 0.000 |
| 85.244 | 85.244 | 224.596 | 0.000 | 0.000 | -0.000 |
| 8.239 | -8.239 | 0.000 | 38.313 | -0.000 | -0.000 |
| 0.220 | 0.220 | 1.661 | 0.000 | 38.309 | 8.144 |
| -0.000 | 0.000 | 0.000 | 0.000 | 8.239 | 58.631 |
| 222.299 | 105.037 | 85.043 | 8.239 | -0.000 | 0.000 |
| 107.566 | 219.281 | 83.196 | -8.134 | 0.000 | 0.000 |
| 84.804 | 84.804 | 221.275 | -0.000 | -0.000 | 0.000 |
| 8.239 | -8.239 | -0.000 | 38.313 | -0.000 | 0.000 |
| -0.220 | -0.220 | -1.661 | -0.000 | 38.309 | 8.144 |
| 0.000 | -0.000 | -0.000 | -0.000 | 8.239 | 58.631 |
| 211.407 | 116.100 | 85.685 | 7.824 | 0.000 | -0.000 |
| 118.913 | 208.464 | 85.190 | -7.716 | 0.000 | -0.000 |
| 85.047 | 85.047 | 223.103 | 0.000 | 0.000 | -0.000 |
| 8.165 | -8.120 | 0.169 | 38.309 | -0.000 | -0.000 |
| 0.022 | 0.022 | 0.166 | 0.000 | 38.293 | 7.716 |
| -0.000 | 0.000 | 0.000 | 0.000 | 8.239 | 58.631 |
| 222.298 | 105.037 | 85.042 | 8.239 | 0.000 | 0.000 |
| 105.037 | 222.298 | 85.042 | -8.239 | -0.000 | 0.000 |
| 85.002 | 85.002 | 222.768 | -0.000 | -0.000 | 0.000 |
| 8.120 | -8.165 | -0.169 | 38.309 | -0.000 | 0.000 |
| -0.022 | -0.022 | -0.166 | -0.000 | 38.293 | 7.716 |
| 0.000 | -0.000 | -0.000 | -0.000 | 8.239 | 58.631 |
| 163.754 | 93.121 | 93.121 | 0.000 | 0.000 | 0.000 |
| 93.121 | 163.754 | 93.121 | 0.000 | 0.000 | 0.000 |
| 93.121 | 93.121 | 163.754 | 0.000 | 0.000 | 0.000 |
| -0.000 | 0.000 | -0.000 | 44.629 | 0.000 | 0.000 |
| 0.000 | -0.000 | 0.000 | 0.000 | 44.629 | 0.000 |
| -0.000 | 0.000 | 0.000 | 0.000 | 0.000 | 44.629 |
| 181.204 | 91.082 | 91.082 | 0.000 | -0.000 | -0.000 |
| 91.082 | 181.204 | 91.082 | 0.000 | 0.000 | -0.000 |
| 91.082 | 91.082 | 181.204 | -0.000 | -0.000 | 0.000 |
| 0.000 | 0.000 | 0.000 | 44.629 | -0.000 | -0.000 |
| 0.000 | 0.000 | 0.000 | -0.000 | 44.629 | -0.000 |
| 0.000 | 0.000 | 0.000 | -0.000 | -0.000 | 44.629 |
| 181.204 | 91.082 | 91.082 | 0.000 | 0.000 | 0.000 |
| 91.082 | 181.204 | 91.082 | 0.000 | 0.000 | 0.000 |
| 91.082 | 91.082 | 181.204 | 0.000 | 0.000 | 0.000 |
| 0.000 | 0.000 | 0.000 | 44.629 | 0.000 | 0.000 |
| 0.000 | 0.000 | 0.000 | 0.000 | 44.629 | 0.000 |
| 0.000 | 0.000 | 0.000 | 0.000 | 0.000 | 44.629 |
| 181.204 | 91.082 | 91.082 | -0.000 | -0.000 | -0.000 |
| 91.082 | 181.204 | 91.082 | -0.000 | 0.000 | -0.000 |
| 91.082 | 91.082 | 181.204 | -0.000 | -0.000 | -0.000 |
| -0.000 | -0.000 | -0.000 | 44.629 | -0.000 | -0.000 |
| -0.000 | -0.000 | -0.000 | -0.000 | 44.629 | -0.000 |
| -0.000 | -0.000 | -0.000 | -0.000 | -0.000 | 44.629 |
| 163.729 | 93.058 | 93.058 | -0.000 | 0.000 | 0.000 |
| 93.058 | 163.729 | 93.058 | -0.000 | 0.000 | 0.000 |
| 93.058 | 93.058 | 163.729 | 0.000 | 0.000 | 0.000 |
| 0.000 | 0.000 | 0.000 | 44.629 | 0.000 | 0.000 |
| 0.000 | 0.000 | 0.000 | 0.000 | 44.629 | 0.000 |
| 0.000 | 0.000 | 0.000 | 0.000 | 0.000 | 44.629 |
| 181.204 | 91.081 | 91.081 | 0.000 | -0.000 | -0.000 |
| 91.081 | 181.204 | 91.081 | -0.000 | -0.000 | -0.000 |
| 91.081 | 91.081 | 181.204 | -0.000 | -0.000 | -0.000 |
| -0.000 | -0.000 | -0.000 | 44.629 | -0.000 | -0.000 |
| -0.000 | -0.000 | -0.000 | 0.000 | 44.629 | -0.000 |
| -0.000 | -0.000 | -0.000 | -0.000 | -0.000 | 44.629 |
| 255.680 | 188.813 | 188.813 | 0.000 | 0.000 | -0.000 |
| 188.813 | 255.680 | 188.813 | 0.000 | -0.000 | -0.000 |
| 188.813 | 188.813 | 255.680 | -0.000 | -0.000 | -0.000 |
| 104.202 | 104.202 | 104.202 | 33.174 | 0.000 | -0.000 |
| 104.202 | 104.202 | 104.202 | 0.000 | 33.174 | -0.000 |
| 104.202 | 104.202 | 104.202 | -0.000 | 0.000 | 33.174 |
| 67.918 | -0.026 | -0.026 | -0.000 | -0.000 | 0.000 |
| -0.026 | 67.918 | -0.026 | -0.000 | -0.000 | -0.000 |
| -0.026 | -0.026 | 67.918 | -0.000 | -0.000 | -0.000 |
| -104.202 | -104.202 | -104.202 | 33.174 | 0.000 | 0.000 |
| -104.202 | -104.202 | -104.202 | 0.000 | 33.174 | 0.000 |
| -104.202 | -104.202 | -104.202 | 0.000 | -0.000 | 33.174 |
| 172.924 | 104.434 | 104.434 | 0.000 | 0.000 | -0.000 |
| 104.434 | 172.924 | 104.434 | 0.000 | 0.000 | -0.000 |
| 104.434 | 104.434 | 172.924 | 0.000 | -0.000 | -0.000 |
| 0.000 | 0.000 | 0.000 | 44.491 | 0.000 | -0.000 |
| 0.000 | 0.000 | 0.000 | 0.000 | 44.491 | -0.000 |
| 0.000 | 0.000 | 0.000 | 0.000 | 0.000 | 44.491 |
| 180.610 | 90.765 | 90.765 | -0.000 | 0.000 | 0.000 |
| 90.765 | 180.610 | 90.765 | 0.000 | -0.000 | 0.000 |
| 85.560 | 85.560 | 151.729 | -0.000 | -0.000 | 0.000 |
| -0.000 | -0.000 | -0.000 | 44.491 | -0.000 | 0.000 |
| -0.000 | -0.000 | -0.000 | -0.000 | 44.491 | 0.000 |
| -0.000 | -0.000 | -0.000 | 0.000 | -0.000 | 44.491 |
| 180.611 | 90.766 | 90.766 | 0.000 | -0.000 | -0.000 |
| 90.766 | 180.611 | 90.766 | -0.000 | 0.000 | -0.000 |
| 90.766 | 90.766 | 180.611 | -0.000 | -0.000 | 0.000 |
| 2.434 | 2.434 | 2.434 | 18.061 | 0.000 | -0.000 |
| 2.434 | 2.434 | 2.434 | 0.000 | 18.061 | -0.000 |
| 2.434 | 2.434 | 2.434 | 0.000 | 0.000 | 18.061 |
| 180.609 | 90.765 | 90.765 | 0.000 | -0.000 | 0.000 |
| 90.765 | 180.609 | 90.765 | -0.000 | -0.000 | 0.000 |
| 90.765 | 90.765 | 180.609 | -0.000 | 0.000 | 0.000 |
| -2.434 | -2.434 | -2.434 | 18.061 | -0.000 | 0.000 |
| -2.434 | -2.434 | -2.434 | -0.000 | 18.061 | 0.000 |
| -2.434 | -2.434 | -2.434 | -0.000 | -0.000 | 18.061 |
| 122.466 | 104.486 | 104.486 | 0.000 | 0.000 | -0.000 |
| 104.486 | 122.466 | 104.486 | 0.000 | 0.000 | -0.000 |
| 104.486 | 104.486 | 122.466 | 0.000 | 0.000 | -0.000 |
| 0.000 | 0.000 | 0.000 | 74.818 | 0.000 | -0.000 |
| 0.000 | 0.000 | 0.000 | 0.000 | 74.818 | -0.000 |
| 0.000 | 0.000 | 0.000 | 0.000 | 0.000 | 74.818 |
| 122.466 | 104.486 | 104.486 | -0.000 | -0.000 | 0.000 |
| 104.486 | 122.466 | 104.486 | -0.000 | -0.000 | 0.000 |
| 104.486 | 104.486 | 122.466 | -0.000 | -0.000 | 0.000 |
| -0.000 | -0.000 | -0.000 | 74.818 | -0.000 | 0.000 |
| -0.000 | 0.000 | -0.000 | -0.000 | 74.818 | -0.000 |
| -0.000 | -0.000 | -0.000 | -0.000 | -0.000 | 74.818 |
| 122.467 | 104.486 | 104.486 | 0.000 | 0.000 | -0.000 |
| 104.486 | 122.467 | 104.486 | 0.000 | 0.000 | -0.000 |
| 104.486 | 104.486 | 122.467 | 0.000 | -0.000 | -0.000 |
| 0.000 | -0.000 | -0.000 | 4.723 | -0.000 | -0.000 |
| -0.000 | 0.000 | -0.000 | 0.000 | 4.723 | -0.000 |
| -0.000 | -0.000 | 0.000 | -0.000 | -0.000 | 4.723 |
| 122.466 | 104.486 | 104.486 | -0.000 | -0.000 | 0.000 |
| 104.486 | 122.466 | 104.486 | -0.000 | 0.000 | 0.000 |
| 104.486 | 104.486 | 122.466 | -0.000 | -0.000 | 0.000 |
| -0.000 | 0.000 | 0.000 | 4.723 | 0.000 | 0.000 |
| 0.000 | -0.000 | 0.000 | 0.000 | 4.723 | 0.000 |
| 0.000 | 0.000 | -0.000 | 0.000 | 0.000 | 4.723 |
| 122.467 | 104.486 | 104.486 | 0.000 | 0.000 | 0.000 |
| 104.486 | 122.467 | 104.486 | 0.000 | -0.000 | -0.000 |
| 104.486 | 104.486 | 122.467 | 0.000 | 0.000 | -0.000 |
| 0.000 | -0.000 | -0.000 | 4.723 | -0.000 | -0.000 |
| -0.000 | 0.000 | -0.000 | 0.000 | 4.723 | -0.000 |
| -0.000 | -0.000 | 0.000 | 0.000 | 0.000 | 4.723 |
| 122.466 | 104.486 | 104.486 | -0.000 | 0.000 | 0.000 |
| 104.486 | 122.466 | 104.485 | -0.000 | -0.000 | 0.000 |
| 104.486 | 104.486 | 122.466 | 0.000 | -0.000 | 0.000 |
| -0.000 | 0.000 | 0.000 | 4.723 | 0.000 | 0.000 |
| 0.000 | -0.000 | 0.000 | 0.000 | 4.723 | 0.000 |
| 0.000 | 0.000 | -0.000 | -0.000 | 0.000 | 4.723 |
| 181.927 | 177.042 | 177.042 | -0.000 | 0.000 | 0.000 |
| 177.042 | 181.927 | 177.042 | -0.000 | 0.000 | 0.000 |
| 177.042 | 177.042 | 181.927 | 0.000 | 0.000 | 0.000 |
| 0.000 | -0.000 | -0.000 | 125.034 | -0.000 | -0.000 |
| -0.000 | 0.000 | -0.000 | -0.000 | 125.034 | 0.000 |
| -0.000 | 0.000 | 0.000 | -0.000 | -0.000 | 125.034 |
| 181.927 | 177.042 | 177.042 | 0.000 | 0.000 | -0.000 |
| 177.042 | 181.927 | 177.042 | 0.000 | 0.000 | -0.000 |
| 177.042 | 177.042 | 181.927 | -0.000 | -0.000 | -0.000 |
| -0.000 | -0.000 | 0.000 | 125.034 | 0.000 | 0.000 |
| -0.000 | -0.000 | 0.000 | 0.000 | 125.034 | 0.000 |
| -0.000 | -0.000 | -0.000 | 0.000 | 0.000 | 125.034 |
| 181.927 | 177.042 | 177.042 | -0.000 | -0.000 | 0.000 |
| 177.042 | 181.927 | 177.042 | -0.000 | -0.000 | 0.000 |
| 177.042 | 177.042 | 181.927 | -0.000 | -0.000 | 0.000 |
| 0.000 | -0.000 | 0.000 | 125.237 | -0.000 | -0.000 |
| -0.000 | 0.000 | 0.000 | -0.000 | 125.237 | 0.000 |
| -0.000 | 0.000 | 0.000 | 0.000 | 0.000 | 125.237 |
| 181.927 | 177.042 | 177.042 | 0.000 | 0.000 | -0.000 |
| 177.042 | 181.927 | 177.042 | 0.000 | 0.000 | -0.000 |
| 177.042 | 177.042 | 181.927 | 0.000 | -0.000 | -0.000 |
| -0.000 | 0.000 | -0.000 | 125.237 | 0.000 | -0.000 |
| 0.000 | -0.000 | -0.000 | 0.000 | 125.237 | -0.000 |
| 0.000 | -0.000 | -0.000 | -0.000 | 0.000 | 125.237 |
| 181.929 | 177.043 | 177.043 | -0.000 | -0.000 | 0.000 |
| 177.043 | 181.929 | 177.043 | -0.000 | -0.000 | -0.000 |
| 177.043 | 177.043 | 181.929 | -0.000 | -0.000 | 0.000 |
| 0.000 | -0.000 | 0.000 | 125.237 | -0.000 | -0.000 |
| -0.000 | 0.000 | 0.000 | -0.000 | 125.237 | 0.000 |
| -0.000 | 0.000 | 0.000 | -0.000 | -0.000 | 125.237 |
| 181.926 | 177.041 | 177.041 | -0.000 | 0.000 | -0.000 |
| 177.041 | 181.926 | 177.041 | 0.000 | -0.000 | -0.000 |
| 177.041 | 177.041 | 181.926 | 0.000 | 0.000 | -0.000 |
| -0.000 | 0.000 | -0.000 | 125.237 | 0.000 | 0.000 |
| 0.000 | -0.000 | -0.000 | 0.000 | 125.237 | -0.000 |
| 0.000 | -0.000 | -0.000 | 0.000 | 0.000 | 125.237 |
| 123.439 | 109.600 | 109.600 | -0.000 | -0.000 | -0.000 |
| 109.600 | 123.439 | 109.600 | -0.000 | -0.000 | -0.000 |
| 109.600 | 109.600 | 123.439 | -0.000 | -0.000 | -0.000 |
| 0.000 | 0.000 | 0.000 | 70.266 | 0.000 | 0.000 |
| 0.000 | 0.000 | 0.000 | 0.000 | 70.266 | 0.000 |
| 0.000 | 0.000 | 0.000 | -0.000 | -0.000 | 70.266 |
| 123.439 | 109.600 | 109.600 | 0.000 | 0.000 | 0.000 |
| 109.600 | 123.439 | 109.600 | 0.000 | 0.000 | -0.000 |
| 109.600 | 109.600 | 123.439 | 0.000 | -0.000 | 0.000 |
| -0.000 | -0.000 | -0.000 | 70.266 | -0.000 | -0.000 |
| -0.000 | -0.000 | -0.000 | -0.000 | 70.266 | 0.000 |
| -0.000 | -0.000 | -0.000 | 0.000 | 0.000 | 70.266 |
| 123.439 | 109.600 | 109.600 | -0.000 | -0.000 | -0.000 |
| 109.600 | 123.439 | 109.600 | -0.000 | -0.000 | 0.000 |
| 109.600 | 109.600 | 123.439 | -0.000 | 0.000 | -0.000 |
| 0.000 | -0.000 | 0.000 | 70.266 | 0.000 | 0.000 |
| -0.000 | 0.000 | 0.000 | 0.000 | 70.266 | 0.000 |
| -0.000 | 0.000 | 0.000 | -0.000 | 0.000 | 70.266 |
| 123.438 | 109.600 | 109.600 | 0.000 | 0.000 | 0.000 |
| 109.600 | 123.438 | 109.600 | 0.000 | 0.000 | 0.000 |
| 109.600 | 109.600 | 123.438 | 0.000 | -0.000 | 0.000 |
| -0.000 | 0.000 | -0.000 | 70.266 | -0.000 | 0.000 |
| 0.000 | -0.000 | -0.000 | -0.000 | 70.266 | 0.000 |
| 0.000 | -0.000 | -0.000 | 0.000 | -0.000 | 70.266 |
| 123.439 | 109.600 | 109.600 | -0.000 | -0.000 | -0.000 |
| 109.600 | 123.439 | 109.600 | -0.000 | -0.000 | 0.000 |
| 109.600 | 109.600 | 123.439 | 0.000 | 0.000 | 0.000 |
| 0.000 | -0.000 | 0.000 | 70.266 | 0.000 | 0.000 |
| -0.000 | 0.000 | 0.000 | -0.000 | 70.266 | -0.000 |
| -0.000 | 0.000 | 0.000 | -0.000 | 0.000 | 70.266 |
| 123.438 | 109.599 | 109.599 | 0.000 | -0.000 | 0.000 |
| 109.599 | 123.438 | 109.599 | 0.000 | 0.000 | -0.000 |
| 109.599 | 109.599 | 123.438 | -0.000 | -0.000 | 0.000 |
| -0.000 | 0.000 | -0.000 | 70.266 | 0.000 | -0.000 |
| 0.000 | -0.000 | -0.000 | 0.000 | 70.266 | 0.000 |
| 0.000 | -0.000 | -0.000 | 0.000 | 0.000 | 70.266 |
| 0.000 | 0.000 | 0.000 | 0.000 | -0.000 | -0.000 |
| 0.000 | 0.000 | 0.000 | -0.000 | 0.000 | -0.000 |
| 0.000 | 0.000 | 0.000 | -0.000 | -0.000 | -0.000 |
| 0.000 | 0.000 | 0.000 | 0.000 | 0.000 | -0.000 |
| 0.000 | 0.000 | 0.000 | 0.000 | 0.000 | -0.000 |
| 0.000 | 0.000 | 0.000 | 0.000 | 0.000 | 0.000 |
| 0.000 | 0.000 | 0.000 | -0.000 | -0.000 | 0.000 |
| 0.000 | 0.000 | 0.000 | -0.000 | -0.000 | -0.000 |
| 0.000 | 0.000 | 0.000 | -0.000 | -0.000 | 0.000 |
| -0.000 | -0.000 | -0.000 | 0.000 | -0.000 | 0.000 |
| -0.000 | -0.000 | -0.000 | -0.000 | 0.000 | 0.000 |
| -0.000 | -0.000 | -0.000 | -0.000 | -0.000 | 0.000 |
| 0.000 | 0.000 | 0.000 | -0.000 | -0.000 | -0.000 |
| 0.000 | 0.000 | 0.000 | -0.000 | -0.000 | 0.000 |
| 0.000 | 0.000 | 0.000 | -0.000 | -0.000 | -0.000 |
| 0.000 | 0.000 | 0.000 | 0.000 | 0.000 | -0.000 |
| 0.000 | 0.000 | 0.000 | 0.000 | 0.000 | -0.000 |
| 0.000 | 0.000 | 0.000 | -0.000 | -0.000 | 0.000 |
| 0.000 | 0.000 | 0.000 | 0.000 | -0.000 | 0.000 |
| 0.000 | 0.000 | 0.000 | 0.000 | 0.000 | 0.000 |
| 0.000 | 0.000 | 0.000 | 0.000 | 0.000 | 0.000 |
| -0.000 | -0.000 | -0.000 | 0.000 | -0.000 | -0.000 |
| -0.000 | -0.000 | -0.000 | 0.000 | 0.000 | 0.000 |
| -0.000 | -0.000 | -0.000 | 0.000 | 0.000 | 0.000 |
| 0.000 | 0.000 | 0.000 | -0.000 | -0.000 | -0.000 |
| 0.000 | 0.000 | 0.000 | -0.000 | -0.000 | -0.000 |
| 0.000 | 0.000 | 0.000 | -0.000 | -0.000 | -0.000 |
| 0.000 | 0.000 | 0.000 | 0.000 | 0.000 | -0.000 |
| 0.000 | 0.000 | 0.000 | -0.000 | 0.000 | -0.000 |
| 0.000 | 0.000 | 0.000 | -0.000 | -0.000 | 0.000 |
| 0.000 | 0.000 | 0.000 | 0.000 | 0.000 | 0.000 |
| 0.000 | 0.000 | 0.000 | 0.000 | -0.000 | 0.000 |
| 0.000 | 0.000 | 0.000 | -0.000 | -0.000 | -0.000 |
| -0.000 | -0.000 | -0.000 | 0.000 | 0.000 | 0.000 |
| -0.000 | -0.000 | -0.000 | 0.000 | 0.000 | 0.000 |
| -0.000 | -0.000 | -0.000 | 0.000 | 0.000 | 0.000 |
| -0.000 | -0.000 | -0.000 | -0.000 | -0.000 | 0.000 |
| -0.000 | -0.000 | -0.000 | -0.000 | -0.000 | 0.000 |
| -0.000 | -0.000 | -0.000 | -0.000 | -0.000 | -0.000 |
| -0.000 | -0.000 | -0.000 | -0.000 | -0.000 | -0.000 |
| -0.000 | -0.000 | -0.000 | -0.000 | -0.000 | -0.000 |
| -0.000 | -0.000 | -0.000 | -0.000 | -0.000 | -0.000 |
| -0.000 | -0.000 | -0.000 | 0.000 | 0.000 | -0.000 |
| -0.000 | -0.000 | -0.000 | 0.000 | 0.000 | -0.000 |
| -0.000 | -0.000 | -0.000 | 0.000 | 0.000 | 0.000 |
| 0.000 | 0.000 | 0.000 | -0.000 | 0.000 | 0.000 |
| 0.000 | 0.000 | 0.000 | 0.000 | -0.000 | 0.000 |
| 0.000 | 0.000 | 0.000 | 0.000 | 0.000 | -0.000 |
| -0.000 | -0.000 | -0.000 | -0.000 | -0.000 | -0.000 |
| -0.000 | -0.000 | -0.000 | -0.000 | -0.000 | -0.000 |
| -0.000 | -0.000 | -0.000 | -0.000 | -0.000 | -0.000 |
| -0.000 | -0.000 | -0.000 | -0.000 | -0.000 | -0.000 |
| -0.000 | -0.000 | -0.000 | -0.000 | -0.000 | -0.000 |
| -0.000 | -0.000 | -0.000 | -0.000 | -0.000 | -0.000 |
| -0.000 | -0.000 | -0.000 | 0.000 | -0.000 | 0.000 |
| -0.000 | -0.000 | -0.000 | -0.000 | 0.000 | 0.000 |
| -0.000 | -0.000 | -0.000 | 0.000 | 0.000 | 0.000 |
| 0.000 | 0.000 | 0.000 | -0.000 | 0.000 | 0.000 |
| 0.000 | 0.000 | 0.000 | 0.000 | -0.000 | 0.000 |
| 0.000 | 0.000 | 0.000 | 0.000 | 0.000 | -0.000 |
| -0.000 | -0.000 | -0.000 | 0.000 | -0.000 | -0.000 |
| -0.000 | -0.000 | -0.000 | -0.000 | 0.000 | -0.000 |
| -0.000 | -0.000 | -0.000 | 0.000 | 0.000 | -0.000 |
| -0.000 | -0.000 | -0.000 | -0.000 | -0.000 | -0.000 |
| -0.000 | -0.000 | -0.000 | -0.000 | -0.000 | -0.000 |
| -0.000 | -0.000 | -0.000 | -0.000 | -0.000 | -0.000 |
| -0.000 | -0.000 | -0.000 | 0.000 | -0.000 | 0.000 |
| -0.000 | -0.000 | -0.000 | -0.000 | 0.000 | 0.000 |
| -0.000 | -0.000 | -0.000 | 0.000 | 0.000 | 0.000 |
| 0.000 | 0.000 | 0.000 | -0.000 | -0.000 | 0.000 |
| 0.000 | 0.000 | 0.000 | -0.000 | -0.000 | 0.000 |
| 0.000 | 0.000 | 0.000 | 0.000 | -0.000 | -0.000 |
| 48.622 | 86.389 | 249.333 | -0.000 | -0.000 | 0.000 |
| 86.389 | 48.622 | 249.333 | -0.000 | -0.000 | 0.000 |
| 60.218 | 60.218 | 331.972 | -0.000 | -0.000 | -0.000 |
| -10.968 | -10.968 | 181.583 | 1.315 | 0.000 | 0.000 |
| -10.968 | -10.968 | 181.583 | 0.000 | 1.315 | 0.000 |
| -10.704 | -10.704 | 177.218 | -0.000 | -0.000 | 66.662 |
| 70.031 | 107.798 | -105.105 | 0.000 | 0.000 | -0.000 |
| 107.798 | 70.031 | -105.105 | 0.000 | 0.000 | -0.000 |
| 81.626 | 81.626 | -22.457 | 0.000 | 0.000 | -0.000 |
| 10.968 | 10.968 | -181.583 | 1.315 | -0.000 | 0.000 |
| 10.968 | 10.968 | -181.583 | -0.000 | 1.315 | -0.000 |
| 10.704 | 10.704 | -177.218 | -0.000 | -0.000 | 66.662 |
| 58.254 | 96.021 | 89.875 | -0.000 | 0.000 | 0.000 |
| 96.021 | 58.254 | 89.875 | -0.000 | -0.000 | -0.000 |
| 69.851 | 69.851 | 172.479 | -0.000 | -0.000 | -0.000 |
| -1.070 | -1.070 | 17.721 | -31.154 | 0.000 | -0.000 |
| -1.070 | -1.070 | 17.721 | 0.000 | -31.154 | 0.000 |
| -1.072 | -1.072 | 17.751 | -0.000 | 0.000 | 66.661 |
| 60.400 | 98.168 | 54.334 | -0.000 | 0.000 | -0.000 |
| 98.168 | 60.400 | 54.334 | -0.000 | 0.000 | 0.000 |
| 67.622 | 67.622 | 209.389 | -0.000 | 0.000 | 0.000 |
| 1.070 | 1.070 | -17.721 | -31.154 | -0.000 | -0.000 |
| 1.070 | 1.070 | -17.721 | -0.000 | -31.154 | -0.000 |
| 1.072 | 1.072 | -17.751 | 0.000 | -0.000 | 66.661 |
| 59.209 | 96.977 | 74.052 | 0.000 | -0.000 | 0.000 |
| 96.977 | 59.209 | 74.052 | -0.000 | 0.000 | -0.000 |
| 70.815 | 70.815 | 156.529 | -0.000 | -0.000 | -0.000 |
| -0.107 | -0.107 | 1.772 | -31.154 | -0.000 | -0.000 |
| -0.107 | -0.107 | 1.772 | -0.000 | -31.154 | 0.000 |
| -0.109 | -0.109 | 1.807 | 0.000 | 0.000 | 66.652 |
| 3173624.274 | 2701921.512 | 4745271.653 | -11730.310 | 22081.706 | -104896.154 |
| 2649825.475 | 3115722.280 | 4630906.340 | 35510.688 | -6153.175 | 4511.576 |
| 71.028 | 71.028 | 152.986 | 0.000 | 0.000 | -0.000 |
| 0.107 | 0.107 | -1.772 | -31.154 | -0.000 | -0.000 |
| 0.107 | 0.107 | -1.772 | -0.000 | -31.154 | -0.000 |
| 0.109 | 0.109 | -1.807 | 0.000 | -0.000 | 66.652 |
| -1053.379 | -1112.608 | -1285.723 | -4.285 | 0.000 | 0.000 |
| -1112.608 | -1053.379 | -1285.723 | 4.285 | -0.000 | -0.000 |
| -1171.989 | -1171.989 | -1133.157 | -0.000 | -0.000 | 0.000 |
| 0.941 | -0.941 | 0.000 | 29.490 | 0.000 | -0.000 |
| -0.000 | -0.000 | 0.000 | 0.000 | 29.490 | 0.941 |
| -1263.414 | -1263.414 | -1375.134 | -0.000 | -4.285 | 29.615 |
| 243.998 | 126.715 | 92.530 | 0.941 | 0.000 | 0.000 |
| 1590.315 | 1321.293 | 1341.711 | -14.420 | -0.000 | -0.000 |
| 1368.561 | 1368.561 | 1469.069 | 0.000 | -0.000 | -0.000 |
| 0.941 | -0.941 | -0.000 | 29.490 | -0.000 | -0.000 |
| 0.000 | 0.000 | -0.000 | -0.000 | 29.490 | 0.941 |
| 1263.414 | 1263.414 | 1375.134 | 0.000 | -4.285 | 29.615 |
| 18.750 | 84.659 | -21.148 | -10.032 | 0.000 | 0.000 |
| 84.659 | 18.750 | -21.148 | 10.032 | 0.000 | -0.000 |
| -35.330 | -35.330 | 104.004 | -0.000 | -0.000 | -0.000 |
| 0.941 | -0.941 | 0.000 | 29.490 | -0.000 | 0.000 |
| -128.243 | -128.243 | -117.406 | 0.000 | -18.131 | -9.541 |
| -126.959 | -126.959 | -138.186 | -0.000 | -4.310 | 29.474 |
| 243.998 | 126.715 | 92.530 | 0.941 | -0.000 | 0.000 |
| 346.896 | 269.847 | 207.977 | 10.543 | 0.000 | 0.000 |
| 218.303 | 218.303 | 379.861 | 0.000 | 0.000 | 0.000 |
| 122.395 | 130.993 | 137.897 | 14.625 | -0.000 | 0.000 |
| 128.243 | 128.243 | 117.406 | -0.000 | -18.131 | -9.541 |
| 126.959 | 126.959 | 138.186 | 0.000 | -4.310 | 29.474 |
| 125.238 | 212.320 | 85.868 | -10.745 | 0.000 | -0.000 |
| 126.714 | 243.998 | 92.529 | -0.941 | -0.000 | -0.000 |
| 80.897 | 80.897 | 203.741 | -0.000 | 0.000 | -0.000 |
| 0.941 | -0.941 | 0.000 | 29.490 | -0.000 | 0.000 |
| -15.745 | -15.745 | -17.138 | 0.000 | 11.016 | -5.571 |
| -14.596 | -14.597 | -13.648 | -0.000 | 11.492 | -159.450 |
| 243.997 | 126.716 | 92.531 | 0.941 | 0.000 | 0.000 |
| 187.514 | 208.787 | 110.184 | 7.701 | 0.000 | 0.000 |
| 106.397 | 106.397 | 228.801 | 0.000 | 0.000 | 0.000 |
| 0.941 | -0.941 | -0.000 | 29.490 | 0.000 | 0.000 |
| 15.745 | 15.745 | 17.138 | -0.000 | 11.016 | -5.571 |
| 14.596 | 14.597 | 13.648 | 0.000 | 11.492 | -159.450 |
| 245.647 | 62.599 | 62.599 | -0.000 | -0.000 | -0.000 |
| 62.599 | 245.647 | 62.599 | -0.000 | -0.000 | -0.000 |
| 62.599 | 62.599 | 245.647 | 0.000 | -0.000 | 0.000 |
| -0.000 | 0.000 | 0.000 | 24.627 | -0.000 | 0.000 |
| 0.000 | -0.000 | -0.000 | -0.000 | 24.627 | -0.000 |
| 0.000 | -0.000 | -0.000 | 0.000 | -0.000 | 24.627 |
| 245.647 | 62.599 | 62.599 | 0.000 | 0.000 | -0.000 |
| 62.599 | 245.647 | 62.599 | 0.000 | 0.000 | 0.000 |
| 62.599 | 62.599 | 245.647 | 0.000 | 0.000 | 0.000 |
| 0.000 | -0.000 | -0.000 | 24.627 | 0.000 | -0.000 |
| -0.000 | 0.000 | 0.000 | 0.000 | 24.627 | 0.000 |
| -0.000 | 0.000 | 0.000 | -0.000 | 0.000 | 24.627 |
| 245.897 | 62.474 | 62.474 | -0.000 | -0.000 | 0.000 |
| 62.474 | 245.897 | 62.474 | 0.000 | -0.000 | 0.000 |
| 62.474 | 62.474 | 245.897 | 0.000 | 0.000 | -0.000 |
| 0.000 | 0.000 | 0.000 | 20.336 | -0.000 | 0.000 |
| 0.000 | 0.000 | 0.000 | -0.000 | 20.336 | -0.000 |
| 0.000 | 0.000 | 0.000 | -0.000 | 0.000 | 20.336 |
| 245.647 | 62.599 | 62.599 | 0.000 | 0.000 | -0.000 |
| 62.599 | 245.647 | 62.599 | 0.000 | 0.000 | 0.000 |
| 62.599 | 62.599 | 245.647 | -0.000 | -0.000 | 0.000 |
| -0.000 | -0.000 | -0.000 | 20.336 | 0.000 | 0.000 |
| -0.000 | -0.000 | -0.000 | 0.000 | 20.336 | 0.000 |
| -0.000 | -0.000 | -0.000 | 0.000 | -0.000 | 20.336 |
| 245.649 | 62.599 | 62.599 | -0.000 | -0.000 | -0.000 |
| 62.599 | 245.649 | 62.599 | 0.000 | -0.000 | -0.000 |
| 62.599 | 62.599 | 245.649 | -0.000 | -0.000 | -0.000 |
| 0.000 | 0.000 | 0.000 | 20.336 | -0.000 | -0.000 |
| 0.000 | 0.000 | 0.000 | 0.000 | 20.336 | 0.000 |
| 0.000 | 0.000 | 0.000 | -0.000 | -0.000 | 20.336 |
| 245.645 | 62.599 | 62.599 | 0.000 | 0.000 | -0.000 |
| 62.599 | 245.645 | 62.599 | 0.000 | 0.000 | -0.000 |
| 62.599 | 62.599 | 245.645 | -0.000 | 0.000 | -0.000 |
| -0.000 | -0.000 | -0.000 | 20.336 | 0.000 | -0.000 |
| -0.000 | -0.000 | -0.000 | -0.000 | 20.336 | 0.000 |
| -0.000 | -0.000 | -0.000 | 0.000 | 0.000 | 20.336 |
| 162.610 | 138.307 | 138.307 | -0.000 | 0.000 | 0.000 |
| 138.307 | 162.610 | 138.307 | 0.000 | -0.000 | -0.000 |
| 138.307 | 138.307 | 162.610 | -0.000 | -0.000 | -0.000 |
| 0.000 | 0.000 | 0.000 | 100.293 | 0.000 | -0.000 |
| 0.000 | 0.000 | 0.000 | 0.000 | 100.293 | 0.000 |
| 0.000 | 0.000 | 0.000 | 0.000 | 0.000 | 100.293 |
| 162.610 | 138.307 | 138.307 | 0.000 | -0.000 | 0.000 |
| 138.307 | 162.610 | 138.307 | -0.000 | 0.000 | 0.000 |
| 138.307 | 138.307 | 162.610 | 0.000 | 0.000 | 0.000 |
| -0.000 | -0.000 | -0.000 | 100.293 | 0.000 | -0.000 |
| -0.000 | -0.000 | -0.000 | 0.000 | 100.293 | -0.000 |
| -0.000 | -0.000 | -0.000 | -0.000 | -0.000 | 100.293 |
| 162.610 | 138.307 | 138.307 | -0.000 | -0.000 | -0.000 |
| 138.307 | 162.610 | 138.307 | -0.000 | 0.000 | -0.000 |
| 138.307 | 138.307 | 162.610 | -0.000 | -0.000 | -0.000 |
| 0.000 | 0.000 | 0.000 | 100.293 | -0.000 | -0.000 |
| 0.000 | 0.000 | 0.000 | -0.000 | 100.293 | -0.000 |
| 0.000 | 0.000 | 0.000 | 0.000 | 0.000 | 100.293 |
| 162.610 | 138.307 | 138.307 | -0.000 | 0.000 | 0.000 |
| 138.307 | 162.610 | 138.307 | -0.000 | -0.000 | 0.000 |
| 138.307 | 138.307 | 162.610 | -0.000 | -0.000 | -0.000 |
| -0.000 | -0.000 | -0.000 | 100.293 | -0.000 | 0.000 |
| -0.000 | -0.000 | -0.000 | -0.000 | 100.293 | -0.000 |
| -0.000 | -0.000 | -0.000 | -0.000 | -0.000 | 100.293 |
| 162.611 | 138.308 | 138.308 | 0.000 | 0.000 | -0.000 |
| 138.308 | 162.611 | 138.308 | 0.000 | 0.000 | -0.000 |
| 138.308 | 138.308 | 162.611 | -0.000 | 0.000 | -0.000 |
| 0.000 | 0.000 | 0.000 | 100.293 | -0.000 | 0.000 |
| 0.000 | 0.000 | 0.000 | -0.000 | 100.293 | 0.000 |
| 0.000 | 0.000 | 0.000 | 0.000 | 0.000 | 100.293 |
| 162.609 | 138.307 | 138.307 | -0.000 | -0.000 | 0.000 |
| 138.307 | 162.609 | 138.307 | 0.000 | -0.000 | 0.000 |
| 138.307 | 138.307 | 162.609 | -0.000 | -0.000 | -0.000 |
| -0.000 | -0.000 | -0.000 | 100.293 | -0.000 | 0.000 |
| -0.000 | -0.000 | -0.000 | -0.000 | 100.293 | -0.000 |
| -0.000 | -0.000 | -0.000 | -0.000 | -0.000 | 100.293 |
| 157.184 | 109.456 | 109.456 | 0.000 | 0.000 | 0.000 |
| 109.456 | 157.184 | 109.456 | 0.000 | 0.000 | 0.000 |
| 109.456 | 109.456 | 157.184 | 0.000 | 0.000 | 0.000 |
| -0.000 | 0.000 | 0.000 | 71.427 | 0.000 | 0.000 |
| 0.000 | -0.000 | 0.000 | 0.000 | 71.427 | 0.000 |
| 0.000 | 0.000 | 0.000 | -0.000 | 0.000 | 71.427 |
| 157.184 | 109.456 | 109.456 | -0.000 | -0.000 | -0.000 |
| 109.456 | 157.184 | 109.456 | -0.000 | -0.000 | -0.000 |
| 109.456 | 109.456 | 157.184 | -0.000 | -0.000 | -0.000 |
| 0.000 | -0.000 | -0.000 | 71.427 | -0.000 | 0.000 |
| -0.000 | 0.000 | -0.000 | 0.000 | 71.427 | -0.000 |
| -0.000 | -0.000 | 0.000 | -0.000 | -0.000 | 71.427 |
| 157.184 | 109.456 | 109.456 | 0.000 | 0.000 | 0.000 |
| 109.456 | 157.184 | 109.456 | -0.000 | 0.000 | 0.000 |
| 109.456 | 109.456 | 157.184 | -0.000 | 0.000 | 0.000 |
| -0.000 | 0.000 | 0.000 | 71.427 | -0.000 | 0.000 |
| 0.000 | -0.000 | 0.000 | -0.000 | 71.427 | 0.000 |
| 0.000 | 0.000 | -0.000 | 0.000 | 0.000 | 71.427 |
| 157.184 | 109.456 | 109.456 | -0.000 | -0.000 | -0.000 |
| 109.456 | 157.184 | 109.456 | -0.000 | -0.000 | -0.000 |
| 109.456 | 109.456 | 157.184 | -0.000 | -0.000 | -0.000 |
| 0.000 | -0.000 | -0.000 | 71.427 | -0.000 | -0.000 |
| -0.000 | 0.000 | -0.000 | -0.000 | 71.427 | -0.000 |
| -0.000 | -0.000 | 0.000 | -0.000 | -0.000 | 71.427 |
| 157.184 | 109.456 | 109.456 | 0.000 | -0.000 | 0.000 |
| 109.456 | 157.184 | 109.456 | -0.000 | 0.000 | 0.000 |
| 109.456 | 109.456 | 157.184 | 0.000 | 0.000 | 0.000 |
| -0.000 | 0.000 | 0.000 | 71.427 | 0.000 | 0.000 |
| 0.000 | -0.000 | 0.000 | 0.000 | 71.427 | 0.000 |
| 0.000 | 0.000 | -0.000 | 0.000 | 0.000 | 71.427 |
| 157.184 | 109.455 | 109.455 | -0.000 | -0.000 | -0.000 |
| 109.455 | 157.184 | 109.455 | -0.000 | -0.000 | -0.000 |
| 109.455 | 109.455 | 157.184 | 0.000 | -0.000 | -0.000 |
| 0.000 | -0.000 | -0.000 | 71.427 | -0.000 | -0.000 |
| -0.000 | 0.000 | -0.000 | -0.000 | 71.427 | -0.000 |
| -0.000 | -0.000 | 0.000 | 0.000 | -0.000 | 71.427 |
| 203.243 | 92.847 | 77.131 | 0.000 | -0.000 | 0.000 |
| 92.847 | 203.243 | 77.131 | 0.000 | 0.000 | 0.000 |
| 77.438 | 77.438 | 195.608 | -0.000 | 0.000 | 0.000 |
| -0.000 | 0.000 | 0.000 | 38.852 | -0.000 | 0.000 |
| 0.000 | -0.000 | 0.000 | 0.000 | 38.852 | 0.000 |
| 0.441 | 0.441 | -0.450 | 0.000 | 0.000 | 40.347 |
| 191.152 | 103.247 | 77.994 | -0.000 | -0.000 | -0.000 |
| 103.247 | 191.152 | 77.994 | 0.000 | -0.000 | -0.000 |
| 77.183 | 77.183 | 195.868 | 0.000 | 0.000 | -0.000 |
| -0.208 | -0.208 | 0.212 | 38.493 | 0.000 | -0.000 |
| -0.000 | 0.000 | -0.000 | 0.000 | 38.852 | 0.000 |
| -0.441 | -0.441 | 0.450 | -0.000 | -0.000 | 40.347 |
| 203.243 | 92.847 | 77.131 | -0.000 | -0.000 | 0.000 |
| 106.169 | 188.738 | 77.735 | 0.000 | -0.000 | 0.000 |
| 77.183 | 77.183 | 195.869 | -0.000 | -0.000 | 0.000 |
| 0.000 | -0.000 | 0.000 | 38.852 | -0.000 | 0.000 |
| -0.000 | 0.000 | 0.000 | 0.000 | 38.852 | 0.000 |
| 0.047 | 0.047 | -0.048 | -0.000 | 0.000 | 39.299 |
| 203.242 | 92.847 | 77.131 | 0.000 | -0.000 | -0.000 |
| 108.597 | 187.169 | 77.296 | -0.000 | -0.000 | -0.000 |
| 77.328 | 77.328 | 195.720 | -0.000 | 0.000 | -0.000 |
| -0.000 | 0.000 | -0.000 | 38.852 | 0.000 | -0.000 |
| 0.000 | -0.000 | -0.000 | 0.000 | 38.852 | -0.000 |
| -0.047 | -0.047 | 0.048 | 0.000 | -0.000 | 39.299 |
| 203.244 | 92.848 | 77.131 | 0.000 | 0.000 | 0.000 |
| 92.848 | 203.244 | 77.131 | -0.000 | 0.000 | 0.000 |
| 77.183 | 77.183 | 195.870 | -0.000 | -0.000 | 0.000 |
| 0.000 | -0.000 | 0.000 | 38.852 | -0.000 | 0.000 |
| 0.003 | 0.004 | -0.003 | -0.000 | 38.242 | 0.000 |
| -0.000 | 0.000 | 0.000 | 0.000 | 0.000 | 55.198 |
| 188.964 | 105.874 | 77.769 | -0.000 | -0.000 | -0.000 |
| 92.847 | 203.242 | 77.131 | -0.000 | -0.000 | -0.000 |
| 77.183 | 77.183 | 195.867 | -0.000 | 0.000 | -0.000 |
| -0.000 | 0.000 | -0.000 | 38.852 | -0.000 | -0.000 |
| -0.003 | -0.004 | 0.003 | 0.000 | 38.242 | -0.000 |
| 0.000 | -0.000 | -0.000 | -0.000 | -0.000 | 55.198 |
| 188.663 | 105.840 | 77.984 | -0.000 | 0.000 | 0.000 |
| 92.746 | 203.009 | 77.355 | -0.000 | -0.000 | 0.000 |
| 77.510 | 77.510 | 196.339 | -0.000 | -0.000 | 0.000 |
| 0.000 | -0.000 | 0.000 | 39.003 | -0.000 | 0.000 |
| 0.000 | 0.000 | 0.000 | -0.000 | 39.003 | 0.000 |
| -0.000 | 0.000 | -0.000 | -0.000 | -0.000 | 55.131 |
| 186.898 | 108.549 | 77.510 | 0.000 | -0.000 | -0.000 |
| 105.838 | 188.664 | 77.984 | 0.000 | -0.000 | -0.000 |
| 77.355 | 77.355 | 196.494 | 0.000 | 0.000 | -0.000 |
| 0.000 | -0.000 | -0.000 | 39.003 | -0.000 | -0.000 |
| -0.000 | 0.000 | -0.000 | 0.000 | 39.003 | -0.000 |
| -0.000 | -0.000 | 0.000 | 0.000 | 0.000 | 55.131 |
| 186.898 | 108.549 | 77.510 | -0.000 | -0.000 | 0.000 |
| 92.746 | 203.009 | 77.355 | -0.000 | -0.000 | 0.000 |
| 77.355 | 77.355 | 196.495 | -0.000 | -0.000 | 0.000 |
| 0.000 | -0.000 | 0.000 | 39.003 | 0.000 | 0.000 |
| -0.000 | 0.000 | 0.000 | -0.000 | 39.003 | 0.000 |
| -0.000 | 0.000 | 0.000 | -0.000 | -0.000 | 55.131 |
| 203.008 | 92.746 | 77.355 | 0.000 | 0.000 | -0.000 |
| 108.549 | 186.898 | 77.510 | 0.000 | -0.000 | -0.000 |
| 77.510 | 77.510 | 196.339 | 0.000 | 0.000 | -0.000 |
| -0.000 | 0.000 | -0.000 | 39.003 | -0.000 | -0.000 |
| 0.000 | -0.000 | -0.000 | 0.000 | 39.003 | -0.000 |
| 0.000 | -0.000 | -0.000 | 0.000 | 0.000 | 55.131 |
| 188.665 | 105.839 | 77.984 | 0.000 | 0.000 | 0.000 |
| 92.746 | 203.010 | 77.356 | -0.000 | -0.000 | 0.000 |
| 77.356 | 77.356 | 196.496 | -0.000 | 0.000 | 0.000 |
| 0.000 | -0.000 | 0.000 | 39.003 | -0.000 | 0.000 |
| -0.000 | 0.000 | 0.000 | -0.000 | 39.003 | 0.000 |
| -0.000 | 0.000 | 0.000 | -0.000 | -0.000 | 55.131 |
| 188.662 | 105.839 | 77.984 | 0.000 | -0.000 | -0.000 |
| 92.746 | 203.008 | 77.355 | 0.000 | 0.000 | -0.000 |
| 77.509 | 77.509 | 196.338 | -0.000 | -0.000 | -0.000 |
| -0.000 | 0.000 | -0.000 | 39.003 | -0.000 | -0.000 |
| 0.000 | -0.000 | -0.000 | 0.000 | 39.003 | -0.000 |
| 0.000 | -0.000 | -0.000 | 0.000 | 0.000 | 55.131 |
| 135.979 | 126.819 | 91.428 | -0.000 | 0.000 | 0.000 |
| 126.819 | 135.979 | 91.428 | 0.000 | -0.000 | 0.000 |
| 91.428 | 91.428 | 146.843 | -0.000 | -0.000 | -0.000 |
| 0.000 | 0.000 | 0.000 | 51.762 | -0.000 | -0.000 |
| 0.000 | 0.000 | 0.000 | -0.000 | 51.762 | -0.000 |
| 0.000 | 0.000 | -0.000 | -0.000 | -0.000 | 84.950 |
| 135.978 | 126.819 | 91.428 | -0.000 | 0.000 | 0.000 |
| 126.819 | 135.978 | 91.428 | 0.000 | -0.000 | 0.000 |
| 91.428 | 91.428 | 146.843 | 0.000 | 0.000 | -0.000 |
| -0.000 | -0.000 | -0.000 | 51.762 | -0.000 | 0.000 |
| -0.000 | -0.000 | -0.000 | -0.000 | 51.762 | 0.000 |
| -0.000 | -0.000 | -0.000 | 0.000 | 0.000 | 84.950 |
| 139.012 | 123.786 | 91.428 | -0.000 | -0.000 | -0.000 |
| 123.786 | 139.012 | 91.428 | -0.000 | 0.000 | -0.000 |
| 91.428 | 91.428 | 146.843 | -0.000 | -0.000 | -0.000 |
| -0.000 | 0.000 | 0.000 | 51.762 | 0.000 | -0.000 |
| 0.000 | -0.000 | 0.000 | 0.000 | 51.762 | 0.000 |
| 0.000 | 0.000 | -0.000 | -0.000 | -0.000 | 84.950 |
| 139.012 | 123.785 | 91.428 | 0.000 | 0.000 | 0.000 |
| 123.785 | 139.012 | 91.428 | -0.000 | 0.000 | 0.000 |
| 91.428 | 91.428 | 146.843 | -0.000 | 0.000 | 0.000 |
| 0.000 | -0.000 | -0.000 | 51.762 | 0.000 | -0.000 |
| -0.000 | 0.000 | -0.000 | 0.000 | 51.762 | -0.000 |
| -0.000 | -0.000 | 0.000 | -0.000 | 0.000 | 84.950 |
| 139.012 | 123.786 | 91.429 | 0.000 | -0.000 | 0.000 |
| 123.786 | 139.012 | 91.429 | -0.000 | 0.000 | 0.000 |
| 91.429 | 91.429 | 146.843 | -0.000 | -0.000 | -0.000 |
| -0.000 | 0.000 | 0.000 | 51.762 | -0.000 | -0.000 |
| 0.000 | -0.000 | 0.000 | -0.000 | 51.762 | -0.000 |
| 0.000 | 0.000 | -0.000 | -0.000 | -0.000 | 84.950 |
| 139.012 | 123.785 | 91.428 | -0.000 | 0.000 | 0.000 |
| 123.785 | 139.012 | 91.428 | -0.000 | -0.000 | 0.000 |
| 91.428 | 91.428 | 146.843 | 0.000 | 0.000 | 0.000 |
| 0.000 | -0.000 | -0.000 | 51.762 | -0.000 | -0.000 |
| -0.000 | 0.000 | -0.000 | -0.000 | 51.762 | 0.000 |
| -0.000 | -0.000 | 0.000 | -0.000 | 0.000 | 84.950 |
| 317.334 | 77.035 | 77.035 | -0.000 | -0.000 | -0.000 |
| 77.035 | 317.334 | 77.035 | -0.000 | -0.000 | -0.000 |
| 77.035 | 77.035 | 317.334 | -0.000 | -0.000 | -0.000 |
| -0.000 | -0.000 | 0.000 | 22.094 | -0.000 | 0.000 |
| 0.000 | 0.000 | -0.000 | 0.000 | 22.094 | -0.000 |
| 0.000 | 0.000 | -0.000 | 0.000 | -0.000 | 22.094 |
| 318.266 | 76.569 | 76.569 | -0.000 | -0.000 | 0.000 |
| 76.569 | 318.266 | 76.569 | -0.000 | -0.000 | -0.000 |
| 76.569 | 76.569 | 318.266 | 0.000 | -0.000 | 0.000 |
| 0.000 | -0.000 | -0.000 | 22.094 | -0.000 | 0.000 |
| -0.000 | -0.000 | 0.000 | -0.000 | 22.094 | 0.000 |
| -0.000 | -0.000 | 0.000 | -0.000 | 0.000 | 22.094 |
| 317.334 | 77.035 | 77.035 | -0.000 | -0.000 | 0.000 |
| 77.035 | 317.334 | 77.035 | -0.000 | -0.000 | 0.000 |
| 77.035 | 77.035 | 317.334 | 0.000 | -0.000 | 0.000 |
| 0.000 | -0.000 | -0.000 | 22.094 | 0.000 | -0.000 |
| -0.000 | 0.000 | -0.000 | -0.000 | 22.094 | -0.000 |
| 0.000 | -0.000 | 0.000 | 0.000 | 0.000 | 22.094 |
| 318.266 | 76.569 | 76.569 | -0.000 | 0.000 | 0.000 |
| 76.569 | 318.266 | 76.569 | -0.000 | -0.000 | 0.000 |
| 76.569 | 76.569 | 318.266 | -0.000 | -0.000 | 0.000 |
| -0.000 | -0.000 | 0.000 | 22.094 | -0.000 | -0.000 |
| -0.000 | -0.000 | 0.000 | 0.000 | 22.094 | -0.000 |
| 0.000 | 0.000 | -0.000 | -0.000 | -0.000 | 22.094 |
| 318.267 | 76.570 | 76.570 | 0.000 | 0.000 | 0.000 |
| 76.570 | 318.267 | 76.570 | 0.000 | 0.000 | -0.000 |
| 76.570 | 76.570 | 318.267 | 0.000 | 0.000 | 0.000 |
| 0.000 | -0.000 | -0.000 | 22.094 | -0.000 | 0.000 |
| -0.000 | 0.000 | -0.000 | 0.000 | 22.094 | -0.000 |
| -0.000 | -0.000 | 0.000 | -0.000 | 0.000 | 22.094 |
| 317.332 | 77.035 | 77.035 | 0.000 | -0.000 | 0.000 |
| 77.035 | 317.332 | 77.035 | 0.000 | 0.000 | -0.000 |
| 77.035 | 77.035 | 317.332 | -0.000 | 0.000 | 0.000 |
| -0.000 | 0.000 | 0.000 | 22.094 | -0.000 | 0.000 |
| 0.000 | -0.000 | 0.000 | 0.000 | 22.094 | 0.000 |
| 0.000 | 0.000 | -0.000 | -0.000 | 0.000 | 22.094 |
| 153.968 | 169.878 | 169.878 | -0.000 | -0.000 | -0.000 |
| 169.878 | 153.968 | 169.878 | -0.000 | -0.000 | -0.000 |
| 169.878 | 169.878 | 153.968 | -0.000 | -0.000 | -0.000 |
| -0.000 | -0.000 | -0.000 | 106.250 | -0.000 | -0.000 |
| -0.000 | -0.000 | -0.000 | -0.000 | 106.250 | -0.000 |
| -0.000 | -0.000 | -0.000 | -0.000 | -0.000 | 106.250 |
| 153.968 | 169.878 | 169.878 | 0.000 | 0.000 | 0.000 |
| 169.878 | 153.968 | 169.878 | 0.000 | 0.000 | 0.000 |
| 169.878 | 169.878 | 153.968 | 0.000 | 0.000 | 0.000 |
| 0.000 | 0.000 | 0.000 | 106.250 | 0.000 | 0.000 |
| 0.000 | 0.000 | 0.000 | 0.000 | 106.250 | 0.000 |
| 0.000 | 0.000 | 0.000 | 0.000 | 0.000 | 106.250 |
| 153.968 | 169.878 | 169.878 | -0.000 | -0.000 | -0.000 |
| 169.878 | 153.968 | 169.878 | -0.000 | -0.000 | -0.000 |
| 169.878 | 169.878 | 153.968 | -0.000 | -0.000 | -0.000 |
| 0.000 | 0.000 | 0.000 | 106.250 | -0.000 | -0.000 |
| 0.000 | 0.000 | 0.000 | -0.000 | 106.250 | -0.000 |
| 0.000 | 0.000 | 0.000 | -0.000 | -0.000 | 106.250 |
| 153.968 | 169.878 | 169.878 | 0.000 | 0.000 | -0.000 |
| 169.878 | 153.968 | 169.878 | 0.000 | 0.000 | 0.000 |
| 169.878 | 169.878 | 153.968 | 0.000 | 0.000 | 0.000 |
| -0.000 | -0.000 | -0.000 | 106.250 | 0.000 | 0.000 |
| -0.000 | -0.000 | -0.000 | 0.000 | 106.250 | 0.000 |
| -0.000 | -0.000 | -0.000 | 0.000 | 0.000 | 106.250 |
| 153.969 | 169.878 | 169.878 | -0.000 | -0.000 | -0.000 |
| 169.878 | 153.969 | 169.878 | -0.000 | -0.000 | -0.000 |
| 169.878 | 169.878 | 153.969 | -0.000 | -0.000 | -0.000 |
| 0.000 | 0.000 | 0.000 | 105.796 | -0.000 | -0.000 |
| 0.000 | 0.000 | 0.000 | -0.000 | 105.796 | -0.000 |
| 0.000 | 0.000 | 0.000 | 0.000 | -0.000 | 105.796 |
| 153.968 | 169.878 | 169.878 | 0.000 | 0.000 | 0.000 |
| 169.878 | 153.968 | 169.878 | 0.000 | 0.000 | 0.000 |
| 169.878 | 169.878 | 153.968 | 0.000 | 0.000 | 0.000 |
| -0.000 | -0.000 | -0.000 | 105.796 | 0.000 | 0.000 |
| -0.000 | -0.000 | -0.000 | 0.000 | 105.796 | 0.000 |
| -0.000 | -0.000 | -0.000 | 0.000 | 0.000 | 105.796 |
| 211.855 | 151.728 | 151.728 | -0.000 | 0.000 | 0.000 |
| 151.728 | 211.855 | 151.728 | 0.000 | -0.000 | -0.000 |
| 151.728 | 151.728 | 211.855 | -0.000 | -0.000 | -0.000 |
| -0.000 | 0.000 | 0.000 | 92.257 | -0.000 | -0.000 |
| 0.000 | 0.000 | 0.000 | -0.000 | 92.257 | 0.000 |
| 0.000 | 0.000 | 0.000 | 0.000 | -0.000 | 92.257 |
| 211.855 | 151.728 | 151.728 | 0.000 | -0.000 | -0.000 |
| 151.728 | 211.855 | 151.728 | -0.000 | 0.000 | -0.000 |
| 151.728 | 151.728 | 211.855 | 0.000 | 0.000 | 0.000 |
| 0.000 | -0.000 | -0.000 | 92.257 | 0.000 | 0.000 |
| -0.000 | -0.000 | -0.000 | -0.000 | 92.257 | -0.000 |
| -0.000 | -0.000 | -0.000 | -0.000 | 0.000 | 92.257 |
| 211.855 | 151.729 | 151.729 | -0.000 | -0.000 | -0.000 |
| 151.729 | 211.855 | 151.729 | -0.000 | -0.000 | -0.000 |
| 151.729 | 151.729 | 211.855 | -0.000 | -0.000 | -0.000 |
| -0.000 | 0.000 | 0.000 | 92.257 | -0.000 | -0.000 |
| 0.000 | -0.000 | 0.000 | -0.000 | 92.257 | -0.000 |
| 0.000 | 0.000 | -0.000 | 0.000 | -0.000 | 92.257 |
| 211.855 | 151.728 | 151.728 | -0.000 | 0.000 | 0.000 |
| 151.728 | 211.855 | 151.728 | -0.000 | 0.000 | -0.000 |
| 151.728 | 151.728 | 211.855 | -0.000 | -0.000 | -0.000 |
| 0.000 | -0.000 | -0.000 | 92.257 | -0.000 | -0.000 |
| -0.000 | 0.000 | -0.000 | 0.000 | 92.257 | -0.000 |
| -0.000 | -0.000 | 0.000 | -0.000 | 0.000 | 92.257 |
| 211.856 | 151.729 | 151.729 | -0.000 | 0.000 | 0.000 |
| 151.729 | 211.856 | 151.729 | 0.000 | -0.000 | 0.000 |
| 151.729 | 151.729 | 211.856 | 0.000 | 0.000 | -0.000 |
| -0.000 | 0.000 | 0.000 | 92.257 | 0.000 | 0.000 |
| 0.000 | -0.000 | 0.000 | 0.000 | 92.257 | -0.000 |
| 0.000 | 0.000 | -0.000 | 0.000 | -0.000 | 92.257 |
| 211.854 | 151.727 | 151.727 | 0.000 | 0.000 | 0.000 |
| 151.727 | 211.854 | 151.727 | 0.000 | 0.000 | 0.000 |
| 151.727 | 151.727 | 211.854 | 0.000 | 0.000 | 0.000 |
| 0.000 | -0.000 | -0.000 | 92.257 | 0.000 | -0.000 |
| -0.000 | 0.000 | -0.000 | 0.000 | 92.257 | -0.000 |
| -0.000 | -0.000 | 0.000 | -0.000 | 0.000 | 92.257 |
| 127.350 | 149.314 | 148.870 | -0.000 | 0.000 | 0.000 |
| 149.373 | 239.588 | 39.065 | 0.000 | 0.000 | -0.000 |
| 148.858 | 38.995 | 232.483 | 0.000 | -0.000 | 0.000 |
| -0.000 | 0.000 | -0.000 | -10.303 | -0.000 | 0.000 |
| -0.012 | -0.003 | -0.014 | 0.000 | 96.098 | -0.000 |
| -0.005 | -0.001 | -0.006 | 0.000 | -0.000 | 98.078 |
| 124.189 | 148.482 | 145.233 | -0.000 | -0.000 | 0.000 |
| 149.373 | 239.588 | 39.065 | -0.000 | 0.000 | -0.000 |
| 148.858 | 38.995 | 232.483 | 0.000 | -0.000 | -0.000 |
| 0.000 | -0.000 | 0.000 | -10.303 | -0.000 | 0.000 |
| 0.012 | 0.003 | 0.014 | -0.000 | 96.098 | 0.000 |
| 0.005 | 0.001 | 0.006 | -0.000 | 0.000 | 98.078 |
| 124.183 | 148.480 | 145.226 | 0.000 | 0.000 | -0.000 |
| 149.373 | 239.588 | 39.065 | -0.000 | 0.000 | 0.000 |
| 145.215 | 38.036 | 228.292 | 0.000 | 0.000 | -0.000 |
| -0.000 | 0.000 | -0.000 | -10.303 | 0.000 | 0.000 |
| -0.001 | -0.000 | -0.001 | 0.000 | 96.098 | 0.000 |
| -0.001 | -0.000 | -0.001 | 0.000 | -0.000 | 98.078 |
| 127.350 | 149.314 | 148.870 | -0.000 | 0.000 | 0.000 |
| 148.539 | 239.368 | 38.107 | -0.000 | -0.000 | -0.000 |
| 148.858 | 38.995 | 232.483 | -0.000 | -0.000 | -0.000 |
| 0.000 | -0.000 | 0.000 | -10.303 | 0.000 | 0.000 |
| 0.001 | 0.000 | 0.001 | -0.000 | 96.098 | -0.000 |
| 0.001 | 0.000 | 0.001 | -0.000 | 0.000 | 98.078 |
| 127.351 | 149.315 | 148.870 | 0.000 | 0.000 | -0.000 |
| 148.539 | 239.370 | 38.106 | 0.000 | -0.000 | -0.000 |
| 145.216 | 38.036 | 228.294 | 0.000 | 0.000 | -0.000 |
| -0.000 | 0.000 | 0.000 | -10.303 | 0.000 | 0.000 |
| -0.000 | -0.000 | 0.000 | 0.000 | 96.098 | 0.000 |
| 0.000 | 0.001 | -0.000 | 0.000 | 0.000 | 98.078 |
| 124.183 | 148.480 | 145.226 | -0.000 | 0.000 | 0.000 |
| 148.538 | 239.367 | 38.106 | -0.000 | 0.000 | -0.000 |
| 145.215 | 38.036 | 228.292 | -0.000 | -0.000 | 0.000 |
| 0.000 | -0.000 | -0.000 | -10.303 | -0.000 | -0.000 |
| 0.000 | 0.000 | -0.000 | -0.000 | 96.098 | -0.000 |
| -0.000 | -0.001 | 0.000 | -0.000 | 0.000 | 98.078 |
| 215.056 | 156.746 | 152.142 | -0.000 | -0.000 | 0.000 |
| 156.746 | 215.056 | 152.142 | -0.000 | -0.000 | -0.000 |
| 152.142 | 152.142 | 215.366 | -0.000 | -0.000 | 0.000 |
| 0.000 | 0.000 | 0.000 | 90.976 | -0.000 | 0.000 |
| 0.000 | 0.000 | 0.000 | -0.000 | 90.976 | -0.000 |
| 0.000 | 0.000 | 0.000 | 0.000 | -0.000 | 94.921 |
| 214.651 | 157.150 | 152.141 | 0.000 | 0.000 | -0.000 |
| 157.150 | 214.651 | 152.141 | 0.000 | 0.000 | -0.000 |
| 152.141 | 152.142 | 215.366 | 0.000 | 0.000 | -0.000 |
| -0.000 | -0.000 | -0.000 | 90.976 | -0.000 | 0.000 |
| -0.000 | -0.000 | -0.000 | -0.000 | 90.976 | 0.000 |
| -0.000 | -0.000 | -0.000 | -0.000 | 0.000 | 94.921 |
| 214.651 | 157.151 | 152.142 | -0.000 | -0.000 | 0.000 |
| 157.151 | 214.651 | 152.142 | -0.000 | -0.000 | 0.000 |
| 152.142 | 152.142 | 215.366 | -0.000 | -0.000 | 0.000 |
| -0.000 | 0.000 | 0.000 | 90.976 | -0.000 | 0.000 |
| 0.000 | -0.000 | 0.000 | -0.000 | 90.976 | -0.000 |
| 0.000 | 0.000 | -0.000 | 0.000 | -0.000 | 94.921 |
| 214.651 | 157.150 | 152.141 | 0.000 | 0.000 | -0.000 |
| 157.150 | 214.651 | 152.141 | -0.000 | 0.000 | 0.000 |
| 152.141 | 152.141 | 215.366 | 0.000 | 0.000 | -0.000 |
| 0.000 | -0.000 | -0.000 | 90.976 | 0.000 | -0.000 |
| -0.000 | 0.000 | -0.000 | -0.000 | 90.976 | 0.000 |
| -0.000 | -0.000 | 0.000 | -0.000 | 0.000 | 94.921 |
| 215.056 | 156.746 | 152.142 | -0.000 | -0.000 | 0.000 |
| 156.746 | 215.056 | 152.142 | -0.000 | -0.000 | -0.000 |
| 152.142 | 152.142 | 215.367 | 0.000 | 0.000 | 0.000 |
| -0.000 | 0.000 | 0.000 | 90.976 | -0.000 | 0.000 |
| 0.000 | -0.000 | 0.000 | -0.000 | 90.976 | -0.000 |
| 0.000 | 0.000 | -0.000 | 0.000 | -0.000 | 94.921 |
| 215.055 | 156.745 | 152.141 | 0.000 | 0.000 | -0.000 |
| 156.745 | 215.055 | 152.141 | 0.000 | 0.000 | -0.000 |
| 152.141 | 152.141 | 215.366 | 0.000 | 0.000 | -0.000 |
| 0.000 | -0.000 | -0.000 | 90.976 | 0.000 | -0.000 |
| -0.000 | 0.000 | -0.000 | 0.000 | 90.976 | -0.000 |
| -0.000 | -0.000 | 0.000 | -0.000 | 0.000 | 94.921 |
| 260.499 | 132.655 | 107.823 | 0.000 | 0.000 | -0.000 |
| 129.538 | 272.318 | 108.724 | -0.000 | 0.000 | -0.000 |
| 108.349 | 108.349 | 282.501 | 0.000 | 0.000 | -0.000 |
| -0.000 | 0.000 | 0.000 | 49.421 | 0.000 | -0.000 |
| 0.000 | 0.000 | 0.000 | 0.000 | 49.362 | -0.000 |
| -0.000 | 0.000 | 0.000 | 0.000 | 0.000 | 71.390 |
| 251.167 | 146.362 | 108.276 | -0.000 | -0.000 | 0.000 |
| 129.538 | 272.318 | 108.724 | -0.000 | -0.000 | 0.000 |
| 108.805 | 108.805 | 282.595 | -0.000 | -0.000 | 0.000 |
| -0.000 | -0.000 | -0.000 | 49.421 | -0.000 | 0.000 |
| -0.000 | -0.000 | -0.000 | -0.000 | 49.362 | 0.000 |
| 0.000 | -0.000 | -0.000 | -0.000 | -0.000 | 71.390 |
| 272.318 | 129.538 | 108.724 | 0.000 | 0.000 | -0.000 |
| 132.655 | 260.500 | 107.823 | 0.000 | 0.000 | -0.000 |
| 108.805 | 108.805 | 282.596 | 0.000 | 0.000 | -0.000 |
| 0.000 | -0.000 | 0.000 | 49.362 | 0.000 | -0.000 |
| -0.000 | 0.000 | 0.000 | 0.000 | 49.362 | -0.000 |
| -0.000 | 0.000 | -0.000 | 0.000 | 0.000 | 54.028 |
| 272.318 | 129.538 | 108.724 | -0.000 | -0.000 | 0.000 |
| 129.538 | 272.318 | 108.724 | -0.000 | -0.000 | 0.000 |
| 108.349 | 108.349 | 282.501 | 0.000 | -0.000 | 0.000 |
| -0.000 | -0.000 | -0.000 | 49.421 | -0.000 | 0.000 |
| 0.000 | -0.000 | -0.000 | -0.000 | 49.362 | 0.000 |
| 0.000 | -0.000 | 0.000 | -0.000 | -0.000 | 54.028 |
| 251.169 | 146.362 | 108.277 | -0.000 | 0.000 | -0.000 |
| 129.539 | 272.320 | 108.725 | 0.000 | 0.000 | -0.000 |
| 108.806 | 108.806 | 282.597 | 0.000 | 0.000 | -0.000 |
| 0.000 | -0.000 | 0.000 | 49.362 | -0.000 | -0.000 |
| -0.000 | 0.000 | 0.000 | -0.000 | 49.362 | -0.000 |
| -0.000 | 0.000 | -0.000 | 0.000 | 0.000 | 52.418 |
| 272.316 | 129.537 | 108.724 | 0.000 | -0.000 | 0.000 |
| 132.654 | 260.498 | 107.823 | 0.000 | -0.000 | 0.000 |
| 108.348 | 108.348 | 282.499 | -0.000 | -0.000 | 0.000 |
| -0.000 | 0.000 | -0.000 | 49.362 | -0.000 | 0.000 |
| 0.000 | -0.000 | -0.000 | -0.000 | 49.362 | 0.000 |
| 0.000 | -0.000 | 0.000 | -0.000 | -0.000 | 52.418 |
| 271.114 | 128.781 | 108.353 | 0.000 | -0.000 | -0.000 |
| 145.663 | 249.993 | 107.918 | 0.000 | -0.000 | 0.000 |
| 108.353 | 108.353 | 281.973 | 0.000 | -0.000 | 0.000 |
| 0.129 | 0.129 | 0.026 | 49.380 | 0.000 | 0.000 |
| 0.129 | 0.129 | 0.026 | 0.000 | 49.380 | 0.000 |
| -0.000 | 0.000 | -0.000 | 0.000 | -0.000 | 71.167 |
| 249.913 | 145.582 | 107.902 | -0.000 | -0.000 | -0.000 |
| 145.582 | 249.913 | 107.902 | -0.000 | -0.000 | -0.000 |
| 108.353 | 108.353 | 281.973 | -0.000 | -0.000 | -0.000 |
| -0.129 | -0.129 | -0.026 | 49.380 | 0.000 | -0.000 |
| -0.129 | -0.129 | -0.026 | -0.000 | 49.380 | -0.000 |
| -0.000 | -0.000 | 0.000 | -0.000 | 0.000 | 71.167 |
| 271.114 | 128.781 | 108.353 | 0.000 | -0.000 | -0.000 |
| 128.781 | 271.114 | 108.353 | 0.000 | -0.000 | 0.000 |
| 108.353 | 108.353 | 281.973 | 0.000 | 0.000 | 0.000 |
| 0.014 | 0.014 | 0.003 | 49.374 | 0.000 | 0.000 |
| 0.000 | 0.000 | 0.000 | 0.000 | 49.432 | -0.000 |
| -0.000 | 0.000 | 0.000 | -0.000 | -0.000 | 71.167 |
| 271.114 | 128.781 | 108.353 | -0.000 | 0.000 | 0.000 |
| 128.781 | 271.114 | 108.353 | -0.000 | 0.000 | -0.000 |
| 108.353 | 108.353 | 281.973 | -0.000 | 0.000 | -0.000 |
| -0.014 | -0.014 | -0.003 | 49.374 | 0.000 | -0.000 |
| -0.000 | -0.000 | -0.000 | -0.000 | 49.432 | -0.000 |
| 0.000 | -0.000 | -0.000 | -0.000 | 0.000 | 71.167 |
| 271.116 | 128.782 | 108.354 | 0.000 | -0.000 | -0.000 |
| 128.782 | 271.116 | 108.354 | -0.000 | -0.000 | -0.000 |
| 108.354 | 108.354 | 281.975 | 0.000 | 0.000 | 0.000 |
| 0.002 | 0.001 | 0.001 | 49.374 | 0.000 | -0.000 |
| 0.000 | 0.000 | 0.000 | 0.000 | 49.432 | 0.000 |
| -0.000 | 0.000 | 0.000 | 0.000 | -0.000 | 71.167 |
| 271.112 | 128.781 | 108.352 | -0.000 | 0.000 | 0.000 |
| 131.940 | 259.254 | 107.461 | -0.000 | 0.000 | 0.000 |
| 108.352 | 108.352 | 281.971 | 0.000 | 0.000 | -0.000 |
| -0.002 | -0.001 | -0.001 | 49.374 | -0.000 | -0.000 |
| -0.000 | -0.000 | -0.000 | -0.000 | 49.432 | 0.000 |
| 0.000 | -0.000 | -0.000 | -0.000 | 0.000 | 71.167 |
| 192.424 | 93.651 | 77.309 | -21.688 | 0.000 | -0.000 |
| 96.652 | 195.290 | 88.828 | 21.486 | 0.000 | -0.000 |
| 77.016 | 77.016 | 205.883 | -0.000 | 0.000 | -0.000 |
| -19.873 | 23.492 | 1.516 | 32.914 | 0.000 | -0.000 |
| 1.810 | 1.810 | 1.516 | -0.000 | 32.914 | -21.682 |
| 5.126 | 5.126 | 14.736 | -0.000 | -21.486 | 49.319 |
| 185.038 | 86.400 | 59.354 | -21.487 | -0.000 | 0.000 |
| 86.400 | 185.038 | 59.354 | 21.487 | -0.000 | 0.000 |
| 77.016 | 77.016 | 205.883 | 0.000 | -0.000 | 0.000 |
| -21.774 | 21.774 | -0.000 | 33.194 | -0.000 | 0.000 |
| -1.810 | -1.810 | -1.516 | 0.000 | 32.914 | -21.682 |
| -5.126 | -5.126 | -14.736 | 0.000 | -21.486 | 49.319 |
| 190.419 | 91.929 | 74.902 | -21.266 | -0.000 | -0.000 |
| 92.129 | 190.906 | 76.091 | 21.693 | 0.000 | -0.000 |
| 75.806 | 75.806 | 199.667 | 0.000 | 0.000 | -0.000 |
| -21.774 | 21.774 | 0.000 | 33.194 | 0.000 | -0.000 |
| -0.000 | -0.000 | 0.000 | -0.000 | 33.194 | -21.774 |
| 0.191 | 0.191 | 0.160 | -0.000 | -21.677 | 49.383 |
| 190.143 | 91.418 | 74.683 | -21.616 | -0.000 | -0.000 |
| 92.221 | 191.052 | 77.016 | 21.774 | -0.000 | 0.000 |
| 77.016 | 77.016 | 205.883 | -0.000 | -0.000 | 0.000 |
| -21.774 | 21.774 | -0.000 | 33.194 | -0.000 | 0.000 |
| 0.000 | 0.000 | -0.000 | 0.000 | 33.194 | -21.774 |
| -0.191 | -0.191 | -0.160 | 0.000 | -21.677 | 49.383 |
| 191.053 | 92.222 | 77.016 | -21.774 | 0.000 | -0.000 |
| 92.222 | 191.053 | 77.016 | 21.774 | 0.000 | -0.000 |
| 77.016 | 77.016 | 205.884 | -0.000 | 0.000 | -0.000 |
| -20.584 | 20.926 | 0.709 | 30.107 | 0.000 | -0.000 |
| 0.171 | 0.171 | 0.709 | -0.000 | 30.107 | -20.755 |
| -0.000 | 0.000 | 0.000 | -0.000 | -21.774 | 49.415 |
| 191.051 | 92.221 | 77.016 | -21.774 | 0.000 | 0.000 |
| 91.403 | 190.068 | 73.733 | 21.527 | -0.000 | 0.000 |
| 77.016 | 77.016 | 205.882 | -0.000 | -0.000 | 0.000 |
| -20.926 | 20.584 | -0.709 | 30.107 | -0.000 | 0.000 |
| -0.171 | -0.171 | -0.709 | 0.000 | 30.107 | -20.755 |
| 0.000 | -0.000 | -0.000 | 0.000 | -21.774 | 49.415 |
| 191.062 | 92.242 | 77.786 | -22.125 | -0.000 | -0.000 |
| 93.459 | 192.233 | 85.810 | 22.053 | -0.000 | -0.000 |
| 77.627 | 77.627 | 207.956 | 0.000 | -0.000 | -0.000 |
| -20.498 | 23.597 | 9.588 | 33.367 | -0.000 | 0.000 |
| 1.550 | 1.550 | 9.588 | -0.000 | 33.367 | -22.048 |
| 1.538 | 1.538 | 9.518 | 0.000 | -22.048 | 49.386 |
| 189.113 | 90.345 | 66.595 | -22.044 | -0.000 | 0.000 |
| 92.242 | 191.062 | 77.786 | 22.125 | 0.000 | 0.000 |
| 77.627 | 77.627 | 207.956 | -0.000 | 0.000 | 0.000 |
| -22.125 | 22.125 | -0.000 | 33.612 | -0.000 | 0.000 |
| -1.550 | -1.550 | -9.588 | -0.000 | 33.367 | -22.048 |
| -1.538 | -1.538 | -9.518 | -0.000 | -22.048 | 49.386 |
| 190.893 | 92.130 | 77.691 | -22.036 | -0.000 | -0.000 |
| 92.242 | 191.062 | 77.786 | 22.125 | -0.000 | -0.000 |
| 75.731 | 75.731 | 200.026 | 0.000 | -0.000 | -0.000 |
| -21.722 | 22.260 | 1.667 | 33.185 | -0.000 | -0.000 |
| 0.269 | 0.269 | 1.667 | -0.000 | 33.185 | -21.991 |
| 0.166 | 0.166 | 1.030 | -0.000 | -22.042 | 49.384 |
| 191.062 | 92.242 | 77.786 | -22.125 | 0.000 | 0.000 |
| 91.170 | 189.817 | 73.252 | 21.856 | 0.000 | 0.000 |
| 75.777 | 75.777 | 199.257 | -0.000 | 0.000 | 0.000 |
| -22.125 | 22.125 | -0.000 | 33.612 | 0.000 | -0.000 |
| -0.269 | -0.269 | -1.667 | 0.000 | 33.185 | -21.991 |
| -0.166 | -0.166 | -1.030 | 0.000 | -22.042 | 49.384 |
| 190.046 | 91.846 | 75.288 | -21.173 | 0.000 | -0.000 |
| 92.242 | 191.063 | 77.786 | 22.125 | 0.000 | -0.000 |
| 75.790 | 75.790 | 199.769 | -0.000 | -0.000 | 0.000 |
| -22.125 | 22.125 | 0.000 | 33.613 | -0.000 | -0.000 |
| -0.000 | -0.000 | 0.000 | -0.000 | 33.612 | -22.125 |
| 0.091 | 0.092 | 0.566 | -0.000 | -21.670 | 49.264 |
| 190.130 | 91.501 | 74.756 | -21.829 | 0.000 | 0.000 |
| 91.523 | 190.210 | 74.736 | 21.918 | 0.000 | 0.000 |
| 74.890 | 74.890 | 197.296 | -0.000 | 0.000 | 0.000 |
| -20.975 | 21.048 | 0.097 | 30.216 | 0.000 | 0.000 |
| 0.000 | 0.000 | -0.000 | 0.000 | 33.612 | -22.125 |
| -0.091 | -0.092 | -0.566 | 0.000 | -21.670 | 49.264 |
| 227.803 | -16.874 | -16.874 | 0.000 | 0.000 | 0.000 |
| -16.874 | 227.803 | -16.874 | 0.000 | 0.000 | -0.000 |
| -16.874 | -16.874 | 227.803 | -0.000 | 0.000 | -0.000 |
| 0.000 | -0.000 | -0.000 | -50.282 | 0.000 | -0.000 |
| 0.000 | -0.000 | -0.000 | 0.000 | -50.282 | -0.000 |
| 0.000 | -0.000 | -0.000 | 0.000 | 0.000 | -50.282 |
| 227.803 | -16.874 | -16.874 | -0.000 | -0.000 | -0.000 |
| -16.874 | 227.803 | -16.874 | -0.000 | -0.000 | -0.000 |
| -16.874 | -16.874 | 227.803 | -0.000 | -0.000 | 0.000 |
| -0.000 | 0.000 | 0.000 | -50.282 | -0.000 | -0.000 |
| -0.000 | 0.000 | 0.000 | -0.000 | -50.282 | 0.000 |
| 0.000 | 0.000 | 0.000 | -0.000 | -0.000 | -50.282 |
| 227.803 | -16.874 | -16.874 | 0.000 | 0.000 | -0.000 |
| -16.874 | 227.803 | -16.874 | 0.000 | 0.000 | 0.000 |
| -16.874 | -16.874 | 227.803 | 0.000 | 0.000 | -0.000 |
| 0.000 | -0.000 | -0.000 | -50.282 | 0.000 | 0.000 |
| -0.000 | 0.000 | -0.000 | 0.000 | -50.282 | -0.000 |
| -0.000 | -0.000 | 0.000 | 0.000 | 0.000 | -50.282 |
| 227.803 | -16.874 | -16.874 | -0.000 | -0.000 | -0.000 |
| -16.874 | 227.803 | -16.874 | -0.000 | -0.000 | -0.000 |
| -16.874 | -16.874 | 227.803 | -0.000 | -0.000 | -0.000 |
| -0.000 | 0.000 | 0.000 | -50.282 | -0.000 | -0.000 |
| 0.000 | -0.000 | 0.000 | -0.000 | -50.282 | 0.000 |
| 0.000 | 0.000 | -0.000 | -0.000 | -0.000 | -50.282 |
| 227.805 | -16.874 | -16.874 | 0.000 | 0.000 | -0.000 |
| -16.874 | 227.805 | -16.874 | 0.000 | 0.000 | 0.000 |
| -16.874 | -16.874 | 227.805 | 0.000 | 0.000 | -0.000 |
| 0.000 | -0.000 | -0.000 | -50.282 | 0.000 | -0.000 |
| -0.000 | 0.000 | -0.000 | 0.000 | -50.282 | -0.000 |
| -0.000 | -0.000 | 0.000 | 0.000 | 0.000 | -50.282 |
| 227.802 | -16.874 | -16.874 | -0.000 | -0.000 | 0.000 |
| -16.874 | 227.802 | -16.874 | -0.000 | -0.000 | 0.000 |
| -16.874 | -16.874 | 227.802 | -0.000 | 0.000 | 0.000 |
| -0.000 | 0.000 | 0.000 | -50.282 | -0.000 | -0.000 |
| 0.000 | -0.000 | 0.000 | -0.000 | -50.282 | -0.000 |
| 0.000 | 0.000 | -0.000 | -0.000 | -0.000 | -50.282 |
| 196.207 | 150.465 | 150.465 | -0.000 | -0.000 | 0.000 |
| 150.465 | 196.207 | 150.465 | -0.000 | -0.000 | 0.000 |
| 150.465 | 150.465 | 196.207 | 0.000 | 0.000 | 0.000 |
| 0.000 | -0.000 | 0.000 | 115.649 | -0.000 | 0.000 |
| -0.000 | 0.000 | 0.000 | -0.000 | 115.649 | 0.000 |
| -0.000 | 0.000 | 0.000 | -0.000 | -0.000 | 115.649 |
| 196.207 | 150.465 | 150.465 | -0.000 | 0.000 | -0.000 |
| 150.465 | 196.207 | 150.465 | 0.000 | 0.000 | -0.000 |
| 150.465 | 150.465 | 196.207 | 0.000 | 0.000 | -0.000 |
| -0.000 | 0.000 | -0.000 | 115.649 | -0.000 | -0.000 |
| 0.000 | -0.000 | -0.000 | -0.000 | 115.649 | -0.000 |
| 0.000 | -0.000 | -0.000 | 0.000 | 0.000 | 115.649 |
| 196.207 | 150.465 | 150.465 | -0.000 | -0.000 | 0.000 |
| 150.465 | 196.207 | 150.465 | -0.000 | -0.000 | 0.000 |
| 150.465 | 150.465 | 196.207 | 0.000 | 0.000 | 0.000 |
| 0.000 | 0.000 | 0.000 | 115.649 | -0.000 | 0.000 |
| 0.000 | 0.000 | 0.000 | -0.000 | 115.649 | 0.000 |
| 0.000 | 0.000 | 0.000 | 0.000 | 0.000 | 115.649 |
| 196.207 | 150.465 | 150.465 | 0.000 | -0.000 | -0.000 |
| 150.465 | 196.207 | 150.465 | -0.000 | 0.000 | -0.000 |
| 150.465 | 150.465 | 196.207 | -0.000 | -0.000 | -0.000 |
| -0.000 | -0.000 | -0.000 | 115.649 | 0.000 | -0.000 |
| -0.000 | -0.000 | -0.000 | 0.000 | 115.649 | -0.000 |
| -0.000 | -0.000 | -0.000 | 0.000 | 0.000 | 115.649 |
| 196.208 | 150.466 | 150.466 | 0.000 | 0.000 | 0.000 |
| 150.466 | 196.208 | 150.466 | 0.000 | 0.000 | 0.000 |
| 150.466 | 150.466 | 196.208 | -0.000 | -0.000 | 0.000 |
| 0.000 | 0.000 | 0.000 | 115.649 | 0.000 | 0.000 |
| 0.000 | 0.000 | 0.000 | -0.000 | 115.649 | 0.000 |
| 0.000 | 0.000 | 0.000 | -0.000 | -0.000 | 115.649 |
| 196.206 | 150.465 | 150.465 | -0.000 | -0.000 | -0.000 |
| 150.465 | 196.206 | 150.465 | 0.000 | 0.000 | -0.000 |
| 150.465 | 150.465 | 196.206 | -0.000 | -0.000 | -0.000 |
| -0.000 | -0.000 | -0.000 | 115.649 | -0.000 | -0.000 |
| -0.000 | -0.000 | -0.000 | -0.000 | 115.649 | -0.000 |
| -0.000 | -0.000 | -0.000 | 0.000 | 0.000 | 115.649 |
| 85.699 | 91.921 | 91.921 | 0.000 | 0.000 | 0.000 |
| 91.921 | 85.699 | 91.921 | 0.000 | 0.000 | 0.000 |
| 91.921 | 91.921 | 85.699 | 0.000 | 0.000 | 0.000 |
| -0.000 | -0.000 | -0.000 | -14.085 | 0.000 | 0.000 |
| -0.000 | -0.000 | -0.000 | 0.000 | -14.085 | 0.000 |
| -0.000 | -0.000 | -0.000 | 0.000 | 0.000 | -14.085 |
| 85.699 | 91.921 | 91.921 | -0.000 | -0.000 | -0.000 |
| 91.921 | 85.699 | 91.921 | -0.000 | -0.000 | -0.000 |
| 91.921 | 91.921 | 85.699 | -0.000 | -0.000 | -0.000 |
| 0.000 | 0.000 | 0.000 | -14.085 | -0.000 | -0.000 |
| 0.000 | 0.000 | 0.000 | -0.000 | -14.085 | -0.000 |
| 0.000 | 0.000 | 0.000 | -0.000 | -0.000 | -14.085 |
| 85.699 | 91.921 | 91.921 | 0.000 | 0.000 | 0.000 |
| 91.921 | 85.699 | 91.921 | 0.000 | 0.000 | 0.000 |
| 91.921 | 91.921 | 85.699 | 0.000 | 0.000 | 0.000 |
| 0.000 | 0.000 | 0.000 | 71.685 | 0.000 | 0.000 |
| 0.000 | 0.000 | 0.000 | 0.000 | 71.685 | 0.000 |
| 0.000 | 0.000 | 0.000 | 0.000 | 0.000 | 71.685 |
| 85.698 | 91.921 | 91.921 | -0.000 | -0.000 | -0.000 |
| 91.921 | 85.698 | 91.921 | -0.000 | -0.000 | -0.000 |
| 91.921 | 91.921 | 85.698 | -0.000 | -0.000 | -0.000 |
| -0.000 | -0.000 | -0.000 | 71.685 | -0.000 | -0.000 |
| -0.000 | -0.000 | -0.000 | -0.000 | 71.685 | -0.000 |
| -0.000 | -0.000 | -0.000 | -0.000 | -0.000 | 71.685 |
| 85.700 | 91.922 | 91.922 | 0.000 | 0.000 | 0.000 |
| 91.922 | 85.700 | 91.922 | 0.000 | 0.000 | 0.000 |
| 91.922 | 91.922 | 85.700 | 0.000 | 0.000 | 0.000 |
| -0.000 | -0.000 | -0.000 | -14.085 | 0.000 | 0.000 |
| -0.000 | -0.000 | -0.000 | 0.000 | -14.085 | 0.000 |
| -0.000 | -0.000 | -0.000 | 0.000 | 0.000 | -14.085 |
| 85.698 | 91.920 | 91.920 | -0.000 | -0.000 | -0.000 |
| 91.920 | 85.698 | 91.920 | -0.000 | -0.000 | -0.000 |
| 91.920 | 91.920 | 85.698 | -0.000 | -0.000 | -0.000 |
| 0.000 | 0.000 | 0.000 | -14.085 | -0.000 | -0.000 |
| 0.000 | 0.000 | 0.000 | -0.000 | -14.085 | -0.000 |
| 0.000 | 0.000 | 0.000 | -0.000 | -0.000 | -14.085 |
| 204.366 | 49.321 | 84.842 | -0.000 | -0.000 | 0.000 |
| 49.321 | 204.366 | 84.842 | -0.000 | -0.000 | -0.000 |
| 84.842 | 84.842 | 132.118 | -0.000 | -0.000 | -0.000 |
| 0.000 | 0.000 | 0.000 | 51.450 | 0.000 | 0.000 |
| 0.000 | 0.000 | 0.000 | -0.000 | 51.450 | 0.000 |
| -0.000 | -0.000 | 0.000 | 0.000 | -0.000 | 15.002 |
| 204.366 | 49.321 | 84.842 | 0.000 | 0.000 | -0.000 |
| 49.321 | 204.366 | 84.842 | 0.000 | 0.000 | 0.000 |
| 84.842 | 84.842 | 132.118 | -0.000 | 0.000 | -0.000 |
| -0.000 | -0.000 | -0.000 | 51.450 | -0.000 | -0.000 |
| -0.000 | -0.000 | -0.000 | -0.000 | 51.450 | -0.000 |
| 0.000 | 0.000 | -0.000 | -0.000 | 0.000 | 15.002 |
| 204.366 | 49.321 | 84.842 | -0.000 | 0.000 | 0.000 |
| 49.321 | 204.366 | 84.842 | -0.000 | -0.000 | 0.000 |
| 84.842 | 84.842 | 132.118 | -0.000 | -0.000 | -0.000 |
| 0.000 | 0.000 | 0.000 | 51.450 | 0.000 | -0.000 |
| 0.000 | 0.000 | 0.000 | 0.000 | 51.450 | 0.000 |
| -0.000 | -0.000 | 0.000 | -0.000 | 0.000 | 15.002 |
| 204.365 | 49.321 | 84.842 | 0.000 | -0.000 | -0.000 |
| 49.321 | 204.365 | 84.842 | -0.000 | 0.000 | -0.000 |
| 84.842 | 84.842 | 132.118 | -0.000 | -0.000 | -0.000 |
| -0.000 | -0.000 | -0.000 | 51.450 | -0.000 | -0.000 |
| -0.000 | -0.000 | -0.000 | -0.000 | 51.450 | -0.000 |
| 0.000 | 0.000 | -0.000 | 0.000 | 0.000 | 15.002 |
| 204.367 | 49.321 | 84.842 | -0.000 | -0.000 | 0.000 |
| 49.321 | 204.367 | 84.842 | -0.000 | -0.000 | -0.000 |
| 84.843 | 84.843 | 132.118 | -0.000 | -0.000 | -0.000 |
| 0.000 | 0.000 | 0.000 | 51.450 | 0.000 | 0.000 |
| 0.000 | 0.000 | 0.000 | 0.000 | 51.450 | -0.000 |
| -0.000 | -0.000 | 0.000 | -0.000 | 0.000 | 15.002 |
| 204.364 | 49.321 | 84.842 | 0.000 | 0.000 | -0.000 |
| 49.321 | 204.364 | 84.842 | 0.000 | 0.000 | -0.000 |
| 84.842 | 84.842 | 132.119 | 0.000 | 0.000 | -0.000 |
| -0.000 | -0.000 | -0.000 | 51.450 | 0.000 | -0.000 |
| -0.000 | -0.000 | -0.000 | -0.000 | 51.450 | -0.000 |
| 0.000 | 0.000 | -0.000 | -0.000 | 0.000 | 15.002 |
| 189.918 | 99.737 | 119.097 | -0.000 | -0.000 | -0.000 |
| 99.737 | 189.918 | 119.097 | -0.000 | -0.000 | 0.000 |
| 119.097 | 119.097 | 34.018 | -0.000 | -0.000 | -0.000 |
| 0.000 | 0.000 | 0.000 | 85.789 | -0.000 | -0.000 |
| -0.000 | 0.000 | 0.000 | -0.000 | 85.789 | 0.000 |
| -0.000 | 0.000 | 0.000 | -0.000 | -0.000 | 65.576 |
| 189.918 | 99.737 | 119.097 | 0.000 | -0.000 | 0.000 |
| 99.737 | 189.918 | 119.097 | -0.000 | 0.000 | 0.000 |
| 119.097 | 119.097 | 34.018 | 0.000 | 0.000 | -0.000 |
| -0.000 | -0.000 | -0.000 | 85.789 | 0.000 | 0.000 |
| 0.000 | -0.000 | -0.000 | 0.000 | 85.789 | -0.000 |
| 0.000 | -0.000 | -0.000 | 0.000 | 0.000 | 65.576 |
| 189.918 | 99.737 | 119.097 | -0.000 | -0.000 | -0.000 |
| 99.737 | 189.918 | 119.097 | -0.000 | -0.000 | -0.000 |
| 119.097 | 119.097 | 34.018 | -0.000 | -0.000 | -0.000 |
| 0.000 | 0.000 | 0.000 | 85.789 | -0.000 | -0.000 |
| 0.000 | 0.000 | 0.000 | -0.000 | 85.789 | -0.000 |
| 0.000 | 0.000 | 0.000 | -0.000 | -0.000 | 65.576 |
| 189.918 | 99.737 | 119.097 | 0.000 | -0.000 | 0.000 |
| 99.737 | 189.918 | 119.097 | -0.000 | 0.000 | 0.000 |
| 119.097 | 119.097 | 34.018 | 0.000 | 0.000 | 0.000 |
| -0.000 | -0.000 | -0.000 | 85.789 | 0.000 | 0.000 |
| -0.000 | -0.000 | -0.000 | 0.000 | 85.789 | 0.000 |
| -0.000 | -0.000 | -0.000 | 0.000 | 0.000 | 65.576 |
| 189.919 | 99.738 | 119.097 | -0.000 | -0.000 | 0.000 |
| 99.738 | 189.919 | 119.097 | -0.000 | -0.000 | -0.000 |
| 119.098 | 119.098 | 34.018 | 0.000 | 0.000 | 0.000 |
| 0.000 | 0.000 | 0.000 | 85.789 | 0.000 | -0.000 |
| 0.000 | 0.000 | 0.000 | -0.000 | 85.789 | -0.000 |
| 0.000 | 0.000 | 0.000 | -0.000 | 0.000 | 65.576 |
| 189.918 | 99.737 | 119.097 | -0.000 | 0.000 | -0.000 |
| 99.737 | 189.918 | 119.097 | 0.000 | -0.000 | -0.000 |
| 119.097 | 119.097 | 34.018 | 0.000 | 0.000 | -0.000 |
| -0.000 | -0.000 | -0.000 | 85.789 | 0.000 | 0.000 |
| -0.000 | -0.000 | -0.000 | 0.000 | 85.789 | 0.000 |
| -0.000 | -0.000 | -0.000 | 0.000 | -0.000 | 65.576 |
| 219.210 | 156.308 | 144.215 | 0.000 | -0.000 | -0.000 |
| 156.308 | 264.495 | 71.597 | 0.000 | 0.000 | -0.000 |
| 144.215 | 71.597 | 252.217 | 0.000 | 0.000 | -0.000 |
| 0.000 | -0.000 | -0.000 | 37.406 | -0.000 | -0.000 |
| 0.000 | 0.000 | 0.000 | 0.000 | 110.525 | -0.000 |
| 0.000 | 0.000 | -0.000 | 0.000 | -0.000 | 122.122 |
| 219.210 | 156.308 | 144.215 | -0.000 | 0.000 | 0.000 |
| 156.308 | 264.495 | 71.597 | -0.000 | 0.000 | 0.000 |
| 144.215 | 71.597 | 252.217 | -0.000 | -0.000 | 0.000 |
| -0.000 | -0.000 | 0.000 | 37.406 | 0.000 | 0.000 |
| -0.000 | -0.000 | -0.000 | 0.000 | 110.525 | 0.000 |
| 0.000 | -0.000 | 0.000 | -0.000 | -0.000 | 122.122 |
| 219.210 | 156.308 | 144.215 | 0.000 | -0.000 | 0.000 |
| 156.308 | 264.495 | 71.597 | 0.000 | 0.000 | -0.000 |
| 144.215 | 71.597 | 252.217 | 0.000 | -0.000 | -0.000 |
| -0.000 | 0.000 | -0.000 | 37.406 | -0.000 | -0.000 |
| 0.000 | 0.000 | 0.000 | -0.000 | 110.525 | -0.000 |
| -0.000 | 0.000 | 0.000 | 0.000 | 0.000 | 122.122 |
| 219.210 | 156.308 | 144.215 | -0.000 | 0.000 | -0.000 |
| 156.308 | 264.495 | 71.597 | -0.000 | -0.000 | 0.000 |
| 144.215 | 71.597 | 252.217 | -0.000 | 0.000 | 0.000 |
| 0.000 | -0.000 | 0.000 | 37.406 | -0.000 | -0.000 |
| -0.000 | -0.000 | -0.000 | -0.000 | 110.525 | 0.000 |
| 0.000 | -0.000 | -0.000 | -0.000 | -0.000 | 122.122 |
| 219.210 | 156.308 | 144.215 | 0.000 | -0.000 | -0.000 |
| 156.308 | 264.496 | 71.597 | 0.000 | -0.000 | -0.000 |
| 144.215 | 71.597 | 252.218 | 0.000 | -0.000 | -0.000 |
| -0.000 | 0.000 | -0.000 | 37.406 | 0.000 | -0.000 |
| 0.000 | 0.000 | 0.001 | 0.000 | 110.525 | -0.000 |
| -0.000 | 0.000 | 0.000 | 0.000 | 0.000 | 122.122 |
| 219.209 | 156.307 | 144.214 | -0.000 | 0.000 | 0.000 |
| 156.307 | 264.494 | 71.597 | -0.000 | -0.000 | 0.000 |
| 144.214 | 71.597 | 252.216 | -0.000 | 0.000 | 0.000 |
| 0.000 | -0.000 | 0.000 | 37.406 | 0.000 | 0.000 |
| -0.000 | -0.000 | -0.001 | -0.000 | 110.525 | 0.000 |
| 0.000 | -0.000 | -0.000 | -0.000 | -0.000 | 122.122 |
| 149.112 | 112.081 | 112.081 | -0.000 | -0.000 | -0.000 |
| 112.081 | 149.112 | 112.081 | 0.000 | -0.000 | -0.000 |
| 112.081 | 112.081 | 149.112 | 0.000 | -0.000 | -0.000 |
| -0.000 | -0.000 | 0.000 | 22.919 | 0.000 | -0.000 |
| -0.000 | -0.000 | 0.000 | 0.000 | 22.919 | -0.000 |
| -0.000 | 0.000 | 0.000 | -0.000 | -0.000 | 22.919 |
| 149.112 | 112.081 | 112.081 | 0.000 | 0.000 | 0.000 |
| 112.081 | 149.112 | 112.081 | 0.000 | 0.000 | 0.000 |
| 112.081 | 112.081 | 149.112 | 0.000 | 0.000 | 0.000 |
| 0.000 | -0.000 | 0.000 | 22.919 | 0.000 | 0.000 |
| -0.000 | 0.000 | 0.000 | 0.000 | 22.919 | 0.000 |
| 0.000 | 0.000 | -0.000 | 0.000 | 0.000 | 22.919 |
| 149.112 | 112.081 | 112.081 | -0.000 | -0.000 | -0.000 |
| 112.081 | 149.112 | 112.081 | -0.000 | -0.000 | -0.000 |
| 112.081 | 112.081 | 149.112 | -0.000 | -0.000 | -0.000 |
| 0.000 | -0.000 | -0.000 | 22.919 | -0.000 | -0.000 |
| -0.000 | 0.000 | -0.000 | -0.000 | 22.919 | -0.000 |
| -0.000 | -0.000 | 0.000 | -0.000 | -0.000 | 22.919 |
| 149.112 | 112.081 | 112.081 | 0.000 | 0.000 | 0.000 |
| 112.081 | 149.112 | 112.081 | -0.000 | 0.000 | 0.000 |
| 112.081 | 112.081 | 149.112 | 0.000 | 0.000 | 0.000 |
| -0.000 | 0.000 | 0.000 | 22.919 | 0.000 | 0.000 |
| 0.000 | -0.000 | 0.000 | 0.000 | 22.919 | 0.000 |
| 0.000 | 0.000 | -0.000 | 0.000 | 0.000 | 22.919 |
| 149.112 | 112.082 | 112.082 | -0.000 | -0.000 | -0.000 |
| 112.082 | 149.112 | 112.082 | -0.000 | -0.000 | 0.000 |
| 112.082 | 112.082 | 149.112 | -0.000 | -0.000 | -0.000 |
| 0.000 | -0.000 | -0.000 | 22.919 | -0.000 | -0.000 |
| -0.000 | 0.000 | -0.000 | 0.000 | 22.919 | -0.000 |
| -0.000 | -0.000 | 0.000 | -0.000 | -0.000 | 22.919 |
| 149.111 | 112.081 | 112.081 | 0.000 | 0.000 | 0.000 |
| 112.081 | 149.111 | 112.081 | -0.000 | 0.000 | 0.000 |
| 112.081 | 112.081 | 149.111 | 0.000 | 0.000 | 0.000 |
| -0.000 | 0.000 | 0.000 | 22.919 | 0.000 | -0.000 |
| 0.000 | -0.000 | 0.000 | 0.000 | 22.919 | 0.000 |
| 0.000 | 0.000 | -0.000 | 0.000 | 0.000 | 22.919 |
| 198.888 | 210.587 | 210.587 | -0.000 | 0.000 | -0.000 |
| 210.587 | 198.888 | 210.587 | 0.000 | 0.000 | -0.000 |
| 210.587 | 210.587 | 198.888 | -0.000 | -0.000 | -0.000 |
| 0.000 | -0.000 | 0.000 | 172.519 | -0.000 | -0.000 |
| -0.000 | 0.000 | 0.000 | -0.000 | 172.519 | -0.000 |
| -0.000 | 0.000 | 0.000 | -0.000 | -0.000 | 172.519 |
| 198.888 | 210.587 | 210.587 | 0.000 | 0.000 | 0.000 |
| 210.587 | 198.888 | 210.587 | 0.000 | -0.000 | 0.000 |
| 210.587 | 210.587 | 198.888 | 0.000 | 0.000 | -0.000 |
| -0.000 | -0.000 | -0.000 | 172.519 | 0.000 | 0.000 |
| 0.000 | -0.000 | -0.000 | -0.000 | 172.519 | 0.000 |
| 0.000 | -0.000 | -0.000 | 0.000 | 0.000 | 172.519 |
| 198.889 | 210.587 | 210.587 | -0.000 | -0.000 | -0.000 |
| 210.587 | 198.889 | 210.587 | -0.000 | 0.000 | -0.000 |
| 210.587 | 210.587 | 198.889 | -0.000 | -0.000 | -0.000 |
| 0.000 | 0.000 | 0.000 | 158.963 | -0.000 | -0.000 |
| 0.000 | 0.000 | 0.000 | -0.000 | 158.963 | -0.000 |
| 0.000 | 0.000 | 0.000 | -0.000 | -0.000 | 158.963 |
| 198.888 | 210.587 | 210.587 | 0.000 | -0.000 | 0.000 |
| 210.587 | 198.888 | 210.587 | -0.000 | 0.000 | 0.000 |
| 210.587 | 210.587 | 198.888 | 0.000 | 0.000 | 0.000 |
| -0.000 | -0.000 | -0.000 | 158.963 | -0.000 | 0.000 |
| -0.000 | -0.000 | -0.000 | -0.000 | 158.963 | 0.000 |
| -0.000 | -0.000 | -0.000 | 0.000 | 0.000 | 158.963 |
| 198.889 | 210.589 | 210.589 | -0.000 | -0.000 | -0.000 |
| 210.589 | 198.889 | 210.589 | 0.000 | -0.000 | -0.000 |
| 210.589 | 210.589 | 198.889 | -0.000 | -0.000 | -0.000 |
| 0.000 | 0.000 | 0.001 | 158.963 | 0.000 | -0.000 |
| 0.000 | 0.000 | 0.001 | -0.000 | 158.963 | -0.000 |
| 0.000 | 0.001 | 0.000 | -0.000 | -0.000 | 158.963 |
| 198.888 | 210.586 | 210.586 | 0.000 | -0.000 | 0.000 |
| 210.586 | 198.888 | 210.586 | 0.000 | 0.000 | 0.000 |
| 210.586 | 210.586 | 198.888 | 0.000 | 0.000 | 0.000 |
| -0.000 | -0.000 | -0.001 | 158.963 | -0.000 | 0.000 |
| -0.000 | -0.000 | -0.001 | -0.000 | 158.963 | 0.000 |
| -0.000 | -0.001 | -0.000 | 0.000 | 0.000 | 158.963 |
| 233.219 | 61.303 | 61.303 | -0.000 | -0.000 | -0.000 |
| 61.303 | 233.219 | 61.303 | -0.000 | -0.000 | -0.000 |
| 61.303 | 61.303 | 233.219 | 0.000 | -0.000 | -0.000 |
| -0.000 | 0.000 | -0.000 | 28.388 | -0.000 | -0.000 |
| 0.000 | 0.000 | 0.000 | 0.000 | 28.388 | -0.000 |
| 0.000 | -0.000 | -0.000 | 0.000 | 0.000 | 28.388 |
| 233.199 | 61.313 | 61.313 | -0.000 | 0.000 | 0.000 |
| 61.313 | 233.199 | 61.313 | -0.000 | -0.000 | 0.000 |
| 61.313 | 61.313 | 233.199 | 0.000 | 0.000 | 0.000 |
| 0.000 | -0.000 | 0.000 | 28.388 | 0.000 | 0.000 |
| -0.000 | -0.000 | 0.000 | -0.000 | 28.388 | 0.000 |
| -0.000 | 0.000 | 0.000 | -0.000 | -0.000 | 28.388 |
| 233.219 | 61.303 | 61.303 | -0.000 | -0.000 | -0.000 |
| 61.303 | 233.219 | 61.303 | -0.000 | -0.000 | -0.000 |
| 61.303 | 61.303 | 233.219 | 0.000 | 0.000 | -0.000 |
| -0.000 | 0.000 | -0.000 | 28.460 | -0.000 | -0.000 |
| 0.000 | -0.000 | -0.000 | 0.000 | 28.460 | -0.000 |
| 0.000 | -0.000 | -0.000 | 0.000 | -0.000 | 28.460 |
| 233.219 | 61.303 | 61.303 | 0.000 | 0.000 | 0.000 |
| 61.303 | 233.219 | 61.303 | -0.000 | -0.000 | 0.000 |
| 61.303 | 61.303 | 233.219 | -0.000 | -0.000 | 0.000 |
| 0.000 | -0.000 | 0.000 | 28.460 | 0.000 | 0.000 |
| -0.000 | 0.000 | 0.000 | -0.000 | 28.460 | 0.000 |
| -0.000 | 0.000 | 0.000 | 0.000 | 0.000 | 28.460 |
| 233.201 | 61.313 | 61.313 | -0.000 | -0.000 | 0.000 |
| 61.313 | 233.201 | 61.313 | 0.000 | 0.000 | -0.000 |
| 61.313 | 61.313 | 233.201 | 0.000 | 0.000 | -0.000 |
| -0.000 | -0.000 | -0.000 | 28.388 | -0.000 | -0.000 |
| -0.000 | -0.000 | -0.000 | 0.000 | 28.388 | -0.000 |
| -0.000 | -0.000 | -0.000 | 0.000 | 0.000 | 28.388 |
| 233.217 | 61.303 | 61.303 | 0.000 | 0.000 | 0.000 |
| 61.303 | 233.217 | 61.303 | 0.000 | 0.000 | 0.000 |
| 61.303 | 61.303 | 233.217 | -0.000 | -0.000 | 0.000 |
| 0.000 | 0.000 | 0.000 | 28.388 | 0.000 | 0.000 |
| 0.000 | 0.000 | 0.000 | -0.000 | 28.388 | 0.000 |
| 0.000 | 0.000 | 0.000 | -0.000 | -0.000 | 28.388 |
| 225.878 | 147.474 | 147.474 | -0.000 | -0.000 | 0.000 |
| 147.474 | 225.878 | 147.474 | -0.000 | -0.000 | 0.000 |
| 147.474 | 147.474 | 225.878 | -0.000 | -0.000 | -0.000 |
| -0.000 | -0.000 | 0.000 | 112.972 | -0.000 | -0.000 |
| -0.000 | -0.000 | 0.000 | -0.000 | 112.972 | 0.000 |
| -0.000 | -0.000 | 0.000 | -0.000 | -0.000 | 112.972 |
| 225.878 | 147.474 | 147.474 | 0.000 | 0.000 | 0.000 |
| 147.474 | 225.878 | 147.474 | 0.000 | 0.000 | -0.000 |
| 147.474 | 147.474 | 225.878 | 0.000 | 0.000 | -0.000 |
| 0.000 | 0.000 | -0.000 | 112.972 | 0.000 | 0.000 |
| 0.000 | 0.000 | -0.000 | 0.000 | 112.972 | 0.000 |
| 0.000 | 0.000 | -0.000 | 0.000 | 0.000 | 112.972 |
| 225.878 | 147.474 | 147.474 | -0.000 | -0.000 | -0.000 |
| 147.474 | 225.878 | 147.474 | -0.000 | -0.000 | 0.000 |
| 147.474 | 147.474 | 225.878 | -0.000 | -0.000 | 0.000 |
| 0.000 | -0.000 | 0.000 | 113.045 | -0.000 | -0.000 |
| -0.000 | 0.000 | 0.000 | -0.000 | 113.045 | -0.000 |
| -0.000 | 0.000 | 0.000 | -0.000 | -0.000 | 113.045 |
| 225.878 | 147.474 | 147.474 | 0.000 | 0.000 | 0.000 |
| 147.474 | 225.878 | 147.474 | 0.000 | 0.000 | 0.000 |
| 147.474 | 147.474 | 225.878 | 0.000 | 0.000 | 0.000 |
| -0.000 | 0.000 | -0.000 | 113.045 | 0.000 | 0.000 |
| 0.000 | -0.000 | -0.000 | 0.000 | 113.045 | -0.000 |
| 0.000 | -0.000 | -0.000 | 0.000 | 0.000 | 113.045 |
| 225.878 | 147.475 | 147.475 | -0.000 | -0.000 | -0.000 |
| 147.475 | 225.878 | 147.475 | -0.000 | -0.000 | 0.000 |
| 147.475 | 147.475 | 225.878 | -0.000 | -0.000 | 0.000 |
| 0.000 | 0.000 | 0.000 | 113.045 | -0.000 | 0.000 |
| 0.000 | 0.000 | 0.000 | -0.000 | 113.045 | 0.000 |
| 0.000 | 0.000 | 0.000 | -0.000 | -0.000 | 113.045 |
| 225.878 | 147.474 | 147.474 | 0.000 | 0.000 | 0.000 |
| 147.474 | 225.878 | 147.474 | 0.000 | 0.000 | -0.000 |
| 147.474 | 147.474 | 225.878 | 0.000 | 0.000 | -0.000 |
| -0.000 | -0.000 | -0.000 | 113.045 | 0.000 | 0.000 |
| -0.000 | -0.000 | -0.000 | 0.000 | 113.045 | -0.000 |
| -0.000 | -0.000 | -0.000 | 0.000 | 0.000 | 113.045 |
| 111.136 | 74.350 | 74.350 | 0.000 | 0.000 | 0.000 |
| 74.350 | 111.136 | 74.350 | 0.000 | 0.000 | 0.000 |
| 74.350 | 74.350 | 111.136 | 0.000 | 0.000 | 0.000 |
| 0.000 | 0.000 | 0.000 | 41.580 | 0.000 | 0.000 |
| 0.000 | 0.000 | 0.000 | 0.000 | 41.580 | 0.000 |
| 0.000 | 0.000 | -0.000 | 0.000 | 0.000 | 41.580 |
| 111.136 | 74.350 | 74.350 | -0.000 | -0.000 | -0.000 |
| 74.350 | 111.136 | 74.350 | -0.000 | -0.000 | -0.000 |
| 74.350 | 74.350 | 111.136 | -0.000 | -0.000 | -0.000 |
| -0.000 | -0.000 | -0.000 | 41.580 | -0.000 | -0.000 |
| -0.000 | -0.000 | -0.000 | -0.000 | 41.580 | -0.000 |
| -0.000 | -0.000 | 0.000 | -0.000 | -0.000 | 41.580 |
| 111.136 | 74.350 | 74.350 | 0.000 | 0.000 | 0.000 |
| 74.350 | 111.136 | 74.350 | 0.000 | 0.000 | 0.000 |
| 74.350 | 74.350 | 111.136 | 0.000 | 0.000 | 0.000 |
| -0.000 | 0.000 | 0.000 | 41.580 | 0.000 | 0.000 |
| 0.000 | -0.000 | 0.000 | 0.000 | 41.580 | 0.000 |
| 0.000 | 0.000 | -0.000 | 0.000 | 0.000 | 41.580 |
| 111.136 | 74.350 | 74.350 | -0.000 | -0.000 | -0.000 |
| 74.350 | 111.136 | 74.350 | -0.000 | -0.000 | -0.000 |
| 74.350 | 74.350 | 111.136 | -0.000 | -0.000 | -0.000 |
| 0.000 | -0.000 | -0.000 | 41.580 | -0.000 | -0.000 |
| -0.000 | 0.000 | -0.000 | -0.000 | 41.580 | -0.000 |
| -0.000 | -0.000 | 0.000 | -0.000 | -0.000 | 41.580 |
| 111.136 | 74.351 | 74.351 | 0.000 | 0.000 | 0.000 |
| 74.351 | 111.136 | 74.351 | 0.000 | 0.000 | 0.000 |
| 74.351 | 74.351 | 111.136 | 0.000 | 0.000 | 0.000 |
| -0.000 | 0.001 | 0.001 | 41.580 | 0.000 | 0.000 |
| 0.001 | -0.000 | 0.001 | 0.000 | 41.580 | 0.000 |
| 0.001 | 0.001 | -0.000 | 0.000 | 0.000 | 41.580 |
| 111.136 | 74.349 | 74.349 | -0.000 | -0.000 | -0.000 |
| 74.349 | 111.136 | 74.349 | -0.000 | -0.000 | -0.000 |
| 74.349 | 74.349 | 111.136 | -0.000 | 0.000 | -0.000 |
| 0.000 | -0.001 | -0.001 | 41.580 | -0.000 | -0.000 |
| -0.001 | 0.000 | -0.001 | -0.000 | 41.580 | -0.000 |
| -0.001 | -0.001 | 0.000 | -0.000 | -0.000 | 41.580 |
| 236.305 | 151.176 | 143.514 | 0.000 | 0.000 | -0.000 |
| 151.322 | 287.963 | 69.260 | -0.000 | -0.000 | -0.000 |
| 143.750 | 71.660 | 292.895 | -0.000 | -0.000 | -0.000 |
| 0.135 | -0.897 | -3.223 | 40.679 | -0.000 | 0.000 |
| -0.000 | 0.000 | -0.000 | -0.000 | 111.897 | 0.000 |
| -0.000 | 0.000 | -0.000 | 0.000 | -0.000 | 119.769 |
| 236.170 | 152.077 | 146.751 | 0.000 | 0.000 | 0.000 |
| 151.053 | 289.755 | 75.698 | -0.000 | -0.000 | 0.000 |
| 143.481 | 73.452 | 299.333 | 0.000 | 0.000 | -0.000 |
| -0.135 | 0.897 | 3.223 | 40.679 | 0.000 | -0.000 |
| 0.000 | -0.000 | 0.000 | -0.000 | 111.897 | -0.000 |
| 0.000 | -0.000 | 0.000 | -0.000 | 0.000 | 119.769 |
| 236.305 | 151.176 | 143.514 | -0.000 | 0.000 | -0.000 |
| 151.201 | 288.769 | 72.157 | -0.000 | -0.000 | -0.000 |
| 143.629 | 72.466 | 295.792 | 0.000 | -0.000 | -0.000 |
| 0.013 | -0.090 | -0.322 | 40.471 | -0.000 | -0.000 |
| 0.014 | -0.090 | -0.325 | 0.000 | 111.893 | -0.000 |
| 0.013 | -0.090 | -0.322 | 0.000 | -0.000 | 119.769 |
| 236.291 | 151.271 | 143.854 | 0.000 | 0.000 | -0.000 |
| 151.183 | 288.893 | 72.601 | 0.000 | 0.000 | -0.000 |
| 143.602 | 72.645 | 296.436 | 0.000 | 0.000 | -0.000 |
| -0.013 | 0.090 | 0.322 | 40.471 | -0.000 | -0.000 |
| -0.014 | 0.090 | 0.325 | 0.000 | 111.893 | 0.000 |
| -0.013 | 0.090 | 0.322 | -0.000 | 0.000 | 119.769 |
| 236.305 | 151.177 | 143.514 | -0.000 | -0.000 | -0.000 |
| 151.190 | 288.850 | 72.447 | 0.000 | -0.000 | -0.000 |
| 143.598 | 72.678 | 296.554 | -0.000 | -0.000 | 0.000 |
| -0.000 | -0.000 | -0.000 | 40.714 | -0.000 | 0.000 |
| 0.001 | -0.009 | -0.032 | 0.000 | 111.887 | -0.000 |
| 0.001 | -0.009 | -0.032 | -0.000 | -0.000 | 119.769 |
| 236.303 | 151.190 | 143.564 | 0.000 | 0.000 | 0.000 |
| 151.186 | 288.868 | 72.511 | -0.000 | 0.000 | 0.000 |
| 143.614 | 72.565 | 296.146 | 0.000 | 0.000 | -0.000 |
| 0.000 | 0.000 | 0.000 | 40.714 | 0.000 | -0.000 |
| -0.001 | 0.009 | 0.032 | 0.000 | 111.887 | 0.000 |
| -0.001 | 0.009 | 0.032 | -0.000 | 0.000 | 119.769 |
| 236.740 | 151.264 | 143.859 | 0.000 | 0.000 | 0.000 |
| 151.270 | 288.883 | 72.571 | -0.000 | 0.000 | 0.000 |
| 143.883 | 72.571 | 296.507 | -0.000 | 0.000 | 0.000 |
| 0.000 | -0.000 | -0.000 | 40.379 | 0.000 | 0.000 |
| 0.000 | -0.000 | -0.000 | 0.000 | 112.038 | 0.000 |
| -0.000 | 0.000 | -0.000 | -0.000 | 0.000 | 119.818 |
| 236.740 | 151.264 | 143.859 | 0.000 | -0.000 | -0.000 |
| 151.264 | 288.915 | 72.686 | 0.000 | -0.000 | -0.000 |
| 143.883 | 72.571 | 296.507 | -0.000 | -0.000 | -0.000 |
| -0.000 | 0.000 | 0.000 | 40.379 | -0.000 | -0.000 |
| -0.000 | 0.000 | 0.000 | -0.000 | 112.038 | -0.000 |
| 0.000 | -0.000 | 0.000 | 0.000 | -0.000 | 119.818 |
| 236.739 | 151.270 | 143.883 | -0.000 | 0.000 | 0.000 |
| 151.270 | 288.883 | 72.571 | -0.000 | 0.000 | 0.000 |
| 143.883 | 72.571 | 296.507 | -0.000 | 0.000 | 0.000 |
| -0.000 | -0.000 | -0.000 | 40.609 | -0.000 | 0.000 |
| 0.000 | 0.000 | 0.000 | -0.000 | 112.038 | 0.000 |
| -0.000 | 0.000 | 0.000 | -0.000 | 0.000 | 119.818 |
| 236.739 | 151.270 | 143.883 | -0.000 | -0.000 | -0.000 |
| 151.264 | 288.915 | 72.686 | 0.000 | -0.000 | -0.000 |
| 143.859 | 72.686 | 296.913 | 0.000 | -0.000 | -0.000 |
| 0.000 | 0.000 | 0.000 | 40.609 | -0.000 | 0.000 |
| -0.000 | -0.000 | -0.000 | 0.000 | 112.038 | -0.000 |
| 0.000 | -0.000 | -0.000 | 0.000 | -0.000 | 119.818 |
| 236.739 | 151.271 | 143.883 | 0.000 | 0.000 | 0.000 |
| 151.271 | 288.884 | 72.571 | -0.000 | -0.000 | 0.000 |
| 143.884 | 72.571 | 296.508 | -0.000 | 0.000 | 0.000 |
| -0.000 | -0.000 | -0.000 | 40.379 | 0.000 | 0.000 |
| 0.000 | 0.000 | 0.000 | -0.000 | 112.052 | 0.000 |
| -0.000 | 0.000 | 0.000 | -0.000 | 0.000 | 119.818 |
| 236.739 | 151.270 | 143.883 | 0.000 | -0.000 | -0.000 |
| 151.270 | 288.883 | 72.571 | 0.000 | -0.000 | 0.000 |
| 143.859 | 72.686 | 296.913 | 0.000 | -0.000 | -0.000 |
| 0.000 | 0.000 | 0.000 | 40.379 | -0.000 | -0.000 |
| -0.000 | -0.000 | -0.000 | 0.000 | 112.052 | -0.000 |
| 0.000 | -0.000 | -0.000 | 0.000 | -0.000 | 119.818 |
| 82.567 | 99.780 | 50.534 | 0.000 | -0.000 | -0.000 |
| 99.780 | 82.567 | 50.534 | -0.000 | -0.000 | -0.000 |
| 50.534 | 50.534 | 110.187 | 0.000 | -0.000 | -0.000 |
| -0.000 | -0.000 | -0.000 | 17.256 | 0.000 | 0.000 |
| -0.000 | -0.000 | -0.000 | 0.000 | 17.256 | -0.000 |
| 0.000 | 0.000 | -0.000 | 0.000 | -0.000 | 66.764 |
| 82.567 | 99.780 | 50.534 | 0.000 | 0.000 | 0.000 |
| 99.780 | 82.567 | 50.534 | 0.000 | 0.000 | 0.000 |
| 50.534 | 50.534 | 110.187 | -0.000 | 0.000 | 0.000 |
| 0.000 | 0.000 | 0.000 | 17.256 | -0.000 | 0.000 |
| 0.000 | 0.000 | 0.000 | -0.000 | 17.256 | 0.000 |
| -0.000 | -0.000 | 0.000 | -0.000 | 0.000 | 66.764 |
| 82.566 | 99.781 | 50.534 | -0.000 | 0.000 | -0.000 |
| 99.781 | 82.566 | 50.534 | 0.000 | -0.000 | 0.000 |
| 50.534 | 50.534 | 110.187 | 0.000 | 0.000 | -0.000 |
| -0.000 | -0.000 | -0.000 | 17.256 | 0.000 | -0.000 |
| -0.000 | -0.000 | -0.000 | 0.000 | 17.256 | -0.000 |
| 0.000 | 0.000 | -0.000 | 0.000 | 0.000 | 66.764 |
| 81.262 | 101.085 | 50.534 | -0.000 | 0.000 | 0.000 |
| 101.085 | 81.262 | 50.534 | -0.000 | -0.000 | -0.000 |
| 50.534 | 50.534 | 110.187 | -0.000 | -0.000 | 0.000 |
| 0.000 | 0.000 | 0.000 | 17.256 | 0.000 | -0.000 |
| 0.000 | 0.000 | 0.000 | -0.000 | 17.256 | 0.000 |
| -0.000 | -0.000 | 0.000 | -0.000 | -0.000 | 66.764 |
| 82.566 | 99.781 | 50.534 | 0.000 | 0.000 | -0.000 |
| 99.781 | 82.566 | 50.534 | 0.000 | -0.000 | -0.000 |
| 50.533 | 50.533 | 110.186 | 0.000 | -0.000 | -0.000 |
| -0.000 | -0.000 | -0.000 | 17.819 | 0.000 | -0.000 |
| -0.000 | -0.000 | -0.000 | 0.000 | 17.819 | 0.000 |
| 0.000 | 0.001 | -0.000 | 0.000 | -0.000 | 66.764 |
| 81.263 | 101.084 | 50.534 | -0.000 | 0.000 | -0.000 |
| 101.084 | 81.263 | 50.534 | -0.000 | -0.000 | -0.000 |
| 50.534 | 50.534 | 110.188 | 0.000 | 0.000 | 0.000 |
| 0.000 | 0.000 | 0.000 | 17.819 | 0.000 | 0.000 |
| 0.000 | 0.000 | 0.000 | 0.000 | 17.819 | 0.000 |
| -0.000 | -0.001 | 0.000 | -0.000 | 0.000 | 66.764 |
| 229.885 | 101.833 | 103.772 | -46.053 | -0.000 | -0.000 |
| 91.563 | 213.200 | 48.881 | 41.977 | -0.000 | -0.000 |
| 75.423 | 75.423 | 209.342 | -0.000 | 0.000 | -0.000 |
| -48.268 | 28.704 | -38.554 | 56.710 | -0.000 | -0.000 |
| -9.782 | -9.782 | -38.554 | -0.000 | 56.710 | -38.486 |
| 0.000 | 0.000 | 0.000 | -0.000 | -46.053 | 64.026 |
| 229.885 | 101.833 | 103.772 | -46.053 | 0.000 | 0.000 |
| 111.147 | 220.317 | 102.181 | 33.836 | 0.000 | -0.000 |
| 86.781 | 86.781 | 255.068 | 0.000 | 0.000 | -0.000 |
| -28.704 | 48.268 | 38.554 | 56.710 | 0.000 | -0.000 |
| 9.782 | 9.782 | 38.554 | 0.000 | 56.710 | -38.486 |
| -0.000 | -0.000 | -0.000 | 0.000 | -46.053 | 64.026 |
| 229.885 | 101.833 | 103.772 | -46.053 | 0.000 | -0.000 |
| 101.833 | 229.885 | 103.772 | 46.053 | -0.000 | 0.000 |
| 104.855 | 104.855 | 331.287 | -0.000 | 0.000 | 0.000 |
| -46.053 | 46.053 | 0.000 | 67.604 | 0.000 | -0.000 |
| 1.935 | 1.935 | 8.137 | -0.000 | 40.697 | -29.399 |
| 0.466 | 0.466 | 2.118 | -0.000 | -32.254 | 53.834 |
| 229.885 | 101.833 | 103.772 | -46.053 | 0.000 | 0.000 |
| 97.782 | 220.024 | 74.752 | 42.362 | 0.000 | 0.000 |
| 77.372 | 77.372 | 219.504 | 0.000 | 0.000 | -0.000 |
| -46.053 | 46.053 | -0.000 | 67.604 | 0.000 | 0.000 |
| -1.935 | -1.935 | -8.137 | 0.000 | 40.697 | -29.399 |
| -0.466 | -0.466 | -2.118 | 0.000 | -32.254 | 53.834 |
| 219.402 | 97.214 | 72.387 | -42.327 | -0.000 | -0.000 |
| 101.833 | 229.887 | 103.772 | 46.054 | -0.000 | -0.000 |
| 76.715 | 76.715 | 216.950 | -0.000 | -0.000 | -0.000 |
| -30.602 | 30.196 | -0.798 | 45.069 | -0.000 | -0.000 |
| 0.000 | 0.000 | 0.001 | -0.000 | 67.604 | -46.053 |
| -0.156 | -0.156 | -0.615 | -0.000 | -33.979 | 54.524 |
| 211.993 | 105.968 | 75.936 | -29.475 | 0.000 | -0.000 |
| 101.832 | 229.883 | 103.772 | 46.053 | 0.000 | -0.000 |
| 81.455 | 81.455 | 233.595 | 0.000 | -0.000 | 0.000 |
| -29.942 | 29.006 | -1.932 | 38.862 | 0.000 | 0.000 |
| -0.000 | -0.000 | -0.001 | 0.000 | 67.604 | -46.053 |
| 0.156 | 0.156 | 0.615 | 0.000 | -33.979 | 54.524 |
| 222.583 | 98.750 | 86.365 | 46.294 | 0.000 | 0.000 |
| 102.797 | 232.002 | 113.158 | -49.701 | 0.000 | 0.000 |
| 93.038 | 93.038 | 289.503 | -0.000 | 0.000 | 0.000 |
| 49.701 | -49.701 | 0.000 | 74.438 | 0.000 | 0.000 |
| 0.000 | 0.000 | 0.000 | 0.000 | 74.438 | 49.701 |
| -0.007 | -0.007 | 0.077 | 0.000 | 38.664 | 55.902 |
| 218.121 | 102.855 | 86.513 | 40.734 | -0.000 | -0.000 |
| 102.855 | 218.121 | 86.513 | -40.734 | -0.000 | -0.000 |
| 113.158 | 113.158 | 369.889 | 0.000 | -0.000 | -0.000 |
| 49.701 | -49.701 | -0.000 | 74.438 | -0.000 | 0.000 |
| -0.000 | -0.000 | -0.000 | -0.000 | 74.438 | 49.701 |
| 0.007 | 0.007 | -0.077 | -0.000 | 38.664 | 55.902 |
| 232.002 | 102.797 | 113.158 | 49.701 | 0.000 | -0.000 |
| 102.797 | 232.002 | 113.158 | -49.701 | 0.000 | 0.000 |
| 93.097 | 93.097 | 289.717 | 0.000 | 0.000 | 0.000 |
| 35.975 | -35.977 | 0.010 | 54.751 | 0.000 | -0.000 |
| -0.001 | -0.001 | 0.010 | 0.000 | 54.751 | 35.976 |
| -0.133 | -0.133 | -0.570 | 0.000 | 35.702 | 55.023 |
| 232.001 | 102.797 | 113.158 | 49.701 | 0.000 | -0.000 |
| 102.797 | 232.001 | 113.158 | -49.701 | -0.000 | -0.000 |
| 113.158 | 113.158 | 369.889 | -0.000 | -0.000 | -0.000 |
| 35.628 | -35.682 | -0.103 | 50.169 | -0.000 | 0.000 |
| 0.001 | 0.001 | -0.010 | -0.000 | 54.751 | 35.976 |
| 0.133 | 0.133 | 0.570 | -0.000 | 35.702 | 55.023 |
| 222.702 | 98.802 | 86.669 | 46.336 | -0.000 | 0.000 |
| 102.744 | 218.141 | 86.366 | -40.818 | -0.000 | 0.000 |
| 93.102 | 93.102 | 289.736 | -0.000 | -0.000 | 0.000 |
| 35.645 | -35.666 | -0.046 | 50.168 | 0.000 | -0.000 |
| 0.000 | 0.000 | 0.001 | 0.000 | 74.438 | 49.701 |
| -0.013 | -0.012 | -0.055 | 0.000 | 35.656 | 55.011 |
| 218.138 | 102.746 | 86.370 | 40.816 | -0.000 | -0.000 |
| 102.746 | 218.138 | 86.370 | -40.816 | -0.000 | 0.000 |
| 113.157 | 113.157 | 369.886 | -0.000 | -0.000 | -0.000 |
| 49.701 | -49.702 | -0.001 | 74.439 | -0.000 | -0.000 |
| -0.000 | -0.000 | -0.001 | -0.000 | 74.438 | 49.701 |
| 0.013 | 0.012 | 0.055 | -0.000 | 35.656 | 55.011 |
| 174.542 | 163.678 | 163.678 | 0.000 | 0.000 | 0.000 |
| 163.678 | 174.542 | 163.678 | 0.000 | 0.000 | 0.000 |
| 163.678 | 163.678 | 174.542 | 0.000 | 0.000 | 0.000 |
| 0.000 | 0.000 | 0.000 | 104.689 | -0.000 | 0.000 |
| 0.000 | 0.000 | 0.000 | -0.000 | 104.689 | -0.000 |
| 0.000 | 0.000 | 0.000 | -0.000 | 0.000 | 104.689 |
| 174.542 | 163.678 | 163.678 | -0.000 | -0.000 | -0.000 |
| 163.678 | 174.542 | 163.678 | -0.000 | -0.000 | -0.000 |
| 163.678 | 163.678 | 174.542 | -0.000 | -0.000 | -0.000 |
| -0.000 | -0.000 | -0.000 | 104.689 | -0.000 | -0.000 |
| -0.000 | -0.000 | -0.000 | -0.000 | 104.689 | -0.000 |
| -0.000 | -0.000 | -0.000 | -0.000 | -0.000 | 104.689 |
| 174.543 | 163.679 | 163.679 | 0.000 | 0.000 | 0.000 |
| 163.679 | 174.543 | 163.679 | 0.000 | 0.000 | 0.000 |
| 163.679 | 163.679 | 174.543 | 0.000 | 0.000 | 0.000 |
| 0.000 | 0.000 | 0.000 | 104.689 | -0.000 | 0.000 |
| 0.000 | 0.000 | 0.000 | -0.000 | 104.689 | 0.000 |
| 0.000 | 0.000 | 0.000 | -0.000 | 0.000 | 104.689 |
| 174.542 | 163.678 | 163.678 | -0.000 | -0.000 | -0.000 |
| 163.678 | 174.542 | 163.678 | -0.000 | -0.000 | -0.000 |
| 163.678 | 163.678 | 174.542 | -0.000 | -0.000 | -0.000 |
| -0.000 | -0.000 | -0.000 | 104.689 | 0.000 | -0.000 |
| -0.000 | -0.000 | -0.000 | 0.000 | 104.689 | -0.000 |
| -0.000 | -0.000 | -0.000 | -0.000 | -0.000 | 104.689 |
| 174.545 | 163.680 | 163.680 | 0.000 | 0.000 | 0.000 |
| 163.680 | 174.545 | 163.680 | 0.000 | 0.000 | 0.000 |
| 163.680 | 163.680 | 174.545 | 0.000 | 0.000 | 0.000 |
| 0.001 | 0.001 | 0.001 | 104.689 | 0.000 | 0.000 |
| 0.001 | 0.001 | 0.001 | -0.000 | 104.689 | 0.000 |
| 0.001 | 0.001 | 0.001 | 0.000 | 0.000 | 104.689 |
| 174.540 | 163.676 | 163.676 | 0.000 | -0.000 | -0.000 |
| 163.676 | 174.540 | 163.676 | -0.000 | -0.000 | -0.000 |
| 163.676 | 163.676 | 174.540 | -0.000 | -0.000 | 0.000 |
| -0.001 | -0.001 | -0.001 | 104.689 | -0.000 | -0.000 |
| -0.001 | -0.001 | -0.001 | 0.000 | 104.689 | -0.000 |
| -0.001 | -0.001 | -0.001 | 0.000 | -0.000 | 104.689 |
| 148.042 | 187.467 | 187.467 | -0.000 | 0.000 | 0.000 |
| 187.467 | 148.042 | 187.467 | 0.000 | -0.000 | 0.000 |
| 187.467 | 187.467 | 148.042 | 0.000 | 0.000 | -0.000 |
| 0.000 | -0.000 | -0.000 | 9.628 | 0.000 | 0.000 |
| -0.000 | -0.000 | -0.000 | 0.000 | 9.628 | 0.000 |
| -0.000 | -0.000 | -0.000 | 0.000 | -0.000 | 9.628 |
| 148.042 | 187.467 | 187.467 | -0.000 | -0.000 | -0.000 |
| 187.467 | 148.042 | 187.467 | -0.000 | -0.000 | -0.000 |
| 187.467 | 187.467 | 148.042 | -0.000 | -0.000 | -0.000 |
| 0.000 | 0.000 | 0.000 | 9.628 | -0.000 | 0.000 |
| 0.000 | -0.000 | 0.000 | 0.000 | 9.628 | -0.000 |
| 0.000 | 0.000 | 0.000 | -0.000 | 0.000 | 9.628 |
| 148.042 | 187.467 | 187.467 | -0.000 | -0.000 | -0.000 |
| 187.467 | 148.042 | 187.467 | -0.000 | -0.000 | -0.000 |
| 187.467 | 187.467 | 148.042 | -0.000 | -0.000 | -0.000 |
| 0.000 | 0.000 | 0.000 | 138.158 | -0.000 | -0.000 |
| 0.000 | 0.000 | 0.000 | -0.000 | 138.158 | -0.000 |
| 0.000 | 0.000 | 0.000 | -0.000 | -0.000 | 138.158 |
| 148.042 | 187.467 | 187.467 | -0.000 | -0.000 | -0.000 |
| 187.467 | 148.042 | 187.467 | -0.000 | -0.000 | -0.000 |
| 187.467 | 187.467 | 148.042 | -0.000 | -0.000 | -0.000 |
| -0.000 | -0.000 | -0.000 | 138.158 | 0.000 | 0.000 |
| -0.000 | -0.000 | -0.000 | 0.000 | 138.158 | 0.000 |
| -0.000 | -0.000 | -0.000 | 0.000 | 0.000 | 138.158 |
| 148.042 | 187.467 | 187.467 | 0.000 | 0.000 | 0.000 |
| 187.467 | 148.042 | 187.467 | 0.000 | 0.000 | 0.000 |
| 187.467 | 187.467 | 148.042 | 0.000 | 0.000 | 0.000 |
| 0.000 | 0.000 | 0.000 | 138.158 | -0.000 | -0.000 |
| 0.000 | 0.000 | 0.000 | -0.000 | 138.158 | -0.000 |
| 0.000 | 0.000 | 0.000 | -0.000 | -0.000 | 138.158 |
| 148.042 | 187.467 | 187.467 | -0.000 | -0.000 | -0.000 |
| 187.467 | 148.042 | 187.467 | -0.000 | -0.000 | -0.000 |
| 187.467 | 187.467 | 148.042 | -0.000 | -0.000 | -0.000 |
| -0.000 | -0.000 | -0.000 | 138.158 | 0.000 | 0.000 |
| -0.000 | -0.000 | -0.000 | 0.000 | 138.158 | 0.000 |
| -0.000 | -0.000 | -0.000 | 0.000 | 0.000 | 138.158 |
| 159.710 | 175.869 | 175.869 | 0.000 | 0.000 | 0.000 |
| 175.869 | 159.710 | 175.869 | 0.000 | 0.000 | 0.000 |
| 175.869 | 175.869 | 159.710 | 0.000 | 0.000 | 0.000 |
| 0.000 | -0.000 | 0.000 | 131.384 | 0.000 | 0.000 |
| -0.000 | 0.000 | 0.000 | 0.000 | 131.384 | 0.000 |
| 0.000 | 0.000 | 0.000 | 0.000 | 0.000 | 131.384 |
| 159.710 | 175.869 | 175.869 | -0.000 | -0.000 | -0.000 |
| 175.869 | 159.710 | 175.869 | -0.000 | -0.000 | -0.000 |
| 175.869 | 175.869 | 159.710 | -0.000 | -0.000 | -0.000 |
| -0.000 | 0.000 | -0.000 | 131.384 | -0.000 | -0.000 |
| 0.000 | -0.000 | -0.000 | -0.000 | 131.384 | 0.000 |
| 0.000 | -0.000 | -0.000 | -0.000 | -0.000 | 131.384 |
| 159.711 | 175.869 | 175.869 | 0.000 | 0.000 | 0.000 |
| 175.869 | 159.711 | 175.869 | 0.000 | 0.000 | 0.000 |
| 175.869 | 175.869 | 159.711 | 0.000 | 0.000 | 0.000 |
| -0.000 | -0.000 | -0.000 | 11.902 | 0.000 | 0.000 |
| -0.000 | -0.000 | -0.000 | 0.000 | 11.902 | 0.000 |
| -0.000 | -0.000 | -0.000 | 0.000 | 0.000 | 11.902 |
| 159.710 | 175.869 | 175.869 | -0.000 | -0.000 | -0.000 |
| 175.869 | 159.710 | 175.869 | -0.000 | -0.000 | -0.000 |
| 175.869 | 175.869 | 159.710 | -0.000 | -0.000 | -0.000 |
| 0.000 | 0.000 | 0.000 | 11.902 | -0.000 | -0.000 |
| 0.000 | 0.000 | 0.000 | -0.000 | 11.902 | -0.000 |
| 0.000 | 0.000 | 0.000 | -0.000 | -0.000 | 11.902 |
| 159.711 | 175.870 | 175.870 | 0.000 | 0.000 | 0.000 |
| 175.870 | 159.711 | 175.870 | 0.000 | 0.000 | 0.000 |
| 175.870 | 175.870 | 159.711 | 0.000 | 0.000 | 0.000 |
| 0.000 | 0.000 | 0.000 | 131.384 | 0.000 | 0.000 |
| 0.000 | 0.000 | 0.000 | 0.000 | 131.384 | 0.000 |
| 0.000 | 0.000 | 0.000 | 0.000 | 0.000 | 131.384 |
| 159.710 | 175.869 | 175.869 | -0.000 | -0.000 | -0.000 |
| 175.869 | 159.710 | 175.869 | -0.000 | -0.000 | -0.000 |
| 175.869 | 175.869 | 159.710 | -0.000 | -0.000 | -0.000 |
| -0.000 | -0.000 | -0.000 | 131.384 | -0.000 | -0.000 |
| -0.000 | -0.000 | -0.000 | -0.000 | 131.384 | -0.000 |
| -0.000 | -0.000 | -0.000 | -0.000 | -0.000 | 131.384 |
| 191.186 | 227.138 | 227.138 | -0.000 | -0.000 | -0.000 |
| 227.138 | 191.186 | 227.138 | -0.000 | -0.000 | 0.000 |
| 227.138 | 227.138 | 191.186 | -0.000 | -0.000 | -0.000 |
| 0.000 | 0.000 | 0.000 | 157.114 | -0.000 | -0.000 |
| 0.000 | 0.000 | 0.000 | -0.000 | 157.114 | -0.000 |
| 0.000 | 0.000 | 0.000 | -0.000 | -0.000 | 157.114 |
| 191.186 | 227.138 | 227.138 | 0.000 | 0.000 | 0.000 |
| 227.138 | 191.186 | 227.138 | 0.000 | 0.000 | 0.000 |
| 227.138 | 227.138 | 191.186 | 0.000 | 0.000 | 0.000 |
| -0.000 | -0.000 | -0.000 | 157.114 | 0.000 | -0.000 |
| -0.000 | -0.000 | -0.000 | 0.000 | 157.114 | 0.000 |
| -0.000 | -0.000 | -0.000 | 0.000 | 0.000 | 157.114 |
| 191.186 | 227.138 | 227.138 | -0.000 | -0.000 | -0.000 |
| 227.138 | 191.186 | 227.138 | -0.000 | -0.000 | 0.000 |
| 227.138 | 227.138 | 191.186 | -0.000 | -0.000 | -0.000 |
| 0.000 | 0.000 | 0.000 | 186.290 | -0.000 | -0.000 |
| 0.000 | 0.000 | 0.000 | -0.000 | 186.290 | -0.000 |
| 0.000 | 0.000 | 0.000 | -0.000 | -0.000 | 186.290 |
| 191.185 | 227.137 | 227.137 | 0.000 | 0.000 | 0.000 |
| 227.137 | 191.185 | 227.137 | 0.000 | 0.000 | 0.000 |
| 227.137 | 227.137 | 191.185 | 0.000 | 0.000 | 0.000 |
| -0.000 | -0.000 | -0.000 | 186.290 | 0.000 | 0.000 |
| -0.000 | -0.000 | -0.000 | 0.000 | 186.290 | 0.000 |
| -0.000 | -0.000 | -0.000 | 0.000 | 0.000 | 186.290 |
| 191.186 | 227.138 | 227.138 | -0.000 | -0.000 | 0.000 |
| 227.138 | 191.186 | 227.138 | -0.000 | -0.000 | 0.000 |
| 227.138 | 227.138 | 191.186 | -0.000 | 0.000 | -0.000 |
| 0.000 | 0.000 | 0.000 | 157.114 | 0.000 | -0.000 |
| 0.000 | 0.000 | 0.000 | 0.000 | 157.114 | -0.000 |
| 0.000 | 0.000 | 0.000 | -0.000 | -0.000 | 157.114 |
| 191.185 | 227.137 | 227.137 | 0.000 | 0.000 | 0.000 |
| 227.137 | 191.185 | 227.137 | 0.000 | 0.000 | -0.000 |
| 227.137 | 227.137 | 191.185 | -0.000 | -0.000 | 0.000 |
| -0.000 | -0.000 | -0.000 | 157.114 | -0.000 | 0.000 |
| -0.000 | -0.000 | -0.000 | 0.000 | 157.114 | -0.000 |
| -0.000 | -0.000 | -0.000 | 0.000 | 0.000 | 157.114 |
| 0.001 | 0.001 | 0.001 | -0.000 | -0.000 | 0.000 |
| 0.001 | 0.001 | 0.001 | -0.000 | -0.000 | 0.000 |
| 0.001 | 0.001 | 0.001 | -0.000 | -0.000 | 0.000 |
| 0.000 | 0.000 | 0.000 | 0.001 | -0.000 | 0.000 |
| 0.000 | 0.000 | 0.000 | -0.000 | 0.001 | 0.000 |
| 0.000 | 0.000 | 0.000 | -0.000 | -0.000 | 0.001 |
| 0.001 | 0.001 | 0.001 | 0.000 | 0.000 | -0.000 |
| 0.001 | 0.001 | 0.001 | 0.000 | 0.000 | -0.000 |
| 0.001 | 0.001 | 0.001 | 0.000 | 0.000 | -0.000 |
| -0.000 | -0.000 | -0.000 | 0.001 | 0.000 | -0.000 |
| -0.000 | -0.000 | -0.000 | -0.000 | 0.001 | -0.000 |
| -0.000 | -0.000 | -0.000 | 0.000 | 0.000 | 0.001 |
| 0.001 | 0.001 | 0.001 | -0.000 | -0.000 | 0.000 |
| 0.001 | 0.001 | 0.001 | -0.000 | -0.000 | 0.000 |
| 0.001 | 0.001 | 0.001 | -0.000 | -0.000 | 0.000 |
| 0.000 | 0.000 | 0.000 | 0.001 | -0.000 | 0.000 |
| 0.000 | 0.000 | 0.000 | -0.000 | 0.001 | 0.000 |
| 0.000 | 0.000 | 0.000 | -0.000 | 0.000 | 0.001 |
| 0.001 | 0.001 | 0.001 | -0.000 | 0.000 | -0.000 |
| 0.001 | 0.001 | 0.001 | 0.000 | -0.000 | -0.000 |
| 0.001 | 0.001 | 0.001 | 0.000 | 0.000 | -0.000 |
| -0.000 | -0.000 | -0.000 | 0.001 | 0.000 | -0.000 |
| -0.000 | -0.000 | -0.000 | 0.000 | 0.001 | -0.000 |
| -0.000 | -0.000 | -0.000 | 0.000 | 0.000 | 0.001 |
| 0.001 | 0.001 | 0.001 | -0.000 | -0.000 | 0.000 |
| 0.001 | 0.001 | 0.001 | -0.000 | -0.000 | 0.000 |
| 0.001 | 0.001 | 0.001 | -0.000 | -0.000 | 0.000 |
| 0.000 | 0.000 | 0.000 | 0.001 | -0.000 | 0.000 |
| 0.000 | 0.000 | 0.000 | 0.000 | 0.001 | 0.000 |
| 0.000 | 0.000 | 0.000 | -0.000 | 0.000 | 0.001 |
| 0.001 | 0.001 | 0.001 | 0.000 | 0.000 | -0.000 |
| 0.001 | 0.001 | 0.001 | 0.000 | 0.000 | -0.000 |
| 0.001 | 0.001 | 0.001 | 0.000 | 0.000 | -0.000 |
| -0.000 | -0.000 | -0.000 | 0.001 | 0.000 | -0.000 |
| -0.000 | -0.000 | -0.000 | 0.000 | 0.001 | -0.000 |
| -0.000 | -0.000 | -0.000 | 0.000 | 0.000 | 0.001 |
| 335.389 | 20.281 | 20.281 | 0.000 | 0.000 | 0.000 |
| 20.281 | 335.389 | 20.281 | 0.000 | 0.000 | 0.000 |
| 20.281 | 20.281 | 335.389 | -0.000 | -0.000 | -0.000 |
| 0.000 | 0.000 | -0.000 | -25.998 | 0.000 | -0.000 |
| -0.000 | -0.000 | -0.000 | -0.000 | -25.998 | -0.000 |
| -0.000 | -0.000 | 0.000 | 0.000 | 0.000 | -25.998 |
| 335.389 | 20.281 | 20.281 | 0.000 | 0.000 | 0.000 |
| 20.281 | 335.389 | 20.281 | 0.000 | -0.000 | 0.000 |
| 20.281 | 20.281 | 335.389 | 0.000 | 0.000 | 0.000 |
| -0.000 | -0.000 | 0.000 | -25.998 | 0.000 | -0.000 |
| 0.000 | 0.000 | 0.000 | 0.000 | -25.998 | -0.000 |
| 0.000 | 0.000 | -0.000 | 0.000 | -0.000 | -25.998 |
| 335.388 | 20.280 | 20.280 | 0.000 | 0.000 | -0.000 |
| 20.280 | 335.388 | 20.280 | 0.000 | 0.000 | -0.000 |
| 20.280 | 20.280 | 335.388 | -0.000 | -0.000 | 0.000 |
| 0.000 | 0.000 | -0.000 | -25.998 | 0.000 | -0.000 |
| 0.000 | 0.000 | -0.000 | -0.000 | -25.998 | 0.000 |
| 0.000 | -0.000 | 0.000 | 0.000 | 0.000 | -25.998 |
| 335.389 | 20.282 | 20.282 | 0.000 | -0.000 | 0.000 |
| 20.282 | 335.389 | 20.282 | -0.000 | -0.000 | 0.000 |
| 20.282 | 20.282 | 335.389 | 0.000 | 0.000 | 0.000 |
| -0.000 | -0.000 | 0.000 | -25.998 | -0.000 | 0.000 |
| -0.000 | -0.000 | 0.000 | 0.000 | -25.998 | 0.000 |
| -0.000 | 0.000 | -0.000 | -0.000 | -0.000 | -25.998 |
| 335.384 | 20.275 | 20.275 | -0.000 | 0.000 | -0.000 |
| 20.275 | 335.384 | 20.275 | 0.000 | 0.000 | -0.000 |
| 20.275 | 20.275 | 335.384 | -0.000 | -0.000 | -0.000 |
| 0.000 | 0.000 | -0.000 | -25.998 | -0.000 | -0.000 |
| 0.000 | 0.000 | -0.000 | -0.000 | -25.998 | -0.000 |
| 0.000 | -0.000 | 0.000 | 0.000 | 0.000 | -25.998 |
| 335.393 | 20.287 | 20.287 | 0.000 | -0.000 | 0.000 |
| 20.287 | 335.393 | 20.287 | -0.000 | -0.000 | 0.000 |
| 20.287 | 20.287 | 335.393 | 0.000 | 0.000 | -0.000 |
| -0.000 | -0.000 | 0.000 | -25.998 | -0.000 | 0.000 |
| -0.000 | -0.000 | 0.000 | 0.000 | -25.998 | 0.000 |
| -0.000 | 0.000 | -0.000 | 0.000 | -0.000 | -25.998 |
| 0.002 | -0.000 | -0.000 | 0.000 | 0.000 | 0.000 |
| -0.000 | 0.002 | -0.000 | 0.000 | 0.000 | 0.000 |
| -0.000 | -0.000 | 0.002 | 0.000 | 0.000 | 0.000 |
| 0.000 | -0.000 | -0.000 | -0.000 | 0.000 | 0.000 |
| -0.000 | 0.000 | -0.000 | -0.000 | 0.000 | 0.000 |
| -0.000 | -0.000 | 0.000 | 0.000 | 0.000 | 0.000 |
| 0.002 | -0.000 | -0.000 | 0.000 | -0.000 | -0.000 |
| -0.000 | 0.002 | -0.000 | -0.000 | 0.000 | -0.000 |
| -0.000 | -0.000 | 0.002 | -0.000 | -0.000 | 0.000 |
| -0.000 | 0.000 | 0.000 | -0.000 | -0.000 | -0.000 |
| 0.000 | -0.000 | 0.000 | 0.000 | -0.000 | -0.000 |
| 0.000 | 0.000 | -0.000 | -0.000 | -0.000 | -0.000 |
| 0.002 | -0.000 | -0.000 | 0.000 | 0.000 | 0.000 |
| -0.000 | 0.002 | -0.000 | 0.000 | 0.000 | 0.000 |
| -0.000 | -0.000 | 0.002 | 0.000 | 0.000 | 0.000 |
| 0.000 | 0.000 | -0.000 | 0.000 | 0.000 | 0.000 |
| 0.000 | 0.000 | -0.000 | 0.000 | 0.000 | 0.000 |
| 0.000 | -0.000 | 0.000 | 0.000 | 0.000 | 0.000 |
| 0.002 | -0.000 | -0.000 | -0.000 | -0.000 | -0.000 |
| -0.000 | 0.002 | -0.000 | -0.000 | -0.000 | -0.000 |
| -0.000 | -0.000 | 0.002 | -0.000 | -0.000 | -0.000 |
| -0.000 | 0.000 | 0.000 | 0.000 | -0.000 | -0.000 |
| 0.000 | -0.000 | 0.000 | -0.000 | 0.000 | -0.000 |
| 0.000 | 0.000 | -0.000 | -0.000 | -0.000 | 0.000 |
| 0.002 | -0.000 | -0.000 | 0.000 | 0.000 | 0.000 |
| -0.000 | 0.002 | -0.000 | 0.000 | 0.000 | -0.000 |
| -0.000 | -0.000 | 0.002 | 0.000 | 0.000 | 0.000 |
| 0.000 | -0.000 | -0.000 | 0.000 | -0.000 | 0.000 |
| -0.000 | 0.000 | -0.000 | 0.000 | 0.000 | 0.000 |
| -0.000 | -0.000 | 0.000 | 0.000 | 0.000 | 0.000 |
| 0.002 | -0.000 | -0.000 | -0.000 | -0.000 | -0.000 |
| -0.000 | 0.002 | -0.000 | -0.000 | -0.000 | -0.000 |
| -0.000 | -0.000 | 0.002 | 0.000 | -0.000 | -0.000 |
| -0.000 | 0.000 | 0.000 | 0.000 | 0.000 | -0.000 |
| 0.000 | -0.000 | 0.000 | -0.000 | 0.000 | -0.000 |
| 0.000 | 0.000 | -0.000 | -0.000 | -0.000 | 0.000 |
| -0.000 | -0.000 | -0.000 | 0.000 | -0.000 | 0.000 |
| -0.000 | -0.000 | -0.000 | -0.000 | 0.000 | -0.000 |
| -0.000 | -0.000 | -0.000 | 0.000 | 0.000 | -0.000 |
| 0.000 | 0.000 | 0.000 | 0.000 | -0.000 | 0.000 |
| 0.000 | 0.000 | 0.000 | 0.000 | 0.000 | 0.000 |
| 0.000 | 0.000 | 0.000 | 0.000 | -0.000 | 0.000 |
| -0.000 | -0.000 | -0.000 | 0.000 | -0.000 | -0.000 |
| -0.000 | -0.000 | -0.000 | -0.000 | 0.000 | 0.000 |
| -0.000 | -0.000 | -0.000 | -0.000 | -0.000 | -0.000 |
| -0.000 | 0.000 | -0.000 | 0.000 | 0.000 | -0.000 |
| 0.000 | -0.000 | -0.000 | -0.000 | 0.000 | 0.000 |
| 0.000 | -0.000 | -0.000 | -0.000 | 0.000 | 0.000 |
| -0.000 | -0.000 | -0.000 | 0.000 | -0.000 | 0.000 |
| -0.000 | -0.000 | -0.000 | 0.000 | 0.000 | 0.000 |
| -0.000 | -0.000 | -0.000 | 0.000 | -0.000 | -0.000 |
| 0.000 | 0.000 | 0.000 | 0.000 | 0.000 | 0.000 |
| 0.000 | 0.000 | 0.000 | 0.000 | 0.000 | 0.000 |
| 0.000 | 0.000 | 0.000 | 0.000 | -0.000 | 0.000 |
| -0.000 | -0.000 | -0.000 | 0.000 | 0.000 | 0.000 |
| -0.000 | -0.000 | -0.000 | -0.000 | 0.000 | 0.000 |
| -0.000 | -0.000 | -0.000 | 0.000 | 0.000 | -0.000 |
| -0.000 | 0.000 | -0.000 | 0.000 | -0.000 | -0.000 |
| 0.000 | -0.000 | -0.000 | -0.000 | 0.000 | -0.000 |
| 0.000 | -0.000 | -0.000 | -0.000 | 0.000 | 0.000 |
| -0.000 | -0.000 | -0.000 | 0.000 | -0.000 | -0.000 |
| -0.000 | -0.000 | -0.000 | -0.000 | 0.000 | 0.000 |
| -0.000 | -0.000 | -0.000 | -0.000 | -0.000 | -0.000 |
| 0.000 | -0.000 | 0.000 | -0.000 | 0.000 | 0.000 |
| -0.000 | 0.000 | 0.000 | -0.000 | -0.000 | 0.000 |
| -0.000 | 0.000 | 0.000 | 0.000 | -0.000 | -0.000 |
| -0.000 | -0.000 | -0.000 | 0.000 | 0.000 | -0.000 |
| -0.000 | -0.000 | -0.000 | -0.000 | 0.000 | -0.000 |
| -0.000 | -0.000 | -0.000 | 0.000 | 0.000 | -0.000 |
| -0.000 | -0.000 | -0.000 | -0.000 | -0.000 | -0.000 |
| -0.000 | -0.000 | -0.000 | 0.000 | -0.000 | -0.000 |
| -0.000 | -0.000 | -0.000 | -0.000 | 0.000 | -0.000 |
| 163.392 | 178.525 | 178.525 | -0.000 | -0.000 | -0.000 |
| 178.525 | 163.392 | 178.525 | -0.000 | -0.000 | 0.000 |
| 178.525 | 178.525 | 163.392 | 0.000 | -0.000 | 0.000 |
| 0.000 | 0.000 | 0.000 | 118.668 | -0.000 | -0.000 |
| 0.000 | 0.000 | 0.000 | -0.000 | 118.668 | -0.000 |
| -0.000 | 0.000 | 0.000 | -0.000 | -0.000 | 118.668 |
| 163.392 | 178.525 | 178.525 | 0.000 | 0.000 | -0.000 |
| 178.525 | 163.392 | 178.525 | -0.000 | 0.000 | -0.000 |
| 178.525 | 178.525 | 163.392 | -0.000 | -0.000 | 0.000 |
| -0.000 | -0.000 | -0.000 | 118.668 | 0.000 | 0.000 |
| -0.000 | -0.000 | -0.000 | 0.000 | 118.668 | -0.000 |
| -0.000 | -0.000 | -0.000 | 0.000 | -0.000 | 118.668 |
| 163.392 | 178.525 | 178.525 | -0.000 | -0.000 | -0.000 |
| 178.525 | 163.392 | 178.525 | -0.000 | -0.000 | -0.000 |
| 178.525 | 178.525 | 163.392 | -0.000 | -0.000 | 0.000 |
| 0.000 | -0.000 | 0.000 | 118.668 | -0.000 | 0.000 |
| -0.000 | 0.000 | 0.000 | -0.000 | 118.668 | 0.000 |
| -0.000 | 0.000 | 0.000 | -0.000 | 0.000 | 118.668 |
| 163.392 | 178.525 | 178.525 | 0.000 | -0.000 | -0.000 |
| 178.525 | 163.392 | 178.525 | -0.000 | 0.000 | 0.000 |
| 178.525 | 178.525 | 163.392 | 0.000 | 0.000 | 0.000 |
| -0.000 | 0.000 | -0.000 | 118.668 | 0.000 | 0.000 |
| 0.000 | -0.000 | -0.000 | 0.000 | 118.668 | -0.000 |
| 0.000 | -0.000 | -0.000 | 0.000 | 0.000 | 118.668 |
| 163.393 | 178.525 | 178.525 | -0.000 | 0.000 | 0.000 |
| 178.525 | 163.393 | 178.525 | 0.000 | -0.000 | 0.000 |
| 178.525 | 178.525 | 163.393 | 0.000 | 0.000 | -0.000 |
| 0.000 | -0.000 | 0.000 | 118.668 | 0.000 | -0.000 |
| -0.000 | 0.000 | 0.000 | 0.000 | 118.668 | -0.000 |
| -0.000 | 0.000 | 0.000 | -0.000 | -0.000 | 118.668 |
| 163.392 | 178.524 | 178.524 | -0.000 | 0.000 | 0.000 |
| 178.524 | 163.392 | 178.524 | 0.000 | 0.000 | -0.000 |
| 178.524 | 178.524 | 163.392 | -0.000 | -0.000 | -0.000 |
| -0.000 | 0.000 | -0.000 | 118.668 | 0.000 | 0.000 |
| 0.000 | -0.000 | -0.000 | 0.000 | 118.668 | -0.000 |
| 0.000 | -0.000 | -0.000 | -0.000 | 0.000 | 118.668 |
| 0.001 | 0.001 | 0.001 | 0.000 | -0.000 | -0.000 |
| 0.001 | 0.001 | 0.001 | -0.000 | 0.000 | -0.000 |
| 0.001 | 0.001 | 0.001 | 0.000 | 0.000 | 0.000 |
| 0.000 | 0.000 | 0.000 | 0.001 | 0.000 | 0.000 |
| 0.000 | 0.000 | 0.000 | 0.000 | 0.001 | 0.000 |
| 0.000 | 0.000 | 0.000 | 0.000 | 0.000 | 0.001 |
| 0.001 | 0.001 | 0.001 | -0.000 | -0.000 | -0.000 |
| 0.001 | 0.001 | 0.001 | -0.000 | -0.000 | -0.000 |
| 0.001 | 0.001 | 0.001 | -0.000 | -0.000 | -0.000 |
| -0.000 | -0.000 | -0.000 | 0.001 | -0.000 | 0.000 |
| -0.000 | -0.000 | -0.000 | -0.000 | 0.001 | 0.000 |
| -0.000 | -0.000 | -0.000 | -0.000 | 0.000 | 0.001 |
| 0.001 | 0.001 | 0.001 | 0.000 | 0.000 | 0.000 |
| 0.001 | 0.001 | 0.001 | 0.000 | 0.000 | 0.000 |
| 0.001 | 0.001 | 0.001 | 0.000 | 0.000 | 0.000 |
| 0.000 | 0.000 | 0.000 | 0.001 | 0.000 | -0.000 |
| 0.000 | 0.000 | 0.000 | 0.000 | 0.001 | -0.000 |
| 0.000 | 0.000 | 0.000 | -0.000 | 0.000 | 0.001 |
| 0.001 | 0.001 | 0.001 | -0.000 | -0.000 | 0.000 |
| 0.001 | 0.001 | 0.001 | -0.000 | -0.000 | 0.000 |
| 0.001 | 0.001 | 0.001 | -0.000 | -0.000 | -0.000 |
| -0.000 | -0.000 | -0.000 | 0.001 | 0.000 | 0.000 |
| -0.000 | -0.000 | -0.000 | 0.000 | 0.001 | 0.000 |
| -0.000 | -0.000 | -0.000 | -0.000 | 0.000 | 0.001 |
| 0.001 | 0.001 | 0.001 | 0.000 | 0.000 | 0.000 |
| 0.001 | 0.001 | 0.001 | 0.000 | 0.000 | 0.000 |
| 0.001 | 0.001 | 0.001 | 0.000 | 0.000 | 0.000 |
| 0.000 | 0.000 | 0.000 | 0.001 | 0.000 | -0.000 |
| 0.000 | 0.000 | 0.000 | 0.000 | 0.001 | -0.000 |
| 0.000 | 0.000 | 0.000 | 0.000 | -0.000 | 0.001 |
| 0.001 | 0.001 | 0.001 | 0.000 | 0.000 | 0.000 |
| 0.001 | 0.001 | 0.001 | 0.000 | 0.000 | 0.000 |
| 0.001 | 0.001 | 0.001 | -0.000 | -0.000 | -0.000 |
| -0.000 | -0.000 | -0.000 | 0.001 | 0.000 | 0.000 |
| -0.000 | -0.000 | -0.000 | 0.000 | 0.001 | 0.000 |
| -0.000 | -0.000 | -0.000 | -0.000 | 0.000 | 0.001 |
| -0.000 | -0.000 | -0.000 | -0.000 | -0.000 | -0.000 |
| -0.000 | -0.000 | -0.000 | -0.000 | -0.000 | -0.000 |
| -0.000 | -0.000 | -0.000 | -0.000 | -0.000 | -0.000 |
| -0.000 | -0.000 | -0.000 | -0.000 | -0.000 | -0.000 |
| -0.000 | -0.000 | -0.000 | -0.000 | -0.000 | -0.000 |
| -0.000 | -0.000 | -0.000 | -0.000 | -0.000 | -0.000 |
| -0.000 | -0.000 | -0.000 | 0.000 | 0.000 | 0.000 |
| -0.000 | -0.000 | -0.000 | 0.000 | 0.000 | 0.000 |
| -0.000 | -0.000 | -0.000 | 0.000 | 0.000 | 0.000 |
| 0.000 | 0.000 | 0.000 | -0.000 | 0.000 | 0.000 |
| 0.000 | 0.000 | 0.000 | 0.000 | -0.000 | 0.000 |
| 0.000 | 0.000 | 0.000 | 0.000 | 0.000 | -0.000 |
| -0.000 | -0.000 | -0.000 | -0.000 | -0.000 | -0.000 |
| -0.000 | -0.000 | -0.000 | -0.000 | -0.000 | -0.000 |
| -0.000 | -0.000 | -0.000 | -0.000 | -0.000 | -0.000 |
| -0.000 | -0.000 | -0.000 | -0.000 | -0.000 | -0.000 |
| -0.000 | -0.000 | -0.000 | -0.000 | -0.000 | -0.000 |
| -0.000 | -0.000 | -0.000 | -0.000 | -0.000 | -0.000 |
| -0.000 | -0.000 | -0.000 | 0.000 | 0.000 | 0.000 |
| -0.000 | -0.000 | -0.000 | 0.000 | 0.000 | 0.000 |
| -0.000 | -0.000 | -0.000 | 0.000 | 0.000 | 0.000 |
| 0.000 | 0.000 | 0.000 | -0.000 | 0.000 | 0.000 |
| 0.000 | 0.000 | 0.000 | 0.000 | -0.000 | 0.000 |
| 0.000 | 0.000 | 0.000 | 0.000 | 0.000 | -0.000 |
| -0.000 | -0.000 | -0.000 | -0.000 | -0.000 | -0.000 |
| -0.000 | -0.000 | -0.000 | -0.000 | -0.000 | -0.000 |
| -0.000 | -0.000 | -0.000 | -0.000 | -0.000 | -0.000 |
| -0.000 | -0.000 | -0.000 | -0.000 | -0.000 | -0.000 |
| -0.000 | -0.000 | -0.000 | -0.000 | -0.000 | -0.000 |
| -0.000 | -0.000 | -0.000 | -0.000 | -0.000 | -0.000 |
| -0.000 | -0.000 | -0.000 | 0.000 | 0.000 | 0.000 |
| -0.000 | -0.000 | -0.000 | 0.000 | 0.000 | 0.000 |
| -0.000 | -0.000 | -0.000 | 0.000 | 0.000 | 0.000 |
| 0.000 | 0.000 | 0.000 | -0.000 | 0.000 | 0.000 |
| 0.000 | 0.000 | 0.000 | 0.000 | -0.000 | 0.000 |
| 0.000 | 0.000 | 0.000 | 0.000 | 0.000 | -0.000 |
| 45.596 | 77.823 | 77.823 | -0.000 | 0.000 | 0.000 |
| 77.823 | 45.596 | 77.823 | 0.000 | -0.000 | 0.000 |
| 77.823 | 77.823 | 45.596 | 0.000 | 0.000 | 0.000 |
| -0.000 | -0.000 | -0.000 | -47.630 | 0.000 | 0.000 |
| -0.000 | -0.000 | -0.000 | 0.000 | -47.630 | 0.000 |
| -0.000 | -0.000 | -0.000 | 0.000 | 0.000 | -47.630 |
| 45.596 | 77.823 | 77.823 | -0.000 | -0.000 | -0.000 |
| 77.823 | 45.596 | 77.823 | -0.000 | 0.000 | -0.000 |
| 77.823 | 77.823 | 45.596 | -0.000 | -0.000 | 0.000 |
| 0.000 | -0.000 | 0.000 | -47.630 | 0.000 | -0.000 |
| -0.000 | 0.000 | 0.000 | -0.000 | -47.630 | -0.000 |
| -0.000 | 0.000 | 0.000 | 0.000 | 0.000 | -47.630 |
| 45.596 | 77.823 | 77.823 | -0.000 | 0.000 | 0.000 |
| 77.823 | 45.596 | 77.823 | 0.000 | -0.000 | 0.000 |
| 77.823 | 77.823 | 45.596 | 0.000 | 0.000 | -0.000 |
| -0.000 | -0.000 | -0.000 | -47.630 | 0.000 | -0.000 |
| -0.000 | -0.000 | -0.000 | 0.000 | -47.630 | -0.000 |
| -0.000 | -0.000 | -0.000 | -0.000 | 0.000 | -47.630 |
| 45.596 | 77.823 | 77.823 | -0.000 | -0.000 | -0.000 |
| 77.823 | 45.596 | 77.823 | -0.000 | -0.000 | -0.000 |
| 77.823 | 77.823 | 45.596 | -0.000 | -0.000 | -0.000 |
| 0.000 | 0.000 | 0.000 | -47.630 | -0.000 | -0.000 |
| 0.000 | 0.000 | 0.000 | -0.000 | -47.630 | -0.000 |
| 0.000 | 0.000 | 0.000 | -0.000 | 0.000 | -47.630 |
| 45.596 | 77.823 | 77.823 | -0.000 | 0.000 | 0.000 |
| 77.823 | 45.596 | 77.823 | 0.000 | -0.000 | 0.000 |
| 77.823 | 77.823 | 45.596 | 0.000 | 0.000 | 0.000 |
| -0.000 | -0.000 | -0.000 | -47.630 | 0.000 | 0.000 |
| -0.000 | -0.000 | -0.000 | 0.000 | -47.630 | 0.000 |
| -0.000 | -0.000 | -0.000 | 0.000 | -0.000 | -47.630 |
| 45.597 | 77.823 | 77.823 | -0.000 | -0.000 | -0.000 |
| 77.823 | 45.597 | 77.823 | -0.000 | -0.000 | -0.000 |
| 77.823 | 77.823 | 45.597 | -0.000 | -0.000 | -0.000 |
| 0.000 | 0.000 | 0.000 | -47.630 | -0.000 | -0.000 |
| 0.000 | 0.000 | 0.000 | -0.000 | -47.630 | -0.000 |
| 0.000 | 0.000 | 0.000 | 0.000 | -0.000 | -47.630 |
| 0.000 | 0.000 | 0.000 | -0.000 | 0.000 | 0.000 |
| 0.000 | 0.000 | 0.000 | 0.000 | -0.000 | 0.000 |
| 0.000 | 0.000 | 0.000 | 0.000 | 0.000 | -0.000 |
| 0.000 | 0.000 | 0.000 | 0.000 | 0.000 | 0.000 |
| 0.000 | 0.000 | 0.000 | 0.000 | 0.000 | 0.000 |
| 0.000 | 0.000 | 0.000 | 0.000 | 0.000 | 0.000 |
| 0.000 | 0.000 | 0.000 | 0.000 | -0.000 | -0.000 |
| 0.000 | 0.000 | 0.000 | -0.000 | 0.000 | -0.000 |
| 0.000 | 0.000 | 0.000 | -0.000 | -0.000 | 0.000 |
| -0.000 | -0.000 | -0.000 | 0.000 | -0.000 | -0.000 |
| -0.000 | -0.000 | -0.000 | -0.000 | 0.000 | -0.000 |
| -0.000 | -0.000 | -0.000 | -0.000 | -0.000 | 0.000 |
| 0.000 | 0.000 | 0.000 | -0.000 | 0.000 | 0.000 |
| 0.000 | 0.000 | 0.000 | 0.000 | -0.000 | 0.000 |
| 0.000 | 0.000 | 0.000 | 0.000 | 0.000 | -0.000 |
| 0.000 | 0.000 | 0.000 | 0.000 | 0.000 | 0.000 |
| 0.000 | 0.000 | 0.000 | 0.000 | 0.000 | 0.000 |
| 0.000 | 0.000 | 0.000 | 0.000 | 0.000 | 0.000 |
| 0.000 | 0.000 | 0.000 | 0.000 | -0.000 | -0.000 |
| 0.000 | 0.000 | 0.000 | -0.000 | 0.000 | -0.000 |
| 0.000 | 0.000 | 0.000 | -0.000 | -0.000 | 0.000 |
| -0.000 | -0.000 | -0.000 | 0.000 | -0.000 | -0.000 |
| -0.000 | -0.000 | -0.000 | -0.000 | 0.000 | -0.000 |
| -0.000 | -0.000 | -0.000 | -0.000 | -0.000 | 0.000 |
| 0.000 | 0.000 | 0.000 | -0.000 | 0.000 | 0.000 |
| 0.000 | 0.000 | 0.000 | 0.000 | -0.000 | 0.000 |
| 0.000 | 0.000 | 0.000 | 0.000 | 0.000 | -0.000 |
| 0.000 | 0.000 | 0.000 | 0.000 | 0.000 | 0.000 |
| 0.000 | 0.000 | 0.000 | 0.000 | 0.000 | 0.000 |
| 0.000 | 0.000 | 0.000 | 0.000 | 0.000 | 0.000 |
| 0.000 | 0.000 | 0.000 | 0.000 | -0.000 | -0.000 |
| 0.000 | 0.000 | 0.000 | -0.000 | 0.000 | -0.000 |
| 0.000 | 0.000 | 0.000 | -0.000 | -0.000 | 0.000 |
| -0.000 | -0.000 | -0.000 | 0.000 | -0.000 | -0.000 |
| -0.000 | -0.000 | -0.000 | -0.000 | 0.000 | -0.000 |
| -0.000 | -0.000 | -0.000 | -0.000 | -0.000 | 0.000 |
| -0.000 | -0.000 | -0.000 | 0.000 | 0.000 | 0.000 |
| -0.000 | -0.000 | -0.000 | 0.000 | 0.000 | 0.000 |
| -0.000 | -0.000 | -0.000 | 0.000 | 0.000 | 0.000 |
| -0.000 | -0.000 | -0.000 | -0.000 | -0.000 | 0.000 |
| -0.000 | -0.000 | -0.000 | -0.000 | -0.000 | 0.000 |
| -0.000 | -0.000 | -0.000 | -0.000 | 0.000 | -0.000 |
| -0.000 | -0.000 | -0.000 | 0.000 | -0.000 | -0.000 |
| -0.000 | -0.000 | -0.000 | -0.000 | 0.000 | -0.000 |
| -0.000 | -0.000 | -0.000 | -0.000 | -0.000 | 0.000 |
| 0.000 | 0.000 | 0.000 | -0.000 | -0.000 | -0.000 |
| 0.000 | 0.000 | 0.000 | -0.000 | -0.000 | -0.000 |
| 0.000 | 0.000 | 0.000 | -0.000 | -0.000 | -0.000 |
| -0.000 | -0.000 | -0.000 | 0.000 | 0.000 | 0.000 |
| -0.000 | -0.000 | -0.000 | 0.000 | 0.000 | 0.000 |
| -0.000 | -0.000 | -0.000 | 0.000 | 0.000 | 0.000 |
| -0.000 | -0.000 | -0.000 | -0.000 | -0.000 | 0.000 |
| -0.000 | -0.000 | -0.000 | -0.000 | -0.000 | 0.000 |
| -0.000 | -0.000 | -0.000 | -0.000 | 0.000 | -0.000 |
| -0.000 | -0.000 | -0.000 | -0.000 | -0.000 | -0.000 |
| -0.000 | -0.000 | -0.000 | -0.000 | -0.000 | -0.000 |
| -0.000 | -0.000 | -0.000 | -0.000 | -0.000 | -0.000 |
| 0.000 | 0.000 | 0.000 | -0.000 | -0.000 | -0.000 |
| 0.000 | 0.000 | 0.000 | -0.000 | -0.000 | -0.000 |
| 0.000 | 0.000 | 0.000 | -0.000 | -0.000 | -0.000 |
| -0.000 | -0.000 | -0.000 | 0.000 | 0.000 | 0.000 |
| -0.000 | -0.000 | -0.000 | 0.000 | 0.000 | 0.000 |
| -0.000 | -0.000 | -0.000 | 0.000 | 0.000 | 0.000 |
| -0.000 | -0.000 | -0.000 | -0.000 | 0.000 | 0.000 |
| -0.000 | -0.000 | -0.000 | 0.000 | -0.000 | 0.000 |
| -0.000 | -0.000 | -0.000 | 0.000 | 0.000 | -0.000 |
| -0.000 | -0.000 | -0.000 | -0.000 | -0.000 | -0.000 |
| -0.000 | -0.000 | -0.000 | -0.000 | -0.000 | -0.000 |
| -0.000 | -0.000 | -0.000 | -0.000 | -0.000 | -0.000 |
| 0.000 | 0.000 | 0.000 | -0.000 | -0.000 | -0.000 |
| 0.000 | 0.000 | 0.000 | -0.000 | -0.000 | -0.000 |
| 0.000 | 0.000 | 0.000 | -0.000 | -0.000 | -0.000 |
| 287.719 | 105.033 | 168.130 | 0.000 | 0.000 | 0.000 |
| 105.033 | 287.719 | 168.130 | 0.000 | 0.000 | -0.000 |
| 168.130 | 168.130 | 225.892 | -0.000 | -0.000 | 0.000 |
| 0.000 | -0.000 | 0.000 | 112.229 | 0.000 | 0.000 |
| -0.000 | 0.000 | 0.000 | 0.000 | 112.229 | 0.000 |
| -0.000 | 0.000 | 0.000 | 0.000 | -0.000 | 46.963 |
| 287.719 | 105.033 | 168.130 | 0.000 | -0.000 | 0.000 |
| 105.033 | 287.719 | 168.130 | -0.000 | -0.000 | 0.000 |
| 168.130 | 168.130 | 225.892 | 0.000 | -0.000 | -0.000 |
| -0.000 | 0.000 | -0.000 | 112.229 | 0.000 | 0.000 |
| 0.000 | -0.000 | -0.000 | 0.000 | 112.229 | -0.000 |
| 0.000 | -0.000 | -0.000 | 0.000 | 0.000 | 46.963 |
| 287.720 | 105.033 | 168.131 | 0.000 | 0.000 | 0.000 |
| 105.033 | 287.720 | 168.131 | -0.000 | 0.000 | 0.000 |
| 168.131 | 168.131 | 225.893 | -0.000 | 0.000 | 0.000 |
| 0.000 | -0.000 | 0.000 | 112.229 | 0.000 | 0.000 |
| -0.000 | 0.000 | 0.000 | 0.000 | 112.229 | 0.000 |
| -0.000 | 0.000 | 0.000 | 0.000 | 0.000 | 46.963 |
| 287.719 | 105.033 | 168.130 | -0.000 | 0.000 | -0.000 |
| 105.033 | 287.719 | 168.130 | 0.000 | -0.000 | -0.000 |
| 168.130 | 168.130 | 225.892 | -0.000 | -0.000 | -0.000 |
| -0.000 | 0.000 | -0.000 | 112.229 | -0.000 | 0.000 |
| 0.000 | -0.000 | -0.000 | -0.000 | 112.229 | -0.000 |
| 0.000 | -0.000 | -0.000 | -0.000 | -0.000 | 46.963 |
| 287.721 | 105.034 | 168.131 | 0.000 | 0.000 | 0.000 |
| 105.034 | 287.721 | 168.131 | 0.000 | 0.000 | 0.000 |
| 168.131 | 168.131 | 225.893 | -0.000 | 0.000 | 0.000 |
| 0.000 | -0.000 | 0.000 | 112.229 | 0.000 | 0.000 |
| -0.000 | 0.000 | 0.000 | 0.000 | 112.229 | 0.000 |
| -0.000 | -0.000 | 0.000 | -0.000 | 0.000 | 46.963 |
| 287.718 | 105.033 | 168.130 | 0.000 | -0.000 | -0.000 |
| 105.033 | 287.718 | 168.130 | -0.000 | -0.000 | 0.000 |
| 168.130 | 168.130 | 225.892 | -0.000 | -0.000 | -0.000 |
| -0.000 | 0.000 | -0.000 | 112.229 | -0.000 | -0.000 |
| 0.000 | -0.000 | -0.000 | -0.000 | 112.229 | -0.000 |
| 0.000 | 0.000 | -0.000 | 0.000 | -0.000 | 46.963 |
| 0.001 | 0.001 | 0.001 | -0.000 | -0.000 | 0.000 |
| 0.001 | 0.001 | 0.001 | -0.000 | -0.000 | 0.000 |
| 0.001 | 0.001 | 0.002 | -0.000 | -0.000 | -0.000 |
| 0.000 | 0.000 | 0.000 | 0.001 | -0.000 | 0.000 |
| 0.000 | 0.000 | 0.000 | -0.000 | 0.001 | 0.000 |
| 0.000 | 0.000 | 0.000 | -0.000 | -0.000 | 0.001 |
| 0.001 | 0.001 | 0.001 | 0.000 | 0.000 | -0.000 |
| 0.001 | 0.001 | 0.001 | 0.000 | 0.000 | -0.000 |
| 0.001 | 0.001 | 0.002 | 0.000 | 0.000 | 0.000 |
| -0.000 | -0.000 | -0.000 | 0.001 | 0.000 | -0.000 |
| -0.000 | -0.000 | -0.000 | 0.000 | 0.001 | -0.000 |
| -0.000 | -0.000 | -0.000 | 0.000 | 0.000 | 0.001 |
| 0.001 | 0.001 | 0.001 | -0.000 | -0.000 | 0.000 |
| 0.001 | 0.001 | 0.001 | -0.000 | -0.000 | 0.000 |
| 0.001 | 0.001 | 0.002 | -0.000 | -0.000 | 0.000 |
| 0.000 | 0.000 | 0.000 | 0.001 | -0.000 | 0.000 |
| 0.000 | 0.000 | 0.000 | -0.000 | 0.001 | 0.000 |
| 0.000 | 0.000 | 0.000 | -0.000 | -0.000 | 0.001 |
| 0.001 | 0.001 | 0.001 | -0.000 | -0.000 | -0.000 |
| 0.001 | 0.001 | 0.001 | -0.000 | 0.000 | -0.000 |
| 0.001 | 0.001 | 0.002 | 0.000 | 0.000 | -0.000 |
| -0.000 | -0.000 | -0.000 | 0.001 | -0.000 | -0.000 |
| -0.000 | -0.000 | -0.000 | -0.000 | 0.001 | -0.000 |
| -0.000 | -0.000 | -0.000 | 0.000 | -0.000 | 0.001 |
| 0.001 | 0.001 | 0.001 | -0.000 | -0.000 | 0.000 |
| 0.001 | 0.001 | 0.001 | -0.000 | -0.000 | 0.000 |
| 0.001 | 0.001 | 0.002 | -0.000 | -0.000 | -0.000 |
| 0.000 | 0.000 | 0.000 | 0.001 | -0.000 | 0.000 |
| 0.000 | 0.000 | 0.000 | -0.000 | 0.001 | 0.000 |
| 0.000 | 0.000 | 0.000 | -0.000 | -0.000 | 0.001 |
| 0.001 | 0.001 | 0.001 | 0.000 | 0.000 | -0.000 |
| 0.001 | 0.001 | 0.001 | 0.000 | 0.000 | -0.000 |
| 0.001 | 0.001 | 0.002 | 0.000 | 0.000 | 0.000 |
| -0.000 | -0.000 | -0.000 | 0.001 | 0.000 | -0.000 |
| -0.000 | -0.000 | -0.000 | 0.000 | 0.001 | -0.000 |
| -0.000 | -0.000 | -0.000 | 0.000 | 0.000 | 0.001 |
| -0.000 | -0.000 | -0.000 | -0.000 | -0.000 | 0.000 |
| -0.000 | -0.000 | -0.000 | -0.000 | -0.000 | 0.000 |
| -0.000 | -0.000 | -0.000 | -0.000 | -0.000 | 0.000 |
| -0.000 | -0.000 | -0.000 | -0.000 | -0.000 | 0.000 |
| -0.000 | -0.000 | -0.000 | -0.000 | -0.000 | 0.000 |
| -0.000 | -0.000 | -0.000 | -0.000 | -0.000 | -0.000 |
| -0.000 | -0.000 | -0.000 | 0.000 | 0.000 | -0.000 |
| -0.000 | -0.000 | -0.000 | 0.000 | 0.000 | -0.000 |
| -0.000 | -0.000 | -0.000 | 0.000 | 0.000 | -0.000 |
| 0.000 | 0.000 | 0.000 | -0.000 | 0.000 | -0.000 |
| 0.000 | 0.000 | 0.000 | 0.000 | -0.000 | -0.000 |
| 0.000 | 0.000 | 0.000 | 0.000 | 0.000 | -0.000 |
| -0.000 | -0.000 | -0.000 | 0.000 | 0.000 | 0.000 |
| -0.000 | -0.000 | -0.000 | 0.000 | 0.000 | 0.000 |
| -0.000 | -0.000 | -0.000 | -0.000 | -0.000 | 0.000 |
| -0.000 | -0.000 | -0.000 | -0.000 | -0.000 | 0.000 |
| -0.000 | -0.000 | -0.000 | -0.000 | -0.000 | 0.000 |
| -0.000 | -0.000 | -0.000 | 0.000 | 0.000 | -0.000 |
| -0.000 | -0.000 | -0.000 | 0.000 | 0.000 | -0.000 |
| -0.000 | -0.000 | -0.000 | 0.000 | 0.000 | -0.000 |
| -0.000 | -0.000 | -0.000 | 0.000 | 0.000 | -0.000 |
| 0.000 | 0.000 | 0.000 | -0.000 | -0.000 | -0.000 |
| 0.000 | 0.000 | 0.000 | -0.000 | -0.000 | -0.000 |
| 0.000 | 0.000 | 0.000 | 0.000 | 0.000 | -0.000 |
| -0.000 | -0.000 | -0.000 | 0.000 | -0.000 | 0.000 |
| -0.000 | -0.000 | -0.000 | -0.000 | 0.000 | 0.000 |
| -0.000 | -0.000 | -0.000 | -0.000 | -0.000 | 0.000 |
| -0.000 | -0.000 | -0.000 | -0.000 | -0.000 | 0.000 |
| -0.000 | -0.000 | -0.000 | -0.000 | -0.000 | 0.000 |
| -0.000 | -0.000 | -0.000 | -0.000 | -0.000 | -0.000 |
| -0.000 | -0.000 | -0.000 | 0.000 | 0.000 | -0.000 |
| -0.000 | -0.000 | -0.000 | 0.000 | 0.000 | -0.000 |
| -0.000 | -0.000 | -0.000 | 0.000 | 0.000 | -0.000 |
| 0.000 | 0.000 | 0.000 | -0.000 | 0.000 | -0.000 |
| 0.000 | 0.000 | 0.000 | 0.000 | -0.000 | -0.000 |
| 0.000 | 0.000 | 0.000 | 0.000 | 0.000 | -0.000 |
| 266.186 | 146.855 | 98.019 | -0.000 | -0.000 | -0.000 |
| 131.078 | 281.963 | 98.019 | -0.000 | -0.000 | 0.000 |
| 98.019 | 98.019 | 237.172 | 0.000 | -0.000 | 0.000 |
| 0.000 | 0.000 | -0.000 | 47.286 | 0.000 | 0.000 |
| 0.000 | 0.000 | -0.000 | 0.000 | 47.286 | 0.000 |
| 0.000 | 0.000 | -0.000 | -0.000 | -0.000 | 59.666 |
| 266.186 | 146.855 | 98.019 | -0.000 | 0.000 | -0.000 |
| 146.855 | 266.186 | 98.019 | 0.000 | 0.000 | 0.000 |
| 98.019 | 98.019 | 237.172 | -0.000 | 0.000 | -0.000 |
| -0.000 | -0.000 | -0.000 | 47.286 | 0.000 | 0.000 |
| -0.000 | -0.000 | 0.000 | 0.000 | 47.286 | -0.000 |
| -0.000 | 0.000 | 0.000 | 0.000 | 0.000 | 59.666 |
| 266.186 | 146.855 | 98.019 | 0.000 | -0.000 | -0.000 |
| 146.855 | 266.186 | 98.019 | 0.000 | -0.000 | -0.000 |
| 98.019 | 98.019 | 237.172 | 0.000 | 0.000 | 0.000 |
| 0.000 | 0.000 | 0.000 | 47.286 | -0.000 | 0.000 |
| 0.000 | 0.000 | 0.000 | 0.000 | 47.286 | 0.000 |
| -0.000 | 0.000 | -0.000 | -0.000 | -0.000 | 59.666 |
| 266.186 | 146.855 | 98.019 | 0.000 | 0.000 | 0.000 |
| 146.855 | 266.186 | 98.019 | -0.000 | -0.000 | 0.000 |
| 98.019 | 98.019 | 237.172 | -0.000 | -0.000 | -0.000 |
| -0.000 | -0.000 | -0.000 | 47.286 | -0.000 | 0.000 |
| -0.000 | -0.000 | -0.000 | -0.000 | 47.286 | -0.000 |
| 0.000 | -0.000 | 0.000 | 0.000 | 0.000 | 59.666 |
| 281.963 | 131.078 | 98.019 | 0.000 | -0.000 | 0.000 |
| 146.855 | 266.186 | 98.018 | 0.000 | -0.000 | -0.000 |
| 98.019 | 98.019 | 237.173 | -0.000 | -0.000 | 0.000 |
| 0.000 | 0.000 | 0.000 | 47.286 | -0.000 | 0.000 |
| -0.000 | 0.000 | 0.000 | 0.000 | 47.286 | -0.000 |
| -0.000 | 0.000 | -0.000 | 0.000 | -0.000 | 59.666 |
| 266.186 | 146.855 | 98.019 | -0.000 | 0.000 | 0.000 |
| 131.079 | 281.963 | 98.019 | -0.000 | 0.000 | -0.000 |
| 98.019 | 98.019 | 237.170 | -0.000 | -0.000 | 0.000 |
| -0.000 | 0.000 | -0.000 | 47.286 | -0.000 | 0.000 |
| 0.000 | -0.000 | -0.000 | -0.000 | 47.286 | 0.000 |
| 0.000 | -0.000 | 0.000 | 0.000 | 0.000 | 59.666 |
| 283.743 | 131.438 | 114.936 | -31.757 | 0.000 | 0.000 |
| 131.438 | 283.743 | 114.936 | 31.757 | 0.000 | 0.000 |
| 114.936 | 114.936 | 309.443 | 0.000 | 0.000 | 0.000 |
| -31.757 | 31.757 | 0.000 | 63.205 | 0.000 | 0.000 |
| 0.000 | 0.000 | 0.000 | -0.000 | 63.205 | -31.757 |
| -0.000 | 0.000 | 0.000 | -0.000 | -31.757 | 76.152 |
| 283.743 | 131.438 | 114.936 | -31.757 | -0.000 | 0.000 |
| 131.438 | 283.743 | 114.936 | 31.757 | -0.000 | 0.000 |
| 114.936 | 114.936 | 309.443 | -0.000 | -0.000 | -0.000 |
| -31.757 | 31.757 | -0.000 | 63.205 | -0.000 | -0.000 |
| 0.000 | -0.000 | -0.000 | 0.000 | 63.205 | -31.757 |
| 0.000 | -0.000 | -0.000 | -0.000 | -31.757 | 76.152 |
| 283.743 | 131.438 | 114.936 | -31.757 | 0.000 | 0.000 |
| 131.438 | 283.743 | 114.936 | 31.757 | 0.000 | 0.000 |
| 114.936 | 114.936 | 309.443 | 0.000 | 0.000 | 0.000 |
| -31.757 | 31.757 | 0.000 | 63.205 | 0.000 | 0.000 |
| -0.000 | 0.000 | 0.000 | -0.000 | 63.205 | -31.757 |
| 0.000 | 0.000 | 0.000 | -0.000 | -31.757 | 76.152 |
| 283.742 | 131.438 | 114.936 | -31.757 | -0.000 | -0.000 |
| 131.438 | 283.742 | 114.936 | 31.757 | -0.000 | -0.000 |
| 114.936 | 114.936 | 309.443 | -0.000 | -0.000 | 0.000 |
| -31.757 | 31.757 | -0.000 | 63.205 | -0.000 | -0.000 |
| 0.000 | -0.000 | -0.000 | 0.000 | 63.205 | -31.757 |
| -0.000 | -0.000 | -0.000 | 0.000 | -31.757 | 76.152 |
| 283.745 | 131.439 | 114.937 | -31.757 | 0.000 | 0.000 |
| 131.439 | 283.745 | 114.937 | 31.757 | 0.000 | 0.000 |
| 114.937 | 114.937 | 309.444 | 0.000 | 0.000 | 0.000 |
| -31.757 | 31.757 | 0.000 | 63.206 | 0.000 | 0.000 |
| -0.000 | 0.000 | 0.000 | -0.000 | 63.205 | -31.757 |
| 0.000 | 0.001 | 0.000 | -0.000 | -31.757 | 76.152 |
| 283.740 | 131.437 | 114.936 | -31.757 | -0.000 | -0.000 |
| 131.437 | 283.740 | 114.936 | 31.757 | -0.000 | -0.000 |
| 114.935 | 114.935 | 309.441 | -0.000 | -0.000 | -0.000 |
| -31.757 | 31.757 | -0.000 | 63.205 | -0.000 | -0.000 |
| 0.000 | -0.000 | -0.000 | 0.000 | 63.205 | -31.757 |
| -0.000 | -0.001 | -0.000 | 0.000 | -31.757 | 76.152 |
| 224.460 | 152.063 | 152.415 | 0.000 | -0.000 | 0.000 |
| 152.063 | 273.932 | 24.861 | 0.000 | -0.000 | -0.000 |
| 152.415 | 24.861 | 287.517 | 0.000 | -0.000 | -0.000 |
| -0.000 | 0.000 | -0.000 | -25.814 | -0.000 | -0.000 |
| -0.000 | 0.000 | 0.000 | -0.000 | 100.692 | 0.000 |
| -0.000 | 0.000 | -0.000 | -0.000 | -0.000 | 95.319 |
| 224.460 | 152.063 | 152.415 | 0.000 | 0.000 | 0.000 |
| 152.063 | 273.932 | 24.861 | 0.000 | -0.000 | 0.000 |
| 152.415 | 24.861 | 287.517 | 0.000 | 0.000 | 0.000 |
| 0.000 | -0.000 | 0.000 | -25.814 | 0.000 | 0.000 |
| 0.000 | -0.000 | -0.000 | 0.000 | 100.692 | -0.000 |
| 0.000 | -0.000 | 0.000 | 0.000 | 0.000 | 95.319 |
| 224.460 | 152.063 | 152.415 | -0.000 | -0.000 | -0.000 |
| 152.063 | 273.932 | 24.861 | -0.000 | 0.000 | -0.000 |
| 152.415 | 24.861 | 287.517 | -0.000 | -0.000 | -0.000 |
| -0.000 | 0.000 | -0.000 | -25.814 | -0.000 | 0.000 |
| -0.000 | 0.000 | 0.000 | -0.000 | 100.692 | -0.000 |
| -0.000 | 0.000 | 0.000 | -0.000 | -0.000 | 95.319 |
| 224.460 | 152.063 | 152.415 | 0.000 | 0.000 | 0.000 |
| 152.063 | 273.932 | 24.861 | 0.000 | -0.000 | -0.000 |
| 152.415 | 24.861 | 287.517 | 0.000 | 0.000 | -0.000 |
| 0.000 | -0.000 | 0.000 | -25.814 | -0.000 | -0.000 |
| 0.000 | -0.000 | -0.000 | -0.000 | 100.692 | -0.000 |
| 0.000 | -0.000 | -0.000 | 0.000 | 0.000 | 95.319 |
| 224.461 | 152.063 | 152.415 | -0.000 | -0.000 | -0.000 |
| 152.063 | 273.933 | 24.861 | -0.000 | -0.000 | 0.000 |
| 152.415 | 24.861 | 287.518 | -0.000 | 0.000 | 0.000 |
| -0.000 | 0.000 | -0.000 | -25.814 | -0.000 | 0.000 |
| -0.000 | 0.000 | 0.000 | 0.000 | 100.692 | 0.000 |
| -0.000 | 0.000 | 0.000 | 0.000 | -0.000 | 95.319 |
| 224.460 | 152.063 | 152.415 | 0.000 | 0.000 | 0.000 |
| 152.063 | 273.932 | 24.862 | 0.000 | 0.000 | -0.000 |
| 152.414 | 24.861 | 287.516 | 0.000 | 0.000 | -0.000 |
| 0.000 | -0.000 | 0.000 | -25.814 | 0.000 | -0.000 |
| 0.000 | -0.000 | -0.000 | 0.000 | 100.692 | -0.000 |
| 0.000 | -0.000 | -0.000 | 0.000 | 0.000 | 95.319 |
| 314.919 | 124.670 | 100.853 | -0.000 | 0.000 | -0.000 |
| 123.220 | 268.447 | 165.482 | 0.000 | -0.000 | 0.000 |
| 102.691 | 165.482 | 281.852 | -0.000 | 0.000 | 0.000 |
| -0.000 | -0.000 | 0.000 | 74.067 | 0.000 | 0.000 |
| 0.000 | -0.000 | 0.000 | -0.000 | 45.374 | 0.000 |
| 0.000 | -0.000 | 0.000 | 0.000 | 0.000 | 68.462 |
| 314.919 | 124.670 | 100.853 | -0.000 | 0.000 | 0.000 |
| 123.220 | 268.447 | 165.482 | -0.000 | -0.000 | -0.000 |
| 100.801 | 151.841 | 293.783 | 0.000 | 0.000 | -0.000 |
| 0.000 | 0.000 | -0.000 | 74.067 | -0.000 | 0.000 |
| -0.000 | 0.000 | -0.000 | 0.000 | 45.374 | -0.000 |
| -0.000 | 0.000 | -0.000 | 0.000 | -0.000 | 68.462 |
| 314.790 | 123.220 | 102.691 | 0.000 | -0.000 | 0.000 |
| 123.379 | 274.404 | 154.977 | -0.000 | -0.000 | -0.000 |
| 100.801 | 151.841 | 293.783 | 0.000 | -0.000 | 0.000 |
| -0.000 | -0.000 | 0.000 | 74.067 | 0.000 | -0.000 |
| 0.000 | -0.000 | 0.000 | -0.000 | 45.374 | 0.000 |
| 0.000 | -0.000 | 0.000 | -0.000 | 0.000 | 68.462 |
| 314.919 | 124.670 | 100.853 | -0.000 | -0.000 | -0.000 |
| 123.220 | 268.447 | 165.482 | 0.000 | 0.000 | -0.000 |
| 102.691 | 165.482 | 281.852 | 0.000 | -0.000 | -0.000 |
| 0.000 | 0.000 | -0.000 | 74.067 | -0.000 | -0.000 |
| -0.000 | 0.000 | -0.000 | 0.000 | 45.374 | -0.000 |
| -0.000 | 0.000 | -0.000 | -0.000 | 0.000 | 68.462 |
| 314.791 | 123.220 | 102.691 | 0.000 | 0.000 | 0.000 |
| 123.220 | 268.448 | 165.482 | -0.000 | 0.000 | 0.000 |
| 102.691 | 165.483 | 281.853 | -0.000 | 0.000 | 0.000 |
| -0.000 | -0.000 | 0.000 | 74.061 | 0.000 | 0.000 |
| 0.000 | -0.000 | 0.000 | -0.000 | 45.432 | 0.000 |
| 0.000 | -0.000 | 0.000 | 0.000 | 0.000 | 68.462 |
| 315.089 | 125.332 | 100.903 | 0.000 | 0.000 | -0.000 |
| 123.220 | 268.445 | 165.482 | -0.000 | -0.000 | -0.000 |
| 102.691 | 165.482 | 281.851 | 0.000 | 0.000 | -0.000 |
| 0.000 | 0.000 | -0.000 | 74.061 | -0.000 | 0.000 |
| -0.000 | 0.000 | -0.000 | 0.000 | 45.432 | -0.000 |
| -0.000 | 0.000 | -0.000 | -0.000 | 0.000 | 68.462 |
| 314.165 | 122.889 | 101.188 | -0.000 | -0.000 | 0.000 |
| 120.755 | 281.547 | 160.179 | 0.000 | -0.000 | 0.000 |
| 104.029 | 160.536 | 276.412 | 0.000 | -0.000 | 0.000 |
| -0.500 | -1.285 | -1.227 | 71.239 | -0.000 | 0.000 |
| 0.000 | 0.000 | 0.000 | -0.000 | 47.675 | 0.000 |
| -0.128 | -0.329 | -0.314 | 0.000 | -0.000 | 65.692 |
| 314.303 | 122.683 | 102.666 | -0.000 | 0.000 | -0.000 |
| 120.970 | 285.224 | 154.349 | 0.000 | 0.000 | 0.000 |
| 104.387 | 162.121 | 275.939 | -0.000 | 0.000 | -0.000 |
| 0.500 | 1.285 | 1.227 | 71.239 | 0.000 | -0.000 |
| -0.000 | -0.000 | -0.000 | 0.000 | 47.675 | -0.000 |
| 0.128 | 0.329 | 0.314 | -0.000 | 0.000 | 65.692 |
| 314.272 | 123.142 | 101.488 | -0.000 | -0.000 | 0.000 |
| 120.917 | 282.261 | 159.966 | 0.000 | -0.000 | 0.000 |
| 102.300 | 141.532 | 301.793 | -0.000 | 0.000 | 0.000 |
| -0.055 | -0.140 | -0.134 | 69.938 | -0.000 | -0.000 |
| -0.011 | -0.030 | -0.028 | -0.000 | 47.604 | 0.000 |
| -0.013 | -0.033 | -0.031 | -0.000 | -0.000 | 65.692 |
| 314.146 | 121.694 | 103.479 | -0.000 | 0.000 | -0.000 |
| 121.083 | 287.726 | 150.127 | -0.000 | 0.000 | -0.000 |
| 104.226 | 161.408 | 276.152 | -0.000 | 0.000 | -0.000 |
| 0.055 | 0.140 | 0.134 | 69.938 | 0.000 | -0.000 |
| 0.011 | 0.030 | 0.028 | -0.000 | 47.604 | -0.000 |
| 0.013 | 0.033 | 0.031 | 0.000 | 0.000 | 65.692 |
| 314.136 | 121.609 | 103.508 | 0.000 | -0.000 | 0.000 |
| 120.933 | 282.334 | 159.945 | -0.000 | -0.000 | 0.000 |
| 104.207 | 161.322 | 276.180 | 0.000 | -0.000 | 0.000 |
| 0.000 | 0.000 | 0.000 | 85.518 | 0.000 | 0.000 |
| 0.000 | -0.007 | 0.000 | 0.000 | 47.602 | 0.000 |
| -0.000 | -0.003 | -0.003 | 0.000 | -0.000 | 65.692 |
| 314.274 | 123.166 | 101.525 | 0.000 | 0.000 | -0.000 |
| 120.936 | 282.345 | 159.940 | -0.000 | 0.000 | -0.000 |
| 104.209 | 161.336 | 276.172 | 0.000 | 0.000 | -0.000 |
| -0.000 | -0.000 | -0.000 | 85.518 | -0.000 | 0.000 |
| -0.000 | 0.007 | -0.000 | -0.000 | 47.602 | -0.000 |
| 0.000 | 0.003 | 0.003 | 0.000 | 0.000 | 65.692 |
| 82.777 | 139.227 | 10.912 | 0.000 | 0.000 | 0.000 |
| 139.227 | 82.777 | 10.912 | 0.000 | 0.000 | 0.000 |
| 10.913 | 10.913 | 266.095 | -0.000 | -0.000 | 0.000 |
| -0.000 | 0.000 | -0.000 | -23.650 | 0.000 | 0.000 |
| -0.000 | 0.000 | -0.000 | 0.000 | -23.650 | 0.000 |
| 0.000 | -0.000 | 0.000 | 0.000 | 0.000 | 41.391 |
| 82.777 | 139.227 | 10.912 | -0.000 | -0.000 | -0.000 |
| 69.611 | 152.393 | 10.912 | -0.000 | -0.000 | -0.000 |
| 10.913 | 10.913 | 266.095 | -0.000 | -0.000 | -0.000 |
| 0.000 | -0.000 | 0.000 | -23.650 | 0.000 | -0.000 |
| 0.000 | -0.000 | 0.000 | 0.000 | -23.650 | -0.000 |
| -0.000 | 0.000 | -0.000 | -0.000 | 0.000 | 41.391 |
| 82.777 | 139.227 | 10.912 | -0.000 | 0.000 | -0.000 |
| 69.611 | 152.393 | 10.912 | 0.000 | 0.000 | 0.000 |
| 10.913 | 10.913 | 266.095 | 0.000 | 0.000 | 0.000 |
| -0.000 | 0.000 | -0.000 | -23.650 | -0.000 | -0.000 |
| -0.000 | -0.000 | -0.000 | -0.000 | -23.650 | -0.000 |
| -0.000 | -0.000 | -0.000 | 0.000 | 0.000 | 41.391 |
| 82.777 | 139.227 | 10.912 | -0.000 | -0.000 | -0.000 |
| 139.965 | 82.039 | 10.912 | -0.000 | -0.000 | 0.000 |
| 10.913 | 10.913 | 266.095 | 0.000 | 0.000 | -0.000 |
| 0.000 | 0.000 | 0.000 | -23.650 | 0.000 | -0.000 |
| 0.000 | 0.000 | 0.000 | 0.000 | -23.650 | 0.000 |
| 0.000 | 0.000 | 0.000 | -0.000 | -0.000 | 41.391 |
| 82.039 | 139.965 | 10.912 | 0.000 | 0.000 | -0.000 |
| 139.228 | 82.776 | 10.912 | 0.000 | 0.000 | -0.000 |
| 10.913 | 10.913 | 266.096 | -0.000 | -0.000 | 0.000 |
| -0.000 | 0.000 | -0.000 | -23.650 | -0.000 | -0.000 |
| 0.000 | -0.000 | -0.000 | 0.000 | -23.650 | -0.000 |
| -0.001 | 0.001 | -0.000 | 0.000 | 0.000 | -28.963 |
| 3100518.952 | 3330991.384 | 4032304.068 | 14318.008 | 1558.935 | -10458.502 |
| 139.226 | 82.778 | 10.912 | -0.000 | 0.000 | -0.000 |
| 10.913 | 10.913 | 266.094 | -0.000 | 0.000 | -0.000 |
| 0.000 | -0.000 | 0.000 | -23.650 | 0.000 | 0.000 |
| -0.000 | 0.000 | 0.000 | -0.000 | -23.650 | 0.000 |
| 0.001 | -0.001 | 0.000 | -0.000 | -0.000 | -28.963 |
| 150.666 | 152.243 | 152.243 | 0.000 | 0.000 | 0.000 |
| 152.243 | 150.666 | 152.243 | 0.000 | 0.000 | 0.000 |
| 152.243 | 152.243 | 150.666 | 0.000 | 0.000 | 0.000 |
| 0.000 | 0.000 | -0.000 | -19.126 | 0.000 | 0.000 |
| -0.000 | 0.000 | -0.000 | 0.000 | -19.126 | 0.000 |
| -0.000 | -0.000 | 0.000 | -0.000 | 0.000 | -19.126 |
| 150.666 | 152.243 | 152.243 | -0.000 | -0.000 | -0.000 |
| 152.243 | 150.666 | 152.243 | -0.000 | -0.000 | -0.000 |
| 152.243 | 152.243 | 150.666 | -0.000 | -0.000 | 0.000 |
| -0.000 | -0.000 | -0.000 | -19.126 | -0.000 | -0.000 |
| -0.000 | -0.000 | 0.000 | -0.000 | -19.126 | -0.000 |
| 0.000 | 0.000 | -0.000 | -0.000 | -0.000 | -19.126 |
| 150.666 | 152.243 | 152.243 | 0.000 | 0.000 | 0.000 |
| 152.243 | 150.666 | 152.243 | 0.000 | 0.000 | 0.000 |
| 152.243 | 152.243 | 150.666 | 0.000 | 0.000 | 0.000 |
| 0.000 | -0.000 | 0.000 | 77.843 | 0.000 | 0.000 |
| -0.000 | 0.000 | 0.000 | 0.000 | 77.843 | 0.000 |
| -0.000 | 0.000 | 0.000 | 0.000 | 0.000 | 77.843 |
| 150.666 | 152.243 | 152.243 | -0.000 | -0.000 | -0.000 |
| 152.243 | 150.666 | 152.243 | -0.000 | -0.000 | -0.000 |
| 152.243 | 152.243 | 150.666 | -0.000 | -0.000 | -0.000 |
| -0.000 | 0.000 | -0.000 | 77.843 | -0.000 | -0.000 |
| 0.000 | -0.000 | -0.000 | -0.000 | 77.843 | -0.000 |
| 0.000 | -0.000 | -0.000 | -0.000 | -0.000 | 77.843 |
| 150.666 | 152.243 | 152.243 | 0.000 | 0.000 | 0.000 |
| 152.243 | 150.666 | 152.243 | 0.000 | 0.000 | 0.000 |
| 152.243 | 152.243 | 150.666 | 0.000 | 0.000 | 0.000 |
| 0.000 | 0.000 | 0.000 | 77.843 | 0.000 | 0.000 |
| 0.000 | 0.000 | 0.000 | 0.000 | 77.843 | 0.000 |
| 0.000 | 0.000 | 0.000 | 0.000 | 0.000 | 77.843 |
| 150.666 | 152.244 | 152.244 | -0.000 | -0.000 | -0.000 |
| 152.244 | 150.666 | 152.244 | -0.000 | -0.000 | -0.000 |
| 152.244 | 152.244 | 150.666 | -0.000 | -0.000 | -0.000 |
| -0.000 | -0.000 | -0.000 | 77.843 | -0.000 | -0.000 |
| -0.000 | -0.000 | -0.000 | -0.000 | 77.843 | -0.000 |
| -0.000 | -0.000 | -0.000 | 0.000 | -0.000 | 77.843 |
| 0.000 | 0.000 | 0.000 | 0.000 | -0.000 | -0.000 |
| 0.000 | 0.000 | 0.000 | -0.000 | -0.000 | -0.000 |
| 0.000 | 0.000 | 0.000 | 0.000 | 0.000 | -0.000 |
| 0.000 | 0.000 | 0.000 | 0.000 | -0.000 | -0.000 |
| 0.000 | 0.000 | 0.000 | -0.000 | 0.000 | -0.000 |
| 0.000 | 0.000 | 0.000 | -0.000 | -0.000 | 0.000 |
| 0.000 | 0.000 | 0.000 | 0.000 | 0.000 | 0.000 |
| 0.000 | 0.000 | 0.000 | 0.000 | 0.000 | 0.000 |
| 0.000 | 0.000 | 0.000 | 0.000 | 0.000 | 0.000 |
| -0.000 | -0.000 | -0.000 | 0.000 | 0.000 | 0.000 |
| -0.000 | -0.000 | -0.000 | 0.000 | 0.000 | 0.000 |
| -0.000 | -0.000 | -0.000 | 0.000 | 0.000 | 0.000 |
| 0.000 | 0.000 | 0.000 | -0.000 | -0.000 | -0.000 |
| 0.000 | 0.000 | 0.000 | -0.000 | -0.000 | -0.000 |
| 0.000 | 0.000 | 0.000 | -0.000 | -0.000 | -0.000 |
| 0.000 | 0.000 | 0.000 | 0.000 | -0.000 | -0.000 |
| 0.000 | 0.000 | 0.000 | -0.000 | 0.000 | -0.000 |
| 0.000 | 0.000 | 0.000 | 0.000 | -0.000 | 0.000 |
| 0.000 | 0.000 | 0.000 | 0.000 | 0.000 | 0.000 |
| 0.000 | 0.000 | 0.000 | 0.000 | 0.000 | 0.000 |
| 0.000 | 0.000 | 0.000 | 0.000 | 0.000 | 0.000 |
| -0.000 | -0.000 | -0.000 | 0.000 | 0.000 | -0.000 |
| -0.000 | -0.000 | -0.000 | -0.000 | 0.000 | 0.000 |
| -0.000 | -0.000 | -0.000 | -0.000 | -0.000 | 0.000 |
| 0.000 | 0.000 | 0.000 | -0.000 | -0.000 | -0.000 |
| 0.000 | 0.000 | 0.000 | -0.000 | -0.000 | -0.000 |
| 0.000 | 0.000 | 0.000 | 0.000 | 0.000 | -0.000 |
| 0.000 | 0.000 | 0.000 | 0.000 | -0.000 | -0.000 |
| 0.000 | 0.000 | 0.000 | -0.000 | 0.000 | -0.000 |
| 0.000 | 0.000 | 0.000 | -0.000 | -0.000 | 0.000 |
| 0.000 | 0.000 | 0.000 | -0.000 | -0.000 | -0.000 |
| 0.000 | 0.000 | 0.000 | -0.000 | -0.000 | -0.000 |
| 0.000 | 0.000 | 0.000 | -0.000 | -0.000 | -0.000 |
| -0.000 | -0.000 | -0.000 | 0.000 | -0.000 | 0.000 |
| -0.000 | -0.000 | -0.000 | 0.000 | 0.000 | 0.000 |
| -0.000 | -0.000 | -0.000 | -0.000 | -0.000 | 0.000 |
| -0.000 | -0.000 | -0.000 | -0.000 | -0.000 | -0.000 |
| -0.000 | -0.000 | -0.000 | -0.000 | -0.000 | -0.000 |
| -0.000 | -0.000 | -0.000 | -0.000 | -0.000 | -0.000 |
| -0.000 | -0.000 | -0.000 | -0.000 | -0.000 | -0.000 |
| -0.000 | -0.000 | -0.000 | -0.000 | -0.000 | -0.000 |
| -0.000 | -0.000 | -0.000 | -0.000 | -0.000 | -0.000 |
| -0.000 | -0.000 | -0.000 | 0.000 | 0.000 | 0.000 |
| -0.000 | -0.000 | -0.000 | 0.000 | 0.000 | 0.000 |
| -0.000 | -0.000 | -0.000 | 0.000 | 0.000 | 0.000 |
| 0.000 | 0.000 | 0.000 | -0.000 | 0.000 | 0.000 |
| 0.000 | 0.000 | 0.000 | 0.000 | -0.000 | 0.000 |
| 0.000 | 0.000 | 0.000 | 0.000 | 0.000 | -0.000 |
| -0.000 | -0.000 | -0.000 | -0.000 | 0.000 | -0.000 |
| -0.000 | -0.000 | -0.000 | 0.000 | -0.000 | -0.000 |
| -0.000 | -0.000 | -0.000 | -0.000 | -0.000 | 0.000 |
| -0.000 | -0.000 | -0.000 | -0.000 | 0.000 | 0.000 |
| -0.000 | -0.000 | -0.000 | 0.000 | -0.000 | 0.000 |
| -0.000 | -0.000 | -0.000 | 0.000 | -0.000 | -0.000 |
| -0.000 | -0.000 | -0.000 | 0.000 | 0.000 | 0.000 |
| -0.000 | -0.000 | -0.000 | 0.000 | 0.000 | 0.000 |
| -0.000 | -0.000 | -0.000 | 0.000 | 0.000 | -0.000 |
| 0.000 | 0.000 | 0.000 | -0.000 | 0.000 | 0.000 |
| 0.000 | 0.000 | 0.000 | 0.000 | -0.000 | 0.000 |
| 0.000 | 0.000 | 0.000 | 0.000 | 0.000 | -0.000 |
| -0.000 | -0.000 | -0.000 | -0.000 | -0.000 | -0.000 |
| -0.000 | -0.000 | -0.000 | -0.000 | -0.000 | -0.000 |
| -0.000 | -0.000 | -0.000 | -0.000 | -0.000 | 0.000 |
| -0.000 | -0.000 | -0.000 | -0.000 | -0.000 | 0.000 |
| -0.000 | -0.000 | -0.000 | -0.000 | -0.000 | 0.000 |
| -0.000 | -0.000 | -0.000 | -0.000 | -0.000 | -0.000 |
| -0.000 | -0.000 | -0.000 | 0.000 | 0.000 | 0.000 |
| -0.000 | -0.000 | -0.000 | 0.000 | 0.000 | 0.000 |
| -0.000 | -0.000 | -0.000 | 0.000 | 0.000 | 0.000 |
| 0.000 | 0.000 | 0.000 | -0.000 | -0.000 | 0.000 |
| 0.000 | 0.000 | 0.000 | -0.000 | -0.000 | 0.000 |
| 0.000 | 0.000 | 0.000 | -0.000 | 0.000 | -0.000 |
| 13.319 | 17.871 | 17.871 | -0.000 | -0.000 | -0.000 |
| 17.871 | 13.319 | 17.871 | -0.000 | -0.000 | -0.000 |
| 17.871 | 17.871 | 13.319 | -0.000 | -0.000 | -0.000 |
| -0.000 | -0.000 | -0.000 | -7.756 | -0.000 | -0.000 |
| -0.000 | -0.000 | -0.000 | -0.000 | -7.756 | -0.000 |
| -0.000 | -0.000 | 0.000 | -0.000 | -0.000 | -7.756 |
| 13.319 | 17.871 | 17.871 | 0.000 | 0.000 | 0.000 |
| 17.871 | 13.319 | 17.871 | 0.000 | 0.000 | 0.000 |
| 17.871 | 17.871 | 13.319 | 0.000 | 0.000 | 0.000 |
| 0.000 | 0.000 | 0.000 | -7.756 | 0.000 | 0.000 |
| 0.000 | 0.000 | -0.000 | 0.000 | -7.756 | -0.000 |
| 0.000 | 0.000 | 0.000 | -0.000 | 0.000 | -7.756 |
| 13.319 | 17.871 | 17.871 | 0.000 | -0.000 | -0.000 |
| 17.871 | 13.319 | 17.871 | -0.000 | 0.000 | -0.000 |
| 17.871 | 17.871 | 13.319 | -0.000 | -0.000 | -0.000 |
| -0.000 | -0.000 | -0.000 | 13.729 | 0.000 | 0.000 |
| -0.000 | -0.000 | -0.000 | -0.000 | 13.729 | -0.000 |
| -0.000 | -0.000 | -0.000 | -0.000 | -0.000 | 13.729 |
| 13.319 | 17.871 | 17.871 | 0.000 | 0.000 | 0.000 |
| 17.871 | 13.319 | 17.871 | 0.000 | 0.000 | 0.000 |
| 17.871 | 17.871 | 13.319 | 0.000 | 0.000 | 0.000 |
| 0.000 | 0.000 | 0.000 | 13.729 | 0.000 | -0.000 |
| 0.000 | 0.000 | 0.000 | 0.000 | 13.729 | -0.000 |
| 0.000 | 0.000 | 0.000 | 0.000 | -0.000 | 13.729 |
| 13.319 | 17.871 | 17.871 | -0.000 | -0.000 | -0.000 |
| 17.871 | 13.319 | 17.871 | -0.000 | -0.000 | -0.000 |
| 17.871 | 17.871 | 13.319 | -0.000 | -0.000 | -0.000 |
| -0.000 | -0.000 | -0.000 | -7.756 | 0.000 | -0.000 |
| -0.000 | -0.000 | -0.000 | 0.000 | -7.756 | -0.000 |
| -0.000 | -0.000 | -0.000 | -0.000 | -0.000 | -7.756 |
| 13.319 | 17.871 | 17.871 | -0.000 | -0.000 | 0.000 |
| 17.871 | 13.319 | 17.871 | 0.000 | -0.000 | 0.000 |
| 17.871 | 17.871 | 13.319 | 0.000 | 0.000 | -0.000 |
| 0.000 | 0.000 | 0.000 | -7.756 | 0.000 | 0.000 |
| 0.000 | 0.000 | 0.000 | 0.000 | -7.756 | 0.000 |
| 0.000 | 0.000 | 0.000 | -0.000 | 0.000 | -7.756 |
| 385.883 | 86.242 | 86.242 | -0.000 | 0.000 | -0.000 |
| 86.242 | 385.883 | 86.242 | -0.000 | -0.000 | -0.000 |
| 86.242 | 86.242 | 385.883 | -0.000 | -0.000 | 0.000 |
| 0.000 | 0.000 | 0.000 | -2.731 | 0.000 | 0.000 |
| 0.000 | 0.000 | 0.000 | 0.000 | -2.731 | -0.000 |
| 0.000 | 0.000 | 0.000 | 0.000 | -0.000 | -2.731 |
| 387.903 | 85.232 | 85.232 | -0.000 | 0.000 | -0.000 |
| 85.232 | 387.903 | 85.232 | 0.000 | 0.000 | -0.000 |
| 85.232 | 85.232 | 387.903 | -0.000 | 0.000 | -0.000 |
| 0.000 | -0.000 | -0.000 | -2.731 | -0.000 | -0.000 |
| -0.000 | -0.000 | 0.000 | -0.000 | -2.731 | -0.000 |
| -0.000 | -0.000 | 0.000 | -0.000 | 0.000 | -2.731 |
| 385.883 | 86.242 | 86.242 | -0.000 | 0.000 | -0.000 |
| 86.242 | 385.883 | 86.242 | -0.000 | -0.000 | -0.000 |
| 86.242 | 86.242 | 385.883 | -0.000 | -0.000 | -0.000 |
| 0.000 | 0.000 | 0.000 | 30.796 | 0.000 | 0.000 |
| 0.000 | 0.000 | 0.000 | 0.000 | 30.796 | 0.000 |
| 0.000 | 0.000 | 0.000 | 0.000 | -0.000 | 30.796 |
| 387.903 | 85.232 | 85.232 | 0.000 | 0.000 | -0.000 |
| 85.232 | 387.903 | 85.232 | -0.000 | -0.000 | -0.000 |
| 85.232 | 85.232 | 387.903 | -0.000 | 0.000 | -0.000 |
| -0.000 | -0.000 | -0.000 | 30.796 | 0.000 | -0.000 |
| -0.000 | -0.000 | -0.000 | -0.000 | 30.796 | 0.000 |
| -0.000 | -0.000 | -0.000 | -0.000 | 0.000 | 30.796 |
| 387.907 | 85.233 | 85.233 | 0.000 | -0.000 | -0.000 |
| 85.233 | 387.907 | 85.233 | -0.000 | -0.000 | -0.000 |
| 85.233 | 85.233 | 387.907 | -0.000 | 0.000 | 0.000 |
| 0.000 | 0.000 | 0.000 | -2.731 | 0.000 | -0.000 |
| 0.000 | 0.000 | 0.000 | 0.000 | -2.731 | 0.000 |
| 0.000 | 0.000 | 0.000 | 0.000 | -0.000 | -2.731 |
| 385.880 | 86.241 | 86.241 | -0.000 | -0.000 | 0.000 |
| 86.241 | 385.880 | 86.241 | 0.000 | 0.000 | 0.000 |
| 86.241 | 86.241 | 385.880 | -0.000 | -0.000 | -0.000 |
| -0.000 | -0.000 | -0.000 | -2.731 | -0.000 | 0.000 |
| -0.000 | -0.000 | -0.000 | -0.000 | -2.731 | -0.000 |
| -0.000 | -0.000 | -0.000 | -0.000 | 0.000 | -2.731 |
| 0.002 | 0.000 | 0.000 | -0.000 | -0.000 | -0.000 |
| 0.000 | 0.002 | 0.000 | -0.000 | -0.000 | -0.000 |
| 0.000 | 0.000 | 0.002 | -0.000 | -0.000 | -0.000 |
| -0.000 | 0.000 | 0.000 | 0.000 | -0.000 | -0.000 |
| 0.000 | 0.000 | 0.000 | -0.000 | 0.000 | -0.000 |
| 0.000 | 0.000 | -0.000 | -0.000 | -0.000 | 0.000 |
| 0.002 | 0.000 | 0.000 | 0.000 | 0.000 | 0.000 |
| 0.000 | 0.002 | 0.000 | 0.000 | 0.000 | 0.000 |
| 0.000 | 0.000 | 0.002 | 0.000 | 0.000 | 0.000 |
| 0.000 | -0.000 | -0.000 | 0.000 | 0.000 | 0.000 |
| -0.000 | -0.000 | -0.000 | 0.000 | 0.000 | 0.000 |
| -0.000 | -0.000 | 0.000 | 0.000 | 0.000 | 0.000 |
| 0.002 | 0.000 | 0.000 | -0.000 | -0.000 | -0.000 |
| 0.000 | 0.002 | 0.000 | -0.000 | -0.000 | -0.000 |
| 0.000 | 0.000 | 0.002 | -0.000 | -0.000 | -0.000 |
| -0.000 | 0.000 | 0.000 | 0.000 | 0.000 | -0.000 |
| 0.000 | -0.000 | 0.000 | 0.000 | 0.000 | -0.000 |
| 0.000 | 0.000 | -0.000 | -0.000 | -0.000 | 0.000 |
| 0.002 | 0.000 | 0.000 | 0.000 | 0.000 | -0.000 |
| 0.000 | 0.002 | 0.000 | -0.000 | 0.000 | 0.000 |
| 0.000 | 0.000 | 0.002 | 0.000 | -0.000 | 0.000 |
| 0.000 | -0.000 | -0.000 | 0.000 | -0.000 | 0.000 |
| -0.000 | 0.000 | -0.000 | -0.000 | 0.000 | 0.000 |
| -0.000 | -0.000 | 0.000 | 0.000 | -0.000 | 0.000 |
| 0.002 | 0.000 | 0.000 | -0.000 | -0.000 | -0.000 |
| 0.000 | 0.002 | 0.000 | -0.000 | -0.000 | -0.000 |
| 0.000 | 0.000 | 0.002 | -0.000 | -0.000 | -0.000 |
| -0.000 | 0.000 | 0.000 | 0.000 | -0.000 | -0.000 |
| 0.000 | -0.000 | 0.000 | -0.000 | 0.000 | -0.000 |
| 0.000 | 0.000 | -0.000 | -0.000 | -0.000 | 0.000 |
| 0.002 | 0.000 | 0.000 | 0.000 | 0.000 | -0.000 |
| 0.000 | 0.002 | 0.000 | -0.000 | 0.000 | 0.000 |
| 0.000 | 0.000 | 0.002 | 0.000 | -0.000 | 0.000 |
| 0.000 | -0.000 | -0.000 | 0.000 | 0.000 | 0.000 |
| -0.000 | 0.000 | -0.000 | 0.000 | 0.000 | 0.000 |
| -0.000 | -0.000 | 0.000 | 0.000 | 0.000 | 0.000 |
| -0.000 | -0.000 | -0.000 | 0.000 | 0.000 | 0.000 |
| -0.000 | -0.000 | -0.000 | 0.000 | -0.000 | 0.000 |
| -0.000 | -0.000 | -0.000 | 0.000 | 0.000 | -0.000 |
| 0.000 | -0.000 | -0.000 | -0.000 | -0.000 | -0.000 |
| -0.000 | -0.000 | -0.000 | -0.000 | -0.000 | 0.000 |
| -0.000 | -0.000 | 0.000 | -0.000 | -0.000 | -0.000 |
| -0.000 | -0.000 | -0.000 | -0.000 | 0.000 | 0.000 |
| -0.000 | -0.000 | -0.000 | 0.000 | 0.000 | 0.000 |
| -0.000 | -0.000 | -0.000 | 0.000 | 0.000 | 0.000 |
| -0.000 | 0.000 | 0.000 | -0.000 | 0.000 | -0.000 |
| 0.000 | 0.000 | 0.000 | 0.000 | -0.000 | -0.000 |
| 0.000 | 0.000 | -0.000 | 0.000 | -0.000 | -0.000 |
| -0.000 | -0.000 | -0.000 | -0.000 | -0.000 | 0.000 |
| -0.000 | -0.000 | -0.000 | 0.000 | -0.000 | -0.000 |
| -0.000 | -0.000 | -0.000 | -0.000 | 0.000 | 0.000 |
| 0.000 | -0.000 | -0.000 | -0.000 | -0.000 | -0.000 |
| -0.000 | 0.000 | -0.000 | 0.000 | -0.000 | 0.000 |
| -0.000 | -0.000 | 0.000 | -0.000 | -0.000 | -0.000 |
| -0.000 | -0.000 | -0.000 | -0.000 | -0.000 | -0.000 |
| -0.000 | -0.000 | -0.000 | -0.000 | 0.000 | -0.000 |
| -0.000 | -0.000 | -0.000 | -0.000 | -0.000 | -0.000 |
| -0.000 | 0.000 | 0.000 | -0.000 | 0.000 | -0.000 |
| 0.000 | -0.000 | 0.000 | -0.000 | -0.000 | 0.000 |
| 0.000 | 0.000 | -0.000 | 0.000 | -0.000 | -0.000 |
| -0.000 | -0.000 | -0.000 | 0.000 | 0.000 | 0.000 |
| -0.000 | -0.000 | -0.000 | 0.000 | -0.000 | 0.000 |
| -0.000 | -0.000 | -0.000 | 0.000 | 0.000 | 0.000 |
| 0.000 | -0.000 | -0.000 | -0.000 | 0.000 | -0.000 |
| -0.000 | 0.000 | -0.000 | 0.000 | -0.000 | -0.000 |
| -0.000 | -0.000 | 0.000 | 0.000 | -0.000 | -0.000 |
| -0.000 | -0.000 | -0.000 | -0.000 | -0.000 | -0.000 |
| -0.000 | -0.000 | -0.000 | -0.000 | 0.000 | -0.000 |
| -0.000 | -0.000 | -0.000 | -0.000 | -0.000 | -0.000 |
| -0.000 | 0.000 | 0.000 | -0.000 | -0.000 | -0.000 |
| 0.000 | -0.000 | 0.000 | -0.000 | -0.000 | -0.000 |
| 0.000 | 0.000 | -0.000 | -0.000 | -0.000 | -0.000 |
| 131.490 | 174.707 | 174.707 | -0.000 | -0.000 | -0.000 |
| 174.707 | 131.490 | 174.707 | 0.000 | -0.000 | -0.000 |
| 174.707 | 174.707 | 131.490 | 0.000 | -0.000 | -0.000 |
| -0.000 | -0.000 | 0.000 | 122.325 | -0.000 | -0.000 |
| -0.000 | -0.000 | 0.000 | 0.000 | 122.325 | 0.000 |
| -0.000 | 0.000 | -0.000 | 0.000 | 0.000 | 122.325 |
| 131.490 | 174.707 | 174.707 | -0.000 | 0.000 | 0.000 |
| 174.707 | 131.490 | 174.707 | -0.000 | -0.000 | 0.000 |
| 174.707 | 174.707 | 131.490 | -0.000 | 0.000 | -0.000 |
| 0.000 | 0.000 | 0.000 | 122.325 | 0.000 | -0.000 |
| 0.000 | 0.000 | -0.000 | 0.000 | 122.325 | -0.000 |
| 0.000 | 0.000 | 0.000 | -0.000 | -0.000 | 122.325 |
| 131.490 | 174.707 | 174.707 | -0.000 | -0.000 | -0.000 |
| 174.707 | 131.490 | 174.707 | -0.000 | -0.000 | 0.000 |
| 174.707 | 174.707 | 131.490 | -0.000 | -0.000 | -0.000 |
| 0.000 | -0.000 | 0.000 | 122.325 | -0.000 | 0.000 |
| -0.000 | 0.000 | 0.000 | 0.000 | 122.325 | 0.000 |
| -0.000 | 0.000 | 0.000 | -0.000 | -0.000 | 122.325 |
| 131.490 | 174.707 | 174.707 | 0.000 | 0.000 | -0.000 |
| 174.707 | 131.490 | 174.707 | 0.000 | 0.000 | -0.000 |
| 174.707 | 174.707 | 131.490 | -0.000 | -0.000 | -0.000 |
| -0.000 | 0.000 | -0.000 | 122.325 | 0.000 | -0.000 |
| 0.000 | -0.000 | -0.000 | 0.000 | 122.325 | -0.000 |
| 0.000 | -0.000 | -0.000 | 0.000 | -0.000 | 122.325 |
| 131.491 | 174.707 | 174.707 | 0.000 | -0.000 | -0.000 |
| 174.707 | 131.491 | 174.707 | 0.000 | 0.000 | 0.000 |
| 174.707 | 174.707 | 131.491 | -0.000 | -0.000 | 0.000 |
| 0.000 | -0.000 | 0.000 | 123.418 | 0.000 | 0.000 |
| -0.000 | 0.000 | 0.000 | 0.000 | 123.418 | 0.000 |
| -0.000 | 0.000 | 0.000 | 0.000 | 0.000 | 123.418 |
| 131.490 | 174.706 | 174.706 | -0.000 | 0.000 | 0.000 |
| 174.706 | 131.490 | 174.706 | 0.000 | -0.000 | -0.000 |
| 174.706 | 174.706 | 131.490 | -0.000 | 0.000 | -0.000 |
| -0.000 | 0.000 | -0.000 | 123.418 | 0.000 | 0.000 |
| 0.000 | -0.000 | -0.000 | 0.000 | 123.418 | -0.000 |
| 0.000 | -0.000 | -0.000 | -0.000 | -0.000 | 123.418 |
| 0.000 | 0.000 | 0.000 | 0.000 | -0.000 | -0.000 |
| 0.000 | 0.000 | 0.000 | -0.000 | -0.000 | -0.000 |
| 0.000 | 0.000 | 0.000 | 0.000 | 0.000 | -0.000 |
| 0.000 | 0.000 | 0.000 | 0.000 | -0.000 | -0.000 |
| 0.000 | 0.000 | 0.000 | -0.000 | 0.000 | -0.000 |
| 0.000 | 0.000 | 0.000 | -0.000 | -0.000 | 0.000 |
| 0.000 | 0.000 | 0.000 | 0.000 | 0.000 | 0.000 |
| 0.000 | 0.000 | 0.000 | 0.000 | 0.000 | 0.000 |
| 0.000 | 0.000 | 0.000 | 0.000 | 0.000 | 0.000 |
| -0.000 | -0.000 | -0.000 | 0.000 | 0.000 | 0.000 |
| -0.000 | -0.000 | -0.000 | 0.000 | 0.000 | 0.000 |
| -0.000 | -0.000 | -0.000 | 0.000 | 0.000 | 0.000 |
| 0.000 | 0.000 | 0.000 | -0.000 | -0.000 | -0.000 |
| 0.000 | 0.000 | 0.000 | -0.000 | -0.000 | -0.000 |
| 0.000 | 0.000 | 0.000 | -0.000 | -0.000 | -0.000 |
| 0.000 | 0.000 | 0.000 | 0.000 | -0.000 | -0.000 |
| 0.000 | 0.000 | 0.000 | -0.000 | 0.000 | -0.000 |
| 0.000 | 0.000 | 0.000 | 0.000 | -0.000 | 0.000 |
| 0.000 | 0.000 | 0.000 | 0.000 | 0.000 | 0.000 |
| 0.000 | 0.000 | 0.000 | 0.000 | 0.000 | 0.000 |
| 0.000 | 0.000 | 0.000 | 0.000 | 0.000 | 0.000 |
| -0.000 | -0.000 | -0.000 | 0.000 | 0.000 | -0.000 |
| -0.000 | -0.000 | -0.000 | -0.000 | 0.000 | 0.000 |
| -0.000 | -0.000 | -0.000 | -0.000 | -0.000 | 0.000 |
| 0.000 | 0.000 | 0.000 | -0.000 | -0.000 | -0.000 |
| 0.000 | 0.000 | 0.000 | -0.000 | -0.000 | -0.000 |
| 0.000 | 0.000 | 0.000 | 0.000 | 0.000 | -0.000 |
| 0.000 | 0.000 | 0.000 | 0.000 | -0.000 | -0.000 |
| 0.000 | 0.000 | 0.000 | -0.000 | 0.000 | -0.000 |
| 0.000 | 0.000 | 0.000 | -0.000 | -0.000 | 0.000 |
| 0.000 | 0.000 | 0.000 | -0.000 | -0.000 | -0.000 |
| 0.000 | 0.000 | 0.000 | -0.000 | -0.000 | -0.000 |
| 0.000 | 0.000 | 0.000 | -0.000 | -0.000 | -0.000 |
| -0.000 | -0.000 | -0.000 | 0.000 | -0.000 | 0.000 |
| -0.000 | -0.000 | -0.000 | 0.000 | 0.000 | 0.000 |
| -0.000 | -0.000 | -0.000 | -0.000 | -0.000 | 0.000 |
| -0.000 | -0.000 | -0.000 | -0.000 | -0.000 | -0.000 |
| -0.000 | -0.000 | -0.000 | -0.000 | -0.000 | -0.000 |
| -0.000 | -0.000 | -0.000 | -0.000 | -0.000 | -0.000 |
| -0.000 | -0.000 | -0.000 | -0.000 | -0.000 | -0.000 |
| -0.000 | -0.000 | -0.000 | -0.000 | -0.000 | -0.000 |
| -0.000 | -0.000 | -0.000 | -0.000 | -0.000 | -0.000 |
| -0.000 | -0.000 | -0.000 | 0.000 | 0.000 | 0.000 |
| -0.000 | -0.000 | -0.000 | 0.000 | 0.000 | 0.000 |
| -0.000 | -0.000 | -0.000 | 0.000 | 0.000 | 0.000 |
| 0.000 | 0.000 | 0.000 | -0.000 | 0.000 | 0.000 |
| 0.000 | 0.000 | 0.000 | 0.000 | -0.000 | 0.000 |
| 0.000 | 0.000 | 0.000 | 0.000 | 0.000 | -0.000 |
| -0.000 | -0.000 | -0.000 | -0.000 | 0.000 | -0.000 |
| -0.000 | -0.000 | -0.000 | 0.000 | -0.000 | -0.000 |
| -0.000 | -0.000 | -0.000 | -0.000 | -0.000 | 0.000 |
| -0.000 | -0.000 | -0.000 | -0.000 | 0.000 | 0.000 |
| -0.000 | -0.000 | -0.000 | 0.000 | -0.000 | 0.000 |
| -0.000 | -0.000 | -0.000 | 0.000 | -0.000 | -0.000 |
| -0.000 | -0.000 | -0.000 | 0.000 | 0.000 | 0.000 |
| -0.000 | -0.000 | -0.000 | 0.000 | 0.000 | 0.000 |
| -0.000 | -0.000 | -0.000 | 0.000 | 0.000 | -0.000 |
| 0.000 | 0.000 | 0.000 | -0.000 | 0.000 | 0.000 |
| 0.000 | 0.000 | 0.000 | 0.000 | -0.000 | 0.000 |
| 0.000 | 0.000 | 0.000 | 0.000 | 0.000 | -0.000 |
| -0.000 | -0.000 | -0.000 | -0.000 | -0.000 | -0.000 |
| -0.000 | -0.000 | -0.000 | -0.000 | -0.000 | -0.000 |
| -0.000 | -0.000 | -0.000 | -0.000 | -0.000 | 0.000 |
| -0.000 | -0.000 | -0.000 | -0.000 | -0.000 | 0.000 |
| -0.000 | -0.000 | -0.000 | -0.000 | -0.000 | 0.000 |
| -0.000 | -0.000 | -0.000 | -0.000 | -0.000 | -0.000 |
| -0.000 | -0.000 | -0.000 | 0.000 | 0.000 | 0.000 |
| -0.000 | -0.000 | -0.000 | 0.000 | 0.000 | 0.000 |
| -0.000 | -0.000 | -0.000 | 0.000 | 0.000 | 0.000 |
| 0.000 | 0.000 | 0.000 | -0.000 | -0.000 | 0.000 |
| 0.000 | 0.000 | 0.000 | -0.000 | -0.000 | 0.000 |
| 0.000 | 0.000 | 0.000 | -0.000 | 0.000 | -0.000 |
| 249.619 | 163.966 | 163.966 | 0.000 | -0.000 | -0.000 |
| 163.966 | 249.619 | 163.966 | 0.000 | 0.000 | -0.000 |
| 163.966 | 163.966 | 249.619 | -0.000 | -0.000 | -0.000 |
| -0.000 | 0.000 | 0.000 | 115.604 | 0.000 | -0.000 |
| 0.000 | -0.000 | 0.000 | 0.000 | 115.604 | -0.000 |
| 0.000 | 0.000 | -0.000 | 0.000 | -0.000 | 115.604 |
| 249.619 | 163.966 | 163.966 | -0.000 | 0.000 | -0.000 |
| 163.966 | 249.619 | 163.966 | 0.000 | -0.000 | 0.000 |
| 163.966 | 163.966 | 249.619 | -0.000 | -0.000 | 0.000 |
| 0.000 | -0.000 | -0.000 | 115.604 | -0.000 | -0.000 |
| -0.000 | 0.000 | -0.000 | -0.000 | 115.604 | 0.000 |
| -0.000 | -0.000 | 0.000 | -0.000 | 0.000 | 115.604 |
| 249.619 | 163.966 | 163.966 | -0.000 | -0.000 | 0.000 |
| 163.966 | 249.619 | 163.966 | 0.000 | 0.000 | 0.000 |
| 163.966 | 163.966 | 249.619 | 0.000 | -0.000 | -0.000 |
| -0.000 | 0.000 | 0.000 | 115.604 | 0.000 | -0.000 |
| 0.000 | -0.000 | 0.000 | 0.000 | 115.604 | -0.000 |
| 0.000 | 0.000 | -0.000 | -0.000 | -0.000 | 115.604 |
| 249.619 | 163.966 | 163.966 | -0.000 | 0.000 | 0.000 |
| 163.966 | 249.619 | 163.966 | -0.000 | -0.000 | 0.000 |
| 163.966 | 163.966 | 249.619 | 0.000 | 0.000 | -0.000 |
| 0.000 | -0.000 | -0.000 | 115.604 | 0.000 | 0.000 |
| -0.000 | 0.000 | -0.000 | -0.000 | 115.604 | 0.000 |
| -0.000 | -0.000 | 0.000 | 0.000 | -0.000 | 115.604 |
| 249.620 | 163.966 | 163.966 | -0.000 | -0.000 | -0.000 |
| 163.966 | 249.620 | 163.966 | -0.000 | -0.000 | -0.000 |
| 163.966 | 163.966 | 249.620 | -0.000 | -0.000 | -0.000 |
| -0.000 | 0.000 | 0.001 | 115.604 | -0.000 | 0.000 |
| 0.000 | -0.000 | 0.001 | -0.000 | 115.604 | -0.000 |
| 0.000 | 0.001 | -0.000 | -0.000 | -0.000 | 115.604 |
| 249.618 | 163.965 | 163.965 | -0.000 | -0.000 | -0.000 |
| 163.965 | 249.618 | 163.965 | -0.000 | -0.000 | 0.000 |
| 163.965 | 163.965 | 249.618 | 0.000 | 0.000 | 0.000 |
| 0.000 | -0.000 | -0.001 | 115.604 | -0.000 | 0.000 |
| -0.000 | 0.000 | -0.001 | -0.000 | 115.604 | 0.000 |
| -0.000 | -0.001 | 0.000 | 0.000 | 0.000 | 115.604 |
| 0.001 | 0.001 | 0.001 | 0.000 | 0.000 | 0.000 |
| 0.001 | 0.001 | 0.001 | 0.000 | 0.000 | 0.000 |
| 0.001 | 0.001 | 0.001 | 0.000 | 0.000 | -0.000 |
| -0.000 | 0.000 | 0.000 | 0.001 | 0.000 | 0.000 |
| 0.000 | -0.000 | 0.000 | 0.000 | 0.001 | 0.000 |
| 0.000 | 0.000 | -0.000 | 0.000 | 0.000 | 0.001 |
| 0.001 | 0.001 | 0.001 | -0.000 | -0.000 | -0.000 |
| 0.001 | 0.001 | 0.001 | -0.000 | -0.000 | -0.000 |
| 0.001 | 0.001 | 0.001 | -0.000 | -0.000 | -0.000 |
| 0.000 | -0.000 | -0.000 | 0.001 | -0.000 | -0.000 |
| -0.000 | 0.000 | -0.000 | -0.000 | 0.001 | -0.000 |
| -0.000 | -0.000 | 0.000 | -0.000 | -0.000 | 0.001 |
| 0.001 | 0.001 | 0.001 | 0.000 | 0.000 | 0.000 |
| 0.001 | 0.001 | 0.001 | 0.000 | 0.000 | 0.000 |
| 0.001 | 0.001 | 0.001 | 0.000 | 0.000 | 0.000 |
| -0.000 | 0.000 | 0.000 | 0.001 | 0.000 | 0.000 |
| 0.000 | -0.000 | 0.000 | 0.000 | 0.001 | 0.000 |
| 0.000 | 0.000 | -0.000 | 0.000 | 0.000 | 0.001 |
| 0.001 | 0.001 | 0.001 | -0.000 | -0.000 | -0.000 |
| 0.001 | 0.001 | 0.001 | -0.000 | -0.000 | -0.000 |
| 0.001 | 0.001 | 0.001 | -0.000 | -0.000 | -0.000 |
| 0.000 | -0.000 | -0.000 | 0.001 | -0.000 | -0.000 |
| -0.000 | 0.000 | -0.000 | -0.000 | 0.001 | -0.000 |
| -0.000 | -0.000 | 0.000 | -0.000 | -0.000 | 0.001 |
| 0.001 | 0.001 | 0.001 | 0.000 | 0.000 | 0.000 |
| 0.001 | 0.001 | 0.001 | 0.000 | 0.000 | 0.000 |
| 0.001 | 0.001 | 0.001 | 0.000 | 0.000 | 0.000 |
| -0.000 | 0.000 | 0.000 | 0.001 | 0.000 | 0.000 |
| 0.000 | -0.000 | 0.000 | 0.000 | 0.001 | 0.000 |
| 0.000 | 0.000 | -0.000 | 0.000 | 0.000 | 0.001 |
| 0.001 | 0.001 | 0.001 | -0.000 | -0.000 | -0.000 |
| 0.001 | 0.001 | 0.001 | -0.000 | -0.000 | -0.000 |
| 0.001 | 0.001 | 0.001 | -0.000 | -0.000 | -0.000 |
| 0.000 | -0.000 | -0.000 | 0.001 | -0.000 | -0.000 |
| -0.000 | 0.000 | -0.000 | -0.000 | 0.001 | -0.000 |
| -0.000 | -0.000 | 0.000 | -0.000 | -0.000 | 0.001 |
| -0.000 | -0.000 | -0.000 | -0.000 | 0.000 | 0.000 |
| -0.000 | -0.000 | -0.000 | 0.000 | -0.000 | 0.000 |
| -0.000 | -0.000 | -0.000 | 0.000 | 0.000 | 0.000 |
| 0.000 | -0.000 | -0.000 | -0.000 | 0.000 | 0.000 |
| -0.000 | 0.000 | -0.000 | 0.000 | -0.000 | 0.000 |
| -0.000 | -0.000 | 0.000 | 0.000 | 0.000 | -0.000 |
| -0.000 | -0.000 | -0.000 | 0.000 | -0.000 | -0.000 |
| -0.000 | -0.000 | -0.000 | -0.000 | 0.000 | -0.000 |
| -0.000 | -0.000 | -0.000 | -0.000 | -0.000 | 0.000 |
| -0.000 | 0.000 | 0.000 | -0.000 | -0.000 | -0.000 |
| 0.000 | -0.000 | 0.000 | -0.000 | -0.000 | -0.000 |
| 0.000 | 0.000 | -0.000 | -0.000 | -0.000 | -0.000 |
| -0.000 | -0.000 | -0.000 | 0.000 | 0.000 | 0.000 |
| -0.000 | -0.000 | -0.000 | 0.000 | 0.000 | 0.000 |
| -0.000 | -0.000 | -0.000 | 0.000 | 0.000 | 0.000 |
| 0.000 | -0.000 | -0.000 | -0.000 | 0.000 | 0.000 |
| -0.000 | 0.000 | -0.000 | 0.000 | -0.000 | 0.000 |
| -0.000 | -0.000 | 0.000 | 0.000 | 0.000 | -0.000 |
| -0.000 | -0.000 | -0.000 | -0.000 | -0.000 | -0.000 |
| -0.000 | -0.000 | -0.000 | -0.000 | -0.000 | -0.000 |
| -0.000 | -0.000 | -0.000 | -0.000 | -0.000 | -0.000 |
| -0.000 | 0.000 | 0.000 | -0.000 | -0.000 | -0.000 |
| 0.000 | -0.000 | 0.000 | -0.000 | -0.000 | -0.000 |
| 0.000 | 0.000 | -0.000 | -0.000 | -0.000 | -0.000 |
| 250.378 | 166.698 | 163.431 | 0.000 | -0.000 | 0.000 |
| 166.698 | 250.378 | 163.431 | -0.000 | 0.000 | 0.000 |
| 163.431 | 163.431 | 250.840 | -0.000 | 0.000 | 0.000 |
| -0.000 | 0.000 | 0.000 | 114.062 | 0.000 | -0.000 |
| 0.000 | -0.000 | 0.000 | -0.000 | 114.062 | 0.000 |
| 0.000 | 0.000 | 0.000 | -0.000 | -0.000 | 117.226 |
| 250.493 | 166.583 | 163.431 | -0.000 | 0.000 | 0.000 |
| 166.583 | 250.493 | 163.431 | 0.000 | -0.000 | 0.000 |
| 163.431 | 163.431 | 250.840 | 0.000 | 0.000 | -0.000 |
| 0.000 | -0.000 | -0.000 | 114.062 | -0.000 | -0.000 |
| -0.000 | 0.000 | -0.000 | -0.000 | 114.062 | -0.000 |
| -0.000 | -0.000 | -0.000 | 0.000 | 0.000 | 117.226 |
| 250.493 | 166.583 | 163.431 | -0.000 | 0.000 | 0.000 |
| 166.583 | 250.493 | 163.431 | 0.000 | -0.000 | 0.000 |
| 163.431 | 163.431 | 250.840 | -0.000 | -0.000 | 0.000 |
| -0.000 | 0.000 | 0.000 | 114.129 | -0.000 | 0.000 |
| 0.000 | -0.000 | 0.000 | -0.000 | 114.129 | -0.000 |
| 0.000 | 0.000 | -0.000 | -0.000 | -0.000 | 117.226 |
| 250.378 | 166.698 | 163.431 | -0.000 | 0.000 | -0.000 |
| 166.698 | 250.378 | 163.431 | 0.000 | -0.000 | -0.000 |
| 163.431 | 163.431 | 250.840 | 0.000 | 0.000 | -0.000 |
| 0.000 | -0.000 | -0.000 | 114.129 | 0.000 | -0.000 |
| -0.000 | 0.000 | -0.000 | 0.000 | 114.129 | -0.000 |
| -0.000 | -0.000 | 0.000 | 0.000 | 0.000 | 117.226 |
| 250.378 | 166.698 | 163.431 | 0.000 | -0.000 | 0.000 |
| 166.698 | 250.378 | 163.431 | -0.000 | 0.000 | 0.000 |
| 163.431 | 163.431 | 250.840 | -0.000 | -0.000 | 0.000 |
| -0.000 | 0.000 | 0.000 | 114.129 | 0.000 | -0.000 |
| 0.000 | -0.000 | 0.000 | -0.000 | 114.129 | 0.000 |
| 0.000 | 0.000 | -0.000 | -0.000 | 0.000 | 117.226 |
| 250.378 | 166.698 | 163.431 | -0.000 | -0.000 | 0.000 |
| 166.698 | 250.378 | 163.431 | 0.000 | -0.000 | 0.000 |
| 163.431 | 163.431 | 250.839 | 0.000 | 0.000 | 0.000 |
| 0.000 | -0.000 | -0.000 | 114.129 | 0.000 | -0.000 |
| -0.000 | 0.000 | -0.000 | 0.000 | 114.129 | -0.000 |
| -0.000 | -0.000 | 0.000 | 0.000 | -0.000 | 117.226 |
| 115.686 | 163.865 | 162.136 | 0.000 | -0.000 | -0.000 |
| 163.524 | 262.147 | 18.296 | -0.000 | -0.000 | 0.000 |
| 162.359 | 18.859 | 256.900 | -0.000 | -0.000 | -0.000 |
| 1.159 | -0.210 | 2.070 | -23.511 | -0.000 | 0.000 |
| 0.000 | 0.000 | 0.000 | -0.000 | 120.527 | -0.000 |
| 0.000 | 0.000 | -0.000 | -0.000 | -0.000 | 120.325 |
| 113.531 | 164.256 | 158.288 | -0.000 | 0.000 | 0.000 |
| 162.873 | 262.265 | 17.133 | -0.000 | 0.000 | 0.000 |
| 162.359 | 18.859 | 256.900 | 0.000 | 0.000 | 0.000 |
| -1.159 | 0.210 | -2.070 | -23.511 | 0.000 | 0.000 |
| -0.000 | -0.000 | -0.000 | -0.000 | 120.527 | 0.000 |
| -0.000 | -0.000 | 0.000 | 0.000 | 0.000 | 120.325 |
| 115.687 | 163.865 | 162.137 | -0.000 | -0.000 | -0.000 |
| 163.524 | 262.147 | 18.296 | 0.000 | -0.000 | -0.000 |
| 160.173 | 19.255 | 252.997 | -0.000 | -0.000 | 0.000 |
| -0.000 | 0.000 | 0.000 | -23.284 | 0.000 | 0.000 |
| 0.000 | 0.000 | 0.000 | 0.000 | 120.527 | -0.000 |
| 0.000 | 0.000 | 0.000 | -0.000 | -0.000 | 120.325 |
| 115.686 | 163.865 | 162.136 | 0.000 | 0.000 | 0.000 |
| 163.667 | 262.121 | 18.551 | -0.000 | 0.000 | 0.000 |
| 159.997 | 19.287 | 252.682 | -0.000 | 0.000 | 0.000 |
| 0.000 | -0.000 | -0.000 | -23.284 | 0.000 | 0.000 |
| -0.000 | -0.000 | -0.000 | 0.000 | 120.527 | 0.000 |
| -0.000 | -0.000 | -0.000 | -0.000 | 0.000 | 120.325 |
| 115.687 | 163.865 | 162.137 | 0.000 | 0.000 | -0.000 |
| 163.525 | 262.149 | 18.296 | -0.000 | -0.000 | 0.000 |
| 162.360 | 18.859 | 256.901 | -0.000 | -0.000 | 0.000 |
| 0.082 | -0.015 | 0.146 | -24.891 | -0.000 | -0.000 |
| 0.019 | -0.003 | 0.034 | -0.000 | 118.760 | -0.000 |
| 0.000 | 0.001 | 0.000 | -0.000 | -0.000 | 120.325 |
| 115.685 | 163.864 | 162.136 | -0.000 | 0.000 | 0.000 |
| 163.745 | 262.105 | 18.692 | 0.000 | 0.000 | 0.000 |
| 160.076 | 19.273 | 252.823 | 0.000 | 0.000 | 0.000 |
| -0.082 | 0.015 | -0.146 | -24.891 | 0.000 | -0.000 |
| -0.019 | 0.003 | -0.034 | 0.000 | 118.760 | 0.000 |
| -0.000 | -0.001 | -0.000 | 0.000 | 0.000 | 120.325 |
| 307.833 | 153.885 | 107.849 | 0.000 | 0.000 | -0.000 |
| 139.980 | 322.898 | 108.455 | 0.000 | 0.000 | 0.000 |
| 108.318 | 108.318 | 328.756 | 0.000 | 0.000 | -0.000 |
| 0.004 | 0.004 | 0.005 | 60.732 | -0.000 | -0.000 |
| 0.004 | 0.004 | 0.005 | -0.000 | 60.732 | -0.000 |
| 0.006 | 0.006 | 0.007 | 0.000 | -0.000 | 74.698 |
| 307.897 | 153.805 | 107.840 | 0.000 | -0.000 | 0.000 |
| 139.980 | 322.898 | 108.455 | -0.000 | -0.000 | 0.000 |
| 108.315 | 108.315 | 328.753 | 0.000 | 0.000 | -0.000 |
| -0.004 | -0.004 | -0.005 | 60.732 | 0.000 | 0.000 |
| -0.004 | -0.004 | -0.005 | 0.000 | 60.732 | -0.000 |
| -0.006 | -0.006 | -0.007 | -0.000 | -0.000 | 74.698 |
| 307.862 | 153.849 | 107.845 | -0.000 | 0.000 | -0.000 |
| 139.981 | 322.898 | 108.455 | -0.000 | 0.000 | -0.000 |
| 108.317 | 108.317 | 328.758 | 0.000 | -0.000 | -0.000 |
| 0.000 | 0.001 | 0.001 | 60.732 | 0.000 | 0.000 |
| 0.000 | 0.000 | 0.001 | -0.000 | 60.842 | 0.000 |
| 0.000 | 0.000 | 0.000 | -0.000 | -0.000 | 74.454 |
| 322.898 | 139.980 | 108.455 | -0.000 | -0.000 | 0.000 |
| 139.980 | 322.898 | 108.455 | 0.000 | -0.000 | -0.000 |
| 108.316 | 108.316 | 328.750 | -0.000 | -0.000 | -0.000 |
| -0.000 | -0.001 | -0.001 | 60.732 | 0.000 | 0.000 |
| -0.000 | -0.000 | -0.001 | 0.000 | 60.842 | 0.000 |
| -0.000 | -0.000 | -0.000 | 0.000 | 0.000 | 74.454 |
| 307.868 | 153.845 | 107.847 | 0.000 | 0.000 | 0.000 |
| 139.982 | 322.901 | 108.458 | -0.000 | 0.000 | 0.000 |
| 108.324 | 108.324 | 328.794 | 0.000 | 0.000 | 0.000 |
| 0.001 | 0.002 | 0.007 | 60.732 | -0.000 | 0.000 |
| 0.002 | 0.001 | 0.007 | 0.000 | 60.842 | 0.000 |
| 0.000 | 0.001 | 0.001 | -0.000 | -0.000 | 74.698 |
| 307.862 | 153.844 | 107.842 | 0.000 | 0.000 | 0.000 |
| 153.843 | 307.862 | 107.842 | 0.000 | -0.000 | 0.000 |
| 108.309 | 108.309 | 328.715 | 0.000 | 0.000 | -0.000 |
| -0.001 | -0.002 | -0.007 | 60.732 | -0.000 | -0.000 |
| -0.002 | -0.001 | -0.007 | -0.000 | 60.842 | 0.000 |
| -0.000 | -0.001 | -0.001 | 0.000 | 0.000 | 74.698 |
| 307.078 | 153.296 | 108.345 | -0.000 | -0.000 | 0.000 |
| 156.424 | 304.896 | 108.892 | -0.000 | -0.000 | 0.000 |
| 108.975 | 108.975 | 332.232 | -0.000 | 0.000 | 0.000 |
| 0.000 | 0.000 | 0.000 | 61.511 | 0.000 | 0.000 |
| 0.000 | 0.000 | 0.000 | -0.000 | 61.354 | -0.000 |
| 0.000 | 0.000 | 0.000 | -0.000 | -0.000 | 74.238 |
| 322.050 | 139.544 | 109.050 | 0.000 | -0.000 | -0.000 |
| 139.544 | 322.050 | 109.050 | 0.000 | -0.000 | -0.000 |
| 108.814 | 108.814 | 332.045 | -0.000 | -0.000 | -0.000 |
| -0.000 | -0.000 | -0.000 | 61.511 | -0.000 | -0.000 |
| -0.000 | -0.000 | -0.000 | 0.000 | 61.354 | -0.000 |
| -0.000 | -0.000 | -0.000 | 0.000 | 0.000 | 74.238 |
| 307.078 | 153.296 | 108.345 | -0.000 | -0.000 | 0.000 |
| 153.296 | 307.078 | 108.345 | -0.000 | -0.000 | 0.000 |
| 108.814 | 108.814 | 332.049 | 0.000 | 0.000 | 0.000 |
| 0.000 | 0.000 | 0.001 | 61.511 | 0.000 | 0.000 |
| 0.000 | 0.000 | 0.001 | -0.000 | 61.511 | -0.000 |
| 0.000 | 0.000 | 0.000 | -0.000 | -0.000 | 74.495 |
| 307.078 | 153.296 | 108.345 | -0.000 | -0.000 | -0.000 |
| 139.544 | 322.050 | 109.050 | 0.000 | -0.000 | -0.000 |
| 108.974 | 108.974 | 332.228 | 0.000 | -0.000 | -0.000 |
| -0.000 | -0.000 | -0.001 | 61.511 | -0.000 | -0.000 |
| -0.000 | -0.000 | -0.001 | 0.000 | 61.511 | -0.000 |
| -0.000 | -0.000 | -0.000 | 0.000 | 0.000 | 74.495 |
| 322.052 | 139.545 | 109.052 | -0.000 | 0.000 | 0.000 |
| 156.425 | 304.898 | 108.893 | -0.000 | -0.000 | 0.000 |
| 108.982 | 108.982 | 332.271 | -0.000 | 0.000 | 0.000 |
| 0.001 | 0.002 | 0.007 | 61.354 | 0.000 | 0.000 |
| 0.002 | 0.001 | 0.007 | 0.000 | 61.354 | 0.000 |
| 0.000 | 0.001 | 0.001 | -0.000 | -0.000 | 74.238 |
| 322.047 | 139.544 | 109.048 | -0.000 | -0.000 | -0.000 |
| 139.544 | 322.048 | 109.048 | 0.000 | -0.000 | -0.000 |
| 108.807 | 108.807 | 332.007 | 0.000 | -0.000 | -0.000 |
| -0.001 | -0.002 | -0.007 | 61.354 | 0.000 | -0.000 |
| -0.002 | -0.001 | -0.007 | 0.000 | 61.354 | -0.000 |
| -0.000 | -0.001 | -0.001 | 0.000 | 0.000 | 74.238 |
| 68.015 | 40.322 | 40.322 | 0.000 | 0.000 | -0.000 |
| 40.322 | 68.015 | 40.322 | 0.000 | 0.000 | 0.000 |
| 40.322 | 40.322 | 68.015 | 0.000 | 0.000 | 0.000 |
| 0.000 | 0.000 | 0.000 | 9.654 | 0.000 | 0.000 |
| 0.000 | -0.000 | 0.000 | 0.000 | 9.654 | 0.000 |
| 0.000 | 0.000 | -0.000 | 0.000 | 0.000 | 9.654 |
| 68.015 | 40.322 | 40.322 | -0.000 | -0.000 | -0.000 |
| 40.322 | 68.015 | 40.322 | -0.000 | -0.000 | -0.000 |
| 40.322 | 40.322 | 68.015 | -0.000 | -0.000 | -0.000 |
| -0.000 | -0.000 | -0.000 | 9.654 | -0.000 | -0.000 |
| -0.000 | 0.000 | -0.000 | -0.000 | 9.654 | -0.000 |
| -0.000 | -0.000 | -0.000 | -0.000 | -0.000 | 9.654 |
| 68.015 | 40.322 | 40.322 | 0.000 | 0.000 | 0.000 |
| 40.322 | 68.015 | 40.322 | 0.000 | 0.000 | 0.000 |
| 40.322 | 40.322 | 68.015 | 0.000 | 0.000 | 0.000 |
| -0.000 | 0.000 | 0.000 | 9.654 | 0.000 | 0.000 |
| 0.000 | -0.000 | 0.000 | 0.000 | 9.654 | 0.000 |
| 0.000 | 0.000 | -0.000 | 0.000 | 0.000 | 9.654 |
| 68.015 | 40.322 | 40.322 | -0.000 | -0.000 | -0.000 |
| 40.322 | 68.015 | 40.322 | -0.000 | -0.000 | -0.000 |
| 40.322 | 40.322 | 68.015 | -0.000 | -0.000 | -0.000 |
| 0.000 | -0.000 | -0.000 | 9.654 | -0.000 | 0.000 |
| -0.000 | 0.000 | -0.000 | -0.000 | 9.654 | -0.000 |
| -0.000 | -0.000 | 0.000 | -0.000 | -0.000 | 9.654 |
| 68.015 | 40.323 | 40.323 | 0.000 | 0.000 | 0.000 |
| 40.323 | 68.015 | 40.323 | 0.000 | 0.000 | 0.000 |
| 40.323 | 40.323 | 68.015 | 0.000 | 0.000 | 0.000 |
| -0.000 | 0.001 | 0.001 | 9.654 | 0.000 | 0.000 |
| 0.001 | -0.000 | 0.001 | 0.000 | 9.654 | 0.000 |
| 0.001 | 0.001 | -0.000 | 0.000 | 0.000 | 9.654 |
| 68.015 | 40.321 | 40.321 | -0.000 | -0.000 | -0.000 |
| 40.321 | 68.015 | 40.321 | -0.000 | -0.000 | 0.000 |
| 40.321 | 40.321 | 68.015 | -0.000 | 0.000 | -0.000 |
| 0.000 | -0.001 | -0.001 | 9.654 | -0.000 | -0.000 |
| -0.001 | 0.000 | -0.001 | -0.000 | 9.654 | -0.000 |
| -0.001 | -0.001 | 0.000 | -0.000 | -0.000 | 9.654 |
| 280.313 | 62.157 | 62.157 | -0.000 | 0.000 | -0.000 |
| 62.157 | 280.313 | 62.157 | -0.000 | -0.000 | -0.000 |
| 62.157 | 62.157 | 280.313 | -0.000 | -0.000 | -0.000 |
| -0.000 | 0.000 | 0.000 | 31.095 | -0.000 | -0.000 |
| 0.000 | 0.000 | 0.000 | 0.000 | 31.095 | -0.000 |
| -0.000 | 0.000 | 0.000 | 0.000 | -0.000 | 31.095 |
| 280.666 | 61.981 | 61.981 | 0.000 | 0.000 | 0.000 |
| 61.981 | 280.666 | 61.981 | 0.000 | 0.000 | 0.000 |
| 61.981 | 61.981 | 280.666 | 0.000 | 0.000 | 0.000 |
| 0.000 | -0.000 | -0.000 | 31.095 | 0.000 | 0.000 |
| 0.000 | -0.000 | -0.000 | 0.000 | 31.095 | 0.000 |
| -0.000 | -0.000 | -0.000 | 0.000 | 0.000 | 31.095 |
| 280.666 | 61.981 | 61.981 | -0.000 | -0.000 | -0.000 |
| 61.981 | 280.666 | 61.981 | -0.000 | -0.000 | -0.000 |
| 61.981 | 61.981 | 280.666 | -0.000 | -0.000 | -0.000 |
| 0.000 | 0.000 | 0.000 | 33.319 | -0.000 | 0.000 |
| 0.000 | 0.000 | 0.000 | -0.000 | 33.319 | -0.000 |
| 0.000 | 0.000 | 0.000 | -0.000 | -0.000 | 33.319 |
| 280.666 | 61.981 | 61.981 | -0.000 | -0.000 | 0.000 |
| 61.981 | 280.666 | 61.981 | 0.000 | 0.000 | 0.000 |
| 61.981 | 61.981 | 280.666 | 0.000 | 0.000 | 0.000 |
| -0.000 | -0.000 | -0.000 | 33.319 | -0.000 | 0.000 |
| -0.000 | -0.000 | -0.000 | 0.000 | 33.319 | 0.000 |
| -0.000 | -0.000 | -0.000 | 0.000 | -0.000 | 33.319 |
| 280.669 | 61.981 | 61.981 | -0.000 | -0.000 | 0.000 |
| 61.981 | 280.669 | 61.981 | -0.000 | -0.000 | -0.000 |
| 61.981 | 61.981 | 280.669 | -0.000 | -0.000 | -0.000 |
| 0.000 | 0.000 | 0.000 | 31.095 | -0.000 | -0.000 |
| 0.000 | 0.000 | 0.000 | -0.000 | 31.095 | 0.000 |
| 0.000 | 0.000 | 0.000 | -0.000 | -0.000 | 31.095 |
| 280.663 | 61.980 | 61.980 | 0.000 | -0.000 | 0.000 |
| 61.980 | 280.663 | 61.980 | 0.000 | 0.000 | 0.000 |
| 61.980 | 61.980 | 280.663 | 0.000 | 0.000 | -0.000 |
| -0.000 | -0.000 | -0.000 | 31.095 | 0.000 | 0.000 |
| -0.000 | -0.000 | -0.000 | 0.000 | 31.095 | 0.000 |
| -0.000 | -0.000 | -0.000 | 0.000 | 0.000 | 31.095 |
| 243.359 | 145.009 | 145.009 | -0.000 | -0.000 | -0.000 |
| 145.009 | 243.359 | 145.009 | -0.000 | -0.000 | -0.000 |
| 145.009 | 145.009 | 243.359 | 0.000 | -0.000 | -0.000 |
| -0.000 | -0.000 | -0.000 | 116.037 | -0.000 | 0.000 |
| -0.000 | -0.000 | -0.000 | -0.000 | 116.037 | 0.000 |
| -0.000 | -0.000 | -0.000 | 0.000 | 0.000 | 116.037 |
| 243.359 | 145.009 | 145.009 | 0.000 | 0.000 | -0.000 |
| 145.009 | 243.359 | 145.009 | -0.000 | 0.000 | 0.000 |
| 145.009 | 145.009 | 243.359 | 0.000 | 0.000 | 0.000 |
| 0.000 | 0.000 | 0.000 | 116.037 | -0.000 | -0.000 |
| 0.000 | 0.000 | 0.000 | -0.000 | 116.037 | -0.000 |
| 0.000 | 0.000 | 0.000 | 0.000 | 0.000 | 116.037 |
| 243.359 | 145.009 | 145.009 | 0.000 | -0.000 | 0.000 |
| 145.009 | 243.359 | 145.009 | 0.000 | 0.000 | 0.000 |
| 145.009 | 145.009 | 243.359 | -0.000 | -0.000 | 0.000 |
| -0.000 | -0.000 | 0.000 | 116.037 | -0.000 | 0.000 |
| -0.000 | -0.000 | 0.000 | -0.000 | 116.037 | 0.000 |
| -0.000 | 0.000 | -0.000 | 0.000 | 0.000 | 116.037 |
| 243.359 | 145.009 | 145.009 | -0.000 | 0.000 | 0.000 |
| 145.009 | 243.359 | 145.009 | 0.000 | -0.000 | -0.000 |
| 145.009 | 145.009 | 243.359 | -0.000 | -0.000 | -0.000 |
| 0.000 | 0.000 | -0.000 | 116.037 | 0.000 | -0.000 |
| 0.000 | 0.000 | -0.000 | -0.000 | 116.037 | -0.000 |
| 0.000 | -0.000 | 0.000 | -0.000 | 0.000 | 116.037 |
| 243.359 | 145.009 | 145.009 | 0.000 | -0.000 | 0.000 |
| 145.009 | 243.359 | 145.009 | -0.000 | -0.000 | 0.000 |
| 145.009 | 145.009 | 243.359 | 0.000 | 0.000 | -0.000 |
| -0.000 | -0.000 | 0.000 | 116.037 | -0.000 | 0.000 |
| -0.000 | -0.000 | 0.000 | -0.000 | 116.037 | 0.000 |
| -0.000 | 0.000 | -0.000 | -0.000 | -0.000 | 116.037 |
| 243.360 | 145.009 | 145.009 | 0.000 | 0.000 | -0.000 |
| 145.009 | 243.360 | 145.009 | 0.000 | 0.000 | 0.000 |
| 145.009 | 145.009 | 243.360 | 0.000 | 0.000 | 0.000 |
| 0.000 | 0.000 | -0.000 | 116.037 | -0.000 | -0.000 |
| 0.000 | 0.000 | -0.000 | 0.000 | 116.037 | -0.000 |
| 0.000 | -0.000 | 0.000 | -0.000 | -0.000 | 116.037 |
| 48.474 | 36.691 | 58.214 | 0.000 | -0.000 | 0.000 |
| 36.691 | 48.474 | 58.214 | 0.000 | -0.000 | 0.000 |
| 58.214 | 58.214 | 108.020 | 0.000 | 0.000 | 0.000 |
| 0.000 | -0.000 | 0.000 | 27.465 | -0.000 | 0.000 |
| -0.000 | -0.000 | 0.000 | -0.000 | 27.465 | -0.000 |
| -0.000 | -0.000 | -0.000 | 0.000 | -0.000 | 5.891 |
| 48.376 | 36.790 | 58.214 | -0.000 | -0.000 | 0.000 |
| 36.790 | 48.376 | 58.214 | -0.000 | 0.000 | 0.000 |
| 58.213 | 58.213 | 108.020 | 0.000 | -0.000 | -0.000 |
| -0.000 | 0.000 | -0.000 | 27.465 | 0.000 | -0.000 |
| 0.000 | 0.000 | -0.000 | 0.000 | 27.465 | -0.000 |
| 0.000 | 0.000 | 0.000 | -0.000 | 0.000 | 5.891 |
| 48.376 | 36.790 | 58.213 | 0.000 | -0.000 | -0.000 |
| 36.790 | 48.376 | 58.213 | 0.000 | 0.000 | 0.000 |
| 58.214 | 58.214 | 108.021 | 0.000 | 0.000 | 0.000 |
| -0.000 | -0.000 | 0.000 | 27.465 | -0.000 | -0.000 |
| -0.000 | -0.000 | 0.000 | -0.000 | 27.465 | 0.000 |
| -0.000 | -0.000 | -0.000 | -0.000 | -0.000 | 5.891 |
| 48.475 | 36.691 | 58.214 | -0.000 | -0.000 | -0.000 |
| 36.790 | 48.376 | 58.214 | -0.000 | 0.000 | 0.000 |
| 58.213 | 58.213 | 108.020 | -0.000 | -0.000 | 0.000 |
| 0.000 | 0.000 | -0.000 | 27.465 | 0.000 | 0.000 |
| 0.000 | 0.000 | -0.000 | 0.000 | 27.465 | 0.000 |
| 0.000 | 0.000 | 0.000 | -0.000 | -0.000 | 5.891 |
| 48.473 | 36.691 | 58.213 | 0.000 | 0.000 | -0.000 |
| 36.691 | 48.473 | 58.213 | 0.000 | -0.000 | 0.000 |
| 58.214 | 58.214 | 108.023 | 0.000 | 0.000 | 0.000 |
| -0.000 | -0.000 | 0.000 | 27.465 | 0.000 | 0.000 |
| -0.000 | -0.000 | 0.000 | 0.000 | 27.465 | 0.000 |
| -0.000 | -0.000 | -0.000 | 0.000 | -0.000 | 5.793 |
| 48.378 | 36.790 | 58.214 | -0.000 | 0.000 | -0.000 |
| 36.692 | 48.476 | 58.214 | -0.000 | 0.000 | -0.000 |
| 58.213 | 58.213 | 108.018 | 0.000 | -0.000 | 0.000 |
| 0.000 | 0.000 | -0.000 | 27.465 | 0.000 | 0.000 |
| 0.000 | 0.000 | -0.000 | -0.000 | 27.465 | 0.000 |
| 0.000 | 0.000 | 0.000 | -0.000 | -0.000 | 5.793 |
| 64.396 | 42.050 | 65.558 | 0.000 | -0.000 | 0.000 |
| 42.256 | 64.190 | 65.558 | 0.000 | -0.000 | 0.000 |
| 65.558 | 65.558 | 138.771 | 0.000 | 0.000 | 0.000 |
| -0.000 | -0.000 | 0.000 | 34.743 | -0.000 | 0.000 |
| -0.000 | -0.000 | 0.000 | 0.000 | 34.743 | -0.000 |
| -0.000 | -0.000 | -0.000 | 0.000 | -0.000 | 11.173 |
| 64.396 | 42.050 | 65.558 | -0.000 | 0.000 | -0.000 |
| 42.050 | 64.396 | 65.558 | -0.000 | 0.000 | 0.000 |
| 65.558 | 65.558 | 138.771 | 0.000 | 0.000 | -0.000 |
| 0.000 | 0.000 | -0.000 | 34.743 | -0.000 | -0.000 |
| 0.000 | 0.000 | -0.000 | -0.000 | 34.743 | -0.000 |
| 0.000 | 0.000 | 0.000 | -0.000 | 0.000 | 11.173 |
| 64.396 | 42.050 | 65.558 | 0.000 | 0.000 | -0.000 |
| 42.256 | 64.190 | 65.558 | 0.000 | -0.000 | 0.000 |
| 65.558 | 65.558 | 138.771 | 0.000 | -0.000 | -0.000 |
| -0.000 | -0.000 | 0.000 | 34.743 | 0.000 | 0.000 |
| -0.000 | -0.000 | 0.000 | 0.000 | 34.743 | 0.000 |
| -0.000 | -0.000 | -0.000 | 0.000 | 0.000 | 11.173 |
| 64.190 | 42.256 | 65.558 | -0.000 | 0.000 | -0.000 |
| 42.256 | 64.190 | 65.558 | -0.000 | 0.000 | -0.000 |
| 65.558 | 65.558 | 138.771 | 0.000 | -0.000 | 0.000 |
| 0.000 | 0.000 | -0.000 | 34.743 | 0.000 | -0.000 |
| 0.000 | 0.000 | -0.000 | -0.000 | 34.743 | -0.000 |
| 0.000 | 0.000 | 0.000 | -0.000 | 0.000 | 11.173 |
| 64.394 | 42.050 | 65.558 | 0.000 | 0.000 | 0.000 |
| 42.050 | 64.394 | 65.558 | 0.000 | -0.000 | -0.000 |
| 65.559 | 65.559 | 138.774 | -0.000 | 0.000 | 0.000 |
| -0.000 | -0.000 | 0.000 | 34.743 | -0.000 | 0.000 |
| -0.000 | -0.000 | 0.000 | 0.000 | 34.743 | 0.000 |
| -0.000 | -0.000 | -0.000 | 0.000 | -0.000 | 11.173 |
| 64.191 | 42.257 | 65.558 | -0.000 | -0.000 | -0.000 |
| 42.051 | 64.397 | 65.558 | -0.000 | -0.000 | 0.000 |
| 65.557 | 65.557 | 138.768 | -0.000 | -0.000 | -0.000 |
| 0.000 | 0.000 | -0.000 | 34.743 | 0.000 | -0.000 |
| 0.000 | 0.000 | -0.000 | -0.000 | 34.743 | -0.000 |
| 0.000 | 0.000 | 0.000 | -0.000 | 0.000 | 11.173 |
| 41.075 | 51.565 | 51.565 | 0.000 | 0.000 | 0.000 |
| 51.565 | 41.075 | 51.565 | 0.000 | 0.000 | 0.000 |
| 51.565 | 51.565 | 41.075 | 0.000 | 0.000 | 0.000 |
| -0.000 | -0.000 | -0.000 | -15.913 | 0.000 | 0.000 |
| -0.000 | -0.000 | -0.000 | 0.000 | -15.913 | 0.000 |
| -0.000 | -0.000 | -0.000 | 0.000 | 0.000 | -15.913 |
| 41.075 | 51.565 | 51.565 | -0.000 | -0.000 | -0.000 |
| 51.565 | 41.075 | 51.565 | -0.000 | -0.000 | -0.000 |
| 51.565 | 51.565 | 41.075 | -0.000 | -0.000 | -0.000 |
| 0.000 | 0.000 | 0.000 | -15.913 | -0.000 | -0.000 |
| 0.000 | 0.000 | 0.000 | -0.000 | -15.913 | -0.000 |
| 0.000 | 0.000 | 0.000 | -0.000 | -0.000 | -15.913 |
| 41.075 | 51.565 | 51.565 | 0.000 | 0.000 | 0.000 |
| 51.565 | 41.075 | 51.565 | 0.000 | 0.000 | 0.000 |
| 51.565 | 51.565 | 41.075 | 0.000 | 0.000 | 0.000 |
| 0.000 | 0.000 | 0.000 | 37.584 | 0.000 | 0.000 |
| 0.000 | 0.000 | 0.000 | 0.000 | 37.584 | 0.000 |
| 0.000 | 0.000 | 0.000 | 0.000 | 0.000 | 37.584 |
| 41.075 | 51.565 | 51.565 | -0.000 | -0.000 | -0.000 |
| 51.565 | 41.075 | 51.565 | -0.000 | -0.000 | -0.000 |
| 51.565 | 51.565 | 41.075 | -0.000 | -0.000 | -0.000 |
| -0.000 | -0.000 | -0.000 | 37.584 | -0.000 | -0.000 |
| -0.000 | -0.000 | -0.000 | -0.000 | 37.584 | -0.000 |
| -0.000 | -0.000 | -0.000 | -0.000 | -0.000 | 37.584 |
| 41.074 | 51.565 | 51.565 | 0.000 | 0.000 | 0.000 |
| 51.565 | 41.074 | 51.565 | 0.000 | 0.000 | 0.000 |
| 51.565 | 51.565 | 41.074 | 0.000 | 0.000 | 0.000 |
| -0.000 | -0.000 | -0.000 | -15.913 | 0.000 | 0.000 |
| -0.000 | -0.000 | -0.000 | 0.000 | -15.913 | 0.000 |
| -0.000 | -0.000 | -0.000 | 0.000 | 0.000 | -15.913 |
| 41.075 | 51.564 | 51.564 | -0.000 | -0.000 | -0.000 |
| 51.564 | 41.075 | 51.564 | -0.000 | -0.000 | -0.000 |
| 51.564 | 51.564 | 41.075 | -0.000 | -0.000 | -0.000 |
| 0.000 | 0.000 | 0.000 | -15.913 | -0.000 | -0.000 |
| 0.000 | 0.000 | 0.000 | -0.000 | -15.913 | -0.000 |
| 0.000 | 0.000 | 0.000 | -0.000 | -0.000 | -15.913 |
| 198.121 | -41.882 | 58.971 | -0.000 | -0.000 | 0.000 |
| -41.882 | 198.121 | 58.971 | -0.000 | -0.000 | 0.000 |
| 58.971 | 58.971 | 310.832 | -0.000 | 0.000 | 0.000 |
| -0.000 | -0.000 | -0.000 | 24.515 | -0.000 | -0.000 |
| -0.000 | -0.000 | -0.000 | -0.000 | 24.515 | 0.000 |
| -0.000 | -0.000 | -0.000 | 0.000 | -0.000 | -78.856 |
| 198.121 | -41.882 | 58.971 | 0.000 | 0.000 | -0.000 |
| -41.882 | 198.121 | 58.971 | 0.000 | 0.000 | -0.000 |
| 58.971 | 58.971 | 310.832 | 0.000 | 0.000 | -0.000 |
| 0.000 | -0.000 | 0.000 | 24.515 | 0.000 | -0.000 |
| 0.000 | 0.000 | 0.000 | 0.000 | 24.515 | 0.000 |
| 0.000 | 0.000 | 0.000 | -0.000 | -0.000 | -78.856 |
| 198.121 | -41.882 | 58.971 | -0.000 | 0.000 | 0.000 |
| -41.882 | 198.121 | 58.971 | -0.000 | -0.000 | 0.000 |
| 58.971 | 58.971 | 310.832 | -0.000 | -0.000 | 0.000 |
| -0.000 | -0.000 | -0.000 | 24.515 | 0.000 | -0.000 |
| -0.000 | -0.000 | -0.000 | -0.000 | 24.515 | -0.000 |
| -0.000 | -0.000 | -0.000 | -0.000 | -0.000 | -78.856 |
| 203.304 | -47.065 | 58.971 | 0.000 | 0.000 | 0.000 |
| -47.065 | 203.304 | 58.971 | 0.000 | 0.000 | -0.000 |
| 58.971 | 58.971 | 310.832 | 0.000 | 0.000 | -0.000 |
| 0.000 | 0.000 | 0.000 | 24.515 | -0.000 | -0.000 |
| 0.000 | 0.000 | 0.000 | 0.000 | 24.515 | 0.000 |
| 0.000 | 0.000 | 0.000 | 0.000 | -0.000 | -78.856 |
| 198.120 | -41.883 | 58.971 | -0.000 | 0.000 | 0.000 |
| -41.883 | 198.120 | 58.971 | -0.000 | -0.000 | 0.000 |
| 58.971 | 58.971 | 310.832 | -0.000 | -0.000 | 0.000 |
| -0.000 | -0.000 | -0.000 | 24.515 | -0.000 | 0.000 |
| -0.000 | -0.000 | -0.000 | -0.000 | 24.515 | 0.000 |
| -0.000 | -0.001 | -0.000 | -0.000 | 0.000 | -78.856 |
| 198.122 | -41.882 | 58.971 | 0.000 | -0.000 | -0.000 |
| -41.882 | 198.122 | 58.971 | 0.000 | -0.000 | -0.000 |
| 58.971 | 58.971 | 310.832 | 0.000 | 0.000 | -0.000 |
| 0.000 | 0.000 | 0.000 | 24.515 | 0.000 | -0.000 |
| 0.000 | 0.000 | 0.000 | 0.000 | 24.515 | -0.000 |
| 0.000 | 0.001 | 0.000 | 0.000 | -0.000 | -78.856 |
| 74.778 | 75.665 | 60.367 | 0.000 | 0.000 | -0.000 |
| 75.665 | 74.778 | 60.367 | -0.000 | -0.000 | -0.000 |
| 60.367 | 60.367 | 18.603 | -0.000 | -0.000 | -0.000 |
| 0.000 | 0.000 | 0.000 | 29.784 | 0.000 | -0.000 |
| 0.000 | 0.000 | 0.000 | -0.000 | 29.784 | -0.000 |
| -0.000 | -0.000 | 0.000 | 0.000 | 0.000 | 45.126 |
| 74.778 | 75.665 | 60.367 | -0.000 | -0.000 | 0.000 |
| 75.665 | 74.778 | 60.367 | -0.000 | -0.000 | 0.000 |
| 60.367 | 60.367 | 18.603 | 0.000 | -0.000 | 0.000 |
| -0.000 | -0.000 | -0.000 | 29.784 | 0.000 | 0.000 |
| -0.000 | -0.000 | -0.000 | 0.000 | 29.784 | 0.000 |
| 0.000 | 0.000 | -0.000 | 0.000 | 0.000 | 45.126 |
| 74.778 | 75.665 | 60.367 | 0.000 | 0.000 | 0.000 |
| 75.665 | 74.778 | 60.367 | 0.000 | 0.000 | 0.000 |
| 60.367 | 60.367 | 18.603 | 0.000 | 0.000 | -0.000 |
| 0.000 | 0.000 | 0.000 | 29.784 | -0.000 | -0.000 |
| 0.000 | 0.000 | 0.000 | -0.000 | 29.784 | -0.000 |
| -0.000 | -0.000 | 0.000 | -0.000 | -0.000 | 45.126 |
| 74.778 | 75.665 | 60.367 | 0.000 | 0.000 | 0.000 |
| 75.665 | 74.778 | 60.367 | 0.000 | -0.000 | 0.000 |
| 60.367 | 60.367 | 18.603 | -0.000 | -0.000 | 0.000 |
| -0.000 | -0.000 | -0.000 | 29.784 | -0.000 | 0.000 |
| -0.000 | -0.000 | -0.000 | -0.000 | 29.784 | 0.000 |
| 0.000 | 0.000 | -0.000 | 0.000 | -0.000 | 45.126 |
| 74.776 | 75.665 | 60.368 | -0.000 | -0.000 | -0.000 |
| 75.665 | 74.776 | 60.368 | -0.000 | -0.000 | -0.000 |
| 60.368 | 60.368 | 18.603 | 0.000 | 0.000 | -0.000 |
| 0.000 | 0.000 | 0.001 | 29.784 | -0.000 | -0.000 |
| 0.000 | 0.000 | 0.001 | -0.000 | 29.784 | -0.000 |
| -0.000 | -0.000 | 0.000 | -0.000 | -0.000 | 45.126 |
| 74.779 | 75.665 | 60.367 | 0.000 | 0.000 | -0.000 |
| 75.665 | 74.779 | 60.367 | 0.000 | 0.000 | -0.000 |
| 60.367 | 60.367 | 18.604 | -0.000 | 0.000 | 0.000 |
| -0.000 | -0.000 | -0.001 | 29.784 | 0.000 | 0.000 |
| -0.000 | -0.000 | -0.001 | 0.000 | 29.784 | 0.000 |
| 0.000 | 0.000 | -0.000 | 0.000 | 0.000 | 45.126 |
| -74.879 | -16.238 | 80.888 | -57.588 | 0.000 | 0.000 |
| -16.238 | -74.879 | 80.888 | 57.588 | -0.000 | 0.000 |
| 72.622 | 72.622 | 30.632 | 0.000 | 0.000 | 0.000 |
| -57.588 | 57.588 | 0.000 | 50.922 | -0.000 | 0.000 |
| 0.000 | 0.000 | -0.000 | -0.000 | 50.922 | -57.588 |
| 0.000 | -0.000 | 0.000 | -0.000 | -57.588 | -29.321 |
| -74.879 | -16.238 | 80.888 | -57.588 | -0.000 | -0.000 |
| -16.238 | -74.879 | 80.888 | 57.588 | 0.000 | -0.000 |
| 72.622 | 72.622 | 30.632 | 0.000 | -0.000 | -0.000 |
| -57.588 | 57.588 | -0.000 | 50.922 | -0.000 | -0.000 |
| -0.000 | -0.000 | 0.000 | 0.000 | 50.922 | -57.588 |
| -0.000 | 0.000 | -0.000 | -0.000 | -57.588 | -29.321 |
| -74.879 | -16.238 | 80.888 | -57.588 | -0.000 | 0.000 |
| -16.238 | -74.879 | 80.888 | 57.588 | -0.000 | 0.000 |
| 72.622 | 72.622 | 30.632 | 0.000 | -0.000 | 0.000 |
| -57.588 | 57.588 | -0.000 | 50.922 | 0.000 | 0.000 |
| -0.000 | -0.000 | -0.000 | -0.000 | 50.922 | -57.588 |
| -0.000 | -0.000 | -0.000 | -0.000 | -57.588 | -29.321 |
| -74.879 | -16.238 | 80.888 | -57.588 | -0.000 | -0.000 |
| -16.238 | -74.879 | 80.888 | 57.588 | 0.000 | -0.000 |
| 72.622 | 72.622 | 30.632 | -0.000 | -0.000 | -0.000 |
| -57.588 | 57.588 | 0.000 | 50.922 | -0.000 | -0.000 |
| 0.000 | 0.000 | 0.000 | 0.000 | 50.922 | -57.588 |
| 0.000 | 0.000 | 0.000 | 0.000 | -57.588 | -29.321 |
| -74.881 | -16.238 | 80.888 | -57.588 | -0.000 | 0.000 |
| -16.238 | -74.880 | 80.888 | 57.588 | 0.000 | 0.000 |
| 72.622 | 72.622 | 30.631 | 0.000 | -0.000 | 0.000 |
| -57.588 | 57.588 | -0.000 | 50.922 | 0.000 | 0.000 |
| -0.000 | -0.000 | -0.000 | -0.000 | 50.922 | -57.588 |
| -0.000 | -0.000 | -0.000 | -0.000 | -57.588 | -29.321 |
| -74.878 | -16.238 | 80.888 | -57.588 | 0.000 | -0.000 |
| -16.238 | -74.878 | 80.888 | 57.588 | 0.000 | -0.000 |
| 72.622 | 72.622 | 30.634 | -0.000 | -0.000 | -0.000 |
| -57.588 | 57.588 | 0.000 | 50.922 | 0.000 | -0.000 |
| 0.000 | 0.000 | 0.000 | 0.000 | 50.922 | -57.588 |
| 0.000 | 0.000 | 0.000 | 0.000 | -57.588 | -29.321 |
| 672.455 | 7.860 | 7.860 | 0.000 | 0.000 | -0.000 |
| 7.860 | 672.455 | 7.860 | 0.000 | 0.000 | -0.000 |
| 7.860 | 7.860 | 672.455 | 0.000 | 0.000 | 0.000 |
| -0.000 | 0.000 | -0.000 | -25.767 | 0.000 | 0.000 |
| 0.000 | -0.000 | -0.000 | 0.000 | -25.767 | 0.000 |
| 0.000 | -0.000 | 0.000 | 0.000 | 0.000 | -25.767 |
| 672.455 | 7.860 | 7.860 | -0.000 | -0.000 | 0.000 |
| 7.860 | 672.455 | 7.860 | -0.000 | -0.000 | -0.000 |
| 7.860 | 7.860 | 672.455 | 0.000 | 0.000 | -0.000 |
| 0.000 | -0.000 | 0.000 | -25.767 | -0.000 | -0.000 |
| -0.000 | -0.000 | 0.000 | -0.000 | -25.767 | 0.000 |
| -0.000 | 0.000 | -0.000 | -0.000 | -0.000 | -25.767 |
| 672.456 | 7.860 | 7.860 | 0.000 | 0.000 | -0.000 |
| 7.860 | 672.456 | 7.860 | 0.000 | 0.000 | -0.000 |
| 7.860 | 7.860 | 672.456 | 0.000 | 0.000 | 0.000 |
| 0.000 | 0.000 | 0.000 | -25.767 | 0.000 | -0.000 |
| 0.000 | 0.000 | 0.000 | 0.000 | -25.767 | 0.000 |
| 0.000 | 0.000 | 0.000 | 0.000 | 0.000 | -25.767 |
| 672.454 | 7.860 | 7.860 | -0.000 | 0.000 | 0.000 |
| 7.860 | 672.454 | 7.860 | 0.000 | -0.000 | 0.000 |
| 7.860 | 7.860 | 672.454 | -0.000 | -0.000 | 0.000 |
| -0.000 | -0.000 | -0.000 | -25.767 | -0.000 | -0.000 |
| -0.000 | -0.000 | -0.000 | -0.000 | -25.767 | -0.000 |
| -0.000 | -0.000 | -0.000 | -0.000 | -0.000 | -25.767 |
| 672.463 | 7.861 | 7.861 | 0.000 | 0.000 | 0.000 |
| 7.861 | 672.463 | 7.861 | 0.000 | -0.000 | -0.000 |
| 7.861 | 7.861 | 672.463 | 0.000 | -0.000 | 0.000 |
| 0.000 | 0.001 | 0.000 | -25.767 | 0.000 | -0.000 |
| 0.001 | 0.000 | 0.000 | 0.000 | -25.767 | -0.000 |
| 0.001 | 0.000 | 0.000 | 0.000 | 0.000 | -25.767 |
| 672.447 | 7.859 | 7.859 | -0.000 | -0.000 | -0.000 |
| 7.859 | 672.447 | 7.859 | 0.000 | -0.000 | 0.000 |
| 7.859 | 7.859 | 672.447 | -0.000 | -0.000 | -0.000 |
| -0.000 | -0.001 | -0.000 | -25.767 | -0.000 | -0.000 |
| -0.001 | -0.000 | -0.000 | -0.000 | -25.767 | -0.000 |
| -0.001 | -0.000 | -0.000 | -0.000 | -0.000 | -25.767 |
| 163.852 | 77.140 | -25.903 | 0.000 | 0.000 | -0.000 |
| 77.140 | 163.852 | -25.903 | 0.000 | -0.000 | -0.000 |
| -25.903 | -25.903 | 150.527 | 0.000 | -0.000 | -0.000 |
| -0.000 | -0.000 | -0.000 | -56.500 | 0.000 | -0.000 |
| -0.000 | -0.000 | -0.000 | 0.000 | -56.500 | -0.000 |
| 0.000 | 0.000 | -0.000 | 0.000 | 0.000 | 43.356 |
| 163.852 | 77.140 | -25.903 | -0.000 | 0.000 | 0.000 |
| 77.140 | 163.852 | -25.903 | -0.000 | -0.000 | 0.000 |
| -25.903 | -25.903 | 150.527 | 0.000 | 0.000 | 0.000 |
| 0.000 | 0.000 | 0.000 | -56.500 | 0.000 | -0.000 |
| 0.000 | 0.000 | 0.000 | -0.000 | -56.500 | 0.000 |
| -0.000 | -0.000 | 0.000 | -0.000 | -0.000 | 43.356 |
| 163.852 | 77.140 | -25.903 | 0.000 | 0.000 | -0.000 |
| 77.140 | 163.852 | -25.903 | 0.000 | 0.000 | -0.000 |
| -25.903 | -25.903 | 150.526 | 0.000 | 0.000 | -0.000 |
| -0.000 | -0.000 | -0.000 | -56.500 | -0.000 | -0.000 |
| -0.000 | -0.000 | -0.000 | 0.000 | -56.500 | -0.000 |
| 0.000 | 0.000 | -0.000 | 0.000 | 0.000 | 43.356 |
| 163.852 | 77.140 | -25.903 | -0.000 | 0.000 | 0.000 |
| 77.140 | 163.852 | -25.903 | -0.000 | -0.000 | 0.000 |
| -25.903 | -25.903 | 150.527 | -0.000 | -0.000 | 0.000 |
| 0.000 | 0.000 | 0.000 | -56.500 | 0.000 | 0.000 |
| 0.000 | 0.000 | 0.000 | -0.000 | -56.500 | 0.000 |
| -0.000 | -0.000 | 0.000 | -0.000 | -0.000 | 43.356 |
| 163.854 | 77.140 | -25.904 | 0.000 | 0.000 | -0.000 |
| 77.141 | 163.854 | -25.904 | 0.000 | 0.000 | -0.000 |
| -25.904 | -25.904 | 150.526 | -0.000 | -0.000 | -0.000 |
| -0.000 | -0.000 | -0.001 | -56.500 | 0.000 | -0.000 |
| -0.000 | -0.000 | -0.001 | 0.000 | -56.500 | -0.000 |
| 0.000 | 0.001 | -0.000 | 0.000 | 0.000 | 43.356 |
| 163.850 | 77.140 | -25.903 | -0.000 | -0.000 | 0.000 |
| 77.139 | 163.850 | -25.903 | -0.000 | 0.000 | 0.000 |
| -25.903 | -25.903 | 150.528 | -0.000 | 0.000 | 0.000 |
| 0.000 | 0.000 | 0.001 | -56.500 | -0.000 | 0.000 |
| 0.000 | 0.000 | 0.001 | -0.000 | -56.500 | 0.000 |
| -0.000 | -0.001 | 0.000 | -0.000 | -0.000 | 43.356 |
| 388.139 | 281.000 | -24.924 | -0.000 | -0.000 | 0.000 |
| 281.000 | 388.139 | -24.924 | 0.000 | 0.000 | -0.000 |
| 255.742 | 255.742 | 116.726 | 0.000 | -0.000 | -0.000 |
| 0.000 | 0.000 | 0.000 | 42.966 | 0.000 | -0.000 |
| 0.000 | 0.000 | -0.000 | 0.000 | 42.966 | -0.000 |
| 0.000 | 0.000 | -0.000 | -0.000 | 0.000 | 57.614 |
| 232.128 | 91.519 | 69.138 | -0.000 | 0.000 | 0.000 |
| 91.519 | 232.128 | 69.138 | 0.000 | -0.000 | 0.000 |
| -109.155 | -109.155 | 304.365 | -0.000 | -0.000 | 0.000 |
| -0.000 | -0.000 | 0.000 | 42.966 | -0.000 | -0.000 |
| -0.000 | -0.000 | 0.000 | 0.000 | 42.966 | -0.000 |
| -0.000 | -0.000 | 0.000 | 0.000 | 0.000 | 57.614 |
| 220.357 | 103.884 | 60.411 | -0.000 | 0.000 | -0.000 |
| 103.884 | 220.357 | 60.411 | -0.000 | -0.000 | 0.000 |
| 73.182 | 73.182 | 213.381 | -0.000 | 0.000 | -0.000 |
| 0.000 | 0.000 | 0.000 | 42.966 | 0.000 | -0.000 |
| 0.000 | 0.000 | 0.000 | 0.000 | 42.966 | 0.000 |
| -0.000 | 0.000 | -0.000 | 0.000 | 0.000 | 57.614 |
| 159.030 | 73.139 | 69.531 | -0.000 | 0.000 | 0.000 |
| 73.139 | 159.030 | 69.531 | -0.000 | 0.000 | 0.000 |
| 60.244 | 60.244 | 217.042 | -0.000 | -0.000 | -0.000 |
| 0.000 | -0.000 | -0.000 | 42.966 | -0.000 | -0.000 |
| -0.000 | 0.000 | -0.000 | 0.000 | 42.966 | 0.000 |
| 0.000 | -0.000 | 0.000 | -0.000 | -0.000 | 57.614 |
| 232.128 | 91.520 | 69.139 | 0.000 | 0.000 | -0.000 |
| 91.520 | 232.128 | 69.139 | 0.000 | -0.000 | -0.000 |
| 73.182 | 73.182 | 213.382 | 0.000 | -0.000 | 0.000 |
| 1.757 | 1.757 | -0.828 | 37.392 | 0.000 | -0.000 |
| 1.757 | 1.757 | -0.828 | -0.000 | 37.392 | -0.000 |
| 0.931 | 0.931 | -0.667 | -0.000 | -0.000 | 40.238 |
| 210.894 | 91.986 | 68.914 | -0.000 | -0.000 | 0.000 |
| 91.986 | 210.894 | 68.914 | -0.000 | -0.000 | 0.000 |
| 73.182 | 73.182 | 213.380 | 0.000 | -0.000 | -0.000 |
| -1.757 | -1.757 | 0.828 | 37.392 | -0.000 | -0.000 |
| -1.757 | -1.757 | 0.828 | 0.000 | 37.392 | -0.000 |
| -0.931 | -0.931 | 0.667 | -0.000 | -0.000 | 40.238 |
| 223.508 | 94.047 | 91.897 | 3.470 | 3.504 | -0.585 |
| -591.515 | 162.620 | 2.804 | 154.217 | 5.857 | -189.637 |
| 91.844 | 93.096 | 219.483 | -5.850 | 3.328 | 0.374 |
| -812.085 | 19.278 | -210.881 | 570.103 | -129.048 | 3.128 |
| -346.539 | -132.309 | -23.932 | 62.826 | 72.659 | 57.733 |
| -771.106 | 113.582 | -178.342 | 575.937 | -15.341 | 65.395 |
| 223.508 | 94.047 | 91.897 | 3.470 | 3.504 | -0.585 |
| 782.118 | 224.994 | 184.004 | -145.496 | -5.557 | 182.779 |
| 91.844 | 93.096 | 219.483 | -5.850 | 3.328 | 0.374 |
| 816.098 | -17.331 | 200.706 | -481.860 | 132.251 | -5.812 |
| 352.581 | 133.284 | 30.062 | -61.464 | 36.857 | -49.953 |
| -1.480 | -6.121 | 0.510 | -0.411 | 6.060 | 65.047 |
| 223.508 | 94.047 | 91.897 | 3.470 | 3.504 | -0.585 |
| 60.053 | 196.055 | 90.955 | 10.748 | 2.300 | 0.643 |
| 22.565 | 90.472 | 184.486 | 9.164 | 4.523 | -18.809 |
| -32.496 | -10.977 | -8.015 | 61.089 | 2.467 | 4.323 |
| -31.942 | -12.795 | 0.365 | 6.897 | 56.543 | 9.276 |
| -82.137 | -1.665 | -20.893 | 50.625 | -7.109 | 48.006 |
| 244.230 | 108.000 | 94.822 | -3.781 | 2.093 | -6.667 |
| 94.283 | 225.988 | 92.851 | 4.465 | -0.380 | -6.122 |
| 159.870 | 96.705 | 202.607 | -20.797 | 3.384 | 18.418 |
| 3.475 | 1.831 | -5.850 | 63.935 | 0.337 | -0.422 |
| 72.290 | 3.185 | 13.026 | -14.604 | 46.905 | 22.399 |
| 67.323 | -0.286 | 9.004 | -15.948 | 5.075 | 69.531 |
| 223.509 | 94.047 | 91.897 | 3.470 | 3.504 | -0.585 |
| 88.560 | 195.034 | 92.521 | 5.834 | 0.213 | -5.374 |
| 91.844 | 93.096 | 219.484 | -5.851 | 3.328 | 0.374 |
| -5.869 | 4.436 | -8.133 | 51.159 | 0.341 | -1.219 |
| -0.532 | -0.845 | 2.784 | 1.323 | 54.748 | 4.449 |
| -8.898 | -3.416 | -2.284 | 3.228 | 4.713 | 48.068 |
| 196.341 | 94.063 | 92.322 | -3.014 | 5.775 | -0.425 |
| 94.283 | 225.987 | 92.851 | 4.465 | -0.380 | -6.122 |
| 98.202 | 94.427 | 191.941 | -10.103 | 5.019 | -0.702 |
| 5.966 | 3.650 | -5.034 | 54.092 | 0.502 | -1.615 |
| 2.551 | -0.391 | 3.328 | 0.337 | 62.657 | 3.471 |
| 1.334 | -3.428 | 0.891 | -1.610 | 5.974 | 56.835 |
| 223.773 | 87.716 | 90.677 | -0.939 | -3.462 | 6.623 |
| 204.812 | 526.792 | 1665.329 | 270.279 | 592.973 | 447.203 |
| 92.553 | 87.805 | 224.667 | -6.877 | 0.275 | 1.082 |
| 176.542 | 83.984 | 235.109 | 36.020 | 231.829 | 207.421 |
| 107.577 | 353.099 | 1581.102 | 268.363 | 630.416 | 452.162 |
| 179.738 | 79.890 | 242.204 | -9.840 | 232.463 | 252.824 |
| 264.832 | 162.233 | -356.304 | 17.150 | 66.411 | 72.230 |
| -153.582 | -1140.525 | -2865.787 | -566.328 | -988.678 | -199.538 |
| -157.762 | -1237.620 | -2781.122 | -576.260 | -994.156 | -199.007 |
| -175.218 | -80.479 | -247.772 | 59.982 | -231.940 | -203.179 |
| -181.731 | -80.720 | -240.455 | 11.911 | -185.517 | -205.299 |
| 55.299 | 73.656 | -446.646 | 19.819 | 69.973 | 123.851 |
| 223.773 | 87.716 | 90.677 | -0.939 | -3.462 | 6.623 |
| 107.849 | 197.925 | 112.187 | 0.502 | 24.500 | 17.905 |
| 88.677 | 80.596 | 255.056 | -8.532 | -5.921 | -5.551 |
| 12.628 | 36.543 | 150.721 | 67.720 | 58.155 | 46.655 |
| 11.737 | 9.737 | 25.124 | -1.263 | 69.640 | 20.523 |
| 26.983 | 128.038 | 291.812 | 58.050 | 101.579 | 62.181 |
| 219.419 | 95.001 | 46.937 | 1.384 | 3.463 | 12.461 |
| 65.598 | 43.774 | -213.802 | -55.416 | -97.665 | -22.857 |
| 98.751 | 95.534 | 165.593 | -5.029 | 8.060 | 7.731 |
| -0.835 | 2.004 | -6.877 | 61.680 | 1.516 | 2.284 |
| -0.371 | 9.537 | -43.878 | 2.601 | 64.441 | 6.173 |
| 5.517 | -0.264 | 1.516 | 2.336 | -0.111 | 62.727 |
| 187.888 | 90.370 | 104.275 | 3.115 | -0.295 | 7.690 |
| 91.399 | 183.719 | 100.184 | 3.891 | 6.338 | 0.838 |
| 92.553 | 87.805 | 224.668 | -6.877 | 0.275 | 1.082 |
| 2.345 | 2.571 | -3.965 | 48.319 | 2.285 | 4.149 |
| -5.937 | 1.296 | 5.556 | 0.674 | 56.783 | -1.157 |
| 5.613 | -1.500 | 3.144 | 2.030 | 2.846 | 49.783 |
| 223.772 | 87.716 | 90.676 | -0.939 | -3.462 | 6.623 |
| 91.033 | 205.963 | 84.353 | 2.141 | 2.813 | -0.419 |
| 90.941 | 80.952 | 152.276 | -9.479 | -6.199 | -5.391 |
| 0.286 | 2.680 | -11.377 | 56.995 | 1.545 | 2.929 |
| -7.587 | 0.690 | -1.387 | 0.016 | 43.720 | -1.983 |
| 5.348 | -0.331 | -3.202 | 2.476 | 0.757 | 57.783 |
| 50.067 | 52.315 | 29.743 | -0.001 | -0.000 | 0.000 |
| 52.116 | 85.259 | 42.233 | -0.001 | -0.000 | 0.000 |
| 39.934 | 45.794 | 56.071 | 0.000 | 0.000 | -0.000 |
| -0.000 | -0.000 | 0.000 | 15.596 | 0.000 | 0.000 |
| 0.000 | 0.000 | 0.000 | -0.000 | 9.901 | -0.000 |
| 0.001 | 0.000 | 0.001 | -0.001 | -0.000 | 18.384 |
| 50.066 | 52.315 | 29.740 | 0.001 | 0.000 | 0.000 |
| 52.115 | 85.259 | 42.231 | 0.001 | -0.000 | -0.000 |
| 30.312 | 43.001 | 33.412 | 0.001 | 0.000 | -0.000 |
| 0.000 | 0.000 | -0.000 | 15.596 | 0.000 | -0.000 |
| -0.000 | -0.000 | -0.000 | 0.000 | 9.901 | -0.000 |
| -0.001 | -0.000 | -0.001 | 0.001 | -0.000 | 18.384 |
| 50.066 | 52.315 | 29.741 | -0.000 | -0.000 | 0.000 |
| 52.115 | 85.259 | 42.231 | -0.000 | 0.000 | 0.000 |
| 30.312 | 43.001 | 33.413 | -0.000 | 0.000 | 0.000 |
| -0.000 | -0.000 | -0.000 | 11.391 | -0.000 | 0.000 |
| -0.000 | -0.000 | -0.000 | -0.000 | 9.901 | 0.000 |
| 0.000 | 0.000 | 0.000 | -0.000 | -0.000 | 18.384 |
| 50.066 | 52.315 | 29.741 | 0.000 | 0.000 | -0.000 |
| 52.115 | 85.259 | 42.231 | 0.000 | -0.000 | -0.000 |
| 30.312 | 43.001 | 33.413 | 0.000 | 0.000 | 0.000 |
| 0.000 | 0.000 | 0.000 | 11.391 | 0.000 | -0.000 |
| 0.000 | 0.000 | 0.000 | 0.000 | 9.901 | 0.000 |
| -0.000 | -0.000 | -0.000 | 0.000 | 0.000 | 18.384 |
| 50.064 | 52.315 | 29.741 | -0.000 | -0.000 | 0.000 |
| 52.116 | 85.261 | 42.230 | -0.000 | -0.000 | 0.000 |
| 30.311 | 43.000 | 33.410 | -0.000 | -0.000 | 0.000 |
| -0.000 | -0.000 | -0.000 | 11.391 | 0.000 | 0.000 |
| -0.000 | -0.000 | -0.000 | -0.000 | 9.901 | -0.000 |
| 0.000 | 0.001 | -0.000 | -0.000 | 0.000 | 22.526 |
| 50.068 | 52.315 | 29.742 | 0.000 | 0.000 | -0.000 |
| 52.115 | 85.257 | 42.232 | 0.000 | -0.000 | -0.000 |
| 30.313 | 43.002 | 33.416 | 0.000 | 0.000 | -0.000 |
| 0.000 | 0.000 | 0.000 | 11.391 | 0.000 | -0.000 |
| 0.000 | 0.000 | 0.000 | 0.000 | 9.901 | -0.000 |
| -0.000 | -0.001 | 0.000 | -0.000 | 0.000 | 22.526 |
| 6178.855 | 6083.806 | 6083.806 | -0.000 | 0.000 | -0.000 |
| 6083.806 | 6178.855 | 6083.806 | -0.000 | 0.000 | -0.000 |
| 6083.806 | 6083.806 | 6178.855 | -0.000 | -0.000 | -0.000 |
| 6111.678 | 6111.678 | 6111.678 | 31.211 | -0.000 | -0.000 |
| 6111.678 | 6111.678 | 6111.678 | -0.000 | 31.211 | -0.000 |
| 6111.678 | 6111.678 | 6111.678 | -0.000 | -0.000 | 31.211 |
| -5951.439 | -6048.171 | -6048.171 | 0.000 | 0.000 | 0.000 |
| -6048.171 | -5951.439 | -6048.171 | 0.000 | -0.000 | 0.000 |
| -6048.171 | -6048.171 | -5951.439 | 0.000 | 0.000 | 0.000 |
| -6111.678 | -6111.678 | -6111.678 | 31.211 | 0.000 | 0.000 |
| -6111.678 | -6111.678 | -6111.678 | 0.000 | 31.211 | 0.000 |
| -6111.678 | -6111.678 | -6111.678 | -0.000 | 0.000 | 31.211 |
| 202.667 | 74.394 | 74.394 | -0.000 | -0.000 | -0.000 |
| 74.394 | 202.667 | 74.394 | -0.000 | 0.000 | -0.000 |
| 74.394 | 74.394 | 202.667 | 0.000 | 0.000 | -0.000 |
| 286.881 | 286.881 | 286.881 | 28.049 | 0.000 | -0.000 |
| 286.881 | 286.881 | 286.881 | 0.000 | 28.049 | -0.000 |
| 286.881 | 286.881 | 286.881 | 0.000 | -0.000 | 28.049 |
| -450.017 | -546.974 | -546.974 | -0.000 | -0.000 | 0.000 |
| -546.974 | -450.017 | -546.974 | -0.000 | -0.000 | 0.000 |
| -546.974 | -546.974 | -450.017 | -0.000 | 0.000 | 0.000 |
| -286.881 | -286.881 | -286.881 | 28.049 | 0.000 | 0.000 |
| -286.881 | -286.881 | -286.881 | 0.000 | 28.049 | 0.000 |
| -286.881 | -286.881 | -286.881 | 0.000 | 0.000 | 28.049 |
| 202.667 | 74.394 | 74.394 | -0.000 | -0.000 | -0.000 |
| 74.394 | 202.667 | 74.394 | 0.000 | -0.000 | -0.000 |
| 74.394 | 74.394 | 202.667 | 0.000 | 0.000 | -0.000 |
| 60.677 | 60.677 | 60.677 | 27.073 | -0.000 | -0.000 |
| 60.677 | 60.677 | 60.677 | 0.000 | 27.073 | -0.000 |
| 60.677 | 60.677 | 60.677 | 0.000 | 0.000 | 27.073 |
| 202.667 | 74.394 | 74.394 | -0.000 | 0.000 | 0.000 |
| 74.394 | 202.667 | 74.394 | 0.000 | 0.000 | 0.000 |
| 74.394 | 74.394 | 202.667 | 0.000 | 0.000 | 0.000 |
| -60.677 | -60.677 | -60.677 | 27.073 | 0.000 | 0.000 |
| -60.677 | -60.677 | -60.677 | 0.000 | 27.073 | 0.000 |
| -60.677 | -60.677 | -60.677 | 0.000 | 0.000 | 27.073 |
| 164.474 | 67.279 | 67.279 | -0.000 | 0.000 | -0.000 |
| 67.279 | 164.474 | 67.279 | -0.000 | -0.000 | 0.000 |
| 67.279 | 67.279 | 164.474 | -0.000 | -0.000 | -0.000 |
| -10.176 | -10.176 | -10.176 | 35.250 | 0.000 | 0.000 |
| -10.176 | -10.176 | -10.176 | 0.000 | 35.250 | -0.000 |
| -10.176 | -10.176 | -10.176 | -0.000 | -0.000 | 35.250 |
| 152.916 | 62.892 | 62.892 | 0.000 | 0.000 | 0.000 |
| 62.892 | 152.916 | 62.892 | 0.000 | 0.000 | -0.000 |
| 62.892 | 62.892 | 152.916 | -0.000 | -0.000 | -0.000 |
| 10.176 | 10.176 | 10.176 | 35.250 | -0.000 | -0.000 |
| 10.176 | 10.176 | 10.176 | 0.000 | 35.250 | -0.000 |
| 10.176 | 10.176 | 10.176 | -0.000 | -0.000 | 35.250 |
| 172.497 | 69.126 | 69.126 | -0.000 | -0.000 | 0.000 |
| 69.126 | 172.497 | 69.126 | 0.000 | 0.000 | 0.000 |
| 69.126 | 69.126 | 172.497 | -0.000 | -0.000 | 0.000 |
| -1.163 | -1.163 | -1.163 | 33.888 | 0.000 | 0.000 |
| -1.163 | -1.163 | -1.163 | 0.000 | 33.888 | 0.000 |
| -1.163 | -1.163 | -1.163 | -0.000 | -0.000 | 33.888 |
| 169.072 | 70.652 | 70.652 | -0.000 | 0.000 | -0.000 |
| 70.652 | 169.072 | 70.652 | -0.000 | -0.000 | 0.000 |
| 70.652 | 70.652 | 169.072 | 0.000 | 0.000 | -0.000 |
| 1.163 | 1.163 | 1.163 | 33.888 | -0.000 | -0.000 |
| 1.163 | 1.163 | 1.163 | 0.000 | 33.888 | -0.000 |
| 1.163 | 1.163 | 1.163 | 0.000 | 0.000 | 33.888 |
| 171.209 | 69.761 | 69.761 | 0.000 | 0.000 | 0.000 |
| 69.761 | 171.209 | 69.761 | 0.000 | 0.000 | 0.000 |
| 69.761 | 69.761 | 171.209 | 0.000 | 0.000 | 0.000 |
| -0.118 | -0.118 | -0.118 | 33.749 | -0.000 | 0.000 |
| -0.118 | -0.118 | -0.118 | 0.000 | 33.749 | -0.000 |
| -0.118 | -0.118 | -0.118 | 0.000 | -0.000 | 33.749 |
| 170.861 | 69.910 | 69.910 | 0.000 | 0.000 | -0.000 |
| 69.910 | 170.861 | 69.910 | 0.000 | -0.000 | -0.000 |
| 69.910 | 69.910 | 170.861 | 0.000 | 0.000 | 0.000 |
| 0.118 | 0.118 | 0.118 | 33.749 | -0.000 | -0.000 |
| 0.118 | 0.118 | 0.118 | -0.000 | 33.749 | 0.000 |
| 0.118 | 0.118 | 0.118 | 0.000 | 0.000 | 33.749 |
| 2349.901 | 2268.944 | 2268.944 | -0.000 | -0.000 | -0.000 |
| 2268.944 | 2349.901 | 2268.944 | -0.000 | -0.000 | -0.000 |
| 2268.944 | 2268.944 | 2349.901 | -0.000 | -0.000 | -0.000 |
| 2447.481 | 2447.481 | 2447.481 | 32.934 | -0.000 | -0.000 |
| 2447.481 | 2447.481 | 2447.481 | -0.000 | 32.934 | -0.000 |
| 2447.481 | 2447.481 | 2447.481 | -0.000 | -0.000 | 32.934 |
| -2402.694 | -2502.000 | -2502.000 | 0.000 | 0.000 | 0.000 |
| -2502.000 | -2402.694 | -2502.000 | 0.000 | 0.000 | 0.000 |
| -2502.000 | -2502.000 | -2402.694 | 0.000 | 0.000 | 0.000 |
| -2447.481 | -2447.481 | -2447.481 | 32.934 | 0.000 | 0.000 |
| -2447.481 | -2447.481 | -2447.481 | -0.000 | 32.934 | 0.000 |
| -2447.481 | -2447.481 | -2447.481 | 0.000 | 0.000 | 32.934 |
| 367.856 | 286.836 | 286.836 | -0.000 | -0.000 | -0.000 |
| 286.836 | 367.856 | 286.836 | -0.000 | -0.000 | -0.000 |
| 286.836 | 286.836 | 367.856 | -0.000 | -0.000 | -0.000 |
| 220.051 | 220.051 | 220.051 | 26.882 | -0.000 | -0.000 |
| 220.051 | 220.051 | 220.051 | -0.000 | 26.882 | -0.000 |
| 220.051 | 220.051 | 220.051 | -0.000 | -0.000 | 26.882 |
| -71.461 | -152.572 | -152.572 | 0.000 | 0.000 | 0.000 |
| -152.572 | -71.461 | -152.572 | 0.000 | 0.000 | 0.000 |
| -152.572 | -152.572 | -71.461 | 0.000 | 0.000 | 0.000 |
| -244.782 | -244.782 | -244.782 | 32.918 | 0.000 | 0.000 |
| -244.782 | -244.782 | -244.782 | 0.000 | 32.918 | 0.000 |
| -244.782 | -244.782 | -244.782 | 0.000 | 0.000 | 32.918 |
| 203.004 | 73.868 | 73.868 | -0.000 | 0.000 | -0.000 |
| 73.868 | 203.004 | 73.868 | 0.000 | 0.000 | -0.000 |
| 73.868 | 73.868 | 203.004 | -0.000 | -0.000 | -0.000 |
| 25.992 | 25.992 | 25.992 | 30.045 | -0.000 | -0.000 |
| 25.992 | 25.992 | 25.992 | -0.000 | 30.045 | -0.000 |
| 25.992 | 25.992 | 25.992 | -0.000 | -0.000 | 30.045 |
| 135.839 | 48.641 | 48.641 | 0.000 | 0.000 | 0.000 |
| 48.641 | 135.839 | 48.641 | 0.000 | 0.000 | 0.000 |
| 48.641 | 48.641 | 135.839 | 0.000 | 0.000 | 0.000 |
| -25.992 | -25.992 | -25.992 | 30.045 | 0.000 | 0.000 |
| -25.992 | -25.992 | -25.992 | 0.000 | 30.045 | 0.000 |
| -25.992 | -25.992 | -25.992 | 0.000 | 0.000 | 30.045 |
| 67.410 | 78.359 | 78.356 | 0.000 | 0.000 | -0.000 |
| 78.358 | 67.411 | 78.356 | 0.000 | 0.000 | -0.000 |
| 78.358 | 78.359 | 67.408 | 0.000 | 0.000 | -0.000 |
| 2.980 | 2.981 | 2.979 | 14.168 | 0.000 | -0.000 |
| 2.980 | 2.981 | 2.980 | 0.000 | 14.168 | -0.000 |
| 2.980 | 2.981 | 2.980 | 0.000 | 0.000 | 14.168 |
| 73.611 | 70.210 | 70.215 | -0.000 | -0.000 | 0.000 |
| 70.212 | 73.610 | 70.214 | -0.000 | -0.000 | 0.000 |
| 70.212 | 70.210 | 73.612 | -0.000 | -0.000 | 0.000 |
| -2.980 | -2.981 | -2.980 | 14.168 | -0.000 | 0.000 |
| -2.980 | -2.981 | -2.980 | -0.000 | 14.168 | 0.000 |
| -2.980 | -2.981 | -2.980 | -0.000 | -0.000 | 14.168 |
| 65.851 | 74.513 | 74.513 | 0.000 | 0.000 | -0.000 |
| 74.513 | 65.851 | 74.513 | 0.000 | 0.000 | -0.000 |
| 74.513 | 74.513 | 65.851 | 0.000 | 0.000 | -0.000 |
| 0.298 | 0.298 | 0.298 | 14.160 | 0.000 | -0.000 |
| 0.298 | 0.298 | 0.298 | 0.000 | 14.160 | -0.000 |
| 0.298 | 0.298 | 0.298 | 0.000 | 0.000 | 14.160 |
| 76.307 | 72.831 | 72.831 | -0.000 | -0.000 | 0.000 |
| 72.831 | 76.307 | 72.831 | -0.000 | -0.000 | 0.000 |
| 72.831 | 72.831 | 76.307 | -0.000 | -0.000 | 0.000 |
| -0.298 | -0.298 | -0.298 | 14.160 | -0.000 | 0.000 |
| -0.298 | -0.298 | -0.298 | -0.000 | 14.160 | 0.000 |
| -0.298 | -0.298 | -0.298 | -0.000 | -0.000 | 14.160 |
| 76.635 | 73.151 | 73.151 | 0.000 | 0.000 | -0.000 |
| 73.151 | 76.635 | 73.151 | 0.000 | 0.000 | -0.000 |
| 73.151 | 73.151 | 76.635 | 0.000 | 0.000 | -0.000 |
| -0.000 | 0.000 | 0.000 | 39.624 | 0.000 | 0.000 |
| 0.000 | -0.000 | 0.000 | 0.000 | 39.624 | 0.000 |
| 0.000 | 0.000 | -0.000 | 0.000 | -0.000 | 39.624 |
| 65.676 | 74.063 | 74.063 | -0.000 | -0.000 | 0.000 |
| 74.063 | 65.676 | 74.063 | -0.000 | -0.000 | 0.000 |
| 74.063 | 74.063 | 65.676 | -0.000 | -0.000 | 0.000 |
| 0.000 | -0.000 | -0.000 | 39.624 | 0.000 | -0.000 |
| -0.000 | 0.000 | -0.000 | -0.000 | 39.624 | -0.000 |
| -0.000 | -0.000 | 0.000 | -0.000 | 0.000 | 39.624 |
| 112.760 | 67.203 | 67.203 | 0.000 | 0.000 | -0.000 |
| 67.203 | 112.760 | 67.203 | -0.000 | 0.000 | -0.000 |
| 67.203 | 67.203 | 112.760 | -0.000 | -0.000 | -0.000 |
| 0.000 | -0.000 | 0.000 | 38.957 | 0.000 | 0.000 |
| -170.781 | -170.781 | -170.781 | 0.000 | 0.758 | 0.000 |
| -170.781 | -170.781 | -170.781 | 0.000 | 0.000 | 0.758 |
| 112.760 | 67.203 | 67.203 | 0.000 | -0.000 | -0.000 |
| 67.203 | 112.760 | 67.203 | 0.000 | 0.000 | 0.000 |
| 67.203 | 67.203 | 112.760 | 0.000 | 0.000 | -0.000 |
| 170.781 | 170.781 | 170.781 | 0.758 | -0.000 | -0.000 |
| 170.781 | 170.781 | 170.781 | -0.000 | 0.758 | -0.000 |
| 170.781 | 170.781 | 170.781 | -0.000 | -0.000 | 0.758 |
| 112.760 | 67.203 | 67.203 | -0.000 | -0.000 | 0.000 |
| 67.203 | 112.760 | 67.203 | -0.000 | 0.000 | 0.000 |
| 67.203 | 67.203 | 112.760 | 0.000 | 0.000 | -0.000 |
| -15.449 | -15.449 | -15.449 | 8.858 | 0.000 | 0.000 |
| -15.449 | -15.449 | -15.449 | -0.000 | 8.858 | 0.000 |
| -15.449 | -15.449 | -15.449 | 0.000 | 0.000 | 8.858 |
| 112.760 | 67.203 | 67.203 | -0.000 | -0.000 | 0.000 |
| 67.203 | 112.760 | 67.203 | 0.000 | -0.000 | 0.000 |
| 67.203 | 67.203 | 112.760 | 0.000 | -0.000 | 0.000 |
| 15.449 | 15.449 | 15.449 | 8.858 | -0.000 | -0.000 |
| 15.449 | 15.449 | 15.449 | 0.000 | 8.858 | -0.000 |
| 15.449 | 15.449 | 15.449 | 0.000 | -0.000 | 8.858 |
| 63.605 | 70.609 | 70.609 | -0.000 | -0.000 | 0.000 |
| 70.609 | 63.605 | 70.609 | -0.000 | -0.000 | 0.000 |
| 70.609 | 70.609 | 63.605 | -0.000 | -0.000 | 0.000 |
| -1.518 | -1.519 | -1.519 | 14.550 | -0.000 | 0.000 |
| 0.000 | -0.000 | 0.000 | -0.000 | 38.957 | 0.000 |
| 0.000 | 0.000 | -0.000 | -0.000 | -0.000 | 38.957 |
| 112.759 | 67.202 | 67.202 | 0.000 | -0.000 | -0.000 |
| 67.202 | 112.759 | 67.202 | 0.000 | -0.000 | -0.000 |
| 67.202 | 67.202 | 112.759 | 0.000 | -0.000 | -0.000 |
| 0.000 | -0.000 | -0.000 | 38.957 | -0.000 | 0.000 |
| -0.000 | 0.000 | -0.000 | 0.000 | 38.957 | -0.000 |
| -0.000 | -0.000 | 0.000 | 0.000 | -0.000 | 38.957 |
| 168.864 | 119.655 | 61.725 | -0.000 | -0.000 | 0.000 |
| 119.562 | 234.819 | 4.559 | -0.000 | -0.000 | 0.000 |
| 13.168 | -44.738 | 140.057 | -0.000 | 0.000 | 0.000 |
| 0.000 | 0.000 | 0.000 | -32.859 | -0.000 | 0.000 |
| -0.000 | 0.000 | -0.000 | -0.000 | 24.496 | 0.000 |
| -0.000 | 0.000 | 0.000 | -0.000 | -0.000 | 84.075 |
| 133.429 | 83.595 | 10.104 | 0.000 | -0.000 | -0.000 |
| 119.562 | 234.819 | 4.559 | 0.000 | 0.000 | -0.000 |
| 9.641 | -48.328 | 134.918 | 0.000 | 0.000 | -0.000 |
| -0.000 | -0.000 | -0.000 | -32.859 | -0.000 | -0.000 |
| 0.000 | -0.000 | -0.000 | 0.000 | 24.496 | -0.000 |
| 0.000 | -0.000 | -0.000 | 0.000 | 0.000 | 84.075 |
| 168.864 | 119.655 | 61.725 | -0.000 | 0.000 | 0.000 |
| 119.562 | 234.819 | 4.559 | -0.000 | 0.000 | 0.000 |
| 11.581 | -46.354 | 137.744 | -0.000 | 0.000 | 0.000 |
| -26059452.779 | 43345372.071 | -48577830.359 | -54077899.988 | 0.000 | 0.000 |
| -0.000 | -0.000 | -0.000 | 0.000 | 24.496 | 0.000 |
| -0.000 | -0.000 | -0.000 | -0.000 | 0.000 | 84.075 |
| 135.017 | 85.211 | 12.417 | 0.000 | -0.000 | -0.000 |
| 85.121 | 199.772 | -45.613 | -0.000 | -0.000 | -0.000 |
| 60.456 | 3.382 | 208.943 | 0.000 | 0.000 | -0.000 |
| 26059452.779 | -43345372.071 | 48577830.359 | -54077899.988 | -0.000 | -0.000 |
| 0.000 | 0.000 | 0.000 | 0.000 | 24.496 | -0.000 |
| 0.000 | 0.000 | 0.000 | -0.000 | -0.000 | 84.075 |
| 135.211 | 85.409 | 12.700 | -0.000 | 0.000 | 0.000 |
| 85.315 | 199.969 | -45.332 | -0.000 | -0.000 | 0.000 |
| 11.421 | -46.516 | 137.511 | -0.000 | 0.000 | 0.000 |
| -2605939.747 | 4334549.023 | -4857822.662 | -5407737.000 | 0.000 | -0.000 |
| 0.100 | 0.104 | 0.146 | -0.000 | -147.393 | 0.000 |
| -0.000 | -0.000 | -0.000 | -0.000 | 0.000 | 84.075 |
| 135.176 | 85.372 | 12.649 | -0.000 | 0.000 | -0.000 |
| 85.280 | 199.933 | -45.381 | 0.000 | -0.000 | -0.000 |
| 11.388 | -46.550 | 137.464 | 0.000 | -0.000 | -0.000 |
| 2605939.747 | -4334549.023 | 4857822.662 | -5407737.000 | 0.000 | -0.000 |
| -0.100 | -0.104 | -0.146 | 0.000 | -147.393 | -0.000 |
| 0.000 | 0.000 | 0.000 | 0.000 | 0.000 | 84.075 |
| 126.601 | 80.199 | 39.694 | -0.108 | 0.000 | 0.000 |
| 79.664 | 162.197 | 34.939 | -0.127 | 0.000 | 0.000 |
| 41.677 | 37.537 | 61.845 | -0.117 | 0.000 | 0.000 |
| 0.020 | -0.053 | -0.037 | 6.089 | -0.000 | 0.000 |
| 0.019 | -0.050 | -0.035 | -0.107 | 10.496 | 0.000 |
| 0.020 | -0.051 | -0.036 | -0.109 | -0.000 | 45.736 |
| 126.560 | 80.307 | 39.768 | 0.110 | 0.000 | -0.000 |
| 79.607 | 162.348 | 35.044 | 0.122 | 0.000 | -0.000 |
| 41.629 | 37.662 | 61.932 | 0.114 | -0.000 | -0.000 |
| -0.019 | 0.051 | 0.035 | 6.321 | 0.000 | -0.000 |
| -0.019 | 0.050 | 0.035 | 0.107 | 10.496 | -0.000 |
| -0.020 | 0.051 | 0.036 | 0.109 | -0.000 | 45.736 |
| 124.764 | 85.007 | 43.041 | -0.008 | 0.000 | 0.000 |
| 79.327 | 163.079 | 35.553 | -0.000 | 0.000 | -0.000 |
| 45.157 | 28.431 | 55.505 | -0.007 | 0.000 | 0.000 |
| 0.003 | -0.008 | -0.005 | 6.033 | 0.000 | 0.000 |
| 0.002 | -0.005 | -0.004 | -0.011 | 10.496 | 0.000 |
| 0.023 | -0.061 | -0.043 | -0.032 | 0.000 | 44.665 |
| 124.683 | 85.216 | 43.186 | 0.008 | 0.000 | -0.000 |
| 84.463 | 149.642 | 26.199 | 0.012 | -0.000 | -0.000 |
| 45.079 | 28.635 | 55.648 | 0.007 | -0.000 | -0.000 |
| -0.003 | 0.008 | 0.005 | 6.068 | 0.000 | -0.000 |
| -0.002 | 0.005 | 0.004 | 0.011 | 10.496 | -0.000 |
| -0.023 | 0.061 | 0.043 | 0.032 | 0.000 | 44.665 |
| 124.665 | 85.273 | 43.225 | -0.002 | -0.000 | 0.000 |
| 84.655 | 149.141 | 25.848 | -0.002 | 0.000 | 0.000 |
| 45.163 | 28.412 | 55.491 | -0.002 | -0.000 | 0.000 |
| 0.000 | -0.001 | -0.001 | 6.018 | 0.000 | 0.000 |
| -0.000 | -0.001 | -0.001 | -0.001 | 10.496 | 0.000 |
| 0.003 | -0.007 | -0.006 | -0.002 | 0.000 | 44.589 |
| 126.682 | 79.982 | 39.543 | 0.000 | -0.000 | -0.000 |
| 84.645 | 149.161 | 25.866 | 0.002 | 0.000 | -0.000 |
| 45.155 | 28.437 | 55.511 | 0.002 | -0.000 | -0.000 |
| -0.000 | 0.001 | 0.001 | 6.021 | -0.000 | -0.000 |
| 0.000 | 0.001 | 0.001 | 0.001 | 10.496 | -0.000 |
| 0.000 | -0.001 | 0.000 | 0.000 | 0.000 | 45.840 |
| 194.009 | 83.372 | 381.369 | -0.008 | -60.072 | 0.002 |
| 66.492 | 233.739 | 68.310 | -0.001 | -0.137 | 0.000 |
| 392.445 | 33.072 | 69.917 | -0.009 | -2.169 | 0.003 |
| 1.698 | 0.111 | -1.791 | 27.943 | 0.180 | -2.653 |
| -6.760 | -4.534 | -2.753 | -0.007 | -59.612 | 0.002 |
| 1.310 | 0.086 | -1.382 | -2.471 | 0.139 | 42.335 |
| 195.924 | 82.343 | 377.241 | 0.008 | -61.002 | -0.002 |
| 64.659 | 233.647 | 70.272 | 0.001 | -0.605 | -0.000 |
| 392.789 | 32.347 | 68.055 | 0.009 | -4.289 | -0.002 |
| -1.694 | -0.111 | 1.786 | 27.948 | -0.180 | -2.654 |
| -6.831 | -5.037 | -3.647 | 0.007 | -60.719 | -0.002 |
| -1.313 | -0.086 | 1.385 | -2.468 | -0.139 | 42.334 |
| 182.098 | 87.624 | 403.801 | 0.001 | -49.245 | -0.000 |
| 88.404 | 228.778 | 33.698 | 0.001 | -2.475 | -0.000 |
| 397.108 | 32.858 | 65.133 | 0.001 | 9.017 | -0.000 |
| -0.040 | 0.008 | 0.063 | 27.301 | 0.016 | -2.481 |
| -14.311 | -2.711 | 9.060 | 0.001 | -62.303 | -0.000 |
| -0.025 | 0.009 | 0.045 | -2.247 | 0.016 | 42.274 |
| 182.188 | 87.545 | 403.546 | -0.001 | -49.359 | 0.000 |
| 88.498 | 228.699 | 33.440 | -0.001 | -2.587 | 0.000 |
| 397.213 | 32.776 | 64.856 | -0.001 | 8.905 | 0.000 |
| 0.040 | -0.008 | -0.063 | 27.302 | -0.016 | -2.482 |
| -14.217 | -2.790 | 8.802 | -0.001 | -62.415 | 0.000 |
| 0.025 | -0.009 | -0.045 | -2.246 | -0.016 | 42.274 |
| 182.152 | 87.591 | 403.681 | 0.000 | -49.282 | -0.000 |
| 88.463 | 228.740 | 33.564 | 0.000 | -2.493 | -0.000 |
| 397.099 | 32.834 | 65.104 | 0.000 | 8.976 | -0.000 |
| -0.004 | 0.001 | 0.007 | 27.298 | 0.002 | -2.481 |
| -14.214 | -2.754 | 8.872 | -0.000 | -62.292 | 0.000 |
| -0.004 | 0.001 | 0.007 | -2.235 | 0.002 | 42.271 |
| 182.124 | 87.581 | 403.686 | -0.000 | -49.310 | 0.000 |
| 88.472 | 228.732 | 33.535 | -0.000 | -2.504 | 0.000 |
| 397.229 | 32.801 | 64.881 | -0.000 | 8.969 | 0.000 |
| 0.004 | -0.001 | -0.007 | 27.298 | -0.002 | -2.481 |
| -14.207 | -2.762 | 8.846 | 0.000 | -62.328 | -0.000 |
| 0.004 | -0.001 | -0.007 | -2.235 | -0.002 | 42.271 |
| 55.287 | 38.985 | 61.246 | 0.409 | 0.000 | 0.000 |
| 38.985 | 55.287 | 61.246 | -0.409 | 0.000 | -0.000 |
| 61.184 | 61.184 | 119.046 | 0.000 | 0.000 | 0.000 |
| 0.409 | -0.409 | 0.000 | 30.471 | 0.000 | 0.000 |
| -0.000 | 0.000 | 0.000 | 0.000 | 30.471 | 0.409 |
| -0.000 | -0.000 | -0.000 | 0.000 | 0.409 | 8.151 |
| 55.287 | 38.985 | 61.246 | 0.409 | 0.000 | -0.000 |
| 39.015 | 55.202 | 61.055 | -0.440 | -0.000 | -0.000 |
| 61.246 | 61.246 | 119.471 | 0.000 | 0.000 | 0.000 |
| 0.436 | -0.463 | -0.092 | 30.449 | 0.000 | -0.000 |
| 0.000 | 0.000 | -0.000 | -0.000 | 30.471 | 0.409 |
| 0.000 | 0.000 | 0.000 | -0.000 | 0.409 | 8.151 |
| 55.180 | 39.044 | 61.082 | 0.454 | 0.000 | -0.000 |
| 38.985 | 55.287 | 61.246 | -0.409 | -0.000 | -0.000 |
| 61.179 | 61.179 | 119.011 | -0.000 | 0.000 | -0.000 |
| 0.489 | -0.484 | 0.018 | 30.429 | -0.000 | -0.000 |
| -0.000 | -0.000 | 0.000 | 0.000 | 30.471 | 0.409 |
| -0.000 | -0.000 | -0.000 | 0.000 | 0.409 | 8.151 |
| 55.287 | 38.985 | 61.246 | 0.409 | -0.000 | -0.000 |
| 38.985 | 55.287 | 61.246 | -0.409 | 0.000 | 0.000 |
| 61.246 | 61.246 | 119.471 | -0.000 | -0.000 | -0.000 |
| 0.409 | -0.409 | -0.000 | 30.471 | -0.000 | -0.000 |
| 0.000 | 0.000 | -0.000 | -0.000 | 30.471 | 0.409 |
| 0.000 | 0.000 | 0.000 | -0.000 | 0.409 | 8.151 |
| 55.285 | 38.985 | 61.246 | 0.409 | -0.000 | 0.000 |
| 39.040 | 55.181 | 61.079 | -0.452 | -0.000 | -0.000 |
| 61.179 | 61.179 | 119.010 | 0.000 | -0.000 | 0.000 |
| 0.409 | -0.409 | 0.000 | 30.471 | 0.000 | 0.000 |
| -0.000 | -0.000 | 0.000 | 0.000 | 30.471 | 0.409 |
| -0.000 | -0.000 | -0.000 | 0.000 | 0.409 | 8.151 |
| 55.288 | 38.985 | 61.246 | 0.409 | -0.000 | 0.000 |
| 39.040 | 55.185 | 61.078 | -0.451 | -0.000 | -0.000 |
| 61.178 | 61.178 | 119.004 | -0.000 | 0.000 | -0.000 |
| 0.487 | -0.488 | -0.002 | 30.429 | -0.000 | 0.000 |
| 0.000 | 0.000 | -0.000 | -0.000 | 30.471 | 0.409 |
| 0.000 | 0.000 | 0.000 | -0.000 | 0.409 | 8.151 |
| 55.707 | 39.126 | 61.441 | 0.433 | -0.000 | -0.000 |
| 170.825 | 187.340 | 976.801 | -0.450 | 0.000 | 0.000 |
| 193.026 | 193.026 | 1034.932 | 0.000 | -0.000 | -0.000 |
| 132.153 | 131.254 | 915.621 | 30.641 | -0.000 | 0.000 |
| 131.676 | 131.676 | 915.427 | 0.000 | 30.641 | 0.450 |
| -0.000 | -0.000 | -0.000 | 0.000 | 0.433 | 8.290 |
| 55.707 | 39.126 | 61.441 | 0.433 | 0.000 | 0.000 |
| -92.509 | -75.995 | -853.940 | -0.450 | 0.000 | -0.000 |
| -70.293 | -70.293 | -795.696 | -0.000 | 0.000 | 0.000 |
| -131.210 | -132.109 | -915.314 | 30.641 | -0.000 | -0.000 |
| -131.676 | -131.676 | -915.427 | -0.000 | 30.641 | 0.450 |
| 0.000 | 0.000 | 0.000 | -0.000 | 0.433 | 8.290 |
| 68.832 | 52.317 | 152.917 | 0.450 | -0.000 | 0.000 |
| 52.436 | 68.721 | 152.942 | -0.510 | 0.000 | -0.000 |
| 74.537 | 74.537 | 211.180 | 0.000 | 0.000 | -0.000 |
| 13.616 | 12.716 | 91.531 | 30.641 | 0.000 | 0.000 |
| 13.168 | 13.168 | 91.543 | 0.000 | 30.641 | 0.450 |
| -0.000 | -0.000 | -0.000 | 0.000 | 0.433 | 8.290 |
| 42.379 | 26.093 | -30.194 | 0.510 | -0.000 | 0.000 |
| 39.126 | 55.707 | 61.441 | -0.433 | -0.000 | 0.000 |
| 48.201 | 48.201 | 28.086 | -0.000 | -0.000 | 0.000 |
| -12.716 | -13.616 | -91.531 | 30.641 | -0.000 | -0.000 |
| -13.168 | -13.168 | -91.543 | -0.000 | 30.641 | 0.450 |
| 0.000 | 0.000 | 0.000 | -0.000 | 0.433 | 8.290 |
| 56.862 | 40.584 | 70.527 | 0.512 | -0.000 | -0.000 |
| 40.466 | 56.980 | 70.528 | -0.450 | -0.000 | -0.000 |
| 62.684 | 62.684 | 128.776 | 0.000 | -0.000 | -0.000 |
| 1.767 | 0.867 | 9.157 | 30.641 | 0.000 | -0.000 |
| 1.317 | 1.317 | 9.156 | 0.000 | 30.609 | 0.512 |
| 1.316 | 1.316 | 9.154 | 0.000 | 0.512 | 8.140 |
| 54.232 | 37.951 | 52.221 | 0.512 | -0.000 | 0.000 |
| 37.951 | 54.232 | 52.220 | -0.512 | 0.000 | 0.000 |
| 60.050 | 60.050 | 110.462 | -0.000 | 0.000 | 0.000 |
| -0.805 | -1.829 | -9.156 | 30.609 | -0.000 | 0.000 |
| -1.317 | -1.317 | -9.156 | -0.000 | 30.609 | 0.512 |
| -1.316 | -1.316 | -9.154 | -0.000 | 0.512 | 8.140 |
| 229.388 | 90.482 | 69.136 | 0.000 | 0.000 | 0.000 |
| 90.482 | 229.388 | 69.136 | 0.000 | 0.000 | 0.000 |
| -84.441 | -84.441 | -27.753 | 0.000 | 0.000 | -0.000 |
| 0.000 | 0.000 | 0.000 | 42.573 | 0.000 | 0.000 |
| 0.000 | 0.000 | 0.000 | 0.000 | 42.573 | 0.000 |
| 0.000 | 0.000 | 0.000 | -0.000 | 0.000 | 58.244 |
| 379.329 | 293.453 | 94.126 | -0.000 | -0.000 | -0.000 |
| 293.453 | 379.329 | 94.126 | -0.000 | 0.000 | -0.000 |
| 72.179 | 72.179 | 217.039 | -0.000 | -0.000 | -0.000 |
| -0.000 | -0.000 | -0.000 | 42.573 | -0.000 | -0.000 |
| -0.000 | -0.000 | -0.000 | 0.000 | 42.573 | 0.000 |
| -0.000 | -0.000 | -0.000 | -0.000 | 0.000 | 58.244 |
| 229.388 | 90.482 | 69.136 | 0.000 | 0.000 | 0.000 |
| 90.482 | 229.388 | 69.136 | 0.000 | 0.000 | 0.000 |
| 72.179 | 72.179 | 217.039 | 0.000 | 0.000 | 0.000 |
| -15.695 | -15.695 | -24.128 | 38.263 | 0.000 | -0.000 |
| -15.695 | -15.695 | -24.128 | -0.000 | 38.263 | 0.000 |
| -15.300 | -15.300 | -23.520 | 0.000 | -0.000 | 35.935 |
| 229.388 | 90.482 | 69.135 | -0.000 | -0.000 | -0.000 |
| 90.482 | 229.388 | 69.135 | -0.000 | -0.000 | 0.000 |
| 72.179 | 72.179 | 217.039 | 0.000 | 0.000 | -0.000 |
| 15.695 | 15.695 | 24.128 | 38.263 | 0.000 | 0.000 |
| 15.695 | 15.695 | 24.128 | -0.000 | 38.263 | -0.000 |
| 15.300 | 15.300 | 23.520 | -0.000 | -0.000 | 35.935 |
| 208.974 | 92.264 | 66.378 | 0.000 | 0.000 | -0.000 |
| 92.264 | 208.974 | 66.378 | -0.000 | -0.000 | -0.000 |
| 69.600 | 69.600 | 211.828 | 0.000 | 0.000 | 0.000 |
| -1.664 | -1.664 | -2.558 | 38.003 | -0.000 | -0.000 |
| -1.664 | -1.664 | -2.558 | 0.000 | 38.003 | -0.000 |
| -0.000 | 0.000 | -0.000 | -0.000 | -0.000 | 58.244 |
| 211.017 | 94.558 | 69.842 | 0.000 | 0.000 | -0.000 |
| 94.558 | 211.017 | 69.842 | 0.000 | 0.000 | 0.000 |
| 72.117 | 72.117 | 213.383 | -0.000 | -0.000 | -0.000 |
| 1.664 | 1.664 | 2.558 | 38.003 | -0.000 | 0.000 |
| 1.664 | 1.664 | 2.558 | -0.000 | 38.003 | 0.000 |
| 0.000 | -0.000 | 0.000 | -0.000 | -0.000 | 58.244 |
| 214.828 | 85.510 | 68.043 | -0.000 | -0.000 | 0.000 |
| 85.510 | 214.828 | 68.043 | -0.000 | 0.000 | 0.000 |
| 818.238 | 818.238 | 249.690 | -0.000 | -0.000 | -0.000 |
| -0.000 | 0.000 | -0.000 | 40.542 | 0.000 | 0.000 |
| -0.000 | 0.000 | 0.000 | -0.000 | 40.542 | 0.000 |
| 605.335 | 605.335 | -119.337 | -0.000 | -0.000 | 44.740 |
| 214.828 | 85.510 | 68.043 | 0.000 | 0.000 | -0.000 |
| 85.510 | 214.828 | 68.043 | 0.000 | -0.000 | -0.000 |
| -681.735 | -681.735 | 183.199 | -0.000 | 0.000 | 0.000 |
| 0.000 | -0.000 | 0.000 | 40.542 | 0.000 | -0.000 |
| 0.000 | -0.000 | 0.000 | -0.000 | 40.542 | -0.000 |
| -605.335 | -605.335 | 119.337 | 0.000 | 0.000 | 44.740 |
| 214.828 | 85.510 | 68.043 | -0.000 | 0.000 | 0.000 |
| 85.510 | 214.828 | 68.043 | 0.000 | 0.000 | 0.000 |
| 141.115 | 141.115 | 212.247 | -0.000 | -0.000 | 0.000 |
| 60.544 | 60.544 | -11.936 | 36.059 | 0.000 | -0.000 |
| 60.544 | 60.544 | -11.936 | -0.000 | 36.059 | -0.000 |
| 60.460 | 60.460 | -11.919 | 0.000 | 0.000 | 44.757 |
| 214.828 | 85.510 | 68.043 | 0.000 | -0.000 | -0.000 |
| 85.510 | 214.828 | 68.043 | 0.000 | -0.000 | -0.000 |
| 68.043 | 68.043 | 231.899 | -0.000 | 0.000 | -0.000 |
| -60.544 | -60.544 | 11.936 | 36.059 | 0.000 | 0.000 |
| -60.544 | -60.544 | 11.936 | -0.000 | 36.059 | 0.000 |
| -60.460 | -60.460 | 11.919 | -0.000 | 0.000 | 44.757 |
| 199.502 | 99.368 | 64.788 | 0.000 | 0.000 | -0.000 |
| 99.368 | 199.502 | 64.788 | -0.000 | 0.000 | -0.000 |
| 71.330 | 71.330 | 221.830 | 0.000 | -0.000 | -0.000 |
| 6.507 | 6.507 | -0.754 | 30.029 | 0.000 | 0.000 |
| 6.507 | 6.507 | -0.754 | -0.000 | 30.029 | 0.000 |
| 5.964 | 5.964 | -0.859 | -0.000 | -0.000 | 38.755 |
| 176.146 | 94.781 | 64.936 | 0.000 | 0.000 | -0.000 |
| 94.781 | 176.146 | 64.936 | -0.000 | 0.000 | -0.000 |
| 68.043 | 68.043 | 231.898 | 0.000 | 0.000 | -0.000 |
| -6.507 | -6.507 | 0.754 | 30.029 | 0.000 | -0.000 |
| -6.507 | -6.507 | 0.754 | 0.000 | 30.029 | 0.000 |
| -5.964 | -5.964 | 0.859 | -0.000 | -0.000 | 38.755 |
| -0.000 | -0.000 | -0.000 | -0.000 | -0.000 | -0.000 |
| -0.000 | -0.000 | -0.000 | 0.000 | 0.000 | -0.000 |
| -0.000 | -0.000 | -0.000 | -0.000 | 0.000 | 0.000 |
| 0.000 | 0.000 | 0.000 | 0.000 | -0.000 | -0.000 |
| 0.000 | 0.000 | 0.000 | 0.000 | 0.000 | -0.000 |
| 0.000 | 0.000 | 0.000 | 0.000 | -0.000 | 0.000 |
| -0.000 | -0.000 | -0.000 | -0.000 | 0.000 | 0.000 |
| -0.000 | -0.000 | -0.000 | 0.000 | 0.000 | 0.000 |
| -0.000 | -0.000 | -0.000 | -0.000 | -0.000 | 0.000 |
| -0.000 | -0.000 | -0.000 | 0.000 | 0.000 | 0.000 |
| -0.000 | -0.000 | -0.000 | -0.000 | 0.000 | 0.000 |
| -0.000 | -0.000 | -0.000 | -0.000 | 0.000 | 0.000 |
| -0.000 | -0.000 | -0.000 | -0.000 | -0.000 | -0.000 |
| -0.000 | -0.000 | -0.000 | 0.000 | 0.000 | 0.000 |
| -0.000 | -0.000 | -0.000 | -0.000 | -0.000 | 0.000 |
| 0.000 | 0.000 | 0.000 | 0.000 | -0.000 | -0.000 |
| 0.000 | 0.000 | 0.000 | -0.000 | 0.000 | -0.000 |
| -0.000 | 0.000 | 0.000 | 0.000 | -0.000 | 0.000 |
| -0.000 | -0.000 | -0.000 | -0.000 | 0.000 | 0.000 |
| -0.000 | -0.000 | -0.000 | 0.000 | 0.000 | -0.000 |
| -0.000 | -0.000 | -0.000 | -0.000 | -0.000 | 0.000 |
| -0.000 | -0.000 | -0.000 | 0.000 | 0.000 | 0.000 |
| -0.000 | -0.000 | -0.000 | 0.000 | 0.000 | 0.000 |
| -0.000 | -0.000 | -0.000 | -0.000 | 0.000 | 0.000 |
| -0.000 | -0.000 | -0.000 | -0.000 | -0.000 | -0.000 |
| -0.000 | -0.000 | -0.000 | 0.000 | 0.000 | 0.000 |
| -0.000 | -0.000 | -0.000 | -0.000 | -0.000 | 0.000 |
| 0.000 | 0.000 | 0.000 | 0.000 | -0.000 | -0.000 |
| 0.000 | 0.000 | 0.000 | 0.000 | 0.000 | -0.000 |
| 0.000 | 0.000 | 0.000 | 0.000 | -0.000 | 0.000 |
| -0.000 | -0.000 | -0.000 | -0.000 | 0.000 | 0.000 |
| -0.000 | -0.000 | -0.000 | -0.000 | 0.000 | -0.000 |
| -0.000 | -0.000 | -0.000 | 0.000 | 0.000 | 0.000 |
| -0.000 | -0.000 | -0.000 | 0.000 | 0.000 | 0.000 |
| -0.000 | -0.000 | -0.000 | -0.000 | 0.000 | 0.000 |
| -0.000 | -0.000 | -0.000 | -0.000 | 0.000 | 0.000 |
| 178.002 | 215.101 | 215.101 | -0.000 | -0.000 | -0.000 |
| 215.101 | 178.002 | 215.101 | -0.000 | -0.000 | -0.000 |
| 215.101 | 215.101 | 178.002 | -0.000 | -0.000 | -0.000 |
| 0.000 | 0.000 | 0.000 | 182.675 | -0.000 | -0.000 |
| 0.000 | 0.000 | 0.000 | -0.000 | 182.675 | -0.000 |
| 0.000 | 0.000 | 0.000 | -0.000 | -0.000 | 182.675 |
| 178.002 | 215.101 | 215.101 | 0.000 | 0.000 | 0.000 |
| 215.101 | 178.002 | 215.101 | 0.000 | 0.000 | 0.000 |
| 215.101 | 215.101 | 178.002 | 0.000 | 0.000 | 0.000 |
| -0.000 | -0.000 | -0.000 | 182.675 | 0.000 | 0.000 |
| -0.000 | -0.000 | -0.000 | -0.000 | 182.675 | 0.000 |
| -0.000 | -0.000 | -0.000 | 0.000 | 0.000 | 182.675 |
| 178.002 | 215.101 | 215.101 | -0.000 | -0.000 | -0.000 |
| 215.101 | 178.002 | 215.101 | -0.000 | -0.000 | -0.000 |
| 215.101 | 215.101 | 178.002 | -0.000 | -0.000 | -0.000 |
| -0.000 | -0.000 | -0.000 | -24.265 | -0.000 | -0.000 |
| -0.000 | -0.000 | -0.000 | -0.000 | -24.265 | -0.000 |
| -0.000 | -0.000 | -0.000 | -0.000 | -0.000 | -24.265 |
| 178.002 | 215.101 | 215.101 | 0.000 | 0.000 | 0.000 |
| 215.101 | 178.002 | 215.101 | 0.000 | 0.000 | 0.000 |
| 215.101 | 215.101 | 178.002 | 0.000 | 0.000 | 0.000 |
| 0.000 | 0.000 | 0.000 | -24.265 | 0.000 | 0.000 |
| 0.000 | 0.000 | 0.000 | 0.000 | -24.265 | 0.000 |
| 0.000 | 0.000 | 0.000 | 0.000 | 0.000 | -24.265 |
| 178.002 | 215.102 | 215.102 | -0.000 | -0.000 | -0.000 |
| 215.102 | 178.002 | 215.102 | -0.000 | -0.000 | -0.000 |
| 215.102 | 215.102 | 178.002 | -0.000 | -0.000 | -0.000 |
| -0.000 | -0.000 | -0.000 | -24.265 | -0.000 | -0.000 |
| -0.000 | -0.000 | -0.000 | -0.000 | -24.265 | -0.000 |
| -0.000 | -0.000 | -0.000 | -0.000 | -0.000 | -24.265 |
| 178.001 | 215.100 | 215.100 | 0.000 | 0.000 | 0.000 |
| 215.100 | 178.001 | 215.100 | 0.000 | 0.000 | 0.000 |
| 215.100 | 215.100 | 178.001 | 0.000 | 0.000 | 0.000 |
| 0.000 | 0.000 | 0.000 | -24.265 | 0.000 | 0.000 |
| 0.000 | 0.000 | 0.000 | 0.000 | -24.265 | 0.000 |
| 0.000 | 0.000 | 0.000 | 0.000 | 0.000 | -24.265 |
| 0.000 | 0.000 | 0.000 | 0.000 | 0.000 | 0.000 |
| 0.000 | 0.000 | 0.000 | 0.000 | 0.000 | 0.000 |
| 0.000 | 0.000 | 0.000 | 0.000 | 0.000 | 0.000 |
| 0.000 | 0.000 | 0.000 | 0.000 | 0.000 | 0.000 |
| 0.000 | 0.000 | 0.000 | 0.000 | 0.000 | 0.000 |
| 0.000 | 0.000 | 0.000 | 0.000 | 0.000 | 0.000 |
| 0.000 | 0.000 | 0.000 | -0.000 | -0.000 | -0.000 |
| 0.000 | 0.000 | 0.000 | -0.000 | -0.000 | -0.000 |
| 0.000 | 0.000 | 0.000 | -0.000 | -0.000 | -0.000 |
| -0.000 | -0.000 | -0.000 | 0.000 | -0.000 | -0.000 |
| -0.000 | -0.000 | -0.000 | -0.000 | 0.000 | -0.000 |
| -0.000 | -0.000 | -0.000 | -0.000 | -0.000 | 0.000 |
| 0.000 | 0.000 | 0.000 | 0.000 | 0.000 | 0.000 |
| 0.000 | 0.000 | 0.000 | 0.000 | 0.000 | 0.000 |
| 0.000 | 0.000 | 0.000 | 0.000 | 0.000 | 0.000 |
| 0.000 | 0.000 | 0.000 | 0.000 | 0.000 | 0.000 |
| 0.000 | 0.000 | 0.000 | 0.000 | 0.000 | 0.000 |
| 0.000 | 0.000 | 0.000 | 0.000 | 0.000 | 0.000 |
| 0.000 | 0.000 | 0.000 | -0.000 | 0.000 | -0.000 |
| 0.000 | 0.000 | 0.000 | 0.000 | -0.000 | -0.000 |
| 0.000 | 0.000 | 0.000 | -0.000 | -0.000 | -0.000 |
| -0.000 | -0.000 | -0.000 | 0.000 | -0.000 | -0.000 |
| -0.000 | -0.000 | -0.000 | -0.000 | 0.000 | -0.000 |
| -0.000 | -0.000 | -0.000 | -0.000 | -0.000 | 0.000 |
| 0.000 | 0.000 | 0.000 | 0.000 | 0.000 | 0.000 |
| 0.000 | 0.000 | 0.000 | 0.000 | 0.000 | 0.000 |
| 0.000 | 0.000 | 0.000 | 0.000 | 0.000 | -0.000 |
| 0.000 | 0.000 | 0.000 | 0.000 | 0.000 | 0.000 |
| 0.000 | 0.000 | 0.000 | 0.000 | 0.000 | 0.000 |
| 0.000 | 0.000 | 0.000 | 0.000 | 0.000 | 0.000 |
| 0.000 | 0.000 | 0.000 | -0.000 | -0.000 | -0.000 |
| 0.000 | 0.000 | 0.000 | -0.000 | -0.000 | -0.000 |
| 0.000 | 0.000 | 0.000 | -0.000 | -0.000 | -0.000 |
| -0.000 | -0.000 | -0.000 | 0.000 | -0.000 | -0.000 |
| -0.000 | -0.000 | -0.000 | -0.000 | 0.000 | -0.000 |
| -0.000 | -0.000 | -0.000 | -0.000 | -0.000 | 0.000 |
| 385.156 | 163.998 | 163.998 | -0.000 | -0.000 | -0.000 |
| 163.998 | 385.156 | 163.998 | -0.000 | -0.000 | -0.000 |
| 163.998 | 163.998 | 385.156 | 0.000 | 0.000 | 0.000 |
| 0.000 | 0.000 | 0.000 | 130.210 | -0.000 | -0.000 |
| 0.000 | 0.000 | 0.000 | 0.000 | 130.210 | -0.000 |
| 0.000 | 0.000 | 0.000 | 0.000 | 0.000 | 130.210 |
| 385.156 | 163.998 | 163.998 | -0.000 | -0.000 | 0.000 |
| 163.998 | 385.156 | 163.998 | 0.000 | -0.000 | 0.000 |
| 163.998 | 163.998 | 385.156 | -0.000 | -0.000 | -0.000 |
| -0.000 | -0.000 | -0.000 | 130.210 | -0.000 | -0.000 |
| -0.000 | -0.000 | -0.000 | -0.000 | 130.210 | 0.000 |
| -0.000 | -0.000 | 0.000 | -0.000 | -0.000 | 130.210 |
| 385.156 | 163.998 | 163.998 | 0.000 | 0.000 | -0.000 |
| 163.998 | 385.156 | 163.998 | 0.000 | 0.000 | -0.000 |
| 163.998 | 163.998 | 385.156 | -0.000 | -0.000 | 0.000 |
| 0.000 | 0.000 | 0.000 | 127.384 | -0.000 | 0.000 |
| 0.000 | 0.000 | 0.000 | -0.000 | 127.384 | 0.000 |
| 0.000 | 0.000 | 0.000 | -0.000 | -0.000 | 127.384 |
| 385.156 | 163.998 | 163.998 | 0.000 | 0.000 | 0.000 |
| 163.998 | 385.156 | 163.998 | -0.000 | -0.000 | 0.000 |
| 163.998 | 163.998 | 385.156 | 0.000 | -0.000 | -0.000 |
| -0.000 | -0.000 | -0.000 | 127.384 | 0.000 | -0.000 |
| -0.000 | -0.000 | -0.000 | -0.000 | 127.384 | -0.000 |
| -0.000 | -0.000 | -0.000 | -0.000 | 0.000 | 127.384 |
| 385.159 | 164.000 | 164.000 | -0.000 | -0.000 | -0.000 |
| 164.000 | 385.159 | 164.000 | -0.000 | -0.000 | -0.000 |
| 164.000 | 164.000 | 385.159 | 0.000 | 0.000 | 0.000 |
| 0.000 | 0.001 | 0.001 | 127.384 | -0.000 | 0.000 |
| 0.001 | 0.000 | 0.001 | -0.000 | 127.384 | 0.000 |
| 0.001 | 0.001 | 0.000 | -0.000 | -0.000 | 127.384 |
| 385.153 | 163.996 | 163.996 | 0.000 | -0.000 | 0.000 |
| 163.996 | 385.153 | 163.996 | -0.000 | 0.000 | 0.000 |
| 163.996 | 163.996 | 385.153 | 0.000 | -0.000 | -0.000 |
| -0.000 | -0.001 | -0.001 | 127.384 | 0.000 | -0.000 |
| -0.001 | -0.000 | -0.001 | 0.000 | 127.384 | -0.000 |
| -0.001 | -0.001 | -0.000 | 0.000 | -0.000 | 127.384 |
| 359.669 | 210.253 | 452.758 | 78.726 | 0.000 | 0.000 |
| 102.961 | 258.317 | 145.241 | -83.261 | 0.000 | 0.000 |
| 236.790 | 236.790 | 859.686 | 0.000 | -0.000 | 0.000 |
| 189.703 | 32.266 | 327.155 | 113.435 | 0.000 | 0.000 |
| 110.984 | 110.984 | 327.155 | 0.000 | 113.435 | 78.719 |
| -0.000 | 0.000 | 0.000 | 0.000 | 83.261 | 77.678 |
| 258.317 | 102.961 | 145.241 | 83.261 | 0.000 | 0.000 |
| 102.961 | 258.317 | 145.241 | -83.261 | 0.000 | 0.000 |
| 15.492 | 15.492 | 207.351 | 0.000 | 0.000 | 0.000 |
| -32.266 | -189.703 | -327.155 | 113.435 | -0.000 | -0.000 |
| -110.984 | -110.984 | -327.155 | -0.000 | 113.435 | 78.719 |
| 0.000 | -0.000 | -0.000 | -0.000 | 83.261 | 77.678 |
| 245.627 | 124.821 | 158.758 | 56.880 | -0.000 | 0.000 |
| 124.821 | 245.627 | 158.758 | -56.880 | 0.000 | 0.000 |
| 145.242 | 145.242 | 589.823 | -0.000 | -0.000 | -0.000 |
| 83.261 | -83.261 | 0.000 | 120.371 | 0.000 | 0.000 |
| 0.000 | 0.000 | 0.000 | 0.000 | 120.371 | 83.261 |
| 12.466 | 12.466 | 36.746 | 0.000 | 78.159 | 74.337 |
| 236.757 | 87.636 | 90.878 | 78.501 | -0.000 | 0.000 |
| 102.961 | 258.316 | 145.241 | -83.261 | -0.000 | -0.000 |
| 115.076 | 115.076 | 500.901 | 0.000 | -0.000 | 0.000 |
| 45.815 | -67.944 | -32.617 | 80.082 | -0.000 | -0.000 |
| -0.000 | -0.000 | -0.000 | -0.000 | 120.371 | 83.261 |
| -12.466 | -12.466 | -36.746 | -0.000 | 78.159 | 74.337 |
| 258.319 | 102.961 | 145.242 | 83.262 | 0.000 | -0.000 |
| 99.363 | 245.854 | 121.566 | -76.493 | 0.000 | 0.000 |
| 127.249 | 127.249 | 536.787 | 0.000 | -0.000 | 0.000 |
| 83.261 | -83.261 | 0.001 | 120.371 | 0.000 | -0.000 |
| 0.000 | 0.000 | 0.001 | 0.001 | 120.371 | 83.261 |
| 0.000 | 0.001 | 0.000 | 0.000 | 83.261 | 77.678 |
| 258.314 | 102.961 | 145.241 | 83.261 | 0.000 | -0.000 |
| 102.961 | 258.315 | 145.241 | -83.260 | 0.000 | 0.000 |
| 125.033 | 125.033 | 530.250 | 0.000 | -0.000 | 0.000 |
| 55.773 | -57.986 | -3.263 | 80.083 | -0.000 | -0.000 |
| -0.000 | -0.000 | -0.001 | -0.001 | 120.371 | 83.261 |
| -0.000 | -0.001 | -0.000 | -0.000 | 83.261 | 77.678 |
| 63.328 | 34.242 | 136.835 | 90.814 | 0.000 | -0.000 |
| 87.643 | 181.142 | 192.540 | -140.657 | 0.000 | -0.000 |
| 127.469 | 127.469 | -7.696 | 0.000 | 0.000 | -0.000 |
| 140.657 | -140.657 | 0.000 | 149.177 | 0.000 | -0.000 |
| -0.476 | -0.476 | -0.310 | -0.000 | 91.982 | 103.699 |
| -0.476 | -0.476 | -0.310 | -0.000 | 103.698 | 22.868 |
| 60.316 | 14.576 | 129.457 | 103.700 | -0.000 | 0.000 |
| 35.675 | 64.946 | 137.828 | -90.957 | -0.000 | 0.000 |
| 128.944 | 128.945 | -6.736 | -0.000 | -0.000 | -0.000 |
| 104.175 | -103.223 | 0.310 | 91.982 | -0.000 | 0.000 |
| 0.476 | 0.476 | 0.310 | 0.000 | 91.982 | 103.699 |
| 0.476 | 0.476 | 0.310 | -0.000 | 103.698 | 22.868 |
| 64.056 | 34.888 | 137.282 | 90.878 | 0.000 | 0.000 |
| 34.887 | 64.056 | 137.282 | -90.878 | 0.000 | -0.000 |
| 128.133 | 128.133 | -7.264 | 0.000 | 0.000 | 0.000 |
| 140.657 | -140.657 | 0.000 | 149.177 | 0.000 | -0.000 |
| -0.048 | -0.048 | -0.031 | 0.000 | 91.983 | 103.700 |
| -0.048 | -0.048 | -0.031 | 0.000 | 103.700 | 22.870 |
| 59.652 | 13.913 | 129.025 | 103.700 | 0.000 | 0.000 |
| 87.643 | 181.142 | 192.539 | -140.657 | -0.000 | -0.000 |
| 191.770 | 191.770 | 34.144 | 0.000 | -0.000 | -0.000 |
| 103.748 | -103.652 | 0.031 | 91.983 | -0.000 | 0.000 |
| 0.048 | 0.048 | 0.031 | -0.000 | 91.983 | 103.700 |
| 0.048 | 0.048 | 0.031 | -0.000 | 103.700 | 22.870 |
| 59.572 | 13.832 | 128.973 | 103.701 | 0.000 | -0.000 |
| 34.952 | 64.131 | 137.328 | -90.885 | -0.000 | 0.000 |
| 128.200 | 128.200 | -7.220 | -0.000 | 0.000 | -0.000 |
| 103.695 | -103.705 | -0.003 | 91.983 | 0.000 | -0.000 |
| -0.005 | -0.005 | -0.003 | 0.000 | 91.983 | 103.700 |
| -0.005 | -0.005 | -0.003 | 0.000 | 103.700 | 22.870 |
| 64.144 | 34.965 | 137.335 | 90.885 | -0.000 | 0.000 |
| 34.966 | 64.144 | 137.336 | -90.885 | -0.000 | 0.000 |
| 128.215 | 128.215 | -7.211 | -0.000 | -0.000 | 0.000 |
| 103.705 | -103.695 | 0.003 | 91.983 | -0.000 | -0.000 |
| 0.005 | 0.005 | 0.003 | -0.000 | 91.983 | 103.700 |
| 0.005 | 0.005 | 0.003 | -0.000 | 103.700 | 22.870 |
| 46.294 | 130.097 | 96.844 | -0.000 | -0.000 | 0.000 |
| 130.097 | 46.294 | 96.844 | -0.000 | -0.000 | 0.000 |
| 94.073 | 94.073 | 184.017 | 0.000 | 0.000 | 0.000 |
| -0.000 | -0.000 | -0.000 | 51.493 | -0.000 | 0.000 |
| -0.000 | -0.000 | -0.000 | -0.000 | 51.493 | 0.000 |
| 0.000 | 0.000 | 0.000 | -0.000 | -0.000 | 95.869 |
| 42.530 | 126.660 | 73.789 | -0.000 | -0.000 | 0.000 |
| 126.660 | 42.530 | 73.789 | -0.000 | -0.000 | -0.000 |
| 94.073 | 94.073 | 184.017 | 0.000 | 0.000 | -0.000 |
| 0.000 | 0.000 | 0.000 | 51.493 | 0.000 | -0.000 |
| -0.000 | 0.000 | 0.000 | -0.000 | 51.493 | 0.000 |
| -0.000 | -0.000 | -0.000 | 0.000 | 0.000 | 95.869 |
| 42.530 | 126.660 | 73.789 | 0.000 | 0.000 | 0.000 |
| 126.660 | 42.530 | 73.789 | -0.000 | -0.000 | 0.000 |
| 72.016 | 72.016 | 42.788 | 0.000 | -0.000 | 0.000 |
| 0.000 | 0.000 | 0.000 | -73.262 | -0.000 | 0.000 |
| 0.000 | 0.000 | 0.000 | -0.000 | -73.262 | 0.000 |
| -0.000 | -0.000 | -0.000 | -0.000 | -0.000 | 97.915 |
| 42.530 | 126.660 | 73.789 | -0.000 | 0.000 | -0.000 |
| 126.660 | 42.530 | 73.789 | 0.000 | 0.000 | 0.000 |
| 72.016 | 72.016 | 42.789 | -0.000 | -0.000 | -0.000 |
| -0.000 | -0.000 | -0.000 | -73.262 | -0.000 | 0.000 |
| -0.000 | -0.000 | -0.000 | -0.000 | -73.262 | 0.000 |
| 0.000 | 0.000 | 0.000 | 0.000 | 0.000 | 97.915 |
| 42.530 | 126.660 | 73.789 | -0.000 | -0.000 | 0.000 |
| 126.660 | 42.530 | 73.789 | -0.000 | -0.000 | 0.000 |
| 72.016 | 72.016 | 42.783 | -0.000 | -0.000 | 0.000 |
| 0.001 | 0.000 | 0.001 | -73.262 | -0.000 | -0.000 |
| 0.000 | 0.001 | 0.001 | -0.000 | -73.262 | 0.000 |
| -0.001 | -0.000 | -0.000 | 0.000 | -0.000 | 95.869 |
| 42.529 | 126.660 | 73.789 | -0.000 | 0.000 | -0.000 |
| 126.660 | 42.529 | 73.789 | -0.000 | 0.000 | 0.000 |
| 72.016 | 72.016 | 42.794 | -0.000 | 0.000 | -0.000 |
| -0.001 | -0.000 | -0.001 | -73.262 | -0.000 | 0.000 |
| -0.000 | -0.001 | -0.001 | -0.000 | -73.262 | 0.000 |
| 0.001 | 0.000 | 0.000 | 0.000 | 0.000 | 95.869 |
| 31.705 | 32.092 | 32.092 | -0.000 | -0.000 | -0.000 |
| 32.092 | 31.705 | 32.092 | -0.000 | -0.000 | -0.000 |
| 32.092 | 32.092 | 31.705 | -0.000 | -0.000 | -0.000 |
| -0.000 | -0.000 | -0.000 | -1.150 | -0.000 | -0.000 |
| -0.000 | -0.000 | -0.000 | -0.000 | -1.150 | -0.000 |
| -0.000 | -0.000 | -0.000 | -0.000 | -0.000 | -1.150 |
| 31.705 | 32.092 | 32.092 | -0.000 | 0.000 | 0.000 |
| 32.092 | 31.705 | 32.092 | 0.000 | -0.000 | 0.000 |
| 32.092 | 32.092 | 31.705 | 0.000 | 0.000 | -0.000 |
| 0.000 | 0.000 | 0.000 | -1.150 | 0.000 | 0.000 |
| 0.000 | 0.000 | 0.000 | 0.000 | -1.150 | 0.000 |
| 0.000 | 0.000 | 0.000 | 0.000 | 0.000 | -1.150 |
| 31.705 | 32.092 | 32.092 | -0.000 | -0.000 | -0.000 |
| 32.092 | 31.705 | 32.092 | -0.000 | -0.000 | -0.000 |
| 32.092 | 32.092 | 31.705 | -0.000 | -0.000 | -0.000 |
| 0.000 | 0.000 | 0.000 | 29.605 | -0.000 | -0.000 |
| 0.000 | 0.000 | 0.000 | -0.000 | 29.605 | -0.000 |
| 0.000 | 0.000 | 0.000 | -0.000 | -0.000 | 29.605 |
| 31.705 | 32.092 | 32.092 | 0.000 | 0.000 | 0.000 |
| 32.092 | 31.705 | 32.092 | 0.000 | 0.000 | 0.000 |
| 32.092 | 32.092 | 31.705 | 0.000 | 0.000 | 0.000 |
| -0.000 | -0.000 | -0.000 | 29.605 | -0.000 | 0.000 |
| -0.000 | -0.000 | -0.000 | -0.000 | 29.605 | 0.000 |
| -0.000 | -0.000 | -0.000 | -0.000 | 0.000 | 29.605 |
| 31.706 | 32.093 | 32.093 | -0.000 | -0.000 | -0.000 |
| 32.093 | 31.706 | 32.093 | -0.000 | -0.000 | -0.000 |
| 32.093 | 32.093 | 31.706 | -0.000 | -0.000 | -0.000 |
| -0.000 | -0.000 | -0.000 | -1.150 | -0.000 | -0.000 |
| -0.000 | -0.000 | -0.000 | -0.000 | -1.150 | -0.000 |
| -0.000 | -0.000 | -0.000 | -0.000 | -0.000 | -1.150 |
| 31.705 | 32.092 | 32.092 | 0.000 | 0.000 | 0.000 |
| 32.092 | 31.705 | 32.092 | 0.000 | 0.000 | 0.000 |
| 32.092 | 32.092 | 31.705 | 0.000 | 0.000 | 0.000 |
| 0.000 | 0.000 | 0.000 | -1.150 | 0.000 | 0.000 |
| 0.000 | 0.000 | 0.000 | 0.000 | -1.150 | 0.000 |
| 0.000 | 0.000 | 0.000 | 0.000 | 0.000 | -1.150 |
| 474.252 | 191.794 | 133.199 | -4.378 | -0.000 | 0.000 |
| 191.794 | 474.252 | 133.199 | 4.378 | 0.000 | 0.000 |
| 243.028 | 243.028 | 258.942 | 0.000 | -0.000 | -0.000 |
| -4.378 | 4.378 | -0.000 | 91.298 | 0.000 | 0.000 |
| 0.000 | -0.000 | -0.000 | -0.000 | -8.024 | -40.789 |
| 0.000 | -0.000 | -0.000 | 0.000 | -4.378 | 141.229 |
| 201.388 | 299.266 | 256.915 | -5.033 | 0.000 | 0.000 |
| 191.794 | 474.252 | 133.199 | 4.378 | 0.000 | -0.000 |
| 189.616 | 189.616 | 307.963 | 0.000 | 0.000 | 0.000 |
| -40.789 | 40.789 | 0.000 | -8.024 | 0.000 | 0.000 |
| -0.000 | 0.000 | 0.000 | -0.000 | -8.024 | -40.789 |
| -0.000 | 0.000 | 0.000 | -0.000 | -4.378 | 141.229 |
| 248.559 | 256.235 | 254.013 | -17.867 | -0.000 | 0.000 |
| 191.794 | 474.252 | 133.199 | 4.378 | 0.000 | 0.000 |
| 189.616 | 189.616 | 307.963 | -0.000 | -0.000 | -0.000 |
| -14.312 | 14.312 | 0.000 | -46.548 | 0.000 | 0.000 |
| 0.000 | -0.000 | -0.000 | -0.000 | -8.024 | -40.789 |
| -0.000 | -0.000 | -0.000 | 0.000 | -13.732 | -12.047 |
| 227.592 | 246.492 | 257.295 | -13.647 | -0.000 | 0.000 |
| 191.793 | 474.251 | 133.199 | 4.378 | -0.000 | -0.000 |
| 137.612 | 137.612 | 450.038 | -0.000 | 0.000 | -0.000 |
| -4.378 | 4.378 | -0.000 | 91.298 | 0.000 | -0.000 |
| -0.000 | 0.000 | 0.000 | 0.000 | -8.024 | -40.789 |
| 0.000 | 0.000 | 0.000 | -0.000 | -13.732 | -12.047 |
| 311.999 | 267.343 | 175.311 | -33.478 | -0.000 | -0.000 |
| 267.413 | 311.849 | 175.350 | 33.505 | -0.000 | -0.000 |
| 137.614 | 137.614 | 450.040 | 0.000 | 0.000 | 0.000 |
| -14.311 | 14.311 | 0.000 | -46.547 | -0.000 | -0.000 |
| -0.000 | 0.000 | 0.000 | -0.000 | -46.548 | -14.312 |
| 0.000 | 0.000 | 0.000 | -0.000 | -4.378 | 141.229 |
| 248.576 | 256.226 | 254.009 | -17.863 | 0.000 | 0.000 |
| 256.233 | 248.580 | 253.995 | 17.868 | 0.000 | 0.000 |
| 189.615 | 189.615 | 307.965 | 0.000 | 0.000 | 0.000 |
| -40.786 | 40.786 | 0.000 | -8.017 | -0.000 | 0.000 |
| 0.000 | -0.000 | -0.000 | 0.000 | -46.548 | -14.312 |
| -0.000 | -0.000 | -0.000 | 0.000 | -4.378 | 141.229 |
| 365.388 | 80.429 | 80.429 | 0.000 | 0.000 | 0.000 |
| 80.429 | 365.388 | 80.429 | 0.000 | 0.000 | 0.000 |
| 80.429 | 80.429 | 365.388 | 0.000 | 0.000 | 0.000 |
| 0.000 | 0.000 | 0.000 | 49.359 | 0.000 | 0.000 |
| 0.000 | 0.000 | 0.000 | 0.000 | 49.359 | 0.000 |
| 0.000 | 0.000 | 0.000 | 0.000 | 0.000 | 49.359 |
| 365.798 | 80.224 | 80.224 | -0.000 | -0.000 | -0.000 |
| 80.224 | 365.798 | 80.224 | -0.000 | -0.000 | -0.000 |
| 80.224 | 80.224 | 365.798 | -0.000 | -0.000 | -0.000 |
| 0.000 | -0.000 | -0.000 | 49.359 | -0.000 | -0.000 |
| -0.000 | -0.000 | -0.000 | -0.000 | 49.359 | -0.000 |
| -0.000 | -0.000 | 0.000 | -0.000 | -0.000 | 49.359 |
| 365.388 | 80.429 | 80.429 | 0.000 | 0.000 | 0.000 |
| 80.429 | 365.388 | 80.429 | 0.000 | 0.000 | 0.000 |
| 80.429 | 80.429 | 365.388 | 0.000 | 0.000 | -0.000 |
| 0.000 | 0.000 | 0.000 | 49.359 | 0.000 | 0.000 |
| 0.000 | 0.000 | 0.000 | 0.000 | 49.359 | 0.000 |
| 0.000 | 0.000 | 0.000 | 0.000 | 0.000 | 49.359 |
| 365.798 | 80.224 | 80.224 | -0.000 | -0.000 | -0.000 |
| 80.224 | 365.798 | 80.224 | -0.000 | -0.000 | -0.000 |
| 80.224 | 80.224 | 365.798 | -0.000 | -0.000 | -0.000 |
| -0.000 | -0.000 | -0.000 | 49.359 | -0.000 | -0.000 |
| -0.000 | -0.000 | -0.000 | -0.000 | 49.359 | -0.000 |
| -0.000 | -0.000 | -0.000 | -0.000 | -0.000 | 49.359 |
| 365.391 | 80.430 | 80.430 | 0.000 | 0.000 | 0.000 |
| 80.430 | 365.391 | 80.430 | 0.000 | 0.000 | 0.000 |
| 80.430 | 80.430 | 365.391 | 0.000 | 0.000 | 0.000 |
| 0.000 | 0.000 | 0.000 | 49.359 | 0.000 | 0.000 |
| 0.000 | 0.000 | 0.000 | 0.000 | 49.359 | 0.000 |
| 0.000 | 0.000 | 0.000 | 0.000 | 0.000 | 49.359 |
| 365.385 | 80.428 | 80.428 | 0.000 | -0.000 | -0.000 |
| 80.428 | 365.385 | 80.428 | -0.000 | -0.000 | -0.000 |
| 80.428 | 80.428 | 365.385 | -0.000 | -0.000 | -0.000 |
| -0.000 | -0.000 | -0.000 | 49.359 | -0.000 | 0.000 |
| -0.000 | -0.000 | -0.000 | -0.000 | 49.359 | -0.000 |
| -0.000 | -0.000 | -0.000 | -0.000 | -0.000 | 49.359 |
| 0.190 | 0.099 | 0.099 | 0.000 | -0.000 | 0.000 |
| 0.099 | 0.190 | 0.099 | 0.000 | 0.000 | -0.000 |
| 0.099 | 0.099 | 0.190 | 0.000 | 0.000 | 0.000 |
| -0.000 | 0.000 | 0.000 | 0.098 | 0.000 | 0.000 |
| 0.000 | -0.000 | 0.000 | 0.000 | 0.098 | 0.000 |
| 0.000 | 0.000 | -0.000 | 0.000 | -0.000 | 0.098 |
| 0.192 | 0.098 | 0.098 | -0.000 | 0.000 | -0.000 |
| 0.098 | 0.192 | 0.098 | -0.000 | -0.000 | 0.000 |
| 0.098 | 0.098 | 0.192 | -0.000 | -0.000 | -0.000 |
| 0.000 | -0.000 | -0.000 | 0.098 | -0.000 | 0.000 |
| -0.000 | 0.000 | -0.000 | -0.000 | 0.098 | -0.000 |
| -0.000 | -0.000 | 0.000 | -0.000 | -0.000 | 0.098 |
| 0.190 | 0.099 | 0.099 | 0.000 | -0.000 | 0.000 |
| 0.099 | 0.190 | 0.099 | 0.000 | -0.000 | 0.000 |
| 0.099 | 0.099 | 0.190 | 0.000 | 0.000 | -0.000 |
| -0.000 | 0.000 | 0.000 | 0.096 | 0.000 | 0.000 |
| 0.000 | -0.000 | 0.000 | 0.000 | 0.096 | 0.000 |
| 0.000 | 0.000 | -0.000 | 0.000 | -0.000 | 0.096 |
| 0.192 | 0.098 | 0.098 | -0.000 | -0.000 | -0.000 |
| 0.098 | 0.192 | 0.098 | -0.000 | -0.000 | 0.000 |
| 0.098 | 0.098 | 0.192 | 0.000 | 0.000 | -0.000 |
| 0.000 | -0.000 | -0.000 | 0.098 | 0.000 | -0.000 |
| -0.000 | 0.000 | -0.000 | -0.000 | 0.098 | -0.000 |
| -0.000 | -0.000 | 0.000 | 0.000 | 0.000 | 0.098 |
| 0.190 | 0.099 | 0.099 | 0.000 | -0.000 | -0.000 |
| 0.099 | 0.190 | 0.099 | 0.000 | -0.000 | 0.000 |
| 0.099 | 0.099 | 0.190 | 0.000 | 0.000 | -0.000 |
| -0.000 | 0.000 | 0.000 | 0.096 | 0.000 | 0.000 |
| 0.000 | -0.000 | 0.000 | 0.000 | 0.096 | 0.000 |
| 0.000 | 0.000 | -0.000 | 0.000 | -0.000 | 0.096 |
| 0.190 | 0.099 | 0.099 | -0.000 | 0.000 | -0.000 |
| 0.099 | 0.190 | 0.099 | -0.000 | 0.000 | 0.000 |
| 0.099 | 0.099 | 0.190 | -0.000 | 0.000 | -0.000 |
| 0.000 | -0.000 | -0.000 | 0.096 | 0.000 | 0.000 |
| -0.000 | 0.000 | -0.000 | -0.000 | 0.096 | -0.000 |
| -0.000 | -0.000 | 0.000 | -0.000 | 0.000 | 0.096 |
| 188.518 | 197.059 | 197.059 | 0.000 | -0.000 | -0.000 |
| 197.059 | 188.518 | 197.059 | -0.000 | 0.000 | -0.000 |
| 197.059 | 197.059 | 188.518 | -0.000 | 0.000 | -0.000 |
| 0.000 | 0.000 | 0.000 | 146.543 | -0.000 | -0.000 |
| 0.000 | 0.000 | 0.000 | -0.000 | 146.543 | -0.000 |
| 0.000 | 0.000 | 0.000 | -0.000 | -0.000 | 174.511 |
| 188.518 | 197.059 | 197.059 | 0.000 | 0.000 | 0.000 |
| 197.059 | 188.518 | 197.059 | 0.000 | 0.000 | 0.000 |
| 197.059 | 197.059 | 188.518 | 0.000 | 0.000 | -0.000 |
| -0.000 | -0.000 | -0.000 | 146.543 | -0.000 | 0.000 |
| -0.000 | -0.000 | -0.000 | -0.000 | 146.543 | 0.000 |
| -0.000 | -0.000 | -0.000 | -0.000 | -0.000 | 174.511 |
| 188.518 | 197.059 | 197.059 | 0.000 | 0.000 | 0.000 |
| 197.059 | 188.518 | 197.059 | 0.000 | -0.000 | -0.000 |
| 197.059 | 197.059 | 188.518 | 0.000 | -0.000 | -0.000 |
| 0.000 | 0.000 | 0.000 | 174.511 | 0.000 | -0.000 |
| 0.000 | 0.000 | 0.000 | -0.000 | 174.511 | -0.000 |
| 0.000 | 0.000 | 0.000 | -0.000 | 0.000 | 174.511 |
| 188.518 | 197.059 | 197.059 | 0.000 | 0.000 | 0.000 |
| 197.059 | 188.518 | 197.059 | 0.000 | 0.000 | 0.000 |
| 197.059 | 197.059 | 188.518 | 0.000 | -0.000 | 0.000 |
| -0.000 | -0.000 | -0.000 | 174.511 | -0.000 | 0.000 |
| -0.000 | -0.000 | -0.000 | -0.000 | 174.511 | -0.000 |
| -0.000 | -0.000 | -0.000 | 0.000 | 0.000 | 174.511 |
| 188.518 | 197.059 | 197.059 | -0.000 | 0.000 | 0.000 |
| 197.059 | 188.518 | 197.059 | -0.000 | -0.000 | 0.000 |
| 197.059 | 197.059 | 188.518 | 0.000 | -0.000 | -0.000 |
| 0.000 | -0.000 | 0.000 | 146.543 | 0.000 | -0.000 |
| -0.000 | 0.000 | 0.000 | 0.000 | 146.543 | -0.000 |
| -0.000 | 0.000 | 0.000 | -0.000 | 0.000 | 146.543 |
| 188.519 | 197.058 | 197.058 | -0.000 | -0.000 | 0.000 |
| 197.058 | 188.519 | 197.058 | -0.000 | 0.000 | 0.000 |
| 197.058 | 197.058 | 188.519 | -0.000 | -0.000 | 0.000 |
| -0.000 | 0.000 | -0.000 | 146.543 | -0.000 | 0.000 |
| 0.000 | -0.000 | -0.000 | 0.000 | 146.543 | 0.000 |
| 0.000 | -0.000 | -0.000 | 0.000 | 0.000 | 146.543 |
| 0.000 | 0.000 | 0.000 | 0.000 | 0.000 | 0.000 |
| 0.000 | 0.000 | 0.000 | 0.000 | 0.000 | 0.000 |
| 0.000 | 0.000 | 0.000 | 0.000 | 0.000 | 0.000 |
| 0.000 | 0.000 | 0.000 | 0.000 | 0.000 | 0.000 |
| 0.000 | 0.000 | 0.000 | 0.000 | 0.000 | 0.000 |
| 0.000 | 0.000 | 0.000 | 0.000 | 0.000 | 0.000 |
| 0.000 | 0.000 | 0.000 | -0.000 | -0.000 | -0.000 |
| 0.000 | 0.000 | 0.000 | -0.000 | -0.000 | -0.000 |
| 0.000 | 0.000 | 0.000 | -0.000 | -0.000 | -0.000 |
| -0.000 | -0.000 | -0.000 | 0.000 | -0.000 | -0.000 |
| -0.000 | -0.000 | -0.000 | -0.000 | 0.000 | -0.000 |
| -0.000 | -0.000 | -0.000 | -0.000 | -0.000 | 0.000 |
| 0.000 | 0.000 | 0.000 | 0.000 | 0.000 | 0.000 |
| 0.000 | 0.000 | 0.000 | 0.000 | 0.000 | 0.000 |
| 0.000 | 0.000 | 0.000 | 0.000 | 0.000 | 0.000 |
| 0.000 | 0.000 | 0.000 | 0.000 | 0.000 | 0.000 |
| 0.000 | 0.000 | 0.000 | 0.000 | 0.000 | 0.000 |
| 0.000 | 0.000 | 0.000 | 0.000 | 0.000 | 0.000 |
| 0.000 | 0.000 | 0.000 | -0.000 | 0.000 | -0.000 |
| 0.000 | 0.000 | 0.000 | 0.000 | -0.000 | -0.000 |
| 0.000 | 0.000 | 0.000 | -0.000 | -0.000 | -0.000 |
| -0.000 | -0.000 | -0.000 | 0.000 | -0.000 | -0.000 |
| -0.000 | -0.000 | -0.000 | -0.000 | 0.000 | -0.000 |
| -0.000 | -0.000 | -0.000 | -0.000 | -0.000 | 0.000 |
| 0.000 | 0.000 | 0.000 | 0.000 | 0.000 | 0.000 |
| 0.000 | 0.000 | 0.000 | 0.000 | 0.000 | 0.000 |
| 0.000 | 0.000 | 0.000 | 0.000 | 0.000 | -0.000 |
| 0.000 | 0.000 | 0.000 | 0.000 | 0.000 | 0.000 |
| 0.000 | 0.000 | 0.000 | 0.000 | 0.000 | 0.000 |
| 0.000 | 0.000 | 0.000 | 0.000 | 0.000 | 0.000 |
| 0.000 | 0.000 | 0.000 | -0.000 | -0.000 | -0.000 |
| 0.000 | 0.000 | 0.000 | -0.000 | -0.000 | -0.000 |
| 0.000 | 0.000 | 0.000 | -0.000 | -0.000 | -0.000 |
| -0.000 | -0.000 | -0.000 | 0.000 | -0.000 | -0.000 |
| -0.000 | -0.000 | -0.000 | -0.000 | 0.000 | -0.000 |
| -0.000 | -0.000 | -0.000 | -0.000 | -0.000 | 0.000 |
| 242.742 | 189.083 | 189.083 | 0.000 | 0.000 | 0.000 |
| 189.083 | 242.742 | 189.083 | 0.000 | 0.000 | 0.000 |
| 189.083 | 189.083 | 242.742 | 0.000 | 0.000 | 0.000 |
| 0.000 | 0.000 | 0.000 | 172.089 | 0.000 | 0.000 |
| 0.000 | 0.000 | 0.000 | 0.000 | 172.089 | 0.000 |
| 0.000 | 0.000 | 0.000 | 0.000 | 0.000 | 172.089 |
| 242.742 | 189.083 | 189.083 | -0.000 | -0.000 | -0.000 |
| 189.083 | 242.742 | 189.083 | -0.000 | -0.000 | -0.000 |
| 189.083 | 189.083 | 242.742 | -0.000 | -0.000 | 0.000 |
| 0.000 | -0.000 | -0.000 | 172.089 | -0.000 | 0.000 |
| -0.000 | -0.000 | -0.000 | -0.000 | 172.089 | -0.000 |
| -0.000 | -0.000 | -0.000 | -0.000 | -0.000 | 172.089 |
| 242.743 | 189.083 | 189.083 | 0.000 | 0.000 | 0.000 |
| 189.083 | 242.743 | 189.083 | 0.000 | 0.000 | 0.000 |
| 189.083 | 189.083 | 242.743 | 0.000 | 0.000 | 0.000 |
| 0.000 | 0.000 | 0.000 | 172.089 | 0.000 | -0.000 |
| 0.000 | 0.000 | 0.000 | 0.000 | 172.089 | 0.000 |
| 0.000 | 0.000 | 0.000 | 0.000 | 0.000 | 172.089 |
| 242.742 | 189.083 | 189.083 | -0.000 | -0.000 | -0.000 |
| 189.083 | 242.742 | 189.083 | -0.000 | -0.000 | -0.000 |
| 189.083 | 189.083 | 242.742 | -0.000 | -0.000 | -0.000 |
| -0.000 | -0.000 | -0.000 | 172.089 | -0.000 | -0.000 |
| -0.000 | -0.000 | -0.000 | -0.000 | 172.089 | -0.000 |
| -0.000 | -0.000 | -0.000 | -0.000 | -0.000 | 172.089 |
| 242.744 | 189.084 | 189.084 | 0.000 | 0.000 | 0.000 |
| 189.084 | 242.744 | 189.084 | 0.000 | 0.000 | 0.000 |
| 189.084 | 189.084 | 242.744 | 0.000 | 0.000 | 0.000 |
| 0.000 | 0.001 | 0.001 | 172.089 | 0.000 | -0.000 |
| 0.001 | 0.000 | 0.001 | 0.000 | 172.089 | 0.000 |
| 0.001 | 0.001 | 0.000 | 0.000 | 0.000 | 172.089 |
| 242.741 | 189.081 | 189.081 | -0.000 | -0.000 | -0.000 |
| 189.081 | 242.741 | 189.081 | -0.000 | -0.000 | -0.000 |
| 189.081 | 189.081 | 242.741 | -0.000 | -0.000 | -0.000 |
| -0.000 | -0.001 | -0.001 | 172.089 | -0.000 | -0.000 |
| -0.001 | -0.000 | -0.001 | -0.000 | 172.089 | -0.000 |
| -0.001 | -0.001 | -0.000 | -0.000 | -0.000 | 172.089 |
| 0.000 | 0.000 | 0.000 | -0.000 | 0.000 | 0.000 |
| 0.000 | 0.000 | 0.000 | 0.000 | -0.000 | 0.000 |
| 0.000 | 0.000 | 0.000 | 0.000 | 0.000 | -0.000 |
| -0.000 | 0.000 | 0.000 | 0.000 | 0.000 | 0.000 |
| 0.000 | -0.000 | 0.000 | 0.000 | 0.000 | 0.000 |
| 0.000 | 0.000 | -0.000 | 0.000 | 0.000 | 0.000 |
| 0.000 | 0.000 | 0.000 | 0.000 | -0.000 | -0.000 |
| 0.000 | 0.000 | 0.000 | -0.000 | 0.000 | -0.000 |
| 0.000 | 0.000 | 0.000 | -0.000 | -0.000 | 0.000 |
| 0.000 | -0.000 | -0.000 | 0.000 | -0.000 | -0.000 |
| -0.000 | 0.000 | -0.000 | -0.000 | 0.000 | -0.000 |
| -0.000 | -0.000 | 0.000 | -0.000 | -0.000 | 0.000 |
| 0.000 | 0.000 | 0.000 | -0.000 | 0.000 | 0.000 |
| 0.000 | 0.000 | 0.000 | 0.000 | -0.000 | 0.000 |
| 0.000 | 0.000 | 0.000 | 0.000 | 0.000 | -0.000 |
| -0.000 | 0.000 | 0.000 | 0.000 | 0.000 | 0.000 |
| 0.000 | -0.000 | 0.000 | 0.000 | 0.000 | 0.000 |
| 0.000 | 0.000 | -0.000 | 0.000 | 0.000 | 0.000 |
| 0.000 | 0.000 | 0.000 | 0.000 | -0.000 | -0.000 |
| 0.000 | 0.000 | 0.000 | -0.000 | 0.000 | -0.000 |
| 0.000 | 0.000 | 0.000 | -0.000 | -0.000 | 0.000 |
| 0.000 | -0.000 | -0.000 | 0.000 | -0.000 | -0.000 |
| -0.000 | 0.000 | -0.000 | -0.000 | 0.000 | -0.000 |
| -0.000 | -0.000 | 0.000 | -0.000 | -0.000 | 0.000 |
| 0.000 | 0.000 | 0.000 | -0.000 | 0.000 | 0.000 |
| 0.000 | 0.000 | 0.000 | 0.000 | -0.000 | 0.000 |
| 0.000 | 0.000 | 0.000 | 0.000 | 0.000 | -0.000 |
| -0.000 | 0.000 | 0.000 | 0.000 | 0.000 | 0.000 |
| 0.000 | -0.000 | 0.000 | 0.000 | 0.000 | 0.000 |
| 0.000 | 0.000 | -0.000 | 0.000 | 0.000 | 0.000 |
| 0.000 | 0.000 | 0.000 | 0.000 | -0.000 | -0.000 |
| 0.000 | 0.000 | 0.000 | -0.000 | 0.000 | -0.000 |
| 0.000 | 0.000 | 0.000 | -0.000 | -0.000 | 0.000 |
| 0.000 | -0.000 | -0.000 | 0.000 | -0.000 | -0.000 |
| -0.000 | 0.000 | -0.000 | -0.000 | 0.000 | -0.000 |
| -0.000 | -0.000 | 0.000 | -0.000 | -0.000 | 0.000 |
| 380.021 | 174.550 | 259.319 | -0.000 | -0.000 | -0.000 |
| 969.115 | 156.756 | 1014.590 | -0.000 | -0.000 | -0.000 |
| 258.866 | 36.071 | 412.158 | -0.000 | -0.000 | 0.000 |
| 789.035 | -77.955 | 971.737 | 5.503 | -0.000 | -0.000 |
| 789.021 | -77.954 | 971.720 | -0.000 | 161.881 | -0.000 |
| 789.021 | -77.954 | 971.720 | -0.000 | 0.000 | 146.939 |
| -444.011 | 255.963 | -755.518 | 0.000 | 0.000 | 0.000 |
| 176.635 | 235.051 | 38.610 | -0.000 | 0.000 | 0.000 |
| -573.273 | 118.285 | -612.664 | 0.000 | -0.000 | 0.000 |
| -789.035 | 77.955 | -971.737 | 5.503 | -0.000 | 0.000 |
| -789.021 | 77.954 | -971.720 | 0.000 | 161.881 | 0.000 |
| -789.021 | 77.954 | -971.720 | -0.000 | 0.000 | 146.939 |
| 380.021 | 174.550 | 259.319 | 0.000 | -0.000 | -0.000 |
| 176.635 | 235.051 | 38.610 | -0.000 | -0.000 | -0.000 |
| 294.650 | 32.536 | 456.228 | 0.000 | -0.000 | -0.000 |
| 79.040 | -7.809 | 97.342 | 5.503 | -0.000 | -0.000 |
| 0.000 | 0.000 | 0.000 | -0.000 | 226.638 | -0.000 |
| 0.000 | 0.000 | 0.000 | -0.000 | -0.000 | 146.939 |
| 266.108 | 185.804 | 119.030 | 0.000 | 0.000 | 0.000 |
| 101.192 | 242.505 | -54.302 | 0.000 | 0.000 | 0.000 |
| 258.865 | 36.071 | 412.157 | 0.000 | 0.000 | 0.000 |
| -79.040 | 7.809 | -97.342 | 5.503 | 0.000 | 0.000 |
| -0.000 | -0.000 | -0.000 | -0.000 | 226.638 | 0.000 |
| -0.000 | -0.000 | -0.000 | 0.000 | 0.000 | 146.939 |
| 352.901 | 177.230 | 225.920 | -0.000 | -0.000 | -0.000 |
| 187.985 | 233.931 | 52.587 | 0.000 | -0.000 | -0.000 |
| 223.638 | 39.552 | 368.772 | 0.000 | 0.000 | -0.000 |
| 9.260 | -0.915 | 11.404 | 5.446 | 0.000 | -0.000 |
| 7.890 | -0.779 | 9.717 | 0.000 | 161.882 | -0.000 |
| 7.890 | -0.779 | 9.717 | -0.000 | -0.000 | 146.939 |
| 337.121 | 178.788 | 206.485 | 0.000 | -0.000 | 0.000 |
| 172.203 | 235.489 | 33.153 | 0.000 | 0.000 | 0.000 |
| 207.859 | 41.110 | 349.341 | 0.000 | 0.000 | 0.000 |
| -9.260 | 0.915 | -11.404 | 5.446 | -0.000 | 0.000 |
| -7.890 | 0.779 | -9.717 | 0.000 | 161.882 | 0.000 |
| -7.890 | 0.779 | -9.717 | 0.000 | -0.000 | 146.939 |
| 387.319 | 173.454 | 248.117 | 0.000 | 0.000 | -0.000 |
| -374.430 | 286.708 | -608.087 | 0.000 | -0.000 | -0.000 |
| 248.117 | 35.893 | 401.949 | 0.000 | 0.000 | -0.000 |
| -0.000 | 0.000 | -0.000 | 7.488 | 0.000 | -0.000 |
| 0.000 | 0.000 | 0.000 | 0.000 | 219.814 | -0.000 |
| -0.000 | 0.000 | 0.000 | 0.000 | 0.000 | 145.114 |
| 387.319 | 173.454 | 248.117 | -0.000 | -0.000 | -0.000 |
| 173.454 | 229.960 | 35.893 | 0.000 | 0.000 | 0.000 |
| 248.117 | 35.893 | 401.948 | -0.000 | -0.000 | 0.000 |
| 0.000 | -0.000 | 0.000 | 7.488 | -0.000 | -0.000 |
| -0.000 | -0.000 | -0.000 | -0.000 | 219.814 | 0.000 |
| -0.000 | -0.000 | -0.000 | -0.000 | -0.000 | 145.114 |
| 299.832 | 182.516 | 145.286 | -0.000 | 0.000 | -0.000 |
| 121.682 | 235.323 | -24.959 | 0.000 | -0.000 | 0.000 |
| 154.954 | 45.543 | 292.446 | 0.000 | 0.000 | -0.000 |
| -0.000 | -0.000 | -0.000 | 7.488 | 0.000 | -0.000 |
| -62.372 | 6.460 | -73.312 | 0.000 | 182.958 | 0.000 |
| -0.000 | 0.000 | 0.000 | 0.000 | 0.000 | 145.114 |
| 387.319 | 173.454 | 248.116 | -0.000 | -0.000 | 0.000 |
| 231.930 | 223.904 | 104.625 | 0.000 | 0.000 | 0.000 |
| 265.201 | 34.124 | 422.030 | -0.000 | -0.000 | 0.000 |
| 0.000 | 0.000 | 0.000 | 7.488 | -0.000 | 0.000 |
| 62.372 | -6.460 | 73.312 | -0.000 | 182.958 | -0.000 |
| 0.000 | -0.000 | -0.000 | -0.000 | -0.000 | 145.114 |
| 349.444 | 177.378 | 203.599 | 0.000 | 0.000 | -0.000 |
| 173.455 | 229.961 | 35.894 | 0.000 | 0.000 | -0.000 |
| 204.567 | 40.404 | 350.760 | 0.000 | 0.000 | -0.000 |
| -7.369 | 0.763 | -8.661 | 7.032 | -0.000 | -0.000 |
| -9.818 | 1.017 | -11.539 | 0.000 | 161.798 | -0.000 |
| -0.000 | 0.000 | 0.000 | 0.000 | 0.000 | 145.114 |
| 360.469 | 176.234 | 216.556 | -0.000 | -0.000 | 0.000 |
| 182.318 | 229.042 | 46.312 | -0.000 | 0.000 | 0.000 |
| 215.588 | 39.262 | 363.714 | -0.000 | 0.000 | 0.000 |
| 7.369 | -0.763 | 8.661 | 7.032 | 0.000 | 0.000 |
| 9.818 | -1.017 | 11.539 | -0.000 | 161.798 | 0.000 |
| 0.000 | -0.000 | -0.000 | -0.000 | -0.000 | 145.114 |
| 218.474 | 91.602 | 138.041 | 72.865 | 0.000 | 0.000 |
| 91.602 | 218.474 | 138.041 | -72.865 | -0.000 | -0.000 |
| 574.745 | 574.745 | 2062.586 | 0.000 | -0.000 | -0.000 |
| 72.865 | -72.865 | 0.000 | 105.059 | 0.000 | 0.000 |
| 0.000 | -0.000 | 0.000 | 0.000 | 105.059 | 72.865 |
| -0.000 | 0.000 | 0.000 | 0.000 | 72.865 | 63.436 |
| 218.474 | 91.602 | 138.041 | 72.865 | 0.000 | -0.000 |
| 91.602 | 218.474 | 138.041 | -72.865 | 0.000 | -0.000 |
| 135.478 | 135.478 | 526.479 | 0.000 | -0.000 | -0.000 |
| -402.186 | -536.790 | -1641.792 | 95.961 | 0.000 | 0.000 |
| 0.000 | 0.000 | -0.000 | -0.000 | 105.059 | 72.865 |
| 0.000 | -0.000 | -0.000 | -0.000 | 72.865 | 63.436 |
| 218.475 | 91.602 | 138.041 | 72.865 | 0.000 | -0.000 |
| 91.603 | 218.474 | 138.041 | -72.865 | -0.000 | 0.000 |
| 152.325 | 152.325 | 585.390 | 0.000 | 0.000 | 0.000 |
| 115.398 | -18.898 | 168.730 | 95.709 | 0.000 | 0.000 |
| 0.000 | 0.000 | 0.000 | 0.000 | 105.059 | 72.865 |
| 0.000 | 0.000 | 0.000 | 0.000 | 72.865 | 63.436 |
| 218.474 | 91.602 | 138.041 | 72.865 | -0.000 | -0.000 |
| 91.602 | 218.474 | 138.041 | -72.865 | 0.000 | 0.000 |
| 135.478 | 135.478 | 526.478 | 0.000 | 0.000 | -0.000 |
| -1.088 | -92.783 | -164.133 | 60.875 | 0.000 | -0.000 |
| -0.000 | -0.000 | -0.000 | -0.000 | 105.059 | 72.865 |
| -0.000 | -0.000 | -0.000 | -0.000 | 72.865 | 63.436 |
| 203.196 | 90.536 | 109.457 | 61.242 | 0.000 | 0.000 |
| 91.603 | 218.477 | 138.041 | -72.865 | -0.000 | -0.000 |
| 110.083 | 110.083 | 437.671 | -0.000 | -0.000 | 0.000 |
| 70.583 | -45.899 | 43.160 | 81.143 | -0.000 | 0.000 |
| 0.000 | 0.000 | 0.001 | 0.001 | 105.059 | 72.865 |
| 0.000 | 0.001 | 0.000 | 0.000 | 72.865 | 63.436 |
| 199.651 | 80.447 | 85.629 | 66.597 | 0.000 | -0.000 |
| 91.602 | 218.472 | 138.041 | -72.864 | 0.000 | -0.000 |
| 100.684 | 100.684 | 404.804 | 0.000 | 0.000 | 0.000 |
| 45.899 | -70.583 | -43.160 | 81.144 | -0.000 | -0.000 |
| -0.000 | -0.000 | -0.001 | -0.001 | 105.059 | 72.865 |
| -0.000 | -0.001 | -0.000 | -0.000 | 72.865 | 63.436 |
| 214.350 | 89.541 | 118.987 | 63.954 | -0.000 | -0.000 |
| 150.690 | 267.235 | 324.397 | -57.600 | 0.000 | -0.000 |
| 151.281 | 151.281 | 570.951 | 0.000 | -0.000 | -0.000 |
| 124.416 | 9.304 | 240.871 | 82.258 | 0.000 | -0.000 |
| 0.000 | 0.000 | 0.000 | 0.000 | 92.096 | 63.954 |
| 65.775 | 65.775 | 236.961 | 0.000 | 32.966 | 42.253 |
| 214.349 | 89.541 | 118.987 | 63.954 | -0.000 | 0.000 |
| 89.541 | 214.349 | 118.987 | -63.954 | 0.000 | 0.000 |
| 19.730 | 19.730 | 97.029 | -0.000 | -0.000 | 0.000 |
| -9.304 | -124.416 | -240.871 | 82.258 | 0.000 | 0.000 |
| -0.000 | -0.000 | -0.000 | -0.000 | 92.096 | 63.954 |
| -65.775 | -65.775 | -236.961 | -0.000 | 32.966 | 42.253 |
| 214.350 | 89.541 | 118.987 | 63.954 | 0.000 | -0.000 |
| 89.541 | 214.350 | 118.987 | -63.954 | 0.000 | -0.000 |
| 118.985 | 118.985 | 454.603 | 0.000 | -0.000 | -0.000 |
| 63.954 | -63.954 | 0.000 | 92.096 | 0.000 | -0.000 |
| 0.000 | 0.000 | 0.000 | 0.000 | 92.096 | 63.954 |
| 0.000 | 0.000 | 0.000 | 0.000 | 63.954 | 62.404 |
| 214.349 | 89.541 | 118.986 | 63.954 | 0.000 | 0.000 |
| 76.388 | 192.055 | 55.135 | -56.925 | -0.000 | 0.000 |
| 78.928 | 78.928 | 310.294 | -0.000 | 0.000 | 0.000 |
| 36.089 | -64.568 | -51.298 | 71.144 | 0.000 | 0.000 |
| -0.000 | -0.000 | -0.000 | -0.000 | 92.096 | 63.954 |
| -0.000 | -0.000 | -0.000 | -0.000 | 63.954 | 62.404 |
| 214.353 | 89.541 | 118.987 | 63.954 | -0.000 | -0.000 |
| 83.326 | 196.935 | 76.418 | -55.342 | -0.000 | -0.000 |
| 86.163 | 86.163 | 336.360 | 0.000 | -0.000 | -0.000 |
| 63.954 | -63.954 | 0.001 | 92.096 | -0.000 | -0.000 |
| 0.000 | 0.000 | 0.001 | 0.001 | 92.096 | 63.954 |
| 0.000 | 0.001 | 0.000 | 0.000 | 63.954 | 62.404 |
| 196.313 | 82.019 | 72.954 | 55.872 | 0.000 | 0.000 |
| 82.018 | 196.316 | 72.958 | -55.872 | -0.000 | 0.000 |
| 84.848 | 84.848 | 331.620 | -0.000 | 0.000 | 0.000 |
| 63.954 | -63.954 | -0.001 | 92.097 | 0.000 | 0.000 |
| -0.000 | -0.000 | -0.001 | -0.001 | 92.096 | 63.954 |
| -0.000 | -0.001 | -0.000 | -0.000 | 63.954 | 62.404 |
| 174.994 | 260.691 | 107.586 | -0.000 | -0.000 | 0.000 |
| 260.691 | 174.994 | 107.586 | -0.000 | -0.000 | 0.000 |
| 107.586 | 107.586 | 200.634 | -0.000 | -0.000 | 0.000 |
| 0.000 | 0.000 | 0.000 | 81.346 | -0.000 | 0.000 |
| 0.000 | 0.000 | 0.000 | -0.000 | 81.346 | 0.000 |
| 0.000 | 0.000 | -0.000 | -0.000 | -0.000 | 229.453 |
| 184.835 | 250.850 | 107.586 | 0.000 | 0.000 | -0.000 |
| 250.850 | 184.835 | 107.586 | 0.000 | 0.000 | 0.000 |
| 107.586 | 107.586 | 200.634 | 0.000 | 0.000 | 0.000 |
| 0.000 | -0.000 | -0.000 | 81.346 | 0.000 | -0.000 |
| -0.000 | -0.000 | -0.000 | 0.000 | 81.346 | -0.000 |
| -0.000 | -0.000 | 0.000 | 0.000 | 0.000 | 229.453 |
| 184.835 | 250.850 | 107.586 | -0.000 | -0.000 | 0.000 |
| 250.850 | 184.835 | 107.586 | -0.000 | -0.000 | 0.000 |
| 107.586 | 107.586 | 200.634 | -0.000 | -0.000 | 0.000 |
| 0.000 | 0.000 | 0.000 | 86.558 | -0.000 | 0.000 |
| 0.000 | 0.000 | 0.000 | -0.000 | 86.558 | 0.000 |
| 0.000 | 0.000 | 0.000 | -0.000 | -0.000 | 229.453 |
| 174.993 | 260.691 | 107.586 | 0.000 | 0.000 | -0.000 |
| 260.691 | 174.993 | 107.586 | 0.000 | 0.000 | -0.000 |
| 107.586 | 107.586 | 200.634 | 0.000 | 0.000 | 0.000 |
| -0.000 | -0.000 | -0.000 | 86.558 | 0.000 | -0.000 |
| -0.000 | -0.000 | -0.000 | -0.000 | 86.558 | -0.000 |
| -0.000 | -0.000 | -0.000 | 0.000 | 0.000 | 229.453 |
| 184.836 | 250.852 | 107.587 | -0.000 | -0.000 | -0.000 |
| 250.852 | 184.836 | 107.587 | -0.000 | -0.000 | -0.000 |
| 107.587 | 107.587 | 200.634 | -0.000 | -0.000 | -0.000 |
| 0.000 | 0.000 | 0.000 | 81.346 | -0.000 | 0.000 |
| 0.000 | 0.000 | 0.000 | -0.000 | 81.346 | 0.000 |
| 0.001 | 0.001 | 0.000 | -0.000 | -0.000 | 229.453 |
| 174.993 | 260.690 | 107.586 | 0.000 | 0.000 | -0.000 |
| 260.690 | 174.993 | 107.586 | 0.000 | 0.000 | -0.000 |
| 107.586 | 107.586 | 200.635 | 0.000 | 0.000 | 0.000 |
| -0.000 | -0.000 | -0.000 | 81.346 | 0.000 | 0.000 |
| -0.000 | -0.000 | -0.000 | 0.000 | 81.346 | -0.000 |
| -0.001 | -0.001 | -0.000 | 0.000 | 0.000 | 229.453 |
| -198.623 | -309.633 | -420.996 | -0.000 | -0.000 | -0.000 |
| 142.260 | 390.692 | 59.039 | -0.000 | 0.000 | -0.000 |
| -461.456 | -461.456 | -189.264 | -0.000 | -0.000 | -0.000 |
| -519.273 | -519.273 | -478.810 | 39.454 | -0.000 | -0.000 |
| -519.295 | -519.295 | -478.829 | -0.000 | 39.454 | -0.000 |
| 0.000 | 0.000 | 0.000 | 0.000 | -0.000 | 124.216 |
| 844.255 | 724.612 | 536.636 | 0.000 | 0.000 | 0.000 |
| 142.260 | 390.692 | 59.039 | 0.000 | 0.000 | 0.000 |
| 577.064 | 577.064 | 768.330 | 0.000 | 0.000 | 0.000 |
| 519.273 | 519.273 | 478.810 | 39.454 | 0.000 | 0.000 |
| 519.295 | 519.295 | 478.829 | -0.000 | 39.454 | 0.000 |
| -0.000 | -0.000 | -0.000 | -0.000 | 0.000 | 124.216 |
| 390.693 | 142.260 | 59.039 | -0.000 | -0.000 | -0.000 |
| 157.716 | 268.724 | 9.934 | -0.000 | -0.000 | -0.000 |
| 5.878 | 5.878 | 241.654 | -0.000 | -0.000 | -0.000 |
| 0.000 | 0.000 | 0.000 | 41.439 | -0.000 | -0.000 |
| -51.926 | -51.926 | -47.880 | -0.000 | 39.454 | -0.000 |
| -52.138 | -52.138 | -48.076 | 0.000 | -0.000 | 114.090 |
| 431.367 | 203.193 | 105.885 | -0.000 | -0.000 | 0.000 |
| 257.266 | 376.909 | 105.708 | 0.000 | 0.000 | 0.000 |
| 109.730 | 109.730 | 337.412 | 0.000 | 0.000 | 0.000 |
| -0.000 | -0.000 | -0.000 | 41.439 | 0.000 | 0.000 |
| 51.926 | 51.926 | 47.880 | 0.000 | 39.454 | 0.000 |
| 52.138 | 52.138 | 48.076 | -0.000 | -0.000 | 114.090 |
| 390.697 | 142.261 | 59.040 | -0.000 | -0.000 | 0.000 |
| 199.980 | 319.520 | 52.835 | 0.000 | 0.000 | -0.000 |
| 52.613 | 52.613 | 284.749 | 0.000 | -0.000 | -0.000 |
| 0.000 | 0.000 | 0.001 | 41.439 | -0.000 | -0.000 |
| 0.000 | 0.000 | 0.001 | -0.000 | 41.439 | 0.000 |
| -7.141 | -7.140 | -6.585 | -0.000 | -0.000 | 110.347 |
| 330.328 | 210.963 | 62.886 | 0.000 | -0.000 | 0.000 |
| 165.088 | 380.480 | 64.858 | -0.000 | 0.000 | 0.000 |
| 62.995 | 62.995 | 294.317 | -0.000 | 0.000 | 0.000 |
| -0.000 | -0.000 | -0.001 | 41.439 | 0.000 | 0.000 |
| -0.000 | -0.000 | -0.001 | 0.000 | 41.439 | 0.000 |
| 7.141 | 7.140 | 6.585 | 0.000 | 0.000 | 110.347 |
| 349.204 | 172.916 | 54.178 | -0.000 | -0.000 | -0.000 |
| 141.908 | 389.867 | 58.721 | -0.000 | 0.000 | -0.000 |
| 57.449 | 57.449 | 288.349 | -0.000 | -0.000 | -0.000 |
| 0.000 | 0.000 | 0.000 | 41.240 | -0.000 | -0.000 |
| -0.000 | -0.000 | -0.000 | -0.000 | 39.129 | -0.000 |
| 0.000 | 0.000 | -0.000 | -0.000 | -0.000 | 123.980 |
| 389.867 | 141.908 | 58.721 | -0.000 | 0.000 | 0.000 |
| 204.940 | 322.843 | 56.843 | 0.000 | 0.000 | 0.000 |
| 58.721 | 58.721 | 289.546 | 0.000 | 0.000 | -0.000 |
| 0.000 | -0.000 | -0.000 | 41.240 | 0.000 | 0.000 |
| 0.000 | 0.000 | 0.000 | 0.000 | 39.129 | 0.000 |
| -0.000 | -0.000 | -0.000 | 0.000 | 0.000 | 123.980 |
| 389.868 | 141.908 | 58.721 | -0.000 | 0.000 | -0.000 |
| 204.941 | 322.843 | 56.843 | -0.000 | -0.000 | -0.000 |
| 58.721 | 58.721 | 289.546 | 0.000 | 0.000 | 0.000 |
| 0.000 | 0.000 | 0.000 | 41.240 | 0.000 | -0.000 |
| -0.000 | 0.000 | 0.000 | -0.000 | 39.129 | -0.000 |
| 0.000 | 0.000 | 0.000 | -0.000 | -0.000 | 123.980 |
| 389.867 | 141.908 | 58.721 | 0.000 | -0.000 | -0.000 |
| 141.908 | 389.867 | 58.721 | 0.000 | -0.000 | 0.000 |
| 58.721 | 58.721 | 289.545 | -0.000 | -0.000 | -0.000 |
| -0.000 | -0.000 | -0.000 | 41.240 | 0.000 | 0.000 |
| 0.000 | -0.000 | -0.000 | 0.000 | 39.129 | 0.000 |
| -0.000 | -0.000 | -0.000 | 0.000 | -0.000 | 123.980 |
| 389.872 | 141.908 | 58.721 | -0.000 | 0.000 | 0.000 |
| 141.909 | 389.871 | 58.721 | -0.000 | -0.000 | -0.000 |
| 58.722 | 58.722 | 289.549 | 0.000 | 0.000 | 0.000 |
| 0.001 | -0.000 | 0.001 | 39.129 | -0.000 | -0.000 |
| -0.000 | 0.001 | 0.001 | -0.000 | 39.129 | 0.000 |
| 0.000 | 0.001 | 0.000 | -0.000 | 0.000 | 123.980 |
| 389.863 | 141.908 | 58.721 | 0.000 | -0.000 | 0.000 |
| 204.950 | 322.831 | 56.844 | 0.000 | 0.000 | 0.000 |
| 58.720 | 58.720 | 289.542 | 0.000 | 0.000 | -0.000 |
| -0.001 | 0.000 | -0.001 | 39.129 | -0.000 | 0.000 |
| 0.000 | -0.001 | -0.001 | 0.000 | 39.129 | 0.000 |
| -0.000 | -0.001 | -0.000 | 0.000 | -0.000 | 123.980 |
| 447.968 | 146.286 | 299.111 | -0.000 | -0.000 | 0.000 |
| 146.286 | 447.968 | 299.111 | -0.000 | -0.000 | 0.000 |
| 255.593 | 255.593 | 316.248 | -0.000 | -0.000 | 0.000 |
| 0.000 | 0.000 | 0.000 | 288.117 | -0.000 | 0.000 |
| 0.000 | 0.000 | 0.000 | -0.000 | 288.117 | 0.000 |
| -1.838 | -1.838 | -1.841 | -0.000 | -0.000 | 133.350 |
| 432.634 | 130.952 | 284.653 | 0.000 | 0.000 | -0.000 |
| 130.952 | 432.634 | 284.653 | 0.000 | 0.000 | -0.000 |
| 281.346 | 281.346 | 344.254 | 0.000 | 0.000 | -0.000 |
| -0.000 | -0.000 | -0.000 | 288.117 | 0.000 | -0.000 |
| -0.000 | -0.000 | -0.000 | 0.000 | 288.117 | -0.000 |
| 1.838 | 1.838 | 1.841 | 0.000 | 0.000 | 133.350 |
| 428.875 | 127.193 | 281.011 | -0.000 | 0.000 | -0.000 |
| 127.193 | 428.875 | 281.011 | -0.000 | -0.000 | 0.000 |
| 277.094 | 277.094 | 340.094 | -0.000 | -0.000 | -0.000 |
| -0.585 | -0.585 | -0.558 | 224.223 | -0.000 | 0.000 |
| -0.585 | -0.585 | -0.558 | -0.000 | 224.223 | 0.000 |
| -0.184 | -0.184 | -0.184 | -0.000 | -0.000 | 133.350 |
| 429.584 | 127.903 | 281.699 | 0.000 | -0.000 | -0.000 |
| 127.903 | 429.584 | 281.699 | 0.000 | 0.000 | -0.000 |
| 277.876 | 277.876 | 340.861 | 0.000 | 0.000 | -0.000 |
| 0.585 | 0.585 | 0.558 | 224.223 | 0.000 | -0.000 |
| 0.585 | 0.585 | 0.558 | 0.000 | 224.223 | -0.000 |
| 0.184 | 0.184 | 0.184 | 0.000 | 0.000 | 133.350 |
| 447.972 | 146.287 | 299.112 | -0.000 | -0.000 | 0.000 |
| 146.287 | 447.972 | 299.112 | -0.000 | -0.000 | 0.000 |
| 257.596 | 257.596 | 318.230 | -0.000 | -0.000 | -0.000 |
| 0.001 | 0.001 | 0.002 | 288.117 | -0.000 | 0.000 |
| 0.001 | 0.001 | 0.002 | -0.000 | 288.117 | -0.000 |
| -0.018 | -0.018 | -0.018 | -0.000 | -0.000 | 133.350 |
| 416.906 | 115.228 | 268.135 | 0.000 | 0.000 | -0.000 |
| 115.228 | 416.906 | 268.135 | 0.000 | 0.000 | -0.000 |
| 277.523 | 277.523 | 340.514 | -0.000 | -0.000 | -0.000 |
| -0.001 | -0.001 | -0.002 | 288.117 | 0.000 | -0.000 |
| -0.001 | -0.001 | -0.002 | 0.000 | 288.117 | -0.000 |
| 0.018 | 0.018 | 0.018 | 0.000 | 0.000 | 133.350 |
| 357.372 | 315.547 | 325.647 | -0.000 | -0.000 | 0.000 |
| 315.547 | 357.372 | 325.647 | -0.000 | 0.000 | 0.000 |
| 250.994 | 250.994 | 417.806 | -0.000 | 0.000 | 0.000 |
| 0.000 | 0.000 | 0.000 | 225.166 | 0.000 | 0.000 |
| 0.000 | 0.000 | 0.000 | -0.000 | 225.166 | 0.000 |
| 21.301 | 21.301 | 38.485 | -0.000 | 0.000 | 273.027 |
| 332.585 | 290.760 | 245.082 | -0.000 | 0.000 | -0.000 |
| 290.760 | 332.585 | 245.082 | 0.000 | -0.000 | 0.000 |
| 244.389 | 244.389 | 399.273 | 0.000 | -0.000 | -0.000 |
| -0.000 | -0.000 | -0.000 | 225.166 | 0.000 | -0.000 |
| -0.000 | -0.000 | -0.000 | 0.000 | 225.166 | -0.000 |
| -21.301 | -21.301 | -38.485 | 0.000 | 0.000 | 273.027 |
| 325.016 | 283.190 | 227.833 | -0.000 | 0.000 | 0.000 |
| 283.190 | 325.016 | 227.833 | 0.000 | 0.000 | 0.000 |
| 213.162 | 213.162 | 311.458 | 0.000 | 0.000 | 0.000 |
| 0.000 | 0.000 | 0.000 | 225.166 | 0.000 | 0.000 |
| 0.000 | 0.000 | 0.000 | -0.000 | 225.166 | 0.000 |
| 0.000 | 0.000 | 0.000 | 0.000 | 0.000 | 273.027 |
| 332.585 | 290.760 | 245.082 | 0.000 | 0.000 | -0.000 |
| 290.760 | 332.585 | 245.082 | 0.000 | 0.000 | -0.000 |
| 244.389 | 244.389 | 399.272 | 0.000 | 0.000 | -0.000 |
| -0.000 | -0.000 | -0.000 | 225.166 | 0.000 | -0.000 |
| -0.000 | -0.000 | -0.000 | 0.000 | 225.166 | -0.000 |
| -0.000 | -0.000 | -0.000 | 0.000 | -0.000 | 273.027 |
| 324.233 | 282.409 | 230.544 | -0.000 | -0.000 | 0.000 |
| 282.409 | 324.233 | 230.544 | -0.000 | 0.000 | 0.000 |
| 213.197 | 213.197 | 325.658 | -0.000 | -0.000 | 0.000 |
| 0.422 | 0.421 | 1.131 | 208.370 | 0.000 | 0.000 |
| 0.421 | 0.422 | 1.131 | -0.000 | 208.370 | 0.000 |
| 0.214 | 0.214 | 0.386 | -0.000 | 0.000 | 273.027 |
| 323.772 | 281.944 | 229.706 | 0.000 | -0.000 | -0.000 |
| 281.944 | 323.772 | 229.706 | -0.000 | 0.000 | -0.000 |
| 244.387 | 244.387 | 399.269 | 0.000 | -0.000 | -0.000 |
| -0.422 | -0.421 | -1.131 | 208.370 | -0.000 | -0.000 |
| -0.421 | -0.422 | -1.131 | 0.000 | 208.370 | -0.000 |
| -0.214 | -0.214 | -0.386 | 0.000 | 0.000 | 273.027 |
| 701.676 | 18.885 | 18.885 | 0.000 | 0.000 | 0.000 |
| 18.885 | 701.676 | 18.885 | 0.000 | 0.000 | -0.000 |
| 18.885 | 18.885 | 701.676 | 0.000 | 0.000 | -0.000 |
| 0.000 | -0.000 | -0.000 | -27.469 | 0.000 | 0.000 |
| -0.000 | 0.000 | -0.000 | 0.000 | -27.469 | -0.000 |
| -0.000 | -0.000 | 0.000 | 0.000 | 0.000 | -27.469 |
| 701.676 | 18.885 | 18.885 | -0.000 | -0.000 | 0.000 |
| 18.885 | 701.676 | 18.885 | -0.000 | -0.000 | 0.000 |
| 18.885 | 18.885 | 701.676 | -0.000 | -0.000 | 0.000 |
| -0.000 | 0.000 | 0.000 | -27.469 | -0.000 | 0.000 |
| 0.000 | -0.000 | 0.000 | -0.000 | -27.469 | 0.000 |
| 0.000 | 0.000 | -0.000 | 0.000 | -0.000 | -27.469 |
| 701.677 | 18.885 | 18.885 | 0.000 | 0.000 | -0.000 |
| 18.885 | 701.677 | 18.885 | 0.000 | 0.000 | -0.000 |
| 18.885 | 18.885 | 701.677 | -0.000 | -0.000 | -0.000 |
| 0.000 | 0.000 | -0.000 | -27.469 | 0.000 | 0.000 |
| 0.000 | 0.000 | -0.000 | -0.000 | -27.469 | 0.000 |
| 0.000 | -0.000 | 0.000 | -0.000 | -0.000 | -27.469 |
| 701.676 | 18.885 | 18.885 | -0.000 | -0.000 | 0.000 |
| 18.885 | 701.676 | 18.885 | -0.000 | -0.000 | 0.000 |
| 18.885 | 18.885 | 701.676 | 0.000 | -0.000 | 0.000 |
| -0.000 | -0.000 | 0.000 | -27.469 | -0.000 | 0.000 |
| -0.000 | -0.000 | 0.000 | 0.000 | -27.469 | 0.000 |
| -0.000 | 0.000 | -0.000 | 0.000 | 0.000 | -27.469 |
| 701.683 | 18.885 | 18.885 | -0.000 | -0.000 | -0.000 |
| 18.885 | 701.683 | 18.885 | -0.000 | 0.000 | 0.000 |
| 18.885 | 18.885 | 701.683 | 0.000 | 0.000 | -0.000 |
| 0.000 | 0.000 | -0.000 | -27.469 | 0.000 | 0.000 |
| 0.000 | 0.000 | -0.000 | 0.000 | -27.469 | -0.000 |
| 0.000 | -0.000 | 0.000 | 0.000 | 0.000 | -27.469 |
| 701.670 | 18.885 | 18.885 | -0.000 | -0.000 | 0.000 |
| 18.885 | 701.670 | 18.885 | -0.000 | -0.000 | -0.000 |
| 18.885 | 18.885 | 701.670 | -0.000 | -0.000 | 0.000 |
| -0.000 | -0.000 | 0.000 | -27.469 | -0.000 | 0.000 |
| -0.000 | -0.000 | 0.000 | -0.000 | -27.469 | 0.000 |
| -0.000 | 0.000 | -0.000 | 0.000 | -0.000 | -27.469 |
| 0.000 | 0.000 | 0.000 | 0.000 | 0.000 | 0.000 |
| 0.000 | 0.000 | 0.000 | -0.000 | 0.000 | -0.000 |
| 0.000 | 0.000 | 0.000 | 0.000 | 0.000 | 0.000 |
| 0.000 | 0.000 | 0.000 | 0.000 | 0.000 | 0.000 |
| 0.000 | 0.000 | 0.000 | 0.000 | 0.000 | 0.000 |
| 0.000 | 0.000 | 0.000 | 0.000 | 0.000 | 0.000 |
| 0.000 | -0.000 | -0.000 | -0.000 | -0.000 | -0.000 |
| -0.000 | 0.000 | -0.000 | -0.000 | -0.000 | 0.000 |
| -0.000 | -0.000 | 0.000 | 0.000 | 0.000 | -0.000 |
| -0.000 | -0.000 | -0.000 | 0.000 | -0.000 | -0.000 |
| -0.000 | -0.000 | -0.000 | -0.000 | 0.000 | -0.000 |
| -0.000 | -0.000 | -0.000 | -0.000 | -0.000 | 0.000 |
| 0.000 | 0.000 | 0.000 | 0.000 | 0.000 | 0.000 |
| 0.000 | 0.000 | 0.000 | 0.000 | 0.000 | -0.000 |
| 0.000 | 0.000 | 0.000 | 0.000 | 0.000 | 0.000 |
| 0.000 | 0.000 | -0.000 | 0.000 | -0.000 | 0.000 |
| 0.000 | 0.000 | -0.000 | -0.000 | 0.000 | 0.000 |
| 0.000 | -0.000 | 0.000 | 0.000 | 0.000 | 0.000 |
| 0.000 | -0.000 | -0.000 | -0.000 | -0.000 | -0.000 |
| -0.000 | 0.000 | -0.000 | -0.000 | -0.000 | -0.000 |
| -0.000 | -0.000 | 0.000 | -0.000 | -0.000 | -0.000 |
| -0.000 | -0.000 | 0.000 | 0.000 | 0.000 | -0.000 |
| -0.000 | -0.000 | 0.000 | 0.000 | 0.000 | -0.000 |
| -0.000 | 0.000 | -0.000 | -0.000 | -0.000 | 0.000 |
| 0.000 | 0.000 | 0.000 | 0.000 | 0.000 | 0.000 |
| 0.000 | 0.000 | 0.000 | 0.000 | 0.000 | 0.000 |
| 0.000 | 0.000 | 0.000 | -0.000 | -0.000 | 0.000 |
| 0.000 | 0.000 | -0.000 | 0.000 | 0.000 | 0.000 |
| 0.000 | 0.000 | -0.000 | -0.000 | 0.000 | 0.000 |
| 0.000 | -0.000 | 0.000 | 0.000 | -0.000 | 0.000 |
| 0.000 | -0.000 | -0.000 | -0.000 | -0.000 | -0.000 |
| -0.000 | 0.000 | -0.000 | -0.000 | -0.000 | 0.000 |
| -0.000 | -0.000 | 0.000 | 0.000 | 0.000 | -0.000 |
| -0.000 | -0.000 | 0.000 | 0.000 | -0.000 | -0.000 |
| -0.000 | -0.000 | 0.000 | 0.000 | 0.000 | -0.000 |
| -0.000 | 0.000 | -0.000 | -0.000 | -0.000 | 0.000 |
| 205.508 | 291.753 | 291.753 | 0.000 | 0.000 | 0.000 |
| 291.753 | 205.508 | 291.753 | 0.000 | 0.000 | 0.000 |
| 291.753 | 291.753 | 205.508 | 0.000 | 0.000 | 0.000 |
| 0.000 | 0.000 | 0.000 | 278.545 | 0.000 | -0.000 |
| 0.000 | 0.000 | 0.000 | 0.000 | 278.545 | 0.000 |
| 0.000 | 0.000 | 0.000 | 0.000 | 0.000 | 278.545 |
| 205.508 | 291.753 | 291.753 | -0.000 | -0.000 | -0.000 |
| 291.753 | 205.508 | 291.753 | -0.000 | -0.000 | -0.000 |
| 291.753 | 291.753 | 205.508 | -0.000 | -0.000 | -0.000 |
| -0.000 | -0.000 | -0.000 | 278.545 | -0.000 | 0.000 |
| -0.000 | -0.000 | -0.000 | -0.000 | 278.545 | -0.000 |
| -0.000 | -0.000 | -0.000 | -0.000 | -0.000 | 278.545 |
| 205.508 | 291.753 | 291.753 | -0.000 | 0.000 | -0.000 |
| 291.753 | 205.508 | 291.753 | 0.000 | 0.000 | 0.000 |
| 291.753 | 291.753 | 205.508 | 0.000 | 0.000 | -0.000 |
| 0.000 | 0.000 | 0.000 | 278.545 | 0.000 | 0.000 |
| 0.000 | 0.000 | 0.000 | 0.000 | 278.545 | -0.000 |
| 0.000 | 0.000 | 0.000 | -0.000 | 0.000 | 278.545 |
| 205.508 | 291.753 | 291.753 | -0.000 | -0.000 | 0.000 |
| 291.753 | 205.508 | 291.753 | -0.000 | -0.000 | -0.000 |
| 291.753 | 291.753 | 205.508 | -0.000 | 0.000 | -0.000 |
| -0.000 | -0.000 | -0.000 | 278.545 | -0.000 | -0.000 |
| -0.000 | -0.000 | -0.000 | -0.000 | 278.545 | 0.000 |
| -0.000 | -0.000 | -0.000 | 0.000 | -0.000 | 278.545 |
| 205.509 | 291.755 | 291.755 | 0.000 | 0.000 | 0.000 |
| 291.755 | 205.509 | 291.755 | 0.000 | 0.000 | 0.000 |
| 291.755 | 291.755 | 205.509 | 0.000 | 0.000 | -0.000 |
| 0.001 | 0.001 | 0.001 | 278.545 | 0.000 | 0.000 |
| 0.001 | 0.001 | 0.001 | 0.000 | 278.545 | 0.000 |
| 0.001 | 0.001 | 0.001 | 0.000 | 0.000 | 278.545 |
| 205.508 | 291.752 | 291.752 | 0.000 | -0.000 | -0.000 |
| 291.752 | 205.508 | 291.752 | -0.000 | -0.000 | -0.000 |
| 291.752 | 291.752 | 205.508 | -0.000 | -0.000 | 0.000 |
| -0.001 | -0.001 | -0.001 | 278.545 | -0.000 | -0.000 |
| -0.001 | -0.001 | -0.001 | -0.000 | 278.545 | -0.000 |
| -0.001 | -0.001 | -0.001 | -0.000 | -0.000 | 278.545 |
| 0.000 | 0.000 | 0.000 | -0.000 | -0.000 | 0.000 |
| 0.000 | 0.000 | 0.000 | -0.000 | -0.000 | 0.000 |
| 0.000 | 0.000 | 0.000 | 0.000 | 0.000 | 0.000 |
| 0.000 | 0.000 | 0.000 | 0.000 | -0.000 | 0.000 |
| 0.000 | 0.000 | 0.000 | -0.000 | 0.000 | 0.000 |
| 0.000 | 0.000 | 0.000 | -0.000 | -0.000 | 0.000 |
| 0.000 | 0.000 | 0.000 | -0.000 | -0.000 | -0.000 |
| 0.000 | 0.000 | 0.000 | -0.000 | -0.000 | -0.000 |
| 0.000 | 0.000 | 0.000 | -0.000 | -0.000 | -0.000 |
| -0.000 | -0.000 | -0.000 | 0.000 | 0.000 | -0.000 |
| -0.000 | -0.000 | -0.000 | 0.000 | 0.000 | -0.000 |
| -0.000 | -0.000 | -0.000 | -0.000 | 0.000 | 0.000 |
| 0.000 | 0.000 | 0.000 | 0.000 | -0.000 | 0.000 |
| 0.000 | 0.000 | 0.000 | -0.000 | 0.000 | 0.000 |
| 0.000 | 0.000 | 0.000 | 0.000 | 0.000 | 0.000 |
| 0.000 | 0.000 | 0.000 | 0.000 | 0.000 | 0.000 |
| 0.000 | 0.000 | 0.000 | 0.000 | 0.000 | 0.000 |
| 0.000 | 0.000 | 0.000 | -0.000 | -0.000 | 0.000 |
| 0.000 | 0.000 | 0.000 | -0.000 | 0.000 | -0.000 |
| 0.000 | 0.000 | 0.000 | 0.000 | -0.000 | -0.000 |
| 0.000 | 0.000 | 0.000 | -0.000 | -0.000 | -0.000 |
| -0.000 | -0.000 | -0.000 | 0.000 | 0.000 | -0.000 |
| -0.000 | -0.000 | -0.000 | 0.000 | 0.000 | -0.000 |
| -0.000 | -0.000 | -0.000 | -0.000 | -0.000 | 0.000 |
| 0.000 | 0.000 | 0.000 | 0.000 | -0.000 | 0.000 |
| 0.000 | 0.000 | 0.000 | -0.000 | 0.000 | 0.000 |
| 0.000 | 0.000 | 0.000 | 0.000 | 0.000 | 0.000 |
| 0.000 | 0.000 | 0.000 | 0.000 | -0.000 | 0.000 |
| 0.000 | 0.000 | 0.000 | -0.000 | 0.000 | 0.000 |
| 0.000 | 0.000 | 0.000 | -0.000 | -0.000 | 0.000 |
| 0.000 | 0.000 | 0.000 | -0.000 | -0.000 | -0.000 |
| 0.000 | 0.000 | 0.000 | -0.000 | -0.000 | -0.000 |
| 0.000 | 0.000 | 0.000 | -0.000 | -0.000 | -0.000 |
| -0.000 | -0.000 | -0.000 | 0.000 | -0.000 | -0.000 |
| -0.000 | -0.000 | -0.000 | -0.000 | 0.000 | -0.000 |
| -0.000 | -0.000 | -0.000 | -0.000 | -0.000 | 0.000 |
| 68.030 | 114.150 | 114.150 | 0.000 | 0.000 | 0.000 |
| 114.150 | 68.030 | 114.150 | 0.000 | 0.000 | 0.000 |
| 114.150 | 114.150 | 68.030 | 0.000 | 0.000 | 0.000 |
| 0.000 | 0.000 | 0.000 | -53.394 | 0.000 | 0.000 |
| 0.000 | 0.000 | 0.000 | 0.000 | -53.394 | 0.000 |
| 0.000 | 0.000 | 0.000 | 0.000 | 0.000 | -53.394 |
| 68.030 | 114.150 | 114.150 | -0.000 | -0.000 | -0.000 |
| 114.150 | 68.030 | 114.150 | -0.000 | -0.000 | -0.000 |
| 114.150 | 114.150 | 68.030 | -0.000 | -0.000 | -0.000 |
| 0.000 | -0.000 | 0.000 | -53.394 | -0.000 | -0.000 |
| -0.000 | 0.000 | 0.000 | -0.000 | -53.394 | -0.000 |
| -0.000 | 0.000 | 0.000 | -0.000 | -0.000 | -53.394 |
| 68.030 | 114.150 | 114.150 | 0.000 | 0.000 | 0.000 |
| 114.150 | 68.030 | 114.150 | 0.000 | 0.000 | 0.000 |
| 114.150 | 114.150 | 68.030 | 0.000 | 0.000 | 0.000 |
| 0.000 | 0.000 | 0.000 | -53.394 | 0.000 | 0.000 |
| 0.000 | 0.000 | 0.000 | 0.000 | -53.394 | 0.000 |
| 0.000 | 0.000 | 0.000 | 0.000 | 0.000 | -53.394 |
| 68.030 | 114.150 | 114.150 | -0.000 | -0.000 | -0.000 |
| 114.150 | 68.030 | 114.150 | -0.000 | -0.000 | -0.000 |
| 114.150 | 114.150 | 68.030 | -0.000 | -0.000 | -0.000 |
| -0.000 | -0.000 | -0.000 | -53.394 | -0.000 | -0.000 |
| -0.000 | -0.000 | -0.000 | -0.000 | -53.394 | -0.000 |
| -0.000 | -0.000 | -0.000 | -0.000 | -0.000 | -53.394 |
| 68.031 | 114.150 | 114.150 | -0.000 | 0.000 | 0.000 |
| 114.150 | 68.031 | 114.150 | 0.000 | -0.000 | 0.000 |
| 114.150 | 114.150 | 68.031 | 0.000 | 0.000 | -0.000 |
| 0.000 | 0.000 | 0.000 | -53.394 | 0.000 | 0.000 |
| 0.000 | 0.000 | 0.000 | 0.000 | -53.394 | 0.000 |
| 0.000 | 0.000 | 0.000 | 0.000 | 0.000 | -53.394 |
| 68.030 | 114.150 | 114.150 | -0.000 | -0.000 | -0.000 |
| 114.150 | 68.030 | 114.150 | -0.000 | -0.000 | -0.000 |
| 114.150 | 114.150 | 68.030 | -0.000 | -0.000 | -0.000 |
| -0.000 | -0.000 | -0.000 | -53.394 | -0.000 | -0.000 |
| -0.000 | -0.000 | -0.000 | -0.000 | -53.394 | -0.000 |
| -0.000 | -0.000 | -0.000 | -0.000 | -0.000 | -53.394 |
| 0.000 | 0.000 | 0.000 | 0.000 | 0.000 | 0.000 |
| 0.000 | 0.000 | 0.000 | 0.000 | 0.000 | 0.000 |
| 0.000 | 0.000 | 0.000 | 0.000 | 0.000 | 0.000 |
| 0.000 | 0.000 | 0.000 | 0.000 | -0.000 | 0.000 |
| 0.000 | 0.000 | 0.000 | -0.000 | 0.000 | 0.000 |
| 0.000 | 0.000 | 0.000 | -0.000 | 0.000 | 0.000 |
| 0.000 | 0.000 | 0.000 | 0.000 | -0.000 | -0.000 |
| 0.000 | 0.000 | 0.000 | -0.000 | 0.000 | -0.000 |
| 0.000 | 0.000 | 0.000 | -0.000 | -0.000 | 0.000 |
| -0.000 | -0.000 | -0.000 | 0.000 | -0.000 | -0.000 |
| -0.000 | -0.000 | -0.000 | -0.000 | 0.000 | -0.000 |
| -0.000 | -0.000 | -0.000 | -0.000 | -0.000 | 0.000 |
| 0.000 | 0.000 | 0.000 | 0.000 | 0.000 | 0.000 |
| 0.000 | 0.000 | 0.000 | 0.000 | 0.000 | 0.000 |
| 0.000 | 0.000 | 0.000 | 0.000 | 0.000 | 0.000 |
| 0.000 | 0.000 | 0.000 | 0.000 | 0.000 | 0.000 |
| 0.000 | 0.000 | 0.000 | 0.000 | 0.000 | 0.000 |
| 0.000 | 0.000 | 0.000 | 0.000 | 0.000 | 0.000 |
| 0.000 | 0.000 | 0.000 | -0.000 | -0.000 | -0.000 |
| 0.000 | 0.000 | 0.000 | -0.000 | -0.000 | -0.000 |
| 0.000 | 0.000 | 0.000 | -0.000 | -0.000 | -0.000 |
| -0.000 | -0.000 | -0.000 | 0.000 | -0.000 | -0.000 |
| -0.000 | -0.000 | -0.000 | -0.000 | 0.000 | -0.000 |
| -0.000 | -0.000 | -0.000 | -0.000 | -0.000 | 0.000 |
| 0.000 | 0.000 | 0.000 | 0.000 | 0.000 | 0.000 |
| 0.000 | 0.000 | 0.000 | 0.000 | 0.000 | 0.000 |
| 0.000 | 0.000 | 0.000 | 0.000 | 0.000 | 0.000 |
| 0.000 | 0.000 | 0.000 | 0.000 | 0.000 | 0.000 |
| 0.000 | 0.000 | 0.000 | 0.000 | 0.000 | 0.000 |
| 0.000 | 0.000 | 0.000 | 0.000 | 0.000 | 0.000 |
| 0.000 | 0.000 | 0.000 | 0.000 | -0.000 | -0.000 |
| 0.000 | 0.000 | 0.000 | -0.000 | 0.000 | -0.000 |
| 0.000 | 0.000 | 0.000 | -0.000 | -0.000 | 0.000 |
| -0.000 | -0.000 | -0.000 | 0.000 | -0.000 | -0.000 |
| -0.000 | -0.000 | -0.000 | -0.000 | 0.000 | -0.000 |
| -0.000 | -0.000 | -0.000 | -0.000 | -0.000 | 0.000 |
| 526.503 | 156.973 | 333.920 | 0.000 | 0.000 | -0.000 |
| 156.973 | 526.503 | 333.920 | 0.000 | 0.000 | -0.000 |
| 333.920 | 333.920 | 434.598 | 0.000 | 0.000 | 0.000 |
| 0.000 | 0.000 | 0.000 | 330.335 | -0.000 | 0.000 |
| 0.000 | 0.000 | 0.000 | -0.000 | 330.335 | 0.000 |
| 0.000 | 0.000 | 0.000 | 0.000 | 0.000 | 149.945 |
| 526.503 | 156.973 | 333.920 | 0.000 | -0.000 | -0.000 |
| 156.973 | 526.503 | 333.920 | -0.000 | 0.000 | -0.000 |
| 333.920 | 333.920 | 434.598 | 0.000 | 0.000 | -0.000 |
| -0.000 | -0.000 | -0.000 | 330.335 | -0.000 | -0.000 |
| -0.000 | -0.000 | -0.000 | -0.000 | 330.335 | -0.000 |
| -0.000 | -0.000 | -0.000 | -0.000 | 0.000 | 149.945 |
| 526.503 | 156.973 | 333.921 | -0.000 | 0.000 | 0.000 |
| 156.973 | 526.503 | 333.921 | -0.000 | -0.000 | 0.000 |
| 333.921 | 333.921 | 434.598 | 0.000 | 0.000 | 0.000 |
| 0.000 | 0.000 | 0.000 | 330.335 | 0.000 | 0.000 |
| 0.000 | 0.000 | 0.000 | 0.000 | 330.335 | 0.000 |
| 0.000 | 0.000 | 0.000 | -0.000 | -0.000 | 149.945 |
| 526.502 | 156.973 | 333.920 | 0.000 | -0.000 | 0.000 |
| 156.973 | 526.502 | 333.920 | -0.000 | 0.000 | 0.000 |
| 333.920 | 333.920 | 434.597 | -0.000 | -0.000 | -0.000 |
| -0.000 | -0.000 | -0.000 | 330.335 | 0.000 | -0.000 |
| -0.000 | -0.000 | -0.000 | 0.000 | 330.335 | -0.000 |
| -0.000 | -0.000 | -0.000 | 0.000 | -0.000 | 149.945 |
| 526.506 | 156.974 | 333.923 | 0.000 | -0.000 | 0.000 |
| 156.974 | 526.506 | 333.923 | -0.000 | 0.000 | -0.000 |
| 333.924 | 333.924 | 434.601 | 0.000 | 0.000 | 0.000 |
| 0.001 | 0.001 | 0.002 | 330.335 | -0.000 | 0.000 |
| 0.001 | 0.001 | 0.002 | -0.000 | 330.335 | 0.000 |
| 0.000 | 0.000 | 0.001 | -0.000 | 0.000 | 149.945 |
| 526.499 | 156.972 | 333.918 | 0.000 | 0.000 | -0.000 |
| 156.972 | 526.499 | 333.918 | 0.000 | 0.000 | -0.000 |
| 333.917 | 333.917 | 434.594 | 0.000 | 0.000 | -0.000 |
| -0.001 | -0.001 | -0.002 | 330.335 | -0.000 | -0.000 |
| -0.001 | -0.001 | -0.002 | -0.000 | 330.335 | -0.000 |
| -0.000 | -0.000 | -0.001 | -0.000 | -0.000 | 149.945 |
| 340.700 | 342.355 | 277.741 | 0.000 | 0.000 | -0.000 |
| 342.355 | 340.700 | 277.741 | 0.000 | 0.000 | -0.000 |
| 277.741 | 277.741 | 533.951 | -0.000 | -0.000 | -0.000 |
| 0.000 | 0.000 | 0.000 | 264.746 | 0.000 | -0.000 |
| 0.000 | 0.000 | 0.000 | 0.000 | 264.746 | -0.000 |
| 0.000 | 0.000 | 0.000 | 0.000 | 0.000 | 330.770 |
| 340.700 | 342.355 | 277.741 | -0.000 | -0.000 | -0.000 |
| 342.355 | 340.700 | 277.741 | 0.000 | -0.000 | 0.000 |
| 277.741 | 277.741 | 533.951 | -0.000 | -0.000 | 0.000 |
| -0.000 | -0.000 | -0.000 | 264.746 | -0.000 | -0.000 |
| -0.000 | -0.000 | -0.000 | -0.000 | 264.746 | 0.000 |
| -0.000 | -0.000 | -0.000 | -0.000 | -0.000 | 330.770 |
| 340.700 | 342.355 | 277.741 | 0.000 | 0.000 | -0.000 |
| 342.355 | 340.700 | 277.741 | -0.000 | 0.000 | -0.000 |
| 277.741 | 277.741 | 533.952 | 0.000 | 0.000 | -0.000 |
| 0.000 | 0.000 | 0.000 | 264.746 | 0.000 | -0.000 |
| 0.000 | 0.000 | 0.000 | 0.000 | 264.746 | 0.000 |
| 0.000 | 0.000 | 0.000 | 0.000 | 0.000 | 330.770 |
| 340.700 | 342.355 | 277.741 | 0.000 | -0.000 | 0.000 |
| 342.355 | 340.700 | 277.741 | -0.000 | -0.000 | 0.000 |
| 277.741 | 277.741 | 533.951 | -0.000 | -0.000 | 0.000 |
| -0.000 | -0.000 | -0.000 | 264.746 | -0.000 | -0.000 |
| -0.000 | -0.000 | -0.000 | -0.000 | 264.746 | 0.000 |
| -0.000 | -0.000 | -0.000 | -0.000 | -0.000 | 330.770 |
| 340.700 | 342.357 | 277.742 | 0.000 | 0.000 | -0.000 |
| 342.357 | 340.700 | 277.742 | 0.000 | 0.000 | 0.000 |
| 277.742 | 277.742 | 533.956 | -0.000 | -0.000 | 0.000 |
| 0.001 | 0.001 | 0.001 | 264.746 | 0.000 | -0.000 |
| 0.001 | 0.001 | 0.001 | -0.000 | 264.746 | 0.000 |
| 0.001 | 0.002 | 0.001 | 0.000 | 0.000 | 330.770 |
| 340.700 | 342.354 | 277.740 | -0.000 | -0.000 | 0.000 |
| 342.354 | 340.700 | 277.740 | -0.000 | -0.000 | 0.000 |
| 277.740 | 277.740 | 533.946 | -0.000 | -0.000 | 0.000 |
| -0.001 | -0.001 | -0.001 | 264.746 | -0.000 | 0.000 |
| -0.001 | -0.001 | -0.001 | 0.000 | 264.746 | 0.000 |
| -0.001 | -0.002 | -0.001 | 0.000 | -0.000 | 330.770 |
| 0.000 | 0.000 | 0.000 | -0.000 | -0.000 | -0.000 |
| 0.000 | 0.000 | 0.000 | -0.000 | -0.000 | -0.000 |
| 0.000 | 0.000 | 0.001 | -0.000 | -0.000 | -0.000 |
| 0.000 | 0.000 | 0.000 | 0.000 | 0.000 | -0.000 |
| 0.000 | 0.000 | 0.000 | 0.000 | 0.000 | -0.000 |
| 0.000 | 0.000 | 0.000 | 0.000 | -0.000 | 0.000 |
| 0.000 | 0.000 | 0.000 | 0.000 | 0.000 | 0.000 |
| 0.000 | 0.000 | 0.000 | 0.000 | 0.000 | 0.000 |
| 0.000 | 0.000 | 0.001 | -0.000 | -0.000 | 0.000 |
| -0.000 | -0.000 | -0.000 | 0.000 | 0.000 | 0.000 |
| -0.000 | -0.000 | -0.000 | 0.000 | 0.000 | 0.000 |
| -0.000 | -0.000 | -0.000 | 0.000 | 0.000 | 0.000 |
| 0.000 | 0.000 | 0.000 | -0.000 | 0.000 | -0.000 |
| 0.000 | 0.000 | 0.000 | 0.000 | -0.000 | -0.000 |
| 0.000 | 0.000 | 0.001 | 0.000 | 0.000 | 0.000 |
| 0.000 | 0.000 | 0.000 | 0.000 | -0.000 | 0.000 |
| 0.000 | 0.000 | 0.000 | -0.000 | 0.000 | 0.000 |
| 0.000 | 0.000 | 0.000 | -0.000 | 0.000 | 0.000 |
| 0.000 | 0.000 | 0.000 | -0.000 | 0.000 | 0.000 |
| 0.000 | 0.000 | 0.000 | 0.000 | -0.000 | 0.000 |
| 0.000 | 0.000 | 0.001 | 0.000 | 0.000 | 0.000 |
| -0.000 | -0.000 | -0.000 | 0.000 | 0.000 | 0.000 |
| -0.000 | -0.000 | -0.000 | 0.000 | 0.000 | 0.000 |
| -0.000 | -0.000 | -0.000 | 0.000 | -0.000 | 0.000 |
| 0.000 | 0.000 | 0.000 | -0.000 | 0.000 | -0.000 |
| 0.000 | 0.000 | 0.000 | 0.000 | -0.000 | -0.000 |
| 0.000 | 0.000 | 0.001 | -0.000 | -0.000 | 0.000 |
| 0.000 | 0.000 | 0.000 | 0.000 | -0.000 | -0.000 |
| 0.000 | 0.000 | 0.000 | -0.000 | 0.000 | -0.000 |
| 0.000 | 0.000 | 0.000 | 0.000 | 0.000 | 0.000 |
| 0.000 | 0.000 | 0.000 | -0.000 | 0.000 | -0.000 |
| 0.000 | 0.000 | 0.000 | 0.000 | -0.000 | -0.000 |
| 0.000 | 0.000 | 0.001 | 0.000 | 0.000 | 0.000 |
| -0.000 | -0.000 | -0.000 | 0.000 | 0.000 | 0.000 |
| -0.000 | -0.000 | -0.000 | 0.000 | 0.000 | 0.000 |
| -0.000 | -0.000 | -0.000 | 0.000 | 0.000 | 0.000 |
| 0.000 | 0.000 | 0.000 | 0.000 | 0.000 | -0.000 |
| 0.000 | 0.000 | 0.000 | 0.000 | 0.000 | -0.000 |
| 0.000 | 0.000 | 0.001 | -0.000 | -0.000 | -0.000 |
| 0.000 | 0.000 | 0.000 | 0.000 | 0.000 | -0.000 |
| 0.000 | 0.000 | 0.000 | 0.000 | 0.000 | -0.000 |
| 0.000 | 0.000 | 0.000 | 0.000 | -0.000 | 0.000 |
| 0.000 | 0.000 | 0.000 | 0.000 | -0.000 | 0.000 |
| 0.000 | 0.000 | 0.000 | -0.000 | 0.000 | 0.000 |
| 0.000 | 0.000 | 0.001 | 0.000 | 0.000 | -0.000 |
| -0.000 | -0.000 | -0.000 | 0.000 | 0.000 | 0.000 |
| -0.000 | -0.000 | -0.000 | 0.000 | 0.000 | 0.000 |
| -0.000 | -0.000 | -0.000 | 0.000 | -0.000 | 0.000 |
| 0.000 | 0.000 | 0.000 | -0.000 | -0.000 | -0.000 |
| 0.000 | 0.000 | 0.000 | -0.000 | -0.000 | -0.000 |
| 0.000 | 0.000 | 0.001 | 0.000 | 0.000 | -0.000 |
| 0.000 | 0.000 | 0.000 | 0.000 | 0.000 | -0.000 |
| 0.000 | 0.000 | 0.000 | 0.000 | 0.000 | -0.000 |
| 0.000 | 0.000 | 0.000 | -0.000 | -0.000 | 0.000 |
| 0.000 | 0.000 | 0.000 | -0.000 | 0.000 | 0.000 |
| 0.000 | 0.000 | 0.000 | 0.000 | -0.000 | 0.000 |
| 0.000 | 0.000 | 0.001 | 0.000 | 0.000 | 0.000 |
| -0.000 | -0.000 | -0.000 | 0.000 | -0.000 | 0.000 |
| -0.000 | -0.000 | -0.000 | -0.000 | 0.000 | 0.000 |
| -0.000 | -0.000 | -0.000 | -0.000 | 0.000 | 0.000 |
| 0.000 | 0.000 | 0.000 | -0.000 | -0.000 | -0.000 |
| 0.000 | 0.000 | 0.000 | -0.000 | -0.000 | -0.000 |
| 0.000 | 0.000 | 0.001 | -0.000 | -0.000 | -0.000 |
| 0.000 | 0.000 | 0.000 | 0.000 | -0.000 | -0.000 |
| 0.000 | 0.000 | 0.000 | -0.000 | 0.000 | -0.000 |
| 0.000 | 0.000 | 0.000 | 0.000 | -0.000 | 0.000 |
| 0.000 | 0.000 | 0.000 | 0.000 | 0.000 | 0.000 |
| 0.000 | 0.000 | 0.000 | 0.000 | 0.000 | 0.000 |
| 0.000 | 0.000 | 0.001 | -0.000 | -0.000 | 0.000 |
| -0.000 | -0.000 | -0.000 | 0.000 | 0.000 | 0.000 |
| -0.000 | -0.000 | -0.000 | 0.000 | 0.000 | 0.000 |
| -0.000 | -0.000 | -0.000 | -0.000 | 0.000 | 0.000 |
| 348.674 | 129.569 | 165.512 | -106.452 | 0.000 | 0.000 |
| 129.569 | 348.674 | 165.512 | 106.452 | -0.000 | 0.000 |
| 165.512 | 165.512 | 612.124 | 0.000 | 0.000 | -0.000 |
| -106.452 | 106.452 | 0.000 | 146.666 | -0.000 | 0.000 |
| 0.000 | 0.000 | 0.000 | -0.000 | 146.666 | -106.452 |
| -0.000 | 0.000 | 0.000 | -0.000 | -106.452 | 109.552 |
| 348.673 | 129.569 | 165.512 | -106.452 | -0.000 | -0.000 |
| 129.569 | 348.673 | 165.512 | 106.452 | -0.000 | -0.000 |
| 165.512 | 165.512 | 612.124 | -0.000 | -0.000 | -0.000 |
| -106.452 | 106.452 | -0.000 | 146.666 | 0.000 | -0.000 |
| -0.000 | -0.000 | -0.000 | 0.000 | 146.666 | -106.452 |
| -0.000 | -0.000 | -0.000 | 0.000 | -106.452 | 109.552 |
| 348.674 | 129.569 | 165.512 | -106.452 | -0.000 | 0.000 |
| 129.569 | 348.674 | 165.512 | 106.452 | -0.000 | 0.000 |
| 165.512 | 165.512 | 612.124 | 0.000 | 0.000 | 0.000 |
| -106.452 | 106.452 | 0.000 | 146.666 | -0.000 | 0.000 |
| 0.000 | 0.000 | 0.000 | -0.000 | 146.666 | -106.452 |
| 0.000 | 0.000 | 0.000 | -0.000 | -106.452 | 109.552 |
| 348.673 | 129.569 | 165.512 | -106.452 | 0.000 | -0.000 |
| 129.569 | 348.673 | 165.512 | 106.452 | -0.000 | 0.000 |
| 165.512 | 165.512 | 612.123 | -0.000 | -0.000 | -0.000 |
| -106.452 | 106.452 | -0.000 | 146.666 | -0.000 | -0.000 |
| -0.000 | -0.000 | -0.000 | 0.000 | 146.666 | -106.452 |
| -0.000 | -0.000 | -0.000 | 0.000 | -106.452 | 109.552 |
| 348.676 | 129.569 | 165.512 | -106.452 | 0.000 | 0.000 |
| 129.569 | 348.675 | 165.512 | 106.453 | -0.000 | 0.000 |
| 165.513 | 165.513 | 612.129 | 0.000 | 0.000 | -0.000 |
| -106.452 | 106.453 | 0.002 | 146.667 | 0.000 | 0.000 |
| 0.001 | 0.000 | 0.002 | -0.001 | 146.666 | -106.452 |
| 0.000 | 0.001 | 0.000 | -0.000 | -106.452 | 109.552 |
| 348.671 | 129.569 | 165.511 | -106.451 | 0.000 | -0.000 |
| 129.569 | 348.672 | 165.511 | 106.451 | 0.000 | -0.000 |
| 165.511 | 165.511 | 612.118 | -0.000 | 0.000 | -0.000 |
| -106.452 | 106.451 | -0.002 | 146.665 | 0.000 | -0.000 |
| -0.001 | -0.000 | -0.002 | 0.001 | 146.666 | -106.452 |
| -0.000 | -0.001 | -0.000 | 0.000 | -106.452 | 109.552 |
| 423.494 | 91.392 | 146.072 | -0.000 | 0.000 | 0.000 |
| 91.146 | 409.201 | 402.357 | -0.000 | 0.000 | 0.000 |
| 31.911 | 280.162 | 689.803 | 0.000 | 0.000 | -0.000 |
| -0.255 | -0.273 | 0.282 | 238.827 | 0.000 | -0.000 |
| -0.077 | -0.083 | 0.085 | 0.000 | 19.341 | -0.000 |
| -0.972 | -1.040 | 1.075 | -0.000 | 0.000 | 195.759 |
| 479.970 | 161.733 | 84.151 | 0.000 | -0.000 | 0.000 |
| 204.833 | 534.946 | 276.846 | -0.000 | -0.000 | 0.000 |
| 148.943 | 405.656 | 560.383 | 0.000 | -0.000 | 0.000 |
| 0.255 | 0.273 | -0.282 | 238.827 | -0.000 | 0.000 |
| 0.077 | 0.083 | -0.085 | -0.000 | 19.341 | -0.000 |
| 0.972 | 1.040 | -1.075 | 0.000 | -0.000 | 195.759 |
| 424.417 | 92.396 | 145.053 | -0.000 | 0.000 | 0.000 |
| 92.069 | 410.206 | 401.338 | -0.000 | 0.000 | -0.000 |
| 147.818 | 404.432 | 561.627 | -0.000 | 0.000 | 0.000 |
| 0.000 | 0.000 | 0.000 | 274.298 | 0.000 | 0.000 |
| -0.231 | -0.252 | 0.255 | -0.000 | 11.371 | -0.000 |
| -0.097 | -0.104 | 0.108 | -0.000 | 0.000 | 195.759 |
| 529.430 | 205.170 | 28.932 | -0.000 | -0.000 | 0.000 |
| 92.271 | 410.426 | 401.114 | 0.000 | -0.000 | 0.000 |
| 148.020 | 404.651 | 561.402 | 0.000 | -0.000 | 0.000 |
| -0.000 | -0.000 | -0.000 | 274.298 | 0.000 | -0.000 |
| 0.231 | 0.252 | -0.255 | 0.000 | 11.371 | 0.000 |
| 0.097 | 0.104 | -0.108 | 0.000 | -0.000 | 195.759 |
| 424.459 | 92.429 | 145.013 | -0.000 | 0.000 | -0.000 |
| 92.170 | 410.318 | 401.229 | -0.000 | 0.000 | -0.000 |
| 147.921 | 404.548 | 561.521 | -0.000 | 0.000 | 0.000 |
| -0.005 | -0.004 | 0.007 | 238.793 | -0.000 | 0.000 |
| -0.021 | -0.023 | 0.023 | -0.000 | 11.371 | 0.000 |
| -0.009 | -0.011 | 0.012 | -0.000 | 0.000 | 195.759 |
| 424.514 | 92.505 | 144.937 | 0.000 | -0.000 | -0.000 |
| 92.170 | 410.314 | 401.223 | 0.000 | -0.000 | 0.000 |
| 147.917 | 404.535 | 561.509 | 0.000 | -0.000 | 0.000 |
| 0.005 | 0.004 | -0.007 | 238.793 | 0.000 | -0.000 |
| 0.021 | 0.023 | -0.023 | 0.000 | 11.371 | -0.000 |
| 0.009 | 0.011 | -0.012 | 0.000 | -0.000 | 195.759 |
| 266.852 | 204.610 | 147.233 | 0.000 | 0.000 | 0.000 |
| 128.198 | 343.264 | 147.233 | 0.000 | 0.000 | -0.000 |
| 147.233 | 147.233 | 587.940 | 0.000 | -0.000 | 0.000 |
| 0.000 | 0.000 | 0.000 | 127.437 | 0.000 | 0.000 |
| 0.000 | 0.000 | 0.000 | 0.000 | 127.437 | -0.000 |
| 0.000 | 0.000 | 0.000 | 0.000 | 0.000 | 107.533 |
| 266.851 | 204.610 | 147.233 | -0.000 | -0.000 | -0.000 |
| 128.198 | 343.264 | 147.233 | -0.000 | -0.000 | -0.000 |
| 147.233 | 147.233 | 587.940 | -0.000 | -0.000 | -0.000 |
| -0.000 | -0.000 | -0.000 | 127.437 | 0.000 | -0.000 |
| -0.000 | -0.000 | -0.000 | -0.000 | 127.437 | -0.000 |
| -0.000 | -0.000 | -0.000 | -0.000 | -0.000 | 107.533 |
| 266.852 | 204.610 | 147.233 | 0.000 | -0.000 | 0.000 |
| 128.198 | 343.264 | 147.233 | 0.000 | 0.000 | -0.000 |
| 147.233 | 147.233 | 587.941 | 0.000 | 0.000 | 0.000 |
| 0.000 | 0.000 | 0.000 | 127.437 | -0.000 | 0.000 |
| 0.000 | 0.000 | 0.000 | 0.000 | 127.437 | 0.000 |
| 0.000 | 0.000 | 0.000 | 0.000 | 0.000 | 107.533 |
| 266.851 | 204.610 | 147.232 | -0.000 | 0.000 | -0.000 |
| 128.198 | 343.263 | 147.232 | -0.000 | -0.000 | 0.000 |
| 147.232 | 147.232 | 587.939 | -0.000 | -0.000 | -0.000 |
| -0.000 | -0.000 | -0.000 | 127.437 | 0.000 | -0.000 |
| -0.000 | -0.000 | -0.000 | -0.000 | 127.437 | -0.000 |
| -0.000 | -0.000 | -0.000 | -0.000 | -0.000 | 107.533 |
| 266.844 | 204.621 | 147.234 | 0.000 | 0.000 | 0.000 |
| 128.199 | 343.266 | 147.234 | 0.000 | 0.000 | -0.000 |
| 147.235 | 147.235 | 587.947 | 0.000 | -0.000 | 0.000 |
| 0.001 | 0.000 | 0.002 | 127.437 | -0.000 | 0.000 |
| 0.000 | 0.001 | 0.002 | 0.000 | 127.437 | 0.000 |
| 0.000 | 0.000 | 0.000 | 0.000 | 0.000 | 31.121 |
| 266.846 | 204.612 | 147.231 | -0.000 | -0.000 | -0.000 |
| 204.606 | 266.852 | 147.231 | -0.000 | 0.000 | -0.000 |
| 147.230 | 147.230 | 587.932 | -0.000 | -0.000 | -0.000 |
| -0.001 | -0.000 | -0.002 | 127.437 | -0.000 | -0.000 |
| -0.000 | -0.001 | -0.002 | -0.000 | 127.437 | -0.000 |
| -0.000 | -0.000 | -0.000 | -0.000 | -0.000 | 31.121 |
| 157.037 | 242.149 | 242.149 | 0.000 | -0.000 | 0.000 |
| 242.149 | 157.037 | 242.149 | 0.000 | 0.000 | -0.000 |
| 242.149 | 242.149 | 157.037 | -0.000 | -0.000 | 0.000 |
| 0.000 | 0.000 | -0.000 | -85.367 | -0.000 | 0.000 |
| 0.000 | 0.000 | -0.000 | 0.000 | -85.367 | 0.000 |
| 0.000 | -0.000 | 0.000 | 0.000 | 0.000 | -85.367 |
| 157.036 | 242.149 | 242.149 | -0.000 | 0.000 | -0.000 |
| 242.149 | 157.036 | 242.149 | -0.000 | 0.000 | -0.000 |
| 242.149 | 242.149 | 157.036 | -0.000 | 0.000 | -0.000 |
| -0.000 | -0.000 | 0.000 | -85.367 | 0.000 | -0.000 |
| -0.000 | -0.000 | 0.000 | -0.000 | -85.367 | -0.000 |
| -0.000 | 0.000 | -0.000 | -0.000 | 0.000 | -85.367 |
| 157.037 | 242.149 | 242.149 | 0.000 | -0.000 | 0.000 |
| 242.149 | 157.037 | 242.149 | 0.000 | -0.000 | 0.000 |
| 242.149 | 242.149 | 157.037 | 0.000 | -0.000 | -0.000 |
| 0.000 | -0.000 | -0.000 | -85.367 | 0.000 | -0.000 |
| -0.000 | 0.000 | -0.000 | 0.000 | -85.367 | 0.000 |
| -0.000 | -0.000 | 0.000 | 0.000 | -0.000 | -85.367 |
| 157.036 | 242.148 | 242.148 | -0.000 | -0.000 | -0.000 |
| 242.148 | 157.036 | 242.148 | -0.000 | -0.000 | -0.000 |
| 242.148 | 242.148 | 157.036 | -0.000 | 0.000 | -0.000 |
| -0.000 | 0.000 | 0.000 | -85.367 | -0.000 | -0.000 |
| 0.000 | -0.000 | 0.000 | -0.000 | -85.367 | -0.000 |
| 0.000 | 0.000 | -0.000 | -0.000 | 0.000 | -85.367 |
| 157.038 | 242.150 | 242.150 | 0.000 | 0.000 | 0.000 |
| 242.150 | 157.038 | 242.150 | 0.000 | -0.000 | 0.000 |
| 242.150 | 242.150 | 157.038 | 0.000 | -0.000 | 0.000 |
| 0.001 | 0.000 | 0.001 | 193.424 | 0.000 | 0.000 |
| 0.000 | 0.001 | 0.001 | 0.000 | 193.424 | 0.000 |
| 0.000 | 0.001 | 0.001 | 0.000 | 0.000 | 193.424 |
| 157.035 | 242.147 | 242.147 | -0.000 | 0.000 | 0.000 |
| 242.147 | 157.035 | 242.147 | 0.000 | 0.000 | 0.000 |
| 242.147 | 242.147 | 157.035 | -0.000 | 0.000 | -0.000 |
| -0.001 | -0.000 | -0.001 | 193.424 | -0.000 | -0.000 |
| -0.000 | -0.001 | -0.001 | -0.000 | 193.424 | -0.000 |
| -0.000 | -0.001 | -0.001 | -0.000 | 0.000 | 193.424 |
| 0.000 | 0.000 | 0.000 | 0.000 | 0.000 | 0.000 |
| 0.000 | 0.000 | 0.000 | 0.000 | 0.000 | 0.000 |
| 0.000 | 0.000 | 0.000 | 0.000 | 0.000 | 0.000 |
| 0.000 | 0.000 | 0.000 | 0.000 | 0.000 | 0.000 |
| 0.000 | 0.000 | 0.000 | 0.000 | 0.000 | 0.000 |
| 0.000 | 0.000 | 0.000 | 0.000 | 0.000 | 0.000 |
| 0.000 | 0.000 | 0.000 | -0.000 | -0.000 | -0.000 |
| 0.000 | 0.000 | 0.000 | -0.000 | -0.000 | -0.000 |
| 0.000 | 0.000 | 0.000 | -0.000 | -0.000 | -0.000 |
| -0.000 | -0.000 | -0.000 | 0.000 | -0.000 | -0.000 |
| -0.000 | -0.000 | -0.000 | -0.000 | 0.000 | -0.000 |
| -0.000 | -0.000 | -0.000 | -0.000 | -0.000 | 0.000 |
| 0.000 | 0.000 | 0.000 | 0.000 | 0.000 | 0.000 |
| 0.000 | 0.000 | 0.000 | 0.000 | 0.000 | 0.000 |
| 0.000 | 0.000 | 0.000 | 0.000 | 0.000 | 0.000 |
| 0.000 | 0.000 | 0.000 | 0.000 | 0.000 | 0.000 |
| 0.000 | 0.000 | 0.000 | 0.000 | 0.000 | 0.000 |
| 0.000 | 0.000 | 0.000 | 0.000 | 0.000 | 0.000 |
| 0.000 | 0.000 | 0.000 | -0.000 | 0.000 | -0.000 |
| 0.000 | 0.000 | 0.000 | 0.000 | -0.000 | -0.000 |
| 0.000 | 0.000 | 0.000 | -0.000 | -0.000 | -0.000 |
| -0.000 | -0.000 | -0.000 | 0.000 | -0.000 | -0.000 |
| -0.000 | -0.000 | -0.000 | -0.000 | 0.000 | -0.000 |
| -0.000 | -0.000 | -0.000 | -0.000 | -0.000 | 0.000 |
| 0.000 | 0.000 | 0.000 | 0.000 | 0.000 | 0.000 |
| 0.000 | 0.000 | 0.000 | 0.000 | 0.000 | 0.000 |
| 0.000 | 0.000 | 0.000 | 0.000 | 0.000 | -0.000 |
| 0.000 | 0.000 | 0.000 | 0.000 | 0.000 | 0.000 |
| 0.000 | 0.000 | 0.000 | 0.000 | 0.000 | 0.000 |
| 0.000 | 0.000 | 0.000 | 0.000 | 0.000 | 0.000 |
| 0.000 | 0.000 | 0.000 | -0.000 | -0.000 | -0.000 |
| 0.000 | 0.000 | 0.000 | -0.000 | -0.000 | -0.000 |
| 0.000 | 0.000 | 0.000 | -0.000 | -0.000 | -0.000 |
| -0.000 | -0.000 | -0.000 | 0.000 | -0.000 | -0.000 |
| -0.000 | -0.000 | -0.000 | -0.000 | 0.000 | -0.000 |
| -0.000 | -0.000 | -0.000 | -0.000 | -0.000 | 0.000 |
| 359.596 | 161.589 | 161.589 | -0.000 | 0.000 | -0.000 |
| 161.589 | 359.596 | 161.589 | 0.000 | 0.000 | -0.000 |
| 161.589 | 161.589 | 359.596 | 0.000 | 0.000 | -0.000 |
| -0.000 | 0.000 | 0.000 | 132.762 | 0.000 | 0.000 |
| 0.000 | -0.000 | 0.000 | 0.000 | 132.762 | 0.000 |
| 0.000 | 0.000 | -0.000 | 0.000 | 0.000 | 132.762 |
| 359.596 | 161.589 | 161.589 | 0.000 | -0.000 | 0.000 |
| 161.589 | 359.596 | 161.589 | -0.000 | -0.000 | -0.000 |
| 161.589 | 161.589 | 359.596 | -0.000 | -0.000 | 0.000 |
| 0.000 | -0.000 | -0.000 | 132.762 | -0.000 | -0.000 |
| -0.000 | 0.000 | -0.000 | -0.000 | 132.762 | -0.000 |
| -0.000 | -0.000 | 0.000 | -0.000 | -0.000 | 132.762 |
| 359.597 | 161.589 | 161.589 | 0.000 | 0.000 | 0.000 |
| 161.589 | 359.597 | 161.589 | 0.000 | 0.000 | -0.000 |
| 161.589 | 161.589 | 359.597 | 0.000 | 0.000 | 0.000 |
| 0.000 | 0.000 | 0.000 | 132.747 | 0.000 | -0.000 |
| 0.000 | 0.000 | 0.000 | 0.000 | 132.747 | 0.000 |
| 0.000 | 0.000 | 0.000 | 0.000 | 0.000 | 132.747 |
| 359.596 | 161.589 | 161.589 | -0.000 | -0.000 | -0.000 |
| 161.589 | 359.596 | 161.589 | -0.000 | -0.000 | -0.000 |
| 161.589 | 161.589 | 359.596 | -0.000 | -0.000 | 0.000 |
| -0.000 | -0.000 | -0.000 | 132.747 | -0.000 | -0.000 |
| -0.000 | -0.000 | -0.000 | -0.000 | 132.747 | -0.000 |
| -0.000 | -0.000 | -0.000 | -0.000 | -0.000 | 132.747 |
| 359.598 | 161.589 | 161.589 | 0.000 | 0.000 | -0.000 |
| 161.589 | 359.598 | 161.589 | 0.000 | 0.000 | 0.000 |
| 161.589 | 161.589 | 359.598 | 0.000 | 0.000 | -0.000 |
| 0.000 | 0.000 | 0.000 | 132.747 | 0.000 | -0.000 |
| 0.000 | 0.000 | 0.000 | -0.000 | 132.747 | 0.000 |
| 0.000 | 0.000 | 0.000 | 0.000 | 0.000 | 132.747 |
| 359.595 | 161.589 | 161.589 | -0.000 | -0.000 | -0.000 |
| 161.589 | 359.595 | 161.589 | -0.000 | -0.000 | -0.000 |
| 161.589 | 161.589 | 359.595 | -0.000 | -0.000 | -0.000 |
| -0.000 | -0.000 | -0.000 | 132.747 | -0.000 | -0.000 |
| -0.000 | -0.000 | -0.000 | 0.000 | 132.747 | -0.000 |
| -0.000 | -0.000 | -0.000 | -0.000 | 0.000 | 132.747 |
| 24.559 | 27.491 | 27.491 | 0.000 | 0.000 | 0.000 |
| 27.491 | 24.559 | 27.491 | 0.000 | 0.000 | 0.000 |
| 27.491 | 27.491 | 24.559 | 0.000 | 0.000 | 0.000 |
| -0.000 | -0.000 | -0.000 | 25.359 | 0.000 | -0.000 |
| -0.000 | -0.000 | -0.000 | 0.000 | 25.359 | -0.000 |
| -0.000 | -0.000 | -0.000 | -0.000 | -0.000 | 25.359 |
| 24.559 | 27.491 | 27.491 | -0.000 | -0.000 | -0.000 |
| 27.491 | 24.559 | 27.491 | -0.000 | -0.000 | -0.000 |
| 27.491 | 27.491 | 24.559 | -0.000 | -0.000 | -0.000 |
| 0.000 | 0.000 | 0.000 | -4.674 | -0.000 | -0.000 |
| 0.000 | 0.000 | 0.000 | -0.000 | -4.674 | -0.000 |
| -0.000 | 0.000 | 0.000 | -0.000 | -0.000 | -4.674 |
| 24.559 | 27.491 | 27.491 | -0.000 | 0.000 | 0.000 |
| 27.491 | 24.559 | 27.491 | 0.000 | -0.000 | 0.000 |
| 27.491 | 27.491 | 24.559 | 0.000 | 0.000 | -0.000 |
| -0.000 | -0.000 | -0.000 | 25.359 | 0.000 | 0.000 |
| -0.000 | -0.000 | -0.000 | 0.000 | 25.359 | 0.000 |
| -0.000 | -0.000 | -0.000 | 0.000 | 0.000 | 25.359 |
| 24.559 | 27.491 | 27.491 | 0.000 | -0.000 | -0.000 |
| 27.491 | 24.559 | 27.491 | -0.000 | 0.000 | -0.000 |
| 27.491 | 27.491 | 24.559 | -0.000 | -0.000 | 0.000 |
| 0.000 | 0.000 | 0.000 | 25.359 | 0.000 | 0.000 |
| 0.000 | 0.000 | 0.000 | 0.000 | 25.359 | 0.000 |
| 0.000 | 0.000 | 0.000 | 0.000 | 0.000 | 25.359 |
| 24.559 | 27.491 | 27.491 | 0.000 | 0.000 | 0.000 |
| 27.491 | 24.559 | 27.491 | 0.000 | 0.000 | 0.000 |
| 27.491 | 27.491 | 24.559 | 0.000 | 0.000 | 0.000 |
| -0.000 | -0.000 | -0.000 | -4.674 | 0.000 | 0.000 |
| -0.000 | -0.000 | -0.000 | 0.000 | -4.674 | 0.000 |
| -0.000 | -0.000 | -0.000 | 0.000 | 0.000 | -4.674 |
| 24.559 | 27.492 | 27.492 | -0.000 | -0.000 | -0.000 |
| 27.492 | 24.559 | 27.492 | -0.000 | -0.000 | -0.000 |
| 27.492 | 27.492 | 24.559 | -0.000 | -0.000 | -0.000 |
| 0.000 | 0.000 | 0.000 | -4.674 | -0.000 | -0.000 |
| 0.000 | 0.000 | 0.000 | -0.000 | -4.674 | -0.000 |
| 0.000 | 0.000 | 0.000 | -0.000 | -0.000 | -4.674 |
| -0.129 | -0.129 | -0.129 | -0.000 | 0.000 | 0.000 |
| -0.129 | -0.129 | -0.129 | 0.000 | -0.000 | 0.000 |
| -0.129 | -0.129 | -0.129 | 0.000 | 0.000 | -0.000 |
| -0.000 | -0.000 | -0.000 | -0.129 | -0.000 | 0.000 |
| -0.000 | -0.000 | -0.000 | -0.000 | -0.129 | 0.000 |
| -0.000 | -0.000 | -0.000 | -0.000 | 0.000 | -0.129 |
| -0.129 | -0.129 | -0.129 | -0.000 | -0.000 | -0.000 |
| -0.129 | -0.129 | -0.129 | -0.000 | -0.000 | -0.000 |
| -0.129 | -0.129 | -0.129 | -0.000 | -0.000 | -0.000 |
| 0.000 | 0.000 | 0.000 | -0.129 | -0.000 | -0.000 |
| 0.000 | 0.000 | 0.000 | -0.000 | -0.129 | -0.000 |
| 0.000 | 0.000 | 0.000 | -0.000 | -0.000 | -0.129 |
| -0.129 | -0.129 | -0.129 | 0.000 | 0.000 | 0.000 |
| -0.129 | -0.129 | -0.129 | 0.000 | 0.000 | 0.000 |
| -0.129 | -0.129 | -0.129 | 0.000 | 0.000 | 0.000 |
| -0.000 | -0.000 | -0.000 | -0.129 | 0.000 | 0.000 |
| -0.000 | -0.000 | -0.000 | 0.000 | -0.129 | 0.000 |
| -0.000 | -0.000 | -0.000 | 0.000 | 0.000 | -0.129 |
| -0.129 | -0.129 | -0.129 | 0.000 | -0.000 | -0.000 |
| -0.129 | -0.129 | -0.129 | -0.000 | 0.000 | -0.000 |
| -0.129 | -0.129 | -0.129 | -0.000 | -0.000 | 0.000 |
| 0.000 | 0.000 | 0.000 | -0.129 | 0.000 | -0.000 |
| 0.000 | 0.000 | 0.000 | 0.000 | -0.129 | -0.000 |
| 0.000 | 0.000 | 0.000 | 0.000 | -0.000 | -0.129 |
| 413.124 | 84.894 | 84.894 | -0.000 | -0.000 | 0.000 |
| 84.894 | 413.124 | 84.894 | -0.000 | -0.000 | 0.000 |
| 84.894 | 84.894 | 413.124 | -0.000 | -0.000 | -0.000 |
| -0.000 | 0.000 | 0.000 | 57.267 | -0.000 | 0.000 |
| 0.000 | 0.000 | 0.000 | -0.000 | 57.267 | 0.000 |
| 0.000 | -0.000 | 0.000 | -0.000 | -0.000 | 57.818 |
| 413.124 | 84.894 | 84.894 | 0.000 | 0.000 | -0.000 |
| 84.894 | 413.124 | 84.894 | -0.000 | 0.000 | 0.000 |
| 84.894 | 84.894 | 413.124 | 0.000 | 0.000 | 0.000 |
| 0.000 | -0.000 | -0.000 | 57.267 | 0.000 | 0.000 |
| -0.000 | -0.000 | -0.000 | 0.000 | 57.267 | 0.000 |
| 0.000 | -0.000 | -0.000 | 0.000 | 0.000 | 57.818 |
| 413.104 | 84.904 | 84.904 | -0.000 | -0.000 | -0.000 |
| 84.904 | 413.104 | 84.904 | -0.000 | -0.000 | -0.000 |
| 84.904 | 84.904 | 413.104 | -0.000 | -0.000 | -0.000 |
| 0.000 | 0.000 | 0.000 | 57.267 | -0.000 | -0.000 |
| 0.000 | 0.000 | 0.000 | -0.000 | 57.267 | 0.000 |
| 0.000 | 0.000 | 0.000 | -0.000 | -0.000 | 57.267 |
| 413.104 | 84.904 | 84.904 | 0.000 | 0.000 | 0.000 |
| 84.904 | 413.104 | 84.904 | 0.000 | 0.000 | 0.000 |
| 84.904 | 84.904 | 413.104 | 0.000 | 0.000 | 0.000 |
| -0.000 | -0.000 | -0.000 | 57.267 | 0.000 | 0.000 |
| -0.000 | -0.000 | -0.000 | 0.000 | 57.267 | -0.000 |
| -0.000 | -0.000 | -0.000 | 0.000 | 0.000 | 57.267 |
| 413.106 | 84.904 | 84.904 | -0.000 | -0.000 | 0.000 |
| 84.904 | 413.106 | 84.904 | -0.000 | -0.000 | -0.000 |
| 84.904 | 84.904 | 413.106 | -0.000 | -0.000 | -0.000 |
| 0.000 | 0.000 | 0.000 | 57.267 | -0.000 | -0.000 |
| 0.000 | 0.000 | 0.000 | -0.000 | 57.267 | 0.000 |
| 0.000 | 0.000 | 0.000 | -0.000 | -0.000 | 57.267 |
| 413.102 | 84.904 | 84.904 | 0.000 | 0.000 | 0.000 |
| 84.904 | 413.102 | 84.904 | -0.000 | 0.000 | 0.000 |
| 84.904 | 84.904 | 413.102 | 0.000 | 0.000 | 0.000 |
| -0.000 | -0.000 | -0.000 | 57.267 | 0.000 | 0.000 |
| -0.000 | -0.000 | -0.000 | 0.000 | 57.267 | -0.000 |
| -0.000 | -0.000 | -0.000 | 0.000 | 0.000 | 57.267 |
| 157.106 | 235.383 | 235.383 | 0.000 | -0.000 | -0.000 |
| 235.383 | 157.106 | 235.383 | -0.000 | 0.000 | 0.000 |
| 235.383 | 235.383 | 157.106 | 0.000 | 0.000 | 0.000 |
| 0.000 | 0.000 | 0.000 | 194.184 | -0.000 | 0.000 |
| 0.000 | 0.000 | 0.000 | 0.000 | 194.184 | 0.000 |
| 0.000 | 0.000 | 0.000 | 0.000 | 0.000 | 194.184 |
| 157.106 | 235.383 | 235.383 | 0.000 | -0.000 | 0.000 |
| 235.383 | 157.106 | 235.383 | 0.000 | -0.000 | 0.000 |
| 235.383 | 235.383 | 157.106 | 0.000 | -0.000 | 0.000 |
| -0.000 | -0.000 | -0.000 | 194.184 | -0.000 | -0.000 |
| -0.000 | -0.000 | -0.000 | -0.000 | 194.184 | -0.000 |
| -0.000 | -0.000 | -0.000 | -0.000 | -0.000 | 194.184 |
| 157.107 | 235.383 | 235.383 | 0.000 | 0.000 | 0.000 |
| 235.383 | 157.107 | 235.383 | 0.000 | 0.000 | -0.000 |
| 235.383 | 235.383 | 157.107 | -0.000 | 0.000 | 0.000 |
| 0.000 | -0.000 | 0.000 | 194.184 | 0.000 | -0.000 |
| -0.000 | 0.000 | 0.000 | -0.000 | 194.184 | 0.000 |
| -0.000 | 0.000 | 0.000 | 0.000 | 0.000 | 194.184 |
| 157.106 | 235.383 | 235.383 | 0.000 | -0.000 | -0.000 |
| 235.383 | 157.106 | 235.383 | -0.000 | -0.000 | 0.000 |
| 235.383 | 235.383 | 157.106 | 0.000 | 0.000 | 0.000 |
| -0.000 | 0.000 | -0.000 | 194.184 | -0.000 | -0.000 |
| 0.000 | -0.000 | -0.000 | 0.000 | 194.184 | -0.000 |
| 0.000 | -0.000 | -0.000 | -0.000 | -0.000 | 194.184 |
| 157.108 | 235.384 | 235.384 | 0.000 | 0.000 | -0.000 |
| 235.384 | 157.108 | 235.384 | -0.000 | 0.000 | 0.000 |
| 235.384 | 235.384 | 157.108 | 0.000 | 0.000 | 0.000 |
| 0.000 | -0.000 | 0.000 | 194.184 | 0.000 | 0.000 |
| -0.000 | 0.000 | 0.000 | -0.000 | 194.184 | 0.000 |
| -0.000 | 0.000 | 0.000 | 0.000 | 0.000 | 194.184 |
| 157.105 | 235.382 | 235.382 | -0.000 | -0.000 | 0.000 |
| 235.382 | 157.105 | 235.382 | 0.000 | -0.000 | -0.000 |
| 235.382 | 235.382 | 157.105 | -0.000 | -0.000 | -0.000 |
| -0.000 | 0.000 | -0.000 | 194.184 | 0.000 | 0.000 |
| 0.000 | -0.000 | -0.000 | -0.000 | 194.184 | -0.000 |
| 0.000 | -0.000 | -0.000 | -0.000 | -0.000 | 194.184 |
| 0.000 | 0.000 | 0.000 | 0.000 | 0.000 | 0.000 |
| 0.000 | 0.000 | 0.000 | 0.000 | 0.000 | 0.000 |
| 0.000 | 0.000 | 0.000 | 0.000 | 0.000 | 0.000 |
| 0.000 | 0.000 | 0.000 | 0.000 | 0.000 | 0.000 |
| 0.000 | 0.000 | 0.000 | 0.000 | 0.000 | 0.000 |
| 0.000 | 0.000 | 0.000 | 0.000 | 0.000 | 0.000 |
| 0.000 | 0.000 | 0.000 | -0.000 | -0.000 | -0.000 |
| 0.000 | 0.000 | 0.000 | -0.000 | -0.000 | -0.000 |
| 0.000 | 0.000 | 0.000 | -0.000 | -0.000 | -0.000 |
| -0.000 | -0.000 | -0.000 | 0.000 | -0.000 | -0.000 |
| -0.000 | -0.000 | -0.000 | -0.000 | 0.000 | -0.000 |
| -0.000 | -0.000 | -0.000 | -0.000 | -0.000 | 0.000 |
| 0.000 | 0.000 | 0.000 | 0.000 | 0.000 | 0.000 |
| 0.000 | 0.000 | 0.000 | 0.000 | 0.000 | 0.000 |
| 0.000 | 0.000 | 0.000 | 0.000 | 0.000 | 0.000 |
| 0.000 | 0.000 | 0.000 | 0.000 | 0.000 | 0.000 |
| 0.000 | 0.000 | 0.000 | 0.000 | 0.000 | 0.000 |
| 0.000 | 0.000 | 0.000 | 0.000 | 0.000 | 0.000 |
| 0.000 | 0.000 | 0.000 | -0.000 | 0.000 | -0.000 |
| 0.000 | 0.000 | 0.000 | 0.000 | -0.000 | -0.000 |
| 0.000 | 0.000 | 0.000 | -0.000 | -0.000 | -0.000 |
| -0.000 | -0.000 | -0.000 | 0.000 | -0.000 | -0.000 |
| -0.000 | -0.000 | -0.000 | -0.000 | 0.000 | -0.000 |
| -0.000 | -0.000 | -0.000 | -0.000 | -0.000 | 0.000 |
| 0.000 | 0.000 | 0.000 | 0.000 | 0.000 | 0.000 |
| 0.000 | 0.000 | 0.000 | 0.000 | 0.000 | 0.000 |
| 0.000 | 0.000 | 0.000 | 0.000 | 0.000 | -0.000 |
| 0.000 | 0.000 | 0.000 | 0.000 | 0.000 | 0.000 |
| 0.000 | 0.000 | 0.000 | 0.000 | 0.000 | 0.000 |
| 0.000 | 0.000 | 0.000 | 0.000 | 0.000 | 0.000 |
| 0.000 | 0.000 | 0.000 | -0.000 | -0.000 | -0.000 |
| 0.000 | 0.000 | 0.000 | -0.000 | -0.000 | -0.000 |
| 0.000 | 0.000 | 0.000 | -0.000 | -0.000 | -0.000 |
| -0.000 | -0.000 | -0.000 | 0.000 | -0.000 | -0.000 |
| -0.000 | -0.000 | -0.000 | -0.000 | 0.000 | -0.000 |
| -0.000 | -0.000 | -0.000 | -0.000 | -0.000 | 0.000 |
| 412.157 | 240.337 | 240.337 | -0.000 | -0.000 | -0.000 |
| 240.337 | 412.157 | 240.337 | -0.000 | -0.000 | -0.000 |
| 240.337 | 240.337 | 412.157 | -0.000 | -0.000 | -0.000 |
| -0.000 | 0.000 | 0.000 | 237.511 | -0.000 | -0.000 |
| 0.000 | -0.000 | 0.000 | -0.000 | 237.511 | -0.000 |
| 0.000 | 0.000 | -0.000 | -0.000 | -0.000 | 237.511 |
| 412.157 | 240.337 | 240.337 | -0.000 | 0.000 | 0.000 |
| 240.337 | 412.157 | 240.337 | 0.000 | 0.000 | 0.000 |
| 240.337 | 240.337 | 412.157 | 0.000 | 0.000 | 0.000 |
| 0.000 | -0.000 | -0.000 | 237.511 | 0.000 | 0.000 |
| -0.000 | -0.000 | -0.000 | 0.000 | 237.511 | 0.000 |
| -0.000 | -0.000 | 0.000 | 0.000 | 0.000 | 237.511 |
| 412.157 | 240.337 | 240.337 | -0.000 | -0.000 | -0.000 |
| 240.337 | 412.157 | 240.337 | 0.000 | -0.000 | 0.000 |
| 240.337 | 240.337 | 412.157 | -0.000 | -0.000 | -0.000 |
| -0.000 | 0.000 | 0.000 | 237.511 | -0.000 | 0.000 |
| 0.000 | -0.000 | 0.000 | -0.000 | 237.511 | -0.000 |
| 0.000 | 0.000 | -0.000 | -0.000 | -0.000 | 237.511 |
| 412.156 | 240.336 | 240.336 | 0.000 | 0.000 | 0.000 |
| 240.336 | 412.156 | 240.336 | 0.000 | 0.000 | 0.000 |
| 240.336 | 240.336 | 412.156 | -0.000 | 0.000 | 0.000 |
| -0.000 | -0.000 | -0.000 | 237.511 | 0.000 | 0.000 |
| -0.000 | -0.000 | -0.000 | 0.000 | 237.511 | 0.000 |
| -0.000 | -0.000 | -0.000 | 0.000 | 0.000 | 237.511 |
| 412.160 | 240.339 | 240.339 | 0.000 | -0.000 | -0.000 |
| 240.339 | 412.160 | 240.339 | -0.000 | -0.000 | -0.000 |
| 240.339 | 240.339 | 412.160 | -0.000 | -0.000 | -0.000 |
| -0.000 | 0.001 | 0.002 | 237.511 | -0.000 | 0.000 |
| 0.001 | -0.000 | 0.002 | -0.000 | 237.511 | -0.000 |
| 0.001 | 0.002 | -0.000 | -0.000 | -0.000 | 237.511 |
| 412.153 | 240.334 | 240.334 | 0.000 | 0.000 | 0.000 |
| 240.334 | 412.153 | 240.334 | 0.000 | 0.000 | 0.000 |
| 240.334 | 240.334 | 412.153 | -0.000 | 0.000 | 0.000 |
| 0.000 | -0.001 | -0.002 | 237.511 | 0.000 | 0.000 |
| -0.001 | 0.000 | -0.002 | 0.000 | 237.511 | 0.000 |
| -0.001 | -0.002 | 0.000 | 0.000 | 0.000 | 237.511 |
| 0.000 | 0.000 | 0.000 | -0.000 | 0.000 | 0.000 |
| 0.000 | 0.000 | 0.000 | 0.000 | -0.000 | 0.000 |
| 0.000 | 0.000 | 0.000 | 0.000 | 0.000 | -0.000 |
| -0.000 | 0.000 | 0.000 | 0.000 | 0.000 | 0.000 |
| 0.000 | -0.000 | 0.000 | 0.000 | 0.000 | 0.000 |
| 0.000 | 0.000 | -0.000 | 0.000 | 0.000 | 0.000 |
| 0.000 | 0.000 | 0.000 | 0.000 | -0.000 | -0.000 |
| 0.000 | 0.000 | 0.000 | -0.000 | 0.000 | -0.000 |
| 0.000 | 0.000 | 0.000 | -0.000 | -0.000 | 0.000 |
| 0.000 | -0.000 | -0.000 | 0.000 | -0.000 | -0.000 |
| -0.000 | 0.000 | -0.000 | -0.000 | 0.000 | -0.000 |
| -0.000 | -0.000 | 0.000 | -0.000 | -0.000 | 0.000 |
| 0.000 | 0.000 | 0.000 | -0.000 | 0.000 | 0.000 |
| 0.000 | 0.000 | 0.000 | 0.000 | -0.000 | 0.000 |
| 0.000 | 0.000 | 0.000 | 0.000 | 0.000 | -0.000 |
| -0.000 | 0.000 | 0.000 | 0.000 | 0.000 | 0.000 |
| 0.000 | -0.000 | 0.000 | 0.000 | 0.000 | 0.000 |
| 0.000 | 0.000 | -0.000 | 0.000 | 0.000 | 0.000 |
| 0.000 | 0.000 | 0.000 | 0.000 | -0.000 | -0.000 |
| 0.000 | 0.000 | 0.000 | -0.000 | 0.000 | -0.000 |
| 0.000 | 0.000 | 0.000 | -0.000 | -0.000 | 0.000 |
| 0.000 | -0.000 | -0.000 | 0.000 | -0.000 | -0.000 |
| -0.000 | 0.000 | -0.000 | -0.000 | 0.000 | -0.000 |
| -0.000 | -0.000 | 0.000 | -0.000 | -0.000 | 0.000 |
| 0.000 | 0.000 | 0.000 | -0.000 | 0.000 | 0.000 |
| 0.000 | 0.000 | 0.000 | 0.000 | -0.000 | 0.000 |
| 0.000 | 0.000 | 0.000 | 0.000 | 0.000 | -0.000 |
| -0.000 | 0.000 | 0.000 | 0.000 | 0.000 | 0.000 |
| 0.000 | -0.000 | 0.000 | 0.000 | 0.000 | 0.000 |
| 0.000 | 0.000 | -0.000 | 0.000 | 0.000 | 0.000 |
| 0.000 | 0.000 | 0.000 | 0.000 | -0.000 | -0.000 |
| 0.000 | 0.000 | 0.000 | -0.000 | 0.000 | -0.000 |
| 0.000 | 0.000 | 0.000 | -0.000 | -0.000 | 0.000 |
| 0.000 | -0.000 | -0.000 | 0.000 | -0.000 | -0.000 |
| -0.000 | 0.000 | -0.000 | -0.000 | 0.000 | -0.000 |
| -0.000 | -0.000 | 0.000 | -0.000 | -0.000 | 0.000 |
| 343.152 | 68.683 | 98.533 | -0.000 | -0.000 | -0.000 |
| 70.473 | 537.527 | 160.154 | -0.000 | 0.000 | 0.000 |
| 128.291 | 127.876 | 478.761 | -0.000 | 0.000 | -0.000 |
| 100.870 | -117.332 | 185.975 | 117.692 | 0.000 | -0.000 |
| 90.054 | -110.993 | 165.585 | -0.000 | 78.713 | -0.000 |
| 90.628 | -112.947 | 168.249 | -0.000 | 0.000 | 62.971 |
| 233.638 | 199.307 | -102.905 | 0.000 | 0.000 | 0.000 |
| 25.044 | 574.386 | 102.187 | 0.000 | -0.000 | 0.000 |
| 97.581 | 157.411 | 445.453 | 0.000 | -0.000 | 0.000 |
| -0.000 | -0.000 | -0.000 | 149.342 | -0.000 | -0.000 |
| -97.940 | 116.274 | -182.019 | 0.000 | 74.444 | 0.000 |
| -90.628 | 112.947 | -168.249 | 0.000 | -0.000 | 62.971 |
| 343.152 | 68.683 | 98.533 | -0.000 | -0.000 | -0.000 |
| 95.569 | 507.406 | 207.041 | -0.000 | 0.000 | -0.000 |
| 97.581 | 157.412 | 445.454 | -0.000 | 0.000 | -0.000 |
| 0.000 | 0.000 | 0.000 | 149.342 | 0.000 | -0.000 |
| 8.453 | -9.551 | 14.425 | -0.000 | 76.118 | -0.000 |
| 8.879 | -11.084 | 16.507 | -0.000 | 0.000 | 62.980 |
| 313.887 | 98.203 | 45.826 | 0.000 | 0.000 | 0.000 |
| 72.824 | 530.874 | 170.380 | 0.000 | -0.000 | 0.000 |
| 61.624 | 186.567 | 380.386 | 0.000 | -0.000 | 0.000 |
| -0.000 | -0.000 | -0.000 | 149.342 | -0.000 | 0.000 |
| -8.453 | 9.551 | -14.425 | 0.000 | 76.118 | 0.000 |
| -8.879 | 11.084 | -16.507 | 0.000 | -0.000 | 62.980 |
| 331.218 | 75.409 | 79.154 | -0.000 | 0.000 | -0.000 |
| 90.214 | 511.049 | 202.461 | -0.000 | -0.000 | -0.000 |
| 60.787 | 196.912 | 371.208 | -0.000 | 0.000 | -0.000 |
| 0.000 | 0.000 | 0.002 | 149.342 | 0.000 | -0.000 |
| 0.001 | 0.000 | 0.000 | -0.000 | 87.991 | -0.000 |
| 0.001 | 0.000 | 0.000 | -0.000 | 0.000 | 63.413 |
| 329.716 | 76.606 | 76.967 | 0.000 | -0.000 | 0.000 |
| 86.509 | 514.052 | 196.542 | -0.000 | -0.000 | 0.000 |
| 58.812 | 199.296 | 367.501 | 0.000 | -0.000 | 0.000 |
| -0.000 | -0.000 | -0.002 | 149.342 | -0.000 | -0.000 |
| -0.001 | -0.000 | -0.000 | 0.000 | 87.991 | -0.000 |
| -0.001 | -0.000 | -0.000 | 0.000 | -0.000 | 63.413 |
| 637.886 | 352.084 | 347.377 | 0.000 | -0.000 | -0.000 |
| 58.427 | 579.498 | 142.205 | -0.000 | 0.000 | 0.000 |
| 191.741 | 646.186 | 177.070 | 0.000 | -0.000 | -0.000 |
| 66.429 | 549.801 | -269.980 | 103.186 | -0.000 | 0.000 |
| 116.688 | 505.838 | -188.968 | 0.000 | 75.777 | 0.000 |
| 116.692 | 505.852 | -188.958 | 0.000 | -0.000 | 49.204 |
| 177.610 | -428.401 | 249.164 | -0.000 | 0.000 | -0.000 |
| 58.427 | 579.498 | 142.205 | 0.000 | -0.000 | -0.000 |
| 97.904 | 142.205 | 406.478 | 0.000 | -0.000 | 0.000 |
| -333.011 | -283.766 | -271.138 | 123.791 | 0.000 | -0.000 |
| -116.688 | -505.838 | 188.968 | -0.000 | 75.777 | 0.000 |
| -116.692 | -505.852 | 188.958 | -0.000 | 0.000 | 49.204 |
| 317.511 | 58.427 | 97.904 | -0.000 | 0.000 | 0.000 |
| 98.859 | 598.389 | 182.423 | 0.000 | -0.000 | 0.000 |
| 74.995 | 220.159 | 329.100 | -0.000 | -0.000 | 0.000 |
| 12.505 | 48.105 | -18.079 | 114.512 | -0.000 | -0.000 |
| 13.089 | 47.462 | -16.743 | -0.000 | 78.147 | -0.000 |
| 0.000 | 0.000 | 0.000 | -0.000 | 0.000 | 49.204 |
| 283.158 | 26.129 | 80.053 | -0.000 | 0.000 | 0.000 |
| 32.354 | 540.825 | 128.694 | -0.000 | 0.000 | 0.000 |
| 51.711 | 122.208 | 368.151 | -0.000 | 0.000 | 0.000 |
| -12.505 | -48.105 | 18.079 | 114.512 | 0.000 | -0.000 |
| -13.089 | -47.462 | 16.743 | 0.000 | 78.147 | -0.000 |
| -0.000 | -0.000 | -0.000 | 0.000 | -0.000 | 49.204 |
| 296.744 | 78.494 | 60.194 | 0.000 | -0.000 | 0.000 |
| 79.207 | 564.036 | 173.375 | -0.000 | -0.000 | -0.000 |
| 64.618 | 170.463 | 347.577 | 0.000 | -0.000 | 0.000 |
| 0.476 | 5.777 | -2.941 | 97.876 | -0.000 | 0.000 |
| 1.719 | 4.765 | -1.091 | 0.000 | 76.843 | -0.000 |
| 0.671 | 5.493 | -2.690 | 0.000 | -0.000 | 49.204 |
| 290.445 | 74.360 | 57.910 | -0.000 | 0.000 | -0.000 |
| 78.462 | 551.869 | 180.377 | -0.000 | 0.000 | -0.000 |
| 55.548 | 171.555 | 341.014 | 0.000 | 0.000 | 0.000 |
| -0.476 | -5.777 | 2.941 | 97.876 | 0.000 | 0.000 |
| -1.719 | -4.765 | 1.091 | -0.000 | 76.843 | -0.000 |
| -0.671 | -5.493 | 2.690 | 0.000 | 0.000 | 49.204 |
| 404.544 | 200.917 | 438.291 | 70.146 | -0.000 | -0.000 |
| 209.005 | 396.323 | 438.022 | -61.272 | -0.000 | -0.000 |
| 142.220 | 142.220 | 581.867 | 0.000 | -0.000 | 0.000 |
| 146.524 | 6.233 | 307.334 | 118.825 | 0.000 | 0.000 |
| 76.379 | 76.379 | 307.334 | 0.000 | 118.825 | 70.146 |
| 76.367 | 76.367 | 307.286 | 0.000 | 70.146 | 101.814 |
| 333.213 | 125.088 | 142.218 | 72.594 | -0.000 | -0.000 |
| 125.088 | 333.213 | 142.218 | -72.594 | -0.000 | -0.000 |
| 54.695 | 54.695 | 229.682 | 0.000 | 0.000 | -0.000 |
| -6.233 | -146.524 | -307.334 | 118.825 | 0.000 | -0.000 |
| -76.379 | -76.379 | -307.334 | -0.000 | 118.825 | 70.146 |
| -76.367 | -76.367 | -307.286 | -0.000 | 70.146 | 101.814 |
| 333.214 | 125.088 | 142.218 | 72.594 | 0.000 | 0.000 |
| 125.088 | 333.213 | 142.218 | -72.594 | 0.000 | -0.000 |
| 142.220 | 142.220 | 581.868 | 0.000 | -0.000 | 0.000 |
| 68.902 | -53.641 | 30.703 | 109.167 | -0.000 | 0.000 |
| 7.630 | 7.630 | 30.703 | 0.000 | 109.168 | 61.272 |
| 7.630 | 7.630 | 30.703 | 0.000 | 61.272 | 93.659 |
| 333.213 | 125.088 | 142.218 | 72.594 | -0.000 | -0.000 |
| 125.088 | 333.213 | 142.218 | -72.594 | -0.000 | -0.000 |
| 123.367 | 123.367 | 506.006 | -0.000 | -0.000 | -0.000 |
| 72.594 | -72.594 | -0.000 | 121.489 | -0.000 | 0.000 |
| -7.630 | -7.630 | -30.703 | -0.000 | 109.168 | 61.272 |
| -7.630 | -7.630 | -30.703 | -0.000 | 61.272 | 93.659 |
| 333.215 | 125.088 | 142.218 | 72.594 | 0.000 | -0.000 |
| 125.509 | 325.095 | 126.727 | -67.947 | 0.000 | 0.000 |
| 131.761 | 131.761 | 539.782 | -0.000 | 0.000 | 0.000 |
| 72.594 | -72.593 | 0.001 | 121.488 | -0.000 | -0.000 |
| 0.000 | 0.000 | 0.001 | 0.000 | 121.489 | 72.594 |
| 2.700 | 2.700 | 10.863 | 0.000 | 63.941 | 96.112 |
| 325.373 | 123.324 | 122.898 | 69.288 | -0.000 | 0.000 |
| 123.324 | 325.373 | 122.898 | -69.288 | 0.000 | -0.000 |
| 130.231 | 130.231 | 533.625 | 0.000 | -0.000 | 0.000 |
| 72.593 | -72.594 | -0.001 | 121.489 | 0.000 | 0.000 |
| -0.000 | -0.000 | -0.001 | -0.000 | 121.489 | 72.594 |
| -2.700 | -2.700 | -10.863 | -0.000 | 63.941 | 96.112 |
| 326.923 | 124.538 | 128.763 | 70.201 | -0.000 | 0.000 |
| 125.600 | 334.826 | 146.643 | -74.007 | -0.000 | 0.000 |
| 134.119 | 134.119 | 548.809 | -0.000 | 0.000 | 0.000 |
| 74.007 | -74.007 | 0.000 | 124.483 | 0.000 | 0.000 |
| -0.102 | -0.102 | -0.408 | 0.000 | 111.552 | 62.389 |
| 0.000 | 0.000 | 0.000 | 0.000 | 74.007 | 104.613 |
| 326.921 | 124.596 | 128.875 | 70.167 | -0.000 | -0.000 |
| 125.600 | 334.826 | 146.643 | -74.007 | -0.000 | -0.000 |
| 145.900 | 145.900 | 595.802 | -0.000 | -0.000 | -0.000 |
| 74.007 | -74.007 | -0.000 | 124.483 | 0.000 | -0.000 |
| 0.102 | 0.102 | 0.408 | -0.000 | 111.552 | 62.389 |
| -0.000 | -0.000 | -0.000 | -0.000 | 74.007 | 104.613 |
| 321.435 | 133.091 | 134.876 | 62.386 | 0.000 | 0.000 |
| 125.600 | 334.826 | 146.643 | -74.007 | 0.000 | 0.000 |
| 145.900 | 145.900 | 595.802 | -0.000 | 0.000 | -0.000 |
| 62.376 | -62.397 | -0.041 | 111.549 | -0.000 | 0.000 |
| -0.010 | -0.010 | -0.041 | 0.000 | 111.549 | 62.386 |
| 0.000 | 0.000 | 0.000 | 0.000 | 74.007 | 104.613 |
| 321.439 | 133.096 | 134.893 | 62.386 | 0.000 | 0.000 |
| 125.600 | 334.826 | 146.643 | -74.007 | -0.000 | -0.000 |
| 145.900 | 145.900 | 595.801 | 0.000 | -0.000 | -0.000 |
| 62.397 | -62.376 | 0.041 | 111.549 | 0.000 | -0.000 |
| 0.010 | 0.010 | 0.041 | -0.000 | 111.549 | 62.386 |
| -0.000 | -0.000 | -0.000 | -0.000 | 74.007 | 104.613 |
| 334.827 | 125.600 | 146.644 | 74.008 | -0.000 | 0.000 |
| 124.566 | 326.923 | 128.818 | -70.185 | -0.000 | 0.000 |
| 145.901 | 145.901 | 595.807 | 0.000 | -0.000 | 0.000 |
| 74.007 | -74.007 | 0.001 | 124.482 | 0.000 | 0.000 |
| -0.001 | -0.001 | -0.004 | 0.000 | 111.549 | 62.386 |
| 0.000 | 0.000 | 0.000 | 0.000 | 74.007 | 104.613 |
| 321.436 | 133.094 | 134.886 | 62.386 | -0.000 | -0.000 |
| 125.600 | 334.825 | 146.643 | -74.007 | -0.000 | -0.000 |
| 134.138 | 134.138 | 548.885 | 0.000 | 0.000 | -0.000 |
| 62.388 | -62.385 | 0.004 | 111.549 | 0.000 | -0.000 |
| 0.001 | 0.001 | 0.004 | -0.000 | 111.549 | 62.386 |
| -0.000 | -0.000 | -0.000 | -0.000 | 74.007 | 104.613 |
| 375.296 | 270.250 | 176.215 | -0.000 | -0.000 | -0.000 |
| 270.250 | 375.296 | 176.215 | -0.000 | -0.000 | -0.000 |
| 176.215 | 176.215 | 256.969 | 0.000 | -0.000 | -0.000 |
| -0.000 | 0.000 | 0.000 | 168.774 | -0.000 | -0.000 |
| 0.000 | -0.000 | 0.000 | 0.000 | 168.774 | -0.000 |
| 0.000 | 0.000 | -0.000 | -0.000 | -0.000 | 262.523 |
| 375.296 | 270.250 | 176.215 | 0.000 | 0.000 | 0.000 |
| 270.250 | 375.296 | 176.215 | 0.000 | 0.000 | 0.000 |
| 176.215 | 176.215 | 256.968 | 0.000 | 0.000 | 0.000 |
| 0.000 | -0.000 | -0.000 | 168.774 | 0.000 | -0.000 |
| -0.000 | 0.000 | -0.000 | -0.000 | 168.774 | 0.000 |
| -0.000 | -0.000 | 0.000 | 0.000 | 0.000 | 262.523 |
| 375.296 | 270.250 | 176.215 | -0.000 | -0.000 | -0.000 |
| 270.250 | 375.296 | 176.215 | -0.000 | -0.000 | -0.000 |
| 176.215 | 176.215 | 256.969 | -0.000 | -0.000 | -0.000 |
| -0.000 | 0.000 | 0.000 | 168.775 | -0.000 | -0.000 |
| 0.000 | -0.000 | 0.000 | 0.000 | 168.775 | -0.000 |
| 0.000 | 0.000 | -0.000 | -0.000 | -0.000 | 262.523 |
| 375.296 | 270.250 | 176.215 | -0.000 | 0.000 | 0.000 |
| 270.250 | 375.296 | 176.215 | -0.000 | 0.000 | 0.000 |
| 176.215 | 176.215 | 256.968 | 0.000 | 0.000 | 0.000 |
| 0.000 | -0.000 | -0.000 | 168.775 | 0.000 | 0.000 |
| -0.000 | 0.000 | -0.000 | 0.000 | 168.775 | 0.000 |
| -0.000 | -0.000 | 0.000 | 0.000 | 0.000 | 262.523 |
| 375.301 | 270.250 | 176.217 | -0.000 | -0.000 | -0.000 |
| 270.250 | 375.301 | 176.217 | -0.000 | -0.000 | -0.000 |
| 176.217 | 176.217 | 256.972 | -0.000 | -0.000 | -0.000 |
| -0.000 | 0.001 | 0.002 | 168.775 | -0.000 | -0.000 |
| 0.001 | -0.000 | 0.002 | 0.000 | 168.775 | -0.000 |
| 0.001 | 0.002 | -0.000 | -0.000 | -0.000 | 262.523 |
| 375.295 | 270.245 | 176.212 | 0.000 | 0.000 | 0.000 |
| 270.245 | 375.295 | 176.212 | 0.000 | 0.000 | 0.000 |
| 176.212 | 176.212 | 256.966 | 0.000 | 0.000 | 0.000 |
| 0.000 | -0.001 | -0.002 | 168.775 | 0.000 | 0.000 |
| -0.001 | 0.000 | -0.002 | 0.000 | 168.775 | 0.000 |
| -0.001 | -0.002 | 0.000 | -0.000 | 0.000 | 262.523 |
| 531.426 | 223.509 | 92.236 | 0.000 | 0.000 | -0.000 |
| 191.400 | 563.819 | 93.050 | -0.000 | -0.000 | -0.000 |
| 93.050 | 93.050 | 362.673 | 0.000 | 0.000 | -0.000 |
| 0.000 | 0.000 | 0.000 | 88.242 | -0.000 | -0.000 |
| 0.000 | 0.000 | 0.000 | -0.000 | 88.242 | -0.000 |
| -0.000 | 0.000 | -0.000 | 0.000 | 0.000 | 153.629 |
| 563.819 | 191.400 | 93.050 | 0.000 | 0.000 | 0.000 |
| 223.508 | 531.425 | 92.236 | -0.000 | -0.000 | 0.000 |
| 92.803 | 92.803 | 361.259 | 0.000 | -0.000 | 0.000 |
| 0.000 | -0.000 | -0.000 | 88.242 | -0.000 | 0.000 |
| -0.000 | -0.000 | -0.000 | -0.000 | 88.242 | 0.000 |
| -0.000 | -0.000 | -0.000 | 0.000 | 0.000 | 186.209 |
| 531.426 | 223.509 | 92.236 | 0.000 | 0.000 | -0.000 |
| 191.400 | 563.819 | 93.050 | -0.000 | -0.000 | -0.000 |
| 93.050 | 93.050 | 362.674 | 0.000 | 0.000 | -0.000 |
| 0.000 | 0.000 | 0.000 | 86.147 | 0.000 | -0.000 |
| 0.000 | 0.000 | 0.000 | 0.000 | 88.242 | -0.000 |
| 0.000 | 0.000 | 0.000 | -0.000 | -0.000 | 186.209 |
| 563.818 | 191.400 | 93.050 | -0.000 | 0.000 | 0.000 |
| 191.400 | 563.818 | 93.050 | 0.000 | 0.000 | 0.000 |
| 93.050 | 93.050 | 362.673 | 0.000 | -0.000 | 0.000 |
| -0.000 | -0.000 | -0.000 | 86.147 | -0.000 | 0.000 |
| -0.000 | -0.000 | -0.000 | -0.000 | 88.242 | 0.000 |
| -0.000 | -0.000 | -0.000 | -0.000 | -0.000 | 186.209 |
| 531.433 | 223.509 | 92.236 | 0.000 | -0.000 | -0.000 |
| 223.511 | 531.430 | 92.236 | 0.000 | 0.000 | -0.000 |
| 93.051 | 93.051 | 362.678 | -0.000 | 0.000 | -0.000 |
| 0.000 | 0.000 | 0.001 | 86.147 | 0.000 | -0.000 |
| 0.000 | 0.000 | 0.001 | 0.000 | 88.242 | 0.000 |
| 0.000 | 0.002 | 0.000 | -0.000 | -0.000 | 186.209 |
| 563.812 | 191.400 | 93.050 | 0.000 | 0.000 | 0.000 |
| 191.398 | 563.813 | 93.050 | 0.000 | 0.000 | 0.000 |
| 92.802 | 92.802 | 361.255 | -0.000 | -0.000 | 0.000 |
| -0.000 | -0.000 | -0.001 | 86.147 | -0.000 | 0.000 |
| -0.000 | -0.000 | -0.001 | -0.000 | 88.242 | 0.000 |
| -0.000 | -0.002 | -0.000 | 0.000 | 0.000 | 186.209 |
| 561.917 | 190.545 | 94.311 | 0.000 | -0.000 | -0.000 |
| 190.545 | 561.917 | 94.311 | -0.000 | -0.000 | 0.000 |
| 94.059 | 94.059 | 366.977 | 0.000 | 0.000 | -0.000 |
| 0.000 | -0.000 | 0.000 | 87.094 | 0.000 | 0.000 |
| 0.000 | 0.000 | 0.000 | -0.000 | 89.329 | -0.000 |
| 0.000 | 0.000 | 0.000 | -0.000 | -0.000 | 185.686 |
| 521.751 | 230.562 | 93.882 | -0.000 | -0.000 | 0.000 |
| 222.918 | 529.243 | 93.446 | 0.000 | -0.000 | -0.000 |
| 94.059 | 94.059 | 366.977 | -0.000 | 0.000 | 0.000 |
| -0.000 | 0.000 | -0.000 | 87.094 | -0.000 | 0.000 |
| -0.000 | -0.000 | -0.000 | 0.000 | 89.329 | -0.000 |
| -0.000 | -0.000 | -0.000 | 0.000 | 0.000 | 185.686 |
| 561.917 | 190.545 | 94.311 | -0.000 | -0.000 | 0.000 |
| 230.562 | 521.751 | 93.882 | 0.000 | 0.000 | -0.000 |
| 94.059 | 94.059 | 366.978 | 0.000 | -0.000 | 0.000 |
| 0.000 | 0.000 | 0.000 | 87.094 | 0.000 | -0.000 |
| 0.000 | 0.000 | 0.000 | -0.000 | 89.329 | 0.000 |
| 0.000 | 0.000 | 0.000 | 0.000 | -0.000 | 185.686 |
| 561.916 | 190.545 | 94.311 | 0.000 | -0.000 | 0.000 |
| 190.545 | 561.916 | 94.311 | -0.000 | 0.000 | 0.000 |
| 94.059 | 94.059 | 366.977 | -0.000 | 0.000 | 0.000 |
| -0.000 | -0.000 | -0.000 | 87.094 | -0.000 | -0.000 |
| -0.000 | -0.000 | -0.000 | -0.000 | 89.329 | 0.000 |
| -0.000 | -0.000 | -0.000 | -0.000 | 0.000 | 185.686 |
| 521.757 | 230.562 | 93.882 | -0.000 | 0.000 | -0.000 |
| 230.724 | 521.691 | 94.155 | -0.000 | -0.000 | -0.000 |
| 94.060 | 94.060 | 366.982 | 0.000 | 0.000 | -0.000 |
| 0.000 | 0.000 | 0.001 | 89.329 | -0.000 | -0.000 |
| 0.000 | 0.000 | 0.001 | 0.000 | 87.094 | 0.000 |
| 0.000 | 0.002 | -0.000 | -0.000 | 0.000 | 152.818 |
| 529.236 | 222.918 | 93.446 | -0.000 | -0.000 | 0.000 |
| 230.559 | 521.747 | 93.882 | 0.000 | -0.000 | 0.000 |
| 93.792 | 93.792 | 365.451 | 0.000 | -0.000 | 0.000 |
| -0.000 | -0.000 | -0.001 | 89.329 | -0.000 | -0.000 |
| -0.000 | -0.000 | -0.001 | 0.000 | 87.094 | -0.000 |
| -0.000 | -0.002 | 0.000 | -0.000 | -0.000 | 152.818 |
| 244.177 | 148.533 | 148.533 | -0.000 | -0.000 | 0.000 |
| 148.533 | 244.177 | 148.533 | -0.000 | -0.000 | 0.000 |
| 148.533 | 148.533 | 244.177 | -0.000 | -0.000 | 0.000 |
| -0.000 | -0.000 | 0.000 | 125.470 | -0.000 | -0.000 |
| -0.000 | -0.000 | 0.000 | -0.000 | 125.470 | -0.000 |
| -0.000 | 0.000 | -0.000 | -0.000 | -0.000 | 125.470 |
| 244.177 | 148.533 | 148.533 | 0.000 | -0.000 | -0.000 |
| 148.533 | 244.177 | 148.533 | 0.000 | 0.000 | -0.000 |
| 148.533 | 148.533 | 244.177 | 0.000 | 0.000 | -0.000 |
| 0.000 | 0.000 | -0.000 | 125.470 | 0.000 | 0.000 |
| 0.000 | 0.000 | -0.000 | 0.000 | 125.470 | -0.000 |
| 0.000 | -0.000 | 0.000 | 0.000 | -0.000 | 125.470 |
| 244.177 | 148.533 | 148.533 | -0.000 | -0.000 | -0.000 |
| 148.533 | 244.177 | 148.533 | -0.000 | 0.000 | 0.000 |
| 148.533 | 148.533 | 244.177 | -0.000 | -0.000 | 0.000 |
| -0.000 | 0.000 | 0.000 | 125.470 | 0.000 | -0.000 |
| 0.000 | -0.000 | 0.000 | -0.000 | 125.470 | 0.000 |
| 0.000 | 0.000 | -0.000 | 0.000 | 0.000 | 125.470 |
| 244.177 | 148.533 | 148.533 | 0.000 | -0.000 | 0.000 |
| 148.533 | 244.177 | 148.533 | -0.000 | -0.000 | 0.000 |
| 148.533 | 148.533 | 244.177 | 0.000 | 0.000 | -0.000 |
| 0.000 | -0.000 | -0.000 | 125.470 | -0.000 | -0.000 |
| -0.000 | 0.000 | -0.000 | 0.000 | 125.470 | -0.000 |
| -0.000 | -0.000 | 0.000 | 0.000 | -0.000 | 125.470 |
| 244.178 | 148.534 | 148.534 | -0.000 | -0.000 | -0.000 |
| 148.534 | 244.178 | 148.534 | -0.000 | -0.000 | -0.000 |
| 148.534 | 148.534 | 244.178 | -0.000 | -0.000 | -0.000 |
| -0.000 | 0.000 | 0.000 | 125.470 | 0.000 | 0.000 |
| 0.000 | -0.000 | 0.000 | -0.000 | 125.470 | -0.000 |
| 0.000 | 0.000 | -0.000 | -0.000 | -0.000 | 125.470 |
| 244.175 | 148.531 | 148.531 | 0.000 | 0.000 | -0.000 |
| 148.531 | 244.175 | 148.531 | 0.000 | 0.000 | 0.000 |
| 148.531 | 148.531 | 244.175 | 0.000 | 0.000 | -0.000 |
| 0.000 | -0.000 | -0.000 | 125.470 | 0.000 | 0.000 |
| -0.000 | 0.000 | -0.000 | -0.000 | 125.470 | 0.000 |
| -0.000 | -0.000 | 0.000 | 0.000 | -0.000 | 125.470 |
| 379.838 | 69.226 | 69.226 | 0.000 | -0.000 | 0.000 |
| 69.226 | 379.838 | 69.226 | -0.000 | -0.000 | 0.000 |
| 69.226 | 69.226 | 379.838 | 0.000 | -0.000 | 0.000 |
| -0.000 | 0.000 | 0.000 | -1.276 | -0.000 | 0.000 |
| -0.000 | 0.000 | -0.000 | 0.000 | -1.276 | 0.000 |
| -0.000 | 0.000 | -0.000 | 0.000 | -0.000 | -1.276 |
| 379.838 | 69.226 | 69.226 | -0.000 | 0.000 | -0.000 |
| 69.226 | 379.838 | 69.226 | -0.000 | 0.000 | -0.000 |
| 69.226 | 69.226 | 379.838 | -0.000 | 0.000 | -0.000 |
| 0.000 | -0.000 | -0.000 | -1.276 | 0.000 | -0.000 |
| 0.000 | -0.000 | 0.000 | -0.000 | -1.276 | -0.000 |
| 0.000 | -0.000 | 0.000 | -0.000 | 0.000 | -1.276 |
| 382.179 | 68.055 | 68.055 | 0.000 | -0.000 | 0.000 |
| 68.055 | 382.179 | 68.055 | 0.000 | -0.000 | 0.000 |
| 69.226 | 69.226 | 379.838 | 0.000 | -0.000 | 0.000 |
| 0.000 | 0.000 | -0.000 | -1.276 | -0.000 | 0.000 |
| 0.000 | 0.000 | -0.000 | -0.000 | -1.276 | 0.000 |
| 0.000 | -0.000 | 0.000 | 0.000 | -0.000 | -1.276 |
| 382.179 | 68.055 | 68.055 | -0.000 | 0.000 | -0.000 |
| 68.055 | 382.179 | 68.055 | -0.000 | 0.000 | -0.000 |
| 69.226 | 69.226 | 379.838 | -0.000 | 0.000 | -0.000 |
| -0.000 | -0.000 | 0.000 | -1.276 | 0.000 | -0.000 |
| -0.000 | -0.000 | 0.000 | -0.000 | -1.276 | -0.000 |
| -0.000 | 0.000 | -0.000 | -0.000 | 0.000 | -1.276 |
| 382.182 | 68.056 | 68.056 | 0.000 | -0.000 | 0.000 |
| 68.056 | 382.182 | 68.056 | 0.000 | -0.000 | 0.000 |
| 68.056 | 68.056 | 382.182 | 0.000 | -0.000 | 0.000 |
| 0.000 | 0.000 | -0.000 | -1.276 | -0.000 | 0.000 |
| 0.000 | 0.000 | -0.000 | 0.000 | -1.276 | 0.000 |
| 0.000 | -0.000 | 0.000 | 0.000 | -0.000 | -1.276 |
| 379.835 | 69.225 | 69.225 | -0.000 | 0.000 | -0.000 |
| 69.225 | 379.835 | 69.225 | -0.000 | 0.000 | 0.000 |
| 69.225 | 69.225 | 379.835 | -0.000 | -0.000 | -0.000 |
| -0.000 | -0.000 | 0.000 | -1.276 | 0.000 | -0.000 |
| -0.000 | -0.000 | 0.000 | -0.000 | -1.276 | -0.000 |
| -0.000 | 0.000 | -0.000 | -0.000 | 0.000 | -1.276 |
| 101.114 | 164.382 | 164.382 | -0.000 | -0.000 | 0.000 |
| 164.382 | 101.114 | 164.382 | 0.000 | -0.000 | 0.000 |
| 164.382 | 164.382 | 101.114 | 0.000 | 0.000 | -0.000 |
| 0.000 | 0.000 | 0.000 | 135.463 | -0.000 | 0.000 |
| 0.000 | 0.000 | 0.000 | 0.000 | 135.463 | 0.000 |
| -0.000 | 0.000 | 0.000 | 0.000 | 0.000 | 135.463 |
| 101.114 | 164.382 | 164.382 | -0.000 | -0.000 | -0.000 |
| 164.382 | 101.114 | 164.382 | -0.000 | -0.000 | -0.000 |
| 164.382 | 164.382 | 101.114 | -0.000 | -0.000 | -0.000 |
| -0.000 | -0.000 | -0.000 | 135.463 | -0.000 | -0.000 |
| -0.000 | -0.000 | -0.000 | -0.000 | 135.463 | -0.000 |
| -0.000 | -0.000 | -0.000 | -0.000 | -0.000 | 135.463 |
| 101.114 | 164.382 | 164.382 | 0.000 | -0.000 | 0.000 |
| 164.382 | 101.114 | 164.382 | -0.000 | 0.000 | -0.000 |
| 164.382 | 164.382 | 101.114 | 0.000 | -0.000 | 0.000 |
| 0.000 | -0.000 | 0.000 | 135.463 | 0.000 | -0.000 |
| -0.000 | 0.000 | 0.000 | 0.000 | 135.463 | 0.000 |
| -0.000 | 0.000 | 0.000 | 0.000 | -0.000 | 135.463 |
| 101.113 | 164.382 | 164.382 | -0.000 | 0.000 | -0.000 |
| 164.382 | 101.113 | 164.382 | -0.000 | 0.000 | 0.000 |
| 164.382 | 164.382 | 101.113 | -0.000 | 0.000 | 0.000 |
| -0.000 | 0.000 | -0.000 | 135.463 | -0.000 | 0.000 |
| 0.000 | -0.000 | -0.000 | -0.000 | 135.463 | 0.000 |
| 0.000 | -0.000 | -0.000 | -0.000 | 0.000 | 135.463 |
| 101.116 | 164.384 | 164.384 | 0.000 | 0.000 | 0.000 |
| 164.384 | 101.116 | 164.384 | 0.000 | 0.000 | 0.000 |
| 164.384 | 164.384 | 101.116 | 0.000 | -0.000 | 0.000 |
| 0.000 | -0.000 | 0.000 | 135.463 | 0.000 | 0.000 |
| -0.000 | 0.000 | 0.000 | 0.000 | 135.463 | 0.000 |
| -0.000 | 0.000 | 0.000 | 0.000 | 0.000 | 135.463 |
| 101.111 | 164.380 | 164.380 | -0.000 | -0.000 | -0.000 |
| 164.380 | 101.111 | 164.380 | -0.000 | -0.000 | -0.000 |
| 164.380 | 164.380 | 101.111 | 0.000 | 0.000 | -0.000 |
| -0.000 | 0.000 | -0.000 | 135.463 | 0.000 | -0.000 |
| 0.000 | -0.000 | -0.000 | -0.000 | 135.463 | -0.000 |
| 0.000 | -0.000 | -0.000 | -0.000 | 0.000 | 135.463 |
| 302.371 | 139.969 | 80.585 | 0.000 | -0.000 | 0.000 |
| 139.969 | 302.371 | 80.585 | 0.000 | 0.000 | 0.000 |
| 80.585 | 80.585 | 273.518 | 0.000 | 0.000 | 0.000 |
| -0.000 | 0.000 | 0.000 | 56.674 | 0.000 | 0.000 |
| -0.000 | 0.000 | 0.000 | 0.000 | 56.674 | 0.000 |
| -0.000 | 0.000 | 0.000 | 0.000 | 0.000 | 98.455 |
| 302.371 | 139.969 | 80.585 | -0.000 | -0.000 | -0.000 |
| 122.715 | 319.625 | 80.585 | -0.000 | -0.000 | -0.000 |
| 80.585 | 80.585 | 273.518 | -0.000 | -0.000 | 0.000 |
| 0.000 | -0.000 | -0.000 | 56.674 | -0.000 | 0.000 |
| 0.000 | 0.000 | -0.000 | -0.000 | 56.674 | 0.000 |
| -0.000 | -0.000 | -0.000 | -0.000 | 0.000 | 98.455 |
| 302.371 | 139.969 | 80.585 | 0.000 | 0.000 | 0.000 |
| 122.715 | 319.625 | 80.585 | -0.000 | -0.000 | 0.000 |
| 80.585 | 80.585 | 273.519 | 0.000 | 0.000 | 0.000 |
| 0.000 | 0.000 | 0.000 | 56.674 | 0.000 | 0.000 |
| 0.000 | 0.000 | 0.000 | 0.000 | 56.674 | 0.000 |
| -0.000 | 0.000 | -0.000 | 0.000 | 0.000 | 81.201 |
| 319.625 | 122.715 | 80.585 | -0.000 | 0.000 | 0.000 |
| 139.969 | 302.371 | 80.585 | -0.000 | 0.000 | -0.000 |
| 80.585 | 80.585 | 273.518 | -0.000 | -0.000 | 0.000 |
| -0.000 | -0.000 | -0.000 | 56.674 | -0.000 | -0.000 |
| -0.000 | -0.000 | -0.000 | -0.000 | 56.674 | 0.000 |
| 0.000 | -0.000 | 0.000 | -0.000 | 0.000 | 81.201 |
| 302.373 | 139.969 | 80.585 | 0.000 | 0.000 | 0.000 |
| 139.970 | 302.372 | 80.585 | 0.000 | -0.000 | 0.000 |
| 80.586 | 80.586 | 273.521 | 0.000 | 0.000 | 0.000 |
| 0.000 | 0.000 | 0.001 | 56.674 | -0.000 | 0.000 |
| -0.000 | 0.000 | 0.001 | 0.000 | 56.674 | -0.000 |
| -0.000 | 0.001 | 0.000 | 0.000 | 0.000 | 98.455 |
| 302.369 | 139.969 | 80.585 | -0.000 | -0.000 | -0.000 |
| 122.715 | 319.624 | 80.585 | -0.000 | 0.000 | -0.000 |
| 80.585 | 80.585 | 273.516 | -0.000 | -0.000 | 0.000 |
| -0.000 | -0.000 | -0.001 | 56.674 | 0.000 | 0.000 |
| 0.000 | -0.000 | -0.001 | -0.000 | 56.674 | -0.000 |
| 0.000 | -0.001 | -0.000 | 0.000 | 0.000 | 98.455 |
| 324.010 | 125.034 | 91.412 | 0.000 | -0.000 | -0.000 |
| 141.242 | 307.801 | 91.412 | 0.000 | 0.000 | -0.000 |
| 91.412 | 91.412 | 346.079 | 0.000 | 0.000 | -0.000 |
| -0.000 | 0.000 | 0.000 | 66.612 | -0.000 | -0.000 |
| -0.000 | 0.000 | 0.000 | -0.000 | 66.612 | -0.000 |
| -0.000 | 0.000 | 0.000 | -0.000 | -0.000 | 99.488 |
| 324.010 | 125.034 | 91.412 | 0.000 | 0.000 | -0.000 |
| 141.242 | 307.801 | 91.412 | 0.000 | -0.000 | 0.000 |
| 91.412 | 91.412 | 346.079 | -0.000 | 0.000 | 0.000 |
| -0.000 | -0.000 | -0.000 | 66.612 | -0.000 | 0.000 |
| 0.000 | -0.000 | -0.000 | 0.000 | 66.612 | -0.000 |
| 0.000 | -0.000 | -0.000 | 0.000 | 0.000 | 99.488 |
| 307.801 | 141.242 | 91.411 | -0.000 | -0.000 | -0.000 |
| 141.242 | 307.801 | 91.411 | 0.000 | -0.000 | -0.000 |
| 91.411 | 91.411 | 346.079 | 0.000 | 0.000 | -0.000 |
| 0.000 | -0.000 | 0.000 | 66.612 | -0.000 | -0.000 |
| -0.000 | 0.000 | 0.000 | -0.000 | 66.612 | -0.000 |
| -0.000 | 0.000 | -0.000 | 0.000 | 0.000 | 83.280 |
| 307.801 | 141.242 | 91.412 | -0.000 | 0.000 | 0.000 |
| 125.034 | 324.010 | 91.412 | 0.000 | 0.000 | -0.000 |
| 91.412 | 91.412 | 346.079 | -0.000 | 0.000 | 0.000 |
| -0.000 | 0.000 | -0.000 | 66.612 | -0.000 | 0.000 |
| 0.000 | -0.000 | -0.000 | 0.000 | 66.612 | -0.000 |
| 0.000 | -0.000 | 0.000 | -0.000 | -0.000 | 83.280 |
| 307.802 | 141.242 | 91.411 | 0.000 | 0.000 | -0.000 |
| 141.242 | 307.802 | 91.411 | -0.000 | 0.000 | -0.000 |
| 91.411 | 91.411 | 346.080 | 0.000 | -0.000 | -0.000 |
| 0.000 | -0.000 | 0.000 | 66.612 | 0.000 | -0.000 |
| -0.000 | 0.000 | 0.000 | 0.000 | 66.612 | -0.000 |
| -0.000 | 0.000 | 0.000 | 0.000 | -0.000 | 99.488 |
| 307.800 | 141.243 | 91.412 | -0.000 | 0.000 | 0.000 |
| 141.242 | 307.801 | 91.412 | 0.000 | 0.000 | 0.000 |
| 91.412 | 91.412 | 346.078 | -0.000 | -0.000 | 0.000 |
| -0.000 | 0.000 | -0.000 | 66.612 | -0.000 | 0.000 |
| 0.000 | -0.000 | -0.000 | -0.000 | 66.612 | 0.000 |
| 0.000 | -0.000 | -0.000 | 0.000 | 0.000 | 99.488 |
| 78.987 | 120.031 | 120.031 | 0.000 | 0.000 | 0.000 |
| 120.031 | 78.987 | 120.031 | 0.000 | 0.000 | 0.000 |
| 120.031 | 120.031 | 78.987 | 0.000 | 0.000 | 0.000 |
| -0.000 | -0.000 | -0.000 | -55.469 | 0.000 | 0.000 |
| -0.000 | -0.000 | -0.000 | 0.000 | -55.469 | 0.000 |
| -0.000 | -0.000 | -0.000 | 0.000 | 0.000 | -55.469 |
| 78.987 | 120.031 | 120.031 | -0.000 | -0.000 | -0.000 |
| 120.031 | 78.987 | 120.031 | -0.000 | -0.000 | -0.000 |
| 120.031 | 120.031 | 78.987 | -0.000 | -0.000 | -0.000 |
| 0.000 | 0.000 | 0.000 | -55.469 | -0.000 | -0.000 |
| 0.000 | 0.000 | 0.000 | -0.000 | -55.469 | -0.000 |
| 0.000 | 0.000 | 0.000 | -0.000 | -0.000 | -55.469 |
| 78.987 | 120.031 | 120.031 | 0.000 | 0.000 | 0.000 |
| 120.031 | 78.987 | 120.031 | 0.000 | 0.000 | 0.000 |
| 120.031 | 120.031 | 78.987 | 0.000 | 0.000 | 0.000 |
| -0.000 | -0.000 | -0.000 | -55.469 | 0.000 | 0.000 |
| -0.000 | -0.000 | -0.000 | 0.000 | -55.469 | 0.000 |
| -0.000 | -0.000 | -0.000 | 0.000 | 0.000 | -55.469 |
| 78.987 | 120.031 | 120.031 | -0.000 | -0.000 | -0.000 |
| 120.031 | 78.987 | 120.031 | -0.000 | -0.000 | -0.000 |
| 120.031 | 120.031 | 78.987 | -0.000 | -0.000 | -0.000 |
| 0.000 | 0.000 | 0.000 | -55.469 | -0.000 | -0.000 |
| 0.000 | 0.000 | 0.000 | -0.000 | -55.469 | -0.000 |
| 0.000 | 0.000 | 0.000 | -0.000 | -0.000 | -55.469 |
| 78.987 | 120.032 | 120.032 | 0.000 | 0.000 | 0.000 |
| 120.032 | 78.987 | 120.032 | 0.000 | 0.000 | 0.000 |
| 120.032 | 120.032 | 78.987 | 0.000 | 0.000 | 0.000 |
| -0.000 | -0.000 | -0.000 | -55.469 | 0.000 | 0.000 |
| -0.000 | -0.000 | -0.000 | 0.000 | -55.469 | 0.000 |
| -0.000 | -0.000 | -0.000 | 0.000 | 0.000 | -55.469 |
| 78.986 | 120.031 | 120.031 | -0.000 | -0.000 | -0.000 |
| 120.031 | 78.986 | 120.031 | -0.000 | -0.000 | -0.000 |
| 120.031 | 120.031 | 78.986 | -0.000 | -0.000 | -0.000 |
| 0.000 | 0.000 | 0.000 | -55.469 | -0.000 | -0.000 |
| 0.000 | 0.000 | 0.000 | -0.000 | -55.469 | -0.000 |
| 0.000 | 0.000 | 0.000 | -0.000 | -0.000 | -55.469 |
| 385.761 | 32.950 | 67.792 | 0.000 | 0.000 | 0.000 |
| 32.950 | 385.761 | 67.792 | 0.000 | -0.000 | -0.000 |
| 67.792 | 67.792 | 382.736 | 0.000 | -0.000 | 0.000 |
| -0.000 | -0.000 | -0.000 | -19.803 | -0.000 | 0.000 |
| -0.000 | -0.000 | -0.000 | 0.000 | -19.803 | -0.000 |
| 0.000 | -0.000 | -0.000 | 0.000 | 0.000 | -25.280 |
| -260.722 | 679.432 | 67.792 | -0.000 | -0.000 | -0.000 |
| 679.432 | -260.722 | 67.792 | -0.000 | -0.000 | -0.000 |
| 67.792 | 67.792 | 382.736 | -0.000 | 0.000 | 0.000 |
| 0.000 | 0.000 | 0.000 | -19.803 | -0.000 | -0.000 |
| -0.000 | 0.000 | 0.000 | -0.000 | -19.803 | 0.000 |
| -0.000 | 0.000 | 0.000 | -0.000 | 0.000 | -25.280 |
| -260.723 | 679.432 | 67.792 | 0.000 | -0.000 | -0.000 |
| 679.432 | -260.723 | 67.792 | -0.000 | 0.000 | 0.000 |
| 67.792 | 67.792 | 382.737 | 0.000 | -0.000 | -0.000 |
| -0.000 | 0.000 | -0.000 | -19.803 | 0.000 | -0.000 |
| 0.000 | -0.000 | -0.000 | 0.000 | -19.803 | 0.000 |
| -0.000 | -0.000 | -0.000 | 0.000 | 0.000 | -25.280 |
| -581.048 | 999.760 | 67.792 | -0.000 | -0.000 | 0.000 |
| 999.760 | -581.048 | 67.792 | -0.000 | -0.000 | 0.000 |
| 67.792 | 67.792 | 382.736 | -0.000 | 0.000 | -0.000 |
| 0.000 | -0.000 | 0.000 | -19.803 | -0.000 | -0.000 |
| -0.000 | 0.000 | 0.000 | -0.000 | -19.803 | 0.000 |
| 0.000 | 0.000 | 0.000 | 0.000 | -0.000 | -25.280 |
| -495.681 | 914.382 | 67.792 | -0.000 | -0.000 | 0.000 |
| 914.382 | -495.681 | 67.792 | -0.000 | -0.000 | 0.000 |
| 67.793 | 67.793 | 382.739 | -0.000 | 0.000 | -0.000 |
| -0.000 | 0.000 | -0.000 | -19.803 | 0.000 | 0.000 |
| 0.000 | -0.000 | -0.000 | 0.000 | -19.803 | -0.000 |
| -0.000 | 0.000 | -0.000 | 0.000 | 0.000 | -25.280 |
| -495.652 | 914.371 | 67.792 | 0.000 | -0.000 | 0.000 |
| 679.430 | -260.715 | 67.791 | -0.000 | -0.000 | -0.000 |
| 67.791 | 67.791 | 382.733 | -0.000 | -0.000 | 0.000 |
| 0.000 | -0.000 | 0.000 | -19.803 | -0.000 | -0.000 |
| -0.000 | 0.000 | 0.000 | -0.000 | -19.803 | -0.000 |
| 0.000 | -0.000 | 0.000 | -0.000 | 0.000 | -25.280 |
| 97.972 | 65.549 | 134.295 | -42.388 | 0.000 | 0.000 |
| 65.549 | 97.972 | 134.295 | 42.388 | 0.000 | 0.000 |
| 127.390 | 127.390 | 177.149 | -0.000 | 0.000 | 0.000 |
| -42.388 | 42.388 | 0.000 | 67.069 | 0.000 | -0.000 |
| 0.000 | -0.000 | 0.000 | -0.000 | 67.069 | -42.388 |
| -0.000 | -0.000 | -0.000 | -0.000 | -42.388 | 16.212 |
| 97.972 | 65.549 | 134.295 | -42.388 | -0.000 | -0.000 |
| 65.549 | 97.972 | 134.295 | 42.388 | -0.000 | -0.000 |
| 127.390 | 127.391 | 177.149 | 0.000 | -0.000 | -0.000 |
| -42.388 | 42.389 | -0.000 | 67.069 | -0.000 | -0.000 |
| -0.000 | -0.000 | -0.000 | 0.000 | 67.069 | -42.388 |
| -0.000 | 0.000 | 0.000 | 0.000 | -42.388 | 16.212 |
| 97.972 | 65.549 | 134.295 | -42.388 | -0.000 | -0.000 |
| 65.549 | 97.972 | 134.295 | 42.389 | 0.000 | 0.000 |
| 127.390 | 127.390 | 177.149 | 0.000 | 0.000 | -0.000 |
| -42.388 | 42.388 | 0.000 | 67.069 | 0.000 | 0.000 |
| 0.000 | 0.000 | 0.000 | -0.000 | 67.069 | -42.388 |
| 0.000 | -0.000 | 0.000 | -0.000 | -42.388 | 16.212 |
| 97.972 | 65.549 | 134.295 | -42.388 | 0.000 | 0.000 |
| 65.549 | 97.972 | 134.295 | 42.388 | -0.000 | -0.000 |
| 127.390 | 127.390 | 177.149 | -0.000 | -0.000 | 0.000 |
| -42.388 | 42.388 | -0.000 | 67.069 | -0.000 | -0.000 |
| -0.000 | -0.000 | -0.000 | 0.000 | 67.069 | -42.388 |
| -0.000 | 0.000 | -0.000 | 0.000 | -42.388 | 16.212 |
| 97.973 | 65.550 | 134.296 | -42.389 | 0.000 | 0.000 |
| 65.550 | 97.973 | 134.296 | 42.389 | 0.000 | -0.000 |
| 127.392 | 127.392 | 177.150 | -0.000 | 0.000 | 0.000 |
| -42.388 | 42.389 | 0.000 | 67.069 | 0.000 | -0.000 |
| 0.000 | 0.000 | 0.000 | -0.000 | 67.069 | -42.388 |
| 0.000 | 0.000 | 0.000 | -0.000 | -42.388 | 16.212 |
| 97.971 | 65.548 | 134.293 | -42.388 | -0.000 | 0.000 |
| 65.548 | 97.971 | 134.293 | 42.388 | -0.000 | 0.000 |
| 127.389 | 127.389 | 177.148 | 0.000 | -0.000 | -0.000 |
| -42.389 | 42.388 | -0.000 | 67.069 | -0.000 | -0.000 |
| -0.000 | -0.000 | -0.000 | 0.000 | 67.069 | -42.388 |
| -0.000 | -0.000 | -0.000 | 0.000 | -42.388 | 16.212 |
| 407.780 | 39.378 | 39.378 | -0.000 | -0.000 | -0.000 |
| 39.378 | 407.780 | 39.378 | -0.000 | -0.000 | 0.000 |
| 39.378 | 39.378 | 407.780 | 0.000 | 0.000 | 0.000 |
| 0.000 | 0.000 | -0.000 | -27.635 | 0.000 | 0.000 |
| 0.000 | -0.000 | -0.000 | 0.000 | -27.635 | -0.000 |
| 0.000 | -0.000 | 0.000 | -0.000 | 0.000 | -27.635 |
| 407.780 | 39.378 | 39.378 | 0.000 | 0.000 | -0.000 |
| 39.378 | 407.780 | 39.378 | 0.000 | 0.000 | -0.000 |
| 39.378 | 39.378 | 407.780 | 0.000 | -0.000 | -0.000 |
| -0.000 | -0.000 | 0.000 | -27.635 | -0.000 | 0.000 |
| -0.000 | -0.000 | 0.000 | 0.000 | -27.635 | 0.000 |
| -0.000 | 0.000 | -0.000 | 0.000 | -0.000 | -27.635 |
| 407.780 | 39.378 | 39.378 | -0.000 | -0.000 | -0.000 |
| 39.378 | 407.780 | 39.378 | -0.000 | -0.000 | 0.000 |
| 39.378 | 39.378 | 407.780 | -0.000 | -0.000 | -0.000 |
| 0.000 | 0.000 | -0.000 | -27.635 | -0.000 | -0.000 |
| 0.000 | 0.000 | -0.000 | -0.000 | -27.635 | -0.000 |
| 0.000 | -0.000 | 0.000 | -0.000 | 0.000 | -27.635 |
| 407.780 | 39.378 | 39.378 | 0.000 | 0.000 | 0.000 |
| 39.378 | 407.780 | 39.378 | 0.000 | 0.000 | 0.000 |
| 39.378 | 39.378 | 407.780 | -0.000 | 0.000 | -0.000 |
| -0.000 | -0.000 | 0.000 | -27.635 | 0.000 | 0.000 |
| -0.000 | -0.000 | 0.000 | 0.000 | -27.635 | 0.000 |
| -0.000 | 0.000 | -0.000 | -0.000 | -0.000 | -27.635 |
| 407.783 | 39.377 | 39.377 | 0.000 | -0.000 | -0.000 |
| 39.377 | 407.783 | 39.377 | -0.000 | -0.000 | -0.000 |
| 39.377 | 39.377 | 407.783 | -0.000 | -0.000 | -0.000 |
| 0.000 | 0.000 | -0.000 | -27.635 | -0.000 | -0.000 |
| 0.000 | 0.000 | -0.000 | -0.000 | -27.635 | -0.000 |
| 0.000 | -0.000 | 0.000 | 0.000 | -0.000 | -27.635 |
| 407.778 | 39.378 | 39.378 | 0.000 | 0.000 | 0.000 |
| 39.378 | 407.778 | 39.378 | 0.000 | 0.000 | -0.000 |
| 39.378 | 39.378 | 407.778 | 0.000 | 0.000 | 0.000 |
| -0.000 | -0.000 | 0.000 | -27.635 | 0.000 | -0.000 |
| -0.000 | -0.000 | 0.000 | 0.000 | -27.635 | 0.000 |
| -0.000 | 0.000 | -0.000 | -0.000 | 0.000 | -27.635 |
| 58.294 | -107.929 | 54.385 | -0.000 | 0.000 | -0.000 |
| 26.888 | 41.935 | 140.035 | -0.000 | 0.000 | -0.000 |
| 8.049 | 10.908 | 85.579 | -0.000 | 0.000 | -0.000 |
| -46.596 | -115.599 | 54.388 | -5.507 | 0.000 | 0.000 |
| -46.904 | -116.266 | 53.824 | -0.000 | -12.803 | 0.000 |
| -45.976 | -114.137 | 54.385 | -0.000 | 0.000 | 18.550 |
| 150.247 | 120.346 | -54.385 | 0.000 | -0.000 | 0.000 |
| 54.988 | 128.583 | -54.385 | 0.000 | -0.000 | 0.000 |
| -1.371 | 6.142 | -80.958 | 0.000 | -0.000 | -0.000 |
| 46.596 | 115.599 | -54.388 | -5.507 | -0.000 | 0.000 |
| 46.904 | 116.266 | -53.824 | 0.000 | -12.803 | -0.000 |
| 45.976 | 114.137 | -54.385 | 0.000 | -0.000 | 18.550 |
| 99.673 | -5.205 | 5.438 | -0.000 | 0.000 | -0.000 |
| 4.414 | 3.033 | 5.438 | -0.000 | 0.000 | -0.000 |
| -7.317 | -16.936 | 5.437 | -0.000 | 0.000 | -0.000 |
| -15.985 | -38.277 | 5.497 | -10.120 | 0.000 | -0.000 |
| -9.200 | -21.628 | -0.685 | -0.000 | -19.482 | -0.000 |
| -4.598 | -11.414 | 5.438 | -0.000 | 0.000 | 18.550 |
| 112.817 | 26.932 | -5.400 | 0.000 | -0.000 | 0.000 |
| 26.286 | 56.818 | -15.539 | 0.000 | -0.000 | 0.000 |
| -0.088 | 1.321 | -6.086 | 0.000 | -0.000 | 0.000 |
| 15.985 | 38.277 | -5.497 | -10.120 | -0.000 | -0.000 |
| 9.200 | 21.628 | 0.685 | 0.000 | -19.482 | 0.000 |
| 4.598 | 11.414 | -5.438 | 0.000 | -0.000 | 18.550 |
| 103.812 | 5.067 | 0.543 | -0.000 | 0.000 | -0.000 |
| 8.552 | 13.305 | 0.543 | -0.000 | 0.000 | -0.000 |
| -3.180 | -6.665 | 0.533 | -0.000 | 0.000 | -0.000 |
| 0.008 | -0.077 | 0.920 | -4.232 | 0.000 | -0.000 |
| 3373904.046 | 3464226.539 | 0.538 | 0.002 | 0.001 | 0.000 |
| -0.460 | -1.141 | 0.544 | -0.000 | 0.000 | 18.550 |
| 104.730 | 7.350 | -0.543 | 0.000 | -0.000 | -0.000 |
| 9.471 | 15.587 | -0.543 | 0.000 | -0.000 | 0.000 |
| -2.259 | -4.380 | -0.532 | 0.000 | -0.000 | 0.000 |
| -0.008 | 0.077 | -0.920 | -4.232 | -0.000 | 0.000 |
| -3373904.048 | -3464226.541 | -0.542 | -0.000 | 0.001 | 0.000 |
| 0.460 | 1.141 | -0.544 | 0.000 | -0.000 | 18.550 |
| 378.728 | 49.740 | 83.853 | -0.000 | -0.000 | -0.000 |
| 49.740 | 378.728 | 83.853 | -0.000 | -0.000 | 0.000 |
| 91.192 | 91.192 | 319.601 | -0.000 | 0.000 | -0.000 |
| -0.000 | -0.000 | 0.000 | -62.597 | -0.000 | 0.000 |
| -0.000 | -0.000 | 0.000 | -0.000 | -62.597 | 0.000 |
| -0.000 | -0.000 | 0.000 | -0.000 | 0.000 | 0.798 |
| 360.165 | 31.176 | 92.492 | 0.000 | 0.000 | 0.000 |
| 31.176 | 360.165 | 92.492 | 0.000 | 0.000 | -0.000 |
| 82.554 | 82.554 | 323.621 | 0.000 | 0.000 | 0.000 |
| 0.000 | 0.000 | -0.000 | -62.597 | 0.000 | -0.000 |
| 0.000 | 0.000 | -0.000 | 0.000 | -62.597 | -0.000 |
| 0.000 | 0.000 | -0.000 | 0.000 | -0.000 | 0.798 |
| 360.165 | 31.176 | 92.492 | -0.000 | 0.000 | 0.000 |
| 31.176 | 360.165 | 92.492 | -0.000 | 0.000 | 0.000 |
| 82.554 | 82.554 | 323.621 | -0.000 | -0.000 | 0.000 |
| -0.000 | -0.000 | -0.000 | -62.597 | -0.000 | 0.000 |
| -0.000 | -0.000 | -0.000 | -0.000 | -62.597 | 0.000 |
| -0.000 | -0.000 | 0.000 | -0.000 | -0.000 | 0.798 |
| 378.728 | 49.740 | 83.853 | 0.000 | 0.000 | -0.000 |
| 49.740 | 378.728 | 83.853 | 0.000 | 0.000 | 0.000 |
| 91.192 | 91.192 | 319.601 | 0.000 | -0.000 | -0.000 |
| 0.000 | 0.000 | 0.000 | -62.597 | 0.000 | -0.000 |
| 0.000 | 0.000 | 0.000 | 0.000 | -62.597 | -0.000 |
| 0.000 | 0.000 | -0.000 | 0.000 | 0.000 | 0.798 |
| 360.167 | 31.176 | 92.492 | -0.000 | -0.000 | 0.000 |
| 31.176 | 360.167 | 92.492 | -0.000 | 0.000 | 0.000 |
| 91.192 | 91.192 | 319.603 | 0.000 | 0.000 | 0.000 |
| -0.001 | -0.000 | -0.000 | -62.597 | -0.000 | 0.000 |
| -0.000 | -0.001 | -0.000 | -0.000 | -62.597 | 0.000 |
| 0.000 | -0.000 | 0.000 | -0.000 | 0.000 | 0.798 |
| 360.162 | 31.176 | 92.492 | 0.000 | 0.000 | -0.000 |
| 31.176 | 360.162 | 92.492 | 0.000 | -0.000 | 0.000 |
| 91.192 | 91.192 | 319.600 | 0.000 | 0.000 | -0.000 |
| 0.001 | 0.000 | 0.000 | -62.597 | 0.000 | -0.000 |
| 0.000 | 0.001 | 0.000 | 0.000 | -62.597 | -0.000 |
| -0.000 | 0.000 | -0.000 | 0.000 | -0.000 | 0.798 |
| -27.432 | -173.335 | -173.335 | -0.000 | -0.000 | -0.000 |
| -173.335 | -27.432 | -173.335 | -0.000 | -0.000 | -0.000 |
| -173.335 | -173.335 | -27.432 | -0.000 | -0.000 | -0.000 |
| -0.000 | 0.000 | 0.000 | 61.665 | 0.000 | 0.000 |
| 0.000 | 0.000 | 0.000 | 0.000 | 61.665 | 0.000 |
| 0.000 | 0.000 | 0.000 | -0.000 | -0.000 | 61.665 |
| 324.858 | 94.866 | 94.866 | -0.000 | -0.000 | -0.000 |
| 94.866 | 324.858 | 94.866 | -0.000 | -0.000 | -0.000 |
| 94.866 | 94.866 | 324.858 | -0.000 | -0.000 | -0.000 |
| 0.000 | -0.000 | -0.000 | 61.665 | -0.000 | 0.000 |
| -0.000 | 0.000 | -0.000 | -0.000 | 61.665 | -0.000 |
| -0.000 | -0.000 | -0.000 | -0.000 | -0.000 | 61.665 |
| 294.456 | 102.969 | 102.969 | -0.000 | 0.000 | 0.000 |
| 102.969 | 294.456 | 102.969 | -0.000 | -0.000 | 0.000 |
| 102.969 | 102.969 | 294.456 | -0.000 | 0.000 | -0.000 |
| -4.376 | -4.376 | -4.376 | 38.615 | 0.000 | 0.000 |
| -4.376 | -4.376 | -4.376 | -0.000 | 38.615 | 0.000 |
| -4.376 | -4.376 | -4.376 | 0.000 | 0.000 | 38.615 |
| 304.148 | 111.306 | 111.306 | -0.000 | -0.000 | -0.000 |
| 111.306 | 304.148 | 111.306 | -0.000 | 0.000 | -0.000 |
| 111.306 | 111.306 | 304.148 | 0.000 | -0.000 | -0.000 |
| 4.376 | 4.376 | 4.376 | 38.615 | -0.000 | 0.000 |
| 4.376 | 4.376 | 4.376 | -0.000 | 38.615 | -0.000 |
| 4.376 | 4.376 | 4.376 | 0.000 | 0.000 | 38.615 |
| 324.861 | 94.867 | 94.867 | 0.000 | 0.000 | 0.000 |
| 94.867 | 324.861 | 94.867 | 0.000 | 0.000 | 0.000 |
| 94.867 | 94.867 | 324.861 | 0.000 | 0.000 | 0.000 |
| -2.276 | -2.276 | -2.276 | 28.110 | -0.000 | -0.000 |
| -2.276 | -2.276 | -2.276 | -0.000 | 28.110 | -0.000 |
| -2.276 | -2.276 | -2.276 | -0.000 | -0.000 | 28.110 |
| 291.459 | 113.366 | 113.366 | 0.000 | 0.000 | -0.000 |
| 113.366 | 291.459 | 113.366 | 0.000 | 0.000 | -0.000 |
| 113.366 | 113.366 | 291.459 | -0.000 | 0.000 | 0.000 |
| 2.276 | 2.276 | 2.276 | 28.110 | 0.000 | 0.000 |
| 2.276 | 2.276 | 2.276 | 0.000 | 28.110 | -0.000 |
| 2.276 | 2.276 | 2.276 | 0.000 | 0.000 | 28.110 |
| 403.462 | 209.465 | 209.465 | -0.000 | -0.000 | -0.000 |
| 209.465 | 403.462 | 209.465 | -0.000 | -0.000 | -0.000 |
| 209.465 | 209.465 | 403.462 | -0.000 | -0.000 | -0.000 |
| 104.096 | 104.096 | 104.096 | 37.503 | -0.000 | -0.000 |
| 104.096 | 104.096 | 104.096 | -0.000 | 37.503 | -0.000 |
| 104.096 | 104.096 | 104.096 | -0.000 | -0.000 | 37.503 |
| 231.834 | 69.620 | 69.620 | 0.000 | 0.000 | 0.000 |
| 69.620 | 231.834 | 69.620 | 0.000 | 0.000 | 0.000 |
| 69.620 | 69.620 | 231.834 | 0.000 | 0.000 | 0.000 |
| -104.096 | -104.096 | -104.096 | 37.503 | 0.000 | 0.000 |
| -104.096 | -104.096 | -104.096 | 0.000 | 37.503 | 0.000 |
| -104.096 | -104.096 | -104.096 | 0.000 | 0.000 | 37.503 |
| 275.715 | 113.488 | 113.488 | -0.000 | -0.000 | -0.000 |
| 113.488 | 275.715 | 113.488 | -0.000 | -0.000 | -0.000 |
| 113.488 | 113.488 | 275.715 | -0.000 | -0.000 | -0.000 |
| -3.186 | -3.186 | -3.186 | 20.538 | -0.000 | -0.000 |
| -3.186 | -3.186 | -3.186 | -0.000 | 20.538 | -0.000 |
| -3.186 | -3.186 | -3.186 | -0.000 | -0.000 | 20.538 |
| 273.927 | 111.610 | 111.610 | 0.000 | 0.000 | 0.000 |
| 111.610 | 273.927 | 111.610 | 0.000 | 0.000 | 0.000 |
| 111.610 | 111.610 | 273.927 | 0.000 | 0.000 | 0.000 |
| 3.186 | 3.186 | 3.186 | 20.538 | 0.000 | 0.000 |
| 3.186 | 3.186 | 3.186 | 0.000 | 20.538 | 0.000 |
| 3.186 | 3.186 | 3.186 | 0.000 | 0.000 | 20.538 |
| 323.757 | 94.917 | 94.917 | 0.000 | 0.000 | 0.000 |
| 94.917 | 323.757 | 94.917 | 0.000 | 0.000 | 0.000 |
| 94.917 | 94.917 | 323.757 | 0.000 | 0.000 | 0.000 |
| -0.250 | -0.250 | -0.250 | 29.276 | -0.000 | -0.000 |
| -0.250 | -0.250 | -0.250 | -0.000 | 29.276 | -0.000 |
| -0.250 | -0.250 | -0.250 | -0.000 | -0.000 | 29.276 |
| 286.406 | 113.414 | 113.414 | 0.000 | 0.000 | 0.000 |
| 113.414 | 286.406 | 113.414 | 0.000 | 0.000 | 0.000 |
| 113.414 | 113.414 | 286.406 | 0.000 | 0.000 | 0.000 |
| 0.250 | 0.250 | 0.250 | 29.276 | 0.000 | 0.000 |
| 0.250 | 0.250 | 0.250 | 0.000 | 29.276 | 0.000 |
| 0.250 | 0.250 | 0.250 | 0.000 | 0.000 | 29.276 |
| 157.204 | 46.758 | 46.758 | -0.000 | -0.000 | 0.000 |
| 46.758 | 157.204 | 46.758 | -0.000 | -0.000 | 0.000 |
| 46.758 | 46.758 | 157.205 | -0.000 | -0.000 | 0.000 |
| 0.000 | 0.000 | 0.000 | 100.731 | 0.000 | -0.000 |
| 0.000 | 0.000 | 0.000 | -0.000 | 100.731 | -0.000 |
| 0.000 | 0.000 | -0.000 | -0.000 | 0.000 | 100.731 |
| 262.322 | 132.694 | 132.694 | 0.000 | -0.000 | 0.000 |
| 132.694 | 262.322 | 132.694 | 0.000 | -0.000 | 0.000 |
| 132.694 | 132.694 | 262.322 | 0.000 | -0.000 | 0.000 |
| 0.000 | -0.000 | -0.000 | 100.731 | 0.000 | 0.000 |
| -0.000 | -0.000 | -0.000 | 0.000 | 100.731 | 0.000 |
| -0.000 | -0.000 | 0.000 | 0.000 | -0.000 | 100.731 |
| 262.322 | 132.694 | 132.694 | -0.000 | 0.000 | -0.000 |
| 132.694 | 262.322 | 132.694 | -0.000 | 0.000 | -0.000 |
| 132.694 | 132.694 | 262.322 | -0.000 | 0.000 | -0.000 |
| -9.108 | -9.108 | -9.108 | 74.875 | -0.000 | 0.000 |
| -9.108 | -9.108 | -9.108 | -0.000 | 74.875 | 0.000 |
| -9.108 | -9.108 | -9.108 | -0.000 | -0.000 | 74.875 |
| 258.292 | 147.298 | 147.298 | 0.000 | 0.000 | -0.000 |
| 147.298 | 258.292 | 147.298 | 0.000 | 0.000 | -0.000 |
| 147.298 | 147.298 | 258.292 | 0.000 | 0.000 | -0.000 |
| 9.108 | 9.108 | 9.108 | 74.875 | 0.000 | -0.000 |
| 9.108 | 9.108 | 9.108 | 0.000 | 74.875 | -0.000 |
| 9.108 | 9.108 | 9.108 | 0.000 | 0.000 | 74.875 |
| 246.255 | 136.855 | 136.855 | -0.000 | -0.000 | 0.000 |
| 136.855 | 246.255 | 136.855 | -0.000 | -0.000 | 0.000 |
| 136.855 | 136.855 | 246.255 | -0.000 | -0.000 | 0.000 |
| -0.873 | -0.873 | -0.873 | 75.955 | -0.000 | 0.000 |
| -0.873 | -0.873 | -0.873 | -0.000 | 75.955 | 0.000 |
| -0.873 | -0.873 | -0.873 | -0.000 | -0.000 | 75.955 |
| 262.321 | 132.694 | 132.694 | 0.000 | 0.000 | 0.000 |
| 132.694 | 262.321 | 132.694 | 0.000 | -0.000 | 0.000 |
| 132.694 | 132.694 | 262.321 | 0.000 | -0.000 | 0.000 |
| 0.873 | 0.873 | 0.873 | 75.955 | 0.000 | -0.000 |
| 0.873 | 0.873 | 0.873 | 0.000 | 75.955 | -0.000 |
| 0.873 | 0.873 | 0.873 | 0.000 | 0.000 | 75.955 |
| 388.726 | 277.666 | 277.666 | 0.000 | 0.000 | -0.000 |
| 277.666 | 388.727 | 277.666 | 0.000 | 0.000 | -0.000 |
| 277.666 | 277.666 | 388.726 | 0.000 | 0.000 | -0.000 |
| 78.748 | 78.748 | 78.748 | 74.849 | 0.000 | 0.000 |
| 78.748 | 78.748 | 78.748 | 0.000 | 74.849 | 0.000 |
| 78.748 | 78.748 | 78.748 | 0.000 | 0.000 | 74.849 |
| 110.050 | -1.026 | -1.026 | -0.000 | -0.000 | 0.000 |
| -1.026 | 110.050 | -1.026 | -0.000 | -0.000 | 0.000 |
| -1.026 | -1.026 | 110.050 | -0.000 | -0.000 | 0.000 |
| -78.748 | -78.748 | -78.748 | 74.849 | -0.000 | -0.000 |
| -78.748 | -78.748 | -78.748 | -0.000 | 74.849 | -0.000 |
| -78.748 | -78.748 | -78.748 | -0.000 | -0.000 | 74.849 |
| 267.096 | 146.141 | 146.141 | 0.000 | 0.000 | 0.000 |
| 146.141 | 267.096 | 146.141 | 0.000 | 0.000 | 0.000 |
| 146.141 | 146.141 | 267.096 | 0.000 | 0.000 | 0.000 |
| 0.000 | 0.000 | 0.000 | 100.540 | 0.000 | -0.000 |
| 0.000 | 0.000 | 0.000 | 0.000 | 100.540 | -0.000 |
| 0.000 | 0.000 | 0.000 | -0.000 | 0.000 | 100.540 |
| 242.972 | 123.436 | 123.436 | -0.000 | -0.000 | -0.000 |
| 123.436 | 242.972 | 123.436 | -0.000 | -0.000 | -0.000 |
| 123.436 | 123.436 | 242.972 | -0.000 | -0.000 | -0.000 |
| -0.000 | -0.000 | -0.000 | 100.540 | 0.000 | -0.000 |
| -0.000 | -0.000 | -0.000 | 0.000 | 100.540 | -0.000 |
| -0.000 | -0.000 | -0.000 | -0.000 | 0.000 | 100.540 |
| 262.038 | 132.694 | 132.694 | -0.000 | -0.000 | -0.000 |
| 132.694 | 262.038 | 132.694 | 0.000 | -0.000 | 0.000 |
| 132.694 | 132.694 | 262.038 | 0.000 | 0.000 | -0.000 |
| 0.000 | 0.000 | 0.000 | 100.540 | 0.000 | -0.000 |
| 0.000 | 0.000 | 0.000 | -0.000 | 100.540 | -0.000 |
| 0.000 | 0.000 | 0.000 | -0.000 | -0.000 | 100.540 |
| 262.038 | 132.695 | 132.695 | -0.000 | 0.000 | -0.000 |
| 132.695 | 262.038 | 132.695 | -0.000 | 0.000 | 0.000 |
| 132.695 | 132.695 | 262.038 | -0.000 | -0.000 | -0.000 |
| -0.000 | -0.000 | -0.000 | 100.540 | -0.000 | -0.000 |
| -0.000 | -0.000 | -0.000 | 0.000 | 100.540 | 0.000 |
| -0.000 | -0.000 | -0.000 | -0.000 | -0.000 | 100.540 |
| 320.798 | 149.709 | 79.861 | -0.000 | -0.000 | 0.000 |
| 149.409 | 351.987 | 21.207 | 0.000 | 0.000 | 0.000 |
| 80.818 | 21.392 | 344.499 | 0.000 | 0.000 | 0.000 |
| -0.000 | -0.000 | -0.000 | -21.522 | 0.000 | -0.000 |
| -0.000 | 0.000 | 0.000 | -0.000 | 36.250 | 0.000 |
| 0.318 | 0.025 | 0.001 | 0.000 | 0.000 | 105.019 |
| 305.965 | 148.539 | 79.811 | -0.000 | -0.000 | -0.000 |
| 148.773 | 351.936 | 21.205 | -0.000 | -0.000 | -0.000 |
| 80.548 | 21.371 | 344.498 | -0.000 | -0.000 | -0.000 |
| 0.000 | -0.000 | 0.000 | -21.522 | 0.000 | -0.000 |
| 0.000 | -0.000 | -0.000 | 0.000 | 36.250 | -0.000 |
| -0.318 | -0.025 | -0.001 | -0.000 | 0.000 | 105.019 |
| 320.798 | 149.709 | 79.861 | 0.000 | 0.000 | 0.000 |
| 149.123 | 351.964 | 21.206 | 0.000 | 0.000 | 0.000 |
| 80.531 | 21.369 | 344.498 | 0.000 | 0.000 | 0.000 |
| -0.000 | 0.000 | -0.000 | -21.522 | 0.000 | 0.000 |
| 0.241 | 0.019 | 0.001 | 0.000 | -58.931 | 0.000 |
| 0.000 | 0.000 | 0.000 | -0.000 | -0.000 | 105.019 |
| 320.798 | 149.709 | 79.861 | -0.000 | -0.000 | -0.000 |
| 149.059 | 351.959 | 21.206 | -0.000 | -0.000 | -0.000 |
| 80.467 | 21.364 | 344.497 | -0.000 | 0.000 | -0.000 |
| 0.000 | -0.000 | 0.000 | -21.522 | -0.000 | -0.000 |
| -0.241 | -0.019 | -0.001 | -0.000 | -58.931 | -0.000 |
| -0.000 | -0.000 | -0.000 | 0.000 | 0.000 | 105.019 |
| 306.288 | 148.565 | 79.812 | -0.000 | 0.000 | 0.000 |
| 149.095 | 351.964 | 21.206 | -0.000 | 0.000 | 0.000 |
| 80.503 | 21.367 | 344.501 | 0.000 | 0.000 | 0.000 |
| -0.000 | 0.000 | -0.000 | -21.522 | -0.000 | 0.000 |
| 0.000 | 0.000 | 0.000 | -0.000 | 36.250 | 0.000 |
| 0.003 | 0.001 | 0.000 | 0.000 | -0.000 | 105.019 |
| 306.279 | 148.564 | 79.812 | -0.000 | -0.000 | -0.000 |
| 149.087 | 351.959 | 21.206 | 0.000 | -0.000 | -0.000 |
| 80.548 | 21.371 | 344.495 | -0.000 | 0.000 | -0.000 |
| 0.000 | -0.000 | 0.000 | -21.522 | 0.000 | -0.000 |
| -0.000 | -0.000 | -0.000 | -0.000 | 36.250 | -0.000 |
| -0.003 | -0.001 | -0.000 | -0.000 | -0.000 | 105.019 |
| 317.303 | 138.209 | 90.554 | -0.000 | -0.000 | -0.000 |
| 139.130 | 304.502 | 92.299 | -0.000 | -0.000 | -0.000 |
| 91.118 | 91.873 | 345.756 | -0.000 | -0.000 | -0.000 |
| -0.000 | 0.000 | 0.000 | 67.298 | -0.000 | 0.000 |
| -0.000 | 0.000 | 0.000 | -0.000 | 65.661 | -0.000 |
| -0.000 | 0.000 | -0.000 | -0.000 | -0.000 | 80.966 |
| 317.303 | 138.209 | 90.554 | 0.000 | 0.000 | 0.000 |
| 139.131 | 304.502 | 92.299 | 0.000 | 0.000 | -0.000 |
| 91.118 | 91.873 | 345.756 | 0.000 | 0.000 | 0.000 |
| 0.000 | -0.000 | -0.000 | 67.298 | 0.000 | -0.000 |
| 0.000 | -0.000 | -0.000 | 0.000 | 65.661 | -0.000 |
| 0.000 | -0.000 | 0.000 | 0.000 | 0.000 | 80.966 |
| 317.303 | 138.210 | 90.554 | -0.000 | -0.000 | -0.000 |
| 139.131 | 304.501 | 92.299 | -0.000 | -0.000 | 0.000 |
| 91.084 | 91.906 | 345.756 | -0.000 | 0.000 | -0.000 |
| 0.000 | 0.000 | 0.000 | 67.298 | -0.000 | -0.000 |
| 0.000 | 0.000 | 0.000 | -0.000 | 65.661 | 0.000 |
| -0.000 | 0.000 | -0.000 | -0.000 | -0.000 | 80.965 |
| 317.303 | 138.210 | 90.554 | 0.000 | 0.000 | 0.000 |
| 139.131 | 304.501 | 92.299 | 0.000 | 0.000 | 0.000 |
| 91.084 | 91.906 | 345.756 | 0.000 | 0.000 | 0.000 |
| -0.000 | -0.000 | -0.000 | 67.298 | 0.000 | 0.000 |
| -0.000 | -0.000 | -0.000 | 0.000 | 65.661 | 0.000 |
| 0.000 | -0.000 | 0.000 | 0.000 | 0.000 | 80.965 |
| 317.305 | 138.209 | 90.553 | -0.000 | -0.000 | -0.000 |
| 139.131 | 304.502 | 92.298 | -0.000 | -0.000 | -0.000 |
| 91.083 | 91.907 | 345.757 | -0.000 | -0.000 | -0.000 |
| 0.000 | 0.000 | 0.000 | 67.298 | -0.000 | 0.000 |
| 0.000 | 0.000 | 0.000 | -0.000 | 65.661 | -0.000 |
| -0.000 | 0.000 | -0.000 | -0.000 | -0.000 | 80.965 |
| 317.301 | 138.211 | 90.555 | 0.000 | 0.000 | 0.000 |
| 139.131 | 304.501 | 92.300 | 0.000 | -0.000 | 0.000 |
| 91.083 | 91.907 | 345.755 | 0.000 | 0.000 | 0.000 |
| -0.000 | -0.000 | -0.000 | 67.298 | 0.000 | -0.000 |
| -0.000 | -0.000 | -0.000 | 0.000 | 65.661 | -0.000 |
| 0.000 | -0.000 | 0.000 | 0.000 | 0.000 | 80.965 |
| 303.182 | 161.796 | 53.348 | -0.000 | -0.000 | 0.000 |
| 296.417 | 168.561 | 53.348 | 0.000 | 0.000 | 0.000 |
| 53.349 | 53.349 | 373.841 | -0.000 | 0.000 | 0.000 |
| 0.000 | -0.000 | -0.000 | -32.413 | 0.000 | 0.000 |
| 0.000 | -0.000 | 0.000 | 0.000 | -32.413 | -0.000 |
| 0.000 | -0.000 | 0.000 | -0.000 | -0.000 | 70.693 |
| 129.419 | 335.558 | 53.348 | 0.000 | -0.000 | 0.000 |
| 296.416 | 168.561 | 53.348 | -0.000 | -0.000 | -0.000 |
| 53.348 | 53.348 | 373.840 | -0.000 | -0.000 | -0.000 |
| -0.000 | 0.000 | 0.000 | -32.413 | -0.000 | -0.000 |
| -0.000 | 0.000 | -0.000 | -0.000 | -32.413 | -0.000 |
| -0.000 | 0.000 | -0.000 | 0.000 | 0.000 | 70.693 |
| 129.424 | 335.561 | 53.351 | -0.000 | 0.000 | 0.000 |
| 296.421 | 168.564 | 53.351 | 0.000 | 0.000 | 0.000 |
| 53.351 | 53.351 | 373.842 | 0.000 | 0.000 | 0.000 |
| 0.000 | 0.000 | -0.000 | -32.413 | 0.000 | 0.000 |
| 0.000 | 0.000 | -0.000 | 0.000 | -32.413 | -0.000 |
| 0.000 | 0.000 | -0.000 | 0.000 | 0.000 | -103.069 |
| 168.557 | 296.414 | 53.345 | -0.000 | -0.000 | -0.000 |
| 161.792 | 303.178 | 53.345 | -0.000 | 0.000 | -0.000 |
| 53.346 | 53.346 | 373.838 | -0.000 | -0.000 | -0.000 |
| -0.000 | -0.000 | 0.000 | -32.413 | -0.000 | 0.000 |
| -0.000 | -0.000 | 0.000 | -0.000 | -32.413 | -0.000 |
| -0.000 | -0.000 | 0.000 | -0.000 | -0.000 | -103.069 |
| 303.219 | 161.832 | 53.377 | 0.000 | -0.000 | -0.000 |
| 4479152.293 | 4131344.627 | -14928490.274 | 2.085 | 0.000 | 0.003 |
| 53.372 | 53.372 | 373.859 | 0.000 | 0.000 | 0.000 |
| 0.000 | 0.000 | -0.000 | -32.413 | 0.000 | 0.000 |
| 0.000 | 0.000 | -0.000 | -0.000 | -32.413 | 0.000 |
| -0.000 | -0.000 | -0.000 | 0.000 | 0.000 | -63.928 |
| 5403269.539 | 6168023.514 | 8563835.189 | -1638.776 | 26938.189 | 116607.171 |
| 296.374 | 168.531 | 53.320 | 0.000 | -0.000 | -0.000 |
| 53.326 | 53.326 | 373.821 | -0.000 | -0.000 | -0.000 |
| -0.000 | -0.000 | 0.000 | -32.413 | -0.000 | -0.000 |
| -0.000 | -0.000 | 0.000 | 0.000 | -32.413 | 0.000 |
| 0.000 | 0.000 | 0.000 | -0.000 | -0.000 | -63.928 |
| 308.957 | 139.327 | 93.234 | 11.317 | 0.000 | -0.000 |
| 139.327 | 308.957 | 93.234 | -11.317 | 0.000 | -0.000 |
| 93.253 | 93.253 | 345.971 | -0.000 | 0.000 | -0.000 |
| 11.307 | -11.307 | 0.000 | 68.737 | -0.000 | -0.000 |
| -0.000 | -0.000 | 0.000 | 0.000 | 68.777 | 12.080 |
| -0.000 | 0.000 | 0.000 | -0.000 | 12.080 | 99.607 |
| 308.957 | 139.327 | 93.234 | 11.317 | 0.000 | 0.000 |
| 139.327 | 308.957 | 93.234 | -11.317 | -0.000 | 0.000 |
| 93.253 | 93.253 | 345.971 | 0.000 | 0.000 | 0.000 |
| 12.080 | -12.080 | -0.000 | 68.777 | -0.000 | 0.000 |
| 0.000 | 0.000 | -0.000 | -0.000 | 68.777 | 12.080 |
| 0.000 | -0.000 | -0.000 | -0.000 | 12.080 | 99.607 |
| 308.803 | 139.556 | 93.253 | 11.307 | 0.000 | -0.000 |
| 139.556 | 308.802 | 93.253 | -11.307 | 0.000 | -0.000 |
| 93.253 | 93.253 | 345.971 | -0.000 | 0.000 | -0.000 |
| 11.307 | -11.307 | 0.000 | 68.737 | 0.000 | -0.000 |
| -0.000 | 0.000 | 0.000 | 0.000 | 68.777 | 12.080 |
| -0.000 | 0.000 | -0.000 | -0.000 | 11.307 | 84.623 |
| 323.795 | 124.581 | 93.257 | 12.080 | 0.000 | 0.000 |
| 139.327 | 308.957 | 93.234 | -11.317 | 0.000 | 0.000 |
| 93.257 | 93.257 | 345.973 | 0.000 | 0.000 | 0.000 |
| 12.080 | -12.080 | -0.000 | 68.777 | -0.000 | 0.000 |
| 0.000 | -0.000 | -0.000 | -0.000 | 68.777 | 12.080 |
| 0.000 | -0.000 | 0.000 | 0.000 | 11.307 | 84.623 |
| 323.797 | 124.581 | 93.257 | 12.080 | 0.000 | -0.000 |
| 139.328 | 308.958 | 93.234 | -11.317 | 0.000 | -0.000 |
| 93.257 | 93.257 | 345.974 | -0.000 | 0.000 | -0.000 |
| 11.307 | -11.307 | 0.000 | 68.737 | 0.000 | -0.000 |
| -0.000 | 0.000 | 0.000 | 0.000 | 68.777 | 12.080 |
| -0.000 | 0.000 | -0.000 | -0.000 | 11.307 | 84.623 |
| 308.955 | 139.327 | 93.234 | 11.317 | 0.000 | 0.000 |
| 139.327 | 308.956 | 93.234 | -11.317 | -0.000 | -0.000 |
| 93.257 | 93.257 | 345.973 | -0.000 | -0.000 | 0.000 |
| 12.080 | -12.080 | -0.000 | 68.777 | 0.000 | 0.000 |
| 0.000 | -0.000 | -0.000 | -0.000 | 68.777 | 12.080 |
| 0.000 | -0.000 | 0.000 | 0.000 | 11.307 | 84.623 |
Phonon band structures and crystal properties estimated from quasi-harmonic approximation (QHA) calculations are displayed for select crystals. The calculations were performed using phonopy and LAMMPS. For the phonon calculations, 3x3 supercells of the potential-specific relaxed crystals were used. The QHA calculations were based on 11 strain states ranging from -0.05 to 0.05.
The calculation method used is available as the iprPy phonon calculation method.
Notes and Disclaimers:
Version Information:


























































































































































































































































Static free surface formation energies are displayed for select crystals. The values displayed here are obtained by taking a perfect periodic bulk crystal, slicing along a crystallographic plane, and using force minimization to statically relax the surfaces. The free surface formation energy is computed by comparing the energy of the defect system to the bulk system and dividing by the total surface area created by the cut.
The calculation method used is available as the iprPy surface_energy_static calculation method.
Notes and Disclaimers:
Version Information:
| Surface | γfs (mJ/m2) |
|---|---|
| (111) | 1239.53 |
| (100) | 1345.32 |
| (332) | 1359.96 |
| (322) | 1372.10 |
| (221) | 1411.29 |
| (211) | 1434.00 |
| (331) | 1451.76 |
| (311) | 1471.98 |
| (110) | 1475.48 |
| (321) | 1500.04 |
| (310) | 1515.64 |
| (320) | 1534.58 |
| (210) | 1543.12 |
| Surface | γfs (mJ/m2) |
|---|---|
| (322) | 993.55 |
| (211) 2 | 1149.20 |
| (211) 1 | 1185.49 |
| (310) | 1196.45 |
| (332) 2 | 1198.47 |
| (210) | 1210.23 |
| (221) | 1211.66 |
| (320) | 1213.71 |
| (321) 2 | 1215.62 |
| (331) | 1216.29 |
| (332) 1 | 1223.04 |
| (321) 1 | 1225.92 |
| (111) | 1227.39 |
| (311) | 1232.94 |
| (100) | 1275.92 |
| (110) | 1317.85 |
| Surface | γfs (mJ/m2) |
|---|---|
| (0001) | 1227.50 |
| (1012) 2 | 1302.38 |
| (2021) 1 | 1341.25 |
| (1011) 1 | 1349.09 |
| (2021) 2 | 1431.50 |
| (1120) | 1466.90 |
| (2131) 1 | 1484.51 |
| (1010) | 1492.64 |
| (2241) | 1495.73 |
| (2132) 2 | 1496.04 |
| (2132) 1 | 1505.51 |
| (1012) 1 | 1513.44 |
| (1011) 2 | 1515.48 |
| (1121) | 1515.88 |
| (2130) | 1526.68 |
| (2131) 2 | 1552.03 |
| Surface | γfs (mJ/m2) |
|---|---|
| (0001) | 1215.57 |
| (1011) 2 | 1297.72 |
| (1010) 1 | 1308.84 |
| (2021) 1 | 1340.52 |
| (1012) 1 | 1421.20 |
| (2130) 1 | 1449.81 |
| (1120) | 1458.56 |
| (2112) | 1459.95 |
| (1012) 2 | 1464.61 |
| (2132) 2 | 1485.76 |
| (2132) 1 | 1487.24 |
| (2131) 2 | 1491.15 |
| (2241) | 1509.99 |
| (2131) 1 | 1511.73 |
| (2021) 2 | 1517.52 |
| (1121) | 1527.51 |
| (2130) 2 | 1590.07 |
| (1010) 2 | 1672.66 |
| (1011) 1 | 1727.81 |
| Surface | γfs (mJ/m2) |
|---|---|
| (322) | -3048.02 |
| (321) | -2429.62 |
| (311) | -1282.33 |
| (320) | -1225.31 |
| (211) | -761.11 |
| (310) | -673.06 |
| (210) | -100.16 |
| (111) | 1433.56 |
| (100) | 1573.29 |
| (332) | 1573.41 |
| (221) | 1633.17 |
| (331) | 1679.58 |
| (110) | 1713.63 |
| Surface | γfs (mJ/m2) |
|---|---|
| (211) 2 | 1573.40 |
| (210) | 1638.76 |
| (332) 2 | 1640.27 |
| (321) 2 | 1666.91 |
| (111) | 1674.50 |
| (311) | 1675.05 |
| (321) 1 | 1676.47 |
| (221) | 1682.70 |
| (322) | 1690.76 |
| (331) | 1715.04 |
| (100) | 1721.44 |
| (332) 1 | 1737.45 |
| (320) | 1742.06 |
| (310) | 1748.00 |
| (211) 1 | 1767.28 |
| (110) | 1773.43 |
| Surface | γfs (mJ/m2) |
|---|---|
| (110) | 1650.59 |
| (320) | 1777.03 |
| (100) | 1785.25 |
| (210) | 1826.44 |
| (310) | 1854.26 |
| (321) | 1856.15 |
| (331) | 1863.28 |
| (211) | 1886.93 |
| (311) | 1924.46 |
| (221) | 1929.96 |
| (322) | 1962.12 |
| (332) | 1968.70 |
| (111) | 1997.91 |
| Surface | γfs (mJ/m2) |
|---|---|
| (2021) 1 | -330.36 |
| (2021) 2 | -126.60 |
| (1012) 1 | 59.65 |
| (2130) | 480.93 |
| (2131) 1 | 487.82 |
| (2131) 2 | 489.60 |
| (2132) 2 | 515.64 |
| (2241) | 542.79 |
| (1121) | 556.34 |
| (2132) 1 | 709.11 |
| (1011) 1 | 775.94 |
| (1010) | 1015.74 |
| (2112) | 1149.51 |
| (1011) 2 | 1190.96 |
| (0001) | 1425.18 |
| (1012) 2 | 1524.51 |
| (1120) | 1714.17 |
| Surface | γfs (mJ/m2) |
|---|---|
| (2132) 2 | -1424.81 |
| (2132) 1 | -1116.25 |
| (1012) 1 | -527.57 |
| (1011) 1 | 30.78 |
| (2130) 2 | 469.47 |
| (2112) | 490.13 |
| (2131) 2 | 507.74 |
| (2241) | 541.83 |
| (1121) | 586.69 |
| (2131) 1 | 617.18 |
| (2130) 1 | 618.18 |
| (0001) | 1424.19 |
| (1010) 1 | 1526.36 |
| (1011) 2 | 1527.21 |
| (2021) 1 | 1573.56 |
| (1012) 2 | 1706.58 |
| (1120) | 1713.42 |
| (2021) 2 | 1791.44 |
| (1010) 2 | 1976.42 |
| Surface | γfs (mJ/m2) |
|---|---|
| (111) | 1623.74 |
| (100) | 1754.95 |
| (332) | 1797.24 |
| (322) | 1815.83 |
| (221) | 1873.76 |
| (211) | 1909.22 |
| (311) | 1972.67 |
| (110) | 1977.65 |
| (321) | 2012.19 |
| (310) | 2028.77 |
| (320) | 2065.72 |
| (210) | 2082.64 |
| Surface | γfs (mJ/m2) |
|---|---|
| (0001) | 1611.94 |
| (1012) 2 | 1705.32 |
| (2021) 1 | 1768.44 |
| (1011) 1 | 1782.37 |
| (2021) 2 | 1905.30 |
| (1120) | 1967.09 |
| (2131) 1 | 1989.03 |
| (1010) | 2000.98 |
| (2241) | 2008.28 |
| (2132) 2 | 2008.81 |
| (1011) 2 | 2013.06 |
| (2132) 1 | 2020.03 |
| (1012) 1 | 2029.99 |
| (1121) | 2038.13 |
| (2130) | 2054.08 |
| (2112) | 2065.55 |
| (2131) 2 | 2091.96 |
Static point defect formation energies, Ef, and elastic dipole tensors, pij, are displayed for select crystals. Relaxed defect configurations are obtained by taking a 12x12x12 supercell of a perfect periodic bulk crystal, inserting the point defect, and using force minimization to statically relax the atomic positions while keeping the system dimensions constant. Ef is computed by comparing the energy of the defect system to the same number of atoms in a perfect bulk crystal. pij is estimated as the difference in the system's global pressure with and without the defect multiplied by the system's volume.
Simple structural comparisons of the unrelaxed and relaxed defect configurations are used to help determine if the defect structure has relaxed to a different configuration. Relaxed structures that are identified as no longer consistent with the ideal defect definition are excluded from the table below. The only exception to this is if the lowest energy interstitial configuration does not coincide with a known ideal defect, its energies and pressure tensor are included under the listing "relaxed interstitial". The full list of calculation results including the transformed structures and the structural comparison values is included in the csv file available from the "Download raw data" link.
The calculation method used is available as the iprPy point_defect_static calculation method.
Notes and Disclaimers:
| Point Defect | Ef (eV) | p11 (eV) | p22 (eV) | p33 (eV) | p12 (eV) | p13 (eV) | p23 (eV) |
|---|---|---|---|---|---|---|---|
| vacancy | 1.272 | -3.048 | -3.048 | -3.048 | 0.000 | -0.000 | 0.000 |
| 1nn divacancy | 2.399 | -7.084 | -5.879 | -5.879 | 0.000 | 0.000 | -0.024 |
| 2nn divacancy | 2.530 | -6.396 | -6.396 | -6.335 | -0.000 | -0.000 | 0.000 |
| 100 dumbbell | 3.076 | 18.953 | 18.953 | 18.499 | -0.000 | 0.000 | 0.000 |
| octahedral interstitial | 3.251 | 19.355 | 19.355 | 19.355 | 0.000 | 0.000 | -0.000 |
| 110 dumbbell | 3.308 | 21.533 | 18.259 | 18.259 | 0.000 | 0.000 | 10.446 |
| crowdion interstitial | 3.309 | 18.223 | 18.223 | 21.517 | 10.416 | 0.000 | 0.000 |
| 111 dumbbell | 3.511 | 19.765 | 19.765 | 19.765 | 3.602 | 3.602 | 3.602 |
| tetrahedral interstitial | 3.560 | 19.921 | 19.921 | 19.921 | -0.000 | 0.000 | 0.000 |
| Point Defect | Ef (eV) | p11 (eV) | p22 (eV) | p33 (eV) | p12 (eV) | p13 (eV) | p23 (eV) |
|---|---|---|---|---|---|---|---|
| vacancy | 1.255 | -3.011 | -3.011 | -3.034 | 0.000 | 0.000 | 0.000 |
| 0001 dumbbell | 3.352 | 18.963 | 18.963 | 24.108 | -0.000 | -0.000 | -0.000 |
| Point Defect | Ef (eV) | p11 (eV) | p22 (eV) | p33 (eV) | p12 (eV) | p13 (eV) | p23 (eV) |
|---|---|---|---|---|---|---|---|
| relaxed interstitial | -359.361 | -2657.221 | -2673.504 | -2681.319 | 647.442 | -648.280 | -657.009 |
| octahedral interstitial | 1.618 | 4.436 | 4.436 | 4.436 | 0.000 | 0.000 | 0.000 |
| vacancy | 1.756 | -1.377 | -1.377 | -1.377 | 0.000 | 0.000 | 0.000 |
| Point Defect | Ef (eV) | p11 (eV) | p22 (eV) | p33 (eV) | p12 (eV) | p13 (eV) | p23 (eV) |
|---|---|---|---|---|---|---|---|
| vacancy | 1.712 | -2.976 | -2.976 | -2.976 | -0.000 | -0.000 | 0.000 |
| 2nn divacancy | 3.188 | -6.463 | -6.463 | -7.010 | 0.000 | 0.000 | -0.000 |
| 1nn divacancy | 3.297 | -4.901 | -4.901 | -4.901 | 0.634 | 0.634 | 0.634 |
| 110 dumbbell | 3.526 | 17.796 | 14.618 | 14.618 | -0.000 | -0.000 | 3.798 |
| crowdion interstitial | 4.008 | 12.839 | 12.839 | 12.839 | 6.486 | 6.486 | 6.486 |
| 111 dumbbell | 4.013 | 12.373 | 12.373 | 12.373 | 6.423 | 6.423 | 6.423 |
| octahedral interstitial | 4.194 | 17.788 | 9.962 | 9.962 | 0.000 | -0.000 | -0.000 |
| Point Defect | Ef (eV) | p11 (eV) | p22 (eV) | p33 (eV) | p12 (eV) | p13 (eV) | p23 (eV) |
|---|---|---|---|---|---|---|---|
| relaxed interstitial | -178.327 | -1559.555 | -2334.211 | -2346.725 | -832.008 | -0.040 | -0.142 |
| vacancy | 1.768 | -2.179 | -2.179 | -2.023 | 0.000 | -0.000 | 0.000 |
| Point Defect | Ef (eV) | p11 (eV) | p22 (eV) | p33 (eV) | p12 (eV) | p13 (eV) | p23 (eV) |
|---|---|---|---|---|---|---|---|
| vacancy | 1.560 | -2.093 | -2.093 | -2.093 | -0.000 | -0.000 | -0.000 |
| 1nn divacancy | 2.937 | -5.523 | -4.084 | -4.084 | 0.000 | -0.000 | 0.029 |
| 2nn divacancy | 3.085 | -4.550 | -4.550 | -4.667 | 0.000 | -0.000 | -0.000 |
| 100 dumbbell | 4.640 | 29.228 | 29.228 | 27.833 | -0.000 | 0.000 | -0.000 |
| crowdion interstitial | 5.012 | 27.955 | 27.955 | 34.049 | 16.523 | 0.000 | 0.000 |
| 110 dumbbell | 5.014 | 34.075 | 27.834 | 27.834 | 0.000 | 0.000 | 16.490 |
Plots of the atomic structure of dislocation cores are shown here. The dislocations were constructed using dislocation monopole configurations in which a straight dislocation is created in the center of the system using anisotropic elasticity and the elastic constants computed above. A cylindrical region centered around the dislocation is allowed to relax while the remaining atoms are held fixed. The relaxation consists of 1 million NVT steps at 10 K followed by an energy/force minimization. The final plots show the atomic configuration near the center of the monopole system, and display differential displacement arrows and Nye tensor color maps that are both taken with respect to the Burgers vector direction.
These plots show a wide range of final structures, some corresponding to expected dislocation structures and others not. While the characterizations are dislocation-type dependent, some general classification guidelines are listed here.
The calculation method used is available as the iprPy dislocation_monopole calculation method.
Links are provided above the images allowing for users to download the final defect configuration and a corresponding defect-free configuration if they wish to further analyze the structures or use them for subsequent simulations.
Notes and Disclaimers:
Version Information:
Plots of lattice and elastic constants are shown as a function of temperature. The 0K points were taken from the Crystal Structure Predictions and the Elastic Constants Predictions sections above for the unique crystal structures relaxed with the "dynamic" method. Starting from the 0 K relaxed crystal unit cells, supercell systems are created by replicating all three dimensions by the same multiplier to achieve at least 4000 atoms. The systems are then relaxed at 50 K and zero pressure using 1 million NPT steps. Lattice constants are estimated by averaging the measured box dimensions. Temperatures are iteratively increased by 50 K, with each subsequent relaxation calculation starting from the final atomic configuration at the previous temperature and relaxing for another 1 million steps.
The elastic constants are calculated using the deformation–fluctuation hybrid method. Starting from the final atomic configurations of the dynamic relaxations, the system is allowed to evolve at constant volume with a Langevin thermostat. The Born matrix is computed during this run by evaluating how the atomic forces would vary due to applied linear strain fields. The elastic constants can then be estimated using the averaged Born matrix values and the averaged stresses on the system.
The calculation methods used are available as the iprPy relax_dynamic and elastic_constants_dynamic calculation methods.
Clicking on the image of a plot will open an interactive version of it in a new tab. The underlying data for the plots can be downloaded by clicking on the links above each plot.
Notes and Disclaimers:
Version Information:
Plots of radial distribution functions at different temperatures and the temperature-dependent diffusion and viscosity are shown here for elemental liquids. Melt phases are constructed by starting with a 10x10x10 fcc super cell and relaxing with 50,000 NPT steps at zero pressure and a high melting temperature (3000 K for most potentials and elements). Following the melt, liquid structures are relaxed by running NPT for 10,000 steps over which the temperature is dropped by 50 K, then 50,000 NPT at the target temperature to estimate the equilibrium volume, followed by 20,000 NVT steps at the averaged equilibrium volume and target temperature. Structures from the NVT run are sampled to compute the radial distribution function of the liquid at the corresponding temperature.
The final relaxed configurations at each temperature explored are used as the initial configurations for the diffusion and viscosity calculations. For diffusion, the system is integrated for 100 runs of 2,000 NVT steps during which both the mean squared displacement (MSD) and the velocity auto correlation function (VACF) are computed. From these simulations, three estimates of diffusion are computed: one from the MSD of the full 200,000 step run, one in which the MSD is reset for each short run and then averaged, and one from the VACF computed for each short run and averaged. For viscosity, the Green-Kubo method is used which is evaluated during a 1 million step NVT run.
The calculation methods used are available as the iprPy relax_liquid_redo, diffusion_liquid, and viscosity_green_kubo calculation methods.
Clicking on the image of a plot will open an interactive version of it in a new tab. The underlying data for the plots can be downloaded by clicking on the links above each plot.
Notes and Disclaimers:
Version Information:
Plots of internal energy, Gibbs free energy, entropy, heat capacity and volume are shown here as a function of temperature for various crystal structures and liquid phases. The included crystal structures correspond to those in the Solid Structures vs. Temperature section, and the liquid phases to those in the Liquid Properties section. Internal energy and volume are taken from the associated structure relaxations mentioned in those previous sections. Constant pressure heat capacity is estimated using 3-point numerical derivatives of enthalpy versus temperature. Note that since all simulations done here are at 0 pressure, internal energy and enthalpy are equivalent.
The Gibbs energies of the phases are estimated using thermodynamic integration between the interatomic potential in question and a simpler model with known Gibbs free energy values. For solids, the reference model is an Einstein solid, while for liquids it is the Uhlenbeck-Ford potential. Besides a short run at the start of the solid calculations to estimate Einstein model spring constants, the two calculations proceed similarly. Starting with the final relaxation configurations, the systems are stabilized for 25,000 steps. Then, over the next 50,000 steps the potential is swapped out for the reference potential. The system is then stabilized for another 25,000 steps with the reference model before a reverse swap of 50,000 steps is performed. The simulation ends with one final 25,000 step stabilization period. From the simulation, the irreversible work of transformation is estimated and used to compute the absolute Gibbs free energy of the target phase and potential relative to the reference potential. Entropy is estimated as the difference in enthalpy and Gibbs free energy and divided by temperature.
The calculation methods used are available as the iprPy relax_dynamic, relax_liquid_redo, free_energy, and free_energy_liquid calculation methods.
Clicking on the image of a plot will open an interactive version of it in a new tab. The underlying data for the plots can be downloaded by clicking on the links above each plot.
Notes and Disclaimers:
Version Information:






