Plots of the potential energy vs interatomic spacing, r, are shown below for all diatom sets associated with the interatomic potential. This calculation provides insights into the functional form of the potential's two-body interactions. A system consisting of only two atoms is created, and the potential energy is evaluated for the atoms separated by 0.02 Å <= r <= 6.0> Å in intervals of 0.02 Å. Two plots are shown: one for the "standard" interaction distance range, and one for small values of r. The small r plot is useful for determining whether the potential is suitable for radiation studies.
The calculation method used is available as the iprPy diatom_scan calculation method.
Clicking on the image of a plot will open an interactive version of it in a new tab. The underlying data for the plots can be downloaded by clicking on the links above each plot.
Notes and Disclaimers:
Version Information:
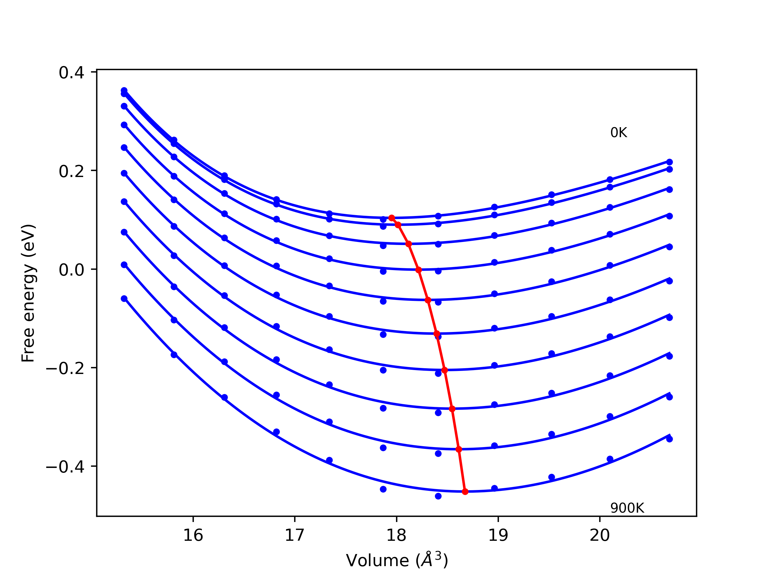
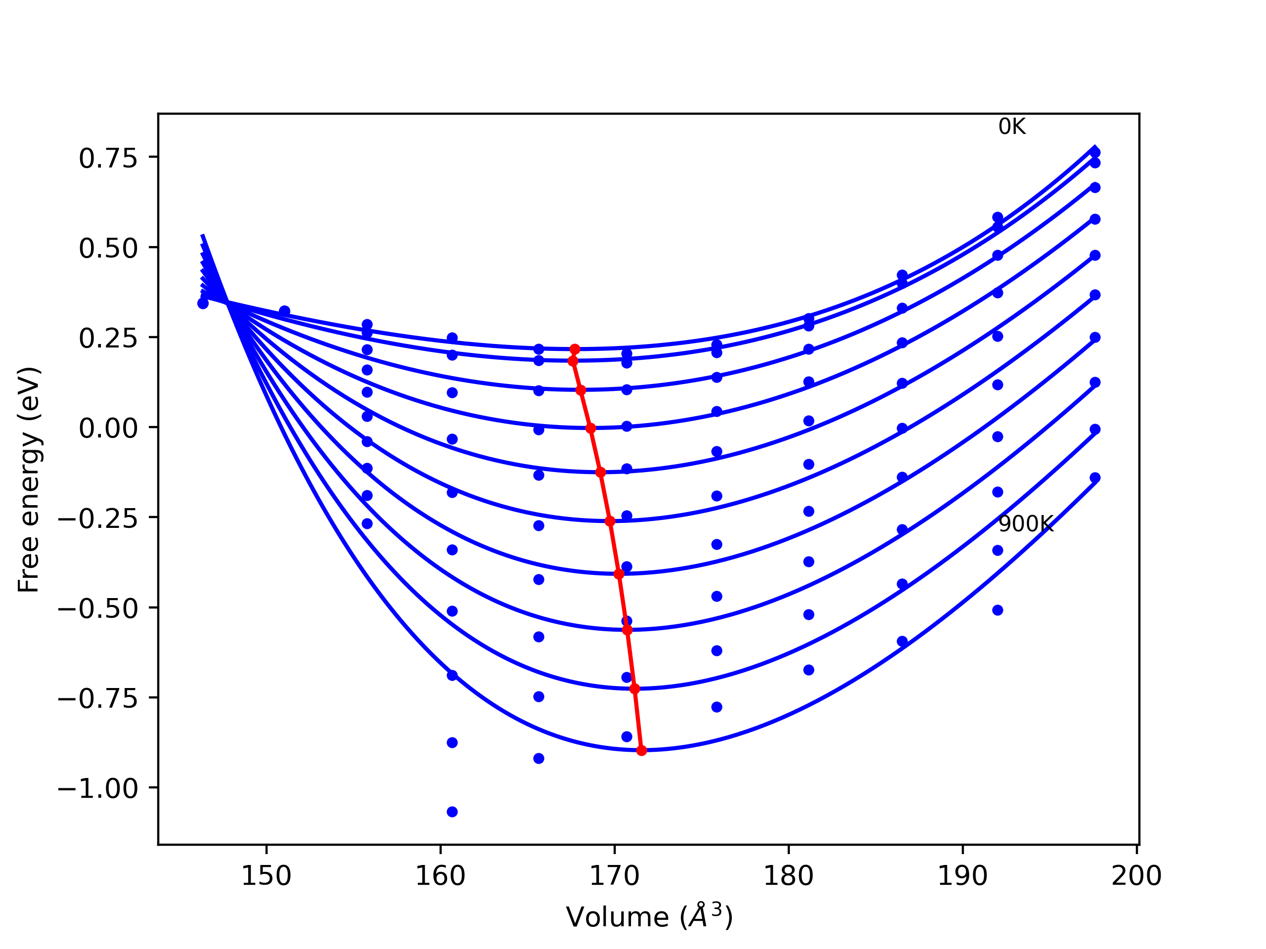
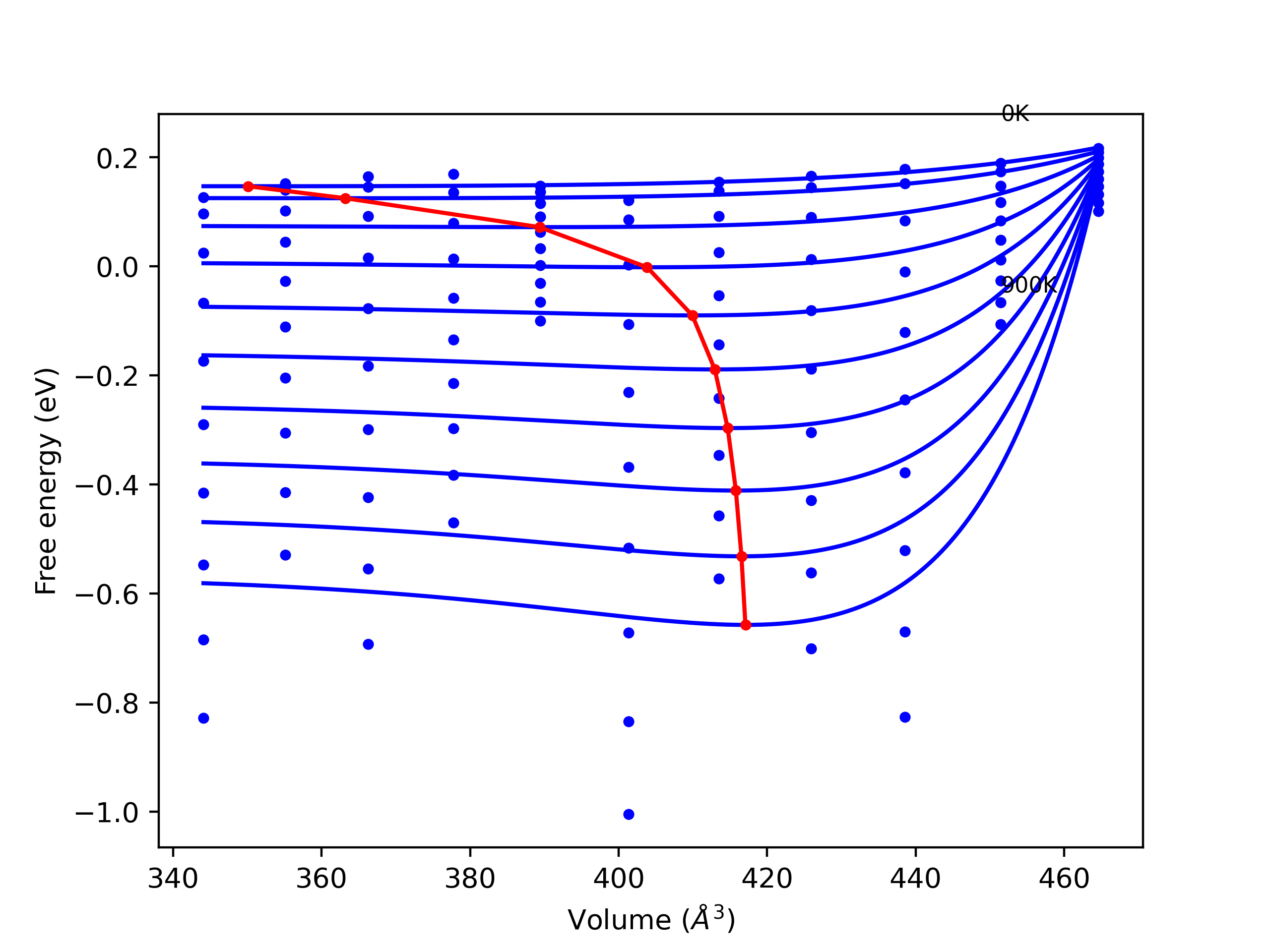
Plots of potential energy vs interatomic spacing, r, are shown below for a number of crystal structures. The structures are generated based on the ideal atomic positions and b/a and c/a lattice parameter ratios for a given crystal prototype. The size of the system is then uniformly scaled, and the energy calculated without relaxing the system. To obtain these plots, values of r are evaluated every 0.02 Å up to 6 Å.
The calculation method used is available as the iprPy E_vs_r_scan calculation method.
Clicking on the image of a plot will open an interactive version of it in a new tab. The underlying data for the plots can be downloaded by clicking on the links above each plot.
Notes and Disclaimers:
Version Information:
Computed lattice constants and cohesive/potential energies are displayed for a variety of crystal structures. The values displayed here are obtained using the following process.
The calculation methods used are implemented into iprPy as the following calculation styles
Notes and Disclaimers:
Version Information:
Download raw data (including filtered results)
Reference structure matches:
A1--Cu--fcc = mp-134, oqmd-8100, oqmd-1214503
A15--beta-W = oqmd-1214948, oqmd-1280406
A2--W--bcc = mp-998860, oqmd-1215126
A3'--alpha-La--double-hcp = mp-1183144, oqmd-1215394
A3--Mg--hcp = oqmd-1215215, oqmd-1215304
A4--C--dc = oqmd-1215483
A5--beta-Sn = oqmd-1215572
A6--In--bct = oqmd-1215661
| prototype | method | Ecoh (eV/atom) | Epot (eV/atom) | a0 (Å) | b0 (Å) | c0 (Å) | α (degrees) | β (degrees) | γ (degrees) |
|---|---|---|---|---|---|---|---|---|---|
| A1--Cu--fcc | dynamic | -3.381 | -3.381 | 4.0254 | 4.0254 | 4.0254 | 90.0 | 90.0 | 90.0 |
| A3'--alpha-La--double-hcp | dynamic | -3.3766 | -3.3766 | 2.8415 | 2.8415 | 9.3611 | 90.0 | 90.0 | 120.0 |
| oqmd-1216017 | dynamic | -3.3753 | -3.3753 | 2.84 | 2.84 | 21.1112 | 90.0 | 90.0 | 120.0 |
| A3--Mg--hcp | dynamic | -3.3726 | -3.3726 | 2.8368 | 2.8368 | 4.7142 | 90.0 | 90.0 | 120.0 |
| A3--Mg--hcp | box | -3.3726 | -3.3726 | 2.8368 | 2.8368 | 4.7142 | 90.0 | 90.0 | 120.0 |
| oqmd-1214770 | dynamic | -3.3233 | -3.3233 | 9.9218 | 9.9218 | 9.9218 | 90.0 | 90.0 | 90.0 |
| oqmd-1214770 | box | -3.323 | -3.323 | 9.9226 | 9.9226 | 9.9226 | 90.0 | 90.0 | 90.0 |
| oqmd-1214859 | dynamic | -3.3187 | -3.3187 | 6.9576 | 6.9576 | 6.9576 | 90.0 | 90.0 | 90.0 |
| oqmd-1214859 | box | -3.3186 | -3.3186 | 6.9558 | 6.9558 | 6.9558 | 90.0 | 90.0 | 90.0 |
| mp-1244953 | dynamic | -3.3138 | -3.3138 | 11.5842 | 11.9827 | 12.4333 | 86.5 | 80.8 | 88.2 |
| A2--W--bcc | static | -3.307 | -3.307 | 3.2142 | 3.2142 | 3.2142 | 90.0 | 90.0 | 90.0 |
| mp-1245129 | dynamic | -3.3042 | -3.3042 | 11.6449 | 11.8633 | 12.5214 | 82.7 | 86.3 | 87.1 |
| A15--beta-W | dynamic | -3.3037 | -3.3037 | 5.1021 | 5.1021 | 5.1021 | 90.0 | 90.0 | 90.0 |
| mp-1245152 | dynamic | -3.3037 | -3.3037 | 11.8312 | 12.0412 | 12.1697 | 99.6 | 90.5 | 90.5 |
| mp-1245067 | dynamic | -3.2993 | -3.2993 | 11.6659 | 11.988 | 12.5634 | 80.5 | 86.8 | 84.7 |
| mp-1245307 | dynamic | -3.2989 | -3.2989 | 11.869 | 12.0113 | 12.207 | 95.4 | 90.7 | 96.9 |
| mp-1244953 | static | -3.2942 | -3.2942 | 11.4947 | 12.336 | 12.4214 | 89.4 | 78.9 | 86.3 |
| mp-1245129 | static | -3.2906 | -3.2906 | 11.5979 | 11.9473 | 12.5873 | 83.7 | 89.3 | 87.2 |
| mp-1245307 | static | -3.2846 | -3.2846 | 11.7625 | 12.0413 | 12.3577 | 89.1 | 85.4 | 88.0 |
| mp-1245152 | static | -3.2834 | -3.2834 | 11.6428 | 12.1176 | 12.361 | 91.5 | 91.0 | 95.1 |
| mp-1244953 | box | -3.2759 | -3.2759 | 12.0037 | 12.0636 | 12.2788 | 86.3 | 80.6 | 87.2 |
| mp-1245067 | static | -3.2757 | -3.2757 | 11.8012 | 12.2397 | 12.3257 | 95.0 | 97.1 | 90.8 |
| mp-1245152 | box | -3.2734 | -3.2734 | 11.9028 | 12.0958 | 12.2389 | 92.0 | 91.8 | 96.0 |
| oqmd-1215037 | box | -3.2726 | -3.2726 | 2.8098 | 4.8836 | 10.3741 | 90.0 | 90.0 | 90.0 |
| mp-1245307 | box | -3.2682 | -3.2682 | 11.9501 | 12.1518 | 12.1552 | 90.6 | 92.4 | 93.9 |
| mp-1245067 | box | -3.2596 | -3.2596 | 11.9505 | 12.2726 | 12.2872 | 92.7 | 97.7 | 93.8 |
| mp-1245129 | box | -3.2531 | -3.2531 | 11.5531 | 12.0257 | 12.4445 | 94.5 | 93.9 | 98.0 |
| A5--beta-Sn | static | -3.1663 | -3.1663 | 5.2563 | 5.2563 | 2.7505 | 90.0 | 90.0 | 90.0 |
| oqmd-1214681 | box | -3.1318 | -3.1318 | 4.3486 | 8.3915 | 4.5232 | 90.0 | 90.0 | 90.0 |
| Ah--alpha-Po--sc | static | -3.1207 | -3.1207 | 2.7304 | 2.7304 | 2.7304 | 90.0 | 90.0 | 90.0 |
| mp-1239196 | static | -2.9872 | -2.9872 | 3.9274 | 3.9274 | 13.0121 | 90.0 | 90.0 | 90.0 |
| mp-1239196 | dynamic | -2.9872 | -2.9872 | 3.9135 | 3.9135 | 13.0414 | 90.0 | 90.0 | 90.0 |
| oqmd-1215928 | static | -2.8714 | -2.8714 | 4.5567 | 4.5567 | 5.0953 | 90.0 | 90.0 | 120.0 |
| A4--C--dc | static | -2.7946 | -2.7946 | 6.0878 | 6.0878 | 6.0878 | 90.0 | 90.0 | 90.0 |
| A1--Cu--fcc | dynamic | -0.9742 | -0.9742 | 6.9555 | 6.9555 | 6.9555 | 90.0 | 90.0 | 90.0 |
| A3'--alpha-La--double-hcp | dynamic | -0.9742 | -0.9742 | 4.9183 | 4.9183 | 16.063 | 90.0 | 90.0 | 120.0 |
| A3--Mg--hcp | dynamic | -0.9742 | -0.9742 | 4.9183 | 4.9183 | 8.0315 | 90.0 | 90.0 | 120.0 |
| A15--beta-W | static | -0.947 | -0.947 | 8.1801 | 8.1801 | 8.1801 | 90.0 | 90.0 | 90.0 |
| A2--W--bcc | static | -0.8558 | -0.8558 | 5.5509 | 5.5509 | 5.5509 | 90.0 | 90.0 | 90.0 |
| A5--beta-Sn | box | -0.6806 | -0.6806 | 9.5219 | 9.5219 | 4.9168 | 90.0 | 90.0 | 90.0 |
| Ah--alpha-Po--sc | dynamic | -0.6803 | -0.6803 | 4.9278 | 4.9278 | 4.9278 | 90.0 | 90.0 | 90.0 |
| A4--C--dc | dynamic | -0.5524 | -0.5524 | 11.3898 | 11.3898 | 11.3898 | 90.0 | 90.0 | 90.0 |
| A7--alpha-As | box | -0.4764 | -0.4764 | 7.3307 | 7.3307 | 20.8031 | 90.0 | 90.0 | 120.0 |
Download raw data (including filtered results)
Reference structure matches:
C1--CaF2--fluorite = mp-2647
| prototype | method | Ecoh (eV/atom) | Epot (eV/atom) | a0 (Å) | b0 (Å) | c0 (Å) | α (degrees) | β (degrees) | γ (degrees) |
|---|---|---|---|---|---|---|---|---|---|
| C1--CaF2--fluorite | static | -3.7108 | -3.7108 | 5.9561 | 5.9561 | 5.9561 | 90.0 | 90.0 | 90.0 |
| C1--CaF2--fluorite | static | -0.7759 | -0.7759 | 10.9627 | 10.9627 | 10.9627 | 90.0 | 90.0 | 90.0 |
Download raw data (including filtered results)
Reference structure matches:
| prototype | method | Ecoh (eV/atom) | Epot (eV/atom) | a0 (Å) | b0 (Å) | c0 (Å) | α (degrees) | β (degrees) | γ (degrees) |
|---|---|---|---|---|---|---|---|---|---|
| L2_1--AlCu2Mn--heusler | static | -3.8572 | -3.8572 | 6.4358 | 6.4358 | 6.4358 | 90.0 | 90.0 | 90.0 |
Download raw data (including filtered results)
Reference structure matches:
| prototype | method | Ecoh (eV/atom) | Epot (eV/atom) | a0 (Å) | b0 (Å) | c0 (Å) | α (degrees) | β (degrees) | γ (degrees) |
|---|---|---|---|---|---|---|---|---|---|
| C1--CaF2--fluorite | dynamic | -3.7718 | -3.7718 | 5.848 | 5.848 | 5.848 | 90.0 | 90.0 | 90.0 |
| C1--CaF2--fluorite | dynamic | -1.1961 | -1.1961 | 13.0206 | 13.0206 | 13.0206 | 90.0 | 90.0 | 90.0 |
| C1--CaF2--fluorite | dynamic | -0.8208 | -0.8208 | 10.1063 | 10.1063 | 10.1063 | 90.0 | 90.0 | 90.0 |
| C1--CaF2--fluorite | dynamic | -0.1489 | -0.1489 | 13.6673 | 13.6673 | 13.6673 | 90.0 | 90.0 | 90.0 |
Download raw data (including filtered results)
Reference structure matches:
| prototype | method | Ecoh (eV/atom) | Epot (eV/atom) | a0 (Å) | b0 (Å) | c0 (Å) | α (degrees) | β (degrees) | γ (degrees) |
|---|---|---|---|---|---|---|---|---|---|
| mp-1183189 | dynamic | -3.6723 | -3.6723 | 3.9635 | 3.9635 | 8.2251 | 90.0 | 90.0 | 90.0 |
| L1_2--AuCu3 | static | -3.6441 | -3.6441 | 4.0349 | 4.0349 | 4.0349 | 90.0 | 90.0 | 90.0 |
| A15--Cr3Si | dynamic | -3.6276 | -3.6276 | 5.0462 | 5.0462 | 5.0462 | 90.0 | 90.0 | 90.0 |
| D0_3--BiF3 | static | -3.5949 | -3.5949 | 6.4584 | 6.4584 | 6.4584 | 90.0 | 90.0 | 90.0 |
| L1_2--AuCu3 | dynamic | -1.1022 | -1.1022 | 6.9245 | 6.9245 | 6.9245 | 90.0 | 90.0 | 90.0 |
| A15--Cr3Si | static | -1.0688 | -1.0688 | 8.2855 | 8.2855 | 8.2855 | 90.0 | 90.0 | 90.0 |
| D0_3--BiF3 | dynamic | -0.9774 | -0.9774 | 11.0373 | 11.0373 | 11.0373 | 90.0 | 90.0 | 90.0 |
Download raw data (including filtered results)
Reference structure matches:
| prototype | method | Ecoh (eV/atom) | Epot (eV/atom) | a0 (Å) | b0 (Å) | c0 (Å) | α (degrees) | β (degrees) | γ (degrees) |
|---|---|---|---|---|---|---|---|---|---|
| mp-16480 | dynamic | -3.9553 | -3.9553 | 7.5417 | 7.5417 | 45.8022 | 90.0 | 90.0 | 120.0 |
| mp-16480 | static | -3.9553 | -3.9553 | 7.5441 | 7.5441 | 45.7641 | 90.0 | 90.0 | 120.0 |
| mp-16480 | box | -3.9448 | -3.9448 | 7.6883 | 7.6883 | 44.0399 | 90.0 | 90.0 | 120.0 |
Download raw data (including filtered results)
Reference structure matches:
| prototype | method | Ecoh (eV/atom) | Epot (eV/atom) | a0 (Å) | b0 (Å) | c0 (Å) | α (degrees) | β (degrees) | γ (degrees) |
|---|---|---|---|---|---|---|---|---|---|
| L1_2--AuCu3 | dynamic | -3.5987 | -3.5987 | 3.9697 | 3.9697 | 3.9697 | 90.0 | 90.0 | 90.0 |
| A15--Cr3Si | static | -3.5526 | -3.5526 | 4.9877 | 4.9877 | 4.9877 | 90.0 | 90.0 | 90.0 |
| D0_3--BiF3 | static | -3.551 | -3.551 | 6.4183 | 6.4183 | 6.4183 | 90.0 | 90.0 | 90.0 |
| A15--Cr3Si | static | -1.0529 | -1.0529 | 8.0076 | 8.0076 | 8.0076 | 90.0 | 90.0 | 90.0 |
| L1_2--AuCu3 | dynamic | -0.9516 | -0.9516 | 6.6145 | 6.6145 | 6.6145 | 90.0 | 90.0 | 90.0 |
| A15--Cr3Si | static | -0.2896 | -0.2896 | 10.497 | 10.497 | 10.497 | 90.0 | 90.0 | 90.0 |
| D0_3--BiF3 | static | -0.168 | -0.168 | 13.4647 | 13.4647 | 13.4647 | 90.0 | 90.0 | 90.0 |
Download raw data (including filtered results)
Reference structure matches:
| prototype | method | Ecoh (eV/atom) | Epot (eV/atom) | a0 (Å) | b0 (Å) | c0 (Å) | α (degrees) | β (degrees) | γ (degrees) |
|---|---|---|---|---|---|---|---|---|---|
| mp-1228120 | static | -3.4879 | -3.4879 | 2.9243 | 2.9243 | 32.5981 | 90.0 | 90.0 | 120.0 |
| mp-1228120 | box | -3.4845 | -3.4845 | 2.8978 | 2.8978 | 33.0029 | 90.0 | 90.0 | 120.0 |
Download raw data (including filtered results)
Reference structure matches:
| prototype | method | Ecoh (eV/atom) | Epot (eV/atom) | a0 (Å) | b0 (Å) | c0 (Å) | α (degrees) | β (degrees) | γ (degrees) |
|---|---|---|---|---|---|---|---|---|---|
| mp-1203554 | dynamic | -4.039 | -4.039 | 10.1737 | 10.1848 | 10.1911 | 90.1 | 90.2 | 90.0 |
| mp-1203554 | static | -4.039 | -4.039 | 10.1737 | 10.1846 | 10.1913 | 90.1 | 90.2 | 90.0 |
| mp-1203554 | box | -4.0237 | -4.0237 | 10.152 | 10.1584 | 10.1986 | 89.3 | 89.6 | 89.6 |
Download raw data (including filtered results)
Reference structure matches:
B2--CsCl = mp-10871
| prototype | method | Ecoh (eV/atom) | Epot (eV/atom) | a0 (Å) | b0 (Å) | c0 (Å) | α (degrees) | β (degrees) | γ (degrees) |
|---|---|---|---|---|---|---|---|---|---|
| B1--NaCl--rock-salt | static | -3.9252 | -3.9252 | 5.1481 | 5.1481 | 5.1481 | 90.0 | 90.0 | 90.0 |
| mp-1399 | box | -3.9027 | -3.9027 | 5.9452 | 3.4847 | 6.641 | 90.0 | 91.3 | 90.0 |
| B2--CsCl | static | -3.8782 | -3.8782 | 3.2047 | 3.2047 | 3.2047 | 90.0 | 90.0 | 90.0 |
| B4--ZnS--wurtzite | static | -3.7824 | -3.7824 | 2.9717 | 2.9717 | 9.1959 | 90.0 | 90.0 | 120.0 |
| B3--ZnS--cubic-zinc-blende | static | -3.5341 | -3.5341 | 5.6617 | 5.6617 | 5.6617 | 90.0 | 90.0 | 90.0 |
| B4--ZnS--wurtzite | box | -3.5295 | -3.5295 | 3.9945 | 3.9945 | 6.5583 | 90.0 | 90.0 | 120.0 |
| L1_0--AuCu | static | -1.1799 | -1.1799 | 4.5926 | 4.5926 | 7.2525 | 90.0 | 90.0 | 90.0 |
| B2--CsCl | dynamic | -1.1183 | -1.1183 | 5.5514 | 5.5514 | 5.5514 | 90.0 | 90.0 | 90.0 |
| L1_0--AuCu | box | -0.9894 | -0.9894 | 5.3132 | 5.3132 | 4.4064 | 90.0 | 90.0 | 90.0 |
| B1--NaCl--rock-salt | dynamic | -0.7232 | -0.7232 | 9.7219 | 9.7219 | 9.7219 | 90.0 | 90.0 | 90.0 |
| B3--ZnS--cubic-zinc-blende | dynamic | -0.5257 | -0.5257 | 11.2014 | 11.2014 | 11.2014 | 90.0 | 90.0 | 90.0 |
| B4--ZnS--wurtzite | dynamic | -0.5257 | -0.5257 | 7.92 | 7.92 | 12.936 | 90.0 | 90.0 | 120.0 |
| B4--ZnS--wurtzite | dynamic | -0.5257 | -0.5257 | 7.9199 | 7.9199 | 12.9363 | 90.0 | 90.0 | 120.0 |
| B4--ZnS--wurtzite | static | -0.5257 | -0.5257 | 7.9195 | 7.9195 | 12.9375 | 90.0 | 90.0 | 120.0 |
| B4--ZnS--wurtzite | box | -0.5257 | -0.5257 | 7.9184 | 7.9184 | 12.9411 | 90.0 | 90.0 | 120.0 |
| B2--CsCl | dynamic | -0.0191 | -0.0191 | 6.9149 | 6.9149 | 6.9149 | 90.0 | 90.0 | 90.0 |
| B1--NaCl--rock-salt | dynamic | 0.0189 | 0.0189 | 11.9646 | 11.9646 | 11.9646 | 90.0 | 90.0 | 90.0 |
Download raw data (including filtered results)
Reference structure matches:
| prototype | method | Ecoh (eV/atom) | Epot (eV/atom) | a0 (Å) | b0 (Å) | c0 (Å) | α (degrees) | β (degrees) | γ (degrees) |
|---|---|---|---|---|---|---|---|---|---|
| C1--CaF2--fluorite | dynamic | -3.9707 | -3.9707 | 5.9923 | 5.9923 | 5.9923 | 90.0 | 90.0 | 90.0 |
| mp-30550 | dynamic | -3.9666 | -3.9666 | 9.4357 | 17.3364 | 3.0279 | 90.0 | 90.0 | 90.0 |
| mp-30550 | static | -3.9666 | -3.9666 | 9.4358 | 17.3368 | 3.0279 | 90.0 | 90.0 | 90.0 |
| mp-569558 | dynamic | -3.9599 | -3.9599 | 7.1057 | 3.0128 | 9.32 | 90.0 | 90.0 | 90.0 |
| mp-569558 | static | -3.9599 | -3.9599 | 7.1057 | 3.0129 | 9.3197 | 90.0 | 90.0 | 90.0 |
| mp-30550 | box | -3.9595 | -3.9595 | 9.2835 | 17.5423 | 3.0467 | 90.0 | 90.0 | 90.0 |
| mp-1018179 | dynamic | -3.9466 | -3.9466 | 3.1653 | 3.1653 | 9.7439 | 90.0 | 90.0 | 90.0 |
| mp-569558 | box | -3.9439 | -3.9439 | 6.5932 | 3.3122 | 9.1774 | 90.0 | 90.0 | 90.0 |
| mp-1018179 | box | -3.9411 | -3.9411 | 3.1971 | 3.1971 | 9.5942 | 90.0 | 90.0 | 90.0 |
| C1--CaF2--fluorite | dynamic | -0.88 | -0.88 | 11.1282 | 11.1282 | 11.1282 | 90.0 | 90.0 | 90.0 |
| C1--CaF2--fluorite | dynamic | -0.0127 | -0.0127 | 13.8299 | 13.8299 | 13.8299 | 90.0 | 90.0 | 90.0 |
Download raw data (including filtered results)
Reference structure matches:
| prototype | method | Ecoh (eV/atom) | Epot (eV/atom) | a0 (Å) | b0 (Å) | c0 (Å) | α (degrees) | β (degrees) | γ (degrees) |
|---|---|---|---|---|---|---|---|---|---|
| L2_1--AlCu2Mn--heusler | static | -3.9072 | -3.9072 | 6.5319 | 6.5319 | 6.5319 | 90.0 | 90.0 | 90.0 |
| L2_1--AlCu2Mn--heusler | static | -1.551 | -1.551 | 8.7252 | 8.7252 | 8.7252 | 90.0 | 90.0 | 90.0 |
| L2_1--AlCu2Mn--heusler | static | -1.3199 | -1.3199 | 10.4925 | 10.4925 | 10.4925 | 90.0 | 90.0 | 90.0 |
| L2_1--AlCu2Mn--heusler | dynamic | -0.0569 | -0.0569 | 13.8192 | 13.8192 | 13.8192 | 90.0 | 90.0 | 90.0 |
Download raw data (including filtered results)
Reference structure matches:
| prototype | method | Ecoh (eV/atom) | Epot (eV/atom) | a0 (Å) | b0 (Å) | c0 (Å) | α (degrees) | β (degrees) | γ (degrees) |
|---|---|---|---|---|---|---|---|---|---|
| mp-1183223 | static | -3.9184 | -3.9184 | 5.9136 | 5.9136 | 4.4961 | 90.0 | 90.0 | 120.0 |
| mp-1183223 | box | -3.9182 | -3.9182 | 5.9077 | 5.9077 | 4.5054 | 90.0 | 90.0 | 120.0 |
| L1_2--AuCu3 | static | -3.9152 | -3.9152 | 4.0949 | 4.0949 | 4.0949 | 90.0 | 90.0 | 90.0 |
| D0_3--BiF3 | static | -3.8475 | -3.8475 | 6.5137 | 6.5137 | 6.5137 | 90.0 | 90.0 | 90.0 |
| A15--Cr3Si | static | -3.8066 | -3.8066 | 5.2189 | 5.2189 | 5.2189 | 90.0 | 90.0 | 90.0 |
| L1_2--AuCu3 | static | -1.2126 | -1.2126 | 6.4997 | 6.4997 | 6.4997 | 90.0 | 90.0 | 90.0 |
| A15--Cr3Si | dynamic | -1.1632 | -1.1632 | 8.9481 | 8.9481 | 8.9481 | 90.0 | 90.0 | 90.0 |
| D0_3--BiF3 | static | -1.1378 | -1.1378 | 10.8265 | 10.8265 | 10.8265 | 90.0 | 90.0 | 90.0 |
| L1_2--AuCu3 | dynamic | -0.7385 | -0.7385 | 7.7843 | 7.7843 | 7.7843 | 90.0 | 90.0 | 90.0 |
| D0_3--BiF3 | dynamic | -0.5237 | -0.5237 | 12.7145 | 12.7145 | 12.7145 | 90.0 | 90.0 | 90.0 |
| A15--Cr3Si | box | -0.187 | -0.187 | 10.7226 | 10.7226 | 10.7226 | 90.0 | 90.0 | 90.0 |
| A15--Cr3Si | static | -0.1111 | -0.1111 | 11.0916 | 11.0916 | 11.0916 | 90.0 | 90.0 | 90.0 |
Download raw data (including filtered results)
Reference structure matches:
| prototype | method | Ecoh (eV/atom) | Epot (eV/atom) | a0 (Å) | b0 (Å) | c0 (Å) | α (degrees) | β (degrees) | γ (degrees) |
|---|---|---|---|---|---|---|---|---|---|
| mp-1490 | static | -3.9186 | -3.9186 | 7.0257 | 7.0257 | 7.0257 | 90.0 | 90.0 | 90.0 |
| mp-1490 | box | -3.9155 | -3.9155 | 7.0237 | 7.0237 | 7.0237 | 90.0 | 90.0 | 90.0 |
| mp-1228956 | box | -3.8739 | -3.8739 | 4.7745 | 3.5677 | 10.291 | 90.0 | 91.6 | 90.0 |
Download raw data (including filtered results)
Reference structure matches:
| prototype | method | Ecoh (eV/atom) | Epot (eV/atom) | a0 (Å) | b0 (Å) | c0 (Å) | α (degrees) | β (degrees) | γ (degrees) |
|---|---|---|---|---|---|---|---|---|---|
| L2_1--AlCu2Mn--heusler | static | -3.8669 | -3.8669 | 6.5516 | 6.5516 | 6.5516 | 90.0 | 90.0 | 90.0 |
| L2_1--AlCu2Mn--heusler | dynamic | -3.7528 | -3.7528 | 13.021 | 13.021 | 13.021 | 90.0 | 90.0 | 90.0 |
| L2_1--AlCu2Mn--heusler | static | -1.2638 | -1.2638 | 9.3846 | 9.3846 | 9.3846 | 90.0 | 90.0 | 90.0 |
| L2_1--AlCu2Mn--heusler | dynamic | -0.1221 | -0.1221 | 13.5875 | 13.5875 | 13.5875 | 90.0 | 90.0 | 90.0 |
Download raw data (including filtered results)
Reference structure matches:
B2--CsCl = mp-1021666
| prototype | method | Ecoh (eV/atom) | Epot (eV/atom) | a0 (Å) | b0 (Å) | c0 (Å) | α (degrees) | β (degrees) | γ (degrees) |
|---|---|---|---|---|---|---|---|---|---|
| L1_0--AuCu | static | -7.3531 | -7.3531 | 6.1251 | 6.1251 | 7.2201 | 90.0 | 90.0 | 90.0 |
| L1_0--AuCu | box | -7.3411 | -7.3411 | 6.695 | 6.695 | 6.1251 | 90.0 | 90.0 | 90.0 |
| B2--CsCl | dynamic | -7.3292 | -7.3292 | 6.5106 | 6.5106 | 6.5106 | 90.0 | 90.0 | 90.0 |
| B1--NaCl--rock-salt | static | -3.868 | -3.868 | 5.0482 | 5.0482 | 5.0482 | 90.0 | 90.0 | 90.0 |
| B2--CsCl | static | -3.7801 | -3.7801 | 3.2693 | 3.2693 | 3.2693 | 90.0 | 90.0 | 90.0 |
| B3--ZnS--cubic-zinc-blende | static | -3.6681 | -3.6681 | 5.7151 | 5.7151 | 5.7151 | 90.0 | 90.0 | 90.0 |
| B4--ZnS--wurtzite | static | -3.6628 | -3.6628 | 4.0094 | 4.0094 | 6.6326 | 90.0 | 90.0 | 120.0 |
| B4--ZnS--wurtzite | box | -3.6625 | -3.6625 | 4.0281 | 4.0281 | 6.5737 | 90.0 | 90.0 | 120.0 |
| B1--NaCl--rock-salt | dynamic | -3.115 | -3.115 | 11.2765 | 11.2765 | 11.2765 | 90.0 | 90.0 | 90.0 |
| B2--CsCl | static | -1.0023 | -1.0023 | 4.6103 | 4.6103 | 4.6103 | 90.0 | 90.0 | 90.0 |
| L1_0--AuCu | static | -0.9956 | -0.9956 | 4.5923 | 4.5923 | 6.3273 | 90.0 | 90.0 | 90.0 |
| L1_0--AuCu | box | -0.9383 | -0.9383 | 4.0541 | 4.0541 | 5.1672 | 90.0 | 90.0 | 90.0 |
| B3--ZnS--cubic-zinc-blende | dynamic | -0.9137 | -0.9137 | 13.0203 | 13.0203 | 13.0203 | 90.0 | 90.0 | 90.0 |
| B4--ZnS--wurtzite | static | -0.9137 | -0.9137 | 9.2043 | 9.2043 | 15.0426 | 90.0 | 90.0 | 120.0 |
| B3--ZnS--cubic-zinc-blende | dynamic | -0.8491 | -0.8491 | 8.3387 | 8.3387 | 8.3387 | 90.0 | 90.0 | 90.0 |
| B4--ZnS--wurtzite | static | -0.737 | -0.737 | 5.863 | 5.863 | 9.7538 | 90.0 | 90.0 | 120.0 |
| B1--NaCl--rock-salt | dynamic | -0.6722 | -0.6722 | 9.1323 | 9.1323 | 9.1323 | 90.0 | 90.0 | 90.0 |
| B4--ZnS--wurtzite | box | -0.6499 | -0.6499 | 5.8914 | 5.8914 | 9.6721 | 90.0 | 90.0 | 120.0 |
| B1--NaCl--rock-salt | static | -0.64 | -0.64 | 8.525 | 8.525 | 8.525 | 90.0 | 90.0 | 90.0 |
| B3--ZnS--cubic-zinc-blende | dynamic | -0.5379 | -0.5379 | 10.5578 | 10.5578 | 10.5578 | 90.0 | 90.0 | 90.0 |
| B4--ZnS--wurtzite | static | -0.5379 | -0.5379 | 7.465 | 7.465 | 12.1924 | 90.0 | 90.0 | 120.0 |
| B4--ZnS--wurtzite | dynamic | -0.5379 | -0.5379 | 7.4649 | 7.4649 | 12.1929 | 90.0 | 90.0 | 120.0 |
| B4--ZnS--wurtzite | static | -0.5379 | -0.5379 | 7.4648 | 7.4648 | 12.1932 | 90.0 | 90.0 | 120.0 |
| B4--ZnS--wurtzite | dynamic | -0.5379 | -0.5379 | 7.4647 | 7.4647 | 12.1936 | 90.0 | 90.0 | 120.0 |
| B4--ZnS--wurtzite | box | -0.5379 | -0.5379 | 7.4635 | 7.4635 | 12.1975 | 90.0 | 90.0 | 120.0 |
| L1_0--AuCu | box | -0.5283 | -0.5283 | 5.6366 | 5.6366 | 9.1929 | 90.0 | 90.0 | 90.0 |
| B3--ZnS--cubic-zinc-blende | dynamic | -0.468 | -0.468 | 9.1124 | 9.1124 | 9.1124 | 90.0 | 90.0 | 90.0 |
| B4--ZnS--wurtzite | static | -0.468 | -0.468 | 6.4422 | 6.4422 | 10.526 | 90.0 | 90.0 | 120.0 |
| B4--ZnS--wurtzite | static | -0.468 | -0.468 | 6.442 | 6.442 | 10.5265 | 90.0 | 90.0 | 120.0 |
| B4--ZnS--wurtzite | dynamic | -0.468 | -0.468 | 6.442 | 6.442 | 10.5267 | 90.0 | 90.0 | 120.0 |
| B4--ZnS--wurtzite | box | -0.468 | -0.468 | 6.4417 | 6.4417 | 10.5276 | 90.0 | 90.0 | 120.0 |
| L1_0--AuCu | static | -0.2012 | -0.2012 | 5.8961 | 5.8961 | 8.4362 | 90.0 | 90.0 | 90.0 |
| B2--CsCl | dynamic | -0.1677 | -0.1677 | 6.8299 | 6.8299 | 6.8299 | 90.0 | 90.0 | 90.0 |
| B1--NaCl--rock-salt | dynamic | -0.142 | -0.142 | 11.8243 | 11.8243 | 11.8243 | 90.0 | 90.0 | 90.0 |
| B3--ZnS--cubic-zinc-blende | dynamic | -0.113 | -0.113 | 13.637 | 13.637 | 13.637 | 90.0 | 90.0 | 90.0 |
| B4--ZnS--wurtzite | dynamic | -0.113 | -0.113 | 9.6403 | 9.6403 | 15.7551 | 90.0 | 90.0 | 120.0 |
| B4--ZnS--wurtzite | dynamic | -0.113 | -0.113 | 9.6277 | 9.6277 | 15.7958 | 90.0 | 90.0 | 120.0 |
Download raw data (including filtered results)
Reference structure matches:
| prototype | method | Ecoh (eV/atom) | Epot (eV/atom) | a0 (Å) | b0 (Å) | c0 (Å) | α (degrees) | β (degrees) | γ (degrees) |
|---|---|---|---|---|---|---|---|---|---|
| C1--CaF2--fluorite | dynamic | -8.8356 | -8.8356 | 8.3036 | 8.3036 | 8.3036 | 90.0 | 90.0 | 90.0 |
| C1--CaF2--fluorite | dynamic | -4.9083 | -4.9083 | 13.0212 | 13.0212 | 13.0212 | 90.0 | 90.0 | 90.0 |
| C1--CaF2--fluorite | dynamic | -3.834 | -3.834 | 6.1804 | 6.1804 | 6.1804 | 90.0 | 90.0 | 90.0 |
| C1--CaF2--fluorite | dynamic | -0.8135 | -0.8135 | 9.097 | 9.097 | 9.097 | 90.0 | 90.0 | 90.0 |
| C1--CaF2--fluorite | static | -0.6854 | -0.6854 | 10.3472 | 10.3472 | 10.3472 | 90.0 | 90.0 | 90.0 |
| C1--CaF2--fluorite | dynamic | -0.1142 | -0.1142 | 13.6215 | 13.6215 | 13.6215 | 90.0 | 90.0 | 90.0 |
Download raw data (including filtered results)
Reference structure matches:
| prototype | method | Ecoh (eV/atom) | Epot (eV/atom) | a0 (Å) | b0 (Å) | c0 (Å) | α (degrees) | β (degrees) | γ (degrees) |
|---|---|---|---|---|---|---|---|---|---|
| A15--Cr3Si | static | -19.581 | -19.581 | 6.3627 | 6.3627 | 6.3627 | 90.0 | 90.0 | 90.0 |
| L1_2--AuCu3 | dynamic | -12.576 | -12.576 | 7.9762 | 7.9762 | 7.9762 | 90.0 | 90.0 | 90.0 |
| A15--Cr3Si | static | -12.2724 | -12.2724 | 10.0862 | 10.0862 | 10.0862 | 90.0 | 90.0 | 90.0 |
| D0_3--BiF3 | dynamic | -5.1941 | -5.1941 | 13.0207 | 13.0207 | 13.0207 | 90.0 | 90.0 | 90.0 |
| D0_3--BiF3 | static | -3.7343 | -3.7343 | 6.5634 | 6.5634 | 6.5634 | 90.0 | 90.0 | 90.0 |
| L1_2--AuCu3 | static | -3.6883 | -3.6883 | 3.9743 | 3.9743 | 3.9743 | 90.0 | 90.0 | 90.0 |
| A15--Cr3Si | static | -3.6361 | -3.6361 | 5.2144 | 5.2144 | 5.2144 | 90.0 | 90.0 | 90.0 |
| L1_2--AuCu3 | dynamic | -1.0116 | -1.0116 | 6.3918 | 6.3918 | 6.3918 | 90.0 | 90.0 | 90.0 |
| D0_3--BiF3 | dynamic | -0.9944 | -0.9944 | 9.1728 | 9.1728 | 9.1728 | 90.0 | 90.0 | 90.0 |
| A15--Cr3Si | static | -0.992 | -0.992 | 7.6203 | 7.6203 | 7.6203 | 90.0 | 90.0 | 90.0 |
| D0_3--BiF3 | static | -0.9161 | -0.9161 | 10.3037 | 10.3037 | 10.3037 | 90.0 | 90.0 | 90.0 |
| L1_2--AuCu3 | box | -0.8328 | -0.8328 | 5.5079 | 5.5079 | 5.5079 | 90.0 | 90.0 | 90.0 |
| A15--Cr3Si | dynamic | -0.2005 | -0.2005 | 10.5729 | 10.5729 | 10.5729 | 90.0 | 90.0 | 90.0 |
| L1_2--AuCu3 | dynamic | -0.1905 | -0.1905 | 8.3972 | 8.3972 | 8.3972 | 90.0 | 90.0 | 90.0 |
| D0_3--BiF3 | dynamic | -0.1523 | -0.1523 | 13.7146 | 13.7146 | 13.7146 | 90.0 | 90.0 | 90.0 |
| A15--Cr3Si | dynamic | -0.046 | -0.046 | 11.8995 | 11.8995 | 11.8995 | 90.0 | 90.0 | 90.0 |
| A15--Cr3Si | dynamic | -0.0347 | -0.0347 | 11.2751 | 11.2751 | 11.2751 | 90.0 | 90.0 | 90.0 |
Download raw data (including filtered results)
Reference structure matches:
A1--Cu--fcc = mp-81, oqmd-592562, oqmd-593868, oqmd-594005, oqmd-594521, oqmd-594522, oqmd-598514, oqmd-629973, oqmd-636381, oqmd-636382, oqmd-1214506
A15--beta-W = oqmd-1214951, oqmd-1280361
A2--W--bcc = oqmd-1215129
A3'--alpha-La--double-hcp = oqmd-1215397
A3--Mg--hcp = oqmd-1215307
A4--C--dc = oqmd-1215486
A5--beta-Sn = oqmd-1215575
A6--In--bct = oqmd-1215664
A7--alpha-As = oqmd-1215753
| prototype | method | Ecoh (eV/atom) | Epot (eV/atom) | a0 (Å) | b0 (Å) | c0 (Å) | α (degrees) | β (degrees) | γ (degrees) |
|---|---|---|---|---|---|---|---|---|---|
| A1--Cu--fcc | dynamic | -3.8612 | -3.8612 | 4.1499 | 4.1499 | 4.1499 | 90.0 | 90.0 | 90.0 |
| A1--Cu--fcc | dynamic | -3.8612 | -3.8612 | 4.1513 | 4.1513 | 4.1513 | 90.0 | 90.0 | 90.0 |
| A3'--alpha-La--double-hcp | dynamic | -3.8554 | -3.8554 | 2.9767 | 2.9767 | 9.3467 | 90.0 | 90.0 | 120.0 |
| oqmd-1216020 | dynamic | -3.8547 | -3.8547 | 2.9849 | 2.9849 | 20.9295 | 90.0 | 90.0 | 120.0 |
| oqmd-1216020 | box | -3.8543 | -3.8543 | 2.9861 | 2.9861 | 20.9053 | 90.0 | 90.0 | 120.0 |
| A3--Mg--hcp | dynamic | -3.8531 | -3.8531 | 3.0034 | 3.0034 | 4.5926 | 90.0 | 90.0 | 120.0 |
| mp-1008634 | box | -3.853 | -3.853 | 2.9981 | 5.2108 | 4.593 | 90.0 | 90.0 | 90.0 |
| oqmd-1215218 | box | -3.85 | -3.85 | 2.9651 | 5.2499 | 4.6112 | 90.0 | 90.0 | 90.0 |
| oqmd-1214684 | box | -3.8061 | -3.8061 | 5.0276 | 5.0309 | 5.754 | 90.0 | 90.0 | 90.0 |
| oqmd-1214773 | dynamic | -3.7972 | -3.7972 | 10.2034 | 10.2034 | 10.2034 | 90.0 | 90.0 | 90.0 |
| oqmd-1214773 | box | -3.7971 | -3.7971 | 10.203 | 10.203 | 10.203 | 90.0 | 90.0 | 90.0 |
| oqmd-1214862 | dynamic | -3.7885 | -3.7885 | 7.179 | 7.179 | 7.179 | 90.0 | 90.0 | 90.0 |
| A2--W--bcc | box | -3.7869 | -3.7869 | 3.3073 | 3.3073 | 3.3073 | 90.0 | 90.0 | 90.0 |
| oqmd-1214862 | box | -3.7836 | -3.7836 | 7.1663 | 7.1663 | 7.1663 | 90.0 | 90.0 | 90.0 |
| oqmd-1038224 | static | -3.7744 | -3.7744 | 4.7217 | 4.7217 | 2.8524 | 90.0 | 90.0 | 120.0 |
| oqmd-1038224 | box | -3.7744 | -3.7744 | 4.7209 | 4.7209 | 2.8524 | 90.0 | 90.0 | 120.0 |
| A15--beta-W | static | -3.7525 | -3.7525 | 5.279 | 5.279 | 5.279 | 90.0 | 90.0 | 90.0 |
| A5--beta-Sn | static | -3.6849 | -3.6849 | 5.3776 | 5.3776 | 2.7509 | 90.0 | 90.0 | 90.0 |
| Ah--alpha-Po--sc | dynamic | -3.6188 | -3.6188 | 2.7502 | 2.7502 | 2.7502 | 90.0 | 90.0 | 90.0 |
| A7--alpha-As | box | -3.6148 | -3.6148 | 3.7816 | 3.7816 | 10.0501 | 90.0 | 90.0 | 120.0 |
| oqmd-1215842 | box | -3.6138 | -3.6138 | 4.0335 | 4.0335 | 4.4145 | 90.0 | 90.0 | 120.0 |
| oqmd-1215931 | box | -3.3086 | -3.3086 | 4.6568 | 4.6568 | 5.4333 | 90.0 | 90.0 | 120.0 |
| A4--C--dc | static | -3.2223 | -3.2223 | 6.1876 | 6.1876 | 6.1876 | 90.0 | 90.0 | 90.0 |
| Ah--alpha-Po--sc | static | -1.6961 | -1.6961 | 3.8489 | 3.8489 | 3.8489 | 90.0 | 90.0 | 90.0 |
| A1--Cu--fcc | static | -1.4338 | -1.4338 | 6.1961 | 6.1961 | 6.1961 | 90.0 | 90.0 | 90.0 |
| A1--Cu--fcc | dynamic | -1.4338 | -1.4338 | 6.1962 | 6.1962 | 6.1962 | 90.0 | 90.0 | 90.0 |
| A3'--alpha-La--double-hcp | static | -1.4338 | -1.4338 | 4.3814 | 4.3814 | 14.3096 | 90.0 | 90.0 | 120.0 |
| A3--Mg--hcp | static | -1.4338 | -1.4338 | 4.3814 | 4.3814 | 7.1548 | 90.0 | 90.0 | 120.0 |
| A3--Mg--hcp | dynamic | -1.4338 | -1.4338 | 4.3818 | 4.3818 | 7.1559 | 90.0 | 90.0 | 120.0 |
| A5--beta-Sn | dynamic | -1.0066 | -1.0066 | 8.7088 | 8.7088 | 4.5006 | 90.0 | 90.0 | 90.0 |
| A1--Cu--fcc | dynamic | -0.8357 | -0.8357 | 7.8429 | 7.8429 | 7.8429 | 90.0 | 90.0 | 90.0 |
| A3'--alpha-La--double-hcp | dynamic | -0.8357 | -0.8357 | 5.5457 | 5.5457 | 18.1123 | 90.0 | 90.0 | 120.0 |
| A3--Mg--hcp | dynamic | -0.8357 | -0.8357 | 5.5457 | 5.5457 | 9.0561 | 90.0 | 90.0 | 120.0 |
| Ah--alpha-Po--sc | dynamic | -0.7644 | -0.7644 | 4.3929 | 4.3929 | 4.3929 | 90.0 | 90.0 | 90.0 |
| A7--alpha-As | static | -0.5996 | -0.5996 | 6.368 | 6.368 | 19.6824 | 90.0 | 90.0 | 120.0 |
| A7--alpha-As | dynamic | -0.5996 | -0.5996 | 6.3769 | 6.3769 | 19.6455 | 90.0 | 90.0 | 120.0 |
| A2--W--bcc | dynamic | -0.5701 | -0.5701 | 6.4037 | 6.4037 | 6.4037 | 90.0 | 90.0 | 90.0 |
| A4--C--dc | dynamic | -0.5188 | -0.5188 | 10.1506 | 10.1506 | 10.1506 | 90.0 | 90.0 | 90.0 |
| A15--beta-W | static | -0.491 | -0.491 | 9.9625 | 9.9625 | 9.9625 | 90.0 | 90.0 | 90.0 |
| Ah--alpha-Po--sc | dynamic | -0.4323 | -0.4323 | 5.5458 | 5.5458 | 5.5458 | 90.0 | 90.0 | 90.0 |
| A5--beta-Sn | dynamic | -0.4323 | -0.4323 | 10.7394 | 10.7394 | 5.5458 | 90.0 | 90.0 | 90.0 |
| A5--beta-Sn | box | -0.3259 | -0.3259 | 10.0316 | 10.0316 | 5.5457 | 90.0 | 90.0 | 90.0 |
| A4--C--dc | dynamic | -0.2915 | -0.2915 | 12.8075 | 12.8075 | 12.8075 | 90.0 | 90.0 | 90.0 |
| A7--alpha-As | dynamic | -0.22 | -0.22 | 8.7983 | 8.7983 | 18.2473 | 90.0 | 90.0 | 120.0 |
| A7--alpha-As | static | -0.22 | -0.22 | 8.2906 | 8.2906 | 22.9654 | 90.0 | 90.0 | 120.0 |
| A15--beta-W | static | -0.1111 | -0.1111 | 11.0916 | 11.0916 | 11.0916 | 90.0 | 90.0 | 90.0 |
Download raw data (including filtered results)
Reference structure matches:
| prototype | method | Ecoh (eV/atom) | Epot (eV/atom) | a0 (Å) | b0 (Å) | c0 (Å) | α (degrees) | β (degrees) | γ (degrees) |
|---|---|---|---|---|---|---|---|---|---|
| mp-1219349 | static | -3.9613 | -3.9613 | 9.6666 | 9.6666 | 9.6666 | 90.0 | 90.0 | 90.0 |
| mp-1219349 | box | -3.9493 | -3.9493 | 9.7039 | 9.7039 | 9.7039 | 90.0 | 90.0 | 90.0 |
Download raw data (including filtered results)
Reference structure matches:
| prototype | method | Ecoh (eV/atom) | Epot (eV/atom) | a0 (Å) | b0 (Å) | c0 (Å) | α (degrees) | β (degrees) | γ (degrees) |
|---|---|---|---|---|---|---|---|---|---|
| C1--CaF2--fluorite | dynamic | -4.1139 | -4.1139 | 6.0031 | 6.0031 | 6.0031 | 90.0 | 90.0 | 90.0 |
| oqmd-1231673 | box | -4.0292 | -4.0292 | 5.6329 | 5.6329 | 3.8592 | 90.0 | 90.0 | 90.0 |
| C1--CaF2--fluorite | static | -1.2273 | -1.2273 | 10.4428 | 10.4428 | 10.4428 | 90.0 | 90.0 | 90.0 |
| C1--CaF2--fluorite | dynamic | -1.1618 | -1.1618 | 9.2081 | 9.2081 | 9.2081 | 90.0 | 90.0 | 90.0 |
| C1--CaF2--fluorite | dynamic | -0.064 | -0.064 | 13.8026 | 13.8026 | 13.8026 | 90.0 | 90.0 | 90.0 |
| C1--CaF2--fluorite | dynamic | -0.0553 | -0.0553 | 13.5385 | 13.5385 | 13.5385 | 90.0 | 90.0 | 90.0 |
Download raw data (including filtered results)
Reference structure matches:
| prototype | method | Ecoh (eV/atom) | Epot (eV/atom) | a0 (Å) | b0 (Å) | c0 (Å) | α (degrees) | β (degrees) | γ (degrees) |
|---|---|---|---|---|---|---|---|---|---|
| oqmd-425751 | static | -3.8663 | -3.8663 | 6.2386 | 6.2386 | 18.6407 | 90.0 | 90.0 | 120.0 |
Download raw data (including filtered results)
Reference structure matches:
D0_3--BiF3 = mp-1186998, oqmd-313099
L1_2--AuCu3 = oqmd-346755
| prototype | method | Ecoh (eV/atom) | Epot (eV/atom) | a0 (Å) | b0 (Å) | c0 (Å) | α (degrees) | β (degrees) | γ (degrees) |
|---|---|---|---|---|---|---|---|---|---|
| mp-972868 | static | -3.9094 | -3.9094 | 6.0511 | 6.0511 | 4.3995 | 90.0 | 90.0 | 120.0 |
| oqmd-302557 | box | -3.9072 | -3.9072 | 5.0671 | 5.0671 | 5.4769 | 90.0 | 90.0 | 90.0 |
| oqmd-302557 | static | -3.9036 | -3.9036 | 4.2937 | 4.2937 | 7.5581 | 90.0 | 90.0 | 90.0 |
| D0_3--BiF3 | static | -3.8817 | -3.8817 | 6.5529 | 6.5529 | 6.5529 | 90.0 | 90.0 | 90.0 |
| L1_2--AuCu3 | static | -3.8793 | -3.8793 | 4.1112 | 4.1112 | 4.1112 | 90.0 | 90.0 | 90.0 |
| oqmd-322269 | box | -3.8456 | -3.8456 | 7.3015 | 7.3015 | 3.2843 | 90.0 | 90.0 | 120.0 |
| A15--Cr3Si | static | -3.8111 | -3.8111 | 5.2594 | 5.2594 | 5.2594 | 90.0 | 90.0 | 90.0 |
| A15--Cr3Si | static | -1.8451 | -1.8451 | 6.5863 | 6.5863 | 6.5863 | 90.0 | 90.0 | 90.0 |
| D0_3--BiF3 | static | -1.8034 | -1.8034 | 8.9537 | 8.9537 | 8.9537 | 90.0 | 90.0 | 90.0 |
| L1_2--AuCu3 | static | -1.796 | -1.796 | 5.471 | 5.471 | 5.471 | 90.0 | 90.0 | 90.0 |
| L1_2--AuCu3 | box | -1.7285 | -1.7285 | 5.2396 | 5.2396 | 5.2396 | 90.0 | 90.0 | 90.0 |
| L1_2--AuCu3 | dynamic | -1.7181 | -1.7181 | 6.3282 | 6.3282 | 6.3282 | 90.0 | 90.0 | 90.0 |
| A15--Cr3Si | static | -0.1907 | -0.1907 | 10.7157 | 10.7157 | 10.7157 | 90.0 | 90.0 | 90.0 |
| L1_2--AuCu3 | box | -0.0481 | -0.0481 | 8.4624 | 8.4624 | 8.4624 | 90.0 | 90.0 | 90.0 |
| A15--Cr3Si | box | -0.0366 | -0.0366 | 10.1346 | 10.1346 | 10.1346 | 90.0 | 90.0 | 90.0 |
| D0_3--BiF3 | box | -0.0096 | -0.0096 | 13.7807 | 13.7807 | 13.7807 | 90.0 | 90.0 | 90.0 |
Download raw data (including filtered results)
Reference structure matches:
B1--NaCl--rock-salt = oqmd-1106148
B2--CsCl = oqmd-306963
B3--ZnS--cubic-zinc-blende = oqmd-1218508
L1_0--AuCu = oqmd-338505
| prototype | method | Ecoh (eV/atom) | Epot (eV/atom) | a0 (Å) | b0 (Å) | c0 (Å) | α (degrees) | β (degrees) | γ (degrees) |
|---|---|---|---|---|---|---|---|---|---|
| B1--NaCl--rock-salt | dynamic | -4.1248 | -4.1248 | 5.0772 | 5.0772 | 5.0772 | 90.0 | 90.0 | 90.0 |
| oqmd-1228187 | static | -4.0797 | -4.0797 | 3.4771 | 3.4771 | 3.3126 | 90.0 | 90.0 | 120.0 |
| B4--ZnS--wurtzite | dynamic | -4.0564 | -4.0564 | 3.9057 | 3.9057 | 6.62 | 90.0 | 90.0 | 120.0 |
| B4--ZnS--wurtzite | box | -4.0533 | -4.0533 | 3.9356 | 3.9356 | 6.5318 | 90.0 | 90.0 | 120.0 |
| oqmd-1224701 | box | -4.0532 | -4.0532 | 3.9362 | 3.9362 | 6.5297 | 90.0 | 90.0 | 120.0 |
| B3--ZnS--cubic-zinc-blende | static | -4.0528 | -4.0528 | 5.6209 | 5.6209 | 5.6209 | 90.0 | 90.0 | 90.0 |
| B2--CsCl | static | -3.9198 | -3.9198 | 3.2723 | 3.2723 | 3.2723 | 90.0 | 90.0 | 90.0 |
| oqmd-1217721 | box | -3.8718 | -3.8718 | 4.7041 | 3.0932 | 4.8321 | 90.0 | 90.0 | 90.0 |
| L1_0--AuCu | dynamic | -1.6289 | -1.6289 | 4.4677 | 4.4677 | 6.3862 | 90.0 | 90.0 | 90.0 |
| B2--CsCl | static | -1.515 | -1.515 | 5.1667 | 5.1667 | 5.1667 | 90.0 | 90.0 | 90.0 |
| B2--CsCl | dynamic | -1.5083 | -1.5083 | 4.6157 | 4.6157 | 4.6157 | 90.0 | 90.0 | 90.0 |
| B1--NaCl--rock-salt | dynamic | -1.1635 | -1.1635 | 9.018 | 9.018 | 9.018 | 90.0 | 90.0 | 90.0 |
| B1--NaCl--rock-salt | static | -1.1381 | -1.1381 | 7.8229 | 7.8229 | 7.8229 | 90.0 | 90.0 | 90.0 |
| B3--ZnS--cubic-zinc-blende | dynamic | -0.8518 | -0.8518 | 10.4231 | 10.4231 | 10.4231 | 90.0 | 90.0 | 90.0 |
| B4--ZnS--wurtzite | dynamic | -0.8518 | -0.8518 | 7.3701 | 7.3701 | 12.0361 | 90.0 | 90.0 | 120.0 |
| B4--ZnS--wurtzite | dynamic | -0.8518 | -0.8518 | 7.3698 | 7.3698 | 12.0369 | 90.0 | 90.0 | 120.0 |
| B4--ZnS--wurtzite | static | -0.8518 | -0.8518 | 7.3693 | 7.3693 | 12.0387 | 90.0 | 90.0 | 120.0 |
| B4--ZnS--wurtzite | static | -0.8518 | -0.8518 | 7.3688 | 7.3688 | 12.0404 | 90.0 | 90.0 | 120.0 |
| B4--ZnS--wurtzite | box | -0.8518 | -0.8518 | 7.3683 | 7.3683 | 12.042 | 90.0 | 90.0 | 120.0 |
| L1_0--AuCu | dynamic | -0.5777 | -0.5777 | 4.4659 | 4.4659 | 10.0753 | 90.0 | 90.0 | 90.0 |
| L1_0--AuCu | dynamic | -0.2437 | -0.2437 | 5.9899 | 5.9899 | 7.4353 | 90.0 | 90.0 | 90.0 |
| B3--ZnS--cubic-zinc-blende | box | -0.2233 | -0.2233 | 8.3744 | 8.3744 | 8.3744 | 90.0 | 90.0 | 90.0 |
| B4--ZnS--wurtzite | static | -0.2143 | -0.2143 | 5.9107 | 5.9107 | 9.7234 | 90.0 | 90.0 | 120.0 |
| B4--ZnS--wurtzite | box | -0.2124 | -0.2124 | 5.9183 | 5.9183 | 9.6975 | 90.0 | 90.0 | 120.0 |
| B2--CsCl | dynamic | -0.1755 | -0.1755 | 6.5063 | 6.5063 | 6.5063 | 90.0 | 90.0 | 90.0 |
| B2--CsCl | dynamic | -0.0945 | -0.0945 | 6.9013 | 6.9013 | 6.9013 | 90.0 | 90.0 | 90.0 |
| B2--CsCl | dynamic | -0.0818 | -0.0818 | 6.7687 | 6.7687 | 6.7687 | 90.0 | 90.0 | 90.0 |
| B1--NaCl--rock-salt | dynamic | -0.0755 | -0.0755 | 11.2581 | 11.2581 | 11.2581 | 90.0 | 90.0 | 90.0 |
| B1--NaCl--rock-salt | dynamic | -0.0637 | -0.0637 | 11.7091 | 11.7091 | 11.7091 | 90.0 | 90.0 | 90.0 |
| B1--NaCl--rock-salt | dynamic | -0.0581 | -0.0581 | 11.9326 | 11.9326 | 11.9326 | 90.0 | 90.0 | 90.0 |
| B3--ZnS--cubic-zinc-blende | dynamic | -0.0449 | -0.0449 | 13.4915 | 13.4915 | 13.4915 | 90.0 | 90.0 | 90.0 |
| B4--ZnS--wurtzite | dynamic | -0.0449 | -0.0449 | 9.5396 | 9.5396 | 15.5797 | 90.0 | 90.0 | 120.0 |
| B4--ZnS--wurtzite | dynamic | -0.0449 | -0.0449 | 9.539 | 9.539 | 15.5816 | 90.0 | 90.0 | 120.0 |
| B4--ZnS--wurtzite | static | -0.0449 | -0.0449 | 9.5385 | 9.5385 | 15.5831 | 90.0 | 90.0 | 120.0 |
| B4--ZnS--wurtzite | static | -0.0449 | -0.0449 | 9.5382 | 9.5382 | 15.5843 | 90.0 | 90.0 | 120.0 |
| B4--ZnS--wurtzite | box | -0.0449 | -0.0449 | 9.5374 | 9.5374 | 15.5869 | 90.0 | 90.0 | 120.0 |
Download raw data (including filtered results)
Reference structure matches:
| prototype | method | Ecoh (eV/atom) | Epot (eV/atom) | a0 (Å) | b0 (Å) | c0 (Å) | α (degrees) | β (degrees) | γ (degrees) |
|---|---|---|---|---|---|---|---|---|---|
| C1--CaF2--fluorite | dynamic | -3.9023 | -3.9023 | 6.1326 | 6.1326 | 6.1326 | 90.0 | 90.0 | 90.0 |
| oqmd-1238854 | static | -3.2885 | -3.2885 | 11.0098 | 11.0098 | 11.0098 | 90.0 | 90.0 | 90.0 |
| C1--CaF2--fluorite | static | -1.0902 | -1.0902 | 10.3274 | 10.3274 | 10.3274 | 90.0 | 90.0 | 90.0 |
| C1--CaF2--fluorite | dynamic | -1.0608 | -1.0608 | 9.312 | 9.312 | 9.312 | 90.0 | 90.0 | 90.0 |
| C1--CaF2--fluorite | dynamic | -0.8328 | -0.8328 | 8.3414 | 8.3414 | 8.3414 | 90.0 | 90.0 | 90.0 |
| C1--CaF2--fluorite | dynamic | -0.1455 | -0.1455 | 13.0099 | 13.0099 | 13.0099 | 90.0 | 90.0 | 90.0 |
| C1--CaF2--fluorite | dynamic | -0.0598 | -0.0598 | 13.4891 | 13.4891 | 13.4891 | 90.0 | 90.0 | 90.0 |
Download raw data (including filtered results)
Reference structure matches:
D0_3--BiF3 = oqmd-311727
L1_2--AuCu3 = oqmd-348127
| prototype | method | Ecoh (eV/atom) | Epot (eV/atom) | a0 (Å) | b0 (Å) | c0 (Å) | α (degrees) | β (degrees) | γ (degrees) |
|---|---|---|---|---|---|---|---|---|---|
| oqmd-301185 | static | -3.9252 | -3.9252 | 3.5202 | 3.5202 | 11.0104 | 90.0 | 90.0 | 90.0 |
| D0_3--BiF3 | static | -3.8344 | -3.8344 | 6.5481 | 6.5481 | 6.5481 | 90.0 | 90.0 | 90.0 |
| L1_2--AuCu3 | static | -3.6857 | -3.6857 | 4.1388 | 4.1388 | 4.1388 | 90.0 | 90.0 | 90.0 |
| A15--Cr3Si | static | -3.6462 | -3.6462 | 5.2013 | 5.2013 | 5.2013 | 90.0 | 90.0 | 90.0 |
| D0_3--BiF3 | dynamic | -1.6462 | -1.6462 | 13.0203 | 13.0203 | 13.0203 | 90.0 | 90.0 | 90.0 |
| A15--Cr3Si | box | -1.3531 | -1.3531 | 6.3253 | 6.3253 | 6.3253 | 90.0 | 90.0 | 90.0 |
| L1_2--AuCu3 | dynamic | -1.3456 | -1.3456 | 6.3566 | 6.3566 | 6.3566 | 90.0 | 90.0 | 90.0 |
| A15--Cr3Si | dynamic | -1.3302 | -1.3302 | 7.6662 | 7.6662 | 7.6662 | 90.0 | 90.0 | 90.0 |
| D0_3--BiF3 | dynamic | -1.3272 | -1.3272 | 9.1776 | 9.1776 | 9.1776 | 90.0 | 90.0 | 90.0 |
| D0_3--BiF3 | static | -1.2191 | -1.2191 | 10.3319 | 10.3319 | 10.3319 | 90.0 | 90.0 | 90.0 |
| L1_2--AuCu3 | box | -0.5537 | -0.5537 | 5.0658 | 5.0658 | 5.0658 | 90.0 | 90.0 | 90.0 |
| A15--Cr3Si | box | -0.4218 | -0.4218 | 10.0801 | 10.0801 | 10.0801 | 90.0 | 90.0 | 90.0 |
| L1_2--AuCu3 | dynamic | -0.2454 | -0.2454 | 7.9764 | 7.9764 | 7.9764 | 90.0 | 90.0 | 90.0 |
| A15--Cr3Si | dynamic | -0.1696 | -0.1696 | 10.5804 | 10.5804 | 10.5804 | 90.0 | 90.0 | 90.0 |
| L1_2--AuCu3 | dynamic | -0.1598 | -0.1598 | 8.4003 | 8.4003 | 8.4003 | 90.0 | 90.0 | 90.0 |
| D0_3--BiF3 | dynamic | -0.1177 | -0.1177 | 13.7102 | 13.7102 | 13.7102 | 90.0 | 90.0 | 90.0 |
| A15--Cr3Si | dynamic | -0.046 | -0.046 | 11.8995 | 11.8995 | 11.8995 | 90.0 | 90.0 | 90.0 |
| A15--Cr3Si | dynamic | -0.0347 | -0.0347 | 11.2751 | 11.2751 | 11.2751 | 90.0 | 90.0 | 90.0 |
Download raw data (including filtered results)
Reference structure matches:
A1--Cu--fcc = mp-27, oqmd-9287, oqmd-1214570
A15--beta-W = oqmd-1215015, oqmd-1236371, oqmd-1280410
A2--W--bcc = mp-1014212, oqmd-1215193
A3'--alpha-La--double-hcp = oqmd-1215461
A3--Mg--hcp = mp-10649, oqmd-9288, oqmd-1215371
A4--C--dc = mp-149, oqmd-5714, oqmd-12378, oqmd-1215550
A5--beta-Sn = mp-92, oqmd-18979, oqmd-1215639
A6--In--bct = mp-1056579, oqmd-691768, oqmd-1215728
A7--alpha-As = oqmd-1215817
Ah--alpha-Po--sc = oqmd-1215906
| prototype | method | Ecoh (eV/atom) | Epot (eV/atom) | a0 (Å) | b0 (Å) | c0 (Å) | α (degrees) | β (degrees) | γ (degrees) |
|---|---|---|---|---|---|---|---|---|---|
| A15--beta-W | static | -65.4821 | -65.4821 | 6.3911 | 6.3911 | 6.3911 | 90.0 | 90.0 | 90.0 |
| A1--Cu--fcc | dynamic | -20.7944 | -20.7944 | 7.9739 | 7.9739 | 7.9739 | 90.0 | 90.0 | 90.0 |
| A3'--alpha-La--double-hcp | dynamic | -20.7944 | -20.7944 | 5.6384 | 5.6384 | 18.415 | 90.0 | 90.0 | 120.0 |
| A3--Mg--hcp | dynamic | -20.7944 | -20.7944 | 5.6384 | 5.6384 | 9.2075 | 90.0 | 90.0 | 120.0 |
| A4--C--dc | static | -16.4693 | -16.4693 | 8.0866 | 8.0866 | 8.0866 | 90.0 | 90.0 | 90.0 |
| A2--W--bcc | dynamic | -6.2255 | -6.2255 | 6.5107 | 6.5107 | 6.5107 | 90.0 | 90.0 | 90.0 |
| A15--beta-W | static | -5.2984 | -5.2984 | 10.0859 | 10.0859 | 10.0859 | 90.0 | 90.0 | 90.0 |
| A4--C--dc | dynamic | -4.6 | -4.6 | 5.4638 | 5.4638 | 5.4638 | 90.0 | 90.0 | 90.0 |
| oqmd-5764 | dynamic | -4.5921 | -4.5921 | 3.849 | 3.849 | 6.26 | 90.0 | 90.0 | 120.0 |
| oqmd-5764 | box | -4.5921 | -4.5921 | 3.8489 | 3.8489 | 6.2601 | 90.0 | 90.0 | 120.0 |
| mp-165 | box | -4.592 | -4.592 | 3.8487 | 3.8487 | 6.2605 | 90.0 | 90.0 | 120.0 |
| mp-999200 | static | -4.4727 | -4.4727 | 6.5471 | 6.5471 | 3.9632 | 90.0 | 90.0 | 90.0 |
| oqmd-22408 | dynamic | -4.4687 | -4.4687 | 13.5919 | 3.8771 | 6.3744 | 90.0 | 96.5 | 90.0 |
| mp-999200 | box | -4.4644 | -4.4644 | 6.6512 | 6.6512 | 3.8893 | 90.0 | 90.0 | 90.0 |
| oqmd-22407 | box | -4.4637 | -4.4637 | 6.6561 | 6.6561 | 3.8861 | 90.0 | 90.0 | 90.0 |
| mp-1079297 | box | -4.4633 | -4.4633 | 13.6553 | 3.869 | 6.3561 | 90.0 | 96.2 | 90.0 |
| oqmd-22408 | box | -4.4627 | -4.4627 | 13.6634 | 3.8699 | 6.3525 | 90.0 | 96.2 | 90.0 |
| Ah--alpha-Po--sc | dynamic | -4.4505 | -4.4505 | 2.4921 | 2.4921 | 2.4921 | 90.0 | 90.0 | 90.0 |
| Ah--alpha-Po--sc | dynamic | -4.4505 | -4.4505 | 2.4926 | 2.4926 | 2.4926 | 90.0 | 90.0 | 90.0 |
| oqmd-717362 | dynamic | -4.4013 | -4.4013 | 14.4224 | 14.4224 | 14.4224 | 90.0 | 90.0 | 90.0 |
| oqmd-717362 | box | -4.4012 | -4.4012 | 14.4234 | 14.4234 | 14.4234 | 90.0 | 90.0 | 90.0 |
| mp-1203790 | dynamic | -4.3989 | -4.3989 | 10.1914 | 10.1914 | 16.6857 | 90.0 | 90.0 | 120.0 |
| mp-1203790 | box | -4.3985 | -4.3985 | 10.1885 | 10.1885 | 16.6873 | 90.0 | 90.0 | 120.0 |
| oqmd-717360 | dynamic | -4.3945 | -4.3945 | 10.0182 | 10.0182 | 10.0182 | 90.0 | 90.0 | 90.0 |
| oqmd-717360 | box | -4.3939 | -4.3939 | 10.0113 | 10.0113 | 10.0113 | 90.0 | 90.0 | 90.0 |
| mp-971662 | box | -4.3938 | -4.3938 | 10.0033 | 10.0033 | 10.0033 | 90.0 | 90.0 | 90.0 |
| mp-1196961 | dynamic | -4.3762 | -4.3762 | 10.0339 | 10.0339 | 10.0827 | 90.0 | 90.0 | 120.0 |
| mp-1196961 | static | -4.3762 | -4.3762 | 10.0338 | 10.0338 | 10.0829 | 90.0 | 90.0 | 120.0 |
| mp-1196961 | box | -4.374 | -4.374 | 10.0094 | 10.0094 | 10.1404 | 90.0 | 90.0 | 120.0 |
| mp-1095269 | dynamic | -4.3635 | -4.3635 | 3.8739 | 10.7685 | 12.565 | 90.0 | 90.0 | 90.0 |
| mp-1095269 | box | -4.3606 | -4.3606 | 3.8811 | 10.7594 | 12.5604 | 90.0 | 90.0 | 90.0 |
| mp-1204627 | dynamic | -4.3471 | -4.3471 | 16.3494 | 12.7452 | 9.7262 | 90.0 | 90.0 | 90.0 |
| mp-1204627 | static | -4.3471 | -4.3471 | 16.351 | 12.7445 | 9.726 | 90.0 | 90.0 | 90.0 |
| mp-1204627 | box | -4.3437 | -4.3437 | 16.4786 | 12.65 | 9.7634 | 90.0 | 90.0 | 90.0 |
| mp-1200830 | dynamic | -4.3263 | -4.3263 | 12.3252 | 12.3252 | 12.3252 | 90.0 | 90.0 | 90.0 |
| mp-1200830 | static | -4.3262 | -4.3262 | 12.325 | 12.325 | 12.325 | 90.0 | 90.0 | 90.0 |
| mp-1200830 | box | -4.3176 | -4.3176 | 12.3255 | 12.3255 | 12.3255 | 90.0 | 90.0 | 90.0 |
| mp-1199894 | dynamic | -4.3151 | -4.3151 | 25.0946 | 14.6815 | 9.8957 | 90.0 | 94.1 | 90.0 |
| mp-1199894 | static | -4.315 | -4.315 | 25.056 | 14.7169 | 9.8713 | 90.0 | 94.0 | 90.0 |
| mp-1244990 | dynamic | -4.3109 | -4.3109 | 12.3209 | 12.637 | 12.6979 | 107.2 | 99.3 | 98.6 |
| mp-971661 | static | -4.3102 | -4.3102 | 10.0599 | 10.0599 | 10.0599 | 90.0 | 90.0 | 90.0 |
| mp-971661 | box | -4.3096 | -4.3096 | 10.0562 | 10.0562 | 10.0562 | 90.0 | 90.0 | 90.0 |
| mp-1202745 | dynamic | -4.3053 | -4.3053 | 9.8384 | 9.8384 | 15.8907 | 90.0 | 90.0 | 120.0 |
| mp-1202745 | static | -4.3053 | -4.3053 | 9.8381 | 9.8381 | 15.8915 | 90.0 | 90.0 | 120.0 |
| mp-1202745 | box | -4.3031 | -4.3031 | 9.82 | 9.82 | 15.9459 | 90.0 | 90.0 | 120.0 |
| mp-1245041 | dynamic | -4.3024 | -4.3024 | 12.988 | 12.998 | 13.1957 | 68.5 | 74.4 | 73.4 |
| mp-168 | static | -4.3005 | -4.3005 | 6.4687 | 6.4687 | 6.4687 | 90.0 | 90.0 | 90.0 |
| mp-571520 | static | -4.2994 | -4.2994 | 9.3744 | 9.3744 | 5.3823 | 90.0 | 90.0 | 120.0 |
| mp-1201492 | dynamic | -4.2983 | -4.2983 | 17.2923 | 17.2923 | 17.2923 | 90.0 | 90.0 | 90.0 |
| mp-1244971 | dynamic | -4.2983 | -4.2983 | 11.7981 | 12.5614 | 13.4659 | 96.2 | 98.0 | 100.5 |
| mp-1244933 | dynamic | -4.2982 | -4.2982 | 12.1225 | 12.4083 | 12.617 | 77.3 | 82.0 | 79.2 |
| mp-1245242 | dynamic | -4.2947 | -4.2947 | 11.7672 | 12.686 | 12.9576 | 85.2 | 86.1 | 80.7 |
| mp-1201492 | box | -4.2878 | -4.2878 | 17.3271 | 17.3271 | 17.3271 | 90.0 | 90.0 | 90.0 |
| mp-1120747 | dynamic | -4.275 | -4.275 | 5.7778 | 5.7778 | 3.5188 | 90.0 | 90.0 | 120.0 |
| oqmd-78173 | box | -4.2601 | -4.2601 | 4.9831 | 6.8338 | 7.0741 | 90.0 | 90.0 | 90.0 |
| A7--alpha-As | box | -4.2588 | -4.2588 | 3.617 | 3.617 | 8.548 | 90.0 | 90.0 | 120.0 |
| oqmd-18984 | dynamic | -4.2555 | -4.2555 | 2.578 | 2.578 | 2.469 | 90.0 | 90.0 | 120.0 |
| oqmd-1214837 | dynamic | -4.2547 | -4.2547 | 10.1472 | 10.1472 | 10.1472 | 90.0 | 90.0 | 90.0 |
| mp-1204046 | dynamic | -4.2537 | -4.2537 | 10.0118 | 10.0118 | 23.4907 | 90.0 | 90.0 | 90.0 |
| mp-1204046 | static | -4.2537 | -4.2537 | 10.0115 | 10.0115 | 23.4934 | 90.0 | 90.0 | 90.0 |
| oqmd-717361 | dynamic | -4.2497 | -4.2497 | 7.6745 | 7.6745 | 7.6745 | 90.0 | 90.0 | 90.0 |
| oqmd-717361 | static | -4.248 | -4.248 | 7.6671 | 7.6671 | 7.6671 | 90.0 | 90.0 | 90.0 |
| mp-1245041 | static | -4.2439 | -4.2439 | 12.723 | 12.8147 | 13.0794 | 73.2 | 70.5 | 75.1 |
| mp-1244933 | static | -4.2352 | -4.2352 | 12.0738 | 12.652 | 12.7044 | 76.8 | 74.3 | 79.1 |
| mp-1244971 | static | -4.2295 | -4.2295 | 11.8188 | 12.7986 | 13.2822 | 99.0 | 96.6 | 100.8 |
| mp-1245242 | static | -4.2294 | -4.2294 | 12.4318 | 12.599 | 12.6135 | 82.6 | 80.3 | 84.0 |
| mp-1204046 | box | -4.2294 | -4.2294 | 10.0126 | 10.0126 | 24.1543 | 90.0 | 90.0 | 90.0 |
| mp-644693 | static | -4.2082 | -4.2082 | 4.0667 | 4.56 | 8.9222 | 90.8 | 98.1 | 102.5 |
| mp-1268191 | box | -4.2076 | -4.2076 | 6.8275 | 6.8275 | 2.4623 | 90.0 | 90.0 | 120.0 |
| mp-676011 | static | -4.197 | -4.197 | 4.7892 | 5.9558 | 6.5874 | 108.0 | 110.0 | 93.1 |
| mp-1244990 | static | -4.1941 | -4.1941 | 12.0071 | 12.3113 | 12.9673 | 104.5 | 101.1 | 97.8 |
| mp-571520 | box | -4.1883 | -4.1883 | 9.4312 | 9.4312 | 5.5706 | 90.0 | 90.0 | 120.0 |
| mp-1072544 | dynamic | -4.1871 | -4.1871 | 6.7229 | 6.7229 | 6.7229 | 90.0 | 90.0 | 90.0 |
| A5--beta-Sn | dynamic | -4.1858 | -4.1858 | 4.7707 | 4.7707 | 2.8415 | 90.0 | 90.0 | 90.0 |
| oqmd-18985 | box | -4.1815 | -4.1815 | 9.407 | 9.407 | 5.529 | 90.0 | 90.0 | 120.0 |
| oqmd-1214748 | static | -4.1739 | -4.1739 | 4.7446 | 7.5573 | 4.1493 | 90.0 | 90.0 | 90.0 |
| oqmd-717361 | box | -4.1623 | -4.1623 | 7.6427 | 7.6427 | 7.6427 | 90.0 | 90.0 | 90.0 |
| oqmd-1214748 | box | -4.1556 | -4.1556 | 4.8583 | 7.4105 | 4.0753 | 90.0 | 90.0 | 90.0 |
| oqmd-10215 | dynamic | -4.1461 | -4.1461 | 14.5743 | 14.5743 | 14.5743 | 90.0 | 90.0 | 90.0 |
| mp-1245041 | box | -4.1405 | -4.1405 | 12.8476 | 12.8617 | 12.9466 | 71.4 | 73.7 | 75.1 |
| mp-1244933 | box | -4.1308 | -4.1308 | 12.4771 | 12.496 | 12.7274 | 76.4 | 78.3 | 73.2 |
| mp-1245242 | box | -4.1207 | -4.1207 | 12.5075 | 12.6387 | 12.6896 | 80.7 | 81.4 | 82.8 |
| mp-1120447 | dynamic | -4.102 | -4.102 | 4.7039 | 5.565 | 7.0596 | 67.3 | 78.3 | 87.9 |
| mp-1120447 | static | -4.0979 | -4.0979 | 4.7493 | 5.5717 | 7.0199 | 67.7 | 78.3 | 86.1 |
| mp-1244990 | box | -4.0618 | -4.0618 | 12.1534 | 12.2953 | 12.8981 | 104.1 | 101.5 | 99.0 |
| oqmd-1215995 | box | -4.0539 | -4.0539 | 4.1278 | 4.1278 | 5.007 | 90.0 | 90.0 | 120.0 |
| oqmd-10215 | box | -4.0496 | -4.0496 | 14.557 | 14.557 | 14.557 | 90.0 | 90.0 | 90.0 |
| mp-16220 | box | -4.0476 | -4.0476 | 14.5558 | 14.5558 | 14.5558 | 90.0 | 90.0 | 90.0 |
| oqmd-1215995 | static | -3.9731 | -3.9731 | 4.0563 | 4.0563 | 7.6937 | 90.0 | 90.0 | 120.0 |
| mp-1120447 | box | -3.9562 | -3.9562 | 5.2199 | 5.6869 | 6.7171 | 72.0 | 71.5 | 84.2 |
| mp-1244971 | box | -3.8978 | -3.8978 | 10.4592 | 12.1272 | 13.3974 | 106.8 | 109.0 | 101.6 |
| A6--In--bct | static | -3.8262 | -3.8262 | 2.5059 | 2.5059 | 5.4125 | 90.0 | 90.0 | 90.0 |
| oqmd-78174 | static | -3.809 | -3.809 | 10.3874 | 4.9163 | 4.9739 | 90.0 | 90.0 | 90.0 |
| mp-644693 | box | -3.753 | -3.753 | 4.1057 | 5.4125 | 9.2235 | 73.2 | 88.6 | 69.7 |
| oqmd-1214926 | box | -3.728 | -3.728 | 6.8579 | 6.8579 | 6.8579 | 90.0 | 90.0 | 90.0 |
| A6--In--bct | static | -3.72 | -3.72 | 3.4753 | 3.4753 | 2.5628 | 90.0 | 90.0 | 90.0 |
| mp-1120747 | box | -3.7037 | -3.7037 | 4.984 | 4.984 | 4.4169 | 90.0 | 90.0 | 120.0 |
| A2--W--bcc | static | -3.6933 | -3.6933 | 3.288 | 3.288 | 3.288 | 90.0 | 90.0 | 90.0 |
| oqmd-691764 | static | -3.6784 | -3.6784 | 2.7957 | 2.7957 | 7.1702 | 90.0 | 90.0 | 120.0 |
| A3'--alpha-La--double-hcp | static | -3.5388 | -3.5388 | 2.8118 | 2.8118 | 9.4111 | 90.0 | 90.0 | 120.0 |
| A1--Cu--fcc | static | -3.5357 | -3.5357 | 3.9951 | 3.9951 | 3.9951 | 90.0 | 90.0 | 90.0 |
| A1--Cu--fcc | static | -3.5032 | -3.5032 | 4.2256 | 4.2256 | 4.2256 | 90.0 | 90.0 | 90.0 |
| A15--beta-W | static | -3.496 | -3.496 | 5.2624 | 5.2624 | 5.2624 | 90.0 | 90.0 | 90.0 |
| Ah--alpha-Po--sc | dynamic | -2.6174 | -2.6174 | 5.6384 | 5.6384 | 5.6384 | 90.0 | 90.0 | 90.0 |
| A1--Cu--fcc | dynamic | -1.0879 | -1.0879 | 6.4008 | 6.4008 | 6.4008 | 90.0 | 90.0 | 90.0 |
| A3'--alpha-La--double-hcp | dynamic | -1.0879 | -1.0879 | 4.526 | 4.526 | 14.7819 | 90.0 | 90.0 | 120.0 |
| A3--Mg--hcp | dynamic | -1.0879 | -1.0879 | 4.526 | 4.526 | 7.391 | 90.0 | 90.0 | 120.0 |
| A15--beta-W | dynamic | -0.9623 | -0.9623 | 7.6941 | 7.6941 | 7.6941 | 90.0 | 90.0 | 90.0 |
| A2--W--bcc | dynamic | -0.9522 | -0.9522 | 4.6095 | 4.6095 | 4.6095 | 90.0 | 90.0 | 90.0 |
| A2--W--bcc | static | -0.8869 | -0.8869 | 5.1729 | 5.1729 | 5.1729 | 90.0 | 90.0 | 90.0 |
| A4--C--dc | dynamic | -0.7382 | -0.7382 | 13.021 | 13.021 | 13.021 | 90.0 | 90.0 | 90.0 |
| A5--beta-Sn | box | -0.7325 | -0.7325 | 6.928 | 6.928 | 3.9218 | 90.0 | 90.0 | 90.0 |
| A5--beta-Sn | dynamic | -0.6683 | -0.6683 | 8.4688 | 8.4688 | 4.3724 | 90.0 | 90.0 | 90.0 |
| Ah--alpha-Po--sc | dynamic | -0.624 | -0.624 | 4.5179 | 4.5179 | 4.5179 | 90.0 | 90.0 | 90.0 |
| A7--alpha-As | static | -0.5899 | -0.5899 | 5.96 | 5.96 | 14.5913 | 90.0 | 90.0 | 120.0 |
| Ah--alpha-Po--sc | dynamic | -0.5734 | -0.5734 | 3.7745 | 3.7745 | 3.7745 | 90.0 | 90.0 | 90.0 |
| A4--C--dc | dynamic | -0.479 | -0.479 | 10.4366 | 10.4366 | 10.4366 | 90.0 | 90.0 | 90.0 |
| A5--beta-Sn | box | -0.2958 | -0.2958 | 11.0764 | 11.0764 | 4.5224 | 90.0 | 90.0 | 90.0 |
| A7--alpha-As | static | -0.2775 | -0.2775 | 8.429 | 8.429 | 23.3464 | 90.0 | 90.0 | 120.0 |
| A5--beta-Sn | box | -0.2489 | -0.2489 | 10.876 | 10.876 | 5.9542 | 90.0 | 90.0 | 90.0 |
| A15--beta-W | dynamic | -0.1743 | -0.1743 | 10.5838 | 10.5838 | 10.5838 | 90.0 | 90.0 | 90.0 |
| A1--Cu--fcc | dynamic | -0.1659 | -0.1659 | 8.4012 | 8.4012 | 8.4012 | 90.0 | 90.0 | 90.0 |
| A3'--alpha-La--double-hcp | dynamic | -0.1659 | -0.1659 | 5.9405 | 5.9405 | 19.4017 | 90.0 | 90.0 | 120.0 |
| A3--Mg--hcp | dynamic | -0.1659 | -0.1659 | 5.9405 | 5.9405 | 9.7008 | 90.0 | 90.0 | 120.0 |
| A2--W--bcc | dynamic | -0.1318 | -0.1318 | 6.862 | 6.862 | 6.862 | 90.0 | 90.0 | 90.0 |
| Ah--alpha-Po--sc | dynamic | -0.1123 | -0.1123 | 5.9442 | 5.9442 | 5.9442 | 90.0 | 90.0 | 90.0 |
| A4--C--dc | dynamic | -0.0901 | -0.0901 | 13.7279 | 13.7279 | 13.7279 | 90.0 | 90.0 | 90.0 |
| A7--alpha-As | dynamic | -0.0788 | -0.0788 | 9.2478 | 9.2478 | 21.5241 | 90.0 | 90.0 | 120.0 |
| A7--alpha-As | static | -0.0788 | -0.0788 | 8.9135 | 8.9135 | 24.422 | 90.0 | 90.0 | 120.0 |
| A15--beta-W | dynamic | -0.046 | -0.046 | 11.8995 | 11.8995 | 11.8995 | 90.0 | 90.0 | 90.0 |
| A15--beta-W | dynamic | -0.0347 | -0.0347 | 11.2751 | 11.2751 | 11.2751 | 90.0 | 90.0 | 90.0 |
| A7--alpha-As | static | 30.5986 | 30.5986 | 2.6593 | 2.6593 | 7.385 | 90.0 | 90.0 | 120.0 |
Static elastic constants are displayed for the unique structures identified in Crystal Structure Predictions above. The values displayed here are obtained by measuring the change in virial stresses due to applying small strains to the relaxed crystals. The initial structure and the strained states are all relaxed using force minimization.
The calculation method used is available as the iprPy elastic_constants_static calculation method.
Notes and Disclaimers:
Version Information:
| 98.565 | 45.930 | 45.930 | 0.000 | -0.000 | 0.000 |
| 45.930 | 98.565 | 45.930 | -0.000 | 0.000 | 0.000 |
| 45.930 | 45.930 | 98.565 | 0.000 | -0.000 | 0.000 |
| -0.000 | -0.000 | -0.000 | 39.327 | 0.000 | -0.000 |
| -0.000 | -0.000 | -0.000 | 0.000 | 39.327 | 0.000 |
| -0.000 | -0.000 | -0.000 | 0.000 | 0.000 | 39.327 |
| 98.564 | 45.930 | 45.930 | -0.000 | -0.000 | -0.000 |
| 45.930 | 98.564 | 45.930 | -0.000 | -0.000 | -0.000 |
| 45.930 | 45.930 | 98.564 | -0.000 | -0.000 | -0.000 |
| 0.000 | 0.000 | 0.000 | 39.327 | -0.000 | -0.000 |
| 0.000 | 0.000 | 0.000 | -0.000 | 39.327 | -0.000 |
| 0.000 | 0.000 | 0.000 | -0.000 | -0.000 | 39.327 |
| 98.566 | 45.932 | 45.932 | 0.000 | 0.000 | 0.000 |
| 45.932 | 98.566 | 45.932 | 0.000 | 0.000 | -0.000 |
| 45.932 | 45.932 | 98.566 | 0.000 | 0.000 | 0.000 |
| -0.000 | -0.000 | 0.000 | 39.327 | 0.000 | 0.000 |
| -0.000 | -0.000 | 0.000 | 0.000 | 39.327 | 0.000 |
| -0.000 | 0.000 | -0.000 | 0.000 | 0.000 | 39.327 |
| 98.563 | 45.928 | 45.928 | -0.000 | 0.000 | -0.000 |
| 45.928 | 98.563 | 45.928 | -0.000 | -0.000 | 0.000 |
| 45.928 | 45.928 | 98.563 | -0.000 | -0.000 | 0.000 |
| 0.000 | 0.000 | -0.000 | 39.327 | 0.000 | -0.000 |
| 0.000 | 0.000 | -0.000 | -0.000 | 39.327 | -0.000 |
| 0.000 | -0.000 | 0.000 | -0.000 | -0.000 | 39.327 |
| 98.583 | 45.948 | 45.948 | 0.000 | 0.000 | 0.000 |
| 45.948 | 98.583 | 45.948 | 0.000 | 0.000 | -0.000 |
| 45.948 | 45.948 | 98.583 | 0.000 | 0.000 | -0.000 |
| -0.000 | -0.000 | 0.000 | 39.327 | -0.000 | 0.000 |
| -0.000 | -0.000 | 0.000 | 0.000 | 39.327 | -0.000 |
| -0.000 | 0.000 | -0.000 | 0.000 | 0.000 | 39.327 |
| 98.546 | 45.912 | 45.912 | -0.000 | 0.000 | 0.000 |
| 45.912 | 98.546 | 45.912 | -0.000 | -0.000 | -0.000 |
| 45.912 | 45.912 | 98.546 | -0.000 | 0.000 | -0.000 |
| 0.000 | 0.000 | -0.000 | 39.327 | -0.000 | 0.000 |
| 0.000 | 0.000 | -0.000 | 0.000 | 39.327 | -0.000 |
| 0.000 | -0.000 | 0.000 | -0.000 | -0.000 | 39.327 |
| 28.392 | 14.172 | 14.172 | 0.000 | 0.000 | 0.000 |
| 14.172 | 28.392 | 14.172 | 0.000 | 0.000 | 0.000 |
| 14.172 | 14.172 | 28.392 | 0.000 | 0.000 | 0.000 |
| -0.000 | -0.000 | -0.000 | 14.170 | 0.000 | 0.000 |
| -0.000 | -0.000 | -0.000 | 0.000 | 14.170 | -0.000 |
| -0.000 | -0.000 | -0.000 | 0.000 | -0.000 | 14.170 |
| 28.392 | 14.172 | 14.172 | -0.000 | -0.000 | -0.000 |
| 14.172 | 28.392 | 14.172 | -0.000 | -0.000 | -0.000 |
| 14.172 | 14.172 | 28.392 | -0.000 | -0.000 | -0.000 |
| 0.000 | 0.000 | 0.000 | 14.170 | -0.000 | -0.000 |
| 0.000 | 0.000 | 0.000 | -0.000 | 14.170 | 0.000 |
| 0.000 | 0.000 | 0.000 | -0.000 | 0.000 | 14.170 |
| 28.392 | 14.172 | 14.172 | 0.000 | 0.000 | 0.000 |
| 14.172 | 28.392 | 14.172 | 0.000 | 0.000 | 0.000 |
| 14.172 | 14.172 | 28.392 | 0.000 | 0.000 | 0.000 |
| -0.000 | -0.000 | -0.000 | 14.170 | 0.000 | 0.000 |
| -0.000 | -0.000 | -0.000 | 0.000 | 14.170 | -0.000 |
| -0.000 | -0.000 | -0.000 | 0.000 | -0.000 | 14.170 |
| 28.392 | 14.172 | 14.172 | -0.000 | 0.000 | 0.000 |
| 14.172 | 28.392 | 14.172 | 0.000 | -0.000 | -0.000 |
| 14.172 | 14.172 | 28.392 | -0.000 | -0.000 | -0.000 |
| 0.000 | 0.000 | 0.000 | 14.170 | -0.000 | -0.000 |
| 0.000 | 0.000 | 0.000 | -0.000 | 14.170 | 0.000 |
| 0.000 | 0.000 | 0.000 | -0.000 | 0.000 | 14.170 |
| 28.392 | 14.172 | 14.172 | 0.000 | 0.000 | 0.000 |
| 14.172 | 28.392 | 14.172 | 0.000 | 0.000 | 0.000 |
| 14.172 | 14.172 | 28.392 | 0.000 | 0.000 | 0.000 |
| -0.000 | -0.000 | -0.000 | 14.170 | 0.000 | 0.000 |
| -0.000 | -0.000 | -0.000 | 0.000 | 14.170 | -0.000 |
| -0.000 | -0.000 | -0.000 | 0.000 | -0.000 | 14.170 |
| 28.392 | 14.172 | 14.172 | -0.000 | -0.000 | -0.000 |
| 14.172 | 28.392 | 14.172 | -0.000 | -0.000 | -0.000 |
| 14.172 | 14.172 | 28.392 | -0.000 | -0.000 | -0.000 |
| 0.000 | 0.000 | 0.000 | 14.170 | -0.000 | -0.000 |
| 0.000 | 0.000 | 0.000 | -0.000 | 14.170 | 0.000 |
| 0.000 | 0.000 | 0.000 | -0.000 | 0.000 | 14.170 |
| 152.871 | 34.981 | 34.981 | -0.000 | 0.000 | -0.000 |
| 34.981 | 152.871 | 34.981 | -0.000 | 0.000 | 0.000 |
| 34.981 | 34.981 | 152.871 | 0.000 | 0.000 | 0.000 |
| -0.000 | -0.000 | 0.000 | 22.060 | 0.000 | -0.000 |
| -0.000 | -0.000 | -0.000 | -0.000 | 22.060 | -0.000 |
| 0.000 | -0.000 | -0.000 | -0.000 | 0.000 | 22.060 |
| 152.870 | 34.980 | 34.980 | 0.000 | -0.000 | -0.000 |
| 34.980 | 152.870 | 34.980 | -0.000 | -0.000 | -0.000 |
| 34.980 | 34.980 | 152.870 | 0.000 | -0.000 | 0.000 |
| 0.000 | 0.000 | -0.000 | 22.060 | 0.000 | -0.000 |
| 0.000 | 0.000 | 0.000 | 0.000 | 22.060 | -0.000 |
| 0.000 | 0.000 | 0.000 | 0.000 | -0.000 | 22.060 |
| 153.707 | 34.563 | 34.563 | -0.000 | -0.000 | -0.000 |
| 34.563 | 153.707 | 34.563 | -0.000 | -0.000 | -0.000 |
| 34.563 | 34.563 | 153.707 | -0.000 | 0.000 | -0.000 |
| 0.000 | 0.000 | 0.000 | 22.060 | 0.000 | -0.000 |
| 0.000 | 0.000 | 0.000 | -0.000 | 22.060 | 0.000 |
| 0.000 | 0.000 | 0.000 | 0.000 | -0.000 | 22.060 |
| 152.869 | 34.980 | 34.980 | 0.000 | -0.000 | -0.000 |
| 34.980 | 152.869 | 34.980 | -0.000 | -0.000 | 0.000 |
| 34.980 | 34.980 | 152.869 | 0.000 | 0.000 | -0.000 |
| -0.000 | -0.000 | -0.000 | 22.060 | -0.000 | 0.000 |
| -0.000 | -0.000 | -0.000 | 0.000 | 22.060 | -0.000 |
| -0.000 | -0.000 | -0.000 | 0.000 | 0.000 | 22.060 |
| 153.716 | 34.571 | 34.571 | 0.000 | -0.000 | -0.000 |
| 34.571 | 153.716 | 34.571 | 0.000 | 0.000 | 0.000 |
| 34.571 | 34.571 | 153.716 | -0.000 | 0.000 | -0.000 |
| 0.000 | 0.000 | 0.000 | 22.060 | 0.000 | 0.000 |
| 0.000 | 0.000 | 0.000 | 0.000 | 22.060 | 0.000 |
| 0.000 | 0.000 | 0.000 | -0.000 | -0.000 | 22.060 |
| 152.860 | 34.972 | 34.972 | -0.000 | 0.000 | -0.000 |
| 34.972 | 152.860 | 34.972 | 0.000 | -0.000 | -0.000 |
| 34.972 | 34.972 | 152.860 | -0.000 | -0.000 | 0.000 |
| -0.000 | -0.000 | -0.000 | 22.060 | -0.000 | 0.000 |
| -0.000 | -0.000 | -0.000 | 0.000 | 22.060 | 0.000 |
| -0.000 | -0.000 | -0.000 | 0.000 | -0.000 | 22.060 |
| 12.569 | 11.026 | 11.026 | 0.000 | -0.000 | 0.000 |
| 11.026 | 12.569 | 11.026 | 0.000 | 0.000 | 0.000 |
| 11.026 | 11.026 | 12.569 | -0.000 | -0.000 | 0.000 |
| -0.000 | -0.000 | -0.000 | 4.067 | 0.000 | 0.000 |
| -0.000 | -0.000 | -0.000 | -0.000 | 4.067 | 0.000 |
| -0.000 | -0.000 | -0.000 | 0.000 | 0.000 | 4.067 |
| -4.667 | 19.644 | 19.644 | 0.000 | -0.000 | -0.000 |
| 19.644 | -4.667 | 19.644 | 0.000 | -0.000 | -0.000 |
| 19.644 | 19.644 | -4.667 | 0.000 | -0.000 | -0.000 |
| 0.000 | 0.000 | 0.000 | 4.067 | -0.000 | -0.000 |
| 0.000 | 0.000 | 0.000 | -0.000 | 4.067 | -0.000 |
| 0.000 | 0.000 | 0.000 | -0.000 | -0.000 | 4.067 |
| -3562920.871 | -4677268.665 | -4166302.630 | -32735.887 | -133296.485 | 17862.050 |
| -4108753.682 | -3398408.120 | -4659435.696 | -2631.069 | -118864.202 | 9349.301 |
| -4837761.144 | -4192245.318 | -3450269.461 | -21421.499 | -70339.028 | -9779.155 |
| -0.000 | -0.000 | -0.000 | 4.067 | -0.000 | 0.000 |
| -0.000 | -0.000 | -0.000 | -0.000 | 4.067 | 0.000 |
| -0.000 | -0.000 | -0.000 | 0.000 | -0.000 | 4.067 |
| 12.569 | 11.026 | 11.026 | -0.000 | -0.000 | -0.000 |
| 11.026 | 12.569 | 11.026 | -0.000 | -0.000 | -0.000 |
| 11.026 | 11.026 | 12.569 | -0.000 | -0.000 | -0.000 |
| 0.000 | 0.000 | 0.000 | 4.067 | -0.000 | -0.000 |
| 0.000 | 0.000 | 0.000 | -0.000 | 4.067 | -0.000 |
| 0.000 | 0.000 | 0.000 | 0.000 | -0.000 | 4.067 |
| -375322.105 | -489418.065 | -412447.011 | 728.431 | 1434.812 | -8363.406 |
| -410145.581 | -372617.194 | -490301.973 | 4131.581 | 1434.236 | 1565.064 |
| -483709.049 | -420908.087 | -374200.401 | -4621.790 | 2369.176 | 2867.586 |
| -0.000 | -0.000 | -0.000 | 4.067 | -0.000 | 0.000 |
| -0.000 | -0.000 | -0.000 | 0.000 | 4.067 | 0.000 |
| -0.000 | -0.000 | -0.000 | -0.000 | 0.000 | 4.067 |
| 379748.880 | 343019.212 | 374645.492 | 729.878 | 4351.175 | 2400.398 |
| 385259.129 | 381460.180 | 334314.440 | 6639.564 | -656.781 | 863.224 |
| 340797.353 | 381217.240 | 421699.491 | -3083.552 | -5664.644 | -1030.532 |
| 0.000 | 0.000 | 0.000 | 4.067 | 0.000 | -0.000 |
| 0.000 | 0.000 | 0.000 | -0.000 | 4.067 | -0.000 |
| 0.000 | 0.000 | 0.000 | 0.000 | 0.000 | 4.067 |
| 39.211 | 76.514 | 76.514 | 0.000 | -0.000 | 0.000 |
| 76.514 | 39.211 | 76.514 | 0.000 | 0.000 | 0.000 |
| 76.514 | 76.514 | 39.211 | 0.000 | -0.000 | -0.000 |
| 0.000 | 0.000 | 0.000 | 48.312 | -0.000 | 0.000 |
| 0.000 | 0.000 | 0.000 | 0.000 | 48.312 | 0.000 |
| 0.000 | 0.000 | 0.000 | 0.000 | -0.000 | 48.312 |
| 39.211 | 76.514 | 76.514 | -0.000 | 0.000 | -0.000 |
| 76.514 | 39.211 | 76.514 | -0.000 | -0.000 | -0.000 |
| 76.514 | 76.514 | 39.210 | -0.000 | 0.000 | 0.000 |
| -0.000 | -0.000 | -0.000 | 48.312 | -0.000 | 0.000 |
| -0.000 | -0.000 | -0.000 | -0.000 | 48.312 | -0.000 |
| -0.000 | -0.000 | -0.000 | 0.000 | 0.000 | 48.312 |
| 39.212 | 76.515 | 76.515 | 0.000 | -0.000 | 0.000 |
| 76.515 | 39.212 | 76.515 | 0.000 | -0.000 | -0.000 |
| 76.515 | 76.515 | 39.212 | 0.000 | -0.000 | 0.000 |
| 0.000 | 0.000 | 0.000 | 48.312 | -0.000 | -0.000 |
| 0.000 | 0.000 | 0.000 | 0.000 | 48.312 | 0.000 |
| 0.000 | 0.000 | 0.000 | 0.000 | -0.000 | 48.312 |
| 39.209 | 76.513 | 76.513 | -0.000 | 0.000 | -0.000 |
| 76.513 | 39.209 | 76.513 | -0.000 | 0.000 | 0.000 |
| 76.513 | 76.513 | 39.209 | -0.000 | -0.000 | -0.000 |
| -0.000 | -0.000 | -0.000 | 48.312 | -0.000 | -0.000 |
| -0.000 | -0.000 | -0.000 | -0.000 | 48.312 | 0.000 |
| -0.000 | -0.000 | -0.000 | -0.000 | 0.000 | 48.312 |
| 39.224 | 76.527 | 76.527 | 0.000 | 0.000 | -0.000 |
| 76.527 | 39.224 | 76.527 | 0.000 | 0.000 | 0.000 |
| 76.527 | 76.527 | 39.224 | 0.000 | -0.000 | -0.000 |
| 0.000 | 0.000 | 0.000 | 48.312 | 0.000 | 0.000 |
| 0.000 | 0.000 | 0.000 | 0.000 | 48.312 | 0.000 |
| 0.000 | 0.000 | 0.000 | 0.000 | -0.000 | 48.312 |
| 39.197 | 76.501 | 76.501 | -0.000 | 0.000 | -0.000 |
| 76.501 | 39.197 | 76.501 | -0.000 | 0.000 | -0.000 |
| 76.501 | 76.501 | 39.197 | -0.000 | -0.000 | -0.000 |
| -0.000 | -0.000 | -0.000 | 48.312 | -0.000 | 0.000 |
| -0.000 | -0.000 | -0.000 | -0.000 | 48.312 | -0.000 |
| -0.000 | -0.000 | -0.000 | -0.000 | -0.000 | 48.312 |
| 6.024 | 8.808 | 8.808 | -0.000 | -0.000 | -0.000 |
| 8.808 | 6.024 | 8.808 | -0.000 | -0.000 | -0.000 |
| 8.808 | 8.808 | 6.024 | -0.000 | -0.000 | -0.000 |
| -0.000 | -0.000 | -0.000 | 8.978 | 0.000 | -0.000 |
| -0.000 | -0.000 | -0.000 | 0.000 | 8.978 | -0.000 |
| -0.000 | -0.000 | -0.000 | -0.000 | -0.000 | 8.978 |
| 6.024 | 8.808 | 8.808 | 0.000 | 0.000 | 0.000 |
| 8.808 | 6.024 | 8.808 | 0.000 | 0.000 | 0.000 |
| 8.808 | 8.808 | 6.024 | 0.000 | -0.000 | 0.000 |
| 0.000 | 0.000 | 0.000 | 8.978 | -0.000 | 0.000 |
| 0.000 | 0.000 | 0.000 | 0.000 | 8.978 | 0.000 |
| 0.000 | 0.000 | 0.000 | 0.000 | -0.000 | 8.978 |
| 6.024 | 8.808 | 8.808 | -0.000 | -0.000 | -0.000 |
| 8.808 | 6.024 | 8.808 | -0.000 | -0.000 | -0.000 |
| 8.808 | 8.808 | 6.024 | -0.000 | -0.000 | -0.000 |
| -0.000 | -0.000 | -0.000 | 8.978 | -0.000 | -0.000 |
| -0.000 | -0.000 | -0.000 | 0.000 | 8.978 | -0.000 |
| -0.000 | -0.000 | -0.000 | -0.000 | -0.000 | 8.978 |
| 6.024 | 8.808 | 8.808 | 0.000 | 0.000 | 0.000 |
| 8.808 | 6.024 | 8.808 | 0.000 | 0.000 | 0.000 |
| 8.808 | 8.808 | 6.024 | -0.000 | -0.000 | 0.000 |
| 0.000 | 0.000 | 0.000 | 8.978 | -0.000 | 0.000 |
| 0.000 | 0.000 | 0.000 | -0.000 | 8.978 | 0.000 |
| 0.000 | 0.000 | 0.000 | 0.000 | 0.000 | 8.978 |
| 6.024 | 8.808 | 8.808 | -0.000 | -0.000 | -0.000 |
| 8.808 | 6.024 | 8.808 | -0.000 | -0.000 | -0.000 |
| 8.808 | 8.808 | 6.024 | -0.000 | 0.000 | -0.000 |
| -0.000 | -0.000 | -0.000 | 8.978 | -0.000 | -0.000 |
| -0.000 | -0.000 | -0.000 | -0.000 | 8.978 | -0.000 |
| -0.000 | -0.000 | -0.000 | -0.000 | -0.000 | 8.978 |
| 6.024 | 8.808 | 8.808 | 0.000 | 0.000 | 0.000 |
| 8.808 | 6.024 | 8.808 | 0.000 | 0.000 | 0.000 |
| 8.808 | 8.808 | 6.024 | -0.000 | 0.000 | 0.000 |
| 0.000 | 0.000 | 0.000 | 8.978 | 0.000 | 0.000 |
| 0.000 | 0.000 | 0.000 | -0.000 | 8.978 | 0.000 |
| 0.000 | 0.000 | 0.000 | 0.000 | 0.000 | 8.978 |
| 122.592 | 50.681 | 42.909 | 0.000 | -0.000 | -0.000 |
| 51.843 | 121.430 | 42.909 | 0.000 | 0.000 | -0.000 |
| 42.909 | 42.909 | 117.823 | 0.000 | 0.000 | -0.000 |
| 0.000 | 0.000 | 0.000 | 26.237 | 0.000 | -0.000 |
| 0.000 | 0.000 | 0.000 | 0.000 | 26.237 | -0.000 |
| 0.000 | 0.000 | -0.000 | 0.000 | 0.000 | 34.793 |
| 121.430 | 51.843 | 42.909 | -0.000 | 0.000 | 0.000 |
| 51.843 | 121.430 | 42.909 | -0.000 | 0.000 | 0.000 |
| 42.909 | 42.909 | 117.823 | -0.000 | -0.000 | 0.000 |
| -0.000 | -0.000 | -0.000 | 26.237 | 0.000 | 0.000 |
| -0.000 | 0.000 | -0.000 | -0.000 | 26.237 | 0.000 |
| -0.000 | -0.000 | 0.000 | -0.000 | 0.000 | 34.793 |
| 122.593 | 50.681 | 42.909 | 0.000 | -0.000 | -0.000 |
| 51.844 | 121.430 | 42.909 | 0.000 | -0.000 | -0.000 |
| 42.909 | 42.909 | 117.823 | 0.000 | 0.000 | -0.000 |
| 0.000 | 0.000 | 0.000 | 26.237 | 0.000 | -0.000 |
| 0.000 | 0.000 | 0.000 | 0.000 | 26.237 | -0.000 |
| 0.000 | 0.000 | 0.000 | 0.000 | -0.000 | 35.956 |
| 121.429 | 51.843 | 42.908 | -0.000 | -0.000 | 0.000 |
| 50.681 | 122.592 | 42.908 | -0.000 | -0.000 | 0.000 |
| 42.908 | 42.908 | 117.822 | -0.000 | 0.000 | 0.000 |
| -0.000 | -0.000 | -0.000 | 26.237 | 0.000 | 0.000 |
| -0.000 | -0.000 | -0.000 | -0.000 | 26.237 | 0.000 |
| -0.000 | -0.000 | -0.000 | -0.000 | -0.000 | 35.956 |
| 121.434 | 51.847 | 42.913 | 0.000 | -0.000 | -0.000 |
| 51.847 | 121.434 | 42.913 | 0.000 | -0.000 | -0.000 |
| 42.913 | 42.913 | 117.828 | 0.000 | 0.000 | -0.000 |
| 0.000 | 0.000 | 0.000 | 26.237 | -0.000 | -0.000 |
| 0.000 | 0.000 | 0.000 | 0.000 | 26.237 | -0.000 |
| 0.000 | 0.000 | -0.000 | 0.000 | 0.000 | 34.793 |
| 122.588 | 50.677 | 42.905 | -0.000 | 0.000 | 0.000 |
| 50.677 | 122.588 | 42.905 | -0.000 | 0.000 | 0.000 |
| 42.904 | 42.904 | 117.817 | -0.000 | -0.000 | 0.000 |
| -0.000 | -0.000 | -0.000 | 26.237 | 0.000 | 0.000 |
| -0.000 | -0.000 | -0.000 | -0.000 | 26.237 | 0.000 |
| -0.000 | -0.000 | 0.000 | -0.000 | 0.000 | 34.793 |
| 35.453 | 11.819 | 9.465 | 0.000 | 0.000 | -0.000 |
| 11.819 | 35.453 | 9.465 | -0.000 | 0.000 | 0.000 |
| 9.465 | 9.465 | 37.806 | -0.000 | 0.000 | -0.000 |
| 0.000 | -0.000 | -0.000 | 9.463 | 0.000 | -0.000 |
| -0.000 | -0.000 | -0.000 | -0.000 | 9.463 | -0.000 |
| -0.000 | -0.000 | -0.000 | 0.000 | -0.000 | 11.817 |
| 34.731 | 12.540 | 9.465 | 0.000 | -0.000 | 0.000 |
| 11.819 | 35.453 | 9.465 | 0.000 | -0.000 | -0.000 |
| 9.465 | 9.465 | 37.806 | 0.000 | -0.000 | 0.000 |
| -0.000 | 0.000 | 0.000 | 9.463 | -0.000 | 0.000 |
| 0.000 | 0.000 | 0.000 | 0.000 | 9.463 | 0.000 |
| 0.000 | 0.000 | 0.000 | 0.000 | -0.000 | 11.817 |
| 35.453 | 11.819 | 9.465 | 0.000 | 0.000 | 0.000 |
| 11.819 | 35.453 | 9.465 | -0.000 | 0.000 | 0.000 |
| 9.465 | 9.465 | 37.806 | -0.000 | 0.000 | -0.000 |
| -0.000 | -0.000 | -0.000 | 9.463 | -0.000 | -0.000 |
| -0.000 | -0.000 | -0.000 | -0.000 | 9.463 | 0.000 |
| -0.000 | -0.000 | -0.000 | 0.000 | 0.000 | 11.817 |
| 35.453 | 11.819 | 9.465 | -0.000 | -0.000 | 0.000 |
| 12.540 | 34.731 | 9.465 | 0.000 | -0.000 | 0.000 |
| 9.465 | 9.465 | 37.806 | 0.000 | -0.000 | 0.000 |
| 0.000 | 0.000 | 0.000 | 9.463 | -0.000 | 0.000 |
| 0.000 | 0.000 | 0.000 | 0.000 | 9.463 | 0.000 |
| 0.000 | 0.000 | 0.000 | -0.000 | 0.000 | 11.817 |
| 35.453 | 11.819 | 9.465 | 0.000 | 0.000 | -0.000 |
| 12.540 | 34.731 | 9.465 | -0.000 | -0.000 | -0.000 |
| 9.465 | 9.465 | 37.806 | -0.000 | 0.000 | -0.000 |
| -0.000 | -0.000 | -0.000 | 9.463 | 0.000 | 0.000 |
| -0.000 | -0.000 | -0.000 | -0.000 | 9.463 | 0.000 |
| -0.000 | -0.000 | -0.000 | -0.000 | 0.000 | 11.817 |
| 34.731 | 12.540 | 9.465 | 0.000 | -0.000 | 0.000 |
| 12.540 | 34.731 | 9.465 | 0.000 | -0.000 | 0.000 |
| 9.465 | 9.465 | 37.806 | 0.000 | -0.000 | 0.000 |
| 0.000 | 0.000 | 0.000 | 9.463 | -0.000 | -0.000 |
| 0.000 | 0.000 | 0.000 | 0.000 | 9.463 | 0.000 |
| 0.000 | 0.000 | 0.000 | 0.000 | -0.000 | 11.817 |
| 121.610 | 49.326 | 38.503 | 0.000 | 0.000 | 0.000 |
| 50.216 | 120.720 | 38.503 | 0.000 | 0.000 | -0.000 |
| 38.505 | 38.505 | 110.990 | 0.000 | 0.000 | 0.000 |
| 0.000 | 0.000 | -0.000 | 21.960 | 0.000 | 0.000 |
| 0.000 | 0.000 | -0.000 | 0.000 | 21.960 | 0.000 |
| 0.000 | 0.000 | -0.000 | 0.000 | 0.000 | 36.142 |
| 121.610 | 49.326 | 38.503 | -0.000 | 0.000 | 0.000 |
| 49.326 | 121.610 | 38.503 | -0.000 | -0.000 | -0.000 |
| 38.505 | 38.505 | 110.990 | -0.000 | -0.000 | 0.000 |
| -0.000 | -0.000 | 0.000 | 21.960 | 0.000 | 0.000 |
| -0.000 | -0.000 | 0.000 | -0.000 | 21.960 | -0.000 |
| -0.000 | -0.000 | 0.000 | -0.000 | -0.000 | 36.142 |
| 120.720 | 50.216 | 38.503 | 0.000 | -0.000 | 0.000 |
| 50.216 | 120.720 | 38.503 | 0.000 | 0.000 | 0.000 |
| 38.505 | 38.505 | 110.990 | 0.000 | -0.000 | -0.000 |
| -0.000 | -0.000 | -0.000 | 21.960 | -0.000 | -0.000 |
| -0.000 | -0.000 | -0.000 | 0.000 | 21.960 | -0.000 |
| -0.000 | 0.000 | -0.000 | 0.000 | -0.000 | 35.252 |
| 121.610 | 49.326 | 38.503 | -0.000 | -0.000 | -0.000 |
| 50.216 | 120.720 | 38.503 | -0.000 | 0.000 | -0.000 |
| 38.505 | 38.505 | 110.991 | -0.000 | -0.000 | 0.000 |
| 0.000 | 0.000 | 0.000 | 21.960 | -0.000 | -0.000 |
| 0.000 | 0.000 | 0.000 | -0.000 | 21.960 | -0.000 |
| 0.000 | -0.000 | 0.000 | -0.000 | 0.000 | 35.252 |
| 121.611 | 49.326 | 38.503 | -0.000 | -0.000 | 0.000 |
| 49.326 | 121.611 | 38.503 | 0.000 | -0.000 | 0.000 |
| 38.505 | 38.505 | 110.990 | 0.000 | -0.000 | 0.000 |
| -0.000 | -0.000 | -0.000 | 21.960 | -0.000 | 0.000 |
| -0.000 | -0.000 | -0.000 | 0.000 | 21.960 | -0.000 |
| 0.000 | 0.000 | -0.000 | 0.000 | 0.000 | 36.142 |
| 121.610 | 49.326 | 38.503 | -0.000 | -0.000 | -0.000 |
| 50.216 | 120.720 | 38.503 | -0.000 | -0.000 | -0.000 |
| 38.505 | 38.505 | 110.991 | -0.000 | 0.000 | 0.000 |
| 0.000 | 0.000 | 0.000 | 21.960 | 0.000 | -0.000 |
| 0.000 | 0.000 | 0.000 | -0.000 | 21.960 | 0.000 |
| -0.000 | -0.000 | 0.000 | -0.000 | -0.000 | 36.142 |
| 120.702 | 50.208 | 38.501 | 0.000 | -0.000 | 0.000 |
| 49.318 | 121.592 | 38.501 | -0.000 | -0.000 | -0.000 |
| 38.501 | 38.501 | 110.988 | 0.000 | -0.000 | -0.000 |
| -0.000 | 0.000 | 0.000 | 21.960 | -0.000 | 0.000 |
| -0.000 | 0.000 | 0.000 | 0.000 | 21.960 | -0.000 |
| -0.000 | 0.000 | 0.000 | 0.000 | -0.000 | 35.247 |
| 120.702 | 50.208 | 38.501 | 0.000 | 0.000 | 0.000 |
| 50.208 | 120.702 | 38.501 | -0.000 | 0.000 | -0.000 |
| 38.501 | 38.501 | 110.988 | -0.000 | 0.000 | -0.000 |
| 0.000 | -0.000 | -0.000 | 21.960 | 0.000 | 0.000 |
| 0.000 | -0.000 | -0.000 | -0.000 | 21.960 | 0.000 |
| 0.000 | -0.000 | -0.000 | -0.000 | 0.000 | 35.247 |
| 120.702 | 50.208 | 38.501 | -0.000 | -0.000 | -0.000 |
| 49.318 | 121.592 | 38.501 | -0.000 | -0.000 | 0.000 |
| 38.501 | 38.501 | 110.988 | 0.000 | -0.000 | 0.000 |
| -0.000 | -0.000 | -0.000 | 21.960 | -0.000 | 0.000 |
| -0.000 | -0.000 | -0.000 | 0.000 | 21.960 | -0.000 |
| -0.000 | 0.000 | -0.000 | 0.000 | -0.000 | 35.247 |
| 120.702 | 50.208 | 38.501 | -0.000 | 0.000 | 0.000 |
| 50.208 | 120.702 | 38.501 | -0.000 | 0.000 | 0.000 |
| 38.501 | 38.501 | 110.988 | 0.000 | 0.000 | 0.000 |
| 0.000 | 0.000 | 0.000 | 21.960 | 0.000 | 0.000 |
| 0.000 | 0.000 | 0.000 | -0.000 | 21.960 | 0.000 |
| 0.000 | -0.000 | 0.000 | -0.000 | 0.000 | 35.247 |
| 121.593 | 49.318 | 38.501 | -0.000 | -0.000 | -0.000 |
| 50.208 | 120.702 | 38.501 | 0.000 | -0.000 | 0.000 |
| 38.501 | 38.501 | 110.988 | -0.000 | -0.000 | -0.000 |
| -0.000 | -0.000 | -0.000 | 21.960 | -0.000 | -0.000 |
| -0.000 | -0.000 | -0.000 | 0.000 | 21.960 | -0.000 |
| -0.000 | 0.000 | -0.000 | 0.000 | -0.000 | 35.247 |
| 120.701 | 50.208 | 38.501 | -0.000 | 0.000 | -0.000 |
| 50.208 | 120.702 | 38.501 | -0.000 | 0.000 | -0.000 |
| 38.501 | 38.501 | 110.989 | -0.000 | 0.000 | 0.000 |
| 0.000 | 0.000 | 0.000 | 21.960 | 0.000 | -0.000 |
| 0.000 | 0.000 | 0.000 | -0.000 | 21.960 | 0.000 |
| 0.000 | -0.000 | 0.000 | -0.000 | 0.000 | 35.247 |
| 35.453 | 11.819 | 9.465 | -0.000 | -0.000 | 0.000 |
| 11.819 | 35.453 | 9.465 | 0.000 | -0.000 | -0.000 |
| 9.465 | 9.465 | 37.806 | 0.000 | -0.000 | 0.000 |
| -0.000 | 0.000 | -0.000 | 9.463 | -0.000 | 0.000 |
| -0.000 | 0.000 | -0.000 | -0.000 | 9.463 | -0.000 |
| -0.000 | -0.000 | 0.000 | 0.000 | -0.000 | 11.817 |
| 34.277 | 12.995 | 9.465 | -0.000 | 0.000 | -0.000 |
| 11.819 | 35.453 | 9.465 | 0.000 | 0.000 | 0.000 |
| 9.465 | 9.465 | 37.806 | 0.000 | 0.000 | -0.000 |
| 0.000 | -0.000 | 0.000 | 9.463 | 0.000 | -0.000 |
| 0.000 | -0.000 | 0.000 | 0.000 | 9.463 | -0.000 |
| 0.000 | 0.000 | -0.000 | -0.000 | 0.000 | 11.817 |
| 35.453 | 11.819 | 9.465 | -0.000 | -0.000 | 0.000 |
| 12.995 | 34.277 | 9.465 | 0.000 | -0.000 | 0.000 |
| 9.465 | 9.465 | 37.806 | 0.000 | -0.000 | 0.000 |
| -0.000 | -0.000 | -0.000 | 9.463 | -0.000 | 0.000 |
| -0.000 | -0.000 | -0.000 | 0.000 | 9.463 | 0.000 |
| -0.000 | -0.000 | -0.000 | 0.000 | -0.000 | 10.641 |
| 34.277 | 12.995 | 9.465 | -0.000 | 0.000 | -0.000 |
| 11.819 | 35.453 | 9.465 | -0.000 | 0.000 | 0.000 |
| 9.465 | 9.465 | 37.806 | 0.000 | 0.000 | -0.000 |
| 0.000 | 0.000 | 0.000 | 9.463 | 0.000 | -0.000 |
| 0.000 | 0.000 | 0.000 | -0.000 | 9.463 | -0.000 |
| 0.000 | 0.000 | 0.000 | -0.000 | 0.000 | 10.641 |
| 34.277 | 12.995 | 9.465 | -0.000 | -0.000 | 0.000 |
| 11.819 | 35.453 | 9.465 | 0.000 | -0.000 | -0.000 |
| 9.465 | 9.465 | 37.806 | -0.000 | -0.000 | 0.000 |
| -0.000 | -0.000 | -0.000 | 9.463 | -0.000 | 0.000 |
| -0.000 | -0.000 | -0.000 | -0.000 | 9.463 | 0.000 |
| -0.000 | -0.000 | -0.000 | 0.000 | 0.000 | 10.641 |
| 35.453 | 11.819 | 9.465 | 0.000 | 0.000 | 0.000 |
| 12.995 | 34.277 | 9.465 | 0.000 | 0.000 | -0.000 |
| 9.465 | 9.465 | 37.806 | 0.000 | 0.000 | -0.000 |
| 0.000 | 0.000 | 0.000 | 9.463 | 0.000 | -0.000 |
| 0.000 | 0.000 | 0.000 | 0.000 | 9.463 | -0.000 |
| 0.000 | 0.000 | 0.000 | -0.000 | 0.000 | 10.641 |
| 27.998 | 18.963 | 18.963 | -0.000 | -0.000 | -0.000 |
| 18.963 | 27.998 | 18.963 | -0.000 | -0.000 | -0.000 |
| 18.963 | 18.963 | 27.998 | -0.000 | -0.000 | -0.000 |
| 0.000 | 0.000 | -0.000 | 2.688 | -0.000 | -0.000 |
| 0.000 | 0.000 | 0.000 | -0.000 | 2.688 | -0.000 |
| 0.000 | 0.000 | -0.000 | -0.000 | -0.000 | 2.688 |
| 27.998 | 18.963 | 18.963 | -0.000 | 0.000 | 0.000 |
| 18.963 | 27.998 | 18.963 | 0.000 | 0.000 | 0.000 |
| 18.963 | 18.963 | 27.998 | 0.000 | 0.000 | 0.000 |
| 0.000 | -0.000 | 0.000 | 2.688 | 0.000 | 0.000 |
| -0.000 | -0.000 | 0.000 | 0.000 | 2.688 | 0.000 |
| -0.000 | -0.000 | -0.000 | 0.000 | 0.000 | 2.688 |
| 27.998 | 18.963 | 18.963 | 0.000 | -0.000 | -0.000 |
| 18.963 | 27.998 | 18.963 | -0.000 | 0.000 | -0.000 |
| 18.963 | 18.963 | 27.998 | 0.000 | -0.000 | -0.000 |
| 0.000 | 0.000 | 0.000 | 2.688 | -0.000 | -0.000 |
| 0.000 | 0.000 | 0.000 | 0.000 | 2.688 | -0.000 |
| 0.000 | 0.000 | 0.000 | -0.000 | -0.000 | 2.688 |
| 27.998 | 18.963 | 18.963 | 0.000 | 0.000 | 0.000 |
| 18.963 | 27.998 | 18.963 | 0.000 | 0.000 | 0.000 |
| 18.963 | 18.963 | 27.998 | 0.000 | 0.000 | 0.000 |
| -0.000 | -0.000 | -0.000 | 2.688 | 0.000 | 0.000 |
| -0.000 | -0.000 | -0.000 | 0.000 | 2.688 | 0.000 |
| -0.000 | -0.000 | -0.000 | 0.000 | 0.000 | 2.688 |
| 27.998 | 18.963 | 18.963 | -0.000 | -0.000 | -0.000 |
| 18.963 | 27.998 | 18.963 | -0.000 | -0.000 | -0.000 |
| 18.963 | 18.963 | 27.998 | -0.000 | -0.000 | -0.000 |
| 0.000 | 0.000 | 0.000 | 2.688 | -0.000 | -0.000 |
| 0.000 | 0.000 | 0.000 | -0.000 | 2.688 | -0.000 |
| 0.000 | 0.000 | 0.000 | -0.000 | -0.000 | 2.688 |
| 27.997 | 18.963 | 18.963 | 0.000 | 0.000 | 0.000 |
| 18.963 | 27.997 | 18.963 | -0.000 | 0.000 | 0.000 |
| 18.963 | 18.963 | 27.997 | 0.000 | 0.000 | 0.000 |
| -0.000 | -0.000 | -0.000 | 2.688 | 0.000 | 0.000 |
| -0.000 | -0.000 | -0.000 | 0.000 | 2.688 | 0.000 |
| -0.000 | -0.000 | -0.000 | 0.000 | 0.000 | 2.688 |
| 5.157 | 5.152 | 5.152 | -0.000 | -0.000 | -0.000 |
| 5.152 | 5.157 | 5.152 | -0.000 | -0.000 | -0.000 |
| 5.152 | 5.152 | 5.157 | -0.000 | -0.000 | -0.000 |
| -0.000 | -0.000 | -0.000 | 0.003 | -0.000 | -0.000 |
| -0.000 | -0.000 | -0.000 | -0.000 | 0.003 | -0.000 |
| -0.000 | -0.000 | -0.000 | -0.000 | -0.000 | 0.003 |
| 5.157 | 5.152 | 5.152 | -0.000 | 0.000 | 0.000 |
| 5.152 | 5.157 | 5.152 | 0.000 | -0.000 | 0.000 |
| 5.152 | 5.152 | 5.157 | 0.000 | 0.000 | 0.000 |
| 0.000 | 0.000 | 0.000 | 0.003 | 0.000 | 0.000 |
| 0.000 | 0.000 | 0.000 | 0.000 | 0.003 | 0.000 |
| 0.000 | 0.000 | 0.000 | 0.000 | 0.000 | 0.003 |
| 5.157 | 5.152 | 5.152 | -0.000 | -0.000 | -0.000 |
| 5.152 | 5.157 | 5.152 | -0.000 | -0.000 | -0.000 |
| 5.152 | 5.152 | 5.157 | -0.000 | -0.000 | -0.000 |
| -0.000 | -0.000 | -0.000 | 0.003 | -0.000 | -0.000 |
| -0.000 | -0.000 | -0.000 | -0.000 | 0.003 | -0.000 |
| -0.000 | -0.000 | -0.000 | -0.000 | -0.000 | 0.003 |
| 5.157 | 5.152 | 5.152 | -0.000 | 0.000 | 0.000 |
| 5.152 | 5.157 | 5.152 | 0.000 | -0.000 | 0.000 |
| 5.152 | 5.152 | 5.157 | 0.000 | 0.000 | -0.000 |
| 0.000 | 0.000 | 0.000 | 0.003 | 0.000 | 0.000 |
| 0.000 | 0.000 | 0.000 | 0.000 | 0.003 | 0.000 |
| 0.000 | 0.000 | 0.000 | 0.000 | 0.000 | 0.003 |
| 5.157 | 5.152 | 5.152 | -0.000 | -0.000 | -0.000 |
| 5.152 | 5.157 | 5.152 | -0.000 | -0.000 | -0.000 |
| 5.152 | 5.152 | 5.157 | -0.000 | -0.000 | -0.000 |
| -0.000 | -0.000 | -0.000 | 0.003 | -0.000 | -0.000 |
| -0.000 | -0.000 | -0.000 | -0.000 | 0.003 | -0.000 |
| -0.000 | -0.000 | -0.000 | -0.000 | -0.000 | 0.003 |
| 5.157 | 5.152 | 5.152 | 0.000 | 0.000 | 0.000 |
| 5.152 | 5.157 | 5.152 | 0.000 | 0.000 | 0.000 |
| 5.152 | 5.152 | 5.157 | 0.000 | 0.000 | 0.000 |
| 0.000 | 0.000 | 0.000 | 0.003 | 0.000 | 0.000 |
| 0.000 | 0.000 | 0.000 | 0.000 | 0.003 | 0.000 |
| 0.000 | 0.000 | 0.000 | 0.000 | 0.000 | 0.003 |
| 29.203 | 118.275 | 27.365 | -0.000 | -0.000 | -0.000 |
| 118.275 | 29.203 | 27.365 | -0.000 | -0.000 | -0.000 |
| 27.365 | 27.365 | 134.828 | 0.000 | -0.000 | -0.000 |
| 0.000 | -0.000 | -0.000 | -13.228 | -0.000 | -0.000 |
| 0.000 | -0.000 | -0.000 | 0.000 | -13.228 | -0.000 |
| 0.000 | -0.000 | -0.000 | 0.000 | -0.000 | -6.131 |
| 29.203 | 118.275 | 27.365 | 0.000 | 0.000 | 0.000 |
| 118.275 | 29.203 | 27.365 | 0.000 | 0.000 | 0.000 |
| 27.365 | 27.365 | 134.828 | -0.000 | -0.000 | 0.000 |
| -0.000 | 0.000 | 0.000 | -13.228 | 0.000 | -0.000 |
| -0.000 | 0.000 | 0.000 | -0.000 | -13.228 | 0.000 |
| -0.000 | 0.000 | 0.000 | -0.000 | 0.000 | -6.131 |
| 29.204 | 118.276 | 27.366 | -0.000 | -0.000 | -0.000 |
| 118.276 | 29.204 | 27.366 | -0.000 | -0.000 | -0.000 |
| 27.366 | 27.366 | 134.829 | 0.000 | -0.000 | -0.000 |
| -0.000 | -0.000 | -0.000 | -13.228 | -0.000 | -0.000 |
| -0.000 | -0.000 | -0.000 | 0.000 | -13.228 | -0.000 |
| -0.000 | -0.000 | -0.000 | 0.000 | -0.000 | -6.131 |
| 128.777 | 18.700 | 27.364 | -0.000 | 0.000 | 0.000 |
| 18.700 | 128.777 | 27.364 | -0.000 | 0.000 | 0.000 |
| 27.364 | 27.364 | 134.827 | -0.000 | 0.000 | 0.000 |
| 0.000 | 0.000 | 0.000 | -13.228 | 0.000 | 0.000 |
| 0.000 | 0.000 | 0.000 | -0.000 | -13.228 | 0.000 |
| 0.000 | 0.000 | 0.000 | 0.000 | 0.000 | -6.131 |
| -313.235 | 460.717 | 27.359 | -0.000 | -0.000 | -0.000 |
| 460.717 | -313.235 | 27.359 | -0.000 | -0.000 | -0.000 |
| 27.373 | 27.373 | 134.837 | 0.000 | -0.000 | -0.000 |
| -0.000 | -0.000 | -0.000 | -13.228 | -0.000 | -0.000 |
| -0.000 | -0.000 | -0.000 | 0.000 | -13.228 | -0.000 |
| -0.000 | -0.000 | -0.000 | 0.000 | -0.000 | -6.131 |
| -1546.637 | 1694.244 | 27.560 | 0.000 | 0.000 | 0.000 |
| 1697.753 | -1550.144 | 27.561 | 0.001 | 0.001 | 0.000 |
| 27.357 | 27.357 | 134.819 | -0.000 | 0.000 | 0.000 |
| 0.000 | 0.000 | 0.000 | -13.228 | 0.000 | 0.000 |
| 0.000 | 0.000 | 0.000 | -0.000 | -13.228 | 0.000 |
| 0.000 | 0.000 | 0.000 | -0.000 | 0.000 | -6.131 |
| 9.492 | 12.586 | -0.818 | 0.000 | -0.000 | 0.000 |
| 12.586 | 9.492 | -0.818 | -0.000 | 0.000 | 0.000 |
| -0.818 | -0.818 | 26.995 | 0.000 | -0.000 | 0.000 |
| -0.000 | -0.000 | -0.000 | -5.463 | -0.000 | 0.000 |
| -0.000 | 0.000 | -0.000 | -0.000 | -5.463 | 0.000 |
| -0.000 | 0.000 | -0.000 | 0.000 | -0.000 | 0.008 |
| 9.492 | 12.586 | -0.818 | -0.000 | 0.000 | -0.000 |
| 12.586 | 9.492 | -0.818 | 0.000 | -0.000 | -0.000 |
| -0.818 | -0.818 | 26.995 | -0.000 | 0.000 | -0.000 |
| 0.000 | 0.000 | 0.000 | -5.463 | 0.000 | 0.000 |
| 0.000 | -0.000 | 0.000 | 0.000 | -5.463 | -0.000 |
| 0.000 | -0.000 | 0.000 | -0.000 | 0.000 | 0.008 |
| -7543603.280 | -5461543.995 | -8827764.525 | -8145.293 | -78010.217 | 49042.003 |
| -6516798.722 | -8515240.848 | -8661062.238 | -50292.270 | 69316.655 | 33548.136 |
| -0.818 | -0.818 | 26.995 | 0.000 | -0.000 | 0.000 |
| 0.000 | -0.000 | -0.000 | -5.463 | 0.000 | -0.000 |
| -0.000 | 0.000 | -0.000 | 0.000 | -5.463 | 0.000 |
| -0.000 | -0.000 | 0.000 | 0.000 | -0.000 | 0.008 |
| 9.492 | 12.586 | -0.818 | -0.000 | 0.000 | 0.000 |
| 12.586 | 9.492 | -0.818 | 0.000 | -0.000 | -0.000 |
| -0.818 | -0.818 | 26.995 | -0.000 | 0.000 | -0.000 |
| -0.000 | 0.000 | 0.000 | -5.463 | -0.000 | -0.000 |
| 0.000 | -0.000 | 0.000 | -0.000 | -5.463 | -0.000 |
| 0.000 | 0.000 | -0.000 | -0.000 | 0.000 | 0.008 |
| -697061.567 | -652014.696 | -794706.120 | 892.705 | 529.094 | 155.175 |
| -599075.058 | -718103.963 | -860183.717 | 2193.825 | 22856.480 | -7020.618 |
| -0.818 | -0.818 | 26.994 | 0.000 | -0.000 | 0.000 |
| 0.000 | -0.000 | -0.000 | -5.463 | 0.000 | -0.000 |
| -0.000 | 0.000 | -0.000 | -0.000 | -5.463 | -0.000 |
| -0.000 | -0.000 | 0.000 | -0.000 | 0.000 | 0.008 |
| 582301.140 | 728247.475 | 887499.161 | -1657.835 | -1188.633 | -902.869 |
| 749385.929 | 638979.487 | 850714.400 | 7567.665 | 11839.247 | 14598.486 |
| -0.818 | -0.818 | 26.995 | -0.000 | 0.000 | -0.000 |
| -0.000 | 0.000 | 0.000 | -5.463 | -0.000 | -0.000 |
| 0.000 | -0.000 | 0.000 | -0.000 | -5.463 | -0.000 |
| 0.000 | 0.000 | -0.000 | 0.000 | 0.000 | 0.008 |
| 8.870 | 2.959 | 3.714 | -3.377 | -0.000 | 0.000 |
| -2.599 | -4.167 | -4.216 | -1.292 | -0.000 | 0.000 |
| 3.714 | 3.714 | 1.512 | 0.000 | -0.000 | 0.000 |
| 1.270 | -1.313 | -0.018 | -2.119 | -0.000 | 0.000 |
| -0.021 | -0.021 | -0.018 | 0.000 | -2.119 | 1.292 |
| -0.021 | -0.021 | -0.018 | 0.000 | 1.292 | -0.784 |
| -3.453 | 0.289 | -2.680 | 2.648 | 0.000 | -0.000 |
| 2.959 | 8.870 | 3.714 | 3.377 | 0.000 | -0.000 |
| 3.714 | 3.714 | 1.512 | -0.000 | 0.000 | -0.000 |
| -3.377 | 3.377 | 0.000 | 3.710 | 0.000 | -0.000 |
| 0.021 | 0.021 | 0.018 | -0.000 | -2.119 | 1.292 |
| 0.021 | 0.021 | 0.018 | -0.000 | 1.292 | -0.784 |
| -4.137 | -2.568 | -4.191 | 1.292 | -0.000 | 0.000 |
| 2.959 | 8.870 | 3.714 | 3.377 | -0.000 | 0.000 |
| 3.714 | 3.714 | 1.512 | 0.000 | -0.000 | 0.000 |
| 1.289 | -1.294 | -0.002 | -2.119 | 0.000 | -0.000 |
| -0.002 | -0.002 | -0.002 | 0.000 | -2.119 | 1.292 |
| -0.002 | -0.002 | -0.002 | 0.000 | 1.292 | -0.784 |
| -4.130 | -2.561 | -4.185 | 1.292 | -0.000 | 0.000 |
| 2.959 | 8.870 | 3.714 | 3.377 | 0.000 | -0.000 |
| 3.714 | 3.714 | 1.512 | -0.000 | 0.000 | -0.000 |
| -3.377 | 3.377 | 0.000 | 3.710 | 0.000 | -0.000 |
| 0.002 | 0.002 | 0.002 | -0.000 | -2.119 | 1.292 |
| 0.002 | 0.002 | 0.002 | -0.000 | 1.292 | -0.784 |
| -4.134 | -2.565 | -4.188 | 1.292 | -0.000 | 0.000 |
| -2.565 | -4.134 | -4.188 | -1.292 | -0.000 | 0.000 |
| -4.188 | -4.188 | -5.228 | -0.000 | 0.000 | -0.000 |
| 1.291 | -1.292 | -0.000 | -2.119 | 0.000 | -0.000 |
| -0.000 | -0.000 | -0.000 | 0.000 | -2.119 | 1.292 |
| -0.000 | -0.000 | -0.000 | 0.000 | 1.292 | -0.784 |
| -4.133 | -2.564 | -4.187 | 1.292 | -0.000 | 0.000 |
| 0.260 | -3.490 | -2.709 | -2.653 | -0.000 | 0.000 |
| -4.187 | -4.187 | -5.227 | 0.000 | -0.000 | 0.000 |
| 1.292 | -1.291 | 0.000 | -2.119 | 0.000 | -0.000 |
| 0.000 | 0.000 | 0.000 | -0.000 | -2.119 | 1.292 |
| 0.000 | 0.000 | 0.000 | -0.000 | 1.292 | -0.784 |
| 135.555 | 7.242 | 7.242 | 0.000 | -0.000 | 0.000 |
| 7.242 | 135.555 | 7.242 | 0.000 | 0.000 | -0.000 |
| 7.242 | 7.242 | 135.555 | 0.000 | 0.000 | -0.000 |
| 0.000 | -0.000 | -0.000 | -0.668 | -0.000 | -0.000 |
| -0.000 | -0.000 | -0.000 | 0.000 | -0.668 | -0.000 |
| -0.000 | -0.000 | -0.000 | 0.000 | -0.000 | -0.668 |
| 135.555 | 7.242 | 7.242 | -0.000 | 0.000 | 0.000 |
| 7.242 | 135.555 | 7.242 | 0.000 | -0.000 | 0.000 |
| 7.242 | 7.242 | 135.555 | 0.000 | -0.000 | 0.000 |
| 0.000 | 0.000 | -0.000 | -0.668 | -0.000 | 0.000 |
| 0.000 | 0.000 | 0.000 | 0.000 | -0.668 | 0.000 |
| 0.000 | 0.000 | 0.000 | -0.000 | -0.000 | -0.668 |
| 135.555 | 7.241 | 7.241 | 0.000 | -0.000 | -0.000 |
| 7.241 | 135.555 | 7.241 | 0.000 | 0.000 | -0.000 |
| 7.241 | 7.241 | 135.555 | 0.000 | -0.000 | -0.000 |
| -0.000 | -0.000 | -0.000 | -0.668 | -0.000 | -0.000 |
| -0.000 | -0.000 | -0.000 | 0.000 | -0.668 | -0.000 |
| -0.000 | -0.000 | -0.000 | 0.000 | 0.000 | -0.668 |
| 135.555 | 7.242 | 7.242 | -0.000 | -0.000 | 0.000 |
| 7.242 | 135.555 | 7.242 | 0.000 | -0.000 | -0.000 |
| 7.242 | 7.242 | 135.555 | -0.000 | -0.000 | 0.000 |
| 0.000 | 0.000 | 0.000 | -0.668 | 0.000 | -0.000 |
| 0.000 | 0.000 | 0.000 | -0.000 | -0.668 | 0.000 |
| 0.000 | 0.000 | 0.000 | -0.000 | -0.000 | -0.668 |
| 135.553 | 7.239 | 7.239 | 0.000 | 0.000 | 0.000 |
| 7.239 | 135.553 | 7.239 | 0.000 | 0.000 | -0.000 |
| 7.239 | 7.239 | 135.553 | -0.000 | 0.000 | -0.000 |
| -0.000 | -0.000 | -0.000 | -0.668 | -0.000 | -0.000 |
| -0.000 | -0.000 | -0.000 | 0.000 | -0.668 | -0.000 |
| -0.000 | -0.000 | -0.000 | -0.000 | -0.000 | -0.668 |
| 135.557 | 7.244 | 7.244 | 0.000 | 0.000 | 0.000 |
| 7.244 | 135.557 | 7.244 | 0.000 | -0.000 | 0.000 |
| 7.244 | 7.244 | 135.557 | 0.000 | 0.000 | 0.000 |
| 0.000 | 0.000 | 0.000 | -0.668 | 0.000 | 0.000 |
| 0.000 | 0.000 | 0.000 | -0.000 | -0.668 | 0.000 |
| 0.000 | 0.000 | 0.000 | -0.000 | 0.000 | -0.668 |
| 28.892 | 0.017 | 0.017 | 0.000 | 0.000 | 0.000 |
| 0.017 | 28.892 | 0.017 | 0.000 | 0.000 | 0.000 |
| 0.017 | 0.017 | 28.892 | 0.000 | 0.000 | 0.000 |
| 0.000 | 0.000 | -0.000 | 0.009 | -0.000 | -0.000 |
| 0.000 | 0.000 | -0.000 | -0.000 | 0.009 | 0.000 |
| 0.000 | -0.000 | 0.000 | 0.000 | -0.000 | 0.009 |
| 28.892 | 0.017 | 0.017 | 0.000 | 0.000 | 0.000 |
| 0.017 | 28.892 | 0.017 | 0.000 | 0.000 | -0.000 |
| 0.017 | 0.017 | 28.892 | -0.000 | -0.000 | 0.000 |
| -0.000 | 0.000 | 0.000 | 0.009 | -0.000 | -0.000 |
| 0.000 | -0.000 | 0.000 | -0.000 | 0.009 | 0.000 |
| 0.000 | 0.000 | -0.000 | 0.000 | 0.000 | 0.009 |
| 28.892 | 0.017 | 0.017 | 0.000 | 0.000 | -0.000 |
| 0.017 | 28.892 | 0.017 | 0.000 | 0.000 | 0.000 |
| 0.017 | 0.017 | 28.892 | 0.000 | 0.000 | 0.000 |
| 0.000 | -0.000 | -0.000 | 0.009 | -0.000 | -0.000 |
| -0.000 | 0.000 | -0.000 | -0.000 | 0.009 | 0.000 |
| -0.000 | -0.000 | 0.000 | 0.000 | 0.000 | 0.009 |
| 28.892 | 0.017 | 0.017 | 0.000 | 0.000 | 0.000 |
| 0.017 | 28.892 | 0.017 | 0.000 | 0.000 | -0.000 |
| 0.017 | 0.017 | 28.892 | 0.000 | -0.000 | -0.000 |
| -0.000 | 0.000 | 0.000 | 0.009 | -0.000 | -0.000 |
| 0.000 | -0.000 | 0.000 | -0.000 | 0.009 | -0.000 |
| 0.000 | 0.000 | -0.000 | -0.000 | -0.000 | 0.009 |
| 28.892 | 0.017 | 0.017 | -0.000 | -0.000 | -0.000 |
| 0.017 | 28.892 | 0.017 | -0.000 | -0.000 | -0.000 |
| 0.017 | 0.017 | 28.892 | -0.000 | -0.000 | -0.000 |
| -0.000 | -0.000 | -0.000 | 0.009 | -0.000 | 0.000 |
| -0.000 | -0.000 | -0.000 | -0.000 | 0.009 | 0.000 |
| -0.000 | -0.000 | -0.000 | 0.000 | 0.000 | 0.009 |
| 28.892 | 0.017 | 0.017 | -0.000 | -0.000 | 0.000 |
| 0.017 | 28.892 | 0.017 | -0.000 | 0.000 | 0.000 |
| 0.017 | 0.017 | 28.892 | -0.000 | 0.000 | -0.000 |
| 0.000 | 0.000 | 0.000 | 0.009 | -0.000 | 0.000 |
| 0.000 | 0.000 | 0.000 | -0.000 | 0.009 | -0.000 |
| 0.000 | 0.000 | 0.000 | -0.000 | -0.000 | 0.009 |
| 49.345 | 28.695 | 31.639 | 0.000 | 0.000 | 0.000 |
| 28.695 | 49.345 | 31.639 | -0.000 | 0.000 | 0.000 |
| 32.121 | 32.121 | 90.981 | 0.000 | -0.000 | 0.000 |
| -0.000 | -0.000 | -0.000 | 6.580 | -0.000 | 0.000 |
| -0.000 | -0.000 | -0.000 | 0.000 | 6.580 | 0.000 |
| -0.000 | -0.000 | -0.000 | -0.000 | -0.000 | 20.926 |
| 49.345 | 28.695 | 31.639 | -0.000 | 0.000 | -0.000 |
| 28.695 | 49.345 | 31.639 | -0.000 | 0.000 | -0.000 |
| 31.639 | 31.639 | 91.015 | 0.000 | 0.000 | -0.000 |
| 0.000 | 0.000 | 0.000 | 6.580 | 0.000 | 0.000 |
| 0.000 | 0.000 | 0.000 | 0.000 | 6.580 | -0.000 |
| 0.000 | 0.000 | 0.000 | 0.000 | -0.000 | 20.926 |
| 34.293 | 25.738 | 32.284 | 0.000 | 0.000 | 0.000 |
| 25.738 | 34.293 | 32.284 | -0.000 | -0.000 | 0.000 |
| 32.121 | 32.121 | 90.981 | 0.000 | 0.000 | 0.000 |
| -0.000 | 0.000 | 0.000 | 27.693 | -0.000 | 0.000 |
| 0.000 | -0.000 | 0.000 | -0.000 | 27.693 | 0.000 |
| -0.000 | 0.000 | -0.000 | 0.000 | 0.000 | 20.926 |
| 49.345 | 28.695 | 31.639 | -0.000 | 0.000 | -0.000 |
| 28.695 | 49.345 | 31.639 | -0.000 | 0.000 | -0.000 |
| 32.121 | 32.121 | 90.981 | -0.000 | 0.000 | 0.000 |
| 0.000 | -0.000 | -0.000 | 27.693 | -0.000 | -0.000 |
| -0.000 | 0.000 | -0.000 | 0.000 | 27.693 | -0.000 |
| 0.000 | -0.000 | 0.000 | -0.000 | 0.000 | 20.926 |
| 34.293 | 25.738 | 32.284 | 0.000 | 0.000 | 0.000 |
| 25.738 | 34.293 | 32.284 | 0.000 | -0.000 | 0.000 |
| 31.639 | 31.639 | 91.015 | -0.000 | -0.000 | 0.000 |
| -0.000 | -0.000 | -0.000 | 6.580 | -0.000 | 0.000 |
| -0.000 | -0.000 | -0.000 | 0.000 | 6.580 | 0.000 |
| -0.000 | 0.000 | -0.000 | 0.000 | 0.000 | 20.926 |
| 34.293 | 25.738 | 32.284 | 0.000 | -0.000 | -0.000 |
| 25.738 | 34.293 | 32.284 | -0.000 | -0.000 | -0.000 |
| 32.121 | 32.121 | 90.981 | -0.000 | -0.000 | -0.000 |
| 0.000 | 0.000 | 0.000 | 6.580 | 0.000 | -0.000 |
| 0.000 | 0.000 | 0.000 | -0.000 | 6.580 | -0.000 |
| 0.000 | -0.000 | 0.000 | -0.000 | 0.000 | 20.926 |
| 48.807 | 27.518 | 31.035 | -0.000 | -0.000 | 0.000 |
| 27.518 | 48.807 | 31.035 | -0.000 | 0.000 | 0.000 |
| 54.901 | 54.901 | 87.638 | -0.000 | -0.000 | 0.000 |
| 23.719 | 23.719 | -2.375 | 18.780 | 0.000 | 0.000 |
| 23.719 | 23.719 | -2.375 | -0.000 | 18.780 | 0.000 |
| -0.000 | -0.000 | -0.000 | -0.000 | 0.000 | 21.374 |
| 48.808 | 27.519 | 31.035 | 0.000 | -0.000 | -0.000 |
| 27.519 | 48.808 | 31.035 | 0.000 | -0.000 | -0.000 |
| 30.993 | 30.993 | 90.032 | 0.000 | -0.000 | -0.000 |
| -23.719 | -23.719 | 2.375 | 18.780 | 0.000 | -0.000 |
| -23.719 | -23.719 | 2.375 | 0.000 | 18.780 | -0.000 |
| 0.000 | 0.000 | 0.000 | 0.000 | -0.000 | 21.374 |
| 34.551 | 28.837 | 31.679 | -0.000 | 0.000 | 0.000 |
| 28.837 | 34.551 | 31.679 | -0.000 | -0.000 | 0.000 |
| 30.992 | 30.992 | 90.032 | -0.000 | 0.000 | 0.000 |
| -0.002 | -0.002 | -0.001 | 28.155 | 0.000 | 0.000 |
| -0.002 | -0.002 | -0.001 | -0.000 | 28.155 | 0.000 |
| 2.324 | 2.324 | -0.235 | -0.000 | -0.000 | 21.375 |
| 28.182 | 31.244 | 31.885 | 0.000 | 0.000 | -0.000 |
| 31.244 | 28.182 | 31.885 | 0.000 | 0.000 | -0.000 |
| 30.994 | 30.994 | 90.032 | 0.000 | -0.000 | -0.000 |
| 0.002 | 0.002 | 0.001 | 28.155 | -0.000 | -0.000 |
| 0.002 | 0.002 | 0.001 | 0.000 | 28.155 | -0.000 |
| -2.324 | -2.324 | 0.235 | 0.000 | 0.000 | 21.375 |
| 30.659 | 33.724 | 31.597 | -0.000 | -0.000 | 0.000 |
| 33.724 | 30.659 | 31.597 | -0.000 | -0.000 | 0.000 |
| 31.829 | 31.829 | 89.944 | -0.000 | 0.000 | 0.000 |
| 0.244 | 0.244 | -0.047 | 16.783 | -0.000 | 0.000 |
| 0.244 | 0.244 | -0.047 | -0.000 | 16.783 | 0.000 |
| 0.177 | 0.177 | -0.045 | -0.000 | -0.000 | 21.375 |
| 30.349 | 33.407 | 31.700 | 0.000 | 0.000 | -0.000 |
| 33.407 | 30.349 | 31.700 | 0.000 | 0.000 | -0.000 |
| 31.003 | 31.003 | 90.036 | 0.000 | -0.000 | -0.000 |
| -0.244 | -0.244 | 0.047 | 16.783 | 0.000 | -0.000 |
| -0.244 | -0.244 | 0.047 | 0.000 | 16.783 | -0.000 |
| -0.177 | -0.177 | 0.045 | 0.000 | 0.000 | 21.375 |
| 228.074 | -125.089 | 216.100 | 146.294 | -87.744 | -141.544 |
| 289.860 | -8.545 | 153.688 | 119.333 | -60.085 | -152.562 |
| 51.443 | 48.610 | 111.150 | 1.870 | 1.515 | 2.027 |
| -0.774 | 0.687 | 1.870 | 25.923 | 2.046 | -0.055 |
| 0.467 | -0.096 | 1.515 | 2.046 | 29.741 | -0.916 |
| 121.657 | -181.833 | 165.767 | 146.856 | -92.205 | -114.039 |
| -205.426 | 111.824 | -566.119 | 163.008 | 172.469 | 178.062 |
| -68.135 | 281.028 | -113.732 | -151.736 | 85.187 | 137.046 |
| -180.540 | 156.834 | -1.436 | -121.372 | 61.245 | 152.586 |
| -235.297 | 105.430 | -100.662 | -104.940 | 61.359 | 149.127 |
| -234.420 | 104.839 | -100.397 | -120.966 | 81.743 | 148.888 |
| -0.287 | -2.863 | 1.708 | -0.534 | -7.490 | 29.621 |
| 125.031 | 44.661 | 64.279 | 11.588 | -7.485 | -15.971 |
| 51.330 | 108.168 | 48.202 | -5.034 | -0.575 | -2.872 |
| 86.239 | 46.296 | 120.039 | 1.565 | -9.663 | -11.385 |
| 11.188 | -17.264 | 18.027 | 36.751 | -6.601 | -14.186 |
| 32.015 | -4.980 | 63.295 | -14.668 | -1.322 | -19.686 |
| 12.089 | -20.982 | 18.648 | 14.128 | -14.943 | 12.079 |
| 112.410 | 51.322 | 51.200 | -0.940 | -2.074 | -1.774 |
| 51.331 | 108.167 | 48.202 | -5.034 | -0.575 | -2.872 |
| 40.796 | 67.979 | 89.877 | -13.065 | 10.273 | 16.650 |
| -30.055 | 4.285 | -57.681 | 24.846 | 18.711 | 16.641 |
| -23.085 | 10.298 | -8.401 | -10.349 | 28.254 | 14.363 |
| -23.389 | 7.381 | -7.536 | -13.062 | 0.446 | 37.185 |
| 103.876 | 54.122 | 55.067 | 0.515 | -2.130 | -2.500 |
| 57.347 | 95.701 | 52.404 | -2.386 | -1.235 | -4.577 |
| 54.329 | 48.355 | 107.597 | 3.196 | 0.810 | 1.227 |
| 0.246 | -1.217 | 3.341 | 23.347 | 1.106 | -1.606 |
| 0.467 | -0.096 | 1.515 | 2.046 | 29.740 | -0.916 |
| 2.441 | -4.157 | 3.686 | 0.451 | -6.105 | 20.821 |
| 99.494 | 56.109 | 52.974 | -1.928 | -0.968 | 0.435 |
| 51.331 | 108.166 | 48.202 | -5.034 | -0.575 | -2.871 |
| 51.725 | 51.949 | 104.522 | 0.167 | 2.572 | 4.079 |
| -3.115 | 0.593 | -0.014 | 13.897 | 2.995 | 0.664 |
| 0.467 | -0.097 | 1.514 | 2.046 | 29.742 | -0.916 |
| -1.327 | -1.285 | 0.644 | -2.135 | -5.440 | 27.413 |
| 94.471 | 41.589 | 42.018 | -0.315 | -5.393 | -1.260 |
| 45.267 | 97.392 | 39.741 | 3.220 | -0.108 | -1.227 |
| -58987.315 | -27212.255 | -464.201 | 3887.889 | 5713.765 | -40101.332 |
| -0.045 | 2.126 | 3.838 | 22.483 | 2.863 | 1.226 |
| -1.275 | 1.019 | -0.064 | 2.863 | 23.898 | -0.258 |
| 13.638 | -7.148 | 1.256 | 5.829 | -2.596 | 25.649 |
| 59102.046 | 27314.090 | 599.494 | -3896.960 | -5710.749 | 40106.238 |
| 59079.001 | 27350.470 | 593.441 | -3880.141 | -5711.215 | 40105.985 |
| 59074.505 | 27293.935 | 643.777 | -3879.558 | -5712.858 | 40108.544 |
| -0.045 | 2.126 | 3.838 | 22.483 | 2.863 | 1.226 |
| -17.198 | 8.904 | 1.793 | -3.310 | 25.717 | -2.883 |
| -0.553 | -1.359 | 2.784 | 0.935 | -1.634 | 22.384 |
| 96.360 | 41.454 | 41.883 | 0.027 | -5.173 | -0.337 |
| 43.009 | 98.449 | 40.016 | 2.346 | 0.148 | -1.609 |
| 43.098 | 40.893 | 89.860 | 4.084 | -0.113 | 3.157 |
| -5901.518 | -2723.874 | -51.769 | 411.384 | 574.634 | -4008.670 |
| -0.279 | 0.708 | -0.162 | 3.159 | 23.873 | 0.045 |
| -0.553 | -1.359 | 2.784 | 0.935 | -1.634 | 22.384 |
| 5998.063 | 2767.716 | 97.474 | -389.009 | -576.125 | 4010.167 |
| 5945.885 | 2825.002 | 95.525 | -386.642 | -570.349 | 4009.765 |
| 42.384 | 41.180 | 89.947 | 3.838 | -0.064 | 2.992 |
| 5901.334 | 2728.085 | 59.448 | -366.466 | -568.900 | 4011.068 |
| 5902.497 | 2725.977 | 55.239 | -385.246 | -547.269 | 4010.447 |
| 5904.418 | 2723.559 | 58.007 | -386.980 | -572.677 | 4033.688 |
| 96.154 | 41.435 | 41.926 | 0.047 | -5.207 | -0.433 |
| -548.245 | -172.597 | 34.695 | 40.310 | 57.951 | -402.030 |
| 42.536 | 41.129 | 89.911 | 3.890 | -0.074 | 3.025 |
| -590.524 | -270.386 | -1.686 | 61.281 | 59.955 | -399.910 |
| -1.289 | 0.972 | -0.068 | 2.884 | 23.861 | -0.301 |
| 0.805 | -1.569 | 2.672 | 1.253 | -1.531 | 22.872 |
| 685.281 | 314.835 | 47.642 | -39.376 | -62.016 | 400.663 |
| 41.526 | 100.332 | 40.329 | 1.164 | 0.983 | -0.932 |
| 632.413 | 313.954 | 95.434 | -35.151 | -57.140 | 404.038 |
| 590.206 | 274.640 | 9.379 | -16.369 | -54.271 | 402.240 |
| 588.919 | 273.539 | 5.481 | -35.986 | -33.258 | 400.728 |
| 590.361 | 271.513 | 8.319 | -37.969 | -58.484 | 423.950 |
| 38349.231 | 26046.793 | 22036.425 | -23909.970 | 29001.311 | -31532.903 |
| 38293.623 | 26103.833 | 22034.788 | -23905.972 | 29000.810 | -31531.317 |
| 38290.357 | 26042.254 | 22095.212 | -23911.778 | 29001.222 | -31530.649 |
| 1.158 | 0.832 | -0.625 | 26.338 | 0.111 | 0.306 |
| 38242.573 | 25996.953 | 21990.030 | -23911.041 | 29028.360 | -31529.114 |
| 38238.485 | 25996.472 | 21990.330 | -23910.571 | 29006.372 | -31499.600 |
| -38137.988 | -25945.592 | -21940.406 | 23912.858 | -29000.249 | 31527.713 |
| -526.525 | 225.653 | 1021.834 | 537.523 | -103.037 | 36.680 |
| 46.866 | 45.856 | 106.455 | -0.457 | 0.533 | -0.211 |
| -983.235 | -141.102 | 1204.540 | 430.929 | -425.726 | 81.771 |
| -0.712 | 0.273 | 0.701 | 0.111 | 27.860 | 1.507 |
| -38247.781 | -25997.384 | -21989.239 | 23911.477 | -28994.414 | 31561.952 |
| 191.696 | 67.167 | -70.263 | -39.837 | 42.568 | -9.941 |
| 152.099 | 110.937 | -74.459 | -37.744 | 42.492 | -7.203 |
| 4017.573 | 2663.115 | 2084.483 | -2464.528 | 2959.988 | -3170.338 |
| 1.158 | 0.832 | -0.625 | 26.338 | 0.111 | 0.306 |
| 55.380 | -12.879 | -92.587 | -50.654 | 32.133 | -1.118 |
| -4.503 | -0.703 | 0.088 | 0.324 | 6.109 | 31.352 |
| 105.984 | 50.105 | 47.090 | 1.183 | 0.792 | -2.287 |
| -3774.157 | -2492.297 | -2152.907 | 2396.449 | -2899.924 | 3152.185 |
| 47.065 | 45.564 | 105.919 | -0.625 | 0.701 | -0.028 |
| -97.350 | -13.146 | 119.504 | 61.068 | -42.759 | 8.921 |
| -3825.224 | -2599.112 | -2197.679 | 2391.385 | -2872.427 | 3154.380 |
| -3883.196 | -2587.374 | -2104.889 | 2442.253 | -2905.776 | 3180.282 |
| 485.498 | 314.283 | 257.034 | -242.536 | 294.396 | -317.728 |
| 57.866 | 98.319 | 38.629 | -0.334 | 0.678 | -0.191 |
| 447.679 | 310.788 | 287.794 | -247.530 | 297.507 | -317.405 |
| 383.630 | 260.750 | 219.146 | -212.931 | 290.152 | -314.960 |
| 4.907 | -1.625 | -7.879 | -5.076 | 22.500 | 1.206 |
| 6.618 | 1.555 | -12.761 | -3.269 | 9.541 | 22.203 |
| 105.578 | 50.260 | 47.342 | 1.235 | 0.736 | -2.308 |
| -332.099 | -152.932 | -174.239 | 244.322 | -289.773 | 314.580 |
| 47.065 | 45.564 | 105.926 | -0.625 | 0.700 | -0.028 |
| -386.953 | -257.469 | -211.549 | 265.024 | -290.919 | 315.997 |
| -383.193 | -259.629 | -219.013 | 239.272 | -262.383 | 316.757 |
| -8.486 | 1.123 | 9.449 | 5.634 | 4.000 | 24.887 |
| 2810.326 | 729.954 | 911.074 | -992.929 | 121.950 | 1069.404 |
| 1948.625 | 625.567 | 628.725 | -659.690 | 0.677 | 742.025 |
| 1935.708 | 587.547 | 663.875 | -661.489 | -6.081 | 748.570 |
| -74487.311 | -6153.082 | -67303.298 | 20654.371 | -72274.905 | 23784.508 |
| -74247.945 | -6114.918 | -67215.729 | 20526.227 | -72229.809 | 23894.444 |
| 2685.758 | 676.792 | 852.195 | -974.242 | 115.173 | 1071.705 |
| -2611.052 | -624.839 | -810.652 | 983.552 | -107.441 | -1063.572 |
| -2612.970 | -590.909 | -800.165 | 965.383 | -109.751 | -1041.706 |
| -2699.063 | -639.940 | -788.728 | 994.606 | -119.511 | -1076.065 |
| 75615.424 | 6270.978 | 67828.246 | -21242.788 | 72543.158 | -23309.839 |
| 0.849 | -0.165 | 4.490 | -1.302 | 24.262 | -0.107 |
| -17.870 | -2.539 | -5.717 | -2.695 | -5.583 | 27.895 |
| 273.113 | 103.805 | 102.529 | -64.109 | 3.551 | 72.628 |
| 43.629 | 90.755 | 41.145 | 1.971 | -0.248 | 1.534 |
| -7369.154 | -565.288 | -6636.341 | 2050.237 | -7219.450 | 2391.501 |
| -7421.497 | -610.823 | -6721.088 | 2069.554 | -7225.361 | 2390.303 |
| -7431.309 | -612.564 | -6721.467 | 2055.254 | -7208.768 | 2385.932 |
| -7434.978 | -610.513 | -6725.013 | 2055.135 | -7224.806 | 2405.125 |
| 7499.730 | 659.541 | 6764.240 | -2050.226 | 7226.848 | -2393.273 |
| 7467.010 | 689.301 | 6763.447 | -2049.251 | 7223.521 | -2389.835 |
| 7544.323 | 667.116 | 6831.243 | -2083.846 | 7239.004 | -2361.255 |
| -190.986 | -54.960 | -58.760 | 83.727 | -1.324 | -74.865 |
| 7427.132 | 611.372 | 6725.989 | -2056.262 | 7241.147 | -2388.105 |
| 7419.387 | 613.310 | 6720.214 | -2051.983 | 7225.130 | -2372.133 |
| -665.473 | -13.102 | -629.931 | 208.555 | -719.663 | 234.885 |
| -701.433 | 18.142 | -631.532 | 210.025 | -723.522 | 238.083 |
| -700.450 | -17.710 | -590.124 | 206.562 | -719.471 | 236.671 |
| 0.118 | 0.246 | -0.489 | 24.156 | -1.380 | -0.027 |
| -742.372 | -61.186 | -669.476 | 204.854 | -705.614 | 238.163 |
| -744.206 | -58.733 | -672.593 | 204.497 | -721.525 | 257.891 |
| 820.604 | 110.123 | 715.494 | -203.360 | 725.264 | -241.813 |
| 29.415 | 74.893 | 37.402 | 8.166 | 0.024 | -5.373 |
| 811.660 | 109.395 | 774.009 | -215.299 | 728.435 | -230.056 |
| 750.888 | 62.479 | 674.893 | -190.420 | 722.502 | -236.075 |
| 1.603 | 0.006 | 4.734 | -1.155 | 24.640 | -0.252 |
| 739.170 | 63.294 | 671.258 | -205.439 | 723.198 | -220.563 |
| 105.406 | 48.101 | 52.180 | -0.250 | -0.108 | 4.317 |
| 50.377 | 105.820 | 50.818 | 3.865 | 1.500 | -5.970 |
| 52.729 | 47.931 | 97.717 | 2.153 | 2.565 | -1.984 |
| 0.123 | -0.005 | -3.504 | 29.365 | 0.903 | 2.649 |
| -1.156 | 2.931 | 0.144 | -2.792 | 30.852 | 0.599 |
| 2.797 | -5.569 | -2.465 | 1.593 | 3.151 | 27.511 |
| 32151.572 | 101293.244 | 78399.949 | -89064.246 | -50108.364 | 56966.733 |
| 32095.376 | 101349.755 | 78398.052 | -89059.246 | -50106.450 | 56955.996 |
| 52.753 | 49.611 | 100.243 | 1.098 | 0.912 | -2.119 |
| -0.283 | 2.744 | 1.098 | 27.692 | -2.132 | 2.231 |
| -3.870 | 1.768 | 1.296 | -1.802 | 29.995 | -0.484 |
| 0.988 | -6.345 | -1.696 | 2.253 | 2.579 | 26.794 |
| 106.171 | 48.593 | 52.061 | -0.629 | 0.008 | 4.623 |
| 49.872 | 105.044 | 50.210 | 4.391 | 1.882 | -6.126 |
| 52.938 | 49.858 | 100.415 | 0.927 | 0.804 | -2.061 |
| -3205.227 | -10122.471 | -7834.205 | 8934.663 | 5009.025 | -5694.325 |
| -3.151 | 1.741 | 0.485 | -1.855 | 30.557 | -0.168 |
| 1.350 | -6.189 | -1.851 | 2.121 | 2.692 | 26.928 |
| 105.498 | 48.308 | 52.394 | -0.389 | -0.244 | 4.340 |
| 49.570 | 105.347 | 50.993 | 4.231 | 1.356 | -6.284 |
| 53.082 | 50.378 | 101.049 | 0.588 | 0.393 | -2.044 |
| -0.859 | 1.974 | 0.550 | 28.223 | -1.794 | 2.048 |
| -3.057 | 2.032 | 0.825 | -2.047 | 30.337 | -0.152 |
| 0.999 | -5.672 | -0.690 | 1.831 | 1.916 | 26.727 |
| 105.595 | 48.407 | 52.361 | -0.454 | -0.201 | 4.400 |
| 49.820 | 104.840 | 50.176 | 4.461 | 1.923 | -6.156 |
| -267.225 | -962.219 | -682.899 | 891.323 | 501.737 | -571.602 |
| -320.999 | -1010.317 | -783.032 | 918.707 | 499.373 | -567.441 |
| -323.491 | -1010.621 | -782.986 | 888.721 | 531.594 | -569.751 |
| -319.165 | -1018.399 | -784.898 | 892.622 | 503.482 | -542.781 |
| 425.874 | 1060.820 | 835.966 | -891.076 | -501.382 | 573.989 |
| 369.990 | 1117.336 | 833.872 | -886.127 | -499.332 | 563.348 |
| 52.979 | 50.162 | 100.787 | 0.747 | 0.529 | -2.081 |
| 319.605 | 1014.511 | 784.149 | -862.550 | -502.945 | 571.684 |
| -3.249 | 1.784 | 0.654 | -1.871 | 30.402 | -0.215 |
| 1.026 | -5.976 | -1.185 | 2.020 | 2.230 | 26.717 |
| -52.406 | 3.742 | 29.197 | -107.561 | -27.520 | -23.879 |
| -464.509 | -63.503 | -346.724 | 38.182 | 332.000 | 0.930 |
| -295.142 | -66.753 | -107.541 | -64.290 | 106.902 | 22.301 |
| -0.647 | 1.504 | 2.987 | 29.536 | -1.005 | 0.228 |
| -381.661 | -289.688 | -582.233 | 191.416 | 524.234 | 17.986 |
| -148.073 | -48.539 | -22.975 | -107.222 | -28.682 | -0.800 |
| 104.321 | 49.021 | 49.264 | -0.506 | -1.466 | -0.063 |
| 49.061 | 103.094 | 50.269 | 0.321 | 0.176 | -0.242 |
| 49.064 | 50.389 | 101.224 | 2.987 | -1.239 | -0.753 |
| 348.754 | 123.592 | 195.373 | 82.980 | -108.303 | -23.496 |
| 351.122 | 124.324 | 192.797 | 65.481 | -90.940 | -25.004 |
| 348.910 | 123.335 | 191.751 | 66.690 | -109.233 | -6.130 |
| 104.322 | 49.021 | 49.264 | -0.506 | -1.466 | -0.063 |
| 5.343 | 65.404 | 16.016 | 3.055 | 34.405 | 0.770 |
| 36.268 | 48.513 | 91.712 | -7.897 | -3.440 | -3.319 |
| -15.504 | -3.740 | 0.639 | 13.120 | -3.938 | -2.631 |
| -32.537 | -11.177 | -19.102 | -8.152 | 26.553 | 0.498 |
| -34.556 | -83.177 | -29.048 | 36.221 | 82.775 | 0.020 |
| 120.723 | 68.227 | 73.083 | 6.739 | -10.781 | -2.302 |
| 67.027 | 99.066 | 55.443 | 10.824 | 3.384 | 2.202 |
| 49.064 | 50.389 | 101.224 | 2.987 | -1.239 | -0.753 |
| 34.824 | 12.717 | 21.991 | 22.692 | -12.202 | -2.633 |
| 2.628 | 0.136 | -1.239 | -1.005 | 28.209 | -0.783 |
| 15.251 | 4.611 | 1.326 | 10.526 | 0.554 | 25.522 |
| 104.326 | 49.023 | 49.266 | -0.506 | -1.467 | -0.063 |
| 49.062 | 103.097 | 50.270 | 0.323 | 0.177 | -0.243 |
| 49.065 | 50.389 | 101.225 | 2.985 | -1.240 | -0.753 |
| -3.452 | -0.708 | 0.889 | 16.296 | -0.459 | -0.059 |
| 0.911 | 0.192 | -0.998 | -2.344 | 22.722 | -1.421 |
| 0.438 | -0.237 | -0.703 | 0.268 | -1.912 | 28.170 |
| 97.529 | 52.574 | 51.527 | 0.577 | -0.666 | 0.302 |
| 49.059 | 103.091 | 50.268 | 0.320 | 0.176 | -0.241 |
| 49.063 | 50.388 | 101.224 | 2.988 | -1.238 | -0.753 |
| 0.860 | 1.564 | 3.066 | 24.622 | -1.023 | -0.016 |
| 3.921 | 1.209 | -0.521 | -0.179 | 22.950 | -0.958 |
| 3.504 | 1.337 | 0.994 | 0.413 | -3.482 | 17.186 |
| -42614.430 | -2440.477 | -7158.447 | 4258.505 | 17507.879 | -10331.689 |
| 45.291 | 92.391 | 45.414 | 2.074 | -0.682 | 0.084 |
| -4620.015 | -1539.860 | -29658.782 | 6858.932 | -11819.641 | 2709.912 |
| 1.941 | 0.696 | 1.401 | 26.964 | -2.044 | -0.768 |
| 30.842 | 4.561 | -22.168 | 21.507 | 18.303 | -1.599 |
| -3.417 | 0.088 | -1.793 | -0.781 | 2.780 | 26.944 |
| 42815.753 | 2530.149 | 7246.920 | -4256.663 | -17507.232 | 10330.521 |
| 67.472 | 115.542 | 33.389 | 10.009 | 3.406 | -4.829 |
| 42747.158 | 2522.808 | 7330.860 | -4287.932 | -17510.818 | 10340.602 |
| 42716.599 | 2485.762 | 7205.095 | -4231.604 | -17509.692 | 10330.668 |
| -23.916 | -1.821 | 20.095 | -21.091 | 30.656 | 4.068 |
| -35.854 | -5.806 | 22.729 | -25.067 | 9.177 | 30.504 |
| -4169.968 | -203.030 | -678.822 | 429.256 | 1751.456 | -1034.650 |
| 48.028 | 91.239 | 43.174 | 4.647 | -1.792 | -0.005 |
| 46.273 | 46.029 | 91.620 | 3.513 | 1.016 | -2.527 |
| 1.941 | 0.695 | 1.401 | 26.964 | -2.044 | -0.768 |
| -4272.246 | -251.628 | -718.966 | 424.922 | 1774.702 | -1030.789 |
| -0.766 | -0.769 | -4.121 | 1.801 | 1.680 | 26.663 |
| 98.648 | 45.464 | 44.233 | 0.655 | 1.411 | -1.109 |
| 45.291 | 92.391 | 45.414 | 2.074 | -0.682 | 0.084 |
| 43.337 | 45.308 | 93.849 | 1.401 | 1.518 | -2.177 |
| 4272.200 | 248.433 | 725.107 | -402.062 | -1753.228 | 1033.486 |
| 4269.626 | 247.048 | 725.168 | -430.932 | -1726.471 | 1036.015 |
| 4268.277 | 248.617 | 718.611 | -426.654 | -1748.074 | 1060.082 |
| 101.276 | 45.561 | 42.070 | 3.170 | 0.630 | -1.279 |
| 45.290 | 92.389 | 45.413 | 2.074 | -0.683 | 0.085 |
| 43.865 | 45.399 | 93.273 | 1.789 | 1.396 | -2.229 |
| -472.088 | -39.771 | -368.239 | 138.047 | 55.060 | -77.096 |
| -0.650 | -0.832 | 1.721 | -2.221 | 24.690 | 1.875 |
| -2.832 | 0.240 | -2.231 | -0.358 | 2.684 | 26.785 |
| 575.342 | 86.302 | 411.437 | -108.066 | -56.248 | 74.810 |
| 45.097 | 92.262 | 45.635 | 1.882 | -0.624 | 0.116 |
| 90.296 | 61.156 | 390.294 | -66.761 | 119.364 | -29.604 |
| 428.932 | 25.502 | 73.595 | -15.845 | -177.102 | 102.582 |
| -0.437 | 63.786 | -38.685 | -17.841 | -19.855 | -53.527 |
| 423.950 | 24.960 | 70.277 | -43.387 | -172.382 | 130.251 |
| 51163.907 | 53917.503 | 852.887 | -6588.418 | 6411.888 | -52448.316 |
| 46.674 | 100.863 | 45.268 | -4.098 | 3.040 | 3.507 |
| 51100.033 | 53910.587 | 910.716 | -6586.573 | 6401.699 | -52448.359 |
| 51050.729 | 53867.354 | 800.292 | -6562.583 | 6409.242 | -52444.183 |
| 1.535 | -0.371 | -2.719 | -0.323 | 27.294 | -0.841 |
| 51052.001 | 53861.630 | 803.412 | -6586.401 | 6401.817 | -52419.749 |
| 109.333 | 48.908 | 47.944 | -0.726 | 1.385 | -2.066 |
| -51003.363 | -53763.146 | -755.463 | 6585.121 | -6404.778 | 52447.144 |
| 47.910 | 47.984 | 107.266 | -0.407 | -2.719 | -0.242 |
| -0.734 | 0.749 | -0.407 | 27.501 | -0.323 | -0.247 |
| 2.621 | 2.067 | -1.115 | -0.417 | 30.245 | 0.285 |
| 2.792 | 1.890 | 4.100 | 1.502 | -0.126 | 27.392 |
| 109.310 | 48.956 | 47.921 | -0.773 | 1.470 | -1.982 |
| 48.790 | 99.794 | 47.911 | -1.251 | -0.004 | -0.771 |
| 5152.773 | 5433.904 | 187.136 | -659.193 | 637.467 | -5244.884 |
| 5104.495 | 5387.023 | 79.939 | -631.135 | 640.122 | -5245.074 |
| 5106.733 | 5385.873 | 77.628 | -658.936 | 667.718 | -5245.640 |
| -0.350 | -1.657 | -0.252 | -0.046 | -3.392 | 28.031 |
| -4995.849 | -5337.114 | -32.241 | 657.873 | -638.737 | 5242.924 |
| 48.875 | 99.612 | 48.004 | -1.060 | -0.345 | -1.105 |
| -5057.509 | -5338.765 | 26.790 | 658.333 | -643.650 | 5244.433 |
| -5105.136 | -5385.547 | -79.500 | 687.017 | -641.193 | 5243.489 |
| 1.535 | -0.371 | -2.719 | -0.323 | 27.294 | -0.841 |
| -5105.647 | -5388.033 | -80.559 | 658.616 | -643.857 | 5272.932 |
| 109.102 | 49.239 | 47.816 | -1.024 | 1.934 | -1.514 |
| 559.318 | 638.330 | 55.947 | -67.165 | 64.107 | -525.162 |
| 558.450 | 586.658 | 115.293 | -66.281 | 61.375 | -524.707 |
| -0.742 | 0.698 | -0.426 | 27.503 | -0.390 | -0.288 |
| 1.527 | -0.353 | -2.729 | -0.342 | 27.324 | -0.808 |
| -0.337 | -1.399 | -0.246 | -0.179 | -3.033 | 28.193 |
| -401.279 | -489.301 | 40.255 | 65.183 | -62.261 | 522.579 |
| -461.524 | -438.842 | 40.139 | 64.695 | -63.931 | 523.656 |
| -462.629 | -490.686 | 99.215 | 65.466 | -66.814 | 524.228 |
| -0.725 | 0.730 | -0.397 | 27.516 | -0.357 | -0.280 |
| -508.958 | -538.915 | -10.731 | 65.520 | -36.687 | 523.678 |
| -0.090 | -1.248 | 0.097 | 0.013 | -2.962 | 28.031 |
| -1592.364 | -12216.893 | -2164.598 | 5204.858 | -1923.151 | 4557.944 |
| -1949.486 | -14377.645 | -2564.616 | 6145.063 | -2276.986 | 5377.886 |
| 46.232 | 43.356 | 98.929 | 7.136 | 2.961 | 2.461 |
| -3075.788 | -22310.483 | -4012.041 | 9492.862 | -3510.397 | 8287.848 |
| 3.864 | -0.282 | 2.961 | 2.636 | 28.503 | 0.131 |
| -5960.539 | -43229.474 | -7781.266 | 18340.445 | -6807.479 | 16084.555 |
| 2628.297 | 18405.819 | 3355.375 | -7790.885 | 2895.377 | -6817.341 |
| 364.554 | 2414.805 | 465.415 | -983.557 | 363.096 | -860.360 |
| 4028.366 | 28923.117 | 5299.655 | -12245.558 | 4549.924 | -10724.768 |
| 0.380 | 3.249 | 7.136 | 25.425 | 2.636 | -0.542 |
| 1180.347 | 8541.723 | 1544.037 | -3623.222 | 1372.287 | -3173.050 |
| 5313.165 | 38529.005 | 6939.331 | -16344.929 | 6067.005 | -14283.810 |
| -171.242 | -1902.825 | -304.230 | 826.971 | -300.806 | 726.485 |
| 22.918 | -65.407 | 14.561 | 71.794 | -24.051 | 61.502 |
| 46.232 | 43.356 | 98.929 | 7.136 | 2.961 | 2.461 |
| -152.701 | -1106.588 | -192.725 | 496.293 | -172.057 | 411.706 |
| 7.879 | 28.974 | 7.593 | -9.298 | 33.641 | -10.635 |
| 4.850 | 32.366 | 7.512 | -12.659 | 5.393 | 15.450 |
| 97.097 | 43.763 | 46.626 | 0.887 | 5.500 | 3.396 |
| 132.274 | 724.137 | 157.975 | -264.227 | 98.737 | -232.015 |
| 46.232 | 43.356 | 98.928 | 7.136 | 2.961 | 2.461 |
| -3.628 | -25.806 | 1.909 | 37.749 | -1.942 | 10.250 |
| 429.354 | 3085.286 | 558.465 | -1306.359 | 514.400 | -1145.966 |
| 439.028 | 3140.463 | 575.773 | -1339.141 | 481.616 | -1141.760 |
| 60.700 | -220.013 | -0.984 | 112.883 | -35.973 | 101.390 |
| 44.970 | 93.926 | 43.747 | 3.857 | 1.037 | 2.120 |
| 45.637 | 49.587 | 93.701 | 7.216 | 7.721 | 1.236 |
| -69.335 | -495.720 | -83.269 | 236.841 | -74.753 | 184.987 |
| -38.476 | -307.653 | -52.575 | 133.159 | -19.867 | 114.330 |
| 1.296 | 6.096 | 3.033 | -1.719 | 0.969 | 25.156 |
| 97.819 | 48.971 | 47.575 | -1.337 | 6.232 | 1.460 |
| 47.653 | 109.518 | 47.411 | -3.532 | 2.311 | -3.881 |
| 46.315 | 40.297 | 97.971 | 8.173 | 1.733 | 3.607 |
| 20.398 | 138.366 | 34.664 | -37.488 | 19.014 | -51.307 |
| 28.617 | 178.661 | 35.100 | -73.243 | 56.646 | -66.331 |
| 0.963 | 3.111 | 2.578 | -0.535 | 0.347 | 26.198 |
| 63.306 | 46.331 | 1.291 | 0.000 | 0.000 | 0.000 |
| 51.637 | 98.708 | 55.507 | -0.000 | 0.000 | -0.000 |
| -2.847 | 53.645 | 35.812 | -0.000 | 0.000 | -0.000 |
| 0.000 | 0.000 | 0.000 | 30.051 | 0.000 | 0.000 |
| 0.000 | 0.000 | 0.000 | -0.000 | 15.840 | 0.000 |
| 6.792 | -4.761 | 6.798 | -0.000 | 0.000 | -2.942 |
| 40.381 | 70.017 | -29.520 | 0.000 | -0.000 | 0.000 |
| 28.888 | 115.882 | 31.470 | 0.000 | 0.000 | 0.000 |
| -28.526 | 81.548 | -0.117 | -0.000 | 0.000 | 0.000 |
| 0.000 | -0.000 | -0.000 | 30.051 | -0.000 | 0.000 |
| -0.000 | -0.000 | -0.000 | 0.000 | 15.840 | 0.000 |
| -6.792 | 4.761 | -6.798 | 0.000 | -0.000 | -2.942 |
| 82.637 | 32.187 | 21.254 | -0.000 | 0.000 | -0.000 |
| 28.888 | 115.882 | 31.470 | -0.000 | -0.000 | 0.000 |
| 21.506 | 35.021 | 61.793 | -0.000 | 0.000 | -0.000 |
| -0.000 | 0.000 | 0.000 | 30.051 | 0.000 | 0.000 |
| 0.368 | -0.258 | 0.368 | -0.000 | 9.643 | -0.000 |
| 0.000 | 0.000 | -0.000 | -0.000 | 0.000 | 23.122 |
| 60.119 | 48.550 | -1.884 | -0.000 | 0.000 | 0.000 |
| 28.888 | 115.882 | 31.470 | 0.000 | 0.000 | 0.000 |
| -24.288 | 77.935 | 4.788 | 0.000 | 0.000 | 0.000 |
| 0.000 | -0.000 | -0.000 | 30.051 | -0.000 | 0.000 |
| -0.368 | 0.258 | -0.368 | 0.000 | 9.643 | 0.000 |
| -0.000 | -0.000 | 0.000 | 0.000 | 0.000 | 23.122 |
| 60.443 | 48.329 | -1.561 | -0.000 | -0.000 | -0.000 |
| 28.889 | 115.883 | 31.471 | -0.000 | 0.000 | 0.000 |
| -5.249 | 55.239 | 33.504 | -0.000 | -0.000 | -0.000 |
| 0.026 | -0.022 | 0.030 | 2.296 | -0.000 | -0.000 |
| 0.037 | -0.026 | 0.037 | -0.000 | 9.642 | -0.000 |
| 0.000 | -0.000 | -0.000 | -0.000 | 0.000 | 23.122 |
| 60.378 | 48.366 | -1.625 | 0.000 | 0.000 | 0.000 |
| 28.887 | 115.881 | 31.469 | 0.000 | -0.000 | 0.000 |
| -23.867 | 77.572 | 5.276 | 0.000 | 0.000 | 0.000 |
| -0.026 | 0.022 | -0.030 | 2.296 | 0.000 | 0.000 |
| -0.037 | 0.026 | -0.037 | 0.000 | 9.642 | 0.000 |
| -0.000 | 0.000 | 0.000 | 0.000 | 0.000 | 23.122 |
| 113.615 | 53.275 | 53.275 | 0.000 | 0.000 | 0.000 |
| 53.275 | 113.615 | 53.275 | 0.000 | 0.000 | 0.000 |
| 53.275 | 53.275 | 113.615 | 0.000 | 0.000 | 0.000 |
| -4.704 | -4.704 | -4.704 | 9.285 | 0.000 | 0.000 |
| -4.704 | -4.704 | -4.704 | 0.000 | 9.285 | 0.000 |
| -4.704 | -4.704 | -4.704 | 0.000 | 0.000 | 9.285 |
| 125.427 | 49.879 | 49.879 | 0.000 | 0.000 | -0.000 |
| 49.879 | 125.427 | 49.879 | -0.000 | 0.000 | -0.000 |
| 49.879 | 49.879 | 125.427 | -0.000 | 0.000 | -0.000 |
| 4.704 | 4.704 | 4.704 | 9.285 | 0.000 | -0.000 |
| 4.704 | 4.704 | 4.704 | -0.000 | 9.285 | -0.000 |
| 4.704 | 4.704 | 4.704 | -0.000 | -0.000 | 9.285 |
| 115.134 | 53.609 | 53.609 | 0.000 | 0.000 | 0.000 |
| 53.609 | 115.134 | 53.609 | 0.000 | 0.000 | 0.000 |
| 53.609 | 53.609 | 115.134 | 0.000 | 0.000 | 0.000 |
| -0.363 | -0.363 | -0.363 | 13.476 | 0.000 | 0.000 |
| -0.363 | -0.363 | -0.363 | 0.000 | 13.476 | 0.000 |
| -0.363 | -0.363 | -0.363 | 0.000 | 0.000 | 13.476 |
| 116.011 | 53.457 | 53.457 | -0.000 | -0.000 | -0.000 |
| 53.457 | 116.011 | 53.457 | -0.000 | -0.000 | -0.000 |
| 53.457 | 53.457 | 116.011 | -0.000 | -0.000 | -0.000 |
| 0.363 | 0.363 | 0.363 | 13.476 | 0.000 | -0.000 |
| 0.363 | 0.363 | 0.363 | -0.000 | 13.476 | -0.000 |
| 0.363 | 0.363 | 0.363 | -0.000 | -0.000 | 13.476 |
| 112.604 | 53.557 | 53.557 | 0.000 | -0.000 | 0.000 |
| 53.557 | 112.604 | 53.557 | 0.000 | -0.000 | 0.000 |
| 53.557 | 53.557 | 112.604 | 0.000 | -0.000 | 0.000 |
| 0.000 | 0.000 | 0.000 | 24.135 | -0.000 | 0.000 |
| 0.000 | 0.000 | 0.000 | 0.000 | 24.135 | 0.000 |
| 0.000 | 0.000 | 0.000 | 0.000 | -0.000 | 24.135 |
| 125.417 | 49.869 | 49.869 | -0.000 | 0.000 | -0.000 |
| 49.869 | 125.417 | 49.869 | -0.000 | 0.000 | -0.000 |
| 49.869 | 49.869 | 125.417 | -0.000 | 0.000 | -0.000 |
| -0.000 | -0.000 | -0.000 | 24.135 | 0.000 | -0.000 |
| -0.000 | -0.000 | -0.000 | -0.000 | 24.135 | -0.000 |
| -0.000 | -0.000 | -0.000 | -0.000 | 0.000 | 24.135 |
| 121.850 | 46.428 | 46.428 | 0.000 | -0.000 | -0.000 |
| 46.428 | 121.850 | 46.428 | -0.000 | -0.000 | -0.000 |
| 46.428 | 46.428 | 121.850 | -0.000 | -0.000 | -0.000 |
| 19.147 | 19.147 | 19.147 | 15.737 | -0.000 | -0.000 |
| 19.147 | 19.147 | 19.147 | 0.000 | 15.737 | -0.000 |
| 19.147 | 19.147 | 19.147 | -0.000 | 0.000 | 15.737 |
| 121.850 | 46.428 | 46.428 | 0.000 | 0.000 | 0.000 |
| 46.428 | 121.850 | 46.428 | 0.000 | 0.000 | 0.000 |
| 46.428 | 46.428 | 121.850 | 0.000 | 0.000 | 0.000 |
| -19.147 | -19.147 | -19.147 | 15.737 | -0.000 | 0.000 |
| -19.147 | -19.147 | -19.147 | -0.000 | 15.737 | 0.000 |
| -19.147 | -19.147 | -19.147 | 0.000 | 0.000 | 15.737 |
| 114.958 | 51.603 | 51.603 | -0.000 | -0.000 | -0.000 |
| 51.603 | 114.958 | 51.603 | -0.000 | 0.000 | -0.000 |
| 51.603 | 51.603 | 114.958 | -0.000 | -0.000 | -0.000 |
| 0.000 | 0.000 | 0.000 | 24.092 | -0.000 | -0.000 |
| 0.000 | 0.000 | 0.000 | -0.000 | 24.092 | -0.000 |
| 0.000 | 0.000 | 0.000 | -0.000 | 0.000 | 24.092 |
| 121.850 | 46.428 | 46.428 | 0.000 | 0.000 | 0.000 |
| 46.428 | 121.850 | 46.428 | 0.000 | 0.000 | 0.000 |
| 46.428 | 46.428 | 121.850 | 0.000 | 0.000 | 0.000 |
| -0.000 | -0.000 | -0.000 | 24.092 | 0.000 | 0.000 |
| -0.000 | -0.000 | -0.000 | 0.000 | 24.092 | 0.000 |
| -0.000 | -0.000 | -0.000 | -0.000 | -0.000 | 24.092 |
| 112.492 | 50.352 | 50.352 | -0.000 | -0.000 | -0.000 |
| 50.352 | 112.492 | 50.352 | -0.000 | -0.000 | -0.000 |
| 50.352 | 50.352 | 112.492 | 0.000 | -0.000 | -0.000 |
| 0.000 | 0.000 | 0.000 | 24.092 | -0.000 | -0.000 |
| 0.000 | 0.000 | 0.000 | -0.000 | 24.092 | -0.000 |
| 0.000 | 0.000 | 0.000 | 0.000 | 0.000 | 24.092 |
| 111.618 | 50.120 | 50.120 | 0.000 | -0.000 | 0.000 |
| 50.120 | 111.618 | 50.120 | -0.000 | 0.000 | 0.000 |
| 50.120 | 50.120 | 111.618 | 0.000 | 0.000 | 0.000 |
| -0.000 | -0.000 | -0.000 | 24.092 | -0.000 | 0.000 |
| -0.000 | -0.000 | -0.000 | 0.000 | 24.092 | 0.000 |
| -0.000 | -0.000 | -0.000 | 0.000 | 0.000 | 24.092 |
| 84.321 | 49.138 | 49.138 | -0.000 | -0.000 | 0.000 |
| 49.138 | 84.321 | 49.138 | 0.000 | -0.000 | 0.000 |
| 49.138 | 49.138 | 84.321 | 0.000 | -0.000 | 0.000 |
| -1.920 | -1.920 | -1.920 | 17.722 | -0.000 | 0.000 |
| -1.920 | -1.920 | -1.920 | -0.000 | 17.722 | 0.000 |
| -1.920 | -1.920 | -1.920 | -0.000 | 0.000 | 17.722 |
| 86.168 | 49.426 | 49.426 | -0.000 | -0.000 | 0.000 |
| 49.426 | 86.168 | 49.426 | -0.000 | 0.000 | 0.000 |
| 49.426 | 49.426 | 86.168 | -0.000 | -0.000 | 0.000 |
| 1.920 | 1.920 | 1.920 | 17.722 | -0.000 | 0.000 |
| 1.920 | 1.920 | 1.920 | -0.000 | 17.722 | -0.000 |
| 1.920 | 1.920 | 1.920 | 0.000 | 0.000 | 17.722 |
| 85.523 | 49.165 | 49.165 | 0.000 | -0.000 | 0.000 |
| 49.165 | 85.523 | 49.165 | 0.000 | -0.000 | 0.000 |
| 49.165 | 49.165 | 85.523 | 0.000 | -0.000 | 0.000 |
| -0.042 | -0.042 | -0.042 | 20.410 | 0.000 | 0.000 |
| -0.042 | -0.042 | -0.042 | 0.000 | 20.410 | 0.000 |
| -0.042 | -0.042 | -0.042 | 0.000 | 0.000 | 20.410 |
| 92.238 | 46.535 | 46.535 | -0.000 | 0.000 | 0.000 |
| 46.535 | 92.238 | 46.535 | -0.000 | 0.000 | -0.000 |
| 46.535 | 46.535 | 92.238 | -0.000 | -0.000 | -0.000 |
| 0.042 | 0.042 | 0.042 | 20.410 | -0.000 | -0.000 |
| 0.042 | 0.042 | 0.042 | 0.000 | 20.410 | -0.000 |
| 0.042 | 0.042 | 0.042 | -0.000 | 0.000 | 20.410 |
| 92.249 | 46.547 | 46.547 | 0.000 | -0.000 | 0.000 |
| 46.547 | 92.249 | 46.547 | 0.000 | -0.000 | 0.000 |
| 46.547 | 46.547 | 92.249 | -0.000 | -0.000 | 0.000 |
| -0.004 | -0.004 | -0.004 | 20.414 | 0.000 | 0.000 |
| -0.004 | -0.004 | -0.004 | 0.000 | 20.414 | -0.000 |
| -0.004 | -0.004 | -0.004 | 0.000 | -0.000 | 20.414 |
| 92.228 | 46.526 | 46.526 | -0.000 | 0.000 | -0.000 |
| 46.526 | 92.228 | 46.526 | -0.000 | -0.000 | -0.000 |
| 46.526 | 46.526 | 92.228 | 0.000 | 0.000 | -0.000 |
| 0.004 | 0.004 | 0.004 | 20.414 | -0.000 | 0.000 |
| 0.004 | 0.004 | 0.004 | 0.000 | 20.414 | 0.000 |
| 0.004 | 0.004 | 0.004 | 0.000 | -0.000 | 20.414 |
| 91.687 | 46.025 | 46.025 | -0.000 | -0.000 | -0.000 |
| 46.025 | 91.687 | 46.025 | -0.000 | 0.000 | -0.000 |
| 46.025 | 46.025 | 91.687 | -0.000 | 0.000 | -0.000 |
| 0.036 | 0.036 | 0.036 | 20.469 | 0.000 | 0.000 |
| 0.036 | 0.036 | 0.036 | 0.000 | 20.469 | 0.000 |
| 0.036 | 0.036 | 0.036 | 0.000 | 0.000 | 20.469 |
| 85.170 | 48.644 | 48.644 | -0.000 | -0.000 | -0.000 |
| 48.644 | 85.170 | 48.644 | 0.000 | -0.000 | -0.000 |
| 48.644 | 48.644 | 85.170 | -0.000 | -0.000 | -0.000 |
| -0.036 | -0.036 | -0.036 | 20.469 | -0.000 | -0.000 |
| -0.036 | -0.036 | -0.036 | -0.000 | 20.469 | -0.000 |
| -0.036 | -0.036 | -0.036 | -0.000 | -0.000 | 20.469 |
| 84.937 | 48.782 | 48.782 | 0.000 | 0.000 | 0.000 |
| 48.782 | 84.937 | 48.782 | 0.000 | 0.000 | 0.000 |
| 48.782 | 48.782 | 84.937 | 0.000 | 0.000 | 0.000 |
| 0.004 | 0.004 | 0.004 | 20.352 | 0.000 | 0.000 |
| 0.004 | 0.004 | 0.004 | 0.000 | 20.352 | 0.000 |
| 0.004 | 0.004 | 0.004 | 0.000 | 0.000 | 20.352 |
| 85.262 | 48.646 | 48.646 | -0.000 | -0.000 | -0.000 |
| 48.646 | 85.262 | 48.646 | -0.000 | -0.000 | -0.000 |
| 48.646 | 48.646 | 85.262 | -0.000 | -0.000 | -0.000 |
| -0.004 | -0.004 | -0.004 | 20.352 | -0.000 | -0.000 |
| -0.004 | -0.004 | -0.004 | -0.000 | 20.352 | -0.000 |
| -0.004 | -0.004 | -0.004 | -0.000 | -0.000 | 20.352 |
| 85.083 | 48.696 | 48.696 | 0.000 | 0.000 | 0.000 |
| 48.696 | 85.083 | 48.696 | 0.000 | 0.000 | 0.000 |
| 48.696 | 48.696 | 85.083 | -0.000 | 0.000 | 0.000 |
| 0.000 | 0.000 | 0.000 | 20.349 | 0.000 | 0.000 |
| 0.000 | 0.000 | 0.000 | 0.000 | 20.349 | 0.000 |
| 0.000 | 0.000 | 0.000 | 0.000 | 0.000 | 20.349 |
| 91.705 | 46.043 | 46.043 | 0.000 | -0.000 | -0.000 |
| 46.043 | 91.705 | 46.043 | 0.000 | 0.000 | 0.000 |
| 46.043 | 46.043 | 91.705 | 0.000 | -0.000 | 0.000 |
| -0.000 | -0.000 | -0.000 | 20.349 | -0.000 | -0.000 |
| -0.000 | -0.000 | -0.000 | -0.000 | 20.349 | -0.000 |
| -0.000 | -0.000 | -0.000 | -0.000 | -0.000 | 20.349 |
| 132.563 | 62.072 | 42.036 | 0.000 | 0.000 | -0.000 |
| 62.042 | 137.636 | 22.487 | -0.000 | -0.000 | -0.000 |
| 44.652 | 23.004 | 141.893 | -0.000 | -0.000 | -0.000 |
| -0.000 | 0.000 | 0.000 | -7.273 | -0.000 | -0.000 |
| -0.000 | -0.000 | 0.000 | 0.000 | 15.679 | -0.000 |
| -0.000 | 0.000 | 0.000 | -0.000 | 0.000 | 35.094 |
| 132.563 | 62.072 | 42.036 | 0.000 | -0.000 | 0.000 |
| 62.042 | 137.637 | 22.487 | -0.000 | -0.000 | 0.000 |
| 43.192 | 22.706 | 142.761 | 0.000 | -0.000 | -0.000 |
| 0.000 | -0.000 | -0.000 | -7.273 | -0.000 | 0.000 |
| 0.000 | 0.000 | -0.000 | 0.000 | 15.679 | 0.000 |
| 0.000 | -0.000 | -0.000 | -0.000 | 0.000 | 35.094 |
| 132.563 | 62.072 | 42.035 | -0.000 | -0.000 | 0.000 |
| 62.042 | 137.636 | 22.486 | -0.000 | -0.000 | -0.000 |
| 43.994 | 22.869 | 142.283 | -0.000 | -0.000 | -0.000 |
| -0.000 | 0.000 | -0.000 | -7.273 | -0.000 | -0.000 |
| 0.073 | 0.015 | -0.043 | -0.000 | -6.833 | -0.000 |
| 0.000 | 0.000 | -0.000 | 0.000 | 0.000 | 35.094 |
| 129.219 | 61.390 | 44.025 | -0.000 | 0.000 | 0.000 |
| 62.043 | 137.637 | 22.488 | 0.000 | 0.000 | -0.000 |
| 41.978 | 22.459 | 143.484 | 0.000 | 0.000 | 0.000 |
| 0.000 | -0.000 | 0.000 | -7.273 | -0.000 | 0.000 |
| -0.073 | -0.015 | 0.043 | -0.000 | -6.833 | 0.000 |
| -0.000 | -0.000 | 0.000 | -0.000 | -0.000 | 35.094 |
| 132.558 | 62.066 | 42.029 | 0.000 | -0.000 | 0.000 |
| 62.035 | 137.628 | 22.478 | -0.000 | 0.000 | -0.000 |
| 41.970 | 22.449 | 143.475 | -0.000 | 0.000 | -0.000 |
| 0.072 | 0.015 | -0.043 | -8.198 | 0.000 | -0.000 |
| 0.007 | 0.001 | -0.004 | -0.000 | -6.833 | -0.000 |
| 0.000 | 0.000 | -0.000 | -0.000 | -0.000 | 35.094 |
| 129.288 | 61.409 | 43.992 | 0.000 | -0.000 | -0.000 |
| 62.049 | 137.644 | 22.495 | 0.000 | 0.000 | 0.000 |
| 41.985 | 22.467 | 143.491 | 0.000 | -0.000 | -0.000 |
| -0.072 | -0.015 | 0.043 | -8.198 | -0.000 | 0.000 |
| -0.007 | -0.001 | 0.004 | -0.000 | -6.833 | 0.000 |
| -0.000 | -0.000 | 0.000 | 0.000 | 0.000 | 35.094 |
| 72.559 | 38.613 | 9.976 | 0.000 | -0.000 | -0.000 |
| 83.618 | 27.553 | 9.976 | -0.000 | -0.000 | -0.000 |
| 9.976 | 9.976 | 119.551 | -0.000 | -0.000 | -0.000 |
| 0.000 | -0.000 | -0.000 | -14.141 | -0.000 | -0.000 |
| 0.000 | -0.000 | 0.000 | 0.000 | -14.141 | -0.000 |
| 0.000 | 0.000 | 0.000 | -0.000 | -0.000 | 16.973 |
| 72.559 | 38.613 | 9.976 | 0.000 | -0.000 | 0.000 |
| 83.618 | 27.553 | 9.976 | -0.000 | -0.000 | 0.000 |
| 9.976 | 9.976 | 119.551 | 0.000 | 0.000 | 0.000 |
| -0.000 | 0.000 | 0.000 | -14.141 | 0.000 | 0.000 |
| -0.000 | 0.000 | -0.000 | -0.000 | -14.141 | 0.000 |
| -0.000 | -0.000 | -0.000 | 0.000 | 0.000 | 16.973 |
| 25.088 | 86.084 | 9.976 | -0.000 | 0.000 | -0.000 |
| 83.618 | 27.553 | 9.976 | -0.000 | 0.000 | -0.000 |
| 9.976 | 9.976 | 119.550 | -0.000 | -0.000 | -0.000 |
| 0.000 | 0.000 | -0.000 | -14.141 | -0.000 | -0.000 |
| 0.000 | 0.000 | -0.000 | -0.000 | -14.141 | -0.000 |
| 0.000 | 0.000 | -0.000 | -0.000 | 0.000 | -28.032 |
| 25.087 | 86.084 | 9.976 | 0.000 | -0.000 | 0.000 |
| 83.618 | 27.554 | 9.976 | 0.000 | 0.000 | 0.000 |
| 9.976 | 9.976 | 119.551 | 0.000 | -0.000 | 0.000 |
| -0.000 | -0.000 | 0.000 | -14.141 | 0.000 | 0.000 |
| -0.000 | -0.000 | 0.000 | 0.000 | -14.141 | 0.000 |
| -0.000 | -0.000 | 0.000 | 0.000 | 0.000 | -28.032 |
| 72.559 | 38.612 | 9.975 | -0.000 | -0.000 | -0.000 |
| 1207055.737 | 2499071.483 | -4998299.377 | 0.396 | 0.000 | 0.002 |
| 9.974 | 9.974 | 119.548 | 0.000 | 0.000 | -0.000 |
| 0.000 | 0.000 | -0.000 | -14.141 | 0.000 | -0.000 |
| 0.000 | 0.000 | -0.000 | 0.000 | -14.141 | -0.000 |
| 0.000 | 0.000 | -0.000 | 0.000 | -0.000 | -28.032 |
| -1206970.320 | -2498959.029 | 4998304.863 | -0.399 | 0.000 | -0.002 |
| 2249797.036 | 2870904.435 | 4732299.507 | 80.865 | -1.423 | -517.389 |
| 9.978 | 9.978 | 119.553 | 0.000 | 0.000 | 0.000 |
| -0.000 | -0.000 | 0.000 | -14.141 | 0.000 | 0.000 |
| -0.000 | -0.000 | 0.000 | 0.000 | -14.141 | 0.000 |
| -0.000 | -0.000 | 0.000 | -0.000 | 0.000 | -28.032 |
| 123.521 | 51.545 | 42.810 | 2.061 | -0.000 | 0.000 |
| 51.545 | 123.521 | 42.810 | -2.061 | 0.000 | 0.000 |
| 42.816 | 42.816 | 117.022 | 0.000 | -0.000 | 0.000 |
| 2.061 | -2.061 | 0.000 | 24.621 | -0.000 | 0.000 |
| -0.000 | 0.000 | 0.000 | -0.000 | 24.621 | 2.061 |
| -0.001 | -0.001 | 0.001 | 0.000 | 1.737 | 35.052 |
| 123.521 | 51.545 | 42.810 | 2.061 | 0.000 | -0.000 |
| 52.335 | 122.672 | 42.836 | -1.778 | -0.000 | 0.000 |
| 42.810 | 42.810 | 117.027 | -0.000 | 0.000 | -0.000 |
| 1.739 | -1.737 | -0.001 | 24.509 | 0.000 | -0.000 |
| -0.000 | 0.000 | -0.000 | -0.000 | 24.621 | 2.061 |
| 0.001 | 0.001 | -0.001 | 0.000 | 1.737 | 35.052 |
| 123.522 | 51.546 | 42.811 | 2.061 | -0.000 | -0.000 |
| 52.329 | 122.679 | 42.837 | -1.780 | -0.000 | 0.000 |
| 42.817 | 42.817 | 117.023 | 0.000 | -0.000 | 0.000 |
| 1.737 | -1.737 | 0.000 | 24.508 | -0.000 | 0.000 |
| -0.000 | -0.000 | 0.000 | 0.000 | 24.508 | 1.737 |
| -0.000 | -0.000 | 0.000 | 0.000 | 1.737 | 35.052 |
| 122.578 | 52.473 | 42.815 | 1.737 | 0.000 | -0.000 |
| 51.544 | 123.520 | 42.809 | -2.061 | 0.000 | -0.000 |
| 42.809 | 42.809 | 117.026 | -0.000 | 0.000 | 0.000 |
| 2.061 | -2.061 | -0.000 | 24.621 | 0.000 | -0.000 |
| 0.000 | 0.000 | -0.000 | -0.000 | 24.508 | 1.737 |
| 0.000 | 0.000 | -0.000 | -0.000 | 1.737 | 35.052 |
| 122.687 | 52.337 | 42.846 | 1.780 | -0.000 | 0.000 |
| 52.483 | 122.588 | 42.825 | -1.737 | -0.000 | 0.000 |
| 42.826 | 42.826 | 117.033 | -0.000 | 0.000 | 0.000 |
| 2.061 | -2.061 | 0.000 | 24.621 | -0.000 | 0.000 |
| 0.000 | 0.000 | 0.000 | 0.000 | 24.621 | 2.061 |
| 0.000 | 0.000 | 0.000 | 0.000 | 2.061 | 35.988 |
| 122.667 | 52.319 | 42.827 | 1.780 | 0.000 | -0.000 |
| 52.319 | 122.667 | 42.827 | -1.780 | 0.000 | 0.000 |
| 42.799 | 42.799 | 117.015 | -0.000 | 0.000 | -0.000 |
| 2.061 | -2.061 | -0.000 | 24.621 | 0.000 | -0.000 |
| -0.000 | -0.000 | -0.000 | -0.000 | 24.621 | 2.061 |
| -0.000 | -0.000 | -0.000 | -0.000 | 2.061 | 35.988 |
| 72.484 | 49.289 | 49.289 | -0.000 | -0.000 | -0.000 |
| 49.289 | 72.484 | 49.289 | -0.000 | 0.000 | 0.000 |
| 49.289 | 49.289 | 72.484 | 0.000 | 0.000 | -0.000 |
| 0.000 | 0.000 | 0.000 | 36.667 | 0.000 | -0.000 |
| 0.000 | 0.000 | 0.000 | 0.000 | 36.667 | -0.000 |
| 0.000 | 0.000 | 0.000 | 0.000 | -0.000 | 36.667 |
| 72.484 | 49.289 | 49.289 | 0.000 | 0.000 | 0.000 |
| 49.289 | 72.484 | 49.289 | -0.000 | 0.000 | 0.000 |
| 49.289 | 49.289 | 72.484 | -0.000 | 0.000 | 0.000 |
| -0.000 | -0.000 | -0.000 | 36.667 | -0.000 | -0.000 |
| -0.000 | -0.000 | -0.000 | 0.000 | 36.667 | 0.000 |
| -0.000 | -0.000 | -0.000 | -0.000 | 0.000 | 36.667 |
| 72.484 | 49.289 | 49.289 | 0.000 | -0.000 | -0.000 |
| 49.289 | 72.484 | 49.289 | -0.000 | -0.000 | 0.000 |
| 49.289 | 49.289 | 72.484 | 0.000 | 0.000 | 0.000 |
| 0.000 | -0.000 | -0.000 | -5.029 | -0.000 | -0.000 |
| -0.000 | 0.000 | -0.000 | 0.000 | -5.029 | -0.000 |
| -0.000 | -0.000 | 0.000 | -0.000 | -0.000 | -5.029 |
| 72.483 | 49.288 | 49.288 | 0.000 | 0.000 | -0.000 |
| 49.288 | 72.483 | 49.288 | -0.000 | 0.000 | 0.000 |
| 49.288 | 49.288 | 72.483 | 0.000 | 0.000 | 0.000 |
| -0.000 | 0.000 | 0.000 | -5.029 | 0.000 | -0.000 |
| 0.000 | -0.000 | 0.000 | -0.000 | -5.029 | 0.000 |
| 0.000 | 0.000 | -0.000 | 0.000 | 0.000 | -5.029 |
| 72.488 | 49.293 | 49.293 | -0.000 | 0.000 | -0.000 |
| 49.293 | 72.488 | 49.293 | -0.000 | -0.000 | -0.000 |
| 49.293 | 49.293 | 72.488 | -0.000 | -0.000 | -0.000 |
| 0.000 | -0.000 | -0.000 | -5.029 | 0.000 | -0.000 |
| -0.000 | 0.000 | -0.000 | -0.000 | -5.029 | -0.000 |
| -0.000 | -0.000 | 0.000 | -0.000 | -0.000 | -5.029 |
| 72.479 | 49.285 | 49.285 | -0.000 | 0.000 | 0.000 |
| 49.285 | 72.479 | 49.285 | -0.000 | 0.000 | 0.000 |
| 49.285 | 49.285 | 72.479 | 0.000 | 0.000 | 0.000 |
| -0.000 | 0.000 | 0.000 | -5.029 | 0.000 | -0.000 |
| 0.000 | -0.000 | 0.000 | 0.000 | -5.029 | 0.000 |
| 0.000 | 0.000 | -0.000 | -0.000 | 0.000 | -5.029 |
| 1.158 | 7.813 | 7.813 | -0.000 | -0.000 | -0.000 |
| 7.813 | 1.158 | 7.813 | -0.000 | -0.000 | -0.000 |
| 7.813 | 7.813 | 1.158 | -0.000 | -0.000 | 0.000 |
| 0.000 | -0.000 | 0.000 | 6.473 | -0.000 | -0.000 |
| -0.000 | 0.000 | -0.000 | -0.000 | 6.473 | 0.000 |
| -0.000 | 0.000 | 0.000 | -0.000 | -0.000 | 6.473 |
| 1.158 | 7.813 | 7.813 | 0.000 | 0.000 | -0.000 |
| 7.813 | 1.158 | 7.813 | 0.000 | 0.000 | -0.000 |
| 7.813 | 7.813 | 1.158 | 0.000 | 0.000 | -0.000 |
| -0.000 | -0.000 | -0.000 | 6.473 | 0.000 | -0.000 |
| 0.000 | -0.000 | -0.000 | 0.000 | 6.473 | -0.000 |
| 0.000 | -0.000 | -0.000 | 0.000 | 0.000 | 6.473 |
| 1.158 | 7.813 | 7.813 | -0.000 | -0.000 | 0.000 |
| 7.813 | 1.158 | 7.813 | -0.000 | -0.000 | -0.000 |
| 7.813 | 7.813 | 1.158 | -0.000 | -0.000 | 0.000 |
| -0.000 | -0.000 | 0.000 | 6.473 | -0.000 | 0.000 |
| -0.000 | -0.000 | 0.000 | -0.000 | 6.473 | 0.000 |
| -0.000 | 0.000 | -0.000 | -0.000 | -0.000 | 6.473 |
| 1.158 | 7.813 | 7.813 | 0.000 | 0.000 | -0.000 |
| 7.813 | 1.158 | 7.813 | 0.000 | 0.000 | 0.000 |
| 7.813 | 7.813 | 1.158 | 0.000 | 0.000 | -0.000 |
| 0.000 | 0.000 | -0.000 | 6.473 | 0.000 | -0.000 |
| 0.000 | 0.000 | -0.000 | 0.000 | 6.473 | -0.000 |
| 0.000 | -0.000 | 0.000 | 0.000 | 0.000 | 6.473 |
| 1.158 | 7.813 | 7.813 | -0.000 | -0.000 | -0.000 |
| 7.813 | 1.158 | 7.813 | -0.000 | -0.000 | 0.000 |
| 7.813 | 7.813 | 1.158 | -0.000 | 0.000 | -0.000 |
| -0.002 | 0.000 | 0.000 | -17.185 | -0.000 | 0.000 |
| 0.000 | -0.002 | 0.000 | -0.000 | -17.185 | 0.000 |
| 0.000 | 0.000 | -0.002 | -0.000 | -0.000 | -17.185 |
| 1.158 | 7.813 | 7.813 | 0.000 | 0.000 | 0.000 |
| 7.813 | 1.158 | 7.813 | 0.000 | 0.000 | -0.000 |
| 7.813 | 7.813 | 1.158 | 0.000 | 0.000 | 0.000 |
| 0.002 | -0.000 | -0.000 | -17.185 | 0.000 | 0.000 |
| -0.000 | 0.002 | -0.000 | 0.000 | -17.185 | -0.000 |
| -0.000 | -0.000 | 0.002 | 0.000 | 0.000 | -17.185 |
| 169.127 | 207.396 | 207.396 | -0.000 | 0.000 | 0.000 |
| 207.396 | 169.127 | 207.396 | -0.000 | -0.000 | 0.000 |
| 207.396 | 207.396 | 169.127 | -0.000 | -0.000 | 0.000 |
| 0.000 | -0.000 | 0.000 | 14.817 | 0.000 | -0.000 |
| 0.000 | -0.000 | -0.000 | -0.000 | 14.817 | 0.000 |
| 0.000 | 0.000 | 0.000 | -0.000 | 0.000 | 14.817 |
| 169.124 | 207.393 | 207.393 | 0.000 | -0.000 | -0.000 |
| 207.393 | 169.124 | 207.393 | 0.000 | -0.000 | -0.000 |
| 207.393 | 207.393 | 169.124 | -0.000 | -0.000 | 0.000 |
| -0.000 | 0.000 | -0.000 | 14.817 | -0.000 | -0.000 |
| -0.000 | 0.000 | 0.000 | 0.000 | 14.817 | -0.000 |
| -0.000 | 0.000 | -0.000 | -0.000 | -0.000 | 14.817 |
| 169.142 | 207.412 | 207.412 | 0.000 | -0.000 | 0.000 |
| 207.412 | 169.142 | 207.412 | -0.000 | 0.000 | -0.000 |
| 207.412 | 207.412 | 169.142 | 0.000 | 0.000 | 0.000 |
| 0.000 | -0.000 | 0.000 | 14.092 | -0.000 | 0.000 |
| -0.000 | 0.000 | 0.000 | -0.000 | 14.092 | 0.000 |
| -0.000 | 0.000 | 0.000 | 0.000 | 0.000 | 14.092 |
| 169.109 | 207.378 | 207.378 | 0.000 | -0.000 | 0.000 |
| 207.378 | 169.109 | 207.378 | 0.000 | -0.000 | -0.000 |
| 207.378 | 207.378 | 169.109 | 0.000 | -0.000 | -0.000 |
| -0.000 | 0.000 | -0.000 | 14.092 | -0.000 | 0.000 |
| 0.000 | -0.000 | -0.000 | 0.000 | 14.092 | -0.000 |
| 0.000 | -0.000 | -0.000 | 0.000 | -0.000 | 14.092 |
| 169.293 | 207.563 | 207.563 | -0.000 | 0.000 | 0.000 |
| 207.563 | 169.293 | 207.563 | -0.000 | 0.000 | 0.000 |
| 207.563 | 207.563 | 169.293 | -0.000 | 0.000 | 0.000 |
| 0.000 | -0.000 | 0.000 | 14.092 | 0.000 | -0.000 |
| -0.000 | 0.000 | 0.000 | -0.000 | 14.092 | 0.000 |
| -0.000 | 0.000 | 0.000 | -0.000 | 0.000 | 14.092 |
| 168.958 | 207.227 | 207.227 | 0.000 | -0.000 | 0.000 |
| 207.227 | 168.958 | 207.227 | 0.000 | -0.000 | 0.000 |
| 207.227 | 207.227 | 168.958 | 0.000 | 0.000 | 0.000 |
| -0.000 | 0.000 | -0.000 | 14.092 | -0.000 | -0.000 |
| 0.000 | -0.000 | -0.000 | 0.000 | 14.092 | 0.000 |
| 0.000 | -0.000 | -0.000 | 0.000 | -0.000 | 14.092 |
| 85.497 | 65.638 | 65.638 | -0.000 | -0.000 | -0.000 |
| 65.638 | 85.497 | 65.638 | -0.000 | 0.000 | -0.000 |
| 65.638 | 65.638 | 85.497 | -0.000 | -0.000 | -0.000 |
| 0.000 | 0.000 | 0.000 | 12.947 | 0.000 | -0.000 |
| 0.000 | 0.000 | 0.000 | -0.000 | 12.947 | 0.000 |
| 0.000 | 0.000 | 0.000 | -0.000 | 0.000 | 12.947 |
| 85.498 | 65.638 | 65.638 | 0.000 | 0.000 | -0.000 |
| 65.638 | 85.498 | 65.638 | 0.000 | -0.000 | 0.000 |
| 65.638 | 65.638 | 85.498 | 0.000 | 0.000 | 0.000 |
| -0.000 | -0.000 | -0.000 | 12.947 | -0.000 | 0.000 |
| -0.000 | -0.000 | -0.000 | 0.000 | 12.947 | -0.000 |
| -0.000 | -0.000 | -0.000 | 0.000 | 0.000 | 12.947 |
| 85.495 | 65.636 | 65.636 | -0.000 | 0.000 | -0.000 |
| 65.636 | 85.495 | 65.636 | -0.000 | 0.000 | -0.000 |
| 65.636 | 65.636 | 85.495 | -0.000 | -0.000 | 0.000 |
| 0.000 | 0.000 | 0.000 | 54.776 | -0.000 | 0.000 |
| 0.000 | 0.000 | 0.000 | -0.000 | 54.776 | 0.000 |
| 0.000 | 0.000 | 0.000 | -0.000 | 0.000 | 54.776 |
| 85.499 | 65.640 | 65.640 | 0.000 | -0.000 | -0.000 |
| 65.640 | 85.499 | 65.640 | 0.000 | -0.000 | 0.000 |
| 65.640 | 65.640 | 85.499 | 0.000 | 0.000 | -0.000 |
| -0.000 | -0.000 | -0.000 | 54.776 | 0.000 | 0.000 |
| -0.000 | -0.000 | -0.000 | 0.000 | 54.776 | 0.000 |
| -0.000 | -0.000 | -0.000 | 0.000 | -0.000 | 54.776 |
| 85.476 | 65.615 | 65.615 | -0.000 | -0.000 | -0.000 |
| 65.615 | 85.476 | 65.615 | -0.000 | 0.000 | -0.000 |
| 65.615 | 65.615 | 85.476 | -0.000 | 0.000 | -0.000 |
| 0.000 | 0.000 | 0.000 | 12.947 | 0.000 | 0.000 |
| 0.000 | 0.000 | 0.000 | -0.000 | 12.947 | -0.000 |
| 0.000 | 0.000 | 0.000 | -0.000 | -0.000 | 12.947 |
| 85.519 | 65.661 | 65.661 | 0.000 | 0.000 | -0.000 |
| 65.661 | 85.519 | 65.661 | 0.000 | -0.000 | -0.000 |
| 65.661 | 65.661 | 85.519 | 0.000 | 0.000 | -0.000 |
| -0.000 | -0.000 | -0.000 | 12.947 | -0.000 | 0.000 |
| -0.000 | -0.000 | -0.000 | 0.000 | 12.947 | 0.000 |
| -0.000 | -0.000 | -0.000 | 0.000 | -0.000 | 12.947 |
| 20.425 | 2.259 | 2.259 | -0.000 | -0.000 | 0.000 |
| 2.259 | 20.425 | 2.259 | -0.000 | -0.000 | -0.000 |
| 2.259 | 2.259 | 20.425 | 0.000 | -0.000 | 0.000 |
| 0.000 | 0.000 | 0.000 | 2.190 | -0.000 | -0.000 |
| 0.000 | 0.000 | 0.000 | 0.000 | 2.190 | -0.000 |
| 0.000 | 0.000 | 0.000 | -0.000 | -0.000 | 2.190 |
| 20.425 | 2.259 | 2.259 | 0.000 | 0.000 | -0.000 |
| 2.259 | 20.425 | 2.259 | 0.000 | 0.000 | -0.000 |
| 2.259 | 2.259 | 20.425 | -0.000 | 0.000 | -0.000 |
| -0.000 | -0.000 | -0.000 | 2.190 | 0.000 | -0.000 |
| -0.000 | -0.000 | -0.000 | 0.000 | 2.190 | 0.000 |
| -0.000 | -0.000 | -0.000 | 0.000 | 0.000 | 2.190 |
| 20.425 | 2.259 | 2.259 | -0.000 | -0.000 | 0.000 |
| 2.259 | 20.425 | 2.259 | -0.000 | -0.000 | -0.000 |
| 2.259 | 2.259 | 20.425 | 0.000 | -0.000 | 0.000 |
| -0.000 | -0.000 | -0.000 | 2.455 | -0.000 | -0.000 |
| -0.000 | -0.000 | -0.000 | -0.000 | 2.455 | 0.000 |
| -0.000 | -0.000 | -0.000 | 0.000 | -0.000 | 2.455 |
| 20.425 | 2.259 | 2.259 | 0.000 | 0.000 | -0.000 |
| 2.259 | 20.425 | 2.259 | 0.000 | 0.000 | 0.000 |
| 2.259 | 2.259 | 20.425 | -0.000 | 0.000 | -0.000 |
| 0.000 | 0.000 | 0.000 | 2.455 | 0.000 | -0.000 |
| 0.000 | 0.000 | 0.000 | -0.000 | 2.455 | -0.000 |
| 0.000 | 0.000 | 0.000 | -0.000 | 0.000 | 2.455 |
| 20.426 | 2.259 | 2.259 | -0.000 | -0.000 | 0.000 |
| 2.259 | 20.426 | 2.259 | -0.000 | -0.000 | 0.000 |
| 2.259 | 2.259 | 20.426 | 0.000 | 0.000 | 0.000 |
| -0.000 | -0.000 | -0.000 | 2.455 | -0.000 | 0.000 |
| -0.000 | -0.000 | -0.000 | 0.000 | 2.455 | 0.000 |
| -0.000 | -0.000 | -0.000 | 0.000 | -0.000 | 2.455 |
| 20.425 | 2.259 | 2.259 | 0.000 | 0.000 | -0.000 |
| 2.259 | 20.425 | 2.259 | 0.000 | 0.000 | 0.000 |
| 2.259 | 2.259 | 20.425 | -0.000 | 0.000 | -0.000 |
| 0.000 | 0.000 | 0.000 | 2.455 | 0.000 | 0.000 |
| 0.000 | 0.000 | 0.000 | 0.000 | 2.455 | -0.000 |
| 0.000 | 0.000 | 0.000 | -0.000 | 0.000 | 2.455 |
| 1155.286 | 1155.286 | 1155.286 | -0.000 | 0.000 | 0.000 |
| 1155.286 | 1155.286 | 1155.286 | 0.000 | -0.000 | 0.000 |
| 1155.286 | 1155.286 | 1155.286 | 0.000 | 0.000 | -0.000 |
| -0.000 | -0.000 | -0.000 | 0.000 | -0.000 | 0.000 |
| -0.000 | -0.000 | -0.000 | -0.000 | 0.000 | 0.000 |
| -0.000 | -0.000 | -0.000 | -0.000 | 0.000 | 0.000 |
| 1155.286 | 1155.286 | 1155.286 | 0.000 | -0.000 | -0.000 |
| 1155.286 | 1155.286 | 1155.286 | -0.000 | 0.000 | -0.000 |
| 1155.286 | 1155.286 | 1155.286 | -0.000 | -0.000 | 0.000 |
| 0.000 | 0.000 | 0.000 | 0.000 | 0.000 | 0.000 |
| 0.000 | 0.000 | 0.000 | 0.000 | 0.000 | 0.000 |
| 0.000 | 0.000 | 0.000 | 0.000 | 0.000 | 0.000 |
| 1155.286 | 1155.287 | 1155.287 | 0.000 | 0.000 | 0.000 |
| 1155.287 | 1155.286 | 1155.287 | 0.000 | 0.000 | 0.000 |
| 1155.287 | 1155.287 | 1155.286 | 0.000 | 0.000 | 0.000 |
| -0.000 | -0.000 | -0.000 | -0.000 | -0.000 | 0.000 |
| -0.000 | -0.000 | -0.000 | -0.000 | -0.000 | 0.000 |
| -0.000 | -0.000 | -0.000 | -0.000 | 0.000 | -0.000 |
| 1155.285 | 1155.285 | 1155.285 | 0.000 | -0.000 | -0.000 |
| 1155.285 | 1155.285 | 1155.285 | -0.000 | 0.000 | -0.000 |
| 1155.285 | 1155.285 | 1155.285 | -0.000 | -0.000 | -0.000 |
| 0.000 | 0.000 | 0.000 | -0.000 | 0.000 | -0.000 |
| 0.000 | 0.000 | 0.000 | 0.000 | -0.000 | -0.000 |
| 0.000 | 0.000 | 0.000 | 0.000 | 0.000 | -0.000 |
| 1155.292 | 1155.294 | 1155.294 | 0.000 | 0.000 | 0.000 |
| 1155.294 | 1155.292 | 1155.294 | 0.000 | 0.000 | 0.000 |
| 1155.294 | 1155.294 | 1155.292 | 0.000 | 0.000 | -0.000 |
| -0.001 | -0.001 | -0.001 | -0.015 | -0.000 | 0.000 |
| -0.001 | -0.001 | -0.001 | -0.000 | -0.015 | 0.000 |
| -0.001 | -0.001 | -0.001 | -0.000 | -0.000 | -0.015 |
| 1155.280 | 1155.278 | 1155.278 | 0.000 | -0.000 | -0.000 |
| 1155.278 | 1155.280 | 1155.278 | -0.000 | 0.000 | -0.000 |
| 1155.278 | 1155.278 | 1155.280 | -0.000 | -0.000 | -0.000 |
| 0.001 | 0.001 | 0.001 | -0.015 | 0.000 | -0.000 |
| 0.001 | 0.001 | 0.001 | 0.000 | -0.015 | -0.000 |
| 0.001 | 0.001 | 0.001 | 0.000 | -0.000 | -0.015 |
| 25.938 | 25.938 | 25.938 | -0.000 | -0.000 | -0.000 |
| 25.938 | 25.938 | 25.938 | -0.000 | -0.000 | -0.000 |
| 25.938 | 25.938 | 25.938 | -0.000 | -0.000 | -0.000 |
| -0.000 | -0.000 | -0.000 | 0.000 | -0.000 | -0.000 |
| -0.000 | -0.000 | -0.000 | -0.000 | 0.000 | -0.000 |
| -0.000 | -0.000 | -0.000 | -0.000 | -0.000 | 0.000 |
| 25.938 | 25.938 | 25.938 | 0.000 | 0.000 | -0.000 |
| 25.938 | 25.938 | 25.938 | 0.000 | 0.000 | -0.000 |
| 25.938 | 25.938 | 25.938 | 0.000 | 0.000 | 0.000 |
| 0.000 | 0.000 | 0.000 | 0.000 | 0.000 | -0.000 |
| 0.000 | 0.000 | 0.000 | 0.000 | 0.000 | -0.000 |
| 0.000 | 0.000 | 0.000 | 0.000 | -0.000 | 0.000 |
| 25.938 | 25.938 | 25.938 | -0.000 | -0.000 | 0.000 |
| 25.938 | 25.938 | 25.938 | -0.000 | -0.000 | 0.000 |
| 25.938 | 25.938 | 25.938 | -0.000 | -0.000 | -0.000 |
| -0.000 | -0.000 | -0.000 | 0.000 | -0.000 | 0.000 |
| -0.000 | -0.000 | -0.000 | -0.000 | 0.000 | 0.000 |
| -0.000 | -0.000 | -0.000 | -0.000 | -0.000 | 0.000 |
| 25.938 | 25.938 | 25.938 | 0.000 | 0.000 | -0.000 |
| 25.938 | 25.938 | 25.938 | 0.000 | 0.000 | -0.000 |
| 25.938 | 25.938 | 25.938 | 0.000 | 0.000 | -0.000 |
| 0.000 | 0.000 | 0.000 | 0.000 | 0.000 | 0.000 |
| 0.000 | 0.000 | 0.000 | 0.000 | 0.000 | 0.000 |
| 0.000 | 0.000 | 0.000 | 0.000 | 0.000 | 0.000 |
| 25.939 | 25.939 | 25.939 | -0.000 | -0.000 | -0.000 |
| 25.939 | 25.939 | 25.939 | -0.000 | -0.000 | -0.000 |
| 25.939 | 25.939 | 25.939 | -0.000 | -0.000 | -0.000 |
| -0.000 | -0.000 | -0.000 | 0.000 | -0.000 | -0.000 |
| -0.000 | -0.000 | -0.000 | -0.000 | 0.000 | -0.000 |
| -0.000 | -0.000 | -0.000 | -0.000 | -0.000 | 0.000 |
| 25.938 | 25.938 | 25.938 | 0.000 | 0.000 | -0.000 |
| 25.938 | 25.938 | 25.938 | 0.000 | 0.000 | -0.000 |
| 25.938 | 25.938 | 25.938 | 0.000 | 0.000 | -0.000 |
| 0.000 | 0.000 | 0.000 | 0.000 | 0.000 | -0.000 |
| 0.000 | 0.000 | 0.000 | 0.000 | 0.000 | -0.000 |
| 0.000 | 0.000 | 0.000 | 0.000 | -0.000 | 0.000 |
| 210.375 | 86.684 | 86.684 | -0.000 | -0.000 | 0.000 |
| 86.684 | 210.375 | 86.684 | 0.000 | 0.000 | -0.000 |
| 86.684 | 86.684 | 210.375 | -0.000 | 0.000 | 0.000 |
| 0.000 | 0.000 | -0.000 | 17.556 | 0.000 | -0.000 |
| 0.000 | 0.000 | -0.000 | -0.000 | 17.556 | 0.000 |
| 0.000 | 0.000 | -0.000 | -0.000 | 0.000 | 17.556 |
| 210.377 | 86.686 | 86.686 | -0.000 | -0.000 | -0.000 |
| 86.686 | 210.377 | 86.686 | 0.000 | -0.000 | -0.000 |
| 86.686 | 86.686 | 210.377 | 0.000 | 0.000 | -0.000 |
| -0.000 | -0.000 | 0.000 | 17.556 | -0.000 | -0.000 |
| -0.000 | -0.000 | 0.000 | 0.000 | 17.556 | -0.000 |
| -0.000 | -0.000 | 0.000 | 0.000 | -0.000 | 17.556 |
| 210.366 | 86.676 | 86.676 | 0.000 | 0.000 | 0.000 |
| 86.676 | 210.366 | 86.676 | -0.000 | 0.000 | 0.000 |
| 86.676 | 86.676 | 210.366 | 0.000 | 0.000 | -0.000 |
| 0.000 | 0.000 | 0.000 | 17.556 | 0.000 | 0.000 |
| 0.000 | 0.000 | 0.000 | -0.000 | 17.556 | 0.000 |
| 0.000 | 0.000 | 0.000 | -0.000 | 0.000 | 17.556 |
| 210.332 | 86.722 | 86.722 | 0.000 | 0.000 | -0.000 |
| 86.722 | 210.332 | 86.722 | 0.000 | -0.000 | -0.000 |
| 86.722 | 86.722 | 210.332 | 0.000 | -0.000 | -0.000 |
| -0.000 | -0.000 | -0.000 | 17.556 | -0.000 | -0.000 |
| -0.000 | -0.000 | -0.000 | 0.000 | 17.556 | -0.000 |
| -0.000 | -0.000 | -0.000 | 0.000 | -0.000 | 17.556 |
| 210.278 | 86.589 | 86.589 | 0.000 | 0.000 | 0.000 |
| 86.589 | 210.278 | 86.589 | 0.000 | -0.000 | 0.000 |
| 86.589 | 86.589 | 210.278 | -0.000 | -0.000 | -0.000 |
| 0.000 | 0.000 | 0.000 | 17.556 | 0.000 | 0.000 |
| 0.000 | 0.000 | 0.000 | -0.000 | 17.556 | 0.000 |
| 0.000 | 0.000 | 0.000 | -0.000 | 0.000 | 17.556 |
| 210.474 | 86.781 | 86.781 | -0.000 | -0.000 | 0.000 |
| 86.781 | 210.474 | 86.781 | 0.000 | -0.000 | -0.000 |
| 86.781 | 86.781 | 210.474 | -0.000 | -0.000 | -0.000 |
| -0.000 | -0.000 | -0.000 | 17.556 | -0.000 | 0.000 |
| -0.000 | -0.000 | -0.000 | 0.000 | 17.556 | -0.000 |
| -0.000 | -0.000 | -0.000 | 0.000 | -0.000 | 17.556 |
| 17.138 | 10.723 | 10.723 | -0.000 | -0.000 | -0.000 |
| 10.723 | 17.138 | 10.723 | -0.000 | 0.000 | -0.000 |
| 10.723 | 10.723 | 17.138 | -0.000 | -0.000 | -0.000 |
| 0.000 | -0.000 | -0.000 | 6.723 | 0.000 | -0.000 |
| -0.000 | 0.000 | -0.000 | 0.000 | 6.723 | -0.000 |
| -0.000 | -0.000 | 0.000 | 0.000 | 0.000 | 6.723 |
| 17.138 | 10.723 | 10.723 | 0.000 | 0.000 | 0.000 |
| 10.723 | 17.138 | 10.723 | 0.000 | 0.000 | 0.000 |
| 10.723 | 10.723 | 17.138 | 0.000 | 0.000 | 0.000 |
| -0.000 | 0.000 | 0.000 | 6.723 | -0.000 | 0.000 |
| 0.000 | -0.000 | 0.000 | -0.000 | 6.723 | 0.000 |
| 0.000 | 0.000 | -0.000 | -0.000 | -0.000 | 6.723 |
| 12.905 | 12.839 | 12.839 | -0.000 | -0.000 | -0.000 |
| 12.839 | 12.905 | 12.839 | -0.000 | -0.000 | -0.000 |
| 12.839 | 12.839 | 12.905 | -0.000 | 0.000 | -0.000 |
| 0.000 | -0.000 | -0.000 | 6.723 | 0.000 | -0.000 |
| -0.000 | 0.000 | -0.000 | 0.000 | 6.723 | -0.000 |
| -0.000 | -0.000 | 0.000 | 0.000 | 0.000 | 6.723 |
| 12.905 | 12.839 | 12.839 | 0.000 | 0.000 | 0.000 |
| 12.839 | 12.905 | 12.839 | 0.000 | 0.000 | 0.000 |
| 12.839 | 12.839 | 12.905 | -0.000 | 0.000 | 0.000 |
| -0.000 | 0.000 | 0.000 | 6.723 | -0.000 | 0.000 |
| 0.000 | -0.000 | 0.000 | -0.000 | 6.723 | 0.000 |
| 0.000 | 0.000 | -0.000 | -0.000 | -0.000 | 6.723 |
| -1116924.236 | -1158110.064 | -1121886.822 | -423.217 | 4307.887 | 6696.627 |
| -1106917.723 | -1104766.535 | -1150753.198 | 5735.774 | -4378.138 | -3735.972 |
| -1145436.590 | -1116732.340 | -1107876.932 | 107.888 | 1098.546 | -778.564 |
| 0.000 | -0.000 | -0.000 | 6.723 | 0.000 | -0.000 |
| -0.000 | 0.000 | -0.000 | 0.000 | 6.723 | -0.000 |
| -0.000 | -0.000 | 0.000 | 0.000 | 0.000 | 6.723 |
| 1101590.906 | 1064540.783 | 1063888.622 | 2044.259 | 25.476 | 2066.703 |
| 1062772.577 | 1091387.563 | 1049989.850 | -4535.083 | 1021.974 | -2753.845 |
| 1036886.676 | 1042556.173 | 1070748.558 | -647.999 | 5281.233 | 5239.846 |
| -0.000 | 0.000 | 0.000 | 6.723 | -0.000 | 0.000 |
| 0.000 | -0.000 | 0.000 | -0.000 | 6.723 | 0.000 |
| 0.000 | 0.000 | -0.000 | -0.000 | -0.000 | 6.723 |
| 15.738 | 57.186 | 57.186 | -0.000 | -0.000 | -0.000 |
| 57.186 | 15.738 | 57.186 | 0.000 | -0.000 | 0.000 |
| 57.186 | 57.186 | 15.738 | -0.000 | -0.000 | -0.000 |
| 0.000 | -0.000 | -0.000 | 33.751 | 0.000 | -0.000 |
| -0.000 | -0.000 | -0.000 | 0.000 | 33.751 | 0.000 |
| -0.000 | -0.000 | 0.000 | 0.000 | -0.000 | 33.751 |
| 15.737 | 57.185 | 57.185 | -0.000 | 0.000 | -0.000 |
| 57.185 | 15.737 | 57.185 | 0.000 | 0.000 | 0.000 |
| 57.185 | 57.185 | 15.737 | -0.000 | -0.000 | -0.000 |
| -0.000 | 0.000 | 0.000 | 33.751 | -0.000 | 0.000 |
| 0.000 | 0.000 | 0.000 | 0.000 | 33.751 | -0.000 |
| 0.000 | 0.000 | 0.000 | -0.000 | -0.000 | 33.751 |
| 15.744 | 57.192 | 57.192 | 0.000 | 0.000 | 0.000 |
| 57.192 | 15.744 | 57.192 | -0.000 | 0.000 | -0.000 |
| 57.192 | 57.192 | 15.744 | 0.000 | -0.000 | -0.000 |
| 0.000 | 0.000 | 0.000 | 30.835 | 0.000 | 0.000 |
| 0.000 | 0.000 | 0.000 | 0.000 | 30.835 | 0.000 |
| 0.000 | 0.000 | 0.000 | -0.000 | -0.000 | 30.835 |
| 15.731 | 57.179 | 57.179 | 0.000 | 0.000 | -0.000 |
| 57.179 | 15.731 | 57.179 | 0.000 | 0.000 | -0.000 |
| 57.179 | 57.179 | 15.731 | -0.000 | 0.000 | 0.000 |
| -0.000 | -0.000 | -0.000 | 30.835 | -0.000 | -0.000 |
| -0.000 | -0.000 | -0.000 | -0.000 | 30.835 | -0.000 |
| -0.000 | -0.000 | -0.000 | 0.000 | 0.000 | 30.835 |
| 15.802 | 57.249 | 57.249 | 0.000 | 0.000 | 0.000 |
| 57.249 | 15.802 | 57.249 | -0.000 | 0.000 | 0.000 |
| 57.249 | 57.249 | 15.802 | 0.000 | 0.000 | 0.000 |
| 0.000 | 0.000 | 0.000 | 33.751 | 0.000 | -0.000 |
| 0.000 | 0.000 | 0.000 | -0.000 | 33.751 | 0.000 |
| 0.000 | 0.000 | 0.000 | 0.000 | -0.000 | 33.751 |
| 15.674 | 57.122 | 57.122 | -0.000 | 0.000 | -0.000 |
| 57.122 | 15.674 | 57.122 | 0.000 | -0.000 | -0.000 |
| 57.122 | 57.122 | 15.674 | 0.000 | 0.000 | -0.000 |
| -0.000 | -0.000 | -0.000 | 33.751 | -0.000 | -0.000 |
| -0.000 | -0.000 | -0.000 | 0.000 | 33.751 | -0.000 |
| -0.000 | -0.000 | -0.000 | -0.000 | 0.000 | 33.751 |
| 14.807 | 10.831 | 10.831 | -0.000 | -0.000 | -0.000 |
| 10.831 | 14.807 | 10.831 | -0.000 | -0.000 | -0.000 |
| 10.831 | 10.831 | 14.807 | -0.000 | 0.000 | -0.000 |
| 0.000 | -0.000 | -0.000 | 9.744 | 0.000 | -0.000 |
| -0.000 | -0.000 | -0.000 | -0.000 | 9.744 | 0.000 |
| -0.000 | 0.000 | -0.000 | -0.000 | 0.000 | 9.744 |
| 14.807 | 10.831 | 10.831 | 0.000 | 0.000 | 0.000 |
| 10.831 | 14.807 | 10.831 | 0.000 | 0.000 | 0.000 |
| 10.831 | 10.831 | 14.807 | -0.000 | -0.000 | 0.000 |
| 0.000 | 0.000 | 0.000 | 9.744 | -0.000 | 0.000 |
| 0.000 | 0.000 | 0.000 | 0.000 | 9.744 | 0.000 |
| 0.000 | 0.000 | 0.000 | 0.000 | -0.000 | 9.744 |
| 14.807 | 10.831 | 10.831 | -0.000 | -0.000 | -0.000 |
| 10.831 | 14.807 | 10.831 | -0.000 | -0.000 | -0.000 |
| 10.831 | 10.831 | 14.807 | -0.000 | -0.000 | -0.000 |
| -0.000 | -0.000 | -0.000 | 9.744 | 0.000 | -0.000 |
| -0.000 | -0.000 | -0.000 | -0.000 | 9.744 | 0.000 |
| -0.000 | -0.000 | -0.000 | -0.000 | -0.000 | 9.744 |
| 14.807 | 10.831 | 10.831 | 0.000 | -0.000 | 0.000 |
| 10.831 | 14.807 | 10.831 | 0.000 | 0.000 | 0.000 |
| 10.831 | 10.831 | 14.807 | 0.000 | -0.000 | 0.000 |
| 0.000 | 0.000 | 0.000 | 9.744 | -0.000 | 0.000 |
| 0.000 | 0.000 | 0.000 | 0.000 | 9.744 | -0.000 |
| 0.000 | 0.000 | 0.000 | 0.000 | 0.000 | 9.744 |
| 14.807 | 10.831 | 10.831 | -0.000 | -0.000 | -0.000 |
| 10.831 | 14.807 | 10.831 | -0.000 | 0.000 | -0.000 |
| 10.831 | 10.831 | 14.807 | 0.000 | 0.000 | -0.000 |
| -0.000 | -0.000 | -0.000 | 10.410 | 0.000 | -0.000 |
| -0.000 | -0.000 | -0.000 | 0.000 | 10.410 | -0.000 |
| -0.000 | -0.000 | -0.000 | -0.000 | 0.000 | 10.410 |
| 14.808 | 10.831 | 10.831 | 0.000 | 0.000 | 0.000 |
| 10.831 | 14.808 | 10.831 | 0.000 | 0.000 | -0.000 |
| 10.831 | 10.831 | 14.808 | -0.000 | -0.000 | 0.000 |
| 0.000 | 0.000 | 0.000 | 10.410 | -0.000 | -0.000 |
| 0.000 | 0.000 | 0.000 | 0.000 | 10.410 | 0.000 |
| 0.000 | 0.000 | 0.000 | 0.000 | -0.000 | 10.410 |
| 142.484 | 126.828 | 126.828 | 0.000 | 0.000 | 0.000 |
| 126.828 | 142.484 | 126.828 | 0.000 | -0.000 | -0.000 |
| 126.828 | 126.828 | 142.484 | -0.000 | -0.000 | -0.000 |
| -0.000 | -0.000 | -0.000 | 1.604 | -0.000 | 0.000 |
| -0.000 | -0.000 | -0.000 | -0.000 | 1.604 | 0.000 |
| -0.000 | -0.000 | -0.000 | -0.000 | -0.000 | 1.604 |
| 142.487 | 126.830 | 126.830 | 0.000 | 0.000 | 0.000 |
| 126.830 | 142.487 | 126.830 | 0.000 | 0.000 | 0.000 |
| 126.830 | 126.830 | 142.487 | 0.000 | 0.000 | 0.000 |
| 0.000 | 0.000 | 0.000 | 1.604 | -0.000 | 0.000 |
| 0.000 | 0.000 | 0.000 | 0.000 | 1.604 | 0.000 |
| 0.000 | 0.000 | 0.000 | -0.000 | 0.000 | 1.604 |
| 142.474 | 126.817 | 126.817 | -0.000 | -0.000 | 0.000 |
| 126.817 | 142.474 | 126.817 | -0.000 | -0.000 | 0.000 |
| 126.817 | 126.817 | 142.474 | -0.000 | -0.000 | 0.000 |
| -0.000 | -0.000 | -0.000 | 1.604 | -0.000 | -0.000 |
| -0.000 | -0.000 | -0.000 | 0.000 | 1.604 | -0.000 |
| -0.000 | -0.000 | -0.000 | 0.000 | -0.000 | 1.604 |
| 142.497 | 126.841 | 126.841 | 0.000 | 0.000 | -0.000 |
| 126.841 | 142.497 | 126.841 | -0.000 | 0.000 | -0.000 |
| 126.841 | 126.841 | 142.497 | -0.000 | 0.000 | 0.000 |
| 0.000 | 0.000 | 0.000 | 1.604 | 0.000 | -0.000 |
| 0.000 | 0.000 | 0.000 | -0.000 | 1.604 | -0.000 |
| 0.000 | 0.000 | 0.000 | -0.000 | 0.000 | 1.604 |
| 142.368 | 126.712 | 126.712 | -0.000 | -0.000 | 0.000 |
| 126.712 | 142.368 | 126.712 | -0.000 | -0.000 | -0.000 |
| 126.712 | 126.712 | 142.368 | 0.000 | -0.000 | 0.000 |
| -0.000 | -0.000 | -0.000 | 1.604 | -0.000 | -0.000 |
| -0.000 | -0.000 | -0.000 | -0.000 | 1.604 | 0.000 |
| -0.000 | -0.000 | -0.000 | 0.000 | -0.000 | 1.604 |
| 142.603 | 126.946 | 126.946 | -0.000 | 0.000 | -0.000 |
| 126.946 | 142.603 | 126.946 | -0.000 | 0.000 | 0.000 |
| 126.946 | 126.946 | 142.603 | 0.000 | -0.000 | 0.000 |
| 0.000 | 0.000 | 0.000 | 1.604 | 0.000 | 0.000 |
| 0.000 | 0.000 | 0.000 | 0.000 | 1.604 | 0.000 |
| 0.000 | 0.000 | 0.000 | -0.000 | 0.000 | 1.604 |
| 32.629 | 16.292 | 16.292 | -0.000 | 0.000 | 0.000 |
| 16.292 | 32.629 | 16.292 | 0.000 | -0.000 | 0.000 |
| 16.292 | 16.292 | 32.629 | 0.000 | 0.000 | -0.000 |
| 0.000 | -0.000 | -0.000 | 16.094 | 0.000 | -0.000 |
| -0.000 | 0.000 | -0.000 | 0.000 | 16.094 | -0.000 |
| -0.000 | -0.000 | 0.000 | 0.000 | -0.000 | 16.094 |
| 32.629 | 16.292 | 16.292 | 0.000 | 0.000 | 0.000 |
| 16.292 | 32.629 | 16.292 | 0.000 | 0.000 | -0.000 |
| 16.292 | 16.292 | 32.629 | -0.000 | -0.000 | -0.000 |
| -0.000 | 0.000 | 0.000 | 16.094 | -0.000 | -0.000 |
| 0.000 | -0.000 | 0.000 | -0.000 | 16.094 | 0.000 |
| 0.000 | 0.000 | -0.000 | -0.000 | 0.000 | 16.094 |
| 32.629 | 16.292 | 16.292 | -0.000 | -0.000 | -0.000 |
| 16.292 | 32.629 | 16.292 | -0.000 | -0.000 | -0.000 |
| 16.292 | 16.292 | 32.629 | 0.000 | -0.000 | -0.000 |
| -0.000 | -0.000 | -0.000 | 16.094 | 0.000 | -0.000 |
| -0.000 | -0.000 | -0.000 | 0.000 | 16.094 | 0.000 |
| -0.000 | -0.000 | -0.000 | 0.000 | -0.000 | 16.094 |
| 32.629 | 16.292 | 16.292 | 0.000 | -0.000 | -0.000 |
| 16.292 | 32.629 | 16.292 | -0.000 | 0.000 | -0.000 |
| 16.292 | 16.292 | 32.629 | -0.000 | 0.000 | 0.000 |
| 0.000 | 0.000 | 0.000 | 16.094 | -0.000 | -0.000 |
| 0.000 | 0.000 | 0.000 | -0.000 | 16.094 | -0.000 |
| 0.000 | 0.000 | 0.000 | -0.000 | -0.000 | 16.094 |
| 32.629 | 16.292 | 16.292 | -0.000 | 0.000 | 0.000 |
| 16.292 | 32.629 | 16.292 | 0.000 | -0.000 | -0.000 |
| 16.292 | 16.292 | 32.629 | 0.000 | -0.000 | -0.000 |
| -0.000 | -0.000 | -0.000 | 16.094 | 0.000 | -0.000 |
| -0.000 | -0.000 | -0.000 | 0.000 | 16.094 | -0.000 |
| -0.000 | -0.000 | -0.000 | -0.000 | 0.000 | 16.094 |
| 32.630 | 16.292 | 16.292 | 0.000 | 0.000 | 0.000 |
| 16.292 | 32.630 | 16.292 | 0.000 | 0.000 | 0.000 |
| 16.292 | 16.292 | 32.630 | -0.000 | 0.000 | -0.000 |
| 0.000 | 0.000 | 0.000 | 16.094 | 0.000 | -0.000 |
| 0.000 | 0.000 | 0.000 | -0.000 | 16.094 | 0.000 |
| 0.000 | 0.000 | 0.000 | 0.000 | 0.000 | 16.094 |
| 155.561 | 128.133 | 166.818 | 0.000 | 0.000 | -0.000 |
| 128.133 | 155.561 | 166.818 | -0.000 | 0.000 | -0.000 |
| 166.817 | 166.817 | 251.735 | 0.000 | 0.000 | -0.000 |
| -0.000 | 0.000 | 0.000 | 21.519 | 0.000 | -0.000 |
| 0.000 | 0.000 | 0.000 | 0.000 | 21.519 | -0.000 |
| 0.000 | 0.000 | -0.000 | 0.000 | 0.000 | 5.951 |
| 154.017 | 129.681 | 166.820 | -0.000 | -0.000 | 0.000 |
| 129.681 | 154.017 | 166.820 | -0.000 | 0.000 | 0.000 |
| 166.820 | 166.820 | 251.738 | -0.000 | -0.000 | 0.000 |
| 0.000 | -0.000 | -0.000 | 21.519 | -0.000 | 0.000 |
| -0.000 | -0.000 | -0.000 | -0.000 | 21.519 | 0.000 |
| -0.000 | -0.000 | 0.000 | -0.000 | -0.000 | 5.951 |
| 154.007 | 129.671 | 166.809 | 0.000 | 0.000 | -0.000 |
| 129.671 | 154.007 | 166.809 | 0.000 | 0.000 | -0.000 |
| 166.807 | 166.807 | 251.723 | 0.000 | 0.000 | -0.000 |
| -0.000 | 0.000 | 0.000 | 20.999 | -0.000 | -0.000 |
| 0.000 | -0.000 | 0.000 | -0.000 | 20.999 | -0.000 |
| 0.000 | 0.000 | -0.000 | 0.000 | 0.000 | 5.951 |
| 154.024 | 129.689 | 166.829 | -0.000 | 0.000 | 0.000 |
| 129.689 | 154.024 | 166.829 | -0.000 | -0.000 | 0.000 |
| 166.831 | 166.831 | 251.751 | -0.000 | -0.000 | 0.000 |
| 0.000 | -0.000 | -0.000 | 20.999 | 0.000 | 0.000 |
| -0.000 | 0.000 | -0.000 | -0.000 | 20.999 | 0.000 |
| -0.000 | -0.000 | 0.000 | -0.000 | -0.000 | 5.951 |
| 155.476 | 128.048 | 166.718 | 0.000 | 0.000 | -0.000 |
| 128.048 | 155.476 | 166.718 | 0.000 | 0.000 | -0.000 |
| 166.700 | 166.700 | 251.597 | 0.000 | 0.000 | 0.000 |
| -0.000 | 0.000 | 0.000 | 21.519 | 0.000 | -0.000 |
| 0.000 | -0.000 | 0.000 | 0.000 | 21.519 | -0.000 |
| 0.000 | 0.000 | -0.000 | -0.000 | 0.000 | 5.951 |
| 154.102 | 129.766 | 166.920 | -0.000 | -0.000 | 0.000 |
| 129.766 | 154.102 | 166.920 | 0.000 | -0.000 | 0.000 |
| 166.937 | 166.937 | 251.877 | -0.000 | -0.000 | 0.000 |
| 0.000 | -0.000 | -0.000 | 21.519 | -0.000 | 0.000 |
| -0.000 | 0.000 | -0.000 | -0.000 | 21.519 | 0.000 |
| -0.000 | -0.000 | 0.000 | -0.000 | -0.000 | 5.951 |
| 1241.034 | 1205.083 | 2042.650 | 3.587 | -0.000 | -0.000 |
| 119.009 | 168.752 | 127.435 | -3.613 | 0.000 | -0.000 |
| 1205.025 | 1205.025 | 2068.040 | 0.000 | 0.000 | -0.000 |
| 3.613 | -3.613 | 0.000 | 23.828 | -0.000 | -0.000 |
| 0.000 | 0.000 | 0.000 | 0.000 | 23.828 | 3.613 |
| 1082.870 | 1082.870 | 1921.167 | 0.000 | 3.587 | 17.974 |
| 168.751 | 119.008 | 127.434 | 3.613 | -0.000 | -0.000 |
| 119.008 | 168.751 | 127.434 | -3.613 | 0.000 | 0.000 |
| 127.434 | 127.434 | 167.379 | 0.000 | -0.000 | 0.000 |
| 3.613 | -3.613 | -0.000 | 23.828 | 0.000 | -0.000 |
| -0.000 | -0.000 | -0.000 | -0.000 | 23.828 | 3.613 |
| -1082.870 | -1082.870 | -1921.167 | -0.000 | 3.587 | 17.974 |
| 230.233 | 188.451 | 317.633 | 3.739 | -0.000 | 0.000 |
| 230.504 | 266.476 | 313.610 | -3.588 | -0.000 | 0.000 |
| 127.438 | 127.438 | 167.384 | -0.000 | -0.000 | 0.000 |
| 3.614 | -3.613 | 0.000 | 23.828 | -0.000 | -0.000 |
| 0.000 | 0.000 | 0.000 | 0.000 | 23.828 | 3.613 |
| 109.228 | 109.228 | 220.580 | 0.000 | 3.674 | 16.672 |
| 49.847 | 13.924 | -70.647 | 3.586 | -0.000 | -0.000 |
| 119.005 | 168.748 | 127.431 | -3.613 | -0.000 | 0.000 |
| 127.431 | 127.431 | 167.376 | 0.000 | -0.000 | 0.000 |
| -105.557 | -112.906 | -220.584 | 18.613 | 0.000 | 0.000 |
| -0.000 | -0.000 | -0.000 | -0.000 | 23.828 | 3.613 |
| -109.228 | -109.228 | -220.580 | 0.000 | 3.674 | 16.672 |
| 169.214 | 127.407 | 143.263 | 3.738 | -0.000 | -0.000 |
| 127.398 | 169.214 | 143.245 | -3.738 | 0.000 | 0.000 |
| 132.572 | 132.572 | 162.495 | -0.000 | -0.000 | -0.000 |
| 10.549 | 3.071 | 19.450 | 21.705 | 0.000 | 0.000 |
| 6.810 | 6.810 | 19.450 | 0.000 | 21.705 | 3.739 |
| 6.827 | 6.827 | 19.499 | 0.000 | 3.739 | 20.865 |
| 147.004 | 111.398 | 102.115 | 3.576 | 0.000 | -0.000 |
| 118.977 | 168.719 | 127.400 | -3.613 | -0.000 | 0.000 |
| 117.032 | 117.032 | 135.692 | -0.000 | -0.000 | 0.000 |
| -3.071 | -10.549 | -19.450 | 21.705 | -0.000 | 0.000 |
| -6.810 | -6.810 | -19.450 | -0.000 | 21.705 | 3.739 |
| -6.827 | -6.827 | -19.499 | -0.000 | 3.739 | 20.865 |
| 142.947 | 102.118 | 118.053 | 4.399 | 0.000 | 0.000 |
| 102.118 | 142.947 | 118.053 | -4.399 | 0.000 | 0.000 |
| -198.391 | -198.391 | -340.738 | 0.000 | 0.000 | 0.000 |
| -306.440 | -314.267 | -487.635 | 17.567 | 0.000 | 0.000 |
| 0.000 | 0.000 | 0.000 | 0.000 | 23.052 | 4.399 |
| 0.000 | 0.000 | 0.000 | 0.000 | 4.399 | 20.415 |
| 142.948 | 102.118 | 118.054 | 4.399 | -0.000 | -0.000 |
| 102.118 | 142.948 | 118.054 | -4.399 | -0.000 | -0.000 |
| 346.087 | 346.087 | 219.767 | -0.000 | -0.000 | 0.000 |
| 4.399 | -4.399 | -0.000 | 23.052 | -0.000 | -0.000 |
| -0.000 | -0.000 | -0.000 | -0.000 | 23.052 | 4.399 |
| -0.000 | -0.000 | 0.000 | -0.000 | 4.399 | 20.415 |
| 142.945 | 102.115 | 118.050 | 4.399 | 0.000 | 0.000 |
| 102.115 | 142.945 | 118.050 | -4.399 | 0.000 | 0.000 |
| 83.686 | 83.686 | 135.591 | 0.000 | 0.000 | 0.000 |
| 4.399 | -4.398 | 0.000 | 23.052 | 0.000 | 0.000 |
| 0.000 | 0.000 | 0.000 | 0.000 | 23.052 | 4.399 |
| 0.000 | 0.000 | 0.000 | 0.000 | 4.399 | 20.415 |
| 142.951 | 102.122 | 118.058 | 4.399 | 0.000 | -0.000 |
| 121.750 | 154.817 | 117.383 | -4.471 | -0.000 | -0.000 |
| 141.999 | 141.999 | 194.941 | -0.000 | -0.000 | -0.000 |
| 46.723 | 38.805 | 51.799 | 16.344 | -0.000 | -0.000 |
| -0.000 | -0.000 | -0.000 | -0.000 | 23.052 | 4.399 |
| -0.000 | -0.000 | -0.000 | -0.000 | 4.399 | 20.415 |
| 126.799 | 97.008 | 103.167 | 4.367 | -0.000 | 0.000 |
| 102.083 | 142.917 | 118.015 | -4.399 | 0.000 | 0.000 |
| 106.932 | 106.932 | 145.318 | 0.000 | 0.000 | 0.000 |
| 2.007 | -6.937 | -0.784 | 19.405 | 0.000 | 0.000 |
| -3.247 | -3.248 | -5.446 | 0.000 | 17.231 | 3.840 |
| -4.423 | -4.422 | -5.267 | -0.000 | 3.957 | 15.841 |
| 134.943 | 100.630 | 111.792 | 4.459 | -0.000 | -0.000 |
| 103.923 | 136.927 | 117.859 | -3.938 | -0.000 | -0.000 |
| 113.595 | 113.595 | 151.934 | -0.000 | -0.000 | -0.000 |
| 4.397 | -4.403 | -0.003 | 23.052 | -0.000 | -0.000 |
| 3.247 | 3.248 | 5.446 | -0.000 | 17.231 | 3.840 |
| 4.423 | 4.422 | 5.267 | 0.000 | 3.957 | 15.841 |
| 199.904 | 54.161 | 54.161 | -0.000 | 0.000 | -0.000 |
| 54.161 | 199.904 | 54.161 | -0.000 | 0.000 | 0.000 |
| 54.161 | 54.161 | 199.904 | -0.000 | -0.000 | -0.000 |
| 0.000 | -0.000 | -0.000 | 22.172 | 0.000 | -0.000 |
| 0.000 | -0.000 | 0.000 | -0.000 | 22.172 | 0.000 |
| 0.000 | 0.000 | 0.000 | 0.000 | 0.000 | 22.172 |
| 199.904 | 54.161 | 54.161 | 0.000 | -0.000 | 0.000 |
| 54.161 | 199.904 | 54.161 | -0.000 | 0.000 | 0.000 |
| 54.161 | 54.161 | 199.904 | 0.000 | -0.000 | 0.000 |
| -0.000 | 0.000 | -0.000 | 22.172 | -0.000 | -0.000 |
| -0.000 | 0.000 | 0.000 | 0.000 | 22.172 | 0.000 |
| -0.000 | 0.000 | 0.000 | 0.000 | -0.000 | 22.172 |
| 199.929 | 54.149 | 54.149 | -0.000 | 0.000 | 0.000 |
| 54.149 | 199.929 | 54.149 | -0.000 | 0.000 | -0.000 |
| 54.149 | 54.149 | 199.929 | -0.000 | 0.000 | -0.000 |
| 0.000 | 0.000 | 0.000 | 22.172 | 0.000 | -0.000 |
| 0.000 | 0.000 | 0.000 | 0.000 | 22.172 | 0.000 |
| 0.000 | 0.000 | 0.000 | 0.000 | 0.000 | 22.172 |
| 199.928 | 54.149 | 54.149 | 0.000 | -0.000 | 0.000 |
| 54.149 | 199.928 | 54.149 | 0.000 | -0.000 | -0.000 |
| 54.149 | 54.149 | 199.928 | -0.000 | -0.000 | 0.000 |
| -0.000 | -0.000 | -0.000 | 22.172 | -0.000 | 0.000 |
| -0.000 | -0.000 | -0.000 | 0.000 | 22.172 | 0.000 |
| -0.000 | -0.000 | -0.000 | -0.000 | -0.000 | 22.172 |
| 199.906 | 54.162 | 54.162 | -0.000 | 0.000 | -0.000 |
| 54.162 | 199.906 | 54.162 | -0.000 | 0.000 | -0.000 |
| 54.162 | 54.162 | 199.906 | 0.000 | 0.000 | -0.000 |
| 0.000 | 0.000 | 0.000 | 23.802 | 0.000 | -0.000 |
| 0.000 | 0.000 | 0.000 | -0.000 | 23.802 | -0.000 |
| 0.000 | 0.000 | 0.000 | -0.000 | 0.000 | 23.802 |
| 199.903 | 54.160 | 54.160 | 0.000 | -0.000 | 0.000 |
| 54.160 | 199.903 | 54.160 | 0.000 | -0.000 | 0.000 |
| 54.160 | 54.160 | 199.903 | 0.000 | -0.000 | 0.000 |
| -0.000 | -0.000 | -0.000 | 23.802 | -0.000 | -0.000 |
| -0.000 | -0.000 | -0.000 | 0.000 | 23.802 | 0.000 |
| -0.000 | -0.000 | -0.000 | 0.000 | -0.000 | 23.802 |
| 20.551 | 10.492 | 10.492 | 0.000 | 0.000 | 0.000 |
| 10.492 | 20.551 | 10.492 | 0.000 | 0.000 | 0.000 |
| 10.492 | 10.492 | 20.551 | 0.000 | -0.000 | -0.000 |
| -0.000 | -0.000 | -0.000 | 10.190 | 0.000 | -0.000 |
| -0.000 | -0.000 | -0.000 | 0.000 | 10.190 | -0.000 |
| -0.000 | -0.000 | 0.000 | 0.000 | -0.000 | 10.190 |
| 20.106 | 10.714 | 10.714 | -0.000 | -0.000 | -0.000 |
| 10.714 | 20.106 | 10.714 | -0.000 | 0.000 | -0.000 |
| 10.714 | 10.714 | 20.106 | -0.000 | -0.000 | -0.000 |
| 0.000 | 0.000 | 0.000 | 10.190 | 0.000 | -0.000 |
| 0.000 | -0.000 | 0.000 | -0.000 | 10.190 | -0.000 |
| 0.000 | 0.000 | 0.000 | -0.000 | 0.000 | 10.190 |
| -9507151.661 | -9457045.647 | -10340841.302 | -18953.782 | -26603.060 | 62718.844 |
| -10265934.984 | -9643617.899 | -9338505.428 | 47750.482 | -1880.642 | -22419.848 |
| -9411063.838 | -10372039.446 | -9667727.662 | -27288.295 | 52315.220 | -37397.040 |
| -0.000 | -0.000 | -0.000 | 10.190 | -0.000 | 0.000 |
| -0.000 | -0.000 | -0.000 | 0.000 | 10.190 | -0.000 |
| -0.000 | -0.000 | -0.000 | 0.000 | -0.000 | 10.190 |
| 20.106 | 10.714 | 10.714 | -0.000 | -0.000 | 0.000 |
| 10.714 | 20.106 | 10.714 | -0.000 | 0.000 | -0.000 |
| 10.714 | 10.714 | 20.106 | -0.000 | 0.000 | 0.000 |
| 0.000 | 0.000 | 0.000 | 10.190 | -0.000 | 0.000 |
| 0.000 | 0.000 | 0.000 | -0.000 | 10.190 | -0.000 |
| 0.000 | 0.000 | 0.000 | -0.000 | -0.000 | 10.190 |
| -966359.344 | -950499.900 | -1011204.856 | 5517.838 | 579.698 | -2636.321 |
| -1045352.972 | -987873.415 | -962695.090 | -1414.814 | 3570.650 | 801.873 |
| -954705.378 | -1018317.071 | -971026.514 | 4284.960 | 697.576 | 1775.354 |
| -0.000 | -0.000 | -0.000 | 10.190 | 0.000 | 0.000 |
| -0.000 | -0.000 | -0.000 | 0.000 | 10.190 | 0.000 |
| -0.000 | -0.000 | -0.000 | 0.000 | -0.000 | 10.190 |
| 721896.659 | 978700.158 | 877122.387 | 11408.156 | 9640.211 | 785.239 |
| 900582.824 | 744641.364 | 985231.630 | 9078.459 | 9466.482 | -1735.227 |
| 979262.801 | 896315.934 | 734860.008 | -3485.474 | -763.955 | 4329.389 |
| 0.000 | 0.000 | 0.000 | 10.190 | 0.000 | 0.000 |
| 0.000 | 0.000 | 0.000 | -0.000 | 10.190 | -0.000 |
| 0.000 | 0.000 | 0.000 | -0.000 | 0.000 | 10.190 |
| -10447952.731 | -10516438.439 | -10396106.539 | -248964.111 | 148632.170 | 76137.672 |
| -9958578.932 | -9974855.990 | -10023885.962 | -227195.624 | -227649.847 | 57579.227 |
| -10571021.248 | -10013100.538 | -10159285.638 | 331503.681 | -111081.525 | 36682.689 |
| -0.000 | 0.000 | -0.000 | 0.726 | 0.000 | -0.000 |
| 0.000 | -0.000 | -0.000 | 0.000 | 0.726 | 0.000 |
| 0.000 | -0.000 | -0.000 | 0.000 | 0.000 | 0.726 |
| 10593464.076 | 10358899.216 | 10053210.269 | 88468.192 | -52127.896 | 149473.574 |
| 9665870.105 | 10024293.811 | 10821365.435 | 78190.337 | -204238.391 | 355837.516 |
| -546332.275 | -546336.794 | -13315717.401 | 0.000 | -0.000 | -0.000 |
| 0.000 | -0.000 | 0.000 | 0.726 | -0.000 | -0.000 |
| -0.000 | 0.000 | 0.000 | -0.000 | 0.726 | 0.000 |
| -0.000 | -0.000 | 0.000 | -0.000 | -0.000 | 0.726 |
| 29.450 | 7.442 | 7.442 | 0.000 | 0.000 | 0.000 |
| 7.442 | 29.450 | 7.442 | 0.000 | 0.000 | 0.000 |
| 7.442 | 7.442 | 29.450 | 0.000 | 0.000 | 0.000 |
| -0.000 | 0.000 | 0.000 | 0.726 | 0.000 | -0.000 |
| 0.000 | -0.000 | 0.000 | 0.000 | 0.726 | 0.000 |
| 0.000 | 0.000 | -0.000 | 0.000 | 0.000 | 0.726 |
| -1331555.193 | -54628.575 | -54628.607 | -0.000 | -0.000 | -0.000 |
| -54628.606 | -1331555.193 | -54628.575 | -0.000 | -0.000 | -0.000 |
| -54628.575 | -54628.607 | -1331555.193 | -0.000 | -0.000 | -0.000 |
| 0.000 | -0.000 | -0.000 | 0.726 | -0.000 | -0.000 |
| -0.000 | 0.000 | -0.000 | -0.000 | 0.726 | -0.000 |
| -0.000 | -0.000 | 0.000 | -0.000 | -0.000 | 0.726 |
| -208672.926 | 176412.670 | 176412.670 | -0.000 | -0.000 | -0.000 |
| 176412.670 | -208672.926 | 176412.670 | 0.000 | -0.000 | -0.000 |
| 176412.670 | 176412.670 | -208672.926 | -0.000 | 0.000 | -0.000 |
| -0.000 | 0.000 | 0.000 | 0.726 | 0.000 | 0.000 |
| 0.000 | -0.000 | 0.000 | 0.000 | 0.726 | -0.000 |
| 0.000 | 0.000 | -0.000 | 0.000 | 0.000 | 0.726 |
| -133139.061 | -5458.032 | -5458.033 | 0.000 | 0.000 | 0.000 |
| -5458.033 | -133139.061 | -5458.032 | -0.000 | 0.000 | 0.000 |
| -5458.032 | -5458.033 | -133139.061 | 0.000 | -0.000 | 0.000 |
| 0.000 | -0.000 | -0.000 | 0.726 | -0.000 | 0.000 |
| -0.000 | 0.000 | -0.000 | -0.000 | 0.726 | -0.000 |
| -0.000 | -0.000 | 0.000 | -0.000 | -0.000 | 0.726 |
| 52.110 | 89.700 | 89.700 | -0.000 | 0.000 | -0.000 |
| 89.700 | 52.110 | 89.700 | -0.000 | 0.000 | 0.000 |
| 89.700 | 89.700 | 52.110 | -0.000 | -0.000 | -0.000 |
| -0.000 | -0.000 | 0.000 | 32.566 | -0.000 | -0.000 |
| -0.000 | -0.000 | 0.000 | -0.000 | 32.566 | -0.000 |
| -0.000 | 0.000 | 0.000 | -0.000 | -0.000 | 32.566 |
| 52.110 | 89.700 | 89.700 | 0.000 | 0.000 | 0.000 |
| 89.700 | 52.110 | 89.700 | -0.000 | -0.000 | 0.000 |
| 89.700 | 89.700 | 52.110 | -0.000 | 0.000 | 0.000 |
| 0.000 | -0.000 | -0.000 | 32.566 | 0.000 | -0.000 |
| 0.000 | 0.000 | -0.000 | -0.000 | 32.566 | 0.000 |
| 0.000 | -0.000 | -0.000 | 0.000 | 0.000 | 32.566 |
| 52.112 | 89.701 | 89.701 | 0.000 | 0.000 | -0.000 |
| 89.701 | 52.112 | 89.701 | -0.000 | -0.000 | -0.000 |
| 89.701 | 89.701 | 52.112 | -0.000 | -0.000 | -0.000 |
| 0.000 | -0.000 | -0.000 | 32.566 | -0.000 | -0.000 |
| -0.000 | 0.000 | -0.000 | -0.000 | 32.566 | -0.000 |
| -0.000 | -0.000 | 0.000 | -0.000 | -0.000 | 32.566 |
| 52.109 | 89.698 | 89.698 | -0.000 | 0.000 | -0.000 |
| 89.698 | 52.109 | 89.698 | 0.000 | 0.000 | -0.000 |
| 89.698 | 89.698 | 52.109 | 0.000 | 0.000 | -0.000 |
| -0.000 | 0.000 | 0.000 | 32.566 | 0.000 | 0.000 |
| 0.000 | -0.000 | 0.000 | 0.000 | 32.566 | 0.000 |
| 0.000 | 0.000 | -0.000 | 0.000 | 0.000 | 32.566 |
| 52.127 | 89.717 | 89.717 | -0.000 | -0.000 | 0.000 |
| 89.717 | 52.127 | 89.717 | -0.000 | -0.000 | 0.000 |
| 89.717 | 89.717 | 52.127 | -0.000 | -0.000 | -0.000 |
| 0.000 | -0.000 | -0.000 | 27.753 | -0.000 | -0.000 |
| -0.000 | 0.000 | -0.000 | -0.000 | 27.753 | -0.000 |
| -0.000 | -0.000 | 0.000 | 0.000 | -0.000 | 27.753 |
| 52.093 | 89.682 | 89.682 | -0.000 | 0.000 | -0.000 |
| 89.682 | 52.093 | 89.682 | 0.000 | 0.000 | 0.000 |
| 89.682 | 89.682 | 52.093 | 0.000 | 0.000 | -0.000 |
| -0.000 | 0.000 | 0.000 | 27.753 | -0.000 | 0.000 |
| 0.000 | -0.000 | 0.000 | -0.000 | 27.753 | 0.000 |
| 0.000 | 0.000 | -0.000 | 0.000 | 0.000 | 27.753 |
| 24.461 | 24.461 | 24.461 | 0.000 | 0.000 | -0.000 |
| 24.461 | 24.461 | 24.461 | 0.000 | 0.000 | -0.000 |
| 24.461 | 24.461 | 24.461 | 0.000 | 0.000 | -0.000 |
| -0.000 | -0.000 | -0.000 | -42.411 | -0.000 | -0.000 |
| -0.000 | -0.000 | -0.000 | -0.000 | -42.411 | -0.000 |
| -0.000 | -0.000 | -0.000 | -0.000 | -0.000 | -42.411 |
| 24.461 | 24.461 | 24.461 | -0.000 | -0.000 | -0.000 |
| 24.461 | 24.461 | 24.461 | -0.000 | -0.000 | 0.000 |
| 24.461 | 24.461 | 24.461 | -0.000 | -0.000 | 0.000 |
| 0.000 | 0.000 | 0.000 | -42.411 | 0.000 | 0.000 |
| 0.000 | 0.000 | 0.000 | 0.000 | -42.411 | 0.000 |
| 0.000 | 0.000 | 0.000 | 0.000 | -0.000 | -42.411 |
| 24.461 | 24.461 | 24.461 | 0.000 | 0.000 | 0.000 |
| 24.461 | 24.461 | 24.461 | 0.000 | 0.000 | -0.000 |
| 24.461 | 24.461 | 24.461 | 0.000 | 0.000 | 0.000 |
| -0.000 | -0.000 | -0.000 | -81.068 | -0.000 | -0.000 |
| -0.000 | -0.000 | -0.000 | -0.000 | -81.068 | -0.000 |
| -0.000 | -0.000 | -0.000 | -0.000 | 0.000 | -81.068 |
| 24.461 | 24.461 | 24.461 | -0.000 | -0.000 | 0.000 |
| 24.461 | 24.461 | 24.461 | -0.000 | -0.000 | -0.000 |
| 24.461 | 24.461 | 24.461 | -0.000 | -0.000 | 0.000 |
| 0.000 | 0.000 | 0.000 | -81.068 | 0.000 | 0.000 |
| 0.000 | 0.000 | 0.000 | 0.000 | -81.068 | -0.000 |
| 0.000 | 0.000 | 0.000 | 0.000 | 0.000 | -81.068 |
| 24.463 | 24.463 | 24.463 | 0.000 | 0.000 | -0.000 |
| 24.463 | 24.463 | 24.463 | 0.000 | 0.000 | -0.000 |
| 24.463 | 24.463 | 24.463 | 0.000 | 0.000 | -0.000 |
| -0.062 | -0.061 | -0.062 | -424.113 | 0.000 | 0.000 |
| -0.061 | -0.062 | -0.062 | 0.000 | -424.113 | -0.000 |
| -0.061 | -0.062 | -0.062 | -0.000 | 0.000 | -424.113 |
| 24.460 | 24.460 | 24.460 | -0.000 | -0.000 | 0.000 |
| 24.460 | 24.460 | 24.460 | -0.000 | -0.000 | 0.000 |
| 24.460 | 24.460 | 24.460 | -0.000 | -0.000 | 0.000 |
| 0.062 | 0.061 | 0.062 | -424.114 | 0.000 | 0.000 |
| 0.061 | 0.062 | 0.062 | -0.000 | -424.114 | -0.000 |
| 0.061 | 0.062 | 0.062 | -0.000 | 0.000 | -424.114 |
| 147.357 | 90.501 | 90.501 | -0.000 | -0.000 | -0.000 |
| 90.501 | 147.357 | 90.501 | -0.000 | -0.000 | 0.000 |
| 90.501 | 90.501 | 147.357 | -0.000 | -0.000 | -0.000 |
| -0.000 | 0.000 | 0.000 | 38.168 | -0.000 | -0.000 |
| 0.000 | -0.000 | 0.000 | -0.000 | 38.168 | 0.000 |
| 0.000 | 0.000 | -0.000 | -0.000 | -0.000 | 38.168 |
| 147.357 | 90.501 | 90.501 | 0.000 | 0.000 | 0.000 |
| 90.501 | 147.357 | 90.501 | 0.000 | 0.000 | 0.000 |
| 90.501 | 90.501 | 147.357 | 0.000 | 0.000 | -0.000 |
| 0.000 | -0.000 | -0.000 | 38.168 | 0.000 | -0.000 |
| -0.000 | 0.000 | -0.000 | 0.000 | 38.168 | -0.000 |
| -0.000 | -0.000 | 0.000 | 0.000 | 0.000 | 38.168 |
| 147.358 | 90.502 | 90.502 | -0.000 | -0.000 | 0.000 |
| 90.502 | 147.358 | 90.502 | -0.000 | -0.000 | 0.000 |
| 90.502 | 90.502 | 147.358 | -0.000 | -0.000 | 0.000 |
| -0.000 | 0.000 | 0.000 | 38.168 | -0.000 | 0.000 |
| 0.000 | -0.000 | 0.000 | -0.000 | 38.168 | 0.000 |
| 0.000 | 0.000 | -0.000 | 0.000 | -0.000 | 38.168 |
| 147.356 | 90.500 | 90.500 | 0.000 | 0.000 | 0.000 |
| 90.500 | 147.356 | 90.500 | 0.000 | 0.000 | -0.000 |
| 90.500 | 90.500 | 147.356 | 0.000 | 0.000 | 0.000 |
| 0.000 | -0.000 | -0.000 | 38.168 | 0.000 | -0.000 |
| -0.000 | 0.000 | -0.000 | -0.000 | 38.168 | -0.000 |
| -0.000 | -0.000 | 0.000 | 0.000 | 0.000 | 38.168 |
| 147.365 | 90.508 | 90.508 | -0.000 | -0.000 | -0.000 |
| 90.508 | 147.365 | 90.508 | -0.000 | -0.000 | -0.000 |
| 90.508 | 90.508 | 147.365 | -0.000 | -0.000 | 0.000 |
| -0.000 | 0.000 | 0.000 | 38.168 | -0.000 | 0.000 |
| 0.000 | -0.000 | 0.000 | -0.000 | 38.168 | 0.000 |
| 0.000 | 0.000 | -0.000 | -0.000 | -0.000 | 38.168 |
| 147.349 | 90.493 | 90.493 | 0.000 | 0.000 | -0.000 |
| 90.493 | 147.349 | 90.493 | 0.000 | 0.000 | 0.000 |
| 90.493 | 90.493 | 147.349 | 0.000 | -0.000 | -0.000 |
| 0.000 | -0.000 | -0.000 | 38.168 | 0.000 | 0.000 |
| -0.000 | 0.000 | -0.000 | 0.000 | 38.168 | -0.000 |
| -0.000 | -0.000 | 0.000 | 0.000 | 0.000 | 38.168 |
| 19.364 | 9.202 | 9.202 | -0.000 | -0.000 | 0.000 |
| 9.202 | 19.364 | 9.202 | -0.000 | -0.000 | -0.000 |
| 9.202 | 9.202 | 19.364 | -0.000 | 0.000 | 0.000 |
| 0.000 | -0.000 | -0.000 | 9.244 | -0.000 | 0.000 |
| -0.000 | 0.000 | -0.000 | -0.000 | 9.244 | -0.000 |
| -0.000 | -0.000 | 0.000 | -0.000 | -0.000 | 9.244 |
| 19.364 | 9.202 | 9.202 | 0.000 | 0.000 | 0.000 |
| 9.202 | 19.364 | 9.202 | -0.000 | -0.000 | -0.000 |
| 9.202 | 9.202 | 19.364 | 0.000 | -0.000 | -0.000 |
| -0.000 | 0.000 | 0.000 | 9.244 | 0.000 | 0.000 |
| 0.000 | -0.000 | 0.000 | 0.000 | 9.244 | -0.000 |
| 0.000 | 0.000 | -0.000 | 0.000 | 0.000 | 9.244 |
| 19.364 | 9.202 | 9.202 | 0.000 | -0.000 | -0.000 |
| 9.202 | 19.364 | 9.202 | -0.000 | 0.000 | -0.000 |
| 9.202 | 9.202 | 19.364 | 0.000 | 0.000 | 0.000 |
| -0.000 | -0.000 | -0.000 | 9.244 | -0.000 | -0.000 |
| -0.000 | -0.000 | -0.000 | -0.000 | 9.244 | -0.000 |
| -0.000 | -0.000 | -0.000 | -0.000 | -0.000 | 9.244 |
| 19.364 | 9.202 | 9.202 | 0.000 | 0.000 | 0.000 |
| 9.202 | 19.364 | 9.202 | 0.000 | -0.000 | -0.000 |
| 9.202 | 9.202 | 19.364 | -0.000 | -0.000 | -0.000 |
| 0.000 | 0.000 | 0.000 | 9.244 | 0.000 | 0.000 |
| 0.000 | 0.000 | 0.000 | 0.000 | 9.244 | -0.000 |
| 0.000 | 0.000 | 0.000 | 0.000 | 0.000 | 9.244 |
| 19.363 | 9.202 | 9.202 | 0.000 | -0.000 | 0.000 |
| 9.202 | 19.363 | 9.202 | -0.000 | 0.000 | 0.000 |
| 9.202 | 9.202 | 19.363 | -0.000 | -0.000 | -0.000 |
| -0.000 | -0.000 | -0.000 | 9.244 | -0.000 | 0.000 |
| -0.000 | -0.000 | -0.000 | -0.000 | 9.244 | -0.000 |
| -0.000 | -0.000 | -0.000 | -0.000 | 0.000 | 9.244 |
| 19.364 | 9.202 | 9.202 | -0.000 | -0.000 | -0.000 |
| 9.202 | 19.364 | 9.202 | 0.000 | 0.000 | 0.000 |
| 9.202 | 9.202 | 19.364 | 0.000 | 0.000 | -0.000 |
| 0.000 | 0.000 | 0.000 | 9.244 | 0.000 | 0.000 |
| 0.000 | 0.000 | 0.000 | 0.000 | 9.244 | -0.000 |
| 0.000 | 0.000 | 0.000 | -0.000 | 0.000 | 9.244 |
| 105.722 | 65.677 | 73.372 | -8.287 | 0.000 | -0.000 |
| 65.677 | 105.722 | 73.372 | 8.287 | 0.000 | -0.000 |
| 814.529 | 814.529 | -277.737 | 0.000 | 0.000 | -0.000 |
| 527.711 | 544.262 | -452.987 | 33.059 | -0.000 | -0.000 |
| -0.000 | -0.000 | 0.000 | -0.000 | 33.086 | -8.287 |
| -0.000 | -0.000 | 0.000 | 0.000 | -8.287 | 20.023 |
| 105.722 | 65.676 | 73.372 | -8.287 | -0.000 | 0.000 |
| -681.586 | -641.601 | 477.035 | 8.248 | -0.000 | 0.000 |
| -462.082 | -462.082 | 579.897 | -0.000 | -0.000 | 0.000 |
| -8.287 | 8.287 | -0.000 | 33.086 | -0.000 | 0.000 |
| 0.000 | 0.000 | -0.000 | 0.000 | 33.086 | -8.287 |
| 0.000 | 0.000 | -0.000 | 0.000 | -8.287 | 20.023 |
| 156.795 | 116.767 | 28.161 | -8.276 | 0.000 | -0.000 |
| 116.767 | 156.795 | 28.161 | 8.276 | 0.000 | 0.000 |
| 127.505 | 127.505 | 81.610 | 0.000 | 0.000 | -0.000 |
| 45.323 | 61.874 | -45.299 | 33.059 | -0.000 | -0.000 |
| 74.142 | 74.142 | -40.444 | -0.000 | 32.995 | -8.248 |
| 0.000 | 0.000 | -0.000 | 0.000 | -8.287 | 20.023 |
| 105.721 | 65.676 | 73.372 | -8.287 | -0.000 | 0.000 |
| 65.676 | 105.721 | 73.372 | 8.287 | -0.000 | 0.000 |
| 73.980 | 73.980 | 127.420 | -0.000 | -0.000 | 0.000 |
| -61.874 | -45.323 | 45.299 | 33.059 | -0.000 | 0.000 |
| -74.142 | -74.142 | 40.444 | 0.000 | 32.995 | -8.248 |
| -0.000 | -0.000 | 0.000 | -0.000 | -8.287 | 20.023 |
| 108.683 | 68.655 | 68.824 | -8.276 | 0.000 | -0.000 |
| 65.682 | 105.727 | 73.372 | 8.287 | -0.000 | -0.000 |
| 80.597 | 80.597 | 122.667 | 0.000 | 0.000 | -0.000 |
| -2.912 | 13.639 | -4.533 | 33.059 | 0.000 | -0.000 |
| 7.496 | 7.496 | -4.027 | -0.000 | 32.993 | -8.247 |
| 5.361 | 5.361 | -4.531 | 0.000 | -8.276 | 20.014 |
| 105.716 | 65.671 | 73.371 | -8.287 | -0.000 | -0.000 |
| 57.594 | 97.621 | 78.073 | 8.275 | -0.000 | 0.000 |
| 73.982 | 73.982 | 127.424 | -0.000 | -0.000 | -0.000 |
| -13.638 | 2.913 | 4.532 | 33.059 | -0.000 | 0.000 |
| -7.496 | -7.496 | 4.027 | 0.000 | 32.993 | -8.247 |
| -5.361 | -5.361 | 4.531 | -0.000 | -8.276 | 20.014 |
| 108.704 | 802.336 | -1450.990 | 730.400 | -316.934 | 796.529 |
| 60.600 | 187.589 | 60.190 | -0.562 | 0.026 | -2.378 |
| -198.634 | 531.320 | -977.552 | 542.455 | -459.801 | 855.266 |
| -151.302 | 1013.681 | -1773.960 | 744.465 | -371.626 | 883.282 |
| -151.120 | 777.755 | -1374.988 | 1194.809 | -575.456 | 979.083 |
| -152.160 | 1010.271 | -1774.525 | 717.045 | -374.184 | 913.193 |
| 783.499 | 248.904 | 605.612 | -557.688 | -8.254 | -704.658 |
| 338.016 | -321.665 | 1185.044 | -541.907 | 464.829 | -861.068 |
| 533.740 | 15.840 | 167.339 | -251.623 | 127.202 | -667.328 |
| 150.949 | -776.432 | 1376.516 | -1170.295 | 599.228 | -980.992 |
| 652.001 | 179.985 | 538.566 | -558.477 | 26.896 | -702.292 |
| 149.224 | -1014.331 | 1772.612 | -717.113 | 371.682 | -855.009 |
| 111.075 | 118.019 | -43.393 | 52.766 | -45.602 | 82.022 |
| 75.639 | 227.975 | -100.458 | 82.691 | -46.308 | 56.784 |
| 41.273 | 115.350 | 27.095 | 54.597 | -43.910 | 81.857 |
| -0.892 | 0.927 | -1.994 | 66.582 | 2.084 | 0.469 |
| 0.764 | 0.205 | 2.865 | 2.084 | 66.816 | -0.197 |
| -18.966 | 72.660 | -134.720 | 118.544 | -64.126 | 122.101 |
| 146.281 | 4.224 | 227.027 | -73.352 | 30.619 | -82.087 |
| 124.605 | 119.513 | 84.298 | -22.531 | 11.922 | -66.997 |
| 78.583 | 2.188 | 291.969 | -74.574 | 34.165 | -80.731 |
| -0.892 | 0.927 | -1.994 | 66.581 | 2.084 | 0.469 |
| 64.218 | 19.426 | 55.697 | -57.608 | 34.180 | -71.868 |
| -3.539 | -2.375 | 0.498 | 0.290 | -1.021 | 67.667 |
| 132.611 | 76.503 | 60.190 | 3.756 | -3.433 | 4.235 |
| 72.423 | 138.834 | 76.452 | 3.540 | -1.194 | 3.901 |
| 71.697 | 83.343 | 119.180 | 7.756 | -0.609 | 8.668 |
| -4.356 | 2.881 | -2.493 | 29.781 | 0.730 | 5.417 |
| -0.532 | 8.372 | -12.137 | 9.908 | 25.614 | 7.782 |
| -3.538 | -2.375 | 0.498 | 0.291 | -1.021 | 67.666 |
| 143.971 | 75.108 | 76.230 | -3.366 | 0.849 | -8.907 |
| 76.073 | 131.655 | 80.105 | -5.042 | 6.526 | -10.516 |
| 79.757 | 76.069 | 146.318 | -4.175 | 4.473 | -5.541 |
| 5.777 | 3.819 | 2.311 | 24.189 | -1.363 | -5.499 |
| 4.230 | -0.888 | 12.541 | -3.126 | 30.552 | -7.369 |
| 0.352 | -1.914 | 0.130 | -1.421 | -0.263 | 24.463 |
| 186.402 | 60.400 | 59.772 | 0.643 | -2.196 | 1.342 |
| 60.404 | 187.307 | 59.725 | -1.207 | -0.084 | 0.592 |
| 119.675 | 103.484 | -130.856 | 50.790 | -270.241 | -111.521 |
| 41.641 | 25.999 | -258.554 | 66.918 | -270.591 | -113.096 |
| -2.428 | -0.086 | -0.852 | 0.482 | 65.194 | 2.407 |
| -86.212 | -114.645 | -163.223 | 233.664 | -56.854 | -158.014 |
| 186.402 | 60.400 | 59.772 | 0.643 | -2.196 | 1.342 |
| 38.983 | 97.535 | 335.113 | -51.875 | 271.209 | 112.426 |
| 157.396 | 182.873 | 291.300 | -235.654 | 57.068 | 191.650 |
| -41.228 | -26.925 | 258.800 | -36.696 | 273.024 | 113.002 |
| 86.594 | 113.679 | 162.464 | -233.796 | 86.256 | 189.011 |
| 1.299 | 0.592 | 0.319 | -0.230 | 2.554 | 65.050 |
| 186.403 | 60.400 | 59.772 | 0.643 | -2.196 | 1.342 |
| 60.404 | 187.307 | 59.725 | -1.207 | -0.084 | 0.592 |
| 59.776 | 59.727 | 186.051 | -1.540 | -0.851 | 0.320 |
| 0.642 | -1.358 | -1.539 | 66.998 | 0.482 | -0.232 |
| 0.537 | 2.555 | -23.150 | 5.085 | -4.982 | -8.087 |
| 6.761 | 2.270 | -23.547 | 4.528 | -23.632 | 4.863 |
| 186.401 | 60.400 | 59.772 | 0.643 | -2.196 | 1.342 |
| 75.046 | 125.932 | 99.982 | -5.211 | 25.415 | 10.267 |
| 59.776 | 59.727 | 186.052 | -1.539 | -0.852 | 0.320 |
| 0.642 | -1.358 | -1.539 | 66.998 | 0.482 | -0.232 |
| -7.502 | -2.459 | 26.434 | -4.796 | 39.608 | 13.462 |
| -1.047 | -2.728 | 25.255 | -5.221 | 27.641 | 25.890 |
| 144.260 | 74.900 | 71.443 | 0.777 | -4.849 | 1.709 |
| 74.823 | 142.461 | 70.339 | -0.242 | -1.770 | -0.820 |
| 69.144 | 68.532 | 137.043 | 1.126 | -2.256 | -0.664 |
| 0.696 | -0.595 | -2.529 | 35.185 | -1.186 | -1.000 |
| -2.664 | 0.289 | -2.037 | 0.823 | 31.073 | 1.362 |
| 2.119 | -0.629 | -1.017 | 0.566 | -0.437 | 27.380 |
| 186.390 | 60.399 | 59.771 | 0.644 | -2.195 | 1.341 |
| 71.207 | 138.424 | 70.666 | -1.590 | 0.626 | 1.162 |
| 68.547 | 70.416 | 136.300 | -2.194 | 1.296 | 1.831 |
| 0.642 | -1.358 | -1.539 | 66.998 | 0.482 | -0.233 |
| -2.486 | -0.079 | 1.470 | -0.335 | 30.815 | 2.188 |
| 2.075 | -0.109 | 2.230 | -0.618 | 3.831 | 33.003 |
| 229.087 | 64.886 | 64.886 | -0.000 | -0.000 | 0.000 |
| 64.886 | 229.087 | 64.886 | -0.000 | -0.000 | 0.000 |
| 64.886 | 64.886 | 229.087 | -0.000 | -0.000 | 0.000 |
| -0.000 | 0.000 | -0.000 | 4.925 | -0.000 | 0.000 |
| -0.000 | 0.000 | 0.000 | -0.000 | 4.925 | 0.000 |
| -0.000 | 0.000 | 0.000 | -0.000 | -0.000 | 4.925 |
| 229.087 | 64.886 | 64.886 | 0.000 | 0.000 | -0.000 |
| 64.886 | 229.087 | 64.886 | -0.000 | 0.000 | -0.000 |
| 64.886 | 64.886 | 229.087 | 0.000 | 0.000 | -0.000 |
| 0.000 | -0.000 | 0.000 | 4.925 | 0.000 | -0.000 |
| 0.000 | -0.000 | 0.000 | -0.000 | 4.925 | -0.000 |
| 0.000 | -0.000 | -0.000 | 0.000 | 0.000 | 4.925 |
| 229.088 | 64.887 | 64.887 | -0.000 | -0.000 | 0.000 |
| 64.887 | 229.088 | 64.887 | 0.000 | -0.000 | 0.000 |
| 64.887 | 64.887 | 229.088 | 0.000 | 0.000 | 0.000 |
| 0.000 | 0.000 | 0.000 | 4.925 | -0.000 | 0.000 |
| 0.000 | 0.000 | 0.000 | 0.000 | 4.925 | 0.000 |
| 0.000 | 0.000 | 0.000 | -0.000 | -0.000 | 4.925 |
| 229.086 | 64.885 | 64.885 | -0.000 | 0.000 | -0.000 |
| 64.885 | 229.086 | 64.885 | -0.000 | 0.000 | -0.000 |
| 64.885 | 64.885 | 229.086 | 0.000 | -0.000 | -0.000 |
| -0.000 | -0.000 | -0.000 | 4.925 | -0.000 | -0.000 |
| -0.000 | -0.000 | -0.000 | 0.000 | 4.925 | -0.000 |
| -0.000 | -0.000 | -0.000 | 0.000 | -0.000 | 4.925 |
| 229.095 | 64.893 | 64.893 | -0.000 | 0.000 | 0.000 |
| 64.893 | 229.095 | 64.893 | 0.000 | 0.000 | 0.000 |
| 64.893 | 64.893 | 229.095 | -0.000 | -0.000 | 0.000 |
| 0.000 | 0.000 | 0.000 | 4.925 | -0.000 | 0.000 |
| 0.000 | 0.000 | 0.000 | 0.000 | 4.925 | 0.000 |
| 0.000 | 0.000 | 0.000 | 0.000 | -0.000 | 4.925 |
| 229.079 | 64.879 | 64.879 | 0.000 | 0.000 | -0.000 |
| 64.879 | 229.079 | 64.879 | -0.000 | 0.000 | -0.000 |
| 64.879 | 64.879 | 229.079 | 0.000 | 0.000 | -0.000 |
| -0.000 | -0.000 | -0.000 | 4.925 | 0.000 | -0.000 |
| -0.000 | -0.000 | -0.000 | -0.000 | 4.925 | -0.000 |
| -0.000 | -0.000 | -0.000 | -0.000 | -0.000 | 4.925 |
| 32.186 | 0.876 | 0.876 | -0.000 | -0.000 | -0.000 |
| 0.876 | 32.186 | 0.876 | -0.000 | -0.000 | -0.000 |
| 0.876 | 0.876 | 32.186 | -0.000 | -0.000 | -0.000 |
| 0.000 | 0.000 | 0.000 | 0.006 | -0.000 | -0.000 |
| 0.000 | 0.000 | 0.000 | -0.000 | 0.006 | -0.000 |
| 0.000 | 0.000 | 0.000 | 0.000 | 0.000 | 0.006 |
| 32.186 | 0.876 | 0.876 | 0.000 | 0.000 | 0.000 |
| 0.876 | 32.186 | 0.876 | 0.000 | 0.000 | 0.000 |
| 0.876 | 0.876 | 32.186 | 0.000 | 0.000 | 0.000 |
| -0.000 | -0.000 | -0.000 | 0.006 | 0.000 | 0.000 |
| -0.000 | -0.000 | -0.000 | 0.000 | 0.006 | 0.000 |
| -0.000 | -0.000 | -0.000 | 0.000 | 0.000 | 0.006 |
| 32.186 | 0.876 | 0.876 | -0.000 | -0.000 | -0.000 |
| 0.876 | 32.186 | 0.876 | -0.000 | -0.000 | -0.000 |
| 0.876 | 0.876 | 32.186 | -0.000 | 0.000 | -0.000 |
| -0.000 | -0.000 | -0.000 | 0.006 | -0.000 | -0.000 |
| -0.000 | -0.000 | -0.000 | -0.000 | 0.006 | -0.000 |
| -0.000 | -0.000 | -0.000 | 0.000 | 0.000 | 0.006 |
| 32.186 | 0.876 | 0.876 | -0.000 | -0.000 | 0.000 |
| 0.876 | 32.186 | 0.876 | -0.000 | -0.000 | -0.000 |
| 0.876 | 0.876 | 32.186 | 0.000 | 0.000 | 0.000 |
| 0.000 | 0.000 | 0.000 | 0.006 | 0.000 | 0.000 |
| 0.000 | 0.000 | 0.000 | 0.000 | 0.006 | 0.000 |
| 0.000 | 0.000 | 0.000 | 0.000 | 0.000 | 0.006 |
| 32.186 | 0.876 | 0.876 | 0.000 | 0.000 | -0.000 |
| 0.876 | 32.186 | 0.876 | 0.000 | 0.000 | 0.000 |
| 0.876 | 0.876 | 32.186 | 0.000 | 0.000 | -0.000 |
| -0.000 | -0.000 | -0.000 | 0.006 | -0.000 | -0.000 |
| -0.000 | -0.000 | -0.000 | -0.000 | 0.006 | -0.000 |
| -0.000 | -0.000 | -0.000 | 0.000 | -0.000 | 0.006 |
| 32.186 | 0.876 | 0.876 | -0.000 | -0.000 | 0.000 |
| 0.876 | 32.186 | 0.876 | -0.000 | -0.000 | -0.000 |
| 0.876 | 0.876 | 32.186 | -0.000 | -0.000 | 0.000 |
| 0.000 | 0.000 | 0.000 | 0.006 | 0.000 | 0.000 |
| 0.000 | 0.000 | 0.000 | 0.000 | 0.006 | 0.000 |
| 0.000 | 0.000 | 0.000 | -0.000 | -0.000 | 0.006 |
| 76.214 | -1.604 | -1.604 | -0.000 | -0.000 | -0.000 |
| -1.604 | 76.214 | -1.604 | -0.000 | -0.000 | -0.000 |
| -1.604 | -1.604 | 76.214 | 0.000 | -0.000 | 0.000 |
| 0.000 | 0.000 | -0.000 | 0.000 | 0.000 | -0.000 |
| 0.000 | 0.000 | -0.000 | 0.000 | 0.000 | -0.000 |
| 0.000 | -0.000 | 0.000 | 0.000 | 0.000 | 0.000 |
| 76.214 | -1.604 | -1.604 | 0.000 | 0.000 | 0.000 |
| -1.604 | 76.214 | -1.604 | 0.000 | 0.000 | 0.000 |
| -1.604 | -1.604 | 76.214 | 0.000 | 0.000 | 0.000 |
| -0.000 | -0.000 | 0.000 | 0.000 | -0.000 | 0.000 |
| -0.000 | -0.000 | 0.000 | -0.000 | 0.000 | -0.000 |
| -0.000 | 0.000 | -0.000 | 0.000 | -0.000 | 0.000 |
| 76.214 | -1.605 | -1.605 | -0.000 | 0.000 | -0.000 |
| -1.605 | 76.214 | -1.605 | 0.000 | 0.000 | -0.000 |
| -1.605 | -1.605 | 76.214 | -0.000 | 0.000 | 0.000 |
| 0.000 | 0.000 | -0.000 | 0.000 | 0.000 | 0.000 |
| 0.000 | 0.000 | -0.000 | 0.000 | 0.000 | -0.000 |
| 0.000 | -0.000 | 0.000 | 0.000 | 0.000 | 0.000 |
| 76.214 | -1.604 | -1.604 | -0.000 | -0.000 | -0.000 |
| -1.604 | 76.214 | -1.604 | -0.000 | -0.000 | 0.000 |
| -1.604 | -1.604 | 76.214 | -0.000 | -0.000 | -0.000 |
| -0.000 | -0.000 | 0.000 | 0.000 | 0.000 | 0.000 |
| -0.000 | -0.000 | 0.000 | 0.000 | 0.000 | -0.000 |
| -0.000 | 0.000 | -0.000 | -0.000 | -0.000 | 0.000 |
| 76.215 | -1.605 | -1.605 | 0.000 | 0.000 | 0.000 |
| -1.605 | 76.215 | -1.605 | 0.000 | 0.000 | 0.000 |
| -1.605 | -1.605 | 76.215 | 0.000 | 0.000 | -0.000 |
| 0.000 | 0.000 | -0.000 | 0.000 | 0.000 | 0.000 |
| 0.000 | 0.000 | -0.000 | -0.000 | 0.000 | -0.000 |
| 0.000 | -0.000 | 0.000 | -0.000 | -0.000 | 0.000 |
| 76.213 | -1.604 | -1.604 | 0.000 | 0.000 | -0.000 |
| -1.604 | 76.213 | -1.604 | 0.000 | 0.000 | -0.000 |
| -1.604 | -1.604 | 76.213 | -0.000 | -0.000 | -0.000 |
| -0.000 | -0.000 | 0.000 | 0.000 | 0.000 | 0.000 |
| -0.000 | -0.000 | 0.000 | 0.000 | 0.000 | -0.000 |
| -0.000 | 0.000 | -0.000 | 0.000 | -0.000 | 0.000 |
| 270.059 | 307.764 | 307.764 | -0.000 | 0.000 | 0.000 |
| 307.764 | 270.059 | 307.764 | 0.000 | 0.000 | -0.000 |
| 307.764 | 307.764 | 270.059 | 0.000 | 0.000 | 0.000 |
| 0.000 | 0.000 | 0.000 | -6.010 | -0.000 | -0.000 |
| 0.000 | 0.000 | 0.000 | -0.000 | -6.010 | 0.000 |
| 0.000 | 0.000 | 0.000 | -0.000 | 0.000 | -6.010 |
| 270.064 | 307.769 | 307.769 | -0.000 | -0.000 | -0.000 |
| 307.769 | 270.064 | 307.769 | -0.000 | -0.000 | 0.000 |
| 307.769 | 307.769 | 270.064 | -0.000 | -0.000 | -0.000 |
| -0.000 | -0.000 | -0.000 | -6.010 | -0.000 | -0.000 |
| -0.000 | -0.000 | -0.000 | -0.000 | -6.010 | -0.000 |
| -0.000 | -0.000 | -0.000 | -0.000 | -0.000 | -6.010 |
| 270.038 | 307.742 | 307.742 | 0.000 | 0.000 | 0.000 |
| 307.742 | 270.038 | 307.742 | 0.000 | 0.000 | 0.000 |
| 307.742 | 307.742 | 270.038 | 0.000 | 0.000 | -0.000 |
| 0.000 | 0.000 | 0.000 | -6.010 | -0.000 | 0.000 |
| 0.000 | 0.000 | 0.000 | 0.000 | -6.010 | 0.000 |
| 0.000 | 0.000 | 0.000 | -0.000 | 0.000 | -6.010 |
| 270.086 | 307.791 | 307.791 | -0.000 | -0.000 | -0.000 |
| 307.791 | 270.086 | 307.791 | 0.000 | -0.000 | -0.000 |
| 307.791 | 307.791 | 270.086 | -0.000 | -0.000 | -0.000 |
| -0.000 | -0.000 | -0.000 | -6.010 | -0.000 | -0.000 |
| -0.000 | -0.000 | -0.000 | -0.000 | -6.010 | -0.000 |
| -0.000 | -0.000 | -0.000 | -0.000 | -0.000 | -6.010 |
| 269.821 | 307.524 | 307.524 | 0.000 | 0.000 | 0.000 |
| 307.524 | 269.821 | 307.524 | -0.000 | 0.000 | 0.000 |
| 307.524 | 307.524 | 269.821 | 0.000 | 0.000 | -0.000 |
| 0.000 | 0.000 | 0.000 | -6.010 | 0.000 | -0.000 |
| 0.000 | 0.000 | 0.000 | 0.000 | -6.010 | 0.000 |
| 0.000 | 0.000 | 0.000 | 0.000 | 0.000 | -6.010 |
| 270.303 | 308.008 | 308.008 | -0.000 | -0.000 | -0.000 |
| 308.008 | 270.303 | 308.008 | -0.000 | -0.000 | -0.000 |
| 308.008 | 308.008 | 270.303 | -0.000 | -0.000 | 0.000 |
| -0.000 | -0.000 | -0.000 | -6.010 | -0.000 | -0.000 |
| -0.000 | -0.000 | -0.000 | 0.000 | -6.010 | -0.000 |
| -0.000 | -0.000 | -0.000 | -0.000 | -0.000 | -6.010 |
| 86.898 | 15.278 | 15.278 | -0.000 | -0.000 | 0.000 |
| 15.278 | 86.898 | 15.278 | -0.000 | -0.000 | 0.000 |
| 15.278 | 15.278 | 86.898 | -0.000 | -0.000 | 0.000 |
| -0.000 | -0.000 | -0.000 | 12.998 | -0.000 | -0.000 |
| -0.000 | -0.000 | -0.000 | -0.000 | 12.998 | -0.000 |
| -0.000 | -0.000 | -0.000 | -0.000 | -0.000 | 12.998 |
| 86.898 | 15.278 | 15.278 | 0.000 | 0.000 | -0.000 |
| 15.278 | 86.898 | 15.278 | 0.000 | 0.000 | -0.000 |
| 15.278 | 15.278 | 86.898 | 0.000 | 0.000 | -0.000 |
| 0.000 | 0.000 | 0.000 | 12.998 | 0.000 | 0.000 |
| 0.000 | 0.000 | 0.000 | -0.000 | 12.998 | -0.000 |
| 0.000 | 0.000 | 0.000 | 0.000 | 0.000 | 12.998 |
| 86.898 | 15.278 | 15.278 | -0.000 | -0.000 | 0.000 |
| 15.278 | 86.898 | 15.278 | -0.000 | -0.000 | 0.000 |
| 15.278 | 15.278 | 86.898 | -0.000 | -0.000 | 0.000 |
| -0.000 | -0.000 | -0.000 | 12.998 | -0.000 | -0.000 |
| -0.000 | -0.000 | -0.000 | -0.000 | 12.998 | 0.000 |
| -0.000 | -0.000 | -0.000 | -0.000 | -0.000 | 12.998 |
| 86.898 | 15.278 | 15.278 | 0.000 | 0.000 | -0.000 |
| 15.278 | 86.898 | 15.278 | 0.000 | 0.000 | -0.000 |
| 15.278 | 15.278 | 86.898 | -0.000 | 0.000 | -0.000 |
| 0.000 | 0.000 | 0.000 | 12.998 | 0.000 | 0.000 |
| 0.000 | 0.000 | 0.000 | 0.000 | 12.998 | -0.000 |
| 0.000 | 0.000 | 0.000 | 0.000 | 0.000 | 12.998 |
| 86.896 | 15.278 | 15.278 | -0.000 | -0.000 | 0.000 |
| 15.278 | 86.896 | 15.278 | -0.000 | -0.000 | 0.000 |
| 15.278 | 15.278 | 86.896 | -0.000 | -0.000 | 0.000 |
| -0.000 | -0.000 | -0.000 | 12.998 | -0.000 | -0.000 |
| -0.000 | -0.000 | -0.000 | -0.000 | 12.998 | 0.000 |
| -0.000 | -0.000 | -0.000 | -0.000 | -0.000 | 12.998 |
| 86.899 | 15.278 | 15.278 | 0.000 | 0.000 | -0.000 |
| 15.278 | 86.899 | 15.278 | 0.000 | 0.000 | -0.000 |
| 15.278 | 15.278 | 86.899 | 0.000 | 0.000 | 0.000 |
| 0.000 | 0.000 | 0.000 | 12.998 | 0.000 | 0.000 |
| 0.000 | 0.000 | 0.000 | 0.000 | 12.998 | -0.000 |
| 0.000 | 0.000 | 0.000 | 0.000 | 0.000 | 12.998 |
| 110.480 | 110.480 | 110.480 | -0.000 | -0.000 | 0.000 |
| 110.480 | 110.480 | 110.480 | -0.000 | -0.000 | 0.000 |
| 110.480 | 110.480 | 110.480 | -0.000 | -0.000 | -0.000 |
| 0.000 | 0.000 | 0.000 | 111.161 | -0.000 | -0.000 |
| 0.000 | 0.000 | 0.000 | -0.000 | 111.161 | -0.000 |
| 0.000 | 0.000 | 0.000 | -0.000 | -0.000 | 111.161 |
| 110.480 | 110.480 | 110.480 | 0.000 | 0.000 | 0.000 |
| 110.480 | 110.480 | 110.480 | 0.000 | 0.000 | 0.000 |
| 110.480 | 110.480 | 110.480 | 0.000 | 0.000 | -0.000 |
| -0.000 | -0.000 | -0.000 | 111.161 | 0.000 | -0.000 |
| -0.000 | -0.000 | -0.000 | 0.000 | 111.161 | -0.000 |
| -0.000 | -0.000 | -0.000 | 0.000 | 0.000 | 111.161 |
| 110.480 | 110.480 | 110.480 | -0.000 | -0.000 | -0.000 |
| 110.480 | 110.480 | 110.480 | -0.000 | -0.000 | -0.000 |
| 110.480 | 110.480 | 110.480 | -0.000 | -0.000 | 0.000 |
| 0.000 | 0.000 | 0.000 | 111.161 | -0.000 | -0.000 |
| 0.000 | 0.000 | 0.000 | -0.000 | 111.161 | -0.000 |
| 0.000 | 0.000 | 0.000 | -0.000 | -0.000 | 111.161 |
| 110.480 | 110.480 | 110.480 | 0.000 | 0.000 | 0.000 |
| 110.480 | 110.480 | 110.480 | 0.000 | 0.000 | 0.000 |
| 110.480 | 110.480 | 110.480 | 0.000 | 0.000 | -0.000 |
| -0.000 | -0.000 | -0.000 | 111.161 | 0.000 | 0.000 |
| -0.000 | -0.000 | -0.000 | 0.000 | 111.161 | 0.000 |
| -0.000 | -0.000 | -0.000 | 0.000 | 0.000 | 111.161 |
| 110.480 | 110.481 | 110.481 | -0.000 | -0.000 | -0.000 |
| 110.481 | 110.480 | 110.481 | -0.000 | -0.000 | -0.000 |
| 110.481 | 110.481 | 110.480 | -0.000 | -0.000 | 0.000 |
| 0.001 | 0.001 | 0.001 | 111.161 | -0.000 | -0.000 |
| 0.001 | 0.001 | 0.001 | -0.000 | 111.161 | -0.000 |
| 0.001 | 0.001 | 0.001 | -0.000 | -0.000 | 111.161 |
| 110.480 | 110.479 | 110.479 | 0.000 | 0.000 | 0.000 |
| 110.479 | 110.480 | 110.479 | 0.000 | 0.000 | 0.000 |
| 110.479 | 110.479 | 110.480 | 0.000 | 0.000 | 0.000 |
| -0.001 | -0.001 | -0.001 | 111.161 | 0.000 | 0.000 |
| -0.001 | -0.001 | -0.001 | 0.000 | 111.161 | 0.000 |
| -0.001 | -0.001 | -0.001 | 0.000 | 0.000 | 111.161 |
| 53.329 | 52.177 | 52.177 | -0.000 | -0.000 | -0.000 |
| 52.177 | 53.329 | 52.177 | -0.000 | -0.000 | -0.000 |
| 52.177 | 52.177 | 53.329 | -0.000 | -0.000 | -0.000 |
| 0.000 | -0.000 | 0.000 | 52.255 | -0.000 | 0.000 |
| 0.000 | 0.000 | 0.000 | -0.000 | 52.255 | 0.000 |
| -0.000 | 0.000 | 0.000 | -0.000 | 0.000 | 52.255 |
| 53.329 | 52.176 | 52.176 | 0.000 | 0.000 | 0.000 |
| 52.176 | 53.329 | 52.176 | 0.000 | 0.000 | 0.000 |
| 52.176 | 52.176 | 53.329 | 0.000 | 0.000 | -0.000 |
| -0.000 | 0.000 | -0.000 | 52.255 | -0.000 | 0.000 |
| 0.000 | -0.000 | -0.000 | -0.000 | 52.255 | -0.000 |
| 0.000 | -0.000 | -0.000 | -0.000 | -0.000 | 52.255 |
| 53.329 | 52.177 | 52.177 | -0.000 | -0.000 | -0.000 |
| 52.177 | 53.329 | 52.177 | -0.000 | -0.000 | -0.000 |
| 52.177 | 52.177 | 53.329 | -0.000 | -0.000 | -0.000 |
| 0.000 | -0.000 | 0.000 | 52.255 | 0.000 | 0.000 |
| -0.000 | 0.000 | 0.000 | 0.000 | 52.255 | 0.000 |
| -0.000 | 0.000 | 0.000 | 0.000 | 0.000 | 52.255 |
| 53.329 | 52.176 | 52.176 | 0.000 | 0.000 | 0.000 |
| 52.176 | 53.329 | 52.176 | 0.000 | 0.000 | 0.000 |
| 52.176 | 52.176 | 53.329 | 0.000 | 0.000 | 0.000 |
| -0.000 | 0.000 | -0.000 | 52.255 | -0.000 | -0.000 |
| 0.000 | -0.000 | -0.000 | -0.000 | 52.255 | -0.000 |
| 0.000 | -0.000 | -0.000 | -0.000 | -0.000 | 52.255 |
| 53.330 | 52.178 | 52.178 | -0.000 | -0.000 | -0.000 |
| 52.178 | 53.330 | 52.178 | -0.000 | -0.000 | -0.000 |
| 52.178 | 52.178 | 53.330 | -0.000 | -0.000 | -0.000 |
| 0.000 | -0.000 | 0.000 | 52.255 | 0.000 | 0.000 |
| -0.000 | 0.000 | 0.000 | 0.000 | 52.255 | -0.000 |
| -0.000 | 0.000 | 0.000 | 0.000 | 0.000 | 52.255 |
| 53.328 | 52.175 | 52.175 | -0.000 | 0.000 | 0.000 |
| 52.175 | 53.328 | 52.175 | 0.000 | -0.000 | 0.000 |
| 52.175 | 52.175 | 53.328 | 0.000 | 0.000 | -0.000 |
| -0.000 | 0.000 | -0.000 | 52.255 | -0.000 | -0.000 |
| 0.000 | -0.000 | -0.000 | -0.000 | 52.255 | -0.000 |
| 0.000 | -0.000 | -0.000 | -0.000 | -0.000 | 52.255 |
| 5.219 | 5.215 | 5.215 | 0.000 | 0.000 | 0.000 |
| 5.215 | 5.219 | 5.215 | 0.000 | 0.000 | 0.000 |
| 5.215 | 5.215 | 5.219 | 0.000 | 0.000 | 0.000 |
| -0.000 | -0.000 | -0.000 | 0.002 | 0.000 | -0.000 |
| -0.000 | -0.000 | -0.000 | 0.000 | 0.002 | -0.000 |
| -0.000 | -0.000 | -0.000 | 0.000 | 0.000 | 0.002 |
| 5.219 | 5.215 | 5.215 | 0.000 | -0.000 | -0.000 |
| 5.215 | 5.219 | 5.215 | -0.000 | 0.000 | -0.000 |
| 5.215 | 5.215 | 5.219 | -0.000 | -0.000 | 0.000 |
| 0.000 | 0.000 | 0.000 | 0.002 | 0.000 | 0.000 |
| 0.000 | 0.000 | 0.000 | 0.000 | 0.002 | 0.000 |
| 0.000 | 0.000 | 0.000 | 0.000 | -0.000 | 0.002 |
| 5.219 | 5.215 | 5.215 | 0.000 | 0.000 | 0.000 |
| 5.215 | 5.219 | 5.215 | 0.000 | 0.000 | 0.000 |
| 5.215 | 5.215 | 5.219 | 0.000 | 0.000 | 0.000 |
| -0.000 | -0.000 | -0.000 | 0.002 | -0.000 | -0.000 |
| -0.000 | -0.000 | -0.000 | -0.000 | 0.002 | -0.000 |
| -0.000 | -0.000 | -0.000 | -0.000 | 0.000 | 0.002 |
| 5.219 | 5.215 | 5.215 | 0.000 | -0.000 | -0.000 |
| 5.215 | 5.219 | 5.215 | -0.000 | 0.000 | -0.000 |
| 5.215 | 5.215 | 5.219 | -0.000 | -0.000 | 0.000 |
| 0.000 | 0.000 | 0.000 | 0.002 | 0.000 | -0.000 |
| 0.000 | 0.000 | 0.000 | 0.000 | 0.002 | 0.000 |
| 0.000 | 0.000 | 0.000 | 0.000 | -0.000 | 0.002 |
| 5.219 | 5.215 | 5.215 | -0.000 | 0.000 | 0.000 |
| 5.215 | 5.219 | 5.215 | 0.000 | -0.000 | 0.000 |
| 5.215 | 5.215 | 5.219 | 0.000 | 0.000 | -0.000 |
| -0.000 | -0.000 | -0.000 | 0.002 | -0.000 | -0.000 |
| -0.000 | -0.000 | -0.000 | -0.000 | 0.002 | -0.000 |
| -0.000 | -0.000 | -0.000 | -0.000 | 0.000 | 0.002 |
| 5.219 | 5.215 | 5.215 | -0.000 | -0.000 | -0.000 |
| 5.215 | 5.219 | 5.215 | -0.000 | -0.000 | -0.000 |
| 5.215 | 5.215 | 5.219 | -0.000 | -0.000 | -0.000 |
| 0.000 | 0.000 | 0.000 | 0.002 | 0.000 | -0.000 |
| 0.000 | 0.000 | 0.000 | 0.000 | 0.002 | -0.000 |
| 0.000 | 0.000 | 0.000 | 0.000 | -0.000 | 0.002 |
| 18.135 | 7.407 | 18.652 | 0.000 | -0.000 | 0.000 |
| 7.407 | 18.135 | 18.652 | -0.000 | 0.000 | 0.000 |
| 18.652 | 18.652 | 51.664 | 0.000 | 0.000 | 0.000 |
| -0.000 | -0.000 | -0.000 | 18.614 | 0.000 | 0.000 |
| -0.000 | -0.000 | -0.000 | 0.000 | 18.614 | 0.000 |
| -0.000 | -0.000 | -0.000 | 0.000 | -0.000 | 7.488 |
| 18.135 | 7.407 | 18.652 | -0.000 | 0.000 | -0.000 |
| 7.407 | 18.135 | 18.652 | 0.000 | -0.000 | -0.000 |
| 18.652 | 18.652 | 51.664 | -0.000 | -0.000 | 0.000 |
| 0.000 | 0.000 | 0.000 | 18.614 | -0.000 | -0.000 |
| 0.000 | 0.000 | 0.000 | -0.000 | 18.614 | -0.000 |
| 0.000 | 0.000 | 0.000 | -0.000 | -0.000 | 7.488 |
| 18.135 | 7.407 | 18.652 | 0.000 | -0.000 | 0.000 |
| 7.407 | 18.135 | 18.652 | -0.000 | 0.000 | 0.000 |
| 18.652 | 18.652 | 51.664 | 0.000 | 0.000 | -0.000 |
| -0.000 | -0.000 | -0.000 | 18.614 | 0.000 | 0.000 |
| -0.000 | -0.000 | -0.000 | 0.000 | 18.614 | 0.000 |
| -0.000 | -0.000 | -0.000 | 0.000 | -0.000 | 7.488 |
| 18.135 | 7.407 | 18.652 | -0.000 | 0.000 | 0.000 |
| 7.407 | 18.135 | 18.652 | 0.000 | -0.000 | 0.000 |
| 18.652 | 18.652 | 51.664 | -0.000 | -0.000 | -0.000 |
| 0.000 | 0.000 | 0.000 | 18.614 | -0.000 | 0.000 |
| 0.000 | 0.000 | 0.000 | -0.000 | 18.614 | -0.000 |
| 0.000 | 0.000 | 0.000 | 0.000 | 0.000 | 7.488 |
| 18.135 | 7.407 | 18.652 | 0.000 | -0.000 | 0.000 |
| 7.407 | 18.135 | 18.652 | -0.000 | 0.000 | 0.000 |
| 18.652 | 18.652 | 51.664 | -0.000 | -0.000 | 0.000 |
| -0.000 | -0.000 | -0.000 | 18.614 | -0.000 | -0.000 |
| -0.000 | -0.000 | -0.000 | -0.000 | 18.614 | 0.000 |
| -0.000 | -0.000 | -0.000 | 0.000 | 0.000 | 7.488 |
| 18.136 | 7.407 | 18.652 | -0.000 | -0.000 | -0.000 |
| 7.407 | 18.136 | 18.652 | -0.000 | -0.000 | -0.000 |
| 18.652 | 18.652 | 51.664 | -0.000 | -0.000 | 0.000 |
| 0.000 | 0.000 | 0.000 | 18.614 | -0.000 | -0.000 |
| 0.000 | 0.000 | 0.000 | -0.000 | 18.614 | -0.000 |
| 0.000 | 0.000 | 0.000 | -0.000 | -0.000 | 7.488 |
| -98.256 | -26.254 | -18.757 | -0.000 | 0.000 | 0.000 |
| -26.254 | -98.256 | -18.757 | 0.000 | 0.000 | 0.000 |
| -18.757 | -18.757 | -14.172 | 0.000 | 0.000 | -0.000 |
| -0.000 | -0.000 | -0.000 | -18.545 | 0.000 | -0.000 |
| 0.000 | -0.000 | -0.000 | -0.000 | -18.545 | 0.000 |
| 0.000 | -0.000 | -0.000 | 0.000 | 0.000 | -26.961 |
| -98.256 | -26.254 | -18.757 | 0.000 | 0.000 | -0.000 |
| -26.254 | -98.256 | -18.757 | 0.000 | 0.000 | -0.000 |
| -18.757 | -18.757 | -14.172 | -0.000 | -0.000 | 0.000 |
| 0.000 | 0.000 | 0.000 | -18.545 | 0.000 | -0.000 |
| 0.000 | 0.000 | 0.000 | -0.000 | -18.545 | 0.000 |
| -0.000 | 0.000 | 0.000 | 0.000 | 0.000 | -26.961 |
| -98.256 | -26.254 | -18.757 | -0.000 | -0.000 | 0.000 |
| -26.254 | -98.256 | -18.757 | -0.000 | 0.000 | 0.000 |
| -18.757 | -18.757 | -14.172 | -0.000 | 0.000 | 0.000 |
| -0.000 | 0.000 | -0.000 | -18.545 | 0.000 | 0.000 |
| 0.000 | -0.000 | -0.000 | 0.000 | -18.545 | 0.000 |
| 0.000 | 0.000 | -0.000 | -0.000 | 0.000 | -26.961 |
| -98.256 | -26.254 | -18.757 | -0.000 | -0.000 | 0.000 |
| -26.254 | -98.256 | -18.757 | 0.000 | -0.000 | 0.000 |
| -18.757 | -18.757 | -14.172 | -0.000 | -0.000 | -0.000 |
| 0.000 | -0.000 | 0.000 | -18.545 | -0.000 | 0.000 |
| -0.000 | 0.000 | 0.000 | -0.000 | -18.545 | -0.000 |
| -0.000 | -0.000 | 0.000 | 0.000 | -0.000 | -26.961 |
| -98.258 | -26.254 | -18.758 | -0.000 | 0.000 | 0.000 |
| -26.254 | -98.258 | -18.758 | 0.000 | 0.000 | 0.000 |
| -18.758 | -18.758 | -14.173 | 0.000 | 0.000 | 0.000 |
| -0.000 | 0.000 | -0.000 | -18.545 | 0.000 | 0.000 |
| 0.000 | -0.000 | -0.000 | 0.000 | -18.545 | -0.000 |
| 0.000 | 0.000 | -0.000 | 0.000 | 0.000 | -26.961 |
| -98.254 | -26.253 | -18.757 | -0.000 | -0.000 | -0.000 |
| -26.253 | -98.254 | -18.757 | 0.000 | -0.000 | -0.000 |
| -18.757 | -18.757 | -14.172 | 0.000 | 0.000 | 0.000 |
| 0.000 | -0.000 | 0.000 | -18.545 | -0.000 | 0.000 |
| -0.000 | 0.000 | 0.000 | 0.000 | -18.545 | 0.000 |
| -0.000 | -0.000 | 0.000 | 0.000 | 0.000 | -26.961 |
| 104.388 | 123.840 | 211.015 | 0.000 | 52.552 | 0.000 |
| 47.299 | 122.197 | 198.052 | 0.000 | 11.684 | 0.000 |
| 43.201 | 104.009 | 241.048 | 0.000 | 13.950 | 0.000 |
| -60.773 | 14.840 | 117.312 | 27.548 | 53.353 | -0.768 |
| -45.762 | 15.415 | 108.840 | -0.000 | 62.223 | 0.000 |
| 0.000 | -0.000 | 0.000 | 0.850 | 0.000 | 34.297 |
| 164.691 | 103.237 | 99.075 | -0.000 | 4.351 | -0.000 |
| 102.558 | 124.281 | 96.962 | -0.000 | 0.856 | -0.000 |
| 156.876 | 97.163 | 46.211 | -0.000 | -5.267 | -0.000 |
| 60.773 | -14.840 | -117.312 | 27.548 | -53.353 | -0.768 |
| 2.057 | 0.302 | 4.720 | -0.000 | 32.549 | -0.000 |
| -0.000 | 0.000 | -0.000 | 0.850 | -0.000 | 34.297 |
| 150.991 | 108.841 | 111.146 | 0.000 | 12.004 | 0.000 |
| 97.898 | 118.844 | 111.661 | -0.000 | 3.238 | 0.000 |
| 94.082 | 103.881 | 149.772 | 0.000 | 5.353 | 0.000 |
| -6.138 | 0.360 | 10.535 | 30.182 | 1.038 | -0.178 |
| -2.739 | 1.867 | 13.660 | -0.000 | 30.287 | 0.000 |
| -5.768 | 0.338 | 9.899 | 0.404 | 0.975 | 33.901 |
| 164.692 | 103.239 | 99.076 | 0.000 | 4.351 | -0.000 |
| 111.347 | 113.234 | 92.621 | -0.000 | -2.173 | -0.000 |
| 106.338 | 99.924 | 133.231 | 0.000 | 3.276 | -0.000 |
| 6.138 | -0.360 | -10.535 | 30.182 | -1.038 | -0.178 |
| 2.057 | 0.302 | 4.719 | -0.000 | 32.548 | -0.000 |
| 5.768 | -0.338 | -9.899 | 0.404 | -0.975 | 33.901 |
| 158.655 | 104.480 | 103.073 | -0.000 | 5.019 | 0.000 |
| 103.785 | 115.369 | 105.178 | -0.000 | 3.112 | 0.000 |
| 100.946 | 100.864 | 141.541 | -0.000 | 4.189 | 0.000 |
| -1.023 | 0.060 | 1.756 | 27.657 | 0.173 | -0.494 |
| 2.057 | 0.302 | 4.721 | 0.000 | 32.549 | 0.000 |
| -1.206 | 0.071 | 2.069 | -0.082 | 0.204 | 33.469 |
| 159.273 | 104.549 | 101.546 | 0.000 | 4.888 | -0.000 |
| 105.783 | 115.020 | 102.149 | -0.000 | 2.853 | -0.000 |
| 101.866 | 100.490 | 140.553 | -0.000 | 4.032 | -0.000 |
| 1.023 | -0.060 | -1.756 | 27.657 | -0.173 | -0.494 |
| 5.520 | 3.512 | 0.664 | 0.000 | 23.795 | -0.000 |
| 1.206 | -0.071 | -2.069 | -0.082 | -0.204 | 33.469 |
| 166.507 | 110.469 | 110.469 | -0.000 | 0.000 | 0.000 |
| 110.469 | 166.507 | 110.469 | -0.000 | 0.000 | 0.000 |
| 110.469 | 110.469 | 166.507 | -0.000 | -0.000 | 0.000 |
| 0.000 | 0.000 | -0.000 | 46.650 | 0.000 | 0.000 |
| -0.000 | 0.000 | -0.000 | -0.000 | 46.650 | 0.000 |
| -0.000 | -0.000 | 0.000 | -0.000 | 0.000 | 46.650 |
| 166.507 | 110.469 | 110.469 | 0.000 | 0.000 | -0.000 |
| 110.469 | 166.507 | 110.469 | 0.000 | 0.000 | -0.000 |
| 110.469 | 110.469 | 166.507 | 0.000 | 0.000 | -0.000 |
| -0.000 | -0.000 | -0.000 | 46.650 | 0.000 | -0.000 |
| -0.000 | -0.000 | 0.000 | 0.000 | 46.650 | -0.000 |
| -0.000 | 0.000 | -0.000 | 0.000 | 0.000 | 46.650 |
| 166.508 | 110.470 | 110.470 | -0.000 | -0.000 | 0.000 |
| 110.470 | 166.508 | 110.470 | -0.000 | -0.000 | 0.000 |
| 110.470 | 110.470 | 166.508 | -0.000 | -0.000 | 0.000 |
| -0.000 | -0.000 | -0.000 | 46.650 | -0.000 | -0.000 |
| -0.000 | -0.000 | -0.000 | -0.000 | 46.650 | 0.000 |
| -0.000 | -0.000 | -0.000 | -0.000 | -0.000 | 46.650 |
| 166.506 | 110.468 | 110.468 | -0.000 | 0.000 | -0.000 |
| 110.468 | 166.506 | 110.468 | 0.000 | -0.000 | -0.000 |
| 110.468 | 110.468 | 166.506 | -0.000 | -0.000 | -0.000 |
| 0.000 | 0.000 | 0.000 | 46.650 | 0.000 | -0.000 |
| 0.000 | 0.000 | 0.000 | 0.000 | 46.650 | -0.000 |
| 0.000 | 0.000 | 0.000 | 0.000 | 0.000 | 46.650 |
| 166.517 | 110.479 | 110.479 | -0.000 | -0.000 | 0.000 |
| 110.479 | 166.517 | 110.479 | -0.000 | 0.000 | 0.000 |
| 110.479 | 110.479 | 166.517 | -0.000 | -0.000 | 0.000 |
| 0.000 | -0.000 | -0.000 | 22.004 | 0.000 | -0.000 |
| -0.000 | 0.000 | -0.000 | -0.000 | 22.004 | 0.000 |
| -0.000 | -0.000 | 0.000 | -0.000 | -0.000 | 22.004 |
| 166.497 | 110.459 | 110.459 | -0.000 | 0.000 | 0.000 |
| 110.459 | 166.497 | 110.459 | 0.000 | -0.000 | -0.000 |
| 110.459 | 110.459 | 166.497 | 0.000 | 0.000 | -0.000 |
| -0.000 | 0.000 | 0.000 | 22.004 | 0.000 | -0.000 |
| 0.000 | -0.000 | 0.000 | 0.000 | 22.004 | -0.000 |
| 0.000 | 0.000 | -0.000 | 0.000 | -0.000 | 22.004 |
| 102.165 | 8.714 | 8.714 | 0.000 | -0.000 | 0.000 |
| 8.714 | 102.165 | 8.714 | 0.000 | -0.000 | 0.000 |
| 8.714 | 8.714 | 102.165 | 0.000 | 0.000 | 0.000 |
| -0.000 | -0.000 | -0.000 | 7.432 | -0.000 | 0.000 |
| -0.000 | -0.000 | -0.000 | 0.000 | 7.432 | -0.000 |
| -0.000 | -0.000 | -0.000 | 0.000 | -0.000 | 7.432 |
| 102.165 | 8.714 | 8.714 | -0.000 | -0.000 | -0.000 |
| 8.714 | 102.165 | 8.714 | -0.000 | 0.000 | -0.000 |
| 8.714 | 8.714 | 102.165 | -0.000 | -0.000 | -0.000 |
| 0.000 | 0.000 | 0.000 | 7.432 | 0.000 | -0.000 |
| 0.000 | 0.000 | -0.000 | -0.000 | 7.432 | -0.000 |
| 0.000 | 0.000 | 0.000 | -0.000 | 0.000 | 7.432 |
| 102.165 | 8.714 | 8.714 | 0.000 | -0.000 | 0.000 |
| 8.714 | 102.165 | 8.714 | 0.000 | 0.000 | 0.000 |
| 8.714 | 8.714 | 102.165 | -0.000 | -0.000 | 0.000 |
| -0.000 | -0.000 | -0.000 | 7.432 | -0.000 | -0.000 |
| -0.000 | -0.000 | -0.000 | -0.000 | 7.432 | 0.000 |
| -0.000 | -0.000 | -0.000 | -0.000 | -0.000 | 7.432 |
| 102.165 | 8.714 | 8.714 | -0.000 | 0.000 | -0.000 |
| 8.714 | 102.165 | 8.714 | -0.000 | -0.000 | -0.000 |
| 8.714 | 8.714 | 102.165 | -0.000 | -0.000 | -0.000 |
| 0.000 | 0.000 | 0.000 | 7.432 | 0.000 | -0.000 |
| 0.000 | 0.000 | 0.000 | -0.000 | 7.432 | -0.000 |
| 0.000 | 0.000 | 0.000 | -0.000 | 0.000 | 7.432 |
| 102.163 | 8.714 | 8.714 | 0.000 | -0.000 | 0.000 |
| 8.714 | 102.163 | 8.714 | -0.000 | 0.000 | 0.000 |
| 8.714 | 8.714 | 102.163 | 0.000 | -0.000 | 0.000 |
| -0.000 | -0.000 | -0.000 | 7.432 | 0.000 | 0.000 |
| -0.000 | -0.000 | -0.000 | 0.000 | 7.432 | 0.000 |
| -0.000 | -0.000 | -0.000 | 0.000 | -0.000 | 7.432 |
| 102.167 | 8.714 | 8.714 | -0.000 | 0.000 | -0.000 |
| 8.714 | 102.167 | 8.714 | -0.000 | 0.000 | 0.000 |
| 8.714 | 8.714 | 102.167 | -0.000 | 0.000 | -0.000 |
| 0.000 | 0.000 | 0.000 | 7.432 | -0.000 | -0.000 |
| 0.000 | 0.000 | 0.000 | -0.000 | 7.432 | -0.000 |
| 0.000 | 0.000 | 0.000 | -0.000 | 0.000 | 7.432 |
| 55.224 | 55.224 | 55.224 | 0.000 | 0.000 | 0.000 |
| 55.224 | 55.224 | 55.224 | 0.000 | 0.000 | 0.000 |
| 55.224 | 55.224 | 55.224 | 0.000 | 0.000 | -0.000 |
| 0.000 | 0.000 | 0.000 | 0.000 | 0.000 | -0.000 |
| 0.000 | 0.000 | 0.000 | 0.000 | 0.000 | -0.000 |
| 0.000 | 0.000 | 0.000 | -0.000 | 0.000 | 0.000 |
| 55.224 | 55.224 | 55.224 | -0.000 | -0.000 | 0.000 |
| 55.224 | 55.224 | 55.224 | -0.000 | -0.000 | 0.000 |
| 55.224 | 55.224 | 55.224 | -0.000 | -0.000 | 0.000 |
| -0.000 | -0.000 | -0.000 | 0.000 | -0.000 | -0.000 |
| -0.000 | -0.000 | -0.000 | -0.000 | 0.000 | -0.000 |
| -0.000 | -0.000 | -0.000 | -0.000 | -0.000 | 0.000 |
| 55.224 | 55.224 | 55.224 | 0.000 | 0.000 | -0.000 |
| 55.224 | 55.224 | 55.224 | 0.000 | 0.000 | -0.000 |
| 55.224 | 55.224 | 55.224 | 0.000 | 0.000 | -0.000 |
| -0.000 | -0.000 | -0.000 | 0.000 | 0.000 | 0.000 |
| -0.000 | -0.000 | -0.000 | 0.000 | 0.000 | 0.000 |
| -0.000 | -0.000 | -0.000 | 0.000 | 0.000 | 0.000 |
| 55.224 | 55.224 | 55.224 | -0.000 | -0.000 | -0.000 |
| 55.224 | 55.224 | 55.224 | -0.000 | -0.000 | -0.000 |
| 55.224 | 55.224 | 55.224 | -0.000 | -0.000 | 0.000 |
| 0.000 | 0.000 | 0.000 | 0.000 | -0.000 | 0.000 |
| 0.000 | 0.000 | 0.000 | -0.000 | 0.000 | 0.000 |
| 0.000 | 0.000 | 0.000 | 0.000 | -0.000 | 0.000 |
| 55.224 | 55.224 | 55.224 | 0.000 | 0.000 | -0.000 |
| 55.224 | 55.224 | 55.224 | 0.000 | 0.000 | -0.000 |
| 55.224 | 55.224 | 55.224 | 0.000 | 0.000 | 0.000 |
| -0.000 | -0.000 | -0.000 | 0.000 | 0.000 | -0.000 |
| -0.000 | -0.000 | -0.000 | 0.000 | 0.000 | -0.000 |
| -0.000 | -0.000 | -0.000 | 0.000 | -0.000 | 0.000 |
| 55.224 | 55.223 | 55.223 | -0.000 | 0.000 | -0.000 |
| 55.223 | 55.224 | 55.223 | 0.000 | -0.000 | -0.000 |
| 55.223 | 55.223 | 55.224 | -0.000 | -0.000 | -0.000 |
| 0.000 | 0.000 | 0.000 | 0.000 | -0.000 | -0.000 |
| 0.000 | 0.000 | 0.000 | -0.000 | 0.000 | -0.000 |
| 0.000 | 0.000 | 0.000 | 0.000 | -0.000 | 0.000 |
| 256.459 | 252.275 | 238.953 | 0.000 | 0.000 | -0.000 |
| 252.275 | 256.459 | 238.953 | 0.000 | -0.000 | -0.000 |
| 238.552 | 238.552 | 266.923 | -0.000 | 0.000 | -0.000 |
| 0.696 | 0.696 | -0.101 | 55.100 | -0.000 | -0.000 |
| 0.696 | 0.696 | -0.101 | -0.000 | 55.100 | 0.000 |
| 0.355 | 0.355 | -0.051 | 0.000 | -0.000 | 50.497 |
| 259.229 | 255.045 | 238.554 | -0.000 | -0.000 | 0.000 |
| 255.045 | 259.229 | 238.554 | 0.000 | 0.000 | 0.000 |
| 238.651 | 238.651 | 266.910 | -0.000 | -0.000 | 0.000 |
| -0.696 | -0.696 | 0.101 | 55.100 | 0.000 | 0.000 |
| -0.696 | -0.696 | 0.101 | 0.000 | 55.100 | -0.000 |
| -0.355 | -0.355 | 0.051 | -0.000 | -0.000 | 50.497 |
| 259.218 | 255.034 | 238.544 | 0.000 | -0.000 | -0.000 |
| 255.034 | 259.218 | 238.544 | -0.000 | 0.000 | 0.000 |
| 238.545 | 238.545 | 266.918 | -0.000 | 0.000 | -0.000 |
| 0.086 | 0.086 | -0.012 | 55.008 | -0.000 | 0.000 |
| 0.086 | 0.086 | -0.012 | -0.000 | 55.008 | -0.000 |
| 0.036 | 0.036 | -0.005 | -0.000 | -0.000 | 50.497 |
| 259.237 | 255.053 | 238.561 | 0.000 | -0.000 | 0.000 |
| 255.053 | 259.237 | 238.561 | 0.000 | -0.000 | 0.000 |
| 238.977 | 238.977 | 266.870 | 0.000 | -0.000 | -0.000 |
| -0.086 | -0.086 | 0.012 | 55.008 | 0.000 | 0.000 |
| -0.086 | -0.086 | 0.012 | -0.000 | 55.008 | 0.000 |
| -0.036 | -0.036 | 0.005 | 0.000 | -0.000 | 50.497 |
| 256.020 | 251.834 | 238.924 | 0.000 | -0.000 | -0.000 |
| 251.834 | 256.020 | 238.924 | 0.000 | 0.000 | -0.000 |
| 238.478 | 238.478 | 266.860 | -0.000 | -0.000 | -0.000 |
| 0.009 | 0.009 | -0.001 | 55.006 | -0.000 | -0.000 |
| 0.009 | 0.009 | -0.001 | 0.000 | 55.006 | -0.000 |
| 0.004 | 0.004 | -0.000 | 0.000 | 0.000 | 50.497 |
| 256.189 | 252.007 | 239.087 | 0.000 | 0.000 | 0.000 |
| 252.007 | 256.189 | 239.087 | -0.000 | 0.000 | 0.000 |
| 238.627 | 238.627 | 266.987 | 0.000 | 0.000 | 0.000 |
| -0.009 | -0.009 | 0.001 | 55.006 | 0.000 | -0.000 |
| -0.009 | -0.009 | 0.001 | -0.000 | 55.006 | 0.000 |
| -0.004 | -0.004 | 0.000 | 0.000 | -0.000 | 50.497 |
| 844.513 | -794.321 | -294.907 | 0.000 | 0.000 | 0.000 |
| 1327.191 | -1026.401 | -471.305 | -0.000 | -0.000 | 0.000 |
| 799.616 | -812.449 | -340.222 | 0.000 | 0.000 | 0.000 |
| 687.478 | -915.000 | -407.275 | 28.229 | 0.000 | 0.000 |
| 687.477 | -914.999 | -407.275 | -0.000 | 29.604 | 0.000 |
| 0.000 | 0.000 | 0.000 | 0.000 | -0.000 | 35.807 |
| -1029.627 | 1272.311 | 687.674 | -0.000 | -0.000 | -0.000 |
| -568.366 | 1042.247 | 510.274 | -0.000 | 0.000 | -0.000 |
| 112.027 | 113.828 | 74.450 | -0.000 | 0.000 | -0.000 |
| -687.478 | 915.000 | 407.275 | 28.229 | -0.000 | -0.000 |
| -687.477 | 914.999 | 407.275 | -0.000 | 29.604 | -0.000 |
| -0.000 | -0.000 | -0.000 | -0.000 | 0.000 | 35.807 |
| 226.582 | 30.195 | 72.156 | -0.000 | 0.000 | 0.000 |
| 187.414 | 36.440 | 62.584 | -0.000 | -0.000 | 0.000 |
| 112.027 | 113.827 | 74.450 | 0.000 | -0.000 | 0.000 |
| 121.754 | -116.391 | -57.886 | 27.515 | -0.000 | 0.000 |
| 68.748 | -91.501 | -40.728 | 0.000 | 29.604 | 0.000 |
| 68.731 | -91.478 | -40.718 | -0.000 | -0.000 | 32.025 |
| 204.496 | 114.691 | 111.435 | -0.000 | 0.000 | -0.000 |
| 50.720 | 218.395 | 143.571 | 0.000 | 0.000 | -0.000 |
| 112.028 | 113.828 | 74.451 | -0.000 | -0.000 | -0.000 |
| -121.754 | 116.391 | 57.886 | 27.515 | 0.000 | -0.000 |
| -68.748 | 91.501 | 40.728 | -0.000 | 29.604 | -0.000 |
| -68.731 | 91.478 | 40.718 | -0.000 | -0.000 | 32.025 |
| 204.498 | 114.690 | 111.435 | -0.000 | 0.000 | 0.000 |
| 115.441 | 151.116 | 113.984 | -0.000 | -0.000 | 0.000 |
| 118.409 | 94.860 | 63.768 | 0.000 | -0.000 | 0.000 |
| 0.000 | 0.000 | 0.000 | 29.302 | 0.000 | 0.000 |
| 6.880 | -9.157 | -4.076 | -0.000 | 29.604 | 0.000 |
| 0.000 | 0.000 | 0.000 | 0.000 | 0.000 | 35.807 |
| 165.469 | 129.463 | 119.844 | -0.000 | -0.000 | -0.000 |
| 113.276 | 141.551 | 109.482 | -0.000 | 0.000 | -0.000 |
| 106.046 | 112.287 | 71.736 | 0.000 | -0.000 | -0.000 |
| -0.000 | -0.000 | -0.000 | 29.302 | 0.000 | -0.000 |
| -6.880 | 9.157 | 4.076 | -0.000 | 29.604 | -0.000 |
| -0.000 | -0.000 | -0.000 | 0.000 | -0.000 | 35.807 |
| 427.571 | 264.738 | 58.736 | 0.000 | 0.000 | -0.000 |
| 105.496 | 128.995 | 109.502 | 0.000 | -0.000 | -0.000 |
| 105.169 | 109.501 | 183.115 | 0.000 | 0.000 | -0.000 |
| 0.000 | -0.000 | -0.000 | 38.405 | -0.000 | -0.000 |
| -0.000 | -0.000 | -0.000 | 0.000 | 34.096 | -0.000 |
| 0.000 | -0.000 | 0.000 | 0.000 | 0.000 | 34.182 |
| -154.677 | -70.811 | 133.554 | -0.000 | 0.000 | 0.000 |
| 105.495 | 128.994 | 109.501 | -0.000 | 0.000 | 0.000 |
| -450.154 | -79.449 | 503.202 | -0.000 | -0.000 | 0.000 |
| -0.000 | 0.000 | 0.000 | 38.405 | 0.000 | 0.000 |
| 0.000 | 0.000 | 0.000 | -0.000 | 34.096 | 0.000 |
| -0.000 | 0.000 | -0.000 | -0.000 | 0.000 | 34.182 |
| 165.674 | 113.652 | 92.700 | 0.000 | -0.000 | -0.000 |
| 125.952 | 134.202 | 94.653 | 0.000 | 0.000 | -0.000 |
| 105.172 | 109.503 | 183.117 | 0.000 | -0.000 | -0.000 |
| 0.000 | 0.000 | 0.000 | 38.405 | -0.000 | -0.000 |
| 0.000 | 0.000 | 0.000 | 0.000 | 34.096 | -0.000 |
| 0.000 | 0.000 | 0.000 | 0.000 | 0.000 | 34.182 |
| 162.330 | 105.491 | 105.166 | -0.000 | -0.000 | 0.000 |
| 105.493 | 128.992 | 109.499 | -0.000 | -0.000 | 0.000 |
| 67.815 | 82.027 | 171.518 | -0.000 | -0.000 | 0.000 |
| -0.000 | -0.000 | -0.000 | 38.405 | -0.000 | 0.000 |
| -0.000 | -0.000 | -0.000 | -0.000 | 34.096 | 0.000 |
| -0.000 | -0.000 | -0.000 | -0.000 | 0.000 | 34.182 |
| 147.925 | 101.266 | 99.236 | 0.000 | -0.000 | -0.000 |
| 105.526 | 129.022 | 109.527 | 0.000 | -0.000 | -0.000 |
| 100.064 | 101.478 | 169.758 | 0.000 | -0.000 | -0.000 |
| 3.014 | 1.737 | -0.387 | 37.904 | -0.000 | -0.000 |
| 3.125 | 1.801 | -0.402 | 0.000 | 32.436 | -0.000 |
| 4.610 | 2.760 | -1.554 | 0.000 | -0.000 | 31.259 |
| 141.553 | 98.125 | 98.832 | -0.000 | 0.000 | 0.000 |
| 90.612 | 116.017 | 104.843 | -0.000 | 0.000 | 0.000 |
| 96.038 | 99.607 | 171.517 | -0.000 | -0.000 | 0.000 |
| -3.014 | -1.737 | 0.387 | 37.904 | 0.000 | 0.000 |
| -3.125 | -1.801 | 0.402 | -0.000 | 32.436 | 0.000 |
| -4.610 | -2.760 | 1.554 | -0.000 | -0.000 | 31.259 |
| 161.475 | 116.069 | 118.975 | 0.000 | 0.000 | -0.000 |
| 103.145 | 31.222 | 284.415 | -0.000 | 0.000 | -0.000 |
| 249.026 | 202.181 | -198.487 | -0.000 | 0.000 | 0.000 |
| -11.896 | -30.332 | 166.240 | 30.239 | 0.000 | 0.000 |
| 0.000 | 0.000 | 0.000 | 0.000 | 34.650 | -0.000 |
| -11.896 | -30.332 | 166.239 | -0.000 | 0.000 | 31.905 |
| 169.737 | 145.644 | -45.058 | 0.000 | -0.000 | 0.000 |
| 126.927 | 91.877 | -48.048 | 0.000 | -0.000 | -0.000 |
| 133.076 | 148.217 | 33.042 | 0.000 | -0.000 | 0.000 |
| 11.896 | 30.332 | -166.240 | 30.239 | -0.000 | -0.000 |
| -0.000 | -0.000 | -0.000 | 0.000 | 34.650 | 0.000 |
| 11.896 | 30.332 | -166.239 | 0.000 | -0.000 | 31.905 |
| 161.483 | 116.077 | 118.983 | 0.000 | 0.000 | -0.000 |
| 115.900 | 62.207 | 117.086 | 0.000 | 0.000 | -0.000 |
| 118.469 | 116.748 | 213.877 | -0.000 | 0.000 | -0.000 |
| -1.191 | -3.037 | 16.642 | 30.238 | 0.000 | 0.000 |
| -1.192 | -3.039 | 16.654 | -0.000 | 31.485 | 0.000 |
| -1.190 | -3.035 | 16.634 | -0.000 | 0.000 | 31.904 |
| 161.466 | 116.059 | 118.965 | 0.000 | -0.000 | 0.000 |
| 116.174 | 64.540 | 101.609 | 0.000 | -0.000 | 0.000 |
| 107.355 | 110.362 | 232.345 | 0.000 | -0.000 | -0.000 |
| 1.191 | 3.037 | -16.642 | 30.238 | -0.000 | 0.000 |
| 1.192 | 3.039 | -16.654 | 0.000 | 31.485 | 0.000 |
| 1.190 | 3.035 | -16.634 | 0.000 | -0.000 | 31.904 |
| 158.782 | 115.264 | 122.520 | -0.000 | 0.000 | -0.000 |
| 115.261 | 61.527 | 119.665 | -0.000 | 0.000 | -0.000 |
| 121.476 | 118.427 | 196.892 | -0.000 | 0.000 | -0.000 |
| -0.131 | -0.336 | 1.840 | 30.170 | 0.000 | -0.000 |
| 0.000 | 0.000 | 0.000 | -0.000 | 34.650 | -0.000 |
| -0.126 | -0.320 | 1.756 | -0.000 | 0.000 | 31.874 |
| 156.617 | 114.374 | 124.906 | 0.000 | 0.000 | -0.000 |
| 115.798 | 62.099 | 116.979 | 0.000 | -0.000 | 0.000 |
| 118.368 | 116.642 | 213.771 | 0.000 | -0.000 | 0.000 |
| 0.131 | 0.336 | -1.840 | 30.170 | -0.000 | -0.000 |
| -0.000 | -0.000 | -0.000 | 0.000 | 34.650 | 0.000 |
| 0.126 | 0.320 | -1.756 | 0.000 | -0.000 | 31.874 |
| 65.919 | 99.775 | 99.775 | 0.000 | -0.000 | -0.000 |
| 99.775 | 65.919 | 99.775 | 0.000 | -0.000 | -0.000 |
| 99.775 | 99.775 | 65.919 | -0.000 | -0.000 | 0.000 |
| -0.000 | -0.000 | -0.000 | -17.579 | -0.000 | 0.000 |
| -0.000 | -0.000 | -0.000 | -0.000 | -17.579 | 0.000 |
| -0.000 | -0.000 | -0.000 | -0.000 | -0.000 | -17.579 |
| 65.916 | 99.773 | 99.773 | 0.000 | -0.000 | -0.000 |
| 99.773 | 65.916 | 99.773 | 0.000 | 0.000 | 0.000 |
| 99.773 | 99.773 | 65.916 | 0.000 | 0.000 | 0.000 |
| 0.000 | 0.000 | 0.000 | -17.579 | 0.000 | -0.000 |
| 0.000 | 0.000 | 0.000 | 0.000 | -17.579 | 0.000 |
| 0.000 | 0.000 | 0.000 | -0.000 | 0.000 | -17.579 |
| 65.932 | 99.789 | 99.789 | -0.000 | -0.000 | -0.000 |
| 99.789 | 65.932 | 99.789 | 0.000 | -0.000 | -0.000 |
| 99.789 | 99.789 | 65.932 | 0.000 | -0.000 | -0.000 |
| -0.000 | -0.000 | -0.000 | -17.579 | -0.000 | -0.000 |
| -0.000 | -0.000 | -0.000 | -0.000 | -17.579 | -0.000 |
| -0.000 | -0.000 | -0.000 | -0.000 | -0.000 | -17.579 |
| 65.903 | 99.760 | 99.760 | -0.000 | 0.000 | -0.000 |
| 99.760 | 65.903 | 99.760 | 0.000 | -0.000 | -0.000 |
| 99.760 | 99.760 | 65.903 | 0.000 | 0.000 | 0.000 |
| 0.000 | 0.000 | 0.000 | -17.579 | 0.000 | -0.000 |
| 0.000 | 0.000 | 0.000 | 0.000 | -17.579 | -0.000 |
| 0.000 | 0.000 | 0.000 | 0.000 | 0.000 | -17.579 |
| 66.061 | 99.919 | 99.919 | -0.000 | -0.000 | -0.000 |
| 99.919 | 66.061 | 99.919 | -0.000 | -0.000 | -0.000 |
| 99.919 | 99.919 | 66.061 | -0.000 | -0.000 | -0.000 |
| -0.000 | -0.000 | -0.000 | -18.139 | -0.000 | -0.000 |
| -0.000 | -0.000 | -0.000 | 0.000 | -18.139 | -0.000 |
| -0.000 | -0.000 | -0.000 | -0.000 | -0.000 | -18.139 |
| 65.774 | 99.630 | 99.630 | -0.000 | 0.000 | -0.000 |
| 99.630 | 65.774 | 99.630 | 0.000 | 0.000 | 0.000 |
| 99.630 | 99.630 | 65.774 | 0.000 | 0.000 | -0.000 |
| 0.000 | 0.000 | 0.000 | -18.139 | 0.000 | 0.000 |
| 0.000 | 0.000 | 0.000 | 0.000 | -18.139 | 0.000 |
| 0.000 | 0.000 | 0.000 | 0.000 | 0.000 | -18.139 |
| 70.046 | 21.298 | 21.298 | 0.000 | -0.000 | -0.000 |
| 21.298 | 70.046 | 21.298 | -0.000 | -0.000 | -0.000 |
| 21.298 | 21.298 | 70.046 | 0.000 | -0.000 | -0.000 |
| -0.000 | 0.000 | 0.000 | 22.872 | 0.000 | -0.000 |
| 0.000 | -0.000 | 0.000 | 0.000 | 22.872 | -0.000 |
| 0.000 | 0.000 | -0.000 | 0.000 | -0.000 | 22.872 |
| 70.046 | 21.298 | 21.298 | -0.000 | -0.000 | 0.000 |
| 21.298 | 70.046 | 21.298 | -0.000 | -0.000 | 0.000 |
| 21.298 | 21.298 | 70.046 | -0.000 | 0.000 | 0.000 |
| 0.000 | -0.000 | -0.000 | 22.872 | -0.000 | 0.000 |
| -0.000 | 0.000 | -0.000 | 0.000 | 22.872 | 0.000 |
| -0.000 | -0.000 | 0.000 | -0.000 | -0.000 | 22.872 |
| 70.046 | 21.298 | 21.298 | 0.000 | -0.000 | -0.000 |
| 21.298 | 70.046 | 21.298 | 0.000 | -0.000 | -0.000 |
| 21.298 | 21.298 | 70.046 | 0.000 | -0.000 | -0.000 |
| -0.000 | 0.000 | 0.000 | 22.872 | -0.000 | -0.000 |
| 0.000 | -0.000 | 0.000 | 0.000 | 22.872 | -0.000 |
| 0.000 | 0.000 | -0.000 | 0.000 | -0.000 | 22.872 |
| 70.046 | 21.298 | 21.298 | -0.000 | 0.000 | 0.000 |
| 21.298 | 70.046 | 21.298 | 0.000 | -0.000 | 0.000 |
| 21.298 | 21.298 | 70.046 | -0.000 | -0.000 | 0.000 |
| 0.000 | -0.000 | -0.000 | 22.872 | 0.000 | 0.000 |
| -0.000 | 0.000 | -0.000 | -0.000 | 22.872 | 0.000 |
| -0.000 | -0.000 | 0.000 | -0.000 | 0.000 | 22.872 |
| 70.047 | 21.298 | 21.298 | 0.000 | 0.000 | -0.000 |
| 21.298 | 70.047 | 21.298 | 0.000 | -0.000 | -0.000 |
| 21.298 | 21.298 | 70.047 | 0.000 | 0.000 | -0.000 |
| -1425610.453 | -1353033.854 | -1251749.328 | 2428.917 | 5231.657 | -6118.941 |
| -1411903.639 | -1463489.374 | -1269090.538 | 13638.241 | -15167.877 | 4552.020 |
| -1389632.049 | -1281430.146 | -1475798.904 | 22916.121 | -14807.056 | -2674.168 |
| 70.046 | 21.297 | 21.297 | -0.000 | 0.000 | 0.000 |
| 21.297 | 70.046 | 21.297 | -0.000 | 0.000 | 0.000 |
| 21.297 | 21.297 | 70.046 | -0.000 | -0.000 | 0.000 |
| 1711459.532 | 1479489.643 | 1301646.650 | 6029.742 | 58084.632 | 85396.144 |
| 1472949.336 | 1693248.202 | 1300264.233 | 43712.516 | -2215.671 | 82972.154 |
| 1478531.911 | 1323450.676 | 1710499.755 | 51969.299 | 71294.329 | 24293.106 |
| -0.437 | 16.368 | 16.368 | -0.000 | 0.000 | 0.000 |
| 16.368 | -0.437 | 16.368 | 0.000 | 0.000 | 0.000 |
| 16.368 | 16.368 | -0.437 | 0.000 | 0.000 | 0.000 |
| 0.000 | -0.000 | 0.000 | 16.122 | 0.000 | 0.000 |
| -0.000 | 0.000 | 0.000 | 0.000 | 16.122 | 0.000 |
| -0.000 | 0.000 | 0.000 | 0.000 | 0.000 | 16.122 |
| -0.437 | 16.368 | 16.368 | 0.000 | -0.000 | -0.000 |
| 16.368 | -0.437 | 16.368 | -0.000 | -0.000 | -0.000 |
| 16.368 | 16.368 | -0.437 | 0.000 | -0.000 | -0.000 |
| -0.000 | 0.000 | -0.000 | 16.122 | -0.000 | -0.000 |
| 0.000 | -0.000 | -0.000 | -0.000 | 16.122 | -0.000 |
| 0.000 | -0.000 | -0.000 | -0.000 | -0.000 | 16.122 |
| -0.437 | 16.368 | 16.368 | 0.000 | 0.000 | 0.000 |
| 16.368 | -0.437 | 16.368 | 0.000 | 0.000 | 0.000 |
| 16.368 | 16.368 | -0.437 | 0.000 | 0.000 | 0.000 |
| -0.000 | -0.000 | -0.000 | 16.122 | 0.000 | 0.000 |
| -0.000 | -0.000 | -0.000 | 0.000 | 16.122 | 0.000 |
| -0.000 | -0.000 | -0.000 | 0.000 | 0.000 | 16.122 |
| -0.437 | 16.368 | 16.368 | 0.000 | -0.000 | -0.000 |
| 16.368 | -0.437 | 16.368 | -0.000 | -0.000 | -0.000 |
| 16.368 | 16.368 | -0.437 | 0.000 | 0.000 | -0.000 |
| 0.000 | 0.000 | 0.000 | 16.122 | -0.000 | -0.000 |
| 0.000 | 0.000 | 0.000 | -0.000 | 16.122 | -0.000 |
| 0.000 | 0.000 | 0.000 | -0.000 | -0.000 | 16.122 |
| -0.438 | 16.368 | 16.368 | -0.000 | 0.000 | 0.000 |
| 16.368 | -0.438 | 16.368 | 0.000 | 0.000 | 0.000 |
| 16.368 | 16.368 | -0.438 | 0.000 | 0.000 | 0.000 |
| -672171.718 | -64748.388 | -64750.371 | -991694.403 | -0.000 | -0.000 |
| -64748.388 | -672171.718 | -64750.371 | -0.000 | -991694.403 | -0.000 |
| -64748.388 | -64750.371 | -672171.718 | -0.000 | -0.000 | -991694.403 |
| -0.436 | 16.368 | 16.368 | 0.000 | -0.000 | -0.000 |
| 16.368 | -0.436 | 16.368 | -0.000 | -0.000 | -0.000 |
| 16.368 | 16.368 | -0.436 | -0.000 | -0.000 | -0.000 |
| 672171.718 | 64748.388 | 64750.371 | -991694.403 | 0.000 | -0.000 |
| 64748.388 | 672171.718 | 64750.371 | 0.000 | -991694.403 | -0.000 |
| 64748.388 | 64750.371 | 672171.718 | 0.000 | 0.000 | -991694.403 |
| 93.653 | 93.652 | 93.652 | 0.000 | 0.000 | -0.000 |
| 93.652 | 93.653 | 93.652 | 0.000 | 0.000 | -0.000 |
| 93.652 | 93.652 | 93.653 | 0.000 | 0.000 | 0.000 |
| 0.000 | 0.000 | 0.000 | 92.214 | 0.000 | 0.000 |
| 0.000 | 0.000 | 0.000 | 0.000 | 92.214 | 0.000 |
| 0.000 | 0.000 | 0.000 | 0.000 | -0.000 | 92.214 |
| 93.653 | 93.652 | 93.652 | -0.000 | -0.000 | -0.000 |
| 93.652 | 93.653 | 93.652 | -0.000 | -0.000 | -0.000 |
| 93.652 | 93.652 | 93.653 | -0.000 | -0.000 | -0.000 |
| -0.000 | -0.000 | -0.000 | 92.214 | -0.000 | -0.000 |
| -0.000 | -0.000 | -0.000 | -0.000 | 92.214 | -0.000 |
| -0.000 | -0.000 | -0.000 | -0.000 | 0.000 | 92.214 |
| 93.653 | 93.652 | 93.652 | 0.000 | 0.000 | 0.000 |
| 93.652 | 93.653 | 93.652 | 0.000 | 0.000 | 0.000 |
| 93.652 | 93.652 | 93.653 | 0.000 | 0.000 | 0.000 |
| 0.000 | 0.000 | 0.000 | 92.214 | 0.000 | -0.000 |
| 0.000 | 0.000 | 0.000 | 0.000 | 92.214 | -0.000 |
| 0.000 | 0.000 | 0.000 | 0.000 | -0.000 | 92.214 |
| 93.653 | 93.652 | 93.652 | -0.000 | 0.000 | -0.000 |
| 93.652 | 93.653 | 93.652 | 0.000 | -0.000 | -0.000 |
| 93.652 | 93.652 | 93.653 | -0.000 | -0.000 | -0.000 |
| -0.000 | -0.000 | -0.000 | 92.214 | -0.000 | -0.000 |
| -0.000 | -0.000 | -0.000 | -0.000 | 92.214 | -0.000 |
| -0.000 | -0.000 | -0.000 | -0.000 | -0.000 | 92.214 |
| 93.653 | 93.652 | 93.652 | 0.000 | 0.000 | 0.000 |
| 93.652 | 93.653 | 93.652 | 0.000 | 0.000 | 0.000 |
| 93.652 | 93.652 | 93.653 | 0.000 | 0.000 | 0.000 |
| 0.001 | 0.000 | 0.001 | 92.214 | 0.000 | 0.000 |
| 0.000 | 0.001 | 0.001 | 0.000 | 92.214 | 0.000 |
| 0.000 | 0.001 | 0.001 | 0.000 | -0.000 | 92.214 |
| 93.653 | 93.652 | 93.652 | -0.000 | 0.000 | -0.000 |
| 93.652 | 93.653 | 93.652 | 0.000 | -0.000 | -0.000 |
| 93.652 | 93.652 | 93.653 | -0.000 | -0.000 | -0.000 |
| -0.001 | -0.000 | -0.001 | 92.214 | -0.000 | -0.000 |
| -0.000 | -0.001 | -0.001 | -0.000 | 92.214 | -0.000 |
| -0.000 | -0.001 | -0.001 | -0.000 | -0.000 | 92.214 |
| 211.107 | 110.943 | 110.943 | -0.000 | -0.000 | -0.000 |
| 110.943 | 211.107 | 110.943 | -0.000 | -0.000 | 0.000 |
| 110.943 | 110.943 | 211.107 | -0.000 | -0.000 | 0.000 |
| 0.000 | 0.000 | -0.000 | -7.099 | -0.000 | 0.000 |
| -0.000 | 0.000 | 0.000 | -0.000 | -7.099 | 0.000 |
| -0.000 | -0.000 | 0.000 | -0.000 | -0.000 | -7.099 |
| 210.984 | 111.002 | 111.002 | -0.000 | 0.000 | -0.000 |
| 111.002 | 210.984 | 111.002 | 0.000 | 0.000 | -0.000 |
| 111.002 | 111.002 | 210.984 | 0.000 | 0.000 | -0.000 |
| -0.000 | -0.000 | -0.000 | -7.099 | 0.000 | 0.000 |
| 0.000 | -0.000 | -0.000 | 0.000 | -7.099 | -0.000 |
| 0.000 | 0.000 | -0.000 | 0.000 | 0.000 | -7.099 |
| 210.990 | 111.008 | 111.008 | -0.000 | -0.000 | 0.000 |
| 111.008 | 210.990 | 111.008 | -0.000 | -0.000 | -0.000 |
| 111.008 | 111.008 | 210.990 | -0.000 | -0.000 | -0.000 |
| 0.000 | -0.000 | -0.000 | -14.787 | -0.000 | 0.000 |
| -0.000 | 0.000 | -0.000 | -0.000 | -14.787 | 0.000 |
| -0.000 | -0.000 | 0.000 | -0.000 | -0.000 | -14.787 |
| 211.101 | 110.937 | 110.937 | 0.000 | 0.000 | -0.000 |
| 110.937 | 211.101 | 110.937 | 0.000 | 0.000 | 0.000 |
| 110.937 | 110.937 | 211.101 | -0.000 | 0.000 | -0.000 |
| -0.000 | 0.000 | 0.000 | -14.787 | 0.000 | 0.000 |
| 0.000 | -0.000 | 0.000 | 0.000 | -14.787 | -0.000 |
| 0.000 | 0.000 | -0.000 | 0.000 | 0.000 | -14.787 |
| 211.037 | 111.054 | 111.054 | -0.000 | -0.000 | 0.000 |
| 111.054 | 211.037 | 111.054 | -0.000 | -0.000 | -0.000 |
| 111.054 | 111.054 | 211.037 | -0.000 | -0.000 | -0.000 |
| -1760214.500 | -1709842.549 | -1708007.920 | -110038.078 | 12994.623 | -24505.058 |
| -1701428.935 | -1780501.374 | -1790427.539 | -21448.329 | -132892.821 | 22986.108 |
| -1767332.708 | -1740180.219 | -1738020.226 | 19564.122 | -33386.254 | -140930.473 |
| 211.054 | 110.891 | 110.891 | 0.000 | -0.000 | 0.000 |
| 110.891 | 211.054 | 110.891 | 0.000 | 0.000 | 0.000 |
| 110.891 | 110.891 | 211.054 | 0.000 | 0.000 | -0.000 |
| 1758892.906 | 1751418.459 | 1783514.897 | -99100.964 | 7099.547 | -12822.800 |
| 1724316.152 | 1749322.493 | 1725014.707 | 35368.541 | -134661.629 | -49304.069 |
| 1808819.446 | 1790550.003 | 1798862.780 | 6906.372 | 7861.676 | -134165.582 |
| 79.196 | 29.098 | 29.098 | -0.000 | 0.000 | -0.000 |
| 29.098 | 79.196 | 29.098 | -0.000 | 0.000 | -0.000 |
| 29.098 | 29.098 | 79.196 | 0.000 | 0.000 | -0.000 |
| -0.000 | -0.000 | -0.000 | 26.893 | 0.000 | -0.000 |
| -0.000 | -0.000 | -0.000 | -0.000 | 26.893 | -0.000 |
| -0.000 | -0.000 | -0.000 | 0.000 | 0.000 | 26.893 |
| 79.196 | 29.098 | 29.098 | -0.000 | -0.000 | 0.000 |
| 29.098 | 79.196 | 29.098 | -0.000 | -0.000 | 0.000 |
| 29.098 | 29.098 | 79.196 | -0.000 | -0.000 | 0.000 |
| 0.000 | 0.000 | 0.000 | 26.893 | -0.000 | 0.000 |
| 0.000 | 0.000 | 0.000 | 0.000 | 26.893 | 0.000 |
| 0.000 | 0.000 | 0.000 | -0.000 | -0.000 | 26.893 |
| 80.239 | 28.576 | 28.576 | 0.000 | 0.000 | -0.000 |
| 28.576 | 80.239 | 28.576 | 0.000 | 0.000 | -0.000 |
| 28.576 | 28.576 | 80.239 | 0.000 | 0.000 | -0.000 |
| -0.000 | -0.000 | -0.000 | 26.893 | 0.000 | -0.000 |
| -0.000 | -0.000 | -0.000 | -0.000 | 26.893 | -0.000 |
| -0.000 | -0.000 | -0.000 | 0.000 | 0.000 | 26.893 |
| 80.239 | 28.577 | 28.577 | -0.000 | -0.000 | 0.000 |
| 28.577 | 80.239 | 28.577 | -0.000 | -0.000 | 0.000 |
| 28.577 | 28.577 | 80.239 | -0.000 | -0.000 | 0.000 |
| 0.000 | 0.000 | 0.000 | 26.893 | -0.000 | 0.000 |
| 0.000 | 0.000 | 0.000 | -0.000 | 26.893 | 0.000 |
| 0.000 | 0.000 | 0.000 | -0.000 | -0.000 | 26.893 |
| 80.238 | 28.576 | 28.576 | 0.000 | 0.000 | -0.000 |
| 28.576 | 80.238 | 28.576 | 0.000 | 0.000 | -0.000 |
| 28.576 | 28.576 | 80.238 | 0.000 | 0.000 | -0.000 |
| -0.000 | -0.000 | -0.000 | 26.893 | 0.000 | -0.000 |
| -0.000 | -0.000 | -0.000 | 0.000 | 26.893 | -0.000 |
| -0.000 | -0.000 | -0.000 | 0.000 | 0.000 | 26.893 |
| 79.197 | 29.099 | 29.099 | -0.000 | -0.000 | 0.000 |
| 29.099 | 79.197 | 29.099 | -0.000 | -0.000 | 0.000 |
| 29.099 | 29.099 | 79.197 | -0.000 | -0.000 | 0.000 |
| 0.000 | 0.000 | 0.000 | 26.893 | -0.000 | 0.000 |
| 0.000 | 0.000 | 0.000 | -0.000 | 26.893 | 0.000 |
| 0.000 | 0.000 | 0.000 | -0.000 | -0.000 | 26.893 |
| 185.843 | 241.111 | 241.111 | 0.000 | 0.000 | 0.000 |
| 241.111 | 185.843 | 241.111 | 0.000 | 0.000 | 0.000 |
| 241.111 | 241.111 | 185.843 | 0.000 | 0.000 | 0.000 |
| 0.000 | -0.000 | -0.000 | -0.555 | 0.000 | 0.000 |
| -0.000 | 0.000 | -0.000 | 0.000 | -0.555 | 0.000 |
| -0.000 | -0.000 | 0.000 | 0.000 | 0.000 | -0.555 |
| 185.843 | 241.111 | 241.111 | -0.000 | 0.000 | 0.000 |
| 241.111 | 185.843 | 241.111 | -0.000 | -0.000 | -0.000 |
| 241.111 | 241.111 | 185.843 | -0.000 | -0.000 | -0.000 |
| -0.000 | 0.000 | 0.000 | -0.555 | -0.000 | -0.000 |
| 0.000 | -0.000 | 0.000 | -0.000 | -0.555 | -0.000 |
| 0.000 | 0.000 | -0.000 | -0.000 | -0.000 | -0.555 |
| 185.843 | 241.111 | 241.111 | 0.000 | -0.000 | 0.000 |
| 241.111 | 185.843 | 241.111 | 0.000 | 0.000 | 0.000 |
| 241.111 | 241.111 | 185.843 | 0.000 | 0.000 | 0.000 |
| 0.000 | -0.000 | -0.000 | -0.555 | 0.000 | 0.000 |
| -0.000 | 0.000 | -0.000 | 0.000 | -0.555 | 0.000 |
| -0.000 | -0.000 | 0.000 | 0.000 | 0.000 | -0.555 |
| 185.843 | 241.111 | 241.111 | -0.000 | 0.000 | -0.000 |
| 241.111 | 185.843 | 241.111 | -0.000 | -0.000 | -0.000 |
| 241.111 | 241.111 | 185.843 | -0.000 | -0.000 | -0.000 |
| -0.000 | 0.000 | 0.000 | -0.555 | -0.000 | -0.000 |
| 0.000 | -0.000 | 0.000 | -0.000 | -0.555 | -0.000 |
| 0.000 | 0.000 | -0.000 | -0.000 | -0.000 | -0.555 |
| 185.845 | 241.111 | 241.111 | 0.000 | 0.000 | 0.000 |
| 241.111 | 185.845 | 241.111 | 0.000 | 0.000 | -0.000 |
| 241.111 | 241.111 | 185.845 | 0.000 | 0.000 | 0.000 |
| 0.000 | -0.000 | -0.000 | -0.555 | 0.000 | 0.000 |
| -0.000 | 0.000 | -0.000 | 0.000 | -0.555 | 0.000 |
| -0.000 | -0.000 | 0.000 | 0.000 | 0.000 | -0.555 |
| 185.841 | 241.111 | 241.111 | -0.000 | 0.000 | -0.000 |
| 241.111 | 185.841 | 241.111 | -0.000 | -0.000 | -0.000 |
| 241.111 | 241.111 | 185.841 | -0.000 | -0.000 | -0.000 |
| -0.000 | 0.000 | 0.000 | -0.555 | -0.000 | -0.000 |
| 0.000 | -0.000 | 0.000 | 0.000 | -0.555 | -0.000 |
| 0.000 | 0.000 | -0.000 | -0.000 | -0.000 | -0.555 |
| 24.260 | 0.000 | 0.000 | 0.000 | -0.000 | -0.000 |
| 0.000 | 24.260 | 0.000 | 0.000 | -0.000 | 0.000 |
| 0.000 | 0.000 | 24.260 | -0.000 | -0.000 | -0.000 |
| 0.000 | 0.000 | 0.000 | 0.000 | 0.000 | -0.000 |
| 0.000 | 0.000 | 0.000 | 0.000 | 0.000 | -0.000 |
| 0.000 | 0.000 | 0.000 | 0.000 | 0.000 | 0.000 |
| 24.260 | -0.000 | -0.000 | -0.000 | 0.000 | 0.000 |
| -0.000 | 24.260 | -0.000 | -0.000 | 0.000 | 0.000 |
| -0.000 | -0.000 | 24.260 | 0.000 | -0.000 | 0.000 |
| -0.000 | 0.000 | -0.000 | 0.000 | -0.000 | -0.000 |
| -0.000 | -0.000 | -0.000 | -0.000 | 0.000 | 0.000 |
| 0.000 | -0.000 | -0.000 | -0.000 | -0.000 | 0.000 |
| 24.260 | 0.000 | 0.000 | 0.000 | -0.000 | -0.000 |
| 0.000 | 24.260 | 0.000 | 0.000 | -0.000 | 0.000 |
| 0.000 | 0.000 | 24.260 | 0.000 | 0.000 | -0.000 |
| 0.000 | 0.000 | -0.000 | 0.000 | -0.000 | -0.000 |
| 0.000 | 0.000 | -0.000 | 0.000 | 0.000 | -0.000 |
| 0.000 | -0.000 | 0.000 | 0.000 | 0.000 | 0.000 |
| 24.260 | -0.000 | -0.000 | -0.000 | -0.000 | 0.000 |
| -0.000 | 24.260 | -0.000 | -0.000 | 0.000 | 0.000 |
| -0.000 | -0.000 | 24.260 | 0.000 | -0.000 | 0.000 |
| -0.000 | -0.000 | 0.000 | 0.000 | 0.000 | 0.000 |
| 0.000 | -0.000 | 0.000 | -0.000 | 0.000 | 0.000 |
| -0.000 | 0.000 | -0.000 | -0.000 | -0.000 | 0.000 |
| 24.259 | 0.000 | 0.000 | 0.000 | 0.000 | -0.000 |
| 0.000 | 24.259 | 0.000 | 0.000 | -0.000 | 0.000 |
| 0.000 | 0.000 | 24.259 | 0.000 | -0.000 | -0.000 |
| 0.000 | 0.000 | -0.000 | 0.000 | -0.000 | -0.000 |
| 0.000 | 0.000 | -0.000 | -0.000 | 0.000 | -0.000 |
| 0.000 | -0.000 | 0.000 | 0.000 | 0.000 | 0.000 |
| 24.260 | -0.000 | -0.000 | -0.000 | -0.000 | 0.000 |
| -0.000 | 24.260 | -0.000 | -0.000 | 0.000 | 0.000 |
| -0.000 | -0.000 | 24.260 | 0.000 | 0.000 | 0.000 |
| -0.000 | -0.000 | 0.000 | 0.000 | 0.000 | 0.000 |
| -0.000 | -0.000 | 0.000 | 0.000 | 0.000 | 0.000 |
| -0.000 | 0.000 | -0.000 | -0.000 | -0.000 | 0.000 |
| 130.885 | 165.930 | 165.930 | -0.000 | -0.000 | 0.000 |
| 165.930 | 130.885 | 165.930 | 0.000 | 0.000 | 0.000 |
| 165.930 | 165.930 | 130.885 | -0.000 | 0.000 | 0.000 |
| -0.000 | 0.000 | 0.000 | 10.209 | -0.000 | 0.000 |
| -0.000 | -0.000 | 0.000 | -0.000 | 10.209 | 0.000 |
| -0.000 | 0.000 | -0.000 | 0.000 | 0.000 | 10.209 |
| 130.884 | 165.929 | 165.929 | 0.000 | -0.000 | -0.000 |
| 165.929 | 130.884 | 165.929 | -0.000 | 0.000 | -0.000 |
| 165.929 | 165.929 | 130.884 | 0.000 | -0.000 | -0.000 |
| 0.000 | -0.000 | -0.000 | 10.209 | -0.000 | -0.000 |
| 0.000 | 0.000 | -0.000 | 0.000 | 10.209 | -0.000 |
| 0.000 | -0.000 | -0.000 | -0.000 | -0.000 | 10.209 |
| 130.889 | 165.934 | 165.934 | -0.000 | -0.000 | 0.000 |
| 165.934 | 130.889 | 165.934 | 0.000 | 0.000 | 0.000 |
| 165.934 | 165.934 | 130.889 | -0.000 | 0.000 | 0.000 |
| -0.000 | 0.000 | 0.000 | 10.209 | -0.000 | 0.000 |
| 0.000 | -0.000 | 0.000 | -0.000 | 10.209 | 0.000 |
| 0.000 | 0.000 | -0.000 | -0.000 | 0.000 | 10.209 |
| 130.880 | 165.925 | 165.925 | 0.000 | 0.000 | -0.000 |
| 165.925 | 130.880 | 165.925 | 0.000 | -0.000 | -0.000 |
| 165.925 | 165.925 | 130.880 | 0.000 | -0.000 | -0.000 |
| 0.000 | -0.000 | -0.000 | 10.209 | 0.000 | -0.000 |
| -0.000 | 0.000 | -0.000 | 0.000 | 10.209 | -0.000 |
| -0.000 | -0.000 | 0.000 | -0.000 | -0.000 | 10.209 |
| 130.931 | 165.976 | 165.976 | -0.000 | 0.000 | 0.000 |
| 165.976 | 130.931 | 165.976 | -0.000 | -0.000 | 0.000 |
| 165.976 | 165.976 | 130.931 | -0.000 | 0.000 | 0.000 |
| 0.000 | 0.000 | 0.000 | 37.506 | -0.000 | 0.000 |
| 0.000 | 0.000 | 0.000 | -0.000 | 37.506 | 0.000 |
| 0.000 | 0.000 | 0.000 | -0.000 | -0.000 | 37.506 |
| 130.838 | 165.884 | 165.884 | 0.000 | 0.000 | -0.000 |
| 165.884 | 130.838 | 165.884 | 0.000 | -0.000 | -0.000 |
| 165.884 | 165.884 | 130.838 | 0.000 | 0.000 | -0.000 |
| -0.000 | -0.000 | -0.000 | 37.506 | -0.000 | -0.000 |
| -0.000 | -0.000 | -0.000 | 0.000 | 37.506 | -0.000 |
| -0.000 | -0.000 | -0.000 | 0.000 | 0.000 | 37.506 |
| 14.930 | 14.056 | 14.056 | 0.000 | 0.000 | 0.000 |
| 14.056 | 14.930 | 14.056 | 0.000 | 0.000 | 0.000 |
| 14.056 | 14.056 | 14.930 | 0.000 | 0.000 | 0.000 |
| -0.000 | -0.000 | -0.000 | 11.423 | 0.000 | -0.000 |
| -0.000 | -0.000 | -0.000 | 0.000 | 11.423 | -0.000 |
| -0.000 | 0.000 | -0.000 | -0.000 | 0.000 | 11.423 |
| 14.930 | 14.056 | 14.056 | -0.000 | -0.000 | -0.000 |
| 14.056 | 14.930 | 14.056 | -0.000 | -0.000 | 0.000 |
| 14.056 | 14.056 | 14.930 | -0.000 | -0.000 | -0.000 |
| 0.000 | 0.000 | 0.000 | 11.423 | -0.000 | 0.000 |
| 0.000 | 0.000 | 0.000 | -0.000 | 11.423 | 0.000 |
| 0.000 | 0.000 | 0.000 | -0.000 | -0.000 | 11.423 |
| 14.930 | 14.056 | 14.056 | 0.000 | 0.000 | 0.000 |
| 14.056 | 14.930 | 14.056 | 0.000 | 0.000 | 0.000 |
| 14.056 | 14.056 | 14.930 | 0.000 | 0.000 | 0.000 |
| -0.000 | -0.000 | -0.000 | 11.423 | 0.000 | 0.000 |
| -0.000 | -0.000 | -0.000 | 0.000 | 11.423 | -0.000 |
| -0.000 | -0.000 | -0.000 | 0.000 | 0.000 | 11.423 |
| 14.930 | 14.056 | 14.056 | -0.000 | -0.000 | -0.000 |
| 14.056 | 14.930 | 14.056 | -0.000 | -0.000 | 0.000 |
| 14.056 | 14.056 | 14.930 | -0.000 | -0.000 | -0.000 |
| 0.000 | 0.000 | 0.000 | 11.423 | -0.000 | 0.000 |
| 0.000 | 0.000 | 0.000 | -0.000 | 11.423 | 0.000 |
| 0.000 | 0.000 | 0.000 | 0.000 | -0.000 | 11.423 |
| 14.929 | 14.056 | 14.056 | -0.000 | 0.000 | 0.000 |
| 14.056 | 14.929 | 14.056 | 0.000 | 0.000 | 0.000 |
| 14.056 | 14.056 | 14.929 | 0.000 | 0.000 | 0.000 |
| -0.000 | -0.000 | -0.000 | 11.423 | 0.000 | -0.000 |
| -0.000 | -0.000 | -0.000 | 0.000 | 11.423 | -0.000 |
| -0.000 | -0.000 | -0.000 | 0.000 | 0.000 | 11.423 |
| 14.932 | 14.056 | 14.056 | -0.000 | -0.000 | -0.000 |
| 14.056 | 14.932 | 14.056 | -0.000 | -0.000 | 0.000 |
| 14.056 | 14.056 | 14.932 | 0.000 | 0.000 | -0.000 |
| 0.000 | 0.000 | 0.000 | 11.423 | -0.000 | 0.000 |
| 0.000 | 0.000 | 0.000 | -0.000 | 11.423 | -0.000 |
| 0.000 | 0.000 | 0.000 | 0.000 | -0.000 | 11.423 |
| 23.223 | 23.223 | 23.223 | -0.000 | -0.000 | -0.000 |
| 23.223 | 23.223 | 23.223 | -0.000 | -0.000 | -0.000 |
| 23.223 | 23.223 | 23.223 | -0.000 | -0.000 | 0.000 |
| -0.000 | -0.000 | -0.000 | 10.500 | -0.000 | -0.000 |
| -0.000 | -0.000 | -0.000 | -0.000 | 10.500 | -0.000 |
| -0.000 | -0.000 | -0.000 | -0.000 | -0.000 | 10.500 |
| 23.223 | 23.223 | 23.223 | 0.000 | -0.000 | 0.000 |
| 23.223 | 23.223 | 23.223 | -0.000 | 0.000 | -0.000 |
| 23.223 | 23.223 | 23.223 | 0.000 | 0.000 | 0.000 |
| 0.000 | 0.000 | 0.000 | 10.500 | 0.000 | 0.000 |
| 0.000 | 0.000 | 0.000 | 0.000 | 10.500 | -0.000 |
| 0.000 | 0.000 | 0.000 | 0.000 | 0.000 | 10.500 |
| 23.223 | 23.223 | 23.223 | -0.000 | -0.000 | -0.000 |
| 23.223 | 23.223 | 23.223 | -0.000 | -0.000 | -0.000 |
| 23.223 | 23.223 | 23.223 | -0.000 | -0.000 | 0.000 |
| -0.000 | -0.000 | -0.000 | 10.500 | -0.000 | -0.000 |
| -0.000 | -0.000 | -0.000 | -0.000 | 10.500 | -0.000 |
| -0.000 | -0.000 | -0.000 | -0.000 | -0.000 | 10.500 |
| 23.223 | 23.223 | 23.223 | 0.000 | 0.000 | 0.000 |
| 23.223 | 23.223 | 23.223 | 0.000 | 0.000 | 0.000 |
| 23.223 | 23.223 | 23.223 | 0.000 | 0.000 | -0.000 |
| 0.000 | 0.000 | 0.000 | 10.500 | 0.000 | 0.000 |
| 0.000 | 0.000 | 0.000 | 0.000 | 10.500 | -0.000 |
| 0.000 | 0.000 | 0.000 | 0.000 | 0.000 | 10.500 |
| 23.223 | 23.223 | 23.223 | -0.000 | -0.000 | -0.000 |
| 23.223 | 23.223 | 23.223 | -0.000 | -0.000 | -0.000 |
| 23.223 | 23.223 | 23.223 | -0.000 | -0.000 | 0.000 |
| -0.000 | -0.000 | -0.000 | 10.500 | -0.000 | 0.000 |
| -0.000 | -0.000 | -0.000 | -0.000 | 10.500 | 0.000 |
| -0.000 | -0.000 | -0.000 | -0.000 | -0.000 | 10.500 |
| 23.224 | 23.224 | 23.224 | 0.000 | -0.000 | 0.000 |
| 23.224 | 23.224 | 23.224 | -0.000 | 0.000 | 0.000 |
| 23.224 | 23.224 | 23.224 | 0.000 | 0.000 | 0.000 |
| 0.000 | 0.000 | 0.000 | 10.500 | 0.000 | 0.000 |
| 0.000 | 0.000 | 0.000 | 0.000 | 10.500 | 0.000 |
| 0.000 | 0.000 | 0.000 | 0.000 | 0.000 | 10.500 |
| 277.135 | 255.973 | 255.973 | -0.000 | -0.000 | 0.000 |
| 255.973 | 277.135 | 255.973 | -0.000 | -0.000 | -0.000 |
| 255.973 | 255.973 | 277.135 | -0.000 | 0.000 | -0.000 |
| 0.000 | 0.000 | 0.000 | 24.522 | 0.000 | -0.000 |
| 0.000 | 0.000 | 0.000 | -0.000 | 24.522 | 0.000 |
| -0.000 | 0.000 | 0.000 | -0.000 | 0.000 | 24.522 |
| 277.140 | 255.978 | 255.978 | 0.000 | 0.000 | 0.000 |
| 255.978 | 277.140 | 255.978 | 0.000 | 0.000 | 0.000 |
| 255.978 | 255.978 | 277.140 | 0.000 | -0.000 | -0.000 |
| -0.000 | -0.000 | -0.000 | 24.522 | -0.000 | 0.000 |
| 0.000 | -0.000 | -0.000 | 0.000 | 24.522 | -0.000 |
| 0.000 | -0.000 | -0.000 | 0.000 | 0.000 | 24.522 |
| 277.115 | 255.953 | 255.953 | 0.000 | 0.000 | -0.000 |
| 255.953 | 277.115 | 255.953 | -0.000 | 0.000 | 0.000 |
| 255.953 | 255.953 | 277.115 | -0.000 | 0.000 | 0.000 |
| 0.000 | 0.000 | 0.000 | 24.522 | 0.000 | -0.000 |
| 0.000 | 0.000 | 0.000 | -0.000 | 24.522 | -0.000 |
| 0.000 | 0.000 | 0.000 | -0.000 | 0.000 | 24.522 |
| 277.160 | 255.998 | 255.998 | 0.000 | -0.000 | -0.000 |
| 255.998 | 277.160 | 255.998 | 0.000 | -0.000 | 0.000 |
| 255.998 | 255.998 | 277.160 | 0.000 | -0.000 | -0.000 |
| -0.000 | -0.000 | -0.000 | 24.522 | -0.000 | -0.000 |
| -0.000 | -0.000 | -0.000 | 0.000 | 24.522 | -0.000 |
| -0.000 | -0.000 | -0.000 | 0.000 | 0.000 | 24.522 |
| 276.912 | 255.750 | 255.750 | -0.000 | 0.000 | 0.000 |
| 255.750 | 276.912 | 255.750 | -0.000 | 0.000 | -0.000 |
| 255.750 | 255.750 | 276.912 | -0.000 | 0.000 | -0.000 |
| 0.000 | 0.000 | 0.000 | 24.522 | 0.000 | -0.000 |
| 0.000 | 0.000 | 0.000 | -0.000 | 24.522 | 0.000 |
| 0.000 | 0.000 | 0.000 | -0.000 | -0.000 | 24.522 |
| 277.363 | 256.201 | 256.201 | 0.000 | -0.000 | -0.000 |
| 256.201 | 277.363 | 256.201 | 0.000 | -0.000 | 0.000 |
| 256.201 | 256.201 | 277.363 | 0.000 | -0.000 | -0.000 |
| -0.000 | -0.000 | -0.000 | 24.522 | 0.000 | -0.000 |
| -0.000 | -0.000 | -0.000 | 0.000 | 24.522 | -0.000 |
| -0.000 | -0.000 | -0.000 | 0.000 | -0.000 | 24.522 |
| 16.957 | 8.128 | 8.128 | 0.000 | 0.000 | -0.000 |
| 8.128 | 16.957 | 8.128 | 0.000 | 0.000 | 0.000 |
| 8.128 | 8.128 | 16.957 | 0.000 | 0.000 | 0.000 |
| 0.000 | -0.000 | -0.000 | 8.298 | 0.000 | 0.000 |
| -0.000 | 0.000 | -0.000 | 0.000 | 8.298 | -0.000 |
| -0.000 | -0.000 | 0.000 | 0.000 | 0.000 | 8.298 |
| 16.957 | 8.128 | 8.128 | -0.000 | 0.000 | 0.000 |
| 8.128 | 16.957 | 8.128 | 0.000 | -0.000 | 0.000 |
| 8.128 | 8.128 | 16.957 | -0.000 | 0.000 | 0.000 |
| -0.000 | 0.000 | 0.000 | 8.298 | -0.000 | -0.000 |
| 0.000 | -0.000 | 0.000 | -0.000 | 8.298 | 0.000 |
| 0.000 | 0.000 | -0.000 | -0.000 | -0.000 | 8.298 |
| 16.956 | 8.128 | 8.128 | 0.000 | 0.000 | 0.000 |
| 8.128 | 16.956 | 8.128 | 0.000 | 0.000 | 0.000 |
| 8.128 | 8.128 | 16.956 | 0.000 | 0.000 | 0.000 |
| -0.000 | -0.000 | -0.000 | 8.298 | 0.000 | 0.000 |
| -0.000 | -0.000 | -0.000 | 0.000 | 8.298 | -0.000 |
| -0.000 | -0.000 | -0.000 | 0.000 | 0.000 | 8.298 |
| 16.957 | 8.128 | 8.128 | -0.000 | -0.000 | -0.000 |
| 8.128 | 16.957 | 8.128 | -0.000 | -0.000 | -0.000 |
| 8.128 | 8.128 | 16.957 | -0.000 | -0.000 | 0.000 |
| 0.000 | 0.000 | 0.000 | 8.298 | -0.000 | 0.000 |
| 0.000 | 0.000 | 0.000 | -0.000 | 8.298 | -0.000 |
| 0.000 | 0.000 | 0.000 | -0.000 | -0.000 | 8.298 |
| 16.956 | 8.128 | 8.128 | 0.000 | -0.000 | -0.000 |
| 8.128 | 16.956 | 8.128 | 0.000 | 0.000 | -0.000 |
| 8.128 | 8.128 | 16.956 | -0.000 | -0.000 | 0.000 |
| -0.000 | -0.000 | -0.000 | 8.298 | 0.000 | 0.000 |
| -0.000 | -0.000 | -0.000 | 0.000 | 8.298 | 0.000 |
| -0.000 | -0.000 | -0.000 | 0.000 | -0.000 | 8.298 |
| 16.957 | 8.128 | 8.128 | -0.000 | 0.000 | 0.000 |
| 8.128 | 16.957 | 8.128 | -0.000 | -0.000 | 0.000 |
| 8.128 | 8.128 | 16.957 | -0.000 | -0.000 | 0.000 |
| 0.000 | 0.000 | 0.000 | 8.298 | -0.000 | -0.000 |
| 0.000 | 0.000 | 0.000 | -0.000 | 8.298 | 0.000 |
| 0.000 | 0.000 | 0.000 | -0.000 | -0.000 | 8.298 |
| 52.031 | 25.875 | 25.875 | 0.000 | -0.000 | -0.000 |
| 25.875 | 52.031 | 25.875 | -0.000 | -0.000 | 0.000 |
| 25.875 | 25.875 | 52.031 | 0.000 | 0.000 | -0.000 |
| -0.000 | -0.000 | -0.000 | 25.876 | -0.000 | -0.000 |
| -0.000 | -0.000 | -0.000 | -0.000 | 25.876 | 0.000 |
| -0.000 | -0.000 | -0.000 | -0.000 | 0.000 | 25.876 |
| 52.031 | 25.875 | 25.875 | -0.000 | -0.000 | 0.000 |
| 25.875 | 52.031 | 25.875 | -0.000 | -0.000 | 0.000 |
| 25.875 | 25.875 | 52.031 | -0.000 | -0.000 | -0.000 |
| 0.000 | 0.000 | 0.000 | 25.876 | 0.000 | 0.000 |
| 0.000 | 0.000 | 0.000 | -0.000 | 25.876 | -0.000 |
| 0.000 | 0.000 | 0.000 | -0.000 | 0.000 | 25.876 |
| 52.031 | 25.875 | 25.875 | -0.000 | -0.000 | -0.000 |
| 25.875 | 52.031 | 25.875 | -0.000 | -0.000 | -0.000 |
| 25.875 | 25.875 | 52.031 | -0.000 | -0.000 | -0.000 |
| -0.000 | -0.000 | -0.000 | 25.876 | -0.000 | -0.000 |
| -0.000 | -0.000 | -0.000 | -0.000 | 25.876 | 0.000 |
| -0.000 | -0.000 | -0.000 | 0.000 | 0.000 | 25.876 |
| 52.031 | 25.875 | 25.875 | 0.000 | 0.000 | -0.000 |
| 25.875 | 52.031 | 25.875 | 0.000 | -0.000 | -0.000 |
| 25.875 | 25.875 | 52.031 | -0.000 | 0.000 | -0.000 |
| 0.000 | 0.000 | 0.000 | 25.876 | 0.000 | -0.000 |
| 0.000 | 0.000 | 0.000 | -0.000 | 25.876 | -0.000 |
| 0.000 | 0.000 | 0.000 | -0.000 | -0.000 | 25.876 |
| 52.030 | 25.874 | 25.874 | -0.000 | -0.000 | -0.000 |
| 25.874 | 52.030 | 25.874 | -0.000 | 0.000 | 0.000 |
| 25.874 | 25.874 | 52.030 | 0.000 | 0.000 | 0.000 |
| -0.000 | -0.001 | -0.000 | 25.876 | -0.000 | 0.000 |
| -0.001 | -0.000 | -0.000 | 0.000 | 25.876 | 0.000 |
| -0.001 | -0.000 | -0.000 | -0.000 | 0.000 | 25.876 |
| 52.032 | 25.875 | 25.875 | -0.000 | -0.000 | -0.000 |
| 25.875 | 52.032 | 25.875 | 0.000 | 0.000 | 0.000 |
| 25.875 | 25.875 | 52.032 | 0.000 | 0.000 | 0.000 |
| 0.000 | 0.001 | 0.000 | 25.876 | 0.000 | -0.000 |
| 0.001 | 0.000 | 0.000 | 0.000 | 25.876 | -0.000 |
| 0.001 | 0.000 | 0.000 | -0.000 | -0.000 | 25.876 |
| 160.311 | 108.995 | 112.515 | 0.000 | -0.000 | 0.000 |
| 109.167 | 167.884 | 106.223 | -0.000 | -0.000 | -0.000 |
| 106.223 | 106.223 | 186.657 | -0.000 | -0.000 | -0.000 |
| -0.000 | 0.000 | 0.000 | 35.344 | -0.000 | 0.000 |
| 0.248 | 0.248 | -0.403 | 0.000 | 26.912 | -0.000 |
| 0.000 | 0.000 | -0.000 | -0.000 | -0.000 | 29.359 |
| 167.882 | 109.164 | 106.221 | -0.000 | 0.000 | -0.000 |
| 109.164 | 167.882 | 106.221 | -0.000 | 0.000 | 0.000 |
| 106.221 | 106.221 | 186.656 | -0.000 | 0.000 | 0.000 |
| -0.000 | -0.000 | -0.000 | 35.344 | 0.000 | -0.000 |
| -0.248 | -0.248 | 0.403 | 0.000 | 26.912 | 0.000 |
| -0.000 | -0.000 | 0.000 | 0.000 | 0.000 | 29.359 |
| 167.896 | 109.179 | 106.233 | -0.000 | -0.000 | -0.000 |
| 124.020 | 148.655 | 109.808 | 0.000 | -0.000 | 0.000 |
| 106.231 | 106.231 | 186.665 | 0.000 | -0.000 | 0.000 |
| 0.000 | 0.000 | 0.000 | 35.344 | -0.000 | 0.000 |
| 0.000 | 0.000 | 0.000 | 0.000 | 35.344 | -0.000 |
| 0.000 | 0.000 | 0.000 | 0.000 | -0.000 | 29.359 |
| 160.351 | 108.869 | 112.550 | -0.000 | 0.000 | -0.000 |
| 123.981 | 148.616 | 109.807 | -0.000 | 0.000 | 0.000 |
| 106.213 | 106.213 | 186.649 | -0.000 | 0.000 | 0.000 |
| -0.000 | -0.000 | -0.000 | 35.344 | 0.000 | 0.000 |
| -0.000 | -0.000 | -0.000 | -0.000 | 35.344 | 0.000 |
| -0.000 | -0.000 | -0.000 | 0.000 | 0.000 | 29.359 |
| 160.491 | 109.025 | 112.667 | 0.000 | -0.000 | -0.000 |
| 109.295 | 168.014 | 106.331 | -0.000 | -0.000 | 0.000 |
| 106.314 | 106.314 | 186.736 | 0.000 | -0.000 | 0.000 |
| 0.000 | 0.000 | 0.001 | 35.344 | -0.000 | 0.000 |
| 0.003 | 0.003 | -0.004 | 0.000 | 26.891 | 0.000 |
| 0.005 | 0.005 | -0.007 | 0.000 | -0.000 | 13.272 |
| 167.752 | 109.036 | 106.113 | -0.000 | 0.000 | -0.000 |
| 123.867 | 148.502 | 109.700 | 0.000 | 0.000 | 0.000 |
| 106.130 | 106.130 | 186.578 | 0.000 | 0.000 | 0.000 |
| -0.000 | -0.000 | -0.001 | 35.344 | 0.000 | -0.000 |
| -0.003 | -0.003 | 0.004 | -0.000 | 26.891 | 0.000 |
| -0.005 | -0.005 | 0.007 | -0.000 | 0.000 | 13.272 |
| 148.970 | 174.567 | 180.015 | -0.000 | 0.000 | -0.000 |
| 174.567 | 148.970 | 180.015 | -0.000 | 0.000 | -0.000 |
| 181.772 | 181.772 | 148.458 | -0.000 | 0.000 | -0.000 |
| -0.778 | -0.778 | -0.864 | 49.863 | -0.000 | 0.000 |
| -0.778 | -0.778 | -0.864 | -0.000 | 49.863 | -0.000 |
| 0.000 | -0.000 | 0.000 | -0.000 | 0.000 | 17.276 |
| 150.666 | 175.731 | 181.604 | -0.000 | -0.000 | -0.000 |
| 145.383 | 179.935 | 181.004 | 0.000 | 0.000 | 0.000 |
| 182.266 | 182.266 | 149.006 | 0.000 | 0.000 | -0.000 |
| 0.778 | 0.778 | 0.864 | 49.863 | 0.000 | -0.000 |
| 0.778 | 0.778 | 0.864 | 0.000 | 49.863 | -0.000 |
| -0.000 | 0.000 | -0.000 | 0.000 | -0.000 | 17.276 |
| 179.921 | 145.369 | 180.991 | -0.000 | 0.000 | -0.000 |
| 145.369 | 179.921 | 180.991 | -0.000 | 0.000 | 0.000 |
| 181.399 | 181.399 | 148.044 | -0.000 | -0.000 | -0.000 |
| -0.081 | -0.081 | -0.090 | 49.863 | 0.000 | 0.000 |
| -0.081 | -0.081 | -0.090 | -0.000 | 49.863 | 0.000 |
| -0.000 | -0.000 | -0.000 | -0.000 | 0.000 | 17.276 |
| 150.202 | 174.835 | 180.846 | 0.000 | -0.000 | -0.000 |
| 145.394 | 179.946 | 181.015 | 0.000 | -0.000 | -0.000 |
| 181.784 | 181.784 | 148.469 | -0.000 | -0.000 | 0.000 |
| 0.081 | 0.081 | 0.090 | 49.863 | -0.000 | -0.000 |
| 0.081 | 0.081 | 0.090 | 0.000 | 49.863 | -0.000 |
| 0.000 | 0.000 | 0.000 | 0.000 | -0.000 | 17.276 |
| 179.806 | 145.257 | 180.886 | -0.000 | 0.000 | -0.000 |
| 174.645 | 149.970 | 180.637 | -0.000 | 0.000 | 0.000 |
| 181.663 | 181.663 | 148.356 | -0.000 | 0.000 | 0.000 |
| -0.008 | -0.008 | -0.009 | 49.861 | -0.000 | -0.000 |
| -0.008 | -0.008 | -0.009 | -0.000 | 49.861 | -0.000 |
| -0.000 | -0.001 | -0.000 | -0.000 | 0.000 | 17.276 |
| 149.961 | 175.087 | 180.832 | 0.000 | -0.000 | -0.000 |
| 174.906 | 150.240 | 180.886 | 0.000 | 0.000 | -0.000 |
| 181.605 | 181.605 | 148.253 | 0.000 | 0.000 | -0.000 |
| 0.008 | 0.008 | 0.009 | 49.861 | -0.000 | 0.000 |
| 0.008 | 0.008 | 0.009 | 0.000 | 49.861 | -0.000 |
| 0.000 | 0.001 | 0.000 | 0.000 | -0.000 | 17.276 |
| 191.691 | 199.002 | 184.663 | 0.000 | 24.405 | 0.000 |
| 197.380 | 234.018 | 220.021 | 0.000 | -20.966 | -0.000 |
| 184.102 | 230.230 | 269.724 | 0.000 | 10.946 | -0.000 |
| 0.000 | 0.000 | 0.000 | 48.828 | 0.000 | -14.655 |
| 68.231 | 39.374 | 47.439 | 0.000 | 25.454 | -0.000 |
| 0.000 | 0.000 | 0.000 | -15.067 | 0.000 | 28.713 |
| 145.085 | 208.452 | 183.691 | -0.000 | 43.632 | -0.000 |
| 198.622 | 232.632 | 229.735 | -0.000 | -13.856 | 0.000 |
| 103.039 | 136.056 | 195.834 | -0.000 | 15.297 | 0.000 |
| -0.000 | -0.000 | -0.000 | 48.828 | -0.000 | -14.655 |
| -9.604 | 4.770 | 18.078 | -0.000 | 52.571 | 0.000 |
| -0.000 | -0.000 | -0.000 | -15.067 | -0.000 | 28.713 |
| 140.801 | 144.362 | 134.236 | 0.000 | 22.252 | 0.000 |
| 198.605 | 232.612 | 229.716 | 0.000 | -13.856 | -0.000 |
| 133.928 | 174.388 | 218.687 | 0.000 | 8.948 | 0.000 |
| 4.832 | 5.789 | 4.024 | 46.624 | -0.596 | -14.416 |
| 24.366 | -13.444 | 10.946 | 0.000 | 31.128 | 0.000 |
| 0.000 | 0.000 | 0.000 | -15.067 | 0.000 | 28.713 |
| 148.099 | 151.160 | 142.789 | -0.000 | 23.944 | 0.000 |
| 198.636 | 232.648 | 229.749 | -0.000 | -13.856 | 0.000 |
| 184.117 | 230.246 | 269.740 | -0.000 | 10.946 | 0.000 |
| -4.832 | -5.789 | -4.024 | 46.624 | 0.596 | -14.416 |
| 24.366 | -13.444 | 10.946 | -0.000 | 31.128 | -0.000 |
| -0.000 | -0.000 | -0.000 | -15.067 | -0.000 | 28.713 |
| 137.160 | 148.721 | 137.349 | 0.000 | 21.332 | -0.000 |
| 150.227 | 177.450 | 180.973 | 0.000 | -14.963 | -0.000 |
| 137.884 | 178.827 | 223.466 | 0.000 | 9.510 | 0.000 |
| 0.000 | 0.000 | 0.000 | 48.828 | -0.000 | -14.655 |
| 24.366 | -13.444 | 10.946 | 0.000 | 31.129 | 0.000 |
| 0.000 | 0.000 | 0.000 | -15.067 | 0.000 | 28.713 |
| 140.847 | 146.206 | 136.312 | -0.000 | 23.033 | -0.000 |
| 152.209 | 179.660 | 183.133 | -0.000 | -14.788 | 0.000 |
| 140.972 | 181.795 | 226.797 | -0.000 | 10.061 | 0.000 |
| -0.000 | -0.000 | -0.000 | 48.828 | 0.000 | -14.655 |
| 22.704 | -15.142 | 9.517 | -0.000 | 31.037 | 0.000 |
| -0.000 | -0.000 | -0.000 | -15.067 | -0.000 | 28.713 |
| 56.601 | 28.837 | 28.837 | -0.000 | -0.000 | -0.000 |
| 28.837 | 56.601 | 28.837 | -0.000 | -0.000 | -0.000 |
| 28.837 | 28.837 | 56.601 | -0.000 | -0.000 | -0.000 |
| -56.383 | -56.383 | -56.383 | 6.367 | 0.000 | -0.000 |
| -56.383 | -56.383 | -56.383 | 0.000 | 6.367 | 0.000 |
| -56.383 | -56.383 | -56.383 | 0.000 | 0.000 | 6.367 |
| 91.772 | 73.071 | 73.071 | -0.000 | -0.000 | -0.000 |
| 73.071 | 91.772 | 73.071 | -0.000 | -0.000 | -0.000 |
| 73.071 | 73.071 | 91.772 | -0.000 | -0.000 | -0.000 |
| 56.383 | 56.383 | 56.383 | 6.367 | -0.000 | -0.000 |
| 56.383 | 56.383 | 56.383 | 0.000 | 6.367 | 0.000 |
| 56.383 | 56.383 | 56.383 | -0.000 | -0.000 | 6.367 |
| 56.601 | 28.838 | 28.838 | -0.000 | -0.000 | -0.000 |
| 28.838 | 56.601 | 28.838 | -0.000 | -0.000 | -0.000 |
| 28.838 | 28.838 | 56.601 | -0.000 | -0.000 | -0.000 |
| 0.000 | 0.000 | 0.000 | 18.081 | 0.000 | -0.000 |
| 0.000 | 0.000 | 0.000 | 0.000 | 18.081 | -0.000 |
| 0.000 | 0.000 | 0.000 | 0.000 | 0.000 | 18.081 |
| 56.600 | 28.837 | 28.837 | 0.000 | 0.000 | 0.000 |
| 28.837 | 56.600 | 28.837 | 0.000 | 0.000 | 0.000 |
| 28.837 | 28.837 | 56.600 | 0.000 | 0.000 | 0.000 |
| -0.000 | -0.000 | -0.000 | 18.081 | -0.000 | 0.000 |
| -0.000 | -0.000 | -0.000 | -0.000 | 18.081 | 0.000 |
| -0.000 | -0.000 | -0.000 | 0.000 | 0.000 | 18.081 |
| 35.034 | 32.687 | 32.687 | 0.000 | -0.000 | 0.000 |
| 32.687 | 35.034 | 32.687 | 0.000 | 0.000 | -0.000 |
| 32.687 | 32.687 | 35.034 | -0.000 | 0.000 | -0.000 |
| 0.000 | 0.000 | 0.000 | 18.081 | 0.000 | -0.000 |
| 0.000 | 0.000 | 0.000 | 0.000 | 18.081 | -0.000 |
| 0.000 | 0.000 | 0.000 | 0.000 | -0.000 | 18.081 |
| 56.596 | 28.834 | 28.834 | 0.000 | 0.000 | 0.000 |
| 28.834 | 56.596 | 28.834 | 0.000 | 0.000 | 0.000 |
| 28.834 | 28.834 | 56.596 | 0.000 | 0.000 | 0.000 |
| -0.000 | -0.000 | -0.000 | 18.081 | -0.000 | 0.000 |
| -0.000 | -0.000 | -0.000 | -0.000 | 18.081 | 0.000 |
| -0.000 | -0.000 | -0.000 | -0.000 | 0.000 | 18.081 |
| 212.318 | 183.230 | 183.230 | 0.000 | -0.000 | 0.000 |
| 183.230 | 212.318 | 183.230 | -0.000 | 0.000 | -0.000 |
| 183.230 | 183.230 | 212.318 | -0.000 | -0.000 | 0.000 |
| -0.000 | -0.000 | -0.000 | 18.850 | -0.000 | -0.000 |
| -0.000 | -0.000 | -0.000 | -0.000 | 18.850 | -0.000 |
| -0.000 | -0.000 | -0.000 | -0.000 | -0.000 | 18.850 |
| 212.319 | 183.231 | 183.231 | 0.000 | 0.000 | -0.000 |
| 183.231 | 212.319 | 183.231 | -0.000 | -0.000 | 0.000 |
| 183.231 | 183.231 | 212.319 | 0.000 | 0.000 | -0.000 |
| 0.000 | 0.000 | 0.000 | 18.850 | 0.000 | -0.000 |
| 0.000 | 0.000 | 0.000 | 0.000 | 18.850 | 0.000 |
| 0.000 | 0.000 | 0.000 | 0.000 | -0.000 | 18.850 |
| 200.746 | 184.818 | 184.818 | -0.000 | -0.000 | -0.000 |
| 184.818 | 200.746 | 184.818 | -0.000 | -0.000 | -0.000 |
| 184.818 | 184.818 | 200.746 | -0.000 | -0.000 | -0.000 |
| 0.451 | 0.451 | 0.451 | 10.727 | -0.000 | -0.000 |
| 0.451 | 0.451 | 0.451 | -0.000 | 10.727 | -0.000 |
| 0.451 | 0.451 | 0.451 | -0.000 | -0.000 | 10.727 |
| 212.326 | 183.238 | 183.238 | 0.000 | 0.000 | -0.000 |
| 183.238 | 212.326 | 183.238 | 0.000 | 0.000 | 0.000 |
| 183.238 | 183.238 | 212.326 | 0.000 | 0.000 | -0.000 |
| -0.451 | -0.451 | -0.451 | 10.727 | 0.000 | 0.000 |
| -0.451 | -0.451 | -0.451 | 0.000 | 10.727 | 0.000 |
| -0.451 | -0.451 | -0.451 | 0.000 | 0.000 | 10.727 |
| 212.239 | 183.155 | 183.155 | -0.000 | -0.000 | 0.000 |
| 183.155 | 212.239 | 183.155 | -0.000 | -0.000 | -0.000 |
| 183.155 | 183.155 | 212.239 | -0.000 | -0.000 | -0.000 |
| -0.001 | -0.001 | -0.001 | 18.850 | -0.000 | 0.000 |
| 0.046 | 0.046 | 0.046 | -0.000 | 10.441 | -0.000 |
| -0.001 | -0.001 | -0.001 | -0.000 | 0.000 | 18.850 |
| 212.398 | 183.306 | 183.306 | -0.000 | -0.000 | -0.000 |
| 183.306 | 212.398 | 183.306 | -0.000 | -0.000 | -0.000 |
| 183.306 | 183.306 | 212.398 | -0.000 | -0.000 | -0.000 |
| 0.001 | 0.001 | 0.001 | 18.850 | -0.000 | -0.000 |
| -0.046 | -0.046 | -0.046 | 0.000 | 10.441 | 0.000 |
| 0.001 | 0.001 | 0.001 | -0.000 | 0.000 | 18.850 |
| 366.786 | 351.723 | 351.723 | 0.000 | 0.000 | 0.000 |
| 351.723 | 366.786 | 351.723 | 0.000 | -0.000 | 0.000 |
| 351.723 | 351.723 | 366.786 | 0.000 | -0.000 | 0.000 |
| 0.000 | -0.000 | 0.000 | 5.937 | 0.000 | -0.000 |
| 0.000 | -0.000 | 0.000 | 0.000 | 5.937 | 0.000 |
| 0.000 | -0.000 | 0.000 | 0.000 | -0.000 | 5.937 |
| 366.791 | 351.728 | 351.728 | -0.000 | 0.000 | -0.000 |
| 351.728 | 366.791 | 351.728 | -0.000 | -0.000 | -0.000 |
| 351.728 | 351.728 | 366.791 | -0.000 | -0.000 | 0.000 |
| -0.000 | 0.000 | -0.000 | 5.937 | -0.000 | -0.000 |
| -0.000 | 0.000 | -0.000 | -0.000 | 5.937 | -0.000 |
| -0.000 | 0.000 | -0.000 | -0.000 | 0.000 | 5.937 |
| 366.762 | 351.698 | 351.698 | 0.000 | 0.000 | -0.000 |
| 351.698 | 366.762 | 351.698 | 0.000 | -0.000 | -0.000 |
| 351.698 | 351.698 | 366.762 | -0.000 | -0.000 | 0.000 |
| -0.000 | -0.000 | -0.000 | 5.937 | 0.000 | 0.000 |
| -0.000 | -0.000 | -0.000 | 0.000 | 5.937 | 0.000 |
| -0.000 | -0.000 | -0.000 | 0.000 | -0.000 | 5.937 |
| 366.815 | 351.752 | 351.752 | -0.000 | -0.000 | -0.000 |
| 351.752 | 366.815 | 351.752 | -0.000 | -0.000 | -0.000 |
| 351.752 | 351.752 | 366.815 | -0.000 | -0.000 | 0.000 |
| 0.000 | 0.000 | 0.000 | 5.937 | -0.000 | -0.000 |
| 0.000 | 0.000 | 0.000 | -0.000 | 5.937 | -0.000 |
| 0.000 | 0.000 | 0.000 | -0.000 | 0.000 | 5.937 |
| 366.520 | 351.458 | 351.458 | 0.000 | -0.000 | -0.000 |
| 351.458 | 366.520 | 351.458 | 0.000 | 0.000 | 0.000 |
| 351.458 | 351.458 | 366.520 | -0.000 | -0.000 | 0.000 |
| -0.000 | -0.000 | -0.000 | 5.937 | 0.000 | 0.000 |
| -0.000 | -0.000 | -0.000 | 0.000 | 5.937 | 0.000 |
| -0.000 | -0.000 | -0.000 | 0.000 | -0.000 | 5.937 |
| 367.057 | 351.993 | 351.993 | -0.000 | -0.000 | -0.000 |
| 351.993 | 367.057 | 351.993 | -0.000 | 0.000 | -0.000 |
| 351.993 | 351.993 | 367.057 | -0.000 | 0.000 | -0.000 |
| 0.000 | 0.000 | 0.000 | 5.937 | 0.000 | 0.000 |
| 0.000 | 0.000 | 0.000 | -0.000 | 5.937 | -0.000 |
| 0.000 | 0.000 | 0.000 | -0.000 | 0.000 | 5.937 |
| 40.312 | 3.321 | 3.321 | -0.000 | -0.000 | -0.000 |
| 3.321 | 40.312 | 3.321 | -0.000 | -0.000 | 0.000 |
| 3.321 | 3.321 | 40.312 | 0.000 | -0.000 | -0.000 |
| 0.000 | 0.000 | 0.000 | -7.553 | -0.000 | 0.000 |
| 0.000 | 0.000 | 0.000 | -0.000 | -7.553 | 0.000 |
| 0.000 | 0.000 | 0.000 | -0.000 | -0.000 | -7.553 |
| 40.312 | 3.321 | 3.321 | -0.000 | -0.000 | -0.000 |
| 3.321 | 40.312 | 3.321 | -0.000 | 0.000 | 0.000 |
| 3.321 | 3.321 | 40.312 | 0.000 | 0.000 | -0.000 |
| -0.000 | -0.000 | -0.000 | -7.553 | 0.000 | 0.000 |
| -0.000 | -0.000 | -0.000 | 0.000 | -7.553 | -0.000 |
| -0.000 | -0.000 | -0.000 | 0.000 | 0.000 | -7.553 |
| 40.312 | 3.321 | 3.321 | -0.000 | -0.000 | -0.000 |
| 3.321 | 40.312 | 3.321 | -0.000 | -0.000 | -0.000 |
| 3.321 | 3.321 | 40.312 | -0.000 | -0.000 | -0.000 |
| 0.000 | 0.000 | 0.000 | -7.553 | -0.000 | -0.000 |
| 0.000 | 0.000 | 0.000 | -0.000 | -7.553 | -0.000 |
| 0.000 | 0.000 | 0.000 | -0.000 | -0.000 | -7.553 |
| 40.312 | 3.321 | 3.321 | 0.000 | 0.000 | -0.000 |
| 3.321 | 40.312 | 3.321 | 0.000 | 0.000 | 0.000 |
| 3.321 | 3.321 | 40.312 | 0.000 | 0.000 | -0.000 |
| -0.000 | -0.000 | -0.000 | -7.553 | 0.000 | -0.000 |
| -0.000 | -0.000 | -0.000 | 0.000 | -7.553 | 0.000 |
| -0.000 | -0.000 | -0.000 | 0.000 | 0.000 | -7.553 |
| 40.312 | 3.322 | 3.322 | -0.000 | -0.000 | 0.000 |
| 3.322 | 40.312 | 3.322 | -0.000 | -0.000 | 0.000 |
| 3.322 | 3.322 | 40.312 | -0.000 | -0.000 | 0.000 |
| 0.000 | 0.000 | 0.000 | -7.553 | -0.000 | -0.000 |
| 0.000 | 0.000 | 0.000 | -0.000 | -7.553 | 0.000 |
| 0.000 | 0.000 | 0.000 | -0.000 | -0.000 | -7.553 |
| 40.311 | 3.320 | 3.320 | 0.000 | 0.000 | -0.000 |
| 3.320 | 40.311 | 3.320 | 0.000 | 0.000 | -0.000 |
| 3.320 | 3.320 | 40.311 | 0.000 | 0.000 | -0.000 |
| -0.000 | -0.000 | -0.000 | -7.553 | 0.000 | 0.000 |
| -0.000 | -0.000 | -0.000 | 0.000 | -7.553 | 0.000 |
| -0.000 | -0.000 | -0.000 | 0.000 | 0.000 | -7.553 |
| 4609.011 | 4609.008 | 4609.008 | -0.000 | -0.000 | -0.000 |
| 4609.008 | 4609.011 | 4609.008 | -0.000 | -0.000 | -0.000 |
| 4609.008 | 4609.008 | 4609.011 | -0.000 | -0.000 | -0.000 |
| 0.000 | 0.000 | 0.000 | 4608.081 | 0.000 | -0.000 |
| 0.000 | 0.000 | 0.000 | 0.000 | 4608.081 | -0.000 |
| 0.000 | 0.000 | 0.000 | 0.000 | 0.000 | 4608.081 |
| 4609.010 | 4609.007 | 4609.007 | 0.000 | -0.000 | 0.000 |
| 4609.007 | 4609.010 | 4609.007 | -0.000 | 0.000 | 0.000 |
| 4609.007 | 4609.007 | 4609.010 | 0.000 | 0.000 | 0.000 |
| -0.000 | -0.000 | -0.000 | 4608.081 | -0.000 | 0.000 |
| -0.000 | -0.000 | -0.000 | -0.000 | 4608.081 | 0.000 |
| -0.000 | -0.000 | -0.000 | -0.000 | -0.000 | 4608.081 |
| 4609.013 | 4609.011 | 4609.011 | -0.000 | -0.000 | -0.000 |
| 4609.011 | 4609.013 | 4609.011 | -0.000 | -0.000 | -0.000 |
| 4609.011 | 4609.011 | 4609.013 | -0.000 | -0.000 | -0.000 |
| -0.000 | -0.000 | -0.000 | 394.876 | -0.000 | -0.000 |
| -0.000 | -0.000 | -0.000 | -0.000 | 394.876 | -0.000 |
| -0.000 | -0.000 | -0.000 | -0.000 | 0.000 | 394.876 |
| 4609.008 | 4609.004 | 4609.004 | 0.000 | 0.000 | 0.000 |
| 4609.004 | 4609.008 | 4609.004 | 0.000 | 0.000 | 0.000 |
| 4609.004 | 4609.004 | 4609.008 | 0.000 | 0.000 | -0.000 |
| 0.000 | 0.000 | 0.000 | 394.876 | 0.000 | 0.000 |
| 0.000 | 0.000 | 0.000 | 0.000 | 394.876 | 0.000 |
| 0.000 | 0.000 | 0.000 | 0.000 | -0.000 | 394.876 |
| 4609.034 | 4609.040 | 4609.040 | -0.000 | -0.000 | -0.000 |
| 4609.040 | 4609.034 | 4609.040 | -0.000 | -0.000 | -0.000 |
| 4609.040 | 4609.040 | 4609.034 | -0.000 | -0.000 | -0.000 |
| -0.002 | -0.003 | -0.002 | 394.883 | 0.000 | -0.000 |
| -0.003 | -0.002 | -0.002 | 0.000 | 394.883 | -0.000 |
| -0.003 | -0.002 | -0.002 | 0.000 | -0.000 | 394.883 |
| 4608.987 | 4608.975 | 4608.975 | 0.000 | -0.000 | 0.000 |
| 4608.975 | 4608.987 | 4608.975 | -0.000 | 0.000 | 0.000 |
| 4608.975 | 4608.975 | 4608.987 | 0.000 | 0.000 | 0.000 |
| 0.002 | 0.003 | 0.002 | 394.883 | -0.000 | 0.000 |
| 0.003 | 0.002 | 0.002 | -0.000 | 394.883 | 0.000 |
| 0.003 | 0.002 | 0.002 | -0.000 | -0.000 | 394.883 |
| 88.929 | 88.927 | 88.927 | -0.000 | -0.000 | -0.000 |
| 88.927 | 88.929 | 88.927 | -0.000 | -0.000 | -0.000 |
| 88.927 | 88.927 | 88.929 | -0.000 | -0.000 | -0.000 |
| 0.000 | 0.000 | 0.000 | 5.398 | -0.000 | -0.000 |
| 0.000 | 0.000 | 0.000 | -0.000 | 5.398 | -0.000 |
| 0.000 | 0.000 | 0.000 | -0.000 | -0.000 | 5.398 |
| 88.929 | 88.927 | 88.927 | 0.000 | 0.000 | 0.000 |
| 88.927 | 88.929 | 88.927 | -0.000 | 0.000 | 0.000 |
| 88.927 | 88.927 | 88.929 | 0.000 | 0.000 | 0.000 |
| -0.000 | -0.000 | -0.000 | 5.398 | 0.000 | -0.000 |
| -0.000 | -0.000 | -0.000 | 0.000 | 5.398 | -0.000 |
| -0.000 | -0.000 | -0.000 | 0.000 | 0.000 | 5.398 |
| 88.930 | 88.927 | 88.927 | -0.000 | -0.000 | -0.000 |
| 88.927 | 88.930 | 88.927 | -0.000 | -0.000 | -0.000 |
| 88.927 | 88.927 | 88.930 | -0.000 | -0.000 | -0.000 |
| 0.000 | 0.000 | 0.000 | 5.398 | -0.000 | -0.000 |
| 0.000 | 0.000 | 0.000 | -0.000 | 5.398 | -0.000 |
| 0.000 | 0.000 | 0.000 | -0.000 | -0.000 | 5.398 |
| 88.929 | 88.926 | 88.926 | 0.000 | 0.000 | 0.000 |
| 88.926 | 88.929 | 88.926 | 0.000 | 0.000 | 0.000 |
| 88.926 | 88.926 | 88.929 | 0.000 | 0.000 | 0.000 |
| -0.000 | -0.000 | -0.000 | 5.398 | 0.000 | 0.000 |
| -0.000 | -0.000 | -0.000 | 0.000 | 5.398 | 0.000 |
| -0.000 | -0.000 | -0.000 | 0.000 | 0.000 | 5.398 |
| 88.933 | 88.931 | 88.931 | -0.000 | -0.000 | -0.000 |
| 88.931 | 88.933 | 88.931 | -0.000 | -0.000 | -0.000 |
| 88.931 | 88.931 | 88.933 | -0.000 | -0.000 | -0.000 |
| 0.001 | 0.001 | 0.001 | 5.398 | -0.000 | -0.000 |
| 0.001 | 0.001 | 0.001 | -0.000 | 5.398 | -0.000 |
| 0.001 | 0.001 | 0.001 | -0.000 | -0.000 | 5.398 |
| 88.925 | 88.922 | 88.922 | 0.000 | 0.000 | 0.000 |
| 88.922 | 88.925 | 88.922 | 0.000 | 0.000 | 0.000 |
| 88.922 | 88.922 | 88.925 | 0.000 | 0.000 | 0.000 |
| -0.001 | -0.001 | -0.001 | 5.398 | 0.000 | 0.000 |
| -0.001 | -0.001 | -0.001 | 0.000 | 5.398 | 0.000 |
| -0.001 | -0.001 | -0.001 | 0.000 | 0.000 | 5.398 |
| 238.305 | -35.642 | -35.642 | -0.000 | -0.000 | -0.000 |
| -35.642 | 238.305 | -35.642 | -0.000 | -0.000 | -0.000 |
| -35.642 | -35.642 | 238.305 | -0.000 | 0.000 | -0.000 |
| -0.000 | -0.000 | -0.000 | -24.278 | 0.000 | -0.000 |
| -0.000 | -0.000 | -0.000 | 0.000 | -24.278 | 0.000 |
| -0.000 | -0.000 | -0.000 | -0.000 | -0.000 | -24.278 |
| 238.304 | -35.643 | -35.643 | 0.000 | 0.000 | 0.000 |
| -35.643 | 238.304 | -35.643 | 0.000 | 0.000 | 0.000 |
| -35.643 | -35.643 | 238.304 | 0.000 | 0.000 | -0.000 |
| 0.000 | 0.000 | 0.000 | -24.278 | 0.000 | -0.000 |
| 0.000 | 0.000 | 0.000 | 0.000 | -24.278 | 0.000 |
| 0.000 | 0.000 | 0.000 | 0.000 | 0.000 | -24.278 |
| 238.307 | -35.642 | -35.642 | -0.000 | -0.000 | -0.000 |
| -35.642 | 238.307 | -35.642 | -0.000 | -0.000 | -0.000 |
| -35.642 | -35.642 | 238.307 | -0.000 | 0.000 | -0.000 |
| -0.000 | -0.000 | -0.000 | -24.278 | 0.000 | -0.000 |
| -0.000 | -0.000 | -0.000 | 0.000 | -24.278 | -0.000 |
| -0.000 | -0.000 | -0.000 | -0.000 | -0.000 | -24.278 |
| 238.302 | -35.643 | -35.643 | 0.000 | 0.000 | 0.000 |
| -35.643 | 238.302 | -35.643 | 0.000 | 0.000 | 0.000 |
| -35.643 | -35.643 | 238.302 | 0.000 | 0.000 | -0.000 |
| 0.000 | 0.000 | 0.000 | -24.278 | -0.000 | -0.000 |
| 0.000 | 0.000 | 0.000 | -0.000 | -24.278 | -0.000 |
| 0.000 | 0.000 | 0.000 | 0.000 | 0.000 | -24.278 |
| 238.331 | -35.636 | -35.636 | -0.000 | -0.000 | 0.000 |
| -35.636 | 238.331 | -35.636 | -0.000 | -0.000 | 0.000 |
| -35.636 | -35.636 | 238.331 | 0.000 | 0.000 | -0.000 |
| -0.004 | -0.003 | -0.003 | -24.278 | 0.000 | -0.000 |
| -0.003 | -0.004 | -0.003 | 0.000 | -24.278 | -0.000 |
| -0.003 | -0.003 | -0.004 | -0.000 | -0.000 | -24.278 |
| 238.277 | -35.648 | -35.648 | 0.000 | 0.000 | 0.000 |
| -35.648 | 238.277 | -35.648 | 0.000 | 0.000 | 0.000 |
| -35.648 | -35.648 | 238.277 | -0.000 | -0.000 | 0.000 |
| 0.004 | 0.003 | 0.003 | -24.278 | -0.000 | -0.000 |
| 0.003 | 0.004 | 0.003 | -0.000 | -24.278 | -0.000 |
| 0.003 | 0.003 | 0.004 | 0.000 | 0.000 | -24.278 |
| 0.278 | 4.420 | 4.420 | 0.000 | -0.000 | -0.000 |
| 4.420 | 0.278 | 4.420 | -0.000 | 0.000 | -0.000 |
| 4.420 | 4.420 | 0.278 | -0.000 | 0.000 | -0.000 |
| -0.000 | 0.000 | 0.000 | 2.330 | -0.000 | -0.000 |
| 0.000 | -0.000 | 0.000 | 0.000 | 2.330 | -0.000 |
| 0.000 | 0.000 | -0.000 | 0.000 | -0.000 | 2.330 |
| 0.278 | 4.420 | 4.420 | -0.000 | -0.000 | 0.000 |
| 4.420 | 0.278 | 4.420 | -0.000 | -0.000 | 0.000 |
| 4.420 | 4.420 | 0.278 | 0.000 | 0.000 | 0.000 |
| 0.000 | -0.000 | -0.000 | 2.330 | 0.000 | 0.000 |
| -0.000 | 0.000 | -0.000 | 0.000 | 2.330 | 0.000 |
| -0.000 | -0.000 | 0.000 | 0.000 | 0.000 | 2.330 |
| 0.278 | 4.420 | 4.420 | -0.000 | 0.000 | 0.000 |
| 4.420 | 0.278 | 4.420 | -0.000 | -0.000 | -0.000 |
| 4.420 | 4.420 | 0.278 | 0.000 | -0.000 | -0.000 |
| -0.000 | 0.000 | 0.000 | 2.330 | 0.000 | 0.000 |
| 0.000 | -0.000 | 0.000 | 0.000 | 2.330 | -0.000 |
| 0.000 | 0.000 | -0.000 | 0.000 | -0.000 | 2.330 |
| 0.278 | 4.420 | 4.420 | 0.000 | 0.000 | 0.000 |
| 4.420 | 0.278 | 4.420 | 0.000 | 0.000 | 0.000 |
| 4.420 | 4.420 | 0.278 | -0.000 | 0.000 | 0.000 |
| 0.000 | -0.000 | -0.000 | 2.330 | 0.000 | -0.000 |
| -0.000 | 0.000 | -0.000 | -0.000 | 2.330 | 0.000 |
| -0.000 | -0.000 | 0.000 | 0.000 | 0.000 | 2.330 |
| 0.278 | 4.420 | 4.420 | -0.000 | -0.000 | -0.000 |
| 4.420 | 0.278 | 4.420 | 0.000 | 0.000 | -0.000 |
| 4.420 | 4.420 | 0.278 | 0.000 | -0.000 | 0.000 |
| -0.000 | 0.000 | 0.000 | 2.330 | -0.000 | -0.000 |
| 0.000 | -0.000 | 0.000 | -0.000 | 2.330 | -0.000 |
| 0.000 | 0.000 | -0.000 | 0.000 | -0.000 | 2.330 |
| 0.278 | 4.420 | 4.420 | -0.000 | 0.000 | 0.000 |
| 4.420 | 0.278 | 4.420 | 0.000 | 0.000 | 0.000 |
| 4.420 | 4.420 | 0.278 | -0.000 | -0.000 | 0.000 |
| 0.000 | -0.000 | -0.000 | 2.330 | 0.000 | 0.000 |
| -0.000 | 0.000 | -0.000 | -0.000 | 2.330 | 0.000 |
| -0.000 | -0.000 | 0.000 | -0.000 | -0.000 | 2.330 |
| 20.039 | 0.566 | 0.566 | -0.000 | -0.000 | -0.000 |
| 0.566 | 20.039 | 0.566 | -0.000 | -0.000 | 0.000 |
| 0.566 | 0.566 | 20.039 | -0.000 | -0.000 | 0.000 |
| -0.000 | 0.000 | -0.000 | 0.008 | -0.000 | -0.000 |
| 0.000 | -0.000 | -0.000 | -0.000 | 0.008 | -0.000 |
| 0.000 | -0.000 | -0.000 | -0.000 | -0.000 | 0.008 |
| 20.039 | 0.566 | 0.566 | 0.000 | 0.000 | -0.000 |
| 0.566 | 20.039 | 0.566 | -0.000 | 0.000 | -0.000 |
| 0.566 | 0.566 | 20.039 | -0.000 | -0.000 | -0.000 |
| 0.000 | -0.000 | 0.000 | 0.008 | 0.000 | 0.000 |
| -0.000 | 0.000 | 0.000 | 0.000 | 0.008 | 0.000 |
| -0.000 | 0.000 | 0.000 | 0.000 | 0.000 | 0.008 |
| 20.039 | 0.566 | 0.566 | 0.000 | -0.000 | 0.000 |
| 0.566 | 20.039 | 0.566 | -0.000 | 0.000 | -0.000 |
| 0.566 | 0.566 | 20.039 | 0.000 | 0.000 | 0.000 |
| -0.000 | -0.000 | -0.000 | 0.008 | -0.000 | -0.000 |
| -0.000 | -0.000 | -0.000 | -0.000 | 0.008 | -0.000 |
| -0.000 | -0.000 | -0.000 | -0.000 | -0.000 | 0.008 |
| 20.039 | 0.566 | 0.566 | -0.000 | 0.000 | -0.000 |
| 0.566 | 20.039 | 0.566 | 0.000 | -0.000 | -0.000 |
| 0.566 | 0.566 | 20.039 | 0.000 | 0.000 | -0.000 |
| 0.000 | 0.000 | 0.000 | 0.008 | -0.000 | 0.000 |
| 0.000 | 0.000 | 0.000 | 0.000 | 0.008 | 0.000 |
| 0.000 | 0.000 | 0.000 | -0.000 | 0.000 | 0.008 |
| 20.039 | 0.566 | 0.566 | -0.000 | -0.000 | -0.000 |
| 0.566 | 20.039 | 0.566 | -0.000 | -0.000 | -0.000 |
| 0.566 | 0.566 | 20.039 | -0.000 | -0.000 | -0.000 |
| -0.000 | -0.000 | -0.000 | 0.008 | -0.000 | 0.000 |
| -0.000 | -0.000 | -0.000 | -0.000 | 0.008 | -0.000 |
| -0.000 | -0.000 | -0.000 | -0.000 | -0.000 | 0.008 |
| 20.039 | 0.566 | 0.566 | -0.000 | -0.000 | -0.000 |
| 0.566 | 20.039 | 0.566 | -0.000 | -0.000 | -0.000 |
| 0.566 | 0.566 | 20.039 | -0.000 | -0.000 | -0.000 |
| 0.000 | 0.000 | 0.000 | 0.008 | -0.000 | 0.000 |
| 0.000 | 0.000 | 0.000 | 0.000 | 0.008 | 0.000 |
| 0.000 | 0.000 | 0.000 | 0.000 | 0.000 | 0.008 |
| 8895.438 | 0.746 | 0.746 | -0.000 | 0.000 | 0.000 |
| 0.746 | 8895.438 | 0.746 | -0.000 | 0.000 | -0.000 |
| 0.746 | 0.746 | 8895.438 | 0.000 | 0.000 | -0.000 |
| 0.000 | 0.000 | 0.000 | 0.000 | 0.000 | -0.000 |
| 0.000 | 0.000 | 0.000 | 0.000 | 0.000 | -0.000 |
| 0.000 | 0.000 | 0.000 | 0.000 | 0.000 | 0.000 |
| 8895.434 | 0.746 | 0.746 | -0.000 | -0.000 | 0.000 |
| 0.746 | 8895.434 | 0.746 | -0.000 | -0.000 | 0.000 |
| 0.746 | 0.746 | 8895.434 | -0.000 | 0.000 | 0.000 |
| 0.000 | -0.000 | 0.000 | 0.000 | 0.000 | 0.000 |
| -0.000 | 0.000 | 0.000 | -0.000 | 0.000 | -0.000 |
| -0.000 | 0.000 | 0.000 | -0.000 | -0.000 | 0.000 |
| 8895.452 | 0.746 | 0.746 | 0.000 | 0.000 | -0.000 |
| 0.746 | 8895.452 | 0.746 | 0.000 | 0.000 | -0.000 |
| 0.746 | 0.746 | 8895.452 | 0.000 | 0.000 | -0.000 |
| -0.000 | 0.000 | -0.000 | 0.000 | 0.000 | -0.000 |
| 0.000 | -0.000 | -0.000 | -0.000 | 0.000 | -0.000 |
| 0.000 | -0.000 | -0.000 | -0.000 | 0.000 | 0.000 |
| 8895.420 | 0.746 | 0.746 | 0.000 | -0.000 | -0.000 |
| 0.746 | 8895.420 | 0.746 | 0.000 | -0.000 | -0.000 |
| 0.746 | 0.746 | 8895.420 | 0.000 | 0.000 | 0.000 |
| 0.000 | -0.000 | 0.000 | 0.000 | 0.000 | -0.000 |
| -0.000 | 0.000 | 0.000 | -0.000 | 0.000 | 0.000 |
| -0.000 | 0.000 | 0.000 | -0.000 | -0.000 | 0.000 |
| 8895.600 | 0.746 | 0.746 | 0.000 | 0.000 | -0.000 |
| 0.746 | 8895.600 | 0.746 | 0.000 | 0.000 | -0.000 |
| 0.746 | 0.746 | 8895.600 | -0.000 | -0.000 | -0.000 |
| -0.000 | -0.000 | -0.004 | 0.000 | 0.000 | -0.000 |
| -0.000 | -0.000 | -0.004 | 0.000 | 0.000 | -0.000 |
| -0.000 | -0.004 | -0.000 | 0.000 | 0.000 | 0.000 |
| 8895.272 | 0.746 | 0.746 | -0.000 | -0.000 | 0.000 |
| 0.746 | 8895.272 | 0.746 | 0.000 | -0.000 | -0.000 |
| 0.746 | 0.746 | 8895.272 | 0.000 | -0.000 | -0.000 |
| 0.000 | 0.000 | 0.004 | 0.000 | 0.000 | -0.000 |
| 0.000 | 0.000 | 0.004 | 0.000 | 0.000 | 0.000 |
| 0.000 | 0.004 | 0.000 | -0.000 | -0.000 | 0.000 |
| 64.518 | 8.976 | 8.976 | -0.000 | -0.000 | -0.000 |
| 8.976 | 64.518 | 8.976 | -0.000 | -0.000 | -0.000 |
| 8.976 | 8.976 | 64.518 | -0.000 | -0.000 | -0.000 |
| 0.000 | 0.000 | 0.000 | 0.000 | 0.000 | -0.000 |
| 0.000 | 0.000 | 0.000 | -0.000 | 0.000 | 0.000 |
| 0.000 | 0.000 | 0.000 | -0.000 | -0.000 | 0.000 |
| 64.518 | 8.976 | 8.976 | 0.000 | 0.000 | 0.000 |
| 8.976 | 64.518 | 8.976 | 0.000 | 0.000 | -0.000 |
| 8.976 | 8.976 | 64.518 | 0.000 | 0.000 | 0.000 |
| -0.000 | -0.000 | -0.000 | 0.000 | 0.000 | -0.000 |
| -0.000 | -0.000 | -0.000 | 0.000 | 0.000 | -0.000 |
| -0.000 | -0.000 | -0.000 | 0.000 | 0.000 | 0.000 |
| 64.518 | 8.976 | 8.976 | -0.000 | -0.000 | 0.000 |
| 8.976 | 64.518 | 8.976 | -0.000 | -0.000 | 0.000 |
| 8.976 | 8.976 | 64.518 | -0.000 | -0.000 | 0.000 |
| -0.000 | -0.000 | -0.000 | 0.000 | -0.000 | -0.000 |
| -0.000 | -0.000 | -0.000 | -0.000 | 0.000 | 0.000 |
| -0.000 | -0.000 | -0.000 | -0.000 | -0.000 | 0.000 |
| 64.518 | 8.976 | 8.976 | -0.000 | -0.000 | 0.000 |
| 8.976 | 64.518 | 8.976 | -0.000 | -0.000 | 0.000 |
| 8.976 | 8.976 | 64.518 | 0.000 | 0.000 | 0.000 |
| 0.000 | 0.000 | 0.000 | 0.000 | -0.000 | -0.000 |
| 0.000 | 0.000 | 0.000 | 0.000 | 0.000 | -0.000 |
| 0.000 | 0.000 | 0.000 | 0.000 | 0.000 | 0.000 |
| 64.520 | 8.976 | 8.976 | -0.000 | 0.000 | 0.000 |
| 8.976 | 64.520 | 8.976 | 0.000 | -0.000 | 0.000 |
| 8.976 | 8.976 | 64.520 | 0.000 | -0.000 | 0.000 |
| -0.000 | -0.000 | -0.000 | 0.000 | -0.000 | 0.000 |
| -0.000 | -0.000 | -0.000 | -0.000 | 0.000 | 0.000 |
| -0.000 | -0.000 | -0.000 | -0.000 | -0.000 | 0.000 |
| 64.516 | 8.975 | 8.975 | -0.000 | -0.000 | -0.000 |
| 8.975 | 64.516 | 8.975 | -0.000 | -0.000 | -0.000 |
| 8.975 | 8.975 | 64.516 | 0.000 | 0.000 | -0.000 |
| 0.000 | 0.000 | 0.000 | 0.000 | -0.000 | 0.000 |
| 0.000 | 0.000 | 0.000 | 0.000 | 0.000 | -0.000 |
| 0.000 | 0.000 | 0.000 | 0.000 | 0.000 | 0.000 |
| 146.049 | 113.983 | 113.983 | 0.000 | 0.000 | 0.000 |
| 113.983 | 146.049 | 113.983 | 0.000 | -0.000 | -0.000 |
| 113.983 | 113.983 | 146.049 | -0.000 | -0.000 | -0.000 |
| 0.000 | 0.000 | -0.000 | 18.845 | 0.000 | -0.000 |
| -0.000 | 0.000 | -0.000 | 0.000 | 18.845 | 0.000 |
| 0.000 | 0.000 | 0.000 | 0.000 | -0.000 | 18.845 |
| 146.049 | 113.983 | 113.983 | 0.000 | 0.000 | -0.000 |
| 113.983 | 146.049 | 113.983 | -0.000 | 0.000 | 0.000 |
| 113.983 | 113.983 | 146.049 | 0.000 | 0.000 | -0.000 |
| -0.000 | -0.000 | 0.000 | 18.845 | -0.000 | 0.000 |
| 0.000 | -0.000 | 0.000 | -0.000 | 18.845 | -0.000 |
| -0.000 | -0.000 | -0.000 | -0.000 | -0.000 | 18.845 |
| 146.051 | 113.985 | 113.985 | -0.000 | 0.000 | 0.000 |
| 113.985 | 146.051 | 113.985 | -0.000 | -0.000 | 0.000 |
| 113.985 | 113.985 | 146.051 | 0.000 | -0.000 | 0.000 |
| 0.000 | 0.000 | 0.000 | 18.845 | -0.000 | -0.000 |
| 0.000 | 0.000 | 0.000 | 0.000 | 18.845 | 0.000 |
| 0.000 | 0.000 | 0.000 | -0.000 | -0.000 | 18.845 |
| 146.047 | 113.981 | 113.981 | 0.000 | 0.000 | -0.000 |
| 113.981 | 146.047 | 113.981 | 0.000 | -0.000 | -0.000 |
| 113.981 | 113.981 | 146.047 | 0.000 | 0.000 | -0.000 |
| -0.000 | -0.000 | -0.000 | 18.845 | 0.000 | -0.000 |
| -0.000 | -0.000 | -0.000 | -0.000 | 18.845 | 0.000 |
| -0.000 | -0.000 | -0.000 | 0.000 | 0.000 | 18.845 |
| 146.070 | 114.004 | 114.004 | -0.000 | 0.000 | -0.000 |
| 114.004 | 146.070 | 114.004 | 0.000 | 0.000 | 0.000 |
| 114.004 | 114.004 | 146.070 | -0.000 | 0.000 | 0.000 |
| 0.000 | 0.000 | 0.000 | 18.845 | -0.000 | 0.000 |
| 0.000 | 0.000 | 0.000 | 0.000 | 18.845 | 0.000 |
| 0.000 | 0.000 | 0.000 | 0.000 | -0.000 | 18.845 |
| 146.028 | 113.962 | 113.962 | 0.000 | 0.000 | 0.000 |
| 113.962 | 146.028 | 113.962 | 0.000 | 0.000 | -0.000 |
| 113.962 | 113.962 | 146.028 | -0.000 | 0.000 | -0.000 |
| -0.000 | -0.000 | -0.000 | 18.845 | 0.000 | 0.000 |
| -0.000 | -0.000 | -0.000 | 0.000 | 18.845 | 0.000 |
| -0.000 | -0.000 | -0.000 | 0.000 | 0.000 | 18.845 |
| 29.944 | 4.549 | 4.549 | -0.000 | 0.000 | 0.000 |
| 4.549 | 29.944 | 4.549 | 0.000 | -0.000 | 0.000 |
| 4.549 | 4.549 | 29.944 | 0.000 | 0.000 | 0.000 |
| 0.000 | 0.000 | 0.000 | 2.738 | 0.000 | 0.000 |
| 0.000 | 0.000 | 0.000 | -0.000 | 2.738 | 0.000 |
| 0.000 | 0.000 | 0.000 | 0.000 | 0.000 | 2.738 |
| 29.944 | 4.549 | 4.549 | -0.000 | 0.000 | -0.000 |
| 4.549 | 29.944 | 4.549 | -0.000 | -0.000 | -0.000 |
| 4.549 | 4.549 | 29.944 | -0.000 | 0.000 | -0.000 |
| -0.000 | -0.000 | -0.000 | 2.738 | 0.000 | -0.000 |
| -0.000 | -0.000 | -0.000 | 0.000 | 2.738 | -0.000 |
| -0.000 | -0.000 | -0.000 | 0.000 | -0.000 | 2.738 |
| 29.944 | 4.549 | 4.549 | 0.000 | 0.000 | 0.000 |
| 4.549 | 29.944 | 4.549 | 0.000 | 0.000 | 0.000 |
| 4.549 | 4.549 | 29.944 | 0.000 | 0.000 | 0.000 |
| 0.000 | 0.000 | 0.000 | 2.738 | 0.000 | 0.000 |
| 0.000 | 0.000 | 0.000 | 0.000 | 2.738 | 0.000 |
| 0.000 | 0.000 | 0.000 | -0.000 | 0.000 | 2.738 |
| 29.944 | 4.549 | 4.549 | -0.000 | -0.000 | -0.000 |
| 4.549 | 29.944 | 4.549 | -0.000 | -0.000 | -0.000 |
| 4.549 | 4.549 | 29.944 | -0.000 | 0.000 | 0.000 |
| -0.000 | -0.000 | -0.000 | 2.738 | 0.000 | 0.000 |
| -0.000 | -0.000 | -0.000 | -0.000 | 2.738 | -0.000 |
| -0.000 | -0.000 | -0.000 | 0.000 | -0.000 | 2.738 |
| 29.944 | 4.549 | 4.549 | -0.000 | 0.000 | 0.000 |
| 4.549 | 29.944 | 4.549 | 0.000 | 0.000 | 0.000 |
| 4.549 | 4.549 | 29.944 | 0.000 | -0.000 | 0.000 |
| 0.000 | 0.000 | 0.000 | 2.738 | -0.000 | 0.000 |
| 0.000 | 0.000 | 0.000 | -0.000 | 2.738 | 0.000 |
| 0.000 | 0.000 | 0.000 | 0.000 | 0.000 | 2.738 |
| 29.944 | 4.549 | 4.549 | -0.000 | -0.000 | -0.000 |
| 4.549 | 29.944 | 4.549 | -0.000 | 0.000 | -0.000 |
| 4.549 | 4.549 | 29.944 | -0.000 | -0.000 | -0.000 |
| -0.000 | -0.000 | -0.000 | 2.738 | 0.000 | 0.000 |
| -0.000 | -0.000 | -0.000 | 0.000 | 2.738 | -0.000 |
| -0.000 | -0.000 | -0.000 | -0.000 | -0.000 | 2.738 |
| 9010.344 | 9010.344 | 9010.344 | -0.000 | -0.000 | -0.000 |
| 9010.344 | 9010.344 | 9010.344 | -0.000 | -0.000 | -0.000 |
| 9010.344 | 9010.344 | 9010.344 | -0.000 | -0.000 | 0.000 |
| 0.001 | 0.000 | 0.001 | 9009.214 | -0.000 | 0.000 |
| 0.000 | 0.001 | 0.001 | -0.000 | 9009.214 | 0.000 |
| 0.000 | 0.001 | 0.001 | 0.000 | 0.000 | 9009.214 |
| 9010.343 | 9010.343 | 9010.343 | 0.000 | 0.000 | 0.000 |
| 9010.343 | 9010.343 | 9010.343 | 0.000 | 0.000 | 0.000 |
| 9010.343 | 9010.343 | 9010.343 | 0.000 | 0.000 | -0.000 |
| -0.001 | -0.000 | -0.001 | 9009.214 | 0.000 | -0.000 |
| -0.000 | -0.001 | -0.001 | 0.000 | 9009.214 | -0.000 |
| -0.000 | -0.001 | -0.001 | -0.000 | -0.000 | 9009.214 |
| 9010.348 | 9010.350 | 9010.350 | -0.000 | 0.000 | 0.000 |
| 9010.350 | 9010.348 | 9010.350 | 0.000 | -0.000 | 0.000 |
| 9010.350 | 9010.350 | 9010.348 | -0.000 | -0.000 | 0.000 |
| 0.006 | 0.004 | 0.006 | 9009.214 | -0.000 | 0.000 |
| 0.004 | 0.006 | 0.006 | -0.000 | 9009.214 | 0.000 |
| 0.004 | 0.006 | 0.006 | 0.000 | 0.000 | 9009.214 |
| 9010.339 | 9010.337 | 9010.337 | 0.000 | -0.000 | -0.000 |
| 9010.337 | 9010.339 | 9010.337 | -0.000 | 0.000 | -0.000 |
| 9010.337 | 9010.337 | 9010.339 | 0.000 | 0.000 | -0.000 |
| -0.006 | -0.004 | -0.006 | 9009.214 | 0.000 | -0.000 |
| -0.004 | -0.006 | -0.006 | 0.000 | 9009.214 | -0.000 |
| -0.004 | -0.006 | -0.006 | 0.000 | -0.000 | 9009.214 |
| 9010.390 | 9010.408 | 9010.408 | -0.000 | 0.000 | -0.000 |
| 9010.408 | 9010.390 | 9010.408 | 0.000 | -0.000 | -0.000 |
| 9010.408 | 9010.408 | 9010.390 | -0.000 | -0.000 | 0.000 |
| 0.056 | 0.038 | 0.056 | 9009.214 | -0.000 | 0.000 |
| 0.038 | 0.056 | 0.056 | -0.000 | 9009.214 | 0.000 |
| 0.038 | 0.056 | 0.056 | 0.000 | 0.000 | 9009.214 |
| 9010.297 | 9010.279 | 9010.279 | 0.000 | -0.000 | -0.000 |
| 9010.279 | 9010.297 | 9010.279 | -0.000 | 0.000 | -0.000 |
| 9010.279 | 9010.279 | 9010.297 | 0.000 | 0.000 | -0.000 |
| -0.056 | -0.038 | -0.056 | 9009.214 | 0.000 | -0.000 |
| -0.038 | -0.056 | -0.056 | 0.000 | 9009.214 | -0.000 |
| -0.038 | -0.056 | -0.056 | -0.000 | -0.000 | 9009.214 |
| 48.417 | 48.417 | 48.417 | 0.000 | 0.000 | 0.000 |
| 48.417 | 48.417 | 48.417 | 0.000 | 0.000 | 0.000 |
| 48.417 | 48.417 | 48.417 | 0.000 | 0.000 | -0.000 |
| 0.000 | 0.000 | 0.000 | 27.004 | 0.000 | -0.000 |
| 0.000 | 0.000 | 0.000 | 0.000 | 27.004 | -0.000 |
| 0.000 | 0.000 | 0.000 | 0.000 | 0.000 | 27.004 |
| 48.417 | 48.417 | 48.417 | -0.000 | -0.000 | -0.000 |
| 48.417 | 48.417 | 48.417 | -0.000 | -0.000 | -0.000 |
| 48.417 | 48.417 | 48.417 | -0.000 | -0.000 | -0.000 |
| -0.000 | -0.000 | -0.000 | 27.004 | -0.000 | -0.000 |
| -0.000 | -0.000 | -0.000 | -0.000 | 27.004 | -0.000 |
| -0.000 | -0.000 | -0.000 | -0.000 | -0.000 | 27.004 |
| 48.418 | 48.418 | 48.418 | 0.000 | 0.000 | -0.000 |
| 48.418 | 48.418 | 48.418 | 0.000 | 0.000 | -0.000 |
| 48.418 | 48.418 | 48.418 | 0.000 | 0.000 | 0.000 |
| 0.000 | 0.000 | 0.000 | 27.004 | 0.000 | 0.000 |
| 0.000 | 0.000 | 0.000 | 0.000 | 27.004 | 0.000 |
| 0.000 | 0.000 | 0.000 | 0.000 | 0.000 | 27.004 |
| 48.417 | 48.417 | 48.417 | -0.000 | -0.000 | -0.000 |
| 48.417 | 48.417 | 48.417 | -0.000 | -0.000 | -0.000 |
| 48.417 | 48.417 | 48.417 | -0.000 | -0.000 | -0.000 |
| -0.000 | -0.000 | -0.000 | 27.004 | -0.000 | -0.000 |
| -0.000 | -0.000 | -0.000 | -0.000 | 27.004 | -0.000 |
| -0.000 | -0.000 | -0.000 | -0.000 | -0.000 | 27.004 |
| 48.418 | 48.418 | 48.418 | 0.000 | 0.000 | 0.000 |
| 48.418 | 48.418 | 48.418 | 0.000 | 0.000 | 0.000 |
| 48.418 | 48.418 | 48.418 | 0.000 | 0.000 | -0.000 |
| 0.000 | 0.000 | 0.000 | 27.004 | 0.000 | 0.000 |
| 0.000 | 0.000 | 0.000 | 0.000 | 27.004 | 0.000 |
| 0.000 | 0.000 | 0.000 | 0.000 | 0.000 | 27.004 |
| 48.417 | 48.417 | 48.417 | -0.000 | -0.000 | 0.000 |
| 48.417 | 48.417 | 48.417 | -0.000 | -0.000 | 0.000 |
| 48.417 | 48.417 | 48.417 | -0.000 | -0.000 | 0.000 |
| -0.000 | -0.000 | -0.000 | 27.004 | -0.000 | 0.000 |
| -0.000 | -0.000 | -0.000 | -0.000 | 27.004 | 0.000 |
| -0.000 | -0.000 | -0.000 | -0.000 | -0.000 | 27.004 |
| 42.074 | 45.109 | 45.109 | -0.000 | -0.000 | -0.000 |
| 45.109 | 42.074 | 45.109 | -0.000 | -0.000 | -0.000 |
| 45.109 | 45.109 | 42.074 | -0.000 | -0.000 | -0.000 |
| 0.000 | 0.000 | 0.000 | 7.603 | -0.000 | -0.000 |
| 0.000 | -0.000 | -0.000 | -0.000 | 7.603 | -0.000 |
| 0.000 | 0.000 | -0.000 | -0.000 | -0.000 | 7.603 |
| 42.074 | 45.109 | 45.109 | 0.000 | 0.000 | 0.000 |
| 45.109 | 42.074 | 45.109 | 0.000 | 0.000 | 0.000 |
| 45.109 | 45.109 | 42.074 | 0.000 | 0.000 | 0.000 |
| 0.000 | -0.000 | -0.000 | 7.603 | 0.000 | 0.000 |
| -0.000 | 0.000 | -0.000 | 0.000 | 7.603 | 0.000 |
| -0.000 | -0.000 | 0.000 | 0.000 | 0.000 | 7.603 |
| 42.074 | 45.109 | 45.109 | -0.000 | -0.000 | -0.000 |
| 45.109 | 42.074 | 45.109 | -0.000 | -0.000 | -0.000 |
| 45.109 | 45.109 | 42.074 | -0.000 | -0.000 | -0.000 |
| -0.000 | 0.000 | 0.000 | 7.603 | -0.000 | -0.000 |
| 0.000 | -0.000 | 0.000 | -0.000 | 7.603 | -0.000 |
| 0.000 | 0.000 | -0.000 | -0.000 | -0.000 | 7.603 |
| 42.074 | 45.108 | 45.108 | 0.000 | 0.000 | 0.000 |
| 45.108 | 42.074 | 45.108 | 0.000 | 0.000 | 0.000 |
| 45.108 | 45.108 | 42.074 | 0.000 | 0.000 | 0.000 |
| 0.000 | -0.000 | -0.000 | 7.603 | 0.000 | 0.000 |
| -0.000 | 0.000 | -0.000 | 0.000 | 7.603 | 0.000 |
| -0.000 | -0.000 | 0.000 | 0.000 | 0.000 | 7.603 |
| 42.076 | 45.111 | 45.111 | -0.000 | -0.000 | -0.000 |
| 45.111 | 42.076 | 45.111 | -0.000 | -0.000 | -0.000 |
| 45.111 | 45.111 | 42.076 | -0.000 | -0.000 | -0.000 |
| -0.000 | 0.000 | 0.000 | 7.603 | -0.000 | -0.000 |
| 0.000 | -0.000 | 0.000 | -0.000 | 7.603 | -0.000 |
| 0.000 | 0.000 | -0.000 | -0.000 | -0.000 | 7.603 |
| 42.073 | 45.107 | 45.107 | 0.000 | 0.000 | 0.000 |
| 45.107 | 42.073 | 45.107 | 0.000 | 0.000 | 0.000 |
| 45.107 | 45.107 | 42.073 | 0.000 | 0.000 | 0.000 |
| 0.000 | -0.000 | -0.000 | 7.603 | 0.000 | 0.000 |
| -0.000 | 0.000 | -0.000 | 0.000 | 7.603 | 0.000 |
| -0.000 | -0.000 | 0.000 | 0.000 | 0.000 | 7.603 |
| 3140.643 | 2474.358 | 2474.358 | 0.000 | 0.000 | 0.000 |
| 2474.358 | 3140.643 | 2474.358 | 0.000 | 0.000 | 0.000 |
| 2474.358 | 2474.358 | 3140.643 | 0.000 | 0.000 | 0.000 |
| -0.000 | -0.000 | 0.000 | 724.808 | 0.000 | 0.000 |
| -0.000 | 0.000 | -0.000 | 0.000 | 724.808 | 0.000 |
| -0.000 | -0.000 | 0.000 | 0.000 | 0.000 | 724.808 |
| 3140.643 | 2474.358 | 2474.358 | 0.000 | -0.000 | -0.000 |
| 2474.358 | 3140.643 | 2474.358 | -0.000 | 0.000 | -0.000 |
| 2474.358 | 2474.358 | 3140.643 | -0.000 | -0.000 | 0.000 |
| -0.000 | 0.000 | 0.000 | 724.808 | 0.000 | -0.000 |
| 0.000 | -0.000 | 0.000 | -0.000 | 724.808 | -0.000 |
| 0.000 | 0.000 | -0.000 | -0.000 | 0.000 | 724.808 |
| 3140.643 | 2474.358 | 2474.358 | 0.000 | 0.000 | 0.000 |
| 2474.358 | 3140.643 | 2474.358 | 0.000 | -0.000 | 0.000 |
| 2474.358 | 2474.358 | 3140.643 | 0.000 | 0.000 | 0.000 |
| -0.000 | -0.001 | -0.001 | 724.804 | -0.000 | -0.000 |
| -0.001 | -0.000 | -0.001 | 0.000 | 724.804 | 0.000 |
| -0.001 | -0.001 | -0.000 | -0.000 | -0.000 | 724.804 |
| 3140.644 | 2474.357 | 2474.357 | 0.000 | -0.000 | -0.000 |
| 2474.357 | 3140.644 | 2474.357 | -0.000 | 0.000 | -0.000 |
| 2474.357 | 2474.357 | 3140.644 | -0.000 | -0.000 | 0.000 |
| 0.000 | 0.001 | 0.001 | 724.804 | 0.000 | 0.000 |
| 0.001 | 0.000 | 0.001 | 0.000 | 724.804 | -0.000 |
| 0.001 | 0.001 | 0.000 | -0.000 | 0.000 | 724.804 |
| 3140.637 | 2474.362 | 2474.362 | -0.000 | 0.000 | 0.000 |
| 2474.362 | 3140.637 | 2474.362 | 0.000 | -0.000 | 0.000 |
| 2474.362 | 2474.362 | 3140.637 | 0.000 | 0.000 | -0.000 |
| -0.002 | -0.008 | -0.007 | 724.808 | -0.000 | -0.000 |
| -0.008 | -0.002 | -0.007 | -0.000 | 724.808 | 0.000 |
| -0.008 | -0.007 | -0.002 | -0.000 | -0.000 | 724.808 |
| 3140.650 | 2474.353 | 2474.353 | 0.000 | -0.000 | -0.000 |
| 2474.353 | 3140.650 | 2474.353 | -0.000 | 0.000 | -0.000 |
| 2474.353 | 2474.353 | 3140.650 | -0.000 | -0.000 | -0.000 |
| 0.002 | 0.008 | 0.007 | 724.808 | 0.000 | 0.000 |
| 0.008 | 0.002 | 0.007 | -0.000 | 724.808 | 0.000 |
| 0.008 | 0.007 | 0.002 | 0.000 | 0.000 | 724.808 |
| 4.453 | 4.452 | 4.452 | -0.000 | -0.000 | -0.000 |
| 4.452 | 4.453 | 4.452 | -0.000 | -0.000 | -0.000 |
| 4.452 | 4.452 | 4.453 | 0.000 | 0.000 | -0.000 |
| -0.000 | -0.000 | -0.000 | 0.001 | 0.000 | 0.000 |
| -0.000 | -0.000 | -0.000 | 0.000 | 0.001 | 0.000 |
| -0.000 | -0.000 | -0.000 | 0.000 | 0.000 | 0.001 |
| 4.453 | 4.452 | 4.452 | 0.000 | 0.000 | 0.000 |
| 4.452 | 4.453 | 4.452 | 0.000 | 0.000 | 0.000 |
| 4.452 | 4.452 | 4.453 | -0.000 | -0.000 | 0.000 |
| 0.000 | 0.000 | 0.000 | 0.001 | -0.000 | 0.000 |
| 0.000 | 0.000 | 0.000 | -0.000 | 0.001 | 0.000 |
| 0.000 | 0.000 | 0.000 | -0.000 | 0.000 | 0.001 |
| 4.453 | 4.452 | 4.452 | 0.000 | -0.000 | -0.000 |
| 4.452 | 4.453 | 4.452 | -0.000 | 0.000 | -0.000 |
| 4.452 | 4.452 | 4.453 | -0.000 | -0.000 | 0.000 |
| -0.000 | -0.000 | -0.000 | 0.001 | 0.000 | -0.000 |
| -0.000 | -0.000 | -0.000 | 0.000 | 0.001 | -0.000 |
| -0.000 | -0.000 | -0.000 | 0.000 | 0.000 | 0.001 |
| 4.453 | 4.452 | 4.452 | -0.000 | 0.000 | 0.000 |
| 4.452 | 4.453 | 4.452 | 0.000 | -0.000 | 0.000 |
| 4.452 | 4.452 | 4.453 | 0.000 | 0.000 | -0.000 |
| 0.000 | 0.000 | 0.000 | 0.001 | -0.000 | 0.000 |
| 0.000 | 0.000 | 0.000 | -0.000 | 0.001 | 0.000 |
| 0.000 | 0.000 | 0.000 | -0.000 | 0.000 | 0.001 |
| 4.453 | 4.452 | 4.452 | 0.000 | -0.000 | -0.000 |
| 4.452 | 4.453 | 4.452 | -0.000 | 0.000 | -0.000 |
| 4.452 | 4.452 | 4.453 | -0.000 | -0.000 | 0.000 |
| -0.000 | -0.000 | -0.000 | 0.001 | 0.000 | -0.000 |
| -0.000 | -0.000 | -0.000 | 0.000 | 0.001 | -0.000 |
| -0.000 | -0.000 | -0.000 | 0.000 | -0.000 | 0.001 |
| 4.453 | 4.451 | 4.451 | -0.000 | 0.000 | 0.000 |
| 4.451 | 4.453 | 4.451 | 0.000 | -0.000 | 0.000 |
| 4.451 | 4.451 | 4.453 | -0.000 | -0.000 | 0.000 |
| 0.000 | 0.000 | 0.000 | 0.001 | -0.000 | 0.000 |
| 0.000 | 0.000 | 0.000 | -0.000 | 0.001 | 0.000 |
| 0.000 | 0.000 | 0.000 | -0.000 | 0.000 | 0.001 |
| 3.764 | 3.760 | 3.760 | 0.000 | 0.000 | 0.000 |
| 3.760 | 3.764 | 3.760 | 0.000 | 0.000 | 0.000 |
| 3.760 | 3.760 | 3.764 | 0.000 | 0.000 | 0.000 |
| 0.000 | 0.000 | 0.000 | 0.002 | 0.000 | 0.000 |
| 0.000 | 0.000 | 0.000 | 0.000 | 0.002 | 0.000 |
| -0.000 | -0.000 | -0.000 | 0.000 | 0.000 | 0.002 |
| 3.764 | 3.760 | 3.760 | -0.000 | -0.000 | -0.000 |
| 3.760 | 3.764 | 3.760 | -0.000 | -0.000 | -0.000 |
| 3.760 | 3.760 | 3.764 | -0.000 | -0.000 | -0.000 |
| -0.000 | -0.000 | -0.000 | 0.002 | -0.000 | -0.000 |
| -0.000 | -0.000 | -0.000 | -0.000 | 0.002 | -0.000 |
| 0.000 | 0.000 | 0.000 | -0.000 | -0.000 | 0.002 |
| 3.764 | 3.760 | 3.760 | 0.000 | 0.000 | 0.000 |
| 3.760 | 3.764 | 3.760 | 0.000 | 0.000 | 0.000 |
| 3.760 | 3.760 | 3.764 | 0.000 | 0.000 | 0.000 |
| -0.000 | -0.000 | -0.000 | 0.002 | 0.000 | 0.000 |
| -0.000 | -0.000 | -0.000 | 0.000 | 0.002 | 0.000 |
| -0.000 | -0.000 | -0.000 | 0.000 | 0.000 | 0.002 |
| 3.764 | 3.760 | 3.760 | -0.000 | -0.000 | -0.000 |
| 3.760 | 3.764 | 3.760 | -0.000 | -0.000 | -0.000 |
| 3.760 | 3.760 | 3.764 | -0.000 | -0.000 | -0.000 |
| 0.000 | 0.000 | 0.000 | 0.002 | -0.000 | -0.000 |
| 0.000 | 0.000 | 0.000 | -0.000 | 0.002 | -0.000 |
| 0.000 | 0.000 | 0.000 | -0.000 | -0.000 | 0.002 |
| 3.764 | 3.760 | 3.760 | 0.000 | 0.000 | 0.000 |
| 3.760 | 3.764 | 3.760 | 0.000 | 0.000 | 0.000 |
| 3.760 | 3.760 | 3.764 | 0.000 | 0.000 | 0.000 |
| -0.000 | -0.000 | -0.000 | 0.002 | 0.000 | 0.000 |
| -0.000 | -0.000 | -0.000 | 0.000 | 0.002 | 0.000 |
| -0.000 | -0.000 | -0.000 | 0.000 | 0.000 | 0.002 |
| 3.764 | 3.760 | 3.760 | -0.000 | -0.000 | -0.000 |
| 3.760 | 3.764 | 3.760 | -0.000 | -0.000 | -0.000 |
| 3.760 | 3.760 | 3.764 | -0.000 | -0.000 | -0.000 |
| 0.000 | 0.000 | 0.000 | 0.002 | -0.000 | -0.000 |
| 0.000 | 0.000 | 0.000 | -0.000 | 0.002 | -0.000 |
| 0.000 | 0.000 | 0.000 | -0.000 | -0.000 | 0.002 |
| 578.206 | 578.206 | 578.206 | 0.000 | -0.000 | -0.000 |
| 578.206 | 578.206 | 578.206 | -0.000 | 0.000 | -0.000 |
| 578.206 | 578.206 | 578.206 | -0.000 | -0.000 | 0.000 |
| -0.000 | -0.000 | -0.000 | 0.000 | -0.000 | -0.000 |
| -0.000 | -0.000 | -0.000 | -0.000 | 0.000 | -0.000 |
| -0.000 | -0.000 | -0.000 | -0.000 | -0.000 | 0.000 |
| 578.206 | 578.206 | 578.206 | 0.000 | 0.000 | 0.000 |
| 578.206 | 578.206 | 578.206 | 0.000 | 0.000 | 0.000 |
| 578.206 | 578.206 | 578.206 | 0.000 | 0.000 | 0.000 |
| 0.000 | 0.000 | 0.000 | 0.000 | 0.000 | 0.000 |
| 0.000 | 0.000 | 0.000 | 0.000 | 0.000 | 0.000 |
| 0.000 | 0.000 | 0.000 | 0.000 | 0.000 | 0.000 |
| 578.206 | 578.206 | 578.206 | -0.000 | -0.000 | -0.000 |
| 578.206 | 578.206 | 578.206 | -0.000 | -0.000 | -0.000 |
| 578.206 | 578.206 | 578.206 | -0.000 | -0.000 | -0.000 |
| -0.000 | -0.000 | -0.000 | -0.000 | -0.000 | -0.000 |
| -0.000 | -0.000 | -0.000 | -0.000 | -0.000 | -0.000 |
| -0.000 | -0.000 | -0.000 | -0.000 | -0.000 | -0.000 |
| 578.206 | 578.205 | 578.205 | 0.000 | 0.000 | 0.000 |
| 578.205 | 578.206 | 578.205 | 0.000 | 0.000 | 0.000 |
| 578.205 | 578.205 | 578.206 | 0.000 | 0.000 | 0.000 |
| 0.000 | 0.000 | 0.000 | -0.000 | 0.000 | 0.000 |
| 0.000 | 0.000 | 0.000 | 0.000 | -0.000 | 0.000 |
| 0.000 | 0.000 | 0.000 | 0.000 | 0.000 | -0.000 |
| 578.209 | 578.210 | 578.210 | -0.000 | -0.000 | -0.000 |
| 578.210 | 578.209 | 578.210 | -0.000 | -0.000 | -0.000 |
| 578.210 | 578.210 | 578.209 | -0.000 | -0.000 | -0.000 |
| -0.001 | -0.001 | -0.001 | 0.000 | -0.000 | -0.000 |
| -0.001 | -0.001 | -0.001 | -0.000 | 0.000 | -0.000 |
| -0.001 | -0.001 | -0.001 | -0.000 | -0.000 | 0.000 |
| 578.203 | 578.202 | 578.202 | 0.000 | 0.000 | 0.000 |
| 578.202 | 578.203 | 578.202 | 0.000 | 0.000 | 0.000 |
| 578.202 | 578.202 | 578.203 | 0.000 | 0.000 | 0.000 |
| 0.001 | 0.001 | 0.001 | 0.000 | 0.000 | 0.000 |
| 0.001 | 0.001 | 0.001 | 0.000 | 0.000 | 0.000 |
| 0.001 | 0.001 | 0.001 | 0.000 | 0.000 | 0.000 |
| 11.897 | 11.897 | 11.897 | -0.000 | -0.000 | -0.000 |
| 11.897 | 11.897 | 11.897 | -0.000 | -0.000 | -0.000 |
| 11.897 | 11.897 | 11.897 | -0.000 | -0.000 | -0.000 |
| -0.000 | -0.000 | -0.000 | 0.000 | -0.000 | -0.000 |
| -0.000 | -0.000 | -0.000 | -0.000 | 0.000 | -0.000 |
| -0.000 | -0.000 | -0.000 | -0.000 | -0.000 | 0.000 |
| 11.897 | 11.897 | 11.897 | 0.000 | 0.000 | 0.000 |
| 11.897 | 11.897 | 11.897 | 0.000 | 0.000 | 0.000 |
| 11.897 | 11.897 | 11.897 | 0.000 | 0.000 | 0.000 |
| 0.000 | 0.000 | 0.000 | 0.000 | 0.000 | 0.000 |
| 0.000 | 0.000 | 0.000 | 0.000 | 0.000 | 0.000 |
| 0.000 | 0.000 | 0.000 | 0.000 | 0.000 | 0.000 |
| 11.897 | 11.897 | 11.897 | -0.000 | -0.000 | -0.000 |
| 11.897 | 11.897 | 11.897 | -0.000 | -0.000 | -0.000 |
| 11.897 | 11.897 | 11.897 | -0.000 | -0.000 | -0.000 |
| -0.000 | -0.000 | -0.000 | 0.000 | -0.000 | -0.000 |
| -0.000 | -0.000 | -0.000 | -0.000 | 0.000 | -0.000 |
| -0.000 | -0.000 | -0.000 | -0.000 | -0.000 | 0.000 |
| 11.897 | 11.897 | 11.897 | 0.000 | 0.000 | 0.000 |
| 11.897 | 11.897 | 11.897 | 0.000 | 0.000 | 0.000 |
| 11.897 | 11.897 | 11.897 | 0.000 | 0.000 | 0.000 |
| 0.000 | 0.000 | 0.000 | 0.000 | 0.000 | 0.000 |
| 0.000 | 0.000 | 0.000 | 0.000 | 0.000 | 0.000 |
| 0.000 | 0.000 | 0.000 | 0.000 | 0.000 | 0.000 |
| 11.898 | 11.898 | 11.898 | -0.000 | -0.000 | -0.000 |
| 11.898 | 11.898 | 11.898 | -0.000 | -0.000 | -0.000 |
| 11.898 | 11.898 | 11.898 | -0.000 | -0.000 | -0.000 |
| -0.000 | -0.000 | -0.000 | 0.000 | -0.000 | -0.000 |
| -0.000 | -0.000 | -0.000 | -0.000 | 0.000 | -0.000 |
| -0.000 | -0.000 | -0.000 | -0.000 | -0.000 | 0.000 |
| 11.897 | 11.897 | 11.897 | 0.000 | 0.000 | 0.000 |
| 11.897 | 11.897 | 11.897 | 0.000 | 0.000 | 0.000 |
| 11.897 | 11.897 | 11.897 | 0.000 | 0.000 | 0.000 |
| 0.000 | 0.000 | 0.000 | 0.000 | 0.000 | 0.000 |
| 0.000 | 0.000 | 0.000 | 0.000 | 0.000 | 0.000 |
| 0.000 | 0.000 | 0.000 | 0.000 | 0.000 | 0.000 |
| -20.448 | 1.938 | 28.360 | 0.000 | 0.000 | -0.000 |
| 1.938 | -20.448 | 28.360 | 0.000 | 0.000 | -0.000 |
| 28.360 | 28.360 | 52.296 | -0.000 | 0.000 | -0.000 |
| 0.000 | 0.000 | 0.000 | 26.779 | 0.000 | -0.000 |
| 0.000 | 0.000 | 0.000 | 0.000 | 26.779 | -0.000 |
| -0.000 | -0.000 | 0.000 | 0.000 | 0.000 | 1.984 |
| -20.448 | 1.938 | 28.360 | -0.000 | -0.000 | 0.000 |
| 1.938 | -20.448 | 28.360 | -0.000 | -0.000 | 0.000 |
| 28.360 | 28.360 | 52.296 | -0.000 | -0.000 | 0.000 |
| -0.000 | -0.000 | -0.000 | 26.779 | -0.000 | 0.000 |
| -0.000 | -0.000 | -0.000 | -0.000 | 26.779 | 0.000 |
| 0.000 | 0.000 | -0.000 | -0.000 | -0.000 | 1.984 |
| -20.448 | 1.938 | 28.360 | 0.000 | 0.000 | -0.000 |
| 1.938 | -20.448 | 28.360 | 0.000 | 0.000 | -0.000 |
| 28.360 | 28.360 | 52.296 | 0.000 | 0.000 | -0.000 |
| 0.000 | 0.000 | 0.000 | 26.779 | 0.000 | -0.000 |
| 0.000 | 0.000 | 0.000 | 0.000 | 26.779 | -0.000 |
| -0.000 | -0.000 | 0.000 | 0.000 | 0.000 | 1.984 |
| -20.448 | 1.938 | 28.360 | -0.000 | -0.000 | 0.000 |
| 1.938 | -20.448 | 28.360 | -0.000 | -0.000 | 0.000 |
| 28.360 | 28.360 | 52.296 | -0.000 | -0.000 | 0.000 |
| -0.000 | -0.000 | -0.000 | 26.779 | -0.000 | 0.000 |
| -0.000 | -0.000 | -0.000 | -0.000 | 26.779 | 0.000 |
| 0.000 | 0.000 | -0.000 | -0.000 | -0.000 | 1.984 |
| -20.447 | 1.938 | 28.360 | 0.000 | 0.000 | -0.000 |
| 1.938 | -20.447 | 28.360 | 0.000 | 0.000 | -0.000 |
| 28.360 | 28.360 | 52.296 | 0.000 | 0.000 | -0.000 |
| 0.000 | 0.000 | 0.000 | 26.779 | 0.000 | -0.000 |
| 0.000 | 0.000 | 0.000 | 0.000 | 26.779 | -0.000 |
| -0.000 | -0.000 | 0.000 | 0.000 | 0.000 | 1.984 |
| -20.448 | 1.938 | 28.360 | -0.000 | -0.000 | 0.000 |
| 1.938 | -20.448 | 28.360 | -0.000 | -0.000 | 0.000 |
| 28.360 | 28.360 | 52.296 | -0.000 | -0.000 | 0.000 |
| -0.000 | -0.000 | -0.000 | 26.779 | -0.000 | 0.000 |
| -0.000 | -0.000 | -0.000 | -0.000 | 26.779 | 0.000 |
| 0.000 | 0.000 | -0.000 | -0.000 | -0.000 | 1.984 |
| 25.672 | 5.857 | 11.105 | -0.000 | -0.000 | 0.000 |
| 5.857 | 25.672 | 11.105 | -0.000 | -0.000 | -0.000 |
| 11.105 | 11.105 | 21.550 | -0.000 | -0.000 | -0.000 |
| -0.000 | -0.000 | -0.000 | 11.232 | -0.000 | -0.000 |
| -0.000 | -0.000 | -0.000 | -0.000 | 11.232 | -0.000 |
| -0.000 | -0.000 | -0.000 | -0.000 | -0.000 | 5.935 |
| 25.672 | 5.857 | 11.105 | 0.000 | 0.000 | 0.000 |
| 5.857 | 25.672 | 11.105 | 0.000 | 0.000 | 0.000 |
| 11.105 | 11.105 | 21.550 | 0.000 | 0.000 | -0.000 |
| 0.000 | 0.000 | 0.000 | 11.232 | 0.000 | -0.000 |
| 0.000 | 0.000 | 0.000 | 0.000 | 11.232 | 0.000 |
| 0.000 | 0.000 | 0.000 | 0.000 | 0.000 | 5.935 |
| 25.672 | 5.857 | 11.105 | -0.000 | -0.000 | 0.000 |
| 5.857 | 25.672 | 11.105 | -0.000 | -0.000 | 0.000 |
| 11.105 | 11.105 | 21.550 | -0.000 | -0.000 | 0.000 |
| -0.000 | -0.000 | -0.000 | 11.232 | -0.000 | -0.000 |
| -0.000 | -0.000 | -0.000 | -0.000 | 11.232 | 0.000 |
| -0.000 | -0.000 | -0.000 | -0.000 | -0.000 | 5.935 |
| 25.672 | 5.857 | 11.105 | 0.000 | 0.000 | -0.000 |
| 5.857 | 25.672 | 11.105 | 0.000 | 0.000 | 0.000 |
| 11.105 | 11.105 | 21.550 | 0.000 | 0.000 | -0.000 |
| 0.000 | 0.000 | 0.000 | 11.232 | 0.000 | -0.000 |
| 0.000 | 0.000 | 0.000 | 0.000 | 11.232 | 0.000 |
| 0.000 | 0.000 | 0.000 | 0.000 | 0.000 | 5.935 |
| 25.671 | 5.857 | 11.105 | -0.000 | -0.000 | 0.000 |
| 5.857 | 25.671 | 11.105 | -0.000 | -0.000 | 0.000 |
| 11.105 | 11.105 | 21.550 | -0.000 | -0.000 | 0.000 |
| -0.000 | -0.000 | -0.000 | 11.232 | -0.000 | -0.000 |
| -0.000 | -0.000 | -0.000 | -0.000 | 11.232 | 0.000 |
| -0.000 | -0.000 | -0.000 | -0.000 | -0.000 | 5.935 |
| 25.672 | 5.857 | 11.105 | 0.000 | 0.000 | -0.000 |
| 5.857 | 25.672 | 11.105 | 0.000 | 0.000 | -0.000 |
| 11.105 | 11.105 | 21.550 | 0.000 | 0.000 | 0.000 |
| 0.000 | 0.000 | 0.000 | 11.232 | 0.000 | -0.000 |
| 0.000 | 0.000 | 0.000 | 0.000 | 11.232 | -0.000 |
| 0.000 | 0.000 | 0.000 | 0.000 | 0.000 | 5.935 |
| 2137.844 | 25.382 | 60.788 | 0.000 | -0.000 | -0.000 |
| 25.382 | 2137.844 | 60.788 | -0.000 | 0.000 | -0.000 |
| 60.788 | 60.788 | 153.386 | 0.000 | 0.000 | -0.000 |
| 0.000 | 0.000 | 0.000 | 55.166 | 0.000 | -0.000 |
| 0.000 | 0.000 | 0.000 | 0.000 | 55.166 | -0.000 |
| 0.000 | 0.000 | 0.000 | 0.000 | 0.000 | 20.740 |
| 2137.844 | 25.382 | 60.788 | -0.000 | 0.000 | 0.000 |
| 25.382 | 2137.844 | 60.788 | 0.000 | -0.000 | 0.000 |
| 60.788 | 60.788 | 153.386 | -0.000 | -0.000 | 0.000 |
| -0.000 | -0.000 | -0.000 | 55.166 | -0.000 | 0.000 |
| -0.000 | -0.000 | -0.000 | -0.000 | 55.166 | 0.000 |
| -0.000 | -0.000 | -0.000 | -0.000 | 0.000 | 20.740 |
| 2137.847 | 25.382 | 60.788 | 0.000 | 0.000 | -0.000 |
| 25.382 | 2137.847 | 60.788 | 0.000 | 0.000 | -0.000 |
| 60.788 | 60.788 | 153.386 | 0.000 | 0.000 | -0.000 |
| 0.000 | 0.000 | 0.000 | 55.166 | 0.000 | -0.000 |
| 0.000 | 0.000 | 0.000 | 0.000 | 55.166 | -0.000 |
| 0.000 | -0.000 | 0.000 | 0.000 | -0.000 | 20.740 |
| 2137.841 | 25.382 | 60.788 | -0.000 | 0.000 | 0.000 |
| 25.382 | 2137.841 | 60.788 | 0.000 | -0.000 | -0.000 |
| 60.788 | 60.788 | 153.386 | -0.000 | -0.000 | 0.000 |
| -0.000 | -0.000 | -0.000 | 55.166 | -0.000 | 0.000 |
| -0.000 | -0.000 | -0.000 | -0.000 | 55.166 | 0.000 |
| -0.000 | 0.000 | -0.000 | -0.000 | 0.000 | 20.740 |
| 2137.877 | 25.380 | 60.786 | 0.000 | -0.000 | -0.000 |
| 25.380 | 2137.877 | 60.786 | -0.000 | 0.000 | -0.000 |
| 60.789 | 60.789 | 153.390 | 0.000 | 0.000 | -0.000 |
| 0.001 | 0.000 | 0.002 | 55.166 | 0.000 | -0.000 |
| 0.000 | 0.001 | 0.002 | 0.000 | 55.166 | -0.000 |
| 0.000 | -0.001 | 0.001 | -0.000 | -0.000 | 20.740 |
| 2137.811 | 25.384 | 60.790 | -0.000 | 0.000 | 0.000 |
| 25.384 | 2137.811 | 60.790 | 0.000 | -0.000 | 0.000 |
| 60.787 | 60.787 | 153.382 | -0.000 | -0.000 | 0.000 |
| -0.001 | -0.000 | -0.002 | 55.166 | -0.000 | 0.000 |
| -0.000 | -0.001 | -0.002 | -0.000 | 55.166 | 0.000 |
| -0.000 | 0.001 | -0.001 | -0.000 | -0.000 | 20.740 |
| 47.296 | 15.310 | 29.682 | -0.000 | -0.000 | 0.000 |
| 15.310 | 47.296 | 29.682 | -0.000 | -0.000 | 0.000 |
| 29.682 | 29.682 | 64.733 | -0.000 | -0.000 | 0.000 |
| 0.000 | 0.000 | 0.000 | 30.537 | -0.000 | -0.000 |
| 0.000 | 0.000 | 0.000 | -0.000 | 30.537 | 0.000 |
| 0.000 | 0.000 | 0.000 | -0.000 | -0.000 | 14.917 |
| 47.296 | 15.310 | 29.682 | 0.000 | 0.000 | 0.000 |
| 15.310 | 47.296 | 29.682 | 0.000 | 0.000 | 0.000 |
| 29.682 | 29.682 | 64.733 | 0.000 | 0.000 | 0.000 |
| -0.000 | -0.000 | -0.000 | 30.537 | 0.000 | 0.000 |
| -0.000 | -0.000 | -0.000 | 0.000 | 30.537 | 0.000 |
| -0.000 | -0.000 | -0.000 | 0.000 | 0.000 | 14.917 |
| 47.296 | 15.310 | 29.682 | -0.000 | 0.000 | 0.000 |
| 15.310 | 47.296 | 29.682 | 0.000 | -0.000 | 0.000 |
| 29.682 | 29.682 | 64.733 | -0.000 | -0.000 | 0.000 |
| 0.000 | 0.000 | 0.000 | 30.537 | -0.000 | -0.000 |
| 0.000 | 0.000 | 0.000 | -0.000 | 30.537 | 0.000 |
| 0.000 | 0.000 | 0.000 | -0.000 | -0.000 | 14.917 |
| 47.296 | 15.310 | 29.682 | 0.000 | 0.000 | -0.000 |
| 15.310 | 47.296 | 29.682 | 0.000 | 0.000 | 0.000 |
| 29.682 | 29.682 | 64.732 | 0.000 | 0.000 | -0.000 |
| -0.000 | -0.000 | -0.000 | 30.537 | 0.000 | -0.000 |
| -0.000 | -0.000 | -0.000 | 0.000 | 30.537 | 0.000 |
| -0.000 | -0.000 | -0.000 | 0.000 | -0.000 | 14.917 |
| 47.295 | 15.310 | 29.682 | -0.000 | -0.000 | 0.000 |
| 15.310 | 47.295 | 29.682 | -0.000 | -0.000 | -0.000 |
| 29.682 | 29.682 | 64.734 | -0.000 | -0.000 | 0.000 |
| 0.000 | 0.000 | 0.000 | 30.537 | -0.000 | -0.000 |
| 0.000 | 0.000 | 0.000 | -0.000 | 30.537 | -0.000 |
| 0.000 | 0.000 | 0.000 | -0.000 | 0.000 | 14.917 |
| 47.297 | 15.310 | 29.682 | 0.000 | 0.000 | 0.000 |
| 15.310 | 47.297 | 29.682 | 0.000 | 0.000 | 0.000 |
| 29.681 | 29.681 | 64.731 | 0.000 | 0.000 | -0.000 |
| -0.000 | -0.000 | -0.000 | 30.537 | 0.000 | 0.000 |
| -0.000 | -0.000 | -0.000 | 0.000 | 30.537 | -0.000 |
| -0.000 | -0.000 | -0.000 | 0.000 | 0.000 | 14.917 |
| 10137.296 | 10137.296 | 8485.511 | -0.000 | 0.000 | 0.000 |
| 10137.296 | 10137.296 | 8485.511 | 0.000 | -0.000 | 0.000 |
| 8485.511 | 8485.511 | 7656.337 | -0.000 | -0.000 | -0.000 |
| 0.001 | 0.000 | 0.000 | 8483.807 | -0.000 | -0.000 |
| 0.000 | 0.001 | 0.000 | -0.000 | 8483.807 | -0.000 |
| 0.000 | 0.001 | 0.001 | 0.000 | 0.000 | 10136.076 |
| 10137.295 | 10137.294 | 8485.510 | 0.000 | -0.000 | 0.000 |
| 10137.294 | 10137.295 | 8485.510 | -0.000 | 0.000 | 0.000 |
| 8485.510 | 8485.510 | 7656.336 | 0.000 | 0.000 | 0.000 |
| -0.001 | -0.000 | -0.000 | 8483.807 | 0.000 | 0.000 |
| -0.000 | -0.001 | -0.000 | 0.000 | 8483.807 | 0.000 |
| -0.000 | -0.001 | -0.001 | -0.000 | -0.000 | 10136.076 |
| 10137.301 | 10137.303 | 8485.517 | -0.000 | -0.000 | -0.000 |
| 10137.303 | 10137.301 | 8485.517 | -0.000 | -0.000 | -0.000 |
| 8485.516 | 8485.516 | 7656.344 | -0.000 | -0.000 | -0.000 |
| 0.006 | 0.004 | 0.005 | 8483.807 | -0.000 | -0.000 |
| 0.004 | 0.006 | 0.005 | -0.000 | 8483.807 | -0.000 |
| 0.005 | 0.007 | 0.006 | 0.000 | 0.000 | 10136.076 |
| 10137.290 | 10137.288 | 8485.504 | 0.000 | -0.000 | 0.000 |
| 10137.288 | 10137.290 | 8485.504 | -0.000 | 0.000 | 0.000 |
| 8485.505 | 8485.505 | 7656.329 | 0.000 | 0.000 | 0.000 |
| -0.006 | -0.004 | -0.005 | 8483.807 | 0.000 | 0.000 |
| -0.004 | -0.006 | -0.005 | 0.000 | 8483.807 | 0.000 |
| -0.005 | -0.007 | -0.006 | -0.000 | -0.000 | 10136.076 |
| 10137.351 | 10137.371 | 8485.574 | -0.000 | 0.000 | -0.000 |
| 10137.371 | 10137.351 | 8485.574 | 0.000 | -0.000 | -0.000 |
| 8485.564 | 8485.564 | 7656.412 | -0.000 | -0.000 | -0.000 |
| 0.056 | 0.039 | 0.046 | 8483.807 | -0.000 | -0.000 |
| 0.039 | 0.056 | 0.046 | -0.000 | 8483.807 | -0.000 |
| 0.046 | 0.066 | 0.055 | 0.000 | 0.000 | 10136.076 |
| 10137.239 | 10137.219 | 8485.447 | 0.000 | -0.000 | 0.000 |
| 10137.219 | 10137.239 | 8485.447 | -0.000 | 0.000 | 0.000 |
| 8485.456 | 8485.456 | 7656.261 | 0.000 | 0.000 | 0.000 |
| -0.056 | -0.039 | -0.046 | 8483.807 | 0.000 | 0.000 |
| -0.039 | -0.056 | -0.046 | 0.000 | 8483.807 | 0.000 |
| -0.046 | -0.066 | -0.055 | -0.000 | -0.000 | 10136.076 |
| 115.878 | 77.180 | 77.180 | -0.000 | -0.000 | 0.000 |
| 77.180 | 115.878 | 77.180 | -0.000 | -0.000 | 0.000 |
| 77.180 | 77.180 | 115.878 | -0.000 | 0.000 | 0.000 |
| -0.000 | -0.000 | -0.000 | -0.707 | -0.000 | 0.000 |
| -0.000 | 0.000 | -0.000 | -0.000 | -0.707 | 0.000 |
| -0.000 | -0.000 | -0.000 | -0.000 | -0.000 | -0.707 |
| 115.882 | 77.181 | 77.181 | 0.000 | -0.000 | -0.000 |
| 77.181 | 115.882 | 77.181 | 0.000 | 0.000 | 0.000 |
| 77.181 | 77.181 | 115.882 | 0.000 | 0.000 | -0.000 |
| 0.000 | 0.000 | 0.000 | -0.707 | 0.000 | -0.000 |
| 0.000 | -0.000 | 0.000 | 0.000 | -0.707 | -0.000 |
| 0.000 | 0.000 | 0.000 | 0.000 | 0.000 | -0.707 |
| 115.864 | 77.178 | 77.178 | -0.000 | 0.000 | 0.000 |
| 77.178 | 115.864 | 77.178 | -0.000 | -0.000 | 0.000 |
| 77.178 | 77.178 | 115.864 | 0.000 | 0.000 | 0.000 |
| -0.000 | -0.000 | -0.000 | -0.707 | -0.000 | -0.000 |
| -0.000 | -0.000 | -0.000 | -0.000 | -0.707 | 0.000 |
| -0.000 | -0.000 | -0.000 | -0.000 | -0.000 | -0.707 |
| 115.896 | 77.183 | 77.183 | 0.000 | 0.000 | -0.000 |
| 77.183 | 115.896 | 77.183 | 0.000 | -0.000 | -0.000 |
| 77.183 | 77.183 | 115.896 | 0.000 | -0.000 | -0.000 |
| 0.000 | 0.000 | 0.000 | -0.707 | 0.000 | -0.000 |
| 0.000 | 0.000 | 0.000 | 0.000 | -0.707 | -0.000 |
| 0.000 | 0.000 | 0.000 | 0.000 | 0.000 | -0.707 |
| 115.721 | 77.151 | 77.151 | -0.000 | -0.000 | 0.000 |
| 77.151 | 115.721 | 77.151 | -0.000 | -0.000 | 0.000 |
| 77.151 | 77.151 | 115.721 | -0.000 | -0.000 | -0.000 |
| -0.000 | -0.000 | -0.000 | -0.707 | 0.000 | -0.000 |
| -0.000 | -0.000 | -0.000 | -0.000 | -0.707 | 0.000 |
| -0.000 | -0.000 | -0.000 | -0.000 | 0.000 | -0.707 |
| 116.039 | 77.209 | 77.209 | 0.000 | 0.000 | -0.000 |
| 77.209 | 116.039 | 77.209 | 0.000 | 0.000 | -0.000 |
| 77.209 | 77.209 | 116.039 | 0.000 | 0.000 | 0.000 |
| 0.000 | 0.000 | 0.000 | -0.707 | 0.000 | -0.000 |
| 0.000 | 0.000 | 0.000 | 0.000 | -0.707 | -0.000 |
| 0.000 | 0.000 | 0.000 | 0.000 | 0.000 | -0.707 |
| 37496.290 | 33276.168 | 33276.168 | -0.000 | 0.000 | -0.000 |
| 33276.168 | 37496.290 | 33276.168 | 0.000 | -0.000 | 0.000 |
| 33276.168 | 33276.167 | 37496.289 | 0.000 | 0.001 | -0.000 |
| 0.001 | 0.000 | 0.001 | 33278.300 | 0.000 | -0.000 |
| 0.000 | 0.001 | 0.001 | 0.000 | 33278.300 | -0.000 |
| 0.000 | 0.001 | 0.001 | 0.000 | 0.000 | 33278.300 |
| 37496.289 | 33276.166 | 33276.166 | -0.000 | -0.000 | 0.000 |
| 33276.166 | 37496.290 | 33276.166 | -0.000 | -0.000 | -0.000 |
| 33276.166 | 33276.166 | 37496.290 | -0.000 | -0.000 | 0.000 |
| -0.001 | -0.000 | -0.001 | 33278.300 | 0.000 | 0.000 |
| -0.000 | -0.001 | -0.001 | -0.000 | 33278.300 | 0.000 |
| -0.000 | -0.001 | -0.001 | -0.000 | -0.000 | 33278.300 |
| 37496.292 | 33276.179 | 33276.179 | 0.000 | 0.000 | -0.000 |
| 33276.179 | 37496.292 | 33276.179 | 0.000 | -0.000 | -0.000 |
| 33276.179 | 33276.179 | 37496.292 | 0.000 | 0.000 | -0.000 |
| -0.003 | -0.006 | -0.006 | 4720.074 | 0.000 | -0.000 |
| -0.006 | -0.003 | -0.006 | 0.000 | 4720.074 | -0.000 |
| -0.006 | -0.006 | -0.003 | -0.000 | 0.000 | 4720.074 |
| 37496.287 | 33276.154 | 33276.154 | 0.000 | 0.000 | 0.000 |
| 33276.154 | 37496.287 | 33276.154 | 0.000 | -0.000 | 0.000 |
| 33276.154 | 33276.154 | 37496.287 | -0.000 | -0.000 | 0.000 |
| 0.003 | 0.007 | 0.006 | 4720.074 | -0.000 | 0.000 |
| 0.007 | 0.003 | 0.006 | -0.000 | 4720.074 | 0.000 |
| 0.006 | 0.006 | 0.003 | -0.000 | -0.000 | 4720.074 |
| 37496.316 | 33276.291 | 33276.291 | 0.000 | -0.000 | -0.000 |
| 33276.291 | 37496.316 | 33276.291 | -0.000 | 0.000 | -0.000 |
| 33276.291 | 33276.291 | 37496.316 | 0.000 | -0.000 | -0.000 |
| -0.031 | -0.065 | -0.057 | 4720.074 | 0.000 | -0.000 |
| -0.065 | -0.031 | -0.057 | 0.000 | 4720.074 | -0.000 |
| -0.065 | -0.057 | -0.031 | -0.000 | 0.000 | 4720.074 |
| 37496.263 | 33276.043 | 33276.043 | 0.000 | -0.000 | 0.000 |
| 33276.043 | 37496.263 | 33276.043 | -0.000 | 0.000 | 0.000 |
| 33276.043 | 33276.043 | 37496.263 | 0.000 | -0.000 | 0.000 |
| 0.031 | 0.065 | 0.057 | 4720.074 | 0.000 | 0.000 |
| 0.065 | 0.031 | 0.057 | -0.000 | 4720.074 | 0.000 |
| 0.065 | 0.057 | 0.031 | 0.000 | -0.000 | 4720.074 |
| 35.401 | 7.471 | 7.471 | 0.000 | 0.000 | 0.000 |
| 7.471 | 35.401 | 7.471 | 0.000 | 0.000 | 0.000 |
| 7.471 | 7.471 | 35.401 | 0.000 | 0.000 | 0.000 |
| 0.000 | 0.000 | 0.000 | 5.423 | 0.000 | 0.000 |
| 0.000 | 0.000 | 0.000 | 0.000 | 5.423 | 0.000 |
| 0.000 | 0.000 | 0.000 | 0.000 | 0.000 | 5.423 |
| 35.401 | 7.471 | 7.471 | -0.000 | -0.000 | -0.000 |
| 7.471 | 35.401 | 7.471 | -0.000 | -0.000 | -0.000 |
| 7.471 | 7.471 | 35.401 | -0.000 | -0.000 | -0.000 |
| -0.000 | -0.000 | 0.000 | 5.423 | -0.000 | -0.000 |
| -0.000 | -0.000 | 0.000 | -0.000 | 5.423 | -0.000 |
| -0.000 | -0.000 | -0.000 | -0.000 | -0.000 | 5.423 |
| 35.401 | 7.471 | 7.471 | 0.000 | 0.000 | 0.000 |
| 7.471 | 35.401 | 7.471 | 0.000 | 0.000 | -0.000 |
| 7.471 | 7.471 | 35.401 | 0.000 | 0.000 | 0.000 |
| 0.000 | 0.000 | 0.000 | 5.423 | 0.000 | 0.000 |
| 0.000 | 0.000 | 0.000 | 0.000 | 5.423 | 0.000 |
| 0.000 | 0.000 | 0.000 | 0.000 | 0.000 | 5.423 |
| 35.401 | 7.471 | 7.471 | -0.000 | -0.000 | -0.000 |
| 7.471 | 35.401 | 7.471 | -0.000 | -0.000 | -0.000 |
| 7.471 | 7.471 | 35.401 | 0.000 | -0.000 | -0.000 |
| -0.000 | -0.000 | -0.000 | 5.423 | -0.000 | -0.000 |
| -0.000 | -0.000 | -0.000 | -0.000 | 5.423 | -0.000 |
| -0.000 | -0.000 | -0.000 | -0.000 | -0.000 | 5.423 |
| 35.401 | 7.471 | 7.471 | 0.000 | 0.000 | 0.000 |
| 7.471 | 35.401 | 7.471 | 0.000 | 0.000 | 0.000 |
| 7.471 | 7.471 | 35.401 | 0.000 | 0.000 | 0.000 |
| 0.000 | 0.000 | 0.000 | 6.626 | 0.000 | 0.000 |
| 0.000 | 0.000 | 0.000 | 0.000 | 6.626 | 0.000 |
| 0.000 | 0.000 | 0.000 | 0.000 | 0.000 | 6.626 |
| 35.401 | 7.471 | 7.471 | -0.000 | -0.000 | -0.000 |
| 7.471 | 35.401 | 7.471 | -0.000 | -0.000 | 0.000 |
| 7.471 | 7.471 | 35.401 | -0.000 | -0.000 | -0.000 |
| -0.000 | -0.000 | -0.000 | 6.626 | -0.000 | -0.000 |
| -0.000 | -0.000 | -0.000 | -0.000 | 6.626 | -0.000 |
| -0.000 | -0.000 | -0.000 | -0.000 | -0.000 | 6.626 |
| 3.365 | 4.245 | 4.245 | 0.000 | 0.000 | 0.000 |
| 4.245 | 3.365 | 4.245 | 0.000 | 0.000 | 0.000 |
| 4.245 | 4.245 | 3.365 | 0.000 | 0.000 | 0.000 |
| -0.000 | -0.000 | -0.000 | 4.311 | 0.000 | 0.000 |
| -0.000 | -0.000 | -0.000 | 0.000 | 4.311 | 0.000 |
| -0.000 | -0.000 | 0.000 | 0.000 | 0.000 | 4.311 |
| 3.365 | 4.245 | 4.245 | -0.000 | -0.000 | -0.000 |
| 4.245 | 3.365 | 4.245 | -0.000 | -0.000 | -0.000 |
| 4.245 | 4.245 | 3.365 | -0.000 | -0.000 | -0.000 |
| 0.000 | 0.000 | 0.000 | 4.311 | -0.000 | -0.000 |
| 0.000 | 0.000 | 0.000 | -0.000 | 4.311 | -0.000 |
| 0.000 | 0.000 | -0.000 | -0.000 | -0.000 | 4.311 |
| 3.365 | 4.245 | 4.245 | 0.000 | 0.000 | 0.000 |
| 4.245 | 3.365 | 4.245 | 0.000 | 0.000 | 0.000 |
| 4.245 | 4.245 | 3.365 | 0.000 | 0.000 | 0.000 |
| -0.000 | -0.000 | -0.000 | 0.310 | 0.000 | 0.000 |
| -0.000 | -0.000 | -0.000 | 0.000 | 0.310 | 0.000 |
| -0.000 | -0.000 | -0.000 | 0.000 | 0.000 | 0.310 |
| 3.365 | 4.245 | 4.245 | -0.000 | -0.000 | -0.000 |
| 4.245 | 3.365 | 4.245 | -0.000 | -0.000 | -0.000 |
| 4.245 | 4.245 | 3.365 | -0.000 | -0.000 | -0.000 |
| 0.000 | 0.000 | 0.000 | 0.310 | -0.000 | -0.000 |
| 0.000 | 0.000 | 0.000 | -0.000 | 0.310 | -0.000 |
| 0.000 | 0.000 | 0.000 | -0.000 | -0.000 | 0.310 |
| 3.364 | 4.245 | 4.245 | 0.000 | 0.000 | 0.000 |
| 4.245 | 3.364 | 4.245 | 0.000 | 0.000 | 0.000 |
| 4.245 | 4.245 | 3.364 | 0.000 | 0.000 | 0.000 |
| -0.000 | -0.000 | -0.000 | 1.911 | 0.000 | 0.000 |
| -0.000 | -0.000 | -0.000 | 0.000 | 1.911 | 0.000 |
| -0.000 | -0.000 | -0.000 | 0.000 | 0.000 | 1.911 |
| 3.366 | 4.245 | 4.245 | -0.000 | -0.000 | -0.000 |
| 4.245 | 3.366 | 4.245 | -0.000 | -0.000 | -0.000 |
| 4.245 | 4.245 | 3.366 | 0.000 | -0.000 | -0.000 |
| 0.000 | 0.000 | 0.000 | 1.911 | -0.000 | -0.000 |
| 0.000 | 0.000 | 0.000 | -0.000 | 1.911 | -0.000 |
| 0.000 | 0.000 | 0.000 | 0.000 | -0.000 | 1.911 |
| 4506.324 | 4506.324 | 4506.324 | -0.000 | -0.000 | -0.000 |
| 4506.324 | 4506.324 | 4506.324 | -0.000 | -0.000 | -0.000 |
| 4506.324 | 4506.324 | 4506.324 | -0.000 | -0.000 | -0.000 |
| -0.000 | -0.000 | -0.000 | -0.000 | 0.000 | -0.000 |
| -0.000 | -0.000 | -0.000 | 0.000 | -0.000 | -0.000 |
| -0.000 | -0.000 | -0.000 | 0.000 | 0.000 | -0.000 |
| 4506.324 | 4506.324 | 4506.324 | 0.000 | 0.000 | 0.000 |
| 4506.324 | 4506.324 | 4506.324 | 0.000 | 0.000 | 0.000 |
| 4506.324 | 4506.324 | 4506.324 | 0.000 | 0.000 | -0.000 |
| 0.000 | 0.000 | 0.000 | 0.000 | -0.000 | -0.000 |
| 0.000 | 0.000 | 0.000 | -0.000 | 0.000 | -0.000 |
| 0.000 | 0.000 | 0.000 | -0.000 | 0.000 | -0.000 |
| 4506.326 | 4506.327 | 4506.327 | -0.000 | -0.000 | -0.000 |
| 4506.327 | 4506.326 | 4506.327 | -0.000 | -0.000 | -0.000 |
| 4506.327 | 4506.327 | 4506.326 | -0.000 | -0.000 | -0.000 |
| -0.000 | -0.000 | -0.000 | -0.009 | 0.000 | -0.000 |
| -0.000 | -0.000 | -0.000 | 0.000 | -0.009 | -0.000 |
| -0.000 | -0.000 | -0.000 | 0.000 | -0.000 | -0.009 |
| 4506.322 | 4506.321 | 4506.321 | 0.000 | 0.000 | 0.000 |
| 4506.321 | 4506.322 | 4506.321 | 0.000 | 0.000 | 0.000 |
| 4506.321 | 4506.321 | 4506.322 | 0.000 | 0.000 | 0.000 |
| 0.000 | 0.000 | 0.000 | -0.009 | -0.000 | 0.000 |
| 0.000 | 0.000 | 0.000 | -0.000 | -0.009 | 0.000 |
| 0.000 | 0.000 | 0.000 | -0.000 | 0.000 | -0.009 |
| 4506.347 | 4506.356 | 4506.356 | -0.000 | -0.000 | -0.000 |
| 4506.356 | 4506.347 | 4506.356 | -0.000 | -0.000 | -0.000 |
| 4506.356 | 4506.356 | 4506.347 | -0.000 | -0.000 | 0.000 |
| -0.005 | -0.005 | -0.005 | 0.000 | -0.000 | -0.000 |
| -0.005 | -0.005 | -0.005 | -0.000 | 0.000 | -0.000 |
| -0.005 | -0.005 | -0.005 | -0.000 | -0.000 | 0.000 |
| 4506.301 | 4506.292 | 4506.292 | 0.000 | 0.000 | -0.000 |
| 4506.292 | 4506.301 | 4506.292 | 0.000 | 0.000 | -0.000 |
| 4506.292 | 4506.292 | 4506.301 | 0.000 | 0.000 | 0.000 |
| 0.005 | 0.005 | 0.005 | 0.000 | 0.000 | 0.000 |
| 0.005 | 0.005 | 0.005 | 0.000 | 0.000 | 0.000 |
| 0.005 | 0.005 | 0.005 | 0.000 | 0.000 | 0.000 |
| 19.256 | 19.256 | 19.256 | -0.000 | -0.000 | -0.000 |
| 19.256 | 19.256 | 19.256 | -0.000 | -0.000 | -0.000 |
| 19.256 | 19.256 | 19.256 | -0.000 | -0.000 | 0.000 |
| -0.000 | -0.000 | -0.000 | 0.000 | -0.000 | 0.000 |
| -0.000 | -0.000 | -0.000 | -0.000 | 0.000 | 0.000 |
| -0.000 | -0.000 | -0.000 | -0.000 | -0.000 | 0.000 |
| 19.256 | 19.256 | 19.256 | 0.000 | 0.000 | 0.000 |
| 19.256 | 19.256 | 19.256 | 0.000 | 0.000 | 0.000 |
| 19.256 | 19.256 | 19.256 | 0.000 | 0.000 | -0.000 |
| 0.000 | 0.000 | 0.000 | 0.000 | 0.000 | 0.000 |
| 0.000 | 0.000 | 0.000 | 0.000 | 0.000 | 0.000 |
| 0.000 | 0.000 | 0.000 | 0.000 | 0.000 | 0.000 |
| 19.256 | 19.256 | 19.256 | -0.000 | -0.000 | -0.000 |
| 19.256 | 19.256 | 19.256 | -0.000 | -0.000 | -0.000 |
| 19.256 | 19.256 | 19.256 | -0.000 | -0.000 | -0.000 |
| -0.000 | -0.000 | -0.000 | 0.000 | -0.000 | -0.000 |
| -0.000 | -0.000 | -0.000 | -0.000 | 0.000 | -0.000 |
| -0.000 | -0.000 | -0.000 | -0.000 | -0.000 | 0.000 |
| 19.256 | 19.256 | 19.256 | 0.000 | 0.000 | 0.000 |
| 19.256 | 19.256 | 19.256 | 0.000 | 0.000 | 0.000 |
| 19.256 | 19.256 | 19.256 | 0.000 | 0.000 | 0.000 |
| 0.000 | 0.000 | 0.000 | 0.000 | 0.000 | -0.000 |
| 0.000 | 0.000 | 0.000 | 0.000 | 0.000 | -0.000 |
| 0.000 | 0.000 | 0.000 | 0.000 | 0.000 | 0.000 |
| 19.256 | 19.256 | 19.256 | -0.000 | -0.000 | -0.000 |
| 19.256 | 19.256 | 19.256 | -0.000 | -0.000 | -0.000 |
| 19.256 | 19.256 | 19.256 | -0.000 | -0.000 | -0.000 |
| -0.000 | -0.000 | -0.000 | 0.000 | -0.000 | -0.000 |
| -0.000 | -0.000 | -0.000 | -0.000 | 0.000 | -0.000 |
| -0.000 | -0.000 | -0.000 | -0.000 | -0.000 | 0.000 |
| 19.255 | 19.255 | 19.255 | 0.000 | 0.000 | 0.000 |
| 19.255 | 19.255 | 19.255 | 0.000 | 0.000 | 0.000 |
| 19.255 | 19.255 | 19.255 | 0.000 | 0.000 | 0.000 |
| 0.000 | 0.000 | 0.000 | 0.000 | 0.000 | -0.000 |
| 0.000 | 0.000 | 0.000 | 0.000 | 0.000 | -0.000 |
| 0.000 | 0.000 | 0.000 | 0.000 | 0.000 | 0.000 |
| 253.704 | 234.309 | 234.309 | 0.000 | -0.000 | -0.000 |
| 234.309 | 253.704 | 234.309 | 0.000 | 0.000 | -0.000 |
| 234.309 | 234.309 | 253.704 | 0.000 | 0.000 | -0.000 |
| -0.000 | -0.000 | -0.000 | -87.160 | -0.000 | -0.000 |
| -0.000 | -0.000 | -0.000 | 0.000 | -87.160 | 0.000 |
| -0.000 | -0.000 | -0.000 | -0.000 | -0.000 | -87.160 |
| 272.740 | 224.798 | 224.798 | 0.000 | 0.000 | 0.000 |
| 224.798 | 272.740 | 224.798 | 0.000 | 0.000 | 0.000 |
| 224.798 | 224.798 | 272.740 | -0.000 | 0.000 | 0.000 |
| 0.000 | 0.000 | 0.000 | -87.160 | -0.000 | -0.000 |
| 0.000 | 0.000 | 0.000 | 0.000 | -87.160 | 0.000 |
| 0.000 | 0.000 | 0.000 | -0.000 | -0.000 | -87.160 |
| 253.683 | 234.287 | 234.287 | -0.000 | 0.000 | -0.000 |
| 234.287 | 253.683 | 234.287 | 0.000 | 0.000 | -0.000 |
| 234.287 | 234.287 | 253.683 | 0.000 | 0.000 | -0.000 |
| -0.000 | 0.000 | 0.000 | 2.238 | -0.000 | 0.000 |
| 0.000 | -0.000 | 0.000 | 0.000 | 2.238 | -0.000 |
| 0.000 | 0.000 | -0.000 | -0.000 | -0.000 | 2.238 |
| 272.761 | 224.820 | 224.820 | -0.000 | 0.000 | 0.000 |
| 224.820 | 272.761 | 224.820 | -0.000 | 0.000 | 0.000 |
| 224.820 | 224.820 | 272.761 | -0.000 | 0.000 | 0.000 |
| 0.000 | -0.000 | -0.000 | 2.238 | 0.000 | 0.000 |
| -0.000 | 0.000 | -0.000 | 0.000 | 2.238 | 0.000 |
| -0.000 | -0.000 | 0.000 | 0.000 | -0.000 | 2.238 |
| 253.468 | 234.073 | 234.073 | 0.000 | -0.000 | -0.000 |
| 234.073 | 253.468 | 234.073 | -0.000 | 0.000 | -0.000 |
| 234.073 | 234.073 | 253.468 | 0.000 | -0.000 | -0.000 |
| -0.001 | -0.001 | -0.001 | -87.160 | 0.000 | -0.000 |
| -0.001 | -0.001 | -0.001 | 0.000 | -87.160 | -0.000 |
| -0.001 | -0.001 | -0.001 | 0.000 | 0.000 | -87.160 |
| 253.945 | 234.550 | 234.550 | 0.000 | 0.000 | 0.000 |
| 234.550 | 253.945 | 234.550 | -0.000 | 0.000 | 0.000 |
| 234.550 | 234.550 | 253.945 | -0.000 | -0.000 | -0.000 |
| 0.001 | 0.001 | 0.001 | -87.160 | -0.000 | 0.000 |
| 0.001 | 0.001 | 0.001 | 0.000 | -87.160 | 0.000 |
| 0.001 | 0.001 | 0.001 | 0.000 | -0.000 | -87.160 |
| 38.309 | 13.663 | 13.663 | -0.000 | -0.000 | 0.000 |
| 13.663 | 38.309 | 13.663 | -0.000 | -0.000 | 0.000 |
| 13.663 | 13.663 | 38.309 | -0.000 | 0.000 | 0.000 |
| 0.000 | -0.000 | -0.000 | 6.344 | 0.000 | 0.000 |
| -0.000 | -0.000 | -0.000 | 0.000 | 6.344 | 0.000 |
| -0.000 | -0.000 | -0.000 | 0.000 | 0.000 | 6.344 |
| 38.309 | 13.663 | 13.663 | -0.000 | -0.000 | -0.000 |
| 13.663 | 38.309 | 13.663 | -0.000 | -0.000 | -0.000 |
| 13.663 | 13.663 | 38.309 | 0.000 | -0.000 | -0.000 |
| -0.000 | 0.000 | 0.000 | 6.344 | -0.000 | -0.000 |
| 0.000 | -0.000 | 0.000 | -0.000 | 6.344 | -0.000 |
| 0.000 | 0.000 | 0.000 | -0.000 | -0.000 | 6.344 |
| 38.309 | 13.663 | 13.663 | 0.000 | 0.000 | 0.000 |
| 13.663 | 38.309 | 13.663 | -0.000 | -0.000 | 0.000 |
| 13.663 | 13.663 | 38.309 | 0.000 | 0.000 | 0.000 |
| -0.000 | -0.000 | -0.000 | 6.344 | 0.000 | 0.000 |
| -0.000 | -0.000 | -0.000 | 0.000 | 6.344 | 0.000 |
| -0.000 | -0.000 | -0.000 | 0.000 | 0.000 | 6.344 |
| 41.134 | 12.251 | 12.251 | 0.000 | -0.000 | -0.000 |
| 12.251 | 41.134 | 12.251 | -0.000 | -0.000 | -0.000 |
| 12.251 | 12.251 | 41.134 | -0.000 | -0.000 | -0.000 |
| 0.000 | 0.000 | 0.000 | 6.344 | -0.000 | -0.000 |
| 0.000 | 0.000 | 0.000 | 0.000 | 6.344 | -0.000 |
| 0.000 | 0.000 | 0.000 | -0.000 | -0.000 | 6.344 |
| 38.308 | 13.663 | 13.663 | 0.000 | 0.000 | 0.000 |
| 13.663 | 38.308 | 13.663 | 0.000 | 0.000 | 0.000 |
| 13.663 | 13.663 | 38.308 | -0.000 | 0.000 | 0.000 |
| -0.000 | -0.000 | -0.000 | 6.344 | 0.000 | 0.000 |
| -0.000 | -0.000 | -0.000 | 0.000 | 6.344 | 0.000 |
| -0.000 | -0.000 | -0.000 | 0.000 | 0.000 | 6.344 |
| 38.310 | 13.663 | 13.663 | -0.000 | -0.000 | -0.000 |
| 13.663 | 38.310 | 13.663 | -0.000 | -0.000 | -0.000 |
| 13.663 | 13.663 | 38.310 | 0.000 | -0.000 | -0.000 |
| 0.000 | 0.000 | 0.000 | 6.344 | -0.000 | -0.000 |
| 0.000 | 0.000 | 0.000 | -0.000 | 6.344 | -0.000 |
| 0.000 | 0.000 | 0.000 | -0.000 | -0.000 | 6.344 |
| 17217.009 | 15486.034 | 15486.034 | 0.000 | 0.000 | -0.000 |
| 15486.034 | 17217.009 | 15486.034 | -0.000 | -0.000 | 0.000 |
| 15486.034 | 15486.034 | 17217.009 | 0.000 | -0.000 | 0.000 |
| -0.000 | -0.001 | -0.001 | -1.983 | -0.000 | -0.000 |
| -0.001 | -0.000 | -0.001 | -0.000 | -1.983 | -0.000 |
| -0.001 | -0.001 | -0.000 | -0.000 | -0.000 | -1.983 |
| 32762.861 | 7713.105 | 7713.105 | -0.000 | -0.000 | -0.000 |
| 7713.105 | 32762.861 | 7713.105 | -0.000 | -0.000 | -0.000 |
| 7713.105 | 7713.105 | 32762.861 | -0.000 | -0.000 | -0.000 |
| 0.000 | 0.001 | 0.001 | -1.983 | 0.000 | 0.000 |
| 0.001 | 0.000 | 0.001 | 0.000 | -1.983 | 0.000 |
| 0.001 | 0.001 | 0.000 | 0.000 | 0.000 | -1.983 |
| 17215.169 | 15486.960 | 15486.960 | 0.000 | -0.000 | 0.000 |
| 15486.960 | 17215.169 | 15486.960 | 0.000 | -0.000 | 0.000 |
| 15486.960 | 15486.960 | 17215.169 | 0.000 | -0.000 | 0.000 |
| 0.000 | -0.006 | -0.006 | -2.031 | -0.000 | -0.000 |
| -0.006 | 0.000 | -0.006 | 0.000 | -2.031 | -0.000 |
| -0.006 | -0.006 | 0.000 | -0.000 | -0.000 | -2.031 |
| 17219.159 | 15484.952 | 15484.952 | -0.000 | 0.000 | 0.000 |
| 15484.952 | 17219.159 | 15484.952 | 0.000 | 0.000 | -0.000 |
| 15484.952 | 15484.952 | 17219.159 | -0.000 | 0.000 | -0.000 |
| -0.000 | 0.006 | 0.006 | -2.031 | 0.000 | 0.000 |
| 0.006 | -0.000 | 0.006 | -0.000 | -2.031 | 0.000 |
| 0.006 | 0.006 | -0.000 | 0.000 | 0.000 | -2.031 |
| 17217.051 | 15486.076 | 15486.076 | -0.000 | 0.000 | 0.000 |
| 15486.076 | 17217.051 | 15486.076 | 0.000 | 0.000 | 0.000 |
| 15486.076 | 15486.076 | 17217.051 | 0.000 | 0.000 | 0.000 |
| 0.001 | -0.056 | -0.062 | -11.210 | -0.000 | -0.000 |
| -0.056 | 0.001 | -0.062 | -0.000 | -11.210 | 0.000 |
| -0.056 | -0.062 | 0.001 | 0.000 | -0.000 | -11.210 |
| 17217.367 | 15485.791 | 15485.791 | -0.000 | 0.000 | -0.000 |
| 15485.791 | 17217.367 | 15485.791 | -0.000 | -0.000 | 0.000 |
| 15485.791 | 15485.791 | 17217.367 | 0.000 | -0.000 | -0.000 |
| -0.001 | 0.056 | 0.062 | -11.210 | 0.000 | 0.000 |
| 0.056 | -0.001 | 0.062 | 0.000 | -11.210 | 0.000 |
| 0.056 | 0.062 | -0.001 | -0.000 | 0.000 | -11.210 |
| 61.118 | 15.441 | 15.441 | -0.000 | -0.000 | 0.000 |
| 15.441 | 61.118 | 15.441 | 0.000 | -0.000 | 0.000 |
| 15.441 | 15.441 | 61.118 | 0.000 | 0.000 | 0.000 |
| 0.000 | -0.000 | -0.000 | 0.381 | -0.000 | 0.000 |
| -0.000 | 0.000 | -0.000 | 0.000 | 0.381 | 0.000 |
| -0.000 | -0.000 | 0.000 | -0.000 | -0.000 | 0.381 |
| 61.118 | 15.441 | 15.441 | 0.000 | 0.000 | -0.000 |
| 15.441 | 61.118 | 15.441 | -0.000 | 0.000 | -0.000 |
| 15.441 | 15.441 | 61.118 | 0.000 | 0.000 | -0.000 |
| -0.000 | 0.000 | 0.000 | 0.381 | 0.000 | -0.000 |
| 0.000 | -0.000 | 0.000 | -0.000 | 0.381 | -0.000 |
| 0.000 | 0.000 | -0.000 | 0.000 | 0.000 | 0.381 |
| 61.118 | 15.441 | 15.441 | -0.000 | -0.000 | 0.000 |
| 15.441 | 61.118 | 15.441 | -0.000 | -0.000 | 0.000 |
| 15.441 | 15.441 | 61.118 | -0.000 | -0.000 | 0.000 |
| 0.000 | -0.000 | -0.000 | 0.381 | -0.000 | 0.000 |
| -0.000 | 0.000 | -0.000 | -0.000 | 0.381 | 0.000 |
| -0.000 | -0.000 | 0.000 | -0.000 | -0.000 | 0.381 |
| 61.118 | 15.441 | 15.441 | -0.000 | 0.000 | -0.000 |
| 15.441 | 61.118 | 15.441 | -0.000 | 0.000 | -0.000 |
| 15.441 | 15.441 | 61.118 | 0.000 | 0.000 | -0.000 |
| -0.000 | 0.000 | 0.000 | 0.381 | 0.000 | -0.000 |
| 0.000 | -0.000 | 0.000 | 0.000 | 0.381 | -0.000 |
| 0.000 | 0.000 | -0.000 | 0.000 | 0.000 | 0.381 |
| 61.118 | 15.441 | 15.441 | 0.000 | -0.000 | 0.000 |
| 15.441 | 61.118 | 15.441 | 0.000 | -0.000 | 0.000 |
| 15.441 | 15.441 | 61.118 | 0.000 | -0.000 | 0.000 |
| 0.000 | -0.000 | -0.000 | 0.381 | -0.000 | 0.000 |
| -0.000 | 0.000 | -0.000 | -0.000 | 0.381 | 0.000 |
| -0.000 | -0.000 | 0.000 | -0.000 | -0.000 | 0.381 |
| 61.117 | 15.440 | 15.440 | -0.000 | 0.000 | -0.000 |
| 15.440 | 61.117 | 15.440 | 0.000 | 0.000 | -0.000 |
| 15.440 | 15.440 | 61.117 | 0.000 | 0.000 | -0.000 |
| -0.000 | 0.000 | 0.000 | 0.381 | 0.000 | -0.000 |
| 0.000 | -0.000 | 0.000 | 0.000 | 0.381 | -0.000 |
| 0.000 | 0.000 | -0.000 | 0.000 | 0.000 | 0.381 |
| 195.232 | -0.000 | -0.000 | 0.000 | 0.000 | -0.000 |
| -0.000 | 195.232 | -0.000 | -0.000 | 0.000 | 0.000 |
| -0.000 | -0.000 | 195.232 | 0.000 | -0.000 | 0.000 |
| -0.000 | -0.000 | -0.000 | -0.000 | -0.000 | -0.000 |
| -0.000 | -0.000 | -0.000 | -0.000 | -0.000 | -0.000 |
| -0.000 | -0.000 | -0.000 | 0.000 | 0.000 | -0.000 |
| 195.232 | 0.000 | 0.000 | -0.000 | -0.000 | 0.000 |
| 0.000 | 195.232 | 0.000 | 0.000 | -0.000 | 0.000 |
| 0.000 | 0.000 | 195.232 | -0.000 | 0.000 | -0.000 |
| 0.000 | 0.000 | 0.000 | -0.000 | 0.000 | 0.000 |
| 0.000 | 0.000 | 0.000 | 0.000 | -0.000 | -0.000 |
| 0.000 | 0.000 | 0.000 | -0.000 | 0.000 | -0.000 |
| 195.232 | -0.000 | -0.000 | 0.000 | 0.000 | 0.000 |
| -0.000 | 195.232 | -0.000 | 0.000 | 0.000 | -0.000 |
| -0.000 | -0.000 | 195.232 | -0.000 | -0.000 | 0.000 |
| -0.000 | -0.000 | -0.000 | 0.000 | -0.000 | -0.000 |
| -0.000 | -0.000 | -0.000 | 0.000 | 0.000 | -0.000 |
| -0.000 | -0.000 | -0.000 | -0.000 | 0.000 | 0.000 |
| 195.232 | -0.000 | -0.000 | 0.000 | -0.000 | -0.000 |
| -0.000 | 195.232 | -0.000 | 0.000 | -0.000 | -0.000 |
| -0.000 | -0.000 | 195.232 | 0.000 | -0.000 | -0.000 |
| 0.000 | 0.000 | 0.000 | 0.000 | -0.000 | 0.000 |
| 0.000 | 0.000 | 0.000 | -0.000 | 0.000 | 0.000 |
| 0.000 | 0.000 | 0.000 | -0.000 | -0.000 | 0.000 |
| 195.235 | -0.000 | -0.000 | 0.000 | -0.000 | -0.000 |
| -0.000 | 195.235 | -0.000 | -0.000 | 0.000 | 0.000 |
| -0.000 | -0.000 | 195.235 | 0.000 | -0.000 | 0.000 |
| -0.000 | 0.000 | -0.000 | 0.000 | -0.000 | -0.000 |
| -0.000 | -0.000 | -0.000 | -0.000 | 0.000 | 0.000 |
| 0.000 | -0.000 | -0.000 | 0.000 | 0.000 | 0.000 |
| 195.229 | -0.000 | -0.000 | -0.000 | -0.000 | 0.000 |
| -0.000 | 195.229 | -0.000 | 0.000 | -0.000 | 0.000 |
| -0.000 | -0.000 | 195.229 | 0.000 | 0.000 | -0.000 |
| 0.000 | 0.000 | 0.000 | 0.000 | 0.000 | -0.000 |
| 0.000 | 0.000 | 0.000 | 0.000 | 0.000 | -0.000 |
| 0.000 | 0.000 | 0.000 | -0.000 | -0.000 | 0.000 |
| 29.923 | -0.000 | -0.000 | -0.000 | -0.000 | -0.000 |
| -0.000 | 29.923 | -0.000 | -0.000 | -0.000 | 0.000 |
| -0.000 | -0.000 | 29.923 | 0.000 | -0.000 | 0.000 |
| -0.000 | -0.000 | -0.000 | 0.000 | -0.000 | 0.000 |
| -0.000 | -0.000 | -0.000 | 0.000 | 0.000 | 0.000 |
| -0.000 | -0.000 | -0.000 | -0.000 | -0.000 | 0.000 |
| 29.923 | 0.000 | 0.000 | 0.000 | 0.000 | -0.000 |
| 0.000 | 29.923 | 0.000 | 0.000 | 0.000 | 0.000 |
| 0.000 | 0.000 | 29.923 | 0.000 | -0.000 | -0.000 |
| 0.000 | 0.000 | 0.000 | 0.000 | 0.000 | -0.000 |
| 0.000 | 0.000 | 0.000 | -0.000 | 0.000 | -0.000 |
| 0.000 | 0.000 | 0.000 | 0.000 | 0.000 | 0.000 |
| 29.923 | -0.000 | -0.000 | -0.000 | -0.000 | -0.000 |
| -0.000 | 29.923 | -0.000 | -0.000 | -0.000 | -0.000 |
| -0.000 | -0.000 | 29.923 | -0.000 | -0.000 | 0.000 |
| -0.000 | -0.000 | -0.000 | 0.000 | -0.000 | 0.000 |
| -0.000 | -0.000 | -0.000 | -0.000 | 0.000 | 0.000 |
| -0.000 | -0.000 | -0.000 | -0.000 | -0.000 | 0.000 |
| 29.923 | 0.000 | 0.000 | 0.000 | -0.000 | 0.000 |
| 0.000 | 29.923 | 0.000 | 0.000 | 0.000 | -0.000 |
| 0.000 | 0.000 | 29.923 | 0.000 | -0.000 | -0.000 |
| 0.000 | 0.000 | 0.000 | 0.000 | 0.000 | -0.000 |
| 0.000 | 0.000 | 0.000 | 0.000 | 0.000 | -0.000 |
| 0.000 | 0.000 | 0.000 | 0.000 | 0.000 | 0.000 |
| 29.923 | -0.000 | -0.000 | -0.000 | -0.000 | 0.000 |
| -0.000 | 29.923 | -0.000 | 0.000 | -0.000 | -0.000 |
| -0.000 | -0.000 | 29.923 | -0.000 | -0.000 | 0.000 |
| -0.000 | -0.000 | -0.000 | 0.000 | -0.000 | 0.000 |
| -0.000 | -0.000 | -0.000 | -0.000 | 0.000 | 0.000 |
| -0.000 | -0.000 | -0.000 | -0.000 | -0.000 | 0.000 |
| 29.922 | 0.000 | 0.000 | 0.000 | 0.000 | -0.000 |
| 0.000 | 29.922 | 0.000 | 0.000 | 0.000 | -0.000 |
| 0.000 | 0.000 | 29.922 | -0.000 | 0.000 | -0.000 |
| 0.000 | 0.000 | 0.000 | 0.000 | 0.000 | -0.000 |
| 0.000 | 0.000 | 0.000 | 0.000 | 0.000 | -0.000 |
| 0.000 | 0.000 | 0.000 | 0.000 | 0.000 | 0.000 |
| 124.222 | 108.925 | 108.925 | -0.000 | 0.000 | -0.000 |
| 108.925 | 124.222 | 108.925 | 0.000 | 0.000 | -0.000 |
| 108.925 | 108.925 | 124.222 | -0.000 | -0.000 | -0.000 |
| -0.000 | -0.000 | -0.000 | 6.823 | -0.000 | -0.000 |
| -0.000 | -0.000 | -0.000 | -0.000 | 6.823 | -0.000 |
| -0.000 | -0.000 | -0.000 | -0.000 | -0.000 | 6.823 |
| 124.219 | 108.922 | 108.922 | 0.000 | 0.000 | 0.000 |
| 108.922 | 124.219 | 108.922 | 0.000 | 0.000 | 0.000 |
| 108.922 | 108.922 | 124.219 | 0.000 | -0.000 | 0.000 |
| 0.000 | 0.000 | 0.000 | 6.823 | -0.000 | 0.000 |
| 0.000 | 0.000 | 0.000 | 0.000 | 6.823 | 0.000 |
| 0.000 | 0.000 | 0.000 | 0.000 | 0.000 | 6.823 |
| 124.233 | 108.936 | 108.936 | -0.000 | -0.000 | -0.000 |
| 108.936 | 124.233 | 108.936 | -0.000 | -0.000 | -0.000 |
| 108.936 | 108.936 | 124.233 | -0.000 | -0.000 | -0.000 |
| -0.000 | -0.000 | -0.000 | 6.823 | 0.000 | -0.000 |
| -0.000 | -0.000 | -0.000 | 0.000 | 6.823 | -0.000 |
| -0.000 | -0.000 | -0.000 | -0.000 | -0.000 | 6.823 |
| 124.208 | 108.911 | 108.911 | 0.000 | 0.000 | 0.000 |
| 108.911 | 124.208 | 108.911 | 0.000 | -0.000 | 0.000 |
| 108.911 | 108.911 | 124.208 | 0.000 | 0.000 | 0.000 |
| 0.000 | 0.000 | 0.000 | 6.823 | -0.000 | 0.000 |
| 0.000 | 0.000 | 0.000 | 0.000 | 6.823 | 0.000 |
| 0.000 | 0.000 | 0.000 | 0.000 | 0.000 | 6.823 |
| 124.345 | 109.049 | 109.049 | -0.000 | -0.000 | -0.000 |
| 109.049 | 124.345 | 109.049 | -0.000 | -0.000 | -0.000 |
| 109.049 | 109.049 | 124.345 | 0.000 | 0.000 | -0.000 |
| -0.000 | -0.000 | -0.000 | 6.823 | -0.000 | -0.000 |
| -0.000 | -0.000 | -0.000 | -0.000 | 6.823 | -0.000 |
| -0.000 | -0.000 | -0.000 | -0.000 | -0.000 | 6.823 |
| 124.096 | 108.799 | 108.799 | 0.000 | 0.000 | 0.000 |
| 108.799 | 124.096 | 108.799 | 0.000 | 0.000 | 0.000 |
| 108.799 | 108.799 | 124.096 | 0.000 | 0.000 | 0.000 |
| 0.000 | 0.000 | 0.000 | 6.823 | -0.000 | 0.000 |
| 0.000 | 0.000 | 0.000 | 0.000 | 6.823 | 0.000 |
| 0.000 | 0.000 | 0.000 | 0.000 | 0.000 | 6.823 |
| 51.767 | 9.521 | 9.521 | 0.000 | -0.000 | 0.000 |
| 9.521 | 51.767 | 9.521 | 0.000 | 0.000 | -0.000 |
| 9.521 | 9.521 | 51.767 | 0.000 | 0.000 | 0.000 |
| 0.000 | 0.000 | -0.000 | 9.866 | 0.000 | 0.000 |
| 0.000 | 0.000 | -0.000 | 0.000 | 9.866 | 0.000 |
| 0.000 | 0.000 | 0.000 | 0.000 | -0.000 | 9.866 |
| 51.767 | 9.521 | 9.521 | -0.000 | 0.000 | -0.000 |
| 9.521 | 51.767 | 9.521 | -0.000 | 0.000 | -0.000 |
| 9.521 | 9.521 | 51.767 | -0.000 | 0.000 | -0.000 |
| -0.000 | -0.000 | 0.000 | 9.866 | 0.000 | -0.000 |
| -0.000 | -0.000 | 0.000 | -0.000 | 9.866 | 0.000 |
| -0.000 | -0.000 | -0.000 | -0.000 | 0.000 | 9.866 |
| 51.767 | 9.521 | 9.521 | 0.000 | -0.000 | 0.000 |
| 9.521 | 51.767 | 9.521 | 0.000 | -0.000 | -0.000 |
| 9.521 | 9.521 | 51.767 | -0.000 | -0.000 | 0.000 |
| 0.000 | 0.000 | 0.000 | 8.718 | -0.000 | 0.000 |
| 0.000 | 0.000 | 0.000 | 0.000 | 8.718 | -0.000 |
| 0.000 | 0.000 | 0.000 | 0.000 | -0.000 | 8.718 |
| 51.767 | 9.521 | 9.521 | -0.000 | 0.000 | -0.000 |
| 9.521 | 51.767 | 9.521 | -0.000 | 0.000 | 0.000 |
| 9.521 | 9.521 | 51.767 | 0.000 | 0.000 | -0.000 |
| -0.000 | -0.000 | -0.000 | 8.718 | 0.000 | -0.000 |
| -0.000 | -0.000 | -0.000 | -0.000 | 8.718 | 0.000 |
| -0.000 | -0.000 | -0.000 | -0.000 | 0.000 | 8.718 |
| 51.767 | 9.521 | 9.521 | 0.000 | 0.000 | 0.000 |
| 9.521 | 51.767 | 9.521 | 0.000 | -0.000 | 0.000 |
| 9.521 | 9.521 | 51.767 | 0.000 | -0.000 | 0.000 |
| 0.000 | 0.000 | 0.000 | 8.718 | -0.000 | 0.000 |
| 0.000 | 0.000 | 0.000 | 0.000 | 8.718 | -0.000 |
| 0.000 | 0.000 | 0.000 | -0.000 | -0.000 | 8.718 |
| 51.767 | 9.521 | 9.521 | -0.000 | 0.000 | -0.000 |
| 9.521 | 51.767 | 9.521 | -0.000 | 0.000 | 0.000 |
| 9.521 | 9.521 | 51.767 | 0.000 | 0.000 | -0.000 |
| -0.000 | -0.000 | -0.000 | 8.718 | 0.000 | -0.000 |
| -0.000 | -0.000 | -0.000 | -0.000 | 8.718 | 0.000 |
| -0.000 | -0.000 | -0.000 | 0.000 | 0.000 | 8.718 |
| 3.879 | 11.871 | 11.871 | 0.000 | 0.000 | -0.000 |
| 11.871 | 3.879 | 11.871 | 0.000 | 0.000 | -0.000 |
| 11.871 | 11.871 | 3.879 | 0.000 | 0.000 | -0.000 |
| -0.000 | -0.000 | -0.000 | 11.996 | 0.000 | -0.000 |
| -0.000 | -0.000 | -0.000 | 0.000 | 11.996 | -0.000 |
| -0.000 | -0.000 | -0.000 | 0.000 | 0.000 | 11.996 |
| 3.880 | 11.871 | 11.871 | -0.000 | -0.000 | 0.000 |
| 11.871 | 3.880 | 11.871 | -0.000 | -0.000 | 0.000 |
| 11.871 | 11.871 | 3.880 | -0.000 | -0.000 | 0.000 |
| 0.000 | 0.000 | 0.000 | 11.996 | -0.000 | 0.000 |
| 0.000 | 0.000 | 0.000 | 0.000 | 11.996 | 0.000 |
| 0.000 | 0.000 | 0.000 | -0.000 | -0.000 | 11.996 |
| 3.879 | 11.871 | 11.871 | 0.000 | 0.000 | -0.000 |
| 11.871 | 3.879 | 11.871 | 0.000 | 0.000 | -0.000 |
| 11.871 | 11.871 | 3.879 | 0.000 | 0.000 | -0.000 |
| -0.000 | -0.000 | -0.000 | 10.541 | 0.000 | -0.000 |
| -0.000 | -0.000 | -0.000 | 0.000 | 10.541 | -0.000 |
| -0.000 | -0.000 | -0.000 | 0.000 | 0.000 | 10.541 |
| 3.880 | 11.871 | 11.871 | -0.000 | -0.000 | 0.000 |
| 11.871 | 3.880 | 11.871 | -0.000 | -0.000 | 0.000 |
| 11.871 | 11.871 | 3.880 | -0.000 | -0.000 | 0.000 |
| 0.000 | 0.000 | 0.000 | 10.541 | -0.000 | 0.000 |
| 0.000 | 0.000 | 0.000 | -0.000 | 10.541 | 0.000 |
| 0.000 | 0.000 | 0.000 | -0.000 | -0.000 | 10.541 |
| 3.879 | 11.871 | 11.871 | 0.000 | 0.000 | -0.000 |
| 11.871 | 3.879 | 11.871 | 0.000 | 0.000 | -0.000 |
| 11.871 | 11.871 | 3.879 | -0.000 | -0.000 | -0.000 |
| -0.000 | -0.000 | -0.000 | 10.541 | 0.000 | -0.000 |
| -0.000 | -0.000 | -0.000 | 0.000 | 10.541 | -0.000 |
| -0.000 | -0.000 | -0.000 | 0.000 | 0.000 | 10.541 |
| 3.880 | 11.871 | 11.871 | -0.000 | -0.000 | 0.000 |
| 11.871 | 3.880 | 11.871 | -0.000 | -0.000 | 0.000 |
| 11.871 | 11.871 | 3.880 | -0.000 | -0.000 | 0.000 |
| 0.000 | 0.000 | 0.000 | 10.541 | -0.000 | 0.000 |
| 0.000 | 0.000 | 0.000 | -0.000 | 10.541 | 0.000 |
| 0.000 | 0.000 | 0.000 | -0.000 | -0.000 | 10.541 |
| 6394.331 | 6394.331 | 6394.331 | 0.000 | 0.000 | -0.000 |
| 6394.331 | 6394.331 | 6394.331 | 0.000 | 0.000 | -0.000 |
| 6394.331 | 6394.331 | 6394.331 | 0.000 | 0.000 | -0.000 |
| 0.000 | 0.000 | 0.000 | 5322.333 | 0.000 | 0.000 |
| 0.000 | 0.000 | 0.000 | 0.000 | 5322.333 | 0.000 |
| 0.000 | 0.000 | 0.000 | 0.000 | 0.000 | 5322.333 |
| 6394.331 | 6394.330 | 6394.330 | -0.000 | -0.000 | 0.000 |
| 6394.330 | 6394.331 | 6394.330 | -0.000 | -0.000 | 0.000 |
| 6394.330 | 6394.330 | 6394.331 | -0.000 | -0.000 | 0.000 |
| -0.000 | -0.000 | -0.000 | 5322.333 | -0.000 | -0.000 |
| -0.000 | -0.000 | -0.000 | -0.000 | 5322.333 | -0.000 |
| -0.000 | -0.000 | -0.000 | -0.000 | -0.000 | 5322.333 |
| 6394.334 | 6394.335 | 6394.335 | 0.000 | 0.000 | -0.000 |
| 6394.335 | 6394.334 | 6394.335 | 0.000 | 0.000 | -0.000 |
| 6394.335 | 6394.335 | 6394.334 | 0.000 | 0.000 | -0.000 |
| 0.003 | 0.002 | 0.003 | 5322.332 | 0.000 | 0.000 |
| 0.002 | 0.003 | 0.003 | 0.000 | 5322.332 | 0.000 |
| 0.002 | 0.003 | 0.003 | 0.000 | 0.000 | 5322.332 |
| 6394.328 | 6394.326 | 6394.326 | -0.000 | -0.000 | 0.000 |
| 6394.326 | 6394.328 | 6394.326 | -0.000 | -0.000 | 0.000 |
| 6394.326 | 6394.326 | 6394.328 | -0.000 | -0.000 | 0.000 |
| -0.003 | -0.002 | -0.003 | 5322.332 | -0.000 | -0.000 |
| -0.002 | -0.003 | -0.003 | -0.000 | 5322.332 | -0.000 |
| -0.002 | -0.003 | -0.003 | -0.000 | -0.000 | 5322.332 |
| 6394.363 | 6394.376 | 6394.376 | 0.000 | 0.000 | 0.000 |
| 6394.376 | 6394.363 | 6394.376 | 0.000 | 0.000 | 0.000 |
| 6394.376 | 6394.376 | 6394.363 | 0.000 | 0.000 | 0.000 |
| 0.031 | 0.021 | 0.031 | 5322.333 | 0.000 | 0.000 |
| 0.021 | 0.031 | 0.031 | 0.000 | 5322.333 | 0.000 |
| 0.021 | 0.031 | 0.031 | 0.000 | 0.000 | 5322.333 |
| 6394.299 | 6394.286 | 6394.286 | -0.000 | -0.000 | -0.000 |
| 6394.286 | 6394.299 | 6394.286 | -0.000 | -0.000 | -0.000 |
| 6394.286 | 6394.286 | 6394.299 | -0.000 | -0.000 | -0.000 |
| -0.031 | -0.021 | -0.031 | 5322.333 | -0.000 | -0.000 |
| -0.021 | -0.031 | -0.031 | -0.000 | 5322.333 | -0.000 |
| -0.021 | -0.031 | -0.031 | -0.000 | -0.000 | 5322.333 |
| 28.169 | 28.168 | 28.168 | -0.000 | 0.000 | -0.000 |
| 28.168 | 28.169 | 28.168 | 0.000 | -0.000 | -0.000 |
| 28.168 | 28.168 | 28.169 | -0.000 | -0.000 | -0.000 |
| 0.000 | 0.000 | 0.000 | 27.677 | -0.000 | -0.000 |
| 0.000 | 0.000 | 0.000 | -0.000 | 27.677 | -0.000 |
| 0.000 | 0.000 | 0.000 | 0.000 | 0.000 | 27.677 |
| 28.169 | 28.168 | 28.168 | 0.000 | -0.000 | 0.000 |
| 28.168 | 28.169 | 28.168 | -0.000 | 0.000 | 0.000 |
| 28.168 | 28.168 | 28.169 | 0.000 | 0.000 | 0.000 |
| -0.000 | -0.000 | -0.000 | 27.677 | 0.000 | 0.000 |
| -0.000 | -0.000 | -0.000 | 0.000 | 27.677 | 0.000 |
| -0.000 | -0.000 | -0.000 | 0.000 | -0.000 | 27.677 |
| 28.169 | 28.168 | 28.168 | -0.000 | -0.000 | -0.000 |
| 28.168 | 28.169 | 28.168 | -0.000 | -0.000 | -0.000 |
| 28.168 | 28.168 | 28.169 | -0.000 | -0.000 | -0.000 |
| 0.000 | 0.000 | 0.000 | 27.677 | -0.000 | -0.000 |
| 0.000 | 0.000 | 0.000 | -0.000 | 27.677 | -0.000 |
| 0.000 | 0.000 | 0.000 | 0.000 | 0.000 | 27.677 |
| 28.169 | 28.168 | 28.168 | 0.000 | -0.000 | 0.000 |
| 28.168 | 28.169 | 28.168 | -0.000 | 0.000 | 0.000 |
| 28.168 | 28.168 | 28.169 | 0.000 | 0.000 | 0.000 |
| -0.000 | -0.000 | -0.000 | 27.677 | 0.000 | 0.000 |
| -0.000 | -0.000 | -0.000 | 0.000 | 27.677 | 0.000 |
| -0.000 | -0.000 | -0.000 | 0.000 | -0.000 | 27.677 |
| 28.169 | 28.168 | 28.168 | -0.000 | -0.000 | -0.000 |
| 28.168 | 28.169 | 28.168 | -0.000 | -0.000 | -0.000 |
| 28.168 | 28.168 | 28.169 | -0.000 | -0.000 | -0.000 |
| 0.000 | 0.000 | 0.000 | 27.677 | -0.000 | -0.000 |
| 0.000 | 0.000 | 0.000 | -0.000 | 27.677 | -0.000 |
| 0.000 | 0.000 | 0.000 | -0.000 | 0.000 | 27.677 |
| 28.169 | 28.167 | 28.167 | 0.000 | 0.000 | 0.000 |
| 28.167 | 28.169 | 28.167 | 0.000 | 0.000 | 0.000 |
| 28.167 | 28.167 | 28.169 | 0.000 | 0.000 | 0.000 |
| -0.000 | -0.000 | -0.000 | 27.677 | 0.000 | 0.000 |
| -0.000 | -0.000 | -0.000 | 0.000 | 27.677 | 0.000 |
| -0.000 | -0.000 | -0.000 | 0.000 | -0.000 | 27.677 |
| 281.743 | 254.366 | 254.366 | 0.000 | 0.000 | 0.000 |
| 254.366 | 281.743 | 254.366 | -0.000 | 0.000 | 0.000 |
| 254.366 | 254.366 | 281.743 | 0.000 | 0.000 | 0.000 |
| -0.000 | 0.000 | 0.000 | 57.921 | 0.000 | 0.000 |
| 0.000 | -0.000 | 0.000 | 0.000 | 57.921 | 0.000 |
| 0.000 | 0.000 | -0.000 | 0.000 | 0.000 | 57.921 |
| 281.744 | 254.367 | 254.367 | -0.000 | -0.000 | -0.000 |
| 254.367 | 281.744 | 254.367 | -0.000 | -0.000 | -0.000 |
| 254.367 | 254.367 | 281.744 | 0.000 | -0.000 | -0.000 |
| -0.000 | -0.000 | -0.000 | 57.921 | -0.000 | -0.000 |
| -0.000 | -0.000 | -0.000 | 0.000 | 57.921 | -0.000 |
| -0.000 | -0.000 | -0.000 | -0.000 | -0.000 | 57.921 |
| 281.741 | 254.364 | 254.364 | 0.000 | 0.000 | 0.000 |
| 254.364 | 281.741 | 254.364 | -0.000 | 0.000 | 0.000 |
| 254.364 | 254.364 | 281.741 | 0.000 | 0.000 | 0.000 |
| -0.000 | 0.000 | 0.000 | 57.921 | 0.000 | 0.000 |
| 0.000 | -0.000 | 0.000 | 0.000 | 57.921 | 0.000 |
| 0.000 | 0.000 | -0.000 | 0.000 | 0.000 | 57.921 |
| 281.746 | 254.369 | 254.369 | -0.000 | -0.000 | -0.000 |
| 254.369 | 281.746 | 254.369 | -0.000 | -0.000 | -0.000 |
| 254.369 | 254.369 | 281.746 | 0.000 | 0.000 | -0.000 |
| 0.000 | -0.000 | -0.000 | 57.921 | -0.000 | -0.000 |
| -0.000 | 0.000 | -0.000 | -0.000 | 57.921 | -0.000 |
| -0.000 | -0.000 | 0.000 | -0.000 | -0.000 | 57.921 |
| 281.721 | 254.346 | 254.346 | 0.000 | 0.000 | 0.000 |
| 254.346 | 281.721 | 254.346 | 0.000 | 0.000 | 0.000 |
| 254.346 | 254.346 | 281.721 | 0.000 | 0.000 | 0.000 |
| -0.000 | 0.000 | 0.001 | 57.921 | 0.000 | 0.000 |
| 0.000 | -0.000 | 0.001 | 0.000 | 57.921 | 0.000 |
| 0.000 | 0.001 | -0.000 | 0.000 | 0.000 | 57.921 |
| 281.766 | 254.387 | 254.387 | -0.000 | -0.000 | -0.000 |
| 254.387 | 281.766 | 254.387 | -0.000 | -0.000 | -0.000 |
| 254.387 | 254.387 | 281.766 | -0.000 | -0.000 | -0.000 |
| 0.000 | -0.000 | -0.001 | 57.921 | -0.000 | -0.000 |
| -0.000 | 0.000 | -0.001 | -0.000 | 57.921 | -0.000 |
| -0.000 | -0.001 | 0.000 | -0.000 | -0.000 | 57.921 |
| 13.940 | 30.492 | 30.492 | 0.000 | 0.000 | -0.000 |
| 30.492 | 13.940 | 30.492 | 0.000 | 0.000 | -0.000 |
| 30.492 | 30.492 | 13.940 | -0.000 | 0.000 | 0.000 |
| -0.000 | 0.000 | 0.000 | 29.982 | 0.000 | -0.000 |
| 0.000 | -0.000 | 0.000 | 0.000 | 29.982 | -0.000 |
| 0.000 | 0.000 | -0.000 | 0.000 | 0.000 | 29.982 |
| 13.940 | 30.492 | 30.492 | -0.000 | -0.000 | 0.000 |
| 30.492 | 13.940 | 30.492 | -0.000 | -0.000 | 0.000 |
| 30.492 | 30.492 | 13.940 | -0.000 | -0.000 | 0.000 |
| 0.000 | -0.000 | -0.000 | 29.982 | -0.000 | -0.000 |
| -0.000 | 0.000 | -0.000 | -0.000 | 29.982 | 0.000 |
| -0.000 | -0.000 | 0.000 | -0.000 | -0.000 | 29.982 |
| 13.940 | 30.492 | 30.492 | 0.000 | -0.000 | -0.000 |
| 30.492 | 13.940 | 30.492 | 0.000 | 0.000 | -0.000 |
| 30.492 | 30.492 | 13.940 | 0.000 | 0.000 | -0.000 |
| -0.000 | 0.000 | 0.000 | 29.982 | 0.000 | -0.000 |
| 0.000 | -0.000 | 0.000 | 0.000 | 29.982 | -0.000 |
| 0.000 | 0.000 | -0.000 | 0.000 | 0.000 | 29.982 |
| 13.940 | 30.492 | 30.492 | -0.000 | -0.000 | 0.000 |
| 30.492 | 13.940 | 30.492 | -0.000 | 0.000 | 0.000 |
| 30.492 | 30.492 | 13.940 | -0.000 | -0.000 | 0.000 |
| 0.000 | -0.000 | -0.000 | 29.982 | -0.000 | -0.000 |
| -0.000 | 0.000 | -0.000 | -0.000 | 29.982 | 0.000 |
| -0.000 | -0.000 | 0.000 | -0.000 | -0.000 | 29.982 |
| 13.942 | 30.492 | 30.492 | 0.000 | -0.000 | -0.000 |
| 30.492 | 13.942 | 30.492 | -0.000 | 0.000 | -0.000 |
| 30.492 | 30.492 | 13.942 | -0.000 | -0.000 | -0.000 |
| -0.000 | 0.000 | 0.000 | 29.982 | 0.000 | -0.000 |
| 0.000 | -0.000 | 0.000 | 0.000 | 29.982 | -0.000 |
| 0.000 | 0.000 | -0.000 | 0.000 | 0.000 | 29.982 |
| 13.938 | 30.492 | 30.492 | -0.000 | -0.000 | 0.000 |
| 30.492 | 13.938 | 30.492 | -0.000 | -0.000 | 0.000 |
| 30.492 | 30.492 | 13.938 | -0.000 | -0.000 | 0.000 |
| 0.000 | -0.000 | -0.000 | 29.982 | -0.000 | -0.000 |
| -0.000 | 0.000 | -0.000 | -0.000 | 29.982 | 0.000 |
| -0.000 | -0.000 | 0.000 | -0.000 | -0.000 | 29.982 |
| 28.634 | 14.262 | 14.262 | -0.000 | -0.000 | -0.000 |
| 14.262 | 28.634 | 14.262 | -0.000 | -0.000 | -0.000 |
| 14.262 | 14.262 | 28.634 | -0.000 | -0.000 | -0.000 |
| -0.000 | -0.000 | -0.000 | 14.321 | -0.000 | -0.000 |
| -0.000 | -0.000 | -0.000 | -0.000 | 14.321 | -0.000 |
| -0.000 | -0.000 | -0.000 | -0.000 | -0.000 | 14.321 |
| 28.634 | 14.262 | 14.262 | 0.000 | 0.000 | 0.000 |
| 14.262 | 28.634 | 14.262 | 0.000 | 0.000 | -0.000 |
| 14.262 | 14.262 | 28.634 | -0.000 | -0.000 | 0.000 |
| 0.000 | 0.000 | 0.000 | 14.321 | 0.000 | 0.000 |
| 0.000 | 0.000 | 0.000 | 0.000 | 14.321 | 0.000 |
| 0.000 | 0.000 | 0.000 | 0.000 | 0.000 | 14.321 |
| 28.634 | 14.262 | 14.262 | -0.000 | -0.000 | -0.000 |
| 14.262 | 28.634 | 14.262 | -0.000 | -0.000 | -0.000 |
| 14.262 | 14.262 | 28.634 | -0.000 | -0.000 | -0.000 |
| -0.000 | -0.000 | -0.000 | 14.321 | -0.000 | -0.000 |
| -0.000 | -0.000 | -0.000 | -0.000 | 14.321 | -0.000 |
| -0.000 | -0.000 | -0.000 | -0.000 | -0.000 | 14.321 |
| 28.634 | 14.262 | 14.262 | 0.000 | 0.000 | 0.000 |
| 14.262 | 28.634 | 14.262 | 0.000 | 0.000 | 0.000 |
| 14.262 | 14.262 | 28.634 | 0.000 | 0.000 | 0.000 |
| 0.000 | 0.000 | 0.000 | 14.321 | 0.000 | 0.000 |
| 0.000 | 0.000 | 0.000 | 0.000 | 14.321 | 0.000 |
| 0.000 | 0.000 | 0.000 | 0.000 | 0.000 | 14.321 |
| 28.634 | 14.262 | 14.262 | -0.000 | -0.000 | -0.000 |
| 14.262 | 28.634 | 14.262 | -0.000 | -0.000 | -0.000 |
| 14.262 | 14.262 | 28.634 | -0.000 | -0.000 | -0.000 |
| -0.000 | -0.000 | -0.000 | 14.321 | -0.000 | -0.000 |
| -0.000 | -0.000 | -0.000 | -0.000 | 14.321 | -0.000 |
| -0.000 | -0.000 | -0.000 | -0.000 | -0.000 | 14.321 |
| 28.634 | 14.262 | 14.262 | 0.000 | 0.000 | 0.000 |
| 14.262 | 28.634 | 14.262 | 0.000 | 0.000 | 0.000 |
| 14.262 | 14.262 | 28.634 | 0.000 | 0.000 | -0.000 |
| 0.000 | 0.000 | 0.000 | 14.321 | 0.000 | 0.000 |
| 0.000 | 0.000 | 0.000 | 0.000 | 14.321 | 0.000 |
| 0.000 | 0.000 | 0.000 | 0.000 | 0.000 | 14.321 |
| 25883.673 | 12965.751 | 12965.751 | -0.000 | -0.000 | 0.000 |
| 12965.751 | 25883.673 | 12965.751 | -0.000 | -0.000 | 0.000 |
| 12965.751 | 12965.751 | 25883.673 | -0.000 | -0.000 | 0.000 |
| -0.000 | 0.001 | 0.001 | 13110.870 | -0.000 | 0.000 |
| 0.001 | -0.000 | 0.001 | -0.000 | 13110.870 | 0.000 |
| 0.001 | 0.001 | -0.000 | -0.000 | 0.000 | 13110.870 |
| 25883.669 | 12965.748 | 12965.748 | 0.000 | -0.000 | -0.000 |
| 12965.748 | 25883.669 | 12965.748 | -0.000 | 0.000 | -0.000 |
| 12965.749 | 12965.749 | 25883.669 | 0.000 | 0.000 | -0.000 |
| 0.000 | -0.001 | -0.001 | 13110.870 | 0.000 | -0.000 |
| -0.001 | 0.000 | -0.001 | 0.000 | 13110.870 | -0.000 |
| -0.001 | -0.001 | 0.000 | 0.000 | -0.000 | 13110.870 |
| 25883.693 | 12965.762 | 12965.762 | -0.000 | -0.000 | 0.000 |
| 12965.762 | 25883.693 | 12965.762 | -0.000 | -0.000 | 0.000 |
| 12965.762 | 12965.762 | 25883.693 | -0.000 | -0.000 | 0.000 |
| -0.002 | 0.010 | 0.012 | 13110.870 | -0.000 | 0.000 |
| 0.010 | -0.002 | 0.012 | -0.000 | 13110.870 | 0.000 |
| 0.010 | 0.012 | -0.002 | -0.000 | 0.000 | 13110.870 |
| 25883.649 | 12965.737 | 12965.737 | 0.000 | -0.000 | -0.000 |
| 12965.737 | 25883.649 | 12965.737 | -0.000 | 0.000 | -0.000 |
| 12965.737 | 12965.737 | 25883.649 | 0.000 | 0.000 | -0.000 |
| 0.002 | -0.010 | -0.012 | 13110.870 | 0.000 | -0.000 |
| -0.010 | 0.002 | -0.012 | 0.000 | 13110.870 | -0.000 |
| -0.010 | -0.012 | 0.002 | 0.000 | -0.000 | 13110.870 |
| 25883.890 | 12965.876 | 12965.876 | -0.000 | -0.000 | 0.000 |
| 12965.876 | 25883.890 | 12965.876 | -0.000 | -0.000 | 0.000 |
| 12965.876 | 12965.876 | 25883.890 | -0.000 | -0.000 | 0.000 |
| -0.015 | 0.100 | 0.119 | 13110.870 | -0.000 | 0.000 |
| 0.100 | -0.015 | 0.119 | -0.000 | 13110.870 | 0.000 |
| 0.100 | 0.119 | -0.015 | -0.000 | 0.000 | 13110.870 |
| 25883.452 | 12965.623 | 12965.623 | 0.000 | -0.000 | -0.000 |
| 12965.623 | 25883.452 | 12965.623 | -0.000 | 0.000 | -0.000 |
| 12965.623 | 12965.623 | 25883.452 | 0.000 | 0.000 | -0.000 |
| 0.015 | -0.100 | -0.119 | 13110.870 | 0.000 | -0.000 |
| -0.100 | 0.015 | -0.119 | 0.000 | 13110.870 | -0.000 |
| -0.100 | -0.119 | 0.015 | 0.000 | -0.000 | 13110.870 |
| 58.037 | 28.955 | 28.955 | 0.000 | 0.000 | -0.000 |
| 28.955 | 58.037 | 28.955 | -0.000 | 0.000 | 0.000 |
| 28.955 | 28.955 | 58.037 | 0.000 | 0.000 | 0.000 |
| 0.000 | 0.000 | 0.000 | 28.801 | 0.000 | 0.000 |
| 0.000 | 0.000 | 0.000 | 0.000 | 28.801 | -0.000 |
| 0.000 | 0.000 | 0.000 | 0.000 | 0.000 | 28.801 |
| 58.037 | 28.955 | 28.955 | -0.000 | 0.000 | 0.000 |
| 28.955 | 58.037 | 28.955 | -0.000 | -0.000 | -0.000 |
| 28.955 | 28.955 | 58.037 | -0.000 | -0.000 | -0.000 |
| -0.000 | -0.000 | -0.000 | 28.801 | -0.000 | -0.000 |
| -0.000 | -0.000 | -0.000 | -0.000 | 28.801 | -0.000 |
| -0.000 | -0.000 | -0.000 | -0.000 | -0.000 | 28.801 |
| 58.037 | 28.955 | 28.955 | 0.000 | 0.000 | 0.000 |
| 28.955 | 58.037 | 28.955 | 0.000 | 0.000 | 0.000 |
| 28.955 | 28.955 | 58.037 | 0.000 | 0.000 | 0.000 |
| -0.000 | 0.000 | 0.000 | 28.801 | 0.000 | 0.000 |
| 0.000 | -0.000 | 0.000 | 0.000 | 28.801 | 0.000 |
| 0.000 | 0.000 | -0.000 | 0.000 | 0.000 | 28.801 |
| 58.037 | 28.955 | 28.955 | -0.000 | -0.000 | -0.000 |
| 28.955 | 58.037 | 28.955 | -0.000 | -0.000 | -0.000 |
| 28.955 | 28.955 | 58.037 | -0.000 | -0.000 | -0.000 |
| 0.000 | -0.000 | -0.000 | 28.801 | -0.000 | -0.000 |
| -0.000 | 0.000 | -0.000 | -0.000 | 28.801 | 0.000 |
| -0.000 | -0.000 | 0.000 | -0.000 | -0.000 | 28.801 |
| 58.038 | 28.955 | 28.955 | 0.000 | 0.000 | -0.000 |
| 28.955 | 58.038 | 28.955 | 0.000 | 0.000 | 0.000 |
| 28.955 | 28.955 | 58.038 | 0.000 | 0.000 | 0.000 |
| -0.000 | 0.000 | 0.000 | 28.801 | 0.000 | 0.000 |
| 0.000 | -0.000 | 0.000 | 0.000 | 28.801 | -0.000 |
| 0.000 | 0.000 | -0.000 | 0.000 | 0.000 | 28.801 |
| 58.036 | 28.954 | 28.954 | -0.000 | -0.000 | -0.000 |
| 28.954 | 58.036 | 28.954 | -0.000 | -0.000 | -0.000 |
| 28.954 | 28.954 | 58.036 | -0.000 | -0.000 | -0.000 |
| 0.000 | -0.000 | -0.000 | 28.801 | -0.000 | -0.000 |
| -0.000 | 0.000 | -0.000 | -0.000 | 28.801 | 0.000 |
| -0.000 | -0.000 | 0.000 | -0.000 | 0.000 | 28.801 |
| 94.199 | 86.213 | 86.213 | -0.000 | 0.000 | -0.000 |
| 86.213 | 94.199 | 86.213 | 0.000 | -0.000 | -0.000 |
| 86.213 | 86.213 | 94.199 | 0.000 | -0.000 | 0.000 |
| 0.000 | 0.000 | 0.000 | 17.401 | -0.000 | 0.000 |
| 0.000 | 0.000 | 0.000 | -0.000 | 17.401 | 0.000 |
| 0.000 | 0.000 | 0.000 | -0.000 | -0.000 | 17.401 |
| 94.196 | 86.211 | 86.211 | 0.000 | 0.000 | -0.000 |
| 86.211 | 94.196 | 86.211 | -0.000 | 0.000 | -0.000 |
| 86.211 | 86.211 | 94.196 | 0.000 | 0.000 | -0.000 |
| -0.000 | -0.000 | -0.000 | 17.401 | 0.000 | -0.000 |
| -0.000 | -0.000 | -0.000 | 0.000 | 17.401 | -0.000 |
| -0.000 | -0.000 | -0.000 | 0.000 | 0.000 | 17.401 |
| 94.211 | 86.226 | 86.226 | -0.000 | -0.000 | 0.000 |
| 86.226 | 94.211 | 86.226 | -0.000 | -0.000 | 0.000 |
| 86.226 | 86.226 | 94.211 | -0.000 | -0.000 | -0.000 |
| 0.000 | 0.000 | 0.000 | 17.401 | -0.000 | 0.000 |
| 0.000 | 0.000 | 0.000 | -0.000 | 17.401 | 0.000 |
| 0.000 | 0.000 | 0.000 | -0.000 | -0.000 | 17.401 |
| 94.183 | 86.198 | 86.198 | 0.000 | 0.000 | 0.000 |
| 86.198 | 94.183 | 86.198 | 0.000 | 0.000 | -0.000 |
| 86.198 | 86.198 | 94.183 | 0.000 | 0.000 | -0.000 |
| -0.000 | -0.000 | -0.000 | 17.401 | 0.000 | -0.000 |
| -0.000 | -0.000 | -0.000 | 0.000 | 17.401 | -0.000 |
| -0.000 | -0.000 | -0.000 | 0.000 | 0.000 | 17.401 |
| 94.335 | 86.350 | 86.350 | -0.000 | -0.000 | 0.000 |
| 86.350 | 94.335 | 86.350 | -0.000 | -0.000 | 0.000 |
| 86.350 | 86.350 | 94.335 | -0.000 | -0.000 | -0.000 |
| 0.000 | 0.000 | 0.000 | 17.401 | -0.000 | -0.000 |
| 0.000 | 0.000 | 0.000 | -0.000 | 17.401 | 0.000 |
| 0.000 | 0.000 | 0.000 | -0.000 | -0.000 | 17.401 |
| 94.059 | 86.074 | 86.074 | 0.000 | 0.000 | -0.000 |
| 86.074 | 94.059 | 86.074 | 0.000 | 0.000 | -0.000 |
| 86.074 | 86.074 | 94.059 | 0.000 | 0.000 | -0.000 |
| -0.000 | -0.000 | -0.000 | 17.401 | 0.000 | -0.000 |
| -0.000 | -0.000 | -0.000 | 0.000 | 17.401 | -0.000 |
| -0.000 | -0.000 | -0.000 | 0.000 | 0.000 | 17.401 |
| 114.817 | 106.775 | 106.775 | -0.000 | -0.000 | -0.000 |
| 106.775 | 114.817 | 106.775 | -0.000 | -0.000 | -0.000 |
| 106.775 | 106.775 | 114.817 | -0.000 | 0.000 | -0.000 |
| 0.000 | 0.000 | 0.000 | 17.418 | -0.000 | -0.000 |
| 0.000 | 0.000 | 0.000 | -0.000 | 17.418 | -0.000 |
| 0.000 | 0.000 | 0.000 | -0.000 | -0.000 | 17.418 |
| 114.823 | 106.781 | 106.781 | 0.000 | -0.000 | 0.000 |
| 106.781 | 114.823 | 106.781 | 0.000 | 0.000 | -0.000 |
| 106.781 | 106.781 | 114.823 | -0.000 | -0.000 | 0.000 |
| -0.000 | -0.000 | -0.000 | 17.418 | 0.000 | 0.000 |
| -0.000 | -0.000 | -0.000 | 0.000 | 17.418 | 0.000 |
| -0.000 | -0.000 | -0.000 | 0.000 | 0.000 | 17.418 |
| 114.791 | 106.749 | 106.749 | -0.000 | -0.000 | -0.000 |
| 106.749 | 114.791 | 106.749 | -0.000 | -0.000 | -0.000 |
| 106.749 | 106.749 | 114.791 | 0.000 | -0.000 | -0.000 |
| 0.000 | 0.000 | 0.000 | 17.418 | -0.000 | -0.000 |
| 0.000 | 0.000 | 0.000 | -0.000 | 17.418 | -0.000 |
| 0.000 | 0.000 | 0.000 | -0.000 | -0.000 | 17.418 |
| 114.849 | 106.807 | 106.807 | 0.000 | 0.000 | 0.000 |
| 106.807 | 114.849 | 106.807 | 0.000 | 0.000 | -0.000 |
| 106.807 | 106.807 | 114.849 | 0.000 | 0.000 | 0.000 |
| -0.000 | -0.000 | -0.000 | 17.418 | 0.000 | 0.000 |
| -0.000 | -0.000 | -0.000 | 0.000 | 17.418 | 0.000 |
| -0.000 | -0.000 | -0.000 | 0.000 | 0.000 | 17.418 |
| 114.528 | 106.485 | 106.485 | -0.000 | -0.000 | -0.000 |
| 106.485 | 114.528 | 106.485 | -0.000 | -0.000 | -0.000 |
| 106.485 | 106.485 | 114.528 | -0.000 | -0.000 | -0.000 |
| 0.000 | 0.000 | 0.000 | 17.418 | -0.000 | -0.000 |
| 0.000 | 0.000 | 0.000 | -0.000 | 17.418 | -0.000 |
| 0.000 | 0.000 | 0.000 | -0.000 | -0.000 | 17.418 |
| 115.112 | 107.070 | 107.070 | 0.000 | 0.000 | 0.000 |
| 107.070 | 115.112 | 107.070 | 0.000 | -0.000 | 0.000 |
| 107.070 | 107.070 | 115.112 | 0.000 | 0.000 | -0.000 |
| -0.000 | -0.000 | -0.000 | 17.418 | 0.000 | 0.000 |
| -0.000 | -0.000 | -0.000 | 0.000 | 17.418 | 0.000 |
| -0.000 | -0.000 | -0.000 | 0.000 | 0.000 | 17.418 |
| 13163626.379 | 9.615 | 9.615 | -0.000 | -0.000 | -0.000 |
| 9.615 | 13163626.379 | 9.615 | -0.000 | -0.000 | 0.000 |
| 9.615 | 9.615 | 13163626.379 | -0.000 | -0.000 | -0.000 |
| -0.000 | -0.000 | -0.000 | 10.203 | 0.000 | 0.000 |
| -0.000 | -0.000 | -0.000 | 0.000 | 10.203 | -0.000 |
| -0.000 | -0.000 | -0.000 | 0.000 | -0.000 | 10.203 |
| 19.275 | 9.611 | 9.611 | -0.000 | -0.000 | -0.000 |
| 9.611 | 19.275 | 9.611 | -0.000 | -0.000 | -0.000 |
| 9.611 | 9.611 | 19.275 | -0.000 | -0.000 | -0.000 |
| 0.000 | 0.000 | 0.000 | 10.203 | -0.000 | -0.000 |
| 0.000 | 0.000 | 0.000 | -0.000 | 10.203 | 0.000 |
| 0.000 | 0.000 | 0.000 | 0.000 | 0.000 | 10.203 |
| 1315950.139 | 9.615 | 9.615 | -0.000 | 0.000 | 0.000 |
| 9.615 | 1315950.139 | 9.615 | 0.000 | -0.000 | 0.000 |
| 9.615 | 9.615 | 1315950.139 | 0.000 | 0.000 | -0.000 |
| -0.000 | -0.000 | -0.000 | 10.203 | 0.000 | 0.000 |
| -0.000 | -0.000 | -0.000 | 0.000 | 10.203 | -0.000 |
| -0.000 | -0.000 | -0.000 | -0.000 | -0.000 | 10.203 |
| 19.275 | 9.611 | 9.611 | -0.000 | -0.000 | -0.000 |
| 9.611 | 19.275 | 9.611 | 0.000 | -0.000 | -0.000 |
| 9.611 | 9.611 | 19.275 | -0.000 | -0.000 | -0.000 |
| 0.000 | 0.000 | 0.000 | 10.203 | -0.000 | -0.000 |
| 0.000 | 0.000 | 0.000 | -0.000 | 10.203 | 0.000 |
| 0.000 | 0.000 | 0.000 | -0.000 | 0.000 | 10.203 |
| 131183.403 | 9.615 | 9.615 | -0.000 | -0.000 | -0.000 |
| 9.615 | 131183.403 | 9.615 | -0.000 | 0.000 | -0.000 |
| 9.615 | 9.615 | 131183.403 | -0.000 | -0.000 | 0.000 |
| -0.000 | -0.000 | -0.000 | 10.203 | 0.000 | 0.000 |
| -0.000 | -0.000 | -0.000 | 0.000 | 10.203 | -0.000 |
| -0.000 | -0.000 | -0.000 | 0.000 | -0.000 | 10.203 |
| 19.275 | 9.611 | 9.611 | -0.000 | 0.000 | 0.000 |
| 9.611 | 19.275 | 9.611 | 0.000 | -0.000 | -0.000 |
| 9.611 | 9.611 | 19.275 | -0.000 | -0.000 | -0.000 |
| 0.000 | 0.000 | 0.000 | 10.203 | -0.000 | -0.000 |
| 0.000 | 0.000 | 0.000 | -0.000 | 10.203 | 0.000 |
| 0.000 | 0.000 | 0.000 | 0.000 | 0.000 | 10.203 |
| 19.291 | 9.618 | 9.618 | 0.000 | 0.000 | 0.000 |
| 9.618 | 19.291 | 9.618 | 0.000 | 0.000 | 0.000 |
| 9.618 | 9.618 | 19.291 | 0.000 | 0.000 | 0.000 |
| 0.000 | -0.000 | -0.000 | 10.211 | 0.000 | 0.000 |
| -0.000 | 0.000 | -0.000 | 0.000 | 10.211 | 0.000 |
| -0.000 | -0.000 | 0.000 | 0.000 | 0.000 | 10.211 |
| 19.291 | 9.618 | 9.618 | -0.000 | -0.000 | -0.000 |
| 9.618 | 19.291 | 9.618 | -0.000 | -0.000 | -0.000 |
| 9.618 | 9.618 | 19.291 | -0.000 | -0.000 | -0.000 |
| -0.000 | 0.000 | 0.000 | 10.211 | -0.000 | -0.000 |
| 0.000 | -0.000 | 0.000 | -0.000 | 10.211 | -0.000 |
| 0.000 | 0.000 | -0.000 | -0.000 | -0.000 | 10.211 |
| 19.291 | 9.618 | 9.618 | 0.000 | 0.000 | 0.000 |
| 9.618 | 19.291 | 9.618 | 0.000 | 0.000 | 0.000 |
| 9.618 | 9.618 | 19.291 | 0.000 | 0.000 | 0.000 |
| -0.000 | -0.000 | -0.000 | 10.211 | 0.000 | 0.000 |
| -0.000 | -0.000 | -0.000 | 0.000 | 10.211 | 0.000 |
| -0.000 | -0.000 | -0.000 | 0.000 | 0.000 | 10.211 |
| 19.291 | 9.618 | 9.618 | -0.000 | -0.000 | -0.000 |
| 9.618 | 19.291 | 9.618 | -0.000 | -0.000 | -0.000 |
| 9.618 | 9.618 | 19.291 | -0.000 | -0.000 | -0.000 |
| 0.000 | 0.000 | 0.000 | 10.211 | -0.000 | -0.000 |
| 0.000 | 0.000 | 0.000 | -0.000 | 10.211 | -0.000 |
| 0.000 | 0.000 | 0.000 | -0.000 | -0.000 | 10.211 |
| 19.291 | 9.618 | 9.618 | 0.000 | 0.000 | 0.000 |
| 9.618 | 19.291 | 9.618 | 0.000 | 0.000 | 0.000 |
| 9.618 | 9.618 | 19.291 | 0.000 | 0.000 | 0.000 |
| -0.000 | -0.000 | -0.000 | 10.211 | 0.000 | 0.000 |
| -0.000 | -0.000 | -0.000 | 0.000 | 10.211 | 0.000 |
| -0.000 | -0.000 | -0.000 | 0.000 | 0.000 | 10.211 |
| 19.291 | 9.618 | 9.618 | -0.000 | -0.000 | -0.000 |
| 9.618 | 19.291 | 9.618 | -0.000 | -0.000 | -0.000 |
| 9.618 | 9.618 | 19.291 | -0.000 | -0.000 | -0.000 |
| 0.000 | 0.000 | 0.000 | 10.211 | -0.000 | -0.000 |
| 0.000 | 0.000 | 0.000 | -0.000 | 10.211 | -0.000 |
| 0.000 | 0.000 | 0.000 | -0.000 | -0.000 | 10.211 |
| 122.908 | 61.448 | 61.448 | 0.000 | -0.000 | -0.000 |
| 61.448 | 122.908 | 61.448 | -0.000 | 0.000 | 0.000 |
| 61.448 | 61.448 | 122.908 | 0.000 | 0.000 | 0.000 |
| -0.000 | -0.000 | -0.000 | 61.468 | -0.000 | -0.000 |
| -0.000 | -0.000 | -0.000 | -0.000 | 61.468 | 0.000 |
| -0.000 | -0.000 | -0.000 | -0.000 | 0.000 | 61.468 |
| 122.908 | 61.448 | 61.448 | -0.000 | 0.000 | 0.000 |
| 61.448 | 122.908 | 61.448 | 0.000 | -0.000 | 0.000 |
| 61.448 | 61.448 | 122.908 | 0.000 | 0.000 | -0.000 |
| 0.000 | 0.000 | 0.000 | 61.468 | 0.000 | 0.000 |
| 0.000 | 0.000 | 0.000 | 0.000 | 61.468 | -0.000 |
| 0.000 | 0.000 | 0.000 | 0.000 | -0.000 | 61.468 |
| 122.908 | 61.448 | 61.448 | 0.000 | -0.000 | -0.000 |
| 61.448 | 122.908 | 61.448 | -0.000 | 0.000 | 0.000 |
| 61.448 | 61.448 | 122.908 | 0.000 | 0.000 | 0.000 |
| -0.000 | -0.000 | -0.000 | 61.468 | -0.000 | -0.000 |
| -0.000 | -0.000 | -0.000 | -0.000 | 61.468 | 0.000 |
| -0.000 | -0.000 | -0.000 | -0.000 | 0.000 | 61.468 |
| 122.908 | 61.448 | 61.448 | -0.000 | -0.000 | -0.000 |
| 61.448 | 122.908 | 61.448 | -0.000 | 0.000 | -0.000 |
| 61.448 | 61.448 | 122.908 | -0.000 | -0.000 | -0.000 |
| 0.000 | 0.000 | 0.000 | 61.468 | 0.000 | 0.000 |
| 0.000 | 0.000 | 0.000 | 0.000 | 61.468 | -0.000 |
| 0.000 | 0.000 | 0.000 | -0.000 | -0.000 | 61.468 |
| 122.907 | 61.448 | 61.448 | 0.000 | -0.000 | -0.000 |
| 61.448 | 122.907 | 61.448 | -0.000 | 0.000 | -0.000 |
| 61.448 | 61.448 | 122.907 | -0.000 | -0.000 | 0.000 |
| -0.000 | -0.000 | -0.000 | 61.468 | -0.000 | -0.000 |
| -0.000 | -0.000 | -0.000 | -0.000 | 61.468 | 0.000 |
| -0.000 | -0.000 | -0.000 | -0.000 | 0.000 | 61.468 |
| 122.909 | 61.449 | 61.449 | -0.000 | 0.000 | 0.000 |
| 61.449 | 122.909 | 61.449 | 0.000 | -0.000 | 0.000 |
| 61.449 | 61.449 | 122.909 | 0.000 | 0.000 | -0.000 |
| 0.000 | 0.000 | 0.000 | 61.468 | 0.000 | 0.000 |
| 0.000 | 0.000 | 0.000 | 0.000 | 61.468 | -0.000 |
| 0.000 | 0.000 | 0.000 | -0.000 | -0.000 | 61.468 |
| 227.969 | 121.583 | 121.583 | -0.000 | -0.000 | -0.000 |
| 121.583 | 227.969 | 121.583 | -0.000 | -0.000 | 0.000 |
| 121.583 | 121.583 | 227.969 | -0.000 | 0.000 | -0.000 |
| 0.000 | 0.000 | 0.000 | 3.470 | 0.000 | -0.000 |
| 0.000 | 0.000 | 0.000 | -0.000 | 3.470 | 0.000 |
| 0.000 | 0.000 | 0.000 | -0.000 | -0.000 | 3.470 |
| 227.969 | 121.583 | 121.583 | 0.000 | 0.000 | 0.000 |
| 121.583 | 227.969 | 121.583 | 0.000 | 0.000 | -0.000 |
| 121.583 | 121.583 | 227.969 | 0.000 | 0.000 | 0.000 |
| -0.000 | -0.000 | -0.000 | 3.470 | -0.000 | 0.000 |
| -0.000 | -0.000 | -0.000 | 0.000 | 3.470 | 0.000 |
| -0.000 | -0.000 | -0.000 | 0.000 | 0.000 | 3.470 |
| 227.967 | 121.582 | 121.582 | -0.000 | -0.000 | -0.000 |
| 121.582 | 227.967 | 121.582 | -0.000 | -0.000 | 0.000 |
| 121.582 | 121.582 | 227.967 | -0.000 | 0.000 | 0.000 |
| 0.000 | 0.001 | 0.001 | -5.841 | 0.000 | -0.000 |
| 0.001 | 0.000 | 0.001 | -0.000 | -5.841 | -0.000 |
| 0.001 | 0.001 | 0.000 | -0.000 | -0.000 | -5.841 |
| 228.604 | 121.268 | 121.268 | 0.000 | -0.000 | 0.000 |
| 121.268 | 228.604 | 121.268 | 0.000 | 0.000 | 0.000 |
| 121.268 | 121.268 | 228.604 | -0.000 | 0.000 | 0.000 |
| -0.000 | -0.001 | -0.001 | -5.841 | -0.000 | -0.000 |
| -0.001 | -0.000 | -0.001 | 0.000 | -5.841 | 0.000 |
| -0.001 | -0.001 | -0.000 | 0.000 | -0.000 | -5.841 |
| 227.956 | 121.570 | 121.570 | -0.000 | -0.000 | 0.000 |
| 121.570 | 227.956 | 121.570 | -0.000 | 0.000 | 0.000 |
| 121.570 | 121.570 | 227.956 | -0.000 | -0.000 | -0.000 |
| 0.005 | 0.006 | 0.006 | 3.470 | 0.000 | 0.000 |
| 0.006 | 0.005 | 0.006 | -0.000 | 3.470 | -0.000 |
| 0.006 | 0.006 | 0.005 | -0.000 | -0.000 | 3.470 |
| 228.616 | 121.280 | 121.280 | 0.000 | 0.000 | 0.000 |
| 121.280 | 228.616 | 121.280 | 0.000 | -0.000 | 0.000 |
| 121.280 | 121.280 | 228.616 | 0.000 | -0.000 | 0.000 |
| -0.005 | -0.006 | -0.006 | 3.470 | 0.000 | 0.000 |
| -0.006 | -0.005 | -0.006 | 0.000 | 3.470 | -0.000 |
| -0.006 | -0.006 | -0.005 | 0.000 | 0.000 | 3.470 |
| -320.741 | 234.105 | 234.105 | 0.000 | -0.000 | 0.000 |
| 234.105 | -320.741 | 234.105 | -0.000 | 0.000 | -0.000 |
| 234.105 | 234.105 | -320.741 | 0.000 | 0.000 | 0.000 |
| -0.000 | -0.000 | -0.000 | 8.654 | 0.000 | 0.000 |
| -0.000 | -0.000 | -0.000 | 0.000 | 8.654 | 0.000 |
| -0.000 | -0.000 | -0.000 | 0.000 | 0.000 | 8.654 |
| 119939848.874 | 129707786.715 | 130270638.296 | 678834.283 | 403983.215 | -1926309.075 |
| 128214913.598 | 112910598.019 | 128576926.221 | 468603.900 | -477766.657 | 1004196.403 |
| 133611762.573 | 128248186.414 | 115699235.470 | 192770.128 | 1121754.257 | -2610213.698 |
| 0.000 | 0.000 | 0.000 | 8.654 | -0.000 | -0.000 |
| 0.000 | 0.000 | 0.000 | -0.000 | 8.654 | -0.000 |
| 0.000 | 0.000 | 0.000 | -0.000 | -0.000 | 8.654 |
| -11966770.674 | -8209883.639 | -8572207.556 | -81199.438 | -6236.262 | 1019.048 |
| -9372207.556 | -12371111.196 | -8812432.292 | 120387.360 | 96787.569 | 1444.550 |
| -8030774.165 | -8355592.871 | -10980162.352 | 163123.278 | -138310.550 | 160381.396 |
| -0.000 | -0.000 | -0.000 | 8.654 | 0.000 | 0.000 |
| -0.000 | -0.000 | -0.000 | 0.000 | 8.654 | 0.000 |
| -0.000 | -0.000 | -0.000 | 0.000 | 0.000 | 8.654 |
| 12307276.761 | 13090907.771 | 12708892.428 | -211183.531 | 110054.632 | -25350.194 |
| 13364832.636 | 12460790.365 | 13200963.013 | 142043.999 | -158711.928 | 128436.413 |
| 12956743.918 | 13476064.911 | 11945946.829 | -36565.653 | -202411.601 | 212920.047 |
| 0.000 | 0.000 | 0.000 | 8.654 | -0.000 | -0.000 |
| 0.000 | 0.000 | 0.000 | -0.000 | 8.654 | -0.000 |
| 0.000 | 0.000 | 0.000 | -0.000 | -0.000 | 8.654 |
| -1057394.258 | -764495.170 | -759007.344 | -5844.208 | 4319.317 | -5501.191 |
| -810673.381 | -1062141.091 | -794248.519 | 11139.029 | -5109.217 | -7783.500 |
| -927014.635 | -959584.469 | -1187044.113 | 4193.406 | -1378.738 | -3217.571 |
| -0.000 | -0.001 | -0.001 | 8.654 | 0.000 | 0.000 |
| -0.001 | -0.000 | -0.001 | 0.000 | 8.654 | 0.000 |
| -0.001 | -0.001 | -0.000 | 0.000 | 0.000 | 8.654 |
| 1200063.728 | 1290007.698 | 1278350.125 | 564.921 | 15463.600 | 3311.744 |
| 1280052.825 | 1207119.524 | 1299185.443 | -7432.903 | 4460.838 | -7416.380 |
| 1259361.146 | 1278797.697 | 1147519.352 | -7487.397 | 11284.032 | -8499.347 |
| 0.000 | 0.001 | 0.001 | 8.654 | -0.000 | -0.000 |
| 0.001 | 0.000 | 0.001 | -0.000 | 8.654 | -0.000 |
| 0.001 | 0.001 | 0.000 | -0.000 | -0.000 | 8.654 |
| 216.350 | 265.167 | 265.167 | 0.000 | -0.000 | -0.000 |
| 265.167 | 216.350 | 265.167 | 0.000 | -0.000 | 0.000 |
| 265.167 | 265.167 | 216.350 | 0.000 | -0.000 | 0.000 |
| 0.000 | 0.000 | 0.000 | 35.595 | -0.000 | -0.000 |
| 0.000 | 0.000 | 0.000 | 0.000 | 35.595 | 0.000 |
| 0.000 | 0.000 | 0.000 | 0.000 | -0.000 | 35.595 |
| 216.348 | 265.165 | 265.165 | -0.000 | -0.000 | -0.000 |
| 265.165 | 216.348 | 265.165 | -0.000 | 0.000 | -0.000 |
| 265.165 | 265.165 | 216.348 | -0.000 | 0.000 | 0.000 |
| -0.000 | -0.000 | -0.000 | 35.595 | -0.000 | -0.000 |
| -0.000 | -0.000 | -0.000 | 0.000 | 35.595 | 0.000 |
| -0.000 | -0.000 | -0.000 | -0.000 | -0.000 | 35.595 |
| 216.358 | 265.176 | 265.176 | 0.000 | -0.000 | -0.000 |
| 265.176 | 216.358 | 265.176 | 0.000 | -0.000 | 0.000 |
| 265.176 | 265.176 | 216.358 | 0.000 | 0.000 | 0.000 |
| 0.000 | 0.000 | 0.000 | 35.595 | -0.000 | 0.000 |
| 0.000 | 0.000 | 0.000 | 0.000 | 35.595 | 0.000 |
| 0.000 | 0.000 | 0.000 | -0.000 | -0.000 | 35.595 |
| 216.339 | 265.156 | 265.156 | -0.000 | 0.000 | -0.000 |
| 265.156 | 216.339 | 265.156 | 0.000 | 0.000 | 0.000 |
| 265.156 | 265.156 | 216.339 | -0.000 | 0.000 | 0.000 |
| -0.000 | -0.000 | -0.000 | 35.595 | -0.000 | 0.000 |
| -0.000 | -0.000 | -0.000 | -0.000 | 35.595 | 0.000 |
| -0.000 | -0.000 | -0.000 | -0.000 | 0.000 | 35.595 |
| 216.446 | 265.263 | 265.263 | 0.000 | 0.000 | -0.000 |
| 265.263 | 216.446 | 265.263 | 0.000 | -0.000 | -0.000 |
| 265.263 | 265.263 | 216.446 | 0.000 | -0.000 | 0.000 |
| 0.000 | 0.000 | 0.000 | 35.595 | -0.000 | -0.000 |
| 0.000 | 0.000 | 0.000 | 0.000 | 35.595 | -0.000 |
| 0.000 | 0.000 | 0.000 | 0.000 | 0.000 | 35.595 |
| 216.252 | 265.069 | 265.069 | 0.000 | 0.000 | 0.000 |
| 265.069 | 216.252 | 265.069 | -0.000 | -0.000 | 0.000 |
| 265.069 | 265.069 | 216.252 | -0.000 | 0.000 | -0.000 |
| -0.000 | -0.000 | -0.000 | 35.595 | -0.000 | -0.000 |
| -0.000 | -0.000 | -0.000 | -0.000 | 35.595 | -0.000 |
| -0.000 | -0.000 | -0.000 | -0.000 | 0.000 | 35.595 |
| 52.784 | 52.784 | 52.784 | 0.000 | 0.000 | -0.000 |
| 52.784 | 52.784 | 52.784 | 0.000 | 0.000 | -0.000 |
| 52.784 | 52.784 | 52.784 | 0.000 | 0.000 | 0.000 |
| -0.000 | -0.000 | -0.000 | 52.796 | 0.000 | -0.000 |
| -0.000 | -0.000 | -0.000 | 0.000 | 52.796 | -0.000 |
| -0.000 | -0.000 | -0.000 | 0.000 | 0.000 | 52.796 |
| 52.784 | 52.784 | 52.784 | -0.000 | -0.000 | -0.000 |
| 52.784 | 52.784 | 52.784 | -0.000 | -0.000 | -0.000 |
| 52.784 | 52.784 | 52.784 | -0.000 | -0.000 | -0.000 |
| 0.000 | 0.000 | 0.000 | 52.796 | -0.000 | 0.000 |
| 0.000 | 0.000 | 0.000 | -0.000 | 52.796 | 0.000 |
| 0.000 | 0.000 | 0.000 | -0.000 | -0.000 | 52.796 |
| 52.784 | 52.784 | 52.784 | 0.000 | -0.000 | 0.000 |
| 52.784 | 52.784 | 52.784 | -0.000 | 0.000 | 0.000 |
| 52.784 | 52.784 | 52.784 | 0.000 | 0.000 | 0.000 |
| -0.000 | -0.000 | -0.000 | 52.796 | 0.000 | 0.000 |
| -0.000 | -0.000 | -0.000 | 0.000 | 52.796 | 0.000 |
| -0.000 | -0.000 | -0.000 | 0.000 | 0.000 | 52.796 |
| 52.784 | 52.784 | 52.784 | -0.000 | -0.000 | -0.000 |
| 52.784 | 52.784 | 52.784 | -0.000 | -0.000 | -0.000 |
| 52.784 | 52.784 | 52.784 | -0.000 | -0.000 | -0.000 |
| 0.000 | 0.000 | 0.000 | 52.796 | -0.000 | -0.000 |
| 0.000 | 0.000 | 0.000 | -0.000 | 52.796 | -0.000 |
| 0.000 | 0.000 | 0.000 | -0.000 | -0.000 | 52.796 |
| 52.784 | 52.784 | 52.784 | 0.000 | 0.000 | 0.000 |
| 52.784 | 52.784 | 52.784 | 0.000 | 0.000 | 0.000 |
| 52.784 | 52.784 | 52.784 | 0.000 | 0.000 | 0.000 |
| -0.000 | -0.000 | -0.000 | 52.796 | 0.000 | -0.000 |
| -0.000 | -0.000 | -0.000 | 0.000 | 52.796 | -0.000 |
| -0.000 | -0.000 | -0.000 | 0.000 | 0.000 | 52.796 |
| 52.784 | 52.784 | 52.784 | -0.000 | -0.000 | 0.000 |
| 52.784 | 52.784 | 52.784 | -0.000 | -0.000 | 0.000 |
| 52.784 | 52.784 | 52.784 | -0.000 | -0.000 | -0.000 |
| 0.000 | 0.000 | 0.000 | 52.796 | -0.000 | 0.000 |
| 0.000 | 0.000 | 0.000 | -0.000 | 52.796 | 0.000 |
| 0.000 | 0.000 | 0.000 | -0.000 | -0.000 | 52.796 |
| 153.293 | 120.168 | 120.314 | -0.000 | 0.000 | -0.000 |
| 113.632 | 159.829 | 120.314 | -0.000 | -0.000 | -0.000 |
| 120.314 | 120.314 | 165.116 | -0.000 | 0.000 | -0.000 |
| -0.000 | 0.000 | 0.000 | 20.563 | -0.000 | -0.000 |
| -0.000 | -0.000 | 0.000 | -0.000 | 20.563 | 0.000 |
| 0.000 | -0.000 | 0.000 | 0.000 | 0.000 | 16.563 |
| 153.296 | 120.170 | 120.317 | -0.000 | -0.000 | 0.000 |
| 113.635 | 159.831 | 120.317 | 0.000 | 0.000 | 0.000 |
| 120.317 | 120.317 | 165.120 | 0.000 | -0.000 | 0.000 |
| 0.000 | -0.000 | -0.000 | 20.563 | 0.000 | -0.000 |
| 0.000 | 0.000 | -0.000 | 0.000 | 20.563 | 0.000 |
| -0.000 | 0.000 | -0.000 | 0.000 | -0.000 | 16.563 |
| 153.283 | 120.157 | 120.302 | -0.000 | 0.000 | -0.000 |
| 113.622 | 159.819 | 120.302 | -0.000 | 0.000 | -0.000 |
| 120.299 | 120.299 | 165.099 | 0.000 | 0.000 | -0.000 |
| 0.000 | 0.000 | 0.000 | 20.563 | 0.000 | -0.000 |
| 0.000 | 0.000 | 0.000 | -0.000 | 20.563 | 0.000 |
| 0.000 | 0.000 | 0.000 | -0.000 | 0.000 | 16.563 |
| 153.306 | 120.180 | 120.329 | 0.000 | -0.000 | 0.000 |
| 120.180 | 153.306 | 120.329 | 0.000 | -0.000 | -0.000 |
| 120.332 | 120.332 | 165.137 | 0.000 | 0.000 | 0.000 |
| -0.000 | -0.000 | -0.000 | 20.563 | -0.000 | 0.000 |
| -0.000 | -0.000 | -0.000 | 0.000 | 20.563 | -0.000 |
| -0.000 | -0.000 | -0.000 | 0.000 | -0.000 | 16.563 |
| 153.181 | 120.055 | 120.180 | -0.000 | 0.000 | -0.000 |
| 120.055 | 153.181 | 120.180 | -0.000 | -0.000 | 0.000 |
| 120.154 | 120.154 | 164.928 | -0.000 | -0.000 | 0.000 |
| 0.000 | 0.000 | 0.001 | 20.563 | 0.000 | 0.000 |
| 0.000 | 0.000 | 0.001 | -0.000 | 20.563 | 0.000 |
| 0.000 | 0.000 | 0.000 | -0.000 | -0.000 | 23.098 |
| 153.408 | 120.283 | 120.451 | 0.000 | -0.000 | 0.000 |
| 120.282 | 153.408 | 120.451 | -0.000 | 0.000 | 0.000 |
| 120.476 | 120.476 | 165.308 | 0.000 | -0.000 | 0.000 |
| -0.000 | -0.000 | -0.001 | 20.563 | -0.000 | 0.000 |
| -0.000 | -0.000 | -0.001 | 0.000 | 20.563 | -0.000 |
| -0.000 | -0.000 | -0.000 | 0.000 | -0.000 | 23.098 |
| 24.607 | 7.867 | 6.034 | -0.000 | 0.000 | 0.000 |
| 7.867 | 24.607 | 6.034 | 0.000 | 0.000 | 0.000 |
| 6.034 | 6.034 | 26.454 | 0.000 | 0.000 | 0.000 |
| -0.000 | -0.000 | -0.000 | 6.581 | 0.000 | 0.000 |
| -0.000 | -0.000 | -0.000 | 0.000 | 6.581 | 0.000 |
| -0.000 | -0.000 | -0.000 | 0.000 | 0.000 | 8.370 |
| 24.607 | 7.867 | 6.034 | 0.000 | -0.000 | 0.000 |
| 7.867 | 24.607 | 6.034 | -0.000 | -0.000 | -0.000 |
| 6.034 | 6.034 | 26.454 | -0.000 | -0.000 | -0.000 |
| 0.000 | 0.000 | 0.000 | 6.581 | -0.000 | -0.000 |
| 0.000 | 0.000 | 0.000 | -0.000 | 6.581 | 0.000 |
| 0.000 | 0.000 | 0.000 | 0.000 | -0.000 | 8.370 |
| 24.607 | 7.867 | 6.034 | -0.000 | 0.000 | 0.000 |
| 8.225 | 24.249 | 6.034 | 0.000 | 0.000 | 0.000 |
| 6.034 | 6.034 | 26.454 | 0.000 | 0.000 | 0.000 |
| -0.000 | -0.000 | -0.000 | 6.581 | 0.000 | 0.000 |
| -0.000 | -0.000 | -0.000 | 0.000 | 6.581 | -0.000 |
| -0.000 | -0.000 | -0.000 | 0.000 | 0.000 | 8.370 |
| 24.028 | 8.447 | 6.034 | -0.000 | -0.000 | -0.000 |
| 8.225 | 24.249 | 6.034 | -0.000 | -0.000 | -0.000 |
| 6.034 | 6.034 | 26.454 | -0.000 | -0.000 | -0.000 |
| 0.000 | 0.000 | 0.000 | 6.581 | -0.000 | -0.000 |
| 0.000 | 0.000 | 0.000 | -0.000 | 6.581 | -0.000 |
| 0.000 | 0.000 | 0.000 | -0.000 | -0.000 | 8.370 |
| 24.249 | 8.225 | 6.034 | 0.000 | 0.000 | 0.000 |
| 7.867 | 24.607 | 6.034 | 0.000 | 0.000 | -0.000 |
| 6.034 | 6.034 | 26.454 | 0.000 | 0.000 | 0.000 |
| -0.000 | -0.000 | -0.000 | 6.581 | 0.000 | 0.000 |
| -0.000 | -0.000 | -0.000 | 0.000 | 6.581 | -0.000 |
| -0.000 | -0.000 | -0.000 | 0.000 | 0.000 | 8.370 |
| 24.608 | 7.867 | 6.034 | 0.000 | -0.000 | 0.000 |
| 7.867 | 24.608 | 6.034 | -0.000 | -0.000 | -0.000 |
| 6.035 | 6.035 | 26.455 | -0.000 | -0.000 | -0.000 |
| 0.000 | 0.000 | 0.000 | 6.581 | -0.000 | -0.000 |
| 0.000 | 0.000 | 0.000 | -0.000 | 6.581 | -0.000 |
| 0.000 | 0.000 | 0.000 | -0.000 | -0.000 | 8.370 |
| 153.646 | 51.202 | 40.956 | 0.000 | 0.000 | 0.000 |
| 51.202 | 153.646 | 40.956 | 0.000 | 0.000 | 0.000 |
| 40.956 | 40.956 | 163.892 | -0.000 | 0.000 | 0.000 |
| 0.000 | -0.000 | -0.000 | 40.975 | -0.000 | 0.000 |
| -0.000 | -0.000 | -0.000 | 0.000 | 40.975 | 0.000 |
| -0.000 | -0.000 | -0.000 | 0.000 | -0.000 | 46.098 |
| 153.646 | 51.202 | 40.956 | -0.000 | 0.000 | -0.000 |
| 51.202 | 153.646 | 40.956 | -0.000 | 0.000 | -0.000 |
| 40.956 | 40.956 | 163.892 | -0.000 | -0.000 | -0.000 |
| 0.000 | 0.000 | 0.000 | 40.975 | 0.000 | -0.000 |
| 0.000 | 0.000 | 0.000 | -0.000 | 40.975 | 0.000 |
| 0.000 | 0.000 | 0.000 | -0.000 | 0.000 | 46.098 |
| 148.522 | 56.326 | 40.956 | 0.000 | -0.000 | 0.000 |
| 56.326 | 148.522 | 40.956 | 0.000 | -0.000 | 0.000 |
| 40.956 | 40.956 | 163.892 | 0.000 | 0.000 | 0.000 |
| -0.000 | -0.000 | -0.000 | 40.975 | -0.000 | 0.000 |
| -0.000 | -0.000 | -0.000 | 0.000 | 40.975 | 0.000 |
| -0.000 | -0.000 | -0.000 | 0.000 | -0.000 | 46.098 |
| 148.522 | 56.326 | 40.956 | -0.000 | 0.000 | -0.000 |
| 56.326 | 148.522 | 40.956 | -0.000 | 0.000 | -0.000 |
| 40.956 | 40.956 | 163.892 | -0.000 | -0.000 | -0.000 |
| 0.000 | 0.000 | 0.000 | 40.975 | 0.000 | -0.000 |
| 0.000 | 0.000 | 0.000 | -0.000 | 40.975 | -0.000 |
| 0.000 | 0.000 | 0.000 | -0.000 | 0.000 | 46.098 |
| 148.521 | 56.326 | 40.956 | 0.000 | -0.000 | 0.000 |
| 56.326 | 148.521 | 40.956 | 0.000 | -0.000 | 0.000 |
| 40.956 | 40.956 | 163.891 | -0.000 | 0.000 | 0.000 |
| -0.000 | -0.000 | -0.000 | 40.975 | -0.000 | 0.000 |
| -0.000 | -0.000 | -0.000 | 0.000 | 40.975 | 0.000 |
| -0.000 | -0.000 | -0.000 | 0.000 | -0.000 | 46.098 |
| 148.524 | 56.326 | 40.956 | -0.000 | 0.000 | -0.000 |
| 56.327 | 148.523 | 40.956 | -0.000 | 0.000 | -0.000 |
| 40.957 | 40.957 | 163.894 | -0.000 | -0.000 | -0.000 |
| 0.000 | 0.000 | 0.000 | 40.975 | 0.000 | -0.000 |
| 0.000 | 0.000 | 0.000 | -0.000 | 40.975 | -0.000 |
| 0.000 | 0.000 | 0.000 | -0.000 | 0.000 | 46.098 |
| 117.997 | 72.573 | 70.105 | -0.000 | -0.000 | 0.000 |
| 72.573 | 117.997 | 70.105 | -0.000 | -0.000 | 0.000 |
| 70.105 | 70.105 | 145.828 | -0.000 | -0.000 | -0.000 |
| 0.000 | 0.000 | 0.000 | 35.185 | -0.000 | -0.000 |
| 0.000 | 0.000 | 0.000 | -0.000 | 35.185 | -0.000 |
| 0.000 | -0.000 | 0.000 | -0.000 | -0.000 | 22.712 |
| 126.309 | 64.259 | 70.104 | -0.000 | 0.000 | 0.000 |
| 72.572 | 117.996 | 70.104 | 0.000 | 0.000 | -0.000 |
| 70.104 | 70.104 | 145.827 | 0.000 | -0.000 | 0.000 |
| -0.000 | -0.000 | -0.000 | 35.185 | -0.000 | 0.000 |
| -0.000 | -0.000 | -0.000 | 0.000 | 35.185 | 0.000 |
| -0.000 | 0.000 | -0.000 | 0.000 | 0.000 | 22.712 |
| 118.002 | 72.578 | 70.110 | 0.000 | 0.000 | 0.000 |
| 72.578 | 118.002 | 70.110 | -0.000 | 0.000 | 0.000 |
| 70.110 | 70.110 | 145.833 | -0.000 | 0.000 | 0.000 |
| 0.000 | 0.000 | 0.000 | 35.185 | -0.000 | 0.000 |
| 0.000 | 0.000 | 0.000 | -0.000 | 35.185 | -0.000 |
| -0.000 | 0.000 | 0.000 | -0.000 | -0.000 | 22.712 |
| 126.304 | 64.254 | 70.099 | 0.000 | 0.000 | 0.000 |
| 72.567 | 117.991 | 70.099 | 0.000 | 0.000 | -0.000 |
| 70.100 | 70.100 | 145.822 | 0.000 | 0.000 | 0.000 |
| -0.000 | -0.000 | -0.000 | 35.185 | -0.000 | -0.000 |
| -0.000 | -0.000 | -0.000 | 0.000 | 35.185 | 0.000 |
| 0.000 | -0.000 | -0.000 | 0.000 | 0.000 | 22.712 |
| 126.364 | 64.314 | 70.158 | -0.000 | 0.000 | 0.000 |
| 72.627 | 118.051 | 70.157 | -0.000 | -0.000 | 0.000 |
| 70.156 | 70.156 | 145.880 | -0.000 | -0.000 | -0.000 |
| 0.000 | 0.000 | 0.001 | 35.185 | -0.000 | 0.000 |
| 0.000 | 0.000 | 0.001 | -0.000 | 35.185 | 0.000 |
| -0.000 | 0.000 | 0.000 | 0.000 | -0.000 | 31.025 |
| 117.942 | 72.518 | 70.052 | -0.000 | 0.000 | -0.000 |
| 64.205 | 126.255 | 70.052 | 0.000 | 0.000 | -0.000 |
| 70.053 | 70.053 | 145.775 | 0.000 | -0.000 | -0.000 |
| -0.000 | -0.000 | -0.001 | 35.185 | 0.000 | -0.000 |
| -0.000 | -0.000 | -0.001 | 0.000 | 35.185 | -0.000 |
| 0.000 | -0.000 | -0.000 | 0.000 | -0.000 | 31.025 |
| 23.876 | 8.601 | 6.035 | 0.000 | 0.000 | 0.000 |
| 7.913 | 24.564 | 6.035 | 0.000 | 0.000 | 0.000 |
| 6.035 | 6.035 | 26.458 | 0.000 | 0.000 | 0.000 |
| -0.000 | -0.000 | -0.000 | 6.536 | 0.000 | 0.000 |
| -0.000 | -0.000 | -0.000 | 0.000 | 6.536 | 0.000 |
| -0.000 | -0.000 | -0.000 | 0.000 | 0.000 | 8.326 |
| 24.564 | 7.913 | 6.035 | -0.000 | -0.000 | -0.000 |
| 7.913 | 24.564 | 6.035 | -0.000 | -0.000 | -0.000 |
| 6.035 | 6.035 | 26.458 | -0.000 | -0.000 | -0.000 |
| 0.000 | 0.000 | 0.000 | 6.536 | -0.000 | -0.000 |
| 0.000 | 0.000 | 0.000 | -0.000 | 6.536 | 0.000 |
| 0.000 | 0.000 | 0.000 | -0.000 | -0.000 | 8.326 |
| 24.564 | 7.912 | 6.035 | 0.000 | 0.000 | 0.000 |
| 7.912 | 24.564 | 6.035 | -0.000 | 0.000 | 0.000 |
| 6.035 | 6.035 | 26.458 | -0.000 | 0.000 | 0.000 |
| -0.000 | -0.000 | -0.000 | 6.536 | 0.000 | 0.000 |
| -0.000 | -0.000 | -0.000 | 0.000 | 6.536 | 0.000 |
| -0.000 | -0.000 | -0.000 | 0.000 | 0.000 | 7.637 |
| 24.564 | 7.913 | 6.035 | -0.000 | -0.000 | -0.000 |
| 8.601 | 23.876 | 6.035 | -0.000 | -0.000 | -0.000 |
| 6.035 | 6.035 | 26.458 | -0.000 | -0.000 | -0.000 |
| 0.000 | 0.000 | 0.000 | 6.536 | -0.000 | -0.000 |
| 0.000 | 0.000 | 0.000 | -0.000 | 6.536 | -0.000 |
| 0.000 | 0.000 | 0.000 | -0.000 | -0.000 | 7.637 |
| 24.563 | 7.912 | 6.035 | 0.000 | 0.000 | 0.000 |
| 7.912 | 24.563 | 6.035 | -0.000 | 0.000 | 0.000 |
| 6.035 | 6.035 | 26.457 | 0.000 | 0.000 | 0.000 |
| -0.000 | -0.000 | -0.000 | 6.536 | 0.000 | 0.000 |
| -0.000 | -0.000 | -0.000 | 0.000 | 6.536 | -0.000 |
| -0.000 | -0.000 | -0.000 | 0.000 | 0.000 | 7.637 |
| 24.564 | 7.913 | 6.035 | -0.000 | -0.000 | -0.000 |
| 8.601 | 23.876 | 6.035 | -0.000 | -0.000 | -0.000 |
| 6.035 | 6.035 | 26.458 | -0.000 | -0.000 | -0.000 |
| 0.000 | 0.000 | 0.000 | 6.536 | -0.000 | -0.000 |
| 0.000 | 0.000 | 0.000 | -0.000 | 6.536 | -0.000 |
| 0.000 | 0.000 | 0.000 | -0.000 | -0.000 | 7.637 |
| 148.522 | 56.326 | 40.956 | -0.000 | -0.000 | 0.000 |
| 56.326 | 148.522 | 40.956 | -0.000 | -0.000 | 0.000 |
| 40.956 | 40.956 | 163.892 | -0.000 | 0.000 | 0.000 |
| -0.000 | -0.000 | -0.000 | 40.975 | -0.000 | 0.000 |
| -0.000 | 0.000 | -0.000 | 0.000 | 40.975 | 0.000 |
| -0.000 | -0.000 | 0.000 | -0.000 | 0.000 | 46.098 |
| 148.522 | 56.326 | 40.956 | 0.000 | 0.000 | -0.000 |
| 56.326 | 148.522 | 40.956 | 0.000 | 0.000 | -0.000 |
| 40.956 | 40.956 | 163.892 | 0.000 | 0.000 | -0.000 |
| 0.000 | 0.000 | 0.000 | 40.975 | 0.000 | -0.000 |
| 0.000 | -0.000 | 0.000 | -0.000 | 40.975 | 0.000 |
| 0.000 | 0.000 | -0.000 | 0.000 | -0.000 | 46.098 |
| 148.522 | 56.326 | 40.956 | -0.000 | -0.000 | 0.000 |
| 56.326 | 148.522 | 40.956 | -0.000 | -0.000 | 0.000 |
| 40.956 | 40.956 | 163.892 | -0.000 | 0.000 | 0.000 |
| -0.000 | -0.000 | -0.000 | 40.975 | -0.000 | 0.000 |
| -0.000 | -0.000 | -0.000 | -0.000 | 40.975 | 0.000 |
| -0.000 | -0.000 | -0.000 | -0.000 | 0.000 | 46.098 |
| 153.647 | 51.202 | 40.956 | 0.000 | -0.000 | 0.000 |
| 56.326 | 148.522 | 40.956 | 0.000 | 0.000 | -0.000 |
| 40.956 | 40.956 | 163.892 | 0.000 | 0.000 | -0.000 |
| 0.000 | 0.000 | 0.000 | 40.975 | 0.000 | -0.000 |
| 0.000 | 0.000 | 0.000 | 0.000 | 40.975 | -0.000 |
| 0.000 | 0.000 | 0.000 | 0.000 | -0.000 | 46.098 |
| 148.521 | 56.326 | 40.956 | -0.000 | 0.000 | 0.000 |
| 56.326 | 148.521 | 40.956 | -0.000 | -0.000 | 0.000 |
| 40.956 | 40.956 | 163.891 | -0.000 | 0.000 | 0.000 |
| -0.000 | -0.000 | -0.000 | 40.975 | -0.000 | 0.000 |
| -0.000 | -0.000 | -0.000 | -0.000 | 40.975 | 0.000 |
| -0.000 | -0.000 | -0.000 | -0.000 | 0.000 | 46.098 |
| 148.524 | 56.326 | 40.956 | 0.000 | -0.000 | -0.000 |
| 56.327 | 148.523 | 40.956 | 0.000 | 0.000 | -0.000 |
| 40.957 | 40.957 | 163.894 | 0.000 | 0.000 | -0.000 |
| 0.000 | 0.000 | 0.000 | 40.975 | 0.000 | -0.000 |
| 0.000 | 0.000 | 0.000 | 0.000 | 40.975 | -0.000 |
| 0.000 | 0.000 | 0.000 | 0.000 | -0.000 | 46.098 |
| 43.191 | 49.684 | 49.684 | 0.000 | 0.000 | 0.000 |
| 49.684 | 43.191 | 49.684 | 0.000 | 0.000 | 0.000 |
| 49.684 | 49.684 | 43.191 | 0.000 | 0.000 | 0.000 |
| 0.000 | -0.000 | 0.000 | 38.304 | 0.000 | 0.000 |
| -0.000 | -0.000 | 0.000 | 0.000 | 38.304 | 0.000 |
| -0.000 | -0.000 | 0.000 | 0.000 | 0.000 | 38.304 |
| 43.193 | 49.684 | 49.684 | 0.000 | 0.000 | -0.000 |
| 49.684 | 43.193 | 49.684 | -0.000 | 0.000 | -0.000 |
| 49.684 | 49.684 | 43.193 | 0.000 | 0.000 | 0.000 |
| -0.000 | 0.000 | -0.000 | 38.304 | 0.000 | -0.000 |
| 0.000 | 0.000 | -0.000 | -0.000 | 38.304 | -0.000 |
| 0.000 | 0.000 | -0.000 | 0.000 | -0.000 | 38.304 |
| 43.182 | 49.685 | 49.685 | 0.000 | 0.000 | 0.000 |
| 49.685 | 43.182 | 49.685 | 0.000 | 0.000 | 0.000 |
| 49.685 | 49.685 | 43.182 | 0.000 | -0.000 | 0.000 |
| 0.000 | -0.000 | 0.000 | 38.304 | 0.000 | 0.000 |
| -0.000 | 0.000 | 0.000 | 0.000 | 38.304 | 0.000 |
| -0.000 | 0.000 | 0.000 | 0.000 | 0.000 | 38.304 |
| 43.202 | 49.684 | 49.684 | -0.000 | -0.000 | -0.000 |
| 49.684 | 43.202 | 49.684 | -0.000 | -0.000 | -0.000 |
| 49.684 | 49.684 | 43.202 | -0.000 | -0.000 | -0.000 |
| -0.000 | 0.000 | -0.000 | 38.304 | -0.000 | -0.000 |
| 0.000 | -0.000 | -0.000 | -0.000 | 38.304 | -0.000 |
| 0.000 | -0.000 | -0.000 | -0.000 | -0.000 | 38.304 |
| 43.096 | 49.689 | 49.689 | 0.000 | -0.000 | 0.000 |
| 49.689 | 43.096 | 49.689 | -0.000 | 0.000 | 0.000 |
| 49.689 | 49.689 | 43.096 | -0.000 | -0.000 | 0.000 |
| -0.000 | -0.000 | -0.000 | -5.467 | 0.000 | 0.000 |
| -0.000 | -0.000 | -0.000 | 0.000 | -5.467 | 0.000 |
| -0.000 | -0.000 | -0.000 | 0.000 | 0.000 | -5.467 |
| 43.288 | 49.679 | 49.679 | -0.000 | -0.000 | -0.000 |
| 49.679 | 43.288 | 49.679 | -0.000 | -0.000 | -0.000 |
| 49.679 | 49.679 | 43.288 | -0.000 | -0.000 | -0.000 |
| 0.000 | 0.000 | 0.000 | -5.467 | -0.000 | -0.000 |
| 0.000 | 0.000 | 0.000 | -0.000 | -5.467 | -0.000 |
| 0.000 | 0.000 | 0.000 | -0.000 | -0.000 | -5.467 |
| 3.040 | 3.012 | 3.012 | -0.000 | -0.000 | -0.000 |
| 3.012 | 3.040 | 3.012 | -0.000 | -0.000 | -0.000 |
| 3.012 | 3.012 | 3.040 | -0.000 | -0.000 | -0.000 |
| -0.000 | -0.000 | -0.000 | 0.014 | -0.000 | -0.000 |
| -0.000 | -0.000 | -0.000 | -0.000 | 0.014 | -0.000 |
| -0.000 | -0.000 | -0.000 | -0.000 | -0.000 | 0.014 |
| 3.040 | 3.012 | 3.012 | -0.000 | 0.000 | 0.000 |
| 3.012 | 3.040 | 3.012 | 0.000 | -0.000 | 0.000 |
| 3.012 | 3.012 | 3.040 | 0.000 | 0.000 | -0.000 |
| 0.000 | 0.000 | 0.000 | 0.014 | 0.000 | 0.000 |
| 0.000 | 0.000 | 0.000 | 0.000 | 0.014 | 0.000 |
| 0.000 | 0.000 | 0.000 | 0.000 | 0.000 | 0.014 |
| 3.040 | 3.012 | 3.012 | -0.000 | -0.000 | -0.000 |
| 3.012 | 3.040 | 3.012 | -0.000 | -0.000 | -0.000 |
| 3.012 | 3.012 | 3.040 | -0.000 | -0.000 | -0.000 |
| -0.000 | -0.000 | -0.000 | 0.014 | -0.000 | -0.000 |
| -0.000 | -0.000 | -0.000 | -0.000 | 0.014 | -0.000 |
| -0.000 | -0.000 | -0.000 | -0.000 | -0.000 | 0.014 |
| 3.040 | 3.013 | 3.013 | 0.000 | 0.000 | 0.000 |
| 3.013 | 3.040 | 3.013 | 0.000 | 0.000 | 0.000 |
| 3.013 | 3.013 | 3.040 | 0.000 | 0.000 | 0.000 |
| 0.000 | 0.000 | 0.000 | 0.014 | 0.000 | 0.000 |
| 0.000 | 0.000 | 0.000 | 0.000 | 0.014 | 0.000 |
| 0.000 | 0.000 | 0.000 | 0.000 | 0.000 | 0.014 |
| 3.040 | 3.012 | 3.012 | -0.000 | -0.000 | -0.000 |
| 3.012 | 3.040 | 3.012 | -0.000 | -0.000 | -0.000 |
| 3.012 | 3.012 | 3.040 | -0.000 | -0.000 | -0.000 |
| -0.000 | -0.000 | -0.000 | 0.014 | -0.000 | -0.000 |
| -0.000 | -0.000 | -0.000 | -0.000 | 0.014 | -0.000 |
| -0.000 | -0.000 | -0.000 | -0.000 | -0.000 | 0.014 |
| 3.040 | 3.013 | 3.013 | -0.000 | 0.000 | 0.000 |
| 3.013 | 3.040 | 3.013 | 0.000 | -0.000 | 0.000 |
| 3.013 | 3.013 | 3.040 | 0.000 | 0.000 | -0.000 |
| 0.000 | 0.000 | 0.000 | 0.014 | 0.000 | 0.000 |
| 0.000 | 0.000 | 0.000 | 0.000 | 0.014 | 0.000 |
| 0.000 | 0.000 | 0.000 | 0.000 | 0.000 | 0.014 |
| 13.758 | 13.758 | 13.758 | -0.000 | -0.000 | -0.000 |
| 13.758 | 13.758 | 13.758 | -0.000 | -0.000 | -0.000 |
| 13.758 | 13.758 | 13.758 | -0.000 | -0.000 | -0.000 |
| -0.000 | -0.000 | -0.000 | 0.000 | -0.000 | -0.000 |
| -0.000 | -0.000 | -0.000 | -0.000 | 0.000 | -0.000 |
| -0.000 | -0.000 | -0.000 | -0.000 | -0.000 | 0.000 |
| 13.758 | 13.758 | 13.758 | 0.000 | 0.000 | 0.000 |
| 13.758 | 13.758 | 13.758 | 0.000 | 0.000 | 0.000 |
| 13.758 | 13.758 | 13.758 | 0.000 | 0.000 | 0.000 |
| 0.000 | 0.000 | 0.000 | 0.000 | 0.000 | 0.000 |
| 0.000 | 0.000 | 0.000 | 0.000 | 0.000 | 0.000 |
| 0.000 | 0.000 | 0.000 | 0.000 | 0.000 | 0.000 |
| 13.758 | 13.758 | 13.758 | -0.000 | -0.000 | -0.000 |
| 13.758 | 13.758 | 13.758 | -0.000 | -0.000 | -0.000 |
| 13.758 | 13.758 | 13.758 | -0.000 | -0.000 | -0.000 |
| -0.000 | -0.000 | -0.000 | -0.001 | -0.000 | -0.000 |
| -0.000 | -0.000 | -0.000 | -0.000 | -0.001 | -0.000 |
| -0.000 | -0.000 | -0.000 | -0.000 | -0.000 | -0.001 |
| 13.758 | 13.758 | 13.758 | 0.000 | 0.000 | 0.000 |
| 13.758 | 13.758 | 13.758 | 0.000 | 0.000 | 0.000 |
| 13.758 | 13.758 | 13.758 | 0.000 | 0.000 | 0.000 |
| 0.000 | 0.000 | 0.000 | -0.001 | 0.000 | 0.000 |
| 0.000 | 0.000 | 0.000 | 0.000 | -0.001 | 0.000 |
| 0.000 | 0.000 | 0.000 | 0.000 | 0.000 | -0.001 |
| 13.754 | 13.754 | 13.754 | -0.000 | -0.000 | -0.000 |
| 13.754 | 13.754 | 13.754 | -0.000 | -0.000 | -0.000 |
| 13.754 | 13.754 | 13.754 | -0.000 | -0.000 | -0.000 |
| -0.000 | -0.000 | -0.000 | -0.002 | -0.000 | -0.000 |
| -0.000 | -0.000 | -0.000 | -0.000 | -0.002 | -0.000 |
| -0.000 | -0.000 | -0.000 | -0.000 | -0.000 | -0.002 |
| 13.758 | 13.758 | 13.758 | 0.000 | 0.000 | 0.000 |
| 13.758 | 13.758 | 13.758 | 0.000 | 0.000 | 0.000 |
| 13.758 | 13.758 | 13.758 | 0.000 | 0.000 | 0.000 |
| 0.000 | 0.000 | 0.000 | -0.002 | 0.000 | 0.000 |
| 0.000 | 0.000 | 0.000 | 0.000 | -0.002 | 0.000 |
| 0.000 | 0.000 | 0.000 | 0.000 | 0.000 | -0.002 |
| 214.295 | 38.026 | 61.753 | -0.000 | 0.000 | -0.000 |
| 38.026 | 214.295 | 61.753 | -0.000 | -0.000 | -0.000 |
| 61.753 | 61.753 | 295.832 | -0.000 | 0.000 | -0.000 |
| 0.000 | -0.000 | -0.000 | 10.003 | 0.000 | -0.000 |
| -0.000 | 0.000 | -0.000 | -0.000 | 10.003 | -0.000 |
| -0.000 | -0.000 | 0.000 | -0.000 | 0.000 | -2.298 |
| 45.234 | 207.087 | 61.752 | 0.000 | 0.000 | 0.000 |
| 207.087 | 45.234 | 61.752 | 0.000 | -0.000 | 0.000 |
| 61.752 | 61.752 | 295.831 | 0.000 | 0.000 | 0.000 |
| -0.000 | 0.000 | 0.000 | 10.003 | -0.000 | 0.000 |
| 0.000 | -0.000 | 0.000 | 0.000 | 10.003 | 0.000 |
| 0.000 | 0.000 | -0.000 | 0.000 | 0.000 | -2.298 |
| 214.297 | 38.028 | 61.755 | 0.000 | -0.000 | -0.000 |
| 38.028 | 214.297 | 61.755 | -0.000 | 0.000 | -0.000 |
| 61.756 | 61.756 | 295.835 | 0.000 | 0.000 | -0.000 |
| -0.000 | -0.000 | -0.000 | -4.346 | 0.000 | -0.000 |
| -0.000 | -0.000 | -0.000 | -0.000 | -4.346 | -0.000 |
| -0.000 | -0.000 | 0.000 | -0.000 | 0.000 | -2.298 |
| 214.293 | 38.024 | 61.750 | 0.000 | -0.000 | 0.000 |
| 38.024 | 214.293 | 61.750 | -0.000 | -0.000 | 0.000 |
| 61.750 | 61.750 | 295.827 | -0.000 | 0.000 | 0.000 |
| 0.000 | 0.000 | 0.000 | -4.346 | -0.000 | 0.000 |
| 0.000 | 0.000 | 0.000 | 0.000 | -4.346 | 0.000 |
| 0.000 | 0.000 | -0.000 | 0.000 | -0.000 | -2.298 |
| 45.248 | 207.105 | 61.774 | 0.000 | -0.000 | -0.000 |
| 207.105 | 45.248 | 61.774 | -0.000 | 0.000 | -0.000 |
| 61.783 | 61.783 | 295.871 | -0.000 | 0.000 | -0.000 |
| -0.000 | -0.000 | -0.000 | -4.346 | -0.000 | -0.000 |
| -0.000 | -0.000 | -0.000 | -0.000 | -4.346 | -0.000 |
| -0.000 | -0.000 | 0.000 | -0.000 | -0.000 | -2.298 |
| 45.221 | 207.068 | 61.731 | 0.000 | 0.000 | 0.000 |
| 207.068 | 45.221 | 61.731 | 0.000 | -0.000 | 0.000 |
| 61.722 | 61.722 | 295.792 | 0.000 | 0.000 | 0.000 |
| 0.000 | 0.000 | 0.000 | -4.346 | 0.000 | 0.000 |
| 0.000 | 0.000 | 0.000 | 0.000 | -4.346 | 0.000 |
| 0.000 | 0.000 | -0.000 | 0.000 | 0.000 | -2.298 |
| 59.069 | 15.798 | 31.371 | 0.000 | -0.000 | 0.000 |
| 15.798 | 59.069 | 31.371 | 0.000 | -0.000 | -0.000 |
| 31.371 | 31.371 | 65.328 | 0.000 | -0.000 | 0.000 |
| -0.000 | 0.000 | -0.000 | 17.792 | 0.000 | 0.000 |
| 0.000 | -0.000 | -0.000 | 0.000 | 17.792 | 0.000 |
| 0.000 | -0.000 | -0.000 | 0.000 | 0.000 | 0.029 |
| 59.069 | 15.798 | 31.371 | -0.000 | 0.000 | -0.000 |
| 15.798 | 59.069 | 31.371 | 0.000 | 0.000 | -0.000 |
| 31.371 | 31.371 | 65.328 | -0.000 | -0.000 | -0.000 |
| 0.000 | -0.000 | 0.000 | 17.792 | 0.000 | 0.000 |
| -0.000 | 0.000 | 0.000 | -0.000 | 17.792 | 0.000 |
| 0.000 | -0.000 | 0.000 | -0.000 | -0.000 | 0.029 |
| 59.069 | 15.798 | 31.371 | 0.000 | -0.000 | 0.000 |
| 15.798 | 59.069 | 31.371 | -0.000 | 0.000 | 0.000 |
| 31.371 | 31.371 | 65.328 | 0.000 | -0.000 | -0.000 |
| -0.000 | 0.000 | -0.000 | 17.792 | -0.000 | -0.000 |
| 0.000 | -0.000 | -0.000 | 0.000 | 17.792 | 0.000 |
| -0.000 | -0.000 | -0.000 | 0.000 | 0.000 | 0.029 |
| 59.069 | 15.798 | 31.371 | -0.000 | 0.000 | -0.000 |
| 15.798 | 59.069 | 31.371 | -0.000 | 0.000 | -0.000 |
| 31.371 | 31.371 | 65.328 | -0.000 | 0.000 | 0.000 |
| 0.000 | -0.000 | 0.000 | 17.792 | 0.000 | -0.000 |
| -0.000 | 0.000 | 0.000 | -0.000 | 17.792 | 0.000 |
| 0.000 | 0.000 | 0.000 | -0.000 | 0.000 | 0.029 |
| 59.069 | 15.798 | 31.371 | 0.000 | 0.000 | 0.000 |
| 15.798 | 59.069 | 31.371 | 0.000 | -0.000 | -0.000 |
| 31.371 | 31.371 | 65.328 | 0.000 | 0.000 | 0.000 |
| -0.000 | 0.000 | -0.000 | 17.792 | 0.000 | 0.000 |
| 0.000 | -0.000 | -0.000 | 0.000 | 17.792 | 0.000 |
| -0.000 | -0.000 | -0.000 | 0.000 | -0.000 | 0.029 |
| 59.069 | 15.798 | 31.372 | -0.000 | -0.000 | -0.000 |
| 15.798 | 59.069 | 31.372 | -0.000 | 0.000 | -0.000 |
| 31.372 | 31.372 | 65.328 | 0.000 | -0.000 | -0.000 |
| 0.000 | -0.000 | 0.000 | 17.792 | 0.000 | 0.000 |
| -0.000 | 0.000 | 0.000 | -0.000 | 17.792 | -0.000 |
| 0.000 | 0.000 | 0.000 | -0.000 | 0.000 | 0.029 |
| -42.106 | -0.074 | -3.241 | 0.000 | -0.000 | -0.000 |
| -0.074 | -42.106 | -3.241 | -0.000 | -0.000 | -0.000 |
| -3.241 | -3.241 | 115.260 | -0.000 | -0.000 | 0.000 |
| -0.000 | 0.000 | -0.000 | -3.223 | -0.000 | -0.000 |
| 0.000 | 0.000 | -0.000 | 0.000 | -3.223 | 0.000 |
| 0.000 | 0.000 | -0.000 | 0.000 | -0.000 | 0.001 |
| -42.106 | -0.074 | -3.241 | -0.000 | 0.000 | 0.000 |
| -0.074 | -42.106 | -3.241 | 0.000 | 0.000 | -0.000 |
| -3.241 | -3.241 | 115.260 | -0.000 | 0.000 | 0.000 |
| 0.000 | -0.000 | 0.000 | -3.223 | 0.000 | -0.000 |
| -0.000 | -0.000 | 0.000 | -0.000 | -3.223 | 0.000 |
| -0.000 | -0.000 | 0.000 | -0.000 | 0.000 | 0.001 |
| -42.106 | -0.074 | -3.241 | 0.000 | -0.000 | 0.000 |
| -0.074 | -42.106 | -3.241 | -0.000 | -0.000 | 0.000 |
| -3.241 | -3.241 | 115.260 | 0.000 | -0.000 | -0.000 |
| -4021712.048 | -5820869.596 | -6136275.688 | -85303.302 | -986607.866 | 1829.004 |
| -5566488.098 | -5632069.980 | -6959857.201 | 336927.234 | -94639.002 | -2528.862 |
| -0.000 | 0.000 | 0.000 | 0.000 | -0.000 | 0.001 |
| 57339266.460 | 10993827.606 | 17535186.137 | 0.000 | -0.000 | 0.000 |
| 10993827.629 | 57339266.460 | 17535186.137 | 0.000 | -0.000 | 0.000 |
| -3.241 | -3.241 | 115.261 | 0.000 | 0.000 | -0.000 |
| 4254731.250 | 5829849.118 | 6248705.929 | -88278.769 | 1038572.632 | 2732.916 |
| 5567580.010 | 5658669.559 | 6970269.629 | -292546.837 | -94802.259 | -2257.367 |
| 0.000 | -0.000 | -0.000 | 0.000 | -0.000 | 0.001 |
| -1099342.612 | -5733926.915 | -1753519.083 | 0.000 | 0.000 | 0.000 |
| -5733926.915 | -1099342.610 | -1753519.083 | -0.000 | 0.000 | -0.000 |
| -3.241 | -3.241 | 115.259 | 0.000 | -0.000 | -0.000 |
| -500491.578 | -564778.459 | -686620.007 | -9316.615 | -92991.924 | 429.143 |
| -556839.211 | -573355.164 | -707585.374 | 79647.553 | -9522.610 | -657.768 |
| -0.000 | 0.000 | 0.000 | -0.000 | 0.000 | 0.001 |
| 5733966.929 | 1099382.660 | 1753527.752 | 0.000 | 0.000 | -0.000 |
| 1099382.661 | 5733966.929 | 1753527.752 | 0.000 | -0.000 | -0.000 |
| -3.241 | -3.241 | 115.262 | -0.000 | 0.000 | -0.000 |
| 496251.618 | 560821.268 | 675291.097 | -9273.454 | 85226.507 | 448.756 |
| 558156.273 | 572219.394 | 708485.490 | -73646.249 | -9644.969 | -617.256 |
| 0.000 | -0.000 | -0.000 | 0.000 | 0.000 | 0.001 |
| 43.791 | 43.791 | 5.832 | -0.000 | -0.000 | -0.000 |
| 43.791 | 43.791 | 5.832 | -0.000 | -0.000 | -0.000 |
| 5.832 | 5.832 | 100.437 | -0.000 | -0.000 | -0.000 |
| -0.000 | 0.000 | -0.000 | 0.000 | -0.000 | -0.000 |
| -0.000 | 0.000 | 0.000 | -0.000 | 0.000 | -0.000 |
| -0.000 | -0.000 | 0.000 | -0.000 | -0.000 | 0.000 |
| 43.791 | 43.791 | 5.832 | 0.000 | 0.000 | 0.000 |
| 43.791 | 43.791 | 5.832 | 0.000 | 0.000 | 0.000 |
| 5.832 | 5.832 | 100.437 | 0.000 | 0.000 | 0.000 |
| 0.000 | -0.000 | 0.000 | 0.000 | 0.000 | 0.000 |
| 0.000 | -0.000 | -0.000 | 0.000 | 0.000 | 0.000 |
| 0.000 | 0.000 | -0.000 | 0.000 | -0.000 | 0.000 |
| 43.791 | 43.791 | 5.832 | -0.000 | -0.000 | -0.000 |
| 43.791 | 43.791 | 5.832 | -0.000 | -0.000 | -0.000 |
| 5.832 | 5.832 | 100.437 | -0.000 | -0.000 | -0.000 |
| -0.000 | 0.000 | -0.000 | 0.000 | -0.000 | -0.000 |
| 0.000 | -0.000 | -0.000 | -0.000 | 0.000 | -0.000 |
| -0.000 | -0.000 | -0.000 | -0.000 | -0.000 | 0.000 |
| 43.792 | 43.791 | 5.832 | 0.000 | 0.000 | -0.000 |
| 43.791 | 43.792 | 5.832 | 0.000 | 0.000 | 0.000 |
| 5.832 | 5.832 | 100.437 | 0.000 | 0.000 | -0.000 |
| 0.000 | -0.000 | 0.000 | 0.000 | 0.000 | 0.000 |
| -0.000 | 0.000 | 0.000 | 0.000 | 0.000 | 0.000 |
| 0.000 | 0.000 | 0.000 | 0.000 | 0.000 | 0.000 |
| 43.791 | 43.791 | 5.832 | -0.000 | 0.000 | -0.000 |
| 43.791 | 43.791 | 5.832 | -0.000 | -0.000 | 0.000 |
| 5.832 | 5.832 | 100.436 | -0.000 | -0.000 | -0.000 |
| -0.000 | 0.000 | -0.000 | 0.000 | -0.000 | -0.000 |
| 0.000 | -0.000 | -0.000 | -0.000 | 0.000 | -0.000 |
| -0.000 | -0.000 | -0.000 | -0.000 | 0.000 | 0.000 |
| 43.792 | 43.791 | 5.832 | 0.000 | 0.000 | -0.000 |
| 43.791 | 43.792 | 5.832 | -0.000 | 0.000 | -0.000 |
| 5.832 | 5.832 | 100.438 | 0.000 | 0.000 | -0.000 |
| 0.000 | -0.000 | 0.000 | 0.000 | 0.000 | 0.000 |
| -0.000 | 0.000 | 0.000 | 0.000 | 0.000 | 0.000 |
| 0.000 | 0.000 | 0.000 | 0.000 | 0.000 | 0.000 |
| 58.672 | 18.672 | 63.094 | -50.175 | 0.000 | -0.000 |
| 18.672 | 58.672 | 63.094 | 50.175 | 0.000 | -0.000 |
| 63.090 | 63.090 | 43.717 | -0.000 | 0.000 | -0.000 |
| -50.175 | 50.175 | -0.000 | 63.277 | 0.000 | -0.000 |
| 0.000 | -0.000 | 0.000 | -0.000 | 63.277 | -50.175 |
| 0.000 | -0.000 | -0.000 | -0.000 | -50.175 | 20.000 |
| 58.672 | 18.671 | 63.094 | -50.175 | -0.000 | 0.000 |
| 18.671 | 58.672 | 63.094 | 50.175 | -0.000 | 0.000 |
| 63.090 | 63.090 | 43.717 | 0.000 | -0.000 | 0.000 |
| -50.175 | 50.175 | -0.000 | 63.277 | -0.000 | 0.000 |
| -0.000 | 0.000 | -0.000 | 0.000 | 63.277 | -50.175 |
| -0.000 | 0.000 | 0.000 | 0.000 | -50.175 | 20.000 |
| 58.673 | 18.673 | 63.096 | -50.175 | 0.000 | -0.000 |
| 18.673 | 58.673 | 63.096 | 50.175 | -0.000 | -0.000 |
| 63.092 | 63.092 | 43.719 | -0.000 | 0.000 | -0.000 |
| -50.175 | 50.175 | 0.000 | 63.277 | 0.000 | -0.000 |
| -0.000 | -0.000 | 0.000 | -0.000 | 63.277 | -50.175 |
| -0.000 | -0.000 | 0.000 | -0.000 | -50.175 | 20.000 |
| 58.671 | 18.670 | 63.092 | -50.175 | -0.000 | 0.000 |
| 18.670 | 58.671 | 63.092 | 50.175 | -0.000 | 0.000 |
| 63.088 | 63.088 | 43.715 | 0.000 | -0.000 | 0.000 |
| -50.175 | 50.175 | -0.000 | 63.277 | -0.000 | 0.000 |
| 0.000 | 0.000 | -0.000 | 0.000 | 63.277 | -50.175 |
| 0.000 | 0.000 | -0.000 | 0.000 | -50.175 | 20.000 |
| 58.686 | 18.687 | 63.111 | -50.175 | -0.000 | -0.000 |
| 18.686 | 58.686 | 63.111 | 50.175 | 0.000 | -0.000 |
| 63.109 | 63.109 | 43.738 | -0.000 | 0.000 | -0.000 |
| -50.175 | 50.175 | 0.000 | 63.277 | -0.000 | -0.000 |
| -0.000 | 0.000 | 0.000 | -0.000 | 63.277 | -50.175 |
| -0.000 | -0.000 | 0.000 | -0.000 | -50.175 | 20.000 |
| 58.658 | 18.656 | 63.077 | -50.175 | -0.000 | 0.000 |
| 18.657 | 58.658 | 63.077 | 50.175 | 0.000 | 0.000 |
| 63.071 | 63.071 | 43.696 | 0.000 | -0.000 | 0.000 |
| -50.175 | 50.175 | -0.000 | 63.277 | -0.000 | 0.000 |
| 0.000 | -0.000 | -0.000 | 0.000 | 63.277 | -50.175 |
| 0.000 | 0.000 | -0.000 | 0.000 | -50.175 | 20.000 |
| 300.381 | 5.673 | 5.673 | -0.000 | -0.000 | -0.000 |
| 5.673 | 300.381 | 5.673 | -0.000 | -0.000 | -0.000 |
| 5.673 | 5.673 | 300.381 | -0.000 | -0.000 | -0.000 |
| -0.000 | -0.000 | -0.000 | 16.463 | -0.000 | -0.000 |
| -0.000 | 0.000 | -0.000 | -0.000 | 16.463 | -0.000 |
| -0.000 | -0.000 | -0.000 | 0.000 | -0.000 | 16.463 |
| 300.381 | 5.673 | 5.673 | -0.000 | 0.000 | 0.000 |
| 5.673 | 300.381 | 5.673 | 0.000 | 0.000 | 0.000 |
| 5.673 | 5.673 | 300.381 | -0.000 | 0.000 | 0.000 |
| 0.000 | 0.000 | 0.000 | 16.463 | 0.000 | 0.000 |
| 0.000 | -0.000 | 0.000 | 0.000 | 16.463 | -0.000 |
| 0.000 | 0.000 | 0.000 | 0.000 | -0.000 | 16.463 |
| 300.380 | 5.672 | 5.672 | -0.000 | -0.000 | 0.000 |
| 5.672 | 300.380 | 5.672 | -0.000 | 0.000 | -0.000 |
| 5.672 | 5.672 | 300.380 | -0.000 | -0.000 | -0.000 |
| -0.000 | -0.000 | -0.000 | 16.463 | -0.000 | -0.000 |
| -0.000 | -0.000 | -0.000 | 0.000 | 16.463 | -0.000 |
| -0.000 | -0.000 | -0.000 | 0.000 | -0.000 | 16.463 |
| 300.383 | 5.675 | 5.675 | 0.000 | 0.000 | 0.000 |
| 5.675 | 300.383 | 5.675 | 0.000 | 0.000 | -0.000 |
| 5.675 | 5.675 | 300.383 | 0.000 | 0.000 | -0.000 |
| 0.000 | 0.000 | 0.000 | 16.463 | -0.000 | 0.000 |
| 0.000 | 0.000 | 0.000 | -0.000 | 16.463 | 0.000 |
| 0.000 | 0.000 | 0.000 | -0.000 | 0.000 | 16.463 |
| 300.366 | 5.659 | 5.659 | -0.000 | -0.000 | 0.000 |
| 5.659 | 300.366 | 5.659 | -0.000 | -0.000 | -0.000 |
| 5.659 | 5.659 | 300.366 | -0.000 | -0.000 | -0.000 |
| -0.000 | -0.000 | -0.001 | 16.463 | -0.000 | 0.000 |
| -0.000 | -0.000 | -0.001 | 0.000 | 16.463 | -0.000 |
| -0.000 | -0.001 | -0.000 | -0.000 | -0.000 | 16.463 |
| 300.396 | 5.688 | 5.688 | 0.000 | 0.000 | -0.000 |
| 5.688 | 300.396 | 5.688 | 0.000 | 0.000 | 0.000 |
| 5.688 | 5.688 | 300.396 | 0.000 | 0.000 | -0.000 |
| 0.000 | 0.000 | 0.001 | 16.463 | -0.000 | -0.000 |
| 0.000 | 0.000 | 0.001 | 0.000 | 16.463 | 0.000 |
| 0.000 | 0.001 | 0.000 | 0.000 | 0.000 | 16.463 |
| 20.669 | 32.598 | 32.598 | -0.000 | -0.000 | -0.000 |
| 32.598 | 20.669 | 32.598 | 0.000 | -0.000 | 0.000 |
| 32.598 | 32.598 | 20.669 | 0.000 | 0.000 | 0.000 |
| 0.000 | -0.000 | -0.000 | 33.013 | 0.000 | -0.000 |
| -0.000 | 0.000 | -0.000 | 0.000 | 33.013 | 0.000 |
| -0.000 | -0.000 | -0.000 | 0.000 | -0.000 | 33.013 |
| 20.669 | 32.598 | 32.598 | -0.000 | 0.000 | 0.000 |
| 32.598 | 20.669 | 32.598 | 0.000 | 0.000 | -0.000 |
| 32.598 | 32.598 | 20.669 | 0.000 | 0.000 | -0.000 |
| -0.000 | 0.000 | 0.000 | 33.013 | -0.000 | -0.000 |
| 0.000 | -0.000 | 0.000 | -0.000 | 33.013 | -0.000 |
| 0.000 | 0.000 | -0.000 | 0.000 | 0.000 | 33.013 |
| 20.668 | 32.598 | 32.598 | -0.000 | 0.000 | 0.000 |
| 32.598 | 20.668 | 32.598 | -0.000 | -0.000 | 0.000 |
| 32.598 | 32.598 | 20.668 | 0.000 | 0.000 | 0.000 |
| -0.000 | -0.000 | -0.000 | 33.013 | -0.000 | 0.000 |
| -0.000 | -0.000 | -0.000 | -0.000 | 33.013 | 0.000 |
| -0.000 | -0.000 | -0.000 | 0.000 | -0.000 | 33.013 |
| 20.669 | 32.598 | 32.598 | 0.000 | -0.000 | -0.000 |
| 32.598 | 20.669 | 32.598 | -0.000 | 0.000 | -0.000 |
| 32.598 | 32.598 | 20.669 | 0.000 | -0.000 | 0.000 |
| 0.000 | 0.000 | 0.000 | 33.013 | -0.000 | -0.000 |
| 0.000 | 0.000 | 0.000 | 0.000 | 33.013 | -0.000 |
| 0.000 | 0.000 | 0.000 | -0.000 | 0.000 | 33.013 |
| 20.667 | 32.597 | 32.597 | -0.000 | 0.000 | 0.000 |
| 32.597 | 20.667 | 32.597 | 0.000 | -0.000 | 0.000 |
| 32.597 | 32.597 | 20.667 | -0.000 | -0.000 | -0.000 |
| -0.000 | -0.001 | -0.001 | 33.013 | 0.000 | -0.000 |
| -0.001 | -0.000 | -0.001 | -0.000 | 33.013 | 0.000 |
| -0.001 | -0.001 | -0.000 | 0.000 | -0.000 | 33.013 |
| 20.671 | 32.599 | 32.599 | 0.000 | 0.000 | 0.000 |
| 32.599 | 20.671 | 32.599 | -0.000 | 0.000 | -0.000 |
| 32.599 | 32.599 | 20.671 | 0.000 | 0.000 | 0.000 |
| 0.000 | 0.001 | 0.001 | 33.013 | -0.000 | -0.000 |
| 0.001 | 0.000 | 0.001 | 0.000 | 33.013 | -0.000 |
| 0.001 | 0.001 | 0.000 | 0.000 | 0.000 | 33.013 |
| 20.088 | -0.469 | -0.469 | -0.000 | -0.000 | -0.000 |
| -0.469 | 20.088 | -0.469 | -0.000 | -0.000 | -0.000 |
| -0.469 | -0.469 | 20.088 | -0.000 | -0.000 | -0.000 |
| 0.000 | 0.000 | -0.000 | 0.047 | -0.000 | -0.000 |
| 0.000 | 0.000 | -0.000 | -0.000 | 0.047 | 0.000 |
| 0.000 | -0.000 | 0.000 | 0.000 | -0.000 | 0.047 |
| 20.088 | -0.469 | -0.469 | -0.000 | -0.000 | 0.000 |
| -0.469 | 20.088 | -0.469 | -0.000 | -0.000 | 0.000 |
| -0.469 | -0.469 | 20.088 | -0.000 | -0.000 | 0.000 |
| -0.000 | 0.000 | 0.000 | 0.047 | -0.000 | -0.000 |
| 0.000 | -0.000 | 0.000 | -0.000 | 0.047 | 0.000 |
| 0.000 | 0.000 | -0.000 | -0.000 | 0.000 | 0.047 |
| 20.088 | -0.469 | -0.469 | 0.000 | 0.000 | -0.000 |
| -0.469 | 20.088 | -0.469 | 0.000 | 0.000 | -0.000 |
| -0.469 | -0.469 | 20.088 | -0.000 | -0.000 | -0.000 |
| 0.000 | 0.000 | -0.000 | 0.047 | 0.000 | -0.000 |
| 0.000 | 0.000 | -0.000 | 0.000 | 0.047 | -0.000 |
| 0.000 | -0.000 | 0.000 | -0.000 | -0.000 | 0.047 |
| 20.088 | -0.469 | -0.469 | -0.000 | 0.000 | 0.000 |
| -0.469 | 20.088 | -0.469 | 0.000 | -0.000 | 0.000 |
| -0.469 | -0.469 | 20.088 | 0.000 | 0.000 | 0.000 |
| -0.000 | -0.000 | 0.000 | 0.047 | 0.000 | -0.000 |
| -0.000 | -0.000 | 0.000 | 0.000 | 0.047 | 0.000 |
| -0.000 | 0.000 | -0.000 | 0.000 | 0.000 | 0.047 |
| 20.087 | -0.469 | -0.469 | 0.000 | 0.000 | 0.000 |
| -0.469 | 20.087 | -0.469 | 0.000 | 0.000 | 0.000 |
| -0.469 | -0.469 | 20.087 | 0.000 | -0.000 | 0.000 |
| 0.000 | 0.000 | -0.000 | 0.047 | 0.000 | 0.000 |
| 0.000 | 0.000 | -0.000 | -0.000 | 0.047 | -0.000 |
| 0.000 | -0.000 | 0.000 | 0.000 | -0.000 | 0.047 |
| 20.089 | -0.469 | -0.469 | -0.000 | -0.000 | -0.000 |
| -0.469 | 20.089 | -0.469 | 0.000 | -0.000 | -0.000 |
| -0.469 | -0.469 | 20.089 | 0.000 | 0.000 | 0.000 |
| -0.000 | -0.000 | 0.000 | 0.047 | 0.000 | 0.000 |
| -0.000 | -0.000 | 0.000 | 0.000 | 0.047 | 0.000 |
| -0.000 | 0.000 | -0.000 | 0.000 | 0.000 | 0.047 |
| 93.431 | -0.008 | -0.008 | -0.000 | 0.000 | 0.000 |
| -0.008 | 93.431 | -0.008 | 0.000 | -0.000 | -0.000 |
| -0.008 | -0.008 | 93.431 | -0.000 | -0.000 | 0.000 |
| -0.000 | 0.000 | -0.000 | 0.000 | -0.000 | 0.000 |
| 0.000 | -0.000 | -0.000 | -0.000 | 0.000 | 0.000 |
| 0.000 | -0.000 | -0.000 | 0.000 | 0.000 | 0.000 |
| 93.431 | -0.008 | -0.008 | -0.000 | -0.000 | -0.000 |
| -0.008 | 93.431 | -0.008 | -0.000 | -0.000 | -0.000 |
| -0.008 | -0.008 | 93.431 | -0.000 | -0.000 | -0.000 |
| 0.000 | -0.000 | 0.000 | 0.000 | -0.000 | 0.000 |
| -0.000 | 0.000 | 0.000 | -0.000 | 0.000 | -0.000 |
| -0.000 | 0.000 | 0.000 | -0.000 | 0.000 | 0.000 |
| 93.431 | -0.008 | -0.008 | -0.000 | -0.000 | -0.000 |
| -0.008 | 93.431 | -0.008 | -0.000 | -0.000 | -0.000 |
| -0.008 | -0.008 | 93.431 | -0.000 | -0.000 | -0.000 |
| -0.000 | 0.000 | -0.000 | 0.000 | -0.000 | -0.000 |
| 0.000 | -0.000 | -0.000 | -0.000 | 0.000 | -0.000 |
| 0.000 | -0.000 | -0.000 | -0.000 | 0.000 | 0.000 |
| 93.431 | -0.008 | -0.008 | 0.000 | -0.000 | -0.000 |
| -0.008 | 93.431 | -0.008 | -0.000 | 0.000 | 0.000 |
| -0.008 | -0.008 | 93.431 | -0.000 | -0.000 | 0.000 |
| 0.000 | -0.000 | 0.000 | 0.000 | -0.000 | 0.000 |
| -0.000 | 0.000 | 0.000 | -0.000 | 0.000 | -0.000 |
| -0.000 | 0.000 | 0.000 | 0.000 | 0.000 | 0.000 |
| 93.430 | -0.008 | -0.008 | -0.000 | 0.000 | -0.000 |
| -0.008 | 93.430 | -0.008 | -0.000 | -0.000 | 0.000 |
| -0.008 | -0.008 | 93.430 | 0.000 | 0.000 | 0.000 |
| 0.000 | 0.000 | -0.000 | 0.000 | 0.000 | 0.000 |
| 0.000 | 0.000 | -0.000 | 0.000 | 0.000 | -0.000 |
| 0.000 | -0.000 | 0.000 | 0.000 | -0.000 | 0.000 |
| 93.432 | -0.008 | -0.008 | 0.000 | 0.000 | 0.000 |
| -0.008 | 93.432 | -0.008 | 0.000 | 0.000 | 0.000 |
| -0.008 | -0.008 | 93.432 | 0.000 | 0.000 | 0.000 |
| -0.000 | -0.000 | 0.000 | 0.000 | 0.000 | -0.000 |
| -0.000 | -0.000 | 0.000 | 0.000 | 0.000 | -0.000 |
| -0.000 | 0.000 | -0.000 | -0.000 | 0.000 | 0.000 |
| 218.854 | 177.643 | 153.394 | 0.000 | 0.000 | -0.000 |
| 177.643 | 218.854 | 153.394 | -0.000 | 0.000 | -0.000 |
| 153.409 | 153.409 | 258.734 | -0.000 | 0.000 | -0.000 |
| -0.000 | 0.000 | -0.000 | 0.434 | -0.000 | -0.000 |
| -0.000 | 0.000 | -0.000 | 0.000 | 0.434 | -0.000 |
| -0.000 | 0.000 | -0.000 | -0.000 | 0.000 | 4.997 |
| 218.852 | 177.641 | 153.392 | -0.000 | -0.000 | -0.000 |
| 177.641 | 218.852 | 153.392 | -0.000 | -0.000 | 0.000 |
| 153.406 | 153.406 | 258.731 | -0.000 | 0.000 | -0.000 |
| 0.000 | -0.000 | 0.000 | 0.434 | -0.000 | 0.000 |
| 0.000 | -0.000 | 0.000 | 0.000 | 0.434 | -0.000 |
| 0.000 | 0.000 | 0.000 | -0.000 | -0.000 | 4.997 |
| 218.863 | 177.653 | 153.404 | 0.000 | -0.000 | -0.000 |
| 193.261 | 203.255 | 153.404 | -0.000 | 0.000 | 0.000 |
| 153.419 | 153.419 | 258.744 | -0.000 | -0.000 | 0.000 |
| -0.000 | 0.000 | -0.000 | 0.434 | 0.000 | -0.000 |
| -0.000 | -0.000 | -0.000 | 0.000 | 0.434 | 0.000 |
| -0.000 | -0.000 | -0.000 | -0.000 | 0.000 | 4.997 |
| 203.233 | 193.239 | 153.382 | 0.000 | -0.000 | 0.000 |
| 193.239 | 203.233 | 153.382 | -0.000 | -0.000 | 0.000 |
| 153.396 | 153.396 | 258.721 | -0.000 | 0.000 | -0.000 |
| 0.000 | -0.000 | 0.000 | 0.434 | -0.000 | -0.000 |
| 0.000 | 0.000 | 0.000 | 0.000 | 0.434 | -0.000 |
| 0.000 | 0.000 | 0.000 | -0.000 | 0.000 | 4.997 |
| 218.960 | 177.750 | 153.503 | 0.000 | 0.000 | -0.000 |
| 193.358 | 203.351 | 153.503 | -0.000 | 0.000 | -0.000 |
| 153.521 | 153.521 | 258.851 | 0.000 | -0.000 | -0.000 |
| -0.000 | -0.000 | -0.000 | 0.434 | 0.000 | -0.000 |
| -0.000 | -0.000 | -0.000 | 0.000 | 0.434 | -0.000 |
| -0.000 | -0.000 | -0.000 | 0.000 | -0.000 | 20.605 |
| 203.137 | 193.142 | 153.282 | 0.000 | 0.000 | -0.000 |
| 177.534 | 218.745 | 153.282 | -0.000 | 0.000 | 0.000 |
| 153.294 | 153.294 | 258.613 | -0.000 | -0.000 | -0.000 |
| 0.000 | 0.000 | 0.000 | 0.434 | -0.000 | 0.000 |
| 0.000 | 0.000 | 0.000 | -0.000 | 0.434 | 0.000 |
| 0.000 | 0.000 | 0.000 | -0.000 | -0.000 | 20.605 |
| 171.183 | 160.979 | 123.266 | 0.000 | -0.000 | 0.000 |
| 160.979 | 171.183 | 123.266 | -0.000 | -0.000 | 0.000 |
| 123.266 | 123.266 | 230.773 | -0.000 | -0.000 | -0.000 |
| -0.000 | 0.000 | -0.000 | 0.466 | 0.000 | -0.000 |
| -0.000 | 0.000 | -0.000 | 0.000 | 0.466 | 0.000 |
| -0.000 | -0.000 | -0.000 | 0.000 | -0.000 | 5.102 |
| 171.182 | 160.978 | 123.265 | -0.000 | 0.000 | -0.000 |
| 160.978 | 171.182 | 123.265 | 0.000 | 0.000 | 0.000 |
| 123.265 | 123.265 | 230.772 | -0.000 | 0.000 | -0.000 |
| 0.000 | -0.000 | 0.000 | 0.466 | 0.000 | -0.000 |
| 0.000 | 0.000 | 0.000 | -0.000 | 0.466 | 0.000 |
| 0.000 | -0.000 | 0.000 | 0.000 | 0.000 | 5.102 |
| 171.187 | 160.984 | 123.270 | -0.000 | -0.000 | 0.000 |
| 160.984 | 171.187 | 123.270 | -0.000 | -0.000 | 0.000 |
| 123.270 | 123.270 | 230.777 | 0.000 | 0.000 | -0.000 |
| -0.000 | 0.000 | -0.000 | 0.466 | 0.000 | 0.000 |
| 0.000 | -0.000 | -0.000 | 0.000 | 0.466 | -0.000 |
| -0.000 | -0.000 | -0.000 | 0.000 | -0.000 | 5.102 |
| 186.787 | 145.364 | 123.261 | -0.000 | 0.000 | -0.000 |
| 145.364 | 186.787 | 123.261 | -0.000 | -0.000 | -0.000 |
| 123.262 | 123.262 | 230.769 | -0.000 | 0.000 | -0.000 |
| 0.000 | -0.000 | 0.000 | 0.466 | -0.000 | 0.000 |
| -0.000 | 0.000 | 0.000 | 0.000 | 0.466 | 0.000 |
| 0.000 | 0.000 | 0.000 | 0.000 | 0.000 | 5.102 |
| 171.230 | 161.027 | 123.310 | -0.000 | -0.000 | 0.000 |
| 161.027 | 171.230 | 123.310 | 0.000 | -0.000 | -0.000 |
| 123.307 | 123.307 | 230.812 | 0.000 | -0.000 | 0.000 |
| -0.000 | 0.000 | -0.000 | 0.466 | 0.000 | 0.000 |
| 0.000 | -0.000 | -0.000 | 0.000 | 0.466 | 0.000 |
| -0.000 | -0.000 | -0.000 | 0.000 | -0.000 | 5.102 |
| 171.135 | 160.931 | 123.221 | -0.000 | 0.000 | 0.000 |
| 145.321 | 186.745 | 123.221 | 0.000 | 0.000 | 0.000 |
| 123.225 | 123.225 | 230.734 | -0.000 | 0.000 | 0.000 |
| 0.000 | -0.000 | 0.000 | 0.466 | -0.000 | 0.000 |
| -0.000 | 0.000 | 0.000 | -0.000 | 0.466 | 0.000 |
| 0.000 | 0.000 | 0.000 | 0.000 | 0.000 | 5.102 |
| 222.178 | 160.395 | 185.930 | -0.000 | 0.000 | -0.000 |
| 160.435 | 220.829 | 185.234 | 0.000 | 0.000 | -0.000 |
| 185.937 | 185.201 | 230.381 | 0.000 | 0.000 | -0.000 |
| 0.000 | 0.000 | 0.000 | 17.694 | 0.000 | -0.000 |
| 0.000 | 0.000 | 0.000 | -0.000 | 18.080 | -0.000 |
| 0.000 | -0.000 | 0.000 | -0.000 | 0.000 | -23.124 |
| 222.182 | 160.399 | 185.934 | 0.000 | -0.000 | 0.000 |
| 160.439 | 220.833 | 185.237 | -0.000 | 0.000 | 0.000 |
| 185.940 | 185.204 | 230.384 | -0.000 | -0.000 | 0.000 |
| -0.000 | -0.000 | -0.000 | 17.694 | -0.000 | 0.000 |
| -0.000 | -0.000 | -0.000 | -0.000 | 18.080 | 0.000 |
| -0.000 | 0.000 | -0.000 | 0.000 | -0.000 | -23.124 |
| 222.159 | 160.376 | 185.913 | 0.000 | 0.000 | -0.000 |
| 160.417 | 220.811 | 185.217 | 0.000 | 0.000 | -0.000 |
| 185.922 | 185.185 | 230.367 | 0.000 | 0.000 | -0.000 |
| 0.000 | 0.000 | 0.000 | 17.694 | 0.000 | -0.000 |
| 0.000 | 0.000 | 0.000 | -0.000 | 18.080 | -0.000 |
| 0.000 | 0.000 | 0.000 | 0.000 | 0.000 | -23.124 |
| 222.200 | 160.418 | 185.950 | -0.000 | -0.000 | 0.000 |
| 160.458 | 220.852 | 185.254 | -0.000 | -0.000 | 0.000 |
| 185.956 | 185.219 | 230.398 | 0.000 | -0.000 | 0.000 |
| -0.000 | -0.000 | -0.000 | 17.694 | -0.000 | 0.000 |
| -0.000 | -0.000 | -0.000 | -0.000 | 18.080 | 0.000 |
| -0.000 | -0.000 | -0.000 | -0.000 | -0.000 | -23.124 |
| 221.974 | 160.191 | 185.744 | 0.000 | 0.000 | -0.000 |
| 160.232 | 220.627 | 185.048 | -0.000 | 0.000 | -0.000 |
| 185.767 | 185.031 | 230.228 | 0.000 | 0.000 | -0.000 |
| 0.000 | 0.000 | 0.000 | 17.694 | 0.000 | -0.000 |
| 0.000 | 0.000 | 0.000 | 0.000 | 18.080 | -0.000 |
| 0.000 | 0.000 | 0.000 | 0.000 | 0.000 | -23.124 |
| 222.385 | 160.603 | 186.120 | -0.000 | -0.000 | 0.000 |
| 160.643 | 221.035 | 185.423 | -0.000 | -0.000 | 0.000 |
| 186.111 | 185.374 | 230.537 | -0.000 | -0.000 | 0.000 |
| -0.000 | -0.000 | -0.000 | 17.694 | -0.000 | 0.000 |
| -0.000 | -0.000 | -0.000 | -0.000 | 18.080 | 0.000 |
| -0.000 | -0.000 | -0.000 | 0.000 | -0.000 | -23.124 |
| 2161.891 | 2120.241 | 2120.241 | 0.000 | 0.000 | -0.000 |
| 2120.241 | 2161.891 | 2120.241 | 0.000 | -0.000 | 0.000 |
| 2120.241 | 2120.241 | 2161.891 | 0.000 | -0.000 | 0.000 |
| 1384.421 | 1384.421 | 1384.421 | 5.175 | -0.000 | -0.000 |
| 1384.421 | 1384.421 | 1384.421 | 0.000 | 5.175 | 0.000 |
| 1384.421 | 1384.421 | 1384.421 | 0.000 | -0.000 | 5.175 |
| -1630.478 | -1679.615 | -1679.615 | -0.000 | -0.000 | 0.000 |
| -1679.615 | -1630.478 | -1679.615 | -0.000 | 0.000 | 0.000 |
| -1679.615 | -1679.615 | -1630.478 | -0.000 | 0.000 | -0.000 |
| -1384.421 | -1384.421 | -1384.421 | 5.175 | 0.000 | -0.000 |
| -1384.421 | -1384.421 | -1384.421 | -0.000 | 5.175 | 0.000 |
| -1384.421 | -1384.421 | -1384.421 | 0.000 | 0.000 | 5.175 |
| 429.064 | 376.578 | 376.578 | 0.000 | 0.000 | -0.000 |
| 376.578 | 429.064 | 376.578 | 0.000 | -0.000 | -0.000 |
| 376.578 | 376.578 | 429.064 | 0.000 | -0.000 | 0.000 |
| 138.209 | 138.209 | 138.209 | 5.197 | -0.000 | 0.000 |
| 138.209 | 138.209 | 138.209 | 0.000 | 5.197 | 0.000 |
| 138.209 | 138.209 | 138.209 | 0.000 | -0.000 | 5.197 |
| 92.393 | 50.091 | 50.091 | 0.000 | 0.000 | 0.000 |
| 50.091 | 92.393 | 50.091 | -0.000 | 0.000 | -0.000 |
| 50.091 | 50.091 | 92.393 | -0.000 | 0.000 | 0.000 |
| -138.209 | -138.209 | -138.209 | 5.197 | 0.000 | 0.000 |
| -138.209 | -138.209 | -138.209 | -0.000 | 5.197 | -0.000 |
| -138.209 | -138.209 | -138.209 | -0.000 | 0.000 | 5.197 |
| 302.036 | 253.619 | 253.619 | 0.000 | -0.000 | 0.000 |
| 253.619 | 302.036 | 253.619 | 0.000 | -0.000 | -0.000 |
| 253.619 | 253.619 | 302.036 | 0.000 | -0.000 | -0.000 |
| 0.000 | 0.000 | 0.000 | 18.065 | 0.000 | 0.000 |
| 0.000 | 0.000 | 0.000 | 0.000 | 18.065 | 0.000 |
| 0.000 | 0.000 | 0.000 | 0.000 | -0.000 | 18.065 |
| 266.465 | 219.378 | 219.378 | -0.000 | -0.000 | 0.000 |
| 219.378 | 266.465 | 219.378 | 0.000 | 0.000 | 0.000 |
| 219.378 | 219.378 | 266.465 | -0.000 | -0.000 | 0.000 |
| -0.000 | -0.000 | -0.000 | 18.065 | 0.000 | -0.000 |
| -0.000 | -0.000 | -0.000 | -0.000 | 18.065 | -0.000 |
| -0.000 | -0.000 | -0.000 | -0.000 | -0.000 | 18.065 |
| 166.527 | 111.703 | 111.703 | 0.000 | 0.000 | 0.000 |
| 111.703 | 166.527 | 111.703 | 0.000 | 0.000 | 0.000 |
| 111.703 | 111.703 | 166.527 | 0.000 | 0.000 | 0.000 |
| 0.000 | 0.000 | -0.000 | 18.054 | 0.000 | -0.000 |
| 0.000 | 0.000 | 0.000 | -0.000 | 18.054 | -0.000 |
| 0.000 | 0.000 | 0.000 | 0.000 | 0.000 | 18.054 |
| 353.188 | 279.392 | 279.392 | -0.000 | -0.000 | 0.000 |
| 279.392 | 353.188 | 279.392 | 0.000 | -0.000 | 0.000 |
| 279.392 | 279.392 | 353.188 | 0.000 | -0.000 | 0.000 |
| 0.000 | -0.000 | 0.000 | 18.054 | -0.000 | 0.000 |
| -0.000 | 0.000 | -0.000 | 0.000 | 18.054 | 0.000 |
| -0.000 | -0.000 | 0.000 | 0.000 | -0.000 | 18.054 |
| 325.149 | 273.603 | 273.603 | 0.000 | 0.000 | 0.000 |
| 273.603 | 325.149 | 273.603 | 0.000 | 0.000 | 0.000 |
| 273.603 | 273.603 | 325.149 | 0.000 | 0.000 | 0.000 |
| 0.000 | 0.000 | 0.000 | 18.054 | -0.000 | -0.000 |
| 0.000 | 0.000 | 0.000 | -0.000 | 18.054 | -0.000 |
| 0.000 | 0.000 | 0.000 | 0.000 | 0.000 | 18.054 |
| 328.509 | 277.845 | 277.845 | -0.000 | -0.000 | -0.000 |
| 277.845 | 328.509 | 277.845 | -0.000 | -0.000 | -0.000 |
| 277.845 | 277.845 | 328.509 | -0.000 | -0.000 | -0.000 |
| -0.000 | -0.000 | -0.000 | 18.054 | -0.000 | 0.000 |
| -0.000 | -0.000 | -0.000 | 0.000 | 18.054 | 0.000 |
| -0.000 | -0.000 | -0.000 | 0.000 | -0.000 | 18.054 |
| 327.379 | 275.141 | 275.141 | 0.000 | 0.000 | 0.000 |
| 275.141 | 327.379 | 275.141 | 0.000 | 0.000 | 0.000 |
| 275.141 | 275.141 | 327.379 | 0.000 | 0.000 | 0.000 |
| 0.000 | 0.000 | 0.000 | 18.054 | 0.000 | -0.000 |
| 0.000 | 0.000 | 0.000 | -0.000 | 18.054 | -0.000 |
| 0.000 | 0.000 | 0.000 | -0.000 | 0.000 | 18.054 |
| 331.990 | 274.378 | 274.378 | -0.000 | -0.000 | -0.000 |
| 274.378 | 331.990 | 274.378 | -0.000 | -0.000 | -0.000 |
| 274.378 | 274.378 | 331.990 | -0.000 | -0.000 | -0.000 |
| -0.000 | -0.000 | -0.000 | 18.054 | -0.000 | 0.000 |
| -0.000 | -0.000 | -0.000 | 0.000 | 18.054 | 0.000 |
| -0.000 | -0.000 | -0.000 | -0.000 | 0.000 | 18.054 |
| 210.214 | 161.510 | 161.510 | -0.000 | 0.000 | 0.000 |
| 161.510 | 210.214 | 161.510 | 0.000 | -0.000 | -0.000 |
| 161.510 | 161.510 | 210.214 | -0.000 | 0.000 | -0.000 |
| 23.123 | 23.123 | 23.123 | 13.046 | 0.003 | 0.003 |
| 23.123 | 23.123 | 23.123 | 0.003 | 13.046 | 0.003 |
| 23.123 | 23.123 | 23.123 | 0.003 | 0.003 | 13.046 |
| 210.212 | 161.507 | 161.507 | -0.000 | 0.000 | 0.000 |
| 161.507 | 210.212 | 161.507 | 0.000 | 0.000 | 0.000 |
| 161.507 | 161.507 | 210.212 | 0.000 | 0.000 | -0.000 |
| -23.123 | -23.123 | -23.123 | 13.042 | -0.003 | -0.003 |
| -23.123 | -23.123 | -23.123 | -0.003 | 13.042 | -0.003 |
| -23.123 | -23.123 | -23.123 | -0.003 | -0.003 | 13.042 |
| 193.280 | 158.069 | 158.069 | 0.000 | 0.000 | 0.000 |
| 158.069 | 193.280 | 158.069 | 0.000 | 0.000 | 0.000 |
| 158.069 | 158.069 | 193.280 | 0.000 | 0.000 | 0.000 |
| -3.819 | -3.819 | -3.819 | 15.373 | 0.000 | 0.000 |
| -3.819 | -3.819 | -3.819 | 0.000 | 15.373 | 0.000 |
| -3.819 | -3.819 | -3.819 | 0.000 | 0.000 | 15.373 |
| 181.451 | 170.760 | 170.760 | -0.001 | -0.001 | -0.001 |
| 170.760 | 181.451 | 170.760 | -0.001 | -0.001 | -0.001 |
| 170.760 | 170.760 | 181.451 | -0.001 | -0.001 | -0.001 |
| 3.819 | 3.819 | 3.819 | 15.373 | -0.000 | -0.000 |
| 3.819 | 3.819 | 3.819 | -0.000 | 15.373 | -0.000 |
| 3.819 | 3.819 | 3.819 | -0.000 | -0.000 | 15.373 |
| 182.294 | 167.065 | 167.065 | 0.000 | 0.000 | 0.000 |
| 167.065 | 182.294 | 167.065 | 0.000 | 0.000 | 0.000 |
| 167.065 | 167.065 | 182.294 | 0.000 | 0.000 | 0.000 |
| -0.951 | -0.951 | -0.951 | 19.145 | 0.000 | 0.000 |
| -0.951 | -0.951 | -0.951 | 0.000 | 19.145 | 0.000 |
| -0.951 | -0.951 | -0.951 | 0.000 | 0.000 | 19.145 |
| 195.500 | 165.581 | 165.581 | -0.000 | -0.000 | -0.000 |
| 165.581 | 195.500 | 165.581 | -0.000 | -0.000 | -0.000 |
| 165.581 | 165.581 | 195.500 | -0.000 | -0.000 | -0.000 |
| 0.951 | 0.951 | 0.951 | 19.145 | -0.000 | -0.000 |
| 0.951 | 0.951 | 0.951 | -0.000 | 19.145 | -0.000 |
| 0.951 | 0.951 | 0.951 | -0.000 | -0.000 | 19.145 |
| 18.113 | 27.983 | 27.983 | 0.000 | 0.000 | 0.000 |
| 27.983 | 18.113 | 27.983 | 0.000 | 0.000 | 0.000 |
| 27.983 | 27.983 | 18.113 | 0.000 | 0.000 | 0.000 |
| 0.000 | 0.000 | 0.000 | 30.905 | 0.000 | 0.000 |
| 0.000 | 0.000 | 0.000 | 0.000 | 30.905 | 0.000 |
| 0.000 | 0.000 | 0.000 | -0.000 | 0.000 | 30.905 |
| 73.860 | 129.170 | 129.170 | -0.000 | -0.000 | -0.000 |
| 129.170 | 73.860 | 129.170 | -0.000 | -0.000 | -0.000 |
| 129.170 | 129.170 | 73.860 | -0.000 | -0.000 | -0.000 |
| -0.000 | -0.000 | -0.000 | 30.905 | -0.000 | -0.000 |
| -0.000 | -0.000 | -0.000 | 0.000 | 30.905 | -0.000 |
| -0.000 | -0.000 | -0.000 | 0.000 | -0.000 | 30.905 |
| 143.367 | 93.899 | 93.899 | -0.000 | 0.000 | 0.000 |
| 93.899 | 143.367 | 93.899 | 0.000 | -0.000 | -0.000 |
| 93.899 | 93.899 | 143.367 | -0.000 | -0.000 | -0.000 |
| 0.000 | 0.000 | 0.000 | 30.905 | 0.000 | -0.000 |
| 0.000 | 0.000 | 0.000 | 0.000 | 30.905 | 0.000 |
| 0.000 | 0.000 | 0.000 | 0.000 | 0.000 | 30.905 |
| 143.356 | 93.888 | 93.888 | -0.000 | 0.000 | -0.000 |
| 93.888 | 143.356 | 93.888 | -0.000 | 0.000 | 0.000 |
| 93.888 | 93.888 | 143.356 | 0.000 | 0.000 | -0.000 |
| -0.000 | -0.000 | -0.000 | 30.905 | 0.000 | 0.000 |
| -0.000 | -0.000 | -0.000 | 0.000 | 30.905 | 0.000 |
| -0.000 | -0.000 | -0.000 | 0.000 | -0.000 | 30.905 |
| 130.484 | 100.236 | 100.236 | 0.000 | 0.000 | 0.000 |
| 100.236 | 130.484 | 100.236 | 0.000 | 0.000 | 0.000 |
| 100.236 | 100.236 | 130.484 | 0.000 | 0.000 | 0.000 |
| -0.002 | -0.002 | -0.002 | 18.354 | 0.000 | 0.000 |
| -0.002 | -0.002 | -0.002 | 0.000 | 18.354 | 0.000 |
| -0.002 | -0.002 | -0.002 | 0.000 | 0.000 | 18.354 |
| 143.306 | 93.840 | 93.840 | 0.000 | 0.000 | -0.000 |
| 93.840 | 143.306 | 93.840 | -0.000 | -0.000 | 0.000 |
| 93.840 | 93.840 | 143.306 | 0.000 | -0.000 | 0.000 |
| 0.002 | 0.002 | 0.002 | 18.354 | -0.000 | -0.000 |
| 0.002 | 0.002 | 0.002 | -0.000 | 18.354 | -0.000 |
| 0.002 | 0.002 | 0.002 | -0.000 | -0.000 | 18.354 |
| 135.713 | 95.785 | 93.317 | 0.000 | -0.000 | -0.000 |
| 89.852 | 158.181 | 91.653 | -0.000 | -0.000 | -0.000 |
| 94.140 | 91.848 | 157.867 | 0.000 | -0.000 | -0.000 |
| -0.000 | 0.000 | 0.000 | 34.152 | -0.000 | -0.000 |
| 0.000 | 0.000 | 0.000 | 0.000 | 30.579 | -0.000 |
| -0.000 | 0.000 | 0.000 | 0.000 | -0.000 | 20.927 |
| 135.712 | 95.784 | 93.316 | -0.000 | 0.000 | 0.000 |
| 89.851 | 158.180 | 91.652 | 0.000 | 0.000 | 0.000 |
| 94.139 | 91.846 | 157.866 | -0.000 | 0.000 | 0.000 |
| 0.000 | -0.000 | -0.000 | 34.152 | -0.000 | 0.000 |
| -0.000 | -0.000 | -0.000 | -0.000 | 30.579 | -0.000 |
| 0.000 | -0.000 | -0.000 | -0.000 | 0.000 | 20.927 |
| 135.719 | 95.790 | 93.322 | 0.000 | -0.000 | -0.000 |
| 96.788 | 151.989 | 92.028 | 0.000 | -0.000 | -0.000 |
| 94.145 | 91.852 | 157.872 | 0.000 | -0.000 | -0.000 |
| 0.000 | -0.000 | 0.000 | 34.152 | -0.000 | -0.000 |
| 0.000 | 0.000 | 0.000 | 0.000 | 30.579 | -0.000 |
| -0.000 | 0.000 | -0.000 | 0.000 | -0.000 | 20.927 |
| 135.706 | 95.778 | 93.310 | -0.000 | 0.000 | 0.000 |
| 89.846 | 158.175 | 91.647 | 0.000 | 0.000 | 0.000 |
| 94.133 | 91.842 | 157.861 | -0.000 | 0.000 | 0.000 |
| -0.000 | 0.000 | -0.000 | 34.152 | 0.000 | 0.000 |
| -0.000 | -0.000 | -0.000 | -0.000 | 30.579 | -0.000 |
| 0.000 | -0.000 | 0.000 | -0.000 | 0.000 | 20.927 |
| 135.778 | 95.845 | 93.378 | 0.000 | -0.000 | -0.000 |
| 96.838 | 152.035 | 92.074 | 0.000 | -0.000 | -0.000 |
| 94.196 | 91.899 | 157.920 | 0.000 | -0.000 | -0.000 |
| 0.000 | -0.000 | 0.000 | 34.152 | 0.000 | -0.000 |
| -0.000 | 0.000 | 0.000 | 0.000 | 30.579 | 0.000 |
| -0.000 | 0.000 | -0.000 | 0.000 | -0.000 | 20.927 |
| 135.647 | 95.723 | 93.255 | -0.000 | 0.000 | 0.000 |
| 96.727 | 151.933 | 91.971 | -0.000 | 0.000 | 0.000 |
| 94.082 | 91.795 | 157.812 | -0.000 | 0.000 | 0.000 |
| -0.000 | 0.000 | -0.000 | 34.152 | 0.000 | 0.000 |
| 0.000 | -0.000 | -0.000 | -0.000 | 30.579 | 0.000 |
| 0.000 | -0.000 | 0.000 | -0.000 | 0.000 | 20.927 |
| 79.082 | 31.874 | 49.464 | 53.856 | 0.000 | 0.000 |
| 31.874 | 79.082 | 49.464 | -53.856 | 0.000 | 0.000 |
| 49.464 | 49.464 | 23.371 | 0.000 | 0.000 | 0.000 |
| 53.856 | -53.856 | -0.000 | 43.442 | 0.000 | 0.000 |
| -0.000 | 0.000 | -0.000 | 0.000 | 43.442 | 53.856 |
| 0.000 | -0.000 | 0.000 | 0.000 | 53.856 | 23.604 |
| 79.081 | 31.874 | 49.464 | 53.856 | -0.000 | -0.000 |
| 31.874 | 79.081 | 49.464 | -53.856 | -0.000 | -0.000 |
| 49.464 | 49.464 | 23.371 | 0.000 | -0.000 | -0.000 |
| 53.856 | -53.856 | 0.000 | 43.442 | -0.000 | -0.000 |
| 0.000 | 0.000 | 0.000 | -0.000 | 43.442 | 53.856 |
| -0.000 | 0.000 | -0.000 | -0.000 | 53.856 | 23.604 |
| 79.082 | 31.875 | 49.464 | 53.856 | 0.000 | 0.000 |
| 31.875 | 79.082 | 49.464 | -53.856 | 0.000 | 0.000 |
| 49.464 | 49.464 | 23.371 | -0.000 | 0.000 | 0.000 |
| 53.856 | -53.856 | -0.000 | 43.442 | 0.000 | 0.000 |
| -0.000 | -0.000 | -0.000 | 0.000 | 43.442 | 53.856 |
| 0.000 | -0.000 | -0.000 | 0.000 | 53.856 | 23.604 |
| 79.081 | 31.874 | 49.463 | 53.856 | -0.000 | -0.000 |
| 31.874 | 79.081 | 49.463 | -53.856 | 0.000 | -0.000 |
| 49.464 | 49.464 | 23.371 | -0.000 | -0.000 | -0.000 |
| 53.856 | -53.856 | 0.000 | 43.442 | -0.000 | -0.000 |
| 0.000 | 0.000 | 0.000 | -0.000 | 43.442 | 53.856 |
| -0.000 | 0.000 | 0.000 | -0.000 | 53.856 | 23.604 |
| 79.087 | 31.880 | 49.469 | 53.856 | 0.000 | 0.000 |
| 31.880 | 79.087 | 49.469 | -53.856 | 0.000 | 0.000 |
| 49.468 | 49.468 | 23.374 | 0.000 | 0.000 | 0.000 |
| 53.856 | -53.856 | -0.000 | 43.442 | 0.000 | 0.000 |
| -0.000 | -0.000 | -0.000 | 0.000 | 43.442 | 53.856 |
| 0.000 | -0.000 | -0.000 | 0.000 | 53.856 | 23.604 |
| 79.076 | 31.868 | 49.459 | 53.855 | 0.000 | -0.000 |
| 31.869 | 79.075 | 49.459 | -53.855 | -0.000 | -0.000 |
| 49.460 | 49.460 | 23.368 | 0.000 | -0.000 | -0.000 |
| 53.856 | -53.855 | 0.000 | 43.442 | -0.000 | -0.000 |
| 0.000 | 0.000 | 0.000 | -0.000 | 43.442 | 53.856 |
| -0.000 | 0.000 | 0.000 | -0.000 | 53.856 | 23.604 |
| 50.834 | 64.671 | -9.373 | 0.000 | 0.000 | 0.000 |
| 64.671 | 50.834 | -9.373 | 0.000 | 0.000 | -0.000 |
| -9.373 | -9.373 | 88.919 | 0.000 | 0.000 | -0.000 |
| -0.000 | 0.000 | -0.000 | -8.453 | 0.000 | -0.000 |
| -0.000 | 0.000 | -0.000 | -0.000 | -8.453 | -0.000 |
| -0.000 | 0.000 | -0.000 | 0.000 | 0.000 | -6.918 |
| 50.834 | 64.671 | -9.373 | -0.000 | -0.000 | -0.000 |
| 64.671 | 50.834 | -9.373 | -0.000 | -0.000 | 0.000 |
| -9.373 | -9.373 | 88.919 | -0.000 | -0.000 | 0.000 |
| 0.000 | -0.000 | 0.000 | -8.453 | -0.000 | -0.000 |
| 0.000 | -0.000 | 0.000 | 0.000 | -8.453 | -0.000 |
| 0.000 | -0.000 | 0.000 | -0.000 | -0.000 | -6.918 |
| 88.408 | 27.097 | -9.373 | -0.000 | 0.000 | 0.000 |
| 27.097 | 88.408 | -9.373 | 0.000 | 0.000 | -0.000 |
| -9.373 | -9.373 | 88.919 | 0.000 | 0.000 | 0.000 |
| -0.000 | -0.000 | -0.000 | -8.453 | 0.000 | -0.000 |
| -0.000 | -0.000 | -0.000 | 0.000 | -8.453 | -0.000 |
| -0.000 | -0.000 | -0.000 | 0.000 | 0.000 | 30.656 |
| 50.686 | 64.818 | -9.373 | 0.000 | -0.000 | -0.000 |
| 27.097 | 88.408 | -9.373 | -0.000 | -0.000 | 0.000 |
| -9.373 | -9.373 | 88.919 | -0.000 | -0.000 | 0.000 |
| 0.000 | 0.000 | 0.000 | -8.453 | -0.000 | 0.000 |
| 0.000 | 0.000 | 0.000 | -0.000 | -8.453 | 0.000 |
| 0.000 | 0.000 | 0.000 | -0.000 | -0.000 | 30.656 |
| 50.686 | 64.818 | -9.372 | 0.000 | 0.000 | -0.000 |
| 27.097 | 88.407 | -9.372 | 0.000 | 0.000 | 0.000 |
| -9.371 | -9.371 | 88.920 | 0.000 | 0.000 | -0.000 |
| -0.000 | -0.000 | -0.000 | -8.453 | 0.000 | -0.000 |
| -0.000 | -0.000 | -0.000 | 0.000 | -8.453 | -0.000 |
| -0.000 | -0.000 | -0.000 | 0.000 | 0.000 | -6.918 |
| 50.837 | 64.669 | -9.374 | -0.000 | -0.000 | 0.000 |
| 27.097 | 88.408 | -9.374 | -0.000 | -0.000 | 0.000 |
| -9.375 | -9.375 | 88.918 | -0.000 | -0.000 | -0.000 |
| 0.000 | 0.000 | 0.000 | -8.453 | -0.000 | 0.000 |
| 0.000 | 0.000 | 0.000 | -0.000 | -8.453 | 0.000 |
| 0.000 | 0.000 | 0.000 | -0.000 | -0.000 | -6.918 |
| 175.858 | 138.295 | 65.602 | 4.505 | 0.000 | -0.000 |
| 132.939 | 181.169 | 65.561 | -3.481 | -0.000 | -0.000 |
| 269.667 | 269.667 | 339.412 | -0.000 | 0.000 | 0.000 |
| -110.023 | -116.985 | -198.126 | 24.785 | 0.000 | -0.000 |
| 0.000 | 0.000 | 0.000 | 0.000 | 24.820 | 3.302 |
| -113.503 | -113.503 | -198.124 | -0.000 | 4.505 | 18.782 |
| 408.220 | 359.990 | 461.891 | 3.481 | 0.000 | 0.000 |
| 248.932 | 299.030 | 269.665 | -3.302 | -0.000 | 0.000 |
| 377.227 | 377.227 | 527.163 | 0.000 | 0.000 | 0.000 |
| 116.985 | 110.023 | 198.126 | 24.785 | -0.000 | 0.000 |
| -0.000 | -0.000 | -0.000 | -0.000 | 24.820 | 3.302 |
| 113.503 | 113.503 | 198.124 | 0.000 | 4.505 | 18.782 |
| 283.160 | 234.952 | 243.605 | 3.484 | -0.000 | -0.000 |
| 248.944 | 299.041 | 269.677 | -3.302 | 0.000 | 0.000 |
| 269.678 | 269.678 | 339.423 | -0.000 | 0.000 | -0.000 |
| -7.878 | -14.841 | -19.828 | 24.785 | 0.000 | -0.000 |
| -0.000 | 0.000 | 0.000 | 0.000 | 24.820 | 3.302 |
| -11.588 | -11.588 | -20.227 | 0.000 | 3.485 | 24.096 |
| 299.020 | 248.923 | 269.655 | 3.302 | -0.000 | 0.000 |
| 248.923 | 299.020 | 269.655 | -3.302 | -0.000 | 0.000 |
| 275.063 | 275.063 | 348.840 | 0.000 | 0.000 | -0.000 |
| 14.841 | 7.878 | 19.828 | 24.785 | -0.000 | -0.000 |
| 0.000 | -0.000 | -0.000 | -0.000 | 24.820 | 3.302 |
| 11.588 | 11.588 | 20.227 | -0.000 | 3.485 | 24.096 |
| 299.135 | 249.038 | 269.777 | 3.302 | -0.000 | -0.000 |
| 244.970 | 292.961 | 260.837 | -3.504 | 0.000 | -0.000 |
| 269.784 | 269.784 | 339.538 | -0.000 | -0.000 | -0.000 |
| 3.370 | -5.640 | -1.981 | 24.589 | 0.000 | -0.000 |
| -1.222 | -1.222 | -2.132 | 0.000 | 24.783 | 3.495 |
| -1.135 | -1.135 | -1.981 | 0.000 | 4.505 | 18.782 |
| 298.926 | 248.829 | 269.555 | 3.302 | -0.000 | 0.000 |
| 248.829 | 298.926 | 269.555 | -3.302 | 0.000 | 0.000 |
| 264.740 | 264.740 | 330.893 | 0.000 | 0.000 | 0.000 |
| 3.302 | -3.302 | -0.000 | 24.820 | -0.000 | 0.000 |
| 1.222 | 1.222 | 2.132 | -0.000 | 24.783 | 3.495 |
| 1.135 | 1.135 | 1.981 | -0.000 | 4.505 | 18.782 |
| 252.842 | 214.367 | 221.983 | 4.646 | 0.000 | -0.000 |
| 207.989 | 259.263 | 221.907 | -3.404 | -0.000 | -0.000 |
| 222.173 | 222.173 | 284.431 | 0.000 | -0.000 | 0.000 |
| 3.790 | -3.596 | -0.340 | 25.403 | -0.000 | -0.000 |
| 0.000 | 0.000 | 0.000 | 0.000 | 25.459 | 3.404 |
| 0.327 | 0.327 | -1.151 | 0.000 | 4.383 | 20.595 |
| 255.967 | 210.413 | 223.448 | 3.959 | 0.000 | 0.000 |
| 207.990 | 259.265 | 221.909 | -3.404 | 0.000 | 0.000 |
| 221.827 | 221.827 | 285.656 | -0.000 | -0.000 | -0.000 |
| 3.404 | -3.404 | -0.000 | 25.459 | 0.000 | 0.000 |
| -0.000 | -0.000 | -0.000 | -0.000 | 25.459 | 3.404 |
| -0.327 | -0.327 | 1.151 | -0.000 | 4.383 | 20.595 |
| 254.362 | 212.134 | 223.197 | 4.282 | -0.000 | -0.000 |
| 207.981 | 259.256 | 221.899 | -3.404 | -0.000 | -0.000 |
| 222.109 | 222.109 | 284.611 | -0.000 | -0.000 | -0.000 |
| 3.404 | -3.404 | 0.000 | 25.459 | -0.000 | 0.000 |
| -0.000 | -0.000 | 0.000 | 0.000 | 25.459 | 3.404 |
| 0.041 | 0.041 | -0.146 | 0.000 | 4.643 | 19.255 |
| 259.273 | 207.998 | 221.918 | 3.404 | 0.000 | 0.000 |
| 207.998 | 259.273 | 221.918 | -3.404 | 0.000 | 0.000 |
| 222.119 | 222.119 | 284.677 | 0.000 | -0.000 | 0.000 |
| 3.404 | -3.404 | -0.000 | 25.459 | 0.000 | 0.000 |
| 0.000 | 0.000 | -0.000 | -0.000 | 25.459 | 3.404 |
| -0.041 | -0.041 | 0.146 | -0.000 | 4.643 | 19.255 |
| 254.465 | 211.836 | 223.145 | 4.243 | -0.000 | -0.000 |
| 211.836 | 254.465 | 223.145 | -4.243 | 0.000 | 0.000 |
| 222.007 | 222.007 | 284.524 | -0.000 | -0.000 | 0.000 |
| 4.650 | -4.641 | -0.014 | 25.218 | -0.000 | 0.000 |
| -0.000 | -0.000 | 0.000 | 0.000 | 25.459 | 3.404 |
| -0.000 | -0.000 | 0.000 | 0.000 | 3.404 | 25.637 |
| 259.350 | 208.075 | 222.007 | 3.404 | 0.000 | -0.000 |
| 212.046 | 254.634 | 223.356 | -4.247 | -0.000 | 0.000 |
| 221.940 | 221.940 | 285.784 | -0.000 | 0.000 | -0.000 |
| 3.404 | -3.404 | -0.000 | 25.459 | 0.000 | 0.000 |
| 0.000 | 0.000 | -0.000 | -0.000 | 25.459 | 3.404 |
| 0.000 | 0.000 | -0.000 | -0.000 | 3.404 | 25.637 |
| 210.133 | 173.369 | 173.369 | 0.000 | -0.000 | -0.000 |
| 173.369 | 210.133 | 173.369 | 0.000 | -0.000 | -0.000 |
| 173.369 | 173.369 | 210.133 | -0.000 | -0.000 | -0.000 |
| 1096.704 | 1096.704 | 1096.704 | 3.196 | 0.000 | -0.000 |
| 1096.704 | 1096.704 | 1096.704 | 0.000 | 3.196 | -0.000 |
| 1096.704 | 1096.704 | 1096.704 | 0.000 | -0.000 | 3.196 |
| 210.132 | 173.368 | 173.368 | 0.000 | -0.000 | 0.000 |
| 173.368 | 210.132 | 173.368 | -0.000 | 0.000 | 0.000 |
| 173.368 | 173.368 | 210.132 | -0.000 | -0.000 | 0.000 |
| -1096.704 | -1096.704 | -1096.704 | 3.196 | -0.000 | 0.000 |
| -1096.704 | -1096.704 | -1096.704 | 0.000 | 3.196 | 0.000 |
| -1096.704 | -1096.704 | -1096.704 | -0.000 | -0.000 | 3.196 |
| 309.813 | 281.473 | 281.473 | 0.000 | 0.000 | -0.000 |
| 281.473 | 309.813 | 281.473 | 0.000 | -0.000 | -0.000 |
| 281.473 | 281.473 | 309.813 | 0.000 | 0.000 | -0.000 |
| 155.006 | 155.006 | 155.006 | -3.052 | -0.000 | -0.000 |
| 155.007 | 155.007 | 155.007 | 0.000 | -3.052 | -0.000 |
| 155.006 | 155.006 | 155.006 | 0.000 | -0.000 | -3.052 |
| 210.128 | 173.364 | 173.364 | -0.000 | 0.000 | -0.000 |
| 173.364 | 210.128 | 173.364 | 0.000 | 0.000 | 0.000 |
| 173.364 | 173.364 | 210.128 | 0.000 | 0.000 | 0.000 |
| -155.006 | -155.006 | -155.006 | -3.052 | -0.000 | 0.000 |
| -169.286 | -169.286 | -169.286 | 0.000 | -8.553 | 0.000 |
| -169.286 | -169.286 | -169.286 | 0.000 | -0.000 | -8.553 |
| 210.179 | 173.414 | 173.414 | -0.000 | 0.000 | -0.000 |
| 173.414 | 210.179 | 173.414 | 0.000 | 0.000 | -0.000 |
| 173.414 | 173.414 | 210.179 | 0.000 | 0.000 | -0.000 |
| 0.000 | 0.000 | 0.000 | 24.205 | -0.000 | 0.000 |
| 0.000 | 0.000 | 0.000 | -0.000 | 24.205 | -0.000 |
| 0.000 | 0.000 | 0.000 | -0.000 | 0.000 | 24.205 |
| 189.603 | 159.597 | 159.597 | -0.000 | -0.000 | 0.000 |
| 159.597 | 189.603 | 159.597 | -0.000 | -0.000 | 0.000 |
| 159.597 | 159.597 | 189.603 | -0.000 | 0.000 | 0.000 |
| -0.000 | -0.000 | -0.000 | 24.205 | 0.000 | -0.000 |
| -0.000 | -0.000 | -0.000 | -0.000 | 24.205 | 0.000 |
| -0.000 | -0.000 | -0.000 | -0.000 | 0.000 | 24.205 |
| 151.441 | 122.914 | 122.914 | 0.000 | -0.000 | 0.000 |
| 122.914 | 151.441 | 122.914 | 0.000 | -0.000 | 0.000 |
| 122.914 | 122.914 | 151.441 | 0.000 | 0.000 | -0.000 |
| 0.000 | 0.000 | 0.000 | 11.339 | 0.000 | 0.000 |
| -0.000 | 0.000 | 0.000 | -0.000 | 11.339 | 0.000 |
| -0.000 | -0.000 | 0.000 | -0.000 | 0.000 | 11.339 |
| 151.442 | 122.915 | 122.915 | -0.000 | -0.000 | 0.000 |
| 122.915 | 151.442 | 122.915 | 0.000 | -0.000 | -0.000 |
| 122.915 | 122.915 | 151.442 | -0.000 | -0.000 | -0.000 |
| 0.000 | -0.000 | -0.000 | 11.339 | -0.000 | 0.000 |
| 0.000 | -0.000 | -0.000 | -0.000 | 11.339 | -0.000 |
| 0.000 | -0.000 | -0.000 | 0.000 | 0.000 | 11.339 |
| 151.438 | 122.911 | 122.911 | 0.000 | -0.000 | 0.000 |
| 122.911 | 151.438 | 122.911 | 0.000 | -0.000 | 0.000 |
| 122.911 | 122.911 | 151.438 | 0.000 | 0.000 | -0.000 |
| 0.000 | 0.000 | 0.000 | 11.339 | 0.000 | -0.000 |
| 0.000 | 0.000 | 0.000 | -0.000 | 11.339 | 0.000 |
| 0.000 | 0.000 | 0.000 | -0.000 | -0.000 | 11.339 |
| 151.445 | 122.918 | 122.918 | -0.000 | -0.000 | 0.000 |
| 122.918 | 151.445 | 122.918 | 0.000 | 0.000 | -0.000 |
| 122.918 | 122.918 | 151.445 | -0.000 | -0.000 | -0.000 |
| -0.000 | -0.000 | -0.000 | 11.339 | -0.000 | -0.000 |
| -0.000 | -0.000 | -0.000 | 0.000 | 11.339 | -0.000 |
| -0.000 | -0.000 | -0.000 | 0.000 | -0.000 | 11.339 |
| 151.410 | 122.882 | 122.882 | -0.000 | 0.000 | -0.000 |
| 122.882 | 151.410 | 122.882 | 0.000 | 0.000 | 0.000 |
| 122.882 | 122.882 | 151.410 | -0.000 | -0.000 | -0.000 |
| 0.000 | 0.000 | 0.000 | 11.339 | 0.000 | 0.000 |
| 0.000 | 0.000 | 0.000 | 0.000 | 11.339 | 0.000 |
| 0.000 | 0.000 | 0.000 | -0.000 | 0.000 | 11.339 |
| 151.473 | 122.947 | 122.947 | 0.000 | -0.000 | -0.000 |
| 122.947 | 151.473 | 122.947 | 0.000 | 0.000 | -0.000 |
| 122.947 | 122.947 | 151.473 | 0.000 | -0.000 | 0.000 |
| -0.000 | -0.000 | -0.000 | 11.339 | -0.000 | 0.000 |
| -0.000 | -0.000 | -0.000 | 0.000 | 11.339 | -0.000 |
| -0.000 | -0.000 | -0.000 | -0.000 | -0.000 | 11.339 |
| 37.519 | 13.081 | 13.081 | -0.000 | 0.000 | 0.000 |
| 13.081 | 37.519 | 13.081 | -0.000 | 0.000 | 0.000 |
| 13.081 | 13.081 | 37.519 | -0.000 | 0.000 | 0.000 |
| -0.000 | -0.000 | 0.000 | 8.723 | -0.000 | 0.000 |
| -0.000 | 0.000 | 0.000 | -0.000 | 8.723 | 0.000 |
| 0.000 | -0.000 | 0.000 | -0.000 | 0.000 | 8.723 |
| 37.519 | 13.081 | 13.081 | 0.000 | -0.000 | -0.000 |
| 13.081 | 37.519 | 13.081 | 0.000 | 0.000 | -0.000 |
| 13.081 | 13.081 | 37.519 | 0.000 | 0.000 | -0.000 |
| 0.000 | 0.000 | 0.000 | 8.723 | 0.000 | 0.000 |
| -0.000 | -0.000 | 0.000 | 0.000 | 8.723 | 0.000 |
| 0.000 | 0.000 | -0.000 | 0.000 | -0.000 | 8.723 |
| 37.519 | 13.081 | 13.081 | -0.000 | 0.000 | 0.000 |
| 13.081 | 37.519 | 13.081 | -0.000 | -0.000 | -0.000 |
| 13.081 | 13.081 | 37.519 | -0.000 | -0.000 | 0.000 |
| 0.000 | 0.000 | 0.000 | 8.723 | 0.000 | -0.000 |
| 0.000 | 0.000 | 0.000 | -0.000 | 8.723 | 0.000 |
| 0.000 | 0.000 | 0.000 | -0.000 | 0.000 | 8.723 |
| 37.519 | 13.081 | 13.081 | 0.000 | 0.000 | -0.000 |
| 13.081 | 37.519 | 13.081 | 0.000 | -0.000 | 0.000 |
| 13.081 | 13.081 | 37.519 | 0.000 | -0.000 | -0.000 |
| -0.000 | -0.000 | -0.000 | 8.723 | -0.000 | -0.000 |
| -0.000 | -0.000 | -0.000 | 0.000 | 8.723 | -0.000 |
| -0.000 | -0.000 | -0.000 | 0.000 | -0.000 | 8.723 |
| 37.519 | 13.081 | 13.081 | -0.000 | -0.000 | 0.000 |
| 13.081 | 37.519 | 13.081 | -0.000 | 0.000 | 0.000 |
| 13.081 | 13.081 | 37.519 | -0.000 | -0.000 | 0.000 |
| 0.000 | 0.000 | 0.000 | 13.039 | 0.000 | 0.000 |
| 0.000 | 0.000 | 0.000 | -0.000 | 13.039 | 0.000 |
| 0.000 | 0.000 | 0.000 | -0.000 | 0.000 | 13.039 |
| 37.519 | 13.081 | 13.081 | 0.000 | 0.000 | -0.000 |
| 13.081 | 37.519 | 13.081 | 0.000 | -0.000 | -0.000 |
| 13.081 | 13.081 | 37.519 | 0.000 | 0.000 | -0.000 |
| -0.000 | -0.000 | -0.000 | 13.039 | -0.000 | -0.000 |
| -0.000 | -0.000 | -0.000 | 0.000 | 13.039 | -0.000 |
| -0.000 | -0.000 | -0.000 | 0.000 | -0.000 | 13.039 |
| -13.761 | 21.261 | 21.261 | -0.000 | -0.000 | 0.000 |
| 21.261 | -13.761 | 21.261 | -0.000 | -0.000 | -0.000 |
| 21.261 | 21.261 | -13.761 | -0.000 | -0.000 | 0.000 |
| -0.000 | -0.000 | 0.000 | 21.459 | -0.000 | 0.000 |
| -0.000 | -0.000 | 0.000 | -0.000 | 21.459 | -0.000 |
| -0.000 | -0.000 | -0.000 | 0.000 | -0.000 | 21.459 |
| -13.761 | 21.261 | 21.261 | 0.000 | 0.000 | 0.000 |
| 21.261 | -13.761 | 21.261 | 0.000 | 0.000 | -0.000 |
| 21.261 | 21.261 | -13.761 | 0.000 | 0.000 | -0.000 |
| 0.000 | 0.000 | 0.000 | 21.459 | 0.000 | -0.000 |
| 0.000 | 0.000 | 0.000 | 0.000 | 21.459 | 0.000 |
| 0.000 | -0.000 | 0.000 | 0.000 | 0.000 | 21.459 |
| -13.761 | 21.261 | 21.261 | -0.000 | -0.000 | -0.000 |
| 21.261 | -13.761 | 21.261 | -0.000 | -0.000 | -0.000 |
| 21.261 | 21.261 | -13.761 | -0.000 | -0.000 | -0.000 |
| -10336119.863 | -10133168.826 | -9818626.051 | -1614348.839 | 20793.201 | -10516.180 |
| -10225929.921 | -10530520.920 | -9615441.782 | 27128.413 | -1610660.094 | -36240.767 |
| -10316531.451 | -9727765.129 | -10687367.308 | -1026.693 | -79452.996 | -1565139.972 |
| -13.761 | 21.261 | 21.261 | 0.000 | 0.000 | 0.000 |
| 21.261 | -13.761 | 21.261 | 0.000 | 0.000 | 0.000 |
| 21.261 | 21.261 | -13.761 | 0.000 | 0.000 | -0.000 |
| 5011016.823 | -111134.790 | -111132.701 | -10443122.436 | 0.007 | 0.002 |
| -111134.790 | 5011016.823 | -111132.701 | 0.007 | -10443122.436 | 0.002 |
| 9885641.332 | 10101954.946 | 10215210.860 | 15346.940 | -576.832 | -1733215.241 |
| -13.761 | 21.261 | 21.261 | -0.000 | -0.000 | -0.000 |
| 21.261 | -13.761 | 21.261 | -0.000 | -0.000 | -0.000 |
| 21.261 | 21.261 | -13.761 | -0.000 | -0.000 | 0.000 |
| -501120.524 | 11115.660 | 11113.571 | -1044305.343 | -0.000 | -0.000 |
| 11115.660 | -501120.524 | 11113.571 | -0.000 | -1044305.343 | -0.000 |
| 11115.660 | 11113.571 | -501120.524 | -0.000 | -0.000 | -1044305.343 |
| -13.762 | 21.261 | 21.261 | 0.000 | 0.000 | 0.000 |
| 21.261 | -13.762 | 21.261 | 0.000 | 0.000 | 0.000 |
| 21.261 | 21.261 | -13.762 | 0.000 | 0.000 | -0.000 |
| 501120.524 | -11115.660 | -11113.571 | -1044305.343 | 0.000 | 0.000 |
| -11115.660 | 501120.524 | -11113.571 | 0.000 | -1044305.343 | 0.000 |
| -11115.660 | -11113.571 | 501120.524 | 0.000 | 0.000 | -1044305.343 |
| 116.607 | 116.605 | 116.605 | -0.000 | -0.000 | 0.000 |
| 116.605 | 116.607 | 116.605 | -0.000 | -0.000 | 0.000 |
| 116.605 | 116.605 | 116.607 | -0.000 | -0.000 | -0.000 |
| 0.000 | 0.000 | 0.000 | 3.169 | -0.000 | -0.000 |
| 0.000 | 0.000 | 0.000 | -0.000 | 3.169 | -0.000 |
| 0.000 | 0.000 | 0.000 | -0.000 | -0.000 | 3.169 |
| 116.607 | 116.605 | 116.605 | 0.000 | 0.000 | 0.000 |
| 116.605 | 116.607 | 116.605 | 0.000 | 0.000 | 0.000 |
| 116.605 | 116.605 | 116.607 | 0.000 | 0.000 | 0.000 |
| -0.000 | -0.000 | -0.000 | 3.169 | 0.000 | 0.000 |
| -0.000 | -0.000 | -0.000 | 0.000 | 3.169 | 0.000 |
| -0.000 | -0.000 | -0.000 | 0.000 | -0.000 | 3.169 |
| 116.608 | 116.606 | 116.606 | -0.000 | -0.000 | -0.000 |
| 116.606 | 116.608 | 116.606 | -0.000 | -0.000 | -0.000 |
| 116.606 | 116.606 | 116.608 | -0.000 | -0.000 | 0.000 |
| -0.000 | -0.000 | -0.000 | 0.681 | -0.000 | 0.000 |
| -0.000 | -0.000 | -0.000 | -0.000 | 0.681 | -0.000 |
| -0.000 | -0.000 | -0.000 | -0.000 | 0.000 | 0.681 |
| 116.606 | 116.604 | 116.604 | 0.000 | 0.000 | 0.000 |
| 116.604 | 116.606 | 116.604 | 0.000 | 0.000 | 0.000 |
| 116.604 | 116.604 | 116.606 | 0.000 | 0.000 | 0.000 |
| 0.000 | 0.000 | 0.000 | 0.681 | 0.000 | 0.000 |
| 0.000 | 0.000 | 0.000 | 0.000 | 0.681 | 0.000 |
| 0.000 | 0.000 | 0.000 | 0.000 | -0.000 | 0.681 |
| 116.616 | 116.614 | 116.614 | -0.000 | -0.000 | -0.000 |
| 116.614 | 116.616 | 116.614 | -0.000 | -0.000 | -0.000 |
| 116.614 | 116.614 | 116.616 | -0.000 | -0.000 | 0.000 |
| -0.000 | -0.000 | -0.000 | 0.681 | -0.000 | 0.000 |
| -0.000 | -0.000 | -0.000 | -0.000 | 0.681 | -0.000 |
| -0.000 | -0.000 | -0.000 | -0.000 | -0.000 | 0.681 |
| 116.598 | 116.595 | 116.595 | 0.000 | 0.000 | 0.000 |
| 116.595 | 116.598 | 116.595 | 0.000 | 0.000 | 0.000 |
| 116.595 | 116.595 | 116.598 | 0.000 | 0.000 | 0.000 |
| 0.000 | 0.000 | 0.000 | 0.681 | 0.000 | 0.000 |
| 0.000 | 0.000 | 0.000 | 0.000 | 0.681 | 0.000 |
| 0.000 | 0.000 | 0.000 | 0.000 | -0.000 | 0.681 |
| 37.688 | 37.686 | 37.686 | -0.000 | -0.000 | -0.000 |
| 37.686 | 37.688 | 37.686 | -0.000 | -0.000 | -0.000 |
| 37.686 | 37.686 | 37.688 | -0.000 | -0.000 | -0.000 |
| -0.000 | -0.000 | -0.000 | 0.001 | -0.000 | -0.000 |
| -0.000 | -0.000 | -0.000 | -0.000 | 0.001 | -0.000 |
| -0.000 | -0.000 | -0.000 | 0.000 | -0.000 | 0.001 |
| 37.688 | 37.686 | 37.686 | 0.000 | -0.000 | 0.000 |
| 37.686 | 37.688 | 37.686 | -0.000 | 0.000 | 0.000 |
| 37.686 | 37.686 | 37.688 | 0.000 | 0.000 | 0.000 |
| 0.000 | 0.000 | 0.000 | 0.001 | 0.000 | 0.000 |
| 0.000 | 0.000 | 0.000 | 0.000 | 0.001 | 0.000 |
| 0.000 | 0.000 | 0.000 | 0.000 | 0.000 | 0.001 |
| 37.688 | 37.686 | 37.686 | 0.000 | -0.000 | -0.000 |
| 37.686 | 37.688 | 37.686 | -0.000 | 0.000 | -0.000 |
| 37.686 | 37.686 | 37.688 | -0.000 | -0.000 | 0.000 |
| -0.000 | -0.000 | -0.000 | 0.001 | -0.000 | -0.000 |
| -0.000 | -0.000 | -0.000 | -0.000 | 0.001 | -0.000 |
| -0.000 | -0.000 | -0.000 | -0.000 | 0.000 | 0.001 |
| 37.688 | 37.686 | 37.686 | -0.000 | -0.000 | 0.000 |
| 37.686 | 37.688 | 37.686 | -0.000 | -0.000 | 0.000 |
| 37.686 | 37.686 | 37.688 | -0.000 | -0.000 | -0.000 |
| 0.000 | 0.000 | 0.000 | 0.001 | 0.000 | 0.000 |
| 0.000 | 0.000 | 0.000 | 0.000 | 0.001 | 0.000 |
| 0.000 | 0.000 | 0.000 | 0.000 | -0.000 | 0.001 |
| 37.688 | 37.686 | 37.686 | -0.000 | -0.000 | 0.000 |
| 37.686 | 37.688 | 37.686 | -0.000 | -0.000 | 0.000 |
| 37.686 | 37.686 | 37.688 | 0.000 | 0.000 | -0.000 |
| -0.000 | -0.000 | -0.000 | 0.001 | -0.000 | -0.000 |
| -0.000 | -0.000 | -0.000 | -0.000 | 0.001 | -0.000 |
| -0.000 | -0.000 | -0.000 | -0.000 | -0.000 | 0.001 |
| 37.688 | 37.687 | 37.687 | -0.000 | -0.000 | 0.000 |
| 37.687 | 37.688 | 37.687 | -0.000 | -0.000 | 0.000 |
| 37.687 | 37.687 | 37.688 | 0.000 | 0.000 | -0.000 |
| 0.000 | 0.000 | 0.000 | 0.001 | 0.000 | 0.000 |
| 0.000 | 0.000 | 0.000 | 0.000 | 0.001 | 0.000 |
| 0.000 | 0.000 | 0.000 | 0.000 | -0.000 | 0.001 |
| 83.780 | 115.914 | 95.324 | 0.000 | -0.000 | 0.000 |
| 115.914 | 83.780 | 95.324 | 0.000 | -0.000 | 0.000 |
| 76.385 | 76.385 | 176.564 | 0.000 | -0.000 | -0.000 |
| -0.000 | -0.000 | -0.000 | 41.544 | -0.000 | -0.000 |
| -0.000 | -0.000 | -0.000 | 0.000 | 41.544 | -0.000 |
| -0.177 | -0.177 | 0.415 | 0.000 | -0.000 | 71.390 |
| 4.703 | 194.887 | 95.447 | -0.000 | 0.000 | 0.000 |
| 194.887 | 4.703 | 95.447 | -0.000 | 0.000 | 0.000 |
| 88.376 | 88.376 | 148.409 | -0.000 | 0.000 | -0.000 |
| 0.000 | 0.000 | 0.000 | 41.544 | 0.000 | 0.000 |
| 0.000 | 0.000 | 0.000 | -0.000 | 41.544 | 0.000 |
| 0.177 | 0.177 | -0.415 | -0.000 | 0.000 | 71.390 |
| 83.636 | 116.209 | 95.144 | 0.000 | -0.000 | 0.000 |
| 116.209 | 83.636 | 95.144 | 0.000 | -0.000 | 0.000 |
| 88.088 | 88.088 | 149.081 | 0.000 | -0.000 | 0.000 |
| -0.000 | -0.000 | -0.000 | 41.544 | -0.000 | -0.000 |
| -0.000 | -0.000 | -0.000 | 0.000 | 41.544 | -0.000 |
| -0.018 | -0.018 | 0.041 | 0.000 | -0.000 | 71.393 |
| 83.599 | 116.278 | 95.111 | -0.000 | 0.000 | -0.000 |
| 116.278 | 83.599 | 95.111 | -0.000 | 0.000 | -0.000 |
| 88.142 | 88.142 | 148.962 | -0.000 | 0.000 | -0.000 |
| 0.000 | 0.000 | 0.000 | 41.544 | 0.000 | 0.000 |
| 0.000 | 0.000 | 0.000 | -0.000 | 41.544 | 0.000 |
| 0.018 | 0.018 | -0.041 | -0.000 | 0.000 | 71.393 |
| -3602487.474 | -3390204.619 | -3020214.985 | -2023.234 | 6527.836 | 671517.792 |
| -3462539.714 | -3556378.634 | -2949424.876 | 2911.976 | -1505.275 | 98145.664 |
| 76.374 | 76.374 | 176.554 | 0.000 | -0.000 | -0.000 |
| -0.003 | -0.003 | -0.003 | 41.544 | -0.000 | -0.000 |
| -0.003 | -0.003 | -0.003 | 0.000 | 41.544 | -0.000 |
| -0.006 | -0.006 | -0.002 | 0.000 | -0.000 | 71.393 |
| 3601623.554 | 3589621.693 | 3071278.061 | -4845.191 | -2579.120 | 229619.673 |
| 3711298.961 | 3631497.206 | 3136579.981 | -3453.467 | 3846.648 | 86372.750 |
| 88.138 | 88.138 | 149.013 | -0.000 | 0.000 | -0.000 |
| 0.003 | 0.003 | 0.003 | 41.544 | 0.000 | 0.000 |
| 0.003 | 0.003 | 0.003 | -0.000 | 41.544 | 0.000 |
| 0.006 | 0.006 | 0.002 | -0.000 | 0.000 | 71.393 |
| 202.256 | 110.887 | 110.887 | 0.000 | -0.000 | 0.000 |
| 110.887 | 202.256 | 110.887 | 0.000 | -0.000 | 0.000 |
| 110.887 | 110.887 | 202.256 | 0.000 | -0.000 | 0.000 |
| 12888086.495 | 658633.696 | 316914.067 | -3471861.252 | 381231.328 | 1352053.622 |
| 4142701.638 | 15620692.967 | 2605896.922 | 1701138.160 | -2136300.566 | 2242153.528 |
| -1625493.231 | -532229.257 | 17426257.766 | -2144367.932 | 1437524.399 | -1365290.025 |
| 202.410 | 110.805 | 110.805 | -0.000 | 0.000 | -0.000 |
| 110.805 | 202.410 | 110.805 | -0.000 | 0.000 | 0.000 |
| 110.805 | 110.805 | 202.410 | -0.000 | 0.000 | -0.000 |
| -8733394.412 | 5433840.717 | 3908933.572 | -4748949.308 | 3573928.877 | 803154.229 |
| 1281339.287 | -9652518.372 | -4147714.435 | -2734700.268 | -823889.270 | 214333.618 |
| -3965371.303 | 3717582.777 | -15621480.325 | 2072158.534 | 4118018.119 | -2765695.080 |
| 202.431 | 110.826 | 110.826 | -0.000 | -0.000 | 0.000 |
| 110.826 | 202.431 | 110.826 | 0.000 | -0.000 | -0.000 |
| 110.826 | 110.826 | 202.431 | 0.000 | -0.000 | 0.000 |
| -0.000 | -0.000 | -0.000 | -2.496 | -0.000 | 0.000 |
| -0.000 | -0.000 | -0.000 | 0.000 | -2.496 | 0.000 |
| -0.000 | -0.000 | -0.000 | 0.000 | -0.000 | -2.496 |
| 202.392 | 110.787 | 110.787 | -0.000 | 0.000 | 0.000 |
| 110.787 | 202.392 | 110.787 | -0.000 | 0.000 | -0.000 |
| 110.787 | 110.787 | 202.392 | -0.000 | 0.000 | -0.000 |
| 0.000 | 0.000 | 0.000 | -2.496 | 0.000 | -0.000 |
| 0.000 | 0.000 | 0.000 | -0.000 | -2.496 | -0.000 |
| 0.000 | 0.000 | 0.000 | -0.000 | 0.000 | -2.496 |
| 202.450 | 111.079 | 111.079 | 0.000 | -0.000 | 0.000 |
| 111.079 | 202.450 | 111.079 | 0.000 | -0.000 | 0.000 |
| 111.079 | 111.079 | 202.450 | 0.000 | -0.000 | 0.000 |
| -0.000 | -0.000 | -0.000 | -2.496 | -0.000 | 0.000 |
| -0.000 | -0.000 | -0.000 | 0.000 | -2.496 | 0.000 |
| -0.000 | -0.000 | -0.000 | 0.000 | -0.000 | -2.496 |
| 202.216 | 110.613 | 110.613 | -0.000 | 0.000 | -0.000 |
| 110.613 | 202.216 | 110.613 | -0.000 | 0.000 | -0.000 |
| 110.613 | 110.613 | 202.216 | -0.000 | 0.000 | 0.000 |
| 0.000 | 0.000 | 0.000 | -2.496 | 0.000 | -0.000 |
| 0.000 | 0.000 | 0.000 | -0.000 | -2.496 | 0.000 |
| 0.000 | 0.000 | 0.000 | -0.000 | 0.000 | -2.496 |
| 105.562 | 43.338 | 43.338 | 0.000 | 0.000 | 0.000 |
| 43.338 | 105.562 | 43.338 | -0.000 | -0.000 | 0.000 |
| 43.338 | 43.338 | 105.562 | 0.000 | -0.000 | -0.000 |
| -0.000 | -0.000 | -0.000 | 60.476 | -0.000 | 0.000 |
| -0.000 | -0.000 | -0.000 | 0.000 | 60.476 | 0.000 |
| -0.000 | -0.000 | -0.000 | 0.000 | -0.000 | 60.476 |
| 105.562 | 43.339 | 43.339 | -0.000 | -0.000 | 0.000 |
| 43.339 | 105.562 | 43.339 | -0.000 | 0.000 | -0.000 |
| 43.338 | 43.339 | 105.562 | -0.000 | -0.000 | -0.000 |
| 0.000 | 0.000 | 0.000 | 60.476 | 0.000 | -0.000 |
| 0.000 | 0.000 | 0.000 | -0.000 | 60.476 | -0.000 |
| 0.000 | 0.000 | 0.000 | -0.000 | -0.000 | 60.476 |
| 105.561 | 43.338 | 43.338 | 0.000 | 0.000 | -0.000 |
| 43.338 | 105.561 | 43.338 | 0.000 | 0.000 | -0.000 |
| 43.338 | 43.338 | 105.561 | 0.000 | 0.000 | -0.000 |
| -0.000 | -0.000 | -0.000 | 60.476 | -0.000 | 0.000 |
| -0.000 | -0.000 | -0.000 | 0.000 | 60.476 | 0.000 |
| -0.000 | -0.000 | -0.000 | 0.000 | 0.000 | 60.476 |
| 105.562 | 43.339 | 43.339 | -0.000 | 0.000 | -0.000 |
| 43.339 | 105.562 | 43.339 | -0.000 | -0.000 | -0.000 |
| 43.339 | 43.339 | 105.562 | -0.000 | -0.000 | -0.000 |
| 0.000 | 0.000 | 0.000 | 60.476 | -0.000 | -0.000 |
| 0.000 | 0.000 | 0.000 | -0.000 | 60.476 | -0.000 |
| 0.000 | 0.000 | 0.000 | -0.000 | -0.000 | 60.476 |
| -1778437.397 | -1413603.674 | -1160730.492 | 33193.410 | 675.132 | -31358.803 |
| -1166734.598 | -1758600.707 | -1401328.476 | -1817.878 | 21309.089 | 3382.544 |
| -1366247.172 | -1145451.659 | -1738755.999 | -28475.153 | 14586.511 | 31922.561 |
| -0.001 | -0.001 | -0.001 | 60.476 | 0.000 | 0.000 |
| -0.001 | -0.001 | -0.001 | -0.000 | 60.476 | 0.000 |
| -0.001 | -0.001 | -0.001 | 0.000 | 0.000 | 60.476 |
| 105.568 | 43.339 | 43.339 | -0.000 | 0.000 | -0.000 |
| 43.339 | 105.568 | 43.339 | 0.000 | -0.000 | -0.000 |
| 43.339 | 43.339 | 105.568 | -0.000 | -0.000 | -0.000 |
| 0.001 | 0.001 | 0.001 | 60.476 | -0.000 | -0.000 |
| 0.001 | 0.001 | 0.001 | 0.000 | 60.476 | -0.000 |
| 0.001 | 0.001 | 0.001 | -0.000 | -0.000 | 60.476 |
| -24521817.493 | -36148445.269 | -34643115.124 | 396636.058 | 332583.401 | -347650.500 |
| -33110806.869 | -25179299.015 | -33937750.111 | -84972.854 | -113618.352 | 22754.575 |
| -34139939.856 | -31635342.248 | -24158644.371 | 863145.112 | -210022.345 | -215633.949 |
| -32828523.413 | -24337531.049 | -27681043.928 | -6594310.130 | 243177.697 | -714655.106 |
| -28538115.959 | -34653251.228 | -25808672.849 | -51400.877 | -6608602.073 | 334838.282 |
| -26131400.464 | -28454296.645 | -35102049.266 | 657065.437 | -239562.371 | -6508105.973 |
| 33351118.031 | 24881400.927 | 24793190.113 | -188413.907 | -530170.512 | -275776.129 |
| 24730406.164 | 34555927.352 | 25614731.707 | 278776.931 | -314541.103 | -778880.175 |
| 25200833.719 | 25301181.200 | 33073905.224 | -339022.915 | -546401.949 | 50406.314 |
| 31795933.734 | 24937127.752 | 23380526.328 | -5723998.521 | 244244.498 | 272937.939 |
| 24077807.111 | 31632167.116 | 25547022.052 | 582831.627 | -5205513.506 | -142862.310 |
| 25724341.964 | 24396430.791 | 32313136.358 | -32809.448 | 251031.405 | -5423016.738 |
| -2503516.205 | -3547744.713 | -3593414.784 | -26926.634 | 15160.533 | 71171.698 |
| -3689334.953 | -2412024.818 | -3531277.004 | 42107.291 | -15272.985 | 34375.917 |
| -3522135.405 | -3632432.083 | -2349661.292 | 4493.518 | 2548.456 | -38814.647 |
| -4260431.850 | -3088197.199 | -3164652.006 | -1371293.249 | 70853.559 | 28301.182 |
| -3225251.630 | -4406433.385 | -3182564.735 | -34009.588 | -1301598.518 | -45620.873 |
| -3108781.681 | -3219104.923 | -4040668.555 | 26304.982 | -20818.114 | -1300777.833 |
| 4036933.395 | 910871.080 | 936462.020 | 19457.861 | -2849.671 | -4443.237 |
| 944730.112 | 4061524.233 | 892421.370 | -8010.472 | 28641.826 | 5727.464 |
| 875768.613 | 944168.832 | 4002911.352 | -6636.136 | -14346.148 | 11429.152 |
| 3957116.519 | 3602909.849 | 3480723.847 | -1444450.521 | -7612.873 | -18628.626 |
| 3631448.571 | 3923903.091 | 3537811.565 | 30247.851 | -1414022.045 | -22397.061 |
| 3584283.613 | 3475113.351 | 3938476.103 | 69635.187 | 41925.823 | -1348689.187 |
| -237394.642 | -371584.574 | -360211.688 | -747.596 | 4675.603 | 344.993 |
| -361847.394 | -241148.695 | -367069.071 | -3887.084 | -3330.293 | -587.731 |
| -364760.157 | -358116.424 | -241726.124 | -3183.011 | 3767.538 | -4306.648 |
| -383491.916 | -303449.346 | -318879.615 | -88727.377 | 2217.738 | 3764.821 |
| -308684.226 | -357969.722 | -290807.516 | 2118.695 | -90925.063 | 769.071 |
| -295636.016 | -324661.172 | -367701.818 | 1807.232 | -3989.021 | -108399.664 |
| 438172.891 | 82502.054 | 92146.463 | 2513.718 | -975.852 | 422.480 |
| 87356.016 | 424366.093 | 86168.704 | 234.853 | 1973.232 | -1791.322 |
| 88676.174 | 89445.402 | 436707.915 | 63.738 | -551.256 | 2714.949 |
| 327747.402 | 295468.487 | 326354.181 | -82574.445 | 1844.098 | 5920.129 |
| 318851.066 | 330678.811 | 301374.604 | 2045.212 | -84676.495 | 2109.472 |
| 294207.084 | 299181.856 | 308024.146 | 5009.345 | 3997.283 | -86940.536 |
| 49.642 | 152.786 | 152.786 | -0.000 | -0.000 | -0.000 |
| 152.786 | 49.642 | 152.786 | -0.000 | -0.000 | -0.000 |
| 152.786 | 152.786 | 49.642 | -0.000 | -0.000 | -0.000 |
| 0.000 | -0.000 | -0.000 | -0.542 | -0.000 | 0.000 |
| -0.000 | 0.000 | -0.000 | 0.000 | -0.542 | 0.000 |
| -0.000 | -0.000 | 0.000 | 0.000 | 0.000 | -0.542 |
| 49.642 | 152.786 | 152.786 | 0.000 | -0.000 | -0.000 |
| 152.786 | 49.642 | 152.786 | -0.000 | 0.000 | 0.000 |
| 152.786 | 152.786 | 49.642 | 0.000 | 0.000 | 0.000 |
| -0.000 | 0.000 | 0.000 | -0.542 | 0.000 | -0.000 |
| 0.000 | -0.000 | 0.000 | -0.000 | -0.542 | -0.000 |
| 0.000 | 0.000 | -0.000 | -0.000 | -0.000 | -0.542 |
| 49.642 | 152.785 | 152.785 | -0.000 | 0.000 | 0.000 |
| 152.785 | 49.642 | 152.785 | 0.000 | -0.000 | -0.000 |
| 152.785 | 152.785 | 49.642 | -0.000 | -0.000 | -0.000 |
| 0.000 | -0.000 | -0.000 | -0.542 | -0.000 | 0.000 |
| -0.000 | 0.000 | -0.000 | 0.000 | -0.542 | 0.000 |
| -0.000 | -0.000 | 0.000 | 0.000 | 0.000 | -0.542 |
| 49.642 | 152.786 | 152.786 | 0.000 | -0.000 | -0.000 |
| 152.786 | 49.642 | 152.786 | -0.000 | 0.000 | 0.000 |
| 152.786 | 152.786 | 49.642 | 0.000 | 0.000 | 0.000 |
| -0.000 | 0.000 | 0.000 | -0.542 | 0.000 | -0.000 |
| 0.000 | -0.000 | 0.000 | -0.000 | -0.542 | -0.000 |
| 0.000 | 0.000 | -0.000 | -0.000 | -0.000 | -0.542 |
| 49.644 | 152.782 | 152.782 | -0.000 | -0.000 | 0.000 |
| 152.782 | 49.644 | 152.782 | -0.000 | -0.000 | -0.000 |
| 152.782 | 152.782 | 49.644 | -0.000 | -0.000 | -0.000 |
| 0.000 | -0.000 | -0.000 | -0.542 | -0.000 | 0.000 |
| -0.000 | 0.000 | -0.000 | 0.000 | -0.542 | 0.000 |
| -0.000 | -0.000 | 0.000 | -0.000 | 0.000 | -0.542 |
| 49.641 | 152.790 | 152.790 | 0.000 | -0.000 | -0.000 |
| 152.790 | 49.641 | 152.790 | -0.000 | 0.000 | -0.000 |
| 152.790 | 152.790 | 49.641 | 0.000 | 0.000 | 0.000 |
| -0.000 | 0.000 | 0.000 | -0.542 | 0.000 | -0.000 |
| 0.000 | -0.000 | 0.000 | -0.000 | -0.542 | -0.000 |
| 0.000 | 0.000 | -0.000 | 0.000 | -0.000 | -0.542 |
| 151.612 | 177.699 | 177.699 | 0.000 | -0.000 | -0.000 |
| 177.699 | 151.612 | 177.699 | -0.000 | -0.000 | -0.000 |
| 177.699 | 177.699 | 151.612 | -0.000 | -0.000 | -0.000 |
| -0.000 | -0.000 | -0.000 | -9.188 | -0.000 | -0.000 |
| -0.000 | -0.000 | -0.000 | -0.000 | -9.188 | -0.000 |
| -0.000 | -0.000 | 0.000 | -0.000 | -0.000 | -9.188 |
| 151.614 | 177.701 | 177.701 | 0.000 | -0.000 | 0.000 |
| 177.701 | 151.614 | 177.701 | -0.000 | 0.000 | 0.000 |
| 177.701 | 177.701 | 151.614 | -0.000 | 0.000 | 0.000 |
| 0.000 | 0.000 | 0.000 | -9.188 | -0.000 | 0.000 |
| 0.000 | 0.000 | -0.000 | 0.000 | -9.188 | 0.000 |
| 0.000 | 0.000 | -0.000 | 0.000 | 0.000 | -9.188 |
| 151.602 | 177.689 | 177.689 | -0.000 | -0.000 | -0.000 |
| 177.689 | 151.602 | 177.689 | -0.000 | -0.000 | -0.000 |
| 177.689 | 177.689 | 151.602 | 0.000 | -0.000 | -0.000 |
| -0.000 | 0.000 | 0.000 | 19.457 | 0.000 | -0.000 |
| 0.000 | -0.000 | 0.000 | -0.000 | 19.457 | -0.000 |
| 0.000 | 0.000 | -0.000 | 0.000 | -0.000 | 19.457 |
| 151.624 | 177.711 | 177.711 | 0.000 | 0.000 | 0.000 |
| 177.711 | 151.624 | 177.711 | 0.000 | 0.000 | 0.000 |
| 177.711 | 177.711 | 151.624 | -0.000 | -0.000 | 0.000 |
| 0.000 | -0.000 | -0.000 | 19.457 | 0.000 | 0.000 |
| -0.000 | 0.000 | -0.000 | 0.000 | 19.457 | 0.000 |
| -0.000 | -0.000 | 0.000 | -0.000 | 0.000 | 19.457 |
| 151.507 | 177.594 | 177.594 | -0.000 | -0.000 | -0.000 |
| 177.594 | 151.507 | 177.594 | -0.000 | -0.000 | -0.000 |
| 177.594 | 177.594 | 151.507 | -0.000 | -0.000 | -0.000 |
| -0.000 | 0.000 | 0.000 | 19.457 | -0.000 | -0.000 |
| 0.000 | -0.000 | 0.000 | -0.000 | 19.457 | -0.000 |
| 0.000 | 0.000 | -0.000 | 0.000 | -0.000 | 19.457 |
| 151.719 | 177.806 | 177.806 | 0.000 | 0.000 | 0.000 |
| 177.806 | 151.719 | 177.806 | 0.000 | 0.000 | 0.000 |
| 177.806 | 177.806 | 151.719 | -0.000 | -0.000 | 0.000 |
| 0.000 | -0.000 | -0.000 | 19.457 | 0.000 | 0.000 |
| -0.000 | 0.000 | -0.000 | 0.000 | 19.457 | 0.000 |
| -0.000 | -0.000 | 0.000 | -0.000 | 0.000 | 19.457 |
| 76.594 | 28.290 | 28.290 | 0.000 | 0.000 | 0.000 |
| 28.290 | 76.594 | 28.290 | 0.000 | 0.000 | 0.000 |
| 28.290 | 28.290 | 76.594 | 0.000 | 0.000 | 0.000 |
| 0.000 | 0.000 | 0.000 | 27.719 | 0.000 | -0.000 |
| 0.000 | 0.000 | 0.000 | 0.000 | 27.719 | 0.000 |
| 0.000 | 0.000 | -0.000 | 0.000 | -0.000 | 27.719 |
| 76.594 | 28.290 | 28.290 | -0.000 | -0.000 | -0.000 |
| 28.290 | 76.594 | 28.290 | -0.000 | -0.000 | 0.000 |
| 28.290 | 28.290 | 76.594 | -0.000 | -0.000 | -0.000 |
| -0.000 | -0.000 | -0.000 | 27.719 | -0.000 | 0.000 |
| -0.000 | -0.000 | -0.000 | -0.000 | 27.719 | -0.000 |
| -0.000 | -0.000 | 0.000 | -0.000 | -0.000 | 27.719 |
| 76.594 | 28.290 | 28.290 | 0.000 | 0.000 | -0.000 |
| 28.290 | 76.594 | 28.290 | 0.000 | 0.000 | 0.000 |
| 28.290 | 28.290 | 76.594 | 0.000 | 0.000 | 0.000 |
| -0.000 | -0.000 | -0.000 | -14.788 | -0.000 | 0.000 |
| -0.000 | -0.000 | -0.000 | 0.000 | -14.788 | -0.000 |
| -0.000 | -0.000 | -0.000 | 0.000 | -0.000 | -14.788 |
| 76.594 | 28.290 | 28.290 | -0.000 | -0.000 | -0.000 |
| 28.290 | 76.594 | 28.290 | -0.000 | 0.000 | 0.000 |
| 28.290 | 28.290 | 76.594 | -0.000 | -0.000 | 0.000 |
| 0.000 | 0.000 | 0.000 | -14.788 | 0.000 | 0.000 |
| 0.000 | 0.000 | 0.000 | -0.000 | -14.788 | 0.000 |
| 0.000 | 0.000 | 0.000 | 0.000 | 0.000 | -14.788 |
| 76.594 | 28.291 | 28.291 | 0.000 | 0.000 | 0.000 |
| 28.291 | 76.594 | 28.291 | 0.000 | 0.000 | -0.000 |
| 28.291 | 28.291 | 76.594 | -0.000 | -0.000 | 0.000 |
| -0.000 | -0.000 | -0.000 | -14.788 | 0.000 | -0.000 |
| -0.000 | -0.000 | -0.000 | 0.000 | -14.788 | -0.000 |
| -0.000 | -0.000 | -0.000 | -0.000 | -0.000 | -14.788 |
| 76.594 | 28.290 | 28.290 | -0.000 | -0.000 | 0.000 |
| 28.290 | 76.594 | 28.290 | -0.000 | -0.000 | -0.000 |
| 28.290 | 28.290 | 76.594 | -0.000 | -0.000 | -0.000 |
| 0.000 | 0.000 | 0.000 | -14.788 | -0.000 | 0.000 |
| 0.000 | 0.000 | 0.000 | -0.000 | -14.788 | 0.000 |
| 0.000 | 0.000 | 0.000 | -0.000 | -0.000 | -14.788 |
| 13.578 | 13.576 | 13.576 | 0.000 | -0.000 | 0.000 |
| 13.576 | 13.578 | 13.576 | -0.000 | 0.000 | 0.000 |
| 13.576 | 13.576 | 13.578 | 0.000 | 0.000 | 0.000 |
| -0.000 | -0.000 | -0.000 | -172.022 | 0.000 | -0.000 |
| -0.000 | -0.000 | -0.000 | 0.000 | -172.022 | -0.000 |
| -0.000 | -0.000 | -0.000 | 0.000 | 0.000 | -172.022 |
| 13.578 | 13.576 | 13.576 | 0.000 | 0.000 | -0.000 |
| 13.576 | 13.578 | 13.576 | 0.000 | 0.000 | -0.000 |
| 13.576 | 13.576 | 13.578 | 0.000 | 0.000 | -0.000 |
| 0.000 | 0.000 | 0.000 | -172.022 | -0.000 | -0.000 |
| 0.000 | 0.000 | 0.000 | -0.000 | -172.022 | -0.000 |
| 0.000 | 0.000 | 0.000 | -0.000 | -0.000 | -172.022 |
| 13.577 | 13.576 | 13.576 | 0.000 | -0.000 | -0.000 |
| 13.576 | 13.577 | 13.576 | -0.000 | 0.000 | -0.000 |
| 13.576 | 13.576 | 13.577 | 0.000 | 0.000 | 0.000 |
| -0.000 | -0.000 | -0.000 | -172.022 | 0.000 | -0.000 |
| -0.000 | -0.000 | -0.000 | 0.000 | -172.022 | -0.000 |
| -0.000 | -0.000 | -0.000 | 0.000 | 0.000 | -172.022 |
| 13.578 | 13.576 | 13.576 | 0.000 | 0.000 | -0.000 |
| 13.576 | 13.578 | 13.576 | 0.000 | 0.000 | -0.000 |
| 13.576 | 13.576 | 13.578 | -0.000 | -0.000 | 0.000 |
| 0.000 | 0.000 | 0.000 | -172.022 | -0.000 | -0.000 |
| 0.000 | 0.000 | 0.000 | -0.000 | -172.022 | -0.000 |
| 0.000 | 0.000 | 0.000 | -0.000 | -0.000 | -172.022 |
| 13.577 | 13.575 | 13.575 | 0.000 | 0.000 | -0.000 |
| 13.575 | 13.577 | 13.575 | 0.000 | 0.000 | -0.000 |
| 13.575 | 13.575 | 13.577 | 0.000 | 0.000 | -0.000 |
| -0.003 | -0.003 | -0.003 | -172.022 | 0.000 | 0.000 |
| -0.003 | -0.003 | -0.003 | 0.000 | -172.022 | 0.000 |
| -0.003 | -0.003 | -0.003 | 0.000 | 0.000 | -172.022 |
| 13.578 | 13.577 | 13.577 | -0.000 | 0.000 | 0.000 |
| 13.577 | 13.578 | 13.577 | 0.000 | -0.000 | -0.000 |
| 13.577 | 13.577 | 13.578 | -0.000 | -0.000 | -0.000 |
| 0.003 | 0.003 | 0.003 | -172.022 | -0.000 | 0.000 |
| 0.003 | 0.003 | 0.003 | -0.000 | -172.022 | 0.000 |
| 0.003 | 0.003 | 0.003 | -0.000 | -0.000 | -172.022 |
| 320.987 | 335.191 | 335.191 | -0.000 | 0.000 | 0.000 |
| 335.191 | 320.987 | 335.191 | 0.000 | 0.000 | 0.000 |
| 335.191 | 335.191 | 320.987 | 0.000 | 0.000 | 0.000 |
| -0.000 | -0.000 | -0.000 | -1.092 | 0.000 | 0.000 |
| -0.000 | -0.000 | -0.000 | 0.000 | -1.092 | 0.000 |
| -0.000 | -0.000 | 0.000 | -0.000 | 0.000 | -1.092 |
| 320.995 | 335.198 | 335.198 | -0.000 | -0.000 | 0.000 |
| 335.198 | 320.995 | 335.198 | -0.000 | -0.000 | 0.000 |
| 335.198 | 335.198 | 320.995 | -0.000 | -0.000 | -0.000 |
| -0.000 | 0.000 | 0.000 | -1.092 | 0.000 | 0.000 |
| 0.000 | 0.000 | 0.000 | 0.000 | -1.092 | -0.000 |
| 0.000 | 0.000 | -0.000 | -0.000 | -0.000 | -1.092 |
| 320.955 | 335.159 | 335.159 | 0.000 | 0.000 | 0.000 |
| 335.159 | 320.955 | 335.159 | 0.000 | 0.000 | -0.000 |
| 335.159 | 335.159 | 320.955 | 0.000 | 0.000 | -0.000 |
| 0.000 | 0.000 | 0.000 | -1.092 | 0.000 | 0.000 |
| 0.000 | 0.000 | 0.000 | -0.000 | -1.092 | 0.000 |
| 0.000 | 0.000 | 0.000 | 0.000 | 0.000 | -1.092 |
| 321.027 | 335.230 | 335.230 | -0.000 | -0.000 | -0.000 |
| 335.230 | 321.027 | 335.230 | -0.000 | -0.000 | -0.000 |
| 335.230 | 335.230 | 321.027 | -0.000 | -0.000 | -0.000 |
| -0.000 | -0.000 | -0.000 | -1.092 | -0.000 | 0.000 |
| -0.000 | -0.000 | -0.000 | -0.000 | -1.092 | -0.000 |
| -0.000 | -0.000 | -0.000 | 0.000 | -0.000 | -1.092 |
| 320.635 | 334.838 | 334.838 | -0.000 | 0.000 | 0.000 |
| 334.838 | 320.635 | 334.838 | 0.000 | 0.000 | -0.000 |
| 334.838 | 334.838 | 320.635 | 0.000 | 0.000 | 0.000 |
| 0.000 | 0.000 | 0.000 | -1.092 | -0.000 | 0.000 |
| 0.000 | 0.000 | 0.000 | -0.000 | -1.092 | 0.000 |
| 0.000 | 0.000 | 0.000 | 0.000 | 0.000 | -1.092 |
| 321.348 | 335.551 | 335.551 | 0.000 | -0.000 | 0.000 |
| 335.551 | 321.348 | 335.551 | 0.000 | -0.000 | -0.000 |
| 335.551 | 335.551 | 321.348 | -0.000 | -0.000 | -0.000 |
| -0.000 | -0.000 | -0.000 | -1.092 | -0.000 | -0.000 |
| -0.000 | -0.000 | -0.000 | -0.000 | -1.092 | -0.000 |
| -0.000 | -0.000 | -0.000 | -0.000 | -0.000 | -1.092 |
| -192.781 | -78.022 | -78.022 | -0.000 | -0.000 | -0.000 |
| -78.022 | -192.781 | -78.022 | 0.000 | -0.000 | 0.000 |
| -78.022 | -78.022 | -192.781 | -0.000 | 0.000 | -0.000 |
| 0.000 | -0.000 | -0.000 | -67.718 | -0.000 | 0.000 |
| -0.000 | 0.000 | -0.000 | -0.000 | -67.718 | 0.000 |
| -0.000 | -0.000 | 0.000 | -0.000 | -0.000 | -67.718 |
| -192.781 | -78.022 | -78.022 | 0.000 | -0.000 | 0.000 |
| -78.022 | -192.781 | -78.022 | 0.000 | 0.000 | -0.000 |
| -78.022 | -78.022 | -192.781 | 0.000 | 0.000 | -0.000 |
| -0.000 | 0.000 | 0.000 | -67.718 | 0.000 | 0.000 |
| 0.000 | -0.000 | 0.000 | 0.000 | -67.718 | -0.000 |
| 0.000 | 0.000 | -0.000 | 0.000 | 0.000 | -67.718 |
| -192.781 | -78.022 | -78.022 | -0.000 | -0.000 | -0.000 |
| -78.022 | -192.781 | -78.022 | 0.000 | -0.000 | 0.000 |
| -78.022 | -78.022 | -192.781 | -0.000 | -0.000 | 0.000 |
| 0.000 | -0.000 | -0.000 | -67.718 | -0.000 | -0.000 |
| -0.000 | 0.000 | -0.000 | -0.000 | -67.718 | -0.000 |
| -0.000 | -0.000 | 0.000 | -0.000 | -0.000 | -67.718 |
| -192.781 | -78.021 | -78.021 | -0.000 | 0.000 | -0.000 |
| -78.021 | -192.781 | -78.021 | 0.000 | 0.000 | -0.000 |
| -78.021 | -78.021 | -192.781 | -0.000 | 0.000 | 0.000 |
| -0.000 | 0.000 | 0.000 | -67.718 | 0.000 | -0.000 |
| 0.000 | -0.000 | 0.000 | 0.000 | -67.718 | -0.000 |
| 0.000 | 0.000 | -0.000 | 0.000 | 0.000 | -67.718 |
| -192.782 | -78.024 | -78.024 | -0.000 | -0.000 | -0.000 |
| -78.024 | -192.782 | -78.024 | -0.000 | -0.000 | 0.000 |
| -78.024 | -78.024 | -192.782 | -0.000 | -0.000 | 0.000 |
| 0.000 | -0.001 | -0.001 | -67.718 | -0.000 | 0.000 |
| -0.001 | 0.000 | -0.001 | -0.000 | -67.718 | 0.000 |
| -0.001 | -0.001 | 0.000 | -0.000 | 0.000 | -67.718 |
| -192.780 | -78.019 | -78.019 | 0.000 | 0.000 | -0.000 |
| -78.019 | -192.780 | -78.019 | 0.000 | 0.000 | -0.000 |
| -78.019 | -78.019 | -192.780 | 0.000 | 0.000 | -0.000 |
| -0.000 | 0.001 | 0.001 | -67.718 | 0.000 | 0.000 |
| 0.001 | -0.000 | 0.001 | 0.000 | -67.718 | -0.000 |
| 0.001 | 0.001 | -0.000 | 0.000 | 0.000 | -67.718 |
| 136.601 | 25.651 | 25.651 | 0.000 | 0.000 | 0.000 |
| 25.651 | 136.601 | 25.651 | 0.000 | 0.000 | 0.000 |
| 25.651 | 25.651 | 136.601 | 0.000 | 0.000 | 0.000 |
| -0.000 | 0.000 | 0.000 | 26.892 | -0.000 | 0.000 |
| 0.000 | -0.000 | 0.000 | -0.000 | 26.892 | -0.000 |
| 0.000 | 0.000 | -0.000 | -0.000 | 0.000 | 26.892 |
| 136.601 | 25.651 | 25.651 | -0.000 | -0.000 | 0.000 |
| 25.651 | 136.601 | 25.651 | -0.000 | -0.000 | 0.000 |
| 25.651 | 25.651 | 136.601 | 0.000 | -0.000 | -0.000 |
| 0.000 | -0.000 | -0.000 | 26.892 | -0.000 | -0.000 |
| -0.000 | 0.000 | -0.000 | 0.000 | 26.892 | -0.000 |
| -0.000 | -0.000 | 0.000 | -0.000 | -0.000 | 26.892 |
| 136.601 | 25.651 | 25.651 | 0.000 | 0.000 | -0.000 |
| 25.651 | 136.601 | 25.651 | -0.000 | 0.000 | -0.000 |
| 25.651 | 25.651 | 136.601 | -0.000 | 0.000 | 0.000 |
| -0.000 | 0.000 | 0.000 | 26.892 | -0.000 | -0.000 |
| 0.000 | -0.000 | 0.000 | -0.000 | 26.892 | -0.000 |
| 0.000 | 0.000 | -0.000 | 0.000 | 0.000 | 26.892 |
| 136.601 | 25.651 | 25.651 | 0.000 | -0.000 | -0.000 |
| 25.651 | 136.601 | 25.651 | 0.000 | 0.000 | -0.000 |
| 25.651 | 25.651 | 136.601 | -0.000 | -0.000 | -0.000 |
| 0.000 | -0.000 | -0.000 | 26.892 | 0.000 | -0.000 |
| -0.000 | 0.000 | -0.000 | -0.000 | 26.892 | -0.000 |
| -0.000 | -0.000 | 0.000 | -0.000 | -0.000 | 26.892 |
| 136.599 | 25.651 | 25.651 | 0.000 | 0.000 | 0.000 |
| 25.651 | 136.599 | 25.651 | 0.000 | 0.000 | 0.000 |
| 25.651 | 25.651 | 136.599 | 0.000 | 0.000 | 0.000 |
| -0.000 | 0.000 | 0.000 | 26.892 | -0.000 | 0.000 |
| 0.000 | -0.000 | 0.000 | -0.000 | 26.892 | -0.000 |
| 0.000 | 0.000 | -0.000 | 0.000 | 0.000 | 26.892 |
| 136.603 | 25.651 | 25.651 | -0.000 | 0.000 | -0.000 |
| 25.651 | 136.603 | 25.651 | 0.000 | -0.000 | -0.000 |
| 25.651 | 25.651 | 136.603 | 0.000 | 0.000 | 0.000 |
| 0.000 | -0.000 | -0.000 | 26.892 | -0.000 | -0.000 |
| -0.000 | 0.000 | -0.000 | -0.000 | 26.892 | 0.000 |
| -0.000 | -0.000 | 0.000 | -0.000 | -0.000 | 26.892 |
| 49.412 | 24.487 | 24.487 | -0.000 | -0.000 | -0.000 |
| 24.487 | 49.412 | 24.487 | -0.000 | 0.000 | 0.000 |
| 24.487 | 24.487 | 49.412 | -0.000 | 0.000 | 0.000 |
| -0.000 | -0.000 | -0.000 | 24.697 | 0.000 | -0.000 |
| -0.000 | -0.000 | -0.000 | 0.000 | 24.697 | -0.000 |
| -0.000 | -0.000 | -0.000 | -0.000 | -0.000 | 24.697 |
| 49.412 | 24.487 | 24.487 | -0.000 | 0.000 | 0.000 |
| 24.487 | 49.412 | 24.487 | 0.000 | -0.000 | 0.000 |
| 24.487 | 24.487 | 49.412 | -0.000 | -0.000 | 0.000 |
| 0.000 | 0.000 | 0.000 | 24.697 | -0.000 | 0.000 |
| 0.000 | 0.000 | 0.000 | 0.000 | 24.697 | 0.000 |
| 0.000 | 0.000 | 0.000 | 0.000 | 0.000 | 24.697 |
| 49.412 | 24.487 | 24.487 | 0.000 | 0.000 | -0.000 |
| 24.487 | 49.412 | 24.487 | -0.000 | 0.000 | 0.000 |
| 24.487 | 24.487 | 49.412 | -0.000 | -0.000 | -0.000 |
| -0.000 | -0.000 | 0.000 | 24.697 | 0.000 | -0.000 |
| -0.000 | -0.000 | 0.000 | -0.000 | 24.697 | -0.000 |
| -0.000 | 0.000 | -0.000 | -0.000 | -0.000 | 24.697 |
| 49.412 | 24.487 | 24.487 | -0.000 | 0.000 | 0.000 |
| 24.487 | 49.412 | 24.487 | 0.000 | -0.000 | -0.000 |
| 24.487 | 24.487 | 49.412 | 0.000 | -0.000 | 0.000 |
| 0.000 | 0.000 | -0.000 | 24.697 | 0.000 | -0.000 |
| 0.000 | 0.000 | -0.000 | 0.000 | 24.697 | 0.000 |
| 0.000 | -0.000 | 0.000 | 0.000 | 0.000 | 24.697 |
| 49.412 | 24.487 | 24.487 | -0.000 | -0.000 | -0.000 |
| 24.487 | 49.412 | 24.487 | -0.000 | 0.000 | 0.000 |
| 24.487 | 24.487 | 49.412 | -0.000 | 0.000 | -0.000 |
| -0.000 | -0.000 | 0.000 | 24.697 | 0.000 | 0.000 |
| -0.000 | -0.000 | 0.000 | -0.000 | 24.697 | -0.000 |
| -0.000 | 0.000 | -0.000 | -0.000 | -0.000 | 24.697 |
| 49.412 | 24.487 | 24.487 | 0.000 | 0.000 | 0.000 |
| 24.487 | 49.412 | 24.487 | 0.000 | -0.000 | 0.000 |
| 24.487 | 24.487 | 49.412 | 0.000 | 0.000 | 0.000 |
| 0.000 | 0.000 | -0.000 | 24.697 | 0.000 | -0.000 |
| 0.000 | 0.000 | -0.000 | 0.000 | 24.697 | 0.000 |
| 0.000 | -0.000 | 0.000 | 0.000 | 0.000 | 24.697 |
| 140.505 | 69.029 | 69.029 | 0.000 | -0.000 | -0.000 |
| 69.029 | 140.505 | 69.029 | -0.000 | 0.000 | 0.000 |
| 69.029 | 69.029 | 140.505 | 0.000 | 0.000 | -0.000 |
| -0.000 | 0.000 | 0.000 | 71.522 | 0.000 | -0.000 |
| 0.000 | -0.000 | 0.000 | 0.000 | 71.522 | -0.000 |
| 0.000 | 0.000 | -0.000 | 0.000 | -0.000 | 71.522 |
| 140.505 | 69.029 | 69.029 | -0.000 | -0.000 | -0.000 |
| 69.029 | 140.505 | 69.029 | -0.000 | -0.000 | -0.000 |
| 69.029 | 69.029 | 140.505 | -0.000 | -0.000 | 0.000 |
| 0.000 | -0.000 | -0.000 | 71.522 | -0.000 | -0.000 |
| -0.000 | 0.000 | -0.000 | -0.000 | 71.522 | 0.000 |
| -0.000 | -0.000 | 0.000 | -0.000 | 0.000 | 71.522 |
| 140.505 | 69.029 | 69.029 | 0.000 | -0.000 | -0.000 |
| 69.029 | 140.505 | 69.029 | -0.000 | 0.000 | -0.000 |
| 69.029 | 69.029 | 140.505 | -0.000 | -0.000 | -0.000 |
| -0.000 | 0.000 | 0.000 | 71.522 | 0.000 | 0.000 |
| 0.000 | -0.000 | 0.000 | 0.000 | 71.522 | -0.000 |
| 0.000 | 0.000 | -0.000 | 0.000 | -0.000 | 71.522 |
| 140.505 | 69.029 | 69.029 | -0.000 | -0.000 | -0.000 |
| 69.029 | 140.505 | 69.029 | -0.000 | -0.000 | 0.000 |
| 69.029 | 69.029 | 140.505 | -0.000 | -0.000 | 0.000 |
| 0.000 | -0.000 | -0.000 | 71.522 | 0.000 | -0.000 |
| -0.000 | 0.000 | -0.000 | -0.000 | 71.522 | 0.000 |
| -0.000 | -0.000 | 0.000 | 0.000 | 0.000 | 71.522 |
| 140.506 | 69.030 | 69.030 | 0.000 | 0.000 | 0.000 |
| 69.030 | 140.506 | 69.030 | 0.000 | 0.000 | -0.000 |
| 69.030 | 69.030 | 140.506 | -0.000 | -0.000 | -0.000 |
| -0.000 | 0.001 | 0.001 | 71.522 | -0.000 | 0.000 |
| 0.001 | -0.000 | 0.001 | -0.000 | 71.522 | -0.000 |
| 0.001 | 0.001 | -0.000 | -0.000 | -0.000 | 71.522 |
| 140.505 | 69.029 | 69.029 | 0.000 | 0.000 | 0.000 |
| 69.029 | 140.505 | 69.029 | 0.000 | 0.000 | -0.000 |
| 69.029 | 69.029 | 140.505 | -0.000 | -0.000 | 0.000 |
| 0.000 | -0.001 | -0.001 | 71.522 | 0.000 | -0.000 |
| -0.001 | 0.000 | -0.001 | 0.000 | 71.522 | 0.000 |
| -0.001 | -0.001 | 0.000 | 0.000 | 0.000 | 71.522 |
| 200.002 | 166.795 | 186.943 | 0.000 | -0.000 | 0.000 |
| 166.795 | 200.002 | 186.943 | 0.000 | 0.000 | -0.000 |
| 186.943 | 186.943 | 279.200 | 0.000 | 0.000 | 0.000 |
| -2.785 | -2.785 | 16.746 | 11.720 | 0.000 | -0.000 |
| -0.000 | -0.000 | 0.000 | 0.000 | 33.154 | -0.000 |
| -2.744 | -2.744 | 16.500 | 0.000 | -0.000 | 3.153 |
| 199.999 | 166.792 | 186.941 | -0.000 | -0.000 | 0.000 |
| 182.732 | 189.038 | 171.972 | -0.000 | -0.000 | 0.000 |
| 191.233 | 191.233 | 253.391 | -0.000 | -0.000 | -0.000 |
| 2.785 | 2.785 | -16.746 | 11.720 | -0.000 | -0.000 |
| 0.000 | 0.000 | -0.000 | -0.000 | 33.154 | 0.000 |
| 2.744 | 2.744 | -16.500 | -0.000 | -0.000 | 3.153 |
| 193.618 | 171.165 | 193.072 | 0.000 | -0.000 | -0.000 |
| 171.165 | 193.618 | 193.072 | 0.000 | 0.000 | -0.000 |
| 188.182 | 188.182 | 271.824 | -0.000 | -0.000 | -0.000 |
| 0.000 | -0.000 | 0.000 | 33.154 | -0.000 | -0.000 |
| -0.279 | -0.279 | 1.675 | 0.000 | 11.720 | 0.000 |
| -0.054 | -0.054 | 0.326 | 0.000 | -0.000 | 2.996 |
| 186.174 | 180.552 | 187.054 | -0.000 | -0.000 | 0.000 |
| 166.780 | 199.987 | 186.930 | -0.000 | 0.000 | 0.000 |
| 188.716 | 188.716 | 268.452 | -0.000 | -0.000 | 0.000 |
| -0.000 | 0.000 | -0.000 | 33.154 | 0.000 | 0.000 |
| 0.279 | 0.279 | -1.675 | -0.000 | 11.720 | 0.000 |
| 0.054 | 0.054 | -0.326 | -0.000 | -0.000 | 2.996 |
| 200.133 | 166.921 | 187.065 | 0.000 | 0.000 | -0.000 |
| 184.649 | 181.844 | 188.741 | 0.000 | -0.000 | -0.000 |
| 188.541 | 188.541 | 270.423 | 0.000 | -0.000 | -0.000 |
| -0.094 | -0.094 | 0.563 | 11.745 | 0.000 | -0.000 |
| -0.094 | -0.094 | 0.563 | 0.000 | 11.745 | -0.000 |
| -0.084 | -0.084 | 0.509 | 0.000 | -0.000 | 8.104 |
| 186.222 | 180.313 | 186.816 | -0.000 | 0.000 | 0.000 |
| 181.391 | 184.184 | 189.711 | -0.000 | 0.000 | 0.000 |
| 188.357 | 188.357 | 269.854 | -0.000 | 0.000 | 0.000 |
| 0.094 | 0.094 | -0.563 | 11.745 | -0.000 | 0.000 |
| 0.094 | 0.094 | -0.563 | -0.000 | 11.745 | -0.000 |
| 0.084 | 0.084 | -0.509 | -0.000 | 0.000 | 8.104 |
| 192.129 | 151.576 | 169.739 | -0.000 | 0.000 | -0.000 |
| 151.576 | 192.129 | 169.739 | -0.000 | 0.000 | -0.000 |
| 169.739 | 169.739 | 284.207 | -0.000 | 0.000 | -0.000 |
| 0.000 | 0.000 | -0.000 | -38.952 | 0.000 | -0.000 |
| 0.000 | 0.000 | -0.000 | -0.000 | -38.952 | -0.000 |
| 0.000 | 0.000 | 0.000 | 0.000 | 0.000 | 10.126 |
| 188.395 | 155.310 | 169.739 | 0.000 | -0.000 | 0.000 |
| 155.310 | 188.395 | 169.739 | -0.000 | 0.000 | 0.000 |
| 169.739 | 169.739 | 284.207 | -0.000 | -0.000 | 0.000 |
| -0.000 | -0.000 | 0.000 | -38.952 | -0.000 | 0.000 |
| -0.000 | -0.000 | 0.000 | 0.000 | -38.952 | 0.000 |
| -0.000 | -0.000 | -0.000 | -0.000 | -0.000 | 10.126 |
| 192.128 | 151.575 | 169.738 | 0.000 | -0.000 | -0.000 |
| 151.575 | 192.128 | 169.738 | 0.000 | 0.000 | -0.000 |
| 169.737 | 169.737 | 284.205 | -0.000 | 0.000 | -0.000 |
| 0.000 | 0.000 | -0.000 | -38.952 | 0.000 | -0.000 |
| 0.000 | 0.000 | -0.000 | -0.000 | -38.952 | -0.000 |
| 0.000 | 0.000 | 0.000 | -0.000 | 0.000 | 10.126 |
| 188.396 | 155.311 | 169.740 | 0.000 | -0.000 | 0.000 |
| 155.311 | 188.396 | 169.740 | -0.000 | -0.000 | 0.000 |
| 169.741 | 169.741 | 284.209 | 0.000 | -0.000 | 0.000 |
| -0.000 | -0.000 | 0.000 | -38.952 | 0.000 | 0.000 |
| -0.000 | -0.000 | 0.000 | 0.000 | -38.952 | 0.000 |
| -0.000 | -0.000 | -0.000 | 0.000 | -0.000 | 10.126 |
| 192.118 | 151.566 | 169.726 | 0.000 | 0.000 | -0.000 |
| 151.566 | 192.118 | 169.726 | -0.000 | -0.000 | -0.000 |
| 169.722 | 169.722 | 284.188 | -0.000 | -0.000 | 0.000 |
| 0.000 | 0.000 | -0.000 | -38.952 | -0.000 | -0.000 |
| 0.000 | 0.000 | -0.000 | -0.000 | -38.952 | -0.000 |
| 0.000 | 0.000 | 0.000 | -0.000 | 0.000 | 10.126 |
| 192.139 | 151.587 | 169.752 | -0.000 | -0.000 | 0.000 |
| 151.587 | 192.139 | 169.752 | -0.000 | -0.000 | 0.000 |
| 169.756 | 169.756 | 284.226 | -0.000 | -0.000 | 0.000 |
| -0.000 | -0.000 | 0.000 | -38.952 | -0.000 | -0.000 |
| -0.000 | -0.000 | 0.000 | 0.000 | -38.952 | 0.000 |
| -0.000 | -0.000 | -0.000 | 0.000 | 0.000 | 10.126 |
| 101.712 | 107.946 | 137.311 | 0.000 | -0.000 | 0.000 |
| 76.721 | 147.825 | 151.735 | 0.000 | -0.000 | 0.000 |
| 151.107 | 151.107 | 251.978 | 0.000 | 0.000 | -0.000 |
| 0.000 | -0.000 | 0.000 | 48.109 | -0.000 | 0.000 |
| 0.000 | 0.000 | 0.000 | 0.000 | 48.109 | 0.000 |
| -0.000 | -0.000 | -0.000 | -0.000 | -0.000 | -3.431 |
| 101.710 | 107.945 | 137.310 | 0.000 | 0.000 | -0.000 |
| 76.720 | 147.823 | 151.734 | 0.000 | 0.000 | 0.000 |
| 137.259 | 137.259 | 225.145 | -0.000 | -0.000 | -0.000 |
| -0.000 | -0.000 | -0.000 | 48.109 | -0.000 | -0.000 |
| -0.000 | -0.000 | -0.000 | -0.000 | 48.109 | 0.000 |
| 0.000 | 0.000 | 0.000 | -0.000 | -0.000 | -3.431 |
| 87.905 | 123.755 | 139.247 | -0.000 | -0.000 | 0.000 |
| 107.952 | 101.717 | 137.318 | -0.000 | -0.000 | 0.000 |
| 151.116 | 151.116 | 251.989 | 0.000 | -0.000 | -0.000 |
| 0.000 | 0.000 | 0.000 | 48.138 | -0.000 | 0.000 |
| -0.000 | 0.000 | 0.000 | 0.000 | 48.109 | -0.000 |
| 0.000 | 0.000 | 0.000 | -0.000 | -0.000 | 35.552 |
| 87.893 | 123.744 | 139.233 | -0.000 | -0.000 | 0.000 |
| 123.744 | 87.893 | 139.233 | -0.000 | -0.000 | -0.000 |
| 137.251 | 137.251 | 225.134 | -0.000 | 0.000 | -0.000 |
| -0.000 | -0.000 | -0.000 | 48.138 | 0.000 | 0.000 |
| 0.000 | -0.000 | -0.000 | -0.000 | 48.109 | -0.000 |
| -0.000 | -0.000 | -0.000 | 0.000 | 0.000 | 35.552 |
| 87.958 | 123.804 | 139.312 | 0.000 | 0.000 | -0.000 |
| 76.782 | 147.888 | 151.816 | -0.000 | 0.000 | -0.000 |
| 137.353 | 137.353 | 225.263 | 0.000 | -0.000 | -0.000 |
| 0.000 | -0.000 | 0.000 | 48.109 | -0.000 | 0.000 |
| 0.000 | 0.000 | 0.000 | 0.000 | 48.138 | -0.000 |
| 0.001 | 0.001 | 0.001 | 0.000 | -0.000 | 35.552 |
| 98.200 | 111.840 | 137.720 | 0.000 | 0.000 | -0.000 |
| 76.659 | 147.760 | 151.654 | 0.000 | 0.000 | 0.000 |
| 137.167 | 137.167 | 225.028 | 0.000 | -0.000 | -0.000 |
| -0.000 | 0.000 | -0.000 | 48.109 | -0.000 | -0.000 |
| -0.000 | -0.000 | -0.000 | -0.000 | 48.138 | -0.000 |
| -0.001 | -0.001 | -0.001 | -0.000 | 0.000 | 35.552 |
| 384.760 | 122.355 | 122.355 | -0.000 | -0.000 | -0.000 |
| 122.355 | 384.760 | 122.355 | 0.000 | -0.000 | -0.000 |
| 122.355 | 122.355 | 384.760 | 0.000 | -0.000 | -0.000 |
| -0.000 | 0.000 | 0.000 | 41.864 | -0.000 | -0.000 |
| 0.000 | -0.000 | 0.000 | -0.000 | 41.864 | -0.000 |
| 0.000 | 0.000 | -0.000 | -0.000 | -0.000 | 41.864 |
| 384.760 | 122.356 | 122.356 | -0.000 | 0.000 | 0.000 |
| 122.356 | 384.760 | 122.356 | 0.000 | 0.000 | 0.000 |
| 122.356 | 122.356 | 384.760 | 0.000 | -0.000 | 0.000 |
| 0.000 | -0.000 | -0.000 | 41.864 | 0.000 | 0.000 |
| -0.000 | 0.000 | -0.000 | 0.000 | 41.864 | 0.000 |
| -0.000 | -0.000 | 0.000 | -0.000 | 0.000 | 41.864 |
| 384.757 | 122.351 | 122.351 | -0.000 | -0.000 | -0.000 |
| 122.351 | 384.757 | 122.351 | -0.000 | -0.000 | -0.000 |
| 122.351 | 122.351 | 384.757 | 0.000 | -0.000 | -0.000 |
| 0.000 | 0.000 | 0.000 | 41.864 | -0.000 | -0.000 |
| 0.000 | 0.000 | 0.000 | -0.000 | 41.864 | -0.000 |
| 0.000 | 0.000 | 0.000 | -0.000 | -0.000 | 41.864 |
| 384.764 | 122.359 | 122.359 | -0.000 | 0.000 | 0.000 |
| 122.359 | 384.764 | 122.359 | -0.000 | 0.000 | 0.000 |
| 122.359 | 122.359 | 384.764 | -0.000 | 0.000 | 0.000 |
| -0.000 | -0.000 | -0.000 | 41.864 | 0.000 | -0.000 |
| -0.000 | -0.000 | -0.000 | 0.000 | 41.864 | 0.000 |
| -0.000 | -0.000 | -0.000 | -0.000 | 0.000 | 41.864 |
| 384.726 | 122.318 | 122.318 | -0.000 | -0.000 | -0.000 |
| 122.318 | 384.726 | 122.318 | -0.000 | -0.000 | -0.000 |
| 122.318 | 122.318 | 384.726 | -0.000 | 0.000 | -0.000 |
| 0.000 | 0.001 | 0.001 | 41.864 | -0.000 | -0.000 |
| 0.001 | 0.000 | 0.001 | -0.000 | 41.864 | -0.000 |
| 0.001 | 0.001 | 0.000 | -0.000 | -0.000 | 41.864 |
| 384.794 | 122.393 | 122.393 | -0.000 | 0.000 | 0.000 |
| 122.393 | 384.794 | 122.393 | 0.000 | 0.000 | 0.000 |
| 122.393 | 122.393 | 384.794 | -0.000 | -0.000 | 0.000 |
| -0.000 | -0.001 | -0.001 | 41.864 | 0.000 | -0.000 |
| -0.001 | -0.000 | -0.001 | 0.000 | 41.864 | 0.000 |
| -0.001 | -0.001 | -0.000 | -0.000 | 0.000 | 41.864 |
| 165.996 | 46.653 | 46.653 | 0.000 | -0.000 | -0.000 |
| 46.653 | 165.996 | 46.653 | -0.000 | -0.000 | -0.000 |
| 46.653 | 46.653 | 165.996 | -0.000 | -0.000 | -0.000 |
| -0.000 | -0.000 | -0.000 | 18.953 | -0.000 | -0.000 |
| -0.000 | 0.000 | -0.000 | -0.000 | 18.953 | -0.000 |
| -0.000 | -0.000 | 0.000 | -0.000 | -0.000 | 18.953 |
| 165.996 | 46.653 | 46.653 | 0.000 | 0.000 | 0.000 |
| 46.653 | 165.996 | 46.653 | 0.000 | 0.000 | 0.000 |
| 46.653 | 46.653 | 165.996 | 0.000 | 0.000 | 0.000 |
| 0.000 | 0.000 | -0.000 | 18.953 | 0.000 | 0.000 |
| 0.000 | -0.000 | -0.000 | -0.000 | 18.953 | 0.000 |
| 0.000 | 0.000 | -0.000 | 0.000 | 0.000 | 18.953 |
| 165.996 | 46.653 | 46.653 | 0.000 | 0.000 | -0.000 |
| 46.653 | 165.996 | 46.653 | -0.000 | -0.000 | -0.000 |
| 46.653 | 46.653 | 165.996 | 0.000 | -0.000 | -0.000 |
| 0.000 | -0.000 | -0.000 | 18.953 | -0.000 | -0.000 |
| -0.000 | 0.000 | -0.000 | 0.000 | 18.953 | -0.000 |
| -0.000 | -0.000 | 0.000 | 0.000 | -0.000 | 18.953 |
| 165.996 | 46.653 | 46.653 | 0.000 | 0.000 | 0.000 |
| 46.653 | 165.996 | 46.653 | 0.000 | 0.000 | 0.000 |
| 46.653 | 46.653 | 165.996 | 0.000 | 0.000 | 0.000 |
| -0.000 | 0.000 | 0.000 | 18.953 | 0.000 | 0.000 |
| 0.000 | -0.000 | 0.000 | 0.000 | 18.953 | 0.000 |
| 0.000 | 0.000 | -0.000 | 0.000 | 0.000 | 18.953 |
| 165.998 | 46.653 | 46.653 | 0.000 | -0.000 | -0.000 |
| 46.653 | 165.998 | 46.653 | 0.000 | -0.000 | -0.000 |
| 46.653 | 46.653 | 165.998 | 0.000 | -0.000 | -0.000 |
| 0.000 | -0.000 | -0.000 | 18.953 | -0.000 | -0.000 |
| -0.000 | 0.000 | -0.000 | -0.000 | 18.953 | -0.000 |
| -0.000 | -0.000 | 0.000 | -0.000 | -0.000 | 18.953 |
| 165.994 | 46.653 | 46.653 | -0.000 | 0.000 | 0.000 |
| 46.653 | 165.994 | 46.653 | 0.000 | 0.000 | 0.000 |
| 46.653 | 46.653 | 165.994 | 0.000 | 0.000 | 0.000 |
| -0.000 | 0.000 | 0.000 | 18.953 | 0.000 | 0.000 |
| 0.000 | -0.000 | 0.000 | 0.000 | 18.953 | 0.000 |
| 0.000 | 0.000 | -0.000 | 0.000 | 0.000 | 18.953 |
| 60.415 | -0.045 | -0.045 | -0.000 | -0.000 | 0.000 |
| -0.045 | 60.415 | -0.045 | -0.000 | -0.000 | -0.000 |
| -0.045 | -0.045 | 60.415 | -0.000 | -0.000 | -0.000 |
| 0.000 | -0.000 | -0.000 | 0.031 | 0.000 | 0.000 |
| -0.000 | 0.000 | -0.000 | -0.000 | 0.031 | -0.000 |
| -0.000 | -0.000 | 0.000 | -0.000 | -0.000 | 0.031 |
| 60.415 | -0.045 | -0.045 | 0.000 | 0.000 | 0.000 |
| -0.045 | 60.415 | -0.045 | 0.000 | 0.000 | 0.000 |
| -0.045 | -0.045 | 60.415 | 0.000 | 0.000 | 0.000 |
| -0.000 | 0.000 | 0.000 | 0.031 | -0.000 | 0.000 |
| 0.000 | -0.000 | 0.000 | -0.000 | 0.031 | 0.000 |
| 0.000 | 0.000 | -0.000 | 0.000 | 0.000 | 0.031 |
| 60.415 | -0.045 | -0.045 | -0.000 | -0.000 | -0.000 |
| -0.045 | 60.415 | -0.045 | -0.000 | -0.000 | -0.000 |
| -0.045 | -0.045 | 60.415 | -0.000 | -0.000 | -0.000 |
| 0.000 | -0.000 | -0.000 | 0.031 | 0.000 | 0.000 |
| -0.000 | 0.000 | -0.000 | -0.000 | 0.031 | -0.000 |
| -0.000 | -0.000 | 0.000 | -0.000 | -0.000 | 0.031 |
| 60.415 | -0.045 | -0.045 | 0.000 | 0.000 | 0.000 |
| -0.045 | 60.415 | -0.045 | 0.000 | 0.000 | 0.000 |
| -0.045 | -0.045 | 60.415 | 0.000 | 0.000 | 0.000 |
| -0.000 | 0.000 | 0.000 | 0.031 | 0.000 | -0.000 |
| 0.000 | -0.000 | 0.000 | -0.000 | 0.031 | 0.000 |
| 0.000 | 0.000 | -0.000 | 0.000 | 0.000 | 0.031 |
| 60.415 | -0.045 | -0.045 | 0.000 | 0.000 | 0.000 |
| -0.045 | 60.415 | -0.045 | -0.000 | 0.000 | -0.000 |
| -0.045 | -0.045 | 60.415 | -0.000 | -0.000 | 0.000 |
| 0.000 | -0.000 | -0.000 | 0.031 | 0.000 | 0.000 |
| -0.000 | 0.000 | -0.000 | 0.000 | 0.031 | -0.000 |
| -0.000 | -0.000 | 0.000 | -0.000 | -0.000 | 0.031 |
| 60.415 | -0.045 | -0.045 | 0.000 | 0.000 | 0.000 |
| -0.045 | 60.415 | -0.045 | 0.000 | 0.000 | -0.000 |
| -0.045 | -0.045 | 60.415 | 0.000 | 0.000 | 0.000 |
| -0.000 | 0.000 | 0.000 | 0.031 | 0.000 | 0.000 |
| 0.000 | -0.000 | 0.000 | 0.000 | 0.031 | 0.000 |
| 0.000 | 0.000 | -0.000 | 0.000 | 0.000 | 0.031 |
| 164.220 | -1.128 | -1.128 | 0.000 | 0.000 | 0.000 |
| -1.128 | 164.220 | -1.128 | 0.000 | 0.000 | -0.000 |
| -1.128 | -1.128 | 164.220 | -0.000 | -0.000 | -0.000 |
| 0.000 | 0.000 | 0.000 | 0.002 | -0.000 | 0.000 |
| 0.000 | 0.000 | 0.000 | -0.000 | 0.002 | -0.000 |
| 0.000 | 0.000 | 0.000 | -0.000 | -0.000 | 0.002 |
| 164.220 | -1.128 | -1.128 | -0.000 | -0.000 | -0.000 |
| -1.128 | 164.220 | -1.128 | -0.000 | -0.000 | 0.000 |
| -1.128 | -1.128 | 164.220 | 0.000 | 0.000 | 0.000 |
| -0.000 | -0.000 | -0.000 | 0.002 | -0.000 | 0.000 |
| -0.000 | -0.000 | -0.000 | 0.000 | 0.002 | -0.000 |
| -0.000 | -0.000 | -0.000 | 0.000 | 0.000 | 0.002 |
| 164.221 | -1.128 | -1.128 | -0.000 | -0.000 | -0.000 |
| -1.128 | 164.221 | -1.128 | -0.000 | -0.000 | 0.000 |
| -1.128 | -1.128 | 164.221 | -0.000 | -0.000 | 0.000 |
| 0.000 | 0.000 | -0.000 | 0.002 | 0.000 | -0.000 |
| 0.000 | 0.000 | -0.000 | 0.000 | 0.002 | -0.000 |
| 0.000 | -0.000 | 0.000 | -0.000 | -0.000 | 0.002 |
| 164.220 | -1.128 | -1.128 | 0.000 | 0.000 | 0.000 |
| -1.128 | 164.220 | -1.128 | 0.000 | 0.000 | 0.000 |
| -1.128 | -1.128 | 164.220 | -0.000 | -0.000 | 0.000 |
| -0.000 | -0.000 | 0.000 | 0.002 | -0.000 | -0.000 |
| -0.000 | -0.000 | 0.000 | -0.000 | 0.002 | -0.000 |
| -0.000 | 0.000 | -0.000 | 0.000 | 0.000 | 0.002 |
| 164.222 | -1.129 | -1.129 | -0.000 | -0.000 | -0.000 |
| -1.129 | 164.222 | -1.129 | -0.000 | -0.000 | -0.000 |
| -1.129 | -1.129 | 164.222 | 0.000 | 0.000 | -0.000 |
| 0.000 | 0.000 | -0.000 | 0.002 | -0.000 | -0.000 |
| 0.000 | 0.000 | -0.000 | -0.000 | 0.002 | -0.000 |
| 0.000 | -0.000 | 0.000 | -0.000 | -0.000 | 0.002 |
| 164.219 | -1.128 | -1.128 | -0.000 | -0.000 | -0.000 |
| -1.128 | 164.219 | -1.128 | -0.000 | -0.000 | 0.000 |
| -1.128 | -1.128 | 164.219 | 0.000 | 0.000 | 0.000 |
| -0.000 | -0.000 | 0.000 | 0.002 | 0.000 | -0.000 |
| -0.000 | -0.000 | 0.000 | -0.000 | 0.002 | 0.000 |
| -0.000 | 0.000 | -0.000 | 0.000 | 0.000 | 0.002 |
| 118.494 | 110.557 | 110.557 | -0.000 | -0.000 | -0.000 |
| 110.557 | 118.494 | 110.557 | -0.000 | -0.000 | -0.000 |
| 110.557 | 110.557 | 118.494 | -0.000 | -0.000 | -0.000 |
| 0.000 | 0.000 | 0.000 | 0.002 | -0.000 | 0.000 |
| 0.000 | 0.000 | 0.000 | 0.000 | 0.002 | -0.000 |
| 0.000 | 0.000 | 0.000 | -0.000 | -0.000 | 0.002 |
| 118.493 | 110.556 | 110.556 | 0.000 | 0.000 | 0.000 |
| 110.556 | 118.493 | 110.556 | 0.000 | 0.000 | -0.000 |
| 110.556 | 110.556 | 118.493 | 0.000 | 0.000 | 0.000 |
| -0.000 | -0.000 | -0.000 | 0.002 | 0.000 | 0.000 |
| -0.000 | -0.000 | -0.000 | 0.000 | 0.002 | 0.000 |
| -0.000 | -0.000 | -0.000 | 0.000 | 0.000 | 0.002 |
| 118.495 | 110.557 | 110.557 | -0.000 | -0.000 | -0.000 |
| 110.557 | 118.495 | 110.557 | -0.000 | -0.000 | 0.000 |
| 110.557 | 110.557 | 118.495 | 0.000 | 0.000 | -0.000 |
| -0.000 | -0.000 | -0.000 | 0.002 | 0.000 | -0.000 |
| -0.000 | -0.000 | -0.000 | -0.000 | 0.002 | -0.000 |
| -0.000 | -0.000 | -0.000 | -0.000 | -0.000 | 0.002 |
| 118.492 | 110.556 | 110.556 | 0.000 | 0.000 | 0.000 |
| 110.556 | 118.492 | 110.556 | 0.000 | 0.000 | 0.000 |
| 110.556 | 110.556 | 118.492 | 0.000 | 0.000 | 0.000 |
| 0.000 | 0.000 | 0.000 | 0.002 | 0.000 | 0.000 |
| 0.000 | 0.000 | 0.000 | 0.000 | 0.002 | 0.000 |
| 0.000 | 0.000 | 0.000 | 0.000 | 0.000 | 0.002 |
| 118.504 | 110.564 | 110.564 | 0.000 | -0.000 | -0.000 |
| 110.564 | 118.504 | 110.564 | -0.000 | 0.000 | -0.000 |
| 110.564 | 110.564 | 118.504 | -0.000 | 0.000 | -0.000 |
| -0.000 | -0.000 | -0.000 | 0.002 | 0.000 | -0.000 |
| -0.000 | -0.000 | -0.000 | -0.000 | 0.002 | -0.000 |
| -0.000 | -0.000 | -0.000 | -0.000 | -0.000 | 0.002 |
| 118.483 | 110.549 | 110.549 | -0.000 | -0.000 | 0.000 |
| 110.549 | 118.483 | 110.549 | -0.000 | -0.000 | 0.000 |
| 110.549 | 110.549 | 118.483 | 0.000 | 0.000 | -0.000 |
| 0.000 | 0.000 | 0.000 | 0.002 | 0.000 | 0.000 |
| 0.000 | 0.000 | 0.000 | 0.000 | 0.002 | 0.000 |
| 0.000 | 0.000 | 0.000 | 0.000 | 0.000 | 0.002 |
| 83.452 | -5.036 | -5.036 | -0.000 | -0.000 | -0.000 |
| -5.036 | 83.452 | -5.036 | -0.000 | -0.000 | -0.000 |
| -5.036 | -5.036 | 83.452 | -0.000 | -0.000 | -0.000 |
| 0.000 | -0.000 | -0.000 | 0.001 | -0.000 | -0.000 |
| -0.000 | 0.000 | -0.000 | -0.000 | 0.001 | -0.000 |
| -0.000 | -0.000 | 0.000 | -0.000 | -0.000 | 0.001 |
| 83.452 | -5.036 | -5.036 | 0.000 | 0.000 | 0.000 |
| -5.036 | 83.452 | -5.036 | 0.000 | 0.000 | 0.000 |
| -5.036 | -5.036 | 83.452 | 0.000 | 0.000 | 0.000 |
| -0.000 | 0.000 | 0.000 | 0.001 | 0.000 | -0.000 |
| 0.000 | -0.000 | 0.000 | 0.000 | 0.001 | 0.000 |
| 0.000 | 0.000 | -0.000 | 0.000 | 0.000 | 0.001 |
| 83.452 | -5.036 | -5.036 | -0.000 | -0.000 | -0.000 |
| -5.036 | 83.452 | -5.036 | -0.000 | -0.000 | -0.000 |
| -5.036 | -5.036 | 83.452 | -0.000 | -0.000 | -0.000 |
| 0.000 | 0.000 | -0.000 | 0.001 | 0.000 | -0.000 |
| 0.000 | 0.000 | -0.000 | -0.000 | 0.001 | -0.000 |
| 0.000 | -0.000 | 0.000 | -0.000 | -0.000 | 0.001 |
| 83.451 | -5.036 | -5.036 | 0.000 | 0.000 | 0.000 |
| -5.036 | 83.451 | -5.036 | 0.000 | 0.000 | 0.000 |
| -5.036 | -5.036 | 83.451 | 0.000 | 0.000 | 0.000 |
| -0.000 | -0.000 | 0.000 | 0.001 | 0.000 | 0.000 |
| -0.000 | -0.000 | 0.000 | 0.000 | 0.001 | 0.000 |
| -0.000 | 0.000 | -0.000 | 0.000 | 0.000 | 0.001 |
| 83.452 | -5.037 | -5.037 | -0.000 | -0.000 | -0.000 |
| -5.037 | 83.452 | -5.037 | -0.000 | -0.000 | 0.000 |
| -5.037 | -5.037 | 83.452 | 0.000 | 0.000 | -0.000 |
| 0.000 | 0.000 | -0.000 | 0.001 | -0.000 | 0.000 |
| 0.000 | 0.000 | -0.000 | -0.000 | 0.001 | -0.000 |
| 0.000 | -0.000 | 0.000 | -0.000 | -0.000 | 0.001 |
| 83.451 | -5.036 | -5.036 | 0.000 | 0.000 | 0.000 |
| -5.036 | 83.451 | -5.036 | 0.000 | 0.000 | 0.000 |
| -5.036 | -5.036 | 83.451 | 0.000 | 0.000 | 0.000 |
| -0.000 | -0.000 | 0.000 | 0.001 | -0.000 | 0.000 |
| -0.000 | -0.000 | 0.000 | -0.000 | 0.001 | 0.000 |
| -0.000 | 0.000 | -0.000 | 0.000 | 0.000 | 0.001 |
| 200.453 | 177.506 | 177.506 | -0.000 | -0.000 | 0.000 |
| 177.506 | 200.453 | 177.506 | -0.000 | -0.000 | 0.000 |
| 177.506 | 177.506 | 200.453 | -0.000 | -0.000 | 0.000 |
| -0.000 | -0.000 | -0.000 | -22.413 | -0.000 | -0.000 |
| -0.000 | -0.000 | -0.000 | -0.000 | -22.413 | 0.000 |
| -0.000 | -0.000 | -0.000 | -0.000 | -0.000 | -22.413 |
| 200.455 | 177.508 | 177.508 | -0.000 | 0.000 | -0.000 |
| 177.508 | 200.455 | 177.508 | 0.000 | 0.000 | -0.000 |
| 177.508 | 177.508 | 200.455 | 0.000 | 0.000 | -0.000 |
| 0.000 | 0.000 | 0.000 | -22.413 | 0.000 | -0.000 |
| 0.000 | 0.000 | 0.000 | 0.000 | -22.413 | 0.000 |
| 0.000 | 0.000 | 0.000 | -0.000 | 0.000 | -22.413 |
| 200.441 | 177.494 | 177.494 | -0.000 | 0.000 | 0.000 |
| 177.494 | 200.441 | 177.494 | -0.000 | 0.000 | -0.000 |
| 177.494 | 177.494 | 200.441 | -0.000 | -0.000 | 0.000 |
| -0.000 | -0.000 | -0.000 | -22.413 | -0.000 | 0.000 |
| -0.000 | -0.000 | -0.000 | -0.000 | -22.413 | 0.000 |
| -0.000 | -0.000 | -0.000 | -0.000 | -0.000 | -22.413 |
| 200.467 | 177.520 | 177.520 | 0.000 | -0.000 | -0.000 |
| 177.520 | 200.467 | 177.520 | 0.000 | -0.000 | 0.000 |
| 177.520 | 177.520 | 200.467 | 0.000 | 0.000 | 0.000 |
| 0.000 | 0.000 | 0.000 | -22.413 | 0.000 | 0.000 |
| 0.000 | 0.000 | 0.000 | 0.000 | -22.413 | -0.000 |
| 0.000 | 0.000 | 0.000 | 0.000 | 0.000 | -22.413 |
| 200.321 | 177.375 | 177.375 | -0.000 | 0.000 | -0.000 |
| 177.375 | 200.321 | 177.375 | -0.000 | -0.000 | 0.000 |
| 177.375 | 177.375 | 200.321 | -0.000 | 0.000 | -0.000 |
| -0.000 | -0.000 | -0.000 | -22.413 | -0.000 | 0.000 |
| -0.000 | -0.000 | -0.000 | 0.000 | -22.413 | 0.000 |
| -0.000 | -0.000 | -0.000 | 0.000 | 0.000 | -22.413 |
| 200.587 | 177.639 | 177.639 | 0.000 | 0.000 | -0.000 |
| 177.639 | 200.587 | 177.639 | -0.000 | -0.000 | -0.000 |
| 177.639 | 177.639 | 200.587 | 0.000 | 0.000 | 0.000 |
| 0.000 | 0.000 | 0.000 | -22.413 | 0.000 | 0.000 |
| 0.000 | 0.000 | 0.000 | 0.000 | -22.413 | -0.000 |
| 0.000 | 0.000 | 0.000 | 0.000 | -0.000 | -22.413 |
| 59.081 | 15.821 | 15.821 | 0.000 | 0.000 | -0.000 |
| 15.821 | 59.081 | 15.821 | 0.000 | -0.000 | 0.000 |
| 15.821 | 15.821 | 59.081 | 0.000 | -0.000 | -0.000 |
| 0.000 | 0.000 | 0.000 | 14.899 | -0.000 | 0.000 |
| 0.000 | 0.000 | 0.000 | 0.000 | 14.899 | 0.000 |
| 0.000 | 0.000 | 0.000 | 0.000 | -0.000 | 14.899 |
| 59.081 | 15.821 | 15.821 | -0.000 | -0.000 | 0.000 |
| 15.821 | 59.081 | 15.821 | -0.000 | -0.000 | -0.000 |
| 15.821 | 15.821 | 59.081 | -0.000 | 0.000 | 0.000 |
| -0.000 | -0.000 | -0.000 | 14.899 | -0.000 | 0.000 |
| -0.000 | -0.000 | -0.000 | -0.000 | 14.899 | -0.000 |
| -0.000 | -0.000 | -0.000 | -0.000 | 0.000 | 14.899 |
| 59.081 | 15.821 | 15.821 | 0.000 | 0.000 | 0.000 |
| 15.821 | 59.081 | 15.821 | -0.000 | 0.000 | 0.000 |
| 15.821 | 15.821 | 59.081 | 0.000 | 0.000 | 0.000 |
| 0.000 | 0.000 | 0.000 | 14.899 | 0.000 | 0.000 |
| 0.000 | 0.000 | 0.000 | 0.000 | 14.899 | 0.000 |
| 0.000 | 0.000 | 0.000 | 0.000 | -0.000 | 14.899 |
| 59.081 | 15.821 | 15.821 | -0.000 | 0.000 | 0.000 |
| 15.821 | 59.081 | 15.821 | -0.000 | 0.000 | 0.000 |
| 15.821 | 15.821 | 59.081 | -0.000 | 0.000 | -0.000 |
| -0.000 | -0.000 | -0.000 | 14.899 | -0.000 | 0.000 |
| -0.000 | -0.000 | -0.000 | -0.000 | 14.899 | -0.000 |
| -0.000 | -0.000 | -0.000 | 0.000 | 0.000 | 14.899 |
| 59.081 | 15.821 | 15.821 | 0.000 | 0.000 | 0.000 |
| 15.821 | 59.081 | 15.821 | 0.000 | 0.000 | 0.000 |
| 15.821 | 15.821 | 59.081 | 0.000 | 0.000 | -0.000 |
| 0.000 | 0.000 | 0.000 | 14.899 | -0.000 | -0.000 |
| 0.000 | 0.000 | 0.000 | 0.000 | 14.899 | 0.000 |
| 0.000 | 0.000 | 0.000 | -0.000 | -0.000 | 14.899 |
| 59.081 | 15.820 | 15.820 | -0.000 | 0.000 | -0.000 |
| 15.820 | 59.081 | 15.820 | -0.000 | 0.000 | -0.000 |
| 15.820 | 15.820 | 59.081 | -0.000 | -0.000 | -0.000 |
| -0.000 | -0.000 | -0.000 | 14.899 | 0.000 | -0.000 |
| -0.000 | -0.000 | -0.000 | -0.000 | 14.899 | -0.000 |
| -0.000 | -0.000 | -0.000 | 0.000 | 0.000 | 14.899 |
| 2.119 | 20.075 | 20.075 | 0.000 | 0.000 | -0.000 |
| 20.075 | 2.119 | 20.075 | 0.000 | 0.000 | 0.000 |
| 20.075 | 20.075 | 2.119 | 0.000 | 0.000 | -0.000 |
| 0.000 | -0.000 | 0.000 | 19.986 | 0.000 | -0.000 |
| -0.000 | 0.000 | 0.000 | 0.000 | 19.986 | -0.000 |
| -0.000 | 0.000 | 0.000 | 0.000 | 0.000 | 19.986 |
| 2.119 | 20.075 | 20.075 | -0.000 | -0.000 | 0.000 |
| 20.075 | 2.119 | 20.075 | -0.000 | -0.000 | 0.000 |
| 20.075 | 20.075 | 2.119 | -0.000 | 0.000 | 0.000 |
| -0.000 | 0.000 | -0.000 | 19.986 | -0.000 | 0.000 |
| 0.000 | -0.000 | -0.000 | -0.000 | 19.986 | 0.000 |
| 0.000 | -0.000 | -0.000 | -0.000 | -0.000 | 19.986 |
| 2.119 | 20.075 | 20.075 | 0.000 | 0.000 | -0.000 |
| 20.075 | 2.119 | 20.075 | 0.000 | 0.000 | 0.000 |
| 20.075 | 20.075 | 2.119 | 0.000 | 0.000 | -0.000 |
| 0.000 | -0.000 | 0.000 | 19.986 | 0.000 | -0.000 |
| -0.000 | 0.000 | 0.000 | 0.000 | 19.986 | -0.000 |
| -0.000 | 0.000 | 0.000 | 0.000 | 0.000 | 19.986 |
| 2.119 | 20.075 | 20.075 | -0.000 | -0.000 | 0.000 |
| 20.075 | 2.119 | 20.075 | -0.000 | -0.000 | 0.000 |
| 20.075 | 20.075 | 2.119 | -0.000 | -0.000 | -0.000 |
| -0.000 | 0.000 | -0.000 | 19.986 | -0.000 | -0.000 |
| 0.000 | -0.000 | -0.000 | -0.000 | 19.986 | 0.000 |
| 0.000 | -0.000 | -0.000 | -0.000 | -0.000 | 19.986 |
| 2.118 | 20.075 | 20.075 | 0.000 | 0.000 | -0.000 |
| 20.075 | 2.118 | 20.075 | 0.000 | 0.000 | 0.000 |
| 20.075 | 20.075 | 2.118 | 0.000 | 0.000 | -0.000 |
| 0.000 | -0.000 | 0.000 | 19.986 | 0.000 | -0.000 |
| -0.000 | 0.000 | 0.000 | 0.000 | 19.986 | -0.000 |
| -0.000 | 0.000 | 0.000 | 0.000 | 0.000 | 19.986 |
| 2.119 | 20.075 | 20.075 | -0.000 | -0.000 | 0.000 |
| 20.075 | 2.119 | 20.075 | -0.000 | -0.000 | 0.000 |
| 20.075 | 20.075 | 2.119 | -0.000 | -0.000 | 0.000 |
| -0.000 | 0.000 | -0.000 | 19.986 | -0.000 | 0.000 |
| 0.000 | -0.000 | -0.000 | -0.000 | 19.986 | 0.000 |
| 0.000 | -0.000 | -0.000 | -0.000 | -0.000 | 19.986 |
| 205.966 | 205.957 | 205.957 | 0.000 | -0.000 | 0.000 |
| 205.957 | 205.966 | 205.957 | -0.000 | 0.000 | 0.000 |
| 205.957 | 205.957 | 205.966 | 0.000 | 0.000 | 0.000 |
| 0.000 | 0.000 | 0.000 | 205.960 | 0.000 | 0.000 |
| 0.000 | 0.000 | 0.000 | 0.000 | 205.960 | 0.000 |
| 0.000 | 0.000 | 0.000 | 0.000 | -0.000 | 205.960 |
| 205.966 | 205.957 | 205.957 | -0.000 | -0.000 | -0.000 |
| 205.957 | 205.966 | 205.957 | -0.000 | -0.000 | -0.000 |
| 205.957 | 205.957 | 205.966 | -0.000 | -0.000 | -0.000 |
| -0.000 | -0.000 | -0.000 | 205.960 | 0.000 | -0.000 |
| -0.000 | -0.000 | -0.000 | 0.000 | 205.960 | -0.000 |
| -0.000 | -0.000 | -0.000 | -0.000 | 0.000 | 205.960 |
| 205.966 | 205.957 | 205.957 | -0.000 | 0.000 | 0.000 |
| 205.957 | 205.966 | 205.957 | 0.000 | -0.000 | 0.000 |
| 205.957 | 205.957 | 205.966 | 0.000 | 0.000 | 0.000 |
| 0.000 | 0.000 | 0.000 | 205.960 | 0.000 | 0.000 |
| 0.000 | 0.000 | 0.000 | 0.000 | 205.960 | 0.000 |
| 0.000 | 0.000 | 0.000 | 0.000 | -0.000 | 205.960 |
| 205.966 | 205.957 | 205.957 | 0.000 | 0.000 | -0.000 |
| 205.957 | 205.966 | 205.957 | 0.000 | 0.000 | -0.000 |
| 205.957 | 205.957 | 205.966 | -0.000 | -0.000 | -0.000 |
| -0.000 | -0.000 | -0.000 | 205.960 | -0.000 | -0.000 |
| -0.000 | -0.000 | -0.000 | -0.000 | 205.960 | -0.000 |
| -0.000 | -0.000 | -0.000 | -0.000 | -0.000 | 205.960 |
| 205.966 | 205.958 | 205.958 | 0.000 | 0.000 | 0.000 |
| 205.958 | 205.966 | 205.958 | 0.000 | 0.000 | 0.000 |
| 205.958 | 205.958 | 205.966 | 0.000 | 0.000 | 0.000 |
| 0.001 | 0.001 | 0.001 | 205.960 | 0.000 | 0.000 |
| 0.001 | 0.001 | 0.001 | 0.000 | 205.960 | 0.000 |
| 0.001 | 0.001 | 0.001 | 0.000 | -0.000 | 205.960 |
| 205.965 | 205.956 | 205.956 | -0.000 | -0.000 | -0.000 |
| 205.956 | 205.965 | 205.956 | -0.000 | -0.000 | -0.000 |
| 205.956 | 205.956 | 205.965 | -0.000 | -0.000 | -0.000 |
| -0.001 | -0.001 | -0.001 | 205.960 | -0.000 | -0.000 |
| -0.001 | -0.001 | -0.001 | -0.000 | 205.960 | -0.000 |
| -0.001 | -0.001 | -0.001 | -0.000 | 0.000 | 205.960 |
| 231.445 | 231.438 | 231.438 | 0.000 | 0.000 | 0.000 |
| 231.438 | 231.445 | 231.438 | 0.000 | 0.000 | 0.000 |
| 231.438 | 231.438 | 231.445 | 0.000 | 0.000 | 0.000 |
| 0.000 | 0.000 | 0.000 | 6.038 | 0.000 | 0.000 |
| 0.000 | 0.000 | 0.000 | 0.000 | 6.038 | 0.000 |
| 0.000 | 0.000 | 0.000 | 0.000 | 0.000 | 6.038 |
| 231.445 | 231.438 | 231.438 | -0.000 | -0.000 | -0.000 |
| 231.438 | 231.445 | 231.438 | -0.000 | -0.000 | -0.000 |
| 231.438 | 231.438 | 231.445 | -0.000 | -0.000 | -0.000 |
| -0.000 | -0.000 | -0.000 | 6.038 | -0.000 | -0.000 |
| -0.000 | -0.000 | -0.000 | -0.000 | 6.038 | -0.000 |
| -0.000 | -0.000 | -0.000 | -0.000 | -0.000 | 6.038 |
| 231.447 | 231.440 | 231.440 | 0.000 | 0.000 | 0.000 |
| 231.440 | 231.447 | 231.440 | 0.000 | 0.000 | 0.000 |
| 231.440 | 231.440 | 231.447 | 0.000 | 0.000 | 0.000 |
| 0.000 | 0.000 | 0.000 | 6.038 | 0.000 | 0.000 |
| 0.000 | 0.000 | 0.000 | 0.000 | 6.038 | 0.000 |
| 0.000 | 0.000 | 0.000 | -0.000 | -0.000 | 6.038 |
| 231.443 | 231.436 | 231.436 | -0.000 | -0.000 | -0.000 |
| 231.436 | 231.443 | 231.436 | -0.000 | -0.000 | -0.000 |
| 231.436 | 231.436 | 231.443 | -0.000 | -0.000 | 0.000 |
| -0.000 | -0.000 | -0.000 | 6.038 | -0.000 | 0.000 |
| -0.000 | -0.000 | -0.000 | -0.000 | 6.038 | 0.000 |
| -0.000 | -0.000 | -0.000 | -0.000 | -0.000 | 6.038 |
| 231.464 | 231.457 | 231.457 | 0.000 | 0.000 | 0.000 |
| 231.457 | 231.464 | 231.457 | 0.000 | 0.000 | 0.000 |
| 231.457 | 231.457 | 231.464 | 0.000 | 0.000 | 0.000 |
| 0.001 | 0.001 | 0.001 | 6.038 | 0.000 | 0.000 |
| 0.001 | 0.001 | 0.001 | 0.000 | 6.038 | 0.000 |
| 0.001 | 0.001 | 0.001 | -0.000 | -0.000 | 6.038 |
| 231.426 | 231.419 | 231.419 | -0.000 | 0.000 | -0.000 |
| 231.419 | 231.426 | 231.419 | 0.000 | -0.000 | -0.000 |
| 231.419 | 231.419 | 231.426 | -0.000 | -0.000 | -0.000 |
| -0.001 | -0.001 | -0.001 | 6.038 | -0.000 | -0.000 |
| -0.001 | -0.001 | -0.001 | -0.000 | 6.038 | -0.000 |
| -0.001 | -0.001 | -0.001 | -0.000 | -0.000 | 6.038 |
| 75.427 | 75.424 | 75.424 | -0.000 | -0.000 | -0.000 |
| 75.424 | 75.427 | 75.424 | -0.000 | -0.000 | -0.000 |
| 75.424 | 75.424 | 75.427 | -0.000 | -0.000 | 0.000 |
| 0.000 | 0.000 | 0.000 | 80.379 | -0.000 | 0.000 |
| 0.000 | 0.000 | 0.000 | -0.000 | 80.379 | 0.000 |
| 0.000 | 0.000 | 0.000 | -0.000 | -0.000 | 80.379 |
| 75.427 | 75.424 | 75.424 | 0.000 | 0.000 | 0.000 |
| 75.424 | 75.427 | 75.424 | 0.000 | 0.000 | 0.000 |
| 75.424 | 75.424 | 75.427 | 0.000 | 0.000 | 0.000 |
| -0.000 | -0.000 | -0.000 | 80.379 | 0.000 | 0.000 |
| -0.000 | -0.000 | -0.000 | 0.000 | 80.379 | 0.000 |
| -0.000 | -0.000 | -0.000 | 0.000 | 0.000 | 80.379 |
| 75.427 | 75.424 | 75.424 | -0.000 | -0.000 | -0.000 |
| 75.424 | 75.427 | 75.424 | -0.000 | -0.000 | -0.000 |
| 75.424 | 75.424 | 75.427 | -0.000 | -0.000 | -0.000 |
| 0.000 | 0.000 | 0.000 | 80.379 | -0.000 | 0.000 |
| 0.000 | 0.000 | 0.000 | -0.000 | 80.379 | 0.000 |
| 0.000 | 0.000 | 0.000 | -0.000 | -0.000 | 80.379 |
| 75.428 | 75.424 | 75.424 | 0.000 | 0.000 | -0.000 |
| 75.424 | 75.428 | 75.424 | 0.000 | 0.000 | -0.000 |
| 75.424 | 75.424 | 75.428 | 0.000 | 0.000 | -0.000 |
| -0.000 | -0.000 | -0.000 | 80.379 | 0.000 | -0.000 |
| -0.000 | -0.000 | -0.000 | 0.000 | 80.379 | -0.000 |
| -0.000 | -0.000 | -0.000 | 0.000 | -0.000 | 80.379 |
| 75.427 | 75.424 | 75.424 | -0.000 | -0.000 | -0.000 |
| 75.424 | 75.427 | 75.424 | -0.000 | -0.000 | -0.000 |
| 75.424 | 75.424 | 75.427 | -0.000 | -0.000 | -0.000 |
| 0.000 | 0.000 | 0.000 | 80.379 | -0.000 | -0.000 |
| 0.000 | 0.000 | 0.000 | -0.000 | 80.379 | -0.000 |
| 0.000 | 0.000 | 0.000 | -0.000 | 0.000 | 80.379 |
| 75.428 | 75.424 | 75.424 | 0.000 | 0.000 | 0.000 |
| 75.424 | 75.428 | 75.424 | 0.000 | 0.000 | 0.000 |
| 75.424 | 75.424 | 75.428 | 0.000 | 0.000 | 0.000 |
| -0.000 | -0.000 | -0.000 | 80.379 | 0.000 | 0.000 |
| -0.000 | -0.000 | -0.000 | 0.000 | 80.379 | -0.000 |
| -0.000 | -0.000 | -0.000 | 0.000 | 0.000 | 80.379 |
| 75.055 | 96.835 | 96.835 | -0.000 | 0.000 | 0.000 |
| 96.835 | 75.055 | 96.835 | 0.000 | -0.000 | 0.000 |
| 96.835 | 96.835 | 75.055 | 0.000 | 0.000 | -0.000 |
| -0.000 | -0.000 | 0.000 | 33.501 | 0.000 | 0.000 |
| 0.000 | -0.000 | -0.000 | 0.000 | 33.501 | 0.000 |
| 0.000 | -0.000 | -0.000 | 0.000 | 0.000 | 33.501 |
| 75.055 | 96.835 | 96.835 | 0.000 | -0.000 | -0.000 |
| 96.835 | 75.055 | 96.835 | -0.000 | 0.000 | -0.000 |
| 96.835 | 96.835 | 75.055 | -0.000 | -0.000 | 0.000 |
| 0.000 | 0.000 | -0.000 | 33.501 | -0.000 | -0.000 |
| 0.000 | 0.000 | 0.000 | -0.000 | 33.501 | -0.000 |
| 0.000 | 0.000 | 0.000 | -0.000 | -0.000 | 33.501 |
| 75.058 | 96.838 | 96.838 | 0.000 | 0.000 | 0.000 |
| 96.838 | 75.058 | 96.838 | 0.000 | 0.000 | 0.000 |
| 96.838 | 96.838 | 75.058 | 0.000 | 0.000 | 0.000 |
| -0.000 | -0.000 | 0.000 | 33.501 | 0.000 | 0.000 |
| -0.000 | -0.000 | 0.000 | 0.000 | 33.501 | 0.000 |
| -0.000 | 0.000 | -0.000 | 0.000 | 0.000 | 33.501 |
| 75.052 | 96.831 | 96.831 | -0.000 | -0.000 | -0.000 |
| 96.831 | 75.052 | 96.831 | -0.000 | -0.000 | -0.000 |
| 96.831 | 96.831 | 75.052 | 0.000 | -0.000 | -0.000 |
| 0.000 | 0.000 | -0.000 | 33.501 | -0.000 | -0.000 |
| 0.000 | 0.000 | -0.000 | -0.000 | 33.501 | -0.000 |
| 0.000 | -0.000 | 0.000 | -0.000 | -0.000 | 33.501 |
| 75.088 | 96.869 | 96.869 | 0.000 | 0.000 | 0.000 |
| 96.869 | 75.088 | 96.869 | 0.000 | 0.000 | 0.000 |
| 96.869 | 96.869 | 75.088 | -0.000 | 0.000 | 0.000 |
| -0.000 | -0.000 | 0.000 | 33.501 | 0.000 | 0.000 |
| -0.000 | -0.000 | 0.000 | 0.000 | 33.501 | 0.000 |
| -0.000 | 0.000 | -0.000 | 0.000 | 0.000 | 33.501 |
| 75.022 | 96.801 | 96.801 | -0.000 | -0.000 | -0.000 |
| 96.801 | 75.022 | 96.801 | -0.000 | -0.000 | -0.000 |
| 96.801 | 96.801 | 75.022 | -0.000 | -0.000 | -0.000 |
| 0.000 | 0.000 | -0.000 | 33.501 | -0.000 | -0.000 |
| 0.000 | 0.000 | -0.000 | -0.000 | 33.501 | -0.000 |
| 0.000 | -0.000 | 0.000 | -0.000 | -0.000 | 33.501 |
| 386.691 | 240.302 | 240.302 | 0.000 | -0.000 | -0.000 |
| 240.302 | 386.691 | 240.302 | -0.000 | 0.000 | -0.000 |
| 240.302 | 240.302 | 386.691 | -0.000 | -0.000 | 0.000 |
| -0.000 | 0.000 | 0.000 | 151.335 | 0.000 | -0.000 |
| 0.000 | 0.000 | 0.000 | 0.000 | 151.335 | 0.000 |
| 0.000 | 0.000 | -0.000 | 0.000 | -0.000 | 151.335 |
| 386.691 | 240.302 | 240.302 | 0.000 | 0.000 | 0.000 |
| 240.302 | 386.691 | 240.302 | 0.000 | 0.000 | 0.000 |
| 240.302 | 240.302 | 386.691 | 0.000 | 0.000 | 0.000 |
| 0.000 | -0.000 | -0.000 | 151.335 | -0.000 | -0.000 |
| -0.000 | -0.000 | -0.000 | -0.000 | 151.335 | 0.000 |
| -0.000 | -0.000 | 0.000 | -0.000 | 0.000 | 151.335 |
| 386.691 | 240.302 | 240.302 | 0.000 | -0.000 | 0.000 |
| 240.302 | 386.691 | 240.302 | 0.000 | 0.000 | -0.000 |
| 240.302 | 240.302 | 386.691 | 0.000 | -0.000 | 0.000 |
| -0.000 | 0.000 | 0.000 | 151.335 | -0.000 | -0.000 |
| 0.000 | -0.000 | 0.000 | 0.000 | 151.335 | 0.000 |
| 0.000 | 0.000 | -0.000 | 0.000 | -0.000 | 151.335 |
| 386.691 | 240.302 | 240.302 | -0.000 | 0.000 | 0.000 |
| 240.302 | 386.691 | 240.302 | 0.000 | -0.000 | -0.000 |
| 240.302 | 240.302 | 386.691 | 0.000 | 0.000 | -0.000 |
| 0.000 | -0.000 | -0.000 | 151.335 | -0.000 | -0.000 |
| -0.000 | 0.000 | -0.000 | -0.000 | 151.335 | -0.000 |
| -0.000 | -0.000 | 0.000 | -0.000 | 0.000 | 151.335 |
| 386.694 | 240.304 | 240.304 | 0.000 | -0.000 | 0.000 |
| 240.304 | 386.694 | 240.304 | -0.000 | 0.000 | -0.000 |
| 240.304 | 240.304 | 386.694 | -0.000 | -0.000 | 0.000 |
| -0.000 | 0.001 | 0.001 | 151.335 | 0.000 | 0.000 |
| 0.001 | -0.000 | 0.001 | 0.000 | 151.335 | 0.000 |
| 0.001 | 0.001 | -0.000 | 0.000 | -0.000 | 151.335 |
| 386.689 | 240.300 | 240.300 | 0.000 | 0.000 | 0.000 |
| 240.300 | 386.689 | 240.300 | 0.000 | 0.000 | 0.000 |
| 240.300 | 240.300 | 386.689 | 0.000 | 0.000 | -0.000 |
| 0.000 | -0.001 | -0.001 | 151.335 | -0.000 | 0.000 |
| -0.001 | 0.000 | -0.001 | -0.000 | 151.335 | 0.000 |
| -0.001 | -0.001 | 0.000 | -0.000 | 0.000 | 151.335 |
| 11.593 | 11.575 | 11.575 | -0.000 | -0.000 | -0.000 |
| 11.575 | 11.593 | 11.575 | -0.000 | -0.000 | -0.000 |
| 11.575 | 11.575 | 11.593 | -0.000 | -0.000 | 0.000 |
| -0.000 | -0.000 | -0.000 | 0.009 | 0.000 | 0.000 |
| -0.000 | -0.000 | -0.000 | 0.000 | 0.009 | 0.000 |
| -0.000 | -0.000 | -0.000 | 0.000 | 0.000 | 0.009 |
| 11.593 | 11.575 | 11.575 | 0.000 | 0.000 | 0.000 |
| 11.575 | 11.593 | 11.575 | 0.000 | 0.000 | 0.000 |
| 11.575 | 11.575 | 11.593 | 0.000 | 0.000 | 0.000 |
| 0.000 | 0.000 | 0.000 | 0.009 | -0.000 | -0.000 |
| 0.000 | 0.000 | 0.000 | -0.000 | 0.009 | -0.000 |
| 0.000 | 0.000 | 0.000 | -0.000 | -0.000 | 0.009 |
| 11.593 | 11.575 | 11.575 | 0.000 | 0.000 | 0.000 |
| 11.575 | 11.593 | 11.575 | 0.000 | 0.000 | 0.000 |
| 11.575 | 11.575 | 11.593 | 0.000 | 0.000 | 0.000 |
| -0.000 | -0.000 | -0.000 | 0.009 | 0.000 | 0.000 |
| -0.000 | -0.000 | -0.000 | 0.000 | 0.009 | 0.000 |
| -0.000 | -0.000 | -0.000 | 0.000 | 0.000 | 0.009 |
| 11.593 | 11.575 | 11.575 | 0.000 | -0.000 | -0.000 |
| 11.575 | 11.593 | 11.575 | -0.000 | 0.000 | -0.000 |
| 11.575 | 11.575 | 11.593 | -0.000 | -0.000 | 0.000 |
| 0.000 | 0.000 | 0.000 | 0.009 | -0.000 | -0.000 |
| 0.000 | 0.000 | 0.000 | -0.000 | 0.009 | -0.000 |
| 0.000 | 0.000 | 0.000 | -0.000 | -0.000 | 0.009 |
| 11.593 | 11.575 | 11.575 | 0.000 | 0.000 | 0.000 |
| 11.575 | 11.593 | 11.575 | 0.000 | 0.000 | 0.000 |
| 11.575 | 11.575 | 11.593 | 0.000 | 0.000 | 0.000 |
| -0.000 | -0.000 | -0.000 | 0.009 | 0.000 | 0.000 |
| -0.000 | -0.000 | -0.000 | 0.000 | 0.009 | 0.000 |
| -0.000 | -0.000 | -0.000 | 0.000 | 0.000 | 0.009 |
| 11.593 | 11.575 | 11.575 | 0.000 | -0.000 | -0.000 |
| 11.575 | 11.593 | 11.575 | -0.000 | 0.000 | -0.000 |
| 11.575 | 11.575 | 11.593 | -0.000 | -0.000 | 0.000 |
| 0.000 | 0.000 | 0.000 | 0.009 | -0.000 | -0.000 |
| 0.000 | 0.000 | 0.000 | -0.000 | 0.009 | -0.000 |
| 0.000 | 0.000 | 0.000 | -0.000 | -0.000 | 0.009 |
| 34.160 | 34.159 | 34.159 | -0.000 | -0.000 | -0.000 |
| 34.159 | 34.160 | 34.159 | -0.000 | -0.000 | -0.000 |
| 34.159 | 34.159 | 34.160 | -0.000 | -0.000 | -0.000 |
| 0.000 | 0.000 | 0.000 | 0.557 | 0.000 | -0.000 |
| 0.000 | 0.000 | 0.000 | 0.000 | 0.557 | -0.000 |
| 0.000 | 0.000 | 0.000 | 0.000 | -0.000 | 0.557 |
| 34.160 | 34.159 | 34.159 | -0.000 | 0.000 | 0.000 |
| 34.159 | 34.160 | 34.159 | 0.000 | -0.000 | 0.000 |
| 34.159 | 34.159 | 34.160 | 0.000 | 0.000 | -0.000 |
| -0.000 | -0.000 | -0.000 | 0.557 | -0.000 | 0.000 |
| -0.000 | -0.000 | -0.000 | -0.000 | 0.557 | 0.000 |
| -0.000 | -0.000 | -0.000 | -0.000 | 0.000 | 0.557 |
| 34.160 | 34.159 | 34.159 | -0.000 | -0.000 | -0.000 |
| 34.159 | 34.160 | 34.159 | -0.000 | -0.000 | -0.000 |
| 34.159 | 34.159 | 34.160 | -0.000 | -0.000 | -0.000 |
| -0.000 | -0.000 | -0.000 | 0.136 | 0.000 | 0.000 |
| -0.000 | -0.000 | -0.000 | 0.000 | 0.136 | 0.000 |
| -0.000 | -0.000 | -0.000 | 0.000 | 0.000 | 0.136 |
| 34.160 | 34.159 | 34.159 | 0.000 | 0.000 | 0.000 |
| 34.159 | 34.160 | 34.159 | 0.000 | 0.000 | 0.000 |
| 34.159 | 34.159 | 34.160 | 0.000 | 0.000 | 0.000 |
| 0.000 | 0.000 | 0.000 | 0.136 | -0.000 | -0.000 |
| 0.000 | 0.000 | 0.000 | -0.000 | 0.136 | -0.000 |
| 0.000 | 0.000 | 0.000 | -0.000 | -0.000 | 0.136 |
| 34.161 | 34.160 | 34.160 | -0.000 | -0.000 | -0.000 |
| 34.160 | 34.161 | 34.160 | -0.000 | -0.000 | -0.000 |
| 34.160 | 34.160 | 34.161 | -0.000 | -0.000 | -0.000 |
| -0.000 | -0.000 | -0.000 | 0.001 | 0.000 | 0.000 |
| -0.000 | -0.000 | -0.000 | 0.000 | 0.001 | 0.000 |
| -0.000 | -0.000 | -0.000 | 0.000 | 0.000 | 0.001 |
| 34.158 | 34.157 | 34.157 | -0.000 | 0.000 | 0.000 |
| 34.157 | 34.158 | 34.157 | 0.000 | -0.000 | 0.000 |
| 34.157 | 34.157 | 34.158 | 0.000 | 0.000 | -0.000 |
| 0.000 | 0.000 | 0.000 | 0.001 | -0.000 | -0.000 |
| 0.000 | 0.000 | 0.000 | -0.000 | 0.001 | -0.000 |
| 0.000 | 0.000 | 0.000 | -0.000 | -0.000 | 0.001 |
| 36.415 | 8.344 | 43.047 | 0.000 | 0.000 | 0.000 |
| 8.344 | 36.415 | 43.047 | 0.000 | 0.000 | 0.000 |
| 43.047 | 43.047 | 220.293 | 0.000 | 0.000 | 0.000 |
| 0.000 | 0.000 | 0.000 | 43.173 | 0.000 | 0.000 |
| 0.000 | 0.000 | 0.000 | 0.000 | 43.173 | 0.000 |
| 0.000 | 0.000 | 0.000 | 0.000 | 0.000 | 8.483 |
| 36.415 | 8.344 | 43.047 | -0.000 | -0.000 | -0.000 |
| 8.344 | 36.415 | 43.047 | -0.000 | -0.000 | -0.000 |
| 43.047 | 43.047 | 220.293 | -0.000 | -0.000 | -0.000 |
| -0.000 | -0.000 | -0.000 | 43.173 | -0.000 | -0.000 |
| -0.000 | -0.000 | -0.000 | -0.000 | 43.173 | -0.000 |
| -0.000 | -0.000 | -0.000 | -0.000 | -0.000 | 8.483 |
| 36.415 | 8.344 | 43.047 | 0.000 | 0.000 | 0.000 |
| 8.344 | 36.415 | 43.047 | 0.000 | 0.000 | 0.000 |
| 43.047 | 43.047 | 220.294 | 0.000 | 0.000 | 0.000 |
| 0.000 | 0.000 | 0.000 | 43.173 | 0.000 | 0.000 |
| 0.000 | 0.000 | 0.000 | 0.000 | 43.173 | 0.000 |
| 0.000 | 0.000 | 0.000 | 0.000 | -0.000 | 8.483 |
| 36.415 | 8.344 | 43.047 | -0.000 | -0.000 | -0.000 |
| 8.344 | 36.415 | 43.047 | -0.000 | -0.000 | -0.000 |
| 43.047 | 43.047 | 220.293 | -0.000 | -0.000 | -0.000 |
| -0.000 | -0.000 | -0.000 | 43.173 | -0.000 | -0.000 |
| -0.000 | -0.000 | -0.000 | -0.000 | 43.173 | -0.000 |
| -0.000 | -0.000 | -0.000 | -0.000 | 0.000 | 8.483 |
| 36.415 | 8.344 | 43.047 | 0.000 | 0.000 | 0.000 |
| 8.344 | 36.415 | 43.047 | 0.000 | 0.000 | 0.000 |
| 43.048 | 43.048 | 220.297 | 0.000 | 0.000 | 0.000 |
| 0.000 | 0.000 | 0.001 | 43.173 | 0.000 | 0.000 |
| 0.000 | 0.000 | 0.001 | 0.000 | 43.173 | 0.000 |
| 0.000 | 0.000 | 0.000 | 0.000 | -0.000 | 8.483 |
| 36.415 | 8.344 | 43.047 | -0.000 | -0.000 | -0.000 |
| 8.344 | 36.415 | 43.047 | -0.000 | -0.000 | -0.000 |
| 43.047 | 43.047 | 220.290 | -0.000 | -0.000 | -0.000 |
| -0.000 | -0.000 | -0.001 | 43.173 | -0.000 | -0.000 |
| -0.000 | -0.000 | -0.001 | -0.000 | 43.173 | -0.000 |
| -0.000 | -0.000 | -0.000 | -0.000 | -0.000 | 8.483 |
| 37.377 | 10.446 | 21.701 | 0.000 | -0.000 | 0.000 |
| 10.446 | 37.377 | 21.701 | -0.000 | 0.000 | 0.000 |
| 21.701 | 21.701 | 44.676 | 0.000 | 0.000 | 0.000 |
| -0.000 | -0.000 | -0.000 | 21.619 | 0.000 | 0.000 |
| -0.000 | -0.000 | -0.000 | 0.000 | 21.619 | 0.000 |
| -0.000 | -0.000 | -0.000 | 0.000 | -0.000 | 10.606 |
| 37.377 | 10.446 | 21.701 | -0.000 | 0.000 | -0.000 |
| 10.446 | 37.377 | 21.701 | 0.000 | -0.000 | -0.000 |
| 21.701 | 21.701 | 44.676 | -0.000 | -0.000 | -0.000 |
| -0.000 | 0.000 | 0.000 | 21.619 | -0.000 | -0.000 |
| 0.000 | -0.000 | 0.000 | -0.000 | 21.619 | -0.000 |
| 0.000 | 0.000 | 0.000 | -0.000 | 0.000 | 10.606 |
| 37.377 | 10.446 | 21.701 | 0.000 | -0.000 | 0.000 |
| 10.446 | 37.377 | 21.701 | -0.000 | 0.000 | 0.000 |
| 21.701 | 21.701 | 44.676 | 0.000 | 0.000 | 0.000 |
| 0.000 | -0.000 | 0.000 | 21.619 | 0.000 | 0.000 |
| -0.000 | 0.000 | 0.000 | 0.000 | 21.619 | 0.000 |
| -0.000 | -0.000 | 0.000 | -0.000 | 0.000 | 10.606 |
| 37.377 | 10.446 | 21.701 | -0.000 | 0.000 | -0.000 |
| 10.446 | 37.377 | 21.701 | 0.000 | -0.000 | -0.000 |
| 21.701 | 21.701 | 44.676 | -0.000 | -0.000 | -0.000 |
| -0.000 | 0.000 | -0.000 | 21.619 | -0.000 | -0.000 |
| 0.000 | -0.000 | -0.000 | -0.000 | 21.619 | -0.000 |
| 0.000 | 0.000 | -0.000 | -0.000 | 0.000 | 10.606 |
| 37.377 | 10.446 | 21.701 | 0.000 | -0.000 | 0.000 |
| 10.446 | 37.377 | 21.701 | -0.000 | 0.000 | 0.000 |
| 21.701 | 21.701 | 44.676 | 0.000 | 0.000 | 0.000 |
| 0.000 | -0.000 | 0.000 | 21.619 | 0.000 | 0.000 |
| -0.000 | 0.000 | 0.000 | 0.000 | 21.619 | 0.000 |
| -0.000 | -0.000 | 0.000 | 0.000 | -0.000 | 10.606 |
| 37.377 | 10.446 | 21.701 | -0.000 | 0.000 | -0.000 |
| 10.446 | 37.377 | 21.701 | 0.000 | -0.000 | -0.000 |
| 21.701 | 21.701 | 44.676 | -0.000 | -0.000 | -0.000 |
| -0.000 | 0.000 | -0.000 | 21.619 | -0.000 | -0.000 |
| 0.000 | -0.000 | -0.000 | -0.000 | 21.619 | -0.000 |
| 0.000 | 0.000 | -0.000 | -0.000 | 0.000 | 10.606 |
| 418.013 | 196.475 | 302.626 | -0.000 | -0.000 | 0.000 |
| 196.475 | 418.013 | 302.626 | -0.000 | -0.000 | 0.000 |
| 302.626 | 302.626 | 466.149 | -0.000 | -0.000 | 0.000 |
| 0.000 | 0.000 | 0.000 | 302.314 | -0.000 | 0.000 |
| 0.000 | 0.000 | 0.000 | -0.000 | 302.314 | 0.000 |
| 0.000 | 0.000 | 0.000 | -0.000 | -0.000 | 196.200 |
| 418.013 | 196.475 | 302.626 | 0.000 | 0.000 | -0.000 |
| 196.475 | 418.013 | 302.626 | 0.000 | 0.000 | -0.000 |
| 302.626 | 302.626 | 466.149 | 0.000 | 0.000 | 0.000 |
| -0.000 | -0.000 | -0.000 | 302.314 | 0.000 | -0.000 |
| -0.000 | -0.000 | -0.000 | 0.000 | 302.314 | -0.000 |
| -0.000 | -0.000 | -0.000 | 0.000 | 0.000 | 196.200 |
| 418.014 | 196.475 | 302.626 | -0.000 | -0.000 | 0.000 |
| 196.475 | 418.014 | 302.626 | -0.000 | -0.000 | 0.000 |
| 302.626 | 302.626 | 466.149 | -0.000 | -0.000 | -0.000 |
| 0.000 | 0.000 | 0.000 | 302.314 | -0.000 | 0.000 |
| 0.000 | 0.000 | 0.000 | -0.000 | 302.314 | 0.000 |
| 0.000 | 0.000 | 0.000 | -0.000 | -0.000 | 196.200 |
| 418.013 | 196.475 | 302.626 | 0.000 | 0.000 | -0.000 |
| 196.475 | 418.013 | 302.626 | 0.000 | 0.000 | -0.000 |
| 302.626 | 302.626 | 466.148 | 0.000 | 0.000 | -0.000 |
| -0.000 | -0.000 | -0.000 | 302.314 | 0.000 | 0.000 |
| -0.000 | -0.000 | -0.000 | 0.000 | 302.314 | 0.000 |
| -0.000 | -0.000 | -0.000 | 0.000 | 0.000 | 196.200 |
| 418.020 | 196.476 | 302.627 | -0.000 | -0.000 | 0.000 |
| 196.476 | 418.020 | 302.627 | -0.000 | -0.000 | 0.000 |
| 302.628 | 302.628 | 466.151 | -0.000 | -0.000 | 0.000 |
| 0.001 | 0.001 | 0.002 | 302.314 | -0.000 | 0.000 |
| 0.001 | 0.001 | 0.002 | -0.000 | 302.314 | 0.000 |
| 0.000 | 0.001 | 0.001 | -0.000 | -0.000 | 196.200 |
| 418.007 | 196.475 | 302.625 | 0.000 | 0.000 | -0.000 |
| 196.475 | 418.007 | 302.625 | 0.000 | 0.000 | -0.000 |
| 302.624 | 302.624 | 466.146 | 0.000 | 0.000 | -0.000 |
| -0.001 | -0.001 | -0.002 | 302.314 | 0.000 | -0.000 |
| -0.001 | -0.001 | -0.002 | 0.000 | 302.314 | -0.000 |
| -0.000 | -0.001 | -0.001 | 0.000 | 0.000 | 196.200 |
| -49.560 | -38.770 | -7.599 | 0.000 | -0.000 | -0.000 |
| -42.247 | -315.931 | -30.968 | 0.000 | -0.000 | -0.000 |
| -8.221 | -28.114 | -10.460 | 0.000 | -0.000 | -0.000 |
| 0.000 | 0.000 | 0.000 | -9.665 | -0.000 | -0.000 |
| -0.000 | -0.000 | 0.000 | 0.000 | 31.182 | -0.000 |
| -0.000 | 0.000 | 0.000 | 0.000 | -0.000 | -22.199 |
| -49.552 | -38.765 | -7.591 | -0.000 | 0.000 | 0.000 |
| -42.243 | -315.948 | -30.964 | -0.000 | -0.000 | 0.000 |
| -8.214 | -28.108 | -10.454 | 0.000 | 0.000 | 0.000 |
| -0.000 | -0.000 | -0.000 | -9.665 | 0.000 | 0.000 |
| 0.000 | 0.000 | -0.000 | -0.000 | 31.182 | 0.000 |
| 0.000 | -0.000 | -0.000 | -0.000 | 0.000 | -22.199 |
| -49.593 | -38.795 | -7.631 | 0.000 | -0.000 | -0.000 |
| -42.266 | -315.857 | -30.987 | 0.000 | -0.000 | -0.000 |
| -8.252 | -28.138 | -10.491 | -0.000 | -0.000 | -0.000 |
| -0.000 | -0.000 | -0.000 | -9.665 | -0.000 | -0.000 |
| -0.000 | -0.000 | -0.000 | -0.000 | 31.182 | -0.000 |
| -0.000 | 0.000 | 0.000 | 0.000 | -0.000 | -22.199 |
| -49.519 | -38.739 | -7.559 | -0.000 | -0.000 | 0.000 |
| -42.224 | -316.022 | -30.946 | -0.000 | 0.000 | 0.000 |
| -8.183 | -28.084 | -10.423 | -0.000 | 0.000 | 0.000 |
| 0.000 | 0.000 | 0.000 | -9.665 | -0.000 | 0.000 |
| 0.000 | 0.000 | 0.000 | -0.000 | 31.182 | 0.000 |
| 0.000 | -0.000 | -0.000 | -0.000 | 0.000 | -22.199 |
| -49.925 | -39.048 | -7.953 | 0.000 | -0.000 | -0.000 |
| -42.458 | -315.118 | -31.173 | -0.000 | -0.000 | -0.000 |
| -8.567 | -28.377 | -10.798 | 0.000 | -0.000 | -0.000 |
| -0.000 | 0.017 | 0.041 | -9.691 | -0.000 | -0.000 |
| -0.001 | -0.000 | -0.000 | -0.000 | 31.182 | -0.000 |
| -0.000 | 0.000 | 0.000 | 0.000 | -0.000 | -22.199 |
| -49.187 | -38.486 | -7.237 | -0.000 | 0.000 | 0.000 |
| -42.032 | -316.775 | -30.794 | 0.000 | 0.000 | 0.000 |
| -7.868 | -27.909 | -10.272 | -0.000 | 0.000 | 0.000 |
| 0.000 | -0.017 | -0.041 | -9.691 | 0.000 | 0.000 |
| 0.001 | 0.000 | 0.000 | -0.000 | 31.182 | 0.000 |
| 0.000 | -0.000 | -0.000 | -0.000 | 0.000 | -22.199 |
| 128.959 | 22.726 | -6.726 | -0.000 | -0.000 | 0.000 |
| 22.726 | 128.959 | -6.726 | -0.000 | -0.000 | 0.000 |
| 21.540 | 21.540 | 99.899 | -0.000 | -0.000 | 0.000 |
| -0.000 | 0.000 | 0.000 | 3.634 | -0.000 | -0.000 |
| 0.000 | -0.000 | 0.000 | -0.000 | 21.649 | -0.000 |
| -0.000 | 0.000 | 0.000 | -0.000 | -0.000 | 8.810 |
| 69.234 | 46.161 | 25.526 | 0.000 | -0.000 | -0.000 |
| 22.726 | 128.959 | -6.726 | 0.000 | 0.000 | -0.000 |
| 21.540 | 21.540 | 99.899 | 0.000 | 0.000 | 0.000 |
| 0.000 | -0.000 | -0.000 | 3.634 | 0.000 | -0.000 |
| -0.000 | 0.000 | 0.000 | 0.000 | 21.649 | -0.000 |
| 0.000 | -0.000 | -0.000 | 0.000 | 0.000 | 8.810 |
| 128.959 | 22.726 | -6.726 | -0.000 | -0.000 | -0.000 |
| 22.726 | 128.959 | -6.726 | -0.000 | -0.000 | 0.000 |
| -6.726 | -6.726 | 150.139 | -0.000 | -0.000 | 0.000 |
| 0.000 | 0.000 | 0.000 | 3.634 | -0.000 | -0.000 |
| 0.000 | 0.000 | 0.000 | -0.000 | 21.649 | 0.000 |
| 0.000 | 0.000 | 0.000 | -0.000 | -0.000 | 53.116 |
| 128.959 | 22.726 | -6.726 | 0.000 | -0.000 | 0.000 |
| 46.161 | 69.234 | 25.525 | 0.000 | 0.000 | 0.000 |
| 21.540 | 21.540 | 99.899 | 0.000 | 0.000 | -0.000 |
| -0.000 | -0.000 | -0.000 | 3.634 | 0.000 | -0.000 |
| -0.000 | -0.000 | -0.000 | 0.000 | 21.649 | 0.000 |
| -0.000 | -0.000 | -0.000 | 0.000 | 0.000 | 53.116 |
| 128.961 | 22.727 | -6.725 | -0.000 | -0.000 | -0.000 |
| 22.727 | 128.961 | -6.725 | -0.000 | -0.000 | 0.000 |
| -6.725 | -6.725 | 150.140 | -0.000 | -0.000 | 0.000 |
| 0.000 | 0.000 | 0.000 | 21.649 | -0.000 | 0.000 |
| 0.000 | 0.000 | 0.000 | -0.000 | 3.634 | -0.000 |
| 0.000 | 0.000 | 0.000 | -0.000 | -0.000 | 53.116 |
| 128.957 | 22.725 | -6.726 | 0.000 | 0.000 | -0.000 |
| 46.164 | 69.220 | 25.531 | 0.000 | 0.000 | -0.000 |
| 21.539 | 21.539 | 99.899 | 0.000 | 0.000 | -0.000 |
| -0.000 | -0.000 | -0.000 | 21.649 | 0.000 | -0.000 |
| -0.000 | -0.000 | -0.000 | 0.000 | 3.634 | -0.000 |
| -0.000 | -0.000 | -0.000 | 0.000 | 0.000 | 53.116 |
| 71.449 | 48.856 | 34.343 | 0.000 | 0.000 | 0.000 |
| 48.856 | 71.449 | 34.343 | 0.000 | 0.000 | 0.000 |
| 29.153 | 29.153 | 111.510 | 0.000 | 0.000 | 0.000 |
| -0.031 | -0.031 | 0.054 | 5.840 | -0.000 | 0.000 |
| -0.000 | 0.000 | 0.000 | 0.000 | 23.574 | -0.000 |
| -0.000 | 0.000 | 0.000 | -0.000 | 0.000 | 53.798 |
| 132.497 | 24.902 | 1.919 | -0.000 | -0.000 | 0.000 |
| 48.924 | 71.496 | 34.243 | -0.000 | -0.000 | -0.000 |
| 29.208 | 29.208 | 111.413 | -0.000 | -0.000 | -0.000 |
| 0.031 | 0.031 | -0.054 | 5.840 | 0.000 | -0.000 |
| 0.000 | -0.000 | -0.000 | -0.000 | 23.574 | -0.000 |
| 0.000 | -0.000 | -0.000 | -0.000 | -0.000 | 53.798 |
| 132.498 | 24.903 | 1.919 | -0.000 | 0.000 | -0.000 |
| 48.887 | 71.471 | 34.299 | 0.000 | 0.000 | 0.000 |
| 29.178 | 29.178 | 111.466 | 0.000 | 0.000 | 0.000 |
| 0.000 | 0.000 | 0.000 | 23.574 | 0.000 | -0.000 |
| -0.003 | -0.003 | 0.005 | 0.000 | 5.840 | 0.000 |
| 0.005 | 0.005 | -0.008 | 0.000 | 0.000 | 8.800 |
| 132.496 | 24.901 | 1.918 | -0.000 | -0.000 | 0.000 |
| 48.892 | 71.474 | 34.287 | 0.000 | 0.000 | -0.000 |
| 0.226 | 0.226 | 162.079 | 0.000 | -0.000 | 0.000 |
| -0.000 | -0.000 | -0.000 | 23.574 | -0.000 | 0.000 |
| 0.003 | 0.003 | -0.005 | -0.000 | 5.840 | -0.000 |
| -0.005 | -0.005 | 0.008 | -0.000 | -0.000 | 8.800 |
| 132.505 | 24.909 | 1.925 | 0.000 | 0.000 | -0.000 |
| 24.909 | 132.505 | 1.925 | 0.000 | 0.000 | -0.000 |
| 29.185 | 29.185 | 111.462 | 0.000 | 0.000 | 0.000 |
| 0.000 | 0.000 | 0.000 | 23.574 | 0.000 | -0.000 |
| 0.000 | 0.000 | 0.000 | 0.000 | 23.574 | 0.000 |
| 0.000 | 0.000 | 0.000 | 0.000 | 0.000 | 53.798 |
| 132.489 | 24.894 | 1.913 | -0.000 | -0.000 | 0.000 |
| 24.895 | 132.489 | 1.913 | -0.000 | -0.000 | 0.000 |
| 29.175 | 29.175 | 111.460 | -0.000 | 0.000 | -0.000 |
| -0.000 | -0.000 | -0.000 | 23.574 | -0.000 | 0.000 |
| -0.000 | -0.000 | -0.000 | 0.000 | 23.574 | 0.000 |
| -0.000 | -0.000 | -0.000 | -0.000 | -0.000 | 53.798 |
| 337.370 | 248.454 | 310.978 | 0.000 | -0.000 | -0.000 |
| 248.454 | 337.370 | 310.978 | 0.000 | 0.000 | -0.000 |
| 310.979 | 310.979 | 434.293 | 0.000 | -0.000 | -0.000 |
| -0.000 | 0.000 | -0.000 | 31.121 | -0.000 | -0.000 |
| -0.000 | 0.000 | -0.000 | 0.000 | 31.121 | -0.000 |
| 0.000 | 0.000 | -0.000 | 0.000 | -0.000 | 44.458 |
| 364.366 | 221.457 | 310.978 | -0.000 | 0.000 | 0.000 |
| 248.453 | 337.369 | 310.978 | -0.000 | 0.000 | 0.000 |
| 310.977 | 310.977 | 434.291 | -0.000 | 0.000 | 0.000 |
| 0.000 | -0.000 | 0.000 | 31.121 | -0.000 | 0.000 |
| 0.000 | -0.000 | 0.000 | -0.000 | 31.121 | 0.000 |
| -0.000 | -0.000 | -0.000 | -0.000 | 0.000 | 44.458 |
| 337.373 | 248.457 | 310.983 | -0.000 | -0.000 | -0.000 |
| 221.461 | 364.370 | 310.983 | 0.000 | 0.000 | -0.000 |
| 310.984 | 310.984 | 434.300 | 0.000 | -0.000 | -0.000 |
| 0.000 | 0.000 | 0.000 | 31.121 | -0.000 | -0.000 |
| 0.000 | 0.000 | 0.000 | 0.000 | 31.121 | -0.000 |
| 0.000 | -0.000 | 0.000 | 0.000 | -0.000 | 71.454 |
| 364.363 | 221.454 | 310.973 | -0.000 | 0.000 | 0.000 |
| 248.450 | 337.366 | 310.973 | -0.000 | 0.000 | 0.000 |
| 310.972 | 310.972 | 434.284 | -0.000 | -0.000 | 0.000 |
| -0.000 | -0.000 | -0.000 | 31.121 | 0.000 | 0.000 |
| -0.000 | -0.000 | -0.000 | -0.000 | 31.121 | 0.000 |
| -0.000 | 0.000 | -0.000 | -0.000 | 0.000 | 71.454 |
| 337.405 | 248.488 | 311.024 | 0.000 | 0.000 | -0.000 |
| 248.488 | 337.405 | 311.024 | 0.000 | -0.000 | -0.000 |
| 311.039 | 311.039 | 434.373 | 0.000 | -0.000 | -0.000 |
| -0.000 | 0.000 | 0.000 | 31.121 | -0.000 | -0.000 |
| 0.000 | 0.000 | 0.000 | 0.000 | 31.121 | -0.000 |
| 0.000 | -0.000 | 0.000 | 0.000 | -0.000 | 44.458 |
| 337.335 | 248.419 | 310.932 | -0.000 | 0.000 | 0.000 |
| 248.421 | 337.333 | 310.932 | -0.000 | 0.000 | 0.000 |
| 310.917 | 310.917 | 434.210 | -0.000 | 0.000 | 0.000 |
| 0.000 | -0.000 | -0.000 | 31.121 | 0.000 | 0.000 |
| -0.000 | -0.000 | -0.000 | -0.000 | 31.121 | 0.000 |
| -0.000 | 0.000 | -0.000 | -0.000 | -0.000 | 44.458 |
| 145.727 | 112.170 | 112.170 | 0.000 | 0.000 | -0.000 |
| 112.170 | 145.727 | 112.170 | 0.000 | 0.000 | -0.000 |
| 112.170 | 112.170 | 145.727 | 0.000 | 0.000 | -0.000 |
| 0.000 | 0.000 | -0.000 | 16.846 | 0.000 | -0.000 |
| 0.000 | 0.000 | -0.000 | -0.000 | 16.846 | -0.000 |
| 0.000 | 0.000 | 0.000 | 0.000 | 0.000 | 16.846 |
| 145.727 | 112.171 | 112.171 | 0.000 | -0.000 | 0.000 |
| 112.171 | 145.727 | 112.171 | 0.000 | -0.000 | -0.000 |
| 112.171 | 112.171 | 145.727 | 0.000 | 0.000 | 0.000 |
| -0.000 | -0.000 | 0.000 | 16.846 | 0.000 | 0.000 |
| -0.000 | -0.000 | -0.000 | -0.000 | 16.846 | 0.000 |
| -0.000 | -0.000 | -0.000 | -0.000 | -0.000 | 16.846 |
| 145.726 | 112.170 | 112.170 | -0.000 | 0.000 | -0.000 |
| 112.170 | 145.726 | 112.170 | 0.000 | -0.000 | 0.000 |
| 112.170 | 112.170 | 145.726 | -0.000 | 0.000 | -0.000 |
| 0.000 | -0.000 | 0.000 | 16.846 | 0.000 | 0.000 |
| -0.000 | 0.000 | 0.000 | -0.000 | 16.846 | -0.000 |
| -0.000 | 0.000 | 0.000 | 0.000 | 0.000 | 16.846 |
| 145.728 | 112.171 | 112.171 | 0.000 | 0.000 | 0.000 |
| 112.171 | 145.728 | 112.171 | -0.000 | -0.000 | -0.000 |
| 112.171 | 112.171 | 145.728 | -0.000 | -0.000 | 0.000 |
| -0.000 | 0.000 | -0.000 | 16.846 | -0.000 | 0.000 |
| 0.000 | -0.000 | 0.000 | -0.000 | 16.846 | 0.000 |
| 0.000 | -0.000 | -0.000 | 0.000 | -0.000 | 16.846 |
| 145.721 | 112.163 | 112.163 | -0.000 | -0.000 | -0.000 |
| 112.163 | 145.721 | 112.163 | -0.000 | 0.000 | -0.000 |
| 112.163 | 112.163 | 145.721 | 0.000 | -0.000 | -0.000 |
| 0.000 | 0.000 | 0.000 | 36.020 | 0.000 | 0.000 |
| 0.000 | 0.000 | 0.000 | 0.000 | 36.020 | -0.000 |
| 0.000 | 0.000 | 0.000 | -0.000 | 0.000 | 36.020 |
| 145.733 | 112.178 | 112.178 | -0.000 | -0.000 | 0.000 |
| 112.178 | 145.733 | 112.178 | -0.000 | 0.000 | 0.000 |
| 112.178 | 112.178 | 145.733 | -0.000 | -0.000 | -0.000 |
| -0.000 | -0.000 | -0.000 | 36.020 | -0.000 | 0.000 |
| -0.000 | -0.000 | -0.000 | -0.000 | 36.020 | 0.000 |
| -0.000 | -0.000 | -0.000 | -0.000 | -0.000 | 36.020 |
| 2298.117 | 1651.686 | 1651.686 | -0.000 | 0.000 | 0.000 |
| 1651.686 | 2298.117 | 1651.686 | -0.000 | 0.000 | 0.000 |
| 1651.686 | 1651.686 | 2298.117 | -0.000 | -0.000 | 0.000 |
| -0.000 | -0.000 | -0.000 | 680.949 | 0.000 | -0.000 |
| -0.000 | -0.000 | -0.000 | -0.000 | 680.949 | 0.000 |
| -0.000 | -0.000 | -0.000 | -0.000 | -0.000 | 680.949 |
| 2298.117 | 1651.686 | 1651.686 | 0.000 | -0.000 | -0.000 |
| 1651.686 | 2298.117 | 1651.686 | 0.000 | -0.000 | -0.000 |
| 1651.686 | 1651.686 | 2298.117 | -0.000 | -0.000 | -0.000 |
| 0.000 | 0.000 | 0.000 | 680.949 | -0.000 | -0.000 |
| 0.000 | 0.000 | 0.000 | 0.000 | 680.949 | -0.000 |
| 0.000 | 0.000 | 0.000 | -0.000 | 0.000 | 680.949 |
| 2298.115 | 1651.686 | 1651.686 | -0.000 | -0.000 | 0.000 |
| 1651.686 | 2298.115 | 1651.686 | -0.000 | -0.000 | 0.000 |
| 1651.686 | 1651.686 | 2298.115 | 0.000 | -0.000 | 0.000 |
| -0.000 | -0.001 | -0.001 | 680.949 | -0.000 | 0.000 |
| -0.001 | -0.000 | -0.001 | -0.000 | 680.949 | 0.000 |
| -0.001 | -0.001 | -0.000 | -0.000 | 0.000 | 680.949 |
| 2298.118 | 1651.686 | 1651.686 | 0.000 | 0.000 | -0.000 |
| 1651.686 | 2298.118 | 1651.686 | 0.000 | 0.000 | -0.000 |
| 1651.686 | 1651.686 | 2298.118 | 0.000 | 0.000 | -0.000 |
| 0.000 | 0.001 | 0.001 | 680.949 | 0.000 | -0.000 |
| 0.001 | 0.000 | 0.001 | 0.000 | 680.949 | -0.000 |
| 0.001 | 0.001 | 0.000 | 0.000 | -0.000 | 680.949 |
| 2298.102 | 1651.685 | 1651.685 | 0.000 | -0.000 | 0.000 |
| 1651.685 | 2298.102 | 1651.685 | -0.000 | 0.000 | 0.000 |
| 1651.685 | 1651.685 | 2298.102 | -0.000 | -0.000 | 0.000 |
| -0.002 | -0.012 | -0.011 | 680.946 | 0.000 | 0.000 |
| -0.012 | -0.002 | -0.011 | -0.000 | 680.946 | 0.000 |
| -0.012 | -0.011 | -0.002 | -0.000 | -0.000 | 680.946 |
| 2298.132 | 1651.688 | 1651.688 | 0.000 | -0.000 | -0.000 |
| 1651.688 | 2298.132 | 1651.688 | 0.000 | 0.000 | -0.000 |
| 1651.688 | 1651.688 | 2298.132 | -0.000 | -0.000 | -0.000 |
| 0.002 | 0.012 | 0.011 | 680.946 | -0.000 | -0.000 |
| 0.012 | 0.002 | 0.011 | 0.000 | 680.946 | -0.000 |
| 0.012 | 0.011 | 0.002 | 0.000 | 0.000 | 680.946 |
| 31.730 | 2.281 | 2.281 | 0.000 | 0.000 | 0.000 |
| 2.281 | 31.730 | 2.281 | 0.000 | 0.000 | -0.000 |
| 2.281 | 2.281 | 31.730 | -0.000 | -0.000 | 0.000 |
| 0.000 | 0.000 | 0.000 | 1.255 | -0.000 | -0.000 |
| 0.000 | 0.000 | 0.000 | -0.000 | 1.255 | -0.000 |
| 0.000 | 0.000 | -0.000 | -0.000 | -0.000 | 1.255 |
| 31.730 | 2.281 | 2.281 | -0.000 | -0.000 | -0.000 |
| 2.281 | 31.730 | 2.281 | -0.000 | -0.000 | -0.000 |
| 2.281 | 2.281 | 31.730 | -0.000 | -0.000 | -0.000 |
| -0.000 | -0.000 | -0.000 | 1.255 | 0.000 | -0.000 |
| -0.000 | -0.000 | -0.000 | 0.000 | 1.255 | 0.000 |
| -0.000 | -0.000 | 0.000 | 0.000 | 0.000 | 1.255 |
| 31.730 | 2.281 | 2.281 | 0.000 | 0.000 | 0.000 |
| 2.281 | 31.730 | 2.281 | 0.000 | 0.000 | 0.000 |
| 2.281 | 2.281 | 31.730 | 0.000 | 0.000 | 0.000 |
| 0.000 | 0.000 | 0.000 | 1.255 | 0.000 | 0.000 |
| 0.000 | 0.000 | 0.000 | -0.000 | 1.255 | -0.000 |
| 0.000 | 0.000 | 0.000 | -0.000 | -0.000 | 1.255 |
| 31.730 | 2.281 | 2.281 | -0.000 | -0.000 | -0.000 |
| 2.281 | 31.730 | 2.281 | -0.000 | -0.000 | 0.000 |
| 2.281 | 2.281 | 31.730 | 0.000 | -0.000 | -0.000 |
| -0.000 | -0.000 | -0.000 | 1.255 | -0.000 | 0.000 |
| -0.000 | -0.000 | -0.000 | 0.000 | 1.255 | 0.000 |
| -0.000 | -0.000 | -0.000 | 0.000 | 0.000 | 1.255 |
| 31.731 | 2.281 | 2.281 | 0.000 | 0.000 | 0.000 |
| 2.281 | 31.731 | 2.281 | 0.000 | 0.000 | 0.000 |
| 2.281 | 2.281 | 31.731 | 0.000 | 0.000 | 0.000 |
| 0.000 | 0.000 | 0.000 | 1.206 | -0.000 | 0.000 |
| 0.000 | 0.000 | 0.000 | -0.000 | 1.206 | -0.000 |
| 0.000 | 0.000 | 0.000 | -0.000 | -0.000 | 1.206 |
| 31.730 | 2.281 | 2.281 | -0.000 | -0.000 | -0.000 |
| 2.281 | 31.730 | 2.281 | -0.000 | -0.000 | -0.000 |
| 2.281 | 2.281 | 31.730 | -0.000 | -0.000 | -0.000 |
| -0.000 | -0.000 | -0.000 | 1.206 | 0.000 | 0.000 |
| -0.000 | -0.000 | -0.000 | 0.000 | 1.206 | 0.000 |
| -0.000 | -0.000 | -0.000 | 0.000 | 0.000 | 1.206 |
| 8.003 | 11.824 | 11.824 | 0.000 | 0.000 | -0.000 |
| 11.824 | 8.003 | 11.824 | 0.000 | -0.000 | 0.000 |
| 11.824 | 11.824 | 8.003 | 0.000 | 0.000 | 0.000 |
| -0.000 | 0.000 | -0.000 | -4.354 | -0.000 | 0.000 |
| 0.000 | -0.000 | -0.000 | -0.000 | -4.354 | -0.000 |
| -0.000 | -0.000 | -0.000 | 0.000 | -0.000 | -4.354 |
| 8.003 | 11.824 | 11.824 | -0.000 | -0.000 | -0.000 |
| 11.824 | 8.003 | 11.824 | -0.000 | -0.000 | 0.000 |
| 11.824 | 11.824 | 8.003 | 0.000 | 0.000 | 0.000 |
| 0.000 | 0.000 | 0.000 | -4.354 | -0.000 | 0.000 |
| 0.000 | 0.000 | 0.000 | -0.000 | -4.354 | 0.000 |
| 0.000 | 0.000 | 0.000 | -0.000 | -0.000 | -4.354 |
| 8.003 | 11.824 | 11.824 | 0.000 | -0.000 | -0.000 |
| 11.824 | 8.003 | 11.824 | 0.000 | 0.000 | 0.000 |
| 11.824 | 11.824 | 8.003 | 0.000 | 0.000 | 0.000 |
| -0.000 | -0.000 | -0.000 | -4.354 | 0.000 | 0.000 |
| -0.000 | -0.000 | -0.000 | -0.000 | -4.354 | 0.000 |
| -0.000 | -0.000 | -0.000 | -0.000 | -0.000 | -4.354 |
| 8.003 | 11.824 | 11.824 | -0.000 | -0.000 | 0.000 |
| 11.824 | 8.003 | 11.824 | -0.000 | -0.000 | -0.000 |
| 11.824 | 11.824 | 8.003 | 0.000 | 0.000 | 0.000 |
| 0.000 | 0.000 | 0.000 | -4.354 | 0.000 | 0.000 |
| 0.000 | 0.000 | 0.000 | 0.000 | -4.354 | 0.000 |
| 0.000 | 0.000 | 0.000 | 0.000 | -0.000 | -4.354 |
| 8.002 | 11.824 | 11.824 | 0.000 | 0.000 | -0.000 |
| 11.824 | 8.002 | 11.824 | 0.000 | 0.000 | -0.000 |
| 11.824 | 11.824 | 8.002 | 0.000 | -0.000 | -0.000 |
| -0.002 | -0.000 | -0.000 | -4.354 | -0.000 | -0.000 |
| -0.000 | -0.002 | -0.000 | -0.000 | -4.354 | -0.000 |
| -0.000 | -0.000 | -0.002 | -0.000 | 0.000 | -4.354 |
| 8.004 | 11.824 | 11.824 | -0.000 | -0.000 | 0.000 |
| 11.824 | 8.004 | 11.824 | -0.000 | -0.000 | -0.000 |
| 11.824 | 11.824 | 8.004 | -0.000 | -0.000 | 0.000 |
| 0.002 | 0.000 | 0.000 | -4.354 | 0.000 | -0.000 |
| 0.000 | 0.002 | 0.000 | 0.000 | -4.354 | -0.000 |
| 0.000 | 0.000 | 0.002 | 0.000 | -0.000 | -4.354 |
| 104.775 | 104.771 | 104.771 | 0.000 | 0.000 | -0.000 |
| 104.771 | 104.775 | 104.771 | 0.000 | 0.000 | -0.000 |
| 104.771 | 104.771 | 104.775 | 0.000 | 0.000 | -0.000 |
| -0.000 | -0.000 | -0.000 | 0.002 | 0.000 | 0.000 |
| -0.000 | -0.000 | -0.000 | 0.000 | 0.002 | 0.000 |
| -0.000 | -0.000 | -0.000 | 0.000 | 0.000 | 0.002 |
| 104.775 | 104.771 | 104.771 | -0.000 | -0.000 | 0.000 |
| 104.771 | 104.775 | 104.771 | -0.000 | -0.000 | 0.000 |
| 104.771 | 104.771 | 104.775 | -0.000 | -0.000 | -0.000 |
| 0.000 | 0.000 | 0.000 | 0.002 | -0.000 | -0.000 |
| 0.000 | 0.000 | 0.000 | -0.000 | 0.002 | -0.000 |
| 0.000 | 0.000 | 0.000 | -0.000 | 0.000 | 0.002 |
| 104.775 | 104.771 | 104.771 | 0.000 | 0.000 | -0.000 |
| 104.771 | 104.775 | 104.771 | 0.000 | 0.000 | -0.000 |
| 104.771 | 104.771 | 104.775 | 0.000 | 0.000 | 0.000 |
| -0.000 | -0.000 | -0.000 | 0.002 | 0.000 | -0.000 |
| -0.000 | -0.000 | -0.000 | 0.000 | 0.002 | -0.000 |
| -0.000 | -0.000 | -0.000 | 0.000 | -0.000 | 0.002 |
| 104.775 | 104.771 | 104.771 | -0.000 | -0.000 | 0.000 |
| 104.771 | 104.775 | 104.771 | -0.000 | -0.000 | 0.000 |
| 104.771 | 104.771 | 104.775 | -0.000 | -0.000 | 0.000 |
| 0.000 | 0.000 | 0.000 | 0.002 | -0.000 | -0.000 |
| 0.000 | 0.000 | 0.000 | -0.000 | 0.002 | -0.000 |
| 0.000 | 0.000 | 0.000 | -0.000 | 0.000 | 0.002 |
| 104.775 | 104.772 | 104.772 | 0.000 | 0.000 | 0.000 |
| 104.772 | 104.775 | 104.772 | 0.000 | 0.000 | 0.000 |
| 104.772 | 104.772 | 104.775 | 0.000 | 0.000 | 0.000 |
| -0.000 | -0.000 | -0.000 | 0.002 | 0.000 | -0.000 |
| -0.000 | -0.000 | -0.000 | 0.000 | 0.002 | -0.000 |
| -0.000 | -0.000 | -0.000 | 0.000 | 0.000 | 0.002 |
| 104.775 | 104.771 | 104.771 | -0.000 | -0.000 | 0.000 |
| 104.771 | 104.775 | 104.771 | -0.000 | -0.000 | 0.000 |
| 104.771 | 104.771 | 104.775 | -0.000 | -0.000 | 0.000 |
| 0.000 | 0.000 | 0.000 | 0.002 | -0.000 | 0.000 |
| 0.000 | 0.000 | 0.000 | -0.000 | 0.002 | 0.000 |
| 0.000 | 0.000 | 0.000 | -0.000 | -0.000 | 0.002 |
| 78.495 | 78.492 | 78.492 | -0.000 | -0.000 | 0.000 |
| 78.492 | 78.495 | 78.492 | -0.000 | -0.000 | 0.000 |
| 78.492 | 78.492 | 78.495 | -0.000 | -0.000 | -0.000 |
| 0.000 | 0.000 | 0.000 | 0.825 | -0.000 | 0.000 |
| 0.000 | 0.000 | 0.000 | -0.000 | 0.825 | 0.000 |
| 0.000 | 0.000 | 0.000 | 0.000 | -0.000 | 0.825 |
| 78.495 | 78.492 | 78.492 | 0.000 | 0.000 | -0.000 |
| 78.492 | 78.495 | 78.492 | 0.000 | 0.000 | -0.000 |
| 78.492 | 78.492 | 78.495 | 0.000 | 0.000 | 0.000 |
| -0.000 | -0.000 | -0.000 | 0.825 | -0.000 | 0.000 |
| -0.000 | -0.000 | -0.000 | -0.000 | 0.825 | 0.000 |
| -0.000 | -0.000 | -0.000 | -0.000 | 0.000 | 0.825 |
| 78.495 | 78.492 | 78.492 | -0.000 | 0.000 | 0.000 |
| 78.492 | 78.495 | 78.492 | 0.000 | -0.000 | 0.000 |
| 78.492 | 78.492 | 78.495 | -0.000 | -0.000 | 0.000 |
| -0.000 | -0.000 | -0.000 | 0.007 | 0.000 | 0.000 |
| -0.000 | -0.000 | -0.000 | -0.000 | 0.007 | 0.000 |
| -0.000 | -0.000 | -0.000 | 0.000 | -0.000 | 0.007 |
| 78.494 | 78.492 | 78.492 | 0.000 | -0.000 | -0.000 |
| 78.492 | 78.494 | 78.492 | -0.000 | 0.000 | -0.000 |
| 78.492 | 78.492 | 78.494 | 0.000 | 0.000 | 0.000 |
| -0.000 | -0.000 | -0.000 | 0.571 | 0.000 | 0.000 |
| -0.000 | -0.000 | -0.000 | 0.000 | 0.571 | -0.000 |
| -0.000 | -0.000 | -0.000 | 0.000 | -0.000 | 0.571 |
| 78.499 | 78.496 | 78.496 | -0.000 | 0.000 | 0.000 |
| 78.496 | 78.499 | 78.496 | 0.000 | -0.000 | 0.000 |
| 78.496 | 78.496 | 78.499 | -0.000 | -0.000 | 0.000 |
| 0.000 | 0.000 | 0.000 | 0.991 | -0.000 | 0.000 |
| 0.000 | 0.000 | 0.000 | -0.000 | 0.991 | 0.000 |
| 0.000 | 0.000 | 0.000 | -0.000 | -0.000 | 0.991 |
| 78.491 | 78.488 | 78.488 | 0.000 | -0.000 | -0.000 |
| 78.488 | 78.491 | 78.488 | -0.000 | 0.000 | -0.000 |
| 78.488 | 78.488 | 78.491 | 0.000 | 0.000 | -0.000 |
| -0.000 | -0.000 | -0.000 | 0.991 | 0.000 | -0.000 |
| -0.000 | -0.000 | -0.000 | 0.000 | 0.991 | -0.000 |
| -0.000 | -0.000 | -0.000 | 0.000 | 0.000 | 0.991 |
| 40.184 | 31.756 | 31.756 | -0.000 | -0.000 | -0.000 |
| 31.756 | 40.184 | 31.756 | -0.000 | -0.000 | -0.000 |
| 31.756 | 31.756 | 40.184 | -0.000 | -0.000 | -0.000 |
| 0.000 | -0.000 | -0.000 | 33.435 | 0.000 | 0.000 |
| 0.000 | 0.000 | -0.000 | 0.000 | 33.435 | -0.000 |
| 0.000 | 0.000 | 0.000 | 0.000 | -0.000 | 33.435 |
| 40.184 | 31.756 | 31.756 | 0.000 | 0.000 | 0.000 |
| 31.756 | 40.184 | 31.756 | 0.000 | 0.000 | 0.000 |
| 31.756 | 31.756 | 40.184 | 0.000 | 0.000 | 0.000 |
| -0.000 | 0.000 | -0.000 | 33.435 | 0.000 | 0.000 |
| -0.000 | -0.000 | -0.000 | 0.000 | 33.435 | 0.000 |
| -0.000 | -0.000 | 0.000 | 0.000 | -0.000 | 33.435 |
| 40.184 | 31.755 | 31.755 | 0.000 | -0.000 | -0.000 |
| 31.755 | 40.184 | 31.755 | -0.000 | -0.000 | -0.000 |
| 31.755 | 31.755 | 40.184 | -0.000 | -0.000 | -0.000 |
| -0.000 | -0.000 | 0.000 | 9.866 | -0.000 | -0.000 |
| -0.000 | -0.000 | 0.000 | -0.000 | 9.866 | -0.000 |
| -0.000 | 0.000 | -0.000 | -0.000 | -0.000 | 9.866 |
| 40.184 | 31.756 | 31.756 | 0.000 | 0.000 | 0.000 |
| 31.756 | 40.184 | 31.756 | 0.000 | 0.000 | 0.000 |
| 31.756 | 31.756 | 40.184 | 0.000 | 0.000 | 0.000 |
| 0.000 | 0.000 | -0.000 | 9.866 | 0.000 | 0.000 |
| 0.000 | 0.000 | -0.000 | 0.000 | 9.866 | 0.000 |
| 0.000 | -0.000 | 0.000 | 0.000 | 0.000 | 9.866 |
| 40.181 | 31.753 | 31.753 | -0.000 | -0.000 | -0.000 |
| 31.753 | 40.181 | 31.753 | -0.000 | -0.000 | -0.000 |
| 31.753 | 31.753 | 40.181 | -0.000 | -0.000 | -0.000 |
| -0.000 | -0.000 | 0.000 | 9.866 | -0.000 | -0.000 |
| -0.000 | -0.000 | 0.000 | -0.000 | 9.866 | -0.000 |
| -0.000 | 0.000 | -0.000 | -0.000 | -0.000 | 9.866 |
| 40.187 | 31.759 | 31.759 | -0.000 | 0.000 | 0.000 |
| 31.759 | 40.187 | 31.759 | 0.000 | -0.000 | 0.000 |
| 31.759 | 31.759 | 40.187 | 0.000 | 0.000 | 0.000 |
| 0.000 | 0.000 | -0.000 | 9.866 | 0.000 | 0.000 |
| 0.000 | 0.000 | -0.000 | 0.000 | 9.866 | 0.000 |
| 0.000 | -0.000 | 0.000 | 0.000 | 0.000 | 9.866 |
| 437.391 | 426.758 | 426.758 | 0.000 | 0.000 | 0.000 |
| 426.758 | 437.391 | 426.758 | 0.000 | -0.000 | 0.000 |
| 426.758 | 426.758 | 437.391 | 0.000 | -0.000 | 0.000 |
| 0.000 | -0.000 | -0.000 | -29.245 | -0.000 | 0.000 |
| -0.000 | 0.000 | -0.000 | 0.000 | -29.245 | 0.000 |
| -0.000 | -0.000 | 0.000 | 0.000 | -0.000 | -29.245 |
| 425.504 | 432.703 | 432.703 | -0.000 | -0.000 | -0.000 |
| 432.703 | 425.504 | 432.703 | -0.000 | 0.000 | -0.000 |
| 432.703 | 432.703 | 425.504 | 0.000 | 0.000 | -0.000 |
| -0.000 | 0.000 | 0.000 | -29.245 | -0.000 | -0.000 |
| 0.000 | -0.000 | 0.000 | -0.000 | -29.245 | -0.000 |
| 0.000 | 0.000 | 0.000 | -0.000 | 0.000 | -29.245 |
| 437.387 | 426.754 | 426.754 | 0.000 | 0.000 | 0.000 |
| 426.754 | 437.387 | 426.754 | 0.000 | -0.000 | 0.000 |
| 426.754 | 426.754 | 437.387 | 0.000 | -0.000 | 0.000 |
| -49824653.530 | -32576361.140 | -34760751.707 | 3603264.362 | -290777.692 | -67425.023 |
| -34773977.815 | -50475034.332 | -33580693.473 | -316643.615 | 3624255.448 | 179961.059 |
| -31605282.584 | -34706653.536 | -48261806.087 | 713126.954 | 222747.183 | 2783216.488 |
| 437.397 | 426.763 | 426.763 | -0.000 | -0.000 | 0.000 |
| 426.763 | 437.397 | 426.763 | -0.000 | 0.000 | 0.000 |
| 426.763 | 426.763 | 437.397 | 0.000 | 0.000 | -0.000 |
| 67316735.731 | 67316735.731 | 67316735.731 | 37.894 | 0.000 | -0.000 |
| 67316735.731 | 67316735.731 | 67316735.731 | -0.000 | 37.894 | 0.000 |
| 67316735.731 | 67316735.731 | 67316735.731 | 0.000 | 0.000 | 37.894 |
| 425.455 | 432.656 | 432.656 | 0.000 | -0.000 | 0.000 |
| 432.656 | 425.455 | 432.656 | 0.000 | 0.000 | -0.000 |
| 432.656 | 432.656 | 425.455 | -0.000 | -0.000 | 0.000 |
| -5719092.683 | -3954824.336 | -3657244.281 | 296168.227 | -16228.215 | -8131.729 |
| -3345676.460 | -4850041.105 | -3113882.411 | 44863.794 | 231999.448 | 31925.949 |
| -3359172.063 | -3668584.673 | -5187673.838 | 33307.470 | 43768.002 | 340466.974 |
| 425.552 | 432.750 | 432.750 | -0.000 | 0.000 | 0.000 |
| 432.750 | 425.552 | 432.750 | -0.000 | 0.000 | -0.000 |
| 432.750 | 432.750 | 425.552 | -0.000 | -0.000 | 0.000 |
| 6731673.573 | 6731673.573 | 6731673.573 | 37.894 | 0.000 | 0.000 |
| 6731673.573 | 6731673.573 | 6731673.573 | -0.000 | 37.894 | -0.000 |
| 6731673.573 | 6731673.573 | 6731673.573 | 0.000 | -0.000 | 37.894 |
| 5657.468 | 2056.389 | 2056.389 | 0.000 | 0.000 | 0.000 |
| 2056.389 | 5657.468 | 2056.389 | -0.000 | 0.000 | 0.000 |
| 2056.389 | 2056.389 | 5657.468 | 0.000 | 0.000 | 0.000 |
| -0.000 | 0.000 | 0.000 | 1927.796 | 0.000 | 0.000 |
| 0.000 | -0.000 | 0.000 | 0.000 | 1927.796 | 0.000 |
| 0.000 | 0.000 | -0.000 | -0.000 | -0.000 | 1927.796 |
| 6459.082 | 1655.583 | 1655.584 | -0.000 | -0.000 | -0.000 |
| 1655.584 | 6459.082 | 1655.583 | -0.000 | -0.000 | -0.000 |
| 1655.583 | 1655.584 | 6459.082 | -0.000 | -0.000 | -0.000 |
| 0.000 | -0.000 | -0.000 | 1927.796 | -0.000 | 0.000 |
| -0.000 | -0.000 | -0.000 | -0.000 | 1927.796 | -0.000 |
| -0.000 | -0.000 | 0.000 | 0.000 | -0.000 | 1927.796 |
| 5657.371 | 2056.435 | 2056.435 | 0.000 | 0.000 | 0.000 |
| 2056.435 | 5657.371 | 2056.435 | -0.000 | 0.000 | 0.000 |
| 2056.435 | 2056.435 | 5657.371 | 0.000 | 0.000 | -0.000 |
| -0.001 | 0.001 | 0.001 | 1927.796 | 0.000 | 0.000 |
| 0.001 | -0.001 | 0.001 | 0.000 | 1927.796 | -0.000 |
| 0.001 | 0.001 | -0.001 | 0.000 | -0.000 | 1927.796 |
| 5657.470 | 2056.392 | 2056.392 | -0.000 | -0.000 | -0.000 |
| 2056.392 | 5657.470 | 2056.392 | -0.000 | -0.000 | -0.000 |
| 2056.392 | 2056.392 | 5657.470 | -0.000 | -0.000 | -0.000 |
| 0.001 | -0.001 | -0.001 | 1927.796 | -0.000 | -0.000 |
| -0.001 | 0.001 | -0.001 | -0.000 | 1927.796 | -0.000 |
| -0.001 | -0.001 | 0.001 | 0.000 | 0.000 | 1927.796 |
| 5657.450 | 2056.368 | 2056.368 | 0.000 | -0.000 | 0.000 |
| 2056.368 | 5657.450 | 2056.368 | 0.000 | 0.000 | -0.000 |
| 2056.368 | 2056.368 | 5657.450 | 0.000 | -0.000 | 0.000 |
| -0.002 | 0.013 | 0.014 | 1436.032 | 0.000 | 0.000 |
| 0.013 | -0.002 | 0.014 | 0.000 | 1436.032 | 0.000 |
| 0.013 | 0.014 | -0.002 | -0.000 | 0.000 | 1436.032 |
| 5657.486 | 2056.412 | 2056.412 | -0.000 | -0.000 | 0.000 |
| 2056.412 | 5657.486 | 2056.412 | -0.000 | -0.000 | -0.000 |
| 2056.412 | 2056.412 | 5657.486 | -0.000 | -0.000 | -0.000 |
| 0.002 | -0.013 | -0.014 | 1436.032 | -0.000 | 0.000 |
| -0.013 | 0.002 | -0.014 | -0.000 | 1436.032 | 0.000 |
| -0.013 | -0.014 | 0.002 | -0.000 | -0.000 | 1436.032 |
| 56.259 | 20.436 | 20.436 | -0.000 | -0.000 | 0.000 |
| 20.436 | 56.259 | 20.436 | -0.000 | -0.000 | 0.000 |
| 20.436 | 20.436 | 56.259 | -0.000 | -0.000 | 0.000 |
| -0.000 | -0.000 | -0.000 | 14.009 | -0.000 | -0.000 |
| -0.000 | -0.000 | 0.000 | -0.000 | 14.009 | 0.000 |
| -0.000 | -0.000 | 0.000 | -0.000 | -0.000 | 14.009 |
| 54.610 | 21.260 | 21.260 | 0.000 | 0.000 | -0.000 |
| 21.260 | 54.610 | 21.260 | 0.000 | 0.000 | -0.000 |
| 21.260 | 21.260 | 54.610 | 0.000 | 0.000 | -0.000 |
| -0.000 | 0.000 | -0.000 | 14.009 | 0.000 | -0.000 |
| 0.000 | -0.000 | 0.000 | 0.000 | 14.009 | -0.000 |
| 0.000 | 0.000 | -0.000 | 0.000 | 0.000 | 14.009 |
| 56.259 | 20.436 | 20.436 | -0.000 | -0.000 | 0.000 |
| 20.436 | 56.259 | 20.436 | -0.000 | -0.000 | -0.000 |
| 20.436 | 20.436 | 56.259 | -0.000 | -0.000 | 0.000 |
| -0.000 | -0.000 | -0.000 | 10.454 | -0.000 | 0.000 |
| -0.000 | -0.000 | -0.000 | 0.000 | 10.454 | 0.000 |
| -0.000 | -0.000 | -0.000 | -0.000 | -0.000 | 10.454 |
| 56.259 | 20.436 | 20.436 | 0.000 | 0.000 | -0.000 |
| 20.436 | 56.259 | 20.436 | -0.000 | 0.000 | -0.000 |
| 20.436 | 20.436 | 56.259 | 0.000 | 0.000 | -0.000 |
| 0.000 | 0.000 | 0.000 | 10.454 | 0.000 | -0.000 |
| 0.000 | 0.000 | 0.000 | 0.000 | 10.454 | -0.000 |
| 0.000 | 0.000 | 0.000 | -0.000 | 0.000 | 10.454 |
| 54.611 | 21.261 | 21.261 | -0.000 | -0.000 | 0.000 |
| 21.261 | 54.611 | 21.261 | 0.000 | -0.000 | 0.000 |
| 21.261 | 21.261 | 54.611 | 0.000 | -0.000 | -0.000 |
| -0.000 | -0.000 | -0.000 | 10.454 | -0.000 | 0.000 |
| -0.000 | -0.000 | -0.000 | 0.000 | 10.454 | 0.000 |
| -0.000 | -0.000 | -0.000 | 0.000 | -0.000 | 10.454 |
| 54.610 | 21.259 | 21.259 | -0.000 | 0.000 | -0.000 |
| 21.259 | 54.610 | 21.259 | 0.000 | 0.000 | -0.000 |
| 21.259 | 21.259 | 54.610 | 0.000 | 0.000 | -0.000 |
| 0.000 | 0.000 | 0.000 | 10.454 | 0.000 | -0.000 |
| 0.000 | 0.000 | 0.000 | -0.000 | 10.454 | -0.000 |
| 0.000 | 0.000 | 0.000 | -0.000 | 0.000 | 10.454 |
| 155.053 | 527.450 | 527.450 | 0.000 | 0.000 | 0.000 |
| 527.450 | 155.053 | 527.450 | 0.000 | 0.000 | 0.000 |
| 527.450 | 527.450 | 155.053 | 0.000 | 0.000 | 0.000 |
| 0.000 | 0.000 | 0.000 | -46.334 | 0.000 | 0.000 |
| 0.000 | 0.000 | 0.000 | 0.000 | -46.334 | 0.000 |
| 0.000 | 0.000 | 0.000 | 0.000 | 0.000 | -46.334 |
| 155.047 | 527.453 | 527.453 | -0.000 | -0.000 | -0.000 |
| 527.453 | 155.047 | 527.453 | 0.000 | -0.000 | -0.000 |
| 527.453 | 527.453 | 155.047 | -0.000 | -0.000 | -0.000 |
| -0.000 | -0.000 | -0.000 | -46.334 | -0.000 | -0.000 |
| -0.000 | -0.000 | -0.000 | -0.000 | -46.334 | -0.000 |
| -0.000 | -0.000 | -0.000 | -0.000 | -0.000 | -46.334 |
| 155.079 | 527.440 | 527.440 | 0.000 | 0.000 | 0.000 |
| 527.440 | 155.079 | 527.440 | 0.000 | 0.000 | 0.000 |
| 527.440 | 527.440 | 155.079 | 0.000 | 0.000 | 0.000 |
| 0.000 | 0.001 | 0.001 | -46.334 | 0.000 | 0.000 |
| 0.001 | 0.000 | 0.001 | 0.000 | -46.334 | 0.000 |
| 0.001 | 0.001 | 0.000 | 0.000 | 0.000 | -46.334 |
| 155.021 | 527.464 | 527.464 | -0.000 | 0.000 | -0.000 |
| 527.464 | 155.021 | 527.464 | 0.000 | -0.000 | -0.000 |
| 527.464 | 527.464 | 155.021 | -0.000 | -0.000 | -0.000 |
| -0.000 | -0.001 | -0.001 | -46.334 | -0.000 | -0.000 |
| -0.001 | -0.000 | -0.001 | -0.000 | -46.334 | -0.000 |
| -0.001 | -0.001 | -0.000 | -0.000 | -0.000 | -46.334 |
| 155.128 | 527.438 | 527.438 | -0.000 | 0.000 | 0.000 |
| 527.438 | 155.128 | 527.438 | 0.000 | -0.000 | 0.000 |
| 527.438 | 527.438 | 155.128 | 0.000 | -0.000 | 0.000 |
| 0.003 | 0.006 | 0.006 | -46.331 | 0.000 | 0.000 |
| 0.006 | 0.003 | 0.006 | 0.000 | -46.331 | 0.000 |
| 0.006 | 0.006 | 0.003 | 0.000 | 0.000 | -46.331 |
| 154.973 | 527.465 | 527.465 | 0.000 | 0.000 | 0.000 |
| 527.465 | 154.973 | 527.465 | -0.000 | 0.000 | -0.000 |
| 527.465 | 527.465 | 154.973 | -0.000 | 0.000 | 0.000 |
| -0.003 | -0.006 | -0.006 | -46.331 | -0.000 | -0.000 |
| -0.006 | -0.003 | -0.006 | -0.000 | -46.331 | -0.000 |
| -0.006 | -0.006 | -0.003 | -0.000 | -0.000 | -46.331 |
| 69.862 | 16.805 | 16.805 | 0.000 | -0.000 | -0.000 |
| 16.805 | 69.862 | 16.805 | -0.000 | -0.000 | -0.000 |
| 16.805 | 16.805 | 69.862 | 0.000 | 0.000 | -0.000 |
| -0.000 | -0.000 | -0.000 | 0.437 | -0.000 | -0.000 |
| -0.000 | -0.000 | -0.000 | 0.000 | 0.437 | -0.000 |
| -0.000 | -0.000 | -0.000 | 0.000 | -0.000 | 0.437 |
| 69.862 | 16.805 | 16.805 | 0.000 | 0.000 | 0.000 |
| 16.805 | 69.862 | 16.805 | -0.000 | -0.000 | 0.000 |
| 16.805 | 16.805 | 69.862 | -0.000 | -0.000 | 0.000 |
| -0.000 | 0.000 | 0.000 | 0.437 | 0.000 | 0.000 |
| 0.000 | -0.000 | 0.000 | -0.000 | 0.437 | 0.000 |
| 0.000 | 0.000 | -0.000 | -0.000 | 0.000 | 0.437 |
| 69.862 | 16.805 | 16.805 | 0.000 | 0.000 | -0.000 |
| 16.805 | 69.862 | 16.805 | 0.000 | -0.000 | -0.000 |
| 16.805 | 16.805 | 69.862 | 0.000 | 0.000 | -0.000 |
| 0.000 | -0.000 | -0.000 | 0.437 | 0.000 | -0.000 |
| -0.000 | 0.000 | -0.000 | -0.000 | 0.437 | -0.000 |
| -0.000 | -0.000 | 0.000 | 0.000 | -0.000 | 0.437 |
| 69.862 | 16.805 | 16.805 | -0.000 | 0.000 | 0.000 |
| 16.805 | 69.862 | 16.805 | 0.000 | -0.000 | 0.000 |
| 16.805 | 16.805 | 69.862 | -0.000 | -0.000 | 0.000 |
| -0.000 | 0.000 | 0.000 | 0.437 | 0.000 | 0.000 |
| 0.000 | -0.000 | 0.000 | 0.000 | 0.437 | 0.000 |
| 0.000 | 0.000 | -0.000 | -0.000 | 0.000 | 0.437 |
| 69.862 | 16.805 | 16.805 | 0.000 | -0.000 | -0.000 |
| 16.805 | 69.862 | 16.805 | 0.000 | 0.000 | -0.000 |
| 16.805 | 16.805 | 69.862 | 0.000 | 0.000 | -0.000 |
| 0.000 | -0.000 | -0.000 | 0.437 | 0.000 | -0.000 |
| -0.000 | 0.000 | -0.000 | 0.000 | 0.437 | -0.000 |
| -0.000 | -0.000 | 0.000 | 0.000 | -0.000 | 0.437 |
| 69.862 | 16.805 | 16.805 | -0.000 | 0.000 | 0.000 |
| 16.805 | 69.862 | 16.805 | -0.000 | -0.000 | 0.000 |
| 16.805 | 16.805 | 69.862 | -0.000 | -0.000 | 0.000 |
| -0.000 | 0.000 | 0.000 | 0.437 | -0.000 | 0.000 |
| 0.000 | -0.000 | 0.000 | 0.000 | 0.437 | 0.000 |
| 0.000 | 0.000 | -0.000 | -0.000 | 0.000 | 0.437 |
| 195.232 | -0.000 | -0.000 | 0.000 | 0.000 | -0.000 |
| -0.000 | 195.232 | -0.000 | -0.000 | 0.000 | 0.000 |
| -0.000 | -0.000 | 195.232 | 0.000 | -0.000 | 0.000 |
| -0.000 | -0.000 | -0.000 | -0.000 | -0.000 | -0.000 |
| -0.000 | -0.000 | -0.000 | -0.000 | -0.000 | -0.000 |
| -0.000 | -0.000 | -0.000 | 0.000 | 0.000 | -0.000 |
| 195.232 | 0.000 | 0.000 | -0.000 | -0.000 | 0.000 |
| 0.000 | 195.232 | 0.000 | 0.000 | -0.000 | 0.000 |
| 0.000 | 0.000 | 195.232 | -0.000 | 0.000 | -0.000 |
| 0.000 | 0.000 | 0.000 | -0.000 | 0.000 | 0.000 |
| 0.000 | 0.000 | 0.000 | 0.000 | -0.000 | -0.000 |
| 0.000 | 0.000 | 0.000 | -0.000 | 0.000 | -0.000 |
| 195.232 | -0.000 | -0.000 | 0.000 | 0.000 | 0.000 |
| -0.000 | 195.232 | -0.000 | 0.000 | 0.000 | -0.000 |
| -0.000 | -0.000 | 195.232 | -0.000 | -0.000 | 0.000 |
| -0.000 | -0.000 | -0.000 | 0.000 | -0.000 | -0.000 |
| -0.000 | -0.000 | -0.000 | 0.000 | 0.000 | -0.000 |
| -0.000 | -0.000 | -0.000 | -0.000 | 0.000 | 0.000 |
| 195.232 | -0.000 | -0.000 | 0.000 | -0.000 | -0.000 |
| -0.000 | 195.232 | -0.000 | 0.000 | -0.000 | -0.000 |
| -0.000 | -0.000 | 195.232 | 0.000 | -0.000 | -0.000 |
| 0.000 | 0.000 | 0.000 | 0.000 | -0.000 | 0.000 |
| 0.000 | 0.000 | 0.000 | -0.000 | 0.000 | 0.000 |
| 0.000 | 0.000 | 0.000 | -0.000 | -0.000 | 0.000 |
| 195.235 | -0.000 | -0.000 | 0.000 | -0.000 | -0.000 |
| -0.000 | 195.235 | -0.000 | -0.000 | 0.000 | 0.000 |
| -0.000 | -0.000 | 195.235 | 0.000 | -0.000 | 0.000 |
| -0.000 | 0.000 | -0.000 | 0.000 | -0.000 | -0.000 |
| -0.000 | -0.000 | -0.000 | -0.000 | 0.000 | 0.000 |
| 0.000 | -0.000 | -0.000 | 0.000 | 0.000 | 0.000 |
| 195.229 | -0.000 | -0.000 | -0.000 | -0.000 | 0.000 |
| -0.000 | 195.229 | -0.000 | 0.000 | -0.000 | 0.000 |
| -0.000 | -0.000 | 195.229 | 0.000 | 0.000 | -0.000 |
| 0.000 | 0.000 | 0.000 | 0.000 | 0.000 | -0.000 |
| 0.000 | 0.000 | 0.000 | 0.000 | 0.000 | -0.000 |
| 0.000 | 0.000 | 0.000 | -0.000 | -0.000 | 0.000 |
| 29.923 | -0.000 | -0.000 | -0.000 | -0.000 | -0.000 |
| -0.000 | 29.923 | -0.000 | -0.000 | -0.000 | 0.000 |
| -0.000 | -0.000 | 29.923 | 0.000 | -0.000 | 0.000 |
| -0.000 | -0.000 | -0.000 | 0.000 | -0.000 | 0.000 |
| -0.000 | -0.000 | -0.000 | 0.000 | 0.000 | 0.000 |
| -0.000 | -0.000 | -0.000 | -0.000 | -0.000 | 0.000 |
| 29.923 | 0.000 | 0.000 | 0.000 | 0.000 | -0.000 |
| 0.000 | 29.923 | 0.000 | 0.000 | 0.000 | 0.000 |
| 0.000 | 0.000 | 29.923 | 0.000 | -0.000 | -0.000 |
| 0.000 | 0.000 | 0.000 | 0.000 | 0.000 | -0.000 |
| 0.000 | 0.000 | 0.000 | -0.000 | 0.000 | -0.000 |
| 0.000 | 0.000 | 0.000 | 0.000 | 0.000 | 0.000 |
| 29.923 | -0.000 | -0.000 | -0.000 | -0.000 | -0.000 |
| -0.000 | 29.923 | -0.000 | -0.000 | -0.000 | -0.000 |
| -0.000 | -0.000 | 29.923 | -0.000 | -0.000 | 0.000 |
| -0.000 | -0.000 | -0.000 | 0.000 | -0.000 | 0.000 |
| -0.000 | -0.000 | -0.000 | -0.000 | 0.000 | 0.000 |
| -0.000 | -0.000 | -0.000 | -0.000 | -0.000 | 0.000 |
| 29.923 | 0.000 | 0.000 | 0.000 | -0.000 | 0.000 |
| 0.000 | 29.923 | 0.000 | 0.000 | 0.000 | -0.000 |
| 0.000 | 0.000 | 29.923 | 0.000 | -0.000 | -0.000 |
| 0.000 | 0.000 | 0.000 | 0.000 | 0.000 | -0.000 |
| 0.000 | 0.000 | 0.000 | 0.000 | 0.000 | -0.000 |
| 0.000 | 0.000 | 0.000 | 0.000 | 0.000 | 0.000 |
| 29.923 | -0.000 | -0.000 | -0.000 | -0.000 | 0.000 |
| -0.000 | 29.923 | -0.000 | 0.000 | -0.000 | -0.000 |
| -0.000 | -0.000 | 29.923 | -0.000 | -0.000 | 0.000 |
| -0.000 | -0.000 | -0.000 | 0.000 | -0.000 | 0.000 |
| -0.000 | -0.000 | -0.000 | -0.000 | 0.000 | 0.000 |
| -0.000 | -0.000 | -0.000 | -0.000 | -0.000 | 0.000 |
| 29.922 | 0.000 | 0.000 | 0.000 | 0.000 | -0.000 |
| 0.000 | 29.922 | 0.000 | 0.000 | 0.000 | -0.000 |
| 0.000 | 0.000 | 29.922 | -0.000 | 0.000 | -0.000 |
| 0.000 | 0.000 | 0.000 | 0.000 | 0.000 | -0.000 |
| 0.000 | 0.000 | 0.000 | 0.000 | 0.000 | -0.000 |
| 0.000 | 0.000 | 0.000 | 0.000 | 0.000 | 0.000 |
| 289.703 | 269.342 | 269.342 | -0.000 | 0.000 | -0.000 |
| 269.342 | 289.703 | 269.342 | 0.000 | 0.000 | 0.000 |
| 269.342 | 269.342 | 289.703 | -0.000 | -0.000 | -0.000 |
| 0.000 | 0.000 | 0.000 | -13.116 | 0.000 | -0.000 |
| 0.000 | 0.000 | 0.000 | 0.000 | -13.116 | -0.000 |
| 0.000 | 0.000 | 0.000 | -0.000 | -0.000 | -13.116 |
| 289.699 | 269.338 | 269.338 | -0.000 | 0.000 | 0.000 |
| 269.338 | 289.699 | 269.338 | -0.000 | -0.000 | 0.000 |
| 269.338 | 269.338 | 289.699 | -0.000 | -0.000 | -0.000 |
| -0.000 | -0.000 | -0.000 | -13.116 | -0.000 | -0.000 |
| -0.000 | -0.000 | -0.000 | 0.000 | -13.116 | 0.000 |
| -0.000 | -0.000 | 0.000 | 0.000 | 0.000 | -13.116 |
| 289.718 | 269.357 | 269.357 | -0.000 | 0.000 | -0.000 |
| 269.357 | 289.718 | 269.357 | -0.000 | -0.000 | -0.000 |
| 269.357 | 269.357 | 289.718 | 0.000 | -0.000 | 0.000 |
| -0.000 | -0.000 | -0.000 | -13.116 | -0.000 | 0.000 |
| -0.000 | -0.000 | -0.000 | -0.000 | -13.116 | -0.000 |
| -0.000 | -0.000 | -0.000 | -0.000 | -0.000 | -13.116 |
| 289.684 | 269.323 | 269.323 | 0.000 | -0.000 | -0.000 |
| 269.323 | 289.684 | 269.323 | -0.000 | 0.000 | -0.000 |
| 269.323 | 269.323 | 289.684 | -0.000 | 0.000 | 0.000 |
| 0.000 | 0.000 | 0.000 | -13.116 | 0.000 | 0.000 |
| 0.000 | 0.000 | 0.000 | -0.000 | -13.116 | 0.000 |
| 0.000 | 0.000 | 0.000 | 0.000 | 0.000 | -13.116 |
| 289.872 | 269.512 | 269.512 | 0.000 | -0.000 | -0.000 |
| 269.512 | 289.872 | 269.512 | 0.000 | -0.000 | -0.000 |
| 269.512 | 269.512 | 289.872 | 0.000 | 0.000 | 0.000 |
| 0.000 | -0.000 | -0.000 | -2.656 | 0.000 | -0.000 |
| -0.000 | 0.000 | -0.000 | -0.000 | -2.656 | -0.000 |
| -0.000 | -0.000 | 0.000 | -0.000 | -0.000 | -2.656 |
| 289.530 | 269.168 | 269.168 | -0.000 | -0.000 | 0.000 |
| 269.168 | 289.530 | 269.168 | -0.000 | 0.000 | 0.000 |
| 269.168 | 269.168 | 289.530 | -0.000 | -0.000 | -0.000 |
| -0.000 | 0.000 | 0.000 | -2.656 | -0.000 | -0.000 |
| 0.000 | -0.000 | 0.000 | -0.000 | -2.656 | 0.000 |
| 0.000 | 0.000 | -0.000 | 0.000 | 0.000 | -2.656 |
| 63.285 | 11.898 | 11.898 | 0.000 | 0.000 | 0.000 |
| 11.898 | 63.285 | 11.898 | 0.000 | 0.000 | -0.000 |
| 11.898 | 11.898 | 63.285 | 0.000 | 0.000 | 0.000 |
| 0.000 | -0.000 | 0.000 | 12.430 | 0.000 | 0.000 |
| -0.000 | 0.000 | 0.000 | 0.000 | 12.430 | -0.000 |
| -0.000 | 0.000 | 0.000 | -0.000 | -0.000 | 12.430 |
| 63.285 | 11.898 | 11.898 | -0.000 | -0.000 | -0.000 |
| 11.898 | 63.285 | 11.898 | -0.000 | -0.000 | 0.000 |
| 11.898 | 11.898 | 63.285 | 0.000 | 0.000 | -0.000 |
| -0.000 | 0.000 | -0.000 | 12.430 | 0.000 | 0.000 |
| 0.000 | -0.000 | -0.000 | -0.000 | 12.430 | 0.000 |
| 0.000 | -0.000 | -0.000 | 0.000 | 0.000 | 12.430 |
| 63.285 | 11.898 | 11.898 | 0.000 | 0.000 | -0.000 |
| 11.898 | 63.285 | 11.898 | -0.000 | 0.000 | -0.000 |
| 11.898 | 11.898 | 63.285 | -0.000 | 0.000 | 0.000 |
| 0.000 | 0.000 | 0.000 | 12.430 | -0.000 | -0.000 |
| 0.000 | 0.000 | 0.000 | 0.000 | 12.430 | -0.000 |
| 0.000 | 0.000 | 0.000 | 0.000 | -0.000 | 12.430 |
| 63.285 | 11.898 | 11.898 | 0.000 | -0.000 | 0.000 |
| 11.898 | 63.285 | 11.898 | -0.000 | 0.000 | 0.000 |
| 11.898 | 11.898 | 63.285 | 0.000 | 0.000 | -0.000 |
| -0.000 | -0.000 | -0.000 | 12.430 | 0.000 | 0.000 |
| -0.000 | -0.000 | -0.000 | -0.000 | 12.430 | 0.000 |
| -0.000 | -0.000 | -0.000 | 0.000 | -0.000 | 12.430 |
| 63.285 | 11.898 | 11.898 | 0.000 | -0.000 | 0.000 |
| 11.898 | 63.285 | 11.898 | -0.000 | -0.000 | -0.000 |
| 11.898 | 11.898 | 63.285 | -0.000 | -0.000 | 0.000 |
| 0.000 | 0.000 | 0.000 | 12.430 | -0.000 | -0.000 |
| 0.000 | 0.000 | 0.000 | -0.000 | 12.430 | -0.000 |
| 0.000 | 0.000 | 0.000 | 0.000 | -0.000 | 12.430 |
| 63.285 | 11.898 | 11.898 | -0.000 | -0.000 | 0.000 |
| 11.898 | 63.285 | 11.898 | -0.000 | -0.000 | 0.000 |
| 11.898 | 11.898 | 63.285 | 0.000 | -0.000 | -0.000 |
| -0.000 | -0.000 | -0.000 | 12.430 | 0.000 | 0.000 |
| -0.000 | -0.000 | -0.000 | 0.000 | 12.430 | 0.000 |
| -0.000 | -0.000 | -0.000 | 0.000 | 0.000 | 12.430 |
| 7.020 | 15.568 | 15.568 | -0.000 | -0.000 | -0.000 |
| 15.568 | 7.020 | 15.568 | -0.000 | -0.000 | -0.000 |
| 15.568 | 15.568 | 7.020 | 0.000 | 0.000 | -0.000 |
| 0.000 | -0.000 | 0.000 | 15.728 | 0.000 | -0.000 |
| -0.000 | 0.000 | 0.000 | -0.000 | 15.728 | -0.000 |
| -0.000 | 0.000 | -0.000 | -0.000 | -0.000 | 15.728 |
| 7.020 | 15.568 | 15.568 | 0.000 | -0.000 | 0.000 |
| 15.568 | 7.020 | 15.568 | -0.000 | 0.000 | 0.000 |
| 15.568 | 15.568 | 7.020 | 0.000 | 0.000 | 0.000 |
| -0.000 | 0.000 | -0.000 | 15.728 | 0.000 | 0.000 |
| 0.000 | -0.000 | 0.000 | 0.000 | 15.728 | 0.000 |
| 0.000 | -0.000 | 0.000 | 0.000 | 0.000 | 15.728 |
| 7.020 | 15.568 | 15.568 | -0.000 | -0.000 | -0.000 |
| 15.568 | 7.020 | 15.568 | -0.000 | -0.000 | -0.000 |
| 15.568 | 15.568 | 7.020 | -0.000 | 0.000 | -0.000 |
| -0.000 | -0.000 | 0.000 | 15.728 | 0.000 | -0.000 |
| -0.000 | -0.000 | 0.000 | 0.000 | 15.728 | -0.000 |
| -0.000 | 0.000 | 0.000 | -0.000 | -0.000 | 15.728 |
| 7.020 | 15.568 | 15.568 | -0.000 | 0.000 | 0.000 |
| 15.568 | 7.020 | 15.568 | -0.000 | -0.000 | 0.000 |
| 15.568 | 15.568 | 7.020 | 0.000 | 0.000 | 0.000 |
| 0.000 | 0.000 | -0.000 | 15.728 | -0.000 | 0.000 |
| 0.000 | 0.000 | -0.000 | -0.000 | 15.728 | 0.000 |
| 0.000 | -0.000 | -0.000 | 0.000 | 0.000 | 15.728 |
| 7.019 | 15.568 | 15.568 | -0.000 | -0.000 | -0.000 |
| 15.568 | 7.019 | 15.568 | -0.000 | -0.000 | -0.000 |
| 15.568 | 15.568 | 7.019 | -0.000 | -0.000 | -0.000 |
| -0.000 | -0.000 | 0.000 | 15.728 | -0.000 | -0.000 |
| -0.000 | -0.000 | 0.000 | -0.000 | 15.728 | -0.000 |
| -0.000 | 0.000 | -0.000 | 0.000 | 0.000 | 15.728 |
| 7.021 | 15.568 | 15.568 | -0.000 | -0.000 | 0.000 |
| 15.568 | 7.021 | 15.568 | 0.000 | -0.000 | 0.000 |
| 15.568 | 15.568 | 7.021 | -0.000 | -0.000 | 0.000 |
| 0.000 | 0.000 | -0.000 | 15.728 | -0.000 | 0.000 |
| 0.000 | 0.000 | -0.000 | -0.000 | 15.728 | 0.000 |
| 0.000 | -0.000 | 0.000 | 0.000 | -0.000 | 15.728 |
| 2027.231 | 2027.227 | 2027.227 | -0.000 | -0.000 | 0.000 |
| 2027.227 | 2027.231 | 2027.227 | -0.000 | -0.000 | 0.000 |
| 2027.227 | 2027.227 | 2027.231 | -0.000 | -0.000 | -0.000 |
| 0.000 | 0.000 | 0.000 | 396.268 | -0.000 | 0.000 |
| 0.000 | 0.000 | 0.000 | -0.000 | 396.268 | 0.000 |
| 0.000 | 0.000 | 0.000 | -0.000 | -0.000 | 396.268 |
| 2027.231 | 2027.227 | 2027.227 | 0.000 | 0.000 | -0.000 |
| 2027.227 | 2027.231 | 2027.227 | 0.000 | 0.000 | -0.000 |
| 2027.227 | 2027.227 | 2027.231 | 0.000 | 0.000 | 0.000 |
| -0.000 | -0.000 | -0.000 | 396.268 | 0.000 | -0.000 |
| -0.000 | -0.000 | -0.000 | 0.000 | 396.268 | -0.000 |
| -0.000 | -0.000 | -0.000 | 0.000 | 0.000 | 396.268 |
| 2027.232 | 2027.228 | 2027.228 | -0.000 | 0.000 | 0.000 |
| 2027.228 | 2027.232 | 2027.228 | 0.000 | -0.000 | 0.000 |
| 2027.228 | 2027.228 | 2027.232 | -0.000 | -0.000 | 0.000 |
| 0.000 | -0.000 | 0.000 | 396.268 | -0.000 | 0.000 |
| -0.000 | 0.000 | 0.000 | -0.000 | 396.268 | 0.000 |
| 0.000 | 0.000 | 0.000 | -0.000 | -0.000 | 396.268 |
| 2027.230 | 2027.226 | 2027.226 | 0.000 | -0.000 | 0.000 |
| 2027.226 | 2027.230 | 2027.226 | -0.000 | 0.000 | 0.000 |
| 2027.226 | 2027.226 | 2027.230 | 0.000 | 0.000 | -0.000 |
| -0.000 | 0.000 | -0.000 | 396.268 | 0.000 | -0.000 |
| 0.000 | -0.000 | -0.000 | 0.000 | 396.268 | -0.000 |
| -0.000 | -0.000 | -0.000 | 0.000 | 0.000 | 396.268 |
| 2027.241 | 2027.241 | 2027.241 | -0.000 | -0.000 | 0.000 |
| 2027.241 | 2027.241 | 2027.241 | -0.000 | -0.000 | 0.000 |
| 2027.241 | 2027.241 | 2027.241 | -0.000 | -0.000 | 0.000 |
| 0.001 | -0.000 | 0.001 | 396.217 | -0.000 | 0.000 |
| -0.000 | 0.001 | 0.001 | -0.000 | 396.217 | 0.000 |
| -0.000 | 0.001 | 0.001 | -0.000 | -0.000 | 396.217 |
| 2027.221 | 2027.213 | 2027.213 | 0.000 | 0.000 | -0.000 |
| 2027.213 | 2027.221 | 2027.213 | 0.000 | 0.000 | -0.000 |
| 2027.213 | 2027.213 | 2027.221 | 0.000 | 0.000 | -0.000 |
| -0.001 | 0.000 | -0.001 | 396.217 | 0.000 | -0.000 |
| 0.000 | -0.001 | -0.001 | 0.000 | 396.217 | -0.000 |
| 0.000 | -0.001 | -0.001 | 0.000 | 0.000 | 396.217 |
| 29.908 | 29.904 | 29.904 | -0.000 | 0.000 | 0.000 |
| 29.904 | 29.908 | 29.904 | 0.000 | -0.000 | 0.000 |
| 29.904 | 29.904 | 29.908 | -0.000 | -0.000 | 0.000 |
| 0.000 | 0.000 | 0.000 | 26.091 | 0.000 | 0.000 |
| 0.000 | 0.000 | 0.000 | 0.000 | 26.091 | 0.000 |
| 0.000 | 0.000 | 0.000 | 0.000 | 0.000 | 26.091 |
| 29.908 | 29.904 | 29.904 | 0.000 | 0.000 | 0.000 |
| 29.904 | 29.908 | 29.904 | 0.000 | 0.000 | 0.000 |
| 29.904 | 29.904 | 29.908 | 0.000 | 0.000 | 0.000 |
| -0.000 | -0.000 | -0.000 | 26.091 | -0.000 | -0.000 |
| -0.000 | -0.000 | -0.000 | -0.000 | 26.091 | -0.000 |
| -0.000 | -0.000 | -0.000 | -0.000 | -0.000 | 26.091 |
| 29.908 | 29.904 | 29.904 | -0.000 | 0.000 | -0.000 |
| 29.904 | 29.908 | 29.904 | 0.000 | -0.000 | -0.000 |
| 29.904 | 29.904 | 29.908 | -0.000 | -0.000 | -0.000 |
| 0.000 | 0.000 | 0.000 | 26.091 | 0.000 | -0.000 |
| 0.000 | 0.000 | 0.000 | 0.000 | 26.091 | -0.000 |
| 0.000 | 0.000 | 0.000 | 0.000 | 0.000 | 26.091 |
| 29.908 | 29.904 | 29.904 | 0.000 | 0.000 | 0.000 |
| 29.904 | 29.908 | 29.904 | 0.000 | 0.000 | 0.000 |
| 29.904 | 29.904 | 29.908 | 0.000 | 0.000 | -0.000 |
| -0.000 | -0.000 | -0.000 | 26.091 | -0.000 | 0.000 |
| -0.000 | -0.000 | -0.000 | -0.000 | 26.091 | 0.000 |
| -0.000 | -0.000 | -0.000 | -0.000 | -0.000 | 26.091 |
| 29.909 | 29.905 | 29.905 | -0.000 | -0.000 | -0.000 |
| 29.905 | 29.909 | 29.905 | -0.000 | -0.000 | -0.000 |
| 29.905 | 29.905 | 29.909 | -0.000 | -0.000 | 0.000 |
| 0.000 | 0.000 | 0.000 | 26.091 | 0.000 | -0.000 |
| 0.000 | 0.000 | 0.000 | 0.000 | 26.091 | -0.000 |
| 0.000 | 0.000 | 0.000 | 0.000 | 0.000 | 26.091 |
| 29.908 | 29.904 | 29.904 | 0.000 | -0.000 | 0.000 |
| 29.904 | 29.908 | 29.904 | -0.000 | 0.000 | 0.000 |
| 29.904 | 29.904 | 29.908 | 0.000 | 0.000 | 0.000 |
| -0.000 | -0.000 | -0.000 | 26.091 | -0.000 | 0.000 |
| -0.000 | -0.000 | -0.000 | -0.000 | 26.091 | 0.000 |
| -0.000 | -0.000 | -0.000 | -0.000 | 0.000 | 26.091 |
| 35.893 | 95.663 | 95.663 | 0.000 | -0.000 | 0.000 |
| 95.663 | 35.893 | 95.663 | -0.000 | -0.000 | 0.000 |
| 95.663 | 95.663 | 35.893 | -0.000 | -0.000 | -0.000 |
| 0.000 | 0.000 | 0.000 | -11.253 | -0.000 | 0.000 |
| 0.000 | 0.000 | 0.000 | -0.000 | -11.253 | 0.000 |
| 0.000 | 0.000 | 0.000 | -0.000 | -0.000 | -11.253 |
| 35.891 | 95.662 | 95.662 | 0.000 | 0.000 | -0.000 |
| 95.662 | 35.891 | 95.662 | 0.000 | 0.000 | -0.000 |
| 95.662 | 95.662 | 35.891 | 0.000 | 0.000 | -0.000 |
| -0.000 | -0.000 | -0.000 | -11.253 | 0.000 | 0.000 |
| -0.000 | -0.000 | -0.000 | -0.000 | -11.253 | -0.000 |
| -0.000 | -0.000 | -0.000 | -0.000 | 0.000 | -11.253 |
| 35.900 | 95.671 | 95.671 | -0.000 | -0.000 | 0.000 |
| 95.671 | 35.900 | 95.671 | 0.000 | -0.000 | 0.000 |
| 95.671 | 95.671 | 35.900 | -0.000 | -0.000 | 0.000 |
| 0.000 | 0.000 | 0.000 | -11.253 | 0.000 | -0.000 |
| 0.000 | 0.000 | 0.000 | -0.000 | -11.253 | 0.000 |
| 0.000 | 0.000 | 0.000 | 0.000 | -0.000 | -11.253 |
| 35.884 | 95.654 | 95.654 | 0.000 | 0.000 | 0.000 |
| 95.654 | 35.884 | 95.654 | 0.000 | 0.000 | -0.000 |
| 95.654 | 95.654 | 35.884 | 0.000 | 0.000 | -0.000 |
| -0.000 | -0.000 | -0.000 | -11.253 | 0.000 | -0.000 |
| -0.000 | -0.000 | -0.000 | 0.000 | -11.253 | -0.000 |
| -0.000 | -0.000 | -0.000 | 0.000 | 0.000 | -11.253 |
| 35.975 | 95.745 | 95.745 | 0.000 | -0.000 | -0.000 |
| 95.745 | 35.975 | 95.745 | -0.000 | -0.000 | 0.000 |
| 95.745 | 95.745 | 35.975 | 0.000 | -0.000 | 0.000 |
| 0.000 | 0.000 | 0.000 | -11.253 | -0.000 | -0.000 |
| 0.000 | 0.000 | 0.000 | 0.000 | -11.253 | -0.000 |
| 0.000 | 0.000 | 0.000 | -0.000 | -0.000 | -11.253 |
| 35.809 | 95.580 | 95.580 | 0.000 | 0.000 | 0.000 |
| 95.580 | 35.809 | 95.580 | -0.000 | 0.000 | 0.000 |
| 95.580 | 95.580 | 35.809 | 0.000 | 0.000 | -0.000 |
| -0.000 | -0.000 | -0.000 | -11.253 | 0.000 | 0.000 |
| -0.000 | -0.000 | -0.000 | 0.000 | -11.253 | -0.000 |
| -0.000 | -0.000 | -0.000 | 0.000 | 0.000 | -11.253 |
| 2457.239 | 1144.561 | 1144.561 | 0.000 | 0.000 | 0.000 |
| 1144.561 | 2457.239 | 1144.561 | 0.000 | 0.000 | -0.000 |
| 1144.561 | 1144.561 | 2457.239 | 0.000 | 0.000 | 0.000 |
| -0.000 | 0.000 | 0.000 | 1144.145 | 0.000 | -0.000 |
| 0.000 | -0.000 | 0.000 | 0.000 | 1144.145 | 0.000 |
| 0.000 | 0.000 | -0.000 | 0.000 | 0.000 | 1144.145 |
| 2457.239 | 1144.561 | 1144.561 | -0.000 | -0.000 | -0.000 |
| 1144.561 | 2457.239 | 1144.561 | -0.000 | -0.000 | -0.000 |
| 1144.561 | 1144.561 | 2457.239 | -0.000 | -0.000 | -0.000 |
| 0.000 | -0.000 | -0.000 | 1144.145 | -0.000 | -0.000 |
| -0.000 | 0.000 | -0.000 | 0.000 | 1144.145 | -0.000 |
| -0.000 | -0.000 | 0.000 | -0.000 | -0.000 | 1144.145 |
| 2457.240 | 1144.561 | 1144.561 | 0.000 | 0.000 | 0.000 |
| 1144.561 | 2457.240 | 1144.561 | 0.000 | 0.000 | -0.000 |
| 1144.561 | 1144.561 | 2457.240 | -0.000 | -0.000 | -0.000 |
| -0.000 | 0.000 | 0.001 | 1144.145 | 0.000 | 0.000 |
| 0.000 | -0.000 | 0.001 | 0.000 | 1144.145 | 0.000 |
| 0.000 | 0.001 | -0.000 | 0.000 | 0.000 | 1144.145 |
| 2457.238 | 1144.560 | 1144.560 | -0.000 | 0.000 | -0.000 |
| 1144.560 | 2457.238 | 1144.560 | -0.000 | -0.000 | -0.000 |
| 1144.560 | 1144.560 | 2457.238 | -0.000 | -0.000 | -0.000 |
| 0.000 | -0.000 | -0.001 | 1144.145 | 0.000 | -0.000 |
| -0.000 | 0.000 | -0.001 | -0.000 | 1144.145 | -0.000 |
| -0.000 | -0.001 | 0.000 | -0.000 | -0.000 | 1144.145 |
| 2457.251 | 1144.569 | 1144.569 | 0.000 | 0.000 | 0.000 |
| 1144.569 | 2457.251 | 1144.569 | 0.000 | 0.000 | 0.000 |
| 1144.569 | 1144.569 | 2457.251 | 0.000 | 0.000 | 0.000 |
| -0.000 | 0.004 | 0.006 | 1144.145 | 0.000 | 0.000 |
| 0.004 | -0.000 | 0.006 | 0.000 | 1144.145 | 0.000 |
| 0.004 | 0.006 | -0.000 | 0.000 | 0.000 | 1144.145 |
| 2457.227 | 1144.552 | 1144.552 | -0.000 | -0.000 | -0.000 |
| 1144.552 | 2457.227 | 1144.552 | -0.000 | -0.000 | 0.000 |
| 1144.552 | 1144.552 | 2457.227 | -0.000 | -0.000 | -0.000 |
| 0.000 | -0.004 | -0.006 | 1144.145 | 0.000 | -0.000 |
| -0.004 | 0.000 | -0.006 | -0.000 | 1144.145 | -0.000 |
| -0.004 | -0.006 | 0.000 | 0.000 | -0.000 | 1144.145 |
| 29.456 | 14.596 | 14.596 | 0.000 | 0.000 | -0.000 |
| 14.596 | 29.456 | 14.596 | 0.000 | 0.000 | 0.000 |
| 14.596 | 14.596 | 29.456 | 0.000 | 0.000 | 0.000 |
| -0.000 | -0.000 | -0.000 | 14.798 | 0.000 | 0.000 |
| -0.000 | -0.000 | -0.000 | 0.000 | 14.798 | -0.000 |
| -0.000 | -0.000 | -0.000 | 0.000 | 0.000 | 14.798 |
| 29.456 | 14.596 | 14.596 | -0.000 | 0.000 | 0.000 |
| 14.596 | 29.456 | 14.596 | 0.000 | -0.000 | -0.000 |
| 14.596 | 14.596 | 29.456 | -0.000 | -0.000 | -0.000 |
| 0.000 | 0.000 | 0.000 | 14.798 | -0.000 | -0.000 |
| 0.000 | 0.000 | 0.000 | -0.000 | 14.798 | -0.000 |
| 0.000 | 0.000 | -0.000 | -0.000 | -0.000 | 14.798 |
| 29.456 | 14.596 | 14.596 | 0.000 | -0.000 | -0.000 |
| 14.596 | 29.456 | 14.596 | -0.000 | 0.000 | 0.000 |
| 14.596 | 14.596 | 29.456 | -0.000 | -0.000 | 0.000 |
| -0.000 | -0.000 | -0.000 | 14.798 | 0.000 | -0.000 |
| -0.000 | -0.000 | -0.000 | 0.000 | 14.798 | 0.000 |
| -0.000 | -0.000 | -0.000 | 0.000 | 0.000 | 14.798 |
| 29.456 | 14.596 | 14.596 | -0.000 | 0.000 | -0.000 |
| 14.596 | 29.456 | 14.596 | 0.000 | -0.000 | -0.000 |
| 14.596 | 14.596 | 29.456 | -0.000 | -0.000 | -0.000 |
| 0.000 | 0.000 | 0.000 | 14.798 | -0.000 | -0.000 |
| 0.000 | 0.000 | 0.000 | -0.000 | 14.798 | -0.000 |
| 0.000 | 0.000 | 0.000 | -0.000 | -0.000 | 14.798 |
| 29.456 | 14.596 | 14.596 | 0.000 | 0.000 | 0.000 |
| 14.596 | 29.456 | 14.596 | 0.000 | 0.000 | 0.000 |
| 14.596 | 14.596 | 29.456 | 0.000 | 0.000 | 0.000 |
| -0.000 | -0.000 | -0.000 | 14.798 | 0.000 | 0.000 |
| -0.000 | -0.000 | -0.000 | 0.000 | 14.798 | -0.000 |
| -0.000 | -0.000 | -0.000 | 0.000 | 0.000 | 14.798 |
| 29.456 | 14.596 | 14.596 | -0.000 | -0.000 | -0.000 |
| 14.596 | 29.456 | 14.596 | -0.000 | -0.000 | -0.000 |
| 14.596 | 14.596 | 29.456 | -0.000 | -0.000 | -0.000 |
| 0.000 | 0.000 | 0.000 | 14.798 | -0.000 | 0.000 |
| 0.000 | 0.000 | 0.000 | -0.000 | 14.798 | 0.000 |
| 0.000 | 0.000 | 0.000 | -0.000 | -0.000 | 14.798 |
| 472.845 | 249.971 | 249.971 | 0.000 | 0.000 | 0.000 |
| 249.971 | 472.845 | 249.971 | 0.000 | 0.000 | 0.000 |
| 249.971 | 249.971 | 472.845 | 0.000 | 0.000 | 0.000 |
| -0.000 | 0.000 | 0.000 | 332.508 | 0.000 | 0.000 |
| 0.000 | -0.000 | 0.000 | 0.000 | 332.508 | 0.000 |
| 0.000 | 0.000 | -0.000 | 0.000 | 0.000 | 332.508 |
| 472.845 | 249.971 | 249.971 | -0.000 | -0.000 | -0.000 |
| 249.971 | 472.845 | 249.971 | -0.000 | -0.000 | -0.000 |
| 249.971 | 249.971 | 472.845 | -0.000 | -0.000 | -0.000 |
| 0.000 | -0.000 | -0.000 | 332.508 | -0.000 | -0.000 |
| -0.000 | 0.000 | -0.000 | -0.000 | 332.508 | -0.000 |
| -0.000 | -0.000 | 0.000 | -0.000 | -0.000 | 332.508 |
| 472.845 | 249.971 | 249.971 | 0.000 | 0.000 | 0.000 |
| 249.971 | 472.845 | 249.971 | 0.000 | 0.000 | 0.000 |
| 249.971 | 249.971 | 472.845 | 0.000 | 0.000 | 0.000 |
| -0.001 | 0.000 | 0.000 | 332.508 | 0.000 | 0.000 |
| 0.000 | -0.001 | 0.000 | 0.000 | 332.508 | 0.000 |
| 0.000 | 0.000 | -0.001 | 0.000 | 0.000 | 332.508 |
| 472.845 | 249.972 | 249.972 | -0.000 | -0.000 | -0.000 |
| 249.972 | 472.845 | 249.972 | -0.000 | -0.000 | -0.000 |
| 249.972 | 249.972 | 472.845 | -0.000 | -0.000 | -0.000 |
| 0.001 | -0.000 | -0.000 | 332.508 | -0.000 | -0.000 |
| -0.000 | 0.001 | -0.000 | -0.000 | 332.508 | -0.000 |
| -0.000 | -0.000 | 0.001 | -0.000 | -0.000 | 332.508 |
| 472.848 | 249.968 | 249.968 | 0.000 | 0.000 | 0.000 |
| 249.968 | 472.848 | 249.968 | 0.000 | 0.000 | 0.000 |
| 249.968 | 249.968 | 472.848 | 0.000 | 0.000 | 0.000 |
| -0.006 | 0.001 | 0.002 | 332.508 | 0.000 | 0.000 |
| 0.001 | -0.006 | 0.002 | 0.000 | 332.508 | 0.000 |
| 0.001 | 0.002 | -0.006 | 0.000 | 0.000 | 332.508 |
| 472.842 | 249.975 | 249.975 | -0.000 | -0.000 | -0.000 |
| 249.975 | 472.842 | 249.975 | -0.000 | -0.000 | -0.000 |
| 249.975 | 249.975 | 472.842 | -0.000 | -0.000 | -0.000 |
| 0.006 | -0.001 | -0.002 | 332.508 | -0.000 | -0.000 |
| -0.001 | 0.006 | -0.002 | -0.000 | 332.508 | -0.000 |
| -0.001 | -0.002 | 0.006 | -0.000 | -0.000 | 332.508 |
| 67.244 | 33.271 | 33.271 | 0.000 | -0.000 | -0.000 |
| 33.271 | 67.244 | 33.271 | -0.000 | 0.000 | 0.000 |
| 33.271 | 33.271 | 67.244 | 0.000 | 0.000 | 0.000 |
| -0.000 | 0.000 | 0.000 | 33.466 | 0.000 | 0.000 |
| 0.000 | -0.000 | 0.000 | 0.000 | 33.466 | -0.000 |
| 0.000 | 0.000 | -0.000 | -0.000 | -0.000 | 33.466 |
| 67.244 | 33.271 | 33.271 | -0.000 | 0.000 | 0.000 |
| 33.271 | 67.244 | 33.271 | 0.000 | -0.000 | -0.000 |
| 33.271 | 33.271 | 67.244 | -0.000 | -0.000 | -0.000 |
| 0.000 | -0.000 | -0.000 | 33.466 | -0.000 | -0.000 |
| -0.000 | 0.000 | -0.000 | -0.000 | 33.466 | 0.000 |
| -0.000 | -0.000 | 0.000 | 0.000 | 0.000 | 33.466 |
| 67.245 | 33.271 | 33.271 | 0.000 | 0.000 | 0.000 |
| 33.271 | 67.245 | 33.271 | 0.000 | 0.000 | 0.000 |
| 33.271 | 33.271 | 67.245 | 0.000 | 0.000 | 0.000 |
| -0.000 | 0.000 | 0.000 | 33.466 | -0.000 | 0.000 |
| 0.000 | -0.000 | 0.000 | 0.000 | 33.466 | -0.000 |
| 0.000 | 0.000 | -0.000 | -0.000 | -0.000 | 33.466 |
| 67.244 | 33.271 | 33.271 | -0.000 | 0.000 | 0.000 |
| 33.271 | 67.244 | 33.271 | 0.000 | -0.000 | -0.000 |
| 33.271 | 33.271 | 67.244 | -0.000 | -0.000 | -0.000 |
| 0.000 | -0.000 | -0.000 | 33.466 | -0.000 | -0.000 |
| -0.000 | 0.000 | -0.000 | -0.000 | 33.466 | 0.000 |
| -0.000 | -0.000 | 0.000 | -0.000 | 0.000 | 33.466 |
| 67.245 | 33.271 | 33.271 | 0.000 | -0.000 | -0.000 |
| 33.271 | 67.245 | 33.271 | -0.000 | 0.000 | -0.000 |
| 33.271 | 33.271 | 67.245 | 0.000 | -0.000 | 0.000 |
| -0.000 | 0.000 | 0.000 | 33.466 | 0.000 | 0.000 |
| 0.000 | -0.000 | 0.000 | 0.000 | 33.466 | -0.000 |
| 0.000 | 0.000 | -0.000 | 0.000 | -0.000 | 33.466 |
| 67.244 | 33.270 | 33.270 | -0.000 | -0.000 | -0.000 |
| 33.270 | 67.244 | 33.270 | -0.000 | -0.000 | -0.000 |
| 33.270 | 33.270 | 67.244 | -0.000 | -0.000 | -0.000 |
| 0.000 | -0.000 | -0.000 | 33.466 | -0.000 | -0.000 |
| -0.000 | 0.000 | -0.000 | -0.000 | 33.466 | 0.000 |
| -0.000 | -0.000 | 0.000 | -0.000 | 0.000 | 33.466 |
| 578.128 | 506.974 | 453.635 | 0.000 | 0.000 | 0.000 |
| 506.974 | 578.128 | 453.635 | -0.000 | 0.000 | 0.000 |
| 453.635 | 453.635 | 609.736 | -0.000 | 0.000 | 0.000 |
| -0.000 | -0.000 | -0.000 | -7.881 | 0.000 | 0.000 |
| -0.000 | -0.000 | -0.000 | 0.000 | -7.881 | 0.000 |
| 0.000 | 0.000 | -0.000 | -0.000 | 0.000 | 125.431 |
| 578.131 | 506.976 | 453.637 | -0.000 | -0.000 | -0.000 |
| 506.976 | 578.131 | 453.637 | -0.000 | -0.000 | -0.000 |
| 453.638 | 453.638 | 609.739 | 0.000 | -0.000 | -0.000 |
| 0.000 | 0.000 | 0.000 | -7.881 | -0.000 | -0.000 |
| 0.000 | -0.000 | 0.000 | -0.000 | -7.881 | -0.000 |
| -0.000 | -0.000 | -0.000 | 0.000 | -0.000 | 125.431 |
| 591.099 | 493.982 | 453.623 | 0.000 | 0.000 | 0.000 |
| 493.982 | 591.099 | 453.623 | -0.000 | 0.000 | 0.000 |
| 453.621 | 453.621 | 609.720 | 0.000 | 0.000 | 0.000 |
| -0.000 | -0.000 | -0.000 | -7.039 | 0.000 | 0.000 |
| -0.000 | -0.000 | -0.000 | 0.000 | -7.039 | 0.000 |
| 0.000 | 0.000 | 0.000 | -0.000 | 0.000 | 125.431 |
| 591.122 | 494.005 | 453.650 | -0.000 | -0.000 | -0.000 |
| 494.005 | 591.122 | 453.650 | -0.000 | -0.000 | -0.000 |
| 453.651 | 453.651 | 609.755 | -0.000 | -0.000 | -0.000 |
| 0.000 | 0.000 | 0.000 | -7.039 | 0.000 | -0.000 |
| 0.000 | 0.000 | 0.000 | -0.000 | -7.039 | -0.000 |
| -0.000 | -0.000 | -0.000 | -0.000 | -0.000 | 125.431 |
| -2610012.772 | -2610228.123 | -8090137.549 | 1423.652 | 301.580 | -489.174 |
| -2611347.304 | -2610817.608 | -8089251.884 | -1617.601 | 743.558 | -618.566 |
| 453.483 | 453.483 | 609.563 | 0.000 | 0.000 | 0.000 |
| -0.000 | -0.000 | -0.000 | -7.881 | 0.000 | 0.000 |
| -0.000 | -0.000 | -0.000 | 0.000 | -7.881 | 0.000 |
| 0.000 | 0.001 | 0.000 | 0.000 | 0.000 | 125.431 |
| 591.226 | 494.110 | 453.770 | -0.000 | -0.000 | -0.000 |
| 494.110 | 591.226 | 453.770 | -0.000 | -0.000 | -0.000 |
| 453.789 | 453.789 | 609.912 | -0.000 | -0.000 | -0.000 |
| 0.000 | 0.000 | 0.000 | -7.881 | -0.000 | -0.000 |
| 0.000 | 0.000 | 0.000 | -0.000 | -7.881 | -0.000 |
| -0.000 | -0.001 | -0.000 | -0.000 | -0.000 | 125.431 |
| 714.672 | 716.619 | 716.619 | 0.000 | 0.000 | 0.000 |
| 716.619 | 714.672 | 716.619 | 0.000 | 0.000 | 0.000 |
| 716.619 | 716.619 | 714.672 | 0.000 | 0.000 | 0.000 |
| 0.000 | 0.000 | 0.000 | 69.683 | 0.000 | 0.000 |
| 0.000 | 0.000 | 0.000 | 0.000 | 69.683 | 0.000 |
| 0.000 | 0.000 | 0.000 | 0.000 | 0.000 | 69.683 |
| 714.694 | 716.641 | 716.641 | -0.000 | -0.000 | -0.000 |
| 716.641 | 714.694 | 716.641 | -0.000 | -0.000 | -0.000 |
| 716.641 | 716.641 | 714.694 | -0.000 | -0.000 | -0.000 |
| -0.000 | -0.000 | -0.000 | 69.683 | -0.000 | -0.000 |
| -0.000 | -0.000 | -0.000 | -0.000 | 69.683 | -0.000 |
| -0.000 | -0.000 | -0.000 | -0.000 | -0.000 | 69.683 |
| 714.574 | 716.521 | 716.521 | 0.000 | 0.000 | 0.000 |
| 716.521 | 714.574 | 716.521 | 0.000 | 0.000 | 0.000 |
| 716.521 | 716.521 | 714.574 | 0.000 | 0.000 | 0.000 |
| 0.000 | 0.000 | 0.000 | 69.683 | 0.000 | -0.000 |
| 0.000 | 0.000 | 0.000 | 0.000 | 69.683 | 0.000 |
| 0.000 | 0.000 | 0.000 | 0.000 | -0.000 | 69.683 |
| 714.792 | 716.739 | 716.739 | -0.000 | 0.000 | -0.000 |
| 716.739 | 714.792 | 716.739 | -0.000 | -0.000 | -0.000 |
| 716.739 | 716.739 | 714.792 | -0.000 | -0.000 | 0.000 |
| -0.000 | -0.000 | -0.000 | 69.683 | 0.000 | -0.000 |
| -0.000 | -0.000 | -0.000 | -0.000 | 69.683 | -0.000 |
| -0.000 | -0.000 | -0.000 | -0.000 | -0.000 | 69.683 |
| 713.594 | 715.541 | 715.541 | 0.000 | -0.000 | 0.000 |
| 715.541 | 713.594 | 715.541 | 0.000 | 0.000 | 0.000 |
| 715.541 | 715.541 | 713.594 | 0.000 | 0.000 | 0.000 |
| 0.001 | 0.001 | 0.001 | 69.683 | 0.000 | 0.000 |
| 0.001 | 0.001 | 0.001 | 0.000 | 69.683 | -0.000 |
| 0.001 | 0.001 | 0.001 | 0.000 | 0.000 | 69.683 |
| 715.772 | 717.719 | 717.719 | -0.000 | -0.000 | -0.000 |
| 717.719 | 715.772 | 717.719 | -0.000 | -0.000 | -0.000 |
| 717.719 | 717.719 | 715.772 | -0.000 | -0.000 | -0.000 |
| -0.001 | -0.001 | -0.001 | 69.683 | -0.000 | -0.000 |
| -0.001 | -0.001 | -0.001 | -0.000 | 69.683 | -0.000 |
| -0.001 | -0.001 | -0.001 | -0.000 | -0.000 | 69.683 |
| 122.298 | 204.822 | 204.822 | 0.000 | 0.000 | 0.000 |
| 204.822 | 122.298 | 204.822 | 0.000 | 0.000 | -0.000 |
| 204.822 | 204.822 | 122.298 | 0.000 | 0.000 | -0.000 |
| -0.000 | -0.000 | -0.000 | 3.032 | 0.000 | 0.000 |
| -0.000 | -0.000 | -0.000 | 0.000 | 3.032 | -0.000 |
| -0.000 | -0.000 | -0.000 | 0.000 | 0.000 | 3.032 |
| 122.291 | 204.815 | 204.815 | -0.000 | -0.000 | -0.000 |
| 204.815 | 122.291 | 204.815 | -0.000 | -0.000 | -0.000 |
| 204.815 | 204.815 | 122.291 | -0.000 | -0.000 | 0.000 |
| 0.000 | 0.000 | 0.000 | 3.032 | 0.000 | 0.000 |
| 0.000 | 0.000 | 0.000 | 0.000 | 3.032 | -0.000 |
| 0.000 | 0.000 | 0.000 | -0.000 | -0.000 | 3.032 |
| 122.329 | 204.853 | 204.853 | 0.000 | -0.000 | -0.000 |
| 204.853 | 122.329 | 204.853 | 0.000 | 0.000 | -0.000 |
| 204.853 | 204.853 | 122.329 | 0.000 | 0.000 | 0.000 |
| -0.000 | -0.000 | -0.000 | 3.032 | 0.000 | -0.000 |
| -0.000 | -0.000 | -0.000 | 0.000 | 3.032 | -0.000 |
| -0.000 | -0.000 | -0.000 | 0.000 | -0.000 | 3.032 |
| 122.261 | 204.784 | 204.784 | -0.000 | -0.000 | 0.000 |
| 204.784 | 122.261 | 204.784 | -0.000 | -0.000 | 0.000 |
| 204.784 | 204.784 | 122.261 | -0.000 | -0.000 | -0.000 |
| 0.000 | 0.000 | 0.000 | 3.032 | -0.000 | 0.000 |
| 0.000 | 0.000 | 0.000 | -0.000 | 3.032 | 0.000 |
| 0.000 | 0.000 | 0.000 | -0.000 | -0.000 | 3.032 |
| 122.637 | 205.163 | 205.163 | 0.000 | 0.000 | 0.000 |
| 205.163 | 122.637 | 205.163 | -0.000 | -0.000 | -0.000 |
| 205.163 | 205.163 | 122.637 | 0.000 | -0.000 | -0.000 |
| -0.000 | -0.001 | -0.001 | 3.032 | 0.000 | 0.000 |
| -0.001 | -0.000 | -0.001 | 0.000 | 3.032 | -0.000 |
| -0.001 | -0.001 | -0.000 | 0.000 | 0.000 | 3.032 |
| 121.952 | 204.475 | 204.475 | -0.000 | -0.000 | -0.000 |
| 204.475 | 121.952 | 204.475 | -0.000 | -0.000 | 0.000 |
| 204.475 | 204.475 | 121.952 | -0.000 | -0.000 | -0.000 |
| 0.000 | 0.001 | 0.001 | 3.032 | -0.000 | 0.000 |
| 0.001 | 0.000 | 0.001 | 0.000 | 3.032 | 0.000 |
| 0.001 | 0.001 | 0.000 | -0.000 | 0.000 | 3.032 |
| 179.844 | 89.880 | 89.880 | -0.000 | 0.000 | 0.000 |
| 89.880 | 179.844 | 89.880 | 0.000 | -0.000 | -0.000 |
| 89.880 | 89.880 | 179.844 | -0.000 | -0.000 | -0.000 |
| -0.000 | -0.000 | -0.000 | 89.925 | -0.000 | -0.000 |
| -0.000 | -0.000 | -0.000 | -0.000 | 89.925 | 0.000 |
| -0.000 | -0.000 | -0.000 | -0.000 | 0.000 | 89.925 |
| 179.844 | 89.880 | 89.880 | 0.000 | 0.000 | 0.000 |
| 89.880 | 179.844 | 89.880 | 0.000 | 0.000 | 0.000 |
| 89.880 | 89.880 | 179.844 | 0.000 | 0.000 | 0.000 |
| 0.000 | 0.000 | 0.000 | 89.925 | 0.000 | 0.000 |
| 0.000 | 0.000 | 0.000 | 0.000 | 89.925 | -0.000 |
| 0.000 | 0.000 | 0.000 | 0.000 | -0.000 | 89.925 |
| 179.844 | 89.880 | 89.880 | -0.000 | 0.000 | 0.000 |
| 89.880 | 179.844 | 89.880 | 0.000 | -0.000 | -0.000 |
| 89.880 | 89.880 | 179.844 | -0.000 | -0.000 | -0.000 |
| -0.000 | -0.000 | -0.000 | 89.925 | -0.000 | -0.000 |
| -0.000 | -0.000 | -0.000 | -0.000 | 89.925 | 0.000 |
| -0.000 | -0.000 | -0.000 | -0.000 | 0.000 | 89.925 |
| 179.844 | 89.880 | 89.880 | 0.000 | 0.000 | 0.000 |
| 89.880 | 179.844 | 89.880 | 0.000 | 0.000 | 0.000 |
| 89.880 | 89.880 | 179.844 | 0.000 | 0.000 | 0.000 |
| 0.000 | 0.000 | 0.000 | 89.925 | 0.000 | 0.000 |
| 0.000 | 0.000 | 0.000 | 0.000 | 89.925 | -0.000 |
| 0.000 | 0.000 | 0.000 | 0.000 | -0.000 | 89.925 |
| 179.844 | 89.880 | 89.880 | -0.000 | -0.000 | -0.000 |
| 89.880 | 179.844 | 89.880 | -0.000 | -0.000 | -0.000 |
| 89.880 | 89.880 | 179.844 | -0.000 | -0.000 | -0.000 |
| -0.000 | -0.000 | -0.000 | 89.925 | -0.000 | -0.000 |
| -0.000 | -0.000 | -0.000 | -0.000 | 89.925 | 0.000 |
| -0.000 | -0.000 | -0.000 | -0.000 | 0.000 | 89.925 |
| 179.845 | 89.880 | 89.880 | 0.000 | -0.000 | -0.000 |
| 89.880 | 179.845 | 89.880 | -0.000 | 0.000 | 0.000 |
| 89.880 | 89.880 | 179.845 | 0.000 | 0.000 | 0.000 |
| 0.000 | 0.000 | 0.000 | 89.925 | 0.000 | 0.000 |
| 0.000 | 0.000 | 0.000 | 0.000 | 89.925 | -0.000 |
| 0.000 | 0.000 | 0.000 | 0.000 | -0.000 | 89.925 |
| 41819.421 | 20909.616 | 20909.616 | 0.000 | 0.000 | 0.000 |
| 20909.616 | 41819.421 | 20909.616 | 0.000 | 0.000 | 0.000 |
| 20909.617 | 20909.616 | 41819.421 | 0.000 | 0.000 | 0.000 |
| 0.000 | 0.002 | 0.002 | 20909.912 | 0.000 | 0.000 |
| 0.002 | -0.000 | 0.002 | 0.000 | 20909.912 | 0.000 |
| 0.002 | 0.002 | -0.000 | 0.000 | 0.000 | 20909.912 |
| 41819.413 | 20909.611 | 20909.611 | -0.000 | -0.000 | -0.000 |
| 20909.611 | 41819.412 | 20909.611 | -0.000 | -0.000 | -0.000 |
| 20909.611 | 20909.611 | 41819.413 | -0.000 | -0.000 | -0.000 |
| -0.000 | -0.002 | -0.002 | 20909.912 | -0.000 | -0.000 |
| -0.002 | -0.000 | -0.002 | -0.000 | 20909.912 | -0.000 |
| -0.002 | -0.002 | 0.000 | -0.000 | -0.000 | 20909.912 |
| 41819.452 | 20909.636 | 20909.636 | 0.000 | 0.000 | 0.000 |
| 20909.636 | 41819.452 | 20909.636 | 0.000 | 0.000 | 0.000 |
| 20909.636 | 20909.636 | 41819.452 | 0.000 | 0.000 | 0.000 |
| -0.001 | 0.016 | 0.019 | 20909.912 | 0.000 | 0.000 |
| 0.016 | -0.001 | 0.019 | 0.000 | 20909.912 | 0.000 |
| 0.016 | 0.019 | -0.001 | 0.000 | 0.000 | 20909.912 |
| 41819.381 | 20909.592 | 20909.592 | -0.000 | -0.000 | -0.000 |
| 20909.592 | 41819.381 | 20909.592 | -0.000 | -0.000 | -0.000 |
| 20909.592 | 20909.592 | 41819.381 | -0.000 | -0.000 | -0.000 |
| 0.001 | -0.016 | -0.019 | 20909.912 | -0.000 | -0.000 |
| -0.016 | 0.001 | -0.019 | -0.000 | 20909.912 | -0.000 |
| -0.016 | -0.019 | 0.001 | -0.000 | -0.000 | 20909.912 |
| 41819.772 | 20909.834 | 20909.834 | 0.000 | 0.000 | 0.000 |
| 20909.834 | 41819.772 | 20909.834 | 0.000 | 0.000 | 0.000 |
| 20909.834 | 20909.834 | 41819.772 | -0.000 | 0.000 | 0.000 |
| -0.011 | 0.157 | 0.189 | 20909.912 | 0.000 | 0.000 |
| 0.157 | -0.011 | 0.189 | 0.000 | 20909.912 | 0.000 |
| 0.157 | 0.189 | -0.011 | 0.000 | 0.000 | 20909.912 |
| 41819.061 | 20909.394 | 20909.394 | -0.000 | -0.000 | -0.000 |
| 20909.394 | 41819.061 | 20909.394 | -0.000 | -0.000 | -0.000 |
| 20909.394 | 20909.394 | 41819.061 | -0.000 | -0.000 | -0.000 |
| 0.011 | -0.157 | -0.189 | 20909.912 | -0.000 | -0.000 |
| -0.157 | 0.011 | -0.189 | -0.000 | 20909.912 | -0.000 |
| -0.157 | -0.189 | 0.011 | -0.000 | -0.000 | 20909.912 |
| 54.219 | 27.250 | 27.250 | 0.000 | 0.000 | 0.000 |
| 27.250 | 54.219 | 27.250 | -0.000 | 0.000 | 0.000 |
| 27.250 | 27.250 | 54.219 | 0.000 | 0.000 | 0.000 |
| 0.000 | 0.000 | 0.000 | 26.985 | 0.000 | 0.000 |
| 0.000 | 0.000 | 0.000 | 0.000 | 26.985 | -0.000 |
| 0.000 | 0.000 | 0.000 | 0.000 | 0.000 | 26.985 |
| 54.219 | 27.250 | 27.250 | -0.000 | -0.000 | -0.000 |
| 27.250 | 54.219 | 27.250 | -0.000 | -0.000 | -0.000 |
| 27.250 | 27.250 | 54.219 | -0.000 | -0.000 | -0.000 |
| -0.000 | -0.000 | -0.000 | 26.985 | -0.000 | -0.000 |
| -0.000 | -0.000 | -0.000 | -0.000 | 26.985 | 0.000 |
| -0.000 | -0.000 | -0.000 | -0.000 | 0.000 | 26.985 |
| 54.219 | 27.250 | 27.250 | 0.000 | 0.000 | 0.000 |
| 27.250 | 54.219 | 27.250 | 0.000 | 0.000 | 0.000 |
| 27.250 | 27.250 | 54.219 | 0.000 | 0.000 | 0.000 |
| 0.000 | 0.000 | 0.000 | 26.985 | 0.000 | 0.000 |
| 0.000 | 0.000 | 0.000 | 0.000 | 26.985 | 0.000 |
| 0.000 | 0.000 | 0.000 | 0.000 | 0.000 | 26.985 |
| 54.219 | 27.250 | 27.250 | -0.000 | 0.000 | 0.000 |
| 27.250 | 54.219 | 27.250 | 0.000 | -0.000 | -0.000 |
| 27.250 | 27.250 | 54.219 | -0.000 | -0.000 | -0.000 |
| -0.000 | -0.000 | -0.000 | 26.985 | -0.000 | -0.000 |
| -0.000 | -0.000 | -0.000 | -0.000 | 26.985 | 0.000 |
| -0.000 | -0.000 | -0.000 | -0.000 | 0.000 | 26.985 |
| 54.219 | 27.250 | 27.250 | 0.000 | 0.000 | 0.000 |
| 27.250 | 54.219 | 27.250 | 0.000 | 0.000 | 0.000 |
| 27.250 | 27.250 | 54.219 | 0.000 | 0.000 | 0.000 |
| 0.000 | 0.000 | 0.000 | 26.985 | 0.000 | 0.000 |
| 0.000 | 0.000 | 0.000 | 0.000 | 26.985 | 0.000 |
| 0.000 | 0.000 | 0.000 | 0.000 | 0.000 | 26.985 |
| 54.218 | 27.249 | 27.249 | -0.000 | -0.000 | -0.000 |
| 27.249 | 54.218 | 27.249 | 0.000 | -0.000 | -0.000 |
| 27.249 | 27.249 | 54.218 | -0.000 | -0.000 | -0.000 |
| -0.000 | -0.000 | -0.000 | 26.985 | -0.000 | -0.000 |
| -0.000 | -0.000 | -0.000 | -0.000 | 26.985 | 0.000 |
| -0.000 | -0.000 | -0.000 | -0.000 | -0.000 | 26.985 |
| 261.371 | 236.049 | 236.049 | 0.000 | 0.000 | -0.000 |
| 236.049 | 261.371 | 236.049 | 0.000 | -0.000 | -0.000 |
| 236.049 | 236.049 | 261.371 | 0.000 | -0.000 | -0.000 |
| -0.000 | -0.000 | -0.000 | -46.158 | -0.000 | -0.000 |
| -0.000 | -0.000 | -0.000 | 0.000 | -46.158 | -0.000 |
| -0.000 | -0.000 | -0.000 | 0.000 | 0.000 | -46.158 |
| 261.333 | 236.079 | 236.079 | -0.000 | -0.000 | 0.000 |
| 236.079 | 261.333 | 236.079 | -0.000 | -0.000 | 0.000 |
| 236.079 | 236.079 | 261.333 | -0.000 | 0.000 | 0.000 |
| 0.000 | 0.000 | 0.000 | -46.158 | -0.000 | 0.000 |
| 0.000 | 0.000 | 0.000 | -0.000 | -46.158 | 0.000 |
| 0.000 | 0.000 | 0.000 | -0.000 | 0.000 | -46.158 |
| 261.336 | 236.015 | 236.015 | 0.000 | 0.000 | -0.000 |
| 236.015 | 261.336 | 236.015 | 0.000 | -0.000 | -0.000 |
| 236.015 | 236.015 | 261.336 | 0.000 | 0.000 | -0.000 |
| -0.001 | -0.001 | -0.001 | -43.712 | -0.000 | -0.000 |
| -0.001 | -0.001 | -0.001 | 0.000 | -43.712 | -0.000 |
| -0.001 | -0.001 | -0.001 | 0.000 | -0.000 | -43.712 |
| 261.368 | 236.113 | 236.113 | 0.000 | -0.000 | 0.000 |
| 236.113 | 261.368 | 236.113 | -0.000 | -0.000 | 0.000 |
| 236.113 | 236.113 | 261.368 | -0.000 | 0.000 | 0.000 |
| 0.001 | 0.001 | 0.001 | -43.712 | 0.000 | 0.000 |
| 0.001 | 0.001 | 0.001 | -0.000 | -43.712 | 0.000 |
| 0.001 | 0.001 | 0.001 | -0.000 | 0.000 | -43.712 |
| 260.993 | 235.676 | 235.676 | 0.000 | -0.000 | -0.000 |
| 235.676 | 260.993 | 235.676 | 0.000 | 0.000 | -0.000 |
| 235.676 | 235.676 | 260.993 | 0.000 | 0.000 | -0.000 |
| -0.011 | -0.013 | -0.013 | -43.712 | -0.000 | -0.000 |
| -0.013 | -0.011 | -0.013 | 0.000 | -43.712 | -0.000 |
| -0.013 | -0.013 | -0.011 | 0.000 | 0.000 | -43.712 |
| 261.711 | 236.452 | 236.452 | -0.000 | 0.000 | 0.000 |
| 236.452 | 261.711 | 236.452 | 0.000 | -0.000 | 0.000 |
| 236.452 | 236.452 | 261.711 | -0.000 | 0.000 | 0.000 |
| 0.011 | 0.013 | 0.013 | -43.712 | -0.000 | 0.000 |
| 0.013 | 0.011 | 0.013 | -0.000 | -43.712 | 0.000 |
| 0.013 | 0.013 | 0.011 | -0.000 | -0.000 | -43.712 |
| 372076.896 | 245659.634 | 245659.636 | -0.001 | 0.001 | -0.001 |
| 245659.636 | 372076.894 | 245659.638 | 0.000 | -0.002 | -0.001 |
| 245659.636 | 245659.633 | 372076.896 | 0.001 | -0.001 | -0.001 |
| -0.012 | 0.006 | 0.011 | 96195.071 | -0.000 | -0.001 |
| 0.008 | -0.012 | 0.008 | -0.001 | 96195.071 | -0.000 |
| 0.008 | 0.007 | -0.009 | -0.000 | -0.000 | 96195.070 |
| 510176.308 | 176609.848 | 176609.854 | -0.001 | 0.002 | 0.000 |
| 176609.852 | 510176.310 | 176609.847 | -0.002 | 0.000 | 0.001 |
| 176609.846 | 176609.854 | 510176.306 | -0.001 | -0.001 | 0.001 |
| 0.013 | -0.006 | -0.011 | 96195.073 | 0.000 | 0.001 |
| -0.008 | 0.013 | -0.009 | 0.001 | 96195.073 | 0.001 |
| -0.008 | -0.007 | 0.010 | -0.001 | 0.000 | 96195.073 |
| 372077.482 | 245659.775 | 245659.775 | -0.000 | -0.000 | -0.000 |
| 245659.775 | 372077.482 | 245659.775 | -0.000 | -0.000 | -0.000 |
| 245659.775 | 245659.775 | 372077.482 | -0.000 | 0.000 | -0.000 |
| -0.152 | 0.107 | 0.119 | 96195.232 | 0.000 | -0.000 |
| 0.108 | -0.153 | 0.119 | -0.000 | 96195.232 | -0.000 |
| 0.108 | 0.119 | -0.152 | -0.000 | 0.000 | 96195.232 |
| 372076.534 | 245659.295 | 245659.294 | 0.000 | 0.000 | 0.000 |
| 245659.295 | 372076.535 | 245659.294 | 0.000 | 0.000 | 0.000 |
| 245659.295 | 245659.295 | 372076.534 | 0.000 | -0.000 | 0.000 |
| 0.152 | -0.107 | -0.119 | 96195.232 | -0.000 | 0.000 |
| -0.108 | 0.153 | -0.119 | 0.000 | 96195.232 | 0.000 |
| -0.108 | -0.119 | 0.152 | 0.000 | 0.000 | 96195.232 |
| 371780.372 | 245812.633 | 245812.633 | -0.000 | -0.000 | -0.000 |
| 245812.633 | 371780.372 | 245812.633 | -0.000 | 0.000 | -0.000 |
| 245812.633 | 245812.633 | 371780.372 | -0.000 | -0.000 | -0.000 |
| -1.895 | 1.255 | 1.384 | 96195.233 | -0.000 | -0.000 |
| 1.255 | -1.895 | 1.384 | -0.000 | 96195.233 | -0.000 |
| 1.255 | 1.384 | -1.895 | -0.000 | -0.000 | 96195.233 |
| 372072.297 | 245657.116 | 245657.116 | -0.000 | 0.000 | 0.000 |
| 245657.116 | 372072.297 | 245657.116 | -0.000 | 0.000 | 0.000 |
| 245657.116 | 245657.116 | 372072.297 | 0.000 | -0.000 | 0.000 |
| 1.895 | -1.255 | -1.384 | 96195.233 | 0.000 | 0.000 |
| -1.255 | 1.895 | -1.384 | 0.000 | 96195.233 | 0.000 |
| -1.255 | -1.384 | 1.895 | -0.000 | -0.000 | 96195.233 |
| 47.227 | 14.017 | 14.017 | 0.000 | -0.000 | -0.000 |
| 14.017 | 47.227 | 14.017 | 0.000 | 0.000 | -0.000 |
| 14.017 | 14.017 | 47.227 | -0.000 | -0.000 | -0.000 |
| 0.000 | -0.000 | -0.000 | 12.472 | 0.000 | -0.000 |
| -0.000 | -0.000 | -0.000 | 0.000 | 12.472 | -0.000 |
| -0.000 | -0.000 | -0.000 | 0.000 | -0.000 | 12.472 |
| 47.227 | 14.017 | 14.017 | -0.000 | -0.000 | 0.000 |
| 14.017 | 47.227 | 14.017 | -0.000 | 0.000 | 0.000 |
| 14.017 | 14.017 | 47.227 | -0.000 | -0.000 | 0.000 |
| 0.000 | 0.000 | 0.000 | 12.472 | -0.000 | 0.000 |
| 0.000 | 0.000 | 0.000 | -0.000 | 12.472 | 0.000 |
| 0.000 | 0.000 | 0.000 | -0.000 | 0.000 | 12.472 |
| 47.227 | 14.017 | 14.017 | 0.000 | 0.000 | -0.000 |
| 14.017 | 47.227 | 14.017 | 0.000 | 0.000 | -0.000 |
| 14.017 | 14.017 | 47.227 | 0.000 | -0.000 | -0.000 |
| -0.000 | -0.000 | -0.000 | 15.617 | 0.000 | -0.000 |
| -0.000 | -0.000 | -0.000 | 0.000 | 15.617 | -0.000 |
| -0.000 | -0.000 | -0.000 | 0.000 | -0.000 | 15.617 |
| 47.227 | 14.017 | 14.017 | -0.000 | 0.000 | 0.000 |
| 14.017 | 47.227 | 14.017 | -0.000 | -0.000 | 0.000 |
| 14.017 | 14.017 | 47.227 | -0.000 | 0.000 | 0.000 |
| 0.000 | 0.000 | 0.000 | 15.617 | -0.000 | 0.000 |
| 0.000 | 0.000 | 0.000 | -0.000 | 15.617 | 0.000 |
| 0.000 | 0.000 | 0.000 | -0.000 | -0.000 | 15.617 |
| 47.227 | 14.017 | 14.017 | 0.000 | 0.000 | -0.000 |
| 14.017 | 47.227 | 14.017 | 0.000 | -0.000 | -0.000 |
| 14.017 | 14.017 | 47.227 | 0.000 | 0.000 | -0.000 |
| -0.000 | -0.000 | -0.000 | 12.472 | -0.000 | -0.000 |
| -0.000 | -0.000 | -0.000 | 0.000 | 12.472 | -0.000 |
| -0.000 | -0.000 | -0.000 | 0.000 | 0.000 | 12.472 |
| 47.227 | 14.017 | 14.017 | -0.000 | 0.000 | 0.000 |
| 14.017 | 47.227 | 14.017 | -0.000 | -0.000 | 0.000 |
| 14.017 | 14.017 | 47.227 | -0.000 | -0.000 | 0.000 |
| 0.000 | 0.000 | 0.000 | 12.472 | -0.000 | 0.000 |
| 0.000 | 0.000 | 0.000 | -0.000 | 12.472 | 0.000 |
| 0.000 | 0.000 | 0.000 | -0.000 | -0.000 | 12.472 |
| 7164.786 | 6711.002 | 6711.002 | -0.000 | 0.000 | -0.000 |
| 6711.002 | 7164.786 | 6711.002 | -0.000 | -0.000 | -0.000 |
| 6711.002 | 6711.002 | 7164.786 | -0.000 | -0.000 | -0.000 |
| -0.000 | -0.001 | -0.001 | -6.366 | -0.000 | -0.000 |
| -0.001 | -0.000 | -0.001 | -0.000 | -6.366 | -0.000 |
| -0.001 | -0.001 | -0.000 | -0.000 | -0.000 | -6.366 |
| 7165.151 | 6710.822 | 6710.822 | 0.000 | 0.000 | 0.000 |
| 6710.822 | 7165.151 | 6710.822 | 0.000 | 0.000 | 0.000 |
| 6710.822 | 6710.822 | 7165.151 | 0.000 | 0.000 | 0.000 |
| 0.000 | 0.001 | 0.001 | -6.366 | 0.000 | 0.000 |
| 0.001 | 0.000 | 0.001 | 0.000 | -6.366 | 0.000 |
| 0.001 | 0.001 | 0.000 | 0.000 | 0.000 | -6.366 |
| 7164.926 | 6710.922 | 6710.922 | 0.000 | 0.000 | 0.000 |
| 6710.922 | 7164.926 | 6710.922 | 0.000 | 0.000 | 0.000 |
| 6710.922 | 6710.922 | 7164.926 | 0.000 | 0.000 | 0.000 |
| -0.002 | -0.008 | -0.008 | -6.370 | -0.000 | -0.000 |
| -0.008 | -0.002 | -0.008 | -0.000 | -6.370 | -0.000 |
| -0.008 | -0.008 | -0.002 | -0.000 | -0.000 | -6.370 |
| 7165.011 | 6710.902 | 6710.902 | -0.000 | 0.000 | 0.000 |
| 6710.902 | 7165.011 | 6710.902 | 0.000 | -0.000 | -0.000 |
| 6710.902 | 6710.902 | 7165.011 | -0.000 | -0.000 | -0.000 |
| 0.002 | 0.008 | 0.008 | -6.370 | 0.000 | 0.000 |
| 0.008 | 0.002 | 0.008 | 0.000 | -6.370 | 0.000 |
| 0.008 | 0.008 | 0.002 | 0.000 | 0.000 | -6.370 |
| 7146.493 | 6720.037 | 6720.037 | -0.000 | -0.000 | -0.000 |
| 6720.037 | 7146.493 | 6720.037 | -0.000 | -0.000 | -0.000 |
| 6720.037 | 6720.037 | 7146.493 | -0.000 | -0.000 | -0.000 |
| 0.016 | -0.098 | -0.098 | -6.366 | -0.000 | -0.000 |
| -0.098 | 0.016 | -0.098 | -0.000 | -6.366 | 0.000 |
| -0.098 | -0.098 | 0.016 | -0.000 | -0.000 | -6.366 |
| 7165.393 | 6710.811 | 6710.811 | -0.000 | -0.000 | 0.000 |
| 6710.811 | 7165.393 | 6710.811 | -0.000 | -0.000 | -0.000 |
| 6710.811 | 6710.811 | 7165.393 | -0.000 | -0.000 | -0.000 |
| -0.016 | 0.098 | 0.098 | -6.366 | 0.000 | 0.000 |
| 0.098 | -0.016 | 0.098 | 0.000 | -6.366 | -0.000 |
| 0.098 | 0.098 | -0.016 | 0.000 | 0.000 | -6.366 |
| 56.405 | 12.096 | 12.096 | 0.000 | 0.000 | -0.000 |
| 12.096 | 56.405 | 12.096 | 0.000 | -0.000 | -0.000 |
| 12.096 | 12.096 | 56.405 | 0.000 | 0.000 | -0.000 |
| 0.000 | -0.000 | -0.000 | 0.372 | -0.000 | -0.000 |
| -0.000 | 0.000 | -0.000 | 0.000 | 0.372 | -0.000 |
| -0.000 | -0.000 | 0.000 | -0.000 | -0.000 | 0.372 |
| 56.405 | 12.096 | 12.096 | 0.000 | 0.000 | 0.000 |
| 12.096 | 56.405 | 12.096 | -0.000 | 0.000 | 0.000 |
| 12.096 | 12.096 | 56.405 | -0.000 | 0.000 | 0.000 |
| -0.000 | 0.000 | 0.000 | 0.372 | 0.000 | -0.000 |
| 0.000 | -0.000 | 0.000 | -0.000 | 0.372 | 0.000 |
| 0.000 | 0.000 | -0.000 | -0.000 | 0.000 | 0.372 |
| 56.405 | 12.096 | 12.096 | 0.000 | 0.000 | -0.000 |
| 12.096 | 56.405 | 12.096 | 0.000 | -0.000 | -0.000 |
| 12.096 | 12.096 | 56.405 | 0.000 | -0.000 | -0.000 |
| 0.000 | -0.000 | -0.000 | 0.372 | 0.000 | -0.000 |
| -0.000 | 0.000 | -0.000 | 0.000 | 0.372 | -0.000 |
| -0.000 | -0.000 | 0.000 | -0.000 | -0.000 | 0.372 |
| 56.405 | 12.096 | 12.096 | -0.000 | -0.000 | 0.000 |
| 12.096 | 56.405 | 12.096 | -0.000 | 0.000 | 0.000 |
| 12.096 | 12.096 | 56.405 | 0.000 | -0.000 | 0.000 |
| -0.000 | 0.000 | 0.000 | 0.372 | 0.000 | 0.000 |
| 0.000 | -0.000 | 0.000 | 0.000 | 0.372 | 0.000 |
| 0.000 | 0.000 | -0.000 | -0.000 | 0.000 | 0.372 |
| 56.405 | 12.096 | 12.096 | 0.000 | 0.000 | -0.000 |
| 12.096 | 56.405 | 12.096 | 0.000 | -0.000 | -0.000 |
| 12.096 | 12.096 | 56.405 | 0.000 | -0.000 | -0.000 |
| 0.000 | -0.000 | -0.000 | 0.372 | 0.000 | 0.000 |
| -0.000 | 0.000 | -0.000 | 0.000 | 0.372 | -0.000 |
| -0.000 | -0.000 | 0.000 | -0.000 | -0.000 | 0.372 |
| 56.405 | 12.096 | 12.096 | -0.000 | 0.000 | 0.000 |
| 12.096 | 56.405 | 12.096 | -0.000 | 0.000 | 0.000 |
| 12.096 | 12.096 | 56.405 | -0.000 | 0.000 | 0.000 |
| -0.000 | 0.000 | 0.000 | 0.372 | 0.000 | 0.000 |
| 0.000 | -0.000 | 0.000 | -0.000 | 0.372 | 0.000 |
| 0.000 | 0.000 | -0.000 | -0.000 | 0.000 | 0.372 |
| 195.232 | -0.000 | -0.000 | 0.000 | 0.000 | -0.000 |
| -0.000 | 195.232 | -0.000 | -0.000 | 0.000 | 0.000 |
| -0.000 | -0.000 | 195.232 | 0.000 | -0.000 | 0.000 |
| -0.000 | -0.000 | -0.000 | -0.000 | -0.000 | -0.000 |
| -0.000 | -0.000 | -0.000 | -0.000 | -0.000 | -0.000 |
| -0.000 | -0.000 | -0.000 | 0.000 | 0.000 | -0.000 |
| 195.232 | 0.000 | 0.000 | -0.000 | -0.000 | 0.000 |
| 0.000 | 195.232 | 0.000 | 0.000 | -0.000 | 0.000 |
| 0.000 | 0.000 | 195.232 | -0.000 | 0.000 | -0.000 |
| 0.000 | 0.000 | 0.000 | -0.000 | 0.000 | 0.000 |
| 0.000 | 0.000 | 0.000 | 0.000 | -0.000 | -0.000 |
| 0.000 | 0.000 | 0.000 | -0.000 | 0.000 | -0.000 |
| 195.232 | -0.000 | -0.000 | 0.000 | 0.000 | 0.000 |
| -0.000 | 195.232 | -0.000 | 0.000 | 0.000 | -0.000 |
| -0.000 | -0.000 | 195.232 | -0.000 | -0.000 | 0.000 |
| -0.000 | -0.000 | -0.000 | 0.000 | -0.000 | -0.000 |
| -0.000 | -0.000 | -0.000 | 0.000 | 0.000 | -0.000 |
| -0.000 | -0.000 | -0.000 | -0.000 | 0.000 | 0.000 |
| 195.232 | -0.000 | -0.000 | 0.000 | -0.000 | -0.000 |
| -0.000 | 195.232 | -0.000 | 0.000 | -0.000 | -0.000 |
| -0.000 | -0.000 | 195.232 | 0.000 | -0.000 | -0.000 |
| 0.000 | 0.000 | 0.000 | 0.000 | -0.000 | 0.000 |
| 0.000 | 0.000 | 0.000 | -0.000 | 0.000 | 0.000 |
| 0.000 | 0.000 | 0.000 | -0.000 | -0.000 | 0.000 |
| 195.235 | -0.000 | -0.000 | 0.000 | -0.000 | -0.000 |
| -0.000 | 195.235 | -0.000 | -0.000 | 0.000 | 0.000 |
| -0.000 | -0.000 | 195.235 | 0.000 | -0.000 | 0.000 |
| -0.000 | 0.000 | -0.000 | 0.000 | -0.000 | -0.000 |
| -0.000 | -0.000 | -0.000 | -0.000 | 0.000 | 0.000 |
| 0.000 | -0.000 | -0.000 | 0.000 | 0.000 | 0.000 |
| 195.229 | -0.000 | -0.000 | -0.000 | -0.000 | 0.000 |
| -0.000 | 195.229 | -0.000 | 0.000 | -0.000 | 0.000 |
| -0.000 | -0.000 | 195.229 | 0.000 | 0.000 | -0.000 |
| 0.000 | 0.000 | 0.000 | 0.000 | 0.000 | -0.000 |
| 0.000 | 0.000 | 0.000 | 0.000 | 0.000 | -0.000 |
| 0.000 | 0.000 | 0.000 | -0.000 | -0.000 | 0.000 |
| 29.923 | -0.000 | -0.000 | -0.000 | -0.000 | -0.000 |
| -0.000 | 29.923 | -0.000 | -0.000 | -0.000 | 0.000 |
| -0.000 | -0.000 | 29.923 | 0.000 | -0.000 | 0.000 |
| -0.000 | -0.000 | -0.000 | 0.000 | -0.000 | 0.000 |
| -0.000 | -0.000 | -0.000 | 0.000 | 0.000 | 0.000 |
| -0.000 | -0.000 | -0.000 | -0.000 | -0.000 | 0.000 |
| 29.923 | 0.000 | 0.000 | 0.000 | 0.000 | -0.000 |
| 0.000 | 29.923 | 0.000 | 0.000 | 0.000 | 0.000 |
| 0.000 | 0.000 | 29.923 | 0.000 | -0.000 | -0.000 |
| 0.000 | 0.000 | 0.000 | 0.000 | 0.000 | -0.000 |
| 0.000 | 0.000 | 0.000 | -0.000 | 0.000 | -0.000 |
| 0.000 | 0.000 | 0.000 | 0.000 | 0.000 | 0.000 |
| 29.923 | -0.000 | -0.000 | -0.000 | -0.000 | -0.000 |
| -0.000 | 29.923 | -0.000 | -0.000 | -0.000 | -0.000 |
| -0.000 | -0.000 | 29.923 | -0.000 | -0.000 | 0.000 |
| -0.000 | -0.000 | -0.000 | 0.000 | -0.000 | 0.000 |
| -0.000 | -0.000 | -0.000 | -0.000 | 0.000 | 0.000 |
| -0.000 | -0.000 | -0.000 | -0.000 | -0.000 | 0.000 |
| 29.923 | 0.000 | 0.000 | 0.000 | -0.000 | 0.000 |
| 0.000 | 29.923 | 0.000 | 0.000 | 0.000 | -0.000 |
| 0.000 | 0.000 | 29.923 | 0.000 | -0.000 | -0.000 |
| 0.000 | 0.000 | 0.000 | 0.000 | 0.000 | -0.000 |
| 0.000 | 0.000 | 0.000 | 0.000 | 0.000 | -0.000 |
| 0.000 | 0.000 | 0.000 | 0.000 | 0.000 | 0.000 |
| 29.923 | -0.000 | -0.000 | -0.000 | -0.000 | 0.000 |
| -0.000 | 29.923 | -0.000 | 0.000 | -0.000 | -0.000 |
| -0.000 | -0.000 | 29.923 | -0.000 | -0.000 | 0.000 |
| -0.000 | -0.000 | -0.000 | 0.000 | -0.000 | 0.000 |
| -0.000 | -0.000 | -0.000 | -0.000 | 0.000 | 0.000 |
| -0.000 | -0.000 | -0.000 | -0.000 | -0.000 | 0.000 |
| 29.922 | 0.000 | 0.000 | 0.000 | 0.000 | -0.000 |
| 0.000 | 29.922 | 0.000 | 0.000 | 0.000 | -0.000 |
| 0.000 | 0.000 | 29.922 | -0.000 | 0.000 | -0.000 |
| 0.000 | 0.000 | 0.000 | 0.000 | 0.000 | -0.000 |
| 0.000 | 0.000 | 0.000 | 0.000 | 0.000 | -0.000 |
| 0.000 | 0.000 | 0.000 | 0.000 | 0.000 | 0.000 |
| 779.042 | 722.017 | 722.017 | -0.000 | 0.000 | -0.000 |
| 722.017 | 779.042 | 722.017 | -0.000 | 0.000 | -0.000 |
| 722.017 | 722.017 | 779.042 | 0.000 | 0.000 | -0.000 |
| -0.000 | -0.000 | -0.000 | -16.186 | 0.000 | -0.000 |
| -0.000 | -0.000 | -0.000 | -0.000 | -16.186 | -0.000 |
| -0.000 | -0.000 | -0.000 | -0.000 | 0.000 | -16.186 |
| 779.015 | 721.989 | 721.989 | 0.000 | -0.000 | 0.000 |
| 721.989 | 779.015 | 721.989 | 0.000 | -0.000 | -0.000 |
| 721.989 | 721.989 | 779.015 | 0.000 | 0.000 | 0.000 |
| 0.000 | 0.000 | 0.000 | -16.186 | -0.000 | 0.000 |
| 0.000 | 0.000 | 0.000 | 0.000 | -16.186 | -0.000 |
| 0.000 | 0.000 | 0.000 | 0.000 | -0.000 | -16.186 |
| 779.166 | 722.141 | 722.141 | -0.000 | 0.000 | -0.000 |
| 722.141 | 779.166 | 722.141 | -0.000 | -0.000 | -0.000 |
| 722.141 | 722.141 | 779.166 | -0.000 | 0.000 | 0.000 |
| -0.000 | -0.000 | -0.000 | -16.186 | -0.000 | -0.000 |
| -0.000 | -0.000 | -0.000 | -0.000 | -16.186 | -0.000 |
| -0.000 | -0.000 | -0.000 | -0.000 | -0.000 | -16.186 |
| 778.891 | 721.865 | 721.865 | 0.000 | -0.000 | -0.000 |
| 721.865 | 778.891 | 721.865 | -0.000 | 0.000 | 0.000 |
| 721.865 | 721.865 | 778.891 | 0.000 | -0.000 | 0.000 |
| 0.000 | 0.000 | 0.000 | -16.186 | 0.000 | -0.000 |
| 0.000 | 0.000 | 0.000 | 0.000 | -16.186 | 0.000 |
| 0.000 | 0.000 | 0.000 | -0.000 | -0.000 | -16.186 |
| 780.405 | 723.382 | 723.382 | -0.000 | 0.000 | 0.000 |
| 723.382 | 780.405 | 723.382 | -0.000 | 0.000 | -0.000 |
| 723.382 | 723.382 | 780.405 | -0.000 | 0.000 | -0.000 |
| -0.000 | -0.000 | -0.000 | -16.186 | 0.000 | -0.000 |
| -0.000 | -0.000 | -0.000 | -0.000 | -16.186 | -0.000 |
| -0.000 | -0.000 | -0.000 | -0.000 | 0.000 | -16.186 |
| 777.652 | 720.624 | 720.624 | 0.000 | -0.000 | 0.000 |
| 720.624 | 777.652 | 720.624 | 0.000 | -0.000 | -0.000 |
| 720.624 | 720.624 | 777.652 | 0.000 | 0.000 | 0.000 |
| 0.000 | 0.000 | 0.000 | -16.186 | -0.000 | 0.000 |
| 0.000 | 0.000 | 0.000 | 0.000 | -16.186 | 0.000 |
| 0.000 | 0.000 | 0.000 | 0.000 | -0.000 | -16.186 |
| 61.883 | 9.682 | 9.682 | 0.000 | 0.000 | 0.000 |
| 9.682 | 61.883 | 9.682 | 0.000 | -0.000 | 0.000 |
| 9.682 | 9.682 | 61.883 | 0.000 | 0.000 | 0.000 |
| 0.000 | 0.000 | 0.000 | 10.712 | 0.000 | -0.000 |
| 0.000 | 0.000 | 0.000 | 0.000 | 10.712 | 0.000 |
| 0.000 | 0.000 | 0.000 | 0.000 | -0.000 | 10.712 |
| 61.883 | 9.682 | 9.682 | -0.000 | 0.000 | -0.000 |
| 9.682 | 61.883 | 9.682 | -0.000 | -0.000 | -0.000 |
| 9.682 | 9.682 | 61.883 | -0.000 | 0.000 | -0.000 |
| -0.000 | -0.000 | -0.000 | 10.712 | -0.000 | -0.000 |
| -0.000 | -0.000 | -0.000 | -0.000 | 10.712 | -0.000 |
| -0.000 | -0.000 | -0.000 | -0.000 | 0.000 | 10.712 |
| 61.883 | 9.682 | 9.682 | 0.000 | -0.000 | 0.000 |
| 9.682 | 61.883 | 9.682 | 0.000 | 0.000 | 0.000 |
| 9.682 | 9.682 | 61.883 | 0.000 | -0.000 | 0.000 |
| 0.000 | 0.000 | 0.000 | 10.712 | 0.000 | 0.000 |
| 0.000 | 0.000 | 0.000 | 0.000 | 10.712 | 0.000 |
| 0.000 | 0.000 | 0.000 | 0.000 | -0.000 | 10.712 |
| 61.883 | 9.682 | 9.682 | -0.000 | 0.000 | -0.000 |
| 9.682 | 61.883 | 9.682 | -0.000 | 0.000 | -0.000 |
| 9.682 | 9.682 | 61.883 | -0.000 | 0.000 | -0.000 |
| -0.000 | -0.000 | -0.000 | 10.712 | 0.000 | -0.000 |
| -0.000 | -0.000 | -0.000 | -0.000 | 10.712 | -0.000 |
| -0.000 | -0.000 | -0.000 | -0.000 | 0.000 | 10.712 |
| 61.883 | 9.683 | 9.683 | 0.000 | -0.000 | 0.000 |
| 9.683 | 61.883 | 9.683 | 0.000 | 0.000 | 0.000 |
| 9.683 | 9.683 | 61.883 | 0.000 | 0.000 | 0.000 |
| 0.000 | 0.000 | 0.000 | 10.712 | -0.000 | 0.000 |
| 0.000 | 0.000 | 0.000 | 0.000 | 10.712 | 0.000 |
| 0.000 | 0.000 | 0.000 | 0.000 | -0.000 | 10.712 |
| 61.883 | 9.682 | 9.682 | -0.000 | 0.000 | -0.000 |
| 9.682 | 61.883 | 9.682 | -0.000 | -0.000 | -0.000 |
| 9.682 | 9.682 | 61.883 | -0.000 | 0.000 | -0.000 |
| -0.000 | -0.000 | -0.000 | 10.712 | 0.000 | -0.000 |
| -0.000 | -0.000 | -0.000 | -0.000 | 10.712 | -0.000 |
| -0.000 | -0.000 | -0.000 | -0.000 | -0.000 | 10.712 |
| 12.282 | 14.678 | 14.678 | -0.000 | -0.000 | -0.000 |
| 14.678 | 12.282 | 14.678 | 0.000 | -0.000 | -0.000 |
| 14.678 | 14.678 | 12.282 | -0.000 | -0.000 | -0.000 |
| -0.000 | -0.000 | -0.000 | 14.730 | -0.000 | -0.000 |
| -0.000 | -0.000 | -0.000 | -0.000 | 14.730 | -0.000 |
| -0.000 | -0.000 | -0.000 | -0.000 | -0.000 | 14.730 |
| 12.282 | 14.678 | 14.678 | 0.000 | 0.000 | 0.000 |
| 14.678 | 12.282 | 14.678 | 0.000 | 0.000 | 0.000 |
| 14.678 | 14.678 | 12.282 | 0.000 | 0.000 | 0.000 |
| 0.000 | 0.000 | 0.000 | 14.730 | 0.000 | 0.000 |
| 0.000 | 0.000 | 0.000 | 0.000 | 14.730 | 0.000 |
| 0.000 | 0.000 | 0.000 | 0.000 | 0.000 | 14.730 |
| 12.282 | 14.678 | 14.678 | 0.000 | 0.000 | -0.000 |
| 14.678 | 12.282 | 14.678 | -0.000 | 0.000 | -0.000 |
| 14.678 | 14.678 | 12.282 | -0.000 | 0.000 | -0.000 |
| -0.000 | -0.000 | -0.000 | 14.730 | 0.000 | -0.000 |
| -0.000 | -0.000 | -0.000 | 0.000 | 14.730 | -0.000 |
| -0.000 | -0.000 | -0.000 | -0.000 | -0.000 | 14.730 |
| 12.282 | 14.678 | 14.678 | 0.000 | 0.000 | 0.000 |
| 14.678 | 12.282 | 14.678 | 0.000 | 0.000 | 0.000 |
| 14.678 | 14.678 | 12.282 | -0.000 | 0.000 | 0.000 |
| 0.000 | 0.000 | 0.000 | 14.730 | 0.000 | 0.000 |
| 0.000 | 0.000 | 0.000 | 0.000 | 14.730 | 0.000 |
| 0.000 | 0.000 | 0.000 | 0.000 | 0.000 | 14.730 |
| 12.281 | 14.678 | 14.678 | -0.000 | -0.000 | -0.000 |
| 14.678 | 12.281 | 14.678 | -0.000 | -0.000 | -0.000 |
| 14.678 | 14.678 | 12.281 | -0.000 | -0.000 | 0.000 |
| -0.000 | -0.000 | -0.000 | 14.730 | -0.000 | -0.000 |
| -0.000 | -0.000 | -0.000 | 0.000 | 14.730 | -0.000 |
| -0.000 | -0.000 | -0.000 | -0.000 | -0.000 | 14.730 |
| 12.283 | 14.678 | 14.678 | 0.000 | 0.000 | 0.000 |
| 14.678 | 12.283 | 14.678 | 0.000 | 0.000 | 0.000 |
| 14.678 | 14.678 | 12.283 | 0.000 | 0.000 | 0.000 |
| 0.000 | 0.000 | 0.000 | 14.730 | 0.000 | 0.000 |
| 0.000 | 0.000 | 0.000 | 0.000 | 14.730 | 0.000 |
| 0.000 | 0.000 | 0.000 | 0.000 | 0.000 | 14.730 |
| 7722.873 | 7722.872 | 7722.872 | 0.000 | 0.000 | -0.000 |
| 7722.872 | 7722.873 | 7722.872 | 0.000 | 0.000 | -0.000 |
| 7722.872 | 7722.872 | 7722.873 | 0.000 | 0.000 | 0.000 |
| 0.000 | 0.000 | 0.000 | 7723.051 | 0.000 | 0.000 |
| 0.000 | 0.000 | 0.000 | 0.000 | 7723.051 | 0.000 |
| 0.000 | 0.000 | 0.000 | 0.000 | -0.000 | 7723.051 |
| 7722.872 | 7722.871 | 7722.871 | -0.000 | -0.000 | 0.000 |
| 7722.871 | 7722.872 | 7722.871 | -0.000 | -0.000 | 0.000 |
| 7722.871 | 7722.871 | 7722.872 | -0.000 | -0.000 | -0.000 |
| -0.000 | -0.000 | -0.000 | 7723.051 | -0.000 | 0.000 |
| -0.000 | -0.000 | -0.000 | -0.000 | 7723.051 | 0.000 |
| -0.000 | -0.000 | -0.000 | -0.000 | 0.000 | 7723.051 |
| 7722.876 | 7722.877 | 7722.877 | 0.000 | 0.000 | 0.000 |
| 7722.877 | 7722.876 | 7722.877 | 0.000 | 0.000 | 0.000 |
| 7722.877 | 7722.877 | 7722.876 | 0.000 | 0.000 | 0.000 |
| 0.005 | 0.003 | 0.005 | 7723.051 | 0.000 | 0.000 |
| 0.003 | 0.005 | 0.005 | 0.000 | 7723.051 | 0.000 |
| 0.003 | 0.005 | 0.005 | 0.000 | 0.000 | 7723.051 |
| 7722.868 | 7722.866 | 7722.866 | -0.000 | -0.000 | 0.000 |
| 7722.866 | 7722.868 | 7722.866 | -0.000 | -0.000 | 0.000 |
| 7722.866 | 7722.866 | 7722.868 | -0.000 | -0.000 | 0.000 |
| -0.005 | -0.003 | -0.005 | 7723.051 | -0.000 | 0.000 |
| -0.003 | -0.005 | -0.005 | -0.000 | 7723.051 | 0.000 |
| -0.003 | -0.005 | -0.005 | -0.000 | -0.000 | 7723.051 |
| 7722.912 | 7722.927 | 7722.927 | 0.000 | 0.000 | -0.000 |
| 7722.927 | 7722.912 | 7722.927 | 0.000 | 0.000 | -0.000 |
| 7722.927 | 7722.927 | 7722.912 | 0.000 | 0.000 | 0.000 |
| 0.048 | 0.032 | 0.048 | 7723.051 | 0.000 | 0.000 |
| 0.032 | 0.048 | 0.048 | 0.000 | 7723.051 | 0.000 |
| 0.032 | 0.048 | 0.048 | -0.000 | -0.000 | 7723.051 |
| 7722.832 | 7722.816 | 7722.816 | -0.000 | -0.000 | -0.000 |
| 7722.816 | 7722.832 | 7722.816 | -0.000 | -0.000 | -0.000 |
| 7722.816 | 7722.816 | 7722.832 | -0.000 | -0.000 | -0.000 |
| -0.048 | -0.032 | -0.048 | 7723.051 | -0.000 | 0.000 |
| -0.032 | -0.048 | -0.048 | -0.000 | 7723.051 | 0.000 |
| -0.032 | -0.048 | -0.048 | -0.000 | 0.000 | 7723.051 |
| 26.242 | 26.238 | 26.238 | -0.000 | -0.000 | -0.000 |
| 26.238 | 26.242 | 26.238 | -0.000 | -0.000 | -0.000 |
| 26.238 | 26.238 | 26.242 | -0.000 | -0.000 | -0.000 |
| 0.000 | 0.000 | 0.000 | 26.105 | -0.000 | -0.000 |
| 0.000 | 0.000 | 0.000 | -0.000 | 26.105 | -0.000 |
| 0.000 | 0.000 | 0.000 | -0.000 | -0.000 | 26.105 |
| 26.242 | 26.238 | 26.238 | 0.000 | 0.000 | 0.000 |
| 26.238 | 26.242 | 26.238 | 0.000 | 0.000 | 0.000 |
| 26.238 | 26.238 | 26.242 | 0.000 | 0.000 | 0.000 |
| -0.000 | -0.000 | -0.000 | 26.105 | 0.000 | 0.000 |
| -0.000 | -0.000 | -0.000 | 0.000 | 26.105 | 0.000 |
| -0.000 | -0.000 | -0.000 | 0.000 | -0.000 | 26.105 |
| 26.242 | 26.238 | 26.238 | 0.000 | -0.000 | -0.000 |
| 26.238 | 26.242 | 26.238 | -0.000 | 0.000 | -0.000 |
| 26.238 | 26.238 | 26.242 | 0.000 | 0.000 | 0.000 |
| 0.000 | 0.000 | 0.000 | 26.105 | -0.000 | 0.000 |
| 0.000 | 0.000 | 0.000 | -0.000 | 26.105 | 0.000 |
| 0.000 | 0.000 | 0.000 | -0.000 | -0.000 | 26.105 |
| 26.242 | 26.238 | 26.238 | 0.000 | 0.000 | 0.000 |
| 26.238 | 26.242 | 26.238 | 0.000 | 0.000 | 0.000 |
| 26.238 | 26.238 | 26.242 | 0.000 | 0.000 | 0.000 |
| -0.000 | -0.000 | -0.000 | 26.105 | 0.000 | 0.000 |
| -0.000 | -0.000 | -0.000 | 0.000 | 26.105 | 0.000 |
| -0.000 | -0.000 | -0.000 | 0.000 | -0.000 | 26.105 |
| 26.242 | 26.239 | 26.239 | -0.000 | 0.000 | -0.000 |
| 26.239 | 26.242 | 26.239 | 0.000 | -0.000 | -0.000 |
| 26.239 | 26.239 | 26.242 | -0.000 | -0.000 | -0.000 |
| 0.000 | 0.000 | 0.000 | 26.105 | -0.000 | -0.000 |
| 0.000 | 0.000 | 0.000 | -0.000 | 26.105 | -0.000 |
| 0.000 | 0.000 | 0.000 | -0.000 | -0.000 | 26.105 |
| 26.241 | 26.238 | 26.238 | 0.000 | -0.000 | 0.000 |
| 26.238 | 26.241 | 26.238 | -0.000 | 0.000 | 0.000 |
| 26.238 | 26.238 | 26.241 | -0.000 | -0.000 | -0.000 |
| -0.000 | -0.000 | -0.000 | 26.105 | 0.000 | 0.000 |
| -0.000 | -0.000 | -0.000 | 0.000 | 26.105 | 0.000 |
| -0.000 | -0.000 | -0.000 | -0.000 | 0.000 | 26.105 |
| 528.300 | 457.316 | 408.353 | 0.000 | -0.000 | 0.000 |
| 465.095 | 520.522 | 408.353 | -0.000 | 0.000 | -0.000 |
| 408.353 | 408.353 | 476.640 | -0.000 | 0.000 | -0.000 |
| -0.000 | -0.000 | -0.000 | -14.556 | 0.000 | -0.000 |
| -0.000 | -0.000 | -0.000 | 0.000 | -14.556 | 0.000 |
| 0.000 | 0.000 | 0.000 | -0.000 | 0.000 | 35.492 |
| 520.515 | 465.088 | 408.346 | 0.000 | -0.000 | 0.000 |
| 457.310 | 528.294 | 408.346 | 0.000 | -0.000 | -0.000 |
| 408.346 | 408.346 | 476.633 | 0.000 | -0.000 | 0.000 |
| 0.000 | 0.000 | 0.000 | -14.556 | 0.000 | 0.000 |
| 0.000 | 0.000 | 0.000 | 0.000 | -14.556 | -0.000 |
| -0.000 | -0.000 | -0.000 | 0.000 | -0.000 | 35.492 |
| 528.330 | 457.346 | 408.383 | -0.000 | 0.000 | 0.000 |
| 457.346 | 528.330 | 408.383 | -0.000 | 0.000 | 0.000 |
| 408.383 | 408.383 | 476.671 | 0.000 | 0.000 | 0.000 |
| -0.000 | -0.000 | -0.000 | -14.556 | 0.000 | -0.000 |
| -0.000 | -0.000 | -0.000 | -0.000 | -14.556 | -0.000 |
| 0.000 | 0.000 | 0.000 | -0.000 | 0.000 | 35.492 |
| 528.264 | 457.280 | 408.317 | 0.000 | -0.000 | -0.000 |
| 457.280 | 528.264 | 408.317 | 0.000 | -0.000 | 0.000 |
| 408.316 | 408.316 | 476.603 | -0.000 | -0.000 | -0.000 |
| 0.000 | 0.000 | 0.000 | -14.556 | -0.000 | 0.000 |
| 0.000 | 0.000 | 0.000 | -0.000 | -14.556 | -0.000 |
| -0.000 | -0.000 | -0.000 | -0.000 | -0.000 | 35.492 |
| 528.630 | 457.643 | 408.679 | 0.000 | 0.000 | -0.000 |
| 465.423 | 520.851 | 408.679 | 0.000 | 0.000 | -0.000 |
| 408.683 | 408.683 | 476.977 | 0.000 | 0.000 | -0.000 |
| -0.000 | -0.000 | -0.000 | -14.556 | -0.000 | 0.000 |
| -0.000 | 0.000 | -0.000 | -0.000 | -14.556 | 0.000 |
| 0.000 | 0.001 | 0.000 | 0.000 | 0.000 | 35.492 |
| -3732958.490 | -9111276.417 | -14502921.579 | 12116.105 | -7660.947 | -214342.058 |
| 468.561 | 516.385 | 408.021 | -0.000 | -0.000 | 0.000 |
| 408.017 | 408.017 | 476.296 | -0.000 | 0.000 | -0.000 |
| 0.000 | 0.000 | 0.000 | -14.556 | -0.000 | -0.000 |
| 0.000 | -0.000 | 0.000 | -0.000 | -14.556 | 0.000 |
| -0.000 | -0.001 | -0.000 | 0.000 | -0.000 | 35.492 |
| 217.325 | 82.361 | 59.918 | 0.000 | 0.000 | -0.000 |
| 82.361 | 217.325 | 59.918 | -0.000 | 0.000 | -0.000 |
| 59.918 | 59.918 | 239.768 | 0.000 | 0.000 | -0.000 |
| -0.000 | -0.000 | -0.000 | 59.961 | 0.000 | -0.000 |
| -0.000 | 0.000 | -0.000 | 0.000 | 59.961 | -0.000 |
| -0.000 | -0.000 | -0.000 | -0.000 | 0.000 | 67.482 |
| 224.807 | 74.878 | 59.918 | 0.000 | -0.000 | -0.000 |
| 82.361 | 217.325 | 59.918 | -0.000 | -0.000 | 0.000 |
| 59.918 | 59.918 | 239.768 | 0.000 | -0.000 | 0.000 |
| 0.000 | 0.000 | 0.000 | 59.961 | -0.000 | 0.000 |
| 0.000 | -0.000 | 0.000 | -0.000 | 59.961 | -0.000 |
| 0.000 | 0.000 | 0.000 | 0.000 | -0.000 | 67.482 |
| 224.807 | 74.878 | 59.918 | -0.000 | -0.000 | -0.000 |
| 74.878 | 224.807 | 59.918 | 0.000 | 0.000 | 0.000 |
| 59.918 | 59.918 | 239.768 | -0.000 | 0.000 | 0.000 |
| -0.000 | -0.000 | -0.000 | 59.961 | 0.000 | -0.000 |
| -0.000 | -0.000 | -0.000 | 0.000 | 59.961 | -0.000 |
| -0.000 | -0.000 | -0.000 | 0.000 | -0.000 | 67.482 |
| 217.325 | 82.361 | 59.918 | 0.000 | -0.000 | 0.000 |
| 74.878 | 224.807 | 59.918 | -0.000 | -0.000 | -0.000 |
| 59.918 | 59.918 | 239.768 | -0.000 | -0.000 | 0.000 |
| 0.000 | 0.000 | 0.000 | 59.961 | -0.000 | 0.000 |
| 0.000 | 0.000 | 0.000 | -0.000 | 59.961 | 0.000 |
| 0.000 | 0.000 | 0.000 | 0.000 | -0.000 | 67.482 |
| 224.807 | 74.878 | 59.918 | -0.000 | -0.000 | -0.000 |
| 82.361 | 217.325 | 59.918 | 0.000 | 0.000 | -0.000 |
| 59.918 | 59.918 | 239.768 | 0.000 | 0.000 | -0.000 |
| -0.000 | -0.000 | -0.000 | 59.961 | 0.000 | -0.000 |
| -0.000 | -0.000 | -0.000 | 0.000 | 59.961 | -0.000 |
| -0.000 | -0.000 | -0.000 | 0.000 | 0.000 | 67.482 |
| 217.325 | 82.361 | 59.918 | -0.000 | 0.000 | 0.000 |
| 74.878 | 224.808 | 59.918 | -0.000 | -0.000 | -0.000 |
| 59.918 | 59.918 | 239.768 | -0.000 | -0.000 | 0.000 |
| 0.000 | 0.000 | 0.000 | 59.961 | -0.000 | 0.000 |
| 0.000 | 0.000 | 0.000 | -0.000 | 59.961 | 0.000 |
| 0.000 | 0.000 | 0.000 | -0.000 | -0.000 | 67.482 |
| 50531.950 | 19167.096 | 13939.607 | 0.000 | 0.000 | 0.000 |
| 19167.158 | 50531.888 | 13939.607 | 0.000 | 0.000 | 0.000 |
| 13939.608 | 13939.609 | 55759.437 | 0.000 | 0.000 | 0.000 |
| -0.000 | 0.001 | 0.001 | 13939.899 | 0.000 | 0.000 |
| 0.000 | 0.000 | 0.001 | 0.000 | 13939.899 | -0.000 |
| 0.000 | 0.002 | -0.000 | 0.000 | 0.000 | 15682.394 |
| 50531.873 | 19167.155 | 13939.606 | -0.000 | -0.000 | -0.000 |
| 19167.092 | 50531.936 | 13939.606 | -0.000 | -0.000 | -0.000 |
| 13939.605 | 13939.604 | 55759.424 | -0.000 | -0.000 | -0.000 |
| -0.000 | -0.000 | -0.001 | 13939.899 | -0.000 | -0.000 |
| -0.000 | -0.000 | -0.001 | -0.000 | 13939.899 | -0.000 |
| -0.001 | -0.002 | -0.000 | -0.000 | -0.000 | 15682.393 |
| 50492.855 | 19206.272 | 13939.612 | 0.000 | 0.000 | 0.000 |
| 19127.916 | 50571.211 | 13939.612 | 0.000 | 0.000 | 0.000 |
| 13939.626 | 13939.626 | 55759.497 | 0.000 | 0.000 | 0.000 |
| 0.003 | 0.002 | 0.016 | 13939.899 | 0.000 | 0.000 |
| 0.002 | 0.003 | 0.016 | -0.000 | 13939.899 | 0.000 |
| 0.004 | 0.021 | -0.001 | 0.000 | 0.000 | 15682.393 |
| 50531.832 | 19167.115 | 13939.602 | -0.000 | -0.000 | -0.000 |
| 19167.099 | 50531.849 | 13939.602 | -0.000 | -0.000 | -0.000 |
| 13939.587 | 13939.587 | 55759.365 | -0.000 | -0.000 | -0.000 |
| -0.003 | -0.002 | -0.016 | 13939.899 | -0.000 | -0.000 |
| -0.002 | -0.003 | -0.016 | 0.000 | 13939.899 | -0.000 |
| -0.004 | -0.021 | 0.001 | -0.000 | -0.000 | 15682.393 |
| 50532.709 | 19167.226 | 13939.656 | 0.000 | 0.000 | 0.000 |
| 19167.383 | 50532.552 | 13939.656 | 0.000 | 0.000 | 0.000 |
| 13939.799 | 13939.799 | 55760.092 | -0.000 | 0.000 | 0.000 |
| 0.040 | 0.012 | 0.158 | 13939.899 | 0.000 | 0.000 |
| 0.012 | 0.040 | 0.158 | 0.000 | 13939.899 | 0.000 |
| 0.037 | 0.210 | -0.011 | 0.000 | 0.000 | 15682.393 |
| 50528.039 | 19170.101 | 13939.557 | -0.000 | -0.000 | -0.000 |
| 19163.892 | 50534.248 | 13939.557 | -0.000 | -0.000 | -0.000 |
| 13939.414 | 13939.414 | 55758.770 | 0.000 | -0.000 | -0.000 |
| -0.040 | -0.012 | -0.158 | 13939.899 | -0.000 | -0.000 |
| -0.012 | -0.040 | -0.158 | -0.000 | 13939.899 | -0.000 |
| -0.037 | -0.210 | 0.011 | -0.000 | -0.000 | 15682.393 |
| 65.467 | 25.002 | 18.249 | 0.000 | -0.000 | -0.000 |
| 22.751 | 67.718 | 18.249 | 0.000 | 0.000 | -0.000 |
| 18.249 | 18.249 | 72.220 | 0.000 | -0.000 | -0.000 |
| 0.000 | 0.000 | 0.000 | 17.984 | -0.000 | -0.000 |
| 0.000 | 0.000 | 0.000 | -0.000 | 17.984 | -0.000 |
| 0.000 | 0.000 | 0.000 | 0.000 | 0.000 | 20.233 |
| 65.467 | 25.002 | 18.249 | -0.000 | 0.000 | 0.000 |
| 25.002 | 65.467 | 18.249 | -0.000 | 0.000 | 0.000 |
| 18.249 | 18.249 | 72.220 | 0.000 | 0.000 | 0.000 |
| -0.000 | -0.000 | -0.000 | 17.984 | 0.000 | 0.000 |
| -0.000 | -0.000 | -0.000 | 0.000 | 17.984 | -0.000 |
| -0.000 | -0.000 | -0.000 | -0.000 | 0.000 | 20.233 |
| 67.718 | 22.751 | 18.249 | 0.000 | 0.000 | 0.000 |
| 25.002 | 65.467 | 18.249 | -0.000 | -0.000 | -0.000 |
| 18.249 | 18.249 | 72.220 | -0.000 | -0.000 | -0.000 |
| 0.000 | 0.000 | 0.000 | 17.984 | -0.000 | -0.000 |
| 0.000 | 0.000 | 0.000 | 0.000 | 17.984 | -0.000 |
| 0.000 | 0.000 | 0.000 | 0.000 | -0.000 | 22.484 |
| 65.467 | 25.002 | 18.249 | -0.000 | 0.000 | 0.000 |
| 25.002 | 65.467 | 18.249 | -0.000 | 0.000 | 0.000 |
| 18.249 | 18.249 | 72.219 | 0.000 | 0.000 | 0.000 |
| -0.000 | -0.000 | -0.000 | 17.984 | 0.000 | 0.000 |
| -0.000 | -0.000 | -0.000 | -0.000 | 17.984 | 0.000 |
| -0.000 | -0.000 | -0.000 | 0.000 | 0.000 | 22.484 |
| 65.468 | 25.002 | 18.249 | 0.000 | -0.000 | -0.000 |
| 25.002 | 65.468 | 18.249 | -0.000 | -0.000 | -0.000 |
| 18.250 | 18.250 | 72.221 | -0.000 | -0.000 | -0.000 |
| 0.000 | 0.000 | 0.000 | 17.984 | -0.000 | -0.000 |
| 0.000 | 0.000 | 0.000 | 0.000 | 17.984 | -0.000 |
| 0.000 | 0.000 | -0.000 | -0.000 | -0.000 | 20.233 |
| 65.466 | 25.002 | 18.249 | 0.000 | 0.000 | 0.000 |
| 25.001 | 65.466 | 18.249 | 0.000 | 0.000 | 0.000 |
| 18.249 | 18.249 | 72.218 | 0.000 | 0.000 | 0.000 |
| -0.000 | -0.000 | -0.000 | 17.984 | 0.000 | 0.000 |
| -0.000 | -0.000 | -0.000 | -0.000 | 17.984 | 0.000 |
| -0.000 | -0.000 | 0.000 | -0.000 | 0.000 | 20.233 |
| 224.828 | 74.858 | 59.918 | 0.000 | 0.000 | 0.000 |
| 74.858 | 224.828 | 59.918 | 0.000 | 0.000 | 0.000 |
| 59.918 | 59.918 | 239.768 | -0.000 | 0.000 | 0.000 |
| 0.000 | -0.000 | -0.000 | 59.959 | 0.000 | 0.000 |
| -0.000 | -0.000 | -0.000 | 0.000 | 59.959 | 0.000 |
| -0.000 | -0.000 | 0.000 | 0.000 | 0.000 | 67.506 |
| 217.348 | 82.337 | 59.918 | -0.000 | -0.000 | -0.000 |
| 82.337 | 217.348 | 59.918 | -0.000 | -0.000 | -0.000 |
| 59.918 | 59.918 | 239.768 | -0.000 | -0.000 | -0.000 |
| -0.000 | 0.000 | 0.000 | 59.959 | -0.000 | -0.000 |
| 0.000 | 0.000 | 0.000 | -0.000 | 59.959 | 0.000 |
| 0.000 | 0.000 | -0.000 | -0.000 | -0.000 | 67.506 |
| 217.348 | 82.337 | 59.918 | 0.000 | 0.000 | 0.000 |
| 74.858 | 224.828 | 59.918 | 0.000 | 0.000 | 0.000 |
| 59.918 | 59.918 | 239.768 | 0.000 | 0.000 | 0.000 |
| -0.000 | -0.000 | -0.000 | 59.959 | 0.000 | 0.000 |
| -0.000 | -0.000 | -0.000 | 0.000 | 59.959 | 0.000 |
| -0.000 | -0.000 | -0.000 | 0.000 | 0.000 | 67.506 |
| 217.349 | 82.337 | 59.918 | -0.000 | -0.000 | -0.000 |
| 82.337 | 217.349 | 59.918 | -0.000 | -0.000 | -0.000 |
| 59.918 | 59.918 | 239.768 | -0.000 | -0.000 | -0.000 |
| 0.000 | 0.000 | 0.000 | 59.959 | -0.000 | -0.000 |
| 0.000 | 0.000 | 0.000 | -0.000 | 59.959 | -0.000 |
| 0.000 | 0.000 | 0.000 | -0.000 | -0.000 | 67.506 |
| 217.348 | 82.337 | 59.918 | -0.000 | 0.000 | 0.000 |
| 82.337 | 217.348 | 59.918 | 0.000 | 0.000 | 0.000 |
| 59.918 | 59.918 | 239.768 | 0.000 | 0.000 | 0.000 |
| -0.000 | -0.000 | -0.000 | 59.959 | 0.000 | 0.000 |
| -0.000 | -0.000 | -0.000 | 0.000 | 59.959 | -0.000 |
| -0.000 | -0.000 | -0.000 | 0.000 | 0.000 | 67.506 |
| 217.349 | 82.337 | 59.918 | -0.000 | -0.000 | -0.000 |
| 82.337 | 217.349 | 59.918 | -0.000 | -0.000 | -0.000 |
| 59.918 | 59.918 | 239.768 | -0.000 | -0.000 | -0.000 |
| 0.000 | 0.000 | 0.000 | 59.959 | -0.000 | -0.000 |
| 0.000 | 0.000 | 0.000 | -0.000 | 59.959 | -0.000 |
| 0.000 | 0.000 | 0.000 | -0.000 | -0.000 | 67.506 |
| 50468.980 | 19230.066 | 13939.607 | 0.000 | -0.000 | -0.000 |
| 19167.188 | 50531.857 | 13939.607 | 0.000 | -0.000 | -0.000 |
| 13939.608 | 13939.608 | 55759.437 | 0.000 | -0.000 | -0.000 |
| 0.000 | 0.000 | 0.002 | 13939.893 | -0.000 | -0.000 |
| 0.000 | 0.000 | 0.002 | 0.000 | 13939.893 | -0.000 |
| 0.001 | 0.002 | 0.000 | 0.000 | 0.000 | 15682.393 |
| 50531.843 | 19167.184 | 13939.605 | -0.000 | -0.000 | 0.000 |
| 19167.062 | 50531.966 | 13939.605 | -0.000 | 0.000 | 0.000 |
| 13939.604 | 13939.604 | 55759.423 | -0.000 | 0.000 | 0.000 |
| -0.000 | -0.000 | -0.002 | 13939.893 | 0.000 | 0.000 |
| -0.000 | -0.000 | -0.002 | -0.000 | 13939.893 | -0.000 |
| -0.001 | -0.002 | -0.000 | -0.000 | -0.000 | 15682.393 |
| 50531.991 | 19167.135 | 13939.611 | 0.000 | -0.000 | -0.000 |
| 19146.395 | 50552.732 | 13939.611 | 0.000 | 0.000 | -0.000 |
| 13939.626 | 13939.626 | 55759.496 | 0.000 | 0.000 | -0.000 |
| 0.004 | 0.001 | 0.016 | 13939.893 | -0.000 | -0.000 |
| 0.001 | 0.004 | 0.016 | 0.000 | 13939.893 | -0.000 |
| 0.004 | 0.021 | -0.001 | 0.000 | -0.000 | 15682.392 |
| 50552.588 | 19146.359 | 13939.601 | -0.000 | 0.000 | 0.000 |
| 19167.099 | 50531.848 | 13939.601 | -0.000 | -0.000 | 0.000 |
| 13939.587 | 13939.587 | 55759.364 | -0.000 | 0.000 | 0.000 |
| -0.004 | -0.001 | -0.016 | 13939.893 | 0.000 | 0.000 |
| -0.001 | -0.004 | -0.016 | -0.000 | 13939.893 | 0.000 |
| -0.004 | -0.021 | 0.001 | -0.000 | -0.000 | 15682.392 |
| 50532.709 | 19167.225 | 13939.656 | 0.000 | -0.000 | -0.000 |
| 19167.382 | 50532.552 | 13939.656 | 0.000 | 0.000 | -0.000 |
| 13939.799 | 13939.799 | 55760.091 | 0.000 | -0.000 | -0.000 |
| 0.040 | 0.012 | 0.158 | 13939.893 | -0.000 | -0.000 |
| 0.012 | 0.040 | 0.158 | 0.000 | 13939.893 | -0.000 |
| 0.037 | 0.210 | -0.011 | 0.000 | 0.000 | 15682.393 |
| 50524.837 | 19173.303 | 13939.557 | -0.000 | 0.000 | 0.000 |
| 19166.867 | 50531.272 | 13939.557 | -0.000 | -0.000 | 0.000 |
| 13939.413 | 13939.413 | 55758.769 | -0.000 | -0.000 | 0.000 |
| -0.040 | -0.012 | -0.158 | 13939.893 | 0.000 | 0.000 |
| -0.012 | -0.040 | -0.158 | -0.000 | 13939.893 | 0.000 |
| -0.037 | -0.210 | 0.011 | -0.000 | 0.000 | 15682.393 |
| 65.467 | 25.002 | 18.249 | -0.000 | -0.000 | 0.000 |
| 25.002 | 65.467 | 18.249 | -0.000 | 0.000 | 0.000 |
| 18.249 | 18.249 | 72.220 | -0.000 | 0.000 | 0.000 |
| 0.000 | 0.000 | 0.000 | 17.983 | 0.000 | 0.000 |
| 0.000 | 0.000 | 0.000 | 0.000 | 17.983 | 0.000 |
| 0.000 | 0.000 | 0.000 | -0.000 | -0.000 | 20.233 |
| 65.467 | 25.002 | 18.249 | 0.000 | -0.000 | -0.000 |
| 25.002 | 65.467 | 18.249 | -0.000 | -0.000 | -0.000 |
| 18.249 | 18.249 | 72.220 | -0.000 | -0.000 | -0.000 |
| -0.000 | -0.000 | -0.000 | 17.983 | -0.000 | -0.000 |
| -0.000 | -0.000 | -0.000 | -0.000 | 17.983 | -0.000 |
| -0.000 | -0.000 | -0.000 | 0.000 | 0.000 | 20.233 |
| 65.467 | 25.002 | 18.249 | 0.000 | 0.000 | 0.000 |
| 25.002 | 65.467 | 18.249 | -0.000 | 0.000 | 0.000 |
| 18.249 | 18.249 | 72.220 | -0.000 | 0.000 | 0.000 |
| 0.000 | 0.000 | 0.000 | 17.983 | 0.000 | 0.000 |
| 0.000 | 0.000 | 0.000 | -0.000 | 17.983 | 0.000 |
| 0.000 | 0.000 | -0.000 | -0.000 | -0.000 | 20.233 |
| 65.467 | 25.002 | 18.249 | -0.000 | -0.000 | -0.000 |
| 25.002 | 65.467 | 18.249 | -0.000 | -0.000 | -0.000 |
| 18.249 | 18.249 | 72.219 | -0.000 | -0.000 | -0.000 |
| -0.000 | -0.000 | -0.000 | 17.983 | -0.000 | -0.000 |
| -0.000 | -0.000 | -0.000 | 0.000 | 17.983 | -0.000 |
| -0.000 | -0.000 | 0.000 | -0.000 | -0.000 | 20.233 |
| 65.468 | 25.002 | 18.249 | 0.000 | -0.000 | 0.000 |
| 25.002 | 65.468 | 18.249 | -0.000 | 0.000 | 0.000 |
| 18.250 | 18.250 | 72.221 | -0.000 | 0.000 | 0.000 |
| 0.000 | 0.000 | 0.000 | 17.983 | 0.000 | 0.000 |
| 0.000 | 0.000 | 0.000 | -0.000 | 17.983 | 0.000 |
| 0.000 | 0.000 | -0.000 | 0.000 | 0.000 | 20.233 |
| 65.466 | 25.002 | 18.249 | -0.000 | -0.000 | -0.000 |
| 25.001 | 65.466 | 18.249 | -0.000 | -0.000 | -0.000 |
| 18.249 | 18.249 | 72.218 | -0.000 | -0.000 | -0.000 |
| -0.000 | -0.000 | -0.000 | 17.983 | -0.000 | -0.000 |
| -0.000 | -0.000 | -0.000 | -0.000 | 17.983 | -0.000 |
| -0.000 | -0.000 | 0.000 | -0.000 | -0.000 | 20.233 |
| 126.853 | 50.164 | 50.164 | 0.000 | 0.000 | 0.000 |
| 50.164 | 126.853 | 50.164 | 0.000 | 0.000 | 0.000 |
| 50.164 | 50.164 | 126.853 | 0.000 | 0.000 | 0.000 |
| -0.000 | -0.000 | -0.000 | 66.096 | 0.000 | 0.000 |
| -0.000 | -0.000 | -0.000 | 0.000 | 66.096 | 0.000 |
| -0.000 | -0.000 | -0.000 | 0.000 | 0.000 | 66.096 |
| 126.853 | 50.164 | 50.164 | -0.000 | -0.000 | -0.000 |
| 50.164 | 126.853 | 50.164 | -0.000 | -0.000 | -0.000 |
| 50.164 | 50.164 | 126.853 | -0.000 | -0.000 | -0.000 |
| 0.000 | 0.000 | 0.000 | 66.096 | -0.000 | -0.000 |
| 0.000 | 0.000 | 0.000 | -0.000 | 66.096 | -0.000 |
| 0.000 | 0.000 | 0.000 | -0.000 | -0.000 | 66.096 |
| 126.852 | 50.163 | 50.163 | 0.000 | 0.000 | 0.000 |
| 50.163 | 126.852 | 50.163 | 0.000 | 0.000 | 0.000 |
| 50.163 | 50.163 | 126.852 | 0.000 | 0.000 | 0.000 |
| -0.000 | -0.000 | -0.000 | 92.869 | 0.000 | 0.000 |
| -0.000 | -0.000 | -0.000 | 0.000 | 92.869 | 0.000 |
| -0.000 | -0.000 | -0.000 | 0.000 | 0.000 | 92.869 |
| 126.854 | 50.165 | 50.165 | -0.000 | -0.000 | -0.000 |
| 50.165 | 126.854 | 50.165 | -0.000 | -0.000 | -0.000 |
| 50.165 | 50.165 | 126.854 | -0.000 | -0.000 | -0.000 |
| 0.000 | 0.000 | 0.000 | 92.869 | -0.000 | -0.000 |
| 0.000 | 0.000 | 0.000 | -0.000 | 92.869 | -0.000 |
| 0.000 | 0.000 | 0.000 | -0.000 | -0.000 | 92.869 |
| 126.844 | 50.156 | 50.156 | 0.000 | 0.000 | 0.000 |
| 50.156 | 126.844 | 50.156 | 0.000 | 0.000 | 0.000 |
| 50.156 | 50.156 | 126.844 | 0.000 | 0.000 | 0.000 |
| -0.001 | -0.000 | -0.000 | 66.096 | 0.000 | 0.000 |
| -0.000 | -0.001 | -0.000 | 0.000 | 66.096 | 0.000 |
| -0.000 | -0.000 | -0.001 | 0.000 | 0.000 | 66.096 |
| 126.861 | 50.172 | 50.172 | 0.000 | -0.000 | -0.000 |
| 50.172 | 126.861 | 50.172 | -0.000 | 0.000 | -0.000 |
| 50.172 | 50.172 | 126.861 | -0.000 | -0.000 | 0.000 |
| 0.001 | 0.000 | 0.000 | 66.096 | -0.000 | -0.000 |
| 0.000 | 0.001 | 0.000 | -0.000 | 66.096 | -0.000 |
| 0.000 | 0.000 | 0.001 | -0.000 | -0.000 | 66.096 |
| 56204.528 | 39830.952 | 39830.949 | -0.003 | -0.000 | -0.001 |
| 39830.950 | 56204.528 | 39830.949 | -0.002 | -0.003 | -0.002 |
| 39830.950 | 39830.951 | 56204.526 | -0.002 | -0.002 | -0.003 |
| -0.001 | 0.004 | 0.002 | 15094.530 | -0.002 | -0.001 |
| 0.003 | -0.000 | 0.002 | -0.002 | 15094.530 | -0.001 |
| 0.002 | 0.004 | -0.001 | -0.001 | -0.001 | 15094.528 |
| 56204.516 | 39830.943 | 39830.945 | 0.002 | 0.000 | 0.001 |
| 39830.944 | 56204.515 | 39830.944 | 0.001 | 0.002 | 0.002 |
| 39830.945 | 39830.941 | 56204.517 | 0.002 | 0.001 | 0.003 |
| -0.000 | -0.004 | -0.002 | 15094.532 | 0.001 | 0.001 |
| -0.003 | -0.001 | -0.002 | 0.001 | 15094.532 | 0.001 |
| -0.003 | -0.004 | 0.001 | 0.001 | 0.000 | 15094.534 |
| 56204.579 | 39830.981 | 39830.981 | -0.000 | -0.000 | -0.000 |
| 39830.981 | 56204.580 | 39830.981 | -0.000 | -0.000 | -0.000 |
| 39830.981 | 39830.981 | 56204.579 | -0.000 | -0.000 | -0.000 |
| -0.004 | 0.029 | 0.030 | 14825.758 | -0.000 | -0.000 |
| 0.028 | -0.003 | 0.030 | -0.000 | 14825.758 | -0.000 |
| 0.028 | 0.031 | -0.004 | -0.000 | -0.000 | 14825.758 |
| 56204.462 | 39830.912 | 39830.912 | 0.000 | 0.000 | 0.000 |
| 39830.912 | 56204.462 | 39830.912 | 0.000 | 0.000 | 0.000 |
| 39830.912 | 39830.912 | 56204.462 | 0.000 | 0.000 | 0.000 |
| 0.004 | -0.029 | -0.030 | 14825.758 | 0.000 | 0.000 |
| -0.028 | 0.003 | -0.030 | 0.000 | 14825.758 | 0.000 |
| -0.028 | -0.031 | 0.004 | 0.000 | 0.000 | 14825.758 |
| 56205.108 | 39831.291 | 39831.291 | -0.000 | -0.000 | -0.000 |
| 39831.291 | 56205.108 | 39831.291 | -0.000 | -0.000 | -0.000 |
| 39831.291 | 39831.291 | 56205.108 | -0.000 | -0.000 | -0.000 |
| -0.035 | 0.284 | 0.306 | 14825.760 | -0.000 | -0.000 |
| 0.284 | -0.035 | 0.306 | -0.000 | 14825.760 | -0.000 |
| 0.284 | 0.306 | -0.035 | -0.000 | -0.000 | 14825.760 |
| 56203.933 | 39830.601 | 39830.602 | 0.000 | 0.000 | 0.000 |
| 39830.602 | 56203.933 | 39830.602 | 0.000 | 0.000 | 0.000 |
| 39830.602 | 39830.601 | 56203.933 | 0.000 | 0.000 | 0.000 |
| 0.035 | -0.284 | -0.306 | 14825.760 | 0.000 | 0.000 |
| -0.284 | 0.035 | -0.306 | 0.000 | 14825.760 | 0.000 |
| -0.284 | -0.306 | 0.035 | 0.000 | 0.000 | 14825.760 |
| 4.888 | 4.881 | 4.881 | -0.000 | -0.000 | -0.000 |
| 4.881 | 4.888 | 4.881 | -0.000 | -0.000 | -0.000 |
| 4.881 | 4.881 | 4.888 | -0.000 | -0.000 | -0.000 |
| -0.000 | -0.000 | -0.000 | 0.050 | -0.000 | -0.000 |
| -0.000 | -0.000 | -0.000 | -0.000 | 0.050 | -0.000 |
| -0.000 | -0.000 | -0.000 | -0.000 | -0.000 | 0.050 |
| 4.888 | 4.881 | 4.881 | 0.000 | 0.000 | 0.000 |
| 4.881 | 4.888 | 4.881 | 0.000 | 0.000 | 0.000 |
| 4.881 | 4.881 | 4.888 | 0.000 | 0.000 | 0.000 |
| 0.000 | 0.000 | 0.000 | 0.050 | 0.000 | 0.000 |
| 0.000 | 0.000 | 0.000 | 0.000 | 0.050 | 0.000 |
| 0.000 | 0.000 | 0.000 | 0.000 | 0.000 | 0.050 |
| 4.888 | 4.881 | 4.881 | -0.000 | -0.000 | -0.000 |
| 4.881 | 4.888 | 4.881 | -0.000 | -0.000 | -0.000 |
| 4.881 | 4.881 | 4.888 | -0.000 | -0.000 | -0.000 |
| -0.000 | -0.000 | -0.000 | 0.050 | -0.000 | -0.000 |
| -0.000 | -0.000 | -0.000 | -0.000 | 0.050 | -0.000 |
| -0.000 | -0.000 | -0.000 | -0.000 | -0.000 | 0.050 |
| 4.888 | 4.881 | 4.881 | 0.000 | 0.000 | 0.000 |
| 4.881 | 4.888 | 4.881 | 0.000 | 0.000 | 0.000 |
| 4.881 | 4.881 | 4.888 | 0.000 | 0.000 | 0.000 |
| 0.000 | 0.000 | 0.000 | 0.050 | 0.000 | 0.000 |
| 0.000 | 0.000 | 0.000 | 0.000 | 0.050 | 0.000 |
| 0.000 | 0.000 | 0.000 | 0.000 | 0.000 | 0.050 |
| 4.888 | 4.881 | 4.881 | -0.000 | -0.000 | -0.000 |
| 4.881 | 4.888 | 4.881 | -0.000 | -0.000 | -0.000 |
| 4.881 | 4.881 | 4.888 | -0.000 | -0.000 | -0.000 |
| -0.000 | -0.000 | -0.000 | 0.050 | -0.000 | -0.000 |
| -0.000 | -0.000 | -0.000 | -0.000 | 0.050 | -0.000 |
| -0.000 | -0.000 | -0.000 | -0.000 | -0.000 | 0.050 |
| 4.888 | 4.881 | 4.881 | 0.000 | 0.000 | 0.000 |
| 4.881 | 4.888 | 4.881 | 0.000 | 0.000 | 0.000 |
| 4.881 | 4.881 | 4.888 | 0.000 | 0.000 | 0.000 |
| 0.000 | 0.000 | 0.000 | 0.050 | 0.000 | 0.000 |
| 0.000 | 0.000 | 0.000 | 0.000 | 0.050 | 0.000 |
| 0.000 | 0.000 | 0.000 | 0.000 | 0.000 | 0.050 |
| 493.617 | 493.617 | 493.617 | -0.000 | -0.000 | -0.000 |
| 493.617 | 493.617 | 493.617 | -0.000 | -0.000 | -0.000 |
| 493.617 | 493.617 | 493.617 | -0.000 | -0.000 | -0.000 |
| -0.000 | -0.000 | -0.000 | 0.001 | 0.000 | 0.000 |
| -0.000 | -0.000 | -0.000 | 0.000 | 0.001 | 0.000 |
| -0.000 | -0.000 | -0.000 | 0.000 | 0.000 | 0.001 |
| 493.617 | 493.617 | 493.617 | 0.000 | 0.000 | 0.000 |
| 493.617 | 493.617 | 493.617 | 0.000 | 0.000 | 0.000 |
| 493.617 | 493.617 | 493.617 | 0.000 | 0.000 | 0.000 |
| 0.000 | 0.000 | 0.000 | 0.001 | -0.000 | -0.000 |
| 0.000 | 0.000 | 0.000 | -0.000 | 0.001 | -0.000 |
| 0.000 | 0.000 | 0.000 | -0.000 | -0.000 | 0.001 |
| 493.617 | 493.617 | 493.617 | -0.000 | -0.000 | -0.000 |
| 493.617 | 493.617 | 493.617 | -0.000 | -0.000 | -0.000 |
| 493.617 | 493.617 | 493.617 | -0.000 | -0.000 | -0.000 |
| -0.000 | -0.000 | -0.000 | 0.000 | -0.000 | 0.000 |
| -0.000 | -0.000 | -0.000 | -0.000 | 0.000 | 0.000 |
| -0.000 | -0.000 | -0.000 | -0.000 | 0.000 | 0.000 |
| 493.616 | 493.616 | 493.616 | 0.000 | 0.000 | 0.000 |
| 493.616 | 493.616 | 493.616 | 0.000 | 0.000 | 0.000 |
| 493.616 | 493.616 | 493.616 | 0.000 | 0.000 | 0.000 |
| 0.000 | 0.000 | 0.000 | 0.000 | -0.000 | -0.000 |
| 0.000 | 0.000 | 0.000 | -0.000 | 0.000 | -0.000 |
| 0.000 | 0.000 | 0.000 | -0.000 | -0.000 | 0.000 |
| 493.619 | 493.620 | 493.620 | 0.000 | -0.000 | -0.000 |
| 493.620 | 493.619 | 493.620 | -0.000 | 0.000 | -0.000 |
| 493.620 | 493.620 | 493.619 | -0.000 | -0.000 | 0.000 |
| -0.000 | -0.000 | -0.000 | 0.001 | -0.000 | -0.000 |
| -0.000 | -0.000 | -0.000 | -0.000 | 0.001 | -0.000 |
| -0.000 | -0.000 | -0.000 | -0.000 | -0.000 | 0.001 |
| 493.614 | 493.613 | 493.613 | -0.000 | 0.000 | 0.000 |
| 493.613 | 493.614 | 493.613 | 0.000 | -0.000 | 0.000 |
| 493.613 | 493.613 | 493.614 | 0.000 | 0.000 | -0.000 |
| 0.000 | 0.000 | 0.000 | 0.001 | 0.000 | 0.000 |
| 0.000 | 0.000 | 0.000 | 0.000 | 0.001 | 0.000 |
| 0.000 | 0.000 | 0.000 | 0.000 | 0.000 | 0.001 |
| 7.619 | 7.619 | 7.619 | 0.000 | -0.000 | -0.000 |
| 7.619 | 7.619 | 7.619 | -0.000 | 0.000 | -0.000 |
| 7.619 | 7.619 | 7.619 | -0.000 | -0.000 | 0.000 |
| -0.000 | -0.000 | -0.000 | 0.000 | -0.000 | -0.000 |
| -0.000 | -0.000 | -0.000 | -0.000 | 0.000 | -0.000 |
| -0.000 | -0.000 | -0.000 | -0.000 | -0.000 | 0.000 |
| 7.619 | 7.619 | 7.619 | -0.000 | 0.000 | 0.000 |
| 7.619 | 7.619 | 7.619 | 0.000 | -0.000 | 0.000 |
| 7.619 | 7.619 | 7.619 | 0.000 | 0.000 | -0.000 |
| 0.000 | 0.000 | 0.000 | 0.000 | 0.000 | 0.000 |
| 0.000 | 0.000 | 0.000 | 0.000 | 0.000 | 0.000 |
| 0.000 | 0.000 | 0.000 | 0.000 | 0.000 | 0.000 |
| 7.619 | 7.619 | 7.619 | -0.000 | -0.000 | -0.000 |
| 7.619 | 7.619 | 7.619 | -0.000 | -0.000 | -0.000 |
| 7.619 | 7.619 | 7.619 | 0.000 | 0.000 | -0.000 |
| -0.000 | -0.000 | -0.000 | 0.000 | -0.000 | -0.000 |
| -0.000 | -0.000 | -0.000 | -0.000 | 0.000 | -0.000 |
| -0.000 | -0.000 | -0.000 | -0.000 | -0.000 | 0.000 |
| 7.619 | 7.619 | 7.619 | -0.000 | 0.000 | 0.000 |
| 7.619 | 7.619 | 7.619 | 0.000 | -0.000 | 0.000 |
| 7.619 | 7.619 | 7.619 | 0.000 | 0.000 | 0.000 |
| 0.000 | 0.000 | 0.000 | 0.000 | 0.000 | 0.000 |
| 0.000 | 0.000 | 0.000 | 0.000 | 0.000 | 0.000 |
| 0.000 | 0.000 | 0.000 | 0.000 | 0.000 | 0.000 |
| 7.619 | 7.619 | 7.619 | 0.000 | -0.000 | -0.000 |
| 7.619 | 7.619 | 7.619 | -0.000 | 0.000 | -0.000 |
| 7.619 | 7.619 | 7.619 | -0.000 | -0.000 | 0.000 |
| -0.000 | -0.000 | -0.000 | 0.000 | -0.000 | -0.000 |
| -0.000 | -0.000 | -0.000 | -0.000 | 0.000 | -0.000 |
| -0.000 | -0.000 | -0.000 | 0.000 | 0.000 | 0.000 |
| 7.619 | 7.619 | 7.619 | -0.000 | 0.000 | 0.000 |
| 7.619 | 7.619 | 7.619 | 0.000 | -0.000 | 0.000 |
| 7.619 | 7.619 | 7.619 | 0.000 | 0.000 | -0.000 |
| 0.000 | 0.000 | 0.000 | 0.000 | 0.000 | 0.000 |
| 0.000 | 0.000 | 0.000 | 0.000 | 0.000 | 0.000 |
| 0.000 | 0.000 | 0.000 | 0.000 | 0.000 | 0.000 |
| 552.337 | 262.135 | 353.561 | -0.000 | 0.000 | 0.000 |
| 262.135 | 552.337 | 353.561 | 0.000 | 0.000 | 0.000 |
| 353.561 | 353.561 | 349.349 | -0.000 | -0.000 | 0.000 |
| 0.000 | -0.000 | -0.000 | 52.700 | -0.000 | 0.000 |
| 0.000 | -0.000 | -0.000 | 0.000 | 52.700 | 0.000 |
| 0.000 | -0.000 | -0.000 | -0.000 | 0.000 | 124.916 |
| 485.884 | 328.588 | 353.561 | -0.000 | -0.000 | -0.000 |
| 328.588 | 485.884 | 353.561 | 0.000 | -0.000 | 0.000 |
| 353.561 | 353.561 | 349.348 | 0.000 | 0.000 | -0.000 |
| -0.000 | 0.000 | 0.000 | 52.700 | 0.000 | 0.000 |
| -0.000 | 0.000 | 0.000 | -0.000 | 52.700 | -0.000 |
| -0.000 | 0.000 | -0.000 | 0.000 | -0.000 | 124.916 |
| 552.338 | 262.137 | 353.563 | -0.000 | 0.000 | 0.000 |
| 262.137 | 552.338 | 353.563 | -0.000 | 0.000 | 0.000 |
| 353.563 | 353.563 | 349.351 | -0.000 | 0.000 | 0.000 |
| 0.000 | -0.000 | -0.000 | 52.700 | -0.000 | 0.000 |
| -0.000 | 0.000 | -0.000 | 0.000 | 52.700 | 0.000 |
| -0.000 | 0.000 | 0.000 | -0.000 | 0.000 | 124.916 |
| 485.882 | 328.587 | 353.559 | 0.000 | 0.000 | -0.000 |
| 328.587 | 485.882 | 353.559 | 0.000 | 0.000 | -0.000 |
| 353.559 | 353.559 | 349.346 | -0.000 | 0.000 | -0.000 |
| -0.000 | 0.000 | 0.000 | 52.700 | 0.000 | 0.000 |
| 0.000 | -0.000 | 0.000 | -0.000 | 52.700 | -0.000 |
| 0.000 | -0.000 | -0.000 | 0.000 | -0.000 | 124.916 |
| 485.897 | 328.604 | 353.578 | -0.000 | 0.000 | 0.000 |
| 328.604 | 485.897 | 353.578 | -0.000 | 0.000 | 0.000 |
| 353.583 | 353.583 | 349.377 | 0.000 | 0.000 | 0.000 |
| 0.000 | -0.000 | -0.000 | 52.700 | -0.000 | -0.000 |
| -0.000 | 0.000 | -0.000 | -0.000 | 52.700 | 0.000 |
| -0.000 | 0.000 | 0.000 | -0.000 | 0.000 | 124.916 |
| 485.870 | 328.573 | 353.543 | -0.000 | 0.000 | -0.000 |
| 328.573 | 485.870 | 353.543 | -0.000 | -0.000 | -0.000 |
| 353.539 | 353.539 | 349.320 | 0.000 | -0.000 | -0.000 |
| -0.000 | 0.000 | 0.000 | 52.700 | 0.000 | -0.000 |
| 0.000 | -0.000 | 0.000 | 0.000 | 52.700 | -0.000 |
| 0.000 | -0.000 | -0.000 | 0.000 | -0.000 | 124.916 |
| -66.618 | 102.916 | 29.616 | -0.000 | -0.000 | 0.000 |
| 102.916 | -66.618 | 29.616 | -0.000 | -0.000 | 0.000 |
| 29.616 | 29.616 | 109.348 | -0.000 | -0.000 | 0.000 |
| -60079846.061 | -231884574.197 | 51272281.414 | 38.051 | -0.000 | -2.549 |
| -186247976.287 | 57215057.688 | 74481621.851 | 12.766 | 49.973 | 48508502.894 |
| -0.000 | -0.000 | -0.000 | -0.000 | 0.000 | 48.976 |
| -66.617 | 102.916 | 29.616 | 0.000 | -0.000 | -0.000 |
| 102.916 | -66.617 | 29.616 | 0.000 | 0.000 | -0.000 |
| 29.616 | 29.616 | 109.348 | 0.000 | 0.000 | -0.000 |
| 60079846.061 | 231884574.197 | -51272281.414 | 38.049 | 0.000 | -2.541 |
| 186247976.206 | -57215058.296 | -74481622.036 | -12.764 | 49.976 | 48508503.202 |
| 0.000 | 0.000 | 0.000 | 0.000 | 0.000 | 48.976 |
| -66.618 | 102.916 | 29.616 | -0.000 | -0.000 | 0.000 |
| 102.916 | -66.618 | 29.616 | -0.000 | -0.000 | 0.000 |
| 29.616 | 29.616 | 109.348 | -0.000 | -0.000 | 0.000 |
| -6007984.606 | -23188457.411 | 5127228.142 | 30.316 | -0.000 | -0.036 |
| -23188457.411 | -6007984.606 | 5127228.142 | -0.000 | 30.316 | -0.043 |
| -0.000 | -0.000 | -0.000 | -0.000 | -0.000 | 48.976 |
| -66.617 | 102.916 | 29.616 | 0.000 | 0.000 | -0.000 |
| 102.916 | -66.617 | 29.616 | 0.000 | 0.000 | -0.000 |
| 29.616 | 29.616 | 109.347 | 0.000 | 0.000 | -0.000 |
| 6007984.606 | 23188457.411 | -5127228.142 | 30.316 | 0.000 | -0.036 |
| 23188457.411 | 6007984.606 | -5127228.142 | 0.000 | 30.316 | -0.043 |
| 0.000 | 0.000 | 0.000 | 0.000 | -0.000 | 48.976 |
| -66.620 | 102.916 | 29.617 | -0.000 | -0.000 | 0.000 |
| 102.916 | -66.620 | 29.617 | -0.000 | -0.000 | 0.000 |
| 29.616 | 29.616 | 109.350 | -0.000 | -0.000 | 0.000 |
| -600798.461 | -2318845.740 | 512722.815 | 30.335 | -0.000 | -0.000 |
| -2318845.740 | -600798.461 | 512722.815 | -0.000 | 30.335 | -0.000 |
| -0.001 | -0.001 | -0.000 | -0.000 | 0.000 | 48.976 |
| -66.615 | 102.916 | 29.615 | 0.000 | 0.000 | -0.000 |
| 102.916 | -66.615 | 29.615 | 0.000 | 0.000 | -0.000 |
| 29.616 | 29.616 | 109.346 | 0.000 | 0.000 | -0.000 |
| 600798.461 | 2318845.740 | -512722.815 | 30.335 | 0.000 | -0.000 |
| 2318845.740 | 600798.461 | -512722.815 | 0.000 | 30.335 | -0.000 |
| 0.001 | 0.001 | 0.000 | 0.000 | 0.000 | 48.976 |
| 31.981 | 1.210 | 9.568 | -0.000 | 0.000 | -0.000 |
| 1.210 | 31.981 | 9.568 | -0.000 | 0.000 | -0.000 |
| 9.568 | 9.568 | 31.865 | -0.000 | -0.000 | -0.000 |
| 0.000 | 0.000 | 0.000 | 9.252 | 0.000 | -0.000 |
| 0.000 | 0.000 | 0.000 | -0.000 | 9.252 | -0.000 |
| 0.000 | -0.000 | -0.000 | -0.000 | 0.000 | 0.009 |
| 31.981 | 1.210 | 9.568 | -0.000 | 0.000 | 0.000 |
| 1.210 | 31.981 | 9.568 | 0.000 | 0.000 | 0.000 |
| 9.568 | 9.568 | 31.865 | 0.000 | -0.000 | 0.000 |
| -0.000 | -0.000 | -0.000 | 9.252 | -0.000 | -0.000 |
| -0.000 | -0.000 | -0.000 | 0.000 | 9.252 | -0.000 |
| -0.000 | 0.000 | 0.000 | 0.000 | -0.000 | 0.009 |
| 31.981 | 1.210 | 9.568 | -0.000 | 0.000 | -0.000 |
| 1.210 | 31.981 | 9.568 | -0.000 | 0.000 | 0.000 |
| 9.568 | 9.568 | 31.865 | -0.000 | 0.000 | -0.000 |
| 0.000 | 0.000 | 0.000 | 9.252 | 0.000 | -0.000 |
| 0.000 | 0.000 | 0.000 | -0.000 | 9.252 | 0.000 |
| -0.000 | -0.000 | -0.000 | -0.000 | 0.000 | 0.009 |
| 31.981 | 1.210 | 9.568 | 0.000 | -0.000 | 0.000 |
| 1.210 | 31.981 | 9.568 | 0.000 | -0.000 | -0.000 |
| 9.568 | 9.568 | 31.865 | 0.000 | -0.000 | -0.000 |
| -0.000 | -0.000 | -0.000 | 9.252 | -0.000 | 0.000 |
| -0.000 | -0.000 | -0.000 | 0.000 | 9.252 | 0.000 |
| 0.000 | 0.000 | 0.000 | 0.000 | -0.000 | 0.009 |
| 31.981 | 1.210 | 9.568 | -0.000 | -0.000 | 0.000 |
| 1.210 | 31.981 | 9.568 | -0.000 | 0.000 | -0.000 |
| 9.568 | 9.568 | 31.864 | -0.000 | 0.000 | -0.000 |
| 0.000 | 0.000 | 0.000 | 9.252 | 0.000 | -0.000 |
| 0.000 | 0.000 | 0.000 | -0.000 | 9.252 | -0.000 |
| -0.000 | -0.000 | -0.000 | -0.000 | -0.000 | 0.009 |
| 31.981 | 1.210 | 9.568 | 0.000 | -0.000 | 0.000 |
| 1.210 | 31.981 | 9.568 | 0.000 | -0.000 | -0.000 |
| 9.568 | 9.568 | 31.865 | 0.000 | -0.000 | 0.000 |
| -0.000 | -0.000 | -0.000 | 9.252 | -0.000 | -0.000 |
| -0.000 | -0.000 | -0.000 | 0.000 | 9.252 | 0.000 |
| 0.000 | 0.000 | 0.000 | 0.000 | -0.000 | 0.009 |
| 775.209 | 775.191 | 116.176 | 0.000 | -0.000 | -0.000 |
| 775.191 | 775.209 | 116.176 | -0.000 | -0.000 | 0.000 |
| 116.175 | 116.178 | -1055.644 | 0.000 | 0.000 | 0.000 |
| 0.000 | -0.000 | -0.000 | 0.001 | 0.000 | -0.000 |
| 0.000 | -0.000 | -0.000 | 0.000 | 0.001 | -0.000 |
| -0.000 | 0.000 | -0.000 | 0.000 | 0.000 | 0.000 |
| 775.209 | 775.191 | 116.176 | -0.000 | 0.000 | 0.000 |
| 775.191 | 775.209 | 116.176 | 0.000 | 0.000 | -0.000 |
| 116.178 | 116.175 | -1055.644 | -0.000 | -0.000 | -0.000 |
| -0.000 | 0.000 | 0.000 | 0.001 | -0.000 | -0.000 |
| -0.000 | 0.000 | 0.000 | -0.000 | 0.001 | -0.000 |
| 0.000 | -0.000 | 0.000 | -0.000 | 0.000 | 0.000 |
| 775.209 | 775.192 | 116.176 | 0.000 | -0.000 | -0.000 |
| 775.192 | 775.209 | 116.176 | -0.000 | -0.000 | -0.000 |
| 116.176 | 116.176 | -1055.647 | 0.000 | -0.000 | -0.000 |
| -0.000 | -0.000 | 0.000 | 0.001 | 0.000 | -0.000 |
| -0.000 | -0.000 | 0.000 | 0.000 | 0.001 | -0.000 |
| -0.000 | -0.000 | -0.000 | 0.000 | -0.000 | 0.000 |
| 775.209 | 775.190 | 116.176 | -0.000 | 0.000 | -0.000 |
| 775.190 | 775.209 | 116.176 | 0.000 | 0.000 | -0.000 |
| 116.176 | 116.176 | -1055.642 | -0.000 | 0.000 | 0.000 |
| 0.000 | 0.000 | -0.000 | 0.001 | -0.000 | -0.000 |
| 0.000 | 0.000 | -0.000 | -0.000 | 0.001 | -0.000 |
| 0.000 | 0.000 | 0.000 | -0.000 | 0.000 | 0.000 |
| 775.206 | 775.202 | 116.177 | 0.000 | -0.000 | -0.000 |
| 775.202 | 775.206 | 116.177 | -0.000 | -0.000 | 0.000 |
| 116.177 | 116.177 | -1055.670 | -0.000 | -0.000 | 0.000 |
| -0.000 | -0.000 | 0.001 | -0.000 | 0.000 | -0.000 |
| -0.000 | -0.000 | 0.001 | 0.000 | -0.000 | -0.000 |
| -0.000 | -0.000 | -0.000 | -0.000 | 0.000 | 0.000 |
| 775.210 | 775.182 | 116.176 | -0.000 | 0.000 | 0.000 |
| 775.182 | 775.210 | 116.176 | 0.000 | 0.000 | -0.000 |
| 116.176 | 116.176 | -1055.619 | -0.000 | -0.000 | 0.000 |
| 0.000 | 0.000 | -0.001 | -0.000 | -0.000 | -0.000 |
| 0.000 | 0.000 | -0.001 | -0.000 | -0.000 | -0.000 |
| 0.000 | 0.000 | 0.000 | 0.000 | 0.000 | 0.000 |
| -52.188 | -0.147 | -2.143 | -0.000 | 0.000 | -0.000 |
| -0.147 | -52.188 | -2.143 | -0.000 | 0.000 | -0.000 |
| -2.143 | -2.143 | 30.757 | -0.000 | 0.000 | 0.000 |
| -4652060.197 | -432475.943 | -2185765.787 | -275037.539 | -40971.798 | 1839.368 |
| -806104.358 | -7131755.216 | -2889401.781 | -37198.849 | -465591.943 | 544.912 |
| -0.000 | 0.000 | 0.000 | -0.000 | -0.000 | 0.000 |
| -52.188 | -0.147 | -2.143 | 0.000 | -0.000 | -0.000 |
| -0.147 | -52.188 | -2.143 | 0.000 | -0.000 | 0.000 |
| -2.143 | -2.143 | 30.757 | -0.000 | -0.000 | 0.000 |
| 6881679.854 | 789754.857 | 2861129.804 | -457491.359 | 0.016 | 0.003 |
| 261649.003 | 647566.045 | 1174834.862 | -21254.915 | -175459.404 | -4258.733 |
| 0.000 | -0.000 | -0.000 | 0.000 | 0.000 | 0.000 |
| -0.028 | -3987174.377 | -777335.957 | -0.000 | -0.005 | 0.000 |
| -3987174.377 | 0.043 | -777335.957 | -0.017 | 0.000 | -0.000 |
| -2.143 | -2.143 | 30.757 | -0.000 | 0.000 | 0.000 |
| 2014366.609 | 377588.490 | -263408.417 | 605809.983 | -0.000 | -0.000 |
| 377588.255 | 2014366.982 | -263408.351 | 0.000 | 605809.927 | 0.000 |
| 0.000 | 0.000 | 0.000 | -0.000 | -0.000 | 0.000 |
| 3987203.192 | 0.013 | 777340.580 | -0.003 | -0.000 | 0.000 |
| 0.076 | 3987203.192 | 777340.580 | 0.000 | -0.006 | -0.000 |
| -2.143 | -2.143 | 30.757 | -0.000 | -0.000 | -0.000 |
| -2014366.646 | -377588.767 | 263408.310 | 605809.889 | -0.000 | 0.000 |
| -377588.753 | -2014366.631 | 263408.320 | -0.000 | 605809.898 | 0.000 |
| -0.000 | -0.000 | -0.000 | 0.000 | -0.000 | 0.000 |
| -0.008 | -398717.797 | -77733.666 | -0.000 | 0.002 | 0.000 |
| -398717.797 | -0.009 | -77733.666 | -0.001 | 0.000 | -0.000 |
| -2.143 | -2.143 | 30.757 | 0.000 | 0.000 | -0.000 |
| 201440.969 | 37759.580 | -26341.083 | 60582.232 | 0.000 | 0.000 |
| 37759.559 | 201440.960 | -26341.093 | -0.000 | 60582.240 | -0.000 |
| -0.000 | 0.000 | 0.000 | 0.000 | 0.000 | 0.000 |
| 398746.611 | 0.007 | 77738.289 | -0.001 | 0.000 | 0.000 |
| 0.004 | 398746.611 | 77738.289 | -0.000 | 0.000 | -0.000 |
| -2.143 | -2.143 | 30.757 | 0.000 | -0.000 | 0.000 |
| -201440.968 | -37759.581 | 26341.083 | 60582.232 | -0.000 | 0.000 |
| -37759.695 | -201440.608 | 26341.184 | 0.000 | 60582.319 | -0.000 |
| 0.000 | -0.000 | -0.000 | -0.000 | -0.000 | 0.000 |
| 1224.805 | 158.697 | 1326.352 | -0.000 | 0.000 | 0.000 |
| 158.697 | 1224.805 | 1326.352 | -0.000 | -0.000 | 0.000 |
| 1326.359 | 1326.359 | 5494.454 | -0.000 | -0.000 | -0.000 |
| 0.000 | 0.006 | 0.013 | 1200.438 | -0.000 | 0.000 |
| 0.006 | 0.000 | 0.013 | -0.000 | 1200.438 | 0.000 |
| 0.000 | 0.000 | 0.000 | -0.000 | 0.000 | 160.547 |
| 1224.796 | 158.693 | 1326.338 | 0.000 | 0.000 | 0.000 |
| 158.693 | 1224.796 | 1326.338 | 0.000 | 0.000 | -0.000 |
| 1326.331 | 1326.331 | 5494.338 | 0.000 | 0.000 | -0.000 |
| -0.000 | -0.006 | -0.013 | 1200.438 | 0.000 | 0.000 |
| -0.006 | -0.000 | -0.013 | 0.000 | 1200.438 | -0.000 |
| -0.000 | -0.000 | -0.000 | 0.000 | 0.000 | 160.547 |
| 1224.844 | 158.711 | 1326.419 | -0.000 | 0.000 | 0.000 |
| 158.711 | 1224.844 | 1326.419 | -0.000 | 0.000 | 0.000 |
| 1326.488 | 1326.488 | 5494.975 | -0.000 | 0.000 | -0.000 |
| 0.000 | 0.060 | 0.130 | 1200.438 | -0.000 | 0.000 |
| 0.060 | 0.000 | 0.130 | -0.000 | 1200.438 | 0.000 |
| 0.000 | 0.000 | -0.000 | -0.000 | 0.000 | 160.547 |
| 1224.757 | 158.679 | 1326.271 | 0.000 | 0.000 | -0.000 |
| 158.679 | 1224.757 | 1326.271 | 0.000 | -0.000 | -0.000 |
| 1326.202 | 1326.202 | 5493.817 | 0.000 | -0.000 | -0.000 |
| -0.000 | -0.060 | -0.130 | 1200.438 | -0.000 | 0.000 |
| -0.060 | -0.000 | -0.130 | 0.000 | 1200.438 | -0.000 |
| -0.000 | -0.000 | 0.000 | 0.000 | -0.000 | 160.547 |
| 1225.237 | 158.854 | 1327.086 | -0.000 | 0.000 | 0.000 |
| 158.854 | 1225.237 | 1327.086 | -0.000 | -0.000 | -0.000 |
| 1327.778 | 1327.778 | 5500.185 | -0.000 | 0.000 | 0.000 |
| 0.001 | 0.596 | 1.302 | 1200.438 | -0.000 | 0.000 |
| 0.596 | 0.001 | 1.302 | -0.000 | 1200.438 | 0.000 |
| 0.000 | 0.000 | -0.000 | -0.000 | 0.000 | 160.547 |
| 1224.365 | 158.536 | 1325.604 | 0.000 | -0.000 | -0.000 |
| 158.536 | 1224.365 | 1325.604 | 0.000 | 0.000 | -0.000 |
| 1324.912 | 1324.912 | 5488.607 | 0.000 | 0.000 | -0.000 |
| -0.001 | -0.596 | -1.302 | 1200.438 | -0.000 | -0.000 |
| -0.596 | -0.001 | -1.302 | 0.000 | 1200.438 | -0.000 |
| -0.000 | -0.000 | 0.000 | 0.000 | -0.000 | 160.547 |
| 7939.350 | 8007.430 | 5329.810 | 1755.364 | -0.028 | -0.000 |
| 8005.440 | 7937.380 | 5331.960 | -1755.418 | -0.026 | -0.001 |
| 5711.970 | 5711.980 | -2739.730 | 0.015 | -0.011 | 0.018 |
| 1751.360 | -1759.420 | 4.340 | -1993.019 | -0.005 | 0.012 |
| -0.040 | 0.000 | -0.010 | 0.004 | -1993.037 | 1755.405 |
| -0.040 | -0.010 | -0.010 | -0.004 | 1755.384 | -34.036 |
| 7940.400 | 8008.430 | 5328.690 | 1755.391 | 0.020 | -0.010 |
| 8007.480 | 7939.390 | 5329.760 | -1755.388 | 0.016 | -0.012 |
| 5714.010 | 5713.980 | -2741.930 | -0.004 | 0.017 | -0.001 |
| 1757.420 | -1753.390 | -2.170 | -1993.010 | 0.026 | -0.006 |
| 0.030 | 0.010 | -0.000 | -0.002 | -1992.997 | 1755.394 |
| 0.020 | 0.010 | 0.010 | 0.000 | 1755.423 | -34.044 |
| 7939.371 | 8007.459 | 5329.781 | 1755.404 | -0.003 | 0.001 |
| 8007.455 | 7939.376 | 5329.781 | -1755.409 | -0.001 | 0.001 |
| 5713.794 | 5713.794 | -2741.692 | -0.000 | -0.001 | 0.001 |
| 1755.397 | -1755.404 | 0.002 | -1993.018 | -0.001 | -0.000 |
| -0.005 | -0.001 | 0.001 | 0.002 | -1993.018 | 1755.400 |
| -0.001 | -0.001 | -0.002 | 0.000 | 1755.398 | -34.041 |
| 7939.471 | 8007.552 | 5329.677 | 1755.397 | -0.001 | -0.001 |
| 8007.657 | 7939.569 | 5329.572 | -1755.392 | 0.001 | -0.001 |
| 5713.994 | 5713.991 | -2741.957 | 0.001 | 0.002 | -0.000 |
| 1755.403 | -1755.397 | -0.001 | -1993.014 | 0.003 | -0.001 |
| 0.006 | 0.002 | -0.002 | -0.002 | -1993.014 | 1755.399 |
| 0.002 | 0.001 | 0.002 | 0.000 | 1755.402 | -34.042 |
| 7939.393 | 8007.486 | 5329.759 | 1755.444 | -0.000 | 0.000 |
| 8007.437 | 7939.402 | 5329.781 | -1755.471 | -0.000 | 0.000 |
| 5713.857 | 5713.857 | -2741.522 | -0.000 | -0.000 | 0.000 |
| 1755.389 | -1755.430 | 0.017 | -1993.029 | -0.000 | -0.000 |
| -0.030 | -0.011 | 0.017 | 0.013 | -1993.016 | 1755.400 |
| 0.019 | -0.010 | -0.010 | 0.015 | 1755.400 | -34.042 |
| 7939.352 | 8007.424 | 5329.808 | 1755.356 | 0.000 | -0.000 |
| 8007.454 | 7939.323 | 5329.808 | -1755.329 | 0.000 | 0.000 |
| 5713.992 | 5713.992 | -2742.190 | 0.000 | 0.000 | -0.000 |
| 1755.421 | -1755.360 | -0.028 | -1993.003 | 0.000 | -0.000 |
| 0.030 | 0.011 | -0.017 | -0.013 | -1993.016 | 1755.400 |
| -0.019 | 0.010 | 0.010 | -0.015 | 1755.400 | -34.042 |
| 595.046 | 165.191 | 165.191 | -0.000 | -0.000 | 0.000 |
| 165.191 | 595.046 | 165.191 | -0.000 | -0.000 | 0.000 |
| 165.191 | 165.191 | 595.046 | 0.000 | 0.000 | -0.000 |
| 0.000 | -0.000 | -0.000 | 81.472 | -0.000 | -0.000 |
| -0.000 | 0.000 | -0.000 | 0.000 | 81.472 | -0.000 |
| -0.000 | -0.000 | 0.000 | -0.000 | 0.000 | 81.472 |
| 595.034 | 165.180 | 165.180 | 0.000 | 0.000 | 0.000 |
| 165.180 | 595.034 | 165.180 | 0.000 | 0.000 | -0.000 |
| 165.180 | 165.180 | 595.034 | 0.000 | -0.000 | 0.000 |
| -0.000 | 0.000 | -0.000 | 81.472 | 0.000 | 0.000 |
| 0.000 | -0.000 | 0.000 | 0.000 | 81.472 | 0.000 |
| 0.000 | -0.000 | -0.000 | 0.000 | 0.000 | 81.472 |
| 595.098 | 165.244 | 165.244 | -0.000 | -0.000 | 0.000 |
| 165.244 | 595.098 | 165.244 | 0.000 | -0.000 | -0.000 |
| 165.244 | 165.244 | 595.098 | -0.000 | -0.000 | 0.000 |
| 0.000 | -0.000 | -0.000 | 81.472 | -0.000 | 0.000 |
| -0.000 | 0.000 | -0.000 | -0.000 | 81.472 | -0.000 |
| -0.000 | -0.000 | 0.000 | -0.000 | 0.000 | 81.472 |
| 594.981 | 165.127 | 165.127 | 0.000 | -0.000 | -0.000 |
| 165.127 | 594.981 | 165.127 | 0.000 | 0.000 | -0.000 |
| 165.127 | 165.127 | 594.981 | -0.000 | 0.000 | -0.000 |
| -0.000 | 0.000 | 0.000 | 81.472 | 0.000 | -0.000 |
| 0.000 | -0.000 | 0.000 | -0.000 | 81.472 | -0.000 |
| 0.000 | 0.000 | -0.000 | 0.000 | 0.000 | 81.472 |
| 595.625 | 165.769 | 165.769 | -0.000 | 0.000 | 0.000 |
| 165.769 | 595.625 | 165.769 | -0.000 | 0.000 | 0.000 |
| 165.769 | 165.769 | 595.625 | -0.000 | -0.000 | -0.000 |
| 0.000 | -0.000 | -0.000 | 81.472 | -0.000 | 0.000 |
| -0.000 | 0.000 | -0.000 | 0.000 | 81.472 | -0.000 |
| -0.000 | -0.000 | 0.000 | -0.000 | -0.000 | 81.472 |
| 594.455 | 164.603 | 164.603 | 0.000 | 0.000 | -0.000 |
| 164.603 | 594.455 | 164.603 | -0.000 | 0.000 | -0.000 |
| 164.603 | 164.603 | 594.455 | 0.000 | 0.000 | 0.000 |
| -0.000 | 0.000 | 0.000 | 81.472 | 0.000 | -0.000 |
| 0.000 | -0.000 | 0.000 | 0.000 | 81.472 | 0.000 |
| 0.000 | 0.000 | -0.000 | 0.000 | -0.000 | 81.472 |
| 438.312 | 6.713 | 6.713 | 0.000 | -0.000 | 0.000 |
| 6.713 | 438.312 | 6.713 | -0.000 | -0.000 | 0.000 |
| 6.713 | 6.713 | 438.312 | 0.000 | -0.000 | 0.000 |
| 0.000 | -0.000 | -0.000 | 82.858 | -0.000 | 0.000 |
| -0.000 | 0.000 | -0.000 | 0.000 | 82.858 | 0.000 |
| -0.000 | -0.000 | 0.000 | 0.000 | -0.000 | 82.858 |
| 438.334 | 6.735 | 6.735 | 0.000 | 0.000 | -0.000 |
| 6.735 | 438.334 | 6.735 | 0.000 | 0.000 | -0.000 |
| 6.735 | 6.735 | 438.334 | 0.000 | 0.000 | 0.000 |
| -0.000 | 0.000 | 0.000 | 82.858 | 0.000 | -0.000 |
| 0.000 | -0.000 | 0.000 | -0.000 | 82.858 | -0.000 |
| 0.000 | 0.000 | -0.000 | -0.000 | 0.000 | 82.858 |
| 438.213 | 6.614 | 6.614 | -0.000 | -0.000 | 0.000 |
| 6.614 | 438.213 | 6.614 | -0.000 | -0.000 | 0.000 |
| 6.614 | 6.614 | 438.213 | 0.000 | -0.000 | 0.000 |
| -0.000 | -0.000 | -0.000 | 82.858 | -0.000 | 0.000 |
| -0.000 | -0.000 | -0.000 | 0.000 | 82.858 | 0.000 |
| -0.000 | -0.000 | -0.000 | -0.000 | -0.000 | 82.858 |
| 438.432 | 6.834 | 6.834 | 0.000 | 0.000 | -0.000 |
| 6.834 | 438.432 | 6.834 | -0.000 | 0.000 | -0.000 |
| 6.834 | 6.834 | 438.432 | -0.000 | -0.000 | -0.000 |
| 0.000 | 0.000 | 0.000 | 82.858 | 0.000 | -0.000 |
| 0.000 | 0.000 | 0.000 | -0.000 | 82.858 | -0.000 |
| 0.000 | 0.000 | 0.000 | -0.000 | 0.000 | 82.858 |
| 437.227 | 5.628 | 5.628 | 0.000 | 0.000 | 0.000 |
| 5.628 | 437.227 | 5.628 | 0.000 | -0.000 | 0.000 |
| 5.628 | 5.628 | 437.227 | 0.000 | -0.000 | 0.000 |
| -0.000 | -0.001 | -0.001 | 82.858 | -0.000 | -0.000 |
| -0.001 | -0.000 | -0.001 | -0.000 | 82.858 | 0.000 |
| -0.001 | -0.001 | -0.000 | -0.000 | -0.000 | 82.858 |
| 439.419 | 7.820 | 7.820 | 0.000 | 0.000 | -0.000 |
| 7.820 | 439.419 | 7.820 | -0.000 | 0.000 | -0.000 |
| 7.820 | 7.820 | 439.419 | -0.000 | 0.000 | -0.000 |
| 0.000 | 0.001 | 0.001 | 82.858 | 0.000 | -0.000 |
| 0.001 | 0.000 | 0.001 | -0.000 | 82.858 | -0.000 |
| 0.001 | 0.001 | 0.000 | -0.000 | 0.000 | 82.858 |
| 124.278 | 36.552 | 36.552 | 0.000 | 0.000 | -0.000 |
| 36.552 | 124.278 | 36.552 | 0.000 | 0.000 | -0.000 |
| 36.552 | 36.552 | 124.278 | 0.000 | 0.000 | -0.000 |
| -0.000 | 0.000 | 0.000 | 36.630 | -0.000 | -0.000 |
| 0.000 | -0.000 | 0.000 | -0.000 | 36.630 | 0.000 |
| 0.000 | 0.000 | -0.000 | 0.000 | 0.000 | 36.630 |
| 124.278 | 36.552 | 36.552 | -0.000 | -0.000 | -0.000 |
| 36.552 | 124.278 | 36.552 | -0.000 | -0.000 | 0.000 |
| 36.552 | 36.552 | 124.278 | -0.000 | 0.000 | 0.000 |
| 0.000 | -0.000 | -0.000 | 36.630 | 0.000 | 0.000 |
| -0.000 | -0.000 | -0.000 | 0.000 | 36.630 | 0.000 |
| -0.000 | -0.000 | 0.000 | -0.000 | 0.000 | 36.630 |
| 124.278 | 36.552 | 36.552 | -0.000 | 0.000 | 0.000 |
| 36.552 | 124.278 | 36.552 | -0.000 | -0.000 | -0.000 |
| 36.552 | 36.552 | 124.278 | -0.000 | -0.000 | -0.000 |
| -0.000 | 0.000 | 0.000 | 36.630 | -0.000 | -0.000 |
| 0.000 | -0.000 | 0.000 | -0.000 | 36.630 | -0.000 |
| 0.000 | 0.000 | -0.000 | 0.000 | -0.000 | 36.630 |
| 124.278 | 36.552 | 36.552 | -0.000 | 0.000 | 0.000 |
| 36.552 | 124.278 | 36.552 | -0.000 | -0.000 | 0.000 |
| 36.552 | 36.552 | 124.278 | -0.000 | -0.000 | 0.000 |
| 0.000 | -0.000 | -0.000 | 36.630 | 0.000 | 0.000 |
| -0.000 | 0.000 | -0.000 | 0.000 | 36.630 | -0.000 |
| -0.000 | -0.000 | 0.000 | -0.000 | -0.000 | 36.630 |
| 124.277 | 36.553 | 36.553 | 0.000 | -0.000 | -0.000 |
| 36.553 | 124.277 | 36.553 | 0.000 | -0.000 | -0.000 |
| 36.553 | 36.553 | 124.277 | 0.000 | -0.000 | -0.000 |
| -0.000 | 0.000 | 0.000 | 36.630 | -0.000 | -0.000 |
| 0.000 | -0.000 | 0.000 | 0.000 | 36.630 | -0.000 |
| 0.000 | 0.000 | -0.000 | 0.000 | 0.000 | 36.630 |
| 124.279 | 36.552 | 36.552 | -0.000 | 0.000 | 0.000 |
| 36.552 | 124.279 | 36.552 | -0.000 | -0.000 | 0.000 |
| 36.552 | 36.552 | 124.279 | -0.000 | 0.000 | 0.000 |
| 0.000 | -0.000 | -0.000 | 36.630 | 0.000 | 0.000 |
| -0.000 | 0.000 | -0.000 | 0.000 | 36.630 | -0.000 |
| -0.000 | -0.000 | 0.000 | -0.000 | -0.000 | 36.630 |
| 29.738 | -0.003 | -0.003 | 0.000 | 0.000 | -0.000 |
| -0.003 | 29.738 | -0.003 | 0.000 | 0.000 | -0.000 |
| -0.003 | -0.003 | 29.738 | 0.000 | 0.000 | -0.000 |
| -0.000 | -0.000 | -0.000 | 0.013 | -0.000 | -0.000 |
| -0.000 | -0.000 | -0.000 | -0.000 | 0.013 | -0.000 |
| -0.000 | -0.000 | -0.000 | 0.000 | 0.000 | 0.013 |
| 29.738 | -0.003 | -0.003 | -0.000 | -0.000 | 0.000 |
| -0.003 | 29.738 | -0.003 | -0.000 | -0.000 | 0.000 |
| -0.003 | -0.003 | 29.738 | -0.000 | -0.000 | -0.000 |
| 0.000 | 0.000 | 0.000 | 0.013 | -0.000 | 0.000 |
| 0.000 | 0.000 | 0.000 | -0.000 | 0.013 | -0.000 |
| 0.000 | 0.000 | 0.000 | -0.000 | -0.000 | 0.013 |
| 29.738 | -0.003 | -0.003 | 0.000 | -0.000 | 0.000 |
| -0.003 | 29.738 | -0.003 | 0.000 | -0.000 | 0.000 |
| -0.003 | -0.003 | 29.738 | -0.000 | 0.000 | 0.000 |
| -0.000 | -0.000 | -0.000 | 0.013 | 0.000 | -0.000 |
| -0.000 | -0.000 | -0.000 | -0.000 | 0.013 | 0.000 |
| -0.000 | -0.000 | -0.000 | 0.000 | 0.000 | 0.013 |
| 29.738 | -0.003 | -0.003 | 0.000 | -0.000 | 0.000 |
| -0.003 | 29.738 | -0.003 | -0.000 | -0.000 | 0.000 |
| -0.003 | -0.003 | 29.738 | -0.000 | 0.000 | -0.000 |
| 0.000 | 0.000 | 0.000 | 0.013 | -0.000 | 0.000 |
| 0.000 | 0.000 | 0.000 | 0.000 | 0.013 | -0.000 |
| 0.000 | 0.000 | 0.000 | -0.000 | -0.000 | 0.013 |
| 29.738 | -0.003 | -0.003 | -0.000 | -0.000 | 0.000 |
| -0.003 | 29.738 | -0.003 | -0.000 | -0.000 | -0.000 |
| -0.003 | -0.003 | 29.738 | -0.000 | -0.000 | 0.000 |
| 0.000 | -0.000 | -0.000 | 0.013 | 0.000 | 0.000 |
| -0.000 | 0.000 | -0.000 | 0.000 | 0.013 | -0.000 |
| -0.000 | -0.000 | 0.000 | 0.000 | 0.000 | 0.013 |
| 29.738 | -0.003 | -0.003 | -0.000 | -0.000 | 0.000 |
| -0.003 | 29.738 | -0.003 | 0.000 | -0.000 | 0.000 |
| -0.003 | -0.003 | 29.738 | 0.000 | 0.000 | -0.000 |
| -0.000 | 0.000 | 0.000 | 0.013 | -0.000 | 0.000 |
| 0.000 | -0.000 | 0.000 | -0.000 | 0.013 | 0.000 |
| 0.000 | 0.000 | -0.000 | -0.000 | -0.000 | 0.013 |
| 7618.653 | -0.115 | -0.115 | -0.000 | -0.000 | -0.000 |
| -0.115 | 7618.653 | -0.115 | 0.000 | -0.000 | 0.000 |
| -0.115 | -0.115 | 7618.653 | 0.000 | 0.000 | -0.000 |
| 0.000 | -0.000 | -0.000 | 0.000 | 0.000 | -0.000 |
| -0.000 | 0.000 | -0.000 | 0.000 | 0.000 | 0.000 |
| -0.000 | -0.000 | 0.000 | 0.000 | 0.000 | 0.000 |
| 7618.650 | -0.115 | -0.115 | -0.000 | -0.000 | 0.000 |
| -0.115 | 7618.650 | -0.115 | -0.000 | -0.000 | 0.000 |
| -0.115 | -0.115 | 7618.650 | 0.000 | 0.000 | -0.000 |
| -0.000 | -0.000 | 0.000 | 0.000 | -0.000 | 0.000 |
| -0.000 | -0.000 | 0.000 | -0.000 | 0.000 | 0.000 |
| -0.000 | 0.000 | -0.000 | -0.000 | -0.000 | 0.000 |
| 7618.666 | -0.115 | -0.115 | 0.000 | -0.000 | -0.000 |
| -0.115 | 7618.666 | -0.115 | -0.000 | 0.000 | -0.000 |
| -0.115 | -0.115 | 7618.666 | -0.000 | -0.000 | 0.000 |
| 0.000 | -0.000 | -0.000 | 0.000 | 0.000 | -0.000 |
| -0.000 | 0.000 | -0.000 | 0.000 | 0.000 | -0.000 |
| -0.000 | -0.000 | 0.000 | 0.000 | 0.000 | 0.000 |
| 7618.638 | -0.115 | -0.115 | 0.000 | 0.000 | 0.000 |
| -0.115 | 7618.638 | -0.115 | -0.000 | -0.000 | 0.000 |
| -0.115 | -0.115 | 7618.638 | 0.000 | 0.000 | 0.000 |
| -0.000 | -0.000 | 0.000 | 0.000 | -0.000 | -0.000 |
| -0.000 | -0.000 | 0.000 | -0.000 | 0.000 | -0.000 |
| -0.000 | 0.000 | -0.000 | -0.000 | -0.000 | 0.000 |
| 7618.793 | -0.115 | -0.115 | 0.000 | -0.000 | -0.000 |
| -0.115 | 7618.793 | -0.115 | 0.000 | 0.000 | 0.000 |
| -0.115 | -0.115 | 7618.793 | 0.000 | 0.000 | 0.000 |
| 0.000 | 0.000 | -0.004 | 0.000 | 0.000 | -0.000 |
| 0.000 | 0.000 | -0.004 | -0.000 | 0.000 | 0.000 |
| 0.000 | -0.004 | 0.000 | 0.000 | 0.000 | 0.000 |
| 7618.511 | -0.115 | -0.115 | -0.000 | -0.000 | 0.000 |
| -0.115 | 7618.511 | -0.115 | -0.000 | -0.000 | -0.000 |
| -0.115 | -0.115 | 7618.511 | -0.000 | -0.000 | -0.000 |
| -0.000 | -0.000 | 0.004 | 0.000 | -0.000 | 0.000 |
| -0.000 | -0.000 | 0.004 | -0.000 | 0.000 | -0.000 |
| -0.000 | 0.004 | -0.000 | -0.000 | -0.000 | 0.000 |
| 52.093 | 0.117 | 0.117 | -0.000 | 0.000 | 0.000 |
| 0.117 | 52.093 | 0.117 | 0.000 | -0.000 | 0.000 |
| 0.117 | 0.117 | 52.093 | 0.000 | 0.000 | -0.000 |
| 0.000 | -0.000 | 0.000 | 0.001 | 0.000 | 0.000 |
| -0.000 | 0.000 | 0.000 | -0.000 | 0.001 | 0.000 |
| -0.000 | 0.000 | 0.000 | 0.000 | -0.000 | 0.001 |
| 52.092 | 0.117 | 0.117 | 0.000 | 0.000 | 0.000 |
| 0.117 | 52.092 | 0.117 | 0.000 | 0.000 | -0.000 |
| 0.117 | 0.117 | 52.092 | -0.000 | -0.000 | -0.000 |
| -0.000 | 0.000 | -0.000 | 0.001 | 0.000 | 0.000 |
| 0.000 | -0.000 | -0.000 | -0.000 | 0.001 | -0.000 |
| 0.000 | -0.000 | -0.000 | -0.000 | 0.000 | 0.001 |
| 52.093 | 0.117 | 0.117 | -0.000 | -0.000 | -0.000 |
| 0.117 | 52.093 | 0.117 | -0.000 | -0.000 | -0.000 |
| 0.117 | 0.117 | 52.093 | -0.000 | -0.000 | 0.000 |
| 0.000 | -0.000 | -0.000 | 0.001 | -0.000 | -0.000 |
| -0.000 | 0.000 | -0.000 | -0.000 | 0.001 | 0.000 |
| -0.000 | -0.000 | 0.000 | 0.000 | -0.000 | 0.001 |
| 52.092 | 0.117 | 0.117 | -0.000 | 0.000 | 0.000 |
| 0.117 | 52.092 | 0.117 | 0.000 | -0.000 | -0.000 |
| 0.117 | 0.117 | 52.092 | 0.000 | 0.000 | 0.000 |
| -0.000 | 0.000 | 0.000 | 0.001 | -0.000 | -0.000 |
| 0.000 | -0.000 | 0.000 | -0.000 | 0.001 | -0.000 |
| 0.000 | 0.000 | -0.000 | -0.000 | 0.000 | 0.001 |
| 52.094 | 0.117 | 0.117 | -0.000 | 0.000 | 0.000 |
| 0.117 | 52.094 | 0.117 | 0.000 | -0.000 | -0.000 |
| 0.117 | 0.117 | 52.094 | -0.000 | -0.000 | -0.000 |
| -0.000 | -0.000 | -0.000 | 0.001 | -0.000 | 0.000 |
| -0.000 | -0.000 | -0.000 | 0.000 | 0.001 | 0.000 |
| -0.000 | -0.000 | -0.000 | 0.000 | -0.000 | 0.001 |
| 52.091 | 0.117 | 0.117 | 0.000 | 0.000 | -0.000 |
| 0.117 | 52.091 | 0.117 | 0.000 | 0.000 | 0.000 |
| 0.117 | 0.117 | 52.091 | -0.000 | -0.000 | -0.000 |
| 0.000 | 0.000 | 0.000 | 0.001 | -0.000 | 0.000 |
| 0.000 | 0.000 | 0.000 | -0.000 | 0.001 | -0.000 |
| 0.000 | 0.000 | 0.000 | -0.000 | 0.000 | 0.001 |
| 218.769 | 69.021 | 69.021 | 0.000 | 0.000 | -0.000 |
| 69.021 | 218.769 | 69.021 | 0.000 | 0.000 | -0.000 |
| 69.021 | 69.021 | 218.769 | 0.000 | 0.000 | -0.000 |
| -0.000 | -0.000 | 0.000 | 62.462 | -0.000 | -0.000 |
| -0.000 | -0.000 | 0.000 | 0.000 | 62.462 | -0.000 |
| -0.000 | -0.000 | 0.000 | 0.000 | -0.000 | 62.462 |
| 218.769 | 69.022 | 69.022 | -0.000 | 0.000 | 0.000 |
| 69.022 | 218.769 | 69.022 | -0.000 | -0.000 | -0.000 |
| 69.022 | 69.022 | 218.769 | -0.000 | -0.000 | 0.000 |
| 0.000 | 0.000 | -0.000 | 62.462 | -0.000 | 0.000 |
| 0.000 | 0.000 | -0.000 | -0.000 | 62.462 | 0.000 |
| 0.000 | 0.000 | -0.000 | -0.000 | 0.000 | 62.462 |
| 184.843 | 85.984 | 85.984 | 0.000 | -0.000 | -0.000 |
| 85.984 | 184.843 | 85.984 | 0.000 | -0.000 | -0.000 |
| 85.984 | 85.984 | 184.843 | 0.000 | -0.000 | -0.000 |
| -0.000 | 0.000 | 0.000 | 29.109 | 0.000 | -0.000 |
| 0.000 | -0.000 | 0.000 | 0.000 | 29.109 | -0.000 |
| 0.000 | 0.000 | -0.000 | 0.000 | 0.000 | 29.109 |
| 184.844 | 85.985 | 85.985 | -0.000 | 0.000 | 0.000 |
| 85.985 | 184.844 | 85.985 | -0.000 | -0.000 | 0.000 |
| 85.985 | 85.985 | 184.844 | -0.000 | 0.000 | 0.000 |
| 0.000 | -0.000 | -0.000 | 29.109 | -0.000 | 0.000 |
| -0.000 | 0.000 | -0.000 | -0.000 | 29.109 | 0.000 |
| -0.000 | -0.000 | 0.000 | -0.000 | -0.000 | 29.109 |
| 184.837 | 85.981 | 85.981 | 0.000 | 0.000 | -0.000 |
| 85.981 | 184.837 | 85.981 | 0.000 | -0.000 | -0.000 |
| 85.981 | 85.981 | 184.837 | -0.000 | -0.000 | -0.000 |
| -0.000 | 0.000 | 0.000 | 29.109 | 0.000 | -0.000 |
| 0.000 | -0.000 | 0.000 | 0.000 | 29.109 | -0.000 |
| 0.000 | 0.000 | -0.000 | 0.000 | 0.000 | 29.109 |
| 184.848 | 85.988 | 85.988 | -0.000 | -0.000 | -0.000 |
| 85.988 | 184.848 | 85.988 | -0.000 | 0.000 | 0.000 |
| 85.988 | 85.988 | 184.848 | 0.000 | 0.000 | 0.000 |
| 0.000 | -0.000 | -0.000 | 29.109 | 0.000 | 0.000 |
| -0.000 | 0.000 | -0.000 | -0.000 | 29.109 | 0.000 |
| -0.000 | -0.000 | 0.000 | -0.000 | -0.000 | 29.109 |
| -1167.761 | 1250.669 | -550.511 | 0.000 | -619.762 | -0.000 |
| -1498.414 | 1448.698 | -206.055 | 0.000 | -658.495 | 0.000 |
| 61.271 | 58.697 | 191.723 | 0.000 | 14.483 | 0.000 |
| -1381.039 | 1201.380 | -620.396 | 61.264 | -624.964 | -4.736 |
| -1566.885 | 1329.998 | -346.401 | 0.000 | -618.740 | 0.000 |
| -0.000 | -0.000 | -0.000 | -17.138 | 0.000 | 53.296 |
| 1776.572 | -1297.834 | 427.627 | 0.000 | 687.777 | -0.000 |
| 1615.696 | -1145.134 | 423.859 | 0.000 | 663.194 | 0.000 |
| 1620.265 | -1175.995 | 435.487 | -0.000 | 647.018 | -0.000 |
| 1381.039 | -1201.380 | 620.396 | 61.264 | 624.964 | -4.736 |
| 4.676 | -28.865 | 14.483 | -0.000 | 81.362 | -0.000 |
| 0.000 | 0.000 | 0.000 | -17.138 | -0.000 | 53.296 |
| 48.904 | 180.971 | 42.878 | -0.000 | -58.545 | -0.000 |
| -111.808 | 333.107 | 39.442 | 0.000 | -83.177 | -0.000 |
| -63.511 | 192.801 | 96.602 | 0.000 | -55.696 | 0.000 |
| -137.385 | 119.512 | -61.718 | 61.410 | -62.171 | -4.799 |
| -137.996 | 102.944 | -58.237 | 0.000 | -2.520 | -0.000 |
| -154.555 | 124.924 | -27.771 | -6.749 | -64.267 | 39.604 |
| 263.062 | 23.289 | 63.797 | -0.000 | 12.923 | 0.000 |
| 200.589 | 72.140 | 103.797 | -0.000 | 49.185 | 0.000 |
| 215.057 | -46.737 | 217.486 | -0.000 | 68.867 | -0.000 |
| 137.385 | -119.512 | 61.718 | 61.410 | 62.171 | -4.799 |
| 137.768 | -136.882 | 65.572 | -0.000 | 122.114 | 0.000 |
| 154.555 | -124.924 | 27.771 | -6.749 | 64.267 | 39.604 |
| 263.064 | 23.290 | 63.796 | 0.000 | 12.925 | -0.000 |
| 33.045 | 209.022 | 72.751 | -0.000 | -21.132 | 0.000 |
| 55.542 | 87.126 | 153.258 | 0.000 | -0.688 | 0.000 |
| -12.118 | 10.531 | -5.453 | 64.726 | -5.478 | -6.223 |
| -12.702 | 0.380 | -0.622 | -0.000 | 52.368 | -0.000 |
| -0.001 | -0.003 | -0.004 | -17.138 | 0.002 | 53.296 |
| 221.283 | 32.630 | 80.124 | 0.000 | 16.450 | -0.000 |
| 62.264 | 185.002 | 79.005 | -0.000 | -8.147 | 0.000 |
| 83.522 | 67.623 | 158.541 | -0.000 | 9.376 | -0.000 |
| 12.118 | -10.531 | 5.453 | 64.726 | 5.478 | -6.223 |
| 20.582 | -26.875 | 5.028 | 0.000 | 64.617 | -0.000 |
| 0.001 | 0.003 | 0.004 | -17.138 | -0.002 | 53.296 |
| 247.231 | 44.060 | 36.433 | -0.000 | 0.000 | -0.000 |
| 89.895 | 224.965 | 99.912 | 0.000 | -0.000 | -0.000 |
| 36.429 | 60.087 | 178.805 | -0.000 | 0.000 | 0.000 |
| -58.664 | -16.090 | 86.289 | 64.386 | 0.000 | 0.000 |
| -0.000 | -0.000 | 0.000 | -0.000 | 73.395 | 0.000 |
| -0.000 | -0.000 | -0.000 | -0.000 | 0.000 | 83.894 |
| 187.320 | 108.990 | 20.159 | -0.000 | -0.000 | -0.000 |
| 44.059 | 300.971 | 60.090 | 0.000 | -0.000 | -0.000 |
| 36.429 | 60.087 | 178.805 | -0.000 | -0.000 | 0.000 |
| 58.664 | 16.090 | -86.289 | 64.386 | -0.000 | 0.000 |
| 0.000 | 0.000 | -0.000 | 0.000 | 73.395 | 0.000 |
| 0.000 | 0.000 | 0.000 | 0.000 | -0.000 | 83.894 |
| 201.950 | 70.049 | 40.809 | -0.000 | 0.000 | -0.000 |
| 68.313 | 275.993 | 64.338 | -0.000 | 0.000 | 0.000 |
| 40.258 | 62.489 | 158.969 | -0.000 | 0.000 | -0.000 |
| -0.000 | -0.003 | -0.001 | 84.086 | 0.000 | 0.000 |
| -0.892 | -0.561 | 1.473 | -0.000 | 55.459 | -0.000 |
| -0.000 | -0.002 | -0.000 | -0.000 | 0.000 | 83.894 |
| 210.799 | 70.513 | 36.816 | -0.000 | -0.000 | -0.000 |
| 69.162 | 277.548 | 61.846 | 0.000 | -0.000 | -0.000 |
| 42.844 | 64.114 | 151.608 | 0.000 | 0.000 | 0.000 |
| 0.000 | 0.003 | 0.001 | 84.086 | -0.000 | 0.000 |
| 0.892 | 0.561 | -1.473 | 0.000 | 55.459 | 0.000 |
| 0.000 | 0.002 | 0.000 | 0.000 | -0.000 | 83.894 |
| 207.345 | 70.238 | 38.689 | -0.000 | 0.000 | 0.000 |
| 44.041 | 300.833 | 60.063 | -0.000 | 0.000 | 0.000 |
| 36.429 | 60.081 | 178.803 | -0.000 | 0.000 | 0.000 |
| -0.003 | -0.026 | -0.006 | 84.086 | 0.000 | 0.000 |
| -0.086 | -0.058 | 0.140 | -0.000 | 56.300 | 0.000 |
| -0.003 | -0.018 | -0.003 | -0.000 | 0.000 | 83.894 |
| 247.231 | 44.063 | 36.434 | 0.000 | -0.000 | -0.000 |
| 68.061 | 277.721 | 62.883 | 0.000 | -0.000 | -0.000 |
| 41.433 | 63.231 | 155.823 | 0.000 | -0.000 | 0.000 |
| 0.003 | 0.026 | 0.006 | 84.086 | -0.000 | -0.000 |
| 0.086 | 0.058 | -0.140 | 0.000 | 56.300 | -0.000 |
| 0.003 | 0.018 | 0.003 | 0.000 | -0.000 | 83.894 |
| 186.743 | 48.993 | 29.759 | -0.000 | 0.000 | -0.000 |
| 35.191 | 115.524 | 34.315 | -0.000 | 0.000 | -0.000 |
| 32.777 | 30.682 | 170.739 | -0.000 | 0.000 | -0.000 |
| 0.000 | 0.000 | 0.000 | 54.549 | 0.000 | -0.000 |
| -0.000 | 0.000 | -0.000 | -0.000 | 70.696 | 0.000 |
| -17.318 | 3.989 | -6.987 | 0.000 | 0.000 | 52.393 |
| 243.465 | 25.135 | 33.217 | 0.000 | -0.000 | 0.000 |
| 24.623 | 147.567 | 30.610 | 0.000 | -0.000 | 0.000 |
| 49.272 | 45.647 | 152.954 | 0.000 | -0.000 | 0.000 |
| -0.000 | -0.000 | -0.000 | 54.549 | -0.000 | 0.000 |
| 0.000 | -0.000 | 0.000 | 0.000 | 70.696 | 0.000 |
| 17.318 | -3.989 | 6.987 | -0.000 | -0.000 | 52.393 |
| 243.465 | 25.135 | 33.217 | -0.000 | 0.000 | -0.000 |
| 24.624 | 147.571 | 30.611 | -0.000 | 0.000 | -0.000 |
| 37.002 | 42.685 | 149.840 | -0.000 | 0.000 | -0.000 |
| 0.000 | 0.001 | 0.000 | 54.549 | 0.000 | -0.000 |
| -0.716 | 0.157 | -0.841 | -0.000 | 51.278 | -0.000 |
| 0.000 | 0.000 | 0.000 | -0.000 | 0.000 | 64.987 |
| 205.616 | 42.447 | 38.608 | 0.000 | -0.000 | 0.000 |
| 24.623 | 147.564 | 30.610 | 0.000 | -0.000 | -0.000 |
| 38.468 | 42.708 | 150.874 | 0.000 | -0.000 | 0.000 |
| -0.000 | -0.001 | -0.000 | 54.549 | -0.000 | 0.000 |
| 0.716 | -0.157 | 0.841 | 0.000 | 51.278 | 0.000 |
| -0.000 | -0.000 | -0.000 | 0.000 | -0.000 | 64.987 |
| 243.465 | 25.135 | 33.217 | -0.000 | 0.000 | -0.000 |
| 24.628 | 147.603 | 30.617 | -0.000 | -0.000 | -0.000 |
| 37.641 | 42.668 | 150.347 | -0.000 | 0.000 | -0.000 |
| -0.086 | 0.040 | -0.102 | 16.540 | 0.000 | -0.000 |
| -0.000 | 0.001 | 0.000 | -0.000 | 70.696 | -0.000 |
| 0.000 | 0.004 | 0.001 | -0.000 | 0.000 | 64.987 |
| 204.225 | 42.945 | 38.045 | 0.000 | -0.000 | 0.000 |
| 24.619 | 147.531 | 30.603 | 0.000 | -0.000 | 0.000 |
| 38.882 | 43.578 | 141.682 | -0.000 | -0.000 | 0.000 |
| 0.086 | -0.040 | 0.102 | 16.540 | -0.000 | 0.000 |
| 0.000 | -0.001 | -0.000 | 0.000 | 70.696 | 0.000 |
| -0.000 | -0.004 | -0.001 | 0.000 | -0.000 | 64.987 |
| 131.392 | 83.501 | -42.122 | -237.210 | -139.442 | -70.365 |
| 58.977 | 207.400 | 46.650 | -60.887 | -14.779 | -26.132 |
| 94.828 | 118.702 | 159.252 | -35.272 | -26.977 | -22.984 |
| 12.965 | -4.743 | 24.468 | 65.052 | 2.829 | 0.574 |
| 34.048 | 77.298 | -84.567 | -167.968 | -3.669 | 5.780 |
| 55.564 | 74.998 | -70.058 | -162.523 | -35.018 | 49.947 |
| 210.054 | 32.288 | 177.211 | 267.627 | 44.380 | 47.844 |
| -3.634 | 71.287 | 137.980 | 154.812 | 25.253 | -9.999 |
| 127.687 | 61.324 | 260.393 | 242.027 | 97.555 | 74.496 |
| 60.842 | -3.025 | 132.004 | 272.861 | 105.857 | 70.306 |
| 43.616 | -12.421 | 104.814 | 248.970 | 148.307 | 71.335 |
| 4.150 | -1.489 | 4.481 | -0.478 | -15.711 | 53.017 |
| 168.073 | 54.536 | 78.522 | 12.789 | -18.765 | -2.272 |
| 55.764 | 170.397 | 43.990 | -22.265 | -7.682 | -3.675 |
| 79.405 | 70.434 | 162.541 | 6.903 | -12.371 | -0.071 |
| 20.583 | 13.152 | -4.485 | 20.475 | -4.509 | 2.283 |
| -5.280 | -6.630 | -7.772 | 2.829 | 58.440 | 2.026 |
| 4.030 | 2.063 | -6.710 | -26.109 | -27.462 | 29.280 |
| 159.303 | 48.364 | 94.489 | 40.517 | -12.817 | 8.389 |
| 44.185 | 146.596 | 70.185 | 16.898 | 8.331 | 4.599 |
| 75.085 | 56.083 | 169.836 | 19.865 | -8.193 | 5.516 |
| 12.965 | -4.743 | 24.468 | 65.052 | 2.829 | 0.574 |
| -4.115 | -3.212 | -9.097 | 4.487 | 41.580 | 1.083 |
| 2.218 | -8.289 | 6.995 | 6.643 | -11.483 | 49.370 |
| 159.839 | 49.839 | 83.138 | 16.764 | -21.693 | 1.984 |
| 42.718 | 153.682 | 54.811 | -13.110 | 1.012 | -1.191 |
| 79.033 | 63.448 | 135.797 | 3.388 | -12.857 | 1.019 |
| 17.707 | 2.476 | 7.809 | 35.386 | -1.027 | 0.703 |
| -14.106 | -1.948 | -8.076 | -2.744 | 25.132 | -6.184 |
| 5.897 | 0.368 | 3.030 | 0.232 | -12.417 | 40.084 |
| 156.641 | 49.756 | 84.602 | 19.636 | -21.770 | 2.634 |
| 42.491 | 149.814 | 59.463 | -5.614 | -0.247 | -0.386 |
| 80.882 | 63.105 | 136.129 | 6.284 | -7.919 | 3.242 |
| 16.235 | 1.070 | 4.864 | 37.161 | 0.539 | -0.104 |
| -13.292 | -2.656 | -7.137 | 1.215 | 27.052 | -5.642 |
| 8.391 | 0.877 | 4.660 | 2.349 | -13.897 | 38.795 |
| 311.353 | 86.326 | 91.407 | -0.000 | 0.000 | -0.000 |
| 215.199 | -187.282 | 673.134 | -0.000 | 0.000 | -0.000 |
| 90.945 | 57.295 | 210.475 | 0.000 | 0.000 | -0.000 |
| 107.637 | -342.201 | 595.235 | 37.917 | 0.000 | -0.000 |
| -0.000 | -0.000 | -0.000 | 0.000 | 103.441 | -0.000 |
| 42.925 | 55.979 | 252.811 | 0.000 | 0.000 | 71.973 |
| 1046.093 | -245.913 | -625.653 | -0.000 | 0.000 | 0.000 |
| 85.838 | 207.728 | 57.269 | -0.000 | -0.000 | 0.000 |
| 90.945 | 57.295 | 210.476 | -0.000 | -0.000 | 0.000 |
| -107.637 | 342.201 | -595.235 | 37.917 | 0.000 | -0.000 |
| 0.000 | 0.000 | 0.000 | -0.000 | 103.441 | 0.000 |
| -42.925 | -55.979 | -252.811 | -0.000 | -0.000 | 71.973 |
| 185.428 | 139.147 | 177.134 | 0.000 | 0.000 | -0.000 |
| 100.384 | 179.233 | 97.483 | 0.000 | 0.000 | -0.000 |
| 90.944 | 57.295 | 210.475 | 0.000 | -0.000 | -0.000 |
| 10.736 | -34.133 | 59.372 | 38.012 | 0.000 | -0.000 |
| 10.738 | -34.154 | 59.405 | -0.000 | 66.256 | -0.000 |
| 10.736 | -34.150 | 59.398 | 0.000 | -0.000 | 61.441 |
| 255.272 | 141.204 | 53.625 | 0.000 | 0.000 | 0.000 |
| 85.839 | 207.728 | 57.269 | -0.000 | 0.000 | 0.000 |
| 90.947 | 57.295 | 210.476 | -0.000 | -0.000 | 0.000 |
| -10.736 | 34.133 | -59.372 | 38.012 | 0.000 | 0.000 |
| -10.738 | 34.154 | -59.405 | -0.000 | 66.256 | 0.000 |
| -10.736 | 34.150 | -59.398 | -0.000 | 0.000 | 61.441 |
| 265.852 | 104.973 | 109.338 | 0.000 | 0.000 | -0.000 |
| 95.679 | 163.703 | 82.348 | -0.000 | 0.000 | -0.000 |
| 90.930 | 57.297 | 210.470 | 0.000 | -0.000 | -0.000 |
| 0.939 | -2.997 | 5.211 | 42.576 | 0.000 | -0.000 |
| -0.140 | 0.385 | 3.531 | 0.000 | 71.233 | -0.000 |
| -0.140 | 0.366 | 3.529 | 0.000 | 0.000 | 67.772 |
| 311.546 | 86.372 | 91.453 | -0.000 | -0.000 | 0.000 |
| 85.853 | 207.732 | 57.268 | -0.000 | -0.000 | 0.000 |
| 112.113 | 70.305 | 160.987 | -0.000 | -0.000 | 0.000 |
| -0.939 | 2.997 | -5.211 | 42.576 | -0.000 | 0.000 |
| 0.140 | -0.385 | -3.531 | 0.000 | 71.233 | 0.000 |
| 0.140 | -0.366 | -3.529 | -0.000 | -0.000 | 67.772 |
| 188.907 | 89.286 | 58.269 | -0.000 | 10.566 | -0.000 |
| -895.402 | -2019.476 | 2993.775 | -0.000 | -1215.984 | 0.000 |
| -912.170 | -2063.667 | 3012.401 | -0.000 | -1216.885 | -0.000 |
| -994.587 | -2145.954 | 2918.970 | 22.916 | -1217.819 | 0.931 |
| 6.136 | 2.205 | 0.667 | -0.000 | 66.716 | -0.000 |
| 592.227 | 1836.340 | 2613.888 | -3.238 | -1779.467 | 35.203 |
| -467.767 | -1746.188 | -2554.623 | -0.000 | 1778.710 | 0.000 |
| 1093.831 | 2271.672 | -2844.058 | 0.000 | 1219.627 | -0.000 |
| -527.657 | -1758.787 | -2497.734 | 0.000 | 1786.206 | 0.000 |
| 994.587 | 2145.954 | -2918.970 | 22.916 | 1217.819 | 0.931 |
| -1974.567 | -1757.540 | -3223.514 | -0.000 | 60.455 | 0.000 |
| -592.227 | -1836.340 | -2613.888 | -3.238 | 1779.467 | 35.203 |
| 300.023 | 272.807 | 408.444 | 0.000 | 4.045 | 0.000 |
| 154.732 | 317.921 | 339.189 | -0.000 | -176.736 | -0.000 |
| 57.840 | 67.670 | 154.109 | 0.000 | 0.667 | -0.000 |
| 0.000 | 0.000 | 0.000 | 64.824 | -0.000 | 4.251 |
| 68.903 | 193.541 | 264.375 | -0.000 | -140.359 | -0.000 |
| -99.302 | -214.257 | 291.436 | 0.913 | -121.590 | 30.489 |
| 76.858 | -82.649 | -196.770 | 0.000 | 182.484 | 0.000 |
| 109.385 | -94.788 | -252.286 | 0.000 | 34.707 | 0.000 |
| 84.736 | -123.906 | -236.970 | -0.000 | 32.501 | -0.000 |
| -0.000 | -0.000 | -0.000 | 64.824 | 0.000 | 4.251 |
| -198.593 | -191.278 | -313.031 | -0.000 | 30.693 | -0.000 |
| 99.302 | 214.257 | -291.436 | 0.913 | 121.590 | 30.489 |
| 125.477 | 76.979 | 99.513 | 0.000 | -7.040 | -0.000 |
| 102.157 | 143.574 | 106.928 | 0.000 | -17.128 | -0.000 |
| 57.844 | 67.677 | 154.114 | -0.000 | 0.665 | -0.000 |
| 0.000 | 0.000 | 0.000 | 64.824 | -0.000 | 4.251 |
| 6.137 | 2.206 | 0.667 | -0.000 | 66.716 | 0.000 |
| 5.455 | 15.602 | 27.481 | -2.711 | -17.049 | 33.034 |
| 117.814 | 64.136 | 44.662 | -0.000 | 12.942 | -0.000 |
| 95.923 | 91.722 | 53.521 | -0.000 | 5.392 | -0.000 |
| 56.121 | 67.059 | 68.963 | -0.000 | 3.992 | 0.000 |
| -0.000 | -0.000 | -0.000 | 64.824 | 0.000 | 4.251 |
| 8.188 | 16.981 | -24.074 | -0.000 | 25.502 | 0.000 |
| -5.455 | -15.602 | -27.481 | -2.711 | 17.049 | 33.034 |
| 161.129 | 71.350 | 72.526 | -0.000 | -0.504 | -0.000 |
| 126.680 | 882.250 | 55.503 | 0.000 | -810.013 | 0.000 |
| 75.234 | 74.659 | 243.442 | -0.000 | -37.849 | 0.000 |
| 157.488 | 766.470 | -59.036 | 32.238 | -342.653 | -5.970 |
| -6.958 | -3.228 | -37.849 | -0.000 | 90.219 | -0.000 |
| 39.869 | 681.205 | -34.143 | -8.238 | -806.587 | 24.634 |
| 72.341 | -595.663 | 123.206 | -0.000 | 807.436 | -0.000 |
| 71.580 | 259.798 | 74.659 | 0.000 | -3.229 | -0.000 |
| 50.349 | -591.461 | 200.758 | 0.000 | 789.325 | -0.000 |
| -157.488 | -766.470 | 59.036 | 32.238 | 342.653 | -5.970 |
| -155.999 | -770.000 | 52.111 | -0.000 | 365.187 | 0.000 |
| -39.869 | -681.205 | 34.143 | -8.238 | 806.587 | 24.634 |
| 117.136 | 153.205 | 85.336 | 0.000 | -79.618 | 0.000 |
| 111.436 | 235.808 | 82.997 | 0.000 | -38.659 | 0.000 |
| 94.054 | 157.186 | 163.829 | 0.000 | -97.417 | 0.000 |
| 3.961 | 67.673 | -3.392 | 42.236 | -80.129 | -8.209 |
| 0.445 | 61.711 | -22.133 | 0.000 | -34.770 | 0.000 |
| 0.000 | -0.000 | -0.000 | -4.079 | 0.000 | 61.364 |
| 107.802 | 17.895 | 92.610 | -0.000 | 81.109 | -0.000 |
| 71.580 | 259.804 | 74.659 | 0.000 | -3.229 | 0.000 |
| 86.142 | 22.027 | 170.620 | -0.000 | 62.609 | -0.000 |
| -3.961 | -67.673 | 3.392 | 42.236 | 80.129 | -8.209 |
| -6.958 | -3.228 | -37.849 | 0.000 | 90.219 | 0.000 |
| -0.000 | 0.000 | 0.000 | -4.079 | -0.000 | 61.364 |
| 161.129 | 71.356 | 72.524 | -0.000 | -0.495 | -0.000 |
| 90.344 | 187.316 | 80.618 | 0.000 | -8.609 | -0.000 |
| 81.801 | 87.447 | 158.718 | 0.000 | -18.443 | -0.000 |
| 0.342 | 5.862 | -0.293 | 46.691 | -6.943 | -7.658 |
| -6.961 | -3.229 | -37.847 | -0.000 | 90.219 | 0.000 |
| 0.358 | 6.067 | -0.305 | -7.785 | -7.184 | 28.635 |
| 113.890 | 79.429 | 88.672 | -0.000 | 7.320 | -0.000 |
| 85.034 | 197.203 | 88.846 | -0.000 | 6.929 | -0.000 |
| 83.457 | 79.596 | 157.670 | -0.000 | -12.025 | -0.000 |
| -0.342 | -5.862 | 0.293 | 46.691 | 6.943 | -7.658 |
| -6.955 | -3.227 | -37.850 | -0.000 | 90.219 | -0.000 |
| -0.358 | -6.067 | 0.305 | -7.785 | 7.184 | 28.635 |
| 143.802 | 39.886 | 39.886 | -0.000 | 0.000 | -0.000 |
| 39.886 | 143.802 | 39.886 | 0.000 | -0.000 | -0.000 |
| 39.886 | 39.886 | 143.802 | -0.000 | 0.000 | -0.000 |
| -37.684 | -37.684 | -37.684 | 32.664 | 0.000 | -0.000 |
| -37.684 | -37.684 | -37.684 | -0.000 | 32.664 | -0.000 |
| -37.684 | -37.684 | -37.684 | -0.000 | 0.000 | 32.664 |
| 216.569 | 57.364 | 57.364 | -0.000 | -0.000 | 0.000 |
| 57.364 | 216.569 | 57.364 | -0.000 | -0.000 | -0.000 |
| 57.364 | 57.364 | 216.569 | -0.000 | 0.000 | 0.000 |
| 37.684 | 37.684 | 37.684 | 32.664 | -0.000 | 0.000 |
| 37.684 | 37.684 | 37.684 | 0.000 | 32.664 | 0.000 |
| 37.684 | 37.684 | 37.684 | -0.000 | -0.000 | 32.664 |
| 216.568 | 57.364 | 57.364 | -0.000 | -0.000 | 0.000 |
| 57.364 | 216.568 | 57.364 | 0.000 | 0.000 | 0.000 |
| 57.364 | 57.364 | 216.568 | 0.000 | -0.000 | -0.000 |
| -3.771 | -3.771 | -3.771 | 42.794 | 0.000 | -0.000 |
| -3.771 | -3.771 | -3.771 | -0.000 | 42.794 | -0.000 |
| -3.771 | -3.771 | -3.771 | -0.000 | 0.000 | 42.794 |
| 181.189 | 76.776 | 76.776 | 0.000 | -0.000 | 0.000 |
| 76.776 | 181.189 | 76.776 | -0.000 | -0.000 | 0.000 |
| 76.776 | 76.776 | 181.189 | 0.000 | -0.000 | 0.000 |
| 3.771 | 3.771 | 3.771 | 42.794 | -0.000 | 0.000 |
| 3.771 | 3.771 | 3.771 | 0.000 | 42.794 | 0.000 |
| 3.771 | 3.771 | 3.771 | 0.000 | -0.000 | 42.794 |
| 181.722 | 72.542 | 72.542 | 0.000 | 0.000 | -0.000 |
| 72.542 | 181.722 | 72.542 | 0.000 | 0.000 | -0.000 |
| 72.542 | 72.542 | 181.722 | -0.000 | 0.000 | -0.000 |
| -0.369 | -0.369 | -0.369 | 42.486 | 0.000 | -0.000 |
| -0.369 | -0.369 | -0.369 | -0.000 | 42.486 | -0.000 |
| -0.369 | -0.369 | -0.369 | -0.000 | 0.000 | 42.486 |
| 182.396 | 72.912 | 72.912 | 0.000 | -0.000 | 0.000 |
| 72.912 | 182.396 | 72.912 | 0.000 | -0.000 | 0.000 |
| 72.912 | 72.912 | 182.396 | 0.000 | -0.000 | 0.000 |
| 0.369 | 0.369 | 0.369 | 42.486 | -0.000 | 0.000 |
| 0.369 | 0.369 | 0.369 | 0.000 | 42.486 | 0.000 |
| 0.369 | 0.369 | 0.369 | -0.000 | -0.000 | 42.486 |
| 429.871 | 318.941 | 318.941 | -0.000 | -0.000 | 0.000 |
| 318.941 | 429.871 | 318.941 | -0.000 | 0.000 | 0.000 |
| 318.941 | 318.941 | 429.871 | 0.000 | 0.000 | -0.000 |
| -0.000 | 0.000 | -0.000 | 69.331 | -0.000 | -0.000 |
| -0.000 | 0.000 | -0.000 | -0.000 | 69.331 | -0.000 |
| -0.000 | 0.000 | -0.000 | -0.000 | -0.000 | 69.331 |
| -64.036 | -174.971 | -174.971 | -0.000 | -0.000 | -0.000 |
| -174.971 | -64.036 | -174.971 | 0.000 | -0.000 | -0.000 |
| -174.971 | -174.971 | -64.036 | 0.000 | -0.000 | 0.000 |
| 0.000 | -0.000 | 0.000 | 69.331 | -0.000 | 0.000 |
| 0.000 | -0.000 | 0.000 | 0.000 | 69.331 | 0.000 |
| 0.000 | -0.000 | 0.000 | 0.000 | 0.000 | 69.331 |
| 135.222 | 67.983 | 67.983 | -0.000 | 0.000 | 0.000 |
| 67.983 | 135.222 | 67.983 | -0.000 | 0.000 | 0.000 |
| 67.983 | 67.983 | 135.222 | -0.000 | 0.000 | -0.000 |
| 22.495 | 22.495 | 22.495 | 40.285 | -0.000 | -0.000 |
| 22.495 | 22.495 | 22.495 | -0.000 | 40.285 | -0.000 |
| 22.495 | 22.495 | 22.495 | -0.000 | -0.000 | 40.285 |
| 168.574 | 103.517 | 103.517 | 0.000 | -0.000 | -0.000 |
| 103.517 | 168.574 | 103.517 | 0.000 | -0.000 | -0.000 |
| 103.517 | 103.517 | 168.574 | 0.000 | -0.000 | 0.000 |
| -22.495 | -22.495 | -22.495 | 40.285 | 0.000 | 0.000 |
| -22.495 | -22.495 | -22.495 | 0.000 | 40.285 | 0.000 |
| -22.495 | -22.495 | -22.495 | 0.000 | 0.000 | 40.285 |
| 217.071 | 57.611 | 57.611 | 0.000 | -0.000 | -0.000 |
| 57.611 | 217.071 | 57.611 | -0.000 | 0.000 | -0.000 |
| 57.611 | 57.611 | 217.071 | -0.000 | -0.000 | -0.000 |
| -0.000 | -0.000 | -0.000 | 69.331 | -0.000 | -0.000 |
| -0.000 | -0.000 | -0.000 | -0.000 | 69.331 | -0.000 |
| -0.000 | -0.000 | -0.000 | -0.000 | -0.000 | 69.331 |
| 177.995 | 70.287 | 70.287 | 0.000 | -0.000 | -0.000 |
| 70.287 | 177.995 | 70.287 | 0.000 | -0.000 | -0.000 |
| 70.287 | 70.287 | 177.995 | -0.000 | -0.000 | 0.000 |
| 0.000 | 0.000 | 0.000 | 69.331 | 0.000 | 0.000 |
| 0.000 | 0.000 | 0.000 | 0.000 | 69.331 | 0.000 |
| 0.000 | 0.000 | 0.000 | 0.000 | 0.000 | 69.331 |
| 785.479 | 750.780 | 750.780 | -0.000 | -0.000 | 0.000 |
| 750.781 | 785.478 | 750.780 | -0.000 | -0.000 | 0.000 |
| 750.781 | 750.780 | 785.478 | -0.000 | -0.000 | 0.000 |
| -532.638 | -532.638 | -532.638 | 25.121 | -0.000 | 0.000 |
| -532.638 | -532.638 | -532.638 | 0.000 | 25.121 | 0.000 |
| -532.638 | -532.638 | -532.638 | 0.000 | -0.000 | 25.121 |
| -551.719 | -586.623 | -586.623 | 0.000 | 0.000 | -0.000 |
| -586.624 | -551.719 | -586.623 | 0.000 | 0.000 | -0.000 |
| -586.624 | -586.623 | -551.719 | 0.000 | 0.000 | -0.000 |
| 532.638 | 532.638 | 532.638 | 25.121 | 0.000 | -0.000 |
| 532.638 | 532.638 | 532.638 | -0.000 | 25.121 | -0.000 |
| 532.638 | 532.638 | 532.638 | -0.000 | 0.000 | 25.121 |
| 201.883 | 113.810 | 113.810 | 0.000 | -0.000 | 0.000 |
| 113.810 | 201.883 | 113.810 | 0.000 | -0.000 | 0.000 |
| 113.810 | 113.810 | 201.883 | 0.000 | -0.000 | 0.000 |
| -0.000 | -0.000 | -0.000 | 59.627 | 0.000 | -0.000 |
| -0.000 | -0.000 | -0.000 | 0.000 | 59.627 | -0.000 |
| -0.000 | -0.000 | -0.000 | 0.000 | -0.000 | 59.627 |
| 184.308 | 56.695 | 56.695 | -0.000 | 0.000 | 0.000 |
| 56.695 | 184.308 | 56.695 | 0.000 | -0.000 | 0.000 |
| 56.695 | 56.695 | 184.308 | -0.000 | -0.000 | 0.000 |
| 0.000 | 0.000 | 0.000 | 59.627 | 0.000 | 0.000 |
| 0.000 | 0.000 | 0.000 | -0.000 | 59.627 | 0.000 |
| 0.000 | 0.000 | 0.000 | 0.000 | -0.000 | 59.627 |
| 127.202 | 85.788 | 85.789 | -0.000 | -0.000 | 0.000 |
| 85.789 | 127.202 | 85.788 | -0.000 | -0.000 | 0.000 |
| 85.788 | 85.789 | 127.202 | -0.000 | -0.000 | 0.000 |
| -3.870 | -3.876 | -3.871 | 24.794 | -0.000 | 0.000 |
| -3.871 | -3.870 | -3.875 | 0.000 | 24.794 | 0.000 |
| -3.876 | -3.871 | -3.870 | 0.000 | -0.000 | 24.794 |
| 184.318 | 56.694 | 56.692 | -0.000 | -0.000 | 0.000 |
| 56.692 | 184.318 | 56.694 | -0.000 | -0.000 | 0.000 |
| 56.694 | 56.692 | 184.318 | -0.000 | -0.000 | 0.000 |
| 3.870 | 3.876 | 3.871 | 24.794 | 0.000 | -0.000 |
| 3.871 | 3.870 | 3.875 | -0.000 | 24.794 | -0.000 |
| 3.876 | 3.871 | 3.870 | -0.000 | 0.000 | 24.794 |
| 178.616 | 52.304 | 52.304 | -0.000 | -0.000 | -0.000 |
| 52.304 | 178.616 | 52.304 | -0.000 | -0.000 | 0.000 |
| 52.304 | 52.304 | 178.616 | -0.000 | -0.000 | -0.000 |
| -0.000 | -0.000 | -0.000 | 59.229 | 0.000 | 0.000 |
| 543.442 | 543.174 | 543.396 | -0.025 | 23.289 | 0.026 |
| -0.000 | -0.000 | -0.000 | -0.000 | -0.000 | 59.229 |
| -45.233 | -117.619 | -117.513 | -0.012 | -0.002 | 0.012 |
| -117.492 | -45.358 | -117.514 | -0.012 | -0.002 | 0.012 |
| -117.493 | -117.618 | -45.254 | -0.012 | -0.002 | 0.012 |
| -543.079 | -542.811 | -543.033 | 23.329 | 0.004 | -0.026 |
| -543.078 | -542.811 | -543.033 | 0.025 | 23.308 | -0.026 |
| 0.000 | 0.000 | 0.000 | 0.000 | -0.000 | 59.229 |
| 178.616 | 52.304 | 52.304 | -0.000 | -0.000 | -0.000 |
| 52.304 | 178.616 | 52.304 | -0.000 | -0.000 | -0.000 |
| 52.304 | 52.304 | 178.616 | -0.000 | -0.000 | -0.000 |
| 64.186 | 64.184 | 64.186 | 26.163 | -0.000 | 0.000 |
| 64.186 | 64.184 | 64.186 | -0.000 | 26.164 | 0.000 |
| 64.186 | 64.184 | 64.186 | -0.000 | -0.000 | 26.164 |
| 99.902 | 63.735 | 63.721 | 0.002 | 0.000 | -0.002 |
| 63.718 | 99.917 | 63.721 | 0.002 | 0.000 | -0.002 |
| 63.718 | 63.735 | 99.904 | 0.002 | 0.000 | -0.002 |
| -64.186 | -64.184 | -64.186 | 26.164 | 0.000 | -0.000 |
| -64.186 | -64.184 | -64.186 | 0.000 | 26.164 | -0.000 |
| -64.186 | -64.184 | -64.186 | 0.000 | 0.000 | 26.163 |
| 131.186 | 71.076 | 71.078 | -0.000 | -0.000 | 0.000 |
| 71.077 | 131.186 | 71.077 | -0.000 | -0.000 | 0.000 |
| 71.077 | 71.077 | 131.186 | -0.000 | -0.000 | 0.000 |
| -0.001 | -0.002 | -0.002 | 59.229 | 0.000 | 0.000 |
| -0.002 | -0.001 | -0.002 | -0.000 | 59.229 | 0.000 |
| -0.002 | -0.002 | -0.001 | -0.000 | -0.000 | 59.229 |
| 121.748 | 67.289 | 67.288 | 0.000 | 0.000 | -0.000 |
| 67.287 | 121.749 | 67.288 | 0.000 | 0.000 | -0.000 |
| 67.289 | 67.288 | 121.749 | 0.000 | 0.000 | -0.000 |
| 0.001 | 0.002 | 0.002 | 59.229 | 0.000 | 0.000 |
| 0.002 | 0.001 | 0.002 | 0.000 | 59.229 | 0.000 |
| 0.002 | 0.002 | 0.001 | 0.000 | -0.000 | 59.229 |
| 171.929 | 49.775 | 75.360 | 1.401 | -0.000 | -0.000 |
| 49.775 | 171.929 | 75.360 | -1.401 | -0.000 | -0.000 |
| 75.498 | 75.498 | 212.290 | 0.000 | -0.000 | -0.000 |
| 1.401 | -1.401 | 0.000 | 77.091 | -0.000 | -0.000 |
| 74.848 | 74.848 | -174.804 | 0.000 | 19.068 | -2.195 |
| -0.000 | 0.000 | -0.000 | 0.000 | 1.401 | 61.077 |
| 2.189 | 1.526 | 284.411 | -2.169 | 0.000 | 0.000 |
| 49.775 | 171.929 | 75.360 | -1.401 | 0.000 | 0.000 |
| 75.498 | 75.498 | 212.289 | -0.000 | 0.000 | -0.000 |
| 1.401 | -1.401 | -0.000 | 77.091 | 0.000 | 0.000 |
| -74.848 | -74.848 | 174.804 | -0.000 | 19.068 | -2.195 |
| 0.000 | -0.000 | -0.000 | 0.000 | 1.401 | 61.077 |
| 102.788 | 76.083 | 89.629 | -1.404 | -0.000 | -0.000 |
| 49.775 | 171.929 | 75.360 | -1.401 | -0.000 | -0.000 |
| 75.498 | 75.498 | 212.292 | -0.000 | -0.000 | 0.000 |
| 1.401 | -1.401 | 0.000 | 77.091 | -0.000 | -0.000 |
| 0.000 | 0.000 | 0.000 | 0.000 | 77.091 | 1.401 |
| 5.989 | 5.989 | -13.986 | 0.000 | -1.476 | 12.119 |
| 93.606 | 63.956 | 115.616 | -1.317 | 0.000 | -0.000 |
| 49.775 | 171.929 | 75.360 | -1.401 | 0.000 | 0.000 |
| 100.586 | 100.586 | 166.556 | -0.000 | 0.000 | 0.000 |
| 1.401 | -1.401 | -0.000 | 77.091 | 0.000 | -0.000 |
| -0.000 | -0.000 | -0.000 | -0.000 | 77.091 | 1.401 |
| -5.989 | -5.989 | 13.986 | -0.000 | -1.476 | 12.119 |
| 120.583 | 64.305 | 93.677 | -0.535 | -0.000 | -0.000 |
| 64.305 | 120.583 | 93.677 | 0.535 | -0.000 | -0.000 |
| 100.169 | 100.169 | 152.976 | -0.000 | 0.000 | -0.000 |
| 1.401 | -1.400 | 0.003 | 77.091 | -0.000 | -0.000 |
| 0.000 | 0.000 | 0.003 | 0.001 | 77.091 | 1.401 |
| -0.000 | -0.000 | 0.000 | 0.000 | 1.401 | 61.077 |
| 171.931 | 49.776 | 75.359 | 1.401 | 0.000 | 0.000 |
| 49.776 | 171.931 | 75.359 | -1.401 | 0.000 | 0.000 |
| 75.495 | 75.495 | 212.270 | -0.000 | 0.000 | -0.000 |
| 1.401 | -1.401 | -0.003 | 77.092 | 0.000 | 0.000 |
| -0.000 | -0.000 | -0.003 | -0.001 | 77.091 | 1.401 |
| 0.000 | 0.000 | -0.000 | -0.000 | 1.401 | 61.077 |
| 173.488 | 50.557 | 72.590 | 0.506 | 0.000 | 0.000 |
| 50.557 | 173.488 | 72.590 | -0.506 | 0.000 | -0.000 |
| 72.595 | 72.595 | 194.052 | 0.000 | 0.000 | -0.000 |
| -442.587 | -439.087 | -422.104 | 27.385 | 0.000 | 0.000 |
| -1108.814 | -1108.814 | -998.845 | -0.000 | 32.875 | 5.406 |
| -0.000 | -0.000 | -0.000 | -0.000 | 0.506 | 61.465 |
| 173.488 | 50.557 | 72.590 | 0.506 | 0.000 | -0.000 |
| 511.878 | 541.537 | 521.970 | 1.749 | -0.000 | -0.000 |
| 1236.071 | 1236.071 | 1136.465 | 0.000 | 0.000 | -0.000 |
| 439.087 | 442.587 | 422.104 | 27.385 | 0.000 | -0.000 |
| 1108.814 | 1108.814 | 998.845 | 0.000 | 32.875 | 5.406 |
| 0.000 | -0.000 | 0.000 | 0.000 | 0.506 | 61.465 |
| 173.488 | 50.557 | 72.590 | 0.506 | -0.000 | 0.000 |
| 27.149 | 56.345 | 57.878 | 1.760 | 0.000 | 0.000 |
| -23.769 | -23.769 | 47.027 | 0.000 | 0.000 | -0.000 |
| -45.773 | -42.279 | -42.155 | 27.446 | -0.000 | 0.000 |
| -44.026 | -44.026 | -42.155 | 0.000 | 27.446 | -1.747 |
| -110.866 | -110.866 | -99.869 | -0.000 | 5.407 | 22.808 |
| 173.488 | 50.557 | 72.590 | 0.506 | -0.000 | -0.000 |
| 170.459 | 241.625 | 190.069 | -5.792 | -0.000 | -0.000 |
| 209.978 | 209.978 | 236.095 | 0.000 | -0.000 | 0.000 |
| 42.279 | 45.773 | 42.155 | 27.446 | -0.000 | 0.000 |
| 44.026 | 44.026 | 42.155 | -0.000 | 27.446 | -1.747 |
| 110.866 | 110.866 | 99.869 | 0.000 | 5.407 | 22.808 |
| 173.485 | 50.555 | 72.588 | 0.505 | 0.000 | 0.000 |
| 47.492 | 110.456 | 83.358 | -4.711 | -0.000 | -0.000 |
| 80.682 | 80.682 | 134.292 | -0.000 | 0.000 | -0.000 |
| -5.423 | -16.259 | -9.758 | 34.659 | 0.000 | 0.000 |
| -0.001 | -0.000 | -0.000 | -0.000 | 73.778 | 0.506 |
| -3.952 | -3.952 | -3.784 | 0.000 | -1.517 | 19.630 |
| 116.000 | 71.806 | 99.404 | -1.397 | -0.000 | -0.000 |
| 50.559 | 173.491 | 72.592 | -0.506 | -0.000 | -0.000 |
| 109.428 | 109.428 | 147.472 | 0.000 | 0.000 | -0.000 |
| 2.457 | 5.535 | 3.826 | 31.726 | -0.000 | -0.000 |
| 0.001 | 0.000 | 0.000 | 0.000 | 73.778 | 0.506 |
| 3.952 | 3.952 | 3.784 | -0.000 | -1.517 | 19.630 |
| -2336.711 | -2375.706 | -293.992 | -0.000 | 0.000 | 0.000 |
| -1761.912 | -1681.882 | -2147.834 | -0.000 | -0.000 | 0.000 |
| -2387.944 | -2387.944 | -274.703 | -0.000 | -0.000 | 0.000 |
| -2464.008 | -2464.008 | -374.702 | 14.755 | 0.000 | 0.000 |
| 0.000 | -0.000 | 0.000 | -0.000 | 64.595 | 0.000 |
| -0.000 | -0.000 | 0.000 | -0.000 | -0.000 | 68.218 |
| 2591.171 | 2552.367 | 455.467 | -0.000 | -0.000 | -0.000 |
| 2550.310 | 2589.194 | 455.135 | -0.000 | -0.000 | -0.000 |
| 2537.890 | 2537.890 | 474.738 | -0.000 | 0.000 | -0.000 |
| 2464.008 | 2464.008 | 374.702 | 14.755 | 0.000 | 0.000 |
| -0.000 | 0.000 | -0.000 | 0.000 | 64.595 | -0.000 |
| 0.000 | 0.000 | -0.000 | -0.000 | 0.000 | 68.218 |
| -118.066 | -158.053 | 43.006 | -0.000 | -0.000 | 0.000 |
| 57.415 | 193.851 | 52.323 | 0.000 | -0.000 | 0.000 |
| -116.473 | -116.473 | -91.692 | -0.000 | -0.000 | 0.000 |
| -245.976 | -245.976 | -37.406 | 14.841 | -0.000 | -0.000 |
| 0.000 | 0.000 | 0.000 | -0.000 | 64.595 | 0.000 |
| -245.862 | -245.862 | -37.388 | -0.000 | 0.000 | 19.556 |
| 334.030 | 253.700 | 288.894 | -0.000 | -0.000 | -0.000 |
| 253.700 | 334.030 | 288.894 | -0.000 | 0.000 | -0.000 |
| 250.959 | 250.959 | 350.100 | 0.000 | -0.000 | -0.000 |
| 245.976 | 245.976 | 37.406 | 14.841 | 0.000 | -0.000 |
| -0.000 | -0.000 | -0.000 | 0.000 | 64.595 | 0.000 |
| 245.862 | 245.862 | 37.388 | -0.000 | 0.000 | 19.556 |
| 114.466 | 60.692 | 72.920 | -0.000 | -0.000 | -0.000 |
| 53.459 | 130.153 | 46.707 | 0.000 | -0.000 | 0.000 |
| 52.403 | 52.403 | 180.442 | -0.000 | 0.000 | 0.000 |
| 0.000 | 0.001 | 0.001 | 64.595 | -0.000 | -0.000 |
| 0.001 | 0.000 | 0.001 | 0.000 | 64.595 | 0.000 |
| -18.819 | -18.819 | -21.676 | -0.000 | -0.000 | 38.821 |
| 152.530 | 106.878 | 81.913 | -0.000 | 0.000 | -0.000 |
| 106.878 | 152.530 | 81.913 | 0.000 | 0.000 | -0.000 |
| 86.518 | 86.518 | 147.842 | 0.000 | 0.000 | -0.000 |
| -0.000 | -0.001 | -0.001 | 64.595 | 0.000 | -0.000 |
| -0.001 | -0.000 | -0.001 | -0.000 | 64.595 | -0.000 |
| 18.819 | 18.819 | 21.676 | 0.000 | 0.000 | 38.821 |
| 192.913 | 56.185 | 52.529 | 0.000 | 0.000 | 0.000 |
| 70.764 | 131.109 | 1464.761 | 0.000 | -0.000 | 0.000 |
| 239.047 | 239.047 | 1727.584 | -0.000 | -0.000 | -0.000 |
| 174.485 | 174.485 | 1580.307 | 34.224 | -0.000 | 0.000 |
| 174.485 | 174.485 | 1580.307 | 0.000 | 34.224 | 0.000 |
| 174.485 | 174.485 | 1580.305 | -0.000 | -0.000 | 35.861 |
| -31.124 | -102.857 | -1515.462 | 0.000 | 0.000 | -0.000 |
| -102.835 | -31.159 | -1516.503 | 0.000 | -0.000 | -0.000 |
| 52.519 | 52.519 | 210.596 | -0.000 | 0.000 | -0.000 |
| -174.485 | -174.485 | -1580.307 | 34.224 | 0.000 | 0.000 |
| -174.485 | -174.485 | -1580.307 | 0.000 | 34.224 | -0.000 |
| -174.485 | -174.485 | -1580.305 | -0.000 | 0.000 | 35.861 |
| 138.028 | 77.536 | 211.064 | -0.000 | -0.000 | 0.000 |
| 89.081 | 160.703 | 222.837 | -0.000 | 0.000 | 0.000 |
| 52.519 | 52.519 | 210.585 | -0.000 | -0.000 | 0.000 |
| -0.757 | -0.757 | 139.185 | 26.437 | -0.000 | 0.000 |
| -0.757 | -0.757 | 139.185 | -0.000 | 26.437 | 0.000 |
| 0.000 | 0.000 | 0.000 | -0.000 | -0.000 | 68.364 |
| 126.016 | 54.167 | -93.163 | 0.000 | 0.000 | -0.000 |
| 56.185 | 192.913 | 52.529 | 0.000 | 0.000 | -0.000 |
| 47.190 | 47.190 | -10.695 | -0.000 | 0.000 | -0.000 |
| 0.757 | 0.757 | -139.185 | 26.437 | 0.000 | -0.000 |
| 0.757 | 0.757 | -139.185 | 0.000 | 26.437 | 0.000 |
| -0.000 | -0.000 | -0.000 | 0.000 | 0.000 | 68.364 |
| 144.987 | 73.107 | 80.048 | -0.000 | -0.000 | 0.000 |
| 76.845 | 142.081 | 83.884 | -0.000 | -0.000 | 0.000 |
| 71.283 | 71.283 | 163.833 | -0.000 | -0.000 | 0.000 |
| 1.761 | 1.762 | 15.793 | 34.371 | -0.000 | 0.000 |
| 1.761 | 1.761 | 15.793 | -0.000 | 34.370 | 0.000 |
| -0.072 | -0.072 | 13.249 | 0.000 | -0.000 | 32.031 |
| 141.295 | 77.368 | 57.912 | 0.000 | 0.000 | -0.000 |
| 56.185 | 192.912 | 52.529 | -0.000 | 0.000 | -0.000 |
| 63.171 | 63.171 | 134.314 | 0.000 | 0.000 | -0.000 |
| -1.761 | -1.762 | -15.793 | 34.371 | 0.000 | -0.000 |
| -1.761 | -1.761 | -15.793 | -0.000 | 34.370 | -0.000 |
| 0.072 | 0.072 | -13.249 | 0.000 | 0.000 | 32.031 |
| 196.404 | 59.501 | 68.182 | -0.000 | 0.000 | 0.000 |
| 59.501 | 196.404 | 68.182 | -0.000 | 0.000 | -0.000 |
| 69.454 | 69.454 | 210.383 | -0.000 | 0.000 | 0.000 |
| -348.225 | -348.225 | 620.749 | 57.391 | 0.000 | 0.000 |
| -348.225 | -348.225 | 620.749 | 0.000 | 57.391 | -0.000 |
| -36.001 | -36.001 | 436.145 | -0.000 | 0.000 | 30.237 |
| 510.853 | 419.468 | -544.661 | 0.000 | 0.000 | -0.000 |
| 419.468 | 510.853 | -544.661 | 0.000 | 0.000 | -0.000 |
| 122.493 | 122.493 | -300.017 | 0.000 | -0.000 | -0.000 |
| 348.225 | 348.225 | -620.749 | 57.391 | -0.000 | 0.000 |
| 348.225 | 348.225 | -620.749 | -0.000 | 57.391 | 0.000 |
| 36.001 | 36.001 | -436.145 | 0.000 | -0.000 | 30.237 |
| 111.719 | 87.208 | 126.268 | -0.000 | -0.000 | 0.000 |
| 87.208 | 111.719 | 126.268 | -0.000 | 0.000 | 0.000 |
| 83.717 | 83.717 | 174.434 | 0.000 | -0.000 | -0.000 |
| -70.088 | -70.087 | -94.185 | 35.894 | 0.000 | -0.000 |
| -70.087 | -70.088 | -94.185 | -0.000 | 35.894 | -0.000 |
| 0.000 | 0.000 | 0.000 | -0.000 | 0.000 | 67.219 |
| 196.400 | 59.501 | 68.181 | 0.000 | -0.000 | -0.000 |
| 59.501 | 196.400 | 68.181 | 0.000 | 0.000 | -0.000 |
| 113.322 | 113.322 | 118.586 | -0.000 | 0.000 | 0.000 |
| 70.088 | 70.087 | 94.185 | 35.894 | -0.000 | -0.000 |
| 70.087 | 70.088 | 94.185 | 0.000 | 35.894 | -0.000 |
| -0.000 | -0.000 | -0.000 | 0.000 | -0.000 | 67.219 |
| 133.274 | 81.719 | 83.606 | -0.000 | 0.000 | 0.000 |
| 81.719 | 133.274 | 83.606 | -0.000 | 0.000 | 0.000 |
| 69.455 | 69.455 | 210.434 | -0.000 | 0.000 | 0.000 |
| -0.615 | -0.609 | 3.646 | 44.176 | 0.000 | -0.000 |
| -0.609 | -0.615 | 3.646 | -0.000 | 44.176 | -0.000 |
| 0.004 | 0.004 | 0.002 | -0.000 | 0.000 | 67.219 |
| 147.577 | 80.966 | 74.423 | 0.000 | 0.000 | -0.000 |
| 80.966 | 147.577 | 74.423 | 0.000 | -0.000 | 0.000 |
| 69.454 | 69.454 | 210.331 | 0.000 | 0.000 | 0.000 |
| 0.615 | 0.609 | -3.646 | 44.176 | -0.000 | -0.000 |
| 0.609 | 0.615 | -3.646 | 0.000 | 44.176 | 0.000 |
| -0.004 | -0.004 | -0.002 | 0.000 | -0.000 | 67.219 |
| -1275.484 | 146.970 | 1838.213 | -0.000 | 0.000 | 0.000 |
| 69.682 | 281.076 | 51.948 | -0.000 | 0.000 | -0.000 |
| -1313.796 | 117.137 | 1872.614 | -0.000 | 0.000 | -0.000 |
| -996.637 | 667.526 | 1520.684 | 32.611 | 0.000 | 0.000 |
| -996.650 | 667.497 | 1520.689 | -0.000 | 24.926 | -0.000 |
| -1382.269 | 61.566 | 1768.427 | -0.000 | 0.000 | 37.825 |
| 1489.753 | 23.849 | -1699.801 | 0.000 | 0.000 | 0.000 |
| 1469.614 | 159.447 | -1715.351 | 0.000 | -0.000 | 0.000 |
| 1059.064 | -615.621 | -1412.287 | 0.000 | -0.000 | 0.000 |
| 996.637 | -667.526 | -1520.684 | 32.611 | -0.000 | 0.000 |
| 996.650 | -667.497 | -1520.689 | -0.000 | 24.926 | 0.000 |
| 1382.269 | -61.566 | -1768.427 | 0.000 | 0.000 | 37.825 |
| -29.155 | 91.225 | 245.213 | -0.000 | 0.000 | -0.000 |
| -51.212 | 227.986 | 230.020 | -0.000 | -0.000 | -0.000 |
| -10.392 | 152.460 | 207.957 | -0.000 | 0.000 | 0.000 |
| -0.000 | -0.000 | -0.000 | 70.710 | -0.000 | -0.000 |
| 0.000 | 0.000 | 0.000 | -0.000 | 63.213 | 0.000 |
| -74.753 | 98.243 | 103.268 | -0.000 | -0.000 | 37.973 |
| 244.302 | 79.523 | -107.722 | 0.000 | 0.000 | -0.000 |
| 225.867 | 214.105 | -123.850 | 0.000 | 0.000 | 0.000 |
| 207.201 | 49.300 | -72.096 | 0.000 | -0.000 | 0.000 |
| 0.000 | 0.000 | 0.000 | 70.710 | -0.000 | -0.000 |
| -0.000 | -0.000 | -0.000 | 0.000 | 63.213 | 0.000 |
| 74.753 | -98.243 | -103.268 | 0.000 | -0.000 | 37.973 |
| 93.155 | 82.460 | 74.466 | -0.000 | -0.000 | -0.000 |
| 67.631 | 208.175 | 67.639 | -0.000 | -0.000 | -0.000 |
| 55.065 | 59.062 | 118.971 | -0.000 | -0.000 | -0.000 |
| -12.317 | 0.548 | 15.757 | 32.239 | -0.000 | -0.000 |
| -8.300 | 9.332 | 11.243 | -0.000 | 27.989 | 0.000 |
| -7.872 | 9.732 | 10.946 | -0.000 | -0.000 | 37.172 |
| 121.188 | 84.252 | 54.697 | 0.000 | -0.000 | 0.000 |
| 83.165 | 190.840 | 43.475 | 0.000 | 0.000 | -0.000 |
| 74.272 | 46.611 | 92.852 | 0.000 | -0.000 | 0.000 |
| 12.317 | -0.548 | -15.757 | 32.239 | 0.000 | -0.000 |
| 8.300 | -9.332 | -11.243 | 0.000 | 27.989 | 0.000 |
| 7.872 | -9.732 | -10.946 | 0.000 | -0.000 | 37.172 |
| -2680.845 | 372.508 | -1514.035 | -0.000 | -0.000 | -0.000 |
| 54.216 | 172.479 | 48.982 | 0.000 | -0.000 | 0.000 |
| 55.120 | 49.496 | 165.294 | -0.000 | 0.000 | -0.000 |
| -4328.735 | 194.418 | -892.389 | 41.145 | -0.000 | -0.000 |
| 0.000 | 0.000 | -0.000 | -0.000 | 61.274 | -0.000 |
| -4328.952 | 194.439 | -892.515 | 0.000 | -0.000 | 34.413 |
| 165.761 | 54.733 | 55.123 | -0.000 | 0.000 | -0.000 |
| 54.216 | 172.479 | 48.982 | 0.000 | 0.000 | 0.000 |
| 55.120 | 49.496 | 165.294 | 0.000 | 0.000 | -0.000 |
| 4328.735 | -194.418 | 892.389 | 41.145 | 0.000 | -0.000 |
| -0.000 | -0.000 | 0.000 | 0.000 | 61.274 | 0.000 |
| 4328.952 | -194.439 | 892.515 | -0.000 | 0.000 | 34.413 |
| 165.761 | 54.733 | 55.123 | 0.000 | -0.000 | 0.000 |
| 54.216 | 172.480 | 48.982 | -0.000 | 0.000 | 0.000 |
| -185.618 | 104.865 | -102.143 | 0.000 | 0.000 | 0.000 |
| -270.310 | 26.594 | -157.712 | -4.068 | -0.000 | 0.000 |
| -270.701 | 26.633 | -157.940 | -0.000 | -5.394 | -0.000 |
| -270.707 | 26.633 | -157.943 | 0.000 | -0.000 | -1.225 |
| 509.903 | 59.004 | 166.952 | 0.000 | 0.000 | -0.000 |
| 54.216 | 172.479 | 48.981 | 0.000 | 0.000 | 0.000 |
| 55.120 | 49.496 | 165.294 | 0.000 | 0.000 | -0.000 |
| 270.310 | -26.594 | 157.712 | -4.068 | 0.000 | 0.000 |
| 270.701 | -26.633 | 157.940 | 0.000 | -5.394 | -0.000 |
| 270.707 | -26.633 | 157.943 | -0.000 | 0.000 | -1.225 |
| 56.526 | 94.052 | 60.846 | -0.000 | -0.000 | 0.000 |
| 29.282 | 126.724 | 48.371 | 0.000 | -0.000 | 0.000 |
| 55.120 | 49.496 | 165.293 | -0.000 | -0.000 | 0.000 |
| 0.000 | -0.000 | -0.000 | 70.549 | -0.000 | 0.000 |
| 0.000 | 0.000 | 0.000 | -0.000 | 61.274 | 0.000 |
| -19.550 | 1.923 | -11.406 | 0.000 | -0.000 | 16.147 |
| 138.124 | 77.388 | 68.830 | 0.000 | -0.000 | -0.000 |
| 54.215 | 172.479 | 48.981 | -0.000 | 0.000 | -0.000 |
| 89.006 | 68.075 | 97.245 | 0.000 | 0.000 | -0.000 |
| -0.000 | 0.000 | 0.000 | 70.549 | 0.000 | 0.000 |
| -0.000 | -0.000 | -0.000 | 0.000 | 61.274 | 0.000 |
| 19.550 | -1.923 | 11.406 | 0.000 | 0.000 | 16.147 |
| -113922.391 | -13046.937 | -194416.639 | -50663.494 | -149099.094 | -38854.379 |
| -114099.524 | -12865.539 | -194385.433 | -50695.378 | -149078.317 | -38824.142 |
| 144.425 | 174.503 | 308.135 | -9.134 | 1.861 | 2.561 |
| -114240.540 | -13215.378 | -194546.319 | -50572.753 | -149069.303 | -38831.397 |
| -114250.774 | -13201.284 | -194536.600 | -50668.269 | -148993.160 | -38829.952 |
| -114248.464 | -13202.764 | -194539.107 | -50673.259 | -149088.458 | -38747.389 |
| 114574.407 | 13355.027 | 194686.573 | 50677.684 | 149057.132 | 38803.819 |
| 159.265 | 341.928 | 182.876 | -19.860 | 8.981 | -2.208 |
| 114390.037 | 13378.551 | 194847.280 | 50673.156 | 149083.071 | 38841.952 |
| 13.430 | -2.949 | 1.193 | 121.503 | 22.529 | 7.077 |
| 114245.953 | 13200.668 | 194566.598 | 50672.910 | 149163.040 | 38828.255 |
| -3.369 | -0.098 | 2.221 | 3.742 | -10.546 | 87.436 |
| 328.230 | 152.249 | 143.376 | 0.191 | -22.237 | -31.379 |
| 151.972 | 333.881 | 176.215 | -31.331 | -0.242 | -0.828 |
| -11279.143 | -1144.688 | -19146.722 | -5072.796 | -14902.859 | -3877.441 |
| 3.041 | -12.199 | -9.134 | 106.202 | 7.990 | 5.179 |
| -7.641 | -0.068 | 1.902 | 7.267 | 82.708 | 5.884 |
| -4.161 | -2.012 | 1.820 | 2.142 | -10.909 | 89.111 |
| 329.467 | 153.258 | 144.740 | 2.130 | -20.243 | -30.843 |
| 11576.701 | 1653.936 | 19631.036 | 5036.005 | 14907.624 | 3882.304 |
| 11571.614 | 1496.624 | 19765.229 | 5061.924 | 14913.359 | 3886.643 |
| 3.495 | -11.849 | -8.664 | 106.837 | 8.658 | 5.354 |
| 11419.785 | 1324.032 | 19458.693 | 5079.388 | 14993.538 | 3887.445 |
| 11421.511 | 1320.073 | 19457.295 | 5071.080 | 14897.456 | 3970.572 |
| 324.958 | 150.759 | 143.368 | -0.359 | -21.609 | -28.969 |
| -990.377 | 201.923 | -1769.033 | -538.130 | -1490.969 | -389.187 |
| 146.157 | 174.868 | 309.657 | -6.966 | 4.850 | 4.618 |
| 3.316 | -12.320 | -8.710 | 105.966 | 8.572 | 5.929 |
| -6.237 | 1.136 | 3.213 | 9.351 | 84.276 | 6.079 |
| -3.273 | -0.133 | 2.353 | 3.825 | -10.344 | 87.566 |
| 1467.483 | 287.376 | 2090.345 | 511.242 | 1471.444 | 356.051 |
| 152.059 | 333.847 | 176.261 | -31.078 | -0.052 | -0.757 |
| 148.876 | 179.408 | 303.293 | 1.345 | 6.970 | -0.845 |
| 1147.222 | 122.588 | 1937.738 | 613.794 | 1500.362 | 392.365 |
| 1139.896 | 139.620 | 1950.320 | 522.922 | 1573.775 | 388.636 |
| 1139.254 | 132.089 | 1947.776 | 510.815 | 1480.498 | 475.742 |
| 20353.566 | -176949.695 | -212945.721 | -194292.322 | -24357.246 | -8166.528 |
| 20962.760 | -177092.102 | -213148.897 | -194266.674 | -24552.174 | -8329.651 |
| 127.062 | 146.350 | 337.696 | -3.232 | 0.541 | -12.365 |
| 19953.242 | -176963.728 | -212943.815 | -194243.594 | -24284.374 | -8103.781 |
| 10305.709 | -175285.713 | -207785.209 | -194743.321 | -19803.102 | -5807.706 |
| 18733.102 | -45690.383 | -5689.660 | -30153.217 | -13014.996 | 882.009 |
| -39689.154 | 27951.760 | 8242.392 | 17024.107 | 13657.393 | 6973.515 |
| -19242.428 | 44981.753 | 5826.530 | 29466.507 | 12926.228 | -585.041 |
| 684.207 | 130590.481 | 207013.379 | 164190.647 | 10731.301 | 8512.709 |
| -19807.358 | 177654.072 | 213073.913 | 194659.400 | 24421.724 | 8003.589 |
| -21269.144 | 46688.677 | 6535.118 | 30032.236 | 13810.316 | -211.357 |
| -21800.205 | 177652.486 | 213544.063 | 194253.413 | 24827.120 | 8624.759 |
| 2702.973 | -17244.176 | -21219.011 | -19191.878 | -2456.428 | -1013.116 |
| 2031.106 | -17476.763 | -21137.003 | -19451.202 | -2408.127 | -795.714 |
| 2117.538 | -17558.893 | -21063.456 | -19428.148 | -2420.798 | -814.652 |
| 373.577 | -17968.489 | -20620.661 | -19760.469 | -1890.785 | -349.798 |
| 1029.931 | -17532.458 | -20774.375 | -19474.358 | -1934.261 | -581.843 |
| -11.563 | -12.991 | -12.840 | 0.107 | -18.348 | 94.583 |
| -3089.295 | 4764.049 | 909.685 | 2922.178 | 1524.342 | 294.903 |
| 191.619 | 13342.262 | 20814.010 | 16394.359 | 1073.360 | 839.592 |
| 126.777 | 150.752 | 346.858 | 0.723 | 4.020 | -11.873 |
| -1821.470 | 4584.570 | 560.412 | 3085.769 | 1296.420 | -95.719 |
| -2238.276 | 4722.834 | 699.412 | 3010.088 | 1459.771 | 5.959 |
| 44.150 | 13031.265 | 20654.478 | 16419.298 | 1054.717 | 947.082 |
| 296.877 | 140.782 | 129.783 | -0.497 | -15.879 | -39.814 |
| 416.247 | -327.212 | 52.383 | -345.740 | -161.649 | -25.294 |
| 340.790 | -1640.788 | -1905.334 | -1941.533 | -241.379 | -89.707 |
| 267.637 | -1744.451 | -2140.430 | -1865.270 | -250.121 | -99.130 |
| -1808.210 | -1743.145 | -2173.473 | -1883.232 | 64.477 | 431.281 |
| 335.213 | -1746.609 | -2150.128 | -1911.958 | -266.965 | -77.679 |
| 1984.930 | 545.594 | 237.442 | 225.116 | -122.402 | -526.774 |
| -89.467 | 1965.492 | 2262.139 | 1925.669 | 240.942 | 76.730 |
| 132.637 | 1453.058 | 2407.778 | 1641.040 | 109.844 | 73.377 |
| -144.638 | 2114.178 | 2161.923 | 2168.780 | 308.733 | 44.444 |
| 1.675 | 1303.716 | 2067.439 | 1640.437 | 197.166 | 84.102 |
| -6.001 | 1291.491 | 2053.989 | 1642.107 | 88.963 | 179.843 |
| -64210820.986 | -65699345.446 | -58541407.355 | -3766425.495 | -11611899.365 | -2285233.755 |
| -66049800.950 | -66366254.315 | -57840400.997 | -4266994.826 | -13103250.196 | -3421288.705 |
| -67369024.651 | -67314039.202 | -60711522.131 | -3234152.886 | -12343075.113 | -2234069.505 |
| -66935750.155 | -65070415.356 | -58494731.596 | -4437853.832 | -11597314.157 | -2916825.903 |
| -65912800.254 | -64240430.498 | -59173626.940 | -2904495.702 | -12894060.257 | -3677718.638 |
| -68124343.820 | -67241388.913 | -58163558.260 | -2196285.644 | -12511262.187 | -3940508.657 |
| 67882387.433 | 65382965.487 | 61249649.009 | 4774695.541 | 12734925.333 | 4532380.875 |
| 65738945.451 | 64647095.680 | 57476393.736 | 3986469.927 | 13172145.853 | 3700824.054 |
| 68561933.585 | 65063610.569 | 61051543.087 | 3421594.320 | 12715209.049 | 2611170.035 |
| 67129470.241 | 66406997.065 | 58004521.647 | 2227053.120 | 11874650.340 | 3510871.319 |
| 68238977.111 | 68239534.821 | 60306496.429 | 4661230.460 | 13683306.631 | 3996718.279 |
| 66254068.788 | 65346359.148 | 59900238.151 | 2800228.155 | 12503447.527 | 2573144.317 |
| -6737579.544 | -6478087.452 | -5958719.865 | -268373.681 | -1316588.126 | -343965.626 |
| -6780364.799 | -6452134.398 | -5920031.783 | -270287.275 | -1301771.684 | -269368.386 |
| -6561348.853 | -6563297.635 | -5810852.105 | -468201.494 | -1342997.868 | -263260.060 |
| -6766469.110 | -6616806.091 | -5980502.687 | -343438.371 | -1261923.205 | -293270.635 |
| -6571161.377 | -6437671.683 | -5674066.591 | -499918.350 | -1400136.072 | -283815.555 |
| -6632573.949 | -6655802.139 | -5987896.244 | -490277.600 | -1285940.794 | -148729.782 |
| 6354655.320 | 6639065.498 | 5757327.689 | 350683.998 | 1216170.417 | 205803.953 |
| 6627590.099 | 6463499.638 | 5887763.646 | 391502.657 | 1254540.450 | 370744.810 |
| 6846156.840 | 6690428.424 | 5938190.395 | 371797.613 | 1235863.382 | 439019.732 |
| 6634909.061 | 6475772.723 | 5924008.517 | 456714.839 | 1201812.303 | 357300.518 |
| 6664889.597 | 6663741.385 | 5845794.712 | 233741.760 | 1265123.968 | 100309.955 |
| 6675991.920 | 6847256.945 | 5964077.043 | 352649.011 | 1252937.088 | 383724.618 |
| -674987.098 | -668514.161 | -610916.861 | -33327.172 | -135683.300 | -27494.677 |
| -664813.554 | -646425.498 | -562644.730 | -51851.611 | -144462.576 | -21516.326 |
| -660558.607 | -649699.983 | -582554.504 | -28142.107 | -127274.891 | -26545.736 |
| -681153.790 | -681243.247 | -622700.117 | -31465.682 | -129574.964 | -24838.254 |
| -660922.447 | -660825.091 | -583206.691 | -42812.892 | -130678.625 | -27572.174 |
| -677315.948 | -649464.338 | -599414.975 | -43286.469 | -132924.502 | -26087.219 |
| 664538.078 | 671818.012 | 598796.598 | 38099.396 | 136605.953 | 20526.942 |
| 660783.105 | 665328.327 | 586796.375 | 38230.189 | 114135.384 | 36799.785 |
| 657400.738 | 638354.180 | 600656.493 | 27297.775 | 121123.403 | 26624.432 |
| 672190.894 | 645367.493 | 595050.838 | 38831.896 | 126590.194 | 36683.512 |
| 656576.979 | 650559.163 | 577687.237 | 35316.743 | 129714.449 | 27543.276 |
| 670984.429 | 674733.146 | 592284.289 | 39495.687 | 126220.592 | 35326.549 |
| -310.601 | -9.965 | 373.671 | 37.500 | 89.162 | -31.596 |
| 106.267 | 266.835 | 103.320 | -4.735 | -12.280 | 2.189 |
| -394.508 | -3.048 | 460.164 | 22.619 | 82.150 | -34.755 |
| -493.368 | -118.819 | 259.224 | 78.639 | 83.360 | -38.845 |
| -174.358 | -162.912 | -124.897 | 758.608 | 332.831 | -88.558 |
| -991.610 | -72.277 | 371.463 | 803.992 | 610.212 | -23.490 |
| 1339.821 | 1307.439 | 800.645 | -800.971 | -635.923 | 568.905 |
| 1247.875 | 1440.870 | 800.200 | -816.363 | -662.545 | 562.748 |
| 582.851 | 192.123 | -98.158 | -37.271 | -72.265 | 31.901 |
| -1.783 | -21.428 | -21.221 | 92.542 | 14.396 | -7.157 |
| -31.134 | -14.877 | -7.616 | 14.396 | 88.285 | -3.207 |
| 1144.712 | 1221.299 | 702.813 | -812.946 | -642.478 | 619.807 |
| 67.371 | 87.804 | 132.913 | 75.394 | 65.110 | 7.146 |
| 106.267 | 266.834 | 103.321 | -4.736 | -12.280 | 2.187 |
| 2.640 | -20.977 | 162.930 | 72.457 | 62.805 | -50.017 |
| -40.692 | -14.273 | 19.675 | 41.264 | 5.254 | -1.132 |
| -32.222 | -49.315 | 68.684 | 93.543 | 61.071 | 3.048 |
| 15.442 | 0.797 | 15.280 | -4.560 | 12.716 | 79.975 |
| 304.582 | 103.136 | 116.382 | 1.162 | -8.829 | 28.655 |
| 142.659 | 174.941 | 68.098 | -4.218 | -9.582 | -0.345 |
| 194.892 | 86.681 | 153.535 | -91.137 | -57.750 | 12.930 |
| 55.314 | 6.202 | -34.159 | 33.092 | -10.701 | 5.960 |
| 10.162 | 12.725 | 16.532 | -71.698 | 7.005 | 10.080 |
| 109.650 | 14.366 | -26.840 | -83.445 | -54.935 | 52.894 |
| 200.369 | 101.336 | 110.882 | -1.482 | 3.962 | 11.436 |
| 86.498 | 158.918 | 85.008 | 6.704 | 0.346 | 1.048 |
| 101.359 | 91.336 | 203.472 | -8.390 | 2.683 | 5.578 |
| -3.242 | -11.202 | -12.413 | 49.219 | 6.799 | -1.484 |
| -10.964 | -11.467 | -3.065 | 6.110 | 51.821 | -1.356 |
| 15.442 | 0.795 | 15.281 | -4.563 | 12.716 | 79.968 |
| 175.972 | 95.882 | 95.497 | -11.889 | 1.216 | 13.159 |
| 102.621 | 180.621 | 87.473 | -8.145 | -8.191 | 1.846 |
| 116.588 | 107.138 | 299.762 | -21.209 | -7.603 | 16.652 |
| -1.206 | -11.678 | -13.526 | 40.391 | 3.621 | -1.477 |
| 4.751 | -6.050 | -2.989 | 0.545 | 34.446 | -0.175 |
| 7.784 | 4.632 | -2.977 | -8.777 | 3.226 | 37.512 |
| -2556.032 | -1815.604 | 2515.403 | 1027.807 | -624.271 | 1143.772 |
| -2018.838 | -1250.979 | 2358.567 | 835.540 | -516.422 | 1650.942 |
| 127.389 | 127.377 | 316.085 | -0.213 | 4.145 | 6.490 |
| -232.813 | 1103.501 | -8.472 | 974.029 | -205.154 | -483.772 |
| -541.996 | -282.327 | 60.345 | 539.015 | -439.707 | 373.625 |
| 12.483 | 2.179 | 8.109 | 0.114 | 30.417 | 81.839 |
| 314.012 | 121.971 | 126.682 | 5.444 | 29.284 | 24.094 |
| 362.142 | -855.599 | 137.818 | -890.576 | 206.278 | 488.635 |
| 2240.324 | 1497.085 | -2058.091 | -843.882 | 498.209 | -1597.135 |
| 1070.848 | -25.308 | -903.008 | -658.158 | -61.266 | -613.097 |
| 530.922 | 271.230 | -65.454 | -542.866 | 501.893 | -364.768 |
| 1066.530 | -26.714 | -899.375 | -714.793 | -45.727 | -561.397 |
| -90.086 | -68.290 | 355.769 | 109.331 | -54.568 | 131.119 |
| -151.341 | -22.147 | 344.857 | 114.424 | -60.569 | 128.653 |
| 127.388 | 127.376 | 316.084 | -0.214 | 4.143 | 6.489 |
| -407.533 | -281.313 | 273.789 | 196.783 | -40.259 | 174.690 |
| -59.703 | -29.920 | 3.774 | 54.804 | -16.070 | 39.887 |
| -205.292 | -127.132 | 230.030 | 83.348 | -37.482 | 189.975 |
| 314.009 | 121.971 | 126.682 | 5.444 | 29.284 | 24.093 |
| 549.355 | 563.254 | -195.865 | -126.331 | 36.253 | -169.345 |
| 473.909 | 392.795 | -24.887 | -128.527 | 22.674 | -163.310 |
| 417.230 | 273.311 | -276.002 | -102.558 | 51.394 | -168.866 |
| 207.217 | 139.880 | -235.074 | -77.774 | 90.594 | -160.597 |
| 30.513 | -105.693 | 8.677 | -90.495 | 40.165 | 95.964 |
| 160.645 | 106.479 | 135.876 | 17.076 | 2.844 | 28.713 |
| 95.748 | 169.606 | 124.493 | 23.999 | -3.629 | 26.179 |
| 103.637 | 105.757 | 219.403 | 3.775 | -6.807 | 5.606 |
| -14.741 | -8.710 | 17.274 | 48.818 | -0.726 | 14.180 |
| -48.123 | -32.455 | 21.548 | 19.488 | 41.244 | 20.789 |
| -23.870 | -11.755 | 26.685 | 12.043 | 12.714 | 49.609 |
| 227.502 | 144.412 | 91.911 | -4.595 | 9.834 | 2.288 |
| 121.780 | 206.345 | 95.613 | 11.019 | 0.890 | 3.589 |
| 131.638 | 127.666 | 177.186 | -10.035 | -4.146 | -7.634 |
| 40.272 | 31.513 | -28.753 | 33.897 | 7.571 | -17.311 |
| 22.146 | 19.026 | -31.078 | -7.023 | 48.697 | -7.307 |
| 36.742 | 33.784 | -19.767 | -9.961 | 23.445 | 19.438 |
| 326.611 | 151.027 | -61.041 | -472.420 | -105.916 | 125.304 |
| 231.730 | 244.027 | -54.929 | -475.832 | -87.704 | 137.674 |
| 92.865 | 111.954 | 260.570 | 5.072 | 6.394 | 2.039 |
| -38.057 | -451.346 | -273.900 | -238.653 | -77.868 | 48.196 |
| -29.109 | -446.406 | -263.390 | -283.993 | -30.921 | 44.102 |
| -39.064 | -450.219 | -270.314 | -276.929 | -87.565 | 86.802 |
| -21.900 | 28.347 | 446.119 | 568.674 | 227.377 | -90.516 |
| 144.783 | 665.863 | 378.954 | 272.540 | 81.324 | -42.157 |
| 140.327 | 97.306 | 117.235 | 200.915 | 27.721 | 24.166 |
| -2.168 | 3.904 | 5.071 | 84.611 | 1.450 | 9.786 |
| 39.836 | 454.958 | 276.560 | 281.782 | 122.285 | -40.684 |
| -5.625 | -4.315 | 0.147 | 9.455 | -19.960 | 74.481 |
| 265.619 | 106.788 | 90.553 | -4.395 | -10.999 | -23.633 |
| 112.883 | 160.981 | 54.743 | -54.450 | -14.488 | 12.627 |
| 92.865 | 111.954 | 260.572 | 5.073 | 6.394 | 2.039 |
| -2.168 | 3.905 | 5.072 | 84.612 | 1.450 | 9.786 |
| 5.272 | 12.318 | 6.394 | 1.450 | 71.547 | -0.201 |
| -8.008 | -44.248 | -27.157 | -22.161 | -18.464 | 48.377 |
| 159.679 | 51.211 | 102.501 | 61.462 | 40.304 | -39.970 |
| 103.438 | 163.833 | 96.083 | 14.693 | 6.129 | 2.793 |
| 81.882 | 66.749 | 163.052 | 47.192 | 42.228 | -21.434 |
| -2.168 | 3.904 | 5.071 | 84.611 | 1.450 | 9.786 |
| 8.793 | 49.023 | 33.435 | 27.004 | 53.065 | -2.490 |
| -1.174 | 45.334 | 26.599 | 34.250 | -3.462 | 40.781 |
| 191.518 | 101.841 | 101.106 | -1.513 | -6.635 | -12.964 |
| 109.640 | 222.451 | 104.947 | -15.984 | 4.733 | 0.245 |
| 102.139 | 103.649 | 204.246 | -5.320 | 5.611 | 2.300 |
| 5.323 | 9.632 | 0.687 | 26.627 | -4.023 | 5.156 |
| 5.006 | 0.730 | 3.849 | -3.635 | 48.082 | 1.900 |
| -2.444 | -0.984 | -0.035 | 2.553 | -9.711 | 40.324 |
| 189.803 | 99.857 | 99.580 | 1.102 | -6.436 | -12.072 |
| 110.321 | 220.009 | 109.449 | -10.260 | 5.165 | -0.019 |
| 103.977 | 110.827 | 201.910 | -1.506 | 6.911 | 1.559 |
| -2.168 | 3.901 | 5.065 | 84.605 | 1.451 | 9.786 |
| 3.697 | 5.563 | 4.608 | 1.178 | 41.950 | 2.199 |
| -4.384 | 4.359 | 2.443 | 9.284 | -11.383 | 48.073 |
| 251.845 | 93.102 | 104.658 | -2.685 | -29.818 | -29.123 |
| 90.279 | 246.533 | 90.065 | -18.237 | -4.482 | 3.047 |
| 101.637 | 93.134 | 278.345 | -5.697 | 1.852 | -7.587 |
| -2.044 | -1.398 | -0.389 | 71.139 | -5.804 | -3.176 |
| -20.177 | -3.138 | -10.020 | -20.714 | 84.524 | 6.346 |
| 0.698 | 5.961 | -18.215 | -15.512 | -8.409 | 81.878 |
| 264.350 | 88.998 | 118.250 | 17.869 | -33.973 | -32.908 |
| 97.210 | 243.836 | 99.466 | -5.889 | -7.564 | 1.769 |
| 112.262 | 89.752 | 289.404 | 11.462 | -1.512 | -10.961 |
| 2.621 | -2.912 | 4.616 | 78.762 | -7.339 | -4.600 |
| -12.302 | -5.911 | -0.568 | -7.339 | 81.558 | 4.373 |
| 14.025 | 0.911 | -0.450 | 8.060 | -14.215 | 79.288 |
| 24060.777 | 12138.444 | 16167.177 | 13914.455 | -19581.414 | -16964.127 |
| 90.279 | 246.532 | 90.064 | -18.237 | -4.482 | 3.047 |
| 107.592 | 90.962 | 285.904 | 4.615 | -0.567 | -8.929 |
| 23806.738 | 12044.845 | 16059.151 | 13986.160 | -19556.462 | -16939.351 |
| -12.302 | -5.911 | -0.568 | -7.340 | 81.559 | 4.373 |
| 7.629 | 3.302 | -8.819 | -3.172 | -11.494 | 80.619 |
| 258.667 | 90.417 | 114.196 | 9.689 | -32.946 | -30.303 |
| 91.326 | 246.076 | 91.496 | -16.364 | -4.947 | 2.859 |
| -23694.580 | -11956.978 | -15766.486 | -13900.079 | 19547.443 | 16925.148 |
| 3.540 | -3.212 | 5.608 | 80.231 | -7.639 | -4.880 |
| -23816.376 | -12053.504 | -16055.243 | -13914.932 | 19630.613 | 16938.989 |
| 7.681 | 3.297 | -8.819 | -3.116 | -11.488 | 80.573 |
| 256.632 | 90.623 | 113.647 | 8.077 | -32.599 | -29.509 |
| 2470.904 | 1450.970 | 1696.026 | 1373.014 | -1959.547 | -1690.375 |
| 107.995 | 90.754 | 286.280 | 5.501 | -0.922 | -8.744 |
| 2383.386 | 1201.665 | 1610.821 | 1470.195 | -1962.512 | -1698.021 |
| 2367.309 | 1199.216 | 1603.747 | 1381.943 | -1873.208 | -1688.980 |
| 2387.297 | 1208.251 | 1595.846 | 1386.455 | -1966.084 | -1612.890 |
| 257.383 | 90.623 | 113.442 | 8.629 | -32.515 | -30.082 |
| 90.770 | 245.992 | 90.655 | -17.393 | -4.623 | 2.923 |
| 108.289 | 90.753 | 286.318 | 5.778 | -0.862 | -9.041 |
| 3.218 | -3.127 | 5.359 | 79.590 | -7.551 | -4.749 |
| -12.743 | -5.570 | -1.718 | -8.423 | 81.690 | 4.198 |
| 7.278 | 3.488 | -9.522 | -3.911 | -11.238 | 80.487 |
| 290616.879 | 10454.212 | 47648.084 | -22187.144 | 117435.050 | -54792.524 |
| 290422.432 | 10606.379 | 47634.489 | -22190.092 | 117460.596 | -54804.027 |
| 293877.211 | 247743.238 | 48439.722 | -34322.280 | 118882.275 | -83280.177 |
| 25.547 | -46.068 | 2.903 | 131.759 | -45.096 | 41.369 |
| 290348.215 | 10347.618 | 47519.322 | -22173.776 | 117545.573 | -54780.030 |
| 5.975 | -19.192 | -7.498 | 2.909 | -19.606 | 92.588 |
| -290078.833 | -10206.890 | -47399.879 | 22134.164 | -117434.630 | 54727.440 |
| -290274.139 | -10094.034 | -47421.552 | 22157.598 | -117449.469 | 54753.361 |
| -293652.258 | -247582.328 | -47881.581 | 34349.324 | -118895.966 | 83277.496 |
| -290334.093 | -10354.927 | -47527.524 | 22278.670 | -117461.994 | 54787.127 |
| -290346.626 | -10353.831 | -47537.451 | 22174.915 | -117364.308 | 54778.045 |
| -290361.673 | -10313.863 | -47512.190 | 22136.183 | -117431.697 | 54818.079 |
| 29324.886 | 1126.631 | 4863.836 | -2218.349 | 11728.017 | -5483.301 |
| 29128.743 | 1278.375 | 4848.744 | -2222.035 | 11751.415 | -5492.721 |
| 29149.893 | 1132.991 | 5030.601 | -2207.431 | 11743.875 | -5483.698 |
| 29033.108 | 1039.521 | 4760.015 | -2121.716 | 11736.681 | -5475.683 |
| 29026.622 | 1033.038 | 4747.315 | -2219.034 | 11831.126 | -5479.041 |
| 354.154 | 23707.648 | 54.512 | -1210.018 | 121.219 | -2753.312 |
| -28741.926 | -945.118 | -4643.021 | 2218.131 | -11762.631 | 5473.605 |
| -29291.881 | -24509.985 | -4712.818 | 3417.645 | -11874.017 | 8299.436 |
| 110.571 | 105.245 | 279.815 | 4.016 | 2.339 | -11.553 |
| -29042.486 | -1021.047 | -4741.665 | 2305.314 | -11748.888 | 5471.891 |
| -29050.756 | -1025.688 | -4754.471 | 2206.365 | -11654.230 | 5467.900 |
| -29029.658 | -1051.852 | -4758.152 | 2217.817 | -11764.317 | 5568.347 |
| 291.104 | 82.951 | 106.154 | 6.200 | -22.185 | 3.381 |
| 3028.807 | 2721.680 | 578.570 | -350.643 | 1195.575 | -849.533 |
| 3050.670 | 2575.657 | 760.091 | -334.438 | 1186.844 | -839.269 |
| 2899.782 | 109.154 | 483.334 | -127.245 | 1165.503 | -546.384 |
| -12.116 | 2.219 | -4.395 | -5.264 | 86.761 | -3.995 |
| 2911.069 | 84.843 | 468.925 | -219.573 | 1155.596 | -456.166 |
| -2774.954 | 17.079 | -385.293 | 200.069 | -1157.334 | 472.698 |
| -3098.703 | -155.611 | -559.164 | 249.225 | -1251.484 | 404.997 |
| -2824.263 | -2378.184 | -203.290 | 352.615 | -1191.019 | 826.577 |
| -4.035 | 6.026 | 8.157 | 94.161 | -8.871 | 1.115 |
| -3468.647 | -2795.072 | -966.299 | 454.171 | -1492.336 | 585.120 |
| -2896.464 | -120.363 | -480.801 | 222.681 | -1191.969 | 637.499 |
| 307.812 | 109.607 | 103.099 | 6.873 | -20.091 | -25.168 |
| -184.870 | -3245.332 | -1873.117 | -22.159 | 1890.879 | 1119.254 |
| 746.711 | -4726.625 | -4130.244 | 374.220 | 3551.098 | 711.551 |
| 1023.182 | -3325.903 | -2854.365 | 435.035 | 2266.047 | 1068.003 |
| -6.699 | 1.403 | -0.826 | -3.485 | 80.092 | 8.806 |
| 720.359 | -727.705 | -1058.777 | 85.377 | 1210.810 | 1466.926 |
| 248.636 | 893.530 | 477.297 | -172.214 | -533.157 | -201.134 |
| 111.012 | 283.195 | 108.588 | 8.655 | 1.147 | 7.633 |
| -611.618 | 4876.630 | 4402.873 | -373.535 | -3554.807 | -699.056 |
| -1024.197 | 3337.036 | 2856.265 | -381.623 | -2270.175 | -1075.507 |
| 207.578 | 172.806 | -459.970 | -95.484 | -24.650 | -482.839 |
| 197.198 | 171.128 | -458.238 | -99.153 | -84.909 | -433.139 |
| 122.907 | 6.157 | 41.401 | 23.735 | 37.527 | 9.890 |
| 78.653 | 188.223 | 151.118 | 10.185 | 5.033 | 44.677 |
| 173.598 | -267.650 | -147.978 | 41.285 | 226.932 | 112.983 |
| 74.650 | -67.859 | -107.755 | 37.775 | 120.343 | 143.500 |
| 260.449 | -502.694 | -426.142 | 44.420 | 462.641 | 21.164 |
| -13.318 | 54.503 | -14.375 | 41.934 | 55.427 | 113.476 |
| 138.610 | 162.808 | 118.754 | -12.038 | -65.941 | -29.194 |
| 80.639 | 230.755 | 121.384 | -17.336 | -57.470 | -28.740 |
| 122.261 | 121.840 | 171.563 | -8.356 | -7.425 | -46.023 |
| -276.348 | 508.740 | 425.648 | -8.549 | -433.682 | -17.035 |
| 18.860 | 15.443 | -45.824 | -9.835 | 46.366 | -46.582 |
| 8.459 | 13.796 | -44.094 | -13.517 | -13.773 | 3.204 |
| 223.181 | 98.425 | 105.545 | 4.971 | -11.135 | -15.212 |
| 98.950 | 182.646 | 99.396 | 3.117 | 0.197 | 7.709 |
| 95.176 | 96.068 | 194.048 | 3.681 | 3.060 | 5.806 |
| 1.382 | 7.182 | 5.501 | 54.770 | 0.387 | 1.416 |
| -0.032 | -42.734 | -29.476 | 1.270 | 57.086 | 10.764 |
| 15.972 | -35.053 | -23.911 | 2.153 | 20.028 | 35.108 |
| 128.922 | 131.274 | 106.891 | 0.752 | -51.987 | -7.712 |
| 90.306 | 176.679 | 94.425 | -3.212 | -11.481 | -6.291 |
| 89.492 | 93.826 | 186.714 | -3.045 | -4.965 | 1.448 |
| 5.432 | 10.067 | -3.569 | 51.501 | -1.029 | -8.235 |
| -0.056 | -0.384 | -4.231 | -1.211 | 53.308 | -2.828 |
| -7.667 | -3.261 | 9.310 | -4.998 | -8.997 | 28.776 |
| 456.136 | 296.703 | 290.345 | -0.000 | 0.000 | 0.000 |
| 276.425 | 476.658 | 290.251 | 0.000 | 0.000 | -0.000 |
| 281.154 | 281.154 | 801.749 | -0.000 | 0.000 | 0.000 |
| 0.000 | 0.000 | -0.000 | 117.071 | 0.000 | -0.000 |
| -0.000 | 0.000 | -0.000 | 0.000 | 117.072 | 0.000 |
| -0.000 | 0.000 | -0.000 | 0.000 | 0.000 | 100.116 |
| 463.140 | 289.674 | 290.357 | 0.000 | -0.000 | 0.000 |
| 289.674 | 463.140 | 290.357 | 0.000 | 0.000 | 0.000 |
| 281.145 | 281.145 | 801.759 | 0.000 | 0.000 | 0.000 |
| 0.000 | -0.000 | 0.000 | 117.072 | -0.000 | -0.000 |
| 0.000 | -0.000 | 0.000 | 0.000 | 117.072 | 0.000 |
| -0.006 | -0.006 | 0.005 | 0.000 | -0.000 | 86.712 |
| 476.654 | 276.422 | 290.246 | -0.000 | 0.000 | 0.000 |
| 296.692 | 456.129 | 290.345 | -0.000 | 0.000 | -0.000 |
| 281.144 | 281.144 | 801.746 | -0.000 | 0.000 | -0.000 |
| 0.002 | 0.002 | -0.002 | 93.849 | -0.000 | 0.000 |
| 0.002 | 0.002 | -0.002 | -0.000 | 93.849 | -0.000 |
| 0.001 | 0.001 | -0.001 | -0.000 | 0.000 | 86.713 |
| 476.662 | 276.430 | 290.256 | 0.000 | -0.000 | 0.000 |
| 276.430 | 476.662 | 290.256 | 0.000 | -0.000 | 0.000 |
| 281.068 | 281.068 | 801.829 | -0.000 | -0.000 | 0.000 |
| -0.002 | -0.002 | 0.002 | 93.849 | -0.000 | -0.000 |
| -0.002 | -0.002 | 0.002 | 0.000 | 93.849 | 0.000 |
| 0.000 | -0.000 | 0.000 | -0.000 | -0.000 | 100.116 |
| 456.090 | 296.653 | 290.298 | -0.000 | 0.000 | 0.000 |
| 276.384 | 476.616 | 290.200 | 0.000 | 0.000 | -0.000 |
| 281.000 | 281.000 | 801.749 | -0.000 | 0.000 | -0.000 |
| 0.000 | -0.000 | -0.000 | 117.072 | 0.000 | -0.000 |
| -0.000 | 0.000 | -0.000 | 0.000 | 117.072 | -0.000 |
| -0.000 | 0.000 | -0.000 | -0.000 | -0.000 | 86.713 |
| 463.186 | 289.723 | 290.404 | 0.000 | -0.000 | -0.000 |
| 289.725 | 463.185 | 290.404 | 0.000 | -0.000 | 0.000 |
| 281.211 | 281.211 | 801.828 | 0.000 | 0.000 | -0.000 |
| -0.000 | 0.000 | 0.000 | 117.072 | -0.000 | 0.000 |
| 0.000 | -0.000 | 0.000 | -0.000 | 117.072 | -0.000 |
| 0.000 | -0.000 | 0.000 | -0.000 | -0.000 | 86.713 |
| -268.055 | -314.983 | -314.983 | -0.000 | 0.000 | -0.000 |
| -314.983 | -268.055 | -314.983 | -0.000 | -0.000 | -0.000 |
| -314.983 | -314.983 | -268.055 | -0.000 | -0.000 | -0.000 |
| -346.664 | -346.665 | -346.665 | -198.622 | -0.000 | -0.000 |
| -346.665 | -346.664 | -346.665 | -0.000 | -198.622 | -0.000 |
| -346.665 | -346.665 | -346.664 | -0.000 | 0.000 | -198.622 |
| 142.330 | 80.899 | 80.899 | 0.000 | 0.000 | 0.000 |
| 80.899 | 142.330 | 80.899 | -0.000 | -0.000 | 0.000 |
| 80.899 | 80.899 | 142.330 | 0.000 | 0.000 | 0.000 |
| 346.664 | 346.665 | 346.665 | -198.622 | 0.000 | 0.000 |
| 346.665 | 346.664 | 346.665 | -0.000 | -198.622 | 0.000 |
| 346.665 | 346.665 | 346.664 | -0.000 | 0.000 | -198.622 |
| -80.750 | -122.417 | -122.417 | -0.000 | -0.000 | -0.000 |
| -122.417 | -80.750 | -122.417 | -0.000 | -0.000 | -0.000 |
| -122.417 | -122.417 | -80.750 | -0.000 | -0.000 | -0.000 |
| 0.003 | 0.003 | 0.003 | -11.981 | 0.000 | -0.000 |
| 0.003 | 0.003 | 0.003 | 0.000 | -11.981 | -0.000 |
| 0.003 | 0.003 | 0.003 | 0.000 | -0.000 | -11.981 |
| 142.330 | 80.899 | 80.899 | 0.000 | -0.000 | 0.000 |
| 80.899 | 142.330 | 80.899 | -0.000 | -0.000 | 0.000 |
| 80.899 | 80.899 | 142.330 | 0.000 | 0.000 | 0.000 |
| -0.003 | -0.003 | -0.003 | -11.981 | 0.000 | -0.000 |
| -0.003 | -0.003 | -0.003 | 0.000 | -11.981 | 0.000 |
| -0.003 | -0.003 | -0.003 | 0.000 | 0.000 | -11.981 |
| -64.660 | -104.482 | -104.482 | -0.000 | -0.000 | -0.000 |
| -104.482 | -64.660 | -104.482 | -0.000 | -0.000 | -0.000 |
| -104.482 | -104.482 | -64.660 | 0.000 | -0.000 | -0.000 |
| 0.028 | 0.029 | 0.029 | -11.981 | 0.000 | -0.000 |
| 0.029 | 0.028 | 0.029 | 0.000 | -11.981 | -0.000 |
| 0.029 | 0.029 | 0.028 | 0.000 | -0.000 | -11.981 |
| 142.322 | 80.893 | 80.893 | -0.000 | 0.000 | 0.000 |
| 80.893 | 142.322 | 80.893 | 0.000 | 0.000 | 0.000 |
| 80.893 | 80.893 | 142.322 | 0.000 | -0.000 | -0.000 |
| -0.028 | -0.029 | -0.029 | -11.981 | 0.000 | -0.000 |
| -0.029 | -0.028 | -0.029 | 0.000 | -11.981 | 0.000 |
| -0.029 | -0.029 | -0.028 | 0.000 | 0.000 | -11.981 |
| 253.033 | 83.126 | 83.126 | 0.000 | -0.000 | 0.000 |
| 83.126 | 253.033 | 83.126 | 0.000 | -0.000 | 0.000 |
| 83.126 | 83.126 | 253.033 | 0.000 | -0.000 | 0.000 |
| 0.000 | 0.000 | 0.000 | 5.302 | 0.000 | 0.000 |
| 0.000 | 0.000 | 0.000 | 0.000 | 5.302 | -0.000 |
| 0.000 | 0.000 | 0.000 | 0.000 | 0.000 | 5.302 |
| 253.033 | 83.126 | 83.126 | -0.000 | 0.000 | -0.000 |
| 83.126 | 253.033 | 83.126 | 0.000 | 0.000 | -0.000 |
| 83.126 | 83.126 | 253.033 | -0.000 | 0.000 | -0.000 |
| -0.000 | -0.000 | -0.000 | 5.302 | -0.000 | 0.000 |
| -0.000 | -0.000 | -0.000 | -0.000 | 5.302 | 0.000 |
| -0.000 | -0.000 | -0.000 | -0.000 | -0.000 | 5.302 |
| 199.747 | 68.722 | 68.722 | 0.000 | 0.000 | -0.000 |
| 68.722 | 199.747 | 68.722 | 0.000 | -0.000 | -0.000 |
| 68.722 | 68.722 | 199.747 | 0.000 | -0.000 | -0.000 |
| 0.000 | 0.000 | 0.000 | 47.259 | 0.000 | 0.000 |
| 0.000 | 0.000 | 0.000 | 0.000 | 47.259 | 0.000 |
| 0.000 | 0.000 | 0.000 | 0.000 | 0.000 | 47.259 |
| 253.033 | 83.126 | 83.126 | -0.000 | 0.000 | -0.000 |
| 83.126 | 253.033 | 83.126 | -0.000 | 0.000 | -0.000 |
| 83.126 | 83.126 | 253.033 | -0.000 | 0.000 | -0.000 |
| -0.000 | -0.000 | -0.000 | 47.259 | -0.000 | 0.000 |
| -0.000 | -0.000 | -0.000 | -0.000 | 47.259 | -0.000 |
| -0.000 | -0.000 | -0.000 | -0.000 | 0.000 | 47.259 |
| 253.041 | 83.132 | 83.132 | 0.000 | -0.000 | -0.000 |
| 83.132 | 253.041 | 83.132 | -0.000 | -0.000 | 0.000 |
| 83.132 | 83.132 | 253.041 | 0.000 | -0.000 | 0.000 |
| 0.001 | 0.000 | 0.000 | 0.355 | -0.000 | -0.000 |
| -0.000 | 0.001 | 0.000 | 0.000 | 5.302 | -0.000 |
| 0.000 | 0.000 | 0.001 | 0.000 | -0.000 | 0.355 |
| 199.742 | 68.716 | 68.716 | 0.000 | -0.000 | 0.000 |
| 68.716 | 199.742 | 68.716 | -0.000 | -0.000 | 0.000 |
| 68.716 | 68.716 | 199.742 | -0.000 | -0.000 | 0.000 |
| -0.001 | -0.000 | -0.000 | 0.355 | 0.000 | 0.000 |
| 0.000 | -0.001 | -0.000 | -0.000 | 5.302 | 0.000 |
| -0.000 | -0.000 | -0.001 | -0.000 | 0.000 | 0.355 |
| 134.112 | 6.251 | 20.211 | -17.698 | 7.126 | -0.000 |
| 6.251 | 134.112 | 20.211 | 17.698 | -7.126 | -0.000 |
| -343.916 | -343.916 | 754.595 | 0.000 | -0.000 | 0.000 |
| -384.328 | -314.880 | 734.651 | 2.158 | -0.000 | 0.822 |
| -269.391 | -288.911 | 880.615 | -0.000 | 46.582 | -21.735 |
| -278.285 | -278.285 | 879.369 | -9.797 | -21.674 | 36.057 |
| 407.873 | 390.169 | -759.565 | -36.002 | -1.419 | -0.000 |
| 6.251 | 134.112 | 20.211 | 17.698 | -7.126 | -0.000 |
| 20.730 | 20.730 | 133.788 | 0.000 | 0.000 | 0.000 |
| 257.416 | 300.886 | -880.615 | 46.582 | 0.000 | -9.760 |
| 281.224 | 272.603 | -815.652 | 0.000 | 30.574 | -26.779 |
| 350.717 | 350.717 | -736.990 | 0.847 | -34.778 | 12.536 |
| 134.112 | 6.251 | 20.211 | -17.698 | 7.126 | 0.000 |
| 6.251 | 134.112 | 20.211 | 17.698 | -7.126 | 0.000 |
| 20.730 | 20.730 | 133.788 | -0.000 | -0.000 | 0.000 |
| -17.698 | 17.698 | 0.000 | 57.511 | -0.000 | -7.126 |
| 7.126 | -7.126 | 0.000 | -0.000 | 57.511 | -17.698 |
| -0.000 | -0.000 | 0.000 | -7.126 | -17.698 | 63.930 |
| 93.929 | 34.681 | -22.725 | -29.099 | 1.804 | -0.000 |
| 41.342 | 110.689 | -52.853 | 22.716 | -8.812 | -0.000 |
| 59.016 | 59.016 | -40.380 | 0.000 | 0.000 | -0.000 |
| -17.698 | 17.698 | -0.000 | 57.511 | 0.000 | -7.126 |
| 23.476 | 18.846 | -44.467 | 0.000 | 24.006 | -28.003 |
| 24.051 | 24.051 | -50.540 | -1.658 | -29.411 | 28.686 |
| 87.300 | 9.506 | 34.515 | -23.264 | 6.885 | 0.000 |
| 7.898 | 93.546 | 27.088 | 24.712 | -3.852 | 0.000 |
| 23.438 | 23.438 | 65.282 | -0.000 | -0.000 | -0.000 |
| -24.793 | 22.375 | 2.540 | 38.373 | -0.000 | -4.378 |
| 3.169 | -5.587 | 2.540 | -0.000 | 38.372 | -23.585 |
| -1.463 | -1.463 | 3.073 | -3.801 | -24.820 | 42.498 |
| 92.736 | 13.355 | 22.145 | -23.393 | 6.489 | -0.000 |
| 6.252 | 134.113 | 20.211 | 17.697 | -7.126 | -0.000 |
| 27.020 | 27.020 | 54.123 | 0.000 | 0.000 | -0.000 |
| -22.376 | 24.793 | -2.540 | 38.372 | 0.000 | -4.378 |
| 7.126 | -7.126 | -0.000 | 0.000 | 57.511 | -17.698 |
| 1.463 | 1.463 | -3.073 | -3.801 | -24.820 | 42.498 |
| 484.842 | 339.330 | 364.019 | 0.000 | 0.000 | -0.000 |
| 340.452 | 508.870 | 372.449 | 0.000 | 0.000 | -0.000 |
| 364.549 | 371.851 | 370.596 | 0.000 | 0.000 | 0.000 |
| 0.002 | -0.001 | 0.000 | 59.615 | 0.000 | -0.000 |
| 0.002 | -0.001 | 0.000 | -0.000 | 45.033 | -0.000 |
| 0.000 | 0.000 | -0.000 | -0.000 | -0.000 | 125.458 |
| 484.830 | 339.343 | 364.019 | -0.000 | -0.000 | 0.000 |
| 340.440 | 508.883 | 372.449 | -0.000 | -0.000 | 0.000 |
| 370.776 | 366.468 | 371.104 | -0.000 | 0.000 | 0.000 |
| -0.002 | 0.001 | -0.000 | 59.615 | 0.000 | 0.000 |
| -0.002 | 0.001 | -0.000 | -0.000 | 45.033 | -0.000 |
| -0.000 | -0.000 | -0.000 | -0.000 | -0.000 | 125.458 |
| 484.829 | 339.329 | 364.010 | 0.000 | -0.000 | -0.000 |
| 340.440 | 508.870 | 372.441 | 0.000 | 0.000 | 0.000 |
| 364.530 | 371.849 | 370.583 | 0.000 | 0.000 | -0.000 |
| 0.000 | -0.000 | 0.000 | 59.615 | 0.000 | -0.000 |
| 0.000 | -0.000 | 0.000 | 0.000 | 45.033 | -0.000 |
| 0.000 | -0.000 | 0.000 | -0.000 | -0.000 | 125.458 |
| 561.663 | 272.885 | 370.263 | -0.000 | 0.000 | 0.000 |
| 340.452 | 508.884 | 372.457 | -0.000 | -0.000 | -0.000 |
| 364.550 | 371.871 | 370.609 | -0.000 | -0.000 | -0.000 |
| -0.000 | 0.000 | -0.000 | 59.615 | -0.000 | 0.000 |
| -0.000 | 0.000 | -0.000 | 0.000 | 45.033 | 0.000 |
| -0.000 | 0.000 | -0.000 | 0.000 | 0.000 | 125.458 |
| 484.762 | 339.268 | 363.930 | 0.000 | 0.000 | -0.000 |
| 340.379 | 508.811 | 372.366 | 0.000 | 0.000 | -0.000 |
| 364.431 | 371.755 | 370.463 | 0.000 | 0.000 | 0.000 |
| 0.000 | -0.000 | -0.000 | 59.615 | -0.000 | -0.000 |
| -0.000 | 0.000 | -0.000 | 0.000 | 53.887 | -0.000 |
| 0.000 | 0.000 | 0.000 | 0.000 | -0.000 | 125.458 |
| 484.909 | 339.406 | 364.108 | -0.000 | -0.000 | 0.000 |
| 340.513 | 508.942 | 372.532 | -0.000 | -0.000 | 0.000 |
| 364.649 | 371.966 | 370.729 | -0.000 | -0.000 | 0.000 |
| -0.000 | 0.000 | 0.000 | 59.615 | 0.000 | 0.000 |
| 0.000 | -0.000 | 0.000 | -0.000 | 53.887 | 0.000 |
| -0.000 | -0.000 | -0.000 | 0.000 | 0.000 | 125.458 |
| 138.148 | 68.633 | 68.633 | -0.000 | 0.000 | 0.000 |
| 68.633 | 138.148 | 68.633 | 0.000 | 0.000 | 0.000 |
| 68.633 | 68.633 | 138.148 | 0.000 | 0.000 | 0.000 |
| -25.466 | -25.466 | -25.466 | 21.751 | 0.000 | -0.000 |
| -25.466 | -25.466 | -25.466 | 0.000 | 21.751 | 0.000 |
| -25.466 | -25.466 | -25.466 | 0.000 | -0.000 | 21.751 |
| 134.403 | 97.258 | 97.258 | -0.000 | 0.000 | -0.000 |
| 97.258 | 134.403 | 97.258 | 0.000 | 0.000 | 0.000 |
| 97.258 | 97.258 | 134.403 | -0.000 | 0.000 | -0.000 |
| 25.466 | 25.466 | 25.466 | 21.751 | 0.000 | -0.000 |
| 25.466 | 25.466 | 25.466 | 0.000 | 21.751 | -0.000 |
| 25.466 | 25.466 | 25.466 | 0.000 | 0.000 | 21.751 |
| 138.150 | 68.634 | 68.634 | 0.000 | 0.000 | 0.000 |
| 68.634 | 138.150 | 68.634 | 0.000 | 0.000 | 0.000 |
| 68.634 | 68.634 | 138.150 | 0.000 | 0.000 | -0.000 |
| -0.000 | -0.000 | 0.000 | 63.241 | 0.000 | 0.000 |
| -0.000 | -0.000 | 0.000 | 0.000 | 63.241 | 0.000 |
| -0.000 | 0.000 | -0.000 | 0.000 | 0.000 | 63.241 |
| 116.036 | 77.073 | 77.073 | -0.000 | -0.000 | -0.000 |
| 77.073 | 116.036 | 77.073 | 0.000 | 0.000 | -0.000 |
| 77.073 | 77.073 | 116.036 | -0.000 | 0.000 | -0.000 |
| 0.000 | 0.000 | -0.000 | 63.241 | -0.000 | -0.000 |
| 0.000 | 0.000 | -0.000 | -0.000 | 63.241 | -0.000 |
| 0.000 | -0.000 | 0.000 | -0.000 | -0.000 | 63.241 |
| 113.647 | 75.729 | 75.729 | -0.000 | -0.000 | 0.000 |
| 75.729 | 113.647 | 75.729 | 0.000 | -0.000 | 0.000 |
| 75.729 | 75.729 | 113.647 | 0.000 | 0.000 | 0.000 |
| -0.000 | -0.000 | 0.000 | 63.241 | 0.000 | 0.000 |
| -0.000 | -0.000 | 0.000 | 0.000 | 63.241 | 0.000 |
| -0.000 | 0.000 | -0.000 | 0.000 | 0.000 | 63.241 |
| 138.126 | 68.616 | 68.616 | -0.000 | 0.000 | -0.000 |
| 68.616 | 138.126 | 68.616 | 0.000 | -0.000 | -0.000 |
| 68.616 | 68.616 | 138.126 | -0.000 | -0.000 | -0.000 |
| 0.000 | 0.000 | -0.000 | 63.241 | -0.000 | -0.000 |
| 0.000 | 0.000 | -0.000 | -0.000 | 63.241 | -0.000 |
| 0.000 | -0.000 | 0.000 | 0.000 | 0.000 | 63.241 |
| 119.658 | 101.706 | 101.706 | -0.000 | 0.000 | -0.000 |
| 101.706 | 119.658 | 101.706 | -0.000 | 0.000 | -0.000 |
| 101.706 | 101.706 | 119.658 | -0.000 | 0.000 | -0.000 |
| -0.000 | -0.000 | 0.000 | 63.258 | -0.000 | 0.000 |
| -0.000 | -0.000 | 0.000 | -0.000 | 63.258 | 0.000 |
| -0.000 | -0.000 | -0.000 | -0.000 | -0.000 | 63.258 |
| 137.358 | 66.443 | 66.443 | 0.000 | 0.000 | -0.000 |
| 66.443 | 137.358 | 66.443 | 0.000 | 0.000 | -0.000 |
| 66.443 | 66.443 | 137.358 | 0.000 | 0.000 | -0.000 |
| 0.000 | 0.000 | -0.000 | 63.258 | 0.000 | 0.000 |
| 0.000 | 0.000 | -0.000 | 0.000 | 63.258 | -0.000 |
| 0.000 | -0.000 | -0.000 | 0.000 | 0.000 | 63.258 |
| 112.391 | 73.216 | 73.216 | -0.000 | 0.000 | -0.000 |
| 73.216 | 112.391 | 73.216 | 0.000 | 0.000 | 0.000 |
| 73.216 | 73.216 | 112.391 | 0.000 | 0.000 | 0.000 |
| -0.000 | -0.000 | 0.000 | 63.258 | -0.000 | -0.000 |
| -0.000 | -0.000 | 0.000 | -0.000 | 63.258 | 0.000 |
| -0.000 | 0.000 | -0.000 | -0.000 | -0.000 | 63.258 |
| 107.665 | 70.294 | 70.294 | -0.000 | -0.000 | -0.000 |
| 70.294 | 107.665 | 70.294 | 0.000 | -0.000 | 0.000 |
| 70.294 | 70.294 | 107.665 | -0.000 | -0.000 | -0.000 |
| 0.000 | 0.000 | -0.000 | 63.258 | 0.000 | -0.000 |
| 0.000 | 0.000 | -0.000 | 0.000 | 63.258 | -0.000 |
| 0.000 | -0.000 | 0.000 | 0.000 | 0.000 | 63.258 |
| 137.365 | 66.450 | 66.450 | -0.000 | -0.000 | -0.000 |
| 66.450 | 137.365 | 66.450 | -0.000 | -0.000 | 0.000 |
| 66.450 | 66.450 | 137.365 | -0.000 | -0.000 | -0.000 |
| -0.000 | -0.000 | 0.000 | 63.258 | -0.000 | -0.000 |
| -0.000 | -0.000 | 0.000 | -0.000 | 63.258 | 0.000 |
| -0.000 | 0.000 | -0.000 | -0.000 | -0.000 | 63.258 |
| 137.352 | 66.436 | 66.436 | 0.000 | 0.000 | -0.000 |
| 66.436 | 137.352 | 66.436 | 0.000 | -0.000 | 0.000 |
| 66.436 | 66.436 | 137.352 | 0.000 | 0.000 | -0.000 |
| 0.000 | 0.000 | -0.000 | 63.258 | 0.000 | -0.000 |
| 0.000 | 0.000 | -0.000 | 0.000 | 63.258 | -0.000 |
| 0.000 | -0.000 | 0.000 | -0.000 | 0.000 | 63.258 |
| 199.521 | 66.375 | 66.375 | -0.000 | 0.000 | -0.000 |
| 66.375 | 199.521 | 66.375 | -0.000 | -0.000 | -0.000 |
| 66.375 | 66.375 | 199.521 | 0.000 | -0.000 | 0.000 |
| -1277.469 | -1277.469 | -1277.469 | 40.774 | 0.000 | -0.000 |
| -1277.469 | -1277.469 | -1277.469 | 0.000 | 40.774 | -0.000 |
| -1277.469 | -1277.469 | -1277.469 | -0.000 | 0.000 | 40.774 |
| 1432.989 | 1359.259 | 1359.259 | -0.000 | -0.000 | -0.000 |
| 1359.259 | 1432.989 | 1359.259 | -0.000 | -0.000 | -0.000 |
| 1359.259 | 1359.259 | 1432.989 | 0.000 | -0.000 | -0.000 |
| 1277.469 | 1277.469 | 1277.469 | 40.774 | -0.000 | 0.000 |
| 1277.469 | 1277.469 | 1277.469 | 0.000 | 40.774 | -0.000 |
| 1277.469 | 1277.469 | 1277.469 | 0.000 | -0.000 | 40.774 |
| 27.777 | -45.954 | -45.954 | -0.000 | -0.000 | 0.000 |
| -45.954 | 27.777 | -45.954 | -0.000 | -0.000 | -0.000 |
| -45.954 | -45.954 | 27.777 | -0.000 | 0.000 | 0.000 |
| -127.735 | -127.735 | -127.735 | 40.777 | 0.000 | 0.000 |
| -127.735 | -127.735 | -127.735 | -0.000 | 40.777 | -0.000 |
| -127.735 | -127.735 | -127.735 | -0.000 | 0.000 | 40.777 |
| 277.118 | 210.140 | 210.140 | -0.000 | -0.000 | 0.000 |
| 210.140 | 277.118 | 210.140 | 0.000 | 0.000 | -0.000 |
| 210.140 | 210.140 | 277.118 | -0.000 | -0.000 | 0.000 |
| 127.735 | 127.735 | 127.735 | 40.777 | -0.000 | 0.000 |
| 127.735 | 127.735 | 127.735 | 0.000 | 40.777 | 0.000 |
| 127.735 | 127.735 | 127.735 | 0.000 | -0.000 | 40.777 |
| 136.086 | 69.372 | 69.372 | -0.000 | 0.000 | 0.000 |
| 69.372 | 136.086 | 69.372 | -0.000 | -0.000 | 0.000 |
| 69.372 | 69.372 | 136.086 | -0.000 | 0.000 | -0.000 |
| -12.672 | -12.672 | -12.672 | 41.082 | -0.000 | 0.000 |
| -12.672 | -12.672 | -12.672 | -0.000 | 41.082 | -0.000 |
| -12.672 | -12.672 | -12.672 | 0.000 | 0.000 | 41.082 |
| 199.522 | 66.375 | 66.375 | 0.000 | -0.000 | -0.000 |
| 66.375 | 199.522 | 66.375 | 0.000 | -0.000 | -0.000 |
| 66.375 | 66.375 | 199.522 | 0.000 | 0.000 | -0.000 |
| 12.672 | 12.672 | 12.672 | 41.082 | -0.000 | 0.000 |
| 12.672 | 12.672 | 12.672 | 0.000 | 41.082 | 0.000 |
| 12.672 | 12.672 | 12.672 | -0.000 | -0.000 | 41.082 |
| 205.124 | 53.138 | 31.994 | 0.000 | -0.000 | 0.000 |
| 53.138 | 205.124 | 31.994 | 0.000 | -0.000 | 0.000 |
| 29.075 | 29.075 | 220.525 | 0.000 | -0.000 | 0.000 |
| 0.000 | 0.000 | -0.000 | 54.426 | -0.000 | 0.000 |
| 0.000 | 0.000 | -0.000 | 0.000 | 54.426 | 0.000 |
| -0.000 | -0.000 | 0.000 | 0.000 | -0.000 | 7.530 |
| 122.092 | 16.228 | 81.150 | -0.000 | 0.000 | -0.000 |
| 16.228 | 122.092 | 81.150 | -0.000 | 0.000 | -0.000 |
| 70.365 | 70.365 | 186.682 | -0.000 | 0.000 | -0.000 |
| -0.000 | -0.000 | 0.000 | 54.426 | 0.000 | -0.000 |
| -0.000 | -0.000 | 0.000 | -0.000 | 54.426 | -0.000 |
| 0.000 | 0.000 | -0.000 | -0.000 | 0.000 | 7.530 |
| 122.094 | 16.228 | 81.147 | 0.000 | -0.000 | 0.000 |
| 16.228 | 122.094 | 81.147 | 0.000 | -0.000 | -0.000 |
| 29.074 | 29.074 | 220.525 | 0.000 | -0.000 | 0.000 |
| 0.000 | 0.000 | -0.000 | 54.426 | -0.000 | -0.000 |
| 0.000 | 0.000 | -0.000 | 0.000 | 54.426 | 0.000 |
| -0.000 | -0.000 | -0.000 | 0.000 | -0.000 | 7.530 |
| 122.091 | 16.228 | 81.153 | -0.000 | 0.000 | -0.000 |
| 16.228 | 122.091 | 81.153 | -0.000 | 0.000 | 0.000 |
| 70.365 | 70.365 | 186.684 | -0.000 | 0.000 | 0.000 |
| -0.000 | -0.000 | 0.000 | 54.426 | 0.000 | -0.000 |
| -0.000 | -0.000 | 0.000 | -0.000 | 54.426 | -0.000 |
| 0.000 | 0.000 | 0.000 | -0.000 | 0.000 | 7.530 |
| 108.562 | 48.234 | 73.553 | 0.000 | -0.000 | 0.000 |
| 48.234 | 108.562 | 73.553 | 0.000 | -0.000 | 0.000 |
| 70.367 | 70.367 | 186.660 | 0.000 | -0.000 | 0.000 |
| -0.000 | 0.000 | -0.000 | 33.554 | -0.000 | 0.000 |
| 0.000 | -0.000 | -0.000 | 0.000 | 33.554 | 0.000 |
| 0.000 | 0.000 | -0.001 | -0.000 | -0.000 | 7.530 |
| 109.031 | 48.463 | 73.318 | 0.000 | 0.000 | -0.000 |
| 48.463 | 109.031 | 73.318 | -0.000 | 0.000 | -0.000 |
| 70.363 | 70.363 | 186.703 | 0.000 | 0.000 | -0.000 |
| 0.000 | -0.000 | 0.000 | 33.554 | 0.000 | 0.000 |
| -0.000 | 0.000 | 0.000 | -0.000 | 33.554 | -0.000 |
| -0.000 | -0.000 | 0.001 | -0.000 | 0.000 | 7.530 |
| 172.128 | 110.382 | 110.382 | 0.000 | -0.000 | -0.000 |
| 110.382 | 172.128 | 110.382 | -0.000 | -0.000 | 0.000 |
| 110.382 | 110.382 | 172.128 | -0.000 | -0.000 | -0.000 |
| -14.756 | -14.756 | -14.756 | -61.177 | -0.000 | -0.000 |
| -14.756 | -14.756 | -14.756 | 0.000 | -61.177 | -0.000 |
| -14.756 | -14.756 | -14.756 | -0.000 | -0.000 | -61.177 |
| 172.128 | 110.381 | 110.381 | 0.000 | 0.000 | 0.000 |
| 110.381 | 172.128 | 110.381 | -0.000 | 0.000 | 0.000 |
| 110.381 | 110.381 | 172.128 | 0.000 | 0.000 | 0.000 |
| 14.756 | 14.756 | 14.756 | -61.177 | 0.000 | 0.000 |
| 14.756 | 14.756 | 14.756 | 0.000 | -61.177 | 0.000 |
| 14.756 | 14.756 | 14.756 | 0.000 | 0.000 | -61.177 |
| 61.823 | 8.939 | 8.939 | -0.000 | -0.000 | -0.000 |
| 8.939 | 61.823 | 8.939 | 0.000 | -0.000 | -0.000 |
| 8.939 | 8.939 | 61.823 | 0.000 | -0.000 | -0.000 |
| 0.003 | 0.003 | 0.003 | 25.677 | -0.000 | 0.000 |
| 0.003 | 0.003 | 0.003 | -0.000 | 25.677 | -0.000 |
| 0.003 | 0.003 | 0.003 | -0.000 | -0.000 | 25.677 |
| 172.127 | 110.381 | 110.381 | 0.000 | 0.000 | 0.000 |
| 110.381 | 172.127 | 110.381 | -0.000 | 0.000 | 0.000 |
| 110.381 | 110.381 | 172.127 | 0.000 | -0.000 | 0.000 |
| -0.003 | -0.003 | -0.003 | 25.677 | 0.000 | 0.000 |
| -0.003 | -0.003 | -0.003 | -0.000 | 25.677 | 0.000 |
| -0.003 | -0.003 | -0.003 | 0.000 | 0.000 | 25.677 |
| 82.288 | 36.864 | 36.864 | -0.000 | -0.000 | -0.000 |
| 36.864 | 82.288 | 36.864 | 0.000 | -0.000 | -0.000 |
| 36.864 | 36.864 | 82.288 | -0.000 | 0.000 | -0.000 |
| 0.029 | 0.029 | 0.029 | 25.677 | -0.000 | -0.000 |
| 0.029 | 0.029 | 0.029 | -0.000 | 25.677 | -0.000 |
| 0.029 | 0.029 | 0.029 | -0.000 | -0.000 | 25.677 |
| 70.591 | 15.943 | 15.943 | -0.000 | 0.000 | 0.000 |
| 15.943 | 70.591 | 15.943 | -0.000 | 0.000 | 0.000 |
| 15.943 | 15.943 | 70.591 | 0.000 | 0.000 | 0.000 |
| -0.029 | -0.029 | -0.029 | 25.677 | 0.000 | 0.000 |
| -0.029 | -0.029 | -0.029 | -0.000 | 25.677 | 0.000 |
| -0.029 | -0.029 | -0.029 | -0.000 | 0.000 | 25.677 |
| -1843.321 | -1895.152 | -1895.152 | -0.000 | -0.000 | -0.000 |
| -1895.152 | -1843.321 | -1895.152 | -0.000 | 0.000 | -0.000 |
| -1895.152 | -1895.152 | -1843.321 | -0.000 | -0.000 | -0.000 |
| -0.000 | 0.000 | -0.000 | 72.572 | 0.000 | -0.000 |
| -0.000 | 0.000 | -0.000 | 0.000 | 72.572 | -0.000 |
| -0.000 | 0.000 | -0.000 | -0.000 | 0.000 | 72.572 |
| 4475.470 | 4420.544 | 4420.544 | 0.000 | 0.000 | 0.000 |
| 4420.544 | 4475.470 | 4420.544 | 0.000 | 0.000 | 0.000 |
| 4420.544 | 4420.544 | 4475.470 | 0.000 | 0.000 | 0.000 |
| 0.000 | -0.000 | 0.000 | 72.572 | -0.000 | 0.000 |
| 0.000 | -0.000 | 0.000 | -0.000 | 72.572 | 0.000 |
| 0.000 | -0.000 | 0.000 | -0.000 | 0.000 | 72.572 |
| -28.825 | -80.600 | -80.600 | -0.000 | 0.000 | -0.000 |
| -80.600 | -28.825 | -80.600 | -0.000 | -0.000 | -0.000 |
| -80.600 | -80.600 | -28.825 | -0.000 | 0.000 | -0.000 |
| -430.855 | -430.855 | -430.855 | 45.663 | 0.000 | -0.000 |
| -430.855 | -430.855 | -430.855 | 0.000 | 45.663 | -0.000 |
| -430.855 | -430.855 | -430.855 | -0.000 | -0.000 | 45.663 |
| 191.391 | 130.390 | 130.390 | -0.000 | 0.000 | 0.000 |
| 130.390 | 191.391 | 130.390 | -0.000 | -0.000 | 0.000 |
| 130.390 | 130.390 | 191.391 | -0.000 | -0.000 | 0.000 |
| 430.855 | 430.855 | 430.855 | 45.663 | 0.000 | 0.000 |
| 430.855 | 430.855 | 430.855 | 0.000 | 45.663 | 0.000 |
| 430.855 | 430.855 | 430.855 | 0.000 | 0.000 | 45.663 |
| 126.255 | 71.452 | 71.452 | -0.000 | -0.000 | -0.000 |
| 71.452 | 126.255 | 71.452 | -0.000 | -0.000 | -0.000 |
| 71.452 | 71.452 | 126.255 | -0.000 | -0.000 | -0.000 |
| -44.575 | -44.575 | -44.575 | 37.241 | -0.000 | -0.000 |
| -44.575 | -44.575 | -44.575 | -0.000 | 37.241 | -0.000 |
| -44.575 | -44.575 | -44.575 | -0.000 | -0.000 | 37.241 |
| 210.857 | 159.507 | 159.507 | -0.000 | -0.000 | 0.000 |
| 159.507 | 210.857 | 159.507 | 0.000 | -0.000 | 0.000 |
| 159.507 | 159.507 | 210.857 | 0.000 | 0.000 | 0.000 |
| 44.575 | 44.575 | 44.575 | 37.241 | 0.000 | 0.000 |
| 44.575 | 44.575 | 44.575 | 0.000 | 37.241 | 0.000 |
| 44.575 | 44.575 | 44.575 | 0.000 | -0.000 | 37.241 |
| 285.381 | 134.438 | 124.113 | 0.000 | 0.000 | 0.000 |
| 144.790 | 136.024 | 75.192 | -0.000 | -0.000 | 0.000 |
| 193.911 | 63.406 | 213.719 | 0.000 | 0.000 | 0.000 |
| -2.509 | -0.742 | -2.218 | 90.416 | -0.000 | 0.000 |
| -1.168 | -0.345 | -1.033 | -0.000 | 19.969 | -0.000 |
| -8.353 | -4.502 | -8.552 | 0.000 | 0.002 | -70.208 |
| 305.774 | 140.692 | 142.271 | -0.000 | -0.000 | -0.000 |
| 96.745 | 171.742 | 61.409 | -0.000 | -0.000 | -0.000 |
| 140.524 | 70.937 | 179.927 | 0.000 | -0.000 | -0.000 |
| 2.509 | 0.742 | 2.218 | 90.416 | 0.000 | -0.000 |
| 1.168 | 0.345 | 1.033 | -0.000 | 19.969 | -0.000 |
| 8.353 | 4.502 | 8.552 | -0.000 | -0.002 | -70.208 |
| 413.563 | 101.612 | 196.770 | 0.000 | 0.000 | 0.000 |
| 144.820 | 137.539 | 76.080 | 0.000 | -0.000 | 0.000 |
| 146.628 | 85.563 | 192.689 | 0.000 | -0.000 | 0.000 |
| 0.000 | 0.000 | -0.000 | 149.814 | 0.000 | 0.000 |
| -0.115 | -0.034 | -0.102 | 0.000 | 20.201 | 0.000 |
| 0.011 | 0.006 | 0.000 | 0.000 | 0.000 | 77.564 |
| 296.571 | 137.869 | 134.096 | -0.000 | -0.000 | -0.000 |
| 144.906 | 137.803 | 76.301 | -0.000 | 0.000 | -0.000 |
| 148.581 | 85.016 | 193.768 | -0.000 | 0.000 | -0.000 |
| -0.000 | -0.000 | 0.000 | 149.814 | -0.000 | -0.000 |
| 0.115 | 0.034 | 0.102 | -0.000 | 20.201 | 0.000 |
| -0.011 | -0.006 | -0.000 | 0.000 | -0.000 | 77.564 |
| 295.746 | 137.621 | 133.144 | 0.000 | 0.000 | 0.000 |
| 144.876 | 137.665 | 76.159 | 0.000 | -0.000 | 0.000 |
| 130.256 | 67.764 | 170.770 | 0.000 | 0.000 | 0.000 |
| -0.026 | -0.005 | -0.039 | 90.230 | 0.000 | 0.000 |
| -0.010 | -0.003 | -0.010 | -0.000 | 20.203 | 0.000 |
| 0.034 | -0.050 | -0.116 | 0.000 | 0.000 | -70.297 |
| 295.409 | 137.510 | 133.240 | -0.000 | -0.000 | -0.000 |
| 144.841 | 137.683 | 76.220 | 0.000 | 0.000 | -0.000 |
| 130.401 | 67.860 | 170.932 | -0.000 | -0.000 | -0.000 |
| 0.026 | 0.005 | 0.039 | 90.230 | -0.000 | -0.000 |
| 0.010 | 0.003 | 0.010 | 0.000 | 20.203 | -0.000 |
| -0.034 | 0.050 | 0.116 | -0.000 | -0.000 | -70.297 |
| 188.415 | -10.050 | -10.050 | 0.000 | 0.000 | -0.000 |
| -10.050 | 188.415 | -10.050 | 0.000 | 0.000 | -0.000 |
| -10.050 | -10.050 | 188.415 | 0.000 | 0.000 | -0.000 |
| 17.488 | 17.488 | 17.488 | 74.582 | 0.000 | -0.000 |
| 17.488 | 17.488 | 17.488 | -0.000 | 74.582 | -0.000 |
| 17.488 | 17.488 | 17.488 | -0.000 | 0.000 | 74.582 |
| 333.317 | 96.981 | 96.981 | 0.000 | -0.000 | 0.000 |
| 96.981 | 333.317 | 96.981 | -0.000 | -0.000 | 0.000 |
| 96.981 | 96.981 | 333.317 | 0.000 | -0.000 | 0.000 |
| -17.488 | -17.488 | -17.488 | 74.582 | -0.000 | 0.000 |
| -17.488 | -17.488 | -17.488 | -0.000 | 74.582 | 0.000 |
| -17.488 | -17.488 | -17.488 | -0.000 | -0.000 | 74.582 |
| 290.836 | 97.776 | 97.776 | 0.000 | 0.000 | -0.000 |
| 97.776 | 290.836 | 97.776 | -0.000 | 0.000 | -0.000 |
| 97.776 | 97.776 | 290.836 | -0.000 | 0.000 | -0.000 |
| -0.001 | -0.001 | -0.001 | 85.162 | 0.000 | -0.000 |
| -0.001 | -0.001 | -0.001 | -0.000 | 85.162 | -0.000 |
| -0.001 | -0.001 | -0.001 | 0.000 | 0.000 | 85.162 |
| 333.759 | 100.972 | 100.972 | -0.000 | -0.000 | 0.000 |
| 100.972 | 333.759 | 100.972 | -0.000 | -0.000 | 0.000 |
| 100.972 | 100.972 | 333.759 | 0.000 | -0.000 | 0.000 |
| 0.001 | 0.001 | 0.001 | 85.162 | -0.000 | 0.000 |
| 0.001 | 0.001 | 0.001 | -0.000 | 85.162 | 0.000 |
| 0.001 | 0.001 | 0.001 | -0.000 | -0.000 | 85.162 |
| 455.020 | 191.982 | 191.982 | 0.000 | 0.000 | -0.000 |
| 191.982 | 455.020 | 191.982 | 0.000 | 0.000 | -0.000 |
| 191.982 | 191.982 | 455.020 | 0.000 | 0.000 | -0.000 |
| 0.280 | 0.277 | 0.278 | 68.135 | 0.000 | -0.000 |
| 0.277 | 0.280 | 0.278 | 0.000 | 68.135 | -0.000 |
| 0.277 | 0.278 | 0.280 | -0.000 | 0.000 | 68.135 |
| 322.224 | 92.769 | 92.769 | 0.000 | -0.000 | 0.000 |
| 92.769 | 322.224 | 92.769 | -0.000 | -0.000 | 0.000 |
| 92.769 | 92.769 | 322.224 | 0.000 | -0.000 | 0.000 |
| -0.280 | -0.277 | -0.278 | 68.135 | -0.000 | 0.000 |
| -0.277 | -0.280 | -0.277 | 0.000 | 68.135 | 0.000 |
| -0.277 | -0.278 | -0.280 | -0.000 | -0.000 | 68.135 |
| 287.502 | 275.661 | 275.661 | -0.000 | -0.000 | -0.000 |
| 275.661 | 287.502 | 275.661 | -0.000 | -0.000 | 0.000 |
| 275.661 | 275.661 | 287.502 | -0.000 | -0.000 | -0.000 |
| 0.000 | 0.000 | 0.000 | 78.211 | -0.000 | -0.000 |
| 0.000 | 0.000 | 0.000 | 0.000 | 78.211 | 0.000 |
| 0.000 | 0.000 | 0.000 | 0.000 | -0.000 | 78.211 |
| 287.501 | 275.661 | 275.661 | -0.000 | 0.000 | -0.000 |
| 275.661 | 287.501 | 275.661 | 0.000 | 0.000 | -0.000 |
| 275.661 | 275.661 | 287.501 | -0.000 | 0.000 | -0.000 |
| -0.000 | -0.000 | -0.000 | 78.211 | 0.000 | -0.000 |
| -0.000 | -0.000 | -0.000 | 0.000 | 78.211 | 0.000 |
| -0.000 | -0.000 | -0.000 | -0.000 | 0.000 | 78.211 |
| 146.238 | 194.465 | 194.465 | 0.000 | -0.000 | 0.000 |
| 194.465 | 146.238 | 194.465 | -0.000 | -0.000 | 0.000 |
| 194.465 | 194.465 | 146.238 | 0.000 | 0.000 | -0.000 |
| 0.000 | 0.000 | 0.000 | 78.211 | -0.000 | 0.000 |
| 0.000 | 0.000 | 0.000 | 0.000 | 78.211 | 0.000 |
| 0.000 | 0.000 | 0.000 | 0.000 | -0.000 | 78.211 |
| 211.185 | 233.210 | 233.210 | -0.000 | 0.000 | 0.000 |
| 233.210 | 211.185 | 233.210 | 0.000 | 0.000 | 0.000 |
| 233.210 | 233.210 | 211.185 | 0.000 | -0.000 | 0.000 |
| -0.000 | -0.000 | -0.000 | 78.211 | -0.000 | 0.000 |
| -0.000 | -0.000 | -0.000 | -0.000 | 78.211 | 0.000 |
| -0.000 | -0.000 | -0.000 | 0.000 | 0.000 | 78.211 |
| 211.325 | 233.318 | 233.318 | 0.000 | -0.000 | -0.000 |
| 233.318 | 211.325 | 233.318 | 0.000 | 0.000 | -0.000 |
| 233.318 | 233.318 | 211.325 | 0.000 | -0.000 | 0.000 |
| 0.000 | 0.000 | 0.000 | 78.211 | -0.000 | -0.000 |
| 0.000 | 0.000 | 0.000 | -0.000 | 78.211 | 0.000 |
| 0.000 | 0.000 | 0.000 | -0.000 | -0.000 | 78.211 |
| 211.279 | 233.270 | 233.270 | -0.000 | -0.000 | -0.000 |
| 233.270 | 211.279 | 233.270 | 0.000 | 0.000 | 0.000 |
| 233.270 | 233.270 | 211.279 | -0.000 | 0.000 | 0.000 |
| -0.000 | -0.000 | -0.000 | 78.211 | 0.000 | 0.000 |
| -0.000 | -0.000 | -0.000 | -0.000 | 78.211 | 0.000 |
| -0.000 | -0.000 | -0.000 | 0.000 | 0.000 | 78.211 |
| 274.904 | 99.991 | 82.280 | -0.000 | -0.000 | 0.000 |
| 378.064 | -3.169 | 82.280 | 0.000 | 0.000 | 0.000 |
| 82.280 | 82.280 | 149.163 | -0.000 | -0.000 | 0.000 |
| 0.000 | -0.000 | -0.000 | -10.486 | -0.000 | 0.000 |
| 0.000 | -0.000 | -0.000 | 0.000 | -10.486 | 0.000 |
| 0.000 | -0.000 | 0.000 | -0.000 | -0.000 | 87.457 |
| -3.169 | 378.063 | 82.280 | -0.000 | -0.000 | -0.000 |
| 167.858 | 207.036 | 82.280 | 0.000 | 0.000 | -0.000 |
| 82.280 | 82.280 | 149.164 | -0.000 | -0.000 | -0.000 |
| -0.000 | -0.000 | 0.000 | -10.486 | 0.000 | -0.000 |
| -0.000 | 0.000 | 0.000 | -0.000 | -10.486 | -0.000 |
| -0.000 | 0.000 | -0.000 | 0.000 | 0.000 | 87.457 |
| 207.037 | 167.859 | 82.280 | -0.000 | -0.000 | 0.000 |
| 499.204 | -124.305 | 82.281 | 0.000 | 0.000 | 0.000 |
| 82.279 | 82.279 | 149.161 | -0.000 | 0.000 | 0.000 |
| 0.000 | 0.000 | 0.000 | -10.486 | 0.000 | 0.000 |
| 0.000 | 0.000 | 0.000 | -0.000 | -10.486 | -0.000 |
| 0.000 | 0.000 | -0.000 | -0.000 | -0.000 | 19.589 |
| 274.903 | 99.990 | 82.280 | 0.000 | 0.000 | -0.000 |
| 99.990 | 274.903 | 82.280 | 0.000 | 0.000 | -0.000 |
| 82.281 | 82.281 | 149.166 | 0.000 | 0.000 | -0.000 |
| -0.000 | -0.000 | -0.000 | -10.486 | -0.000 | -0.000 |
| -0.000 | -0.000 | -0.000 | -0.000 | -10.486 | -0.000 |
| -0.000 | -0.000 | 0.000 | 0.000 | 0.000 | 19.589 |
| -3.192 | 378.118 | 82.288 | 0.000 | 0.000 | 0.000 |
| 99.999 | 274.913 | 82.281 | -0.000 | -0.000 | -0.000 |
| 82.270 | 82.270 | 149.135 | 0.000 | 0.000 | 0.000 |
| 0.000 | 0.000 | 0.000 | -10.486 | 0.000 | 0.000 |
| 0.000 | 0.000 | 0.000 | 0.000 | -10.486 | -0.000 |
| 0.011 | 0.002 | 0.006 | 0.000 | -0.000 | -190.616 |
| -3.199 | 378.063 | 82.273 | -0.000 | 0.000 | 0.000 |
| 272.941 | 101.933 | 82.277 | 0.000 | 0.000 | -0.000 |
| 82.290 | 82.290 | 149.192 | 0.000 | 0.000 | -0.000 |
| -0.000 | -0.000 | -0.000 | -10.486 | -0.000 | -0.000 |
| -0.000 | -0.000 | -0.000 | -0.000 | -10.486 | -0.000 |
| -0.011 | -0.002 | -0.006 | -0.000 | -0.000 | -190.616 |
| 361.521 | 188.994 | 206.101 | 0.000 | 0.000 | -0.000 |
| 188.994 | 361.521 | 206.101 | 0.000 | -0.000 | -0.000 |
| 206.101 | 206.101 | 937.656 | 0.000 | -0.000 | -0.000 |
| 0.000 | 0.000 | 0.000 | 244.916 | 0.000 | -0.000 |
| 0.000 | 0.000 | 0.000 | 0.000 | 244.916 | -0.000 |
| 0.000 | 0.000 | -0.000 | -0.000 | -0.000 | 86.263 |
| 361.520 | 188.994 | 206.100 | 0.000 | 0.000 | 0.000 |
| 188.994 | 361.520 | 206.100 | 0.000 | -0.000 | 0.000 |
| 206.100 | 206.100 | 937.654 | -0.000 | -0.000 | 0.000 |
| -0.000 | -0.000 | 0.000 | 244.916 | -0.000 | 0.000 |
| -0.000 | -0.000 | -0.000 | 0.000 | 244.916 | 0.000 |
| -0.000 | -0.000 | 0.000 | 0.000 | 0.000 | 86.263 |
| 361.525 | 188.998 | 206.105 | -0.000 | 0.000 | -0.000 |
| 188.998 | 361.525 | 206.105 | -0.000 | 0.000 | -0.000 |
| 206.106 | 206.106 | 937.662 | -0.000 | 0.000 | -0.000 |
| 0.000 | 0.000 | -0.000 | 244.916 | 0.000 | -0.000 |
| 0.000 | 0.000 | -0.000 | 0.000 | 244.916 | -0.000 |
| 0.000 | 0.000 | 0.000 | -0.000 | -0.000 | 86.263 |
| 361.516 | 188.990 | 206.095 | 0.000 | -0.000 | 0.000 |
| 188.990 | 361.517 | 206.095 | -0.000 | 0.000 | 0.000 |
| 206.094 | 206.094 | 937.648 | -0.000 | -0.000 | 0.000 |
| -0.000 | -0.000 | 0.000 | 244.916 | 0.000 | 0.000 |
| -0.000 | -0.000 | 0.000 | 0.000 | 244.916 | 0.000 |
| -0.000 | -0.000 | -0.000 | -0.000 | -0.000 | 86.263 |
| 361.564 | 189.032 | 206.148 | -0.000 | -0.000 | -0.000 |
| 189.033 | 361.563 | 206.148 | -0.000 | 0.000 | -0.000 |
| 206.160 | 206.160 | 937.728 | -0.000 | -0.000 | -0.000 |
| 0.001 | 0.001 | -0.000 | 244.916 | 0.000 | -0.000 |
| 0.001 | 0.001 | -0.000 | -0.000 | 244.916 | -0.000 |
| 0.000 | 0.002 | 0.001 | -0.000 | 0.000 | 86.263 |
| 361.478 | 188.957 | 206.052 | 0.000 | 0.000 | 0.000 |
| 188.955 | 361.479 | 206.052 | 0.000 | -0.000 | 0.000 |
| 206.041 | 206.041 | 937.582 | 0.000 | 0.000 | 0.000 |
| -0.001 | -0.001 | 0.000 | 244.916 | 0.000 | 0.000 |
| -0.001 | -0.001 | 0.000 | 0.000 | 244.916 | 0.000 |
| -0.000 | -0.002 | -0.001 | 0.000 | -0.000 | 86.263 |
| 147.362 | 15.849 | 46.298 | -16.275 | -11.054 | -0.000 |
| 249.928 | 315.074 | -2300.798 | 27.892 | 3.636 | 0.000 |
| 46.898 | 46.898 | 212.891 | 0.000 | -0.000 | -0.000 |
| 203.985 | 259.841 | -2359.437 | 23.187 | -0.000 | 3.613 |
| 228.242 | 235.472 | -2358.867 | 0.000 | 23.198 | -27.925 |
| -0.000 | -0.000 | -0.000 | 11.054 | -16.275 | 65.757 |
| 147.363 | 15.849 | 46.299 | -16.275 | -11.054 | 0.000 |
| 15.849 | 147.363 | 46.299 | 16.275 | 11.054 | 0.000 |
| 46.899 | 46.899 | 212.893 | -0.000 | 0.000 | 0.000 |
| -16.275 | 16.275 | 0.000 | 68.406 | 0.000 | 11.054 |
| -235.527 | -228.300 | 2359.437 | -0.000 | 23.187 | -27.928 |
| -231.971 | -231.971 | 2360.029 | 3.612 | -27.931 | 32.462 |
| 109.556 | 40.198 | -169.242 | -27.155 | -4.106 | 0.000 |
| 15.848 | 147.361 | 46.296 | 16.275 | 11.053 | 0.000 |
| 73.083 | 73.083 | -115.539 | 0.000 | -0.000 | -0.000 |
| -16.275 | 16.273 | -0.003 | 68.407 | -0.001 | 11.054 |
| -11.055 | 11.053 | -0.003 | -0.000 | 68.407 | -16.275 |
| 22.743 | 22.743 | -231.387 | 3.757 | -27.703 | 33.113 |
| 73.277 | -15.357 | 271.857 | -21.699 | -10.355 | -0.000 |
| 15.849 | 147.363 | 46.300 | 16.274 | 11.054 | -0.000 |
| 18.045 | 18.045 | 339.390 | -0.000 | 0.000 | 0.000 |
| -16.274 | 16.276 | 0.003 | 68.406 | 0.001 | 11.054 |
| -11.053 | 11.054 | 0.003 | 0.000 | 68.405 | -16.275 |
| -22.743 | -22.743 | 231.387 | 3.757 | -27.703 | 33.114 |
| 109.290 | 19.072 | 34.792 | -23.506 | -6.431 | 0.001 |
| 19.072 | 109.289 | 34.792 | 23.511 | 6.433 | 0.001 |
| 61.859 | 61.859 | 88.635 | 0.000 | -0.000 | -0.000 |
| -19.117 | 26.746 | -22.244 | 44.739 | -0.008 | 8.918 |
| -5.110 | 12.739 | -22.244 | -0.003 | 44.742 | -22.934 |
| -0.001 | -0.002 | -0.004 | 11.053 | -16.276 | 65.756 |
| 147.373 | 15.853 | 46.317 | -16.273 | -11.062 | -0.000 |
| 16.246 | 102.318 | 65.905 | 24.221 | 5.981 | -0.001 |
| 46.938 | 46.938 | 212.998 | 0.000 | 0.000 | 0.000 |
| -24.084 | 21.508 | 13.217 | 43.114 | 0.007 | 6.894 |
| -12.329 | 5.779 | 22.861 | 0.004 | 44.927 | -23.004 |
| -3.629 | -3.630 | 24.140 | 9.761 | -22.671 | 41.487 |
| 235.686 | 123.885 | 10.310 | -0.000 | 0.000 | 0.000 |
| 123.885 | 235.686 | 10.310 | 0.000 | 0.000 | -0.000 |
| 147.195 | 147.195 | 133.393 | 0.000 | 0.000 | 0.000 |
| 72.291 | 72.291 | -64.595 | 43.984 | 0.000 | 0.000 |
| 72.291 | 72.291 | -64.595 | -0.000 | 43.984 | 0.000 |
| -0.000 | -0.000 | 0.000 | -0.000 | 0.000 | 17.997 |
| 103.957 | -39.038 | 141.952 | 0.000 | -0.000 | -0.000 |
| -39.038 | 103.957 | 141.952 | 0.000 | -0.000 | -0.000 |
| 33.453 | 33.453 | 235.026 | 0.000 | 0.000 | -0.000 |
| -72.291 | -72.291 | 64.595 | 43.984 | -0.000 | -0.000 |
| -72.291 | -72.291 | 64.595 | 0.000 | 43.984 | -0.000 |
| 0.000 | 0.000 | -0.000 | 0.000 | -0.000 | 17.997 |
| 238.691 | 69.075 | 33.455 | -0.000 | -0.000 | 0.000 |
| 69.075 | 238.691 | 33.455 | -0.000 | 0.000 | 0.000 |
| 33.454 | 33.454 | 235.027 | -0.000 | 0.000 | 0.000 |
| -0.000 | -0.000 | -0.000 | 62.612 | 0.000 | 0.000 |
| -0.000 | -0.000 | -0.000 | -0.000 | 62.612 | 0.000 |
| 7.229 | 7.229 | -6.460 | -0.000 | 0.000 | 13.486 |
| 238.690 | 69.074 | 33.454 | 0.000 | -0.000 | -0.000 |
| 69.074 | 238.690 | 33.454 | 0.000 | -0.000 | -0.000 |
| 67.675 | 67.675 | 204.448 | 0.000 | -0.000 | -0.000 |
| 0.000 | 0.000 | 0.000 | 62.612 | -0.000 | -0.000 |
| 0.000 | 0.000 | 0.000 | 0.000 | 62.612 | -0.000 |
| -7.229 | -7.229 | 6.460 | 0.000 | -0.000 | 13.486 |
| 171.750 | 31.819 | 80.012 | 0.000 | 0.000 | 0.000 |
| 31.819 | 171.750 | 80.012 | -0.000 | 0.000 | 0.000 |
| 33.456 | 33.456 | 235.029 | -0.000 | 0.000 | 0.000 |
| 0.957 | 0.957 | -0.855 | 43.989 | 0.000 | 0.000 |
| 0.957 | 0.957 | -0.855 | -0.000 | 43.989 | 0.000 |
| 0.000 | 0.000 | 0.000 | -0.000 | 0.000 | 17.997 |
| 170.561 | 30.431 | 81.153 | 0.000 | -0.000 | -0.000 |
| 30.431 | 170.561 | 81.153 | 0.000 | -0.000 | -0.000 |
| 74.180 | 74.180 | 198.628 | 0.000 | 0.000 | -0.000 |
| -0.957 | -0.957 | 0.855 | 43.989 | -0.000 | -0.000 |
| -0.957 | -0.957 | 0.855 | 0.000 | 43.989 | -0.000 |
| -0.000 | -0.000 | -0.000 | 0.000 | -0.000 | 17.997 |
| 78.950 | 17.914 | 92.770 | -0.000 | -0.000 | 0.000 |
| 17.914 | 78.950 | 92.770 | 0.000 | -0.000 | 0.000 |
| 25.931 | 25.931 | 219.124 | -0.000 | -0.000 | 0.000 |
| -30.889 | -30.889 | 26.803 | 37.081 | -0.000 | 0.000 |
| -30.889 | -30.889 | 26.803 | 0.000 | 37.081 | 0.000 |
| -0.000 | -0.000 | 0.000 | -0.000 | -0.000 | 11.597 |
| 198.190 | 46.043 | 28.834 | -0.000 | 0.000 | -0.000 |
| 46.043 | 198.190 | 28.834 | -0.000 | 0.000 | -0.000 |
| 25.931 | 25.931 | 219.124 | -0.000 | 0.000 | -0.000 |
| 30.889 | 30.889 | -26.803 | 37.081 | 0.000 | -0.000 |
| 30.889 | 30.889 | -26.803 | -0.000 | 37.081 | -0.000 |
| 0.000 | 0.000 | -0.000 | -0.000 | 0.000 | 11.597 |
| 198.186 | 46.039 | 28.832 | 0.000 | -0.000 | 0.000 |
| 46.039 | 198.186 | 28.832 | 0.000 | -0.000 | 0.000 |
| 64.234 | 64.234 | 185.887 | 0.000 | -0.000 | 0.000 |
| 0.000 | 0.000 | -0.000 | 54.499 | -0.000 | 0.000 |
| 0.000 | 0.000 | -0.000 | -0.000 | 54.499 | 0.000 |
| -5.321 | -5.321 | 4.617 | 0.000 | -0.000 | 7.713 |
| 119.975 | 15.448 | 76.044 | 0.000 | 0.000 | -0.000 |
| 15.448 | 119.975 | 76.044 | -0.000 | 0.000 | -0.000 |
| 25.932 | 25.932 | 219.125 | 0.000 | 0.000 | -0.000 |
| -0.000 | -0.000 | 0.000 | 54.499 | 0.000 | -0.000 |
| -0.000 | -0.000 | 0.000 | 0.000 | 54.499 | -0.000 |
| 5.321 | 5.321 | -4.617 | -0.000 | 0.000 | 7.713 |
| 117.929 | 12.515 | 78.178 | 0.000 | -0.000 | 0.000 |
| 12.515 | 117.929 | 78.178 | 0.000 | -0.000 | 0.000 |
| 66.620 | 66.620 | 183.798 | -0.000 | -0.000 | 0.000 |
| 0.000 | 0.000 | -0.000 | 54.499 | -0.000 | 0.000 |
| 0.000 | 0.000 | -0.000 | 0.000 | 54.499 | 0.000 |
| -0.002 | -0.002 | -0.001 | -0.000 | -0.000 | 11.597 |
| 105.688 | 44.673 | 69.587 | -0.000 | 0.000 | -0.000 |
| 44.673 | 105.688 | 69.587 | 0.000 | 0.000 | -0.000 |
| 67.145 | 67.145 | 183.384 | -0.000 | 0.000 | -0.000 |
| -0.000 | -0.000 | 0.000 | 54.499 | 0.000 | -0.000 |
| -0.000 | -0.000 | 0.000 | 0.000 | 54.499 | -0.000 |
| 0.002 | 0.002 | 0.001 | 0.000 | 0.000 | 11.597 |
| 264.351 | 26.773 | 62.770 | -0.000 | 14.659 | -0.000 |
| 91.876 | 184.897 | 50.100 | 0.000 | 11.927 | -0.000 |
| 117.821 | 64.396 | 131.921 | 0.000 | 30.924 | -0.000 |
| 44.959 | -14.392 | -25.675 | 64.823 | 25.706 | -4.288 |
| 5.592 | -27.591 | 15.727 | 0.000 | 80.099 | -0.000 |
| -0.000 | 0.000 | -0.000 | -16.359 | -0.000 | 54.982 |
| 264.351 | 26.773 | 62.770 | -0.000 | 14.659 | 0.000 |
| 29.896 | 233.054 | 60.417 | -0.000 | -27.590 | 0.000 |
| 29.115 | 93.159 | 182.291 | -0.000 | -21.463 | 0.000 |
| -44.959 | 14.392 | 25.675 | 64.823 | -25.706 | -4.288 |
| -44.094 | -11.556 | 21.536 | -0.000 | 32.566 | 0.000 |
| 0.000 | -0.000 | 0.000 | -16.359 | 0.000 | 54.982 |
| 211.758 | 45.053 | 72.835 | -0.000 | 13.225 | -0.000 |
| 29.895 | 233.054 | 60.417 | -0.000 | -27.590 | -0.000 |
| 60.989 | 60.417 | 195.040 | 0.000 | 15.727 | -0.000 |
| 3.105 | -0.104 | -1.362 | 66.925 | 1.659 | -5.463 |
| 2.868 | -16.366 | 4.544 | -0.000 | 62.396 | -0.000 |
| -0.000 | -0.000 | -0.000 | -16.359 | 0.000 | 54.982 |
| 264.351 | 26.773 | 62.770 | -0.000 | 14.659 | 0.000 |
| 29.896 | 233.054 | 60.417 | 0.000 | -27.590 | 0.000 |
| 60.989 | 60.417 | 195.040 | 0.000 | 15.727 | 0.000 |
| -3.105 | 0.104 | 1.362 | 66.925 | -1.659 | -5.463 |
| 5.592 | -27.591 | 15.727 | 0.000 | 80.099 | 0.000 |
| 0.000 | 0.000 | 0.000 | -16.359 | -0.000 | 54.982 |
| 206.917 | 46.574 | 74.103 | 0.000 | 11.997 | -0.000 |
| 50.117 | 197.314 | 77.604 | 0.000 | -13.004 | -0.000 |
| 73.096 | 78.176 | 158.933 | -0.000 | 4.874 | -0.000 |
| 0.365 | -0.080 | -0.191 | 67.253 | 0.204 | -5.504 |
| 3.725 | -10.995 | 3.711 | 0.000 | 57.990 | -0.000 |
| -0.000 | -0.000 | -0.000 | -16.359 | 0.000 | 54.982 |
| 206.073 | 46.735 | 74.800 | -0.000 | 11.411 | 0.000 |
| 49.066 | 199.055 | 78.408 | -0.000 | -16.866 | 0.000 |
| 65.959 | 79.148 | 162.573 | -0.000 | 5.720 | 0.000 |
| -0.365 | 0.080 | 0.191 | 67.253 | -0.204 | -5.504 |
| -0.760 | -16.149 | 6.029 | -0.000 | 60.317 | 0.000 |
| 0.000 | 0.000 | 0.000 | -16.359 | -0.000 | 54.982 |
| -1389.739 | 699.617 | -172.206 | -0.000 | -57.678 | 0.000 |
| -1480.286 | 1010.877 | -237.276 | -0.000 | -185.073 | 0.000 |
| -1475.003 | 717.700 | -76.896 | -0.000 | -77.865 | 0.000 |
| -1523.134 | 808.129 | -312.050 | 68.080 | -168.435 | -8.517 |
| -1276.188 | 823.168 | -553.647 | -0.000 | -346.155 | 0.000 |
| -1281.047 | 843.551 | -556.522 | -4.321 | -404.891 | 39.416 |
| 263.097 | 23.620 | 64.780 | -0.000 | 12.012 | -0.000 |
| 1330.966 | -652.799 | 639.389 | -0.000 | 387.805 | -0.000 |
| 1362.821 | -763.935 | 713.254 | 0.000 | 407.028 | -0.000 |
| 1523.134 | -808.129 | 312.050 | 68.080 | 168.435 | -8.517 |
| 1528.935 | -823.444 | 313.084 | 0.000 | 227.753 | -0.000 |
| 1281.047 | -843.551 | 556.522 | -4.321 | 404.891 | 39.416 |
| 50.679 | 127.724 | 49.945 | -0.000 | -7.287 | 0.000 |
| -109.797 | 262.081 | 55.061 | -0.000 | -23.112 | 0.000 |
| -47.775 | 162.799 | 104.064 | -0.000 | -37.672 | 0.000 |
| -0.000 | -0.002 | -0.002 | 93.918 | 0.001 | -18.996 |
| 3.622 | -31.187 | 11.504 | 0.000 | 82.741 | 0.000 |
| -152.469 | 80.861 | -31.175 | -8.837 | -16.805 | 40.969 |
| 354.223 | -32.817 | 111.783 | -0.000 | 25.992 | -0.000 |
| 195.407 | 122.617 | 106.218 | 0.000 | 0.535 | -0.000 |
| 62.555 | 63.396 | 197.563 | 0.000 | 11.504 | -0.000 |
| 0.000 | 0.002 | 0.002 | 93.918 | -0.001 | -18.996 |
| 158.355 | -96.067 | 32.390 | -0.000 | 76.043 | -0.000 |
| 152.469 | -80.861 | 31.175 | -8.837 | 16.805 | 40.969 |
| 199.021 | 59.338 | 67.450 | -0.000 | -0.372 | 0.000 |
| 34.588 | 203.436 | 76.181 | 0.000 | -15.349 | 0.000 |
| 62.536 | 86.226 | 156.180 | 0.000 | -0.704 | 0.000 |
| -15.681 | 6.638 | -2.479 | 67.997 | -0.910 | -8.531 |
| -12.401 | -7.348 | -2.125 | 0.000 | 58.127 | 0.000 |
| -10.989 | 7.233 | -4.777 | -6.454 | -3.472 | 41.495 |
| 225.287 | 42.562 | 76.403 | -0.000 | 7.290 | -0.000 |
| 58.594 | 191.596 | 84.559 | 0.000 | -15.880 | -0.000 |
| 92.378 | 71.570 | 161.260 | 0.000 | 3.229 | -0.000 |
| 15.681 | -6.638 | 2.479 | 67.997 | 0.910 | -8.531 |
| 9.112 | -24.007 | 5.375 | 0.000 | 61.809 | -0.000 |
| 10.989 | -7.233 | 4.777 | -6.454 | 3.472 | 41.495 |
| 185.511 | 41.072 | 50.090 | -0.000 | 0.000 | -0.000 |
| 39.145 | 216.109 | 34.242 | 0.000 | 0.000 | -0.000 |
| 34.251 | 34.251 | 321.935 | 0.000 | -0.000 | -0.000 |
| -0.000 | 0.000 | -0.000 | 65.841 | 0.000 | -0.000 |
| -0.000 | 0.000 | -0.000 | -0.000 | 65.841 | -0.000 |
| -0.130 | -0.130 | 0.143 | -0.000 | -0.000 | 69.969 |
| 185.676 | 41.304 | 49.870 | 0.000 | -0.000 | 0.000 |
| 41.304 | 185.676 | 49.870 | 0.000 | 0.000 | 0.000 |
| 34.251 | 34.251 | 321.935 | 0.000 | -0.000 | 0.000 |
| -0.000 | 0.000 | 0.000 | 65.841 | -0.000 | -0.000 |
| 0.000 | -0.000 | 0.000 | 0.000 | 65.841 | -0.000 |
| 0.130 | 0.130 | -0.143 | 0.000 | 0.000 | 69.969 |
| 185.075 | 45.139 | 48.083 | -0.000 | 0.000 | -0.000 |
| 41.176 | 185.585 | 49.991 | 0.000 | -0.000 | -0.000 |
| 34.251 | 34.251 | 321.935 | -0.000 | 0.000 | 0.000 |
| -0.000 | -0.000 | 0.000 | 65.841 | -0.000 | 0.000 |
| -0.000 | -0.000 | 0.000 | -0.000 | 65.841 | -0.000 |
| -0.000 | 0.000 | -0.000 | -0.000 | -0.000 | 88.482 |
| 216.109 | 39.145 | 34.242 | 0.000 | -0.000 | 0.000 |
| 41.199 | 185.601 | 49.969 | -0.000 | -0.000 | 0.000 |
| 34.251 | 34.251 | 321.935 | 0.000 | -0.000 | 0.000 |
| 0.000 | 0.000 | -0.000 | 65.841 | 0.000 | 0.000 |
| 0.000 | 0.000 | -0.000 | 0.000 | 65.841 | 0.000 |
| 0.000 | -0.000 | 0.000 | 0.000 | -0.000 | 88.482 |
| 185.592 | 41.187 | 49.982 | -0.000 | -0.000 | -0.000 |
| 45.148 | 185.086 | 48.072 | -0.000 | -0.000 | -0.000 |
| 48.080 | 48.080 | 306.649 | -0.000 | -0.000 | -0.000 |
| -0.000 | -0.000 | 0.000 | 65.841 | 0.000 | 0.000 |
| -0.000 | -0.000 | 0.000 | -0.000 | 65.841 | -0.000 |
| -0.001 | 0.000 | -0.000 | -0.000 | 0.000 | 88.482 |
| 185.596 | 41.189 | 49.978 | 0.000 | -0.000 | 0.000 |
| 39.144 | 216.110 | 34.242 | -0.000 | 0.000 | 0.000 |
| 34.250 | 34.250 | 321.933 | -0.000 | 0.000 | -0.000 |
| 0.000 | 0.000 | -0.000 | 65.841 | -0.000 | 0.000 |
| 0.000 | 0.000 | -0.000 | 0.000 | 65.841 | -0.000 |
| 0.001 | -0.000 | 0.000 | -0.000 | -0.000 | 88.482 |
| -161.254 | -309.634 | 435.706 | 0.000 | -0.000 | 0.000 |
| -309.634 | -161.254 | 435.706 | 0.000 | -0.000 | 0.000 |
| -302.411 | -302.411 | 694.155 | 0.000 | -0.000 | 0.000 |
| 0.000 | -0.000 | -0.000 | 65.844 | 0.000 | -0.000 |
| -350.504 | -350.504 | 387.577 | 0.000 | 58.114 | 0.000 |
| -0.000 | -0.000 | -0.000 | 0.000 | -0.000 | 88.498 |
| 539.902 | 391.524 | -339.612 | -0.000 | 0.000 | -0.000 |
| 395.608 | 535.577 | -339.480 | -0.000 | 0.000 | -0.000 |
| 34.229 | 34.229 | 321.908 | -0.000 | -0.000 | 0.000 |
| -0.000 | 0.000 | 0.000 | 65.844 | -0.000 | 0.000 |
| 350.504 | 350.504 | -387.577 | -0.000 | 58.114 | -0.000 |
| 0.000 | 0.000 | 0.000 | -0.000 | 0.000 | 88.498 |
| 153.230 | 5.326 | 87.695 | 0.000 | -0.000 | 0.000 |
| 5.327 | 153.230 | 87.695 | 0.000 | -0.000 | 0.000 |
| 13.005 | 13.005 | 345.377 | 0.000 | -0.000 | 0.000 |
| -35.436 | -35.436 | 39.184 | 58.029 | -0.000 | 0.000 |
| -35.436 | -35.436 | 39.184 | 0.000 | 58.029 | 0.000 |
| -0.000 | 0.000 | -0.000 | 0.000 | -0.000 | 88.498 |
| 220.161 | 80.192 | 9.298 | -0.000 | 0.000 | -0.000 |
| 80.192 | 220.162 | 9.298 | -0.000 | 0.000 | -0.000 |
| 83.097 | 83.097 | 267.871 | -0.000 | 0.000 | -0.000 |
| 35.436 | 35.436 | -39.184 | 58.029 | 0.000 | -0.000 |
| 35.436 | 35.436 | -39.184 | -0.000 | 58.029 | -0.000 |
| 0.000 | -0.000 | 0.000 | -0.000 | 0.000 | 88.498 |
| 182.695 | 37.256 | 53.752 | -0.000 | -0.000 | 0.000 |
| 41.641 | 181.610 | 51.927 | 0.000 | -0.000 | 0.000 |
| 34.229 | 34.229 | 321.910 | 0.000 | -0.000 | -0.000 |
| -4.046 | -4.046 | 4.474 | 56.920 | -0.000 | 0.000 |
| -4.046 | -4.046 | 4.474 | 0.000 | 56.920 | 0.000 |
| -0.001 | 0.000 | -0.000 | 0.000 | -0.000 | 88.498 |
| 188.505 | 45.426 | 46.022 | -0.000 | 0.000 | -0.000 |
| 39.132 | 216.129 | 34.228 | -0.000 | -0.000 | -0.000 |
| 51.555 | 51.555 | 302.747 | -0.000 | 0.000 | 0.000 |
| 4.046 | 4.046 | -4.474 | 56.920 | 0.000 | -0.000 |
| 4.046 | 4.046 | -4.474 | -0.000 | 56.920 | -0.000 |
| 0.001 | -0.000 | 0.000 | -0.000 | 0.000 | 88.498 |
| -898.994 | -975.791 | -975.791 | -0.000 | 0.000 | -0.000 |
| -975.791 | -898.994 | -975.791 | 0.000 | 0.000 | -0.000 |
| -975.791 | -975.791 | -898.994 | -0.000 | 0.000 | -0.000 |
| -939.612 | -939.612 | -939.612 | 41.722 | 0.000 | -0.000 |
| -939.612 | -939.612 | -939.612 | -0.000 | 41.722 | -0.000 |
| -939.612 | -939.612 | -939.612 | 0.000 | 0.000 | 41.722 |
| 1208.230 | 1131.428 | 1131.428 | 0.000 | -0.000 | 0.000 |
| 1131.428 | 1208.230 | 1131.428 | 0.000 | 0.000 | 0.000 |
| 1131.428 | 1131.428 | 1208.230 | -0.000 | -0.000 | -0.000 |
| 939.612 | 939.612 | 939.612 | 41.722 | -0.000 | 0.000 |
| 939.612 | 939.612 | 939.612 | 0.000 | 41.722 | -0.000 |
| 939.612 | 939.612 | 939.612 | 0.000 | -0.000 | 41.722 |
| 49.114 | -27.667 | -27.667 | 0.000 | 0.000 | -0.000 |
| -27.667 | 49.114 | -27.667 | -0.000 | 0.000 | 0.000 |
| -27.667 | -27.667 | 49.114 | 0.000 | 0.000 | 0.000 |
| -93.927 | -93.927 | -93.927 | 41.735 | -0.000 | -0.000 |
| -93.927 | -93.927 | -93.927 | 0.000 | 41.735 | -0.000 |
| -93.927 | -93.927 | -93.927 | 0.000 | 0.000 | 41.735 |
| 248.956 | 172.965 | 172.965 | -0.000 | -0.000 | 0.000 |
| 172.965 | 248.956 | 172.965 | 0.000 | -0.000 | 0.000 |
| 172.965 | 172.965 | 248.956 | 0.000 | 0.000 | 0.000 |
| 93.927 | 93.927 | 93.927 | 41.735 | 0.000 | 0.000 |
| 93.927 | 93.927 | 93.927 | 0.000 | 41.735 | 0.000 |
| 93.927 | 93.927 | 93.927 | 0.000 | -0.000 | 41.735 |
| 144.998 | 70.121 | 70.121 | -0.000 | 0.000 | -0.000 |
| 70.121 | 144.998 | 70.121 | -0.000 | 0.000 | 0.000 |
| 70.121 | 70.121 | 144.998 | -0.000 | 0.000 | -0.000 |
| -11.138 | -11.138 | -11.138 | 43.177 | -0.000 | -0.000 |
| -11.138 | -11.138 | -11.138 | 0.000 | 43.177 | -0.000 |
| -11.138 | -11.138 | -11.138 | -0.000 | 0.000 | 43.177 |
| 164.752 | 89.429 | 89.429 | 0.000 | -0.000 | 0.000 |
| 89.429 | 164.752 | 89.429 | 0.000 | -0.000 | 0.000 |
| 89.429 | 89.429 | 164.752 | -0.000 | -0.000 | 0.000 |
| 11.138 | 11.138 | 11.138 | 43.177 | 0.000 | -0.000 |
| 11.138 | 11.138 | 11.138 | 0.000 | 43.177 | 0.000 |
| 11.138 | 11.138 | 11.138 | 0.000 | -0.000 | 43.177 |
| 199.348 | 64.815 | 64.815 | -0.000 | 0.000 | 0.000 |
| 64.815 | 199.348 | 64.815 | -0.000 | 0.000 | 0.000 |
| 64.815 | 64.815 | 199.348 | -0.000 | 0.000 | 0.000 |
| -0.015 | -0.015 | -0.015 | 43.617 | 0.000 | 0.000 |
| -0.015 | -0.015 | -0.015 | -0.000 | 43.617 | -0.000 |
| -0.015 | -0.015 | -0.015 | -0.000 | 0.000 | 43.617 |
| 199.348 | 64.815 | 64.815 | 0.000 | -0.000 | -0.000 |
| 64.815 | 199.348 | 64.815 | 0.000 | -0.000 | -0.000 |
| 64.815 | 64.815 | 199.348 | 0.000 | -0.000 | -0.000 |
| 0.015 | 0.015 | 0.015 | 43.617 | -0.000 | -0.000 |
| 0.015 | 0.015 | 0.015 | 0.000 | 43.617 | 0.000 |
| 0.015 | 0.015 | 0.015 | 0.000 | -0.000 | 43.617 |
| 153.791 | 77.796 | 77.796 | -0.000 | 0.000 | 0.000 |
| 77.796 | 153.791 | 77.796 | -0.000 | 0.000 | -0.000 |
| 77.796 | 77.796 | 153.791 | -0.000 | 0.000 | 0.000 |
| 0.000 | -0.000 | 0.000 | 78.468 | 0.000 | 0.000 |
| -0.000 | 0.000 | 0.000 | -0.000 | 78.468 | 0.000 |
| -0.000 | 0.000 | 0.000 | -0.000 | 0.000 | 78.468 |
| 199.348 | 64.815 | 64.815 | 0.000 | -0.000 | -0.000 |
| 64.815 | 199.348 | 64.815 | 0.000 | -0.000 | -0.000 |
| 64.815 | 64.815 | 199.348 | 0.000 | -0.000 | -0.000 |
| -0.000 | 0.000 | -0.000 | 78.468 | -0.000 | -0.000 |
| 0.000 | -0.000 | -0.000 | 0.000 | 78.468 | -0.000 |
| 0.000 | -0.000 | -0.000 | 0.000 | -0.000 | 78.468 |
| 199.347 | 64.815 | 64.815 | -0.000 | 0.000 | 0.000 |
| 64.815 | 199.347 | 64.815 | -0.000 | 0.000 | 0.000 |
| 64.815 | 64.815 | 199.347 | -0.000 | 0.000 | 0.000 |
| 0.000 | -0.000 | 0.000 | 78.468 | 0.000 | 0.000 |
| -0.000 | 0.000 | 0.000 | -0.000 | 78.468 | 0.000 |
| -0.000 | 0.000 | 0.000 | -0.000 | 0.000 | 78.468 |
| 199.349 | 64.815 | 64.815 | 0.000 | -0.000 | -0.000 |
| 64.815 | 199.349 | 64.815 | 0.000 | -0.000 | -0.000 |
| 64.815 | 64.815 | 199.349 | 0.000 | -0.000 | -0.000 |
| -0.000 | 0.000 | -0.000 | 78.468 | -0.000 | -0.000 |
| 0.000 | -0.000 | -0.000 | 0.000 | 78.468 | -0.000 |
| 0.000 | -0.000 | -0.000 | 0.000 | -0.000 | 78.468 |
| 635.662 | 240.314 | 240.315 | 0.000 | -0.000 | 0.000 |
| 240.315 | 635.662 | 240.314 | 0.000 | -0.000 | 0.000 |
| 240.314 | 240.315 | 635.662 | -0.000 | -0.000 | 0.000 |
| -947.841 | -947.842 | -947.842 | 434.064 | -0.000 | 0.000 |
| -947.842 | -947.841 | -947.842 | 0.000 | 434.064 | 0.000 |
| -947.842 | -947.842 | -947.841 | 0.000 | -0.000 | 434.064 |
| 1176.600 | 991.188 | 991.187 | -0.000 | -0.000 | -0.000 |
| 991.187 | 1176.600 | 991.188 | -0.000 | 0.000 | -0.000 |
| 991.188 | 991.187 | 1176.600 | -0.000 | 0.000 | -0.000 |
| 947.841 | 947.842 | 947.842 | 434.064 | 0.000 | 0.000 |
| 947.842 | 947.841 | 947.842 | -0.000 | 434.064 | 0.000 |
| 947.842 | 947.842 | 947.841 | 0.000 | 0.000 | 434.064 |
| 197.946 | 74.999 | 75.018 | 0.000 | -0.000 | -0.000 |
| 75.018 | 197.946 | 74.999 | -0.000 | -0.000 | 0.000 |
| 74.999 | 75.018 | 197.946 | 0.000 | -0.000 | 0.000 |
| -90.304 | -90.330 | -90.330 | 79.716 | 0.000 | -0.000 |
| -90.330 | -90.304 | -90.330 | 0.000 | 79.716 | -0.000 |
| -90.330 | -90.330 | -90.304 | 0.000 | -0.000 | 79.716 |
| 387.270 | 267.960 | 267.939 | 0.000 | 0.000 | 0.000 |
| 267.939 | 387.270 | 267.960 | -0.000 | 0.000 | 0.000 |
| 267.960 | 267.939 | 387.270 | -0.000 | -0.000 | 0.000 |
| 90.304 | 90.330 | 90.330 | 79.716 | 0.000 | 0.000 |
| 90.330 | 90.304 | 90.330 | -0.000 | 79.716 | 0.000 |
| 90.330 | 90.330 | 90.304 | 0.000 | -0.000 | 79.716 |
| 325.867 | 142.473 | 142.577 | 0.000 | 0.000 | -0.000 |
| 142.577 | 325.867 | 142.473 | 0.000 | -0.000 | 0.000 |
| 142.473 | 142.577 | 325.867 | 0.000 | -0.000 | -0.000 |
| -6.967 | -6.946 | -6.947 | 92.862 | -0.000 | -0.000 |
| -6.947 | -6.967 | -6.946 | 0.000 | 92.862 | 0.000 |
| -6.946 | -6.947 | -6.967 | -0.000 | -0.000 | 92.862 |
| 333.310 | 147.121 | 147.033 | -0.000 | 0.000 | -0.000 |
| 147.033 | 333.310 | 147.121 | -0.000 | -0.000 | -0.000 |
| 147.121 | 147.033 | 333.310 | 0.000 | -0.000 | -0.000 |
| 6.967 | 6.946 | 6.947 | 92.862 | 0.000 | 0.000 |
| 6.947 | 6.967 | 6.946 | -0.000 | 92.862 | -0.000 |
| 6.946 | 6.947 | 6.967 | -0.000 | 0.000 | 92.862 |
| 156.614 | 81.644 | 81.644 | -0.000 | -0.000 | -0.000 |
| 81.644 | 156.614 | 81.644 | -0.000 | -0.000 | 0.000 |
| 81.644 | 81.644 | 156.614 | -0.000 | -0.000 | -0.000 |
| -0.014 | -0.014 | -0.014 | 42.690 | -0.000 | -0.000 |
| -0.014 | -0.014 | -0.014 | -0.000 | 42.690 | -0.000 |
| -0.014 | -0.014 | -0.014 | -0.000 | -0.000 | 42.690 |
| 156.661 | 81.668 | 81.668 | 0.000 | 0.000 | 0.000 |
| 81.668 | 156.661 | 81.668 | 0.000 | -0.000 | 0.000 |
| 81.668 | 81.668 | 156.661 | 0.000 | 0.000 | 0.000 |
| 0.014 | 0.014 | 0.014 | 42.690 | -0.000 | 0.000 |
| 0.014 | 0.014 | 0.014 | -0.000 | 42.690 | 0.000 |
| 0.014 | 0.014 | 0.014 | 0.000 | 0.000 | 42.690 |
| 205.171 | 66.497 | 66.497 | 0.000 | -0.000 | 0.000 |
| 66.497 | 205.171 | 66.497 | 0.000 | -0.000 | 0.000 |
| 66.497 | 66.497 | 205.171 | 0.000 | -0.000 | -0.000 |
| 0.000 | -0.001 | -0.001 | 72.835 | 0.000 | 0.000 |
| -0.001 | 0.000 | -0.001 | 0.000 | 72.835 | 0.000 |
| -0.001 | -0.001 | 0.000 | 0.000 | 0.000 | 72.835 |
| 205.174 | 66.498 | 66.498 | -0.000 | -0.000 | -0.000 |
| 66.498 | 205.174 | 66.498 | -0.000 | -0.000 | -0.000 |
| 66.498 | 66.498 | 205.174 | -0.000 | 0.000 | -0.000 |
| -0.000 | 0.001 | 0.001 | 72.835 | -0.000 | -0.000 |
| 0.001 | -0.000 | 0.001 | -0.000 | 72.835 | -0.000 |
| 0.001 | 0.001 | -0.000 | -0.000 | -0.000 | 72.835 |
| 156.630 | 81.654 | 81.654 | 0.000 | -0.000 | 0.000 |
| 81.654 | 156.630 | 81.654 | -0.000 | -0.000 | -0.000 |
| 81.654 | 81.654 | 156.630 | -0.000 | -0.000 | -0.000 |
| 0.001 | -0.007 | -0.007 | 72.835 | 0.000 | 0.000 |
| -0.007 | 0.001 | -0.007 | 0.000 | 72.835 | 0.000 |
| -0.007 | -0.007 | 0.001 | 0.000 | 0.000 | 72.835 |
| 156.645 | 81.658 | 81.658 | 0.000 | 0.000 | 0.000 |
| 81.658 | 156.645 | 81.658 | 0.000 | 0.000 | 0.000 |
| 81.658 | 81.658 | 156.645 | 0.000 | 0.000 | 0.000 |
| -0.001 | 0.007 | 0.007 | 72.835 | 0.000 | -0.000 |
| 0.007 | -0.001 | 0.007 | -0.000 | 72.835 | -0.000 |
| 0.007 | 0.007 | -0.001 | -0.000 | 0.000 | 72.835 |
| 805.928 | 275.340 | 272.972 | -0.000 | -0.000 | 0.000 |
| 266.998 | 484.450 | 448.914 | -0.000 | -0.000 | 0.000 |
| 269.513 | 453.785 | 708.091 | -0.000 | -0.000 | 0.000 |
| 0.013 | 0.033 | 0.021 | 248.309 | 0.000 | 0.000 |
| 0.013 | 0.033 | 0.021 | -0.000 | 105.100 | 0.000 |
| 0.013 | 0.033 | 0.021 | -0.000 | -0.000 | 81.300 |
| 805.904 | 275.276 | 272.931 | 0.000 | 0.000 | -0.000 |
| 266.987 | 484.420 | 448.894 | 0.000 | -0.000 | -0.000 |
| 269.501 | 453.754 | 708.071 | 0.000 | 0.000 | -0.000 |
| -0.013 | -0.033 | -0.021 | 248.309 | 0.000 | -0.000 |
| -0.013 | -0.033 | -0.021 | 0.000 | 105.100 | -0.000 |
| -0.013 | -0.033 | -0.021 | 0.000 | 0.000 | 81.300 |
| 805.909 | 275.302 | 272.945 | -0.000 | -0.000 | 0.000 |
| 266.989 | 484.439 | 448.904 | 0.000 | -0.000 | 0.000 |
| 269.507 | 453.780 | 708.087 | -0.000 | -0.000 | 0.000 |
| 0.000 | -0.000 | -0.000 | 248.309 | -0.000 | -0.000 |
| 0.001 | 0.003 | 0.002 | -0.000 | 105.100 | 0.000 |
| 0.001 | 0.003 | 0.002 | -0.000 | -0.000 | 81.300 |
| 805.923 | 275.314 | 272.957 | 0.000 | 0.000 | -0.000 |
| 267.008 | 484.460 | 448.922 | 0.000 | -0.000 | -0.000 |
| 269.521 | 453.794 | 708.100 | 0.000 | 0.000 | -0.000 |
| -0.000 | 0.000 | 0.000 | 248.309 | 0.000 | -0.000 |
| -0.001 | -0.003 | -0.002 | 0.000 | 105.100 | -0.000 |
| -0.001 | -0.003 | -0.002 | 0.000 | 0.000 | 81.300 |
| 805.836 | 275.219 | 272.873 | -0.000 | -0.000 | 0.000 |
| 266.896 | 484.332 | 448.814 | -0.000 | -0.000 | 0.000 |
| 269.436 | 453.699 | 708.017 | 0.000 | -0.000 | 0.000 |
| 0.000 | -0.000 | -0.000 | 248.309 | -0.000 | 0.000 |
| -0.001 | 0.000 | -0.000 | -0.000 | 105.100 | 0.000 |
| -0.001 | 0.000 | -0.000 | -0.000 | -0.000 | 81.300 |
| 805.996 | 275.398 | 273.029 | 0.000 | 0.000 | 0.000 |
| 267.103 | 484.571 | 449.015 | 0.000 | 0.000 | 0.000 |
| 269.590 | 453.872 | 708.167 | 0.000 | -0.000 | -0.000 |
| -0.000 | 0.000 | 0.000 | 248.309 | 0.000 | -0.000 |
| 0.001 | -0.000 | 0.000 | 0.000 | 105.100 | -0.000 |
| 0.001 | -0.000 | 0.000 | 0.000 | 0.000 | 81.300 |
Phonon band structures and crystal properties estimated from quasi-harmonic approximation (QHA) calculations are displayed for select crystals. The calculations were performed using phonopy and LAMMPS. For the phonon calculations, 3x3 supercells of the potential-specific relaxed crystals were used. The QHA calculations were based on 11 strain states ranging from -0.05 to 0.05.
The calculation method used is available as the iprPy phonon calculation method.
Notes and Disclaimers:
Version Information:








































































































































































































































































































































































































































Static free surface formation energies are displayed for select crystals. The values displayed here are obtained by taking a perfect periodic bulk crystal, slicing along a crystallographic plane, and using force minimization to statically relax the surfaces. The free surface formation energy is computed by comparing the energy of the defect system to the bulk system and dividing by the total surface area created by the cut.
The calculation method used is available as the iprPy surface_energy_static calculation method.
Notes and Disclaimers:
Version Information:
| Surface | γfs (mJ/m2) |
|---|---|
| (111) | 784.49 |
| (100) | 822.25 |
| (332) | 835.28 |
| (322) | 840.34 |
| (221) | 853.20 |
| (110) | 858.41 |
| (311) | 858.61 |
| (211) | 859.73 |
| (331) | 862.87 |
| (321) | 875.62 |
| (210) | 882.10 |
| (310) | 882.31 |
| (320) | 885.21 |
| Surface | γfs (mJ/m2) |
|---|---|
| (111) | 104.32 |
| (332) | 116.87 |
| (322) | 118.33 |
| (221) | 122.50 |
| (100) | 123.10 |
| (211) | 125.42 |
| (331) | 127.17 |
| (311) | 130.78 |
| (110) | 132.11 |
| (321) | 132.66 |
| (310) | 138.26 |
| (320) | 138.94 |
| (210) | 140.48 |
| Surface | γfs (mJ/m2) |
|---|---|
| (320) | 518.88 |
| (210) | 575.43 |
| (110) | 665.84 |
| (211) 2 | 670.16 |
| (310) | 675.63 |
| (321) 2 | 692.08 |
| (332) 2 | 692.67 |
| (322) | 696.33 |
| (111) | 698.97 |
| (221) | 700.19 |
| (321) 1 | 701.60 |
| (331) | 709.38 |
| (332) 1 | 709.74 |
| (311) | 710.40 |
| (211) 1 | 716.55 |
| (100) | 744.63 |
| Surface | γfs (mJ/m2) |
|---|---|
| (0001) | 773.43 |
| (1012) 2 | 806.66 |
| (1011) 1 | 824.15 |
| (2021) 1 | 826.51 |
| (1120) | 854.15 |
| (2021) 2 | 855.90 |
| (2241) | 868.13 |
| (2131) 1 | 870.35 |
| (2132) 2 | 872.36 |
| (1010) | 873.41 |
| (1121) | 877.17 |
| (2132) 1 | 880.19 |
| (2112) | 880.27 |
| (2130) | 882.20 |
| (1012) 1 | 888.77 |
| (2131) 2 | 892.96 |
| (1011) 2 | 904.26 |
| Surface | γfs (mJ/m2) |
|---|---|
| (0001) | 763.36 |
| (1010) 1 | 798.72 |
| (1011) 2 | 800.79 |
| (2021) 1 | 823.63 |
| (1012) 1 | 840.46 |
| (1120) | 848.11 |
| (2112) | 851.51 |
| (2130) 1 | 853.87 |
| (1012) 2 | 860.42 |
| (2131) 2 | 869.72 |
| (2132) 1 | 870.42 |
| (2241) | 873.22 |
| (2132) 2 | 877.00 |
| (1121) | 879.01 |
| (2131) 1 | 882.92 |
| (2021) 2 | 896.26 |
| (2130) 2 | 901.32 |
| (1010) 2 | 946.34 |
| (1011) 1 | 964.19 |
| Surface | γfs (mJ/m2) |
|---|---|
| (111) 2 | 21.65 |
| (331) 2 | 25.81 |
| (110) | 26.51 |
| (321) | 30.93 |
| (211) | 31.95 |
| (320) | 32.10 |
| (332) | 34.72 |
| (210) | 35.00 |
| (311) 2 | 35.88 |
| (311) 1 | 35.89 |
| (310) | 37.64 |
| (322) | 40.29 |
| (100) | 40.76 |
| (221) | 41.79 |
| (331) 1 | 48.92 |
| (111) 1 | 79.83 |
| Surface | γfs (mJ/m2) |
|---|---|
| (100) | 40.40 |
| (310) | 52.32 |
| (210) | 55.92 |
| (320) | 58.16 |
| (110) | 59.85 |
| (311) | 64.88 |
| (321) | 69.33 |
| (331) | 69.66 |
| (211) | 71.35 |
| (221) | 73.00 |
| (322) | 74.98 |
| (332) | 75.34 |
| (111) | 77.58 |
| Surface | γfs (mJ/m2) |
|---|---|
| (111) | 793.67 |
| (332) | 837.78 |
| (322) | 846.14 |
| (221) | 858.74 |
| (100) | 866.21 |
| (211) | 872.38 |
| (331) | 876.74 |
| (110) | 882.28 |
| (311) | 885.71 |
| (321) | 892.20 |
| (320) | 909.12 |
| (210) | 910.08 |
| (310) | 914.12 |
| Surface | γfs (mJ/m2) |
|---|---|
| (111) | 311.91 |
| (332) | 347.23 |
| (322) | 351.31 |
| (221) | 362.80 |
| (100) | 363.84 |
| (211) | 370.78 |
| (331) | 375.45 |
| (311) | 384.81 |
| (110) | 387.61 |
| (321) | 389.81 |
| (310) | 404.77 |
| (320) | 406.13 |
| (210) | 409.73 |
| Surface | γfs (mJ/m2) |
|---|---|
| (111) | 119.00 |
| (332) | 132.21 |
| (322) | 133.75 |
| (221) | 138.01 |
| (100) | 138.38 |
| (211) | 140.99 |
| (331) | 142.68 |
| (311) | 146.11 |
| (110) | 147.02 |
| (321) | 148.01 |
| (310) | 153.53 |
| (320) | 153.94 |
| (210) | 155.24 |
| Surface | γfs (mJ/m2) |
|---|---|
| (111) 2 | 45.78 |
| (331) 2 | 54.56 |
| (110) | 56.07 |
| (321) | 63.67 |
| (211) | 64.89 |
| (320) | 66.08 |
| (332) | 67.84 |
| (210) | 71.08 |
| (311) 2 | 71.92 |
| (311) 1 | 71.96 |
| (310) | 75.46 |
| (322) | 77.27 |
| (221) | 79.64 |
| (100) | 79.68 |
| (331) 1 | 91.45 |
| (111) 1 | 138.59 |
| Surface | γfs (mJ/m2) |
|---|---|
| (111) 2 | 16.13 |
| (331) 2 | 19.23 |
| (110) | 19.75 |
| (321) | 22.42 |
| (211) | 22.84 |
| (320) | 23.27 |
| (332) | 23.89 |
| (210) | 25.03 |
| (311) 2 | 25.32 |
| (311) 1 | 25.32 |
| (310) | 26.56 |
| (322) | 27.20 |
| (100) | 28.02 |
| (221) | 28.04 |
| (331) 1 | 32.19 |
| (111) 1 | 48.74 |
| Surface | γfs (mJ/m2) |
|---|---|
| (100) | 145.10 |
| (101) 1 | 201.89 |
| (110) | 209.54 |
| (201) | 210.58 |
| (211) 2 | 212.56 |
| (112) | 213.36 |
| (111) | 222.16 |
| (001) | 228.26 |
| (211) 1 | 248.98 |
| (101) 2 | 291.10 |
| Surface | γfs (mJ/m2) |
|---|---|
| (100) | 37.67 |
| (101) 1 | 52.04 |
| (110) | 53.56 |
| (201) | 54.35 |
| (112) | 55.02 |
| (001) | 58.67 |
| (111) | 63.26 |
| (211) 1 | 64.08 |
| (211) 2 | 64.22 |
| (101) 2 | 87.45 |
| Surface | γfs (mJ/m2) |
|---|---|
| (320) | -5754.78 |
| (310) | -4735.32 |
| (210) | -3248.13 |
| (100) | 562.23 |
| (110) | 727.36 |
| (311) | 772.57 |
| (321) | 806.88 |
| (331) | 808.08 |
| (211) | 816.21 |
| (221) | 834.63 |
| (322) | 846.01 |
| (332) | 851.11 |
| (111) | 857.76 |
| Surface | γfs (mJ/m2) |
|---|---|
| (100) | 101.93 |
| (310) | 129.28 |
| (210) | 137.25 |
| (320) | 141.97 |
| (110) | 144.95 |
| (311) | 154.65 |
| (321) | 164.62 |
| (331) | 164.95 |
| (211) | 167.80 |
| (221) | 171.36 |
| (322) | 174.66 |
| (332) | 175.50 |
| (111) | 178.47 |
| Surface | γfs (mJ/m2) |
|---|---|
| (100) | 36.48 |
| (310) | 46.26 |
| (210) | 49.11 |
| (320) | 50.80 |
| (110) | 51.86 |
| (311) | 55.34 |
| (321) | 58.91 |
| (331) | 59.02 |
| (211) | 60.04 |
| (221) | 61.31 |
| (322) | 62.49 |
| (332) | 62.79 |
| (111) | 63.85 |
| Surface | γfs (mJ/m2) |
|---|---|
| (111) | 263.25 |
| (100) | 283.23 |
| (322) | 289.04 |
| (332) | 291.30 |
| (211) | 300.38 |
| (221) | 303.45 |
| (311) | 306.26 |
| (331) | 313.10 |
| (321) | 317.78 |
| (110) | 321.37 |
| (310) | 321.95 |
| (210) | 328.66 |
| (320) | 329.86 |
| Surface | γfs (mJ/m2) |
|---|---|
| (310) | -15631.82 |
| (320) | -11463.78 |
| (210) | -5369.73 |
| (331) | -1171.74 |
| (322) | -1096.49 |
| (211) 2 | -768.87 |
| (311) | -372.46 |
| (100) | -318.08 |
| (332) 1 | -289.58 |
| (211) 1 | -264.24 |
| (221) | -35.10 |
| (321) 1 | 7.80 |
| (332) 2 | 179.42 |
| (321) 2 | 209.94 |
| (111) | 212.96 |
| (110) | 219.50 |
| Surface | γfs (mJ/m2) |
|---|---|
| (100) | 8.83 |
| (310) | 11.17 |
| (210) | 11.84 |
| (320) | 12.24 |
| (110) | 12.48 |
| (311) | 13.31 |
| (321) 1 | 14.16 |
| (321) 2 | 14.16 |
| (331) | 14.18 |
| (211) 2 | 14.42 |
| (211) 1 | 14.42 |
| (221) | 14.71 |
| (322) | 14.99 |
| (332) 2 | 15.06 |
| (332) 1 | 15.06 |
| (111) | 15.29 |
| Surface | γfs (mJ/m2) |
|---|---|
| (100) | 3.27 |
| (310) | 4.13 |
| (210) | 4.38 |
| (320) | 4.53 |
| (110) | 4.62 |
| (311) | 4.92 |
| (321) 1 | 5.24 |
| (321) 2 | 5.24 |
| (331) | 5.24 |
| (211) 2 | 5.33 |
| (211) 1 | 5.33 |
| (221) | 5.44 |
| (322) | 5.54 |
| (332) 1 | 5.57 |
| (332) 2 | 5.57 |
| (111) | 5.66 |
| Surface | γfs (mJ/m2) |
|---|---|
| (310) | 223.09 |
| (100) | 227.26 |
| (110) | 236.18 |
| (320) | 244.96 |
| (210) | 245.91 |
| (311) | 246.41 |
| (331) | 266.33 |
| (321) | 266.69 |
| (211) | 271.62 |
| (221) | 276.78 |
| (322) | 283.60 |
| (332) | 285.04 |
| (111) | 290.43 |
| Surface | γfs (mJ/m2) |
|---|---|
| (110) | 9.46 |
| (321) | 10.88 |
| (331) | 10.89 |
| (211) | 11.17 |
| (320) | 11.36 |
| (221) | 11.37 |
| (322) | 11.66 |
| (332) | 11.69 |
| (111) | 11.97 |
| (210) | 12.35 |
| (311) | 12.54 |
| (310) | 13.23 |
| (100) | 14.23 |
| Surface | γfs (mJ/m2) |
|---|---|
| (0001) | 6952.69 |
| (1012) 2 | 7229.77 |
| (1011) 1 | 7382.04 |
| (2021) 1 | 7392.09 |
| (1120) | 7609.66 |
| (2021) 2 | 7638.58 |
| (2241) | 7741.13 |
| (1010) | 7773.69 |
| (2131) 1 | 7783.55 |
| (2132) 2 | 7795.18 |
| (1121) | 7826.72 |
| (2130) | 7863.52 |
| (2112) | 7865.70 |
| (2132) 1 | 7867.84 |
| (2131) 2 | 7951.38 |
| (1012) 1 | 7956.58 |
| (1011) 2 | 8042.14 |
| Surface | γfs (mJ/m2) |
|---|---|
| (0001) | 6952.69 |
| (1010) 1 | 7178.37 |
| (1011) 2 | 7229.77 |
| (2021) 1 | 7424.38 |
| (1012) 1 | 7605.26 |
| (1120) | 7609.66 |
| (2112) | 7692.99 |
| (2130) 1 | 7694.86 |
| (2131) 2 | 7795.18 |
| (2132) 1 | 7808.08 |
| (2241) | 7826.72 |
| (1121) | 7865.70 |
| (2132) 2 | 7869.54 |
| (1012) 2 | 7888.58 |
| (2131) 1 | 7940.50 |
| (2021) 2 | 7962.52 |
| (2130) 2 | 8006.97 |
| (1010) 2 | 8291.85 |
| (1011) 1 | 8615.23 |
| Surface | γfs (mJ/m2) |
|---|---|
| (111) 2 | 28.57 |
| (331) 2 | 33.93 |
| (110) | 35.00 |
| (321) | 39.92 |
| (211) | 40.96 |
| (320) | 41.48 |
| (332) | 43.64 |
| (210) | 44.85 |
| (311) 2 | 45.48 |
| (311) 1 | 45.74 |
| (310) | 47.93 |
| (322) | 50.08 |
| (100) | 51.19 |
| (221) | 51.84 |
| (331) 1 | 60.13 |
| (111) 1 | 94.29 |
| Surface | γfs (mJ/m2) |
|---|---|
| (111) 2 | 2.22 |
| (331) 2 | 2.64 |
| (110) | 2.72 |
| (321) | 3.36 |
| (320) | 3.49 |
| (211) | 3.56 |
| (210) | 3.90 |
| (311) 1 | 4.11 |
| (311) 2 | 4.11 |
| (332) | 4.14 |
| (310) | 4.31 |
| (100) | 4.89 |
| (322) | 4.96 |
| (221) | 5.19 |
| (331) 1 | 6.26 |
| (111) 1 | 11.33 |
| Surface | γfs (mJ/m2) |
|---|---|
| (211) 1 | -7831.34 |
| (211) 2 | -5649.15 |
| (111) | -4702.22 |
| (201) | -1926.21 |
| (101) 1 | -1565.56 |
| (112) | -1523.63 |
| (101) 2 | -1232.84 |
| (001) | -810.63 |
| (100) | 925.69 |
| (110) | 1306.80 |
| Surface | γfs (mJ/m2) |
|---|---|
| (201) | -350.24 |
| (111) | 5.65 |
| (100) | 73.80 |
| (101) 1 | 107.69 |
| (112) | 112.58 |
| (110) | 113.11 |
| (211) 2 | 119.00 |
| (001) | 120.89 |
| (211) 1 | 127.03 |
| (101) 2 | 139.79 |
| Surface | γfs (mJ/m2) |
|---|---|
| (100) | 987.58 |
| (310) | 1222.32 |
| (320) | 1307.85 |
| (110) | 1308.69 |
| (210) | 1322.71 |
| (311) | 1405.45 |
| (331) | 1477.59 |
| (321) | 1504.92 |
| (211) | 1507.67 |
| (221) | 1511.02 |
| (322) | 1539.08 |
| (332) | 1552.91 |
| (111) | 1587.54 |
| Surface | γfs (mJ/m2) |
|---|---|
| (331) | -32496.10 |
| (311) | -15744.80 |
| (321) | -448.74 |
| (211) | -100.60 |
| (322) | -49.52 |
| (111) | 139.04 |
| (332) | 144.23 |
| (221) | 147.31 |
| (100) | 148.68 |
| (310) | 163.16 |
| (110) | 165.43 |
| (210) | 165.90 |
| (320) | 167.18 |
| Surface | γfs (mJ/m2) |
|---|---|
| (100) | 5.01 |
| (310) | 6.36 |
| (210) | 6.75 |
| (320) | 6.99 |
| (110) | 7.14 |
| (311) | 7.60 |
| (321) | 8.09 |
| (331) | 8.11 |
| (211) | 8.24 |
| (221) | 8.43 |
| (322) | 8.58 |
| (332) | 8.63 |
| (111) | 8.77 |
Stacking fault energy plots and maps are displayed for select crystals. The values are computed by
The calculation method used is available as the iprPy stacking_fault_map_2D calculation method.
Notes and Disclaimers:
Version Information:
| E_usf a/2 [0 -1 1] | 314.55 |
| τ_ideal a/2 [0 -1 1] | 4.62 |




| E_isf | 39.96 |
| E_usf a/2 [0 -1 1] | 135.43 |
| τ_ideal a/2 [0 -1 1] | 2.48 |




| E_usf a/2 [0 -1 1] | 1029.43 |
| τ_ideal a/2 [0 -1 1] | 665.52 |




| E_isf | -0.00 |
| E_usf a/2 [0 -1 1] | 120.63 |
| τ_ideal a/2 [0 -1 1] | 429.73 |




| E_isf | -36.61 |
| E_usf a/3 [-2 1 1 0] | 94.35 |
| τ_ideal a/3 [-2 1 1 0] | 2.41 |




| E_usf a/3 [-1 2 -1 0] | 392.32 |
| τ_ideal a/3 [-1 2 -1 0] | 5.54 |




| E_usf a/3 [-1 2 -1 0] | 410.77 |
| E_usf a/3 [-2 1 1 3] | 1312.82 |
| τ_ideal a/3 [-1 2 -1 0] | 5.30 |
| τ_ideal a/3 [-2 1 1 3] | 24.64 |





| E_usf a/3 [-2 1 1 3] | 668.57 |
| τ_ideal a/3 [-2 1 1 3] | 6.29 |




| E_usf a/2 [0 -1 1] | 275.56 |
| τ_ideal a/2 [0 -1 1] | 4.24 |




| E_isf | 58.96 |
| E_usf a/2 [0 -1 1] | 104.61 |
| τ_ideal a/2 [0 -1 1] | 1.73 |




| E_isf | 0.00 |
| E_usf a/2 [0 -1 1] | 415.98 |
| τ_ideal a/2 [0 -1 1] | 174.51 |




| E_usf a/2 [0 -1 1] | 340.60 |
| τ_ideal a/2 [0 -1 1] | 9.71 |




| E_isf | -0.00 |
| E_usf a/2 [0 -1 1] | 235.09 |
| τ_ideal a/2 [0 -1 1] | 5.49 |




| E_usf a/2 [-1 1 -1] | 9.19 |
| τ_ideal a/2 [-1 1 -1] | 11.35 |




| E_usf a/2 [-1 -1 1] | 16.69 |
| τ_ideal a/2 [-1 -1 1] | 6.85 |




| E_isf | -0.00 |
| E_usf a/3 [-2 1 1 0] | 8274.40 |
| τ_ideal a/3 [-2 1 1 0] | 349.68 |




| E_usf a/3 [-1 2 -1 0] | 11416.63 |
| τ_ideal a/3 [-1 2 -1 0] | 428.04 |




| E_usf a/3 [-1 2 -1 0] | 15732.87 |
| τ_ideal a/3 [-1 2 -1 0] | 611.19 |




| E_usf a/3 [-1 2 -1 0] | 20914.66 |
| E_usf a/3 [-2 1 1 3] | 24453.18 |
| τ_ideal a/3 [-1 2 -1 0] | 567.48 |
| τ_ideal a/3 [-2 1 1 3] | 793.82 |





| E_usf a/3 [-1 2 -1 0] | 15074.02 |
| E_usf a/3 [-2 1 1 3] | 19116.46 |
| τ_ideal a/3 [-1 2 -1 0] | 481.88 |
| τ_ideal a/3 [-2 1 1 3] | 471.92 |





| E_usf a/3 [-2 1 1 3] | 16524.45 |
| τ_ideal a/3 [-2 1 1 3] | 481.93 |




Static point defect formation energies, Ef, and elastic dipole tensors, pij, are displayed for select crystals. Relaxed defect configurations are obtained by taking a 12x12x12 supercell of a perfect periodic bulk crystal, inserting the point defect, and using force minimization to statically relax the atomic positions while keeping the system dimensions constant. Ef is computed by comparing the energy of the defect system to the same number of atoms in a perfect bulk crystal. pij is estimated as the difference in the system's global pressure with and without the defect multiplied by the system's volume.
Simple structural comparisons of the unrelaxed and relaxed defect configurations are used to help determine if the defect structure has relaxed to a different configuration. Relaxed structures that are identified as no longer consistent with the ideal defect definition are excluded from the table below. The only exception to this is if the lowest energy interstitial configuration does not coincide with a known ideal defect, its energies and pressure tensor are included under the listing "relaxed interstitial". The full list of calculation results including the transformed structures and the structural comparison values is included in the csv file available from the "Download raw data" link.
The calculation method used is available as the iprPy point_defect_static calculation method.
Notes and Disclaimers:
| Point Defect | Ef (eV) | p11 (eV) | p22 (eV) | p33 (eV) | p12 (eV) | p13 (eV) | p23 (eV) |
|---|---|---|---|---|---|---|---|
| vacancy | 0.734 | -1.455 | -1.455 | -1.455 | 0.000 | 0.000 | 0.000 |
| 2nn divacancy | 1.437 | -3.034 | -3.034 | -2.948 | -0.000 | 0.000 | 0.000 |
| 1nn divacancy | 1.469 | -3.147 | -2.633 | -2.633 | 0.000 | -0.000 | 0.022 |
| 100 dumbbell | 2.555 | 16.578 | 16.578 | 15.642 | 0.000 | 0.000 | 0.000 |
| octahedral interstitial | 2.759 | 16.882 | 16.882 | 16.882 | -0.000 | -0.000 | -0.000 |
| crowdion interstitial | 2.884 | 16.585 | 16.585 | 20.169 | 9.443 | 0.000 | 0.000 |
| Point Defect | Ef (eV) | p11 (eV) | p22 (eV) | p33 (eV) | p12 (eV) | p13 (eV) | p23 (eV) |
|---|---|---|---|---|---|---|---|
| 100 dumbbell | -15.401 | -11.235 | -11.235 | -14.927 | 0.000 | -0.000 | 0.000 |
| 111 dumbbell | -5.184 | -6.008 | -6.008 | -6.008 | 1.755 | 1.755 | 1.755 |
| tetrahedral interstitial | -3.340 | -6.673 | -6.673 | -6.673 | -0.000 | -0.000 | -0.000 |
| vacancy | 0.522 | 0.096 | 0.096 | 0.096 | 0.000 | 0.000 | 0.000 |
| 1nn divacancy | 0.965 | 0.167 | 0.176 | 0.176 | 0.000 | 0.000 | -0.005 |
| 2nn divacancy | 1.051 | 0.199 | 0.199 | 0.189 | 0.000 | 0.000 | 0.000 |
| Point Defect | Ef (eV) | p11 (eV) | p22 (eV) | p33 (eV) | p12 (eV) | p13 (eV) | p23 (eV) |
|---|---|---|---|---|---|---|---|
| vacancy | 0.734 | -1.580 | -1.580 | -1.604 | -0.000 | 0.000 | 0.000 |
| relaxed interstitial | 2.500 | 14.245 | 12.670 | 19.151 | -1.363 | 0.074 | -0.043 |
| Point Defect | Ef (eV) | p11 (eV) | p22 (eV) | p33 (eV) | p12 (eV) | p13 (eV) | p23 (eV) |
|---|---|---|---|---|---|---|---|
| relaxed interstitial | -147.946 | -644.510 | -644.626 | -644.479 | -1.733 | -0.281 | -0.681 |
| vacancy | 0.303 | -2.387 | -2.387 | -2.387 | -0.000 | -0.000 | -0.000 |
| 1nn divacancy | 0.455 | -3.124 | -3.124 | -3.124 | -0.001 | -0.001 | -0.001 |
| Point Defect | Ef (eV) | p11 (eV) | p22 (eV) | p33 (eV) | p12 (eV) | p13 (eV) | p23 (eV) |
|---|---|---|---|---|---|---|---|
| vacancy | 0.881 | -3.600 | -3.600 | -3.600 | -0.000 | 0.000 | 0.000 |
| 2nn divacancy | 1.710 | -5.164 | -5.164 | -4.008 | -0.000 | -0.000 | -0.000 |
| 1nn divacancy | 1.723 | -5.458 | -2.549 | -2.549 | 0.000 | -0.000 | -0.649 |
| 100 dumbbell | 2.216 | 33.712 | 33.712 | 33.419 | -0.000 | -0.000 | 0.000 |
| tetrahedral interstitial | 2.802 | 36.220 | 36.220 | 36.220 | -0.000 | -0.000 | -0.000 |
| Point Defect | Ef (eV) | p11 (eV) | p22 (eV) | p33 (eV) | p12 (eV) | p13 (eV) | p23 (eV) |
|---|---|---|---|---|---|---|---|
| relaxed interstitial | -15145.250 | -552.784 | -584.861 | -577.463 | -6.584 | -36.923 | -1.117 |
| 100 dumbbell | -14.213 | -3.798 | -3.797 | -1.371 | -0.000 | -0.000 | 0.000 |
| 111 dumbbell | -10.243 | 2.508 | 2.508 | 2.508 | 0.422 | 0.422 | 0.422 |
| octahedral interstitial | -8.657 | -0.589 | -0.589 | -0.589 | 0.000 | 0.000 | 0.000 |
| tetrahedral interstitial | -6.394 | -0.614 | -0.614 | -0.614 | 0.000 | 0.000 | 0.000 |
| vacancy | 1.254 | 0.772 | 0.772 | 0.772 | -0.000 | -0.000 | -0.000 |
| 1nn divacancy | 2.312 | 0.484 | 0.821 | 0.821 | -0.000 | -0.000 | 0.028 |
| 2nn divacancy | 2.518 | 0.934 | 0.934 | 0.520 | 0.000 | 0.000 | 0.000 |
| Point Defect | Ef (eV) | p11 (eV) | p22 (eV) | p33 (eV) | p12 (eV) | p13 (eV) | p23 (eV) |
|---|---|---|---|---|---|---|---|
| 111 dumbbell | -11.455 | -4.858 | -4.858 | -4.858 | -2.073 | -2.073 | -2.073 |
| tetrahedral interstitial | -7.265 | -7.609 | -7.609 | -7.609 | -0.000 | -0.000 | -0.000 |
| 110 dumbbell | -5.861 | -8.480 | -1.601 | -1.601 | 0.000 | 0.000 | 0.486 |
| crowdion interstitial | -4.950 | -5.886 | -5.886 | -4.202 | -3.700 | 0.000 | 0.000 |
| octahedral interstitial | -1.074 | -4.663 | -4.663 | -4.663 | 0.000 | 0.000 | 0.000 |
| vacancy | 0.781 | 0.003 | 0.003 | 0.003 | 0.000 | 0.000 | 0.000 |
| 1nn divacancy | 1.436 | 0.006 | 0.006 | 0.006 | 0.000 | 0.000 | -0.000 |
| 2nn divacancy | 1.566 | 0.006 | 0.006 | 0.006 | 0.000 | 0.000 | 0.000 |
| Point Defect | Ef (eV) | p11 (eV) | p22 (eV) | p33 (eV) | p12 (eV) | p13 (eV) | p23 (eV) |
|---|---|---|---|---|---|---|---|
| vacancy | 0.509 | -1.931 | -1.931 | -1.931 | -0.000 | -0.000 | -0.000 |
| 1nn divacancy | 0.763 | -2.864 | -2.864 | -2.864 | -0.003 | -0.003 | -0.003 |
| Point Defect | Ef (eV) | p11 (eV) | p22 (eV) | p33 (eV) | p12 (eV) | p13 (eV) | p23 (eV) |
|---|---|---|---|---|---|---|---|
| 100 dumbbell | -12.555 | -26.486 | -26.486 | -26.495 | -0.000 | -0.000 | -0.000 |
| tetragonal interstitial | -0.283 | -0.000 | -0.000 | -0.000 | 0.000 | 0.000 | 0.000 |
| Point Defect | Ef (eV) | p11 (eV) | p22 (eV) | p33 (eV) | p12 (eV) | p13 (eV) | p23 (eV) |
|---|---|---|---|---|---|---|---|
| 111 dumbbell | -16.271 | -7.140 | -7.140 | -7.140 | 3.529 | 3.529 | 3.529 |
| tetrahedral interstitial | -10.075 | -11.985 | -11.985 | -11.985 | -0.000 | -0.000 | -0.000 |
| 100 dumbbell | -8.671 | -105.276 | -105.276 | -27.481 | -0.000 | 0.000 | -0.000 |
| octahedral interstitial | -6.959 | -29.411 | -29.411 | -29.411 | -0.000 | -0.000 | 0.000 |
| vacancy | 1.797 | -1.258 | -1.258 | -1.258 | -0.000 | -0.000 | -0.000 |
| 1nn divacancy | 2.969 | -1.886 | -1.867 | -1.867 | -0.000 | -0.000 | 0.100 |
| 2nn divacancy | 3.252 | -2.199 | -2.199 | -2.019 | -0.000 | -0.000 | -0.000 |
| Point Defect | Ef (eV) | p11 (eV) | p22 (eV) | p33 (eV) | p12 (eV) | p13 (eV) | p23 (eV) |
|---|---|---|---|---|---|---|---|
| 110 dumbbell | -35.496 | 80.249 | 58.433 | 58.433 | 0.000 | 0.000 | -15.972 |
| 100 dumbbell | -24.379 | -1.736 | -1.736 | 11.502 | 0.000 | 0.000 | 0.000 |
| octahedral interstitial | -14.252 | -2.027 | -2.159 | -2.159 | -0.000 | -0.000 | -0.000 |
| tetrahedral interstitial | -11.108 | -1.927 | -0.600 | -1.927 | -0.000 | 0.000 | -0.000 |
| vacancy | 0.691 | 0.503 | 0.503 | 0.503 | 0.000 | 0.000 | 0.000 |
| 2nn divacancy | 1.260 | 0.957 | 0.957 | 0.208 | 0.000 | -0.000 | 0.000 |
| 1nn divacancy | 1.325 | 1.005 | 1.005 | 1.005 | 0.069 | 0.069 | 0.069 |
| Point Defect | Ef (eV) | p11 (eV) | p22 (eV) | p33 (eV) | p12 (eV) | p13 (eV) | p23 (eV) |
|---|---|---|---|---|---|---|---|
| 100 dumbbell | -1.784 | -4.788 | -4.788 | -4.738 | 0.000 | 0.000 | 0.000 |
| 110 dumbbell | -1.200 | -55.320 | -56.271 | -56.271 | 0.000 | 0.000 | 1.279 |
| 111 dumbbell | -1.033 | 0.010 | 0.010 | 0.010 | 2.409 | 2.409 | 2.409 |
| tetrahedral interstitial | -0.567 | -31.063 | -31.319 | -31.063 | 0.000 | 0.000 | 0.000 |
| vacancy | 0.076 | 0.065 | 0.065 | 0.065 | 0.000 | 0.000 | 0.000 |
| 1nn divacancy | 0.134 | 0.120 | 0.120 | 0.120 | 0.002 | 0.002 | 0.002 |
| 2nn divacancy | 0.155 | 0.091 | 0.091 | 0.092 | -0.000 | -0.000 | 0.000 |
| Point Defect | Ef (eV) | p11 (eV) | p22 (eV) | p33 (eV) | p12 (eV) | p13 (eV) | p23 (eV) |
|---|---|---|---|---|---|---|---|
| vacancy | 56.768 | -0.540 | -0.540 | -0.539 | -0.000 | -0.000 | -0.000 |
| 0001 dumbbell | 103.508 | -706.088 | -706.088 | 298.377 | -0.000 | 0.000 | 0.000 |
| Point Defect | Ef (eV) | p11 (eV) | p22 (eV) | p33 (eV) | p12 (eV) | p13 (eV) | p23 (eV) |
|---|---|---|---|---|---|---|---|
| vacancy | 0.328 | 4.205 | 4.205 | 4.205 | -0.000 | -0.000 | 0.000 |
| 1nn divacancy | 0.493 | 6.501 | 6.501 | 6.501 | 0.000 | 0.000 | 0.000 |
| Point Defect | Ef (eV) | p11 (eV) | p22 (eV) | p33 (eV) | p12 (eV) | p13 (eV) | p23 (eV) |
|---|---|---|---|---|---|---|---|
| hexagonal interstitial | -2.421 | -0.372 | -0.372 | -0.372 | 0.000 | 0.000 | 0.000 |
| 100 dumbbell | -1.333 | -20.530 | -20.530 | -20.534 | 0.000 | 0.000 | 0.000 |
| tetragonal interstitial | -0.045 | 0.017 | 0.017 | 0.017 | 0.000 | 0.000 | 0.000 |
| vacancy | 0.045 | -0.560 | -0.560 | -0.560 | 0.000 | 0.000 | 0.000 |
| 1nn divacancy | 0.068 | -0.570 | -0.570 | -0.570 | -0.000 | -0.000 | -0.000 |
Plots of the atomic structure of dislocation cores are shown here. The dislocations were constructed using dislocation monopole configurations in which a straight dislocation is created in the center of the system using anisotropic elasticity and the elastic constants computed above. A cylindrical region centered around the dislocation is allowed to relax while the remaining atoms are held fixed. The relaxation consists of 1 million NVT steps at 10 K followed by an energy/force minimization. The final plots show the atomic configuration near the center of the monopole system, and display differential displacement arrows and Nye tensor color maps that are both taken with respect to the Burgers vector direction.
These plots show a wide range of final structures, some corresponding to expected dislocation structures and others not. While the characterizations are dislocation-type dependent, some general classification guidelines are listed here.
The calculation method used is available as the iprPy dislocation_monopole calculation method.
Links are provided above the images allowing for users to download the final defect configuration and a corresponding defect-free configuration if they wish to further analyze the structures or use them for subsequent simulations.
Notes and Disclaimers:
Version Information:
Plots of lattice and elastic constants are shown as a function of temperature. The 0K points were taken from the Crystal Structure Predictions and the Elastic Constants Predictions sections above for the unique crystal structures relaxed with the "dynamic" method. Starting from the 0 K relaxed crystal unit cells, supercell systems are created by replicating all three dimensions by the same multiplier to achieve at least 4000 atoms. The systems are then relaxed at 50 K and zero pressure using 1 million NPT steps. Lattice constants are estimated by averaging the measured box dimensions. Temperatures are iteratively increased by 50 K, with each subsequent relaxation calculation starting from the final atomic configuration at the previous temperature and relaxing for another 1 million steps.
The elastic constants are calculated using the deformation–fluctuation hybrid method. Starting from the final atomic configurations of the dynamic relaxations, the system is allowed to evolve at constant volume with a Langevin thermostat. The Born matrix is computed during this run by evaluating how the atomic forces would vary due to applied linear strain fields. The elastic constants can then be estimated using the averaged Born matrix values and the averaged stresses on the system.
The calculation methods used are available as the iprPy relax_dynamic and elastic_constants_dynamic calculation methods.
Clicking on the image of a plot will open an interactive version of it in a new tab. The underlying data for the plots can be downloaded by clicking on the links above each plot.
Notes and Disclaimers:
Version Information:
Plots of radial distribution functions at different temperatures and the temperature-dependent diffusion and viscosity are shown here for elemental liquids. Melt phases are constructed by starting with a 10x10x10 fcc super cell and relaxing with 50,000 NPT steps at zero pressure and a high melting temperature (3000 K for most potentials and elements). Following the melt, liquid structures are relaxed by running NPT for 10,000 steps over which the temperature is dropped by 50 K, then 50,000 NPT at the target temperature to estimate the equilibrium volume, followed by 20,000 NVT steps at the averaged equilibrium volume and target temperature. Structures from the NVT run are sampled to compute the radial distribution function of the liquid at the corresponding temperature.
The final relaxed configurations at each temperature explored are used as the initial configurations for the diffusion and viscosity calculations. For diffusion, the system is integrated for 100 runs of 2,000 NVT steps during which both the mean squared displacement (MSD) and the velocity auto correlation function (VACF) are computed. From these simulations, three estimates of diffusion are computed: one from the MSD of the full 200,000 step run, one in which the MSD is reset for each short run and then averaged, and one from the VACF computed for each short run and averaged. For viscosity, the Green-Kubo method is used which is evaluated during a 1 million step NVT run.
The calculation methods used are available as the iprPy relax_liquid_redo, diffusion_liquid, and viscosity_green_kubo calculation methods.
Clicking on the image of a plot will open an interactive version of it in a new tab. The underlying data for the plots can be downloaded by clicking on the links above each plot.
Notes and Disclaimers:
Version Information:
Estimated melting temperatures are tabulated below. The melting temperature is computed here using a two-phase solid-liquid atomic configuration. The two-phase configuration is created by starting with a crystalline system in which the c box vector is roughly twice the length of the other two box vectors. Based on some input temperature Tinit, an NPH plus a Berensen thermostat simulation is performed for 10,000 steps in which half the system is subjected to a temperature of 1.25*Tinit and the other half to a temperature of 0.5*Tinit. This is then followed by 10,000 steps during which the temperature of the two regions are both scaled to Tinit. The system is then ran for 200,000 NPH steps to equilibrate the system. For the second half of the final NPH run, the average temperature of the system is calculated and the polyhedral template matching algorithm is used to estimate the number of solid and liquid atoms for a number of configuration snapshots. If the averaged fraction of solid atoms is found to be between 0.25-0.75, then the averaged temperature provides an estimate of the melting temperature.
This calculation is iteratively performed where the Tinit value is adjusted up or down if the fraction of solid atoms is outside the range 0.25-0.75. Iterations are repeated until 10 calculations are performed that produce solid fractions in the target range, or 30 total calculations are performed.
The calculation method used is available as the iprPy melting_temperature calculation method.
Notes and Disclaimers:
Version Information:
| prototype | Tmelt | stderr |
|---|---|---|
| A1--Cu--fcc | 857.09 | 0.43 |
| prototype | Tmelt | stderr |
|---|---|---|
| A1--Cu--fcc | 909.26 | 0.8 |
| prototype | Tmelt | stderr |
|---|---|---|
| A4--C--dc | 1853.48 | 1.8 |
Plots of internal energy, Gibbs free energy, entropy, heat capacity and volume are shown here as a function of temperature for various crystal structures and liquid phases. The included crystal structures correspond to those in the Solid Structures vs. Temperature section, and the liquid phases to those in the Liquid Properties section. Internal energy and volume are taken from the associated structure relaxations mentioned in those previous sections. Constant pressure heat capacity is estimated using 3-point numerical derivatives of enthalpy versus temperature. Note that since all simulations done here are at 0 pressure, internal energy and enthalpy are equivalent.
The Gibbs energies of the phases are estimated using thermodynamic integration between the interatomic potential in question and a simpler model with known Gibbs free energy values. For solids, the reference model is an Einstein solid, while for liquids it is the Uhlenbeck-Ford potential. Besides a short run at the start of the solid calculations to estimate Einstein model spring constants, the two calculations proceed similarly. Starting with the final relaxation configurations, the systems are stabilized for 25,000 steps. Then, over the next 50,000 steps the potential is swapped out for the reference potential. The system is then stabilized for another 25,000 steps with the reference model before a reverse swap of 50,000 steps is performed. The simulation ends with one final 25,000 step stabilization period. From the simulation, the irreversible work of transformation is estimated and used to compute the absolute Gibbs free energy of the target phase and potential relative to the reference potential. Entropy is estimated as the difference in enthalpy and Gibbs free energy and divided by temperature.
The calculation methods used are available as the iprPy relax_dynamic, relax_liquid_redo, free_energy, and free_energy_liquid calculation methods.
Clicking on the image of a plot will open an interactive version of it in a new tab. The underlying data for the plots can be downloaded by clicking on the links above each plot.
Notes and Disclaimers:
Version Information:






