Plots of the potential energy vs interatomic spacing, r, are shown below for all diatom sets associated with the interatomic potential. This calculation provides insights into the functional form of the potential's two-body interactions. A system consisting of only two atoms is created, and the potential energy is evaluated for the atoms separated by 0.02 Å <= r <= 6.0> Å in intervals of 0.02 Å. Two plots are shown: one for the "standard" interaction distance range, and one for small values of r. The small r plot is useful for determining whether the potential is suitable for radiation studies.
The calculation method used is available as the iprPy diatom_scan calculation method.
Clicking on the image of a plot will open an interactive version of it in a new tab. The underlying data for the plots can be downloaded by clicking on the links above each plot.
Notes and Disclaimers:
Version Information:
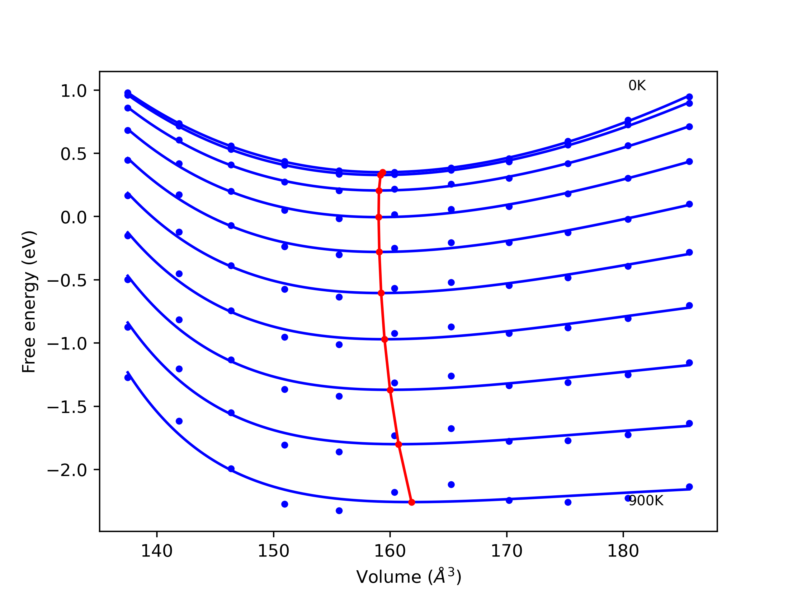
Plots of potential energy vs interatomic spacing, r, are shown below for a number of crystal structures. The structures are generated based on the ideal atomic positions and b/a and c/a lattice parameter ratios for a given crystal prototype. The size of the system is then uniformly scaled, and the energy calculated without relaxing the system. To obtain these plots, values of r are evaluated every 0.02 Å up to 6 Å.
The calculation method used is available as the iprPy E_vs_r_scan calculation method.
Clicking on the image of a plot will open an interactive version of it in a new tab. The underlying data for the plots can be downloaded by clicking on the links above each plot.
Notes and Disclaimers:
Version Information:
Computed lattice constants and cohesive/potential energies are displayed for a variety of crystal structures. The values displayed here are obtained using the following process.
The calculation methods used are implemented into iprPy as the following calculation styles
Notes and Disclaimers:
Version Information:
Download raw data (including filtered results)
Reference structure matches:
A1--Cu--fcc = mp-134, oqmd-8100, oqmd-1214503
A15--beta-W = oqmd-1214948, oqmd-1280406
A2--W--bcc = mp-998860, oqmd-1215126
A3'--alpha-La--double-hcp = mp-1183144, oqmd-1215394
A3--Mg--hcp = oqmd-1215215, oqmd-1215304
A4--C--dc = oqmd-1215483
A5--beta-Sn = oqmd-1215572
A6--In--bct = oqmd-1215661
| prototype | method | Ecoh (eV/atom) | Epot (eV/atom) | a0 (Å) | b0 (Å) | c0 (Å) | α (degrees) | β (degrees) | γ (degrees) |
|---|---|---|---|---|---|---|---|---|---|
| A1--Cu--fcc | dynamic | -3.3601 | -3.3601 | 4.0321 | 4.0321 | 4.0321 | 90.0 | 90.0 | 90.0 |
| A15--beta-W | dynamic | -3.3587 | -3.3587 | 5.0641 | 5.0641 | 5.0641 | 90.0 | 90.0 | 90.0 |
| oqmd-1214859 | dynamic | -3.3508 | -3.3508 | 6.9193 | 6.9193 | 6.9193 | 90.0 | 90.0 | 90.0 |
| oqmd-1214859 | box | -3.3491 | -3.3491 | 6.9205 | 6.9205 | 6.9205 | 90.0 | 90.0 | 90.0 |
| A3'--alpha-La--double-hcp | dynamic | -3.3481 | -3.3481 | 2.8301 | 2.8301 | 9.5823 | 90.0 | 90.0 | 120.0 |
| oqmd-1216017 | dynamic | -3.3462 | -3.3462 | 2.8261 | 2.8261 | 21.6885 | 90.0 | 90.0 | 120.0 |
| oqmd-1214770 | dynamic | -3.3424 | -3.3424 | 9.8617 | 9.8617 | 9.8617 | 90.0 | 90.0 | 90.0 |
| A3--Mg--hcp | dynamic | -3.342 | -3.342 | 2.8174 | 2.8174 | 4.8807 | 90.0 | 90.0 | 120.0 |
| oqmd-1214770 | box | -3.3386 | -3.3386 | 9.8716 | 9.8716 | 9.8716 | 90.0 | 90.0 | 90.0 |
| A2--W--bcc | static | -3.3032 | -3.3032 | 3.1481 | 3.1481 | 3.1481 | 90.0 | 90.0 | 90.0 |
| mp-1245152 | dynamic | -3.3021 | -3.3021 | 10.946 | 12.1268 | 12.7274 | 89.0 | 86.4 | 88.7 |
| mp-1244953 | dynamic | -3.3019 | -3.3019 | 11.514 | 12.1069 | 12.4279 | 84.9 | 80.3 | 83.7 |
| mp-1245129 | dynamic | -3.3016 | -3.3016 | 11.6595 | 12.0364 | 12.1577 | 97.7 | 91.2 | 93.0 |
| mp-1245307 | dynamic | -3.2976 | -3.2976 | 11.6765 | 11.7239 | 12.4113 | 92.7 | 93.5 | 93.3 |
| mp-1245067 | dynamic | -3.2925 | -3.2925 | 11.6486 | 12.0712 | 12.3755 | 92.8 | 96.6 | 97.3 |
| mp-1245129 | static | -3.2912 | -3.2912 | 11.5837 | 11.9424 | 12.384 | 96.2 | 92.6 | 93.3 |
| mp-1244953 | static | -3.2878 | -3.2878 | 11.3312 | 12.32 | 12.4049 | 89.8 | 79.8 | 87.0 |
| mp-1245307 | static | -3.2848 | -3.2848 | 11.7482 | 11.9251 | 12.2201 | 91.0 | 92.7 | 92.0 |
| mp-1245152 | static | -3.2823 | -3.2823 | 11.2684 | 12.333 | 12.3694 | 91.8 | 96.0 | 91.9 |
| mp-1245067 | static | -3.2759 | -3.2759 | 11.7411 | 12.1712 | 12.3019 | 93.0 | 99.3 | 93.7 |
| mp-1245129 | box | -3.2664 | -3.2664 | 11.6273 | 12.0925 | 12.311 | 94.1 | 92.8 | 96.0 |
| mp-1244953 | box | -3.2595 | -3.2595 | 11.9728 | 11.9846 | 12.1912 | 86.8 | 80.6 | 87.3 |
| mp-1245307 | box | -3.2553 | -3.2553 | 11.8859 | 12.0906 | 12.1012 | 90.9 | 92.5 | 93.6 |
| mp-1245152 | box | -3.2543 | -3.2543 | 11.8266 | 12.0583 | 12.1771 | 92.3 | 91.7 | 96.2 |
| mp-1245067 | box | -3.2451 | -3.2451 | 11.8836 | 12.2086 | 12.2165 | 92.7 | 97.7 | 93.9 |
| oqmd-1215037 | box | -3.2096 | -3.2096 | 2.7853 | 4.9551 | 11.1034 | 90.0 | 90.0 | 90.0 |
| oqmd-1214681 | box | -3.1144 | -3.1144 | 4.3667 | 8.3236 | 4.4828 | 90.0 | 90.0 | 90.0 |
| A5--beta-Sn | static | -3.0661 | -3.0661 | 5.4154 | 5.4154 | 2.8005 | 90.0 | 90.0 | 90.0 |
| Ah--alpha-Po--sc | static | -3.0075 | -3.0075 | 2.7543 | 2.7543 | 2.7543 | 90.0 | 90.0 | 90.0 |
| mp-1239196 | static | -2.8679 | -2.8679 | 3.6899 | 3.6899 | 13.2857 | 90.0 | 90.0 | 90.0 |
| oqmd-1215928 | box | -2.7262 | -2.7262 | 4.4973 | 4.4973 | 5.0349 | 90.0 | 90.0 | 120.0 |
| A4--C--dc | static | -2.4942 | -2.4942 | 5.9899 | 5.9899 | 5.9899 | 90.0 | 90.0 | 90.0 |
| A3--Mg--hcp | static | -0.0 | -0.0 | 5.5733 | 5.5733 | 9.1011 | 90.0 | 90.0 | 120.0 |
| A3'--alpha-La--double-hcp | static | -0.0 | -0.0 | 5.5733 | 5.5733 | 18.2023 | 90.0 | 90.0 | 120.0 |
| A1--Cu--fcc | static | -0.0 | -0.0 | 7.8818 | 7.8818 | 7.8818 | 90.0 | 90.0 | 90.0 |
| A2--W--bcc | static | -0.0 | -0.0 | 6.4355 | 6.4355 | 6.4355 | 90.0 | 90.0 | 90.0 |
| Ah--alpha-Po--sc | static | -0.0 | -0.0 | 5.5733 | 5.5733 | 5.5733 | 90.0 | 90.0 | 90.0 |
| A4--C--dc | static | -0.0 | -0.0 | 12.871 | 12.871 | 12.871 | 90.0 | 90.0 | 90.0 |
| A5--beta-Sn | static | -0.0 | -0.0 | 10.7468 | 10.7468 | 5.9171 | 90.0 | 90.0 | 90.0 |
| A6--In--bct | static | -0.0 | -0.0 | 5.5733 | 5.5733 | 8.37 | 90.0 | 90.0 | 90.0 |
| A7--alpha-As | dynamic | -0.0 | -0.0 | 8.802 | 8.802 | 18.7789 | 90.0 | 90.0 | 120.0 |
| A7--alpha-As | static | -0.0 | -0.0 | 8.3259 | 8.3259 | 23.1299 | 90.0 | 90.0 | 120.0 |
| A15--beta-W | static | -0.0 | -0.0 | 11.1466 | 11.1466 | 11.1466 | 90.0 | 90.0 | 90.0 |
| A3'--alpha-La--double-hcp | box | -0.0 | -0.0 | 5.5867 | 5.5867 | 18.2462 | 90.0 | 90.0 | 120.0 |
| A3--Mg--hcp | box | -0.0 | -0.0 | 5.5867 | 5.5867 | 9.1231 | 90.0 | 90.0 | 120.0 |
| A1--Cu--fcc | box | -0.0 | -0.0 | 7.9009 | 7.9009 | 7.9009 | 90.0 | 90.0 | 90.0 |
| A2--W--bcc | box | -0.0 | -0.0 | 6.451 | 6.451 | 6.451 | 90.0 | 90.0 | 90.0 |
| A4--C--dc | box | -0.0 | -0.0 | 12.902 | 12.902 | 12.902 | 90.0 | 90.0 | 90.0 |
| A1--Cu--fcc | dynamic | 0.0 | 0.0 | 9.6849 | 9.6849 | 9.6849 | 90.0 | 90.0 | 90.0 |
| A2--W--bcc | dynamic | 0.0 | 0.0 | 8.6184 | 8.6184 | 8.6184 | 90.0 | 90.0 | 90.0 |
| A15--beta-W | dynamic | 0.0 | 0.0 | 12.895 | 12.895 | 12.895 | 90.0 | 90.0 | 90.0 |
| A5--beta-Sn | dynamic | 0.0 | 0.0 | 13.8589 | 13.8589 | 6.1523 | 90.0 | 90.0 | 90.0 |
| Ah--alpha-Po--sc | dynamic | 0.0 | 0.0 | 8.3718 | 8.3718 | 8.3718 | 90.0 | 90.0 | 90.0 |
| A6--In--bct | dynamic | 0.0 | 0.0 | 7.9522 | 7.9522 | 8.37 | 90.0 | 90.0 | 90.0 |
| A4--C--dc | dynamic | 0.0 | 0.0 | 14.9175 | 14.9175 | 14.9175 | 90.0 | 90.0 | 90.0 |
| A3'--alpha-La--double-hcp | dynamic | 0.0 | 0.0 | 6.8482 | 6.8482 | 22.3663 | 90.0 | 90.0 | 120.0 |
| A3--Mg--hcp | dynamic | 0.0 | 0.0 | 7.3949 | 7.3949 | 12.0758 | 90.0 | 90.0 | 120.0 |
Download raw data (including filtered results)
Reference structure matches:
| prototype | method | Ecoh (eV/atom) | Epot (eV/atom) | a0 (Å) | b0 (Å) | c0 (Å) | α (degrees) | β (degrees) | γ (degrees) |
|---|---|---|---|---|---|---|---|---|---|
| mp-1094700 | dynamic | -2.2401 | -2.2401 | 10.5323 | 14.8648 | 9.1091 | 90.0 | 125.1 | 90.0 |
| mp-1094700 | static | -2.2401 | -2.2401 | 10.5323 | 14.8649 | 9.109 | 90.0 | 125.1 | 90.0 |
| oqmd-31414 | dynamic | -2.2401 | -2.2401 | 10.5323 | 14.865 | 9.1088 | 90.0 | 125.1 | 90.0 |
| oqmd-31414 | static | -2.2401 | -2.2401 | 10.5322 | 14.8651 | 9.109 | 90.0 | 125.1 | 90.0 |
| oqmd-31414 | box | -2.2383 | -2.2383 | 10.5271 | 14.8546 | 9.1237 | 90.0 | 125.2 | 90.0 |
| mp-1094700 | box | -2.2378 | -2.2378 | 10.5163 | 14.8338 | 9.1311 | 90.0 | 125.0 | 90.0 |
Download raw data (including filtered results)
Reference structure matches:
| prototype | method | Ecoh (eV/atom) | Epot (eV/atom) | a0 (Å) | b0 (Å) | c0 (Å) | α (degrees) | β (degrees) | γ (degrees) |
|---|---|---|---|---|---|---|---|---|---|
| mp-2151 | dynamic | -2.3117 | -2.3117 | 10.5052 | 10.5052 | 10.5052 | 90.0 | 90.0 | 90.0 |
| oqmd-4367 | box | -2.3108 | -2.3108 | 10.5015 | 10.5015 | 10.5015 | 90.0 | 90.0 | 90.0 |
| mp-2151 | box | -2.3106 | -2.3106 | 10.5009 | 10.5009 | 10.5009 | 90.0 | 90.0 | 90.0 |
Download raw data (including filtered results)
Reference structure matches:
| prototype | method | Ecoh (eV/atom) | Epot (eV/atom) | a0 (Å) | b0 (Å) | c0 (Å) | α (degrees) | β (degrees) | γ (degrees) |
|---|---|---|---|---|---|---|---|---|---|
| oqmd-31546 | dynamic | -2.3729 | -2.3729 | 10.4714 | 14.7973 | 9.0686 | 90.0 | 125.1 | 90.0 |
| mp-1094685 | static | -2.3729 | -2.3729 | 10.4712 | 14.7973 | 9.069 | 90.0 | 125.1 | 90.0 |
| oqmd-31546 | static | -2.3728 | -2.3728 | 10.469 | 14.7978 | 9.0664 | 90.0 | 125.1 | 90.0 |
| mp-1094685 | box | -2.3709 | -2.3709 | 10.4562 | 14.8085 | 9.0646 | 90.0 | 125.1 | 90.0 |
| oqmd-31546 | box | -2.3693 | -2.3693 | 10.4689 | 14.7674 | 9.0859 | 90.0 | 125.1 | 90.0 |
| mp-1094692 | dynamic | -2.3646 | -2.3646 | 14.7542 | 14.7542 | 9.1819 | 90.0 | 90.0 | 120.0 |
| oqmd-31630 | dynamic | -2.3646 | -2.3646 | 14.7541 | 14.7541 | 9.182 | 90.0 | 90.0 | 120.0 |
| mp-1094692 | static | -2.3645 | -2.3645 | 14.7549 | 14.7549 | 9.1809 | 90.0 | 90.0 | 120.0 |
| oqmd-31630 | static | -2.3645 | -2.3645 | 14.7553 | 14.7553 | 9.1802 | 90.0 | 90.0 | 120.0 |
| oqmd-31630 | box | -2.3623 | -2.3623 | 14.7438 | 14.7438 | 9.1873 | 90.0 | 90.0 | 120.0 |
| mp-1094692 | box | -2.3617 | -2.3617 | 14.7878 | 14.7878 | 9.1054 | 90.0 | 90.0 | 120.0 |
| mp-1094683 | dynamic | -2.3599 | -2.3599 | 10.4924 | 10.4924 | 10.4924 | 90.0 | 90.0 | 90.0 |
| mp-1094683 | box | -2.3582 | -2.3582 | 10.4871 | 10.4871 | 10.4871 | 90.0 | 90.0 | 90.0 |
| oqmd-31462 | box | -2.3579 | -2.3579 | 10.4953 | 10.4953 | 10.4953 | 90.0 | 90.0 | 90.0 |
Download raw data (including filtered results)
Reference structure matches:
| prototype | method | Ecoh (eV/atom) | Epot (eV/atom) | a0 (Å) | b0 (Å) | c0 (Å) | α (degrees) | β (degrees) | γ (degrees) |
|---|---|---|---|---|---|---|---|---|---|
| mp-1194114 | dynamic | -2.5261 | -2.5261 | 10.392 | 10.392 | 10.392 | 90.0 | 90.0 | 90.0 |
| mp-1194114 | box | -2.5236 | -2.5236 | 10.3896 | 10.3896 | 10.3896 | 90.0 | 90.0 | 90.0 |
Download raw data (including filtered results)
Reference structure matches:
| prototype | method | Ecoh (eV/atom) | Epot (eV/atom) | a0 (Å) | b0 (Å) | c0 (Å) | α (degrees) | β (degrees) | γ (degrees) |
|---|---|---|---|---|---|---|---|---|---|
| mp-1094116 | dynamic | -2.7913 | -2.7913 | 5.3112 | 5.3112 | 8.8219 | 90.0 | 90.0 | 120.0 |
| mp-1094116 | box | -2.7887 | -2.7887 | 5.3217 | 5.3217 | 8.7703 | 90.0 | 90.0 | 120.0 |
| mp-1102064 | dynamic | -2.75 | -2.75 | 4.1982 | 4.1982 | 24.994 | 90.0 | 90.0 | 90.0 |
| oqmd-27874 | dynamic | -2.75 | -2.75 | 4.1982 | 4.1982 | 24.9935 | 90.0 | 90.0 | 90.0 |
| oqmd-27874 | box | -2.7498 | -2.7498 | 4.1974 | 4.1974 | 25.0001 | 90.0 | 90.0 | 90.0 |
| mp-1102064 | box | -2.7487 | -2.7487 | 4.211 | 4.211 | 24.887 | 90.0 | 90.0 | 90.0 |
| mp-1222013 | dynamic | -2.7253 | -2.7253 | 2.9375 | 2.9375 | 7.4669 | 90.0 | 90.0 | 120.0 |
| mp-1222013 | box | -2.7162 | -2.7162 | 2.9579 | 2.9579 | 7.4667 | 90.0 | 90.0 | 120.0 |
| C1--CaF2--fluorite | static | -2.4054 | -2.4054 | 6.373 | 6.373 | 6.373 | 90.0 | 90.0 | 90.0 |
| mp-1039192 | box | -2.0301 | -2.0301 | 5.6238 | 5.6238 | 4.8181 | 90.0 | 90.0 | 90.0 |
Download raw data (including filtered results)
Reference structure matches:
| prototype | method | Ecoh (eV/atom) | Epot (eV/atom) | a0 (Å) | b0 (Å) | c0 (Å) | α (degrees) | β (degrees) | γ (degrees) |
|---|---|---|---|---|---|---|---|---|---|
| mp-17659 | dynamic | -2.5809 | -2.5809 | 12.8173 | 12.8173 | 21.4339 | 90.0 | 90.0 | 120.0 |
| oqmd-10496 | dynamic | -2.5809 | -2.5809 | 12.8177 | 12.8177 | 21.4323 | 90.0 | 90.0 | 120.0 |
| oqmd-10496 | static | -2.5809 | -2.5809 | 12.8179 | 12.8179 | 21.432 | 90.0 | 90.0 | 120.0 |
| mp-17659 | box | -2.577 | -2.577 | 12.8347 | 12.8347 | 21.4179 | 90.0 | 90.0 | 120.0 |
| oqmd-10496 | box | -2.5768 | -2.5768 | 12.8334 | 12.8334 | 21.4305 | 90.0 | 90.0 | 120.0 |
Download raw data (including filtered results)
Reference structure matches:
D0_3--BiF3 = mp-1039180, oqmd-313589
| prototype | method | Ecoh (eV/atom) | Epot (eV/atom) | a0 (Å) | b0 (Å) | c0 (Å) | α (degrees) | β (degrees) | γ (degrees) |
|---|---|---|---|---|---|---|---|---|---|
| L1_2--AuCu3 | dynamic | -2.9125 | -2.9125 | 4.1414 | 4.1414 | 4.1414 | 90.0 | 90.0 | 90.0 |
| mp-1038916 | dynamic | -2.8903 | -2.8903 | 4.1241 | 4.1241 | 8.534 | 90.0 | 90.0 | 90.0 |
| mp-1039119 | dynamic | -2.8784 | -2.8784 | 5.7597 | 5.7597 | 5.1144 | 90.0 | 90.0 | 120.0 |
| mp-1039119 | static | -2.8768 | -2.8768 | 5.8255 | 5.8255 | 4.8234 | 90.0 | 90.0 | 120.0 |
| mp-1039119 | box | -2.8736 | -2.8736 | 5.8473 | 5.8473 | 4.7767 | 90.0 | 90.0 | 120.0 |
| A15--Cr3Si | dynamic | -2.8365 | -2.8365 | 5.2576 | 5.2576 | 5.2576 | 90.0 | 90.0 | 90.0 |
| D0_3--BiF3 | dynamic | -2.8022 | -2.8022 | 6.5046 | 6.5046 | 6.5046 | 90.0 | 90.0 | 90.0 |
| A15--Cr3Si | dynamic | -0.0683 | -0.0683 | 11.328 | 11.328 | 11.328 | 90.0 | 90.0 | 90.0 |
Download raw data (including filtered results)
Reference structure matches:
| prototype | method | Ecoh (eV/atom) | Epot (eV/atom) | a0 (Å) | b0 (Å) | c0 (Å) | α (degrees) | β (degrees) | γ (degrees) |
|---|---|---|---|---|---|---|---|---|---|
| mp-1210739 | box | -2.5277 | -2.5277 | 6.3505 | 6.3505 | 19.3665 | 90.0 | 90.0 | 90.0 |
Download raw data (including filtered results)
Reference structure matches:
| prototype | method | Ecoh (eV/atom) | Epot (eV/atom) | a0 (Å) | b0 (Å) | c0 (Å) | α (degrees) | β (degrees) | γ (degrees) |
|---|---|---|---|---|---|---|---|---|---|
| oqmd-751547 | dynamic | -2.2953 | -2.2953 | 7.9891 | 7.9891 | 5.1875 | 90.0 | 90.0 | 120.0 |
| oqmd-751535 | dynamic | -2.2907 | -2.2907 | 7.9935 | 7.9935 | 5.1888 | 90.0 | 90.0 | 120.0 |
Download raw data (including filtered results)
Reference structure matches:
B1--NaCl--rock-salt = mp-1039010
B2--CsCl = mp-1038934, oqmd-307218
B3--ZnS--cubic-zinc-blende = mp-1038818
L1_0--AuCu = mp-1039141
| prototype | method | Ecoh (eV/atom) | Epot (eV/atom) | a0 (Å) | b0 (Å) | c0 (Å) | α (degrees) | β (degrees) | γ (degrees) |
|---|---|---|---|---|---|---|---|---|---|
| L1_0--AuCu | dynamic | -2.4535 | -2.4535 | 2.9418 | 2.9418 | 4.3685 | 90.0 | 90.0 | 90.0 |
| mp-1039019 | dynamic | -2.4462 | -2.4462 | 3.0109 | 3.0109 | 5.0169 | 90.0 | 90.0 | 120.0 |
| mp-1038779 | dynamic | -2.4397 | -2.4397 | 3.0228 | 3.0228 | 14.8123 | 90.0 | 90.0 | 120.0 |
| mp-1094987 | dynamic | -2.4346 | -2.4346 | 5.2155 | 2.8619 | 5.2564 | 90.0 | 90.0 | 90.0 |
| oqmd-751544 | dynamic | -2.4289 | -2.4289 | 5.9737 | 5.9737 | 5.1892 | 90.0 | 90.0 | 120.0 |
| oqmd-751562 | dynamic | -2.4264 | -2.4264 | 5.169 | 5.9646 | 5.2187 | 90.0 | 90.0 | 90.0 |
| oqmd-751538 | dynamic | -2.4254 | -2.4254 | 5.1696 | 11.963 | 5.2076 | 90.0 | 90.0 | 90.0 |
| oqmd-751553 | dynamic | -2.4233 | -2.4233 | 5.1725 | 12.0033 | 5.2036 | 90.0 | 90.0 | 90.0 |
| oqmd-751536 | dynamic | -2.4203 | -2.4203 | 5.1582 | 9.0643 | 5.188 | 90.0 | 90.0 | 90.0 |
| oqmd-751552 | dynamic | -2.4201 | -2.4201 | 5.9689 | 5.2217 | 5.188 | 90.0 | 90.0 | 90.0 |
| oqmd-751532 | dynamic | -2.4199 | -2.4199 | 5.928 | 15.7185 | 5.1883 | 90.0 | 90.0 | 90.0 |
| oqmd-751532 | static | -2.4199 | -2.4199 | 5.9281 | 15.7184 | 5.1883 | 90.0 | 90.0 | 90.0 |
| oqmd-751545 | dynamic | -2.4196 | -2.4196 | 5.2309 | 5.1905 | 5.9809 | 90.0 | 90.0 | 90.0 |
| oqmd-751534 | dynamic | -2.4191 | -2.4191 | 5.9167 | 5.1848 | 8.0159 | 90.0 | 100.6 | 90.0 |
| oqmd-751558 | dynamic | -2.4191 | -2.4191 | 5.1646 | 9.0498 | 5.2011 | 90.0 | 90.0 | 90.0 |
| oqmd-751561 | dynamic | -2.4171 | -2.4171 | 5.9426 | 5.1796 | 7.9883 | 90.0 | 100.6 | 90.0 |
| oqmd-751545 | box | -2.4161 | -2.4161 | 5.2462 | 5.1804 | 5.9803 | 90.0 | 90.0 | 90.0 |
| oqmd-751537 | dynamic | -2.4147 | -2.4147 | 5.1603 | 5.9635 | 10.4762 | 90.0 | 90.0 | 90.0 |
| oqmd-751540 | dynamic | -2.4142 | -2.4142 | 5.9503 | 5.1857 | 7.976 | 90.0 | 100.5 | 90.0 |
| oqmd-751546 | dynamic | -2.4121 | -2.4121 | 2.9636 | 5.1399 | 10.3939 | 90.0 | 90.0 | 90.0 |
| oqmd-751546 | box | -2.4044 | -2.4044 | 2.9923 | 5.1322 | 10.2914 | 90.0 | 90.0 | 90.0 |
| B2--CsCl | dynamic | -2.3251 | -2.3251 | 3.3025 | 3.3025 | 3.3025 | 90.0 | 90.0 | 90.0 |
| B1--NaCl--rock-salt | static | -2.1764 | -2.1764 | 5.6877 | 5.6877 | 5.6877 | 90.0 | 90.0 | 90.0 |
| mp-1094987 | box | -2.1401 | -2.1401 | 2.8883 | 2.8667 | 12.0053 | 90.0 | 90.0 | 90.0 |
| B3--ZnS--cubic-zinc-blende | static | -1.6961 | -1.6961 | 6.0711 | 6.0711 | 6.0711 | 90.0 | 90.0 | 90.0 |
Download raw data (including filtered results)
Reference structure matches:
| prototype | method | Ecoh (eV/atom) | Epot (eV/atom) | a0 (Å) | b0 (Å) | c0 (Å) | α (degrees) | β (degrees) | γ (degrees) |
|---|---|---|---|---|---|---|---|---|---|
| mp-1185596 | dynamic | -1.522 | -1.522 | 15.9544 | 15.9544 | 15.5558 | 90.0 | 90.0 | 120.0 |
| oqmd-31714 | static | -1.522 | -1.522 | 15.9543 | 15.9543 | 15.556 | 90.0 | 90.0 | 120.0 |
| mp-1185596 | box | -1.5219 | -1.5219 | 15.9542 | 15.9542 | 15.5566 | 90.0 | 90.0 | 120.0 |
| oqmd-31714 | box | -1.5219 | -1.5219 | 15.9541 | 15.9541 | 15.5568 | 90.0 | 90.0 | 120.0 |
Download raw data (including filtered results)
Reference structure matches:
| prototype | method | Ecoh (eV/atom) | Epot (eV/atom) | a0 (Å) | b0 (Å) | c0 (Å) | α (degrees) | β (degrees) | γ (degrees) |
|---|---|---|---|---|---|---|---|---|---|
| mp-1023506 | dynamic | -1.6246 | -1.6246 | 6.2963 | 6.2963 | 10.3653 | 90.0 | 90.0 | 120.0 |
| mp-1023506 | box | -1.6243 | -1.6243 | 6.2952 | 6.2952 | 10.3637 | 90.0 | 90.0 | 120.0 |
Download raw data (including filtered results)
Reference structure matches:
| prototype | method | Ecoh (eV/atom) | Epot (eV/atom) | a0 (Å) | b0 (Å) | c0 (Å) | α (degrees) | β (degrees) | γ (degrees) |
|---|---|---|---|---|---|---|---|---|---|
| oqmd-751556 | dynamic | -2.129 | -2.129 | 5.2767 | 5.2767 | 5.1563 | 90.0 | 90.0 | 120.0 |
| oqmd-751556 | box | -2.1273 | -2.1273 | 5.2764 | 5.2764 | 5.151 | 90.0 | 90.0 | 120.0 |
| oqmd-751533 | dynamic | -2.1258 | -2.1258 | 5.1982 | 9.1146 | 5.2785 | 90.0 | 90.0 | 90.0 |
| oqmd-751549 | dynamic | -2.123 | -2.123 | 3.02 | 15.8221 | 5.2014 | 90.0 | 90.0 | 90.0 |
| oqmd-751543 | dynamic | -2.1212 | -2.1212 | 9.1577 | 5.2626 | 5.206 | 90.0 | 90.0 | 90.0 |
| oqmd-751557 | dynamic | -2.121 | -2.121 | 8.055 | 5.1907 | 12.1852 | 90.0 | 100.9 | 90.0 |
| oqmd-751543 | box | -2.1182 | -2.1182 | 9.1817 | 5.2722 | 5.1928 | 90.0 | 90.0 | 90.0 |
| oqmd-751557 | box | -2.1154 | -2.1154 | 8.0746 | 5.1798 | 12.1997 | 90.0 | 100.7 | 90.0 |
| oqmd-751549 | box | -2.1138 | -2.1138 | 3.0348 | 15.8166 | 5.1966 | 90.0 | 90.0 | 90.0 |
| C1--CaF2--fluorite | dynamic | -1.8716 | -1.8716 | 6.4574 | 6.4574 | 6.4574 | 90.0 | 90.0 | 90.0 |
Download raw data (including filtered results)
Reference structure matches:
D0_3--BiF3 = mp-1094666, oqmd-310993
L1_2--AuCu3 = mp-978271
| prototype | method | Ecoh (eV/atom) | Epot (eV/atom) | a0 (Å) | b0 (Å) | c0 (Å) | α (degrees) | β (degrees) | γ (degrees) |
|---|---|---|---|---|---|---|---|---|---|
| mp-1016233 | dynamic | -1.9767 | -1.9767 | 3.0538 | 5.1764 | 5.3327 | 90.0 | 90.0 | 90.0 |
| L1_2--AuCu3 | dynamic | -1.9765 | -1.9765 | 4.3537 | 4.3537 | 4.3537 | 90.0 | 90.0 | 90.0 |
| mp-1094970 | dynamic | -1.9748 | -1.9748 | 6.1166 | 6.1166 | 5.2063 | 90.0 | 90.0 | 120.0 |
| mp-1016233 | box | -1.9745 | -1.9745 | 3.0593 | 5.1749 | 5.3199 | 90.0 | 90.0 | 90.0 |
| mp-1094970 | box | -1.9732 | -1.9732 | 6.1144 | 6.1144 | 5.2046 | 90.0 | 90.0 | 120.0 |
| oqmd-751563 | dynamic | -1.9718 | -1.9718 | 5.2007 | 6.1143 | 5.3194 | 90.0 | 90.0 | 90.0 |
| mp-1094961 | dynamic | -1.9698 | -1.9698 | 4.3469 | 4.3469 | 8.7883 | 90.0 | 90.0 | 90.0 |
| oqmd-751563 | box | -1.969 | -1.969 | 5.1894 | 6.1172 | 5.3317 | 90.0 | 90.0 | 90.0 |
| A15--Cr3Si | dynamic | -1.9385 | -1.9385 | 5.4652 | 5.4652 | 5.4652 | 90.0 | 90.0 | 90.0 |
| D0_3--BiF3 | static | -1.8941 | -1.8941 | 7.0493 | 7.0493 | 7.0493 | 90.0 | 90.0 | 90.0 |
Download raw data (including filtered results)
Reference structure matches:
| prototype | method | Ecoh (eV/atom) | Epot (eV/atom) | a0 (Å) | b0 (Å) | c0 (Å) | α (degrees) | β (degrees) | γ (degrees) |
|---|---|---|---|---|---|---|---|---|---|
| oqmd-751548 | dynamic | -1.8174 | -1.8174 | 5.376 | 5.376 | 5.1819 | 90.0 | 90.0 | 120.0 |
| oqmd-751548 | box | -1.8162 | -1.8162 | 5.3771 | 5.3771 | 5.1784 | 90.0 | 90.0 | 120.0 |
Download raw data (including filtered results)
Reference structure matches:
| prototype | method | Ecoh (eV/atom) | Epot (eV/atom) | a0 (Å) | b0 (Å) | c0 (Å) | α (degrees) | β (degrees) | γ (degrees) |
|---|---|---|---|---|---|---|---|---|---|
| mp-1016271 | dynamic | -1.7413 | -1.7413 | 6.2227 | 6.2227 | 5.1885 | 90.0 | 90.0 | 120.0 |
| mp-1016271 | box | -1.7406 | -1.7406 | 6.22 | 6.22 | 5.1869 | 90.0 | 90.0 | 120.0 |
Download raw data (including filtered results)
Reference structure matches:
A1--Cu--fcc = mp-1056702
A15--beta-W = oqmd-1214987
A2--W--bcc = mp-110, oqmd-8597
A3'--alpha-La--double-hcp = mp-973364, oqmd-1215433
A3--Mg--hcp = mp-153, oqmd-9226, oqmd-31750, oqmd-752493, oqmd-752495, oqmd-752506, oqmd-752508
A4--C--dc = oqmd-1215522
A5--beta-Sn = oqmd-1215611
A6--In--bct = mp-1056351, oqmd-1215700
| prototype | method | Ecoh (eV/atom) | Epot (eV/atom) | a0 (Å) | b0 (Å) | c0 (Å) | α (degrees) | β (degrees) | γ (degrees) |
|---|---|---|---|---|---|---|---|---|---|
| A3--Mg--hcp | dynamic | -1.51 | -1.51 | 3.196 | 3.196 | 5.1871 | 90.0 | 90.0 | 120.0 |
| oqmd-1215254 | box | -1.5098 | -1.5098 | 3.1912 | 5.5431 | 5.1875 | 90.0 | 90.0 | 90.0 |
| oqmd-1216059 | dynamic | -1.505 | -1.505 | 3.1927 | 3.1927 | 23.3653 | 90.0 | 90.0 | 120.0 |
| oqmd-1216059 | static | -1.505 | -1.505 | 3.1926 | 3.1926 | 23.3666 | 90.0 | 90.0 | 120.0 |
| mp-1094122 | box | -1.505 | -1.505 | 3.1927 | 3.1927 | 23.3664 | 90.0 | 90.0 | 120.0 |
| A3'--alpha-La--double-hcp | dynamic | -1.5025 | -1.5025 | 3.191 | 3.191 | 10.39 | 90.0 | 90.0 | 120.0 |
| A1--Cu--fcc | dynamic | -1.4951 | -1.4951 | 4.5058 | 4.5058 | 4.5058 | 90.0 | 90.0 | 90.0 |
| A2--W--bcc | dynamic | -1.4926 | -1.4926 | 3.5655 | 3.5655 | 3.5655 | 90.0 | 90.0 | 90.0 |
| oqmd-1214898 | dynamic | -1.4587 | -1.4587 | 7.7131 | 7.7131 | 7.7131 | 90.0 | 90.0 | 90.0 |
| oqmd-1214898 | box | -1.4583 | -1.4583 | 7.7117 | 7.7117 | 7.7117 | 90.0 | 90.0 | 90.0 |
| oqmd-1214809 | dynamic | -1.4525 | -1.4525 | 10.8858 | 10.8858 | 10.8858 | 90.0 | 90.0 | 90.0 |
| oqmd-1214809 | box | -1.4512 | -1.4512 | 10.8884 | 10.8884 | 10.8884 | 90.0 | 90.0 | 90.0 |
| oqmd-1215076 | static | -1.446 | -1.446 | 3.1817 | 5.2961 | 11.2441 | 90.0 | 90.0 | 90.0 |
| oqmd-1214720 | box | -1.4455 | -1.4455 | 3.1871 | 5.29 | 11.2334 | 90.0 | 90.0 | 90.0 |
| oqmd-1215076 | box | -1.4454 | -1.4454 | 3.1877 | 5.2894 | 11.2326 | 90.0 | 90.0 | 90.0 |
| A15--beta-W | dynamic | -1.4199 | -1.4199 | 5.5852 | 5.5852 | 5.5852 | 90.0 | 90.0 | 90.0 |
| mp-1055956 | dynamic | -1.4128 | -1.4128 | 3.1024 | 3.1024 | 2.8913 | 90.0 | 90.0 | 120.0 |
| mp-1055956 | static | -1.4116 | -1.4116 | 3.1086 | 3.1086 | 2.9683 | 90.0 | 90.0 | 120.0 |
| A5--beta-Sn | static | -1.3988 | -1.3988 | 5.6466 | 5.6466 | 3.0172 | 90.0 | 90.0 | 90.0 |
| mp-1247180 | box | -1.3523 | -1.3523 | 5.1564 | 3.2842 | 15.0464 | 90.0 | 90.4 | 90.0 |
| Ah--alpha-Po--sc | static | -1.2691 | -1.2691 | 2.9139 | 2.9139 | 2.9139 | 90.0 | 90.0 | 90.0 |
| A7--alpha-As | box | -1.0961 | -1.0961 | 3.8495 | 3.8495 | 12.8957 | 90.0 | 90.0 | 120.0 |
| oqmd-1215967 | box | -1.0808 | -1.0808 | 5.0757 | 5.0757 | 5.6368 | 90.0 | 90.0 | 120.0 |
| A4--C--dc | static | -0.8605 | -0.8605 | 6.7401 | 6.7401 | 6.7401 | 90.0 | 90.0 | 90.0 |
Static elastic constants are displayed for the unique structures identified in Crystal Structure Predictions above. The values displayed here are obtained by measuring the change in virial stresses due to applying small strains to the relaxed crystals. The initial structure and the strained states are all relaxed using force minimization.
The calculation method used is available as the iprPy elastic_constants_static calculation method.
Notes and Disclaimers:
Version Information:
| 117.997 | 62.231 | 62.231 | -0.000 | 0.000 | 0.000 |
| 62.231 | 117.997 | 62.231 | -0.000 | 0.000 | 0.000 |
| 62.231 | 62.231 | 117.997 | -0.000 | -0.000 | 0.000 |
| 0.000 | 0.000 | 0.000 | 36.676 | 0.000 | -0.000 |
| 0.000 | 0.000 | 0.000 | -0.000 | 36.676 | 0.000 |
| 0.000 | 0.000 | 0.000 | -0.000 | 0.000 | 36.676 |
| 117.997 | 62.231 | 62.231 | 0.000 | 0.000 | -0.000 |
| 62.231 | 117.997 | 62.231 | 0.000 | 0.000 | -0.000 |
| 62.231 | 62.231 | 117.997 | 0.000 | 0.000 | -0.000 |
| -0.000 | -0.000 | -0.000 | 36.676 | 0.000 | -0.000 |
| -0.000 | -0.000 | -0.000 | 0.000 | 36.676 | -0.000 |
| -0.000 | -0.000 | -0.000 | -0.000 | -0.000 | 36.676 |
| 117.997 | 62.231 | 62.231 | -0.000 | 0.000 | 0.000 |
| 62.231 | 117.997 | 62.231 | 0.000 | -0.000 | 0.000 |
| 62.231 | 62.231 | 117.997 | -0.000 | -0.000 | 0.000 |
| 0.000 | 0.000 | 0.000 | 36.676 | -0.000 | 0.000 |
| 0.000 | 0.000 | 0.000 | -0.000 | 36.676 | 0.000 |
| 0.000 | 0.000 | 0.000 | -0.000 | 0.000 | 36.676 |
| 117.997 | 62.231 | 62.231 | 0.000 | -0.000 | -0.000 |
| 62.231 | 117.997 | 62.231 | -0.000 | -0.000 | -0.000 |
| 62.231 | 62.231 | 117.997 | 0.000 | 0.000 | -0.000 |
| -0.000 | -0.000 | -0.000 | 36.676 | 0.000 | -0.000 |
| -0.000 | -0.000 | -0.000 | 0.000 | 36.676 | -0.000 |
| -0.000 | -0.000 | -0.000 | 0.000 | 0.000 | 36.676 |
| 117.997 | 62.231 | 62.231 | -0.000 | 0.000 | 0.000 |
| 62.231 | 117.997 | 62.231 | 0.000 | 0.000 | 0.000 |
| 62.231 | 62.231 | 117.997 | 0.000 | 0.000 | 0.000 |
| 0.000 | 0.000 | 0.000 | 36.676 | -0.000 | 0.000 |
| 0.000 | 0.000 | 0.000 | -0.000 | 36.676 | 0.000 |
| 0.000 | 0.000 | 0.000 | 0.000 | -0.000 | 36.676 |
| 117.997 | 62.231 | 62.231 | 0.000 | -0.000 | -0.000 |
| 62.231 | 117.997 | 62.231 | 0.000 | 0.000 | -0.000 |
| 62.231 | 62.231 | 117.997 | 0.000 | -0.000 | -0.000 |
| -0.000 | -0.000 | -0.000 | 36.676 | 0.000 | -0.000 |
| -0.000 | -0.000 | -0.000 | 0.000 | 36.676 | -0.000 |
| -0.000 | -0.000 | -0.000 | 0.000 | -0.000 | 36.676 |
| 13.670 | 6.835 | 6.835 | -0.000 | -0.000 | -0.000 |
| 6.835 | 13.670 | 6.835 | -0.000 | -0.000 | -0.000 |
| 6.835 | 6.835 | 13.670 | -0.000 | -0.000 | -0.000 |
| -0.000 | 0.000 | 0.000 | 6.835 | 0.000 | 0.000 |
| 0.000 | -0.000 | 0.000 | 0.000 | 6.835 | 0.000 |
| 0.000 | 0.000 | -0.000 | 0.000 | 0.000 | 6.835 |
| 13.669 | 6.835 | 6.835 | 0.000 | -0.000 | -0.000 |
| 6.835 | 13.669 | 6.835 | -0.000 | 0.000 | -0.000 |
| 6.835 | 6.835 | 13.669 | -0.000 | -0.000 | 0.000 |
| 0.000 | -0.000 | -0.000 | 6.835 | 0.000 | -0.000 |
| -0.000 | 0.000 | -0.000 | 0.000 | 6.835 | -0.000 |
| -0.000 | -0.000 | 0.000 | 0.000 | -0.000 | 6.835 |
| 13.670 | 6.835 | 6.835 | 0.000 | 0.000 | 0.000 |
| 6.835 | 13.670 | 6.835 | 0.000 | 0.000 | 0.000 |
| 6.835 | 6.835 | 13.670 | 0.000 | 0.000 | 0.000 |
| -0.000 | 0.000 | 0.000 | 6.835 | -0.000 | -0.000 |
| 0.000 | -0.000 | 0.000 | -0.000 | 6.835 | -0.000 |
| 0.000 | 0.000 | -0.000 | -0.000 | -0.000 | 6.835 |
| 13.669 | 6.835 | 6.835 | 0.000 | 0.000 | 0.000 |
| 6.835 | 13.669 | 6.835 | 0.000 | 0.000 | 0.000 |
| 6.835 | 6.835 | 13.669 | 0.000 | 0.000 | 0.000 |
| 0.000 | -0.000 | -0.000 | 6.835 | 0.000 | 0.000 |
| -0.000 | 0.000 | -0.000 | 0.000 | 6.835 | 0.000 |
| -0.000 | -0.000 | 0.000 | 0.000 | 0.000 | 6.835 |
| 13.674 | 6.837 | 6.837 | -0.000 | -0.000 | -0.000 |
| 6.837 | 13.674 | 6.837 | -0.000 | -0.000 | -0.000 |
| 6.837 | 6.837 | 13.674 | -0.000 | -0.000 | -0.000 |
| -0.000 | 0.002 | 0.002 | 6.835 | 0.000 | -0.000 |
| 0.002 | -0.000 | 0.002 | 0.000 | 6.835 | -0.000 |
| 0.002 | 0.002 | -0.000 | 0.000 | -0.000 | 6.835 |
| 13.665 | 6.833 | 6.833 | 0.000 | 0.000 | 0.000 |
| 6.833 | 13.665 | 6.833 | 0.000 | 0.000 | 0.000 |
| 6.833 | 6.833 | 13.665 | 0.000 | 0.000 | 0.000 |
| 0.000 | -0.002 | -0.002 | 6.835 | 0.000 | -0.000 |
| -0.002 | 0.000 | -0.002 | 0.000 | 6.835 | -0.000 |
| -0.002 | -0.002 | 0.000 | 0.000 | -0.000 | 6.835 |
| 0.426 | 0.213 | 0.213 | -0.000 | 0.000 | 0.000 |
| 0.213 | 0.426 | 0.213 | 0.000 | -0.000 | -0.000 |
| 0.213 | 0.213 | 0.426 | -0.000 | -0.000 | -0.000 |
| -0.000 | 0.000 | 0.000 | 0.213 | -0.000 | 0.000 |
| 0.000 | -0.000 | 0.000 | -0.000 | 0.213 | 0.000 |
| 0.000 | 0.000 | -0.000 | -0.000 | 0.000 | 0.213 |
| 0.426 | 0.213 | 0.213 | -0.000 | -0.000 | 0.000 |
| 0.213 | 0.426 | 0.213 | -0.000 | -0.000 | 0.000 |
| 0.213 | 0.213 | 0.426 | -0.000 | -0.000 | 0.000 |
| 0.000 | -0.000 | -0.000 | 0.213 | -0.000 | 0.000 |
| -0.000 | 0.000 | -0.000 | -0.000 | 0.213 | 0.000 |
| -0.000 | -0.000 | 0.000 | -0.000 | 0.000 | 0.213 |
| 0.426 | 0.213 | 0.213 | 0.000 | -0.000 | 0.000 |
| 0.213 | 0.426 | 0.213 | -0.000 | -0.000 | -0.000 |
| 0.213 | 0.213 | 0.426 | -0.000 | -0.000 | -0.000 |
| -0.000 | 0.000 | 0.000 | 0.213 | -0.000 | 0.000 |
| 0.000 | -0.000 | 0.000 | -0.000 | 0.213 | 0.000 |
| 0.000 | 0.000 | -0.000 | -0.000 | 0.000 | 0.213 |
| 0.426 | 0.213 | 0.213 | -0.000 | -0.000 | -0.000 |
| 0.213 | 0.426 | 0.213 | -0.000 | 0.000 | -0.000 |
| 0.213 | 0.213 | 0.426 | 0.000 | 0.000 | 0.000 |
| 0.000 | -0.000 | -0.000 | 0.213 | 0.000 | -0.000 |
| -0.000 | 0.000 | -0.000 | 0.000 | 0.213 | -0.000 |
| -0.000 | -0.000 | 0.000 | -0.000 | -0.000 | 0.213 |
| 0.426 | 0.213 | 0.213 | -0.000 | 0.000 | -0.000 |
| 0.213 | 0.426 | 0.213 | -0.000 | -0.000 | -0.000 |
| 0.213 | 0.213 | 0.426 | 0.000 | 0.000 | -0.000 |
| -0.000 | 0.000 | 0.000 | 0.213 | 0.000 | -0.000 |
| 0.000 | -0.000 | 0.000 | -0.000 | 0.213 | -0.000 |
| 0.000 | 0.000 | -0.000 | -0.000 | -0.000 | 0.213 |
| 0.426 | 0.213 | 0.213 | -0.000 | -0.000 | 0.000 |
| 0.213 | 0.426 | 0.213 | -0.000 | -0.000 | 0.000 |
| 0.213 | 0.213 | 0.426 | -0.000 | -0.000 | 0.000 |
| 0.000 | -0.000 | -0.000 | 0.213 | -0.000 | -0.000 |
| -0.000 | 0.000 | -0.000 | -0.000 | 0.213 | -0.000 |
| -0.000 | -0.000 | 0.000 | -0.000 | -0.000 | 0.213 |
| 200.667 | 58.967 | 58.967 | -0.000 | -0.000 | -0.000 |
| 58.967 | 200.667 | 58.967 | -0.000 | -0.000 | -0.000 |
| 58.967 | 58.967 | 200.667 | -0.000 | 0.000 | 0.000 |
| 0.000 | 0.000 | 0.000 | 42.940 | -0.000 | 0.000 |
| -0.000 | 0.000 | 0.000 | -0.000 | 42.940 | 0.000 |
| -0.000 | 0.000 | 0.000 | -0.000 | -0.000 | 42.940 |
| 200.667 | 58.967 | 58.967 | -0.000 | -0.000 | 0.000 |
| 58.967 | 200.667 | 58.967 | 0.000 | 0.000 | 0.000 |
| 58.967 | 58.967 | 200.667 | 0.000 | 0.000 | 0.000 |
| -0.000 | -0.000 | -0.000 | 42.940 | -0.000 | 0.000 |
| 0.000 | -0.000 | -0.000 | 0.000 | 42.940 | -0.000 |
| 0.000 | -0.000 | -0.000 | 0.000 | 0.000 | 42.940 |
| 200.667 | 58.967 | 58.967 | -0.000 | 0.000 | -0.000 |
| 58.967 | 200.667 | 58.967 | -0.000 | -0.000 | 0.000 |
| 58.967 | 58.967 | 200.667 | 0.000 | 0.000 | 0.000 |
| 0.000 | 0.000 | 0.000 | 38.884 | 0.000 | -0.000 |
| 0.000 | 0.000 | 0.000 | -0.000 | 38.884 | -0.000 |
| 0.000 | 0.000 | 0.000 | -0.000 | -0.000 | 38.884 |
| 200.667 | 58.967 | 58.967 | 0.000 | 0.000 | -0.000 |
| 58.967 | 200.667 | 58.967 | 0.000 | -0.000 | -0.000 |
| 58.967 | 58.967 | 200.667 | 0.000 | 0.000 | -0.000 |
| -0.000 | -0.000 | -0.000 | 38.884 | 0.000 | 0.000 |
| -0.000 | -0.000 | -0.000 | -0.000 | 38.884 | 0.000 |
| -0.000 | -0.000 | -0.000 | 0.000 | -0.000 | 38.884 |
| 200.255 | 59.174 | 59.174 | 0.000 | 0.000 | -0.000 |
| 59.174 | 200.255 | 59.174 | 0.000 | -0.000 | -0.000 |
| 59.174 | 59.174 | 200.255 | -0.000 | 0.000 | 0.000 |
| 0.000 | 0.000 | 0.000 | 38.884 | -0.000 | -0.000 |
| 0.000 | 0.000 | 0.000 | -0.000 | 38.884 | -0.000 |
| 0.000 | 0.000 | 0.000 | -0.000 | -0.000 | 38.884 |
| 200.253 | 59.173 | 59.173 | 0.000 | -0.000 | 0.000 |
| 59.173 | 200.253 | 59.173 | -0.000 | -0.000 | 0.000 |
| 59.173 | 59.173 | 200.253 | -0.000 | -0.000 | 0.000 |
| -0.000 | -0.000 | -0.000 | 38.884 | 0.000 | 0.000 |
| -0.000 | -0.000 | -0.000 | 0.000 | 38.884 | 0.000 |
| -0.000 | -0.000 | -0.000 | 0.000 | 0.000 | 38.884 |
| 2.416 | 0.000 | 0.000 | 0.000 | -0.000 | 0.000 |
| 0.000 | 2.416 | 0.000 | 0.000 | -0.000 | 0.000 |
| 0.000 | 0.000 | 2.416 | -0.000 | 0.000 | -0.000 |
| 0.000 | 0.000 | -0.000 | 0.000 | -0.000 | -0.000 |
| 0.000 | 0.000 | -0.000 | 0.000 | 0.000 | -0.000 |
| 0.000 | -0.000 | 0.000 | 0.000 | -0.000 | 0.000 |
| 2.416 | -0.000 | -0.000 | -0.000 | 0.000 | 0.000 |
| -0.000 | 2.416 | -0.000 | -0.000 | 0.000 | -0.000 |
| -0.000 | -0.000 | 2.416 | -0.000 | 0.000 | 0.000 |
| -0.000 | -0.000 | 0.000 | 0.000 | 0.000 | 0.000 |
| -0.000 | -0.000 | 0.000 | -0.000 | 0.000 | 0.000 |
| -0.000 | 0.000 | -0.000 | -0.000 | 0.000 | 0.000 |
| 2.417 | 0.000 | 0.000 | 0.000 | -0.000 | 0.000 |
| 0.000 | 2.417 | 0.000 | 0.000 | -0.000 | 0.000 |
| 0.000 | 0.000 | 2.417 | -0.000 | 0.000 | -0.000 |
| 0.000 | 0.000 | -0.000 | 0.000 | -0.000 | 0.000 |
| 0.000 | 0.000 | -0.000 | 0.000 | 0.000 | -0.000 |
| 0.000 | -0.000 | 0.000 | 0.000 | -0.000 | 0.000 |
| 2.416 | -0.000 | -0.000 | -0.000 | 0.000 | -0.000 |
| -0.000 | 2.416 | -0.000 | -0.000 | 0.000 | 0.000 |
| -0.000 | -0.000 | 2.416 | 0.000 | 0.000 | 0.000 |
| -0.000 | -0.000 | 0.000 | 0.000 | 0.000 | 0.000 |
| -0.000 | -0.000 | 0.000 | -0.000 | 0.000 | 0.000 |
| -0.000 | 0.000 | -0.000 | -0.000 | 0.000 | 0.000 |
| 2.418 | 0.000 | 0.000 | 0.000 | -0.000 | 0.000 |
| 0.000 | 2.418 | 0.000 | 0.000 | -0.000 | -0.000 |
| 0.000 | 0.000 | 2.418 | -0.000 | 0.000 | -0.000 |
| 0.000 | 0.000 | -0.000 | 0.000 | 0.000 | -0.000 |
| 0.000 | 0.000 | -0.000 | -0.000 | 0.000 | -0.000 |
| 0.000 | -0.000 | 0.000 | 0.000 | -0.000 | 0.000 |
| 2.415 | -0.000 | -0.000 | -0.000 | 0.000 | 0.000 |
| -0.000 | 2.415 | -0.000 | -0.000 | 0.000 | -0.000 |
| -0.000 | -0.000 | 2.415 | 0.000 | -0.000 | 0.000 |
| -0.000 | -0.000 | 0.000 | 0.000 | -0.000 | 0.000 |
| -0.000 | -0.000 | 0.000 | 0.000 | 0.000 | -0.000 |
| -0.000 | 0.000 | -0.000 | -0.000 | 0.000 | 0.000 |
| 78.407 | 87.861 | 87.861 | 0.000 | -0.000 | 0.000 |
| 87.861 | 78.407 | 87.861 | -0.000 | -0.000 | 0.000 |
| 87.861 | 87.861 | 78.407 | -0.000 | -0.000 | 0.000 |
| 0.000 | 0.000 | 0.000 | 62.399 | -0.000 | 0.000 |
| 0.000 | 0.000 | 0.000 | 0.000 | 62.399 | 0.000 |
| 0.000 | 0.000 | 0.000 | 0.000 | -0.000 | 62.399 |
| 78.407 | 87.861 | 87.861 | -0.000 | 0.000 | -0.000 |
| 87.861 | 78.407 | 87.861 | 0.000 | 0.000 | -0.000 |
| 87.861 | 87.861 | 78.407 | -0.000 | 0.000 | -0.000 |
| -0.000 | -0.000 | -0.000 | 62.399 | -0.000 | -0.000 |
| -0.000 | -0.000 | -0.000 | -0.000 | 62.399 | -0.000 |
| -0.000 | -0.000 | -0.000 | -0.000 | 0.000 | 62.399 |
| 78.407 | 87.861 | 87.861 | 0.000 | -0.000 | 0.000 |
| 87.861 | 78.407 | 87.861 | 0.000 | -0.000 | 0.000 |
| 87.861 | 87.861 | 78.407 | 0.000 | -0.000 | 0.000 |
| 0.000 | 0.000 | 0.000 | 62.399 | -0.000 | 0.000 |
| 0.000 | 0.000 | 0.000 | 0.000 | 62.399 | 0.000 |
| 0.000 | 0.000 | 0.000 | 0.000 | 0.000 | 62.399 |
| 78.406 | 87.861 | 87.861 | -0.000 | 0.000 | -0.000 |
| 87.861 | 78.406 | 87.861 | -0.000 | 0.000 | -0.000 |
| 87.861 | 87.861 | 78.406 | -0.000 | 0.000 | -0.000 |
| -0.000 | -0.000 | -0.000 | 62.399 | 0.000 | -0.000 |
| -0.000 | -0.000 | -0.000 | -0.000 | 62.399 | -0.000 |
| -0.000 | -0.000 | -0.000 | -0.000 | 0.000 | 62.399 |
| 78.407 | 87.862 | 87.862 | 0.000 | -0.000 | 0.000 |
| 87.862 | 78.407 | 87.862 | 0.000 | -0.000 | 0.000 |
| 87.862 | 87.862 | 78.407 | 0.000 | -0.000 | 0.000 |
| 0.000 | 0.000 | 0.000 | 62.399 | -0.000 | 0.000 |
| 0.000 | 0.000 | 0.000 | 0.000 | 62.399 | 0.000 |
| 0.000 | 0.000 | 0.000 | -0.000 | -0.000 | 62.399 |
| 78.406 | 87.861 | 87.861 | -0.000 | 0.000 | -0.000 |
| 87.861 | 78.406 | 87.861 | 0.000 | 0.000 | -0.000 |
| 87.861 | 87.861 | 78.406 | -0.000 | 0.000 | -0.000 |
| -0.000 | -0.000 | -0.000 | 62.399 | -0.000 | -0.000 |
| -0.000 | -0.000 | -0.000 | -0.000 | 62.399 | -0.000 |
| -0.000 | -0.000 | -0.000 | -0.000 | 0.000 | 62.399 |
| 5.581 | 5.581 | 5.581 | -0.000 | 0.000 | 0.000 |
| 5.581 | 5.581 | 5.581 | 0.000 | -0.000 | 0.000 |
| 5.581 | 5.581 | 5.581 | 0.000 | 0.000 | 0.000 |
| 0.000 | 0.000 | 0.000 | 5.581 | -0.000 | 0.000 |
| 0.000 | 0.000 | 0.000 | -0.000 | 5.581 | 0.000 |
| 0.000 | 0.000 | 0.000 | -0.000 | 0.000 | 5.581 |
| 5.581 | 5.581 | 5.581 | -0.000 | -0.000 | -0.000 |
| 5.581 | 5.581 | 5.581 | -0.000 | -0.000 | -0.000 |
| 5.581 | 5.581 | 5.581 | -0.000 | -0.000 | 0.000 |
| -0.000 | -0.000 | -0.000 | 5.581 | -0.000 | 0.000 |
| -0.000 | -0.000 | -0.000 | -0.000 | 5.581 | 0.000 |
| -0.000 | -0.000 | -0.000 | 0.000 | 0.000 | 5.581 |
| 5.581 | 5.581 | 5.581 | -0.000 | 0.000 | 0.000 |
| 5.581 | 5.581 | 5.581 | 0.000 | -0.000 | 0.000 |
| 5.581 | 5.581 | 5.581 | -0.000 | -0.000 | 0.000 |
| 0.000 | 0.000 | 0.000 | 5.581 | 0.000 | 0.000 |
| 0.000 | 0.000 | 0.000 | 0.000 | 5.581 | 0.000 |
| 0.000 | 0.000 | 0.000 | -0.000 | 0.000 | 5.581 |
| 5.580 | 5.580 | 5.580 | -0.000 | -0.000 | -0.000 |
| 5.580 | 5.580 | 5.580 | -0.000 | -0.000 | -0.000 |
| 5.580 | 5.580 | 5.580 | -0.000 | -0.000 | -0.000 |
| -0.000 | -0.000 | -0.000 | 5.581 | 0.000 | -0.000 |
| -0.000 | -0.000 | -0.000 | 0.000 | 5.581 | -0.000 |
| -0.000 | -0.000 | -0.000 | 0.000 | -0.000 | 5.581 |
| 5.582 | 5.582 | 5.582 | -0.000 | 0.000 | 0.000 |
| 5.582 | 5.582 | 5.582 | 0.000 | -0.000 | 0.000 |
| 5.582 | 5.582 | 5.582 | 0.000 | 0.000 | 0.000 |
| 0.001 | 0.001 | 0.001 | 5.581 | 0.000 | 0.000 |
| 0.001 | 0.001 | 0.001 | 0.000 | 5.581 | 0.000 |
| 0.001 | 0.001 | 0.001 | 0.000 | 0.000 | 5.581 |
| 5.579 | 5.579 | 5.579 | -0.000 | 0.000 | -0.000 |
| 5.579 | 5.579 | 5.579 | 0.000 | -0.000 | -0.000 |
| 5.579 | 5.579 | 5.579 | -0.000 | -0.000 | -0.000 |
| -0.001 | -0.001 | -0.001 | 5.581 | 0.000 | -0.000 |
| -0.001 | -0.001 | -0.001 | 0.000 | 5.581 | -0.000 |
| -0.001 | -0.001 | -0.001 | 0.000 | 0.000 | 5.581 |
| 0.174 | 0.174 | 0.174 | 0.000 | 0.000 | 0.000 |
| 0.174 | 0.174 | 0.174 | 0.000 | 0.000 | 0.000 |
| 0.174 | 0.174 | 0.174 | 0.000 | 0.000 | 0.000 |
| 0.000 | 0.000 | 0.000 | 0.174 | 0.000 | 0.000 |
| 0.000 | 0.000 | 0.000 | 0.000 | 0.174 | 0.000 |
| 0.000 | 0.000 | 0.000 | 0.000 | -0.000 | 0.174 |
| 0.174 | 0.174 | 0.174 | -0.000 | -0.000 | -0.000 |
| 0.174 | 0.174 | 0.174 | -0.000 | -0.000 | -0.000 |
| 0.174 | 0.174 | 0.174 | -0.000 | -0.000 | -0.000 |
| -0.000 | -0.000 | -0.000 | 0.174 | -0.000 | -0.000 |
| -0.000 | -0.000 | -0.000 | -0.000 | 0.174 | -0.000 |
| -0.000 | -0.000 | -0.000 | -0.000 | -0.000 | 0.174 |
| 0.174 | 0.174 | 0.174 | 0.000 | 0.000 | 0.000 |
| 0.174 | 0.174 | 0.174 | 0.000 | 0.000 | 0.000 |
| 0.174 | 0.174 | 0.174 | 0.000 | 0.000 | -0.000 |
| 0.000 | 0.000 | 0.000 | 0.174 | -0.000 | 0.000 |
| 0.000 | 0.000 | 0.000 | -0.000 | 0.174 | 0.000 |
| 0.000 | 0.000 | 0.000 | -0.000 | 0.000 | 0.174 |
| 0.174 | 0.174 | 0.174 | -0.000 | 0.000 | -0.000 |
| 0.174 | 0.174 | 0.174 | 0.000 | -0.000 | -0.000 |
| 0.174 | 0.174 | 0.174 | 0.000 | 0.000 | -0.000 |
| -0.000 | -0.000 | -0.000 | 0.174 | -0.000 | -0.000 |
| -0.000 | -0.000 | -0.000 | -0.000 | 0.174 | -0.000 |
| -0.000 | -0.000 | -0.000 | -0.000 | -0.000 | 0.174 |
| 0.174 | 0.174 | 0.174 | 0.000 | -0.000 | -0.000 |
| 0.174 | 0.174 | 0.174 | -0.000 | 0.000 | -0.000 |
| 0.174 | 0.174 | 0.174 | 0.000 | 0.000 | 0.000 |
| 0.000 | 0.000 | 0.000 | 0.174 | 0.000 | 0.000 |
| 0.000 | 0.000 | 0.000 | 0.000 | 0.174 | 0.000 |
| 0.000 | 0.000 | 0.000 | 0.000 | 0.000 | 0.174 |
| 0.174 | 0.174 | 0.174 | 0.000 | 0.000 | 0.000 |
| 0.174 | 0.174 | 0.174 | 0.000 | 0.000 | 0.000 |
| 0.174 | 0.174 | 0.174 | 0.000 | 0.000 | 0.000 |
| -0.000 | -0.000 | -0.000 | 0.174 | 0.000 | 0.000 |
| -0.000 | -0.000 | -0.000 | 0.000 | 0.174 | 0.000 |
| -0.000 | -0.000 | -0.000 | 0.000 | 0.000 | 0.174 |
| 133.940 | 62.058 | 52.659 | -0.000 | -0.000 | -0.000 |
| 62.058 | 133.940 | 52.659 | -0.000 | 0.000 | -0.000 |
| 52.659 | 52.659 | 115.472 | -0.000 | 0.000 | -0.000 |
| -0.000 | -0.000 | -0.000 | 24.378 | 0.000 | -0.000 |
| -0.000 | -0.000 | -0.000 | 0.000 | 24.378 | -0.000 |
| 0.000 | 0.000 | -0.000 | -0.000 | 0.000 | 35.863 |
| 133.862 | 62.137 | 52.659 | 0.000 | 0.000 | 0.000 |
| 62.137 | 133.862 | 52.659 | 0.000 | 0.000 | 0.000 |
| 52.659 | 52.659 | 115.472 | 0.000 | -0.000 | -0.000 |
| 0.000 | 0.000 | 0.000 | 24.378 | -0.000 | -0.000 |
| 0.000 | 0.000 | 0.000 | -0.000 | 24.378 | -0.000 |
| -0.000 | -0.000 | 0.000 | 0.000 | -0.000 | 35.863 |
| 133.862 | 62.137 | 52.659 | -0.000 | -0.000 | -0.000 |
| 62.058 | 133.940 | 52.659 | -0.000 | -0.000 | -0.000 |
| 52.659 | 52.659 | 115.470 | -0.000 | 0.000 | -0.000 |
| -0.000 | -0.000 | -0.000 | 24.378 | 0.000 | -0.000 |
| -0.000 | -0.000 | -0.000 | -0.000 | 24.378 | -0.000 |
| 0.000 | 0.000 | -0.000 | 0.000 | 0.000 | 35.941 |
| 133.940 | 62.058 | 52.659 | -0.000 | 0.000 | -0.000 |
| 62.058 | 133.940 | 52.659 | -0.000 | 0.000 | 0.000 |
| 52.659 | 52.659 | 115.474 | 0.000 | -0.000 | 0.000 |
| 0.000 | 0.000 | 0.000 | 24.378 | -0.000 | 0.000 |
| 0.000 | 0.000 | 0.000 | 0.000 | 24.378 | 0.000 |
| -0.000 | -0.000 | 0.000 | -0.000 | 0.000 | 35.941 |
| 133.863 | 62.137 | 52.658 | -0.000 | 0.000 | -0.000 |
| 62.059 | 133.941 | 52.658 | 0.000 | -0.000 | 0.000 |
| 52.656 | 52.656 | 115.454 | -0.000 | 0.000 | -0.000 |
| -0.000 | -0.001 | -0.003 | 24.378 | 0.000 | -0.000 |
| -0.001 | -0.000 | -0.003 | 0.000 | 24.378 | 0.000 |
| 0.000 | 0.000 | -0.000 | 0.000 | -0.000 | 35.941 |
| 133.862 | 62.136 | 52.660 | 0.000 | -0.000 | 0.000 |
| 62.058 | 133.940 | 52.660 | -0.000 | 0.000 | 0.000 |
| 52.662 | 52.662 | 115.490 | 0.000 | -0.000 | 0.000 |
| 0.000 | 0.001 | 0.003 | 24.378 | -0.000 | -0.000 |
| 0.001 | 0.000 | 0.003 | -0.000 | 24.378 | -0.000 |
| -0.000 | -0.000 | 0.000 | 0.000 | 0.000 | 35.941 |
| 0.533 | 0.178 | 0.142 | -0.000 | 0.000 | 0.000 |
| 0.178 | 0.533 | 0.142 | 0.000 | 0.000 | -0.000 |
| 0.142 | 0.142 | 0.568 | 0.000 | -0.000 | -0.000 |
| 0.000 | 0.000 | 0.000 | 0.142 | -0.000 | -0.000 |
| 0.000 | 0.000 | 0.000 | -0.000 | 0.142 | 0.000 |
| 0.000 | 0.000 | 0.000 | -0.000 | -0.000 | 0.178 |
| 0.533 | 0.178 | 0.142 | -0.000 | -0.000 | 0.000 |
| 0.178 | 0.533 | 0.142 | 0.000 | -0.000 | -0.000 |
| 0.142 | 0.142 | 0.568 | -0.000 | 0.000 | 0.000 |
| -0.000 | -0.000 | -0.000 | 0.142 | -0.000 | 0.000 |
| -0.000 | -0.000 | -0.000 | 0.000 | 0.142 | 0.000 |
| -0.000 | -0.000 | -0.000 | 0.000 | -0.000 | 0.178 |
| 0.533 | 0.178 | 0.142 | 0.000 | -0.000 | 0.000 |
| 0.178 | 0.533 | 0.142 | 0.000 | 0.000 | -0.000 |
| 0.142 | 0.142 | 0.568 | 0.000 | 0.000 | -0.000 |
| 0.000 | 0.000 | 0.000 | 0.142 | 0.000 | -0.000 |
| 0.000 | 0.000 | 0.000 | 0.000 | 0.142 | 0.000 |
| 0.000 | 0.000 | 0.000 | -0.000 | 0.000 | 0.177 |
| 0.532 | 0.178 | 0.142 | 0.000 | 0.000 | 0.000 |
| 0.178 | 0.532 | 0.142 | 0.000 | -0.000 | 0.000 |
| 0.142 | 0.142 | 0.568 | -0.000 | -0.000 | 0.000 |
| -0.000 | -0.000 | -0.000 | 0.142 | -0.000 | 0.000 |
| -0.000 | -0.000 | -0.000 | -0.000 | 0.142 | 0.000 |
| -0.000 | -0.000 | -0.000 | 0.000 | 0.000 | 0.177 |
| 0.525 | 0.186 | 0.142 | 0.000 | 0.000 | -0.000 |
| 0.186 | 0.525 | 0.142 | -0.000 | 0.000 | -0.000 |
| 0.142 | 0.142 | 0.568 | 0.000 | -0.000 | -0.000 |
| 0.000 | 0.000 | 0.000 | 0.142 | 0.000 | -0.000 |
| 0.000 | 0.000 | 0.000 | 0.000 | 0.142 | -0.000 |
| 0.000 | 0.000 | 0.000 | 0.000 | -0.000 | 0.169 |
| 0.524 | 0.186 | 0.142 | -0.000 | -0.000 | -0.000 |
| 0.186 | 0.524 | 0.142 | 0.000 | 0.000 | 0.000 |
| 0.142 | 0.142 | 0.568 | 0.000 | 0.000 | 0.000 |
| -0.000 | -0.000 | -0.000 | 0.142 | -0.000 | 0.000 |
| -0.000 | -0.000 | -0.000 | -0.000 | 0.142 | -0.000 |
| -0.000 | -0.000 | -0.000 | -0.000 | 0.000 | 0.169 |
| 138.388 | 63.713 | 54.638 | 0.000 | -0.000 | -0.000 |
| 63.713 | 138.388 | 54.638 | 0.000 | 0.000 | -0.000 |
| 54.638 | 54.638 | 147.874 | 0.000 | 0.000 | -0.000 |
| -0.000 | 0.000 | 0.000 | 24.971 | -0.000 | -0.000 |
| -0.000 | 0.000 | 0.000 | 0.000 | 24.971 | -0.000 |
| -0.000 | 0.000 | 0.000 | 0.000 | -0.000 | 37.338 |
| 138.398 | 63.703 | 54.638 | -0.000 | -0.000 | 0.000 |
| 63.713 | 138.388 | 54.638 | -0.000 | -0.000 | 0.000 |
| 54.638 | 54.638 | 147.874 | 0.000 | 0.000 | 0.000 |
| 0.000 | -0.000 | -0.000 | 24.971 | 0.000 | 0.000 |
| 0.000 | -0.000 | -0.000 | -0.000 | 24.971 | 0.000 |
| -0.000 | -0.000 | -0.000 | -0.000 | -0.000 | 37.338 |
| 138.398 | 63.703 | 54.638 | -0.000 | -0.000 | -0.000 |
| 63.713 | 138.388 | 54.638 | 0.000 | 0.000 | -0.000 |
| 54.638 | 54.638 | 147.874 | 0.000 | -0.000 | -0.000 |
| 0.000 | 0.000 | 0.000 | 24.971 | -0.000 | -0.000 |
| 0.000 | 0.000 | 0.000 | -0.000 | 24.971 | -0.000 |
| 0.000 | 0.000 | 0.000 | 0.000 | 0.000 | 37.347 |
| 138.398 | 63.703 | 54.638 | -0.000 | 0.000 | 0.000 |
| 63.713 | 138.388 | 54.638 | -0.000 | 0.000 | 0.000 |
| 54.638 | 54.638 | 147.874 | -0.000 | 0.000 | 0.000 |
| -0.000 | -0.000 | -0.000 | 24.971 | 0.000 | -0.000 |
| -0.000 | -0.000 | -0.000 | 0.000 | 24.971 | 0.000 |
| -0.000 | -0.000 | -0.000 | -0.000 | -0.000 | 37.347 |
| 138.389 | 63.713 | 54.638 | 0.000 | -0.000 | -0.000 |
| 63.703 | 138.399 | 54.638 | 0.000 | 0.000 | -0.000 |
| 54.638 | 54.638 | 147.874 | 0.000 | -0.000 | -0.000 |
| 0.000 | 0.000 | 0.000 | 24.971 | -0.000 | 0.000 |
| 0.000 | 0.000 | 0.000 | 0.000 | 24.971 | -0.000 |
| 0.000 | 0.000 | 0.000 | 0.000 | 0.000 | 37.338 |
| 138.388 | 63.713 | 54.637 | -0.000 | 0.000 | 0.000 |
| 63.713 | 138.388 | 54.637 | -0.000 | 0.000 | 0.000 |
| 54.637 | 54.637 | 147.873 | -0.000 | 0.000 | 0.000 |
| -0.000 | -0.000 | -0.000 | 24.971 | 0.000 | 0.000 |
| -0.000 | -0.000 | -0.000 | -0.000 | 24.971 | 0.000 |
| -0.000 | -0.000 | -0.000 | 0.000 | 0.000 | 37.338 |
| 16.704 | 6.079 | 4.557 | -0.000 | -0.000 | 0.000 |
| 5.696 | 17.087 | 4.557 | 0.000 | 0.000 | 0.000 |
| 4.557 | 4.557 | 18.226 | -0.000 | -0.000 | 0.000 |
| 0.000 | 0.000 | 0.000 | 4.556 | -0.000 | 0.000 |
| 0.000 | 0.000 | 0.000 | -0.000 | 4.556 | 0.000 |
| 0.000 | 0.000 | 0.000 | -0.000 | 0.000 | 5.313 |
| 17.087 | 5.696 | 4.556 | -0.000 | 0.000 | -0.000 |
| 6.079 | 16.704 | 4.556 | 0.000 | 0.000 | -0.000 |
| 4.556 | 4.556 | 18.226 | 0.000 | 0.000 | -0.000 |
| -0.000 | -0.000 | -0.000 | 4.556 | 0.000 | -0.000 |
| -0.000 | -0.000 | -0.000 | 0.000 | 4.556 | -0.000 |
| -0.000 | -0.000 | -0.000 | 0.000 | 0.000 | 5.313 |
| 16.579 | 6.204 | 4.557 | -0.000 | -0.000 | 0.000 |
| 6.204 | 16.579 | 4.557 | 0.000 | -0.000 | 0.000 |
| 4.557 | 4.557 | 18.227 | -0.000 | -0.000 | 0.000 |
| 0.000 | 0.000 | 0.000 | 4.556 | -0.000 | 0.000 |
| 0.000 | 0.000 | 0.000 | -0.000 | 4.556 | -0.000 |
| 0.000 | 0.000 | -0.000 | 0.000 | -0.000 | 5.187 |
| 16.578 | 6.204 | 4.556 | 0.000 | 0.000 | -0.000 |
| 6.204 | 16.578 | 4.556 | -0.000 | 0.000 | -0.000 |
| 4.556 | 4.556 | 18.225 | 0.000 | 0.000 | -0.000 |
| -0.000 | -0.000 | -0.000 | 4.556 | 0.000 | -0.000 |
| -0.000 | -0.000 | -0.000 | 0.000 | 4.556 | -0.000 |
| -0.000 | -0.000 | 0.000 | -0.000 | 0.000 | 5.187 |
| 16.533 | 6.260 | 4.557 | 0.000 | -0.000 | 0.000 |
| 6.261 | 16.531 | 4.557 | -0.000 | -0.000 | 0.000 |
| 4.558 | 4.558 | 18.234 | -0.000 | -0.000 | 0.000 |
| 0.000 | 0.001 | 0.002 | 4.556 | -0.000 | 0.000 |
| 0.001 | 0.000 | 0.002 | -0.000 | 4.556 | 0.000 |
| 0.001 | 0.002 | -0.000 | -0.000 | 0.000 | 5.133 |
| 16.515 | 6.258 | 4.556 | 0.000 | 0.000 | -0.000 |
| 6.256 | 16.516 | 4.556 | -0.000 | -0.000 | -0.000 |
| 4.555 | 4.555 | 18.218 | -0.000 | 0.000 | -0.000 |
| -0.000 | -0.001 | -0.002 | 4.556 | 0.000 | -0.000 |
| -0.001 | -0.000 | -0.002 | 0.000 | 4.556 | -0.000 |
| -0.001 | -0.002 | 0.000 | 0.000 | 0.000 | 5.133 |
| 0.532 | 0.178 | 0.142 | -0.000 | 0.000 | -0.000 |
| 0.178 | 0.532 | 0.142 | 0.000 | -0.000 | 0.000 |
| 0.142 | 0.142 | 0.568 | 0.000 | 0.000 | 0.000 |
| 0.000 | 0.000 | 0.000 | 0.142 | 0.000 | 0.000 |
| 0.000 | 0.000 | 0.000 | -0.000 | 0.142 | 0.000 |
| 0.000 | 0.000 | 0.000 | -0.000 | 0.000 | 0.177 |
| 0.532 | 0.178 | 0.142 | -0.000 | 0.000 | -0.000 |
| 0.178 | 0.532 | 0.142 | -0.000 | 0.000 | -0.000 |
| 0.142 | 0.142 | 0.568 | -0.000 | 0.000 | -0.000 |
| -0.000 | -0.000 | -0.000 | 0.142 | 0.000 | -0.000 |
| -0.000 | -0.000 | -0.000 | 0.000 | 0.142 | 0.000 |
| -0.000 | -0.000 | -0.000 | 0.000 | 0.000 | 0.177 |
| 0.532 | 0.178 | 0.142 | 0.000 | -0.000 | 0.000 |
| 0.178 | 0.532 | 0.142 | 0.000 | -0.000 | 0.000 |
| 0.142 | 0.142 | 0.568 | 0.000 | -0.000 | 0.000 |
| 0.000 | 0.000 | 0.000 | 0.142 | -0.000 | 0.000 |
| 0.000 | 0.000 | 0.000 | 0.000 | 0.142 | -0.000 |
| 0.000 | 0.000 | 0.000 | 0.000 | -0.000 | 0.177 |
| 0.532 | 0.178 | 0.142 | -0.000 | 0.000 | 0.000 |
| 0.178 | 0.532 | 0.142 | -0.000 | 0.000 | -0.000 |
| 0.142 | 0.142 | 0.568 | -0.000 | -0.000 | -0.000 |
| -0.000 | -0.000 | -0.000 | 0.142 | -0.000 | -0.000 |
| -0.000 | -0.000 | -0.000 | -0.000 | 0.142 | 0.000 |
| -0.000 | -0.000 | -0.000 | -0.000 | -0.000 | 0.177 |
| 0.525 | 0.186 | 0.142 | 0.000 | -0.000 | 0.000 |
| 0.186 | 0.525 | 0.142 | 0.000 | 0.000 | 0.000 |
| 0.142 | 0.142 | 0.568 | 0.000 | -0.000 | -0.000 |
| 0.000 | 0.000 | 0.000 | 0.142 | -0.000 | 0.000 |
| 0.000 | 0.000 | 0.000 | 0.000 | 0.142 | 0.000 |
| 0.000 | 0.000 | 0.000 | 0.000 | 0.000 | 0.169 |
| 0.524 | 0.186 | 0.142 | 0.000 | -0.000 | -0.000 |
| 0.186 | 0.524 | 0.142 | -0.000 | 0.000 | -0.000 |
| 0.142 | 0.142 | 0.568 | -0.000 | 0.000 | -0.000 |
| -0.000 | -0.000 | -0.000 | 0.142 | -0.000 | -0.000 |
| -0.000 | -0.000 | -0.000 | -0.000 | 0.142 | 0.000 |
| -0.000 | -0.000 | -0.000 | -0.000 | 0.000 | 0.169 |
| 22.441 | 40.398 | 40.398 | 0.000 | 0.000 | 0.000 |
| 40.398 | 22.441 | 40.398 | 0.000 | 0.000 | 0.000 |
| 40.398 | 40.398 | 22.441 | 0.000 | 0.000 | 0.000 |
| -0.000 | -0.000 | -0.000 | -23.082 | 0.000 | 0.000 |
| -0.000 | 0.000 | -0.000 | 0.000 | -23.082 | 0.000 |
| -0.000 | -0.000 | -0.000 | 0.000 | 0.000 | -23.082 |
| 22.441 | 40.398 | 40.398 | -0.000 | -0.000 | -0.000 |
| 40.398 | 22.441 | 40.398 | -0.000 | -0.000 | -0.000 |
| 40.398 | 40.398 | 22.441 | -0.000 | -0.000 | -0.000 |
| 0.000 | 0.000 | 0.000 | -23.082 | -0.000 | -0.000 |
| 0.000 | 0.000 | 0.000 | -0.000 | -23.082 | -0.000 |
| 0.000 | 0.000 | 0.000 | -0.000 | -0.000 | -23.082 |
| 22.441 | 40.398 | 40.398 | 0.000 | 0.000 | 0.000 |
| 40.398 | 22.441 | 40.398 | 0.000 | 0.000 | 0.000 |
| 40.398 | 40.398 | 22.441 | 0.000 | 0.000 | 0.000 |
| 0.000 | -0.000 | -0.000 | 34.563 | 0.000 | 0.000 |
| -0.000 | 0.000 | -0.000 | 0.000 | 34.563 | 0.000 |
| -0.000 | -0.000 | 0.000 | 0.000 | 0.000 | 34.563 |
| 22.441 | 40.398 | 40.398 | -0.000 | -0.000 | -0.000 |
| 40.398 | 22.441 | 40.398 | -0.000 | -0.000 | -0.000 |
| 40.398 | 40.398 | 22.441 | -0.000 | -0.000 | -0.000 |
| -0.000 | 0.000 | 0.000 | 34.563 | 0.000 | -0.000 |
| 0.000 | -0.000 | 0.000 | 0.000 | 34.563 | -0.000 |
| 0.000 | 0.000 | -0.000 | 0.000 | -0.000 | 34.563 |
| 22.441 | 40.398 | 40.398 | 0.000 | 0.000 | 0.000 |
| 40.398 | 22.441 | 40.398 | 0.000 | 0.000 | 0.000 |
| 40.398 | 40.398 | 22.441 | 0.000 | 0.000 | 0.000 |
| -0.000 | -0.000 | -0.000 | -23.082 | 0.000 | 0.000 |
| -0.000 | -0.000 | -0.000 | 0.000 | -23.082 | 0.000 |
| -0.000 | -0.000 | -0.000 | 0.000 | 0.000 | -23.082 |
| 22.441 | 40.398 | 40.398 | -0.000 | -0.000 | -0.000 |
| 40.398 | 22.441 | 40.398 | -0.000 | -0.000 | -0.000 |
| 40.398 | 40.398 | 22.441 | -0.000 | -0.000 | -0.000 |
| 0.000 | 0.000 | 0.000 | -23.082 | -0.000 | -0.000 |
| 0.000 | 0.000 | 0.000 | -0.000 | -23.082 | -0.000 |
| 0.000 | 0.000 | 0.000 | -0.000 | -0.000 | -23.082 |
| 1.395 | 1.395 | 1.395 | 0.000 | 0.000 | 0.000 |
| 1.395 | 1.395 | 1.395 | 0.000 | 0.000 | 0.000 |
| 1.395 | 1.395 | 1.395 | 0.000 | 0.000 | 0.000 |
| 0.000 | 0.000 | 0.000 | 0.144 | 0.000 | 0.000 |
| 0.000 | 0.000 | 0.000 | 0.000 | 0.144 | 0.000 |
| 0.000 | 0.000 | 0.000 | 0.000 | 0.000 | 0.144 |
| 1.395 | 1.395 | 1.395 | -0.000 | -0.000 | -0.000 |
| 1.395 | 1.395 | 1.395 | -0.000 | -0.000 | -0.000 |
| 1.395 | 1.395 | 1.395 | -0.000 | -0.000 | -0.000 |
| -0.000 | -0.000 | -0.000 | 0.144 | -0.000 | -0.000 |
| -0.000 | -0.000 | -0.000 | -0.000 | 0.144 | -0.000 |
| -0.000 | -0.000 | -0.000 | -0.000 | -0.000 | 0.144 |
| 1.395 | 1.395 | 1.395 | 0.000 | 0.000 | 0.000 |
| 1.395 | 1.395 | 1.395 | -0.000 | -0.000 | -0.000 |
| 1.395 | 1.395 | 1.395 | -0.000 | -0.000 | -0.000 |
| -0.000 | -0.000 | -0.000 | 0.015 | 0.000 | 0.000 |
| -0.000 | -0.000 | -0.000 | 0.000 | 0.015 | 0.000 |
| -0.000 | -0.000 | -0.000 | 0.000 | 0.000 | 0.015 |
| 1.395 | 1.395 | 1.395 | -0.000 | -0.000 | -0.000 |
| 1.395 | 1.395 | 1.395 | -0.000 | -0.000 | -0.000 |
| 1.395 | 1.395 | 1.395 | -0.000 | -0.000 | -0.000 |
| 0.000 | 0.000 | 0.000 | 0.015 | -0.000 | -0.000 |
| 0.000 | 0.000 | 0.000 | -0.000 | 0.015 | -0.000 |
| 0.000 | 0.000 | 0.000 | -0.000 | -0.000 | 0.015 |
| 1.395 | 1.395 | 1.395 | 0.000 | 0.000 | 0.000 |
| 1.395 | 1.395 | 1.395 | 0.000 | 0.000 | 0.000 |
| 1.395 | 1.395 | 1.395 | 0.000 | 0.000 | 0.000 |
| -0.000 | -0.000 | -0.000 | 0.002 | 0.000 | 0.000 |
| -0.000 | -0.000 | -0.000 | 0.000 | 0.002 | 0.000 |
| -0.000 | -0.000 | -0.000 | 0.000 | 0.000 | 0.002 |
| 1.395 | 1.395 | 1.395 | -0.000 | -0.000 | -0.000 |
| 1.395 | 1.395 | 1.395 | -0.000 | -0.000 | -0.000 |
| 1.395 | 1.395 | 1.395 | -0.000 | -0.000 | -0.000 |
| 0.000 | 0.000 | 0.000 | 0.002 | -0.000 | -0.000 |
| 0.000 | 0.000 | 0.000 | -0.000 | 0.002 | -0.000 |
| 0.000 | 0.000 | 0.000 | -0.000 | -0.000 | 0.002 |
| 0.043 | 0.043 | 0.043 | -0.000 | -0.000 | -0.000 |
| 0.043 | 0.043 | 0.043 | -0.000 | -0.000 | -0.000 |
| 0.043 | 0.043 | 0.043 | -0.000 | -0.000 | -0.000 |
| 0.000 | 0.000 | 0.000 | 0.042 | -0.000 | -0.000 |
| 0.000 | 0.000 | 0.000 | -0.000 | 0.042 | -0.000 |
| 0.000 | 0.000 | 0.000 | -0.000 | -0.000 | 0.042 |
| 0.043 | 0.043 | 0.043 | 0.000 | 0.000 | 0.000 |
| 0.043 | 0.043 | 0.043 | 0.000 | 0.000 | 0.000 |
| 0.043 | 0.043 | 0.043 | 0.000 | 0.000 | 0.000 |
| -0.000 | -0.000 | -0.000 | 0.042 | 0.000 | 0.000 |
| -0.000 | -0.000 | -0.000 | 0.000 | 0.042 | 0.000 |
| -0.000 | -0.000 | -0.000 | 0.000 | 0.000 | 0.042 |
| 0.043 | 0.043 | 0.043 | -0.000 | -0.000 | -0.000 |
| 0.043 | 0.043 | 0.043 | -0.000 | -0.000 | -0.000 |
| 0.043 | 0.043 | 0.043 | -0.000 | -0.000 | -0.000 |
| 0.000 | 0.000 | 0.000 | 0.042 | -0.000 | -0.000 |
| 0.000 | 0.000 | 0.000 | -0.000 | 0.042 | -0.000 |
| 0.000 | 0.000 | 0.000 | -0.000 | -0.000 | 0.042 |
| 0.043 | 0.043 | 0.043 | 0.000 | 0.000 | 0.000 |
| 0.043 | 0.043 | 0.043 | 0.000 | 0.000 | 0.000 |
| 0.043 | 0.043 | 0.043 | 0.000 | 0.000 | 0.000 |
| -0.000 | -0.000 | -0.000 | 0.042 | -0.000 | 0.000 |
| -0.000 | -0.000 | -0.000 | -0.000 | 0.042 | 0.000 |
| -0.000 | -0.000 | -0.000 | -0.000 | 0.000 | 0.042 |
| 0.044 | 0.044 | 0.044 | -0.000 | -0.000 | -0.000 |
| 0.044 | 0.044 | 0.044 | -0.000 | -0.000 | -0.000 |
| 0.044 | 0.044 | 0.044 | -0.000 | -0.000 | -0.000 |
| 0.000 | 0.000 | 0.000 | 0.011 | 0.000 | -0.000 |
| 0.000 | 0.000 | 0.000 | 0.000 | 0.011 | -0.000 |
| 0.000 | 0.000 | 0.000 | 0.000 | -0.000 | 0.011 |
| 0.043 | 0.043 | 0.043 | 0.000 | 0.000 | 0.000 |
| 0.043 | 0.043 | 0.043 | 0.000 | 0.000 | 0.000 |
| 0.043 | 0.043 | 0.043 | 0.000 | 0.000 | 0.000 |
| -0.000 | -0.000 | -0.000 | 0.011 | 0.000 | 0.000 |
| -0.000 | -0.000 | -0.000 | 0.000 | 0.011 | 0.000 |
| -0.000 | -0.000 | -0.000 | 0.000 | 0.000 | 0.011 |
| 39.693 | 154.108 | 66.197 | -0.000 | -0.000 | 0.000 |
| 154.108 | 39.693 | 66.197 | 0.000 | -0.000 | -0.000 |
| 66.197 | 66.197 | 165.590 | 0.000 | 0.000 | -0.000 |
| 0.000 | 0.000 | 0.000 | -7.765 | 0.000 | -0.000 |
| 0.000 | -0.000 | 0.000 | 0.000 | -7.765 | -0.000 |
| -0.000 | -0.000 | 0.000 | 0.000 | 0.000 | -8.639 |
| 39.693 | 154.108 | 66.197 | 0.000 | -0.000 | -0.000 |
| 154.108 | 39.693 | 66.197 | 0.000 | 0.000 | 0.000 |
| 66.197 | 66.197 | 165.590 | -0.000 | -0.000 | -0.000 |
| -0.000 | -0.000 | -0.000 | -7.765 | -0.000 | -0.000 |
| -0.000 | 0.000 | -0.000 | -0.000 | -7.765 | 0.000 |
| 0.000 | 0.000 | -0.000 | -0.000 | 0.000 | -8.639 |
| 39.693 | 154.108 | 66.197 | -0.000 | -0.000 | 0.000 |
| 154.108 | 39.693 | 66.197 | -0.000 | -0.000 | -0.000 |
| 66.197 | 66.197 | 165.590 | 0.000 | -0.000 | -0.000 |
| -0.000 | 0.000 | 0.000 | -7.765 | 0.000 | 0.000 |
| 0.000 | -0.000 | 0.000 | 0.000 | -7.765 | -0.000 |
| -0.000 | -0.000 | 0.000 | 0.000 | 0.000 | -8.639 |
| 39.693 | 154.108 | 66.197 | 0.000 | -0.000 | -0.000 |
| 154.108 | 39.693 | 66.197 | 0.000 | 0.000 | -0.000 |
| 66.197 | 66.197 | 165.590 | -0.000 | -0.000 | -0.000 |
| 0.000 | -0.000 | -0.000 | -7.765 | -0.000 | 0.000 |
| -0.000 | 0.000 | -0.000 | -0.000 | -7.765 | 0.000 |
| 0.000 | 0.000 | -0.000 | -0.000 | 0.000 | -8.639 |
| 39.694 | 154.108 | 66.197 | -0.000 | -0.000 | 0.000 |
| 154.108 | 39.694 | 66.197 | -0.000 | -0.000 | 0.000 |
| 66.197 | 66.197 | 165.590 | 0.000 | 0.000 | -0.000 |
| -0.000 | 0.000 | 0.000 | -7.765 | 0.000 | 0.000 |
| 0.000 | -0.000 | 0.000 | -0.000 | -7.765 | -0.000 |
| -0.000 | -0.000 | 0.000 | -0.000 | 0.000 | -8.639 |
| 39.692 | 154.109 | 66.196 | 0.000 | 0.000 | 0.000 |
| 154.109 | 39.692 | 66.196 | 0.000 | 0.000 | 0.000 |
| 66.197 | 66.197 | 165.589 | -0.000 | -0.000 | 0.000 |
| 0.000 | -0.000 | -0.000 | -7.765 | 0.000 | 0.000 |
| -0.000 | 0.000 | -0.000 | 0.000 | -7.765 | -0.000 |
| 0.000 | 0.000 | -0.000 | 0.000 | 0.000 | -8.639 |
| 7.661 | 0.802 | 0.641 | -0.000 | -0.000 | 0.000 |
| 0.802 | 7.661 | 0.641 | 0.000 | -0.000 | 0.000 |
| 0.641 | 0.641 | 0.097 | -0.000 | 0.000 | -0.000 |
| 0.000 | -0.000 | -0.000 | -0.000 | 0.000 | -0.000 |
| -0.000 | 0.000 | -0.000 | -0.000 | -0.000 | 0.000 |
| 0.000 | -0.000 | -0.000 | -0.000 | -0.000 | 0.000 |
| 7.661 | 0.802 | 0.641 | 0.000 | -0.000 | 0.000 |
| 0.802 | 7.661 | 0.641 | -0.000 | 0.000 | 0.000 |
| 0.641 | 0.641 | 0.097 | 0.000 | -0.000 | -0.000 |
| -0.000 | 0.000 | 0.000 | -0.000 | -0.000 | -0.000 |
| 0.000 | -0.000 | 0.000 | 0.000 | -0.000 | 0.000 |
| -0.000 | 0.000 | 0.000 | 0.000 | -0.000 | 0.000 |
| 4.870 | 3.593 | 0.641 | 0.000 | -0.000 | 0.000 |
| 3.593 | 4.870 | 0.641 | -0.000 | 0.000 | 0.000 |
| 0.641 | 0.641 | 0.097 | 0.000 | 0.000 | -0.000 |
| 0.000 | -0.000 | -0.000 | -0.000 | 0.000 | -0.000 |
| -0.000 | 0.000 | -0.000 | -0.000 | -0.000 | 0.000 |
| 0.000 | -0.000 | -0.000 | -0.000 | 0.000 | 0.000 |
| 4.870 | 3.593 | 0.641 | 0.000 | 0.000 | -0.000 |
| 3.593 | 4.870 | 0.641 | 0.000 | -0.000 | -0.000 |
| 0.641 | 0.641 | 0.097 | 0.000 | 0.000 | 0.000 |
| -0.000 | 0.000 | 0.000 | 0.000 | -0.000 | -0.000 |
| 0.000 | -0.000 | 0.000 | 0.000 | -0.000 | 0.000 |
| -0.000 | 0.000 | 0.000 | 0.000 | 0.000 | 0.000 |
| 4.296 | 4.169 | 0.642 | -0.000 | -0.000 | 0.000 |
| 4.169 | 4.296 | 0.642 | -0.000 | 0.000 | -0.000 |
| 0.641 | 0.641 | 0.097 | 0.000 | 0.000 | -0.000 |
| 0.000 | -0.000 | -0.000 | -0.000 | 0.000 | -0.000 |
| -0.000 | 0.000 | -0.000 | -0.000 | -0.000 | 0.000 |
| 0.000 | -0.000 | -0.000 | -0.000 | -0.000 | 0.000 |
| 4.294 | 4.167 | 0.641 | -0.000 | -0.000 | 0.000 |
| 4.167 | 4.294 | 0.641 | -0.000 | 0.000 | -0.000 |
| 0.641 | 0.641 | 0.097 | 0.000 | 0.000 | -0.000 |
| -0.000 | 0.000 | 0.000 | -0.000 | -0.000 | -0.000 |
| 0.000 | -0.000 | 0.000 | 0.000 | -0.000 | 0.000 |
| -0.000 | 0.000 | 0.000 | 0.000 | -0.000 | 0.000 |
| 12.872 | 0.000 | 0.000 | 0.000 | 0.000 | -0.000 |
| 0.000 | 12.872 | 0.000 | 0.000 | 0.000 | 0.000 |
| 0.000 | 0.000 | 0.000 | 0.000 | 0.000 | -0.000 |
| 0.000 | 0.000 | 0.000 | 0.000 | 0.000 | -0.000 |
| 0.000 | 0.000 | 0.000 | 0.000 | 0.000 | -0.000 |
| 0.000 | 0.000 | 0.000 | 0.000 | 0.000 | 0.000 |
| 12.872 | -0.000 | -0.000 | -0.000 | -0.000 | -0.000 |
| -0.000 | 12.872 | -0.000 | -0.000 | -0.000 | -0.000 |
| -0.000 | -0.000 | -0.000 | -0.000 | -0.000 | 0.000 |
| -0.000 | -0.000 | -0.000 | -0.000 | -0.000 | 0.000 |
| -0.000 | -0.000 | -0.000 | -0.000 | -0.000 | 0.000 |
| -0.000 | -0.000 | -0.000 | -0.000 | -0.000 | 0.000 |
| 12.873 | 0.000 | 0.000 | 0.000 | 0.000 | -0.000 |
| 0.000 | 12.873 | 0.000 | 0.000 | 0.000 | 0.000 |
| 0.000 | 0.000 | 0.000 | 0.000 | 0.000 | -0.000 |
| 0.000 | 0.000 | 0.000 | 0.000 | 0.000 | -0.000 |
| 0.000 | 0.000 | 0.000 | 0.000 | 0.000 | -0.000 |
| 0.000 | -0.000 | 0.000 | 0.000 | 0.000 | 0.000 |
| 12.871 | -0.000 | -0.000 | -0.000 | -0.000 | 0.000 |
| 0.000 | 12.871 | -0.000 | -0.000 | -0.000 | -0.000 |
| -0.000 | -0.000 | -0.000 | -0.000 | -0.000 | 0.000 |
| -0.000 | 0.000 | -0.000 | -0.000 | -0.000 | 0.000 |
| 0.000 | -0.000 | -0.000 | -0.000 | -0.000 | 0.000 |
| -0.000 | 0.000 | -0.000 | -0.000 | -0.000 | 0.000 |
| 12.880 | -0.000 | 0.000 | 0.000 | 0.000 | -0.000 |
| 0.000 | 12.880 | 0.000 | 0.000 | 0.000 | 0.000 |
| 0.000 | 0.000 | 0.000 | 0.000 | 0.000 | -0.000 |
| 0.000 | 0.000 | 0.000 | 0.000 | 0.000 | 0.000 |
| 0.000 | 0.000 | 0.000 | 0.000 | 0.000 | -0.000 |
| 0.000 | -0.000 | 0.000 | 0.000 | 0.000 | 0.000 |
| 12.864 | -0.000 | -0.000 | -0.000 | -0.000 | 0.000 |
| -0.000 | 12.864 | -0.000 | -0.000 | -0.000 | 0.000 |
| -0.000 | -0.000 | -0.000 | -0.000 | -0.000 | 0.000 |
| -0.000 | -0.000 | -0.000 | -0.000 | -0.000 | 0.000 |
| -0.000 | -0.000 | -0.000 | -0.000 | -0.000 | 0.000 |
| -0.000 | 0.000 | -0.000 | -0.000 | -0.000 | 0.000 |
| 129.443 | 82.364 | 82.364 | -0.000 | 0.000 | -0.000 |
| 82.364 | 129.443 | 82.364 | 0.000 | -0.000 | -0.000 |
| 82.364 | 82.364 | 129.443 | -0.000 | 0.000 | -0.000 |
| -0.000 | 0.000 | -0.000 | -10.348 | -0.000 | 0.000 |
| 0.000 | -0.000 | -0.000 | -0.000 | -10.348 | 0.000 |
| 0.000 | -0.000 | -0.000 | -0.000 | -0.000 | -10.348 |
| 129.443 | 82.364 | 82.364 | 0.000 | 0.000 | 0.000 |
| 82.364 | 129.443 | 82.364 | 0.000 | -0.000 | 0.000 |
| 82.364 | 82.364 | 129.443 | -0.000 | 0.000 | 0.000 |
| 0.000 | -0.000 | 0.000 | -10.348 | 0.000 | 0.000 |
| -0.000 | 0.000 | 0.000 | 0.000 | -10.348 | -0.000 |
| -0.000 | 0.000 | 0.000 | 0.000 | 0.000 | -10.348 |
| 129.443 | 82.364 | 82.364 | -0.000 | -0.000 | 0.000 |
| 82.364 | 129.443 | 82.364 | -0.000 | 0.000 | -0.000 |
| 82.364 | 82.364 | 129.443 | 0.000 | 0.000 | 0.000 |
| 0.000 | 0.000 | -0.000 | -10.348 | 0.000 | 0.000 |
| 0.000 | 0.000 | -0.000 | -0.000 | -10.348 | -0.000 |
| 0.000 | -0.000 | 0.000 | -0.000 | -0.000 | -10.348 |
| 129.443 | 82.364 | 82.364 | -0.000 | -0.000 | -0.000 |
| 82.364 | 129.443 | 82.364 | -0.000 | -0.000 | -0.000 |
| 82.364 | 82.364 | 129.443 | 0.000 | 0.000 | 0.000 |
| -0.000 | -0.000 | 0.000 | -10.348 | 0.000 | 0.000 |
| -0.000 | -0.000 | 0.000 | 0.000 | -10.348 | -0.000 |
| -0.000 | 0.000 | -0.000 | -0.000 | 0.000 | -10.348 |
| 129.445 | 82.363 | 82.363 | -0.000 | 0.000 | 0.000 |
| 82.363 | 129.445 | 82.363 | 0.000 | -0.000 | 0.000 |
| 82.363 | 82.363 | 129.445 | -0.000 | -0.000 | -0.000 |
| 0.000 | 0.000 | -0.000 | -10.348 | -0.000 | 0.000 |
| 0.000 | 0.000 | -0.000 | 0.000 | -10.348 | 0.000 |
| 0.000 | -0.000 | 0.000 | -0.000 | -0.000 | -10.348 |
| 129.441 | 82.364 | 82.364 | -0.000 | -0.000 | -0.000 |
| 82.364 | 129.441 | 82.364 | -0.000 | -0.000 | 0.000 |
| 82.364 | 82.364 | 129.441 | 0.000 | -0.000 | 0.000 |
| -0.000 | -0.000 | 0.000 | -10.348 | 0.000 | -0.000 |
| -0.000 | -0.000 | 0.000 | -0.000 | -10.348 | 0.000 |
| -0.000 | 0.000 | -0.000 | -0.000 | -0.000 | -10.348 |
| 9.666 | 0.000 | 0.000 | -0.000 | -0.000 | 0.000 |
| 0.000 | 9.666 | 0.000 | -0.000 | -0.000 | -0.000 |
| 0.000 | 0.000 | 9.666 | -0.000 | -0.000 | -0.000 |
| 0.000 | -0.000 | 0.000 | -0.000 | -0.000 | 0.000 |
| -0.000 | 0.000 | 0.000 | -0.000 | -0.000 | 0.000 |
| -0.000 | 0.000 | 0.000 | -0.000 | -0.000 | -0.000 |
| 9.666 | -0.000 | -0.000 | 0.000 | -0.000 | -0.000 |
| -0.000 | 9.666 | -0.000 | 0.000 | -0.000 | 0.000 |
| -0.000 | -0.000 | 9.666 | 0.000 | 0.000 | 0.000 |
| -0.000 | -0.000 | -0.000 | -0.000 | 0.000 | 0.000 |
| -0.000 | -0.000 | -0.000 | 0.000 | -0.000 | -0.000 |
| -0.000 | -0.000 | -0.000 | 0.000 | -0.000 | -0.000 |
| 9.666 | 0.000 | 0.000 | -0.000 | 0.000 | -0.000 |
| 0.000 | 9.666 | 0.000 | -0.000 | 0.000 | -0.000 |
| 0.000 | 0.000 | 9.666 | 0.000 | 0.000 | -0.000 |
| 0.000 | 0.000 | -0.000 | 0.000 | 0.000 | -0.000 |
| 0.000 | 0.000 | -0.000 | -0.000 | 0.000 | -0.000 |
| 0.000 | -0.000 | 0.000 | -0.000 | 0.000 | 0.000 |
| 9.665 | -0.000 | -0.000 | 0.000 | 0.000 | -0.000 |
| -0.000 | 9.665 | -0.000 | 0.000 | -0.000 | 0.000 |
| -0.000 | -0.000 | 9.665 | 0.000 | 0.000 | 0.000 |
| -0.000 | -0.000 | 0.000 | 0.000 | -0.000 | -0.000 |
| -0.000 | -0.000 | 0.000 | 0.000 | 0.000 | -0.000 |
| -0.000 | 0.000 | -0.000 | 0.000 | 0.000 | 0.000 |
| 9.672 | 0.000 | 0.000 | -0.000 | 0.000 | 0.000 |
| 0.000 | 9.672 | 0.000 | -0.000 | 0.000 | -0.000 |
| 0.000 | 0.000 | 9.672 | 0.000 | 0.000 | -0.000 |
| 0.000 | 0.000 | -0.000 | 0.000 | -0.000 | 0.000 |
| 0.000 | 0.000 | -0.000 | -0.000 | 0.000 | 0.000 |
| 0.000 | -0.000 | 0.000 | -0.000 | 0.000 | 0.000 |
| 9.660 | -0.000 | -0.000 | 0.000 | -0.000 | -0.000 |
| -0.000 | 9.660 | -0.000 | 0.000 | 0.000 | -0.000 |
| -0.000 | -0.000 | 9.660 | -0.000 | -0.000 | 0.000 |
| -0.000 | -0.000 | 0.000 | 0.000 | 0.000 | -0.000 |
| -0.000 | -0.000 | 0.000 | 0.000 | 0.000 | -0.000 |
| -0.000 | 0.000 | -0.000 | 0.000 | -0.000 | 0.000 |
| 53.273 | 54.720 | 40.971 | -0.000 | 0.000 | -0.000 |
| 54.720 | 53.273 | 40.971 | 0.000 | -0.000 | -0.000 |
| 40.156 | 40.156 | 116.260 | -0.000 | 0.000 | -0.000 |
| -0.004 | -0.004 | 0.000 | 2.072 | 0.000 | -0.000 |
| -0.004 | -0.004 | 0.000 | 0.000 | 2.072 | -0.000 |
| -0.002 | -0.002 | 0.000 | 0.000 | 0.000 | 52.991 |
| 53.273 | 54.724 | 40.970 | 0.000 | -0.000 | 0.000 |
| 54.724 | 53.273 | 40.970 | 0.000 | -0.000 | -0.000 |
| 40.156 | 40.156 | 116.260 | 0.000 | -0.000 | 0.000 |
| 0.004 | 0.004 | -0.000 | 2.072 | 0.000 | -0.000 |
| 0.004 | 0.004 | -0.000 | -0.000 | 2.072 | 0.000 |
| 0.002 | 0.002 | -0.000 | -0.000 | -0.000 | 52.991 |
| 53.273 | 54.722 | 40.971 | -0.000 | 0.000 | -0.000 |
| 54.722 | 53.273 | 40.971 | 0.000 | 0.000 | 0.000 |
| 40.156 | 40.156 | 116.260 | 0.000 | -0.000 | -0.000 |
| -0.000 | -0.000 | 0.000 | 2.072 | 0.000 | -0.000 |
| -0.000 | -0.000 | 0.000 | 0.000 | 2.072 | -0.000 |
| -0.000 | -0.000 | 0.000 | 0.000 | 0.000 | 52.991 |
| 53.273 | 54.722 | 40.971 | 0.000 | -0.000 | 0.000 |
| 54.722 | 53.273 | 40.971 | 0.000 | -0.000 | 0.000 |
| 40.156 | 40.156 | 116.260 | -0.000 | -0.000 | 0.000 |
| 0.000 | 0.000 | -0.000 | 2.072 | 0.000 | -0.000 |
| 0.000 | 0.000 | -0.000 | 0.000 | 2.072 | 0.000 |
| 0.000 | 0.000 | -0.000 | -0.000 | -0.000 | 52.991 |
| 68.130 | 57.233 | 40.156 | -0.000 | -0.000 | -0.000 |
| 57.233 | 68.130 | 40.156 | -0.000 | 0.000 | 0.000 |
| 40.695 | 40.695 | 116.210 | -0.000 | -0.000 | -0.000 |
| -0.000 | -0.000 | 0.000 | 23.835 | 0.000 | -0.000 |
| -0.000 | -0.000 | 0.000 | 0.000 | 23.835 | -0.000 |
| 0.000 | 0.000 | -0.000 | 0.000 | 0.000 | 52.991 |
| 40.269 | 73.611 | 40.695 | -0.000 | -0.000 | 0.000 |
| 73.611 | 40.269 | 40.695 | -0.000 | 0.000 | 0.000 |
| 40.694 | 40.694 | 116.208 | 0.000 | -0.000 | 0.000 |
| 0.000 | 0.000 | -0.000 | 23.835 | 0.000 | 0.000 |
| 0.000 | 0.000 | -0.000 | 0.000 | 23.835 | 0.000 |
| -0.000 | -0.000 | 0.000 | -0.000 | -0.000 | 52.991 |
| 43.206 | 35.143 | 40.981 | 0.000 | 0.000 | 0.000 |
| 35.143 | 43.206 | 40.981 | 0.000 | 0.000 | 0.000 |
| 23.409 | 23.409 | 111.376 | 0.000 | -0.000 | 0.000 |
| -15.324 | -15.324 | 2.269 | 24.454 | 0.000 | 0.000 |
| -15.324 | -15.324 | 2.269 | 0.000 | 24.454 | 0.000 |
| 0.000 | 0.000 | 0.000 | 0.000 | 0.000 | 48.746 |
| 57.029 | 81.534 | 36.523 | 0.000 | 0.000 | -0.000 |
| 81.534 | 57.029 | 36.523 | 0.000 | -0.000 | -0.000 |
| 52.592 | 52.592 | 107.055 | -0.000 | -0.000 | -0.000 |
| 15.324 | 15.324 | -2.269 | 24.454 | -0.000 | -0.000 |
| 15.324 | 15.324 | -2.269 | -0.000 | 24.454 | -0.000 |
| -0.000 | -0.000 | -0.000 | -0.000 | -0.000 | 48.746 |
| 53.569 | 48.025 | 39.260 | 0.000 | 0.000 | 0.000 |
| 48.025 | 53.569 | 39.260 | 0.000 | 0.000 | 0.000 |
| 36.541 | 36.541 | 109.432 | 0.000 | 0.000 | 0.000 |
| 0.000 | 0.000 | 0.000 | 34.304 | 0.000 | 0.000 |
| 0.000 | 0.000 | 0.000 | -0.000 | 34.304 | 0.000 |
| -1.459 | -1.459 | 0.216 | 0.000 | 0.000 | 48.746 |
| 53.224 | 51.978 | 38.993 | -0.000 | -0.000 | -0.000 |
| 51.978 | 53.224 | 38.993 | -0.000 | 0.000 | -0.000 |
| 37.168 | 37.168 | 109.339 | 0.000 | -0.000 | 0.000 |
| -0.000 | -0.000 | -0.000 | 34.304 | -0.000 | -0.000 |
| -0.000 | -0.000 | -0.000 | -0.000 | 34.304 | -0.000 |
| 1.459 | 1.459 | -0.216 | -0.000 | -0.000 | 48.746 |
| 42.292 | 66.797 | 38.705 | -0.000 | 0.000 | 0.000 |
| 66.797 | 42.292 | 38.705 | 0.000 | -0.000 | 0.000 |
| 37.168 | 37.168 | 109.340 | 0.000 | 0.000 | 0.000 |
| -0.282 | -0.282 | 0.042 | 2.146 | -0.000 | 0.000 |
| -0.282 | -0.282 | 0.042 | -0.000 | 2.146 | 0.000 |
| -0.146 | -0.146 | 0.022 | 0.000 | 0.000 | 48.746 |
| 42.584 | 67.089 | 38.662 | -0.000 | -0.000 | -0.000 |
| 67.089 | 42.584 | 38.662 | -0.000 | -0.000 | -0.000 |
| 37.168 | 37.168 | 109.338 | -0.000 | -0.000 | -0.000 |
| 0.282 | 0.282 | -0.042 | 2.146 | -0.000 | -0.000 |
| 0.282 | 0.282 | -0.042 | 0.000 | 2.146 | -0.000 |
| 0.146 | 0.146 | -0.022 | -0.000 | 0.000 | 48.746 |
| 1096.610 | 63.555 | -910.475 | -1231.724 | 2899.145 | 766.495 |
| 809.518 | 177.616 | -641.481 | -1017.961 | 2037.682 | 663.058 |
| 1210.288 | 4.600 | -1080.181 | -1377.720 | 3550.702 | 967.615 |
| 979.524 | -1.740 | -980.809 | -1207.134 | 2900.009 | 776.042 |
| 977.686 | 1.132 | -976.753 | -1233.544 | 2929.447 | 775.333 |
| -3.088 | -1.905 | -0.747 | 1.571 | -2.777 | 37.620 |
| 138.809 | 61.316 | 63.601 | 0.764 | -3.173 | -9.997 |
| 60.991 | 140.503 | 60.386 | -5.735 | 1.502 | -1.911 |
| 63.474 | 60.271 | 138.195 | -1.298 | 0.101 | -0.738 |
| -977.002 | -0.885 | 976.423 | 1258.314 | -2902.630 | -772.308 |
| -746.651 | -47.698 | 706.866 | 1013.222 | -2004.199 | -665.451 |
| -3.088 | -1.905 | -0.747 | 1.571 | -2.777 | 37.620 |
| 216.174 | 63.939 | -29.736 | -122.290 | 288.015 | 69.749 |
| 138.194 | 133.409 | -6.392 | -105.672 | 205.444 | 63.881 |
| 165.846 | 65.305 | 19.130 | -125.646 | 292.027 | 75.607 |
| 99.084 | -1.358 | -100.052 | -97.661 | 288.820 | 79.279 |
| -0.698 | 1.426 | 0.101 | -0.862 | 40.030 | 0.764 |
| 95.137 | -2.754 | -99.868 | -121.173 | 288.892 | 104.665 |
| 138.809 | 61.316 | 63.601 | 0.764 | -3.173 | -9.997 |
| 60.991 | 140.503 | 60.386 | -5.735 | 1.502 | -1.911 |
| -29.854 | 65.393 | 214.912 | 120.950 | -288.388 | -79.256 |
| -121.736 | 13.601 | 115.647 | 159.123 | -367.530 | -97.943 |
| -75.333 | -3.512 | 71.796 | 100.949 | -172.009 | -66.285 |
| -3.088 | -1.905 | -0.747 | 1.571 | -2.777 | 37.620 |
| 131.657 | 64.492 | 60.184 | -9.338 | 18.140 | -1.556 |
| 71.098 | 128.793 | 57.185 | -14.410 | 22.207 | 3.944 |
| 74.794 | 64.702 | 116.656 | -12.347 | 21.810 | 5.488 |
| 8.487 | -1.130 | -8.864 | 18.883 | 19.161 | 8.288 |
| 6.681 | 1.887 | -5.829 | -10.515 | 52.131 | 6.930 |
| 8.658 | -2.882 | -13.938 | -10.692 | 33.203 | 34.295 |
| 98.084 | 65.172 | 81.156 | 16.077 | -37.771 | -16.342 |
| 56.067 | 128.197 | 71.201 | 5.853 | -18.595 | -9.370 |
| 63.474 | 60.271 | 138.194 | -1.298 | 0.101 | -0.738 |
| -6.570 | -2.063 | 5.346 | 38.798 | -21.964 | -5.144 |
| -10.354 | 1.566 | 11.670 | 11.501 | -1.004 | -6.560 |
| -10.054 | -3.247 | 5.535 | 11.769 | -22.290 | 24.059 |
| 128.574 | 58.157 | 54.620 | 0.722 | -4.202 | 2.827 |
| 58.299 | 124.592 | 55.980 | -1.041 | 0.164 | 2.422 |
| -85.810 | 342.053 | -40.759 | -191.663 | -266.155 | -349.783 |
| -721.954 | 630.728 | -154.892 | -566.103 | -237.925 | -488.681 |
| 0.655 | 0.051 | 2.287 | 1.693 | 32.064 | 0.301 |
| 39.900 | 23.505 | -6.444 | -238.773 | -121.087 | -104.940 |
| 81.844 | 38.417 | 65.892 | 239.730 | 116.599 | 136.079 |
| 23.423 | 91.466 | 67.331 | 237.743 | 120.755 | 135.500 |
| 1877.011 | -1294.231 | 969.121 | 1540.676 | 519.665 | 772.281 |
| 0.668 | -0.146 | 0.317 | 32.772 | 1.693 | 0.203 |
| -36.094 | -20.860 | 11.192 | 239.886 | 145.914 | 133.516 |
| 3.639 | 2.429 | 1.432 | 0.317 | -1.259 | 34.857 |
| 97.237 | 89.286 | 43.368 | -18.757 | -29.888 | -32.791 |
| 46.744 | 132.464 | 44.127 | -20.547 | -25.974 | -32.676 |
| 55.338 | 56.214 | 125.958 | 0.317 | 2.287 | 1.964 |
| 0.668 | -0.146 | 0.317 | 32.772 | 1.693 | 0.203 |
| 4.039 | 2.599 | 1.713 | -22.759 | 13.794 | -13.047 |
| 7.064 | 4.312 | 1.314 | -23.888 | -13.001 | 14.953 |
| 128.574 | 58.157 | 54.620 | 0.722 | -4.202 | 2.827 |
| 56.265 | 110.605 | 59.588 | 22.860 | 12.673 | 15.589 |
| 55.338 | 56.214 | 125.958 | 0.317 | 2.287 | 1.964 |
| 14.706 | -29.384 | 14.315 | 39.805 | 27.629 | 34.436 |
| -3.258 | -1.668 | 3.436 | 25.000 | 37.838 | 13.603 |
| -0.233 | 0.047 | 3.033 | 23.874 | 11.020 | 41.644 |
| 118.204 | 60.035 | 57.316 | -1.442 | -4.679 | 1.492 |
| 60.262 | 113.176 | 58.587 | -3.491 | -0.590 | 0.888 |
| 55.338 | 56.214 | 125.958 | 0.317 | 2.286 | 1.964 |
| 1.246 | -0.388 | -0.198 | 23.052 | -0.009 | -1.382 |
| 0.751 | 0.690 | 2.495 | -1.296 | 24.453 | -1.063 |
| 3.775 | 2.385 | 2.117 | -2.434 | -2.193 | 26.678 |
| 128.573 | 58.157 | 54.620 | 0.722 | -4.202 | 2.827 |
| 62.806 | 100.807 | 60.507 | 0.467 | 3.725 | 6.266 |
| 57.728 | 58.723 | 115.795 | 2.279 | 3.786 | 4.066 |
| 1.653 | -3.925 | 0.977 | 22.902 | 3.411 | 2.663 |
| 0.655 | 0.050 | 2.286 | 1.693 | 32.064 | 0.301 |
| 3.639 | 2.429 | 1.432 | 0.317 | -1.259 | 34.857 |
| 297.211 | -304.803 | 34.920 | -34.334 | 127.571 | -280.041 |
| 1287.017 | -7487.541 | -12194.231 | 1654.381 | -934.323 | 177.613 |
| 1762.166 | -2867.907 | -2921.535 | 639.079 | 812.349 | -95.653 |
| 1785.294 | -6492.191 | -11410.019 | 1248.468 | -857.655 | -147.765 |
| -1.211 | -0.208 | 0.730 | 0.705 | 38.787 | -0.729 |
| 169.334 | -368.560 | -29.057 | -33.626 | 125.874 | -249.893 |
| -2131.212 | 4299.169 | 8227.541 | -1058.154 | 336.996 | 248.852 |
| -106.047 | 490.243 | 90.313 | 36.037 | -123.292 | 281.500 |
| -469.350 | 991.901 | 186.410 | -86.268 | -193.322 | 337.572 |
| -614.693 | 1341.062 | 268.964 | -51.103 | -379.913 | 284.844 |
| -170.052 | 368.036 | 29.762 | 34.761 | -90.584 | 281.763 |
| -626.258 | 2083.468 | 1436.386 | -252.447 | -762.390 | 216.660 |
| 167.429 | -27.117 | 59.279 | 8.740 | 21.904 | -32.624 |
| 125.378 | -33.365 | 37.084 | 9.155 | 41.412 | -31.092 |
| 114.703 | -112.251 | 38.972 | 8.292 | 66.963 | -22.218 |
| -0.654 | -1.303 | 1.904 | 36.063 | 0.705 | -0.326 |
| 15.826 | -36.558 | -2.006 | -2.510 | 45.418 | -28.873 |
| 53.329 | -94.050 | -8.208 | 10.200 | 21.289 | -11.034 |
| 111.309 | 99.810 | 66.695 | 2.939 | -8.442 | 30.604 |
| 12.618 | 273.652 | 120.738 | -5.829 | -59.948 | 20.920 |
| 61.449 | 59.387 | 135.866 | 1.904 | 0.730 | 0.528 |
| -0.654 | -1.303 | 1.904 | 36.063 | 0.705 | -0.326 |
| -1.211 | -0.208 | 0.730 | 0.705 | 38.787 | -0.729 |
| -53.890 | 91.452 | 7.113 | -7.246 | -17.663 | 56.528 |
| 129.793 | 19.671 | -13.170 | 13.741 | -1.973 | -1.555 |
| 69.683 | 75.777 | 50.122 | 5.666 | 11.479 | -3.016 |
| 65.513 | 57.550 | 126.515 | 1.291 | 2.173 | -3.223 |
| 1.097 | -4.209 | 1.361 | 30.421 | 2.125 | -2.666 |
| 15.290 | -24.884 | -30.070 | 6.953 | 26.149 | 0.508 |
| 2.081 | -4.504 | -0.468 | -0.092 | 3.496 | 29.645 |
| 110.205 | 74.199 | 67.314 | -0.865 | 0.719 | 4.547 |
| 61.224 | 126.025 | 61.776 | 2.514 | -0.923 | 2.038 |
| 55.756 | 88.476 | 111.449 | -1.055 | -6.502 | 1.409 |
| -9.347 | 31.415 | 22.234 | 11.789 | -8.065 | 3.232 |
| -24.125 | 52.015 | 94.026 | -10.108 | 26.794 | 2.906 |
| 0.634 | -0.918 | 0.594 | -0.263 | 2.644 | 37.766 |
| 116.002 | 52.806 | 55.739 | 2.383 | 4.987 | 2.480 |
| 52.723 | 117.120 | 56.431 | -0.655 | 0.126 | -3.278 |
| 448.034 | 739.473 | -513.108 | -687.900 | 1354.933 | -897.709 |
| 39.628 | -37.464 | 230.977 | -168.748 | 269.309 | -158.975 |
| -53.714 | 389.213 | -238.819 | -523.200 | 912.529 | -510.885 |
| 22.993 | 6.521 | 154.299 | -225.098 | 605.475 | -282.554 |
| 69.371 | 89.484 | -168.927 | 200.651 | -264.079 | 161.398 |
| 16.505 | 142.579 | -169.441 | 198.018 | -267.879 | 156.116 |
| 54.758 | 55.250 | 133.267 | 3.238 | -3.372 | -0.005 |
| 2.201 | -2.846 | 3.238 | 35.362 | 0.575 | 0.178 |
| -38.211 | 35.003 | -230.419 | 200.075 | -238.204 | 161.370 |
| 58.143 | -392.551 | 233.484 | 527.574 | -897.938 | 525.798 |
| 68.857 | 96.196 | 37.239 | -53.663 | 94.448 | -50.099 |
| 58.587 | 88.882 | 74.902 | -23.693 | 59.614 | -31.977 |
| 60.390 | 59.103 | 121.963 | -16.328 | 55.636 | -30.222 |
| 2.201 | -2.846 | 3.238 | 35.362 | 0.575 | 0.178 |
| -2.255 | 36.718 | -29.010 | -48.215 | 100.232 | -47.494 |
| 13.355 | 51.167 | -38.558 | -64.123 | 122.664 | -46.247 |
| 103.663 | 58.271 | 35.253 | 21.653 | -22.734 | 18.526 |
| 54.258 | 87.264 | 44.147 | 21.253 | -60.577 | 28.622 |
| 26.885 | -0.271 | 154.127 | 79.315 | -146.931 | 79.152 |
| -2.291 | 0.688 | -18.590 | 50.035 | -25.687 | 15.658 |
| -3.916 | 3.789 | -26.237 | 21.075 | 3.139 | 18.496 |
| 6.685 | -40.067 | 23.681 | 52.595 | -85.641 | 62.427 |
| 95.022 | 56.352 | 60.443 | -1.754 | 9.445 | -0.766 |
| 52.723 | 117.120 | 56.432 | -0.655 | 0.126 | -3.278 |
| 54.758 | 55.250 | 133.268 | 3.238 | -3.372 | -0.005 |
| 2.201 | -2.846 | 3.238 | 35.362 | 0.575 | 0.178 |
| 0.095 | 0.166 | -3.372 | 0.575 | 35.257 | 2.225 |
| 0.544 | 2.284 | -1.524 | -4.984 | 12.554 | 8.872 |
| 116.002 | 52.806 | 55.738 | 2.383 | 4.987 | 2.480 |
| 55.062 | 67.656 | 62.758 | 3.344 | -12.244 | 2.626 |
| 57.705 | 57.900 | 107.935 | 7.992 | -9.850 | 2.831 |
| -1.285 | -6.220 | 9.478 | 18.263 | -4.011 | 4.237 |
| 0.095 | 0.166 | -3.372 | 0.575 | 35.257 | 2.225 |
| 1.512 | -4.673 | 2.214 | 4.718 | -3.541 | 17.979 |
| -146.332 | 177.807 | 15.650 | 660.921 | -143.731 | 35.804 |
| -192.942 | 223.694 | 17.205 | 662.081 | -144.264 | 32.181 |
| 60.523 | 61.721 | 141.504 | -3.113 | 1.733 | 0.442 |
| -787.293 | 14.261 | -348.806 | 829.981 | 119.907 | 158.585 |
| 0.361 | 0.463 | 1.733 | 0.409 | 35.870 | -2.037 |
| -1325.624 | 120.626 | -1015.244 | 1059.924 | 77.267 | 391.633 |
| 254.961 | 52.714 | 27.259 | -301.201 | 35.111 | 0.160 |
| 190.337 | 116.094 | 28.570 | -295.975 | 34.171 | -2.408 |
| 606.044 | -119.270 | 233.206 | -675.924 | 102.677 | -105.925 |
| -1.892 | 1.512 | -3.113 | 36.829 | 0.409 | 0.754 |
| 127.233 | -10.041 | -33.915 | -299.715 | 63.539 | -6.275 |
| 128.163 | -9.381 | -35.676 | -299.319 | 34.575 | 26.534 |
| 137.655 | 61.809 | 60.674 | -1.790 | 2.353 | 3.954 |
| 50.638 | 128.154 | 68.176 | 34.223 | -2.371 | 1.946 |
| 50.396 | 66.085 | 134.371 | 26.944 | -1.245 | 0.480 |
| -13.831 | 1.846 | 0.412 | 58.948 | -2.933 | 1.202 |
| -12.458 | 1.997 | 5.698 | 30.470 | 26.985 | -1.922 |
| -11.528 | 2.657 | 3.937 | 30.866 | -1.965 | 30.888 |
| 137.655 | 61.809 | 60.674 | -1.790 | 2.353 | 3.954 |
| 76.059 | 125.913 | 60.986 | -25.851 | 4.278 | 1.154 |
| 75.790 | 63.874 | 127.236 | -33.120 | 5.400 | -0.309 |
| 11.572 | -0.344 | -6.792 | -1.105 | 3.711 | 0.411 |
| 0.361 | 0.463 | 1.733 | 0.409 | 35.870 | -2.037 |
| 28.313 | -10.350 | 6.054 | -65.399 | 14.475 | 18.881 |
| 109.647 | 66.139 | 65.874 | 6.638 | 0.036 | 4.841 |
| 61.406 | 137.743 | 61.344 | 5.974 | 0.512 | 1.538 |
| 61.961 | 65.327 | 130.410 | 0.026 | 1.758 | 0.101 |
| -8.378 | 0.194 | -6.937 | 25.921 | 1.207 | 1.059 |
| -1.959 | 1.889 | 2.470 | 6.081 | 21.985 | -2.369 |
| -0.111 | 1.676 | 0.697 | 3.920 | 0.996 | 30.409 |
| 115.884 | 63.755 | 66.587 | -5.995 | 2.881 | 4.207 |
| 61.405 | 137.741 | 61.344 | 5.974 | 0.512 | 1.538 |
| 69.699 | 65.820 | 116.631 | -9.949 | 4.742 | 1.235 |
| -1.892 | 1.512 | -3.113 | 36.829 | 0.409 | 0.754 |
| 0.361 | 0.463 | 1.733 | 0.409 | 35.870 | -2.037 |
| 2.496 | 1.452 | -0.043 | -2.233 | 1.671 | 30.290 |
| 123.702 | 59.066 | 57.887 | -2.866 | 3.644 | 4.958 |
| 290.354 | 68.346 | -1060.351 | 509.079 | 97.949 | 132.976 |
| 56.641 | 60.210 | 137.676 | -3.326 | 3.136 | -0.159 |
| 231.295 | -36.117 | -1126.919 | 524.655 | 97.137 | 132.716 |
| -141.200 | 15.171 | -85.877 | -174.411 | -235.792 | -183.419 |
| -57.410 | 43.819 | -368.890 | 90.217 | -242.100 | -7.921 |
| 123.702 | 59.066 | 57.887 | -2.866 | 3.644 | 4.958 |
| 119.010 | 70.157 | 434.665 | -89.246 | 243.090 | 31.400 |
| 200.697 | 48.682 | 217.580 | 171.252 | 266.362 | 180.760 |
| 58.523 | -43.631 | 367.630 | -70.001 | 241.701 | 31.256 |
| 144.270 | -13.097 | 92.588 | 173.762 | 290.428 | 178.904 |
| -229.538 | 34.229 | 1128.959 | -510.688 | -97.752 | -115.113 |
| 123.702 | 59.066 | 57.887 | -2.866 | 3.644 | 4.958 |
| 53.474 | 116.692 | 27.967 | 8.202 | -22.937 | -1.462 |
| 43.686 | 64.240 | 119.385 | -20.250 | -23.073 | -18.527 |
| -16.336 | 1.882 | -11.662 | 9.859 | -26.550 | -16.995 |
| 22.254 | -2.640 | -108.184 | 51.639 | 25.828 | 11.246 |
| -12.393 | 2.713 | -9.080 | -16.088 | -26.425 | 9.849 |
| 123.702 | 59.066 | 57.887 | -2.866 | 3.644 | 4.958 |
| 19.048 | 82.512 | 280.824 | -84.483 | -29.107 | 7.691 |
| 56.641 | 60.210 | 137.675 | -3.326 | 3.136 | -0.159 |
| 12.223 | -0.953 | 6.194 | 44.600 | 26.084 | 19.247 |
| 1.539 | 0.841 | 3.136 | -0.288 | 32.609 | -2.428 |
| 16.161 | -0.112 | 8.768 | 18.736 | 26.205 | 46.044 |
| 123.703 | 59.066 | 57.887 | -2.866 | 3.644 | 4.958 |
| 61.837 | 99.379 | 47.786 | 2.572 | 2.863 | 2.674 |
| 56.641 | 60.210 | 137.676 | -3.326 | 3.136 | -0.159 |
| -3.533 | 0.632 | -3.665 | 25.687 | -2.925 | -0.733 |
| 1.539 | 0.841 | 3.136 | -0.288 | 32.609 | -2.428 |
| 0.424 | 1.437 | -1.060 | -0.451 | -2.781 | 26.230 |
| 117.700 | 60.212 | 60.292 | -0.493 | 6.094 | 6.664 |
| 57.516 | 135.144 | 59.847 | 3.126 | 1.071 | 1.016 |
| 59.933 | 64.441 | 120.053 | -3.143 | 5.991 | 0.827 |
| -4.272 | -5.984 | 21.705 | 3.086 | -2.204 | 2.224 |
| 1.539 | 0.841 | 3.136 | -0.288 | 32.609 | -2.428 |
| 1.507 | 1.011 | -0.020 | 1.132 | 0.076 | 33.024 |
| 1901.891 | 317.567 | -966.308 | 859.743 | -619.101 | 534.604 |
| 60.202 | 132.528 | 59.403 | -0.693 | -0.277 | 0.835 |
| 58.418 | 59.856 | 128.678 | -2.989 | 2.752 | 1.498 |
| 101.226 | -6.944 | 23.932 | 43.349 | 97.250 | 48.240 |
| 1374.327 | 243.727 | -633.983 | 560.064 | -359.826 | 335.795 |
| 103.844 | -2.671 | 28.403 | 10.844 | 97.292 | 80.511 |
| 18.337 | 65.997 | 33.107 | -12.493 | -92.960 | -46.630 |
| -2519.242 | 138.664 | 1386.773 | -1430.045 | 625.362 | -791.047 |
| -42.523 | 64.505 | 94.593 | -14.412 | -93.891 | -47.583 |
| -1858.201 | -271.322 | 1035.326 | -860.554 | 623.139 | -539.037 |
| -0.647 | -0.359 | 2.752 | 1.545 | 33.879 | -1.118 |
| -1855.698 | -250.389 | 1037.168 | -864.823 | 617.801 | -547.161 |
| 131.035 | 61.915 | 62.884 | -0.087 | 12.348 | 7.005 |
| 244.249 | 98.112 | -36.977 | 74.846 | -56.341 | 62.340 |
| 58.418 | 59.856 | 128.678 | -2.989 | 2.752 | 1.498 |
| 16.008 | -0.785 | -1.096 | 27.423 | 22.710 | -0.691 |
| 9.595 | 0.063 | 4.533 | 2.649 | 39.198 | 4.251 |
| 11.647 | 0.670 | 4.043 | 0.694 | 11.142 | 36.627 |
| 128.094 | 60.493 | 58.795 | -0.866 | 3.253 | 2.040 |
| 45.790 | 112.745 | 59.431 | -3.202 | -19.769 | 1.440 |
| 44.848 | 59.017 | 107.318 | -4.237 | -20.842 | 0.356 |
| -0.880 | -2.986 | -2.989 | 35.586 | 1.545 | -0.332 |
| -10.904 | 0.808 | -0.886 | 0.392 | 20.032 | -5.503 |
| -15.908 | -1.569 | -1.826 | -1.523 | -19.788 | 25.132 |
| 128.095 | 60.494 | 58.796 | -0.866 | 3.253 | 2.040 |
| 64.817 | 116.478 | 62.069 | -2.397 | 3.528 | 1.613 |
| 61.151 | 60.833 | 121.366 | -3.026 | 2.788 | 1.670 |
| -0.173 | -3.280 | -2.860 | 32.058 | 2.514 | -0.017 |
| 0.418 | 0.422 | 2.077 | 1.638 | 30.480 | -0.100 |
| 1.246 | 0.833 | 1.729 | -0.250 | 1.365 | 35.855 |
| 119.080 | 62.473 | 59.996 | -1.366 | 1.696 | 1.608 |
| 60.895 | 125.835 | 60.109 | -1.356 | -0.454 | 0.458 |
| 58.418 | 59.856 | 128.677 | -2.989 | 2.752 | 1.498 |
| -2.292 | -3.203 | -3.420 | 31.839 | 0.532 | -1.026 |
| -8.711 | 1.887 | -1.492 | -2.136 | 6.948 | -3.588 |
| 1.246 | 0.833 | 1.729 | -0.250 | 1.365 | 35.855 |
| 40.020 | 390.168 | 38.461 | -1.179 | 51.661 | -128.496 |
| 56.329 | 127.569 | 57.630 | 7.450 | -0.280 | 2.009 |
| -99.260 | 433.797 | 181.544 | -19.316 | 160.236 | -101.574 |
| -536.096 | 433.826 | 337.290 | 124.386 | 277.659 | -38.080 |
| -78.890 | 329.945 | -20.087 | -0.070 | 79.540 | -132.581 |
| -537.486 | 430.478 | 340.197 | 109.463 | 276.927 | -24.559 |
| 198.862 | -271.485 | 83.320 | 0.117 | -48.433 | 137.195 |
| 138.509 | -212.088 | 80.914 | 7.576 | -50.755 | 135.005 |
| 139.861 | -272.864 | 142.543 | 1.461 | -47.727 | 133.712 |
| -0.312 | 5.842 | 0.513 | 33.555 | 0.582 | -0.530 |
| 162.795 | -376.537 | -71.580 | 20.576 | -133.882 | 102.962 |
| 1216.748 | -758.589 | -801.318 | -301.512 | -316.889 | -212.694 |
| 128.072 | 56.501 | 58.774 | -0.276 | 1.614 | 4.962 |
| 45.555 | 144.213 | 66.477 | 4.447 | 14.534 | -8.298 |
| 58.311 | 57.226 | 129.012 | 0.513 | 1.969 | 0.770 |
| -16.559 | 42.682 | 8.011 | 20.997 | 16.308 | -10.160 |
| -16.091 | 36.284 | 10.422 | -1.349 | 39.221 | -10.027 |
| -6.936 | 35.177 | -1.484 | -0.123 | 6.513 | 14.971 |
| 148.060 | 21.796 | 33.849 | -9.088 | -27.626 | 5.813 |
| 67.031 | 85.648 | 60.727 | 6.994 | -5.716 | 15.458 |
| 58.311 | 57.225 | 129.012 | 0.513 | 1.969 | 0.770 |
| -0.312 | 5.842 | 0.513 | 33.555 | 0.582 | -0.530 |
| 121.284 | -78.877 | -75.434 | -29.264 | -18.217 | -23.531 |
| 1.086 | 2.017 | 0.687 | -0.463 | 1.410 | 32.851 |
| 106.024 | 66.048 | 64.946 | -0.462 | 2.723 | 2.270 |
| 56.330 | 127.569 | 57.630 | 7.450 | -0.280 | 2.009 |
| 60.864 | 62.354 | 98.058 | 0.451 | 6.023 | 1.438 |
| -1.922 | 8.896 | 1.313 | 23.194 | 2.153 | -0.920 |
| -0.299 | 2.575 | 2.116 | 0.571 | 29.905 | -1.120 |
| -0.878 | 5.600 | 1.749 | -0.055 | 2.782 | 21.587 |
| 111.290 | 58.176 | 62.844 | -0.063 | -0.397 | 4.387 |
| 60.059 | 114.800 | 58.761 | 6.915 | -1.268 | 3.610 |
| 58.311 | 57.225 | 129.011 | 0.513 | 1.969 | 0.770 |
| -0.312 | 5.842 | 0.513 | 33.555 | 0.582 | -0.530 |
| 11.093 | -9.930 | -2.716 | -1.895 | 11.662 | -3.360 |
| 1.086 | 2.017 | 0.687 | -0.463 | 1.410 | 32.851 |
| -181.059 | 19.174 | -86.022 | 260.007 | 57.287 | -53.283 |
| -1278.588 | -367.505 | -869.097 | 379.792 | 674.370 | -420.435 |
| 60.540 | 60.126 | 143.915 | 0.592 | 1.710 | 0.966 |
| -1343.946 | -477.470 | -937.982 | 395.029 | 678.941 | -420.715 |
| 1.740 | -1.631 | 1.710 | 0.878 | 37.634 | -0.215 |
| -4283.828 | -896.889 | -295.681 | 2607.585 | 2255.779 | 82.372 |
| 450.920 | 107.960 | 212.017 | -259.532 | -50.227 | 53.948 |
| 379.604 | 174.572 | 211.874 | -258.459 | -55.471 | 53.555 |
| 1410.706 | 545.410 | 1041.887 | -381.073 | -672.278 | 419.656 |
| 1669.894 | 824.989 | 1128.674 | -926.380 | -994.364 | 644.038 |
| 317.726 | 42.629 | 151.247 | -258.525 | -21.459 | 53.548 |
| 2327.505 | 752.138 | 653.238 | -1257.831 | -1556.653 | 852.085 |
| -202.431 | -42.699 | 18.923 | 213.922 | 199.337 | -35.180 |
| -422.491 | -2.315 | 5.531 | 307.245 | 242.212 | 22.156 |
| 60.540 | 60.126 | 143.915 | 0.592 | 1.710 | 0.966 |
| -0.165 | -0.415 | 0.592 | 37.053 | 0.878 | -1.599 |
| -131.621 | -50.541 | -88.244 | 39.956 | 87.325 | -42.317 |
| -130.933 | -48.793 | -93.174 | 36.413 | 67.709 | -21.808 |
| 249.398 | 112.937 | 159.860 | -38.310 | -63.935 | 45.778 |
| 199.728 | 158.464 | 160.450 | -36.664 | -70.450 | 40.949 |
| 488.266 | 154.923 | 131.655 | -266.321 | -217.613 | -3.005 |
| 31.720 | 4.651 | 14.280 | 4.146 | -4.088 | 3.884 |
| 137.128 | 45.067 | 98.933 | -35.753 | -48.142 | 41.554 |
| 30.551 | 4.374 | 15.644 | -27.368 | -4.331 | 38.182 |
| 143.540 | 61.313 | 60.678 | -0.185 | 3.862 | 0.194 |
| 58.020 | 112.924 | 62.149 | 2.055 | 0.567 | -3.228 |
| 53.245 | 62.110 | 99.569 | 1.472 | 11.189 | -3.793 |
| -3.062 | -0.210 | -2.179 | 32.459 | 1.849 | -2.015 |
| -5.741 | -5.388 | -0.776 | 3.156 | 26.979 | -2.816 |
| -39.039 | -7.780 | 0.652 | 23.652 | 20.691 | 19.735 |
| 143.537 | 61.312 | 60.678 | -0.184 | 3.862 | 0.195 |
| 101.906 | 120.667 | 67.525 | -25.806 | -22.774 | 0.231 |
| 101.224 | 73.641 | 106.893 | -30.636 | -14.078 | 2.985 |
| 7.854 | 3.405 | 2.455 | 18.706 | -0.928 | 1.706 |
| 15.945 | 1.931 | 14.527 | -1.648 | 12.953 | 3.717 |
| 21.788 | 7.593 | 12.310 | -10.828 | -10.941 | 24.374 |
| 267.891 | 409.586 | -61.456 | 22.322 | 20.922 | 159.372 |
| 52.250 | 123.146 | 54.595 | -1.273 | 0.251 | 1.671 |
| 828.334 | 644.693 | 479.968 | 63.611 | -231.134 | 369.330 |
| 157.329 | 352.275 | -120.345 | 49.185 | 21.598 | 155.937 |
| 157.291 | 354.619 | -115.621 | 24.145 | 48.568 | 156.262 |
| 1.153 | 1.669 | 2.958 | 0.370 | 1.258 | 31.780 |
| -797.069 | -1197.919 | -108.111 | -145.594 | 316.003 | -366.475 |
| -101.935 | -241.144 | 176.134 | -22.476 | -18.214 | -153.722 |
| -353.035 | -410.617 | 47.429 | -71.540 | 74.670 | -328.839 |
| -768.489 | -590.476 | -384.563 | -47.099 | 237.675 | -362.868 |
| -768.643 | -586.093 | -378.630 | -62.978 | 255.908 | -363.840 |
| -410.497 | -466.939 | -50.504 | -69.569 | 72.152 | -311.126 |
| 118.668 | 53.246 | 55.836 | 1.144 | 2.446 | 4.458 |
| 52.250 | 123.146 | 54.595 | -1.273 | 0.251 | 1.671 |
| 98.939 | 106.278 | 107.059 | 5.482 | -3.801 | 37.487 |
| 16.296 | 33.791 | -13.640 | 29.829 | 4.529 | 15.797 |
| 16.258 | 36.137 | -8.915 | 4.787 | 31.492 | 16.122 |
| 16.320 | 37.329 | -8.617 | 2.439 | 2.963 | 42.971 |
| 60.321 | 11.312 | 53.775 | -6.382 | 8.775 | -30.332 |
| 52.250 | 123.146 | 54.595 | -1.273 | 0.251 | 1.671 |
| 54.607 | 54.626 | 123.954 | -2.102 | 3.044 | 3.538 |
| -15.050 | -36.996 | 10.077 | 25.522 | 0.735 | -15.352 |
| 0.833 | 0.184 | 3.044 | 3.001 | 34.166 | 0.630 |
| -15.026 | -33.456 | 15.100 | -1.863 | -0.831 | 11.817 |
| 105.997 | 62.714 | 59.641 | 1.326 | 0.961 | 6.281 |
| 63.109 | 104.603 | 59.630 | -1.213 | -0.100 | 7.099 |
| 54.607 | 54.626 | 123.955 | -2.102 | 3.044 | 3.538 |
| 0.936 | -1.986 | -2.102 | 33.126 | 3.001 | 0.303 |
| 8.254 | 7.955 | 8.073 | 2.963 | 18.325 | 3.927 |
| 2.234 | 5.530 | 2.040 | 0.506 | 1.257 | 28.942 |
| 97.509 | 53.664 | 58.617 | -0.063 | 2.357 | -0.284 |
| 48.708 | 89.225 | 52.654 | -2.584 | 4.670 | 0.185 |
| 54.607 | 54.626 | 123.953 | -2.102 | 3.044 | 3.538 |
| -3.624 | -6.213 | -2.090 | 20.355 | 3.111 | -2.906 |
| -1.008 | -2.855 | 4.149 | 2.417 | 29.405 | -1.035 |
| -6.846 | -1.908 | 0.678 | 0.657 | 3.037 | 16.208 |
| 130.369 | 51.624 | 41.824 | 0.000 | -0.000 | -0.000 |
| 47.679 | 167.830 | 51.563 | 0.000 | 0.000 | -0.000 |
| -12.333 | 106.506 | 43.015 | 0.000 | -0.000 | 0.000 |
| 0.408 | -0.426 | 0.438 | -10.951 | -0.000 | 0.000 |
| 0.260 | -0.271 | 0.279 | 0.000 | 8.800 | -0.000 |
| 0.542 | -0.565 | 0.581 | 0.000 | -0.000 | -30.171 |
| 130.369 | 51.624 | 41.824 | -0.000 | 0.000 | 0.000 |
| 88.593 | 128.381 | 102.188 | -0.000 | 0.000 | -0.000 |
| 41.993 | 55.676 | 113.467 | -0.000 | -0.000 | -0.000 |
| -0.408 | 0.426 | -0.438 | -10.951 | 0.000 | -0.000 |
| -0.260 | 0.271 | -0.279 | -0.000 | 8.800 | -0.000 |
| -0.542 | 0.565 | -0.581 | -0.000 | 0.000 | -30.171 |
| 130.369 | 51.624 | 41.824 | 0.000 | 0.000 | 0.000 |
| 89.181 | 127.835 | 102.959 | 0.000 | -0.000 | 0.000 |
| 41.993 | 55.676 | 113.467 | 0.000 | -0.000 | -0.000 |
| -0.000 | -0.000 | -0.000 | 31.439 | -0.000 | 0.000 |
| 0.026 | -0.027 | 0.028 | 0.000 | 8.800 | -0.000 |
| 0.054 | -0.057 | 0.058 | 0.000 | -0.000 | -30.178 |
| 86.814 | 93.123 | -13.106 | -0.000 | 0.000 | -0.000 |
| 47.679 | 167.830 | 51.563 | -0.000 | 0.000 | 0.000 |
| 41.993 | 55.676 | 113.468 | 0.000 | 0.000 | -0.000 |
| 0.000 | 0.000 | 0.000 | 31.439 | -0.000 | 0.000 |
| -0.026 | 0.027 | -0.028 | -0.000 | 8.800 | -0.000 |
| -0.054 | 0.057 | -0.058 | -0.000 | 0.000 | -30.178 |
| 86.871 | 93.070 | -13.035 | 0.000 | -0.000 | 0.000 |
| 68.600 | 145.543 | 73.040 | 0.000 | -0.000 | 0.000 |
| -12.878 | 107.006 | 42.282 | 0.000 | -0.000 | 0.000 |
| -0.000 | -0.000 | -0.001 | 31.439 | -0.000 | 0.000 |
| 0.003 | -0.003 | 0.003 | 0.000 | 8.800 | -0.000 |
| 0.005 | -0.006 | 0.006 | 0.000 | -0.000 | -30.178 |
| 109.699 | 73.536 | 20.379 | -0.000 | 0.000 | -0.000 |
| 68.595 | 145.546 | 73.035 | -0.000 | 0.000 | -0.000 |
| -12.862 | 107.003 | 42.343 | -0.000 | 0.000 | -0.000 |
| 0.000 | 0.000 | 0.001 | 31.439 | -0.000 | -0.000 |
| -0.003 | 0.003 | -0.003 | -0.000 | 8.800 | -0.000 |
| -0.005 | 0.006 | -0.006 | -0.000 | 0.000 | -30.178 |
| 157.450 | 61.908 | 61.908 | 0.000 | -0.000 | -0.000 |
| 61.908 | 157.450 | 61.908 | -0.000 | 0.000 | -0.000 |
| 61.908 | 61.908 | 157.450 | 0.000 | 0.000 | 0.000 |
| -1.441 | -1.441 | -1.441 | 26.838 | 0.000 | 0.000 |
| -1.441 | -1.441 | -1.441 | 0.000 | 26.838 | 0.000 |
| -1.441 | -1.441 | -1.441 | 0.000 | 0.000 | 26.838 |
| 143.935 | 66.992 | 66.992 | -0.000 | -0.000 | -0.000 |
| 66.992 | 143.935 | 66.992 | -0.000 | -0.000 | -0.000 |
| 66.992 | 66.992 | 143.935 | -0.000 | -0.000 | -0.000 |
| 1.441 | 1.441 | 1.441 | 26.838 | -0.000 | -0.000 |
| 1.441 | 1.441 | 1.441 | -0.000 | 26.838 | -0.000 |
| 1.441 | 1.441 | 1.441 | -0.000 | -0.000 | 26.838 |
| 157.450 | 61.908 | 61.908 | 0.000 | 0.000 | 0.000 |
| 61.908 | 157.450 | 61.908 | 0.000 | 0.000 | 0.000 |
| 61.908 | 61.908 | 157.450 | -0.000 | 0.000 | 0.000 |
| -0.030 | -0.030 | -0.030 | 31.769 | 0.000 | 0.000 |
| -0.030 | -0.030 | -0.030 | 0.000 | 31.769 | 0.000 |
| -0.030 | -0.030 | -0.030 | 0.000 | 0.000 | 31.769 |
| 157.450 | 61.908 | 61.908 | 0.000 | 0.000 | -0.000 |
| 61.908 | 157.450 | 61.908 | 0.000 | -0.000 | -0.000 |
| 61.908 | 61.908 | 157.450 | -0.000 | -0.000 | -0.000 |
| 0.030 | 0.030 | 0.030 | 31.769 | -0.000 | -0.000 |
| 0.030 | 0.030 | 0.030 | -0.000 | 31.769 | -0.000 |
| 0.030 | 0.030 | 0.030 | -0.000 | -0.000 | 31.769 |
| 143.193 | 66.785 | 66.785 | 0.000 | 0.000 | 0.000 |
| 66.785 | 143.193 | 66.785 | 0.000 | 0.000 | 0.000 |
| 66.785 | 66.785 | 143.193 | 0.000 | 0.000 | 0.000 |
| -0.009 | -0.009 | -0.009 | 28.703 | 0.000 | 0.000 |
| -0.009 | -0.009 | -0.009 | 0.000 | 28.703 | 0.000 |
| -0.009 | -0.009 | -0.009 | 0.000 | 0.000 | 28.703 |
| 157.448 | 61.908 | 61.908 | 0.000 | -0.000 | -0.000 |
| 61.908 | 157.448 | 61.908 | -0.000 | -0.000 | -0.000 |
| 61.908 | 61.908 | 157.448 | -0.000 | -0.000 | -0.000 |
| 0.009 | 0.009 | 0.009 | 28.703 | -0.000 | -0.000 |
| 0.009 | 0.009 | 0.009 | -0.000 | 28.703 | -0.000 |
| 0.009 | 0.009 | 0.009 | -0.000 | -0.000 | 28.703 |
| 155.444 | 61.224 | 61.224 | -0.000 | -0.000 | 0.000 |
| 61.224 | 155.444 | 61.224 | 0.000 | 0.000 | -0.000 |
| 61.224 | 61.224 | 155.444 | 0.000 | -0.000 | 0.000 |
| 0.000 | 0.000 | 0.000 | 40.447 | -0.000 | 0.000 |
| 0.000 | 0.000 | 0.000 | -0.000 | 40.447 | 0.000 |
| 0.000 | 0.000 | 0.000 | -0.000 | 0.000 | 40.447 |
| 155.444 | 61.224 | 61.224 | 0.000 | 0.000 | 0.000 |
| 61.224 | 155.444 | 61.224 | 0.000 | 0.000 | -0.000 |
| 61.224 | 61.224 | 155.444 | -0.000 | -0.000 | 0.000 |
| -0.000 | -0.000 | -0.000 | 40.447 | 0.000 | 0.000 |
| -0.000 | -0.000 | -0.000 | 0.000 | 40.447 | 0.000 |
| -0.000 | -0.000 | -0.000 | 0.000 | -0.000 | 40.447 |
| 144.129 | 67.382 | 67.382 | 0.000 | 0.000 | 0.000 |
| 67.382 | 144.129 | 67.382 | 0.000 | 0.000 | 0.000 |
| 67.382 | 67.382 | 144.129 | 0.000 | 0.000 | 0.000 |
| 1.386 | 1.386 | 1.386 | 31.008 | -0.000 | 0.000 |
| 1.386 | 1.386 | 1.386 | -0.000 | 31.008 | 0.000 |
| 1.386 | 1.386 | 1.386 | -0.000 | 0.000 | 31.008 |
| 155.444 | 61.224 | 61.224 | -0.000 | 0.000 | -0.000 |
| 61.224 | 155.444 | 61.224 | 0.000 | -0.000 | -0.000 |
| 61.224 | 61.224 | 155.444 | -0.000 | 0.000 | -0.000 |
| -1.386 | -1.386 | -1.386 | 31.008 | -0.000 | 0.000 |
| -1.386 | -1.386 | -1.386 | -0.000 | 31.008 | -0.000 |
| -1.386 | -1.386 | -1.386 | -0.000 | -0.000 | 31.008 |
| 138.815 | 64.227 | 64.227 | 0.000 | 0.000 | 0.000 |
| 64.227 | 138.815 | 64.227 | 0.000 | 0.000 | 0.000 |
| 64.227 | 64.227 | 138.815 | 0.000 | 0.000 | 0.000 |
| -0.000 | 0.000 | 0.000 | 40.447 | 0.000 | -0.000 |
| 0.000 | -0.000 | 0.000 | 0.000 | 40.447 | -0.000 |
| 0.000 | 0.000 | -0.000 | -0.000 | -0.000 | 40.447 |
| 155.443 | 61.224 | 61.224 | 0.000 | 0.000 | 0.000 |
| 61.224 | 155.443 | 61.224 | 0.000 | 0.000 | -0.000 |
| 61.224 | 61.224 | 155.443 | -0.000 | 0.000 | 0.000 |
| 0.000 | -0.000 | -0.000 | 40.447 | -0.000 | -0.000 |
| -0.000 | 0.000 | -0.000 | -0.000 | 40.447 | -0.000 |
| -0.000 | -0.000 | 0.000 | -0.000 | -0.000 | 40.447 |
| -3.353 | -75.092 | -75.092 | -0.000 | -0.000 | -0.000 |
| -75.092 | -3.353 | -75.092 | -0.000 | -0.000 | -0.000 |
| -75.092 | -75.092 | -3.353 | -0.000 | -0.000 | -0.000 |
| -186.295 | -186.295 | -186.295 | -1.875 | -0.000 | -0.000 |
| -139.416 | -139.416 | -139.416 | -0.000 | 26.338 | -0.000 |
| -139.416 | -139.416 | -139.416 | -0.000 | -0.000 | 26.338 |
| 296.531 | 257.650 | 257.650 | 0.000 | 0.000 | 0.000 |
| 257.650 | 296.531 | 257.650 | 0.000 | 0.000 | 0.000 |
| 257.650 | 257.650 | 296.531 | 0.000 | 0.000 | 0.000 |
| 139.416 | 139.416 | 139.416 | 26.338 | 0.000 | 0.000 |
| 186.295 | 186.295 | 186.295 | 0.000 | -1.875 | 0.000 |
| 186.295 | 186.295 | 186.295 | 0.000 | 0.000 | -1.875 |
| 122.101 | 47.806 | 47.806 | -0.000 | -0.000 | -0.000 |
| 47.806 | 122.101 | 47.806 | -0.000 | -0.000 | -0.000 |
| 47.806 | 47.806 | 122.101 | -0.000 | -0.000 | -0.000 |
| -16.478 | -16.478 | -16.478 | 3.336 | -0.000 | -0.000 |
| -16.478 | -16.478 | -16.478 | -0.000 | 3.336 | -0.000 |
| -16.478 | -16.478 | -16.478 | -0.000 | -0.000 | 3.336 |
| 129.638 | 86.433 | 86.433 | 0.000 | 0.000 | 0.000 |
| 86.433 | 129.638 | 86.433 | 0.000 | 0.000 | 0.000 |
| 86.433 | 86.433 | 129.638 | 0.000 | 0.000 | 0.000 |
| 16.478 | 16.478 | 16.478 | 3.336 | 0.000 | 0.000 |
| 16.478 | 16.478 | 16.478 | 0.000 | 3.336 | 0.000 |
| 16.478 | 16.478 | 16.478 | 0.000 | 0.000 | 3.336 |
| 134.842 | 61.861 | 61.861 | -0.000 | -0.000 | -0.000 |
| 61.861 | 134.842 | 61.861 | -0.000 | -0.000 | -0.000 |
| 61.861 | 61.861 | 134.842 | -0.000 | -0.000 | -0.000 |
| 0.000 | 0.000 | 0.000 | 43.242 | 0.000 | -0.000 |
| 0.000 | 0.000 | 0.000 | -0.000 | 43.242 | -0.000 |
| 0.000 | 0.000 | 0.000 | 0.000 | -0.000 | 43.242 |
| 137.422 | 64.101 | 64.101 | 0.000 | 0.000 | 0.000 |
| 64.101 | 137.422 | 64.101 | 0.000 | 0.000 | 0.000 |
| 64.101 | 64.101 | 137.422 | 0.000 | 0.000 | 0.000 |
| -0.000 | -0.000 | -0.000 | 43.242 | -0.000 | 0.000 |
| -0.000 | -0.000 | -0.000 | -0.000 | 43.242 | 0.000 |
| -0.000 | -0.000 | -0.000 | -0.000 | 0.000 | 43.242 |
| 137.092 | 62.950 | 62.950 | -0.000 | -0.000 | -0.000 |
| 62.950 | 137.092 | 62.950 | -0.000 | -0.000 | -0.000 |
| 61.944 | 61.944 | 141.869 | -0.000 | -0.000 | -0.000 |
| 0.000 | 0.000 | 0.000 | 42.904 | -0.000 | -0.000 |
| 0.000 | 0.000 | 0.000 | -0.000 | 42.904 | -0.000 |
| 0.000 | 0.000 | 0.000 | 0.000 | 0.000 | 42.904 |
| 141.869 | 61.944 | 61.944 | 0.000 | 0.000 | 0.000 |
| 61.944 | 141.869 | 61.944 | 0.000 | 0.000 | 0.000 |
| 61.944 | 61.944 | 141.869 | 0.000 | 0.000 | 0.000 |
| -0.000 | -0.000 | -0.000 | 42.904 | 0.000 | 0.000 |
| -0.000 | -0.000 | -0.000 | 0.000 | 42.904 | 0.000 |
| -0.000 | -0.000 | -0.000 | 0.000 | 0.000 | 42.904 |
| 135.948 | 63.424 | 63.424 | -0.000 | -0.000 | -0.000 |
| 63.039 | 137.207 | 63.039 | -0.000 | -0.000 | -0.000 |
| 63.424 | 63.424 | 135.948 | -0.000 | -0.000 | -0.000 |
| -0.011 | -0.011 | -0.011 | 30.878 | -0.000 | -0.000 |
| -0.011 | -0.011 | -0.011 | -0.000 | 30.878 | -0.000 |
| -0.011 | -0.011 | -0.011 | -0.000 | -0.000 | 30.878 |
| 141.868 | 61.944 | 61.944 | -0.000 | -0.000 | 0.000 |
| 61.944 | 141.868 | 61.944 | 0.000 | 0.000 | -0.000 |
| 61.944 | 61.944 | 141.868 | -0.000 | 0.000 | 0.000 |
| 0.010 | 0.010 | 0.010 | 30.272 | 0.000 | 0.000 |
| 0.010 | 0.010 | 0.010 | 0.000 | 30.272 | 0.000 |
| 0.010 | 0.010 | 0.010 | 0.000 | 0.000 | 30.272 |
| 136.197 | 62.807 | 62.807 | -0.000 | -0.000 | -0.000 |
| 62.807 | 136.197 | 62.807 | -0.000 | -0.000 | -0.000 |
| 62.807 | 62.807 | 136.197 | -0.000 | -0.000 | -0.000 |
| 0.000 | 0.000 | 0.000 | 42.904 | -0.000 | -0.000 |
| 0.000 | 0.000 | 0.000 | -0.000 | 42.904 | -0.000 |
| 0.000 | 0.000 | 0.000 | -0.000 | 0.000 | 42.904 |
| 137.218 | 63.049 | 63.049 | 0.000 | 0.000 | 0.000 |
| 63.049 | 137.218 | 63.049 | 0.000 | 0.000 | 0.000 |
| 63.049 | 63.049 | 137.218 | 0.000 | 0.000 | 0.000 |
| -0.000 | -0.000 | -0.000 | 42.904 | 0.000 | 0.000 |
| -0.000 | -0.000 | -0.000 | 0.000 | 42.904 | 0.000 |
| -0.000 | -0.000 | -0.000 | 0.000 | 0.000 | 42.904 |
| 134.372 | 41.408 | 29.613 | -0.000 | 0.000 | -0.000 |
| 43.015 | 97.451 | 12.565 | 0.000 | 0.000 | -0.000 |
| 33.659 | 8.090 | 98.662 | -0.000 | 0.000 | -0.000 |
| -0.000 | -0.000 | 0.000 | 10.921 | -0.000 | -0.000 |
| 0.000 | 0.000 | 0.000 | 0.000 | 34.474 | -0.000 |
| 0.000 | 0.000 | 0.000 | -0.000 | -0.000 | 43.239 |
| 137.696 | 39.186 | 33.756 | -0.000 | 0.000 | 0.000 |
| 43.015 | 97.451 | 12.565 | -0.000 | 0.000 | 0.000 |
| 33.658 | 8.090 | 98.662 | 0.000 | 0.000 | 0.000 |
| 0.000 | 0.000 | -0.000 | 10.921 | 0.000 | 0.000 |
| -0.000 | -0.000 | -0.000 | 0.000 | 34.474 | 0.000 |
| -0.000 | -0.000 | -0.000 | 0.000 | -0.000 | 43.239 |
| 137.697 | 39.186 | 33.756 | -0.000 | -0.000 | -0.000 |
| 43.015 | 97.451 | 12.565 | -0.000 | -0.000 | -0.000 |
| 29.515 | 10.860 | 93.498 | -0.000 | -0.000 | -0.000 |
| -0.000 | 0.000 | -0.001 | -5.487 | 0.000 | -0.000 |
| -0.000 | 0.000 | -0.000 | -0.000 | 24.965 | -0.000 |
| 0.000 | 0.000 | 0.000 | -0.000 | 0.000 | 43.239 |
| 137.696 | 39.185 | 33.756 | 0.000 | -0.000 | 0.000 |
| 43.015 | 97.451 | 12.565 | 0.000 | 0.000 | 0.000 |
| 33.659 | 8.090 | 98.662 | 0.000 | 0.000 | 0.000 |
| 0.000 | -0.000 | 0.001 | -5.487 | 0.000 | 0.000 |
| 0.000 | -0.000 | 0.000 | 0.000 | 24.965 | 0.000 |
| -0.000 | -0.000 | -0.000 | 0.000 | 0.000 | 43.239 |
| 134.377 | 41.408 | 29.612 | 0.000 | 0.000 | -0.000 |
| 43.015 | 97.451 | 12.565 | -0.000 | -0.000 | -0.000 |
| 33.658 | 8.090 | 98.662 | -0.000 | 0.000 | -0.000 |
| -0.000 | 0.000 | -0.000 | 1.500 | -0.000 | -0.000 |
| -0.000 | 0.000 | -0.000 | -0.000 | 24.965 | -0.000 |
| 0.000 | 0.000 | -0.000 | 0.000 | 0.000 | 43.239 |
| 134.368 | 41.408 | 29.613 | 0.000 | 0.000 | 0.000 |
| 43.015 | 97.450 | 12.565 | 0.000 | 0.000 | 0.000 |
| 33.659 | 8.090 | 98.662 | 0.000 | 0.000 | 0.000 |
| 0.000 | -0.000 | 0.000 | 1.500 | 0.000 | 0.000 |
| 0.000 | -0.000 | 0.000 | 0.000 | 24.965 | 0.000 |
| -0.000 | -0.000 | 0.000 | -0.000 | 0.000 | 43.239 |
| 73.546 | 125.653 | 2.327 | 0.000 | -0.000 | 0.000 |
| 59.812 | 139.387 | 2.327 | 0.000 | 0.000 | -0.000 |
| 2.327 | 2.327 | 114.707 | 0.000 | 0.000 | -0.000 |
| 0.000 | -0.000 | -0.000 | -23.877 | 0.000 | -0.000 |
| 0.000 | -0.000 | -0.000 | 0.000 | -23.877 | 0.000 |
| -0.000 | -0.000 | -0.000 | -0.000 | -0.000 | -26.053 |
| 139.387 | 59.812 | 2.327 | -0.000 | -0.000 | 0.000 |
| 125.653 | 73.546 | 2.327 | -0.000 | 0.000 | 0.000 |
| 2.327 | 2.327 | 114.707 | -0.000 | -0.000 | -0.000 |
| -0.000 | 0.000 | 0.000 | -23.877 | -0.000 | 0.000 |
| -0.000 | 0.000 | 0.000 | -0.000 | -23.877 | 0.000 |
| 0.000 | 0.000 | 0.000 | 0.000 | 0.000 | -26.053 |
| 139.387 | 59.812 | 2.327 | 0.000 | 0.000 | -0.000 |
| 59.812 | 139.387 | 2.327 | 0.000 | 0.000 | -0.000 |
| 2.327 | 2.327 | 114.707 | -0.000 | -0.000 | -0.000 |
| -0.000 | -0.000 | -0.000 | -23.877 | 0.000 | -0.000 |
| -0.000 | -0.000 | -0.000 | 0.000 | -23.877 | -0.000 |
| -80292623.331 | -79590506.171 | -80325925.449 | 194563.190 | 2882.506 | 547326.652 |
| 73.546 | 125.653 | 2.327 | 0.000 | 0.000 | -0.000 |
| 125.652 | 73.546 | 2.327 | 0.000 | 0.000 | 0.000 |
| 2.327 | 2.327 | 114.707 | -0.000 | -0.000 | 0.000 |
| 0.000 | 0.000 | 0.000 | -23.877 | -0.000 | 0.000 |
| 0.000 | 0.000 | 0.000 | -0.000 | -23.877 | 0.000 |
| 81212177.310 | 80296478.472 | 81254227.136 | -62336.861 | -65510.133 | 521827.374 |
| 139.387 | 59.812 | 2.327 | 0.000 | 0.000 | -0.000 |
| 125.655 | 73.544 | 2.326 | 0.000 | -0.000 | -0.000 |
| 2.327 | 2.327 | 114.708 | 0.000 | 0.000 | -0.000 |
| -0.000 | -0.000 | -0.000 | -23.877 | 0.000 | 0.000 |
| -0.000 | -0.000 | -0.000 | 0.000 | -23.877 | 0.000 |
| 516176.138 | 384983.724 | -9014645.890 | 0.000 | 0.000 | -113623.526 |
| 73.544 | 125.654 | 2.327 | -0.000 | 0.000 | -0.000 |
| 5812788.430 | 6824656.004 | 7249078.644 | -31968.444 | 8202.786 | -11096.633 |
| 2.327 | 2.327 | 114.706 | -0.000 | -0.000 | -0.000 |
| 0.000 | 0.000 | 0.000 | -23.877 | -0.000 | -0.000 |
| 0.000 | 0.000 | 0.000 | -0.000 | -23.877 | 0.000 |
| -516176.175 | -384983.736 | 9014645.536 | -0.000 | 0.000 | -113622.137 |
| 147.155 | 45.323 | 44.896 | 0.000 | 19.993 | 0.000 |
| 45.820 | 122.955 | 63.229 | 0.000 | -0.597 | 0.000 |
| 45.568 | 63.487 | 116.009 | 0.000 | -0.492 | 0.000 |
| 181.424 | -176.630 | -153.218 | 40.799 | -18.512 | -1.083 |
| 146.388 | -111.920 | -183.162 | -0.000 | 87.084 | -0.000 |
| 0.000 | 0.000 | 0.000 | -0.600 | 0.000 | 30.057 |
| 147.155 | 45.323 | 44.896 | -0.000 | 19.993 | 0.000 |
| 45.820 | 122.955 | 63.229 | -0.000 | -0.597 | -0.000 |
| -33.192 | 169.335 | 222.883 | -0.000 | 107.108 | -0.000 |
| -181.424 | 176.630 | 153.218 | 40.799 | 18.512 | -1.083 |
| -0.989 | -0.611 | -0.492 | -0.000 | 29.898 | -0.000 |
| -0.000 | -0.000 | -0.000 | -0.600 | -0.000 | 30.057 |
| 147.155 | 45.323 | 44.896 | 0.000 | 19.993 | 0.000 |
| 45.821 | 122.955 | 63.229 | 0.000 | -0.597 | -0.000 |
| 56.661 | 57.494 | 94.348 | -0.000 | -10.490 | 0.000 |
| 0.000 | -0.000 | -0.000 | 47.977 | 0.000 | -0.615 |
| 12.927 | -12.464 | -17.921 | 0.000 | 28.888 | -0.000 |
| 8.129 | -10.116 | -11.630 | -1.123 | -10.638 | 21.858 |
| 147.155 | 45.323 | 44.896 | -0.000 | 19.992 | 0.000 |
| 39.451 | 121.537 | 79.072 | -0.000 | 9.388 | -0.000 |
| 45.568 | 63.487 | 116.009 | -0.000 | -0.492 | 0.000 |
| -0.000 | 0.000 | 0.000 | 47.977 | -0.000 | -0.615 |
| -16.626 | 9.722 | 18.748 | 0.000 | 17.288 | 0.000 |
| -8.129 | 10.116 | 11.630 | -1.123 | 10.638 | 21.858 |
| 140.219 | 45.530 | 46.504 | -0.000 | 14.236 | 0.000 |
| 47.843 | 113.215 | 65.539 | 0.000 | -1.968 | 0.000 |
| 45.568 | 63.487 | 116.009 | 0.000 | -0.492 | -0.000 |
| 1.398 | -1.170 | -1.780 | 42.438 | 0.159 | -1.152 |
| -0.435 | -2.417 | -1.378 | -0.000 | 22.452 | -0.000 |
| 0.658 | -0.819 | -0.942 | -1.023 | -0.861 | 23.419 |
| 137.805 | 47.234 | 48.673 | -0.000 | 15.109 | -0.000 |
| 45.820 | 122.955 | 63.229 | 0.000 | -0.597 | 0.000 |
| 47.368 | 67.840 | 108.546 | -0.000 | 0.966 | -0.000 |
| -1.398 | 1.170 | 1.780 | 42.438 | -0.159 | -1.152 |
| -3.206 | -0.002 | 2.213 | -0.000 | 22.783 | 0.000 |
| -0.658 | 0.819 | 0.942 | -1.023 | 0.861 | 23.419 |
| 146.819 | 44.575 | 43.959 | -0.000 | 18.976 | 0.000 |
| 55.543 | 105.728 | 80.183 | -0.000 | 7.023 | 0.000 |
| 45.039 | 62.369 | 124.098 | 0.000 | -1.534 | 0.000 |
| -3.136 | 12.380 | -25.843 | 39.784 | 16.727 | -1.795 |
| -5.440 | 10.935 | -26.968 | 0.000 | 36.582 | 0.000 |
| 0.000 | 0.000 | 0.000 | -1.034 | -0.000 | 29.724 |
| 146.819 | 44.575 | 43.959 | 0.000 | 18.976 | -0.000 |
| 34.995 | 123.984 | 53.507 | -0.000 | -6.764 | -0.000 |
| 45.039 | 62.369 | 124.098 | -0.000 | -1.534 | 0.000 |
| 3.136 | -12.380 | 25.843 | 39.784 | -16.727 | -1.795 |
| -1.704 | -1.034 | -1.534 | -0.000 | 29.393 | 0.000 |
| -0.000 | -0.000 | -0.000 | -1.034 | 0.000 | 29.724 |
| 137.226 | 44.638 | 47.390 | 0.000 | 14.181 | 0.000 |
| 45.302 | 122.794 | 62.369 | -0.000 | -1.033 | 0.000 |
| 45.039 | 62.369 | 124.098 | 0.000 | -1.534 | -0.000 |
| 0.000 | -0.000 | -0.000 | 46.768 | -0.000 | -1.035 |
| -1.704 | -1.034 | -1.534 | 0.000 | 29.393 | 0.000 |
| 0.000 | 0.000 | 0.000 | -1.034 | 0.000 | 29.724 |
| 137.363 | 45.099 | 49.056 | -0.000 | 10.916 | -0.000 |
| 45.303 | 113.003 | 63.182 | 0.000 | -2.346 | -0.000 |
| 45.039 | 62.369 | 124.098 | -0.000 | -1.534 | 0.000 |
| -0.000 | 0.000 | 0.000 | 46.768 | 0.000 | -1.035 |
| -1.704 | -1.034 | -1.534 | -0.000 | 29.393 | 0.000 |
| -0.000 | -0.000 | -0.000 | -1.034 | -0.000 | 29.724 |
| 139.477 | 45.888 | 45.876 | 0.000 | 14.156 | 0.000 |
| 45.303 | 122.794 | 62.369 | -0.000 | -1.033 | -0.000 |
| 45.039 | 62.369 | 124.098 | 0.000 | -1.534 | -0.000 |
| 0.091 | -0.078 | 0.034 | 40.736 | 0.075 | -1.652 |
| -2.094 | -1.257 | -1.352 | 0.000 | 23.387 | 0.000 |
| -0.021 | 0.084 | -0.175 | -1.548 | 0.113 | 23.755 |
| 146.818 | 44.575 | 43.959 | 0.000 | 18.975 | 0.000 |
| 45.302 | 122.795 | 62.369 | -0.000 | -1.033 | 0.000 |
| 47.235 | 65.273 | 116.006 | -0.000 | -1.234 | -0.000 |
| -0.091 | 0.078 | -0.034 | 40.736 | -0.075 | -1.652 |
| -1.705 | -1.034 | -1.534 | -0.000 | 29.393 | 0.000 |
| 0.021 | -0.084 | 0.175 | -1.548 | -0.113 | 23.755 |
| -137.830 | 1.100 | 160.074 | -0.000 | 397.845 | 0.000 |
| -229.757 | 67.435 | 178.432 | -0.000 | 381.962 | -0.000 |
| -229.603 | 20.494 | 225.400 | -0.000 | 383.182 | -0.000 |
| -209.493 | 81.136 | 10.420 | 41.848 | 369.350 | -0.772 |
| 0.067 | -0.315 | -0.807 | -0.000 | 29.790 | -0.000 |
| 0.000 | 0.000 | 0.000 | -0.301 | 0.000 | 30.005 |
| 417.258 | 92.363 | -64.919 | 0.000 | -369.056 | 0.000 |
| 45.726 | 123.242 | 62.643 | 0.000 | -0.267 | 0.000 |
| 325.509 | 111.755 | 0.402 | 0.000 | -383.722 | 0.000 |
| 209.493 | -81.136 | -10.420 | 41.848 | -369.350 | -0.772 |
| 167.429 | -90.066 | -194.827 | 0.000 | -399.814 | -0.000 |
| -0.000 | -0.000 | -0.000 | -0.301 | 0.000 | 30.005 |
| 148.908 | 45.488 | 44.870 | -0.000 | 21.163 | -0.000 |
| 20.069 | 108.628 | 77.124 | -0.000 | 36.803 | 0.000 |
| 45.531 | 62.719 | 121.463 | -0.000 | -0.807 | -0.000 |
| 0.000 | -0.000 | -0.000 | 47.052 | -0.000 | -0.350 |
| -29.021 | -5.797 | 11.146 | -0.000 | 60.665 | -0.000 |
| 0.000 | 0.000 | 0.000 | -0.301 | 0.000 | 30.005 |
| 151.343 | 37.487 | 28.823 | 0.000 | -28.108 | 0.000 |
| 63.662 | 100.154 | 46.965 | 0.000 | -42.734 | -0.000 |
| 45.530 | 62.719 | 121.462 | 0.000 | -0.807 | 0.000 |
| -0.000 | 0.000 | 0.000 | 47.052 | 0.000 | -0.350 |
| 20.820 | -9.022 | -1.728 | 0.000 | -15.869 | -0.000 |
| -0.000 | -0.000 | -0.000 | -0.301 | -0.000 | 30.005 |
| 138.570 | 46.123 | 48.198 | -0.000 | 18.952 | 0.000 |
| 44.168 | 112.652 | 64.953 | -0.000 | 2.944 | -0.000 |
| 45.250 | 65.562 | 114.299 | -0.000 | 3.311 | 0.000 |
| -1.456 | 0.863 | 1.785 | 39.829 | 3.780 | -0.921 |
| -2.246 | -0.195 | 1.551 | -0.000 | 24.119 | 0.000 |
| -2.532 | -0.416 | 1.027 | -0.622 | 3.498 | 23.216 |
| 148.906 | 45.487 | 44.869 | 0.000 | 21.162 | 0.000 |
| 45.725 | 123.241 | 62.643 | 0.000 | -0.267 | -0.000 |
| 45.530 | 62.719 | 121.458 | 0.000 | -0.807 | 0.000 |
| 1.456 | -0.863 | -1.785 | 39.829 | -3.780 | -0.921 |
| 0.066 | -0.316 | -0.807 | 0.000 | 29.790 | 0.000 |
| 2.532 | 0.416 | -1.027 | -0.622 | -3.498 | 23.216 |
| -7.546 | -14.416 | -16.195 | -0.000 | 57.713 | 0.000 |
| 45.233 | 122.795 | 62.346 | 0.000 | -0.995 | 0.000 |
| 44.921 | 62.345 | 124.025 | -0.000 | -1.468 | -0.000 |
| -143.939 | -59.122 | -62.594 | 40.721 | 45.875 | -1.798 |
| -1.576 | -0.994 | -1.468 | -0.000 | 29.276 | 0.000 |
| -127.031 | 30.586 | -70.355 | -1.807 | 173.013 | 19.991 |
| 280.149 | 103.886 | 109.029 | 0.000 | -34.095 | -0.000 |
| 173.900 | 79.677 | 136.382 | 0.000 | -173.535 | -0.000 |
| 175.310 | 35.795 | 183.240 | 0.000 | -174.410 | -0.000 |
| 143.939 | 59.122 | 62.594 | 40.721 | -45.875 | -1.798 |
| 142.592 | 56.874 | 62.141 | -0.000 | -26.204 | -0.000 |
| 127.031 | -30.586 | 70.355 | -1.807 | -173.013 | 19.991 |
| 146.623 | 44.534 | 43.889 | -0.000 | 19.015 | -0.000 |
| 31.594 | 105.889 | 58.401 | -0.000 | 3.061 | -0.000 |
| 35.588 | 69.227 | 106.419 | 0.000 | 15.687 | 0.000 |
| -0.000 | -0.000 | -0.000 | 46.745 | 0.000 | -0.994 |
| -1.576 | -0.994 | -1.468 | -0.000 | 29.276 | -0.000 |
| -0.000 | -0.000 | -0.000 | -0.995 | 0.000 | 29.656 |
| 146.623 | 44.534 | 43.889 | 0.000 | 19.015 | 0.000 |
| 59.203 | 108.130 | 72.667 | 0.000 | -17.506 | -0.000 |
| 60.791 | 63.413 | 119.695 | -0.000 | -18.394 | -0.000 |
| 0.000 | 0.000 | 0.000 | 46.745 | -0.000 | -0.994 |
| 9.047 | -4.164 | 5.250 | 0.000 | 4.842 | -0.000 |
| 0.000 | 0.000 | 0.000 | -0.995 | -0.000 | 29.656 |
| 146.624 | 44.534 | 43.890 | -0.000 | 19.016 | 0.000 |
| 45.234 | 122.795 | 62.346 | -0.000 | -0.995 | -0.000 |
| 46.156 | 65.545 | 115.324 | -0.000 | 0.203 | 0.000 |
| -0.849 | 0.204 | -0.470 | 41.648 | 1.156 | -1.537 |
| -2.962 | -1.158 | -1.558 | -0.000 | 23.071 | 0.000 |
| -0.852 | 0.205 | -0.472 | -1.540 | 1.161 | 23.172 |
| 146.622 | 44.534 | 43.889 | 0.000 | 19.015 | -0.000 |
| 45.233 | 122.796 | 62.345 | 0.000 | -0.995 | 0.000 |
| 44.921 | 62.345 | 124.025 | 0.000 | -1.468 | 0.000 |
| 0.849 | -0.204 | 0.470 | 41.648 | -1.156 | -1.537 |
| -1.216 | -1.492 | -0.708 | 0.000 | 22.088 | -0.000 |
| 0.852 | -0.205 | 0.472 | -1.540 | -1.161 | 23.172 |
| 138.419 | 45.020 | 45.020 | -0.000 | -0.000 | -0.000 |
| 45.020 | 138.419 | 45.020 | -0.000 | -0.000 | -0.000 |
| 45.020 | 45.020 | 138.419 | -0.000 | -0.000 | -0.000 |
| -4.772 | -4.772 | -4.772 | 22.636 | -0.000 | -0.000 |
| -4.772 | -4.772 | -4.772 | -0.000 | 22.636 | -0.000 |
| -3.335 | -3.335 | -3.335 | -0.000 | -0.000 | 25.936 |
| 149.430 | 47.625 | 47.625 | 0.000 | 0.000 | 0.000 |
| 47.625 | 149.430 | 47.625 | 0.000 | 0.000 | 0.000 |
| 47.625 | 47.625 | 149.430 | 0.000 | 0.000 | 0.000 |
| 3.335 | 3.335 | 3.335 | 25.936 | 0.000 | 0.000 |
| 3.335 | 3.335 | 3.335 | 0.000 | 25.936 | 0.000 |
| 4.772 | 4.772 | 4.772 | 0.000 | 0.000 | 22.636 |
| 149.430 | 47.625 | 47.625 | -0.000 | -0.000 | -0.000 |
| 47.625 | 149.430 | 47.625 | -0.000 | -0.000 | -0.000 |
| 47.625 | 47.625 | 149.430 | -0.000 | -0.000 | -0.000 |
| 0.000 | -0.000 | -0.000 | 31.157 | -0.000 | -0.000 |
| -0.000 | 0.000 | -0.000 | 0.000 | 31.157 | -0.000 |
| -0.000 | -0.000 | 0.000 | -0.000 | -0.000 | 31.157 |
| 149.430 | 47.625 | 47.625 | 0.000 | 0.000 | 0.000 |
| 47.625 | 149.430 | 47.625 | 0.000 | 0.000 | 0.000 |
| 47.625 | 47.625 | 149.430 | 0.000 | 0.000 | 0.000 |
| 0.000 | 0.000 | 0.000 | 31.157 | 0.000 | 0.000 |
| 0.000 | -0.000 | 0.000 | -0.000 | 31.157 | 0.000 |
| 0.000 | 0.000 | -0.000 | -0.000 | 0.000 | 31.157 |
| 149.430 | 47.625 | 47.625 | 0.000 | -0.000 | -0.000 |
| 47.625 | 149.430 | 47.625 | -0.000 | -0.000 | -0.000 |
| 47.625 | 47.625 | 149.430 | -0.000 | -0.000 | -0.000 |
| 0.000 | -0.000 | -0.000 | 31.157 | -0.000 | -0.000 |
| -0.000 | 0.000 | -0.000 | 0.000 | 31.157 | -0.000 |
| -0.000 | -0.000 | 0.000 | 0.000 | -0.000 | 31.157 |
| 140.727 | 48.665 | 48.665 | 0.000 | 0.000 | 0.000 |
| 48.665 | 140.727 | 48.665 | 0.000 | 0.000 | 0.000 |
| 48.665 | 48.665 | 140.727 | 0.000 | 0.000 | 0.000 |
| -0.000 | 0.000 | 0.000 | 31.157 | 0.000 | 0.000 |
| 0.000 | -0.000 | 0.000 | -0.000 | 31.157 | 0.000 |
| 0.000 | 0.000 | -0.000 | 0.000 | 0.000 | 31.157 |
| 204.635 | 112.329 | 112.329 | 0.000 | 0.000 | -0.000 |
| 112.329 | 204.635 | 112.329 | 0.000 | 0.000 | -0.000 |
| 112.329 | 112.329 | 204.635 | 0.000 | -0.000 | -0.000 |
| 62.861 | 62.861 | 62.861 | 25.075 | -0.000 | -0.000 |
| 62.861 | 62.861 | 62.861 | 0.000 | 25.075 | -0.000 |
| 62.861 | 62.861 | 62.861 | 0.000 | 0.000 | 25.075 |
| 78.908 | -13.389 | -13.389 | -0.000 | -0.000 | 0.000 |
| -13.389 | 78.908 | -13.389 | -0.000 | -0.000 | 0.000 |
| -13.389 | -13.389 | 78.908 | -0.000 | -0.000 | 0.000 |
| -62.861 | -62.861 | -62.861 | 25.075 | -0.000 | 0.000 |
| -62.861 | -62.861 | -62.861 | -0.000 | 25.075 | 0.000 |
| -62.861 | -62.861 | -62.861 | -0.000 | -0.000 | 25.075 |
| 149.442 | 55.316 | 55.316 | -0.000 | 0.000 | -0.000 |
| 55.316 | 149.442 | 55.316 | 0.000 | -0.000 | -0.000 |
| 55.316 | 55.316 | 149.442 | 0.000 | 0.000 | -0.000 |
| 6.212 | 6.212 | 6.212 | 25.150 | 0.000 | -0.000 |
| 6.212 | 6.212 | 6.212 | 0.000 | 25.150 | -0.000 |
| -0.000 | -0.000 | -0.000 | 0.000 | 0.000 | 31.418 |
| 149.875 | 47.572 | 47.572 | -0.000 | -0.000 | 0.000 |
| 47.572 | 149.875 | 47.572 | -0.000 | -0.000 | -0.000 |
| 47.572 | 47.572 | 149.875 | 0.000 | 0.000 | -0.000 |
| -0.000 | 0.000 | 0.000 | 31.418 | -0.000 | -0.000 |
| -6.212 | -6.212 | -6.212 | -0.000 | 25.150 | 0.000 |
| 0.000 | 0.000 | 0.000 | -0.000 | -0.000 | 31.418 |
| 143.539 | 49.748 | 49.748 | 0.000 | 0.000 | -0.000 |
| 49.748 | 143.539 | 49.748 | 0.000 | 0.000 | -0.000 |
| 49.748 | 49.748 | 143.539 | 0.000 | 0.000 | -0.000 |
| 0.543 | 0.542 | 0.542 | 25.942 | 0.000 | -0.000 |
| 0.542 | 0.543 | 0.542 | 0.000 | 25.942 | -0.000 |
| 0.542 | 0.542 | 0.543 | 0.000 | 0.000 | 25.942 |
| 142.131 | 48.729 | 48.729 | -0.000 | -0.000 | 0.000 |
| 48.729 | 142.131 | 48.729 | -0.000 | -0.000 | 0.000 |
| 48.729 | 48.729 | 142.131 | -0.000 | 0.000 | 0.000 |
| -0.543 | -0.542 | -0.542 | 25.942 | -0.000 | 0.000 |
| -0.542 | -0.543 | -0.542 | -0.000 | 25.942 | 0.000 |
| -0.542 | -0.542 | -0.543 | -0.000 | -0.000 | 25.942 |
| 149.267 | 47.645 | 47.645 | -0.000 | -0.000 | -0.000 |
| 47.645 | 149.267 | 47.645 | -0.000 | 0.000 | -0.000 |
| 47.645 | 47.645 | 149.267 | -0.000 | -0.000 | 0.000 |
| -0.000 | -0.000 | -0.000 | 31.060 | -0.000 | -0.000 |
| -0.000 | 0.000 | -0.000 | 0.000 | 31.060 | -0.000 |
| -0.000 | -0.000 | 0.000 | -0.000 | 0.000 | 31.060 |
| 120.961 | 30.997 | 30.997 | 0.000 | 0.000 | -0.000 |
| 47.645 | 149.267 | 47.645 | 0.000 | 0.000 | 0.000 |
| 44.356 | 44.356 | 134.910 | 0.000 | 0.000 | -0.000 |
| 0.000 | 0.000 | 0.000 | 31.060 | 0.000 | 0.000 |
| 0.000 | -0.000 | 0.000 | 0.000 | 31.060 | 0.000 |
| 0.000 | 0.000 | -0.000 | 0.000 | 0.000 | 31.060 |
| 149.267 | 47.645 | 47.645 | -0.000 | -0.000 | -0.000 |
| 47.645 | 149.267 | 47.645 | -0.000 | -0.000 | -0.000 |
| 47.645 | 47.645 | 149.267 | -0.000 | -0.000 | -0.000 |
| 0.989 | 0.989 | 0.989 | 25.792 | -0.000 | 0.000 |
| 0.989 | 0.989 | 0.989 | -0.000 | 25.792 | -0.000 |
| 0.989 | 0.989 | 0.989 | -0.000 | -0.000 | 25.792 |
| 137.796 | 46.680 | 46.680 | 0.000 | -0.000 | -0.000 |
| 48.607 | 138.746 | 48.607 | 0.000 | 0.000 | -0.000 |
| 48.607 | 48.607 | 138.746 | 0.000 | -0.000 | -0.000 |
| -0.989 | -0.989 | -0.989 | 25.792 | 0.000 | -0.000 |
| -0.989 | -0.989 | -0.989 | 0.000 | 25.792 | -0.000 |
| -0.989 | -0.989 | -0.989 | 0.000 | 0.000 | 25.792 |
| 149.266 | 47.645 | 47.645 | -0.000 | -0.000 | -0.000 |
| 47.645 | 149.266 | 47.645 | -0.000 | 0.000 | -0.000 |
| 47.645 | 47.645 | 149.266 | -0.000 | -0.000 | 0.000 |
| 0.019 | 0.019 | 0.019 | 24.447 | -0.000 | -0.000 |
| 0.019 | 0.019 | 0.019 | -0.000 | 24.447 | 0.000 |
| 0.019 | 0.019 | 0.019 | -0.000 | 0.000 | 24.447 |
| 149.267 | 47.645 | 47.645 | 0.000 | 0.000 | 0.000 |
| 47.645 | 149.267 | 47.645 | 0.000 | -0.000 | 0.000 |
| 47.645 | 47.645 | 149.267 | 0.000 | 0.000 | -0.000 |
| -0.019 | -0.019 | -0.019 | 24.447 | 0.000 | -0.000 |
| -0.019 | -0.019 | -0.019 | 0.000 | 24.447 | -0.000 |
| -0.019 | -0.019 | -0.019 | 0.000 | 0.000 | 24.447 |
| 164.094 | 53.526 | 53.526 | 0.000 | -0.000 | -0.000 |
| 53.526 | 164.094 | 53.526 | 0.000 | 0.000 | 0.000 |
| 53.526 | 53.526 | 164.094 | -0.000 | -0.000 | 0.000 |
| 0.000 | 0.000 | 0.000 | 36.511 | 0.000 | 0.000 |
| 0.000 | 0.000 | 0.000 | 0.000 | 36.511 | 0.000 |
| 0.000 | 0.000 | 0.000 | -0.000 | 0.000 | 36.511 |
| 371.320 | 270.693 | 270.693 | 0.000 | 0.000 | 0.000 |
| 270.693 | 371.320 | 270.693 | 0.000 | 0.000 | 0.000 |
| 270.693 | 270.693 | 371.320 | 0.000 | 0.000 | 0.000 |
| -0.000 | -0.000 | -0.000 | 36.511 | 0.000 | 0.000 |
| -0.000 | -0.000 | -0.000 | -0.000 | 36.511 | -0.000 |
| 219.392 | 219.392 | 219.392 | 0.000 | 0.000 | 28.173 |
| 152.277 | 52.723 | 52.723 | -0.000 | -0.000 | -0.000 |
| 52.723 | 152.277 | 52.723 | -0.000 | -0.000 | 0.000 |
| 52.723 | 52.723 | 152.277 | 0.000 | -0.000 | -0.000 |
| -0.439 | -0.439 | -0.439 | 29.707 | -0.000 | -0.000 |
| -0.439 | -0.439 | -0.439 | -0.000 | 29.707 | -0.000 |
| -0.439 | -0.439 | -0.439 | -0.000 | 0.000 | 29.707 |
| 171.333 | 65.975 | 65.975 | 0.000 | -0.000 | -0.000 |
| 65.975 | 171.333 | 65.975 | -0.000 | 0.000 | -0.000 |
| 65.975 | 65.975 | 171.333 | 0.000 | 0.000 | 0.000 |
| 0.439 | 0.439 | 0.439 | 29.707 | -0.000 | -0.000 |
| 0.439 | 0.439 | 0.439 | 0.000 | 29.707 | 0.000 |
| 0.439 | 0.439 | 0.439 | -0.000 | 0.000 | 29.707 |
| 164.094 | 53.527 | 53.527 | -0.000 | -0.000 | 0.000 |
| 53.527 | 164.094 | 53.527 | -0.000 | -0.000 | 0.000 |
| 53.527 | 53.527 | 164.094 | 0.000 | -0.000 | -0.000 |
| -0.041 | -0.041 | -0.041 | 30.146 | -0.000 | -0.000 |
| -0.041 | -0.041 | -0.041 | -0.000 | 30.146 | 0.000 |
| -0.041 | -0.041 | -0.041 | -0.000 | 0.000 | 30.146 |
| 155.720 | 53.308 | 53.308 | -0.000 | 0.000 | -0.000 |
| 53.308 | 155.720 | 53.308 | -0.000 | -0.000 | -0.000 |
| 53.308 | 53.308 | 155.720 | -0.000 | -0.000 | -0.000 |
| 0.041 | 0.041 | 0.041 | 30.146 | 0.000 | -0.000 |
| 0.041 | 0.041 | 0.041 | 0.000 | 30.146 | -0.000 |
| 0.041 | 0.041 | 0.041 | 0.000 | -0.000 | 30.146 |
| 163.757 | 52.613 | 52.613 | -0.000 | -0.000 | -0.000 |
| 52.613 | 163.757 | 52.613 | -0.000 | -0.000 | -0.000 |
| 54.118 | 54.118 | 155.780 | -0.000 | -0.000 | -0.000 |
| 0.000 | 0.000 | 0.000 | 36.100 | -0.000 | 0.000 |
| 0.000 | 0.000 | 0.000 | -0.000 | 36.100 | -0.000 |
| 0.000 | 0.000 | 0.000 | 0.000 | 0.000 | 36.100 |
| 154.707 | 51.700 | 51.700 | 0.000 | 0.000 | 0.000 |
| 51.700 | 154.707 | 51.700 | 0.000 | 0.000 | 0.000 |
| 51.700 | 51.700 | 154.707 | 0.000 | 0.000 | 0.000 |
| -0.000 | -0.000 | -0.000 | 36.100 | 0.000 | 0.000 |
| -0.000 | -0.000 | -0.000 | 0.000 | 36.100 | 0.000 |
| -0.000 | -0.000 | -0.000 | 0.000 | 0.000 | 36.100 |
| 163.757 | 52.613 | 52.613 | -0.000 | -0.000 | -0.000 |
| 52.613 | 163.757 | 52.613 | -0.000 | -0.000 | -0.000 |
| 52.613 | 52.613 | 163.757 | -0.000 | -0.000 | -0.000 |
| 0.126 | 0.126 | 0.126 | 30.221 | -0.000 | -0.000 |
| 0.126 | 0.126 | 0.126 | -0.000 | 30.221 | -0.000 |
| 0.126 | 0.126 | 0.126 | -0.000 | -0.000 | 30.221 |
| 154.844 | 52.700 | 52.700 | 0.000 | 0.000 | 0.000 |
| 52.700 | 154.844 | 52.700 | 0.000 | -0.000 | 0.000 |
| 52.700 | 52.700 | 154.844 | 0.000 | 0.000 | 0.000 |
| -0.126 | -0.126 | -0.126 | 30.221 | 0.000 | 0.000 |
| -0.126 | -0.126 | -0.126 | 0.000 | 30.221 | 0.000 |
| -0.126 | -0.126 | -0.126 | 0.000 | 0.000 | 30.221 |
| 153.089 | 50.233 | 50.233 | -0.000 | 0.000 | -0.000 |
| 50.233 | 153.089 | 50.233 | -0.000 | -0.000 | -0.000 |
| 50.233 | 50.233 | 153.089 | -0.000 | -0.000 | -0.000 |
| 0.000 | 0.000 | 0.000 | 36.100 | -0.000 | -0.000 |
| 0.000 | 0.000 | 0.000 | -0.000 | 36.100 | -0.000 |
| 0.000 | 0.000 | 0.000 | -0.000 | -0.000 | 36.100 |
| 163.756 | 52.613 | 52.613 | 0.000 | 0.000 | 0.000 |
| 52.613 | 163.756 | 52.613 | 0.000 | 0.000 | 0.000 |
| 52.811 | 52.811 | 154.866 | 0.000 | 0.000 | 0.000 |
| -0.000 | -0.000 | -0.000 | 36.100 | -0.000 | 0.000 |
| -0.000 | -0.000 | -0.000 | 0.000 | 36.100 | 0.000 |
| -0.000 | -0.000 | -0.000 | 0.000 | 0.000 | 36.100 |
| 138.871 | 48.062 | 48.540 | 0.000 | 20.478 | 0.000 |
| 277.715 | 208.069 | 229.278 | 0.000 | 203.138 | 0.000 |
| 277.100 | 161.462 | 282.283 | 0.000 | 202.846 | 0.000 |
| 227.340 | 92.138 | 159.887 | 44.315 | 203.177 | -1.031 |
| -2.036 | -0.651 | -0.658 | -0.000 | 31.926 | 0.000 |
| 227.346 | 92.140 | 159.891 | -1.008 | 203.182 | 25.165 |
| 138.871 | 48.062 | 48.540 | -0.000 | 20.478 | -0.000 |
| -176.970 | 23.819 | -90.504 | 0.000 | -203.217 | -0.000 |
| -177.588 | -22.827 | -37.451 | -0.000 | -203.512 | -0.000 |
| -227.340 | -92.138 | -159.887 | 44.315 | -203.177 | -1.031 |
| -2.036 | -0.651 | -0.658 | -0.000 | 31.926 | -0.000 |
| -227.346 | -92.140 | -159.891 | -1.008 | -203.182 | 25.165 |
| 138.871 | 48.062 | 48.540 | 0.000 | 20.478 | 0.000 |
| 73.112 | 125.026 | 85.398 | 0.000 | 20.271 | 0.000 |
| 49.087 | 66.609 | 132.134 | -0.000 | -0.658 | -0.000 |
| 22.720 | 9.208 | 15.979 | 44.318 | 20.305 | -1.030 |
| 20.608 | 5.817 | -23.243 | 0.000 | 50.780 | 0.000 |
| 20.961 | -6.480 | -11.119 | -0.886 | 26.505 | 22.383 |
| 103.272 | 54.104 | 58.247 | -0.000 | -12.769 | -0.000 |
| 27.627 | 106.869 | 53.370 | 0.000 | -20.355 | -0.000 |
| 49.087 | 66.609 | 132.134 | -0.000 | -0.658 | -0.000 |
| -22.720 | -9.208 | -15.979 | 44.318 | -20.305 | -1.030 |
| -23.664 | 6.040 | 10.578 | 0.000 | -3.148 | -0.000 |
| -20.961 | 6.480 | 11.119 | -0.886 | -26.505 | 22.383 |
| 129.412 | 46.960 | 45.281 | -0.000 | 17.663 | -0.000 |
| 52.491 | 116.396 | 70.934 | -0.000 | 1.819 | 0.000 |
| 49.548 | 68.251 | 115.762 | 0.000 | 1.583 | 0.000 |
| 2.171 | 0.880 | 1.527 | 44.544 | 1.941 | -1.014 |
| -2.036 | -0.651 | -0.658 | 0.000 | 31.926 | 0.000 |
| 2.197 | 0.890 | 1.545 | -0.995 | 1.963 | 25.378 |
| 128.473 | 48.722 | 47.131 | -0.000 | 14.258 | -0.000 |
| 47.897 | 116.081 | 67.487 | -0.000 | -2.154 | -0.000 |
| 46.113 | 69.515 | 118.592 | -0.000 | -3.089 | -0.000 |
| -2.171 | -0.880 | -1.527 | 44.544 | -1.941 | -1.014 |
| -4.799 | -1.215 | -2.297 | 0.000 | 24.508 | -0.000 |
| -2.197 | -0.890 | -1.545 | -0.995 | -1.963 | 25.378 |
| 140.988 | 47.915 | 48.510 | -0.000 | 21.405 | 0.000 |
| 48.291 | 125.516 | 66.442 | -0.000 | -0.535 | 0.000 |
| 48.940 | 66.442 | 132.338 | -0.000 | -0.611 | -0.000 |
| -0.000 | -0.000 | -0.000 | 49.671 | -0.000 | -0.521 |
| -1.361 | -0.535 | -0.611 | 0.000 | 32.371 | -0.000 |
| -0.000 | -0.000 | -0.000 | -0.520 | -0.000 | 31.631 |
| 140.988 | 47.915 | 48.510 | 0.000 | 21.405 | 0.000 |
| 48.291 | 125.516 | 66.442 | 0.000 | -0.535 | -0.000 |
| -10.993 | 20.274 | -43.422 | 0.000 | -173.806 | -0.000 |
| 0.000 | 0.000 | 0.000 | 49.671 | 0.000 | -0.521 |
| -144.569 | 55.671 | -3.374 | 0.000 | -217.660 | 0.000 |
| 0.000 | 0.000 | 0.000 | -0.520 | 0.000 | 31.631 |
| 140.988 | 47.915 | 48.510 | -0.000 | 21.405 | -0.000 |
| 53.759 | 118.042 | 83.911 | 0.000 | 17.726 | 0.000 |
| 58.341 | 65.529 | 134.465 | -0.000 | 18.186 | 0.000 |
| 14.285 | -5.581 | 0.262 | 44.165 | 24.400 | -0.886 |
| 4.242 | 4.549 | 15.532 | -0.000 | 42.749 | 0.000 |
| 5.845 | 4.774 | 16.089 | -0.563 | 17.344 | 24.101 |
| 140.988 | 47.915 | 48.510 | 0.000 | 21.405 | 0.000 |
| 48.291 | 125.516 | 66.442 | 0.000 | -0.535 | -0.000 |
| 34.422 | 75.025 | 120.792 | 0.000 | -25.768 | 0.000 |
| -14.285 | 5.581 | -0.262 | 44.165 | -24.400 | -0.886 |
| -1.361 | -0.535 | -0.611 | 0.000 | 32.371 | 0.000 |
| -5.845 | -4.774 | -16.089 | -0.563 | -17.344 | 24.101 |
| 132.686 | 49.347 | 48.568 | -0.000 | 19.007 | -0.000 |
| 48.909 | 114.058 | 69.783 | -0.000 | 1.688 | -0.000 |
| 48.940 | 66.442 | 132.336 | 0.000 | -0.611 | -0.000 |
| 0.672 | 0.388 | 1.487 | 44.669 | 1.828 | -0.594 |
| -1.361 | -0.535 | -0.611 | -0.000 | 32.371 | -0.000 |
| 0.723 | 0.296 | 1.324 | -0.618 | 1.839 | 24.254 |
| 140.989 | 47.916 | 48.511 | -0.000 | 21.405 | 0.000 |
| 48.291 | 125.517 | 66.442 | 0.000 | -0.535 | -0.000 |
| 47.622 | 69.829 | 121.187 | -0.000 | -3.219 | 0.000 |
| -0.672 | -0.388 | -1.487 | 44.669 | -1.828 | -0.594 |
| -2.894 | 0.276 | -0.748 | 0.000 | 25.206 | 0.000 |
| -0.723 | -0.296 | -1.324 | -0.618 | -1.839 | 24.254 |
| -1046.736 | -1095.849 | -1139.616 | -9.992 | -0.000 | 0.000 |
| 48.601 | 112.248 | 53.148 | 8.375 | -0.000 | 0.000 |
| -736.181 | -736.181 | -692.977 | 0.000 | -0.000 | 0.000 |
| -8.375 | 8.375 | 0.000 | 36.227 | -0.000 | 0.000 |
| -1145.725 | -1145.725 | -1191.948 | 0.000 | 29.028 | -9.991 |
| -0.000 | -0.000 | 0.000 | 0.000 | -8.375 | 31.823 |
| 888.275 | 845.093 | 839.177 | -10.324 | -0.000 | 0.000 |
| 48.601 | 112.248 | 53.148 | 8.375 | 0.000 | -0.000 |
| 848.172 | 848.172 | 873.312 | -0.000 | 0.000 | -0.000 |
| 781.850 | 802.499 | 783.142 | 25.973 | -0.000 | -0.000 |
| 1145.725 | 1145.725 | 1191.948 | -0.000 | 29.028 | -9.991 |
| 0.000 | 0.000 | -0.000 | -0.000 | -8.375 | 31.823 |
| 112.248 | 48.601 | 53.148 | -8.375 | -0.000 | 0.000 |
| 48.601 | 112.248 | 53.148 | 8.375 | 0.000 | 0.000 |
| -23.192 | -23.192 | 11.879 | 0.000 | 0.000 | -0.000 |
| -168.127 | -146.454 | -166.318 | 27.422 | 0.000 | 0.000 |
| -114.573 | -114.573 | -119.194 | 0.000 | 29.027 | -9.992 |
| -79.197 | -79.197 | -78.294 | 0.000 | -10.324 | 21.594 |
| 175.289 | 132.096 | 134.311 | -10.323 | 0.000 | 0.000 |
| 132.096 | 175.289 | 134.311 | 10.323 | -0.000 | -0.000 |
| 135.185 | 135.185 | 168.471 | -0.000 | 0.000 | -0.000 |
| 68.873 | 89.520 | 78.293 | 25.976 | 0.000 | -0.000 |
| 114.573 | 114.573 | 119.194 | -0.000 | 29.027 | -9.992 |
| 79.197 | 79.197 | 78.294 | -0.000 | -10.324 | 21.594 |
| 86.968 | 38.667 | 40.659 | -10.059 | -0.000 | -0.000 |
| 48.601 | 112.248 | 53.149 | 8.375 | -0.000 | 0.000 |
| 53.155 | 53.155 | 105.740 | 0.000 | -0.000 | 0.000 |
| -8.375 | 8.375 | -0.000 | 36.227 | -0.000 | -0.000 |
| -0.000 | 0.000 | -0.000 | 0.000 | 36.227 | -8.375 |
| -11.479 | -11.479 | -11.933 | -0.000 | -10.012 | 24.435 |
| 112.248 | 48.601 | 53.148 | -8.375 | 0.000 | -0.000 |
| 66.340 | 112.028 | 69.575 | 10.933 | 0.000 | 0.000 |
| 63.548 | 63.548 | 98.344 | -0.000 | 0.000 | -0.000 |
| 4.879 | 26.545 | 16.612 | 27.425 | -0.000 | -0.000 |
| 0.000 | -0.000 | 0.000 | -0.000 | 36.227 | -8.375 |
| 11.479 | 11.479 | 11.933 | 0.000 | -10.012 | 24.435 |
| 838.372 | 786.830 | -2274.026 | -8.285 | -0.000 | 0.000 |
| -337.136 | -291.140 | -314.927 | 8.490 | -0.000 | 0.000 |
| 57.850 | 57.850 | 122.634 | -0.000 | -0.000 | -0.000 |
| -399.348 | -382.367 | -374.716 | 30.605 | -0.000 | 0.000 |
| 0.000 | 0.000 | 0.000 | -0.000 | 39.512 | -6.966 |
| 0.000 | -0.000 | -0.000 | -0.000 | -6.966 | 32.815 |
| 116.151 | 50.521 | 58.321 | -6.966 | 0.000 | -0.000 |
| 50.521 | 116.151 | 58.321 | 6.966 | 0.000 | -0.000 |
| 57.850 | 57.850 | 122.634 | 0.000 | 0.000 | 0.000 |
| -6.966 | 6.966 | -0.000 | 39.512 | 0.000 | 0.000 |
| -0.000 | -0.000 | -0.000 | 0.000 | 39.512 | -6.966 |
| 0.000 | 0.000 | 0.000 | 0.000 | -6.966 | 32.815 |
| 157.012 | 112.337 | 3.994 | -9.984 | -0.000 | -0.000 |
| 14.628 | 60.734 | 22.319 | 8.481 | -0.000 | -0.000 |
| 19.724 | 19.724 | 68.136 | 0.000 | -0.000 | -0.000 |
| -47.569 | -30.588 | -37.465 | 30.607 | -0.000 | -0.000 |
| 0.000 | 0.000 | 0.000 | 0.000 | 39.512 | -6.966 |
| 76.813 | 76.813 | -36.262 | 0.000 | -8.941 | 22.956 |
| 116.151 | 50.521 | 58.321 | -6.966 | 0.000 | -0.000 |
| 50.521 | 116.151 | 58.321 | 6.966 | 0.000 | -0.000 |
| 57.850 | 57.850 | 122.634 | -0.000 | 0.000 | -0.000 |
| -6.966 | 6.966 | -0.000 | 39.512 | 0.000 | -0.000 |
| -0.000 | -0.000 | -0.000 | -0.000 | 39.512 | -6.966 |
| -76.813 | -76.813 | 36.262 | -0.000 | -8.941 | 22.956 |
| 97.095 | 49.652 | 56.006 | -8.377 | -0.000 | -0.000 |
| 50.522 | 116.151 | 58.321 | 6.966 | -0.000 | -0.000 |
| 57.850 | 57.850 | 122.635 | -0.000 | -0.000 | -0.000 |
| -1.361 | 16.569 | -3.477 | 31.780 | -0.000 | 0.000 |
| 7.088 | 7.088 | -22.944 | 0.000 | 33.855 | -8.306 |
| 6.121 | 6.121 | -5.639 | 0.000 | -9.941 | 22.457 |
| 116.151 | 50.521 | 58.320 | -6.966 | 0.000 | 0.000 |
| 50.521 | 116.151 | 58.320 | 6.966 | 0.000 | 0.000 |
| 57.849 | 57.849 | 122.633 | -0.000 | 0.000 | -0.000 |
| -6.966 | 6.966 | -0.000 | 39.512 | 0.000 | -0.000 |
| -7.088 | -7.088 | 22.944 | -0.000 | 33.855 | -8.306 |
| -6.121 | -6.121 | 5.639 | -0.000 | -9.941 | 22.457 |
| 153.834 | 51.083 | 51.083 | 0.000 | 0.000 | 0.000 |
| 51.083 | 153.834 | 51.083 | 0.000 | 0.000 | 0.000 |
| 51.083 | 51.083 | 153.834 | 0.000 | 0.000 | 0.000 |
| 0.000 | 0.000 | 0.000 | 35.869 | -0.000 | -0.000 |
| 0.000 | 0.000 | 0.000 | -0.000 | 35.869 | -0.000 |
| 0.000 | 0.000 | 0.000 | -0.000 | -0.000 | 35.869 |
| 152.816 | 50.402 | 50.402 | -0.000 | -0.000 | -0.000 |
| 50.402 | 152.816 | 50.402 | -0.000 | -0.000 | -0.000 |
| 50.402 | 50.402 | 152.816 | -0.000 | -0.000 | -0.000 |
| -0.000 | -0.000 | -0.000 | 35.869 | -0.000 | -0.000 |
| -0.000 | -0.000 | -0.000 | -0.000 | 35.869 | -0.000 |
| -0.000 | -0.000 | -0.000 | -0.000 | -0.000 | 35.869 |
| 163.531 | 52.025 | 52.025 | 0.000 | 0.000 | 0.000 |
| 52.025 | 163.531 | 52.025 | -0.000 | 0.000 | 0.000 |
| 52.025 | 52.025 | 163.531 | 0.000 | -0.000 | 0.000 |
| 0.000 | 0.000 | 0.000 | 35.869 | -0.000 | -0.000 |
| 0.000 | 0.000 | 0.000 | -0.000 | 35.869 | -0.000 |
| 0.000 | 0.000 | 0.000 | -0.000 | -0.000 | 35.869 |
| 153.275 | 50.718 | 50.718 | -0.000 | -0.000 | -0.000 |
| 50.718 | 153.275 | 50.718 | -0.000 | -0.000 | -0.000 |
| 50.718 | 50.718 | 153.275 | -0.000 | -0.000 | -0.000 |
| -0.000 | -0.000 | -0.000 | 35.869 | -0.000 | 0.000 |
| -0.000 | -0.000 | -0.000 | -0.000 | 35.869 | -0.000 |
| -0.000 | -0.000 | -0.000 | -0.000 | -0.000 | 35.869 |
| 154.884 | 52.508 | 52.508 | -0.000 | 0.000 | 0.000 |
| 52.508 | 154.884 | 52.508 | 0.000 | 0.000 | -0.000 |
| 52.508 | 52.508 | 154.884 | 0.000 | 0.000 | 0.000 |
| 0.000 | 0.000 | 0.000 | 35.869 | 0.000 | 0.000 |
| 0.000 | 0.000 | 0.000 | 0.000 | 35.869 | 0.000 |
| 0.000 | 0.000 | 0.000 | 0.000 | 0.000 | 35.869 |
| 163.531 | 52.025 | 52.025 | 0.000 | -0.000 | 0.000 |
| 52.025 | 163.531 | 52.025 | 0.000 | 0.000 | -0.000 |
| 52.496 | 52.496 | 154.877 | 0.000 | -0.000 | -0.000 |
| -0.000 | -0.000 | -0.000 | 35.869 | -0.000 | -0.000 |
| -0.000 | -0.000 | -0.000 | -0.000 | 35.869 | -0.000 |
| -0.000 | -0.000 | -0.000 | -0.000 | 0.000 | 35.869 |
| 142.340 | 49.168 | 49.570 | 0.000 | 25.266 | 0.000 |
| 46.168 | 167.352 | 50.565 | -0.000 | -54.799 | -0.000 |
| 48.866 | 66.986 | 135.830 | 0.000 | 1.106 | 0.000 |
| 45.757 | 88.189 | -76.561 | 43.650 | -26.114 | 1.699 |
| 2.802 | 0.986 | 1.106 | 0.000 | 32.121 | 0.000 |
| 17.185 | 71.341 | 11.011 | 1.436 | -77.810 | 23.668 |
| 128.581 | -8.474 | 67.391 | 0.000 | 76.588 | 0.000 |
| 4.591 | 26.045 | 145.360 | -0.000 | 26.483 | 0.000 |
| 2.606 | -19.549 | 200.893 | -0.000 | 27.808 | 0.000 |
| -45.757 | -88.189 | 76.561 | 43.650 | 26.114 | 1.699 |
| 2.802 | 0.986 | 1.106 | -0.000 | 32.121 | -0.000 |
| -17.185 | -71.341 | -11.011 | 1.436 | 77.810 | 23.668 |
| 142.340 | 49.168 | 49.570 | 0.000 | 25.266 | -0.000 |
| 54.847 | 121.477 | 61.770 | 0.000 | -2.144 | 0.000 |
| 48.866 | 66.986 | 135.830 | 0.000 | 1.106 | 0.000 |
| -0.000 | -0.000 | -0.000 | 49.978 | -0.000 | 1.047 |
| 2.802 | 0.986 | 1.106 | 0.000 | 32.121 | 0.000 |
| 4.425 | 8.528 | -7.404 | 1.602 | -2.525 | 23.591 |
| 129.172 | 41.647 | 50.324 | -0.000 | 26.026 | 0.000 |
| 44.129 | 105.365 | 67.668 | 0.000 | 9.050 | 0.000 |
| 43.918 | 60.375 | 130.347 | -0.000 | 4.265 | 0.000 |
| 0.000 | 0.000 | 0.000 | 49.978 | 0.000 | 1.047 |
| -0.659 | -7.656 | 8.601 | -0.000 | 27.687 | 0.000 |
| -4.425 | -8.528 | 7.404 | 1.602 | 2.525 | 23.591 |
| 142.340 | 49.168 | 49.570 | 0.000 | 25.265 | 0.000 |
| 49.777 | 116.768 | 68.482 | 0.000 | 0.555 | 0.000 |
| 49.376 | 69.948 | 125.661 | 0.000 | 1.042 | -0.000 |
| 0.317 | 0.610 | -0.530 | 45.597 | -0.181 | 1.498 |
| 2.802 | 0.986 | 1.106 | 0.000 | 32.121 | 0.000 |
| 0.110 | 0.566 | -0.302 | 1.304 | -0.426 | 24.158 |
| 134.316 | 49.449 | 50.406 | -0.000 | 22.309 | 0.000 |
| 48.385 | 125.488 | 66.823 | -0.000 | 0.911 | 0.000 |
| 48.316 | 69.074 | 121.381 | 0.000 | 0.720 | 0.000 |
| -0.317 | -0.610 | 0.530 | 45.597 | 0.181 | 1.498 |
| 2.802 | 0.986 | 1.106 | 0.000 | 32.121 | -0.000 |
| -0.110 | -0.566 | 0.302 | 1.304 | 0.426 | 24.158 |
| 141.012 | 47.924 | 48.521 | 0.000 | 21.419 | 0.000 |
| -17.356 | 207.892 | 19.653 | 0.000 | 10.780 | -0.000 |
| 48.945 | 66.440 | 132.319 | 0.000 | -0.603 | 0.000 |
| -0.000 | -0.000 | -0.000 | 49.669 | 0.000 | -0.514 |
| -71.153 | 114.979 | -61.572 | 0.000 | 64.004 | 0.000 |
| -53.138 | 96.741 | -91.260 | -0.926 | 15.610 | 23.694 |
| 183.758 | -46.848 | 139.997 | -0.000 | 0.453 | 0.000 |
| 102.696 | 17.614 | 159.869 | -0.000 | -15.514 | 0.000 |
| 48.945 | 66.440 | 132.319 | -0.000 | -0.603 | -0.000 |
| 0.000 | 0.000 | 0.000 | 49.669 | -0.000 | -0.514 |
| -1.348 | -0.529 | -0.603 | -0.000 | 32.375 | -0.000 |
| 53.138 | -96.741 | 91.260 | -0.926 | -15.610 | 23.694 |
| 126.223 | 59.008 | 40.001 | 0.000 | 17.905 | -0.000 |
| 40.483 | 123.343 | 63.530 | 0.000 | 0.627 | -0.000 |
| 44.422 | 77.648 | 113.483 | 0.000 | 0.624 | -0.000 |
| -5.111 | 9.305 | -8.778 | 43.683 | 1.501 | -0.909 |
| -7.478 | 8.521 | -5.318 | 0.000 | 26.946 | -0.000 |
| -0.000 | -0.000 | -0.000 | -0.515 | -0.000 | 31.636 |
| 141.012 | 47.924 | 48.521 | -0.000 | 21.419 | -0.000 |
| 54.672 | 105.918 | 77.393 | -0.000 | -1.506 | 0.000 |
| 55.183 | 58.979 | 128.535 | -0.000 | -2.569 | 0.000 |
| 5.111 | -9.305 | 8.778 | 43.683 | -1.501 | -0.909 |
| -1.348 | -0.529 | -0.603 | -0.000 | 32.375 | -0.000 |
| 0.000 | 0.000 | 0.000 | -0.515 | 0.000 | 31.636 |
| 132.624 | 50.309 | 47.846 | 0.000 | 17.490 | 0.000 |
| 48.296 | 125.518 | 66.441 | 0.000 | -0.529 | 0.000 |
| 47.215 | 69.342 | 118.924 | 0.000 | -0.658 | -0.000 |
| -0.000 | -0.000 | -0.000 | 49.669 | 0.000 | -0.514 |
| -2.010 | 0.515 | -1.333 | 0.000 | 26.351 | -0.000 |
| -0.390 | 0.710 | -0.670 | -0.816 | 0.114 | 25.809 |
| 131.013 | 47.003 | 47.856 | -0.000 | 16.678 | 0.000 |
| 48.296 | 125.518 | 66.441 | -0.000 | -0.529 | -0.000 |
| 49.508 | 68.281 | 122.623 | -0.000 | -0.867 | 0.000 |
| 0.000 | 0.000 | 0.000 | 49.669 | -0.000 | -0.514 |
| -1.289 | -0.899 | -0.045 | -0.000 | 27.152 | 0.000 |
| 0.390 | -0.710 | 0.670 | -0.816 | -0.114 | 25.809 |
| 112.269 | 48.799 | 53.404 | -8.361 | 0.000 | 0.000 |
| 48.799 | 112.269 | 53.404 | 8.361 | 0.000 | 0.000 |
| 15.816 | 15.816 | -163.518 | 0.000 | -0.000 | 0.000 |
| -48.978 | -29.880 | -259.904 | 30.008 | 0.000 | 0.000 |
| -39.429 | -39.429 | -259.904 | 0.000 | 30.008 | -9.549 |
| 0.000 | 0.000 | -0.000 | 0.000 | -8.361 | 31.735 |
| 141.796 | 90.900 | 315.201 | -9.550 | -0.000 | 0.000 |
| 90.900 | 141.796 | 315.201 | 9.550 | -0.000 | 0.000 |
| 53.456 | 53.456 | 105.776 | -0.000 | 0.000 | -0.000 |
| -513.512 | -493.495 | -227.558 | 28.314 | -0.000 | -0.000 |
| 39.429 | 39.429 | 259.904 | -0.000 | 30.008 | -9.549 |
| -0.000 | 0.000 | 0.000 | -0.000 | -8.361 | 31.735 |
| 166.552 | 117.631 | 88.002 | -10.307 | 0.000 | 0.000 |
| 101.633 | 149.043 | 77.021 | 10.008 | 0.000 | 0.000 |
| 104.450 | 104.450 | 115.297 | 0.000 | 0.000 | 0.000 |
| -8.361 | 8.361 | -0.000 | 36.285 | -0.000 | 0.000 |
| -3.943 | -3.943 | -25.990 | 0.000 | 30.008 | -9.549 |
| -0.000 | -0.000 | -0.000 | 0.000 | -8.361 | 31.735 |
| 106.268 | 55.425 | 81.295 | -9.555 | -0.000 | -0.000 |
| 55.425 | 106.268 | 81.296 | 9.555 | -0.000 | -0.000 |
| 53.456 | 53.456 | 105.775 | -0.000 | -0.000 | -0.000 |
| -60.363 | -40.346 | -22.760 | 28.315 | -0.000 | 0.000 |
| 3.943 | 3.943 | 25.990 | -0.000 | 30.008 | -9.549 |
| 0.000 | 0.000 | 0.000 | -0.000 | -8.361 | 31.735 |
| 112.269 | 48.799 | 53.404 | -8.361 | -0.000 | -0.000 |
| 56.385 | 103.813 | 56.605 | 10.007 | -0.000 | -0.000 |
| 53.456 | 53.456 | 105.776 | 0.000 | 0.000 | 0.000 |
| -8.361 | 8.361 | -0.000 | 36.285 | 0.000 | -0.000 |
| -0.000 | 0.000 | -0.000 | 0.000 | 36.285 | -8.361 |
| -0.000 | -0.000 | -0.000 | 0.000 | -8.361 | 31.735 |
| 93.531 | 46.140 | 51.865 | -10.013 | -0.000 | -0.000 |
| 43.674 | 92.608 | 49.606 | 10.272 | 0.000 | 0.000 |
| 55.733 | 55.733 | 98.502 | -0.000 | -0.000 | -0.000 |
| -8.361 | 8.361 | 0.000 | 36.285 | 0.000 | -0.000 |
| 0.000 | -0.000 | 0.000 | -0.000 | 36.285 | -8.361 |
| 0.000 | 0.000 | 0.000 | -0.000 | -8.361 | 31.735 |
| 119.794 | 44.855 | 44.855 | 0.000 | 0.000 | -0.000 |
| 44.855 | 119.794 | 44.855 | 0.000 | -0.000 | -0.000 |
| 44.855 | 44.855 | 119.794 | -0.000 | -0.000 | -0.000 |
| -60.587 | -60.587 | -60.587 | 13.584 | -0.000 | -0.000 |
| -60.587 | -60.587 | -60.587 | 0.000 | 13.584 | -0.000 |
| -60.587 | -60.587 | -60.587 | 0.000 | -0.000 | 13.584 |
| 119.794 | 44.855 | 44.855 | 0.000 | 0.000 | 0.000 |
| 44.855 | 119.794 | 44.855 | -0.000 | 0.000 | 0.000 |
| 44.855 | 44.855 | 119.794 | -0.000 | 0.000 | 0.000 |
| 60.587 | 60.587 | 60.587 | 13.584 | 0.000 | 0.000 |
| 60.587 | 60.587 | 60.587 | -0.000 | 13.584 | -0.000 |
| 60.587 | 60.587 | 60.587 | -0.000 | 0.000 | 13.584 |
| 119.794 | 44.855 | 44.855 | 0.000 | 0.000 | 0.000 |
| 44.855 | 119.794 | 44.855 | 0.000 | -0.000 | -0.000 |
| 44.855 | 44.855 | 119.794 | 0.000 | -0.000 | -0.000 |
| -14.172 | -14.172 | -14.172 | 20.410 | -0.000 | -0.000 |
| -14.172 | -14.172 | -14.172 | -0.000 | 20.410 | -0.000 |
| -14.172 | -14.172 | -14.172 | -0.000 | -0.000 | 20.410 |
| 105.278 | 50.815 | 50.815 | -0.000 | 0.000 | 0.000 |
| 50.815 | 105.278 | 50.815 | -0.000 | 0.000 | -0.000 |
| 50.815 | 50.815 | 105.278 | -0.000 | 0.000 | 0.000 |
| 14.172 | 14.172 | 14.172 | 20.410 | -0.000 | 0.000 |
| 14.172 | 14.172 | 14.172 | 0.000 | 20.410 | 0.000 |
| 14.172 | 14.172 | 14.172 | 0.000 | 0.000 | 20.410 |
| 104.715 | 44.573 | 44.573 | 0.000 | -0.000 | -0.000 |
| 44.573 | 104.715 | 44.573 | 0.000 | -0.000 | -0.000 |
| 44.573 | 44.573 | 104.715 | 0.000 | -0.000 | 0.000 |
| -0.000 | -0.000 | 0.000 | 28.047 | -0.000 | -0.000 |
| -0.000 | -0.000 | 0.000 | 0.000 | 28.047 | 0.000 |
| -0.000 | 0.000 | -0.000 | -0.000 | -0.000 | 28.047 |
| 106.621 | 45.366 | 45.366 | -0.000 | 0.000 | 0.000 |
| 45.366 | 106.621 | 45.366 | -0.000 | 0.000 | 0.000 |
| 45.366 | 45.366 | 106.621 | -0.000 | 0.000 | 0.000 |
| 0.000 | 0.000 | -0.000 | 28.047 | 0.000 | 0.000 |
| 0.000 | 0.000 | -0.000 | 0.000 | 28.047 | 0.000 |
| 0.000 | -0.000 | 0.000 | -0.000 | 0.000 | 28.047 |
| 119.676 | 44.772 | 44.772 | -0.000 | -0.000 | -0.000 |
| 44.772 | 119.676 | 44.772 | -0.000 | 0.000 | -0.000 |
| 44.772 | 44.772 | 119.676 | -0.000 | -0.000 | -0.000 |
| 17.104 | 17.104 | 17.104 | 17.430 | -0.000 | 0.000 |
| 17.104 | 17.104 | 17.104 | -0.000 | 17.430 | 0.000 |
| 17.104 | 17.104 | 17.104 | -0.000 | -0.000 | 17.430 |
| 119.676 | 44.772 | 44.772 | 0.000 | -0.000 | -0.000 |
| 44.772 | 119.676 | 44.772 | 0.000 | -0.000 | -0.000 |
| 44.772 | 44.772 | 119.676 | 0.000 | -0.000 | -0.000 |
| -17.104 | -17.104 | -17.104 | 17.430 | 0.000 | 0.000 |
| -17.104 | -17.104 | -17.104 | 0.000 | 17.430 | -0.000 |
| -17.104 | -17.104 | -17.104 | 0.000 | 0.000 | 17.430 |
| 119.676 | 44.772 | 44.772 | -0.000 | -0.000 | 0.000 |
| 44.772 | 119.676 | 44.772 | -0.000 | 0.000 | -0.000 |
| 44.772 | 44.772 | 119.676 | -0.000 | 0.000 | 0.000 |
| 1.535 | 1.535 | 1.535 | 18.258 | -0.000 | 0.000 |
| 1.535 | 1.535 | 1.535 | -0.000 | 18.258 | -0.000 |
| 1.535 | 1.535 | 1.535 | -0.000 | 0.000 | 18.258 |
| 119.676 | 44.772 | 44.772 | 0.000 | -0.000 | -0.000 |
| 44.772 | 119.676 | 44.772 | 0.000 | 0.000 | 0.000 |
| 44.772 | 44.772 | 119.676 | 0.000 | -0.000 | -0.000 |
| -1.535 | -1.535 | -1.535 | 18.258 | 0.000 | 0.000 |
| -1.535 | -1.535 | -1.535 | 0.000 | 18.258 | 0.000 |
| -1.535 | -1.535 | -1.535 | -0.000 | 0.000 | 18.258 |
| 103.157 | 45.550 | 45.550 | -0.000 | -0.000 | 0.000 |
| 45.550 | 103.157 | 45.550 | -0.000 | -0.000 | 0.000 |
| 45.550 | 45.550 | 103.157 | -0.000 | -0.000 | 0.000 |
| -0.000 | -0.000 | 0.000 | 28.093 | -0.000 | -0.000 |
| -0.000 | -0.000 | 0.000 | -0.000 | 28.093 | -0.000 |
| -0.000 | 0.000 | -0.000 | 0.000 | -0.000 | 28.093 |
| 102.968 | 45.190 | 45.190 | 0.000 | 0.000 | -0.000 |
| 45.190 | 102.968 | 45.190 | 0.000 | 0.000 | 0.000 |
| 45.190 | 45.190 | 102.968 | 0.000 | 0.000 | 0.000 |
| 0.000 | 0.000 | -0.000 | 28.093 | -0.000 | 0.000 |
| 0.000 | 0.000 | -0.000 | 0.000 | 28.093 | 0.000 |
| 0.000 | -0.000 | 0.000 | 0.000 | -0.000 | 28.093 |
| 88.429 | 82.658 | 82.658 | 0.000 | 0.000 | -0.000 |
| 82.658 | 88.429 | 82.658 | 0.000 | 0.000 | -0.000 |
| 82.658 | 82.658 | 88.429 | 0.000 | 0.000 | 0.000 |
| -0.000 | -0.000 | -0.000 | 28.806 | -0.000 | -0.000 |
| -0.000 | 0.000 | -0.000 | -0.000 | 28.806 | -0.000 |
| -0.000 | -0.000 | 0.000 | 0.000 | -0.000 | 28.806 |
| 88.429 | 82.658 | 82.658 | 0.000 | -0.000 | 0.000 |
| 82.658 | 88.429 | 82.658 | 0.000 | 0.000 | 0.000 |
| 82.658 | 82.658 | 88.429 | 0.000 | 0.000 | 0.000 |
| 0.000 | 0.000 | -0.000 | 28.806 | -0.000 | 0.000 |
| 0.000 | -0.000 | -0.000 | -0.000 | 28.806 | 0.000 |
| 0.000 | 0.000 | -0.000 | 0.000 | -0.000 | 28.806 |
| 88.429 | 82.658 | 82.658 | -0.000 | -0.000 | -0.000 |
| 82.658 | 88.429 | 82.658 | -0.000 | 0.000 | -0.000 |
| 82.658 | 82.658 | 88.429 | -0.000 | -0.000 | -0.000 |
| 0.000 | -0.000 | 0.000 | 28.806 | 0.000 | -0.000 |
| -0.000 | 0.000 | 0.000 | 0.000 | 28.806 | -0.000 |
| -0.000 | 0.000 | 0.000 | -0.000 | 0.000 | 28.806 |
| 88.429 | 82.658 | 82.658 | 0.000 | 0.000 | 0.000 |
| 82.658 | 88.429 | 82.658 | 0.000 | 0.000 | 0.000 |
| 82.658 | 82.658 | 88.429 | 0.000 | 0.000 | 0.000 |
| -0.000 | 0.000 | -0.000 | 28.806 | -0.000 | 0.000 |
| 0.000 | -0.000 | -0.000 | 0.000 | 28.806 | 0.000 |
| 0.000 | -0.000 | -0.000 | 0.000 | 0.000 | 28.806 |
| 88.428 | 82.658 | 82.658 | -0.000 | -0.000 | 0.000 |
| 82.658 | 88.428 | 82.658 | 0.000 | -0.000 | -0.000 |
| 82.658 | 82.658 | 88.428 | -0.000 | -0.000 | 0.000 |
| 0.000 | 0.000 | -0.000 | -46.876 | -0.000 | -0.000 |
| 0.000 | 0.000 | -0.000 | -0.000 | -46.876 | -0.000 |
| 0.000 | -0.000 | 0.000 | -0.000 | -0.000 | -46.876 |
| 88.430 | 82.658 | 82.658 | 0.000 | -0.000 | -0.000 |
| 82.658 | 88.430 | 82.658 | 0.000 | 0.000 | 0.000 |
| 82.658 | 82.658 | 88.430 | -0.000 | -0.000 | 0.000 |
| -0.000 | -0.000 | 0.000 | -46.876 | 0.000 | 0.000 |
| -0.000 | -0.000 | 0.000 | 0.000 | -46.876 | 0.000 |
| -0.000 | 0.000 | -0.000 | 0.000 | 0.000 | -46.876 |
| 62.169 | 63.956 | 35.512 | -0.000 | 0.000 | -0.000 |
| 63.956 | 62.169 | 35.512 | 0.000 | 0.000 | -0.000 |
| 36.532 | 36.532 | 81.123 | -0.000 | 0.000 | -0.000 |
| -0.000 | -0.000 | 0.000 | -3.266 | 0.000 | 0.000 |
| -0.000 | -0.000 | 0.000 | -0.000 | -3.266 | 0.000 |
| -0.000 | 0.000 | 0.000 | -0.000 | -0.000 | 43.782 |
| 64.062 | 65.611 | 32.602 | 0.000 | -0.000 | 0.000 |
| 65.611 | 64.062 | 32.602 | 0.000 | 0.000 | 0.000 |
| 36.532 | 36.532 | 81.123 | 0.000 | -0.000 | 0.000 |
| 0.000 | 0.000 | -0.000 | -3.266 | 0.000 | -0.000 |
| 0.000 | 0.000 | -0.000 | 0.000 | -3.266 | 0.000 |
| 0.000 | 0.000 | -0.000 | 0.000 | 0.000 | 43.782 |
| 60.782 | 65.119 | 35.695 | -0.000 | 0.000 | 0.000 |
| 65.119 | 60.782 | 35.695 | -0.000 | 0.000 | 0.000 |
| 33.820 | 33.820 | 85.570 | -0.000 | -0.000 | -0.000 |
| -0.000 | -0.000 | 0.000 | -3.266 | -0.000 | 0.000 |
| -0.000 | -0.000 | 0.000 | -0.000 | -3.266 | 0.000 |
| -0.000 | -0.000 | -0.000 | -0.000 | -0.000 | 42.089 |
| 64.062 | 65.611 | 32.602 | 0.000 | 0.000 | 0.000 |
| 65.611 | 64.062 | 32.602 | 0.000 | 0.000 | 0.000 |
| 36.532 | 36.532 | 81.123 | 0.000 | 0.000 | 0.000 |
| 0.000 | 0.000 | -0.000 | -3.266 | -0.000 | -0.000 |
| 0.000 | 0.000 | -0.000 | 0.000 | -3.266 | 0.000 |
| 0.000 | 0.000 | 0.000 | 0.000 | -0.000 | 42.089 |
| 62.169 | 63.956 | 35.512 | 0.000 | 0.000 | -0.000 |
| 63.956 | 62.169 | 35.512 | -0.000 | -0.000 | -0.000 |
| 36.531 | 36.531 | 81.122 | 0.000 | -0.000 | -0.000 |
| -0.000 | -0.000 | 0.000 | -3.266 | 0.000 | -0.000 |
| -0.000 | -0.000 | 0.000 | -0.000 | -3.266 | 0.000 |
| -0.000 | -0.000 | -0.000 | -0.000 | -0.000 | 43.782 |
| 62.170 | 63.956 | 35.512 | 0.000 | -0.000 | -0.000 |
| 63.956 | 62.170 | 35.512 | -0.000 | -0.000 | 0.000 |
| 36.532 | 36.532 | 81.123 | 0.000 | -0.000 | 0.000 |
| 0.000 | 0.000 | -0.000 | -3.266 | 0.000 | 0.000 |
| 0.000 | 0.000 | -0.000 | 0.000 | -3.266 | 0.000 |
| 0.000 | 0.000 | 0.000 | 0.000 | -0.000 | 43.782 |
| 172.823 | 73.086 | 64.688 | 0.000 | 0.000 | -0.000 |
| 928.371 | 1025.940 | 584.975 | 0.000 | -0.000 | -0.000 |
| 64.688 | 64.688 | 137.679 | 0.000 | -0.000 | 0.000 |
| 0.000 | -0.000 | 0.000 | 39.894 | -0.000 | -0.000 |
| 594.871 | 594.871 | -368.628 | 0.000 | 33.359 | -0.000 |
| 594.855 | 594.855 | -368.618 | 0.000 | 0.000 | 48.983 |
| -424.110 | -522.079 | 435.727 | -0.000 | 0.000 | 0.000 |
| 73.086 | 172.823 | 64.688 | -0.000 | 0.000 | -0.000 |
| -793.067 | -793.067 | -391.128 | -0.000 | 0.000 | 0.000 |
| -0.000 | 0.000 | -0.000 | 39.894 | 0.000 | 0.000 |
| -594.871 | -594.871 | 368.628 | -0.000 | 33.359 | 0.000 |
| -594.855 | -594.855 | 368.618 | -0.000 | 0.000 | 48.983 |
| 172.823 | 73.086 | 64.688 | 0.000 | 0.000 | -0.000 |
| 132.305 | 230.225 | 30.281 | 0.000 | 0.000 | -0.000 |
| 64.688 | 64.688 | 137.679 | 0.000 | 0.000 | -0.000 |
| 59.646 | 59.646 | -36.961 | 33.341 | -0.000 | -0.000 |
| 0.000 | 0.000 | 0.000 | 0.000 | 39.894 | -0.000 |
| 0.000 | 0.000 | 0.000 | 0.000 | 0.000 | 49.868 |
| 82.682 | -13.997 | 11.977 | 0.000 | 0.000 | 0.000 |
| 73.086 | 172.823 | 64.688 | -0.000 | -0.000 | 0.000 |
| -1.486 | -1.486 | 165.734 | -0.000 | 0.000 | -0.000 |
| -59.646 | -59.646 | 36.961 | 33.341 | 0.000 | -0.000 |
| -0.000 | -0.000 | -0.000 | -0.000 | 39.894 | 0.000 |
| -0.000 | -0.000 | -0.000 | -0.000 | 0.000 | 49.868 |
| 176.281 | 79.033 | 64.142 | 0.000 | -0.000 | -0.000 |
| 73.087 | 172.824 | 64.688 | 0.000 | 0.000 | -0.000 |
| 69.125 | 69.125 | 129.652 | -0.000 | -0.000 | 0.000 |
| 7.341 | 7.342 | -4.549 | 31.829 | -0.000 | -0.000 |
| 7.342 | 7.341 | -4.549 | -0.000 | 31.829 | -0.000 |
| 0.000 | 0.000 | 0.000 | 0.000 | 0.000 | 49.868 |
| 172.822 | 73.086 | 64.688 | -0.000 | 0.000 | 0.000 |
| 63.289 | 160.018 | 58.936 | 0.000 | 0.000 | -0.000 |
| 60.195 | 60.195 | 121.824 | -0.000 | 0.000 | 0.000 |
| -7.341 | -7.342 | 4.549 | 31.829 | 0.000 | 0.000 |
| -7.342 | -7.341 | 4.549 | 0.000 | 31.829 | 0.000 |
| -0.000 | -0.000 | -0.000 | -0.000 | -0.000 | 49.868 |
| 172.362 | 73.128 | 65.970 | -0.000 | 0.000 | -0.000 |
| 73.128 | 172.362 | 65.970 | -0.000 | 0.000 | 0.000 |
| 65.607 | 65.607 | 140.344 | -0.000 | 0.000 | -0.000 |
| -0.824 | -0.824 | 2.126 | 23.730 | 0.000 | -0.000 |
| -0.824 | -0.824 | 2.126 | -0.000 | 23.730 | -0.000 |
| -0.302 | -0.302 | 0.780 | 0.000 | 0.000 | 48.787 |
| 172.362 | 73.128 | 65.970 | -0.000 | -0.000 | 0.000 |
| 73.128 | 172.362 | 65.970 | 0.000 | -0.000 | -0.000 |
| 67.406 | 67.406 | 133.695 | -0.000 | -0.000 | 0.000 |
| 0.146 | 0.146 | -0.373 | 22.304 | -0.000 | 0.000 |
| 0.824 | 0.824 | -2.126 | 0.000 | 23.730 | 0.000 |
| 0.302 | 0.302 | -0.780 | -0.000 | -0.000 | 48.787 |
| 169.859 | 71.845 | 68.372 | 0.000 | 0.000 | -0.000 |
| 73.128 | 172.362 | 65.970 | 0.000 | 0.000 | -0.000 |
| 65.607 | 65.607 | 140.344 | 0.000 | 0.000 | 0.000 |
| -0.086 | -0.086 | 0.222 | 22.995 | 0.000 | -0.000 |
| -0.086 | -0.086 | 0.222 | -0.000 | 22.995 | -0.000 |
| 0.000 | 0.000 | 0.000 | 0.000 | 0.000 | 49.617 |
| 168.473 | 71.837 | 65.624 | -0.000 | -0.000 | -0.000 |
| 71.865 | 169.854 | 68.303 | 0.000 | -0.000 | 0.000 |
| 65.607 | 65.607 | 140.344 | 0.000 | -0.000 | 0.000 |
| -0.000 | -0.000 | -0.000 | 40.260 | -0.000 | 0.000 |
| 0.086 | 0.086 | -0.222 | -0.000 | 22.995 | 0.000 |
| -0.000 | -0.000 | -0.000 | -0.000 | -0.000 | 49.617 |
| 169.858 | 71.854 | 68.342 | 0.000 | 0.000 | -0.000 |
| 71.854 | 169.858 | 68.342 | 0.000 | 0.000 | 0.000 |
| 65.039 | 65.039 | 132.143 | -0.000 | 0.000 | 0.000 |
| -0.009 | -0.008 | 0.022 | 22.987 | 0.000 | 0.000 |
| -0.008 | -0.009 | 0.022 | -0.000 | 22.987 | -0.000 |
| -0.003 | -0.003 | 0.008 | 0.000 | 0.000 | 48.722 |
| 172.361 | 73.128 | 65.970 | 0.000 | -0.000 | -0.000 |
| 71.856 | 169.855 | 68.334 | 0.000 | -0.000 | 0.000 |
| 65.041 | 65.041 | 132.134 | -0.000 | -0.000 | 0.000 |
| 0.009 | 0.008 | -0.022 | 22.987 | -0.000 | 0.000 |
| 0.008 | 0.009 | -0.022 | 0.000 | 22.987 | 0.000 |
| 0.003 | 0.003 | -0.008 | -0.000 | -0.000 | 48.722 |
| 73.413 | 46.731 | 52.356 | -0.000 | 0.000 | 0.000 |
| 46.731 | 73.413 | 52.356 | -0.000 | 0.000 | 0.000 |
| 48.432 | 48.432 | 160.033 | 0.000 | 0.000 | -0.000 |
| -24.325 | -24.325 | 93.439 | 15.027 | 0.000 | 0.000 |
| -24.325 | -24.325 | 93.439 | -0.000 | 15.027 | 0.000 |
| 0.000 | 0.000 | 0.000 | -0.000 | 0.000 | 13.156 |
| 73.413 | 46.731 | 52.356 | 0.000 | -0.000 | 0.000 |
| 46.731 | 73.413 | 52.356 | -0.000 | -0.000 | 0.000 |
| 53.555 | 53.555 | 4.477 | 0.000 | -0.000 | -0.000 |
| 24.325 | 24.325 | -93.439 | 15.027 | -0.000 | 0.000 |
| 24.325 | 24.325 | -93.439 | 0.000 | 15.027 | -0.000 |
| -0.000 | -0.000 | -0.000 | 0.000 | -0.000 | 13.156 |
| 71.191 | 45.487 | 58.842 | 0.000 | 0.000 | 0.000 |
| 45.487 | 71.191 | 58.842 | -0.000 | 0.000 | 0.000 |
| 50.743 | 50.743 | 90.073 | 0.000 | 0.000 | 0.000 |
| 0.000 | 0.000 | 0.000 | 17.645 | 0.000 | -0.000 |
| 0.000 | 0.000 | 0.000 | 0.000 | 17.645 | 0.000 |
| 0.000 | 0.000 | 0.000 | 0.000 | 0.000 | 13.156 |
| 74.180 | 48.333 | 41.530 | 0.000 | -0.000 | 0.000 |
| 48.333 | 74.180 | 41.530 | 0.000 | -0.000 | -0.000 |
| 52.356 | 52.356 | 85.894 | -0.000 | -0.000 | 0.000 |
| -0.000 | -0.000 | -0.000 | 17.645 | -0.000 | -0.000 |
| -0.000 | -0.000 | -0.000 | -0.000 | 17.645 | -0.000 |
| -0.000 | -0.000 | -0.000 | 0.000 | -0.000 | 13.156 |
| 73.415 | 46.732 | 52.356 | -0.000 | 0.000 | 0.000 |
| 46.732 | 73.415 | 52.356 | 0.000 | 0.000 | -0.000 |
| 52.356 | 52.356 | 85.896 | 0.000 | 0.000 | 0.000 |
| 0.000 | 0.000 | 0.000 | 17.645 | -0.000 | 0.000 |
| 0.000 | 0.000 | 0.000 | 0.000 | 17.645 | -0.000 |
| 0.000 | 0.000 | 0.000 | 0.000 | 0.000 | 13.156 |
| 73.412 | 46.731 | 52.355 | 0.000 | -0.000 | -0.000 |
| 46.731 | 73.412 | 52.355 | 0.000 | -0.000 | -0.000 |
| 52.355 | 52.355 | 85.892 | -0.000 | -0.000 | -0.000 |
| -0.000 | -0.000 | -0.000 | 17.645 | -0.000 | 0.000 |
| -0.000 | -0.000 | -0.000 | -0.000 | 17.645 | 0.000 |
| -0.000 | -0.000 | -0.000 | 0.000 | 0.000 | 13.156 |
| 72.212 | 41.894 | 53.001 | 0.000 | 0.000 | 0.000 |
| 41.894 | 72.212 | 53.001 | -0.000 | 0.000 | -0.000 |
| 52.825 | 52.825 | 94.604 | 0.000 | 0.000 | 0.000 |
| -113.148 | -113.148 | -253.202 | 18.102 | 0.000 | -0.000 |
| -113.148 | -113.148 | -253.202 | 0.000 | 18.102 | -0.000 |
| -113.145 | -113.145 | -253.194 | -0.000 | 0.000 | 10.321 |
| 184.159 | 154.631 | 305.709 | -0.000 | -0.000 | -0.000 |
| 154.631 | 184.159 | 305.709 | -0.000 | 0.000 | -0.000 |
| 164.562 | 164.562 | 343.874 | -0.000 | 0.000 | 0.000 |
| 113.148 | 113.148 | 253.202 | 18.102 | -0.000 | -0.000 |
| 113.148 | 113.148 | 253.202 | -0.000 | 18.102 | -0.000 |
| 113.145 | 113.145 | 253.194 | -0.000 | -0.000 | 10.321 |
| 59.712 | 30.165 | 27.171 | 0.000 | 0.000 | 0.000 |
| 30.165 | 59.712 | 27.171 | 0.000 | -0.000 | 0.000 |
| 40.098 | 40.098 | 65.326 | 0.000 | 0.000 | 0.000 |
| -11.348 | -11.348 | -25.394 | 18.098 | -0.000 | 0.000 |
| -11.348 | -11.348 | -25.394 | 0.000 | 18.098 | 0.000 |
| -11.314 | -11.314 | -25.319 | 0.000 | 0.000 | 10.321 |
| 80.773 | 51.540 | 85.246 | -0.000 | -0.000 | 0.000 |
| 51.540 | 80.773 | 85.246 | -0.000 | -0.000 | -0.000 |
| 52.825 | 52.825 | 94.604 | 0.000 | -0.000 | 0.000 |
| 11.348 | 11.348 | 25.394 | 18.098 | 0.000 | 0.000 |
| 11.348 | 11.348 | 25.394 | -0.000 | 18.098 | -0.000 |
| 11.314 | 11.314 | 25.319 | -0.000 | -0.000 | 10.321 |
| 72.206 | 41.894 | 53.000 | 0.000 | 0.000 | 0.000 |
| 41.894 | 72.206 | 53.000 | -0.000 | 0.000 | 0.000 |
| 52.825 | 52.825 | 94.605 | 0.000 | 0.000 | 0.000 |
| -0.905 | -0.907 | -3.545 | 15.012 | 0.000 | 0.000 |
| -0.907 | -0.905 | -3.545 | 0.000 | 15.012 | 0.000 |
| -1.131 | -1.131 | -2.532 | 0.000 | 0.000 | 10.321 |
| 71.806 | 42.474 | 54.838 | -0.000 | -0.000 | -0.000 |
| 42.474 | 71.806 | 54.838 | 0.000 | -0.000 | -0.000 |
| 52.825 | 52.825 | 94.602 | 0.000 | -0.000 | -0.000 |
| 0.905 | 0.907 | 3.545 | 15.012 | -0.000 | -0.000 |
| 0.907 | 0.905 | 3.545 | -0.000 | 15.012 | 0.000 |
| 1.131 | 1.131 | 2.532 | 0.000 | -0.000 | 10.321 |
| 67.009 | 35.933 | 47.214 | -1.750 | -0.000 | -0.000 |
| 38.811 | 69.900 | 49.690 | 1.831 | -0.000 | 0.000 |
| 47.219 | 47.219 | 148.428 | 0.000 | -0.000 | 0.000 |
| -1.831 | 1.831 | -0.000 | 25.915 | -0.000 | -0.000 |
| 0.000 | 0.000 | 0.000 | 0.000 | 20.502 | -1.382 |
| 0.000 | 0.000 | 0.000 | 0.000 | -1.382 | 15.507 |
| 69.900 | 38.811 | 49.690 | -1.831 | 0.000 | -0.000 |
| 38.811 | 69.900 | 49.690 | 1.831 | 0.000 | -0.000 |
| 47.219 | 47.219 | 148.428 | -0.000 | 0.000 | -0.000 |
| -1.382 | 1.382 | -0.000 | 20.502 | 0.000 | -0.000 |
| -0.000 | -0.000 | -0.000 | -0.000 | 20.502 | -1.382 |
| -0.000 | -0.000 | -0.000 | -0.000 | -1.382 | 15.507 |
| 69.900 | 38.811 | 49.690 | -1.831 | -0.000 | 0.000 |
| 38.811 | 69.900 | 49.690 | 1.831 | 0.000 | 0.000 |
| 49.690 | 49.690 | 150.549 | 0.000 | -0.000 | 0.000 |
| -1.382 | 1.382 | 0.000 | 20.501 | 0.000 | 0.000 |
| 0.000 | 0.000 | -0.000 | 0.000 | 25.915 | -1.831 |
| 0.000 | 0.000 | 0.000 | 0.000 | -1.382 | 15.507 |
| 67.009 | 35.933 | 47.214 | -1.750 | 0.000 | -0.000 |
| 35.933 | 67.009 | 47.214 | 1.750 | 0.000 | -0.000 |
| 49.690 | 49.690 | 150.549 | -0.000 | 0.000 | -0.000 |
| -1.382 | 1.382 | -0.000 | 20.502 | -0.000 | 0.000 |
| -0.000 | -0.000 | 0.000 | -0.000 | 25.915 | -1.831 |
| -0.000 | -0.000 | -0.000 | -0.000 | -1.382 | 15.507 |
| 67.010 | 35.933 | 47.214 | -1.750 | -0.000 | 0.000 |
| 38.811 | 69.901 | 49.690 | 1.831 | 0.000 | 0.000 |
| 47.219 | 47.219 | 148.426 | 0.000 | -0.000 | 0.000 |
| -1.381 | 1.382 | 0.000 | 20.501 | 0.000 | -0.000 |
| 0.000 | 0.000 | -0.000 | 0.000 | 25.915 | -1.831 |
| 0.000 | 0.000 | 0.000 | 0.000 | -1.382 | 15.507 |
| 66.983 | 35.969 | 47.219 | -1.382 | 0.000 | -0.000 |
| 35.933 | 67.008 | 47.214 | 1.750 | 0.000 | -0.000 |
| 47.219 | 47.219 | 148.429 | -0.000 | 0.000 | -0.000 |
| -1.382 | 1.381 | -0.000 | 20.502 | -0.000 | -0.000 |
| -0.000 | -0.000 | 0.000 | -0.000 | 25.915 | -1.831 |
| -0.000 | -0.000 | -0.000 | -0.000 | -1.382 | 15.507 |
| 67.027 | 37.297 | 53.207 | 1.655 | 0.000 | 0.000 |
| 37.297 | 67.027 | 53.207 | -1.655 | 0.000 | 0.000 |
| 53.474 | 53.474 | 163.889 | -0.000 | 0.000 | 0.000 |
| 1.101 | -1.906 | -0.501 | 24.406 | 0.000 | 0.000 |
| -0.403 | -0.403 | -0.501 | 0.000 | 24.406 | 1.503 |
| -0.104 | -0.104 | -0.130 | 0.000 | 1.616 | 14.864 |
| 67.027 | 37.297 | 53.207 | 1.655 | -0.000 | -0.000 |
| 34.001 | 63.729 | 49.103 | -1.625 | -0.000 | -0.000 |
| 49.351 | 49.351 | 158.757 | 0.000 | -0.000 | -0.000 |
| 1.906 | -1.101 | 0.501 | 24.406 | -0.000 | 0.000 |
| 0.403 | 0.403 | 0.501 | -0.000 | 24.406 | 1.503 |
| 0.104 | 0.104 | 0.130 | -0.000 | 1.616 | 14.864 |
| 63.641 | 33.913 | 48.993 | 1.625 | 0.000 | 0.000 |
| 33.913 | 63.641 | 48.993 | -1.625 | 0.000 | 0.000 |
| 49.263 | 49.263 | 158.647 | 0.000 | 0.000 | 0.000 |
| 1.462 | -1.543 | -0.050 | 24.368 | 0.000 | 0.000 |
| -0.000 | -0.000 | -0.000 | 0.000 | 30.299 | 1.655 |
| -0.000 | 0.000 | -0.000 | 0.000 | 1.655 | 14.865 |
| 63.657 | 33.929 | 49.013 | 1.625 | 0.000 | -0.000 |
| 37.297 | 67.027 | 53.207 | -1.655 | -0.000 | -0.000 |
| 49.279 | 49.279 | 158.667 | -0.000 | -0.000 | -0.000 |
| 1.655 | -1.655 | 0.000 | 30.299 | -0.000 | -0.000 |
| 0.000 | 0.000 | 0.000 | -0.000 | 30.299 | 1.655 |
| 0.000 | -0.000 | 0.000 | -0.000 | 1.655 | 14.865 |
| 67.027 | 37.297 | 53.207 | 1.655 | 0.000 | 0.000 |
| 33.920 | 63.648 | 49.002 | -1.625 | 0.000 | 0.000 |
| 49.270 | 49.270 | 158.654 | 0.000 | 0.000 | 0.000 |
| 1.498 | -1.507 | -0.005 | 24.367 | 0.000 | 0.000 |
| -0.000 | -0.000 | -0.000 | 0.000 | 30.299 | 1.655 |
| -0.004 | -0.004 | -0.005 | 0.000 | 1.502 | 14.861 |
| 63.647 | 33.925 | 49.005 | 1.502 | -0.000 | -0.000 |
| 33.921 | 63.650 | 49.005 | -1.625 | -0.000 | -0.000 |
| 53.474 | 53.474 | 163.891 | 0.000 | -0.000 | 0.000 |
| 1.506 | -1.498 | 0.005 | 24.367 | -0.000 | 0.000 |
| 0.000 | 0.000 | 0.000 | -0.000 | 30.299 | 1.655 |
| 0.004 | 0.004 | 0.005 | -0.000 | 1.502 | 14.861 |
| 74.045 | 46.996 | 52.361 | 0.000 | -0.000 | -0.000 |
| 46.996 | 74.045 | 52.361 | -0.000 | 0.000 | -0.000 |
| 43.343 | 43.343 | 66.913 | -0.000 | 0.000 | -0.000 |
| -0.000 | -0.000 | -0.000 | 17.602 | -0.000 | -0.000 |
| -0.000 | -0.000 | -0.000 | 0.000 | 17.602 | -0.000 |
| -0.000 | -0.000 | -0.000 | 0.000 | -0.000 | 13.310 |
| 74.045 | 46.996 | 52.361 | -0.000 | -0.000 | 0.000 |
| 46.996 | 74.045 | 52.361 | 0.000 | -0.000 | 0.000 |
| 52.372 | 52.372 | 85.306 | 0.000 | -0.000 | -0.000 |
| 0.000 | 0.000 | 0.000 | 17.602 | -0.000 | -0.000 |
| 0.000 | 0.000 | 0.000 | -0.000 | 17.602 | 0.000 |
| 0.000 | -0.000 | 0.000 | 0.000 | -0.000 | 13.310 |
| 74.045 | 46.996 | 52.361 | -0.000 | 0.000 | -0.000 |
| 46.996 | 74.045 | 52.361 | 0.000 | -0.000 | -0.000 |
| 49.505 | 49.505 | 79.072 | -0.000 | -0.000 | -0.000 |
| 0.000 | 0.000 | 0.000 | 17.602 | -0.000 | -0.000 |
| 0.000 | 0.000 | 0.000 | 0.000 | 17.602 | -0.000 |
| 0.000 | 0.000 | 0.000 | 0.000 | 0.000 | 13.310 |
| 74.044 | 46.996 | 52.361 | 0.000 | 0.000 | 0.000 |
| 46.996 | 74.044 | 52.361 | 0.000 | 0.000 | 0.000 |
| 51.389 | 51.389 | 81.169 | -0.000 | 0.000 | 0.000 |
| -0.000 | -0.000 | -0.000 | 17.602 | -0.000 | -0.000 |
| -0.000 | -0.000 | -0.000 | 0.000 | 17.602 | -0.000 |
| -0.000 | -0.000 | -0.000 | 0.000 | 0.000 | 13.310 |
| 74.047 | 46.997 | 52.362 | 0.000 | -0.000 | -0.000 |
| 46.997 | 74.047 | 52.362 | -0.000 | -0.000 | 0.000 |
| 50.632 | 50.632 | 79.512 | 0.000 | -0.000 | 0.000 |
| 0.000 | 0.000 | 0.000 | 17.602 | -0.000 | 0.000 |
| 0.000 | 0.000 | 0.000 | 0.000 | 17.602 | -0.000 |
| 0.000 | 0.000 | 0.000 | 0.000 | -0.000 | 13.310 |
| 74.043 | 46.996 | 52.361 | 0.000 | 0.000 | 0.000 |
| 46.996 | 74.043 | 52.361 | 0.000 | 0.000 | 0.000 |
| 50.440 | 50.440 | 80.053 | -0.000 | -0.000 | -0.000 |
| -0.000 | -0.000 | -0.000 | 17.602 | -0.000 | 0.000 |
| -0.000 | -0.000 | -0.000 | -0.000 | 17.602 | -0.000 |
| -0.000 | -0.000 | -0.000 | -0.000 | -0.000 | 13.310 |
| 72.911 | 47.490 | 49.703 | 0.000 | 0.000 | -0.000 |
| 47.490 | 72.911 | 49.703 | 0.000 | 0.000 | -0.000 |
| 51.730 | 51.730 | 78.286 | -0.000 | -0.000 | 0.000 |
| 1.759 | 1.759 | -0.783 | 15.708 | -0.000 | -0.000 |
| 1.759 | 1.759 | -0.783 | -0.000 | 15.708 | 0.000 |
| 1.450 | 1.450 | -0.645 | 0.000 | 0.000 | 13.149 |
| 73.386 | 46.720 | 52.359 | -0.000 | 0.000 | 0.000 |
| 46.720 | 73.386 | 52.359 | -0.000 | 0.000 | 0.000 |
| 52.358 | 52.358 | 85.938 | 0.000 | 0.000 | -0.000 |
| -1.759 | -1.759 | 0.783 | 15.708 | 0.000 | -0.000 |
| -1.759 | -1.759 | 0.783 | -0.000 | 15.708 | 0.000 |
| -1.450 | -1.450 | 0.645 | -0.000 | -0.000 | 13.149 |
| 71.838 | 46.011 | 51.115 | -0.000 | -0.000 | -0.000 |
| 46.011 | 71.838 | 51.115 | -0.000 | 0.000 | -0.000 |
| 50.475 | 50.475 | 80.245 | 0.000 | 0.000 | -0.000 |
| 0.317 | 0.317 | -0.141 | 14.146 | 0.000 | 0.000 |
| 0.317 | 0.317 | -0.141 | -0.000 | 14.146 | -0.000 |
| 0.000 | 0.000 | 0.000 | 0.000 | -0.000 | 13.149 |
| 71.667 | 45.793 | 51.299 | 0.000 | 0.000 | 0.000 |
| 45.793 | 71.667 | 51.299 | -0.000 | -0.000 | 0.000 |
| 52.358 | 52.358 | 85.938 | -0.000 | 0.000 | -0.000 |
| -0.317 | -0.317 | 0.141 | 14.146 | -0.000 | 0.000 |
| -0.317 | -0.317 | 0.141 | 0.000 | 14.146 | 0.000 |
| -0.000 | -0.000 | -0.000 | -0.000 | 0.000 | 13.149 |
| 71.496 | 46.031 | 50.668 | 0.000 | 0.000 | 0.000 |
| 46.031 | 71.496 | 50.668 | 0.000 | 0.000 | -0.000 |
| 50.355 | 50.355 | 80.613 | 0.000 | -0.000 | -0.000 |
| 0.033 | 0.033 | -0.014 | 14.055 | 0.000 | -0.000 |
| 0.033 | 0.033 | -0.014 | 0.000 | 14.055 | 0.000 |
| 0.015 | 0.015 | -0.006 | 0.000 | -0.000 | 13.149 |
| 73.384 | 46.720 | 52.359 | -0.000 | -0.000 | 0.000 |
| 46.720 | 73.384 | 52.359 | -0.000 | -0.000 | 0.000 |
| 52.358 | 52.358 | 85.937 | -0.000 | -0.000 | 0.000 |
| -0.033 | -0.033 | 0.014 | 14.055 | -0.000 | -0.000 |
| -0.033 | -0.033 | 0.014 | -0.000 | 14.055 | -0.000 |
| -0.015 | -0.015 | 0.006 | -0.000 | -0.000 | 13.149 |
| 113.561 | 52.479 | 56.472 | 2.039 | -0.769 | -0.000 |
| 835.390 | 882.115 | -7942.934 | -5.899 | -3.284 | -0.000 |
| 1317.426 | 1317.426 | -4714.336 | 0.000 | -0.000 | -0.000 |
| 2.039 | -2.039 | -0.000 | 34.968 | -0.000 | 0.769 |
| 1258.723 | 1260.321 | -4829.049 | -0.000 | 22.963 | 1.462 |
| -0.000 | -0.000 | 0.000 | 0.769 | 2.039 | 30.541 |
| 113.561 | 52.479 | 56.472 | 2.039 | -0.769 | -0.000 |
| 52.479 | 113.561 | 56.472 | -2.039 | 0.769 | 0.000 |
| 56.474 | 56.474 | 136.641 | 0.000 | 0.000 | 0.000 |
| -777.782 | -789.582 | 7997.921 | 28.859 | -0.000 | -3.285 |
| -780.397 | -786.967 | 7997.921 | 0.000 | 28.859 | 5.900 |
| -1259.522 | -1259.522 | 4829.050 | 0.799 | 1.462 | 20.626 |
| 145.024 | 122.162 | -781.259 | 3.784 | 0.745 | 0.000 |
| 52.479 | 113.561 | 56.472 | -2.039 | 0.769 | 0.000 |
| 117.120 | 117.120 | -737.394 | 0.000 | -0.000 | -0.000 |
| 62.222 | 54.655 | -841.439 | 17.233 | 0.000 | -0.744 |
| 81.674 | 75.105 | -799.782 | 0.000 | 28.856 | 5.899 |
| 78.391 | 78.391 | -799.763 | -3.284 | 5.900 | 23.362 |
| -27.342 | -68.621 | 540.199 | 1.463 | -0.799 | 0.000 |
| 52.479 | 113.561 | 56.472 | -2.039 | 0.769 | 0.000 |
| -68.031 | -68.031 | 597.546 | 0.000 | 0.000 | 0.000 |
| -54.655 | -62.222 | 841.439 | 17.233 | 0.000 | -0.744 |
| -57.694 | -59.182 | 841.439 | -0.000 | 17.233 | 3.783 |
| -78.391 | -78.391 | 799.763 | -3.284 | 5.900 | 23.362 |
| 106.358 | 60.115 | -24.455 | 5.643 | 3.052 | 0.000 |
| 69.905 | 110.987 | 9.277 | -1.457 | 0.799 | -0.000 |
| 64.341 | 64.341 | 20.259 | 0.000 | -0.000 | -0.000 |
| 2.039 | -2.039 | -0.000 | 34.968 | -0.000 | 0.769 |
| 11.706 | 13.303 | -47.944 | -0.000 | 23.049 | 1.467 |
| 8.056 | 8.056 | -79.702 | -3.193 | 5.796 | 23.213 |
| 86.333 | 44.714 | 105.335 | 1.473 | -0.798 | 0.000 |
| 56.989 | 81.436 | 143.611 | -4.081 | -1.065 | -0.000 |
| 22.630 | 22.630 | 236.888 | 0.000 | 0.000 | 0.000 |
| -2.224 | -13.858 | 79.888 | 28.640 | -0.000 | -3.213 |
| -4.870 | -6.659 | 84.012 | -0.000 | 17.853 | 3.927 |
| -8.056 | -8.056 | 79.702 | -3.193 | 5.796 | 23.213 |
| 114.081 | 52.259 | 55.711 | 2.254 | 1.146 | -0.000 |
| 243.851 | 290.098 | -767.067 | -1.821 | -1.108 | 0.000 |
| 55.621 | 55.621 | 134.660 | -0.000 | -0.000 | -0.000 |
| 189.866 | 186.223 | -823.378 | 25.142 | 0.000 | -1.108 |
| 1.146 | -1.146 | -0.000 | -0.000 | 34.614 | 2.254 |
| 100.686 | 100.686 | 1383.626 | 2.508 | 5.621 | 19.066 |
| -451.572 | -476.887 | -1034.749 | 6.202 | -2.414 | 0.000 |
| -132.241 | -85.986 | 879.693 | -1.821 | -1.108 | -0.000 |
| -132.107 | -132.107 | 942.449 | 0.000 | -0.000 | -0.000 |
| 2.254 | -2.254 | 0.000 | 34.614 | -0.000 | -1.146 |
| -186.937 | -189.152 | 823.378 | 0.000 | 25.142 | 1.821 |
| -188.045 | -188.045 | 823.379 | -1.108 | 1.821 | 23.126 |
| 120.831 | 74.615 | -26.014 | 1.820 | 1.107 | -0.000 |
| 74.615 | 120.831 | -26.014 | -1.820 | -1.107 | -0.000 |
| 74.731 | 74.731 | 37.176 | 0.000 | 0.000 | 0.000 |
| 2.254 | -2.254 | -0.000 | 34.614 | 0.000 | -1.146 |
| 7.568 | 12.581 | 138.282 | 0.000 | 23.060 | 5.620 |
| 18.801 | 18.801 | -82.323 | -1.108 | 1.821 | 23.127 |
| 33.100 | 7.579 | -54.069 | 6.191 | -2.410 | 0.000 |
| 36.993 | 83.284 | 138.640 | -1.822 | -1.108 | 0.000 |
| 37.145 | 37.145 | 201.021 | -0.000 | -0.000 | -0.000 |
| -47.621 | -60.026 | -108.958 | 19.216 | -0.000 | 2.414 |
| -17.691 | -19.906 | 82.310 | 0.000 | 25.145 | 1.821 |
| -18.801 | -18.801 | 82.323 | -1.108 | 1.821 | 23.127 |
| 103.779 | 57.699 | 48.197 | 1.817 | 1.107 | -0.000 |
| 52.259 | 114.081 | 55.712 | -2.254 | -1.146 | -0.000 |
| 55.350 | 55.350 | 120.796 | -0.000 | 0.000 | 0.000 |
| 3.658 | -0.011 | -7.986 | 25.428 | -0.000 | -1.109 |
| -1.351 | 3.465 | 13.110 | -0.000 | 22.988 | 5.510 |
| -0.000 | -0.000 | -0.000 | -1.146 | 2.254 | 30.911 |
| 114.082 | 52.259 | 55.711 | 2.254 | 1.146 | 0.000 |
| 53.829 | 100.560 | 64.467 | -1.835 | -1.109 | 0.000 |
| 54.278 | 54.278 | 122.921 | -0.000 | -0.000 | -0.000 |
| 2.254 | -2.254 | 0.000 | 34.614 | -0.000 | -1.146 |
| -0.715 | -2.932 | 7.986 | 0.000 | 25.427 | 1.834 |
| 0.000 | 0.000 | 0.000 | -1.146 | 2.254 | 30.911 |
| 113.636 | 52.507 | 56.480 | 2.046 | -0.787 | -0.000 |
| 52.507 | 113.636 | 56.480 | -2.046 | 0.787 | -0.000 |
| 56.475 | 56.475 | 136.456 | -0.000 | -0.000 | 0.000 |
| -758.157 | -761.554 | 2793.098 | 27.757 | -0.000 | 0.807 |
| -760.662 | -759.048 | 2793.098 | 0.000 | 27.757 | 1.699 |
| -0.000 | -0.000 | 0.000 | 0.787 | 2.046 | 30.565 |
| 864.655 | 815.427 | -2736.662 | 1.699 | -0.807 | 0.000 |
| 52.507 | 113.636 | 56.480 | -2.046 | 0.787 | -0.000 |
| 56.475 | 56.475 | 136.456 | 0.000 | -0.000 | -0.000 |
| 761.565 | 758.168 | -2793.140 | 27.756 | -0.000 | 0.807 |
| -0.787 | 0.787 | 0.000 | -0.000 | 34.957 | 2.046 |
| 0.000 | 0.000 | 0.000 | 0.787 | 2.046 | 30.565 |
| 35.748 | -5.839 | 319.592 | 3.599 | 1.199 | -0.000 |
| 52.507 | 113.636 | 56.480 | -2.046 | 0.787 | 0.000 |
| 56.475 | 56.475 | 136.456 | 0.000 | 0.000 | -0.000 |
| 2.046 | -2.046 | -0.000 | 34.957 | -0.000 | 0.787 |
| -59.758 | -62.188 | 264.342 | -0.000 | 24.372 | 3.614 |
| 3.012 | 3.012 | 328.527 | -2.883 | 5.051 | 19.322 |
| 180.763 | 131.573 | -222.897 | 1.698 | -0.807 | -0.000 |
| 131.573 | 180.763 | -222.897 | -1.698 | 0.807 | 0.000 |
| 132.606 | 132.606 | -153.303 | -0.000 | -0.000 | 0.000 |
| 77.682 | 74.285 | -279.302 | 27.757 | -0.000 | 0.807 |
| -0.787 | 0.787 | 0.000 | 0.000 | 34.957 | 2.046 |
| 75.986 | 75.986 | -279.311 | 0.807 | 1.699 | 24.616 |
| 97.333 | 47.827 | 84.643 | 1.707 | -0.807 | 0.000 |
| 48.953 | 91.469 | 81.834 | -3.467 | -1.049 | 0.000 |
| 56.475 | 56.475 | 136.455 | -0.000 | -0.000 | -0.000 |
| 2.046 | -2.046 | -0.000 | 34.957 | -0.000 | 0.787 |
| -0.787 | 0.787 | -0.000 | -0.000 | 34.957 | 2.046 |
| -0.000 | -0.000 | -0.000 | 0.787 | 2.046 | 30.565 |
| 113.636 | 52.507 | 56.480 | 2.046 | -0.787 | -0.000 |
| 52.507 | 113.636 | 56.480 | -2.046 | 0.787 | -0.000 |
| 56.475 | 56.475 | 136.457 | 0.000 | -0.000 | -0.000 |
| 9.277 | 5.877 | -27.852 | 27.777 | -0.000 | 0.807 |
| -0.787 | 0.787 | 0.000 | 0.000 | 34.957 | 2.046 |
| 7.602 | 7.602 | -27.943 | 0.807 | 1.699 | 24.613 |
| -75.463 | -116.949 | 2624.850 | 4.481 | 1.494 | -0.000 |
| -735.999 | -704.976 | 1735.304 | -5.623 | -2.052 | -0.000 |
| -115.396 | -115.396 | 2679.714 | 0.000 | -0.000 | -0.000 |
| 440.455 | 436.722 | -1045.129 | 26.070 | -0.000 | 1.026 |
| -169.043 | -172.028 | 2568.659 | -0.000 | 24.264 | 4.479 |
| -794.663 | -794.663 | 1680.207 | -2.051 | 5.623 | 15.514 |
| 265.617 | 224.122 | -2512.462 | 4.478 | 1.492 | 0.000 |
| -383.299 | -335.723 | 1101.162 | -1.867 | 1.027 | 0.001 |
| -382.823 | -382.824 | 1165.754 | -0.000 | 0.000 | 0.001 |
| 175.015 | 166.056 | -2568.659 | 24.264 | 0.000 | -1.493 |
| -439.615 | -437.562 | 1045.129 | -0.000 | 26.070 | 1.867 |
| 170.535 | 170.535 | -2568.657 | -1.493 | 4.479 | 20.745 |
| 77.982 | 36.533 | 313.018 | 4.494 | 1.507 | -0.000 |
| 52.055 | 113.654 | 55.561 | -2.246 | 1.088 | 0.000 |
| 99.620 | 99.620 | 16.273 | 0.000 | -0.000 | -0.000 |
| 2.246 | -2.246 | -0.000 | 34.628 | -0.000 | 1.088 |
| 42.830 | 44.884 | -104.508 | 0.000 | 26.070 | 1.867 |
| -0.000 | -0.000 | -0.000 | 1.088 | 2.246 | 30.799 |
| 113.654 | 52.055 | 55.561 | 2.246 | -1.088 | -0.000 |
| 11.424 | 59.027 | 160.546 | -1.868 | 1.027 | 0.000 |
| 55.506 | 55.506 | 135.574 | -0.000 | 0.000 | 0.000 |
| -41.990 | -45.724 | 104.508 | 26.070 | 0.000 | 1.027 |
| 184.823 | 177.489 | -358.523 | -0.000 | 19.250 | 6.626 |
| 0.000 | 0.000 | 0.000 | 1.088 | 2.246 | 30.799 |
| 113.653 | 52.055 | 55.561 | 2.246 | -1.088 | 0.000 |
| 52.055 | 113.653 | 55.561 | -2.246 | 1.088 | 0.000 |
| 55.506 | 55.506 | 135.573 | -0.000 | -0.000 | 0.000 |
| 6.236 | 2.499 | -10.406 | 26.107 | 0.000 | 1.027 |
| -1.088 | 1.088 | -0.000 | 0.000 | 34.628 | 2.246 |
| -1.653 | -1.653 | 25.433 | -1.478 | 4.463 | 20.737 |
| 97.266 | 55.321 | 30.844 | 4.317 | 1.335 | -0.000 |
| 50.839 | 98.679 | 66.485 | -1.874 | 1.028 | -0.000 |
| 51.437 | 51.437 | 129.535 | -0.000 | 0.000 | 0.000 |
| -2.499 | -6.235 | 10.406 | 26.107 | -0.000 | 1.027 |
| -5.394 | -3.340 | 10.407 | -0.000 | 26.106 | 1.868 |
| 1.653 | 1.653 | -25.433 | -1.478 | 4.463 | 20.737 |
| 237.950 | 74.340 | 74.340 | 0.000 | 0.000 | 0.000 |
| 74.340 | 237.950 | 74.340 | 0.000 | 0.000 | -0.000 |
| 74.340 | 74.340 | 237.950 | -0.000 | 0.000 | -0.000 |
| -0.000 | -0.000 | -0.000 | 45.235 | 0.000 | -0.000 |
| -0.000 | -0.000 | -0.000 | 0.000 | 45.235 | -0.000 |
| -0.000 | -0.000 | -0.000 | 0.000 | 0.000 | 45.235 |
| 239.099 | 73.765 | 73.765 | -0.000 | -0.000 | 0.000 |
| 73.765 | 239.099 | 73.765 | -0.000 | -0.000 | 0.000 |
| 73.765 | 73.765 | 239.099 | -0.000 | -0.000 | -0.000 |
| 0.000 | 0.000 | 0.000 | 45.235 | -0.000 | -0.000 |
| 0.000 | 0.000 | 0.000 | -0.000 | 45.235 | 0.000 |
| 0.000 | 0.000 | 0.000 | -0.000 | -0.000 | 45.235 |
| 239.099 | 73.765 | 73.765 | 0.000 | 0.000 | -0.000 |
| 73.765 | 239.099 | 73.765 | -0.000 | 0.000 | -0.000 |
| 73.765 | 73.765 | 239.099 | -0.000 | 0.000 | 0.000 |
| -0.000 | -0.000 | -0.000 | 39.073 | 0.000 | -0.000 |
| -0.000 | -0.000 | -0.000 | -0.000 | 39.073 | 0.000 |
| -0.000 | -0.000 | -0.000 | 0.000 | 0.000 | 39.073 |
| 237.950 | 74.340 | 74.340 | -0.000 | -0.000 | -0.000 |
| 74.340 | 237.950 | 74.340 | -0.000 | -0.000 | -0.000 |
| 74.340 | 74.340 | 237.950 | 0.000 | -0.000 | 0.000 |
| 0.000 | 0.000 | 0.000 | 39.073 | -0.000 | -0.000 |
| 0.000 | 0.000 | 0.000 | -0.000 | 39.073 | -0.000 |
| 0.000 | 0.000 | 0.000 | -0.000 | -0.000 | 39.073 |
| 237.949 | 74.340 | 74.340 | 0.000 | 0.000 | -0.000 |
| 74.340 | 237.949 | 74.340 | 0.000 | 0.000 | 0.000 |
| 74.340 | 74.340 | 237.949 | 0.000 | 0.000 | -0.000 |
| -0.000 | -0.000 | -0.000 | 45.235 | 0.000 | 0.000 |
| -0.000 | -0.000 | -0.000 | 0.000 | 45.235 | -0.000 |
| -0.000 | -0.000 | -0.000 | 0.000 | 0.000 | 45.235 |
| 239.100 | 73.766 | 73.766 | -0.000 | -0.000 | 0.000 |
| 73.766 | 239.100 | 73.766 | 0.000 | -0.000 | 0.000 |
| 73.766 | 73.766 | 239.100 | 0.000 | -0.000 | 0.000 |
| 0.000 | 0.000 | 0.000 | 45.235 | -0.000 | -0.000 |
| 0.000 | 0.000 | 0.000 | -0.000 | 45.235 | 0.000 |
| 0.000 | 0.000 | 0.000 | -0.000 | -0.000 | 45.235 |
| 6.749 | 1.588 | 1.588 | 0.000 | 0.000 | 0.000 |
| 1.588 | 6.749 | 1.588 | 0.000 | 0.000 | 0.000 |
| 1.588 | 1.588 | 6.749 | 0.000 | 0.000 | 0.000 |
| 0.000 | -0.000 | -0.000 | 1.588 | 0.000 | 0.000 |
| -0.000 | 0.000 | -0.000 | 0.000 | 1.588 | 0.000 |
| -0.000 | -0.000 | 0.000 | 0.000 | 0.000 | 1.588 |
| 6.749 | 1.588 | 1.588 | -0.000 | -0.000 | -0.000 |
| 1.588 | 6.749 | 1.588 | -0.000 | -0.000 | -0.000 |
| 1.588 | 1.588 | 6.749 | -0.000 | -0.000 | -0.000 |
| 0.000 | 0.000 | 0.000 | 1.588 | -0.000 | -0.000 |
| 0.000 | 0.000 | 0.000 | -0.000 | 1.588 | -0.000 |
| 0.000 | 0.000 | 0.000 | -0.000 | -0.000 | 1.588 |
| 5.483 | 2.221 | 2.221 | -0.000 | 0.000 | 0.000 |
| 2.221 | 5.483 | 2.221 | 0.000 | -0.000 | 0.000 |
| 2.221 | 2.221 | 5.483 | 0.000 | 0.000 | -0.000 |
| -0.000 | -0.000 | -0.000 | 0.875 | 0.000 | 0.000 |
| -0.000 | -0.000 | -0.000 | 0.000 | 0.875 | 0.000 |
| -0.000 | -0.000 | -0.000 | 0.000 | 0.000 | 0.875 |
| 5.483 | 2.221 | 2.221 | 0.000 | -0.000 | -0.000 |
| 2.221 | 5.483 | 2.221 | -0.000 | 0.000 | -0.000 |
| 2.221 | 2.221 | 5.483 | -0.000 | -0.000 | 0.000 |
| 0.000 | 0.000 | 0.000 | 0.875 | -0.000 | -0.000 |
| 0.000 | 0.000 | 0.000 | -0.000 | 0.875 | -0.000 |
| 0.000 | 0.000 | 0.000 | -0.000 | -0.000 | 0.875 |
| 3.767 | 3.079 | 3.079 | 0.000 | 0.000 | 0.000 |
| 3.079 | 3.767 | 3.079 | 0.000 | 0.000 | 0.000 |
| 3.079 | 3.079 | 3.767 | 0.000 | 0.000 | 0.000 |
| -0.000 | -0.000 | -0.000 | 0.081 | 0.000 | 0.000 |
| -0.000 | -0.000 | -0.000 | 0.000 | 0.081 | 0.000 |
| -0.000 | -0.000 | -0.000 | 0.000 | 0.000 | 0.081 |
| 3.767 | 3.079 | 3.079 | -0.000 | 0.000 | 0.000 |
| 3.079 | 3.767 | 3.079 | 0.000 | -0.000 | 0.000 |
| 3.079 | 3.079 | 3.767 | 0.000 | 0.000 | -0.000 |
| 0.000 | 0.000 | 0.000 | 0.081 | -0.000 | -0.000 |
| 0.000 | 0.000 | 0.000 | -0.000 | 0.081 | 0.000 |
| 0.000 | 0.000 | 0.000 | -0.000 | -0.000 | 0.081 |
| 98.167 | 87.359 | 87.359 | 0.000 | -0.000 | -0.000 |
| 87.359 | 98.167 | 87.359 | -0.000 | 0.000 | -0.000 |
| 87.359 | 87.359 | 98.167 | -0.000 | -0.000 | -0.000 |
| 0.000 | -0.000 | 0.000 | 49.893 | -0.000 | -0.000 |
| -0.000 | 0.000 | 0.000 | 0.000 | 49.893 | 0.000 |
| -0.000 | 0.000 | 0.000 | 0.000 | 0.000 | 49.893 |
| 98.167 | 87.359 | 87.359 | 0.000 | 0.000 | 0.000 |
| 87.359 | 98.167 | 87.359 | 0.000 | 0.000 | -0.000 |
| 87.359 | 87.359 | 98.167 | -0.000 | -0.000 | -0.000 |
| -0.000 | 0.000 | -0.000 | 49.893 | -0.000 | 0.000 |
| 0.000 | -0.000 | -0.000 | -0.000 | 49.893 | 0.000 |
| 0.000 | -0.000 | 0.000 | -0.000 | -0.000 | 49.893 |
| 98.167 | 87.359 | 87.359 | 0.000 | 0.000 | 0.000 |
| 87.359 | 98.167 | 87.359 | 0.000 | 0.000 | -0.000 |
| 87.359 | 87.359 | 98.167 | 0.000 | 0.000 | 0.000 |
| 0.000 | 0.000 | 0.000 | 50.341 | 0.000 | -0.000 |
| 0.000 | 0.000 | 0.000 | 0.000 | 50.341 | -0.000 |
| 0.000 | 0.000 | 0.000 | 0.000 | 0.000 | 50.341 |
| 98.167 | 87.359 | 87.359 | -0.000 | 0.000 | 0.000 |
| 87.359 | 98.167 | 87.359 | -0.000 | -0.000 | -0.000 |
| 87.359 | 87.359 | 98.167 | -0.000 | -0.000 | 0.000 |
| -0.000 | -0.000 | -0.000 | 50.341 | -0.000 | 0.000 |
| -0.000 | -0.000 | -0.000 | -0.000 | 50.341 | 0.000 |
| -0.000 | -0.000 | -0.000 | -0.000 | -0.000 | 50.341 |
| 98.166 | 87.359 | 87.359 | -0.000 | -0.000 | -0.000 |
| 87.359 | 98.166 | 87.359 | -0.000 | 0.000 | -0.000 |
| 87.359 | 87.359 | 98.166 | -0.000 | -0.000 | -0.000 |
| 0.000 | -0.000 | 0.000 | 49.893 | 0.000 | 0.000 |
| -0.000 | 0.000 | 0.000 | 0.000 | 49.893 | -0.000 |
| -0.000 | 0.000 | 0.000 | 0.000 | 0.000 | 49.893 |
| 98.167 | 87.359 | 87.359 | 0.000 | 0.000 | 0.000 |
| 87.359 | 98.167 | 87.359 | -0.000 | 0.000 | 0.000 |
| 87.359 | 87.359 | 98.167 | -0.000 | -0.000 | 0.000 |
| -0.000 | 0.000 | -0.000 | 49.893 | -0.000 | -0.000 |
| 0.000 | -0.000 | -0.000 | -0.000 | 49.893 | 0.000 |
| 0.000 | -0.000 | -0.000 | -0.000 | -0.000 | 49.893 |
| 120.842 | 66.588 | 66.588 | 0.000 | 0.000 | 0.000 |
| 66.588 | 120.842 | 66.588 | 0.000 | 0.000 | -0.000 |
| 66.588 | 66.588 | 120.842 | 0.000 | 0.000 | -0.000 |
| 0.000 | 0.000 | 0.000 | 26.511 | 0.000 | -0.000 |
| 0.000 | 0.000 | 0.000 | 0.000 | 26.511 | 0.000 |
| 0.000 | 0.000 | 0.000 | 0.000 | 0.000 | 26.511 |
| 120.842 | 66.588 | 66.588 | -0.000 | -0.000 | 0.000 |
| 66.588 | 120.842 | 66.588 | -0.000 | -0.000 | 0.000 |
| 66.588 | 66.588 | 120.842 | -0.000 | -0.000 | -0.000 |
| -0.000 | -0.000 | -0.000 | 26.511 | -0.000 | -0.000 |
| -0.000 | -0.000 | -0.000 | -0.000 | 26.511 | 0.000 |
| -0.000 | -0.000 | -0.000 | -0.000 | -0.000 | 26.511 |
| 120.842 | 66.588 | 66.588 | 0.000 | 0.000 | -0.000 |
| 66.588 | 120.842 | 66.588 | 0.000 | 0.000 | 0.000 |
| 66.588 | 66.588 | 120.842 | 0.000 | 0.000 | 0.000 |
| 0.000 | 0.000 | 0.000 | 26.511 | -0.000 | 0.000 |
| 0.000 | 0.000 | 0.000 | -0.000 | 26.511 | 0.000 |
| 0.000 | 0.000 | 0.000 | -0.000 | 0.000 | 26.511 |
| 120.842 | 66.588 | 66.588 | -0.000 | -0.000 | -0.000 |
| 66.588 | 120.842 | 66.588 | -0.000 | -0.000 | 0.000 |
| 66.588 | 66.588 | 120.842 | -0.000 | -0.000 | 0.000 |
| -0.000 | -0.000 | -0.000 | 26.511 | -0.000 | -0.000 |
| -0.000 | -0.000 | -0.000 | 0.000 | 26.511 | -0.000 |
| -0.000 | -0.000 | -0.000 | 0.000 | -0.000 | 26.511 |
| 120.842 | 66.588 | 66.588 | 0.000 | 0.000 | -0.000 |
| 66.588 | 120.842 | 66.588 | 0.000 | -0.000 | 0.000 |
| 66.588 | 66.588 | 120.842 | 0.000 | 0.000 | 0.000 |
| 0.000 | 0.000 | 0.000 | 26.511 | 0.000 | 0.000 |
| 0.000 | 0.000 | 0.000 | -0.000 | 26.511 | -0.000 |
| 0.000 | 0.000 | 0.000 | -0.000 | 0.000 | 26.511 |
| 120.842 | 66.588 | 66.588 | -0.000 | -0.000 | 0.000 |
| 66.588 | 120.842 | 66.588 | -0.000 | -0.000 | 0.000 |
| 66.588 | 66.588 | 120.842 | -0.000 | -0.000 | 0.000 |
| -0.000 | -0.000 | -0.000 | 26.511 | -0.000 | -0.000 |
| -0.000 | -0.000 | -0.000 | -0.000 | 26.511 | 0.000 |
| -0.000 | -0.000 | -0.000 | 0.000 | -0.000 | 26.511 |
| 130.396 | 70.186 | 35.227 | -0.000 | 0.000 | 0.000 |
| 70.186 | 130.396 | 35.227 | 0.000 | 0.000 | 0.000 |
| 34.843 | 34.843 | -16.942 | -0.000 | 0.000 | 0.000 |
| -0.138 | -0.138 | 0.324 | -9.117 | 0.000 | -0.000 |
| -0.138 | -0.138 | 0.324 | 0.000 | -9.117 | -0.000 |
| 0.000 | 0.000 | -0.000 | -0.000 | -0.000 | 30.105 |
| 129.451 | 70.683 | 35.755 | -0.000 | -0.000 | -0.000 |
| 71.396 | 128.704 | 35.795 | -0.000 | -0.000 | 0.000 |
| 35.337 | 35.337 | -18.107 | -0.000 | -0.000 | 0.000 |
| 0.138 | 0.138 | -0.324 | -9.117 | 0.000 | 0.000 |
| 0.138 | 0.138 | -0.324 | -0.000 | -9.117 | 0.000 |
| -0.000 | -0.000 | 0.000 | 0.000 | 0.000 | 30.105 |
| 130.396 | 70.186 | 35.227 | -0.000 | -0.000 | 0.000 |
| 70.186 | 130.396 | 35.227 | -0.000 | 0.000 | 0.000 |
| 34.843 | 34.843 | -16.942 | 0.000 | 0.000 | 0.000 |
| 0.000 | 0.000 | -0.000 | -5.792 | 0.000 | -0.000 |
| 0.000 | 0.000 | -0.000 | 0.000 | -5.792 | -0.000 |
| 0.000 | 0.000 | -0.000 | -0.000 | 0.000 | 30.105 |
| 130.396 | 70.186 | 35.227 | -0.000 | 0.000 | 0.000 |
| 70.614 | 129.439 | 35.850 | -0.000 | -0.000 | -0.000 |
| 34.843 | 34.843 | -16.942 | -0.000 | -0.000 | -0.000 |
| -0.000 | -0.000 | 0.000 | -5.792 | -0.000 | 0.000 |
| -0.000 | -0.000 | 0.000 | -0.000 | -5.792 | -0.000 |
| -0.000 | -0.000 | 0.000 | 0.000 | -0.000 | 30.105 |
| 130.397 | 70.186 | 35.227 | 0.000 | 0.000 | 0.000 |
| 70.186 | 130.397 | 35.227 | -0.000 | -0.000 | 0.000 |
| 35.297 | 35.297 | -18.015 | 0.000 | 0.000 | 0.000 |
| 0.000 | 0.000 | -0.000 | -5.792 | -0.000 | -0.000 |
| 0.000 | 0.000 | -0.000 | -0.000 | -5.792 | 0.000 |
| 0.000 | 0.000 | -0.000 | 0.000 | -0.000 | 30.105 |
| 130.395 | 70.185 | 35.227 | -0.000 | -0.000 | 0.000 |
| 70.185 | 130.395 | 35.227 | -0.000 | -0.000 | -0.000 |
| 34.843 | 34.843 | -16.940 | -0.000 | -0.000 | -0.000 |
| -0.000 | -0.000 | 0.000 | -5.792 | -0.000 | -0.000 |
| -0.000 | -0.000 | 0.000 | 0.000 | -5.792 | -0.000 |
| -0.000 | -0.000 | 0.000 | 0.000 | -0.000 | 30.105 |
| 129.433 | 70.577 | 48.440 | -0.000 | -0.000 | 0.000 |
| 70.806 | 128.320 | 49.291 | -0.000 | 0.000 | 0.000 |
| 49.008 | 49.008 | 53.782 | -0.000 | -0.000 | 0.000 |
| -0.098 | -0.098 | 0.190 | 4.235 | -0.000 | 0.000 |
| 0.000 | 0.000 | 0.000 | -0.000 | 7.010 | 0.000 |
| -0.077 | -0.077 | 0.148 | -0.000 | -0.000 | 27.419 |
| 129.433 | 70.577 | 48.440 | 0.000 | 0.000 | -0.000 |
| 70.577 | 129.433 | 48.440 | 0.000 | 0.000 | -0.000 |
| 48.439 | 48.439 | 54.880 | 0.000 | -0.000 | -0.000 |
| 0.098 | 0.098 | -0.190 | 4.235 | -0.000 | -0.000 |
| -0.000 | -0.000 | -0.000 | 0.000 | 7.010 | -0.000 |
| 0.077 | 0.077 | -0.148 | 0.000 | -0.000 | 27.419 |
| 129.433 | 70.577 | 48.440 | -0.000 | -0.000 | 0.000 |
| 70.577 | 129.433 | 48.440 | -0.000 | -0.000 | 0.000 |
| 48.439 | 48.439 | 54.880 | -0.000 | -0.000 | 0.000 |
| -0.010 | -0.010 | 0.019 | 4.216 | 0.000 | 0.000 |
| -0.010 | -0.010 | 0.019 | -0.000 | 4.216 | 0.000 |
| 0.000 | 0.000 | 0.000 | -0.000 | -0.000 | 29.428 |
| 129.432 | 70.577 | 48.440 | 0.000 | -0.000 | -0.000 |
| 70.863 | 128.341 | 49.216 | 0.000 | -0.000 | -0.000 |
| 48.439 | 48.439 | 54.880 | 0.000 | -0.000 | 0.000 |
| 0.010 | 0.010 | -0.019 | 4.216 | -0.000 | -0.000 |
| 0.010 | 0.010 | -0.019 | 0.000 | 4.216 | -0.000 |
| -0.000 | -0.000 | -0.000 | 0.000 | 0.000 | 29.428 |
| 127.315 | 71.705 | 49.396 | -0.000 | -0.000 | 0.000 |
| 71.705 | 127.315 | 49.396 | -0.000 | -0.000 | 0.000 |
| 48.440 | 48.440 | 54.883 | -0.000 | 0.000 | -0.000 |
| 0.000 | 0.000 | 0.000 | 7.010 | 0.000 | 0.000 |
| 0.000 | 0.000 | 0.000 | 0.000 | 7.010 | 0.000 |
| 0.000 | 0.000 | 0.000 | -0.000 | -0.000 | 29.428 |
| 129.431 | 70.576 | 48.439 | 0.000 | -0.000 | 0.000 |
| 70.858 | 128.338 | 49.222 | -0.000 | -0.000 | -0.000 |
| 49.044 | 49.044 | 53.711 | 0.000 | -0.000 | -0.000 |
| -0.000 | -0.000 | -0.000 | 7.010 | -0.000 | -0.000 |
| -0.000 | -0.000 | -0.000 | 0.000 | 7.010 | 0.000 |
| -0.000 | -0.000 | -0.000 | 0.000 | 0.000 | 29.428 |
| 108.325 | 71.895 | 60.456 | 0.000 | -0.000 | 0.000 |
| 71.895 | 108.325 | 60.456 | 0.000 | -0.000 | 0.000 |
| 60.456 | 60.456 | 140.027 | 0.000 | 0.000 | -0.000 |
| -0.000 | -0.000 | -0.000 | 22.504 | -0.000 | 0.000 |
| -0.000 | -0.000 | -0.000 | 0.000 | 22.504 | 0.000 |
| 0.000 | 0.000 | -0.000 | -0.000 | -0.000 | 28.543 |
| 108.325 | 71.895 | 60.456 | 0.000 | 0.000 | -0.000 |
| 71.895 | 108.325 | 60.456 | 0.000 | 0.000 | -0.000 |
| 60.456 | 60.456 | 140.027 | -0.000 | 0.000 | -0.000 |
| 0.000 | 0.000 | 0.000 | 22.504 | -0.000 | -0.000 |
| 0.000 | 0.000 | 0.000 | -0.000 | 22.504 | -0.000 |
| -0.000 | -0.000 | 0.000 | 0.000 | 0.000 | 28.543 |
| 108.325 | 71.895 | 60.456 | -0.000 | 0.000 | 0.000 |
| 71.895 | 108.325 | 60.456 | 0.000 | -0.000 | 0.000 |
| 60.456 | 60.456 | 140.027 | 0.000 | -0.000 | 0.000 |
| 0.000 | -0.000 | -0.000 | 20.315 | -0.000 | 0.000 |
| -0.000 | 0.000 | -0.000 | 0.000 | 20.315 | 0.000 |
| 0.000 | 0.000 | 0.000 | 0.000 | -0.000 | 28.543 |
| 108.325 | 71.895 | 60.456 | -0.000 | 0.000 | -0.000 |
| 71.895 | 108.325 | 60.456 | 0.000 | 0.000 | -0.000 |
| 60.456 | 60.456 | 140.027 | -0.000 | 0.000 | 0.000 |
| -0.000 | 0.000 | 0.000 | 20.315 | 0.000 | -0.000 |
| 0.000 | -0.000 | 0.000 | -0.000 | 20.315 | -0.000 |
| -0.000 | -0.000 | -0.000 | -0.000 | 0.000 | 28.543 |
| 108.325 | 71.895 | 60.457 | -0.000 | -0.000 | 0.000 |
| 71.895 | 108.325 | 60.457 | -0.000 | -0.000 | 0.000 |
| 60.457 | 60.457 | 140.026 | -0.000 | -0.000 | 0.000 |
| 0.000 | -0.000 | -0.000 | 20.315 | -0.000 | -0.000 |
| -0.000 | 0.000 | -0.000 | 0.000 | 20.315 | 0.000 |
| 0.000 | 0.000 | 0.000 | -0.000 | -0.000 | 28.543 |
| 110.420 | 69.800 | 60.456 | 0.000 | 0.000 | -0.000 |
| 69.800 | 110.420 | 60.456 | -0.000 | 0.000 | -0.000 |
| 60.456 | 60.456 | 140.027 | -0.000 | -0.000 | -0.000 |
| -0.000 | 0.000 | 0.000 | 20.315 | 0.000 | -0.000 |
| 0.000 | -0.000 | 0.000 | 0.000 | 20.315 | -0.000 |
| -0.000 | -0.000 | -0.000 | 0.000 | 0.000 | 28.543 |
| 69.013 | 49.122 | 44.591 | 0.000 | -0.000 | 0.000 |
| 49.122 | 69.013 | 44.591 | 0.000 | -0.000 | -0.000 |
| 32.993 | 32.993 | 126.914 | -0.000 | -0.000 | 0.000 |
| -12.662 | -12.662 | 56.920 | 20.836 | -0.000 | 0.000 |
| -12.662 | -12.662 | 56.920 | -0.000 | 20.836 | -0.000 |
| 53.868 | 53.868 | 71.236 | 0.000 | 0.000 | 18.535 |
| 69.013 | 49.122 | 44.591 | -0.000 | -0.000 | -0.000 |
| 49.122 | 69.013 | 44.591 | -0.000 | -0.000 | -0.000 |
| 58.319 | 58.319 | 13.067 | -0.000 | 0.000 | -0.000 |
| 12.662 | 12.662 | -56.920 | 20.836 | -0.000 | -0.000 |
| 12.662 | 12.662 | -56.920 | -0.000 | 20.836 | 0.000 |
| -53.868 | -53.868 | -71.236 | -0.000 | -0.000 | 18.535 |
| 69.013 | 49.122 | 44.591 | 0.000 | 0.000 | -0.000 |
| 49.122 | 69.013 | 44.591 | -0.000 | 0.000 | 0.000 |
| 45.388 | 45.388 | 76.718 | 0.000 | -0.000 | -0.000 |
| -0.000 | -0.000 | -0.000 | 22.852 | 0.000 | -0.000 |
| -0.000 | -0.000 | -0.000 | -0.000 | 22.852 | -0.000 |
| -0.000 | -0.000 | -0.000 | 0.000 | 0.000 | 27.749 |
| 55.892 | 49.085 | 37.375 | 0.000 | -0.000 | -0.000 |
| 50.333 | 55.360 | 34.854 | 0.000 | -0.000 | -0.000 |
| 46.927 | 46.927 | 64.250 | 0.000 | -0.000 | 0.000 |
| 0.000 | 0.000 | 0.000 | 22.852 | -0.000 | -0.000 |
| 0.000 | 0.000 | 0.000 | -0.000 | 22.852 | 0.000 |
| 0.000 | 0.000 | 0.000 | -0.000 | 0.000 | 27.749 |
| 69.014 | 49.122 | 44.591 | -0.000 | -0.000 | -0.000 |
| 49.122 | 69.014 | 44.591 | 0.000 | 0.000 | 0.000 |
| 45.560 | 45.560 | 69.113 | 0.000 | -0.000 | -0.000 |
| -402113.409 | 402364.659 | 142836.788 | -1189016.663 | -0.000 | 0.000 |
| -289228.757 | -247891.108 | 849493.967 | 1854.134 | -110897.249 | -5175.259 |
| -0.163 | -0.163 | 0.730 | 0.000 | -0.000 | 21.613 |
| 61.733 | 54.447 | 44.257 | -0.000 | 0.000 | -0.000 |
| 54.447 | 61.733 | 44.257 | -0.000 | -0.000 | -0.000 |
| 45.388 | 45.388 | 76.717 | 0.000 | -0.000 | 0.000 |
| 402113.406 | -402364.656 | -142836.793 | -1189016.667 | 0.000 | 0.000 |
| -402364.652 | 402113.402 | -142836.803 | 0.001 | -1189016.673 | 0.001 |
| 0.163 | 0.163 | -0.730 | 0.000 | 0.000 | 21.613 |
| 148.020 | 64.149 | 54.858 | -0.000 | 0.000 | -0.000 |
| -0.825 | 80.243 | 29.107 | 0.000 | 0.000 | 0.000 |
| 54.858 | 54.858 | 178.018 | -0.000 | -0.000 | -0.000 |
| -0.000 | -0.000 | -0.000 | 37.204 | 0.000 | -0.000 |
| -0.000 | 0.000 | -0.000 | 0.000 | 37.204 | -0.000 |
| -65.073 | -65.073 | -26.367 | -0.000 | -0.000 | 40.222 |
| 148.020 | 64.149 | 54.858 | 0.000 | 0.000 | 0.000 |
| 126.343 | 207.089 | 81.481 | 0.000 | 0.000 | -0.000 |
| 117.901 | 117.901 | 203.372 | 0.000 | -0.000 | 0.000 |
| 0.000 | 0.000 | 0.000 | 37.204 | -0.000 | 0.000 |
| 0.000 | 0.000 | 0.000 | 0.000 | 37.204 | 0.000 |
| 0.000 | 0.000 | 0.000 | 0.000 | 0.000 | 41.936 |
| 137.705 | 57.209 | 52.411 | 0.000 | -0.000 | 0.000 |
| 64.149 | 148.020 | 54.858 | 0.000 | -0.000 | -0.000 |
| 54.858 | 54.858 | 178.018 | 0.000 | 0.000 | -0.000 |
| -0.000 | -0.000 | -0.000 | 37.204 | 0.000 | -0.000 |
| -0.000 | -0.000 | -0.000 | -0.000 | 37.204 | -0.000 |
| -0.000 | -0.000 | -0.000 | -0.000 | -0.000 | 41.936 |
| 150.776 | 69.720 | 57.522 | -0.000 | 0.000 | -0.000 |
| 64.149 | 148.020 | 54.858 | -0.000 | -0.000 | 0.000 |
| 54.859 | 54.859 | 178.018 | 0.000 | 0.000 | -0.000 |
| 0.000 | 0.000 | 0.000 | 37.204 | 0.000 | -0.000 |
| 0.000 | 0.000 | 0.000 | -0.000 | 37.204 | 0.000 |
| 6.204 | 6.204 | 2.710 | 0.000 | -0.000 | 40.284 |
| 148.019 | 64.149 | 54.858 | -0.000 | 0.000 | -0.000 |
| 64.149 | 148.019 | 54.858 | 0.000 | 0.000 | -0.000 |
| 54.858 | 54.858 | 178.016 | -0.000 | -0.000 | 0.000 |
| -0.000 | -0.000 | -0.000 | 37.204 | 0.000 | 0.000 |
| -0.000 | -0.000 | -0.000 | -0.000 | 37.204 | -0.000 |
| -0.000 | -0.000 | -0.000 | -0.000 | -0.000 | 41.936 |
| 145.117 | 64.247 | 55.223 | 0.000 | 0.000 | -0.000 |
| 64.247 | 145.117 | 55.223 | -0.000 | 0.000 | -0.000 |
| 54.859 | 54.859 | 178.020 | 0.000 | -0.000 | -0.000 |
| 0.000 | 0.000 | 0.000 | 37.204 | -0.000 | -0.000 |
| 0.000 | 0.000 | 0.000 | 0.000 | 37.204 | 0.000 |
| 0.528 | 0.528 | 0.214 | 0.000 | 0.000 | 40.546 |
| -1084.487 | -1161.161 | -1726.496 | 0.000 | -0.000 | -0.000 |
| 168.152 | 245.544 | -814.285 | 0.000 | 0.000 | 0.000 |
| -1164.372 | -1164.372 | -1598.371 | 0.000 | -0.000 | 0.000 |
| -1230.152 | -1230.152 | -1772.014 | 35.714 | 0.000 | 0.000 |
| -1230.143 | -1230.143 | -1772.008 | -0.000 | 35.714 | 0.000 |
| 118.654 | 118.654 | -860.408 | 0.000 | -0.000 | 38.696 |
| 129.606 | 50.492 | 47.497 | -0.000 | 0.000 | -0.000 |
| -69.155 | 8.238 | 906.532 | -0.000 | 0.000 | 0.000 |
| -72.259 | -72.259 | 1034.896 | -0.000 | 0.000 | -0.000 |
| 1230.152 | 1230.152 | 1772.014 | 35.714 | 0.000 | -0.000 |
| 1210.370 | 1210.370 | 1772.571 | -0.000 | 35.931 | -0.000 |
| 1230.152 | 1230.152 | 1772.014 | -0.000 | 0.000 | 38.217 |
| 138.748 | 61.361 | -39.922 | 0.000 | -0.000 | -0.000 |
| -73.905 | 2.529 | -131.313 | 0.000 | -0.000 | -0.000 |
| -77.150 | -77.150 | -3.481 | 0.000 | -0.000 | 0.000 |
| -123.015 | -123.015 | -177.201 | 35.714 | 0.000 | 0.000 |
| -121.041 | -121.041 | -177.257 | -0.000 | 35.931 | -0.000 |
| -123.015 | -123.015 | -177.201 | 0.000 | -0.000 | 38.217 |
| 248.557 | 172.124 | 223.087 | -0.000 | 0.000 | 0.000 |
| 170.237 | 246.915 | 223.327 | -0.000 | 0.000 | 0.000 |
| 168.878 | 168.878 | 350.920 | -0.000 | 0.000 | -0.000 |
| 123.015 | 123.015 | 177.201 | 35.714 | 0.000 | -0.000 |
| 121.041 | 121.041 | 177.257 | -0.000 | 35.931 | 0.000 |
| -11.865 | -11.865 | 86.041 | -0.000 | 0.000 | 38.696 |
| 113.253 | 36.818 | 28.178 | 0.000 | -0.000 | 0.000 |
| 36.818 | 113.253 | 28.178 | 0.000 | -0.000 | 0.000 |
| 47.566 | 47.566 | 165.830 | 0.000 | -0.000 | 0.000 |
| -12.112 | -12.112 | -17.763 | 35.874 | 0.000 | 0.000 |
| -12.122 | -12.122 | -17.728 | -0.000 | 35.914 | -0.000 |
| -12.298 | -12.298 | -17.716 | 0.000 | -0.000 | 38.217 |
| 125.780 | 48.338 | 54.775 | -0.000 | 0.000 | -0.000 |
| 61.399 | 137.833 | 63.595 | -0.000 | 0.000 | -0.000 |
| 58.155 | 58.155 | 191.430 | -0.000 | 0.000 | -0.000 |
| 12.112 | 12.112 | 17.763 | 35.874 | 0.000 | -0.000 |
| 12.122 | 12.122 | 17.728 | -0.000 | 35.914 | 0.000 |
| -1.187 | -1.187 | 8.607 | -0.000 | 0.000 | 38.696 |
| 154.494 | 25.500 | 25.500 | -0.000 | -0.000 | -0.000 |
| 25.500 | 154.494 | 25.500 | -0.000 | -0.000 | 0.000 |
| 25.500 | 25.500 | 154.494 | -0.000 | -0.000 | -0.000 |
| 0.000 | -0.000 | 0.000 | -1.786 | -0.000 | 0.000 |
| 0.000 | 0.000 | 0.000 | -0.000 | -1.786 | -0.000 |
| 0.000 | -0.000 | 0.000 | -0.000 | -0.000 | -1.786 |
| 154.494 | 25.500 | 25.500 | 0.000 | 0.000 | -0.000 |
| 25.500 | 154.494 | 25.500 | 0.000 | 0.000 | -0.000 |
| 25.500 | 25.500 | 154.494 | 0.000 | 0.000 | -0.000 |
| -0.000 | 0.000 | -0.000 | -1.786 | -0.000 | 0.000 |
| -0.000 | 0.000 | -0.000 | 0.000 | -1.786 | -0.000 |
| -0.000 | 0.000 | -0.000 | 0.000 | 0.000 | -1.786 |
| 154.494 | 25.500 | 25.500 | -0.000 | 0.000 | 0.000 |
| 25.500 | 154.494 | 25.500 | -0.000 | 0.000 | -0.000 |
| 25.500 | 25.500 | 154.494 | -0.000 | -0.000 | 0.000 |
| 0.000 | 0.000 | -0.000 | -1.786 | -0.000 | 0.000 |
| 0.000 | 0.000 | -0.000 | -0.000 | -1.786 | 0.000 |
| 0.000 | -0.000 | 0.000 | -0.000 | -0.000 | -1.786 |
| 154.494 | 25.500 | 25.500 | 0.000 | -0.000 | 0.000 |
| 25.500 | 154.494 | 25.500 | 0.000 | 0.000 | 0.000 |
| 25.500 | 25.500 | 154.494 | 0.000 | 0.000 | 0.000 |
| -0.000 | -0.000 | 0.000 | -1.786 | 0.000 | -0.000 |
| -0.000 | -0.000 | 0.000 | 0.000 | -1.786 | 0.000 |
| -0.000 | 0.000 | -0.000 | 0.000 | 0.000 | -1.786 |
| 154.494 | 25.500 | 25.500 | -0.000 | -0.000 | 0.000 |
| 25.500 | 154.494 | 25.500 | -0.000 | 0.000 | 0.000 |
| 25.500 | 25.500 | 154.494 | 0.000 | 0.000 | 0.000 |
| 0.000 | 0.000 | -0.000 | -1.786 | -0.000 | 0.000 |
| 0.000 | 0.000 | -0.000 | -0.000 | -1.786 | 0.000 |
| 0.000 | -0.000 | 0.000 | -0.000 | -0.000 | -1.786 |
| 154.494 | 25.500 | 25.500 | 0.000 | 0.000 | -0.000 |
| 25.500 | 154.494 | 25.500 | 0.000 | 0.000 | 0.000 |
| 25.500 | 25.500 | 154.494 | 0.000 | 0.000 | -0.000 |
| -0.000 | -0.000 | 0.000 | -1.786 | 0.000 | 0.000 |
| -0.000 | -0.000 | 0.000 | 0.000 | -1.786 | -0.000 |
| -0.000 | 0.000 | -0.000 | 0.000 | 0.000 | -1.786 |
| 209.061 | 146.009 | 146.009 | -0.000 | -0.000 | -0.000 |
| 146.009 | 209.061 | 146.009 | -0.000 | -0.000 | -0.000 |
| 146.009 | 146.009 | 209.061 | -0.000 | -0.000 | -0.000 |
| 0.000 | 0.000 | 0.000 | 87.595 | -0.000 | -0.000 |
| 0.000 | 0.000 | 0.000 | -0.000 | 87.595 | -0.000 |
| 0.000 | 0.000 | 0.000 | -0.000 | -0.000 | 87.595 |
| 209.062 | 146.009 | 146.009 | 0.000 | 0.000 | 0.000 |
| 146.009 | 209.062 | 146.009 | 0.000 | 0.000 | 0.000 |
| 146.009 | 146.009 | 209.062 | 0.000 | 0.000 | 0.000 |
| -0.000 | -0.000 | -0.000 | 87.595 | 0.000 | 0.000 |
| -0.000 | -0.000 | -0.000 | 0.000 | 87.595 | 0.000 |
| -0.000 | -0.000 | -0.000 | 0.000 | 0.000 | 87.595 |
| 209.061 | 146.008 | 146.008 | -0.000 | -0.000 | -0.000 |
| 146.008 | 209.061 | 146.008 | -0.000 | -0.000 | -0.000 |
| 146.008 | 146.008 | 209.061 | -0.000 | -0.000 | -0.000 |
| 0.000 | 0.000 | 0.000 | 87.595 | -0.000 | -0.000 |
| 0.000 | 0.000 | 0.000 | 0.000 | 87.595 | -0.000 |
| 0.000 | 0.000 | 0.000 | -0.000 | -0.000 | 87.595 |
| 209.062 | 146.010 | 146.010 | 0.000 | 0.000 | 0.000 |
| 146.010 | 209.062 | 146.010 | 0.000 | 0.000 | 0.000 |
| 146.010 | 146.010 | 209.062 | 0.000 | 0.000 | 0.000 |
| -0.000 | -0.000 | -0.000 | 87.595 | 0.000 | 0.000 |
| -0.000 | -0.000 | -0.000 | 0.000 | 87.595 | 0.000 |
| -0.000 | -0.000 | -0.000 | 0.000 | 0.000 | 87.595 |
| 209.054 | 145.999 | 145.999 | -0.000 | -0.000 | -0.000 |
| 145.999 | 209.054 | 145.999 | -0.000 | -0.000 | -0.000 |
| 145.999 | 145.999 | 209.054 | -0.000 | -0.000 | -0.000 |
| 0.000 | 0.000 | 0.000 | 87.595 | -0.000 | -0.000 |
| 0.000 | 0.000 | 0.000 | -0.000 | 87.595 | -0.000 |
| 0.000 | 0.000 | 0.000 | -0.000 | -0.000 | 87.595 |
| 209.069 | 146.019 | 146.019 | 0.000 | 0.000 | 0.000 |
| 146.019 | 209.069 | 146.019 | 0.000 | 0.000 | 0.000 |
| 146.019 | 146.019 | 209.069 | 0.000 | 0.000 | 0.000 |
| -0.000 | -0.000 | -0.000 | 87.595 | 0.000 | 0.000 |
| -0.000 | -0.000 | -0.000 | 0.000 | 87.595 | 0.000 |
| -0.000 | -0.000 | -0.000 | 0.000 | 0.000 | 87.595 |
| 24.021 | 35.800 | 35.800 | -0.000 | -0.000 | -0.000 |
| 35.800 | 24.021 | 35.800 | -0.000 | -0.000 | -0.000 |
| 35.800 | 35.800 | 24.021 | -0.000 | -0.000 | -0.000 |
| 0.000 | 0.000 | 0.000 | -23.586 | -0.000 | 0.000 |
| 0.000 | 0.000 | 0.000 | -0.000 | -23.586 | 0.000 |
| 0.000 | 0.000 | 0.000 | -0.000 | 0.000 | -23.586 |
| 24.021 | 35.800 | 35.800 | 0.000 | 0.000 | 0.000 |
| 35.800 | 24.021 | 35.800 | 0.000 | 0.000 | 0.000 |
| 35.800 | 35.800 | 24.021 | 0.000 | 0.000 | 0.000 |
| -0.000 | -0.000 | -0.000 | -23.586 | 0.000 | -0.000 |
| -0.000 | -0.000 | -0.000 | 0.000 | -23.586 | -0.000 |
| -0.000 | -0.000 | -0.000 | -0.000 | -0.000 | -23.586 |
| 24.021 | 35.800 | 35.800 | 0.000 | -0.000 | -0.000 |
| 35.800 | 24.021 | 35.800 | -0.000 | 0.000 | -0.000 |
| 35.800 | 35.800 | 24.021 | -0.000 | -0.000 | 0.000 |
| 0.000 | 0.000 | 0.000 | 23.533 | 0.000 | 0.000 |
| 0.000 | 0.000 | 0.000 | 0.000 | 23.533 | 0.000 |
| 0.000 | 0.000 | 0.000 | 0.000 | 0.000 | 23.533 |
| 24.021 | 35.800 | 35.800 | 0.000 | 0.000 | 0.000 |
| 35.800 | 24.021 | 35.800 | 0.000 | 0.000 | 0.000 |
| 35.800 | 35.800 | 24.021 | 0.000 | 0.000 | 0.000 |
| -0.000 | -0.000 | -0.000 | 23.533 | -0.000 | -0.000 |
| -0.000 | -0.000 | -0.000 | -0.000 | 23.533 | -0.000 |
| -0.000 | -0.000 | -0.000 | -0.000 | -0.000 | 23.533 |
| 24.023 | 35.801 | 35.801 | 0.000 | -0.000 | -0.000 |
| 35.801 | 24.023 | 35.801 | -0.000 | 0.000 | -0.000 |
| 35.801 | 35.801 | 24.023 | -0.000 | -0.000 | -0.000 |
| 0.000 | 0.001 | 0.000 | -23.586 | -0.000 | 0.000 |
| 0.001 | 0.000 | 0.000 | -0.000 | -23.586 | 0.000 |
| 0.001 | 0.000 | 0.000 | -0.000 | 0.000 | -23.586 |
| 24.019 | 35.799 | 35.799 | 0.000 | 0.000 | 0.000 |
| 35.799 | 24.019 | 35.799 | 0.000 | 0.000 | 0.000 |
| 35.799 | 35.799 | 24.019 | 0.000 | 0.000 | 0.000 |
| -0.000 | -0.001 | -0.000 | -23.586 | 0.000 | -0.000 |
| -0.001 | -0.000 | -0.000 | 0.000 | -23.586 | 0.000 |
| -0.001 | -0.000 | -0.000 | 0.000 | 0.000 | -23.586 |
| 63.550 | 54.848 | 54.234 | 0.000 | 0.000 | -0.000 |
| 54.848 | 63.550 | 54.234 | 0.000 | 0.000 | -0.000 |
| 54.234 | 54.234 | 125.331 | 0.000 | 0.000 | -0.000 |
| 0.000 | 0.000 | 0.000 | 12.191 | 0.000 | -0.000 |
| 0.000 | 0.000 | 0.000 | 0.000 | 12.191 | -0.000 |
| 0.000 | 0.000 | 0.000 | 0.000 | 0.000 | 1.404 |
| 63.550 | 54.848 | 54.234 | -0.000 | -0.000 | 0.000 |
| 54.848 | 63.550 | 54.234 | -0.000 | -0.000 | -0.000 |
| 54.234 | 54.234 | 125.331 | -0.000 | -0.000 | 0.000 |
| -0.000 | -0.000 | -0.000 | 12.191 | -0.000 | -0.000 |
| -0.000 | -0.000 | -0.000 | -0.000 | 12.191 | -0.000 |
| -0.000 | -0.000 | -0.000 | -0.000 | -0.000 | 1.404 |
| 63.550 | 54.848 | 54.234 | 0.000 | 0.000 | -0.000 |
| 54.848 | 63.550 | 54.234 | 0.000 | 0.000 | -0.000 |
| 54.234 | 54.234 | 125.331 | 0.000 | 0.000 | -0.000 |
| 0.000 | 0.000 | 0.000 | 12.191 | 0.000 | -0.000 |
| 0.000 | 0.000 | 0.000 | 0.000 | 12.191 | -0.000 |
| 0.000 | 0.000 | 0.000 | 0.000 | 0.000 | 1.404 |
| 63.549 | 54.848 | 54.234 | 0.000 | -0.000 | -0.000 |
| 54.848 | 63.549 | 54.234 | -0.000 | -0.000 | 0.000 |
| 54.234 | 54.234 | 125.331 | 0.000 | -0.000 | 0.000 |
| -0.000 | -0.000 | -0.000 | 12.191 | -0.000 | -0.000 |
| -0.000 | -0.000 | -0.000 | 0.000 | 12.191 | -0.000 |
| -0.000 | -0.000 | -0.000 | -0.000 | -0.000 | 1.404 |
| 63.553 | 54.849 | 54.235 | 0.000 | 0.000 | 0.000 |
| 54.849 | 63.553 | 54.235 | 0.000 | 0.000 | 0.000 |
| 54.234 | 54.234 | 125.332 | -0.000 | 0.000 | -0.000 |
| 0.000 | 0.000 | 0.000 | 12.191 | 0.000 | 0.000 |
| 0.000 | 0.000 | 0.000 | 0.000 | 12.191 | -0.000 |
| 0.001 | 0.001 | 0.000 | 0.000 | 0.000 | 1.404 |
| 63.547 | 54.848 | 54.233 | -0.000 | -0.000 | 0.000 |
| 54.848 | 63.547 | 54.233 | -0.000 | -0.000 | -0.000 |
| 54.234 | 54.234 | 125.331 | -0.000 | -0.000 | 0.000 |
| -0.000 | -0.000 | -0.000 | 12.191 | -0.000 | 0.000 |
| -0.000 | -0.000 | -0.000 | -0.000 | 12.191 | -0.000 |
| -0.001 | -0.001 | -0.000 | -0.000 | -0.000 | 1.404 |
| 78.291 | 41.141 | 43.415 | 2.183 | -0.000 | 0.000 |
| 41.141 | 78.291 | 43.415 | -2.183 | -0.000 | 0.000 |
| 43.415 | 43.415 | 90.980 | -0.000 | 0.000 | 0.000 |
| 2.183 | -2.183 | -0.000 | 27.096 | 0.000 | -0.000 |
| -0.000 | -0.000 | -0.000 | -0.000 | 27.096 | 2.183 |
| -0.000 | -0.000 | -0.000 | -0.000 | 2.183 | 18.575 |
| 78.291 | 41.141 | 43.415 | 2.183 | 0.000 | -0.000 |
| 41.141 | 78.291 | 43.415 | -2.183 | -0.000 | -0.000 |
| 43.415 | 43.415 | 90.980 | 0.000 | -0.000 | -0.000 |
| 2.183 | -2.183 | 0.000 | 27.096 | -0.000 | -0.000 |
| 0.000 | 0.000 | 0.000 | 0.000 | 27.096 | 2.183 |
| 0.000 | 0.000 | 0.000 | -0.000 | 2.183 | 18.575 |
| 78.291 | 41.141 | 43.414 | 2.183 | 0.000 | -0.000 |
| 41.141 | 78.291 | 43.414 | -2.183 | 0.000 | 0.000 |
| 43.415 | 43.415 | 90.980 | -0.000 | -0.000 | 0.000 |
| 2.183 | -2.183 | -0.000 | 27.096 | 0.000 | 0.000 |
| -0.000 | -0.000 | -0.000 | -0.000 | 27.096 | 2.183 |
| -0.000 | -0.000 | -0.000 | 0.000 | 2.183 | 18.575 |
| 78.291 | 41.141 | 43.415 | 2.183 | -0.000 | 0.000 |
| 41.141 | 78.291 | 43.415 | -2.183 | -0.000 | -0.000 |
| 43.414 | 43.414 | 90.980 | -0.000 | -0.000 | -0.000 |
| 2.183 | -2.183 | 0.000 | 27.096 | 0.000 | -0.000 |
| 0.000 | 0.000 | 0.000 | 0.000 | 27.096 | 2.183 |
| 0.000 | 0.000 | 0.000 | -0.000 | 2.183 | 18.575 |
| 78.291 | 41.141 | 43.414 | 2.183 | 0.000 | -0.000 |
| 41.141 | 78.291 | 43.414 | -2.183 | 0.000 | -0.000 |
| 43.415 | 43.415 | 90.980 | -0.000 | -0.000 | 0.000 |
| 2.183 | -2.183 | -0.000 | 27.096 | 0.000 | 0.000 |
| -0.000 | -0.000 | -0.000 | -0.000 | 27.096 | 2.183 |
| -0.000 | -0.000 | -0.000 | 0.000 | 2.183 | 18.575 |
| 78.292 | 41.142 | 43.415 | 2.183 | -0.000 | 0.000 |
| 41.142 | 78.292 | 43.415 | -2.183 | -0.000 | 0.000 |
| 43.414 | 43.414 | 90.980 | 0.000 | -0.000 | 0.000 |
| 2.183 | -2.182 | 0.000 | 27.096 | -0.000 | -0.000 |
| 0.000 | 0.000 | 0.000 | 0.000 | 27.096 | 2.183 |
| 0.000 | 0.000 | 0.000 | -0.000 | 2.183 | 18.575 |
| 79.627 | 42.615 | 41.505 | -0.000 | -0.000 | 0.000 |
| 42.615 | 79.627 | 41.505 | -0.000 | -0.000 | 0.000 |
| 41.505 | 41.505 | 112.578 | 0.000 | -0.000 | 0.000 |
| -0.000 | -0.000 | -0.000 | 27.905 | -0.000 | -0.000 |
| -0.000 | -0.000 | -0.000 | -0.000 | 27.905 | 0.000 |
| -0.000 | -0.000 | -0.000 | -0.000 | 0.000 | 19.609 |
| 80.730 | 41.512 | 41.505 | -0.000 | -0.000 | 0.000 |
| 42.615 | 79.627 | 41.505 | 0.000 | 0.000 | -0.000 |
| 41.505 | 41.505 | 112.578 | 0.000 | 0.000 | 0.000 |
| 0.000 | 0.000 | 0.000 | 27.905 | 0.000 | -0.000 |
| 0.000 | 0.000 | 0.000 | 0.000 | 27.905 | 0.000 |
| 0.000 | 0.000 | 0.000 | -0.000 | -0.000 | 19.609 |
| 79.627 | 42.615 | 41.505 | -0.000 | -0.000 | 0.000 |
| 41.512 | 80.730 | 41.505 | 0.000 | 0.000 | 0.000 |
| 41.505 | 41.505 | 112.578 | 0.000 | -0.000 | 0.000 |
| -0.000 | -0.000 | -0.000 | 27.905 | -0.000 | 0.000 |
| -0.000 | -0.000 | -0.000 | -0.000 | 27.905 | 0.000 |
| -0.000 | -0.000 | -0.000 | -0.000 | -0.000 | 18.506 |
| 79.627 | 42.615 | 41.505 | 0.000 | 0.000 | -0.000 |
| 41.512 | 80.730 | 41.505 | -0.000 | 0.000 | 0.000 |
| 41.505 | 41.505 | 112.578 | -0.000 | 0.000 | 0.000 |
| 0.000 | 0.000 | 0.000 | 27.905 | 0.000 | 0.000 |
| 0.000 | 0.000 | 0.000 | 0.000 | 27.905 | -0.000 |
| 0.000 | 0.000 | 0.000 | 0.000 | 0.000 | 18.506 |
| 80.729 | 41.512 | 41.504 | 0.000 | 0.000 | -0.000 |
| 41.512 | 80.729 | 41.504 | -0.000 | -0.000 | -0.000 |
| 41.505 | 41.505 | 112.579 | -0.000 | -0.000 | -0.000 |
| -0.000 | -0.000 | -0.000 | 27.905 | -0.000 | 0.000 |
| -0.000 | -0.000 | -0.000 | -0.000 | 27.905 | 0.000 |
| -0.000 | -0.000 | -0.000 | 0.000 | 0.000 | 19.609 |
| 80.731 | 41.512 | 41.505 | -0.000 | -0.000 | 0.000 |
| 41.512 | 80.731 | 41.505 | 0.000 | -0.000 | -0.000 |
| 41.505 | 41.505 | 112.578 | -0.000 | 0.000 | 0.000 |
| 0.000 | 0.000 | 0.000 | 27.905 | 0.000 | -0.000 |
| 0.000 | 0.000 | 0.000 | 0.000 | 27.905 | -0.000 |
| 0.000 | 0.000 | 0.000 | -0.000 | -0.000 | 19.609 |
| 172.402 | 44.317 | 41.791 | -0.000 | 0.000 | 0.000 |
| 44.194 | -177.675 | 38.603 | -0.000 | 0.000 | 0.000 |
| 44.267 | 37.470 | 84.545 | 0.000 | 0.000 | 0.000 |
| 1.705 | 0.092 | 2.234 | 20.184 | 0.000 | -0.000 |
| 0.265 | 0.014 | 0.348 | -0.000 | 35.311 | 0.000 |
| 1.209 | 0.065 | 1.584 | -0.000 | 0.000 | 28.239 |
| 169.603 | 44.161 | 38.120 | 0.000 | -0.000 | -0.000 |
| 43.520 | -177.640 | 37.764 | -0.000 | -0.000 | -0.000 |
| 41.849 | 37.336 | 81.373 | -0.000 | -0.000 | 0.000 |
| -1.705 | -0.092 | -2.234 | 20.184 | -0.000 | -0.000 |
| -0.265 | -0.014 | -0.348 | 0.000 | 35.311 | -0.000 |
| -1.209 | -0.065 | -1.584 | 0.000 | -0.000 | 28.239 |
| 171.114 | 44.249 | 40.104 | -0.000 | 0.000 | 0.000 |
| 43.868 | -177.629 | 38.215 | -0.000 | 0.000 | 0.000 |
| 40.165 | 38.858 | 80.181 | 0.000 | 0.000 | 0.000 |
| 0.147 | 0.017 | 0.198 | 19.322 | 0.000 | 0.000 |
| 0.026 | 0.001 | 0.034 | 0.000 | 35.336 | 0.000 |
| 0.121 | 0.007 | 0.158 | -0.000 | 0.000 | 28.239 |
| 170.835 | 44.233 | 39.739 | 0.000 | -0.000 | -0.000 |
| 43.803 | -177.625 | 38.135 | 0.000 | -0.000 | -0.000 |
| 39.882 | 38.869 | 79.826 | 0.000 | -0.000 | -0.000 |
| -0.147 | -0.017 | -0.198 | 19.322 | -0.000 | -0.000 |
| -0.026 | -0.001 | -0.034 | 0.000 | 35.336 | 0.000 |
| -0.121 | -0.007 | -0.158 | 0.000 | -0.000 | 28.239 |
| 170.982 | 44.303 | 39.967 | -0.000 | 0.000 | 0.000 |
| 44.469 | -177.662 | 38.963 | -0.000 | -0.000 | 0.000 |
| 40.033 | 38.863 | 80.016 | -0.000 | 0.000 | 0.000 |
| 0.018 | 0.001 | 0.023 | 20.097 | 0.000 | 0.000 |
| -0.001 | 0.000 | -0.001 | -0.000 | 35.336 | 0.000 |
| 0.012 | 0.001 | 0.016 | -0.000 | 0.000 | 28.239 |
| 170.957 | 44.302 | 39.939 | 0.000 | -0.000 | -0.000 |
| 44.441 | -177.655 | 38.928 | 0.000 | 0.000 | -0.000 |
| 40.014 | 38.863 | 79.991 | -0.000 | -0.000 | 0.000 |
| -0.018 | -0.001 | -0.023 | 20.097 | -0.000 | -0.000 |
| 0.001 | -0.000 | 0.001 | 0.000 | 35.336 | -0.000 |
| -0.012 | -0.001 | -0.016 | 0.000 | -0.000 | 28.239 |
| 217.736 | 36.261 | 65.578 | -0.000 | 0.000 | -0.000 |
| 35.989 | 95.692 | 42.803 | -0.000 | 0.000 | -0.000 |
| 66.017 | 42.843 | 125.943 | -0.000 | 0.000 | 0.000 |
| -0.000 | 0.000 | -0.000 | 22.142 | 0.000 | 0.000 |
| -0.000 | 0.000 | -0.000 | -0.000 | 47.092 | 0.000 |
| -0.000 | 0.000 | -0.000 | -0.000 | 0.000 | 19.305 |
| 217.736 | 36.261 | 65.578 | 0.000 | -0.000 | -0.000 |
| 35.989 | 95.692 | 42.803 | 0.000 | -0.000 | -0.000 |
| 66.017 | 42.843 | 125.943 | 0.000 | -0.000 | 0.000 |
| 0.000 | -0.000 | 0.000 | 22.142 | -0.000 | 0.000 |
| 0.000 | -0.000 | 0.000 | 0.000 | 47.092 | 0.000 |
| 0.000 | -0.000 | 0.000 | 0.000 | -0.000 | 19.305 |
| 217.736 | 36.261 | 65.578 | -0.000 | 0.000 | 0.000 |
| 36.495 | 95.532 | 43.168 | -0.000 | 0.000 | -0.000 |
| 66.512 | 42.402 | 126.678 | -0.000 | 0.000 | -0.000 |
| -0.000 | 0.000 | 0.000 | 22.142 | 0.000 | 0.000 |
| -0.000 | 0.000 | -0.000 | -0.000 | 47.092 | -0.000 |
| -0.000 | 0.000 | -0.000 | -0.000 | 0.000 | 19.305 |
| 216.654 | 36.495 | 64.940 | 0.000 | -0.000 | -0.000 |
| 35.735 | 95.936 | 42.402 | 0.000 | -0.000 | 0.000 |
| 64.940 | 43.168 | 125.185 | 0.000 | -0.000 | 0.000 |
| 0.000 | -0.000 | -0.000 | 22.142 | -0.000 | 0.000 |
| 0.000 | -0.000 | 0.000 | 0.000 | 47.092 | 0.000 |
| 0.000 | -0.000 | 0.000 | 0.000 | -0.000 | 19.305 |
| 216.651 | 36.495 | 64.939 | -0.000 | 0.000 | -0.000 |
| 36.495 | 95.534 | 43.169 | -0.000 | 0.000 | -0.000 |
| 64.940 | 43.169 | 125.185 | -0.000 | 0.000 | -0.000 |
| 0.000 | 0.000 | 0.000 | 22.009 | -0.000 | 0.000 |
| -0.001 | 0.000 | -0.000 | -0.000 | 47.062 | -0.000 |
| -0.000 | 0.000 | -0.000 | -0.000 | 0.000 | 19.305 |
| 216.656 | 36.495 | 64.940 | 0.000 | -0.000 | 0.000 |
| 36.494 | 95.530 | 43.167 | 0.000 | -0.000 | -0.000 |
| 64.940 | 43.167 | 125.185 | 0.000 | -0.000 | 0.000 |
| -0.000 | -0.000 | -0.000 | 22.009 | 0.000 | 0.000 |
| 0.001 | -0.000 | 0.000 | 0.000 | 47.062 | -0.000 |
| 0.000 | -0.000 | 0.000 | 0.000 | -0.000 | 19.305 |
| 85.929 | 55.260 | 46.366 | 0.000 | 0.000 | 0.000 |
| 677.509 | 838.440 | 403.072 | 0.000 | -0.000 | -0.000 |
| 46.367 | 55.529 | 169.272 | -0.000 | -0.000 | 0.000 |
| -0.000 | -0.000 | -0.000 | 39.435 | -0.000 | 0.000 |
| 340.131 | 390.478 | 251.475 | 0.000 | 30.839 | 0.000 |
| 340.128 | 390.474 | 251.472 | 0.000 | 0.000 | 33.418 |
| -256.342 | -335.725 | -205.417 | -0.000 | 0.000 | -0.000 |
| -285.346 | -246.883 | -196.188 | -0.000 | 0.000 | -0.000 |
| -293.889 | -335.004 | -83.806 | -0.000 | 0.000 | -0.000 |
| 0.000 | 0.000 | 0.000 | 39.435 | 0.000 | -0.000 |
| -340.131 | -390.478 | -251.475 | 0.000 | 30.839 | 0.000 |
| 0.000 | 0.000 | 0.000 | -0.000 | -0.000 | 36.407 |
| 144.496 | 124.845 | 80.499 | 0.000 | 0.000 | -0.000 |
| 125.124 | 186.836 | 91.290 | -0.000 | -0.000 | 0.000 |
| 46.367 | 55.529 | 169.272 | -0.000 | 0.000 | 0.000 |
| 62.182 | 69.505 | 34.753 | 37.797 | -0.000 | -0.000 |
| -0.000 | -0.000 | -0.000 | 0.000 | 31.054 | -0.000 |
| -0.000 | -0.000 | -0.000 | 0.000 | -0.000 | 36.407 |
| 85.929 | 55.260 | 46.366 | -0.000 | 0.000 | -0.000 |
| 20.780 | 104.540 | 30.146 | -0.000 | 0.000 | 0.000 |
| 12.232 | 16.430 | 142.525 | -0.000 | 0.000 | 0.000 |
| -62.182 | -69.505 | -34.753 | 37.797 | 0.000 | 0.000 |
| 0.000 | 0.000 | 0.000 | 0.000 | 31.054 | -0.000 |
| 0.000 | 0.000 | 0.000 | -0.000 | 0.000 | 36.407 |
| 88.555 | 62.373 | 49.239 | 0.000 | -0.000 | -0.000 |
| 58.125 | 147.703 | 57.747 | 0.000 | -0.000 | -0.000 |
| 49.606 | 59.335 | 170.152 | 0.000 | -0.000 | -0.000 |
| 3.418 | 3.924 | 2.527 | 38.465 | 0.000 | 0.000 |
| -0.000 | -0.000 | -0.000 | 0.000 | 31.054 | -0.000 |
| -0.000 | -0.000 | -0.000 | 0.000 | -0.000 | 36.407 |
| 76.009 | 48.324 | 42.241 | -0.000 | 0.000 | 0.000 |
| 55.261 | 147.524 | 55.529 | -0.000 | 0.000 | -0.000 |
| 46.367 | 55.529 | 169.274 | -0.000 | 0.000 | -0.000 |
| -3.418 | -3.924 | -2.527 | 38.465 | -0.000 | 0.000 |
| 0.000 | 0.000 | 0.000 | -0.000 | 31.054 | -0.000 |
| 0.000 | 0.000 | 0.000 | -0.000 | 0.000 | 36.407 |
| 87.411 | 25.067 | -42.551 | -0.000 | 63.196 | 0.000 |
| 41.399 | 167.169 | 51.245 | -0.000 | 0.446 | -0.000 |
| 51.307 | 57.287 | 68.694 | -0.000 | 40.059 | -0.000 |
| -0.000 | -0.000 | -0.000 | 38.348 | -0.000 | 0.403 |
| 0.075 | 0.446 | 0.374 | -0.000 | 34.204 | 0.000 |
| -0.000 | -0.000 | -0.000 | 0.403 | -0.000 | 29.982 |
| 72.378 | 36.537 | 112.242 | 0.000 | -32.775 | 0.000 |
| 38.188 | 159.442 | 115.721 | 0.000 | -38.018 | 0.000 |
| 48.256 | 51.245 | 136.289 | 0.000 | 0.374 | -0.000 |
| 0.000 | 0.000 | 0.000 | 38.348 | 0.000 | 0.403 |
| -31.282 | 11.427 | 100.554 | -0.000 | -19.324 | -0.000 |
| 0.000 | 0.000 | 0.000 | 0.403 | 0.000 | 29.982 |
| 77.923 | 41.482 | 48.326 | -0.000 | 6.468 | 0.000 |
| 43.070 | 162.943 | 43.001 | -0.000 | 6.294 | 0.000 |
| 48.112 | 52.546 | 126.365 | -0.000 | 4.997 | -0.000 |
| 3.158 | -1.085 | -9.930 | 36.044 | 4.841 | 0.491 |
| 3.677 | -0.541 | -8.826 | 0.000 | 33.731 | 0.000 |
| -0.000 | -0.000 | -0.000 | 0.403 | -0.000 | 29.982 |
| 77.923 | 41.482 | 48.326 | 0.000 | 6.468 | -0.000 |
| 41.352 | 164.325 | 57.986 | 0.000 | -2.985 | 0.000 |
| 47.444 | 51.447 | 139.319 | 0.000 | -2.778 | -0.000 |
| -3.158 | 1.085 | 9.930 | 36.044 | -4.841 | 0.491 |
| -0.064 | 0.162 | 7.655 | 0.000 | 27.903 | 0.000 |
| 0.000 | 0.000 | 0.000 | 0.403 | 0.000 | 29.982 |
| 72.730 | 41.559 | 48.168 | -0.000 | 6.109 | 0.000 |
| 41.399 | 167.167 | 51.245 | -0.000 | 0.446 | -0.000 |
| 48.256 | 51.245 | 136.288 | -0.000 | 0.374 | 0.000 |
| 0.264 | -0.090 | -0.944 | 36.039 | 0.480 | 0.481 |
| 0.767 | 0.462 | 0.409 | -0.000 | 28.961 | -0.000 |
| 0.125 | -0.162 | -0.877 | 0.464 | 0.552 | 28.587 |
| 77.923 | 41.482 | 48.326 | 0.000 | 6.468 | -0.000 |
| 41.614 | 165.136 | 52.350 | 0.000 | 0.338 | 0.000 |
| 47.802 | 51.834 | 134.047 | 0.000 | 0.561 | -0.000 |
| -0.264 | 0.090 | 0.944 | 36.039 | -0.480 | 0.481 |
| 0.358 | 0.757 | 2.293 | 0.000 | 30.255 | 0.000 |
| -0.125 | 0.162 | 0.877 | 0.464 | -0.552 | 28.587 |
| 151.518 | 51.807 | 44.392 | 0.000 | -0.000 | -0.000 |
| 67.680 | 55.999 | 119.146 | -0.000 | 0.000 | -0.000 |
| 119.545 | -52.814 | 191.212 | -0.000 | -0.000 | -0.000 |
| -0.000 | -0.000 | -0.000 | 39.460 | -0.000 | -0.000 |
| -0.000 | -0.000 | -0.000 | -0.000 | 27.442 | -0.000 |
| 73.775 | -114.645 | 61.117 | 0.000 | 0.000 | 32.035 |
| 151.518 | 51.807 | 44.392 | 0.000 | 0.000 | 0.000 |
| -39.361 | 243.831 | -36.862 | -0.000 | 0.000 | 0.000 |
| 25.822 | 138.780 | 64.925 | -0.000 | -0.000 | 0.000 |
| 0.000 | 0.000 | 0.000 | 39.460 | -0.000 | 0.000 |
| 0.000 | 0.000 | 0.000 | 0.000 | 27.442 | 0.000 |
| -73.775 | 114.645 | -61.117 | -0.000 | 0.000 | 32.035 |
| 156.134 | 40.087 | 47.399 | -0.000 | -0.000 | -0.000 |
| 51.807 | 135.865 | 60.028 | -0.000 | -0.000 | -0.000 |
| 49.685 | 50.013 | 129.356 | 0.000 | -0.000 | -0.000 |
| 7.969 | -11.414 | 7.317 | 32.729 | -0.000 | 0.000 |
| 1.557 | -7.738 | 5.786 | -0.000 | 25.465 | -0.000 |
| 7.398 | -11.464 | 6.153 | 0.000 | -0.000 | 32.031 |
| 139.261 | 62.685 | 30.641 | -0.000 | 0.000 | 0.000 |
| 50.557 | 141.120 | 55.495 | -0.000 | 0.000 | 0.000 |
| 39.756 | 69.208 | 116.832 | -0.000 | -0.000 | 0.000 |
| -7.969 | 11.414 | -7.317 | 32.729 | 0.000 | 0.000 |
| -1.557 | 7.738 | -5.786 | 0.000 | 25.465 | -0.000 |
| -7.398 | 11.464 | -6.153 | -0.000 | -0.000 | 32.031 |
| 151.516 | 51.807 | 44.391 | 0.000 | 0.000 | -0.000 |
| 52.272 | 132.557 | 61.876 | 0.000 | -0.000 | -0.000 |
| 44.391 | 60.028 | 129.113 | -0.000 | -0.000 | 0.000 |
| -0.000 | -0.000 | -0.000 | 39.460 | -0.000 | 0.000 |
| 0.967 | -1.109 | 0.993 | 0.000 | 24.779 | -0.000 |
| -0.000 | -0.000 | -0.000 | 0.000 | 0.000 | 34.247 |
| 151.520 | 51.807 | 44.392 | -0.000 | 0.000 | 0.000 |
| 51.807 | 135.866 | 60.028 | -0.000 | 0.000 | 0.000 |
| 40.631 | 62.430 | 120.951 | 0.000 | 0.000 | 0.000 |
| 0.000 | 0.000 | 0.000 | 39.460 | 0.000 | 0.000 |
| -0.967 | 1.109 | -0.993 | -0.000 | 24.779 | 0.000 |
| 0.000 | 0.000 | 0.000 | -0.000 | 0.000 | 34.247 |
| 217.454 | 85.094 | -295.477 | -0.000 | 0.000 | 0.000 |
| 44.343 | 95.068 | 60.063 | 0.000 | -0.000 | -0.000 |
| 139.873 | 164.826 | -351.563 | 0.000 | -0.000 | 0.000 |
| 76.037 | 41.451 | -347.608 | 34.067 | 0.000 | 0.000 |
| 88.223 | 103.352 | -493.103 | -0.000 | 27.928 | 0.000 |
| -0.000 | -0.000 | 0.000 | -0.000 | 0.000 | 25.467 |
| 143.973 | 44.343 | 52.510 | -0.000 | 0.000 | -0.000 |
| -32.421 | 52.830 | 408.434 | -0.000 | 0.000 | 0.000 |
| -36.573 | -41.879 | 634.646 | -0.000 | 0.000 | 0.000 |
| -76.037 | -41.451 | 347.608 | 34.067 | -0.000 | -0.000 |
| -88.223 | -103.352 | 493.103 | 0.000 | 27.928 | -0.000 |
| 0.000 | 0.000 | -0.000 | 0.000 | 0.000 | 25.467 |
| 143.972 | 44.343 | 52.510 | 0.000 | -0.000 | 0.000 |
| 51.222 | 98.430 | 26.057 | -0.000 | -0.000 | 0.000 |
| 56.151 | 72.352 | 81.707 | 0.000 | -0.000 | 0.000 |
| 5.214 | 10.859 | -59.893 | 32.663 | -0.000 | 0.000 |
| 8.822 | 10.335 | -49.308 | 0.000 | 27.928 | 0.000 |
| 7.604 | 4.145 | -34.762 | -0.000 | 0.000 | 25.242 |
| 143.973 | 44.343 | 52.510 | -0.000 | 0.000 | -0.000 |
| 36.008 | 90.133 | 95.595 | -0.000 | 0.000 | -0.000 |
| 44.572 | 56.577 | 178.372 | 0.000 | -0.000 | -0.000 |
| -5.214 | -10.859 | 59.893 | 32.663 | 0.000 | -0.000 |
| -7.569 | -13.287 | 59.107 | -0.000 | 27.509 | 0.000 |
| -7.604 | -4.145 | 34.762 | -0.000 | 0.000 | 25.242 |
| 142.071 | 44.039 | 48.468 | -0.000 | -0.000 | -0.000 |
| 44.038 | 94.572 | 56.502 | 0.000 | -0.000 | -0.000 |
| 52.470 | 62.533 | 136.569 | -0.000 | -0.000 | 0.000 |
| -0.000 | -0.000 | -0.000 | 36.043 | -0.000 | 0.000 |
| 0.805 | 0.439 | -3.683 | -0.000 | 30.494 | 0.000 |
| -0.000 | -0.000 | -0.000 | 0.000 | 0.000 | 25.467 |
| 140.538 | 43.187 | 55.740 | -0.000 | 0.000 | -0.000 |
| 42.810 | 93.824 | 64.386 | 0.000 | -0.000 | -0.000 |
| 50.852 | 60.349 | 146.754 | -0.000 | 0.000 | 0.000 |
| 0.000 | 0.000 | 0.000 | 36.043 | 0.000 | 0.000 |
| -0.805 | -0.439 | 3.683 | 0.000 | 30.494 | -0.000 |
| 0.000 | 0.000 | 0.000 | 0.000 | 0.000 | 25.467 |
| 196.836 | -54.658 | 62.975 | -0.000 | 0.000 | 0.000 |
| 46.285 | 105.933 | 53.424 | 0.000 | -0.000 | 0.000 |
| 46.568 | 53.423 | 142.052 | -0.000 | -0.000 | -0.000 |
| -0.000 | -0.000 | -0.000 | 36.614 | -0.000 | -0.000 |
| -0.000 | -0.000 | -0.000 | -0.000 | 32.809 | -0.000 |
| 39.589 | -146.383 | 4.381 | 0.000 | 0.000 | 27.944 |
| 118.059 | 142.164 | 26.525 | 0.000 | -0.000 | 0.000 |
| 46.285 | 105.933 | 53.424 | 0.000 | 0.000 | -0.000 |
| 5.433 | 150.004 | 120.111 | 0.000 | -0.000 | -0.000 |
| 0.000 | 0.000 | 0.000 | 36.614 | 0.000 | -0.000 |
| 0.000 | 0.000 | 0.000 | 0.000 | 32.809 | 0.000 |
| -39.589 | 146.383 | -4.381 | -0.000 | -0.000 | 27.944 |
| 159.734 | 46.285 | 46.568 | -0.000 | -0.000 | 0.000 |
| 46.285 | 105.933 | 53.424 | 0.000 | -0.000 | -0.000 |
| 46.568 | 53.423 | 142.052 | -0.000 | -0.000 | -0.000 |
| 4.028 | -10.062 | 1.864 | 32.553 | 0.000 | -0.000 |
| 3.950 | -9.868 | 1.828 | -0.000 | 32.154 | 0.000 |
| -0.000 | -0.000 | -0.000 | -0.000 | -0.000 | 32.758 |
| 153.522 | 53.660 | 42.943 | 0.000 | -0.000 | -0.000 |
| 38.771 | 111.008 | 50.319 | -0.000 | -0.000 | 0.000 |
| 40.890 | 61.528 | 136.565 | 0.000 | -0.000 | -0.000 |
| -4.028 | 10.062 | -1.864 | 32.553 | -0.000 | -0.000 |
| -3.950 | 9.868 | -1.828 | 0.000 | 32.154 | -0.000 |
| 0.000 | 0.000 | 0.000 | 0.000 | 0.000 | 32.758 |
| 157.332 | 41.513 | 44.565 | 0.000 | 0.000 | 0.000 |
| 43.429 | 93.071 | 51.406 | -0.000 | 0.000 | -0.000 |
| 44.820 | 49.643 | 137.482 | 0.000 | 0.000 | 0.000 |
| 0.667 | -1.667 | 0.308 | 29.885 | 0.000 | -0.000 |
| -0.000 | -0.000 | -0.000 | -0.000 | 32.809 | -0.000 |
| 0.388 | -1.457 | 0.063 | 0.000 | 0.000 | 28.280 |
| 159.736 | 46.285 | 46.568 | 0.000 | 0.000 | 0.000 |
| 46.285 | 105.934 | 53.424 | -0.000 | 0.000 | 0.000 |
| 44.230 | 52.800 | 137.931 | 0.000 | -0.000 | -0.000 |
| -0.667 | 1.667 | -0.308 | 29.885 | -0.000 | -0.000 |
| 0.000 | 0.000 | 0.000 | -0.000 | 32.809 | 0.000 |
| -0.388 | 1.457 | -0.063 | -0.000 | -0.000 | 28.280 |
| 75.676 | 37.846 | 48.160 | -0.000 | 11.122 | 0.000 |
| 37.500 | 160.472 | 51.905 | -0.000 | 1.869 | 0.000 |
| 46.779 | 51.905 | 139.876 | -0.000 | 7.455 | 0.000 |
| -0.000 | -0.000 | -0.000 | 39.871 | 0.000 | 1.836 |
| 5.106 | 1.869 | 7.455 | -0.000 | 32.471 | 0.000 |
| -0.000 | -0.000 | -0.000 | 1.836 | 0.000 | 26.067 |
| 98.258 | 71.897 | 87.053 | 0.000 | 4.403 | -0.000 |
| 62.196 | 191.365 | 90.005 | 0.000 | -4.462 | -0.000 |
| 46.779 | 51.905 | 139.876 | 0.000 | 7.455 | 0.000 |
| 0.000 | 0.000 | 0.000 | 39.871 | -0.000 | 1.836 |
| 29.306 | 35.679 | 47.152 | 0.000 | 23.945 | -0.000 |
| 0.000 | 0.000 | 0.000 | 1.836 | -0.000 | 26.067 |
| 70.637 | 36.858 | 44.036 | -0.000 | 9.439 | 0.000 |
| 37.500 | 160.472 | 51.905 | -0.000 | 1.869 | -0.000 |
| 44.336 | 48.911 | 128.955 | -0.000 | 9.065 | 0.000 |
| -0.000 | -0.000 | -0.000 | 39.871 | 0.000 | 1.836 |
| 2.673 | -1.521 | 4.696 | -0.000 | 30.883 | 0.000 |
| -0.000 | -0.000 | -0.000 | 1.836 | 0.000 | 26.067 |
| 74.555 | 39.912 | 53.275 | 0.000 | 11.752 | -0.000 |
| 40.405 | 160.363 | 54.970 | 0.000 | 1.425 | -0.000 |
| 46.779 | 51.905 | 139.876 | 0.000 | 7.455 | -0.000 |
| 0.000 | 0.000 | 0.000 | 39.871 | -0.000 | 1.836 |
| 7.562 | 5.306 | 12.352 | 0.000 | 29.880 | -0.000 |
| 0.000 | 0.000 | 0.000 | 1.836 | -0.000 | 26.067 |
| 75.675 | 37.846 | 48.159 | -0.000 | 11.122 | 0.000 |
| 37.499 | 160.470 | 51.905 | -0.000 | 1.869 | -0.000 |
| 46.912 | 50.404 | 133.826 | -0.000 | 9.021 | 0.000 |
| -0.000 | -0.001 | -0.001 | 39.871 | 0.000 | 1.836 |
| 5.040 | 1.787 | 8.634 | -0.000 | 29.940 | 0.000 |
| -0.244 | -0.341 | -0.390 | 1.973 | 0.066 | 25.588 |
| 73.285 | 38.549 | 48.867 | 0.000 | 10.692 | -0.000 |
| 37.500 | 160.474 | 51.906 | 0.000 | 1.869 | -0.000 |
| 46.902 | 50.806 | 135.039 | 0.000 | 9.360 | -0.000 |
| 0.000 | 0.001 | 0.001 | 39.871 | -0.000 | 1.836 |
| 5.539 | 2.480 | 9.180 | 0.000 | 30.301 | -0.000 |
| 0.244 | 0.341 | 0.390 | 1.973 | -0.066 | 25.588 |
| 90.009 | 42.376 | 48.835 | 0.000 | 0.000 | 0.000 |
| 42.376 | 90.009 | 48.835 | 0.000 | -0.000 | 0.000 |
| 48.866 | 48.866 | 157.986 | -0.000 | 0.000 | 0.000 |
| -0.010 | -0.010 | 0.023 | 33.728 | -0.000 | -0.000 |
| -0.010 | -0.010 | 0.023 | 0.000 | 33.728 | -0.000 |
| -0.000 | -0.000 | -0.000 | -0.000 | -0.000 | 23.817 |
| 86.330 | 45.702 | 48.911 | 0.000 | -0.000 | 0.000 |
| 42.376 | 90.009 | 48.835 | -0.000 | -0.000 | -0.000 |
| 48.881 | 48.881 | 157.950 | 0.000 | -0.000 | -0.000 |
| 0.010 | 0.010 | -0.023 | 33.728 | -0.000 | -0.000 |
| 0.010 | 0.010 | -0.023 | -0.000 | 33.728 | -0.000 |
| 0.000 | 0.000 | 0.000 | -0.000 | 0.000 | 23.817 |
| 90.009 | 42.376 | 48.835 | 0.000 | 0.000 | 0.000 |
| 42.376 | 90.009 | 48.835 | 0.000 | -0.000 | 0.000 |
| 48.835 | 48.835 | 158.139 | -0.000 | 0.000 | 0.000 |
| -0.000 | -0.000 | -0.000 | 34.011 | 0.000 | 0.000 |
| -0.001 | -0.001 | 0.002 | 0.000 | 33.728 | -0.000 |
| -0.002 | -0.002 | 0.005 | 0.000 | -0.000 | 19.862 |
| 85.948 | 46.252 | 48.976 | -0.000 | 0.000 | 0.000 |
| 45.649 | 86.349 | 48.951 | -0.000 | -0.000 | 0.000 |
| 48.874 | 48.874 | 157.966 | -0.000 | 0.000 | -0.000 |
| 0.000 | 0.000 | 0.000 | 34.011 | 0.000 | -0.000 |
| 0.001 | 0.001 | -0.002 | -0.000 | 33.728 | -0.000 |
| 0.002 | 0.002 | -0.005 | -0.000 | -0.000 | 19.862 |
| 85.907 | 46.349 | 48.895 | 0.000 | 0.000 | -0.000 |
| 42.376 | 90.008 | 48.835 | -0.000 | 0.000 | 0.000 |
| 48.835 | 48.835 | 158.137 | 0.000 | -0.000 | 0.000 |
| -0.000 | -0.000 | -0.000 | 33.726 | -0.000 | -0.000 |
| -0.000 | -0.000 | -0.000 | 0.000 | 33.726 | 0.000 |
| -0.000 | -0.000 | -0.000 | -0.000 | -0.000 | 23.817 |
| 90.010 | 42.376 | 48.836 | -0.000 | -0.000 | -0.000 |
| 42.376 | 90.010 | 48.836 | 0.000 | -0.000 | -0.000 |
| 48.874 | 48.874 | 157.969 | -0.000 | -0.000 | -0.000 |
| 0.000 | 0.000 | 0.000 | 34.011 | -0.000 | -0.000 |
| 0.000 | 0.000 | 0.000 | -0.000 | 33.726 | 0.000 |
| 0.000 | 0.000 | 0.000 | 0.000 | -0.000 | 23.817 |
| 157.848 | 52.153 | 60.799 | -0.000 | -0.000 | 0.000 |
| 52.781 | 191.838 | 54.043 | -0.000 | -0.000 | 0.000 |
| 63.441 | 57.076 | 112.172 | -0.000 | 0.000 | -0.000 |
| 0.000 | -0.000 | -0.000 | 38.421 | -0.000 | -0.000 |
| 0.000 | -0.000 | 0.000 | -0.000 | 38.991 | 0.000 |
| -0.000 | -0.000 | 0.000 | -0.000 | 0.000 | 36.437 |
| 157.850 | 52.155 | 60.800 | 0.000 | 0.000 | -0.000 |
| 52.780 | 191.837 | 54.041 | 0.000 | 0.000 | -0.000 |
| 63.441 | 57.076 | 112.172 | -0.000 | 0.000 | 0.000 |
| -0.000 | 0.000 | 0.000 | 38.421 | 0.000 | -0.000 |
| -0.000 | 0.000 | -0.000 | 0.000 | 38.991 | -0.000 |
| -0.000 | 0.000 | 0.000 | -0.000 | 0.000 | 36.437 |
| 157.849 | 52.154 | 60.799 | 0.000 | -0.000 | 0.000 |
| 52.781 | 191.837 | 54.042 | -0.000 | -0.000 | 0.000 |
| 63.441 | 57.076 | 112.172 | -0.000 | -0.000 | -0.000 |
| -0.000 | -0.000 | -0.000 | 38.421 | -0.000 | -0.000 |
| -0.000 | -0.000 | -0.000 | 0.000 | 38.991 | 0.000 |
| 0.000 | -0.000 | 0.000 | 0.000 | -0.000 | 33.996 |
| 164.564 | 55.408 | 63.441 | -0.000 | 0.000 | 0.000 |
| 55.408 | 194.770 | 57.076 | -0.000 | 0.000 | -0.000 |
| 63.441 | 57.076 | 112.172 | 0.000 | 0.000 | 0.000 |
| 0.000 | 0.000 | 0.000 | 38.421 | 0.000 | -0.000 |
| 0.000 | 0.000 | 0.000 | -0.000 | 38.991 | -0.000 |
| -0.000 | 0.000 | -0.000 | -0.000 | 0.000 | 33.996 |
| 157.847 | 52.154 | 60.799 | -0.000 | -0.000 | 0.000 |
| 50.753 | 191.110 | 53.037 | 0.000 | -0.000 | 0.000 |
| 63.441 | 57.076 | 112.172 | 0.000 | -0.000 | -0.000 |
| -0.000 | -0.001 | -0.000 | 38.039 | -0.000 | 0.000 |
| -0.000 | -0.000 | -0.000 | -0.000 | 41.324 | -0.000 |
| -0.000 | -0.000 | -0.000 | 0.000 | -0.000 | 36.437 |
| 155.178 | 50.753 | 60.208 | 0.000 | 0.000 | -0.000 |
| 52.781 | 191.840 | 54.042 | 0.000 | 0.000 | -0.000 |
| 60.187 | 53.030 | 103.220 | 0.000 | 0.000 | -0.000 |
| 0.000 | 0.001 | 0.000 | 38.039 | 0.000 | -0.000 |
| 0.000 | 0.000 | 0.000 | 0.000 | 38.991 | -0.000 |
| 0.000 | 0.000 | 0.000 | 0.000 | 0.000 | 36.437 |
| 176.762 | 55.583 | 66.759 | 0.000 | -0.000 | 0.000 |
| 54.658 | 185.341 | 54.660 | 0.000 | 0.000 | 0.000 |
| 66.465 | 55.631 | 112.417 | 0.000 | 0.000 | 0.000 |
| 2.257 | 2.204 | 2.141 | 36.246 | 0.000 | -0.000 |
| 1.733 | 1.692 | 1.644 | 0.000 | 41.581 | -0.000 |
| 2.438 | 2.382 | 2.314 | 0.000 | 0.000 | 33.528 |
| 166.647 | 49.377 | 60.911 | -0.000 | -0.000 | 0.000 |
| 54.999 | 185.840 | 55.343 | -0.000 | 0.000 | -0.000 |
| 58.764 | 49.227 | 101.066 | -0.000 | 0.000 | -0.000 |
| -2.257 | -2.204 | -2.141 | 36.246 | -0.000 | 0.000 |
| -1.733 | -1.692 | -1.644 | -0.000 | 41.581 | 0.000 |
| -2.438 | -2.382 | -2.314 | -0.000 | -0.000 | 33.528 |
| 168.518 | 51.565 | 63.452 | 0.000 | 0.000 | -0.000 |
| 52.758 | 183.492 | 52.871 | 0.000 | 0.000 | -0.000 |
| 66.465 | 55.631 | 112.417 | 0.000 | -0.000 | 0.000 |
| 0.185 | 0.181 | 0.175 | 36.310 | 0.000 | -0.000 |
| -0.000 | -0.000 | -0.000 | 0.000 | 44.397 | 0.000 |
| 0.251 | 0.245 | 0.238 | 0.000 | 0.000 | 33.461 |
| 167.679 | 50.998 | 62.874 | -0.000 | 0.000 | 0.000 |
| 50.379 | 182.364 | 51.307 | -0.000 | -0.000 | 0.000 |
| 62.852 | 51.409 | 104.703 | -0.000 | -0.000 | 0.000 |
| -0.185 | -0.181 | -0.175 | 36.310 | -0.000 | 0.000 |
| -0.472 | -0.314 | -0.321 | -0.000 | 41.717 | 0.000 |
| -0.251 | -0.245 | -0.238 | -0.000 | -0.000 | 33.461 |
| 168.131 | 51.340 | 63.400 | 0.000 | -0.000 | -0.000 |
| 50.839 | 182.674 | 51.626 | 0.000 | -0.000 | 0.000 |
| 62.739 | 51.955 | 103.711 | 0.000 | -0.000 | 0.000 |
| 0.018 | 0.017 | 0.017 | 36.314 | 0.000 | -0.000 |
| 0.014 | 0.015 | 0.014 | 0.000 | 41.919 | -0.000 |
| 0.031 | 0.023 | 0.024 | 0.000 | -0.000 | 33.390 |
| 176.765 | 55.583 | 66.760 | -0.000 | 0.000 | -0.000 |
| 55.000 | 185.842 | 55.343 | -0.000 | 0.000 | 0.000 |
| 62.659 | 51.901 | 103.661 | -0.000 | 0.000 | -0.000 |
| -0.018 | -0.017 | -0.017 | 36.314 | -0.000 | 0.000 |
| -0.014 | -0.015 | -0.014 | -0.000 | 41.919 | 0.000 |
| -0.031 | -0.023 | -0.024 | 0.000 | 0.000 | 33.390 |
| 62.500 | 37.997 | 36.678 | 0.000 | 0.000 | 0.000 |
| 38.265 | 117.105 | 44.658 | -0.000 | 0.000 | 0.000 |
| 36.787 | 40.563 | 96.516 | -0.000 | 0.000 | 0.000 |
| 0.000 | -0.000 | -0.000 | 25.923 | 0.000 | 0.000 |
| 0.000 | -0.000 | 0.000 | -0.000 | 13.640 | -0.000 |
| -0.000 | -0.000 | 0.000 | -0.000 | 0.000 | 20.623 |
| 62.506 | 37.972 | 36.620 | -0.000 | -0.000 | 0.000 |
| 38.265 | 117.105 | 44.658 | 0.000 | -0.000 | 0.000 |
| 36.798 | 40.550 | 96.487 | 0.000 | -0.000 | -0.000 |
| 0.000 | 0.000 | 0.000 | 25.923 | -0.000 | -0.000 |
| -0.000 | 0.000 | -0.000 | 0.000 | 13.640 | -0.000 |
| 0.000 | 0.000 | -0.000 | 0.000 | -0.000 | 20.623 |
| 61.440 | 38.031 | 34.960 | 0.000 | 0.000 | 0.000 |
| 38.265 | 117.105 | 44.658 | -0.000 | 0.000 | 0.000 |
| 36.994 | 44.658 | 104.778 | -0.000 | 0.000 | 0.000 |
| -0.001 | -0.000 | 0.001 | 18.121 | -0.000 | 0.000 |
| -0.002 | 0.002 | 0.005 | 0.000 | 9.786 | -0.000 |
| -0.000 | -0.000 | -0.000 | -0.000 | -0.000 | 20.623 |
| 62.504 | 37.983 | 36.646 | -0.000 | 0.000 | -0.000 |
| 38.117 | 114.890 | 40.538 | 0.000 | -0.000 | -0.000 |
| 36.793 | 40.556 | 96.499 | 0.000 | -0.000 | -0.000 |
| 0.001 | 0.000 | -0.001 | 18.121 | -0.000 | -0.000 |
| 0.002 | -0.002 | -0.005 | -0.000 | 9.786 | 0.000 |
| 0.000 | 0.000 | 0.000 | 0.000 | -0.000 | 20.623 |
| 61.524 | 38.397 | 35.918 | -0.000 | 0.000 | 0.000 |
| 38.265 | 117.104 | 44.658 | -0.000 | 0.000 | 0.000 |
| 36.324 | 40.133 | 93.529 | 0.000 | 0.000 | 0.000 |
| -0.000 | -0.000 | -0.000 | 25.923 | 0.000 | 0.000 |
| -0.000 | -0.000 | 0.001 | 0.000 | 9.786 | 0.000 |
| -0.000 | 0.000 | 0.000 | -0.000 | 0.000 | 20.623 |
| 65.283 | 38.265 | 36.993 | 0.000 | -0.000 | -0.000 |
| 38.265 | 117.106 | 44.658 | 0.000 | -0.000 | -0.000 |
| 36.791 | 40.557 | 96.497 | 0.000 | -0.000 | -0.000 |
| 0.000 | 0.000 | 0.000 | 25.923 | -0.000 | -0.000 |
| 0.000 | 0.000 | -0.001 | -0.000 | 9.786 | 0.000 |
| 0.000 | -0.000 | -0.000 | -0.000 | -0.000 | 20.623 |
| 53.404 | 41.904 | 36.061 | -0.000 | 0.000 | 0.000 |
| 25.098 | 111.057 | 31.136 | 0.000 | 0.000 | 0.000 |
| 27.025 | 37.890 | 93.398 | 0.000 | 0.000 | 0.000 |
| -3.287 | 6.164 | 10.815 | 18.138 | -0.000 | 0.000 |
| -3.370 | 6.321 | 11.090 | 0.000 | 17.684 | -0.000 |
| -12.497 | 3.775 | -0.738 | 0.000 | 0.000 | 22.072 |
| 71.106 | 34.106 | 32.726 | -0.000 | -0.000 | -0.000 |
| 51.659 | 105.643 | 42.663 | -0.000 | -0.000 | 0.000 |
| 47.190 | 31.271 | 95.496 | -0.000 | 0.000 | -0.000 |
| 3.287 | -6.164 | -10.815 | 18.138 | 0.000 | 0.000 |
| 3.370 | -6.321 | -11.090 | -0.000 | 17.684 | -0.000 |
| 12.497 | -3.775 | 0.738 | -0.000 | 0.000 | 22.072 |
| 66.108 | 39.720 | 40.891 | 0.000 | 0.000 | -0.000 |
| 37.529 | 108.425 | 35.403 | 0.000 | 0.000 | 0.000 |
| 46.679 | 41.762 | 126.107 | 0.000 | 0.000 | -0.000 |
| -0.000 | -0.000 | -0.000 | 21.965 | 0.000 | -0.000 |
| -0.000 | -0.000 | -0.000 | 0.000 | 22.592 | 0.000 |
| -1.232 | 0.275 | -0.545 | -0.000 | 0.000 | 22.072 |
| 72.001 | 40.295 | 47.547 | -0.000 | -0.000 | -0.000 |
| 39.946 | 110.016 | 42.280 | -0.000 | -0.000 | -0.000 |
| 46.679 | 41.762 | 126.108 | 0.000 | -0.000 | -0.000 |
| 0.000 | 0.000 | 0.000 | 21.965 | -0.000 | -0.000 |
| 0.000 | 0.000 | 0.000 | -0.000 | 22.592 | -0.000 |
| 1.232 | -0.275 | 0.545 | 0.000 | -0.000 | 22.072 |
| 68.501 | 39.055 | 41.440 | 0.000 | 0.000 | -0.000 |
| 38.863 | 108.195 | 36.144 | 0.000 | -0.000 | -0.000 |
| 41.138 | 35.890 | 105.355 | 0.000 | 0.000 | -0.000 |
| -0.041 | 0.077 | 0.135 | 17.201 | 0.000 | -0.000 |
| -0.055 | 0.103 | 0.181 | 0.000 | 14.604 | -0.000 |
| -0.123 | 0.027 | -0.054 | 0.000 | 0.000 | 22.072 |
| 68.675 | 39.005 | 41.493 | -0.000 | -0.000 | -0.000 |
| 39.024 | 108.363 | 37.374 | -0.000 | 0.000 | -0.000 |
| 40.728 | 35.366 | 101.093 | 0.000 | -0.000 | -0.000 |
| 0.041 | -0.077 | -0.135 | 17.201 | -0.000 | 0.000 |
| 0.055 | -0.103 | -0.181 | -0.000 | 14.604 | 0.000 |
| 0.123 | -0.027 | 0.054 | -0.000 | -0.000 | 22.072 |
| 97.910 | 60.314 | 54.337 | 0.000 | -0.000 | -0.000 |
| 348.188 | 321.967 | 206.188 | 0.000 | -0.000 | 0.000 |
| 349.287 | 206.526 | 333.373 | -0.000 | -0.000 | 0.000 |
| 291.906 | 167.291 | 158.575 | 33.537 | 0.000 | -0.000 |
| 161.866 | 176.631 | 133.170 | 0.000 | 34.202 | 0.000 |
| -0.000 | -0.000 | -0.000 | 0.000 | -0.000 | 42.062 |
| -210.861 | -102.033 | -102.147 | -0.000 | 0.000 | -0.000 |
| -235.626 | -12.661 | -110.970 | -0.000 | -0.000 | 0.000 |
| 54.337 | 50.589 | 183.861 | -0.000 | 0.000 | 0.000 |
| -291.906 | -167.291 | -158.575 | 33.537 | 0.000 | 0.000 |
| -161.866 | -176.631 | -133.170 | -0.000 | 34.202 | -0.000 |
| 0.000 | 0.000 | 0.000 | -0.000 | 0.000 | 42.062 |
| 117.136 | 73.003 | 65.369 | 0.000 | -0.000 | 0.000 |
| 85.956 | 171.435 | 63.425 | 0.000 | 0.000 | 0.000 |
| 78.728 | 64.752 | 197.017 | 0.000 | -0.000 | 0.000 |
| -0.000 | -0.000 | -0.000 | 34.240 | -0.000 | -0.000 |
| 29.755 | 15.665 | 15.031 | 0.000 | 34.177 | 0.000 |
| 15.868 | 17.315 | 13.055 | 0.000 | 0.000 | 33.902 |
| 97.910 | 60.314 | 54.337 | 0.000 | 0.000 | 0.000 |
| 60.314 | 158.179 | 50.589 | -0.000 | 0.000 | 0.000 |
| 20.571 | 30.984 | 165.315 | -0.000 | 0.000 | 0.000 |
| 0.000 | 0.000 | 0.000 | 34.240 | 0.000 | 0.000 |
| -29.755 | -15.665 | -15.031 | -0.000 | 34.177 | -0.000 |
| -15.868 | -17.315 | -13.055 | -0.000 | 0.000 | 33.902 |
| 91.445 | 59.625 | 52.465 | 0.000 | -0.000 | 0.000 |
| 60.314 | 158.177 | 50.589 | 0.000 | -0.000 | -0.000 |
| 53.325 | 48.648 | 182.207 | 0.000 | -0.000 | 0.000 |
| 2.523 | 1.630 | 1.469 | 33.282 | -0.000 | 0.000 |
| 2.200 | 1.248 | 1.188 | 0.000 | 34.695 | 0.000 |
| 1.323 | 1.444 | 1.089 | 0.000 | -0.000 | 35.255 |
| 85.080 | 55.645 | 48.871 | -0.000 | 0.000 | -0.000 |
| 54.501 | 152.175 | 45.646 | 0.000 | 0.000 | -0.000 |
| 47.640 | 45.527 | 179.246 | 0.000 | 0.000 | -0.000 |
| -2.523 | -1.630 | -1.469 | 33.282 | 0.000 | -0.000 |
| -2.200 | -1.248 | -1.188 | -0.000 | 34.695 | 0.000 |
| -3.047 | -1.487 | -1.469 | -0.000 | 0.000 | 32.805 |
| 153.076 | 48.167 | 42.627 | -0.000 | 0.000 | -0.000 |
| 48.175 | 124.631 | 54.829 | -0.000 | -0.000 | -0.000 |
| 40.903 | 56.095 | 120.890 | -0.000 | -0.000 | 0.000 |
| -0.206 | -0.243 | -0.547 | 36.489 | 0.000 | 0.000 |
| -0.191 | -0.225 | -0.505 | -0.000 | 30.139 | -0.000 |
| -0.169 | -0.200 | -0.449 | -0.000 | -0.000 | 34.707 |
| 153.259 | 48.670 | 43.199 | 0.000 | -0.000 | 0.000 |
| 48.175 | 124.631 | 54.829 | 0.000 | -0.000 | 0.000 |
| 44.239 | 54.829 | 133.305 | 0.000 | -0.000 | -0.000 |
| 0.206 | 0.243 | 0.547 | 36.489 | -0.000 | -0.000 |
| 0.191 | 0.225 | 0.505 | 0.000 | 30.139 | -0.000 |
| 0.169 | 0.200 | 0.449 | 0.000 | -0.000 | 34.707 |
| 152.550 | 48.399 | 41.067 | -0.000 | -0.000 | -0.000 |
| 48.175 | 124.631 | 54.829 | 0.000 | 0.000 | -0.000 |
| 44.239 | 54.829 | 133.305 | -0.000 | 0.000 | 0.000 |
| -0.003 | -0.015 | -0.022 | 35.190 | 0.000 | -0.000 |
| -0.000 | -0.000 | -0.000 | 0.000 | 30.761 | -0.000 |
| -0.002 | -0.012 | -0.018 | -0.000 | 0.000 | 34.391 |
| 153.779 | 48.175 | 44.239 | 0.000 | -0.000 | 0.000 |
| 48.572 | 119.662 | 56.248 | 0.000 | -0.000 | 0.000 |
| 44.239 | 54.829 | 133.305 | 0.000 | 0.000 | 0.000 |
| 0.003 | 0.015 | 0.022 | 35.190 | 0.000 | -0.000 |
| 0.000 | 0.000 | 0.000 | -0.000 | 30.761 | -0.000 |
| 0.002 | 0.012 | 0.018 | 0.000 | -0.000 | 34.391 |
| 152.321 | 47.854 | 40.237 | -0.000 | 0.000 | -0.000 |
| 48.530 | 119.704 | 56.132 | -0.000 | -0.000 | -0.000 |
| 41.927 | 56.101 | 125.030 | -0.000 | 0.000 | -0.000 |
| -0.000 | -0.000 | -0.000 | 38.944 | 0.000 | -0.000 |
| -0.000 | -0.000 | -0.000 | 0.000 | 30.761 | -0.000 |
| 0.000 | -0.001 | 0.000 | -0.000 | 0.000 | 34.391 |
| 152.944 | 48.455 | 42.408 | 0.000 | -0.000 | -0.000 |
| 48.175 | 124.632 | 54.829 | -0.000 | -0.000 | 0.000 |
| 44.239 | 54.829 | 133.306 | 0.000 | -0.000 | 0.000 |
| 0.000 | 0.000 | 0.000 | 38.944 | -0.000 | -0.000 |
| 0.000 | 0.000 | 0.000 | -0.000 | 30.761 | 0.000 |
| -0.000 | 0.001 | -0.000 | 0.000 | -0.000 | 34.391 |
| 148.023 | 48.156 | 43.776 | 0.000 | 0.000 | -0.000 |
| 143.438 | 126.869 | -1.556 | -0.000 | -0.000 | 0.000 |
| 43.776 | 54.393 | 127.502 | -0.000 | 0.000 | -0.000 |
| 98.454 | -12.383 | -56.762 | 34.245 | 0.000 | -0.000 |
| 91.473 | -29.958 | -53.126 | -0.000 | 29.440 | -0.000 |
| 94.760 | -55.696 | -40.586 | -0.000 | -0.000 | 31.299 |
| 148.023 | 48.156 | 43.776 | 0.000 | 0.000 | -0.000 |
| -124.764 | 199.479 | -35.765 | 0.000 | -0.000 | -0.000 |
| -130.265 | 107.823 | 34.591 | 0.000 | -0.000 | -0.000 |
| -98.454 | 12.383 | 56.762 | 34.245 | 0.000 | -0.000 |
| -91.473 | 29.958 | 53.126 | 0.000 | 29.440 | -0.000 |
| -94.760 | 55.696 | 40.586 | 0.000 | -0.000 | 31.299 |
| 154.978 | 45.726 | 35.736 | -0.000 | 0.000 | 0.000 |
| 48.156 | 147.910 | 54.393 | -0.000 | 0.000 | -0.000 |
| 59.277 | 48.373 | 133.286 | -0.000 | -0.000 | 0.000 |
| 9.513 | -5.574 | -4.015 | 34.568 | 0.000 | -0.000 |
| -0.000 | -0.000 | -0.000 | -0.000 | 31.004 | -0.000 |
| 9.799 | -1.406 | -5.720 | -0.000 | -0.000 | 31.944 |
| 135.753 | 53.128 | 45.259 | 0.000 | 0.000 | 0.000 |
| 30.430 | 150.875 | 45.228 | 0.000 | -0.000 | -0.000 |
| 25.014 | 59.287 | 115.775 | 0.000 | 0.000 | 0.000 |
| -9.513 | 5.574 | 4.015 | 34.568 | 0.000 | -0.000 |
| 0.000 | 0.000 | 0.000 | 0.000 | 31.004 | -0.000 |
| -9.799 | 1.406 | 5.720 | 0.000 | 0.000 | 31.944 |
| 146.244 | 46.987 | 40.930 | -0.000 | -0.000 | 0.000 |
| 48.611 | 144.332 | 54.347 | -0.000 | -0.000 | -0.000 |
| 42.207 | 54.034 | 123.424 | -0.000 | 0.000 | 0.000 |
| 1.598 | -0.501 | 0.834 | 35.076 | -0.000 | 0.000 |
| 1.795 | -0.562 | 0.937 | -0.000 | 29.763 | -0.000 |
| 0.986 | -0.126 | -0.566 | -0.000 | -0.000 | 31.873 |
| 148.024 | 48.156 | 43.776 | -0.000 | -0.000 | 0.000 |
| 48.156 | 147.906 | 54.393 | -0.000 | -0.000 | -0.000 |
| 40.381 | 54.711 | 124.260 | 0.000 | 0.000 | -0.000 |
| -1.598 | 0.501 | -0.834 | 35.076 | 0.000 | -0.000 |
| -1.795 | 0.562 | -0.937 | 0.000 | 29.763 | -0.000 |
| -0.986 | 0.126 | 0.566 | 0.000 | 0.000 | 31.873 |
| 89.583 | 48.744 | 60.488 | 0.000 | 6.997 | -0.000 |
| 102.024 | 31.878 | 0.694 | 0.000 | 53.922 | -0.000 |
| 60.616 | 61.324 | 146.943 | -0.000 | -0.680 | -0.000 |
| 26.417 | -94.299 | 14.576 | 36.113 | 27.598 | -0.317 |
| 26.978 | -93.740 | 14.970 | 0.000 | 60.030 | -0.000 |
| -0.000 | -0.000 | -0.000 | -0.140 | -0.000 | 28.551 |
| 89.583 | 48.744 | 60.488 | -0.000 | 6.997 | 0.000 |
| 48.779 | 167.174 | 61.324 | 0.000 | -0.186 | 0.000 |
| 60.616 | 61.324 | 146.943 | -0.000 | -0.680 | 0.000 |
| -26.417 | 94.299 | -14.576 | 36.113 | -27.598 | -0.317 |
| 0.437 | -0.186 | -0.680 | -0.000 | 35.077 | 0.000 |
| 0.000 | 0.000 | 0.000 | -0.140 | 0.000 | 28.551 |
| 89.583 | 48.744 | 60.488 | 0.000 | 6.997 | -0.000 |
| 48.779 | 167.174 | 61.324 | 0.000 | -0.186 | -0.000 |
| 63.551 | 51.095 | 144.160 | -0.000 | 3.680 | -0.000 |
| -0.000 | -0.000 | -0.000 | 40.072 | 0.000 | -0.141 |
| 3.207 | -8.922 | 1.824 | 0.000 | 35.279 | 0.000 |
| 2.641 | -9.428 | 1.457 | -0.317 | 2.759 | 28.345 |
| 84.053 | 58.015 | 59.211 | -0.000 | 3.959 | 0.000 |
| 45.949 | 173.264 | 60.213 | -0.000 | -2.455 | -0.000 |
| 60.616 | 61.324 | 146.944 | 0.000 | -0.680 | 0.000 |
| 0.000 | 0.000 | 0.000 | 40.072 | -0.000 | -0.141 |
| -2.075 | 10.021 | -1.018 | -0.000 | 29.558 | 0.000 |
| -6.390 | 12.220 | 6.607 | -0.323 | -4.685 | 28.362 |
| 87.481 | 47.586 | 61.234 | -0.000 | 7.245 | 0.000 |
| 48.779 | 167.172 | 61.324 | 0.000 | -0.186 | -0.000 |
| 62.242 | 60.049 | 141.667 | -0.000 | 1.119 | 0.000 |
| 0.302 | -1.080 | 0.167 | 35.541 | 0.316 | -0.342 |
| 0.926 | -0.738 | 0.601 | -0.000 | 32.798 | 0.000 |
| -0.000 | -0.000 | -0.000 | -0.140 | 0.000 | 28.551 |
| 86.214 | 50.579 | 62.167 | -0.000 | 6.154 | -0.000 |
| 48.779 | 167.176 | 61.324 | -0.000 | -0.186 | 0.000 |
| 60.616 | 61.324 | 146.945 | 0.000 | -0.680 | 0.000 |
| -0.302 | 1.080 | -0.167 | 35.541 | -0.316 | -0.342 |
| 0.500 | 1.931 | 0.738 | -0.000 | 31.105 | -0.000 |
| 0.000 | 0.000 | 0.000 | -0.140 | -0.000 | 28.551 |
| 145.346 | 46.282 | 46.846 | 0.000 | -0.000 | -0.000 |
| 45.970 | 86.419 | 51.665 | 0.000 | -0.000 | -0.000 |
| 46.895 | 51.482 | 125.367 | 0.000 | -0.000 | -0.000 |
| -0.000 | -0.000 | -0.000 | 31.902 | 0.000 | -0.000 |
| 0.000 | 0.000 | -0.000 | 0.000 | 32.394 | -0.000 |
| 0.000 | 0.000 | 0.000 | 0.000 | -0.000 | 29.467 |
| 145.346 | 46.282 | 46.846 | -0.000 | 0.000 | 0.000 |
| 45.970 | 86.419 | 51.665 | -0.000 | 0.000 | 0.000 |
| 46.895 | 51.482 | 125.367 | -0.000 | 0.000 | 0.000 |
| 0.000 | 0.000 | 0.000 | 31.902 | 0.000 | 0.000 |
| -0.000 | -0.000 | 0.000 | -0.000 | 32.394 | -0.000 |
| -0.000 | -0.000 | -0.000 | -0.000 | 0.000 | 29.467 |
| 145.297 | 46.234 | 46.807 | 0.000 | -0.000 | -0.000 |
| 45.970 | 86.419 | 51.665 | 0.000 | -0.000 | -0.000 |
| 46.895 | 51.482 | 125.367 | 0.000 | -0.000 | -0.000 |
| -0.000 | -0.000 | -0.000 | 25.407 | 0.000 | -0.000 |
| -0.000 | -0.000 | -0.000 | 0.000 | 32.394 | -0.000 |
| -0.000 | -0.000 | -0.000 | 0.000 | 0.000 | 31.126 |
| 145.297 | 46.234 | 46.807 | -0.000 | 0.000 | 0.000 |
| 46.037 | 85.718 | 52.339 | -0.000 | -0.000 | 0.000 |
| 46.815 | 52.194 | 125.089 | -0.000 | 0.000 | 0.000 |
| 0.000 | 0.000 | 0.000 | 25.407 | -0.000 | 0.000 |
| 0.000 | 0.000 | 0.000 | -0.000 | 32.394 | 0.000 |
| 0.000 | 0.000 | 0.000 | -0.000 | -0.000 | 31.126 |
| 145.345 | 46.282 | 46.846 | 0.000 | -0.000 | -0.000 |
| 46.019 | 85.734 | 52.276 | 0.000 | -0.000 | -0.000 |
| 46.815 | 52.194 | 125.088 | 0.000 | -0.000 | -0.000 |
| -0.000 | -0.000 | -0.000 | 31.902 | 0.000 | -0.000 |
| -0.000 | -0.000 | -0.000 | 0.000 | 33.138 | -0.000 |
| -0.000 | -0.000 | -0.000 | 0.000 | 0.000 | 29.372 |
| 145.348 | 46.282 | 46.846 | -0.000 | 0.000 | 0.000 |
| 46.019 | 85.735 | 52.276 | -0.000 | 0.000 | 0.000 |
| 46.889 | 52.362 | 125.069 | -0.000 | 0.000 | 0.000 |
| 0.000 | 0.000 | 0.000 | 25.193 | 0.000 | 0.000 |
| 0.000 | 0.000 | 0.000 | -0.000 | 32.380 | 0.000 |
| 0.000 | 0.000 | 0.000 | -0.000 | -0.000 | 29.372 |
| 69.943 | 32.456 | 33.450 | 0.000 | 0.000 | 0.000 |
| 27.492 | 63.884 | 6.821 | -0.000 | 0.000 | 0.000 |
| 29.640 | 29.640 | 81.749 | -0.000 | 0.000 | 0.000 |
| -0.000 | -0.000 | -0.000 | 18.818 | 0.000 | 0.000 |
| -0.373 | -0.373 | -23.089 | -0.000 | 18.728 | 0.000 |
| 7.131 | 7.131 | 10.945 | 0.000 | 0.000 | 18.743 |
| 55.682 | 18.195 | 11.561 | -0.000 | -0.000 | -0.000 |
| 24.697 | 63.489 | 22.585 | -0.000 | -0.000 | -0.000 |
| 15.379 | 15.379 | 59.860 | 0.000 | -0.000 | -0.000 |
| 0.000 | 0.000 | 0.000 | 18.818 | -0.000 | -0.000 |
| 0.373 | 0.373 | 23.089 | -0.000 | 18.728 | -0.000 |
| -7.131 | -7.131 | -10.945 | 0.000 | -0.000 | 18.743 |
| 63.525 | 26.039 | 23.600 | 0.000 | 0.000 | 0.000 |
| 24.697 | 63.489 | 22.585 | -0.000 | 0.000 | 0.000 |
| 22.588 | 22.588 | 71.261 | -0.000 | 0.000 | 0.000 |
| -0.000 | -0.000 | -0.000 | 18.818 | 0.000 | 0.000 |
| -0.000 | -0.000 | -0.000 | -0.000 | 18.818 | -0.000 |
| -0.000 | 0.000 | -0.000 | -0.000 | 0.000 | 19.396 |
| 63.489 | 24.697 | 22.585 | -0.000 | -0.000 | -0.000 |
| 26.073 | 62.138 | 24.807 | -0.000 | -0.000 | -0.000 |
| 21.797 | 21.797 | 69.712 | -0.000 | -0.000 | -0.000 |
| 0.000 | 0.000 | 0.000 | 18.818 | -0.000 | -0.000 |
| 0.000 | 0.000 | 0.000 | 0.000 | 18.818 | -0.000 |
| 0.000 | -0.000 | 0.000 | -0.000 | -0.000 | 19.396 |
| 63.489 | 24.697 | 22.585 | -0.000 | 0.000 | 0.000 |
| 25.896 | 62.269 | 22.337 | -0.000 | 0.000 | 0.000 |
| 22.579 | 22.579 | 70.901 | 0.000 | 0.000 | 0.000 |
| 0.016 | 0.016 | -0.157 | 18.734 | 0.000 | 0.000 |
| 0.005 | 0.005 | -0.187 | -0.000 | 18.726 | 0.000 |
| 0.072 | 0.073 | 0.111 | -0.000 | 0.000 | 18.732 |
| 62.073 | 26.053 | 22.684 | -0.000 | -0.000 | -0.000 |
| 25.258 | 62.734 | 22.394 | -0.000 | -0.000 | -0.000 |
| 22.588 | 22.588 | 71.261 | -0.000 | -0.000 | -0.000 |
| -0.016 | -0.016 | 0.157 | 18.734 | -0.000 | -0.000 |
| -0.005 | -0.005 | 0.187 | -0.000 | 18.726 | -0.000 |
| -0.072 | -0.073 | -0.111 | 0.000 | -0.000 | 18.732 |
| 64.501 | 26.829 | 32.661 | -0.000 | -0.000 | -0.000 |
| 21.683 | 58.050 | 10.482 | -0.000 | -0.000 | 0.000 |
| 22.587 | 22.587 | 71.234 | 0.000 | -0.000 | 0.000 |
| -0.000 | -0.000 | -0.000 | 18.813 | -0.000 | 0.000 |
| -0.000 | -0.000 | -0.000 | -0.000 | 18.813 | 0.000 |
| -0.000 | 0.000 | -0.000 | -0.000 | -0.000 | 19.395 |
| 63.487 | 24.697 | 22.587 | 0.000 | 0.000 | 0.000 |
| 23.641 | 61.314 | 12.383 | 0.000 | 0.000 | -0.000 |
| 22.587 | 22.587 | 71.234 | -0.000 | 0.000 | -0.000 |
| 0.000 | 0.000 | 0.000 | 18.813 | 0.000 | -0.000 |
| 0.000 | 0.000 | 0.000 | 0.000 | 18.813 | -0.000 |
| 0.000 | 0.000 | 0.000 | -0.000 | 0.000 | 19.395 |
| 61.826 | 25.461 | 21.291 | -0.000 | 0.000 | 0.000 |
| 24.697 | 63.487 | 22.587 | -0.000 | -0.000 | -0.000 |
| 22.679 | 22.679 | 71.866 | 0.000 | 0.000 | -0.000 |
| -0.000 | -0.000 | -0.000 | 18.813 | -0.000 | 0.000 |
| -0.000 | -0.000 | -0.000 | -0.000 | 18.813 | 0.000 |
| -0.420 | -0.420 | -1.202 | -0.000 | -0.000 | 18.183 |
| 62.749 | 25.075 | 21.507 | 0.000 | 0.000 | 0.000 |
| 24.697 | 63.487 | 22.587 | 0.000 | 0.000 | -0.000 |
| 22.362 | 22.362 | 69.848 | -0.000 | -0.000 | 0.000 |
| 0.000 | 0.000 | 0.000 | 18.813 | 0.000 | -0.000 |
| 0.000 | 0.000 | 0.000 | 0.000 | 18.813 | 0.000 |
| -0.160 | -0.160 | -1.015 | 0.000 | 0.000 | 18.835 |
| 62.849 | 25.323 | 22.624 | -0.000 | 0.000 | 0.000 |
| 24.697 | 63.487 | 22.587 | -0.000 | -0.000 | -0.000 |
| 22.587 | 22.587 | 71.234 | -0.000 | 0.000 | 0.000 |
| -0.000 | -0.000 | -0.000 | 18.813 | 0.000 | 0.000 |
| -0.000 | -0.000 | -0.000 | 0.000 | 18.813 | 0.000 |
| -0.000 | 0.000 | -0.000 | -0.000 | -0.000 | 19.395 |
| 62.851 | 25.254 | 22.406 | 0.000 | -0.000 | 0.000 |
| 25.253 | 62.852 | 22.406 | 0.000 | 0.000 | 0.000 |
| 22.511 | 22.511 | 70.791 | 0.000 | -0.000 | -0.000 |
| 0.000 | 0.000 | 0.000 | 18.813 | 0.000 | -0.000 |
| 0.000 | 0.000 | 0.000 | 0.000 | 18.813 | 0.000 |
| 0.000 | -0.000 | 0.000 | 0.000 | 0.000 | 19.395 |
| 23.480 | -14.281 | -173.139 | -0.000 | 0.000 | -0.000 |
| -14.281 | 23.480 | -173.139 | -0.000 | 0.000 | -0.000 |
| -16.949 | -16.949 | -124.752 | -0.000 | 0.000 | -0.000 |
| -39.473 | -39.473 | -195.658 | 18.749 | -0.000 | -0.000 |
| -39.473 | -39.473 | -195.658 | 0.000 | 18.749 | -0.000 |
| -0.000 | -0.000 | 0.000 | 0.000 | 0.000 | 19.396 |
| 63.489 | 24.697 | 22.585 | -0.000 | -0.000 | 0.000 |
| 24.697 | 63.489 | 22.585 | -0.000 | -0.000 | 0.000 |
| 61.998 | 61.998 | 266.565 | 0.000 | -0.000 | 0.000 |
| 39.473 | 39.473 | 195.658 | 18.749 | 0.000 | 0.000 |
| 39.473 | 39.473 | 195.658 | 0.000 | 18.749 | 0.000 |
| 0.000 | 0.000 | 0.000 | -0.000 | -0.000 | 19.396 |
| 55.666 | 19.480 | -4.448 | -0.000 | -0.000 | -0.000 |
| 19.480 | 55.666 | -4.448 | 0.000 | 0.000 | -0.000 |
| 18.577 | 18.577 | 51.341 | -0.000 | -0.000 | -0.000 |
| -0.000 | -0.000 | -0.000 | 18.819 | -0.000 | -0.000 |
| -0.000 | -0.000 | -0.000 | -0.000 | 18.819 | -0.000 |
| -5.939 | -5.939 | -24.463 | 0.000 | -0.000 | 18.335 |
| 68.656 | 32.470 | 49.446 | -0.000 | 0.000 | 0.000 |
| 29.140 | 66.901 | 42.086 | -0.000 | -0.000 | 0.000 |
| 22.588 | 22.588 | 71.270 | 0.000 | 0.000 | 0.000 |
| 0.000 | 0.000 | 0.000 | 18.819 | 0.000 | 0.000 |
| 0.000 | 0.000 | 0.000 | -0.000 | 18.819 | -0.000 |
| 5.939 | 5.939 | 24.463 | -0.000 | 0.000 | 18.335 |
| 63.489 | 24.697 | 22.585 | 0.000 | 0.000 | -0.000 |
| 25.326 | 61.511 | 19.804 | -0.000 | 0.000 | -0.000 |
| 22.588 | 22.588 | 71.270 | 0.000 | 0.000 | -0.000 |
| -0.395 | -0.395 | -1.957 | 18.749 | -0.000 | -0.000 |
| -0.000 | -0.000 | -0.000 | -0.000 | 18.819 | -0.000 |
| -0.000 | 0.000 | -0.000 | 0.000 | 0.000 | 19.396 |
| 63.348 | 25.588 | 24.479 | -0.000 | 0.000 | 0.000 |
| 25.588 | 63.348 | 24.479 | -0.000 | 0.000 | 0.000 |
| 22.919 | 22.919 | 72.863 | -0.000 | -0.000 | 0.000 |
| 0.395 | 0.395 | 1.957 | 18.749 | -0.000 | 0.000 |
| 0.000 | 0.000 | 0.000 | 0.000 | 18.819 | 0.000 |
| 0.000 | -0.000 | 0.000 | -0.000 | -0.000 | 19.396 |
| 455.851 | 410.331 | 113.163 | -0.000 | -0.000 | -0.000 |
| 410.331 | 455.851 | 113.163 | -0.000 | -0.000 | -0.000 |
| 410.337 | 410.337 | 184.696 | -0.000 | -0.000 | -0.000 |
| 381.971 | 381.971 | 84.746 | 24.765 | -0.000 | -0.000 |
| 381.971 | 381.971 | 84.746 | -0.000 | 24.765 | -0.000 |
| 404.866 | 404.866 | 139.560 | -0.000 | -0.000 | 22.084 |
| -308.091 | -353.611 | -56.329 | 0.000 | -0.000 | 0.000 |
| 28.275 | 74.773 | 28.678 | 0.000 | 0.000 | 0.000 |
| -353.605 | -353.605 | 15.205 | 0.000 | -0.000 | 0.000 |
| -381.971 | -381.971 | -84.746 | 24.765 | 0.000 | 0.000 |
| -381.971 | -381.971 | -84.746 | 0.000 | 24.765 | -0.000 |
| -404.866 | -404.866 | -139.560 | -0.000 | 0.000 | 22.084 |
| 112.079 | 66.558 | 36.892 | -0.000 | -0.000 | -0.000 |
| 28.275 | 74.773 | 28.678 | -0.000 | -0.000 | -0.000 |
| 71.129 | 71.129 | 116.803 | -0.000 | -0.000 | -0.000 |
| 38.198 | 38.198 | 8.475 | 24.765 | -0.000 | -0.000 |
| 38.198 | 38.198 | 8.475 | 0.000 | 24.765 | -0.000 |
| 0.000 | 0.000 | -0.000 | -0.000 | -0.000 | 23.249 |
| 35.682 | -9.838 | 19.942 | 0.000 | 0.000 | 0.000 |
| 28.275 | 74.773 | 28.678 | 0.000 | 0.000 | 0.000 |
| -9.831 | -9.831 | 91.475 | -0.000 | -0.000 | 0.000 |
| -38.198 | -38.198 | -8.475 | 24.765 | 0.000 | 0.000 |
| -38.198 | -38.198 | -8.475 | 0.000 | 24.765 | 0.000 |
| -0.000 | -0.000 | 0.000 | 0.000 | 0.000 | 23.249 |
| 76.853 | 33.230 | 29.716 | -0.000 | -0.000 | -0.000 |
| 32.194 | 77.714 | 29.267 | -0.000 | -0.000 | -0.000 |
| 32.684 | 32.684 | 101.657 | -0.000 | -0.000 | -0.000 |
| -0.000 | -0.000 | -0.000 | 24.971 | -0.000 | -0.000 |
| -0.000 | -0.000 | -0.000 | -0.000 | 24.971 | -0.000 |
| 3.977 | 3.977 | 1.350 | -0.000 | -0.000 | 21.865 |
| 69.161 | 24.493 | 26.695 | 0.000 | 0.000 | 0.000 |
| 28.274 | 74.773 | 28.678 | 0.000 | 0.000 | 0.000 |
| 24.544 | 24.544 | 99.100 | 0.000 | 0.000 | 0.000 |
| 0.000 | 0.000 | 0.000 | 24.971 | 0.000 | 0.000 |
| 0.000 | 0.000 | 0.000 | 0.000 | 24.971 | 0.000 |
| -3.977 | -3.977 | -1.350 | 0.000 | 0.000 | 21.865 |
| 74.418 | 28.098 | 28.606 | -0.000 | -0.000 | -0.000 |
| 28.033 | 72.503 | 31.093 | -0.000 | 0.000 | 0.000 |
| 27.992 | 27.992 | 103.051 | -0.000 | 0.000 | 0.000 |
| -0.409 | -0.409 | 2.923 | 24.820 | 0.000 | 0.000 |
| -0.000 | 0.000 | -0.000 | -0.000 | 24.983 | -0.000 |
| 0.000 | 0.000 | -0.000 | -0.000 | -0.000 | 23.160 |
| 73.599 | 29.108 | 25.516 | -0.000 | 0.000 | -0.000 |
| 28.098 | 74.418 | 28.606 | 0.000 | -0.000 | -0.000 |
| 28.606 | 28.606 | 100.376 | 0.000 | 0.000 | 0.000 |
| 0.409 | 0.409 | -2.923 | 24.820 | -0.000 | -0.000 |
| 0.000 | -0.000 | 0.000 | 0.000 | 24.983 | -0.000 |
| -0.000 | -0.000 | 0.000 | 0.000 | 0.000 | 23.160 |
| 73.498 | 28.153 | 28.715 | -0.000 | 0.000 | 0.000 |
| 28.098 | 74.418 | 28.606 | -0.000 | -0.000 | 0.000 |
| 28.606 | 28.606 | 100.376 | 0.000 | 0.000 | 0.000 |
| -0.067 | -0.067 | 0.261 | 24.360 | 0.000 | -0.000 |
| -0.045 | -0.045 | 0.323 | -0.000 | 24.802 | 0.000 |
| 0.000 | 0.000 | -0.000 | -0.000 | -0.000 | 23.160 |
| 73.595 | 28.254 | 27.994 | 0.000 | -0.000 | 0.000 |
| 28.254 | 73.595 | 27.994 | 0.000 | -0.000 | 0.000 |
| 28.442 | 28.442 | 99.829 | 0.000 | 0.000 | -0.000 |
| 0.067 | 0.067 | -0.261 | 24.360 | 0.000 | -0.000 |
| 0.045 | 0.045 | -0.323 | 0.000 | 24.802 | -0.000 |
| -0.000 | -0.000 | 0.000 | 0.000 | 0.000 | 23.160 |
| 73.169 | 28.241 | 28.300 | -0.000 | 0.000 | 0.000 |
| 28.098 | 74.419 | 28.606 | -0.000 | -0.000 | 0.000 |
| 28.606 | 28.606 | 100.375 | -0.000 | -0.000 | -0.000 |
| -0.005 | -0.005 | 0.007 | 24.342 | 0.000 | 0.000 |
| -0.000 | -0.000 | -0.000 | -0.000 | 24.983 | 0.000 |
| 0.000 | 0.000 | -0.000 | -0.000 | -0.000 | 23.160 |
| 73.169 | 28.257 | 28.193 | 0.000 | -0.000 | -0.000 |
| 28.257 | 73.169 | 28.193 | 0.000 | -0.000 | -0.000 |
| 28.606 | 28.606 | 100.376 | 0.000 | 0.000 | -0.000 |
| 0.005 | 0.005 | -0.007 | 24.342 | 0.000 | -0.000 |
| 0.000 | 0.000 | 0.000 | 0.000 | 24.983 | 0.000 |
| -0.000 | -0.000 | 0.000 | 0.000 | 0.000 | 23.160 |
| 140.171 | 91.662 | 91.662 | 0.000 | -0.000 | 0.000 |
| 91.662 | 140.171 | 91.662 | -0.000 | 0.000 | -0.000 |
| 91.662 | 91.662 | 140.171 | -0.000 | -0.000 | 0.000 |
| -0.000 | -0.000 | -0.000 | 21.560 | 0.000 | 0.000 |
| -0.000 | -0.000 | -0.000 | 0.000 | 21.560 | -0.000 |
| -0.000 | -0.000 | -0.000 | 0.000 | 0.000 | 21.560 |
| 140.171 | 91.662 | 91.662 | -0.000 | 0.000 | 0.000 |
| 91.662 | 140.171 | 91.662 | 0.000 | -0.000 | -0.000 |
| 91.662 | 91.662 | 140.171 | 0.000 | -0.000 | -0.000 |
| 0.000 | 0.000 | 0.000 | 21.560 | 0.000 | -0.000 |
| 0.000 | 0.000 | 0.000 | 0.000 | 21.560 | -0.000 |
| 0.000 | 0.000 | 0.000 | -0.000 | 0.000 | 21.560 |
| 140.171 | 91.662 | 91.662 | -0.000 | 0.000 | 0.000 |
| 91.662 | 140.171 | 91.662 | 0.000 | -0.000 | -0.000 |
| 91.662 | 91.662 | 140.171 | -0.000 | -0.000 | -0.000 |
| -0.000 | -0.000 | -0.000 | 21.560 | -0.000 | -0.000 |
| -0.000 | -0.000 | -0.000 | -0.000 | 21.560 | 0.000 |
| -0.000 | -0.000 | -0.000 | 0.000 | 0.000 | 21.560 |
| 140.171 | 91.662 | 91.662 | 0.000 | 0.000 | 0.000 |
| 91.662 | 140.171 | 91.662 | 0.000 | -0.000 | -0.000 |
| 91.662 | 91.662 | 140.171 | -0.000 | 0.000 | -0.000 |
| 0.000 | 0.000 | 0.000 | 21.560 | 0.000 | 0.000 |
| 0.000 | 0.000 | 0.000 | 0.000 | 21.560 | 0.000 |
| 0.000 | 0.000 | 0.000 | -0.000 | 0.000 | 21.560 |
| 140.170 | 91.662 | 91.662 | -0.000 | -0.000 | -0.000 |
| 91.662 | 140.170 | 91.662 | -0.000 | -0.000 | 0.000 |
| 91.662 | 91.662 | 140.170 | -0.000 | -0.000 | -0.000 |
| -0.000 | -0.000 | -0.000 | 21.560 | -0.000 | -0.000 |
| -0.000 | -0.000 | -0.000 | -0.000 | 21.560 | -0.000 |
| -0.000 | -0.000 | -0.000 | 0.000 | -0.000 | 21.560 |
| 140.171 | 91.662 | 91.662 | 0.000 | 0.000 | 0.000 |
| 91.662 | 140.171 | 91.662 | 0.000 | 0.000 | 0.000 |
| 91.662 | 91.662 | 140.171 | 0.000 | 0.000 | 0.000 |
| 0.000 | 0.000 | 0.000 | 21.560 | 0.000 | 0.000 |
| 0.000 | 0.000 | 0.000 | 0.000 | 21.560 | 0.000 |
| 0.000 | 0.000 | 0.000 | 0.000 | 0.000 | 21.560 |
| 185.140 | 44.021 | 51.517 | 0.000 | 0.000 | -0.000 |
| 44.041 | 115.850 | 46.349 | 0.000 | 0.000 | -0.000 |
| 52.657 | 46.325 | 99.424 | 0.000 | 0.000 | 0.000 |
| 0.006 | -0.008 | 0.009 | 34.031 | 0.000 | 0.000 |
| 0.005 | -0.007 | 0.008 | 0.000 | 41.767 | 0.000 |
| -0.000 | -0.000 | -0.000 | 0.000 | 0.000 | 33.587 |
| 185.140 | 44.031 | 51.510 | -0.000 | -0.000 | 0.000 |
| 44.144 | 116.259 | 46.733 | -0.000 | -0.000 | -0.000 |
| 52.651 | 46.333 | 99.415 | -0.000 | -0.000 | -0.000 |
| -0.006 | 0.008 | -0.009 | 34.031 | -0.000 | 0.000 |
| -0.005 | 0.007 | -0.008 | -0.000 | 41.767 | -0.000 |
| 0.000 | 0.000 | 0.000 | -0.000 | -0.000 | 33.587 |
| 184.738 | 43.930 | 52.756 | 0.000 | 0.000 | -0.000 |
| 44.003 | 115.832 | 46.371 | 0.000 | 0.000 | -0.000 |
| 51.465 | 46.253 | 101.930 | 0.000 | 0.000 | -0.000 |
| -0.000 | -0.000 | -0.000 | 34.604 | 0.000 | 0.000 |
| 0.000 | -0.001 | 0.001 | 0.000 | 41.766 | 0.000 |
| 0.000 | -0.001 | 0.001 | 0.000 | 0.000 | 33.550 |
| 185.140 | 44.026 | 51.513 | -0.000 | -0.000 | -0.000 |
| 44.143 | 116.259 | 46.733 | -0.000 | -0.000 | -0.000 |
| 51.465 | 46.254 | 101.931 | -0.000 | -0.000 | -0.000 |
| 0.000 | 0.000 | 0.000 | 34.604 | -0.000 | 0.000 |
| -0.000 | 0.001 | -0.001 | -0.000 | 41.766 | 0.000 |
| -0.000 | 0.001 | -0.001 | -0.000 | -0.000 | 33.550 |
| 185.139 | 44.026 | 51.513 | 0.000 | 0.000 | 0.000 |
| 44.144 | 116.259 | 46.733 | 0.000 | 0.000 | 0.000 |
| 51.976 | 46.733 | 108.249 | 0.000 | 0.000 | -0.000 |
| -0.000 | -0.000 | -0.000 | 34.604 | 0.000 | -0.000 |
| -0.000 | -0.000 | -0.000 | 0.000 | 41.635 | -0.000 |
| -0.000 | -0.000 | -0.000 | 0.000 | 0.000 | 33.587 |
| 185.142 | 44.026 | 51.514 | -0.000 | -0.000 | -0.000 |
| 44.143 | 116.260 | 46.733 | -0.000 | -0.000 | 0.000 |
| 51.465 | 46.253 | 101.931 | -0.000 | -0.000 | 0.000 |
| 0.000 | 0.000 | 0.000 | 34.604 | -0.000 | -0.000 |
| 0.000 | 0.000 | 0.000 | -0.000 | 41.766 | 0.000 |
| 0.000 | 0.000 | 0.000 | -0.000 | -0.000 | 33.587 |
| 154.521 | 56.319 | 56.389 | -0.000 | 0.000 | 0.000 |
| 56.891 | 133.320 | 55.543 | -0.000 | 0.000 | -0.000 |
| 56.493 | 55.146 | 212.954 | -0.000 | 0.000 | -0.000 |
| -0.000 | -0.000 | -0.000 | 43.840 | 0.000 | -0.000 |
| 0.057 | -0.751 | -0.026 | -0.000 | 42.287 | -0.000 |
| -0.000 | 0.000 | -0.000 | 0.000 | 0.000 | 43.154 |
| 156.277 | 57.357 | 54.900 | -0.000 | -0.000 | -0.000 |
| 56.835 | 134.160 | 55.567 | 0.000 | -0.000 | 0.000 |
| 54.900 | 55.148 | 214.312 | 0.000 | 0.000 | 0.000 |
| 0.000 | 0.000 | 0.000 | 43.840 | -0.000 | -0.000 |
| -0.057 | 0.751 | 0.026 | 0.000 | 42.287 | -0.000 |
| 0.000 | -0.000 | 0.000 | -0.000 | -0.000 | 43.154 |
| 156.279 | 57.357 | 54.900 | 0.000 | 0.000 | 0.000 |
| 57.357 | 135.844 | 55.148 | 0.000 | 0.000 | -0.000 |
| 56.440 | 55.603 | 212.894 | -0.000 | 0.000 | 0.000 |
| -0.000 | -0.000 | -0.000 | 43.840 | 0.000 | 0.000 |
| 0.006 | -0.082 | -0.003 | -0.000 | 42.161 | 0.000 |
| 0.004 | -0.049 | -0.002 | -0.000 | 0.000 | 41.780 |
| 156.275 | 57.357 | 54.900 | -0.000 | 0.000 | -0.000 |
| 57.357 | 135.844 | 55.148 | -0.000 | 0.000 | -0.000 |
| 56.428 | 55.694 | 212.887 | -0.000 | -0.000 | -0.000 |
| 0.000 | 0.000 | 0.000 | 43.840 | -0.000 | -0.000 |
| -0.006 | 0.082 | 0.003 | 0.000 | 42.161 | 0.000 |
| -0.004 | 0.049 | 0.002 | 0.000 | -0.000 | 41.780 |
| 156.298 | 57.357 | 54.900 | 0.000 | 0.000 | 0.000 |
| 56.865 | 133.744 | 55.554 | -0.000 | 0.000 | 0.000 |
| 54.900 | 55.148 | 214.309 | 0.000 | 0.000 | -0.000 |
| 0.000 | -0.006 | -0.001 | 43.016 | 0.000 | 0.000 |
| 0.000 | -0.008 | -0.001 | -0.000 | 42.159 | -0.000 |
| 0.000 | -0.005 | -0.000 | -0.000 | 0.000 | 41.779 |
| 154.418 | 56.859 | 56.433 | 0.000 | -0.000 | 0.000 |
| 56.864 | 133.752 | 55.554 | 0.000 | 0.000 | 0.000 |
| 54.901 | 55.149 | 214.314 | -0.000 | -0.000 | -0.000 |
| -0.000 | 0.006 | 0.001 | 43.016 | 0.000 | -0.000 |
| -0.000 | 0.008 | 0.001 | 0.000 | 42.159 | -0.000 |
| -0.000 | 0.005 | 0.000 | 0.000 | -0.000 | 41.779 |
| 92.234 | 53.594 | 54.326 | -0.000 | 0.000 | -0.000 |
| 53.572 | 128.647 | 55.449 | -0.000 | 0.000 | -0.000 |
| 53.413 | 53.996 | 203.961 | 0.000 | -0.000 | -0.000 |
| -0.000 | -0.000 | -0.000 | 42.642 | -0.000 | -0.000 |
| -0.000 | -0.000 | -0.000 | -0.000 | 42.194 | -0.000 |
| -0.000 | -0.000 | -0.000 | 0.000 | -0.000 | 42.228 |
| 92.127 | 53.520 | 54.081 | 0.000 | 0.000 | 0.000 |
| 55.775 | 132.273 | 54.518 | -0.000 | 0.000 | 0.000 |
| 53.669 | 54.951 | 202.347 | -0.000 | 0.000 | 0.000 |
| 0.000 | 0.000 | 0.000 | 42.642 | 0.000 | 0.000 |
| 0.000 | 0.000 | 0.000 | 0.000 | 42.194 | 0.000 |
| 0.000 | 0.000 | 0.000 | 0.000 | -0.000 | 42.228 |
| 92.189 | 53.566 | 54.215 | -0.000 | -0.000 | -0.000 |
| 53.537 | 128.635 | 55.333 | -0.000 | -0.000 | -0.000 |
| 53.413 | 53.996 | 203.961 | 0.000 | 0.000 | -0.000 |
| -0.000 | -0.000 | -0.000 | 42.642 | -0.000 | -0.000 |
| -0.000 | -0.000 | -0.000 | -0.000 | 42.194 | -0.000 |
| 0.007 | 0.004 | 0.016 | -0.000 | 0.000 | 40.349 |
| 93.614 | 55.789 | 53.948 | 0.000 | 0.000 | 0.000 |
| 55.775 | 132.273 | 54.518 | 0.000 | 0.000 | 0.000 |
| 53.724 | 54.984 | 202.491 | 0.000 | 0.000 | 0.000 |
| 0.000 | 0.000 | 0.000 | 42.642 | 0.000 | 0.000 |
| 0.000 | 0.000 | 0.000 | 0.000 | 42.194 | 0.000 |
| -0.007 | -0.004 | -0.016 | 0.000 | -0.000 | 40.349 |
| 93.616 | 55.788 | 53.948 | -0.000 | 0.000 | -0.000 |
| 55.774 | 132.270 | 54.518 | -0.000 | 0.000 | -0.000 |
| 53.413 | 53.996 | 203.959 | -0.000 | -0.000 | -0.000 |
| 0.000 | -0.000 | 0.001 | 41.752 | -0.000 | -0.000 |
| 0.001 | 0.001 | 0.002 | -0.000 | 40.774 | -0.000 |
| 0.000 | -0.000 | 0.002 | -0.000 | 0.000 | 40.349 |
| 92.181 | 53.567 | 54.186 | -0.000 | -0.000 | 0.000 |
| 53.553 | 128.581 | 55.457 | 0.000 | -0.000 | 0.000 |
| 53.730 | 54.988 | 202.507 | 0.000 | 0.000 | 0.000 |
| -0.000 | 0.000 | -0.001 | 41.752 | -0.000 | 0.000 |
| -0.001 | -0.001 | -0.002 | 0.000 | 40.774 | 0.000 |
| -0.000 | 0.000 | -0.002 | 0.000 | -0.000 | 40.349 |
| 83.930 | 47.556 | 40.161 | -0.000 | -0.000 | -0.000 |
| 48.618 | 129.375 | 57.052 | 0.000 | 0.000 | -0.000 |
| 41.954 | 56.555 | 159.523 | -0.000 | -0.000 | -0.000 |
| 0.597 | 0.272 | -0.525 | 40.581 | 0.000 | -0.000 |
| 0.641 | 0.292 | -0.564 | 0.000 | 27.038 | -0.000 |
| 0.789 | 0.360 | -0.694 | 0.000 | -0.000 | 28.426 |
| 83.581 | 47.710 | 41.839 | -0.000 | -0.000 | 0.000 |
| 48.617 | 129.374 | 57.052 | -0.000 | -0.000 | 0.000 |
| 40.844 | 56.212 | 161.110 | -0.000 | -0.000 | 0.000 |
| -0.597 | -0.272 | 0.525 | 40.581 | -0.000 | 0.000 |
| -0.641 | -0.292 | 0.564 | 0.000 | 27.038 | 0.000 |
| -0.789 | -0.360 | 0.694 | 0.000 | -0.000 | 28.426 |
| 84.066 | 47.927 | 41.393 | -0.000 | -0.000 | -0.000 |
| 48.618 | 129.375 | 57.052 | 0.000 | 0.000 | -0.000 |
| 41.301 | 56.280 | 160.181 | -0.000 | -0.000 | -0.000 |
| -0.000 | -0.000 | -0.000 | 41.540 | -0.000 | -0.000 |
| -0.000 | -0.000 | -0.000 | 0.000 | 27.038 | -0.000 |
| 0.146 | 0.067 | -0.129 | -0.000 | -0.000 | 27.879 |
| 84.016 | 47.916 | 41.488 | -0.000 | -0.000 | 0.000 |
| 48.617 | 129.374 | 57.052 | -0.000 | -0.000 | 0.000 |
| 41.003 | 56.116 | 159.988 | 0.000 | 0.000 | 0.000 |
| 0.000 | 0.000 | 0.000 | 41.540 | -0.000 | 0.000 |
| 0.000 | 0.000 | 0.000 | -0.000 | 27.038 | 0.000 |
| -0.146 | -0.067 | 0.129 | 0.000 | 0.000 | 27.879 |
| 84.975 | 48.619 | 41.801 | 0.000 | 0.000 | -0.000 |
| 47.821 | 128.697 | 56.462 | -0.000 | -0.000 | -0.000 |
| 41.247 | 56.265 | 160.265 | 0.000 | -0.000 | -0.000 |
| -0.000 | -0.000 | -0.000 | 41.540 | 0.000 | -0.000 |
| 0.006 | 0.003 | -0.006 | -0.000 | 27.038 | -0.000 |
| 0.001 | 0.003 | -0.000 | 0.000 | 0.000 | 29.065 |
| 84.975 | 48.616 | 41.801 | -0.000 | 0.000 | 0.000 |
| 47.811 | 128.680 | 56.476 | 0.000 | 0.000 | 0.000 |
| 41.800 | 57.052 | 161.778 | -0.000 | -0.000 | 0.000 |
| 0.000 | 0.000 | 0.000 | 41.540 | -0.000 | 0.000 |
| -0.006 | -0.003 | 0.006 | -0.000 | 27.038 | 0.000 |
| -0.001 | -0.003 | 0.000 | -0.000 | -0.000 | 29.065 |
| 293.448 | 137.244 | -193.055 | -0.000 | 0.000 | 0.000 |
| 46.908 | 121.870 | 55.436 | -0.000 | 0.000 | 0.000 |
| 41.603 | 55.341 | 157.643 | -0.000 | -0.000 | 0.000 |
| 265.801 | 166.892 | -117.576 | 39.955 | 0.000 | 0.000 |
| 313.245 | 174.487 | -40.975 | 0.000 | 28.267 | 0.000 |
| -0.000 | -0.000 | -0.000 | 0.000 | 0.000 | 29.330 |
| 88.592 | 47.140 | 41.929 | -0.000 | -0.000 | -0.000 |
| -159.969 | 29.917 | 288.400 | 0.000 | -0.000 | -0.000 |
| 41.603 | 55.341 | 157.643 | 0.000 | 0.000 | -0.000 |
| -265.801 | -166.892 | 117.576 | 39.955 | 0.000 | -0.000 |
| -313.245 | -174.487 | 40.975 | 0.000 | 28.267 | -0.000 |
| 0.000 | 0.000 | 0.000 | 0.000 | -0.000 | 29.330 |
| 113.949 | 62.757 | 28.909 | 0.000 | 0.000 | 0.000 |
| 46.908 | 121.870 | 55.436 | 0.000 | 0.000 | 0.000 |
| 61.292 | 63.331 | 132.337 | -0.000 | 0.000 | 0.000 |
| 31.326 | 17.449 | -4.098 | 40.334 | 0.000 | 0.000 |
| 31.325 | 17.449 | -4.098 | -0.000 | 28.267 | 0.000 |
| 31.330 | 17.452 | -4.098 | -0.000 | -0.000 | 28.924 |
| 56.495 | 29.084 | 45.555 | -0.000 | 0.000 | -0.000 |
| 19.301 | 104.112 | 65.701 | 0.000 | -0.000 | -0.000 |
| 41.603 | 55.341 | 157.643 | -0.000 | -0.000 | -0.000 |
| -31.326 | -17.449 | 4.098 | 40.334 | 0.000 | -0.000 |
| -31.325 | -17.449 | 4.098 | 0.000 | 28.267 | -0.000 |
| -31.330 | -17.452 | 4.098 | 0.000 | 0.000 | 28.924 |
| 88.592 | 47.140 | 41.929 | 0.000 | 0.000 | 0.000 |
| 46.909 | 121.869 | 55.436 | -0.000 | 0.000 | 0.000 |
| 44.414 | 56.500 | 156.219 | -0.000 | 0.000 | 0.000 |
| 3.145 | 1.752 | -0.412 | 40.331 | 0.000 | 0.000 |
| 3.132 | 1.745 | -0.410 | -0.000 | 28.267 | 0.000 |
| 2.651 | 1.674 | -1.214 | -0.000 | 0.000 | 28.020 |
| 84.664 | 44.782 | 41.891 | -0.000 | 0.000 | -0.000 |
| 43.299 | 119.237 | 55.283 | 0.000 | 0.000 | -0.000 |
| 38.146 | 52.700 | 156.947 | -0.000 | 0.000 | -0.000 |
| -3.145 | -1.752 | 0.412 | 40.331 | -0.000 | -0.000 |
| -3.132 | -1.745 | 0.410 | -0.000 | 28.267 | -0.000 |
| -2.651 | -1.674 | 1.214 | 0.000 | 0.000 | 28.020 |
| 143.652 | 61.082 | 47.076 | -0.000 | -0.000 | 0.000 |
| 61.082 | 143.652 | 47.076 | 0.000 | -0.000 | 0.000 |
| 47.345 | 47.345 | 131.330 | 0.000 | 0.000 | -0.000 |
| -0.000 | -0.000 | -0.000 | 34.156 | -0.000 | -0.000 |
| -0.000 | 0.000 | -0.000 | -0.000 | 34.156 | -0.000 |
| 0.000 | 0.000 | 0.000 | -0.000 | -0.000 | 41.299 |
| 143.652 | 61.082 | 47.076 | 0.000 | 0.000 | 0.000 |
| 61.082 | 143.652 | 47.076 | 0.000 | 0.000 | 0.000 |
| 47.345 | 47.345 | 131.330 | -0.000 | -0.000 | 0.000 |
| 0.000 | 0.000 | 0.000 | 34.156 | 0.000 | 0.000 |
| 0.000 | -0.000 | 0.000 | -0.000 | 34.156 | -0.000 |
| -0.000 | -0.000 | -0.000 | 0.000 | 0.000 | 41.299 |
| 143.925 | 61.174 | 47.427 | -0.000 | -0.000 | -0.000 |
| 61.174 | 143.925 | 47.427 | 0.000 | -0.000 | 0.000 |
| 46.960 | 46.960 | 130.589 | -0.000 | -0.000 | -0.000 |
| -0.000 | -0.000 | -0.000 | 34.156 | -0.000 | 0.000 |
| -0.000 | -0.000 | -0.000 | -0.000 | 34.156 | -0.000 |
| 0.000 | 0.000 | -0.000 | -0.000 | -0.000 | 41.299 |
| 143.923 | 61.174 | 47.427 | -0.000 | 0.000 | 0.000 |
| 61.174 | 143.923 | 47.427 | 0.000 | 0.000 | -0.000 |
| 47.345 | 47.345 | 131.330 | -0.000 | -0.000 | 0.000 |
| 0.000 | 0.000 | 0.000 | 34.156 | 0.000 | -0.000 |
| 0.000 | 0.000 | 0.000 | -0.000 | 34.156 | 0.000 |
| -0.000 | -0.000 | 0.000 | 0.000 | 0.000 | 41.299 |
| 143.661 | 61.085 | 47.076 | -0.000 | -0.000 | -0.000 |
| 61.175 | 143.935 | 47.427 | 0.000 | -0.000 | -0.000 |
| 47.345 | 47.345 | 131.329 | -0.000 | -0.000 | -0.000 |
| -0.000 | -0.000 | -0.000 | 33.477 | -0.000 | -0.000 |
| -0.000 | -0.000 | -0.000 | -0.000 | 33.477 | -0.000 |
| 0.003 | 0.001 | -0.000 | -0.000 | -0.000 | 41.375 |
| 143.916 | 61.171 | 47.427 | -0.000 | 0.000 | 0.000 |
| 61.081 | 143.642 | 47.076 | 0.000 | 0.000 | 0.000 |
| 47.345 | 47.345 | 131.331 | 0.000 | 0.000 | 0.000 |
| 0.000 | 0.000 | 0.000 | 33.477 | 0.000 | 0.000 |
| 0.000 | 0.000 | 0.000 | -0.000 | 33.477 | 0.000 |
| -0.003 | -0.001 | 0.000 | -0.000 | 0.000 | 41.375 |
| 197.529 | 115.448 | 153.166 | 0.000 | -0.000 | -0.000 |
| 115.448 | 197.529 | 153.166 | 0.000 | 0.000 | -0.000 |
| 102.002 | 102.002 | 238.647 | 0.000 | 0.000 | -0.000 |
| -0.000 | -0.000 | -0.000 | 34.578 | 0.000 | 0.000 |
| 54.952 | 54.952 | 106.117 | 0.000 | 34.184 | -0.000 |
| 0.000 | 0.000 | -0.000 | 0.000 | -0.000 | 41.131 |
| 87.626 | 5.545 | -59.065 | -0.000 | 0.000 | 0.000 |
| 5.545 | 87.626 | -59.065 | 0.000 | -0.000 | 0.000 |
| 47.433 | 47.433 | 133.271 | -0.000 | -0.000 | -0.000 |
| 0.000 | 0.000 | 0.000 | 34.578 | -0.000 | -0.000 |
| -54.952 | -54.952 | -106.117 | -0.000 | 34.184 | 0.000 |
| -0.000 | -0.000 | 0.000 | -0.000 | 0.000 | 41.131 |
| 148.073 | 65.991 | 57.660 | 0.000 | 0.000 | -0.000 |
| 60.605 | 142.867 | 47.433 | 0.000 | 0.000 | 0.000 |
| 47.433 | 47.433 | 133.271 | 0.000 | -0.000 | 0.000 |
| 5.501 | 5.501 | 10.623 | 34.183 | 0.000 | -0.000 |
| 5.501 | 5.501 | 10.623 | 0.000 | 34.183 | -0.000 |
| 5.494 | 5.494 | 10.610 | 0.000 | 0.000 | 41.040 |
| 142.865 | 60.605 | 47.433 | -0.000 | 0.000 | -0.000 |
| 55.002 | 137.082 | 36.440 | -0.000 | -0.000 | 0.000 |
| 41.555 | 41.555 | 121.920 | -0.000 | -0.000 | 0.000 |
| -5.501 | -5.501 | -10.623 | 34.183 | -0.000 | 0.000 |
| -5.501 | -5.501 | -10.623 | -0.000 | 34.183 | 0.000 |
| -5.494 | -5.494 | -10.610 | -0.000 | -0.000 | 41.040 |
| 143.126 | 61.034 | 48.088 | 0.000 | 0.000 | -0.000 |
| 60.606 | 142.876 | 47.433 | 0.000 | -0.000 | 0.000 |
| 47.600 | 47.600 | 133.591 | 0.000 | 0.000 | -0.000 |
| 0.602 | 0.602 | 1.163 | 34.146 | 0.000 | -0.000 |
| 0.602 | 0.602 | 1.163 | 0.000 | 34.146 | -0.000 |
| 0.544 | 0.542 | 1.044 | 0.000 | 0.000 | 41.042 |
| 142.039 | 59.925 | 45.989 | -0.000 | -0.000 | 0.000 |
| 59.952 | 142.025 | 46.002 | 0.000 | -0.000 | 0.000 |
| 46.501 | 46.501 | 131.471 | -0.000 | -0.000 | 0.000 |
| -0.602 | -0.602 | -1.163 | 34.146 | -0.000 | 0.000 |
| -0.602 | -0.602 | -1.163 | -0.000 | 34.146 | 0.000 |
| -0.544 | -0.542 | -1.044 | -0.000 | -0.000 | 41.042 |
| 133.993 | 52.055 | 55.521 | -0.000 | 6.836 | -0.000 |
| 52.010 | 176.567 | 49.324 | -0.000 | 0.231 | -0.000 |
| -17.392 | -12.257 | -54.551 | -0.000 | 154.762 | -0.000 |
| -70.395 | -61.463 | -163.161 | 35.606 | 150.788 | 0.334 |
| -22.056 | -56.445 | -105.075 | -0.000 | 178.366 | -0.000 |
| -21.016 | -57.175 | -108.890 | 0.286 | 140.599 | 36.594 |
| 200.946 | 114.462 | 217.011 | 0.000 | -144.593 | -0.000 |
| 52.010 | 176.567 | 49.324 | 0.000 | 0.231 | 0.000 |
| 123.396 | 110.669 | 271.768 | 0.000 | -146.813 | 0.000 |
| 70.395 | 61.463 | 163.161 | 35.606 | -150.788 | 0.334 |
| -0.574 | 0.231 | 3.838 | 0.000 | 38.618 | 0.000 |
| 70.395 | 61.463 | 163.161 | 0.333 | -150.787 | 36.678 |
| 133.993 | 52.055 | 55.521 | -0.000 | 6.836 | -0.000 |
| 50.538 | 167.634 | 38.277 | -0.000 | 14.758 | -0.000 |
| 54.784 | 49.324 | 113.360 | -0.000 | 3.838 | -0.000 |
| -7.038 | -6.143 | -16.310 | 35.606 | 15.071 | 0.333 |
| -0.574 | 0.231 | 3.838 | -0.000 | 38.618 | -0.000 |
| -7.038 | -6.140 | -16.305 | 0.333 | 15.064 | 36.681 |
| 133.993 | 52.055 | 55.521 | 0.000 | 6.836 | 0.000 |
| 57.773 | 181.227 | 64.922 | 0.000 | -15.676 | -0.000 |
| 54.929 | 54.769 | 119.641 | 0.000 | -10.014 | -0.000 |
| 7.038 | 6.143 | 16.310 | 35.606 | -15.071 | 0.333 |
| 1.066 | 6.445 | 14.707 | 0.000 | 23.710 | 0.000 |
| 7.038 | 6.140 | 16.305 | 0.333 | -15.064 | 36.681 |
| 130.189 | 52.206 | 52.565 | -0.000 | 7.590 | -0.000 |
| 52.010 | 176.565 | 49.324 | -0.000 | 0.231 | 0.000 |
| 54.784 | 49.324 | 113.360 | -0.000 | 3.838 | -0.000 |
| -0.691 | -0.590 | -1.580 | 35.676 | 1.446 | 0.329 |
| -1.290 | 0.201 | 2.725 | -0.000 | 39.100 | -0.000 |
| -0.193 | -0.525 | -1.000 | 0.279 | 1.291 | 36.825 |
| 131.155 | 53.113 | 54.824 | 0.000 | 5.173 | 0.000 |
| 53.105 | 174.971 | 50.658 | 0.000 | -1.030 | -0.000 |
| 54.784 | 49.324 | 113.361 | -0.000 | 3.837 | 0.000 |
| 0.691 | 0.590 | 1.580 | 35.676 | -1.446 | 0.329 |
| -0.473 | 1.249 | 5.571 | 0.000 | 35.853 | -0.000 |
| 0.193 | 0.525 | 1.000 | 0.279 | -1.291 | 36.825 |
| 128.281 | 68.815 | 107.680 | 0.000 | -21.968 | -0.000 |
| 54.507 | 175.684 | 84.708 | 0.000 | -10.759 | 0.000 |
| 52.307 | 48.650 | 113.483 | 0.000 | 2.319 | -0.000 |
| 0.000 | -0.000 | -0.000 | 36.976 | 0.000 | 0.552 |
| -2.841 | 0.502 | 2.319 | 0.000 | 37.052 | -0.000 |
| -0.000 | -0.000 | 0.000 | 0.467 | -0.000 | 39.036 |
| 127.490 | 44.690 | 14.604 | -0.000 | 15.302 | 0.000 |
| 51.209 | 170.526 | 48.290 | -0.000 | 0.417 | 0.000 |
| 51.326 | 32.840 | 52.441 | -0.000 | 27.615 | -0.000 |
| -0.000 | 0.000 | 0.000 | 36.976 | -0.000 | 0.552 |
| -5.706 | -6.777 | -34.030 | -0.000 | 47.852 | 0.000 |
| 0.000 | 0.000 | -0.000 | 0.467 | 0.000 | 39.036 |
| 130.363 | 53.259 | 54.888 | 0.000 | 2.473 | -0.000 |
| 52.036 | 168.812 | 51.507 | 0.000 | -0.228 | 0.000 |
| 52.307 | 48.650 | 113.483 | 0.000 | 2.319 | -0.000 |
| -0.000 | -0.000 | -0.000 | 36.976 | -0.000 | 0.552 |
| -2.840 | 0.502 | 2.319 | 0.000 | 37.052 | -0.000 |
| -0.000 | -0.000 | -0.000 | 0.467 | 0.000 | 39.036 |
| 133.770 | 51.744 | 52.826 | -0.000 | 4.017 | 0.000 |
| 51.558 | 167.146 | 44.423 | -0.000 | 2.050 | -0.000 |
| 50.564 | 47.035 | 103.545 | -0.000 | 4.884 | 0.000 |
| 0.000 | 0.000 | 0.000 | 36.976 | 0.000 | 0.552 |
| -3.273 | 0.217 | -0.941 | -0.000 | 37.375 | 0.000 |
| 0.000 | 0.000 | 0.000 | 0.467 | -0.000 | 39.036 |
| 133.771 | 51.744 | 52.826 | 0.000 | 4.016 | -0.000 |
| 51.703 | 168.581 | 48.405 | 0.000 | 0.690 | -0.000 |
| 50.731 | 48.598 | 109.815 | 0.000 | 2.369 | -0.000 |
| 0.025 | 0.073 | 0.346 | 35.771 | -0.110 | 0.638 |
| -3.048 | 0.945 | 3.083 | 0.000 | 35.735 | -0.000 |
| -0.000 | -0.000 | -0.000 | 0.467 | 0.000 | 39.036 |
| 130.637 | 52.287 | 51.097 | -0.000 | 3.817 | -0.000 |
| 51.209 | 170.528 | 48.290 | -0.000 | 0.417 | 0.000 |
| 52.307 | 48.650 | 113.484 | -0.000 | 2.319 | 0.000 |
| -0.025 | -0.073 | -0.346 | 35.771 | 0.110 | 0.638 |
| -3.044 | 0.868 | 2.155 | -0.000 | 36.401 | 0.000 |
| 0.000 | 0.000 | 0.000 | 0.467 | -0.000 | 39.036 |
| 120.428 | 41.789 | 41.789 | 0.000 | 0.000 | -0.000 |
| 41.789 | 120.428 | 41.789 | 0.000 | -0.000 | 0.000 |
| 41.789 | 41.789 | 120.428 | 0.000 | 0.000 | -0.000 |
| -0.000 | 0.000 | 0.000 | 14.879 | -0.000 | -0.000 |
| 0.000 | 0.000 | 0.000 | 0.000 | 14.879 | 0.000 |
| 0.000 | 0.000 | -0.000 | 0.000 | 0.000 | 14.879 |
| 120.428 | 41.789 | 41.789 | -0.000 | 0.000 | 0.000 |
| 41.789 | 120.428 | 41.789 | -0.000 | -0.000 | 0.000 |
| 41.789 | 41.789 | 120.428 | -0.000 | 0.000 | 0.000 |
| 0.000 | -0.000 | -0.000 | 14.879 | 0.000 | -0.000 |
| -0.000 | 0.000 | -0.000 | -0.000 | 14.879 | 0.000 |
| -0.000 | -0.000 | 0.000 | -0.000 | -0.000 | 14.879 |
| 120.428 | 41.789 | 41.789 | 0.000 | 0.000 | -0.000 |
| 41.789 | 120.428 | 41.789 | 0.000 | -0.000 | -0.000 |
| 41.789 | 41.789 | 120.428 | 0.000 | 0.000 | 0.000 |
| -0.000 | 0.000 | 0.000 | 15.236 | 0.000 | -0.000 |
| 0.000 | -0.000 | 0.000 | 0.000 | 15.236 | 0.000 |
| 0.000 | 0.000 | -0.000 | 0.000 | -0.000 | 15.236 |
| 120.428 | 41.788 | 41.788 | -0.000 | -0.000 | -0.000 |
| 41.788 | 120.428 | 41.788 | -0.000 | 0.000 | -0.000 |
| 41.788 | 41.788 | 120.428 | -0.000 | -0.000 | 0.000 |
| 0.000 | -0.000 | -0.000 | 15.236 | -0.000 | -0.000 |
| -0.000 | 0.000 | -0.000 | -0.000 | 15.236 | 0.000 |
| -0.000 | -0.000 | 0.000 | -0.000 | -0.000 | 15.236 |
| 120.484 | 41.761 | 41.761 | 0.000 | 0.000 | -0.000 |
| 41.761 | 120.484 | 41.761 | 0.000 | 0.000 | -0.000 |
| 41.761 | 41.761 | 120.484 | 0.000 | 0.000 | -0.000 |
| -0.000 | 0.000 | 0.000 | 14.879 | 0.000 | -0.000 |
| 0.000 | -0.000 | 0.000 | 0.000 | 14.879 | 0.000 |
| 0.000 | 0.000 | -0.000 | 0.000 | 0.000 | 14.879 |
| 120.483 | 41.761 | 41.761 | -0.000 | -0.000 | 0.000 |
| 41.761 | 120.483 | 41.761 | -0.000 | -0.000 | 0.000 |
| 41.761 | 41.761 | 120.483 | 0.000 | -0.000 | 0.000 |
| 0.000 | -0.000 | -0.000 | 14.879 | -0.000 | -0.000 |
| -0.000 | 0.000 | -0.000 | -0.000 | 14.879 | 0.000 |
| -0.000 | -0.000 | 0.000 | -0.000 | -0.000 | 14.879 |
| -13.650 | 24.671 | 24.671 | 0.000 | 0.000 | -0.000 |
| 24.671 | -13.650 | 24.671 | -0.000 | 0.000 | -0.000 |
| 24.671 | 24.671 | -13.650 | -0.000 | 0.000 | -0.000 |
| 0.000 | -0.000 | 0.000 | 15.184 | 0.000 | -0.000 |
| -0.000 | 0.000 | 0.000 | 0.000 | 15.184 | -0.000 |
| -0.000 | 0.000 | 0.000 | -0.000 | 0.000 | 15.184 |
| -13.650 | 24.671 | 24.671 | -0.000 | -0.000 | 0.000 |
| 24.671 | -13.650 | 24.671 | 0.000 | -0.000 | 0.000 |
| 24.671 | 24.671 | -13.650 | -0.000 | -0.000 | 0.000 |
| -0.000 | 0.000 | -0.000 | 15.184 | -0.000 | 0.000 |
| 0.000 | -0.000 | 0.000 | 0.000 | 15.184 | -0.000 |
| 0.000 | 0.000 | -0.000 | -0.000 | -0.000 | 15.184 |
| -13.650 | 24.671 | 24.671 | -0.000 | 0.000 | 0.000 |
| 24.671 | -13.650 | 24.671 | 0.000 | 0.000 | -0.000 |
| 24.671 | 24.671 | -13.650 | 0.000 | 0.000 | -0.000 |
| 0.000 | 0.000 | 0.000 | 15.704 | -0.000 | -0.000 |
| 0.000 | 0.000 | 0.000 | -0.000 | 15.704 | -0.000 |
| 0.000 | 0.000 | 0.000 | -0.000 | 0.000 | 15.704 |
| -13.650 | 24.671 | 24.671 | -0.000 | -0.000 | 0.000 |
| 24.671 | -13.650 | 24.671 | 0.000 | -0.000 | 0.000 |
| 24.671 | 24.671 | -13.650 | 0.000 | -0.000 | -0.000 |
| -0.000 | -0.000 | -0.000 | 15.704 | -0.000 | 0.000 |
| -0.000 | -0.000 | -0.000 | -0.000 | 15.704 | 0.000 |
| -0.000 | -0.000 | -0.000 | 0.000 | -0.000 | 15.704 |
| -13.651 | 24.671 | 24.671 | 0.000 | 0.000 | -0.000 |
| 24.671 | -13.651 | 24.671 | -0.000 | 0.000 | -0.000 |
| 24.671 | 24.671 | -13.651 | -0.000 | -0.000 | -0.000 |
| 0.000 | -0.000 | 0.000 | 15.184 | -0.000 | -0.000 |
| -0.000 | 0.000 | 0.000 | -0.000 | 15.184 | -0.000 |
| -0.000 | 0.000 | 0.000 | 0.000 | 0.000 | 15.184 |
| -13.649 | 24.671 | 24.671 | -0.000 | -0.000 | 0.000 |
| 24.671 | -13.649 | 24.671 | 0.000 | -0.000 | 0.000 |
| 24.671 | 24.671 | -13.649 | -0.000 | -0.000 | -0.000 |
| -0.000 | 0.000 | -0.000 | 15.184 | -0.000 | 0.000 |
| 0.000 | -0.000 | -0.000 | -0.000 | 15.184 | 0.000 |
| 0.000 | -0.000 | -0.000 | -0.000 | -0.000 | 15.184 |
| 96.969 | 50.238 | 50.238 | -0.000 | -0.000 | -0.000 |
| 50.238 | 96.969 | 50.238 | -0.000 | 0.000 | -0.000 |
| 50.238 | 50.238 | 96.969 | -0.000 | -0.000 | -0.000 |
| -0.000 | -0.000 | -0.000 | 35.170 | -0.000 | -0.000 |
| -0.000 | -0.000 | -0.000 | -0.000 | 35.170 | 0.000 |
| -0.000 | -0.000 | -0.000 | -0.000 | -0.000 | 35.170 |
| 96.969 | 50.238 | 50.238 | 0.000 | -0.000 | 0.000 |
| 50.238 | 96.969 | 50.238 | -0.000 | 0.000 | 0.000 |
| 50.238 | 50.238 | 96.969 | -0.000 | 0.000 | 0.000 |
| 0.000 | 0.000 | 0.000 | 35.170 | 0.000 | 0.000 |
| 0.000 | 0.000 | 0.000 | 0.000 | 35.170 | 0.000 |
| 0.000 | 0.000 | 0.000 | 0.000 | 0.000 | 35.170 |
| 96.969 | 50.238 | 50.238 | -0.000 | -0.000 | 0.000 |
| 50.238 | 96.969 | 50.238 | -0.000 | -0.000 | -0.000 |
| 50.238 | 50.238 | 96.969 | 0.000 | -0.000 | 0.000 |
| -0.000 | -0.000 | -0.000 | 35.170 | -0.000 | -0.000 |
| -0.000 | -0.000 | -0.000 | -0.000 | 35.170 | 0.000 |
| -0.000 | -0.000 | -0.000 | -0.000 | -0.000 | 35.170 |
| 96.969 | 50.238 | 50.238 | 0.000 | 0.000 | -0.000 |
| 50.238 | 96.969 | 50.238 | 0.000 | 0.000 | -0.000 |
| 50.238 | 50.238 | 96.969 | -0.000 | -0.000 | 0.000 |
| 0.000 | 0.000 | 0.000 | 35.170 | 0.000 | 0.000 |
| 0.000 | 0.000 | 0.000 | 0.000 | 35.170 | 0.000 |
| 0.000 | 0.000 | 0.000 | 0.000 | -0.000 | 35.170 |
| 96.968 | 50.238 | 50.238 | -0.000 | -0.000 | -0.000 |
| 50.238 | 96.968 | 50.238 | -0.000 | -0.000 | -0.000 |
| 50.238 | 50.238 | 96.968 | 0.000 | 0.000 | -0.000 |
| -0.000 | -0.000 | -0.000 | 35.170 | -0.000 | -0.000 |
| -0.000 | -0.000 | -0.000 | -0.000 | 35.170 | -0.000 |
| -0.000 | -0.000 | -0.000 | -0.000 | -0.000 | 35.170 |
| 96.969 | 50.238 | 50.238 | -0.000 | -0.000 | -0.000 |
| 50.238 | 96.969 | 50.238 | -0.000 | 0.000 | -0.000 |
| 50.238 | 50.238 | 96.969 | -0.000 | -0.000 | -0.000 |
| 0.000 | 0.000 | 0.000 | 35.170 | 0.000 | 0.000 |
| 0.000 | 0.000 | 0.000 | 0.000 | 35.170 | 0.000 |
| 0.000 | 0.000 | 0.000 | 0.000 | 0.000 | 35.170 |
| 102.937 | 41.448 | 48.317 | -0.000 | 0.000 | -0.000 |
| 41.434 | 144.893 | 52.069 | -0.000 | 0.000 | 0.000 |
| 48.166 | 52.040 | 104.405 | -0.000 | 0.000 | -0.000 |
| -0.000 | -0.000 | -0.000 | 40.302 | -0.000 | -0.000 |
| -0.000 | -0.000 | -0.000 | 0.000 | 31.369 | -0.000 |
| -0.000 | -0.000 | -0.000 | -0.000 | -0.000 | 29.524 |
| 102.937 | 41.448 | 48.317 | 0.000 | -0.000 | -0.000 |
| 41.434 | 144.893 | 52.069 | 0.000 | 0.000 | 0.000 |
| 48.166 | 52.040 | 104.405 | 0.000 | -0.000 | 0.000 |
| 0.000 | 0.000 | 0.000 | 40.302 | 0.000 | 0.000 |
| 0.000 | 0.000 | 0.000 | 0.000 | 31.369 | 0.000 |
| 0.000 | 0.000 | 0.000 | -0.000 | -0.000 | 29.524 |
| 102.937 | 41.448 | 48.317 | 0.000 | 0.000 | -0.000 |
| 41.434 | 144.893 | 52.069 | 0.000 | -0.000 | -0.000 |
| 48.340 | 52.062 | 104.192 | 0.000 | 0.000 | -0.000 |
| -0.000 | -0.000 | -0.000 | 40.302 | -0.000 | -0.000 |
| -0.000 | -0.000 | -0.000 | 0.000 | 31.369 | -0.000 |
| -0.000 | -0.000 | -0.000 | -0.000 | 0.000 | 29.524 |
| 102.937 | 41.448 | 48.317 | 0.000 | 0.000 | -0.000 |
| 41.434 | 144.893 | 52.069 | -0.000 | -0.000 | -0.000 |
| 48.340 | 52.062 | 104.192 | -0.000 | -0.000 | -0.000 |
| 0.000 | 0.000 | 0.000 | 40.302 | 0.000 | 0.000 |
| 0.000 | 0.000 | 0.000 | -0.000 | 31.369 | 0.000 |
| 0.000 | 0.000 | 0.000 | 0.000 | 0.000 | 29.524 |
| 102.909 | 41.430 | 48.328 | 0.000 | 0.000 | -0.000 |
| 41.433 | 144.890 | 52.066 | -0.000 | 0.000 | -0.000 |
| 48.340 | 52.062 | 104.192 | -0.000 | 0.000 | -0.000 |
| -0.000 | -0.000 | -0.000 | 40.268 | 0.000 | -0.000 |
| -0.000 | -0.000 | -0.000 | 0.000 | 31.363 | 0.000 |
| -0.000 | -0.000 | -0.000 | -0.000 | 0.000 | 29.524 |
| 102.909 | 41.430 | 48.328 | 0.000 | -0.000 | 0.000 |
| 41.433 | 144.892 | 52.066 | 0.000 | -0.000 | -0.000 |
| 48.340 | 52.062 | 104.192 | -0.000 | -0.000 | 0.000 |
| 0.000 | 0.000 | 0.000 | 40.268 | -0.000 | -0.000 |
| 0.000 | 0.000 | 0.000 | -0.000 | 31.363 | -0.000 |
| 0.000 | 0.000 | 0.000 | 0.000 | 0.000 | 29.524 |
| 103.760 | 41.775 | 48.934 | -0.000 | -0.000 | 0.000 |
| 41.648 | 144.001 | 51.817 | -0.000 | -0.000 | -0.000 |
| 48.605 | 51.740 | 104.457 | -0.000 | 0.000 | 0.000 |
| -0.000 | 0.002 | 0.005 | 39.651 | -0.000 | 0.000 |
| -0.001 | 0.006 | 0.013 | 0.000 | 31.528 | 0.000 |
| -0.000 | 0.001 | 0.002 | 0.000 | -0.000 | 29.550 |
| 103.755 | 41.770 | 48.931 | -0.000 | 0.000 | -0.000 |
| 41.648 | 143.999 | 51.813 | 0.000 | 0.000 | -0.000 |
| 48.605 | 51.738 | 104.454 | 0.000 | 0.000 | -0.000 |
| 0.000 | -0.002 | -0.005 | 39.651 | 0.000 | -0.000 |
| 0.001 | -0.006 | -0.013 | -0.000 | 31.528 | -0.000 |
| 0.000 | -0.001 | -0.002 | -0.000 | 0.000 | 29.550 |
| 103.758 | 41.772 | 48.933 | 0.000 | 0.000 | 0.000 |
| 41.648 | 144.000 | 51.815 | -0.000 | -0.000 | 0.000 |
| 48.762 | 51.755 | 104.294 | 0.000 | -0.000 | 0.000 |
| -0.000 | 0.000 | 0.001 | 39.651 | 0.000 | 0.000 |
| -0.000 | 0.001 | 0.001 | 0.000 | 31.528 | 0.000 |
| -0.000 | 0.000 | 0.000 | -0.000 | -0.000 | 29.550 |
| 103.757 | 41.772 | 48.933 | 0.000 | 0.000 | -0.000 |
| 41.648 | 144.000 | 51.815 | 0.000 | 0.000 | -0.000 |
| 48.762 | 51.755 | 104.294 | 0.000 | 0.000 | -0.000 |
| 0.000 | -0.000 | -0.001 | 39.651 | 0.000 | -0.000 |
| 0.000 | -0.001 | -0.001 | -0.000 | 31.528 | -0.000 |
| 0.000 | -0.000 | -0.000 | 0.000 | -0.000 | 29.550 |
| 103.905 | 41.727 | 48.668 | -0.000 | -0.000 | 0.000 |
| 41.647 | 143.998 | 51.813 | -0.000 | -0.000 | 0.000 |
| 48.763 | 51.755 | 104.294 | -0.000 | -0.000 | 0.000 |
| -0.000 | -0.000 | -0.000 | 39.621 | -0.000 | 0.000 |
| -0.000 | -0.000 | -0.000 | -0.000 | 31.745 | 0.000 |
| -0.000 | -0.000 | -0.000 | -0.000 | -0.000 | 29.550 |
| 103.727 | 41.738 | 48.905 | 0.000 | -0.000 | -0.000 |
| 41.646 | 143.999 | 51.813 | 0.000 | -0.000 | -0.000 |
| 48.762 | 51.755 | 104.294 | -0.000 | -0.000 | -0.000 |
| 0.000 | 0.000 | 0.000 | 39.621 | 0.000 | -0.000 |
| 0.000 | 0.000 | 0.000 | 0.000 | 31.745 | -0.000 |
| 0.000 | 0.000 | 0.000 | 0.000 | -0.000 | 29.550 |
| 98.991 | 57.075 | 48.189 | 0.000 | -0.000 | 0.000 |
| 57.075 | 98.991 | 48.189 | 0.000 | -0.000 | -0.000 |
| 48.189 | 48.189 | 79.563 | 0.000 | 0.000 | -0.000 |
| -0.000 | -0.000 | 0.000 | 26.268 | -0.000 | -0.000 |
| -0.000 | -0.000 | 0.000 | -0.000 | 26.268 | 0.000 |
| -0.000 | -0.000 | -0.000 | 0.000 | -0.000 | 34.606 |
| 98.991 | 57.075 | 48.189 | 0.000 | 0.000 | -0.000 |
| 57.075 | 98.991 | 48.189 | -0.000 | 0.000 | 0.000 |
| 48.189 | 48.189 | 79.563 | -0.000 | 0.000 | 0.000 |
| 0.000 | 0.000 | -0.000 | 26.268 | 0.000 | -0.000 |
| 0.000 | 0.000 | -0.000 | -0.000 | 26.268 | -0.000 |
| 0.000 | 0.000 | 0.000 | 0.000 | 0.000 | 34.606 |
| 98.441 | 57.625 | 48.189 | 0.000 | -0.000 | -0.000 |
| 57.625 | 98.441 | 48.189 | 0.000 | -0.000 | 0.000 |
| 48.189 | 48.189 | 79.563 | -0.000 | -0.000 | -0.000 |
| -0.000 | -0.000 | 0.000 | 26.268 | -0.000 | -0.000 |
| -0.000 | -0.000 | 0.000 | 0.000 | 26.268 | 0.000 |
| -0.000 | -0.000 | -0.000 | -0.000 | -0.000 | 34.606 |
| 98.991 | 57.075 | 48.189 | -0.000 | 0.000 | -0.000 |
| 57.075 | 98.991 | 48.189 | 0.000 | 0.000 | 0.000 |
| 48.189 | 48.189 | 79.563 | 0.000 | 0.000 | -0.000 |
| 0.000 | 0.000 | -0.000 | 26.268 | 0.000 | -0.000 |
| 0.000 | 0.000 | -0.000 | -0.000 | 26.268 | -0.000 |
| 0.000 | 0.000 | 0.000 | -0.000 | 0.000 | 34.606 |
| 98.441 | 57.625 | 48.190 | 0.000 | -0.000 | 0.000 |
| 57.625 | 98.441 | 48.190 | 0.000 | -0.000 | -0.000 |
| 48.190 | 48.190 | 79.563 | -0.000 | -0.000 | -0.000 |
| -0.000 | -0.000 | 0.000 | 26.614 | -0.000 | 0.000 |
| -0.000 | -0.000 | 0.000 | -0.000 | 26.614 | -0.000 |
| -0.000 | -0.000 | -0.000 | 0.000 | -0.000 | 34.606 |
| 98.442 | 57.625 | 48.189 | -0.000 | 0.000 | 0.000 |
| 57.625 | 98.442 | 48.189 | -0.000 | 0.000 | 0.000 |
| 48.189 | 48.189 | 79.562 | -0.000 | 0.000 | 0.000 |
| 0.000 | 0.000 | -0.000 | 26.614 | 0.000 | 0.000 |
| 0.000 | 0.000 | -0.000 | -0.000 | 26.614 | -0.000 |
| 0.000 | 0.000 | 0.000 | -0.000 | 0.000 | 34.606 |
| 118.127 | 56.014 | 56.520 | -0.000 | -0.000 | -0.000 |
| 55.741 | 117.362 | 55.973 | -0.000 | 0.000 | -0.000 |
| 56.498 | 56.498 | 189.073 | -0.000 | 0.000 | -0.000 |
| -0.012 | -0.012 | -0.013 | 38.322 | -0.000 | -0.000 |
| -0.000 | 0.000 | -0.000 | -0.000 | 39.105 | -0.000 |
| -0.006 | -0.006 | -0.006 | 0.000 | -0.000 | 30.757 |
| 118.127 | 56.014 | 56.520 | 0.000 | -0.000 | 0.000 |
| 55.749 | 117.370 | 55.982 | 0.000 | 0.000 | 0.000 |
| 56.003 | 56.003 | 188.552 | 0.000 | 0.000 | 0.000 |
| 0.012 | 0.012 | 0.013 | 38.322 | 0.000 | 0.000 |
| 0.000 | -0.000 | 0.000 | 0.000 | 39.105 | -0.000 |
| 0.006 | 0.006 | 0.006 | -0.000 | -0.000 | 30.757 |
| 117.128 | 56.062 | 56.019 | -0.000 | -0.000 | -0.000 |
| 56.014 | 118.127 | 56.520 | -0.000 | -0.000 | -0.000 |
| 56.498 | 56.498 | 189.073 | -0.000 | -0.000 | -0.000 |
| -0.001 | -0.001 | -0.001 | 38.322 | -0.000 | -0.000 |
| -0.001 | -0.001 | -0.001 | -0.000 | 38.322 | 0.000 |
| -0.000 | -0.000 | -0.000 | -0.000 | 0.000 | 31.057 |
| 118.127 | 56.014 | 56.520 | 0.000 | 0.000 | 0.000 |
| 55.745 | 117.366 | 55.978 | 0.000 | 0.000 | 0.000 |
| 56.498 | 56.498 | 189.074 | 0.000 | 0.000 | 0.000 |
| 0.001 | 0.001 | 0.001 | 38.322 | 0.000 | 0.000 |
| 0.001 | 0.001 | 0.001 | 0.000 | 38.322 | 0.000 |
| 0.000 | 0.000 | 0.000 | 0.000 | 0.000 | 31.057 |
| 118.127 | 56.013 | 56.520 | -0.000 | -0.000 | -0.000 |
| 56.014 | 118.127 | 56.520 | -0.000 | 0.000 | -0.000 |
| 56.498 | 56.498 | 189.072 | -0.000 | 0.000 | -0.000 |
| -0.000 | -0.000 | -0.000 | 39.105 | 0.000 | -0.000 |
| -0.000 | -0.000 | -0.000 | -0.000 | 38.322 | -0.000 |
| -0.000 | -0.000 | -0.000 | -0.000 | -0.000 | 31.057 |
| 118.128 | 56.014 | 56.520 | 0.000 | 0.000 | 0.000 |
| 56.014 | 118.128 | 56.520 | 0.000 | 0.000 | 0.000 |
| 56.498 | 56.498 | 189.075 | 0.000 | 0.000 | 0.000 |
| 0.000 | 0.000 | 0.000 | 39.105 | 0.000 | 0.000 |
| 0.000 | 0.000 | 0.000 | 0.000 | 38.322 | 0.000 |
| 0.000 | 0.000 | 0.000 | 0.000 | -0.000 | 31.057 |
| 117.828 | 55.817 | 56.097 | -0.000 | -0.000 | 0.000 |
| 55.817 | 117.828 | 56.097 | -0.000 | -0.000 | 0.000 |
| 56.143 | 56.143 | 189.754 | 0.000 | 0.000 | 0.000 |
| -0.000 | -0.000 | -0.000 | 39.525 | -0.000 | 0.000 |
| -0.000 | -0.000 | -0.000 | -0.000 | 39.525 | 0.000 |
| -0.000 | -0.000 | -0.000 | -0.000 | -0.000 | 31.256 |
| 118.664 | 56.152 | 56.708 | 0.000 | 0.000 | -0.000 |
| 55.898 | 117.900 | 56.177 | 0.000 | 0.000 | -0.000 |
| 56.708 | 56.708 | 190.344 | 0.000 | -0.000 | -0.000 |
| 0.000 | 0.000 | 0.000 | 39.525 | 0.000 | -0.000 |
| 0.000 | 0.000 | 0.000 | 0.000 | 39.525 | -0.000 |
| 0.000 | 0.000 | 0.000 | 0.000 | 0.000 | 31.256 |
| 118.664 | 56.152 | 56.708 | -0.000 | -0.000 | 0.000 |
| 56.120 | 117.646 | 56.160 | 0.000 | 0.000 | 0.000 |
| 56.179 | 56.179 | 189.792 | -0.000 | 0.000 | 0.000 |
| -0.000 | -0.000 | -0.000 | 39.525 | -0.000 | 0.000 |
| -0.000 | -0.000 | -0.000 | -0.000 | 39.525 | 0.000 |
| -0.005 | -0.005 | -0.005 | -0.000 | 0.000 | 30.743 |
| 118.664 | 56.152 | 56.708 | 0.000 | 0.000 | -0.000 |
| 56.193 | 117.624 | 56.187 | 0.000 | 0.000 | -0.000 |
| 56.187 | 56.187 | 189.800 | 0.000 | -0.000 | -0.000 |
| 0.000 | 0.000 | 0.000 | 39.525 | 0.000 | -0.000 |
| 0.000 | 0.000 | 0.000 | 0.000 | 39.525 | -0.000 |
| 0.005 | 0.005 | 0.005 | 0.000 | -0.000 | 30.743 |
| 117.630 | 56.222 | 56.205 | -0.000 | -0.000 | 0.000 |
| 56.152 | 118.663 | 56.708 | -0.000 | -0.000 | 0.000 |
| 56.182 | 56.182 | 189.794 | 0.000 | 0.000 | 0.000 |
| -0.000 | -0.000 | -0.000 | 39.525 | -0.000 | 0.000 |
| -0.000 | -0.000 | -0.000 | -0.000 | 39.525 | 0.000 |
| -0.001 | -0.001 | -0.001 | 0.000 | 0.000 | 30.945 |
| 117.865 | 55.858 | 56.137 | 0.000 | 0.000 | -0.000 |
| 55.858 | 117.865 | 56.137 | 0.000 | 0.000 | -0.000 |
| 56.183 | 56.183 | 189.798 | 0.000 | -0.000 | -0.000 |
| 0.000 | 0.000 | 0.000 | 39.525 | 0.000 | -0.000 |
| 0.000 | 0.000 | 0.000 | 0.000 | 39.525 | -0.000 |
| 0.001 | 0.001 | 0.001 | -0.000 | -0.000 | 30.945 |
| 59.286 | -11.280 | 113.000 | -0.000 | -0.000 | -0.000 |
| -67.494 | 54.916 | 104.489 | 0.000 | 0.000 | -0.000 |
| -64.892 | -10.914 | 157.399 | 0.000 | -0.000 | -0.000 |
| -117.456 | -62.752 | 60.109 | 26.465 | -0.000 | -0.000 |
| -112.008 | -61.411 | 68.615 | 0.000 | 36.934 | -0.000 |
| -98.572 | -58.696 | 49.701 | 0.000 | 0.000 | 34.184 |
| 288.601 | 112.814 | -15.753 | -0.000 | 0.000 | 0.000 |
| 169.171 | 178.523 | -10.445 | 0.000 | -0.000 | 0.000 |
| 153.064 | 108.710 | 53.784 | 0.000 | -0.000 | 0.000 |
| 117.456 | 62.752 | -60.109 | 26.465 | 0.000 | 0.000 |
| 112.008 | 61.411 | -68.615 | -0.000 | 36.934 | 0.000 |
| 98.572 | 58.696 | -49.701 | 0.000 | -0.000 | 34.184 |
| 165.136 | 45.413 | 59.126 | 0.000 | -0.000 | 0.000 |
| 39.843 | 109.695 | 55.285 | 0.000 | 0.000 | -0.000 |
| 42.058 | 43.668 | 107.956 | -0.000 | 0.000 | -0.000 |
| -11.947 | -6.090 | 5.473 | 26.585 | -0.000 | -0.000 |
| -11.204 | -6.139 | 6.844 | -0.000 | 36.938 | -0.000 |
| -9.873 | -5.879 | 4.978 | -0.000 | -0.000 | 34.182 |
| 189.122 | 57.608 | 48.106 | -0.000 | -0.000 | 0.000 |
| 61.824 | 121.694 | 44.924 | -0.000 | -0.000 | 0.000 |
| 65.150 | 56.161 | 95.048 | -0.000 | 0.000 | 0.000 |
| 11.947 | 6.090 | -5.473 | 26.585 | 0.000 | 0.000 |
| 11.204 | 6.139 | -6.844 | 0.000 | 36.938 | 0.000 |
| 9.873 | 5.879 | -4.978 | -0.000 | 0.000 | 34.182 |
| 175.569 | 50.832 | 53.997 | 0.000 | -0.000 | -0.000 |
| 50.590 | 115.149 | 50.397 | 0.000 | -0.000 | -0.000 |
| 52.918 | 49.143 | 103.803 | 0.000 | 0.000 | -0.000 |
| -1.041 | -0.619 | 0.527 | 26.700 | -0.000 | 0.000 |
| -1.104 | -0.657 | 0.556 | -0.000 | 37.400 | -0.000 |
| -1.139 | -0.616 | 0.581 | 0.000 | -0.000 | 33.811 |
| 177.675 | 51.940 | 52.578 | 0.000 | 0.000 | 0.000 |
| 52.970 | 116.423 | 49.383 | -0.000 | 0.000 | 0.000 |
| 54.963 | 50.413 | 100.797 | 0.000 | -0.000 | 0.000 |
| 1.041 | 0.619 | -0.527 | 26.700 | 0.000 | 0.000 |
| 1.104 | 0.657 | -0.556 | 0.000 | 37.400 | 0.000 |
| 1.139 | 0.616 | -0.581 | 0.000 | 0.000 | 33.811 |
| 184.236 | 93.610 | 351.452 | -0.000 | 0.000 | 0.000 |
| 53.085 | 118.632 | 58.274 | 0.000 | 0.000 | -0.000 |
| 55.383 | 97.525 | 417.503 | -0.000 | 0.000 | -0.000 |
| -0.000 | 0.000 | 0.000 | 35.204 | 0.000 | -0.000 |
| -0.000 | -0.000 | -0.000 | 0.000 | 38.558 | -0.000 |
| -0.000 | -0.000 | -0.000 | -0.000 | -0.000 | 36.044 |
| 211.050 | 42.113 | -117.016 | 0.000 | -0.000 | 0.000 |
| 53.085 | 118.632 | 58.274 | 0.000 | -0.000 | 0.000 |
| 83.693 | 46.655 | -50.140 | 0.000 | -0.000 | 0.000 |
| 0.000 | -0.000 | -0.000 | 35.204 | -0.000 | 0.000 |
| 0.000 | 0.000 | 0.000 | -0.000 | 38.558 | 0.000 |
| 0.000 | 0.000 | 0.000 | -0.000 | -0.000 | 36.044 |
| 181.241 | 54.151 | 73.809 | -0.000 | 0.000 | -0.000 |
| 49.446 | 122.112 | 83.702 | -0.000 | 0.000 | -0.000 |
| 55.052 | 60.990 | 150.739 | -0.000 | 0.000 | -0.000 |
| -2.710 | 1.095 | 17.357 | 34.846 | 0.000 | -0.000 |
| -0.000 | -0.000 | -0.000 | 0.000 | 38.558 | -0.000 |
| -2.713 | 1.096 | 17.373 | -0.000 | 0.000 | 34.698 |
| 186.291 | 53.085 | 54.712 | 0.000 | 0.000 | -0.000 |
| 56.653 | 114.222 | 30.689 | 0.000 | -0.000 | 0.000 |
| 59.397 | 56.475 | 105.825 | 0.000 | -0.000 | 0.000 |
| 2.710 | -1.095 | -17.357 | 34.846 | -0.000 | 0.000 |
| 0.000 | 0.000 | 0.000 | -0.000 | 38.558 | 0.000 |
| 2.713 | -1.096 | -17.373 | 0.000 | -0.000 | 34.698 |
| 186.289 | 53.085 | 54.712 | -0.000 | -0.000 | -0.000 |
| 52.856 | 118.434 | 59.142 | -0.000 | 0.000 | -0.000 |
| 56.459 | 57.680 | 125.745 | -0.000 | 0.000 | -0.000 |
| -0.373 | 0.431 | 2.775 | 34.680 | 0.000 | -0.000 |
| -0.350 | 0.399 | 2.592 | -0.000 | 37.216 | -0.000 |
| -0.000 | -0.000 | -0.000 | -0.000 | 0.000 | 36.044 |
| 183.577 | 52.531 | 52.278 | 0.000 | -0.000 | 0.000 |
| 53.408 | 117.759 | 54.430 | 0.000 | -0.000 | -0.000 |
| 56.451 | 56.444 | 118.882 | 0.000 | -0.000 | 0.000 |
| 0.373 | -0.431 | -2.775 | 34.680 | -0.000 | 0.000 |
| 0.350 | -0.399 | -2.592 | 0.000 | 37.216 | 0.000 |
| 0.000 | 0.000 | 0.000 | 0.000 | 0.000 | 36.044 |
| 86.248 | 34.386 | 41.559 | 0.000 | -0.000 | 0.000 |
| 34.386 | 86.248 | 41.559 | 0.000 | -0.000 | 0.000 |
| 41.559 | 41.559 | 145.205 | 0.000 | -0.000 | 0.000 |
| -0.000 | -0.000 | -0.000 | 35.551 | -0.000 | 0.000 |
| -0.000 | -0.000 | -0.000 | 0.000 | 35.551 | 0.000 |
| 0.000 | -0.000 | -0.000 | 0.000 | -0.000 | 25.174 |
| 86.248 | 34.386 | 41.559 | 0.000 | 0.000 | -0.000 |
| 34.898 | 85.448 | 41.212 | -0.000 | 0.000 | -0.000 |
| 41.344 | 41.344 | 144.683 | -0.000 | -0.000 | -0.000 |
| 0.000 | 0.000 | 0.000 | 35.551 | 0.000 | -0.000 |
| 0.000 | 0.000 | 0.000 | 0.000 | 35.551 | -0.000 |
| 0.000 | 0.000 | 0.000 | -0.000 | 0.000 | 25.174 |
| 86.248 | 34.386 | 41.559 | 0.000 | -0.000 | 0.000 |
| 35.359 | 85.090 | 41.335 | 0.000 | 0.000 | 0.000 |
| 41.344 | 41.344 | 144.683 | 0.000 | 0.000 | 0.000 |
| -0.000 | -0.000 | -0.000 | 35.551 | 0.000 | 0.000 |
| -0.000 | -0.000 | -0.000 | 0.000 | 35.083 | 0.000 |
| 0.000 | -0.000 | -0.000 | 0.000 | -0.000 | 25.174 |
| 85.090 | 35.359 | 41.335 | -0.000 | 0.000 | -0.000 |
| 34.386 | 86.248 | 41.559 | -0.000 | 0.000 | -0.000 |
| 41.559 | 41.559 | 145.205 | -0.000 | -0.000 | -0.000 |
| 0.000 | 0.000 | 0.000 | 35.551 | 0.000 | -0.000 |
| 0.000 | 0.000 | 0.000 | -0.000 | 35.083 | -0.000 |
| -0.000 | 0.000 | 0.000 | -0.000 | 0.000 | 25.174 |
| 86.248 | 34.386 | 41.559 | 0.000 | -0.000 | 0.000 |
| 35.359 | 85.090 | 41.335 | 0.000 | 0.000 | 0.000 |
| 41.343 | 41.343 | 144.682 | 0.000 | -0.000 | 0.000 |
| -0.000 | -0.000 | -0.000 | 35.551 | -0.000 | 0.000 |
| -0.000 | -0.000 | -0.000 | -0.000 | 35.551 | 0.000 |
| 0.000 | -0.000 | -0.000 | 0.000 | -0.000 | 24.862 |
| 85.090 | 35.359 | 41.335 | -0.000 | -0.000 | -0.000 |
| 34.898 | 85.448 | 41.212 | -0.000 | 0.000 | -0.000 |
| 41.344 | 41.344 | 144.684 | -0.000 | -0.000 | -0.000 |
| 0.000 | 0.000 | 0.000 | 35.551 | 0.000 | 0.000 |
| 0.000 | 0.000 | 0.000 | -0.000 | 35.551 | -0.000 |
| -0.000 | 0.000 | 0.000 | -0.000 | 0.000 | 24.862 |
| 78.184 | 27.247 | 23.305 | -0.000 | -0.000 | 0.000 |
| 27.247 | 78.184 | 23.305 | -0.000 | -0.000 | 0.000 |
| 33.810 | 33.810 | 125.353 | -0.000 | -0.000 | -0.000 |
| -7.418 | -7.418 | -17.997 | 35.069 | -0.000 | 0.000 |
| -7.418 | -7.418 | -17.997 | -0.000 | 35.069 | -0.000 |
| -0.000 | -0.000 | -0.000 | -0.000 | -0.000 | 25.883 |
| 93.023 | 42.085 | 59.304 | 0.000 | 0.000 | -0.000 |
| 42.085 | 93.023 | 59.304 | -0.000 | 0.000 | -0.000 |
| 41.442 | 41.442 | 143.868 | 0.000 | -0.000 | 0.000 |
| 7.418 | 7.418 | 17.997 | 35.069 | 0.000 | -0.000 |
| 0.000 | 0.000 | 0.000 | 0.000 | 35.350 | 0.000 |
| -0.000 | 0.000 | 0.000 | 0.000 | 0.000 | 25.883 |
| 84.832 | 33.914 | 39.457 | -0.000 | 0.000 | -0.000 |
| 34.340 | 86.106 | 41.519 | -0.000 | -0.000 | 0.000 |
| 40.485 | 40.485 | 141.548 | -0.000 | -0.000 | -0.000 |
| -0.755 | -0.755 | -1.831 | 35.064 | -0.000 | -0.000 |
| -0.000 | -0.000 | -0.000 | -0.000 | 35.350 | -0.000 |
| -0.000 | -0.000 | -0.000 | -0.000 | -0.000 | 25.883 |
| 86.354 | 35.448 | 43.164 | 0.000 | 0.000 | -0.000 |
| 34.340 | 86.106 | 41.519 | 0.000 | 0.000 | 0.000 |
| 41.442 | 41.442 | 143.868 | 0.000 | 0.000 | 0.000 |
| 0.755 | 0.755 | 1.831 | 35.064 | 0.000 | 0.000 |
| 0.000 | 0.000 | 0.000 | 0.000 | 35.350 | 0.000 |
| 0.000 | 0.000 | 0.000 | 0.000 | 0.000 | 25.883 |
| 85.316 | 34.685 | 40.979 | -0.000 | -0.000 | 0.000 |
| 34.685 | 85.316 | 40.979 | -0.000 | -0.000 | -0.000 |
| 41.153 | 41.153 | 143.166 | -0.000 | 0.000 | -0.000 |
| -0.000 | -0.000 | -0.000 | 35.350 | -0.000 | 0.000 |
| -0.000 | -0.000 | -0.000 | 0.000 | 35.350 | -0.000 |
| -0.000 | -0.000 | -0.000 | -0.000 | -0.000 | 25.883 |
| 86.106 | 34.340 | 41.519 | 0.000 | 0.000 | 0.000 |
| 34.340 | 86.106 | 41.519 | 0.000 | 0.000 | 0.000 |
| 41.301 | 41.301 | 143.528 | 0.000 | 0.000 | -0.000 |
| 0.000 | 0.000 | 0.000 | 35.350 | 0.000 | 0.000 |
| 0.000 | 0.000 | 0.000 | 0.000 | 35.350 | 0.000 |
| 0.000 | 0.000 | 0.000 | -0.000 | 0.000 | 25.883 |
| 92.958 | 36.039 | 35.766 | 0.000 | 0.000 | -0.000 |
| 36.039 | 92.958 | 35.766 | 0.000 | 0.000 | -0.000 |
| 35.880 | 35.880 | 129.092 | 0.000 | 0.000 | -0.000 |
| 0.193 | 0.193 | 0.170 | 30.574 | 0.000 | -0.000 |
| -0.000 | -0.000 | -0.000 | 0.000 | 31.075 | -0.000 |
| -0.000 | -0.000 | -0.000 | 0.000 | -0.000 | 29.081 |
| 94.329 | 36.167 | 36.400 | -0.000 | -0.000 | 0.000 |
| 36.167 | 94.329 | 36.400 | -0.000 | -0.000 | 0.000 |
| 36.399 | 36.399 | 129.531 | -0.000 | -0.000 | 0.000 |
| -0.193 | -0.193 | -0.170 | 30.574 | -0.000 | 0.000 |
| 0.000 | 0.000 | 0.000 | -0.000 | 31.075 | 0.000 |
| 0.000 | 0.000 | 0.000 | -0.000 | -0.000 | 29.081 |
| 94.329 | 36.167 | 36.400 | 0.000 | 0.000 | -0.000 |
| 36.167 | 94.329 | 36.400 | 0.000 | 0.000 | -0.000 |
| 36.399 | 36.399 | 129.531 | 0.000 | 0.000 | -0.000 |
| -0.000 | -0.000 | -0.000 | 31.075 | 0.000 | -0.000 |
| -0.000 | -0.000 | -0.000 | 0.000 | 31.075 | -0.000 |
| -0.000 | -0.000 | -0.000 | 0.000 | 0.000 | 29.081 |
| 94.329 | 36.167 | 36.400 | -0.000 | -0.000 | 0.000 |
| 35.907 | 92.891 | 35.677 | -0.000 | -0.000 | 0.000 |
| 35.778 | 35.778 | 129.003 | -0.000 | -0.000 | 0.000 |
| 0.000 | 0.000 | 0.000 | 31.075 | -0.000 | 0.000 |
| 0.000 | 0.000 | 0.000 | -0.000 | 31.075 | 0.000 |
| 0.000 | 0.000 | 0.000 | -0.000 | -0.000 | 29.081 |
| 94.329 | 36.167 | 36.400 | 0.000 | 0.000 | -0.000 |
| 35.919 | 92.897 | 35.685 | 0.000 | 0.000 | -0.000 |
| 35.793 | 35.793 | 129.014 | -0.000 | 0.000 | -0.000 |
| -0.000 | -0.000 | -0.000 | 31.075 | 0.000 | -0.000 |
| 0.002 | 0.002 | 0.002 | 0.000 | 30.483 | -0.000 |
| -0.000 | -0.000 | -0.000 | 0.000 | 0.000 | 29.081 |
| 94.329 | 36.167 | 36.400 | -0.000 | -0.000 | 0.000 |
| 35.917 | 92.896 | 35.683 | -0.000 | -0.000 | 0.000 |
| 36.399 | 36.399 | 129.532 | -0.000 | -0.000 | 0.000 |
| 0.000 | 0.000 | 0.000 | 31.075 | -0.000 | 0.000 |
| -0.002 | -0.002 | -0.002 | -0.000 | 30.483 | 0.000 |
| 0.000 | 0.000 | 0.000 | -0.000 | -0.000 | 29.081 |
| 46.095 | -11.191 | -3.183 | 0.000 | 0.000 | 0.000 |
| -11.191 | 46.095 | -3.183 | 0.000 | 0.000 | -0.000 |
| -10.924 | -10.924 | 90.657 | 0.000 | 0.000 | -0.000 |
| -0.000 | -0.000 | -0.000 | 31.278 | 0.000 | -0.000 |
| -0.000 | -0.000 | -0.000 | 0.000 | 31.278 | -0.000 |
| -46.877 | -46.877 | -38.811 | 0.000 | 0.000 | 28.643 |
| 139.847 | 82.561 | 74.439 | -0.000 | -0.000 | -0.000 |
| 82.430 | 139.305 | 74.145 | -0.000 | -0.000 | 0.000 |
| 82.503 | 82.503 | 167.995 | -0.000 | -0.000 | 0.000 |
| 0.000 | 0.000 | 0.000 | 31.278 | -0.000 | 0.000 |
| 0.000 | 0.000 | 0.000 | -0.000 | 31.278 | -0.000 |
| 46.877 | 46.877 | 38.811 | -0.000 | -0.000 | 28.643 |
| 94.321 | 35.920 | 36.297 | 0.000 | 0.000 | -0.000 |
| 35.920 | 94.321 | 36.297 | 0.000 | 0.000 | -0.000 |
| 31.004 | 31.004 | 125.360 | 0.000 | 0.000 | 0.000 |
| -4.618 | -4.618 | -3.820 | 30.648 | -0.000 | 0.000 |
| -4.618 | -4.618 | -3.820 | 0.000 | 30.648 | 0.000 |
| -0.000 | -0.000 | -0.000 | 0.000 | -0.000 | 29.201 |
| 94.321 | 35.920 | 36.297 | -0.000 | -0.000 | 0.000 |
| 35.920 | 94.321 | 36.297 | -0.000 | 0.000 | 0.000 |
| 40.311 | 40.311 | 133.063 | -0.000 | -0.000 | 0.000 |
| 4.618 | 4.618 | 3.820 | 30.648 | -0.000 | -0.000 |
| 4.618 | 4.618 | 3.820 | -0.000 | 30.648 | 0.000 |
| 0.000 | 0.000 | 0.000 | -0.000 | -0.000 | 29.201 |
| 91.967 | 35.888 | 35.303 | 0.000 | 0.000 | 0.000 |
| 35.920 | 94.321 | 36.297 | 0.000 | 0.000 | -0.000 |
| 35.182 | 35.182 | 128.816 | -0.000 | 0.000 | -0.000 |
| -0.588 | -0.588 | -0.487 | 30.891 | 0.000 | -0.000 |
| -0.588 | -0.588 | -0.487 | 0.000 | 30.891 | -0.000 |
| -0.000 | -0.000 | -0.000 | 0.000 | 0.000 | 29.201 |
| 92.759 | 36.892 | 36.041 | 0.000 | -0.000 | 0.000 |
| 36.186 | 93.278 | 35.960 | 0.000 | -0.000 | 0.000 |
| 36.297 | 36.297 | 129.752 | -0.000 | -0.000 | -0.000 |
| 0.588 | 0.588 | 0.487 | 30.891 | 0.000 | 0.000 |
| 0.588 | 0.588 | 0.487 | -0.000 | 30.891 | -0.000 |
| 0.000 | 0.000 | 0.000 | -0.000 | -0.000 | 29.201 |
| 51.756 | 28.626 | 28.626 | 0.000 | -0.000 | 0.000 |
| 28.626 | 51.756 | 28.626 | -0.000 | -0.000 | 0.000 |
| 28.626 | 28.626 | 51.756 | 0.000 | 0.000 | 0.000 |
| -0.000 | -0.000 | -0.000 | 23.099 | 0.000 | 0.000 |
| -0.000 | -0.000 | -0.000 | 0.000 | 23.099 | 0.000 |
| -0.000 | -0.000 | -0.000 | 0.000 | -0.000 | 23.099 |
| 51.756 | 28.626 | 28.626 | -0.000 | -0.000 | -0.000 |
| 28.626 | 51.756 | 28.626 | -0.000 | 0.000 | -0.000 |
| 28.626 | 28.626 | 51.756 | -0.000 | 0.000 | -0.000 |
| 0.000 | 0.000 | 0.000 | 23.099 | -0.000 | -0.000 |
| 0.000 | 0.000 | 0.000 | -0.000 | 23.099 | -0.000 |
| 0.000 | 0.000 | 0.000 | 0.000 | 0.000 | 23.099 |
| 51.756 | 28.626 | 28.626 | 0.000 | 0.000 | 0.000 |
| 28.626 | 51.756 | 28.626 | 0.000 | 0.000 | 0.000 |
| 28.626 | 28.626 | 51.756 | 0.000 | 0.000 | 0.000 |
| -0.000 | -0.000 | -0.000 | 23.099 | 0.000 | 0.000 |
| -0.000 | -0.000 | -0.000 | 0.000 | 23.099 | 0.000 |
| -0.000 | -0.000 | -0.000 | 0.000 | 0.000 | 23.099 |
| 51.756 | 28.626 | 28.626 | -0.000 | -0.000 | -0.000 |
| 28.626 | 51.756 | 28.626 | -0.000 | -0.000 | -0.000 |
| 28.626 | 28.626 | 51.756 | -0.000 | -0.000 | -0.000 |
| 0.000 | 0.000 | 0.000 | 23.099 | -0.000 | -0.000 |
| 0.000 | 0.000 | 0.000 | -0.000 | 23.099 | -0.000 |
| 0.000 | 0.000 | 0.000 | -0.000 | 0.000 | 23.099 |
| 51.756 | 28.626 | 28.626 | 0.000 | 0.000 | 0.000 |
| 28.626 | 51.756 | 28.626 | 0.000 | -0.000 | 0.000 |
| 28.626 | 28.626 | 51.756 | 0.000 | 0.000 | 0.000 |
| -0.000 | 0.047 | 0.047 | 23.052 | 0.000 | 0.000 |
| 0.047 | -0.000 | 0.047 | 0.000 | 23.052 | 0.000 |
| 0.047 | 0.047 | -0.000 | 0.000 | -0.000 | 23.052 |
| 51.568 | 28.531 | 28.531 | 0.000 | 0.000 | -0.000 |
| 28.531 | 51.568 | 28.531 | -0.000 | -0.000 | -0.000 |
| 28.531 | 28.531 | 51.568 | -0.000 | -0.000 | -0.000 |
| 0.000 | -0.047 | -0.047 | 23.052 | -0.000 | -0.000 |
| -0.047 | 0.000 | -0.047 | -0.000 | 23.052 | -0.000 |
| -0.047 | -0.047 | 0.000 | -0.000 | -0.000 | 23.052 |
| 93.579 | 24.040 | 24.040 | -0.000 | 0.000 | 0.000 |
| 24.040 | 93.579 | 24.040 | -0.000 | 0.000 | 0.000 |
| 24.040 | 24.040 | 93.579 | -0.000 | -0.000 | 0.000 |
| -0.000 | -0.000 | -0.000 | 4.916 | -0.000 | 0.000 |
| -0.000 | -0.000 | -0.000 | 0.000 | 4.916 | 0.000 |
| -0.000 | -0.000 | -0.000 | -0.000 | -0.000 | 4.916 |
| 93.792 | 23.934 | 23.934 | 0.000 | 0.000 | 0.000 |
| 23.934 | 93.792 | 23.934 | 0.000 | 0.000 | -0.000 |
| 23.934 | 23.934 | 93.792 | 0.000 | 0.000 | -0.000 |
| 0.000 | 0.000 | 0.000 | 4.916 | -0.000 | -0.000 |
| 0.000 | 0.000 | 0.000 | 0.000 | 4.916 | -0.000 |
| 0.000 | 0.000 | 0.000 | 0.000 | 0.000 | 4.916 |
| 93.579 | 24.040 | 24.040 | -0.000 | 0.000 | 0.000 |
| 23.934 | 93.792 | 23.934 | -0.000 | -0.000 | -0.000 |
| 24.040 | 24.040 | 93.579 | -0.000 | 0.000 | 0.000 |
| -0.000 | -0.000 | -0.000 | 3.582 | -0.000 | 0.000 |
| -0.000 | -0.000 | -0.000 | -0.000 | 3.582 | 0.000 |
| -0.000 | -0.000 | -0.000 | 0.000 | -0.000 | 3.582 |
| 93.792 | 23.934 | 23.934 | 0.000 | 0.000 | -0.000 |
| 23.934 | 93.792 | 23.934 | 0.000 | 0.000 | -0.000 |
| 23.934 | 23.934 | 93.792 | 0.000 | -0.000 | -0.000 |
| 0.000 | 0.000 | 0.000 | 3.582 | 0.000 | -0.000 |
| 0.000 | 0.000 | 0.000 | -0.000 | 3.582 | -0.000 |
| 0.000 | 0.000 | 0.000 | 0.000 | 0.000 | 3.582 |
| 93.580 | 24.040 | 24.040 | -0.000 | -0.000 | 0.000 |
| 24.040 | 93.580 | 24.040 | -0.000 | 0.000 | 0.000 |
| 24.040 | 24.040 | 93.580 | -0.000 | -0.000 | 0.000 |
| -0.000 | -0.000 | -0.000 | 3.582 | -0.000 | 0.000 |
| -0.000 | -0.000 | -0.000 | -0.000 | 3.582 | 0.000 |
| -0.000 | -0.000 | -0.000 | -0.000 | -0.000 | 3.582 |
| 93.579 | 24.040 | 24.040 | 0.000 | -0.000 | -0.000 |
| 24.040 | 93.579 | 24.040 | 0.000 | -0.000 | -0.000 |
| 24.040 | 24.040 | 93.579 | -0.000 | -0.000 | -0.000 |
| 0.000 | 0.000 | 0.000 | 3.582 | 0.000 | 0.000 |
| 0.000 | 0.000 | 0.000 | 0.000 | 3.582 | -0.000 |
| 0.000 | 0.000 | 0.000 | -0.000 | 0.000 | 3.582 |
| 35.886 | 30.555 | 30.555 | 0.000 | 0.000 | 0.000 |
| 30.555 | 35.886 | 30.555 | 0.000 | 0.000 | 0.000 |
| 30.555 | 30.555 | 35.886 | 0.000 | 0.000 | 0.000 |
| 0.000 | -0.000 | 0.000 | 27.598 | 0.000 | 0.000 |
| -0.000 | 0.000 | 0.000 | 0.000 | 27.598 | 0.000 |
| -0.000 | 0.000 | 0.000 | 0.000 | 0.000 | 27.598 |
| 35.886 | 30.555 | 30.555 | -0.000 | -0.000 | -0.000 |
| 30.555 | 35.886 | 30.555 | -0.000 | -0.000 | -0.000 |
| 30.555 | 30.555 | 35.886 | -0.000 | -0.000 | -0.000 |
| -0.000 | 0.000 | -0.000 | 27.598 | 0.000 | 0.000 |
| 0.000 | -0.000 | -0.000 | -0.000 | 27.598 | -0.000 |
| 0.000 | -0.000 | -0.000 | -0.000 | -0.000 | 27.598 |
| 35.886 | 30.555 | 30.555 | 0.000 | 0.000 | 0.000 |
| 30.555 | 35.886 | 30.555 | 0.000 | 0.000 | -0.000 |
| 30.555 | 30.555 | 35.886 | 0.000 | 0.000 | 0.000 |
| 0.000 | -0.000 | 0.000 | 27.598 | 0.000 | 0.000 |
| -0.000 | 0.000 | 0.000 | 0.000 | 27.598 | 0.000 |
| -0.000 | 0.000 | 0.000 | 0.000 | 0.000 | 27.598 |
| 35.886 | 30.555 | 30.555 | -0.000 | -0.000 | -0.000 |
| 30.555 | 35.886 | 30.555 | -0.000 | -0.000 | -0.000 |
| 30.555 | 30.555 | 35.886 | -0.000 | -0.000 | -0.000 |
| -0.000 | 0.000 | -0.000 | 27.598 | -0.000 | -0.000 |
| 0.000 | -0.000 | -0.000 | 0.000 | 27.598 | -0.000 |
| 0.000 | -0.000 | -0.000 | -0.000 | -0.000 | 27.598 |
| 35.886 | 30.555 | 30.555 | 0.000 | 0.000 | 0.000 |
| 30.555 | 35.886 | 30.555 | 0.000 | 0.000 | 0.000 |
| 30.555 | 30.555 | 35.886 | 0.000 | 0.000 | 0.000 |
| 0.000 | -0.000 | 0.000 | 27.598 | 0.000 | 0.000 |
| -0.000 | 0.000 | 0.000 | -0.000 | 27.598 | 0.000 |
| -0.000 | 0.000 | 0.000 | 0.000 | 0.000 | 27.598 |
| 35.886 | 30.555 | 30.555 | -0.000 | -0.000 | -0.000 |
| 30.555 | 35.886 | 30.555 | -0.000 | -0.000 | -0.000 |
| 30.555 | 30.555 | 35.886 | -0.000 | -0.000 | -0.000 |
| -0.000 | 0.000 | -0.000 | 27.598 | -0.000 | -0.000 |
| 0.000 | -0.000 | -0.000 | -0.000 | 27.598 | -0.000 |
| 0.000 | -0.000 | -0.000 | -0.000 | -0.000 | 27.598 |
| 63.402 | 24.778 | 21.536 | -0.000 | -0.000 | 0.000 |
| 25.788 | 62.392 | 21.536 | 0.000 | -0.000 | -0.000 |
| 21.536 | 21.536 | 67.241 | -0.000 | -0.000 | -0.000 |
| -0.000 | -0.000 | -0.000 | 16.846 | -0.000 | -0.000 |
| -0.000 | -0.000 | -0.000 | 0.000 | 16.846 | 0.000 |
| -0.000 | 0.000 | -0.000 | 0.000 | 0.000 | 18.302 |
| 63.402 | 24.778 | 21.536 | 0.000 | 0.000 | -0.000 |
| 25.788 | 62.392 | 21.536 | -0.000 | 0.000 | 0.000 |
| 21.536 | 21.536 | 67.241 | -0.000 | 0.000 | 0.000 |
| 0.000 | 0.000 | 0.000 | 16.846 | 0.000 | 0.000 |
| 0.000 | 0.000 | 0.000 | 0.000 | 16.846 | 0.000 |
| 0.000 | -0.000 | 0.000 | -0.000 | 0.000 | 18.302 |
| 63.402 | 24.778 | 21.536 | 0.000 | -0.000 | 0.000 |
| 26.182 | 61.997 | 21.536 | -0.000 | -0.000 | -0.000 |
| 21.536 | 21.536 | 67.241 | 0.000 | -0.000 | -0.000 |
| -0.000 | -0.000 | -0.000 | 16.846 | -0.000 | -0.000 |
| -0.000 | -0.000 | -0.000 | -0.000 | 16.846 | -0.000 |
| -0.000 | -0.000 | -0.000 | 0.000 | -0.000 | 19.312 |
| 62.392 | 25.788 | 21.536 | -0.000 | 0.000 | 0.000 |
| 24.778 | 63.402 | 21.536 | -0.000 | 0.000 | -0.000 |
| 21.536 | 21.536 | 67.241 | 0.000 | 0.000 | 0.000 |
| 0.000 | 0.000 | 0.000 | 16.846 | 0.000 | 0.000 |
| 0.000 | 0.000 | 0.000 | 0.000 | 16.846 | -0.000 |
| 0.000 | 0.000 | 0.000 | 0.000 | 0.000 | 19.312 |
| 63.402 | 24.778 | 21.536 | -0.000 | -0.000 | -0.000 |
| 26.182 | 61.997 | 21.536 | -0.000 | -0.000 | -0.000 |
| 21.536 | 21.536 | 67.241 | 0.000 | -0.000 | -0.000 |
| -0.000 | -0.000 | -0.000 | 16.846 | -0.000 | -0.000 |
| -0.000 | -0.000 | -0.000 | 0.000 | 16.846 | -0.000 |
| -0.000 | -0.000 | -0.000 | -0.000 | -0.000 | 19.312 |
| 62.392 | 25.788 | 21.536 | -0.000 | 0.000 | 0.000 |
| 26.182 | 61.998 | 21.536 | 0.000 | 0.000 | 0.000 |
| 21.536 | 21.536 | 67.241 | -0.000 | 0.000 | 0.000 |
| 0.000 | 0.000 | 0.000 | 16.846 | 0.000 | 0.000 |
| 0.000 | 0.000 | 0.000 | -0.000 | 16.846 | 0.000 |
| 0.000 | 0.000 | 0.000 | -0.000 | 0.000 | 19.312 |
| 63.756 | 24.865 | 22.114 | -0.000 | -0.000 | -0.000 |
| 26.252 | 62.369 | 22.114 | -0.000 | -0.000 | -0.000 |
| 22.114 | 22.114 | 67.788 | -0.000 | -0.000 | -0.000 |
| 0.000 | -0.000 | -0.000 | 18.275 | -0.000 | -0.000 |
| -0.000 | -0.000 | -0.000 | -0.000 | 18.275 | 0.000 |
| -0.000 | -0.000 | -0.000 | -0.000 | 0.000 | 19.446 |
| 62.369 | 26.252 | 22.114 | -0.000 | -0.000 | 0.000 |
| 26.252 | 62.369 | 22.114 | -0.000 | -0.000 | 0.000 |
| 22.114 | 22.114 | 67.788 | -0.000 | 0.000 | 0.000 |
| 0.000 | 0.000 | 0.000 | 18.275 | -0.000 | 0.000 |
| 0.000 | 0.000 | 0.000 | 0.000 | 18.275 | -0.000 |
| 0.000 | 0.000 | 0.000 | 0.000 | 0.000 | 19.446 |
| 62.369 | 26.252 | 22.114 | -0.000 | -0.000 | -0.000 |
| 26.252 | 62.369 | 22.114 | 0.000 | -0.000 | -0.000 |
| 22.114 | 22.114 | 67.788 | -0.000 | -0.000 | -0.000 |
| -0.000 | -0.000 | -0.000 | 18.275 | -0.000 | -0.000 |
| -0.000 | -0.000 | -0.000 | -0.000 | 18.275 | -0.000 |
| -0.000 | -0.000 | -0.000 | -0.000 | 0.000 | 19.446 |
| 63.756 | 24.865 | 22.114 | -0.000 | -0.000 | -0.000 |
| 26.252 | 62.369 | 22.114 | 0.000 | -0.000 | 0.000 |
| 22.114 | 22.114 | 67.788 | 0.000 | 0.000 | 0.000 |
| 0.000 | 0.000 | 0.000 | 18.275 | 0.000 | 0.000 |
| 0.000 | 0.000 | 0.000 | 0.000 | 18.275 | -0.000 |
| 0.000 | 0.000 | 0.000 | 0.000 | -0.000 | 19.446 |
| 62.369 | 26.252 | 22.114 | -0.000 | -0.000 | -0.000 |
| 26.252 | 62.369 | 22.114 | -0.000 | -0.000 | -0.000 |
| 22.114 | 22.114 | 67.788 | -0.000 | 0.000 | -0.000 |
| -0.000 | -0.000 | -0.000 | 18.275 | -0.000 | -0.000 |
| -0.000 | -0.000 | -0.000 | -0.000 | 18.275 | -0.000 |
| -0.000 | -0.000 | -0.000 | -0.000 | -0.000 | 19.446 |
| 63.756 | 24.865 | 22.114 | 0.000 | 0.000 | 0.000 |
| 26.252 | 62.370 | 22.114 | -0.000 | 0.000 | 0.000 |
| 22.114 | 22.114 | 67.788 | 0.000 | 0.000 | 0.000 |
| 0.000 | 0.000 | 0.000 | 18.275 | 0.000 | 0.000 |
| 0.000 | 0.000 | 0.000 | 0.000 | 18.275 | 0.000 |
| 0.000 | 0.000 | 0.000 | 0.000 | 0.000 | 19.446 |
| 5.950 | 13.905 | 13.905 | -0.000 | -0.000 | -0.000 |
| 13.905 | 5.950 | 13.905 | -0.000 | -0.000 | -0.000 |
| 13.905 | 13.905 | 5.950 | -0.000 | -0.000 | -0.000 |
| -0.000 | 0.000 | -0.000 | -11.065 | -0.000 | -0.000 |
| 0.000 | -0.000 | -0.000 | -0.000 | -11.065 | -0.000 |
| 0.000 | -0.000 | -0.000 | -0.000 | -0.000 | -11.065 |
| 5.950 | 13.905 | 13.905 | 0.000 | 0.000 | 0.000 |
| 13.905 | 5.950 | 13.905 | 0.000 | 0.000 | 0.000 |
| 13.905 | 13.905 | 5.950 | 0.000 | 0.000 | 0.000 |
| 0.000 | -0.000 | 0.000 | -11.065 | 0.000 | 0.000 |
| -0.000 | 0.000 | 0.000 | 0.000 | -11.065 | 0.000 |
| -0.000 | 0.000 | 0.000 | 0.000 | 0.000 | -11.065 |
| 5.950 | 13.905 | 13.905 | -0.000 | -0.000 | -0.000 |
| 13.905 | 5.950 | 13.905 | -0.000 | -0.000 | -0.000 |
| 13.905 | 13.905 | 5.950 | -0.000 | -0.000 | -0.000 |
| -0.000 | 0.000 | 0.000 | -11.065 | -0.000 | -0.000 |
| 0.000 | -0.000 | 0.000 | -0.000 | -11.065 | -0.000 |
| 0.000 | 0.000 | -0.000 | -0.000 | -0.000 | -11.065 |
| 5.950 | 13.905 | 13.905 | 0.000 | 0.000 | 0.000 |
| 13.905 | 5.950 | 13.905 | 0.000 | 0.000 | 0.000 |
| 13.905 | 13.905 | 5.950 | 0.000 | 0.000 | 0.000 |
| 0.000 | -0.000 | -0.000 | -11.065 | 0.000 | 0.000 |
| -0.000 | 0.000 | -0.000 | 0.000 | -11.065 | 0.000 |
| -0.000 | -0.000 | 0.000 | 0.000 | 0.000 | -11.065 |
| 5.950 | 13.905 | 13.905 | -0.000 | -0.000 | -0.000 |
| 13.905 | 5.950 | 13.905 | -0.000 | -0.000 | -0.000 |
| 13.905 | 13.905 | 5.950 | -0.000 | -0.000 | -0.000 |
| -0.000 | 0.000 | 0.000 | -11.065 | -0.000 | -0.000 |
| 0.000 | -0.000 | 0.000 | -0.000 | -11.065 | -0.000 |
| 0.000 | 0.000 | -0.000 | -0.000 | -0.000 | -11.065 |
| 5.951 | 13.905 | 13.905 | 0.000 | 0.000 | 0.000 |
| 13.905 | 5.951 | 13.905 | 0.000 | 0.000 | 0.000 |
| 13.905 | 13.905 | 5.951 | 0.000 | 0.000 | 0.000 |
| 0.000 | -0.000 | -0.000 | -11.065 | 0.000 | 0.000 |
| -0.000 | 0.000 | -0.000 | 0.000 | -11.065 | 0.000 |
| -0.000 | -0.000 | 0.000 | 0.000 | 0.000 | -11.065 |
| -110.083 | -41.329 | 18.456 | -19.770 | 0.000 | 0.000 |
| -41.329 | -110.083 | 18.456 | 19.770 | 0.000 | 0.000 |
| 16.599 | 16.599 | 27.641 | 0.000 | 0.000 | 0.000 |
| -19.770 | 19.770 | -0.000 | 21.374 | 0.000 | 0.000 |
| -0.000 | 0.000 | -0.000 | -0.000 | 21.374 | -19.770 |
| -0.000 | -0.000 | -0.000 | -0.000 | -19.770 | -34.377 |
| -110.082 | -41.329 | 18.456 | -19.770 | -0.000 | -0.000 |
| -41.329 | -110.082 | 18.456 | 19.770 | -0.000 | -0.000 |
| 16.599 | 16.599 | 27.641 | 0.000 | -0.000 | -0.000 |
| -19.770 | 19.770 | 0.000 | 21.374 | -0.000 | -0.000 |
| 0.000 | -0.000 | 0.000 | 0.000 | 21.374 | -19.770 |
| 0.000 | 0.000 | 0.000 | 0.000 | -19.770 | -34.377 |
| -110.086 | -41.330 | 18.456 | -19.770 | 0.000 | 0.000 |
| -41.329 | -110.087 | 18.456 | 19.770 | 0.000 | 0.000 |
| 16.599 | 16.599 | 27.641 | 0.000 | 0.000 | 0.000 |
| -19.770 | 19.770 | 0.000 | 21.374 | 0.000 | 0.000 |
| -0.000 | 0.000 | 0.000 | -0.000 | 21.374 | -19.770 |
| -0.001 | -0.000 | 0.000 | -0.000 | -19.770 | -34.377 |
| -110.079 | -41.328 | 18.456 | -19.770 | -0.000 | -0.000 |
| -41.328 | -110.078 | 18.456 | 19.770 | -0.000 | -0.000 |
| 16.599 | 16.599 | 27.641 | -0.000 | -0.000 | -0.000 |
| -19.770 | 19.770 | -0.000 | 21.374 | -0.000 | -0.000 |
| 0.000 | -0.000 | -0.000 | 0.000 | 21.374 | -19.770 |
| 0.001 | 0.000 | -0.000 | 0.000 | -19.770 | -34.377 |
| -110.120 | -41.342 | 18.456 | -19.770 | 0.000 | 0.000 |
| -41.333 | -110.129 | 18.456 | 19.770 | 0.000 | 0.000 |
| 16.599 | 16.599 | 27.642 | 0.000 | 0.000 | 0.000 |
| -19.770 | 19.770 | 0.000 | 21.374 | 0.000 | 0.000 |
| 0.000 | 0.000 | 0.000 | -0.000 | 21.374 | -19.770 |
| -0.013 | -0.004 | 0.000 | -0.000 | -19.770 | -34.377 |
| -110.045 | -41.316 | 18.456 | -19.770 | -0.000 | -0.000 |
| -41.325 | -110.036 | 18.456 | 19.770 | -0.000 | -0.000 |
| 16.599 | 16.599 | 27.641 | -0.000 | -0.000 | -0.000 |
| -19.770 | 19.770 | -0.000 | 21.374 | -0.000 | -0.000 |
| -0.000 | -0.000 | -0.000 | 0.000 | 21.374 | -19.770 |
| 0.013 | 0.004 | -0.000 | 0.000 | -19.770 | -34.377 |
| 114.994 | -1.784 | -1.784 | -0.000 | 0.000 | 0.000 |
| -1.784 | 114.994 | -1.784 | 0.000 | -0.000 | 0.000 |
| -1.784 | -1.784 | 114.994 | -0.000 | -0.000 | 0.000 |
| -0.000 | -0.000 | -0.000 | -5.516 | -0.000 | 0.000 |
| -0.000 | -0.000 | -0.000 | -0.000 | -5.516 | 0.000 |
| -0.000 | -0.000 | -0.000 | -0.000 | -0.000 | -5.516 |
| 114.994 | -1.784 | -1.784 | -0.000 | 0.000 | -0.000 |
| -1.784 | 114.994 | -1.784 | 0.000 | 0.000 | -0.000 |
| -1.784 | -1.784 | 114.994 | 0.000 | 0.000 | -0.000 |
| 0.000 | 0.000 | 0.000 | -5.516 | 0.000 | -0.000 |
| 0.000 | 0.000 | 0.000 | 0.000 | -5.516 | -0.000 |
| 0.000 | 0.000 | 0.000 | 0.000 | -0.000 | -5.516 |
| 114.994 | -1.784 | -1.784 | -0.000 | -0.000 | 0.000 |
| -1.784 | 114.994 | -1.784 | -0.000 | -0.000 | 0.000 |
| -1.784 | -1.784 | 114.994 | -0.000 | -0.000 | 0.000 |
| -0.000 | -0.000 | -0.000 | -5.516 | -0.000 | 0.000 |
| -0.000 | -0.000 | -0.000 | -0.000 | -5.516 | 0.000 |
| -0.000 | -0.000 | -0.000 | 0.000 | -0.000 | -5.516 |
| 114.994 | -1.784 | -1.784 | 0.000 | 0.000 | -0.000 |
| -1.784 | 114.994 | -1.784 | 0.000 | -0.000 | -0.000 |
| -1.784 | -1.784 | 114.994 | 0.000 | -0.000 | -0.000 |
| 0.000 | 0.000 | 0.000 | -5.516 | -0.000 | -0.000 |
| 0.000 | 0.000 | 0.000 | 0.000 | -5.516 | -0.000 |
| 0.000 | 0.000 | 0.000 | -0.000 | -0.000 | -5.516 |
| 114.994 | -1.784 | -1.784 | -0.000 | -0.000 | 0.000 |
| -1.784 | 114.994 | -1.784 | -0.000 | 0.000 | 0.000 |
| -1.784 | -1.784 | 114.994 | -0.000 | -0.000 | 0.000 |
| -0.000 | -0.000 | -0.000 | -5.516 | -0.000 | -0.000 |
| -0.000 | -0.000 | -0.000 | -0.000 | -5.516 | -0.000 |
| -0.000 | -0.000 | -0.000 | -0.000 | -0.000 | -5.516 |
| 114.994 | -1.784 | -1.784 | 0.000 | 0.000 | -0.000 |
| -1.784 | 114.994 | -1.784 | 0.000 | -0.000 | -0.000 |
| -1.784 | -1.784 | 114.994 | 0.000 | 0.000 | -0.000 |
| 0.000 | 0.000 | 0.000 | -5.516 | -0.000 | -0.000 |
| 0.000 | 0.000 | 0.000 | -0.000 | -5.516 | -0.000 |
| 0.000 | 0.000 | 0.000 | 0.000 | 0.000 | -5.516 |
| 80.715 | 28.486 | 10.720 | 0.000 | 0.000 | 0.000 |
| 28.486 | 80.715 | 10.720 | 0.000 | 0.000 | 0.000 |
| 10.720 | 10.720 | 137.933 | 0.000 | -0.000 | -0.000 |
| 0.000 | 0.000 | 0.000 | 7.689 | -0.000 | -0.000 |
| 0.000 | 0.000 | 0.000 | 0.000 | 7.689 | 0.000 |
| -0.000 | 0.000 | 0.000 | -0.000 | 0.000 | 26.115 |
| 80.715 | 28.486 | 10.720 | -0.000 | 0.000 | -0.000 |
| 28.486 | 80.715 | 10.720 | -0.000 | -0.000 | -0.000 |
| 10.720 | 10.720 | 137.933 | -0.000 | -0.000 | -0.000 |
| -0.000 | -0.000 | -0.000 | 7.689 | -0.000 | -0.000 |
| -0.000 | -0.000 | -0.000 | -0.000 | 7.689 | 0.000 |
| 0.000 | -0.000 | -0.000 | -0.000 | -0.000 | 26.115 |
| 80.715 | 28.486 | 10.720 | 0.000 | -0.000 | 0.000 |
| 28.486 | 80.715 | 10.720 | 0.000 | -0.000 | -0.000 |
| 10.721 | 10.721 | 137.933 | -0.000 | 0.000 | 0.000 |
| 0.000 | 0.000 | 0.000 | 7.689 | 0.000 | 0.000 |
| 0.000 | 0.000 | 0.000 | -0.000 | 7.689 | 0.000 |
| -0.000 | 0.000 | 0.000 | 0.000 | 0.000 | 26.115 |
| 80.715 | 28.486 | 10.720 | 0.000 | 0.000 | 0.000 |
| 28.486 | 80.715 | 10.720 | 0.000 | 0.000 | -0.000 |
| 10.720 | 10.720 | 137.932 | -0.000 | 0.000 | -0.000 |
| -0.000 | -0.000 | -0.000 | 7.689 | -0.000 | -0.000 |
| -0.000 | -0.000 | -0.000 | 0.000 | 7.689 | -0.000 |
| 0.000 | -0.000 | -0.000 | -0.000 | 0.000 | 26.115 |
| 80.716 | 28.486 | 10.721 | -0.000 | -0.000 | 0.000 |
| 28.486 | 80.715 | 10.721 | -0.000 | 0.000 | 0.000 |
| 10.721 | 10.721 | 137.940 | -0.000 | -0.000 | 0.000 |
| 0.000 | 0.000 | 0.001 | 7.689 | 0.000 | -0.000 |
| 0.000 | 0.000 | 0.001 | -0.000 | 7.689 | 0.000 |
| -0.000 | 0.000 | 0.000 | 0.000 | 0.000 | 26.115 |
| 80.715 | 28.486 | 10.720 | -0.000 | 0.000 | -0.000 |
| 28.486 | 80.715 | 10.720 | 0.000 | -0.000 | -0.000 |
| 10.720 | 10.720 | 137.926 | -0.000 | -0.000 | -0.000 |
| -0.000 | -0.000 | -0.001 | 7.689 | 0.000 | -0.000 |
| -0.000 | -0.000 | -0.001 | 0.000 | 7.689 | -0.000 |
| 0.000 | -0.000 | -0.000 | -0.000 | 0.000 | 26.115 |
| 77.392 | 27.168 | 5.853 | 0.000 | 0.000 | -0.000 |
| 27.168 | 77.392 | 5.853 | 0.000 | 0.000 | -0.000 |
| 5.853 | 5.853 | 95.583 | 0.000 | 0.000 | 0.000 |
| 0.000 | 0.000 | -0.000 | 4.564 | 0.000 | -0.000 |
| -0.000 | 0.000 | 0.000 | 0.000 | 4.564 | 0.000 |
| -0.000 | 0.000 | -0.000 | 0.000 | 0.000 | 25.112 |
| 77.392 | 27.168 | 5.853 | -0.000 | 0.000 | 0.000 |
| 27.168 | 77.392 | 5.853 | 0.000 | -0.000 | -0.000 |
| 5.853 | 5.853 | 95.583 | -0.000 | -0.000 | -0.000 |
| -0.000 | 0.000 | -0.000 | 4.564 | -0.000 | -0.000 |
| 0.000 | -0.000 | 0.000 | 0.000 | 4.564 | 0.000 |
| 0.000 | -0.000 | 0.000 | -0.000 | -0.000 | 25.112 |
| 77.392 | 27.168 | 5.853 | -0.000 | 0.000 | -0.000 |
| 27.168 | 77.392 | 5.853 | -0.000 | -0.000 | -0.000 |
| 5.853 | 5.853 | 95.583 | -0.000 | -0.000 | -0.000 |
| -0.000 | -0.000 | -0.000 | 4.564 | -0.000 | 0.000 |
| -0.000 | -0.000 | -0.000 | 0.000 | 4.564 | 0.000 |
| -0.000 | 0.000 | -0.000 | 0.000 | 0.000 | 25.112 |
| 77.392 | 27.168 | 5.853 | 0.000 | 0.000 | -0.000 |
| 27.168 | 77.392 | 5.853 | 0.000 | -0.000 | 0.000 |
| 5.853 | 5.853 | 95.583 | 0.000 | -0.000 | -0.000 |
| 0.000 | 0.000 | 0.000 | 4.564 | -0.000 | 0.000 |
| 0.000 | 0.000 | 0.000 | -0.000 | 4.564 | -0.000 |
| 0.000 | -0.000 | 0.000 | -0.000 | 0.000 | 25.112 |
| 77.392 | 27.168 | 5.853 | 0.000 | 0.000 | 0.000 |
| 27.168 | 77.392 | 5.853 | -0.000 | -0.000 | -0.000 |
| 5.853 | 5.853 | 95.584 | 0.000 | 0.000 | 0.000 |
| -0.000 | -0.000 | -0.000 | 4.564 | 0.000 | -0.000 |
| -0.000 | -0.000 | -0.000 | 0.000 | 4.564 | -0.000 |
| -0.000 | 0.000 | -0.000 | -0.000 | -0.000 | 25.112 |
| 77.392 | 27.168 | 5.853 | -0.000 | -0.000 | 0.000 |
| 27.168 | 77.392 | 5.853 | 0.000 | -0.000 | 0.000 |
| 5.853 | 5.853 | 95.583 | -0.000 | -0.000 | -0.000 |
| 0.000 | 0.000 | 0.000 | 4.564 | -0.000 | -0.000 |
| 0.000 | 0.000 | 0.000 | -0.000 | 4.564 | 0.000 |
| 0.000 | -0.000 | 0.000 | 0.000 | 0.000 | 25.112 |
| 62.284 | 25.974 | 21.719 | 2.031 | 0.000 | -0.000 |
| 24.790 | 63.473 | 21.731 | -1.862 | -0.000 | -0.000 |
| 21.728 | 21.728 | 67.252 | 0.000 | 0.000 | -0.000 |
| 1.862 | -1.862 | -0.000 | 17.324 | 0.000 | 0.000 |
| -0.000 | -0.000 | -0.000 | 0.000 | 17.324 | 1.862 |
| 0.000 | 0.000 | 0.000 | -0.000 | 2.031 | 18.155 |
| 63.473 | 24.790 | 21.731 | 1.862 | 0.000 | 0.000 |
| 24.790 | 63.473 | 21.731 | -1.862 | 0.000 | 0.000 |
| 21.728 | 21.728 | 67.252 | 0.000 | -0.000 | 0.000 |
| 2.031 | -2.031 | -0.000 | 17.300 | 0.000 | -0.000 |
| 0.000 | 0.000 | 0.000 | -0.000 | 17.324 | 1.862 |
| -0.000 | -0.000 | -0.000 | 0.000 | 2.031 | 18.155 |
| 63.473 | 24.790 | 21.731 | 1.862 | -0.000 | -0.000 |
| 25.974 | 62.284 | 21.719 | -2.031 | -0.000 | 0.000 |
| 21.728 | 21.728 | 67.252 | -0.000 | 0.000 | -0.000 |
| 2.031 | -2.031 | 0.000 | 17.300 | -0.000 | -0.000 |
| -0.000 | -0.000 | 0.000 | 0.000 | 17.300 | 2.031 |
| -0.000 | -0.000 | -0.000 | -0.000 | 1.862 | 19.342 |
| 62.240 | 26.023 | 21.732 | 2.038 | 0.000 | -0.000 |
| 25.974 | 62.284 | 21.719 | -2.031 | -0.000 | -0.000 |
| 21.728 | 21.728 | 67.252 | 0.000 | -0.000 | 0.000 |
| 2.031 | -2.031 | -0.000 | 17.300 | 0.000 | -0.000 |
| 0.000 | 0.000 | -0.000 | -0.000 | 17.300 | 2.031 |
| 0.000 | 0.000 | 0.000 | 0.000 | 1.862 | 19.342 |
| 62.284 | 25.974 | 21.719 | 2.031 | -0.000 | 0.000 |
| 24.790 | 63.473 | 21.731 | -1.862 | 0.000 | -0.000 |
| 21.728 | 21.728 | 67.251 | 0.000 | -0.000 | -0.000 |
| 1.862 | -1.862 | -0.000 | 17.324 | -0.000 | -0.000 |
| -0.000 | -0.000 | -0.000 | 0.000 | 17.300 | 2.031 |
| -0.000 | -0.000 | -0.000 | -0.000 | 2.051 | 18.017 |
| 63.473 | 24.790 | 21.731 | 1.862 | -0.000 | 0.000 |
| 25.974 | 62.284 | 21.719 | -2.031 | -0.000 | -0.000 |
| 21.728 | 21.728 | 67.252 | 0.000 | 0.000 | 0.000 |
| 1.862 | -1.862 | 0.000 | 17.324 | 0.000 | 0.000 |
| 0.000 | 0.000 | 0.000 | -0.000 | 17.300 | 2.031 |
| 0.000 | 0.000 | 0.000 | 0.000 | 2.051 | 18.017 |
| 101.438 | -37.551 | 97.443 | -0.000 | 138.085 | -0.000 |
| 65.589 | -23.320 | 110.912 | 0.000 | 133.349 | -0.000 |
| 75.679 | -41.184 | 118.766 | 0.000 | 138.883 | 0.000 |
| 53.401 | -49.834 | 75.015 | 5.577 | 138.198 | 0.026 |
| 0.083 | 0.051 | -0.050 | 0.000 | 16.662 | -0.000 |
| 53.399 | -49.836 | 75.020 | 0.033 | 138.193 | 18.444 |
| -88.910 | -49.040 | 97.035 | -0.000 | -149.746 | -0.000 |
| -37.803 | 87.209 | -62.133 | -0.000 | -138.712 | 0.000 |
| 19.016 | 5.806 | 53.071 | -0.000 | -0.050 | 0.000 |
| -53.401 | 49.834 | -75.015 | 5.577 | -138.198 | 0.026 |
| -135.989 | -59.089 | 70.019 | 0.000 | -157.670 | -0.000 |
| -53.399 | 49.836 | -75.020 | 0.033 | -138.193 | 18.444 |
| 50.644 | 8.520 | 32.809 | 0.000 | 11.328 | 0.000 |
| 27.564 | 40.925 | 8.725 | 0.000 | 15.213 | 0.000 |
| 28.359 | 1.646 | 51.385 | -0.000 | 14.175 | -0.000 |
| 5.376 | -4.957 | 7.426 | 5.545 | 13.887 | 0.026 |
| 4.478 | -4.759 | 8.446 | 0.000 | 23.828 | -0.000 |
| 13.696 | 5.975 | -7.100 | -0.053 | 14.664 | 17.050 |
| 51.347 | 12.395 | 19.389 | 0.000 | 0.110 | 0.000 |
| 12.571 | 42.918 | 2.710 | -0.000 | -11.276 | -0.000 |
| 19.016 | 5.806 | 53.071 | -0.000 | -0.050 | -0.000 |
| -5.376 | 4.957 | -7.426 | 5.545 | -13.887 | 0.026 |
| -4.846 | 6.289 | -10.081 | -0.000 | -3.175 | -0.000 |
| -13.696 | -5.975 | 7.100 | -0.053 | -14.664 | 17.050 |
| 48.350 | 12.548 | 23.606 | 0.000 | 0.884 | 0.000 |
| 16.744 | 37.125 | 13.059 | 0.000 | 1.327 | 0.000 |
| 26.076 | 11.416 | 38.492 | 0.000 | 2.081 | 0.000 |
| 0.681 | -0.152 | -0.050 | 3.684 | 1.554 | -0.009 |
| 0.765 | -0.704 | 1.192 | -0.000 | 9.838 | 0.000 |
| 0.481 | -0.532 | 0.936 | 0.048 | 1.307 | 18.738 |
| 44.621 | 9.639 | 26.794 | -0.000 | -1.383 | -0.000 |
| 16.392 | 38.523 | 10.068 | -0.000 | -1.303 | -0.000 |
| 23.157 | 9.897 | 40.027 | -0.000 | -1.506 | 0.000 |
| -0.681 | 0.152 | 0.050 | 3.684 | -1.554 | -0.009 |
| -0.455 | 0.540 | -0.701 | -0.000 | 6.908 | -0.000 |
| -0.481 | 0.532 | -0.936 | 0.048 | -1.307 | 18.738 |
| 53.403 | 12.038 | 21.450 | 0.000 | -1.178 | 0.000 |
| 19.936 | 92.881 | -118.293 | -0.000 | -24.303 | -0.000 |
| 12.874 | 37.334 | -176.275 | -0.000 | -62.699 | 0.000 |
| 7.499 | 18.356 | -126.551 | 3.298 | -23.808 | -0.494 |
| 5.299 | 17.973 | -129.451 | -0.000 | -11.184 | -0.000 |
| -13.079 | 28.720 | -218.576 | -0.473 | -60.836 | 8.151 |
| 53.403 | 12.038 | 21.450 | -0.000 | -1.178 | 0.000 |
| 77.028 | 47.049 | 268.714 | 0.000 | 144.031 | 0.000 |
| 21.471 | 7.761 | 54.907 | 0.000 | -2.075 | 0.000 |
| -7.499 | -18.356 | 126.551 | 3.298 | 23.808 | -0.494 |
| 10.046 | -29.086 | 214.496 | 0.000 | 68.903 | 0.000 |
| 13.079 | -28.720 | 218.576 | -0.473 | 60.836 | 8.151 |
| 49.500 | 14.343 | 13.345 | -0.000 | -4.606 | -0.000 |
| 5.255 | 77.219 | -17.586 | -0.000 | -15.791 | -0.000 |
| 21.471 | 7.761 | 54.907 | -0.000 | -2.075 | 0.000 |
| -12.325 | -0.030 | -28.137 | 1.908 | -21.647 | -0.267 |
| -4.383 | 2.439 | -25.517 | -0.000 | 1.575 | -0.000 |
| -12.339 | -0.025 | -27.960 | -0.271 | -21.749 | 7.970 |
| 48.537 | 10.710 | 37.552 | 0.000 | 0.153 | 0.000 |
| 12.042 | 74.747 | 7.761 | 0.000 | -0.421 | -0.000 |
| 27.827 | 5.958 | 61.791 | 0.000 | 4.037 | -0.000 |
| 11.056 | -0.910 | 27.193 | 1.946 | 24.636 | -0.343 |
| 7.137 | -1.627 | 22.281 | 0.000 | 24.565 | 0.000 |
| 12.339 | 0.025 | 27.960 | -0.271 | 21.749 | 7.970 |
| 53.403 | 12.038 | 21.450 | -0.000 | -1.178 | -0.000 |
| 12.305 | 74.636 | 6.509 | -0.000 | -1.513 | -0.000 |
| 23.629 | 8.925 | 41.818 | -0.000 | -4.425 | 0.000 |
| -2.248 | -0.064 | -3.361 | 1.272 | -2.872 | -0.136 |
| -4.855 | -0.700 | -6.701 | -0.000 | 5.924 | 0.000 |
| 0.000 | -0.000 | 0.000 | -0.505 | 0.000 | 8.176 |
| 50.245 | 12.095 | 26.178 | 0.000 | -1.887 | -0.000 |
| 12.538 | 74.245 | 10.972 | 0.000 | 0.436 | -0.000 |
| 24.871 | 8.349 | 45.708 | 0.000 | -1.948 | 0.000 |
| 2.248 | 0.064 | 3.361 | 1.272 | 2.872 | -0.136 |
| -2.412 | -0.710 | -1.269 | 0.000 | 10.179 | 0.000 |
| -0.000 | 0.000 | -0.000 | -0.505 | -0.000 | 8.176 |
| 59.525 | 28.200 | 13.326 | -0.000 | 0.000 | -0.000 |
| 28.263 | 75.959 | 3.491 | -0.000 | -0.000 | -0.000 |
| 12.649 | 4.271 | 98.415 | -0.000 | 0.000 | -0.000 |
| 0.493 | -0.448 | -0.951 | 0.225 | 0.000 | -0.000 |
| 0.429 | -0.389 | -0.827 | -0.000 | 8.763 | -0.000 |
| 0.085 | -0.077 | -0.164 | -0.000 | 0.000 | 24.949 |
| 59.354 | 28.355 | 13.655 | 0.000 | 0.000 | 0.000 |
| 28.093 | 76.114 | 3.819 | 0.000 | -0.000 | 0.000 |
| 13.276 | 3.703 | 97.207 | 0.000 | 0.000 | 0.000 |
| -0.493 | 0.448 | 0.951 | 0.225 | -0.000 | 0.000 |
| -0.429 | 0.389 | 0.827 | 0.000 | 8.763 | 0.000 |
| -0.085 | 0.077 | 0.164 | 0.000 | -0.000 | 24.949 |
| 59.448 | 28.270 | 13.474 | -0.000 | -0.000 | -0.000 |
| 27.843 | 76.341 | 4.301 | -0.000 | -0.000 | -0.000 |
| 13.370 | 3.618 | 97.026 | -0.000 | -0.000 | -0.000 |
| 0.843 | -0.765 | -1.626 | -5.430 | -0.000 | -0.000 |
| -0.000 | -0.000 | 0.000 | -0.000 | 10.214 | -0.000 |
| -0.000 | 0.000 | -0.000 | -0.000 | -0.000 | 24.949 |
| 59.431 | 28.285 | 13.507 | 0.000 | -0.000 | 0.000 |
| 28.170 | 76.044 | 3.672 | 0.000 | 0.000 | 0.000 |
| 13.353 | 3.633 | 97.059 | 0.000 | 0.000 | 0.000 |
| -0.843 | 0.765 | 1.626 | -5.430 | 0.000 | 0.000 |
| 0.000 | 0.000 | -0.000 | 0.000 | 10.214 | 0.000 |
| 0.000 | -0.000 | 0.000 | 0.000 | 0.000 | 24.949 |
| 59.440 | 28.277 | 13.489 | -0.000 | 0.000 | -0.000 |
| 28.179 | 76.036 | 3.654 | -0.000 | -0.000 | -0.000 |
| 12.650 | 4.271 | 98.415 | -0.000 | -0.000 | -0.000 |
| -0.000 | -0.000 | -0.000 | 2.341 | 0.000 | 0.000 |
| -0.000 | -0.000 | 0.000 | -0.000 | 10.214 | -0.000 |
| 0.001 | -0.001 | -0.002 | -0.000 | -0.000 | 24.949 |
| 59.809 | 27.943 | 12.779 | 0.000 | 0.000 | 0.000 |
| 28.177 | 76.037 | 3.657 | 0.000 | 0.000 | 0.000 |
| 13.360 | 3.626 | 97.044 | 0.000 | -0.000 | 0.000 |
| 0.000 | 0.000 | 0.000 | 2.341 | -0.000 | 0.000 |
| 0.000 | 0.000 | -0.000 | 0.000 | 10.214 | 0.000 |
| -0.001 | 0.001 | 0.002 | 0.000 | 0.000 | 24.949 |
| 72.628 | 19.768 | 19.768 | -0.000 | -0.000 | -0.000 |
| 19.768 | 72.628 | 19.768 | -0.000 | -0.000 | -0.000 |
| 19.768 | 19.768 | 72.628 | -0.000 | -0.000 | -0.000 |
| -5.182 | -5.182 | -5.182 | 0.326 | 0.000 | 0.000 |
| -5.182 | -5.182 | -5.182 | 0.000 | 0.326 | 0.000 |
| -5.182 | -5.182 | -5.182 | 0.000 | 0.000 | 0.326 |
| 67.783 | 30.119 | 30.119 | 0.000 | -0.000 | -0.000 |
| 30.119 | 67.783 | 30.119 | -0.000 | 0.000 | -0.000 |
| 30.119 | 30.119 | 67.783 | -0.000 | -0.000 | 0.000 |
| 5.182 | 5.182 | 5.182 | 0.326 | -0.000 | -0.000 |
| 5.182 | 5.182 | 5.182 | -0.000 | 0.326 | -0.000 |
| 5.182 | 5.182 | 5.182 | -0.000 | -0.000 | 0.326 |
| 67.194 | 21.595 | 21.595 | -0.000 | -0.000 | -0.000 |
| 21.595 | 67.194 | 21.595 | -0.000 | -0.000 | -0.000 |
| 21.595 | 21.595 | 67.194 | -0.000 | -0.000 | -0.000 |
| 0.000 | 0.000 | 0.000 | 12.143 | -0.000 | -0.000 |
| 0.000 | 0.000 | 0.000 | -0.000 | 12.143 | -0.000 |
| 0.000 | 0.000 | 0.000 | -0.000 | -0.000 | 12.143 |
| 68.155 | 26.008 | 26.008 | -0.000 | -0.000 | -0.000 |
| 26.008 | 68.155 | 26.008 | -0.000 | -0.000 | -0.000 |
| 26.008 | 26.008 | 68.155 | -0.000 | -0.000 | -0.000 |
| -0.000 | -0.000 | -0.000 | 12.143 | 0.000 | 0.000 |
| -0.000 | -0.000 | -0.000 | 0.000 | 12.143 | 0.000 |
| -0.000 | -0.000 | -0.000 | 0.000 | 0.000 | 12.143 |
| 68.146 | 21.756 | 21.756 | 0.000 | 0.000 | 0.000 |
| 21.756 | 68.146 | 21.756 | 0.000 | 0.000 | 0.000 |
| 21.755 | 21.755 | 68.146 | 0.000 | 0.000 | 0.000 |
| 0.000 | 0.000 | 0.000 | 12.143 | -0.000 | -0.000 |
| 0.000 | 0.000 | 0.000 | -0.000 | 12.143 | -0.000 |
| 0.000 | 0.000 | 0.000 | -0.000 | -0.000 | 12.143 |
| 68.284 | 21.868 | 21.868 | -0.000 | -0.000 | -0.000 |
| 21.868 | 68.284 | 21.868 | -0.000 | -0.000 | -0.000 |
| 21.868 | 21.868 | 68.284 | -0.000 | -0.000 | -0.000 |
| -0.000 | -0.000 | -0.000 | 12.143 | 0.000 | 0.000 |
| -0.000 | -0.000 | -0.000 | 0.000 | 12.143 | 0.000 |
| -0.000 | -0.000 | -0.000 | 0.000 | 0.000 | 12.143 |
| 75.997 | 27.440 | 27.440 | 0.000 | 0.000 | 0.000 |
| 27.440 | 75.997 | 27.440 | 0.000 | 0.000 | 0.000 |
| 27.440 | 27.440 | 75.997 | 0.000 | 0.000 | 0.000 |
| 6.499 | 6.499 | 6.499 | 9.351 | 0.000 | 0.000 |
| 6.499 | 6.499 | 6.499 | 0.000 | 9.351 | 0.000 |
| 6.499 | 6.499 | 6.499 | 0.000 | 0.000 | 9.351 |
| 72.409 | 19.604 | 19.604 | -0.000 | -0.000 | -0.000 |
| 19.604 | 72.409 | 19.604 | -0.000 | -0.000 | -0.000 |
| 19.604 | 19.604 | 72.409 | -0.000 | -0.000 | -0.000 |
| -6.499 | -6.499 | -6.499 | 9.351 | -0.000 | -0.000 |
| -6.499 | -6.499 | -6.499 | -0.000 | 9.351 | -0.000 |
| -6.499 | -6.499 | -6.499 | -0.000 | -0.000 | 9.351 |
| 69.744 | 23.377 | 23.377 | 0.000 | -0.000 | -0.000 |
| 23.377 | 69.744 | 23.377 | -0.000 | -0.000 | -0.000 |
| 23.377 | 23.377 | 69.744 | -0.000 | -0.000 | 0.000 |
| 0.000 | 0.000 | 0.000 | 12.121 | 0.000 | 0.000 |
| 0.000 | 0.000 | 0.000 | 0.000 | 12.121 | 0.000 |
| 0.000 | 0.000 | 0.000 | 0.000 | 0.000 | 12.121 |
| 68.819 | 20.303 | 20.303 | -0.000 | -0.000 | -0.000 |
| 20.303 | 68.819 | 20.303 | -0.000 | -0.000 | -0.000 |
| 20.303 | 20.303 | 68.819 | -0.000 | -0.000 | -0.000 |
| -0.000 | -0.000 | -0.000 | 12.121 | -0.000 | -0.000 |
| -0.000 | -0.000 | -0.000 | -0.000 | 12.121 | -0.000 |
| -0.000 | -0.000 | -0.000 | -0.000 | -0.000 | 12.121 |
| 69.401 | 21.093 | 21.093 | 0.000 | 0.000 | 0.000 |
| 21.093 | 69.401 | 21.093 | 0.000 | 0.000 | 0.000 |
| 21.093 | 21.093 | 69.401 | 0.000 | 0.000 | 0.000 |
| 0.092 | 0.092 | 0.092 | 7.979 | -0.000 | -0.000 |
| 0.092 | 0.092 | 0.092 | -0.000 | 7.979 | -0.000 |
| 0.092 | 0.092 | 0.092 | -0.000 | -0.000 | 7.979 |
| 69.110 | 21.021 | 21.021 | -0.000 | -0.000 | -0.000 |
| 21.021 | 69.110 | 21.021 | -0.000 | -0.000 | -0.000 |
| 21.021 | 21.021 | 69.110 | -0.000 | -0.000 | -0.000 |
| -0.092 | -0.092 | -0.092 | 7.979 | -0.000 | -0.000 |
| -0.092 | -0.092 | -0.092 | -0.000 | 7.979 | -0.000 |
| -0.092 | -0.092 | -0.092 | -0.000 | -0.000 | 7.979 |
| 45.712 | 24.958 | 24.958 | 0.000 | 0.000 | -0.000 |
| 24.958 | 45.712 | 24.958 | 0.000 | 0.000 | -0.000 |
| 24.958 | 24.958 | 45.712 | 0.000 | -0.000 | -0.000 |
| 0.006 | 0.006 | 0.006 | 18.263 | -0.000 | -0.000 |
| 0.006 | 0.006 | 0.006 | -0.000 | 18.263 | -0.000 |
| 0.006 | 0.006 | 0.006 | -0.000 | 0.000 | 18.263 |
| 47.131 | 24.295 | 24.295 | -0.000 | -0.000 | 0.000 |
| 24.295 | 47.131 | 24.295 | -0.000 | 0.000 | 0.000 |
| 24.295 | 24.295 | 47.131 | -0.000 | 0.000 | 0.000 |
| -0.006 | -0.006 | -0.006 | 18.263 | 0.000 | 0.000 |
| -0.006 | -0.006 | -0.006 | 0.000 | 18.263 | 0.000 |
| -0.006 | -0.006 | -0.006 | -0.000 | 0.000 | 18.263 |
| 47.131 | 24.295 | 24.295 | -0.000 | 0.000 | -0.000 |
| 24.295 | 47.131 | 24.295 | -0.000 | 0.000 | 0.000 |
| 24.295 | 24.295 | 47.131 | 0.000 | -0.000 | -0.000 |
| 0.001 | 0.001 | 0.001 | 18.262 | 0.000 | -0.000 |
| 0.001 | 0.001 | 0.001 | 0.000 | 18.262 | -0.000 |
| 0.001 | 0.001 | 0.001 | 0.000 | 0.000 | 18.262 |
| 45.707 | 24.950 | 24.950 | 0.000 | 0.000 | 0.000 |
| 24.950 | 45.707 | 24.950 | -0.000 | 0.000 | 0.000 |
| 24.950 | 24.950 | 45.707 | -0.000 | -0.000 | 0.000 |
| -0.001 | -0.001 | -0.001 | 18.262 | -0.000 | 0.000 |
| -0.001 | -0.001 | -0.001 | -0.000 | 18.262 | 0.000 |
| -0.001 | -0.001 | -0.001 | -0.000 | -0.000 | 18.262 |
| 45.107 | 25.176 | 25.176 | 0.000 | 0.000 | -0.000 |
| 24.951 | 45.707 | 24.951 | 0.000 | 0.000 | -0.000 |
| 24.951 | 24.951 | 45.707 | -0.000 | -0.000 | -0.000 |
| 0.000 | 0.000 | 0.000 | 18.262 | -0.000 | -0.000 |
| 0.000 | 0.000 | 0.000 | 0.000 | 18.262 | -0.000 |
| 0.000 | 0.000 | 0.000 | 0.000 | 0.000 | 18.262 |
| 47.131 | 24.295 | 24.295 | -0.000 | -0.000 | 0.000 |
| 24.295 | 47.131 | 24.295 | -0.000 | -0.000 | 0.000 |
| 24.295 | 24.295 | 47.131 | -0.000 | 0.000 | 0.000 |
| -0.000 | -0.000 | -0.000 | 18.262 | -0.000 | 0.000 |
| -0.000 | -0.000 | -0.000 | 0.000 | 18.262 | 0.000 |
| -0.000 | -0.000 | -0.000 | -0.000 | -0.000 | 18.262 |
| 45.662 | 24.753 | 24.753 | -0.000 | -0.000 | 0.000 |
| 24.753 | 45.662 | 24.753 | -0.000 | -0.000 | 0.000 |
| 24.753 | 24.753 | 45.662 | -0.000 | -0.000 | 0.000 |
| -0.122 | -0.122 | -0.122 | 18.466 | -0.000 | 0.000 |
| -0.122 | -0.122 | -0.122 | -0.000 | 18.466 | 0.000 |
| -0.122 | -0.122 | -0.122 | -0.000 | -0.000 | 18.466 |
| 47.080 | 24.269 | 24.269 | -0.000 | -0.000 | -0.000 |
| 24.269 | 47.080 | 24.269 | -0.000 | 0.000 | -0.000 |
| 24.269 | 24.269 | 47.080 | -0.000 | 0.000 | -0.000 |
| 0.122 | 0.122 | 0.122 | 18.466 | 0.000 | -0.000 |
| 0.122 | 0.122 | 0.122 | 0.000 | 18.466 | -0.000 |
| 0.122 | 0.122 | 0.122 | 0.000 | 0.000 | 18.466 |
| 47.080 | 24.269 | 24.269 | -0.000 | 0.000 | 0.000 |
| 24.269 | 47.080 | 24.269 | -0.000 | 0.000 | 0.000 |
| 24.269 | 24.269 | 47.080 | 0.000 | -0.000 | 0.000 |
| -0.000 | -0.000 | 0.000 | 20.551 | 0.000 | 0.000 |
| -0.000 | -0.000 | 0.000 | 0.000 | 20.551 | 0.000 |
| -0.000 | 0.000 | -0.000 | 0.000 | 0.000 | 20.551 |
| 45.035 | 25.148 | 25.148 | 0.000 | 0.000 | -0.000 |
| 25.148 | 45.035 | 25.148 | 0.000 | 0.000 | -0.000 |
| 24.269 | 24.269 | 47.080 | 0.000 | -0.000 | -0.000 |
| 0.000 | 0.000 | -0.000 | 20.551 | 0.000 | -0.000 |
| 0.000 | 0.000 | -0.000 | 0.000 | 20.551 | -0.000 |
| 0.000 | -0.000 | 0.000 | -0.000 | -0.000 | 20.551 |
| 45.664 | 24.921 | 24.921 | -0.000 | -0.000 | 0.000 |
| 24.921 | 45.664 | 24.921 | -0.000 | -0.000 | 0.000 |
| 24.921 | 24.921 | 45.664 | -0.000 | -0.000 | 0.000 |
| -0.000 | -0.000 | 0.000 | 20.551 | 0.000 | 0.000 |
| -0.000 | -0.000 | 0.000 | 0.000 | 20.551 | -0.000 |
| -0.000 | 0.000 | -0.000 | -0.000 | 0.000 | 20.551 |
| 47.080 | 24.269 | 24.269 | 0.000 | -0.000 | -0.000 |
| 24.269 | 47.080 | 24.269 | 0.000 | -0.000 | -0.000 |
| 24.269 | 24.269 | 47.080 | -0.000 | -0.000 | -0.000 |
| 0.000 | 0.000 | -0.000 | 20.551 | -0.000 | -0.000 |
| 0.000 | 0.000 | -0.000 | 0.000 | 20.551 | -0.000 |
| 0.000 | -0.000 | 0.000 | -0.000 | 0.000 | 20.551 |
| -51.876 | 134.052 | 235.203 | -0.000 | -0.000 | 0.000 |
| -83.290 | 182.533 | 225.509 | -0.000 | -0.000 | 0.000 |
| -98.000 | 109.648 | 318.950 | 0.000 | -0.000 | 0.000 |
| -111.216 | 106.128 | 221.991 | 2.008 | 0.000 | -0.000 |
| -111.215 | 106.128 | 221.990 | 0.000 | 9.853 | -0.000 |
| -111.214 | 106.127 | 221.989 | -0.000 | -0.000 | 24.699 |
| 170.553 | -78.203 | -208.774 | -0.000 | 0.000 | -0.000 |
| 139.139 | -29.722 | -218.468 | 0.000 | 0.000 | -0.000 |
| 124.429 | -102.607 | -125.027 | 0.000 | 0.000 | -0.000 |
| 111.216 | -106.128 | -221.991 | 2.008 | 0.000 | -0.000 |
| 111.215 | -106.128 | -221.990 | -0.000 | 9.853 | -0.000 |
| 111.214 | -106.127 | -221.989 | 0.000 | 0.000 | 24.699 |
| 48.217 | 38.537 | 35.413 | -0.000 | -0.000 | 0.000 |
| 27.591 | 76.724 | 4.186 | -0.000 | -0.000 | 0.000 |
| 2.093 | 14.133 | 119.160 | 0.000 | -0.000 | -0.000 |
| -11.134 | 10.624 | 22.223 | 2.008 | -0.000 | 0.000 |
| -11.123 | 10.614 | 22.201 | 0.000 | 8.518 | 0.000 |
| -0.000 | 0.000 | -0.000 | 0.000 | 0.000 | 24.699 |
| 70.460 | 17.312 | -8.984 | 0.000 | 0.000 | 0.000 |
| 39.046 | 65.793 | -18.678 | 0.000 | 0.000 | -0.000 |
| 24.336 | -7.092 | 74.762 | 0.000 | 0.000 | 0.000 |
| 11.134 | -10.624 | -22.223 | 2.008 | 0.000 | 0.000 |
| 11.123 | -10.614 | -22.201 | 0.000 | 8.518 | 0.000 |
| 0.000 | -0.000 | 0.000 | -0.000 | -0.000 | 24.699 |
| 58.226 | 28.986 | 15.434 | 0.000 | 0.000 | -0.000 |
| 27.591 | 76.724 | 4.186 | 0.000 | 0.000 | 0.000 |
| 12.102 | 4.582 | 99.181 | -0.000 | -0.000 | 0.000 |
| -1.241 | 1.185 | 2.478 | -0.495 | -0.000 | 0.000 |
| -1.184 | 1.130 | 2.364 | -0.000 | 9.836 | -0.000 |
| -1.112 | 1.061 | 2.220 | -0.000 | -0.000 | 24.699 |
| 59.688 | 27.591 | 12.517 | 0.000 | 0.000 | -0.000 |
| 27.591 | 76.724 | 4.186 | 0.000 | 0.000 | -0.000 |
| 14.326 | 2.459 | 94.741 | -0.000 | 0.000 | -0.000 |
| 1.241 | -1.185 | -2.478 | -0.495 | 0.000 | 0.000 |
| 1.184 | -1.130 | -2.364 | 0.000 | 9.836 | -0.000 |
| 1.112 | -1.061 | -2.220 | 0.000 | 0.000 | 24.699 |
| 59.838 | 27.978 | 12.801 | 0.000 | 0.000 | -0.000 |
| 28.314 | 75.895 | 3.451 | 0.000 | 0.000 | -0.000 |
| 13.483 | 3.533 | 96.821 | -0.000 | 0.000 | -0.000 |
| 0.641 | -0.579 | -1.232 | 0.228 | 0.000 | -0.000 |
| 0.478 | -0.432 | -0.919 | 0.000 | 8.973 | -0.000 |
| 0.111 | -0.100 | -0.213 | 0.000 | 0.000 | 24.974 |
| 59.357 | 28.413 | 13.726 | -0.000 | -0.000 | 0.000 |
| 28.093 | 76.094 | 3.877 | -0.000 | -0.000 | 0.000 |
| 13.262 | 3.733 | 97.247 | -0.000 | -0.000 | -0.000 |
| -0.641 | 0.579 | 1.232 | 0.228 | -0.000 | 0.000 |
| -0.478 | 0.432 | 0.919 | -0.000 | 8.973 | 0.000 |
| -0.111 | 0.100 | 0.213 | -0.000 | -0.000 | 24.974 |
| 59.478 | 28.303 | 13.492 | 0.000 | 0.000 | -0.000 |
| 28.214 | 75.985 | 3.643 | 0.000 | 0.000 | -0.000 |
| 12.660 | 4.277 | 98.405 | 0.000 | 0.000 | -0.000 |
| 0.064 | -0.058 | -0.123 | 0.228 | 0.000 | -0.000 |
| -0.000 | -0.000 | 0.000 | 0.000 | 10.223 | -0.000 |
| 0.011 | -0.010 | -0.021 | 0.000 | 0.000 | 24.974 |
| 59.838 | 27.978 | 12.801 | -0.000 | 0.000 | 0.000 |
| 28.192 | 76.005 | 3.685 | -0.000 | -0.000 | 0.000 |
| 12.660 | 4.277 | 98.405 | -0.000 | -0.000 | 0.000 |
| -0.064 | 0.058 | 0.123 | 0.228 | -0.000 | 0.000 |
| 0.000 | 0.000 | -0.000 | -0.000 | 10.223 | 0.000 |
| -0.011 | 0.010 | 0.021 | -0.000 | -0.000 | 24.974 |
| 59.468 | 28.312 | 13.512 | 0.000 | 0.000 | -0.000 |
| 27.868 | 76.297 | 4.308 | 0.000 | 0.000 | -0.000 |
| 13.374 | 3.632 | 97.032 | 0.000 | 0.000 | -0.000 |
| -0.000 | -0.000 | -0.000 | 2.337 | 0.000 | -0.000 |
| -0.000 | -0.000 | 0.000 | 0.000 | 10.223 | -0.000 |
| 0.001 | -0.001 | -0.002 | 0.000 | 0.000 | 24.974 |
| 59.466 | 28.314 | 13.516 | -0.000 | -0.000 | 0.000 |
| 28.202 | 75.996 | 3.666 | -0.000 | -0.000 | 0.000 |
| 13.372 | 3.634 | 97.036 | 0.000 | -0.000 | 0.000 |
| 0.000 | 0.000 | 0.000 | 2.337 | -0.000 | -0.000 |
| 0.000 | 0.000 | -0.000 | -0.000 | 10.223 | 0.000 |
| -0.001 | 0.001 | 0.002 | -0.000 | -0.000 | 24.974 |
| 62.036 | 25.984 | 21.928 | 0.000 | -0.000 | -0.000 |
| 26.087 | 62.882 | 22.230 | 0.000 | -0.000 | 0.000 |
| 21.987 | 22.185 | 67.796 | 0.000 | -0.000 | 0.000 |
| -0.000 | 0.000 | -0.000 | 18.381 | -0.000 | -0.000 |
| -0.000 | 0.000 | -0.000 | 0.000 | 18.112 | -0.000 |
| -0.000 | 0.000 | -0.000 | 0.000 | -0.000 | 17.894 |
| 62.036 | 25.983 | 21.928 | -0.000 | 0.000 | -0.000 |
| 26.087 | 62.882 | 22.230 | -0.000 | -0.000 | 0.000 |
| 21.988 | 22.185 | 67.796 | -0.000 | 0.000 | -0.000 |
| 0.000 | -0.000 | 0.000 | 18.381 | 0.000 | -0.000 |
| 0.000 | -0.000 | 0.000 | -0.000 | 18.112 | -0.000 |
| 0.000 | -0.000 | 0.000 | -0.000 | -0.000 | 17.894 |
| 62.036 | 25.983 | 21.928 | 0.000 | -0.000 | 0.000 |
| 26.087 | 62.882 | 22.230 | 0.000 | 0.000 | 0.000 |
| 21.987 | 22.185 | 67.796 | 0.000 | -0.000 | 0.000 |
| -0.000 | -0.000 | -0.000 | 18.381 | -0.000 | -0.000 |
| -0.000 | 0.000 | -0.000 | 0.000 | 18.112 | 0.000 |
| -0.000 | 0.000 | -0.000 | 0.000 | -0.000 | 17.894 |
| 62.036 | 25.983 | 21.928 | -0.000 | 0.000 | -0.000 |
| 26.087 | 62.882 | 22.230 | -0.000 | 0.000 | -0.000 |
| 21.987 | 22.185 | 67.796 | -0.000 | 0.000 | -0.000 |
| 0.000 | 0.000 | 0.000 | 18.381 | 0.000 | -0.000 |
| 0.000 | -0.000 | 0.000 | -0.000 | 18.112 | 0.000 |
| 0.000 | -0.000 | 0.000 | -0.000 | -0.000 | 17.894 |
| 62.036 | 25.983 | 21.928 | 0.000 | -0.000 | 0.000 |
| 26.087 | 62.882 | 22.230 | 0.000 | -0.000 | 0.000 |
| 21.987 | 22.185 | 67.796 | 0.000 | -0.000 | 0.000 |
| -0.000 | -0.000 | -0.000 | 18.381 | -0.000 | 0.000 |
| -0.000 | -0.000 | -0.000 | 0.000 | 18.112 | 0.000 |
| -0.000 | -0.000 | -0.000 | 0.000 | -0.000 | 17.894 |
| 62.036 | 25.983 | 21.929 | -0.000 | 0.000 | -0.000 |
| 26.087 | 62.882 | 22.230 | -0.000 | 0.000 | 0.000 |
| 21.987 | 22.185 | 67.796 | -0.000 | 0.000 | -0.000 |
| 0.000 | 0.000 | 0.000 | 18.381 | 0.000 | -0.000 |
| 0.000 | 0.000 | 0.000 | -0.000 | 18.112 | 0.000 |
| 0.000 | 0.000 | 0.000 | -0.000 | 0.000 | 17.894 |
| 34.409 | 13.074 | 3.438 | 0.000 | -0.000 | 0.000 |
| 32.483 | 15.000 | 3.438 | 0.000 | 0.000 | -0.000 |
| 3.438 | 3.438 | 55.625 | 0.000 | 0.000 | -0.000 |
| 0.000 | -0.000 | -0.000 | 1.675 | 0.000 | -0.000 |
| 0.000 | -0.000 | -0.000 | 0.000 | 1.675 | -0.000 |
| 0.000 | -0.000 | 0.000 | 0.000 | 0.000 | -8.742 |
| 34.409 | 13.074 | 3.438 | -0.000 | 0.000 | -0.000 |
| 32.483 | 15.000 | 3.438 | -0.000 | -0.000 | 0.000 |
| 3.438 | 3.438 | 55.625 | -0.000 | -0.000 | 0.000 |
| -0.000 | 0.000 | 0.000 | 1.675 | -0.000 | 0.000 |
| -0.000 | 0.000 | 0.000 | -0.000 | 1.675 | -0.000 |
| -0.000 | 0.000 | -0.000 | -0.000 | -0.000 | -8.742 |
| 34.409 | 13.074 | 3.438 | 0.000 | -0.000 | 0.000 |
| 32.483 | 15.000 | 3.438 | 0.000 | 0.000 | -0.000 |
| 3.438 | 3.438 | 55.625 | 0.000 | 0.000 | -0.000 |
| -0.000 | -0.000 | -0.000 | 1.675 | 0.000 | -0.000 |
| -0.000 | -0.000 | -0.000 | 0.000 | 1.675 | -0.000 |
| -0.000 | -0.000 | -0.000 | 0.000 | 0.000 | -8.742 |
| 34.409 | 13.074 | 3.438 | -0.000 | 0.000 | -0.000 |
| 32.483 | 15.000 | 3.438 | -0.000 | -0.000 | 0.000 |
| 3.438 | 3.438 | 55.625 | -0.000 | -0.000 | 0.000 |
| 0.000 | 0.000 | 0.000 | 1.675 | -0.000 | 0.000 |
| 0.000 | 0.000 | 0.000 | -0.000 | 1.675 | -0.000 |
| 0.000 | 0.000 | 0.000 | -0.000 | -0.000 | -8.742 |
| 12.349 | 35.134 | 3.438 | 0.000 | -0.000 | -0.000 |
| 35.134 | 12.349 | 3.438 | 0.000 | 0.000 | 0.000 |
| 3.438 | 3.438 | 55.626 | -0.000 | -0.000 | -0.000 |
| -0.000 | -0.000 | -0.000 | 1.675 | 0.000 | 0.000 |
| -0.000 | -0.000 | -0.000 | 0.000 | 1.675 | 0.000 |
| -0.000 | -0.000 | -0.000 | 0.000 | 0.000 | -8.742 |
| 34.408 | 13.074 | 3.438 | -0.000 | 0.000 | 0.000 |
| 13.074 | 34.408 | 3.438 | -0.000 | -0.000 | -0.000 |
| 3.438 | 3.438 | 55.625 | -0.000 | -0.000 | 0.000 |
| 0.000 | 0.000 | 0.000 | 1.675 | -0.000 | 0.000 |
| 0.000 | 0.000 | 0.000 | -0.000 | 1.675 | -0.000 |
| 1855510.441 | 1813657.760 | 2117853.346 | 5702.879 | -17375.573 | -54650.001 |
| 63.470 | 24.789 | 21.726 | 1.861 | -0.000 | -0.000 |
| 24.789 | 63.470 | 21.726 | -1.861 | -0.000 | 0.000 |
| 21.730 | 21.730 | 67.285 | -0.000 | -0.000 | -0.000 |
| 1.861 | -1.861 | -0.000 | 17.326 | -0.000 | -0.000 |
| -0.000 | -0.000 | -0.000 | 0.000 | 17.326 | 1.861 |
| -0.000 | 0.000 | -0.000 | -0.000 | 1.861 | 19.341 |
| 62.898 | 25.318 | 21.623 | 1.940 | 0.000 | 0.000 |
| 24.789 | 63.470 | 21.726 | -1.861 | 0.000 | -0.000 |
| 21.730 | 21.730 | 67.285 | 0.000 | 0.000 | 0.000 |
| 1.861 | -1.861 | 0.000 | 17.326 | 0.000 | -0.000 |
| 0.000 | 0.000 | 0.000 | -0.000 | 17.326 | 1.861 |
| 0.000 | -0.000 | 0.000 | 0.000 | 1.861 | 19.341 |
| 63.470 | 24.789 | 21.726 | 1.861 | -0.000 | -0.000 |
| 25.977 | 62.286 | 21.736 | -2.030 | -0.000 | -0.000 |
| 21.728 | 21.728 | 67.275 | -0.000 | -0.000 | -0.000 |
| 2.051 | -2.049 | 0.005 | 17.299 | -0.000 | -0.000 |
| 0.003 | 0.003 | 0.013 | 0.000 | 17.311 | 1.965 |
| -0.000 | -0.000 | -0.000 | -0.000 | 1.861 | 19.341 |
| 63.470 | 24.789 | 21.726 | 1.861 | 0.000 | 0.000 |
| 25.968 | 62.278 | 21.694 | -2.030 | 0.000 | 0.000 |
| 21.725 | 21.725 | 67.265 | 0.000 | 0.000 | 0.000 |
| 1.861 | -1.861 | 0.000 | 17.326 | 0.000 | -0.000 |
| -0.003 | -0.003 | -0.013 | -0.000 | 17.311 | 1.965 |
| 0.000 | 0.000 | 0.000 | 0.000 | 1.861 | 19.341 |
| 63.470 | 24.789 | 21.726 | 1.861 | -0.000 | -0.000 |
| 24.789 | 63.470 | 21.726 | -1.861 | 0.000 | -0.000 |
| 21.727 | 21.727 | 67.270 | -0.000 | -0.000 | -0.000 |
| 1.861 | -1.861 | -0.000 | 17.326 | -0.000 | -0.000 |
| -0.000 | -0.000 | -0.000 | 0.000 | 17.326 | 1.861 |
| -0.000 | -0.000 | -0.000 | -0.000 | 1.861 | 19.341 |
| 63.471 | 24.789 | 21.726 | 1.861 | 0.000 | 0.000 |
| 24.789 | 63.471 | 21.726 | -1.861 | 0.000 | 0.000 |
| 21.730 | 21.730 | 67.285 | -0.000 | 0.000 | 0.000 |
| 1.861 | -1.861 | 0.000 | 17.326 | 0.000 | 0.000 |
| 0.000 | 0.000 | 0.000 | -0.000 | 17.326 | 1.861 |
| 0.000 | 0.000 | 0.000 | 0.000 | 1.861 | 19.341 |
Phonon band structures and crystal properties estimated from quasi-harmonic approximation (QHA) calculations are displayed for select crystals. The calculations were performed using phonopy and LAMMPS. For the phonon calculations, 3x3 supercells of the potential-specific relaxed crystals were used. The QHA calculations were based on 11 strain states ranging from -0.05 to 0.05.
The calculation method used is available as the iprPy phonon calculation method.
Notes and Disclaimers:
Version Information:






























































































































































































Static free surface formation energies are displayed for select crystals. The values displayed here are obtained by taking a perfect periodic bulk crystal, slicing along a crystallographic plane, and using force minimization to statically relax the surfaces. The free surface formation energy is computed by comparing the energy of the defect system to the bulk system and dividing by the total surface area created by the cut.
The calculation method used is available as the iprPy surface_energy_static calculation method.
Notes and Disclaimers:
Version Information:
| Surface | γfs (mJ/m2) |
|---|---|
| (111) | 879.98 |
| (100) | 951.89 |
| (332) | 965.37 |
| (322) | 977.26 |
| (221) | 1002.49 |
| (211) | 1022.35 |
| (331) | 1032.57 |
| (110) | 1043.79 |
| (311) | 1049.90 |
| (321) | 1061.08 |
| (310) | 1069.12 |
| (320) | 1081.66 |
| (210) | 1083.59 |
| Surface | γfs (mJ/m2) |
|---|---|
| (320) | 0.00 |
| (110) | 0.00 |
| (322) | 0.00 |
| (211) | 0.00 |
| (321) | 0.00 |
| (210) | 0.00 |
| (221) | 0.00 |
| (331) | 0.00 |
| (100) | 0.00 |
| (111) | 0.00 |
| (311) | 0.00 |
| (310) | 0.00 |
| Surface | γfs (mJ/m2) |
|---|---|
| (211) 2 | 942.48 |
| (210) | 982.43 |
| (332) 2 | 986.98 |
| (321) 2 | 992.79 |
| (111) | 1000.58 |
| (311) | 1006.64 |
| (321) 1 | 1008.84 |
| (221) | 1010.82 |
| (322) | 1014.35 |
| (331) | 1029.73 |
| (100) | 1033.94 |
| (332) 1 | 1038.37 |
| (320) | 1040.14 |
| (310) | 1046.04 |
| (211) 1 | 1062.53 |
| (110) | 1078.94 |
| Surface | γfs (mJ/m2) |
|---|---|
| (311) | 0.00 |
| (321) 2 | 0.00 |
| (332) 1 | 0.00 |
| (322) | 0.00 |
| (332) 2 | 0.00 |
| (320) | 0.00 |
| (331) | 0.00 |
| (110) | 0.00 |
| (211) 1 | 0.00 |
| (211) 2 | 0.00 |
| (321) 1 | 0.00 |
| (100) | 0.00 |
| (221) | 0.00 |
| (310) | 0.00 |
| (111) | 0.00 |
| (210) | 0.00 |
| Surface | γfs (mJ/m2) |
|---|---|
| (211) | 0.00 |
| (210) | 0.00 |
| (321) | 0.00 |
| (110) | 0.00 |
| (310) | 0.00 |
| (111) | 0.00 |
| (331) | 0.00 |
| (311) | 0.00 |
| (221) | 0.00 |
| (100) | 0.00 |
| (320) | 0.00 |
| (322) | 0.00 |
| (332) | 0.00 |
| Surface | γfs (mJ/m2) |
|---|---|
| (0001) | 855.99 |
| (1012) 2 | 923.73 |
| (2021) 1 | 950.53 |
| (1011) 1 | 956.58 |
| (2021) 2 | 1022.94 |
| (1120) | 1044.84 |
| (2131) 1 | 1056.08 |
| (2132) 2 | 1061.27 |
| (2241) | 1062.79 |
| (2132) 1 | 1067.85 |
| (1012) 1 | 1071.71 |
| (1121) | 1075.25 |
| (1010) | 1076.77 |
| (2112) | 1085.03 |
| (2130) | 1085.41 |
| (1011) 2 | 1087.06 |
| (2131) 2 | 1099.06 |
| Surface | γfs (mJ/m2) |
|---|---|
| (1011) 2 | 0.00 |
| (1012) 1 | 0.00 |
| (2131) 1 | 0.00 |
| (1012) 2 | 0.00 |
| (2132) 1 | 0.00 |
| (2241) | 0.00 |
| (1011) 1 | 0.00 |
| (2112) | 0.00 |
| (2131) 2 | 0.00 |
| (1120) | 0.00 |
| (1010) | 0.00 |
| (0001) | 0.00 |
| (1121) | 0.00 |
| (2021) 2 | 0.00 |
| (2130) | 0.00 |
| (2021) 1 | 0.00 |
| (2132) 2 | 0.00 |
| Surface | γfs (mJ/m2) |
|---|---|
| (0001) | 851.51 |
| (1010) 1 | 934.09 |
| (1011) 2 | 935.04 |
| (2021) 1 | 957.65 |
| (1012) 1 | 1004.85 |
| (2130) 1 | 1043.82 |
| (1120) | 1049.60 |
| (2112) | 1051.76 |
| (1012) 2 | 1052.91 |
| (2132) 1 | 1064.59 |
| (2131) 2 | 1071.06 |
| (2132) 2 | 1071.98 |
| (2131) 1 | 1082.98 |
| (2241) | 1085.04 |
| (1121) | 1099.11 |
| (2021) 2 | 1106.50 |
| (2130) 2 | 1136.36 |
| (1011) 1 | 1233.21 |
| (1010) 2 | 1233.90 |
| Surface | γfs (mJ/m2) |
|---|---|
| (2131) 1 | 0.00 |
| (1120) | 0.00 |
| (1121) | 0.00 |
| (2132) 1 | 0.00 |
| (1010) 2 | 0.00 |
| (2130) 1 | 0.00 |
| (2132) 2 | 0.00 |
| (1012) 1 | 0.00 |
| (2021) 2 | 0.00 |
| (2131) 2 | 0.00 |
| (1011) 1 | 0.00 |
| (2241) | 0.00 |
| (2130) 2 | 0.00 |
| (2021) 1 | 0.00 |
| (2112) | 0.00 |
| (1011) 2 | 0.00 |
| (1012) 2 | 0.00 |
| (1010) 1 | 0.00 |
| (0001) | 0.00 |
| Surface | γfs (mJ/m2) |
|---|---|
| (320) | 0.00 |
| (322) | 0.00 |
| (332) | 0.00 |
| (210) | 0.00 |
| (111) 2 | 0.00 |
| (110) | 0.00 |
| (111) 1 | 0.00 |
| (211) | 0.00 |
| (221) | 0.00 |
| (331) 1 | 0.00 |
| (331) 2 | 0.00 |
| (311) 2 | 0.00 |
| (310) | 0.00 |
| (100) | 0.00 |
| (321) | 0.00 |
| (311) 1 | 0.00 |
| Surface | γfs (mJ/m2) |
|---|---|
| (211) 1 | 0.00 |
| (111) | 0.00 |
| (211) 2 | 0.00 |
| (201) | 0.00 |
| (100) | 0.00 |
| (101) 2 | 0.00 |
| (112) | 0.00 |
| (101) 1 | 0.00 |
| (110) | 0.00 |
| (001) | 0.00 |
| Surface | γfs (mJ/m2) |
|---|---|
| (001) | 0.00 |
| (112) | 0.00 |
| (201) | 0.00 |
| (211) | 0.00 |
| (100) | 0.00 |
| (110) | 0.00 |
| (111) | 0.00 |
| (101) | 0.00 |
| Surface | γfs (mJ/m2) |
|---|---|
| (331) | 0.00 |
| (210) | 0.00 |
| (322) | 0.00 |
| (332) | 0.00 |
| (111) | 0.00 |
| (320) | 0.00 |
| (311) | 0.00 |
| (221) | 0.00 |
| (100) | 0.00 |
| (321) | 0.00 |
| (110) | 0.00 |
| (310) | 0.00 |
| (211) | 0.00 |
| Surface | γfs (mJ/m2) |
|---|---|
| (111) | 473.55 |
| (100) | 488.31 |
| (332) | 514.19 |
| (322) | 520.15 |
| (221) | 531.44 |
| (211) | 540.85 |
| (331) | 544.36 |
| (110) | 544.61 |
| (311) | 549.06 |
| (310) | 559.60 |
| (321) | 565.14 |
| (320) | 568.29 |
| (210) | 570.17 |
| Surface | γfs (mJ/m2) |
|---|---|
| (322) | -4376.09 |
| (331) | -3757.58 |
| (310) | -3400.34 |
| (221) | -3192.70 |
| (320) | -3081.12 |
| (332) 2 | -2787.23 |
| (332) 1 | -2746.88 |
| (321) 2 | -2353.65 |
| (311) | -2314.34 |
| (211) 2 | -2011.94 |
| (210) | -1970.93 |
| (211) 1 | -1795.10 |
| (321) 1 | -1731.47 |
| (110) | -1122.45 |
| (100) | -429.57 |
| (111) | 366.48 |
| Surface | γfs (mJ/m2) |
|---|---|
| (211) | 344.16 |
| (332) | 357.61 |
| (110) | 496.19 |
| (321) | 515.15 |
| (310) | 522.35 |
| (320) | 524.00 |
| (100) | 530.95 |
| (210) | 535.75 |
| (331) | 556.92 |
| (311) | 565.95 |
| (221) | 576.98 |
| (322) | 584.16 |
| (111) | 592.73 |
Static point defect formation energies, Ef, and elastic dipole tensors, pij, are displayed for select crystals. Relaxed defect configurations are obtained by taking a 12x12x12 supercell of a perfect periodic bulk crystal, inserting the point defect, and using force minimization to statically relax the atomic positions while keeping the system dimensions constant. Ef is computed by comparing the energy of the defect system to the same number of atoms in a perfect bulk crystal. pij is estimated as the difference in the system's global pressure with and without the defect multiplied by the system's volume.
Simple structural comparisons of the unrelaxed and relaxed defect configurations are used to help determine if the defect structure has relaxed to a different configuration. Relaxed structures that are identified as no longer consistent with the ideal defect definition are excluded from the table below. The only exception to this is if the lowest energy interstitial configuration does not coincide with a known ideal defect, its energies and pressure tensor are included under the listing "relaxed interstitial". The full list of calculation results including the transformed structures and the structural comparison values is included in the csv file available from the "Download raw data" link.
The calculation method used is available as the iprPy point_defect_static calculation method.
Notes and Disclaimers:
| Point Defect | Ef (eV) | p11 (eV) | p22 (eV) | p33 (eV) | p12 (eV) | p13 (eV) | p23 (eV) |
|---|---|---|---|---|---|---|---|
| vacancy | 0.688 | -3.355 | -3.355 | -3.355 | 0.000 | 0.000 | -0.000 |
| 1nn divacancy | 1.367 | -8.282 | -6.309 | -6.309 | 0.000 | 0.000 | 0.007 |
| 2nn divacancy | 1.383 | -6.759 | -6.759 | -6.514 | 0.000 | -0.000 | -0.000 |
| 100 dumbbell | 2.484 | 15.584 | 15.584 | 16.386 | 0.000 | -0.000 | -0.000 |
| 110 dumbbell | 2.826 | 17.906 | 13.924 | 13.924 | 0.000 | 0.000 | 12.173 |
| crowdion interstitial | 2.828 | 13.995 | 13.995 | 17.989 | 12.298 | -0.000 | -0.000 |
| octahedral interstitial | 2.849 | 15.033 | 15.033 | 15.033 | -0.000 | 0.000 | 0.000 |
| tetrahedral interstitial | 2.951 | 14.513 | 14.513 | 14.513 | -0.000 | -0.000 | -0.000 |
| Point Defect | Ef (eV) | p11 (eV) | p22 (eV) | p33 (eV) | p12 (eV) | p13 (eV) | p23 (eV) |
|---|---|---|---|---|---|---|---|
| 100 dumbbell | -19.401 | -0.000 | -0.000 | 0.000 | -0.000 | 0.000 | 0.000 |
| 111 dumbbell | -12.413 | 0.000 | 0.000 | 0.000 | 0.000 | 0.000 | 0.000 |
| octahedral interstitial | -10.948 | 0.000 | 0.000 | 0.000 | 0.000 | 0.000 | 0.000 |
| tetrahedral interstitial | -6.507 | -0.000 | -0.000 | -0.000 | -0.000 | -0.000 | -0.000 |
| 110 dumbbell | -3.976 | -0.000 | -0.000 | -0.000 | -0.000 | -0.000 | -0.000 |
| crowdion interstitial | -3.348 | -0.000 | -0.000 | -0.000 | -0.000 | -0.000 | -0.000 |
| 1nn divacancy | 0.000 | -0.000 | -0.000 | -0.000 | -0.000 | -0.000 | -0.000 |
| vacancy | 0.000 | -0.000 | -0.000 | -0.000 | -0.000 | -0.000 | -0.000 |
| 2nn divacancy | 0.000 | -0.000 | -0.000 | -0.000 | -0.000 | -0.000 | -0.000 |
| Point Defect | Ef (eV) | p11 (eV) | p22 (eV) | p33 (eV) | p12 (eV) | p13 (eV) | p23 (eV) |
|---|---|---|---|---|---|---|---|
| relaxed interstitial | -8.557 | 0.000 | -0.000 | -0.000 | -0.000 | 0.000 | 0.000 |
| 110 dumbbell | -8.140 | -0.000 | -0.000 | -0.000 | 0.000 | 0.000 | -0.000 |
| 111 dumbbell | -3.976 | -0.000 | -0.000 | -0.000 | -0.000 | -0.000 | -0.000 |
| octahedral interstitial | -3.348 | -0.000 | -0.000 | -0.000 | -0.000 | -0.000 | -0.000 |
| crowdion interstitial | -3.348 | -0.000 | -0.000 | -0.000 | -0.000 | -0.000 | -0.000 |
| 2nn divacancy | 0.000 | -0.000 | -0.000 | -0.000 | -0.000 | -0.000 | -0.000 |
| 1nn divacancy | 0.000 | -0.000 | -0.000 | -0.000 | -0.000 | -0.000 | -0.000 |
| 100 dumbbell | 0.000 | -0.000 | -0.000 | -0.000 | -0.000 | -0.000 | -0.000 |
| vacancy | 0.000 | -0.000 | -0.000 | -0.000 | -0.000 | -0.000 | -0.000 |
| Point Defect | Ef (eV) | p11 (eV) | p22 (eV) | p33 (eV) | p12 (eV) | p13 (eV) | p23 (eV) |
|---|---|---|---|---|---|---|---|
| vacancy | 0.777 | -3.727 | -3.727 | -3.570 | -0.000 | -0.000 | 0.000 |
| 0001 dumbbell | 1.995 | 4.555 | 4.555 | 15.681 | 0.000 | 0.000 | 0.000 |
| Point Defect | Ef (eV) | p11 (eV) | p22 (eV) | p33 (eV) | p12 (eV) | p13 (eV) | p23 (eV) |
|---|---|---|---|---|---|---|---|
| relaxed interstitial | -13.790 | -0.000 | -0.000 | 0.000 | -0.000 | 0.000 | -0.000 |
| 2110 dumbbell | -3.976 | 0.000 | -0.000 | -0.000 | -0.000 | -0.000 | -0.000 |
| 0001 dumbbell | -1.988 | -0.000 | -0.000 | 0.000 | -0.000 | -0.000 | -0.000 |
| vacancy | 0.000 | -0.000 | -0.000 | -0.000 | -0.000 | -0.000 | -0.000 |
| Point Defect | Ef (eV) | p11 (eV) | p22 (eV) | p33 (eV) | p12 (eV) | p13 (eV) | p23 (eV) |
|---|---|---|---|---|---|---|---|
| 110 dumbbell | -3.976 | -0.000 | -0.000 | -0.000 | 0.000 | 0.000 | -0.000 |
| bond centered interstitial | -3.348 | -0.000 | -0.000 | -0.000 | -0.000 | -0.000 | -0.000 |
| 100 dumbbell | -1.988 | 0.000 | 0.000 | 0.000 | 0.000 | -0.000 | -0.000 |
| vacancy | 0.000 | -0.000 | -0.000 | -0.000 | -0.000 | -0.000 | -0.000 |
| tetragonal interstitial | 0.000 | -0.000 | -0.000 | -0.000 | -0.000 | -0.000 | -0.000 |
| 1nn divacancy | 0.000 | -0.000 | -0.000 | -0.000 | -0.000 | -0.000 | -0.000 |
| hexagonal interstitial | 0.000 | -0.000 | -0.000 | -0.000 | -0.000 | -0.000 | -0.000 |
| Point Defect | Ef (eV) | p11 (eV) | p22 (eV) | p33 (eV) | p12 (eV) | p13 (eV) | p23 (eV) |
|---|---|---|---|---|---|---|---|
| vacancy | 0.850 | -0.730 | -0.730 | -0.730 | -0.000 | -0.000 | -0.000 |
| 100 dumbbell | 1.386 | 5.978 | 5.978 | 5.804 | -0.000 | -0.000 | -0.000 |
| 110 dumbbell | 1.488 | 7.688 | 4.977 | 4.977 | 0.000 | 0.000 | 3.494 |
| crowdion interstitial | 1.491 | 4.980 | 4.980 | 7.743 | 3.171 | 0.000 | 0.000 |
| 1nn divacancy | 1.581 | -1.841 | -1.361 | -1.361 | -0.000 | -0.000 | -0.055 |
| 111 dumbbell | 1.625 | 6.030 | 6.030 | 6.030 | 0.831 | 0.831 | 0.831 |
| 2nn divacancy | 1.674 | -1.519 | -1.519 | -1.704 | -0.000 | -0.000 | -0.000 |
| Point Defect | Ef (eV) | p11 (eV) | p22 (eV) | p33 (eV) | p12 (eV) | p13 (eV) | p23 (eV) |
|---|---|---|---|---|---|---|---|
| vacancy | 0.687 | -1.443 | -1.443 | -1.443 | -0.000 | -0.000 | -0.000 |
| 111 dumbbell | 1.068 | 6.859 | 6.859 | 6.859 | 2.548 | 2.548 | 2.548 |
| 2nn divacancy | 1.202 | -3.758 | -3.758 | -1.762 | -0.000 | -0.000 | -0.000 |
| 100 dumbbell | 1.319 | 8.264 | 8.264 | 7.999 | -0.000 | -0.000 | -0.000 |
| 1nn divacancy | 1.416 | -2.280 | -2.280 | -2.280 | 0.597 | 0.597 | 0.597 |
Plots of the atomic structure of dislocation cores are shown here. The dislocations were constructed using dislocation monopole configurations in which a straight dislocation is created in the center of the system using anisotropic elasticity and the elastic constants computed above. A cylindrical region centered around the dislocation is allowed to relax while the remaining atoms are held fixed. The relaxation consists of 1 million NVT steps at 10 K followed by an energy/force minimization. The final plots show the atomic configuration near the center of the monopole system, and display differential displacement arrows and Nye tensor color maps that are both taken with respect to the Burgers vector direction.
These plots show a wide range of final structures, some corresponding to expected dislocation structures and others not. While the characterizations are dislocation-type dependent, some general classification guidelines are listed here.
The calculation method used is available as the iprPy dislocation_monopole calculation method.
Links are provided above the images allowing for users to download the final defect configuration and a corresponding defect-free configuration if they wish to further analyze the structures or use them for subsequent simulations.
Notes and Disclaimers:
Version Information:
Plots of lattice and elastic constants are shown as a function of temperature. The 0K points were taken from the Crystal Structure Predictions and the Elastic Constants Predictions sections above for the unique crystal structures relaxed with the "dynamic" method. Starting from the 0 K relaxed crystal unit cells, supercell systems are created by replicating all three dimensions by the same multiplier to achieve at least 4000 atoms. The systems are then relaxed at 50 K and zero pressure using 1 million NPT steps. Lattice constants are estimated by averaging the measured box dimensions. Temperatures are iteratively increased by 50 K, with each subsequent relaxation calculation starting from the final atomic configuration at the previous temperature and relaxing for another 1 million steps.
The elastic constants are calculated using the deformation–fluctuation hybrid method. Starting from the final atomic configurations of the dynamic relaxations, the system is allowed to evolve at constant volume with a Langevin thermostat. The Born matrix is computed during this run by evaluating how the atomic forces would vary due to applied linear strain fields. The elastic constants can then be estimated using the averaged Born matrix values and the averaged stresses on the system.
The calculation methods used are available as the iprPy relax_dynamic and elastic_constants_dynamic calculation methods.
Clicking on the image of a plot will open an interactive version of it in a new tab. The underlying data for the plots can be downloaded by clicking on the links above each plot.
Notes and Disclaimers:
Version Information:
Plots of radial distribution functions at different temperatures and the temperature-dependent diffusion and viscosity are shown here for elemental liquids. Melt phases are constructed by starting with a 10x10x10 fcc super cell and relaxing with 50,000 NPT steps at zero pressure and a high melting temperature (3000 K for most potentials and elements). Following the melt, liquid structures are relaxed by running NPT for 10,000 steps over which the temperature is dropped by 50 K, then 50,000 NPT at the target temperature to estimate the equilibrium volume, followed by 20,000 NVT steps at the averaged equilibrium volume and target temperature. Structures from the NVT run are sampled to compute the radial distribution function of the liquid at the corresponding temperature.
The final relaxed configurations at each temperature explored are used as the initial configurations for the diffusion and viscosity calculations. For diffusion, the system is integrated for 100 runs of 2,000 NVT steps during which both the mean squared displacement (MSD) and the velocity auto correlation function (VACF) are computed. From these simulations, three estimates of diffusion are computed: one from the MSD of the full 200,000 step run, one in which the MSD is reset for each short run and then averaged, and one from the VACF computed for each short run and averaged. For viscosity, the Green-Kubo method is used which is evaluated during a 1 million step NVT run.
The calculation methods used are available as the iprPy relax_liquid_redo, diffusion_liquid, and viscosity_green_kubo calculation methods.
Clicking on the image of a plot will open an interactive version of it in a new tab. The underlying data for the plots can be downloaded by clicking on the links above each plot.
Notes and Disclaimers:
Version Information:
Plots of internal energy, Gibbs free energy, entropy, heat capacity and volume are shown here as a function of temperature for various crystal structures and liquid phases. The included crystal structures correspond to those in the Solid Structures vs. Temperature section, and the liquid phases to those in the Liquid Properties section. Internal energy and volume are taken from the associated structure relaxations mentioned in those previous sections. Constant pressure heat capacity is estimated using 3-point numerical derivatives of enthalpy versus temperature. Note that since all simulations done here are at 0 pressure, internal energy and enthalpy are equivalent.
The Gibbs energies of the phases are estimated using thermodynamic integration between the interatomic potential in question and a simpler model with known Gibbs free energy values. For solids, the reference model is an Einstein solid, while for liquids it is the Uhlenbeck-Ford potential. Besides a short run at the start of the solid calculations to estimate Einstein model spring constants, the two calculations proceed similarly. Starting with the final relaxation configurations, the systems are stabilized for 25,000 steps. Then, over the next 50,000 steps the potential is swapped out for the reference potential. The system is then stabilized for another 25,000 steps with the reference model before a reverse swap of 50,000 steps is performed. The simulation ends with one final 25,000 step stabilization period. From the simulation, the irreversible work of transformation is estimated and used to compute the absolute Gibbs free energy of the target phase and potential relative to the reference potential. Entropy is estimated as the difference in enthalpy and Gibbs free energy and divided by temperature.
The calculation methods used are available as the iprPy relax_dynamic, relax_liquid_redo, free_energy, and free_energy_liquid calculation methods.
Clicking on the image of a plot will open an interactive version of it in a new tab. The underlying data for the plots can be downloaded by clicking on the links above each plot.
Notes and Disclaimers:
Version Information:






