Plots of the potential energy vs interatomic spacing, r, are shown below for all diatom sets associated with the interatomic potential. This calculation provides insights into the functional form of the potential's two-body interactions. A system consisting of only two atoms is created, and the potential energy is evaluated for the atoms separated by 0.02 Å <= r <= 6.0> Å in intervals of 0.02 Å. Two plots are shown: one for the "standard" interaction distance range, and one for small values of r. The small r plot is useful for determining whether the potential is suitable for radiation studies.
The calculation method used is available as the iprPy diatom_scan calculation method.
Clicking on the image of a plot will open an interactive version of it in a new tab. The underlying data for the plots can be downloaded by clicking on the links above each plot.
Notes and Disclaimers:
Version Information:
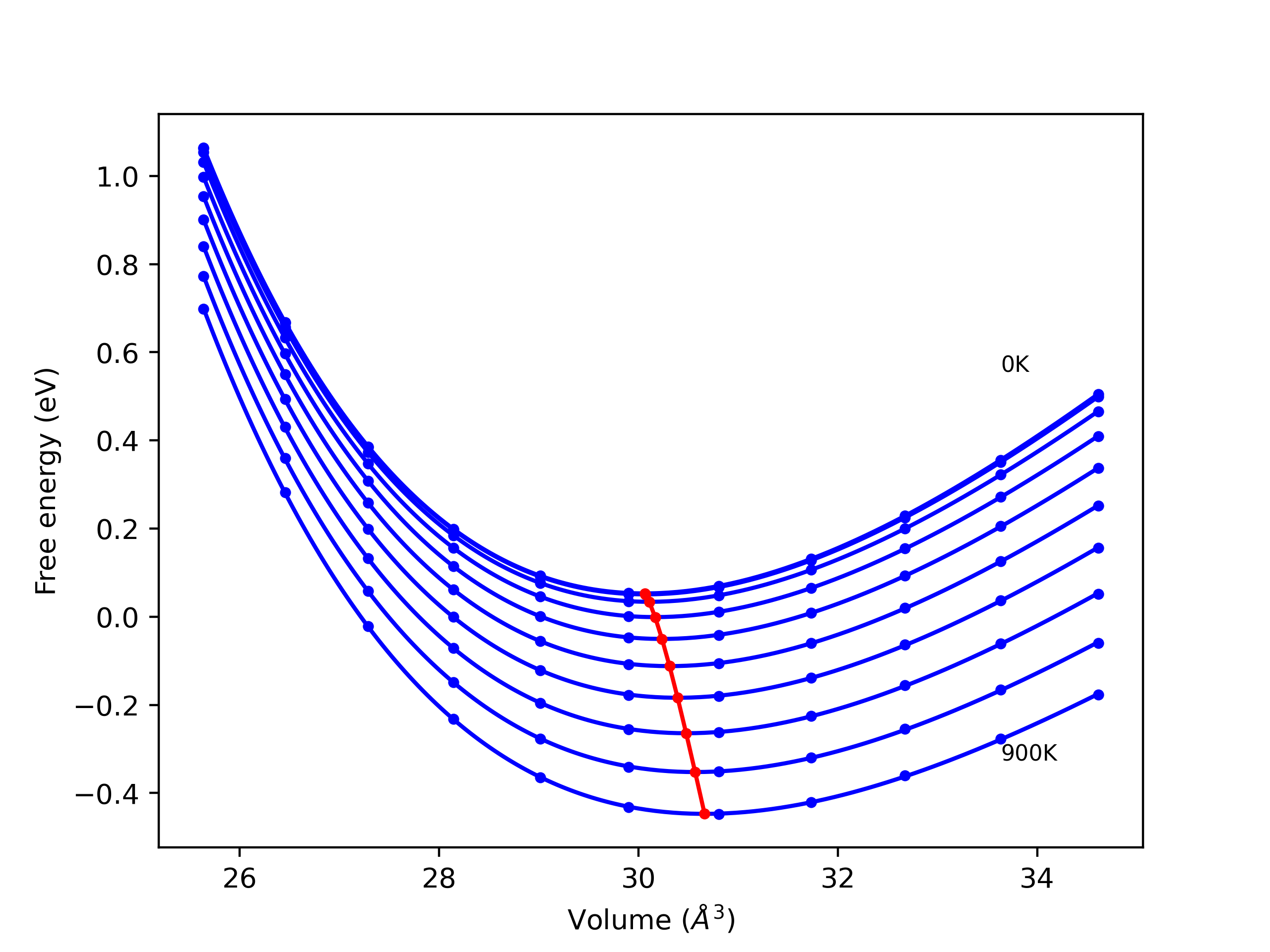
Plots of potential energy vs interatomic spacing, r, are shown below for a number of crystal structures. The structures are generated based on the ideal atomic positions and b/a and c/a lattice parameter ratios for a given crystal prototype. The size of the system is then uniformly scaled, and the energy calculated without relaxing the system. To obtain these plots, values of r are evaluated every 0.02 Å up to 6 Å.
The calculation method used is available as the iprPy E_vs_r_scan calculation method.
Clicking on the image of a plot will open an interactive version of it in a new tab. The underlying data for the plots can be downloaded by clicking on the links above each plot.
Notes and Disclaimers:
Version Information:
Computed lattice constants and cohesive/potential energies are displayed for a variety of crystal structures. The values displayed here are obtained using the following process.
The calculation methods used are implemented into iprPy as the following calculation styles
Notes and Disclaimers:
Version Information:
Download raw data (including filtered results)
Reference structure matches:
A1--Cu--fcc = oqmd-1214512
A15--beta-W = oqmd-1214957
A2--W--bcc = oqmd-1215135
A3'--alpha-La--double-hcp = oqmd-1215403
A3--Mg--hcp = oqmd-1215313
A4--C--dc = mp-66, oqmd-675640
A5--beta-Sn = oqmd-1215581
A6--In--bct = mp-1181996, oqmd-1215670
A7--alpha-As = oqmd-594528
Ah--alpha-Po--sc = mp-998866, oqmd-636457, oqmd-1214601
| prototype | method | Ecoh (eV/atom) | Epot (eV/atom) | a0 (Å) | b0 (Å) | c0 (Å) | α (degrees) | β (degrees) | γ (degrees) | 
|---|---|---|---|---|---|---|---|---|---|
| A4--C--dc | dynamic | -7.346 | -7.346 | 3.567 | 3.567 | 3.567 | 90.0 | 90.0 | 90.0 | 
| mp-616440 | dynamic | -7.346 | -7.346 | 2.5223 | 2.5223 | 16.4753 | 90.0 | 90.0 | 120.0 | 
| oqmd-599491 | dynamic | -7.346 | -7.346 | 2.5223 | 2.5223 | 12.3565 | 90.0 | 90.0 | 120.0 | 
| oqmd-599493 | dynamic | -7.346 | -7.346 | 2.5223 | 2.5223 | 30.8912 | 90.0 | 90.0 | 120.0 | 
| mp-611426 | dynamic | -7.346 | -7.346 | 2.5223 | 2.5223 | 8.2376 | 90.0 | 90.0 | 120.0 | 
| oqmd-599494 | dynamic | -7.346 | -7.346 | 2.5222 | 2.5222 | 43.2477 | 90.0 | 90.0 | 120.0 | 
| oqmd-599489 | dynamic | -7.346 | -7.346 | 2.5223 | 2.5223 | 4.1188 | 90.0 | 90.0 | 120.0 | 
| oqmd-599489 | box | -7.3459 | -7.3459 | 2.5215 | 2.5215 | 4.1211 | 90.0 | 90.0 | 120.0 | 
| mp-47 | box | -7.3459 | -7.3459 | 2.5214 | 2.5214 | 4.1217 | 90.0 | 90.0 | 120.0 | 
| oqmd-599492 | box | -7.3452 | -7.3452 | 2.522 | 2.522 | 16.4813 | 90.0 | 90.0 | 120.0 | 
| mp-616440 | box | -7.3451 | -7.3451 | 2.5221 | 2.5221 | 16.48 | 90.0 | 90.0 | 120.0 | 
| oqmd-599491 | box | -7.345 | -7.345 | 2.522 | 2.522 | 12.361 | 90.0 | 90.0 | 120.0 | 
| mp-569567 | box | -7.3449 | -7.3449 | 2.5222 | 2.5222 | 43.2596 | 90.0 | 90.0 | 120.0 | 
| mp-611448 | box | -7.3449 | -7.3449 | 2.5221 | 2.5221 | 12.3606 | 90.0 | 90.0 | 120.0 | 
| oqmd-599493 | box | -7.3448 | -7.3448 | 2.5221 | 2.5221 | 30.9003 | 90.0 | 90.0 | 120.0 | 
| mp-569517 | box | -7.3447 | -7.3447 | 2.522 | 2.522 | 30.9032 | 90.0 | 90.0 | 120.0 | 
| mp-611426 | box | -7.3446 | -7.3446 | 2.5219 | 2.5219 | 8.2419 | 90.0 | 90.0 | 120.0 | 
| oqmd-599490 | box | -7.3445 | -7.3445 | 2.5221 | 2.5221 | 8.2407 | 90.0 | 90.0 | 120.0 | 
| mp-1078845 | dynamic | -7.0508 | -7.0508 | 4.1963 | 8.8349 | 2.571 | 90.0 | 90.0 | 90.0 | 
| mp-1078845 | box | -7.0363 | -7.0363 | 4.2332 | 8.8311 | 2.5602 | 90.0 | 90.0 | 90.0 | 
| oqmd-637130 | dynamic | -6.8842 | -6.8842 | 9.1702 | 2.5624 | 4.214 | 90.0 | 90.0 | 90.0 | 
| mp-1080826 | dynamic | -6.8796 | -6.8796 | 9.2772 | 2.5628 | 4.211 | 90.0 | 97.7 | 90.0 | 
| mp-1190171 | box | -6.8746 | -6.8746 | 9.1875 | 2.5549 | 4.2274 | 90.0 | 90.0 | 90.0 | 
| oqmd-637130 | box | -6.8744 | -6.8744 | 9.1857 | 2.555 | 4.2273 | 90.0 | 90.0 | 90.0 | 
| mp-1080826 | box | -6.8709 | -6.8709 | 9.2919 | 2.5552 | 4.2247 | 90.0 | 97.2 | 90.0 | 
| oqmd-637352 | box | -6.8709 | -6.8709 | 9.2913 | 2.5551 | 4.2244 | 90.0 | 97.2 | 90.0 | 
| mp-1008395 | dynamic | -6.8295 | -6.8295 | 4.3851 | 4.3851 | 2.6002 | 90.0 | 90.0 | 90.0 | 
| mp-1008395 | box | -6.8131 | -6.8131 | 4.4067 | 4.4067 | 2.586 | 90.0 | 90.0 | 90.0 | 
| mp-169 | static | -6.6732 | -6.6732 | 3.8076 | 2.8908 | 2.5763 | 90.0 | 124.6 | 90.0 | 
| mp-1008374 | box | -6.545 | -6.545 | 2.3964 | 8.4476 | 2.6174 | 90.0 | 90.0 | 90.0 | 
| mp-24 | dynamic | -6.3577 | -6.3577 | 4.5265 | 4.5265 | 4.5265 | 90.0 | 90.0 | 90.0 | 
| oqmd-589491 | static | -6.3363 | -6.3363 | 2.656 | 2.656 | 12.4069 | 90.0 | 90.0 | 120.0 | 
| mp-24 | box | -6.1802 | -6.1802 | 4.6191 | 4.6191 | 4.6191 | 90.0 | 90.0 | 90.0 | 
| mp-606949 | static | -6.0262 | -6.0262 | 2.7141 | 2.7141 | 12.8625 | 90.0 | 90.0 | 120.0 | 
| oqmd-610557 | box | -5.9014 | -5.9014 | 4.9717 | 5.3096 | 4.7869 | 90.0 | 90.0 | 90.0 | 
| mp-569416 | dynamic | -5.8343 | -5.8343 | 2.6393 | 2.6393 | 47.6399 | 90.0 | 90.0 | 120.0 | 
| oqmd-595714 | static | -5.8265 | -5.8265 | 8.2257 | 8.9923 | 13.8523 | 90.0 | 90.0 | 90.0 | 
| oqmd-684627 | static | -5.791 | -5.791 | 8.4822 | 8.4822 | 14.322 | 90.0 | 90.0 | 90.0 | 
| oqmd-637443 | static | -5.7731 | -5.7731 | 5.4804 | 5.4804 | 5.4804 | 90.0 | 90.0 | 90.0 | 
| mp-1244964 | dynamic | -5.7521 | -5.7521 | 9.0002 | 9.1148 | 10.3373 | 96.2 | 92.0 | 95.0 | 
| oqmd-677227 | dynamic | -5.7503 | -5.7503 | 12.3243 | 12.3243 | 12.3243 | 90.0 | 90.0 | 90.0 | 
| mp-1188817 | box | -5.7358 | -5.7358 | 5.4802 | 5.4802 | 5.4802 | 90.0 | 90.0 | 90.0 | 
| oqmd-637443 | box | -5.7295 | -5.7295 | 5.4817 | 5.4817 | 5.4817 | 90.0 | 90.0 | 90.0 | 
| mp-667273 | dynamic | -5.7244 | -5.7244 | 12.8257 | 12.8257 | 12.8257 | 90.0 | 90.0 | 90.0 | 
| oqmd-603085 | dynamic | -5.7028 | -5.7028 | 12.9085 | 12.9085 | 12.9085 | 90.0 | 90.0 | 90.0 | 
| A7--alpha-As | dynamic | -5.6976 | -5.6976 | 2.6416 | 2.6416 | 9.4791 | 90.0 | 90.0 | 120.0 | 
| mp-1244913 | dynamic | -5.6443 | -5.6443 | 9.7402 | 10.1606 | 10.9018 | 93.6 | 98.5 | 91.9 | 
| mp-1196583 | dynamic | -5.6402 | -5.6402 | 12.1794 | 12.1794 | 12.1794 | 90.0 | 90.0 | 90.0 | 
| oqmd-589493 | static | -5.6309 | -5.6309 | 2.7395 | 2.7395 | 14.4606 | 90.0 | 90.0 | 120.0 | 
| mp-1147718 | dynamic | -5.6296 | -5.6296 | 10.1863 | 12.8346 | 8.3874 | 90.0 | 90.0 | 90.0 | 
| A5--beta-Sn | static | -5.5142 | -5.5142 | 3.2655 | 3.2655 | 2.1926 | 90.0 | 90.0 | 90.0 | 
| mp-1205283 | static | -5.456 | -5.456 | 8.7725 | 13.3871 | 9.2194 | 90.0 | 90.0 | 90.0 | 
| mp-569304 | dynamic | -5.4235 | -5.4235 | 2.6658 | 2.6658 | 32.0978 | 90.0 | 90.0 | 120.0 | 
| mp-990424 | dynamic | -5.4235 | -5.4235 | 2.6658 | 2.6658 | 23.3455 | 90.0 | 90.0 | 120.0 | 
| mp-1182684 | dynamic | -5.4013 | -5.4013 | 8.2249 | 10.354 | 20.6233 | 90.0 | 90.0 | 90.0 | 
| oqmd-614417 | static | -5.391 | -5.391 | 9.3303 | 9.3303 | 26.0632 | 90.0 | 90.0 | 120.0 | 
| oqmd-585286 | dynamic | -5.2591 | -5.2591 | 5.2665 | 5.2665 | 5.2665 | 90.0 | 90.0 | 90.0 | 
| mp-570002 | box | -5.2584 | -5.2584 | 5.2627 | 5.2627 | 5.2627 | 90.0 | 90.0 | 90.0 | 
| oqmd-585286 | box | -5.2583 | -5.2583 | 5.2626 | 5.2626 | 5.2626 | 90.0 | 90.0 | 90.0 | 
| A3'--alpha-La--double-hcp | box | -5.2312 | -5.2312 | 2.6359 | 2.6359 | 4.2536 | 90.0 | 90.0 | 120.0 | 
| mp-1196583 | static | -5.1886 | -5.1886 | 13.748 | 13.748 | 13.748 | 90.0 | 90.0 | 90.0 | 
| mp-680372 | static | -5.1842 | -5.1842 | 9.5928 | 9.5928 | 27.166 | 90.0 | 90.0 | 120.0 | 
| A7--alpha-As | box | -5.1783 | -5.1783 | 2.6371 | 2.6371 | 6.7727 | 90.0 | 90.0 | 120.0 | 
| mp-1096869 | dynamic | -5.0131 | -5.0131 | 26.6875 | 15.4808 | 7.5935 | 90.0 | 90.1 | 90.0 | 
| Ah--alpha-Po--sc | static | -4.9539 | -4.9539 | 1.9022 | 1.9022 | 1.9022 | 90.0 | 90.0 | 90.0 | 
| oqmd-677227 | static | -4.9424 | -4.9424 | 14.4876 | 14.4876 | 14.4876 | 90.0 | 90.0 | 90.0 | 
| oqmd-689315 | static | -4.9301 | -4.9301 | 10.8169 | 18.7873 | 19.3868 | 90.0 | 90.0 | 90.0 | 
| mp-683919 | static | -4.9053 | -4.9053 | 10.9166 | 18.9307 | 19.5663 | 90.0 | 90.0 | 90.0 | 
| oqmd-614417 | box | -4.874 | -4.874 | 10.1566 | 10.1566 | 27.0077 | 90.0 | 90.0 | 120.0 | 
| mp-1245190 | static | -4.8497 | -4.8497 | 10.4861 | 10.6533 | 10.698 | 89.1 | 87.8 | 86.9 | 
| mp-667273 | static | -4.8133 | -4.8133 | 15.4611 | 15.4611 | 15.4611 | 90.0 | 90.0 | 90.0 | 
| oqmd-595714 | box | -4.8048 | -4.8048 | 10.0765 | 10.334 | 16.1497 | 90.0 | 90.0 | 90.0 | 
| mp-1244964 | static | -4.7831 | -4.7831 | 10.3131 | 10.6916 | 10.9699 | 91.0 | 94.9 | 91.2 | 
| oqmd-603085 | box | -4.748 | -4.748 | 15.6674 | 15.6674 | 15.6674 | 90.0 | 90.0 | 90.0 | 
| mp-624889 | box | -4.742 | -4.742 | 5.2943 | 5.6021 | 6.4962 | 90.0 | 90.0 | 90.0 | 
| mp-683919 | box | -4.7315 | -4.7315 | 11.3231 | 19.6751 | 20.3042 | 90.0 | 90.0 | 90.0 | 
| oqmd-684627 | box | -4.7213 | -4.7213 | 10.1605 | 10.1605 | 17.3813 | 90.0 | 90.0 | 90.0 | 
| oqmd-689315 | box | -4.7203 | -4.7203 | 11.4018 | 19.5864 | 20.2465 | 90.0 | 90.0 | 90.0 | 
| mp-667273 | box | -4.7023 | -4.7023 | 16.2524 | 16.2524 | 16.2524 | 90.0 | 90.0 | 90.0 | 
| mp-630227 | box | -4.6851 | -4.6851 | 10.1278 | 10.1791 | 17.9051 | 90.0 | 90.0 | 90.0 | 
| mp-1147718 | box | -4.6704 | -4.6704 | 11.9418 | 16.2114 | 10.2823 | 90.0 | 90.0 | 90.0 | 
| mp-1196583 | box | -4.6585 | -4.6585 | 16.2282 | 16.2282 | 16.2282 | 90.0 | 90.0 | 90.0 | 
| oqmd-677227 | box | -4.6564 | -4.6564 | 15.9863 | 15.9863 | 15.9863 | 90.0 | 90.0 | 90.0 | 
| oqmd-1215224 | box | -4.6284 | -4.6284 | 2.0168 | 2.7212 | 3.8485 | 90.0 | 103.9 | 90.0 | 
| mp-1095633 | dynamic | -4.6151 | -4.6151 | 7.7555 | 7.7555 | 16.9541 | 90.0 | 90.0 | 90.0 | 
| mp-1096869 | static | -4.6003 | -4.6003 | 27.2711 | 15.7735 | 120.8295 | 90.0 | 90.3 | 90.0 | 
| mp-568028 | box | -4.5698 | -4.5698 | 9.4845 | 15.7065 | 10.7941 | 90.0 | 90.0 | 90.0 | 
| mp-1244913 | static | -4.5649 | -4.5649 | 10.2146 | 11.3773 | 11.8703 | 76.1 | 88.7 | 83.9 | 
| oqmd-610552 | box | -4.5004 | -4.5004 | 5.2715 | 6.1232 | 7.3129 | 90.0 | 90.0 | 90.0 | 
| mp-579909 | box | -4.4629 | -4.4629 | 5.2658 | 6.1481 | 7.8465 | 90.0 | 90.0 | 90.0 | 
| mp-997182 | dynamic | -4.2266 | -4.2266 | 2.8465 | 2.8465 | 12.0458 | 90.0 | 90.0 | 120.0 | 
| mp-1040425 | dynamic | -4.2266 | -4.2266 | 2.8465 | 2.8465 | 19.9983 | 90.0 | 90.0 | 120.0 | 
| mp-1018088 | box | -4.2266 | -4.2266 | 4.6483 | 4.6483 | 4.6483 | 90.0 | 90.0 | 90.0 | 
| A2--W--bcc | static | -4.1165 | -4.1165 | 2.3773 | 2.3773 | 2.3773 | 90.0 | 90.0 | 90.0 | 
| mp-1205283 | box | -4.0656 | -4.0656 | 11.096 | 15.2519 | 10.84 | 90.0 | 90.0 | 90.0 | 
| oqmd-1214868 | static | -3.9081 | -3.9081 | 9.0113 | 9.0113 | 9.0113 | 90.0 | 90.0 | 90.0 | 
| oqmd-1214868 | box | -3.8181 | -3.8181 | 8.6481 | 8.6481 | 8.6481 | 90.0 | 90.0 | 90.0 | 
| mp-1196857 | box | -3.5748 | -3.5748 | 10.1702 | 23.9496 | 8.8359 | 90.0 | 90.0 | 90.0 | 
| mp-1245190 | box | -3.4951 | -3.4951 | 12.2943 | 13.0661 | 13.3639 | 84.1 | 83.6 | 88.5 | 
| mp-1197903 | static | -3.2154 | -3.2154 | 9.4008 | 9.5198 | 54.6978 | 85.9 | 87.0 | 76.8 | 
| A3'--alpha-La--double-hcp | static | -3.0693 | -3.0693 | 2.3516 | 2.3516 | 6.5972 | 90.0 | 90.0 | 120.0 | 
| A3--Mg--hcp | box | -2.7895 | -2.7895 | 2.1184 | 2.1184 | 4.6922 | 90.0 | 90.0 | 120.0 | 
| A15--beta-W | static | -2.7241 | -2.7241 | 4.0852 | 4.0852 | 4.0852 | 90.0 | 90.0 | 90.0 | 
| mp-1192619 | box | -2.7173 | -2.7173 | 19.86 | 19.86 | 19.86 | 90.0 | 90.0 | 90.0 | 
| A6--In--bct | static | -2.6139 | -2.6139 | 3.5376 | 3.5376 | 8.6587 | 90.0 | 90.0 | 90.0 | 
| A3--Mg--hcp | box | -2.4869 | -2.4869 | 2.322 | 2.322 | 3.8943 | 90.0 | 90.0 | 120.0 | 
| A3'--alpha-La--double-hcp | box | -2.4821 | -2.4821 | 2.332 | 2.332 | 7.7324 | 90.0 | 90.0 | 120.0 | 
| A1--Cu--fcc | static | -2.4768 | -2.4768 | 3.3167 | 3.3167 | 3.3167 | 90.0 | 90.0 | 90.0 | 
| A15--beta-W | static | -1.5751 | -1.5751 | 8.1648 | 8.1648 | 8.1648 | 90.0 | 90.0 | 90.0 | 
| Ah--alpha-Po--sc | box | -0.0265 | -0.0265 | 4.9685 | 4.9685 | 4.9685 | 90.0 | 90.0 | 90.0 | 
| A2--W--bcc | box | -0.0261 | -0.0261 | 5.7458 | 5.7458 | 5.7458 | 90.0 | 90.0 | 90.0 | 
| A1--Cu--fcc | box | -0.0258 | -0.0258 | 7.0461 | 7.0461 | 7.0461 | 90.0 | 90.0 | 90.0 | 
Download raw data (including filtered results)
Reference structure matches:
| prototype | method | Ecoh (eV/atom) | Epot (eV/atom) | a0 (Å) | b0 (Å) | c0 (Å) | α (degrees) | β (degrees) | γ (degrees) | 
|---|---|---|---|---|---|---|---|---|---|
| C1--CaF2--fluorite | static | -5.0424 | -5.0424 | 4.6263 | 4.6263 | 4.6263 | 90.0 | 90.0 | 90.0 | 
| oqmd-1232084 | box | -4.7859 | -4.7859 | 4.6096 | 4.6096 | 2.7864 | 90.0 | 90.0 | 90.0 | 
| C1--CaF2--fluorite | static | -0.0 | -0.0 | 11.547 | 11.547 | 11.547 | 90.0 | 90.0 | 90.0 | 
Download raw data (including filtered results)
Reference structure matches:
| prototype | method | Ecoh (eV/atom) | Epot (eV/atom) | a0 (Å) | b0 (Å) | c0 (Å) | α (degrees) | β (degrees) | γ (degrees) | 
|---|---|---|---|---|---|---|---|---|---|
| oqmd-426162 | box | -4.1717 | -4.1717 | 4.9685 | 4.9685 | 13.1335 | 90.0 | 90.0 | 120.0 | 
Download raw data (including filtered results)
Reference structure matches:
| prototype | method | Ecoh (eV/atom) | Epot (eV/atom) | a0 (Å) | b0 (Å) | c0 (Å) | α (degrees) | β (degrees) | γ (degrees) | 
|---|---|---|---|---|---|---|---|---|---|
| mp-2794 | dynamic | -4.9923 | -4.9923 | 11.9499 | 4.8167 | 4.5405 | 90.0 | 94.1 | 90.0 | 
| oqmd-7999 | static | -4.9443 | -4.9443 | 11.9731 | 4.7807 | 4.4671 | 90.0 | 93.8 | 90.0 | 
| oqmd-7999 | box | -4.2953 | -4.2953 | 13.2111 | 5.005 | 4.2032 | 90.0 | 90.9 | 90.0 | 
Download raw data (including filtered results)
Reference structure matches:
| prototype | method | Ecoh (eV/atom) | Epot (eV/atom) | a0 (Å) | b0 (Å) | c0 (Å) | α (degrees) | β (degrees) | γ (degrees) | 
|---|---|---|---|---|---|---|---|---|---|
| L2_1--AlCu2Mn--heusler | static | -3.602 | -3.602 | 5.3479 | 5.3479 | 5.3479 | 90.0 | 90.0 | 90.0 | 
| L2_1--AlCu2Mn--heusler | static | -0.0 | -0.0 | 11.547 | 11.547 | 11.547 | 90.0 | 90.0 | 90.0 | 
| L2_1--AlCu2Mn--heusler | dynamic | 0.0 | 0.0 | 11.5836 | 11.5836 | 11.5836 | 90.0 | 90.0 | 90.0 | 
| L2_1--AlCu2Mn--heusler | dynamic | 0.0 | 0.0 | 11.5838 | 11.5838 | 11.5838 | 90.0 | 90.0 | 90.0 | 
| L2_1--AlCu2Mn--heusler | box | 0.5572 | 0.5572 | 9.9255 | 9.9255 | 9.9255 | 90.0 | 90.0 | 90.0 | 
Download raw data (including filtered results)
Reference structure matches:
| prototype | method | Ecoh (eV/atom) | Epot (eV/atom) | a0 (Å) | b0 (Å) | c0 (Å) | α (degrees) | β (degrees) | γ (degrees) | 
|---|---|---|---|---|---|---|---|---|---|
| mp-1221861 | dynamic | -3.707 | -3.707 | 12.9061 | 4.854 | 5.2539 | 90.0 | 91.7 | 90.0 | 
| mp-1221861 | static | -3.7027 | -3.7027 | 13.2907 | 4.6177 | 5.223 | 90.0 | 93.3 | 90.0 | 
| mp-1221861 | box | -3.409 | -3.409 | 12.7983 | 4.7994 | 5.3062 | 90.0 | 95.8 | 90.0 | 
Download raw data (including filtered results)
Reference structure matches:
| prototype | method | Ecoh (eV/atom) | Epot (eV/atom) | a0 (Å) | b0 (Å) | c0 (Å) | α (degrees) | β (degrees) | γ (degrees) | 
|---|---|---|---|---|---|---|---|---|---|
| L2_1--AlCu2Mn--heusler | static | -0.0 | -0.0 | 11.547 | 11.547 | 11.547 | 90.0 | 90.0 | 90.0 | 
| L2_1--AlCu2Mn--heusler | static | 0.0625 | 0.0625 | 6.3138 | 6.3138 | 6.3138 | 90.0 | 90.0 | 90.0 | 
Download raw data (including filtered results)
Reference structure matches:
| prototype | method | Ecoh (eV/atom) | Epot (eV/atom) | a0 (Å) | b0 (Å) | c0 (Å) | α (degrees) | β (degrees) | γ (degrees) | 
|---|---|---|---|---|---|---|---|---|---|
| C1--CaF2--fluorite | static | -4.5306 | -4.5306 | 5.0245 | 5.0245 | 5.0245 | 90.0 | 90.0 | 90.0 | 
| C1--CaF2--fluorite | static | -0.0 | -0.0 | 11.547 | 11.547 | 11.547 | 90.0 | 90.0 | 90.0 | 
| C1--CaF2--fluorite | dynamic | 0.0 | 0.0 | 11.57 | 11.57 | 11.57 | 90.0 | 90.0 | 90.0 | 
Download raw data (including filtered results)
Reference structure matches:
| prototype | method | Ecoh (eV/atom) | Epot (eV/atom) | a0 (Å) | b0 (Å) | c0 (Å) | α (degrees) | β (degrees) | γ (degrees) | 
|---|---|---|---|---|---|---|---|---|---|
| L2_1--AlCu2Mn--heusler | static | -0.1763 | -0.1763 | 5.5962 | 5.5962 | 5.5962 | 90.0 | 90.0 | 90.0 | 
| L2_1--AlCu2Mn--heusler | static | -0.0 | -0.0 | 11.547 | 11.547 | 11.547 | 90.0 | 90.0 | 90.0 | 
Download raw data (including filtered results)
Reference structure matches:
| prototype | method | Ecoh (eV/atom) | Epot (eV/atom) | a0 (Å) | b0 (Å) | c0 (Å) | α (degrees) | β (degrees) | γ (degrees) | 
|---|---|---|---|---|---|---|---|---|---|
| mp-1102811 | box | -1.8083 | -1.8083 | 10.1737 | 10.1737 | 10.1737 | 90.0 | 90.0 | 90.0 | 
| mp-1019097 | box | -1.5561 | -1.5561 | 3.587 | 3.587 | 8.237 | 90.0 | 90.0 | 90.0 | 
| C1--CaF2--fluorite | box | -0.0158 | -0.0158 | 11.5069 | 11.5069 | 11.5069 | 90.0 | 90.0 | 90.0 | 
Download raw data (including filtered results)
Reference structure matches:
D0_3--BiF3 = oqmd-310918
L1_2--AuCu3 = oqmd-344120
| prototype | method | Ecoh (eV/atom) | Epot (eV/atom) | a0 (Å) | b0 (Å) | c0 (Å) | α (degrees) | β (degrees) | γ (degrees) | 
|---|---|---|---|---|---|---|---|---|---|
| D0_3--BiF3 | static | -4.8212 | -4.8212 | 4.7381 | 4.7381 | 4.7381 | 90.0 | 90.0 | 90.0 | 
| A15--Cr3Si | box | -3.2763 | -3.2763 | 3.9914 | 3.9914 | 3.9914 | 90.0 | 90.0 | 90.0 | 
| L1_2--AuCu3 | static | -3.2206 | -3.2206 | 3.1611 | 3.1611 | 3.1611 | 90.0 | 90.0 | 90.0 | 
| A15--Cr3Si | static | -1.5724 | -1.5724 | 8.1649 | 8.1649 | 8.1649 | 90.0 | 90.0 | 90.0 | 
| A15--Cr3Si | box | -0.3718 | -0.3718 | 6.8053 | 6.8053 | 6.8053 | 90.0 | 90.0 | 90.0 | 
| D0_3--BiF3 | static | -0.0 | -0.0 | 11.547 | 11.547 | 11.547 | 90.0 | 90.0 | 90.0 | 
Download raw data (including filtered results)
Reference structure matches:
| prototype | method | Ecoh (eV/atom) | Epot (eV/atom) | a0 (Å) | b0 (Å) | c0 (Å) | α (degrees) | β (degrees) | γ (degrees) | 
|---|---|---|---|---|---|---|---|---|---|
| oqmd-13852 | dynamic | -4.9866 | -4.9866 | 6.7062 | 6.7062 | 4.5861 | 90.0 | 90.0 | 120.0 | 
| mp-21717 | dynamic | -4.9079 | -4.9079 | 4.6247 | 6.9034 | 11.64 | 90.0 | 90.0 | 90.0 | 
| oqmd-42164 | box | -3.9117 | -3.9117 | 4.6178 | 6.9346 | 10.8672 | 90.0 | 90.0 | 90.0 | 
| oqmd-13852 | box | -3.6039 | -3.6039 | 6.2255 | 6.2255 | 5.6326 | 90.0 | 90.0 | 120.0 | 
Download raw data (including filtered results)
Reference structure matches:
| prototype | method | Ecoh (eV/atom) | Epot (eV/atom) | a0 (Å) | b0 (Å) | c0 (Å) | α (degrees) | β (degrees) | γ (degrees) | 
|---|---|---|---|---|---|---|---|---|---|
| D0_3--BiF3 | static | -5.1646 | -5.1646 | 4.8234 | 4.8234 | 4.8234 | 90.0 | 90.0 | 90.0 | 
| A15--Cr3Si | box | -3.8907 | -3.8907 | 3.928 | 3.928 | 3.928 | 90.0 | 90.0 | 90.0 | 
| L1_2--AuCu3 | static | -3.8018 | -3.8018 | 3.193 | 3.193 | 3.193 | 90.0 | 90.0 | 90.0 | 
| A15--Cr3Si | static | -0.9828 | -0.9828 | 8.1648 | 8.1648 | 8.1648 | 90.0 | 90.0 | 90.0 | 
| L1_2--AuCu3 | box | -0.4684 | -0.4684 | 6.7474 | 6.7474 | 6.7474 | 90.0 | 90.0 | 90.0 | 
| D0_3--BiF3 | static | -0.0 | -0.0 | 11.547 | 11.547 | 11.547 | 90.0 | 90.0 | 90.0 | 
| A15--Cr3Si | static | 36.8847 | 36.8847 | 2.6369 | 2.6369 | 2.6369 | 90.0 | 90.0 | 90.0 | 
Download raw data (including filtered results)
Reference structure matches:
| prototype | method | Ecoh (eV/atom) | Epot (eV/atom) | a0 (Å) | b0 (Å) | c0 (Å) | α (degrees) | β (degrees) | γ (degrees) | 
|---|---|---|---|---|---|---|---|---|---|
| mp-21256 | box | -4.1598 | -4.1598 | 4.7391 | 7.2252 | 12.2011 | 90.0 | 90.0 | 90.0 | 
Download raw data (including filtered results)
Reference structure matches:
| prototype | method | Ecoh (eV/atom) | Epot (eV/atom) | a0 (Å) | b0 (Å) | c0 (Å) | α (degrees) | β (degrees) | γ (degrees) | 
|---|---|---|---|---|---|---|---|---|---|
| A15--Cr3Si | box | -1.8856 | -1.8856 | 8.9332 | 8.9332 | 8.9332 | 90.0 | 90.0 | 90.0 | 
| A15--Cr3Si | box | -1.7802 | -1.7802 | 8.4659 | 8.4659 | 8.4659 | 90.0 | 90.0 | 90.0 | 
| L1_2--AuCu3 | static | -1.3315 | -1.3315 | 6.8938 | 6.8938 | 6.8938 | 90.0 | 90.0 | 90.0 | 
| D0_3--BiF3 | static | -0.0882 | -0.0882 | 6.8116 | 6.8116 | 6.8116 | 90.0 | 90.0 | 90.0 | 
| D0_3--BiF3 | box | -0.0204 | -0.0204 | 11.5067 | 11.5067 | 11.5067 | 90.0 | 90.0 | 90.0 | 
Download raw data (including filtered results)
Reference structure matches:
| prototype | method | Ecoh (eV/atom) | Epot (eV/atom) | a0 (Å) | b0 (Å) | c0 (Å) | α (degrees) | β (degrees) | γ (degrees) | 
|---|---|---|---|---|---|---|---|---|---|
| mp-1219306 | dynamic | -2.051 | -2.051 | 16.9822 | 16.9822 | 15.6605 | 90.0 | 90.0 | 120.0 | 
Download raw data (including filtered results)
Reference structure matches:
| prototype | method | Ecoh (eV/atom) | Epot (eV/atom) | a0 (Å) | b0 (Å) | c0 (Å) | α (degrees) | β (degrees) | γ (degrees) | 
|---|---|---|---|---|---|---|---|---|---|
| mp-1179504 | static | -1.6717 | -1.6717 | 9.5628 | 13.7448 | 31.6568 | 81.7 | 85.2 | 87.8 | 
| mp-1202928 | static | -1.2256 | -1.2256 | 11.6706 | 18.2546 | 26.772 | 89.4 | 79.6 | 75.4 | 
Download raw data (including filtered results)
Reference structure matches:
| prototype | method | Ecoh (eV/atom) | Epot (eV/atom) | a0 (Å) | b0 (Å) | c0 (Å) | α (degrees) | β (degrees) | γ (degrees) | 
|---|---|---|---|---|---|---|---|---|---|
| mp-1221847 | dynamic | -3.6217 | -3.6217 | 4.9013 | 5.1966 | 7.0668 | 94.1 | 108.9 | 93.0 | 
| mp-1221847 | static | -3.6172 | -3.6172 | 4.9264 | 5.2158 | 6.9498 | 85.6 | 69.3 | 87.6 | 
| mp-1221847 | box | -3.2349 | -3.2349 | 4.9442 | 5.2311 | 6.9144 | 96.4 | 110.6 | 91.1 | 
Download raw data (including filtered results)
Reference structure matches:
| prototype | method | Ecoh (eV/atom) | Epot (eV/atom) | a0 (Å) | b0 (Å) | c0 (Å) | α (degrees) | β (degrees) | γ (degrees) | 
|---|---|---|---|---|---|---|---|---|---|
| mp-1221888 | dynamic | -3.978 | -3.978 | 4.7438 | 5.5153 | 7.2982 | 86.4 | 87.2 | 82.5 | 
| mp-1221888 | static | -3.9336 | -3.9336 | 4.7999 | 5.3666 | 7.4612 | 92.7 | 92.2 | 96.2 | 
Download raw data (including filtered results)
Reference structure matches:
| prototype | method | Ecoh (eV/atom) | Epot (eV/atom) | a0 (Å) | b0 (Å) | c0 (Å) | α (degrees) | β (degrees) | γ (degrees) | 
|---|---|---|---|---|---|---|---|---|---|
| oqmd-21378 | dynamic | -4.1307 | -4.1307 | 10.5312 | 10.5312 | 10.5312 | 90.0 | 90.0 | 90.0 | 
| mp-1192884 | box | -3.9249 | -3.9249 | 10.187 | 10.187 | 10.187 | 90.0 | 90.0 | 90.0 | 
| oqmd-21378 | box | -3.917 | -3.917 | 10.179 | 10.179 | 10.179 | 90.0 | 90.0 | 90.0 | 
Download raw data (including filtered results)
Reference structure matches:
| prototype | method | Ecoh (eV/atom) | Epot (eV/atom) | a0 (Å) | b0 (Å) | c0 (Å) | α (degrees) | β (degrees) | γ (degrees) | 
|---|---|---|---|---|---|---|---|---|---|
| mp-542830 | dynamic | -3.9495 | -3.9495 | 10.837 | 10.837 | 10.837 | 90.0 | 90.0 | 90.0 | 
| mp-542830 | box | -3.9282 | -3.9282 | 10.8135 | 10.8135 | 10.8135 | 90.0 | 90.0 | 90.0 | 
Download raw data (including filtered results)
Reference structure matches:
B1--NaCl--rock-salt = oqmd-1105078, oqmd-1234885
B2--CsCl = oqmd-305893
| prototype | method | Ecoh (eV/atom) | Epot (eV/atom) | a0 (Å) | b0 (Å) | c0 (Å) | α (degrees) | β (degrees) | γ (degrees) | 
|---|---|---|---|---|---|---|---|---|---|
| B3--ZnS--cubic-zinc-blende | dynamic | -5.437 | -5.437 | 4.2741 | 4.2741 | 4.2741 | 90.0 | 90.0 | 90.0 | 
| oqmd-1225112 | dynamic | -5.437 | -5.437 | 3.0222 | 3.0222 | 4.9353 | 90.0 | 90.0 | 120.0 | 
| oqmd-1225112 | box | -5.4281 | -5.4281 | 3.0382 | 3.0382 | 4.8859 | 90.0 | 90.0 | 120.0 | 
| B1--NaCl--rock-salt | dynamic | -5.285 | -5.285 | 3.99 | 3.99 | 3.99 | 90.0 | 90.0 | 90.0 | 
| oqmd-1228598 | dynamic | -5.128 | -5.128 | 2.692 | 2.692 | 2.4922 | 90.0 | 90.0 | 120.0 | 
| B2--CsCl | static | -4.2813 | -4.2813 | 2.4598 | 2.4598 | 2.4598 | 90.0 | 90.0 | 90.0 | 
| L1_0--AuCu | static | -0.8686 | -0.8686 | 4.9997 | 4.9997 | 6.8736 | 90.0 | 90.0 | 90.0 | 
| B2--CsCl | static | -0.0447 | -0.0447 | 4.9989 | 4.9989 | 4.9989 | 90.0 | 90.0 | 90.0 | 
| B1--NaCl--rock-salt | box | -0.0223 | -0.0223 | 9.9438 | 9.9438 | 9.9438 | 90.0 | 90.0 | 90.0 | 
| B2--CsCl | box | -0.0221 | -0.0221 | 5.7481 | 5.7481 | 5.7481 | 90.0 | 90.0 | 90.0 | 
| B2--CsCl | box | -0.0041 | -0.0041 | 5.6783 | 5.6783 | 5.6783 | 90.0 | 90.0 | 90.0 | 
| B3--ZnS--cubic-zinc-blende | static | -0.0 | -0.0 | 11.547 | 11.547 | 11.547 | 90.0 | 90.0 | 90.0 | 
Download raw data (including filtered results)
Reference structure matches:
| prototype | method | Ecoh (eV/atom) | Epot (eV/atom) | a0 (Å) | b0 (Å) | c0 (Å) | α (degrees) | β (degrees) | γ (degrees) | 
|---|---|---|---|---|---|---|---|---|---|
| C1--CaF2--fluorite | dynamic | -4.957 | -4.957 | 4.6837 | 4.6837 | 4.6837 | 90.0 | 90.0 | 90.0 | 
| mp-1102779 | dynamic | -4.9063 | -4.9063 | 7.1628 | 2.7035 | 5.578 | 90.0 | 90.0 | 90.0 | 
| oqmd-13851 | box | -3.8911 | -3.8911 | 3.649 | 4.9756 | 3.1626 | 90.0 | 90.0 | 90.0 | 
| mp-1871 | box | -3.875 | -3.875 | 3.6434 | 4.986 | 3.1619 | 90.0 | 90.0 | 90.0 | 
| oqmd-20513 | static | -3.7599 | -3.7599 | 3.8003 | 3.8003 | 2.3583 | 90.0 | 90.0 | 120.0 | 
| mp-1102779 | box | -3.6346 | -3.6346 | 3.6892 | 3.8737 | 8.0053 | 90.0 | 90.0 | 90.0 | 
| C1--CaF2--fluorite | box | -0.0166 | -0.0166 | 11.4909 | 11.4909 | 11.4909 | 90.0 | 90.0 | 90.0 | 
Download raw data (including filtered results)
Reference structure matches:
| prototype | method | Ecoh (eV/atom) | Epot (eV/atom) | a0 (Å) | b0 (Å) | c0 (Å) | α (degrees) | β (degrees) | γ (degrees) | 
|---|---|---|---|---|---|---|---|---|---|
| L2_1--AlCu2Mn--heusler | static | -2.1246 | -2.1246 | 6.2523 | 6.2523 | 6.2523 | 90.0 | 90.0 | 90.0 | 
| L2_1--AlCu2Mn--heusler | static | -0.0 | -0.0 | 11.547 | 11.547 | 11.547 | 90.0 | 90.0 | 90.0 | 
| L2_1--AlCu2Mn--heusler | static | 10.2822 | 10.2822 | 4.3881 | 4.3881 | 4.3881 | 90.0 | 90.0 | 90.0 | 
Download raw data (including filtered results)
Reference structure matches:
| prototype | method | Ecoh (eV/atom) | Epot (eV/atom) | a0 (Å) | b0 (Å) | c0 (Å) | α (degrees) | β (degrees) | γ (degrees) | 
|---|---|---|---|---|---|---|---|---|---|
| L2_1--AlCu2Mn--heusler | static | -4.4668 | -4.4668 | 5.3279 | 5.3279 | 5.3279 | 90.0 | 90.0 | 90.0 | 
| L2_1--AlCu2Mn--heusler | static | 349.0427 | 349.0427 | 2.3794 | 2.3794 | 2.3794 | 90.0 | 90.0 | 90.0 | 
Download raw data (including filtered results)
Reference structure matches:
D0_3--BiF3 = oqmd-309092
L1_2--AuCu3 = oqmd-345946
| prototype | method | Ecoh (eV/atom) | Epot (eV/atom) | a0 (Å) | b0 (Å) | c0 (Å) | α (degrees) | β (degrees) | γ (degrees) | 
|---|---|---|---|---|---|---|---|---|---|
| mp-510623 | dynamic | -5.0277 | -5.0277 | 4.3963 | 7.1223 | 4.8017 | 90.0 | 90.0 | 90.0 | 
| mp-510623 | static | -5.0175 | -5.0175 | 4.3 | 7.3811 | 4.5835 | 90.0 | 90.0 | 90.0 | 
| oqmd-3494 | dynamic | -4.9843 | -4.9843 | 5.0346 | 6.3947 | 4.9579 | 90.0 | 90.0 | 90.0 | 
| mp-1205436 | dynamic | -4.8717 | -4.8717 | 8.4804 | 8.4804 | 4.4515 | 90.0 | 90.0 | 90.0 | 
| oqmd-321460 | box | -4.3767 | -4.3767 | 4.9105 | 4.9105 | 3.4777 | 90.0 | 90.0 | 120.0 | 
| mp-1182630 | box | -4.2881 | -4.2881 | 5.6217 | 10.1932 | 2.807 | 90.0 | 90.0 | 90.0 | 
| D0_3--BiF3 | static | -4.1273 | -4.1273 | 5.2399 | 5.2399 | 5.2399 | 90.0 | 90.0 | 90.0 | 
| mp-13154 | box | -4.0816 | -4.0816 | 4.9171 | 4.9171 | 3.7835 | 90.0 | 90.0 | 120.0 | 
| oqmd-7808 | box | -4.0195 | -4.0195 | 4.9329 | 4.9329 | 3.7982 | 90.0 | 90.0 | 120.0 | 
| A15--Cr3Si | static | -4.0031 | -4.0031 | 4.2093 | 4.2093 | 4.2093 | 90.0 | 90.0 | 90.0 | 
| L1_2--AuCu3 | static | -3.7997 | -3.7997 | 3.3458 | 3.3458 | 3.3458 | 90.0 | 90.0 | 90.0 | 
| oqmd-3494 | box | -3.6518 | -3.6518 | 4.5901 | 6.5954 | 5.0837 | 90.0 | 90.0 | 90.0 | 
| oqmd-41734 | box | -3.6465 | -3.6465 | 5.0559 | 7.0764 | 4.8284 | 90.0 | 90.0 | 90.0 | 
| mp-613523 | box | -3.6456 | -3.6456 | 5.0331 | 7.0761 | 4.8532 | 90.0 | 90.0 | 90.0 | 
| mp-1188724 | static | -0.7503 | -0.7503 | 14.349 | 20.5229 | 13.7898 | 90.0 | 90.0 | 90.0 | 
| mp-1188724 | dynamic | -0.7503 | -0.7503 | 14.2779 | 20.5229 | 12.1041 | 90.0 | 90.0 | 90.0 | 
| D0_3--BiF3 | box | -0.0094 | -0.0094 | 11.5045 | 11.5045 | 11.5045 | 90.0 | 90.0 | 90.0 | 
Download raw data (including filtered results)
Reference structure matches:
| prototype | method | Ecoh (eV/atom) | Epot (eV/atom) | a0 (Å) | b0 (Å) | c0 (Å) | α (degrees) | β (degrees) | γ (degrees) | 
|---|---|---|---|---|---|---|---|---|---|
| mp-1246 | static | -4.7815 | -4.7815 | 3.8014 | 3.8014 | 3.8014 | 90.0 | 90.0 | 90.0 | 
| oqmd-646134 | box | -4.7476 | -4.7476 | 3.8337 | 3.8337 | 3.8337 | 90.0 | 90.0 | 90.0 | 
| mp-1246 | box | -4.7451 | -4.7451 | 3.8352 | 3.8352 | 3.8352 | 90.0 | 90.0 | 90.0 | 
| mp-1070333 | box | -4.6653 | -4.6653 | 6.2881 | 6.2881 | 2.3785 | 90.0 | 90.0 | 90.0 | 
Download raw data (including filtered results)
Reference structure matches:
| prototype | method | Ecoh (eV/atom) | Epot (eV/atom) | a0 (Å) | b0 (Å) | c0 (Å) | α (degrees) | β (degrees) | γ (degrees) | 
|---|---|---|---|---|---|---|---|---|---|
| L2_1--AlCu2Mn--heusler | static | -2.1222 | -2.1222 | 6.2138 | 6.2138 | 6.2138 | 90.0 | 90.0 | 90.0 | 
| L2_1--AlCu2Mn--heusler | static | -0.0 | -0.0 | 11.547 | 11.547 | 11.547 | 90.0 | 90.0 | 90.0 | 
| L2_1--AlCu2Mn--heusler | dynamic | 0.0 | 0.0 | 11.5635 | 11.5635 | 11.5635 | 90.0 | 90.0 | 90.0 | 
| L2_1--AlCu2Mn--heusler | dynamic | 0.0 | 0.0 | 11.5657 | 11.5657 | 11.5657 | 90.0 | 90.0 | 90.0 | 
| L2_1--AlCu2Mn--heusler | static | 13.8526 | 13.8526 | 4.4066 | 4.4066 | 4.4066 | 90.0 | 90.0 | 90.0 | 
Download raw data (including filtered results)
Reference structure matches:
| prototype | method | Ecoh (eV/atom) | Epot (eV/atom) | a0 (Å) | b0 (Å) | c0 (Å) | α (degrees) | β (degrees) | γ (degrees) | 
|---|---|---|---|---|---|---|---|---|---|
| L2_1--AlCu2Mn--heusler | static | -0.9156 | -0.9156 | 6.4516 | 6.4516 | 6.4516 | 90.0 | 90.0 | 90.0 | 
| L2_1--AlCu2Mn--heusler | static | -0.0 | -0.0 | 11.547 | 11.547 | 11.547 | 90.0 | 90.0 | 90.0 | 
| L2_1--AlCu2Mn--heusler | static | 271.2923 | 271.2923 | 2.3568 | 2.3568 | 2.3568 | 90.0 | 90.0 | 90.0 | 
Download raw data (including filtered results)
Reference structure matches:
| prototype | method | Ecoh (eV/atom) | Epot (eV/atom) | a0 (Å) | b0 (Å) | c0 (Å) | α (degrees) | β (degrees) | γ (degrees) | 
|---|---|---|---|---|---|---|---|---|---|
| B1--NaCl--rock-salt | static | -4.6245 | -4.6245 | 4.2925 | 4.2925 | 4.2925 | 90.0 | 90.0 | 90.0 | 
| B2--CsCl | static | -4.2994 | -4.2994 | 2.565 | 2.565 | 2.565 | 90.0 | 90.0 | 90.0 | 
| L1_0--AuCu | static | -1.9675 | -1.9675 | 2.8627 | 2.8627 | 9.1439 | 90.0 | 90.0 | 90.0 | 
| B3--ZnS--cubic-zinc-blende | box | -1.4311 | -1.4311 | 6.1071 | 6.1071 | 6.1071 | 90.0 | 90.0 | 90.0 | 
| B3--ZnS--cubic-zinc-blende | static | -1.1813 | -1.1813 | 5.2524 | 5.2524 | 5.2524 | 90.0 | 90.0 | 90.0 | 
| B1--NaCl--rock-salt | static | -0.183 | -0.183 | 7.0643 | 7.0643 | 7.0643 | 90.0 | 90.0 | 90.0 | 
| B2--CsCl | static | -0.0 | -0.0 | 5.7735 | 5.7735 | 5.7735 | 90.0 | 90.0 | 90.0 | 
| B3--ZnS--cubic-zinc-blende | static | -0.0 | -0.0 | 11.547 | 11.547 | 11.547 | 90.0 | 90.0 | 90.0 | 
| B2--CsCl | dynamic | 0.0 | 0.0 | 5.7769 | 5.7769 | 5.7769 | 90.0 | 90.0 | 90.0 | 
| B3--ZnS--cubic-zinc-blende | dynamic | 0.0 | 0.0 | 11.6269 | 11.6269 | 11.6269 | 90.0 | 90.0 | 90.0 | 
| B3--ZnS--cubic-zinc-blende | dynamic | 0.0 | 0.0 | 11.6312 | 11.6312 | 11.6312 | 90.0 | 90.0 | 90.0 | 
| B1--NaCl--rock-salt | dynamic | 0.0 | 0.0 | 10.0 | 10.0 | 10.0 | 90.0 | 90.0 | 90.0 | 
| B1--NaCl--rock-salt | box | 0.3746 | 0.3746 | 9.826 | 9.826 | 9.826 | 90.0 | 90.0 | 90.0 | 
| B1--NaCl--rock-salt | static | 46.4347 | 46.4347 | 2.8441 | 2.8441 | 2.8441 | 90.0 | 90.0 | 90.0 | 
Download raw data (including filtered results)
Reference structure matches:
| prototype | method | Ecoh (eV/atom) | Epot (eV/atom) | a0 (Å) | b0 (Å) | c0 (Å) | α (degrees) | β (degrees) | γ (degrees) | 
|---|---|---|---|---|---|---|---|---|---|
| C1--CaF2--fluorite | dynamic | -4.8346 | -4.8346 | 4.9925 | 4.9925 | 4.9925 | 90.0 | 90.0 | 90.0 | 
| C1--CaF2--fluorite | static | -0.0 | -0.0 | 11.547 | 11.547 | 11.547 | 90.0 | 90.0 | 90.0 | 
| C1--CaF2--fluorite | dynamic | 0.0 | 0.0 | 11.567 | 11.567 | 11.567 | 90.0 | 90.0 | 90.0 | 
Download raw data (including filtered results)
Reference structure matches:
| prototype | method | Ecoh (eV/atom) | Epot (eV/atom) | a0 (Å) | b0 (Å) | c0 (Å) | α (degrees) | β (degrees) | γ (degrees) | 
|---|---|---|---|---|---|---|---|---|---|
| mp-1222227 | box | 2.413 | 2.413 | 4.8194 | 13.3939 | 7.6929 | 90.0 | 91.7 | 90.0 | 
Download raw data (including filtered results)
Reference structure matches:
| prototype | method | Ecoh (eV/atom) | Epot (eV/atom) | a0 (Å) | b0 (Å) | c0 (Å) | α (degrees) | β (degrees) | γ (degrees) | 
|---|---|---|---|---|---|---|---|---|---|
| L2_1--AlCu2Mn--heusler | box | -0.1616 | -0.1616 | 6.0542 | 6.0542 | 6.0542 | 90.0 | 90.0 | 90.0 | 
| L2_1--AlCu2Mn--heusler | static | -0.0 | -0.0 | 11.547 | 11.547 | 11.547 | 90.0 | 90.0 | 90.0 | 
| L2_1--AlCu2Mn--heusler | box | 0.0669 | 0.0669 | 10.6944 | 10.6944 | 10.6944 | 90.0 | 90.0 | 90.0 | 
Download raw data (including filtered results)
Reference structure matches:
| prototype | method | Ecoh (eV/atom) | Epot (eV/atom) | a0 (Å) | b0 (Å) | c0 (Å) | α (degrees) | β (degrees) | γ (degrees) | 
|---|---|---|---|---|---|---|---|---|---|
| D0_3--BiF3 | static | -3.6528 | -3.6528 | 5.3016 | 5.3016 | 5.3016 | 90.0 | 90.0 | 90.0 | 
| L1_2--AuCu3 | static | -3.333 | -3.333 | 3.3941 | 3.3941 | 3.3941 | 90.0 | 90.0 | 90.0 | 
| A15--Cr3Si | static | -3.0168 | -3.0168 | 4.3065 | 4.3065 | 4.3065 | 90.0 | 90.0 | 90.0 | 
| L1_2--AuCu3 | box | -0.1141 | -0.1141 | 7.0404 | 7.0404 | 7.0404 | 90.0 | 90.0 | 90.0 | 
| D0_3--BiF3 | static | -0.0 | -0.0 | 11.547 | 11.547 | 11.547 | 90.0 | 90.0 | 90.0 | 
Download raw data (including filtered results)
Reference structure matches:
| prototype | method | Ecoh (eV/atom) | Epot (eV/atom) | a0 (Å) | b0 (Å) | c0 (Å) | α (degrees) | β (degrees) | γ (degrees) | 
|---|---|---|---|---|---|---|---|---|---|
| mp-1192695 | static | -1.635 | -1.635 | 11.9635 | 7.4526 | 8.2818 | 90.0 | 90.0 | 90.0 | 
| mp-1192695 | box | -0.5978 | -0.5978 | 9.8043 | 10.2489 | 8.7578 | 90.0 | 90.0 | 90.0 | 
Download raw data (including filtered results)
Reference structure matches:
| prototype | method | Ecoh (eV/atom) | Epot (eV/atom) | a0 (Å) | b0 (Å) | c0 (Å) | α (degrees) | β (degrees) | γ (degrees) | 
|---|---|---|---|---|---|---|---|---|---|
| mp-1193506 | static | -3.0854 | -3.0854 | 11.2539 | 11.2539 | 11.2539 | 90.0 | 90.0 | 90.0 | 
| mp-1193506 | box | -2.9936 | -2.9936 | 11.2255 | 11.2255 | 11.2255 | 90.0 | 90.0 | 90.0 | 
Download raw data (including filtered results)
Reference structure matches:
| prototype | method | Ecoh (eV/atom) | Epot (eV/atom) | a0 (Å) | b0 (Å) | c0 (Å) | α (degrees) | β (degrees) | γ (degrees) | 
|---|---|---|---|---|---|---|---|---|---|
| L2_1--AlCu2Mn--heusler | box | -0.1522 | -0.1522 | 11.3414 | 11.3414 | 11.3414 | 90.0 | 90.0 | 90.0 | 
| L2_1--AlCu2Mn--heusler | static | 2.4132 | 2.4132 | 6.1979 | 6.1979 | 6.1979 | 90.0 | 90.0 | 90.0 | 
Download raw data (including filtered results)
Reference structure matches:
B1--NaCl--rock-salt = mp-1002206
B3--ZnS--cubic-zinc-blende = mp-8062
| prototype | method | Ecoh (eV/atom) | Epot (eV/atom) | a0 (Å) | b0 (Å) | c0 (Å) | α (degrees) | β (degrees) | γ (degrees) | 
|---|---|---|---|---|---|---|---|---|---|
| mp-1199063 | dynamic | -0.34 | -0.34 | 3.0827 | 3.0827 | 211.4291 | 90.0 | 90.0 | 120.0 | 
| mp-1204356 | dynamic | -0.34 | -0.34 | 3.0827 | 3.0827 | 143.4698 | 90.0 | 90.0 | 120.0 | 
| mp-1200168 | dynamic | -0.34 | -0.34 | 3.0827 | 3.0827 | 218.9802 | 90.0 | 90.0 | 120.0 | 
| mp-1200692 | dynamic | -0.34 | -0.34 | 3.0827 | 3.0827 | 128.3677 | 90.0 | 90.0 | 120.0 | 
| mp-571286 | dynamic | -0.34 | -0.34 | 3.0827 | 3.0827 | 90.6125 | 90.0 | 90.0 | 120.0 | 
| mp-624397 | dynamic | -0.34 | -0.34 | 3.0827 | 3.0827 | 83.0614 | 90.0 | 90.0 | 120.0 | 
| mp-570791 | dynamic | -0.34 | -0.34 | 3.0827 | 3.0827 | 47.8233 | 90.0 | 90.0 | 120.0 | 
| mp-570804 | dynamic | -0.34 | -0.34 | 3.0827 | 3.0827 | 98.1635 | 90.0 | 90.0 | 120.0 | 
| mp-567551 | dynamic | -0.34 | -0.34 | 3.0827 | 3.0827 | 40.2722 | 90.0 | 90.0 | 120.0 | 
| B3--ZnS--cubic-zinc-blende | dynamic | -0.34 | -0.34 | 4.3596 | 4.3596 | 4.3596 | 90.0 | 90.0 | 90.0 | 
| mp-582034 | dynamic | -0.34 | -0.34 | 3.0827 | 3.0827 | 52.8573 | 90.0 | 90.0 | 120.0 | 
| mp-7140 | dynamic | -0.34 | -0.34 | 3.0827 | 3.0827 | 5.034 | 90.0 | 90.0 | 120.0 | 
| mp-11714 | dynamic | -0.34 | -0.34 | 3.0827 | 3.0827 | 10.0681 | 90.0 | 90.0 | 120.0 | 
| mp-568619 | dynamic | -0.34 | -0.34 | 3.0827 | 3.0827 | 12.5851 | 90.0 | 90.0 | 120.0 | 
| mp-7631 | dynamic | -0.34 | -0.34 | 3.0827 | 3.0827 | 15.1021 | 90.0 | 90.0 | 120.0 | 
| mp-1200848 | dynamic | -0.34 | -0.34 | 3.0827 | 3.0827 | 188.776 | 90.0 | 90.0 | 120.0 | 
| mp-570985 | dynamic | -0.34 | -0.34 | 3.0827 | 3.0827 | 67.9594 | 90.0 | 90.0 | 120.0 | 
| mp-568656 | dynamic | -0.34 | -0.34 | 3.0827 | 3.0827 | 25.1701 | 90.0 | 90.0 | 120.0 | 
| mp-11713 | dynamic | -0.34 | -0.34 | 3.0827 | 3.0827 | 37.7552 | 90.0 | 90.0 | 120.0 | 
| mp-570641 | dynamic | -0.34 | -0.34 | 3.0827 | 3.0827 | 60.4083 | 90.0 | 90.0 | 120.0 | 
| mp-568735 | dynamic | -0.34 | -0.34 | 3.0827 | 3.0827 | 45.3062 | 90.0 | 90.0 | 120.0 | 
| mp-567505 | dynamic | -0.34 | -0.34 | 3.0827 | 3.0827 | 20.1361 | 90.0 | 90.0 | 120.0 | 
| mp-568696 | dynamic | -0.34 | -0.34 | 3.0827 | 3.0827 | 35.2377 | 90.0 | 90.0 | 120.0 | 
| mp-568696 | static | -0.34 | -0.34 | 3.0827 | 3.0827 | 35.2382 | 90.0 | 90.0 | 120.0 | 
| mp-1199063 | static | -0.3399 | -0.3399 | 3.0831 | 3.0831 | 211.4574 | 90.0 | 90.0 | 120.0 | 
| mp-1200848 | static | -0.3398 | -0.3398 | 3.0835 | 3.0835 | 188.8251 | 90.0 | 90.0 | 120.0 | 
| mp-1204356 | box | -0.3395 | -0.3395 | 3.0868 | 3.0868 | 143.4812 | 90.0 | 90.0 | 120.0 | 
| mp-1200692 | box | -0.3394 | -0.3394 | 3.0872 | 3.0872 | 128.3779 | 90.0 | 90.0 | 120.0 | 
| mp-1197730 | box | -0.3392 | -0.3392 | 3.0892 | 3.0892 | 128.4082 | 90.0 | 90.0 | 120.0 | 
| B1--NaCl--rock-salt | box | -0.0182 | -0.0182 | 9.9649 | 9.9649 | 9.9649 | 90.0 | 90.0 | 90.0 | 
| B2--CsCl | box | -0.0181 | -0.0181 | 5.7568 | 5.7568 | 5.7568 | 90.0 | 90.0 | 90.0 | 
| B3--ZnS--cubic-zinc-blende | box | -0.016 | -0.016 | 11.4965 | 11.4965 | 11.4965 | 90.0 | 90.0 | 90.0 | 
Download raw data (including filtered results)
Reference structure matches:
| prototype | method | Ecoh (eV/atom) | Epot (eV/atom) | a0 (Å) | b0 (Å) | c0 (Å) | α (degrees) | β (degrees) | γ (degrees) | 
|---|---|---|---|---|---|---|---|---|---|
| C1--CaF2--fluorite | box | -0.0161 | -0.0161 | 11.5059 | 11.5059 | 11.5059 | 90.0 | 90.0 | 90.0 | 
Download raw data (including filtered results)
Reference structure matches:
| prototype | method | Ecoh (eV/atom) | Epot (eV/atom) | a0 (Å) | b0 (Å) | c0 (Å) | α (degrees) | β (degrees) | γ (degrees) | 
|---|---|---|---|---|---|---|---|---|---|
| D0_3--BiF3 | static | -1.3965 | -1.3965 | 7.0905 | 7.0905 | 7.0905 | 90.0 | 90.0 | 90.0 | 
| L1_2--AuCu3 | box | -1.1879 | -1.1879 | 7.0108 | 7.0108 | 7.0108 | 90.0 | 90.0 | 90.0 | 
| A15--Cr3Si | static | -0.9863 | -0.9863 | 7.7101 | 7.7101 | 7.7101 | 90.0 | 90.0 | 90.0 | 
Download raw data (including filtered results)
Reference structure matches:
A1--Cu--fcc = mp-150, oqmd-7505, oqmd-1214525
A15--beta-W = oqmd-1214970
A2--W--bcc = mp-13, oqmd-8568, oqmd-22514, oqmd-1215148
A3'--alpha-La--double-hcp = oqmd-1215416
A3--Mg--hcp = mp-136, oqmd-30158, oqmd-51781, oqmd-1215326, oqmd-1215391
A4--C--dc = oqmd-1215505
A5--beta-Sn = oqmd-1215594
A6--In--bct = oqmd-1215683
Ah--alpha-Po--sc = mp-568345
| prototype | method | Ecoh (eV/atom) | Epot (eV/atom) | a0 (Å) | b0 (Å) | c0 (Å) | α (degrees) | β (degrees) | γ (degrees) | 
|---|---|---|---|---|---|---|---|---|---|
| A2--W--bcc | dynamic | -4.28 | -4.28 | 2.8676 | 2.8676 | 2.8676 | 90.0 | 90.0 | 90.0 | 
| oqmd-1214792 | dynamic | -4.2064 | -4.2064 | 8.8552 | 8.8552 | 8.8552 | 90.0 | 90.0 | 90.0 | 
| A15--beta-W | dynamic | -4.206 | -4.206 | 4.5757 | 4.5757 | 4.5757 | 90.0 | 90.0 | 90.0 | 
| oqmd-1214792 | box | -4.2035 | -4.2035 | 8.8555 | 8.8555 | 8.8555 | 90.0 | 90.0 | 90.0 | 
| A3--Mg--hcp | dynamic | -4.2 | -4.2 | 2.5694 | 2.5694 | 4.1554 | 90.0 | 90.0 | 120.0 | 
| A3--Mg--hcp | box | -4.2 | -4.2 | 2.5695 | 2.5695 | 4.1554 | 90.0 | 90.0 | 120.0 | 
| oqmd-1216039 | dynamic | -4.1958 | -4.1958 | 2.567 | 2.567 | 18.7442 | 90.0 | 90.0 | 120.0 | 
| oqmd-1216039 | box | -4.1957 | -4.1957 | 2.567 | 2.567 | 18.7449 | 90.0 | 90.0 | 120.0 | 
| A3'--alpha-La--double-hcp | dynamic | -4.1937 | -4.1937 | 2.5659 | 2.5659 | 8.3407 | 90.0 | 90.0 | 120.0 | 
| A1--Cu--fcc | static | -4.1876 | -4.1876 | 3.624 | 3.624 | 3.624 | 90.0 | 90.0 | 90.0 | 
| oqmd-1215237 | box | -4.1851 | -4.1851 | 2.5054 | 4.535 | 4.1862 | 90.0 | 90.0 | 90.0 | 
| oqmd-1214881 | static | -4.1686 | -4.1686 | 6.2281 | 6.2281 | 6.2281 | 90.0 | 90.0 | 90.0 | 
| oqmd-1214881 | box | -4.1666 | -4.1666 | 6.225 | 6.225 | 6.225 | 90.0 | 90.0 | 90.0 | 
| mp-1245108 | dynamic | -4.1516 | -4.1516 | 10.3912 | 10.6831 | 10.955 | 90.4 | 95.6 | 93.3 | 
| mp-1194030 | static | -4.139 | -4.139 | 8.6451 | 8.6451 | 4.6071 | 90.0 | 90.0 | 90.0 | 
| oqmd-21053 | box | -4.1302 | -4.1302 | 8.6159 | 8.6159 | 4.633 | 90.0 | 90.0 | 90.0 | 
| mp-1245108 | static | -4.127 | -4.127 | 10.3129 | 10.8028 | 10.919 | 90.8 | 90.8 | 93.1 | 
| mp-1194030 | box | -4.1263 | -4.1263 | 8.6114 | 8.6114 | 4.6399 | 90.0 | 90.0 | 90.0 | 
| mp-1245108 | box | -4.0838 | -4.0838 | 10.568 | 10.6129 | 10.9188 | 91.7 | 90.8 | 91.6 | 
| oqmd-1215059 | box | -4.028 | -4.028 | 2.6504 | 4.1453 | 8.9092 | 90.0 | 90.0 | 90.0 | 
| A5--beta-Sn | static | -3.7118 | -3.7118 | 4.5553 | 4.5553 | 2.4413 | 90.0 | 90.0 | 90.0 | 
| mp-1096950 | box | -3.6598 | -3.6598 | 2.4773 | 2.4773 | 2.3901 | 90.0 | 90.0 | 120.0 | 
| Ah--alpha-Po--sc | static | -3.2852 | -3.2852 | 2.3831 | 2.3831 | 2.3831 | 90.0 | 90.0 | 90.0 | 
| oqmd-21731 | box | -3.2852 | -3.2852 | 2.3831 | 2.3831 | 7.1494 | 90.0 | 90.0 | 90.0 | 
| oqmd-1215950 | box | -3.2054 | -3.2054 | 3.9003 | 4.383 | 3.9175 | 90.0 | 119.6 | 90.0 | 
| A7--alpha-As | box | -3.0527 | -3.0527 | 3.3176 | 3.3176 | 9.117 | 90.0 | 90.0 | 120.0 | 
| A4--C--dc | static | -2.6002 | -2.6002 | 5.1695 | 5.1695 | 5.1695 | 90.0 | 90.0 | 90.0 | 
| A15--beta-W | static | -0.5738 | -0.5738 | 8.1636 | 8.1636 | 8.1636 | 90.0 | 90.0 | 90.0 | 
| A15--beta-W | box | -0.4603 | -0.4603 | 8.9066 | 8.9066 | 8.9066 | 90.0 | 90.0 | 90.0 | 
| A4--C--dc | static | -0.0 | -0.0 | 11.547 | 11.547 | 11.547 | 90.0 | 90.0 | 90.0 | 
| A7--alpha-As | static | -0.0 | -0.0 | 7.4701 | 7.4701 | 20.7444 | 90.0 | 90.0 | 120.0 | 
Download raw data (including filtered results)
Reference structure matches:
| prototype | method | Ecoh (eV/atom) | Epot (eV/atom) | a0 (Å) | b0 (Å) | c0 (Å) | α (degrees) | β (degrees) | γ (degrees) | 
|---|---|---|---|---|---|---|---|---|---|
| mp-19800 | static | -4.4082 | -4.4082 | 5.6864 | 5.6864 | 5.6864 | 90.0 | 90.0 | 90.0 | 
| mp-19800 | box | -4.4065 | -4.4065 | 5.6887 | 5.6887 | 5.6887 | 90.0 | 90.0 | 90.0 | 
Download raw data (including filtered results)
Reference structure matches:
| prototype | method | Ecoh (eV/atom) | Epot (eV/atom) | a0 (Å) | b0 (Å) | c0 (Å) | α (degrees) | β (degrees) | γ (degrees) | 
|---|---|---|---|---|---|---|---|---|---|
| C1--CaF2--fluorite | box | -1.4219 | -1.4219 | 6.4763 | 6.4763 | 6.4763 | 90.0 | 90.0 | 90.0 | 
| C1--CaF2--fluorite | static | -0.0 | -0.0 | 11.547 | 11.547 | 11.547 | 90.0 | 90.0 | 90.0 | 
| C1--CaF2--fluorite | dynamic | 0.0 | 0.0 | 11.5476 | 11.5476 | 11.5476 | 90.0 | 90.0 | 90.0 | 
| C1--CaF2--fluorite | static | 20.6688 | 20.6688 | 4.3921 | 4.3921 | 4.3921 | 90.0 | 90.0 | 90.0 | 
Download raw data (including filtered results)
Reference structure matches:
| prototype | method | Ecoh (eV/atom) | Epot (eV/atom) | a0 (Å) | b0 (Å) | c0 (Å) | α (degrees) | β (degrees) | γ (degrees) | 
|---|---|---|---|---|---|---|---|---|---|
| L2_1--AlCu2Mn--heusler | static | -2.8371 | -2.8371 | 6.2991 | 6.2991 | 6.2991 | 90.0 | 90.0 | 90.0 | 
| L2_1--AlCu2Mn--heusler | static | -0.0 | -0.0 | 11.547 | 11.547 | 11.547 | 90.0 | 90.0 | 90.0 | 
| L2_1--AlCu2Mn--heusler | static | 18.7239 | 18.7239 | 4.4263 | 4.4263 | 4.4263 | 90.0 | 90.0 | 90.0 | 
| L2_1--AlCu2Mn--heusler | static | 437.5732 | 437.5732 | 2.3989 | 2.3989 | 2.3989 | 90.0 | 90.0 | 90.0 | 
Download raw data (including filtered results)
Reference structure matches:
| prototype | method | Ecoh (eV/atom) | Epot (eV/atom) | a0 (Å) | b0 (Å) | c0 (Å) | α (degrees) | β (degrees) | γ (degrees) | 
|---|---|---|---|---|---|---|---|---|---|
| mp-1225177 | box | -4.6934 | -4.6934 | 2.7424 | 2.7424 | 9.0021 | 90.0 | 90.0 | 90.0 | 
| mp-1225186 | box | -4.6193 | -4.6193 | 2.7907 | 2.7907 | 8.8041 | 90.0 | 90.0 | 90.0 | 
| mp-22787 | static | -4.4236 | -4.4236 | 4.0077 | 4.0077 | 4.9771 | 90.0 | 90.0 | 120.0 | 
| mp-22787 | box | -4.4023 | -4.4023 | 4.03 | 4.03 | 4.908 | 90.0 | 90.0 | 120.0 | 
| C1--CaF2--fluorite | static | -4.1249 | -4.1249 | 5.5496 | 5.5496 | 5.5496 | 90.0 | 90.0 | 90.0 | 
| C1--CaF2--fluorite | static | 385.2402 | 385.2402 | 2.3713 | 2.3713 | 2.3713 | 90.0 | 90.0 | 90.0 | 
Download raw data (including filtered results)
Reference structure matches:
| prototype | method | Ecoh (eV/atom) | Epot (eV/atom) | a0 (Å) | b0 (Å) | c0 (Å) | α (degrees) | β (degrees) | γ (degrees) | 
|---|---|---|---|---|---|---|---|---|---|
| mp-1225170 | box | 0.6829 | 0.6829 | 4.5818 | 4.5818 | 44.5161 | 90.0 | 90.0 | 90.0 | 
Download raw data (including filtered results)
Reference structure matches:
| prototype | method | Ecoh (eV/atom) | Epot (eV/atom) | a0 (Å) | b0 (Å) | c0 (Å) | α (degrees) | β (degrees) | γ (degrees) | 
|---|---|---|---|---|---|---|---|---|---|
| mp-1221628 | dynamic | -3.635 | -3.635 | 2.5827 | 2.5827 | 8.9431 | 90.0 | 90.0 | 120.0 | 
| L1_2--AuCu3 | static | -3.0124 | -3.0124 | 3.9441 | 3.9441 | 3.9441 | 90.0 | 90.0 | 90.0 | 
| A15--Cr3Si | dynamic | -2.62 | -2.62 | 4.9849 | 4.9849 | 4.9849 | 90.0 | 90.0 | 90.0 | 
| D0_3--BiF3 | static | -2.5366 | -2.5366 | 6.3527 | 6.3527 | 6.3527 | 90.0 | 90.0 | 90.0 | 
| A15--Cr3Si | box | -0.1105 | -0.1105 | 8.1641 | 8.1641 | 8.1641 | 90.0 | 90.0 | 90.0 | 
| L1_2--AuCu3 | box | -0.065 | -0.065 | 7.0389 | 7.0389 | 7.0389 | 90.0 | 90.0 | 90.0 | 
| D0_3--BiF3 | static | -0.0 | -0.0 | 11.547 | 11.547 | 11.547 | 90.0 | 90.0 | 90.0 | 
| D0_3--BiF3 | static | 14.0128 | 14.0128 | 4.3935 | 4.3935 | 4.3935 | 90.0 | 90.0 | 90.0 | 
| A15--Cr3Si | dynamic | 22.4844 | 22.4844 | 3.4029 | 3.4029 | 3.4029 | 90.0 | 90.0 | 90.0 | 
| L1_2--AuCu3 | dynamic | 26.7944 | 26.7944 | 2.6952 | 2.6952 | 2.6952 | 90.0 | 90.0 | 90.0 | 
Download raw data (including filtered results)
Reference structure matches:
| prototype | method | Ecoh (eV/atom) | Epot (eV/atom) | a0 (Å) | b0 (Å) | c0 (Å) | α (degrees) | β (degrees) | γ (degrees) | 
|---|---|---|---|---|---|---|---|---|---|
| mp-1221761 | dynamic | -1.8486 | -1.8486 | 3.9727 | 3.9727 | 36.9717 | 90.0 | 90.0 | 120.0 | 
| mp-1221761 | static | -0.4305 | -0.4305 | 4.384 | 4.384 | 21.9191 | 90.0 | 90.0 | 120.0 | 
Download raw data (including filtered results)
Reference structure matches:
| prototype | method | Ecoh (eV/atom) | Epot (eV/atom) | a0 (Å) | b0 (Å) | c0 (Å) | α (degrees) | β (degrees) | γ (degrees) | 
|---|---|---|---|---|---|---|---|---|---|
| mp-1221991 | dynamic | -2.2974 | -2.2974 | 6.7033 | 6.9853 | 6.9809 | 90.0 | 94.9 | 90.0 | 
| mp-1221991 | static | -2.2876 | -2.2876 | 6.729 | 6.8354 | 7.0016 | 90.0 | 93.0 | 90.0 | 
| mp-1221991 | box | -2.1265 | -2.1265 | 6.8943 | 6.8847 | 6.9068 | 90.0 | 91.9 | 90.0 | 
Download raw data (including filtered results)
Reference structure matches:
| prototype | method | Ecoh (eV/atom) | Epot (eV/atom) | a0 (Å) | b0 (Å) | c0 (Å) | α (degrees) | β (degrees) | γ (degrees) | 
|---|---|---|---|---|---|---|---|---|---|
| mp-1221641 | box | 0.9272 | 0.9272 | 3.7036 | 3.7036 | 28.5287 | 90.0 | 90.0 | 90.0 | 
Download raw data (including filtered results)
Reference structure matches:
D0_3--BiF3 = mp-2199
| prototype | method | Ecoh (eV/atom) | Epot (eV/atom) | a0 (Å) | b0 (Å) | c0 (Å) | α (degrees) | β (degrees) | γ (degrees) | 
|---|---|---|---|---|---|---|---|---|---|
| mp-1225210 | static | -4.6288 | -4.6288 | 2.7586 | 2.7586 | 5.9292 | 90.0 | 90.0 | 90.0 | 
| D0_3--BiF3 | static | -4.3175 | -4.3175 | 5.6999 | 5.6999 | 5.6999 | 90.0 | 90.0 | 90.0 | 
| A15--Cr3Si | static | -4.1399 | -4.1399 | 4.6084 | 4.6084 | 4.6084 | 90.0 | 90.0 | 90.0 | 
| L1_2--AuCu3 | static | -3.9481 | -3.9481 | 3.6366 | 3.6366 | 3.6366 | 90.0 | 90.0 | 90.0 | 
| A15--Cr3Si | box | -0.5602 | -0.5602 | 8.1625 | 8.1625 | 8.1625 | 90.0 | 90.0 | 90.0 | 
| A15--Cr3Si | box | -0.4827 | -0.4827 | 8.8936 | 8.8936 | 8.8936 | 90.0 | 90.0 | 90.0 | 
Download raw data (including filtered results)
Reference structure matches:
| prototype | method | Ecoh (eV/atom) | Epot (eV/atom) | a0 (Å) | b0 (Å) | c0 (Å) | α (degrees) | β (degrees) | γ (degrees) | 
|---|---|---|---|---|---|---|---|---|---|
| mp-1221635 | static | -3.8055 | -3.8055 | 2.7435 | 4.2367 | 22.1296 | 90.0 | 90.0 | 90.0 | 
| mp-1221635 | box | -3.4953 | -3.4953 | 2.715 | 4.207 | 24.2654 | 90.0 | 90.0 | 90.0 | 
Download raw data (including filtered results)
Reference structure matches:
| prototype | method | Ecoh (eV/atom) | Epot (eV/atom) | a0 (Å) | b0 (Å) | c0 (Å) | α (degrees) | β (degrees) | γ (degrees) | 
|---|---|---|---|---|---|---|---|---|---|
| mp-1221713 | box | -2.7555 | -2.7555 | 4.8135 | 12.3633 | 7.4752 | 90.0 | 90.0 | 90.0 | 
Download raw data (including filtered results)
Reference structure matches:
| prototype | method | Ecoh (eV/atom) | Epot (eV/atom) | a0 (Å) | b0 (Å) | c0 (Å) | α (degrees) | β (degrees) | γ (degrees) | 
|---|---|---|---|---|---|---|---|---|---|
| mp-1225135 | box | -4.3241 | -4.3241 | 2.7554 | 4.0477 | 20.069 | 90.0 | 90.0 | 90.0 | 
Download raw data (including filtered results)
Reference structure matches:
| prototype | method | Ecoh (eV/atom) | Epot (eV/atom) | a0 (Å) | b0 (Å) | c0 (Å) | α (degrees) | β (degrees) | γ (degrees) | 
|---|---|---|---|---|---|---|---|---|---|
| mp-449 | box | -4.307 | -4.307 | 6.9551 | 6.9551 | 4.734 | 90.0 | 90.0 | 120.0 | 
| mp-1196624 | static | -3.9885 | -3.9885 | 9.2282 | 9.2282 | 9.2282 | 90.0 | 90.0 | 90.0 | 
Download raw data (including filtered results)
Reference structure matches:
| prototype | method | Ecoh (eV/atom) | Epot (eV/atom) | a0 (Å) | b0 (Å) | c0 (Å) | α (degrees) | β (degrees) | γ (degrees) | 
|---|---|---|---|---|---|---|---|---|---|
| L1_0--AuCu | dynamic | -2.5761 | -2.5761 | 2.6467 | 2.6467 | 4.2685 | 90.0 | 90.0 | 90.0 | 
| B2--CsCl | dynamic | -1.9983 | -1.9983 | 3.2343 | 3.2343 | 3.2343 | 90.0 | 90.0 | 90.0 | 
| B1--NaCl--rock-salt | static | -1.7789 | -1.7789 | 5.5701 | 5.5701 | 5.5701 | 90.0 | 90.0 | 90.0 | 
| L1_0--AuCu | static | -1.6073 | -1.6073 | 2.6765 | 2.6765 | 9.2561 | 90.0 | 90.0 | 90.0 | 
| L1_0--AuCu | static | -1.6073 | -1.6073 | 2.6765 | 2.6765 | 9.2562 | 90.0 | 90.0 | 90.0 | 
| B3--ZnS--cubic-zinc-blende | box | -0.7439 | -0.7439 | 6.3845 | 6.3845 | 6.3845 | 90.0 | 90.0 | 90.0 | 
| B3--ZnS--cubic-zinc-blende | box | -0.4991 | -0.4991 | 6.0697 | 6.0697 | 6.0697 | 90.0 | 90.0 | 90.0 | 
| B2--CsCl | static | -0.0 | -0.0 | 5.7735 | 5.7735 | 5.7735 | 90.0 | 90.0 | 90.0 | 
| B3--ZnS--cubic-zinc-blende | static | -0.0 | -0.0 | 11.547 | 11.547 | 11.547 | 90.0 | 90.0 | 90.0 | 
| B1--NaCl--rock-salt | dynamic | 0.0 | 0.0 | 10.0 | 10.0 | 10.0 | 90.0 | 90.0 | 90.0 | 
| B3--ZnS--cubic-zinc-blende | dynamic | 0.0 | 0.0 | 11.5508 | 11.5508 | 11.5508 | 90.0 | 90.0 | 90.0 | 
| B2--CsCl | dynamic | 0.0 | 0.0 | 5.7736 | 5.7736 | 5.7736 | 90.0 | 90.0 | 90.0 | 
| B3--ZnS--cubic-zinc-blende | dynamic | 0.0 | 0.0 | 11.5505 | 11.5505 | 11.5505 | 90.0 | 90.0 | 90.0 | 
| B3--ZnS--cubic-zinc-blende | static | 13.593 | 13.593 | 4.3903 | 4.3903 | 4.3903 | 90.0 | 90.0 | 90.0 | 
| B1--NaCl--rock-salt | static | 20.1037 | 20.1037 | 3.8015 | 3.8015 | 3.8015 | 90.0 | 90.0 | 90.0 | 
| B2--CsCl | static | 28.3162 | 28.3162 | 2.1951 | 2.1951 | 2.1951 | 90.0 | 90.0 | 90.0 | 
Download raw data (including filtered results)
Reference structure matches:
| prototype | method | Ecoh (eV/atom) | Epot (eV/atom) | a0 (Å) | b0 (Å) | c0 (Å) | α (degrees) | β (degrees) | γ (degrees) | 
|---|---|---|---|---|---|---|---|---|---|
| C1--CaF2--fluorite | box | -0.9239 | -0.9239 | 6.0617 | 6.0617 | 6.0617 | 90.0 | 90.0 | 90.0 | 
| C1--CaF2--fluorite | box | -0.9083 | -0.9083 | 6.3642 | 6.3642 | 6.3642 | 90.0 | 90.0 | 90.0 | 
| C1--CaF2--fluorite | static | -0.0 | -0.0 | 11.547 | 11.547 | 11.547 | 90.0 | 90.0 | 90.0 | 
| C1--CaF2--fluorite | dynamic | 0.0 | 0.0 | 11.5476 | 11.5476 | 11.5476 | 90.0 | 90.0 | 90.0 | 
| C1--CaF2--fluorite | static | 16.3291 | 16.3291 | 4.3885 | 4.3885 | 4.3885 | 90.0 | 90.0 | 90.0 | 
Download raw data (including filtered results)
Reference structure matches:
| prototype | method | Ecoh (eV/atom) | Epot (eV/atom) | a0 (Å) | b0 (Å) | c0 (Å) | α (degrees) | β (degrees) | γ (degrees) | 
|---|---|---|---|---|---|---|---|---|---|
| L2_1--AlCu2Mn--heusler | static | -0.0 | -0.0 | 11.547 | 11.547 | 11.547 | 90.0 | 90.0 | 90.0 | 
| L2_1--AlCu2Mn--heusler | box | 0.2629 | 0.2629 | 9.7071 | 9.7071 | 9.7071 | 90.0 | 90.0 | 90.0 | 
| L2_1--AlCu2Mn--heusler | dynamic | 0.3378 | 0.3378 | 6.2212 | 6.2212 | 6.2212 | 90.0 | 90.0 | 90.0 | 
| L2_1--AlCu2Mn--heusler | static | 27.8258 | 27.8258 | 4.416 | 4.416 | 4.416 | 90.0 | 90.0 | 90.0 | 
Download raw data (including filtered results)
Reference structure matches:
| prototype | method | Ecoh (eV/atom) | Epot (eV/atom) | a0 (Å) | b0 (Å) | c0 (Å) | α (degrees) | β (degrees) | γ (degrees) | 
|---|---|---|---|---|---|---|---|---|---|
| L1_2--AuCu3 | dynamic | -2.3955 | -2.3955 | 3.9628 | 3.9628 | 3.9628 | 90.0 | 90.0 | 90.0 | 
| D0_3--BiF3 | dynamic | -2.2002 | -2.2002 | 6.3575 | 6.3575 | 6.3575 | 90.0 | 90.0 | 90.0 | 
| A15--Cr3Si | dynamic | -2.0931 | -2.0931 | 5.0493 | 5.0493 | 5.0493 | 90.0 | 90.0 | 90.0 | 
| mp-999545 | box | -2.0458 | -2.0458 | 2.7259 | 4.166 | 5.5366 | 90.0 | 90.0 | 90.0 | 
| L1_2--AuCu3 | box | -0.092 | -0.092 | 7.0364 | 7.0364 | 7.0364 | 90.0 | 90.0 | 90.0 | 
| D0_3--BiF3 | static | -0.0 | -0.0 | 11.547 | 11.547 | 11.547 | 90.0 | 90.0 | 90.0 | 
| D0_3--BiF3 | static | 15.8009 | 15.8009 | 4.3995 | 4.3995 | 4.3995 | 90.0 | 90.0 | 90.0 | 
| A15--Cr3Si | dynamic | 31.2821 | 31.2821 | 3.4153 | 3.4153 | 3.4153 | 90.0 | 90.0 | 90.0 | 
| L1_2--AuCu3 | dynamic | 32.0597 | 32.0597 | 2.7025 | 2.7025 | 2.7025 | 90.0 | 90.0 | 90.0 | 
Download raw data (including filtered results)
Reference structure matches:
| prototype | method | Ecoh (eV/atom) | Epot (eV/atom) | a0 (Å) | b0 (Å) | c0 (Å) | α (degrees) | β (degrees) | γ (degrees) | 
|---|---|---|---|---|---|---|---|---|---|
| mp-1221619 | dynamic | -2.1578 | -2.1578 | 5.7539 | 4.3685 | 8.2369 | 90.0 | 107.9 | 90.0 | 
| L2_1--AlCu2Mn--heusler | static | -0.7829 | -0.7829 | 6.098 | 6.098 | 6.098 | 90.0 | 90.0 | 90.0 | 
| mp-1221619 | static | -0.7629 | -0.7629 | 4.6888 | 5.0199 | 4.9671 | 90.0 | 96.0 | 90.0 | 
| L2_1--AlCu2Mn--heusler | static | -0.0 | -0.0 | 11.547 | 11.547 | 11.547 | 90.0 | 90.0 | 90.0 | 
| L2_1--AlCu2Mn--heusler | box | 0.0353 | 0.0353 | 9.2059 | 9.2059 | 9.2059 | 90.0 | 90.0 | 90.0 | 
| L2_1--AlCu2Mn--heusler | static | 414.692 | 414.692 | 2.3892 | 2.3892 | 2.3892 | 90.0 | 90.0 | 90.0 | 
Download raw data (including filtered results)
Reference structure matches:
| prototype | method | Ecoh (eV/atom) | Epot (eV/atom) | a0 (Å) | b0 (Å) | c0 (Å) | α (degrees) | β (degrees) | γ (degrees) | 
|---|---|---|---|---|---|---|---|---|---|
| mp-1221606 | box | 1.0365 | 1.0365 | 2.6384 | 2.6384 | 10.0789 | 90.0 | 90.0 | 90.0 | 
Download raw data (including filtered results)
Reference structure matches:
| prototype | method | Ecoh (eV/atom) | Epot (eV/atom) | a0 (Å) | b0 (Å) | c0 (Å) | α (degrees) | β (degrees) | γ (degrees) | 
|---|---|---|---|---|---|---|---|---|---|
| B3--ZnS--cubic-zinc-blende | dynamic | -4.8289 | -4.8289 | 5.1075 | 5.1075 | 5.1075 | 90.0 | 90.0 | 90.0 | 
| mp-871 | box | -4.7513 | -4.7513 | 4.5057 | 4.5057 | 4.5057 | 90.0 | 90.0 | 90.0 | 
| B2--CsCl | static | -4.6259 | -4.6259 | 2.8502 | 2.8502 | 2.8502 | 90.0 | 90.0 | 90.0 | 
| B1--NaCl--rock-salt | static | -4.22 | -4.22 | 4.74 | 4.74 | 4.74 | 90.0 | 90.0 | 90.0 | 
| B3--ZnS--cubic-zinc-blende | static | -0.0 | -0.0 | 11.547 | 11.547 | 11.547 | 90.0 | 90.0 | 90.0 | 
| B3--ZnS--cubic-zinc-blende | static | 180.1666 | 180.1666 | 2.3415 | 2.3415 | 2.3415 | 90.0 | 90.0 | 90.0 | 
| B1--NaCl--rock-salt | static | 298.4324 | 298.4324 | 2.0291 | 2.0291 | 2.0291 | 90.0 | 90.0 | 90.0 | 
| B2--CsCl | static | 502.3234 | 502.3234 | 1.1784 | 1.1784 | 1.1784 | 90.0 | 90.0 | 90.0 | 
Download raw data (including filtered results)
Reference structure matches:
| prototype | method | Ecoh (eV/atom) | Epot (eV/atom) | a0 (Å) | b0 (Å) | c0 (Å) | α (degrees) | β (degrees) | γ (degrees) | 
|---|---|---|---|---|---|---|---|---|---|
| mp-1714 | dynamic | -5.7137 | -5.7137 | 10.5396 | 7.3177 | 7.3218 | 90.0 | 90.0 | 90.0 | 
| C1--CaF2--fluorite | dynamic | -5.6727 | -5.6727 | 5.1601 | 5.1601 | 5.1601 | 90.0 | 90.0 | 90.0 | 
| mp-1714 | box | -4.8313 | -4.8313 | 11.0056 | 7.8827 | 7.7946 | 90.0 | 90.0 | 90.0 | 
| C1--CaF2--fluorite | static | -0.0 | -0.0 | 11.547 | 11.547 | 11.547 | 90.0 | 90.0 | 90.0 | 
| mp-20738 | box | 0.9776 | 0.9776 | 4.3791 | 4.3791 | 8.5426 | 90.0 | 90.0 | 90.0 | 
| C1--CaF2--fluorite | static | 249.7206 | 249.7206 | 2.3423 | 2.3423 | 2.3423 | 90.0 | 90.0 | 90.0 | 
Download raw data (including filtered results)
Reference structure matches:
| prototype | method | Ecoh (eV/atom) | Epot (eV/atom) | a0 (Å) | b0 (Å) | c0 (Å) | α (degrees) | β (degrees) | γ (degrees) | 
|---|---|---|---|---|---|---|---|---|---|
| D0_3--BiF3 | dynamic | -4.384 | -4.384 | 5.9787 | 5.9787 | 5.9787 | 90.0 | 90.0 | 90.0 | 
| A15--Cr3Si | box | -4.2944 | -4.2944 | 4.9343 | 4.9343 | 4.9343 | 90.0 | 90.0 | 90.0 | 
| L1_2--AuCu3 | static | -2.9116 | -2.9116 | 3.9706 | 3.9706 | 3.9706 | 90.0 | 90.0 | 90.0 | 
| D0_3--BiF3 | static | 414.2478 | 414.2478 | 2.3825 | 2.3825 | 2.3825 | 90.0 | 90.0 | 90.0 | 
Download raw data (including filtered results)
Reference structure matches:
A1--Cu--fcc = mp-8634, oqmd-676149
A2--W--bcc = mp-1055908
A5--beta-Sn = mp-1057139
| prototype | method | Ecoh (eV/atom) | Epot (eV/atom) | a0 (Å) | b0 (Å) | c0 (Å) | α (degrees) | β (degrees) | γ (degrees) | 
|---|---|---|---|---|---|---|---|---|---|
| mp-35 | dynamic | -2.92 | -2.92 | 8.9132 | 8.9132 | 8.9132 | 90.0 | 90.0 | 90.0 | 
| oqmd-7874 | box | -2.8958 | -2.8958 | 8.9377 | 8.9377 | 8.9377 | 90.0 | 90.0 | 90.0 | 
| mp-35 | box | -2.8745 | -2.8745 | 8.9626 | 8.9626 | 8.9626 | 90.0 | 90.0 | 90.0 | 
| A3--Mg--hcp | dynamic | -2.8686 | -2.8686 | 2.6153 | 2.6153 | 4.2244 | 90.0 | 90.0 | 120.0 | 
| A3'--alpha-La--double-hcp | dynamic | -2.8611 | -2.8611 | 2.613 | 2.613 | 8.4907 | 90.0 | 90.0 | 120.0 | 
| oqmd-7587 | static | -2.8552 | -2.8552 | 6.3205 | 6.3205 | 6.3205 | 90.0 | 90.0 | 90.0 | 
| A1--Cu--fcc | dynamic | -2.8541 | -2.8541 | 3.6927 | 3.6927 | 3.6927 | 90.0 | 90.0 | 90.0 | 
| A2--W--bcc | static | -2.8004 | -2.8004 | 2.9357 | 2.9357 | 2.9357 | 90.0 | 90.0 | 90.0 | 
| mp-542909 | box | -2.6972 | -2.6972 | 6.3926 | 6.3926 | 6.3926 | 90.0 | 90.0 | 90.0 | 
| oqmd-7587 | box | -2.6954 | -2.6954 | 6.3939 | 6.3939 | 6.3939 | 90.0 | 90.0 | 90.0 | 
| A15--beta-W | static | -2.6664 | -2.6664 | 4.7016 | 4.7016 | 4.7016 | 90.0 | 90.0 | 90.0 | 
| A7--alpha-As | box | -2.6171 | -2.6171 | 3.1944 | 3.1944 | 8.5404 | 90.0 | 90.0 | 120.0 | 
| A5--beta-Sn | static | -2.6138 | -2.6138 | 4.5534 | 4.5534 | 2.5546 | 90.0 | 90.0 | 90.0 | 
| Ah--alpha-Po--sc | static | -2.4044 | -2.4044 | 2.4522 | 2.4522 | 2.4522 | 90.0 | 90.0 | 90.0 | 
| A7--alpha-As | dynamic | -1.6252 | -1.6252 | 4.3106 | 4.3106 | 17.4242 | 90.0 | 90.0 | 120.0 | 
| A4--C--dc | static | -1.4922 | -1.4922 | 6.2157 | 6.2157 | 6.2157 | 90.0 | 90.0 | 90.0 | 
| mp-1191484 | box | -1.4779 | -1.4779 | 12.6288 | 12.6288 | 12.6288 | 90.0 | 90.0 | 90.0 | 
| A6--In--bct | static | -1.4183 | -1.4183 | 2.8181 | 2.8181 | 9.1715 | 90.0 | 90.0 | 90.0 | 
| A7--alpha-As | static | -1.0167 | -1.0167 | 4.9987 | 4.9987 | 18.1402 | 90.0 | 90.0 | 120.0 | 
| A15--beta-W | box | -0.3237 | -0.3237 | 8.163 | 8.163 | 8.163 | 90.0 | 90.0 | 90.0 | 
| A15--beta-W | box | -0.2277 | -0.2277 | 8.9321 | 8.9321 | 8.9321 | 90.0 | 90.0 | 90.0 | 
Download raw data (including filtered results)
Reference structure matches:
| prototype | method | Ecoh (eV/atom) | Epot (eV/atom) | a0 (Å) | b0 (Å) | c0 (Å) | α (degrees) | β (degrees) | γ (degrees) | 
|---|---|---|---|---|---|---|---|---|---|
| mp-567968 | box | 1.9688 | 1.9688 | 6.2058 | 6.2058 | 56.1731 | 90.0 | 90.0 | 90.0 | 
Download raw data (including filtered results)
Reference structure matches:
| prototype | method | Ecoh (eV/atom) | Epot (eV/atom) | a0 (Å) | b0 (Å) | c0 (Å) | α (degrees) | β (degrees) | γ (degrees) | 
|---|---|---|---|---|---|---|---|---|---|
| mp-650285 | static | -1.328 | -1.328 | 21.2355 | 32.4783 | 6.3938 | 90.0 | 90.0 | 90.0 | 
Download raw data (including filtered results)
Reference structure matches:
| prototype | method | Ecoh (eV/atom) | Epot (eV/atom) | a0 (Å) | b0 (Å) | c0 (Å) | α (degrees) | β (degrees) | γ (degrees) | 
|---|---|---|---|---|---|---|---|---|---|
| C1--CaF2--fluorite | box | -0.2571 | -0.2571 | 10.9846 | 10.9846 | 10.9846 | 90.0 | 90.0 | 90.0 | 
| C1--CaF2--fluorite | dynamic | 1.0709 | 1.0709 | 6.1066 | 6.1066 | 6.1066 | 90.0 | 90.0 | 90.0 | 
Download raw data (including filtered results)
Reference structure matches:
D0_3--BiF3 = mp-20211
| prototype | method | Ecoh (eV/atom) | Epot (eV/atom) | a0 (Å) | b0 (Å) | c0 (Å) | α (degrees) | β (degrees) | γ (degrees) | 
|---|---|---|---|---|---|---|---|---|---|
| A15--Cr3Si | box | -0.492 | -0.492 | 8.1693 | 8.1693 | 8.1693 | 90.0 | 90.0 | 90.0 | 
| L1_2--AuCu3 | static | -0.34 | -0.34 | 6.5817 | 6.5817 | 6.5817 | 90.0 | 90.0 | 90.0 | 
| D0_3--BiF3 | static | -0.2357 | -0.2357 | 10.5547 | 10.5547 | 10.5547 | 90.0 | 90.0 | 90.0 | 
| D0_3--BiF3 | dynamic | -0.1276 | -0.1276 | 6.0991 | 6.0991 | 6.0991 | 90.0 | 90.0 | 90.0 | 
| L1_2--AuCu3 | dynamic | 1.7155 | 1.7155 | 3.7772 | 3.7772 | 3.7772 | 90.0 | 90.0 | 90.0 | 
| A15--Cr3Si | box | 2.0393 | 2.0393 | 4.784 | 4.784 | 4.784 | 90.0 | 90.0 | 90.0 | 
Download raw data (including filtered results)
Reference structure matches:
| prototype | method | Ecoh (eV/atom) | Epot (eV/atom) | a0 (Å) | b0 (Å) | c0 (Å) | α (degrees) | β (degrees) | γ (degrees) | 
|---|---|---|---|---|---|---|---|---|---|
| mp-568121 | box | 2.1963 | 2.1963 | 5.9367 | 7.4604 | 20.6405 | 90.0 | 90.0 | 90.0 | 
Download raw data (including filtered results)
Reference structure matches:
| prototype | method | Ecoh (eV/atom) | Epot (eV/atom) | a0 (Å) | b0 (Å) | c0 (Å) | α (degrees) | β (degrees) | γ (degrees) | 
|---|---|---|---|---|---|---|---|---|---|
| mp-1111 | dynamic | 2.3102 | 2.3102 | 7.6746 | 7.6746 | 4.9999 | 90.0 | 90.0 | 120.0 | 
Download raw data (including filtered results)
Reference structure matches:
| prototype | method | Ecoh (eV/atom) | Epot (eV/atom) | a0 (Å) | b0 (Å) | c0 (Å) | α (degrees) | β (degrees) | γ (degrees) | 
|---|---|---|---|---|---|---|---|---|---|
| B2--CsCl | static | -0.3617 | -0.3617 | 5.5492 | 5.5492 | 5.5492 | 90.0 | 90.0 | 90.0 | 
| B1--NaCl--rock-salt | static | -0.2912 | -0.2912 | 9.5019 | 9.5019 | 9.5019 | 90.0 | 90.0 | 90.0 | 
| B3--ZnS--cubic-zinc-blende | box | -0.2139 | -0.2139 | 10.803 | 10.803 | 10.803 | 90.0 | 90.0 | 90.0 | 
| B3--ZnS--cubic-zinc-blende | box | 0.5353 | 0.5353 | 6.1916 | 6.1916 | 6.1916 | 90.0 | 90.0 | 90.0 | 
| B1--NaCl--rock-salt | dynamic | 1.1936 | 1.1936 | 5.2897 | 5.2897 | 5.2897 | 90.0 | 90.0 | 90.0 | 
| mp-1431 | static | 1.9173 | 1.9173 | 4.9558 | 4.9558 | 4.9558 | 90.0 | 90.0 | 90.0 | 
| B2--CsCl | dynamic | 2.4863 | 2.4863 | 3.0639 | 3.0639 | 3.0639 | 90.0 | 90.0 | 90.0 | 
| mp-1431 | box | 2.6999 | 2.6999 | 5.0174 | 5.0174 | 5.0174 | 90.0 | 90.0 | 90.0 | 
Download raw data (including filtered results)
Reference structure matches:
| prototype | method | Ecoh (eV/atom) | Epot (eV/atom) | a0 (Å) | b0 (Å) | c0 (Å) | α (degrees) | β (degrees) | γ (degrees) | 
|---|---|---|---|---|---|---|---|---|---|
| C1--CaF2--fluorite | box | -0.2671 | -0.2671 | 10.9199 | 10.9199 | 10.9199 | 90.0 | 90.0 | 90.0 | 
| C1--CaF2--fluorite | box | 1.265 | 1.265 | 6.2028 | 6.2028 | 6.2028 | 90.0 | 90.0 | 90.0 | 
Download raw data (including filtered results)
Reference structure matches:
| prototype | method | Ecoh (eV/atom) | Epot (eV/atom) | a0 (Å) | b0 (Å) | c0 (Å) | α (degrees) | β (degrees) | γ (degrees) | 
|---|---|---|---|---|---|---|---|---|---|
| L1_2--AuCu3 | static | -1.0552 | -1.0552 | 5.9136 | 5.9136 | 5.9136 | 90.0 | 90.0 | 90.0 | 
| D0_3--BiF3 | dynamic | -1.022 | -1.022 | 6.1267 | 6.1267 | 6.1267 | 90.0 | 90.0 | 90.0 | 
| A15--Cr3Si | static | -0.8432 | -0.8432 | 7.5855 | 7.5855 | 7.5855 | 90.0 | 90.0 | 90.0 | 
| D0_3--BiF3 | static | -0.7998 | -0.7998 | 9.272 | 9.272 | 9.272 | 90.0 | 90.0 | 90.0 | 
| A15--Cr3Si | box | 0.6205 | 0.6205 | 4.7833 | 4.7833 | 4.7833 | 90.0 | 90.0 | 90.0 | 
| L1_2--AuCu3 | static | 2.2532 | 2.2532 | 3.8867 | 3.8867 | 3.8867 | 90.0 | 90.0 | 90.0 | 
Download raw data (including filtered results)
Reference structure matches:
A1--Cu--fcc = mp-27, oqmd-9287, oqmd-1214570
A15--beta-W = oqmd-1215015, oqmd-1236371, oqmd-1280410
A2--W--bcc = mp-1014212, oqmd-1215193
A3'--alpha-La--double-hcp = oqmd-1215461
A3--Mg--hcp = mp-10649, oqmd-9288, oqmd-1215371
A4--C--dc = mp-149, oqmd-5714, oqmd-12378, oqmd-1215550
A5--beta-Sn = mp-92, oqmd-18979, oqmd-1215639
A6--In--bct = mp-1056579, oqmd-691768, oqmd-1215728
A7--alpha-As = oqmd-1215817
Ah--alpha-Po--sc = oqmd-1215906
| prototype | method | Ecoh (eV/atom) | Epot (eV/atom) | a0 (Å) | b0 (Å) | c0 (Å) | α (degrees) | β (degrees) | γ (degrees) | 
|---|---|---|---|---|---|---|---|---|---|
| A4--C--dc | dynamic | -4.63 | -4.63 | 5.43 | 5.43 | 5.43 | 90.0 | 90.0 | 90.0 | 
| mp-165 | dynamic | -4.63 | -4.63 | 3.8396 | 3.8396 | 6.27 | 90.0 | 90.0 | 120.0 | 
| oqmd-5764 | box | -4.6299 | -4.6299 | 3.8347 | 3.8347 | 6.2862 | 90.0 | 90.0 | 120.0 | 
| mp-165 | box | -4.6299 | -4.6299 | 3.8343 | 3.8343 | 6.2876 | 90.0 | 90.0 | 120.0 | 
| oqmd-22507 | box | -4.6299 | -4.6299 | 3.844 | 6.6306 | 6.2817 | 90.0 | 90.0 | 90.0 | 
| oqmd-717362 | dynamic | -4.586 | -4.586 | 14.6874 | 14.6874 | 14.6874 | 90.0 | 90.0 | 90.0 | 
| mp-1203790 | dynamic | -4.5828 | -4.5828 | 10.3769 | 10.3769 | 17.0015 | 90.0 | 90.0 | 120.0 | 
| oqmd-717362 | box | -4.5802 | -4.5802 | 14.6987 | 14.6987 | 14.6987 | 90.0 | 90.0 | 90.0 | 
| mp-1203790 | box | -4.5758 | -4.5758 | 10.3896 | 10.3896 | 17.0076 | 90.0 | 90.0 | 120.0 | 
| mp-971662 | dynamic | -4.5719 | -4.5719 | 10.2028 | 10.2028 | 10.2028 | 90.0 | 90.0 | 90.0 | 
| oqmd-717360 | box | -4.5716 | -4.5716 | 10.203 | 10.203 | 10.203 | 90.0 | 90.0 | 90.0 | 
| mp-971662 | box | -4.5714 | -4.5714 | 10.2031 | 10.2031 | 10.2031 | 90.0 | 90.0 | 90.0 | 
| mp-1196961 | dynamic | -4.5556 | -4.5556 | 10.2161 | 10.2161 | 10.3122 | 90.0 | 90.0 | 120.0 | 
| mp-1196961 | box | -4.5434 | -4.5434 | 10.2313 | 10.2313 | 10.3532 | 90.0 | 90.0 | 120.0 | 
| mp-1204627 | dynamic | -4.5233 | -4.5233 | 16.7913 | 12.9206 | 10.0931 | 90.0 | 90.0 | 90.0 | 
| mp-1204627 | box | -4.5095 | -4.5095 | 16.9079 | 12.9349 | 10.0819 | 90.0 | 90.0 | 90.0 | 
| mp-1079297 | dynamic | -4.4763 | -4.4763 | 14.0319 | 3.9133 | 6.4763 | 90.0 | 96.9 | 90.0 | 
| mp-1199894 | dynamic | -4.4634 | -4.4634 | 25.7909 | 15.3619 | 10.072 | 90.0 | 93.9 | 90.0 | 
| oqmd-22408 | box | -4.4627 | -4.4627 | 13.9979 | 3.9002 | 6.5512 | 90.0 | 96.4 | 90.0 | 
| mp-1079297 | box | -4.4619 | -4.4619 | 13.9935 | 3.9001 | 6.5538 | 90.0 | 96.4 | 90.0 | 
| mp-1202745 | dynamic | -4.4609 | -4.4609 | 10.1632 | 10.1632 | 16.2119 | 90.0 | 90.0 | 120.0 | 
| mp-1202745 | static | -4.4608 | -4.4608 | 10.1687 | 10.1687 | 16.1872 | 90.0 | 90.0 | 120.0 | 
| mp-999200 | dynamic | -4.4581 | -4.4581 | 6.6869 | 6.6869 | 4.0328 | 90.0 | 90.0 | 90.0 | 
| mp-1201492 | dynamic | -4.4574 | -4.4574 | 17.8626 | 17.8626 | 17.8626 | 90.0 | 90.0 | 90.0 | 
| mp-999200 | box | -4.4554 | -4.4554 | 6.7529 | 6.7529 | 3.9768 | 90.0 | 90.0 | 90.0 | 
| oqmd-22407 | box | -4.4549 | -4.4549 | 6.759 | 6.759 | 3.9719 | 90.0 | 90.0 | 90.0 | 
| mp-1200830 | dynamic | -4.4518 | -4.4518 | 12.6798 | 12.6798 | 12.6798 | 90.0 | 90.0 | 90.0 | 
| mp-1200830 | static | -4.4517 | -4.4517 | 12.6814 | 12.6814 | 12.6814 | 90.0 | 90.0 | 90.0 | 
| mp-1199894 | box | -4.4502 | -4.4502 | 25.9122 | 15.4612 | 10.0327 | 90.0 | 94.3 | 90.0 | 
| mp-1202745 | box | -4.447 | -4.447 | 10.163 | 10.163 | 16.2884 | 90.0 | 90.0 | 120.0 | 
| mp-1200830 | box | -4.4433 | -4.4433 | 12.698 | 12.698 | 12.698 | 90.0 | 90.0 | 90.0 | 
| mp-1201492 | box | -4.4359 | -4.4359 | 17.9326 | 17.9326 | 17.9326 | 90.0 | 90.0 | 90.0 | 
| mp-971661 | dynamic | -4.4319 | -4.4319 | 10.3157 | 10.3157 | 10.3157 | 90.0 | 90.0 | 90.0 | 
| mp-1095269 | dynamic | -4.4294 | -4.4294 | 3.9161 | 11.1318 | 12.832 | 90.0 | 90.0 | 90.0 | 
| oqmd-3484 | static | -4.4267 | -4.4267 | 6.7788 | 6.7788 | 6.7788 | 90.0 | 90.0 | 90.0 | 
| A3--Mg--hcp | dynamic | -4.4266 | -4.4266 | 3.6727 | 3.6727 | 2.9264 | 90.0 | 90.0 | 120.0 | 
| mp-168 | box | -4.4223 | -4.4223 | 6.786 | 6.786 | 6.786 | 90.0 | 90.0 | 90.0 | 
| mp-1095269 | box | -4.4219 | -4.4219 | 3.9055 | 11.1347 | 12.8933 | 90.0 | 90.0 | 90.0 | 
| oqmd-3484 | box | -4.4212 | -4.4212 | 6.7874 | 6.7874 | 6.7874 | 90.0 | 90.0 | 90.0 | 
| mp-1120747 | dynamic | -4.4199 | -4.4199 | 5.7727 | 5.7727 | 3.5994 | 90.0 | 90.0 | 120.0 | 
| mp-1204046 | dynamic | -4.414 | -4.414 | 10.2426 | 10.2426 | 24.9359 | 90.0 | 90.0 | 90.0 | 
| mp-971661 | box | -4.4112 | -4.4112 | 10.3432 | 10.3432 | 10.3432 | 90.0 | 90.0 | 90.0 | 
| oqmd-1214748 | dynamic | -4.39 | -4.39 | 4.5542 | 7.7502 | 4.0038 | 90.0 | 90.0 | 90.0 | 
| A5--beta-Sn | dynamic | -4.3833 | -4.3833 | 4.9605 | 4.9605 | 2.6361 | 90.0 | 90.0 | 90.0 | 
| oqmd-7479 | box | -4.3776 | -4.3776 | 4.8796 | 5.0346 | 2.6391 | 90.0 | 90.0 | 90.0 | 
| mp-1204046 | box | -4.3706 | -4.3706 | 10.3794 | 10.3794 | 24.8984 | 90.0 | 90.0 | 90.0 | 
| oqmd-1214748 | box | -4.3529 | -4.3529 | 4.8381 | 7.6357 | 4.0007 | 90.0 | 90.0 | 90.0 | 
| mp-571520 | box | -4.3421 | -4.3421 | 9.8207 | 9.8207 | 5.7652 | 90.0 | 90.0 | 120.0 | 
| mp-1244990 | dynamic | -4.3393 | -4.3393 | 12.1131 | 12.7779 | 13.1087 | 102.2 | 102.2 | 98.0 | 
| oqmd-18985 | box | -4.3392 | -4.3392 | 9.8153 | 9.8153 | 5.753 | 90.0 | 90.0 | 120.0 | 
| Ah--alpha-Po--sc | dynamic | -4.3359 | -4.3359 | 2.6019 | 2.6019 | 2.6019 | 90.0 | 90.0 | 90.0 | 
| A7--alpha-As | box | -4.3359 | -4.3359 | 3.6797 | 3.6797 | 9.0127 | 90.0 | 90.0 | 120.0 | 
| mp-1245041 | dynamic | -4.3212 | -4.3212 | 12.7658 | 13.0245 | 13.5108 | 73.6 | 70.8 | 76.0 | 
| mp-1244933 | dynamic | -4.3178 | -4.3178 | 12.6939 | 12.7384 | 12.9381 | 77.1 | 78.3 | 72.6 | 
| mp-1244933 | static | -4.3045 | -4.3045 | 12.6847 | 12.7358 | 12.9759 | 79.2 | 77.1 | 72.9 | 
| mp-1244990 | static | -4.297 | -4.297 | 12.3773 | 12.6462 | 13.2054 | 104.2 | 102.1 | 98.7 | 
| mp-1245242 | dynamic | -4.2955 | -4.2955 | 12.744 | 12.8413 | 13.1288 | 79.7 | 81.1 | 83.6 | 
| mp-1244971 | dynamic | -4.2935 | -4.2935 | 11.9025 | 13.1872 | 13.8798 | 97.3 | 97.8 | 99.9 | 
| oqmd-78173 | box | -4.2903 | -4.2903 | 5.2285 | 5.5667 | 9.7103 | 90.0 | 90.0 | 90.0 | 
| mp-1245242 | static | -4.2879 | -4.2879 | 12.7698 | 12.8706 | 13.1306 | 80.0 | 81.2 | 83.6 | 
| mp-1244971 | static | -4.2856 | -4.2856 | 11.9444 | 13.1743 | 13.9236 | 98.0 | 97.2 | 99.7 | 
| oqmd-78174 | static | -4.2815 | -4.2815 | 7.799 | 5.7154 | 6.0206 | 90.0 | 90.0 | 90.0 | 
| mp-1268191 | box | -4.2758 | -4.2758 | 7.1429 | 7.1429 | 2.6451 | 90.0 | 90.0 | 120.0 | 
| mp-1245041 | static | -4.275 | -4.275 | 13.1833 | 13.2291 | 13.431 | 72.9 | 71.3 | 75.5 | 
| mp-1072544 | dynamic | -4.2715 | -4.2715 | 7.0045 | 7.0045 | 7.0045 | 90.0 | 90.0 | 90.0 | 
| mp-109 | box | -4.2664 | -4.2664 | 5.177 | 6.142 | 8.8402 | 90.0 | 90.0 | 90.0 | 
| oqmd-1214837 | dynamic | -4.2518 | -4.2518 | 10.47 | 10.47 | 10.47 | 90.0 | 90.0 | 90.0 | 
| mp-34 | static | -4.2486 | -4.2486 | 2.807 | 2.807 | 2.6944 | 90.0 | 90.0 | 120.0 | 
| oqmd-1215104 | box | -4.2486 | -4.2486 | 5.3886 | 9.7247 | 2.8068 | 90.0 | 90.0 | 90.0 | 
| A2--W--bcc | dynamic | -4.2476 | -4.2476 | 3.2054 | 3.2054 | 3.2054 | 90.0 | 90.0 | 90.0 | 
| oqmd-1214837 | static | -4.2463 | -4.2463 | 10.5083 | 10.5083 | 10.5083 | 90.0 | 90.0 | 90.0 | 
| mp-644693 | static | -4.2443 | -4.2443 | 4.4736 | 5.1402 | 8.3354 | 86.6 | 77.3 | 68.5 | 
| mp-1120447 | dynamic | -4.2436 | -4.2436 | 5.2089 | 5.8813 | 6.9699 | 71.7 | 70.5 | 84.1 | 
| mp-1244933 | box | -4.241 | -4.241 | 12.8292 | 12.9907 | 13.0418 | 78.4 | 72.9 | 77.2 | 
| oqmd-717361 | static | -4.2359 | -4.2359 | 7.9397 | 7.9397 | 7.9397 | 90.0 | 90.0 | 90.0 | 
| mp-1001113 | box | -4.2349 | -4.2349 | 3.5404 | 9.7827 | 4.1958 | 90.0 | 90.0 | 90.0 | 
| mp-1244990 | box | -4.2298 | -4.2298 | 12.6804 | 12.7262 | 13.1956 | 101.4 | 104.2 | 99.0 | 
| mp-1120447 | box | -4.2274 | -4.2274 | 5.177 | 5.8621 | 7.1726 | 70.8 | 69.6 | 83.7 | 
| mp-644693 | dynamic | -4.2254 | -4.2254 | 4.3603 | 5.4602 | 8.6315 | 97.2 | 102.8 | 108.9 | 
| mp-1244971 | box | -4.2253 | -4.2253 | 12.1995 | 13.2123 | 13.9866 | 98.0 | 97.3 | 99.5 | 
| mp-1245242 | box | -4.2229 | -4.2229 | 12.8627 | 13.1231 | 13.2089 | 79.8 | 81.2 | 82.6 | 
| mp-1245041 | box | -4.2193 | -4.2193 | 13.3478 | 13.3987 | 13.4683 | 71.8 | 73.6 | 76.0 | 
| oqmd-10215 | dynamic | -4.218 | -4.218 | 15.2597 | 15.2597 | 15.2597 | 90.0 | 90.0 | 90.0 | 
| mp-16220 | static | -4.2172 | -4.2172 | 15.2646 | 15.2646 | 15.2646 | 90.0 | 90.0 | 90.0 | 
| oqmd-717361 | dynamic | -4.2101 | -4.2101 | 7.7577 | 7.7577 | 7.7577 | 90.0 | 90.0 | 90.0 | 
| mp-676011 | static | -4.2047 | -4.2047 | 4.5585 | 6.0365 | 8.1089 | 70.3 | 89.4 | 71.6 | 
| mp-676011 | dynamic | -4.1959 | -4.1959 | 4.5482 | 5.9175 | 8.0977 | 109.9 | 90.8 | 106.4 | 
| mp-1120747 | box | -4.1937 | -4.1937 | 5.6573 | 5.6573 | 4.5264 | 90.0 | 90.0 | 120.0 | 
| oqmd-691764 | box | -4.1908 | -4.1908 | 3.0186 | 3.0186 | 6.9633 | 90.0 | 90.0 | 120.0 | 
| A7--alpha-As | box | -4.1839 | -4.1839 | 4.254 | 4.254 | 6.9675 | 90.0 | 90.0 | 120.0 | 
| oqmd-717361 | box | -4.1541 | -4.1541 | 8.008 | 8.008 | 8.008 | 90.0 | 90.0 | 90.0 | 
| A6--In--bct | static | -4.1518 | -4.1518 | 2.8294 | 2.8294 | 5.0619 | 90.0 | 90.0 | 90.0 | 
| A1--Cu--fcc | static | -4.1413 | -4.1413 | 4.3248 | 4.3248 | 4.3248 | 90.0 | 90.0 | 90.0 | 
| A15--beta-W | dynamic | -4.0964 | -4.0964 | 5.4155 | 5.4155 | 5.4155 | 90.0 | 90.0 | 90.0 | 
| oqmd-1214926 | box | -4.0879 | -4.0879 | 7.1629 | 7.1629 | 7.1629 | 90.0 | 90.0 | 90.0 | 
| oqmd-10215 | box | -4.0783 | -4.0783 | 15.605 | 15.605 | 15.605 | 90.0 | 90.0 | 90.0 | 
| mp-16220 | box | -4.0652 | -4.0652 | 15.6384 | 15.6384 | 15.6384 | 90.0 | 90.0 | 90.0 | 
| mp-644693 | box | -4.024 | -4.024 | 4.2904 | 5.8971 | 9.5256 | 105.5 | 90.7 | 110.8 | 
| mp-676011 | box | -2.0719 | -2.0719 | 4.3864 | 7.6191 | 18.6675 | 94.8 | 95.4 | 93.5 | 
Static elastic constants are displayed for the unique structures identified in Crystal Structure Predictions above. The values displayed here are obtained by measuring the change in virial stresses due to applying small strains to the relaxed crystals. The initial structure and the strained states are all relaxed using force minimization.
The calculation method used is available as the iprPy elastic_constants_static calculation method.
Notes and Disclaimers:
Version Information:
| 460.162 | -1.192 | -1.192 | -0.000 | -0.000 | -0.000 | 
| -1.192 | 460.162 | -1.192 | -0.000 | -0.000 | -0.000 | 
| -1.192 | -1.192 | 460.162 | -0.000 | -0.000 | -0.000 | 
| -0.000 | 0.000 | -0.000 | -28.704 | -0.000 | -0.000 | 
| 0.000 | 0.000 | -0.000 | -0.000 | -28.704 | -0.000 | 
| -0.000 | -0.000 | 0.000 | -0.000 | -0.000 | -28.704 | 
| 460.162 | -1.192 | -1.192 | 0.000 | 0.000 | 0.000 | 
| -1.192 | 460.162 | -1.192 | 0.000 | 0.000 | 0.000 | 
| -1.192 | -1.192 | 460.162 | 0.000 | 0.000 | 0.000 | 
| 0.000 | -0.000 | 0.000 | -28.704 | 0.000 | 0.000 | 
| 0.000 | -0.000 | 0.000 | 0.000 | -28.704 | 0.000 | 
| 0.000 | 0.000 | -0.000 | 0.000 | 0.000 | -28.704 | 
| 460.163 | -1.192 | -1.192 | -0.000 | -0.000 | -0.000 | 
| -1.192 | 460.163 | -1.192 | -0.000 | -0.000 | -0.000 | 
| -1.192 | -1.192 | 460.163 | -0.000 | -0.000 | -0.000 | 
| 0.000 | 0.000 | -0.000 | -28.704 | -0.000 | -0.000 | 
| 0.000 | 0.000 | -0.000 | -0.000 | -28.704 | -0.000 | 
| 0.000 | -0.000 | 0.000 | -0.000 | -0.000 | -28.704 | 
| 460.162 | -1.192 | -1.192 | 0.000 | 0.000 | 0.000 | 
| -1.192 | 460.162 | -1.192 | 0.000 | 0.000 | 0.000 | 
| -1.192 | -1.192 | 460.162 | 0.000 | 0.000 | 0.000 | 
| -0.000 | -0.000 | 0.000 | -28.704 | 0.000 | 0.000 | 
| -0.000 | -0.000 | 0.000 | 0.000 | -28.704 | 0.000 | 
| -0.000 | 0.000 | -0.000 | 0.000 | 0.000 | -28.704 | 
| 460.165 | -1.192 | -1.192 | -0.000 | -0.000 | -0.000 | 
| -1.192 | 460.165 | -1.192 | -0.000 | -0.000 | -0.000 | 
| -1.192 | -1.192 | 460.165 | -0.000 | -0.000 | -0.000 | 
| 0.000 | 0.000 | -0.000 | -28.704 | -0.000 | -0.000 | 
| 0.000 | 0.000 | -0.000 | -0.000 | -28.704 | -0.000 | 
| 0.000 | -0.000 | 0.000 | -0.000 | -0.000 | -28.704 | 
| 460.160 | -1.192 | -1.192 | 0.000 | 0.000 | 0.000 | 
| -1.192 | 460.160 | -1.192 | 0.000 | 0.000 | 0.000 | 
| -1.192 | -1.192 | 460.160 | 0.000 | 0.000 | 0.000 | 
| -0.000 | -0.000 | 0.000 | -28.704 | 0.000 | 0.000 | 
| -0.000 | -0.000 | 0.000 | 0.000 | -28.704 | 0.000 | 
| -0.000 | 0.000 | -0.000 | 0.000 | 0.000 | -28.704 | 
| 1008144.112 | 338773.751 | 855158.087 | -158547.984 | -180839.156 | -98692.592 | 
| 870512.776 | 246782.701 | 1009245.112 | -140766.727 | -171297.554 | 9068.932 | 
| 1032492.519 | 303164.426 | 887347.469 | 112152.228 | -163398.448 | -40391.123 | 
| 976375.359 | 279673.091 | 971464.265 | -164323.172 | -196806.442 | 3543.760 | 
| 1036455.846 | 344544.167 | 979169.085 | -153360.218 | -178941.593 | -141580.310 | 
| 1301468.901 | 173507.390 | 1214972.420 | -19388.695 | -268135.700 | 96000.968 | 
| -971537.304 | -293217.172 | -811876.742 | 131232.663 | 206995.986 | 128033.342 | 
| -1775104.137 | -653229.538 | -1452641.573 | -163986.307 | 452091.077 | 265637.298 | 
| -986034.736 | -386411.482 | -919533.222 | -64426.504 | 162474.585 | 143632.571 | 
| -896900.789 | -68050.542 | -962862.766 | -31509.284 | 266778.440 | -138487.961 | 
| -975108.390 | -404729.234 | -1163182.403 | -33839.434 | 142416.631 | 40927.541 | 
| -1108771.687 | -235120.064 | -942679.527 | 120764.109 | 228727.893 | 32597.707 | 
| 102177.486 | 62442.656 | 123382.969 | -39167.282 | -19226.229 | -26098.297 | 
| 128929.256 | 30999.669 | 72730.804 | -25450.601 | -22984.455 | -21593.073 | 
| 105507.285 | 60230.060 | 114357.967 | 25233.200 | -12894.953 | 8621.828 | 
| 98532.191 | 38666.664 | 78743.731 | 2827.037 | -23325.415 | -13890.440 | 
| 99817.172 | 32347.481 | 77355.261 | -25912.753 | -27126.283 | -5707.729 | 
| 88516.233 | 31041.510 | 73837.486 | -6867.338 | -13775.076 | -13860.375 | 
| -62456.413 | 6681.855 | -105831.698 | 39950.215 | 29706.283 | 10649.931 | 
| -121654.055 | -84646.314 | -80064.429 | 15963.540 | 12866.046 | 5691.434 | 
| -122451.481 | -29391.486 | -71463.425 | -10690.374 | 23108.754 | 19862.961 | 
| -97866.951 | -37468.503 | -110156.912 | 1902.167 | 13034.531 | -8512.427 | 
| -86640.419 | -25949.895 | -69227.561 | -3461.174 | 21010.595 | 13659.973 | 
| -92941.023 | -40010.797 | -96350.165 | -3104.628 | 18969.575 | 20039.399 | 
| 11041.185 | 3546.980 | 10883.663 | 976.367 | -1233.404 | -1173.267 | 
| 10290.551 | 2967.234 | 9013.194 | -165.083 | -1624.506 | -1177.857 | 
| 13835.883 | 4086.436 | 10779.726 | -1541.429 | -2060.513 | -300.968 | 
| 12271.649 | 5113.383 | 11769.661 | -1181.097 | -1557.454 | 196.612 | 
| 11069.250 | 2651.638 | 9624.705 | -1203.998 | -1417.194 | -440.966 | 
| 9780.138 | 4402.648 | 11122.277 | -1849.930 | -1146.245 | -165.994 | 
| -11003.637 | -5788.927 | -8994.692 | -1155.364 | 1636.721 | -500.808 | 
| -7959.484 | -5339.696 | -9499.791 | 2447.673 | 3170.605 | 73.480 | 
| -16036.710 | -4902.989 | -10857.693 | 594.283 | 5055.402 | 936.963 | 
| -5905.007 | -2264.536 | -8482.414 | 1947.099 | 1496.616 | 2169.757 | 
| -9769.296 | -3458.152 | -10069.269 | 269.116 | 1131.442 | -498.545 | 
| -11111.146 | -4453.108 | -10566.807 | 1427.881 | 2827.361 | 19.480 | 
| -1305.160 | 890.994 | 890.994 | -0.000 | -0.000 | -0.000 | 
| 890.994 | -1305.160 | 890.994 | -0.000 | -0.000 | 0.000 | 
| 890.995 | 890.995 | -1305.160 | 0.000 | -0.000 | 0.000 | 
| 0.000 | -0.000 | -0.000 | 3610.363 | -0.000 | -0.000 | 
| -0.000 | 0.000 | -0.000 | -0.000 | 3610.363 | -0.000 | 
| -0.000 | 0.000 | 0.000 | -0.000 | 0.000 | 3610.363 | 
| -1305.194 | 891.011 | 891.012 | 0.000 | 0.000 | -0.000 | 
| 891.011 | -1305.194 | 891.012 | 0.000 | 0.000 | 0.000 | 
| 891.011 | 891.012 | -1305.194 | 0.000 | 0.000 | -0.000 | 
| -0.000 | 0.000 | -0.000 | 3610.363 | 0.000 | 0.000 | 
| 0.000 | -0.000 | 0.000 | 0.000 | 3610.363 | 0.000 | 
| 0.000 | -0.000 | -0.000 | 0.000 | 0.000 | 3610.363 | 
| -1305.007 | 890.918 | 890.918 | -0.000 | -0.000 | -0.000 | 
| 890.918 | -1305.007 | 890.918 | -0.000 | 0.000 | 0.000 | 
| 890.918 | 890.918 | -1305.007 | -0.000 | -0.000 | 0.000 | 
| 0.215 | -0.114 | -0.127 | -65999.796 | -0.000 | -0.000 | 
| -0.114 | 0.215 | -0.127 | -0.000 | -65999.796 | -0.000 | 
| -0.114 | -0.127 | 0.215 | 0.000 | -0.000 | -65999.796 | 
| -1305.348 | 891.088 | 891.088 | 0.000 | 0.000 | -0.000 | 
| 891.088 | -1305.348 | 891.088 | 0.000 | 0.000 | -0.000 | 
| 891.088 | 891.088 | -1305.348 | 0.000 | 0.000 | -0.000 | 
| -0.215 | 0.114 | 0.127 | -65999.796 | 0.000 | 0.000 | 
| 0.114 | -0.215 | 0.127 | 0.000 | -65999.796 | 0.000 | 
| 0.114 | 0.127 | -0.215 | -0.000 | 0.000 | -65999.796 | 
| -1305.181 | 891.004 | 891.004 | 0.000 | -0.000 | 0.000 | 
| 891.004 | -1305.181 | 891.004 | -0.000 | -0.000 | 0.000 | 
| 891.004 | 891.004 | -1305.181 | -0.000 | -0.000 | 0.000 | 
| 12.186 | -6.156 | -6.287 | -66000.140 | -0.000 | -0.000 | 
| -6.156 | 12.186 | -6.287 | 0.000 | -66000.140 | -0.000 | 
| -6.156 | -6.287 | 12.186 | 0.000 | -0.000 | -66000.140 | 
| -1305.174 | 891.002 | 891.002 | 0.000 | 0.000 | -0.000 | 
| 891.002 | -1305.174 | 891.002 | 0.000 | 0.000 | -0.000 | 
| 891.002 | 891.002 | -1305.174 | -0.000 | 0.000 | 0.000 | 
| -12.186 | 6.156 | 6.287 | -66000.140 | -0.000 | 0.000 | 
| 6.156 | -12.186 | 6.287 | -0.000 | -66000.140 | -0.000 | 
| 6.156 | 6.287 | -12.186 | 0.000 | 0.000 | -66000.140 | 
| 11619.638 | 12108.560 | 12108.560 | -0.000 | -0.000 | 0.000 | 
| 12108.560 | 11619.638 | 12108.560 | -0.000 | -0.000 | -0.000 | 
| 12108.560 | 12108.560 | 11619.638 | -0.000 | -0.000 | 0.000 | 
| -0.004 | -0.006 | -0.006 | 8960.605 | -0.000 | -0.000 | 
| -0.006 | -0.004 | -0.006 | -0.000 | 8960.605 | -0.000 | 
| -0.006 | -0.006 | -0.004 | -0.000 | 0.000 | 8960.605 | 
| 11617.277 | 12109.767 | 12109.766 | -0.000 | -0.000 | -0.000 | 
| 12109.766 | 11617.277 | 12109.766 | -0.000 | -0.000 | -0.000 | 
| 12109.766 | 12109.767 | 11617.277 | -0.000 | -0.000 | -0.000 | 
| 0.004 | 0.006 | 0.006 | 8960.605 | 0.000 | 0.000 | 
| 0.006 | 0.004 | 0.006 | 0.000 | 8960.605 | -0.000 | 
| 0.006 | 0.006 | 0.004 | 0.000 | 0.000 | 8960.605 | 
| 11619.556 | 12108.481 | 12108.481 | 0.000 | 0.000 | -0.000 | 
| 12108.481 | 11619.556 | 12108.481 | 0.000 | 0.000 | -0.000 | 
| 12108.481 | 12108.481 | 11619.556 | 0.000 | 0.000 | -0.000 | 
| -0.048 | -0.035 | -0.034 | 5941.742 | -0.000 | 0.000 | 
| -0.035 | -0.048 | -0.034 | -0.000 | 5941.742 | 0.000 | 
| -0.035 | -0.034 | -0.048 | 0.000 | 0.000 | 5941.742 | 
| 11619.725 | 12108.662 | 12108.662 | 0.000 | 0.000 | -0.000 | 
| 12108.662 | 11619.725 | 12108.662 | 0.000 | 0.000 | 0.000 | 
| 12108.662 | 12108.662 | 11619.725 | 0.000 | 0.000 | 0.000 | 
| 0.048 | 0.035 | 0.034 | 5941.742 | 0.000 | -0.000 | 
| 0.035 | 0.048 | 0.034 | 0.000 | 5941.742 | 0.000 | 
| 0.035 | 0.034 | 0.048 | -0.000 | 0.000 | 5941.742 | 
| 11615.824 | 12109.153 | 12109.153 | -0.000 | 0.000 | 0.000 | 
| 12109.153 | 11615.824 | 12109.153 | 0.000 | 0.000 | -0.000 | 
| 12109.153 | 12109.153 | 11615.824 | -0.000 | 0.000 | -0.000 | 
| -0.677 | -0.247 | -0.237 | 5940.978 | -0.000 | 0.000 | 
| -0.247 | -0.677 | -0.237 | 0.000 | 5940.978 | -0.000 | 
| -0.247 | -0.237 | -0.677 | 0.000 | 0.000 | 5940.978 | 
| 11620.555 | 12109.441 | 12109.441 | 0.000 | 0.000 | 0.000 | 
| 12109.441 | 11620.555 | 12109.441 | 0.000 | 0.000 | -0.000 | 
| 12109.441 | 12109.441 | 11620.555 | 0.000 | 0.000 | 0.000 | 
| 0.677 | 0.247 | 0.237 | 5940.978 | 0.000 | -0.000 | 
| 0.247 | 0.677 | 0.237 | -0.000 | 5940.978 | -0.000 | 
| 0.247 | 0.237 | 0.677 | -0.000 | -0.000 | 5940.978 | 
| 1214.801 | -262.150 | -262.150 | 0.000 | -0.000 | -0.000 | 
| -262.150 | 1214.801 | -262.150 | -0.000 | -0.000 | -0.000 | 
| -262.150 | -262.150 | 1214.801 | -0.000 | -0.000 | -0.000 | 
| 0.000 | 0.000 | 0.000 | 6.841 | -0.000 | -0.000 | 
| 0.000 | 0.000 | 0.000 | 0.000 | 6.841 | -0.000 | 
| 0.000 | 0.000 | 0.000 | 0.000 | -0.000 | 6.841 | 
| 1214.800 | -262.150 | -262.150 | -0.000 | 0.000 | 0.000 | 
| -262.150 | 1214.800 | -262.150 | 0.000 | 0.000 | 0.000 | 
| -262.150 | -262.150 | 1214.800 | -0.000 | 0.000 | -0.000 | 
| -0.000 | -0.000 | -0.000 | 6.841 | 0.000 | 0.000 | 
| -0.000 | -0.000 | -0.000 | 0.000 | 6.841 | 0.000 | 
| -0.000 | -0.000 | -0.000 | 0.000 | 0.000 | 6.841 | 
| 1214.801 | -262.151 | -262.151 | 0.000 | -0.000 | -0.000 | 
| -262.151 | 1214.801 | -262.151 | 0.000 | -0.000 | -0.000 | 
| -262.151 | -262.151 | 1214.801 | -0.000 | -0.000 | -0.000 | 
| -0.000 | 0.000 | 0.000 | 6.841 | -0.000 | -0.000 | 
| 0.000 | -0.000 | 0.000 | -0.000 | 6.841 | -0.000 | 
| 0.000 | 0.000 | -0.000 | -0.000 | -0.000 | 6.841 | 
| 1214.800 | -262.150 | -262.150 | -0.000 | 0.000 | 0.000 | 
| -262.150 | 1214.800 | -262.150 | -0.000 | 0.000 | 0.000 | 
| -262.150 | -262.150 | 1214.800 | 0.000 | -0.000 | 0.000 | 
| 0.000 | -0.000 | -0.000 | 6.841 | 0.000 | 0.000 | 
| -0.000 | 0.000 | -0.000 | -0.000 | 6.841 | 0.000 | 
| -0.000 | -0.000 | 0.000 | -0.000 | 0.000 | 6.841 | 
| 1214.806 | -262.152 | -262.152 | -0.000 | -0.000 | -0.000 | 
| -262.152 | 1214.806 | -262.152 | 0.000 | 0.000 | -0.000 | 
| -262.152 | -262.152 | 1214.806 | 0.000 | -0.000 | -0.000 | 
| -0.000 | 0.001 | 0.000 | 6.841 | -0.000 | -0.000 | 
| 0.001 | -0.000 | 0.000 | -0.000 | 6.841 | -0.000 | 
| 0.001 | 0.000 | -0.000 | 0.000 | -0.000 | 6.841 | 
| 1214.795 | -262.149 | -262.149 | -0.000 | 0.000 | 0.000 | 
| -262.149 | 1214.795 | -262.149 | -0.000 | 0.000 | 0.000 | 
| -262.149 | -262.149 | 1214.795 | 0.000 | 0.000 | 0.000 | 
| 0.000 | -0.001 | -0.000 | 6.841 | -0.000 | 0.000 | 
| -0.001 | 0.000 | -0.000 | -0.000 | 6.841 | 0.000 | 
| -0.001 | -0.000 | 0.000 | 0.000 | 0.000 | 6.841 | 
| -1293628.798 | -1173386.419 | -1643875.081 | -276798.326 | 253906.135 | -114946.914 | 
| -1893561.342 | -2122855.626 | -2694626.659 | 448515.751 | -83703.293 | -30623.967 | 
| -2321630.747 | -1574171.172 | -2281374.982 | 190995.280 | 170517.243 | -257708.680 | 
| -1453951.377 | -1649605.578 | -1774075.799 | -102026.233 | 144190.718 | 193399.960 | 
| -2239177.276 | -1623928.283 | -2379427.663 | 294472.959 | -39082.042 | 35869.214 | 
| -1198342.177 | -1042946.507 | -1549081.882 | -87383.340 | 54690.696 | -8254.432 | 
| 1999426.243 | 2226327.125 | 2245315.400 | 377183.056 | 83623.688 | 442783.973 | 
| 2475222.458 | 2357750.484 | 3036846.581 | 273779.300 | -91699.357 | 54913.003 | 
| 1071470.063 | 1115558.386 | 1497459.764 | -71522.958 | 42875.775 | -233350.754 | 
| 1499945.197 | 2307591.969 | 2060861.151 | 188636.331 | -289085.272 | -526253.074 | 
| 2543247.912 | 2171027.612 | 1996025.709 | 99738.372 | 137134.373 | 104451.399 | 
| 1819078.444 | 2161723.173 | 2309495.361 | -382534.004 | -106426.366 | 313991.900 | 
| -292178.454 | -211705.652 | -283804.315 | 11411.310 | -62724.406 | 80971.683 | 
| -283352.987 | -260427.806 | -269709.214 | -45214.078 | 47415.062 | 24649.299 | 
| -188712.453 | -223020.536 | -239807.507 | -14065.358 | 35775.711 | 39019.782 | 
| -169284.226 | -213635.133 | -210543.403 | -11005.949 | 13200.598 | -12434.537 | 
| -265810.324 | -175613.460 | -222671.207 | -5354.118 | -12963.291 | -7478.021 | 
| -146825.221 | -133727.300 | -239070.951 | 5629.898 | -24876.885 | 2855.947 | 
| 170407.373 | 158467.503 | 186008.344 | 10362.129 | 9720.286 | 21401.117 | 
| 236909.910 | 173663.221 | 218603.267 | 2973.864 | 11326.434 | -11456.497 | 
| 181951.543 | 185247.938 | 301788.080 | 25352.212 | 45839.348 | -22521.774 | 
| 171426.831 | 269140.718 | 290934.433 | 22316.938 | 56527.642 | -15355.850 | 
| 206099.461 | 111895.231 | 149698.508 | -9450.761 | 19976.732 | -221.004 | 
| 155895.756 | 148564.896 | 216748.450 | 3422.624 | 27912.952 | -17940.944 | 
| -136.430 | 579.288 | 579.288 | -0.000 | 0.000 | 0.000 | 
| 579.288 | -136.430 | 579.288 | 0.000 | -0.000 | 0.000 | 
| 579.288 | 579.288 | -136.430 | 0.000 | 0.000 | 0.000 | 
| -20121.022 | -21653.469 | -20227.633 | -897.442 | -3373.274 | 3408.261 | 
| -26473.796 | -23767.494 | -23116.073 | 797.980 | -2262.569 | -160.057 | 
| -20970.436 | -17817.812 | -27637.902 | 857.685 | 2859.009 | 1189.512 | 
| 24712.097 | 23909.148 | 33847.723 | -3829.669 | 9677.993 | -2779.046 | 
| 15107.635 | 16134.321 | 25491.650 | 436.874 | 651.275 | 64.207 | 
| 17945.272 | 19915.661 | 30049.606 | 6763.436 | 579.303 | 1475.015 | 
| 24710.643 | 25087.285 | 22415.067 | 3815.340 | -3218.300 | -928.233 | 
| 25070.702 | 17928.639 | 17821.130 | 1018.980 | 2353.988 | 812.713 | 
| 18652.863 | 18780.856 | 17135.491 | 992.827 | -2286.529 | -2282.661 | 
| 84.145 | 206.531 | 175.183 | -0.000 | 0.000 | 0.000 | 
| 206.531 | 84.145 | 175.183 | 0.000 | 0.000 | 0.000 | 
| 175.183 | 175.183 | 93.788 | 0.000 | 0.000 | 0.000 | 
| 0.000 | 0.000 | 0.000 | 129.126 | 0.000 | 0.000 | 
| 0.000 | 0.000 | -0.000 | -0.000 | 129.126 | 0.000 | 
| -0.000 | 0.000 | -0.000 | 0.000 | 0.000 | -61.193 | 
| 84.145 | 206.531 | 175.183 | 0.000 | -0.000 | -0.000 | 
| 206.531 | 84.145 | 175.183 | -0.000 | -0.000 | -0.000 | 
| 175.183 | 175.183 | 93.788 | -0.000 | 0.000 | -0.000 | 
| -0.000 | -0.000 | -0.000 | 129.126 | -0.000 | -0.000 | 
| -0.000 | -0.000 | 0.000 | -0.000 | 129.126 | 0.000 | 
| 0.000 | -0.000 | 0.000 | -0.000 | -0.000 | -61.193 | 
| 84.145 | 206.531 | 175.183 | -0.000 | 0.000 | 0.000 | 
| 105.704 | 184.971 | 175.183 | 0.000 | 0.000 | 0.000 | 
| 175.183 | 175.183 | 93.789 | 0.000 | 0.000 | 0.000 | 
| 0.000 | 0.000 | 0.000 | 129.126 | 0.000 | 0.000 | 
| 0.000 | 0.000 | 0.000 | 0.000 | 129.126 | 0.000 | 
| 0.000 | -0.000 | 0.000 | 0.000 | 0.000 | 39.633 | 
| 84.144 | 206.531 | 175.183 | -0.000 | -0.000 | -0.000 | 
| 105.704 | 184.971 | 175.183 | -0.000 | -0.000 | -0.000 | 
| 175.183 | 175.183 | 93.788 | -0.000 | -0.000 | -0.000 | 
| -0.000 | -0.000 | -0.000 | 129.126 | 0.000 | -0.000 | 
| -0.000 | -0.000 | -0.000 | 0.000 | 129.126 | -0.000 | 
| -0.000 | 0.000 | -0.000 | -0.000 | -0.000 | 39.633 | 
| 84.146 | 206.531 | 175.183 | 0.000 | 0.000 | 0.000 | 
| 206.532 | 84.145 | 175.183 | 0.000 | 0.000 | 0.000 | 
| 175.183 | 175.183 | 93.789 | -0.000 | 0.000 | 0.000 | 
| 0.000 | -0.000 | 0.000 | 129.126 | 0.000 | 0.000 | 
| 0.000 | 0.000 | 0.000 | 0.000 | 129.126 | 0.000 | 
| 0.000 | 0.000 | -0.000 | 0.000 | 0.000 | -61.193 | 
| 84.143 | 206.531 | 175.182 | -0.000 | -0.000 | -0.000 | 
| 206.530 | 84.144 | 175.182 | -0.000 | -0.000 | -0.000 | 
| 175.182 | 175.182 | 93.788 | -0.000 | -0.000 | -0.000 | 
| -0.000 | 0.000 | -0.000 | 129.126 | -0.000 | -0.000 | 
| -0.000 | -0.000 | -0.000 | -0.000 | 129.126 | 0.000 | 
| -0.000 | -0.000 | 0.000 | 0.000 | -0.000 | -61.193 | 
| 1045.540 | 339.659 | -568.080 | 0.000 | -0.000 | 0.000 | 
| 459.089 | 926.110 | -568.080 | 0.000 | 0.000 | 0.000 | 
| -568.080 | -568.080 | 1857.689 | 0.000 | 0.000 | 0.000 | 
| 0.000 | -0.000 | -0.000 | 169.286 | 0.000 | 0.000 | 
| 0.000 | -0.000 | -0.000 | 0.000 | 169.286 | 0.000 | 
| 0.000 | 0.000 | -0.000 | 0.000 | -0.000 | 352.940 | 
| 926.109 | 459.089 | -568.080 | 0.000 | 0.000 | -0.000 | 
| 339.659 | 1045.540 | -568.080 | 0.000 | 0.000 | -0.000 | 
| -568.079 | -568.079 | 1857.689 | -0.000 | 0.000 | -0.000 | 
| -0.000 | 0.000 | 0.000 | 169.286 | -0.000 | -0.000 | 
| -0.000 | 0.000 | 0.000 | -0.000 | 169.286 | -0.000 | 
| -0.000 | -0.000 | 0.000 | 0.000 | 0.000 | 352.940 | 
| 926.112 | 459.087 | -568.080 | 0.000 | 0.000 | 0.000 | 
| 339.658 | 1045.540 | -568.080 | -0.000 | -0.000 | 0.000 | 
| -568.081 | -568.081 | 1857.694 | 0.000 | -0.000 | 0.000 | 
| 0.000 | 0.000 | 0.000 | 169.286 | 0.000 | 0.000 | 
| 0.000 | 0.000 | 0.000 | 0.000 | 169.286 | 0.000 | 
| 0.000 | 0.001 | -0.001 | 0.000 | -0.000 | 233.510 | 
| 1045.540 | 339.659 | -568.081 | 0.000 | 0.000 | -0.000 | 
| 339.659 | 1045.540 | -568.081 | 0.000 | 0.000 | -0.000 | 
| -568.077 | -568.077 | 1857.684 | -0.000 | 0.000 | -0.000 | 
| -0.000 | -0.000 | -0.000 | 169.286 | -0.000 | -0.000 | 
| -0.000 | -0.000 | -0.000 | -0.000 | 169.286 | 0.000 | 
| -0.000 | -0.001 | 0.001 | -0.000 | -0.000 | 233.510 | 
| 926.130 | 459.073 | -568.080 | 0.000 | 0.000 | 0.000 | 
| 459.016 | 926.187 | -568.080 | 0.000 | 0.000 | 0.000 | 
| -568.100 | -568.100 | 1857.736 | 0.000 | 0.000 | 0.000 | 
| 0.000 | 0.000 | 0.000 | 169.286 | 0.000 | -0.000 | 
| 0.000 | 0.000 | 0.000 | 0.000 | 169.286 | -0.000 | 
| 0.003 | 0.006 | -0.008 | 0.000 | 0.000 | 233.510 | 
| 926.164 | 459.031 | -568.081 | -0.000 | 0.000 | -0.000 | 
| 459.109 | 926.086 | -568.081 | -0.000 | -0.000 | -0.000 | 
| -568.059 | -568.059 | 1857.642 | -0.000 | -0.000 | -0.000 | 
| -0.000 | -0.000 | -0.000 | 169.286 | 0.000 | 0.000 | 
| -0.000 | -0.000 | -0.000 | -0.000 | 169.286 | -0.000 | 
| -0.003 | -0.006 | 0.008 | -0.000 | 0.000 | 233.510 | 
| -1844782647.951 | -2125414518.021 | -2450833318.204 | 10849279.861 | -2224730.023 | 5806188.044 | 
| -1868761704.687 | -2109481803.879 | -2465327117.872 | 16494933.837 | 4623118.367 | -50581325.636 | 
| -511.106 | -511.106 | 1365.658 | -0.000 | 0.000 | -0.000 | 
| 0.000 | 0.000 | -0.001 | 1932.150 | 0.000 | -0.000 | 
| 0.000 | 0.000 | -0.001 | -0.000 | 1932.150 | 0.000 | 
| 0.000 | 0.000 | -0.000 | -0.000 | 0.000 | -31.749 | 
| 446.284 | 509.783 | -511.116 | -0.000 | -0.000 | 0.000 | 
| 509.783 | 446.284 | -511.116 | 0.000 | -0.000 | 0.000 | 
| -511.106 | -511.106 | 1365.658 | 0.000 | 0.000 | 0.000 | 
| -0.000 | -0.000 | 0.001 | 1932.150 | -0.000 | 0.000 | 
| -0.000 | -0.000 | 0.001 | 0.000 | 1932.150 | 0.000 | 
| -0.000 | -0.000 | 0.000 | 0.000 | 0.000 | -31.749 | 
| -185641197.749 | -221662764.835 | -237826899.147 | -726246.494 | -2447328.942 | 666396.939 | 
| -170770671.346 | -203847161.109 | -246634563.107 | 3386349.466 | 2994881.092 | 251113.843 | 
| -511.106 | -511.106 | 1365.658 | -0.000 | 0.000 | -0.000 | 
| 0.029 | -0.022 | -0.007 | 1932.150 | 0.000 | -0.000 | 
| 0.003 | 0.003 | -0.007 | 0.000 | 1932.150 | -0.000 | 
| -190752253.595 | -178675700.437 | -233691605.700 | 1039398.405 | 1003019.542 | -9420590.065 | 
| 184148353.196 | 207459609.328 | 243168968.757 | -1459411.055 | -1398950.813 | 784213.603 | 
| 187402736.860 | 209130591.637 | 242414451.718 | 2387732.622 | 1524204.310 | 4156498.027 | 
| -511.107 | -511.107 | 1365.659 | 0.000 | -0.000 | 0.000 | 
| -0.029 | 0.022 | 0.007 | 1932.150 | 0.000 | -0.000 | 
| -0.003 | -0.003 | 0.007 | -0.000 | 1932.150 | 0.000 | 
| 200390713.775 | 182505090.434 | 238748113.680 | 3784047.209 | 2216703.864 | -9621310.343 | 
| -18497748.991 | -21412606.350 | -23565047.973 | 27721.551 | -184351.829 | -1128555.601 | 
| -17733869.397 | -20375569.522 | -24254805.637 | -104522.163 | 173538.744 | -266574.506 | 
| -511.102 | -511.102 | 1365.654 | -0.000 | 0.000 | -0.000 | 
| 0.034 | 0.030 | -0.065 | 1932.150 | -0.000 | -0.000 | 
| 0.030 | 0.034 | -0.065 | -0.000 | 1932.150 | 0.000 | 
| -19603662.341 | -17236025.462 | -23583966.838 | 33600.371 | -16458.515 | -1842787.820 | 
| 17799711.726 | 22119489.947 | 23483857.253 | 243789.486 | 13193.029 | -54709.020 | 
| 18651734.296 | 22268615.157 | 24259798.198 | -333824.716 | 161869.782 | 351304.956 | 
| -511.110 | -511.110 | 1365.663 | 0.000 | -0.000 | 0.000 | 
| -0.034 | -0.030 | 0.065 | 1932.150 | -0.000 | 0.000 | 
| -0.030 | -0.034 | 0.065 | 0.000 | 1932.150 | 0.000 | 
| 20563950.674 | 19405898.752 | 24038175.970 | -5616.473 | -51126.167 | -1682863.197 | 
| -111.995 | 406.529 | 177.684 | 0.000 | 0.000 | -0.000 | 
| 123.862 | 170.673 | 177.684 | 0.000 | -0.000 | 0.000 | 
| 177.684 | 177.684 | 77.665 | 0.000 | -0.000 | 0.000 | 
| 0.000 | 0.000 | 0.000 | 114.694 | 0.000 | -0.000 | 
| 0.000 | -0.000 | -0.000 | 0.000 | 114.694 | 0.000 | 
| 0.000 | -0.000 | 0.000 | 0.000 | 0.000 | 23.406 | 
| -36.911 | 331.445 | 177.684 | -0.000 | -0.000 | 0.000 | 
| 123.862 | 170.673 | 177.684 | -0.000 | -0.000 | -0.000 | 
| 177.684 | 177.684 | 77.665 | -0.000 | 0.000 | -0.000 | 
| -0.000 | -0.000 | -0.000 | 114.694 | -0.000 | -0.000 | 
| -0.000 | 0.000 | 0.000 | -0.000 | 114.694 | -0.000 | 
| -0.000 | 0.000 | -0.000 | -0.000 | -0.000 | 23.406 | 
| 170.673 | 123.862 | 177.684 | -0.000 | 0.000 | 0.000 | 
| 123.862 | 170.673 | 177.684 | 0.000 | -0.000 | 0.000 | 
| 177.684 | 177.684 | 77.665 | 0.000 | -0.000 | -0.000 | 
| 0.000 | 0.000 | -0.000 | 114.694 | 0.000 | 0.000 | 
| 0.000 | 0.000 | -0.000 | 0.000 | 114.694 | -0.000 | 
| 0.000 | -0.000 | 0.000 | 0.000 | -0.000 | 23.406 | 
| 170.673 | 123.862 | 177.684 | 0.000 | -0.000 | 0.000 | 
| 123.862 | 170.673 | 177.684 | -0.000 | -0.000 | -0.000 | 
| 177.684 | 177.684 | 77.665 | -0.000 | -0.000 | 0.000 | 
| -0.000 | -0.000 | 0.000 | 114.694 | -0.000 | -0.000 | 
| -0.000 | -0.000 | 0.000 | -0.000 | 114.694 | -0.000 | 
| -0.000 | 0.000 | -0.000 | -0.000 | 0.000 | 23.406 | 
| 170.673 | 123.862 | 177.685 | 0.000 | -0.000 | 0.000 | 
| 331.445 | -36.910 | 177.685 | 0.000 | -0.000 | -0.000 | 
| 177.685 | 177.685 | 77.666 | 0.000 | 0.000 | 0.000 | 
| 0.000 | 0.000 | -0.000 | 114.694 | 0.000 | 0.000 | 
| 0.000 | 0.000 | -0.000 | -0.000 | 114.694 | 0.000 | 
| -0.012 | 0.013 | 0.002 | 0.000 | 0.000 | -301.809 | 
| 170.672 | 123.861 | 177.684 | -0.000 | -0.000 | -0.000 | 
| 433.680 | -139.147 | 177.682 | -0.000 | 0.000 | 0.000 | 
| 177.684 | 177.684 | 77.664 | -0.000 | 0.000 | -0.000 | 
| -0.000 | -0.000 | 0.000 | 114.694 | -0.000 | -0.000 | 
| -0.000 | -0.000 | 0.000 | 0.000 | 114.694 | 0.000 | 
| 0.012 | -0.013 | -0.002 | -0.000 | 0.000 | -301.809 | 
| 1076.380 | 125.080 | 125.080 | -0.000 | -0.000 | -0.000 | 
| 125.080 | 1076.380 | 125.080 | -0.000 | -0.000 | -0.000 | 
| 125.080 | 125.080 | 1076.380 | -0.000 | -0.000 | -0.000 | 
| 0.000 | -0.000 | 0.000 | 684.706 | -0.000 | -0.000 | 
| 0.000 | 0.000 | 0.000 | -0.000 | 684.706 | -0.000 | 
| 0.000 | 0.000 | 0.000 | -0.000 | -0.000 | 684.706 | 
| 1076.380 | 125.080 | 125.080 | -0.000 | 0.000 | 0.000 | 
| 125.080 | 1076.380 | 125.080 | 0.000 | -0.000 | 0.000 | 
| 125.080 | 125.080 | 1076.380 | 0.000 | 0.000 | -0.000 | 
| -0.000 | -0.000 | -0.000 | 684.706 | 0.000 | 0.000 | 
| -0.000 | -0.000 | -0.000 | 0.000 | 684.706 | 0.000 | 
| -0.000 | -0.000 | -0.000 | 0.000 | 0.000 | 684.706 | 
| 1076.380 | 125.080 | 125.080 | 0.000 | -0.000 | -0.000 | 
| 125.080 | 1076.380 | 125.080 | -0.000 | 0.000 | -0.000 | 
| 125.080 | 125.080 | 1076.380 | -0.000 | -0.000 | 0.000 | 
| 0.000 | 0.000 | 0.000 | 576.695 | -0.000 | 0.000 | 
| 0.000 | 0.000 | 0.000 | -0.000 | 576.695 | 0.000 | 
| 0.000 | 0.000 | 0.000 | -0.000 | 0.000 | 576.695 | 
| 1076.380 | 125.080 | 125.080 | -0.000 | 0.000 | 0.000 | 
| 125.080 | 1076.380 | 125.080 | 0.000 | -0.000 | 0.000 | 
| 125.080 | 125.080 | 1076.380 | 0.000 | 0.000 | -0.000 | 
| -0.000 | -0.000 | -0.000 | 576.695 | 0.000 | -0.000 | 
| -0.000 | -0.000 | -0.000 | 0.000 | 576.695 | -0.000 | 
| -0.000 | -0.000 | -0.000 | 0.000 | -0.000 | 576.695 | 
| 1076.382 | 125.081 | 125.081 | 0.000 | -0.000 | -0.000 | 
| 125.081 | 1076.382 | 125.081 | -0.000 | 0.000 | -0.000 | 
| 125.081 | 125.081 | 1076.382 | -0.000 | -0.000 | 0.000 | 
| 0.000 | 0.000 | 0.001 | 576.695 | -0.000 | 0.000 | 
| 0.000 | 0.000 | 0.001 | -0.000 | 576.695 | 0.000 | 
| 0.000 | 0.001 | 0.000 | -0.000 | 0.000 | 576.695 | 
| 1076.378 | 125.079 | 125.079 | -0.000 | 0.000 | 0.000 | 
| 125.079 | 1076.378 | 125.079 | 0.000 | -0.000 | 0.000 | 
| 125.079 | 125.079 | 1076.378 | 0.000 | 0.000 | -0.000 | 
| -0.000 | -0.000 | -0.001 | 576.695 | 0.000 | -0.000 | 
| -0.000 | -0.000 | -0.001 | 0.000 | 576.695 | -0.000 | 
| -0.000 | -0.001 | -0.000 | 0.000 | -0.000 | 576.695 | 
| 955.749 | 553.184 | -897.918 | 0.000 | -0.000 | 0.000 | 
| 553.184 | 955.749 | -897.918 | 0.000 | -0.000 | 0.000 | 
| -897.918 | -897.918 | 2153.149 | 0.000 | -0.000 | 0.000 | 
| -0.000 | 0.001 | -0.000 | 18526.173 | -0.000 | 0.000 | 
| 0.001 | -0.000 | -0.000 | 0.000 | 18526.173 | 0.000 | 
| -0.000 | -0.000 | 0.000 | 0.000 | -0.000 | 126.597 | 
| 955.749 | 553.184 | -897.918 | 0.000 | 0.000 | -0.000 | 
| 553.184 | 955.749 | -897.918 | -0.000 | 0.000 | -0.000 | 
| -897.918 | -897.918 | 2153.149 | -0.000 | 0.000 | -0.000 | 
| 0.000 | -0.001 | 0.000 | 18526.173 | 0.000 | -0.000 | 
| -0.001 | 0.000 | 0.000 | -0.000 | 18526.173 | -0.000 | 
| 0.000 | 0.000 | -0.000 | -0.000 | 0.000 | 126.597 | 
| 955.749 | 553.184 | -897.918 | 0.000 | -0.000 | 0.000 | 
| 553.184 | 955.749 | -897.918 | 0.000 | -0.000 | 0.000 | 
| -897.918 | -897.918 | 2153.150 | 0.000 | -0.000 | 0.000 | 
| -0.002 | 0.008 | -0.003 | 18526.173 | -0.000 | 0.000 | 
| 0.008 | -0.002 | -0.003 | 0.000 | 18526.173 | 0.000 | 
| -0.000 | -0.000 | 0.001 | 0.000 | -0.000 | 126.597 | 
| 955.748 | 553.184 | -897.918 | -0.000 | 0.000 | -0.000 | 
| 553.184 | 955.748 | -897.918 | -0.000 | 0.000 | -0.000 | 
| -897.918 | -897.918 | 2153.148 | -0.000 | 0.000 | -0.000 | 
| 0.002 | -0.008 | 0.003 | 18526.173 | 0.000 | -0.000 | 
| -0.008 | 0.002 | 0.003 | -0.000 | 18526.173 | -0.000 | 
| 0.000 | 0.000 | -0.001 | -0.000 | 0.000 | 126.597 | 
| 955.755 | 553.185 | -897.921 | 0.000 | -0.000 | 0.000 | 
| 553.185 | 955.755 | -897.921 | 0.000 | -0.000 | 0.000 | 
| -897.920 | -897.920 | 2153.159 | 0.000 | -0.000 | 0.000 | 
| -0.017 | 0.077 | -0.026 | 18526.173 | -0.000 | 0.000 | 
| 0.077 | -0.017 | -0.026 | 0.000 | 18526.173 | 0.000 | 
| -0.003 | -0.003 | 0.008 | 0.000 | -0.000 | 126.597 | 
| 955.743 | 553.183 | -897.915 | -0.000 | -0.000 | -0.000 | 
| 553.183 | 955.743 | -897.915 | -0.000 | 0.000 | -0.000 | 
| -897.916 | -897.916 | 2153.139 | -0.000 | 0.000 | -0.000 | 
| 0.017 | -0.077 | 0.026 | 18526.173 | 0.000 | -0.000 | 
| -0.077 | 0.017 | 0.026 | -0.000 | 18526.173 | -0.000 | 
| 0.003 | 0.003 | -0.008 | -0.000 | 0.000 | 126.597 | 
| -6.466 | 16.389 | 0.000 | 0.000 | 0.000 | -0.000 | 
| 16.389 | -6.466 | 0.000 | 0.000 | 0.000 | -0.000 | 
| 0.000 | 0.000 | 0.000 | 0.000 | 0.000 | -0.000 | 
| -0.000 | 0.000 | 0.000 | 0.000 | 0.000 | -0.000 | 
| 0.000 | -0.000 | 0.000 | 0.000 | 0.000 | 0.000 | 
| -0.000 | 0.000 | 0.000 | 0.000 | 0.000 | -4.102 | 
| -6.466 | 16.389 | -0.000 | -0.000 | -0.000 | 0.000 | 
| 16.389 | -6.466 | -0.000 | -0.000 | -0.000 | -0.000 | 
| -0.000 | -0.000 | -0.000 | -0.000 | -0.000 | 0.000 | 
| 0.000 | -0.000 | -0.000 | -0.000 | -0.000 | 0.000 | 
| -0.000 | 0.000 | -0.000 | -0.000 | -0.000 | -0.000 | 
| 0.000 | -0.000 | -0.000 | -0.000 | -0.000 | -4.102 | 
| -6.466 | 16.389 | 0.000 | 0.000 | 0.000 | -0.000 | 
| 16.389 | -6.466 | 0.000 | 0.000 | 0.000 | -0.000 | 
| 0.000 | 0.000 | 0.000 | 0.000 | 0.000 | -0.000 | 
| -0.000 | 0.000 | 0.000 | 0.000 | 0.000 | 0.000 | 
| 0.000 | -0.000 | 0.000 | 0.000 | 0.000 | -0.000 | 
| 0.000 | 0.000 | 0.000 | 0.000 | 0.000 | -4.102 | 
| -6.466 | 16.389 | -0.000 | -0.000 | -0.000 | 0.000 | 
| 16.389 | -6.466 | -0.000 | -0.000 | -0.000 | -0.000 | 
| -0.000 | -0.000 | -0.000 | -0.000 | -0.000 | 0.000 | 
| 0.000 | -0.000 | -0.000 | -0.000 | -0.000 | -0.000 | 
| -0.000 | 0.000 | -0.000 | -0.000 | -0.000 | -0.000 | 
| -0.000 | -0.000 | -0.000 | -0.000 | -0.000 | -4.102 | 
| -6.466 | 16.389 | 0.000 | 0.000 | 0.000 | 0.000 | 
| 16.389 | -6.466 | 0.000 | 0.000 | 0.000 | 0.000 | 
| 0.000 | 0.000 | 0.000 | 0.000 | 0.000 | -0.000 | 
| -0.000 | 0.000 | 0.000 | 0.000 | 0.000 | 0.000 | 
| 0.000 | -0.000 | 0.000 | 0.000 | 0.000 | 0.000 | 
| 0.000 | 0.000 | 0.000 | 0.000 | 0.000 | -4.102 | 
| -6.466 | 16.389 | -0.000 | -0.000 | -0.000 | 0.000 | 
| 16.389 | -6.466 | -0.000 | -0.000 | -0.000 | -0.000 | 
| -0.000 | -0.000 | -0.000 | -0.000 | -0.000 | 0.000 | 
| 0.000 | -0.000 | -0.000 | -0.000 | -0.000 | -0.000 | 
| -0.000 | -0.000 | -0.000 | -0.000 | -0.000 | 0.000 | 
| -0.000 | -0.000 | -0.000 | -0.000 | -0.000 | -4.102 | 
| 945.716 | -122.580 | 155.144 | 90.241 | -0.000 | -0.000 | 
| -68.855 | 889.351 | 148.939 | -227.898 | 0.000 | -0.000 | 
| 78.918 | 78.918 | 586.216 | 0.000 | 0.000 | -0.000 | 
| 90.241 | -90.241 | -0.000 | 162.028 | -0.000 | -0.000 | 
| 0.000 | 0.000 | -0.000 | 0.000 | 162.028 | 90.241 | 
| 0.000 | 0.000 | 0.000 | 0.000 | 90.241 | 534.148 | 
| 888.108 | -71.631 | 139.496 | 225.982 | -0.000 | 0.000 | 
| -122.580 | 945.716 | 155.144 | -90.241 | 0.000 | 0.000 | 
| 78.918 | 78.918 | 586.216 | -0.000 | 0.000 | 0.000 | 
| 90.241 | -90.241 | 0.000 | 162.028 | 0.000 | 0.000 | 
| -0.000 | -0.000 | -0.000 | -0.000 | 162.028 | 90.241 | 
| -0.000 | -0.000 | 0.000 | -0.000 | 90.241 | 534.148 | 
| 945.716 | -122.580 | 155.144 | 90.241 | 0.000 | -0.000 | 
| -68.853 | 889.323 | 148.877 | -227.936 | -0.000 | 0.000 | 
| 63.440 | 63.440 | 513.468 | 0.000 | 0.000 | -0.000 | 
| 225.985 | -225.982 | 0.007 | -177.437 | -0.000 | 0.000 | 
| 0.000 | 0.000 | 0.000 | 0.000 | 162.028 | 90.241 | 
| 0.000 | 0.000 | 0.000 | -0.000 | 90.241 | 534.148 | 
| 945.716 | -122.580 | 155.144 | 90.241 | -0.000 | 0.000 | 
| -122.580 | 945.716 | 155.144 | -90.241 | -0.000 | -0.000 | 
| 63.433 | 63.433 | 513.437 | -0.000 | 0.000 | -0.000 | 
| 226.033 | -226.036 | -0.007 | -177.564 | 0.000 | -0.000 | 
| -0.000 | -0.000 | -0.000 | -0.000 | 162.028 | 90.241 | 
| -0.000 | -0.000 | -0.000 | 0.000 | 90.241 | 534.148 | 
| 888.148 | -71.596 | 139.664 | 225.980 | -0.000 | 0.000 | 
| -71.590 | 888.143 | 139.664 | -225.992 | -0.000 | -0.000 | 
| 63.430 | 63.430 | 513.421 | 0.000 | -0.000 | -0.000 | 
| 225.996 | -225.996 | 0.000 | -177.471 | 0.000 | 0.000 | 
| 0.001 | 0.000 | 0.000 | 0.001 | -177.433 | 225.982 | 
| -0.000 | 0.001 | 0.001 | 0.000 | 225.982 | 479.869 | 
| 889.316 | -68.854 | 148.869 | 227.938 | -0.000 | 0.000 | 
| -68.858 | 889.320 | 148.870 | -227.930 | 0.000 | 0.000 | 
| 63.435 | 63.435 | 513.445 | -0.000 | -0.000 | -0.000 | 
| 225.982 | -225.982 | -0.000 | -177.433 | 0.000 | 0.000 | 
| -0.001 | -0.000 | -0.000 | -0.001 | -177.433 | 225.982 | 
| 0.000 | -0.001 | -0.001 | -0.000 | 225.982 | 479.869 | 
| 922.531 | 93.654 | -200.718 | -6.330 | -0.000 | 0.000 | 
| 69.171 | 947.696 | -205.582 | 34.971 | 0.000 | 0.000 | 
| -205.582 | -205.582 | 453.490 | -0.000 | -0.000 | -0.000 | 
| -34.970 | 34.971 | -0.000 | 842.018 | -0.000 | -0.000 | 
| 0.000 | 0.000 | -0.000 | 0.000 | 842.018 | -34.971 | 
| -0.000 | -0.000 | 0.004 | 0.000 | -6.415 | 414.512 | 
| 947.695 | 69.171 | -205.582 | -34.971 | -0.000 | 0.000 | 
| 93.654 | 922.532 | -200.726 | 6.331 | -0.000 | 0.000 | 
| -199.380 | -199.380 | 364.969 | 0.000 | 0.000 | 0.000 | 
| -6.415 | 6.415 | -0.004 | 809.072 | 0.000 | -0.000 | 
| -0.000 | -0.000 | 0.000 | -0.000 | 842.018 | -34.971 | 
| 0.000 | 0.000 | -0.004 | -0.000 | -6.415 | 414.512 | 
| 922.505 | 93.493 | -199.379 | -6.408 | -0.000 | 0.000 | 
| 93.654 | 922.532 | -200.722 | 6.330 | 0.000 | -0.000 | 
| -199.382 | -199.382 | 364.991 | -0.000 | -0.000 | 0.000 | 
| -6.420 | 6.423 | -0.002 | 809.078 | -0.000 | 0.000 | 
| 0.002 | 0.001 | -0.003 | 0.002 | 842.018 | -34.971 | 
| 0.000 | 0.000 | -0.000 | 0.000 | -34.971 | 439.262 | 
| 947.695 | 69.171 | -205.581 | -34.971 | 0.000 | 0.000 | 
| 69.171 | 947.695 | -205.581 | 34.971 | 0.000 | 0.000 | 
| -199.436 | -199.436 | 365.758 | 0.000 | 0.000 | 0.000 | 
| -6.416 | 6.414 | 0.002 | 809.074 | -0.000 | -0.000 | 
| -0.002 | -0.001 | 0.003 | -0.002 | 842.018 | -34.971 | 
| -0.000 | -0.000 | 0.000 | -0.000 | -34.971 | 439.262 | 
| 922.540 | 93.654 | -200.726 | -6.331 | 0.000 | 0.000 | 
| 93.655 | 922.540 | -200.726 | 6.329 | -0.000 | -0.000 | 
| -199.390 | -199.390 | 365.121 | -0.000 | 0.000 | -0.000 | 
| -34.959 | 34.988 | -0.029 | 842.000 | -0.000 | 0.000 | 
| 0.017 | 0.011 | -0.023 | 0.018 | 809.072 | -6.415 | 
| 0.002 | 0.001 | -0.002 | 0.000 | -34.971 | 439.262 | 
| 922.519 | 93.470 | -199.380 | -6.433 | 0.000 | 0.000 | 
| 93.486 | 922.503 | -199.377 | 6.416 | -0.000 | 0.000 | 
| -205.588 | -205.588 | 453.502 | 0.000 | -0.000 | -0.000 | 
| -6.427 | 6.399 | 0.023 | 809.091 | 0.000 | -0.000 | 
| -0.017 | -0.011 | 0.023 | -0.018 | 809.072 | -6.415 | 
| -0.002 | -0.001 | 0.002 | -0.000 | -34.971 | 439.262 | 
| 569.475 | 66.917 | 66.917 | -0.000 | 0.000 | 0.000 | 
| 66.917 | 569.475 | 66.917 | 0.000 | -0.000 | 0.000 | 
| 66.917 | 66.917 | 569.475 | -0.000 | 0.000 | 0.000 | 
| -0.000 | -0.000 | -0.000 | 474.646 | -0.000 | -0.000 | 
| -0.000 | -0.000 | -0.000 | -0.000 | 474.646 | 0.000 | 
| -0.000 | -0.000 | -0.000 | -0.000 | -0.000 | 474.646 | 
| 569.475 | 66.917 | 66.917 | -0.000 | 0.000 | 0.000 | 
| 66.917 | 569.475 | 66.917 | 0.000 | 0.000 | -0.000 | 
| 66.917 | 66.917 | 569.475 | 0.000 | 0.000 | 0.000 | 
| 0.000 | 0.000 | 0.000 | 474.646 | 0.000 | 0.000 | 
| 0.000 | 0.000 | 0.000 | -0.000 | 474.646 | 0.000 | 
| 0.000 | 0.000 | 0.000 | 0.000 | 0.000 | 474.646 | 
| 569.475 | 66.917 | 66.917 | 0.000 | 0.000 | -0.000 | 
| 66.917 | 569.475 | 66.917 | -0.000 | 0.000 | -0.000 | 
| 66.917 | 66.917 | 569.475 | 0.000 | 0.000 | 0.000 | 
| 0.000 | -0.000 | 0.000 | 474.646 | -0.000 | 0.000 | 
| -0.000 | 0.000 | 0.000 | 0.000 | 474.646 | 0.000 | 
| -0.000 | 0.000 | 0.000 | 0.000 | -0.000 | 474.646 | 
| 569.475 | 66.917 | 66.917 | 0.000 | 0.000 | 0.000 | 
| 66.917 | 569.475 | 66.917 | 0.000 | -0.000 | 0.000 | 
| 66.917 | 66.917 | 569.475 | -0.000 | 0.000 | -0.000 | 
| -0.000 | 0.000 | -0.000 | 474.646 | -0.000 | -0.000 | 
| 0.000 | -0.000 | -0.000 | 0.000 | 474.646 | -0.000 | 
| 0.000 | -0.000 | -0.000 | -0.000 | 0.000 | 474.646 | 
| 569.478 | 66.917 | 66.917 | 0.000 | 0.000 | -0.000 | 
| 66.917 | 569.478 | 66.917 | 0.000 | 0.000 | -0.000 | 
| 66.917 | 66.917 | 569.478 | 0.000 | 0.000 | -0.000 | 
| 0.000 | -0.000 | 0.001 | 474.646 | 0.000 | -0.000 | 
| -0.000 | 0.000 | 0.001 | -0.000 | 474.646 | -0.000 | 
| -0.000 | 0.001 | 0.000 | -0.000 | -0.000 | 474.646 | 
| 569.472 | 66.917 | 66.917 | -0.000 | -0.000 | 0.000 | 
| 66.917 | 569.472 | 66.917 | 0.000 | -0.000 | 0.000 | 
| 66.917 | 66.917 | 569.472 | 0.000 | -0.000 | -0.000 | 
| -0.000 | 0.000 | -0.001 | 474.646 | 0.000 | 0.000 | 
| 0.000 | -0.000 | -0.001 | -0.000 | 474.646 | -0.000 | 
| 0.000 | -0.001 | -0.000 | -0.000 | 0.000 | 474.646 | 
| -929774.796 | 1242634.286 | 576492.025 | 147506.822 | 191678.226 | -76795.149 | 
| -314042.362 | 1358476.053 | 1078287.460 | -87743.530 | 135959.654 | -123620.603 | 
| -146087.358 | 865143.747 | 442275.343 | 7319.364 | 144121.966 | 244037.698 | 
| -500116.308 | 871762.210 | 643226.956 | 46254.668 | 53477.211 | -13069.498 | 
| -390463.451 | 617084.522 | -69170.886 | 357829.059 | -169438.765 | -262574.423 | 
| -1151170.838 | 560782.081 | 458917.479 | -151521.734 | -146807.148 | 19615.510 | 
| 1678191.047 | -838397.457 | -67686.039 | 198633.798 | -114782.397 | 20433.547 | 
| 1134353.833 | -657089.592 | -398834.884 | 548476.440 | -138206.570 | -939.595 | 
| 387193.661 | -968627.742 | -436747.210 | 56867.815 | 6494.163 | 75158.671 | 
| -92921.126 | -1325683.915 | -942286.616 | 63504.989 | -137869.842 | -174214.085 | 
| 342085.287 | -630052.804 | -345681.410 | 346038.994 | -687431.693 | -176704.420 | 
| -235102.066 | -1021700.205 | -228625.298 | -25652.975 | -40278.121 | -5684.767 | 
| -141869.002 | 38518.871 | -31123.546 | -25821.734 | 2423.518 | -11874.830 | 
| 8129.266 | 71898.698 | 72137.899 | 567.207 | -91.155 | 1760.847 | 
| -33637.976 | 96176.594 | 56650.175 | 24900.976 | -2153.943 | -6530.296 | 
| 7683.915 | 87343.180 | 93288.379 | -25192.375 | 1194.997 | -4760.348 | 
| -20459.950 | 74857.084 | 39285.368 | -12953.541 | 5460.664 | 7014.384 | 
| -148322.950 | 78255.285 | 28969.864 | -40395.707 | -21222.921 | -12099.356 | 
| -7491.440 | -186029.976 | -57735.275 | 4369.723 | -8965.889 | -7866.095 | 
| 94632.340 | -75093.083 | -34443.814 | 22211.003 | -599.979 | 6749.789 | 
| 40597.290 | -62367.708 | 5176.728 | 258.264 | 17537.913 | 1374.358 | 
| 54590.893 | -58802.176 | -43546.049 | 34204.980 | 8315.871 | 26975.782 | 
| 26185.465 | -46049.494 | -50998.232 | -6918.364 | 6355.936 | 3753.263 | 
| 4029.887 | -102535.779 | -38672.065 | 4816.075 | -4953.579 | 2653.320 | 
| 44.100 | 6341.069 | 1018.231 | 3966.803 | -723.461 | -949.875 | 
| -1179.226 | 9941.091 | 4365.011 | 678.468 | -299.461 | 622.993 | 
| 4280.056 | 18556.355 | 2601.304 | -1042.133 | -1017.037 | -1222.520 | 
| 2661.743 | 4562.040 | 2501.375 | 3575.785 | 481.534 | -1902.060 | 
| -4048.688 | 7529.346 | 1291.807 | 698.387 | -2528.593 | -1625.749 | 
| -2017.732 | 5107.926 | 3125.762 | 2101.268 | -1179.615 | 2634.584 | 
| 5177.981 | -7108.858 | -5546.330 | -1437.178 | 1923.825 | -732.249 | 
| 10949.265 | -8327.176 | -21983.379 | 12.857 | 83.705 | 1924.738 | 
| 4576.473 | -6880.383 | -2586.479 | -910.333 | 3278.599 | -1418.086 | 
| 8719.303 | -9945.856 | -9578.838 | 1626.125 | -1719.604 | 1643.170 | 
| 1165.150 | -8680.684 | -3634.996 | -1681.017 | -633.822 | -874.835 | 
| -1993.003 | -9323.691 | -11793.984 | -2782.088 | 1746.067 | 820.629 | 
| 607.313 | 66.445 | 37.553 | 0.000 | -0.000 | -0.000 | 
| 83.808 | 914.312 | 76.911 | 0.000 | -0.000 | -0.000 | 
| 33.462 | 59.458 | 1058.849 | 0.000 | -0.000 | -0.000 | 
| -0.400 | -0.163 | 0.587 | 452.026 | -0.000 | -0.000 | 
| -0.375 | -0.152 | 0.502 | -0.000 | 344.364 | -0.000 | 
| 0.741 | 0.294 | -0.801 | 0.000 | -0.000 | 353.980 | 
| 661.667 | 87.833 | -15.349 | 0.000 | 0.000 | 0.000 | 
| 84.502 | 914.594 | 75.926 | -0.000 | 0.000 | 0.000 | 
| 38.388 | 61.304 | 1057.146 | -0.000 | 0.000 | 0.000 | 
| 0.400 | 0.163 | -0.587 | 452.026 | 0.000 | 0.000 | 
| 0.375 | 0.152 | -0.502 | 0.000 | 344.364 | 0.000 | 
| -0.741 | -0.294 | 0.801 | -0.000 | 0.000 | 353.980 | 
| 607.523 | 66.532 | 37.201 | 0.000 | -0.000 | -0.000 | 
| 87.214 | 915.527 | 77.808 | -0.000 | -0.000 | -0.000 | 
| -10.343 | 41.942 | 1110.827 | 0.000 | -0.000 | 0.000 | 
| -0.040 | -0.016 | 0.059 | 452.024 | -0.000 | -0.000 | 
| -0.038 | -0.015 | 0.050 | -0.000 | 344.364 | -0.000 | 
| 0.000 | 0.000 | 0.000 | -0.000 | 0.000 | 483.568 | 
| 661.667 | 87.833 | -15.349 | 0.000 | 0.000 | 0.000 | 
| 84.190 | 914.467 | 76.369 | -0.000 | 0.000 | 0.000 | 
| -10.343 | 41.942 | 1110.826 | 0.000 | 0.000 | 0.000 | 
| 0.040 | 0.016 | -0.059 | 452.024 | 0.000 | 0.000 | 
| 0.038 | 0.015 | -0.050 | 0.000 | 344.364 | 0.000 | 
| -0.000 | -0.000 | -0.000 | 0.000 | 0.000 | 483.568 | 
| 599.929 | 63.889 | 33.038 | 0.000 | -0.000 | -0.000 | 
| 84.152 | 914.455 | 76.424 | 0.000 | -0.000 | -0.000 | 
| 38.062 | 61.172 | 1057.619 | 0.000 | -0.000 | -0.000 | 
| -0.004 | -0.001 | 0.007 | 452.024 | -0.000 | -0.000 | 
| -0.000 | 0.000 | -0.000 | -0.000 | 344.364 | -0.000 | 
| 0.000 | 0.001 | 0.000 | -0.000 | -0.000 | 483.568 | 
| 599.943 | 63.895 | 33.028 | -0.000 | 0.000 | 0.000 | 
| 87.229 | 915.529 | 77.775 | -0.000 | 0.000 | 0.000 | 
| 38.044 | 61.164 | 1057.629 | -0.000 | -0.000 | 0.000 | 
| 0.004 | 0.001 | -0.007 | 452.024 | 0.000 | 0.000 | 
| 0.000 | -0.000 | 0.000 | 0.000 | 344.364 | 0.000 | 
| -0.000 | -0.001 | -0.000 | 0.000 | 0.000 | 483.568 | 
| 771.640 | 225.875 | 16.529 | 0.000 | -0.000 | 0.000 | 
| 225.875 | 771.640 | 16.529 | 0.000 | 0.000 | -0.000 | 
| -23.318 | -23.318 | 1196.152 | 0.000 | -0.000 | 0.000 | 
| 0.000 | 0.000 | 0.000 | 510.968 | -0.000 | 0.000 | 
| 0.000 | 0.000 | 0.000 | -0.000 | 510.968 | 0.000 | 
| -0.124 | -0.124 | 0.205 | 0.000 | 0.000 | 396.436 | 
| 796.164 | 166.447 | 45.321 | -0.000 | -0.000 | 0.000 | 
| 166.447 | 796.164 | 45.321 | -0.000 | -0.000 | 0.000 | 
| 16.476 | 16.476 | 1130.502 | -0.000 | -0.000 | -0.000 | 
| -0.000 | -0.000 | -0.000 | 510.968 | -0.000 | -0.000 | 
| -0.000 | 0.000 | -0.000 | -0.000 | 510.968 | 0.000 | 
| 0.124 | 0.124 | -0.205 | 0.000 | -0.000 | 396.436 | 
| 771.712 | 225.950 | 16.409 | 0.000 | 0.000 | -0.000 | 
| 225.950 | 771.712 | 16.409 | 0.000 | 0.000 | -0.000 | 
| 16.386 | 16.386 | 1130.651 | 0.000 | -0.000 | 0.000 | 
| 0.000 | 0.000 | 0.000 | 510.968 | 0.000 | -0.000 | 
| 0.000 | 0.000 | 0.000 | 0.000 | 510.968 | -0.000 | 
| -0.000 | 0.000 | 0.000 | 0.000 | 0.000 | 407.683 | 
| 948.630 | 97.193 | -23.318 | 0.000 | -0.000 | 0.000 | 
| 97.193 | 948.630 | -23.318 | -0.000 | 0.000 | -0.000 | 
| -23.318 | -23.318 | 1196.151 | 0.000 | 0.000 | -0.000 | 
| -0.000 | -0.000 | -0.000 | 510.968 | -0.000 | -0.000 | 
| -0.000 | -0.000 | -0.000 | -0.000 | 510.968 | -0.000 | 
| 0.000 | -0.000 | -0.000 | -0.000 | -0.000 | 407.683 | 
| 771.705 | 225.963 | 16.407 | 0.000 | 0.000 | 0.000 | 
| 225.963 | 771.705 | 16.407 | 0.000 | -0.000 | 0.000 | 
| 16.403 | 16.403 | 1130.627 | 0.000 | 0.000 | 0.000 | 
| 0.000 | 0.000 | 0.001 | 510.968 | 0.000 | 0.000 | 
| 0.000 | 0.000 | 0.001 | 0.000 | 510.968 | 0.000 | 
| -0.000 | 0.000 | 0.000 | 0.000 | 0.000 | 407.683 | 
| 771.739 | 225.951 | 16.382 | -0.000 | -0.000 | -0.000 | 
| 225.951 | 771.739 | 16.382 | -0.000 | 0.000 | -0.000 | 
| 16.396 | 16.396 | 1130.631 | -0.000 | -0.000 | -0.000 | 
| -0.000 | -0.000 | -0.001 | 510.968 | -0.000 | 0.000 | 
| -0.000 | -0.000 | -0.001 | -0.000 | 510.968 | 0.000 | 
| 0.000 | -0.000 | -0.000 | -0.000 | 0.000 | 407.683 | 
| 912.016 | 88.674 | -14.962 | -0.000 | -0.000 | 0.000 | 
| 88.674 | 912.016 | -14.962 | -0.000 | 0.000 | 0.000 | 
| 10.797 | 10.797 | 1151.799 | 0.000 | 0.000 | 0.000 | 
| -0.000 | 0.000 | 0.000 | 477.352 | 0.000 | 0.000 | 
| 0.000 | -0.000 | 0.000 | -0.000 | 477.352 | 0.000 | 
| 0.000 | 0.000 | -0.000 | -0.000 | -0.000 | 400.055 | 
| 753.090 | 206.551 | 21.323 | -0.000 | -0.000 | -0.000 | 
| 206.551 | 753.090 | 21.323 | -0.000 | -0.000 | -0.000 | 
| 10.797 | 10.797 | 1151.799 | -0.000 | -0.000 | -0.000 | 
| 0.000 | -0.000 | -0.000 | 477.352 | -0.000 | -0.000 | 
| -0.000 | 0.000 | -0.000 | -0.000 | 477.352 | -0.000 | 
| -0.000 | -0.000 | 0.000 | 0.000 | -0.000 | 400.055 | 
| 753.088 | 206.552 | 21.324 | 0.000 | 0.000 | 0.000 | 
| 206.552 | 753.088 | 21.324 | 0.000 | -0.000 | 0.000 | 
| 10.797 | 10.797 | 1151.800 | 0.000 | 0.000 | -0.000 | 
| 0.000 | 0.000 | 0.000 | 477.352 | -0.000 | 0.000 | 
| 0.000 | 0.000 | 0.000 | 0.000 | 477.352 | 0.000 | 
| -0.000 | 0.000 | 0.000 | -0.000 | 0.000 | 400.055 | 
| 753.091 | 206.551 | 21.322 | -0.000 | -0.000 | -0.000 | 
| 206.551 | 753.091 | 21.322 | -0.000 | -0.000 | -0.000 | 
| 10.797 | 10.797 | 1151.799 | -0.000 | -0.000 | -0.000 | 
| -0.000 | -0.000 | -0.000 | 477.352 | 0.000 | -0.000 | 
| -0.000 | -0.000 | -0.000 | -0.000 | 477.352 | -0.000 | 
| 0.000 | -0.000 | -0.000 | 0.000 | 0.000 | 400.055 | 
| 753.076 | 206.557 | 21.333 | 0.000 | 0.000 | -0.000 | 
| 206.700 | 753.018 | 21.259 | 0.000 | 0.000 | 0.000 | 
| 10.797 | 10.797 | 1151.804 | -0.000 | -0.000 | 0.000 | 
| 0.000 | 0.000 | 0.000 | 477.352 | 0.000 | 0.000 | 
| 0.000 | 0.000 | 0.000 | -0.000 | 477.352 | 0.000 | 
| -0.000 | 0.000 | 0.000 | -0.000 | 0.000 | 400.055 | 
| 753.103 | 206.545 | 21.313 | -0.000 | -0.000 | -0.000 | 
| 206.545 | 753.103 | 21.313 | -0.000 | -0.000 | -0.000 | 
| 10.797 | 10.797 | 1151.795 | -0.000 | -0.000 | -0.000 | 
| -0.000 | -0.000 | -0.000 | 477.352 | -0.000 | -0.000 | 
| -0.000 | -0.000 | -0.000 | -0.000 | 477.352 | -0.000 | 
| 0.000 | -0.000 | -0.000 | 0.000 | -0.000 | 400.055 | 
| 140.404 | 42.757 | 42.757 | -0.000 | -0.000 | 0.000 | 
| 42.757 | 140.404 | 42.757 | 0.000 | -0.000 | -0.000 | 
| 42.757 | 42.757 | 140.404 | -0.000 | 0.000 | -0.000 | 
| 0.000 | -0.000 | 0.000 | 99.608 | -0.000 | -0.000 | 
| -0.000 | 0.000 | 0.000 | -0.000 | 99.608 | -0.000 | 
| -0.000 | 0.000 | 0.000 | -0.000 | -0.000 | 99.608 | 
| 140.404 | 42.757 | 42.757 | 0.000 | 0.000 | 0.000 | 
| 42.757 | 140.404 | 42.757 | -0.000 | -0.000 | 0.000 | 
| 42.757 | 42.757 | 140.404 | 0.000 | -0.000 | 0.000 | 
| -0.000 | 0.000 | -0.000 | 99.608 | 0.000 | 0.000 | 
| 0.000 | -0.000 | -0.000 | 0.000 | 99.608 | 0.000 | 
| 0.000 | -0.000 | -0.000 | 0.000 | 0.000 | 99.608 | 
| 140.404 | 42.757 | 42.757 | -0.000 | -0.000 | -0.000 | 
| 42.757 | 140.404 | 42.757 | -0.000 | -0.000 | -0.000 | 
| 42.757 | 42.757 | 140.404 | -0.000 | -0.000 | -0.000 | 
| 0.000 | -0.000 | 0.000 | 99.608 | -0.000 | -0.000 | 
| -0.000 | 0.000 | 0.000 | -0.000 | 99.608 | -0.000 | 
| -0.000 | 0.000 | 0.000 | -0.000 | -0.000 | 99.608 | 
| 140.404 | 42.757 | 42.757 | 0.000 | 0.000 | 0.000 | 
| 42.757 | 140.404 | 42.757 | 0.000 | 0.000 | 0.000 | 
| 42.757 | 42.757 | 140.404 | 0.000 | 0.000 | 0.000 | 
| -0.000 | 0.000 | -0.000 | 99.608 | -0.000 | 0.000 | 
| 0.000 | -0.000 | -0.000 | 0.000 | 99.608 | 0.000 | 
| 0.000 | -0.000 | -0.000 | 0.000 | 0.000 | 99.608 | 
| 140.405 | 42.756 | 42.756 | -0.000 | -0.000 | -0.000 | 
| 42.756 | 140.405 | 42.756 | -0.000 | -0.000 | -0.000 | 
| 42.756 | 42.756 | 140.405 | -0.000 | -0.000 | -0.000 | 
| 0.000 | -0.000 | 0.000 | 99.608 | -0.000 | -0.000 | 
| -0.000 | 0.000 | 0.000 | -0.000 | 99.608 | -0.000 | 
| -0.000 | 0.000 | 0.000 | -0.000 | 0.000 | 99.608 | 
| 140.402 | 42.757 | 42.757 | 0.000 | 0.000 | 0.000 | 
| 42.757 | 140.402 | 42.757 | 0.000 | 0.000 | 0.000 | 
| 42.757 | 42.757 | 140.402 | 0.000 | 0.000 | 0.000 | 
| -0.000 | 0.000 | -0.000 | 99.608 | 0.000 | 0.000 | 
| 0.000 | -0.000 | -0.000 | -0.000 | 99.608 | 0.000 | 
| 0.000 | -0.000 | -0.000 | 0.000 | 0.000 | 99.608 | 
| 2206.424 | -726.017 | -392.752 | 0.000 | 0.000 | -0.000 | 
| 1345.548 | 148.413 | -383.137 | 0.000 | -0.000 | 0.000 | 
| -25.205 | 22.878 | 1242.715 | 0.000 | -0.000 | -0.000 | 
| 0.000 | 0.000 | -0.000 | 565.304 | -0.000 | -0.000 | 
| 1169.549 | -1002.367 | -233.724 | 0.000 | 499.531 | 0.000 | 
| 1216.312 | -824.051 | -434.207 | 0.000 | -0.000 | 434.899 | 
| 1128.557 | 42.561 | -25.205 | 0.000 | 0.000 | 0.000 | 
| -1086.923 | 1798.114 | 483.452 | -0.000 | 0.000 | -0.000 | 
| -25.205 | 22.878 | 1242.715 | 0.000 | 0.000 | 0.000 | 
| -0.000 | -0.000 | 0.000 | 565.304 | 0.000 | 0.000 | 
| -1169.549 | 1002.367 | 233.724 | 0.000 | 499.531 | -0.000 | 
| -1216.312 | 824.051 | 434.207 | -0.000 | 0.000 | 434.899 | 
| 1077.333 | 33.998 | -0.640 | -0.000 | -0.000 | 0.000 | 
| 42.561 | 1088.054 | 22.878 | 0.000 | 0.000 | -0.000 | 
| -25.205 | 22.878 | 1242.716 | -0.000 | -0.000 | -0.000 | 
| 0.000 | 0.000 | 0.000 | 565.304 | -0.000 | -0.000 | 
| 117.193 | -79.398 | -41.836 | 0.000 | 494.624 | 0.000 | 
| -0.000 | 0.000 | 0.000 | 0.000 | -0.000 | 461.369 | 
| 1128.556 | 42.561 | -25.205 | -0.000 | 0.000 | 0.000 | 
| 42.561 | 1088.053 | 22.878 | -0.000 | 0.000 | -0.000 | 
| -25.205 | 22.878 | 1242.715 | -0.000 | -0.000 | 0.000 | 
| -0.000 | -0.000 | -0.000 | 565.304 | 0.000 | 0.000 | 
| -117.193 | 79.398 | 41.836 | -0.000 | 494.624 | -0.000 | 
| 0.000 | -0.000 | -0.000 | 0.000 | 0.000 | 461.369 | 
| 968.074 | 130.484 | 20.690 | 0.000 | -0.000 | 0.000 | 
| 129.772 | 968.234 | 54.905 | 0.000 | -0.000 | 0.000 | 
| 40.985 | 42.869 | 1161.026 | 0.000 | -0.000 | 0.000 | 
| 10.445 | -7.076 | -3.728 | 515.638 | -0.000 | 0.000 | 
| 0.000 | 0.000 | 0.001 | -0.000 | 524.726 | 0.000 | 
| 12.093 | -16.263 | 2.746 | -0.000 | -0.000 | 427.076 | 
| 945.891 | 149.784 | 25.571 | -0.000 | 0.000 | 0.000 | 
| 42.561 | 1088.048 | 22.878 | -0.000 | 0.000 | 0.000 | 
| 22.888 | 56.297 | 1166.432 | -0.000 | 0.000 | 0.000 | 
| -10.445 | 7.076 | 3.728 | 515.638 | 0.000 | -0.000 | 
| -0.000 | -0.000 | -0.001 | -0.000 | 524.726 | 0.000 | 
| -12.093 | 16.263 | -2.746 | 0.000 | 0.000 | 427.076 | 
| 1064.921 | 37.449 | -20.303 | -0.000 | -0.000 | 0.000 | 
| 29.950 | 1076.580 | 33.416 | -0.000 | -0.000 | 0.000 | 
| 113.545 | 86.379 | 1089.304 | -0.000 | -0.000 | 0.000 | 
| 101.041 | 24.472 | -76.839 | 476.275 | -0.000 | 0.000 | 
| 115.793 | 3.875 | -48.037 | -0.000 | 485.511 | 0.000 | 
| -0.000 | -0.000 | 0.000 | -0.000 | -0.000 | 457.037 | 
| 798.229 | 119.525 | 73.615 | 0.000 | 0.000 | 0.000 | 
| 29.950 | 1076.580 | 33.416 | 0.000 | 0.000 | -0.000 | 
| -55.842 | 58.350 | 1186.283 | -0.000 | -0.000 | -0.000 | 
| -101.041 | -24.472 | 76.839 | 476.275 | 0.000 | -0.000 | 
| -115.793 | -3.875 | 48.037 | 0.000 | 485.511 | 0.000 | 
| 0.000 | 0.000 | -0.000 | 0.000 | 0.000 | 457.037 | 
| 1064.922 | 37.449 | -20.303 | -0.000 | -0.000 | 0.000 | 
| 29.950 | 1076.580 | 33.416 | -0.000 | -0.000 | 0.000 | 
| 22.174 | 58.455 | 1172.982 | -0.000 | -0.000 | 0.000 | 
| 0.000 | 0.000 | 0.000 | 558.219 | -0.000 | 0.000 | 
| 0.000 | 0.000 | 0.000 | -0.000 | 514.536 | 0.000 | 
| 7.624 | 1.847 | -5.798 | -0.000 | -0.000 | 430.346 | 
| 906.597 | 119.465 | 29.494 | -0.000 | 0.000 | 0.000 | 
| 84.463 | 970.810 | 78.353 | 0.000 | 0.000 | -0.000 | 
| 9.898 | 55.383 | 1182.558 | -0.000 | -0.000 | -0.000 | 
| -0.000 | -0.000 | -0.000 | 558.219 | 0.000 | -0.000 | 
| -0.000 | -0.000 | -0.000 | 0.000 | 514.536 | -0.000 | 
| -7.624 | -1.847 | 5.798 | 0.000 | 0.000 | 430.346 | 
| 921.995 | 125.721 | 19.216 | -0.000 | -0.000 | -0.000 | 
| 115.591 | 965.992 | 60.528 | -0.000 | -0.000 | 0.000 | 
| 13.076 | 60.986 | 1177.778 | -0.000 | -0.000 | 0.000 | 
| 0.639 | 0.155 | -0.485 | 506.418 | -0.000 | -0.000 | 
| 0.619 | 0.150 | -0.470 | -0.000 | 486.444 | -0.000 | 
| 0.825 | -0.040 | -0.249 | 0.000 | -0.000 | 421.545 | 
| 935.937 | 97.018 | 43.421 | 0.000 | 0.000 | 0.000 | 
| 110.689 | 965.162 | 66.942 | 0.000 | 0.000 | -0.000 | 
| 14.902 | 56.463 | 1179.070 | -0.000 | 0.000 | 0.000 | 
| -0.639 | -0.155 | 0.485 | 506.418 | 0.000 | 0.000 | 
| -0.619 | -0.150 | 0.470 | 0.000 | 486.444 | 0.000 | 
| -0.825 | 0.040 | 0.249 | -0.000 | -0.000 | 421.545 | 
| 933.999 | -5.002 | 40.132 | -0.000 | 91.205 | 0.000 | 
| -2.233 | 1123.636 | 12.707 | -0.000 | -58.157 | -0.000 | 
| 244.415 | -215.308 | 850.206 | 0.000 | 146.247 | 0.000 | 
| 0.000 | 0.000 | 0.000 | 545.924 | 0.000 | -45.031 | 
| 209.275 | -286.763 | -142.362 | -0.000 | 565.058 | 0.000 | 
| 0.000 | 0.000 | 0.000 | -47.959 | -0.000 | 454.459 | 
| 748.124 | 343.619 | 80.350 | 0.000 | -115.820 | 0.000 | 
| -157.535 | 1324.347 | 178.473 | 0.000 | -175.686 | -0.000 | 
| 37.794 | 286.808 | 975.536 | 0.000 | -160.590 | 0.000 | 
| -0.000 | -0.000 | -0.000 | 545.924 | -0.000 | -45.031 | 
| 39.028 | -55.229 | 18.492 | 0.000 | 457.815 | -0.000 | 
| -0.000 | -0.000 | -0.000 | -47.959 | -0.000 | 454.459 | 
| 823.835 | 15.365 | 88.582 | -0.000 | 78.736 | -0.000 | 
| -2.233 | 1123.636 | 12.707 | -0.000 | -58.157 | -0.000 | 
| 78.275 | 30.882 | 967.275 | -0.000 | 1.384 | 0.000 | 
| 12.217 | -29.843 | -4.663 | 485.003 | 17.675 | -5.388 | 
| 26.049 | -44.961 | -11.273 | -0.000 | 425.692 | -0.000 | 
| -0.000 | 0.000 | 0.000 | -47.959 | -0.000 | 454.459 | 
| 812.301 | 77.437 | 82.523 | 0.000 | 41.976 | -0.000 | 
| 7.818 | 1077.014 | 61.001 | 0.000 | -29.446 | -0.000 | 
| 73.819 | 73.778 | 965.438 | 0.000 | -24.134 | 0.000 | 
| -12.217 | 29.843 | 4.663 | 485.003 | -17.675 | -5.388 | 
| 6.517 | 16.394 | -10.492 | -0.000 | 387.644 | -0.000 | 
| 0.000 | -0.000 | -0.000 | -47.959 | 0.000 | 454.459 | 
| 815.283 | 43.998 | 87.924 | -0.000 | 61.826 | 0.000 | 
| 39.545 | 1045.734 | 38.060 | -0.000 | -14.861 | -0.000 | 
| 64.264 | 55.595 | 974.054 | 0.000 | -13.781 | 0.000 | 
| 0.360 | -2.441 | -0.088 | 484.754 | 1.517 | -6.022 | 
| 28.606 | -17.818 | -11.848 | -0.000 | 410.965 | 0.000 | 
| 1.262 | -3.039 | -0.495 | -7.416 | 1.800 | 404.433 | 
| 814.083 | 50.275 | 87.136 | 0.000 | 58.104 | -0.000 | 
| 22.332 | 1055.956 | 49.540 | 0.000 | -17.020 | -0.000 | 
| 61.496 | 62.554 | 973.756 | 0.000 | -18.330 | -0.000 | 
| -0.360 | 2.441 | 0.088 | 484.754 | -1.517 | -6.022 | 
| 13.696 | -7.350 | -8.472 | 0.000 | 403.304 | -0.000 | 
| -1.262 | 3.039 | 0.495 | -7.416 | -1.800 | 404.433 | 
| -153461544.534 | -85271713.917 | -87357364.011 | 843047.853 | -487519.348 | 2393344.814 | 
| -152372474.622 | -84769192.079 | -86707362.658 | 834823.202 | -604849.003 | 2373975.712 | 
| -150914610.428 | -84883480.312 | -85097027.097 | 1084202.459 | -248448.595 | 2247063.710 | 
| -153557560.433 | -85615909.996 | -87201336.755 | 808329.327 | -451854.993 | 2354735.947 | 
| -152630599.782 | -84814244.472 | -86344280.713 | 915594.580 | -507909.622 | 2466413.953 | 
| -152725816.494 | -85024479.726 | -86415966.214 | 943591.836 | -549578.246 | 2693980.265 | 
| 150010198.398 | 83874333.667 | 85474694.691 | -1359452.112 | 253029.742 | -2558438.979 | 
| 149954613.705 | 84226284.628 | 84985306.065 | -1016421.225 | 24819.577 | -2508388.395 | 
| 151870374.501 | 84632504.632 | 87453597.011 | -699663.262 | 839122.025 | -2098014.152 | 
| 152546737.030 | 84754202.244 | 86800785.251 | -931312.116 | 585081.338 | -2545964.107 | 
| 152999752.716 | 85222548.840 | 87967775.318 | -526944.219 | 300765.728 | -2152227.701 | 
| 152131348.658 | 84864472.960 | 86263738.191 | -934710.819 | 567885.143 | -2494689.390 | 
| -15288732.197 | -8503917.400 | -8628026.740 | 77302.136 | -34735.835 | 251477.297 | 
| -15481335.573 | -8583809.204 | -8793697.289 | 70788.877 | -20486.945 | 207486.976 | 
| -15319912.015 | -8520394.282 | -8722812.706 | 79004.537 | -63591.496 | 268970.848 | 
| -15419506.371 | -8544964.902 | -8797168.618 | 73876.482 | -36447.129 | 202798.594 | 
| -15306893.495 | -8505167.636 | -8607091.491 | 84062.646 | -52528.654 | 223134.889 | 
| -15370455.622 | -8575743.760 | -8738336.019 | 25301.177 | -41412.354 | 205664.616 | 
| 15031517.428 | 8444528.594 | 8676759.775 | -80090.911 | 12836.145 | -224394.813 | 
| 15530209.407 | 8593215.917 | 8704348.337 | -62040.648 | 50148.866 | -208130.234 | 
| 15126367.548 | 8460127.633 | 8514674.366 | -101979.786 | -28320.798 | -206572.762 | 
| 15149719.313 | 8459596.081 | 8558846.805 | -100316.038 | 40873.720 | -236496.139 | 
| 14973906.131 | 8396020.870 | 8491207.092 | -120383.520 | 42613.356 | -248328.215 | 
| 15482275.611 | 8590801.746 | 8843896.822 | -58442.801 | 27080.647 | -223423.821 | 
| -1535386.111 | -852586.751 | -868637.107 | 8051.051 | -5196.096 | 22877.145 | 
| -1530488.082 | -850175.896 | -867033.430 | 9707.260 | -5941.448 | 22884.888 | 
| -1534550.340 | -850902.255 | -868655.080 | 10619.205 | -4519.839 | 23193.257 | 
| -1509228.826 | -848023.199 | -875001.182 | 4076.036 | -6594.121 | 19936.697 | 
| -1504373.174 | -840085.424 | -846977.367 | 9838.307 | -5637.704 | 21742.282 | 
| -1511364.782 | -843586.670 | -843466.289 | 9526.710 | -1187.919 | 25318.296 | 
| 1497038.369 | 836487.382 | 852081.396 | -9878.031 | 1548.487 | -23438.651 | 
| 1521780.104 | 845938.866 | 863293.704 | -9612.016 | 7092.810 | -24486.781 | 
| 1525447.068 | 853589.051 | 874349.625 | -5847.763 | 2877.209 | -21717.968 | 
| 1528785.049 | 855173.294 | 856423.632 | -7557.021 | 2332.162 | -23990.914 | 
| 1525882.478 | 847651.754 | 857694.570 | -9778.292 | 4223.045 | -25447.377 | 
| 1498862.649 | 843337.167 | 849292.788 | -8287.591 | 1819.512 | -25823.093 | 
| 462.916 | 77.939 | 77.939 | -0.000 | 0.000 | -0.000 | 
| 77.939 | 462.915 | 77.939 | -0.000 | -0.000 | -0.000 | 
| 77.939 | 77.939 | 462.916 | -0.000 | -0.000 | -0.000 | 
| 0.027 | 0.027 | 0.027 | 273.321 | 0.000 | -0.000 | 
| 0.027 | 0.027 | 0.027 | 0.000 | 273.321 | -0.000 | 
| 0.027 | 0.027 | 0.027 | 0.000 | 0.000 | 273.321 | 
| 566.379 | 30.511 | 30.511 | -0.000 | 0.000 | 0.000 | 
| 30.511 | 566.380 | 30.511 | -0.000 | 0.000 | 0.000 | 
| 30.511 | 30.511 | 566.380 | 0.000 | 0.000 | 0.000 | 
| -0.027 | -0.027 | -0.027 | 273.321 | -0.000 | 0.000 | 
| -0.027 | -0.027 | -0.027 | 0.000 | 273.321 | 0.000 | 
| -0.027 | -0.027 | -0.027 | 0.000 | -0.000 | 273.321 | 
| 462.897 | 77.928 | 77.928 | -0.000 | 0.000 | -0.000 | 
| 77.928 | 462.897 | 77.928 | -0.000 | 0.000 | -0.000 | 
| 77.928 | 77.928 | 462.897 | -0.000 | 0.000 | -0.000 | 
| 0.002 | 0.002 | 0.002 | 275.986 | 0.000 | -0.000 | 
| 0.002 | 0.002 | 0.002 | -0.000 | 275.986 | -0.000 | 
| 0.002 | 0.002 | 0.002 | -0.000 | -0.000 | 275.986 | 
| 462.894 | 77.926 | 77.926 | 0.000 | 0.000 | 0.000 | 
| 77.926 | 462.894 | 77.926 | 0.000 | 0.000 | 0.000 | 
| 77.926 | 77.926 | 462.894 | 0.000 | 0.000 | 0.000 | 
| -0.002 | -0.002 | -0.002 | 275.986 | -0.000 | 0.000 | 
| -0.002 | -0.002 | -0.002 | 0.000 | 275.986 | 0.000 | 
| -0.002 | -0.002 | -0.002 | 0.000 | -0.000 | 275.986 | 
| 455.601 | 80.174 | 80.174 | -0.000 | 0.000 | -0.000 | 
| 80.174 | 455.601 | 80.174 | -0.000 | 0.000 | -0.000 | 
| 80.174 | 80.174 | 455.601 | -0.000 | 0.000 | -0.000 | 
| 0.000 | 0.000 | 0.001 | 273.321 | 0.000 | -0.000 | 
| 0.000 | 0.000 | 0.001 | 0.000 | 273.321 | -0.000 | 
| 0.000 | 0.001 | 0.000 | 0.000 | 0.000 | 273.321 | 
| 455.560 | 79.972 | 79.972 | -0.000 | -0.000 | 0.000 | 
| 79.972 | 455.560 | 79.972 | 0.000 | 0.000 | 0.000 | 
| 79.972 | 79.972 | 455.560 | -0.000 | -0.000 | 0.000 | 
| -0.000 | -0.000 | -0.001 | 273.321 | -0.000 | 0.000 | 
| -0.000 | -0.000 | -0.001 | -0.000 | 273.321 | 0.000 | 
| -0.000 | -0.001 | -0.000 | -0.000 | -0.000 | 273.321 | 
| 768.901 | 192.885 | 14.485 | -0.000 | -0.000 | -0.000 | 
| 13.624 | 1187.759 | -33.386 | -0.000 | -0.000 | -0.000 | 
| 55.360 | 217.627 | 893.632 | 0.000 | -0.000 | -0.000 | 
| 0.000 | 0.000 | 0.000 | 555.841 | -0.000 | -0.000 | 
| 0.000 | 0.000 | 0.000 | -0.000 | 461.097 | 0.000 | 
| -14.083 | 156.015 | -96.447 | 0.000 | -0.000 | 411.088 | 
| 903.175 | -123.923 | 187.786 | -0.000 | 0.000 | 0.000 | 
| 41.508 | 878.262 | 157.967 | -0.000 | -0.000 | 0.000 | 
| 47.571 | 29.766 | 1055.805 | 0.000 | -0.000 | -0.000 | 
| -0.000 | -0.000 | -0.000 | 555.841 | 0.000 | 0.000 | 
| -0.000 | -0.000 | -0.000 | 0.000 | 461.097 | -0.000 | 
| 14.083 | -156.015 | 96.447 | 0.000 | 0.000 | 411.088 | 
| 972.842 | -19.390 | 47.571 | -0.000 | -0.000 | 0.000 | 
| 29.496 | 1057.966 | 36.547 | 0.000 | -0.000 | -0.000 | 
| 95.659 | 61.746 | 967.696 | -0.000 | -0.000 | -0.000 | 
| -1.218 | 13.494 | -8.342 | 488.863 | 0.000 | -0.000 | 
| -8.116 | 16.707 | -8.569 | 0.000 | 407.283 | -0.000 | 
| -0.000 | 0.000 | 0.000 | -0.000 | -0.000 | 448.332 | 
| 835.142 | 17.183 | 119.164 | 0.000 | -0.000 | 0.000 | 
| -19.391 | 1115.314 | 29.766 | -0.000 | -0.000 | -0.000 | 
| 47.571 | 29.766 | 1055.804 | -0.000 | -0.000 | -0.000 | 
| 1.218 | -13.494 | 8.342 | 488.863 | -0.000 | 0.000 | 
| 8.116 | -16.707 | 8.569 | -0.000 | 407.283 | 0.000 | 
| 0.000 | -0.000 | -0.000 | 0.000 | -0.000 | 448.332 | 
| 819.921 | 45.209 | 102.560 | 0.000 | -0.000 | -0.000 | 
| 19.718 | 1047.786 | 56.185 | -0.000 | 0.000 | -0.000 | 
| 102.325 | 46.263 | 975.504 | 0.000 | 0.000 | -0.000 | 
| 0.000 | 0.001 | 0.001 | 555.841 | -0.000 | -0.000 | 
| -0.818 | 1.682 | -0.863 | -0.000 | 407.181 | -0.000 | 
| -0.000 | 0.000 | 0.000 | 0.000 | 0.000 | 448.332 | 
| 821.521 | 41.907 | 104.361 | 0.000 | 0.000 | 0.000 | 
| 20.416 | 1044.364 | 58.113 | -0.000 | 0.000 | 0.000 | 
| 103.266 | 42.189 | 978.003 | -0.000 | -0.000 | 0.000 | 
| -0.000 | -0.001 | -0.001 | 555.841 | 0.000 | 0.000 | 
| 0.881 | -1.764 | 0.858 | -0.000 | 406.745 | 0.000 | 
| 0.000 | -0.000 | -0.000 | 0.000 | -0.000 | 448.332 | 
| 573.401 | 58.370 | 1215.836 | -0.000 | -0.000 | 0.000 | 
| 489.548 | 866.611 | 1022.943 | -0.000 | -0.000 | 0.000 | 
| 39.688 | 32.695 | 1041.162 | -0.000 | -0.000 | -0.000 | 
| 0.000 | 0.000 | 0.000 | 557.333 | 0.000 | -0.000 | 
| -455.963 | 148.756 | 1073.687 | -0.000 | 330.200 | -0.000 | 
| 0.000 | 0.000 | -0.000 | -0.000 | 0.000 | 443.090 | 
| 377.404 | 167.058 | -764.194 | -0.000 | 0.000 | -0.000 | 
| -357.055 | 1142.052 | -810.398 | -0.000 | 0.000 | -0.000 | 
| 530.889 | -49.987 | -140.234 | -0.000 | 0.000 | 0.000 | 
| -0.000 | -0.000 | -0.000 | 557.333 | 0.000 | -0.000 | 
| 455.963 | -148.756 | -1073.687 | 0.000 | 330.200 | 0.000 | 
| 0.000 | -0.000 | -0.000 | -0.000 | 0.000 | 443.090 | 
| 813.577 | 53.860 | 183.561 | 0.000 | 0.000 | -0.000 | 
| 98.743 | 1022.367 | 125.857 | -0.000 | -0.000 | -0.000 | 
| 99.632 | 22.094 | 1093.179 | -0.000 | -0.000 | 0.000 | 
| -30.276 | 6.517 | 113.065 | 485.217 | -0.000 | -0.000 | 
| 43.177 | -17.027 | 90.460 | -0.000 | 406.164 | -0.000 | 
| -0.000 | 0.000 | 0.000 | 0.000 | -0.000 | 443.090 | 
| 834.323 | 77.315 | -29.945 | 0.000 | 0.000 | -0.000 | 
| 45.813 | 1050.092 | -55.168 | 0.000 | 0.000 | 0.000 | 
| 107.996 | 70.154 | 861.265 | -0.000 | 0.000 | -0.000 | 
| 30.276 | -6.517 | -113.065 | 485.217 | 0.000 | -0.000 | 
| -0.000 | -0.000 | -0.000 | 0.000 | 458.922 | 0.000 | 
| 0.000 | -0.000 | -0.000 | -0.000 | 0.000 | 443.090 | 
| 844.545 | 56.105 | 76.358 | -0.000 | -0.000 | 0.000 | 
| 49.891 | 1046.177 | 49.329 | -0.000 | -0.000 | -0.000 | 
| 91.302 | 45.434 | 975.582 | -0.000 | -0.000 | 0.000 | 
| -1.812 | 0.591 | 4.268 | 489.511 | -0.000 | 0.000 | 
| 1.398 | -1.285 | 10.380 | 0.000 | 405.970 | 0.000 | 
| -2.061 | 0.672 | 4.854 | -0.000 | -0.000 | 406.090 | 
| 808.245 | 51.125 | 81.161 | 0.000 | 0.000 | -0.000 | 
| 38.293 | 1048.455 | 31.840 | 0.000 | 0.000 | -0.000 | 
| 90.920 | 48.854 | 956.110 | 0.000 | 0.000 | -0.000 | 
| 1.812 | -0.591 | -4.268 | 489.511 | -0.000 | -0.000 | 
| -1.398 | 1.285 | -10.380 | 0.000 | 405.970 | -0.000 | 
| 2.061 | -0.672 | -4.854 | 0.000 | 0.000 | 406.090 | 
| 8.472 | 1.285 | 1.284 | -0.004 | 0.010 | 0.008 | 
| 1.285 | 8.483 | 1.286 | 0.011 | -0.006 | 0.005 | 
| 1.284 | 1.286 | 8.469 | 0.004 | 0.005 | -0.005 | 
| -33.137 | -35.486 | -32.916 | -0.134 | -0.558 | -0.684 | 
| -33.841 | -36.257 | -33.720 | -0.910 | 1.933 | -1.056 | 
| -26.592 | -28.386 | -26.348 | -0.479 | -0.736 | -0.650 | 
| 34.252 | 31.824 | 29.715 | 0.188 | 0.581 | 0.633 | 
| 34.101 | 37.180 | 33.718 | 0.327 | 0.501 | 0.639 | 
| 32.029 | 34.066 | 31.745 | 0.335 | 0.499 | 0.663 | 
| 33.517 | 36.002 | 33.356 | 0.327 | 0.467 | 0.588 | 
| 12.086 | 14.297 | 12.058 | 0.300 | 0.722 | 0.398 | 
| 32.967 | 35.114 | 32.647 | 0.317 | 0.528 | 0.502 | 
| -2.653 | -3.641 | -3.398 | -0.085 | -0.079 | -0.052 | 
| -3.730 | -4.291 | -3.657 | -0.017 | -0.030 | -0.066 | 
| -3.654 | -3.924 | -3.319 | -0.008 | -0.050 | -0.051 | 
| -3.290 | -3.531 | -3.247 | -0.205 | -0.065 | -0.083 | 
| -2.120 | -2.364 | -2.109 | -0.003 | -0.595 | -0.049 | 
| -3.187 | -3.405 | -3.152 | -0.028 | -0.042 | -0.102 | 
| 8.472 | 1.285 | 1.284 | -0.004 | 0.010 | 0.008 | 
| 1.285 | 8.483 | 1.286 | 0.011 | -0.006 | 0.005 | 
| 1.284 | 1.286 | 8.470 | 0.004 | 0.005 | -0.005 | 
| 3.231 | 3.461 | 3.226 | -0.307 | 0.091 | 0.055 | 
| 3.237 | 3.454 | 3.227 | 0.091 | -0.305 | 0.056 | 
| 3.141 | 3.371 | 3.126 | 0.043 | 0.064 | -0.027 | 
| -0.303 | -0.242 | -0.222 | 0.002 | -0.005 | -0.009 | 
| -0.189 | -0.424 | -0.183 | -0.002 | -0.007 | -0.010 | 
| -0.344 | -0.360 | -0.276 | -0.005 | -0.006 | -0.009 | 
| -0.326 | -0.349 | -0.324 | 0.000 | -0.006 | -0.007 | 
| -0.330 | -0.352 | -0.327 | -0.003 | -0.005 | -0.007 | 
| -0.356 | -0.379 | -0.355 | -0.003 | -0.005 | 0.028 | 
| 0.314 | 0.667 | 0.648 | 0.006 | 0.012 | 0.010 | 
| 0.617 | 0.391 | 0.625 | 0.012 | 0.008 | 0.006 | 
| -0.009 | 0.001 | 0.424 | -0.000 | 0.003 | 0.005 | 
| 0.286 | 0.306 | 0.284 | 0.140 | 0.005 | 0.005 | 
| 0.322 | 0.341 | 0.318 | 0.004 | -0.001 | 0.006 | 
| 0.330 | 0.352 | 0.327 | 0.003 | 0.005 | 0.004 | 
| 759.966 | -57.872 | -57.871 | 0.000 | -0.000 | 0.000 | 
| -57.873 | 759.967 | -57.872 | 0.000 | -0.000 | 0.000 | 
| -57.872 | -57.872 | 759.968 | 0.000 | -0.000 | 0.000 | 
| 0.216 | 0.217 | 0.218 | 390.425 | -0.000 | 0.000 | 
| 0.216 | 0.217 | 0.218 | 0.000 | 390.425 | 0.000 | 
| 0.216 | 0.217 | 0.218 | 0.000 | -0.000 | 390.425 | 
| 679.834 | -21.759 | -21.759 | -0.000 | 0.000 | -0.000 | 
| -21.758 | 679.834 | -21.759 | -0.000 | 0.000 | -0.000 | 
| -21.740 | -21.741 | 679.797 | -0.000 | 0.000 | -0.000 | 
| -0.216 | -0.217 | -0.218 | 390.425 | 0.000 | -0.000 | 
| -0.216 | -0.217 | -0.218 | -0.000 | 390.425 | -0.000 | 
| -0.217 | -0.217 | -0.218 | -0.000 | 0.000 | 390.425 | 
| 762.378 | -59.262 | -59.261 | 0.000 | -0.000 | 0.000 | 
| -59.261 | 762.379 | -59.262 | 0.000 | -0.000 | 0.000 | 
| -59.262 | -59.261 | 762.379 | 0.000 | -0.000 | 0.000 | 
| 0.022 | 0.022 | 0.022 | 390.510 | -0.000 | 0.000 | 
| -0.348 | -0.348 | -0.348 | 0.000 | 319.700 | 0.000 | 
| 0.022 | 0.022 | 0.022 | 0.000 | -0.000 | 390.510 | 
| 762.752 | -59.489 | -59.490 | -0.000 | 0.000 | -0.000 | 
| -373.823 | 1399.264 | -373.824 | 0.000 | -0.000 | 0.000 | 
| -373.824 | -373.823 | 1399.264 | 0.000 | -0.000 | 0.000 | 
| -0.022 | -0.022 | -0.022 | 390.510 | 0.000 | -0.000 | 
| 0.348 | 0.348 | 0.348 | -0.000 | 319.700 | -0.000 | 
| 0.348 | 0.348 | 0.348 | -0.000 | 0.000 | 319.700 | 
| 576.407 | 0.153 | 0.245 | 0.000 | -0.000 | 0.000 | 
| 0.245 | 576.407 | 0.153 | 0.000 | -0.000 | 0.000 | 
| 0.153 | 0.245 | 576.407 | 0.000 | -0.000 | 0.000 | 
| -0.035 | -0.035 | -0.034 | 319.719 | -0.000 | 0.000 | 
| -0.101 | -0.098 | -0.096 | 0.000 | 265.493 | 0.000 | 
| -0.035 | -0.034 | -0.035 | 0.000 | -0.000 | 319.719 | 
| 762.242 | -59.215 | -59.224 | -0.000 | 0.000 | -0.000 | 
| -59.224 | 762.242 | -59.215 | -0.000 | 0.000 | -0.000 | 
| -59.215 | -59.224 | 762.242 | -0.000 | 0.000 | -0.000 | 
| 0.035 | 0.035 | 0.034 | 319.719 | 0.000 | -0.000 | 
| 0.101 | 0.098 | 0.096 | -0.000 | 265.493 | -0.000 | 
| 0.035 | 0.034 | 0.035 | -0.000 | 0.000 | 319.719 | 
| 102.419 | 62.313 | 67.058 | -0.627 | -1.625 | 0.605 | 
| 60.558 | 104.092 | 67.547 | -0.631 | -1.634 | 0.609 | 
| 148.203 | 148.824 | 174.427 | -0.424 | -1.173 | 0.353 | 
| 23.670 | 25.691 | 30.046 | -20.176 | -1.491 | 0.555 | 
| 136.060 | 136.337 | 138.360 | -0.199 | 37.536 | 0.149 | 
| 23.826 | 25.860 | 30.243 | -0.579 | -1.501 | -20.079 | 
| -71.522 | -143.061 | -144.965 | 0.183 | 0.602 | -0.133 | 
| -18.130 | 197.148 | -18.130 | 0.000 | -0.000 | -0.000 | 
| -142.891 | -143.118 | -73.562 | 0.182 | 0.600 | -0.133 | 
| -136.075 | -136.355 | -138.385 | 38.142 | 0.645 | -0.150 | 
| -23.829 | -25.863 | -30.247 | 0.579 | -19.157 | -0.559 | 
| -23.671 | -25.692 | -30.047 | 0.575 | 1.491 | -20.159 | 
| 108.302 | 16.316 | 16.459 | -0.014 | -0.047 | 0.011 | 
| 12.163 | 76.598 | 12.362 | -0.015 | -0.053 | 0.010 | 
| 16.312 | 16.366 | 108.395 | -0.014 | -0.047 | 0.011 | 
| 13.987 | 14.002 | 14.135 | 31.812 | -0.028 | 0.004 | 
| 7.660 | 7.711 | 7.854 | -0.013 | 55.142 | 0.010 | 
| 0.913 | 0.991 | 1.159 | -0.022 | -0.057 | 77.457 | 
| 26.049 | -24.775 | -24.972 | 0.004 | 0.014 | -0.004 | 
| -24.745 | 25.966 | -24.928 | 0.004 | 0.014 | -0.004 | 
| -30.820 | -30.888 | 15.981 | 0.013 | 0.039 | -0.011 | 
| -0.923 | -1.001 | -1.171 | 76.809 | 0.058 | -0.022 | 
| -7.677 | -7.729 | -7.875 | 0.014 | 53.977 | -0.010 | 
| -14.752 | -14.789 | -14.966 | 0.018 | 0.053 | 24.350 | 
| 6.005 | -20.456 | -20.350 | 0.003 | 0.009 | -0.003 | 
| -17.802 | 6.194 | -17.813 | -0.002 | -0.007 | 0.002 | 
| -24.071 | -24.040 | 9.039 | -0.001 | -0.004 | 0.001 | 
| 1.615 | 1.568 | 1.645 | 11.026 | -0.004 | 0.001 | 
| 1.588 | 1.630 | 1.609 | -0.002 | 11.000 | 0.002 | 
| 0.692 | 0.696 | 0.710 | -0.002 | -0.005 | 5.761 | 
| 3.392 | -20.880 | -20.939 | 0.002 | 0.005 | -0.001 | 
| -25.583 | 8.367 | -25.619 | 0.002 | 0.005 | -0.001 | 
| -21.205 | -21.207 | 3.973 | 0.002 | 0.005 | -0.001 | 
| -1.555 | -1.571 | -1.572 | 11.123 | 0.005 | -0.001 | 
| -0.540 | -0.549 | -0.562 | 0.002 | 5.438 | -0.001 | 
| -0.692 | -0.696 | -0.711 | 0.002 | 0.005 | 5.758 | 
| 58180743.473 | -80260696.359 | -114469444.437 | 1259827.625 | -1928054.176 | -1963004.081 | 
| 57956341.372 | -80130457.615 | -114300134.942 | 1282404.448 | -1930516.838 | -1897686.985 | 
| 57963883.621 | -80095117.046 | -114222846.664 | 1260944.810 | -1934559.555 | -1925164.514 | 
| 58013454.172 | -80159944.929 | -114310040.433 | 1225850.806 | -1894838.469 | -1925976.839 | 
| 57964323.790 | -80125026.372 | -114298287.600 | 1250309.620 | -1906292.126 | -1895077.686 | 
| 57725555.549 | -79831047.462 | -114211636.946 | 1286982.240 | -1987808.240 | -1922588.653 | 
| -58206668.480 | 80352325.918 | 114441524.031 | -1230470.670 | 1926627.606 | 2011953.075 | 
| -58078056.826 | 80247961.454 | 114339886.184 | -1208912.553 | 1895475.001 | 2009194.092 | 
| -58002570.820 | 80091327.446 | 114266083.165 | -1245049.408 | 1921589.882 | 1927802.681 | 
| -57840958.706 | 79966502.247 | 114245402.680 | -1290554.201 | 1888561.812 | 1910143.607 | 
| -58001262.651 | 80155017.815 | 114293593.556 | -1222383.111 | 1910713.458 | 1923967.548 | 
| -57892804.473 | 80039611.037 | 114220851.396 | -1267288.920 | 1918808.315 | 1928715.986 | 
| 5792750.756 | -8010442.150 | -11429952.661 | 128821.442 | -195822.935 | -191663.226 | 
| 5797987.561 | -8004482.271 | -11435101.184 | 127525.024 | -197812.366 | -192486.112 | 
| 5812100.597 | -8023129.206 | -11441079.530 | 123097.250 | -189828.212 | -195074.427 | 
| 5801951.126 | -8011027.562 | -11424981.040 | 124565.591 | -193151.720 | -192524.695 | 
| 5774660.295 | -7991167.404 | -11418649.632 | 129698.949 | -193821.484 | -196170.294 | 
| 5770594.596 | -7984632.908 | -11413694.925 | 133951.414 | -198319.202 | -203286.409 | 
| -5796241.887 | 8011737.515 | 11429596.184 | -123924.017 | 188343.532 | 190708.111 | 
| -5798185.937 | 7998018.568 | 11432781.177 | -125205.750 | 194469.382 | 194111.075 | 
| -5790407.427 | 8008029.832 | 11427026.875 | -125779.263 | 192737.131 | 188798.071 | 
| -5794741.700 | 8006952.526 | 11425128.600 | -125300.516 | 193261.402 | 193965.632 | 
| -5801923.536 | 8016791.313 | 11431484.390 | -122943.244 | 191843.156 | 191382.733 | 
| -5814502.238 | 8024386.189 | 11440339.104 | -124557.914 | 191093.715 | 193175.278 | 
| 579867.998 | -801299.937 | -1142066.145 | 12393.647 | -19270.107 | -19284.768 | 
| 579591.230 | -801077.629 | -1142502.611 | 12697.409 | -19464.116 | -18895.561 | 
| 581078.144 | -801701.531 | -1143664.868 | 11854.390 | -19186.862 | -19964.454 | 
| 578684.287 | -799434.670 | -1142860.351 | 12653.005 | -19373.701 | -19192.091 | 
| 581486.138 | -801328.459 | -1144285.875 | 11786.882 | -19330.566 | -19633.782 | 
| 579642.998 | -801242.792 | -1142970.984 | 12335.203 | -18924.841 | -18950.498 | 
| -586343.394 | 805256.787 | 1146756.966 | -10932.857 | 19260.305 | 19115.280 | 
| -579052.339 | 800332.511 | 1141907.135 | -12773.882 | 19149.216 | 19424.758 | 
| -576779.715 | 798401.061 | 1141083.034 | -13315.603 | 19773.180 | 19873.792 | 
| -580256.477 | 801750.740 | 1142945.528 | -12376.850 | 18878.922 | 19362.718 | 
| -577032.129 | 798421.046 | 1141659.681 | -13134.022 | 19755.056 | 19843.846 | 
| -580692.208 | 802077.778 | 1143233.567 | -12014.258 | 18793.630 | 19561.632 | 
| 8994525.914 | -10141736.430 | 38731898.205 | -3583258.537 | 15969310.765 | 2122967.642 | 
| 9148402.108 | -10237856.027 | 39524566.046 | -3843343.697 | 16372242.903 | 2032225.212 | 
| 9001010.720 | -10271351.501 | 38718986.960 | -3670140.436 | 15998349.308 | 2140462.613 | 
| 9258748.952 | -10300515.994 | 39535557.369 | -4009775.926 | 16287316.864 | 1909697.288 | 
| 9247653.407 | -10073994.169 | 39680722.731 | -3794683.358 | 16431728.406 | 2032988.297 | 
| 9228496.740 | -10651255.887 | 39923280.544 | -4409565.234 | 16287167.952 | 1377604.675 | 
| -9114230.244 | 10722503.875 | -39582439.846 | 4306429.553 | -16254380.052 | -1702097.846 | 
| -9260098.968 | 9852011.010 | -39788719.508 | 3709843.494 | -16331934.522 | -1864986.178 | 
| -9389424.878 | 9644494.585 | -40740445.035 | 4114227.762 | -16751554.858 | -1751230.899 | 
| -8876920.223 | 10315668.162 | -38435939.032 | 3669748.331 | -15731014.930 | -2118662.950 | 
| -9097896.153 | 10188284.550 | -38905616.999 | 3648860.096 | -16195358.232 | -2338867.492 | 
| -9368262.196 | 10027863.998 | -40794275.695 | 4396387.695 | -16676919.211 | -1417754.652 | 
| 900144.095 | -962678.437 | 3840278.073 | -334373.808 | 1578485.945 | 249905.786 | 
| 913286.159 | -1027488.807 | 3962395.402 | -391600.218 | 1630797.108 | 180904.797 | 
| 896023.254 | -965907.975 | 3827487.485 | -332706.285 | 1574887.065 | 235137.907 | 
| 917759.477 | -1060162.492 | 3992073.193 | -437874.414 | 1636666.419 | 153515.707 | 
| 933953.603 | -868435.197 | 3945954.839 | -271696.586 | 1638775.528 | 258208.777 | 
| 905840.217 | -1020868.891 | 3946737.769 | -382104.810 | 1617282.590 | 175681.801 | 
| -897258.591 | 1051660.542 | -3890911.548 | 390822.273 | -1590674.698 | -164588.801 | 
| -918304.025 | 1064181.672 | -3991556.111 | 439019.728 | -1630686.962 | -145372.876 | 
| -944789.296 | 990777.692 | -4102139.312 | 431041.516 | -1663070.420 | -112767.719 | 
| -918417.854 | 995767.303 | -3911015.622 | 354125.503 | -1616245.154 | -224201.033 | 
| -962978.524 | 969422.194 | -4209501.416 | 485880.383 | -1699839.877 | -104552.961 | 
| -916182.369 | 978782.106 | -3917343.287 | 354251.243 | -1618796.062 | -223126.964 | 
| 89445.431 | -109885.589 | 385245.566 | -41086.257 | 157780.809 | 18524.554 | 
| 91009.530 | -108135.644 | 396594.314 | -43962.712 | 162880.477 | 17723.976 | 
| 94364.031 | -96293.483 | 408077.838 | -40902.229 | 167574.415 | 16400.384 | 
| 91501.355 | -101209.907 | 396719.317 | -39034.030 | 163008.006 | 18469.723 | 
| 88136.588 | -112070.203 | 379329.470 | -41965.749 | 155042.747 | 18865.348 | 
| 94121.358 | -98748.404 | 410129.212 | -43895.194 | 167203.544 | 14112.994 | 
| -92500.126 | 99288.073 | -398106.244 | 38268.984 | -164841.518 | -20690.125 | 
| -89673.312 | 99624.550 | -386260.792 | 34308.902 | -158752.271 | -21853.929 | 
| -90424.028 | 107990.542 | -387288.371 | 40193.161 | -160169.746 | -19062.344 | 
| -90872.470 | 95978.774 | -388991.438 | 32236.217 | -160008.624 | -23040.760 | 
| -91066.167 | 106854.096 | -396093.682 | 42500.817 | -162304.688 | -15358.065 | 
| -91936.055 | 106007.790 | -397118.558 | 42441.703 | -162487.676 | -16281.208 | 
| 1038.367 | 5.614 | 5.614 | -0.000 | -0.000 | 0.000 | 
| 5.614 | 1038.367 | 5.614 | -0.000 | 0.000 | 0.000 | 
| 5.614 | 5.614 | 1038.367 | 0.000 | 0.000 | 0.000 | 
| -7.658 | -7.658 | -7.658 | 424.111 | 0.000 | 0.000 | 
| -7.658 | -7.658 | -7.658 | -0.000 | 424.111 | 0.000 | 
| -7.658 | -7.658 | -7.658 | -0.000 | 0.000 | 424.111 | 
| 1057.412 | 20.139 | 20.139 | 0.000 | -0.000 | -0.000 | 
| 20.139 | 1057.412 | 20.139 | 0.000 | -0.000 | -0.000 | 
| 20.139 | 20.139 | 1057.412 | 0.000 | 0.000 | -0.000 | 
| 7.658 | 7.658 | 7.658 | 424.111 | 0.000 | -0.000 | 
| 7.658 | 7.658 | 7.658 | 0.000 | 424.111 | -0.000 | 
| 7.658 | 7.658 | 7.658 | 0.000 | -0.000 | 424.111 | 
| 1057.413 | 20.139 | 20.139 | -0.000 | 0.000 | 0.000 | 
| 20.139 | 1057.413 | 20.139 | -0.000 | 0.000 | 0.000 | 
| 20.139 | 20.139 | 1057.413 | -0.000 | -0.000 | 0.000 | 
| -0.818 | -0.818 | -0.817 | 422.822 | 0.000 | 0.000 | 
| -0.818 | -0.818 | -0.817 | -0.000 | 422.822 | 0.000 | 
| -0.818 | -0.817 | -0.818 | -0.000 | -0.000 | 422.822 | 
| 1046.398 | 15.519 | 15.519 | 0.000 | -0.000 | -0.000 | 
| 15.519 | 1046.398 | 15.519 | -0.000 | -0.000 | -0.000 | 
| 15.519 | 15.519 | 1046.398 | 0.000 | 0.000 | -0.000 | 
| 0.818 | 0.818 | 0.817 | 422.822 | -0.000 | -0.000 | 
| 0.818 | 0.818 | 0.817 | 0.000 | 422.822 | -0.000 | 
| 0.818 | 0.817 | 0.818 | 0.000 | -0.000 | 422.822 | 
| 1044.378 | 11.622 | 11.621 | -0.000 | 0.000 | 0.000 | 
| 11.621 | 1044.378 | 11.622 | -0.000 | 0.000 | 0.000 | 
| 11.622 | 11.621 | 1044.378 | 0.000 | 0.000 | 0.000 | 
| -0.036 | -0.036 | -0.036 | 429.493 | 0.000 | 0.000 | 
| -0.036 | -0.036 | -0.036 | 0.000 | 429.493 | 0.000 | 
| -0.036 | -0.036 | -0.036 | -0.000 | 0.000 | 429.493 | 
| 1044.491 | 11.741 | 11.741 | 0.000 | 0.000 | -0.000 | 
| 11.741 | 1044.491 | 11.741 | 0.000 | -0.000 | -0.000 | 
| 11.741 | 11.741 | 1044.491 | -0.000 | -0.000 | -0.000 | 
| 0.036 | 0.036 | 0.036 | 429.493 | -0.000 | -0.000 | 
| 0.036 | 0.036 | 0.036 | -0.000 | 429.493 | -0.000 | 
| 0.036 | 0.036 | 0.036 | 0.000 | -0.000 | 429.493 | 
| 882.217 | -27.239 | -27.239 | -0.000 | -0.000 | 0.000 | 
| -27.239 | 882.217 | -27.239 | 0.000 | 0.000 | 0.000 | 
| -27.239 | -27.239 | 882.217 | 0.000 | -0.000 | 0.000 | 
| 0.000 | 0.000 | 0.000 | 358.977 | 0.000 | 0.000 | 
| 0.000 | 0.000 | 0.000 | 0.000 | 358.977 | 0.000 | 
| 0.000 | 0.000 | 0.000 | -0.000 | 0.000 | 358.977 | 
| 882.216 | -27.239 | -27.239 | -0.000 | 0.000 | -0.000 | 
| -27.239 | 882.216 | -27.239 | -0.000 | -0.000 | -0.000 | 
| -27.239 | -27.239 | 882.216 | -0.000 | -0.000 | -0.000 | 
| -0.000 | -0.000 | -0.000 | 358.977 | 0.000 | -0.000 | 
| -0.000 | -0.000 | -0.000 | -0.000 | 358.977 | -0.000 | 
| -0.000 | -0.000 | -0.000 | -0.000 | 0.000 | 358.977 | 
| 862.843 | -33.982 | -33.983 | -0.000 | 0.000 | 0.000 | 
| -33.983 | 862.843 | -33.982 | 0.000 | 0.000 | 0.000 | 
| -33.982 | -33.983 | 862.843 | 0.000 | -0.000 | 0.000 | 
| -0.000 | 0.000 | 0.000 | 349.656 | 0.000 | 0.000 | 
| 0.000 | -0.000 | 0.000 | 0.000 | 349.656 | 0.000 | 
| 0.000 | 0.000 | -0.000 | 0.000 | 0.000 | 349.656 | 
| 882.216 | -27.239 | -27.239 | 0.000 | 0.000 | -0.000 | 
| -27.239 | 882.216 | -27.239 | 0.000 | 0.000 | -0.000 | 
| -27.239 | -27.239 | 882.216 | 0.000 | 0.000 | -0.000 | 
| -0.000 | -0.000 | -0.000 | 349.656 | 0.000 | -0.000 | 
| -0.000 | 0.000 | -0.000 | -0.000 | 349.656 | -0.000 | 
| -0.000 | -0.000 | 0.000 | -0.000 | 0.000 | 349.656 | 
| 864.143 | -29.934 | -29.935 | -0.000 | -0.000 | 0.000 | 
| -29.935 | 864.143 | -29.934 | 0.000 | -0.000 | 0.000 | 
| -29.934 | -29.935 | 864.143 | 0.000 | -0.000 | 0.000 | 
| 0.000 | 0.000 | 0.001 | 358.977 | -0.000 | 0.000 | 
| 0.000 | 0.000 | 0.001 | -0.000 | 358.977 | 0.000 | 
| 0.000 | 0.001 | 0.000 | 0.000 | -0.000 | 358.977 | 
| 864.130 | -29.937 | -29.936 | -0.000 | 0.000 | -0.000 | 
| -29.936 | 864.130 | -29.937 | -0.000 | 0.000 | -0.000 | 
| -29.937 | -29.936 | 864.130 | 0.000 | 0.000 | -0.000 | 
| -0.000 | -0.000 | -0.001 | 358.977 | 0.000 | -0.000 | 
| -0.000 | -0.000 | -0.001 | -0.000 | 358.977 | -0.000 | 
| -0.000 | -0.001 | -0.000 | 0.000 | 0.000 | 358.977 | 
| 1175.885 | 85.231 | 66.864 | -0.000 | 0.000 | -0.000 | 
| 85.231 | 1175.885 | 66.864 | 0.000 | -0.000 | 0.000 | 
| 55.983 | 55.983 | 1211.504 | 0.000 | 0.000 | 0.000 | 
| -1.175 | -1.175 | 2.340 | 509.813 | 0.000 | 0.000 | 
| -1.175 | -1.175 | 2.340 | -0.000 | 509.813 | 0.000 | 
| -1.408 | -1.408 | 2.805 | -0.000 | 0.000 | 540.106 | 
| 1286.952 | 56.616 | -15.254 | 0.000 | 0.000 | 0.000 | 
| 88.028 | 1177.896 | 62.076 | -0.000 | -0.000 | -0.000 | 
| -14.195 | -14.195 | 1351.291 | -0.000 | 0.000 | -0.000 | 
| 1.175 | 1.175 | -2.340 | 509.813 | -0.000 | -0.000 | 
| 1.175 | 1.175 | -2.340 | 0.000 | 509.813 | 0.000 | 
| 1.408 | 1.408 | -2.805 | 0.000 | -0.000 | 540.106 | 
| 1176.790 | 86.485 | 64.714 | -0.000 | 0.000 | -0.000 | 
| 56.616 | 1286.953 | -15.254 | -0.000 | 0.000 | -0.000 | 
| 57.042 | 57.042 | 1209.395 | -0.000 | 0.000 | 0.000 | 
| 0.000 | 0.000 | 0.000 | 545.975 | 0.000 | 0.000 | 
| -0.117 | -0.117 | 0.234 | -0.000 | 509.813 | 0.000 | 
| -0.141 | -0.141 | 0.281 | -0.000 | 0.000 | 540.097 | 
| 1286.952 | 56.616 | -15.254 | 0.000 | -0.000 | 0.000 | 
| 86.764 | 1176.991 | 64.235 | 0.000 | -0.000 | -0.000 | 
| 57.276 | 57.276 | 1208.929 | 0.000 | -0.000 | -0.000 | 
| -0.000 | -0.000 | -0.000 | 545.975 | -0.000 | 0.000 | 
| 0.117 | 0.117 | -0.234 | 0.000 | 509.813 | -0.000 | 
| 0.141 | 0.141 | -0.281 | 0.000 | -0.000 | 540.097 | 
| 1176.049 | 95.857 | 56.123 | -0.000 | 0.000 | 0.000 | 
| 95.857 | 1176.044 | 56.128 | -0.000 | 0.000 | 0.000 | 
| 56.677 | 56.677 | 1210.127 | -0.000 | 0.000 | 0.000 | 
| -0.011 | -0.012 | 0.024 | 509.813 | 0.000 | 0.000 | 
| -0.012 | -0.011 | 0.024 | -0.000 | 509.813 | -0.000 | 
| -0.014 | -0.013 | 0.029 | -0.000 | 0.000 | 540.096 | 
| 1176.043 | 95.884 | 56.093 | 0.000 | 0.000 | -0.000 | 
| 86.636 | 1176.904 | 64.446 | 0.000 | -0.000 | -0.000 | 
| 57.163 | 57.163 | 1209.149 | 0.000 | -0.000 | -0.000 | 
| 0.011 | 0.012 | -0.024 | 509.813 | -0.000 | -0.000 | 
| 0.012 | 0.011 | -0.024 | 0.000 | 509.813 | -0.000 | 
| 0.014 | 0.013 | -0.029 | 0.000 | -0.000 | 540.096 | 
| 652820330.105 | -23303711.620 | 543653710.591 | -1362317.331 | 10847587.994 | 1461105.950 | 
| 653962399.789 | -23325300.201 | 545200299.288 | -993768.041 | 10924943.080 | 1672942.369 | 
| 654117980.597 | -23249641.234 | 545701921.133 | -1313069.228 | 10777465.621 | 1784480.869 | 
| 650856588.629 | -23420355.040 | 541256679.106 | -1243353.519 | 10803671.369 | 1308337.234 | 
| 654074696.965 | -23454995.068 | 545105196.553 | -1394934.807 | 10778749.663 | 1654925.636 | 
| 653223115.199 | -23329837.588 | 544268532.614 | -1372219.209 | 10868441.606 | 1585750.040 | 
| -653916769.744 | 23405764.658 | -545241914.097 | 1298287.128 | -10950775.263 | -1679119.211 | 
| -652472073.183 | 23235772.685 | -543335455.774 | 1392580.468 | -10819715.874 | -1394657.050 | 
| -653130494.827 | 23332893.772 | -543699310.844 | 1326580.111 | -10912233.550 | -1570943.396 | 
| -653710943.432 | 23352847.279 | -544777033.730 | 1395827.916 | -10776165.688 | -1803122.566 | 
| -654320360.996 | 23393352.287 | -544953608.487 | 1230433.248 | -10769194.610 | -1675055.363 | 
| -653109011.199 | 23362785.175 | -544085044.074 | 1423024.157 | -10945966.323 | -1577788.660 | 
| 65266343.672 | -2313293.939 | 54364746.198 | -134742.727 | 1077433.605 | 153257.252 | 
| 65224420.176 | -2331456.398 | 54267816.932 | -146487.373 | 1094623.495 | 153254.605 | 
| 65519471.338 | -2282403.947 | 54686965.717 | -118782.453 | 1093216.621 | 176642.788 | 
| 65294032.716 | -2343844.637 | 54348276.451 | -149583.493 | 1083513.616 | 153722.214 | 
| 65225284.877 | -2310299.499 | 54263366.911 | -120101.979 | 1085054.524 | 140784.823 | 
| 65060993.579 | -2339668.826 | 54065264.727 | -140005.209 | 1086458.063 | 136080.449 | 
| -65294128.804 | 2312372.493 | -54375260.050 | 138218.477 | -1090373.319 | -160611.182 | 
| -65273947.176 | 2325272.795 | -54370862.760 | 121142.585 | -1096274.644 | -146739.652 | 
| -65307135.353 | 2324249.297 | -54422890.316 | 145463.951 | -1088784.266 | -167537.335 | 
| -65319990.929 | 2346198.828 | -54472512.907 | 140242.242 | -1093171.519 | -158636.744 | 
| -65347060.466 | 2349890.759 | -54397977.807 | 149154.511 | -1096911.656 | -175460.564 | 
| -65323104.238 | 2378086.164 | -54402677.404 | 141377.685 | -1092464.477 | -147340.799 | 
| 6541664.997 | -232566.650 | 5451581.323 | -13980.493 | 108855.477 | 17763.278 | 
| 6522049.265 | -232023.852 | 5427409.970 | -12842.588 | 109238.685 | 15402.857 | 
| 6541043.601 | -232902.085 | 5461009.763 | -12073.110 | 108722.785 | 16230.506 | 
| 6540365.785 | -233721.248 | 5448089.137 | -13021.831 | 108452.575 | 17119.579 | 
| 6523186.823 | -233468.750 | 5429734.841 | -14031.147 | 109359.056 | 15094.784 | 
| 6529663.345 | -235177.119 | 5439668.281 | -14848.404 | 109202.924 | 16768.132 | 
| -6527147.052 | 235843.740 | -5440629.373 | 13165.346 | -109798.032 | -15032.596 | 
| -6532987.404 | 233741.500 | -5444334.597 | 12975.107 | -108704.171 | -15830.711 | 
| -6546135.034 | 231043.686 | -5459841.320 | 11516.120 | -108262.099 | -17593.533 | 
| -6533868.957 | 236853.438 | -5448794.074 | 12957.970 | -110336.498 | -14963.067 | 
| -6542022.348 | 232924.856 | -5452657.830 | 13167.545 | -108193.096 | -17124.928 | 
| -6545971.773 | 230649.964 | -5459300.927 | 16762.317 | -101495.214 | -19576.771 | 
| 2258.758 | -1590.141 | -451.742 | -0.000 | -0.000 | 0.000 | 
| 914.662 | -29.683 | -109.605 | -0.000 | 0.000 | 0.000 | 
| 1574.600 | -1241.880 | 290.598 | -0.000 | 0.000 | -0.000 | 
| 1679.029 | -1341.280 | -389.840 | 337.044 | 0.000 | 0.000 | 
| 1684.355 | -1345.535 | -391.077 | -0.000 | 184.868 | 0.000 | 
| 1682.240 | -1343.845 | -390.586 | -0.000 | 0.000 | 30.647 | 
| 1040.311 | -555.250 | -249.206 | 0.000 | -0.000 | 0.000 | 
| -1268.415 | 1746.501 | 228.036 | 0.000 | -0.000 | 0.000 | 
| -1784.174 | 1444.996 | 1066.331 | 0.000 | -0.000 | -0.000 | 
| -1679.029 | 1341.280 | 389.840 | 337.044 | -0.000 | -0.000 | 
| -1684.355 | 1345.535 | 391.077 | 0.000 | 184.868 | -0.000 | 
| -1682.240 | 1343.845 | 390.586 | 0.000 | -0.000 | 30.647 | 
| 539.457 | -210.674 | -59.032 | -0.000 | 0.000 | 0.000 | 
| -577.139 | 1172.423 | 167.217 | -0.000 | -0.000 | 0.000 | 
| 84.475 | -55.709 | 641.200 | -0.000 | -0.000 | -0.000 | 
| 159.909 | -127.742 | -37.128 | 338.282 | 0.000 | 0.000 | 
| -0.001 | 0.001 | 0.000 | -0.000 | 202.634 | -0.000 | 
| 183.241 | -146.381 | -42.545 | -0.000 | 0.000 | 29.568 | 
| 329.982 | -21.875 | -39.795 | 0.000 | 0.000 | -0.000 | 
| -250.968 | 933.546 | 53.740 | 0.000 | -0.000 | -0.000 | 
| -132.753 | 129.409 | 671.625 | 0.000 | -0.000 | -0.000 | 
| -159.909 | 127.742 | 37.128 | 338.282 | 0.000 | -0.000 | 
| 0.001 | -0.001 | -0.000 | 0.000 | 202.634 | -0.000 | 
| -183.241 | 146.381 | 42.545 | 0.000 | 0.000 | 29.568 | 
| 444.585 | -133.011 | -46.861 | -0.000 | 0.000 | 0.000 | 
| -151.142 | 841.386 | 50.536 | -0.000 | 0.000 | -0.000 | 
| -36.651 | 48.865 | 660.825 | -0.000 | 0.000 | -0.000 | 
| -25111872.802 | -12997578.606 | -11638303.586 | 793394.824 | -0.000 | -0.000 | 
| 659330.844 | -19077185.326 | -20510174.485 | 666163.578 | 196264.939 | 151901.818 | 
| 9.881 | -7.784 | -1.720 | -0.000 | -0.000 | 13.872 | 
| 425.097 | -115.916 | -44.449 | 0.000 | 0.000 | -0.000 | 
| -154.362 | 854.556 | 40.356 | 0.000 | 0.000 | -0.000 | 
| -62.781 | 72.060 | 664.766 | 0.000 | 0.000 | -0.000 | 
| 25111872.802 | 12997578.607 | 11638303.586 | 793394.824 | 0.000 | 0.000 | 
| 7650030.448 | 20951436.823 | 21347662.116 | -808094.147 | 227644.994 | -140683.975 | 
| -9.881 | 7.784 | 1.720 | 0.000 | -0.000 | 13.872 | 
| 2316.988 | 1160.535 | -2149.424 | 9.441 | -0.000 | -0.000 | 
| 1202.856 | 2265.743 | -2140.509 | -9.523 | 0.000 | -0.000 | 
| 1151.702 | 1151.702 | -976.509 | 0.000 | 0.000 | 0.000 | 
| 19.693 | -19.693 | 0.000 | 545.244 | 0.000 | -0.000 | 
| -0.000 | -0.000 | 0.000 | 0.000 | 545.244 | 19.693 | 
| -0.000 | 0.000 | 0.000 | 0.000 | 19.693 | 614.715 | 
| 1284.966 | 55.535 | -14.650 | 19.693 | -0.000 | 0.000 | 
| 55.535 | 1284.966 | -14.650 | -19.693 | -0.000 | 0.000 | 
| -1624.055 | -1624.055 | 4569.161 | 0.000 | -0.000 | -0.000 | 
| -1664.855 | -1673.334 | 3334.674 | 490.614 | -0.000 | -0.000 | 
| 0.000 | 0.000 | -0.000 | -0.000 | 545.244 | 19.693 | 
| 0.000 | -0.000 | -0.000 | -0.000 | 19.693 | 614.715 | 
| 1279.089 | 204.400 | -157.487 | 9.875 | 0.000 | 0.000 | 
| 297.088 | 1295.072 | -266.043 | -2.398 | 0.000 | 0.000 | 
| 167.032 | 167.032 | 990.760 | -0.000 | 0.000 | 0.000 | 
| 167.635 | 158.439 | -325.731 | 491.882 | 0.000 | 0.000 | 
| 110.319 | 110.319 | -220.406 | 0.000 | 509.048 | 9.454 | 
| 161.154 | 161.154 | -321.968 | -0.000 | 4.772 | 514.875 | 
| 1284.965 | 55.535 | -14.650 | 19.693 | -0.000 | -0.000 | 
| 55.535 | 1284.965 | -14.650 | -19.693 | -0.000 | 0.000 | 
| -50.871 | -50.871 | 1426.106 | -0.000 | -0.000 | 0.000 | 
| -99.915 | -119.045 | 218.729 | 509.440 | -0.000 | -0.000 | 
| -110.319 | -110.319 | 220.406 | -0.000 | 509.048 | 9.454 | 
| -161.154 | -161.154 | 321.968 | 0.000 | 4.772 | 514.875 | 
| 1184.332 | 102.311 | 39.155 | 8.678 | 0.000 | -0.000 | 
| 55.535 | 1284.971 | -14.650 | -19.693 | -0.000 | -0.000 | 
| 69.467 | 69.467 | 1185.688 | 0.000 | 0.000 | -0.000 | 
| 19.693 | -19.693 | 0.000 | 545.243 | 0.000 | -0.000 | 
| 11.679 | 11.680 | -23.333 | 0.000 | 507.018 | 8.879 | 
| 0.000 | 0.001 | 0.000 | 0.000 | 19.693 | 614.715 | 
| 1163.919 | 86.625 | 75.207 | 9.933 | -0.000 | -0.000 | 
| 77.914 | 1163.789 | 84.040 | -8.966 | -0.000 | 0.000 | 
| 48.186 | 48.186 | 1228.196 | 0.000 | -0.000 | 0.000 | 
| -2.800 | -20.558 | 23.333 | 507.018 | -0.000 | 0.000 | 
| -11.679 | -11.680 | 23.333 | -0.000 | 507.018 | 8.879 | 
| -0.000 | -0.001 | -0.000 | -0.000 | 19.693 | 614.715 | 
| 1285.444 | 55.403 | -14.306 | 14.079 | 0.000 | 0.000 | 
| 1882.212 | 2973.787 | -3529.458 | -6.806 | -0.000 | 0.000 | 
| -14.306 | -14.306 | 1355.153 | -0.000 | 0.000 | 0.000 | 
| 1801.052 | 1787.445 | -3588.497 | 509.324 | -0.000 | 0.000 | 
| 1791.225 | 1791.225 | -3582.450 | 0.000 | 509.385 | 6.816 | 
| 1794.309 | 1794.309 | -3588.617 | 0.000 | 6.803 | 545.759 | 
| 1285.444 | 55.403 | -14.306 | 14.079 | -0.000 | -0.000 | 
| 55.403 | 1285.444 | -14.306 | -14.079 | 0.000 | -0.000 | 
| -14.306 | -14.306 | 1355.153 | 0.000 | 0.000 | -0.000 | 
| 14.079 | -14.079 | -0.000 | 545.334 | -0.000 | -0.000 | 
| -1791.225 | -1791.225 | 3582.450 | -0.000 | 509.385 | 6.816 | 
| -1794.309 | -1794.309 | 3588.617 | -0.000 | 6.803 | 545.759 | 
| 1285.444 | 55.403 | -14.306 | 14.079 | 0.000 | -0.000 | 
| 55.403 | 1285.444 | -14.306 | -14.079 | -0.000 | 0.000 | 
| 236.957 | 236.957 | 852.627 | 0.000 | -0.000 | 0.000 | 
| 185.965 | 172.336 | -358.301 | 509.379 | -0.000 | 0.000 | 
| 0.000 | 0.000 | 0.000 | 0.000 | 545.334 | 14.079 | 
| 0.000 | 0.000 | 0.000 | 0.000 | 14.079 | 615.020 | 
| 1285.443 | 55.403 | -14.306 | 14.079 | 0.000 | -0.000 | 
| 55.403 | 1285.443 | -14.306 | -14.079 | -0.000 | -0.000 | 
| -121.645 | -121.645 | 1569.830 | -0.000 | 0.000 | -0.000 | 
| -172.335 | -185.965 | 358.300 | 509.379 | 0.000 | -0.000 | 
| -0.000 | -0.000 | -0.000 | -0.000 | 545.334 | 14.079 | 
| -0.000 | -0.000 | -0.000 | -0.000 | 14.079 | 615.020 | 
| 1194.652 | 108.638 | 23.255 | 6.514 | -0.000 | 0.000 | 
| 108.643 | 1194.644 | 23.258 | -6.513 | -0.000 | -0.000 | 
| 75.639 | 75.639 | 1175.267 | -0.000 | -0.000 | -0.000 | 
| 24.766 | 11.184 | -35.950 | 509.259 | -0.000 | 0.000 | 
| 0.000 | 0.000 | 0.000 | 0.000 | 545.334 | 14.079 | 
| 0.000 | 0.001 | 0.000 | 0.000 | 14.079 | 615.020 | 
| 1159.751 | 71.023 | 95.761 | 6.657 | 0.000 | 0.000 | 
| 55.402 | 1285.439 | -14.306 | -14.078 | -0.000 | -0.000 | 
| 39.745 | 39.745 | 1247.044 | 0.000 | 0.000 | -0.000 | 
| -11.135 | -24.744 | 35.879 | 509.330 | 0.000 | -0.000 | 
| -0.000 | -0.000 | -0.000 | -0.000 | 545.334 | 14.079 | 
| -0.000 | -0.001 | -0.000 | -0.000 | 14.079 | 615.020 | 
| 1284.140 | 54.843 | -14.100 | 14.056 | -0.000 | 0.000 | 
| 54.843 | 1284.140 | -14.100 | -14.056 | -0.000 | 0.000 | 
| -14.440 | -14.440 | 1355.502 | -0.000 | -0.000 | 0.000 | 
| 14.056 | -14.056 | 0.000 | 544.884 | -0.000 | 0.000 | 
| -0.000 | -0.000 | 0.000 | 0.000 | 544.884 | 14.056 | 
| -0.000 | 0.000 | 0.000 | 0.000 | 14.056 | 614.648 | 
| 1284.140 | 54.843 | -14.100 | 14.056 | 0.000 | 0.000 | 
| 8.674 | 1222.534 | 93.831 | -15.234 | 0.000 | -0.000 | 
| 21.214 | 21.214 | 1284.118 | 0.000 | 0.000 | 0.000 | 
| 14.056 | -14.056 | -0.000 | 544.884 | 0.000 | -0.000 | 
| 0.000 | 0.000 | -0.000 | -0.000 | 544.884 | 14.056 | 
| 0.000 | -0.000 | -0.000 | -0.000 | 14.056 | 614.648 | 
| 1284.140 | 54.843 | -14.100 | 14.056 | -0.000 | 0.000 | 
| 45.323 | 925.667 | 354.369 | 4.273 | 0.000 | -0.000 | 
| 98.366 | 98.366 | 1129.598 | 0.000 | 0.000 | -0.000 | 
| 14.056 | -14.056 | 0.000 | 544.884 | -0.000 | 0.000 | 
| 0.000 | 0.000 | 0.000 | 0.000 | 544.884 | 14.056 | 
| 0.000 | 0.000 | 0.000 | 0.000 | 14.056 | 614.648 | 
| 1284.139 | 54.843 | -14.100 | 14.056 | 0.000 | -0.000 | 
| 267.195 | 1076.492 | -18.809 | 8.005 | -0.000 | 0.000 | 
| -14.440 | -14.440 | 1355.502 | 0.000 | 0.000 | -0.000 | 
| 14.056 | -14.056 | -0.000 | 544.884 | 0.000 | -0.000 | 
| -0.000 | -0.000 | -0.000 | -0.000 | 544.884 | 14.056 | 
| -0.000 | -0.000 | -0.000 | -0.000 | 14.056 | 614.648 | 
| 1284.144 | 54.844 | -14.099 | 14.056 | -0.000 | 0.000 | 
| 87.236 | 1164.114 | 73.652 | -6.050 | 0.000 | -0.000 | 
| 53.471 | 53.471 | 1219.508 | -0.000 | 0.000 | -0.000 | 
| 14.056 | -14.056 | 0.000 | 544.884 | -0.000 | 0.000 | 
| 0.000 | 0.000 | 0.000 | 0.000 | 544.884 | 14.056 | 
| 0.000 | 0.001 | 0.000 | 0.000 | 14.056 | 614.648 | 
| 1284.135 | 54.842 | -14.100 | 14.056 | 0.000 | 0.000 | 
| 95.971 | 1170.532 | 58.470 | -5.928 | -0.000 | 0.000 | 
| 65.469 | 65.469 | 1195.471 | 0.000 | -0.000 | 0.000 | 
| 14.055 | -14.056 | -0.000 | 544.884 | 0.000 | -0.000 | 
| -0.000 | -0.000 | -0.000 | -0.000 | 544.884 | 14.056 | 
| -0.000 | -0.001 | -0.000 | -0.000 | 14.056 | 614.648 | 
| 361.650 | 59.492 | 59.492 | -0.000 | 0.000 | 0.000 | 
| 59.492 | 361.650 | 59.492 | 0.000 | 0.000 | 0.000 | 
| 59.492 | 59.492 | 361.650 | -0.000 | 0.000 | 0.000 | 
| -24.020 | -24.021 | -24.020 | 206.526 | -0.000 | 0.000 | 
| -24.020 | -24.021 | -24.020 | 0.000 | 206.526 | -0.000 | 
| -24.020 | -24.021 | -24.020 | -0.000 | -0.000 | 206.526 | 
| 317.421 | 118.366 | 118.366 | 0.000 | 0.000 | -0.000 | 
| 118.366 | 317.421 | 118.366 | -0.000 | 0.000 | 0.000 | 
| 118.366 | 118.366 | 317.421 | -0.000 | 0.000 | 0.000 | 
| 24.020 | 24.021 | 24.020 | 206.526 | 0.000 | 0.000 | 
| 24.020 | 24.021 | 24.020 | -0.000 | 206.526 | -0.000 | 
| 24.020 | 24.021 | 24.020 | 0.000 | 0.000 | 206.526 | 
| 255.209 | 90.922 | 90.923 | -0.000 | 0.000 | -0.000 | 
| 90.923 | 255.209 | 90.923 | -0.000 | -0.000 | -0.000 | 
| 90.923 | 90.922 | 255.209 | -0.000 | 0.000 | -0.000 | 
| 0.000 | -0.000 | 0.000 | 208.348 | 0.000 | 0.000 | 
| -0.000 | 0.000 | 0.000 | 0.000 | 208.348 | 0.000 | 
| -0.000 | 0.000 | 0.000 | -0.000 | 0.000 | 208.348 | 
| 361.649 | 59.492 | 59.492 | -0.000 | 0.000 | -0.000 | 
| 59.492 | 361.649 | 59.492 | 0.000 | 0.000 | -0.000 | 
| 59.492 | 59.492 | 361.649 | 0.000 | -0.000 | -0.000 | 
| -0.000 | 0.000 | -0.000 | 208.348 | 0.000 | -0.000 | 
| 0.000 | -0.000 | -0.000 | 0.000 | 208.348 | -0.000 | 
| 0.000 | -0.000 | -0.000 | -0.000 | 0.000 | 208.348 | 
| 244.039 | 109.352 | 109.352 | -0.000 | 0.000 | 0.000 | 
| 109.352 | 244.039 | 109.352 | -0.000 | 0.000 | 0.000 | 
| 109.352 | 109.352 | 244.039 | 0.000 | 0.000 | 0.000 | 
| -0.220 | -0.220 | -0.220 | 206.678 | -0.000 | 0.000 | 
| -0.220 | -0.220 | -0.220 | -0.000 | 206.678 | 0.000 | 
| -0.220 | -0.220 | -0.220 | 0.000 | -0.000 | 206.678 | 
| 244.535 | 109.827 | 109.827 | 0.000 | 0.000 | 0.000 | 
| 109.827 | 244.535 | 109.827 | 0.000 | 0.000 | 0.000 | 
| 109.827 | 109.827 | 244.535 | 0.000 | -0.000 | 0.000 | 
| 0.220 | 0.220 | 0.220 | 206.678 | 0.000 | -0.000 | 
| 0.220 | 0.220 | 0.220 | 0.000 | 206.678 | 0.000 | 
| 0.220 | 0.220 | 0.220 | 0.000 | 0.000 | 206.678 | 
| 358.541 | 58.644 | 58.644 | -0.000 | -0.000 | -0.000 | 
| 58.644 | 358.541 | 58.644 | -0.000 | -0.000 | -0.000 | 
| 58.644 | 58.644 | 358.541 | -0.000 | -0.000 | -0.000 | 
| -0.070 | -0.070 | -0.070 | 205.677 | 0.000 | -0.000 | 
| -0.070 | -0.070 | -0.070 | 0.000 | 205.677 | -0.000 | 
| -0.070 | -0.070 | -0.070 | -0.000 | -0.000 | 205.677 | 
| 248.534 | 97.068 | 97.068 | 0.000 | -0.000 | 0.000 | 
| 97.068 | 248.534 | 97.068 | -0.000 | 0.000 | 0.000 | 
| 97.068 | 97.068 | 248.534 | 0.000 | 0.000 | 0.000 | 
| 0.070 | 0.070 | 0.070 | 205.677 | 0.000 | 0.000 | 
| 0.070 | 0.070 | 0.070 | 0.000 | 205.677 | 0.000 | 
| 0.070 | 0.070 | 0.070 | 0.000 | 0.000 | 205.677 | 
| 248.674 | 96.800 | 96.800 | -0.000 | -0.000 | -0.000 | 
| 96.800 | 248.674 | 96.800 | -0.000 | -0.000 | -0.000 | 
| 96.800 | 96.800 | 248.674 | -0.000 | -0.000 | -0.000 | 
| -0.010 | -0.010 | -0.010 | 205.659 | 0.000 | -0.000 | 
| -0.010 | -0.010 | -0.010 | 0.000 | 205.659 | 0.000 | 
| -0.010 | -0.010 | -0.010 | 0.000 | -0.000 | 205.659 | 
| 358.541 | 58.643 | 58.643 | 0.000 | 0.000 | 0.000 | 
| 58.643 | 358.541 | 58.643 | 0.000 | 0.000 | 0.000 | 
| 58.643 | 58.643 | 358.541 | 0.000 | 0.000 | 0.000 | 
| 0.010 | 0.010 | 0.010 | 205.659 | -0.000 | 0.000 | 
| 0.010 | 0.010 | 0.010 | -0.000 | 205.659 | 0.000 | 
| 0.010 | 0.010 | 0.010 | 0.000 | 0.000 | 205.659 | 
| 242.363 | 108.073 | 108.073 | -0.000 | 0.000 | -0.000 | 
| 108.073 | 242.363 | 108.073 | 0.000 | -0.000 | -0.000 | 
| 108.073 | 108.073 | 242.363 | -0.000 | -0.000 | -0.000 | 
| -0.001 | -0.001 | -0.000 | 205.678 | -0.000 | -0.000 | 
| -0.001 | -0.001 | -0.000 | -0.000 | 205.678 | -0.000 | 
| -0.001 | -0.000 | -0.001 | -0.000 | -0.000 | 205.678 | 
| 242.378 | 108.069 | 108.069 | 0.000 | -0.000 | 0.000 | 
| 108.069 | 242.378 | 108.069 | -0.000 | 0.000 | 0.000 | 
| 108.069 | 108.069 | 242.378 | 0.000 | 0.000 | -0.000 | 
| 0.001 | 0.001 | 0.000 | 205.678 | 0.000 | 0.000 | 
| 0.001 | 0.001 | 0.000 | 0.000 | 205.678 | 0.000 | 
| 0.001 | 0.000 | 0.001 | 0.000 | 0.000 | 205.678 | 
| 1285.357 | 55.858 | -14.905 | 0.000 | 0.000 | -0.000 | 
| 55.858 | 1285.357 | -14.905 | 0.000 | -0.000 | -0.000 | 
| -14.344 | -14.344 | 1352.128 | 0.000 | -0.000 | -0.000 | 
| 1069.183 | 1069.183 | -2133.775 | 509.388 | 0.000 | -0.000 | 
| 0.000 | 0.000 | -0.000 | -0.000 | 545.412 | -0.000 | 
| 0.000 | 0.000 | -0.000 | -0.000 | -0.000 | 614.749 | 
| 1285.357 | 55.858 | -14.905 | 0.000 | 0.000 | 0.000 | 
| -1401.855 | -361.436 | 3082.933 | 0.000 | 0.000 | 0.000 | 
| -1011.654 | -1011.654 | 3342.466 | -0.000 | 0.000 | 0.000 | 
| -1069.183 | -1069.183 | 2133.775 | 509.388 | -0.000 | 0.000 | 
| -0.000 | -0.000 | 0.000 | -0.000 | 545.412 | -0.000 | 
| -0.000 | -0.000 | 0.000 | 0.000 | -0.000 | 614.749 | 
| 1285.358 | 55.858 | -14.905 | 0.000 | -0.000 | -0.000 | 
| 271.009 | 1291.195 | -235.418 | -0.000 | -0.000 | -0.000 | 
| 163.567 | 163.567 | 997.070 | 0.000 | 0.000 | -0.000 | 
| 106.880 | 106.880 | -213.300 | 509.402 | 0.000 | -0.000 | 
| 0.000 | 0.000 | 0.000 | 0.000 | 545.412 | 0.000 | 
| 148.402 | 148.402 | -296.167 | -0.000 | 0.000 | 521.334 | 
| 1285.357 | 55.858 | -14.905 | 0.000 | 0.000 | 0.000 | 
| -40.214 | 1017.949 | 347.794 | 0.000 | -0.000 | -0.000 | 
| -14.344 | -14.344 | 1352.127 | 0.000 | 0.000 | 0.000 | 
| -106.880 | -106.880 | 213.300 | 509.402 | -0.000 | 0.000 | 
| -0.000 | -0.000 | -0.000 | -0.000 | 545.412 | -0.000 | 
| -148.402 | -148.402 | 296.167 | 0.000 | -0.000 | 521.334 | 
| 1285.362 | 55.859 | -14.905 | 0.000 | -0.000 | -0.000 | 
| 101.847 | 1184.429 | 39.922 | -0.000 | -0.000 | 0.000 | 
| 67.926 | 67.926 | 1187.946 | 0.000 | 0.000 | -0.000 | 
| 11.276 | 11.275 | -22.502 | 507.380 | -0.000 | 0.000 | 
| 11.265 | 11.266 | -22.482 | 0.000 | 507.414 | 0.000 | 
| 11.879 | 11.880 | -23.707 | -0.000 | -0.000 | 539.971 | 
| 1285.353 | 55.858 | -14.906 | -0.000 | 0.000 | 0.000 | 
| 77.855 | 1164.647 | 83.592 | 0.000 | 0.000 | -0.000 | 
| 46.527 | 46.527 | 1230.643 | -0.000 | -0.000 | 0.000 | 
| -11.276 | -11.275 | 22.502 | 507.380 | 0.000 | -0.000 | 
| -11.265 | -11.266 | 22.482 | -0.000 | 507.414 | 0.000 | 
| -11.879 | -11.880 | 23.707 | 0.000 | 0.000 | 539.971 | 
| 1285.449 | 55.409 | -14.317 | -0.000 | 0.000 | -0.000 | 
| 55.409 | 1285.449 | -14.317 | 0.000 | 0.000 | -0.000 | 
| -14.317 | -14.317 | 1355.175 | -0.000 | 0.000 | -0.000 | 
| -0.000 | 0.000 | -0.000 | 545.332 | 0.000 | -0.000 | 
| -0.000 | 0.000 | -0.000 | -0.000 | 545.332 | 0.000 | 
| 0.000 | 0.000 | 0.000 | -0.000 | 0.000 | 615.020 | 
| 1285.449 | 55.409 | -14.317 | 0.000 | 0.000 | -0.000 | 
| 55.409 | 1285.449 | -14.317 | -0.000 | 0.000 | -0.000 | 
| -14.317 | -14.317 | 1355.175 | 0.000 | -0.000 | -0.000 | 
| -0.000 | 0.000 | 0.000 | 545.332 | -0.000 | -0.000 | 
| 0.000 | -0.000 | 0.000 | 0.000 | 545.332 | -0.000 | 
| -0.000 | -0.000 | -0.000 | 0.000 | -0.000 | 615.020 | 
| 1177.157 | 88.762 | 60.621 | 0.000 | 0.000 | -0.000 | 
| 55.409 | 1285.449 | -14.317 | -0.000 | 0.000 | -0.000 | 
| -14.317 | -14.317 | 1355.176 | -0.000 | 0.000 | -0.000 | 
| 0.000 | 0.000 | 0.000 | 545.332 | 0.000 | -0.000 | 
| 0.000 | 0.000 | 0.000 | 0.000 | 545.332 | -0.000 | 
| 0.000 | 0.000 | 0.000 | -0.000 | -0.000 | 615.020 | 
| 1176.304 | 87.776 | 62.459 | -0.000 | 0.000 | 0.000 | 
| 55.409 | 1285.448 | -14.317 | 0.000 | 0.000 | -0.000 | 
| 57.213 | 57.213 | 1212.114 | -0.000 | 0.000 | 0.000 | 
| -0.000 | -0.000 | -0.000 | 545.332 | 0.000 | -0.000 | 
| -0.000 | -0.000 | -0.000 | -0.000 | 545.332 | -0.000 | 
| -0.000 | -0.000 | -0.000 | 0.000 | -0.000 | 615.020 | 
| 1176.776 | 88.319 | 61.450 | -0.000 | -0.000 | -0.000 | 
| 88.185 | 1177.221 | 61.139 | 0.000 | -0.000 | -0.000 | 
| 57.707 | 57.707 | 1211.132 | 0.000 | -0.000 | -0.000 | 
| 0.046 | 0.045 | -0.090 | 509.328 | -0.000 | -0.000 | 
| 0.000 | 0.000 | 0.000 | -0.000 | 545.332 | 0.000 | 
| 0.000 | 0.001 | 0.000 | -0.000 | 0.000 | 615.020 | 
| 1176.635 | 88.234 | 61.667 | -0.000 | 0.000 | 0.000 | 
| 88.216 | 1176.691 | 61.627 | -0.000 | 0.000 | 0.000 | 
| 57.614 | 57.614 | 1211.308 | -0.000 | 0.000 | 0.000 | 
| -0.046 | -0.045 | 0.090 | 509.328 | 0.000 | 0.000 | 
| -0.000 | -0.000 | -0.000 | -0.000 | 545.332 | 0.000 | 
| -0.000 | -0.001 | -0.000 | 0.000 | 0.000 | 615.020 | 
| 1150.554 | 94.520 | 80.948 | -0.000 | -0.000 | 0.000 | 
| 55.610 | 1285.185 | -14.659 | -0.000 | -0.000 | -0.000 | 
| -14.348 | -14.348 | 1353.242 | -0.000 | -0.000 | -0.000 | 
| -3.010 | -3.010 | 6.014 | 492.631 | -0.000 | -0.000 | 
| -0.000 | -0.000 | 0.000 | -0.000 | 545.316 | 0.000 | 
| -0.000 | -0.000 | 0.000 | 0.000 | -0.000 | 614.788 | 
| 1154.098 | 100.270 | 71.664 | 0.000 | 0.000 | 0.000 | 
| 100.270 | 1154.098 | 71.664 | -0.000 | 0.000 | -0.000 | 
| 56.136 | 56.136 | 1212.441 | -0.000 | -0.000 | 0.000 | 
| 3.010 | 3.010 | -6.014 | 492.631 | 0.000 | 0.000 | 
| 0.000 | 0.000 | -0.000 | -0.000 | 545.316 | 0.000 | 
| 0.000 | 0.000 | -0.000 | 0.000 | 0.000 | 614.788 | 
| 1176.288 | 89.561 | 60.198 | -0.000 | -0.000 | -0.000 | 
| 89.561 | 1176.287 | 60.198 | 0.000 | -0.000 | 0.000 | 
| 57.304 | 57.304 | 1210.107 | 0.000 | -0.000 | 0.000 | 
| 0.000 | 0.000 | 0.000 | 545.316 | -0.000 | -0.000 | 
| 0.000 | 0.000 | 0.000 | -0.000 | 545.316 | 0.000 | 
| -0.218 | -0.218 | 0.435 | 0.000 | -0.000 | 541.936 | 
| 1176.684 | 89.997 | 59.366 | 0.000 | 0.000 | 0.000 | 
| 55.610 | 1285.184 | -14.659 | 0.000 | 0.000 | 0.000 | 
| 57.577 | 57.577 | 1209.561 | 0.000 | 0.000 | -0.000 | 
| -0.000 | -0.000 | -0.000 | 545.316 | 0.000 | 0.000 | 
| -0.000 | -0.000 | -0.000 | -0.000 | 545.316 | 0.000 | 
| 0.218 | 0.218 | -0.435 | -0.000 | -0.000 | 541.936 | 
| 1285.190 | 55.610 | -14.659 | -0.000 | -0.000 | -0.000 | 
| 55.610 | 1285.190 | -14.659 | 0.000 | -0.000 | -0.000 | 
| 57.378 | 57.378 | 1209.965 | 0.000 | 0.000 | -0.000 | 
| 0.000 | 0.000 | 0.000 | 545.316 | -0.000 | -0.000 | 
| 0.000 | 0.000 | 0.000 | 0.000 | 545.316 | 0.000 | 
| 0.000 | 0.001 | 0.000 | 0.000 | -0.000 | 614.788 | 
| 1285.180 | 55.609 | -14.660 | 0.000 | -0.000 | -0.000 | 
| 89.951 | 1175.615 | 60.474 | 0.000 | -0.000 | 0.000 | 
| 57.441 | 57.441 | 1209.830 | -0.000 | 0.000 | -0.000 | 
| -0.000 | -0.000 | -0.000 | 545.316 | 0.000 | 0.000 | 
| -0.000 | -0.000 | -0.000 | 0.000 | 545.316 | 0.000 | 
| -0.000 | -0.001 | -0.000 | 0.000 | 0.000 | 614.788 | 
| 909.091 | -162.572 | 579.345 | 0.000 | 0.000 | -0.000 | 
| -162.572 | 909.091 | 579.345 | 0.000 | -0.000 | -0.000 | 
| -14.350 | -14.350 | 1354.377 | 0.000 | 0.000 | -0.000 | 
| -260.065 | -260.065 | 520.000 | 503.727 | 0.000 | -0.000 | 
| -195.623 | -195.623 | 391.147 | 0.000 | 514.020 | 0.000 | 
| 0.000 | 0.000 | -0.000 | 0.000 | 0.000 | 614.840 | 
| 1377.573 | 280.954 | -332.434 | -0.000 | -0.000 | -0.000 | 
| 55.375 | 1285.054 | -14.415 | -0.000 | -0.000 | 0.000 | 
| 319.399 | 319.399 | 687.048 | -0.000 | -0.000 | 0.000 | 
| 260.065 | 260.065 | -520.000 | 503.727 | -0.000 | 0.000 | 
| 195.623 | 195.623 | -391.147 | -0.000 | 514.020 | 0.000 | 
| -0.000 | -0.000 | 0.000 | -0.000 | -0.000 | 614.840 | 
| 1285.055 | 55.375 | -14.416 | 0.000 | 0.000 | -0.000 | 
| 55.375 | 1285.055 | -14.416 | -0.000 | 0.000 | -0.000 | 
| -14.350 | -14.350 | 1354.378 | 0.000 | 0.000 | -0.000 | 
| 0.000 | 0.000 | 0.000 | 545.232 | 0.000 | -0.000 | 
| 0.000 | 0.000 | 0.000 | 0.000 | 545.232 | -0.000 | 
| 0.000 | 0.000 | 0.000 | 0.000 | 0.000 | 614.840 | 
| 1285.054 | 55.375 | -14.416 | -0.000 | -0.000 | 0.000 | 
| 55.375 | 1285.054 | -14.416 | -0.000 | -0.000 | 0.000 | 
| 82.162 | 82.162 | 1161.402 | -0.000 | -0.000 | -0.000 | 
| -0.000 | -0.000 | -0.000 | 545.232 | -0.000 | 0.000 | 
| -0.000 | -0.000 | -0.000 | -0.000 | 545.232 | -0.000 | 
| -0.000 | -0.000 | -0.000 | -0.000 | -0.000 | 614.840 | 
| 1174.585 | 87.508 | 63.906 | 0.000 | 0.000 | 0.000 | 
| 90.972 | 1174.134 | 60.894 | 0.000 | 0.000 | 0.000 | 
| 55.295 | 55.295 | 1215.127 | 0.000 | 0.000 | 0.000 | 
| 0.000 | 0.000 | 0.000 | 545.232 | 0.000 | -0.000 | 
| -2.258 | -2.258 | 4.516 | 0.000 | 509.194 | 0.000 | 
| -2.345 | -2.345 | 4.690 | 0.000 | 0.000 | 542.491 | 
| 1178.713 | 95.409 | 51.871 | -0.000 | -0.000 | -0.000 | 
| 55.375 | 1285.050 | -14.416 | -0.000 | -0.000 | 0.000 | 
| 59.835 | 59.835 | 1206.040 | -0.000 | -0.000 | -0.000 | 
| -0.000 | -0.000 | -0.000 | 545.232 | -0.000 | 0.000 | 
| 2.258 | 2.258 | -4.516 | -0.000 | 509.194 | -0.000 | 
| 2.345 | 2.345 | -4.690 | -0.000 | -0.000 | 542.491 | 
| 323.566 | 9.185 | -27.506 | 0.000 | -0.000 | -0.000 | 
| 48.450 | 152.106 | 42.683 | 0.000 | 0.000 | 0.000 | 
| -20.373 | -19.177 | 155.296 | 0.000 | 0.000 | 0.000 | 
| 16.094 | 45.121 | 70.453 | 54.610 | 0.000 | 0.000 | 
| -17.754 | 120.912 | 245.452 | 0.000 | 90.942 | 0.000 | 
| -17.659 | 116.356 | 236.736 | 0.000 | 0.000 | 110.230 | 
| 305.570 | -37.161 | -351.034 | -0.000 | 0.000 | 0.000 | 
| 21.250 | 56.412 | -91.471 | 0.000 | 0.000 | 0.000 | 
| -31.554 | -100.474 | -393.469 | -0.000 | -0.000 | 0.000 | 
| -16.094 | -45.121 | -70.453 | 54.610 | -0.000 | -0.000 | 
| 17.754 | -120.912 | -245.452 | -0.000 | 90.942 | 0.000 | 
| 17.659 | -116.356 | -236.736 | -0.000 | -0.000 | 110.230 | 
| 323.567 | 9.185 | -27.506 | 0.000 | -0.000 | -0.000 | 
| 12.951 | 168.771 | -22.544 | 0.000 | 0.000 | 0.000 | 
| -42.671 | 13.636 | -6.101 | -0.000 | -0.000 | 0.000 | 
| 0.000 | -0.000 | -0.000 | 67.385 | 0.000 | -0.000 | 
| 0.000 | 0.000 | 0.000 | 0.000 | 143.986 | -0.000 | 
| 0.000 | 0.000 | 0.000 | 0.000 | 0.000 | 112.808 | 
| 323.566 | 9.185 | -27.506 | -0.000 | 0.000 | 0.000 | 
| 35.551 | 100.079 | -26.096 | -0.000 | -0.000 | 0.000 | 
| -27.519 | -37.356 | -107.995 | -0.000 | 0.000 | 0.000 | 
| -0.000 | 0.000 | 0.000 | 67.385 | -0.000 | 0.000 | 
| -0.000 | -0.000 | -0.000 | -0.000 | 143.986 | 0.000 | 
| -0.000 | -0.000 | -0.000 | -0.000 | 0.000 | 112.808 | 
| 310.597 | 32.245 | -30.610 | 0.000 | 0.000 | 0.000 | 
| 35.435 | 105.811 | -31.879 | 0.000 | 0.000 | 0.000 | 
| -26.575 | -30.995 | -73.042 | 0.000 | 0.000 | 0.000 | 
| -1822125.370 | -24395645.831 | 10673287.641 | 723759.220 | 0.000 | 0.000 | 
| 1.555 | -1.013 | 1.772 | -0.000 | 59.683 | -0.000 | 
| 0.000 | 0.000 | 0.000 | 0.000 | 0.000 | 112.808 | 
| 310.450 | 30.939 | -36.929 | -0.000 | -0.000 | 0.000 | 
| 35.350 | 104.395 | -38.224 | -0.000 | -0.000 | 0.000 | 
| -26.672 | -32.374 | -79.391 | 0.000 | -0.000 | 0.000 | 
| 1822125.370 | 24395645.831 | -10673287.641 | 723759.220 | -0.000 | 0.000 | 
| -1.555 | 1.013 | -1.772 | -0.000 | 59.683 | 0.000 | 
| -0.000 | -0.000 | -0.000 | -0.000 | -0.000 | 112.808 | 
| 442.648 | -243.232 | -118.175 | -0.000 | 0.000 | 0.000 | 
| 68.306 | 6.609 | 377.278 | -1.122 | -0.057 | 1.768 | 
| -16.215 | -50.727 | 540.149 | -0.719 | -0.052 | 0.788 | 
| -215.432 | 156.676 | 764.786 | 55.894 | -0.042 | 3.659 | 
| -142.687 | 14.702 | 251.215 | -0.809 | 149.048 | 1.734 | 
| 189.077 | -159.815 | -1.142 | -1.897 | -0.059 | 170.042 | 
| 241.699 | -328.395 | -784.776 | 1.525 | 0.045 | -3.014 | 
| -246.087 | 331.411 | 7.225 | 0.000 | -0.000 | -0.000 | 
| 66.683 | -77.781 | -241.001 | 1.435 | 0.039 | -2.995 | 
| 15.307 | 79.719 | -286.162 | 61.648 | 0.062 | -3.624 | 
| 147.841 | -19.082 | -251.191 | 0.757 | 153.090 | -1.631 | 
| 175.779 | -280.624 | -833.933 | 1.379 | 0.039 | 97.961 | 
| 63.972 | -6.412 | 44.294 | -0.146 | -0.006 | 0.148 | 
| -43.182 | 106.030 | 29.337 | -0.136 | -0.004 | 0.262 | 
| -52.782 | 2.122 | 155.183 | -0.158 | -0.005 | 0.322 | 
| -17.105 | 25.812 | 84.645 | 58.488 | -0.004 | 0.341 | 
| -3.164 | -1.833 | 43.372 | -0.074 | 86.692 | 0.089 | 
| -0.000 | 0.000 | 0.000 | -0.000 | 0.000 | 232.205 | 
| 86.802 | -46.455 | -108.008 | 0.154 | 0.005 | -0.298 | 
| -1.031 | -3.477 | -129.513 | 0.144 | 0.004 | -0.341 | 
| -33.809 | -3.514 | 70.282 | 0.158 | 0.004 | -0.326 | 
| 20.601 | -29.331 | -87.107 | 58.036 | 0.006 | -0.167 | 
| 14.072 | -20.485 | -73.927 | 0.146 | 87.080 | -0.313 | 
| 20.848 | -29.450 | -84.675 | 0.185 | 0.006 | 107.287 | 
| 66.334 | -17.115 | -30.134 | -0.012 | -0.000 | 0.031 | 
| -21.495 | 6.722 | -23.618 | -0.018 | -0.000 | 0.030 | 
| -55.367 | -35.864 | 37.108 | -0.016 | -0.000 | 0.027 | 
| -2.170 | 5.103 | 10.454 | 50.566 | -0.001 | 0.036 | 
| -1.440 | 0.991 | 7.138 | -0.014 | 92.261 | 0.030 | 
| 1.693 | -1.734 | 3.478 | -0.018 | -0.001 | 112.183 | 
| 70.098 | -28.240 | -44.096 | 0.032 | 0.001 | -0.087 | 
| -20.032 | 2.369 | -38.096 | 0.019 | 0.000 | -0.022 | 
| -50.419 | -41.405 | 18.322 | 0.012 | 0.001 | -0.043 | 
| 1.533 | -3.518 | -10.112 | 49.306 | 0.000 | -0.033 | 
| 1.442 | -0.993 | -7.138 | 0.014 | 92.261 | -0.030 | 
| 1.748 | -3.441 | -9.229 | 0.014 | 0.001 | 106.054 | 
| 137.230 | -2.299 | -2.310 | 0.120 | 0.033 | -0.135 | 
| -2.297 | 137.228 | -2.310 | 0.120 | 0.033 | -0.135 | 
| -2.297 | -2.299 | 137.218 | 0.120 | 0.033 | -0.135 | 
| -0.660 | -0.660 | -0.666 | 5.038 | 0.024 | -0.099 | 
| -0.660 | -0.660 | -0.666 | 0.087 | 4.975 | -0.099 | 
| -0.660 | -0.660 | -0.666 | 0.087 | 0.024 | 4.850 | 
| 152.932 | -4.550 | -4.550 | 0.000 | -0.000 | 0.000 | 
| -4.550 | 152.932 | -4.550 | 0.000 | -0.000 | -0.000 | 
| -3.131 | -3.129 | 136.622 | -0.119 | -0.032 | 0.133 | 
| 0.660 | 0.660 | 0.666 | 4.864 | -0.024 | 0.099 | 
| 0.660 | 0.660 | 0.666 | -0.087 | 4.927 | 0.099 | 
| 0.659 | 0.660 | 0.666 | -0.087 | -0.024 | 5.051 | 
| 42.763 | -8.298 | -8.299 | 0.011 | 0.003 | -0.012 | 
| -8.297 | 42.763 | -8.299 | 0.011 | 0.003 | -0.012 | 
| -8.297 | -8.298 | 42.763 | 0.011 | 0.003 | -0.012 | 
| 0.000 | 0.000 | 0.000 | 79.046 | 0.000 | -0.000 | 
| 0.075 | 0.075 | 0.073 | 0.022 | 60.671 | -0.025 | 
| 0.000 | 0.000 | 0.000 | 0.000 | -0.000 | 79.046 | 
| 116.675 | -0.499 | -0.497 | -0.027 | -0.007 | 0.030 | 
| -0.500 | 116.673 | -0.497 | -0.027 | -0.007 | 0.030 | 
| -0.499 | -0.498 | 116.665 | -0.027 | -0.007 | 0.030 | 
| -0.075 | -0.075 | -0.073 | 60.728 | -0.006 | 0.025 | 
| -0.000 | -0.000 | -0.000 | -0.000 | 79.046 | 0.000 | 
| -0.000 | -0.000 | -0.000 | 0.000 | -0.000 | 79.046 | 
| -3.552 | -36.103 | -36.102 | 0.009 | 0.003 | -0.010 | 
| -749503.205 | -660899.090 | -729423.840 | -7434.110 | 1333.219 | 15999.378 | 
| -33.884 | -33.884 | -6.593 | -0.005 | -0.001 | 0.006 | 
| -462203.068 | -740962.351 | -732574.216 | -141634.093 | -2454.827 | 13336.822 | 
| -732024.458 | -501755.017 | -712960.413 | 1221.635 | -165652.183 | 7512.437 | 
| -743723.095 | -687031.287 | -502176.651 | -2428.811 | -8885.186 | -157508.901 | 
| 783895.342 | 656038.523 | 648384.933 | -4397.540 | 23787.659 | -25096.954 | 
| 666120.954 | 728832.445 | 650055.602 | 3214.977 | 4879.033 | -7632.281 | 
| 701285.852 | 660032.500 | 812990.330 | -26020.449 | 2619.687 | -16411.793 | 
| 461275.931 | 750742.345 | 767893.999 | -139295.830 | -9645.500 | -24987.581 | 
| 744570.616 | 534223.904 | 727101.413 | -11935.654 | -165983.882 | -8947.803 | 
| 745733.734 | 681830.551 | 472555.451 | -10105.923 | 10991.530 | -166683.831 | 
| 1068.185 | 1033.057 | -709.664 | 30.963 | 0.668 | -0.360 | 
| 585.813 | 741.524 | -354.901 | 15.395 | 0.256 | -0.132 | 
| 658.713 | 663.596 | -403.092 | 12.641 | 0.246 | -0.122 | 
| 2.035 | -2.035 | 0.000 | 117.490 | -0.000 | 0.000 | 
| 358.214 | 419.114 | -236.447 | 54.321 | 54.887 | 18.188 | 
| -167.184 | -134.024 | 506.088 | 40.923 | 5.502 | 72.473 | 
| 274.113 | 97.472 | -495.019 | -37.099 | -0.821 | 0.486 | 
| -389.591 | -307.230 | 214.504 | -73.171 | -1.096 | 0.717 | 
| -107.396 | -107.397 | 370.240 | 0.000 | 0.000 | -0.000 | 
| 2.035 | -2.035 | 0.000 | 117.490 | 0.000 | -0.000 | 
| -1108.401 | -1135.018 | -9.489 | -30.272 | 58.489 | 5.274 | 
| -1051.533 | -1072.934 | 732.700 | -34.315 | -4.122 | 28.467 | 
| 137.954 | 5.349 | -27.871 | 20.706 | 0.105 | -0.067 | 
| 38.923 | 153.155 | -17.519 | -7.232 | 0.081 | -0.051 | 
| -17.560 | -14.432 | 171.856 | 3.861 | 0.076 | -0.045 | 
| 101.344 | 109.924 | -73.456 | 56.241 | 0.066 | -0.036 | 
| -16.198 | -12.985 | 49.032 | 3.965 | 77.149 | 4.571 | 
| -15.328 | -12.288 | 46.401 | 3.752 | 4.552 | 78.672 | 
| 122.019 | -26.344 | -30.136 | 0.598 | -0.081 | 0.048 | 
| -136.416 | -68.344 | 70.620 | 0.278 | -0.059 | 0.032 | 
| -14.716 | -17.105 | 145.853 | -2.948 | -0.058 | 0.034 | 
| -16.739 | -58.349 | 24.456 | 53.535 | -0.102 | 0.066 | 
| -62.481 | -63.694 | 33.989 | -1.882 | 69.586 | -0.917 | 
| -33.559 | -39.462 | 20.880 | -5.302 | 18.073 | 71.947 | 
| 40.176 | -45.188 | 18.691 | 2.917 | 0.006 | -0.004 | 
| -42.202 | 54.777 | 16.173 | -3.959 | 0.006 | -0.004 | 
| 12.115 | 12.340 | 18.415 | 0.387 | 0.007 | -0.004 | 
| 18.551 | 9.579 | -0.974 | 51.791 | 0.007 | -0.004 | 
| 24.790 | 25.098 | 8.702 | 0.338 | 29.163 | -3.164 | 
| 21.176 | 21.513 | 2.480 | 0.329 | 2.074 | 33.545 | 
| 1.029 | -79.126 | -5.036 | -0.606 | -0.006 | 0.004 | 
| -66.730 | -7.888 | -4.541 | 7.317 | -0.007 | 0.004 | 
| -17.909 | -18.493 | 35.405 | -0.475 | -0.010 | 0.006 | 
| -16.729 | -24.044 | -2.290 | 40.428 | -0.007 | 0.004 | 
| -16.355 | -16.677 | -1.352 | -0.335 | 46.407 | 9.666 | 
| -17.576 | -17.840 | -8.187 | -0.339 | 2.747 | 34.542 | 
| 576.405 | -132.622 | -322.725 | 0.000 | -0.000 | -0.000 | 
| -2321.629 | 1049.643 | 1398.063 | 0.003 | -0.000 | -0.001 | 
| -2094.609 | 952.608 | 1172.337 | 0.005 | -0.000 | -0.001 | 
| -147.451 | 331.897 | 245.140 | 215.162 | 0.000 | -0.002 | 
| -2147.181 | 1082.683 | 965.410 | 0.006 | 192.647 | -0.001 | 
| -2529.517 | 1426.801 | 1012.516 | 0.005 | -0.001 | 47.705 | 
| 2312.314 | -1361.153 | -785.570 | -0.004 | 0.001 | 0.001 | 
| 2437.216 | -855.824 | -1467.588 | -0.003 | 0.000 | 0.001 | 
| 2533.946 | -1332.327 | -997.637 | -0.004 | 0.001 | 0.001 | 
| 938.175 | -969.314 | -1337.419 | -149.362 | 0.002 | 0.001 | 
| 2147.182 | -1082.684 | -965.411 | -0.006 | 192.648 | 0.001 | 
| 2529.517 | -1426.800 | -1012.516 | -0.005 | 0.001 | 47.707 | 
| -49.991 | 74.095 | 65.452 | 0.000 | -0.000 | -0.000 | 
| -304.788 | 365.372 | 72.272 | 0.001 | -0.000 | -0.000 | 
| -119.454 | 78.872 | 153.302 | 0.000 | -0.000 | -0.000 | 
| -221.115 | 111.494 | 99.417 | 137.651 | -0.000 | -0.000 | 
| 289.292 | 79.269 | -28.529 | 0.001 | 112.852 | -0.000 | 
| -208.499 | 105.132 | 93.745 | 0.001 | -0.000 | 114.313 | 
| 576.405 | -132.622 | -322.725 | 0.000 | 0.000 | 0.000 | 
| 250.006 | 43.693 | -169.621 | -0.000 | 0.000 | 0.000 | 
| -317.882 | -50.913 | 484.116 | 0.000 | -0.000 | -0.000 | 
| 221.098 | -111.485 | -99.410 | 137.655 | 0.000 | 0.000 | 
| 229.536 | -115.740 | -103.203 | -0.001 | 175.714 | 0.000 | 
| 208.499 | -105.132 | -93.745 | -0.001 | 0.000 | 114.313 | 
| 96.708 | -10.965 | -66.407 | 0.000 | -0.000 | -0.000 | 
| -22.557 | 164.130 | -36.983 | 0.000 | -0.000 | -0.000 | 
| -67.282 | -31.686 | 174.487 | 0.000 | -0.000 | -0.000 | 
| -12.381 | 9.800 | 3.455 | 105.883 | -0.000 | -0.000 | 
| -8.962 | 5.693 | 7.232 | 0.000 | 112.909 | -0.000 | 
| -15.120 | 7.624 | 6.799 | 0.000 | -0.000 | 148.084 | 
| 18.020 | -62.407 | -68.070 | -0.000 | 0.000 | 0.000 | 
| 2.053 | 185.229 | -54.363 | -0.000 | 0.000 | 0.000 | 
| -105.283 | -38.316 | 262.368 | -0.000 | 0.000 | 0.000 | 
| 12.381 | -9.800 | -3.455 | 105.883 | 0.000 | 0.000 | 
| 8.962 | -5.693 | -7.232 | -0.000 | 112.909 | 0.000 | 
| 15.120 | -7.624 | -6.799 | -0.000 | 0.000 | 148.084 | 
| 6.942 | -1.566 | -1.566 | -0.004 | 0.023 | -0.038 | 
| -1.555 | 6.932 | -1.567 | -0.003 | 0.022 | -0.039 | 
| -1.556 | -1.567 | 6.932 | -0.003 | 0.023 | -0.039 | 
| 0.016 | 0.009 | 0.009 | 10.359 | 0.009 | -0.014 | 
| 0.016 | 0.009 | 0.009 | -0.001 | 10.369 | -0.014 | 
| 0.016 | 0.009 | 0.009 | -0.001 | 0.008 | 10.346 | 
| 6.297 | -1.369 | -1.368 | 0.003 | -0.023 | 0.039 | 
| -1.379 | 6.307 | -1.367 | 0.004 | -0.024 | 0.039 | 
| -1.379 | -1.368 | 6.307 | 0.004 | -0.023 | 0.038 | 
| -0.016 | -0.009 | -0.009 | 10.362 | -0.009 | 0.014 | 
| -0.016 | -0.009 | -0.009 | 0.001 | 10.352 | 0.014 | 
| -0.016 | -0.009 | -0.009 | 0.001 | -0.009 | 10.374 | 
| 6.602 | -1.477 | -1.477 | 0.000 | -0.001 | 0.002 | 
| -1.476 | 6.601 | -1.477 | 0.000 | -0.001 | 0.002 | 
| -1.476 | -1.477 | 6.601 | 0.000 | -0.001 | 0.002 | 
| 0.009 | -0.013 | -0.013 | 10.194 | 0.001 | -0.001 | 
| -0.014 | 0.009 | -0.013 | -0.000 | 10.195 | -0.001 | 
| -0.014 | -0.013 | 0.009 | -0.000 | 0.001 | 10.193 | 
| 6.631 | -1.455 | -1.454 | -0.000 | 0.001 | -0.002 | 
| -1.456 | 6.633 | -1.454 | -0.000 | 0.001 | -0.002 | 
| -1.456 | -1.455 | 6.633 | -0.000 | 0.001 | -0.002 | 
| -0.009 | 0.013 | 0.013 | 10.194 | -0.001 | 0.001 | 
| 0.014 | -0.009 | 0.013 | 0.000 | 10.193 | 0.001 | 
| 0.014 | 0.013 | -0.009 | 0.000 | -0.001 | 10.196 | 
| 6.617 | -1.465 | -1.465 | -0.000 | 0.000 | -0.000 | 
| -1.465 | 6.616 | -1.465 | -0.000 | 0.000 | -0.000 | 
| -1.465 | -1.465 | 6.616 | -0.000 | 0.000 | -0.000 | 
| 0.004 | -0.003 | -0.003 | 10.194 | 0.000 | -0.000 | 
| -0.003 | 0.004 | -0.003 | -0.000 | 10.195 | -0.000 | 
| -0.003 | -0.003 | 0.004 | -0.000 | 0.000 | 10.194 | 
| 6.616 | -1.466 | -1.466 | 0.000 | -0.000 | 0.000 | 
| -1.466 | 6.616 | -1.466 | 0.000 | -0.000 | 0.000 | 
| -1.466 | -1.466 | 6.616 | 0.000 | -0.000 | 0.000 | 
| -0.004 | 0.003 | 0.003 | 10.194 | -0.000 | 0.000 | 
| 0.003 | -0.004 | 0.003 | 0.000 | 10.194 | 0.000 | 
| 0.003 | 0.003 | -0.004 | 0.000 | -0.000 | 10.195 | 
| 331.073 | 16.363 | -129.749 | -0.000 | 92.569 | -0.000 | 
| 29.876 | 524.528 | -21.313 | -0.000 | -13.319 | -0.000 | 
| -86.160 | -13.845 | 32.639 | 0.000 | -101.474 | -0.000 | 
| 2.171 | 0.289 | 0.923 | 397.353 | 7.353 | -76.867 | 
| 59.241 | -11.666 | -103.377 | 0.000 | 180.812 | -0.000 | 
| 2.137 | 0.284 | 0.908 | -82.581 | 7.241 | -348.009 | 
| 327.658 | 15.821 | -132.245 | 0.000 | 86.301 | 0.000 | 
| 25.955 | 524.015 | -22.877 | 0.000 | -27.119 | 0.000 | 
| -89.574 | -14.388 | 30.142 | -0.000 | -107.741 | 0.000 | 
| -2.171 | -0.289 | -0.923 | 397.353 | -7.353 | -76.867 | 
| 55.815 | -12.211 | -105.883 | -0.000 | 174.534 | 0.000 | 
| -2.137 | -0.284 | -0.908 | -82.581 | -7.241 | -348.009 | 
| 329.526 | 16.117 | -130.884 | 0.000 | 89.748 | -0.000 | 
| 28.021 | 524.279 | -22.127 | 0.000 | -19.471 | -0.000 | 
| -87.713 | -14.091 | 31.512 | 0.000 | -104.373 | -0.000 | 
| 0.217 | 0.029 | 0.092 | 397.328 | 0.735 | -76.870 | 
| 57.635 | -11.921 | -104.541 | 0.000 | 177.819 | -0.000 | 
| 0.217 | 0.029 | 0.093 | -82.787 | 0.735 | -348.033 | 
| 329.189 | 16.063 | -131.135 | -0.000 | 89.157 | 0.000 | 
| 27.831 | 524.222 | -22.581 | -0.000 | -18.222 | 0.000 | 
| -88.055 | -14.146 | 31.259 | -0.000 | -104.988 | 0.000 | 
| -0.217 | -0.029 | -0.092 | 397.328 | -0.735 | -76.870 | 
| 57.326 | -11.974 | -104.820 | -0.000 | 177.512 | 0.000 | 
| -0.217 | -0.029 | -0.093 | -82.787 | -0.735 | -348.033 | 
| 329.349 | 16.091 | -130.992 | 0.000 | 89.309 | -0.000 | 
| 28.022 | 524.254 | -22.448 | 0.000 | -17.836 | -0.000 | 
| -87.866 | -14.114 | 31.413 | 0.000 | -104.707 | -0.000 | 
| 0.022 | 0.004 | 0.007 | 397.328 | 0.071 | -76.870 | 
| 57.491 | -11.945 | -104.669 | -0.000 | 177.700 | -0.000 | 
| 0.019 | 0.003 | 0.012 | -82.789 | 0.068 | -348.033 | 
| 329.363 | 16.089 | -131.030 | -0.000 | 89.597 | 0.000 | 
| 27.989 | 524.245 | -22.473 | -0.000 | -17.899 | 0.000 | 
| -87.905 | -14.123 | 31.357 | 0.000 | -104.662 | 0.000 | 
| -0.022 | -0.004 | -0.007 | 397.328 | -0.071 | -76.870 | 
| 57.465 | -11.951 | -104.697 | -0.000 | 177.627 | 0.000 | 
| -0.019 | -0.003 | -0.012 | -82.789 | -0.068 | -348.033 | 
| 361.975 | 59.582 | 59.582 | 0.000 | 0.000 | -0.000 | 
| 59.582 | 361.975 | 59.582 | 0.000 | 0.000 | -0.000 | 
| 59.582 | 59.582 | 361.975 | 0.000 | 0.000 | -0.000 | 
| 0.000 | 0.000 | 0.000 | 208.443 | -0.000 | -0.000 | 
| 0.000 | 0.000 | -0.000 | 0.000 | 208.443 | -0.000 | 
| 0.000 | 0.000 | -0.000 | 0.000 | -0.000 | 208.443 | 
| 361.975 | 59.582 | 59.582 | 0.000 | 0.000 | 0.000 | 
| 59.582 | 361.974 | 59.582 | 0.000 | 0.000 | 0.000 | 
| 59.582 | 59.582 | 361.975 | -0.000 | -0.000 | 0.000 | 
| -0.000 | -0.000 | -0.000 | 208.443 | 0.000 | 0.000 | 
| -0.000 | -0.000 | -0.000 | -0.000 | 208.443 | 0.000 | 
| -0.000 | -0.000 | 0.000 | -0.000 | 0.000 | 208.443 | 
| 257.452 | 88.181 | 88.181 | 0.000 | -0.000 | 0.000 | 
| 88.181 | 257.452 | 88.181 | 0.000 | -0.000 | 0.000 | 
| 88.181 | 88.181 | 257.452 | 0.000 | -0.000 | 0.000 | 
| 0.000 | -0.000 | 0.000 | 208.443 | -0.000 | -0.000 | 
| -0.000 | 0.000 | 0.000 | -0.000 | 208.443 | -0.000 | 
| -0.000 | 0.000 | 0.000 | -0.000 | -0.000 | 208.443 | 
| 247.567 | 109.496 | 109.496 | -0.000 | -0.000 | -0.000 | 
| 109.496 | 247.567 | 109.496 | -0.000 | 0.000 | -0.000 | 
| 109.496 | 109.496 | 247.567 | -0.000 | 0.000 | -0.000 | 
| 3.290 | 3.290 | 3.290 | 206.706 | 0.000 | -0.000 | 
| 0.000 | -0.000 | -0.000 | -0.000 | 208.443 | 0.000 | 
| 0.000 | -0.000 | -0.000 | -0.000 | 0.000 | 208.443 | 
| 244.138 | 109.410 | 109.410 | 0.000 | -0.000 | 0.000 | 
| 109.410 | 244.138 | 109.410 | 0.000 | -0.000 | -0.000 | 
| 109.410 | 109.410 | 244.138 | 0.000 | -0.000 | 0.000 | 
| -0.314 | -0.314 | -0.314 | 206.783 | -0.000 | 0.000 | 
| -0.314 | -0.314 | -0.314 | -0.000 | 206.783 | -0.000 | 
| -0.314 | -0.314 | -0.314 | 0.000 | -0.000 | 206.783 | 
| 244.839 | 110.090 | 110.090 | 0.000 | 0.000 | 0.000 | 
| 110.090 | 244.839 | 110.090 | -0.000 | 0.000 | -0.000 | 
| 110.090 | 110.090 | 244.839 | -0.000 | 0.000 | 0.000 | 
| 0.314 | 0.314 | 0.314 | 206.783 | 0.000 | 0.000 | 
| 0.314 | 0.314 | 0.314 | -0.000 | 206.783 | 0.000 | 
| 0.314 | 0.314 | 0.314 | -0.000 | 0.000 | 206.783 | 
| 327.234 | -228.532 | -36.596 | -0.000 | -0.000 | -0.000 | 
| 1064.758 | -720.699 | -223.175 | -0.000 | -0.002 | -0.000 | 
| 435.556 | -476.834 | -286.716 | -0.000 | -0.001 | -0.000 | 
| 1219.623 | -997.796 | -225.691 | 75.110 | -0.003 | -0.000 | 
| 1214.962 | -993.982 | -224.829 | -0.000 | 44.431 | -0.000 | 
| 0.000 | 0.000 | 0.000 | 0.000 | 0.000 | 150.242 | 
| -989.199 | 845.584 | 182.527 | 0.000 | 0.002 | 0.000 | 
| -1399.353 | 1289.947 | 245.445 | 0.000 | 0.003 | 0.000 | 
| -1269.433 | 985.120 | 410.312 | 0.000 | 0.003 | 0.000 | 
| -1219.624 | 997.796 | 225.691 | 75.110 | 0.003 | 0.000 | 
| -1214.964 | 993.984 | 224.829 | 0.000 | 44.436 | 0.000 | 
| -0.000 | -0.000 | -0.000 | -0.000 | -0.000 | 150.242 | 
| 151.666 | -87.121 | -23.008 | -0.000 | -0.000 | -0.000 | 
| 7.673 | 147.534 | -35.718 | -0.000 | -0.000 | -0.000 | 
| 94.993 | -131.657 | 159.365 | -0.000 | -0.000 | -0.000 | 
| 87.518 | -71.600 | -16.195 | 98.294 | -0.000 | -0.000 | 
| 80.269 | -65.669 | -14.854 | -0.000 | 82.023 | -0.000 | 
| 82.763 | -67.710 | -15.315 | -0.000 | -0.000 | 78.672 | 
| 327.235 | -228.533 | -36.596 | -0.000 | -0.000 | 0.000 | 
| -123.780 | 206.458 | 40.682 | 0.000 | 0.000 | 0.000 | 
| -180.662 | 96.594 | 202.225 | 0.000 | 0.000 | 0.000 | 
| -87.518 | 71.600 | 16.195 | 98.294 | 0.000 | 0.000 | 
| -80.269 | 65.669 | 14.854 | 0.000 | 82.024 | 0.000 | 
| -82.645 | 67.613 | 15.293 | 0.000 | 0.000 | 78.774 | 
| -15.283 | -47.535 | -96.601 | 0.000 | -0.000 | 0.000 | 
| 13.959 | -161.249 | -69.203 | -0.000 | 0.001 | -0.000 | 
| -65.569 | -83.360 | -25.126 | -0.000 | -0.000 | -0.000 | 
| 4.101 | -4.068 | -3.664 | 93.078 | -0.000 | -0.000 | 
| 7.099 | -8.816 | -4.687 | -0.000 | 74.102 | -0.000 | 
| 6.393 | -5.230 | -1.182 | -0.000 | -0.000 | 94.967 | 
| 121.839 | -62.254 | -13.540 | 0.000 | 0.000 | 0.000 | 
| -60.984 | -42.169 | -73.663 | 0.000 | -0.000 | 0.000 | 
| -119.669 | -29.982 | -42.521 | 0.000 | 0.000 | 0.000 | 
| -4.101 | 4.068 | 3.664 | 93.078 | 0.000 | 0.000 | 
| -5.858 | 5.307 | 3.175 | 0.000 | 87.535 | 0.000 | 
| -6.393 | 5.230 | 1.182 | 0.000 | 0.000 | 94.967 | 
| 1175.264 | 95.024 | 57.663 | -0.000 | 0.000 | -0.000 | 
| 85.644 | 1176.201 | 66.075 | -0.000 | -0.000 | -0.000 | 
| -14.201 | -14.201 | 1351.626 | -0.000 | 0.000 | -0.000 | 
| -0.722 | -0.722 | 1.439 | 509.785 | 0.000 | -0.000 | 
| -0.722 | -0.722 | 1.439 | -0.000 | 509.785 | 0.000 | 
| -0.866 | -0.866 | 1.725 | -0.000 | -0.000 | 540.123 | 
| 1177.437 | 87.362 | 63.132 | 0.000 | 0.000 | 0.000 | 
| 87.362 | 1177.437 | 63.132 | 0.000 | -0.000 | 0.000 | 
| 57.925 | 57.925 | 1207.913 | 0.000 | -0.000 | 0.000 | 
| 0.722 | 0.722 | -1.439 | 509.785 | -0.000 | 0.000 | 
| 0.722 | 0.722 | -1.439 | 0.000 | 509.785 | 0.000 | 
| 0.866 | 0.866 | -1.725 | 0.000 | -0.000 | 540.123 | 
| 1176.757 | 86.415 | 64.753 | -0.000 | -0.000 | -0.000 | 
| 95.675 | 1175.914 | 56.368 | -0.000 | -0.000 | 0.000 | 
| -14.201 | -14.201 | 1351.626 | -0.000 | 0.000 | -0.000 | 
| -0.072 | -0.072 | 0.144 | 509.785 | -0.000 | -0.000 | 
| -0.072 | -0.072 | 0.144 | -0.000 | 509.785 | 0.000 | 
| -0.087 | -0.086 | 0.173 | -0.000 | -0.000 | 540.120 | 
| 1176.059 | 95.819 | 56.079 | 0.000 | 0.000 | -0.000 | 
| 95.819 | 1176.059 | 56.079 | 0.000 | 0.000 | -0.000 | 
| 57.274 | 57.274 | 1209.210 | 0.000 | -0.000 | 0.000 | 
| 0.072 | 0.072 | -0.144 | 509.785 | -0.000 | 0.000 | 
| 0.072 | 0.072 | -0.144 | 0.000 | 509.785 | 0.000 | 
| 0.087 | 0.086 | -0.173 | 0.000 | 0.000 | 540.120 | 
| 1175.981 | 95.741 | 56.239 | -0.000 | -0.000 | -0.000 | 
| 86.495 | 1176.809 | 64.626 | -0.000 | 0.000 | -0.000 | 
| 57.196 | 57.196 | 1209.371 | -0.000 | 0.000 | 0.000 | 
| 0.000 | 0.000 | 0.000 | 545.936 | -0.000 | -0.000 | 
| -0.007 | -0.007 | 0.015 | -0.000 | 509.785 | 0.000 | 
| -0.009 | -0.008 | 0.018 | -0.000 | 0.000 | 540.120 | 
| 1175.992 | 95.753 | 56.207 | 0.000 | -0.000 | 0.000 | 
| 95.781 | 1175.890 | 56.281 | 0.000 | -0.000 | -0.000 | 
| 57.202 | 57.202 | 1209.349 | 0.000 | 0.000 | 0.000 | 
| -0.000 | -0.000 | -0.000 | 545.936 | -0.000 | 0.000 | 
| 0.007 | 0.007 | -0.015 | 0.000 | 509.785 | 0.000 | 
| 0.009 | 0.008 | -0.018 | 0.000 | 0.000 | 540.120 | 
| 1175.579 | 84.883 | 66.078 | 0.000 | 0.000 | 0.000 | 
| 55.423 | 1285.461 | -14.344 | -0.000 | -0.000 | 0.000 | 
| 57.617 | 57.617 | 1211.307 | 0.000 | 0.000 | 0.000 | 
| 0.000 | -0.000 | 0.000 | 509.325 | 0.000 | 0.000 | 
| 0.000 | -0.000 | 0.000 | -0.000 | 545.329 | 0.000 | 
| 0.000 | -0.000 | 0.000 | -0.000 | -0.000 | 615.019 | 
| 1285.461 | 55.423 | -14.344 | 0.000 | -0.000 | -0.000 | 
| 55.422 | 1285.461 | -14.344 | 0.000 | 0.000 | 0.000 | 
| -14.344 | -14.344 | 1355.228 | 0.000 | 0.000 | -0.000 | 
| -0.000 | 0.000 | -0.000 | 509.325 | -0.000 | -0.000 | 
| -0.000 | 0.000 | -0.000 | 0.000 | 545.329 | 0.000 | 
| -0.000 | 0.000 | -0.000 | 0.000 | -0.000 | 615.019 | 
| 1174.737 | 94.186 | 57.617 | 0.000 | 0.000 | 0.000 | 
| 55.423 | 1285.462 | -14.344 | -0.000 | -0.000 | 0.000 | 
| 57.618 | 57.618 | 1211.306 | 0.000 | 0.000 | 0.000 | 
| 0.000 | 0.000 | 0.000 | 545.329 | -0.000 | 0.000 | 
| 0.000 | 0.000 | 0.000 | -0.000 | 545.329 | -0.000 | 
| -0.000 | 0.000 | 0.000 | -0.000 | 0.000 | 540.276 | 
| 1285.461 | 55.422 | -14.344 | 0.000 | -0.000 | -0.000 | 
| 84.883 | 1175.579 | 66.077 | -0.000 | -0.000 | -0.000 | 
| -14.344 | -14.344 | 1355.228 | 0.000 | 0.000 | 0.000 | 
| -0.000 | -0.000 | -0.000 | 545.329 | 0.000 | -0.000 | 
| -0.000 | -0.000 | -0.000 | 0.000 | 545.329 | 0.000 | 
| 0.000 | -0.000 | -0.000 | 0.000 | -0.000 | 540.276 | 
| 1175.581 | 84.884 | 66.080 | 0.000 | 0.000 | 0.000 | 
| 84.858 | 1175.681 | 66.006 | -0.000 | 0.000 | 0.000 | 
| 57.625 | 57.625 | 1211.297 | 0.000 | 0.000 | 0.000 | 
| 0.000 | 0.000 | 0.000 | 545.329 | -0.000 | 0.000 | 
| -0.000 | 0.000 | 0.001 | 0.000 | 509.325 | 0.000 | 
| 0.000 | 0.001 | 0.000 | -0.000 | -0.000 | 615.019 | 
| 1175.577 | 84.882 | 66.076 | -0.000 | -0.000 | -0.000 | 
| 94.183 | 1174.740 | 57.612 | -0.000 | -0.000 | -0.000 | 
| 58.090 | 58.090 | 1210.356 | -0.000 | -0.000 | -0.000 | 
| -0.000 | -0.000 | -0.000 | 545.329 | 0.000 | -0.000 | 
| 0.000 | -0.000 | -0.001 | -0.000 | 509.325 | -0.000 | 
| -0.000 | -0.001 | -0.000 | 0.000 | 0.000 | 615.019 | 
| -637.722 | -1710.811 | 3667.596 | 0.000 | 0.000 | -0.000 | 
| -2244.028 | -1188.752 | 4749.819 | 0.000 | 0.000 | -0.000 | 
| -1751.397 | -1751.397 | 4819.764 | 0.000 | -0.000 | -0.000 | 
| 0.000 | 0.000 | -0.000 | 545.317 | 0.000 | 0.000 | 
| -2355.909 | -2355.909 | 4703.012 | 0.000 | 498.368 | -0.000 | 
| 0.000 | 0.000 | -0.000 | 0.000 | -0.000 | 614.672 | 
| 1285.082 | 55.739 | -14.860 | 0.000 | -0.000 | -0.000 | 
| 55.739 | 1285.082 | -14.860 | -0.000 | -0.000 | -0.000 | 
| -14.372 | -14.372 | 1352.210 | -0.000 | -0.000 | -0.000 | 
| -0.000 | -0.000 | 0.000 | 545.317 | -0.000 | -0.000 | 
| 2355.909 | 2355.909 | -4703.012 | 0.000 | 498.368 | -0.000 | 
| -0.000 | -0.000 | 0.000 | -0.000 | -0.000 | 614.672 | 
| 937.141 | -127.391 | 515.218 | -0.000 | 0.000 | -0.000 | 
| -127.406 | 937.113 | 515.262 | 0.000 | -0.000 | 0.000 | 
| -184.412 | -184.412 | 1691.655 | -0.000 | -0.000 | -0.000 | 
| 0.000 | 0.000 | 0.000 | 545.317 | 0.000 | 0.000 | 
| -234.664 | -234.664 | 468.450 | -0.000 | 498.553 | 0.000 | 
| 0.000 | 0.000 | 0.000 | 0.000 | 0.000 | 614.672 | 
| 1285.081 | 55.739 | -14.860 | -0.000 | 0.000 | -0.000 | 
| 55.739 | 1285.081 | -14.860 | -0.000 | -0.000 | -0.000 | 
| -14.372 | -14.372 | 1352.209 | 0.000 | -0.000 | -0.000 | 
| -0.000 | -0.000 | -0.000 | 545.317 | -0.000 | -0.000 | 
| 234.664 | 234.664 | -468.450 | 0.000 | 498.553 | 0.000 | 
| -0.000 | -0.000 | -0.000 | -0.000 | -0.000 | 614.672 | 
| 1156.694 | 79.544 | 89.531 | 0.000 | -0.000 | -0.000 | 
| 79.544 | 1156.689 | 89.536 | -0.000 | -0.000 | 0.000 | 
| 41.297 | 41.297 | 1241.085 | -0.000 | 0.000 | 0.000 | 
| -18.094 | -18.095 | 36.122 | 509.296 | 0.000 | -0.000 | 
| -18.075 | -18.074 | 36.083 | 0.000 | 509.335 | 0.000 | 
| -20.287 | -20.286 | 40.497 | -0.000 | 0.000 | 539.231 | 
| 1189.656 | 111.260 | 24.965 | -0.000 | 0.000 | -0.000 | 
| 111.256 | 1189.663 | 24.962 | -0.000 | -0.000 | -0.000 | 
| 76.123 | 76.123 | 1171.553 | 0.000 | 0.000 | 0.000 | 
| 18.094 | 18.095 | -36.122 | 509.296 | -0.000 | 0.000 | 
| 18.075 | 18.074 | -36.083 | -0.000 | 509.335 | 0.000 | 
| 20.287 | 20.286 | -40.497 | 0.000 | 0.000 | 539.231 | 
| 895.416 | -73.714 | 503.699 | 0.000 | -0.000 | 0.000 | 
| 55.856 | 1285.473 | -14.857 | -0.000 | 0.000 | 0.000 | 
| -71.279 | -71.279 | 1466.062 | 0.000 | -0.000 | 0.000 | 
| -192.285 | -192.285 | 383.774 | 477.200 | -0.000 | 0.000 | 
| 0.000 | 0.000 | -0.000 | -0.000 | 545.443 | -0.000 | 
| -192.270 | -192.270 | 383.744 | 0.000 | -0.000 | 484.398 | 
| 1285.473 | 55.856 | -14.857 | 0.000 | -0.000 | -0.000 | 
| 55.856 | 1285.473 | -14.857 | 0.000 | -0.000 | -0.000 | 
| 44.009 | 44.009 | 1235.985 | 0.000 | 0.000 | -0.000 | 
| 192.285 | 192.285 | -383.774 | 477.200 | 0.000 | -0.000 | 
| -0.000 | -0.000 | 0.000 | 0.000 | 545.443 | -0.000 | 
| 192.270 | 192.270 | -383.744 | -0.000 | 0.000 | 484.398 | 
| 1079.145 | 96.935 | 150.054 | 0.000 | -0.000 | 0.000 | 
| 81.835 | 1213.316 | 31.226 | 0.000 | 0.000 | 0.000 | 
| -14.324 | -14.324 | 1352.399 | -0.000 | -0.000 | 0.000 | 
| -18.888 | -18.888 | 37.697 | 478.409 | -0.000 | 0.000 | 
| -4.125 | -4.125 | 8.233 | -0.000 | 530.940 | 0.000 | 
| 0.000 | 0.000 | 0.000 | -0.000 | 0.000 | 614.808 | 
| 1285.472 | 55.856 | -14.857 | 0.000 | -0.000 | -0.000 | 
| 55.856 | 1285.472 | -14.857 | 0.000 | -0.000 | -0.000 | 
| -14.324 | -14.324 | 1352.398 | -0.000 | -0.000 | -0.000 | 
| 18.888 | 18.888 | -37.697 | 478.409 | 0.000 | -0.000 | 
| 4.125 | 4.125 | -8.233 | 0.000 | 530.940 | -0.000 | 
| -0.000 | -0.000 | -0.000 | 0.000 | -0.000 | 614.808 | 
| 1175.596 | 90.862 | 59.867 | 0.000 | 0.000 | -0.000 | 
| 91.205 | 1168.713 | 66.392 | 0.000 | 0.000 | 0.000 | 
| 56.261 | 56.261 | 1211.521 | 0.000 | -0.000 | 0.000 | 
| -1.199 | -1.200 | 2.394 | 502.876 | 0.000 | 0.000 | 
| 0.000 | 0.000 | 0.000 | -0.000 | 545.443 | -0.000 | 
| -1.054 | -1.053 | 2.104 | 0.000 | -0.000 | 541.687 | 
| 1170.551 | 93.577 | 62.182 | -0.000 | 0.000 | 0.000 | 
| 93.581 | 1170.538 | 62.192 | -0.000 | -0.000 | -0.000 | 
| 62.088 | 62.088 | 1199.881 | 0.000 | 0.000 | -0.000 | 
| 1.199 | 1.200 | -2.394 | 502.876 | -0.000 | -0.000 | 
| -0.000 | -0.000 | -0.000 | 0.000 | 545.443 | -0.000 | 
| 1.054 | 1.053 | -2.104 | -0.000 | 0.000 | 541.687 | 
| 936.934 | -147.169 | 536.775 | -0.000 | -0.000 | -0.000 | 
| 55.404 | 1285.445 | -14.308 | -0.000 | -0.000 | -0.000 | 
| -191.431 | -191.431 | 1709.401 | -0.000 | -0.000 | -0.000 | 
| -0.000 | -0.000 | 0.000 | 545.333 | 0.000 | -0.000 | 
| -0.000 | -0.000 | 0.000 | -0.000 | 545.333 | 0.000 | 
| -0.000 | -0.000 | 0.000 | -0.000 | 0.000 | 615.020 | 
| 1285.445 | 55.404 | -14.309 | 0.000 | 0.000 | 0.000 | 
| 55.404 | 1285.445 | -14.309 | 0.000 | 0.000 | 0.000 | 
| -14.309 | -14.309 | 1355.157 | -0.000 | 0.000 | 0.000 | 
| 0.000 | 0.000 | -0.000 | 545.333 | 0.000 | -0.000 | 
| 0.000 | 0.000 | -0.000 | 0.000 | 545.333 | 0.000 | 
| 0.000 | 0.000 | -0.000 | 0.000 | 0.000 | 615.020 | 
| 1154.569 | 66.123 | 105.848 | -0.000 | -0.000 | -0.000 | 
| 55.404 | 1285.445 | -14.308 | -0.000 | 0.000 | -0.000 | 
| -14.309 | -14.309 | 1355.158 | -0.000 | 0.000 | -0.000 | 
| 0.000 | 0.000 | 0.000 | 545.333 | 0.000 | 0.000 | 
| 0.000 | 0.000 | 0.000 | -0.000 | 545.333 | -0.000 | 
| -20.688 | -20.688 | 41.376 | 0.000 | -0.000 | 540.692 | 
| 1285.444 | 55.404 | -14.309 | 0.000 | -0.000 | 0.000 | 
| 114.213 | 1197.592 | 14.734 | 0.000 | 0.000 | 0.000 | 
| 80.529 | 80.529 | 1165.481 | 0.000 | 0.000 | 0.000 | 
| -0.000 | -0.000 | -0.000 | 545.333 | -0.000 | -0.000 | 
| -0.000 | -0.000 | -0.000 | 0.000 | 545.333 | -0.000 | 
| 20.688 | 20.688 | -41.376 | -0.000 | -0.000 | 540.692 | 
| 1174.897 | 86.965 | 64.682 | -0.000 | -0.000 | -0.000 | 
| 86.847 | 1175.312 | 64.386 | -0.000 | -0.000 | -0.000 | 
| 55.460 | 55.460 | 1215.626 | -0.000 | -0.000 | -0.000 | 
| -2.237 | -2.238 | 4.476 | 509.329 | -0.000 | -0.000 | 
| -2.239 | -2.238 | 4.477 | -0.000 | 509.317 | -0.000 | 
| -2.109 | -2.108 | 4.218 | -0.000 | 0.000 | 542.042 | 
| 1285.440 | 55.403 | -14.309 | 0.000 | -0.000 | 0.000 | 
| 92.573 | 1176.634 | 57.328 | 0.000 | 0.000 | -0.000 | 
| 59.925 | 59.925 | 1206.686 | 0.000 | -0.000 | -0.000 | 
| 2.237 | 2.238 | -4.476 | 509.329 | 0.000 | 0.000 | 
| 2.239 | 2.238 | -4.477 | 0.000 | 509.317 | 0.000 | 
| 2.109 | 2.108 | -4.218 | -0.000 | -0.000 | 542.042 | 
| 2962.781 | 1948.980 | -3577.611 | -0.000 | -0.000 | 0.000 | 
| 1271.131 | 2334.111 | -2273.817 | -0.000 | 0.000 | -0.000 | 
| 1839.081 | 1839.081 | -2346.515 | -0.000 | -0.000 | 0.000 | 
| 1168.646 | 1168.646 | -2332.425 | 510.156 | 0.000 | -0.000 | 
| 1808.512 | 1808.512 | -3609.487 | -0.000 | 490.634 | -0.000 | 
| 1808.153 | 1808.153 | -3608.771 | -0.000 | -0.000 | 508.807 | 
| 1285.653 | 55.904 | -14.847 | -0.000 | 0.000 | -0.000 | 
| -1668.516 | -647.011 | 3634.617 | 0.000 | 0.000 | -0.000 | 
| -1780.964 | -1780.964 | 4878.489 | 0.000 | 0.000 | -0.000 | 
| -1168.646 | -1168.646 | 2332.425 | 510.156 | -0.000 | 0.000 | 
| -1808.458 | -1808.458 | 3609.379 | 0.000 | 490.635 | -0.000 | 
| -1808.153 | -1808.153 | 3608.771 | 0.000 | -0.000 | 508.807 | 
| 1285.654 | 55.904 | -14.847 | -0.000 | -0.000 | -0.000 | 
| 323.800 | 1308.932 | -305.415 | 0.000 | 0.000 | 0.000 | 
| -14.302 | -14.302 | 1352.527 | -0.000 | -0.000 | -0.000 | 
| 117.039 | 117.039 | -233.591 | 510.103 | 0.000 | -0.000 | 
| 117.060 | 117.060 | -233.632 | 0.000 | 510.097 | 0.000 | 
| 173.432 | 173.432 | -346.140 | -0.000 | 0.000 | 513.138 | 
| 1051.420 | -12.284 | 286.944 | -0.000 | -0.000 | 0.000 | 
| -54.609 | 993.836 | 386.645 | 0.000 | -0.000 | -0.000 | 
| -61.730 | -61.730 | 1447.186 | 0.000 | -0.000 | -0.000 | 
| -117.039 | -117.039 | 233.591 | 510.103 | -0.000 | 0.000 | 
| -117.060 | -117.060 | 233.632 | -0.000 | 510.097 | 0.000 | 
| -173.432 | -173.432 | 346.140 | 0.000 | 0.000 | 513.138 | 
| 1186.375 | 104.373 | 35.861 | -0.000 | 0.000 | 0.000 | 
| 104.318 | 1186.488 | 35.803 | -0.000 | -0.000 | 0.000 | 
| 70.220 | 70.220 | 1183.842 | -0.000 | -0.000 | -0.000 | 
| 0.000 | 0.000 | 0.000 | 545.499 | -0.000 | -0.000 | 
| 12.587 | 12.588 | -25.121 | -0.000 | 507.313 | 0.000 | 
| 12.730 | 12.731 | -25.408 | -0.000 | 0.000 | 540.196 | 
| 1163.693 | 78.715 | 84.092 | 0.000 | -0.000 | -0.000 | 
| 79.227 | 1164.110 | 83.164 | -0.000 | 0.000 | -0.000 | 
| 46.902 | 46.902 | 1230.369 | 0.000 | 0.000 | 0.000 | 
| -0.000 | -0.000 | -0.000 | 545.499 | 0.000 | 0.000 | 
| -12.587 | -12.588 | 25.121 | 0.000 | 507.313 | -0.000 | 
| -12.730 | -12.731 | 25.408 | 0.000 | 0.000 | 540.196 | 
| 1140.778 | 128.476 | 57.285 | 0.000 | -0.000 | -0.000 | 
| 128.476 | 1140.778 | 57.285 | 0.000 | -0.000 | -0.000 | 
| -14.304 | -14.304 | 1355.148 | -0.000 | -0.000 | 0.000 | 
| 0.000 | -0.000 | 0.000 | 545.334 | -0.000 | 0.000 | 
| 0.000 | -0.000 | -0.000 | -0.000 | 545.334 | -0.000 | 
| 11.006 | 11.006 | -22.012 | 0.000 | 0.000 | 540.917 | 
| 1285.442 | 55.402 | -14.304 | 0.000 | -0.000 | -0.000 | 
| 55.402 | 1285.442 | -14.304 | 0.000 | 0.000 | -0.000 | 
| 71.757 | 71.757 | 1183.027 | 0.000 | 0.000 | 0.000 | 
| -0.000 | 0.000 | -0.000 | 545.334 | 0.000 | -0.000 | 
| -0.000 | 0.000 | 0.000 | 0.000 | 545.334 | -0.000 | 
| -11.006 | -11.006 | 22.012 | -0.000 | -0.000 | 540.917 | 
| 1177.920 | 91.393 | 57.228 | 0.000 | -0.000 | -0.000 | 
| 97.130 | 1177.580 | 51.830 | 0.000 | 0.000 | 0.000 | 
| 59.002 | 59.002 | 1208.536 | 0.000 | 0.000 | 0.000 | 
| 0.000 | 0.000 | 0.000 | 545.334 | -0.000 | 0.000 | 
| 1.330 | 1.330 | -2.659 | 0.000 | 508.838 | 0.000 | 
| 1.373 | 1.373 | -2.746 | -0.000 | -0.000 | 542.185 | 
| 1175.378 | 88.638 | 62.523 | 0.000 | 0.000 | 0.000 | 
| 55.402 | 1285.442 | -14.304 | -0.000 | 0.000 | -0.000 | 
| -14.304 | -14.304 | 1355.148 | 0.000 | 0.000 | -0.000 | 
| -0.000 | -0.000 | -0.000 | 545.334 | 0.000 | -0.000 | 
| -1.330 | -1.330 | 2.659 | -0.000 | 508.838 | 0.000 | 
| -1.373 | -1.373 | 2.746 | -0.000 | 0.000 | 542.185 | 
| 1176.914 | 93.283 | 56.347 | 0.000 | -0.000 | 0.000 | 
| 89.985 | 1177.305 | 59.255 | 0.000 | -0.000 | -0.000 | 
| 57.831 | 57.831 | 1210.883 | 0.000 | 0.000 | 0.000 | 
| 0.132 | 0.131 | -0.262 | 509.325 | -0.000 | -0.000 | 
| 0.000 | 0.000 | 0.000 | -0.000 | 545.334 | 0.000 | 
| 0.136 | 0.137 | -0.272 | 0.000 | -0.000 | 542.687 | 
| 1176.991 | 89.726 | 59.818 | 0.000 | 0.000 | 0.000 | 
| 89.716 | 1177.023 | 59.797 | -0.000 | 0.000 | 0.000 | 
| 57.555 | 57.555 | 1211.424 | -0.000 | 0.000 | 0.000 | 
| -0.132 | -0.131 | 0.262 | 509.325 | 0.000 | 0.000 | 
| -0.000 | -0.000 | -0.000 | -0.000 | 545.334 | 0.000 | 
| -0.136 | -0.137 | 0.272 | -0.000 | 0.000 | 542.687 | 
| 1285.156 | 55.672 | -14.749 | 19.696 | 0.000 | 0.000 | 
| 55.672 | 1285.156 | -14.749 | -19.696 | 0.000 | 0.000 | 
| 32.508 | 32.508 | 1259.199 | -0.000 | -0.000 | 0.000 | 
| 19.696 | -19.696 | -0.000 | 545.322 | 0.000 | 0.000 | 
| -125.187 | -125.187 | 249.997 | -0.000 | 458.975 | -4.731 | 
| 30.598 | 30.598 | -61.106 | 0.000 | 25.655 | 627.856 | 
| 1285.156 | 55.672 | -14.749 | 19.696 | -0.000 | -0.000 | 
| 55.672 | 1285.156 | -14.749 | -19.696 | -0.000 | -0.000 | 
| -14.357 | -14.357 | 1352.790 | 0.000 | -0.000 | -0.000 | 
| 19.696 | -19.696 | 0.000 | 545.322 | -0.000 | -0.000 | 
| 125.187 | 125.187 | -249.997 | 0.000 | 458.975 | -4.731 | 
| -30.598 | -30.598 | 61.106 | -0.000 | 25.655 | 627.856 | 
| 1285.157 | 55.673 | -14.749 | 19.696 | 0.000 | 0.000 | 
| 100.645 | 1103.706 | 121.525 | -2.778 | 0.000 | 0.000 | 
| 92.212 | 92.212 | 1139.973 | 0.000 | 0.000 | -0.000 | 
| 19.696 | -19.696 | 0.000 | 545.322 | 0.000 | 0.000 | 
| -10.493 | -10.493 | 20.954 | -0.000 | 472.949 | -0.777 | 
| 0.000 | 0.000 | 0.000 | 0.000 | 19.696 | 614.742 | 
| 1285.156 | 55.672 | -14.749 | 19.696 | -0.000 | -0.000 | 
| 97.590 | 1203.204 | 25.225 | -13.063 | -0.000 | -0.000 | 
| -14.357 | -14.357 | 1352.790 | 0.000 | -0.000 | -0.000 | 
| 19.696 | -19.696 | -0.000 | 545.322 | -0.000 | -0.000 | 
| 10.493 | 10.493 | -20.954 | 0.000 | 472.949 | -0.777 | 
| -0.000 | -0.000 | -0.000 | -0.000 | 19.696 | 614.742 | 
| 1175.608 | 89.878 | 60.485 | 9.148 | 0.000 | 0.000 | 
| 97.829 | 1175.185 | 52.968 | -10.215 | 0.000 | 0.000 | 
| 57.454 | 57.454 | 1209.390 | 0.000 | 0.000 | 0.000 | 
| 19.697 | -19.696 | 0.000 | 545.322 | 0.000 | 0.000 | 
| 0.000 | 0.000 | 0.000 | 0.000 | 545.322 | 19.696 | 
| -0.567 | -0.566 | 1.132 | -0.000 | 8.641 | 540.764 | 
| 1285.152 | 55.672 | -14.749 | 19.696 | -0.000 | -0.000 | 
| 90.927 | 1176.594 | 58.445 | -9.131 | -0.000 | 0.000 | 
| 58.472 | 58.472 | 1207.345 | 0.000 | -0.000 | -0.000 | 
| 19.696 | -19.697 | -0.000 | 545.322 | -0.000 | -0.000 | 
| -0.000 | -0.000 | -0.000 | -0.000 | 545.322 | 19.696 | 
| 0.567 | 0.566 | -1.132 | 0.000 | 8.641 | 540.764 | 
| 1198.158 | 246.844 | -118.461 | -1.116 | 0.000 | -0.000 | 
| 55.406 | 1285.447 | -14.313 | -19.710 | -0.000 | 0.000 | 
| -14.312 | -14.312 | 1355.163 | 0.000 | -0.000 | 0.000 | 
| 62.801 | 40.496 | -103.296 | 515.077 | -0.000 | 0.000 | 
| 0.000 | 0.000 | -0.000 | 0.000 | 545.333 | 19.710 | 
| 0.000 | 0.000 | -0.000 | 0.000 | 19.710 | 615.020 | 
| 1285.447 | 55.406 | -14.312 | 19.710 | 0.000 | -0.000 | 
| 55.406 | 1285.447 | -14.312 | -19.710 | 0.000 | -0.000 | 
| 29.588 | 29.588 | 1267.363 | 0.000 | -0.000 | -0.000 | 
| -40.496 | -62.801 | 103.296 | 515.077 | 0.000 | 0.000 | 
| -0.000 | -0.000 | 0.000 | -0.000 | 545.333 | 19.710 | 
| -0.000 | -0.000 | 0.000 | -0.000 | 19.710 | 615.020 | 
| 1181.534 | 96.014 | 48.994 | 8.911 | -0.000 | -0.000 | 
| 55.406 | 1285.448 | -14.312 | -19.710 | -0.000 | 0.000 | 
| 64.360 | 64.360 | 1197.819 | -0.000 | 0.000 | 0.000 | 
| 19.710 | -19.710 | 0.000 | 545.333 | -0.000 | 0.000 | 
| 0.000 | 0.000 | 0.000 | 0.000 | 545.333 | 19.710 | 
| 0.000 | 0.000 | 0.000 | 0.000 | 19.710 | 615.020 | 
| 1285.447 | 55.406 | -14.313 | 19.710 | -0.000 | -0.000 | 
| 55.406 | 1285.447 | -14.313 | -19.710 | 0.000 | -0.000 | 
| 52.166 | 52.166 | 1222.206 | 0.000 | -0.000 | -0.000 | 
| 19.710 | -19.710 | -0.000 | 545.333 | 0.000 | -0.000 | 
| -0.000 | -0.000 | -0.000 | -0.000 | 545.333 | 19.710 | 
| -0.000 | -0.000 | -0.000 | -0.000 | 19.710 | 615.020 | 
| 1176.967 | 95.548 | 54.030 | 9.874 | 0.000 | 0.000 | 
| 89.574 | 1177.490 | 59.482 | -9.090 | 0.000 | 0.000 | 
| -14.312 | -14.312 | 1355.169 | 0.000 | -0.000 | 0.000 | 
| 10.139 | -8.909 | -1.229 | 509.318 | 0.000 | 0.000 | 
| 0.615 | 0.615 | -1.229 | 0.000 | 509.318 | 9.523 | 
| 0.655 | 0.656 | -1.310 | -0.000 | 8.854 | 542.375 | 
| 1285.443 | 55.406 | -14.313 | 19.710 | -0.000 | -0.000 | 
| 88.253 | 1176.324 | 61.959 | -9.102 | -0.000 | -0.000 | 
| 57.095 | 57.095 | 1212.344 | 0.000 | -0.000 | -0.000 | 
| 19.710 | -19.710 | -0.000 | 545.333 | 0.000 | -0.000 | 
| -0.615 | -0.615 | 1.229 | -0.000 | 509.318 | 9.523 | 
| -0.655 | -0.656 | 1.310 | 0.000 | 8.854 | 542.375 | 
| 235.460 | -160.907 | -160.907 | -0.000 | -0.000 | 0.000 | 
| -160.907 | 235.460 | -160.907 | -0.000 | -0.000 | 0.000 | 
| -160.907 | -160.907 | 235.460 | -0.000 | -0.000 | 0.000 | 
| -2339.699 | -2339.699 | -2339.699 | 127.274 | 0.000 | 0.000 | 
| -2339.699 | -2339.699 | -2339.699 | -0.000 | 127.274 | 0.000 | 
| -2339.699 | -2339.699 | -2339.699 | 0.000 | -0.000 | 127.274 | 
| 526.919 | 22.317 | 22.317 | -0.000 | 0.000 | -0.000 | 
| 22.317 | 526.919 | 22.317 | -0.000 | -0.000 | -0.000 | 
| 22.317 | 22.317 | 526.919 | 0.000 | -0.000 | -0.000 | 
| 2339.699 | 2339.699 | 2339.699 | 127.274 | -0.000 | -0.000 | 
| 2339.699 | 2339.699 | 2339.699 | 0.000 | 127.274 | -0.000 | 
| 2339.699 | 2339.699 | 2339.699 | -0.000 | -0.000 | 127.274 | 
| 526.919 | 22.317 | 22.317 | 0.000 | -0.000 | 0.000 | 
| 22.317 | 526.919 | 22.317 | -0.000 | -0.000 | 0.000 | 
| 22.317 | 22.317 | 526.919 | -0.000 | 0.000 | 0.000 | 
| -14.519 | -14.519 | -14.519 | 151.532 | 0.000 | 0.000 | 
| -14.519 | -14.519 | -14.519 | -0.000 | 151.532 | 0.000 | 
| -14.519 | -14.519 | -14.519 | -0.000 | 0.000 | 151.532 | 
| 449.653 | 48.343 | 48.343 | -0.000 | 0.000 | 0.000 | 
| 48.343 | 449.653 | 48.343 | 0.000 | -0.000 | -0.000 | 
| 48.343 | 48.343 | 449.653 | -0.000 | -0.000 | -0.000 | 
| 14.519 | 14.519 | 14.519 | 151.532 | -0.000 | -0.000 | 
| 14.519 | 14.519 | 14.519 | 0.000 | 151.532 | -0.000 | 
| 14.519 | 14.519 | 14.519 | 0.000 | -0.000 | 151.532 | 
| 457.717 | 35.812 | 35.812 | -0.000 | 0.000 | 0.000 | 
| 35.812 | 457.717 | 35.812 | -0.000 | 0.000 | 0.000 | 
| 35.812 | 35.812 | 457.717 | -0.000 | 0.000 | 0.000 | 
| -29.268 | -29.269 | -29.268 | 131.431 | 0.000 | 0.000 | 
| -1.560 | -1.560 | -1.560 | -0.000 | 154.743 | 0.000 | 
| -29.269 | -29.268 | -29.268 | 0.000 | 0.000 | 131.431 | 
| 526.917 | 22.317 | 22.317 | -0.000 | -0.000 | -0.000 | 
| 22.317 | 526.917 | 22.317 | -0.000 | -0.000 | -0.000 | 
| 22.317 | 22.317 | 526.917 | 0.000 | -0.000 | -0.000 | 
| 29.268 | 29.269 | 29.268 | 131.431 | -0.000 | -0.000 | 
| 1.560 | 1.560 | 1.560 | 0.000 | 154.743 | -0.000 | 
| 29.269 | 29.268 | 29.268 | -0.000 | -0.000 | 131.431 | 
| 705.026 | 611.250 | 613.167 | -0.007 | -0.116 | -0.089 | 
| 610.929 | 705.348 | 613.167 | -0.007 | -0.116 | -0.089 | 
| 610.933 | 611.254 | 707.267 | -0.007 | -0.116 | -0.089 | 
| 440.213 | 440.405 | 441.546 | 49.205 | -0.109 | -0.082 | 
| 440.213 | 440.405 | 441.546 | -0.007 | 49.102 | -0.082 | 
| 850.033 | 850.278 | 851.741 | -0.009 | -0.147 | 31.762 | 
| -342.225 | -446.466 | -447.595 | 0.007 | 0.108 | 0.082 | 
| -446.266 | -342.402 | -447.584 | 0.007 | 0.108 | 0.082 | 
| -446.264 | -446.454 | -343.529 | 0.007 | 0.108 | 0.082 | 
| -440.213 | -440.405 | -441.546 | 49.218 | 0.109 | 0.082 | 
| -0.000 | -0.000 | -0.000 | -0.000 | 81.308 | -0.000 | 
| -440.213 | -440.405 | -441.546 | 0.007 | 0.109 | 49.294 | 
| 145.293 | 38.960 | 39.079 | -0.001 | -0.011 | -0.008 | 
| 38.940 | 145.313 | 39.079 | -0.001 | -0.011 | -0.008 | 
| 38.941 | 38.961 | 145.432 | -0.001 | -0.011 | -0.008 | 
| 44.316 | 44.335 | 44.447 | 49.013 | -0.011 | -0.008 | 
| 111.795 | 111.825 | 111.999 | -0.000 | 22.502 | -0.005 | 
| 63.282 | 63.315 | 63.509 | -0.001 | -0.012 | 40.247 | 
| 6.586 | -80.274 | -80.479 | 0.001 | 0.012 | 0.009 | 
| -80.239 | 6.553 | -80.478 | 0.001 | 0.012 | 0.009 | 
| -80.234 | -80.268 | 6.357 | 0.001 | 0.012 | 0.009 | 
| -192.446 | -192.472 | -192.628 | 6.133 | 0.011 | 0.009 | 
| -85.652 | -85.676 | -85.821 | 0.001 | 31.557 | 0.011 | 
| -63.282 | -63.315 | -63.509 | 0.001 | 0.012 | 40.265 | 
| -828434.774 | -1019394.979 | -931540.130 | 39427.643 | 2820.668 | -21982.694 | 
| -919274.273 | -739395.559 | -1008091.648 | -15326.586 | 4826.152 | 28108.126 | 
| -971407.472 | -956057.419 | -843252.280 | -11705.110 | 7073.502 | -8081.687 | 
| -704569.144 | -1213998.867 | -1181681.994 | -476968.520 | -3081.651 | 4481.601 | 
| -1241409.456 | -746147.921 | -1098589.546 | -8012.011 | -452001.292 | -9200.438 | 
| -1098386.792 | -1229920.269 | -719179.892 | -3171.825 | -6697.218 | -495781.330 | 
| 1022381.921 | 857149.311 | 838735.518 | 7448.787 | 15994.831 | -9816.545 | 
| 807812.730 | 1071735.519 | 894822.147 | 29850.062 | 32830.502 | 13981.685 | 
| -29.764 | -29.767 | -51.826 | -0.001 | -0.000 | 0.003 | 
| 714313.889 | 1214028.415 | 1196131.457 | -483271.859 | 7712.932 | -7904.294 | 
| 1256445.546 | 741342.193 | 1116206.803 | -4672.082 | -443046.126 | -2061.630 | 
| 1102608.591 | 1245565.675 | 732457.092 | 5852.325 | -230.688 | -477376.277 | 
| 272.991 | 23.847 | -9.307 | -0.000 | -0.000 | 0.000 | 
| 52.825 | 83.803 | 20.583 | -0.000 | 0.000 | -0.000 | 
| 42.040 | -1.682 | 91.902 | -0.000 | -0.000 | 0.000 | 
| -203497996.972 | -1878842310.416 | 391255083.923 | -2430614.775 | 0.000 | -0.000 | 
| 46.592 | 11.932 | -24.469 | -0.000 | 87.833 | 0.000 | 
| 0.000 | 0.000 | 0.000 | -0.000 | -0.000 | 86.730 | 
| 190.883 | -18.002 | 16.933 | 0.000 | 0.000 | -0.000 | 
| -41.114 | 63.162 | 20.325 | 0.000 | -0.000 | -0.000 | 
| -42.060 | -39.954 | -45.578 | -0.000 | 0.000 | -0.000 | 
| 203497996.993 | 1878842310.426 | -391255083.780 | -2430614.764 | -0.000 | -0.000 | 
| -46.592 | -11.932 | 24.469 | -0.000 | 87.833 | -0.000 | 
| -0.000 | -0.000 | -0.000 | 0.000 | 0.000 | 86.730 | 
| 238.399 | 0.741 | -3.040 | 0.000 | 0.000 | 0.000 | 
| 13.503 | 74.273 | -6.688 | -0.000 | 0.000 | 0.000 | 
| -4.420 | -3.529 | -10.069 | 0.000 | 0.000 | 0.000 | 
| -20349796.082 | -187884234.350 | 39125509.581 | -242997.118 | 0.000 | -0.000 | 
| 0.000 | 0.000 | 0.000 | 0.000 | 100.287 | 0.000 | 
| 0.000 | 0.000 | 0.000 | 0.000 | 0.000 | 86.730 | 
| 230.257 | -3.486 | -7.638 | -0.000 | 0.000 | -0.000 | 
| 3.278 | 81.216 | -6.873 | 0.000 | 0.000 | -0.000 | 
| -10.466 | -9.734 | -20.612 | 0.000 | 0.000 | -0.000 | 
| 20349796.082 | 187884234.350 | -39125509.581 | -242997.118 | -0.000 | 0.000 | 
| -0.000 | -0.000 | -0.000 | -0.000 | 100.287 | -0.000 | 
| -0.000 | -0.000 | -0.000 | -0.000 | 0.000 | 86.730 | 
| 235.964 | -5.472 | -7.096 | 0.000 | -0.000 | 0.000 | 
| 10.931 | 66.046 | -5.484 | 0.000 | -0.000 | 0.000 | 
| -7.907 | -6.440 | -14.544 | 0.000 | -0.000 | 0.000 | 
| -2034976.002 | -18788426.804 | 3912551.981 | -24235.335 | 0.000 | 0.000 | 
| -3441005.002 | 366409.343 | 218713.858 | -83416.141 | -166284.219 | 17535.674 | 
| 0.344 | 0.175 | -0.046 | 0.000 | -0.000 | 85.147 | 
| 235.410 | -6.001 | -6.667 | -0.000 | 0.000 | -0.000 | 
| 10.101 | 65.724 | -1.524 | -0.000 | -0.000 | -0.000 | 
| -3.684 | -15.298 | -20.166 | -0.000 | 0.000 | -0.000 | 
| 2034976.002 | 18788426.804 | -3912551.981 | -24235.335 | -0.000 | 0.000 | 
| 3580090.576 | -145336.357 | -156203.271 | 10052.469 | -170943.384 | 192228.317 | 
| -0.344 | -0.175 | 0.046 | 0.000 | 0.000 | 85.147 | 
| 1052.232 | -557.890 | -251.741 | 0.000 | -0.000 | 0.000 | 
| -153.760 | 876.011 | 61.243 | 0.000 | -0.000 | -0.000 | 
| -30.310 | 49.148 | 688.694 | 0.000 | 0.000 | -0.000 | 
| -2451912631.386 | -1422225852.187 | -1223742489.436 | 79568216.078 | -0.000 | -0.000 | 
| -54887903.822 | -2153234538.986 | -2197672678.858 | 7984075.435 | -19787837.867 | 13953786.211 | 
| 5.130 | -3.686 | -1.706 | 0.000 | -0.000 | 53.397 | 
| 434.365 | -104.588 | -64.479 | -0.000 | 0.000 | 0.000 | 
| -149.664 | 883.201 | 50.689 | -0.000 | 0.000 | 0.000 | 
| -54.341 | 74.432 | 687.577 | -0.000 | 0.000 | 0.000 | 
| 2451912632.342 | 1422225851.777 | 1223742489.389 | 79568216.608 | -0.000 | 0.001 | 
| 1588909241.175 | 2397757240.972 | 2261891278.368 | -6639407.374 | 405420.852 | 20940309.797 | 
| -5.130 | 3.686 | 1.706 | -0.000 | 0.000 | 53.397 | 
| 441.929 | -110.634 | -66.354 | 0.000 | -0.000 | -0.000 | 
| -160.212 | 881.127 | 62.878 | 0.000 | -0.000 | -0.000 | 
| -46.029 | 68.034 | 685.228 | 0.000 | -0.000 | -0.000 | 
| 0.814 | -0.645 | -0.206 | 352.374 | -0.000 | 0.000 | 
| -57753133.576 | -227991113.733 | -233563624.482 | 5939948.200 | 58071.363 | -2384510.630 | 
| -0.436 | 0.403 | 0.049 | 0.000 | -0.000 | 53.360 | 
| 435.588 | -105.895 | -64.506 | -0.000 | 0.000 | 0.000 | 
| -145.167 | 879.784 | 49.385 | -0.000 | 0.000 | -0.000 | 
| -38.050 | 55.603 | 690.376 | -0.000 | 0.000 | 0.000 | 
| -0.814 | 0.645 | 0.206 | 352.374 | 0.000 | 0.000 | 
| -29601863.052 | 210354400.656 | 231091033.566 | 551334.112 | 1647023.714 | 2112036.285 | 
| 0.436 | -0.403 | -0.049 | -0.000 | 0.000 | 53.360 | 
| 422.298 | -115.501 | -41.298 | 0.000 | -0.000 | -0.000 | 
| -142.310 | 877.585 | 48.610 | 0.000 | -0.000 | 0.000 | 
| -46.609 | 68.483 | 685.395 | 0.000 | -0.000 | 0.000 | 
| -24519127.512 | -14222259.013 | -12237425.678 | 795987.954 | -0.000 | -0.000 | 
| -5443128.119 | -21925463.132 | -22418706.951 | 395938.226 | -1366.270 | -145568.395 | 
| 0.067 | -0.053 | -0.019 | 0.000 | -0.000 | 53.359 | 
| 424.537 | -117.490 | -43.042 | 0.000 | 0.000 | 0.000 | 
| -141.812 | 877.191 | 48.478 | 0.000 | 0.000 | 0.000 | 
| -50.285 | 72.292 | 686.582 | -0.000 | 0.000 | 0.000 | 
| 24519127.519 | 14222259.010 | 12237425.675 | 795987.961 | 0.000 | -0.000 | 
| -2335505.879 | 20996237.977 | 22783365.577 | -155174.859 | -298551.785 | 376865.812 | 
| -0.067 | 0.053 | 0.019 | -0.000 | 0.000 | 53.359 | 
| 214.659 | -51.238 | -63.767 | 4.166 | 0.000 | -0.000 | 
| 40.603 | 158.657 | 211.559 | -2.588 | 0.236 | 1.276 | 
| 404.960 | 369.831 | -126.994 | 2.997 | 0.242 | 1.378 | 
| 673.091 | 647.336 | 98.481 | 62.682 | 0.192 | 0.985 | 
| 81.434 | 47.609 | 201.054 | 3.038 | 77.062 | 6.891 | 
| 81.350 | 47.560 | 200.847 | 3.035 | 5.809 | 74.505 | 
| -525.508 | -675.240 | 343.930 | 1.830 | -0.144 | -0.781 | 
| -121.006 | 56.203 | -183.914 | -8.752 | -0.253 | -1.369 | 
| -76.746 | -45.007 | -71.964 | -2.851 | -0.230 | -1.243 | 
| -431.495 | -417.423 | 294.003 | 70.014 | -0.249 | -1.411 | 
| -0.000 | -0.000 | 0.000 | -0.000 | 114.435 | 4.166 | 
| -441.094 | -405.098 | 291.962 | -3.081 | 10.687 | 79.606 | 
| 147.375 | -38.367 | 8.532 | 5.340 | 0.017 | 0.091 | 
| 2.604 | 157.223 | -31.950 | -9.262 | 0.025 | 0.139 | 
| 3.188 | 0.164 | 144.701 | 0.272 | 0.022 | 0.118 | 
| 4.166 | -4.166 | -0.000 | 114.435 | 0.000 | -0.000 | 
| 44.403 | 40.906 | -30.574 | 0.299 | 74.226 | 11.111 | 
| 7.254 | 4.241 | 17.911 | 0.271 | 5.435 | 79.768 | 
| -6.341 | -113.114 | 10.551 | 0.918 | -0.016 | -0.080 | 
| -77.105 | 84.523 | 4.785 | -11.809 | -0.026 | -0.148 | 
| -79.881 | -79.881 | 328.888 | 0.000 | -0.000 | 0.000 | 
| -33.402 | -51.844 | 30.540 | 73.920 | -0.024 | -0.137 | 
| -7.770 | -4.543 | -19.185 | -0.290 | 78.517 | 5.375 | 
| -7.252 | -4.240 | -17.905 | -0.270 | 5.391 | 79.551 | 
| 33.101 | -51.164 | -1.683 | 3.222 | 0.002 | 0.012 | 
| -51.056 | 32.923 | -1.504 | -3.165 | 0.002 | 0.012 | 
| -2.155 | -2.595 | 30.896 | 0.039 | 0.003 | 0.017 | 
| 13.803 | 0.681 | 2.585 | 46.512 | 0.002 | 0.008 | 
| 9.513 | 9.282 | 1.233 | 0.020 | 56.847 | 8.287 | 
| 8.076 | 7.838 | 0.118 | 0.020 | 6.316 | 41.491 | 
| 31.067 | -62.676 | 12.186 | 5.888 | -0.002 | -0.012 | 
| -69.531 | 14.918 | -9.487 | -3.051 | -0.002 | -0.010 | 
| -20.702 | -20.505 | 49.463 | -0.019 | -0.001 | -0.008 | 
| -1.243 | -17.556 | -1.235 | 56.819 | -0.002 | -0.009 | 
| -4.726 | -4.409 | 3.759 | -0.026 | 77.515 | 11.368 | 
| -10.897 | -10.613 | 3.667 | -0.027 | 3.288 | 39.262 | 
| 1010.522 | 130.145 | -168.510 | 0.000 | 0.000 | 0.000 | 
| -18.523 | 1123.961 | 26.987 | 0.000 | -0.000 | -0.000 | 
| 39.519 | 32.879 | 1041.701 | 0.000 | -0.000 | -0.000 | 
| -0.000 | 0.000 | 0.000 | 557.118 | 0.000 | -0.000 | 
| 207.198 | 36.872 | -236.603 | -0.000 | 331.395 | -0.000 | 
| -0.000 | 0.000 | 0.000 | -0.000 | 0.000 | 443.120 | 
| 550.697 | 53.594 | 350.794 | -0.000 | -0.000 | -0.000 | 
| -109.722 | 947.299 | 277.390 | -0.000 | -0.000 | 0.000 | 
| 39.519 | 32.879 | 1041.701 | -0.000 | 0.000 | 0.000 | 
| -0.000 | -0.000 | -0.000 | 557.118 | 0.000 | 0.000 | 
| -207.198 | -36.872 | 236.603 | -0.000 | 331.395 | 0.000 | 
| 0.000 | -0.000 | -0.000 | -0.000 | -0.000 | 443.120 | 
| 959.426 | -14.188 | 37.962 | -0.000 | 0.000 | -0.000 | 
| -18.523 | 1123.961 | 26.987 | 0.000 | -0.000 | -0.000 | 
| 39.519 | 32.879 | 1041.702 | -0.000 | 0.000 | -0.000 | 
| 0.000 | 0.000 | 0.000 | 557.118 | -0.000 | -0.000 | 
| 8.410 | 1.497 | -9.603 | 0.000 | 406.961 | -0.000 | 
| -0.000 | 0.000 | 0.000 | -0.000 | 0.000 | 443.120 | 
| 815.212 | 61.011 | 92.171 | -0.000 | -0.000 | 0.000 | 
| 20.484 | 1045.327 | 57.856 | 0.000 | -0.000 | -0.000 | 
| 50.360 | 60.868 | 992.468 | 0.000 | -0.000 | 0.000 | 
| -0.000 | -0.000 | -0.000 | 557.118 | 0.000 | 0.000 | 
| -8.410 | -1.497 | 9.603 | -0.000 | 406.961 | 0.000 | 
| 0.000 | -0.000 | -0.000 | 0.000 | 0.000 | 443.120 | 
| 810.925 | 48.837 | 88.744 | -0.000 | 0.000 | -0.000 | 
| 44.516 | 1046.697 | 38.106 | 0.000 | -0.000 | 0.000 | 
| 97.130 | 45.909 | 964.541 | -0.000 | -0.000 | 0.000 | 
| 1.437 | 0.001 | -1.235 | 487.305 | 0.000 | -0.000 | 
| 1.954 | -0.109 | -1.505 | 0.000 | 407.136 | 0.000 | 
| 0.922 | 0.164 | -1.052 | 0.000 | 0.000 | 407.192 | 
| 809.377 | 43.425 | 101.374 | -0.000 | 0.000 | -0.000 | 
| -18.523 | 1123.956 | 26.986 | 0.000 | -0.000 | 0.000 | 
| 90.529 | 45.572 | 969.066 | 0.000 | -0.000 | -0.000 | 
| -1.437 | -0.001 | 1.235 | 487.305 | -0.000 | -0.000 | 
| -1.954 | 0.109 | 1.505 | -0.000 | 407.136 | 0.000 | 
| -0.922 | -0.164 | 1.052 | 0.000 | -0.000 | 407.192 | 
| 801.640 | 71.371 | 92.375 | 0.000 | 27.945 | -0.000 | 
| 20.322 | 1027.568 | 66.346 | 0.000 | -7.240 | -0.000 | 
| 66.692 | 54.297 | 979.566 | 0.000 | -18.478 | -0.000 | 
| -10.575 | 3.506 | -1.501 | 465.074 | -14.105 | 6.219 | 
| 13.370 | 9.842 | -16.925 | 0.000 | 377.178 | -0.000 | 
| -0.000 | 0.000 | 0.000 | -46.419 | -0.000 | 459.200 | 
| 865.255 | 41.467 | 86.197 | -0.000 | 83.135 | 0.000 | 
| 42.503 | 1015.219 | 72.465 | -0.000 | 23.166 | 0.000 | 
| 49.672 | 15.497 | 1074.100 | -0.000 | 29.836 | -0.000 | 
| 10.575 | -3.506 | 1.501 | 465.074 | 14.105 | 6.219 | 
| 32.489 | 6.527 | -16.656 | -0.000 | 400.148 | 0.000 | 
| 0.000 | -0.000 | -0.000 | -46.419 | 0.000 | 459.200 | 
| 821.343 | 43.030 | 103.134 | 0.000 | 69.527 | -0.000 | 
| 21.355 | 1045.859 | 55.409 | 0.000 | -8.924 | 0.000 | 
| 94.347 | 45.676 | 975.653 | 0.000 | -3.376 | -0.000 | 
| 0.000 | 0.000 | 0.000 | 543.981 | -0.000 | -46.419 | 
| 28.290 | -9.956 | -2.793 | 0.000 | 409.515 | -0.000 | 
| -0.808 | 0.268 | -0.115 | -6.213 | -1.077 | 414.049 | 
| 946.536 | -11.013 | 53.681 | -0.000 | 105.629 | 0.000 | 
| 47.434 | 1037.777 | 43.728 | -0.000 | -3.043 | 0.000 | 
| 99.557 | 45.645 | 974.709 | -0.000 | 1.307 | 0.000 | 
| -0.000 | -0.000 | -0.000 | 543.981 | 0.000 | -46.419 | 
| 29.915 | -11.064 | -2.102 | -0.000 | 412.159 | -0.000 | 
| 0.808 | -0.268 | 0.115 | -6.213 | 1.077 | 414.049 | 
| 824.477 | 42.016 | 102.336 | 0.000 | 71.010 | -0.000 | 
| 37.227 | 1040.343 | 44.973 | -0.000 | -8.723 | -0.000 | 
| 98.232 | 44.298 | 974.975 | -0.000 | -1.119 | 0.000 | 
| 0.000 | 0.001 | 0.001 | 543.981 | -0.000 | -46.419 | 
| 29.105 | -10.683 | -2.307 | 0.000 | 410.985 | 0.000 | 
| -0.080 | 0.027 | -0.011 | -6.485 | -0.107 | 414.355 | 
| 825.109 | 41.826 | 102.175 | -0.000 | 71.311 | 0.000 | 
| 37.821 | 1040.095 | 44.844 | -0.000 | -8.412 | 0.000 | 
| 97.730 | 44.639 | 974.894 | -0.000 | -1.655 | 0.000 | 
| -0.000 | -0.001 | -0.001 | 543.981 | 0.000 | -46.419 | 
| 15.910 | -5.410 | 0.353 | -0.000 | 406.454 | -0.000 | 
| 0.080 | -0.027 | 0.011 | -6.485 | 0.107 | 414.355 | 
| 848.338 | 31.411 | 82.900 | -0.000 | 80.357 | 0.000 | 
| -2.632 | 1123.861 | 13.280 | -0.000 | -58.154 | 0.000 | 
| 93.672 | 37.554 | 954.330 | 0.000 | -0.330 | -0.000 | 
| 0.000 | 0.000 | 0.000 | 545.890 | -0.000 | -45.089 | 
| 29.131 | -18.339 | -10.389 | -0.000 | 412.157 | 0.000 | 
| -0.000 | 0.000 | 0.000 | -47.990 | -0.000 | 454.488 | 
| 807.608 | 57.679 | 88.171 | -0.000 | 48.496 | 0.000 | 
| 22.176 | 1056.683 | 46.448 | 0.000 | -24.567 | -0.000 | 
| 78.669 | 54.397 | 959.693 | -0.000 | -19.303 | -0.000 | 
| -0.000 | -0.000 | -0.000 | 545.890 | 0.000 | -45.089 | 
| 39.026 | -55.254 | 18.820 | 0.000 | 457.532 | -0.000 | 
| -0.000 | -0.000 | -0.000 | -47.990 | 0.000 | 454.488 | 
| 932.948 | -5.169 | 40.370 | -0.000 | 91.294 | 0.000 | 
| -2.632 | 1123.862 | 13.280 | -0.000 | -58.154 | -0.000 | 
| 63.599 | 59.097 | 973.924 | -0.000 | -15.085 | 0.000 | 
| 0.000 | 0.000 | 0.000 | 545.890 | -0.000 | -45.089 | 
| 39.026 | -55.254 | 18.820 | -0.000 | 457.532 | 0.000 | 
| 0.467 | -1.226 | 0.739 | -6.479 | 1.419 | 408.279 | 
| 840.313 | 54.068 | 68.677 | 0.000 | 53.855 | -0.000 | 
| -2.632 | 1123.861 | 13.280 | 0.000 | -58.154 | -0.000 | 
| 84.437 | 48.239 | 957.289 | -0.000 | -10.166 | 0.000 | 
| -0.000 | -0.000 | -0.000 | 545.890 | 0.000 | -45.089 | 
| 26.762 | -14.475 | -11.230 | 0.000 | 408.250 | -0.000 | 
| -0.467 | 1.226 | -0.739 | -6.479 | -1.419 | 408.279 | 
| 814.097 | 46.804 | 87.639 | 0.000 | 60.144 | -0.000 | 
| -2.632 | 1123.866 | 13.280 | -0.000 | -58.154 | 0.000 | 
| 62.708 | 59.467 | 974.689 | -0.000 | -15.733 | 0.000 | 
| 0.044 | -0.115 | 0.070 | 487.215 | 0.133 | -6.197 | 
| 27.084 | -15.225 | -10.836 | -0.000 | 409.096 | 0.000 | 
| 0.047 | -0.123 | 0.074 | -6.486 | 0.142 | 408.287 | 
| 814.023 | 49.985 | 83.980 | 0.000 | 55.703 | -0.000 | 
| 23.588 | 1053.228 | 49.406 | 0.000 | -15.293 | -0.000 | 
| 62.512 | 59.543 | 974.854 | 0.000 | -15.872 | -0.000 | 
| -0.044 | 0.115 | -0.070 | 487.215 | -0.133 | -6.197 | 
| 13.846 | -9.523 | -8.987 | -0.000 | 403.797 | 0.000 | 
| -0.047 | 0.123 | -0.074 | -6.486 | -0.142 | 408.287 | 
| 567.408 | 30.735 | 30.735 | -0.000 | 0.000 | 0.000 | 
| 30.735 | 567.408 | 30.735 | -0.000 | 0.000 | 0.000 | 
| 30.735 | 30.735 | 567.408 | -0.000 | 0.000 | -0.000 | 
| -0.000 | 0.000 | 0.000 | 282.698 | -0.000 | 0.000 | 
| -0.000 | 0.000 | 0.000 | -0.000 | 282.698 | -0.000 | 
| -0.000 | 0.000 | 0.000 | -0.000 | 0.000 | 282.698 | 
| 463.668 | 78.303 | 78.303 | -0.000 | 0.000 | 0.000 | 
| 78.304 | 463.667 | 78.303 | -0.000 | -0.000 | -0.000 | 
| 78.304 | 78.303 | 463.667 | -0.000 | 0.000 | -0.000 | 
| 0.000 | -0.000 | -0.000 | 282.698 | -0.000 | 0.000 | 
| 0.000 | -0.000 | -0.000 | 0.000 | 282.698 | 0.000 | 
| 0.000 | -0.000 | -0.000 | 0.000 | 0.000 | 282.698 | 
| 463.671 | 78.283 | 78.283 | 0.000 | -0.000 | -0.000 | 
| 78.283 | 463.671 | 78.283 | 0.000 | 0.000 | -0.000 | 
| 78.283 | 78.283 | 463.671 | 0.000 | 0.000 | 0.000 | 
| 0.000 | 0.000 | 0.000 | 282.698 | 0.000 | 0.000 | 
| 0.000 | 0.000 | 0.000 | -0.000 | 282.698 | 0.000 | 
| 0.000 | 0.000 | 0.000 | -0.000 | -0.000 | 282.698 | 
| 463.645 | 78.298 | 78.298 | 0.000 | -0.000 | -0.000 | 
| 78.298 | 463.645 | 78.298 | -0.000 | 0.000 | -0.000 | 
| 78.298 | 78.298 | 463.645 | -0.000 | 0.000 | -0.000 | 
| -0.000 | -0.000 | -0.000 | 282.698 | 0.000 | 0.000 | 
| -0.000 | -0.000 | -0.000 | 0.000 | 282.698 | 0.000 | 
| -0.000 | -0.000 | -0.000 | 0.000 | 0.000 | 282.698 | 
| 456.344 | 80.550 | 80.550 | -0.000 | 0.000 | 0.000 | 
| 80.550 | 456.344 | 80.550 | 0.000 | 0.000 | 0.000 | 
| 80.550 | 80.550 | 456.344 | 0.000 | 0.000 | -0.000 | 
| 0.000 | 0.000 | 0.000 | 282.698 | 0.000 | 0.000 | 
| 0.000 | 0.000 | 0.000 | -0.000 | 282.698 | 0.000 | 
| 0.000 | 0.000 | 0.000 | -0.000 | -0.000 | 282.698 | 
| 456.328 | 80.292 | 80.292 | -0.000 | -0.000 | 0.000 | 
| 80.292 | 456.328 | 80.292 | 0.000 | -0.000 | 0.000 | 
| 80.292 | 80.292 | 456.328 | -0.000 | 0.000 | 0.000 | 
| -0.000 | -0.000 | -0.000 | 282.698 | -0.000 | -0.000 | 
| -0.000 | -0.000 | -0.000 | 0.000 | 282.698 | -0.000 | 
| -0.000 | -0.000 | -0.000 | 0.000 | -0.000 | 282.698 | 
| 13.148 | -23.037 | -23.037 | -0.000 | 0.000 | 0.000 | 
| -23.037 | 13.148 | -23.037 | -0.000 | -0.000 | 0.000 | 
| -23.037 | -23.037 | 13.148 | 0.000 | 0.000 | 0.000 | 
| 0.000 | -0.000 | -0.000 | 282.157 | 0.000 | -0.000 | 
| 0.000 | -0.000 | 0.000 | -0.000 | 282.157 | -0.000 | 
| 0.000 | 0.000 | -0.000 | -0.000 | -0.000 | 282.157 | 
| 565.769 | 30.377 | 30.377 | -0.000 | 0.000 | 0.000 | 
| 30.377 | 565.769 | 30.377 | -0.000 | -0.000 | 0.000 | 
| 30.377 | 30.377 | 565.769 | 0.000 | -0.000 | 0.000 | 
| -0.000 | 0.000 | -0.000 | 282.157 | -0.000 | 0.000 | 
| -0.000 | -0.000 | -0.000 | 0.000 | 282.157 | 0.000 | 
| -0.000 | -0.000 | -0.000 | 0.000 | -0.000 | 282.157 | 
| 436.181 | 68.333 | 68.333 | -0.000 | 0.000 | -0.000 | 
| 68.333 | 436.181 | 68.333 | 0.000 | 0.000 | 0.000 | 
| 68.333 | 68.333 | 436.181 | -0.000 | 0.000 | 0.000 | 
| -14.841 | -14.841 | -14.841 | 272.905 | 0.000 | 0.000 | 
| -14.841 | -14.841 | -14.841 | 0.000 | 272.905 | -0.000 | 
| -14.841 | -14.841 | -14.841 | -0.000 | 0.000 | 272.905 | 
| 464.574 | 99.529 | 99.529 | -0.000 | -0.000 | -0.000 | 
| 99.529 | 464.574 | 99.529 | 0.000 | -0.000 | -0.000 | 
| 99.529 | 99.529 | 464.574 | -0.000 | -0.000 | -0.000 | 
| 14.841 | 14.841 | 14.841 | 272.905 | -0.000 | 0.000 | 
| 14.841 | 14.841 | 14.841 | -0.000 | 272.905 | -0.000 | 
| 14.841 | 14.841 | 14.841 | 0.000 | -0.000 | 272.905 | 
| 461.015 | 77.434 | 77.434 | -0.000 | 0.000 | 0.000 | 
| 77.434 | 461.015 | 77.434 | -0.000 | 0.000 | -0.000 | 
| 77.434 | 77.434 | 461.015 | -0.000 | 0.000 | -0.000 | 
| -0.797 | -0.797 | -0.796 | 275.440 | 0.000 | 0.000 | 
| -0.797 | -0.797 | -0.796 | 0.000 | 275.440 | -0.000 | 
| -0.797 | -0.796 | -0.797 | -0.000 | 0.000 | 275.440 | 
| 456.242 | 81.287 | 81.287 | 0.000 | 0.000 | 0.000 | 
| 81.287 | 456.242 | 81.287 | 0.000 | -0.000 | 0.000 | 
| 81.287 | 81.287 | 456.242 | 0.000 | -0.000 | -0.000 | 
| 0.797 | 0.797 | 0.796 | 275.440 | -0.000 | -0.000 | 
| 0.797 | 0.797 | 0.796 | 0.000 | 275.440 | 0.000 | 
| 0.797 | 0.796 | 0.797 | 0.000 | 0.000 | 275.440 | 
| 86.125 | -15.353 | -14.489 | 0.338 | 0.584 | -0.794 | 
| -334.374 | -287.139 | -332.756 | 0.881 | 1.195 | -1.685 | 
| -18.921 | -18.921 | 203.523 | -0.000 | 0.000 | 0.000 | 
| -3.183 | -5.668 | -3.982 | -6.584 | 1.283 | -1.005 | 
| -237.110 | -237.605 | -235.534 | 0.262 | 75.160 | -1.426 | 
| -19.485 | -20.479 | -19.592 | 0.291 | 0.603 | 72.410 | 
| 97.643 | 33.762 | 32.011 | 1.501 | -1.332 | 1.044 | 
| 24.333 | 128.488 | 24.433 | -0.294 | -0.582 | 0.777 | 
| 24.616 | 25.591 | 127.005 | -0.282 | -0.591 | 0.783 | 
| 236.561 | 236.955 | 234.951 | 78.297 | -0.376 | 1.388 | 
| 403.527 | 405.772 | 402.595 | 0.060 | 29.691 | 1.577 | 
| 19.470 | 20.452 | 19.574 | -0.298 | -0.597 | 74.693 | 
| -37.803 | -69.687 | -69.488 | -0.006 | 0.113 | -0.145 | 
| -18.921 | 203.523 | -18.921 | 0.000 | 0.000 | -0.000 | 
| 7.751 | 7.630 | 97.580 | 0.012 | 0.071 | -0.087 | 
| -1.885 | -2.007 | -1.904 | 60.071 | 0.072 | -0.087 | 
| -0.000 | -0.000 | 0.000 | -0.000 | 140.403 | 0.000 | 
| 0.000 | 0.000 | -0.000 | -0.000 | 0.000 | 140.403 | 
| 149.707 | 4.506 | 4.420 | 0.074 | -0.066 | 0.052 | 
| 4.410 | 149.762 | 4.451 | 0.074 | -0.066 | 0.052 | 
| 4.292 | 4.419 | 149.948 | 0.074 | -0.066 | 0.051 | 
| 10.273 | 10.356 | 10.269 | 35.754 | -0.080 | 0.106 | 
| 0.136 | 0.243 | 0.171 | 0.062 | 77.934 | 0.043 | 
| 10.273 | 10.348 | 10.263 | -0.031 | -0.080 | 35.935 | 
| 2.027 | -31.949 | -31.925 | -0.000 | 0.009 | -0.014 | 
| -26.322 | -0.628 | -26.313 | 0.004 | 0.012 | -0.014 | 
| -26.318 | -26.321 | -0.604 | 0.004 | 0.012 | -0.014 | 
| -4.529 | -4.536 | -4.513 | 7.493 | 0.011 | -0.016 | 
| -3.522 | -3.522 | -3.501 | 0.006 | 4.344 | -0.016 | 
| -4.514 | -4.522 | -4.504 | 0.001 | 0.013 | 9.194 | 
| 11.758 | -25.455 | -25.456 | -0.000 | -0.009 | 0.016 | 
| -20.027 | 6.215 | -19.951 | 0.000 | -0.004 | 0.014 | 
| -16.382 | -16.385 | 6.033 | -0.004 | -0.014 | 0.015 | 
| 4.457 | 4.463 | 4.444 | 5.548 | -0.012 | 0.015 | 
| 4.533 | 4.536 | 4.510 | 0.000 | 7.455 | 0.015 | 
| 4.252 | 4.259 | 4.205 | -0.000 | -0.012 | 12.484 | 
| 114.352 | -108.000 | 30.541 | 0.376 | 0.191 | -0.283 | 
| 11.685 | 99.306 | -27.443 | 0.158 | 0.111 | -0.222 | 
| -97.733 | -97.732 | 313.138 | 0.000 | -0.000 | -0.000 | 
| -15.655 | -15.425 | 26.653 | 79.996 | 0.122 | -0.245 | 
| -66.744 | -66.849 | 107.863 | 0.269 | 102.859 | 0.034 | 
| -67.084 | -67.120 | 108.784 | 0.301 | 0.009 | 135.449 | 
| 188.044 | 23.228 | -168.391 | -0.108 | -0.024 | 0.080 | 
| 21.536 | 191.370 | -328.641 | -0.292 | -0.170 | 0.506 | 
| 26.060 | 26.319 | 75.337 | -0.164 | 0.107 | -0.195 | 
| 45.390 | 45.511 | -67.522 | 86.313 | -0.061 | 0.049 | 
| 15.597 | 15.368 | -26.554 | -0.174 | 80.260 | 0.244 | 
| 14.790 | 14.573 | -25.180 | -0.165 | -0.115 | 119.744 | 
| 84.905 | -53.419 | -19.926 | 0.000 | -0.022 | 0.073 | 
| -55.467 | 96.892 | -19.618 | 0.022 | -0.005 | 0.039 | 
| -56.218 | -56.287 | 107.459 | 0.021 | 0.004 | -0.002 | 
| -4.570 | -4.579 | 7.035 | 104.919 | 0.006 | -0.008 | 
| -4.569 | -4.578 | 7.034 | 0.025 | 104.905 | -0.008 | 
| -2.277 | -2.309 | 2.992 | 0.021 | 0.010 | 118.024 | 
| 143.174 | -34.615 | -47.288 | -0.028 | -0.005 | 0.005 | 
| -41.619 | 127.196 | -47.168 | -0.011 | -0.004 | 0.009 | 
| -62.071 | -61.929 | 42.056 | -0.010 | -0.002 | -0.018 | 
| 4.637 | 4.644 | -7.298 | 109.605 | -0.007 | 0.012 | 
| 4.638 | 4.646 | -7.300 | -0.028 | 109.615 | 0.012 | 
| 7.155 | 7.177 | -15.736 | -0.017 | 0.001 | 110.360 | 
| 85.477 | -40.109 | -53.028 | 0.003 | 0.001 | -0.000 | 
| -40.797 | 84.859 | -55.288 | 0.003 | 0.001 | -0.008 | 
| -69.100 | -69.082 | 70.645 | 0.001 | 0.000 | -0.000 | 
| 0.575 | -2.337 | 3.330 | 96.333 | 0.000 | -0.003 | 
| -0.769 | -0.909 | 3.331 | 0.002 | 96.830 | -0.002 | 
| -0.765 | -0.770 | 1.897 | 0.002 | 0.000 | 111.151 | 
| 90.707 | -43.000 | -60.935 | -0.001 | 0.001 | -0.008 | 
| -39.270 | 87.406 | -61.832 | -0.003 | -0.002 | 0.006 | 
| -63.703 | -63.717 | 61.664 | -0.001 | 0.002 | 0.003 | 
| 0.856 | 0.527 | -2.542 | 97.939 | -0.000 | 0.005 | 
| 0.658 | 0.935 | -2.991 | -0.002 | 97.403 | 0.014 | 
| 0.520 | 0.542 | -2.106 | 0.000 | 0.002 | 110.325 | 
| 663.080 | -49.836 | -442.252 | 0.004 | -0.089 | 0.038 | 
| -205.560 | 367.586 | -13.676 | 0.000 | -0.000 | 0.000 | 
| 269.615 | 230.854 | 615.955 | 0.006 | -0.166 | 0.451 | 
| 674.479 | -123.738 | -476.489 | 64.857 | -0.094 | 0.040 | 
| 1242.011 | -515.196 | -634.897 | 0.007 | -111.790 | 0.232 | 
| 671.301 | -123.155 | -474.244 | 0.004 | -0.093 | 24.082 | 
| 630.368 | -205.081 | -287.511 | 0.000 | -0.000 | -0.000 | 
| -385.765 | 177.247 | 218.674 | -0.005 | 0.115 | -0.097 | 
| -1194.431 | 472.246 | 759.619 | -0.007 | 0.163 | -0.235 | 
| -674.479 | 123.738 | 476.489 | 64.849 | 0.094 | -0.040 | 
| -1242.039 | 515.208 | 634.912 | -0.007 | -111.491 | -0.232 | 
| -1262.220 | 521.043 | 647.368 | -0.007 | 0.158 | 61.862 | 
| 192.771 | -24.248 | -58.873 | 0.000 | -0.003 | 0.004 | 
| 27.673 | 125.083 | -16.696 | 0.000 | -0.009 | 0.010 | 
| 18.382 | -18.431 | 135.540 | 0.000 | -0.010 | 0.009 | 
| 0.000 | -0.000 | -0.000 | 218.965 | 0.000 | 0.000 | 
| 81.210 | -35.719 | -39.798 | 0.000 | 67.315 | 0.016 | 
| 110.821 | -44.690 | -57.730 | 0.001 | -0.014 | 70.165 | 
| 99.021 | 22.365 | -18.952 | -0.000 | 0.010 | -0.011 | 
| -103.522 | 226.931 | 17.090 | -0.000 | 0.004 | -0.002 | 
| -47.983 | 3.098 | 174.033 | -0.001 | 0.014 | -0.018 | 
| -52.995 | 9.722 | 37.439 | 97.876 | 0.007 | -0.003 | 
| -2.312 | -39.365 | -42.169 | -0.000 | 69.022 | -0.014 | 
| -110.799 | 44.683 | 57.717 | -0.001 | 0.014 | 70.160 | 
| 40.462 | -0.064 | -36.519 | 0.000 | -0.001 | 0.001 | 
| -18.955 | 101.603 | -19.403 | 0.000 | -0.001 | 0.001 | 
| -27.582 | -4.677 | 158.546 | 0.000 | -0.001 | 0.001 | 
| -1.343 | 5.582 | -0.273 | 83.881 | -0.001 | 0.001 | 
| 6.577 | -2.639 | -3.437 | 0.000 | 109.620 | 0.001 | 
| -2.354 | 7.467 | 0.138 | 0.000 | -0.000 | 60.449 | 
| 9.438 | -40.317 | -52.173 | -0.000 | 0.001 | -0.005 | 
| -22.303 | 40.245 | -45.234 | -0.000 | 0.001 | -0.003 | 
| -66.962 | -11.891 | 102.260 | -0.000 | 0.001 | -0.005 | 
| -1.165 | -1.445 | 1.296 | 92.753 | 0.001 | 0.001 | 
| -6.577 | 2.639 | 3.437 | -0.000 | 109.621 | -0.001 | 
| -15.275 | 1.173 | 1.581 | -0.000 | 0.002 | 46.303 | 
| 695.916 | 181.672 | 181.672 | -0.000 | -0.000 | -0.000 | 
| 181.672 | 695.916 | 181.672 | -0.000 | 0.000 | -0.000 | 
| 181.672 | 181.672 | 695.916 | -0.000 | -0.000 | 0.000 | 
| -0.000 | 0.000 | 0.000 | -215.258 | -0.000 | -0.000 | 
| 0.000 | -0.000 | 0.000 | -0.000 | -215.258 | -0.000 | 
| 0.000 | 0.000 | -0.000 | -0.000 | 0.000 | -215.258 | 
| 695.916 | 181.672 | 181.672 | 0.000 | 0.000 | -0.000 | 
| 181.672 | 695.916 | 181.672 | 0.000 | 0.000 | 0.000 | 
| 181.672 | 181.672 | 695.916 | 0.000 | 0.000 | 0.000 | 
| 0.000 | -0.000 | -0.000 | -215.258 | 0.000 | 0.000 | 
| -0.000 | 0.000 | -0.000 | 0.000 | -215.258 | 0.000 | 
| -0.000 | -0.000 | 0.000 | 0.000 | 0.000 | -215.258 | 
| 695.916 | 181.672 | 181.672 | -0.000 | 0.000 | -0.000 | 
| 181.672 | 695.916 | 181.672 | 0.000 | -0.000 | -0.000 | 
| 181.672 | 181.672 | 695.916 | -0.000 | -0.000 | -0.000 | 
| -0.000 | 0.000 | 0.000 | -215.258 | -0.000 | 0.000 | 
| 0.000 | -0.000 | 0.000 | -0.000 | -215.258 | -0.000 | 
| 0.000 | 0.000 | -0.000 | -0.000 | 0.000 | -215.258 | 
| 695.916 | 181.672 | 181.672 | 0.000 | -0.000 | 0.000 | 
| 181.672 | 695.916 | 181.672 | 0.000 | 0.000 | 0.000 | 
| 181.672 | 181.672 | 695.916 | 0.000 | -0.000 | -0.000 | 
| 0.000 | -0.000 | -0.000 | -215.258 | 0.000 | 0.000 | 
| -0.000 | 0.000 | -0.000 | 0.000 | -215.258 | -0.000 | 
| -0.000 | -0.000 | 0.000 | 0.000 | 0.000 | -215.258 | 
| 695.915 | 181.674 | 181.674 | -0.000 | 0.000 | -0.000 | 
| 181.674 | 695.915 | 181.674 | -0.000 | -0.000 | 0.000 | 
| 181.674 | 181.674 | 695.915 | -0.000 | 0.000 | 0.000 | 
| -0.005 | 0.002 | 0.001 | -215.258 | 0.000 | 0.000 | 
| 0.002 | -0.005 | 0.001 | -0.000 | -215.258 | 0.000 | 
| 0.002 | 0.001 | -0.005 | -0.000 | -0.000 | -215.258 | 
| 695.917 | 181.670 | 181.670 | 0.000 | 0.000 | -0.000 | 
| 181.670 | 695.917 | 181.670 | 0.000 | -0.000 | 0.000 | 
| 181.670 | 181.670 | 695.917 | -0.000 | -0.000 | 0.000 | 
| 0.005 | -0.002 | -0.001 | -215.258 | -0.000 | 0.000 | 
| -0.002 | 0.005 | -0.001 | 0.000 | -215.258 | 0.000 | 
| -0.002 | -0.001 | 0.005 | 0.000 | -0.000 | -215.258 | 
| -19687614.272 | -22415909.278 | -18231983.740 | 556870.379 | -208616.106 | 146810.745 | 
| -21289741.985 | -19794262.673 | -18383329.232 | -92217.676 | 612967.989 | 67927.980 | 
| -16736988.143 | -16961919.919 | -14648107.803 | 125870.016 | 223058.136 | 493827.763 | 
| -6840.056 | -934603.540 | -934603.558 | -934603.549 | -2205.202 | -2205.202 | 
| -1069781.199 | -25392.887 | -1069781.220 | -8327.289 | -1069781.209 | -8327.289 | 
| -637649.815 | -637649.828 | -13098.438 | 12139.849 | 12139.849 | -637649.822 | 
| -0.000 | -0.000 | -0.000 | -0.000 | -0.000 | -0.000 | 
| -0.000 | -0.000 | -0.000 | -0.000 | -0.000 | -0.000 | 
| -0.000 | -0.000 | -0.000 | -0.000 | -0.000 | -0.000 | 
| 22805.230 | 792883.130 | 792883.146 | -792883.138 | 1288.637 | -1288.637 | 
| 784516.660 | 19333.025 | 784516.676 | -32784.902 | -784516.668 | 32784.902 | 
| 790031.561 | 790031.577 | 3061.890 | -13926.810 | 13926.810 | -790031.569 | 
| -2235037.933 | -2104838.203 | -2027110.313 | 18894.975 | -11328.361 | 29248.038 | 
| -2043947.553 | -2140109.928 | -1972595.323 | -10354.567 | 20593.505 | 14701.572 | 
| -1634599.345 | -1637102.997 | -1579163.841 | -19771.008 | -854.144 | 70357.752 | 
| -6045.673 | -143103.214 | -143103.243 | -143103.229 | -1419.692 | -1419.692 | 
| -202368.112 | -6943.962 | -202368.153 | 19.419 | -202368.132 | 19.419 | 
| -114423.313 | -114423.336 | 584.688 | 4747.309 | 4747.308 | -114423.324 | 
| -0.000 | -0.000 | -0.000 | -0.000 | -0.000 | -0.000 | 
| -0.000 | -0.000 | -0.000 | -0.000 | -0.000 | -0.000 | 
| -0.000 | -0.000 | -0.000 | -0.000 | -0.000 | -0.000 | 
| 1650.136 | 127363.018 | 127363.043 | -127363.031 | -5974.966 | 5974.966 | 
| 138963.514 | 7149.343 | 138963.541 | 3797.595 | -138963.527 | -3797.594 | 
| 89438.727 | 89438.745 | 890.990 | -2325.386 | 2325.385 | -89438.736 | 
| -223993.462 | -217714.955 | -199396.486 | 3711.276 | 11.241 | -4823.810 | 
| -221194.866 | -221413.055 | -200103.200 | -1292.990 | 4844.427 | -3748.687 | 
| -185989.092 | -188207.906 | -156677.814 | -3257.830 | -3937.113 | 4465.757 | 
| -169.784 | -9395.683 | -9395.702 | -9395.692 | 260.327 | 260.327 | 
| -18204.127 | -744.086 | -18204.163 | 899.961 | -18204.145 | 899.960 | 
| -23265.902 | -23265.949 | -990.601 | 877.670 | 877.669 | -23265.925 | 
| -0.000 | -0.000 | -0.000 | -0.000 | -0.000 | -0.000 | 
| -0.000 | -0.000 | -0.000 | -0.000 | -0.000 | -0.000 | 
| -0.000 | -0.000 | -0.000 | -0.000 | -0.000 | -0.000 | 
| 165.026 | 12054.509 | 12054.533 | -12054.521 | -156.383 | 156.383 | 
| 14519.615 | 593.079 | 14519.644 | -417.140 | -14519.630 | 417.140 | 
| 17996.156 | 17996.192 | 192.762 | 87.439 | -87.439 | -17996.174 | 
| 555.138 | 71.127 | 27.967 | 0.000 | -0.000 | -0.000 | 
| 71.127 | 555.138 | 27.967 | 0.000 | -0.000 | -0.000 | 
| 30.596 | 30.596 | 617.427 | -0.000 | 0.000 | -0.000 | 
| -0.000 | 0.000 | 0.000 | 216.264 | -0.000 | 0.000 | 
| 0.000 | -0.000 | 0.000 | -0.000 | 216.264 | 0.000 | 
| 0.000 | 0.000 | 0.000 | -0.000 | -0.000 | 298.322 | 
| -219.071 | 804.792 | 27.490 | 0.000 | 0.000 | -0.000 | 
| 804.792 | -219.071 | 27.490 | 0.000 | 0.000 | -0.000 | 
| 30.401 | 30.401 | 617.423 | 0.000 | 0.000 | -0.000 | 
| 0.000 | -0.000 | -0.000 | 216.265 | -0.000 | -0.000 | 
| -0.000 | 0.000 | -0.000 | 0.000 | 216.265 | -0.000 | 
| -0.000 | -0.000 | -0.000 | 0.000 | 0.000 | 298.322 | 
| -131488988.513 | -4217343.860 | -43684919.445 | -0.002 | -0.001 | -0.003 | 
| -4217343.862 | -131488988.512 | -43684919.447 | -0.000 | -0.001 | -0.004 | 
| 30.596 | 30.596 | 617.428 | 0.000 | 0.000 | -0.000 | 
| -0.000 | 0.000 | -0.000 | 216.264 | 0.000 | 0.000 | 
| 0.000 | -0.000 | -0.000 | -0.000 | 216.264 | 0.000 | 
| 0.000 | 0.000 | 0.000 | -0.000 | -0.000 | 298.322 | 
| 522.566 | 70.767 | 27.580 | 0.000 | -0.000 | -0.000 | 
| 70.767 | 522.566 | 27.580 | 0.000 | 0.000 | -0.000 | 
| 30.401 | 30.401 | 617.423 | 0.000 | 0.000 | -0.000 | 
| 0.000 | -0.000 | 0.000 | 216.264 | 0.000 | -0.000 | 
| -0.000 | 0.000 | 0.000 | 0.000 | 216.264 | -0.000 | 
| -0.000 | -0.000 | -0.000 | 0.000 | 0.000 | 298.322 | 
| -13148411.248 | -421697.460 | -4368523.107 | 0.000 | 0.000 | -0.000 | 
| -421697.460 | -13148411.248 | -4368523.107 | 0.000 | 0.000 | 0.000 | 
| 30.597 | 30.597 | 617.429 | -0.000 | 0.000 | -0.000 | 
| -0.000 | 0.000 | -0.000 | 216.264 | -0.000 | 0.000 | 
| 0.000 | -0.000 | -0.000 | -0.000 | 216.264 | 0.000 | 
| 0.000 | 0.001 | 0.000 | -0.000 | -0.000 | 298.322 | 
| 422166.528 | 13148981.333 | 4368521.327 | -0.000 | -0.000 | 0.001 | 
| 13148981.333 | 422166.528 | 4368521.327 | -0.000 | -0.000 | 0.001 | 
| 30.401 | 30.401 | 617.421 | 0.000 | -0.000 | -0.000 | 
| 0.000 | -0.000 | 0.000 | 216.264 | 0.000 | -0.000 | 
| -0.000 | 0.000 | 0.000 | 0.000 | 216.264 | -0.000 | 
| -0.000 | -0.001 | -0.000 | 0.000 | 0.000 | 298.322 | 
| -5273.637 | -5582.586 | 14323.092 | -18.836 | -0.000 | -0.000 | 
| -5574.639 | -5265.382 | 14303.326 | 18.819 | -0.000 | -0.000 | 
| -3036.458 | -3036.458 | 12680.451 | 0.000 | -0.000 | -0.000 | 
| -5794.908 | -5757.032 | 14299.236 | 105.109 | 0.000 | -0.000 | 
| -0.000 | -0.000 | -0.000 | 0.000 | 123.933 | -6.906 | 
| -5774.032 | -5774.032 | 14294.440 | 0.000 | -18.934 | 153.548 | 
| 6277.846 | 5972.947 | -14283.053 | -19.051 | -0.000 | 0.000 | 
| 213.336 | 747.183 | -93.379 | 6.906 | 0.000 | 0.000 | 
| 3169.218 | 3169.218 | -12206.798 | -0.000 | -0.000 | 0.000 | 
| 3081.340 | 3129.170 | -12445.450 | 96.628 | -0.000 | 0.000 | 
| 0.000 | -0.000 | -0.000 | -0.000 | 123.933 | -6.905 | 
| 5774.032 | 5774.032 | -14294.440 | -0.000 | -18.934 | 153.548 | 
| 187.149 | -62.572 | 1290.177 | -23.925 | 0.000 | -0.000 | 
| 213.336 | 747.183 | -93.379 | 6.906 | 0.000 | -0.000 | 
| -243.508 | -243.508 | 1482.077 | -0.000 | -0.000 | -0.000 | 
| -333.625 | -285.743 | 1244.430 | 96.585 | -0.000 | -0.000 | 
| -577.933 | -577.933 | 1430.756 | -0.000 | 105.098 | -18.945 | 
| -578.827 | -578.827 | 1432.970 | -0.000 | -18.964 | 153.268 | 
| 1057.350 | 773.802 | -1405.388 | -20.183 | -0.000 | 0.000 | 
| 557.225 | 806.963 | -1197.960 | 23.926 | 0.000 | 0.000 | 
| 377.419 | 377.419 | -1006.619 | 0.000 | 0.000 | 0.000 | 
| 559.186 | 597.085 | -1431.256 | 105.091 | 0.000 | 0.000 | 
| 577.933 | 577.933 | -1430.756 | 0.000 | 105.098 | -18.945 | 
| 578.827 | 578.827 | -1432.970 | 0.000 | -18.964 | 153.268 | 
| 460.312 | 221.981 | 172.662 | -31.324 | 0.000 | -0.000 | 
| 221.984 | 460.313 | 172.659 | 31.324 | 0.000 | -0.000 | 
| 35.902 | 35.902 | 362.143 | -0.000 | -0.000 | -0.000 | 
| -6.906 | 6.906 | 0.000 | 123.933 | -0.000 | -0.000 | 
| -62.663 | -62.663 | 155.132 | -0.000 | 103.511 | -19.960 | 
| -26.920 | -26.920 | 120.419 | -0.000 | -24.426 | 122.489 | 
| 522.366 | 202.104 | -1.147 | -18.236 | 0.000 | 0.000 | 
| 282.722 | 527.945 | -82.627 | 24.272 | 0.000 | 0.000 | 
| 98.002 | 98.002 | 113.250 | -0.000 | -0.000 | 0.000 | 
| -26.109 | 90.501 | -121.611 | 23.745 | -0.000 | 0.000 | 
| 62.663 | 62.663 | -155.132 | 0.000 | 103.511 | -19.960 | 
| 26.920 | 26.920 | -120.419 | 0.000 | -24.426 | 122.489 | 
| 63.484 | 343.496 | 862.033 | -0.000 | -60.349 | 0.000 | 
| -231.934 | 711.490 | 767.128 | -0.000 | -17.234 | 0.000 | 
| -156.209 | -59.712 | 1025.583 | 0.000 | -109.755 | -0.000 | 
| 0.000 | -0.000 | -0.000 | 624.600 | 0.000 | -46.443 | 
| -489.862 | 187.596 | 823.238 | -0.000 | 187.895 | 0.000 | 
| -0.000 | -0.000 | -0.000 | -46.443 | 0.000 | 266.140 | 
| 684.842 | 185.389 | -165.826 | -0.000 | 39.577 | 0.000 | 
| 181.497 | 704.653 | -59.712 | -0.000 | 44.418 | 0.000 | 
| -156.209 | -59.712 | 1025.583 | -0.000 | -109.755 | 0.000 | 
| -0.000 | 0.000 | 0.000 | 624.600 | -0.000 | -46.443 | 
| 28.243 | -300.261 | -576.968 | 0.000 | 273.434 | 0.000 | 
| 0.000 | 0.000 | 0.000 | -46.443 | 0.000 | 266.140 | 
| 513.085 | 225.511 | 43.211 | -0.000 | 14.460 | 0.000 | 
| 159.878 | 634.437 | 1.955 | -0.000 | 61.971 | 0.000 | 
| -20.835 | -79.968 | 849.221 | -0.000 | -95.483 | 0.000 | 
| 0.000 | 0.000 | 0.000 | 624.600 | -0.000 | -46.443 | 
| -55.813 | 71.693 | 0.249 | -0.000 | 262.430 | 0.000 | 
| -0.000 | 0.000 | 0.000 | -46.443 | -0.000 | 266.140 | 
| 536.999 | 159.348 | -74.877 | 0.000 | 35.276 | -0.000 | 
| 184.654 | 529.702 | -141.254 | 0.000 | 77.903 | -0.000 | 
| -156.209 | -59.712 | 1025.583 | -0.000 | -109.755 | 0.000 | 
| -0.000 | -0.000 | -0.000 | 624.600 | 0.000 | -46.443 | 
| 12.797 | 32.972 | -132.902 | -0.000 | 234.298 | 0.000 | 
| 0.000 | -0.000 | -0.000 | -46.443 | 0.000 | 266.140 | 
| 511.631 | 196.527 | 0.265 | -0.000 | 28.026 | 0.000 | 
| 205.028 | 602.415 | -87.558 | -0.000 | 73.886 | 0.000 | 
| -1.713 | -91.623 | 779.718 | -0.000 | -94.391 | 0.000 | 
| -3.541 | 2.345 | 7.740 | 245.649 | -0.609 | -41.846 | 
| 8.229 | 75.528 | -89.410 | -0.000 | 243.656 | 0.000 | 
| -2.484 | 4.345 | 6.913 | -42.609 | -0.162 | 147.495 | 
| 514.699 | 189.399 | -9.261 | 0.000 | 26.621 | -0.000 | 
| 189.821 | 568.418 | -117.628 | 0.000 | 66.534 | -0.000 | 
| 10.202 | -111.946 | 747.320 | -0.000 | -82.099 | 0.000 | 
| 3.541 | -2.345 | -7.740 | 245.649 | 0.609 | -41.846 | 
| 13.610 | 68.767 | -101.807 | 0.000 | 242.788 | 0.000 | 
| 2.484 | -4.345 | -6.913 | -42.609 | 0.162 | 147.495 | 
| 1635.933 | -805.626 | 48.297 | -5.147 | -61.157 | -16.503 | 
| -800.011 | 1452.100 | -108.214 | 1.526 | 52.709 | 9.880 | 
| 156.429 | -17.611 | 323.525 | -1.536 | -31.339 | -0.484 | 
| -4.680 | 3.320 | 0.657 | 189.559 | -0.827 | 10.617 | 
| -38.745 | 27.194 | -33.567 | -2.095 | 147.861 | 2.667 | 
| -5.662 | -2.830 | -0.602 | -4.806 | 0.155 | 148.863 | 
| 681.176 | -61.383 | 72.926 | 3.255 | -47.025 | 0.888 | 
| -68.679 | 527.203 | -29.567 | -1.070 | 25.252 | -7.341 | 
| 139.336 | 6.877 | 315.246 | 1.400 | -38.563 | -3.551 | 
| 1.048 | 2.446 | -1.701 | 105.973 | -1.813 | 1.372 | 
| -43.757 | 59.178 | -32.855 | -0.827 | 173.084 | 1.381 | 
| -2.714 | -1.607 | -3.066 | -3.175 | -1.182 | 142.132 | 
| 649.780 | -46.194 | 77.797 | -2.662 | -47.855 | -8.001 | 
| -83.506 | 569.508 | -9.260 | -2.159 | 15.487 | -2.372 | 
| 140.097 | 6.064 | 316.686 | -0.283 | -36.865 | -2.564 | 
| -4.680 | 3.320 | 0.657 | 189.559 | -0.827 | 10.617 | 
| -36.384 | 33.377 | -37.051 | -0.827 | 146.044 | 1.168 | 
| -0.746 | -3.614 | -1.735 | -6.249 | -0.340 | 164.326 | 
| 588.824 | -68.383 | 107.976 | 0.088 | -53.386 | -7.860 | 
| -99.989 | 550.180 | -39.337 | -1.972 | 21.633 | -3.199 | 
| 149.847 | -8.642 | 322.673 | 0.092 | -31.916 | -2.257 | 
| 0.273 | -0.180 | -0.244 | 103.681 | -0.869 | 2.633 | 
| -36.159 | 34.695 | -37.062 | -0.613 | 145.737 | 1.051 | 
| -0.891 | -3.384 | -1.744 | -6.166 | -0.372 | 164.309 | 
| 588.410 | -70.072 | 105.499 | 0.041 | -53.128 | -8.203 | 
| -64.272 | 519.672 | -22.328 | -1.910 | 27.319 | -3.759 | 
| 143.054 | -4.349 | 318.791 | -0.361 | -34.893 | -2.341 | 
| 0.043 | -0.405 | -0.124 | 103.564 | -0.697 | 2.948 | 
| -36.921 | 35.050 | -36.727 | -0.816 | 145.928 | 0.971 | 
| -3.958 | -4.253 | -1.189 | -4.626 | 0.245 | 143.165 | 
| 631.712 | -119.831 | 114.845 | -0.667 | -56.053 | -10.274 | 
| -64.279 | 519.761 | -22.378 | -1.882 | 27.291 | -3.749 | 
| 139.836 | 6.421 | 316.478 | -0.083 | -37.115 | -2.598 | 
| 0.313 | -0.429 | -0.043 | 103.553 | -0.690 | 2.664 | 
| -36.533 | 33.839 | -37.173 | -0.669 | 145.868 | 0.998 | 
| -4.069 | -3.877 | -1.255 | -3.769 | 0.299 | 142.895 | 
| 1317.006 | 153.162 | 153.162 | 0.000 | 0.000 | 0.000 | 
| 153.162 | 1317.006 | 153.162 | 0.000 | -0.000 | 0.000 | 
| 153.162 | 153.162 | 1317.006 | -0.000 | 0.000 | 0.000 | 
| 0.000 | 0.000 | 0.000 | 9.775 | -0.000 | 0.000 | 
| 0.000 | 0.000 | 0.000 | 0.000 | 9.776 | 0.000 | 
| 0.000 | 0.000 | 0.000 | -0.000 | -0.000 | 9.776 | 
| 1317.006 | 153.162 | 153.162 | 0.000 | -0.000 | -0.000 | 
| 153.162 | 1317.006 | 153.162 | -0.000 | -0.000 | -0.000 | 
| 153.162 | 153.162 | 1317.006 | 0.000 | 0.000 | -0.000 | 
| -0.000 | -0.000 | -0.000 | 9.776 | 0.000 | -0.000 | 
| -0.000 | -0.000 | -0.000 | 0.000 | 9.776 | -0.000 | 
| -0.000 | -0.000 | -0.000 | 0.000 | 0.000 | 9.775 | 
| 1317.007 | 153.162 | 153.162 | 0.000 | 0.000 | 0.000 | 
| 153.162 | 1317.007 | 153.162 | 0.000 | 0.000 | 0.000 | 
| 153.162 | 153.162 | 1317.007 | 0.000 | 0.000 | 0.000 | 
| 0.000 | 0.000 | -0.000 | 9.776 | -0.000 | 0.000 | 
| 0.000 | 0.000 | -0.000 | -0.000 | 9.776 | 0.000 | 
| 0.000 | -0.000 | 0.000 | -0.000 | 0.000 | 9.776 | 
| 1317.005 | 153.162 | 153.162 | -0.000 | -0.000 | -0.000 | 
| 153.162 | 1317.005 | 153.162 | -0.000 | -0.000 | -0.000 | 
| 153.162 | 153.162 | 1317.005 | 0.000 | 0.000 | -0.000 | 
| -0.000 | -0.000 | 0.000 | 9.776 | -0.000 | -0.000 | 
| -0.000 | -0.000 | 0.000 | 0.000 | 9.776 | -0.000 | 
| -0.000 | 0.000 | -0.000 | 0.000 | 0.000 | 9.776 | 
| 1317.015 | 153.163 | 153.163 | 0.000 | 0.000 | 0.000 | 
| 153.163 | 1317.015 | 153.163 | 0.000 | 0.000 | 0.000 | 
| 153.163 | 153.163 | 1317.015 | -0.000 | 0.000 | 0.000 | 
| 0.000 | 0.000 | -0.000 | 9.776 | 0.000 | 0.000 | 
| 0.000 | 0.000 | -0.000 | -0.000 | 9.776 | 0.000 | 
| 0.000 | -0.000 | 0.000 | -0.000 | 0.000 | 9.776 | 
| 1316.996 | 153.161 | 153.161 | 0.000 | -0.000 | -0.000 | 
| 153.161 | 1316.996 | 153.161 | -0.000 | -0.000 | -0.000 | 
| 153.161 | 153.161 | 1316.996 | -0.000 | -0.000 | -0.000 | 
| -0.000 | -0.000 | 0.000 | 9.776 | -0.000 | -0.000 | 
| -0.000 | -0.000 | 0.000 | 0.000 | 9.776 | -0.000 | 
| -0.000 | 0.000 | -0.000 | 0.000 | -0.000 | 9.776 | 
| -175178.319 | 89107.671 | 89107.671 | 0.000 | -0.000 | -0.000 | 
| 89107.671 | -175178.319 | 89107.671 | 0.000 | -0.000 | -0.000 | 
| 89107.671 | 89107.671 | -175178.319 | 0.000 | -0.000 | -0.000 | 
| 0.005 | -0.003 | -0.002 | -197.436 | -0.000 | -0.000 | 
| -0.003 | 0.005 | -0.002 | 0.000 | -197.436 | 0.000 | 
| -0.003 | -0.002 | 0.004 | 0.000 | -0.000 | -197.436 | 
| 9231445.298 | 10265089.046 | 10498095.632 | -521914.846 | -1853124.569 | -532583.015 | 
| 11270244.722 | 10416995.109 | 9430758.020 | -131772.739 | -34268.232 | -592677.382 | 
| 10512444.493 | 9696773.525 | 8120770.898 | -987671.300 | 251717.431 | 515994.503 | 
| -0.005 | 0.003 | 0.002 | -197.436 | 0.000 | 0.000 | 
| 0.003 | -0.005 | 0.002 | -0.000 | -197.436 | 0.000 | 
| 0.003 | 0.001 | -0.005 | 0.000 | 0.000 | -197.436 | 
| -175172.907 | 89107.018 | 89107.018 | -0.000 | -0.000 | -0.000 | 
| 89107.018 | -175172.907 | 89107.018 | -0.000 | -0.000 | -0.000 | 
| 89107.018 | 89107.018 | -175172.907 | 0.000 | -0.000 | -0.000 | 
| 0.043 | -0.027 | -0.014 | -197.436 | -0.000 | -0.000 | 
| -0.027 | 0.043 | -0.014 | -0.000 | -197.436 | -0.000 | 
| -0.027 | -0.014 | 0.043 | 0.000 | -0.000 | -197.436 | 
| 1300415.209 | 1193160.675 | 1224372.207 | -77213.777 | -42462.370 | 7468.446 | 
| 1368056.317 | 1232968.899 | 1309320.459 | -77655.721 | -50394.538 | -23094.458 | 
| 1054854.907 | 1213687.488 | 1076339.923 | 50275.808 | -79355.250 | -14148.883 | 
| -0.043 | 0.027 | 0.014 | -197.436 | 0.000 | -0.000 | 
| 0.027 | -0.043 | 0.014 | -0.000 | -197.436 | -0.000 | 
| 0.027 | 0.014 | -0.043 | -0.000 | 0.000 | -197.436 | 
| -175118.765 | 89100.482 | 89100.482 | 0.000 | -0.000 | -0.000 | 
| 89100.482 | -175118.765 | 89100.482 | -0.000 | -0.000 | -0.000 | 
| 89100.482 | 89100.482 | -175118.765 | -0.000 | -0.000 | 0.000 | 
| -133196.612 | -91830.015 | -91019.911 | -5016.217 | -2416.335 | 6993.722 | 
| -107523.295 | -132427.391 | -104204.644 | 2406.873 | -5286.327 | -5546.647 | 
| -106258.811 | -103209.253 | -136739.531 | -3408.887 | 1389.738 | -520.255 | 
| -175238.995 | 89114.953 | 89114.953 | -0.000 | 0.000 | 0.000 | 
| 89114.953 | -175238.995 | 89114.953 | 0.000 | 0.000 | 0.000 | 
| 89114.953 | 89114.953 | -175238.995 | -0.000 | 0.000 | 0.000 | 
| 122596.677 | 84741.228 | 72787.945 | 2501.251 | -4545.617 | 3865.491 | 
| 89837.327 | 111349.583 | 89160.742 | 5538.253 | 5053.429 | -4615.444 | 
| 82267.169 | 96513.335 | 119110.100 | -563.833 | -4505.673 | -2729.891 | 
| -6420690.281 | -6934939.180 | -6528497.467 | 155771.900 | -59317.777 | 88847.223 | 
| -6985112.370 | -6115674.065 | -6685625.418 | 25980.505 | 184107.685 | -31534.961 | 
| -7049134.627 | -7026642.839 | -6454258.836 | 78009.912 | 10379.715 | 186242.941 | 
| -3569284.650 | -18911208.377 | -18464662.153 | 17803607.816 | -14067.653 | 34505.240 | 
| -21148478.429 | 116662.514 | -21429604.504 | 153226.503 | 21015600.303 | -167810.146 | 
| -18806531.420 | -18563538.081 | -2202492.620 | 26175.264 | 6510.171 | 18385888.777 | 
| -0.000 | -0.000 | -0.000 | -0.000 | -0.000 | -0.000 | 
| -0.000 | -0.000 | -0.000 | -0.000 | -0.000 | -0.000 | 
| -0.000 | -0.000 | -0.000 | -0.000 | -0.000 | -0.000 | 
| -1362053.524 | 19914709.330 | 19973529.552 | 20263531.107 | -93686.447 | -145508.347 | 
| 20039603.665 | -1612262.250 | 20490766.801 | 101378.356 | 20393284.219 | -119395.840 | 
| 19636091.098 | 20023368.562 | -1447414.487 | 48570.956 | -75740.680 | 19929106.109 | 
| -887636.589 | -925358.414 | -867037.415 | 6927.994 | -12853.269 | 23198.087 | 
| -771163.675 | -670226.371 | -721610.068 | 16920.584 | -5515.907 | 50378.116 | 
| -647069.134 | -684075.214 | -644195.134 | -37565.178 | -22108.375 | 31181.161 | 
| -42556.170 | -2162769.913 | -2168828.722 | 2153563.491 | -8248.383 | 6029.519 | 
| -2038019.503 | 1340.019 | -2015901.985 | -4066.045 | 1994322.399 | -572.357 | 
| -2072357.539 | -2068348.486 | -341001.317 | -20039.868 | 7441.852 | 2024076.097 | 
| -0.000 | -0.000 | -0.000 | -0.000 | -0.000 | -0.000 | 
| -0.000 | -0.000 | -0.000 | -0.000 | -0.000 | -0.000 | 
| -0.000 | -0.000 | -0.000 | -0.000 | -0.000 | -0.000 | 
| 282384.932 | 1923040.259 | 1883185.900 | 1945142.073 | 24557.782 | -10917.927 | 
| 1880132.459 | 398481.926 | 1877139.431 | -1341.877 | 1859844.922 | 12477.707 | 
| 1946542.409 | 1933583.319 | 173853.881 | 9108.889 | -1879.890 | 1860103.310 | 
| -63810.904 | -64624.481 | -69195.934 | -138.569 | 956.541 | -252.241 | 
| -71530.435 | -69983.280 | -63193.631 | 2653.904 | -2237.172 | 1588.653 | 
| -82109.919 | -82725.929 | -80430.784 | -3504.258 | -2723.302 | 2093.889 | 
| 3489.183 | -193446.010 | -198474.953 | 195085.653 | -807.571 | -457.900 | 
| -185549.720 | -12097.354 | -194816.857 | 222.781 | 187286.927 | -256.178 | 
| -195047.036 | -199035.792 | -30930.785 | 856.423 | -223.245 | 194147.006 | 
| -0.000 | -0.000 | -0.000 | -0.000 | -0.000 | -0.000 | 
| -0.000 | -0.000 | -0.000 | -0.000 | -0.000 | -0.000 | 
| -0.000 | -0.000 | -0.000 | -0.000 | -0.000 | -0.000 | 
| -11424.116 | 209224.146 | 206464.064 | 201451.540 | -3515.387 | 1139.746 | 
| 213939.384 | -522.549 | 219071.370 | 543.923 | 202005.023 | -2222.851 | 
| 218114.526 | 222920.857 | -8904.391 | 501.226 | -1068.039 | 211137.821 | 
| 937.589 | -582.019 | 145.339 | 0.001 | 165.455 | 0.001 | 
| 769.370 | -379.753 | 248.396 | 0.000 | 387.686 | 0.000 | 
| 922.695 | -1030.477 | 941.584 | 0.000 | 490.615 | 0.000 | 
| 292.887 | -606.199 | -5.300 | 148.179 | 186.685 | -12.822 | 
| 741.331 | -1233.725 | 164.546 | 0.000 | 679.087 | 0.000 | 
| 677.779 | -1037.885 | 106.297 | -95.694 | 396.098 | 72.591 | 
| 374.029 | 949.968 | 193.802 | 0.000 | -191.847 | 0.000 | 
| -99.548 | 1160.294 | 167.598 | 0.000 | -142.702 | 0.000 | 
| -558.470 | 1233.259 | 720.602 | -0.000 | -373.235 | -0.000 | 
| -292.887 | 606.199 | 5.300 | 148.179 | -186.685 | -12.822 | 
| -326.813 | 783.933 | 57.206 | -0.000 | 26.857 | -0.000 | 
| -677.779 | 1037.885 | -106.297 | -95.694 | -396.098 | 72.591 | 
| 826.662 | 103.155 | 150.914 | 0.000 | -42.160 | 0.000 | 
| 175.690 | 522.590 | 153.182 | 0.000 | 42.247 | 0.000 | 
| 178.323 | 76.235 | 910.524 | 0.000 | 68.867 | 0.000 | 
| 37.784 | -57.859 | 5.926 | 399.353 | 22.081 | -8.207 | 
| -45.951 | -11.799 | 42.538 | 0.000 | 229.769 | 0.000 | 
| 29.413 | -61.414 | -2.320 | -11.471 | 19.236 | 102.025 | 
| 788.193 | 187.540 | 141.166 | -0.000 | -71.393 | -0.000 | 
| 140.367 | 445.009 | 160.411 | 0.000 | -21.054 | 0.000 | 
| 178.323 | 76.235 | 910.523 | -0.000 | 68.867 | -0.000 | 
| -37.784 | 57.859 | -5.926 | 399.353 | -22.081 | -8.207 | 
| -46.787 | 71.114 | 62.179 | 0.000 | 162.389 | 0.000 | 
| -29.413 | 61.414 | 2.320 | -11.471 | -19.236 | 102.025 | 
| 592.322 | 152.584 | 169.645 | 0.000 | -21.752 | 0.000 | 
| 162.691 | 313.083 | 101.610 | -0.000 | 1.057 | -0.000 | 
| 154.154 | 74.487 | 585.819 | 0.000 | 87.260 | 0.000 | 
| 3.180 | -6.510 | 0.324 | 132.456 | 1.387 | -10.248 | 
| -27.086 | -4.720 | 78.562 | 0.000 | 165.334 | 0.000 | 
| 3.049 | -5.959 | 0.014 | -18.970 | 1.770 | 92.993 | 
| 595.462 | 151.270 | 172.476 | -0.000 | -19.216 | -0.000 | 
| 162.176 | 334.926 | 128.758 | -0.000 | 8.770 | -0.000 | 
| 149.142 | 84.496 | 586.965 | -0.000 | 84.416 | -0.000 | 
| -3.180 | 6.510 | -0.324 | 132.456 | -1.387 | -10.248 | 
| -36.163 | 18.709 | 78.427 | 0.000 | 155.964 | 0.000 | 
| -3.049 | 5.959 | -0.014 | -18.970 | -1.770 | 92.993 | 
| 1134.340 | -134.515 | 29.005 | 0.000 | 174.261 | -0.000 | 
| 109.048 | 345.998 | 53.755 | -0.245 | 15.878 | -0.162 | 
| 107.715 | 55.170 | 563.195 | -0.327 | 12.698 | -0.218 | 
| 13.303 | -22.853 | -13.124 | 288.600 | -0.750 | 18.471 | 
| 60.954 | 1.278 | 1.897 | -0.198 | 173.794 | -0.131 | 
| -3.902 | -3.775 | -4.329 | 29.876 | -7.027 | 117.287 | 
| 679.805 | 139.839 | 124.092 | -0.151 | 97.849 | -0.102 | 
| -134.337 | 927.882 | 147.739 | -0.000 | -71.334 | -0.000 | 
| 90.801 | 92.836 | 593.986 | 0.235 | 20.384 | 0.155 | 
| -8.925 | 18.344 | 14.419 | 270.159 | 3.549 | 34.972 | 
| 56.596 | 28.519 | 27.340 | 0.227 | 186.712 | 0.150 | 
| 3.921 | 3.703 | 4.363 | 30.374 | 7.069 | 117.600 | 
| 598.890 | 111.473 | 89.683 | -0.050 | 87.720 | -0.033 | 
| 103.549 | 359.196 | 64.034 | -0.057 | 21.274 | -0.038 | 
| 96.673 | 78.868 | 577.070 | -0.003 | 12.723 | -0.002 | 
| 0.663 | -1.336 | -1.479 | 263.223 | -0.660 | 46.315 | 
| 59.476 | 14.156 | 11.657 | -0.030 | 180.391 | -0.020 | 
| -0.175 | -0.869 | -0.996 | 50.406 | -1.040 | 89.429 | 
| 596.736 | 116.138 | 92.845 | 0.019 | 89.922 | 0.013 | 
| 103.773 | 361.329 | 69.101 | 0.016 | 21.967 | 0.011 | 
| 95.398 | 81.571 | 580.148 | 0.004 | 14.076 | 0.002 | 
| -0.663 | 1.336 | 1.479 | 263.275 | 0.660 | 46.349 | 
| 73.150 | 16.619 | 14.748 | 0.180 | 185.031 | 0.120 | 
| -0.750 | 1.362 | 1.575 | 52.059 | 0.652 | 89.236 | 
| 597.592 | 114.379 | 92.156 | -0.002 | 89.183 | -0.001 | 
| 105.185 | 359.492 | 67.242 | -0.003 | 21.615 | -0.002 | 
| 96.447 | 79.474 | 578.304 | -0.025 | 13.881 | -0.017 | 
| 0.100 | -0.143 | -0.177 | 263.253 | -0.061 | 46.340 | 
| 59.168 | 15.661 | 13.390 | -0.003 | 181.000 | -0.002 | 
| 0.102 | -0.145 | -0.178 | 52.153 | -0.061 | 89.221 | 
| 597.650 | 114.628 | 91.350 | 0.009 | 89.454 | 0.006 | 
| 104.971 | 359.728 | 67.594 | -0.002 | 21.564 | -0.001 | 
| 96.468 | 80.812 | 578.597 | 0.003 | 13.619 | 0.002 | 
| -0.100 | 0.143 | 0.177 | 263.258 | 0.061 | 46.343 | 
| 59.016 | 15.763 | 13.519 | 0.004 | 181.129 | 0.003 | 
| -0.102 | 0.145 | 0.178 | 52.158 | 0.061 | 89.225 | 
| 136.107 | -28.824 | -28.824 | -0.000 | -0.000 | -0.000 | 
| -28.824 | 136.107 | -28.824 | -0.000 | -0.000 | 0.000 | 
| -28.824 | -28.824 | 136.107 | -0.000 | 0.000 | -0.000 | 
| -0.000 | 0.000 | -0.000 | -43.362 | -0.000 | -0.000 | 
| -0.000 | -0.000 | -0.000 | -0.000 | -43.362 | -0.000 | 
| -0.000 | -0.000 | -0.000 | -0.000 | -0.000 | -43.362 | 
| 136.107 | -28.824 | -28.824 | 0.000 | 0.000 | 0.000 | 
| -28.824 | 136.107 | -28.824 | 0.000 | 0.000 | 0.000 | 
| -28.824 | -28.824 | 136.107 | 0.000 | -0.000 | 0.000 | 
| 0.000 | -0.000 | 0.000 | -43.362 | 0.000 | 0.000 | 
| 0.000 | 0.000 | 0.000 | 0.000 | -43.362 | 0.000 | 
| 0.000 | 0.000 | 0.000 | 0.000 | 0.000 | -43.362 | 
| 136.107 | -28.824 | -28.824 | -0.000 | 0.000 | -0.000 | 
| -28.824 | 136.107 | -28.824 | -0.000 | -0.000 | -0.000 | 
| -28.824 | -28.824 | 136.107 | -0.000 | -0.000 | -0.000 | 
| -0.000 | 0.000 | 0.000 | -43.362 | -0.000 | -0.000 | 
| 0.000 | -0.000 | 0.000 | -0.000 | -43.362 | -0.000 | 
| 0.000 | 0.000 | -0.000 | -0.000 | -0.000 | -43.362 | 
| 136.107 | -28.824 | -28.824 | 0.000 | 0.000 | 0.000 | 
| -28.824 | 136.107 | -28.824 | 0.000 | 0.000 | 0.000 | 
| -28.824 | -28.824 | 136.107 | 0.000 | 0.000 | 0.000 | 
| 0.000 | -0.000 | -0.000 | -43.362 | 0.000 | 0.000 | 
| -0.000 | 0.000 | -0.000 | 0.000 | -43.362 | 0.000 | 
| -0.000 | -0.000 | 0.000 | 0.000 | 0.000 | -43.362 | 
| 136.107 | -28.824 | -28.824 | -0.000 | -0.000 | -0.000 | 
| -28.824 | 136.107 | -28.824 | -0.000 | -0.000 | -0.000 | 
| -28.824 | -28.824 | 136.107 | -0.000 | -0.000 | -0.000 | 
| -0.000 | 0.000 | 0.000 | -43.362 | -0.000 | -0.000 | 
| 0.000 | -0.000 | 0.000 | -0.000 | -43.362 | -0.000 | 
| 0.000 | 0.000 | -0.000 | -0.000 | 0.000 | -43.362 | 
| 136.106 | -28.824 | -28.824 | 0.000 | -0.000 | 0.000 | 
| -28.824 | 136.106 | -28.824 | 0.000 | 0.000 | 0.000 | 
| -28.824 | -28.824 | 136.106 | 0.000 | 0.000 | 0.000 | 
| 0.000 | -0.000 | -0.000 | -43.362 | 0.000 | 0.000 | 
| -0.000 | 0.000 | -0.000 | 0.000 | -43.362 | 0.000 | 
| -0.000 | -0.000 | 0.000 | 0.000 | 0.000 | -43.362 | 
| 6818503.351 | 6251935.922 | 8491561.105 | -1196334.983 | -192208.791 | -85564.577 | 
| 7150203.006 | 6905147.171 | 9659237.535 | -517585.493 | -854605.239 | -484602.197 | 
| 6395037.795 | 5312358.857 | 10210918.771 | -1265234.515 | -1216085.868 | -295305.977 | 
| -2908082.932 | 16210556.236 | 16242599.691 | 15003498.619 | 257126.015 | -57771.353 | 
| 17425473.375 | 2180604.964 | 17704637.698 | 227627.435 | 17459436.873 | 322878.320 | 
| 20125772.875 | 20144646.058 | 1680463.069 | -516725.904 | -568001.849 | 18459678.248 | 
| -0.000 | -0.000 | -0.000 | -0.000 | -0.000 | -0.000 | 
| -0.000 | -0.000 | -0.000 | -0.000 | -0.000 | -0.000 | 
| -0.000 | -0.000 | -0.000 | -0.000 | -0.000 | -0.000 | 
| 2727311.452 | -15779091.026 | -15746727.808 | 15394765.709 | 425390.250 | -194207.827 | 
| -15861617.205 | -4949923.934 | -15940899.409 | -315135.337 | 16639888.670 | 303154.066 | 
| -14354306.386 | -14488231.259 | 150161.087 | -102160.394 | 28383.230 | 15687983.777 | 
| 697117.300 | 576159.487 | 858388.128 | -78239.315 | -115447.599 | -179767.477 | 
| 678096.124 | 645024.591 | 939381.753 | -179288.995 | -109652.958 | -117392.594 | 
| 518701.711 | 527749.598 | 875711.960 | -213217.741 | -167942.776 | -66658.470 | 
| -235688.122 | 1619469.329 | 1643432.076 | 1686466.031 | 2377.959 | 37897.827 | 
| 1696812.138 | 30062.971 | 1701873.548 | 11783.472 | 1710138.591 | -18781.215 | 
| 1846822.211 | 1826444.518 | 172200.688 | 25801.549 | 42031.959 | 1775069.231 | 
| -0.000 | -0.000 | -0.000 | -0.000 | -0.000 | -0.000 | 
| -0.000 | -0.000 | -0.000 | -0.000 | -0.000 | -0.000 | 
| -0.000 | -0.000 | -0.000 | -0.000 | -0.000 | -0.000 | 
| 99771.861 | -1658817.174 | -1664192.459 | 1622778.984 | 18616.542 | -14829.096 | 
| -1765642.415 | 6651.796 | -1746764.067 | -3893.544 | 1691344.048 | 14114.550 | 
| -1655703.717 | -1673752.745 | -427746.875 | 12116.775 | 9642.336 | 1664767.248 | 
| 61255.199 | 69817.690 | 67047.996 | -17564.330 | -12676.020 | -5552.440 | 
| 70067.557 | 68470.076 | 67460.147 | -12053.066 | -21312.145 | -9473.344 | 
| 70973.526 | 63617.785 | 103525.087 | -17332.890 | -10350.197 | -15521.730 | 
| -22147.172 | 154349.942 | 152054.110 | 155767.646 | -541.334 | -792.647 | 
| 170004.423 | -9421.307 | 169090.646 | 372.699 | 162166.493 | 753.496 | 
| 160468.319 | 158931.976 | 3441.272 | 1738.180 | -598.579 | 161921.068 | 
| -0.000 | -0.000 | -0.000 | -0.000 | -0.000 | -0.000 | 
| -0.000 | -0.000 | -0.000 | -0.000 | -0.000 | -0.000 | 
| -0.000 | -0.000 | -0.000 | -0.000 | -0.000 | -0.000 | 
| -12200.007 | -176423.997 | -179891.652 | 168000.731 | 978.096 | -522.767 | 
| -183788.093 | -94289.206 | -185636.716 | -1343.207 | 185308.937 | -1286.734 | 
| -161000.401 | -161067.830 | 18213.896 | 27.083 | 1.581 | 156201.232 | 
| 1041.812 | 1198.098 | 1198.098 | 0.000 | 0.000 | -0.000 | 
| 1198.098 | 1041.812 | 1198.097 | 0.000 | 0.000 | 0.000 | 
| 1198.098 | 1198.098 | 1041.812 | -0.000 | -0.000 | -0.000 | 
| -3087447340.191 | -1700749712.426 | -1273096155.342 | -24085457.022 | 10030535.002 | 25925393.026 | 
| -1501203818.000 | -3032108038.638 | -1569515667.573 | 16723510.944 | -42787708.393 | 38101812.159 | 
| -1451032088.062 | -2089454950.255 | -3457595241.832 | 4107194.461 | 37821812.782 | -60892723.785 | 
| 1041.812 | 1198.097 | 1198.097 | -0.000 | -0.000 | 0.000 | 
| 1198.097 | 1041.812 | 1198.097 | -0.000 | -0.000 | 0.000 | 
| 1198.097 | 1198.097 | 1041.812 | 0.000 | 0.000 | 0.000 | 
| 3123098968.228 | 1507073973.600 | 1475340697.333 | -84287731.673 | -11345316.999 | -18325957.139 | 
| 1532703080.930 | 3215656508.827 | 1643341658.472 | -17356064.968 | 28008111.421 | -21882844.191 | 
| 1219130410.914 | 1618255232.424 | 2941300075.679 | 35061484.586 | -3164758.882 | -80450387.969 | 
| 1041.813 | 1198.099 | 1198.099 | 0.000 | -0.000 | -0.000 | 
| 1198.099 | 1041.813 | 1198.099 | 0.000 | 0.000 | -0.000 | 
| 1198.099 | 1198.099 | 1041.813 | -0.000 | -0.000 | -0.000 | 
| -289582195.105 | -137243096.896 | -131572980.179 | -1488787.663 | -1403653.181 | 1539194.488 | 
| -154347394.782 | -313838207.226 | -164271584.686 | -553362.002 | 5736419.486 | 5753674.523 | 
| -113338668.800 | -180222881.031 | -314442475.512 | 1054846.649 | 1393882.528 | 5063280.293 | 
| 1041.811 | 1198.096 | 1198.096 | -0.000 | -0.000 | 0.000 | 
| 1198.096 | 1041.811 | 1198.096 | -0.000 | -0.000 | 0.000 | 
| 1198.096 | 1198.096 | 1041.811 | -0.000 | 0.000 | 0.000 | 
| 302909051.464 | 127099434.332 | 179004994.026 | -19513701.470 | 278773.449 | 847011.140 | 
| 117266705.268 | 288391628.626 | 174347104.581 | -1574700.286 | -19000062.957 | 988810.322 | 
| 126918307.948 | 186378755.510 | 300578041.731 | 1330162.015 | -154549.314 | -20574623.472 | 
| 1041.818 | 1198.111 | 1198.111 | 0.000 | 0.000 | 0.000 | 
| 1198.111 | 1041.818 | 1198.111 | 0.000 | 0.000 | -0.000 | 
| 1198.111 | 1198.111 | 1041.818 | 0.000 | 0.000 | -0.000 | 
| -31511779.092 | -14790376.738 | -17239889.331 | 830123.396 | 153514.467 | 88702.735 | 
| -13247928.221 | -32796674.069 | -19044076.377 | -53957.483 | 417609.195 | 48290.559 | 
| -12551889.684 | -19093227.768 | -33001534.645 | -243639.444 | 233551.626 | 699222.119 | 
| 1041.806 | 1198.084 | 1198.084 | -0.000 | -0.000 | 0.000 | 
| 1198.084 | 1041.806 | 1198.084 | -0.000 | -0.000 | 0.000 | 
| 1198.084 | 1198.084 | 1041.806 | 0.000 | 0.000 | 0.000 | 
| 30564616.105 | 18387276.287 | 11993197.954 | 1358684.259 | 3096.928 | 121267.894 | 
| 14894544.830 | 29578360.519 | 13819499.240 | 52545.951 | 2132197.852 | -4827.775 | 
| 16015914.658 | 15807918.388 | 31588597.929 | -199290.442 | -166091.992 | 1351260.159 | 
| -286824.397 | -361822.495 | -234130.994 | 128772.550 | 75005.852 | 60802.960 | 
| -286170.148 | -270026.225 | -279139.011 | -67932.992 | 56833.381 | 86264.517 | 
| -198612.389 | -106315.125 | -257062.066 | 3373.041 | 62561.027 | 12417.801 | 
| 13.181 | 211.304 | 211.304 | 211.304 | -5.930 | -5.930 | 
| 196.543 | -24.476 | 155.934 | 63.092 | 174.028 | 21.454 | 
| -53429.406 | -42362.873 | 29339.149 | -34768.221 | -36745.827 | -53923.309 | 
| -0.000 | -0.000 | -0.000 | -0.000 | -0.000 | -0.000 | 
| -0.000 | -0.000 | -0.000 | -0.000 | -0.000 | -0.000 | 
| -0.000 | -0.000 | -0.000 | -0.000 | -0.000 | -0.000 | 
| 1849.227 | 2072.623 | 2128.297 | -3845.071 | 3.211 | 182.081 | 
| -244.023 | -2.069 | -246.877 | 31.488 | 246.598 | -25.905 | 
| -385.696 | -249.554 | 89.144 | 23.412 | -78.926 | 267.689 | 
| -3528.753 | -8685.762 | -12971.688 | -1840.711 | 4782.317 | -1016.366 | 
| -2734.319 | -19955.879 | -19057.176 | -5638.973 | -10036.551 | -7780.989 | 
| -7043.340 | -2416.221 | -2023.609 | -4524.998 | 4212.565 | -7516.872 | 
| 10.606 | 20.318 | 11.580 | 19.036 | 5.332 | 1.890 | 
| 11.180 | 3.949 | 12.288 | -0.191 | 13.114 | 0.518 | 
| 12.821 | 12.718 | 2.799 | 3.511 | -0.810 | 15.701 | 
| -0.000 | -0.000 | -0.000 | -0.000 | -0.000 | -0.000 | 
| -0.000 | -0.000 | -0.000 | -0.000 | -0.000 | -0.000 | 
| -0.000 | -0.000 | -0.000 | -0.000 | -0.000 | -0.000 | 
| 4.779 | -21.601 | -21.602 | 21.601 | -4.442 | 4.442 | 
| -10.661 | 5.146 | -10.855 | 2.038 | 8.869 | -0.261 | 
| 552.174 | 367.835 | -935.706 | 127.927 | -182.299 | -373.439 | 
| -648.674 | -588.527 | -633.778 | 107.388 | 731.256 | -511.911 | 
| -1031.605 | -538.389 | -858.548 | 282.255 | 200.890 | 327.549 | 
| -284.070 | -516.046 | -101.749 | 110.799 | 104.857 | -85.344 | 
| -1.849 | -1.189 | -1.189 | -1.189 | 0.267 | 0.267 | 
| -40.631 | 9.487 | -40.631 | -7.824 | -40.631 | -7.824 | 
| -0.000 | -0.000 | 0.000 | -0.000 | -0.000 | -0.000 | 
| -0.000 | -0.000 | -0.000 | -0.000 | -0.000 | -0.000 | 
| -0.000 | -0.000 | -0.000 | -0.000 | -0.000 | -0.000 | 
| -0.000 | -0.000 | -0.000 | -0.000 | -0.000 | -0.000 | 
| 12.728 | -8.594 | -8.597 | 8.595 | 1.444 | -1.442 | 
| 1.780 | 9.096 | 1.780 | 1.904 | -1.780 | -1.904 | 
| 144.733 | 144.733 | -43.542 | -118.391 | 118.391 | -144.733 | 
| 675.671 | -256.546 | -256.546 | 0.000 | -0.000 | 0.000 | 
| -256.546 | 675.671 | -256.546 | 0.000 | -0.000 | 0.000 | 
| -256.546 | -256.546 | 675.671 | 0.000 | -0.000 | 0.000 | 
| 0.000 | 0.000 | 0.000 | -28.628 | 0.000 | 0.000 | 
| 0.000 | 0.000 | 0.000 | 0.000 | -28.628 | -0.000 | 
| 0.000 | 0.000 | 0.000 | 0.000 | 0.000 | -28.628 | 
| 675.671 | -256.546 | -256.546 | -0.000 | 0.000 | -0.000 | 
| -256.546 | 675.671 | -256.546 | -0.000 | 0.000 | -0.000 | 
| -256.546 | -256.546 | 675.671 | 0.000 | 0.000 | -0.000 | 
| -0.000 | -0.000 | -0.000 | -28.628 | 0.000 | 0.000 | 
| -0.000 | -0.000 | -0.000 | -0.000 | -28.628 | 0.000 | 
| -0.000 | -0.000 | -0.000 | -0.000 | -0.000 | -28.628 | 
| 675.671 | -256.546 | -256.546 | 0.000 | 0.000 | -0.000 | 
| -256.546 | 675.671 | -256.546 | 0.000 | 0.000 | 0.000 | 
| -256.546 | -256.546 | 675.671 | 0.000 | 0.000 | 0.000 | 
| 0.000 | 0.000 | 0.000 | -28.628 | -0.000 | -0.000 | 
| 0.000 | 0.000 | 0.000 | 0.000 | -28.628 | 0.000 | 
| 0.000 | 0.000 | 0.000 | 0.000 | -0.000 | -28.628 | 
| 675.671 | -256.546 | -256.546 | -0.000 | -0.000 | -0.000 | 
| -256.546 | 675.671 | -256.546 | -0.000 | -0.000 | 0.000 | 
| -256.546 | -256.546 | 675.671 | -0.000 | -0.000 | -0.000 | 
| -0.000 | -0.000 | -0.000 | -28.628 | -0.000 | 0.000 | 
| -0.000 | -0.000 | -0.000 | -0.000 | -28.628 | 0.000 | 
| -0.000 | -0.000 | -0.000 | -0.000 | 0.000 | -28.628 | 
| 675.672 | -256.546 | -256.546 | 0.000 | 0.000 | 0.000 | 
| -256.546 | 675.672 | -256.546 | 0.000 | 0.000 | 0.000 | 
| -256.546 | -256.546 | 675.672 | 0.000 | 0.000 | 0.000 | 
| 0.000 | 0.001 | 0.000 | -28.628 | -0.000 | 0.000 | 
| 0.001 | 0.000 | 0.000 | -0.000 | -28.628 | 0.000 | 
| 0.001 | 0.000 | 0.000 | 0.000 | 0.000 | -28.628 | 
| 675.670 | -256.546 | -256.546 | -0.000 | -0.000 | 0.000 | 
| -256.546 | 675.670 | -256.546 | -0.000 | -0.000 | 0.000 | 
| -256.546 | -256.546 | 675.670 | -0.000 | 0.000 | 0.000 | 
| -0.000 | -0.001 | -0.000 | -28.628 | -0.000 | -0.000 | 
| -0.001 | -0.000 | -0.000 | -0.000 | -28.628 | 0.000 | 
| -0.001 | -0.000 | -0.000 | 0.000 | 0.000 | -28.628 | 
| 7030734.763 | 7161054.034 | 7101558.949 | 1398.814 | -183003.165 | 54629.153 | 
| 7126444.026 | 6996075.732 | 6577739.693 | -107854.007 | -145525.494 | -726.220 | 
| 6078915.439 | 6441067.914 | 6084801.771 | 173215.713 | -73024.566 | -45092.047 | 
| 7249725.843 | 18009435.016 | 18327841.319 | 13387608.340 | 346603.253 | 214833.643 | 
| 21299867.420 | 7661624.692 | 21492214.116 | 170659.127 | 16110354.141 | 21168.971 | 
| 17259629.855 | 17267436.939 | 6896150.783 | -77447.155 | 223556.795 | 12704610.510 | 
| -0.000 | -0.000 | -0.000 | -0.000 | -0.000 | -0.000 | 
| -0.000 | -0.000 | -0.000 | -0.000 | -0.000 | -0.000 | 
| -0.000 | -0.000 | -0.000 | -0.000 | -0.000 | -0.000 | 
| -7707003.568 | -19729402.667 | -20027721.225 | 14532363.845 | 42481.810 | 23934.069 | 
| -16457665.348 | -6612468.101 | -16782593.716 | 48762.533 | 12173072.891 | -193354.546 | 
| -14885394.570 | -14897153.037 | -5436456.946 | -75544.554 | 62351.747 | 11007902.063 | 
| 604454.089 | 609625.263 | 648722.769 | -40120.078 | -16203.169 | 14815.495 | 
| 708090.332 | 718385.955 | 740331.111 | -42584.175 | -25895.098 | 8649.560 | 
| 651591.010 | 676860.658 | 688193.130 | -20772.168 | -4239.289 | 21431.508 | 
| 644532.079 | 1657030.491 | 1682182.047 | 1227122.845 | 20469.245 | 15159.336 | 
| 1471018.537 | 565340.888 | 1462888.582 | 29891.653 | 1091248.850 | 35569.414 | 
| 1967720.500 | 1927727.785 | 728720.324 | 8614.519 | 6041.795 | 1454317.974 | 
| -0.000 | -0.000 | -0.000 | -0.000 | -0.000 | -0.000 | 
| -0.000 | -0.000 | -0.000 | -0.000 | -0.000 | -0.000 | 
| -0.000 | -0.000 | -0.000 | -0.000 | -0.000 | -0.000 | 
| -697109.860 | -1701785.989 | -1694685.162 | 1233574.498 | 8388.791 | -5439.113 | 
| -1485867.635 | -580690.650 | -1517137.046 | 12747.718 | 1100871.248 | -11790.627 | 
| -1113548.170 | -1117041.199 | -411669.617 | 8753.780 | -12475.902 | 817234.634 | 
| 71799.675 | 68942.465 | 70993.776 | -269.008 | -1408.699 | 1842.121 | 
| 63856.912 | 71656.098 | 68307.612 | 80.596 | -427.620 | 945.221 | 
| 67915.113 | 66105.667 | 66139.056 | 2159.801 | -2321.502 | -1228.428 | 
| 60752.714 | 145361.647 | 147522.114 | 104888.490 | 1024.359 | 1899.594 | 
| 214307.209 | 86033.212 | 212981.970 | 114.051 | 155391.573 | 455.137 | 
| 168527.103 | 168479.338 | 66101.456 | -960.985 | -134.451 | 121909.460 | 
| -0.000 | -0.000 | -0.000 | -0.000 | -0.000 | -0.000 | 
| -0.000 | -0.000 | -0.000 | -0.000 | -0.000 | -0.000 | 
| -0.000 | -0.000 | -0.000 | -0.000 | -0.000 | -0.000 | 
| -56467.109 | -156900.352 | -156916.341 | 117510.493 | 451.750 | 626.013 | 
| -156159.069 | -64856.739 | -155524.052 | 1834.207 | 111452.042 | -1006.523 | 
| -129836.839 | -128513.277 | -49524.247 | -2307.941 | 2111.513 | 93371.438 | 
| -86949.563 | -87500.458 | -86951.500 | -12828.881 | -2945.556 | -2513.360 | 
| -187932.425 | -193631.341 | -190833.571 | -9352.130 | 2987.015 | -5738.480 | 
| -34852.017 | -34667.457 | -34112.316 | -8284.254 | 1590.335 | 390.225 | 
| -23088.111 | -22754.756 | -22054.310 | -5677.890 | 3842.226 | 6563.336 | 
| -565092.440 | -566603.815 | -566683.987 | -2495.995 | 78.625 | -3247.398 | 
| -52369.604 | -51852.191 | -52936.351 | -13143.419 | 1.272 | -120.408 | 
| 547238.293 | 548574.643 | 550494.991 | 4641.126 | 107.232 | 1919.251 | 
| 850547.640 | 849949.060 | 851088.060 | 3829.477 | 1670.261 | 1348.419 | 
| 188513.567 | 192842.539 | 190204.538 | 3510.991 | -6091.180 | 4544.670 | 
| 465289.695 | 469374.022 | 468488.045 | 5982.166 | -4988.829 | 4195.731 | 
| 51549.866 | 51425.947 | 51149.895 | 12567.883 | 2347.836 | -805.651 | 
| 538364.177 | 539430.511 | 537821.538 | 7747.405 | -4142.832 | 5998.903 | 
| -38250.979 | -38177.665 | -38027.652 | -881.841 | 186.215 | -549.527 | 
| -4218.163 | -4225.922 | -4180.037 | -388.787 | 735.934 | -427.303 | 
| -59473.448 | -59345.082 | -59217.664 | -518.572 | 869.313 | 281.976 | 
| -7519.773 | -7395.426 | -7547.341 | -1456.746 | 555.806 | -176.179 | 
| -9412.673 | -9392.615 | -9269.555 | -2022.884 | -878.393 | 1162.899 | 
| -17069.213 | -17081.616 | -17015.465 | -962.345 | 46.876 | -207.010 | 
| -2270.975 | -2247.002 | -2422.626 | 1348.619 | -1162.085 | -146.790 | 
| 3881.288 | 3979.059 | 3965.393 | 1553.031 | 115.591 | -424.782 | 
| 5688.309 | 5678.789 | 5661.803 | 1299.025 | -330.294 | -100.523 | 
| 60856.909 | 60813.175 | 60759.643 | 713.496 | -164.647 | 66.946 | 
| 1226.784 | 1377.678 | 1235.195 | 607.480 | -474.732 | -412.778 | 
| 14294.301 | 14219.385 | 14076.352 | 782.471 | 57.240 | 670.613 | 
| -4430.363 | -4427.696 | -4420.755 | -83.121 | 53.378 | -6.439 | 
| -1651.074 | -1644.762 | -1647.388 | -6.188 | 13.183 | -32.847 | 
| -3989.119 | -3972.559 | -3986.678 | -126.428 | -68.014 | 103.648 | 
| -4136.145 | -4143.706 | -4144.119 | -98.602 | 28.474 | -27.949 | 
| -298.905 | -299.967 | -297.146 | -55.859 | -44.538 | -30.731 | 
| -760.313 | -755.901 | -758.855 | -80.585 | 2.129 | -263.417 | 
| 1917.592 | 1916.188 | 1923.084 | 146.271 | -54.573 | 51.726 | 
| -1300.017 | -1332.461 | -1324.107 | 84.534 | 36.098 | 51.258 | 
| -159.153 | -166.884 | -167.145 | 116.431 | -28.841 | -34.585 | 
| 5370.974 | 5385.608 | 5379.837 | 58.269 | -6.533 | -40.369 | 
| 1892.017 | 1893.450 | 1886.795 | 139.689 | 50.737 | 9.704 | 
| 6872.171 | 6887.739 | 6878.702 | 39.528 | -82.777 | -5.112 | 
| 154.905 | -44.900 | -72.604 | 0.000 | 0.000 | -0.000 | 
| -44.900 | 154.905 | -72.604 | 0.000 | 0.000 | -0.000 | 
| -72.604 | -72.604 | 295.060 | 0.000 | 0.000 | -0.000 | 
| -0.000 | 0.000 | -0.000 | 38.227 | -0.000 | -0.000 | 
| -0.000 | -0.000 | -0.000 | 0.000 | 38.227 | -0.000 | 
| -0.000 | -0.000 | -0.000 | -0.000 | 0.000 | 128.426 | 
| 154.905 | -44.900 | -72.604 | 0.000 | -0.000 | 0.000 | 
| -44.900 | 154.905 | -72.604 | -0.000 | -0.000 | 0.000 | 
| -72.604 | -72.604 | 295.060 | 0.000 | -0.000 | 0.000 | 
| 0.000 | -0.000 | 0.000 | 38.227 | 0.000 | 0.000 | 
| 0.000 | 0.000 | 0.000 | -0.000 | 38.227 | 0.000 | 
| 0.000 | 0.000 | 0.000 | 0.000 | -0.000 | 128.426 | 
| 154.905 | -44.900 | -72.604 | -0.000 | 0.000 | -0.000 | 
| -44.900 | 154.905 | -72.604 | 0.000 | 0.000 | -0.000 | 
| -72.604 | -72.604 | 295.060 | 0.000 | 0.000 | -0.000 | 
| 0.000 | -0.000 | 0.000 | 33.351 | 0.000 | -0.000 | 
| -0.000 | 0.000 | 0.000 | -0.000 | 33.351 | -0.000 | 
| -0.000 | 0.000 | 0.000 | -0.000 | 0.000 | 128.426 | 
| 154.905 | -44.900 | -72.604 | -0.000 | -0.000 | 0.000 | 
| -44.900 | 154.905 | -72.604 | 0.000 | -0.000 | 0.000 | 
| -72.604 | -72.604 | 295.060 | 0.000 | -0.000 | 0.000 | 
| -0.000 | 0.000 | -0.000 | 33.351 | -0.000 | 0.000 | 
| 0.000 | -0.000 | -0.000 | 0.000 | 33.351 | 0.000 | 
| 0.000 | -0.000 | -0.000 | 0.000 | -0.000 | 128.426 | 
| 154.906 | -44.900 | -72.604 | -0.000 | 0.000 | -0.000 | 
| -44.900 | 154.906 | -72.604 | 0.000 | 0.000 | -0.000 | 
| -72.604 | -72.604 | 295.061 | 0.000 | 0.000 | -0.000 | 
| 0.002 | -0.002 | -0.000 | 33.351 | 0.000 | -0.000 | 
| -0.002 | 0.002 | -0.000 | -0.000 | 33.351 | -0.000 | 
| -0.000 | 0.000 | 0.000 | -0.000 | 0.000 | 128.426 | 
| 154.904 | -44.900 | -72.604 | 0.000 | -0.000 | 0.000 | 
| -44.900 | 154.904 | -72.604 | -0.000 | -0.000 | 0.000 | 
| -72.604 | -72.604 | 295.059 | -0.000 | -0.000 | 0.000 | 
| -0.002 | 0.002 | 0.000 | 33.351 | -0.000 | 0.000 | 
| 0.002 | -0.002 | 0.000 | 0.000 | 33.351 | 0.000 | 
| 0.000 | -0.000 | -0.000 | 0.000 | -0.000 | 128.426 | 
| 144.829 | -43.464 | -74.439 | 0.000 | -0.000 | 0.000 | 
| -43.464 | 144.829 | -74.439 | 0.000 | -0.000 | 0.000 | 
| -74.240 | -74.240 | 283.357 | -0.000 | -0.000 | 0.000 | 
| 0.000 | 0.000 | 0.000 | 36.495 | 0.000 | 0.000 | 
| 0.000 | 0.000 | 0.000 | 0.000 | 36.495 | 0.000 | 
| 0.000 | 0.000 | 0.000 | -0.000 | -0.000 | 124.735 | 
| 144.829 | -43.464 | -74.439 | -0.000 | 0.000 | -0.000 | 
| -43.464 | 144.829 | -74.439 | -0.000 | 0.000 | -0.000 | 
| -70.295 | -70.295 | 290.607 | 0.000 | 0.000 | -0.000 | 
| -0.000 | -0.000 | -0.000 | 36.495 | -0.000 | -0.000 | 
| -0.000 | -0.000 | -0.000 | -0.000 | 36.495 | -0.000 | 
| -0.000 | -0.000 | -0.000 | 0.000 | 0.000 | 124.735 | 
| 145.179 | -45.235 | -75.744 | 0.000 | 0.000 | 0.000 | 
| -45.235 | 145.179 | -75.744 | 0.000 | 0.000 | 0.000 | 
| -74.240 | -74.240 | 283.357 | 0.000 | -0.000 | 0.000 | 
| 0.000 | -0.000 | -0.000 | 31.230 | -0.000 | 0.000 | 
| -0.000 | 0.000 | -0.000 | -0.000 | 31.230 | 0.000 | 
| -0.000 | 0.000 | 0.000 | 0.000 | -0.000 | 124.735 | 
| 144.829 | -43.464 | -74.439 | -0.000 | 0.000 | -0.000 | 
| -43.464 | 144.829 | -74.439 | -0.000 | 0.000 | -0.000 | 
| -70.295 | -70.295 | 290.607 | 0.000 | -0.000 | -0.000 | 
| -0.000 | 0.000 | 0.000 | 31.230 | 0.000 | -0.000 | 
| 0.000 | -0.000 | 0.000 | 0.000 | 31.230 | -0.000 | 
| 0.000 | -0.000 | -0.000 | -0.000 | 0.000 | 124.735 | 
| 144.830 | -43.464 | -74.439 | 0.000 | -0.000 | 0.000 | 
| -43.464 | 144.830 | -74.439 | 0.000 | -0.000 | 0.000 | 
| -74.241 | -74.241 | 283.358 | 0.000 | -0.000 | 0.000 | 
| 0.001 | -0.001 | -0.000 | 31.230 | -0.000 | 0.000 | 
| -0.001 | 0.001 | -0.000 | -0.000 | 31.230 | 0.000 | 
| -0.000 | 0.000 | 0.000 | 0.000 | -0.000 | 124.735 | 
| 144.828 | -43.464 | -74.439 | -0.000 | 0.000 | -0.000 | 
| -43.464 | 144.828 | -74.439 | -0.000 | 0.000 | -0.000 | 
| -74.240 | -74.240 | 283.356 | 0.000 | 0.000 | -0.000 | 
| -0.001 | 0.001 | 0.000 | 31.230 | 0.000 | -0.000 | 
| 0.001 | -0.001 | 0.000 | 0.000 | 31.230 | -0.000 | 
| 0.000 | -0.000 | -0.000 | -0.000 | 0.000 | 124.735 | 
| -26528025.589 | -22648453.847 | -23532904.351 | 114639.330 | 99337.801 | 372300.781 | 
| -26018392.146 | -21923978.262 | -23160638.807 | 132220.907 | -375298.215 | 302672.879 | 
| -25408103.335 | -21875636.030 | -23713853.509 | 129620.121 | -500187.164 | 620991.030 | 
| -26591326.443 | -22719103.460 | -24215087.433 | 165085.040 | -321951.784 | 332924.307 | 
| -25820828.585 | -21798405.341 | -22654097.726 | -59564.519 | -242998.148 | 490384.157 | 
| -25010423.808 | -21198128.103 | -22531155.017 | -87357.405 | -315810.229 | 272228.122 | 
| 25942336.096 | 22083811.526 | 23166484.010 | -203356.563 | 212100.796 | -30348.504 | 
| 25776074.132 | 22230764.991 | 23475928.405 | -12386.409 | 190553.542 | -232261.190 | 
| 25011265.224 | 21344105.995 | 22742200.948 | -9374.417 | 96891.972 | -376969.088 | 
| 25545898.301 | 21607025.167 | 22846973.614 | 25963.397 | 155390.712 | -302495.954 | 
| 25263382.308 | 21424648.870 | 22185041.413 | -145551.788 | 345103.448 | -323629.072 | 
| 26038718.752 | 21887020.751 | 23255155.966 | -39238.002 | 228704.912 | -320696.621 | 
| -2372007.657 | -1923247.605 | -2050978.448 | -8219.299 | 14191.533 | 36959.444 | 
| -2486687.988 | -2030590.356 | -2187318.345 | 7823.733 | 20831.434 | 35332.111 | 
| -2561576.616 | -2194242.230 | -2307506.941 | 7415.299 | -14770.455 | 25520.644 | 
| -2613007.830 | -2237242.330 | -2352482.758 | 2362.672 | -9777.674 | 29089.601 | 
| -2667297.706 | -2242827.243 | -2365854.702 | 4887.271 | -34711.640 | 34665.870 | 
| -2686461.495 | -2284605.334 | -2432118.750 | 20093.685 | -25290.571 | 43005.492 | 
| 2603219.531 | 2184554.368 | 2347372.877 | -539.119 | 12621.615 | -15125.121 | 
| 2621223.971 | 2238682.008 | 2373573.018 | -28053.265 | -1239.297 | -42882.355 | 
| 2659296.905 | 2276896.600 | 2394018.908 | 912.995 | -14674.495 | -14533.259 | 
| 2683229.179 | 2242900.389 | 2427816.566 | -29633.967 | 10561.358 | -33411.679 | 
| 2598474.446 | 2193671.743 | 2303888.298 | -28901.311 | 23700.045 | -36461.611 | 
| 2632484.351 | 2214892.203 | 2333168.738 | -9881.432 | 16287.769 | -48856.478 | 
| -258856.351 | -217234.275 | -228932.939 | -630.069 | 258.126 | 4539.085 | 
| -267046.749 | -227429.186 | -238826.895 | 1374.100 | -1882.328 | 3299.562 | 
| -261551.162 | -221605.973 | -233484.876 | 2142.124 | -2054.064 | 4570.279 | 
| -244262.752 | -207305.374 | -216121.555 | -327.977 | -2261.411 | -918.957 | 
| -255591.778 | -221450.560 | -229967.313 | -815.491 | -2564.966 | 5935.431 | 
| -240379.256 | -205673.718 | -216576.312 | 126.088 | -1259.014 | 4305.222 | 
| 258865.736 | 219334.556 | 231886.158 | -1144.381 | 1600.434 | -3966.777 | 
| 248025.031 | 211602.430 | 224783.425 | -1117.889 | 682.822 | -2624.337 | 
| 260003.255 | 220344.624 | 232036.742 | -1328.308 | 5406.606 | -3077.183 | 
| 261084.178 | 221463.246 | 231112.556 | -184.644 | 795.722 | -3641.365 | 
| 265829.010 | 226510.967 | 237016.505 | -2337.753 | 989.671 | -4762.086 | 
| 247514.315 | 207723.946 | 215874.048 | 670.064 | 1468.814 | -2913.849 | 
| -1480630025.668 | -1059104696.425 | -902338775.233 | -12923436.527 | 10680527.736 | 1275697.893 | 
| -1000802546.804 | -1483946532.225 | -1078245367.168 | 10904791.638 | 15636857.282 | -3169175.209 | 
| -1070754014.625 | -1047334946.766 | -1505616340.685 | 48539522.169 | -16711346.277 | 66801026.598 | 
| -1080985555.864 | -1226211605.987 | -1182790595.435 | 22459489.544 | -7398977.894 | -25265122.220 | 
| -1302680494.550 | -1162094820.951 | -1229936669.566 | -24537838.783 | 14380213.678 | -3282758.596 | 
| -1354058741.831 | -1229075989.149 | -1112533472.728 | -42154491.440 | 24362197.599 | 29112851.495 | 
| 979905600.881 | 1229848551.772 | 1172192231.754 | -38877736.372 | 21750629.285 | 17769641.955 | 
| 1126589410.357 | 954778454.039 | 1163884224.092 | 1441807.121 | -8887471.377 | 5990241.399 | 
| 1121041481.594 | 1225539980.734 | 1041572552.447 | 1468771.247 | -18216187.219 | -17165483.894 | 
| 1171162341.996 | 1234469437.658 | 1288801884.136 | -52799331.752 | 77452527.608 | 24181918.995 | 
| 1196578056.327 | 1171224552.019 | 1198955762.117 | -29495147.722 | 14654059.760 | -24277394.510 | 
| 1259599608.755 | 1366236973.006 | 1192843869.077 | -11009979.848 | 22714504.015 | -12954164.102 | 
| -144947631.875 | -99310302.539 | -102045813.887 | -6881393.965 | -244412.992 | 730844.461 | 
| -93803442.429 | -152416992.290 | -102440205.321 | -1447214.755 | -5619534.885 | 1143710.452 | 
| -101120080.593 | -96030966.427 | -138106624.142 | 386415.531 | 7290388.750 | 1047551.655 | 
| -109342427.012 | -123192425.440 | -129682664.185 | 934979.017 | 2137174.190 | -236925.392 | 
| -132615512.776 | -113787883.993 | -134908107.053 | 3772451.662 | 2620747.817 | -115839.680 | 
| -132162763.963 | -119775394.212 | -123212666.392 | -5425608.227 | 46103.502 | -3633076.844 | 
| 99555974.612 | 108384295.756 | 108628082.872 | -4410713.717 | 1343593.813 | 1487684.408 | 
| 111665709.186 | 104283402.972 | 121338643.327 | -1721956.288 | -3308243.747 | -2010930.640 | 
| 108802049.374 | 108691151.339 | 96864400.830 | 6478645.370 | 3758459.001 | -1708338.071 | 
| 121398078.957 | 129857007.423 | 124108408.985 | 8991352.450 | 4677174.861 | -5598562.772 | 
| 118705296.459 | 121191602.765 | 125083775.278 | -4543366.949 | -602158.043 | 956333.590 | 
| 126673611.380 | 129285243.369 | 119418205.785 | 4168957.661 | -1153705.027 | 1602255.779 | 
| -12933075.560 | -9587844.949 | -10373804.080 | -673401.554 | -498204.211 | -172111.132 | 
| -9990541.566 | -15202946.117 | -9863495.386 | -40186.472 | -145236.926 | 554118.771 | 
| -8823716.866 | -10534620.791 | -13945670.022 | 168463.117 | 123050.678 | 622423.699 | 
| -11716620.801 | -13196949.608 | -12889314.427 | -123865.071 | 332443.995 | 68895.158 | 
| -13097441.755 | -11260503.596 | -13231712.535 | -108707.557 | -490301.587 | -453579.155 | 
| -13181940.800 | -13170983.236 | -11052865.522 | -146617.462 | 755557.298 | -211839.801 | 
| 9627543.906 | 10459065.330 | 12284067.234 | 288961.021 | -142644.967 | -306133.705 | 
| 10704819.433 | 10928159.944 | 10537619.333 | -165920.668 | -515431.544 | -606196.183 | 
| 11402446.120 | 11250017.329 | 10098779.165 | 49469.530 | 44627.883 | -363312.536 | 
| 11961609.788 | 12135993.918 | 13584034.328 | -294985.093 | 308612.176 | -159008.095 | 
| 12476433.808 | 12057990.858 | 13519431.610 | 165651.661 | 638606.662 | 406875.337 | 
| 12603269.911 | 12110668.559 | 12647202.100 | -269390.407 | -389351.458 | -365286.867 | 
| -31020822.337 | -36497125.224 | -34474400.786 | 1160307.468 | -1084956.753 | 485896.862 | 
| -38749031.835 | -24723286.067 | -39362567.747 | 1766949.829 | 1672665.753 | 1967312.817 | 
| -41696343.943 | -37287111.443 | -31871328.748 | 804367.726 | 1641254.637 | -1579996.862 | 
| -32347380.719 | -43878776.612 | -45215859.474 | -8379842.656 | 3213335.211 | -773831.246 | 
| -37835051.803 | -24946258.946 | -38915065.218 | 1677736.599 | -7672413.459 | 502094.514 | 
| -41514366.831 | -47382757.992 | -27779052.169 | 435410.251 | -489644.968 | -6339379.293 | 
| -105.755 | 39.394 | 39.394 | -0.000 | 0.000 | -0.000 | 
| 39.394 | -105.755 | 39.394 | -0.000 | 0.000 | 0.000 | 
| 39.394 | 39.394 | -105.756 | -0.000 | 0.000 | 0.000 | 
| 32998809.305 | 46566376.731 | 42239692.880 | -8018569.676 | 1250631.156 | -1882901.110 | 
| 49208123.518 | 37057239.066 | 47152117.599 | 2665957.449 | -9676732.619 | 2571082.994 | 
| 42283696.116 | 42811347.622 | 33151270.519 | 795437.462 | -3787035.802 | -10283163.479 | 
| -2808981.484 | -3360837.094 | -3657841.265 | 156667.441 | 142644.509 | 47908.621 | 
| -3571687.169 | -2651073.591 | -4283354.772 | 437297.645 | 15594.839 | 301780.557 | 
| -3586081.344 | -3684077.528 | -2398382.103 | 102207.164 | -68101.322 | -31253.709 | 
| -2188821.863 | -5790640.784 | -6289497.880 | -2924343.047 | 109086.914 | 16805.952 | 
| -6297996.002 | -1762242.434 | -6048380.021 | 90692.962 | -2845627.691 | -360975.949 | 
| -6206968.559 | -5791478.474 | -2129502.156 | -127231.147 | -184098.406 | -2838516.068 | 
| -105.755 | 39.394 | 39.394 | -0.000 | 0.000 | 0.000 | 
| 39.394 | -105.755 | 39.394 | 0.000 | 0.000 | 0.000 | 
| 39.394 | 39.394 | -105.755 | -0.000 | -0.000 | 0.000 | 
| 2695515.521 | 6289985.333 | 6260981.092 | -2755185.485 | 292004.806 | -12007.101 | 
| 6399945.630 | 2551207.896 | 6102687.628 | -175164.689 | -2840984.775 | 110392.987 | 
| 6524586.138 | 6624756.739 | 2136067.091 | 165086.210 | 72940.861 | -3242809.358 | 
| -214689.789 | -367475.727 | -377140.349 | 4034.288 | -3436.657 | -2378.287 | 
| -372700.085 | -216481.432 | -368547.255 | -20797.009 | -27303.513 | -3031.694 | 
| -375297.613 | -370758.888 | -234661.456 | 12320.479 | -20740.083 | 17701.579 | 
| -213080.836 | -729858.736 | -691402.632 | -327514.915 | 9391.143 | 30787.479 | 
| -716615.243 | -215150.803 | -707543.131 | 11849.741 | -317515.579 | 5599.136 | 
| -584132.225 | -601921.478 | -187955.384 | 21355.124 | 660.332 | -280288.802 | 
| 250681.357 | 163040.738 | 177504.639 | -27536.537 | 294.875 | 2059.646 | 
| 222586.973 | 280403.660 | 200679.268 | -11407.312 | 14480.196 | 2198.022 | 
| 159795.641 | 169940.284 | 267706.739 | 7995.345 | 5963.249 | -16576.911 | 
| 223570.649 | 695162.140 | 707740.272 | -305806.971 | -17519.410 | 8535.074 | 
| 645813.053 | 219683.285 | 714461.260 | -25379.125 | -264983.410 | -27613.351 | 
| 668059.249 | 645278.418 | 251308.992 | -15412.396 | 9133.734 | -300942.165 | 
| 15288.203 | 15448.703 | 15448.703 | -0.000 | -0.000 | 0.000 | 
| 15448.703 | 15288.203 | 15448.703 | -0.000 | -0.000 | 0.000 | 
| 15448.703 | 15448.703 | 15288.203 | -0.000 | -0.000 | -0.000 | 
| -0.010 | -0.004 | -0.004 | 7673.515 | -0.000 | -0.000 | 
| -0.004 | -0.010 | -0.004 | -0.000 | 7673.515 | -0.000 | 
| -0.004 | -0.004 | -0.010 | -0.000 | -0.000 | 7673.515 | 
| 15288.227 | 15448.726 | 15448.726 | 0.000 | 0.000 | -0.000 | 
| 15448.726 | 15288.227 | 15448.726 | 0.000 | 0.000 | -0.000 | 
| 15448.726 | 15448.726 | 15288.227 | 0.000 | 0.000 | -0.000 | 
| 0.010 | 0.004 | 0.004 | 7673.515 | 0.000 | 0.000 | 
| 0.004 | 0.010 | 0.004 | 0.000 | 7673.515 | 0.000 | 
| 0.004 | 0.004 | 0.010 | 0.000 | 0.000 | 7673.515 | 
| 15204.530 | 15490.386 | 15490.386 | -0.000 | -0.000 | 0.000 | 
| 15490.386 | 15204.530 | 15490.386 | -0.000 | -0.000 | 0.000 | 
| 15490.386 | 15490.386 | 15204.530 | -0.000 | -0.000 | 0.000 | 
| -0.058 | -0.052 | -0.051 | 7548.243 | -0.000 | 0.000 | 
| -0.052 | -0.058 | -0.051 | -0.000 | 7548.243 | 0.000 | 
| -0.052 | -0.051 | -0.058 | -0.000 | -0.000 | 7548.243 | 
| 15286.043 | 15449.972 | 15449.972 | 0.000 | 0.000 | 0.000 | 
| 15449.972 | 15286.043 | 15449.972 | -0.000 | 0.000 | 0.000 | 
| 15449.972 | 15449.972 | 15286.043 | -0.000 | 0.000 | 0.000 | 
| 0.058 | 0.052 | 0.051 | 7548.243 | 0.000 | 0.000 | 
| 0.052 | 0.058 | 0.051 | 0.000 | 7548.243 | -0.000 | 
| 0.052 | 0.051 | 0.058 | 0.000 | 0.000 | 7548.243 | 
| 15287.044 | 15447.589 | 15447.589 | -0.000 | -0.000 | -0.000 | 
| 15447.589 | 15287.044 | 15447.589 | -0.000 | -0.000 | 0.000 | 
| 15447.589 | 15447.589 | 15287.044 | -0.000 | -0.000 | 0.000 | 
| -0.528 | -0.547 | -0.531 | 7673.160 | -0.000 | -0.000 | 
| -0.547 | -0.528 | -0.531 | -0.000 | 7673.160 | -0.000 | 
| -0.547 | -0.531 | -0.528 | -0.000 | -0.000 | 7673.160 | 
| 15289.387 | 15449.840 | 15449.840 | 0.000 | -0.000 | -0.000 | 
| 15449.840 | 15289.387 | 15449.840 | -0.000 | 0.000 | 0.000 | 
| 15449.840 | 15449.840 | 15289.387 | 0.000 | 0.000 | -0.000 | 
| 0.528 | 0.547 | 0.531 | 7673.160 | 0.000 | 0.000 | 
| 0.547 | 0.528 | 0.531 | 0.000 | 7673.160 | -0.000 | 
| 0.547 | 0.531 | 0.528 | 0.000 | 0.000 | 7673.160 | 
| 2782.308 | -854.890 | -854.890 | -0.000 | -0.000 | 0.000 | 
| -854.890 | 2782.308 | -854.890 | 0.000 | -0.000 | -0.000 | 
| -854.890 | -854.890 | 2782.308 | -0.000 | -0.000 | 0.000 | 
| 0.000 | -0.000 | -0.000 | 455.762 | -0.000 | -0.000 | 
| -0.000 | 0.000 | -0.000 | 0.000 | 455.762 | 0.000 | 
| -0.000 | -0.000 | 0.000 | -0.000 | 0.000 | 455.762 | 
| 2782.307 | -854.890 | -854.890 | 0.000 | -0.000 | -0.000 | 
| -854.890 | 2782.307 | -854.890 | -0.000 | -0.000 | -0.000 | 
| -854.890 | -854.890 | 2782.307 | -0.000 | -0.000 | -0.000 | 
| -0.000 | 0.000 | 0.000 | 455.762 | -0.000 | 0.000 | 
| 0.000 | -0.000 | 0.000 | -0.000 | 455.762 | -0.000 | 
| 0.000 | 0.000 | -0.000 | -0.000 | 0.000 | 455.762 | 
| 2782.313 | -854.892 | -854.892 | -0.000 | 0.000 | -0.000 | 
| -854.892 | 2782.313 | -854.892 | 0.000 | -0.000 | 0.000 | 
| -854.892 | -854.892 | 2782.313 | -0.000 | 0.000 | -0.000 | 
| 0.000 | 0.000 | -0.000 | 146.224 | -0.000 | -0.000 | 
| 0.000 | 0.000 | -0.000 | 0.000 | 146.224 | -0.000 | 
| 0.000 | -0.000 | 0.000 | 0.000 | 0.000 | 146.224 | 
| 2782.302 | -854.888 | -854.888 | 0.000 | -0.000 | 0.000 | 
| -854.888 | 2782.302 | -854.888 | -0.000 | -0.000 | -0.000 | 
| -854.888 | -854.888 | 2782.302 | -0.000 | 0.000 | -0.000 | 
| -0.000 | -0.000 | 0.000 | 146.224 | 0.000 | 0.000 | 
| -0.000 | -0.000 | 0.000 | 0.000 | 146.224 | 0.000 | 
| -0.000 | 0.000 | -0.000 | -0.000 | 0.000 | 146.224 | 
| 2782.361 | -854.913 | -854.913 | 0.000 | -0.000 | -0.000 | 
| -854.913 | 2782.361 | -854.913 | -0.000 | -0.000 | 0.000 | 
| -854.913 | -854.913 | 2782.361 | -0.000 | -0.000 | 0.000 | 
| 0.000 | 0.001 | -0.001 | 146.224 | 0.000 | 0.000 | 
| 0.001 | 0.000 | -0.001 | -0.000 | 146.224 | 0.000 | 
| 0.001 | -0.001 | 0.000 | 0.000 | 0.000 | 146.224 | 
| 2782.253 | -854.867 | -854.867 | -0.000 | -0.000 | -0.000 | 
| -854.867 | 2782.253 | -854.867 | -0.000 | 0.000 | -0.000 | 
| -854.867 | -854.867 | 2782.253 | -0.000 | -0.000 | -0.000 | 
| -0.000 | -0.001 | 0.001 | 146.224 | 0.000 | 0.000 | 
| -0.001 | -0.000 | 0.001 | 0.000 | 146.224 | 0.000 | 
| -0.001 | 0.001 | -0.000 | -0.000 | -0.000 | 146.224 | 
| -7366622.254 | -7133803.645 | -7072497.038 | 257797.289 | -158785.284 | 11123.185 | 
| -7398105.131 | -7365985.509 | -7497614.427 | -176274.034 | 171917.540 | -251557.091 | 
| -7616298.328 | -7816402.946 | -6822777.940 | 184749.121 | 51582.954 | -194118.400 | 
| -439849.521 | -2022827.102 | -2135649.425 | 992041.253 | 19736.369 | -37190.718 | 
| -2127362.147 | -708146.493 | -2268381.750 | -99081.279 | 1057402.676 | 10288.155 | 
| -2344242.801 | -2473560.181 | -651325.987 | 62993.343 | -47795.036 | 924133.638 | 
| -0.000 | -0.000 | -0.000 | -0.000 | -0.000 | -0.000 | 
| -0.000 | -0.000 | -0.000 | -0.000 | -0.000 | -0.000 | 
| -0.000 | -0.000 | -0.000 | -0.000 | -0.000 | -0.000 | 
| 346313.694 | 1974731.994 | 1974483.974 | 1024725.871 | 76890.875 | 1273.804 | 
| 1847122.599 | 384319.369 | 1699337.127 | -45561.214 | 851354.720 | 100787.113 | 
| 2632494.938 | 2736597.069 | 611018.693 | -99265.966 | 29675.969 | 495963.996 | 
| -712094.682 | -752360.848 | -733928.756 | -9704.469 | -5912.000 | 1824.800 | 
| -762304.711 | -737071.715 | -747369.222 | -6241.319 | -11069.922 | -3913.680 | 
| -763985.549 | -781938.600 | -717173.101 | 28769.650 | 9108.085 | -4321.953 | 
| -129341.065 | -443094.513 | -432738.684 | -75433.846 | 6325.374 | -10826.060 | 
| -432876.498 | -121530.248 | -411281.081 | -13785.520 | -116487.481 | 8214.546 | 
| -1118429.202 | -1147973.278 | -315979.969 | -3537.492 | -44183.477 | -634149.121 | 
| -0.000 | -0.000 | -0.000 | -0.000 | -0.000 | -0.000 | 
| -0.000 | -0.000 | -0.000 | -0.000 | -0.000 | -0.000 | 
| -0.000 | -0.000 | -0.000 | -0.000 | -0.000 | -0.000 | 
| 147359.944 | 473350.926 | 471596.033 | -121912.356 | -12848.309 | 21645.756 | 
| 517074.560 | 183428.806 | 524633.202 | -6012.774 | -123844.715 | -3883.557 | 
| 347432.223 | 341490.742 | 90234.979 | 21805.053 | 1304.022 | -9632.424 | 
| -75616.402 | -79941.701 | -72409.956 | -862.020 | 4310.941 | 6513.686 | 
| -80340.727 | -76441.888 | -73600.830 | 4657.897 | -768.355 | 5466.042 | 
| -78268.118 | -82306.533 | -76405.501 | 2028.297 | 3977.089 | 4901.685 | 
| -8691.615 | -34004.797 | -37432.613 | -3427.889 | -390.377 | 559.259 | 
| -35544.423 | -5430.898 | -34969.408 | 693.011 | -702.597 | -410.410 | 
| -43626.187 | -43131.422 | -11830.693 | -896.363 | 161.267 | -9131.943 | 
| -0.000 | -0.000 | -0.000 | -0.000 | -0.000 | -0.000 | 
| -0.000 | -0.000 | -0.000 | -0.000 | -0.000 | -0.000 | 
| -0.000 | -0.000 | -0.000 | -0.000 | -0.000 | -0.000 | 
| 11884.787 | 38582.905 | 38277.552 | -4161.234 | 146.533 | 957.622 | 
| 36240.924 | 9647.060 | 35230.223 | -606.228 | -1058.135 | 448.717 | 
| 34735.832 | 36460.422 | 6688.583 | 470.745 | -183.666 | -3542.371 | 
| 633.540 | 76.394 | 76.394 | 0.000 | 0.000 | 0.000 | 
| 76.394 | 633.540 | 76.394 | -0.000 | 0.000 | 0.000 | 
| 76.394 | 76.394 | 633.540 | 0.000 | -0.000 | 0.000 | 
| 0.000 | 0.000 | 0.000 | 67.206 | -0.000 | -0.000 | 
| 0.000 | -0.000 | -0.000 | -0.000 | 67.206 | -0.000 | 
| 0.000 | -0.000 | -0.000 | -0.000 | 0.000 | 67.206 | 
| 633.540 | 76.394 | 76.394 | -0.000 | -0.000 | -0.000 | 
| 76.394 | 633.540 | 76.394 | -0.000 | -0.000 | -0.000 | 
| 76.394 | 76.394 | 633.540 | -0.000 | -0.000 | -0.000 | 
| 0.000 | -0.000 | 0.000 | 67.206 | 0.000 | -0.000 | 
| -0.000 | 0.000 | 0.000 | -0.000 | 67.206 | -0.000 | 
| -0.000 | 0.000 | 0.000 | -0.000 | -0.000 | 67.206 | 
| 633.541 | 76.394 | 76.394 | 0.000 | 0.000 | 0.000 | 
| 76.394 | 633.541 | 76.394 | 0.000 | -0.000 | 0.000 | 
| 76.394 | 76.394 | 633.541 | 0.000 | -0.000 | 0.000 | 
| 0.000 | 0.000 | 0.000 | 67.206 | 0.000 | 0.000 | 
| 0.000 | 0.000 | 0.000 | 0.000 | 67.206 | -0.000 | 
| 0.000 | 0.000 | 0.000 | -0.000 | -0.000 | 67.206 | 
| 633.540 | 76.394 | 76.394 | 0.000 | -0.000 | -0.000 | 
| 76.394 | 633.540 | 76.394 | 0.000 | -0.000 | -0.000 | 
| 76.394 | 76.394 | 633.540 | -0.000 | -0.000 | 0.000 | 
| -0.000 | -0.000 | -0.000 | 67.206 | 0.000 | 0.000 | 
| -0.000 | -0.000 | -0.000 | 0.000 | 67.206 | 0.000 | 
| -0.000 | -0.000 | -0.000 | -0.000 | 0.000 | 67.206 | 
| 633.543 | 76.395 | 76.395 | 0.000 | 0.000 | -0.000 | 
| 76.395 | 633.543 | 76.395 | -0.000 | -0.000 | 0.000 | 
| 76.395 | 76.395 | 633.543 | 0.000 | 0.000 | 0.000 | 
| 0.000 | 0.000 | 0.000 | 67.206 | 0.000 | 0.000 | 
| 0.000 | 0.000 | 0.000 | 0.000 | 67.206 | 0.000 | 
| 0.000 | 0.000 | 0.000 | -0.000 | 0.000 | 67.206 | 
| 633.538 | 76.394 | 76.394 | 0.000 | 0.000 | 0.000 | 
| 76.394 | 633.538 | 76.394 | 0.000 | -0.000 | -0.000 | 
| 76.394 | 76.394 | 633.538 | -0.000 | -0.000 | -0.000 | 
| -0.000 | -0.000 | -0.000 | 67.206 | 0.000 | 0.000 | 
| -0.000 | -0.000 | -0.000 | 0.000 | 67.206 | -0.000 | 
| -0.000 | -0.000 | -0.000 | -0.000 | -0.000 | 67.206 | 
| 2411.973 | 1892.501 | -988.877 | -0.000 | 0.000 | 0.000 | 
| 1395.196 | 1819.446 | 130.414 | -0.000 | 0.000 | 0.000 | 
| 1360.312 | 1360.312 | 650.652 | -0.000 | 0.000 | 0.000 | 
| 1792.005 | 1792.005 | -1062.476 | 170.714 | -0.000 | 0.000 | 
| 0.000 | -0.000 | 0.000 | -0.000 | 206.415 | 0.000 | 
| 1273.324 | 1273.324 | 25.651 | -0.000 | -0.000 | 212.542 | 
| -1170.886 | -1693.215 | 1135.803 | 0.000 | -0.000 | -0.000 | 
| -1151.866 | -725.948 | 78.525 | 0.000 | -0.000 | -0.000 | 
| -1185.692 | -1185.692 | 596.661 | -0.000 | -0.000 | -0.000 | 
| -1792.005 | -1792.005 | 1062.476 | 170.714 | -0.000 | -0.000 | 
| -0.000 | 0.000 | -0.000 | 0.000 | 206.415 | 0.000 | 
| -1273.324 | -1273.324 | -25.651 | 0.000 | -0.000 | 212.542 | 
| 788.534 | 289.428 | -29.274 | 0.000 | 0.000 | 0.000 | 
| 289.448 | 788.542 | -29.280 | -0.000 | -0.000 | 0.000 | 
| 208.628 | 208.628 | 735.642 | -0.000 | 0.000 | 0.000 | 
| -0.000 | 0.000 | 0.000 | 206.415 | -0.000 | 0.000 | 
| 179.959 | 179.959 | -106.697 | -0.000 | 170.563 | 0.000 | 
| 126.724 | 126.724 | 4.351 | -0.000 | -0.000 | 211.573 | 
| 708.652 | 87.815 | 35.602 | 0.000 | 0.000 | -0.000 | 
| -6.775 | 424.355 | 98.013 | 0.000 | -0.000 | -0.000 | 
| 35.602 | 35.602 | 783.087 | 0.000 | -0.000 | -0.000 | 
| 0.000 | -0.000 | -0.000 | 206.415 | -0.000 | -0.000 | 
| -179.959 | -179.959 | 106.697 | 0.000 | 170.563 | -0.000 | 
| -126.724 | -126.724 | -4.350 | -0.000 | -0.000 | 211.573 | 
| 552.435 | 147.271 | 99.183 | -0.000 | 0.000 | 0.000 | 
| 93.112 | 586.148 | 89.849 | -0.000 | 0.000 | 0.000 | 
| 100.294 | 100.294 | 682.183 | -0.000 | -0.000 | 0.000 | 
| 20.213 | 20.213 | -11.984 | 166.146 | -0.000 | 0.000 | 
| 9.008 | 9.008 | 4.159 | -0.000 | 151.860 | 0.000 | 
| 11.329 | 11.330 | 17.323 | -0.000 | 0.000 | 185.652 | 
| 535.044 | 112.393 | 96.321 | 0.000 | -0.000 | -0.000 | 
| 135.892 | 514.057 | 72.222 | 0.000 | 0.000 | -0.000 | 
| 73.005 | 73.005 | 636.836 | 0.000 | -0.000 | -0.000 | 
| -20.213 | -20.213 | 11.984 | 166.146 | -0.000 | -0.000 | 
| -9.008 | -9.008 | -4.159 | 0.000 | 151.860 | -0.000 | 
| -11.329 | -11.330 | -17.323 | 0.000 | 0.000 | 185.652 | 
| 1350.268 | 469.963 | -392.370 | -0.000 | 0.000 | 0.000 | 
| 780.632 | 800.382 | -241.439 | 0.000 | -0.000 | -0.000 | 
| 57.701 | 213.102 | 860.608 | 0.000 | 0.000 | 0.000 | 
| 902.881 | 315.333 | -608.250 | 228.985 | -0.000 | -0.000 | 
| 0.000 | 0.000 | 0.000 | 0.000 | 336.188 | 0.000 | 
| 452.459 | 258.473 | -416.387 | 0.000 | -0.000 | 153.909 | 
| 708.116 | 96.239 | 71.058 | -0.000 | 0.000 | -0.000 | 
| -158.778 | 68.136 | 443.281 | -0.000 | -0.000 | 0.001 | 
| -649.700 | -181.314 | 1230.305 | 0.000 | -0.000 | -0.000 | 
| -649.431 | -409.930 | 429.454 | 215.502 | -0.000 | -0.000 | 
| -0.000 | -0.000 | -0.000 | -0.000 | 336.188 | -0.000 | 
| -452.459 | -258.473 | 416.388 | -0.000 | 0.000 | 153.910 | 
| 708.117 | 96.239 | 71.058 | 0.000 | 0.000 | 0.000 | 
| 204.735 | 426.301 | 139.356 | 0.000 | -0.000 | -0.000 | 
| 214.570 | 140.605 | 659.371 | 0.000 | 0.000 | -0.000 | 
| 39.530 | 22.582 | -36.379 | 250.733 | -0.000 | -0.000 | 
| 16.291 | 9.306 | -14.992 | 0.000 | 198.359 | -0.000 | 
| 35.676 | 20.380 | -32.832 | 0.000 | 0.000 | 165.956 | 
| 443.489 | 106.108 | 267.583 | -0.000 | -0.000 | -0.000 | 
| 93.879 | 355.428 | 229.653 | -0.000 | -0.000 | 0.000 | 
| 168.652 | 128.940 | 706.738 | -0.000 | 0.000 | 0.000 | 
| -55.204 | -35.114 | 35.346 | 231.257 | -0.000 | -0.000 | 
| -16.291 | -9.306 | 14.992 | -0.000 | 198.359 | 0.000 | 
| -35.676 | -20.380 | 32.832 | -0.000 | 0.000 | 165.956 | 
| 531.390 | 159.724 | 223.742 | 0.000 | -0.000 | -0.000 | 
| 177.170 | 388.274 | 163.028 | 0.000 | -0.000 | -0.000 | 
| 219.750 | 142.889 | 563.515 | 0.000 | -0.000 | 0.000 | 
| 7.532 | 2.671 | -5.142 | 242.102 | -0.000 | -0.000 | 
| 9.264 | 3.631 | -6.011 | 0.000 | 121.469 | -0.000 | 
| 5.164 | 3.137 | -2.706 | 0.000 | 0.000 | 148.186 | 
| 515.112 | 155.505 | 236.219 | -0.000 | -0.000 | 0.000 | 
| 161.972 | 392.685 | 176.672 | -0.000 | -0.000 | 0.000 | 
| 224.180 | 130.360 | 580.280 | -0.000 | 0.000 | 0.000 | 
| -7.532 | -2.671 | 5.142 | 242.102 | -0.000 | 0.000 | 
| -9.264 | -3.631 | 6.011 | -0.000 | 121.469 | 0.000 | 
| -5.164 | -3.137 | 2.706 | -0.000 | -0.000 | 148.186 | 
| 611.191 | 292.422 | 82.865 | -0.000 | 0.000 | 0.000 | 
| 188.887 | 811.378 | -56.109 | -0.000 | 0.000 | 0.000 | 
| -27.694 | -27.694 | 460.601 | -0.000 | -0.000 | 0.000 | 
| -6.400 | -6.400 | 46.262 | 73.589 | -0.000 | 0.000 | 
| -6.400 | -6.400 | 46.262 | -0.000 | 73.590 | -0.000 | 
| -8.537 | -8.537 | 61.713 | -0.000 | 0.000 | 194.165 | 
| 811.378 | 188.887 | -56.109 | 0.000 | -0.000 | -0.000 | 
| 188.887 | 811.378 | -56.108 | 0.000 | -0.000 | 0.000 | 
| -27.694 | -27.694 | 460.602 | 0.000 | 0.000 | -0.000 | 
| 6.400 | 6.400 | -46.262 | 73.590 | 0.000 | -0.000 | 
| 6.400 | 6.400 | -46.262 | 0.000 | 73.590 | -0.000 | 
| 8.537 | 8.537 | -61.713 | 0.000 | -0.000 | 194.165 | 
| 669.460 | 224.762 | -3.927 | -0.000 | 0.000 | 0.000 | 
| 188.887 | 811.378 | -56.108 | -0.000 | -0.000 | 0.000 | 
| -27.694 | -27.694 | 460.602 | -0.000 | 0.000 | -0.000 | 
| 0.359 | 0.359 | 7.163 | 65.713 | 0.000 | -0.000 | 
| -0.610 | -0.610 | 4.409 | -0.000 | 77.582 | -0.000 | 
| 0.000 | -0.000 | 0.000 | -0.000 | 0.000 | 311.245 | 
| 594.807 | 286.270 | 5.368 | 0.000 | -0.000 | -0.000 | 
| 283.574 | 614.035 | -5.508 | 0.000 | -0.000 | -0.000 | 
| -27.694 | -27.694 | 460.601 | 0.000 | -0.000 | -0.000 | 
| -0.359 | -0.359 | -7.163 | 65.713 | -0.000 | 0.000 | 
| 0.610 | 0.610 | -4.409 | 0.000 | 77.582 | -0.000 | 
| -0.000 | 0.000 | -0.000 | 0.000 | -0.000 | 311.245 | 
| 614.995 | 283.799 | 2.580 | -0.000 | 0.000 | -0.000 | 
| 270.186 | 586.900 | 33.500 | -0.000 | -0.000 | 0.000 | 
| -27.695 | -27.695 | 460.604 | -0.000 | -0.000 | 0.000 | 
| 0.037 | 0.037 | 0.718 | 65.763 | 0.000 | 0.000 | 
| 0.000 | -0.000 | 0.000 | -0.000 | 158.593 | 0.000 | 
| 0.084 | 0.084 | 1.076 | -0.000 | 0.000 | 160.960 | 
| 668.263 | 225.969 | -8.446 | 0.000 | 0.000 | -0.000 | 
| 270.109 | 586.463 | 31.558 | 0.000 | -0.000 | -0.000 | 
| 51.310 | 51.310 | 81.199 | 0.000 | 0.000 | -0.000 | 
| -0.037 | -0.037 | -0.718 | 65.763 | -0.000 | -0.000 | 
| -0.000 | 0.000 | -0.000 | 0.000 | 158.593 | 0.000 | 
| -0.084 | -0.084 | -1.076 | 0.000 | -0.000 | 160.960 | 
| 515.200 | 148.177 | 231.531 | -0.001 | 0.000 | 0.001 | 
| 115.317 | 483.393 | 244.839 | -0.000 | 0.000 | 0.000 | 
| 209.997 | 132.864 | 624.020 | -0.001 | 0.000 | 0.002 | 
| 1.891 | -0.454 | -2.778 | 238.733 | -0.000 | 0.001 | 
| 0.000 | 0.000 | 0.000 | -0.000 | 336.718 | -0.000 | 
| 2.624 | -0.696 | -3.296 | -0.001 | 0.000 | 149.045 | 
| 708.656 | 96.649 | 71.330 | 0.000 | -0.000 | -0.000 | 
| 115.317 | 483.393 | 244.839 | 0.000 | 0.000 | -0.000 | 
| 175.570 | 143.911 | 706.086 | 0.001 | -0.000 | -0.002 | 
| -1.891 | 0.454 | 2.777 | 238.734 | -0.000 | -0.001 | 
| -1.263 | 0.928 | 2.478 | 0.001 | 162.304 | -0.002 | 
| -2.624 | 0.697 | 3.297 | 0.001 | -0.000 | 149.041 | 
| 592.386 | 153.281 | 189.270 | -0.000 | 0.000 | 0.000 | 
| 167.924 | 394.594 | 172.325 | -0.000 | -0.000 | 0.000 | 
| 176.724 | 142.982 | 704.391 | -0.000 | 0.000 | 0.000 | 
| 0.075 | 0.032 | -0.168 | 238.201 | -0.000 | 0.000 | 
| 0.000 | 0.000 | 0.000 | -0.000 | 336.718 | 0.000 | 
| -0.016 | 0.142 | -0.057 | -0.000 | 0.000 | 148.137 | 
| 524.019 | 157.878 | 230.330 | 0.000 | -0.000 | -0.000 | 
| 176.672 | 424.187 | 169.367 | 0.000 | 0.000 | -0.000 | 
| 215.553 | 138.446 | 551.671 | 0.000 | -0.000 | -0.000 | 
| 0.177 | -0.145 | -0.113 | 238.400 | 0.000 | -0.000 | 
| -0.288 | 0.013 | 0.473 | 0.000 | -38.162 | -0.000 | 
| 0.016 | -0.142 | 0.057 | 0.000 | 0.000 | 148.136 | 
| 502.233 | 139.700 | 228.972 | -0.000 | 0.000 | -0.000 | 
| 162.427 | 379.519 | 170.613 | -0.000 | -0.000 | 0.000 | 
| 215.859 | 138.474 | 551.195 | -0.000 | -0.000 | 0.000 | 
| 0.077 | -0.023 | -0.093 | 238.197 | 0.000 | -0.000 | 
| 0.028 | 0.003 | -0.052 | -0.000 | -38.165 | -0.000 | 
| -0.092 | 0.031 | 0.090 | 0.000 | -0.000 | 148.132 | 
| 502.200 | 139.677 | 229.029 | 0.000 | 0.000 | -0.000 | 
| 162.418 | 379.499 | 170.628 | 0.000 | 0.000 | -0.000 | 
| 215.842 | 138.437 | 551.236 | 0.000 | -0.000 | 0.000 | 
| -0.077 | 0.023 | 0.093 | 238.197 | -0.000 | 0.000 | 
| -0.024 | -0.001 | 0.048 | 0.000 | -38.165 | -0.000 | 
| 0.092 | -0.031 | -0.090 | -0.000 | 0.000 | 148.132 | 
| 553846.737 | 590748.609 | 590748.615 | 0.002 | 0.001 | 0.000 | 
| 584702.728 | 565938.501 | 584702.729 | 0.001 | 0.001 | -0.000 | 
| 584704.627 | 584704.628 | 565934.706 | 0.001 | 0.001 | 0.000 | 
| 0.574 | 0.215 | 0.216 | -70503.939 | 0.001 | -0.000 | 
| 0.211 | 0.578 | 0.222 | 0.001 | -70503.936 | 0.000 | 
| 0.214 | 0.221 | 0.581 | 0.000 | 0.001 | -70503.940 | 
| 615184.465 | 560077.474 | 560077.472 | -0.001 | -0.001 | -0.000 | 
| 584656.413 | 566026.579 | 584656.409 | -0.001 | -0.001 | 0.000 | 
| 584656.405 | 584656.407 | 566026.588 | -0.001 | 0.000 | 0.000 | 
| -0.578 | -0.217 | -0.221 | -70503.941 | -0.001 | 0.000 | 
| -0.212 | -0.580 | -0.223 | -0.001 | -70503.939 | -0.000 | 
| -0.214 | -0.220 | -0.582 | -0.001 | -0.000 | -70503.940 | 
| 566080.614 | 584641.954 | 584641.953 | 0.000 | 0.000 | 0.000 | 
| 584641.922 | 566080.677 | 584641.922 | 0.000 | -0.000 | 0.000 | 
| 584641.964 | 584641.964 | 566080.592 | 0.000 | 0.000 | -0.000 | 
| 5.802 | 2.193 | 2.158 | -70758.605 | 0.000 | 0.000 | 
| 2.305 | 1.487 | 2.273 | 0.000 | 32916.152 | -0.000 | 
| 2.193 | 2.158 | 5.801 | 0.000 | 0.000 | -70758.605 | 
| 565974.743 | 584672.054 | 584672.054 | 0.000 | -0.000 | 0.000 | 
| 584672.053 | 565974.746 | 584672.053 | -0.000 | -0.000 | 0.000 | 
| 584672.052 | 584672.053 | 565974.747 | -0.000 | -0.000 | -0.000 | 
| -5.802 | -2.193 | -2.158 | -70758.605 | -0.000 | 0.000 | 
| -2.305 | -1.487 | -2.273 | -0.000 | 32916.152 | 0.000 | 
| -2.193 | -2.158 | -5.801 | -0.000 | -0.000 | -70758.605 | 
| 566112.201 | 584728.928 | 584728.928 | 0.000 | 0.000 | -0.000 | 
| 584706.019 | 566158.016 | 584706.019 | 0.000 | 0.000 | -0.000 | 
| 584703.560 | 584703.560 | 566162.933 | -0.000 | -0.000 | -0.000 | 
| 29.530 | 35.890 | 35.732 | -70522.615 | 0.000 | 0.000 | 
| 34.521 | 32.285 | 34.346 | 0.000 | -70522.690 | -0.000 | 
| 34.366 | 34.189 | 32.596 | 0.000 | 0.000 | -70521.356 | 
| 565947.449 | 584582.959 | 584582.959 | -0.000 | -0.000 | 0.000 | 
| 584584.780 | 565943.808 | 584584.780 | -0.000 | -0.000 | -0.000 | 
| 584585.606 | 584585.606 | 565942.155 | -0.000 | -0.000 | 0.000 | 
| -32.012 | -34.657 | -34.484 | -70522.523 | -0.000 | -0.000 | 
| -34.669 | -31.988 | -34.496 | -0.000 | -70522.623 | 0.000 | 
| -35.671 | -35.510 | -29.971 | -0.000 | -0.000 | -70522.599 | 
| -5037976080.089 | -4600523209.806 | -4654634209.281 | 6125652.168 | -12615783.921 | -65722536.169 | 
| -4680494013.406 | -5101337706.321 | -4668621178.753 | -239913220.985 | -14520661.574 | -142016047.676 | 
| -4629485852.115 | -4633510527.566 | -5073987361.911 | -318649559.976 | 18307394.610 | -7194582.236 | 
| -3949512200.786 | -5966388880.934 | -5958476615.992 | -3888540499.125 | 5091599.598 | -55496141.101 | 
| -5968299735.460 | -3891804083.166 | -5951541376.406 | -115915544.630 | -4078376115.943 | 167602962.100 | 
| -5982644374.566 | -6015608940.105 | -3823146191.389 | -233588828.915 | 218112046.163 | -3967959575.653 | 
| 3797054817.573 | 4993353763.411 | 5125991695.750 | 210694745.308 | -14718431.293 | 174984667.728 | 
| 5069484100.210 | 3749020252.611 | 5000854856.263 | 96063017.188 | 148392753.515 | -25138446.547 | 
| 5065501809.836 | 5121659114.551 | 3779100152.152 | 149138206.424 | 62653943.132 | 58777581.408 | 
| 3991576489.936 | 5938100542.743 | 6058832638.655 | -4084930829.168 | -130435388.377 | -33975787.187 | 
| 5977199624.692 | 3901984070.242 | 6013094106.354 | 230698485.475 | -4150043914.048 | 260465759.434 | 
| 6021933827.779 | 5931564744.707 | 3727830906.519 | 33259744.206 | 107156284.113 | -4249132149.388 | 
| -533917728.532 | -511458521.932 | -503498909.581 | 1485710.434 | 4611275.664 | -8636956.613 | 
| -506984769.389 | -542229534.569 | -508670068.929 | -13935231.497 | 9992265.842 | -1282023.164 | 
| -511418624.067 | -508469722.521 | -533784232.745 | -28092297.230 | 19856767.283 | 6237856.109 | 
| -387468467.962 | -605516825.615 | -603803766.927 | -402360210.412 | 14171149.698 | 902231.447 | 
| -606696351.461 | -371962558.363 | -600059247.787 | -19185421.037 | -408988616.380 | 7690176.645 | 
| -598354312.777 | -598704328.736 | -375068495.561 | -11737402.122 | 12858594.720 | -405062481.999 | 
| 358370163.415 | 556269866.970 | 568167728.560 | 13870064.995 | -1639076.518 | 1078654.501 | 
| 560851431.583 | 358843415.440 | 553846223.904 | 9013283.914 | -6222449.283 | 5590282.435 | 
| 542286993.897 | 557607149.695 | 364985854.078 | -384611.965 | -164866.032 | 15037438.631 | 
| 388231608.379 | 604133754.738 | 605506639.024 | -421457002.654 | 2084003.760 | -1215191.677 | 
| 600148879.827 | 390488990.747 | 600457869.412 | 28973743.751 | -399219923.188 | 23495936.585 | 
| 600030350.309 | 597266910.018 | 382613262.953 | -6954033.038 | 10328895.070 | -403679454.617 | 
| -53044744.989 | -51404954.444 | -51515350.121 | 960545.295 | 261619.834 | -2090740.026 | 
| -51107897.160 | -54150633.567 | -51206640.963 | -1448495.998 | 735524.729 | -91261.264 | 
| -50934895.717 | -51609275.861 | -53624107.404 | -3145609.082 | 1333097.692 | 1649932.621 | 
| -38717505.827 | -60497721.762 | -59779099.965 | -39531702.220 | 1976811.805 | -273564.423 | 
| -59503274.199 | -38214920.161 | -60239390.488 | -1709376.487 | -39545443.035 | 1409737.047 | 
| -60495409.443 | -60556427.908 | -35681117.048 | -1597314.997 | 2251451.711 | -41431502.277 | 
| 35788834.282 | 57404542.296 | 57737779.265 | 1140982.223 | 957965.238 | -1022463.403 | 
| 57700309.767 | 35385315.262 | 56765138.471 | 214044.148 | -321966.924 | 742845.935 | 
| 56694135.008 | 57161019.494 | 35413692.969 | 424514.624 | -14188.845 | 1162920.722 | 
| 38859762.983 | 60781683.658 | 60405458.710 | -40998822.822 | -326845.968 | -523177.088 | 
| 60209845.602 | 37905587.439 | 60866236.248 | 2507070.750 | -41453509.580 | 2274810.713 | 
| 60664806.410 | 59535545.129 | 37753343.149 | -253176.121 | 364190.007 | -40556093.833 | 
| 11905.141 | 12887.195 | 12887.195 | 0.000 | 0.000 | 0.000 | 
| 12887.195 | 11905.141 | 12887.195 | 0.000 | 0.000 | 0.000 | 
| 12887.195 | 12887.195 | 11905.141 | 0.000 | 0.000 | 0.000 | 
| -0.008 | -0.003 | -0.003 | 6239.720 | -0.000 | 0.000 | 
| -0.003 | -0.008 | -0.003 | -0.000 | 6239.720 | 0.000 | 
| -0.003 | -0.003 | -0.008 | 0.000 | -0.000 | 6239.720 | 
| 12511.112 | 12584.236 | 12584.237 | -0.000 | 0.000 | -0.000 | 
| 12584.237 | 12511.112 | 12584.237 | -0.000 | 0.000 | -0.000 | 
| 12584.236 | 12584.236 | 12511.112 | -0.000 | 0.000 | -0.000 | 
| 0.008 | 0.003 | 0.003 | 6239.720 | 0.000 | -0.000 | 
| 0.003 | 0.008 | 0.003 | 0.000 | 6239.720 | -0.000 | 
| 0.003 | 0.003 | 0.008 | -0.000 | -0.000 | 6239.720 | 
| 12390.290 | 12644.495 | 12644.495 | 0.000 | -0.000 | 0.000 | 
| 12644.495 | 12390.290 | 12644.495 | 0.000 | -0.000 | 0.000 | 
| 12644.495 | 12644.495 | 12390.290 | 0.000 | -0.000 | 0.000 | 
| -0.056 | -0.039 | -0.038 | 6239.715 | 0.000 | 0.000 | 
| -0.039 | -0.056 | -0.038 | 0.000 | 6239.715 | 0.000 | 
| -0.039 | -0.038 | -0.056 | 0.000 | 0.000 | 6239.715 | 
| 12390.479 | 12644.678 | 12644.678 | 0.000 | -0.000 | -0.000 | 
| 12644.678 | 12390.479 | 12644.678 | 0.000 | -0.000 | 0.000 | 
| 12644.678 | 12644.678 | 12390.479 | 0.000 | 0.000 | 0.000 | 
| 0.056 | 0.039 | 0.038 | 6239.715 | -0.000 | -0.000 | 
| 0.039 | 0.056 | 0.038 | -0.000 | 6239.715 | -0.000 | 
| 0.039 | 0.038 | 0.056 | -0.000 | 0.000 | 6239.715 | 
| 12389.435 | 12643.674 | 12643.674 | 0.000 | -0.000 | 0.000 | 
| 12643.674 | 12389.435 | 12643.674 | 0.000 | 0.000 | 0.000 | 
| 12643.674 | 12643.674 | 12389.435 | 0.000 | 0.000 | 0.000 | 
| -0.435 | -0.450 | -0.438 | 6239.718 | 0.000 | 0.000 | 
| -0.450 | -0.435 | -0.438 | 0.000 | 6239.718 | 0.000 | 
| -0.450 | -0.438 | -0.435 | 0.000 | 0.000 | 6239.718 | 
| 12391.335 | 12645.498 | 12645.498 | 0.000 | -0.000 | 0.000 | 
| 12645.498 | 12391.335 | 12645.498 | 0.000 | 0.000 | 0.000 | 
| 12645.498 | 12645.498 | 12391.335 | 0.000 | 0.000 | 0.000 | 
| 0.435 | 0.450 | 0.438 | 6239.718 | 0.000 | -0.000 | 
| 0.450 | 0.435 | 0.438 | -0.000 | 6239.718 | -0.000 | 
| 0.450 | 0.438 | 0.435 | -0.000 | -0.000 | 6239.718 | 
| 2327.554 | -299.011 | -299.011 | -0.000 | -0.000 | -0.000 | 
| -299.011 | 2327.554 | -299.011 | -0.000 | -0.000 | -0.000 | 
| -299.011 | -299.011 | 2327.554 | -0.000 | -0.000 | -0.000 | 
| 0.000 | -0.000 | -0.000 | 742.103 | 0.000 | 0.000 | 
| -0.000 | 0.000 | -0.000 | 0.000 | 742.103 | 0.000 | 
| -0.000 | -0.000 | 0.000 | 0.000 | 0.000 | 742.103 | 
| 2327.553 | -299.011 | -299.011 | 0.000 | 0.000 | 0.000 | 
| -299.011 | 2327.553 | -299.011 | 0.000 | 0.000 | 0.000 | 
| -299.011 | -299.011 | 2327.553 | -0.000 | -0.000 | 0.000 | 
| -0.000 | 0.000 | 0.000 | 742.103 | -0.000 | -0.000 | 
| 0.000 | -0.000 | 0.000 | -0.000 | 742.103 | -0.000 | 
| 0.000 | 0.000 | -0.000 | -0.000 | -0.000 | 742.103 | 
| 2327.556 | -299.012 | -299.012 | -0.000 | 0.000 | -0.000 | 
| -299.012 | 2327.556 | -299.012 | 0.000 | 0.000 | 0.000 | 
| -299.012 | -299.012 | 2327.556 | 0.000 | 0.000 | 0.000 | 
| 0.000 | 0.000 | -0.000 | 273.987 | 0.000 | 0.000 | 
| 0.000 | 0.000 | -0.000 | -0.000 | 273.987 | 0.000 | 
| 0.000 | -0.000 | 0.000 | 0.000 | 0.000 | 273.987 | 
| 2327.550 | -299.010 | -299.010 | -0.000 | -0.000 | 0.000 | 
| -299.010 | 2327.550 | -299.010 | -0.000 | -0.000 | 0.000 | 
| -299.010 | -299.010 | 2327.550 | -0.000 | -0.000 | -0.000 | 
| -0.000 | -0.000 | 0.000 | 273.987 | 0.000 | 0.000 | 
| -0.000 | -0.000 | 0.000 | 0.000 | 273.987 | 0.000 | 
| -0.000 | 0.000 | -0.000 | 0.000 | 0.000 | 273.987 | 
| 2327.583 | -299.022 | -299.022 | 0.000 | 0.000 | 0.000 | 
| -299.022 | 2327.583 | -299.022 | 0.000 | 0.000 | -0.000 | 
| -299.022 | -299.022 | 2327.583 | 0.000 | 0.000 | 0.000 | 
| 0.000 | 0.001 | -0.000 | 273.987 | -0.000 | 0.000 | 
| 0.001 | 0.000 | -0.000 | -0.000 | 273.987 | 0.000 | 
| 0.001 | -0.000 | 0.000 | -0.000 | 0.000 | 273.987 | 
| 2327.523 | -299.000 | -299.000 | -0.000 | -0.000 | 0.000 | 
| -299.000 | 2327.523 | -299.000 | -0.000 | -0.000 | 0.000 | 
| -299.000 | -299.000 | 2327.523 | -0.000 | -0.000 | 0.000 | 
| -0.000 | -0.001 | 0.000 | 273.987 | 0.000 | 0.000 | 
| -0.001 | -0.000 | 0.000 | 0.000 | 273.987 | 0.000 | 
| -0.001 | 0.000 | -0.000 | 0.000 | -0.000 | 273.987 | 
| -3527052.013 | -4157165.030 | -4155251.340 | 61016.632 | 296851.654 | 235092.967 | 
| -6683778.842 | -5940431.475 | -6117351.546 | 273221.213 | 191832.435 | 826.263 | 
| -4975493.469 | -6266368.741 | -5791081.634 | 123992.681 | -3470.571 | 303218.386 | 
| -20628.218 | -3874128.996 | -4256553.498 | -3494869.287 | 104927.920 | -146115.840 | 
| -5039554.301 | -79676.110 | -4887181.954 | 7039.654 | -4414929.129 | -138647.143 | 
| -5454156.295 | -5362899.042 | -18338.497 | 2769.402 | -25777.336 | -4847642.953 | 
| -0.000 | -0.000 | -0.000 | -0.000 | -0.000 | -0.000 | 
| -0.000 | -0.000 | -0.000 | -0.000 | -0.000 | -0.000 | 
| -0.000 | -0.000 | -0.000 | -0.000 | -0.000 | -0.000 | 
| 101550.723 | 6388692.904 | 6817434.546 | -5616139.151 | -29724.736 | -71891.527 | 
| 5138488.789 | 29409.773 | 5240856.741 | -23183.371 | -4575424.992 | -54900.507 | 
| 6042444.174 | 5924250.029 | 79551.211 | -48751.535 | -104102.120 | -5154310.890 | 
| -683729.359 | -696907.248 | -710679.849 | 15973.544 | -7832.736 | -22629.770 | 
| -623198.582 | -650281.036 | -539840.005 | 12033.314 | 21477.040 | -8993.640 | 
| -538283.375 | -565399.786 | -558949.533 | 8307.920 | 33169.799 | 34957.705 | 
| -14194.609 | -690786.129 | -683337.623 | -543326.666 | 3279.595 | 2895.170 | 
| -742212.319 | -17083.558 | -739869.627 | -590.020 | -603989.401 | 3944.656 | 
| -459506.577 | -454495.810 | -7452.345 | 1859.011 | 6053.805 | -319114.186 | 
| -0.000 | -0.000 | -0.000 | -0.000 | -0.000 | -0.000 | 
| -0.000 | -0.000 | -0.000 | -0.000 | -0.000 | -0.000 | 
| -0.000 | -0.000 | -0.000 | -0.000 | -0.000 | -0.000 | 
| 7225.499 | 662996.752 | 623577.462 | -558699.916 | -5601.908 | -5091.381 | 
| 597743.498 | 7157.161 | 592197.310 | -7915.440 | -516787.802 | 2493.309 | 
| 449634.149 | 424372.726 | 4082.585 | 5033.379 | 2868.444 | -321731.526 | 
| -64887.494 | -58050.752 | -71109.909 | 938.102 | 1810.508 | -2013.334 | 
| -66874.697 | -66589.497 | -61905.399 | 123.459 | 1643.164 | 241.043 | 
| -67867.912 | -50379.790 | -52124.494 | -655.127 | 382.601 | 2050.193 | 
| -1824.957 | -62390.402 | -62412.835 | -52633.606 | -395.047 | 591.752 | 
| -68823.044 | -1830.930 | -64281.459 | 1346.702 | -57759.540 | -1065.929 | 
| -61748.530 | -59815.187 | -931.300 | -603.925 | -222.365 | -53542.605 | 
| -0.000 | -0.000 | -0.000 | -0.000 | -0.000 | -0.000 | 
| -0.000 | -0.000 | -0.000 | -0.000 | -0.000 | -0.000 | 
| -0.000 | -0.000 | -0.000 | -0.000 | -0.000 | -0.000 | 
| 1118.800 | 57946.882 | 59847.711 | -52181.228 | -544.167 | -368.015 | 
| 56218.971 | 747.682 | 57592.446 | 2042.639 | -48550.783 | 913.732 | 
| 48757.751 | 47225.593 | 992.887 | 1703.212 | 1304.286 | -39074.001 | 
| 874.085 | 266.786 | 266.786 | -0.000 | -0.000 | -0.000 | 
| 266.786 | 874.085 | 266.786 | -0.000 | -0.000 | -0.000 | 
| 266.786 | 266.786 | 874.085 | -0.000 | -0.000 | -0.000 | 
| -0.000 | 0.000 | -0.000 | 240.844 | -0.000 | -0.000 | 
| 0.000 | -0.000 | 0.000 | -0.000 | 240.844 | -0.000 | 
| 0.000 | 0.000 | -0.000 | -0.000 | -0.000 | 240.844 | 
| 874.085 | 266.786 | 266.786 | 0.000 | 0.000 | 0.000 | 
| 266.786 | 874.085 | 266.786 | 0.000 | 0.000 | 0.000 | 
| 266.786 | 266.786 | 874.085 | 0.000 | 0.000 | 0.000 | 
| 0.000 | -0.000 | 0.000 | 240.844 | 0.000 | 0.000 | 
| -0.000 | 0.000 | -0.000 | 0.000 | 240.844 | -0.000 | 
| -0.000 | -0.000 | 0.000 | 0.000 | 0.000 | 240.844 | 
| 874.085 | 266.787 | 266.787 | -0.000 | -0.000 | -0.000 | 
| 266.787 | 874.085 | 266.787 | -0.000 | -0.000 | -0.000 | 
| 266.787 | 266.787 | 874.085 | -0.000 | -0.000 | -0.000 | 
| 0.000 | 0.000 | 0.000 | 240.844 | -0.000 | -0.000 | 
| 0.000 | 0.000 | 0.000 | -0.000 | 240.844 | -0.000 | 
| 0.000 | 0.000 | 0.000 | -0.000 | -0.000 | 240.844 | 
| 874.085 | 266.786 | 266.786 | 0.000 | 0.000 | 0.000 | 
| 266.786 | 874.085 | 266.786 | 0.000 | 0.000 | 0.000 | 
| 266.786 | 266.786 | 874.085 | 0.000 | 0.000 | 0.000 | 
| -0.000 | -0.000 | -0.000 | 240.844 | 0.000 | 0.000 | 
| -0.000 | -0.000 | -0.000 | 0.000 | 240.844 | 0.000 | 
| -0.000 | -0.000 | -0.000 | 0.000 | 0.000 | 240.844 | 
| 874.089 | 266.788 | 266.788 | -0.000 | -0.000 | -0.000 | 
| 266.788 | 874.089 | 266.788 | -0.000 | -0.000 | -0.000 | 
| 266.788 | 266.788 | 874.089 | -0.000 | -0.000 | -0.000 | 
| 0.000 | 0.001 | 0.001 | 240.844 | -0.000 | -0.000 | 
| 0.001 | 0.000 | 0.001 | -0.000 | 240.844 | -0.000 | 
| 0.001 | 0.001 | 0.000 | -0.000 | -0.000 | 240.844 | 
| 874.081 | 266.785 | 266.785 | 0.000 | -0.000 | -0.000 | 
| 266.785 | 874.081 | 266.785 | -0.000 | 0.000 | 0.000 | 
| 266.785 | 266.785 | 874.081 | 0.000 | 0.000 | 0.000 | 
| -0.000 | -0.001 | -0.001 | 240.844 | 0.000 | 0.000 | 
| -0.001 | -0.000 | -0.001 | 0.000 | 240.844 | 0.000 | 
| -0.001 | -0.001 | -0.000 | 0.000 | -0.000 | 240.844 | 
| -18.239 | 10.948 | 10.948 | -0.000 | -0.000 | -0.000 | 
| 10.948 | -18.239 | 10.948 | -0.000 | -0.000 | -0.000 | 
| 10.948 | 10.948 | -18.239 | 0.000 | -0.000 | -0.000 | 
| -0.000 | -0.000 | -0.000 | -12.599 | -0.000 | 0.000 | 
| -0.000 | 0.000 | -0.000 | -0.000 | -12.599 | -0.000 | 
| -0.000 | -0.000 | 0.000 | 0.000 | -0.000 | -12.599 | 
| -18.239 | 10.948 | 10.948 | -0.000 | 0.000 | 0.000 | 
| 10.948 | -18.239 | 10.948 | -0.000 | 0.000 | 0.000 | 
| 10.948 | 10.948 | -18.239 | -0.000 | 0.000 | 0.000 | 
| 0.000 | 0.000 | 0.000 | -12.599 | 0.000 | 0.000 | 
| 0.000 | 0.000 | 0.000 | 0.000 | -12.599 | 0.000 | 
| 0.000 | 0.000 | 0.000 | 0.000 | 0.000 | -12.599 | 
| -18.239 | 10.948 | 10.948 | -0.000 | -0.000 | -0.000 | 
| 10.948 | -18.239 | 10.948 | -0.000 | -0.000 | -0.000 | 
| 10.948 | 10.948 | -18.239 | -0.000 | -0.000 | -0.000 | 
| 0.000 | 0.000 | -0.000 | -12.599 | -0.000 | 0.000 | 
| 0.000 | 0.000 | -0.000 | -0.000 | -12.599 | -0.000 | 
| 0.000 | -0.000 | 0.000 | 0.000 | -0.000 | -12.599 | 
| -18.239 | 10.948 | 10.948 | -0.000 | -0.000 | -0.000 | 
| 10.948 | -18.239 | 10.948 | -0.000 | 0.000 | -0.000 | 
| 10.948 | 10.948 | -18.239 | -0.000 | 0.000 | -0.000 | 
| -0.000 | -0.000 | 0.000 | -12.599 | 0.000 | 0.000 | 
| -0.000 | -0.000 | 0.000 | 0.000 | -12.599 | 0.000 | 
| -0.000 | 0.000 | -0.000 | 0.000 | 0.000 | -12.599 | 
| -18.240 | 10.948 | 10.948 | -0.000 | -0.000 | -0.000 | 
| 10.948 | -18.240 | 10.948 | -0.000 | -0.000 | -0.000 | 
| 10.948 | 10.948 | -18.240 | -0.000 | -0.000 | -0.000 | 
| 0.000 | 0.000 | -0.000 | -12.599 | -0.000 | -0.000 | 
| 0.000 | 0.000 | -0.000 | -0.000 | -12.599 | 0.000 | 
| 0.000 | -0.000 | 0.000 | -0.000 | -0.000 | -12.599 | 
| -18.239 | 10.948 | 10.948 | -0.000 | 0.000 | -0.000 | 
| 10.948 | -18.239 | 10.948 | -0.000 | 0.000 | -0.000 | 
| 10.948 | 10.948 | -18.239 | -0.000 | 0.000 | -0.000 | 
| -0.000 | -0.000 | 0.000 | -12.599 | 0.000 | 0.000 | 
| -0.000 | -0.000 | 0.000 | 0.000 | -12.599 | -0.000 | 
| -0.000 | 0.000 | -0.000 | 0.000 | 0.000 | -12.599 | 
| 1048.579 | 101.222 | 772.761 | 0.000 | 0.000 | -0.000 | 
| 93.611 | 1298.320 | 405.985 | 0.000 | 0.000 | 0.000 | 
| 266.778 | 467.955 | 1224.728 | 0.000 | 0.000 | 0.000 | 
| 56.644 | 205.898 | 248.208 | 347.735 | -0.000 | -0.000 | 
| 70.236 | 277.986 | 546.295 | 0.000 | 247.204 | 0.000 | 
| 56.794 | 206.443 | 248.865 | 0.000 | 0.000 | 183.288 | 
| 835.855 | -178.778 | -75.504 | -0.000 | -0.000 | 0.000 | 
| -19.798 | 886.510 | -90.649 | -0.000 | 0.000 | -0.000 | 
| 143.777 | -34.475 | 500.215 | 0.000 | 0.000 | 0.000 | 
| -56.644 | -205.898 | -248.208 | 347.735 | 0.000 | -0.000 | 
| -70.236 | -277.986 | -546.295 | -0.000 | 247.204 | -0.000 | 
| -56.794 | -206.443 | -248.865 | 0.000 | 0.000 | 183.288 | 
| 869.282 | 53.401 | 208.174 | -0.000 | -0.000 | -0.000 | 
| 45.606 | 1110.430 | 185.839 | 0.000 | -0.000 | -0.000 | 
| 206.493 | 217.963 | 717.262 | 0.000 | 0.000 | -0.000 | 
| 5.846 | 21.250 | 25.616 | 344.808 | 0.000 | -0.000 | 
| 47.657 | 15.429 | 46.082 | 0.000 | 219.816 | -0.000 | 
| 6.675 | 24.263 | 29.249 | -0.000 | -0.000 | 160.759 | 
| 860.841 | 6.724 | 151.358 | -0.000 | 0.000 | 0.000 | 
| 51.172 | 1041.377 | 117.811 | 0.000 | 0.000 | -0.000 | 
| 203.558 | 152.027 | 707.149 | -0.000 | 0.000 | 0.000 | 
| -5.846 | -21.250 | -25.616 | 344.808 | -0.000 | 0.000 | 
| -47.657 | -15.429 | -46.082 | -0.000 | 219.816 | 0.000 | 
| -6.675 | -24.263 | -29.249 | 0.000 | -0.000 | 160.759 | 
| 610.876 | 50.252 | 192.731 | 0.000 | -0.000 | -0.000 | 
| 45.681 | 1079.295 | 163.202 | 0.000 | -0.000 | -0.000 | 
| 196.342 | 208.523 | 622.365 | 0.000 | 0.000 | -0.000 | 
| 4.070 | 0.977 | 5.408 | 294.414 | 0.000 | 0.000 | 
| 3.194 | 0.245 | 6.524 | 0.000 | 209.655 | -0.000 | 
| 5.343 | 0.421 | 5.986 | -0.000 | -0.000 | -75.459 | 
| 601.928 | 44.911 | 179.455 | -0.000 | 0.000 | 0.000 | 
| 41.825 | 1078.223 | 155.776 | -0.000 | 0.000 | 0.000 | 
| 212.240 | 194.165 | 558.297 | -0.000 | -0.000 | 0.000 | 
| -4.070 | -0.977 | -5.408 | 294.414 | -0.000 | 0.000 | 
| -3.194 | -0.245 | -6.524 | -0.000 | 209.655 | 0.000 | 
| -5.343 | -0.421 | -5.986 | -0.000 | 0.000 | -75.459 | 
| 839592.287 | 37286145.993 | 30612887.790 | 3621.632 | 1280183.050 | 1957030.746 | 
| 28445876.408 | 109230.496 | 25297720.037 | 2946075.407 | 721234.600 | 127971.432 | 
| 31536463.897 | 30414775.288 | 3193469.863 | 911539.296 | 214857.280 | 2188697.186 | 
| 0.000 | 0.000 | 0.000 | -6.760 | -0.000 | -0.000 | 
| 0.000 | 0.000 | 0.000 | -0.000 | -6.760 | -0.000 | 
| 0.000 | 0.000 | -0.000 | 0.000 | 0.000 | -6.760 | 
| -56858441.183 | -12778623.641 | -9210085.922 | -115740.629 | 511321.598 | -29054.474 | 
| -10541446.370 | -56368971.449 | -13006676.167 | 641170.343 | 2024741.879 | -478768.089 | 
| -6868988.584 | -12985737.085 | -47143727.084 | 1969191.923 | 875108.507 | 1130750.122 | 
| 0.000 | -0.000 | -0.000 | -6.760 | -0.000 | 0.000 | 
| -0.000 | -0.000 | -0.000 | -0.000 | -6.760 | -0.000 | 
| -0.000 | -0.000 | 0.000 | -0.000 | -0.000 | -6.760 | 
| -32531.533 | 3465217.241 | 2890603.072 | -215835.464 | 132032.451 | 242728.153 | 
| 3862021.220 | 734953.171 | 3792772.301 | 383420.210 | 109294.858 | 204716.563 | 
| 3182444.343 | 3437443.953 | 84706.366 | -33893.297 | 124756.355 | -77206.224 | 
| -1210510.848 | 472588.903 | 991298.892 | 2941518.638 | -125658.831 | -84661.413 | 
| 525973.316 | -1859573.767 | 515131.991 | -123709.868 | 3020836.766 | -44290.661 | 
| 892607.101 | 642437.188 | -1145908.524 | 41759.422 | 49525.371 | 3128055.437 | 
| -4491927.744 | -1733747.676 | -215817.465 | 37349.496 | 445627.253 | 729.066 | 
| -513821.687 | -4595137.061 | -1489727.241 | -114368.151 | -44328.942 | -28086.410 | 
| -1351426.114 | -956658.823 | -5320911.885 | -77017.617 | 185882.195 | -74300.910 | 
| 1832134.205 | -248039.127 | -167590.275 | 2802954.436 | -53882.061 | 18390.768 | 
| -460228.356 | 1268615.237 | -675297.212 | -33463.457 | 3026008.452 | -35569.373 | 
| -316760.440 | -340681.246 | 1955171.484 | -98585.642 | 84326.100 | 3263447.922 | 
| 45585.694 | 359593.587 | 347654.166 | 6693.396 | -30654.966 | -19233.281 | 
| 318116.940 | -14879.752 | 245824.592 | -6378.863 | 23294.110 | -14464.543 | 
| 258533.880 | 336154.812 | -3386.263 | -5359.332 | 2699.534 | 8543.940 | 
| -270829.261 | 33197.131 | -25363.866 | 264559.372 | 4812.078 | 2627.061 | 
| 6141.537 | -266684.071 | 17046.827 | 15197.834 | 257885.694 | -2828.098 | 
| 31695.888 | 9866.994 | -265840.788 | -9058.927 | -10905.141 | 265463.052 | 
| -509076.930 | -166086.063 | -62569.540 | -2419.711 | 15339.075 | -8106.032 | 
| -58026.016 | -487281.623 | -153922.688 | -3585.880 | -9729.371 | -7617.601 | 
| -163708.876 | -47771.626 | -500581.089 | -7687.805 | -17090.300 | -11147.529 | 
| 362104.846 | 49469.262 | 95179.024 | 279182.794 | 646.653 | 4774.527 | 
| 13102.279 | 291029.353 | 27556.731 | 7054.885 | 266745.539 | 11226.600 | 
| -28783.698 | 27523.848 | 256865.298 | 3107.577 | -404.199 | 253669.090 | 
| 177464.438 | 184921.660 | 176944.116 | -3469.540 | 17808.303 | -20700.592 | 
| 582890.688 | 1035299.201 | 942747.338 | 10205.298 | 99652.748 | -17724.868 | 
| -40743.653 | -80374.367 | -99513.185 | 31582.557 | -9496.969 | -10184.676 | 
| 147358.547 | 446257.318 | 241172.072 | 12845.155 | 38777.976 | -15960.994 | 
| -184633.753 | -182359.851 | -150876.918 | 62863.384 | 7825.870 | 1860.400 | 
| 6.433 | -4.040 | -4.293 | -2.908 | 0.248 | 1429.487 | 
| -318551.942 | -1016063.938 | -756486.486 | -25356.792 | -37296.319 | 3266.749 | 
| -279711.576 | -260495.117 | -213076.176 | -5565.400 | -17374.041 | 20863.267 | 
| -698975.559 | -1427313.458 | -1345123.763 | 2463.213 | 64533.211 | 14867.446 | 
| -429376.821 | -981667.914 | -825493.835 | 8631.907 | -62895.620 | 29355.311 | 
| -108148.844 | -396810.454 | -196131.990 | -5217.161 | -56820.296 | 14126.088 | 
| -499597.949 | -1120199.749 | -919853.024 | -5657.219 | -37642.872 | 42664.335 | 
| 24584.282 | 22418.629 | 14209.015 | 1579.847 | 1798.792 | -1143.699 | 
| -5590.989 | 5633.555 | -997.799 | 2224.061 | 224.839 | 756.809 | 
| 11382.561 | 11211.397 | 13400.457 | -1546.871 | -1490.495 | -1149.051 | 
| 1245.749 | 11369.646 | 3433.871 | 2532.536 | 1167.021 | 3153.104 | 
| 28750.730 | 28425.521 | 20828.027 | 4741.291 | 5460.505 | -805.048 | 
| -8347.074 | 11181.934 | -18352.432 | 2408.496 | 458.799 | 1134.707 | 
| 6731.123 | 1718.821 | 1748.678 | -27.785 | 111.291 | -133.609 | 
| -17483.838 | -19994.863 | -9299.561 | -2968.193 | -835.385 | -390.637 | 
| 1762.746 | 1676.190 | 6615.799 | -18.611 | 90.766 | -133.196 | 
| 23.780 | 36.888 | 28.225 | 1410.625 | 4.413 | -10.710 | 
| -68368.405 | -111766.369 | -103194.764 | 150.103 | -1515.637 | 2399.597 | 
| -37259.280 | -81976.738 | -70784.839 | -3420.005 | -3649.649 | 1054.594 | 
| 5104.392 | 10767.301 | 9227.068 | -108.916 | 549.140 | -181.517 | 
| 2193.717 | 2553.224 | 1944.783 | 253.042 | 53.746 | -153.986 | 
| 1389.515 | 4669.846 | 2735.357 | 264.322 | 412.512 | -270.385 | 
| 3569.092 | 9294.095 | 7187.985 | 190.206 | 700.186 | -475.613 | 
| -1660.739 | -710.807 | -2408.786 | 19.074 | 78.760 | -58.456 | 
| 2415.851 | 5449.655 | 4065.391 | 225.486 | 400.559 | -81.968 | 
| 3891.669 | 4963.545 | 4038.931 | -189.286 | 7.622 | 229.994 | 
| -8162.614 | -17315.463 | -12847.229 | 239.823 | 415.708 | 311.035 | 
| -9637.559 | -11356.021 | -12879.872 | 333.441 | 186.108 | -132.587 | 
| -5044.817 | -10084.401 | -8437.906 | -107.653 | -498.267 | 296.072 | 
| -3167.236 | -10031.617 | -7931.095 | 326.569 | -359.045 | 277.802 | 
| -5741.850 | -10476.662 | -10302.415 | 243.507 | -1086.274 | 486.317 | 
| -3.232 | 15.698 | 15.698 | 0.000 | 0.000 | 0.000 | 
| 15.698 | -3.232 | 15.698 | 0.000 | 0.000 | 0.000 | 
| 15.698 | 15.698 | -3.232 | 0.000 | 0.000 | 0.000 | 
| -0.000 | 0.000 | 0.000 | -41.027 | 0.000 | 0.000 | 
| 0.000 | -0.000 | 0.000 | 0.000 | -41.027 | 0.000 | 
| 0.000 | -0.000 | 0.000 | 0.000 | 0.000 | -41.027 | 
| -3.232 | 15.698 | 15.698 | -0.000 | -0.000 | -0.000 | 
| 15.698 | -3.232 | 15.698 | -0.000 | -0.000 | -0.000 | 
| 15.698 | 15.698 | -3.232 | -0.000 | -0.000 | -0.000 | 
| 0.000 | -0.000 | -0.000 | -41.027 | -0.000 | -0.000 | 
| -0.000 | 0.000 | -0.000 | -0.000 | -41.027 | -0.000 | 
| -0.000 | 0.000 | -0.000 | 0.000 | -0.000 | -41.027 | 
| -3.232 | 15.698 | 15.698 | -0.000 | -0.000 | -0.000 | 
| 15.698 | -3.232 | 15.698 | -0.000 | -0.000 | -0.000 | 
| 15.698 | 15.698 | -3.232 | -0.000 | -0.000 | -0.000 | 
| 55484769.035 | 55308576.817 | 55709221.778 | -69986.986 | -2089278.639 | 1428338.454 | 
| 54928219.430 | 54221279.526 | 55577464.673 | -1082891.851 | -619357.527 | 22478.727 | 
| 52622004.580 | 55219555.469 | 54927625.106 | -892716.016 | -59268.514 | 1050185.358 | 
| -3.232 | 15.698 | 15.698 | 0.000 | 0.000 | 0.000 | 
| 15.698 | -3.232 | 15.698 | 0.000 | 0.000 | 0.000 | 
| 15.698 | 15.698 | -3.232 | 0.000 | 0.000 | 0.000 | 
| -56202752.050 | -54390170.403 | -54769918.565 | 805151.521 | 414210.998 | -159045.524 | 
| -55275961.095 | -53898010.655 | -54407202.968 | 2031404.430 | -20869.898 | -172957.794 | 
| -56163134.618 | -53210708.156 | -54740592.199 | 648303.021 | 144303.978 | 1311526.044 | 
| -3.231 | 15.698 | 15.698 | 0.000 | 0.000 | 0.000 | 
| 15.698 | -3.231 | 15.698 | 0.000 | 0.000 | 0.000 | 
| 15.698 | 15.698 | -3.231 | 0.000 | 0.000 | -0.000 | 
| 5622876.545 | 5422595.719 | 5820018.669 | 86147.543 | 68656.641 | -10080.929 | 
| 5285376.032 | 5841674.877 | 5474050.667 | -40397.687 | 100647.464 | 47462.606 | 
| 5516368.016 | 5507681.816 | 5517088.790 | -6893.892 | -68801.824 | 1468.010 | 
| -3.233 | 15.698 | 15.698 | -0.000 | -0.000 | -0.000 | 
| 15.698 | -3.233 | 15.698 | -0.000 | -0.000 | -0.000 | 
| 15.698 | 15.698 | -3.233 | -0.000 | -0.000 | -0.000 | 
| -5511808.198 | -5471890.592 | -5481495.002 | 127264.867 | -21542.927 | 71297.744 | 
| -5688145.036 | -5430011.738 | -5546612.076 | -28098.361 | 331499.488 | 113985.270 | 
| -5367097.911 | -5498616.757 | -5740403.430 | 124093.347 | -129336.666 | 4987.472 | 
| -2581480.575 | -2822762.816 | -3332621.106 | 549508.213 | 531358.445 | 699985.777 | 
| -2548165.376 | -2496385.295 | -3215080.277 | 321433.933 | 549709.387 | 654427.383 | 
| -2524882.836 | -2388350.330 | -3196038.852 | 378253.490 | 597100.505 | 627361.265 | 
| -2538816.277 | -2646260.881 | -3325064.000 | 367714.172 | 487279.134 | 677271.474 | 
| -2451000.254 | -2667264.398 | -3219367.404 | 339424.929 | 566800.904 | 669176.282 | 
| -2188059.280 | -2359662.150 | -2930497.803 | 379927.604 | 549290.126 | 668654.747 | 
| 2335480.334 | 2407857.903 | 3033810.434 | -337560.466 | -607093.010 | -707859.317 | 
| 2524153.886 | 2357150.199 | 3176029.242 | -418114.342 | -530685.171 | -721476.738 | 
| 2447345.046 | 2537937.304 | 3118689.025 | -353370.399 | -502313.008 | -616997.198 | 
| 2440249.008 | 2620483.625 | 3389328.955 | -345529.704 | -725557.953 | -682894.694 | 
| 2429795.505 | 2594837.386 | 3268213.879 | -372215.232 | -596731.243 | -632584.754 | 
| 2596656.638 | 2623866.695 | 3203360.351 | -353061.845 | -569379.109 | -686304.930 | 
| -243174.119 | -260700.561 | -322875.142 | 34624.621 | 56946.539 | 68994.553 | 
| -271655.852 | -256427.827 | -338650.207 | 40658.228 | 56136.726 | 65643.864 | 
| -257662.588 | -267096.796 | -324420.430 | 29957.452 | 63522.479 | 69872.267 | 
| -243744.017 | -256730.260 | -305320.384 | 32078.687 | 56706.393 | 60566.497 | 
| -247138.359 | -243350.703 | -318499.858 | 38215.598 | 60020.309 | 66480.888 | 
| -249281.275 | -252548.739 | -314001.188 | 36287.707 | 60655.504 | 68700.764 | 
| 228283.785 | 242082.027 | 318597.090 | -41514.371 | -53838.874 | -64158.822 | 
| 237961.148 | 255740.424 | 309373.372 | -41975.687 | -52007.570 | -69693.714 | 
| 264146.772 | 261380.121 | 349062.038 | -30659.372 | -60565.126 | -69635.396 | 
| 251816.795 | 268310.023 | 330779.492 | -24524.923 | -59035.143 | -67210.707 | 
| 251425.510 | 250031.988 | 325743.595 | -37395.303 | -50474.296 | -72320.565 | 
| 257745.780 | 261514.138 | 327122.878 | -32271.819 | -62247.000 | -65193.516 | 
| -24894.823 | -25082.914 | -33201.851 | 4007.304 | 5598.161 | 6612.788 | 
| -24470.214 | -25258.707 | -33025.817 | 3473.916 | 6586.197 | 6574.220 | 
| -25241.286 | -25115.651 | -32396.531 | 2684.390 | 5375.562 | 7087.980 | 
| -24318.879 | -24649.351 | -31011.935 | 3270.396 | 5711.922 | 6371.644 | 
| -24829.425 | -24144.960 | -31621.745 | 4547.036 | 5428.774 | 6850.809 | 
| -24095.272 | -24141.374 | -30480.169 | 3297.052 | 5547.946 | 6437.275 | 
| 24947.035 | 25681.789 | 33001.483 | -4358.362 | -4961.361 | -6855.522 | 
| 25628.579 | 26291.717 | 33574.653 | -2996.875 | -6242.354 | -7248.715 | 
| 22535.888 | 24701.944 | 30483.898 | -3215.053 | -6207.011 | -6709.786 | 
| 27102.984 | 25198.923 | 33829.541 | -3300.341 | -5666.233 | -6315.682 | 
| 22597.133 | 24579.900 | 30970.444 | -4780.076 | -5094.342 | -6227.218 | 
| 23196.355 | 23700.121 | 31176.721 | -3662.837 | -6077.255 | -6563.161 | 
| -35.434 | 22.907 | 22.907 | -0.000 | 0.000 | 0.000 | 
| 22.907 | -35.434 | 22.907 | -0.000 | -0.000 | -0.000 | 
| 22.907 | 22.907 | -35.434 | 0.000 | 0.000 | -0.000 | 
| -0.000 | -0.000 | -0.000 | -26.149 | 0.000 | -0.000 | 
| -0.000 | -0.000 | -0.000 | -0.000 | -26.149 | -0.000 | 
| -0.000 | -0.000 | -0.000 | -0.000 | -0.000 | -26.149 | 
| -35.434 | 22.907 | 22.907 | 0.000 | -0.000 | 0.000 | 
| 22.907 | -35.434 | 22.907 | -0.000 | 0.000 | -0.000 | 
| 22.907 | 22.907 | -35.434 | 0.000 | 0.000 | -0.000 | 
| 0.000 | 0.000 | 0.000 | -26.149 | -0.000 | -0.000 | 
| 0.000 | 0.000 | 0.000 | 0.000 | -26.149 | -0.000 | 
| 0.000 | 0.000 | 0.000 | 0.000 | 0.000 | -26.149 | 
| -35.434 | 22.907 | 22.907 | -0.000 | -0.000 | -0.000 | 
| 22.907 | -35.434 | 22.907 | -0.000 | 0.000 | -0.000 | 
| 22.907 | 22.907 | -35.434 | -0.000 | 0.000 | 0.000 | 
| 0.000 | 0.000 | 0.000 | -26.149 | -0.000 | 0.000 | 
| 0.000 | 0.000 | 0.000 | -0.000 | -26.149 | 0.000 | 
| 0.000 | 0.000 | 0.000 | 0.000 | -0.000 | -26.149 | 
| -35.434 | 22.907 | 22.907 | 0.000 | 0.000 | 0.000 | 
| 22.907 | -35.434 | 22.907 | 0.000 | -0.000 | 0.000 | 
| 22.907 | 22.907 | -35.434 | 0.000 | 0.000 | -0.000 | 
| -0.000 | -0.000 | -0.000 | -26.149 | -0.000 | 0.000 | 
| -0.000 | -0.000 | -0.000 | 0.000 | -26.149 | 0.000 | 
| -0.000 | -0.000 | -0.000 | 0.000 | -0.000 | -26.149 | 
| -35.434 | 22.907 | 22.907 | -0.000 | 0.000 | -0.000 | 
| 22.907 | -35.434 | 22.907 | -0.000 | -0.000 | 0.000 | 
| 22.907 | 22.907 | -35.434 | -0.000 | -0.000 | -0.000 | 
| 0.000 | 0.000 | 0.000 | -26.149 | -0.000 | -0.000 | 
| 0.000 | 0.000 | 0.000 | -0.000 | -26.149 | -0.000 | 
| 0.000 | 0.000 | 0.000 | -0.000 | -0.000 | -26.149 | 
| -35.434 | 22.907 | 22.907 | 0.000 | 0.000 | 0.000 | 
| 22.907 | -35.434 | 22.907 | 0.000 | 0.000 | 0.000 | 
| 22.907 | 22.907 | -35.434 | 0.000 | 0.000 | -0.000 | 
| -0.000 | -0.000 | -0.000 | -26.149 | 0.000 | 0.000 | 
| -0.000 | -0.000 | -0.000 | -0.000 | -26.149 | -0.000 | 
| -0.000 | -0.000 | -0.000 | -0.000 | 0.000 | -26.149 | 
| 422.888 | 79.009 | 284.911 | 73.449 | -12.472 | 13.502 | 
| 215.577 | 683.467 | 88.025 | -5.398 | 4.958 | 1.599 | 
| 284.489 | 31.633 | 424.627 | -82.842 | 48.322 | 65.564 | 
| 63.173 | 3.886 | -86.308 | 116.447 | 28.495 | 32.212 | 
| -76.487 | -14.861 | 50.536 | 27.242 | 135.678 | -20.043 | 
| -2.736 | -27.699 | 69.166 | 40.786 | -1.638 | 42.427 | 
| 452.151 | 92.249 | 293.300 | 75.359 | -5.988 | 15.251 | 
| 216.955 | 687.833 | 88.523 | -5.427 | 4.996 | 1.802 | 
| 307.602 | 45.931 | 434.120 | -82.763 | 51.366 | 66.329 | 
| 80.086 | 15.687 | -77.279 | 117.147 | 31.446 | 33.838 | 
| -44.860 | 0.874 | 58.197 | 28.169 | 142.032 | -16.644 | 
| 29.462 | -13.513 | 73.706 | 43.301 | 4.726 | 45.408 | 
| 435.991 | 89.259 | 291.712 | 74.454 | -10.377 | 13.755 | 
| 112.053 | 541.782 | 17.235 | 8.487 | -5.143 | -17.509 | 
| 292.335 | 38.069 | 428.800 | -83.653 | 47.817 | 65.431 | 
| 68.712 | 6.723 | -84.043 | 116.469 | 29.606 | 32.575 | 
| -70.198 | -12.453 | 47.595 | 29.789 | 137.999 | -19.238 | 
| 6.067 | -23.399 | 69.113 | 39.191 | -1.674 | 43.906 | 
| 438.957 | 90.860 | 292.631 | 74.516 | -9.861 | 13.990 | 
| 114.985 | 543.267 | 18.114 | 8.554 | -4.623 | -17.079 | 
| 295.549 | 39.974 | 429.728 | -83.367 | 48.440 | 65.744 | 
| 71.906 | 8.710 | -82.688 | 116.520 | 30.030 | 32.621 | 
| -67.212 | -10.844 | 48.524 | 29.846 | 138.522 | -19.069 | 
| 9.044 | -21.778 | 70.038 | 39.232 | -1.150 | 44.066 | 
| 437.332 | 90.181 | 292.296 | 74.404 | -10.221 | 13.865 | 
| 113.314 | 542.425 | 17.624 | 8.445 | -4.847 | -17.266 | 
| 292.538 | 38.484 | 429.223 | -83.499 | 47.871 | 65.458 | 
| 69.238 | 7.371 | -83.520 | 116.504 | 29.536 | 32.540 | 
| -68.956 | -11.732 | 47.845 | 29.579 | 138.229 | -19.092 | 
| 6.862 | -22.863 | 69.239 | 39.374 | -1.497 | 43.952 | 
| 437.668 | 90.369 | 292.383 | 74.428 | -10.169 | 13.902 | 
| 113.613 | 542.591 | 17.712 | 8.454 | -4.791 | -17.247 | 
| 292.826 | 38.642 | 429.302 | -83.496 | 47.925 | 65.483 | 
| 69.535 | 7.526 | -83.425 | 116.503 | 29.590 | 32.565 | 
| -68.662 | -11.568 | 47.938 | 29.583 | 138.283 | -19.075 | 
| 7.164 | -22.695 | 69.328 | 39.383 | -1.442 | 43.970 | 
| 344.462 | 62.945 | 62.945 | 0.000 | 0.000 | -0.000 | 
| 62.945 | 344.463 | 62.945 | 0.000 | 0.000 | 0.000 | 
| 62.945 | 62.945 | 344.462 | 0.000 | 0.000 | -0.000 | 
| 0.000 | 0.000 | 0.000 | 320.713 | 0.000 | 0.000 | 
| 0.000 | 0.000 | 0.000 | 0.000 | 320.713 | -0.000 | 
| 0.000 | 0.000 | 0.000 | 0.000 | 0.000 | 320.713 | 
| 539.707 | 174.452 | 174.453 | 0.000 | -0.000 | 0.000 | 
| 174.453 | 539.707 | 174.453 | -0.000 | 0.000 | 0.000 | 
| 174.453 | 174.452 | 539.707 | -0.000 | 0.000 | 0.000 | 
| -0.000 | -0.000 | -0.000 | 320.713 | 0.000 | 0.000 | 
| -0.000 | -0.000 | -0.000 | -0.000 | 320.713 | 0.000 | 
| -0.000 | -0.000 | -0.000 | -0.000 | 0.000 | 320.713 | 
| 539.708 | 174.453 | 174.453 | 0.000 | -0.000 | 0.000 | 
| 174.453 | 539.708 | 174.453 | 0.000 | -0.000 | -0.000 | 
| 174.453 | 174.453 | 539.708 | -0.000 | 0.000 | -0.000 | 
| -16.175 | -16.175 | -16.175 | 213.918 | 0.000 | -0.000 | 
| -16.175 | -16.175 | -16.175 | 0.000 | 213.918 | 0.000 | 
| -16.175 | -16.175 | -16.175 | -0.000 | -0.000 | 213.918 | 
| 539.707 | 174.453 | 174.453 | -0.000 | -0.000 | 0.000 | 
| 174.453 | 539.707 | 174.453 | -0.000 | 0.000 | 0.000 | 
| 174.453 | 174.453 | 539.707 | 0.000 | -0.000 | -0.000 | 
| 16.175 | 16.175 | 16.175 | 213.918 | -0.000 | -0.000 | 
| 16.175 | 16.175 | 16.175 | -0.000 | 213.918 | 0.000 | 
| 16.175 | 16.175 | 16.175 | 0.000 | 0.000 | 213.918 | 
| 415.963 | 160.186 | 160.186 | 0.000 | -0.000 | -0.000 | 
| 160.186 | 415.963 | 160.186 | 0.000 | -0.000 | -0.000 | 
| 160.186 | 160.186 | 415.963 | 0.000 | 0.000 | -0.000 | 
| 0.427 | 0.426 | 0.426 | 203.156 | -0.000 | -0.000 | 
| 0.426 | 0.427 | 0.426 | -0.000 | 203.156 | -0.000 | 
| 0.426 | 0.426 | 0.427 | -0.000 | -0.000 | 203.156 | 
| 389.844 | 127.500 | 127.500 | -0.000 | 0.000 | 0.000 | 
| 127.500 | 389.844 | 127.500 | -0.000 | 0.000 | 0.000 | 
| 127.500 | 127.500 | 389.844 | -0.000 | -0.000 | -0.000 | 
| -0.427 | -0.426 | -0.426 | 203.156 | 0.000 | 0.000 | 
| -0.426 | -0.427 | -0.426 | 0.000 | 203.156 | -0.000 | 
| -0.426 | -0.426 | -0.427 | -0.000 | 0.000 | 203.156 | 
| 540.693 | 177.363 | 177.363 | 0.000 | -0.000 | -0.000 | 
| 177.363 | 540.693 | 177.363 | 0.000 | -0.000 | -0.000 | 
| 177.363 | 177.363 | 540.694 | 0.000 | -0.000 | -0.000 | 
| 378.329 | 378.329 | 378.329 | 251.321 | -0.000 | -0.000 | 
| 378.329 | 378.329 | 378.329 | 0.000 | 251.321 | -0.000 | 
| 378.329 | 378.329 | 378.329 | 0.000 | -0.000 | 251.321 | 
| 10.572 | -146.547 | -146.548 | -0.000 | 0.000 | 0.000 | 
| -146.548 | 10.572 | -146.548 | -0.000 | 0.000 | -0.000 | 
| -146.548 | -146.547 | 10.572 | -0.000 | 0.000 | 0.000 | 
| -378.329 | -378.329 | -378.329 | 251.321 | 0.000 | 0.000 | 
| -378.329 | -378.329 | -378.329 | -0.000 | 251.321 | -0.000 | 
| -378.329 | -378.329 | -378.329 | -0.000 | 0.000 | 251.321 | 
| 540.694 | 177.363 | 177.363 | 0.000 | -0.000 | -0.000 | 
| 177.363 | 540.694 | 177.363 | 0.000 | -0.000 | -0.000 | 
| 177.363 | 177.363 | 540.694 | 0.000 | -0.000 | -0.000 | 
| 0.000 | -0.000 | 0.000 | 321.921 | -0.000 | 0.000 | 
| -0.000 | 0.000 | 0.000 | 0.000 | 321.921 | -0.000 | 
| -0.000 | 0.000 | 0.000 | 0.000 | -0.000 | 321.921 | 
| 540.693 | 177.363 | 177.363 | 0.000 | 0.000 | 0.000 | 
| 177.363 | 540.693 | 177.363 | 0.000 | 0.000 | -0.000 | 
| 177.363 | 177.363 | 540.693 | -0.000 | 0.000 | 0.000 | 
| -0.000 | 0.000 | -0.000 | 321.921 | 0.000 | 0.000 | 
| 0.000 | -0.000 | -0.000 | -0.000 | 321.921 | 0.000 | 
| 0.000 | -0.000 | -0.000 | -0.000 | 0.000 | 321.921 | 
| 395.028 | 123.785 | 123.785 | 0.000 | -0.000 | -0.000 | 
| 123.785 | 395.028 | 123.785 | -0.000 | -0.000 | 0.000 | 
| 123.785 | 123.785 | 395.028 | 0.000 | -0.000 | -0.000 | 
| 6.234 | 6.233 | 6.233 | 203.531 | -0.000 | -0.000 | 
| 6.233 | 6.234 | 6.233 | 0.000 | 203.531 | -0.000 | 
| 6.233 | 6.233 | 6.234 | 0.000 | -0.000 | 203.531 | 
| 414.323 | 161.905 | 161.905 | 0.000 | 0.000 | 0.000 | 
| 161.905 | 414.323 | 161.905 | 0.000 | 0.000 | -0.000 | 
| 161.905 | 161.905 | 414.323 | -0.000 | 0.000 | -0.000 | 
| -6.234 | -6.233 | -6.233 | 203.531 | 0.000 | 0.000 | 
| -6.233 | -6.234 | -6.233 | -0.000 | 203.531 | 0.000 | 
| -6.233 | -6.233 | -6.234 | -0.000 | 0.000 | 203.531 | 
| 410.024 | 104.754 | 104.754 | 0.000 | 0.000 | 0.000 | 
| 104.754 | 410.024 | 104.754 | -0.000 | 0.000 | 0.000 | 
| 104.754 | 104.754 | 410.024 | -0.000 | 0.000 | 0.000 | 
| 67.471 | 67.471 | 67.471 | 211.032 | -0.000 | 0.000 | 
| 67.471 | 67.471 | 67.471 | 0.000 | 211.032 | 0.000 | 
| 67.471 | 67.471 | 67.471 | 0.000 | -0.000 | 211.032 | 
| 488.066 | 70.759 | 70.759 | 0.000 | -0.000 | -0.000 | 
| 70.759 | 488.066 | 70.759 | -0.000 | -0.000 | -0.000 | 
| 70.759 | 70.759 | 488.066 | -0.000 | -0.000 | -0.000 | 
| -67.471 | -67.471 | -67.471 | 211.032 | 0.000 | -0.000 | 
| -67.471 | -67.471 | -67.471 | 0.000 | 211.032 | -0.000 | 
| -67.471 | -67.471 | -67.471 | -0.000 | -0.000 | 211.032 | 
| 372.282 | 81.328 | 81.328 | 0.000 | 0.000 | 0.000 | 
| 81.328 | 372.282 | 81.328 | 0.000 | -0.000 | 0.000 | 
| 81.328 | 81.328 | 372.282 | 0.000 | 0.000 | 0.000 | 
| 11.340 | 11.340 | 11.340 | 138.129 | -0.000 | 0.000 | 
| 11.340 | 11.340 | 11.340 | 0.000 | 138.129 | 0.000 | 
| 11.340 | 11.340 | 11.340 | -0.000 | 0.000 | 138.129 | 
| 488.065 | 70.759 | 70.759 | 0.000 | 0.000 | -0.000 | 
| 70.759 | 488.065 | 70.759 | 0.000 | 0.000 | -0.000 | 
| 70.759 | 70.759 | 488.065 | 0.000 | -0.000 | -0.000 | 
| -11.340 | -11.340 | -11.340 | 138.129 | -0.000 | -0.000 | 
| -11.340 | -11.340 | -11.340 | 0.000 | 138.129 | -0.000 | 
| -11.340 | -11.340 | -11.340 | 0.000 | -0.000 | 138.129 | 
| 333.546 | 59.477 | 59.477 | 0.000 | 0.000 | 0.000 | 
| 59.477 | 333.546 | 59.477 | -0.000 | -0.000 | 0.000 | 
| 59.477 | 59.477 | 333.546 | 0.000 | -0.000 | 0.000 | 
| 0.860 | 0.860 | 0.860 | 196.804 | 0.000 | 0.000 | 
| 0.860 | 0.860 | 0.860 | 0.000 | 196.804 | 0.000 | 
| 0.860 | 0.860 | 0.860 | 0.000 | 0.000 | 196.804 | 
| 488.063 | 70.759 | 70.759 | 0.000 | -0.000 | -0.000 | 
| 70.759 | 488.063 | 70.759 | 0.000 | -0.000 | -0.000 | 
| 70.759 | 70.759 | 488.063 | 0.000 | -0.000 | -0.000 | 
| -0.860 | -0.860 | -0.860 | 196.804 | -0.000 | -0.000 | 
| -0.860 | -0.860 | -0.860 | -0.000 | 196.804 | -0.000 | 
| -0.860 | -0.860 | -0.860 | -0.000 | -0.000 | 196.804 | 
| 910.810 | 91.182 | 91.181 | -0.000 | 0.000 | 0.000 | 
| 91.182 | 910.810 | 91.181 | 0.000 | 0.000 | -0.000 | 
| 91.182 | 91.182 | 910.810 | 0.000 | 0.000 | -0.000 | 
| -0.000 | 0.000 | 0.000 | 317.632 | 0.000 | -0.000 | 
| 0.000 | 0.000 | -0.000 | 0.000 | 317.632 | -0.000 | 
| -0.000 | 0.000 | -0.000 | 0.000 | 0.000 | 317.632 | 
| 910.810 | 91.181 | 91.181 | 0.000 | -0.000 | 0.000 | 
| 91.182 | 910.810 | 91.181 | -0.000 | 0.000 | 0.000 | 
| 91.182 | 91.181 | 910.810 | -0.000 | -0.000 | 0.000 | 
| 0.000 | -0.000 | 0.000 | 317.632 | -0.000 | 0.000 | 
| 0.000 | -0.000 | -0.000 | -0.000 | 317.632 | 0.000 | 
| -0.000 | -0.000 | 0.000 | -0.000 | -0.000 | 317.632 | 
| 783.800 | 122.010 | 122.010 | 0.000 | 0.000 | -0.000 | 
| 122.010 | 783.800 | 122.010 | 0.000 | 0.000 | -0.000 | 
| 122.010 | 122.010 | 783.800 | 0.000 | 0.000 | -0.000 | 
| -0.000 | 0.000 | 0.000 | 317.632 | 0.000 | -0.000 | 
| 0.000 | -0.000 | 0.000 | 0.000 | 317.632 | -0.000 | 
| 0.000 | 0.000 | -0.000 | 0.000 | 0.000 | 317.632 | 
| 766.008 | 129.304 | 129.304 | -0.000 | -0.000 | 0.000 | 
| 129.304 | 766.008 | 129.304 | -0.000 | -0.000 | 0.000 | 
| 129.304 | 129.304 | 766.008 | 0.000 | -0.000 | 0.000 | 
| 0.000 | -0.000 | -0.000 | 317.632 | -0.000 | 0.000 | 
| -0.000 | 0.000 | -0.000 | -0.000 | 317.632 | 0.000 | 
| -0.000 | -0.000 | 0.000 | 0.000 | -0.000 | 317.632 | 
| 910.813 | 91.183 | 91.183 | 0.000 | 0.000 | -0.000 | 
| 91.183 | 910.813 | 91.183 | -0.000 | 0.000 | -0.000 | 
| 91.183 | 91.183 | 910.813 | 0.000 | 0.000 | -0.000 | 
| 0.566 | 0.567 | 0.568 | 244.161 | 0.000 | -0.000 | 
| 0.567 | 0.566 | 0.568 | 0.000 | 244.161 | -0.000 | 
| 0.567 | 0.568 | 0.566 | 0.000 | 0.000 | 244.161 | 
| 787.440 | 110.772 | 110.772 | 0.000 | -0.000 | 0.000 | 
| 110.772 | 787.440 | 110.772 | -0.000 | -0.000 | 0.000 | 
| 110.772 | 110.772 | 787.440 | -0.000 | -0.000 | 0.000 | 
| -0.566 | -0.567 | -0.568 | 244.161 | -0.000 | 0.000 | 
| -0.569 | -0.568 | -0.569 | -0.000 | 256.905 | 0.000 | 
| -0.567 | -0.568 | -0.566 | -0.000 | -0.000 | 244.161 | 
| 762.267 | 102.719 | 102.720 | 0.000 | -0.000 | 0.000 | 
| 102.719 | 762.267 | 102.719 | -0.000 | 0.000 | 0.000 | 
| 102.720 | 102.719 | 762.267 | -0.000 | -0.000 | 0.000 | 
| -0.181 | -0.181 | -0.181 | 269.618 | -0.000 | 0.000 | 
| -0.181 | -0.181 | -0.181 | -0.000 | 269.618 | 0.000 | 
| -0.181 | -0.181 | -0.181 | -0.000 | -0.000 | 269.618 | 
| 827.360 | 86.653 | 86.653 | 0.000 | -0.000 | -0.000 | 
| 86.653 | 827.360 | 86.653 | 0.000 | -0.000 | -0.000 | 
| 86.653 | 86.653 | 827.360 | 0.000 | 0.000 | -0.000 | 
| 0.181 | 0.181 | 0.181 | 269.618 | 0.000 | -0.000 | 
| 0.181 | 0.181 | 0.181 | 0.000 | 269.618 | -0.000 | 
| 0.181 | 0.181 | 0.181 | 0.000 | 0.000 | 269.618 | 
| 884.693 | 82.789 | 82.789 | -0.000 | 0.000 | 0.000 | 
| 82.789 | 884.693 | 82.789 | -0.000 | 0.000 | 0.000 | 
| 82.789 | 82.789 | 884.693 | -0.000 | 0.000 | 0.000 | 
| -0.051 | -0.051 | -0.051 | 248.993 | -0.000 | 0.000 | 
| -0.051 | -0.051 | -0.051 | -0.000 | 248.993 | 0.000 | 
| -0.051 | -0.051 | -0.051 | -0.000 | -0.000 | 248.993 | 
| 762.467 | 103.557 | 103.557 | 0.000 | -0.000 | -0.000 | 
| 128.900 | 744.368 | 128.900 | -0.000 | 0.000 | -0.000 | 
| 103.557 | 103.557 | 762.467 | 0.000 | 0.000 | -0.000 | 
| 0.051 | 0.051 | 0.051 | 248.993 | -0.000 | -0.000 | 
| 0.051 | 0.051 | 0.051 | 0.000 | 248.993 | -0.000 | 
| 0.051 | 0.051 | 0.051 | -0.000 | 0.000 | 248.993 | 
| 745.671 | 126.782 | 126.782 | -0.000 | -0.000 | 0.000 | 
| 126.782 | 745.671 | 126.782 | -0.000 | -0.000 | 0.000 | 
| 126.782 | 126.782 | 745.671 | 0.000 | 0.000 | 0.000 | 
| -0.002 | -0.001 | -0.001 | 269.632 | 0.000 | 0.000 | 
| -0.001 | -0.002 | -0.001 | -0.000 | 269.632 | 0.000 | 
| -0.001 | -0.001 | -0.002 | -0.000 | -0.000 | 269.632 | 
| 826.928 | 86.466 | 86.466 | 0.000 | 0.000 | -0.000 | 
| 86.466 | 826.928 | 86.466 | 0.000 | 0.000 | -0.000 | 
| 86.466 | 86.466 | 826.928 | 0.000 | 0.000 | -0.000 | 
| 0.002 | 0.001 | 0.001 | 269.632 | -0.000 | -0.000 | 
| 0.001 | 0.002 | 0.001 | 0.000 | 269.632 | -0.000 | 
| 0.001 | 0.001 | 0.002 | 0.000 | 0.000 | 269.632 | 
| 953.247 | 51.357 | 51.357 | -0.000 | -0.000 | -0.000 | 
| 51.357 | 953.247 | 51.357 | -0.000 | -0.000 | -0.000 | 
| 51.357 | 51.357 | 953.247 | 0.000 | -0.000 | -0.000 | 
| -0.000 | 0.000 | -0.000 | 349.823 | -0.000 | -0.000 | 
| 0.000 | -0.000 | -0.000 | 0.000 | 349.823 | -0.000 | 
| 0.000 | 0.000 | -0.000 | -0.000 | -0.000 | 349.823 | 
| 953.247 | 51.357 | 51.357 | 0.000 | 0.000 | 0.000 | 
| 51.357 | 953.247 | 51.357 | 0.000 | 0.000 | 0.000 | 
| 51.357 | 51.357 | 953.247 | 0.000 | -0.000 | 0.000 | 
| 0.000 | -0.000 | 0.000 | 349.823 | 0.000 | 0.000 | 
| -0.000 | 0.000 | 0.000 | 0.000 | 349.823 | 0.000 | 
| -0.000 | 0.000 | 0.000 | 0.000 | 0.000 | 349.823 | 
| 953.248 | 51.357 | 51.357 | -0.000 | -0.000 | -0.000 | 
| 51.357 | 953.248 | 51.357 | -0.000 | 0.000 | -0.000 | 
| 51.357 | 51.357 | 953.248 | -0.000 | -0.000 | -0.000 | 
| -0.000 | -0.000 | 0.000 | 349.823 | -0.000 | -0.000 | 
| -0.000 | -0.000 | 0.000 | -0.000 | 349.823 | -0.000 | 
| -0.000 | 0.000 | -0.000 | -0.000 | -0.000 | 349.823 | 
| 953.247 | 51.357 | 51.357 | 0.000 | 0.000 | 0.000 | 
| 51.357 | 953.247 | 51.357 | -0.000 | 0.000 | 0.000 | 
| 51.357 | 51.357 | 953.247 | -0.000 | 0.000 | 0.000 | 
| 0.000 | 0.000 | -0.000 | 349.823 | 0.000 | 0.000 | 
| 0.000 | 0.000 | -0.000 | 0.000 | 349.823 | 0.000 | 
| 0.000 | -0.000 | 0.000 | -0.000 | 0.000 | 349.823 | 
| 953.253 | 51.357 | 51.357 | 0.000 | -0.000 | -0.000 | 
| 51.357 | 953.253 | 51.357 | -0.000 | -0.000 | -0.000 | 
| 51.357 | 51.357 | 953.253 | 0.000 | 0.000 | -0.000 | 
| -0.000 | -0.000 | 0.000 | 349.823 | -0.000 | -0.000 | 
| -0.000 | -0.000 | 0.000 | -0.000 | 349.823 | -0.000 | 
| -0.000 | 0.000 | -0.000 | -0.000 | -0.000 | 349.823 | 
| 953.242 | 51.357 | 51.357 | 0.000 | 0.000 | 0.000 | 
| 51.357 | 953.242 | 51.357 | 0.000 | 0.000 | 0.000 | 
| 51.357 | 51.357 | 953.242 | -0.000 | 0.000 | 0.000 | 
| 0.000 | 0.000 | -0.000 | 349.823 | 0.000 | 0.000 | 
| 0.000 | 0.000 | -0.000 | -0.000 | 349.823 | 0.000 | 
| 0.000 | -0.000 | 0.000 | 0.000 | 0.000 | 349.823 | 
| -1108498.346 | 554449.320 | 554449.320 | -0.000 | -0.000 | 0.000 | 
| 554449.319 | -1108498.346 | 554449.320 | -0.000 | 0.000 | -0.000 | 
| 554449.319 | 554449.320 | -1108498.345 | 0.000 | -0.000 | 0.000 | 
| -30537215.577 | -40424670.282 | -40228401.294 | -5323492.507 | -350238.277 | 1130641.949 | 
| -38855356.417 | -28516466.527 | -41124150.807 | 126870.842 | -5130539.904 | 42138.872 | 
| -39980924.255 | -41506427.256 | -30142700.482 | 674927.674 | -27183.113 | -4985181.455 | 
| -1108504.522 | 554449.861 | 554449.862 | -0.000 | 0.000 | -0.000 | 
| 554449.861 | -1108504.522 | 554449.863 | -0.000 | -0.000 | 0.000 | 
| 554449.862 | 554449.862 | -1108504.522 | -0.000 | -0.000 | -0.000 | 
| 28353578.270 | 39317111.149 | 39391917.984 | -6319670.753 | -495915.236 | -413765.779 | 
| 38444869.646 | 29709858.923 | 40722969.125 | -267933.811 | -6530130.313 | -14462.605 | 
| 39500307.063 | 39268361.798 | 30156297.895 | -372629.446 | -638936.263 | -5082327.982 | 
| -1108470.482 | 554446.845 | 554446.845 | 0.000 | 0.000 | -0.000 | 
| 554446.845 | -1108470.482 | 554446.845 | 0.000 | 0.000 | 0.000 | 
| 554446.845 | 554446.845 | -1108470.482 | 0.000 | -0.000 | -0.000 | 
| -0.027 | -0.028 | 0.055 | -79.357 | -0.000 | -0.000 | 
| -0.029 | -0.027 | 0.055 | 0.000 | -79.357 | -0.000 | 
| -0.029 | 0.055 | -0.027 | 0.000 | 0.000 | -79.357 | 
| -1108532.179 | 554452.233 | 554452.233 | 0.000 | 0.000 | 0.000 | 
| 554452.233 | -1108532.179 | 554452.233 | 0.000 | 0.000 | 0.000 | 
| 554452.233 | 554452.233 | -1108532.179 | -0.000 | 0.000 | -0.000 | 
| 0.027 | 0.029 | -0.055 | -79.357 | -0.000 | -0.000 | 
| 0.029 | 0.027 | -0.055 | -0.000 | -79.357 | 0.000 | 
| 0.029 | -0.055 | 0.027 | 0.000 | -0.000 | -79.357 | 
| -340339.197 | -426035.840 | -409387.690 | -3506.698 | -441.570 | -5028.985 | 
| -683725.371 | -349249.545 | -444883.982 | 2798.087 | 3404.193 | 260.120 | 
| -693800.150 | -428132.781 | -358184.087 | -4343.990 | 1072.535 | 2147.344 | 
| -0.274 | -0.282 | 0.550 | -79.357 | -0.000 | 0.000 | 
| -0.282 | -0.274 | 0.550 | 0.000 | -79.357 | 0.000 | 
| -0.282 | 0.550 | -0.274 | -0.000 | -0.000 | -79.357 | 
| -1108799.503 | 554471.307 | 554471.307 | -0.000 | 0.000 | 0.000 | 
| 554471.307 | -1108799.503 | 554471.307 | -0.000 | 0.000 | 0.000 | 
| 554471.307 | 554471.307 | -1108799.503 | 0.000 | 0.000 | 0.000 | 
| 0.274 | 0.282 | -0.550 | -79.357 | -0.000 | -0.000 | 
| 0.282 | 0.274 | -0.550 | -0.000 | -79.357 | 0.000 | 
| 0.282 | -0.550 | 0.274 | 0.000 | -0.000 | -79.357 | 
| 795.727 | 176.570 | 176.570 | -0.000 | -0.000 | -0.000 | 
| 176.570 | 795.727 | 176.570 | -0.000 | 0.000 | -0.000 | 
| 176.570 | 176.570 | 795.727 | -0.000 | -0.000 | -0.000 | 
| -0.000 | 0.000 | 0.000 | 206.232 | -0.000 | -0.000 | 
| 0.000 | -0.000 | 0.000 | -0.000 | 206.232 | -0.000 | 
| 0.000 | 0.000 | -0.000 | -0.000 | -0.000 | 206.232 | 
| 795.727 | 176.570 | 176.570 | 0.000 | 0.000 | 0.000 | 
| 176.570 | 795.727 | 176.570 | -0.000 | 0.000 | 0.000 | 
| 176.570 | 176.570 | 795.727 | 0.000 | 0.000 | 0.000 | 
| 0.000 | -0.000 | -0.000 | 206.232 | 0.000 | 0.000 | 
| -0.000 | 0.000 | -0.000 | 0.000 | 206.232 | 0.000 | 
| -0.000 | -0.000 | 0.000 | -0.000 | -0.000 | 206.232 | 
| 795.729 | 176.570 | 176.570 | -0.000 | -0.000 | -0.000 | 
| 176.570 | 795.729 | 176.570 | -0.000 | -0.000 | -0.000 | 
| 176.570 | 176.570 | 795.729 | -0.000 | -0.000 | -0.000 | 
| -0.000 | 0.000 | 0.000 | 206.232 | 0.000 | -0.000 | 
| 0.000 | -0.000 | 0.000 | -0.000 | 206.232 | -0.000 | 
| 0.000 | 0.000 | -0.000 | -0.000 | -0.000 | 206.232 | 
| 795.726 | 176.571 | 176.571 | 0.000 | 0.000 | 0.000 | 
| 176.571 | 795.726 | 176.571 | 0.000 | 0.000 | 0.000 | 
| 176.571 | 176.571 | 795.726 | 0.000 | 0.000 | 0.000 | 
| 0.000 | -0.000 | -0.000 | 206.232 | 0.000 | 0.000 | 
| -0.000 | 0.000 | -0.000 | -0.000 | 206.232 | 0.000 | 
| -0.000 | -0.000 | 0.000 | 0.000 | 0.000 | 206.232 | 
| 795.744 | 176.566 | 176.566 | -0.000 | -0.000 | -0.000 | 
| 176.566 | 795.744 | 176.566 | -0.000 | -0.000 | -0.000 | 
| 176.566 | 176.566 | 795.744 | -0.000 | 0.000 | -0.000 | 
| -0.001 | 0.001 | 0.001 | 206.232 | 0.000 | -0.000 | 
| 0.001 | -0.001 | 0.001 | -0.000 | 206.232 | -0.000 | 
| 0.001 | 0.001 | -0.001 | -0.000 | -0.000 | 206.232 | 
| 795.711 | 176.574 | 176.574 | 0.000 | 0.000 | 0.000 | 
| 176.574 | 795.711 | 176.574 | 0.000 | 0.000 | 0.000 | 
| 176.574 | 176.574 | 795.711 | 0.000 | -0.000 | 0.000 | 
| 0.001 | -0.001 | -0.001 | 206.232 | 0.000 | 0.000 | 
| -0.001 | 0.001 | -0.001 | 0.000 | 206.232 | 0.000 | 
| -0.001 | -0.001 | 0.001 | 0.000 | 0.000 | 206.232 | 
| 275.914 | 942.610 | 942.610 | 0.000 | -0.000 | 0.000 | 
| 942.610 | 275.914 | 942.610 | 0.000 | -0.000 | 0.000 | 
| 942.610 | 942.610 | 275.914 | 0.000 | 0.000 | 0.000 | 
| 0.000 | 0.000 | 0.000 | -49.784 | -0.000 | -0.000 | 
| 0.000 | 0.000 | 0.000 | -0.000 | -49.784 | 0.000 | 
| 0.000 | 0.000 | 0.000 | -0.000 | -0.000 | -49.784 | 
| 276.204 | 942.563 | 942.563 | 0.000 | -0.000 | -0.000 | 
| 942.563 | 276.204 | 942.563 | -0.000 | 0.000 | -0.000 | 
| 942.563 | 942.563 | 276.204 | 0.000 | 0.000 | 0.000 | 
| -0.000 | -0.000 | -0.000 | -49.784 | 0.000 | -0.000 | 
| -0.000 | 0.000 | -0.000 | -0.000 | -49.784 | 0.000 | 
| -0.000 | -0.000 | 0.000 | -0.000 | 0.000 | -49.784 | 
| 274.610 | 942.821 | 942.821 | -0.000 | -0.000 | -0.000 | 
| 942.821 | 274.610 | 942.821 | -0.000 | -0.000 | -0.000 | 
| 942.821 | 942.821 | 274.610 | -0.000 | -0.000 | -0.000 | 
| -0.000 | 0.000 | 0.000 | -49.784 | -0.000 | -0.000 | 
| 0.000 | -0.000 | 0.000 | -0.000 | -49.784 | -0.000 | 
| 0.000 | 0.000 | -0.000 | -0.000 | -0.000 | -49.784 | 
| 277.507 | 942.353 | 942.353 | 0.000 | 0.000 | 0.000 | 
| 942.353 | 277.507 | 942.353 | -0.000 | -0.000 | -0.000 | 
| 942.353 | 942.353 | 277.507 | 0.000 | -0.000 | 0.000 | 
| 0.000 | -0.000 | -0.000 | -49.784 | 0.000 | 0.000 | 
| -0.000 | 0.000 | -0.000 | 0.000 | -49.784 | -0.000 | 
| -0.000 | -0.000 | 0.000 | 0.000 | 0.000 | -49.784 | 
| 261.552 | 944.925 | 944.925 | 0.000 | 0.000 | -0.000 | 
| 944.925 | 261.552 | 944.925 | -0.000 | -0.000 | -0.000 | 
| 944.925 | 944.925 | 261.552 | -0.000 | -0.000 | 0.000 | 
| -0.001 | 0.000 | 0.000 | -49.784 | 0.000 | 0.000 | 
| 0.000 | -0.001 | 0.000 | -0.000 | -49.784 | 0.000 | 
| 0.000 | 0.000 | -0.001 | 0.000 | 0.000 | -49.784 | 
| 290.523 | 940.247 | 940.247 | -0.000 | 0.000 | 0.000 | 
| 940.247 | 290.523 | 940.247 | -0.000 | 0.000 | -0.000 | 
| 940.247 | 940.247 | 290.523 | -0.000 | -0.000 | 0.000 | 
| 0.001 | -0.000 | -0.000 | -49.784 | -0.000 | -0.000 | 
| -0.000 | 0.001 | -0.000 | -0.000 | -49.784 | -0.000 | 
| -0.000 | -0.000 | 0.001 | 0.000 | 0.000 | -49.784 | 
| -284.108 | 111.409 | 111.409 | -0.000 | -0.000 | -0.000 | 
| 111.409 | -284.108 | 111.409 | -0.000 | -0.000 | -0.000 | 
| 111.409 | 111.409 | -284.108 | 0.000 | -0.000 | 0.000 | 
| 0.001 | 0.001 | 0.001 | -382.074 | -0.000 | 0.000 | 
| 0.001 | 0.001 | 0.001 | 0.000 | -382.074 | 0.000 | 
| 0.001 | 0.001 | 0.001 | -0.000 | 0.000 | -382.074 | 
| -284.108 | 111.409 | 111.409 | 0.000 | -0.000 | 0.000 | 
| 111.409 | -284.108 | 111.409 | -0.000 | 0.000 | 0.000 | 
| 111.409 | 111.409 | -284.108 | -0.000 | 0.000 | 0.000 | 
| -0.001 | -0.001 | -0.001 | -382.074 | 0.000 | 0.000 | 
| -0.001 | -0.001 | -0.001 | -0.000 | -382.074 | -0.000 | 
| -0.001 | -0.001 | -0.001 | 0.000 | 0.000 | -382.074 | 
| -284.107 | 111.409 | 111.409 | 0.000 | 0.000 | 0.000 | 
| 111.409 | -284.107 | 111.409 | -0.000 | -0.000 | 0.000 | 
| 111.409 | 111.409 | -284.107 | 0.000 | -0.000 | -0.000 | 
| 0.005 | 0.006 | 0.005 | -382.074 | -0.000 | -0.000 | 
| 0.006 | 0.005 | 0.005 | 0.000 | -382.074 | 0.000 | 
| 0.006 | 0.005 | 0.005 | 0.000 | -0.000 | -382.074 | 
| -284.108 | 111.409 | 111.409 | -0.000 | 0.000 | 0.000 | 
| 111.409 | -284.108 | 111.409 | -0.000 | 0.000 | -0.000 | 
| 111.409 | 111.409 | -284.108 | -0.000 | 0.000 | -0.000 | 
| -0.005 | -0.006 | -0.005 | -382.074 | 0.000 | 0.000 | 
| -0.006 | -0.005 | -0.005 | -0.000 | -382.074 | -0.000 | 
| -0.006 | -0.005 | -0.005 | -0.000 | 0.000 | -382.074 | 
| -284.106 | 111.411 | 111.411 | -0.000 | -0.000 | -0.000 | 
| 111.411 | -284.106 | 111.411 | -0.000 | -0.000 | 0.000 | 
| 111.411 | 111.411 | -284.106 | -0.000 | -0.000 | -0.000 | 
| 0.055 | 0.056 | 0.055 | -382.074 | -0.000 | 0.000 | 
| 0.056 | 0.055 | 0.055 | 0.000 | -382.074 | -0.000 | 
| 0.056 | 0.055 | 0.055 | 0.000 | -0.000 | -382.074 | 
| -284.110 | 111.407 | 111.407 | 0.000 | -0.000 | -0.000 | 
| 111.407 | -284.110 | 111.407 | -0.000 | 0.000 | -0.000 | 
| 111.407 | 111.407 | -284.110 | 0.000 | 0.000 | 0.000 | 
| -0.055 | -0.056 | -0.055 | -382.074 | 0.000 | 0.000 | 
| -0.056 | -0.055 | -0.055 | -0.000 | -382.074 | 0.000 | 
| -0.056 | -0.055 | -0.055 | -0.000 | 0.000 | -382.074 | 
| 243.635 | 447.565 | 447.565 | -0.003 | -0.003 | 0.000 | 
| 447.565 | 243.635 | 447.565 | -0.003 | -0.003 | 0.000 | 
| 447.565 | 447.565 | 243.635 | -0.003 | -0.003 | 0.001 | 
| 0.771 | 0.802 | 0.781 | -1035277.827 | -0.004 | 0.000 | 
| 0.802 | 0.771 | 0.781 | -0.004 | -1035277.827 | 0.000 | 
| 0.802 | 0.781 | 0.771 | -0.002 | -0.001 | -1035277.824 | 
| 243.636 | 447.565 | 447.565 | 0.003 | -0.002 | -0.001 | 
| 447.565 | 243.636 | 447.565 | -0.002 | 0.003 | -0.001 | 
| 447.565 | 447.565 | 243.636 | 0.003 | 0.003 | -0.001 | 
| -0.771 | -0.802 | -0.781 | -1035277.825 | 0.004 | -0.000 | 
| -0.802 | -0.771 | -0.781 | 0.004 | -1035277.825 | -0.000 | 
| -0.802 | -0.781 | -0.771 | 0.001 | 0.001 | -1035277.827 | 
| 243.631 | 447.562 | 447.562 | -0.000 | -0.000 | 0.000 | 
| 447.562 | 243.631 | 447.562 | -0.000 | -0.000 | 0.000 | 
| 447.562 | 447.562 | 243.631 | -0.000 | -0.000 | 0.000 | 
| 7.706 | 8.016 | 7.809 | -1035277.756 | -0.000 | 0.000 | 
| 8.016 | 7.706 | 7.809 | -0.000 | -1035277.756 | 0.000 | 
| 8.016 | 7.809 | 7.706 | -0.000 | -0.000 | -1035277.756 | 
| 243.639 | 447.568 | 447.568 | 0.000 | 0.000 | -0.000 | 
| 447.568 | 243.639 | 447.568 | 0.000 | 0.000 | -0.000 | 
| 447.568 | 447.568 | 243.639 | 0.000 | 0.000 | -0.000 | 
| -7.706 | -8.016 | -7.809 | -1035277.756 | 0.000 | -0.000 | 
| -8.016 | -7.706 | -7.809 | 0.000 | -1035277.756 | -0.000 | 
| -8.016 | -7.809 | -7.706 | 0.000 | 0.000 | -1035277.756 | 
| 243.593 | 447.539 | 447.539 | -0.000 | 0.000 | 0.000 | 
| 447.539 | 243.593 | 447.539 | 0.000 | -0.000 | 0.000 | 
| 447.539 | 447.539 | 243.593 | -0.000 | -0.000 | 0.000 | 
| 77.057 | 80.163 | 78.092 | -1035270.675 | -0.000 | 0.000 | 
| 80.163 | 77.057 | 78.092 | -0.000 | -1035270.675 | 0.000 | 
| 80.163 | 78.092 | 77.057 | -0.000 | -0.000 | -1035270.675 | 
| 243.677 | 447.591 | 447.591 | 0.000 | -0.000 | -0.000 | 
| 447.591 | 243.677 | 447.591 | -0.000 | 0.000 | -0.000 | 
| 447.591 | 447.591 | 243.677 | 0.000 | 0.000 | -0.000 | 
| -77.057 | -80.163 | -78.092 | -1035270.675 | 0.000 | -0.000 | 
| -80.163 | -77.057 | -78.092 | 0.000 | -1035270.675 | -0.000 | 
| -80.163 | -78.092 | -77.057 | 0.000 | -0.000 | -1035270.675 | 
| 410.706 | 215.926 | 215.926 | -0.000 | -0.000 | -0.000 | 
| 215.926 | 410.706 | 215.926 | -0.000 | -0.000 | -0.000 | 
| 215.926 | 215.926 | 410.706 | -0.000 | -0.000 | -0.000 | 
| -0.000 | -0.000 | -0.000 | 119.348 | -0.000 | -0.000 | 
| -0.000 | -0.000 | -0.000 | -0.000 | 119.348 | -0.000 | 
| -0.000 | -0.000 | -0.000 | -0.000 | -0.000 | 119.348 | 
| 410.706 | 215.926 | 215.926 | 0.000 | 0.000 | 0.000 | 
| 215.926 | 410.706 | 215.926 | 0.000 | 0.000 | 0.000 | 
| 215.926 | 215.926 | 410.706 | 0.000 | 0.000 | 0.000 | 
| 0.000 | 0.000 | 0.000 | 119.348 | 0.000 | 0.000 | 
| 0.000 | 0.000 | 0.000 | 0.000 | 119.348 | 0.000 | 
| 0.000 | 0.000 | 0.000 | 0.000 | 0.000 | 119.348 | 
| 410.707 | 215.926 | 215.926 | -0.000 | -0.000 | -0.000 | 
| 215.926 | 410.707 | 215.926 | -0.000 | -0.000 | -0.000 | 
| 215.926 | 215.926 | 410.707 | -0.000 | -0.000 | -0.000 | 
| -0.000 | -0.000 | -0.000 | 119.348 | -0.000 | -0.000 | 
| -0.000 | -0.000 | -0.000 | -0.000 | 119.348 | -0.000 | 
| -0.000 | -0.000 | -0.000 | -0.000 | -0.000 | 119.348 | 
| 410.706 | 215.926 | 215.926 | 0.000 | 0.000 | 0.000 | 
| 215.926 | 410.706 | 215.926 | 0.000 | 0.000 | 0.000 | 
| 215.926 | 215.926 | 410.706 | 0.000 | 0.000 | 0.000 | 
| 0.000 | 0.000 | 0.000 | 119.348 | 0.000 | 0.000 | 
| 0.000 | 0.000 | 0.000 | 0.000 | 119.348 | 0.000 | 
| 0.000 | 0.000 | 0.000 | 0.000 | 0.000 | 119.348 | 
| 410.707 | 215.927 | 215.927 | -0.000 | -0.000 | -0.000 | 
| 215.927 | 410.707 | 215.927 | -0.000 | -0.000 | -0.000 | 
| 215.927 | 215.927 | 410.707 | -0.000 | -0.000 | -0.000 | 
| -0.000 | -0.000 | -0.000 | 119.348 | -0.000 | -0.000 | 
| -0.000 | -0.000 | -0.000 | -0.000 | 119.348 | -0.000 | 
| -0.000 | -0.000 | -0.000 | -0.000 | -0.000 | 119.348 | 
| 410.706 | 215.925 | 215.925 | 0.000 | 0.000 | 0.000 | 
| 215.925 | 410.706 | 215.925 | 0.000 | 0.000 | 0.000 | 
| 215.925 | 215.925 | 410.706 | 0.000 | 0.000 | 0.000 | 
| 0.000 | 0.000 | 0.000 | 119.348 | 0.000 | 0.000 | 
| 0.000 | 0.000 | 0.000 | 0.000 | 119.348 | 0.000 | 
| 0.000 | 0.000 | 0.000 | 0.000 | 0.000 | 119.348 | 
| -2492810.325 | -2489152.750 | -2521359.935 | -180033.228 | -245056.212 | -180359.587 | 
| -1702635.537 | -1581373.248 | -1919421.283 | -362969.796 | 123859.858 | -453101.563 | 
| -1503065.456 | -1490729.519 | -1191839.568 | -290748.968 | -293422.886 | -169432.139 | 
| -0.000 | -20413288.491 | -20413288.899 | -20413288.695 | 0.000 | -0.000 | 
| -20413288.491 | -0.000 | -20413288.899 | 0.000 | -20413288.695 | 0.000 | 
| -20413288.491 | -20413288.899 | -0.000 | 0.000 | 0.000 | -20413288.695 | 
| -0.000 | -0.000 | -0.000 | -0.000 | -0.000 | -0.000 | 
| -0.000 | -0.000 | -0.000 | -0.000 | -0.000 | -0.000 | 
| -0.000 | -0.000 | -0.000 | -0.000 | -0.000 | -0.000 | 
| 0.000 | 20413288.491 | 20413288.899 | -20413288.695 | -0.000 | 0.000 | 
| 20413288.491 | 0.000 | 20413288.899 | 0.000 | -20413288.695 | -0.000 | 
| 20413288.491 | 20413288.899 | 0.000 | 0.000 | -0.000 | -20413288.695 | 
| -148645.180 | -161551.473 | -160880.212 | -20858.980 | -8267.972 | -7826.345 | 
| -168899.101 | -152631.957 | -168923.779 | -9011.414 | -12095.139 | -8739.552 | 
| -300996.390 | -299394.167 | -252118.649 | -10441.841 | -9846.488 | -11605.917 | 
| -0.000 | -2041328.000 | -2041328.409 | -2041328.204 | -0.000 | 0.000 | 
| -2041328.000 | -0.000 | -2041328.409 | 0.000 | -2041328.204 | 0.000 | 
| -2041328.000 | -2041328.409 | -0.000 | 0.000 | 0.000 | -2041328.204 | 
| -0.000 | -0.000 | -0.000 | -0.000 | -0.000 | -0.000 | 
| -0.000 | -0.000 | -0.000 | -0.000 | -0.000 | -0.000 | 
| -0.000 | -0.000 | -0.000 | -0.000 | -0.000 | -0.000 | 
| 0.000 | 2041328.000 | 2041328.409 | -2041328.204 | -0.000 | -0.000 | 
| 2041328.000 | 0.000 | 2041328.409 | -0.000 | -2041328.204 | -0.000 | 
| 2041328.000 | 2041328.409 | 0.000 | 0.000 | -0.000 | -2041328.204 | 
| -26327.566 | -26959.651 | -26027.264 | -1119.486 | -2880.466 | -1731.516 | 
| -29681.030 | -28673.170 | -29057.076 | -2819.670 | -911.527 | -2454.751 | 
| -22809.524 | -22398.164 | -21605.584 | -2940.070 | -2476.760 | -2054.424 | 
| -0.000 | -204131.951 | -204132.359 | -204132.155 | 0.000 | -0.000 | 
| -204131.951 | -0.000 | -204132.359 | 0.000 | -204132.155 | -0.000 | 
| -204131.951 | -204132.359 | -0.000 | 0.000 | 0.000 | -204132.155 | 
| -0.000 | -0.000 | -0.000 | -0.000 | -0.000 | -0.000 | 
| -0.000 | -0.000 | -0.000 | -0.000 | -0.000 | -0.000 | 
| -0.000 | -0.000 | -0.000 | -0.000 | -0.000 | -0.000 | 
| 0.000 | 204131.951 | 204132.359 | -204132.155 | 0.000 | -0.000 | 
| 204131.951 | 0.000 | 204132.359 | 0.000 | -204132.155 | 0.000 | 
| 204131.951 | 204132.359 | 0.000 | 0.000 | -0.000 | -204132.155 | 
| 465.170 | 230.868 | 145.075 | 0.000 | 0.000 | 0.000 | 
| 230.868 | 465.170 | 145.075 | 0.000 | 0.000 | 0.000 | 
| 200.190 | 200.190 | 430.474 | 0.000 | 0.000 | 0.000 | 
| 21.212 | 21.212 | -45.210 | 101.430 | 0.000 | 0.000 | 
| 21.212 | 21.212 | -45.210 | 0.000 | 101.430 | 0.000 | 
| 19.413 | 19.413 | -41.376 | -0.000 | 0.000 | 114.738 | 
| 424.617 | 195.112 | 226.396 | -0.000 | -0.000 | -0.000 | 
| 195.112 | 424.617 | 226.396 | -0.000 | -0.000 | -0.000 | 
| 83.320 | 83.320 | 679.562 | -0.000 | -0.000 | 0.000 | 
| -21.212 | -21.212 | 45.210 | 101.430 | -0.000 | -0.000 | 
| -21.212 | -21.212 | 45.210 | 0.000 | 101.430 | -0.000 | 
| -19.413 | -19.413 | 41.376 | 0.000 | -0.000 | 114.738 | 
| 447.937 | 209.041 | 186.701 | 0.000 | 0.000 | 0.000 | 
| 209.025 | 447.982 | 186.670 | 0.000 | 0.000 | 0.000 | 
| 181.621 | 181.621 | 470.051 | 0.000 | 0.000 | 0.000 | 
| 2.133 | 2.133 | -4.546 | 101.159 | 0.000 | 0.000 | 
| 2.133 | 2.133 | -4.546 | 0.000 | 101.159 | 0.000 | 
| 2.329 | 2.329 | -4.964 | 0.000 | 0.000 | 115.500 | 
| 444.192 | 204.332 | 195.709 | -0.000 | -0.000 | -0.000 | 
| 213.834 | 443.338 | 186.494 | -0.000 | 0.000 | -0.000 | 
| 177.497 | 177.497 | 478.839 | -0.000 | -0.000 | -0.000 | 
| -2.133 | -2.133 | 4.546 | 101.159 | -0.000 | -0.000 | 
| -2.133 | -2.133 | 4.546 | -0.000 | 101.159 | -0.000 | 
| -2.329 | -2.329 | 4.964 | -0.000 | -0.000 | 115.500 | 
| 446.252 | 206.914 | 190.764 | -0.000 | -0.000 | 0.000 | 
| 216.062 | 444.547 | 182.834 | 0.000 | 0.000 | 0.000 | 
| 179.751 | 179.751 | 474.038 | 0.000 | 0.000 | 0.000 | 
| 0.214 | 0.213 | -0.455 | 101.156 | 0.000 | 0.000 | 
| 0.213 | 0.214 | -0.455 | -0.000 | 101.156 | 0.000 | 
| -0.183 | -0.185 | 0.392 | -0.000 | 0.000 | 114.239 | 
| 445.220 | 215.711 | 182.486 | -0.000 | -0.000 | -0.000 | 
| 215.709 | 445.230 | 182.478 | -0.000 | -0.000 | -0.000 | 
| 179.367 | 179.367 | 474.853 | -0.000 | -0.000 | -0.000 | 
| -0.214 | -0.213 | 0.455 | 101.156 | -0.000 | -0.000 | 
| -0.213 | -0.214 | 0.455 | 0.000 | 101.156 | 0.000 | 
| 0.183 | 0.185 | -0.392 | 0.000 | -0.000 | 114.239 | 
| 761.746 | 422.124 | -236.230 | -0.000 | 0.000 | 0.000 | 
| 422.124 | 761.746 | -236.230 | -0.000 | 0.000 | 0.000 | 
| -236.230 | -236.230 | 1804.878 | -0.000 | 0.000 | 0.000 | 
| 0.000 | 0.000 | -0.000 | 202.092 | -0.000 | 0.000 | 
| 0.000 | -0.000 | -0.000 | -0.000 | 202.092 | 0.000 | 
| 0.000 | 0.000 | -0.000 | -0.000 | 0.000 | 168.014 | 
| 761.746 | 422.124 | -236.230 | 0.000 | -0.000 | -0.000 | 
| 422.124 | 761.746 | -236.230 | 0.000 | -0.000 | -0.000 | 
| -236.230 | -236.230 | 1804.878 | 0.000 | -0.000 | -0.000 | 
| -0.000 | -0.000 | 0.000 | 202.092 | 0.000 | -0.000 | 
| -0.000 | 0.000 | 0.000 | 0.000 | 202.092 | -0.000 | 
| -0.000 | -0.000 | 0.000 | 0.000 | 0.000 | 168.014 | 
| 759.950 | 423.921 | -236.230 | -0.000 | -0.000 | 0.000 | 
| 422.124 | 761.746 | -236.230 | -0.000 | 0.000 | 0.000 | 
| -236.230 | -236.230 | 1804.879 | -0.000 | -0.000 | 0.000 | 
| 0.000 | 0.000 | 0.000 | 202.092 | 0.000 | 0.000 | 
| 0.000 | 0.000 | 0.000 | -0.000 | 202.092 | 0.000 | 
| 0.000 | 0.000 | -0.000 | -0.000 | 0.000 | 168.014 | 
| 759.949 | 423.920 | -236.230 | 0.000 | 0.000 | -0.000 | 
| 423.920 | 759.949 | -236.230 | 0.000 | 0.000 | -0.000 | 
| -236.230 | -236.230 | 1804.878 | 0.000 | 0.000 | -0.000 | 
| -0.000 | -0.000 | -0.000 | 202.092 | 0.000 | -0.000 | 
| -0.000 | -0.000 | -0.000 | 0.000 | 202.092 | -0.000 | 
| -0.000 | -0.000 | 0.000 | 0.000 | -0.000 | 168.014 | 
| 761.750 | 422.125 | -236.231 | -0.000 | 0.000 | 0.000 | 
| 423.922 | 759.953 | -236.231 | -0.000 | 0.000 | 0.000 | 
| -236.229 | -236.229 | 1804.881 | 0.000 | 0.000 | 0.000 | 
| 0.000 | 0.001 | 0.000 | 202.092 | -0.000 | 0.000 | 
| 0.001 | 0.000 | 0.000 | 0.000 | 202.092 | 0.000 | 
| 0.000 | 0.001 | -0.001 | -0.000 | 0.000 | 168.014 | 
| 759.945 | 423.920 | -236.228 | 0.000 | 0.000 | -0.000 | 
| 422.123 | 761.743 | -236.228 | 0.000 | -0.000 | -0.000 | 
| -236.231 | -236.231 | 1804.875 | 0.000 | 0.000 | -0.000 | 
| -0.000 | -0.001 | -0.000 | 202.092 | -0.000 | -0.000 | 
| -0.001 | -0.000 | -0.000 | -0.000 | 202.092 | -0.000 | 
| -0.000 | -0.001 | 0.001 | 0.000 | -0.000 | 168.014 | 
| 2065.055 | -572.489 | -572.489 | -0.000 | 0.000 | 0.000 | 
| -572.489 | 2065.055 | -572.489 | 0.000 | -0.000 | 0.000 | 
| -572.489 | -572.489 | 2065.055 | -0.000 | -0.000 | 0.000 | 
| 0.000 | 0.000 | -0.000 | 129.759 | -0.000 | 0.000 | 
| 0.000 | -0.000 | 0.000 | -0.000 | 129.759 | -0.000 | 
| 0.000 | -0.000 | 0.000 | -0.000 | -0.000 | 129.759 | 
| 2065.055 | -572.489 | -572.489 | -0.000 | 0.000 | 0.000 | 
| -572.489 | 2065.055 | -572.489 | 0.000 | -0.000 | 0.000 | 
| -572.489 | -572.489 | 2065.055 | 0.000 | 0.000 | -0.000 | 
| -0.000 | 0.000 | 0.000 | 129.759 | 0.000 | 0.000 | 
| 0.000 | -0.000 | 0.000 | 0.000 | 129.759 | -0.000 | 
| -0.000 | 0.000 | -0.000 | 0.000 | 0.000 | 129.759 | 
| 2065.056 | -572.489 | -572.489 | 0.000 | 0.000 | 0.000 | 
| -572.489 | 2065.056 | -572.489 | 0.000 | -0.000 | 0.000 | 
| -572.489 | -572.489 | 2065.056 | 0.000 | 0.000 | -0.000 | 
| 0.000 | 0.000 | -0.000 | 129.759 | 0.000 | -0.000 | 
| 0.000 | 0.000 | -0.000 | 0.000 | 129.759 | 0.000 | 
| 0.000 | -0.000 | 0.000 | -0.000 | -0.000 | 129.759 | 
| 2065.054 | -572.488 | -572.488 | 0.000 | 0.000 | -0.000 | 
| -572.488 | 2065.054 | -572.488 | 0.000 | 0.000 | -0.000 | 
| -572.488 | -572.488 | 2065.054 | 0.000 | 0.000 | -0.000 | 
| -0.000 | -0.000 | 0.000 | 129.759 | 0.000 | -0.000 | 
| -0.000 | -0.000 | 0.000 | 0.000 | 129.759 | -0.000 | 
| -0.000 | 0.000 | -0.000 | 0.000 | -0.000 | 129.759 | 
| 2065.065 | -572.491 | -572.491 | 0.000 | -0.000 | -0.000 | 
| -572.491 | 2065.065 | -572.491 | 0.000 | -0.000 | 0.000 | 
| -572.491 | -572.491 | 2065.065 | -0.000 | -0.000 | -0.000 | 
| 0.001 | 0.000 | -0.001 | 129.759 | -0.000 | -0.000 | 
| 0.000 | 0.001 | -0.001 | -0.000 | 129.759 | -0.000 | 
| 0.000 | -0.001 | 0.001 | -0.000 | -0.000 | 129.759 | 
| 2065.044 | -572.487 | -572.487 | 0.000 | 0.000 | -0.000 | 
| -572.487 | 2065.044 | -572.487 | 0.000 | 0.000 | -0.000 | 
| -572.487 | -572.487 | 2065.044 | -0.000 | 0.000 | -0.000 | 
| -0.001 | -0.000 | 0.001 | 129.759 | 0.000 | 0.000 | 
| -0.000 | -0.001 | 0.001 | 0.000 | 129.759 | 0.000 | 
| -0.000 | 0.001 | -0.001 | 0.000 | 0.000 | 129.759 | 
| 10646348.200 | 9774555.937 | 10155889.886 | 410292.321 | 331282.957 | -577816.030 | 
| 10608162.072 | 9835438.276 | 10130696.148 | 451989.939 | 375725.926 | -561039.537 | 
| 10581804.371 | 9845748.280 | 10034987.241 | 538311.312 | 444697.977 | -596324.510 | 
| 10356779.015 | 9522381.785 | 9937485.916 | 164273.174 | 777333.346 | -265720.341 | 
| 10737095.282 | 10222687.422 | 10188623.243 | 603528.418 | 405911.473 | -756735.306 | 
| 10592557.551 | 9773377.820 | 10079579.908 | 507666.076 | 394777.085 | -538007.413 | 
| -10638654.375 | -10230093.351 | -10114320.910 | -496881.713 | -450687.306 | 721406.235 | 
| -10591677.017 | -9933004.845 | -10137385.421 | -476429.438 | -450877.019 | 659793.912 | 
| -10569631.384 | -9941197.189 | -10142031.495 | -542984.146 | -372359.294 | 543538.649 | 
| -10451881.638 | -9758972.800 | -10064699.030 | -556881.067 | -379912.952 | 647663.992 | 
| -10596255.122 | -10018391.707 | -10153220.580 | -502947.237 | -418356.697 | 753955.279 | 
| -10702012.139 | -9966004.652 | -10193912.181 | -582679.390 | -469306.910 | 554660.674 | 
| 1043458.251 | 970900.056 | 999145.536 | 48220.528 | 50316.755 | -67293.704 | 
| 1065229.353 | 988368.691 | 1007910.917 | 42468.544 | 40276.626 | -78380.762 | 
| 1039643.131 | 979847.061 | 1003486.295 | 48750.174 | 41115.600 | -60785.426 | 
| 1049041.831 | 989782.639 | 1002264.128 | 41019.544 | 44742.227 | -65494.879 | 
| 1049045.853 | 980686.361 | 1009167.378 | 42247.329 | 41730.717 | -58275.313 | 
| 1036703.436 | 973993.651 | 1011038.748 | 46242.293 | 46064.956 | -60489.630 | 
| -1047604.794 | -980484.698 | -1002225.381 | -50037.297 | -45064.401 | 65849.045 | 
| -1055384.188 | -985636.955 | -1009717.735 | -44645.473 | -40443.903 | 65939.195 | 
| -1045669.958 | -981639.518 | -1005791.634 | -47690.847 | -50134.638 | 59297.204 | 
| -1054693.420 | -988402.976 | -1014271.313 | -53648.169 | -41539.389 | 54328.892 | 
| -1041880.562 | -971650.333 | -994008.999 | -47156.119 | -47782.261 | 56483.682 | 
| -1048321.114 | -1001859.839 | -1004443.137 | -41639.703 | -54206.176 | 71947.772 | 
| 103732.118 | 98879.933 | 100453.029 | 5537.025 | 4859.856 | -6221.728 | 
| 104674.673 | 99197.683 | 101030.075 | 6155.813 | 4661.018 | -6009.359 | 
| 104962.629 | 99346.661 | 101403.420 | 5682.363 | 4544.701 | -6599.528 | 
| 106011.848 | 98500.752 | 100828.793 | 5306.401 | 4667.867 | -6340.416 | 
| 103357.852 | 97830.540 | 100080.441 | 4946.563 | 5102.024 | -6254.935 | 
| 104692.898 | 99116.378 | 100221.539 | 4617.961 | 4709.248 | -6836.494 | 
| -105779.130 | -98677.660 | -100488.291 | -5083.649 | -4016.702 | 7176.805 | 
| -104151.280 | -96049.601 | -100969.552 | -4760.308 | -4493.012 | 6330.865 | 
| -104979.307 | -100324.075 | -100584.507 | -5247.232 | -4012.373 | 6904.896 | 
| -105370.260 | -101456.357 | -99023.326 | -4791.917 | -5378.747 | 6834.616 | 
| -104905.183 | -97397.936 | -100439.923 | -4650.642 | -4253.486 | 6535.872 | 
| -106311.385 | -99187.819 | -102019.589 | -5227.380 | -3638.582 | 6748.785 | 
| -365063194.347 | 228375479.467 | 52317170.546 | -26039185.701 | 15945030.913 | -13428920.853 | 
| -352574027.395 | 193695210.332 | 20947423.773 | -16146974.676 | 11896791.337 | 7343214.620 | 
| -318765665.898 | 181131624.189 | 57563267.860 | -6779481.567 | 7025482.288 | -5113726.002 | 
| -370172144.654 | 215831822.200 | 49699500.113 | -13701562.976 | 15666656.995 | -6954984.884 | 
| -368678645.945 | 197519117.535 | 37438161.936 | 1404136.705 | 20203760.849 | -15458637.966 | 
| -369144781.202 | 193647453.758 | 58504204.479 | -10663986.438 | 1698458.469 | -3834594.519 | 
| 365511623.245 | -205807750.163 | -57513295.944 | 10279220.899 | -4162534.971 | 10416733.861 | 
| 356360724.508 | -206618688.057 | -51830811.442 | 9530383.966 | -12525292.515 | -276530.476 | 
| 381905211.569 | -220954480.932 | -49076027.682 | 18250785.957 | -5882090.139 | 13210925.723 | 
| 313435639.102 | -172456181.192 | -26100725.506 | -482792.814 | -3369185.061 | -4413769.984 | 
| 355553554.501 | -192128580.101 | -22462980.825 | 1572214.756 | -4921906.828 | 99037.560 | 
| 356056307.457 | -191671196.294 | -25520747.270 | 4049927.266 | -18051756.425 | -1653776.853 | 
| -36599418.796 | 22347713.982 | 4324975.583 | -1869998.120 | 1111396.810 | -963297.721 | 
| -36254185.788 | 20764638.147 | 5644438.383 | -989180.664 | 1315106.659 | -1638659.092 | 
| -31765383.406 | 20554165.781 | 4315285.410 | -218751.618 | -49612.801 | -1451039.718 | 
| -34419696.077 | 20440778.357 | 4979701.628 | -897683.236 | 768399.308 | -337507.565 | 
| -35640770.670 | 19454065.294 | 6072321.777 | -1097604.509 | 403850.535 | -1231091.624 | 
| -35470901.024 | 20261433.822 | 4268924.355 | -1043457.286 | 1447500.486 | -818355.087 | 
| 37551403.106 | -22040291.817 | -3786265.922 | 1822860.770 | -445562.926 | 787802.688 | 
| 33116292.407 | -19281439.019 | -5540734.373 | 1803751.606 | -369758.216 | 591180.693 | 
| 35222153.592 | -21404072.233 | -5925776.994 | 814847.581 | -1178361.331 | 1641396.318 | 
| 36907887.173 | -21627071.277 | -3281222.653 | -280210.277 | 2472.146 | 2547934.752 | 
| 33550464.189 | -21321197.449 | -2810986.947 | 1160404.252 | -500494.334 | 886237.542 | 
| 36049027.904 | -21836699.021 | -2545771.598 | 429428.634 | -1925787.353 | 1956420.646 | 
| -3520383.867 | 2079182.215 | 566620.076 | -130304.901 | 50927.298 | -56648.802 | 
| -3656832.709 | 2216735.236 | 523231.318 | -187281.143 | 144990.008 | -4435.000 | 
| -3865068.665 | 2235091.129 | 521100.799 | -191080.341 | 195562.028 | -74112.179 | 
| -3429047.953 | 2185914.236 | 388425.832 | -59724.247 | -6819.111 | -107903.045 | 
| -3865768.699 | 2222570.101 | 531186.580 | -264680.618 | 207344.266 | -37232.416 | 
| -3623007.960 | 2173607.845 | 509088.027 | -120095.219 | 82876.979 | -115202.184 | 
| 3473028.248 | -2112584.832 | -492936.614 | 47782.392 | -143468.964 | 115777.532 | 
| 3793212.146 | -2006196.266 | -153903.694 | 89906.688 | -80989.737 | 130393.829 | 
| 3635485.238 | -2032291.517 | -522563.657 | 3377.219 | -34600.008 | 142317.823 | 
| 3548262.069 | -1874371.861 | -332651.580 | 8639.709 | -121156.682 | 25883.637 | 
| 3459790.845 | -1882221.069 | -192842.775 | 56206.418 | -28749.034 | 9645.862 | 
| 3424272.332 | -2116851.704 | -338776.396 | 13048.534 | -170952.724 | 65363.118 | 
| 301.875 | 166.806 | 87.300 | 0.000 | 0.000 | 0.000 | 
| 184.230 | 346.911 | 82.709 | -0.000 | 0.000 | -0.000 | 
| 86.233 | 63.864 | 348.279 | 0.000 | -0.000 | -0.000 | 
| 3.679 | -0.753 | 0.593 | 78.694 | -0.000 | 0.000 | 
| 3.730 | -0.764 | 0.602 | 0.000 | 72.255 | 0.000 | 
| 4.390 | -1.013 | 2.981 | -0.000 | -0.000 | 19.711 | 
| 292.625 | 168.706 | 85.697 | -0.000 | -0.000 | -0.000 | 
| 173.554 | 349.359 | 75.787 | 0.000 | 0.000 | 0.000 | 
| 76.992 | 66.030 | 341.351 | 0.000 | -0.000 | 0.000 | 
| -3.679 | 0.753 | -0.593 | 78.694 | 0.000 | 0.000 | 
| -3.730 | 0.764 | -0.602 | -0.000 | 72.255 | 0.000 | 
| -4.390 | 1.013 | -2.981 | -0.000 | -0.000 | 19.711 | 
| 297.290 | 167.779 | 85.894 | -0.000 | 0.000 | -0.000 | 
| 180.303 | 347.758 | 81.234 | -0.000 | -0.000 | 0.000 | 
| 82.074 | 64.839 | 345.156 | -0.000 | 0.000 | 0.000 | 
| 0.369 | -0.076 | 0.060 | 78.619 | 0.000 | 0.000 | 
| 0.373 | -0.076 | 0.060 | 0.000 | 72.165 | 0.000 | 
| 0.439 | -0.101 | 0.298 | -0.000 | -0.000 | 19.728 | 
| 296.375 | 167.965 | 85.767 | 0.000 | -0.000 | 0.000 | 
| 179.379 | 347.974 | 80.541 | -0.000 | 0.000 | 0.000 | 
| 81.151 | 65.054 | 344.474 | 0.000 | 0.000 | 0.000 | 
| -0.369 | 0.076 | -0.060 | 78.619 | 0.000 | -0.000 | 
| -0.373 | 0.076 | -0.060 | 0.000 | 72.165 | -0.000 | 
| -0.439 | 0.101 | -0.298 | 0.000 | 0.000 | 19.728 | 
| 296.874 | 167.876 | 85.628 | 0.000 | 0.000 | -0.000 | 
| 179.888 | 347.857 | 80.921 | 0.000 | -0.000 | 0.000 | 
| 81.655 | 64.947 | 344.795 | 0.000 | -0.000 | 0.000 | 
| 0.037 | -0.008 | 0.006 | 78.619 | 0.000 | 0.000 | 
| 0.037 | -0.008 | 0.006 | 0.000 | 72.164 | 0.000 | 
| 0.044 | -0.010 | 0.029 | -0.000 | 0.000 | 19.728 | 
| 296.780 | 167.894 | 85.567 | -0.000 | 0.000 | 0.000 | 
| 179.793 | 347.875 | 80.855 | -0.000 | 0.000 | -0.000 | 
| 81.570 | 64.947 | 344.835 | -0.000 | -0.000 | -0.000 | 
| -0.037 | 0.008 | -0.006 | 78.619 | 0.000 | -0.000 | 
| -0.037 | 0.008 | -0.006 | 0.000 | 72.164 | -0.000 | 
| -0.044 | 0.010 | -0.029 | 0.000 | 0.000 | 19.728 | 
| 590.452 | 80.649 | 37.408 | -0.000 | -0.000 | 0.000 | 
| 190.619 | 480.482 | 37.408 | -0.000 | 0.000 | 0.000 | 
| 37.408 | 37.408 | 310.798 | 0.000 | 0.000 | 0.000 | 
| -0.000 | 0.000 | 0.000 | 158.548 | 0.000 | 0.000 | 
| 0.000 | -0.000 | 0.000 | -0.000 | 158.548 | 0.000 | 
| 0.000 | 0.000 | 0.000 | 0.000 | 0.000 | 144.932 | 
| 590.452 | 80.649 | 37.408 | 0.000 | 0.000 | 0.000 | 
| 80.649 | 590.452 | 37.408 | 0.000 | 0.000 | 0.000 | 
| 37.408 | 37.408 | 310.798 | -0.000 | -0.000 | 0.000 | 
| 0.000 | -0.000 | -0.000 | 158.548 | -0.000 | -0.000 | 
| -0.000 | -0.000 | -0.000 | -0.000 | 158.548 | 0.000 | 
| -0.000 | -0.000 | -0.000 | -0.000 | -0.000 | 144.932 | 
| 590.452 | 80.649 | 37.408 | -0.000 | -0.000 | 0.000 | 
| 190.619 | 480.482 | 37.408 | -0.000 | 0.000 | -0.000 | 
| 37.408 | 37.408 | 310.799 | -0.000 | 0.000 | -0.000 | 
| -0.000 | 0.000 | -0.000 | 158.548 | -0.000 | 0.000 | 
| 0.000 | -0.000 | -0.000 | -0.000 | 158.548 | 0.000 | 
| 0.000 | -0.000 | -0.000 | -0.000 | -0.000 | 254.901 | 
| 480.488 | 190.612 | 37.408 | -0.000 | -0.000 | -0.000 | 
| 80.649 | 590.451 | 37.408 | 0.000 | 0.000 | -0.000 | 
| 37.408 | 37.408 | 310.798 | 0.000 | 0.000 | -0.000 | 
| 0.000 | -0.000 | 0.000 | 158.548 | -0.000 | -0.000 | 
| -0.000 | 0.000 | 0.000 | -0.000 | 158.548 | -0.000 | 
| -0.000 | 0.000 | 0.000 | 0.000 | 0.000 | 254.901 | 
| 480.418 | 190.687 | 37.408 | 0.000 | 0.000 | 0.000 | 
| 190.622 | 480.482 | 37.408 | 0.000 | 0.000 | 0.000 | 
| 37.408 | 37.408 | 310.800 | -0.000 | 0.000 | -0.000 | 
| -0.001 | 0.001 | -0.000 | 158.548 | 0.000 | -0.000 | 
| 0.001 | -0.001 | -0.000 | -0.000 | 158.548 | -0.000 | 
| 0.001 | 0.000 | -0.000 | -0.000 | 0.000 | 144.932 | 
| 480.476 | 190.621 | 37.408 | -0.000 | -0.000 | 0.000 | 
| 190.615 | 480.482 | 37.408 | -0.000 | -0.000 | -0.000 | 
| 37.408 | 37.408 | 310.797 | -0.000 | -0.000 | -0.000 | 
| 0.001 | -0.001 | 0.000 | 158.548 | -0.000 | -0.000 | 
| -0.001 | 0.001 | 0.000 | 0.000 | 158.548 | 0.000 | 
| -0.001 | -0.000 | 0.000 | -0.000 | -0.000 | 144.932 | 
| 59481.962 | 58252.129 | 58252.129 | -0.000 | -0.000 | 0.000 | 
| 58252.129 | 59481.962 | 58252.129 | -0.000 | -0.000 | 0.000 | 
| 58252.128 | 58252.128 | 59481.962 | -0.000 | -0.000 | 0.000 | 
| -0.000 | -0.000 | -0.000 | 2495.643 | -0.000 | 0.000 | 
| -0.000 | -0.000 | -0.000 | -0.000 | 2495.643 | 0.000 | 
| -0.000 | -0.000 | -0.000 | 0.000 | -0.000 | 2495.643 | 
| 59481.927 | 58252.091 | 58252.091 | 0.000 | 0.000 | -0.000 | 
| 58252.091 | 59481.927 | 58252.091 | 0.000 | 0.000 | -0.000 | 
| 58252.091 | 58252.091 | 59481.927 | 0.000 | 0.000 | 0.000 | 
| 0.001 | 0.001 | 0.001 | 2495.643 | 0.000 | -0.000 | 
| 0.001 | 0.001 | 0.001 | 0.000 | 2495.643 | -0.000 | 
| 0.000 | 0.000 | 0.000 | 0.000 | 0.000 | 2495.643 | 
| 59482.120 | 58252.297 | 58252.297 | -0.000 | -0.000 | 0.000 | 
| 58252.297 | 59482.120 | 58252.297 | -0.000 | -0.000 | 0.000 | 
| 58252.297 | 58252.297 | 59482.120 | -0.000 | -0.000 | 0.000 | 
| -0.005 | -0.006 | -0.005 | 2495.414 | -0.000 | 0.000 | 
| -0.006 | -0.005 | -0.005 | -0.000 | 2495.414 | 0.000 | 
| -0.006 | -0.005 | -0.005 | 0.000 | -0.000 | 2495.414 | 
| 59481.770 | 58251.923 | 58251.923 | 0.000 | 0.000 | 0.000 | 
| 58251.923 | 59481.770 | 58251.923 | 0.000 | 0.000 | 0.000 | 
| 58251.923 | 58251.923 | 59481.770 | 0.000 | 0.000 | 0.000 | 
| 0.005 | 0.006 | 0.005 | 2495.414 | 0.000 | 0.000 | 
| 0.006 | 0.005 | 0.005 | 0.000 | 2495.414 | 0.000 | 
| 0.006 | 0.005 | 0.005 | 0.000 | 0.000 | 2495.414 | 
| 59483.697 | 58253.976 | 58253.976 | -0.000 | 0.000 | -0.000 | 
| 58253.976 | 59483.697 | 58253.976 | 0.000 | -0.000 | -0.000 | 
| 58253.976 | 58253.976 | 59483.697 | -0.000 | -0.000 | -0.000 | 
| -0.051 | -0.056 | -0.052 | 2472.541 | -0.000 | -0.000 | 
| -0.056 | -0.051 | -0.052 | -0.000 | 2472.541 | -0.000 | 
| -0.056 | -0.052 | -0.051 | -0.000 | -0.000 | 2472.541 | 
| 59480.193 | 58250.244 | 58250.244 | 0.000 | 0.000 | -0.000 | 
| 58250.244 | 59480.193 | 58250.244 | 0.000 | 0.000 | -0.000 | 
| 58250.244 | 58250.244 | 59480.193 | 0.000 | 0.000 | 0.000 | 
| 0.051 | 0.056 | 0.052 | 2472.541 | 0.000 | -0.000 | 
| 0.056 | 0.051 | 0.052 | 0.000 | 2472.541 | -0.000 | 
| 0.056 | 0.052 | 0.051 | 0.000 | -0.000 | 2472.541 | 
| 287.391 | 236.498 | 236.498 | -0.000 | -0.000 | -0.000 | 
| 236.498 | 287.391 | 236.498 | 0.000 | -0.000 | -0.000 | 
| 236.498 | 236.498 | 287.391 | -0.000 | -0.000 | 0.000 | 
| -0.000 | 0.000 | -0.000 | -246.914 | 0.000 | 0.000 | 
| 0.000 | -0.000 | -0.000 | 0.000 | -246.914 | -0.000 | 
| 0.000 | -0.000 | -0.000 | 0.000 | -0.000 | -246.914 | 
| 287.391 | 236.498 | 236.498 | 0.000 | 0.000 | 0.000 | 
| 236.498 | 287.391 | 236.498 | 0.000 | 0.000 | 0.000 | 
| 236.498 | 236.498 | 287.391 | 0.000 | 0.000 | 0.000 | 
| 0.000 | -0.000 | 0.000 | -246.914 | -0.000 | -0.000 | 
| -0.000 | 0.000 | 0.000 | -0.000 | -246.914 | -0.000 | 
| -0.000 | 0.000 | 0.000 | -0.000 | -0.000 | -246.914 | 
| 287.391 | 236.498 | 236.498 | -0.000 | 0.000 | -0.000 | 
| 236.498 | 287.391 | 236.498 | 0.000 | -0.000 | -0.000 | 
| 236.498 | 236.498 | 287.391 | -0.000 | -0.000 | 0.000 | 
| 0.000 | 0.000 | 0.000 | 228.794 | 0.000 | -0.000 | 
| 0.000 | -0.000 | -0.000 | 0.000 | -246.914 | -0.000 | 
| 0.000 | -0.000 | -0.000 | -0.000 | 0.000 | -246.914 | 
| 287.391 | 236.497 | 236.497 | 0.000 | 0.000 | 0.000 | 
| 236.497 | 287.391 | 236.497 | 0.000 | 0.000 | 0.000 | 
| 236.497 | 236.497 | 287.391 | 0.000 | 0.000 | 0.000 | 
| 0.000 | -0.000 | 0.000 | -246.914 | -0.000 | 0.000 | 
| -0.000 | 0.000 | 0.000 | -0.000 | -246.914 | 0.000 | 
| -0.000 | 0.000 | 0.000 | -0.000 | 0.000 | -246.914 | 
| 287.392 | 236.499 | 236.499 | -0.000 | -0.000 | -0.000 | 
| 236.499 | 287.392 | 236.499 | -0.000 | -0.000 | -0.000 | 
| 236.499 | 236.499 | 287.392 | -0.000 | -0.000 | -0.000 | 
| -0.000 | 0.000 | -0.000 | -246.914 | 0.000 | 0.000 | 
| 0.000 | -0.000 | -0.000 | 0.000 | -246.914 | 0.000 | 
| 0.000 | -0.000 | -0.000 | 0.000 | 0.000 | -246.914 | 
| 287.391 | 236.496 | 236.496 | 0.000 | -0.000 | 0.000 | 
| 236.496 | 287.391 | 236.496 | -0.000 | 0.000 | 0.000 | 
| 236.496 | 236.496 | 287.391 | 0.000 | 0.000 | 0.000 | 
| 0.000 | -0.000 | 0.000 | -246.914 | -0.000 | 0.000 | 
| -0.000 | 0.000 | 0.000 | -0.000 | -246.914 | 0.000 | 
| -0.000 | 0.000 | 0.000 | -0.000 | -0.000 | -246.914 | 
| -35490026.410 | -30792497.194 | -31717052.453 | -497385.578 | 916291.907 | -21180.363 | 
| -32635639.897 | -33371232.763 | -33499736.285 | -840541.934 | -384808.353 | 441113.352 | 
| -32830130.470 | -32113481.924 | -29247294.207 | -238970.505 | -107816.006 | 286501.593 | 
| -1.430 | -10847724.905 | -10847725.477 | -28589518.894 | 0.000 | 0.000 | 
| -10847724.905 | -1.430 | -10847725.477 | 0.000 | -28589518.894 | 0.000 | 
| -81838078.758 | -81559896.659 | -2137344.451 | -235304.025 | -48957.782 | -59055721.666 | 
| -0.000 | -0.000 | -0.000 | -0.000 | -0.000 | -0.000 | 
| -0.000 | -0.000 | -0.000 | -0.000 | -0.000 | -0.000 | 
| -0.000 | -0.000 | -0.000 | -0.000 | -0.000 | -0.000 | 
| -134967.808 | 82281002.485 | 82533584.071 | -60326925.986 | 85825.555 | 170405.251 | 
| 83947509.094 | 1666001.544 | 84255448.770 | -70117.164 | -61999340.347 | -32541.687 | 
| 83010179.889 | 83367528.464 | -712081.221 | 189119.111 | -375679.624 | -60816700.255 | 
| -3203472.364 | -3058567.218 | -3084694.731 | 38787.938 | 42580.890 | 10306.439 | 
| -3241314.345 | -3291661.908 | -3079860.737 | 10166.911 | 78805.318 | 25982.833 | 
| -3123781.454 | -3057295.531 | -3246256.321 | 5866.786 | -29347.458 | 140201.123 | 
| -0.000 | -1084771.636 | -1084772.208 | -2858952.071 | 0.000 | 0.000 | 
| -1084771.636 | -0.000 | -1084772.208 | 0.000 | -2858952.071 | 0.000 | 
| -1084771.636 | -1084772.208 | -0.000 | 0.000 | 0.000 | -2858952.071 | 
| -0.000 | -0.000 | -0.000 | -0.000 | -0.000 | -0.000 | 
| -0.000 | -0.000 | -0.000 | -0.000 | -0.000 | -0.000 | 
| -0.000 | -0.000 | -0.000 | -0.000 | -0.000 | -0.000 | 
| 0.000 | 1084771.636 | 1084772.208 | -2858952.071 | -0.000 | 0.000 | 
| 1084771.636 | 0.000 | 1084772.208 | -0.000 | -2858952.071 | 0.000 | 
| 1084771.636 | 1084772.208 | 0.000 | -0.000 | 0.000 | -2858952.071 | 
| -326041.923 | -325930.446 | -283586.923 | 2484.749 | -2492.673 | 9039.981 | 
| -327336.924 | -329158.427 | -297867.556 | 3236.349 | 3596.384 | -89.057 | 
| -314328.859 | -311055.330 | -263860.924 | 7274.478 | 2323.286 | 1468.195 | 
| 0.000 | -108476.309 | -108476.881 | -285895.388 | 0.000 | 0.000 | 
| -108476.309 | 0.000 | -108476.881 | 0.000 | -285895.388 | 0.000 | 
| -108476.309 | -108476.881 | 0.000 | 0.000 | 0.000 | -285895.388 | 
| -0.000 | -0.000 | -0.000 | -0.000 | -0.000 | -0.000 | 
| -0.000 | -0.000 | -0.000 | -0.000 | -0.000 | -0.000 | 
| -0.000 | -0.000 | -0.000 | -0.000 | -0.000 | -0.000 | 
| -0.000 | 108476.309 | 108476.881 | -285895.388 | -0.000 | 0.000 | 
| 108476.309 | -0.000 | 108476.881 | -0.000 | -285895.388 | 0.000 | 
| 108476.309 | 108476.881 | -0.000 | -0.000 | 0.000 | -285895.388 | 
| 1712171.081 | 239411.536 | 239411.528 | 0.002 | -0.002 | 0.003 | 
| 239411.530 | 1712171.093 | 239411.534 | 0.004 | 0.007 | 0.003 | 
| 239411.532 | 239411.538 | 1712171.079 | -0.002 | 0.009 | 0.004 | 
| -0.017 | -0.009 | -0.004 | 329727.634 | 0.006 | 0.007 | 
| -0.013 | -0.008 | -0.006 | 0.005 | 329727.640 | 0.003 | 
| -0.018 | -0.005 | 0.001 | -0.000 | 0.008 | 329727.641 | 
| 1712171.099 | 239411.390 | 239411.381 | 0.006 | 0.000 | -0.004 | 
| 239411.399 | 1712171.088 | 239411.384 | -0.004 | 0.000 | 0.004 | 
| 239411.400 | 239411.388 | 1712171.090 | -0.003 | -0.009 | -0.004 | 
| 0.019 | 0.009 | 0.010 | 329727.634 | -0.011 | -0.005 | 
| 0.013 | 0.007 | 0.005 | 0.001 | 329727.624 | -0.009 | 
| 0.009 | 0.005 | 0.003 | -0.005 | -0.009 | 329727.635 | 
| 1712171.106 | 239412.218 | 239412.219 | 0.000 | 0.000 | 0.000 | 
| 239412.216 | 1712171.107 | 239412.218 | 0.000 | 0.001 | 0.000 | 
| 239412.217 | 239412.218 | 1712171.106 | -0.000 | 0.001 | -0.000 | 
| 0.077 | 0.042 | 0.035 | 329128.643 | 0.001 | 0.001 | 
| 0.041 | 0.078 | 0.035 | 0.001 | 329128.644 | 0.001 | 
| 0.040 | 0.035 | 0.078 | 0.000 | 0.000 | 329128.643 | 
| 1712171.075 | 239410.692 | 239410.690 | 0.000 | 0.000 | -0.000 | 
| 239410.692 | 1712171.075 | 239410.690 | 0.000 | -0.000 | -0.001 | 
| 239410.692 | 239410.691 | 1712171.075 | -0.000 | -0.001 | -0.001 | 
| -0.076 | -0.042 | -0.035 | 329128.642 | -0.001 | -0.001 | 
| -0.041 | -0.077 | -0.034 | -0.000 | 329128.642 | -0.000 | 
| -0.042 | -0.035 | -0.078 | -0.001 | -0.000 | 329128.643 | 
| 1712171.273 | 239419.107 | 239419.107 | 0.000 | 0.000 | -0.000 | 
| 239419.107 | 1712171.273 | 239419.106 | 0.000 | 0.000 | 0.000 | 
| 239419.107 | 239419.107 | 1712171.273 | -0.000 | 0.000 | 0.000 | 
| 0.788 | 0.434 | 0.357 | 329735.172 | 0.000 | 0.000 | 
| 0.434 | 0.788 | 0.357 | -0.000 | 329735.172 | 0.000 | 
| 0.434 | 0.357 | 0.788 | -0.000 | -0.000 | 329735.172 | 
| 1712170.908 | 239403.802 | 239403.802 | 0.000 | -0.000 | -0.000 | 
| 239403.802 | 1712170.908 | 239403.802 | -0.000 | -0.000 | -0.000 | 
| 239403.802 | 239403.802 | 1712170.908 | -0.000 | -0.000 | -0.000 | 
| -0.788 | -0.434 | -0.357 | 329735.172 | -0.000 | -0.000 | 
| -0.434 | -0.788 | -0.357 | 0.000 | 329735.172 | -0.000 | 
| -0.434 | -0.357 | -0.788 | 0.000 | -0.000 | 329735.172 | 
| 955.802 | 13.455 | 13.455 | -0.000 | 0.000 | -0.000 | 
| 13.455 | 955.802 | 13.455 | 0.000 | -0.000 | -0.000 | 
| 13.455 | 13.455 | 955.802 | -0.000 | -0.000 | -0.000 | 
| 0.000 | -0.000 | -0.000 | -8.160 | -0.000 | 0.000 | 
| -0.000 | 0.000 | -0.000 | 0.000 | -8.160 | -0.000 | 
| -0.000 | -0.000 | -0.000 | -0.000 | -0.000 | -8.160 | 
| 955.802 | 13.455 | 13.455 | 0.000 | 0.000 | 0.000 | 
| 13.455 | 955.802 | 13.455 | 0.000 | 0.000 | -0.000 | 
| 13.455 | 13.455 | 955.802 | -0.000 | -0.000 | -0.000 | 
| 0.000 | 0.000 | 0.000 | -8.160 | 0.000 | -0.000 | 
| 0.000 | 0.000 | 0.000 | -0.000 | -8.160 | 0.000 | 
| 0.000 | 0.000 | 0.000 | 0.000 | 0.000 | -8.160 | 
| 955.802 | 13.455 | 13.455 | 0.000 | -0.000 | -0.000 | 
| 13.455 | 955.802 | 13.455 | -0.000 | -0.000 | -0.000 | 
| 13.455 | 13.455 | 955.802 | 0.000 | 0.000 | -0.000 | 
| 0.000 | -0.000 | -0.000 | -8.160 | 0.000 | 0.000 | 
| -0.000 | 0.000 | -0.000 | 0.000 | -8.160 | -0.000 | 
| -0.000 | -0.000 | 0.000 | -0.000 | -0.000 | -8.160 | 
| 955.801 | 13.455 | 13.455 | 0.000 | 0.000 | 0.000 | 
| 13.455 | 955.801 | 13.455 | 0.000 | 0.000 | 0.000 | 
| 13.455 | 13.455 | 955.801 | 0.000 | 0.000 | 0.000 | 
| -0.000 | 0.000 | 0.000 | -8.160 | -0.000 | 0.000 | 
| 0.000 | -0.000 | 0.000 | -0.000 | -8.160 | 0.000 | 
| 0.000 | 0.000 | -0.000 | -0.000 | 0.000 | -8.160 | 
| 955.807 | 13.455 | 13.455 | -0.000 | -0.000 | -0.000 | 
| 13.455 | 955.807 | 13.455 | -0.000 | 0.000 | -0.000 | 
| 13.455 | 13.455 | 955.807 | -0.000 | -0.000 | -0.000 | 
| 0.002 | -0.000 | -0.001 | -8.160 | -0.000 | 0.000 | 
| -0.000 | 0.002 | -0.001 | -0.000 | -8.160 | -0.000 | 
| -0.000 | -0.001 | 0.002 | 0.000 | 0.000 | -8.160 | 
| 955.796 | 13.455 | 13.455 | 0.000 | 0.000 | 0.000 | 
| 13.455 | 955.796 | 13.455 | 0.000 | 0.000 | -0.000 | 
| 13.455 | 13.455 | 955.796 | -0.000 | -0.000 | 0.000 | 
| -0.002 | 0.000 | 0.001 | -8.160 | 0.000 | 0.000 | 
| 0.000 | -0.002 | 0.001 | -0.000 | -8.160 | -0.000 | 
| 0.000 | 0.001 | -0.002 | 0.000 | -0.000 | -8.160 | 
| 422.057 | 147.417 | 147.417 | 0.000 | -0.000 | -0.000 | 
| 147.417 | 422.057 | 147.417 | 0.000 | -0.000 | -0.000 | 
| 147.417 | 147.417 | 422.057 | -0.000 | -0.000 | -0.000 | 
| 0.000 | 0.000 | -0.000 | 39.819 | -0.000 | -0.000 | 
| 0.000 | -0.000 | -0.000 | -0.000 | 39.819 | -0.000 | 
| 0.000 | 0.000 | 0.000 | 0.000 | 0.000 | 39.819 | 
| 422.057 | 147.417 | 147.417 | 0.000 | 0.000 | 0.000 | 
| 147.417 | 422.057 | 147.417 | 0.000 | 0.000 | 0.000 | 
| 147.417 | 147.417 | 422.057 | 0.000 | 0.000 | 0.000 | 
| -0.000 | -0.000 | -0.000 | 39.819 | 0.000 | 0.000 | 
| -0.000 | 0.000 | -0.000 | -0.000 | 39.819 | 0.000 | 
| -0.000 | -0.000 | -0.000 | -0.000 | -0.000 | 39.819 | 
| 415.506 | 150.693 | 150.693 | 0.000 | 0.000 | -0.000 | 
| 150.693 | 415.506 | 150.693 | 0.000 | -0.000 | -0.000 | 
| 150.693 | 150.693 | 415.506 | 0.000 | -0.000 | -0.000 | 
| 129516853.974 | 131610827.502 | 125479305.721 | -5561302.228 | 1774269.304 | 2256628.453 | 
| 129439029.540 | 136568495.378 | 124827357.472 | 3153902.276 | -5158671.669 | 1363227.817 | 
| 129525201.945 | 127448767.424 | 130681066.524 | 1078070.315 | 3162724.260 | -6585865.915 | 
| 415.506 | 150.693 | 150.693 | -0.000 | 0.000 | 0.000 | 
| 150.693 | 415.506 | 150.693 | -0.000 | -0.000 | 0.000 | 
| 150.693 | 150.693 | 415.506 | 0.000 | 0.000 | 0.000 | 
| -134585158.597 | -127516285.557 | -125301054.009 | -1495351.664 | 1208901.658 | 2178357.774 | 
| -127725045.688 | -138532510.311 | -120791428.036 | -1443710.507 | -5210674.789 | 4118557.112 | 
| -128227323.047 | -125798717.816 | -134281907.764 | 434251.472 | 4534550.107 | -3868708.975 | 
| 415.508 | 150.693 | 150.693 | 0.000 | 0.000 | -0.000 | 
| 150.693 | 415.508 | 150.693 | 0.000 | -0.000 | -0.000 | 
| 150.693 | 150.693 | 415.508 | 0.000 | 0.000 | -0.000 | 
| 12475779.071 | 12797053.080 | 12755716.194 | -299523.630 | 79180.040 | 480352.114 | 
| 13197540.258 | 12961632.952 | 12420499.246 | -9557.780 | -511422.160 | -151090.802 | 
| 12620528.738 | 12532138.591 | 12606628.335 | -188497.118 | 135068.550 | -442765.184 | 
| 415.505 | 150.692 | 150.692 | -0.000 | -0.000 | 0.000 | 
| 150.692 | 415.505 | 150.692 | -0.000 | 0.000 | 0.000 | 
| 150.692 | 150.692 | 415.505 | -0.000 | -0.000 | 0.000 | 
| -13296889.089 | -12270257.645 | -12646432.915 | -440920.661 | -112516.094 | 38080.035 | 
| -12633906.270 | -12753647.115 | -13562799.647 | 42827.303 | -127464.123 | 278787.692 | 
| -12222667.768 | -12645061.821 | -13176868.137 | 187245.851 | -1499.735 | -146995.063 | 
| 760.808 | -39.067 | -39.067 | -0.000 | 0.000 | 0.000 | 
| -39.067 | 760.808 | -39.067 | -0.000 | -0.000 | 0.000 | 
| -39.067 | -39.067 | 760.808 | -0.000 | 0.000 | -0.000 | 
| 0.000 | 0.000 | 0.000 | -0.954 | -0.000 | 0.000 | 
| 0.000 | 0.000 | -0.000 | 0.000 | -0.954 | 0.000 | 
| 0.000 | -0.000 | 0.000 | -0.000 | 0.000 | -0.954 | 
| 760.808 | -39.067 | -39.067 | -0.000 | 0.000 | 0.000 | 
| -39.067 | 760.808 | -39.067 | 0.000 | -0.000 | -0.000 | 
| -39.067 | -39.067 | 760.808 | -0.000 | -0.000 | -0.000 | 
| -0.000 | -0.000 | -0.000 | -0.954 | 0.000 | -0.000 | 
| -0.000 | -0.000 | -0.000 | 0.000 | -0.954 | 0.000 | 
| -0.000 | 0.000 | -0.000 | 0.000 | 0.000 | -0.954 | 
| 760.808 | -39.067 | -39.067 | 0.000 | 0.000 | 0.000 | 
| -39.067 | 760.808 | -39.067 | 0.000 | 0.000 | -0.000 | 
| -39.067 | -39.067 | 760.808 | 0.000 | 0.000 | 0.000 | 
| 0.000 | 0.000 | -0.000 | -0.954 | -0.000 | 0.000 | 
| 0.000 | 0.000 | -0.000 | -0.000 | -0.954 | 0.000 | 
| 0.000 | -0.000 | 0.000 | 0.000 | -0.000 | -0.954 | 
| 760.807 | -39.066 | -39.066 | -0.000 | -0.000 | -0.000 | 
| -39.066 | 760.807 | -39.066 | -0.000 | -0.000 | 0.000 | 
| -39.066 | -39.066 | 760.807 | 0.000 | -0.000 | -0.000 | 
| -0.000 | -0.000 | 0.000 | -0.954 | 0.000 | 0.000 | 
| -0.000 | -0.000 | 0.000 | 0.000 | -0.954 | 0.000 | 
| -0.000 | 0.000 | -0.000 | -0.000 | -0.000 | -0.954 | 
| 760.813 | -39.068 | -39.068 | 0.000 | 0.000 | 0.000 | 
| -39.068 | 760.813 | -39.068 | 0.000 | 0.000 | 0.000 | 
| -39.068 | -39.068 | 760.813 | 0.000 | 0.000 | 0.000 | 
| 0.001 | -0.000 | -0.000 | 9.987 | -0.000 | -0.000 | 
| -0.000 | 0.001 | -0.000 | -0.000 | 9.987 | -0.000 | 
| -0.000 | -0.000 | 0.001 | -0.000 | -0.000 | 9.987 | 
| 760.802 | -39.065 | -39.065 | 0.000 | -0.000 | -0.000 | 
| -39.065 | 760.802 | -39.065 | 0.000 | 0.000 | 0.000 | 
| -39.065 | -39.065 | 760.802 | 0.000 | -0.000 | 0.000 | 
| -0.001 | 0.000 | 0.000 | 9.987 | 0.000 | -0.000 | 
| 0.000 | -0.001 | 0.000 | 0.000 | 9.987 | 0.000 | 
| 0.000 | 0.000 | -0.001 | -0.000 | 0.000 | 9.987 | 
| 225.236 | 284.148 | 284.148 | -0.000 | -0.000 | -0.000 | 
| 284.148 | 225.236 | 284.148 | -0.000 | -0.000 | -0.000 | 
| 284.148 | 284.148 | 225.236 | -0.000 | -0.000 | -0.000 | 
| -46093949.865 | -109326840.044 | -114518643.147 | -52261112.716 | 905538.718 | 85742.353 | 
| -111889997.819 | -48264035.179 | -117826465.645 | 3127.374 | -52400234.919 | -743979.017 | 
| -113949006.784 | -119750345.004 | -49300567.477 | -688321.744 | -1713424.549 | -51871779.616 | 
| 225.237 | 284.148 | 284.148 | 0.000 | 0.001 | 0.000 | 
| 284.148 | 225.237 | 284.148 | 0.001 | 0.000 | 0.000 | 
| 284.148 | 284.148 | 225.237 | 0.000 | 0.000 | -0.000 | 
| 48549834.509 | 119696181.786 | 119583250.475 | -54524392.242 | -110052.325 | 19167.997 | 
| 113663647.036 | 50108664.643 | 117348906.992 | -331686.104 | -51886223.986 | 505683.990 | 
| 113325298.922 | 116811676.448 | 48914008.996 | -1915106.629 | -589484.551 | -53069781.677 | 
| 225.234 | 284.146 | 284.146 | -0.000 | -0.000 | 0.000 | 
| 284.146 | 225.234 | 284.146 | -0.000 | -0.000 | 0.000 | 
| 284.146 | 284.146 | 225.234 | -0.000 | -0.000 | -0.000 | 
| -4762414.824 | -11536154.477 | -12066035.638 | -5354809.345 | -53770.432 | -67999.232 | 
| -11459305.908 | -4906568.740 | -11864996.890 | -13644.923 | -5477808.172 | 158138.726 | 
| -11456596.149 | -12091443.087 | -4890008.335 | -62637.655 | 6770.574 | -5459881.527 | 
| 225.239 | 284.149 | 284.149 | 0.000 | 0.000 | 0.000 | 
| 284.149 | 225.239 | 284.149 | 0.000 | 0.000 | 0.000 | 
| 284.149 | 284.149 | 225.239 | 0.000 | 0.000 | 0.000 | 
| 5184234.895 | 11566716.124 | 11990819.977 | -5183108.368 | -118940.742 | 38196.959 | 
| 11414713.963 | 5246283.378 | 11909188.945 | -43085.252 | -5126628.163 | 22897.147 | 
| 11443333.398 | 11654830.595 | 4624843.507 | 66131.560 | -4390.459 | -5222511.170 | 
| 225.214 | 284.132 | 284.132 | -0.000 | 0.000 | -0.000 | 
| 284.132 | 225.214 | 284.132 | 0.000 | -0.000 | -0.000 | 
| 284.132 | 284.132 | 225.214 | -0.000 | -0.000 | -0.000 | 
| -519801.222 | -1150048.451 | -1169047.419 | -469210.438 | 9536.359 | 120.545 | 
| -1131740.885 | -514471.352 | -1138246.121 | 16308.216 | -448959.925 | 6633.384 | 
| -1128953.553 | -1150872.864 | -507037.918 | -8717.926 | -14448.942 | -464331.281 | 
| 225.259 | 284.163 | 284.163 | 0.000 | -0.000 | 0.000 | 
| 284.163 | 225.259 | 284.163 | -0.000 | 0.000 | 0.000 | 
| 284.163 | 284.163 | 225.259 | 0.000 | 0.000 | 0.000 | 
| 513241.631 | 1172174.794 | 1185769.048 | -479329.645 | 5343.368 | 6023.027 | 
| 1130839.009 | 489626.130 | 1167694.968 | 11261.266 | -482573.601 | -15583.248 | 
| 1132955.398 | 1152640.244 | 507444.181 | 6977.231 | 404.960 | -472744.916 | 
| 316.557 | 178.146 | 178.146 | -0.000 | 0.000 | 0.000 | 
| 178.146 | 316.557 | 178.146 | 0.000 | 0.000 | -0.000 | 
| 178.146 | 178.146 | 316.557 | -0.000 | 0.000 | -0.000 | 
| -0.000 | -0.000 | -0.000 | 104.750 | 0.000 | -0.000 | 
| -0.000 | -0.000 | 0.000 | -0.000 | 104.750 | -0.000 | 
| 0.000 | 0.000 | -0.000 | 0.000 | -0.000 | 104.750 | 
| 316.557 | 178.146 | 178.146 | 0.000 | 0.000 | -0.000 | 
| 178.146 | 316.557 | 178.146 | 0.000 | -0.000 | 0.000 | 
| 178.146 | 178.146 | 316.557 | 0.000 | 0.000 | 0.000 | 
| 0.000 | 0.000 | 0.000 | 104.750 | 0.000 | 0.000 | 
| 0.000 | 0.000 | 0.000 | 0.000 | 104.750 | -0.000 | 
| -0.000 | -0.000 | 0.000 | -0.000 | -0.000 | 104.750 | 
| 316.557 | 178.146 | 178.146 | 0.000 | 0.000 | 0.000 | 
| 178.146 | 316.557 | 178.146 | 0.000 | 0.000 | 0.000 | 
| 178.146 | 178.146 | 316.557 | -0.000 | -0.000 | -0.000 | 
| 0.000 | 0.000 | 0.000 | 104.750 | 0.000 | 0.000 | 
| 0.000 | 0.000 | 0.000 | 0.000 | 104.750 | -0.000 | 
| 0.000 | 0.000 | -0.000 | -0.000 | -0.000 | 104.750 | 
| 316.557 | 178.146 | 178.146 | 0.000 | -0.000 | -0.000 | 
| 178.146 | 316.557 | 178.146 | 0.000 | -0.000 | -0.000 | 
| 178.146 | 178.146 | 316.557 | -0.000 | -0.000 | 0.000 | 
| -0.000 | -0.000 | -0.000 | 104.750 | 0.000 | -0.000 | 
| -0.000 | -0.000 | -0.000 | -0.000 | 104.750 | -0.000 | 
| -0.000 | -0.000 | -0.000 | -0.000 | 0.000 | 104.750 | 
| 316.558 | 178.147 | 178.147 | 0.000 | -0.000 | 0.000 | 
| 178.147 | 316.558 | 178.147 | -0.000 | -0.000 | -0.000 | 
| 178.147 | 178.147 | 316.558 | -0.000 | -0.000 | 0.000 | 
| 0.000 | 0.000 | 0.000 | 104.750 | -0.000 | 0.000 | 
| 0.000 | 0.000 | 0.000 | -0.000 | 104.750 | -0.000 | 
| 0.000 | 0.000 | 0.000 | -0.000 | -0.000 | 104.750 | 
| 316.556 | 178.145 | 178.145 | -0.000 | 0.000 | -0.000 | 
| 178.145 | 316.556 | 178.145 | 0.000 | 0.000 | -0.000 | 
| 178.145 | 178.145 | 316.556 | -0.000 | -0.000 | 0.000 | 
| -0.000 | -0.000 | -0.000 | 104.750 | 0.000 | 0.000 | 
| -0.000 | -0.000 | -0.000 | -0.000 | 104.750 | -0.000 | 
| -0.000 | -0.000 | -0.000 | -0.000 | -0.000 | 104.750 | 
| 66478279.982 | 55426264.471 | 81863821.378 | -1719464.585 | -5457829.101 | 12672581.450 | 
| 43735886.573 | 46601124.260 | 43984801.814 | -5059655.777 | -5310814.280 | 16161171.895 | 
| 67034666.494 | 66173244.514 | 71015500.743 | 506774.191 | -4127175.009 | 16846691.875 | 
| 55920051.352 | 72560184.676 | 78922220.712 | 2137373.877 | -10008511.256 | 15553331.168 | 
| 70939459.361 | 71802830.066 | 82165524.961 | -1902366.260 | -3071178.112 | 15532094.790 | 
| 42549121.244 | 48002762.380 | 39410525.842 | -2391913.221 | 1025998.889 | 9070824.644 | 
| -67003028.472 | -67316969.072 | -76026762.638 | -718064.817 | 9029960.376 | -7105682.140 | 
| -48272915.862 | -57727439.314 | -54055284.984 | 4310653.405 | 3827809.914 | -9434313.563 | 
| -72654097.980 | -79219131.389 | -78767528.640 | 8567421.814 | 7839251.821 | -11612852.973 | 
| -70541254.294 | -53037172.552 | -75697682.480 | -2385472.633 | 14648921.573 | -16021187.887 | 
| -45966990.603 | -46297572.652 | -46939374.894 | 3261126.790 | 2954776.883 | -11777963.472 | 
| -42401898.147 | -44461308.880 | -44921605.771 | 4157402.556 | 7889369.204 | -14067136.884 | 
| 6837999.090 | 5169733.460 | 8318940.932 | 263026.687 | -897912.890 | 1420606.981 | 
| 4239145.268 | 6205659.249 | 6114939.788 | 247256.089 | -475134.881 | 945351.615 | 
| 5296311.325 | 4577624.099 | 4682537.885 | -445250.258 | -331026.215 | 1421106.520 | 
| 4909042.531 | 5690410.098 | 6984044.569 | 552869.052 | -858358.307 | 1378945.491 | 
| 6571945.728 | 6212976.498 | 7186334.684 | -98164.090 | -733813.611 | 912497.109 | 
| 4071063.041 | 5463699.947 | 4155461.764 | -263679.777 | -64421.535 | 881634.969 | 
| -7076177.978 | -6672986.135 | -8243339.567 | 19103.729 | 1229003.502 | -960160.123 | 
| -4430919.095 | -5002889.850 | -4662103.452 | 101913.652 | 128063.875 | -1050266.301 | 
| -4726414.470 | -6127436.791 | -6082620.140 | 354208.370 | 646984.025 | -730118.182 | 
| -7245755.754 | -5622938.724 | -8546755.385 | 36642.757 | 776634.134 | -1043971.893 | 
| -5892045.238 | -5904382.776 | -7232680.758 | -289830.912 | 1297030.290 | -1447510.280 | 
| -6372868.631 | -5520503.668 | -6814832.426 | -773595.701 | 1441250.876 | -1346267.470 | 
| 458162.022 | 477336.628 | 492072.228 | -30075.657 | -58617.976 | 132983.272 | 
| 599598.432 | 501037.027 | 706886.713 | -9844.738 | -143749.027 | 173840.423 | 
| 438948.218 | 478633.305 | 435221.031 | -25994.104 | -11387.798 | 105493.642 | 
| 506505.689 | 516987.140 | 530207.118 | -8243.084 | -14027.700 | 139452.160 | 
| 424209.361 | 499057.213 | 516996.085 | -12271.931 | -15930.496 | 93636.069 | 
| 624727.812 | 543290.615 | 736177.786 | 10707.444 | -120927.048 | 125519.745 | 
| -607249.851 | -461887.600 | -667030.523 | 33631.600 | 191088.589 | -135511.405 | 
| -688150.889 | -847925.550 | -814607.178 | 22920.725 | 41495.169 | -113916.628 | 
| -704605.805 | -777356.533 | -756929.806 | 25986.855 | 63987.637 | -117607.965 | 
| -485531.901 | -536467.304 | -581110.599 | -21526.453 | 68679.670 | -115624.593 | 
| -596550.287 | -466316.093 | -717556.083 | -34218.324 | 125264.610 | -120771.419 | 
| -607059.417 | -507983.714 | -767832.756 | 47503.542 | 43656.170 | -115434.132 | 
| 0.000 | 0.000 | 0.000 | 0.000 | -0.000 | 0.000 | 
| 0.000 | 0.000 | 0.000 | 0.000 | 0.000 | 0.000 | 
| -0.000 | 0.000 | -0.000 | 0.000 | -0.000 | 0.000 | 
| 0.000 | -0.000 | 0.000 | 0.000 | 0.000 | -0.000 | 
| 0.000 | 0.000 | 0.000 | 0.000 | 0.000 | 0.000 | 
| 0.000 | 0.000 | 0.000 | -0.000 | 0.000 | 0.000 | 
| -0.000 | -0.000 | -0.000 | -0.000 | -0.000 | -0.000 | 
| -0.000 | -0.000 | -0.000 | 0.000 | -0.000 | -0.000 | 
| 0.000 | -0.000 | 0.000 | -0.000 | 0.000 | -0.000 | 
| -0.000 | 0.000 | -0.000 | 0.000 | -0.000 | -0.000 | 
| -0.000 | -0.000 | -0.000 | -0.000 | -0.000 | -0.000 | 
| -0.000 | -0.000 | -0.000 | 0.000 | -0.000 | -0.000 | 
| -0.000 | 0.000 | -0.000 | 0.000 | 0.000 | 0.000 | 
| 0.000 | 0.000 | 0.000 | 0.000 | 0.000 | 0.000 | 
| -0.000 | 0.000 | -0.000 | 0.000 | -0.000 | 0.000 | 
| 0.000 | -0.000 | 0.000 | 0.000 | -0.000 | 0.000 | 
| -0.000 | 0.000 | -0.000 | 0.000 | -0.000 | 0.000 | 
| 0.000 | 0.000 | 0.000 | -0.000 | 0.000 | 0.000 | 
| 0.000 | -0.000 | 0.000 | -0.000 | -0.000 | -0.000 | 
| -0.000 | -0.000 | -0.000 | 0.000 | -0.000 | -0.000 | 
| 0.000 | -0.000 | 0.000 | 0.000 | 0.000 | -0.000 | 
| -0.000 | 0.000 | -0.000 | 0.000 | 0.000 | 0.000 | 
| 0.000 | -0.000 | 0.000 | -0.000 | -0.000 | -0.000 | 
| -0.000 | -0.000 | -0.000 | 0.000 | -0.000 | -0.000 | 
| -0.000 | 0.000 | -0.000 | -0.000 | 0.000 | 0.000 | 
| 0.000 | 0.000 | 0.000 | 0.000 | 0.000 | 0.000 | 
| -0.000 | 0.000 | -0.003 | 0.000 | 0.000 | 0.000 | 
| 0.000 | 0.000 | 0.000 | -0.000 | 0.000 | -0.000 | 
| -0.000 | 0.000 | -0.000 | -0.000 | 0.000 | 0.000 | 
| 0.000 | 0.000 | 0.000 | 0.000 | 0.000 | 0.000 | 
| 0.000 | -0.000 | 0.000 | -0.000 | -0.000 | -0.000 | 
| -0.000 | -0.000 | -0.000 | -0.000 | -0.000 | -0.000 | 
| 0.000 | -0.000 | 0.003 | 0.000 | -0.000 | -0.000 | 
| -0.000 | -0.000 | -0.000 | -0.000 | -0.000 | -0.000 | 
| 0.000 | -0.000 | 0.000 | -0.000 | -0.000 | -0.000 | 
| -0.000 | -0.000 | -0.000 | 0.000 | -0.000 | -0.000 | 
| 253.586 | 132.788 | 192.895 | -0.000 | -0.000 | 0.000 | 
| 132.788 | 253.586 | 192.895 | 0.000 | 0.000 | 0.000 | 
| 162.362 | 162.362 | 383.707 | 0.000 | -0.000 | 0.000 | 
| -0.000 | -0.000 | -0.000 | 28.952 | -0.000 | 0.000 | 
| -0.000 | -0.000 | -0.000 | 0.000 | 28.952 | -0.000 | 
| 0.000 | -0.000 | 0.000 | -0.000 | 0.000 | 60.399 | 
| 253.586 | 132.788 | 192.895 | 0.000 | -0.000 | -0.000 | 
| 132.788 | 253.586 | 192.895 | 0.000 | 0.000 | -0.000 | 
| 190.318 | 190.318 | 406.979 | 0.000 | -0.000 | -0.000 | 
| 0.000 | 0.000 | 0.000 | 28.952 | -0.000 | 0.000 | 
| 0.000 | 0.000 | 0.000 | 0.000 | 28.952 | -0.000 | 
| 0.000 | -0.000 | -0.000 | -0.000 | -0.000 | 60.399 | 
| 197.773 | 104.682 | 157.966 | -0.000 | 0.000 | -0.000 | 
| 132.788 | 253.586 | 192.895 | 0.000 | -0.000 | 0.000 | 
| 190.318 | 190.318 | 406.979 | 0.000 | 0.000 | 0.000 | 
| 0.000 | 0.000 | -0.000 | 66.810 | -0.000 | 0.000 | 
| 0.000 | 0.000 | 0.000 | 0.000 | 66.810 | 0.000 | 
| -0.000 | -0.000 | -0.000 | 0.000 | -0.000 | 3.754 | 
| 197.775 | 104.682 | 157.967 | 0.000 | -0.000 | -0.000 | 
| 104.682 | 197.775 | 157.967 | -0.000 | -0.000 | -0.000 | 
| 190.318 | 190.318 | 406.979 | 0.000 | 0.000 | -0.000 | 
| -0.000 | -0.000 | -0.000 | 66.810 | -0.000 | -0.000 | 
| -0.000 | -0.000 | -0.000 | -0.000 | 66.810 | -0.000 | 
| 0.000 | 0.000 | 0.000 | -0.000 | -0.000 | 3.754 | 
| -10108827.866 | -6796708.222 | -8398228.935 | -12523.667 | 83746.384 | 154611.899 | 
| -6144622.863 | -11098840.276 | -12154184.678 | 13198.809 | -15739.810 | 25138.192 | 
| 162.363 | 162.363 | 383.707 | -0.000 | -0.000 | -0.000 | 
| 0.001 | 0.000 | -0.001 | 28.952 | -0.000 | 0.000 | 
| 0.000 | 0.000 | 0.000 | 0.000 | 66.810 | 0.000 | 
| -5839851.045 | -15454563.881 | -8411981.319 | 31390.487 | 17392.759 | -3530897.078 | 
| 6068875.124 | 11189600.442 | 12064746.524 | -58371.563 | 40465.120 | 35714.244 | 
| 10201035.323 | 6788921.543 | 8080011.019 | -26265.884 | 50111.192 | -51284.385 | 
| 162.361 | 162.361 | 383.706 | -0.000 | -0.000 | -0.000 | 
| -0.001 | -0.000 | 0.001 | 28.952 | 0.000 | -0.000 | 
| -0.000 | -0.000 | -0.000 | 0.000 | 66.810 | 0.000 | 
| 6041871.799 | 15381932.813 | 8407311.729 | 61889.383 | -71411.789 | -3485804.576 | 
| 55054307.370 | 23097624.526 | 28382106.324 | 1049121.170 | 3164236.318 | 4211581.080 | 
| 57560851.400 | 20903097.665 | 32069333.386 | 1215064.043 | 2696389.857 | 4467093.988 | 
| 55047536.687 | 22764540.722 | 28643204.291 | 1181952.365 | 2502763.365 | 5079100.082 | 
| 55007701.383 | 22930384.220 | 28849894.403 | 908604.328 | 2516387.750 | 5116531.844 | 
| 53006795.176 | 20315533.634 | 27647813.625 | -201118.915 | 2538382.853 | 3713867.748 | 
| 55277056.541 | 23095328.143 | 28975847.960 | 100757.585 | 2254885.149 | 5221745.190 | 
| -51981221.579 | -19327298.147 | -26493468.438 | 736025.995 | -2589127.961 | -4444567.614 | 
| -53093493.534 | -24307056.199 | -27682313.706 | -263966.066 | -3115842.337 | -5523850.173 | 
| -54996808.811 | -23466235.437 | -28747564.262 | -956260.935 | -2685847.807 | -4396688.777 | 
| -50273186.713 | -21760179.737 | -28034861.184 | -1836676.457 | -2076577.295 | -1958646.555 | 
| -56940432.752 | -21154248.742 | -34257728.924 | -855141.716 | -3031464.553 | -6727718.289 | 
| -51050704.747 | -21203807.334 | -29672169.100 | -345838.984 | -957076.829 | -2378859.001 | 
| 5187417.759 | 2023806.148 | 2861450.814 | 71914.967 | 351052.992 | 112839.136 | 
| 5348632.443 | 2427576.069 | 2742318.712 | 26222.783 | 318808.368 | 532566.457 | 
| 5310018.295 | 2450258.432 | 2742808.976 | 55595.552 | 327982.032 | 530758.867 | 
| 5511323.997 | 2289921.568 | 2825051.355 | 38047.602 | 353998.579 | 392437.071 | 
| 5321138.452 | 2401054.289 | 2722774.353 | 101536.885 | 337800.904 | 513940.476 | 
| 5439101.947 | 2318411.754 | 2837894.891 | 4125.458 | 347682.149 | 405959.350 | 
| -5629555.778 | -2258007.069 | -3370592.930 | -89360.365 | -281948.950 | -611615.088 | 
| -5570266.772 | -2300168.984 | -2888160.186 | -44716.991 | -228132.111 | -442335.266 | 
| -5566372.748 | -2017119.202 | -3457385.125 | -108735.227 | -315549.052 | -642140.454 | 
| -5495355.581 | -2359399.833 | -2685720.284 | -229978.962 | -144165.180 | -705378.396 | 
| -5041717.221 | -2232911.096 | -2362104.800 | 33449.483 | -327710.683 | -495020.260 | 
| -5495374.771 | -1815077.026 | -3184779.958 | -133228.363 | -229110.035 | -624364.570 | 
| 556752.775 | 241735.586 | 285984.146 | 15643.795 | 38480.152 | 42586.048 | 
| 554851.044 | 203480.992 | 289596.078 | -5482.684 | 35195.123 | 45116.087 | 
| 549894.905 | 218299.219 | 279199.416 | 12440.692 | 31975.942 | 43877.769 | 
| 534425.935 | 239032.568 | 274656.149 | 8730.087 | 36215.533 | 50935.086 | 
| 548903.923 | 223188.444 | 284664.756 | -3855.253 | 22723.002 | 41076.830 | 
| 511120.960 | 214851.934 | 259490.005 | 4687.528 | 30109.153 | 47594.047 | 
| -529217.882 | -201018.041 | -272870.613 | -1807.780 | -30263.938 | -38525.830 | 
| -551110.333 | -228171.106 | -284388.586 | -3173.273 | -32018.340 | -40439.363 | 
| -560972.661 | -204264.023 | -347036.531 | -19073.721 | -32010.244 | -55558.108 | 
| -531302.171 | -238514.896 | -270119.838 | -1011.513 | -32057.580 | -48224.075 | 
| -552029.829 | -216963.738 | -275580.357 | -9893.179 | -29900.197 | -29919.556 | 
| -549851.244 | -218226.889 | -278964.875 | -12438.374 | -31977.359 | -43797.866 | 
| 2318.992 | 517.109 | -2082.010 | -0.000 | -0.000 | 0.000 | 
| 944.571 | 1729.125 | -1961.858 | -0.000 | 0.000 | 0.030 | 
| -8856479.613 | 46246530.047 | 1957112261.173 | -8397026.659 | -11506157.887 | 11811385.520 | 
| 26.409 | 26.728 | -39.312 | 71.563 | -0.000 | 0.124 | 
| 0.000 | -0.000 | 0.000 | -0.000 | 119.948 | -0.000 | 
| 6.163 | 6.238 | -9.174 | 0.000 | 0.000 | 405.323 | 
| 1711.831 | 934.986 | -1941.974 | 0.000 | 0.000 | -0.030 | 
| 517.109 | 2318.993 | -2082.011 | 0.000 | -0.000 | -0.000 | 
| 13031500.692 | -51922917.807 | -1965057124.962 | 4369240.252 | -3979907.776 | -14142972.409 | 
| -26.409 | -26.728 | 39.312 | 71.563 | 0.000 | -0.124 | 
| -0.000 | 0.000 | -0.000 | 0.000 | 119.948 | -0.000 | 
| -6.169 | -6.243 | 9.183 | 0.000 | 0.000 | 404.821 | 
| 2318.989 | 517.110 | -2082.007 | -0.000 | 0.000 | 0.000 | 
| 517.109 | 2318.990 | -2082.007 | -0.000 | 0.000 | 0.000 | 
| -1909.770 | -1909.761 | 4660.502 | -0.000 | 0.000 | 0.004 | 
| 2.892 | 2.926 | -4.304 | 66.964 | -0.000 | 0.014 | 
| 0.000 | -0.000 | 0.000 | -0.000 | 119.948 | -0.000 | 
| -0.000 | -0.001 | 0.002 | -0.000 | 0.000 | 900.942 | 
| 2318.996 | 517.109 | -2082.014 | 0.000 | -0.000 | -0.000 | 
| 33075492.827 | -25722888.036 | -191394061.037 | -987720.644 | 634758.525 | 9540352.396 | 
| -1911.302 | -1911.312 | 4662.778 | 0.000 | -0.000 | -0.004 | 
| -2.892 | -2.926 | 4.304 | 66.964 | -0.000 | -0.014 | 
| -0.000 | 0.000 | -0.000 | 0.000 | 119.948 | -0.000 | 
| 0.000 | 0.001 | -0.002 | 0.000 | -0.000 | 900.942 | 
| -3418017.092 | 2670880.159 | 18833838.042 | 43274.969 | -167168.403 | -715243.073 | 
| -4852955.282 | 1137358.637 | 22747702.577 | 72943.153 | -84278.405 | 993188.287 | 
| -228237.623 | 528258.297 | 19491467.865 | -47369.679 | -84068.064 | -115319.627 | 
| -0.004 | 0.001 | 0.003 | 119.948 | 0.000 | 0.000 | 
| 0.001 | -0.004 | 0.003 | -0.000 | 119.948 | 0.000 | 
| 685545.685 | -6508029.213 | 19758616.292 | -287761.926 | -97202.343 | 2501621.222 | 
| 4832720.670 | -1144891.652 | -22901219.077 | 140950.419 | 105602.485 | -914732.792 | 
| 3353923.847 | -2676572.092 | -19034026.341 | -73923.114 | -60368.002 | 945988.932 | 
| -1910.561 | -1910.562 | 4661.648 | 0.000 | -0.000 | -0.000 | 
| 0.004 | -0.001 | -0.003 | 119.948 | -0.000 | -0.000 | 
| -0.001 | 0.004 | -0.003 | 0.000 | 119.948 | 0.000 | 
| -506806.265 | 6576234.630 | -19917806.692 | 154727.732 | 144146.827 | 2606721.546 | 
| 211.344 | 557.908 | -462.906 | 0.540 | -1.468 | 0.135 | 
| 129.205 | 352.580 | 1.992 | 0.520 | -1.455 | 0.130 | 
| -53.606 | 141.879 | 136.730 | 0.423 | -1.606 | -0.008 | 
| -134.278 | 255.318 | -352.712 | 159.429 | -1.428 | 0.137 | 
| -134.454 | 255.954 | -346.263 | 0.539 | 48.441 | 0.129 | 
| -83.457 | 160.784 | -349.454 | 0.449 | -0.827 | 111.866 | 
| 479.193 | 39.769 | 232.546 | -0.540 | 1.446 | -0.130 | 
| 407.356 | -190.897 | 730.520 | -0.525 | 1.467 | -0.135 | 
| 36.490 | 114.476 | 243.464 | -0.434 | 1.167 | -0.157 | 
| 134.278 | -255.318 | 352.712 | 158.372 | 1.428 | -0.137 | 
| 134.454 | -255.954 | 346.263 | -0.539 | 51.395 | -0.129 | 
| 134.145 | -255.443 | 356.213 | -0.519 | 1.515 | 80.595 | 
| 371.175 | 181.233 | -18.875 | -0.007 | 0.110 | 0.043 | 
| 258.725 | 92.779 | 345.413 | 0.054 | -0.144 | 0.013 | 
| -84.715 | 323.608 | -185.753 | 0.147 | -0.720 | 0.023 | 
| -13.417 | 25.626 | -35.037 | 159.934 | -0.146 | 0.013 | 
| -13.455 | 25.850 | -34.930 | 0.052 | 52.230 | 0.013 | 
| -13.405 | 26.025 | -36.942 | 0.058 | -0.147 | 78.486 | 
| 371.930 | 235.552 | -12.946 | -0.033 | 0.314 | -0.022 | 
| 285.582 | 41.025 | 415.288 | -0.054 | 0.144 | -0.013 | 
| -101.598 | 382.980 | -165.650 | -0.054 | 0.144 | -0.013 | 
| 13.417 | -25.626 | 35.037 | 159.829 | 0.146 | -0.013 | 
| 13.455 | -25.850 | 34.930 | -0.052 | 52.525 | -0.013 | 
| 13.404 | -26.025 | 36.942 | -0.058 | 0.147 | 78.460 | 
| 343.786 | 300.988 | -120.754 | 0.005 | -0.014 | 0.001 | 
| 270.865 | 69.282 | 377.098 | 0.005 | -0.014 | 0.001 | 
| -116.349 | 411.204 | -203.746 | 0.005 | -0.014 | 0.001 | 
| -1.339 | 2.560 | -3.503 | 159.906 | -0.015 | 0.001 | 
| -1.343 | 2.581 | -3.484 | 0.005 | 52.362 | 0.001 | 
| -1.380 | 2.622 | -3.686 | 0.005 | -0.015 | 78.289 | 
| 346.465 | 295.819 | -113.770 | -0.005 | 0.014 | -0.001 | 
| 273.442 | 64.544 | 383.602 | -0.005 | 0.014 | -0.001 | 
| -113.705 | 406.481 | -197.415 | -0.005 | 0.014 | -0.001 | 
| 1.339 | -2.560 | 3.503 | 159.896 | 0.015 | -0.001 | 
| 1.343 | -2.581 | 3.484 | -0.005 | 52.392 | -0.001 | 
| 1.380 | -2.622 | 3.686 | -0.005 | 0.015 | 78.286 | 
| 44938788.875 | 5785207.692 | 29781314.764 | 6026736.160 | -3724584.528 | -11513089.520 | 
| 43716921.178 | 2774610.910 | 28505939.411 | 4304114.634 | -3862361.545 | -12113276.173 | 
| 44298538.690 | 4805561.663 | 29560931.991 | 5329365.539 | -4306154.380 | -11433607.612 | 
| 44492115.201 | 3628826.523 | 31417933.538 | 5681160.897 | -2694205.246 | -10991893.893 | 
| 48328317.895 | 3393931.102 | 28867775.441 | 5570968.656 | -4198153.289 | -10604092.935 | 
| 40314883.308 | 2127895.609 | 21967513.785 | 1092926.083 | -834789.830 | -11656276.270 | 
| -46421698.895 | -1800730.052 | -27710193.693 | -4237533.377 | 2579623.455 | 10682602.817 | 
| -44918411.730 | -2881288.878 | -29384695.916 | -3834583.650 | 3235346.304 | 10806400.192 | 
| -43443322.439 | -2418872.726 | -28728763.679 | -4336209.985 | 3117206.022 | 11978566.146 | 
| -44879511.175 | -2999148.638 | -29045397.399 | -3928613.609 | 3119022.372 | 10998274.849 | 
| -45215570.931 | -3696570.997 | -29727507.169 | -4283196.041 | 2603527.649 | 10812377.987 | 
| -42616036.446 | -1962863.845 | -28130269.842 | -3946337.169 | 3248175.855 | 12346154.353 | 
| 4346389.097 | 246699.471 | 2864812.216 | 432883.809 | -300045.150 | -1198473.998 | 
| 4469956.686 | 408549.278 | 2896453.180 | 476394.901 | -235216.531 | -1056306.682 | 
| 4189079.607 | 177345.947 | 2893043.226 | 407347.031 | -276985.720 | -1138109.722 | 
| 4229125.064 | 273919.349 | 2726775.750 | 435157.135 | -227975.014 | -1069088.333 | 
| 4475308.770 | 287830.574 | 2807826.621 | 489909.279 | -256901.958 | -1279635.782 | 
| 4346188.006 | 246639.029 | 2864755.651 | 432886.279 | -300046.268 | -1198415.472 | 
| -4356802.781 | -218643.102 | -2885430.124 | -363412.782 | 277510.162 | 1104217.560 | 
| -4513927.685 | -414527.309 | -2848654.340 | -515051.512 | 311958.312 | 1244005.645 | 
| -4460696.433 | -313286.493 | -3125618.099 | -580613.034 | 228798.290 | 1047930.900 | 
| -4284718.021 | -139890.656 | -2828299.549 | -412772.963 | 243607.976 | 1231091.724 | 
| -4250757.430 | -259557.340 | -2874434.446 | -414766.027 | 319728.202 | 1173984.789 | 
| -4342135.108 | -241995.022 | -2872815.681 | -433463.867 | 311255.158 | 1196760.860 | 
| 396789.904 | 14045.464 | 261753.602 | 38108.145 | -32618.426 | -120284.342 | 
| 434486.770 | 25000.305 | 286438.582 | 43276.689 | -29991.798 | -119865.201 | 
| 456787.246 | 56039.216 | 301494.878 | 56862.768 | -34889.019 | -109621.383 | 
| 467065.252 | 15322.569 | 274763.292 | 43198.835 | -29184.268 | -106636.207 | 
| 475047.339 | 38527.159 | 305398.272 | 50442.690 | -36099.394 | -119572.771 | 
| 434010.082 | 39626.392 | 281184.845 | 41632.312 | -18197.021 | -115858.495 | 
| -440926.829 | -38073.975 | -286783.002 | -41772.934 | 27165.209 | 109539.156 | 
| -446634.120 | -23289.387 | -286926.186 | -45682.510 | 34965.169 | 119299.694 | 
| -447288.810 | -27716.738 | -287110.540 | -45894.582 | 34712.054 | 122400.006 | 
| -434456.199 | -24183.583 | -287302.555 | -43274.362 | 31169.139 | 119809.542 | 
| -445607.871 | -37084.122 | -302530.671 | -44859.693 | 21140.305 | 106471.974 | 
| -451677.902 | -30983.568 | -286705.146 | -42048.167 | 32856.092 | 120458.903 | 
| 255.878 | 134.713 | 196.219 | 0.000 | -0.000 | -0.000 | 
| 134.713 | 255.878 | 196.219 | 0.000 | 0.000 | 0.000 | 
| 193.361 | 193.361 | 411.822 | -0.000 | -0.000 | -0.000 | 
| 0.000 | 0.000 | 0.000 | 68.125 | -0.000 | 0.000 | 
| 0.000 | 0.000 | 0.000 | -0.000 | 68.125 | 0.000 | 
| -150.271 | -150.271 | -126.220 | -0.000 | 0.000 | 48.928 | 
| 255.878 | 134.713 | 196.218 | 0.000 | -0.000 | -0.000 | 
| 134.713 | 255.878 | 196.218 | -0.000 | 0.000 | -0.000 | 
| 193.361 | 193.361 | 411.822 | 0.000 | -0.000 | -0.000 | 
| -0.000 | -0.000 | -0.000 | 68.125 | 0.000 | -0.000 | 
| -0.000 | -0.000 | -0.000 | 0.000 | 68.125 | 0.000 | 
| 150.271 | 150.271 | 126.220 | 0.000 | -0.000 | 48.928 | 
| 255.878 | 134.713 | 196.219 | -0.000 | 0.000 | -0.000 | 
| 134.713 | 255.878 | 196.219 | -0.000 | -0.000 | 0.000 | 
| 193.361 | 193.361 | 411.822 | -0.000 | -0.000 | 0.000 | 
| 0.000 | 0.000 | 0.000 | 68.125 | 0.000 | 0.000 | 
| -8.277 | -8.277 | -6.952 | 0.000 | 16.422 | -0.000 | 
| -30.523 | -30.523 | -25.638 | 0.000 | 0.000 | 36.911 | 
| 203.528 | 121.983 | 168.887 | 0.000 | 0.000 | -0.000 | 
| 134.713 | 255.878 | 196.218 | 0.000 | 0.000 | -0.000 | 
| 179.877 | 179.877 | 400.497 | 0.000 | 0.000 | -0.000 | 
| -0.000 | -0.000 | -0.000 | 68.125 | 0.000 | 0.000 | 
| 8.277 | 8.277 | 6.952 | -0.000 | 16.422 | -0.000 | 
| 30.523 | 30.523 | 25.638 | 0.000 | -0.000 | 36.911 | 
| -9847156.157 | -7020029.905 | -8499816.126 | 1630.758 | 26747.128 | -149716.500 | 
| -6818776.242 | -11927273.375 | -13152077.779 | -67059.638 | 12446.540 | 38794.912 | 
| 163.580 | 163.580 | 386.807 | 0.000 | -0.000 | 0.000 | 
| -1.476 | -1.487 | -1.256 | -57.806 | 0.000 | -0.000 | 
| 2.054 | 2.055 | 1.724 | -0.000 | 12.349 | -0.000 | 
| -5948025.477 | -15602349.189 | -8466980.887 | -19988.281 | -62447.833 | -3524058.827 | 
| 6700610.691 | 11840008.353 | 12994308.518 | 12152.484 | -52248.991 | 11536.385 | 
| 9914783.539 | 7149706.685 | 8544318.796 | -2764.019 | -3643.190 | 80426.126 | 
| 166.541 | 166.541 | 389.295 | 0.000 | 0.000 | 0.000 | 
| 1.476 | 1.487 | 1.256 | -57.806 | -0.000 | 0.000 | 
| -2.054 | -2.055 | -1.724 | -0.000 | 12.349 | -0.000 | 
| 5983968.203 | 15874449.524 | 8452779.101 | 12496.988 | 47694.452 | -3481340.238 | 
| 354.295 | 197.430 | 108.444 | -0.665 | 0.597 | 19.713 | 
| 197.902 | 354.733 | 108.847 | -0.272 | -0.907 | -19.397 | 
| 101.316 | 101.478 | 527.887 | -0.066 | -1.507 | -0.237 | 
| -0.812 | -0.204 | -0.037 | 107.264 | 0.773 | 0.397 | 
| 0.634 | -0.842 | -1.780 | 0.513 | 107.961 | 0.314 | 
| 18.791 | -18.190 | -0.039 | 0.336 | 0.291 | 150.276 | 
| 354.087 | 197.559 | 108.266 | -0.885 | 0.052 | 19.771 | 
| 198.324 | 353.902 | 108.818 | -0.358 | -1.564 | -19.623 | 
| 101.081 | 101.180 | 528.095 | -0.230 | -2.086 | -0.188 | 
| -0.854 | -0.144 | -0.295 | 107.578 | 0.197 | 0.392 | 
| 0.644 | -1.010 | -2.023 | 0.341 | 106.153 | 0.383 | 
| 19.279 | -18.677 | -0.247 | 0.188 | 0.027 | 150.075 | 
| 352.879 | 198.336 | 108.734 | -0.868 | 0.447 | 19.975 | 
| 198.308 | 352.697 | 109.432 | -0.214 | -1.398 | -19.763 | 
| 101.687 | 102.463 | 526.883 | 0.013 | -1.845 | -0.031 | 
| -0.824 | -0.080 | 0.081 | 105.831 | 1.564 | 0.070 | 
| 0.631 | -1.369 | -1.970 | 1.437 | 105.513 | 0.493 | 
| 20.012 | -19.781 | 0.009 | -0.026 | 0.594 | 149.239 | 
| 352.863 | 198.296 | 108.713 | -0.831 | 0.284 | 19.982 | 
| 198.297 | 352.642 | 109.423 | -0.161 | -1.588 | -19.771 | 
| 101.687 | 102.445 | 526.842 | 0.052 | -1.995 | -0.022 | 
| -0.829 | -0.171 | 0.045 | 105.922 | 1.315 | 0.090 | 
| 0.624 | -1.430 | -2.004 | 1.509 | 105.279 | 0.502 | 
| 19.982 | -19.810 | -0.008 | -0.001 | 0.449 | 149.251 | 
| 352.841 | 198.394 | 108.713 | -0.899 | 0.393 | 19.975 | 
| 198.328 | 352.647 | 109.418 | -0.159 | -1.490 | -19.749 | 
| 101.690 | 102.456 | 526.838 | 0.097 | -1.984 | -0.027 | 
| -0.870 | -0.097 | 0.101 | 105.837 | 1.482 | 0.081 | 
| 0.611 | -1.389 | -1.988 | 1.469 | 105.367 | 0.509 | 
| 19.977 | -19.748 | -0.027 | -0.032 | 0.526 | 149.215 | 
| 352.837 | 198.386 | 108.710 | -0.893 | 0.372 | 19.975 | 
| 198.331 | 352.635 | 109.412 | -0.155 | -1.511 | -19.748 | 
| 101.689 | 102.453 | 526.827 | 0.103 | -2.004 | -0.026 | 
| -0.872 | -0.102 | 0.098 | 105.841 | 1.464 | 0.081 | 
| 0.609 | -1.394 | -1.992 | 1.472 | 105.348 | 0.510 | 
| 19.976 | -19.753 | -0.031 | -0.026 | 0.503 | 149.215 | 
| 619.594 | 552.261 | 552.261 | -0.000 | -0.000 | -0.000 | 
| 552.261 | 619.594 | 552.261 | -0.000 | -0.000 | -0.000 | 
| 552.261 | 552.261 | 619.594 | -0.000 | -0.000 | -0.000 | 
| 400.345 | 400.345 | 400.345 | 48.744 | -0.000 | -0.000 | 
| 400.345 | 400.345 | 400.345 | -0.000 | 48.744 | -0.000 | 
| 400.345 | 400.345 | 400.345 | -0.000 | 0.000 | 48.744 | 
| -181.092 | -248.425 | -248.425 | 0.000 | 0.000 | 0.000 | 
| -248.425 | -181.092 | -248.425 | 0.000 | 0.000 | 0.000 | 
| -248.425 | -248.425 | -181.092 | 0.000 | 0.000 | 0.000 | 
| -400.345 | -400.345 | -400.345 | 48.744 | -0.000 | 0.000 | 
| -400.345 | -400.345 | -400.345 | -0.000 | 48.744 | 0.000 | 
| -400.345 | -400.345 | -400.345 | 0.000 | 0.000 | 48.744 | 
| 259.285 | 191.952 | 191.952 | -0.000 | -0.000 | -0.000 | 
| 191.952 | 259.285 | 191.952 | -0.000 | -0.000 | -0.000 | 
| 191.952 | 191.952 | 259.285 | -0.000 | -0.000 | -0.000 | 
| 40.036 | 40.036 | 40.036 | 48.740 | -0.000 | -0.000 | 
| 40.036 | 40.036 | 40.036 | -0.000 | 48.740 | -0.000 | 
| 40.036 | 40.036 | 40.036 | -0.000 | 0.000 | 48.740 | 
| 179.217 | 111.884 | 111.884 | 0.000 | 0.000 | 0.000 | 
| 111.884 | 179.217 | 111.884 | 0.000 | 0.000 | 0.000 | 
| 111.884 | 111.884 | 179.217 | 0.000 | 0.000 | 0.000 | 
| -40.036 | -40.036 | -40.036 | 48.740 | -0.000 | 0.000 | 
| -40.036 | -40.036 | -40.036 | -0.000 | 48.740 | 0.000 | 
| -40.036 | -40.036 | -40.036 | -0.000 | 0.000 | 48.740 | 
| 223.255 | 155.922 | 155.922 | -0.000 | -0.000 | -0.000 | 
| 155.922 | 223.255 | 155.922 | -0.000 | -0.000 | -0.000 | 
| 155.922 | 155.922 | 223.255 | -0.000 | -0.000 | -0.000 | 
| 4.004 | 4.003 | 4.004 | 48.744 | 0.000 | -0.000 | 
| 4.003 | 4.004 | 4.004 | 0.000 | 48.744 | -0.000 | 
| 4.003 | 4.004 | 4.004 | -0.000 | -0.000 | 48.744 | 
| 215.247 | 147.914 | 147.914 | 0.000 | 0.000 | 0.000 | 
| 147.914 | 215.247 | 147.914 | 0.000 | 0.000 | 0.000 | 
| 147.914 | 147.914 | 215.247 | 0.000 | 0.000 | 0.000 | 
| -4.004 | -4.003 | -4.004 | 48.744 | -0.000 | 0.000 | 
| -4.003 | -4.004 | -4.004 | -0.000 | 48.744 | 0.000 | 
| -4.003 | -4.004 | -4.004 | -0.000 | -0.000 | 48.744 | 
| 220.373 | 152.849 | 152.849 | 0.000 | 0.000 | -0.000 | 
| 152.849 | 220.373 | 152.849 | 0.000 | 0.000 | -0.000 | 
| 152.849 | 152.849 | 220.373 | 0.000 | 0.000 | -0.000 | 
| 0.001 | 0.001 | 0.001 | 48.743 | -0.000 | -0.000 | 
| 0.001 | 0.001 | 0.001 | -0.000 | 48.743 | -0.000 | 
| 0.001 | 0.001 | 0.001 | 0.000 | 0.000 | 48.743 | 
| 220.372 | 152.848 | 152.848 | 0.000 | -0.000 | 0.000 | 
| 152.848 | 220.372 | 152.848 | -0.000 | 0.000 | 0.000 | 
| 152.848 | 152.848 | 220.372 | -0.000 | -0.000 | 0.000 | 
| -0.001 | -0.001 | -0.001 | 48.743 | -0.000 | 0.000 | 
| -0.001 | -0.001 | -0.001 | -0.000 | 48.743 | 0.000 | 
| -0.001 | -0.001 | -0.001 | -0.000 | 0.000 | 48.743 | 
| 220.373 | 152.849 | 152.849 | -0.000 | 0.000 | -0.000 | 
| 152.849 | 220.373 | 152.849 | 0.000 | -0.000 | -0.000 | 
| 152.849 | 152.849 | 220.373 | 0.000 | 0.000 | -0.000 | 
| 0.000 | 0.000 | 0.000 | 48.743 | -0.000 | -0.000 | 
| 0.000 | 0.000 | 0.000 | -0.000 | 48.743 | -0.000 | 
| 0.000 | 0.000 | 0.000 | 0.000 | -0.000 | 48.743 | 
| 220.372 | 152.848 | 152.848 | 0.000 | -0.000 | 0.000 | 
| 152.848 | 220.372 | 152.848 | -0.000 | 0.000 | 0.000 | 
| 152.848 | 152.848 | 220.372 | -0.000 | -0.000 | 0.000 | 
| -0.000 | -0.000 | -0.000 | 48.743 | 0.000 | 0.000 | 
| -0.000 | -0.000 | -0.000 | 0.000 | 48.743 | 0.000 | 
| -0.000 | -0.000 | -0.000 | 0.000 | 0.000 | 48.743 | 
| 220.373 | 152.849 | 152.849 | -0.000 | 0.000 | -0.000 | 
| 152.849 | 220.373 | 152.849 | 0.000 | -0.000 | -0.000 | 
| 152.849 | 152.849 | 220.373 | 0.000 | 0.000 | -0.000 | 
| 0.000 | 0.000 | 0.000 | 48.743 | -0.000 | -0.000 | 
| 0.000 | 0.000 | 0.000 | -0.000 | 48.743 | -0.000 | 
| 0.000 | 0.000 | 0.000 | 0.000 | -0.000 | 48.743 | 
| 220.372 | 152.848 | 152.848 | -0.000 | -0.000 | 0.000 | 
| 152.848 | 220.372 | 152.848 | -0.000 | -0.000 | 0.000 | 
| 152.848 | 152.848 | 220.372 | -0.000 | -0.000 | 0.000 | 
| -0.000 | -0.000 | -0.000 | 48.743 | -0.000 | 0.000 | 
| -0.000 | -0.000 | -0.000 | -0.000 | 48.743 | 0.000 | 
| -0.000 | -0.000 | -0.000 | -0.000 | 0.000 | 48.743 | 
| 44708.675 | 42910.186 | 42910.186 | -0.000 | -0.000 | -0.000 | 
| 42910.186 | 44708.675 | 42910.186 | -0.000 | -0.000 | -0.000 | 
| 42910.186 | 42910.186 | 44708.675 | -0.000 | -0.000 | 0.000 | 
| 0.006 | 0.005 | 0.006 | 43553.768 | 0.000 | -0.000 | 
| 0.005 | 0.006 | 0.006 | -0.000 | 43553.768 | -0.000 | 
| 0.005 | 0.006 | 0.006 | 0.000 | 0.000 | 43553.768 | 
| 44708.665 | 42910.175 | 42910.175 | 0.000 | 0.000 | 0.000 | 
| 42910.175 | 44708.665 | 42910.175 | 0.000 | 0.000 | 0.000 | 
| 42910.175 | 42910.175 | 44708.665 | 0.000 | 0.000 | 0.000 | 
| -0.005 | -0.005 | -0.005 | 43553.768 | -0.000 | -0.000 | 
| -0.005 | -0.005 | -0.005 | -0.000 | 43553.768 | 0.000 | 
| -0.005 | -0.005 | -0.005 | 0.000 | 0.000 | 43553.768 | 
| 44708.721 | 42910.240 | 42910.240 | -0.000 | -0.000 | 0.000 | 
| 42910.240 | 44708.721 | 42910.240 | -0.000 | -0.000 | -0.000 | 
| 42910.240 | 42910.240 | 44708.721 | -0.000 | -0.000 | -0.000 | 
| 0.001 | -0.002 | 0.000 | 11967.841 | 0.000 | -0.000 | 
| -0.002 | 0.001 | 0.000 | 0.000 | 11967.841 | -0.000 | 
| -0.002 | 0.000 | 0.001 | 0.000 | 0.000 | 11967.841 | 
| 44708.618 | 42910.121 | 42910.121 | 0.000 | 0.000 | 0.000 | 
| 42910.121 | 44708.618 | 42910.121 | 0.000 | 0.000 | -0.000 | 
| 42910.121 | 42910.121 | 44708.618 | -0.000 | -0.000 | -0.000 | 
| -0.001 | 0.002 | -0.000 | 11967.841 | 0.000 | 0.000 | 
| 0.002 | -0.001 | -0.000 | 0.000 | 11967.841 | -0.000 | 
| 0.002 | -0.000 | -0.001 | 0.000 | 0.000 | 11967.841 | 
| 44709.180 | 42910.774 | 42910.774 | -0.000 | 0.000 | -0.000 | 
| 42910.774 | 44709.180 | 42910.774 | 0.000 | -0.000 | -0.000 | 
| 42910.774 | 42910.774 | 44709.180 | -0.000 | -0.000 | 0.000 | 
| 0.005 | -0.021 | 0.002 | 11967.712 | -0.000 | 0.000 | 
| -0.021 | 0.005 | 0.002 | -0.000 | 11967.712 | -0.000 | 
| -0.021 | 0.002 | 0.005 | 0.000 | 0.000 | 11967.712 | 
| 44708.159 | 42909.586 | 42909.586 | 0.000 | -0.000 | 0.000 | 
| 42909.586 | 44708.159 | 42909.586 | -0.000 | 0.000 | 0.000 | 
| 42909.586 | 42909.586 | 44708.159 | 0.000 | 0.000 | -0.000 | 
| -0.005 | 0.021 | -0.002 | 11967.712 | 0.000 | 0.000 | 
| 0.021 | -0.005 | -0.002 | 0.000 | 11967.712 | 0.000 | 
| 0.021 | -0.002 | -0.005 | -0.000 | -0.000 | 11967.712 | 
| 347.458 | 243.080 | 243.080 | 0.000 | 0.000 | 0.000 | 
| 243.080 | 347.458 | 243.080 | 0.000 | 0.000 | 0.000 | 
| 243.080 | 243.080 | 347.458 | 0.000 | 0.000 | 0.000 | 
| 0.000 | 0.000 | 0.000 | 222.477 | 0.000 | -0.000 | 
| 0.000 | 0.000 | 0.000 | 0.000 | 222.477 | 0.000 | 
| 0.000 | 0.000 | 0.000 | 0.000 | 0.000 | 222.477 | 
| 347.458 | 243.080 | 243.080 | -0.000 | -0.000 | 0.000 | 
| 243.080 | 347.458 | 243.080 | -0.000 | -0.000 | -0.000 | 
| 243.080 | 243.080 | 347.458 | -0.000 | -0.000 | 0.000 | 
| -0.000 | -0.000 | -0.000 | 222.477 | -0.000 | -0.000 | 
| -0.000 | -0.000 | -0.000 | -0.000 | 222.477 | -0.000 | 
| -0.000 | -0.000 | -0.000 | -0.000 | -0.000 | 222.477 | 
| 347.459 | 243.080 | 243.080 | 0.000 | 0.000 | 0.000 | 
| 243.080 | 347.459 | 243.080 | 0.000 | 0.000 | -0.000 | 
| 243.080 | 243.080 | 347.459 | 0.000 | 0.000 | 0.000 | 
| 0.000 | 0.000 | 0.000 | -656.192 | 0.000 | -0.000 | 
| 0.000 | 0.000 | 0.000 | 0.000 | -656.192 | -0.000 | 
| 0.000 | 0.000 | 0.000 | 0.000 | 0.000 | -656.192 | 
| 347.458 | 243.080 | 243.080 | -0.000 | -0.000 | -0.000 | 
| 243.080 | 347.458 | 243.080 | -0.000 | -0.000 | -0.000 | 
| 243.080 | 243.080 | 347.458 | -0.000 | -0.000 | -0.000 | 
| -0.000 | -0.000 | -0.000 | -656.192 | -0.000 | -0.000 | 
| -0.000 | -0.000 | -0.000 | -0.000 | -656.192 | -0.000 | 
| -0.000 | -0.000 | -0.000 | -0.000 | -0.000 | -656.192 | 
| 347.459 | 243.081 | 243.081 | 0.000 | 0.000 | 0.000 | 
| 243.081 | 347.459 | 243.081 | 0.000 | 0.000 | 0.000 | 
| 243.081 | 243.081 | 347.459 | 0.000 | 0.000 | 0.000 | 
| 0.001 | 0.002 | 0.001 | -656.192 | 0.000 | -0.000 | 
| 0.002 | 0.001 | 0.001 | 0.000 | -656.192 | 0.000 | 
| 0.002 | 0.001 | 0.001 | 0.000 | 0.000 | -656.192 | 
| 347.457 | 243.079 | 243.079 | -0.000 | -0.000 | 0.000 | 
| 243.079 | 347.457 | 243.079 | -0.000 | -0.000 | 0.000 | 
| 243.079 | 243.079 | 347.457 | -0.000 | -0.000 | -0.000 | 
| -0.001 | -0.002 | -0.001 | -656.192 | -0.000 | -0.000 | 
| -0.002 | -0.001 | -0.001 | -0.000 | -656.192 | -0.000 | 
| -0.002 | -0.001 | -0.001 | -0.000 | -0.000 | -656.192 | 
| -861614.170 | -785346.749 | -815019.638 | 199759.215 | 33052.716 | -91654.461 | 
| 66180.355 | 204161.162 | -215882.576 | 47944.479 | 84371.486 | -105346.250 | 
| -728365.964 | -779324.936 | -497596.856 | -78471.207 | 53335.127 | 155518.557 | 
| -1541106.140 | -512135.534 | -448203.408 | -55591.681 | -33597.370 | -20332.563 | 
| -385534.406 | -1572026.826 | -395720.494 | -47287.258 | -86310.008 | -16301.851 | 
| -196898.545 | -263341.795 | -995800.520 | 87679.200 | 43239.414 | 17032.653 | 
| -0.000 | -0.000 | -0.000 | -0.000 | -0.000 | -0.000 | 
| -0.000 | -0.000 | -0.000 | -0.000 | -0.000 | -0.000 | 
| -0.000 | -0.000 | -0.000 | -0.000 | -0.000 | -0.000 | 
| 2094500.432 | 568345.785 | 528247.624 | 12246.504 | -36941.880 | -164168.738 | 
| 547814.477 | 2273247.141 | 617759.693 | -98316.038 | 94297.707 | -114064.440 | 
| 464052.931 | 487057.555 | 1844432.592 | -61005.293 | 11399.179 | 78435.121 | 
| -76826.120 | -87033.917 | -79337.845 | 2325.398 | -1068.455 | 2375.704 | 
| -90889.434 | -72376.308 | -79225.466 | -4585.905 | 3053.347 | 2632.531 | 
| -7036.370 | -14053.402 | -11638.654 | 2927.407 | 7692.882 | 14399.307 | 
| -155060.559 | -40066.272 | -53205.338 | -17415.220 | -11595.151 | -15419.007 | 
| -55194.456 | -157036.934 | -44762.294 | 8047.524 | -20132.705 | -3088.821 | 
| -53681.690 | -53883.692 | -189314.588 | -3096.062 | -17487.275 | -5146.595 | 
| -0.000 | -0.000 | -0.000 | -0.000 | -0.000 | -0.000 | 
| -0.000 | -0.000 | -0.000 | -0.000 | -0.000 | -0.000 | 
| -0.000 | -0.000 | -0.000 | -0.000 | -0.000 | -0.000 | 
| 226071.508 | 66777.610 | 62416.501 | -8700.015 | -1674.264 | -963.172 | 
| 50164.053 | 201818.305 | 43197.763 | 2589.864 | -10794.770 | 131.238 | 
| 40287.691 | 59370.325 | 146456.723 | -7892.377 | 3840.575 | -20446.042 | 
| -4719.104 | -5905.631 | -4808.493 | 1139.633 | 962.410 | -153.215 | 
| -5790.208 | -4670.868 | -5828.104 | 297.896 | 911.101 | 693.135 | 
| -7720.612 | -8493.627 | -7587.131 | 314.138 | 329.838 | 1808.938 | 
| -14578.620 | -5587.375 | -2797.449 | 153.668 | -381.497 | 1441.364 | 
| -9161.771 | -12166.926 | -3277.777 | -932.373 | -264.770 | 1770.260 | 
| -6675.168 | -5310.060 | -14416.908 | 736.760 | 974.126 | -478.908 | 
| -0.000 | -0.000 | -0.000 | -0.000 | -0.000 | -0.000 | 
| -0.000 | -0.000 | -0.000 | -0.000 | -0.000 | -0.000 | 
| -0.000 | -0.000 | -0.000 | -0.000 | -0.000 | -0.000 | 
| 16182.874 | 4611.966 | 3972.593 | 761.768 | -426.195 | 572.765 | 
| 7219.859 | 20102.423 | 7158.570 | -301.086 | 1274.275 | -1043.362 | 
| 5735.890 | 7029.652 | 28355.982 | 1023.206 | -55.445 | -1458.037 | 
| 5476974.398 | -1256877.511 | -1256877.509 | 0.007 | 0.001 | 0.002 | 
| -1256877.512 | 5476974.400 | -1256877.508 | 0.005 | 0.002 | 0.002 | 
| -1256877.507 | -1256877.506 | 5476974.406 | 0.004 | 0.001 | 0.002 | 
| 0.085 | 0.018 | 0.054 | 3921526.348 | -0.000 | 0.001 | 
| 0.023 | 0.091 | 0.060 | 0.004 | 3921526.344 | 0.001 | 
| 0.019 | 0.055 | 0.090 | 0.004 | 0.000 | 3921526.348 | 
| 5476974.003 | -1256877.586 | -1256877.585 | -0.004 | -0.005 | -0.003 | 
| -1256877.584 | 5476974.003 | -1256877.585 | -0.005 | -0.004 | -0.003 | 
| -1256877.596 | -1256877.597 | 5476973.989 | -0.002 | -0.001 | -0.003 | 
| -0.082 | -0.002 | -0.049 | 3933582.855 | -0.003 | -0.002 | 
| -0.029 | -0.095 | -0.064 | -0.006 | 3921526.335 | -0.003 | 
| -0.021 | -0.057 | -0.091 | -0.008 | -0.003 | 3921526.341 | 
| 5476976.299 | -1256877.070 | -1256877.070 | 0.001 | -0.001 | 0.000 | 
| -1256877.070 | 5476976.299 | -1256877.070 | -0.000 | 0.001 | 0.000 | 
| -1256877.071 | -1256877.071 | 5476976.299 | 0.000 | -0.000 | 0.001 | 
| 0.982 | 0.281 | 0.722 | 3886955.684 | 0.000 | 0.000 | 
| 0.281 | 0.983 | 0.722 | 0.001 | 3886955.683 | 0.000 | 
| 0.280 | 0.721 | 0.982 | 0.001 | 0.000 | 3886955.684 | 
| 5476972.146 | -1256878.036 | -1256878.036 | -0.001 | -0.000 | 0.000 | 
| -1256878.036 | 5476972.146 | -1256878.036 | -0.000 | -0.000 | 0.000 | 
| -1256878.035 | -1256878.035 | 5476972.146 | -0.000 | -0.000 | -0.001 | 
| -0.982 | -0.281 | -0.722 | 3886955.682 | -0.000 | -0.000 | 
| -0.281 | -0.983 | -0.722 | -0.000 | 3886955.682 | -0.000 | 
| -0.280 | -0.721 | -0.982 | -0.000 | -0.000 | 3886955.683 | 
| 5476995.003 | -1256872.710 | -1256872.710 | 0.000 | -0.000 | 0.000 | 
| -1256872.710 | 5476995.003 | -1256872.710 | 0.000 | 0.000 | 0.000 | 
| -1256872.710 | -1256872.710 | 5476995.003 | 0.000 | 0.000 | 0.000 | 
| 9.841 | 2.821 | 7.228 | 3887055.126 | 0.000 | 0.000 | 
| 2.821 | 9.841 | 7.228 | 0.000 | 3887055.126 | 0.000 | 
| 2.821 | 7.228 | 9.841 | 0.000 | 0.000 | 3887055.126 | 
| 5476953.439 | -1256882.396 | -1256882.396 | -0.000 | -0.000 | -0.000 | 
| -1256882.396 | 5476953.439 | -1256882.396 | -0.000 | -0.000 | -0.000 | 
| -1256882.396 | -1256882.396 | 5476953.439 | -0.000 | -0.000 | -0.000 | 
| -9.841 | -2.821 | -7.228 | 3887055.126 | -0.000 | -0.000 | 
| -2.821 | -9.841 | -7.228 | -0.000 | 3887055.126 | -0.000 | 
| -2.821 | -7.228 | -9.841 | -0.000 | -0.000 | 3887055.126 | 
| 241.738 | -51.999 | -51.999 | -0.000 | -0.000 | 0.000 | 
| -51.999 | 241.738 | -51.999 | -0.000 | -0.000 | -0.000 | 
| -51.999 | -51.999 | 241.738 | -0.000 | -0.000 | 0.000 | 
| -0.000 | 0.000 | -0.000 | -23.718 | -0.000 | 0.000 | 
| 0.000 | -0.000 | -0.000 | -0.000 | -23.718 | -0.000 | 
| 0.000 | 0.000 | -0.000 | -0.000 | -0.000 | -23.718 | 
| 241.738 | -51.999 | -51.999 | -0.000 | 0.000 | 0.000 | 
| -51.999 | 241.738 | -51.999 | -0.000 | 0.000 | -0.000 | 
| -51.999 | -51.999 | 241.738 | -0.000 | -0.000 | -0.000 | 
| 0.000 | -0.000 | 0.000 | -23.718 | 0.000 | 0.000 | 
| -0.000 | 0.000 | 0.000 | 0.000 | -23.718 | 0.000 | 
| -0.000 | -0.000 | 0.000 | 0.000 | 0.000 | -23.718 | 
| 241.738 | -51.999 | -51.999 | 0.000 | -0.000 | 0.000 | 
| -51.999 | 241.738 | -51.999 | -0.000 | 0.000 | -0.000 | 
| -51.999 | -51.999 | 241.738 | -0.000 | -0.000 | -0.000 | 
| 0.000 | 0.000 | -0.000 | -161.265 | -0.000 | -0.000 | 
| 0.000 | 0.000 | -0.000 | -0.000 | -161.265 | -0.000 | 
| 0.000 | -0.000 | 0.000 | -0.000 | -0.000 | -161.265 | 
| 241.738 | -51.999 | -51.999 | 0.000 | -0.000 | 0.000 | 
| -51.999 | 241.738 | -51.999 | -0.000 | 0.000 | -0.000 | 
| -51.999 | -51.999 | 241.738 | 0.000 | 0.000 | -0.000 | 
| -0.000 | -0.000 | 0.000 | -161.265 | 0.000 | 0.000 | 
| -0.000 | -0.000 | 0.000 | -0.000 | -161.265 | -0.000 | 
| -0.000 | 0.000 | -0.000 | 0.000 | 0.000 | -161.265 | 
| 241.738 | -51.999 | -51.999 | -0.000 | -0.000 | -0.000 | 
| -51.999 | 241.738 | -51.999 | -0.000 | -0.000 | 0.000 | 
| -51.999 | -51.999 | 241.738 | 0.000 | 0.000 | 0.000 | 
| -1743055.891 | -2020530.778 | -1732448.754 | -490887.812 | 268060.712 | -286934.509 | 
| -1682824.912 | -1338935.058 | -1615740.787 | 113822.398 | -622205.561 | -61366.856 | 
| -1478020.395 | -1371503.983 | -1007889.729 | 272535.211 | -330162.704 | -699211.744 | 
| 241.737 | -51.999 | -51.999 | 0.000 | 0.000 | -0.000 | 
| -51.999 | 241.737 | -51.999 | -0.000 | 0.000 | 0.000 | 
| -51.999 | -51.999 | 241.737 | -0.000 | -0.000 | -0.000 | 
| 2206569.459 | 2114646.326 | 2409033.446 | -527626.585 | 226797.449 | 42475.832 | 
| 1745699.324 | 1792678.367 | 2091521.781 | -99465.606 | -387774.538 | 296709.194 | 
| 1657223.937 | 2014362.820 | 1840465.889 | -90365.573 | 144765.343 | -556924.833 | 
| -2833918.147 | -3596865.125 | -2247027.907 | -1227316.475 | -1899852.763 | -797643.017 | 
| -3907581.715 | -2318320.442 | -1186272.852 | -1933900.630 | -983184.168 | -956966.551 | 
| -4236875.949 | -3068571.054 | -3406592.805 | -1161345.405 | -37887.036 | -148520.269 | 
| 2152799.091 | 1927722.054 | 1531062.090 | -757368.652 | -243687.255 | -570289.089 | 
| 1498829.835 | 1144886.223 | 1484020.091 | 326484.374 | -449835.052 | 332858.811 | 
| 705400.423 | 1210008.249 | 840780.124 | 61895.115 | 60651.667 | -1235241.423 | 
| -0.000 | -0.000 | -0.000 | -0.000 | -0.000 | -0.000 | 
| -0.000 | -0.000 | -0.000 | -0.000 | -0.000 | -0.000 | 
| -0.000 | -0.000 | -0.000 | -0.000 | -0.000 | -0.000 | 
| -2881527.596 | -2260985.554 | -1632434.427 | 359380.470 | -73210.187 | -103468.141 | 
| -3795001.111 | -3792545.007 | -2976345.598 | 250813.863 | 605973.915 | 28904.887 | 
| -1548170.830 | -1024936.006 | -2453236.822 | -21036.921 | -37605.646 | -529271.090 | 
| -55711.127 | 63753.378 | -10502.705 | -117024.784 | -172250.859 | -121298.858 | 
| -10139.499 | -186393.283 | -35137.005 | -90583.897 | -122545.591 | -149251.039 | 
| -11076.247 | -92685.762 | -105593.108 | -51322.486 | -91233.029 | -78017.593 | 
| -985723.711 | -24280.103 | 28330.884 | -412563.064 | -26125.166 | -78692.630 | 
| 66357.342 | -1017679.459 | 118950.485 | -77963.125 | -561251.954 | -105677.638 | 
| 37550.920 | -25901.057 | -702805.535 | -83956.863 | -64111.412 | -323713.313 | 
| -0.000 | -0.000 | -0.000 | -0.000 | -0.000 | -0.000 | 
| -0.000 | -0.000 | -0.000 | -0.000 | -0.000 | -0.000 | 
| -0.000 | -0.000 | -0.000 | -0.000 | -0.000 | -0.000 | 
| 1000464.081 | 6724.952 | 22641.616 | -406910.351 | 109102.938 | 58640.210 | 
| 65909.104 | 1024908.748 | 231339.355 | -34842.400 | -475927.529 | -32475.184 | 
| -8501.110 | -33663.467 | 885028.253 | -4067.014 | -17741.122 | -322669.862 | 
| -40700.198 | -26038.380 | -14641.539 | -9987.227 | -12128.297 | -16863.825 | 
| -16901.218 | -15789.544 | -11437.450 | -15419.059 | -11090.746 | -17773.663 | 
| -20722.038 | -31253.983 | -25043.901 | -15371.499 | -13581.324 | -2731.283 | 
| 15087.296 | 16240.412 | 15448.280 | -5597.218 | -1731.532 | -546.236 | 
| 11332.462 | 14143.204 | 10505.627 | 5030.711 | -14849.504 | 9200.422 | 
| -10870.459 | -2221.464 | 17349.396 | -1967.026 | -3090.069 | 817.782 | 
| -0.000 | -0.000 | -0.000 | -0.000 | -0.000 | -0.000 | 
| -0.000 | -0.000 | -0.000 | -0.000 | -0.000 | -0.000 | 
| -0.000 | -0.000 | -0.000 | -0.000 | -0.000 | -0.000 | 
| -27984.556 | -22135.785 | -24012.513 | -3687.282 | -1478.716 | 3225.663 | 
| -11544.252 | -29097.876 | -12244.799 | -1174.835 | -4345.399 | -1650.225 | 
| -16211.526 | -15890.573 | -16624.497 | -2389.700 | -328.105 | -5174.337 | 
| 115171.610 | -1185.396 | -1185.397 | -0.000 | -0.000 | -0.000 | 
| -1185.397 | 115171.611 | -1185.397 | -0.000 | -0.000 | 0.000 | 
| -1185.397 | -1185.396 | 115171.611 | -0.000 | 0.000 | -0.000 | 
| 0.000 | 0.000 | -0.000 | 3410.031 | -0.000 | 0.000 | 
| 0.000 | 0.000 | -0.000 | -0.000 | 3410.032 | -0.000 | 
| 0.000 | 0.001 | -0.000 | -0.000 | 0.000 | 3410.032 | 
| 115171.517 | -1185.397 | -1185.396 | 0.000 | 0.000 | 0.000 | 
| -1185.397 | 115171.517 | -1185.396 | 0.000 | 0.000 | -0.000 | 
| -1185.397 | -1185.397 | 115171.517 | -0.000 | 0.000 | 0.000 | 
| -0.000 | -0.000 | 0.000 | 3410.032 | -0.000 | 0.000 | 
| -0.000 | -0.000 | 0.000 | 0.000 | 3410.031 | 0.000 | 
| -0.000 | -0.001 | 0.000 | 0.000 | -0.000 | 3410.032 | 
| 115172.029 | -1185.397 | -1185.397 | -0.000 | 0.000 | -0.000 | 
| -1185.397 | 115172.029 | -1185.397 | -0.000 | -0.000 | 0.000 | 
| -1185.397 | -1185.397 | 115172.028 | -0.000 | 0.000 | -0.000 | 
| 0.000 | 0.000 | -0.005 | 3410.032 | 0.000 | 0.000 | 
| 0.000 | 0.000 | -0.005 | -0.000 | 3410.032 | -0.000 | 
| 0.000 | -0.005 | 0.000 | -0.000 | 0.000 | 3410.032 | 
| 115171.099 | -1185.397 | -1185.397 | 0.000 | 0.000 | 0.000 | 
| -1185.397 | 115171.099 | -1185.397 | 0.000 | -0.000 | 0.000 | 
| -1185.397 | -1185.397 | 115171.099 | 0.000 | 0.000 | 0.000 | 
| -0.000 | -0.000 | 0.005 | 3410.032 | 0.000 | -0.000 | 
| -0.000 | -0.000 | 0.005 | 0.000 | 3410.032 | 0.000 | 
| -0.000 | 0.005 | 0.000 | 0.000 | 0.000 | 3410.032 | 
| 115176.213 | -1185.399 | -1185.399 | -0.000 | -0.000 | -0.000 | 
| -1185.399 | 115176.213 | -1185.399 | -0.000 | -0.000 | 0.000 | 
| -1185.399 | -1185.399 | 115176.213 | 0.000 | 0.000 | -0.000 | 
| -0.000 | 0.001 | -0.051 | 3410.032 | 0.000 | 0.000 | 
| 0.001 | -0.000 | -0.051 | -0.000 | 3410.032 | -0.000 | 
| 0.001 | -0.051 | -0.000 | -0.000 | 0.000 | 3410.032 | 
| 115166.914 | -1185.394 | -1185.394 | 0.000 | 0.000 | 0.000 | 
| -1185.394 | 115166.914 | -1185.394 | 0.000 | 0.000 | 0.000 | 
| -1185.394 | -1185.394 | 115166.914 | 0.000 | -0.000 | 0.000 | 
| 0.000 | -0.001 | 0.051 | 3410.032 | -0.000 | 0.000 | 
| -0.001 | 0.000 | 0.051 | 0.000 | 3410.032 | 0.000 | 
| -0.001 | 0.051 | 0.000 | 0.000 | -0.000 | 3410.032 | 
| 1681.065 | -77.840 | -77.840 | 0.000 | 0.000 | -0.000 | 
| -77.840 | 1681.065 | -77.840 | -0.000 | -0.000 | 0.000 | 
| -77.840 | -77.840 | 1681.065 | 0.000 | 0.000 | -0.000 | 
| -0.000 | -0.000 | -0.000 | 244.004 | -0.000 | -0.000 | 
| -0.000 | -0.000 | -0.000 | -0.000 | 244.004 | 0.000 | 
| -0.000 | -0.000 | -0.000 | 0.000 | -0.000 | 244.004 | 
| 1681.065 | -77.840 | -77.840 | -0.000 | 0.000 | 0.000 | 
| -77.840 | 1681.065 | -77.840 | -0.000 | 0.000 | 0.000 | 
| -77.840 | -77.840 | 1681.065 | -0.000 | 0.000 | 0.000 | 
| 0.000 | 0.000 | 0.000 | 244.004 | 0.000 | -0.000 | 
| 0.000 | 0.000 | 0.000 | 0.000 | 244.004 | 0.000 | 
| 0.000 | 0.000 | 0.000 | -0.000 | 0.000 | 244.004 | 
| 1681.066 | -77.840 | -77.840 | -0.000 | 0.000 | 0.000 | 
| -77.840 | 1681.066 | -77.840 | -0.000 | -0.000 | -0.000 | 
| -77.840 | -77.840 | 1681.066 | 0.000 | 0.000 | 0.000 | 
| -0.000 | -0.000 | -0.000 | 244.004 | -0.000 | 0.000 | 
| -0.000 | -0.000 | -0.000 | 0.000 | 244.004 | -0.000 | 
| -0.000 | -0.000 | 0.000 | -0.000 | -0.000 | 244.004 | 
| 1681.063 | -77.840 | -77.840 | -0.000 | 0.000 | 0.000 | 
| -77.840 | 1681.063 | -77.840 | -0.000 | 0.000 | -0.000 | 
| -77.840 | -77.840 | 1681.063 | -0.000 | 0.000 | -0.000 | 
| 0.000 | 0.000 | 0.000 | 244.004 | -0.000 | 0.000 | 
| 0.000 | 0.000 | 0.000 | -0.000 | 244.004 | 0.000 | 
| 0.000 | 0.000 | -0.000 | 0.000 | 0.000 | 244.004 | 
| 1681.079 | -77.840 | -77.840 | 0.000 | -0.000 | -0.000 | 
| -77.840 | 1681.079 | -77.840 | 0.000 | -0.000 | -0.000 | 
| -77.840 | -77.840 | 1681.079 | -0.000 | -0.000 | 0.000 | 
| 0.000 | -0.000 | -0.000 | 244.004 | 0.000 | -0.000 | 
| -0.000 | 0.000 | -0.000 | 0.000 | 244.004 | -0.000 | 
| -0.000 | -0.000 | 0.000 | 0.000 | -0.000 | 244.004 | 
| 1681.051 | -77.840 | -77.840 | -0.000 | -0.000 | -0.000 | 
| -77.840 | 1681.051 | -77.840 | -0.000 | 0.000 | -0.000 | 
| -77.840 | -77.840 | 1681.051 | -0.000 | 0.000 | -0.000 | 
| -0.000 | 0.000 | 0.000 | 244.004 | 0.000 | -0.000 | 
| 0.000 | -0.000 | 0.000 | -0.000 | 244.004 | 0.000 | 
| 0.000 | 0.000 | -0.000 | -0.000 | 0.000 | 244.004 | 
| -849.313 | 332.301 | 332.301 | -0.000 | -0.000 | -0.000 | 
| 332.301 | -849.313 | 332.301 | 0.000 | 0.000 | -0.000 | 
| 332.301 | 332.301 | -849.313 | -0.000 | -0.000 | 0.000 | 
| 0.000 | -0.000 | 0.000 | -118.258 | -0.000 | 0.000 | 
| -0.000 | 0.000 | 0.000 | 0.000 | -118.258 | -0.000 | 
| -0.000 | 0.000 | 0.000 | 0.000 | 0.000 | -118.258 | 
| -849.319 | 332.302 | 332.302 | -0.000 | 0.000 | -0.000 | 
| 332.302 | -849.319 | 332.302 | 0.000 | 0.000 | 0.000 | 
| 332.302 | 332.302 | -849.319 | -0.000 | 0.000 | -0.000 | 
| -0.000 | -0.000 | -0.000 | -118.258 | 0.000 | 0.000 | 
| -0.000 | -0.000 | -0.000 | 0.000 | -118.258 | 0.000 | 
| -0.000 | -0.000 | -0.000 | -0.000 | 0.000 | -118.258 | 
| -849.286 | 332.298 | 332.298 | -0.000 | -0.000 | 0.000 | 
| 332.298 | -849.286 | 332.298 | -0.000 | -0.000 | -0.000 | 
| 332.298 | 332.298 | -849.286 | 0.000 | -0.000 | -0.000 | 
| 0.000 | -0.000 | 0.000 | -118.258 | -0.000 | 0.000 | 
| -0.000 | 0.000 | 0.000 | 0.000 | -118.258 | 0.000 | 
| -0.000 | 0.000 | 0.000 | -0.000 | -0.000 | -118.258 | 
| -849.346 | 332.306 | 332.306 | -0.000 | -0.000 | -0.000 | 
| 332.306 | -849.346 | 332.306 | -0.000 | 0.000 | 0.000 | 
| 332.306 | 332.306 | -849.346 | 0.000 | 0.000 | -0.000 | 
| -0.000 | 0.000 | -0.000 | -118.258 | -0.000 | -0.000 | 
| 0.000 | -0.000 | -0.000 | -0.000 | -118.258 | -0.000 | 
| 0.000 | -0.000 | -0.000 | 0.000 | 0.000 | -118.258 | 
| -849.012 | 332.264 | 332.264 | 0.000 | -0.000 | -0.000 | 
| 332.264 | -849.012 | 332.264 | -0.000 | -0.000 | -0.000 | 
| 332.264 | 332.264 | -849.012 | 0.000 | 0.000 | 0.000 | 
| 0.000 | -0.000 | 0.000 | -118.258 | 0.000 | 0.000 | 
| -0.000 | 0.000 | 0.000 | -0.000 | -118.258 | 0.000 | 
| -0.000 | 0.000 | 0.000 | -0.000 | -0.000 | -118.258 | 
| -849.620 | 332.340 | 332.340 | -0.000 | -0.000 | -0.000 | 
| 332.340 | -849.620 | 332.340 | -0.000 | 0.000 | 0.000 | 
| 332.340 | 332.340 | -849.620 | -0.000 | 0.000 | 0.000 | 
| -0.000 | 0.000 | -0.000 | -118.258 | 0.000 | 0.000 | 
| 0.000 | -0.000 | -0.000 | 0.000 | -118.258 | 0.000 | 
| 0.000 | -0.000 | -0.000 | 0.000 | 0.000 | -118.258 | 
| 0.000 | 0.000 | 0.000 | 0.000 | 0.000 | 0.000 | 
| 0.000 | 0.000 | 0.000 | 0.000 | 0.000 | 0.000 | 
| 0.000 | 0.000 | 0.000 | 0.000 | 0.000 | 0.000 | 
| 0.000 | 0.000 | 0.000 | 0.000 | 0.000 | 0.000 | 
| 0.000 | 0.000 | 0.000 | 0.000 | 0.000 | 0.000 | 
| 0.000 | 0.000 | 0.000 | 0.000 | 0.000 | 0.000 | 
| -0.000 | -0.000 | -0.000 | -0.000 | -0.000 | -0.000 | 
| -0.000 | -0.000 | -0.000 | -0.000 | -0.000 | -0.000 | 
| -0.000 | -0.000 | -0.000 | -0.000 | -0.000 | -0.000 | 
| -0.000 | -0.000 | -0.000 | -0.000 | -0.000 | -0.000 | 
| -0.000 | -0.000 | -0.000 | -0.000 | -0.000 | -0.000 | 
| -0.000 | -0.000 | -0.000 | -0.000 | -0.000 | -0.000 | 
| 977.992 | 420.844 | 420.844 | -0.000 | -0.000 | 0.000 | 
| 420.844 | 977.992 | 420.844 | -0.000 | -0.000 | 0.000 | 
| 420.844 | 420.844 | 977.992 | -0.000 | 0.000 | -0.000 | 
| 0.000 | 0.000 | 0.000 | 369.105 | -0.000 | 0.000 | 
| 0.000 | 0.000 | 0.000 | -0.000 | 369.105 | -0.000 | 
| 0.000 | 0.000 | 0.000 | -0.000 | 0.000 | 369.105 | 
| 977.991 | 420.844 | 420.844 | 0.000 | 0.000 | -0.000 | 
| 420.844 | 977.992 | 420.844 | 0.000 | 0.000 | -0.000 | 
| 420.844 | 420.844 | 977.992 | 0.000 | -0.000 | 0.000 | 
| -0.000 | -0.000 | -0.000 | 369.105 | -0.000 | 0.000 | 
| -0.000 | -0.000 | -0.000 | 0.000 | 369.105 | -0.000 | 
| -0.000 | -0.000 | -0.000 | -0.000 | 0.000 | 369.105 | 
| 977.992 | 420.845 | 420.845 | 0.000 | -0.000 | 0.000 | 
| 420.845 | 977.992 | 420.845 | 0.000 | -0.000 | -0.000 | 
| 420.845 | 420.845 | 977.992 | -0.000 | -0.000 | 0.000 | 
| 0.000 | 0.000 | 0.000 | 369.105 | -0.000 | 0.000 | 
| 0.000 | 0.000 | 0.000 | -0.000 | 369.105 | 0.000 | 
| 0.000 | 0.000 | 0.000 | 0.000 | -0.000 | 369.105 | 
| 977.991 | 420.844 | 420.844 | 0.000 | -0.000 | 0.000 | 
| 420.844 | 977.991 | 420.844 | 0.000 | 0.000 | 0.000 | 
| 420.844 | 420.844 | 977.991 | 0.000 | 0.000 | -0.000 | 
| -0.000 | -0.000 | -0.000 | 369.105 | -0.000 | 0.000 | 
| -0.000 | -0.000 | -0.000 | 0.000 | 369.105 | -0.000 | 
| -0.000 | -0.000 | -0.000 | 0.000 | -0.000 | 369.105 | 
| 977.992 | 420.848 | 420.848 | -0.000 | 0.000 | 0.000 | 
| 420.848 | 977.992 | 420.848 | -0.000 | 0.000 | 0.000 | 
| 420.848 | 420.848 | 977.992 | 0.000 | 0.000 | 0.000 | 
| 0.001 | 0.001 | 0.001 | 369.105 | -0.000 | 0.000 | 
| 0.001 | 0.001 | 0.001 | -0.000 | 369.105 | 0.000 | 
| 0.001 | 0.001 | 0.001 | -0.000 | 0.000 | 369.105 | 
| 977.991 | 420.840 | 420.840 | 0.000 | -0.000 | 0.000 | 
| 420.840 | 977.991 | 420.840 | 0.000 | 0.000 | 0.000 | 
| 420.840 | 420.840 | 977.991 | 0.000 | 0.000 | 0.000 | 
| -0.001 | -0.001 | -0.001 | 369.105 | 0.000 | 0.000 | 
| -0.001 | -0.001 | -0.001 | 0.000 | 369.105 | -0.000 | 
| -0.001 | -0.001 | -0.001 | 0.000 | 0.000 | 369.105 | 
| 553892.832 | -746113.003 | -857676.120 | -97119.141 | 120447.639 | -15146.172 | 
| -760983.699 | -407269.395 | 2025740.790 | 164144.230 | 15984.574 | 270761.232 | 
| 25651.067 | 1085988.968 | 3163771.157 | 1298838.649 | 393724.052 | -11091.603 | 
| -344596.369 | -100512.533 | 21248.509 | 30610.448 | -54724.389 | -41327.035 | 
| 72946.991 | -392532.272 | 77910.804 | 67484.903 | 58427.487 | -28041.237 | 
| 406629.096 | 55944.992 | 357618.493 | -93935.573 | -140155.661 | -262776.492 | 
| -0.000 | -0.000 | -0.000 | -0.000 | -0.000 | -0.000 | 
| -0.000 | -0.000 | -0.000 | -0.000 | -0.000 | -0.000 | 
| -0.000 | -0.000 | -0.000 | -0.000 | -0.000 | -0.000 | 
| -192817.640 | -291382.246 | -380777.184 | -27338.893 | 221699.212 | 116904.126 | 
| -672974.843 | 210462.023 | -500304.661 | 112325.299 | -27631.119 | -71776.937 | 
| -131973.984 | -490154.563 | 80630.164 | 151613.188 | -13722.862 | -43630.836 | 
| -154474.718 | -113493.590 | -19048.650 | 12986.379 | -8490.592 | -4514.304 | 
| 7995.116 | 22419.738 | 396738.916 | -336.750 | -45444.766 | 44482.250 | 
| -130521.753 | -167534.966 | -127862.965 | 2787.309 | 8293.319 | 23616.106 | 
| -21889.200 | 1247.576 | 100856.087 | -26898.058 | -14494.834 | 14489.444 | 
| 23838.579 | -54848.520 | 59377.349 | -1794.165 | -12321.582 | 9241.809 | 
| -28162.089 | -1688.377 | 11633.383 | -8655.172 | 16507.869 | 10373.466 | 
| -0.000 | -0.000 | -0.000 | -0.000 | -0.000 | -0.000 | 
| -0.000 | -0.000 | -0.000 | -0.000 | -0.000 | -0.000 | 
| -0.000 | -0.000 | -0.000 | -0.000 | -0.000 | -0.000 | 
| -45693.669 | -35888.473 | -73003.302 | 6899.277 | -28079.275 | -16403.393 | 
| -7188.391 | 44937.636 | -5672.698 | 9160.417 | 11088.715 | -8027.532 | 
| -22295.440 | 33020.397 | -41560.361 | -22310.773 | -62128.854 | 9090.398 | 
| 6353.269 | 12539.365 | -12744.308 | -2636.051 | 1228.723 | -457.063 | 
| -3307.004 | 3234.308 | -7312.132 | -1814.315 | -2415.781 | -1493.946 | 
| -10179.797 | -12141.921 | -25117.241 | 4502.521 | -108.714 | -1197.823 | 
| 1471.390 | 86.773 | 294.890 | -812.680 | 1249.429 | -522.733 | 
| 1082.555 | -3479.348 | 748.620 | -171.143 | 270.247 | 416.963 | 
| 80.674 | -2530.129 | -5393.583 | 1756.003 | 546.205 | 1860.038 | 
| -0.000 | -0.000 | -0.000 | -0.000 | -0.000 | -0.000 | 
| -0.000 | -0.000 | -0.000 | -0.000 | -0.000 | -0.000 | 
| -0.000 | -0.000 | -0.000 | -0.000 | -0.000 | -0.000 | 
| 3744.117 | -1914.462 | -9656.250 | -563.051 | -1910.326 | -1100.784 | 
| 820.064 | 2779.499 | 2577.087 | -3493.160 | -995.009 | 1431.198 | 
| -1250.246 | 876.372 | 2169.628 | -4235.260 | 1319.162 | -961.848 | 
| 64.028 | 104.623 | 104.623 | 0.000 | -0.000 | -0.000 | 
| 104.623 | 64.028 | 104.623 | -0.000 | 0.000 | -0.000 | 
| 104.623 | 104.623 | 64.028 | -0.000 | -0.000 | -0.000 | 
| -0.000 | 0.000 | -0.000 | -46.086 | -0.000 | -0.000 | 
| 0.000 | -0.000 | 0.000 | -0.000 | -46.086 | -0.000 | 
| 0.000 | 0.000 | -0.000 | -0.000 | -0.000 | -46.086 | 
| 64.028 | 104.623 | 104.623 | 0.000 | 0.000 | 0.000 | 
| 104.623 | 64.028 | 104.623 | 0.000 | 0.000 | 0.000 | 
| 104.623 | 104.623 | 64.028 | 0.000 | 0.000 | 0.000 | 
| 0.000 | -0.000 | -0.000 | -46.086 | 0.000 | 0.000 | 
| -0.000 | 0.000 | 0.000 | 0.000 | -46.086 | 0.000 | 
| -0.000 | 0.000 | 0.000 | 0.000 | 0.000 | -46.086 | 
| 64.028 | 104.623 | 104.623 | -0.000 | -0.000 | -0.000 | 
| 104.623 | 64.028 | 104.623 | -0.000 | -0.000 | -0.000 | 
| 104.623 | 104.623 | 64.028 | -0.000 | -0.000 | -0.000 | 
| -0.000 | 0.000 | 0.000 | -46.086 | -0.000 | -0.000 | 
| 0.000 | -0.000 | 0.000 | -0.000 | -46.086 | -0.000 | 
| 0.000 | 0.000 | -0.000 | -0.000 | -0.000 | -46.086 | 
| 64.028 | 104.623 | 104.623 | 0.000 | 0.000 | 0.000 | 
| 104.623 | 64.028 | 104.623 | 0.000 | 0.000 | 0.000 | 
| 104.623 | 104.623 | 64.028 | 0.000 | 0.000 | 0.000 | 
| 0.000 | -0.000 | -0.000 | -46.086 | 0.000 | 0.000 | 
| -0.000 | 0.000 | -0.000 | 0.000 | -46.086 | 0.000 | 
| -0.000 | -0.000 | 0.000 | 0.000 | 0.000 | -46.086 | 
| 64.029 | 104.624 | 104.624 | -0.000 | -0.000 | -0.000 | 
| 104.624 | 64.029 | 104.624 | -0.000 | -0.000 | -0.000 | 
| 104.624 | 104.624 | 64.029 | -0.000 | -0.000 | -0.000 | 
| -0.000 | 0.000 | 0.000 | -46.086 | -0.000 | -0.000 | 
| 0.000 | -0.000 | 0.000 | -0.000 | -46.086 | -0.000 | 
| 0.000 | 0.000 | -0.000 | -0.000 | -0.000 | -46.086 | 
| 64.028 | 104.623 | 104.623 | 0.000 | 0.000 | 0.000 | 
| 104.623 | 64.028 | 104.623 | 0.000 | 0.000 | 0.000 | 
| 104.623 | 104.623 | 64.028 | 0.000 | 0.000 | 0.000 | 
| 0.000 | -0.000 | -0.000 | -46.086 | 0.000 | 0.000 | 
| -0.000 | 0.000 | -0.000 | 0.000 | -46.086 | 0.000 | 
| -0.000 | -0.000 | 0.000 | 0.000 | 0.000 | -46.086 | 
| 122.271 | 348.135 | 348.135 | 0.021 | 0.021 | 0.021 | 
| 348.135 | 122.271 | 348.135 | 0.021 | 0.021 | 0.021 | 
| 348.135 | 348.135 | 122.271 | 0.021 | 0.021 | 0.021 | 
| -138442935.354 | -261593597.762 | -273894285.834 | -49218023.340 | -1391464.873 | 2960115.999 | 
| -265610123.136 | -155596629.094 | -287553690.457 | -3738544.770 | -39167289.634 | 4498237.009 | 
| -274578722.538 | -276030761.831 | -154264115.821 | -4098373.296 | 2962192.619 | -44247420.426 | 
| 122.271 | 348.135 | 348.135 | -0.018 | -0.021 | -0.021 | 
| 348.135 | 122.271 | 348.135 | -0.021 | -0.018 | -0.021 | 
| 348.135 | 348.135 | 122.271 | -0.021 | -0.021 | -0.018 | 
| 41420976.330 | 355884347.301 | 389100418.486 | -42062409.201 | 5610095.700 | 1686357.673 | 
| 381895305.993 | 59945952.203 | 384894803.911 | 1054604.246 | -53672692.849 | 544884.038 | 
| 350621516.692 | 385190433.666 | 36554624.519 | -1513896.103 | -525087.481 | -40098272.269 | 
| 122.271 | 348.135 | 348.135 | -0.000 | -0.000 | -0.000 | 
| 348.135 | 122.271 | 348.135 | -0.000 | -0.000 | -0.000 | 
| 348.135 | 348.135 | 122.271 | -0.000 | -0.000 | -0.000 | 
| -13767182.138 | -28104172.863 | -27313098.497 | -4394543.086 | -39331.857 | -150645.341 | 
| -26413931.697 | -12699919.407 | -26957540.540 | -195988.252 | -4313473.118 | -677562.502 | 
| -26589063.896 | -25782886.811 | -13559161.954 | -925895.486 | -80216.223 | -4388650.582 | 
| 122.271 | 348.134 | 348.134 | 0.000 | 0.000 | 0.000 | 
| 348.134 | 122.271 | 348.134 | 0.000 | 0.000 | 0.000 | 
| 348.134 | 348.134 | 122.271 | 0.000 | 0.000 | 0.000 | 
| 5479685.093 | 32802235.464 | 33084569.248 | -4465928.033 | 97075.189 | 193035.780 | 
| 35268457.081 | 6018593.657 | 31190324.268 | 220447.893 | -3594380.792 | 595359.047 | 
| 33566370.546 | 32416200.309 | 6134852.325 | -324139.032 | -302143.323 | -4334380.161 | 
| 122.272 | 348.140 | 348.140 | 0.000 | 0.000 | 0.000 | 
| 348.140 | 122.272 | 348.140 | 0.000 | 0.000 | 0.000 | 
| 348.140 | 348.140 | 122.272 | 0.000 | 0.000 | 0.000 | 
| -1244975.385 | -2590418.372 | -2794343.647 | -352857.748 | -34953.264 | -52880.509 | 
| -2424435.700 | -1170592.643 | -2866783.411 | -85190.561 | -281370.115 | 1009.220 | 
| -13286364.953 | -13286388.062 | -5954914.789 | 0.003 | 0.003 | -11554889.559 | 
| 122.270 | 348.130 | 348.130 | -0.000 | -0.000 | -0.000 | 
| 348.130 | 122.270 | 348.130 | -0.000 | -0.000 | -0.000 | 
| 348.130 | 348.130 | 122.270 | -0.000 | -0.000 | -0.000 | 
| 410682.470 | 3959888.198 | 3624976.325 | -576023.016 | 27499.448 | -8066.345 | 
| 3868238.413 | 368929.029 | 3625117.937 | 4777.979 | -607569.195 | 29505.561 | 
| 3888556.312 | 3616648.371 | 363758.923 | 64861.389 | -7892.660 | -514142.867 | 
| -193875.262 | -199812.225 | -162958.189 | -51015.222 | -21182.794 | -16247.949 | 
| -200334.308 | -274028.048 | -160351.861 | -120854.019 | -116617.677 | -101453.918 | 
| -249621.427 | -247689.549 | -187215.199 | -17933.526 | -16624.134 | -151607.914 | 
| -0.004 | -0.044 | -0.044 | -0.044 | -0.003 | -0.003 | 
| 0.087 | 0.004 | 0.087 | -0.001 | 0.087 | -0.001 | 
| -0.135 | -0.135 | 0.001 | 0.003 | 0.003 | -0.135 | 
| -0.000 | -0.000 | -0.000 | -0.000 | -0.000 | -0.000 | 
| -0.000 | -0.000 | -0.000 | -0.000 | -0.000 | -0.000 | 
| -0.000 | -0.000 | -0.000 | -0.000 | -0.000 | -0.000 | 
| 0.001 | 0.162 | 0.162 | -0.162 | 0.000 | -0.000 | 
| -0.027 | -0.004 | -0.027 | 0.004 | 0.027 | -0.004 | 
| 0.105 | 0.105 | 0.004 | -0.003 | 0.003 | -0.105 | 
| -1040.932 | 68.336 | -1121.347 | 166.711 | -965.018 | 81.443 | 
| -1801.423 | -1830.189 | 193.404 | -463.235 | 249.571 | 1565.267 | 
| -19352.960 | -19334.825 | -20321.426 | -2178.091 | -2194.049 | -2803.545 | 
| -0.000 | 0.008 | 0.008 | 0.008 | 0.000 | 0.000 | 
| -0.001 | 0.000 | -0.001 | -0.000 | -0.001 | -0.000 | 
| -0.002 | -0.002 | -0.000 | 0.001 | 0.001 | -0.002 | 
| -0.000 | -0.000 | -0.000 | -0.000 | -0.000 | -0.000 | 
| -0.000 | -0.000 | -0.000 | -0.000 | -0.000 | -0.000 | 
| -0.000 | -0.000 | -0.000 | -0.000 | -0.000 | -0.000 | 
| -0.000 | -0.005 | -0.005 | 0.005 | -0.000 | 0.000 | 
| 0.124 | -0.009 | 0.124 | -0.017 | -0.124 | 0.017 | 
| -0.011 | -0.011 | 0.000 | -0.000 | 0.000 | 0.011 | 
| -1403.394 | -1297.098 | -2096.117 | -748.356 | -425.724 | 7.625 | 
| -1075.004 | -1233.248 | -1105.760 | -158.478 | 1.868 | 464.188 | 
| -600.447 | -636.091 | -438.565 | -77.435 | -84.122 | -181.732 | 
| 0.000 | 0.001 | 0.001 | 0.001 | 0.000 | 0.000 | 
| -0.001 | -0.000 | -0.001 | 0.000 | -0.001 | 0.000 | 
| 0.000 | 0.000 | 0.000 | -0.000 | -0.000 | 0.000 | 
| -0.000 | -0.000 | -0.000 | -0.000 | -0.000 | -0.000 | 
| -0.000 | -0.000 | -0.000 | -0.000 | -0.000 | -0.000 | 
| -0.000 | -0.000 | -0.000 | -0.000 | -0.000 | -0.000 | 
| -0.000 | -0.000 | -0.000 | 0.000 | -0.000 | 0.000 | 
| 0.000 | 0.000 | 0.000 | 0.000 | -0.000 | -0.000 | 
| 0.001 | 0.001 | -0.000 | 0.000 | -0.000 | -0.001 | 
| 33.467 | 5.231 | 0.000 | 0.000 | 0.000 | 0.000 | 
| 5.231 | 33.467 | 0.000 | 0.000 | 0.000 | -0.000 | 
| 0.000 | 0.000 | 0.000 | 0.000 | 0.000 | 0.000 | 
| 0.000 | 0.000 | 0.000 | 0.000 | 0.000 | -0.000 | 
| 0.000 | 0.000 | 0.000 | 0.000 | 0.000 | 0.000 | 
| 0.000 | 0.000 | 0.000 | 0.000 | 0.000 | 9.930 | 
| 33.467 | 5.231 | -0.000 | -0.000 | -0.000 | -0.000 | 
| 5.231 | 33.467 | -0.000 | -0.000 | -0.000 | 0.000 | 
| -0.000 | -0.000 | -0.000 | -0.000 | -0.000 | -0.000 | 
| -0.000 | -0.000 | -0.000 | -0.000 | -0.000 | 0.000 | 
| -0.000 | -0.000 | -0.000 | -0.000 | -0.000 | -0.000 | 
| -0.000 | -0.000 | -0.000 | -0.000 | -0.000 | 9.930 | 
| 33.467 | 5.231 | 0.000 | 0.000 | 0.000 | 0.000 | 
| 5.231 | 33.467 | 0.000 | 0.000 | 0.000 | 0.000 | 
| 0.000 | 0.000 | 0.000 | 0.000 | 0.000 | 0.000 | 
| 0.000 | 0.000 | 0.000 | 0.000 | 0.000 | -0.000 | 
| -0.000 | 0.000 | 0.000 | 0.000 | 0.000 | -0.000 | 
| 0.000 | 0.000 | 0.000 | 0.000 | 0.000 | 9.930 | 
| 33.467 | 5.231 | -0.000 | -0.000 | -0.000 | 0.000 | 
| 5.231 | 33.467 | -0.000 | -0.000 | -0.000 | 0.000 | 
| -0.000 | -0.000 | -0.000 | -0.000 | -0.000 | -0.000 | 
| -0.000 | -0.000 | -0.000 | -0.000 | -0.000 | 0.000 | 
| -0.000 | -0.000 | -0.000 | -0.000 | -0.000 | -0.000 | 
| -0.000 | -0.000 | -0.000 | -0.000 | -0.000 | 9.930 | 
| 33.468 | 5.231 | 0.000 | 0.000 | 0.000 | -0.000 | 
| 5.231 | 33.468 | 0.000 | 0.000 | 0.000 | -0.000 | 
| 0.000 | 0.000 | 0.000 | 0.000 | 0.000 | 0.000 | 
| 0.000 | 0.000 | 0.000 | 0.000 | 0.000 | -0.000 | 
| 0.000 | 0.000 | 0.000 | 0.000 | 0.000 | 0.000 | 
| 0.000 | 0.000 | 0.000 | 0.000 | 0.000 | 9.930 | 
| 33.467 | 5.231 | -0.000 | -0.000 | -0.000 | -0.000 | 
| 5.231 | 33.467 | -0.000 | -0.000 | -0.000 | -0.000 | 
| -0.000 | -0.000 | -0.000 | -0.000 | -0.000 | -0.000 | 
| -0.000 | -0.000 | -0.000 | -0.000 | -0.000 | 0.000 | 
| -0.000 | -0.000 | -0.000 | -0.000 | -0.000 | -0.000 | 
| -0.000 | -0.000 | -0.000 | -0.000 | -0.000 | 9.930 | 
| 1243.343 | 80.443 | 80.443 | 0.000 | 0.000 | 0.000 | 
| 80.443 | 1243.343 | 80.443 | 0.000 | 0.000 | 0.000 | 
| 80.443 | 80.443 | 1243.343 | 0.000 | 0.000 | 0.000 | 
| -0.000 | 0.000 | 0.000 | 168.911 | 0.000 | 0.000 | 
| 0.000 | -0.000 | 0.000 | 0.000 | 168.911 | 0.000 | 
| 0.000 | 0.000 | -0.000 | 0.000 | 0.000 | 168.911 | 
| 1243.343 | 80.443 | 80.443 | -0.000 | -0.000 | -0.000 | 
| 80.443 | 1243.343 | 80.443 | -0.000 | -0.000 | -0.000 | 
| 80.443 | 80.443 | 1243.343 | -0.000 | -0.000 | -0.000 | 
| 0.000 | -0.000 | -0.000 | 168.911 | -0.000 | -0.000 | 
| -0.000 | 0.000 | -0.000 | -0.000 | 168.911 | -0.000 | 
| -0.000 | -0.000 | 0.000 | -0.000 | -0.000 | 168.911 | 
| 1243.344 | 80.443 | 80.443 | 0.000 | 0.000 | 0.000 | 
| 80.443 | 1243.344 | 80.443 | 0.000 | 0.000 | 0.000 | 
| 80.443 | 80.443 | 1243.344 | 0.000 | 0.000 | 0.000 | 
| 0.000 | 0.000 | 0.000 | 405.307 | 0.000 | 0.000 | 
| 0.000 | 0.000 | 0.000 | 0.000 | 405.307 | 0.000 | 
| 0.000 | 0.000 | 0.000 | 0.000 | 0.000 | 405.307 | 
| 1243.343 | 80.443 | 80.443 | -0.000 | -0.000 | -0.000 | 
| 80.443 | 1243.343 | 80.443 | -0.000 | -0.000 | -0.000 | 
| 80.443 | 80.443 | 1243.343 | -0.000 | -0.000 | -0.000 | 
| -0.000 | -0.000 | -0.000 | 405.307 | -0.000 | 0.000 | 
| -0.000 | -0.000 | -0.000 | -0.000 | 405.307 | -0.000 | 
| -0.000 | -0.000 | -0.000 | -0.000 | -0.000 | 405.307 | 
| 1243.346 | 80.445 | 80.445 | 0.000 | 0.000 | 0.000 | 
| 80.445 | 1243.346 | 80.445 | 0.000 | 0.000 | 0.000 | 
| 80.445 | 80.445 | 1243.346 | 0.000 | 0.000 | 0.000 | 
| -0.002 | 0.001 | 0.001 | 168.911 | 0.000 | 0.000 | 
| 0.001 | -0.002 | 0.001 | 0.000 | 168.911 | 0.000 | 
| 0.001 | 0.001 | -0.002 | 0.000 | 0.000 | 168.911 | 
| 1243.341 | 80.441 | 80.441 | -0.000 | -0.000 | -0.000 | 
| 80.441 | 1243.341 | 80.441 | -0.000 | -0.000 | -0.000 | 
| 80.441 | 80.441 | 1243.341 | -0.000 | -0.000 | -0.000 | 
| 0.002 | -0.001 | -0.001 | 168.911 | -0.000 | -0.000 | 
| -0.001 | 0.002 | -0.001 | -0.000 | 168.911 | -0.000 | 
| -0.001 | -0.001 | 0.002 | -0.000 | -0.000 | 168.911 | 
| -271034.825 | 12762.086 | 106290.996 | 8114.233 | 27849.840 | 3524.455 | 
| -455590.876 | -530131.888 | -440221.614 | 15126.595 | -8079.263 | -28785.288 | 
| 1384520.508 | 660044.023 | 284086.749 | 43359.844 | -29033.415 | -19878.395 | 
| -12515096.723 | -50162.202 | 330298.464 | 239163.269 | 20246.341 | -2589.695 | 
| -306275.533 | -12147171.070 | -215239.624 | -1377.984 | 26973.245 | 52715.461 | 
| -54474.107 | -98132.679 | -13037518.120 | 8738.332 | 32341.854 | 263417.109 | 
| -0.000 | -0.000 | -0.000 | -0.000 | -0.000 | -0.000 | 
| -0.000 | -0.000 | -0.000 | -0.000 | -0.000 | -0.000 | 
| -0.000 | -0.000 | -0.000 | -0.000 | -0.000 | -0.000 | 
| 14583165.546 | 130720.756 | 14835.866 | 382482.865 | -142112.761 | 3382.933 | 
| 503733.452 | 14858319.560 | 576939.964 | -58170.751 | 205993.558 | 7599.206 | 
| 952660.540 | 839076.064 | 15512298.723 | 32722.137 | -10433.991 | 22537.045 | 
| 150827.002 | 158011.910 | 169970.451 | -9260.000 | -13127.816 | 1807.832 | 
| 21689.275 | 72404.002 | 33344.879 | -3193.502 | 6399.504 | -4927.211 | 
| 9567.532 | 42441.906 | 100577.928 | 8431.713 | 8491.440 | 202.077 | 
| -814920.478 | -19622.775 | -27910.840 | 1903.366 | 1447.382 | -107.929 | 
| 110357.676 | -706778.035 | 12321.200 | -3187.785 | 32474.786 | -7764.580 | 
| -747.538 | -14435.104 | -743298.933 | -6324.711 | -1030.441 | 5353.848 | 
| -0.000 | -0.000 | -0.000 | -0.000 | -0.000 | -0.000 | 
| -0.000 | -0.000 | -0.000 | -0.000 | -0.000 | -0.000 | 
| -0.000 | -0.000 | -0.000 | -0.000 | -0.000 | -0.000 | 
| 828465.776 | -81454.046 | -23925.623 | 22236.085 | 2692.598 | 889.439 | 
| -22074.078 | 895266.165 | 3511.003 | 1914.761 | 3372.669 | -7469.114 | 
| 21336.537 | 4476.103 | 859524.737 | 650.663 | -1924.653 | -5609.778 | 
| 539.400 | -1247.813 | -2323.022 | -292.974 | 637.520 | -444.168 | 
| 2447.564 | 1495.882 | -274.370 | -420.547 | 533.802 | 1112.000 | 
| 14563.219 | 6948.724 | 10793.920 | -228.953 | 947.132 | -1283.087 | 
| -102614.484 | -4693.120 | -3631.476 | -536.909 | -400.090 | -427.262 | 
| -4307.980 | -105777.844 | -3723.690 | 50.432 | -343.492 | 83.997 | 
| 4541.605 | 8601.807 | -84989.884 | -352.985 | -699.741 | 6078.470 | 
| -0.000 | -0.000 | -0.000 | -0.000 | -0.000 | -0.000 | 
| -0.000 | -0.000 | -0.000 | -0.000 | -0.000 | -0.000 | 
| -0.000 | -0.000 | -0.000 | -0.000 | -0.000 | -0.000 | 
| 88022.168 | -6438.896 | -1857.541 | 2635.283 | 148.786 | -622.660 | 
| -5050.454 | 94918.751 | -1333.530 | -822.653 | 1987.413 | 622.121 | 
| -3948.700 | -3682.766 | 89135.698 | 810.461 | -493.312 | 2475.274 | 
| 1161.391 | 950.372 | 950.372 | -0.000 | 0.000 | 0.000 | 
| 950.372 | 1161.391 | 950.372 | 0.000 | 0.000 | -0.000 | 
| 950.372 | 950.372 | 1161.391 | 0.000 | 0.000 | 0.000 | 
| -0.000 | 0.000 | -0.000 | -295.517 | 0.000 | 0.000 | 
| 0.000 | -0.000 | -0.000 | -0.000 | -295.517 | 0.000 | 
| 0.000 | -0.000 | -0.000 | 0.000 | -0.000 | -295.517 | 
| 1161.391 | 950.372 | 950.372 | -0.000 | 0.000 | -0.000 | 
| 950.372 | 1161.391 | 950.372 | 0.000 | -0.000 | -0.000 | 
| 950.372 | 950.372 | 1161.391 | -0.000 | -0.000 | -0.000 | 
| 0.000 | -0.000 | 0.000 | -295.517 | -0.000 | 0.000 | 
| -0.000 | 0.000 | 0.000 | -0.000 | -295.517 | 0.000 | 
| -0.000 | 0.000 | 0.000 | -0.000 | -0.000 | -295.517 | 
| 1161.392 | 950.372 | 950.372 | 0.000 | 0.000 | 0.000 | 
| 950.372 | 1161.392 | 950.372 | 0.000 | 0.000 | 0.000 | 
| 950.372 | 950.372 | 1161.392 | 0.000 | 0.000 | -0.000 | 
| -0.000 | -0.000 | -0.000 | -295.517 | 0.000 | 0.000 | 
| -0.000 | -0.000 | -0.000 | 0.000 | -295.517 | -0.000 | 
| -0.000 | -0.000 | -0.000 | 0.000 | 0.000 | -295.517 | 
| 1161.391 | 950.371 | 950.371 | -0.000 | -0.000 | -0.000 | 
| 950.371 | 1161.391 | 950.371 | -0.000 | -0.000 | 0.000 | 
| 950.371 | 950.371 | 1161.391 | -0.000 | -0.000 | 0.000 | 
| 0.000 | 0.000 | 0.000 | -295.517 | -0.000 | 0.000 | 
| 0.000 | 0.000 | 0.000 | -0.000 | -295.517 | 0.000 | 
| 0.000 | 0.000 | 0.000 | -0.000 | 0.000 | -295.517 | 
| 1161.396 | 950.378 | 950.378 | 0.000 | -0.000 | 0.000 | 
| 950.378 | 1161.396 | 950.378 | -0.000 | 0.000 | 0.000 | 
| 950.378 | 950.378 | 1161.396 | 0.000 | 0.000 | 0.000 | 
| -0.001 | -0.000 | -0.001 | -295.517 | 0.000 | 0.000 | 
| -0.000 | -0.001 | -0.001 | 0.000 | -295.517 | -0.000 | 
| -0.000 | -0.001 | -0.001 | -0.000 | 0.000 | -295.517 | 
| 1161.386 | 950.365 | 950.365 | -0.000 | -0.000 | 0.000 | 
| 950.365 | 1161.386 | 950.365 | -0.000 | -0.000 | 0.000 | 
| 950.365 | 950.365 | 1161.386 | -0.000 | -0.000 | -0.000 | 
| 0.001 | 0.000 | 0.001 | -295.517 | -0.000 | -0.000 | 
| 0.000 | 0.001 | 0.001 | -0.000 | -295.517 | -0.000 | 
| 0.000 | 0.001 | 0.001 | -0.000 | -0.000 | -295.517 | 
| -58.691 | 32.451 | 32.451 | -0.000 | -0.000 | -0.000 | 
| 32.451 | -58.691 | 32.451 | -0.000 | -0.000 | -0.000 | 
| 32.451 | 32.451 | -58.691 | -0.000 | -0.000 | -0.000 | 
| -730497.896 | 22287219.223 | 25478547.144 | -2955989.039 | -385932.470 | 708749.336 | 
| 21652985.510 | -1377933.832 | 21509410.805 | 690988.288 | -4298793.658 | -127755.643 | 
| 23179524.108 | 22849506.644 | -2404087.788 | -764887.515 | 104354.512 | -4301117.025 | 
| -58.691 | 32.451 | 32.451 | 0.000 | 0.000 | -0.000 | 
| 32.451 | -58.691 | 32.451 | 0.000 | 0.000 | -0.000 | 
| 32.451 | 32.451 | -58.691 | 0.000 | 0.000 | -0.000 | 
| 3888671.306 | -21671901.462 | -23352269.338 | -3701921.974 | -230553.970 | -224377.218 | 
| -20259832.705 | 5558320.421 | -23062887.694 | -323591.135 | -3046636.009 | 11814.991 | 
| -22160336.527 | -22561891.622 | 1825161.717 | -147819.295 | 763660.658 | -3869293.402 | 
| -58.691 | 32.451 | 32.451 | -0.000 | -0.000 | -0.000 | 
| 32.451 | -58.691 | 32.451 | -0.000 | -0.000 | -0.000 | 
| 32.451 | 32.451 | -58.691 | -0.000 | -0.000 | 0.000 | 
| -1086567.195 | 2058771.239 | 2108782.074 | 73076.080 | -17770.938 | -11922.963 | 
| 2354800.362 | -780393.040 | 2293660.039 | 12836.538 | -60768.791 | -66924.066 | 
| 2254775.338 | 2294716.667 | -555528.351 | -47338.922 | 35074.777 | -199598.261 | 
| -58.691 | 32.451 | 32.451 | 0.000 | 0.000 | -0.000 | 
| 32.451 | -58.691 | 32.451 | 0.000 | 0.000 | -0.000 | 
| 32.451 | 32.451 | -58.691 | 0.000 | 0.000 | -0.000 | 
| 729466.289 | -2271306.958 | -2196671.785 | -70093.022 | -29803.848 | -56860.965 | 
| -2114577.300 | 695665.659 | -2364948.073 | -3896.510 | -87229.796 | 30424.302 | 
| -2182946.279 | -2342124.535 | 525002.614 | 45357.896 | 59420.568 | -102888.178 | 
| -58.691 | 32.451 | 32.451 | -0.000 | -0.000 | 0.000 | 
| 32.451 | -58.691 | 32.451 | -0.000 | -0.000 | 0.000 | 
| 32.451 | 32.451 | -58.691 | -0.000 | -0.000 | 0.000 | 
| -128810.789 | 206829.594 | 220580.501 | 4302.701 | -1625.245 | 857.915 | 
| 210564.714 | -132992.271 | 214574.956 | -722.050 | 5450.693 | -675.298 | 
| 216422.527 | 219182.256 | -122571.990 | -1647.789 | 610.315 | 11973.304 | 
| -58.691 | 32.451 | 32.451 | 0.000 | 0.000 | -0.000 | 
| 32.451 | -58.691 | 32.451 | 0.000 | 0.000 | -0.000 | 
| 32.451 | 32.451 | -58.691 | 0.000 | 0.000 | -0.000 | 
| 116335.672 | -202374.887 | -204214.850 | 9774.408 | 2576.297 | 3360.047 | 
| -205427.636 | 111009.689 | -210913.186 | -1317.285 | 8459.636 | -1114.052 | 
| -223859.619 | -210438.305 | 103667.770 | -549.166 | 3675.609 | -17551.443 | 
| 3558842.907 | 1549176.380 | 2353922.707 | -343814.432 | -263198.598 | -331805.065 | 
| 3546541.796 | 4848860.203 | 4282310.085 | -210695.899 | 39850.377 | -360846.367 | 
| 659947.049 | 849768.709 | 1278631.009 | -336182.244 | -367693.827 | -66703.211 | 
| -11120455.412 | 6940705.225 | 6758287.721 | -5422069.014 | -167269.552 | 400245.275 | 
| 6596590.224 | -10999589.710 | 5579159.236 | -431452.570 | -5103646.208 | 417667.229 | 
| 7201788.048 | 5463803.891 | -11341275.091 | -96351.145 | -202596.793 | -4495793.337 | 
| -0.000 | -0.000 | -0.000 | -0.000 | -0.000 | -0.000 | 
| -0.000 | -0.000 | -0.000 | -0.000 | -0.000 | -0.000 | 
| -0.000 | -0.000 | -0.000 | -0.000 | -0.000 | -0.000 | 
| 14032586.246 | -3685187.237 | -3932175.754 | -3890460.905 | -96289.130 | 127022.909 | 
| -3826443.183 | 13363371.904 | -3833424.977 | 53299.461 | -3866998.485 | -92087.817 | 
| -6839246.517 | -6263467.787 | 10933352.334 | -252581.063 | -291619.579 | -4424736.124 | 
| 300693.021 | 151824.426 | 232644.383 | 6806.197 | -393.239 | -27868.257 | 
| 183734.681 | 196298.407 | 216631.520 | -7960.780 | 27469.821 | -15178.142 | 
| 413737.345 | 217374.393 | 430154.572 | -44000.081 | -31362.529 | 27684.167 | 
| -868136.565 | 536692.612 | 473661.078 | -482642.536 | -40753.288 | 2773.516 | 
| 562152.306 | -933531.265 | 590509.790 | -16515.116 | -512276.180 | 5216.713 | 
| 515871.383 | 465357.507 | -1061948.569 | -11564.178 | 11745.063 | -478373.103 | 
| -0.000 | -0.000 | -0.000 | -0.000 | -0.000 | -0.000 | 
| -0.000 | -0.000 | -0.000 | -0.000 | -0.000 | -0.000 | 
| -0.000 | -0.000 | -0.000 | -0.000 | -0.000 | -0.000 | 
| 823908.893 | -549841.166 | -541123.390 | -484399.420 | -13801.500 | 2708.440 | 
| -282118.804 | 816927.221 | -341207.572 | 17414.389 | -394875.938 | 15625.262 | 
| -429023.046 | -595453.158 | 457692.878 | 7218.519 | 8926.614 | -457240.502 | 
| -4825.451 | -182.158 | -1232.251 | 674.024 | 296.219 | 422.455 | 
| 12934.758 | 4087.034 | 12349.574 | -3.767 | 1238.907 | -195.253 | 
| 109248.668 | 102177.470 | 86445.118 | -385.470 | 1639.775 | 1280.285 | 
| -123054.889 | 44873.794 | 33035.423 | -40447.648 | -2087.564 | -2112.477 | 
| 42631.584 | -117021.004 | 25411.647 | 1126.971 | -41305.645 | 520.159 | 
| 39205.059 | 34639.340 | -117503.426 | -1211.100 | -1142.151 | -42471.395 | 
| -0.000 | -0.000 | -0.000 | -0.000 | -0.000 | -0.000 | 
| -0.000 | -0.000 | -0.000 | -0.000 | -0.000 | -0.000 | 
| -0.000 | -0.000 | -0.000 | -0.000 | -0.000 | -0.000 | 
| 58536.501 | -62707.472 | -62624.471 | -51749.056 | 1324.592 | -271.956 | 
| -75834.714 | 26763.593 | -68652.900 | -789.090 | -55297.955 | -1705.283 | 
| -85322.065 | -72421.053 | 40210.515 | 1770.695 | -646.782 | -60664.055 | 
| 697.051 | 57.625 | 57.625 | -0.000 | 0.000 | -0.000 | 
| 57.625 | 697.051 | 57.625 | -0.000 | -0.000 | -0.000 | 
| 57.625 | 57.625 | 697.051 | -0.000 | 0.000 | -0.000 | 
| -0.000 | -0.000 | -0.000 | 28.919 | 0.000 | 0.000 | 
| 0.000 | -0.000 | 0.000 | 0.000 | 28.919 | -0.000 | 
| 0.000 | -0.000 | 0.000 | 0.000 | 0.000 | 28.919 | 
| 697.051 | 57.625 | 57.625 | -0.000 | 0.000 | 0.000 | 
| 57.625 | 697.051 | 57.625 | 0.000 | -0.000 | 0.000 | 
| 57.625 | 57.625 | 697.051 | -0.000 | -0.000 | 0.000 | 
| 0.000 | 0.000 | -0.000 | 28.919 | -0.000 | 0.000 | 
| 0.000 | 0.000 | -0.000 | -0.000 | 28.919 | 0.000 | 
| -0.000 | 0.000 | -0.000 | -0.000 | -0.000 | 28.919 | 
| 697.052 | 57.625 | 57.625 | 0.000 | 0.000 | 0.000 | 
| 57.625 | 697.052 | 57.625 | 0.000 | 0.000 | -0.000 | 
| 57.625 | 57.625 | 697.052 | 0.000 | 0.000 | -0.000 | 
| -126052882.635 | -142813738.524 | -142619329.511 | -4722778.278 | -5316019.294 | 4918844.059 | 
| -136793874.122 | -129443076.981 | -174105096.332 | -2895611.892 | -2355105.264 | 5452951.022 | 
| -142937597.532 | -143492030.559 | -136300952.840 | -6413421.602 | 6727003.965 | 1650498.680 | 
| 697.051 | 57.625 | 57.625 | -0.000 | -0.000 | 0.000 | 
| 57.625 | 697.051 | 57.625 | -0.000 | -0.000 | 0.000 | 
| 57.625 | 57.625 | 697.051 | 0.000 | -0.000 | 0.000 | 
| 129710679.414 | 149641880.486 | 150194547.054 | -7184639.174 | 1975551.229 | -3929666.533 | 
| 144594823.741 | 132931284.354 | 151270138.472 | -1720101.387 | -2559848.403 | 1008118.152 | 
| 143499756.199 | 142524621.579 | 144602823.358 | 2018924.826 | 4740957.974 | -3065383.394 | 
| 697.055 | 57.625 | 57.625 | 0.000 | 0.000 | -0.000 | 
| 57.625 | 697.055 | 57.625 | -0.000 | -0.000 | -0.000 | 
| 57.625 | 57.625 | 697.055 | 0.000 | 0.000 | -0.000 | 
| -13092465.181 | -14760997.940 | -14955622.329 | -959277.928 | -77656.367 | 320658.750 | 
| -14774823.145 | -12621720.347 | -15507386.749 | 510086.564 | -812912.128 | 279488.197 | 
| -14936674.071 | -13915210.564 | -15101512.424 | -861928.009 | -32841.634 | -415773.095 | 
| 697.047 | 57.624 | 57.624 | -0.000 | -0.000 | 0.000 | 
| 57.624 | 697.047 | 57.624 | 0.000 | -0.000 | 0.000 | 
| 57.624 | 57.624 | 697.047 | -0.000 | 0.000 | -0.000 | 
| 12538381.808 | 14335999.143 | 14676580.333 | -1381621.564 | 427288.046 | -234935.552 | 
| -305002.378 | -247069.453 | -305004.211 | -0.003 | 925475.981 | -0.000 | 
| 13674468.269 | 14272853.178 | 13636226.532 | 518428.005 | 405926.373 | -328452.461 | 
| 561.847 | 191.537 | 191.537 | 0.000 | 0.000 | 0.000 | 
| 191.537 | 561.847 | 191.537 | 0.000 | 0.000 | 0.000 | 
| 191.537 | 191.537 | 561.847 | 0.000 | 0.000 | 0.000 | 
| 0.000 | 0.000 | 0.000 | 251.014 | 0.000 | 0.000 | 
| 0.000 | 0.000 | 0.000 | 0.000 | 251.014 | -0.000 | 
| 0.000 | 0.000 | 0.000 | -0.000 | 0.000 | 251.014 | 
| 561.847 | 191.537 | 191.537 | -0.000 | -0.000 | 0.000 | 
| 191.537 | 561.847 | 191.537 | -0.000 | -0.000 | 0.000 | 
| 191.537 | 191.537 | 561.847 | -0.000 | -0.000 | 0.000 | 
| -0.000 | -0.000 | -0.000 | 251.014 | -0.000 | -0.000 | 
| -0.000 | -0.000 | -0.000 | 0.000 | 251.014 | -0.000 | 
| -0.000 | -0.000 | -0.000 | -0.000 | -0.000 | 251.014 | 
| 561.847 | 191.537 | 191.537 | 0.000 | 0.000 | -0.000 | 
| 191.537 | 561.847 | 191.537 | 0.000 | 0.000 | -0.000 | 
| 191.537 | 191.537 | 561.847 | 0.000 | 0.000 | -0.000 | 
| 0.000 | 0.000 | 0.000 | 251.014 | 0.000 | 0.000 | 
| 0.000 | 0.000 | 0.000 | -0.000 | 251.014 | 0.000 | 
| 0.000 | 0.000 | 0.000 | -0.000 | 0.000 | 251.014 | 
| 561.847 | 191.537 | 191.537 | -0.000 | -0.000 | -0.000 | 
| 191.537 | 561.847 | 191.537 | 0.000 | -0.000 | 0.000 | 
| 191.537 | 191.537 | 561.847 | -0.000 | -0.000 | 0.000 | 
| -0.000 | -0.000 | -0.000 | 251.014 | -0.000 | -0.000 | 
| -0.000 | -0.000 | -0.000 | 0.000 | 251.014 | -0.000 | 
| -0.000 | -0.000 | -0.000 | 0.000 | -0.000 | 251.014 | 
| 561.848 | 191.538 | 191.538 | 0.000 | 0.000 | 0.000 | 
| 191.538 | 561.848 | 191.538 | 0.000 | 0.000 | 0.000 | 
| 191.538 | 191.538 | 561.848 | 0.000 | 0.000 | 0.000 | 
| 0.001 | 0.001 | 0.001 | 251.014 | 0.000 | -0.000 | 
| 0.001 | 0.001 | 0.001 | 0.000 | 251.014 | 0.000 | 
| 0.001 | 0.001 | 0.001 | 0.000 | 0.000 | 251.014 | 
| 561.845 | 191.536 | 191.536 | -0.000 | -0.000 | 0.000 | 
| 191.536 | 561.845 | 191.536 | 0.000 | -0.000 | 0.000 | 
| 191.536 | 191.536 | 561.845 | -0.000 | -0.000 | 0.000 | 
| -0.001 | -0.001 | -0.001 | 251.014 | -0.000 | 0.000 | 
| -0.001 | -0.001 | -0.001 | -0.000 | 251.014 | -0.000 | 
| -0.001 | -0.001 | -0.001 | -0.000 | -0.000 | 251.014 | 
| -9975665.507 | -9283038.585 | -9271011.904 | 285357.481 | 93354.357 | 88370.767 | 
| -7843090.968 | -9555652.294 | -8628193.292 | 69522.143 | 223629.322 | 121726.107 | 
| -6467777.387 | -6613178.305 | -8521252.392 | 288468.969 | 82374.742 | 812523.510 | 
| -5300998.235 | -808736.041 | -769468.603 | 252564.917 | -144790.560 | -71390.786 | 
| -909660.188 | -5637086.492 | -789640.976 | -32974.981 | 242331.228 | -47365.748 | 
| -781900.258 | -443999.180 | -5176418.615 | -148272.615 | -42260.287 | 240478.015 | 
| -0.000 | -0.000 | -0.000 | -0.000 | -0.000 | -0.000 | 
| -0.000 | -0.000 | -0.000 | -0.000 | -0.000 | -0.000 | 
| -0.000 | -0.000 | -0.000 | -0.000 | -0.000 | -0.000 | 
| 9640446.656 | 2395210.047 | 2606340.719 | 1200122.931 | -15660.670 | 7133.104 | 
| 2113358.195 | 9259912.531 | 2122451.843 | 85271.643 | 872466.266 | 21717.919 | 
| 2086316.777 | 2131180.094 | 9076059.350 | 20580.047 | -23831.138 | 797943.356 | 
| -725499.496 | -656191.536 | -642617.629 | 86220.559 | 12072.403 | 11452.049 | 
| -605832.267 | -774909.185 | -552288.872 | -55012.391 | 59973.520 | -13460.072 | 
| -805404.801 | -812739.154 | -787498.745 | -13828.613 | -13976.388 | 59351.318 | 
| -660207.892 | -119833.338 | -121119.931 | 44401.462 | 623.656 | -7209.666 | 
| -127487.939 | -679340.854 | -120240.720 | -2269.188 | 47450.227 | 3015.046 | 
| -108126.058 | -118727.155 | -676171.250 | -1641.790 | 9799.322 | 47908.746 | 
| -0.000 | -0.000 | -0.000 | -0.000 | -0.000 | -0.000 | 
| -0.000 | -0.000 | -0.000 | -0.000 | -0.000 | -0.000 | 
| -0.000 | -0.000 | -0.000 | -0.000 | -0.000 | -0.000 | 
| 745648.315 | 148857.809 | 164601.278 | 72625.673 | -4700.541 | -912.471 | 
| 146665.224 | 737793.871 | 162980.848 | -4693.479 | 68653.583 | -4438.325 | 
| 148594.572 | 162530.886 | 761692.306 | -5364.423 | -1554.099 | 69633.144 | 
| -83181.192 | -93143.233 | -89725.022 | 1915.261 | 995.751 | 3452.315 | 
| -96519.084 | -98427.164 | -92769.356 | 889.466 | 2187.559 | 3432.075 | 
| -96200.058 | -100077.812 | -89913.887 | 988.855 | -55.684 | 6159.689 | 
| -65014.368 | -10696.131 | -14782.203 | 4510.348 | 177.978 | 165.646 | 
| -11513.406 | -64917.356 | -13490.782 | 580.792 | 4670.390 | -279.907 | 
| -13658.813 | -14998.870 | -68398.085 | 1819.231 | -697.895 | 5544.369 | 
| -0.000 | -0.000 | -0.000 | -0.000 | -0.000 | -0.000 | 
| -0.000 | -0.000 | -0.000 | -0.000 | -0.000 | -0.000 | 
| -0.000 | -0.000 | -0.000 | -0.000 | -0.000 | -0.000 | 
| 31637.867 | 5405.631 | 3118.963 | 1629.517 | 354.879 | 813.325 | 
| 5776.104 | 33315.379 | 6118.727 | 432.718 | 1861.339 | 424.652 | 
| 2713.232 | 2606.363 | 31147.773 | 85.273 | -8.619 | 1380.568 | 
| 505.529 | 221.977 | 221.977 | 0.000 | 0.000 | 0.000 | 
| 221.977 | 505.529 | 221.977 | 0.000 | 0.000 | -0.000 | 
| 221.977 | 221.977 | 505.529 | 0.000 | -0.000 | -0.000 | 
| -0.000 | 0.000 | 0.000 | 208.970 | 0.000 | 0.000 | 
| 0.000 | 0.000 | 0.000 | 0.000 | 208.970 | 0.000 | 
| 0.000 | 0.000 | -0.000 | 0.000 | 0.000 | 208.970 | 
| 505.529 | 221.977 | 221.977 | -0.000 | 0.000 | -0.000 | 
| 221.977 | 505.529 | 221.977 | -0.000 | -0.000 | 0.000 | 
| 221.977 | 221.977 | 505.529 | -0.000 | -0.000 | -0.000 | 
| -0.000 | -0.000 | -0.000 | 208.970 | -0.000 | -0.000 | 
| -0.000 | -0.000 | -0.000 | -0.000 | 208.970 | 0.000 | 
| -0.000 | -0.000 | 0.000 | -0.000 | -0.000 | 208.970 | 
| 505.529 | 221.977 | 221.977 | 0.000 | 0.000 | 0.000 | 
| 221.977 | 505.529 | 221.977 | 0.000 | 0.000 | -0.000 | 
| 221.977 | 221.977 | 505.529 | 0.000 | 0.000 | -0.000 | 
| -0.000 | 0.000 | 0.000 | 208.970 | 0.000 | 0.000 | 
| 0.000 | -0.000 | 0.000 | 0.000 | 208.970 | 0.000 | 
| 0.000 | 0.000 | -0.000 | 0.000 | 0.000 | 208.970 | 
| 505.528 | 221.977 | 221.977 | -0.000 | -0.000 | -0.000 | 
| 221.977 | 505.528 | 221.977 | -0.000 | -0.000 | 0.000 | 
| 221.977 | 221.977 | 505.528 | -0.000 | -0.000 | -0.000 | 
| 0.000 | -0.000 | -0.000 | 208.970 | -0.000 | 0.000 | 
| -0.000 | 0.000 | -0.000 | -0.000 | 208.970 | -0.000 | 
| -0.000 | -0.000 | 0.000 | -0.000 | -0.000 | 208.970 | 
| 505.531 | 221.978 | 221.978 | 0.000 | 0.000 | -0.000 | 
| 221.978 | 505.531 | 221.978 | 0.000 | 0.000 | -0.000 | 
| 221.978 | 221.978 | 505.531 | 0.000 | -0.000 | -0.000 | 
| -0.000 | 0.001 | 0.001 | 208.970 | 0.000 | -0.000 | 
| 0.001 | -0.000 | 0.001 | 0.000 | 208.970 | -0.000 | 
| 0.001 | 0.001 | -0.000 | 0.000 | 0.000 | 208.970 | 
| 505.526 | 221.976 | 221.976 | -0.000 | 0.000 | -0.000 | 
| 221.976 | 505.526 | 221.976 | -0.000 | -0.000 | 0.000 | 
| 221.976 | 221.976 | 505.526 | -0.000 | 0.000 | -0.000 | 
| 0.000 | -0.001 | -0.001 | 208.970 | -0.000 | 0.000 | 
| -0.001 | 0.000 | -0.001 | -0.000 | 208.970 | -0.000 | 
| -0.001 | -0.001 | 0.000 | -0.000 | -0.000 | 208.970 | 
| 1723906.701 | 2318164.678 | 861068.817 | 721014.831 | 541209.119 | -507365.994 | 
| 1576870.233 | 2374512.379 | 878976.200 | 385565.022 | 573806.679 | -110982.035 | 
| 1992608.660 | 2175700.625 | 678679.485 | 798427.969 | 670038.379 | -189758.811 | 
| 1472586.651 | 2558165.149 | 1443081.864 | 800479.256 | 613706.896 | -30465.424 | 
| 1283283.641 | 1943854.924 | 562111.924 | 740050.613 | 625966.827 | -98328.772 | 
| 1389179.223 | 2076868.238 | 644215.354 | 764511.851 | 519789.365 | -106789.471 | 
| -1583759.151 | -2110335.579 | -785077.893 | -618641.374 | -1132361.997 | 59783.722 | 
| -1578282.461 | -2308847.840 | -340319.964 | -675547.296 | -782652.188 | 54845.034 | 
| -1151870.756 | -1838339.856 | -323859.411 | -594326.778 | -743481.660 | 86685.902 | 
| -1433261.315 | -2382831.544 | -349771.360 | -712940.576 | -692849.832 | 133144.742 | 
| -1139256.424 | -2118895.457 | -328990.193 | -877153.065 | -675816.631 | 49223.689 | 
| -1529928.087 | -2425254.813 | -760976.091 | -552306.153 | -440030.477 | 48168.157 | 
| 157857.150 | 288576.189 | 124997.973 | 51514.055 | 55969.636 | -2340.837 | 
| 119435.790 | 208795.435 | 64445.761 | 66434.050 | 60364.837 | -15943.478 | 
| 165838.049 | 208924.663 | 75090.963 | 89435.592 | 48114.574 | -6680.373 | 
| 180510.854 | 247042.443 | 79480.492 | 76417.980 | 62869.327 | 4342.106 | 
| 168066.621 | 226245.407 | 61038.466 | 68457.139 | 74091.000 | -18978.574 | 
| 123881.446 | 194777.736 | 78712.140 | 53398.935 | 69275.941 | 2092.862 | 
| -122524.913 | -200654.628 | -61884.078 | -62449.957 | -74128.424 | 25288.138 | 
| -123712.364 | -205853.675 | -47575.019 | -69297.470 | -72132.196 | 29490.231 | 
| -142282.035 | -177898.563 | -21294.502 | -55920.093 | -57347.038 | 9548.383 | 
| -146015.779 | -207859.722 | -45202.068 | -63394.907 | -55800.549 | -580.365 | 
| -191847.399 | -231106.694 | -116222.146 | -66534.452 | -57167.875 | 19878.551 | 
| -174833.414 | -266704.621 | -86089.395 | -72415.407 | -54173.124 | 23792.443 | 
| 17626.119 | 20762.448 | 4943.790 | 8272.487 | 6393.543 | -3140.808 | 
| 16203.098 | 24218.930 | 4414.691 | 7382.455 | 4669.336 | 1041.470 | 
| 19063.224 | 24588.379 | 8333.735 | 4335.583 | 7697.099 | -3530.590 | 
| 13692.124 | 21752.199 | 6412.007 | 9381.892 | 6214.265 | -1103.344 | 
| 16429.518 | 23653.723 | 8405.305 | 8087.142 | 6229.182 | -413.582 | 
| 22015.918 | 21082.008 | 9541.370 | 5722.594 | 7931.773 | -454.732 | 
| -15522.948 | -22664.043 | -6063.761 | -6184.129 | -5190.905 | 1783.873 | 
| -15660.862 | -19808.532 | -2949.448 | -7239.622 | -8303.292 | -573.972 | 
| -18885.478 | -20562.059 | -8895.936 | -5247.876 | -6781.015 | 1143.061 | 
| -14884.299 | -17275.016 | -5735.267 | -5798.626 | -7917.664 | 842.322 | 
| -17765.199 | -23219.478 | -7996.279 | -10065.243 | -8862.849 | -345.855 | 
| -14642.281 | -20414.799 | -9758.823 | -8273.099 | -5905.643 | 1012.227 | 
| -175349357.891 | -93015137.181 | -133569904.387 | -4116996.538 | -627216.260 | 2103356.963 | 
| -174955360.288 | -90506338.592 | -133260458.718 | -3519236.352 | -1567677.758 | -215866.438 | 
| -176048795.359 | -94737594.408 | -134601227.083 | -3769344.966 | -1477265.882 | 1483613.473 | 
| -174456892.343 | -94030624.573 | -133508183.725 | -2926422.181 | -1044860.683 | 1330843.106 | 
| -176107247.352 | -94878866.824 | -134207023.478 | -2381591.808 | 236396.030 | 1380513.159 | 
| -175613740.731 | -90985122.966 | -135101175.676 | -3368044.670 | -714783.319 | 826532.824 | 
| 175183094.773 | 92122451.170 | 131754060.057 | 4078097.189 | 1032028.469 | -1961826.964 | 
| 175560214.303 | 91765447.425 | 133912253.989 | 2938008.979 | 1930609.065 | 736239.793 | 
| 176458551.327 | 94452925.732 | 134933335.181 | 3725879.307 | 2105332.223 | -700305.660 | 
| 175522684.886 | 90816552.747 | 132364227.329 | 3364049.130 | 2195290.211 | 296440.560 | 
| 174933773.584 | 91078721.109 | 131798344.603 | 3950327.671 | 2334954.935 | 694404.607 | 
| 175608700.849 | 91269836.727 | 131537979.349 | 3672215.579 | 2033080.019 | 235666.249 | 
| -17440907.866 | -9016325.575 | -13399518.070 | -378803.987 | -107725.984 | 38955.382 | 
| -17513706.636 | -9085533.973 | -13616951.855 | -334397.429 | -115658.859 | 126761.159 | 
| -17593803.878 | -9401126.632 | -13380131.094 | -400176.072 | -146302.389 | 225687.283 | 
| -17602040.851 | -9194320.594 | -13415824.780 | -227739.038 | -84264.816 | 121643.271 | 
| -17497908.942 | -9380877.020 | -13465642.255 | -426891.923 | -179818.001 | 153312.499 | 
| -17531356.473 | -9094361.978 | -13206944.709 | -248944.330 | -149401.823 | 14786.424 | 
| 17638218.683 | 9418222.134 | 13419986.414 | 362024.854 | 130444.763 | -273291.549 | 
| 17519514.122 | 9344871.141 | 13512683.394 | 427716.765 | 153619.175 | -110472.283 | 
| 17503628.652 | 9062365.695 | 13345212.523 | 388215.512 | 163990.357 | 13268.517 | 
| 17490600.923 | 8991719.017 | 13209662.606 | 370226.997 | 88187.898 | 27530.516 | 
| 17566145.316 | 9113516.395 | 13380743.474 | 356122.913 | 215209.757 | -82487.193 | 
| 17616353.818 | 9128642.240 | 13402175.217 | 258002.522 | 95119.337 | -15727.336 | 
| -1752375.162 | -905760.695 | -1338490.081 | -24500.577 | -12754.815 | 3525.632 | 
| -1767333.986 | -913202.102 | -1338964.324 | -32649.911 | -15755.209 | 6650.847 | 
| -1757610.557 | -908298.764 | -1346548.837 | -31210.357 | -18086.296 | 8578.719 | 
| -1732359.482 | -899486.357 | -1315869.040 | -33500.553 | -23099.446 | -14947.610 | 
| -1743388.352 | -925410.150 | -1340938.907 | -39089.035 | -8355.896 | 20273.566 | 
| -1756098.133 | -938330.387 | -1347581.628 | -45238.705 | -17155.823 | 12601.481 | 
| 1765771.300 | 922762.838 | 1352820.096 | 31222.605 | 14884.583 | -8095.163 | 
| 1752875.279 | 922373.536 | 1342197.287 | 30857.601 | 12406.705 | 3878.280 | 
| 1760426.568 | 914093.905 | 1329204.028 | 36550.108 | 9779.068 | -5582.284 | 
| 1753689.347 | 931122.071 | 1352343.814 | 40474.678 | 11102.066 | 2775.476 | 
| 1764977.306 | 910270.541 | 1335664.396 | 29913.516 | 22029.284 | -3190.658 | 
| 1749822.248 | 937632.137 | 1354596.019 | 33926.621 | 9931.904 | -5628.009 | 
| 380.594 | 125.412 | 125.412 | -0.000 | 0.000 | -0.000 | 
| 125.412 | 380.594 | 125.412 | -0.000 | 0.000 | -0.000 | 
| 125.412 | 125.412 | 380.594 | 0.000 | 0.000 | -0.000 | 
| 0.000 | 0.000 | 0.000 | 187.275 | -0.000 | -0.000 | 
| 0.000 | 0.000 | 0.000 | -0.000 | 187.275 | -0.000 | 
| 0.000 | 0.000 | 0.000 | -0.000 | 0.000 | 187.275 | 
| 406.626 | 122.638 | 122.638 | 0.000 | -0.000 | 0.000 | 
| 122.638 | 406.626 | 122.638 | 0.000 | 0.000 | -0.000 | 
| 122.638 | 122.638 | 406.626 | 0.000 | -0.000 | -0.000 | 
| -0.000 | -0.000 | -0.000 | 187.275 | 0.000 | 0.000 | 
| -0.000 | -0.000 | -0.000 | 0.000 | 187.275 | 0.000 | 
| -0.000 | -0.000 | -0.000 | 0.000 | -0.000 | 187.275 | 
| 406.626 | 122.638 | 122.638 | -0.000 | 0.000 | -0.000 | 
| 122.638 | 406.626 | 122.638 | -0.000 | -0.000 | -0.000 | 
| 122.638 | 122.638 | 406.626 | -0.000 | -0.000 | -0.000 | 
| 0.000 | 0.000 | 0.000 | 187.275 | -0.000 | -0.000 | 
| 0.000 | 0.000 | 0.000 | -0.000 | 187.275 | -0.000 | 
| 0.000 | 0.000 | 0.000 | -0.000 | 0.000 | 187.275 | 
| 378.569 | 106.798 | 106.798 | 0.000 | 0.000 | 0.000 | 
| 106.798 | 378.569 | 106.798 | 0.000 | -0.000 | 0.000 | 
| 106.798 | 106.798 | 378.569 | 0.000 | 0.000 | -0.000 | 
| -0.000 | -0.000 | -0.000 | 187.275 | -0.000 | -0.000 | 
| -0.000 | -0.000 | -0.000 | 0.000 | 187.275 | 0.000 | 
| -0.000 | -0.000 | -0.000 | 0.000 | 0.000 | 187.275 | 
| 406.627 | 122.639 | 122.639 | -0.000 | 0.000 | -0.000 | 
| 122.639 | 406.627 | 122.639 | -0.000 | 0.000 | 0.000 | 
| 122.639 | 122.639 | 406.627 | -0.000 | 0.000 | -0.000 | 
| 0.067 | 0.067 | 0.067 | 145.084 | -0.000 | 0.000 | 
| 0.067 | 0.067 | 0.067 | -0.000 | 145.084 | -0.000 | 
| 0.067 | 0.067 | 0.067 | -0.000 | -0.000 | 145.084 | 
| 379.078 | 107.526 | 107.526 | 0.000 | 0.000 | -0.000 | 
| 107.526 | 379.078 | 107.526 | 0.000 | -0.000 | -0.000 | 
| 107.526 | 107.526 | 379.078 | 0.000 | -0.000 | -0.000 | 
| -0.067 | -0.067 | -0.067 | 145.084 | -0.000 | 0.000 | 
| -0.067 | -0.067 | -0.067 | 0.000 | 145.084 | -0.000 | 
| -0.067 | -0.067 | -0.067 | 0.000 | -0.000 | 145.084 | 
| 640.799 | 406.912 | 406.912 | -0.000 | -0.000 | -0.000 | 
| 406.912 | 640.799 | 406.912 | -0.000 | -0.000 | -0.000 | 
| 406.912 | 406.912 | 640.799 | 0.000 | -0.000 | -0.000 | 
| -0.000 | -0.000 | -0.000 | 33.222 | -0.000 | 0.000 | 
| -0.000 | -0.000 | -0.000 | -0.000 | 33.222 | -0.000 | 
| -0.000 | -0.000 | 0.000 | -0.000 | 0.000 | 33.222 | 
| 640.799 | 406.912 | 406.912 | 0.000 | -0.000 | 0.000 | 
| 406.912 | 640.799 | 406.912 | -0.000 | 0.000 | 0.000 | 
| 406.912 | 406.912 | 640.799 | 0.000 | 0.000 | 0.000 | 
| 0.000 | 0.000 | 0.000 | 33.222 | 0.000 | 0.000 | 
| 0.000 | 0.000 | 0.000 | 0.000 | 33.222 | 0.000 | 
| 0.000 | 0.000 | -0.000 | 0.000 | -0.000 | 33.222 | 
| 640.800 | 406.913 | 406.913 | -0.000 | -0.000 | 0.000 | 
| 406.913 | 640.800 | 406.913 | -0.000 | -0.000 | 0.000 | 
| 406.913 | 406.913 | 640.800 | -0.000 | -0.000 | -0.000 | 
| 0.000 | 0.000 | 0.000 | 501.423 | 0.000 | -0.000 | 
| 0.000 | 0.000 | 0.000 | 0.000 | 501.423 | -0.000 | 
| 0.000 | 0.000 | 0.000 | 0.000 | 0.000 | 501.423 | 
| 640.799 | 406.912 | 406.912 | 0.000 | -0.000 | 0.000 | 
| 406.912 | 640.799 | 406.912 | -0.000 | -0.000 | 0.000 | 
| 406.912 | 406.912 | 640.799 | -0.000 | 0.000 | 0.000 | 
| -0.000 | -0.000 | -0.000 | 501.423 | -0.000 | 0.000 | 
| -0.000 | -0.000 | -0.000 | -0.000 | 501.423 | 0.000 | 
| -0.000 | -0.000 | -0.000 | -0.000 | -0.000 | 501.423 | 
| 640.803 | 406.916 | 406.916 | -0.000 | 0.000 | -0.000 | 
| 406.916 | 640.803 | 406.916 | 0.000 | -0.000 | -0.000 | 
| 406.916 | 406.916 | 640.803 | -0.000 | -0.000 | -0.000 | 
| -0.000 | -0.000 | -0.000 | 33.222 | -0.000 | -0.000 | 
| -0.000 | -0.000 | -0.000 | -0.000 | 33.222 | -0.000 | 
| -0.000 | -0.000 | -0.000 | -0.000 | 0.000 | 33.222 | 
| 640.796 | 406.908 | 406.908 | 0.000 | 0.000 | 0.000 | 
| 406.908 | 640.796 | 406.908 | 0.000 | 0.000 | 0.000 | 
| 406.908 | 406.908 | 640.796 | -0.000 | 0.000 | 0.000 | 
| 0.000 | 0.000 | 0.000 | 33.222 | 0.000 | -0.000 | 
| 0.000 | 0.000 | 0.000 | 0.000 | 33.222 | -0.000 | 
| 0.000 | 0.000 | 0.000 | 0.000 | -0.000 | 33.222 | 
| -47.332 | 40.076 | 40.076 | -0.000 | -0.000 | -0.000 | 
| 40.076 | -47.332 | 40.076 | -0.000 | -0.000 | -0.000 | 
| 40.076 | 40.076 | -47.332 | -0.000 | -0.000 | -0.000 | 
| 45368607.999 | 51642341.463 | 47010663.247 | -2116323.960 | -30526.483 | 344300.292 | 
| 53655522.268 | 47649463.508 | 45415193.269 | 64380.575 | -1618911.184 | 231157.011 | 
| 48029735.974 | 48177473.095 | 46552716.951 | -299593.632 | -335924.698 | -2696826.067 | 
| -47.332 | 40.076 | 40.076 | -0.000 | 0.000 | 0.000 | 
| 40.076 | -47.332 | 40.076 | 0.000 | -0.000 | 0.000 | 
| 40.076 | 40.076 | -47.332 | 0.000 | 0.000 | 0.000 | 
| -47321861.836 | -40081888.716 | -38281340.652 | -1416095.081 | -366213.405 | -49412.627 | 
| -41070391.001 | -48901577.440 | -35676269.884 | -190193.052 | -1544271.956 | 112226.912 | 
| -41162404.064 | -38320047.697 | -47354374.837 | -36946.958 | 71379.942 | -1627771.034 | 
| -47.332 | 40.076 | 40.076 | -0.000 | -0.000 | 0.000 | 
| 40.076 | -47.332 | 40.076 | -0.000 | -0.000 | 0.000 | 
| 40.076 | 40.076 | -47.332 | -0.000 | -0.000 | -0.000 | 
| 5577074.199 | 5044577.177 | 3300298.813 | 107799.597 | -14740.197 | -24140.081 | 
| 5076988.615 | 5757432.884 | 3204923.730 | 3961.644 | 121005.950 | -6404.275 | 
| 5011019.865 | 3398767.985 | 5522278.116 | -14571.296 | 40264.526 | 110983.391 | 
| -47.332 | 40.077 | 40.077 | 0.000 | -0.000 | 0.000 | 
| 40.077 | -47.332 | 40.077 | -0.000 | 0.000 | 0.000 | 
| 40.077 | 40.077 | -47.332 | 0.000 | 0.000 | -0.000 | 
| -5207258.781 | -4715804.653 | -4335241.690 | -31426.106 | -27279.949 | -60695.798 | 
| -4620972.988 | -4688305.059 | -4300398.420 | 438.940 | 57190.715 | 1501.053 | 
| -4468347.617 | -4061730.052 | -4650337.538 | 1000.090 | 63375.765 | 65429.136 | 
| -47.333 | 40.075 | 40.075 | -0.000 | -0.000 | 0.000 | 
| 40.075 | -47.333 | 40.075 | -0.000 | -0.000 | -0.000 | 
| 40.075 | 40.075 | -47.333 | -0.000 | -0.000 | -0.000 | 
| 392514.519 | 467301.932 | 487680.778 | 35787.587 | -1480.929 | 273.875 | 
| 471820.605 | 399176.435 | 497424.244 | -236.347 | 34478.570 | -355.824 | 
| 434558.500 | 528693.209 | 398591.896 | 3874.925 | -2892.130 | 10235.038 | 
| -47.330 | 40.078 | 40.078 | 0.000 | 0.000 | 0.000 | 
| 40.078 | -47.330 | 40.078 | 0.000 | 0.000 | 0.000 | 
| 40.078 | 40.078 | -47.330 | 0.000 | 0.000 | 0.000 | 
| 0.028 | -740820.147 | -740820.486 | 169300.789 | -0.000 | -0.000 | 
| -373504.887 | -457161.596 | -461827.529 | 2343.502 | 2277.533 | 920.768 | 
| -388646.610 | -447213.988 | -465415.074 | 2055.002 | 786.505 | 164.716 | 
| -1086809.804 | 135167.309 | 14961.633 | -5632.266 | 5710.459 | 8283.164 | 
| -186123.342 | -193426.427 | 80386.653 | 1780.578 | 12956.031 | 6005.517 | 
| -166205.192 | -190913.001 | 89821.775 | 1267.293 | 6836.707 | 1774.562 | 
| -164126.111 | -196695.864 | 85582.924 | 1151.906 | 11937.475 | 6022.192 | 
| -164044.550 | -196891.722 | 85820.949 | 1102.283 | 12153.218 | 6261.433 | 
| -164191.934 | -196971.958 | 85802.860 | 1095.790 | 12148.066 | 6258.877 | 
| 389819.037 | 393163.585 | -803962.031 | -1221.271 | -7619.379 | -1745.735 | 
| 278385.416 | 239753.350 | -738778.921 | 3335.843 | -6924.453 | -5126.960 | 
| 340978.175 | 367868.777 | -848324.464 | -21691.785 | -13100.180 | -6784.565 | 
| -647622.346 | 119274.246 | -388236.161 | 24898.991 | 8021.470 | 6430.074 | 
| 345111.238 | 415628.546 | -838487.557 | -1818.311 | -10600.950 | -3903.957 | 
| 265395.644 | 229849.086 | -530034.725 | -6673.303 | -10154.263 | 2070.877 | 
| 8504.075 | -21462.184 | 11854.599 | 765.651 | 274.264 | 201.960 | 
| -34835.297 | -38354.994 | 83405.981 | 160.936 | 232.804 | -281.650 | 
| -60224.935 | -41139.477 | 80617.212 | 7.161 | 794.854 | 1018.577 | 
| -58674.380 | -25734.589 | 26832.588 | 764.263 | 654.131 | -290.039 | 
| -45125.363 | -46501.859 | 77568.699 | 345.005 | 1206.221 | -386.027 | 
| -288.086 | -42963.106 | 14065.496 | 492.533 | 278.647 | 217.176 | 
| 17472.382 | 19410.352 | -8550.970 | 6.293 | -1225.014 | -640.926 | 
| 54892.201 | 9941.057 | -50201.799 | -389.646 | -232.016 | 469.262 | 
| 16927.190 | 19269.703 | -7823.547 | -2.108 | -684.839 | -216.694 | 
| 16696.022 | 19962.744 | -8555.274 | -102.779 | -1340.616 | -768.580 | 
| 16458.120 | 19627.631 | -8543.033 | -119.247 | -1132.723 | -551.547 | 
| 16597.765 | 19348.400 | -8767.062 | -130.670 | -777.017 | -268.545 | 
| -3959.196 | -2569.297 | 776.910 | 14.930 | 8.245 | -15.252 | 
| -3726.550 | -2562.479 | 5027.477 | 43.841 | 57.129 | 4.470 | 
| -3897.720 | -4046.716 | 2075.615 | 53.855 | 98.745 | 38.994 | 
| -11973.480 | -7346.825 | 3962.883 | -7.049 | 40.706 | 110.237 | 
| -5142.723 | -2296.590 | 3728.896 | 56.773 | 10.126 | 63.930 | 
| -8811.242 | -3233.752 | 2536.748 | -59.637 | -2.670 | -50.929 | 
| 5500.363 | 3087.658 | 235.934 | -45.049 | -118.450 | -87.400 | 
| 2706.727 | 3395.945 | -2914.060 | -27.842 | -55.155 | -12.969 | 
| 1098.832 | 2071.428 | -404.699 | -56.821 | -182.170 | -70.826 | 
| 4188.244 | 4133.893 | -8052.514 | -35.889 | -41.848 | 54.292 | 
| 4185.078 | 2330.164 | -4583.512 | -89.350 | -61.033 | -33.687 | 
| 3767.001 | 3936.368 | -8199.263 | -62.969 | -100.613 | -71.811 | 
| 32260698.325 | 31527977.690 | 32303827.511 | -421045.827 | 158662.995 | -1783083.134 | 
| 29077756.925 | 29833486.972 | 29757411.502 | -1034713.453 | -193583.596 | -1569250.320 | 
| 32928116.765 | 33019925.734 | 33697913.405 | -3767301.547 | 519197.763 | -2659371.615 | 
| 35878992.713 | 37029872.845 | 37030742.028 | 1441810.933 | -970733.784 | -179326.636 | 
| 35900594.084 | 34854783.841 | 35955482.793 | -1349144.180 | -708222.078 | 877709.069 | 
| 43109762.503 | 43035588.743 | 41802014.879 | -1862315.921 | 1280686.198 | -1794177.450 | 
| 817.495 | 1079.405 | 1079.405 | 0.000 | -0.000 | -0.000 | 
| 1079.405 | 817.495 | 1079.405 | 0.000 | 0.000 | -0.000 | 
| 1079.405 | 1079.405 | 817.495 | -0.000 | -0.000 | 0.000 | 
| -31576426.185 | -32917026.953 | -32939892.583 | 2253711.444 | -1722856.410 | 1323689.857 | 
| -31055883.043 | -30039509.473 | -31046033.053 | 577494.551 | 2245540.044 | -660334.574 | 
| -39919281.978 | -39910525.284 | -38852202.777 | 2407926.407 | 499233.321 | 4337002.622 | 
| 817.487 | 1079.401 | 1079.401 | -0.000 | 0.000 | -0.000 | 
| 1079.401 | 817.487 | 1079.401 | -0.000 | -0.000 | -0.000 | 
| 1079.401 | 1079.401 | 817.487 | -0.000 | -0.000 | -0.000 | 
| 3246973.716 | 3387239.982 | 3384676.226 | -347207.166 | -50358.746 | 19069.053 | 
| 3984299.224 | 3868251.558 | 3989350.835 | -12864.115 | -469871.344 | -168633.147 | 
| 3253376.382 | 3250363.569 | 3143019.013 | 51127.584 | 218264.746 | -48059.036 | 
| -3078243.584 | -2963849.459 | -3078217.395 | 35389.644 | -114537.775 | -125795.011 | 
| -3086493.451 | -3207454.517 | -3215321.641 | -406525.646 | 259430.948 | 126960.057 | 
| -2798887.112 | -2818128.005 | -2892752.925 | 242238.486 | 63474.263 | 85195.733 | 
| -3012236.062 | -3126039.774 | -3127556.424 | -79724.061 | -60932.780 | -241080.162 | 
| -3159209.112 | -3055525.972 | -3161677.669 | -18480.897 | 22797.040 | -160917.620 | 
| -3513263.354 | -3515270.070 | -3384372.390 | -141594.191 | -167613.996 | 70837.055 | 
| 328463.903 | 320925.433 | 327842.230 | 127.524 | 9153.561 | -9527.781 | 
| 331434.444 | 338533.526 | 338243.411 | -14720.874 | 11257.953 | -21037.795 | 
| 272996.083 | 273868.087 | 285842.714 | -27721.929 | -4560.851 | -8461.944 | 
| 370016.086 | 383361.392 | 382725.556 | -32535.223 | -29762.369 | 8563.785 | 
| 373401.537 | 361239.811 | 373287.323 | -25314.265 | -20910.512 | 22053.627 | 
| 459028.048 | 458229.447 | 439550.063 | -6383.027 | 32686.165 | 37123.579 | 
| 817.570 | 1079.442 | 1079.442 | 0.000 | 0.000 | 0.000 | 
| 1079.442 | 817.570 | 1079.442 | 0.000 | 0.000 | 0.000 | 
| 1079.442 | 1079.442 | 817.570 | 0.000 | 0.000 | 0.000 | 
| -380840.460 | -390993.053 | -391175.965 | 79437.627 | -26965.764 | 15285.626 | 
| -381201.542 | -368618.058 | -380860.232 | -5170.971 | 72236.391 | 12318.665 | 
| -358586.252 | -358197.360 | -345675.752 | -18019.986 | 827.829 | 23036.282 | 
| 894.305 | -429.085 | -429.085 | -0.000 | -0.000 | -0.000 | 
| -429.085 | 894.305 | -429.085 | -0.000 | -0.000 | -0.000 | 
| -429.085 | -429.085 | 894.305 | -0.000 | -0.000 | -0.000 | 
| 0.000 | 0.000 | 0.000 | 584.248 | -0.000 | -0.000 | 
| 0.000 | 0.000 | 0.000 | -0.000 | 584.248 | -0.000 | 
| 0.000 | 0.000 | -0.000 | -0.000 | -0.000 | 584.248 | 
| 894.305 | -429.085 | -429.085 | 0.000 | 0.000 | 0.000 | 
| -429.085 | 894.305 | -429.085 | 0.000 | 0.000 | 0.000 | 
| -429.085 | -429.085 | 894.305 | 0.000 | 0.000 | 0.000 | 
| -0.000 | -0.000 | -0.000 | 584.249 | 0.000 | 0.000 | 
| -0.000 | -0.000 | -0.000 | 0.000 | 584.249 | 0.000 | 
| -0.000 | -0.000 | -0.000 | 0.000 | 0.000 | 584.249 | 
| 894.305 | -429.085 | -429.085 | -0.000 | -0.000 | -0.000 | 
| -429.085 | 894.305 | -429.085 | -0.000 | -0.000 | -0.000 | 
| -429.085 | -429.085 | 894.305 | -0.000 | -0.000 | -0.000 | 
| 0.000 | 0.000 | 0.000 | 584.249 | -0.000 | -0.000 | 
| 0.000 | 0.000 | 0.000 | -0.000 | 584.249 | -0.000 | 
| 0.000 | 0.000 | 0.000 | -0.000 | -0.000 | 584.249 | 
| 894.304 | -429.085 | -429.085 | 0.000 | 0.000 | 0.000 | 
| -429.085 | 894.304 | -429.085 | 0.000 | 0.000 | 0.000 | 
| -429.085 | -429.085 | 894.304 | 0.000 | 0.000 | 0.000 | 
| -0.000 | -0.000 | -0.000 | 584.249 | 0.000 | 0.000 | 
| -0.000 | -0.000 | -0.000 | 0.000 | 584.249 | 0.000 | 
| -0.000 | -0.000 | -0.000 | 0.000 | 0.000 | 584.249 | 
| 894.309 | -429.085 | -429.085 | -0.000 | -0.000 | -0.000 | 
| -429.085 | 894.309 | -429.085 | -0.000 | -0.000 | -0.000 | 
| -429.085 | -429.085 | 894.309 | -0.000 | -0.000 | -0.000 | 
| 0.001 | 0.001 | 0.001 | 584.254 | -0.000 | -0.000 | 
| 0.001 | 0.001 | 0.001 | -0.000 | 584.254 | -0.000 | 
| 0.001 | 0.001 | 0.001 | -0.000 | -0.000 | 584.254 | 
| 894.301 | -429.085 | -429.085 | 0.000 | 0.000 | 0.000 | 
| -429.085 | 894.301 | -429.085 | 0.000 | 0.000 | 0.000 | 
| -429.085 | -429.085 | 894.301 | 0.000 | 0.000 | 0.000 | 
| -0.001 | -0.001 | -0.001 | 584.254 | 0.000 | 0.000 | 
| -0.001 | -0.001 | -0.001 | 0.000 | 584.254 | 0.000 | 
| -0.001 | -0.001 | -0.001 | 0.000 | 0.000 | 584.254 | 
| -7872.401 | -30770.791 | -13564.629 | -20677.106 | 4410.002 | 14347.560 | 
| -39271.454 | -27143.622 | 19401.276 | -6658.842 | 28513.381 | -844.683 | 
| -55530.828 | -73414.145 | -25686.309 | -13810.143 | 4062.712 | -24800.597 | 
| -25059.694 | -32672.953 | 15632.811 | -33489.758 | -6282.287 | 12019.007 | 
| -56577.465 | -32087.760 | -15988.357 | -55963.195 | -12.238 | -5223.158 | 
| -7719.032 | -16532.350 | 33625.269 | -21368.253 | -3519.438 | 17706.656 | 
| 27471.567 | 54386.432 | 18737.538 | -265.041 | -1802.844 | 20991.944 | 
| 82889.878 | 99827.759 | 59020.781 | 3941.906 | 1707.338 | -5736.662 | 
| 25011.663 | 15819.912 | -4865.881 | 53118.031 | 1505.781 | -25798.588 | 
| 21100.423 | 49520.797 | 16545.727 | 16585.185 | -37.927 | -15656.165 | 
| 66914.009 | 85836.397 | 52549.957 | 8963.645 | -1331.515 | -7001.494 | 
| 19268.844 | 32620.739 | -7730.849 | 31851.940 | 28250.270 | -9647.274 | 
| -4743.362 | -5840.273 | -2388.731 | -2759.515 | 319.208 | 135.631 | 
| -5043.594 | -8608.506 | 662.636 | -3102.602 | 840.116 | -4520.629 | 
| -6560.462 | -6890.356 | -1834.375 | -2134.360 | 286.094 | -2918.000 | 
| -2360.920 | -4185.311 | -1168.386 | -619.234 | 78.558 | -349.617 | 
| -6483.309 | -6382.558 | -3337.552 | -3591.166 | 591.988 | -400.919 | 
| -12563.961 | -12790.878 | -7031.485 | -131.529 | 780.429 | -28.810 | 
| 11799.411 | 14003.399 | 8648.046 | 1198.928 | -2430.755 | -84.726 | 
| 1989.862 | 644.930 | -610.786 | 3979.598 | 214.955 | 820.672 | 
| 8932.104 | 8446.143 | 1121.018 | 5655.193 | -777.607 | 8620.563 | 
| 3961.415 | 5172.705 | 1436.151 | 2212.361 | -167.898 | 689.344 | 
| 4580.291 | 4335.203 | 3287.642 | 3728.758 | -2600.747 | -2821.084 | 
| 6066.694 | 6834.613 | 1630.072 | 3165.238 | -88.388 | 3969.005 | 
| -306.328 | -392.273 | 51.574 | -434.168 | -83.846 | -168.578 | 
| -123.556 | -293.658 | 172.207 | 16.934 | 136.862 | 95.381 | 
| 101.734 | -159.105 | 415.814 | -287.990 | -85.828 | -25.639 | 
| -71.825 | -253.889 | 112.704 | -218.007 | -2.576 | -87.823 | 
| 374.545 | 240.190 | 615.733 | -352.238 | 43.416 | -154.741 | 
| -840.659 | -1057.218 | -165.923 | -157.167 | -23.273 | 481.795 | 
| 1029.941 | 1068.831 | 552.809 | 342.443 | -93.911 | 419.237 | 
| 978.359 | 1085.970 | 493.252 | 60.046 | -119.301 | -460.022 | 
| 1022.760 | 1074.245 | 495.125 | 326.838 | -122.670 | 430.025 | 
| 94.417 | 101.483 | -177.516 | 125.051 | -54.974 | -144.451 | 
| 85.465 | 118.731 | -44.242 | 190.241 | 161.018 | -147.957 | 
| 413.520 | 429.977 | 175.602 | 274.721 | 119.584 | -65.516 | 
| 347.144 | -906.010 | 595.007 | 2.590 | -0.000 | 0.000 | 
| -725.994 | 1785.040 | -1022.894 | 29.993 | 0.000 | -0.000 | 
| -864.133 | -864.133 | 1764.371 | 0.000 | -0.000 | 0.000 | 
| -484.065 | -489.281 | 973.340 | 635.880 | -0.000 | 0.000 | 
| 0.002 | 0.002 | -0.003 | -0.000 | 958.613 | -29.993 | 
| -497.024 | -497.023 | 994.041 | 0.000 | 3.301 | 644.719 | 
| 1785.037 | -725.997 | -1022.888 | -29.993 | 0.000 | 0.000 | 
| 65.451 | 1319.958 | -1349.255 | -2.454 | 0.000 | -0.000 | 
| 109.192 | 109.191 | -182.265 | -0.000 | 0.000 | -0.000 | 
| 489.281 | 484.065 | -973.339 | 635.880 | 0.000 | -0.000 | 
| -0.002 | -0.002 | 0.003 | 0.000 | 958.613 | -29.993 | 
| 497.024 | 497.023 | -994.041 | -0.000 | 3.301 | 644.719 | 
| 1785.040 | -725.995 | -1022.892 | -29.993 | 0.000 | 0.000 | 
| -725.996 | 1785.040 | -1022.892 | 29.993 | 0.000 | -0.000 | 
| -426.127 | -426.127 | 888.365 | 0.000 | 0.000 | 0.000 | 
| -29.992 | 29.993 | -0.000 | 958.613 | 0.000 | -0.000 | 
| 0.000 | 0.000 | -0.000 | -0.000 | 958.613 | -29.993 | 
| -48.335 | -48.335 | 96.670 | -0.000 | 2.385 | 627.585 | 
| 882.527 | -377.434 | -468.946 | 2.956 | -0.000 | 0.000 | 
| -725.995 | 1785.036 | -1022.891 | 29.993 | -0.000 | 0.000 | 
| -328.881 | -328.881 | 693.874 | -0.000 | 0.000 | -0.000 | 
| -29.993 | 29.992 | 0.000 | 958.613 | -0.000 | 0.000 | 
| -0.000 | -0.000 | 0.000 | 0.000 | 958.613 | -29.993 | 
| 48.335 | 48.335 | -96.670 | 0.000 | 2.385 | 627.585 | 
| 829.554 | -424.152 | -369.252 | 2.532 | -0.000 | 0.000 | 
| -461.359 | 879.441 | -381.932 | -1.902 | -0.000 | 0.000 | 
| -382.326 | -382.326 | 800.767 | 0.000 | -0.000 | 0.000 | 
| -2.257 | -7.477 | 9.736 | 635.868 | -0.000 | 0.000 | 
| -4.867 | -4.866 | 9.736 | -0.000 | 635.877 | 2.608 | 
| -4.832 | -4.831 | 9.665 | -0.000 | 2.375 | 627.636 | 
| 839.368 | -414.480 | -388.744 | 2.528 | 0.000 | -0.000 | 
| -414.698 | 840.061 | -389.219 | -2.504 | 0.000 | -0.000 | 
| -373.381 | -373.381 | 782.870 | -0.000 | 0.000 | -0.000 | 
| 7.476 | 2.257 | -9.736 | 635.858 | 0.000 | -0.000 | 
| 4.867 | 4.866 | -9.736 | 0.000 | 635.877 | 2.608 | 
| 4.832 | 4.831 | -9.665 | 0.000 | 2.375 | 627.636 | 
| 830.750 | -427.458 | -367.156 | -1.424 | 0.000 | 0.000 | 
| -725.992 | 1785.026 | -1022.897 | -16.796 | 0.000 | -0.000 | 
| -383.252 | -383.252 | 802.636 | -0.000 | -0.000 | -0.000 | 
| -7.265 | -4.344 | 11.609 | 635.880 | -0.000 | -0.000 | 
| -0.000 | -0.000 | 0.000 | 0.000 | 958.603 | 16.796 | 
| -6.126 | -6.126 | 12.251 | -0.000 | -2.471 | 630.345 | 
| 1785.026 | -725.992 | -1022.897 | 16.796 | -0.000 | 0.000 | 
| -415.851 | 842.390 | -390.402 | 1.422 | 0.000 | -0.000 | 
| -371.658 | -371.658 | 779.448 | 0.000 | 0.000 | 0.000 | 
| 4.344 | 7.265 | -11.609 | 635.879 | 0.000 | 0.000 | 
| 0.000 | 0.000 | -0.000 | -0.000 | 958.603 | 16.796 | 
| 6.126 | 6.126 | -12.251 | 0.000 | -2.471 | 630.345 | 
| 837.201 | -447.464 | -353.600 | -2.101 | 0.000 | -0.000 | 
| -447.444 | 837.133 | -353.552 | 2.102 | -0.000 | -0.000 | 
| -377.958 | -377.958 | 792.049 | 0.000 | 0.000 | 0.000 | 
| 16.796 | -16.795 | 0.000 | 958.603 | 0.000 | -0.000 | 
| 0.000 | 0.000 | 0.000 | 0.000 | 958.603 | 16.796 | 
| -0.613 | -0.612 | 1.225 | -0.000 | -2.471 | 630.339 | 
| 837.152 | -421.074 | -379.941 | -1.423 | 0.000 | -0.000 | 
| -421.094 | 837.219 | -379.989 | 1.421 | 0.000 | 0.000 | 
| -376.952 | -376.952 | 790.035 | 0.000 | 0.000 | 0.000 | 
| -0.871 | 2.031 | -1.161 | 636.046 | 0.000 | 0.000 | 
| -0.000 | -0.000 | -0.000 | -0.000 | 958.603 | 16.796 | 
| 0.613 | 0.612 | -1.225 | 0.000 | -2.471 | 630.339 | 
| 836.481 | -421.704 | -378.637 | -1.424 | 0.000 | 0.000 | 
| -421.458 | 835.800 | -378.202 | 1.436 | -0.000 | 0.000 | 
| -376.744 | -376.744 | 789.623 | -0.000 | -0.000 | -0.000 | 
| -1.517 | 1.402 | 0.117 | 635.879 | -0.000 | -0.000 | 
| -0.059 | -0.057 | 0.118 | 0.000 | 635.880 | -1.460 | 
| -0.063 | -0.059 | 0.124 | -0.000 | -2.471 | 630.341 | 
| 837.855 | -446.802 | -354.920 | -2.101 | 0.000 | 0.000 | 
| -447.003 | 838.532 | -355.396 | 2.088 | 0.000 | 0.000 | 
| -378.173 | -378.173 | 792.476 | 0.000 | 0.000 | 0.000 | 
| -1.404 | 1.519 | -0.118 | 635.875 | 0.000 | 0.000 | 
| 0.059 | 0.057 | -0.118 | -0.000 | 635.880 | -1.460 | 
| 0.063 | 0.059 | -0.124 | 0.000 | -2.471 | 630.341 | 
| 1785.124 | -726.030 | -1022.968 | 46.657 | 0.000 | 0.000 | 
| -451.986 | 840.437 | -352.323 | 6.031 | -0.000 | 0.000 | 
| -377.460 | -377.460 | 791.074 | 0.000 | -0.000 | -0.000 | 
| 46.657 | -46.657 | 0.000 | 958.645 | -0.000 | -0.000 | 
| -0.000 | -0.000 | 0.000 | -0.000 | 958.645 | 46.657 | 
| -0.002 | -0.002 | 0.003 | 0.000 | -7.228 | 632.370 | 
| 1785.124 | -726.030 | -1022.969 | 46.657 | -0.000 | -0.000 | 
| -451.288 | 838.042 | -350.626 | 6.165 | 0.000 | 0.000 | 
| -377.472 | -377.472 | 791.099 | -0.000 | 0.000 | 0.000 | 
| -4.055 | 4.058 | -0.003 | 635.905 | 0.000 | 0.000 | 
| 0.000 | 0.000 | -0.000 | 0.000 | 958.645 | 46.657 | 
| 0.002 | 0.002 | -0.003 | -0.000 | -7.228 | 632.370 | 
| 1785.125 | -726.030 | -1022.969 | 46.657 | 0.000 | 0.000 | 
| -457.411 | 859.144 | -365.605 | 4.988 | -0.000 | 0.000 | 
| -378.810 | -378.810 | 793.774 | 0.000 | -0.000 | -0.000 | 
| -4.073 | 4.073 | 0.001 | 635.798 | -0.000 | -0.000 | 
| -0.000 | -0.000 | 0.001 | 0.000 | 635.903 | -4.057 | 
| -0.000 | 0.000 | 0.000 | -0.000 | -7.228 | 632.370 | 
| 1785.123 | -726.030 | -1022.968 | 46.657 | -0.000 | -0.000 | 
| -726.030 | 1785.122 | -1022.968 | -46.657 | 0.000 | 0.000 | 
| -1022.972 | -1022.972 | 2082.103 | 0.000 | 0.000 | 0.000 | 
| -4.057 | 4.057 | -0.001 | 635.904 | 0.000 | 0.000 | 
| 0.000 | 0.000 | -0.001 | -0.000 | 635.903 | -4.057 | 
| 0.000 | -0.000 | -0.000 | 0.000 | -7.228 | 632.370 | 
| 838.760 | -424.144 | -378.485 | -3.976 | -0.000 | -0.000 | 
| -423.921 | 838.092 | -378.039 | 4.011 | -0.000 | -0.000 | 
| -377.466 | -377.466 | 791.090 | 0.000 | -0.000 | -0.000 | 
| -4.056 | 4.057 | 0.001 | 635.905 | -0.000 | -0.000 | 
| -0.001 | 0.001 | 0.002 | 0.000 | 635.906 | -4.057 | 
| 0.000 | 0.001 | 0.001 | 0.000 | -3.557 | 631.994 | 
| 838.198 | -428.828 | -373.245 | -4.388 | -0.000 | -0.000 | 
| -424.359 | 839.499 | -379.015 | 3.935 | 0.000 | 0.000 | 
| -378.243 | -378.243 | 792.637 | -0.000 | 0.000 | 0.000 | 
| -4.060 | 4.060 | -0.002 | 635.891 | 0.000 | 0.000 | 
| 0.001 | -0.001 | -0.002 | -0.000 | 635.906 | -4.057 | 
| -0.000 | -0.001 | -0.001 | -0.000 | -3.557 | 631.994 | 
| -2859385.755 | -2884309.614 | -3258038.312 | 160360.333 | 195413.501 | 3959.258 | 
| -3014089.431 | -3140480.117 | -3312136.891 | 231968.455 | 281974.255 | 8885.836 | 
| -3073020.795 | -2944579.032 | -3279974.650 | 242246.271 | 225906.769 | 41678.035 | 
| -2728186.602 | -2749160.389 | -3136088.896 | 165804.429 | 240911.229 | -2502.544 | 
| -3011193.267 | -3036594.003 | -3306201.179 | 210927.170 | 240463.904 | 11306.432 | 
| -3032943.748 | -3077064.421 | -3370517.292 | 164690.183 | 246248.550 | 1202.685 | 
| 2935999.749 | 2864693.210 | 3279843.610 | -190028.241 | -175176.981 | 33258.144 | 
| 2899275.593 | 2851787.556 | 3267080.451 | -194522.768 | -165106.246 | 45799.388 | 
| 2909905.172 | 3010518.704 | 3226567.009 | -233386.712 | -208963.861 | -20717.808 | 
| 3035988.712 | 3014589.333 | 3259154.222 | -199876.276 | -200316.346 | -69177.255 | 
| 3007416.131 | 2964256.881 | 3274373.691 | -186146.138 | -135116.214 | -56310.290 | 
| 3133223.991 | 3055992.265 | 3290896.698 | -246666.383 | -206456.525 | -3535.629 | 
| -301819.775 | -303182.279 | -326803.332 | 23824.335 | 20688.370 | -2223.627 | 
| -296899.733 | -310521.732 | -330990.434 | 25029.370 | 24984.374 | -1696.758 | 
| -290913.134 | -304852.227 | -325627.710 | 23859.332 | 28092.442 | -3474.633 | 
| -297770.012 | -310918.033 | -331195.210 | 25337.303 | 25012.938 | -1070.469 | 
| -289933.754 | -291357.245 | -321841.473 | 19034.287 | 12917.618 | 808.426 | 
| -310753.786 | -307959.504 | -333123.851 | 18952.810 | 24316.922 | -885.696 | 
| 315773.898 | 312913.658 | 336769.130 | -22935.699 | -21440.638 | -4389.513 | 
| 280876.035 | 281550.148 | 319086.185 | -23440.897 | -20249.033 | -9634.388 | 
| 297055.735 | 287312.227 | 327038.404 | -17514.176 | -17417.651 | -215.314 | 
| 311556.478 | 298243.280 | 333598.424 | -19241.151 | -18850.547 | -5061.794 | 
| 289248.813 | 299135.211 | 323260.061 | -18169.266 | -18365.840 | -3429.131 | 
| 314603.882 | 303040.132 | 335818.601 | -21179.270 | -20477.355 | -3562.782 | 
| -30637.980 | -29693.974 | -33084.051 | 2123.220 | 1884.826 | 785.227 | 
| -30379.347 | -31257.079 | -33333.655 | 2257.738 | 2566.708 | -145.926 | 
| -30559.160 | -30460.209 | -32977.544 | 2263.516 | 2374.691 | -89.714 | 
| -30870.721 | -30986.461 | -33004.404 | 2381.750 | 2337.699 | -142.663 | 
| -29572.373 | -30713.647 | -33209.337 | 2153.223 | 2218.219 | 307.688 | 
| -31640.040 | -31195.569 | -33627.296 | 2429.027 | 2216.821 | 361.949 | 
| 28929.488 | 28579.309 | 32951.098 | -1566.281 | -1690.804 | -184.476 | 
| 30328.626 | 30848.952 | 33343.326 | -2528.273 | -1938.578 | -48.227 | 
| 29492.052 | 29873.447 | 32646.352 | -1748.238 | -1195.272 | -726.781 | 
| 29681.425 | 30417.520 | 32410.832 | -2013.730 | -2479.969 | 617.481 | 
| 30696.788 | 31298.258 | 33070.845 | -2262.069 | -2578.889 | -285.632 | 
| 27871.656 | 28231.937 | 32184.141 | -2051.712 | -1006.944 | -445.492 | 
| 4.348 | 1.379 | 1.379 | 0.000 | -0.000 | 0.000 | 
| 1.379 | 4.348 | 1.379 | -0.000 | 0.000 | 0.000 | 
| 1.379 | 1.379 | 4.348 | -0.000 | -0.000 | 0.000 | 
| -0.000 | -0.000 | 0.000 | -0.798 | -0.000 | 0.000 | 
| -0.000 | -0.000 | 0.000 | -0.000 | -0.798 | 0.000 | 
| -0.000 | 0.000 | 0.000 | -0.000 | -0.000 | -0.798 | 
| 4.348 | 1.379 | 1.379 | 0.000 | -0.000 | -0.000 | 
| 1.379 | 4.348 | 1.379 | 0.000 | 0.000 | -0.000 | 
| 1.379 | 1.379 | 4.348 | 0.000 | 0.000 | -0.000 | 
| 0.000 | 0.000 | -0.000 | -0.798 | 0.000 | -0.000 | 
| 0.000 | 0.000 | -0.000 | 0.000 | -0.798 | 0.000 | 
| 0.000 | 0.000 | -0.000 | 0.000 | 0.000 | -0.798 | 
| 4.348 | 1.379 | 1.379 | -0.000 | -0.000 | 0.000 | 
| 1.379 | 4.348 | 1.379 | -0.000 | 0.000 | 0.000 | 
| 1.379 | 1.379 | 4.348 | -0.000 | 0.000 | 0.000 | 
| -0.000 | 0.000 | 0.000 | -0.798 | -0.000 | 0.000 | 
| 0.000 | -0.000 | 0.000 | -0.000 | -0.798 | -0.000 | 
| 0.000 | 0.000 | -0.000 | -0.000 | -0.000 | -0.798 | 
| 4.128 | 1.489 | 1.489 | -0.000 | 0.000 | -0.000 | 
| 1.489 | 4.128 | 1.489 | 0.000 | 0.000 | -0.000 | 
| 1.489 | 1.489 | 4.128 | 0.000 | 0.000 | -0.000 | 
| 0.000 | -0.000 | -0.000 | -0.798 | 0.000 | -0.000 | 
| -0.000 | 0.000 | -0.000 | 0.000 | -0.798 | -0.000 | 
| -0.000 | -0.000 | 0.000 | 0.000 | 0.000 | -0.798 | 
| -149543.722 | 272644.594 | 98944.473 | 19821.792 | 12670.352 | -20653.544 | 
| 97309.450 | -160561.295 | 232956.600 | 14020.619 | 5174.888 | 9190.537 | 
| 92661.769 | 224116.565 | -166099.731 | -2392.164 | -19008.732 | 34851.835 | 
| -0.000 | 0.000 | 0.000 | -0.798 | 0.000 | 0.000 | 
| 0.000 | -0.000 | 0.000 | -0.000 | -0.798 | 0.000 | 
| 0.000 | 0.000 | -0.000 | -0.000 | -0.000 | -0.798 | 
| 4.348 | 1.379 | 1.379 | 0.000 | 0.000 | -0.000 | 
| 1.379 | 4.348 | 1.379 | 0.000 | 0.000 | -0.000 | 
| 1.379 | 1.379 | 4.348 | 0.000 | 0.000 | -0.000 | 
| 0.000 | -0.000 | -0.000 | -0.798 | -0.000 | 0.000 | 
| -0.000 | 0.000 | -0.000 | 0.000 | -0.798 | -0.000 | 
| -0.000 | -0.000 | 0.000 | 0.000 | 0.000 | -0.798 | 
| 72.584 | 3.986 | 3.986 | 0.000 | -0.000 | -0.000 | 
| 3.986 | 72.584 | 3.986 | -0.000 | 0.000 | -0.000 | 
| 3.986 | 3.986 | 72.584 | 0.000 | 0.000 | -0.000 | 
| 0.000 | 0.000 | 0.000 | -63.467 | 0.000 | -0.000 | 
| 0.000 | 0.000 | 0.000 | 0.000 | -63.467 | -0.000 | 
| 0.000 | 0.000 | 0.000 | 0.000 | -0.000 | -63.467 | 
| 72.584 | 3.986 | 3.986 | -0.000 | -0.000 | 0.000 | 
| 3.986 | 72.584 | 3.986 | -0.000 | -0.000 | 0.000 | 
| 3.986 | 3.986 | 72.584 | -0.000 | -0.000 | 0.000 | 
| -0.000 | -0.000 | -0.000 | -63.467 | -0.000 | 0.000 | 
| -0.000 | -0.000 | -0.000 | -0.000 | -63.467 | 0.000 | 
| -0.000 | -0.000 | -0.000 | -0.000 | 0.000 | -63.467 | 
| 72.584 | 3.986 | 3.986 | 0.000 | 0.000 | 0.000 | 
| 3.986 | 72.584 | 3.986 | -0.000 | 0.000 | -0.000 | 
| 3.986 | 3.986 | 72.584 | 0.000 | 0.000 | 0.000 | 
| 0.000 | 0.000 | 0.000 | -63.467 | 0.000 | 0.000 | 
| 0.000 | 0.000 | 0.000 | 0.000 | -63.467 | 0.000 | 
| 0.000 | 0.000 | 0.000 | 0.000 | -0.000 | -63.467 | 
| 72.584 | 3.986 | 3.986 | -0.000 | -0.000 | -0.000 | 
| 3.986 | 72.584 | 3.986 | -0.000 | -0.000 | -0.000 | 
| 3.986 | 3.986 | 72.584 | -0.000 | -0.000 | -0.000 | 
| -0.000 | -0.000 | -0.000 | -63.467 | -0.000 | 0.000 | 
| -0.000 | -0.000 | -0.000 | -0.000 | -63.467 | 0.000 | 
| -0.000 | -0.000 | -0.000 | 0.000 | 0.000 | -63.467 | 
| 72.585 | 3.986 | 3.986 | 0.000 | -0.000 | -0.000 | 
| 3.986 | 72.585 | 3.986 | -0.000 | 0.000 | -0.000 | 
| 3.986 | 3.986 | 72.585 | 0.000 | 0.000 | 0.000 | 
| 0.000 | 0.000 | 0.000 | -13.773 | 0.000 | -0.000 | 
| 0.000 | 0.000 | 0.000 | 0.000 | -13.773 | -0.000 | 
| 0.000 | 0.000 | 0.000 | 0.000 | 0.000 | -13.773 | 
| 72.584 | 3.986 | 3.986 | -0.000 | 0.000 | 0.000 | 
| 3.986 | 72.584 | 3.986 | 0.000 | -0.000 | 0.000 | 
| 3.986 | 3.986 | 72.584 | -0.000 | -0.000 | 0.000 | 
| -0.000 | -0.000 | -0.000 | -13.773 | -0.000 | 0.000 | 
| -0.000 | -0.000 | -0.000 | -0.000 | -13.773 | -0.000 | 
| -0.000 | -0.000 | -0.000 | -0.000 | -0.000 | -13.773 | 
| 2687.986 | 1468.836 | 1468.836 | 0.000 | 0.000 | 0.000 | 
| 1468.836 | 2687.986 | 1468.836 | -0.000 | 0.000 | 0.000 | 
| 1468.836 | 1468.836 | 2687.986 | 0.000 | 0.000 | 0.000 | 
| -0.000 | 0.001 | 0.001 | -375.576 | 0.000 | 0.000 | 
| 0.001 | -0.000 | 0.001 | 0.000 | -375.576 | 0.000 | 
| 0.001 | 0.001 | -0.000 | 0.000 | 0.000 | -375.576 | 
| 2687.996 | 1468.841 | 1468.841 | -0.000 | -0.000 | -0.000 | 
| 1468.841 | 2687.996 | 1468.841 | -0.000 | -0.000 | -0.000 | 
| 1468.841 | 1468.841 | 2687.996 | -0.000 | -0.000 | -0.000 | 
| 0.000 | -0.001 | -0.001 | -375.576 | -0.000 | -0.000 | 
| -0.001 | 0.000 | -0.001 | -0.000 | -375.576 | -0.000 | 
| -0.001 | -0.001 | 0.000 | -0.000 | -0.000 | -375.576 | 
| 2687.944 | 1468.814 | 1468.814 | 0.000 | 0.000 | 0.000 | 
| 1468.814 | 2687.944 | 1468.814 | 0.000 | 0.000 | 0.000 | 
| 1468.814 | 1468.814 | 2687.944 | 0.000 | 0.000 | 0.000 | 
| -0.000 | 0.007 | 0.006 | -375.576 | 0.000 | 0.000 | 
| 0.007 | -0.000 | 0.006 | 0.000 | -375.576 | 0.000 | 
| 0.007 | 0.006 | -0.000 | 0.000 | 0.000 | -375.576 | 
| 2688.038 | 1468.862 | 1468.862 | -0.000 | -0.000 | -0.000 | 
| 1468.862 | 2688.038 | 1468.862 | -0.000 | -0.000 | -0.000 | 
| 1468.862 | 1468.862 | 2688.038 | -0.000 | -0.000 | -0.000 | 
| 0.000 | -0.007 | -0.006 | -375.576 | -0.000 | -0.000 | 
| -0.007 | 0.000 | -0.006 | -0.000 | -375.576 | -0.000 | 
| -0.007 | -0.006 | 0.000 | -0.000 | -0.000 | -375.576 | 
| 2687.521 | 1468.599 | 1468.599 | 0.000 | 0.000 | 0.000 | 
| 1468.599 | 2687.521 | 1468.599 | 0.000 | 0.000 | 0.000 | 
| 1468.599 | 1468.599 | 2687.521 | 0.000 | 0.000 | 0.000 | 
| -0.003 | 0.066 | 0.065 | -375.576 | 0.000 | 0.000 | 
| 0.066 | -0.003 | 0.065 | 0.000 | -375.576 | 0.000 | 
| 0.066 | 0.065 | -0.003 | 0.000 | 0.000 | -375.576 | 
| 2688.461 | 1469.078 | 1469.078 | -0.000 | -0.000 | -0.000 | 
| 1469.078 | 2688.461 | 1469.078 | -0.000 | -0.000 | -0.000 | 
| 1469.078 | 1469.078 | 2688.461 | -0.000 | -0.000 | -0.000 | 
| 0.003 | -0.066 | -0.065 | -375.576 | -0.000 | -0.000 | 
| -0.066 | 0.003 | -0.065 | -0.000 | -375.576 | -0.000 | 
| -0.066 | -0.065 | 0.003 | -0.000 | -0.000 | -375.576 | 
| 160.022 | 161.008 | 161.008 | -0.000 | -0.000 | -0.000 | 
| 161.008 | 160.022 | 161.008 | -0.000 | -0.000 | -0.000 | 
| 161.008 | 161.008 | 160.022 | -0.000 | -0.000 | -0.000 | 
| 0.000 | 0.000 | 0.000 | 84.755 | -0.000 | -0.000 | 
| 0.000 | -0.000 | 0.000 | -0.000 | 84.755 | -0.000 | 
| 0.000 | 0.000 | -0.000 | 0.000 | -0.000 | 84.755 | 
| 160.022 | 161.008 | 161.008 | -0.000 | 0.000 | 0.000 | 
| 161.008 | 160.022 | 161.008 | 0.000 | -0.000 | 0.000 | 
| 161.008 | 161.008 | 160.022 | -0.000 | -0.000 | 0.000 | 
| 0.000 | -0.000 | -0.000 | 84.755 | 0.000 | 0.000 | 
| -0.000 | 0.000 | -0.000 | -0.000 | 84.755 | 0.000 | 
| -0.000 | -0.000 | 0.000 | -0.000 | 0.000 | 84.755 | 
| 160.022 | 161.008 | 161.008 | 0.000 | -0.000 | -0.000 | 
| 161.008 | 160.022 | 161.008 | -0.000 | -0.000 | -0.000 | 
| 161.008 | 161.008 | 160.022 | -0.000 | -0.000 | -0.000 | 
| -0.000 | 0.000 | 0.000 | 84.755 | -0.000 | -0.000 | 
| 0.000 | -0.000 | 0.000 | -0.000 | 84.755 | -0.000 | 
| 0.000 | 0.000 | -0.000 | 0.000 | -0.000 | 84.755 | 
| 160.022 | 161.008 | 161.008 | -0.000 | 0.000 | 0.000 | 
| 161.008 | 160.022 | 161.008 | 0.000 | -0.000 | 0.000 | 
| 161.008 | 161.008 | 160.022 | -0.000 | -0.000 | 0.000 | 
| 0.000 | -0.000 | -0.000 | 84.755 | 0.000 | 0.000 | 
| -0.000 | 0.000 | -0.000 | 0.000 | 84.755 | 0.000 | 
| -0.000 | -0.000 | 0.000 | -0.000 | 0.000 | 84.755 | 
| 160.022 | 161.009 | 161.009 | -0.000 | -0.000 | -0.000 | 
| 161.009 | 160.022 | 161.009 | -0.000 | -0.000 | -0.000 | 
| 161.009 | 161.009 | 160.022 | -0.000 | -0.000 | -0.000 | 
| -0.000 | 0.000 | 0.000 | 84.755 | -0.000 | -0.000 | 
| 0.000 | -0.000 | 0.000 | 0.000 | 84.755 | -0.000 | 
| 0.000 | 0.000 | -0.000 | -0.000 | -0.000 | 84.755 | 
| 160.022 | 161.008 | 161.008 | 0.000 | 0.000 | 0.000 | 
| 161.008 | 160.022 | 161.008 | 0.000 | 0.000 | 0.000 | 
| 161.008 | 161.008 | 160.022 | -0.000 | -0.000 | 0.000 | 
| 0.000 | -0.000 | -0.000 | 84.755 | 0.000 | 0.000 | 
| -0.000 | 0.000 | -0.000 | 0.000 | 84.755 | 0.000 | 
| -0.000 | -0.000 | 0.000 | 0.000 | 0.000 | 84.755 | 
| 301.056 | 94.013 | 94.013 | 0.000 | -0.000 | -0.000 | 
| 94.013 | 301.056 | 94.013 | 0.000 | -0.000 | -0.000 | 
| 94.013 | 94.013 | 301.056 | 0.000 | -0.000 | -0.000 | 
| 0.000 | 0.000 | 0.000 | 48.994 | -0.000 | -0.000 | 
| 0.000 | 0.000 | 0.000 | 0.000 | 48.994 | -0.000 | 
| -0.000 | 0.000 | 0.000 | 0.000 | -0.000 | 48.994 | 
| 301.056 | 94.013 | 94.013 | -0.000 | -0.000 | -0.000 | 
| 94.013 | 301.056 | 94.013 | -0.000 | 0.000 | 0.000 | 
| 94.013 | 94.013 | 301.056 | -0.000 | 0.000 | 0.000 | 
| -0.000 | -0.000 | -0.000 | 48.994 | 0.000 | 0.000 | 
| -0.000 | -0.000 | -0.000 | 0.000 | 48.994 | 0.000 | 
| -0.000 | -0.000 | -0.000 | -0.000 | 0.000 | 48.994 | 
| 301.056 | 94.013 | 94.013 | 0.000 | -0.000 | -0.000 | 
| 94.013 | 301.056 | 94.013 | 0.000 | 0.000 | -0.000 | 
| 94.013 | 94.013 | 301.056 | 0.000 | -0.000 | -0.000 | 
| 0.000 | 0.000 | 0.000 | 48.994 | -0.000 | -0.000 | 
| 0.000 | 0.000 | 0.000 | 0.000 | 48.994 | -0.000 | 
| 0.000 | 0.000 | 0.000 | 0.000 | -0.000 | 48.994 | 
| 302.647 | 93.217 | 93.217 | 0.000 | -0.000 | 0.000 | 
| 93.217 | 302.647 | 93.217 | -0.000 | -0.000 | 0.000 | 
| 93.217 | 93.217 | 302.647 | -0.000 | -0.000 | 0.000 | 
| -0.000 | -0.000 | -0.000 | 48.994 | 0.000 | 0.000 | 
| -0.000 | -0.000 | -0.000 | -0.000 | 48.994 | 0.000 | 
| -0.000 | -0.000 | -0.000 | -0.000 | 0.000 | 48.994 | 
| 301.057 | 94.013 | 94.013 | 0.000 | -0.000 | -0.000 | 
| 94.013 | 301.057 | 94.013 | 0.000 | 0.000 | -0.000 | 
| 94.013 | 94.013 | 301.057 | 0.000 | -0.000 | 0.000 | 
| 0.000 | 0.000 | 0.000 | 48.994 | 0.000 | -0.000 | 
| 0.000 | 0.000 | 0.000 | 0.000 | 48.994 | -0.000 | 
| 0.000 | 0.000 | 0.000 | 0.000 | -0.000 | 48.994 | 
| 301.054 | 94.013 | 94.013 | -0.000 | -0.000 | -0.000 | 
| 94.013 | 301.054 | 94.013 | -0.000 | 0.000 | 0.000 | 
| 94.013 | 94.013 | 301.054 | 0.000 | 0.000 | -0.000 | 
| -0.000 | -0.000 | -0.000 | 48.994 | -0.000 | 0.000 | 
| -0.000 | -0.000 | -0.000 | 0.000 | 48.994 | 0.000 | 
| -0.000 | -0.000 | -0.000 | -0.000 | 0.000 | 48.994 | 
| 2720.082 | 2762.287 | 2762.287 | 0.000 | -0.000 | -0.000 | 
| 2762.286 | 2720.082 | 2762.286 | -0.000 | -0.000 | -0.000 | 
| 2762.286 | 2762.287 | 2720.082 | -0.000 | -0.000 | 0.000 | 
| -0.002 | -0.001 | -0.001 | 1368.513 | 0.000 | -0.000 | 
| -0.001 | -0.002 | -0.001 | 0.000 | 1368.513 | 0.000 | 
| -0.001 | -0.001 | -0.002 | 0.000 | -0.000 | 1368.513 | 
| 2719.808 | 2762.429 | 2762.429 | 0.000 | -0.000 | -0.000 | 
| 2762.429 | 2719.808 | 2762.429 | -0.000 | 0.000 | -0.000 | 
| 2762.429 | 2762.429 | 2719.808 | 0.000 | 0.000 | 0.000 | 
| 0.002 | 0.001 | 0.001 | 1368.513 | -0.000 | 0.000 | 
| 0.001 | 0.002 | 0.001 | -0.000 | 1368.513 | -0.000 | 
| 0.001 | 0.001 | 0.002 | -0.000 | -0.000 | 1368.513 | 
| 2719.925 | 2762.339 | 2762.339 | 0.000 | -0.000 | -0.000 | 
| 2762.339 | 2719.925 | 2762.339 | -0.000 | 0.000 | -0.000 | 
| 2762.339 | 2762.339 | 2719.925 | 0.000 | 0.000 | 0.000 | 
| -0.020 | -0.008 | -0.007 | 1368.516 | -0.000 | 0.000 | 
| -0.008 | -0.020 | -0.007 | 0.000 | 1368.516 | -0.000 | 
| -0.008 | -0.007 | -0.020 | -0.000 | 0.000 | 1368.516 | 
| 2719.965 | 2762.377 | 2762.377 | -0.000 | 0.000 | 0.000 | 
| 2762.377 | 2719.965 | 2762.377 | 0.000 | -0.000 | 0.000 | 
| 2762.377 | 2762.377 | 2719.965 | -0.000 | -0.000 | -0.000 | 
| 0.020 | 0.008 | 0.007 | 1368.516 | 0.000 | 0.000 | 
| 0.008 | 0.020 | 0.007 | -0.000 | 1368.516 | 0.000 | 
| 0.008 | 0.007 | 0.020 | 0.000 | 0.000 | 1368.516 | 
| 2719.745 | 2762.164 | 2762.164 | -0.000 | -0.000 | 0.000 | 
| 2762.164 | 2719.745 | 2762.164 | -0.000 | 0.000 | -0.000 | 
| 2762.164 | 2762.164 | 2719.745 | 0.000 | 0.000 | -0.000 | 
| -0.118 | -0.116 | -0.114 | 1368.513 | -0.000 | 0.000 | 
| -0.116 | -0.118 | -0.114 | -0.000 | 1368.513 | 0.000 | 
| -0.116 | -0.114 | -0.118 | -0.000 | 0.000 | 1368.513 | 
| 2720.145 | 2762.552 | 2762.552 | 0.000 | 0.000 | 0.000 | 
| 2762.552 | 2720.145 | 2762.552 | 0.000 | 0.000 | 0.000 | 
| 2762.552 | 2762.552 | 2720.145 | -0.000 | -0.000 | 0.000 | 
| 0.118 | 0.116 | 0.114 | 1368.513 | -0.000 | -0.000 | 
| 0.116 | 0.118 | 0.114 | 0.000 | 1368.513 | -0.000 | 
| 0.116 | 0.114 | 0.118 | 0.000 | -0.000 | 1368.513 | 
| -166694656.276 | -87819474.292 | -90501479.729 | -757711.611 | 283180.830 | 97802.451 | 
| -77513008.423 | -157693757.048 | -86201597.016 | 434592.997 | -231377.912 | 1261692.353 | 
| -86038749.105 | -82572720.441 | -164060476.293 | 1093483.837 | 1541429.469 | -548903.926 | 
| -55906248.394 | -116295196.831 | -113727009.388 | -13598180.848 | -1261824.891 | 141682.460 | 
| -118608724.121 | -60535855.763 | -122948730.725 | -985060.456 | -15606761.180 | 677289.814 | 
| -123410706.826 | -128723487.940 | -53518650.586 | 403259.575 | -986558.184 | -14984476.602 | 
| 49991532.143 | 141221600.694 | 134246498.095 | -392335.477 | 1212428.652 | -1311157.119 | 
| 136452398.861 | 48293131.938 | 144156063.248 | 652530.227 | -854151.428 | -856051.289 | 
| 144557268.272 | 133056239.235 | 44717423.004 | -4447.889 | 1432900.371 | -223918.294 | 
| 56907101.778 | 122203086.110 | 119702224.750 | -15906973.486 | -158389.327 | -2436358.919 | 
| 122824486.493 | 56610622.775 | 123736885.321 | 1895735.437 | -14361747.388 | 58791.530 | 
| 122997105.125 | 124406545.509 | 54980370.148 | -954795.508 | 206322.636 | -17572586.566 | 
| -16650415.494 | -8207691.432 | -8095272.308 | 50255.445 | -35157.048 | -168180.168 | 
| -7390431.208 | -16221267.657 | -7929737.982 | -174135.471 | -277846.638 | 141958.031 | 
| -8080365.550 | -8236668.707 | -15942993.601 | 123113.275 | 166694.714 | -184071.732 | 
| -5137781.693 | -12444778.730 | -11426467.017 | -1450700.339 | 18157.164 | -18491.012 | 
| -12823937.818 | -5893742.299 | -12130323.332 | 122633.553 | -1490164.287 | 8744.305 | 
| -13664981.309 | -12208915.547 | -5541326.505 | 75958.760 | 175296.866 | -1779669.532 | 
| 4224423.032 | 14346306.692 | 13771726.735 | 159002.762 | 31519.740 | -8385.246 | 
| 12920605.959 | 5238565.042 | 14425539.777 | 45905.981 | -26267.971 | -103268.346 | 
| 14481311.964 | 13952929.100 | 4636432.877 | 16835.298 | 25684.866 | 242796.388 | 
| 5779027.055 | 12891069.480 | 11386362.007 | -1429905.733 | -10330.719 | 158677.579 | 
| 12226496.392 | 5449124.022 | 11315068.025 | 45811.438 | -1394688.166 | 153976.471 | 
| 13007776.335 | 12238396.556 | 5086400.554 | -174625.855 | -67271.879 | -1508707.345 | 
| -1632695.536 | -853910.556 | -812421.045 | 4652.877 | 1735.924 | -16335.553 | 
| -791911.075 | -1683000.341 | -913510.612 | -3139.389 | -821.769 | -6355.202 | 
| -874714.257 | -815488.468 | -1722459.752 | 5964.167 | -1402.560 | -3742.716 | 
| -643310.961 | -1458901.616 | -895075.961 | -122660.007 | 2046.414 | 234.593 | 
| -1421416.839 | -587445.613 | -869158.781 | -20505.786 | -81561.856 | -6098.516 | 
| -671741.240 | -489502.720 | -427592.114 | -53.351 | -351.168 | -45854.332 | 
| 534080.910 | 1417651.087 | 1313895.279 | -11062.756 | -3543.875 | -12006.523 | 
| 1243358.482 | 550841.338 | 1412225.651 | -5996.399 | -4094.595 | -4489.606 | 
| 1434302.052 | 1355360.155 | 540760.412 | -4067.044 | 2477.632 | 10037.377 | 
| 457380.975 | 670019.176 | 507332.170 | -32298.529 | -15.154 | 117.770 | 
| 1449568.161 | 606454.907 | 885834.919 | 1957.393 | -110644.926 | -6752.503 | 
| 670365.844 | 516104.509 | 437499.770 | -19.379 | 116.023 | -37805.645 | 
| 232.058 | 136.147 | 136.147 | 0.000 | 0.000 | 0.000 | 
| 136.147 | 232.058 | 136.147 | 0.000 | 0.000 | 0.000 | 
| 136.147 | 136.147 | 232.058 | -0.000 | 0.000 | 0.000 | 
| 0.000 | 0.000 | 0.000 | 117.356 | 0.000 | 0.000 | 
| 0.000 | 0.000 | 0.000 | 0.000 | 117.356 | 0.000 | 
| 0.000 | 0.000 | -0.000 | 0.000 | 0.000 | 117.356 | 
| 232.058 | 136.147 | 136.147 | -0.000 | -0.000 | -0.000 | 
| 136.147 | 232.058 | 136.147 | -0.000 | -0.000 | -0.000 | 
| 136.147 | 136.147 | 232.058 | -0.000 | -0.000 | -0.000 | 
| -0.000 | 0.000 | 0.000 | 117.356 | -0.000 | -0.000 | 
| -0.000 | -0.000 | -0.000 | -0.000 | 117.356 | -0.000 | 
| -0.000 | -0.000 | 0.000 | -0.000 | -0.000 | 117.356 | 
| 232.058 | 136.147 | 136.147 | 0.000 | 0.000 | 0.000 | 
| 136.147 | 232.058 | 136.147 | 0.000 | 0.000 | 0.000 | 
| 136.147 | 136.147 | 232.058 | 0.000 | 0.000 | 0.000 | 
| 0.000 | 0.000 | 0.000 | 117.356 | 0.000 | 0.000 | 
| 0.000 | 0.000 | 0.000 | 0.000 | 117.356 | 0.000 | 
| 0.000 | 0.000 | 0.000 | 0.000 | 0.000 | 117.356 | 
| 232.058 | 136.147 | 136.147 | -0.000 | -0.000 | -0.000 | 
| 136.147 | 232.058 | 136.147 | -0.000 | -0.000 | -0.000 | 
| 136.147 | 136.147 | 232.058 | -0.000 | -0.000 | -0.000 | 
| -0.000 | -0.000 | -0.000 | 117.356 | -0.000 | -0.000 | 
| -0.000 | -0.000 | -0.000 | -0.000 | 117.356 | -0.000 | 
| -0.000 | -0.000 | -0.000 | -0.000 | -0.000 | 117.356 | 
| 232.058 | 136.147 | 136.147 | 0.000 | 0.000 | 0.000 | 
| 136.147 | 232.058 | 136.147 | -0.000 | 0.000 | 0.000 | 
| 136.147 | 136.147 | 232.058 | -0.000 | 0.000 | 0.000 | 
| 0.000 | 0.000 | 0.000 | 117.356 | 0.000 | 0.000 | 
| 0.000 | 0.000 | 0.000 | 0.000 | 117.356 | 0.000 | 
| 0.000 | 0.000 | 0.000 | 0.000 | 0.000 | 117.356 | 
| 232.057 | 136.146 | 136.146 | -0.000 | -0.000 | -0.000 | 
| 136.146 | 232.057 | 136.146 | -0.000 | -0.000 | -0.000 | 
| 136.146 | 136.146 | 232.057 | -0.000 | -0.000 | -0.000 | 
| -0.000 | -0.000 | -0.000 | 117.356 | -0.000 | -0.000 | 
| -0.000 | -0.000 | -0.000 | -0.000 | 117.356 | -0.000 | 
| -0.000 | -0.000 | -0.000 | 0.000 | -0.000 | 117.356 | 
| 193.565 | 182.740 | 106.303 | 0.000 | -0.000 | -0.000 | 
| 182.740 | 193.565 | 106.303 | 0.000 | -0.000 | -0.000 | 
| 106.303 | 106.303 | 271.559 | 0.000 | -0.000 | 0.000 | 
| 0.000 | -0.000 | -0.000 | 28.718 | 0.000 | 0.000 | 
| -0.000 | 0.000 | -0.000 | 0.000 | 28.718 | 0.000 | 
| -0.000 | 0.000 | 0.000 | -0.000 | -0.000 | 54.704 | 
| 193.565 | 182.740 | 106.303 | -0.000 | 0.000 | 0.000 | 
| 182.740 | 193.565 | 106.303 | -0.000 | -0.000 | 0.000 | 
| 106.303 | 106.303 | 271.559 | -0.000 | 0.000 | -0.000 | 
| -0.000 | 0.000 | 0.000 | 28.718 | 0.000 | 0.000 | 
| 0.000 | -0.000 | 0.000 | 0.000 | 28.718 | 0.000 | 
| 0.000 | -0.000 | -0.000 | 0.000 | 0.000 | 54.704 | 
| 242.857 | 133.449 | 106.303 | -0.000 | 0.000 | 0.000 | 
| 133.449 | 242.857 | 106.303 | 0.000 | -0.000 | -0.000 | 
| 106.303 | 106.303 | 271.559 | 0.000 | 0.000 | 0.000 | 
| 0.000 | -0.000 | 0.000 | 28.718 | 0.000 | 0.000 | 
| -0.000 | 0.000 | 0.000 | -0.000 | 28.718 | 0.000 | 
| -0.000 | 0.000 | -0.000 | -0.000 | -0.000 | 5.412 | 
| 242.857 | 133.449 | 106.303 | -0.000 | 0.000 | 0.000 | 
| 133.449 | 242.857 | 106.303 | 0.000 | -0.000 | -0.000 | 
| 106.303 | 106.303 | 271.558 | -0.000 | 0.000 | -0.000 | 
| -0.000 | 0.000 | -0.000 | 28.718 | -0.000 | -0.000 | 
| 0.000 | -0.000 | -0.000 | -0.000 | 28.718 | 0.000 | 
| 0.000 | -0.000 | 0.000 | -0.000 | 0.000 | 5.412 | 
| 218.212 | 158.095 | 106.303 | 0.000 | 0.000 | -0.000 | 
| 145.772 | 230.534 | 106.303 | 0.000 | -0.000 | -0.000 | 
| 106.303 | 106.303 | 271.559 | 0.000 | 0.000 | 0.000 | 
| 0.000 | -0.000 | 0.000 | 28.718 | -0.000 | -0.000 | 
| -0.000 | 0.000 | 0.000 | 0.000 | 28.718 | 0.000 | 
| -0.001 | 0.001 | -0.000 | 0.000 | -0.000 | 5.412 | 
| 192.442 | 183.862 | 106.303 | -0.000 | -0.000 | 0.000 | 
| 145.771 | 230.533 | 106.303 | -0.000 | 0.000 | 0.000 | 
| 106.303 | 106.303 | 271.558 | -0.000 | 0.000 | -0.000 | 
| -0.000 | 0.000 | -0.000 | 28.718 | -0.000 | -0.000 | 
| 0.000 | -0.000 | -0.000 | -0.000 | 28.718 | -0.000 | 
| 0.001 | -0.001 | 0.000 | -0.000 | 0.000 | 5.412 | 
| 197.118 | 177.525 | 108.528 | 0.000 | 0.000 | 0.000 | 
| 134.313 | 240.331 | 108.528 | 0.000 | 0.000 | 0.000 | 
| 108.528 | 108.528 | 269.298 | 0.000 | 0.000 | 0.000 | 
| 0.000 | -0.000 | -0.000 | 29.538 | 0.000 | 0.000 | 
| -0.000 | 0.000 | -0.000 | 0.000 | 29.538 | 0.000 | 
| 0.000 | -0.000 | -0.000 | 0.000 | 0.000 | 9.796 | 
| 197.118 | 177.525 | 108.528 | -0.000 | -0.000 | -0.000 | 
| 177.525 | 197.118 | 108.528 | -0.000 | -0.000 | -0.000 | 
| 108.528 | 108.528 | 269.298 | -0.000 | -0.000 | -0.000 | 
| -0.000 | 0.000 | 0.000 | 29.538 | 0.000 | -0.000 | 
| 0.000 | -0.000 | 0.000 | -0.000 | 29.538 | 0.000 | 
| -0.000 | 0.000 | 0.000 | -0.000 | -0.000 | 9.796 | 
| 240.331 | 134.313 | 108.528 | 0.000 | 0.000 | 0.000 | 
| 177.526 | 197.118 | 108.528 | 0.000 | 0.000 | 0.000 | 
| 108.528 | 108.528 | 269.298 | 0.000 | -0.000 | 0.000 | 
| 0.000 | -0.000 | 0.000 | 29.538 | 0.000 | 0.000 | 
| -0.000 | 0.000 | 0.000 | 0.000 | 29.538 | 0.000 | 
| -0.000 | 0.000 | -0.000 | 0.000 | 0.000 | 9.796 | 
| 197.118 | 177.525 | 108.528 | -0.000 | -0.000 | -0.000 | 
| 177.525 | 197.118 | 108.528 | -0.000 | -0.000 | -0.000 | 
| 108.528 | 108.528 | 269.298 | -0.000 | -0.000 | -0.000 | 
| -0.000 | 0.000 | -0.000 | 29.538 | -0.000 | -0.000 | 
| 0.000 | -0.000 | -0.000 | -0.000 | 29.538 | 0.000 | 
| 0.000 | -0.000 | 0.000 | -0.000 | -0.000 | 9.796 | 
| 197.120 | 177.525 | 108.528 | 0.000 | 0.000 | 0.000 | 
| 177.527 | 197.118 | 108.528 | 0.000 | 0.000 | 0.000 | 
| 108.528 | 108.528 | 269.298 | 0.000 | 0.000 | 0.000 | 
| 0.000 | -0.000 | 0.000 | 29.538 | 0.000 | 0.000 | 
| -0.000 | 0.000 | 0.000 | 0.000 | 29.538 | 0.000 | 
| -0.000 | 0.000 | -0.000 | 0.000 | 0.000 | 9.796 | 
| 197.116 | 177.526 | 108.528 | -0.000 | -0.000 | -0.000 | 
| 134.312 | 240.330 | 108.528 | -0.000 | 0.000 | -0.000 | 
| 108.528 | 108.528 | 269.297 | -0.000 | -0.000 | -0.000 | 
| -0.000 | 0.000 | -0.000 | 29.538 | -0.000 | -0.000 | 
| 0.000 | -0.000 | -0.000 | -0.000 | 29.538 | -0.000 | 
| 0.000 | -0.000 | 0.000 | -0.000 | -0.000 | 9.796 | 
| 240.306 | 134.298 | 108.520 | 0.000 | -0.000 | 0.000 | 
| 177.506 | 197.099 | 108.520 | -0.000 | -0.000 | 0.000 | 
| 108.518 | 108.518 | 269.280 | 0.000 | -0.000 | 0.000 | 
| -0.000 | 0.000 | -0.000 | 29.538 | -0.000 | 0.000 | 
| -0.000 | 0.000 | 0.000 | -0.000 | 29.538 | 0.000 | 
| 0.000 | 0.000 | -0.000 | 0.000 | -0.000 | 53.004 | 
| 240.306 | 134.298 | 108.520 | 0.000 | -0.000 | -0.000 | 
| 177.506 | 197.099 | 108.520 | 0.000 | 0.000 | -0.000 | 
| 108.518 | 108.518 | 269.280 | -0.000 | 0.000 | -0.000 | 
| -0.000 | 0.000 | -0.000 | 29.538 | -0.000 | -0.000 | 
| 0.000 | -0.000 | -0.000 | -0.000 | 29.538 | -0.000 | 
| 0.000 | -0.000 | 0.000 | -0.000 | -0.000 | 53.004 | 
| 240.306 | 134.298 | 108.520 | -0.000 | -0.000 | -0.000 | 
| 177.506 | 197.099 | 108.520 | 0.000 | 0.000 | 0.000 | 
| 108.518 | 108.518 | 269.280 | -0.000 | -0.000 | 0.000 | 
| 0.000 | -0.000 | 0.000 | 29.538 | 0.000 | -0.000 | 
| -0.000 | 0.000 | 0.000 | 0.000 | 29.538 | 0.000 | 
| -0.000 | 0.000 | -0.000 | 0.000 | -0.000 | 9.796 | 
| 240.306 | 134.298 | 108.520 | -0.000 | -0.000 | -0.000 | 
| 177.506 | 197.099 | 108.520 | -0.000 | 0.000 | -0.000 | 
| 108.518 | 108.518 | 269.280 | -0.000 | 0.000 | -0.000 | 
| -0.000 | 0.000 | -0.000 | 29.538 | -0.000 | 0.000 | 
| 0.000 | -0.000 | -0.000 | 0.000 | 29.538 | -0.000 | 
| 0.000 | -0.000 | 0.000 | -0.000 | 0.000 | 9.796 | 
| 197.100 | 177.505 | 108.520 | -0.000 | -0.000 | 0.000 | 
| 177.508 | 197.098 | 108.520 | 0.000 | 0.000 | 0.000 | 
| 108.519 | 108.519 | 269.281 | -0.000 | -0.000 | 0.000 | 
| 0.000 | -0.000 | 0.000 | 29.538 | -0.000 | -0.000 | 
| -0.000 | 0.000 | 0.000 | -0.000 | 29.538 | 0.000 | 
| -0.000 | 0.000 | -0.000 | 0.000 | 0.000 | 9.796 | 
| 197.097 | 177.506 | 108.520 | -0.000 | -0.000 | -0.000 | 
| 177.504 | 197.099 | 108.520 | -0.000 | 0.000 | -0.000 | 
| 108.518 | 108.518 | 269.279 | -0.000 | 0.000 | -0.000 | 
| -0.000 | 0.000 | -0.000 | 29.538 | 0.000 | 0.000 | 
| 0.000 | -0.000 | -0.000 | -0.000 | 29.538 | -0.000 | 
| 0.000 | -0.000 | 0.000 | -0.000 | 0.000 | 9.796 | 
| -0.700 | 106.454 | 106.454 | 0.000 | 0.000 | 0.000 | 
| 106.454 | -0.700 | 106.454 | 0.000 | 0.000 | 0.000 | 
| 106.454 | 106.454 | -0.700 | 0.000 | 0.000 | 0.000 | 
| -0.000 | 0.000 | 0.000 | -278.624 | 0.000 | 0.000 | 
| 0.000 | -0.000 | 0.000 | 0.000 | -278.624 | 0.000 | 
| 0.000 | 0.000 | -0.000 | 0.000 | 0.000 | -278.624 | 
| -0.700 | 106.454 | 106.454 | -0.000 | -0.000 | -0.000 | 
| 106.454 | -0.700 | 106.454 | -0.000 | 0.000 | -0.000 | 
| 106.454 | 106.454 | -0.700 | -0.000 | -0.000 | -0.000 | 
| 0.000 | -0.000 | -0.000 | -278.624 | -0.000 | -0.000 | 
| -0.000 | 0.000 | -0.000 | -0.000 | -278.624 | -0.000 | 
| -0.000 | -0.000 | 0.000 | -0.000 | -0.000 | -278.624 | 
| -0.700 | 106.454 | 106.454 | 0.000 | 0.000 | 0.000 | 
| 106.454 | -0.700 | 106.454 | 0.000 | 0.000 | 0.000 | 
| 106.454 | 106.454 | -0.700 | 0.000 | 0.000 | 0.000 | 
| -0.000 | 0.000 | 0.000 | -278.624 | 0.000 | 0.000 | 
| 0.000 | -0.000 | 0.000 | 0.000 | -278.624 | 0.000 | 
| 0.000 | 0.000 | -0.000 | 0.000 | 0.000 | -278.624 | 
| -0.700 | 106.454 | 106.454 | -0.000 | -0.000 | -0.000 | 
| 106.454 | -0.700 | 106.454 | -0.000 | -0.000 | -0.000 | 
| 106.454 | 106.454 | -0.700 | -0.000 | -0.000 | -0.000 | 
| 0.000 | -0.000 | -0.000 | -278.624 | -0.000 | -0.000 | 
| -0.000 | 0.000 | -0.000 | -0.000 | -278.624 | -0.000 | 
| -0.000 | -0.000 | 0.000 | -0.000 | -0.000 | -278.624 | 
| -0.700 | 106.454 | 106.454 | -0.000 | 0.000 | 0.000 | 
| 106.454 | -0.700 | 106.454 | 0.000 | -0.000 | 0.000 | 
| 106.454 | 106.454 | -0.700 | 0.000 | 0.000 | -0.000 | 
| -0.000 | 0.001 | 0.001 | -278.624 | 0.000 | 0.000 | 
| 0.001 | -0.000 | 0.001 | 0.000 | -278.624 | 0.000 | 
| 0.001 | 0.001 | -0.000 | 0.000 | 0.000 | -278.624 | 
| -0.700 | 106.454 | 106.454 | -0.000 | -0.000 | -0.000 | 
| 106.454 | -0.700 | 106.454 | -0.000 | -0.000 | -0.000 | 
| 106.454 | 106.454 | -0.700 | -0.000 | -0.000 | -0.000 | 
| 0.000 | -0.001 | -0.001 | -278.624 | -0.000 | -0.000 | 
| -0.001 | 0.000 | -0.001 | -0.000 | -278.624 | -0.000 | 
| -0.001 | -0.001 | 0.000 | -0.000 | -0.000 | -278.624 | 
| -415787.812 | -457566.185 | -450208.144 | 235089.889 | 179069.012 | 98587.375 | 
| -488992.459 | -354878.970 | -347676.344 | 91553.495 | 198183.422 | 103330.980 | 
| -313642.229 | -456625.548 | -83314.967 | 86463.852 | -70528.871 | 191069.624 | 
| -0.000 | -65309454.485 | -65309455.791 | -65309455.138 | 0.000 | -0.000 | 
| -65309454.516 | -0.000 | -65309455.823 | 0.000 | -65309455.169 | 0.000 | 
| -65311499.944 | -65311501.250 | -0.000 | 0.000 | 0.000 | -65311500.597 | 
| -0.000 | -0.000 | -0.000 | 0.000 | 0.000 | 0.000 | 
| -0.000 | -0.000 | -0.000 | 0.000 | 0.000 | 0.000 | 
| -0.000 | -0.000 | -0.000 | 0.000 | 0.000 | 0.000 | 
| 0.000 | 65304904.155 | 65304905.461 | -65304904.808 | 0.000 | -0.000 | 
| 65304904.161 | 0.000 | 65304905.467 | 0.000 | -65304904.814 | -0.000 | 
| 65302842.624 | 65302843.930 | 0.000 | 0.000 | -0.000 | -65302843.277 | 
| -32611.361 | -79180.425 | -77453.132 | 49478.547 | 12926.046 | 15400.252 | 
| -82547.589 | -23881.354 | -81672.052 | 10222.121 | 55175.041 | 8614.198 | 
| -112927.725 | -116368.975 | -36874.678 | 17447.889 | 18569.217 | 68784.004 | 
| -0.000 | -6534441.011 | -6534442.318 | -6534441.664 | 0.000 | 0.000 | 
| -6534441.011 | -0.000 | -6534442.318 | -0.000 | -6534441.664 | -0.000 | 
| -6595174.202 | -6595175.521 | -0.000 | 0.000 | 0.000 | -6595174.861 | 
| -0.000 | -0.000 | -0.000 | 0.000 | 0.000 | 0.000 | 
| -0.000 | -0.000 | -0.000 | 0.000 | 0.000 | 0.000 | 
| -0.000 | -0.000 | -0.000 | 0.000 | 0.000 | 0.000 | 
| 0.000 | 6524761.805 | 6524763.110 | -6524762.457 | 0.000 | 0.000 | 
| 6524761.805 | 0.000 | 6524763.110 | -0.000 | -6524762.458 | 0.000 | 
| 6525226.081 | 6525227.386 | 0.000 | -0.000 | 0.000 | -6525226.734 | 
| -4861.582 | -4882.643 | -5099.421 | 1744.543 | 1212.989 | 1095.961 | 
| -4111.756 | -4225.033 | -4330.786 | 1686.719 | 1575.183 | 1000.629 | 
| -4636.435 | -4770.127 | -3634.646 | 1626.902 | 1473.894 | 1454.939 | 
| -0.000 | -652585.688 | -652586.993 | -652586.341 | -0.000 | -0.000 | 
| -652585.688 | -0.000 | -652586.993 | 0.000 | -652586.340 | 0.000 | 
| -652631.964 | -652633.269 | -0.000 | 0.000 | 0.000 | -652632.616 | 
| -0.000 | -0.000 | -0.000 | 0.000 | 0.000 | 0.000 | 
| -0.000 | -0.000 | -0.000 | 0.000 | 0.000 | 0.000 | 
| -0.000 | -0.000 | -0.000 | 0.000 | 0.000 | 0.000 | 
| 0.000 | 652820.682 | 652821.987 | -652821.334 | -0.000 | -0.000 | 
| 655854.721 | 0.000 | 655856.032 | 0.000 | -655855.377 | 0.000 | 
| 652805.064 | 652806.369 | 0.000 | 0.000 | -0.000 | -652805.716 | 
| 240.848 | 79.282 | 60.287 | -0.000 | -0.000 | -0.000 | 
| 79.282 | 240.848 | 60.287 | 0.000 | -0.000 | -0.000 | 
| 60.287 | 60.287 | 283.009 | 0.000 | 0.000 | 0.000 | 
| -0.000 | 0.000 | -0.000 | -8.746 | 0.000 | -0.000 | 
| -0.000 | 0.000 | -0.000 | 0.000 | -8.746 | -0.000 | 
| -0.000 | 0.000 | -0.000 | 0.000 | 0.000 | -80.179 | 
| 240.848 | 79.282 | 60.287 | 0.000 | -0.000 | 0.000 | 
| 79.282 | 240.848 | 60.287 | -0.000 | 0.000 | 0.000 | 
| 60.287 | 60.287 | 283.009 | -0.000 | -0.000 | 0.000 | 
| 0.000 | -0.000 | 0.000 | -8.746 | 0.000 | -0.000 | 
| 0.000 | -0.000 | 0.000 | -0.000 | -8.746 | 0.000 | 
| 0.000 | -0.000 | 0.000 | -0.000 | -0.000 | -80.179 | 
| 240.848 | 79.282 | 60.287 | -0.000 | 0.000 | -0.000 | 
| 79.282 | 240.848 | 60.287 | 0.000 | 0.000 | -0.000 | 
| 60.287 | 60.287 | 283.009 | 0.000 | -0.000 | -0.000 | 
| -0.000 | 0.000 | -0.000 | -8.746 | -0.000 | -0.000 | 
| 0.000 | -0.000 | -0.000 | 0.000 | -8.746 | -0.000 | 
| 0.000 | -0.000 | 0.000 | 0.000 | -0.000 | -80.179 | 
| 240.848 | 79.282 | 60.287 | 0.000 | -0.000 | -0.000 | 
| 79.282 | 240.848 | 60.287 | 0.000 | 0.000 | 0.000 | 
| 60.287 | 60.287 | 283.009 | -0.000 | -0.000 | -0.000 | 
| 0.000 | -0.000 | 0.000 | -8.746 | 0.000 | 0.000 | 
| -0.000 | 0.000 | 0.000 | -0.000 | -8.746 | -0.000 | 
| -0.000 | 0.000 | -0.000 | -0.000 | -0.000 | -80.179 | 
| 240.849 | 79.283 | 60.288 | -0.000 | -0.000 | -0.000 | 
| 79.283 | 240.849 | 60.288 | -0.000 | -0.000 | -0.000 | 
| 60.288 | 60.288 | 283.010 | 0.000 | -0.000 | -0.000 | 
| -0.000 | 0.000 | -0.000 | -8.746 | -0.000 | -0.000 | 
| 0.000 | -0.000 | -0.000 | -0.000 | -8.746 | -0.000 | 
| 0.000 | -0.000 | 0.000 | 0.000 | 0.000 | -80.179 | 
| 240.847 | 79.282 | 60.287 | 0.000 | -0.000 | -0.000 | 
| 79.282 | 240.847 | 60.287 | 0.000 | 0.000 | 0.000 | 
| 60.287 | 60.287 | 283.007 | -0.000 | -0.000 | 0.000 | 
| 0.000 | -0.000 | 0.000 | -8.746 | 0.000 | 0.000 | 
| -0.000 | 0.000 | 0.000 | -0.000 | -8.746 | 0.000 | 
| -0.000 | 0.000 | -0.000 | -0.000 | 0.000 | -80.179 | 
| -0.000 | -0.048 | -0.018 | -0.030 | -0.000 | -0.000 | 
| -0.000 | -0.002 | -0.001 | -0.001 | -0.000 | -0.000 | 
| 1232.709 | 1232.708 | 848.210 | -0.000 | -0.000 | 0.000 | 
| -0.000 | -0.017 | -0.006 | -0.010 | -0.000 | 0.000 | 
| -0.098 | -0.033 | -0.045 | 0.038 | -0.066 | 0.056 | 
| -0.098 | -0.033 | -0.045 | 0.038 | 0.067 | -0.057 | 
| -0.000 | -0.000 | -0.000 | -0.000 | -0.000 | -0.000 | 
| -0.000 | -0.000 | -0.000 | -0.000 | -0.000 | -0.000 | 
| -0.000 | -0.000 | -0.000 | -0.000 | -0.000 | -0.000 | 
| 0.000 | 0.048 | 0.018 | 0.030 | -0.000 | -0.000 | 
| 0.098 | 0.033 | 0.045 | -0.038 | -0.066 | 0.056 | 
| 0.098 | 0.033 | 0.045 | -0.038 | 0.067 | -0.057 | 
| -0.000 | -0.005 | -0.002 | -0.003 | -0.000 | -0.000 | 
| -0.000 | -0.002 | -0.001 | -0.001 | -0.000 | -0.000 | 
| 1232.756 | 1232.756 | 848.242 | -0.000 | 0.000 | -0.000 | 
| -0.000 | -0.004 | -0.002 | -0.003 | 0.000 | -0.000 | 
| -0.003 | -0.001 | -0.001 | 0.001 | -0.002 | 0.002 | 
| -0.004 | -0.001 | -0.002 | 0.002 | 0.003 | -0.002 | 
| -0.000 | -0.000 | -0.000 | -0.000 | -0.000 | -0.000 | 
| -0.000 | -0.000 | -0.000 | -0.000 | -0.000 | -0.000 | 
| -0.000 | -0.000 | -0.000 | -0.000 | -0.000 | -0.000 | 
| 0.000 | 0.005 | 0.002 | 0.003 | -0.000 | -0.000 | 
| 0.003 | 0.001 | 0.001 | -0.001 | -0.002 | 0.002 | 
| 0.004 | 0.001 | 0.002 | -0.002 | 0.003 | -0.002 | 
| -0.000 | -0.000 | -0.000 | -0.000 | 0.000 | 0.000 | 
| -0.000 | -0.000 | -0.000 | -0.000 | -0.000 | -0.000 | 
| 1232.699 | 1232.699 | 848.201 | -0.000 | 0.000 | -0.000 | 
| -0.000 | -0.000 | -0.000 | -0.000 | -0.000 | 0.000 | 
| -0.001 | -0.000 | -0.000 | 0.000 | -0.001 | 0.001 | 
| -0.001 | -0.000 | -0.000 | 0.000 | 0.001 | -0.001 | 
| -0.000 | -0.000 | -0.000 | -0.000 | -0.000 | -0.000 | 
| -0.000 | -0.000 | -0.000 | -0.000 | -0.000 | -0.000 | 
| -0.000 | -0.000 | -0.000 | -0.000 | -0.000 | -0.000 | 
| 0.000 | 0.000 | 0.000 | 0.000 | -0.000 | -0.000 | 
| 0.001 | 0.000 | 0.000 | -0.000 | -0.001 | 0.001 | 
| 0.001 | 0.000 | 0.000 | -0.000 | 0.001 | -0.001 | 
| 261.107 | 21.698 | 21.698 | -0.000 | 0.000 | -0.000 | 
| 21.698 | 261.107 | 21.698 | -0.000 | -0.000 | 0.000 | 
| 21.698 | 21.698 | 261.107 | 0.000 | -0.000 | -0.000 | 
| 0.000 | 0.000 | -0.000 | -90.851 | 0.000 | -0.000 | 
| 0.000 | 0.000 | -0.000 | -0.000 | -90.851 | -0.000 | 
| 0.000 | -0.000 | 0.000 | 0.000 | 0.000 | -90.851 | 
| 261.106 | 21.698 | 21.698 | -0.000 | -0.000 | 0.000 | 
| 21.698 | 261.106 | 21.698 | 0.000 | -0.000 | -0.000 | 
| 21.698 | 21.698 | 261.106 | -0.000 | -0.000 | 0.000 | 
| -0.000 | -0.000 | 0.000 | -90.851 | -0.000 | -0.000 | 
| -0.000 | -0.000 | 0.000 | 0.000 | -90.851 | 0.000 | 
| -0.000 | 0.000 | -0.000 | 0.000 | 0.000 | -90.851 | 
| 261.107 | 21.698 | 21.698 | 0.000 | -0.000 | -0.000 | 
| 21.698 | 261.107 | 21.698 | 0.000 | 0.000 | -0.000 | 
| 21.698 | 21.698 | 261.107 | -0.000 | 0.000 | -0.000 | 
| -0.000 | 0.000 | -0.000 | -90.851 | 0.000 | 0.000 | 
| 0.000 | -0.000 | -0.000 | -0.000 | -90.851 | -0.000 | 
| 0.000 | -0.000 | -0.000 | -0.000 | 0.000 | -90.851 | 
| 261.106 | 21.698 | 21.698 | 0.000 | -0.000 | 0.000 | 
| 21.698 | 261.106 | 21.698 | 0.000 | -0.000 | -0.000 | 
| 21.698 | 21.698 | 261.106 | 0.000 | -0.000 | -0.000 | 
| 0.000 | -0.000 | 0.000 | -90.851 | 0.000 | 0.000 | 
| -0.000 | 0.000 | 0.000 | 0.000 | -90.851 | 0.000 | 
| -0.000 | 0.000 | 0.000 | -0.000 | -0.000 | -90.851 | 
| 261.108 | 21.698 | 21.698 | -0.000 | 0.000 | -0.000 | 
| 21.698 | 261.108 | 21.698 | -0.000 | 0.000 | -0.000 | 
| 21.698 | 21.698 | 261.108 | -0.000 | 0.000 | 0.000 | 
| -0.000 | 0.000 | -0.000 | -90.851 | 0.000 | -0.000 | 
| 0.000 | -0.000 | -0.000 | -0.000 | -90.851 | -0.000 | 
| 0.000 | -0.000 | -0.000 | -0.000 | 0.000 | -90.851 | 
| 261.105 | 21.698 | 21.698 | -0.000 | -0.000 | 0.000 | 
| 21.698 | 261.105 | 21.698 | 0.000 | -0.000 | -0.000 | 
| 21.698 | 21.698 | 261.105 | -0.000 | -0.000 | 0.000 | 
| 0.000 | -0.000 | 0.000 | -90.851 | -0.000 | 0.000 | 
| -0.000 | 0.000 | 0.000 | 0.000 | -90.851 | -0.000 | 
| -0.000 | 0.000 | 0.000 | -0.000 | -0.000 | -90.851 | 
| 259.475 | 113.169 | 24.834 | -0.000 | -0.000 | 0.000 | 
| 113.169 | 259.475 | 24.834 | -0.000 | -0.000 | 0.000 | 
| 24.834 | 24.834 | 278.106 | -0.000 | -0.000 | 0.000 | 
| -0.000 | -0.000 | -0.000 | -98.109 | -0.000 | 0.000 | 
| -0.000 | -0.000 | -0.000 | -0.000 | -98.109 | 0.000 | 
| -0.000 | -0.000 | 0.000 | -0.000 | -0.000 | 73.153 | 
| 259.475 | 113.169 | 24.834 | 0.000 | 0.000 | -0.000 | 
| 113.169 | 259.475 | 24.834 | 0.000 | 0.000 | -0.000 | 
| 24.834 | 24.834 | 278.106 | 0.000 | 0.000 | -0.000 | 
| 0.000 | 0.000 | 0.000 | -98.109 | -0.000 | -0.000 | 
| 0.000 | 0.000 | 0.000 | 0.000 | -98.109 | -0.000 | 
| 0.000 | 0.000 | -0.000 | 0.000 | 0.000 | 73.153 | 
| 259.475 | 113.169 | 24.834 | -0.000 | -0.000 | 0.000 | 
| 113.169 | 259.475 | 24.834 | -0.000 | -0.000 | 0.000 | 
| 24.834 | 24.834 | 278.106 | -0.000 | -0.000 | 0.000 | 
| 0.000 | 0.000 | -0.000 | -98.109 | -0.000 | 0.000 | 
| 0.000 | 0.000 | -0.000 | -0.000 | -98.109 | 0.000 | 
| -0.000 | 0.000 | 0.000 | -0.000 | -0.000 | 73.153 | 
| 259.475 | 113.169 | 24.834 | 0.000 | 0.000 | 0.000 | 
| 113.169 | 259.475 | 24.834 | 0.000 | 0.000 | -0.000 | 
| 24.834 | 24.834 | 278.106 | 0.000 | 0.000 | -0.000 | 
| -0.000 | -0.000 | 0.000 | -98.109 | 0.000 | -0.000 | 
| -0.000 | -0.000 | 0.000 | 0.000 | -98.109 | -0.000 | 
| 0.000 | -0.000 | -0.000 | 0.000 | 0.000 | 73.153 | 
| 259.476 | 113.169 | 24.834 | -0.000 | -0.000 | 0.000 | 
| 113.170 | 259.476 | 24.834 | -0.000 | -0.000 | 0.000 | 
| 24.834 | 24.834 | 278.107 | 0.000 | -0.000 | 0.000 | 
| 0.000 | 0.000 | -0.000 | -98.109 | -0.000 | 0.000 | 
| 0.000 | 0.000 | -0.000 | -0.000 | -98.109 | 0.000 | 
| -0.000 | 0.000 | 0.000 | -0.000 | -0.000 | 73.153 | 
| 259.474 | 113.169 | 24.834 | 0.000 | 0.000 | -0.000 | 
| 113.169 | 259.474 | 24.834 | 0.000 | 0.000 | 0.000 | 
| 24.834 | 24.834 | 278.104 | 0.000 | 0.000 | -0.000 | 
| -0.000 | -0.000 | 0.000 | -98.109 | 0.000 | -0.000 | 
| -0.000 | -0.000 | 0.000 | 0.000 | -98.109 | -0.000 | 
| 0.000 | -0.000 | -0.000 | 0.000 | 0.000 | 73.153 | 
| -631.840 | -557.986 | 605.986 | -0.000 | -0.000 | -0.000 | 
| -557.986 | -631.840 | 605.986 | 0.000 | -0.000 | -0.000 | 
| 93.336 | 93.336 | 275.497 | -0.000 | -0.000 | -0.000 | 
| -720.203 | -720.203 | 665.926 | 35.188 | -0.000 | -0.000 | 
| -720.203 | -720.203 | 665.926 | -0.000 | 35.188 | -0.000 | 
| 0.000 | 0.000 | 0.000 | -0.000 | -0.000 | 71.340 | 
| 822.921 | 819.178 | -616.828 | 0.000 | 0.000 | 0.000 | 
| 819.178 | 822.921 | -616.828 | 0.000 | 0.000 | 0.000 | 
| 735.840 | 735.840 | -440.439 | 0.000 | 0.000 | 0.000 | 
| 720.203 | 720.203 | -665.926 | 35.188 | 0.000 | 0.000 | 
| 720.203 | 720.203 | -665.926 | -0.000 | 35.188 | 0.000 | 
| -0.000 | -0.000 | -0.000 | 0.000 | 0.000 | 71.340 | 
| 120.866 | 116.846 | 163.822 | 0.000 | 0.000 | -0.000 | 
| 116.846 | 120.866 | 163.822 | -0.000 | -0.000 | -0.000 | 
| 43.984 | 43.984 | 314.319 | 0.000 | -0.000 | -0.000 | 
| -70.448 | -70.448 | 66.428 | 36.065 | -0.000 | -0.000 | 
| -70.448 | -70.448 | 66.428 | -0.000 | 36.065 | -0.000 | 
| 0.000 | 0.000 | 0.000 | -0.000 | -0.000 | 71.340 | 
| 260.005 | 234.675 | 24.558 | 0.000 | 0.000 | 0.000 | 
| 234.675 | 260.005 | 24.558 | 0.000 | 0.000 | 0.000 | 
| 93.336 | 93.336 | 275.497 | 0.000 | 0.000 | 0.000 | 
| 70.448 | 70.448 | -66.428 | 36.065 | 0.000 | 0.000 | 
| 70.448 | 70.448 | -66.428 | -0.000 | 36.065 | 0.000 | 
| -0.000 | -0.000 | -0.000 | 0.000 | 0.000 | 71.340 | 
| 211.406 | 140.394 | 91.723 | 0.000 | -0.000 | -0.000 | 
| 140.394 | 211.406 | 91.723 | 0.000 | -0.000 | -0.000 | 
| 92.377 | 92.377 | 270.431 | -0.000 | -0.000 | -0.000 | 
| -2.619 | -2.619 | 1.606 | 46.304 | -0.000 | -0.000 | 
| -2.619 | -2.619 | 1.606 | -0.000 | 46.304 | -0.000 | 
| -1.979 | -1.979 | 2.220 | 0.000 | -0.000 | 56.098 | 
| 236.619 | 121.424 | 89.347 | -0.000 | -0.000 | 0.000 | 
| 121.424 | 236.619 | 89.347 | -0.000 | 0.000 | 0.000 | 
| 93.336 | 93.336 | 275.496 | -0.000 | 0.000 | 0.000 | 
| 2.619 | 2.619 | -1.606 | 46.304 | -0.000 | 0.000 | 
| 2.619 | 2.619 | -1.606 | 0.000 | 46.304 | 0.000 | 
| 1.979 | 1.979 | -2.220 | 0.000 | 0.000 | 56.098 | 
| 196.762 | 146.091 | 142.398 | -26.389 | 15.575 | -6.549 | 
| 47.657 | 367.548 | 72.249 | -111.790 | -56.808 | 13.543 | 
| 106.868 | 108.991 | 257.663 | 1.788 | -2.880 | -0.097 | 
| -0.018 | -2.288 | 1.788 | 64.658 | 2.432 | 2.340 | 
| 2.719 | -0.085 | -2.880 | 2.432 | 61.444 | -1.657 | 
| -72.825 | 142.939 | -47.162 | -103.152 | -60.265 | 61.953 | 
| 253.778 | 112.818 | 106.575 | 0.360 | 8.734 | 4.156 | 
| 160.729 | 211.732 | 81.960 | 24.336 | -9.151 | 10.890 | 
| 155.831 | 83.265 | 214.681 | 28.482 | -10.630 | 10.114 | 
| -0.017 | -2.288 | 1.788 | 64.658 | 2.432 | 2.340 | 
| 142.703 | -446.064 | 123.057 | 285.489 | 108.358 | -1.818 | 
| 80.006 | -140.546 | 40.767 | 111.996 | 52.909 | 37.355 | 
| 214.656 | 137.928 | 115.937 | -8.989 | -1.660 | 7.261 | 
| 112.907 | 251.299 | 109.015 | -1.439 | -0.053 | -1.346 | 
| 106.868 | 108.991 | 257.663 | 1.788 | -2.880 | -0.097 | 
| -25.270 | 49.732 | -3.130 | -7.892 | -1.265 | 9.200 | 
| -2.793 | 2.772 | 1.450 | 0.037 | 52.207 | -4.311 | 
| -2.694 | 2.378 | 1.791 | 0.607 | -1.562 | 58.654 | 
| 244.138 | 114.668 | 109.609 | 3.406 | 5.607 | 5.880 | 
| 131.767 | 211.483 | 120.660 | 6.447 | 5.402 | 0.045 | 
| 116.979 | 108.941 | 241.666 | 4.124 | -2.501 | -0.035 | 
| -0.018 | -2.288 | 1.788 | 64.658 | 2.432 | 2.340 | 
| 2.719 | -0.085 | -2.880 | 2.432 | 61.444 | -1.657 | 
| 0.375 | -1.377 | -0.134 | 2.372 | -0.850 | 68.498 | 
| 253.779 | 112.819 | 106.576 | 0.360 | 8.734 | 4.156 | 
| 112.907 | 251.299 | 109.015 | -1.439 | -0.053 | -1.346 | 
| 113.233 | 112.566 | 242.714 | 1.082 | -1.285 | -1.460 | 
| 0.710 | -2.676 | 0.195 | 31.892 | 4.650 | 6.325 | 
| 0.929 | 0.199 | -1.057 | 2.517 | 50.042 | -3.497 | 
| 3.143 | 3.635 | -4.073 | 3.753 | -4.318 | 49.220 | 
| 238.589 | 117.790 | 113.003 | 1.033 | 6.142 | 4.945 | 
| 112.907 | 251.298 | 109.014 | -1.439 | -0.053 | -1.346 | 
| 113.379 | 111.568 | 243.828 | 1.717 | -1.654 | -1.072 | 
| 0.745 | -4.001 | 1.061 | 54.710 | 2.722 | 3.529 | 
| 1.998 | -0.421 | -1.854 | 3.070 | 50.977 | -3.082 | 
| 0.375 | -1.377 | -0.134 | 2.372 | -0.850 | 68.498 | 
| 359.248 | -30.680 | 24.617 | -60.992 | 12.825 | 96.326 | 
| 108.409 | 226.575 | 107.267 | 0.500 | -2.649 | 7.992 | 
| 100.914 | 105.834 | 241.665 | 3.661 | 3.080 | 3.436 | 
| 120.786 | -114.368 | -17.406 | -14.108 | 11.748 | 11.579 | 
| 3.525 | -3.245 | 3.080 | 2.395 | 61.077 | 1.588 | 
| 111.436 | -102.552 | -16.792 | -77.526 | 11.955 | 74.309 | 
| 113.962 | 220.890 | 124.554 | 80.778 | -2.883 | -15.417 | 
| 108.409 | 226.575 | 107.267 | 0.500 | -2.649 | 7.992 | 
| -161.040 | 168.362 | 370.473 | -27.071 | 50.240 | -36.044 | 
| -135.213 | 140.853 | 85.901 | 121.562 | -1.725 | -101.403 | 
| -113.650 | 106.536 | 23.128 | 79.734 | 45.837 | -11.525 | 
| -124.855 | 118.636 | 23.360 | 76.964 | -6.560 | 49.231 | 
| 243.883 | 99.230 | 102.495 | -4.211 | 7.309 | -1.631 | 
| 123.701 | 207.297 | 107.290 | -7.960 | -2.522 | 9.296 | 
| 100.914 | 105.834 | 241.665 | 3.661 | 3.080 | 3.436 | 
| 16.563 | -18.507 | -7.288 | 50.501 | 3.619 | 9.530 | 
| 38.117 | -14.086 | -13.494 | 6.795 | 31.881 | 6.273 | 
| 5.133 | -3.041 | 1.267 | -8.025 | 3.630 | 63.068 | 
| 220.270 | 121.383 | 106.488 | 11.279 | 5.444 | -4.140 | 
| 101.766 | 224.061 | 120.414 | 5.800 | -5.416 | -2.108 | 
| 88.200 | 119.021 | 226.607 | -3.893 | 7.098 | 3.186 | 
| -9.184 | 7.294 | 4.671 | 70.822 | 1.565 | -2.206 | 
| -17.221 | -3.154 | 18.549 | 1.746 | 41.363 | -2.448 | 
| -6.219 | 7.933 | 2.491 | -0.733 | 3.471 | 68.391 | 
| 241.584 | 106.884 | 100.711 | 3.089 | 5.516 | -2.274 | 
| 113.595 | 216.204 | 109.300 | -1.182 | -3.433 | 8.189 | 
| 100.915 | 105.834 | 241.666 | 3.661 | 3.080 | 3.436 | 
| 3.997 | -5.051 | 2.382 | 61.896 | 2.602 | -0.790 | 
| 7.823 | -7.238 | 2.065 | 2.625 | 46.219 | 2.116 | 
| 1.549 | 3.921 | 2.124 | 2.549 | 2.884 | 39.732 | 
| 217.458 | 116.388 | 111.310 | 4.315 | 8.330 | -5.857 | 
| 115.113 | 207.405 | 114.335 | -0.417 | -6.355 | 7.896 | 
| 109.594 | 114.226 | 216.573 | -2.101 | 3.100 | 7.233 | 
| 1.406 | -2.639 | 2.715 | 62.925 | 2.406 | -1.026 | 
| 3.525 | -3.245 | 3.080 | 2.395 | 61.077 | 1.588 | 
| -9.067 | 9.142 | 5.504 | 0.758 | 2.470 | 52.578 | 
| 226.546 | 151.034 | 105.251 | -0.001 | -0.000 | -0.000 | 
| 152.043 | 220.518 | 111.371 | -0.001 | 0.000 | -0.000 | 
| 105.865 | 110.989 | 269.105 | -0.001 | -0.000 | -0.000 | 
| -0.000 | 0.000 | 0.000 | 39.927 | 0.000 | -0.000 | 
| -0.000 | 0.000 | -0.000 | -0.000 | 18.654 | -0.000 | 
| -0.000 | 0.000 | 0.000 | -0.002 | 0.000 | -35.483 | 
| 226.546 | 151.034 | 105.251 | 0.001 | -0.000 | 0.000 | 
| 152.043 | 220.518 | 111.371 | 0.001 | -0.000 | 0.000 | 
| 105.865 | 110.989 | 269.104 | 0.001 | 0.000 | 0.000 | 
| 0.000 | -0.000 | -0.000 | 39.927 | 0.000 | 0.000 | 
| 0.000 | -0.000 | -0.000 | 0.000 | 18.654 | -0.000 | 
| 0.000 | -0.000 | -0.000 | 0.002 | -0.000 | -35.483 | 
| 226.545 | 151.035 | 105.251 | -0.000 | 0.000 | 0.000 | 
| 152.043 | 220.517 | 111.371 | -0.000 | -0.000 | -0.000 | 
| 105.871 | 110.983 | 269.104 | -0.000 | -0.000 | -0.000 | 
| 0.000 | -0.000 | 0.000 | 39.927 | -0.000 | -0.000 | 
| -0.000 | 0.000 | 0.000 | -0.000 | 18.654 | -0.000 | 
| -0.000 | 0.000 | -0.000 | -0.000 | -0.000 | -35.484 | 
| 226.545 | 151.035 | 105.251 | 0.000 | -0.000 | 0.000 | 
| 152.043 | 220.517 | 111.371 | 0.000 | -0.000 | 0.000 | 
| 105.871 | 110.983 | 269.104 | 0.000 | 0.000 | 0.000 | 
| -0.000 | 0.000 | -0.000 | 39.927 | -0.000 | 0.000 | 
| 0.000 | -0.000 | -0.000 | 0.000 | 18.654 | 0.000 | 
| 0.000 | -0.000 | 0.000 | 0.000 | -0.000 | -35.484 | 
| 226.547 | 151.035 | 105.251 | -0.000 | -0.000 | -0.000 | 
| 152.044 | 220.518 | 111.371 | -0.000 | 0.000 | -0.000 | 
| 105.872 | 110.983 | 269.105 | -0.000 | -0.000 | -0.000 | 
| 0.000 | -0.000 | 0.000 | 39.927 | 0.000 | -0.000 | 
| -0.000 | 0.000 | 0.000 | -0.000 | 18.654 | -0.000 | 
| -0.001 | 0.001 | -0.000 | -0.000 | 0.000 | -35.484 | 
| 226.544 | 151.035 | 105.251 | 0.000 | -0.000 | 0.000 | 
| 152.042 | 220.517 | 111.371 | 0.000 | -0.000 | 0.000 | 
| 105.871 | 110.982 | 269.103 | 0.000 | -0.000 | 0.000 | 
| -0.000 | 0.000 | -0.000 | 39.927 | -0.000 | 0.000 | 
| 0.000 | -0.000 | -0.000 | 0.000 | 18.654 | 0.000 | 
| 0.001 | -0.001 | 0.000 | 0.000 | 0.000 | -35.484 | 
| 278.298 | 134.706 | 134.706 | 0.000 | -0.000 | 0.000 | 
| 134.706 | 278.298 | 134.706 | 0.000 | -0.000 | 0.000 | 
| 134.706 | 134.706 | 278.298 | 0.000 | -0.000 | 0.000 | 
| 20.940 | 20.940 | 20.940 | 56.335 | -0.000 | 0.000 | 
| 20.940 | 20.940 | 20.940 | 0.000 | 56.335 | 0.000 | 
| 20.940 | 20.940 | 20.940 | 0.000 | -0.000 | 56.335 | 
| 272.938 | 106.837 | 106.837 | -0.000 | 0.000 | -0.000 | 
| 106.837 | 272.938 | 106.837 | -0.000 | 0.000 | -0.000 | 
| 106.837 | 106.837 | 272.938 | 0.000 | 0.000 | -0.000 | 
| -20.940 | -20.940 | -20.940 | 56.335 | 0.000 | -0.000 | 
| -20.940 | -20.940 | -20.940 | -0.000 | 56.335 | -0.000 | 
| -20.940 | -20.940 | -20.940 | 0.000 | 0.000 | 56.335 | 
| 258.981 | 115.921 | 115.921 | 0.000 | -0.000 | 0.000 | 
| 115.921 | 258.981 | 115.921 | 0.000 | -0.000 | 0.000 | 
| 115.921 | 115.921 | 258.981 | 0.000 | -0.000 | 0.000 | 
| -11.777 | -11.777 | -11.777 | 44.850 | -0.000 | 0.000 | 
| -11.777 | -11.777 | -11.777 | -0.000 | 44.850 | 0.000 | 
| -11.777 | -11.777 | -11.777 | -0.000 | -0.000 | 44.850 | 
| 255.187 | 113.705 | 113.705 | -0.000 | 0.000 | -0.000 | 
| 113.705 | 255.187 | 113.705 | 0.000 | 0.000 | -0.000 | 
| 113.705 | 113.705 | 255.187 | 0.000 | 0.000 | -0.000 | 
| 11.777 | 11.777 | 11.777 | 44.850 | 0.000 | -0.000 | 
| 11.777 | 11.777 | 11.777 | 0.000 | 44.850 | -0.000 | 
| 11.777 | 11.777 | 11.777 | 0.000 | 0.000 | 44.850 | 
| 255.539 | 114.767 | 114.767 | 0.000 | -0.000 | 0.000 | 
| 114.767 | 255.539 | 114.767 | -0.000 | -0.000 | 0.000 | 
| 114.767 | 114.767 | 255.539 | -0.000 | -0.000 | 0.000 | 
| -0.851 | -0.851 | -0.851 | 50.207 | -0.000 | 0.000 | 
| -0.851 | -0.851 | -0.851 | -0.000 | 50.207 | 0.000 | 
| -0.851 | -0.851 | -0.851 | 0.000 | -0.000 | 50.207 | 
| 272.937 | 106.837 | 106.837 | 0.000 | 0.000 | -0.000 | 
| 106.837 | 272.937 | 106.837 | 0.000 | 0.000 | -0.000 | 
| 106.837 | 106.837 | 272.937 | 0.000 | 0.000 | -0.000 | 
| 0.851 | 0.851 | 0.851 | 50.207 | 0.000 | -0.000 | 
| 0.851 | 0.851 | 0.851 | 0.000 | 50.207 | -0.000 | 
| 0.851 | 0.851 | 0.851 | 0.000 | 0.000 | 50.207 | 
| 272.824 | 106.778 | 106.778 | -0.000 | -0.000 | -0.000 | 
| 106.778 | 272.824 | 106.778 | -0.000 | -0.000 | 0.000 | 
| 106.778 | 106.778 | 272.824 | -0.000 | -0.000 | -0.000 | 
| 0.000 | 0.000 | 0.000 | 64.170 | -0.000 | -0.000 | 
| 0.000 | -0.000 | 0.000 | -0.000 | 64.170 | -0.000 | 
| 0.000 | 0.000 | 0.000 | -0.000 | -0.000 | 64.170 | 
| 255.960 | 114.057 | 114.057 | -0.000 | 0.000 | 0.000 | 
| 114.057 | 255.960 | 114.057 | 0.000 | 0.000 | -0.000 | 
| 114.057 | 114.057 | 255.960 | 0.000 | 0.000 | -0.000 | 
| -0.000 | -0.000 | -0.000 | 64.170 | 0.000 | -0.000 | 
| -0.000 | 0.000 | -0.000 | -0.000 | 64.170 | -0.000 | 
| -0.000 | -0.000 | -0.000 | 0.000 | 0.000 | 64.170 | 
| 259.019 | 113.033 | 113.033 | 0.000 | -0.000 | 0.000 | 
| 113.033 | 259.019 | 113.033 | 0.000 | -0.000 | -0.000 | 
| 113.033 | 113.033 | 259.019 | 0.000 | -0.000 | -0.000 | 
| 0.000 | 0.000 | 0.000 | 64.170 | -0.000 | -0.000 | 
| 0.000 | 0.000 | 0.000 | -0.000 | 64.170 | 0.000 | 
| 0.000 | 0.000 | 0.000 | 0.000 | -0.000 | 64.170 | 
| 272.824 | 106.778 | 106.778 | 0.000 | 0.000 | 0.000 | 
| 106.778 | 272.824 | 106.778 | 0.000 | 0.000 | 0.000 | 
| 106.778 | 106.778 | 272.824 | -0.000 | -0.000 | 0.000 | 
| -0.000 | -0.000 | -0.000 | 64.170 | -0.000 | 0.000 | 
| -0.000 | -0.000 | -0.000 | -0.000 | 64.170 | 0.000 | 
| -0.014 | -0.014 | -0.014 | 0.000 | 0.000 | 54.159 | 
| 272.825 | 106.778 | 106.778 | -0.000 | -0.000 | -0.000 | 
| 106.778 | 272.825 | 106.778 | -0.000 | -0.000 | -0.000 | 
| 106.778 | 106.778 | 272.825 | -0.000 | -0.000 | 0.000 | 
| 0.000 | 0.000 | 0.000 | 64.170 | -0.000 | -0.000 | 
| 0.000 | 0.000 | 0.000 | -0.000 | 64.170 | -0.000 | 
| 0.000 | 0.000 | 0.000 | -0.000 | -0.000 | 64.170 | 
| 256.940 | 114.178 | 114.178 | -0.000 | 0.000 | -0.000 | 
| 114.178 | 256.940 | 114.178 | -0.000 | 0.000 | 0.000 | 
| 114.178 | 114.178 | 256.940 | -0.000 | 0.000 | -0.000 | 
| -0.000 | -0.000 | -0.000 | 64.170 | 0.000 | 0.000 | 
| -0.000 | -0.000 | -0.000 | -0.000 | 64.170 | -0.000 | 
| -0.000 | -0.000 | -0.000 | -0.000 | 0.000 | 64.170 | 
| 311.199 | 198.230 | 198.230 | -0.000 | -0.000 | 0.000 | 
| 198.230 | 311.199 | 198.230 | 0.000 | -0.000 | 0.000 | 
| 198.230 | 198.230 | 311.199 | 0.000 | -0.000 | 0.000 | 
| 78.071 | 78.071 | 78.071 | 51.610 | 0.000 | -0.000 | 
| 78.071 | 78.071 | 78.071 | -0.000 | 51.610 | -0.000 | 
| 78.071 | 78.071 | 78.071 | -0.000 | 0.000 | 51.610 | 
| 154.939 | 41.970 | 41.970 | -0.000 | 0.000 | -0.000 | 
| 41.970 | 154.939 | 41.970 | 0.000 | 0.000 | -0.000 | 
| 41.970 | 41.970 | 154.939 | -0.000 | 0.000 | 0.000 | 
| -78.071 | -78.071 | -78.071 | 51.610 | -0.000 | 0.000 | 
| -78.071 | -78.071 | -78.071 | -0.000 | 51.610 | 0.000 | 
| -78.071 | -78.071 | -78.071 | 0.000 | -0.000 | 51.610 | 
| 288.735 | 173.972 | 173.972 | -0.000 | 0.000 | -0.000 | 
| 173.972 | 288.735 | 173.972 | -0.000 | 0.000 | -0.000 | 
| 173.972 | 173.972 | 288.735 | -0.000 | 0.000 | -0.000 | 
| 53.073 | 53.073 | 53.073 | 50.459 | 0.000 | -0.000 | 
| 53.073 | 53.073 | 53.073 | -0.000 | 50.459 | -0.000 | 
| 53.073 | 53.073 | 53.073 | -0.000 | 0.000 | 50.459 | 
| 182.921 | 66.928 | 66.928 | 0.000 | -0.000 | 0.000 | 
| 66.928 | 182.921 | 66.928 | 0.000 | -0.000 | 0.000 | 
| 66.928 | 66.928 | 182.921 | 0.000 | -0.000 | 0.000 | 
| -53.073 | -53.073 | -53.073 | 50.459 | -0.000 | 0.000 | 
| -53.073 | -53.073 | -53.073 | 0.000 | 50.459 | 0.000 | 
| -53.073 | -53.073 | -53.073 | 0.000 | -0.000 | 50.459 | 
| 228.730 | 122.495 | 122.495 | 0.000 | 0.000 | -0.000 | 
| 122.495 | 228.730 | 122.495 | -0.000 | 0.000 | -0.000 | 
| 122.495 | 122.495 | 228.730 | -0.000 | -0.000 | -0.000 | 
| 0.850 | 0.850 | 0.850 | 50.971 | 0.000 | -0.000 | 
| 0.850 | 0.850 | 0.850 | -0.000 | 50.971 | -0.000 | 
| 0.850 | 0.850 | 0.850 | -0.000 | 0.000 | 50.971 | 
| 227.956 | 121.926 | 121.926 | 0.000 | -0.000 | 0.000 | 
| 121.926 | 227.956 | 121.926 | 0.000 | -0.000 | 0.000 | 
| 121.926 | 121.926 | 227.956 | 0.000 | -0.000 | 0.000 | 
| -0.850 | -0.850 | -0.850 | 50.971 | 0.000 | 0.000 | 
| -0.850 | -0.850 | -0.850 | 0.000 | 50.971 | 0.000 | 
| -0.850 | -0.850 | -0.850 | 0.000 | -0.000 | 50.971 | 
| 339.309 | 224.311 | 224.311 | 0.000 | 0.000 | -0.000 | 
| 224.311 | 339.309 | 224.311 | 0.000 | -0.000 | 0.000 | 
| 224.311 | 224.311 | 339.309 | 0.000 | 0.000 | -0.000 | 
| -0.000 | -0.000 | -0.000 | 69.963 | 0.000 | -0.000 | 
| -0.000 | -0.000 | 0.000 | -0.000 | 69.963 | -0.000 | 
| -0.000 | -0.000 | 0.000 | -0.000 | -0.000 | 69.963 | 
| 243.039 | 117.192 | 117.192 | 0.000 | -0.000 | 0.000 | 
| 117.192 | 243.039 | 117.192 | -0.000 | -0.000 | 0.000 | 
| 117.192 | 117.192 | 243.039 | 0.000 | -0.000 | 0.000 | 
| 0.000 | -0.000 | -0.000 | 69.963 | -0.000 | 0.000 | 
| 0.000 | 0.000 | -0.000 | 0.000 | 69.963 | 0.000 | 
| 0.000 | -0.000 | 0.000 | 0.000 | -0.000 | 69.963 | 
| 243.039 | 117.192 | 117.192 | -0.000 | 0.000 | -0.000 | 
| 117.192 | 243.039 | 117.192 | -0.000 | -0.000 | -0.000 | 
| 117.192 | 117.192 | 243.039 | -0.000 | 0.000 | -0.000 | 
| 8.819 | 8.819 | 8.819 | 53.680 | 0.000 | -0.000 | 
| 8.819 | 8.819 | 8.819 | 0.000 | 53.680 | -0.000 | 
| 8.819 | 8.819 | 8.819 | 0.000 | 0.000 | 53.680 | 
| 243.038 | 117.192 | 117.192 | 0.000 | 0.000 | 0.000 | 
| 117.192 | 243.038 | 117.192 | 0.000 | -0.000 | 0.000 | 
| 117.192 | 117.192 | 243.038 | 0.000 | -0.000 | -0.000 | 
| -8.819 | -8.819 | -8.819 | 53.680 | -0.000 | -0.000 | 
| -8.819 | -8.819 | -8.819 | -0.000 | 53.680 | 0.000 | 
| -8.819 | -8.819 | -8.819 | -0.000 | -0.000 | 53.680 | 
| 236.293 | 117.448 | 117.448 | 0.000 | 0.000 | -0.000 | 
| 117.448 | 236.293 | 117.448 | 0.000 | 0.000 | -0.000 | 
| 117.448 | 117.448 | 236.293 | 0.000 | 0.000 | -0.000 | 
| 0.000 | 0.000 | 0.000 | 69.963 | 0.000 | -0.000 | 
| 0.000 | 0.000 | 0.000 | -0.000 | 69.963 | -0.000 | 
| 0.000 | 0.000 | 0.000 | -0.000 | 0.000 | 69.963 | 
| 223.979 | 121.891 | 121.891 | 0.000 | 0.000 | -0.000 | 
| 121.891 | 223.979 | 121.891 | 0.000 | 0.000 | -0.000 | 
| 121.891 | 121.891 | 223.979 | 0.000 | 0.000 | -0.000 | 
| -0.000 | -0.000 | -0.000 | 69.963 | -0.000 | -0.000 | 
| -0.000 | -0.000 | -0.000 | 0.000 | 69.963 | 0.000 | 
| -0.000 | -0.000 | -0.000 | 0.000 | -0.000 | 69.963 | 
| 219.737 | 128.059 | 79.992 | 0.000 | -0.000 | -0.000 | 
| 133.263 | 285.004 | 53.710 | 0.000 | -0.000 | -0.000 | 
| 80.466 | 48.979 | 246.806 | 0.000 | -0.000 | -0.000 | 
| 0.000 | -0.000 | 0.000 | 14.648 | -0.000 | -0.000 | 
| 8.411 | 2.530 | 9.672 | 0.000 | -48.201 | -0.000 | 
| 3.623 | 1.090 | 4.166 | -0.000 | 0.000 | 110.653 | 
| 242.369 | 134.867 | 106.018 | 0.000 | 0.000 | 0.000 | 
| 126.017 | 282.824 | 45.377 | -0.000 | 0.000 | 0.000 | 
| 107.035 | 56.971 | 277.357 | -0.000 | -0.000 | 0.000 | 
| -0.000 | 0.000 | -0.000 | 14.648 | -0.000 | 0.000 | 
| -8.411 | -2.530 | -9.672 | -0.000 | -48.201 | 0.000 | 
| -3.623 | -1.090 | -4.166 | 0.000 | 0.000 | 110.653 | 
| 242.370 | 134.867 | 106.018 | -0.000 | -0.000 | -0.000 | 
| 137.538 | 286.289 | 58.625 | 0.000 | 0.000 | -0.000 | 
| 77.205 | 47.999 | 243.057 | -0.000 | -0.000 | -0.000 | 
| 0.000 | -0.000 | -0.000 | 14.648 | -0.000 | -0.000 | 
| 0.858 | 0.258 | 0.987 | -0.000 | -49.750 | -0.000 | 
| 0.362 | 0.109 | 0.417 | -0.000 | -0.000 | 110.653 | 
| 215.751 | 126.860 | 75.409 | -0.000 | 0.000 | 0.000 | 
| 137.538 | 286.289 | 58.625 | -0.000 | 0.000 | 0.000 | 
| 107.034 | 56.971 | 277.357 | 0.000 | -0.000 | 0.000 | 
| -0.000 | 0.000 | 0.000 | 14.648 | 0.000 | 0.000 | 
| -0.858 | -0.258 | -0.987 | 0.000 | -49.750 | 0.000 | 
| -0.362 | -0.109 | -0.417 | 0.000 | 0.000 | 110.653 | 
| 216.151 | 126.981 | 75.868 | -0.000 | -0.000 | -0.000 | 
| 129.677 | 283.926 | 49.585 | -0.000 | 0.000 | -0.000 | 
| 76.879 | 47.901 | 242.683 | -0.000 | 0.000 | -0.000 | 
| 0.036 | 0.011 | 0.041 | -73.765 | -0.000 | -0.000 | 
| 0.086 | 0.026 | 0.098 | -0.000 | -49.766 | -0.000 | 
| 0.036 | 0.011 | 0.042 | -0.000 | -0.000 | 110.653 | 
| 216.077 | 126.958 | 75.784 | -0.000 | -0.000 | 0.000 | 
| 129.603 | 283.902 | 49.502 | -0.000 | -0.000 | 0.000 | 
| 76.806 | 47.879 | 242.597 | 0.000 | 0.000 | 0.000 | 
| -0.036 | -0.011 | -0.041 | -73.765 | 0.000 | 0.000 | 
| -0.086 | -0.026 | -0.098 | 0.000 | -49.766 | 0.000 | 
| -0.036 | -0.011 | -0.042 | 0.000 | 0.000 | 110.653 | 
| 255.790 | 133.901 | 98.278 | 0.000 | 0.000 | -0.000 | 
| 137.156 | 234.002 | 110.277 | 0.000 | -0.000 | -0.000 | 
| 101.822 | 110.565 | 263.595 | 0.000 | -0.000 | -0.000 | 
| 0.000 | 0.000 | 0.000 | 47.032 | 0.000 | -0.000 | 
| -0.000 | 0.000 | 0.000 | 0.000 | 8.198 | 0.000 | 
| 0.000 | 0.000 | 0.000 | 0.000 | 0.000 | 40.633 | 
| 255.790 | 133.901 | 98.278 | -0.000 | 0.000 | 0.000 | 
| 137.156 | 234.002 | 110.277 | -0.000 | 0.000 | 0.000 | 
| 101.822 | 110.565 | 263.595 | -0.000 | 0.000 | 0.000 | 
| -0.000 | -0.000 | -0.000 | 47.032 | -0.000 | 0.000 | 
| -0.000 | -0.000 | -0.000 | -0.000 | 8.198 | 0.000 | 
| 0.000 | -0.000 | -0.000 | -0.000 | -0.000 | 40.633 | 
| 255.791 | 133.901 | 98.278 | 0.000 | 0.000 | -0.000 | 
| 137.156 | 234.002 | 110.277 | 0.000 | 0.000 | -0.000 | 
| 101.822 | 110.565 | 263.595 | 0.000 | 0.000 | -0.000 | 
| 0.000 | -0.000 | 0.000 | 47.032 | 0.000 | -0.000 | 
| -0.000 | 0.000 | 0.000 | 0.000 | 8.198 | -0.000 | 
| -0.000 | 0.000 | -0.000 | -0.000 | 0.000 | 40.633 | 
| 255.790 | 133.901 | 98.278 | -0.000 | 0.000 | 0.000 | 
| 137.156 | 234.002 | 110.277 | -0.000 | -0.000 | 0.000 | 
| 101.822 | 110.565 | 263.595 | -0.000 | -0.000 | 0.000 | 
| -0.000 | 0.000 | -0.000 | 47.032 | -0.000 | 0.000 | 
| 0.000 | -0.000 | -0.000 | -0.000 | 8.198 | -0.000 | 
| 0.000 | -0.000 | 0.000 | -0.000 | 0.000 | 40.633 | 
| 255.792 | 133.901 | 98.278 | 0.000 | -0.000 | -0.000 | 
| 137.157 | 234.002 | 110.277 | 0.000 | -0.000 | -0.000 | 
| 101.822 | 110.566 | 263.596 | 0.000 | 0.000 | -0.000 | 
| 0.000 | -0.000 | 0.000 | 47.032 | -0.000 | -0.000 | 
| -0.000 | 0.000 | 0.000 | 0.000 | 8.198 | 0.000 | 
| -0.001 | 0.001 | 0.000 | 0.000 | -0.000 | -98.916 | 
| 255.789 | 133.901 | 98.278 | -0.000 | 0.000 | 0.000 | 
| 137.156 | 234.001 | 110.277 | -0.000 | -0.000 | 0.000 | 
| 101.821 | 110.565 | 263.594 | -0.000 | 0.000 | 0.000 | 
| -0.000 | 0.000 | -0.000 | 47.032 | 0.000 | 0.000 | 
| 0.000 | -0.000 | -0.000 | -0.000 | 8.198 | 0.000 | 
| 0.001 | -0.001 | -0.000 | -0.000 | 0.000 | -98.916 | 
| 159.800 | -8.912 | 130.081 | 0.000 | -21.556 | -0.000 | 
| 6.621 | 96.195 | 93.223 | 0.000 | -0.668 | -0.000 | 
| 110.074 | 58.012 | 207.512 | 0.000 | 0.195 | -0.000 | 
| 3.268 | 2.024 | -3.630 | -84.187 | -8.685 | 0.900 | 
| 1.595 | 1.828 | 0.065 | 0.000 | -36.286 | -0.000 | 
| 1.031 | 0.639 | -1.146 | 0.721 | -2.741 | 29.895 | 
| 158.671 | -9.629 | 131.319 | -0.000 | -15.146 | 0.000 | 
| 5.472 | 95.484 | 94.499 | -0.000 | 2.313 | 0.000 | 
| 108.962 | 57.322 | 208.748 | -0.000 | 3.166 | 0.000 | 
| -3.268 | -2.024 | 3.630 | -84.187 | 8.685 | 0.900 | 
| -0.820 | 0.333 | 2.747 | -0.000 | -29.914 | 0.000 | 
| -1.031 | -0.639 | 1.146 | 0.721 | 2.741 | 29.895 | 
| 159.292 | -9.235 | 130.638 | 0.000 | -18.671 | -0.000 | 
| 6.165 | 95.912 | 93.729 | -0.000 | 0.671 | -0.000 | 
| 109.541 | 57.682 | 208.105 | 0.000 | 1.532 | -0.000 | 
| 0.331 | 0.205 | -0.368 | -85.241 | -0.880 | 0.907 | 
| 0.509 | 1.156 | 1.271 | 0.000 | -33.448 | -0.000 | 
| 0.143 | 0.088 | -0.158 | 0.782 | -0.379 | 29.894 | 
| 159.179 | -9.306 | 130.762 | -0.000 | -18.030 | 0.000 | 
| 6.050 | 95.840 | 93.857 | -0.000 | 0.968 | 0.000 | 
| 109.429 | 57.613 | 208.229 | -0.000 | 1.829 | 0.000 | 
| -0.331 | -0.205 | 0.368 | -85.241 | 0.880 | 0.907 | 
| 0.268 | 1.006 | 1.539 | -0.000 | -32.812 | 0.000 | 
| -0.143 | -0.088 | 0.158 | 0.782 | 0.379 | 29.894 | 
| 159.241 | -9.267 | 130.694 | 0.000 | -18.382 | -0.000 | 
| 6.114 | 95.880 | 93.784 | 0.000 | 1.050 | -0.000 | 
| 109.491 | 57.651 | 208.161 | 0.000 | 1.665 | -0.000 | 
| 0.033 | 0.021 | -0.037 | -85.252 | -0.088 | 0.907 | 
| 0.122 | 0.920 | 1.704 | 0.000 | -33.165 | -0.000 | 
| 0.032 | 0.020 | -0.036 | 1.057 | -0.085 | 29.892 | 
| 159.229 | -9.274 | 130.706 | -0.000 | -18.318 | 0.000 | 
| 6.102 | 95.871 | 93.797 | -0.000 | 1.114 | 0.000 | 
| 109.478 | 57.643 | 208.174 | -0.000 | 1.695 | 0.000 | 
| -0.033 | -0.021 | 0.037 | -85.252 | 0.088 | 0.907 | 
| 0.111 | 0.913 | 1.717 | -0.000 | -33.101 | 0.000 | 
| -0.032 | -0.020 | 0.036 | 1.057 | 0.085 | 29.892 | 
| 242.030 | 133.740 | 107.023 | 13.285 | -0.000 | -0.000 | 
| 141.757 | 238.337 | 106.267 | -13.339 | 0.000 | -0.000 | 
| 109.185 | 109.185 | 270.026 | -0.000 | -0.000 | -0.000 | 
| 13.285 | -13.285 | 0.000 | 28.986 | -0.000 | 0.000 | 
| -0.000 | 0.000 | 0.000 | 0.000 | 28.986 | 13.285 | 
| -0.000 | 0.000 | 0.000 | 0.000 | 13.285 | 54.145 | 
| 242.030 | 133.740 | 107.023 | 13.285 | 0.000 | 0.000 | 
| 133.740 | 242.030 | 107.023 | -13.285 | -0.000 | 0.000 | 
| 104.882 | 104.882 | 271.531 | -0.000 | 0.000 | -0.000 | 
| 13.285 | -13.285 | -0.000 | 28.986 | 0.000 | 0.000 | 
| 0.000 | -0.000 | -0.000 | -0.000 | 28.986 | 13.285 | 
| 0.000 | -0.000 | -0.000 | -0.000 | 13.285 | 54.145 | 
| 231.974 | 144.542 | 106.893 | 13.381 | -0.000 | 0.000 | 
| 133.740 | 242.030 | 107.023 | -13.285 | -0.000 | -0.000 | 
| 107.031 | 107.031 | 270.780 | -0.000 | -0.000 | 0.000 | 
| 13.554 | -13.124 | -0.075 | 28.986 | -0.000 | -0.000 | 
| 0.215 | 0.215 | -0.075 | 0.000 | 28.986 | 13.339 | 
| -0.000 | 0.000 | -0.000 | 0.000 | 13.285 | 54.145 | 
| 242.030 | 133.740 | 107.023 | 13.285 | 0.000 | 0.000 | 
| 175.080 | 200.245 | 107.101 | -13.667 | 0.000 | 0.000 | 
| 107.031 | 107.031 | 270.779 | -0.000 | 0.000 | 0.000 | 
| 13.285 | -13.285 | -0.000 | 28.986 | 0.000 | 0.000 | 
| -0.215 | -0.215 | 0.075 | -0.000 | 28.986 | 13.339 | 
| 0.000 | -0.000 | 0.000 | -0.000 | 13.285 | 54.145 | 
| 201.578 | 174.384 | 106.990 | 13.658 | -0.000 | -0.000 | 
| 133.741 | 242.031 | 107.024 | -13.285 | -0.000 | -0.000 | 
| 107.032 | 107.032 | 270.780 | 0.000 | -0.000 | -0.000 | 
| 13.285 | -13.285 | 0.000 | 28.986 | -0.000 | -0.000 | 
| 0.022 | 0.022 | -0.007 | 0.000 | 28.986 | 13.339 | 
| -0.000 | 0.000 | -0.000 | 0.000 | 13.285 | 54.145 | 
| 200.436 | 175.274 | 107.033 | 13.667 | 0.000 | -0.000 | 
| 175.272 | 200.439 | 107.033 | -13.667 | 0.000 | 0.000 | 
| 107.031 | 107.031 | 270.779 | -0.000 | 0.000 | 0.000 | 
| 13.646 | -13.689 | 0.007 | 28.983 | 0.000 | -0.000 | 
| -0.022 | -0.022 | 0.007 | -0.000 | 28.986 | 13.339 | 
| 0.000 | -0.000 | 0.000 | -0.000 | 13.285 | 54.145 | 
| 201.316 | 176.163 | 106.740 | 13.669 | -0.000 | 0.000 | 
| 133.736 | 242.015 | 107.042 | -13.287 | -0.000 | 0.000 | 
| 107.917 | 107.917 | 270.502 | -0.000 | -0.000 | -0.000 | 
| 13.287 | -13.287 | 0.000 | 28.991 | -0.000 | -0.000 | 
| -0.000 | -0.000 | 0.000 | 0.000 | 28.991 | 13.287 | 
| -0.000 | 0.000 | 0.000 | 0.000 | 13.287 | 54.140 | 
| 242.015 | 133.736 | 107.042 | 13.287 | 0.000 | 0.000 | 
| 174.419 | 199.572 | 107.350 | -13.669 | 0.000 | -0.000 | 
| 106.173 | 106.173 | 271.112 | 0.000 | -0.000 | -0.000 | 
| 13.287 | -13.287 | -0.000 | 28.991 | 0.000 | -0.000 | 
| 0.000 | 0.000 | -0.000 | 0.000 | 28.991 | 13.287 | 
| 0.000 | -0.000 | -0.000 | -0.000 | 13.287 | 54.140 | 
| 218.527 | 157.875 | 106.928 | 13.506 | -0.000 | -0.000 | 
| 133.736 | 242.015 | 107.042 | -13.287 | -0.000 | -0.000 | 
| 107.042 | 107.042 | 270.808 | -0.000 | -0.000 | 0.000 | 
| 13.428 | -13.253 | -0.031 | 28.991 | -0.000 | 0.000 | 
| 0.087 | 0.087 | -0.031 | 0.000 | 28.991 | 13.340 | 
| -0.000 | 0.000 | -0.000 | 0.000 | 13.287 | 54.140 | 
| 242.015 | 133.736 | 107.042 | 13.287 | 0.000 | 0.000 | 
| 133.736 | 242.015 | 107.042 | -13.287 | 0.000 | 0.000 | 
| 107.042 | 107.042 | 270.808 | 0.000 | -0.000 | -0.000 | 
| 13.253 | -13.428 | 0.031 | 28.991 | -0.000 | -0.000 | 
| -0.087 | -0.087 | 0.031 | -0.000 | 28.991 | 13.340 | 
| 0.000 | -0.000 | 0.000 | -0.000 | 13.287 | 54.140 | 
| 242.016 | 133.736 | 107.042 | 13.287 | 0.000 | 0.000 | 
| 175.303 | 200.462 | 107.040 | -13.669 | -0.000 | -0.000 | 
| 107.043 | 107.043 | 270.808 | -0.000 | 0.000 | 0.000 | 
| 13.287 | -13.287 | 0.000 | 28.991 | -0.000 | 0.000 | 
| -0.000 | 0.000 | 0.000 | 0.000 | 28.991 | 13.287 | 
| 0.061 | 0.062 | -0.022 | -0.000 | 13.665 | 12.997 | 
| 242.014 | 133.736 | 107.042 | 13.287 | -0.000 | -0.000 | 
| 173.705 | 201.816 | 107.082 | -13.655 | 0.000 | 0.000 | 
| 107.042 | 107.042 | 270.807 | 0.000 | 0.000 | -0.000 | 
| 13.287 | -13.287 | -0.000 | 28.992 | 0.000 | -0.000 | 
| 0.000 | -0.000 | -0.000 | -0.000 | 28.991 | 13.287 | 
| -0.061 | -0.062 | 0.022 | 0.000 | 13.665 | 12.997 | 
| 1713.838 | 1725.429 | -1716.559 | -0.000 | -0.000 | 0.000 | 
| 1725.429 | 1713.838 | -1716.559 | -0.000 | -0.000 | 0.000 | 
| 1633.766 | 1633.766 | -1538.382 | 0.000 | -0.000 | 0.000 | 
| 1563.927 | 1563.927 | -1818.452 | 41.477 | -0.000 | 0.000 | 
| 1563.927 | 1563.927 | -1818.452 | 0.000 | 41.477 | 0.000 | 
| 644.790 | 644.790 | -1397.689 | -0.000 | -0.000 | 44.678 | 
| -472.717 | -445.762 | 1494.507 | -0.000 | 0.000 | -0.000 | 
| -445.762 | -472.717 | 1494.507 | -0.000 | 0.000 | 0.000 | 
| -1447.049 | -1447.049 | 2078.707 | 0.000 | 0.000 | -0.000 | 
| -644.830 | -644.830 | 1397.637 | 36.338 | 0.000 | -0.000 | 
| -1563.927 | -1563.927 | 1818.452 | -0.000 | 41.477 | -0.000 | 
| -644.790 | -644.790 | 1397.689 | -0.000 | 0.000 | 44.678 | 
| 328.571 | 339.021 | -88.351 | -0.000 | -0.000 | 0.000 | 
| 339.021 | 328.571 | -88.351 | -0.000 | -0.000 | 0.000 | 
| 129.307 | 129.307 | 272.077 | -0.000 | -0.000 | 0.000 | 
| 154.225 | 154.225 | -180.689 | 39.280 | -0.000 | 0.000 | 
| 154.225 | 154.225 | -180.689 | -0.000 | 39.280 | 0.000 | 
| 154.390 | 154.390 | -180.820 | 0.000 | -0.000 | 47.361 | 
| 19.132 | 29.814 | 271.937 | 0.000 | 0.000 | 0.000 | 
| 29.814 | 19.132 | 271.937 | -0.000 | 0.000 | -0.000 | 
| -60.705 | -60.705 | 451.013 | 0.000 | 0.000 | -0.000 | 
| -154.225 | -154.225 | 180.689 | 39.280 | 0.000 | -0.000 | 
| -154.225 | -154.225 | 180.689 | -0.000 | 39.280 | -0.000 | 
| -154.390 | -154.390 | 180.820 | 0.000 | 0.000 | 47.361 | 
| 207.550 | 174.090 | 77.988 | -0.000 | 0.000 | 0.000 | 
| 174.090 | 207.550 | 77.988 | -0.000 | -0.000 | 0.000 | 
| 109.552 | 109.552 | 252.223 | -0.000 | -0.000 | 0.000 | 
| 15.450 | 15.450 | -17.901 | 48.677 | -0.000 | 0.000 | 
| 15.450 | 15.450 | -17.901 | -0.000 | 48.677 | 0.000 | 
| 15.644 | 15.645 | -16.837 | 0.000 | 0.000 | 49.405 | 
| 196.766 | 133.436 | 109.965 | -0.000 | -0.000 | -0.000 | 
| 133.436 | 196.766 | 109.965 | -0.000 | 0.000 | -0.000 | 
| 77.899 | 77.899 | 287.977 | 0.000 | 0.000 | -0.000 | 
| -15.450 | -15.450 | 17.901 | 48.677 | 0.000 | -0.000 | 
| -15.450 | -15.450 | 17.901 | 0.000 | 48.677 | -0.000 | 
| -15.644 | -15.645 | 16.837 | 0.000 | 0.000 | 49.405 | 
| 261.102 | 21.698 | 21.692 | 0.000 | 0.000 | 0.000 | 
| 21.698 | 261.102 | 21.692 | -0.000 | -0.000 | 0.000 | 
| 21.696 | 21.696 | 261.064 | -0.000 | -0.000 | 0.000 | 
| -0.000 | -0.000 | 0.000 | -90.844 | 0.000 | 0.000 | 
| -0.000 | -0.000 | -0.000 | -0.000 | -90.844 | 0.000 | 
| -0.000 | -0.000 | -0.000 | -0.000 | -0.000 | -90.850 | 
| 261.102 | 21.698 | 21.692 | -0.000 | 0.000 | -0.000 | 
| 21.698 | 261.102 | 21.692 | 0.000 | 0.000 | -0.000 | 
| 21.696 | 21.696 | 261.063 | -0.000 | -0.000 | -0.000 | 
| 0.000 | 0.000 | -0.000 | -90.844 | 0.000 | -0.000 | 
| 0.000 | 0.000 | -0.000 | -0.000 | -90.844 | -0.000 | 
| 0.000 | 0.000 | 0.000 | 0.000 | 0.000 | -90.850 | 
| 261.102 | 21.698 | 21.692 | 0.000 | 0.000 | 0.000 | 
| 21.698 | 261.102 | 21.692 | -0.000 | 0.000 | 0.000 | 
| 21.696 | 21.696 | 261.064 | -0.000 | 0.000 | 0.000 | 
| -0.000 | 0.000 | -0.000 | -90.844 | 0.000 | 0.000 | 
| 0.000 | -0.000 | -0.000 | 0.000 | -90.844 | 0.000 | 
| 0.000 | -0.000 | 0.000 | -0.000 | -0.000 | -90.850 | 
| 261.102 | 21.698 | 21.692 | -0.000 | 0.000 | -0.000 | 
| 21.698 | 261.102 | 21.692 | -0.000 | -0.000 | -0.000 | 
| 21.696 | 21.696 | 261.063 | 0.000 | 0.000 | -0.000 | 
| 0.000 | -0.000 | 0.000 | -90.844 | 0.000 | -0.000 | 
| -0.000 | 0.000 | 0.000 | -0.000 | -90.844 | -0.000 | 
| -0.000 | 0.000 | 0.000 | 0.000 | 0.000 | -90.850 | 
| 261.103 | 21.698 | 21.692 | 0.000 | -0.000 | 0.000 | 
| 21.698 | 261.103 | 21.692 | 0.000 | 0.000 | 0.000 | 
| 21.696 | 21.696 | 261.065 | -0.000 | 0.000 | 0.000 | 
| -0.000 | 0.000 | -0.000 | -90.844 | -0.000 | 0.000 | 
| 0.000 | -0.000 | -0.000 | -0.000 | -90.844 | 0.000 | 
| 0.000 | -0.000 | -0.000 | 0.000 | -0.000 | -90.850 | 
| 261.100 | 21.698 | 21.692 | -0.000 | 0.000 | -0.000 | 
| 21.698 | 261.100 | 21.692 | 0.000 | 0.000 | -0.000 | 
| 21.696 | 21.696 | 261.062 | -0.000 | 0.000 | -0.000 | 
| 0.000 | -0.000 | 0.000 | -90.844 | -0.000 | -0.000 | 
| -0.000 | 0.000 | 0.000 | 0.000 | -90.844 | -0.000 | 
| -0.000 | 0.000 | 0.000 | -0.000 | 0.000 | -90.850 | 
| 338.599 | 125.050 | 125.050 | 0.000 | -0.000 | 0.000 | 
| 125.050 | 338.599 | 125.050 | 0.000 | -0.000 | 0.000 | 
| 125.050 | 125.050 | 338.599 | 0.000 | -0.000 | -0.000 | 
| 0.000 | 0.000 | 0.000 | 97.231 | -0.000 | 0.000 | 
| 0.000 | 0.000 | 0.000 | -0.000 | 97.231 | 0.000 | 
| 0.000 | 0.000 | 0.000 | -0.000 | -0.000 | 97.231 | 
| 338.599 | 125.050 | 125.050 | 0.000 | 0.000 | -0.000 | 
| 125.050 | 338.599 | 125.050 | 0.000 | 0.000 | -0.000 | 
| 125.050 | 125.050 | 338.599 | 0.000 | 0.000 | -0.000 | 
| -0.000 | -0.000 | -0.000 | 97.231 | 0.000 | -0.000 | 
| -0.000 | -0.000 | -0.000 | 0.000 | 97.231 | -0.000 | 
| -0.000 | -0.000 | 0.000 | 0.000 | 0.000 | 97.231 | 
| 338.599 | 125.050 | 125.050 | -0.000 | -0.000 | 0.000 | 
| 125.050 | 338.599 | 125.050 | -0.000 | -0.000 | 0.000 | 
| 125.050 | 125.050 | 338.599 | -0.000 | -0.000 | 0.000 | 
| 0.000 | 0.000 | 0.000 | 97.231 | 0.000 | 0.000 | 
| 0.000 | 0.000 | 0.000 | -0.000 | 97.231 | 0.000 | 
| 0.000 | 0.000 | 0.000 | -0.000 | -0.000 | 97.231 | 
| 340.440 | 125.155 | 125.155 | 0.000 | 0.000 | 0.000 | 
| 125.155 | 340.440 | 125.155 | 0.000 | 0.000 | -0.000 | 
| 125.155 | 125.155 | 340.440 | -0.000 | 0.000 | -0.000 | 
| -0.000 | -0.000 | -0.000 | 97.231 | 0.000 | 0.000 | 
| -0.000 | -0.000 | -0.000 | 0.000 | 97.231 | -0.000 | 
| -0.000 | -0.000 | -0.000 | 0.000 | 0.000 | 97.231 | 
| 338.596 | 124.991 | 124.991 | -0.000 | -0.000 | 0.000 | 
| 124.991 | 338.596 | 124.991 | -0.000 | -0.000 | 0.000 | 
| 124.991 | 124.991 | 338.596 | -0.000 | -0.000 | 0.000 | 
| 0.000 | 0.000 | 0.000 | 98.367 | -0.000 | 0.000 | 
| 0.000 | 0.000 | 0.000 | 0.000 | 98.367 | 0.000 | 
| 0.000 | 0.000 | 0.000 | 0.000 | -0.000 | 98.367 | 
| 338.595 | 124.990 | 124.990 | 0.000 | 0.000 | -0.000 | 
| 124.990 | 338.595 | 124.990 | 0.000 | 0.000 | -0.000 | 
| 124.990 | 124.990 | 338.595 | 0.000 | 0.000 | -0.000 | 
| -0.000 | -0.000 | -0.000 | 98.367 | 0.000 | -0.000 | 
| -0.000 | -0.000 | -0.000 | 0.000 | 98.367 | -0.000 | 
| -0.000 | -0.000 | -0.000 | 0.000 | 0.000 | 98.367 | 
| 337.343 | 123.999 | 123.999 | -0.000 | 0.000 | 0.000 | 
| 123.999 | 337.343 | 123.999 | -0.000 | 0.000 | 0.000 | 
| 123.999 | 123.999 | 337.343 | 0.000 | 0.000 | 0.000 | 
| 0.000 | 0.000 | 0.000 | 97.795 | -0.000 | 0.000 | 
| 0.000 | 0.000 | 0.000 | -0.000 | 97.795 | 0.000 | 
| 0.000 | 0.000 | 0.000 | -0.000 | 0.000 | 97.795 | 
| 339.118 | 124.043 | 124.043 | 0.000 | -0.000 | -0.000 | 
| 124.043 | 339.118 | 124.043 | -0.000 | -0.000 | -0.000 | 
| 124.043 | 124.043 | 339.118 | -0.000 | 0.000 | 0.000 | 
| -0.000 | -0.000 | -0.000 | 97.795 | 0.000 | -0.000 | 
| -0.000 | -0.000 | -0.000 | -0.000 | 97.795 | -0.000 | 
| -0.000 | -0.000 | -0.000 | -0.000 | -0.000 | 97.795 | 
| 337.281 | 123.942 | 123.942 | -0.000 | -0.000 | 0.000 | 
| 123.942 | 337.281 | 123.942 | -0.000 | 0.000 | 0.000 | 
| 123.942 | 123.942 | 337.281 | -0.000 | 0.000 | 0.000 | 
| 0.000 | 0.000 | 0.000 | 97.795 | 0.000 | 0.000 | 
| 0.000 | 0.000 | 0.000 | 0.000 | 97.795 | 0.000 | 
| 0.000 | 0.000 | 0.000 | 0.000 | -0.000 | 97.795 | 
| 339.118 | 124.043 | 124.043 | -0.000 | 0.000 | -0.000 | 
| 124.043 | 339.118 | 124.043 | 0.000 | 0.000 | -0.000 | 
| 124.043 | 124.043 | 339.118 | 0.000 | -0.000 | -0.000 | 
| -0.000 | -0.000 | -0.000 | 97.795 | -0.000 | -0.000 | 
| -0.000 | -0.000 | -0.000 | -0.000 | 97.795 | -0.000 | 
| -0.000 | -0.000 | -0.000 | 0.000 | 0.000 | 97.795 | 
| 337.275 | 123.937 | 123.937 | -0.000 | -0.000 | 0.000 | 
| 123.937 | 337.275 | 123.937 | -0.000 | 0.000 | 0.000 | 
| 123.937 | 123.937 | 337.275 | 0.000 | 0.000 | 0.000 | 
| 0.000 | 0.000 | 0.000 | 97.795 | -0.000 | 0.000 | 
| 0.000 | 0.000 | 0.000 | 0.000 | 97.795 | 0.000 | 
| 0.000 | 0.000 | 0.000 | -0.000 | -0.000 | 97.795 | 
| 337.269 | 123.875 | 123.875 | -0.000 | -0.000 | -0.000 | 
| 123.875 | 337.269 | 123.875 | 0.000 | -0.000 | -0.000 | 
| 123.875 | 123.875 | 337.269 | 0.000 | -0.000 | -0.000 | 
| -0.000 | -0.000 | -0.000 | 97.795 | 0.000 | -0.000 | 
| -0.000 | -0.000 | -0.000 | -0.000 | 97.795 | -0.000 | 
| -0.000 | -0.000 | -0.000 | -0.000 | -0.000 | 97.795 | 
| 48784.931 | 48926.144 | 48926.144 | 0.000 | 0.000 | 0.000 | 
| 48926.144 | 48784.931 | 48926.144 | 0.000 | 0.000 | 0.000 | 
| 48926.144 | 48926.144 | 48784.932 | 0.000 | 0.000 | 0.000 | 
| -0.000 | -0.000 | -0.000 | -196.866 | 0.000 | 0.000 | 
| -0.000 | -0.000 | -0.000 | 0.000 | -196.866 | 0.000 | 
| -0.000 | -0.000 | -0.000 | 0.000 | 0.000 | -196.866 | 
| 48784.895 | 48926.106 | 48926.106 | -0.000 | -0.000 | -0.000 | 
| 48926.106 | 48784.895 | 48926.106 | -0.000 | -0.000 | -0.000 | 
| 48926.106 | 48926.106 | 48784.895 | -0.000 | -0.000 | -0.000 | 
| 0.000 | 0.000 | 0.000 | -196.866 | -0.000 | 0.000 | 
| 0.000 | 0.000 | 0.000 | -0.000 | -196.866 | 0.000 | 
| 0.000 | 0.000 | 0.000 | -0.000 | -0.000 | -196.866 | 
| 48785.090 | 48926.311 | 48926.311 | 0.000 | 0.000 | 0.000 | 
| 48926.311 | 48785.090 | 48926.311 | 0.000 | 0.000 | 0.000 | 
| 48926.311 | 48926.311 | 48785.090 | 0.000 | 0.000 | 0.000 | 
| -0.005 | -0.005 | -0.005 | -197.040 | 0.000 | 0.000 | 
| -0.005 | -0.005 | -0.005 | 0.000 | -197.040 | 0.000 | 
| -0.005 | -0.005 | -0.005 | 0.000 | -0.000 | -197.040 | 
| 48784.738 | 48925.940 | 48925.940 | -0.000 | -0.000 | -0.000 | 
| 48925.940 | 48784.738 | 48925.940 | -0.000 | -0.000 | -0.000 | 
| 48925.940 | 48925.940 | 48784.738 | -0.000 | -0.000 | -0.000 | 
| 0.005 | 0.005 | 0.005 | -197.040 | -0.000 | -0.000 | 
| 0.005 | 0.005 | 0.005 | -0.000 | -197.040 | -0.000 | 
| 0.005 | 0.005 | 0.005 | -0.000 | 0.000 | -197.040 | 
| 48786.673 | 48927.983 | 48927.983 | 0.000 | 0.000 | 0.000 | 
| 48927.983 | 48786.673 | 48927.983 | 0.000 | 0.000 | 0.000 | 
| 48927.983 | 48927.983 | 48786.673 | 0.000 | 0.000 | 0.000 | 
| -0.049 | -0.049 | -0.049 | -196.865 | -0.000 | 0.000 | 
| -0.049 | -0.049 | -0.049 | -0.000 | -196.865 | 0.000 | 
| -0.049 | -0.049 | -0.049 | -0.000 | -0.000 | -196.865 | 
| 48783.155 | 48924.268 | 48924.268 | -0.000 | -0.000 | -0.000 | 
| 48924.268 | 48783.155 | 48924.268 | -0.000 | -0.000 | -0.000 | 
| 48924.268 | 48924.268 | 48783.155 | -0.000 | -0.000 | -0.000 | 
| 0.049 | 0.049 | 0.049 | -196.865 | 0.000 | 0.000 | 
| 0.049 | 0.049 | 0.049 | 0.000 | -196.865 | 0.000 | 
| 0.049 | 0.049 | 0.049 | 0.000 | 0.000 | -196.865 | 
| 134.115 | 165.662 | 165.662 | 0.000 | -0.000 | 0.000 | 
| 165.662 | 134.115 | 165.662 | -0.000 | 0.000 | 0.000 | 
| 165.662 | 165.662 | 134.115 | 0.000 | 0.000 | -0.000 | 
| -0.000 | -0.000 | -0.000 | -84.468 | -0.000 | 0.000 | 
| -0.000 | -0.000 | -0.000 | -0.000 | -84.468 | -0.000 | 
| -0.000 | -0.000 | -0.000 | -0.000 | -0.000 | -84.468 | 
| 134.115 | 165.662 | 165.662 | -0.000 | -0.000 | 0.000 | 
| 165.662 | 134.115 | 165.662 | -0.000 | -0.000 | -0.000 | 
| 165.662 | 165.662 | 134.115 | -0.000 | -0.000 | 0.000 | 
| 0.000 | 0.000 | 0.000 | -84.468 | 0.000 | 0.000 | 
| 0.000 | 0.000 | 0.000 | 0.000 | -84.468 | 0.000 | 
| 0.000 | 0.000 | 0.000 | 0.000 | -0.000 | -84.468 | 
| 134.115 | 165.662 | 165.662 | 0.000 | 0.000 | 0.000 | 
| 165.662 | 134.115 | 165.662 | 0.000 | 0.000 | 0.000 | 
| 165.662 | 165.662 | 134.115 | 0.000 | 0.000 | -0.000 | 
| -0.000 | -0.000 | -0.000 | -84.468 | -0.000 | -0.000 | 
| -0.000 | -0.000 | -0.000 | -0.000 | -84.468 | 0.000 | 
| -0.000 | -0.000 | -0.000 | -0.000 | 0.000 | -84.468 | 
| 134.115 | 165.662 | 165.662 | -0.000 | -0.000 | -0.000 | 
| 165.662 | 134.115 | 165.662 | -0.000 | -0.000 | 0.000 | 
| 165.662 | 165.662 | 134.115 | -0.000 | -0.000 | 0.000 | 
| 0.000 | 0.000 | 0.000 | -84.468 | 0.000 | 0.000 | 
| 0.000 | 0.000 | 0.000 | 0.000 | -84.468 | -0.000 | 
| 0.000 | 0.000 | 0.000 | 0.000 | -0.000 | -84.468 | 
| 134.115 | 165.662 | 165.662 | 0.000 | 0.000 | 0.000 | 
| 165.662 | 134.115 | 165.662 | 0.000 | 0.000 | 0.000 | 
| 165.662 | 165.662 | 134.115 | 0.000 | 0.000 | -0.000 | 
| -0.001 | -0.000 | -0.000 | -84.468 | -0.000 | -0.000 | 
| -0.000 | -0.001 | -0.000 | -0.000 | -84.468 | 0.000 | 
| -0.000 | -0.000 | -0.001 | -0.000 | 0.000 | -84.468 | 
| 134.114 | 165.661 | 165.661 | -0.000 | -0.000 | -0.000 | 
| 165.661 | 134.114 | 165.661 | -0.000 | -0.000 | -0.000 | 
| 165.661 | 165.661 | 134.114 | -0.000 | -0.000 | 0.000 | 
| 0.001 | 0.000 | 0.000 | -84.468 | 0.000 | 0.000 | 
| 0.000 | 0.001 | 0.000 | 0.000 | -84.468 | 0.000 | 
| 0.000 | 0.000 | 0.001 | 0.000 | 0.000 | -84.468 | 
| -906591.409 | -808093.842 | -855731.737 | 23930.009 | 4171.599 | 50429.901 | 
| -920473.316 | -866351.320 | -883081.948 | 39709.050 | -35063.104 | 31942.386 | 
| -730809.102 | -692672.996 | -747229.494 | 32614.891 | 70472.176 | 75608.581 | 
| -4210224.864 | -5942635.346 | -6077045.430 | -3195846.926 | -34609.801 | 133721.244 | 
| -5570844.090 | -4007855.844 | -5460745.952 | -75155.897 | -3023703.905 | -24744.352 | 
| -6098828.884 | -6250499.334 | -4662984.248 | 208759.720 | 467966.969 | -3041800.649 | 
| -0.000 | -0.000 | -0.000 | -0.000 | -0.000 | -0.000 | 
| -0.000 | -0.000 | -0.000 | -0.000 | -0.000 | -0.000 | 
| -0.000 | -0.000 | -0.000 | -0.000 | -0.000 | -0.000 | 
| 4810915.381 | 6950053.980 | 6987787.523 | -3747602.552 | -14252.491 | 205793.881 | 
| 6462483.912 | 4500331.062 | 6639740.165 | -79223.278 | -3542608.813 | 54170.956 | 
| 5879384.853 | 5979535.016 | 4511712.759 | 38276.673 | 293845.944 | -2989396.176 | 
| -4614.702 | -4614.703 | -4614.703 | 0.000 | 0.000 | 0.000 | 
| -4614.703 | -4614.702 | -4614.703 | 0.000 | 0.000 | 0.000 | 
| -4614.703 | -4614.703 | -4614.702 | 0.000 | 0.000 | 0.000 | 
| 0.234 | -1847210.259 | -1847210.629 | -1847210.444 | 0.039 | 0.039 | 
| -1847210.259 | 0.234 | -1847210.629 | 0.039 | -1847210.444 | 0.039 | 
| -669407.136 | -642896.823 | -479978.474 | 28784.775 | 61042.497 | -354850.127 | 
| -0.000 | -0.000 | -0.000 | -0.000 | -0.000 | -0.000 | 
| -0.000 | -0.000 | -0.000 | -0.000 | -0.000 | -0.000 | 
| -0.000 | -0.000 | -0.000 | -0.000 | -0.000 | -0.000 | 
| 415368.428 | 595379.519 | 592976.354 | -338207.081 | -17441.439 | 5504.811 | 
| 551725.740 | 395849.153 | 576079.206 | -8637.429 | -331266.647 | 10458.700 | 
| 594059.335 | 579029.767 | 425053.336 | 27719.389 | 21899.682 | -325361.063 | 
| -3206.933 | -3206.939 | -3206.939 | 0.000 | 0.000 | -0.000 | 
| -3206.939 | -3206.933 | -3206.939 | 0.000 | 0.000 | -0.000 | 
| -3206.939 | -3206.939 | -3206.933 | 0.000 | 0.000 | 0.000 | 
| 0.029 | -184720.783 | -184721.153 | -184720.968 | 0.001 | 0.001 | 
| -184720.783 | 0.029 | -184721.153 | 0.001 | -184720.968 | 0.001 | 
| -184720.783 | -184721.153 | 0.029 | 0.001 | 0.001 | -184720.968 | 
| -0.000 | -0.000 | -0.000 | -0.000 | -0.000 | -0.000 | 
| -0.000 | -0.000 | -0.000 | -0.000 | -0.000 | -0.000 | 
| -0.000 | -0.000 | -0.000 | -0.000 | -0.000 | -0.000 | 
| -0.029 | 184720.783 | 184721.153 | -184720.968 | -0.001 | 0.001 | 
| 184720.783 | -0.029 | 184721.153 | -0.001 | -184720.968 | 0.001 | 
| 184720.783 | 184721.153 | 0.001 | -0.000 | 0.000 | -184720.968 | 
| 538785.887 | 591389.677 | 591389.677 | 0.000 | -0.001 | -0.000 | 
| 591389.677 | 538785.887 | 591389.677 | -0.001 | 0.000 | -0.000 | 
| 591389.680 | 591389.680 | 538785.891 | 0.000 | 0.000 | -0.000 | 
| 0.036 | 0.025 | 0.037 | 554100.403 | -0.000 | -0.000 | 
| 0.025 | 0.036 | 0.037 | 0.000 | 554100.403 | -0.001 | 
| 0.025 | 0.036 | 0.037 | 0.000 | -0.000 | 554100.403 | 
| 538785.827 | 591389.591 | 591389.591 | -0.000 | -0.000 | 0.000 | 
| 591389.591 | 538785.827 | 591389.591 | -0.000 | -0.000 | 0.000 | 
| 591389.592 | 591389.592 | 538785.828 | -0.000 | -0.000 | 0.001 | 
| -0.036 | -0.025 | -0.036 | 554100.403 | 0.000 | 0.000 | 
| -0.025 | -0.036 | -0.036 | 0.000 | 554100.404 | 0.000 | 
| -0.025 | -0.036 | -0.036 | 0.000 | 0.000 | 554100.403 | 
| 538786.160 | 591390.062 | 591390.062 | 0.000 | 0.000 | -0.000 | 
| 591390.062 | 538786.160 | 591390.062 | 0.000 | 0.000 | -0.000 | 
| 591390.062 | 591390.062 | 538786.160 | 0.000 | 0.000 | -0.000 | 
| 0.041 | -0.030 | 0.040 | 333820.464 | -0.000 | -0.000 | 
| -0.030 | 0.041 | 0.040 | -0.000 | 333820.464 | -0.000 | 
| -0.030 | 0.040 | 0.041 | -0.000 | -0.000 | 333820.464 | 
| 538785.553 | 591389.205 | 591389.205 | -0.000 | -0.000 | 0.000 | 
| 591389.205 | 538785.553 | 591389.205 | -0.000 | -0.000 | 0.000 | 
| 591389.206 | 591389.206 | 538785.553 | -0.000 | -0.000 | 0.000 | 
| -0.041 | 0.030 | -0.040 | 333820.464 | 0.000 | 0.000 | 
| 0.030 | -0.041 | -0.040 | 0.000 | 333820.464 | 0.000 | 
| 0.030 | -0.040 | -0.041 | 0.000 | 0.000 | 333820.464 | 
| 538788.887 | 591393.913 | 591393.913 | 0.000 | 0.000 | -0.000 | 
| 591393.913 | 538788.887 | 591393.913 | 0.000 | 0.000 | -0.000 | 
| 591393.913 | 591393.913 | 538788.887 | 0.000 | 0.000 | 0.000 | 
| 0.418 | -0.293 | 0.402 | 334026.836 | 0.000 | -0.000 | 
| -0.293 | 0.418 | 0.402 | 0.000 | 334026.836 | -0.000 | 
| -0.293 | 0.402 | 0.418 | 0.000 | 0.000 | 334026.836 | 
| 538782.826 | 591385.355 | 591385.355 | 0.000 | 0.000 | 0.000 | 
| 591385.355 | 538782.826 | 591385.355 | 0.000 | 0.000 | 0.000 | 
| 591385.355 | 591385.355 | 538782.826 | -0.000 | -0.000 | 0.000 | 
| -0.418 | 0.293 | -0.402 | 334026.836 | -0.000 | 0.000 | 
| 0.293 | -0.418 | -0.402 | -0.000 | 334026.836 | -0.000 | 
| 0.293 | -0.402 | -0.418 | -0.000 | -0.000 | 334026.836 | 
| 34154.287 | 32409.043 | 32409.043 | -0.000 | -0.000 | -0.000 | 
| 32409.043 | 34154.287 | 32409.043 | -0.000 | -0.000 | -0.000 | 
| 32409.043 | 32409.043 | 34154.287 | -0.000 | -0.000 | -0.000 | 
| 0.000 | -0.000 | 0.000 | 19240.855 | -0.000 | -0.000 | 
| -0.000 | 0.000 | 0.000 | -0.000 | 19240.855 | -0.000 | 
| -0.000 | 0.000 | 0.000 | -0.000 | -0.000 | 19240.855 | 
| 34154.281 | 32409.035 | 32409.035 | 0.000 | 0.000 | -0.000 | 
| 32409.035 | 34154.281 | 32409.035 | 0.000 | 0.000 | 0.000 | 
| 32409.035 | 32409.035 | 34154.281 | 0.000 | 0.000 | -0.000 | 
| -0.000 | 0.000 | -0.000 | 19240.855 | 0.000 | -0.000 | 
| 0.000 | -0.000 | -0.000 | 0.000 | 19240.855 | -0.000 | 
| 0.000 | -0.000 | -0.000 | 0.000 | 0.000 | 19240.855 | 
| 34154.323 | 32409.084 | 32409.084 | -0.000 | -0.000 | 0.000 | 
| 32409.084 | 34154.323 | 32409.084 | -0.000 | -0.000 | 0.000 | 
| 32409.084 | 32409.084 | 34154.323 | -0.000 | -0.000 | 0.000 | 
| 0.006 | 0.002 | 0.006 | 19240.851 | -0.000 | -0.000 | 
| 0.002 | 0.006 | 0.006 | -0.000 | 19240.851 | 0.000 | 
| 0.002 | 0.006 | 0.006 | -0.000 | -0.000 | 19240.851 | 
| 34154.245 | 32408.994 | 32408.994 | 0.000 | 0.000 | -0.000 | 
| 32408.994 | 34154.245 | 32408.994 | 0.000 | 0.000 | -0.000 | 
| 32408.994 | 32408.994 | 34154.245 | 0.000 | 0.000 | 0.000 | 
| -0.006 | -0.002 | -0.006 | 19240.851 | 0.000 | 0.000 | 
| -0.002 | -0.006 | -0.006 | 0.000 | 19240.851 | 0.000 | 
| -0.002 | -0.006 | -0.006 | 0.000 | 0.000 | 19240.851 | 
| 34154.674 | 32409.490 | 32409.490 | -0.000 | -0.000 | -0.000 | 
| 32409.490 | 34154.674 | 32409.490 | -0.000 | -0.000 | -0.000 | 
| 32409.490 | 32409.490 | 34154.674 | -0.000 | -0.000 | -0.000 | 
| 0.062 | 0.022 | 0.060 | 19240.490 | -0.000 | 0.000 | 
| 0.022 | 0.062 | 0.060 | -0.000 | 19240.490 | 0.000 | 
| 0.022 | 0.060 | 0.062 | -0.000 | -0.000 | 19240.490 | 
| 34153.894 | 32408.588 | 32408.588 | 0.000 | 0.000 | -0.000 | 
| 32408.588 | 34153.894 | 32408.588 | 0.000 | 0.000 | 0.000 | 
| 32408.588 | 32408.588 | 34153.894 | 0.000 | 0.000 | -0.000 | 
| -0.062 | -0.022 | -0.060 | 19240.490 | 0.000 | 0.000 | 
| -0.022 | -0.062 | -0.060 | 0.000 | 19240.490 | 0.000 | 
| -0.022 | -0.060 | -0.062 | 0.000 | 0.000 | 19240.490 | 
| 333.379 | 222.460 | 222.460 | 0.000 | -0.000 | -0.000 | 
| 222.460 | 333.379 | 222.460 | -0.000 | 0.000 | -0.000 | 
| 222.460 | 222.460 | 333.379 | 0.000 | 0.000 | -0.000 | 
| 0.000 | 0.000 | 0.000 | 229.459 | -0.000 | -0.000 | 
| 0.000 | 0.000 | 0.000 | 0.000 | 229.459 | -0.000 | 
| 0.000 | 0.000 | 0.000 | 0.000 | -0.000 | 229.459 | 
| 333.379 | 222.460 | 222.460 | -0.000 | 0.000 | -0.000 | 
| 222.460 | 333.379 | 222.460 | 0.000 | -0.000 | 0.000 | 
| 222.460 | 222.460 | 333.379 | -0.000 | -0.000 | -0.000 | 
| -0.000 | -0.000 | -0.000 | 229.459 | 0.000 | 0.000 | 
| -0.000 | -0.000 | -0.000 | 0.000 | 229.459 | 0.000 | 
| -0.000 | -0.000 | -0.000 | 0.000 | 0.000 | 229.459 | 
| 333.379 | 222.461 | 222.461 | -0.000 | -0.000 | -0.000 | 
| 222.461 | 333.379 | 222.461 | -0.000 | 0.000 | -0.000 | 
| 222.461 | 222.461 | 333.379 | 0.000 | 0.000 | 0.000 | 
| 0.000 | -0.000 | -0.000 | 4.435 | -0.000 | 0.000 | 
| -0.000 | 0.000 | -0.000 | -0.000 | 4.435 | 0.000 | 
| -0.000 | -0.000 | 0.000 | -0.000 | -0.000 | 4.435 | 
| 333.378 | 222.460 | 222.460 | -0.000 | 0.000 | 0.000 | 
| 222.460 | 333.378 | 222.460 | 0.000 | 0.000 | 0.000 | 
| 222.460 | 222.460 | 333.378 | -0.000 | -0.000 | 0.000 | 
| -0.000 | 0.000 | 0.000 | 4.435 | 0.000 | 0.000 | 
| 0.000 | -0.000 | 0.000 | 0.000 | 4.435 | 0.000 | 
| 0.000 | 0.000 | -0.000 | 0.000 | 0.000 | 4.435 | 
| 333.379 | 222.462 | 222.462 | -0.000 | 0.000 | -0.000 | 
| 222.462 | 333.379 | 222.462 | 0.000 | -0.000 | -0.000 | 
| 222.462 | 222.462 | 333.379 | 0.000 | 0.000 | -0.000 | 
| 0.000 | -0.000 | -0.000 | 4.435 | -0.000 | -0.000 | 
| -0.000 | 0.000 | -0.000 | -0.000 | 4.435 | -0.000 | 
| -0.000 | -0.000 | 0.000 | -0.000 | -0.000 | 4.435 | 
| 333.378 | 222.459 | 222.459 | -0.000 | -0.000 | -0.000 | 
| 222.459 | 333.378 | 222.459 | -0.000 | -0.000 | -0.000 | 
| 222.459 | 222.459 | 333.378 | -0.000 | -0.000 | -0.000 | 
| -0.000 | 0.000 | 0.000 | 4.435 | 0.000 | 0.000 | 
| 0.000 | -0.000 | 0.000 | -0.000 | 4.435 | -0.000 | 
| 0.000 | 0.000 | -0.000 | 0.000 | 0.000 | 4.435 | 
| -11301059.623 | -11196983.979 | -11417777.419 | -142585.680 | -122658.881 | -69347.688 | 
| -11584071.942 | -11756152.379 | -11349544.360 | 352753.576 | -99546.986 | 495605.053 | 
| -12050398.131 | -11120873.516 | -11932746.284 | -240333.927 | 1494829.365 | 299626.871 | 
| -22.756 | -12391572.658 | -12391572.263 | 19733885.747 | 0.049 | 0.049 | 
| -12391572.658 | -22.762 | -12391572.263 | 0.049 | 19733885.747 | 0.049 | 
| -12391572.657 | -12391572.262 | 2.555 | 0.064 | 0.064 | 19733885.748 | 
| -0.000 | -0.000 | -0.000 | -0.000 | -0.000 | -0.000 | 
| -0.000 | -0.000 | -0.000 | -0.000 | -0.000 | -0.000 | 
| -0.000 | -0.000 | -0.000 | -0.000 | -0.000 | -0.000 | 
| 22.799 | 12391572.658 | 12391572.263 | 19733885.747 | -0.048 | 0.048 | 
| 12391572.657 | -2.563 | 12391572.262 | -0.043 | 19733885.748 | 0.043 | 
| 12391572.657 | 12391572.262 | -2.572 | -0.011 | 0.011 | 19733885.748 | 
| -19714.328 | -19714.332 | -19714.332 | 0.000 | 0.000 | 0.000 | 
| -19714.332 | -19714.328 | -19714.332 | 0.000 | 0.000 | 0.000 | 
| -19714.332 | -19714.332 | -19714.328 | 0.000 | 0.000 | 0.000 | 
| 0.121 | -1239157.558 | -1239157.164 | 1973388.429 | 0.000 | 0.000 | 
| -1239157.558 | 0.121 | -1239157.164 | 0.000 | 1973388.429 | 0.000 | 
| -1239157.558 | -1239157.164 | 0.120 | 0.000 | 0.000 | 1973388.429 | 
| -0.000 | -0.000 | -0.000 | -0.000 | -0.000 | -0.000 | 
| -0.000 | -0.000 | -0.000 | -0.000 | -0.000 | -0.000 | 
| -0.000 | -0.000 | -0.000 | -0.000 | -0.000 | -0.000 | 
| -0.122 | 1239157.558 | 1239157.164 | 1973388.429 | -0.000 | 0.000 | 
| 1239157.558 | -0.122 | 1239157.164 | -0.000 | 1973388.429 | 0.000 | 
| 1239157.558 | 1239157.164 | -0.121 | -0.000 | 0.000 | 1973388.429 | 
| -15391.599 | -15391.630 | -15391.630 | 0.000 | 0.000 | -0.000 | 
| -15391.630 | -15391.599 | -15391.630 | 0.000 | 0.000 | -0.000 | 
| -15391.630 | -15391.630 | -15391.599 | -0.000 | -0.000 | 0.000 | 
| 0.022 | -123916.049 | -123915.654 | 197338.698 | 0.000 | 0.000 | 
| -123916.049 | 0.022 | -123915.654 | 0.000 | 197338.698 | 0.000 | 
| -123916.049 | -123915.654 | 0.022 | 0.000 | 0.000 | 197338.698 | 
| -0.000 | -0.000 | -0.000 | -0.000 | -0.000 | -0.000 | 
| -0.000 | -0.000 | -0.000 | -0.000 | -0.000 | -0.000 | 
| -0.000 | -0.000 | -0.000 | -0.000 | -0.000 | -0.000 | 
| -0.022 | 123916.049 | 123915.654 | 197338.698 | -0.000 | 0.000 | 
| 123916.049 | -0.022 | 123915.654 | -0.000 | 197338.698 | 0.000 | 
| 123916.049 | 123915.654 | -0.022 | -0.000 | 0.000 | 197338.698 | 
| 1557439.190 | 474718.119 | 474718.165 | -0.004 | -0.037 | -0.003 | 
| 474718.133 | 1557439.179 | 474718.179 | 0.005 | 0.015 | -0.014 | 
| 474718.132 | 474718.123 | 1557439.180 | 0.027 | 0.020 | -0.001 | 
| 0.019 | 0.010 | -0.018 | 403488.380 | -0.058 | -0.047 | 
| 0.016 | 0.003 | 0.007 | -0.031 | 403488.381 | 0.003 | 
| 0.012 | -0.013 | 0.021 | 0.027 | 0.002 | 403488.372 | 
| 1557439.079 | 474718.038 | 474718.001 | -0.039 | 0.012 | 0.008 | 
| 474718.025 | 1557439.089 | 474718.037 | 0.022 | -0.022 | 0.008 | 
| 474718.034 | 474718.050 | 1557439.065 | 0.023 | 0.039 | -0.005 | 
| -0.016 | -0.001 | 0.003 | 403488.377 | 0.038 | -0.023 | 
| -0.023 | 0.009 | 0.017 | -0.007 | 403488.395 | -0.001 | 
| -0.017 | 0.014 | -0.025 | -0.009 | -0.002 | 403488.388 | 
| 1557439.717 | 474718.600 | 474718.605 | 0.002 | 0.002 | 0.001 | 
| 474718.601 | 1557439.716 | 474718.603 | -0.002 | -0.003 | 0.000 | 
| 474718.602 | 474718.599 | 1557439.718 | -0.001 | -0.003 | -0.001 | 
| -0.010 | 0.037 | 0.020 | 197804.101 | -0.005 | -0.000 | 
| 0.037 | -0.011 | 0.021 | 0.001 | 197804.100 | -0.000 | 
| 0.036 | 0.021 | -0.008 | 0.001 | 0.000 | 197804.100 | 
| 1557438.508 | 474717.583 | 474717.585 | -0.001 | 0.001 | 0.000 | 
| 474717.582 | 1557438.510 | 474717.583 | 0.000 | 0.006 | -0.000 | 
| 474717.583 | 474717.583 | 1557438.508 | -0.000 | -0.000 | 0.001 | 
| 0.008 | -0.034 | -0.020 | 197804.098 | 0.004 | -0.001 | 
| -0.036 | 0.012 | -0.021 | -0.001 | 197804.097 | 0.000 | 
| -0.036 | -0.020 | 0.009 | 0.001 | -0.000 | 197804.101 | 
| 1557445.156 | 474723.183 | 474723.183 | 0.000 | -0.000 | -0.000 | 
| 474723.184 | 1557445.156 | 474723.184 | -0.000 | 0.000 | -0.000 | 
| 474723.184 | 474723.184 | 1557445.156 | -0.000 | 0.000 | 0.000 | 
| -0.088 | 0.356 | 0.212 | 198926.013 | 0.000 | -0.000 | 
| 0.356 | -0.088 | 0.212 | -0.001 | 198926.013 | -0.000 | 
| 0.356 | 0.212 | -0.088 | 0.000 | 0.000 | 198926.013 | 
| 1557433.067 | 474713.000 | 474713.001 | -0.000 | -0.000 | 0.000 | 
| 474713.000 | 1557433.067 | 474713.000 | -0.000 | -0.000 | 0.000 | 
| 474713.000 | 474713.000 | 1557433.067 | -0.000 | 0.000 | -0.000 | 
| 0.088 | -0.356 | -0.212 | 198926.013 | -0.000 | -0.000 | 
| -0.356 | 0.088 | -0.212 | 0.000 | 198926.013 | 0.000 | 
| -0.356 | -0.212 | 0.088 | -0.000 | 0.000 | 198926.013 | 
| 258.333 | 93.669 | 93.669 | 0.000 | 0.000 | -0.000 | 
| 93.669 | 258.333 | 93.669 | 0.000 | 0.000 | -0.000 | 
| 93.669 | 93.669 | 258.333 | 0.000 | 0.000 | -0.000 | 
| -0.000 | -0.000 | 0.000 | 36.910 | 0.000 | 0.000 | 
| -0.000 | -0.000 | 0.000 | 0.000 | 36.910 | 0.000 | 
| -0.000 | -0.000 | 0.000 | 0.000 | 0.000 | 36.910 | 
| 258.333 | 93.669 | 93.669 | -0.000 | 0.000 | 0.000 | 
| 93.669 | 258.333 | 93.669 | -0.000 | 0.000 | 0.000 | 
| 93.669 | 93.669 | 258.333 | -0.000 | -0.000 | -0.000 | 
| 0.000 | 0.000 | -0.000 | 36.910 | -0.000 | 0.000 | 
| 0.000 | 0.000 | -0.000 | -0.000 | 36.910 | -0.000 | 
| 0.000 | 0.000 | -0.000 | -0.000 | -0.000 | 36.910 | 
| 258.333 | 93.669 | 93.669 | 0.000 | -0.000 | 0.000 | 
| 93.669 | 258.333 | 93.669 | 0.000 | 0.000 | -0.000 | 
| 93.669 | 93.669 | 258.333 | 0.000 | 0.000 | 0.000 | 
| -0.000 | -0.000 | -0.000 | 36.910 | 0.000 | 0.000 | 
| -0.000 | -0.000 | -0.000 | 0.000 | 36.910 | 0.000 | 
| -0.000 | -0.000 | 0.000 | 0.000 | 0.000 | 36.910 | 
| 258.333 | 93.669 | 93.669 | -0.000 | 0.000 | -0.000 | 
| 93.669 | 258.333 | 93.669 | -0.000 | -0.000 | 0.000 | 
| 93.669 | 93.669 | 258.333 | -0.000 | -0.000 | 0.000 | 
| 0.000 | 0.000 | 0.000 | 36.910 | 0.000 | 0.000 | 
| 0.000 | 0.000 | 0.000 | -0.000 | 36.910 | -0.000 | 
| 0.000 | 0.000 | -0.000 | -0.000 | -0.000 | 36.910 | 
| 258.333 | 93.669 | 93.669 | 0.000 | 0.000 | 0.000 | 
| 93.669 | 258.333 | 93.669 | 0.000 | 0.000 | 0.000 | 
| 93.669 | 93.669 | 258.333 | 0.000 | 0.000 | -0.000 | 
| -0.000 | -0.000 | -0.000 | 36.910 | 0.000 | 0.000 | 
| -0.000 | -0.000 | -0.000 | 0.000 | 36.910 | 0.000 | 
| -0.000 | -0.000 | -0.000 | 0.000 | 0.000 | 36.910 | 
| 258.332 | 93.669 | 93.669 | -0.000 | -0.000 | -0.000 | 
| 93.669 | 258.332 | 93.669 | -0.000 | -0.000 | 0.000 | 
| 93.669 | 93.669 | 258.332 | -0.000 | 0.000 | 0.000 | 
| 0.000 | 0.000 | 0.000 | 36.910 | -0.000 | 0.000 | 
| 0.000 | 0.000 | 0.000 | -0.000 | 36.910 | -0.000 | 
| 0.000 | 0.000 | 0.000 | -0.000 | -0.000 | 36.910 | 
| 578.347 | -58.385 | 85.989 | 0.000 | 0.000 | 0.000 | 
| -58.385 | 578.347 | 85.989 | -0.000 | 0.000 | -0.000 | 
| 85.989 | 85.989 | 350.328 | -0.000 | 0.000 | -0.000 | 
| -0.000 | 0.000 | 0.000 | 93.607 | 0.000 | 0.000 | 
| 0.000 | -0.000 | -0.000 | 0.000 | 93.607 | 0.000 | 
| 0.000 | -0.000 | 0.000 | 0.000 | 0.000 | 93.880 | 
| 578.346 | -58.385 | 85.989 | 0.000 | -0.000 | 0.000 | 
| -58.385 | 578.346 | 85.989 | 0.000 | -0.000 | 0.000 | 
| 85.989 | 85.989 | 350.328 | 0.000 | -0.000 | 0.000 | 
| 0.000 | -0.000 | -0.000 | 93.607 | -0.000 | -0.000 | 
| -0.000 | 0.000 | -0.000 | -0.000 | 93.607 | -0.000 | 
| -0.000 | 0.000 | -0.000 | -0.000 | -0.000 | 93.880 | 
| 578.348 | -58.386 | 85.989 | 0.000 | 0.000 | 0.000 | 
| -58.386 | 578.348 | 85.989 | -0.000 | -0.000 | 0.000 | 
| 85.989 | 85.989 | 350.330 | 0.000 | 0.000 | 0.000 | 
| -0.000 | 0.000 | -0.000 | 93.607 | 0.000 | 0.000 | 
| 0.000 | -0.000 | -0.000 | 0.000 | 93.607 | -0.000 | 
| 0.000 | 0.000 | 0.000 | -0.000 | 0.000 | 93.880 | 
| 578.345 | -58.385 | 85.990 | -0.000 | -0.000 | -0.000 | 
| -58.385 | 578.345 | 85.990 | -0.000 | -0.000 | 0.000 | 
| 85.989 | 85.989 | 350.326 | -0.000 | -0.000 | 0.000 | 
| 0.000 | -0.000 | 0.000 | 93.607 | -0.000 | 0.000 | 
| -0.000 | 0.000 | 0.000 | 0.000 | 93.607 | -0.000 | 
| -0.000 | -0.000 | -0.000 | 0.000 | -0.000 | 93.880 | 
| 578.361 | -58.389 | 85.985 | 0.000 | -0.000 | -0.000 | 
| -58.389 | 578.361 | 85.985 | -0.000 | 0.000 | -0.000 | 
| 85.989 | 85.989 | 350.344 | 0.000 | 0.000 | 0.000 | 
| -0.000 | 0.001 | -0.001 | 93.607 | 0.000 | 0.000 | 
| 0.001 | -0.000 | -0.001 | -0.000 | 93.607 | 0.000 | 
| 0.000 | 0.000 | 0.000 | 0.000 | 0.000 | 93.880 | 
| 578.332 | -58.382 | 85.993 | 0.000 | -0.000 | -0.000 | 
| -58.382 | 578.332 | 85.993 | 0.000 | -0.000 | -0.000 | 
| 85.989 | 85.989 | 350.312 | 0.000 | -0.000 | 0.000 | 
| 0.000 | -0.001 | 0.001 | 93.607 | 0.000 | 0.000 | 
| -0.001 | 0.000 | 0.001 | -0.000 | 93.607 | 0.000 | 
| -0.000 | -0.000 | -0.000 | 0.000 | -0.000 | 93.880 | 
| 555.595 | -39.776 | 86.185 | 0.000 | 0.000 | -0.000 | 
| -39.776 | 555.595 | 86.185 | 0.000 | 0.000 | -0.000 | 
| 89.810 | 89.810 | 345.424 | 0.000 | -0.000 | 0.000 | 
| 0.566 | 0.566 | -11.770 | 95.669 | 0.000 | -0.000 | 
| 0.566 | 0.566 | -11.770 | -0.000 | 95.669 | -0.000 | 
| 0.195 | 0.195 | -4.060 | 0.000 | 0.000 | 94.078 | 
| 555.204 | -40.166 | 94.305 | 0.000 | -0.000 | -0.000 | 
| -40.166 | 555.204 | 94.305 | -0.000 | 0.000 | 0.000 | 
| 89.420 | 89.420 | 353.545 | 0.000 | -0.000 | -0.000 | 
| -0.566 | -0.566 | 11.770 | 95.669 | 0.000 | -0.000 | 
| -0.566 | -0.566 | 11.770 | 0.000 | 95.669 | 0.000 | 
| -0.195 | -0.195 | 4.060 | -0.000 | -0.000 | 94.078 | 
| 555.421 | -39.952 | 89.839 | 0.000 | 0.000 | -0.000 | 
| -39.952 | 555.421 | 89.839 | 0.000 | -0.000 | -0.000 | 
| 89.635 | 89.635 | 349.080 | 0.000 | 0.000 | 0.000 | 
| 0.019 | 0.020 | -0.406 | 94.792 | 0.000 | 0.000 | 
| 0.020 | 0.019 | -0.406 | -0.000 | 94.792 | -0.000 | 
| 0.020 | 0.020 | -0.406 | 0.000 | 0.000 | 94.078 | 
| 555.379 | -39.990 | 90.651 | 0.000 | 0.000 | 0.000 | 
| -39.990 | 555.379 | 90.651 | 0.000 | -0.000 | 0.000 | 
| 89.595 | 89.595 | 349.889 | -0.000 | -0.000 | -0.000 | 
| -0.019 | -0.020 | 0.406 | 94.792 | -0.000 | 0.000 | 
| -0.020 | -0.019 | 0.406 | -0.000 | 94.792 | 0.000 | 
| -0.020 | -0.020 | 0.406 | -0.000 | 0.000 | 94.078 | 
| 555.415 | -39.973 | 90.200 | 0.000 | -0.000 | 0.000 | 
| -39.973 | 555.415 | 90.200 | -0.000 | 0.000 | -0.000 | 
| 89.617 | 89.617 | 349.458 | 0.000 | 0.000 | -0.000 | 
| 0.001 | 0.002 | -0.040 | 94.792 | 0.000 | -0.000 | 
| 0.002 | 0.001 | -0.040 | 0.000 | 94.792 | 0.000 | 
| 0.000 | 0.000 | 0.000 | -0.000 | -0.000 | 94.078 | 
| 555.384 | -39.970 | 90.290 | -0.000 | -0.000 | 0.000 | 
| -39.970 | 555.384 | 90.290 | -0.000 | -0.000 | 0.000 | 
| 89.613 | 89.613 | 349.511 | -0.000 | -0.000 | -0.000 | 
| -0.001 | -0.002 | 0.040 | 94.792 | 0.000 | 0.000 | 
| -0.002 | -0.001 | 0.040 | -0.000 | 94.792 | 0.000 | 
| -0.000 | -0.000 | -0.000 | 0.000 | -0.000 | 94.078 | 
| 369.789 | 116.347 | 107.251 | 0.000 | -0.000 | 0.000 | 
| 116.347 | 369.789 | 107.251 | -0.000 | -0.000 | -0.000 | 
| 109.784 | 109.784 | 359.755 | -0.000 | 0.000 | 0.000 | 
| 0.003 | 0.003 | 0.024 | 105.794 | -0.000 | 0.000 | 
| 0.003 | 0.003 | 0.024 | -0.000 | 105.794 | 0.000 | 
| 0.001 | 0.001 | 0.009 | 0.000 | -0.000 | 111.863 | 
| 369.788 | 116.346 | 107.237 | 0.000 | 0.000 | -0.000 | 
| 116.346 | 369.788 | 107.237 | 0.000 | -0.000 | -0.000 | 
| 109.782 | 109.782 | 359.737 | 0.000 | 0.000 | -0.000 | 
| -0.003 | -0.003 | -0.024 | 105.794 | 0.000 | -0.000 | 
| -0.003 | -0.003 | -0.024 | 0.000 | 105.794 | -0.000 | 
| -0.001 | -0.001 | -0.009 | -0.000 | 0.000 | 111.863 | 
| 369.246 | 115.803 | 108.616 | -0.000 | 0.000 | 0.000 | 
| 115.803 | 369.246 | 108.616 | -0.000 | -0.000 | 0.000 | 
| 109.783 | 109.783 | 359.747 | -0.000 | 0.000 | 0.000 | 
| -0.000 | -0.000 | -0.002 | 104.824 | -0.000 | 0.000 | 
| -0.000 | -0.000 | -0.002 | -0.000 | 104.824 | 0.000 | 
| 0.000 | 0.000 | 0.001 | -0.000 | -0.000 | 111.863 | 
| 369.245 | 115.803 | 108.615 | 0.000 | 0.000 | -0.000 | 
| 115.803 | 369.245 | 108.615 | 0.000 | 0.000 | -0.000 | 
| 109.480 | 109.480 | 359.663 | 0.000 | 0.000 | -0.000 | 
| 0.000 | 0.000 | 0.002 | 104.824 | -0.000 | -0.000 | 
| 0.000 | 0.000 | 0.002 | 0.000 | 104.824 | -0.000 | 
| -0.000 | -0.000 | -0.001 | 0.000 | -0.000 | 111.863 | 
| 369.249 | 115.803 | 108.615 | -0.000 | -0.000 | 0.000 | 
| 115.803 | 369.249 | 108.615 | -0.000 | 0.000 | 0.000 | 
| 109.784 | 109.784 | 359.747 | -0.000 | -0.000 | 0.000 | 
| -0.000 | 0.000 | 0.000 | 104.824 | 0.000 | 0.000 | 
| 0.000 | -0.000 | 0.000 | -0.000 | 104.824 | 0.000 | 
| 0.000 | 0.000 | 0.000 | 0.000 | 0.000 | 111.863 | 
| 369.241 | 115.804 | 108.617 | 0.000 | 0.000 | -0.000 | 
| 115.804 | 369.241 | 108.617 | 0.000 | 0.000 | -0.000 | 
| 109.782 | 109.782 | 359.745 | 0.000 | 0.000 | -0.000 | 
| 0.000 | -0.000 | -0.000 | 104.824 | 0.000 | -0.000 | 
| -0.000 | 0.000 | -0.000 | 0.000 | 104.824 | -0.000 | 
| -0.000 | -0.000 | -0.000 | 0.000 | 0.000 | 111.863 | 
| 362.591 | 135.922 | 225.091 | 20.421 | 0.000 | -0.000 | 
| 135.922 | 362.591 | 225.091 | -20.421 | 0.000 | 0.000 | 
| 137.668 | 137.668 | 456.169 | 0.000 | 0.000 | 0.000 | 
| 76.046 | -76.046 | 0.000 | 229.802 | 0.000 | 0.000 | 
| 0.000 | -0.000 | 0.000 | 0.000 | 229.802 | 76.046 | 
| 22.155 | 22.155 | 112.197 | 0.000 | 20.870 | 110.660 | 
| 368.267 | 95.771 | 137.004 | 76.046 | -0.000 | -0.000 | 
| 95.771 | 368.267 | 137.004 | -76.046 | -0.000 | -0.000 | 
| 95.850 | 95.850 | 242.871 | -0.000 | -0.000 | -0.000 | 
| 76.046 | -76.046 | 0.000 | 229.802 | -0.000 | -0.000 | 
| -0.000 | 0.000 | 0.000 | -0.000 | 229.802 | 76.046 | 
| -22.155 | -22.155 | -112.197 | -0.000 | 20.870 | 110.660 | 
| 368.267 | 95.771 | 137.004 | 76.046 | 0.000 | -0.000 | 
| 95.771 | 368.267 | 137.004 | -76.046 | 0.000 | -0.000 | 
| 118.186 | 118.186 | 357.360 | 0.000 | -0.000 | -0.000 | 
| 76.046 | -76.046 | 0.000 | 229.802 | -0.000 | -0.000 | 
| 1.708 | 1.708 | 8.715 | -0.000 | 108.846 | 29.064 | 
| 0.000 | 0.000 | -0.000 | 0.000 | 76.046 | 136.248 | 
| 341.070 | 113.214 | 112.249 | 21.862 | -0.000 | 0.000 | 
| 113.476 | 337.961 | 105.277 | -24.359 | -0.000 | -0.000 | 
| 113.758 | 113.758 | 334.923 | 0.000 | -0.000 | -0.000 | 
| 27.359 | -30.774 | -8.714 | 108.852 | -0.000 | -0.000 | 
| -1.708 | -1.708 | -8.715 | 0.000 | 108.846 | 29.064 | 
| -0.000 | -0.000 | 0.000 | -0.000 | 76.046 | 136.248 | 
| 368.269 | 95.772 | 137.004 | 76.046 | 0.000 | 0.000 | 
| 118.018 | 339.703 | 121.137 | -21.874 | 0.000 | -0.000 | 
| 116.191 | 116.191 | 347.250 | 0.000 | 0.000 | 0.000 | 
| 22.162 | -21.630 | 1.345 | 101.759 | 0.000 | 0.000 | 
| 0.170 | 0.171 | 0.869 | -0.003 | 109.067 | 29.150 | 
| 0.267 | 0.266 | 1.344 | 0.001 | 21.881 | 110.845 | 
| 368.265 | 95.771 | 137.004 | 76.046 | -0.000 | -0.000 | 
| 116.206 | 339.440 | 115.938 | -23.235 | -0.000 | -0.000 | 
| 116.337 | 116.337 | 347.422 | 0.000 | -0.000 | -0.000 | 
| 28.962 | -29.303 | -0.869 | 109.022 | -0.000 | -0.000 | 
| -0.170 | -0.171 | -0.869 | 0.003 | 109.067 | 29.150 | 
| -0.267 | -0.266 | -1.344 | -0.001 | 21.881 | 110.845 | 
| -11334356.464 | -8410812.941 | 196907.439 | 62627.594 | 358515.778 | 785598.886 | 
| -11665922.659 | -8464374.535 | 462683.883 | 49721.482 | 201472.004 | 915760.504 | 
| -11599402.571 | -7860630.550 | 515887.693 | 55495.976 | 165757.307 | 804100.093 | 
| -11640508.747 | -9237713.267 | 229764.167 | 32232.476 | 185663.891 | 941900.618 | 
| -11069056.368 | -9123328.222 | 364921.869 | -18447.439 | 112956.396 | 1033437.521 | 
| -11699760.797 | -8559041.783 | 293191.950 | 44846.424 | 164288.852 | 922908.578 | 
| 11895245.159 | 8436098.858 | -308808.312 | 59289.678 | -158429.260 | -955836.397 | 
| 11523049.885 | 8236103.897 | -47977.664 | -103260.962 | -105654.917 | -912365.458 | 
| 11352957.158 | 8074891.960 | -165642.689 | 27210.998 | -288851.748 | -834699.638 | 
| 11066519.199 | 7482634.490 | -206513.994 | -221775.681 | -52265.549 | -1081647.137 | 
| 11480233.490 | 7796569.087 | -458640.061 | 10722.606 | -138138.940 | -791164.459 | 
| 11532395.401 | 8127800.559 | 211905.782 | -81929.942 | -197736.001 | -728805.744 | 
| -1168850.539 | -882500.098 | 28645.451 | -9869.433 | 25816.050 | 80628.143 | 
| -1163321.286 | -817438.387 | 30275.215 | 4530.928 | 18464.803 | 91139.666 | 
| -1124102.950 | -774660.461 | 29150.595 | -9056.970 | 18825.756 | 79324.349 | 
| -1156340.981 | -772822.725 | 24515.089 | -266.485 | 19483.468 | 74933.870 | 
| -1162903.969 | -819058.478 | 11853.966 | 9580.517 | 17184.157 | 85294.165 | 
| -1148776.625 | -820662.785 | -12325.579 | 28180.217 | 7244.782 | 92602.501 | 
| 1171153.173 | 827709.155 | -32497.527 | -6035.086 | -23034.275 | -82605.247 | 
| 1154563.983 | 836685.870 | -8741.552 | -239.275 | -18133.624 | -89274.870 | 
| 1175141.625 | 827120.191 | -36748.822 | -471.149 | -24810.634 | -85154.515 | 
| 1201226.097 | 860846.380 | -40765.318 | 5712.686 | -24888.220 | -98211.198 | 
| 1158223.114 | 799861.070 | -20814.908 | -6769.822 | -17386.651 | -80221.324 | 
| 1146104.195 | 804673.796 | 15230.989 | -15686.151 | -4173.432 | -90229.871 | 
| -115606.762 | -83693.380 | 3108.431 | 587.544 | 1552.193 | 8867.330 | 
| -116369.069 | -84964.459 | 3710.295 | 31.519 | 1886.886 | 9238.267 | 
| -114686.142 | -83858.403 | 4237.516 | -603.981 | 2086.690 | 9079.014 | 
| -116353.855 | -75610.355 | 2569.742 | 401.158 | 1413.158 | 8034.728 | 
| -116217.633 | -84237.565 | 5432.641 | -171.346 | 2371.906 | 9176.926 | 
| -112498.115 | -78344.042 | 4317.590 | -722.580 | 1171.406 | 8610.984 | 
| 116612.810 | 80615.953 | -5080.470 | -412.937 | -1840.189 | -8015.259 | 
| 115132.203 | 83381.965 | -1276.867 | -305.455 | -1096.331 | -9519.015 | 
| 116822.619 | 81539.579 | -2895.113 | -265.077 | -1913.502 | -10023.784 | 
| 117973.541 | 80615.773 | -4316.583 | -342.134 | -1381.849 | -10386.168 | 
| 118026.865 | 78746.361 | -4393.052 | -433.985 | -1961.230 | -8415.346 | 
| 118242.428 | 84705.169 | -2336.385 | 569.374 | -2236.857 | -9222.181 | 
| 96773.144 | 63534.894 | 63534.894 | 0.000 | 0.000 | -0.000 | 
| 63534.895 | 96773.144 | 63534.894 | -0.000 | 0.000 | -0.000 | 
| 63534.894 | 63534.894 | 96773.144 | 0.001 | 0.002 | -0.000 | 
| 0.009 | -0.006 | -0.007 | 9404.599 | 0.000 | -0.000 | 
| -0.006 | 0.009 | -0.006 | -0.000 | 9404.599 | -0.000 | 
| -0.005 | -0.006 | 0.009 | -0.000 | 0.000 | 9404.599 | 
| 96778.249 | 63532.244 | 63532.244 | -0.000 | -0.002 | 0.000 | 
| 63532.244 | 96778.249 | 63532.244 | -0.000 | -0.001 | 0.000 | 
| 63532.244 | 63532.244 | 96778.249 | -0.001 | -0.000 | 0.000 | 
| -0.009 | 0.005 | 0.007 | 9404.598 | -0.001 | 0.000 | 
| 0.006 | -0.009 | 0.006 | 0.001 | 9404.598 | 0.000 | 
| 0.006 | 0.006 | -0.009 | 0.000 | -0.000 | 9404.599 | 
| 96771.539 | 63536.136 | 63536.135 | 0.000 | 0.000 | -0.000 | 
| 63536.135 | 96771.539 | 63536.135 | 0.000 | 0.000 | -0.000 | 
| 63536.136 | 63536.136 | 96771.539 | 0.000 | 0.000 | -0.000 | 
| 0.056 | -0.030 | -0.030 | 9404.600 | 0.000 | -0.000 | 
| -0.030 | 0.056 | -0.030 | 0.000 | 9404.600 | -0.000 | 
| -0.030 | -0.030 | 0.056 | 0.000 | 0.000 | 9404.600 | 
| 96779.714 | 63531.073 | 63531.073 | -0.000 | -0.000 | 0.000 | 
| 63531.073 | 96779.714 | 63531.073 | -0.000 | -0.000 | 0.000 | 
| 63531.073 | 63531.073 | 96779.714 | -0.000 | -0.000 | 0.000 | 
| -0.056 | 0.030 | 0.030 | 9404.600 | -0.000 | 0.000 | 
| 0.030 | -0.056 | 0.030 | 0.000 | 9404.600 | 0.000 | 
| 0.030 | 0.030 | -0.056 | -0.000 | -0.000 | 9404.600 | 
| 96778.908 | 63536.840 | 63536.840 | -0.000 | 0.000 | -0.000 | 
| 63536.840 | 96778.908 | 63536.840 | 0.000 | 0.000 | -0.000 | 
| 63536.840 | 63536.840 | 96778.908 | -0.000 | 0.000 | -0.000 | 
| 0.551 | -0.292 | -0.294 | 9404.586 | 0.000 | -0.000 | 
| -0.292 | 0.551 | -0.294 | -0.000 | 9404.586 | -0.000 | 
| -0.292 | -0.294 | 0.551 | 0.000 | 0.000 | 9404.586 | 
| 96772.173 | 63530.454 | 63530.454 | -0.000 | -0.000 | 0.000 | 
| 63530.454 | 96772.173 | 63530.454 | -0.000 | -0.000 | 0.000 | 
| 63530.454 | 63530.454 | 96772.173 | -0.000 | -0.000 | 0.000 | 
| -0.551 | 0.292 | 0.294 | 9404.586 | -0.000 | 0.000 | 
| 0.292 | -0.551 | 0.294 | -0.000 | 9404.586 | 0.000 | 
| 0.292 | 0.294 | -0.551 | 0.000 | -0.000 | 9404.586 | 
| 670.037 | 88.409 | 88.409 | 0.000 | 0.000 | -0.000 | 
| 88.409 | 670.037 | 88.409 | 0.000 | 0.000 | -0.000 | 
| 88.409 | 88.409 | 670.037 | 0.000 | 0.000 | -0.000 | 
| -0.000 | 0.000 | -0.000 | 340.339 | 0.000 | -0.000 | 
| 0.000 | -0.000 | 0.000 | -0.000 | 340.339 | -0.000 | 
| 0.000 | 0.000 | -0.000 | -0.000 | 0.000 | 340.339 | 
| 670.036 | 88.410 | 88.410 | -0.000 | -0.000 | 0.000 | 
| 88.410 | 670.036 | 88.410 | -0.000 | -0.000 | 0.000 | 
| 88.410 | 88.410 | 670.036 | 0.000 | -0.000 | 0.000 | 
| 0.000 | -0.000 | 0.000 | 340.339 | -0.000 | 0.000 | 
| -0.000 | 0.000 | 0.000 | -0.000 | 340.339 | 0.000 | 
| -0.000 | -0.000 | 0.000 | 0.000 | -0.000 | 340.339 | 
| 670.041 | 88.407 | 88.407 | 0.000 | 0.000 | -0.000 | 
| 88.407 | 670.041 | 88.407 | 0.000 | 0.000 | -0.000 | 
| 88.407 | 88.407 | 670.041 | -0.000 | 0.000 | -0.000 | 
| -0.001 | 0.001 | 0.001 | 340.339 | 0.000 | -0.000 | 
| 0.001 | -0.001 | 0.001 | 0.000 | 340.339 | -0.000 | 
| 0.001 | 0.001 | -0.001 | 0.000 | 0.000 | 340.339 | 
| 670.032 | 88.411 | 88.411 | -0.000 | -0.000 | 0.000 | 
| 88.411 | 670.032 | 88.411 | 0.000 | -0.000 | 0.000 | 
| 88.411 | 88.411 | 670.032 | 0.000 | -0.000 | 0.000 | 
| 0.001 | -0.001 | -0.001 | 340.339 | -0.000 | 0.000 | 
| -0.001 | 0.001 | -0.001 | -0.000 | 340.339 | 0.000 | 
| -0.001 | -0.001 | 0.001 | -0.000 | -0.000 | 340.339 | 
| 670.084 | 88.388 | 88.388 | -0.000 | 0.000 | -0.000 | 
| 88.388 | 670.084 | 88.388 | 0.000 | 0.000 | -0.000 | 
| 88.388 | 88.388 | 670.084 | -0.000 | 0.000 | -0.000 | 
| -0.010 | 0.006 | 0.006 | 340.339 | 0.000 | -0.000 | 
| 0.006 | -0.010 | 0.006 | -0.000 | 340.339 | -0.000 | 
| 0.006 | 0.006 | -0.010 | -0.000 | 0.000 | 340.339 | 
| 669.989 | 88.430 | 88.430 | -0.000 | -0.000 | 0.000 | 
| 88.430 | 669.989 | 88.430 | -0.000 | -0.000 | 0.000 | 
| 88.430 | 88.430 | 669.989 | 0.000 | -0.000 | 0.000 | 
| 0.010 | -0.006 | -0.006 | 340.339 | -0.000 | 0.000 | 
| -0.006 | 0.010 | -0.006 | 0.000 | 340.339 | 0.000 | 
| -0.006 | -0.006 | 0.010 | 0.000 | -0.000 | 340.339 | 
| 879.769 | 931.534 | 931.534 | 0.000 | 0.000 | -0.000 | 
| 931.534 | 879.769 | 931.534 | 0.000 | 0.000 | 0.000 | 
| 931.534 | 931.534 | 879.769 | 0.000 | 0.000 | -0.000 | 
| -0.001 | -0.000 | -0.000 | 439.303 | 0.000 | 0.000 | 
| -0.000 | -0.001 | -0.000 | 0.000 | 439.303 | -0.000 | 
| -0.000 | -0.000 | -0.001 | -0.000 | 0.000 | 439.303 | 
| 879.742 | 931.549 | 931.549 | -0.000 | -0.000 | 0.000 | 
| 931.549 | 879.742 | 931.549 | -0.000 | -0.000 | -0.000 | 
| 931.549 | 931.549 | 879.742 | -0.000 | -0.000 | 0.000 | 
| 0.001 | 0.000 | 0.000 | 439.303 | -0.000 | 0.000 | 
| 0.000 | 0.001 | 0.000 | -0.000 | 439.303 | 0.000 | 
| 0.000 | 0.000 | 0.001 | -0.000 | 0.000 | 439.303 | 
| 879.889 | 931.464 | 931.464 | 0.000 | 0.000 | -0.000 | 
| 931.464 | 879.889 | 931.464 | 0.000 | 0.000 | 0.000 | 
| 931.464 | 931.464 | 879.889 | 0.000 | 0.000 | -0.000 | 
| -0.006 | -0.002 | -0.002 | 439.303 | 0.000 | -0.000 | 
| -0.002 | -0.006 | -0.002 | 0.000 | 439.303 | -0.000 | 
| -0.002 | -0.002 | -0.006 | 0.000 | 0.000 | 439.303 | 
| 879.622 | 931.618 | 931.618 | -0.000 | -0.000 | 0.000 | 
| 931.618 | 879.622 | 931.618 | -0.000 | -0.000 | -0.000 | 
| 931.618 | 931.618 | 879.622 | -0.000 | -0.000 | 0.000 | 
| 0.006 | 0.002 | 0.002 | 439.303 | -0.000 | 0.000 | 
| 0.002 | 0.006 | 0.002 | -0.000 | 439.303 | 0.000 | 
| 0.002 | 0.002 | 0.006 | -0.000 | -0.000 | 439.303 | 
| 879.684 | 931.472 | 931.472 | -0.000 | 0.000 | -0.000 | 
| 931.472 | 879.684 | 931.472 | 0.000 | -0.000 | -0.000 | 
| 931.472 | 931.472 | 879.684 | -0.000 | -0.000 | -0.000 | 
| -0.057 | -0.020 | -0.019 | 439.311 | 0.000 | -0.000 | 
| -0.020 | -0.057 | -0.019 | 0.000 | 439.311 | 0.000 | 
| -0.020 | -0.019 | -0.057 | 0.000 | 0.000 | 439.311 | 
| 879.827 | 931.610 | 931.610 | 0.000 | 0.000 | 0.000 | 
| 931.610 | 879.827 | 931.610 | 0.000 | -0.000 | 0.000 | 
| 931.610 | 931.610 | 879.827 | 0.000 | 0.000 | -0.000 | 
| 0.057 | 0.020 | 0.019 | 439.311 | -0.000 | 0.000 | 
| 0.020 | 0.057 | 0.019 | -0.000 | 439.311 | 0.000 | 
| 0.020 | 0.019 | 0.057 | -0.000 | -0.000 | 439.311 | 
| 45984.341 | 45121.292 | 45121.292 | 0.000 | 0.000 | 0.000 | 
| 45121.292 | 45984.341 | 45121.292 | 0.000 | 0.000 | 0.000 | 
| 45121.292 | 45121.292 | 45984.341 | 0.000 | 0.000 | 0.000 | 
| -0.000 | -0.000 | -0.000 | 3171.061 | 0.000 | -0.000 | 
| -0.000 | -0.000 | -0.000 | 0.000 | 3171.061 | -0.000 | 
| -0.000 | -0.000 | -0.000 | 0.000 | -0.000 | 3171.061 | 
| 45984.305 | 45121.255 | 45121.255 | -0.000 | -0.000 | 0.000 | 
| 45121.255 | 45984.305 | 45121.255 | -0.000 | -0.000 | 0.000 | 
| 45121.254 | 45121.254 | 45984.305 | -0.000 | -0.000 | -0.000 | 
| 0.000 | 0.000 | 0.000 | 3171.061 | -0.000 | -0.000 | 
| 0.000 | 0.000 | 0.000 | -0.000 | 3171.061 | 0.000 | 
| 0.000 | 0.000 | 0.000 | -0.000 | -0.000 | 3171.061 | 
| 45984.500 | 45121.459 | 45121.459 | 0.000 | -0.000 | 0.000 | 
| 45121.459 | 45984.500 | 45121.459 | -0.000 | 0.000 | 0.000 | 
| 45121.459 | 45121.459 | 45984.500 | 0.000 | 0.000 | -0.000 | 
| -0.004 | -0.004 | -0.004 | 3170.930 | 0.000 | 0.000 | 
| -0.004 | -0.004 | -0.004 | 0.000 | 3170.930 | 0.000 | 
| -0.004 | -0.004 | -0.004 | 0.000 | 0.000 | 3170.930 | 
| 45984.147 | 45121.088 | 45121.088 | -0.000 | -0.000 | -0.000 | 
| 45121.088 | 45984.147 | 45121.088 | -0.000 | -0.000 | 0.000 | 
| 45121.088 | 45121.088 | 45984.147 | -0.000 | -0.000 | 0.000 | 
| 0.004 | 0.004 | 0.004 | 3170.930 | -0.000 | -0.000 | 
| 0.004 | 0.004 | 0.004 | -0.000 | 3170.930 | -0.000 | 
| 0.004 | 0.004 | 0.004 | -0.000 | 0.000 | 3170.930 | 
| 45986.088 | 45123.126 | 45123.126 | 0.000 | 0.000 | 0.000 | 
| 45123.126 | 45986.088 | 45123.126 | 0.000 | 0.000 | 0.000 | 
| 45123.126 | 45123.126 | 45986.088 | 0.000 | 0.000 | -0.000 | 
| -0.035 | -0.042 | -0.036 | 3171.795 | -0.000 | -0.000 | 
| -0.042 | -0.035 | -0.036 | -0.000 | 3171.795 | -0.000 | 
| -0.042 | -0.036 | -0.035 | -0.000 | -0.000 | 3171.795 | 
| 45982.559 | 45119.420 | 45119.420 | -0.000 | -0.000 | 0.000 | 
| 45119.420 | 45982.559 | 45119.420 | -0.000 | -0.000 | 0.000 | 
| 45119.420 | 45119.420 | 45982.559 | -0.000 | -0.000 | 0.000 | 
| 0.035 | 0.042 | 0.036 | 3171.795 | 0.000 | -0.000 | 
| 0.042 | 0.035 | 0.036 | 0.000 | 3171.795 | -0.000 | 
| 0.042 | 0.036 | 0.035 | -0.000 | -0.000 | 3171.795 | 
| 259.797 | 208.903 | 208.903 | 0.000 | -0.000 | -0.000 | 
| 208.903 | 259.797 | 208.903 | -0.000 | 0.000 | -0.000 | 
| 208.903 | 208.903 | 259.797 | 0.000 | 0.000 | 0.000 | 
| 0.000 | 0.000 | 0.000 | 209.043 | 0.000 | 0.000 | 
| 0.000 | 0.000 | 0.000 | 0.000 | 209.043 | 0.000 | 
| 0.000 | 0.000 | 0.000 | 0.000 | 0.000 | 209.043 | 
| 259.797 | 208.903 | 208.903 | 0.000 | 0.000 | -0.000 | 
| 208.903 | 259.797 | 208.903 | 0.000 | 0.000 | -0.000 | 
| 208.903 | 208.903 | 259.797 | 0.000 | 0.000 | 0.000 | 
| -0.000 | -0.000 | -0.000 | 209.043 | -0.000 | 0.000 | 
| -0.000 | -0.000 | -0.000 | -0.000 | 209.043 | -0.000 | 
| -0.000 | -0.000 | -0.000 | -0.000 | -0.000 | 209.043 | 
| 259.797 | 208.904 | 208.904 | 0.000 | -0.000 | -0.000 | 
| 208.904 | 259.797 | 208.904 | 0.000 | -0.000 | -0.000 | 
| 208.904 | 208.904 | 259.797 | 0.000 | 0.000 | -0.000 | 
| -0.000 | -0.000 | -0.000 | 18.145 | 0.000 | 0.000 | 
| -0.000 | -0.000 | -0.000 | 0.000 | 18.145 | 0.000 | 
| -0.000 | -0.000 | -0.000 | 0.000 | -0.000 | 18.145 | 
| 259.797 | 208.903 | 208.903 | -0.000 | 0.000 | 0.000 | 
| 208.903 | 259.797 | 208.903 | -0.000 | 0.000 | -0.000 | 
| 208.903 | 208.903 | 259.797 | -0.000 | -0.000 | 0.000 | 
| 0.000 | 0.000 | 0.000 | 18.145 | 0.000 | 0.000 | 
| 0.000 | 0.000 | 0.000 | 0.000 | 18.145 | 0.000 | 
| 0.000 | 0.000 | 0.000 | -0.000 | 0.000 | 18.145 | 
| 259.797 | 208.904 | 208.904 | -0.000 | -0.000 | 0.000 | 
| 208.904 | 259.797 | 208.904 | -0.000 | -0.000 | 0.000 | 
| 208.904 | 208.904 | 259.797 | -0.000 | -0.000 | 0.000 | 
| -0.000 | -0.000 | -0.000 | 18.145 | 0.000 | -0.000 | 
| -0.000 | -0.000 | -0.000 | 0.000 | 18.145 | -0.000 | 
| -0.000 | -0.000 | -0.000 | -0.000 | 0.000 | 18.145 | 
| 259.796 | 208.903 | 208.903 | -0.000 | -0.000 | 0.000 | 
| 208.903 | 259.796 | 208.903 | -0.000 | -0.000 | 0.000 | 
| 208.903 | 208.903 | 259.796 | -0.000 | -0.000 | -0.000 | 
| 0.000 | 0.000 | 0.000 | 18.145 | -0.000 | -0.000 | 
| 0.000 | 0.000 | 0.000 | -0.000 | 18.145 | -0.000 | 
| 0.000 | 0.000 | 0.000 | 0.000 | -0.000 | 18.145 | 
| -19327632.926 | -17687027.594 | -17865268.572 | -118375.576 | -477041.648 | -42234.541 | 
| -18448922.899 | -17916675.624 | -18228653.876 | -137022.948 | -31598.005 | 225613.767 | 
| -17403068.261 | -17806685.775 | -17917653.211 | 301686.902 | 430659.864 | 28782.799 | 
| -7238779.901 | -62710655.859 | -62323600.811 | 44916497.842 | 759196.871 | 343647.595 | 
| -63117605.870 | -8305526.577 | -62858328.623 | 303125.234 | 42816899.196 | 1217371.888 | 
| -62561301.351 | -62121270.630 | -6448535.230 | -102095.525 | -495361.782 | 42652308.652 | 
| -0.000 | -0.000 | -0.000 | -0.000 | -0.000 | -0.000 | 
| -0.000 | -0.000 | -0.000 | -0.000 | -0.000 | -0.000 | 
| -0.000 | -0.000 | -0.000 | -0.000 | -0.000 | -0.000 | 
| 8320874.002 | 62706131.641 | 60873118.218 | 42071782.280 | -321406.017 | -287287.474 | 
| 60789423.445 | 8999666.456 | 61197075.727 | -205327.010 | 43375661.898 | -70248.243 | 
| 63845301.821 | 63185812.211 | 7921995.916 | 1164645.003 | -680877.197 | 43936915.678 | 
| -5914.485 | -5914.487 | -5914.487 | 0.000 | 0.000 | 0.000 | 
| -5914.487 | -5914.485 | -5914.487 | 0.000 | 0.000 | 0.000 | 
| -5914.487 | -5914.487 | -5914.485 | 0.000 | 0.000 | 0.000 | 
| -839445.592 | -6047466.468 | -6069702.858 | 4337701.997 | 8871.064 | 30139.309 | 
| -6159852.274 | -862302.974 | -6071592.164 | -10957.045 | 4344693.784 | 62089.843 | 
| -6266205.501 | -6183374.094 | -516284.015 | -88157.069 | -60320.629 | 4367163.121 | 
| -0.000 | -0.000 | -0.000 | -0.000 | -0.000 | -0.000 | 
| -0.000 | -0.000 | -0.000 | -0.000 | -0.000 | -0.000 | 
| -0.000 | -0.000 | -0.000 | -0.000 | -0.000 | -0.000 | 
| 723859.006 | 6217843.314 | 6213253.984 | 4451382.478 | -63509.822 | 111332.689 | 
| 6250868.718 | 867858.880 | 6228199.483 | -81303.428 | 4430995.394 | 40857.807 | 
| 6287929.312 | 6436812.266 | 808445.732 | -35725.172 | 31222.354 | 4523863.578 | 
| -4221.173 | -4221.182 | -4221.182 | -0.000 | -0.000 | 0.000 | 
| -4221.182 | -4221.173 | -4221.182 | -0.000 | -0.000 | 0.000 | 
| -4221.182 | -4221.182 | -4221.173 | -0.000 | -0.000 | 0.000 | 
| -91236.937 | -631326.748 | -629910.822 | 438742.464 | 7536.444 | 5202.493 | 
| -51025.625 | -0.023 | -51024.832 | 0.000 | 396324.394 | 0.000 | 
| -603735.078 | -604928.329 | -51251.052 | -10318.648 | -10488.205 | 431181.116 | 
| -0.000 | -0.000 | -0.000 | -0.000 | -0.000 | -0.000 | 
| -0.000 | -0.000 | -0.000 | -0.000 | -0.000 | -0.000 | 
| -0.000 | -0.000 | -0.000 | -0.000 | -0.000 | -0.000 | 
| 81305.579 | 608786.982 | 609881.197 | 430845.250 | 501.800 | 4682.821 | 
| 633695.113 | 80950.805 | 640000.404 | -2147.286 | 455138.333 | 2274.602 | 
| 607633.059 | 606011.111 | 90344.569 | 7753.054 | -2730.094 | 418560.545 | 
| 111803.513 | 55772.713 | 55772.712 | 0.000 | 0.000 | 0.000 | 
| 55772.713 | 111803.513 | 55772.712 | 0.000 | 0.000 | 0.000 | 
| 55772.713 | 55772.714 | 111803.513 | 0.000 | 0.000 | 0.000 | 
| 0.000 | 0.010 | 0.010 | 55939.276 | 0.000 | 0.000 | 
| 0.010 | 0.000 | 0.010 | 0.000 | 55939.276 | 0.000 | 
| 0.010 | 0.011 | -0.000 | 0.000 | 0.000 | 55939.276 | 
| 111803.474 | 55772.690 | 55772.691 | -0.000 | -0.000 | -0.000 | 
| 55772.690 | 111803.474 | 55772.691 | -0.000 | -0.000 | -0.000 | 
| 55772.690 | 55772.690 | 111803.474 | 0.000 | 0.000 | -0.000 | 
| -0.000 | -0.010 | -0.011 | 55939.276 | 0.000 | -0.000 | 
| -0.010 | -0.000 | -0.011 | -0.000 | 55939.276 | -0.000 | 
| -0.010 | -0.011 | 0.000 | -0.000 | -0.000 | 55939.276 | 
| 111803.686 | 55772.809 | 55772.809 | 0.000 | -0.000 | -0.000 | 
| 55772.809 | 111803.686 | 55772.809 | -0.000 | 0.000 | 0.000 | 
| 55772.809 | 55772.809 | 111803.686 | -0.000 | -0.000 | 0.000 | 
| -0.003 | 0.091 | 0.099 | 55939.276 | -0.000 | 0.000 | 
| 0.091 | -0.003 | 0.099 | 0.000 | 55939.276 | 0.000 | 
| 0.091 | 0.099 | -0.003 | 0.000 | 0.000 | 55939.276 | 
| 111803.301 | 55772.594 | 55772.594 | -0.000 | 0.000 | -0.000 | 
| 55772.594 | 111803.301 | 55772.594 | -0.000 | -0.000 | -0.000 | 
| 55772.594 | 55772.594 | 111803.300 | -0.000 | -0.000 | -0.000 | 
| 0.003 | -0.091 | -0.099 | 55939.276 | -0.000 | -0.000 | 
| -0.091 | 0.003 | -0.099 | -0.000 | 55939.276 | -0.000 | 
| -0.091 | -0.099 | 0.003 | -0.000 | -0.000 | 55939.276 | 
| 111805.418 | 55773.775 | 55773.775 | 0.000 | -0.000 | 0.000 | 
| 55773.775 | 111805.418 | 55773.775 | 0.000 | 0.000 | 0.000 | 
| 55773.775 | 55773.775 | 111805.418 | 0.000 | 0.000 | 0.000 | 
| -0.028 | 0.906 | 0.990 | 55939.276 | -0.000 | 0.000 | 
| 0.906 | -0.028 | 0.990 | 0.000 | 55939.276 | 0.000 | 
| 0.906 | 0.990 | -0.028 | 0.000 | 0.000 | 55939.276 | 
| 111801.568 | 55771.628 | 55771.628 | -0.000 | -0.000 | -0.000 | 
| 55771.628 | 111801.568 | 55771.628 | -0.000 | -0.000 | -0.000 | 
| 55771.628 | 55771.628 | 111801.568 | -0.000 | -0.000 | -0.000 | 
| 0.028 | -0.906 | -0.990 | 55939.276 | -0.000 | -0.000 | 
| -0.906 | 0.028 | -0.990 | -0.000 | 55939.276 | -0.000 | 
| -0.906 | -0.990 | 0.028 | -0.000 | -0.000 | 55939.276 | 
| 442.435 | 235.656 | 235.656 | 0.000 | 0.000 | 0.000 | 
| 235.656 | 442.435 | 235.656 | 0.000 | 0.000 | 0.000 | 
| 235.656 | 235.656 | 442.435 | 0.000 | 0.000 | 0.000 | 
| 0.000 | 0.000 | 0.000 | 209.392 | -0.000 | 0.000 | 
| 0.000 | 0.000 | 0.000 | 0.000 | 209.392 | 0.000 | 
| 0.000 | 0.000 | -0.000 | 0.000 | 0.000 | 209.392 | 
| 442.435 | 235.656 | 235.656 | -0.000 | -0.000 | -0.000 | 
| 235.656 | 442.435 | 235.656 | -0.000 | -0.000 | -0.000 | 
| 235.656 | 235.656 | 442.435 | -0.000 | -0.000 | -0.000 | 
| -0.000 | -0.000 | -0.000 | 209.392 | -0.000 | -0.000 | 
| -0.000 | -0.000 | -0.000 | -0.000 | 209.392 | -0.000 | 
| -0.000 | -0.000 | -0.000 | -0.000 | -0.000 | 209.392 | 
| 442.435 | 235.656 | 235.656 | 0.000 | 0.000 | 0.000 | 
| 235.656 | 442.435 | 235.656 | 0.000 | 0.000 | 0.000 | 
| 235.656 | 235.656 | 442.435 | -0.000 | 0.000 | 0.000 | 
| -0.000 | 0.000 | 0.000 | 209.392 | 0.000 | 0.000 | 
| 0.000 | -0.000 | 0.000 | 0.000 | 209.392 | 0.000 | 
| 0.000 | 0.000 | -0.000 | 0.000 | 0.000 | 209.392 | 
| 442.435 | 235.656 | 235.656 | -0.000 | -0.000 | -0.000 | 
| 235.656 | 442.435 | 235.656 | -0.000 | -0.000 | -0.000 | 
| 235.656 | 235.656 | 442.435 | 0.000 | -0.000 | -0.000 | 
| 0.000 | -0.000 | -0.000 | 209.392 | -0.000 | -0.000 | 
| -0.000 | 0.000 | -0.000 | -0.000 | 209.392 | -0.000 | 
| -0.000 | -0.000 | 0.000 | -0.000 | -0.000 | 209.392 | 
| 442.437 | 235.657 | 235.657 | 0.000 | 0.000 | 0.000 | 
| 235.657 | 442.437 | 235.657 | 0.000 | 0.000 | 0.000 | 
| 235.657 | 235.657 | 442.437 | 0.000 | 0.000 | 0.000 | 
| -0.000 | 0.001 | 0.001 | 209.392 | 0.000 | 0.000 | 
| 0.001 | -0.000 | 0.001 | 0.000 | 209.392 | 0.000 | 
| 0.001 | 0.001 | -0.000 | 0.000 | 0.000 | 209.392 | 
| 442.433 | 235.655 | 235.655 | 0.000 | 0.000 | -0.000 | 
| 235.655 | 442.433 | 235.655 | 0.000 | -0.000 | -0.000 | 
| 235.655 | 235.655 | 442.433 | -0.000 | -0.000 | -0.000 | 
| 0.000 | -0.001 | -0.001 | 209.392 | -0.000 | -0.000 | 
| -0.001 | 0.000 | -0.001 | -0.000 | 209.392 | -0.000 | 
| -0.001 | -0.001 | 0.000 | -0.000 | -0.000 | 209.392 | 
| -32425.118 | 17839.361 | 17839.361 | -0.000 | -0.000 | -0.000 | 
| 17839.361 | -32425.118 | 17839.361 | -0.000 | -0.000 | -0.000 | 
| 17839.361 | 17839.361 | -32425.119 | -0.000 | -0.000 | -0.000 | 
| 0.063 | 0.098 | 0.096 | -105904.866 | -0.000 | -0.000 | 
| 0.098 | 0.063 | 0.096 | -0.000 | -105904.866 | -0.000 | 
| 0.098 | 0.096 | 0.063 | -0.000 | -0.000 | -105904.866 | 
| -32425.272 | 17839.358 | 17839.358 | 0.000 | 0.000 | 0.000 | 
| 17839.358 | -32425.272 | 17839.358 | 0.000 | 0.000 | 0.000 | 
| 17839.358 | 17839.358 | -32425.272 | 0.000 | 0.000 | 0.000 | 
| -0.063 | -0.098 | -0.096 | -105904.866 | 0.000 | 0.000 | 
| -0.098 | -0.063 | -0.096 | 0.000 | -105904.866 | 0.000 | 
| -0.098 | -0.096 | -0.063 | 0.000 | 0.000 | -105904.866 | 
| -32424.425 | 17839.377 | 17839.377 | -0.000 | -0.000 | -0.000 | 
| 17839.377 | -32424.425 | 17839.377 | -0.000 | -0.000 | -0.000 | 
| 17839.377 | 17839.377 | -32424.425 | -0.000 | -0.000 | -0.000 | 
| 0.632 | 0.977 | 0.958 | -105904.865 | -0.000 | -0.000 | 
| 0.977 | 0.632 | 0.958 | -0.000 | -105904.865 | -0.000 | 
| 0.977 | 0.958 | 0.632 | -0.000 | -0.000 | -105904.865 | 
| -32425.964 | 17839.342 | 17839.342 | 0.000 | 0.000 | 0.000 | 
| 17839.342 | -32425.964 | 17839.342 | 0.000 | 0.000 | 0.000 | 
| 17839.342 | 17839.342 | -32425.964 | 0.000 | 0.000 | 0.000 | 
| -0.632 | -0.977 | -0.958 | -105904.865 | 0.000 | 0.000 | 
| -0.977 | -0.632 | -0.958 | 0.000 | -105904.865 | 0.000 | 
| -0.977 | -0.958 | -0.632 | 0.000 | 0.000 | -105904.865 | 
| -32417.489 | 17839.527 | 17839.527 | -0.000 | 0.000 | 0.000 | 
| 17839.527 | -32417.489 | 17839.527 | 0.000 | -0.000 | -0.000 | 
| 17839.527 | 17839.527 | -32417.489 | -0.000 | -0.000 | -0.000 | 
| 6.323 | 9.771 | 9.584 | -105904.766 | -0.000 | -0.000 | 
| 9.771 | 6.323 | 9.584 | -0.000 | -105904.766 | -0.000 | 
| 9.771 | 9.584 | 6.323 | -0.000 | -0.000 | -105904.766 | 
| -32432.882 | 17839.181 | 17839.181 | 0.000 | -0.000 | 0.000 | 
| 17839.181 | -32432.882 | 17839.181 | -0.000 | 0.000 | 0.000 | 
| 17839.181 | 17839.181 | -32432.882 | 0.000 | 0.000 | 0.000 | 
| -6.323 | -9.771 | -9.584 | -105904.766 | 0.000 | 0.000 | 
| -9.771 | -6.323 | -9.584 | 0.000 | -105904.766 | 0.000 | 
| -9.771 | -9.584 | -6.323 | 0.000 | -0.000 | -105904.766 | 
| 1031.432 | 124.520 | 94.378 | -17.273 | 0.000 | 0.000 | 
| 90.953 | 1126.166 | 93.640 | 57.539 | 0.000 | 0.000 | 
| -10.586 | -10.586 | 286.416 | 0.000 | 0.000 | 0.000 | 
| -20.775 | 21.905 | -0.742 | 116.449 | 0.000 | 0.000 | 
| 0.000 | -0.000 | 0.000 | 0.000 | 225.832 | -57.539 | 
| 0.000 | -0.000 | 0.000 | 0.000 | -57.539 | 517.606 | 
| 1126.166 | 90.953 | 93.640 | -57.539 | -0.000 | -0.000 | 
| 123.640 | 1029.054 | 96.056 | 16.803 | 0.000 | 0.000 | 
| 94.719 | 94.719 | 542.676 | 0.000 | -0.000 | -0.000 | 
| -57.539 | 57.539 | -0.000 | 225.832 | 0.000 | -0.000 | 
| -0.000 | 0.000 | -0.000 | -0.000 | 225.832 | -57.539 | 
| -0.000 | 0.000 | -0.000 | -0.000 | -57.539 | 517.606 | 
| 958.015 | 85.711 | 43.752 | -36.922 | -0.000 | 0.000 | 
| 124.128 | 1030.366 | 95.129 | 17.061 | -0.000 | 0.000 | 
| -12.124 | -12.124 | 286.651 | 0.000 | -0.000 | 0.000 | 
| -21.233 | 21.346 | -0.074 | 116.295 | 0.000 | -0.000 | 
| 0.000 | -0.000 | 0.000 | 0.000 | 225.832 | -57.539 | 
| 0.001 | -0.000 | 0.000 | 0.000 | -57.539 | 517.606 | 
| 1126.165 | 90.952 | 93.640 | -57.539 | 0.000 | -0.000 | 
| 80.427 | 936.610 | -24.456 | 14.292 | -0.000 | 0.000 | 
| -12.491 | -12.491 | 286.494 | -0.000 | 0.000 | -0.000 | 
| -21.398 | 21.285 | 0.074 | 116.451 | 0.000 | -0.000 | 
| -0.000 | 0.000 | -0.000 | -0.000 | 225.832 | -57.539 | 
| -0.001 | 0.000 | -0.000 | -0.000 | -57.539 | 517.606 | 
| 936.583 | 80.693 | -24.345 | -14.201 | -0.000 | 0.000 | 
| 64.151 | 924.609 | -2.631 | 7.815 | -0.000 | 0.000 | 
| -20.459 | -20.459 | 141.479 | 0.000 | -0.000 | 0.000 | 
| 15.859 | -15.788 | 0.018 | 66.840 | -0.000 | 0.000 | 
| 0.006 | 0.006 | -0.007 | -0.000 | 116.454 | -21.342 | 
| 0.010 | 0.001 | -0.004 | 0.001 | -25.448 | 466.481 | 
| 915.662 | 74.536 | -29.894 | -12.398 | -0.000 | 0.000 | 
| 104.211 | 908.384 | -13.301 | -7.942 | -0.000 | 0.000 | 
| -21.330 | -21.330 | 195.329 | 0.000 | -0.000 | -0.000 | 
| 12.144 | -12.216 | -0.037 | 69.474 | -0.000 | 0.000 | 
| -0.006 | -0.006 | 0.007 | 0.000 | 116.454 | -21.342 | 
| -0.010 | -0.001 | 0.004 | -0.001 | -25.448 | 466.481 | 
| 188.681 | 35.356 | 188.852 | -0.000 | -120.657 | 0.000 | 
| -145.241 | 413.618 | 140.038 | 0.000 | -89.419 | 0.000 | 
| -329.216 | -5.578 | 461.576 | 0.000 | -250.318 | 0.000 | 
| -301.423 | -66.963 | 135.143 | 180.675 | -231.144 | -11.523 | 
| -347.733 | 1.481 | 59.823 | -0.000 | 134.561 | 0.000 | 
| -237.175 | -52.825 | 111.210 | -11.595 | -98.587 | 212.533 | 
| 662.509 | 141.188 | -33.543 | 0.000 | 76.607 | -0.000 | 
| 416.112 | 417.058 | -24.139 | 0.000 | 26.126 | -0.000 | 
| 321.150 | 85.927 | 334.494 | -0.000 | 42.646 | -0.000 | 
| 301.423 | 66.963 | -135.143 | 180.675 | 231.144 | -11.523 | 
| 396.054 | 138.156 | -166.765 | -0.000 | 311.864 | -0.000 | 
| 237.175 | 52.825 | -111.210 | -11.595 | 98.587 | 212.533 | 
| 320.306 | 81.382 | 73.823 | -0.000 | -27.603 | 0.000 | 
| 55.574 | 384.699 | 97.053 | -0.000 | 9.923 | 0.000 | 
| 42.632 | 76.715 | 393.091 | 0.000 | -80.211 | 0.000 | 
| -30.144 | -7.555 | 12.870 | 177.097 | -23.155 | -15.661 | 
| -25.925 | 46.780 | -38.191 | 0.000 | 112.553 | 0.000 | 
| -29.594 | -2.266 | 9.970 | -13.098 | -1.942 | 178.400 | 
| 435.395 | 93.843 | 70.550 | -0.000 | -14.459 | -0.000 | 
| 117.598 | 387.989 | 70.396 | 0.000 | 53.789 | -0.000 | 
| 100.461 | 95.018 | 360.137 | -0.000 | -38.796 | -0.000 | 
| 30.144 | 7.555 | -12.870 | 177.097 | 23.155 | -15.661 | 
| 33.977 | 40.722 | -67.620 | -0.000 | 148.921 | -0.000 | 
| 29.594 | 2.266 | -9.970 | -13.098 | 1.942 | 178.400 | 
| 355.992 | 87.809 | 64.754 | -0.000 | -2.729 | 0.000 | 
| 91.238 | 381.871 | 82.999 | -0.000 | 40.274 | 0.000 | 
| 68.192 | 83.569 | 380.390 | 0.000 | -59.064 | -0.000 | 
| -2.912 | -0.678 | 1.264 | 176.917 | -2.084 | -16.243 | 
| -7.011 | 43.814 | -55.542 | 0.000 | 134.544 | 0.000 | 
| -2.604 | -0.182 | 0.860 | -18.766 | -0.842 | 181.605 | 
| 360.350 | 92.152 | 62.109 | 0.000 | -0.547 | -0.000 | 
| 93.571 | 384.849 | 79.349 | 0.000 | 45.017 | -0.000 | 
| 75.554 | 85.623 | 377.142 | -0.000 | -54.481 | -0.000 | 
| 2.912 | 0.678 | -1.264 | 176.917 | 2.084 | -16.243 | 
| 1.642 | 43.462 | -57.609 | -0.000 | 139.441 | -0.000 | 
| 2.604 | 0.182 | -0.860 | -18.766 | 0.842 | 181.605 | 
| 43583851.966 | 43514142.246 | 24990007.274 | -1316028.203 | -5088690.917 | -1326797.645 | 
| 43822595.466 | 44063395.517 | 26894532.994 | -1801975.913 | -5248396.067 | -1823964.728 | 
| 44172499.806 | 42926956.421 | 24580176.773 | -1864764.441 | -4433721.386 | -1837125.475 | 
| 44347130.340 | 43225935.232 | 25768404.649 | -1718695.659 | -5618544.918 | -909465.832 | 
| 42745162.945 | 43238754.127 | 26828426.312 | -1079226.062 | -5335673.109 | -1710776.444 | 
| 43714064.874 | 43419980.264 | 25868737.920 | -1448553.479 | -5277071.364 | -1840539.780 | 
| -44789804.172 | -43565081.747 | -25869202.177 | 1842585.435 | 4704731.407 | 1655985.061 | 
| -43543723.267 | -42971290.541 | -25874223.404 | 748963.472 | 4836035.462 | 1534862.143 | 
| -44480348.066 | -43505789.787 | -26410333.383 | 1531942.160 | 5008578.571 | 1914220.508 | 
| -43985885.013 | -43489661.296 | -26379697.283 | 1519397.617 | 5026057.350 | 1695802.221 | 
| -44265306.850 | -44135166.245 | -25897057.515 | 1493081.400 | 5073234.516 | 1810228.165 | 
| -43218894.712 | -43363268.444 | -25073584.669 | 1444205.544 | 5420173.674 | 1291120.271 | 
| 4350900.296 | 4325797.301 | 2593834.981 | -150739.566 | -569907.274 | -204011.200 | 
| 4366813.674 | 4387628.609 | 2625370.890 | -175661.137 | -506935.462 | -205803.880 | 
| 4389145.427 | 4220745.624 | 2550526.808 | -147005.135 | -470186.782 | -103785.860 | 
| 4327348.115 | 4382353.667 | 2537085.310 | -191182.559 | -517092.518 | -196923.647 | 
| 4386998.181 | 4338547.834 | 2608131.523 | -127826.950 | -545507.463 | -125814.981 | 
| 4447982.124 | 4379075.630 | 2623964.261 | -159692.630 | -534790.538 | -149664.527 | 
| -4467304.451 | -4397974.095 | -2512489.625 | 73285.756 | 473550.951 | 164634.210 | 
| -4391798.835 | -4247896.831 | -2503764.541 | 166063.412 | 499506.178 | 137387.463 | 
| -4376221.422 | -4277659.337 | -2549335.313 | 128833.959 | 497057.300 | 123522.960 | 
| -4370627.414 | -4244948.186 | -2646963.293 | 181261.458 | 544506.509 | 144867.642 | 
| -4270292.306 | -4284169.279 | -2662749.873 | 167508.791 | 526095.888 | 118151.740 | 
| -4503452.099 | -4367324.819 | -2432655.519 | 147616.150 | 490154.547 | 150641.862 | 
| 440035.765 | 440065.278 | 260362.827 | -12909.069 | -49442.747 | -16503.513 | 
| 438089.928 | 437333.954 | 263029.437 | -11717.749 | -53421.042 | -13863.690 | 
| 449325.944 | 442632.610 | 247475.811 | -10952.802 | -46373.457 | -16626.195 | 
| 447429.948 | 440673.876 | 256447.034 | -13872.925 | -52050.747 | -18510.275 | 
| 440817.359 | 438290.208 | 265486.881 | -12734.734 | -51688.818 | -14795.585 | 
| 427395.615 | 433593.500 | 253051.896 | -10839.911 | -45873.300 | -23513.938 | 
| -444812.674 | -437674.446 | -256391.639 | 14662.013 | 49639.886 | 14741.753 | 
| -432192.613 | -431558.604 | -270923.200 | 19407.989 | 51399.326 | 20740.938 | 
| -439300.461 | -435227.011 | -264652.157 | 15021.060 | 52957.428 | 13594.707 | 
| -440396.805 | -435453.227 | -266189.051 | 17110.758 | 52682.684 | 18546.775 | 
| -438227.694 | -434576.243 | -259355.546 | 14921.880 | 52789.351 | 17693.078 | 
| -447865.613 | -443861.425 | -250892.460 | 14921.533 | 55755.015 | 19972.343 | 
| 288.633 | 138.218 | 138.218 | 0.000 | -0.000 | 0.000 | 
| 138.218 | 288.633 | 138.218 | 0.000 | -0.000 | 0.000 | 
| 138.218 | 138.218 | 288.633 | 0.000 | -0.000 | 0.000 | 
| 0.000 | 0.000 | -0.000 | -66.315 | -0.000 | 0.000 | 
| 0.000 | 0.000 | -0.000 | 0.000 | -66.315 | 0.000 | 
| 0.000 | -0.000 | -0.000 | 0.000 | -0.000 | -66.315 | 
| 288.632 | 138.218 | 138.218 | -0.000 | 0.000 | 0.000 | 
| 138.218 | 288.632 | 138.218 | -0.000 | 0.000 | -0.000 | 
| 138.218 | 138.218 | 288.633 | 0.000 | 0.000 | -0.000 | 
| -0.000 | 0.000 | 0.000 | -66.315 | 0.000 | 0.000 | 
| -0.000 | -0.000 | 0.000 | -0.000 | -66.315 | -0.000 | 
| -0.000 | 0.000 | 0.000 | -0.000 | 0.000 | -66.315 | 
| 286.235 | 139.417 | 139.417 | 0.000 | -0.000 | -0.000 | 
| 139.417 | 286.235 | 139.417 | 0.000 | -0.000 | 0.000 | 
| 139.417 | 139.417 | 286.235 | 0.000 | -0.000 | -0.000 | 
| -78456509.983 | -109159187.623 | -109382714.992 | 868380.355 | -602551.342 | 940890.508 | 
| -111329534.899 | -77322930.968 | -109936439.206 | -308619.651 | 2221042.745 | 1303243.456 | 
| -111932781.903 | -109579520.974 | -80753836.617 | 1006641.513 | -409858.239 | 411498.960 | 
| 286.235 | 139.416 | 139.416 | -0.000 | 0.000 | 0.000 | 
| 139.416 | 286.235 | 139.416 | -0.000 | 0.000 | -0.000 | 
| 139.416 | 139.416 | 286.235 | -0.000 | -0.000 | 0.000 | 
| 70245446.288 | 114824640.563 | 117235841.745 | 1795748.740 | -180593.625 | -11835.938 | 
| 111692009.321 | 73838622.630 | 111362865.621 | 740340.910 | 1627984.879 | 1008554.942 | 
| 116431163.118 | 115501289.695 | 69731751.713 | -125133.054 | 2310940.216 | 792559.207 | 
| 286.236 | 139.417 | 139.417 | 0.000 | -0.000 | 0.000 | 
| 139.417 | 286.236 | 139.417 | 0.000 | -0.000 | 0.000 | 
| 139.417 | 139.417 | 286.236 | 0.000 | 0.000 | -0.000 | 
| -7142468.266 | -11202614.580 | -11165228.855 | -81250.567 | 135839.339 | -188035.061 | 
| -11306022.825 | -7447975.298 | -11198249.651 | 17095.099 | 59682.797 | 79425.102 | 
| -11043832.601 | -10946062.912 | -7247065.617 | -135065.640 | 227779.913 | -130726.706 | 
| 286.233 | 139.416 | 139.416 | -0.000 | 0.000 | -0.000 | 
| 139.416 | 286.233 | 139.416 | -0.000 | 0.000 | -0.000 | 
| 139.416 | 139.416 | 286.233 | -0.000 | 0.000 | 0.000 | 
| 7727330.342 | 11115965.720 | 10784457.999 | -42702.077 | 171812.633 | 77653.275 | 
| 11340828.055 | 7276041.325 | 11242415.707 | 216957.188 | -10748.267 | 22642.705 | 
| 11016607.453 | 10743547.345 | 7574499.810 | -60038.295 | -26022.860 | -54033.925 | 
| 1052.929 | 1139.355 | 1139.355 | -0.000 | -0.000 | 0.000 | 
| 1139.355 | 1052.929 | 1139.355 | -0.000 | -0.000 | -0.000 | 
| 1139.355 | 1139.355 | 1052.929 | 0.000 | -0.000 | -0.000 | 
| -0.001 | -0.000 | -0.000 | 538.807 | 0.000 | 0.000 | 
| -0.000 | -0.001 | -0.000 | 0.000 | 538.807 | -0.000 | 
| -0.000 | -0.000 | -0.001 | -0.000 | -0.000 | 538.807 | 
| 1052.872 | 1139.385 | 1139.385 | -0.000 | 0.000 | 0.000 | 
| 1139.385 | 1052.872 | 1139.385 | 0.000 | 0.000 | -0.000 | 
| 1139.385 | 1139.385 | 1052.872 | -0.000 | 0.000 | 0.000 | 
| 0.001 | 0.000 | 0.000 | 538.807 | -0.000 | 0.000 | 
| 0.000 | 0.001 | 0.000 | 0.000 | 538.807 | -0.000 | 
| 0.000 | 0.000 | 0.001 | 0.000 | 0.000 | 538.807 | 
| 1053.190 | 1139.216 | 1139.216 | 0.000 | 0.000 | 0.000 | 
| 1139.216 | 1053.190 | 1139.216 | -0.000 | -0.000 | 0.000 | 
| 1139.216 | 1139.216 | 1053.190 | 0.000 | -0.000 | -0.000 | 
| -0.008 | -0.003 | -0.003 | 538.807 | 0.000 | -0.000 | 
| -0.003 | -0.008 | -0.003 | 0.000 | 538.807 | -0.000 | 
| -0.003 | -0.003 | -0.008 | -0.000 | -0.000 | 538.807 | 
| 1052.612 | 1139.524 | 1139.524 | -0.000 | -0.000 | 0.000 | 
| 1139.524 | 1052.612 | 1139.524 | -0.000 | 0.000 | 0.000 | 
| 1139.524 | 1139.524 | 1052.612 | -0.000 | 0.000 | -0.000 | 
| 0.008 | 0.003 | 0.003 | 538.807 | -0.000 | 0.000 | 
| 0.003 | 0.008 | 0.003 | -0.000 | 538.807 | 0.000 | 
| 0.003 | 0.003 | 0.008 | 0.000 | 0.000 | 538.807 | 
| 1052.834 | 1139.308 | 1139.308 | -0.000 | 0.000 | 0.000 | 
| 1139.308 | 1052.834 | 1139.308 | 0.000 | -0.000 | -0.000 | 
| 1139.308 | 1139.308 | 1052.834 | -0.000 | 0.000 | 0.000 | 
| -0.061 | -0.038 | -0.037 | 538.803 | 0.000 | 0.000 | 
| -0.038 | -0.061 | -0.037 | -0.000 | 538.803 | 0.000 | 
| -0.038 | -0.037 | -0.061 | -0.000 | -0.000 | 538.803 | 
| 1052.967 | 1139.432 | 1139.432 | 0.000 | -0.000 | -0.000 | 
| 1139.432 | 1052.967 | 1139.432 | -0.000 | 0.000 | 0.000 | 
| 1139.432 | 1139.432 | 1052.967 | 0.000 | -0.000 | -0.000 | 
| 0.061 | 0.038 | 0.037 | 538.803 | -0.000 | -0.000 | 
| 0.038 | 0.061 | 0.037 | 0.000 | 538.803 | -0.000 | 
| 0.038 | 0.037 | 0.061 | 0.000 | 0.000 | 538.803 | 
| -132065845.768 | -39648623.951 | -43477211.701 | -307415.924 | -134228.778 | -286783.783 | 
| -40638590.540 | -133112916.383 | -40524149.073 | 562029.869 | -1593382.680 | 1368250.553 | 
| -35418750.502 | -42025215.886 | -132806962.291 | 1292.395 | -1190958.783 | -893964.475 | 
| -47973960.578 | -115933955.372 | -113936366.742 | -10955589.315 | -500575.055 | -1222404.105 | 
| -123525215.905 | -43747259.889 | -125465252.648 | 312303.942 | -11767554.031 | -551396.785 | 
| -117968203.999 | -121934321.062 | -47415131.403 | -2218064.935 | -1662535.363 | -14002611.157 | 
| 29920011.738 | 114330538.407 | 124212994.063 | -362377.490 | 21428.727 | -1260815.635 | 
| 115537163.797 | 29211760.508 | 114654825.256 | 1079544.919 | -468795.874 | 36208.033 | 
| 115005276.380 | 112161499.493 | 31329159.216 | -281094.757 | -1878410.826 | -1734321.070 | 
| 42541114.119 | 116967197.315 | 121398562.802 | -12602476.467 | 792261.908 | 2848248.948 | 
| 120978044.765 | 41460998.854 | 118524513.464 | 2110601.148 | -11858127.212 | 65601.354 | 
| 115354908.730 | 122335508.293 | 45175033.665 | -605074.550 | -407130.933 | -12355905.739 | 
| -13458770.288 | -4962137.744 | -5248627.106 | -90537.119 | -136415.661 | -69065.345 | 
| -4554644.982 | -12953789.619 | -4094259.730 | -44128.945 | -143358.425 | -105128.144 | 
| -4117075.568 | -4954547.028 | -13602864.720 | 58984.921 | -144833.526 | 81375.601 | 
| -4322311.673 | -11324124.468 | -11685303.000 | -1139497.021 | 11450.658 | -202198.886 | 
| -12021782.862 | -4758766.065 | -11773387.299 | -80184.434 | -1101750.288 | 38698.315 | 
| -11597136.169 | -11780694.466 | -4409713.975 | 13259.343 | 18477.904 | -1266028.391 | 
| 2802643.376 | 11745258.057 | 12132955.688 | 210661.507 | -67646.541 | -70800.904 | 
| 10975113.878 | 2761397.232 | 11370056.120 | -134515.551 | 234983.313 | 15700.002 | 
| 10856618.140 | 10959771.807 | 2694930.404 | 253904.050 | -49248.334 | 192063.677 | 
| 4554805.920 | 11760810.618 | 11647700.141 | -1229545.502 | -2544.761 | -39988.655 | 
| 11927968.026 | 3841269.874 | 11492952.583 | -24842.448 | -983293.197 | 59066.958 | 
| 11555053.141 | 12528527.952 | 4450026.002 | 28413.762 | 39544.790 | -1199735.827 | 
| -1248408.680 | -486292.871 | -546137.889 | -458.963 | -16138.435 | -1401.325 | 
| -476201.974 | -1284174.700 | -462030.938 | -3820.934 | -7447.078 | 5586.434 | 
| -466373.844 | -475507.983 | -1292009.476 | -22449.242 | 13799.948 | -6131.199 | 
| -452377.282 | -1150185.108 | -1143129.404 | -119759.691 | 2213.795 | 1598.679 | 
| -1236653.260 | -504935.440 | -1164290.477 | 6921.290 | -133881.872 | -195.447 | 
| -1137829.465 | -1222812.137 | -470836.393 | 3012.190 | -5823.339 | -114484.386 | 
| 188903.650 | 1090933.374 | 1119538.521 | -14354.745 | 8364.364 | 10101.926 | 
| 1133615.112 | 272732.386 | 1213666.655 | -38672.303 | -7319.910 | 6128.841 | 
| 1101668.970 | 1089038.000 | 229742.243 | 9037.250 | 1046.483 | -6012.107 | 
| 526361.721 | 1229850.375 | 1207959.912 | -123173.716 | 21406.689 | -6574.239 | 
| 1199949.762 | 489386.289 | 1183215.648 | -17206.726 | -115106.979 | -8286.303 | 
| 1187621.459 | 1136373.422 | 432636.796 | 16414.728 | 11907.074 | -118156.530 | 
| 313.910 | 121.656 | 121.656 | 0.000 | -0.000 | 0.000 | 
| 121.656 | 313.910 | 121.656 | 0.000 | -0.000 | 0.000 | 
| 121.656 | 121.656 | 313.910 | 0.000 | -0.000 | 0.000 | 
| 0.000 | 0.000 | 0.000 | 85.934 | 0.000 | -0.000 | 
| 0.000 | 0.000 | 0.000 | 0.000 | 85.934 | 0.000 | 
| 0.000 | 0.000 | 0.000 | 0.000 | -0.000 | 85.934 | 
| 313.910 | 121.656 | 121.656 | -0.000 | -0.000 | 0.000 | 
| 121.656 | 313.910 | 121.656 | -0.000 | 0.000 | 0.000 | 
| 121.656 | 121.656 | 313.910 | -0.000 | 0.000 | 0.000 | 
| -0.000 | -0.000 | -0.000 | 85.934 | -0.000 | -0.000 | 
| -0.000 | -0.000 | -0.000 | -0.000 | 85.934 | -0.000 | 
| -0.000 | -0.000 | -0.000 | -0.000 | 0.000 | 85.934 | 
| 313.910 | 121.656 | 121.656 | 0.000 | -0.000 | -0.000 | 
| 121.656 | 313.910 | 121.656 | 0.000 | -0.000 | -0.000 | 
| 121.656 | 121.656 | 313.910 | 0.000 | -0.000 | -0.000 | 
| 0.000 | 0.000 | 0.000 | 85.934 | -0.000 | -0.000 | 
| 0.000 | 0.000 | 0.000 | 0.000 | 85.934 | -0.000 | 
| 0.000 | 0.000 | 0.000 | 0.000 | -0.000 | 85.934 | 
| 313.910 | 121.656 | 121.656 | -0.000 | 0.000 | -0.000 | 
| 121.656 | 313.910 | 121.656 | -0.000 | 0.000 | 0.000 | 
| 121.656 | 121.656 | 313.910 | -0.000 | 0.000 | -0.000 | 
| -0.000 | -0.000 | -0.000 | 85.934 | 0.000 | -0.000 | 
| -0.000 | -0.000 | -0.000 | -0.000 | 85.934 | -0.000 | 
| -0.000 | -0.000 | -0.000 | -0.000 | 0.000 | 85.934 | 
| 313.911 | 121.656 | 121.656 | 0.000 | -0.000 | -0.000 | 
| 121.656 | 313.911 | 121.656 | 0.000 | -0.000 | -0.000 | 
| 121.656 | 121.656 | 313.911 | 0.000 | -0.000 | -0.000 | 
| 0.000 | 0.000 | 0.000 | 85.934 | -0.000 | -0.000 | 
| 0.000 | 0.000 | 0.000 | 0.000 | 85.934 | 0.000 | 
| 0.000 | 0.000 | 0.000 | 0.000 | -0.000 | 85.934 | 
| 313.910 | 121.655 | 121.655 | -0.000 | 0.000 | 0.000 | 
| 121.655 | 313.910 | 121.655 | -0.000 | -0.000 | 0.000 | 
| 121.655 | 121.655 | 313.910 | -0.000 | 0.000 | 0.000 | 
| -0.000 | -0.000 | -0.000 | 85.934 | 0.000 | -0.000 | 
| -0.000 | -0.000 | -0.000 | -0.000 | 85.934 | -0.000 | 
| -0.000 | -0.000 | -0.000 | -0.000 | 0.000 | 85.934 | 
| 296.816 | 126.054 | 126.054 | 0.000 | 0.000 | 0.000 | 
| 126.054 | 296.816 | 126.054 | -0.000 | 0.000 | 0.000 | 
| 126.054 | 126.054 | 296.816 | 0.000 | 0.000 | -0.000 | 
| -0.000 | 0.000 | 0.000 | 70.380 | -0.000 | 0.000 | 
| 0.000 | -0.000 | -0.000 | 0.000 | 70.380 | -0.000 | 
| 0.000 | 0.000 | -0.000 | 0.000 | 0.000 | 70.380 | 
| 296.816 | 126.054 | 126.054 | -0.000 | -0.000 | 0.000 | 
| 126.054 | 296.816 | 126.054 | 0.000 | -0.000 | -0.000 | 
| 126.054 | 126.054 | 296.816 | -0.000 | -0.000 | 0.000 | 
| 0.000 | -0.000 | -0.000 | 70.380 | -0.000 | -0.000 | 
| -0.000 | 0.000 | -0.000 | -0.000 | 70.380 | 0.000 | 
| -0.000 | -0.000 | 0.000 | -0.000 | 0.000 | 70.380 | 
| 296.816 | 126.054 | 126.054 | 0.000 | 0.000 | 0.000 | 
| 126.054 | 296.816 | 126.054 | 0.000 | 0.000 | -0.000 | 
| 126.054 | 126.054 | 296.816 | 0.000 | -0.000 | -0.000 | 
| 0.000 | 0.000 | 0.000 | 70.380 | 0.000 | 0.000 | 
| 0.000 | 0.000 | 0.000 | 0.000 | 70.380 | 0.000 | 
| 0.000 | 0.000 | 0.000 | 0.000 | 0.000 | 70.380 | 
| 296.816 | 126.054 | 126.054 | -0.000 | -0.000 | -0.000 | 
| 126.054 | 296.816 | 126.054 | 0.000 | 0.000 | -0.000 | 
| 126.054 | 126.054 | 296.816 | 0.000 | 0.000 | 0.000 | 
| -0.000 | -0.000 | -0.000 | 70.380 | -0.000 | 0.000 | 
| -0.000 | -0.000 | -0.000 | -0.000 | 70.380 | 0.000 | 
| -0.000 | -0.000 | -0.000 | -0.000 | 0.000 | 70.380 | 
| 296.817 | 126.054 | 126.054 | -0.000 | -0.000 | 0.000 | 
| 126.054 | 296.817 | 126.054 | 0.000 | 0.000 | -0.000 | 
| 126.054 | 126.054 | 296.817 | 0.000 | -0.000 | -0.000 | 
| 0.000 | 0.000 | 0.000 | 70.380 | -0.000 | 0.000 | 
| 0.000 | 0.000 | 0.000 | 0.000 | 70.380 | -0.000 | 
| 0.000 | 0.000 | 0.000 | 0.000 | 0.000 | 70.380 | 
| 296.816 | 126.053 | 126.053 | -0.000 | -0.000 | -0.000 | 
| 126.053 | 296.816 | 126.053 | -0.000 | -0.000 | -0.000 | 
| 126.053 | 126.053 | 296.816 | 0.000 | 0.000 | -0.000 | 
| -0.000 | -0.000 | -0.000 | 70.380 | -0.000 | 0.000 | 
| -0.000 | -0.000 | -0.000 | -0.000 | 70.380 | -0.000 | 
| -0.000 | -0.000 | -0.000 | -0.000 | -0.000 | 70.380 | 
| 473.587 | 21.090 | 96.526 | 0.000 | 0.000 | 0.000 | 
| 21.090 | 473.587 | 96.526 | 0.000 | 0.000 | 0.000 | 
| 96.526 | 96.526 | 360.452 | 0.000 | -0.000 | 0.000 | 
| -0.000 | 0.000 | -0.000 | 95.866 | 0.000 | 0.000 | 
| 0.000 | -0.000 | -0.000 | 0.000 | 95.866 | 0.000 | 
| 0.000 | 0.000 | -0.000 | 0.000 | 0.000 | 104.221 | 
| 473.586 | 21.090 | 96.526 | -0.000 | -0.000 | -0.000 | 
| 21.090 | 473.586 | 96.526 | -0.000 | 0.000 | -0.000 | 
| 96.526 | 96.526 | 360.452 | -0.000 | -0.000 | -0.000 | 
| 0.000 | -0.000 | 0.000 | 95.866 | 0.000 | -0.000 | 
| -0.000 | 0.000 | 0.000 | -0.000 | 95.866 | -0.000 | 
| -0.000 | -0.000 | 0.000 | -0.000 | -0.000 | 104.221 | 
| 473.588 | 21.090 | 96.525 | 0.000 | 0.000 | 0.000 | 
| 21.090 | 473.588 | 96.525 | 0.000 | 0.000 | 0.000 | 
| 96.526 | 96.526 | 360.453 | 0.000 | 0.000 | 0.000 | 
| -0.000 | 0.000 | -0.000 | 95.866 | -0.000 | 0.000 | 
| 0.000 | -0.000 | -0.000 | -0.000 | 95.866 | 0.000 | 
| 0.000 | 0.000 | 0.000 | 0.000 | 0.000 | 104.221 | 
| 473.586 | 21.090 | 96.526 | 0.000 | -0.000 | -0.000 | 
| 21.090 | 473.586 | 96.526 | 0.000 | 0.000 | -0.000 | 
| 96.526 | 96.526 | 360.452 | -0.000 | 0.000 | -0.000 | 
| 0.000 | -0.000 | 0.000 | 95.866 | 0.000 | -0.000 | 
| -0.000 | 0.000 | 0.000 | -0.000 | 95.866 | -0.000 | 
| -0.000 | -0.000 | -0.000 | -0.000 | 0.000 | 104.221 | 
| 473.597 | 21.088 | 96.522 | 0.000 | 0.000 | 0.000 | 
| 21.088 | 473.597 | 96.522 | 0.000 | 0.000 | 0.000 | 
| 96.526 | 96.526 | 360.455 | 0.000 | 0.000 | 0.000 | 
| -0.001 | 0.001 | 0.000 | 95.866 | -0.000 | 0.000 | 
| 0.001 | -0.001 | 0.000 | 0.000 | 95.866 | 0.000 | 
| 0.000 | 0.000 | 0.000 | 0.000 | -0.000 | 104.221 | 
| 473.576 | 21.092 | 96.529 | -0.000 | 0.000 | -0.000 | 
| 21.092 | 473.576 | 96.529 | -0.000 | 0.000 | -0.000 | 
| 96.525 | 96.525 | 360.449 | -0.000 | -0.000 | -0.000 | 
| 0.001 | -0.001 | -0.000 | 95.866 | 0.000 | -0.000 | 
| -0.001 | 0.001 | -0.000 | -0.000 | 95.866 | -0.000 | 
| -0.000 | -0.000 | -0.000 | -0.000 | -0.000 | 104.221 | 
| -96378878.196 | -147684017.683 | 245973994.141 | 1588911.180 | 0.002 | -0.000 | 
| -96378965.151 | -147683852.542 | 245973959.653 | 1588911.523 | -0.000 | -0.000 | 
| -96379074.290 | -147684161.527 | 245974090.178 | 1588910.931 | -0.000 | -0.000 | 
| 2.842 | 1.341 | 5.852 | 60.770 | -0.000 | -0.000 | 
| 0.000 | 0.000 | 0.000 | 0.000 | 247.566 | -0.000 | 
| 2.569 | 1.212 | 5.290 | -0.000 | -0.000 | 111.871 | 
| 234.454 | 155.834 | 5.493 | 0.000 | 0.000 | 0.000 | 
| 159.237 | 282.189 | 28.562 | -0.000 | 0.000 | 0.000 | 
| 57.740 | 49.587 | 163.400 | 0.000 | 0.000 | 0.000 | 
| -2.842 | -1.341 | -5.852 | 60.770 | 0.000 | 0.000 | 
| -0.000 | -0.000 | -0.000 | 0.000 | 247.566 | 0.000 | 
| -2.569 | -1.212 | -5.290 | 0.000 | 0.000 | 111.871 | 
| 255.881 | 163.132 | 40.610 | -0.000 | 0.000 | -0.000 | 
| 159.237 | 282.190 | 28.562 | 0.000 | -0.000 | -0.000 | 
| 57.740 | 49.587 | 163.401 | -0.000 | 0.000 | -0.000 | 
| 0.797 | 0.414 | 1.764 | 46.243 | -0.000 | -0.000 | 
| 0.000 | 0.000 | -0.000 | -0.000 | 247.566 | -0.000 | 
| -9637907.923 | -14768413.508 | 24597400.331 | 158891.147 | -0.005 | 97.910 | 
| 227.164 | 154.250 | -3.578 | 0.000 | 0.000 | 0.000 | 
| 147.750 | 277.411 | 6.962 | 0.000 | 0.000 | 0.000 | 
| 57.740 | 49.587 | 163.400 | 0.000 | -0.000 | 0.000 | 
| -0.797 | -0.414 | -1.764 | 46.243 | 0.000 | 0.000 | 
| -0.000 | -0.000 | 0.000 | 0.000 | 247.566 | 0.000 | 
| 9637907.961 | 14768413.519 | -24597400.266 | -158891.114 | -0.005 | 97.910 | 
| 229.095 | 154.593 | -1.421 | -0.000 | -0.000 | -0.000 | 
| -966334.901 | -1476862.315 | 2454902.880 | -18633.420 | -0.000 | -0.000 | 
| -966443.209 | -1477171.111 | 2455034.917 | -18633.351 | 0.000 | -0.000 | 
| -966303.470 | -1477112.916 | 2455484.914 | -1079.415 | -0.000 | -0.000 | 
| 0.020 | 0.029 | 0.104 | -0.000 | 138.776 | -0.000 | 
| -963790.788 | -1476841.348 | 2459740.038 | 15889.114 | -0.005 | 97.910 | 
| 229.038 | 154.562 | -1.549 | 0.000 | 0.000 | 0.000 | 
| 966563.388 | 1477427.259 | -2454989.708 | 18633.289 | -0.000 | -0.000 | 
| 966455.080 | 1477118.463 | -2454857.671 | 18633.357 | 0.000 | 0.000 | 
| 634467.352 | 1597494.382 | -3289593.508 | 47255.806 | 675223.826 | 215.673 | 
| -0.020 | -0.029 | -0.104 | -0.000 | 138.776 | 0.000 | 
| 963790.793 | 1476841.348 | -2459740.028 | -15889.113 | -0.005 | 97.910 | 
| 223472069.878 | -11700332.531 | 3357647.434 | 1541966.419 | -888403.670 | 1413458.323 | 
| 222467486.196 | -12203779.102 | 7141265.529 | 411846.030 | 194363.020 | -1736188.904 | 
| 220975526.934 | -11250582.411 | 4784098.866 | 2246380.179 | -2340484.685 | 1287051.575 | 
| 218996742.013 | -9770732.943 | 5848813.932 | 1998066.357 | -1538414.975 | 458034.578 | 
| 221619561.663 | -14361303.535 | 3695562.060 | 1116915.972 | -3327376.655 | -424942.115 | 
| 224303501.002 | -13881502.217 | 4205327.394 | 1361109.277 | -3473139.168 | -31094.629 | 
| -217619590.032 | 8081230.622 | -8194546.584 | -85323.591 | 1256780.283 | 524259.240 | 
| -220724984.779 | 10063770.281 | -6496518.728 | -2224268.398 | 1386114.476 | -970620.690 | 
| -221268573.290 | 10960533.775 | -7505954.399 | 705874.347 | -406842.931 | 1147858.392 | 
| -221513388.573 | 13820565.769 | -4521262.118 | -838718.178 | 3538519.230 | -101427.694 | 
| -220623852.328 | 9656694.411 | -5528610.927 | -1415497.610 | 2386299.481 | -1335384.637 | 
| -221716020.074 | 11432677.541 | -4925862.588 | -817785.477 | 2608300.636 | -281108.262 | 
| 22202646.192 | -1112013.784 | 890651.236 | -45944.076 | -39603.901 | -171109.563 | 
| 22089154.568 | -1367403.109 | 405695.505 | 38352.253 | -413291.926 | 58170.683 | 
| 22080837.532 | -1087080.304 | 298272.402 | 93865.642 | -302207.500 | 141004.909 | 
| 22110282.457 | -1001882.307 | 486162.243 | 50164.262 | -236609.051 | 75297.144 | 
| 22251836.407 | -1169529.577 | 534567.252 | 164393.759 | -268005.695 | 194887.609 | 
| 22019657.573 | -1157657.406 | 895839.256 | -3611.827 | -271208.865 | -165321.124 | 
| -22113939.627 | 1030635.199 | -662890.213 | -139496.518 | 334039.400 | -8972.629 | 
| -21902669.741 | 1052014.084 | -989018.108 | -60165.855 | 89675.631 | -33277.269 | 
| -21757585.118 | 1011966.074 | -818303.287 | -225847.148 | 161659.290 | 17930.928 | 
| -22017767.940 | 1301052.021 | -426929.843 | 18187.551 | 283148.336 | -85400.775 | 
| -22292566.366 | 1408289.704 | -252096.612 | -131821.293 | 273743.428 | -75912.244 | 
| -22061755.070 | 1200033.600 | -606348.434 | -223018.065 | 255587.003 | -53908.957 | 
| 2201303.406 | -108632.437 | 61337.309 | 23849.586 | -27100.463 | 5922.119 | 
| 2205334.925 | -139932.866 | 26291.662 | 5537.072 | -33595.864 | 269.338 | 
| 2218320.189 | -128915.260 | 51812.873 | -917.310 | -14007.189 | -10537.964 | 
| 2234971.245 | -139520.028 | 23009.444 | 8364.184 | -33176.217 | 6033.900 | 
| 2197851.599 | -133107.926 | 56522.185 | 17131.707 | -6248.061 | -17467.492 | 
| 2195964.476 | -101543.910 | 87020.555 | 6030.577 | -8598.691 | -18224.718 | 
| -2194388.741 | 139565.575 | -70850.988 | -31825.117 | 19230.769 | 1323.728 | 
| -2227922.356 | 139946.507 | -68063.353 | -16641.737 | 30379.075 | 3382.794 | 
| -2212171.170 | 154295.293 | -53266.173 | -10527.513 | 26364.770 | -5694.772 | 
| -2229639.475 | 111587.899 | -84215.323 | -16412.108 | 29282.678 | 6.292 | 
| -2220077.837 | 128972.193 | -56281.118 | 4759.183 | 36376.887 | -3918.538 | 
| -2214739.098 | 104423.617 | -46961.460 | -11175.005 | 17515.041 | -1380.979 | 
| 316.697 | 171.516 | 116.385 | -0.000 | -0.000 | -0.000 | 
| 180.843 | 445.929 | 93.996 | 0.000 | -0.000 | -0.000 | 
| 120.180 | 100.524 | 343.250 | 0.000 | -0.000 | -0.000 | 
| 0.000 | 0.000 | 0.000 | 102.386 | -0.000 | -0.000 | 
| -0.000 | 0.000 | 0.000 | 0.000 | 111.035 | -0.000 | 
| 0.000 | 0.000 | 0.000 | 0.000 | -0.000 | 192.728 | 
| 983517631.704 | -1275619540.814 | 805821489.981 | -8237801.427 | -404957.148 | -1198850.908 | 
| 172.331 | 457.466 | 105.013 | -0.000 | -0.000 | 0.000 | 
| 973573132.153 | -1290377629.359 | 800039399.912 | -2114034.754 | 1841318.117 | 1727187.783 | 
| -0.000 | -0.000 | -0.000 | 102.386 | -0.000 | 0.000 | 
| 0.000 | -0.000 | -0.000 | -0.000 | 111.035 | 0.000 | 
| -0.000 | -0.000 | -0.000 | -0.000 | 0.000 | 192.728 | 
| 316.698 | 171.516 | 116.385 | 0.000 | -0.000 | -0.000 | 
| 172.331 | 457.467 | 105.013 | 0.000 | 0.000 | -0.000 | 
| -98520655.682 | 129884030.915 | -81153567.058 | -98682.065 | 18645.007 | 99191.827 | 
| -128299285.079 | 133506468.336 | -89128700.802 | 17209616.895 | -2766.146 | 4527.369 | 
| -100008994.321 | 121848503.585 | -73422830.447 | -23524.130 | -63440.707 | 87196.524 | 
| 0.000 | 0.000 | -0.000 | 0.000 | 0.000 | 192.728 | 
| 316.697 | 171.516 | 116.385 | -0.000 | 0.000 | 0.000 | 
| 175.053 | 454.147 | 102.537 | 0.000 | 0.000 | 0.000 | 
| 120.152 | 102.017 | 347.401 | -0.000 | -0.000 | 0.000 | 
| 128316182.186 | -133519150.270 | 89130522.341 | 17163544.511 | 27195.861 | 20253.572 | 
| 99832793.925 | -122029528.921 | 73854978.131 | 103039.215 | -142687.443 | -29618.826 | 
| -0.000 | -0.000 | 0.000 | -0.000 | 0.000 | 192.728 | 
| 316.701 | 171.516 | 116.383 | 0.000 | -0.000 | -0.000 | 
| 175.048 | 454.128 | 102.458 | 0.000 | -0.000 | -0.000 | 
| 117.997 | 105.808 | 352.642 | 0.000 | -0.000 | -0.000 | 
| -12830726.796 | 13351232.367 | -8912896.078 | 1717879.127 | -4151.956 | 2963.765 | 
| 0.000 | -0.000 | 0.000 | 0.000 | 111.035 | -0.000 | 
| 0.000 | 0.002 | -0.000 | 0.000 | -0.000 | 192.728 | 
| 314.798 | 173.605 | 117.482 | -0.000 | 0.000 | 0.000 | 
| 175.044 | 454.130 | 102.475 | -0.000 | 0.000 | 0.000 | 
| 117.992 | 105.808 | 352.643 | -0.000 | -0.000 | 0.000 | 
| 12831063.796 | -13351496.108 | 8912944.209 | 1717283.255 | 394.274 | 631.988 | 
| -0.000 | 0.000 | -0.000 | -0.000 | 111.035 | 0.000 | 
| -0.000 | -0.002 | 0.000 | 0.000 | 0.000 | 192.728 | 
| 363.848 | 139.051 | 139.051 | 0.000 | 0.000 | 0.000 | 
| 139.051 | 363.848 | 139.051 | 0.000 | 0.000 | 0.000 | 
| 139.051 | 139.051 | 363.848 | 0.000 | 0.000 | 0.000 | 
| 0.000 | -0.000 | 0.000 | -73.766 | 0.000 | 0.000 | 
| -0.000 | 0.000 | 0.000 | 0.000 | -73.766 | 0.000 | 
| -0.000 | -0.000 | 0.000 | 0.000 | 0.000 | -73.766 | 
| 363.847 | 139.052 | 139.052 | 0.000 | -0.000 | -0.000 | 
| 139.052 | 363.847 | 139.052 | -0.000 | -0.000 | -0.000 | 
| 139.052 | 139.052 | 363.847 | -0.000 | -0.000 | -0.000 | 
| -0.000 | 0.000 | -0.000 | -73.766 | -0.000 | -0.000 | 
| 0.000 | -0.000 | 0.000 | -0.000 | -73.766 | -0.000 | 
| 0.000 | 0.000 | -0.000 | -0.000 | 0.000 | -73.766 | 
| -37474566.159 | -38042807.745 | -37675421.043 | 2142200.046 | 83919.019 | -895186.329 | 
| -39718850.261 | -38332138.203 | -38087907.064 | 1101992.289 | -1350574.049 | -831542.475 | 
| -38562845.278 | -37553289.395 | -39492171.762 | -216019.959 | -950355.639 | -2180235.622 | 
| -54246185.090 | -42383604.514 | -38227609.359 | 3478405.350 | 959353.679 | 3791896.376 | 
| -48570006.898 | -49794335.797 | -49008005.182 | 1179510.628 | 9035700.382 | -3511510.240 | 
| -43532250.460 | -44049611.713 | -53420316.173 | 3436059.016 | 922649.389 | 5494212.799 | 
| 556.397 | 42.776 | 42.776 | -0.000 | -0.000 | -0.000 | 
| 42.776 | 556.397 | 42.776 | -0.000 | -0.000 | -0.000 | 
| 42.776 | 42.776 | 556.397 | -0.000 | 0.000 | -0.000 | 
| 48625657.877 | 46119448.924 | 44342755.941 | 8239539.990 | 398417.820 | 4725527.756 | 
| 43231740.453 | 51002215.075 | 38940373.501 | 1441998.807 | 4067673.463 | 2291326.956 | 
| 41833943.622 | 43940849.127 | 49920849.275 | 2278365.018 | 1319112.562 | 7338287.236 | 
| -4135042.494 | -3947555.792 | -3774956.324 | 162612.832 | -137186.296 | -42576.324 | 
| -4130332.960 | -4123781.628 | -3777862.483 | 43225.129 | -54968.922 | -19413.633 | 
| -3738095.717 | -3755532.277 | -4364492.512 | 33685.627 | -98343.146 | -188907.366 | 
| -5979620.603 | -3575961.988 | -3856562.281 | 753158.604 | 143324.557 | -154087.974 | 
| -4042819.238 | -6124523.242 | -3925147.182 | -191119.747 | 778235.965 | -3770.634 | 
| -3726016.524 | -3956578.356 | -6469603.062 | -215240.065 | 215036.678 | 488534.693 | 
| 280542.478 | 1702876.242 | 2211885.060 | 83559.491 | 205845.172 | -6123.977 | 
| 2063546.645 | -222846.385 | 2166565.982 | -30189.070 | -265675.600 | 77668.324 | 
| 1752618.380 | 2173110.068 | 257801.294 | -254277.283 | 158100.246 | 5899.523 | 
| 6086612.375 | 3853767.648 | 3461972.639 | 935415.713 | -184889.246 | 85125.025 | 
| 3352344.956 | 5625352.676 | 3074300.712 | 226157.037 | 646601.058 | 76997.939 | 
| 3432866.573 | 3112435.657 | 5863106.556 | -63851.811 | 55036.975 | 457593.659 | 
| -103961421.788 | -99300090.989 | -1490414847.654 | 17550141.250 | -4424467.085 | -7910570.424 | 
| 141.902 | 387.143 | 44.662 | -1.744 | -3.320 | -0.092 | 
| 157.837 | 159.272 | 277.285 | -2.351 | -4.475 | -0.124 | 
| 0.000 | -0.000 | 0.000 | 120.281 | -0.000 | -0.000 | 
| 14.019 | 14.699 | -24.212 | -1.114 | 22.915 | -0.059 | 
| 20.267 | 21.250 | -35.003 | -1.611 | -3.066 | 132.503 | 
| 91542614.946 | 80883364.312 | 1484551838.925 | -8297233.618 | 1342376.221 | -12522200.736 | 
| 84225734.490 | 85544536.486 | 1522519056.085 | 5399994.363 | -9387573.721 | -15796415.846 | 
| 93106735.048 | 99986090.384 | 1471077909.906 | -6031887.353 | -8287495.404 | -7651282.129 | 
| 92198138.739 | 89930242.292 | 1487301435.665 | -36993555.487 | 6156831.314 | -10921357.146 | 
| 0.000 | -0.000 | -0.000 | 0.000 | 120.282 | 0.000 | 
| -0.000 | -0.000 | -0.000 | 0.000 | 0.000 | 259.174 | 
| 591.484 | 73.135 | -66.414 | -0.000 | -0.000 | 0.000 | 
| -10024844.335 | -6560739.282 | -147504379.638 | 12553.910 | -2091679.509 | 619295.445 | 
| -9026400.225 | -8212821.181 | -148783968.001 | 73634.213 | 517418.259 | 576312.507 | 
| -3145208.796 | -14858823.552 | -145227444.504 | -14398001.626 | 542078.355 | -718516.800 | 
| -15720109.520 | -1399205.685 | -147121197.778 | -256997.446 | -15183901.720 | 1053326.332 | 
| 1.903 | 1.995 | -3.286 | -0.151 | -0.288 | 140.316 | 
| 8993778.514 | 6772757.016 | 147922921.633 | -496236.615 | -505017.519 | 22720.103 | 
| 9750313.288 | 8652784.900 | 147612896.978 | 857626.802 | 198466.111 | 326610.192 | 
| 9618299.585 | 9859331.222 | 149147047.771 | -1179231.323 | 699044.678 | -18573.714 | 
| 2893318.757 | 14802455.175 | 145393652.304 | -14439170.821 | 621047.815 | 105058.147 | 
| 16918467.088 | 1911476.128 | 144744828.797 | 384436.054 | -15193773.018 | -1700364.083 | 
| 8132123.375 | 8374503.030 | 148515036.327 | 1098360.380 | 842482.469 | 47781.524 | 
| -796444.987 | -1002977.118 | -15103346.285 | 15053.688 | 50582.428 | -2269.736 | 
| -1013797.958 | -946158.018 | -14961187.361 | 122428.907 | -90799.909 | 79053.276 | 
| -1073009.928 | -920073.269 | -14924935.770 | -57066.727 | -155167.967 | 83325.657 | 
| 0.131 | 0.138 | -0.226 | 31.224 | -0.020 | -0.001 | 
| 0.131 | 0.138 | -0.226 | -0.010 | 31.215 | -0.001 | 
| 0.444 | 0.454 | -0.757 | 0.005 | 0.010 | 122.291 | 
| 895536.007 | 850733.119 | 15051280.255 | -58419.512 | 19327.328 | 56155.444 | 
| 1095432.788 | 929691.338 | 14818326.277 | -51177.694 | 62044.063 | -54781.844 | 
| 945356.979 | 812081.409 | 14853729.919 | 108893.901 | 35284.676 | -44652.205 | 
| 332589.199 | 2417008.542 | 10211151.356 | -1985540.337 | -49461.524 | -235414.735 | 
| 2713451.854 | 232989.292 | 11442329.553 | -27198.975 | -1773211.883 | 16944.865 | 
| 943188.511 | 983842.472 | 14932116.661 | -71514.401 | 141471.607 | 83563.208 | 
| 191464.606 | -294.030 | -294.030 | 0.000 | 0.000 | -0.000 | 
| -294.030 | 191464.606 | -294.030 | 0.000 | 0.000 | -0.000 | 
| -294.030 | -294.030 | 191464.605 | -0.000 | -0.000 | 0.000 | 
| -0.000 | -0.001 | -0.002 | 311.758 | 0.000 | -0.000 | 
| -0.001 | -0.000 | -0.002 | -0.000 | 311.758 | 0.000 | 
| -0.001 | -0.002 | -0.000 | -0.000 | -0.000 | 311.758 | 
| 191464.231 | -294.030 | -294.030 | -0.000 | -0.000 | 0.000 | 
| -294.030 | 191464.231 | -294.030 | -0.000 | -0.000 | 0.000 | 
| -294.030 | -294.030 | 191464.231 | -0.000 | -0.000 | -0.000 | 
| 0.000 | 0.001 | 0.002 | 311.758 | -0.000 | -0.000 | 
| 0.001 | 0.000 | 0.002 | 0.000 | 311.758 | -0.000 | 
| 0.001 | 0.002 | 0.000 | 0.000 | 0.000 | 311.758 | 
| 191466.299 | -294.030 | -294.030 | 0.000 | 0.000 | 0.000 | 
| -294.030 | 191466.299 | -294.030 | -0.000 | -0.000 | 0.000 | 
| -294.030 | -294.030 | 191466.299 | 0.000 | 0.000 | -0.000 | 
| 0.000 | -0.000 | -0.010 | 311.758 | -0.000 | -0.000 | 
| -0.000 | 0.000 | -0.010 | -0.000 | 311.758 | -0.000 | 
| -0.000 | -0.010 | 0.000 | -0.000 | -0.000 | 311.758 | 
| 191462.540 | -294.030 | -294.030 | -0.000 | 0.000 | -0.000 | 
| -294.030 | 191462.540 | -294.030 | -0.000 | -0.000 | 0.000 | 
| -294.030 | -294.030 | 191462.540 | 0.000 | 0.000 | -0.000 | 
| -0.000 | 0.000 | 0.010 | 311.758 | -0.000 | -0.000 | 
| 0.000 | -0.000 | 0.010 | -0.000 | 311.758 | 0.000 | 
| 0.000 | 0.010 | -0.000 | 0.000 | 0.000 | 311.758 | 
| 191483.213 | -294.031 | -294.031 | 0.000 | 0.000 | 0.000 | 
| -294.031 | 191483.213 | -294.031 | 0.000 | 0.000 | -0.000 | 
| -294.031 | -294.031 | 191483.213 | -0.000 | -0.000 | 0.000 | 
| 0.000 | 0.000 | -0.095 | 311.758 | -0.000 | -0.000 | 
| 0.000 | 0.000 | -0.095 | 0.000 | 311.758 | 0.000 | 
| 0.000 | -0.095 | 0.000 | -0.000 | -0.000 | 311.758 | 
| 191445.625 | -294.029 | -294.029 | -0.000 | 0.000 | 0.000 | 
| -294.029 | 191445.625 | -294.029 | 0.000 | -0.000 | 0.000 | 
| -294.029 | -294.029 | 191445.625 | -0.000 | -0.000 | -0.000 | 
| -0.000 | -0.000 | 0.095 | 311.758 | 0.000 | -0.000 | 
| -0.000 | -0.000 | 0.095 | 0.000 | 311.758 | 0.000 | 
| -0.000 | 0.095 | -0.000 | 0.000 | 0.000 | 311.758 | 
| 517.620 | 17.169 | 17.169 | 0.000 | 0.000 | -0.000 | 
| 17.169 | 517.620 | 17.169 | 0.000 | 0.000 | -0.000 | 
| 17.169 | 17.169 | 517.620 | 0.000 | -0.000 | -0.000 | 
| -0.000 | 0.000 | -0.000 | 5.549 | 0.000 | 0.000 | 
| 0.000 | -0.000 | -0.000 | 0.000 | 5.549 | -0.000 | 
| 0.000 | -0.000 | -0.000 | -0.000 | 0.000 | 5.549 | 
| 517.620 | 17.169 | 17.169 | 0.000 | 0.000 | -0.000 | 
| 17.169 | 517.620 | 17.169 | -0.000 | 0.000 | -0.000 | 
| 17.169 | 17.169 | 517.620 | 0.000 | 0.000 | 0.000 | 
| 0.000 | -0.000 | 0.000 | 5.549 | 0.000 | -0.000 | 
| -0.000 | 0.000 | 0.000 | -0.000 | 5.549 | 0.000 | 
| -0.000 | 0.000 | 0.000 | 0.000 | -0.000 | 5.549 | 
| 517.621 | 17.169 | 17.169 | -0.000 | 0.000 | -0.000 | 
| 17.169 | 517.621 | 17.169 | 0.000 | -0.000 | 0.000 | 
| 17.169 | 17.169 | 517.621 | -0.000 | -0.000 | 0.000 | 
| 0.000 | 0.000 | -0.000 | 5.549 | -0.000 | -0.000 | 
| 0.000 | 0.000 | -0.000 | 0.000 | 5.549 | -0.000 | 
| 0.000 | -0.000 | 0.000 | -0.000 | -0.000 | 5.549 | 
| 517.620 | 17.169 | 17.169 | 0.000 | -0.000 | 0.000 | 
| 17.169 | 517.620 | 17.169 | -0.000 | 0.000 | -0.000 | 
| 17.169 | 17.169 | 517.620 | -0.000 | -0.000 | -0.000 | 
| -0.000 | -0.000 | 0.000 | 5.549 | -0.000 | 0.000 | 
| -0.000 | -0.000 | 0.000 | 0.000 | 5.549 | 0.000 | 
| -0.000 | 0.000 | -0.000 | 0.000 | -0.000 | 5.549 | 
| 517.626 | 17.170 | 17.170 | -0.000 | -0.000 | 0.000 | 
| 17.170 | 517.626 | 17.170 | -0.000 | -0.000 | -0.000 | 
| 17.170 | 17.170 | 517.626 | 0.000 | 0.000 | -0.000 | 
| 0.000 | 0.000 | -0.000 | 5.549 | -0.000 | -0.000 | 
| 0.000 | 0.000 | -0.000 | 0.000 | 5.549 | -0.000 | 
| 0.000 | -0.000 | 0.000 | -0.000 | 0.000 | 5.549 | 
| 517.614 | 17.169 | 17.169 | -0.000 | 0.000 | -0.000 | 
| 17.169 | 517.614 | 17.169 | -0.000 | 0.000 | -0.000 | 
| 17.169 | 17.169 | 517.614 | -0.000 | -0.000 | -0.000 | 
| -0.000 | -0.000 | 0.000 | 5.549 | 0.000 | -0.000 | 
| -0.000 | -0.000 | 0.000 | 0.000 | 5.549 | -0.000 | 
| -0.000 | 0.000 | -0.000 | 0.000 | 0.000 | 5.549 | 
| 0.000 | 0.000 | 0.000 | 0.000 | 0.000 | 0.000 | 
| 0.000 | 0.016 | 0.000 | 0.000 | 0.000 | 0.000 | 
| 0.000 | 0.000 | 0.012 | -0.000 | 0.000 | 0.000 | 
| 0.000 | 0.000 | 0.000 | 0.000 | 0.000 | 0.000 | 
| 0.000 | 0.000 | 0.000 | 0.000 | 0.000 | 0.000 | 
| 0.000 | 0.000 | 0.000 | 0.000 | 0.000 | 0.000 | 
| -0.000 | -0.000 | -0.000 | -0.000 | -0.000 | -0.000 | 
| -0.000 | -0.000 | -0.000 | -0.000 | -0.000 | -0.000 | 
| -0.000 | -0.000 | -0.000 | -0.000 | -0.000 | -0.000 | 
| -0.000 | -0.000 | -0.000 | -0.000 | -0.000 | -0.000 | 
| -0.000 | -0.000 | -0.000 | -0.000 | -0.000 | -0.000 | 
| -0.000 | -0.000 | -0.000 | -0.000 | -0.000 | -0.000 | 
| -0.000 | 0.000 | 0.000 | 0.000 | 0.000 | 0.000 | 
| 0.000 | -0.000 | 0.000 | 0.000 | 0.000 | -0.000 | 
| 0.000 | 0.000 | -0.000 | 0.000 | 0.000 | 0.000 | 
| 0.000 | 0.000 | 0.000 | 0.000 | 0.000 | 0.000 | 
| 0.000 | 0.000 | 0.000 | 0.000 | 0.000 | 0.000 | 
| 0.000 | 0.000 | 0.000 | 0.000 | 0.000 | 0.000 | 
| -0.000 | -0.000 | -0.000 | -0.000 | -0.000 | -0.000 | 
| -0.000 | -0.000 | -0.000 | -0.000 | -0.000 | -0.000 | 
| -0.000 | -0.000 | -0.000 | -0.000 | -0.000 | -0.000 | 
| -0.000 | -0.000 | -0.000 | -0.000 | -0.000 | -0.000 | 
| -0.000 | -0.000 | -0.000 | -0.000 | -0.000 | -0.000 | 
| -0.000 | -0.000 | -0.000 | -0.000 | -0.000 | -0.000 | 
| 108069.343 | 106773.603 | 106773.603 | -0.000 | -0.000 | 0.000 | 
| 106773.603 | 108069.343 | 106773.603 | -0.000 | -0.000 | 0.000 | 
| 106773.603 | 106773.603 | 108069.343 | -0.000 | -0.000 | 0.000 | 
| 0.035 | 0.033 | 0.035 | 107282.232 | -0.000 | 0.000 | 
| 0.033 | 0.035 | 0.035 | -0.000 | 107282.232 | 0.000 | 
| 0.033 | 0.035 | 0.035 | -0.000 | 0.000 | 107282.232 | 
| 108069.276 | 106773.531 | 106773.531 | 0.000 | -0.000 | -0.000 | 
| 106773.531 | 108069.276 | 106773.531 | -0.000 | 0.000 | -0.000 | 
| 106773.531 | 106773.531 | 108069.275 | 0.000 | 0.000 | 0.000 | 
| -0.035 | -0.033 | -0.035 | 107282.232 | 0.000 | -0.000 | 
| -0.033 | -0.035 | -0.035 | 0.000 | 107282.232 | -0.000 | 
| -0.033 | -0.035 | -0.035 | -0.000 | 0.000 | 107282.232 | 
| 108069.661 | 106773.940 | 106773.940 | -0.000 | 0.000 | 0.000 | 
| 106773.940 | 108069.661 | 106773.940 | 0.000 | -0.000 | 0.000 | 
| 106773.940 | 106773.940 | 108069.661 | -0.000 | -0.000 | -0.000 | 
| 0.362 | 0.340 | 0.362 | 107282.233 | -0.000 | 0.000 | 
| 0.340 | 0.362 | 0.362 | -0.000 | 107282.233 | 0.000 | 
| 0.340 | 0.361 | 0.362 | 0.000 | -0.000 | 107282.233 | 
| 108068.959 | 106773.196 | 106773.196 | 0.000 | -0.000 | -0.000 | 
| 106773.196 | 108068.959 | 106773.196 | -0.000 | 0.000 | -0.000 | 
| 106773.196 | 106773.196 | 108068.959 | 0.000 | 0.000 | -0.000 | 
| -0.362 | -0.340 | -0.361 | 107282.233 | 0.000 | -0.000 | 
| -0.340 | -0.362 | -0.361 | 0.000 | 107282.233 | -0.000 | 
| -0.340 | -0.361 | -0.361 | -0.000 | 0.000 | 107282.233 | 
| 108072.822 | 106777.291 | 106777.291 | -0.000 | -0.000 | 0.000 | 
| 106777.291 | 108072.822 | 106777.291 | -0.000 | -0.000 | 0.000 | 
| 106777.291 | 106777.291 | 108072.822 | -0.000 | -0.000 | 0.000 | 
| 3.616 | 3.402 | 3.616 | 107282.233 | -0.000 | 0.000 | 
| 3.402 | 3.616 | 3.616 | -0.000 | 107282.233 | 0.000 | 
| 3.402 | 3.616 | 3.616 | -0.000 | -0.000 | 107282.233 | 
| 108065.799 | 106769.845 | 106769.845 | 0.000 | 0.000 | -0.000 | 
| 106769.845 | 108065.799 | 106769.845 | 0.000 | 0.000 | -0.000 | 
| 106769.845 | 106769.845 | 108065.799 | 0.000 | 0.000 | -0.000 | 
| -3.616 | -3.402 | -3.616 | 107282.233 | 0.000 | -0.000 | 
| -3.402 | -3.616 | -3.616 | 0.000 | 107282.233 | -0.000 | 
| -3.402 | -3.616 | -3.616 | 0.000 | 0.000 | 107282.233 | 
| 322.156 | 273.031 | 273.031 | 0.000 | 0.000 | 0.000 | 
| 273.031 | 322.156 | 273.031 | 0.000 | 0.000 | 0.000 | 
| 273.031 | 273.031 | 322.156 | 0.000 | 0.000 | 0.000 | 
| 0.000 | 0.000 | 0.000 | 269.589 | 0.000 | 0.000 | 
| 0.000 | 0.000 | 0.000 | 0.000 | 269.589 | 0.000 | 
| 0.000 | 0.000 | 0.000 | 0.000 | 0.000 | 269.589 | 
| 322.156 | 273.031 | 273.031 | -0.000 | -0.000 | -0.000 | 
| 273.031 | 322.156 | 273.031 | -0.000 | -0.000 | -0.000 | 
| 273.031 | 273.031 | 322.156 | -0.000 | -0.000 | -0.000 | 
| -0.000 | -0.000 | -0.000 | 269.589 | -0.000 | -0.000 | 
| -0.000 | -0.000 | -0.000 | -0.000 | 269.589 | -0.000 | 
| -0.000 | -0.000 | -0.000 | -0.000 | -0.000 | 269.589 | 
| 322.156 | 273.031 | 273.031 | 0.000 | 0.000 | 0.000 | 
| 273.031 | 322.156 | 273.031 | 0.000 | 0.000 | 0.000 | 
| 273.031 | 273.031 | 322.156 | 0.000 | 0.000 | 0.000 | 
| 0.000 | 0.000 | 0.000 | 269.589 | 0.000 | 0.000 | 
| 0.000 | 0.000 | 0.000 | 0.000 | 269.589 | 0.000 | 
| 0.000 | 0.000 | 0.000 | 0.000 | 0.000 | 269.589 | 
| 322.156 | 273.031 | 273.031 | -0.000 | -0.000 | -0.000 | 
| 273.031 | 322.156 | 273.031 | -0.000 | -0.000 | -0.000 | 
| 273.031 | 273.031 | 322.156 | -0.000 | -0.000 | -0.000 | 
| -0.000 | -0.000 | -0.000 | 269.589 | -0.000 | -0.000 | 
| -0.000 | -0.000 | -0.000 | -0.000 | 269.589 | -0.000 | 
| -0.000 | -0.000 | -0.000 | -0.000 | -0.000 | 269.589 | 
| 322.157 | 273.033 | 273.033 | 0.000 | 0.000 | 0.000 | 
| 273.033 | 322.157 | 273.033 | 0.000 | 0.000 | 0.000 | 
| 273.033 | 273.033 | 322.157 | 0.000 | 0.000 | 0.000 | 
| 0.001 | 0.000 | 0.001 | 269.589 | 0.000 | 0.000 | 
| 0.000 | 0.001 | 0.001 | 0.000 | 269.589 | 0.000 | 
| 0.000 | 0.001 | 0.001 | 0.000 | 0.000 | 269.589 | 
| 322.155 | 273.030 | 273.030 | -0.000 | -0.000 | -0.000 | 
| 273.030 | 322.155 | 273.030 | -0.000 | -0.000 | -0.000 | 
| 273.030 | 273.030 | 322.155 | -0.000 | -0.000 | -0.000 | 
| -0.001 | -0.000 | -0.001 | 269.589 | -0.000 | -0.000 | 
| -0.000 | -0.001 | -0.001 | -0.000 | 269.589 | -0.000 | 
| -0.000 | -0.001 | -0.001 | -0.000 | -0.000 | 269.589 | 
| -3589124.838 | -1960291.643 | -2565465.656 | 76272.258 | 1552143.957 | -1058801.011 | 
| -2926829.521 | -2911716.935 | -1812049.584 | 163298.735 | 220734.713 | -65437.817 | 
| -2062646.923 | -1455174.903 | -2244434.202 | 391474.096 | 138196.094 | 943363.912 | 
| -636736.886 | -2276422.836 | -153578.753 | 169537.052 | -355150.109 | 399773.851 | 
| -2077443.590 | -1332730.704 | -2121695.094 | 477636.881 | 503440.155 | -43363.985 | 
| -1305045.702 | -1911520.400 | -2075415.770 | 37020.521 | -295008.309 | 709257.388 | 
| -0.000 | -0.000 | -0.000 | -0.000 | -0.000 | -0.000 | 
| -0.000 | -0.000 | -0.000 | -0.000 | -0.000 | -0.000 | 
| -0.000 | -0.000 | -0.000 | -0.000 | -0.000 | -0.000 | 
| 917247.732 | 1968049.740 | 1741948.790 | 811833.900 | 173573.550 | 142385.753 | 
| 2150530.158 | 2294976.895 | 2593246.348 | -392067.943 | 82024.008 | 119554.345 | 
| 1260157.481 | 2423941.525 | 2076555.859 | 339076.102 | -120953.860 | 246755.745 | 
| -9130.782 | -9130.784 | -9130.784 | 0.000 | 0.000 | 0.000 | 
| -9130.784 | -9130.782 | -9130.784 | 0.000 | 0.000 | 0.000 | 
| -9130.784 | -9130.784 | -9130.782 | 0.000 | 0.000 | -0.000 | 
| -258507.069 | -188934.541 | -244994.887 | 72843.360 | 75775.900 | 16199.728 | 
| -130714.788 | -147032.736 | -99748.023 | -4774.342 | 8948.152 | 22824.912 | 
| -144571.628 | -124062.074 | -165402.525 | 41274.567 | 33231.536 | 3416.443 | 
| -0.000 | -0.000 | -0.000 | -0.000 | -0.000 | -0.000 | 
| -0.000 | -0.000 | -0.000 | -0.000 | -0.000 | -0.000 | 
| -0.000 | -0.000 | -0.000 | -0.000 | -0.000 | -0.000 | 
| 220299.147 | 109439.603 | 167168.698 | 72686.576 | -42925.328 | -47333.347 | 
| 146694.315 | 224519.387 | 242297.068 | 17084.904 | 95849.642 | 19184.409 | 
| 188623.869 | 202459.475 | 200444.993 | -54973.088 | -6422.436 | 2603.735 | 
| -6314.056 | -6314.068 | -6314.068 | 0.000 | 0.000 | -0.000 | 
| -6314.068 | -6314.056 | -6314.068 | 0.000 | 0.000 | -0.000 | 
| -6314.068 | -6314.068 | -6314.056 | 0.000 | 0.000 | 0.000 | 
| -20578.991 | -18359.621 | -27853.848 | -3088.189 | -5520.560 | -3558.578 | 
| -11383.864 | -25984.955 | -14046.494 | -6025.874 | 5449.836 | 1082.739 | 
| -15407.884 | -12359.569 | -15537.858 | 1149.450 | -708.270 | 5219.903 | 
| -0.000 | -0.000 | -0.000 | -0.000 | -0.000 | -0.000 | 
| -0.000 | -0.000 | -0.000 | -0.000 | -0.000 | -0.000 | 
| -0.000 | -0.000 | -0.000 | -0.000 | -0.000 | -0.000 | 
| 11436.423 | 14571.645 | 13898.441 | 2795.952 | 619.415 | -1602.714 | 
| 9486.416 | -946.375 | 8786.153 | 1824.540 | 5442.916 | -918.374 | 
| 13334.267 | -759.527 | 5779.137 | 609.502 | 4285.226 | 5275.500 | 
| 26653.506 | 26705.056 | 26705.056 | 0.000 | 0.000 | 0.000 | 
| 26705.056 | 26653.506 | 26705.056 | 0.000 | 0.000 | 0.000 | 
| 26705.056 | 26705.056 | 26653.506 | -0.000 | -0.000 | 0.000 | 
| -0.000 | -0.000 | -0.000 | -80.681 | -0.001 | -0.001 | 
| -0.000 | -0.000 | -0.000 | -0.001 | -80.681 | -0.001 | 
| -0.000 | -0.000 | -0.000 | -0.000 | -0.001 | -80.681 | 
| 26653.488 | 26705.037 | 26705.037 | 0.001 | 0.001 | 0.001 | 
| 26705.037 | 26653.488 | 26705.037 | 0.001 | 0.001 | 0.001 | 
| 26705.037 | 26705.037 | 26653.488 | 0.000 | 0.000 | 0.001 | 
| 0.000 | 0.000 | 0.000 | -80.680 | 0.001 | 0.000 | 
| 0.000 | 0.000 | 0.000 | 0.001 | -80.680 | 0.000 | 
| 0.000 | 0.000 | 0.000 | 0.001 | 0.000 | -80.680 | 
| 26653.585 | 26705.139 | 26705.139 | -0.000 | -0.000 | -0.000 | 
| 26705.139 | 26653.585 | 26705.139 | -0.000 | -0.000 | -0.000 | 
| 26705.139 | 26705.139 | 26653.585 | -0.000 | -0.000 | -0.000 | 
| -0.003 | -0.003 | -0.003 | -81.092 | -0.000 | -0.000 | 
| -0.003 | -0.003 | -0.003 | -0.000 | -81.092 | -0.000 | 
| -0.003 | -0.003 | -0.003 | -0.000 | -0.000 | -81.092 | 
| 26653.409 | 26704.953 | 26704.953 | 0.000 | 0.000 | 0.000 | 
| 26704.953 | 26653.409 | 26704.953 | 0.000 | 0.000 | 0.000 | 
| 26704.953 | 26704.953 | 26653.409 | 0.000 | 0.000 | 0.000 | 
| 0.003 | 0.003 | 0.003 | -81.091 | 0.000 | 0.000 | 
| 0.003 | 0.003 | 0.003 | 0.000 | -81.091 | 0.000 | 
| 0.003 | 0.003 | 0.003 | 0.000 | 0.000 | -81.091 | 
| 26654.374 | 26705.977 | 26705.977 | -0.000 | -0.000 | -0.000 | 
| 26705.977 | 26654.374 | 26705.977 | -0.000 | -0.000 | -0.000 | 
| 26705.977 | 26705.977 | 26654.374 | -0.000 | -0.000 | -0.000 | 
| -0.027 | -0.027 | -0.027 | -62.706 | -0.000 | -0.000 | 
| -0.027 | -0.027 | -0.027 | -0.000 | -62.706 | -0.000 | 
| -0.027 | -0.027 | -0.027 | -0.000 | -0.000 | -62.706 | 
| 26652.619 | 26704.115 | 26704.115 | -0.000 | 0.000 | 0.000 | 
| 26704.115 | 26652.619 | 26704.115 | 0.000 | -0.000 | 0.000 | 
| 26704.115 | 26704.115 | 26652.619 | 0.000 | 0.000 | -0.000 | 
| 0.027 | 0.027 | 0.027 | -62.706 | 0.000 | 0.000 | 
| 0.027 | 0.027 | 0.027 | 0.000 | -62.706 | 0.000 | 
| 0.027 | 0.027 | 0.027 | 0.000 | 0.000 | -62.706 | 
| 1626.411 | 2417.902 | 2417.902 | -0.000 | -0.000 | -0.000 | 
| 2417.902 | 1626.411 | 2417.902 | -0.000 | -0.000 | -0.000 | 
| 2417.902 | 2417.902 | 1626.411 | -0.000 | -0.000 | -0.000 | 
| -215716550.106 | -224654291.788 | -229118718.727 | 17304910.880 | -3965745.387 | -1700465.905 | 
| -220220078.724 | -208730411.056 | -223498049.321 | -1491863.758 | 16634798.987 | -350016.244 | 
| -220948280.343 | -227437812.858 | -214960673.785 | -3088400.401 | -34538.568 | 16631669.877 | 
| 1626.413 | 2417.905 | 2417.905 | -0.000 | 0.000 | 0.000 | 
| 2417.905 | 1626.413 | 2417.905 | 0.000 | -0.000 | 0.000 | 
| 2417.905 | 2417.905 | 1626.413 | 0.000 | 0.000 | 0.000 | 
| 217596804.065 | 233251493.449 | 230802484.660 | 19557836.476 | 1658430.255 | 497298.889 | 
| 226828665.526 | 215566764.259 | 225027353.485 | -1889099.702 | 21554438.093 | 548339.859 | 
| 233888508.037 | 230098492.387 | 216423029.056 | 1812111.744 | 1117765.976 | 22231673.020 | 
| 1626.401 | 2417.887 | 2417.887 | 0.000 | -0.000 | -0.000 | 
| 2417.887 | 1626.401 | 2417.887 | -0.000 | 0.000 | -0.000 | 
| 2417.887 | 2417.887 | 1626.401 | -0.000 | -0.000 | 0.000 | 
| -21223987.209 | -22555731.936 | -22673966.215 | 1724655.771 | 262871.263 | 3900.235 | 
| -22211428.735 | -20919746.322 | -22370898.732 | -61033.651 | 1844820.822 | 206938.888 | 
| -22963094.785 | -22787575.980 | -21534281.744 | -10210.459 | 161262.929 | 1883876.450 | 
| 1626.423 | 2417.919 | 2417.919 | 0.000 | 0.000 | 0.000 | 
| 2417.919 | 1626.423 | 2417.919 | 0.000 | 0.000 | 0.000 | 
| 2417.919 | 2417.919 | 1626.423 | 0.000 | 0.000 | 0.000 | 
| 20582371.867 | 22058733.573 | 22072233.245 | 2341328.232 | -242808.115 | 145459.792 | 
| 23511962.748 | 21992991.057 | 23322504.740 | 415859.775 | 2130579.448 | 83702.738 | 
| 22886691.589 | 22878733.009 | 21198461.313 | 241727.580 | 23597.523 | 2129030.101 | 
| 1626.299 | 2417.745 | 2417.745 | -0.000 | -0.000 | -0.000 | 
| 2417.745 | 1626.299 | 2417.745 | -0.000 | -0.000 | -0.000 | 
| 2417.745 | 2417.745 | 1626.299 | -0.000 | -0.000 | -0.000 | 
| -2037522.743 | -2234535.371 | -2240831.682 | 184439.974 | 15.812 | -23942.226 | 
| -2249100.122 | -2093121.980 | -2266384.815 | -24474.711 | 143004.841 | 476.150 | 
| -2258356.170 | -2271055.884 | -2091287.026 | -4541.463 | -22835.780 | 196559.447 | 
| 1626.524 | 2418.061 | 2418.061 | -0.000 | 0.000 | 0.000 | 
| 2418.061 | 1626.524 | 2418.061 | 0.000 | -0.000 | 0.000 | 
| 2418.061 | 2418.061 | 1626.524 | 0.000 | 0.000 | -0.000 | 
| 2094102.018 | 2244647.364 | 2234321.632 | 169061.751 | -11087.231 | 44370.004 | 
| 2266359.225 | 2060706.125 | 2241666.243 | -11314.760 | 170481.934 | -160.136 | 
| 2281275.957 | 2317087.020 | 2116156.431 | 1674.247 | 42905.224 | 148838.242 | 
| 17.394 | 120.164 | 120.164 | 0.001 | 0.001 | 0.001 | 
| 120.164 | 17.394 | 120.164 | 0.001 | 0.001 | 0.001 | 
| 120.164 | 120.164 | 17.394 | 0.001 | 0.001 | 0.001 | 
| -166561612.135 | -160575101.066 | -157211483.010 | 26627563.084 | -18853551.781 | -10785821.205 | 
| -157917625.448 | -164951931.697 | -156211133.708 | -17037344.688 | 27812319.193 | -11145538.300 | 
| -151683701.914 | -153315695.136 | -158405490.717 | -15508383.744 | -10974274.947 | 25237414.096 | 
| 17.394 | 120.164 | 120.164 | -0.000 | 0.000 | 0.000 | 
| 120.164 | 17.394 | 120.164 | 0.000 | -0.000 | 0.000 | 
| 120.164 | 120.164 | 17.394 | 0.000 | 0.000 | -0.000 | 
| 164148296.213 | 171787278.099 | 172668666.776 | 24141634.297 | -4155912.716 | -4243548.776 | 
| 161294581.014 | 154948583.411 | 162464153.671 | -3098495.359 | 23226583.142 | -3582974.625 | 
| 165446830.158 | 166592860.288 | 158875874.687 | -4017747.351 | -4192137.419 | 23923921.389 | 
| 17.394 | 120.164 | 120.164 | -0.000 | -0.000 | -0.000 | 
| 120.164 | 17.394 | 120.164 | -0.000 | -0.000 | -0.000 | 
| 120.164 | 120.164 | 17.394 | -0.000 | -0.000 | -0.000 | 
| -15659561.094 | -14826487.027 | -15189288.072 | 2630485.137 | -1478743.134 | -1426450.794 | 
| -15354575.020 | -16227798.509 | -15803067.698 | -1653702.232 | 2700651.239 | -1220386.017 | 
| -14527711.660 | -14800447.148 | -15415084.499 | -1597702.319 | -1174870.280 | 2565900.358 | 
| 17.394 | 120.164 | 120.164 | -0.000 | -0.000 | -0.000 | 
| 120.164 | 17.394 | 120.164 | -0.000 | -0.000 | -0.000 | 
| 120.164 | 120.164 | 17.394 | -0.000 | -0.000 | -0.000 | 
| 17703885.264 | 18538349.780 | 18763223.814 | 2865652.329 | -89054.659 | 238152.850 | 
| 18179923.641 | 17421052.835 | 18693054.746 | -147343.441 | 2810357.288 | 138080.400 | 
| 18266966.170 | 18714458.626 | 17638881.434 | -238038.968 | 12681.901 | 2769021.380 | 
| 17.394 | 120.165 | 120.165 | 0.000 | -0.000 | -0.000 | 
| 120.165 | 17.394 | 120.165 | -0.000 | 0.000 | -0.000 | 
| 120.165 | 120.165 | 17.394 | -0.000 | -0.000 | 0.000 | 
| -1667379.811 | -1622753.911 | -1595728.593 | 274599.213 | -145605.753 | -149469.746 | 
| -1610355.980 | -1661378.365 | -1578673.286 | -149958.950 | 268357.284 | -143388.474 | 
| -1598490.160 | -1565395.254 | -1638234.675 | -128794.466 | -183955.546 | 272051.146 | 
| 17.395 | 120.164 | 120.164 | 0.000 | 0.000 | 0.000 | 
| 120.164 | 17.395 | 120.164 | 0.000 | 0.000 | 0.000 | 
| 120.164 | 120.164 | 17.395 | 0.000 | 0.000 | 0.000 | 
| 1682256.778 | 1697903.116 | 1734142.817 | 243845.953 | -8340.964 | 18107.283 | 
| 1722528.405 | 1672358.138 | 1748284.506 | -15133.838 | 235982.207 | -3961.265 | 
| 1727522.346 | 1750130.189 | 1662866.179 | 6525.405 | 11832.272 | 247955.817 | 
| 186.538 | 336.736 | 351.853 | -53.513 | 52.312 | 60.431 | 
| -1557.372 | 396.263 | -2186.008 | -94.341 | 589.905 | -471.564 | 
| -13.456 | -363.254 | 512.451 | 99.440 | 668.325 | 484.539 | 
| 247.894 | -34218796.622 | -34218797.307 | -34218796.964 | -560.688 | -560.688 | 
| -33884231.783 | 324.035 | -33884232.461 | -143.613 | -33884232.122 | -143.613 | 
| -33467089.131 | -33467089.801 | 2266.347 | 1866.258 | 1866.258 | -33467089.466 | 
| -0.000 | -0.000 | -0.000 | -0.000 | -0.000 | -0.000 | 
| -0.000 | -0.000 | -0.000 | -0.000 | -0.000 | -0.000 | 
| -0.000 | -0.000 | -0.000 | -0.000 | -0.000 | -0.000 | 
| -142.958 | 36154917.935 | 36154918.658 | -36154918.297 | -45.008 | 45.008 | 
| 38164885.316 | -442.182 | 38164886.079 | -202.237 | -38164885.698 | 202.237 | 
| 34952722.782 | 34952723.481 | -915.828 | 40.928 | -40.928 | -34952723.132 | 
| -30.358 | -49.687 | -58.034 | 8.105 | 10.523 | -0.459 | 
| 34.820 | 64.736 | 32.504 | -2.595 | -13.254 | 4.610 | 
| 46.835 | 67.267 | 41.050 | 0.909 | 5.756 | -16.828 | 
| 57.890 | -3751222.056 | -3751222.807 | -3751222.432 | -67.600 | -67.600 | 
| -3904781.975 | 28.580 | -3904782.756 | -40.920 | -3904782.365 | -40.920 | 
| -3701556.224 | -3701556.965 | 15.305 | -13.757 | -13.757 | -3701556.594 | 
| -0.000 | -0.000 | -0.000 | -0.000 | -0.000 | -0.000 | 
| -0.000 | -0.000 | -0.000 | -0.000 | -0.000 | -0.000 | 
| -0.000 | -0.000 | -0.000 | -0.000 | -0.000 | -0.000 | 
| -55.107 | 3497140.125 | 3497140.825 | -3497140.475 | -58.670 | 58.670 | 
| 3561027.681 | -118.395 | 3561028.394 | -55.252 | -3561028.037 | 55.252 | 
| 3348662.425 | 3348663.095 | -7.236 | 8.210 | -8.210 | -3348662.760 | 
| 0.353 | 1.262 | 0.365 | 2.937 | 0.784 | -0.110 | 
| -18.915 | -19.359 | 3.661 | 1.757 | -2.145 | 21.499 | 
| -9.288 | -10.913 | -3.053 | -2.848 | -0.416 | -0.845 | 
| 16.780 | -338612.502 | -338613.179 | -338612.840 | -5.100 | -5.100 | 
| -396852.384 | 10.158 | -396853.178 | -3.061 | -396852.781 | -3.061 | 
| -421068.305 | -421069.147 | 2.260 | 0.674 | 0.674 | -421068.726 | 
| -0.000 | -0.000 | -0.000 | -0.000 | -0.000 | -0.000 | 
| -0.000 | -0.000 | -0.000 | -0.000 | -0.000 | -0.000 | 
| -0.000 | -0.000 | -0.000 | -0.000 | -0.000 | -0.000 | 
| -10.021 | 340151.860 | 340152.540 | -340152.200 | -9.839 | 9.839 | 
| 349926.987 | -7.514 | 349927.687 | 1.355 | -349927.337 | -1.355 | 
| 344718.626 | 344719.315 | -1.458 | -2.926 | 2.926 | -344718.971 | 
| 359.356 | 90.600 | 325.263 | 0.000 | 0.000 | 0.000 | 
| 90.600 | 359.356 | 325.263 | 0.000 | 0.000 | 0.000 | 
| 325.263 | 325.263 | 740.126 | 0.000 | 0.000 | 0.000 | 
| 0.000 | 0.000 | 0.000 | 289.451 | 0.000 | 0.000 | 
| 0.000 | 0.000 | 0.000 | 0.000 | 289.451 | -0.000 | 
| 0.000 | 0.000 | 0.000 | 0.000 | 0.000 | 144.158 | 
| 359.356 | 90.600 | 325.263 | -0.000 | 0.000 | -0.000 | 
| 90.600 | 359.356 | 325.263 | 0.000 | -0.000 | -0.000 | 
| 325.263 | 325.263 | 740.126 | -0.000 | -0.000 | 0.000 | 
| -0.000 | -0.000 | -0.000 | 289.451 | -0.000 | 0.000 | 
| -0.000 | -0.000 | -0.000 | -0.000 | 289.451 | 0.000 | 
| -0.000 | -0.000 | -0.000 | -0.000 | -0.000 | 144.158 | 
| 359.357 | 90.600 | 325.263 | 0.000 | 0.000 | 0.000 | 
| 90.600 | 359.357 | 325.263 | 0.000 | 0.000 | 0.000 | 
| 325.264 | 325.264 | 740.127 | 0.000 | 0.000 | -0.000 | 
| 0.000 | 0.000 | 0.000 | 289.451 | 0.000 | 0.000 | 
| 0.000 | 0.000 | 0.000 | 0.000 | 289.451 | 0.000 | 
| 0.000 | 0.000 | 0.000 | 0.000 | 0.000 | 144.158 | 
| 359.356 | 90.600 | 325.263 | -0.000 | -0.000 | -0.000 | 
| 90.600 | 359.356 | 325.263 | -0.000 | -0.000 | -0.000 | 
| 325.263 | 325.263 | 740.126 | -0.000 | -0.000 | -0.000 | 
| -0.000 | -0.000 | -0.000 | 289.451 | -0.000 | -0.000 | 
| -0.000 | -0.000 | -0.000 | -0.000 | 289.451 | 0.000 | 
| -0.000 | -0.000 | -0.000 | -0.000 | -0.000 | 144.158 | 
| 359.358 | 90.600 | 325.264 | 0.000 | 0.000 | 0.000 | 
| 90.600 | 359.358 | 325.264 | 0.000 | 0.000 | 0.000 | 
| 325.266 | 325.266 | 740.130 | 0.000 | 0.000 | -0.000 | 
| 0.001 | 0.000 | 0.001 | 289.451 | 0.000 | 0.000 | 
| 0.000 | 0.001 | 0.001 | 0.000 | 289.451 | 0.000 | 
| 0.000 | 0.000 | 0.000 | 0.000 | 0.000 | 144.158 | 
| 359.355 | 90.599 | 325.262 | -0.000 | -0.000 | -0.000 | 
| 90.599 | 359.355 | 325.262 | -0.000 | -0.000 | 0.000 | 
| 325.261 | 325.261 | 740.122 | -0.000 | -0.000 | -0.000 | 
| -0.001 | -0.000 | -0.001 | 289.451 | -0.000 | -0.000 | 
| -0.000 | -0.001 | -0.001 | -0.000 | 289.451 | 0.000 | 
| -0.000 | -0.000 | -0.000 | -0.000 | -0.000 | 144.158 | 
| 100.760 | -7.318 | 0.000 | 0.000 | 0.000 | -0.000 | 
| -7.318 | 100.760 | 0.000 | 0.000 | 0.000 | -0.000 | 
| 0.000 | 0.000 | 0.000 | 0.000 | 0.000 | -0.000 | 
| 0.000 | -0.000 | 0.000 | 0.000 | 0.000 | -0.000 | 
| 0.000 | 0.000 | 0.000 | 0.000 | 0.000 | -0.000 | 
| -0.000 | -0.000 | 0.000 | 0.000 | 0.000 | 4.524 | 
| 100.760 | -7.318 | -0.000 | -0.000 | -0.000 | 0.000 | 
| -7.318 | 100.760 | -0.000 | -0.000 | -0.000 | 0.000 | 
| -0.000 | -0.000 | -0.000 | -0.000 | -0.000 | 0.000 | 
| -0.000 | -0.000 | -0.000 | -0.000 | -0.000 | 0.000 | 
| -0.000 | -0.000 | -0.000 | -0.000 | -0.000 | 0.000 | 
| 0.000 | 0.000 | -0.000 | -0.000 | -0.000 | 4.524 | 
| 100.760 | -7.318 | 0.000 | 0.000 | 0.000 | -0.000 | 
| -7.318 | 100.760 | 0.000 | 0.000 | 0.000 | -0.000 | 
| 0.000 | 0.000 | 0.000 | 0.000 | 0.000 | -0.000 | 
| 0.000 | -0.000 | 0.000 | 0.000 | 0.000 | -0.000 | 
| 0.000 | -0.000 | 0.000 | 0.000 | 0.000 | -0.000 | 
| 0.000 | -0.000 | 0.000 | 0.000 | 0.000 | 4.524 | 
| 100.760 | -7.318 | -0.000 | -0.000 | -0.000 | 0.000 | 
| -7.318 | 100.760 | -0.000 | -0.000 | -0.000 | 0.000 | 
| -0.000 | -0.000 | -0.000 | -0.000 | -0.000 | 0.000 | 
| -0.000 | 0.000 | -0.000 | -0.000 | -0.000 | 0.000 | 
| -0.000 | 0.000 | -0.000 | -0.000 | -0.000 | 0.000 | 
| -0.000 | 0.000 | -0.000 | -0.000 | -0.000 | 4.524 | 
| 100.761 | -7.318 | 0.000 | 0.000 | 0.000 | -0.000 | 
| -7.318 | 100.761 | 0.000 | 0.000 | 0.000 | -0.000 | 
| 0.000 | 0.000 | 0.000 | 0.000 | 0.000 | -0.000 | 
| 0.000 | -0.000 | 0.000 | 0.000 | 0.000 | -0.000 | 
| 0.000 | -0.000 | 0.000 | 0.000 | 0.000 | -0.000 | 
| 0.000 | -0.000 | 0.000 | 0.000 | 0.000 | 4.524 | 
| 100.760 | -7.318 | -0.000 | -0.000 | -0.000 | 0.000 | 
| -7.318 | 100.760 | -0.000 | -0.000 | -0.000 | 0.000 | 
| -0.000 | -0.000 | -0.000 | -0.000 | -0.000 | 0.000 | 
| -0.000 | -0.000 | -0.000 | -0.000 | -0.000 | 0.000 | 
| -0.000 | 0.000 | -0.000 | -0.000 | -0.000 | 0.000 | 
| -0.000 | 0.000 | -0.000 | -0.000 | -0.000 | 4.524 | 
| 100.758 | -7.318 | 0.000 | 0.000 | 0.000 | -0.000 | 
| -7.318 | 100.758 | 0.000 | 0.000 | 0.000 | -0.000 | 
| -0.000 | -0.000 | 0.000 | 0.000 | 0.000 | -0.000 | 
| -0.000 | -0.000 | 0.000 | 0.000 | 0.000 | -0.000 | 
| -0.000 | -0.000 | 0.000 | 0.000 | 0.000 | -0.000 | 
| -0.000 | -0.000 | 0.000 | 0.000 | 0.000 | 4.524 | 
| 100.758 | -7.318 | -0.000 | -0.000 | -0.000 | 0.000 | 
| -7.318 | 100.758 | -0.000 | -0.000 | -0.000 | 0.000 | 
| 0.000 | 0.000 | -0.000 | -0.000 | -0.000 | 0.000 | 
| 0.000 | 0.000 | -0.000 | -0.000 | -0.000 | 0.000 | 
| 0.000 | 0.000 | -0.000 | -0.000 | -0.000 | 0.000 | 
| 0.000 | 0.000 | -0.000 | -0.000 | -0.000 | 4.524 | 
| 100.758 | -7.318 | 0.000 | 0.000 | 0.000 | -0.000 | 
| -7.318 | 100.758 | 0.000 | 0.000 | 0.000 | 0.000 | 
| -0.000 | -0.000 | 0.000 | 0.000 | 0.000 | -0.000 | 
| -0.000 | -0.000 | 0.000 | 0.000 | 0.000 | -0.000 | 
| -0.000 | -0.000 | 0.000 | 0.000 | 0.000 | -0.000 | 
| 0.000 | -0.000 | 0.000 | 0.000 | 0.000 | 4.524 | 
| 100.758 | -7.318 | -0.000 | -0.000 | -0.000 | 0.000 | 
| -7.318 | 100.758 | -0.000 | -0.000 | -0.000 | 0.000 | 
| 0.000 | 0.000 | -0.000 | -0.000 | -0.000 | 0.000 | 
| 0.000 | 0.000 | -0.000 | -0.000 | -0.000 | -0.000 | 
| 0.000 | 0.000 | -0.000 | -0.000 | -0.000 | 0.000 | 
| -0.000 | 0.000 | -0.000 | -0.000 | -0.000 | 4.524 | 
| 100.759 | -7.318 | 0.000 | 0.000 | 0.000 | -0.000 | 
| -7.318 | 100.759 | 0.000 | 0.000 | 0.000 | -0.000 | 
| -0.000 | -0.000 | 0.000 | 0.000 | 0.000 | -0.000 | 
| -0.000 | -0.000 | 0.000 | 0.000 | 0.000 | -0.000 | 
| -0.000 | -0.000 | 0.000 | 0.000 | 0.000 | -0.000 | 
| 0.000 | -0.000 | 0.000 | 0.000 | 0.000 | 4.524 | 
| 100.758 | -7.318 | -0.000 | -0.000 | -0.000 | 0.000 | 
| -7.318 | 100.758 | -0.000 | -0.000 | -0.000 | -0.000 | 
| 0.000 | 0.000 | -0.000 | -0.000 | -0.000 | 0.000 | 
| 0.000 | 0.000 | -0.000 | -0.000 | -0.000 | 0.000 | 
| 0.000 | 0.000 | -0.000 | -0.000 | -0.000 | 0.000 | 
| -0.000 | 0.000 | -0.000 | -0.000 | -0.000 | 4.524 | 
| 58196.521 | 57508.094 | 57508.094 | -0.000 | -0.000 | -0.000 | 
| 57508.094 | 58196.521 | 57508.094 | -0.000 | -0.000 | -0.000 | 
| 57508.094 | 57508.094 | 58196.521 | -0.000 | -0.000 | 0.000 | 
| -0.001 | -0.001 | -0.001 | 356.392 | -0.000 | -0.000 | 
| -0.001 | -0.001 | -0.001 | -0.000 | 356.392 | -0.000 | 
| -0.001 | -0.001 | -0.001 | 0.000 | -0.000 | 356.392 | 
| 58196.487 | 57508.057 | 57508.057 | 0.000 | 0.000 | -0.000 | 
| 57508.057 | 58196.487 | 57508.057 | 0.000 | 0.000 | -0.000 | 
| 57508.057 | 57508.057 | 58196.487 | 0.000 | 0.000 | -0.000 | 
| 0.001 | 0.001 | 0.001 | 356.393 | -0.000 | -0.000 | 
| 0.001 | 0.001 | 0.001 | -0.000 | 356.393 | -0.000 | 
| 0.001 | 0.001 | 0.001 | -0.000 | -0.000 | 356.393 | 
| 58196.679 | 57508.262 | 57508.262 | -0.000 | -0.000 | 0.000 | 
| 57508.262 | 58196.679 | 57508.262 | -0.000 | -0.000 | 0.000 | 
| 57508.262 | 57508.262 | 58196.679 | -0.000 | -0.000 | 0.000 | 
| -0.006 | -0.006 | -0.006 | 356.471 | 0.000 | 0.000 | 
| -0.006 | -0.006 | -0.006 | 0.000 | 356.471 | 0.000 | 
| -0.006 | -0.006 | -0.006 | -0.000 | 0.000 | 356.471 | 
| 58196.328 | 57507.889 | 57507.889 | -0.000 | -0.000 | -0.000 | 
| 57507.889 | 58196.328 | 57507.889 | -0.000 | -0.000 | -0.000 | 
| 57507.889 | 57507.889 | 58196.328 | -0.000 | -0.000 | -0.000 | 
| 0.006 | 0.006 | 0.006 | 356.471 | -0.000 | -0.000 | 
| 0.006 | 0.006 | 0.006 | -0.000 | 356.471 | -0.000 | 
| 0.006 | 0.006 | 0.006 | 0.000 | -0.000 | 356.471 | 
| 58198.255 | 57509.941 | 57509.941 | -0.000 | 0.000 | 0.000 | 
| 57509.941 | 58198.255 | 57509.941 | 0.000 | -0.000 | 0.000 | 
| 57509.941 | 57509.941 | 58198.255 | -0.000 | -0.000 | 0.000 | 
| -0.057 | -0.057 | -0.057 | 356.391 | 0.000 | -0.000 | 
| -0.057 | -0.057 | -0.057 | 0.000 | 356.391 | -0.000 | 
| -0.057 | -0.057 | -0.057 | -0.000 | 0.000 | 356.391 | 
| 58194.752 | 57506.209 | 57506.209 | 0.000 | -0.000 | -0.000 | 
| 57506.209 | 58194.752 | 57506.209 | -0.000 | 0.000 | -0.000 | 
| 57506.209 | 57506.209 | 58194.752 | 0.000 | 0.000 | -0.000 | 
| 0.057 | 0.057 | 0.057 | 356.391 | -0.000 | 0.000 | 
| 0.057 | 0.057 | 0.057 | -0.000 | 356.391 | 0.000 | 
| 0.057 | 0.057 | 0.057 | -0.000 | -0.000 | 356.391 | 
| 2189.922 | 3258.027 | 3258.027 | 0.000 | 0.000 | -0.000 | 
| 3258.027 | 2189.922 | 3258.027 | 0.000 | 0.000 | 0.000 | 
| 3258.027 | 3258.027 | 2189.922 | 0.000 | 0.000 | 0.000 | 
| 527790109.179 | 651539515.188 | 699942674.653 | -125494593.445 | 1837936.368 | 7131786.355 | 
| 648002235.088 | 573106848.562 | 722929881.318 | 11595209.663 | -110490530.681 | -13109708.331 | 
| 650708298.549 | 688774474.225 | 518362825.663 | 1137503.910 | -6618418.572 | -131584301.684 | 
| 2189.924 | 3258.030 | 3258.030 | -0.000 | -0.000 | 0.000 | 
| 3258.030 | 2189.924 | 3258.030 | -0.000 | -0.000 | -0.000 | 
| 3258.030 | 3258.030 | 2189.924 | -0.000 | -0.000 | 0.000 | 
| -394275192.319 | -621708268.705 | -609038846.375 | -152655923.798 | -9149904.283 | 775659.493 | 
| -627235167.625 | -430793460.792 | -629976831.580 | 7801740.602 | -132901189.614 | -2258102.877 | 
| -588500051.314 | -599505824.763 | -408390385.312 | 3966932.260 | 10190239.760 | -139376503.786 | 
| 2189.914 | 3258.015 | 3258.015 | 0.000 | 0.000 | 0.000 | 
| 3258.015 | 2189.914 | 3258.015 | 0.000 | 0.000 | 0.000 | 
| 3258.015 | 3258.015 | 2189.914 | 0.000 | 0.000 | 0.000 | 
| 34614414.819 | 58592389.608 | 59297560.217 | -18653056.541 | 1229952.777 | -820452.648 | 
| 56118041.916 | 34005993.007 | 56875180.557 | -139422.797 | -18236821.384 | 227336.116 | 
| 57225676.326 | 61236055.840 | 33315348.562 | 542660.587 | 90940.735 | -21947548.484 | 
| 2189.932 | 3258.043 | 3258.043 | 0.000 | -0.000 | 0.000 | 
| 3258.043 | 2189.932 | 3258.043 | -0.000 | -0.000 | 0.000 | 
| 3258.043 | 3258.043 | 2189.932 | -0.000 | -0.000 | 0.000 | 
| -44292189.820 | -62774017.003 | -59844085.683 | -15747081.518 | 625265.997 | 246796.850 | 
| -69114010.446 | -50331711.582 | -64025881.895 | -445914.129 | -15112995.305 | 876460.047 | 
| -63554732.121 | -59137266.037 | -40799334.369 | 869332.086 | 379359.765 | -16483731.366 | 
| 2189.835 | 3257.891 | 3257.891 | 0.000 | 0.000 | 0.000 | 
| 3257.891 | 2189.835 | 3257.891 | 0.000 | 0.000 | -0.000 | 
| 3257.891 | 3257.891 | 2189.835 | 0.000 | 0.000 | -0.000 | 
| 20252219.580 | 70145586.227 | 70145480.026 | -53100594.747 | -0.000 | -0.000 | 
| 70145586.227 | 20252219.579 | 70145480.026 | -0.000 | -53100594.747 | -0.000 | 
| 70145586.227 | 70145480.026 | 20252219.580 | -0.000 | -0.000 | -53100594.747 | 
| 2190.011 | 3258.167 | 3258.167 | -0.000 | -0.000 | 0.000 | 
| 3258.167 | 2190.011 | 3258.167 | -0.000 | -0.000 | 0.000 | 
| 3258.167 | 3258.167 | 2190.011 | -0.000 | -0.000 | -0.000 | 
| -20252219.580 | -70145586.227 | -70145480.026 | -53100594.747 | 0.000 | -0.000 | 
| -70145586.227 | -20252219.579 | -70145480.026 | 0.000 | -53100594.747 | -0.000 | 
| -70145586.227 | -70145480.026 | -20252219.580 | 0.000 | -0.000 | -53100594.747 | 
| 61.028 | 197.358 | 197.358 | -0.000 | -0.000 | 0.000 | 
| 197.358 | 61.028 | 197.358 | -0.000 | -0.000 | 0.000 | 
| 197.358 | 197.358 | 61.028 | -0.000 | -0.000 | 0.000 | 
| -0.000 | -0.000 | -0.000 | -91.128 | -0.000 | 0.000 | 
| -0.000 | -0.000 | -0.000 | -0.000 | -91.128 | 0.000 | 
| -0.000 | -0.000 | -0.000 | -0.000 | -0.000 | -91.128 | 
| 61.028 | 197.358 | 197.358 | 0.000 | 0.000 | -0.000 | 
| 197.358 | 61.028 | 197.358 | 0.000 | 0.000 | -0.000 | 
| 197.358 | 197.358 | 61.028 | 0.000 | 0.000 | 0.000 | 
| 0.000 | 0.000 | 0.000 | -91.128 | 0.000 | -0.000 | 
| 0.000 | 0.000 | 0.000 | 0.000 | -91.128 | -0.000 | 
| 0.000 | 0.000 | 0.000 | 0.000 | 0.000 | -91.128 | 
| 61.028 | 197.358 | 197.358 | -0.000 | -0.000 | 0.000 | 
| 197.358 | 61.028 | 197.358 | -0.000 | -0.000 | 0.000 | 
| 197.358 | 197.358 | 61.028 | -0.000 | -0.000 | -0.000 | 
| -0.000 | -0.000 | -0.000 | -91.128 | -0.000 | 0.000 | 
| -0.000 | -0.000 | -0.000 | -0.000 | -91.128 | 0.000 | 
| -0.000 | -0.000 | -0.000 | -0.000 | -0.000 | -91.128 | 
| 61.028 | 197.358 | 197.358 | 0.000 | 0.000 | -0.000 | 
| 197.358 | 61.028 | 197.358 | 0.000 | 0.000 | -0.000 | 
| 197.358 | 197.358 | 61.028 | 0.000 | 0.000 | -0.000 | 
| 0.000 | 0.000 | 0.000 | -91.128 | 0.000 | -0.000 | 
| 0.000 | 0.000 | 0.000 | 0.000 | -91.128 | -0.000 | 
| 0.000 | 0.000 | 0.000 | 0.000 | 0.000 | -91.128 | 
| 61.028 | 197.359 | 197.359 | -0.000 | -0.000 | 0.000 | 
| 197.359 | 61.028 | 197.359 | -0.000 | -0.000 | 0.000 | 
| 197.359 | 197.359 | 61.028 | -0.000 | -0.000 | 0.000 | 
| -0.001 | -0.000 | -0.000 | -91.128 | -0.000 | 0.000 | 
| -0.000 | -0.001 | -0.000 | -0.000 | -91.128 | 0.000 | 
| -0.000 | -0.000 | -0.001 | -0.000 | -0.000 | -91.128 | 
| 61.028 | 197.358 | 197.358 | 0.000 | 0.000 | -0.000 | 
| 197.358 | 61.028 | 197.358 | 0.000 | 0.000 | -0.000 | 
| 197.358 | 197.358 | 61.028 | 0.000 | 0.000 | -0.000 | 
| 0.001 | 0.000 | 0.000 | -91.128 | 0.000 | -0.000 | 
| 0.000 | 0.001 | 0.000 | 0.000 | -91.128 | -0.000 | 
| 0.000 | 0.000 | 0.001 | 0.000 | 0.000 | -91.128 | 
| -57696.773 | -149500.431 | -107197.628 | -61921.401 | -35836.556 | -33953.606 | 
| -157412.970 | -109932.821 | -183720.483 | -39278.102 | 3241.045 | -29179.124 | 
| -162072.520 | -196404.464 | -145184.332 | -10781.313 | -7424.596 | -60966.020 | 
| -551391.083 | -2366.168 | -12984.964 | 17792.355 | 2940.673 | -2990.370 | 
| -40790.976 | -497660.951 | -38931.009 | 1123.338 | 34081.021 | -694.680 | 
| -67571.423 | -61292.391 | -599294.322 | -5154.076 | 5349.270 | 77925.931 | 
| -0.000 | -0.000 | -0.000 | -0.000 | -0.000 | -0.000 | 
| -0.000 | -0.000 | -0.000 | -0.000 | -0.000 | -0.000 | 
| -0.000 | -0.000 | -0.000 | -0.000 | -0.000 | -0.000 | 
| 686171.315 | 74014.880 | 69581.946 | 38320.223 | -15878.006 | -352.404 | 
| 52604.106 | 568213.352 | 46026.385 | 2391.670 | 66425.759 | 3043.736 | 
| 108499.516 | 146094.225 | 644027.517 | -9863.832 | 2354.891 | 119103.016 | 
| -49838.323 | -28665.401 | -41588.340 | -10493.562 | -11998.562 | 166.925 | 
| -30397.081 | -44144.937 | -36970.073 | -11023.357 | -12974.743 | 1276.988 | 
| -84723.775 | -85219.285 | -137256.244 | -1775.228 | 7183.532 | 2725.844 | 
| -48386.105 | -7096.201 | -12061.291 | 6389.850 | -1501.604 | 1436.041 | 
| -24227.310 | -51968.587 | -13821.679 | -546.274 | 17349.897 | 1460.858 | 
| -8919.981 | -10178.330 | -33507.203 | -1235.473 | 1274.983 | 5858.332 | 
| -0.000 | -0.000 | -0.000 | -0.000 | -0.000 | -0.000 | 
| -0.000 | -0.000 | -0.000 | -0.000 | -0.000 | -0.000 | 
| -0.000 | -0.000 | -0.000 | -0.000 | -0.000 | -0.000 | 
| 13375.682 | 2535.268 | 3172.886 | 1210.958 | -554.053 | -282.433 | 
| 377.124 | 6983.615 | -333.949 | 421.595 | -101.368 | 605.847 | 
| 2795.965 | 2870.664 | 21551.602 | 96.494 | 1572.953 | 377.672 | 
| -1111.230 | -1452.494 | -1144.785 | -580.110 | -521.179 | -584.652 | 
| -5651.061 | -6216.125 | -7320.407 | -1569.974 | -770.114 | -859.549 | 
| -3708.869 | -2970.591 | -3429.769 | -841.909 | -1379.846 | -912.569 | 
| -2985.961 | -153.019 | -364.471 | 365.853 | 95.702 | -44.401 | 
| -40.373 | -2691.764 | -58.290 | -5.276 | -10.628 | 12.127 | 
| -496.083 | -964.120 | -3875.979 | -89.791 | 30.445 | 613.255 | 
| -0.000 | -0.000 | -0.000 | -0.000 | -0.000 | -0.000 | 
| -0.000 | -0.000 | -0.000 | -0.000 | -0.000 | -0.000 | 
| -0.000 | -0.000 | -0.000 | -0.000 | -0.000 | -0.000 | 
| 3829.074 | 652.467 | 232.089 | -24.728 | 30.568 | 13.403 | 
| 1358.731 | 4307.085 | 481.733 | -118.706 | 512.614 | -477.693 | 
| 585.703 | 389.495 | 3395.677 | 131.344 | 211.026 | 166.818 | 
| 38948.997 | 34762.134 | 34762.134 | -0.000 | -0.000 | -0.000 | 
| 34762.134 | 38948.997 | 34762.134 | -0.000 | -0.000 | -0.000 | 
| 34762.134 | 34762.134 | 38948.997 | -0.000 | -0.000 | -0.000 | 
| -0.000 | -0.001 | -0.000 | 17352.201 | -0.000 | -0.000 | 
| -0.001 | -0.000 | -0.000 | -0.000 | 17352.201 | -0.000 | 
| -0.001 | -0.000 | -0.000 | -0.000 | -0.000 | 17352.202 | 
| 38948.989 | 34762.126 | 34762.126 | 0.000 | 0.000 | -0.000 | 
| 34762.126 | 38948.989 | 34762.126 | 0.000 | 0.000 | 0.000 | 
| 34762.126 | 34762.126 | 38948.990 | 0.000 | 0.000 | -0.000 | 
| 0.000 | 0.001 | 0.000 | 17352.202 | 0.000 | -0.000 | 
| 0.001 | 0.000 | 0.000 | 0.000 | 17352.202 | -0.000 | 
| 0.001 | 0.000 | 0.000 | 0.000 | 0.000 | 17352.201 | 
| 38949.037 | 34762.180 | 34762.180 | -0.000 | -0.000 | -0.000 | 
| 34762.180 | 38949.037 | 34762.180 | -0.000 | -0.000 | -0.000 | 
| 34762.180 | 34762.180 | 38949.037 | -0.000 | -0.000 | -0.000 | 
| 0.005 | 0.000 | 0.004 | 17366.855 | -0.000 | -0.000 | 
| 0.000 | 0.005 | 0.004 | -0.000 | 17366.855 | -0.000 | 
| 0.000 | 0.004 | 0.005 | -0.000 | -0.000 | 17366.855 | 
| 38948.950 | 34762.080 | 34762.080 | 0.000 | 0.000 | 0.000 | 
| 34762.080 | 38948.950 | 34762.080 | 0.000 | 0.000 | 0.000 | 
| 34762.080 | 34762.080 | 38948.950 | 0.000 | 0.000 | 0.000 | 
| -0.005 | -0.000 | -0.004 | 17366.855 | 0.000 | 0.000 | 
| -0.000 | -0.005 | -0.004 | 0.000 | 17366.855 | 0.000 | 
| -0.000 | -0.004 | -0.005 | 0.000 | 0.000 | 17366.855 | 
| 38949.430 | 34762.628 | 34762.628 | -0.000 | -0.000 | 0.000 | 
| 34762.628 | 38949.430 | 34762.628 | -0.000 | -0.000 | 0.000 | 
| 34762.628 | 34762.628 | 38949.430 | -0.000 | -0.000 | 0.000 | 
| 0.054 | 0.004 | 0.036 | 17352.202 | -0.000 | -0.000 | 
| 0.004 | 0.054 | 0.036 | -0.000 | 17352.202 | -0.000 | 
| 0.004 | 0.036 | 0.054 | -0.000 | -0.000 | 17352.202 | 
| 38948.556 | 34761.632 | 34761.632 | 0.000 | 0.000 | 0.000 | 
| 34761.632 | 38948.556 | 34761.632 | 0.000 | 0.000 | 0.000 | 
| 34761.632 | 34761.632 | 38948.556 | 0.000 | 0.000 | 0.000 | 
| -0.054 | -0.004 | -0.036 | 17352.202 | 0.000 | 0.000 | 
| -0.004 | -0.054 | -0.036 | 0.000 | 17352.202 | 0.000 | 
| -0.004 | -0.036 | -0.054 | 0.000 | 0.000 | 17352.202 | 
| 779.516 | 652.817 | 652.817 | 0.000 | 0.000 | -0.000 | 
| 652.817 | 779.516 | 652.817 | 0.000 | 0.000 | -0.000 | 
| 652.817 | 652.817 | 779.516 | 0.000 | 0.000 | -0.000 | 
| 0.000 | 0.000 | 0.000 | 684.337 | 0.000 | -0.000 | 
| 0.000 | 0.000 | 0.000 | 0.000 | 684.337 | -0.000 | 
| 0.000 | 0.000 | 0.000 | 0.000 | 0.000 | 684.337 | 
| 779.516 | 652.817 | 652.817 | -0.000 | -0.000 | 0.000 | 
| 652.817 | 779.516 | 652.817 | -0.000 | -0.000 | 0.000 | 
| 652.817 | 652.817 | 779.516 | -0.000 | -0.000 | 0.000 | 
| -0.000 | -0.000 | -0.000 | 684.337 | -0.000 | 0.000 | 
| -0.000 | -0.000 | -0.000 | -0.000 | 684.337 | 0.000 | 
| -0.000 | -0.000 | -0.000 | -0.000 | -0.000 | 684.337 | 
| 779.517 | 652.817 | 652.817 | 0.000 | 0.000 | -0.000 | 
| 652.817 | 779.517 | 652.817 | 0.000 | 0.000 | -0.000 | 
| 652.817 | 652.817 | 779.517 | 0.000 | 0.000 | -0.000 | 
| 0.000 | 0.000 | 0.000 | 684.337 | 0.000 | -0.000 | 
| 0.000 | 0.000 | 0.000 | 0.000 | 684.337 | -0.000 | 
| 0.000 | 0.000 | 0.000 | 0.000 | 0.000 | 684.337 | 
| 779.516 | 652.817 | 652.817 | -0.000 | 0.000 | 0.000 | 
| 652.817 | 779.516 | 652.817 | 0.000 | -0.000 | 0.000 | 
| 652.817 | 652.817 | 779.516 | -0.000 | -0.000 | 0.000 | 
| -0.000 | -0.000 | -0.000 | 684.337 | -0.000 | 0.000 | 
| -0.000 | -0.000 | -0.000 | -0.000 | 684.337 | 0.000 | 
| -0.000 | -0.000 | -0.000 | -0.000 | -0.000 | 684.337 | 
| 779.520 | 652.822 | 652.822 | 0.000 | 0.000 | -0.000 | 
| 652.822 | 779.520 | 652.822 | 0.000 | 0.000 | -0.000 | 
| 652.822 | 652.822 | 779.520 | 0.000 | 0.000 | -0.000 | 
| 0.003 | 0.002 | 0.003 | 684.337 | 0.000 | -0.000 | 
| 0.002 | 0.003 | 0.003 | 0.000 | 684.337 | -0.000 | 
| 0.002 | 0.003 | 0.003 | 0.000 | 0.000 | 684.337 | 
| 779.513 | 652.813 | 652.813 | -0.000 | 0.000 | 0.000 | 
| 652.813 | 779.513 | 652.813 | -0.000 | -0.000 | 0.000 | 
| 652.813 | 652.813 | 779.513 | -0.000 | -0.000 | 0.000 | 
| -0.003 | -0.002 | -0.003 | 684.337 | -0.000 | 0.000 | 
| -0.002 | -0.003 | -0.003 | -0.000 | 684.337 | 0.000 | 
| -0.002 | -0.003 | -0.003 | -0.000 | -0.000 | 684.337 | 
| -74.846 | 103.821 | 103.821 | -0.000 | -0.000 | -0.000 | 
| 103.821 | -74.846 | 103.821 | -0.000 | -0.000 | -0.000 | 
| 103.821 | 103.821 | -74.846 | -0.000 | -0.000 | 0.000 | 
| -9398074.196 | 14568017.538 | 13186193.368 | -31041548.343 | -777284.994 | -39533.451 | 
| 11900976.557 | -8937331.328 | 11992011.887 | -53022.587 | -29295694.188 | 1035460.626 | 
| 9186425.892 | 9060713.330 | -9995827.412 | 190216.785 | 412599.866 | -30538733.822 | 
| -74.846 | 103.821 | 103.821 | 0.000 | 0.000 | -0.000 | 
| 103.821 | -74.846 | 103.821 | 0.000 | 0.000 | 0.000 | 
| 103.821 | 103.821 | -74.846 | 0.000 | 0.000 | 0.000 | 
| 6514061.562 | -15596130.082 | -16260537.305 | -31796608.995 | -918272.825 | 438258.077 | 
| -11938116.938 | 9601701.496 | -14005527.127 | -375019.328 | -31225916.077 | -564307.233 | 
| -9338290.726 | -10115621.186 | 12143263.217 | 194743.978 | -363145.113 | -29169303.440 | 
| -74.845 | 103.821 | 103.821 | -0.000 | -0.000 | -0.000 | 
| 103.821 | -74.845 | 103.821 | -0.000 | -0.000 | -0.000 | 
| 103.821 | 103.821 | -74.845 | -0.000 | -0.000 | -0.000 | 
| -855184.749 | 974443.323 | 876428.459 | -2997366.189 | 35573.010 | 131441.361 | 
| 1153505.534 | -733891.888 | 1400911.842 | -23352.019 | -3532521.898 | -25400.519 | 
| 1612587.315 | 1636562.533 | -695359.673 | -41199.494 | -14466.353 | -3366800.194 | 
| -74.846 | 103.821 | 103.821 | -0.000 | 0.000 | 0.000 | 
| 103.821 | -74.846 | 103.821 | 0.000 | -0.000 | -0.000 | 
| 103.821 | 103.821 | -74.846 | 0.000 | 0.000 | -0.000 | 
| 923614.667 | -1180986.621 | -1184702.344 | -3098933.701 | 87773.393 | -47111.318 | 
| -1363941.302 | 957918.063 | -1483938.326 | 8585.211 | -3533580.836 | -43539.058 | 
| -1107496.384 | -1043701.190 | 786094.568 | -157071.299 | 88029.245 | -3228880.848 | 
| -74.843 | 103.821 | 103.821 | 0.000 | -0.000 | -0.000 | 
| 103.821 | -74.843 | 103.821 | -0.000 | 0.000 | -0.000 | 
| 103.821 | 103.821 | -74.843 | -0.000 | -0.000 | -0.000 | 
| -77738.287 | 113592.081 | 127992.134 | -322951.979 | 4692.974 | 15516.848 | 
| 146561.111 | -84388.982 | 132578.924 | -3976.997 | -320428.291 | 15228.998 | 
| 164074.468 | 142061.285 | -49016.132 | 9738.234 | 6540.502 | -351594.297 | 
| -74.848 | 103.822 | 103.822 | -0.000 | -0.000 | -0.000 | 
| 103.822 | -74.848 | 103.822 | -0.000 | -0.000 | -0.000 | 
| 103.822 | 103.822 | -74.848 | 0.000 | -0.000 | -0.000 | 
| 53282.275 | -193680.019 | -167255.768 | -332107.298 | -8505.609 | 2721.962 | 
| -114885.113 | 90274.894 | -110567.456 | 11388.974 | -309018.981 | 7997.587 | 
| -118894.395 | -143242.315 | 104302.064 | -8406.519 | 8480.671 | -335749.789 | 
| -8263683.980 | -8199835.302 | -7901162.546 | 485719.415 | 230505.803 | -35015.526 | 
| -8374098.559 | -8601265.433 | -7912010.809 | 255754.768 | 273670.015 | 118032.952 | 
| -8480461.315 | -8055573.563 | -7581795.589 | 238159.156 | 330417.909 | 357347.578 | 
| -8438266.603 | -4972830.956 | -4572795.099 | 1382094.378 | 81107.117 | -53661.654 | 
| -5437984.626 | -8358325.300 | -4994625.928 | -55396.483 | 1710544.963 | -117520.450 | 
| -4986120.553 | -4196362.766 | -7881852.423 | -85187.539 | -50554.013 | 1178223.753 | 
| -0.000 | -0.000 | -0.000 | -0.000 | -0.000 | -0.000 | 
| -0.000 | -0.000 | -0.000 | -0.000 | -0.000 | -0.000 | 
| -0.000 | -0.000 | -0.000 | -0.000 | -0.000 | -0.000 | 
| 5869137.391 | 5307323.338 | 3504361.395 | 1055904.487 | 60646.948 | 193009.224 | 
| 3838522.053 | 5379003.345 | 1179418.473 | 25900.025 | 109584.105 | -29174.831 | 
| 5304399.701 | 4415440.027 | 6219808.999 | -17310.782 | 274222.425 | 1190574.411 | 
| -765927.570 | -822981.813 | -830029.686 | 64809.795 | 3751.976 | 28369.248 | 
| -723877.257 | -642950.317 | -720989.631 | 57072.971 | 126042.844 | 28107.030 | 
| -833370.120 | -833882.090 | -817296.376 | 15087.482 | 22303.647 | 96242.223 | 
| -770567.909 | -744704.504 | -589321.421 | 378176.953 | 11065.001 | 2641.235 | 
| -638939.504 | -749178.457 | -498128.196 | 5540.420 | 327371.872 | 4213.955 | 
| -779762.628 | -602328.436 | -875110.179 | 13715.928 | 7424.052 | 376834.043 | 
| -0.000 | -0.000 | -0.000 | -0.000 | -0.000 | -0.000 | 
| -0.000 | -0.000 | -0.000 | -0.000 | -0.000 | -0.000 | 
| -0.000 | -0.000 | -0.000 | -0.000 | -0.000 | -0.000 | 
| 669947.460 | 472808.182 | 475732.101 | 238998.418 | -3978.889 | -1909.612 | 
| 229394.291 | 485310.258 | 279761.764 | -10493.637 | 112755.485 | -18006.307 | 
| 490301.947 | 472064.515 | 687271.546 | -1604.645 | -14824.576 | 244714.953 | 
| -69836.761 | -68939.001 | -65544.461 | -799.506 | 1414.397 | 5799.774 | 
| -65039.238 | -68267.855 | -69248.219 | 3414.633 | 2726.294 | -1796.279 | 
| -77423.584 | -78106.624 | -80032.561 | 1581.393 | 348.395 | 3315.306 | 
| -75712.894 | -45843.635 | -40332.980 | 17314.294 | 84.520 | 102.000 | 
| -43461.168 | -72796.602 | -39378.900 | -182.072 | 16861.607 | 167.902 | 
| -39115.323 | -31333.655 | -69845.462 | -395.443 | 1164.813 | 10354.527 | 
| -0.000 | -0.000 | -0.000 | -0.000 | -0.000 | -0.000 | 
| -0.000 | -0.000 | -0.000 | -0.000 | -0.000 | -0.000 | 
| -0.000 | -0.000 | -0.000 | -0.000 | -0.000 | -0.000 | 
| 58994.605 | 40968.528 | 35773.556 | 15509.968 | -762.594 | 436.929 | 
| 38768.549 | 62591.402 | 35458.418 | -336.360 | 15137.584 | 1031.593 | 
| 37534.078 | 30818.909 | 60771.627 | -2208.229 | 426.723 | 14201.869 | 
| 140603.865 | 28034.757 | 28034.755 | 0.000 | -0.000 | -0.000 | 
| 28034.755 | 140603.865 | 28034.757 | -0.000 | 0.000 | -0.000 | 
| 28034.757 | 28034.756 | 140603.864 | 0.000 | -0.000 | 0.000 | 
| 0.002 | 0.003 | 0.003 | 51360.436 | -0.000 | -0.000 | 
| 0.003 | 0.002 | 0.003 | -0.000 | 51360.436 | -0.000 | 
| 0.003 | 0.003 | 0.002 | 0.000 | -0.000 | 51360.436 | 
| 140603.794 | 28034.744 | 28034.745 | -0.000 | -0.000 | 0.000 | 
| 28034.745 | 140603.793 | 28034.744 | 0.000 | 0.000 | -0.000 | 
| 28034.744 | 28034.745 | 140603.794 | -0.000 | -0.000 | 0.000 | 
| -0.002 | -0.003 | -0.003 | 51360.436 | 0.000 | -0.000 | 
| -0.003 | -0.002 | -0.003 | 0.000 | 51360.436 | 0.000 | 
| -0.003 | -0.003 | -0.002 | 0.000 | 0.000 | 51360.436 | 
| 128208.876 | 34232.405 | 34232.405 | 0.000 | -0.000 | 0.000 | 
| 34232.405 | 128208.876 | 34232.405 | -0.000 | -0.000 | -0.000 | 
| 34232.405 | 34232.405 | 128208.876 | -0.000 | -0.000 | -0.000 | 
| 0.003 | 0.048 | 0.053 | 51734.178 | -0.000 | 0.000 | 
| 0.048 | 0.004 | 0.053 | 0.000 | 51734.178 | -0.000 | 
| 0.048 | 0.053 | 0.003 | 0.000 | -0.000 | 51734.178 | 
| 129179.921 | 33746.524 | 33746.524 | -0.000 | 0.000 | -0.000 | 
| 33746.524 | 129179.921 | 33746.524 | -0.000 | 0.000 | -0.000 | 
| 33746.524 | 33746.524 | 129179.921 | 0.000 | -0.000 | 0.000 | 
| -0.003 | -0.048 | -0.053 | 51734.178 | 0.000 | 0.000 | 
| -0.048 | -0.004 | -0.053 | -0.000 | 51734.178 | 0.000 | 
| -0.048 | -0.053 | -0.003 | 0.000 | -0.000 | 51734.178 | 
| 129183.096 | 33746.929 | 33746.929 | 0.000 | 0.000 | 0.000 | 
| 33746.929 | 129183.096 | 33746.929 | 0.000 | -0.000 | 0.000 | 
| 33746.929 | 33746.929 | 129183.096 | 0.000 | -0.000 | -0.000 | 
| 0.206 | 0.286 | 0.342 | 51368.246 | -0.000 | 0.000 | 
| 0.286 | 0.206 | 0.342 | -0.000 | 51368.246 | -0.000 | 
| 0.286 | 0.342 | 0.206 | -0.000 | -0.000 | 51368.246 | 
| 129170.700 | 33749.504 | 33749.504 | 0.000 | 0.000 | -0.000 | 
| 33749.504 | 129170.700 | 33749.504 | -0.000 | 0.000 | -0.000 | 
| 33749.504 | 33749.504 | 129170.700 | 0.000 | 0.000 | 0.000 | 
| -0.206 | -0.286 | -0.342 | 51368.246 | 0.000 | -0.000 | 
| -0.286 | -0.206 | -0.342 | 0.000 | 51368.246 | 0.000 | 
| -0.286 | -0.342 | -0.206 | -0.000 | 0.000 | 51368.246 | 
| 844.064 | -60.614 | -60.614 | -0.000 | 0.000 | 0.000 | 
| -60.614 | 844.064 | -60.614 | -0.000 | 0.000 | 0.000 | 
| -60.614 | -60.614 | 844.064 | -0.000 | 0.000 | 0.000 | 
| -0.000 | 0.000 | 0.000 | 807.664 | 0.000 | -0.000 | 
| 0.000 | -0.000 | -0.000 | -0.000 | 807.664 | -0.000 | 
| 0.000 | 0.000 | -0.000 | -0.000 | 0.000 | 807.664 | 
| 844.064 | -60.614 | -60.614 | 0.000 | -0.000 | -0.000 | 
| -60.614 | 844.064 | -60.614 | 0.000 | 0.000 | -0.000 | 
| -60.614 | -60.614 | 844.064 | 0.000 | -0.000 | -0.000 | 
| 0.000 | -0.000 | 0.000 | 807.664 | -0.000 | 0.000 | 
| -0.000 | 0.000 | -0.000 | 0.000 | 807.664 | -0.000 | 
| -0.000 | -0.000 | 0.000 | 0.000 | -0.000 | 807.664 | 
| 844.065 | -60.614 | -60.614 | -0.000 | -0.000 | -0.000 | 
| -60.614 | 844.065 | -60.614 | -0.000 | 0.000 | -0.000 | 
| -60.614 | -60.614 | 844.065 | -0.000 | 0.000 | -0.000 | 
| -0.000 | 0.000 | 0.000 | 807.664 | 0.000 | 0.000 | 
| 0.000 | -0.000 | 0.000 | -0.000 | 807.664 | 0.000 | 
| 0.000 | 0.000 | -0.000 | -0.000 | 0.000 | 807.664 | 
| 844.064 | -60.614 | -60.614 | 0.000 | 0.000 | -0.000 | 
| -60.614 | 844.064 | -60.614 | 0.000 | -0.000 | -0.000 | 
| -60.614 | -60.614 | 844.064 | 0.000 | -0.000 | 0.000 | 
| 0.000 | -0.000 | -0.000 | 807.664 | -0.000 | 0.000 | 
| -0.000 | 0.000 | -0.000 | 0.000 | 807.664 | 0.000 | 
| -0.000 | -0.000 | 0.000 | 0.000 | -0.000 | 807.664 | 
| 844.068 | -60.613 | -60.613 | -0.000 | 0.000 | 0.000 | 
| -60.613 | 844.068 | -60.613 | -0.000 | 0.000 | 0.000 | 
| -60.613 | -60.613 | 844.068 | -0.000 | -0.000 | 0.000 | 
| -0.002 | 0.002 | 0.004 | 807.664 | 0.000 | -0.000 | 
| 0.002 | -0.002 | 0.004 | -0.000 | 807.664 | -0.000 | 
| 0.002 | 0.004 | -0.002 | -0.000 | 0.000 | 807.664 | 
| 844.061 | -60.616 | -60.616 | -0.000 | -0.000 | -0.000 | 
| -60.616 | 844.061 | -60.616 | 0.000 | -0.000 | -0.000 | 
| -60.616 | -60.616 | 844.061 | 0.000 | -0.000 | -0.000 | 
| 0.002 | -0.002 | -0.004 | 807.664 | -0.000 | -0.000 | 
| -0.002 | 0.002 | -0.004 | 0.000 | 807.664 | 0.000 | 
| -0.002 | -0.004 | 0.002 | 0.000 | -0.000 | 807.664 | 
| 48710.993 | 46161.236 | 46161.236 | -0.000 | 0.000 | -0.000 | 
| 46161.236 | 48710.993 | 46161.236 | 0.000 | -0.000 | -0.000 | 
| 46161.236 | 46161.236 | 48710.993 | -0.000 | -0.000 | 0.000 | 
| 0.006 | 0.005 | 0.006 | 47864.696 | 0.000 | -0.000 | 
| 0.005 | 0.006 | 0.006 | 0.000 | 47864.696 | -0.000 | 
| 0.005 | 0.005 | 0.005 | 0.000 | -0.000 | 47864.696 | 
| 48710.983 | 46161.224 | 46161.224 | 0.000 | -0.000 | 0.000 | 
| 46161.224 | 48710.983 | 46161.224 | -0.000 | 0.000 | 0.000 | 
| 46161.225 | 46161.225 | 48710.984 | 0.000 | 0.000 | -0.000 | 
| -0.005 | -0.005 | -0.005 | 47864.696 | -0.000 | 0.000 | 
| -0.005 | -0.005 | -0.005 | -0.000 | 47864.696 | 0.000 | 
| -0.005 | -0.006 | -0.006 | -0.000 | -0.000 | 47864.696 | 
| 48711.038 | 46161.289 | 46161.289 | -0.000 | -0.000 | -0.000 | 
| 46161.289 | 48711.038 | 46161.289 | -0.000 | -0.000 | -0.000 | 
| 46161.289 | 46161.289 | 48711.038 | -0.000 | -0.000 | -0.000 | 
| -0.002 | -0.004 | -0.003 | 7676.198 | 0.000 | -0.000 | 
| -0.004 | -0.002 | -0.003 | 0.000 | 7676.198 | -0.000 | 
| -0.004 | -0.003 | -0.002 | 0.000 | -0.000 | 7676.198 | 
| 48710.937 | 46161.171 | 46161.171 | 0.000 | 0.000 | -0.000 | 
| 46161.171 | 48710.937 | 46161.171 | 0.000 | 0.000 | -0.000 | 
| 46161.171 | 46161.171 | 48710.937 | 0.000 | 0.000 | -0.000 | 
| 0.002 | 0.004 | 0.003 | 7676.198 | -0.000 | 0.000 | 
| 0.004 | 0.002 | 0.003 | -0.000 | 7676.198 | 0.000 | 
| 0.004 | 0.003 | 0.002 | 0.000 | 0.000 | 7676.198 | 
| 48711.493 | 46161.823 | 46161.823 | -0.000 | -0.000 | 0.000 | 
| 46161.823 | 48711.493 | 46161.823 | -0.000 | -0.000 | 0.000 | 
| 46161.823 | 46161.823 | 48711.493 | -0.000 | -0.000 | -0.000 | 
| -0.022 | -0.043 | -0.028 | 7702.964 | 0.000 | -0.000 | 
| -0.043 | -0.022 | -0.028 | 0.000 | 7702.964 | -0.000 | 
| -0.043 | -0.028 | -0.022 | 0.000 | -0.000 | 7702.964 | 
| 48710.483 | 46160.637 | 46160.637 | 0.000 | 0.000 | 0.000 | 
| 46160.637 | 48710.483 | 46160.637 | 0.000 | 0.000 | 0.000 | 
| 46160.637 | 46160.637 | 48710.483 | 0.000 | 0.000 | -0.000 | 
| 0.022 | 0.043 | 0.028 | 7702.964 | -0.000 | -0.000 | 
| 0.043 | 0.022 | 0.028 | -0.000 | 7702.964 | -0.000 | 
| 0.043 | 0.028 | 0.022 | -0.000 | 0.000 | 7702.964 | 
| 259.801 | 204.434 | 204.434 | 0.000 | 0.000 | 0.000 | 
| 204.434 | 259.801 | 204.434 | 0.000 | 0.000 | -0.000 | 
| 204.434 | 204.434 | 259.801 | 0.000 | 0.000 | 0.000 | 
| 0.000 | -0.000 | -0.000 | 112.385 | 0.000 | -0.000 | 
| -0.000 | 0.000 | 0.000 | 0.000 | 112.385 | -0.000 | 
| -0.000 | 0.000 | 0.000 | 0.000 | 0.000 | 112.385 | 
| 259.801 | 204.434 | 204.434 | -0.000 | -0.000 | -0.000 | 
| 204.434 | 259.801 | 204.434 | -0.000 | -0.000 | -0.000 | 
| 204.434 | 204.434 | 259.801 | 0.000 | 0.000 | 0.000 | 
| -0.000 | 0.000 | -0.000 | 112.385 | -0.000 | -0.000 | 
| 0.000 | -0.000 | -0.000 | -0.000 | 112.385 | -0.000 | 
| 0.000 | -0.000 | -0.000 | -0.000 | -0.000 | 112.385 | 
| 259.802 | 204.434 | 204.434 | 0.000 | -0.000 | 0.000 | 
| 204.434 | 259.802 | 204.434 | -0.000 | 0.000 | 0.000 | 
| 204.434 | 204.434 | 259.802 | 0.000 | 0.000 | 0.000 | 
| 0.000 | 0.000 | 0.000 | 112.385 | -0.000 | -0.000 | 
| 0.000 | 0.000 | 0.000 | -0.000 | 112.385 | 0.000 | 
| 0.000 | 0.000 | 0.000 | 0.000 | 0.000 | 112.385 | 
| 259.801 | 204.434 | 204.434 | -0.000 | -0.000 | -0.000 | 
| 204.434 | 259.801 | 204.434 | -0.000 | -0.000 | -0.000 | 
| 204.434 | 204.434 | 259.801 | -0.000 | -0.000 | 0.000 | 
| -0.000 | -0.000 | -0.000 | 112.385 | -0.000 | -0.000 | 
| -0.000 | -0.000 | -0.000 | -0.000 | 112.385 | -0.000 | 
| -0.000 | -0.000 | -0.000 | -0.000 | -0.000 | 112.385 | 
| 259.802 | 204.435 | 204.435 | 0.000 | 0.000 | 0.000 | 
| 204.435 | 259.802 | 204.435 | 0.000 | 0.000 | 0.000 | 
| 204.435 | 204.435 | 259.802 | 0.000 | 0.000 | 0.000 | 
| 0.000 | 0.000 | 0.000 | 112.385 | 0.000 | -0.000 | 
| 0.000 | 0.000 | 0.000 | 0.000 | 112.385 | -0.000 | 
| 0.000 | 0.000 | 0.000 | 0.000 | 0.000 | 112.385 | 
| 259.801 | 204.433 | 204.433 | -0.000 | 0.000 | -0.000 | 
| 204.433 | 259.801 | 204.433 | 0.000 | -0.000 | -0.000 | 
| 204.433 | 204.433 | 259.801 | -0.000 | -0.000 | 0.000 | 
| -0.000 | -0.000 | -0.000 | 112.385 | -0.000 | -0.000 | 
| -0.000 | -0.000 | -0.000 | -0.000 | 112.385 | -0.000 | 
| -0.000 | -0.000 | -0.000 | 0.000 | -0.000 | 112.385 | 
| -882420.028 | -806466.437 | -883169.384 | 80002.285 | -44174.346 | -14252.863 | 
| -1160040.339 | -1108629.991 | -1174038.042 | -37390.789 | 12596.026 | 22012.316 | 
| -715102.775 | -774059.848 | -811146.913 | 8199.373 | -54427.623 | 78826.288 | 
| -2234537.475 | -580128.329 | -861750.396 | -138270.603 | -24809.294 | 6100.663 | 
| -595454.773 | -2302624.737 | -861619.000 | 79399.431 | -99352.342 | 25061.834 | 
| -596376.466 | -828164.440 | -2195769.082 | 10113.064 | -61682.019 | -74242.524 | 
| -0.000 | -0.000 | -0.000 | -0.000 | -0.000 | -0.000 | 
| -0.000 | -0.000 | -0.000 | -0.000 | -0.000 | -0.000 | 
| -0.000 | -0.000 | -0.000 | -0.000 | -0.000 | -0.000 | 
| 1936444.761 | 744793.394 | 575384.442 | -156692.549 | -64086.487 | 11845.450 | 
| 809975.347 | 1843866.848 | 525751.086 | 6852.070 | -137183.550 | 38530.939 | 
| 741952.278 | 488746.706 | 1853806.302 | 86440.114 | 4546.914 | -82076.531 | 
| -133871.727 | -56602.980 | -51450.545 | -3672.994 | -847.403 | -8089.873 | 
| -61042.984 | -122694.660 | -54849.240 | 10003.720 | -5964.259 | 4467.651 | 
| -58266.377 | -61604.081 | -90104.690 | -5559.632 | 9166.893 | 1177.025 | 
| -152813.361 | -51529.980 | -51633.819 | -11616.114 | -3034.185 | -8898.061 | 
| -49232.042 | -152214.171 | -51210.423 | 2841.201 | -5531.915 | -7085.952 | 
| -50970.118 | -58775.650 | -170314.907 | -4398.064 | 1756.918 | -4257.619 | 
| -0.000 | -0.000 | -0.000 | -0.000 | -0.000 | -0.000 | 
| -0.000 | -0.000 | -0.000 | -0.000 | -0.000 | -0.000 | 
| -0.000 | -0.000 | -0.000 | -0.000 | -0.000 | -0.000 | 
| 136539.976 | 46452.670 | 31653.447 | -11761.548 | -8379.415 | 9008.458 | 
| 48338.563 | 155508.183 | 36890.666 | -10476.977 | -9441.116 | -1620.793 | 
| 48907.750 | 39448.408 | 192106.440 | -5269.003 | 1353.598 | -2940.369 | 
| -5979.653 | -7930.698 | -4520.125 | 6.988 | 505.193 | 214.199 | 
| -7264.253 | -6930.724 | -6190.830 | 683.383 | 779.887 | 328.628 | 
| -6364.086 | -7119.118 | -7463.149 | 83.432 | 732.037 | 997.812 | 
| -14701.617 | -4332.968 | -2464.239 | -631.557 | -1075.390 | -238.440 | 
| -2323.544 | -13738.267 | -1523.464 | 815.267 | -335.421 | -302.457 | 
| -2427.669 | -2108.693 | -14641.586 | -238.446 | 21.345 | -511.820 | 
| -0.000 | -0.000 | -0.000 | -0.000 | -0.000 | -0.000 | 
| -0.000 | -0.000 | -0.000 | -0.000 | -0.000 | -0.000 | 
| -0.000 | -0.000 | -0.000 | -0.000 | -0.000 | -0.000 | 
| 17661.688 | 5411.627 | 4930.010 | -785.451 | -618.067 | 89.924 | 
| 4513.802 | 17612.252 | 5888.183 | -891.656 | -1203.857 | 496.416 | 
| 4341.402 | 5175.605 | 17311.040 | -281.667 | 725.876 | -634.059 | 
| 95707.712 | 46926.460 | 46926.460 | 0.000 | 0.000 | 0.000 | 
| 46926.460 | 95707.712 | 46926.460 | 0.000 | 0.000 | 0.000 | 
| 46926.460 | 46926.460 | 95707.712 | 0.000 | 0.000 | 0.000 | 
| -0.000 | 0.008 | 0.009 | 47554.508 | 0.000 | 0.000 | 
| 0.008 | 0.000 | 0.009 | 0.000 | 47554.508 | 0.000 | 
| 0.008 | 0.009 | 0.000 | 0.000 | 0.000 | 47554.509 | 
| 95707.678 | 46926.440 | 46926.441 | -0.000 | -0.000 | -0.000 | 
| 46926.441 | 95707.679 | 46926.441 | -0.000 | -0.000 | -0.000 | 
| 46926.441 | 46926.441 | 95707.678 | -0.000 | -0.000 | -0.000 | 
| -0.000 | -0.008 | -0.009 | 47554.508 | -0.000 | -0.000 | 
| -0.008 | -0.000 | -0.009 | -0.000 | 47554.508 | -0.000 | 
| -0.008 | -0.009 | -0.000 | -0.000 | -0.000 | 47554.508 | 
| 95707.859 | 46926.541 | 46926.541 | 0.000 | 0.000 | 0.000 | 
| 46926.541 | 95707.859 | 46926.541 | 0.000 | 0.000 | 0.000 | 
| 46926.541 | 46926.541 | 95707.859 | 0.000 | 0.000 | 0.000 | 
| -0.002 | 0.077 | 0.084 | 47554.508 | 0.000 | 0.000 | 
| 0.077 | -0.002 | 0.084 | 0.000 | 47554.508 | 0.000 | 
| 0.077 | 0.084 | -0.002 | 0.000 | 0.000 | 47554.508 | 
| 95707.530 | 46926.359 | 46926.359 | -0.000 | -0.000 | -0.000 | 
| 46926.359 | 95707.530 | 46926.359 | -0.000 | -0.000 | -0.000 | 
| 46926.359 | 46926.359 | 95707.530 | -0.000 | -0.000 | -0.000 | 
| 0.002 | -0.077 | -0.084 | 47554.508 | -0.000 | -0.000 | 
| -0.077 | 0.002 | -0.084 | -0.000 | 47554.508 | -0.000 | 
| -0.077 | -0.084 | 0.002 | -0.000 | -0.000 | 47554.508 | 
| 95709.339 | 46927.362 | 46927.362 | 0.000 | 0.000 | 0.000 | 
| 46927.362 | 95709.339 | 46927.362 | 0.000 | 0.000 | 0.000 | 
| 46927.362 | 46927.362 | 95709.339 | 0.000 | 0.000 | 0.000 | 
| -0.024 | 0.772 | 0.843 | 47554.508 | 0.000 | 0.000 | 
| 0.772 | -0.024 | 0.843 | 0.000 | 47554.508 | 0.000 | 
| 0.772 | 0.843 | -0.024 | 0.000 | 0.000 | 47554.508 | 
| 95706.050 | 46925.538 | 46925.538 | -0.000 | -0.000 | -0.000 | 
| 46925.538 | 95706.050 | 46925.538 | -0.000 | -0.000 | -0.000 | 
| 46925.538 | 46925.538 | 95706.050 | -0.000 | -0.000 | -0.000 | 
| 0.024 | -0.772 | -0.843 | 47554.508 | -0.000 | -0.000 | 
| -0.772 | 0.024 | -0.843 | -0.000 | 47554.508 | -0.000 | 
| -0.772 | -0.843 | 0.024 | -0.000 | -0.000 | 47554.508 | 
| 418.805 | 218.461 | 218.461 | 0.000 | -0.000 | -0.000 | 
| 218.461 | 418.805 | 218.461 | -0.000 | 0.000 | -0.000 | 
| 218.461 | 218.461 | 418.805 | 0.000 | 0.000 | -0.000 | 
| -0.000 | 0.000 | 0.000 | 204.953 | 0.000 | 0.000 | 
| 0.000 | 0.000 | 0.000 | 0.000 | 204.953 | -0.000 | 
| 0.000 | 0.000 | 0.000 | -0.000 | -0.000 | 204.953 | 
| 418.805 | 218.461 | 218.461 | 0.000 | 0.000 | -0.000 | 
| 218.461 | 418.805 | 218.461 | 0.000 | -0.000 | -0.000 | 
| 218.461 | 218.461 | 418.805 | -0.000 | -0.000 | 0.000 | 
| -0.000 | -0.000 | -0.000 | 204.953 | -0.000 | 0.000 | 
| -0.000 | -0.000 | -0.000 | -0.000 | 204.953 | 0.000 | 
| -0.000 | -0.000 | -0.000 | 0.000 | 0.000 | 204.953 | 
| 418.805 | 218.461 | 218.461 | 0.000 | -0.000 | -0.000 | 
| 218.461 | 418.805 | 218.461 | -0.000 | 0.000 | -0.000 | 
| 218.461 | 218.461 | 418.805 | -0.000 | -0.000 | -0.000 | 
| -0.000 | 0.000 | 0.000 | 204.953 | 0.000 | -0.000 | 
| 0.000 | -0.000 | 0.000 | 0.000 | 204.953 | -0.000 | 
| 0.000 | 0.000 | -0.000 | 0.000 | -0.000 | 204.953 | 
| 418.804 | 218.460 | 218.460 | -0.000 | 0.000 | 0.000 | 
| 218.460 | 418.804 | 218.460 | 0.000 | -0.000 | -0.000 | 
| 218.460 | 218.460 | 418.804 | -0.000 | -0.000 | 0.000 | 
| 0.000 | -0.000 | -0.000 | 204.953 | -0.000 | 0.000 | 
| -0.000 | 0.000 | -0.000 | -0.000 | 204.953 | 0.000 | 
| -0.000 | -0.000 | 0.000 | -0.000 | 0.000 | 204.953 | 
| 418.806 | 218.462 | 218.462 | -0.000 | -0.000 | -0.000 | 
| 218.462 | 418.806 | 218.462 | -0.000 | 0.000 | 0.000 | 
| 218.462 | 218.462 | 418.806 | 0.000 | 0.000 | 0.000 | 
| -0.000 | 0.001 | 0.001 | 204.953 | 0.000 | -0.000 | 
| 0.001 | -0.000 | 0.001 | 0.000 | 204.953 | 0.000 | 
| 0.001 | 0.001 | -0.000 | 0.000 | 0.000 | 204.953 | 
| 418.803 | 218.459 | 218.459 | -0.000 | 0.000 | 0.000 | 
| 218.459 | 418.803 | 218.459 | 0.000 | -0.000 | -0.000 | 
| 218.459 | 218.459 | 418.803 | -0.000 | -0.000 | 0.000 | 
| 0.000 | -0.001 | -0.001 | 204.953 | -0.000 | -0.000 | 
| -0.001 | 0.000 | -0.001 | -0.000 | 204.953 | 0.000 | 
| -0.001 | -0.001 | 0.000 | -0.000 | 0.000 | 204.953 | 
| -4481331.134 | -4220895.055 | -4454609.176 | 392651.194 | -135825.125 | -25657.833 | 
| -4963385.463 | -4786084.996 | -4458256.387 | -86771.938 | 285564.000 | 96181.956 | 
| -4753729.732 | -4458202.267 | -4142669.192 | -179787.379 | -37906.001 | 454688.064 | 
| -4994553.888 | -3732974.272 | -5571015.418 | -2110.721 | 218825.358 | 252753.568 | 
| -4048040.057 | -5064418.768 | -4524024.035 | 283827.922 | 44244.282 | 157557.876 | 
| -4274722.863 | -4669400.057 | -4704068.984 | 233841.889 | 16059.971 | 217277.472 | 
| 1368.302 | 1169.364 | 1169.364 | 0.000 | -0.000 | -0.000 | 
| 1169.364 | 1368.302 | 1169.364 | -0.000 | 0.000 | -0.000 | 
| 1169.364 | 1169.364 | 1368.302 | -0.000 | -0.000 | 0.000 | 
| 4971883.397 | 4307247.885 | 4975921.265 | 19019.694 | -628392.468 | -130260.446 | 
| 3550272.408 | 4018343.624 | 3736703.248 | -339936.990 | -181476.481 | -31561.522 | 
| 4030638.413 | 5432982.696 | 4250278.738 | -85134.039 | 188803.794 | -156225.958 | 
| 1368.295 | 1169.353 | 1169.353 | -0.000 | 0.000 | 0.000 | 
| 1169.353 | 1368.295 | 1169.353 | 0.000 | -0.000 | 0.000 | 
| 1169.353 | 1169.353 | 1368.295 | 0.000 | 0.000 | -0.000 | 
| -482534.966 | -351785.796 | -458073.741 | 21564.993 | 46065.907 | 11011.923 | 
| -509575.023 | -512995.686 | -432873.622 | 37043.949 | 35924.514 | 6714.784 | 
| -388711.718 | -466162.809 | -495020.112 | 41968.961 | 42398.649 | 15523.006 | 
| 615671.991 | 530070.878 | 540337.366 | -12945.992 | -17255.685 | -24380.615 | 
| 464048.537 | 461573.717 | 460734.463 | 6494.745 | -6121.581 | -24398.768 | 
| 483197.880 | 433203.820 | 418293.182 | -1590.526 | 24496.172 | -16980.730 | 
| 422700.981 | 496875.516 | 484179.722 | -45628.124 | -15794.582 | -4962.617 | 
| 473470.970 | 529348.297 | 469528.237 | -25817.904 | -42088.388 | -2545.708 | 
| 464252.475 | 415299.485 | 460446.837 | -38715.168 | -39578.291 | -22807.039 | 
| -46928.451 | -43585.620 | -42909.334 | 2345.580 | 4959.091 | 4520.513 | 
| -44353.620 | -49094.525 | -45766.584 | 1534.491 | 4035.595 | 2499.882 | 
| -49108.557 | -51268.634 | -50839.327 | 2830.869 | 4040.316 | 6754.691 | 
| -36796.084 | -43875.602 | -47296.575 | -1146.895 | 2096.994 | 2476.400 | 
| -37501.935 | -41819.761 | -37143.372 | 4611.599 | -450.089 | 5058.392 | 
| -45495.290 | -46138.436 | -46299.632 | 6307.605 | 1668.977 | 841.689 | 
| 49428.868 | 41449.529 | 44566.804 | -3528.863 | -3891.436 | -2707.976 | 
| 46972.416 | 52502.615 | 48546.223 | -2404.798 | -2273.590 | -2936.698 | 
| 41640.515 | 39331.767 | 41987.354 | -1291.389 | -2379.271 | -5332.959 | 
| -0.005 | -1.095 | -1.077 | -8783.558 | 0.000 | 0.000 | 
| 39793.641 | 50787.686 | 54459.850 | -2836.577 | -1924.310 | -4098.276 | 
| 39279.704 | 46035.971 | 46963.037 | 758.064 | 242.407 | 2423.512 | 
| 176.129 | 177.543 | 97.660 | 0.000 | 0.000 | 0.000 | 
| 181.042 | 235.910 | 94.300 | 0.000 | 0.000 | 0.000 | 
| 102.172 | 95.313 | 441.663 | 0.000 | -0.000 | 0.000 | 
| 0.000 | 0.000 | 0.000 | -2.325 | 0.000 | 0.000 | 
| 0.000 | 0.000 | 0.000 | 0.000 | 6.964 | 0.000 | 
| 0.000 | 0.000 | 0.000 | 0.000 | 0.000 | 260.522 | 
| 176.129 | 177.543 | 97.660 | -0.000 | 0.000 | -0.000 | 
| 181.041 | 235.910 | 94.300 | -0.000 | -0.000 | -0.000 | 
| 102.172 | 95.313 | 441.663 | -0.000 | -0.000 | -0.000 | 
| -0.000 | -0.000 | -0.000 | -2.325 | -0.000 | -0.000 | 
| -0.000 | -0.000 | -0.000 | -0.000 | 6.964 | -0.000 | 
| -0.000 | -0.000 | -0.000 | -0.000 | -0.000 | 260.522 | 
| 176.129 | 177.543 | 97.660 | 0.000 | 0.000 | 0.000 | 
| 181.041 | 235.910 | 94.300 | 0.000 | 0.000 | 0.000 | 
| 102.172 | 95.313 | 441.663 | 0.000 | 0.000 | 0.000 | 
| 0.000 | 0.000 | -0.000 | -2.325 | 0.000 | 0.000 | 
| 0.000 | 0.000 | -0.000 | 0.000 | 6.964 | 0.000 | 
| 0.000 | 0.000 | 0.000 | -0.000 | 0.000 | 260.522 | 
| 176.129 | 177.543 | 97.660 | -0.000 | -0.000 | -0.000 | 
| 181.042 | 235.910 | 94.300 | 0.000 | -0.000 | -0.000 | 
| 102.172 | 95.313 | 441.663 | -0.000 | -0.000 | -0.000 | 
| -0.000 | -0.000 | 0.000 | -2.325 | -0.000 | -0.000 | 
| -0.000 | -0.000 | 0.000 | -0.000 | 6.964 | -0.000 | 
| -0.000 | -0.000 | -0.000 | 0.000 | -0.000 | 260.522 | 
| 176.129 | 177.542 | 97.659 | 0.000 | 0.000 | 0.000 | 
| 181.041 | 235.908 | 94.299 | 0.000 | 0.000 | 0.000 | 
| 102.171 | 95.312 | 441.666 | 0.000 | 0.000 | 0.000 | 
| 0.000 | 0.000 | -0.001 | -2.325 | 0.000 | 0.000 | 
| 0.000 | 0.000 | -0.001 | -0.000 | 6.964 | 0.000 | 
| 0.000 | 0.001 | 0.000 | -0.000 | 0.000 | 260.522 | 
| 176.129 | 177.543 | 97.660 | -0.000 | -0.000 | -0.000 | 
| 181.042 | 235.911 | 94.301 | -0.000 | -0.000 | -0.000 | 
| 102.172 | 95.314 | 441.660 | -0.000 | 0.000 | -0.000 | 
| -0.000 | -0.000 | 0.001 | -2.325 | -0.000 | -0.000 | 
| -0.000 | -0.000 | 0.001 | -0.000 | 6.964 | -0.000 | 
| -0.000 | -0.001 | -0.000 | 0.000 | -0.000 | 260.522 | 
| 4468003.178 | -1261908.935 | -1261908.936 | 0.000 | 0.001 | 0.002 | 
| -1261908.933 | 4468003.179 | -1261908.935 | 0.002 | -0.000 | 0.002 | 
| -1261908.935 | -1261908.935 | 4468003.170 | 0.001 | 0.001 | 0.002 | 
| 0.083 | 0.027 | 0.057 | 3192974.649 | 0.002 | 0.002 | 
| 0.025 | 0.080 | 0.055 | 0.003 | 3192974.649 | 0.002 | 
| 0.022 | 0.055 | 0.076 | 0.001 | 0.002 | 3192974.654 | 
| 4468002.834 | -1261908.997 | -1261908.995 | 0.001 | -0.001 | -0.000 | 
| -1261908.998 | 4468002.834 | -1261908.996 | -0.000 | 0.002 | -0.001 | 
| -1261909.010 | -1261909.009 | 4468002.828 | 0.000 | -0.001 | 0.000 | 
| -0.084 | -0.029 | -0.059 | 3192974.642 | -0.002 | -0.002 | 
| -0.027 | -0.081 | -0.056 | -0.002 | 3192974.642 | -0.003 | 
| -0.024 | -0.056 | -0.075 | -0.005 | -0.003 | 3192974.645 | 
| 4468004.756 | -1261908.633 | -1261908.633 | 0.001 | 0.001 | 0.001 | 
| -1261908.633 | 4468004.756 | -1261908.633 | 0.001 | 0.001 | 0.001 | 
| -1261908.633 | -1261908.633 | 4468004.755 | 0.001 | 0.001 | 0.001 | 
| 0.811 | 0.227 | 0.578 | 3193007.667 | 0.000 | 0.000 | 
| 0.227 | 0.811 | 0.579 | 0.000 | 3193007.667 | 0.000 | 
| 0.226 | 0.578 | 0.809 | 0.000 | 0.000 | 3193007.667 | 
| 4468001.283 | -1261909.307 | -1261909.307 | 0.000 | -0.000 | 0.000 | 
| -1261909.307 | 4468001.283 | -1261909.306 | -0.000 | 0.000 | -0.000 | 
| -1261909.307 | -1261909.306 | 4468001.284 | -0.000 | -0.000 | -0.000 | 
| -0.811 | -0.227 | -0.579 | 3193007.666 | -0.000 | -0.000 | 
| -0.227 | -0.811 | -0.579 | -0.000 | 3193007.666 | -0.000 | 
| -0.226 | -0.578 | -0.810 | -0.000 | -0.000 | 3193007.666 | 
| 4468020.390 | -1261905.594 | -1261905.594 | 0.000 | 0.000 | -0.000 | 
| -1261905.594 | 4468020.390 | -1261905.594 | 0.000 | 0.000 | -0.000 | 
| -1261905.593 | -1261905.593 | 4468020.390 | 0.000 | 0.000 | 0.000 | 
| 8.103 | 2.273 | 5.794 | 3192541.998 | 0.000 | 0.000 | 
| 2.273 | 8.103 | 5.794 | 0.000 | 3192541.998 | 0.000 | 
| 2.273 | 5.794 | 8.103 | 0.000 | -0.000 | 3192541.998 | 
| 4467985.649 | -1261912.345 | -1261912.345 | 0.000 | -0.000 | -0.000 | 
| -1261912.345 | 4467985.649 | -1261912.345 | -0.000 | -0.000 | -0.000 | 
| -1261912.345 | -1261912.345 | 4467985.649 | -0.000 | -0.000 | -0.000 | 
| -8.103 | -2.274 | -5.793 | 3192541.998 | -0.000 | -0.000 | 
| -2.274 | -8.103 | -5.793 | -0.000 | 3192541.998 | -0.000 | 
| -2.274 | -5.794 | -8.103 | -0.000 | -0.000 | 3192541.998 | 
| 991.090 | 820.825 | 820.825 | -0.000 | -0.000 | 0.000 | 
| 820.825 | 991.090 | 820.825 | -0.000 | -0.000 | 0.000 | 
| 820.825 | 820.825 | 991.090 | -0.000 | -0.000 | 0.000 | 
| -0.000 | -0.000 | -0.000 | 39.736 | -0.000 | 0.000 | 
| -0.000 | -0.000 | -0.000 | -0.000 | 39.736 | 0.000 | 
| -0.000 | -0.000 | -0.000 | -0.000 | -0.000 | 39.736 | 
| 991.090 | 820.824 | 820.824 | 0.000 | 0.000 | -0.000 | 
| 820.824 | 991.090 | 820.824 | 0.000 | 0.000 | -0.000 | 
| 820.824 | 820.824 | 991.090 | -0.000 | -0.000 | 0.000 | 
| 0.000 | 0.000 | 0.000 | 39.736 | 0.000 | 0.000 | 
| 0.000 | 0.000 | 0.000 | 0.000 | 39.736 | 0.000 | 
| 0.000 | 0.000 | 0.000 | 0.000 | 0.000 | 39.736 | 
| 991.090 | 820.825 | 820.825 | -0.000 | -0.000 | 0.000 | 
| 820.825 | 991.090 | 820.825 | -0.000 | -0.000 | 0.000 | 
| 820.825 | 820.825 | 991.090 | -0.000 | -0.000 | -0.000 | 
| -0.000 | -0.000 | -0.000 | 39.736 | -0.000 | 0.000 | 
| -0.000 | -0.000 | -0.000 | -0.000 | 39.736 | 0.000 | 
| -0.000 | -0.000 | -0.000 | -0.000 | -0.000 | 39.736 | 
| 991.089 | 820.824 | 820.824 | -0.000 | 0.000 | -0.000 | 
| 820.824 | 991.089 | 820.824 | 0.000 | 0.000 | -0.000 | 
| 820.824 | 820.824 | 991.089 | 0.000 | 0.000 | -0.000 | 
| 0.000 | 0.000 | 0.000 | 39.736 | 0.000 | -0.000 | 
| 0.000 | 0.000 | 0.000 | 0.000 | 39.736 | -0.000 | 
| 0.000 | 0.000 | 0.000 | 0.000 | 0.000 | 39.736 | 
| 991.094 | 820.830 | 820.830 | -0.000 | -0.000 | 0.000 | 
| 820.830 | 991.094 | 820.830 | -0.000 | -0.000 | 0.000 | 
| 820.830 | 820.830 | 991.094 | -0.000 | -0.000 | 0.000 | 
| -0.000 | -0.000 | -0.000 | 39.736 | -0.000 | 0.000 | 
| -0.000 | -0.000 | -0.000 | -0.000 | 39.736 | 0.000 | 
| -0.000 | -0.000 | -0.000 | -0.000 | -0.000 | 39.736 | 
| 991.086 | 820.819 | 820.819 | 0.000 | -0.000 | 0.000 | 
| 820.819 | 991.086 | 820.819 | -0.000 | 0.000 | 0.000 | 
| 820.819 | 820.819 | 991.086 | 0.000 | 0.000 | -0.000 | 
| 0.000 | 0.000 | 0.000 | 39.736 | 0.000 | -0.000 | 
| 0.000 | 0.000 | 0.000 | 0.000 | 39.736 | 0.000 | 
| 0.000 | 0.000 | 0.000 | 0.000 | 0.000 | 39.736 | 
| -62.912 | 62.609 | 62.609 | -0.000 | -0.000 | 0.000 | 
| 62.609 | -62.912 | 62.609 | -0.000 | -0.000 | 0.000 | 
| 62.609 | 62.609 | -62.912 | -0.000 | 0.000 | 0.000 | 
| -60003182.084 | -16036415.237 | -17967704.530 | 11718374.314 | -2291218.837 | 728011.982 | 
| -17996360.943 | -59159006.715 | -14527330.478 | -537719.219 | 11944835.254 | -645299.351 | 
| -19562628.004 | -17532505.877 | -62425507.381 | -2063154.864 | -509809.219 | 13173495.696 | 
| -62.912 | 62.609 | 62.609 | 0.000 | 0.000 | -0.000 | 
| 62.609 | -62.912 | 62.609 | -0.000 | -0.000 | -0.000 | 
| 62.609 | 62.609 | -62.912 | 0.000 | -0.000 | -0.000 | 
| 58774617.711 | 18492660.789 | 16855780.896 | 13122545.722 | 1310009.952 | 1831635.817 | 
| 8260442.960 | 44253830.058 | 8429617.568 | 3016601.899 | 13395471.497 | -324822.905 | 
| 18261551.634 | 16779313.260 | 55095503.205 | 434021.880 | 1856240.146 | 13043148.671 | 
| -62.912 | 62.609 | 62.609 | -0.000 | -0.000 | 0.000 | 
| 62.609 | -62.912 | 62.609 | -0.000 | -0.000 | 0.000 | 
| 62.609 | 62.609 | -62.912 | -0.000 | -0.000 | 0.000 | 
| -4197278.199 | -753405.874 | -846179.080 | 653517.575 | -73551.255 | 210199.395 | 
| -332512.036 | -3876934.602 | -333805.516 | -160691.267 | 861004.305 | 100427.780 | 
| -549012.357 | -860938.849 | -3732218.000 | 77846.690 | 42512.357 | 708767.774 | 
| -62.912 | 62.609 | 62.609 | 0.000 | 0.000 | -0.000 | 
| 62.609 | -62.912 | 62.609 | -0.000 | -0.000 | -0.000 | 
| 62.609 | 62.609 | -62.912 | -0.000 | -0.000 | -0.000 | 
| 3751112.345 | 1038153.872 | 1164334.920 | 1052774.752 | 1049749.548 | 989666.453 | 
| 543393.995 | 3214935.670 | 545937.355 | 1095340.954 | 1011327.272 | 1021111.926 | 
| 573731.938 | 827663.895 | 3439990.301 | 1130035.237 | 1052767.808 | 945192.666 | 
| -62.912 | 62.609 | 62.609 | -0.000 | -0.000 | 0.000 | 
| 62.609 | -62.912 | 62.609 | -0.000 | -0.000 | 0.000 | 
| 62.609 | 62.609 | -62.912 | -0.000 | -0.000 | 0.000 | 
| -270291.606 | 42458.122 | 61645.186 | 49902.141 | -26541.058 | 40256.867 | 
| 11183.136 | -304756.820 | 6934.952 | -27315.245 | 34268.121 | 12591.683 | 
| 36937.478 | 52184.276 | -246775.088 | -12292.011 | 6439.816 | 42338.064 | 
| -62.913 | 62.609 | 62.609 | 0.000 | 0.000 | -0.000 | 
| 62.609 | -62.913 | 62.609 | 0.000 | 0.000 | -0.000 | 
| 62.609 | 62.609 | -62.913 | -0.000 | 0.000 | -0.000 | 
| 179742.192 | 10722.859 | 18515.164 | 99453.170 | 248637.721 | 258903.065 | 
| -21468.789 | 150172.969 | -15553.498 | 264602.294 | 100481.871 | 276477.358 | 
| -36550.726 | -18312.865 | 165472.943 | 253705.372 | 263622.679 | 97481.435 | 
| -15694282.552 | -17817918.197 | -17131801.033 | 509832.793 | 574022.586 | 1252046.052 | 
| -17528881.391 | -15338728.825 | -15560247.339 | 577493.353 | 316858.552 | 793576.806 | 
| -16154293.968 | -16519685.154 | -15556775.431 | 709518.918 | 553499.489 | 836595.459 | 
| -12065379.690 | -2748776.008 | -1745146.529 | 239085.154 | -124016.457 | -17491.588 | 
| -2442658.163 | -12269091.972 | -1333730.882 | 68992.941 | 127650.069 | -36561.313 | 
| -2671020.267 | -1563397.113 | -12218962.193 | -93833.935 | 385825.273 | 174853.986 | 
| -0.000 | -0.000 | -0.000 | -0.000 | -0.000 | -0.000 | 
| -0.000 | -0.000 | -0.000 | -0.000 | -0.000 | -0.000 | 
| -0.000 | -0.000 | -0.000 | -0.000 | -0.000 | -0.000 | 
| 12320848.172 | 3047641.388 | 2429285.554 | 816643.591 | 49272.414 | 108616.051 | 
| 2448862.190 | 12159090.484 | 2237016.146 | 87068.225 | 534663.913 | 56899.931 | 
| 4053425.133 | 3528663.248 | 13953485.826 | 19482.092 | -57646.000 | 1142073.399 | 
| -1827613.319 | -1745806.727 | -1726740.526 | 100835.946 | 56780.950 | 65520.971 | 
| -1810397.215 | -1752159.160 | -1722584.026 | 38998.875 | 47738.302 | 105046.436 | 
| -1813989.727 | -1825919.391 | -1919710.910 | 92092.049 | 63180.552 | 76059.947 | 
| 82587.634 | 689863.130 | 660705.990 | -412286.599 | -1762.756 | -2906.790 | 
| 698032.392 | 63057.724 | 677084.247 | -376.605 | -428776.887 | 1621.367 | 
| 713926.974 | 618767.327 | 72155.321 | 5016.998 | 1671.115 | -417987.808 | 
| -0.000 | -0.000 | -0.000 | -0.000 | -0.000 | -0.000 | 
| -0.000 | -0.000 | -0.000 | -0.000 | -0.000 | -0.000 | 
| -0.000 | -0.000 | -0.000 | -0.000 | -0.000 | -0.000 | 
| -75811.363 | -626988.630 | -636602.540 | -388984.641 | -549.273 | -536.321 | 
| -640503.083 | -75382.371 | -656340.841 | -1190.835 | -396051.253 | -57.025 | 
| -629216.067 | -618625.671 | -80078.748 | -1108.113 | 1270.952 | -384308.121 | 
| -145808.379 | -154725.450 | -153225.988 | 11328.580 | 8242.403 | 9750.376 | 
| -159704.463 | -152917.765 | -157027.255 | 9547.971 | 14419.023 | 15480.806 | 
| -187063.145 | -183608.073 | -178846.545 | 11891.665 | 10650.787 | 8107.355 | 
| 313.071 | 51304.284 | 51337.505 | -31889.537 | 229.045 | 449.483 | 
| 50436.083 | -4448.881 | 50336.466 | 53.900 | -30446.310 | -64.938 | 
| 43718.832 | 37478.144 | 1483.934 | 282.349 | -105.718 | -24389.016 | 
| -0.000 | -0.000 | -0.000 | -0.000 | -0.000 | -0.000 | 
| -0.000 | -0.000 | -0.000 | -0.000 | -0.000 | -0.000 | 
| -0.000 | -0.000 | -0.000 | -0.000 | -0.000 | -0.000 | 
| -3394.177 | -53603.717 | -51347.266 | -32795.681 | -356.766 | 194.530 | 
| -53213.744 | -2112.696 | -54666.484 | -213.430 | -33572.428 | -91.826 | 
| -41256.881 | -40383.880 | -2456.460 | 205.121 | 73.874 | -24155.416 | 
| -268506973.360 | -317817422.169 | -714101384.651 | -88163187.272 | -54645120.732 | -1974375.017 | 
| -247377880.061 | -320846581.895 | -733386973.044 | -103493645.431 | -27748556.425 | 21458341.107 | 
| -284720111.634 | -347359616.052 | -725374949.696 | -82910865.086 | 5199206.108 | -16739189.640 | 
| -256972111.914 | -305108379.403 | -736568998.128 | -57750867.047 | -9265184.599 | 38541747.756 | 
| -246248730.055 | -350921448.243 | -685315328.027 | -71331120.877 | -21308540.395 | 27732866.670 | 
| -237636598.620 | -344214808.952 | -728510518.501 | -57321240.849 | -23052374.347 | 27337081.981 | 
| 241114483.271 | 311867018.746 | 716884164.923 | 88254193.136 | 11159611.116 | -22171876.213 | 
| 230265323.079 | 330999298.746 | 745376712.723 | 96249807.127 | 39041906.757 | -30985973.547 | 
| 254985478.325 | 325189547.863 | 691588908.107 | 92420863.332 | 33477510.142 | -34271015.818 | 
| 247374528.919 | 314116730.037 | 719904069.210 | 57454720.651 | 18956294.587 | -14497497.181 | 
| 256226578.066 | 278260368.115 | 745268321.771 | 70970674.892 | 43265682.133 | -22604314.584 | 
| 265537517.634 | 324056720.810 | 730128190.570 | 66586391.639 | 31655978.333 | -9963205.473 | 
| -28694123.402 | -30044999.190 | -68157993.238 | -9176444.946 | -3689692.257 | 2814332.564 | 
| -25791429.936 | -35435458.522 | -71289651.070 | -9303057.818 | -7105172.533 | -451909.222 | 
| -26289609.691 | -30272794.581 | -69396944.907 | -5704471.043 | -1271802.451 | 676012.025 | 
| -23751702.236 | -29745137.207 | -73850986.171 | -6343658.999 | -4369765.319 | 390771.442 | 
| -22919752.785 | -31297260.327 | -69586765.742 | -8076380.443 | -5305437.208 | -1833541.845 | 
| -27656971.768 | -36205123.951 | -71597922.875 | -7347529.522 | -5347209.607 | -274373.206 | 
| 22061868.207 | 31833626.935 | 70337575.848 | 10077547.032 | 760476.787 | -5571871.181 | 
| 26331549.285 | 34775090.596 | 71798463.216 | 6052359.194 | -2455452.772 | -2299002.629 | 
| 25859197.577 | 33187274.044 | 68090568.348 | 7168710.601 | 5301435.318 | -1681708.830 | 
| 26241047.815 | 31250300.555 | 72291631.585 | 6765902.045 | 3969143.824 | 93329.191 | 
| 25673974.705 | 34475390.448 | 69346634.352 | 7331956.519 | 3562226.407 | -4703629.215 | 
| 27736631.954 | 25905253.636 | 74521652.415 | 6412187.226 | 3046744.540 | -5136632.128 | 
| -2567759.918 | -3266883.250 | -6921666.133 | -648091.053 | -326172.503 | 259351.163 | 
| -2383274.324 | -3289786.841 | -7055332.810 | -903271.864 | -144112.004 | 157866.203 | 
| -2570420.392 | -3508576.874 | -7110374.632 | -876764.705 | -419456.062 | -191053.441 | 
| -2888734.383 | -3132534.343 | -6705180.191 | -391860.740 | -172945.868 | 198796.784 | 
| -2750805.161 | -3370183.509 | -6758545.357 | -848789.688 | -140438.015 | 132486.589 | 
| -2862161.034 | -3009617.197 | -7033455.247 | -852025.829 | -453663.402 | 160072.314 | 
| 2653377.515 | 3438020.276 | 7144814.802 | 943490.535 | 553158.665 | -223602.954 | 
| 2610681.560 | 2954148.208 | 7957022.029 | 930996.076 | -183680.886 | -427813.617 | 
| 2845842.059 | 3341985.801 | 7079051.578 | 667062.419 | 198060.074 | -181440.400 | 
| 2487381.055 | 3022149.748 | 7441438.578 | 1000684.811 | 249573.388 | -331755.616 | 
| 2390308.670 | 3234952.073 | 7079873.657 | 807806.726 | 105874.687 | -141755.325 | 
| 2586329.480 | 2858643.217 | 7232891.108 | 244667.349 | 234292.027 | 128053.542 | 
| 10470234.881 | -3245768.173 | -3245768.183 | -0.000 | 0.000 | -0.000 | 
| -3245768.171 | 10470234.878 | -3245768.181 | 0.000 | -0.000 | -0.000 | 
| -3245768.167 | -3245768.167 | 10470234.860 | -0.000 | -0.000 | -0.000 | 
| 0.020 | 0.070 | 0.146 | 1358665.020 | -0.000 | 0.000 | 
| 0.072 | 0.013 | 0.144 | 0.000 | 1358665.020 | 0.000 | 
| 0.074 | 0.151 | 0.004 | 0.000 | -0.000 | 1358665.020 | 
| 10470232.847 | -3245768.037 | -3245768.037 | -0.000 | 0.000 | -0.000 | 
| -3245768.037 | 10470232.847 | -3245768.036 | -0.000 | -0.000 | -0.000 | 
| -3245768.035 | -3245768.035 | 10470232.845 | 0.000 | -0.000 | 0.000 | 
| -0.018 | -0.059 | -0.151 | 1358665.020 | 0.000 | 0.000 | 
| -0.061 | -0.012 | -0.148 | -0.000 | 1358665.020 | -0.000 | 
| -0.065 | -0.153 | -0.004 | -0.000 | 0.000 | 1358665.020 | 
| 10470243.998 | -3245769.039 | -3245769.040 | -0.000 | -0.000 | -0.000 | 
| -3245769.039 | 10470243.998 | -3245769.040 | 0.000 | 0.000 | -0.000 | 
| -3245769.040 | -3245769.039 | 10470243.998 | -0.000 | -0.000 | 0.000 | 
| 0.140 | 0.261 | -0.154 | 1358665.020 | 0.000 | 0.000 | 
| 0.262 | 0.140 | -0.154 | -0.000 | 1358665.020 | 0.000 | 
| 0.262 | -0.154 | 0.139 | -0.000 | 0.000 | 1358665.020 | 
| 10470223.737 | -3245767.165 | -3245767.164 | -0.000 | 0.000 | -0.000 | 
| -3245767.165 | 10470223.737 | -3245767.165 | -0.000 | -0.000 | -0.000 | 
| -3245767.165 | -3245767.166 | 10470223.738 | 0.000 | 0.000 | -0.000 | 
| -0.140 | -0.263 | 0.155 | 1358665.020 | -0.000 | 0.000 | 
| -0.263 | -0.140 | 0.155 | -0.000 | 1358665.020 | -0.000 | 
| -0.263 | 0.154 | -0.138 | 0.000 | -0.000 | 1358665.020 | 
| 10470335.146 | -3245777.497 | -3245777.497 | -0.000 | 0.000 | 0.000 | 
| -3245777.497 | 10470335.146 | -3245777.497 | -0.000 | 0.000 | 0.000 | 
| -3245777.497 | -3245777.497 | 10470335.146 | 0.000 | -0.000 | 0.000 | 
| 1.359 | 2.572 | -1.570 | 1358665.020 | -0.000 | 0.000 | 
| 2.572 | 1.359 | -1.570 | 0.000 | 1358665.020 | 0.000 | 
| 2.572 | -1.570 | 1.359 | -0.000 | 0.000 | 1358665.020 | 
| 10470132.587 | -3245758.706 | -3245758.706 | -0.000 | -0.000 | 0.000 | 
| -3245758.706 | 10470132.587 | -3245758.706 | -0.000 | 0.000 | -0.000 | 
| -3245758.706 | -3245758.706 | 10470132.587 | 0.000 | 0.000 | -0.000 | 
| -1.359 | -2.572 | 1.570 | 1358665.020 | -0.000 | -0.000 | 
| -2.572 | -1.359 | 1.570 | 0.000 | 1358665.020 | -0.000 | 
| -2.572 | 1.570 | -1.359 | -0.000 | -0.000 | 1358665.020 | 
| 683.029 | -112.313 | -112.313 | 0.000 | 0.000 | -0.000 | 
| -112.313 | 683.029 | -112.313 | -0.000 | 0.000 | -0.000 | 
| -112.313 | -112.313 | 683.029 | 0.000 | -0.000 | 0.000 | 
| 0.000 | -0.000 | -0.000 | 83.720 | 0.000 | 0.000 | 
| -0.000 | -0.000 | -0.000 | 0.000 | 83.720 | -0.000 | 
| -0.000 | -0.000 | 0.000 | -0.000 | 0.000 | 83.720 | 
| 683.029 | -112.313 | -112.313 | -0.000 | 0.000 | -0.000 | 
| -112.313 | 683.029 | -112.313 | -0.000 | -0.000 | -0.000 | 
| -112.313 | -112.313 | 683.029 | -0.000 | 0.000 | -0.000 | 
| -0.000 | 0.000 | 0.000 | 83.720 | -0.000 | -0.000 | 
| 0.000 | -0.000 | 0.000 | -0.000 | 83.720 | 0.000 | 
| 0.000 | 0.000 | -0.000 | 0.000 | -0.000 | 83.720 | 
| 683.030 | -112.313 | -112.313 | -0.000 | 0.000 | -0.000 | 
| -112.313 | 683.030 | -112.313 | -0.000 | -0.000 | -0.000 | 
| -112.313 | -112.313 | 683.030 | 0.000 | 0.000 | 0.000 | 
| 0.000 | 0.000 | -0.000 | 83.720 | -0.000 | -0.000 | 
| 0.000 | 0.000 | -0.000 | 0.000 | 83.720 | -0.000 | 
| 0.000 | -0.000 | 0.000 | 0.000 | -0.000 | 83.720 | 
| 683.028 | -112.313 | -112.313 | -0.000 | 0.000 | -0.000 | 
| -112.313 | 683.028 | -112.313 | 0.000 | -0.000 | 0.000 | 
| -112.313 | -112.313 | 683.028 | -0.000 | 0.000 | -0.000 | 
| -0.000 | -0.000 | 0.000 | 83.720 | 0.000 | -0.000 | 
| -0.000 | -0.000 | 0.000 | 0.000 | 83.720 | 0.000 | 
| -0.000 | 0.000 | -0.000 | -0.000 | 0.000 | 83.720 | 
| 683.039 | -112.314 | -112.314 | -0.000 | 0.000 | -0.000 | 
| -112.314 | 683.039 | -112.314 | 0.000 | -0.000 | 0.000 | 
| -112.314 | -112.314 | 683.039 | 0.000 | -0.000 | -0.000 | 
| 0.000 | 0.000 | -0.000 | 83.720 | 0.000 | -0.000 | 
| 0.000 | 0.000 | -0.000 | -0.000 | 83.720 | -0.000 | 
| 0.000 | -0.000 | 0.000 | 0.000 | 0.000 | 83.720 | 
| 683.019 | -112.312 | -112.312 | -0.000 | -0.000 | 0.000 | 
| -112.312 | 683.019 | -112.312 | -0.000 | 0.000 | 0.000 | 
| -112.312 | -112.312 | 683.019 | 0.000 | 0.000 | -0.000 | 
| -0.000 | -0.000 | 0.000 | 83.720 | 0.000 | -0.000 | 
| -0.000 | -0.000 | 0.000 | 0.000 | 83.720 | 0.000 | 
| -0.000 | 0.000 | -0.000 | -0.000 | 0.000 | 83.720 | 
| 4069025.984 | 911294.353 | 911294.355 | 0.011 | -0.010 | 0.004 | 
| 911294.358 | 4069025.979 | 911294.348 | -0.004 | 0.007 | 0.002 | 
| 911294.364 | 911294.351 | 4069025.991 | 0.014 | -0.007 | -0.003 | 
| 0.082 | 0.007 | 0.050 | 3151414.504 | 0.003 | 0.001 | 
| 0.020 | 0.081 | 0.047 | 0.004 | 3151414.520 | -0.001 | 
| 0.025 | 0.057 | 0.069 | -0.000 | 0.002 | 3151414.514 | 
| 4069025.749 | 911294.179 | 911294.195 | -0.003 | 0.007 | -0.002 | 
| 911294.172 | 4069025.754 | 911294.195 | -0.003 | -0.008 | -0.004 | 
| 911294.172 | 911294.182 | 4069025.760 | -0.005 | -0.006 | -0.001 | 
| -0.091 | -0.012 | -0.068 | 3151414.512 | -0.006 | -0.003 | 
| -0.028 | -0.087 | -0.076 | 0.002 | 3151414.526 | -0.004 | 
| -0.015 | -0.065 | -0.076 | -0.004 | 0.009 | 3151414.505 | 
| 4069027.386 | 911295.384 | 911295.384 | -0.001 | -0.000 | -0.000 | 
| 911295.384 | 4069027.386 | 911295.384 | -0.000 | -0.002 | -0.000 | 
| 911295.386 | 911295.386 | 4069027.388 | -0.000 | 0.000 | -0.000 | 
| 1.183 | 0.571 | 1.045 | 3151414.504 | -0.000 | -0.000 | 
| 0.571 | 1.183 | 1.044 | 0.000 | 3151414.503 | -0.000 | 
| 0.571 | 1.043 | 1.182 | -0.000 | 0.001 | 3151414.504 | 
| 4069024.320 | 911293.132 | 911293.133 | -0.001 | -0.000 | 0.000 | 
| 911293.131 | 4069024.320 | 911293.133 | -0.000 | -0.001 | -0.000 | 
| 911293.131 | 911293.131 | 4069024.318 | -0.000 | -0.001 | -0.000 | 
| -1.183 | -0.572 | -1.045 | 3151414.505 | 0.000 | 0.000 | 
| -0.572 | -1.183 | -1.045 | -0.000 | 3151414.505 | -0.000 | 
| -0.572 | -1.044 | -1.182 | -0.000 | -0.000 | 3151414.505 | 
| 4069041.198 | 911305.537 | 911305.537 | 0.000 | 0.000 | -0.000 | 
| 911305.537 | 4069041.198 | 911305.537 | 0.000 | 0.000 | -0.000 | 
| 911305.537 | 911305.537 | 4069041.198 | 0.000 | -0.000 | 0.000 | 
| 11.853 | 5.735 | 10.459 | 3151414.505 | 0.000 | -0.000 | 
| 5.735 | 11.853 | 10.459 | 0.000 | 3151414.505 | -0.000 | 
| 5.735 | 10.459 | 11.853 | 0.000 | -0.000 | 3151414.505 | 
| 4069010.509 | 911282.979 | 911282.980 | -0.000 | -0.000 | 0.000 | 
| 911282.979 | 4069010.509 | 911282.980 | -0.000 | -0.000 | -0.000 | 
| 911282.979 | 911282.979 | 4069010.509 | -0.000 | -0.000 | -0.000 | 
| -11.853 | -5.735 | -10.459 | 3151414.505 | -0.000 | -0.000 | 
| -5.735 | -11.853 | -10.459 | -0.000 | 3151414.506 | 0.000 | 
| -5.735 | -10.459 | -11.853 | 0.000 | 0.000 | 3151414.505 | 
| 1389960.787 | 184348.674 | 184348.674 | -2.024 | -2.133 | -2.058 | 
| 184348.674 | 1389960.787 | 184348.674 | -2.137 | -2.023 | -2.056 | 
| 184348.675 | 184348.675 | 1389960.781 | -2.133 | -2.132 | -1.914 | 
| 0.006 | 0.010 | 0.019 | 210176.718 | -1.033 | -1.018 | 
| 0.010 | 0.006 | 0.020 | -1.031 | 210176.717 | -1.015 | 
| 0.011 | 0.014 | 0.011 | -1.042 | -1.028 | 210176.733 | 
| 1389960.657 | 184348.585 | 184348.588 | 2.012 | 2.213 | 2.140 | 
| 184348.585 | 1389960.657 | 184348.589 | 2.211 | 2.019 | 2.139 | 
| 184348.586 | 184348.586 | 1389960.651 | 2.204 | 2.203 | 1.972 | 
| -0.006 | -0.013 | -0.019 | 210178.601 | 1.047 | 1.014 | 
| -0.013 | -0.006 | -0.019 | 1.048 | 210178.598 | 1.018 | 
| -0.011 | -0.013 | -0.008 | 1.049 | 1.028 | 210178.598 | 
| 1389961.301 | 184349.001 | 184349.001 | -0.211 | -0.213 | -0.209 | 
| 184349.001 | 1389961.301 | 184349.001 | -0.213 | -0.210 | -0.209 | 
| 184349.001 | 184349.001 | 1389961.302 | -0.214 | -0.213 | -0.210 | 
| -0.031 | 0.061 | 0.043 | 210177.558 | -0.107 | -0.104 | 
| 0.061 | -0.031 | 0.043 | -0.107 | 210177.559 | -0.104 | 
| 0.061 | 0.043 | -0.030 | -0.106 | -0.106 | 210177.560 | 
| 1389960.146 | 184348.267 | 184348.267 | 0.190 | 0.216 | 0.211 | 
| 184348.267 | 1389960.146 | 184348.267 | 0.216 | 0.190 | 0.211 | 
| 184348.267 | 184348.267 | 1389960.146 | 0.216 | 0.216 | 0.187 | 
| 0.030 | -0.061 | -0.043 | 210177.771 | 0.107 | 0.105 | 
| -0.061 | 0.031 | -0.043 | 0.107 | 210177.771 | 0.105 | 
| -0.061 | -0.043 | 0.030 | 0.107 | 0.107 | 210177.768 | 
| 1389966.493 | 184352.298 | 184352.298 | -0.020 | -0.021 | -0.021 | 
| 184352.298 | 1389966.493 | 184352.298 | -0.021 | -0.019 | -0.021 | 
| 184352.298 | 184352.298 | 1389966.493 | -0.022 | -0.022 | -0.019 | 
| -0.313 | 0.603 | 0.420 | 210075.784 | -0.011 | -0.010 | 
| 0.603 | -0.313 | 0.420 | -0.011 | 210075.784 | -0.010 | 
| 0.603 | 0.420 | -0.313 | -0.011 | -0.011 | 210075.785 | 
| 1389954.954 | 184344.970 | 184344.970 | 0.021 | 0.022 | 0.021 | 
| 184344.970 | 1389954.954 | 184344.970 | 0.022 | 0.021 | 0.021 | 
| 184344.970 | 184344.970 | 1389954.954 | 0.022 | 0.022 | 0.020 | 
| 0.313 | -0.603 | -0.420 | 210075.804 | 0.010 | 0.010 | 
| -0.603 | 0.313 | -0.420 | 0.010 | 210075.804 | 0.010 | 
| -0.603 | -0.420 | 0.314 | 0.010 | 0.010 | 209893.429 | 
| 338.545 | 232.067 | 232.067 | 0.000 | 0.000 | 0.000 | 
| 232.067 | 338.545 | 232.067 | 0.000 | 0.000 | 0.000 | 
| 232.067 | 232.067 | 338.545 | 0.000 | 0.000 | 0.000 | 
| 0.000 | -0.000 | 0.000 | 51.279 | 0.000 | 0.000 | 
| -0.000 | 0.000 | 0.000 | 0.000 | 51.279 | 0.000 | 
| -0.000 | -0.000 | 0.000 | 0.000 | 0.000 | 51.279 | 
| 338.545 | 232.067 | 232.067 | -0.000 | -0.000 | -0.000 | 
| 232.067 | 338.545 | 232.067 | -0.000 | -0.000 | -0.000 | 
| 232.067 | 232.067 | 338.545 | -0.000 | -0.000 | -0.000 | 
| -0.000 | -0.000 | -0.000 | 51.279 | -0.000 | -0.000 | 
| -0.000 | -0.000 | -0.000 | -0.000 | 51.279 | -0.000 | 
| 0.000 | -0.000 | -0.000 | -0.000 | -0.000 | 51.279 | 
| 338.545 | 232.067 | 232.067 | 0.000 | 0.000 | 0.000 | 
| 232.067 | 338.545 | 232.067 | 0.000 | 0.000 | 0.000 | 
| 232.067 | 232.067 | 338.545 | 0.000 | 0.000 | 0.000 | 
| -0.000 | -0.000 | -0.000 | 51.279 | 0.000 | 0.000 | 
| -0.000 | -0.000 | -0.000 | 0.000 | 51.279 | 0.000 | 
| -0.000 | -0.000 | -0.000 | 0.000 | 0.000 | 51.279 | 
| 338.545 | 232.067 | 232.067 | -0.000 | -0.000 | -0.000 | 
| 232.067 | 338.545 | 232.067 | -0.000 | -0.000 | -0.000 | 
| 232.067 | 232.067 | 338.545 | -0.000 | -0.000 | -0.000 | 
| 0.000 | 0.000 | 0.000 | 51.279 | -0.000 | -0.000 | 
| 0.000 | 0.000 | 0.000 | -0.000 | 51.279 | -0.000 | 
| 0.000 | 0.000 | 0.000 | -0.000 | -0.000 | 51.279 | 
| 338.546 | 232.068 | 232.068 | 0.000 | 0.000 | 0.000 | 
| 232.068 | 338.546 | 232.068 | 0.000 | 0.000 | 0.000 | 
| 232.068 | 232.068 | 338.546 | 0.000 | 0.000 | 0.000 | 
| -0.000 | -0.000 | -0.000 | 51.279 | 0.000 | 0.000 | 
| -0.000 | -0.000 | -0.000 | 0.000 | 51.279 | 0.000 | 
| -0.000 | -0.000 | -0.000 | 0.000 | 0.000 | 51.279 | 
| 338.544 | 232.066 | 232.066 | -0.000 | -0.000 | -0.000 | 
| 232.066 | 338.544 | 232.066 | -0.000 | -0.000 | -0.000 | 
| 232.066 | 232.066 | 338.544 | -0.000 | -0.000 | -0.000 | 
| 0.000 | 0.000 | 0.000 | 51.279 | -0.000 | -0.000 | 
| 0.000 | 0.000 | 0.000 | -0.000 | 51.279 | -0.000 | 
| 0.000 | 0.000 | 0.000 | -0.000 | -0.000 | 51.279 | 
| -563.055 | -1248.037 | -1125.934 | -999.060 | 267.825 | -596.193 | 
| 158.957 | -1024.161 | 774.295 | -462.156 | 766.018 | -662.283 | 
| -13784.305 | -13998.480 | 3241.305 | -149.984 | -205.148 | 11904.810 | 
| 1531.299 | -69303922.968 | -69303924.354 | -69303923.661 | -1068.897 | -1068.897 | 
| -68958965.088 | 164.763 | -68958966.467 | 46.132 | -68958965.778 | 46.132 | 
| -67732037.397 | -67732038.752 | 2.383 | 16.851 | 16.851 | -67732038.074 | 
| -0.000 | -0.000 | -0.000 | -0.000 | -0.000 | -0.000 | 
| -0.000 | -0.000 | -0.000 | -0.000 | -0.000 | -0.000 | 
| -0.000 | -0.000 | -0.000 | -0.000 | -0.000 | -0.000 | 
| -1738.284 | 68823206.945 | 68823208.322 | -68823207.633 | -76.905 | 76.905 | 
| 67190383.540 | 1.870 | 67190384.884 | -66.000 | -67190384.212 | 66.000 | 
| 69026977.266 | 69026978.647 | -848.180 | 64.717 | -64.717 | -69026977.956 | 
| -3701.135 | -5053.340 | -4577.190 | 2634.967 | 1183.962 | 2333.563 | 
| -3679.508 | -79.379 | -5775.276 | 59.667 | 2045.166 | 1512.845 | 
| -1075.938 | -371.192 | 1890.742 | 1695.420 | 568.399 | 2116.515 | 
| -0.082 | -6768060.884 | -6768062.238 | -6768061.561 | 0.591 | 0.591 | 
| -6631195.826 | -0.101 | -6631197.152 | 1.443 | -6631196.489 | 1.443 | 
| -7221841.829 | -7221843.273 | -0.098 | -10.519 | -10.519 | -7221842.551 | 
| -0.000 | -0.000 | -0.000 | -0.000 | -0.000 | -0.000 | 
| -0.000 | -0.000 | -0.000 | -0.000 | -0.000 | -0.000 | 
| -0.000 | -0.000 | -0.000 | -0.000 | -0.000 | -0.000 | 
| 0.105 | 6863813.575 | 6863814.948 | -6863814.262 | 8.689 | -8.689 | 
| 6678292.106 | 0.100 | 6678293.442 | -0.432 | -6678292.774 | 0.432 | 
| 6791039.999 | 6791041.357 | 0.117 | -1.277 | 1.277 | -6791040.678 | 
| 24.516 | 23.565 | 1.152 | 1.746 | -1.926 | -28.329 | 
| -234.031 | -81.028 | -72.650 | -22.006 | 116.068 | 193.560 | 
| -1407.898 | -958.502 | -233.459 | -141.769 | -265.211 | 953.847 | 
| -0.010 | -698591.378 | -698592.775 | -698592.077 | -0.266 | -0.266 | 
| -679092.945 | 13.654 | -679094.303 | -1.568 | -679093.624 | -1.568 | 
| -668289.675 | -668291.012 | -0.022 | 0.139 | 0.139 | -668290.343 | 
| -0.000 | -0.000 | -0.000 | -0.000 | -0.000 | -0.000 | 
| -0.000 | -0.000 | -0.000 | -0.000 | -0.000 | -0.000 | 
| -0.000 | -0.000 | -0.000 | -0.000 | -0.000 | -0.000 | 
| 0.007 | 701331.840 | 701333.243 | -701332.542 | 0.222 | -0.222 | 
| 668943.801 | 0.009 | 668945.139 | -0.058 | -668944.470 | 0.058 | 
| 698422.373 | 698423.770 | -5.226 | -0.629 | 0.629 | -698423.071 | 
| 205.204 | 214.959 | 214.959 | -0.000 | 0.000 | -0.000 | 
| 214.959 | 205.204 | 214.959 | -0.000 | -0.000 | -0.000 | 
| 214.959 | 214.959 | 205.204 | -0.000 | -0.000 | 0.000 | 
| -1.332 | -1.332 | -1.332 | 67.603 | -0.000 | -0.000 | 
| -1.332 | -1.332 | -1.332 | 0.000 | 67.603 | -0.000 | 
| -1.332 | -1.332 | -1.332 | -0.000 | -0.000 | 67.603 | 
| 207.124 | 217.625 | 217.625 | 0.000 | 0.000 | -0.000 | 
| 217.625 | 207.124 | 217.625 | 0.000 | -0.000 | -0.000 | 
| 217.625 | 217.625 | 207.124 | 0.000 | 0.000 | -0.000 | 
| 1.332 | 1.332 | 1.332 | 67.603 | 0.000 | 0.000 | 
| 1.332 | 1.332 | 1.332 | 0.000 | 67.603 | -0.000 | 
| 1.332 | 1.332 | 1.332 | 0.000 | 0.000 | 67.603 | 
| 206.016 | 216.675 | 216.675 | -0.000 | -0.000 | -0.000 | 
| 216.675 | 206.016 | 216.675 | -0.000 | -0.000 | -0.000 | 
| 216.675 | 216.675 | 206.016 | -0.000 | -0.000 | -0.000 | 
| 0.000 | -0.000 | 0.000 | 81.673 | -0.000 | -0.000 | 
| 0.000 | 0.000 | 0.000 | -0.000 | 81.673 | 0.000 | 
| -0.000 | 0.000 | 0.000 | -0.000 | -0.000 | 81.673 | 
| 349.940 | 168.212 | 168.212 | 0.000 | 0.000 | -0.000 | 
| 168.212 | 349.940 | 168.212 | -0.000 | 0.000 | -0.000 | 
| 168.212 | 168.212 | 349.940 | -0.000 | 0.000 | -0.000 | 
| -0.000 | 0.000 | -0.000 | 81.673 | 0.000 | -0.000 | 
| -0.000 | -0.000 | -0.000 | -0.000 | 81.673 | -0.000 | 
| 0.000 | -0.000 | -0.000 | -0.000 | 0.000 | 81.673 | 
| 206.085 | 216.744 | 216.744 | -0.000 | -0.000 | -0.000 | 
| 216.744 | 206.085 | 216.744 | -0.000 | -0.000 | -0.000 | 
| 216.744 | 216.744 | 206.085 | -0.000 | 0.000 | -0.000 | 
| -0.007 | -0.007 | -0.007 | 65.329 | -0.000 | -0.000 | 
| -0.007 | -0.007 | -0.007 | -0.000 | 65.329 | -0.000 | 
| -0.007 | -0.007 | -0.007 | -0.000 | -0.000 | 65.329 | 
| 206.098 | 216.758 | 216.758 | 0.000 | 0.000 | 0.000 | 
| 216.758 | 206.098 | 216.758 | 0.000 | 0.000 | 0.000 | 
| 216.758 | 216.758 | 206.098 | 0.000 | -0.000 | 0.000 | 
| 0.007 | 0.007 | 0.007 | 65.329 | 0.000 | 0.000 | 
| 0.007 | 0.007 | 0.007 | 0.000 | 65.329 | 0.000 | 
| 0.007 | 0.007 | 0.007 | -0.000 | 0.000 | 65.329 | 
| 2876254.112 | 302688.342 | 302688.342 | 0.008 | 0.019 | -0.011 | 
| 302688.343 | 2876254.113 | 302688.343 | 0.021 | 0.006 | -0.013 | 
| 302688.339 | 302688.339 | 2876254.101 | 0.003 | 0.007 | -0.009 | 
| 0.006 | 0.026 | 0.024 | 254902.542 | -0.008 | -0.007 | 
| 0.020 | 0.007 | 0.023 | 0.001 | 254337.756 | -0.005 | 
| 0.022 | 0.025 | 0.009 | -0.001 | -0.000 | 254337.749 | 
| 2876253.877 | 302688.182 | 302688.183 | -0.008 | -0.015 | 0.006 | 
| 302688.182 | 2876253.876 | 302688.183 | -0.017 | -0.017 | 0.004 | 
| 302688.180 | 302688.180 | 2876253.878 | -0.011 | -0.007 | 0.010 | 
| -0.006 | -0.021 | -0.024 | 254337.754 | 0.002 | 0.005 | 
| -0.021 | -0.006 | -0.024 | -0.002 | 254337.754 | 0.008 | 
| -0.023 | -0.026 | -0.009 | 0.000 | 0.001 | 254337.760 | 
| 2876255.185 | 302688.990 | 302688.990 | 0.001 | 0.001 | -0.001 | 
| 302688.990 | 2876255.185 | 302688.990 | 0.002 | 0.001 | -0.000 | 
| 302688.990 | 302688.990 | 2876255.184 | 0.001 | 0.001 | -0.001 | 
| -0.088 | 0.148 | 0.070 | 254337.824 | -0.000 | -0.000 | 
| 0.148 | -0.088 | 0.070 | -0.000 | 254337.824 | -0.001 | 
| 0.148 | 0.071 | -0.088 | -0.000 | -0.000 | 254337.824 | 
| 2876252.841 | 302687.531 | 302687.531 | -0.001 | 0.002 | 0.001 | 
| 302687.531 | 2876252.841 | 302687.531 | 0.002 | -0.001 | 0.001 | 
| 302687.531 | 302687.531 | 2876252.844 | -0.001 | -0.001 | 0.001 | 
| 0.088 | -0.148 | -0.070 | 254337.823 | -0.000 | 0.000 | 
| -0.148 | 0.088 | -0.070 | -0.000 | 254337.823 | 0.000 | 
| -0.148 | -0.071 | 0.088 | -0.000 | 0.000 | 254337.824 | 
| 2876265.725 | 302695.549 | 302695.549 | 0.000 | 0.000 | -0.000 | 
| 302695.549 | 2876265.725 | 302695.549 | 0.000 | 0.000 | -0.000 | 
| 302695.549 | 302695.549 | 2876265.725 | 0.000 | 0.000 | -0.000 | 
| -0.735 | 1.449 | 0.761 | 299309.424 | 0.000 | -0.000 | 
| 1.449 | -0.735 | 0.761 | 0.000 | 299309.424 | -0.000 | 
| 1.449 | 0.761 | -0.735 | 0.000 | -0.000 | 299309.424 | 
| 2876242.308 | 302680.971 | 302680.971 | -0.000 | -0.000 | 0.000 | 
| 302680.971 | 2876242.308 | 302680.971 | 0.000 | -0.000 | 0.000 | 
| 302680.971 | 302680.971 | 2876242.308 | -0.000 | -0.000 | 0.000 | 
| 0.735 | -1.449 | -0.761 | 299309.424 | 0.000 | 0.000 | 
| -1.449 | 0.735 | -0.761 | 0.000 | 299309.424 | 0.000 | 
| -1.449 | -0.761 | 0.735 | -0.000 | 0.000 | 299309.424 | 
| 603.309 | 386.103 | 386.103 | 0.000 | -0.000 | 0.000 | 
| 386.103 | 603.309 | 386.103 | -0.000 | 0.000 | 0.000 | 
| 386.103 | 386.103 | 603.309 | 0.000 | 0.000 | 0.000 | 
| -0.000 | -0.000 | -0.000 | 57.662 | 0.000 | 0.000 | 
| -0.000 | -0.000 | -0.000 | 0.000 | 57.662 | 0.000 | 
| -0.000 | -0.000 | -0.000 | 0.000 | 0.000 | 57.662 | 
| 603.309 | 386.103 | 386.103 | -0.000 | 0.000 | 0.000 | 
| 386.103 | 603.309 | 386.103 | 0.000 | -0.000 | -0.000 | 
| 386.103 | 386.103 | 603.309 | -0.000 | -0.000 | -0.000 | 
| 0.000 | 0.000 | 0.000 | 57.662 | -0.000 | -0.000 | 
| 0.000 | 0.000 | 0.000 | -0.000 | 57.662 | -0.000 | 
| 0.000 | 0.000 | 0.000 | -0.000 | -0.000 | 57.662 | 
| 603.309 | 386.103 | 386.103 | 0.000 | -0.000 | 0.000 | 
| 386.103 | 603.309 | 386.103 | -0.000 | 0.000 | 0.000 | 
| 386.103 | 386.103 | 603.309 | 0.000 | 0.000 | 0.000 | 
| -0.000 | -0.000 | -0.000 | 57.662 | 0.000 | 0.000 | 
| -0.000 | -0.000 | -0.000 | 0.000 | 57.662 | 0.000 | 
| -0.000 | -0.000 | -0.000 | 0.000 | 0.000 | 57.662 | 
| 603.309 | 386.103 | 386.103 | -0.000 | 0.000 | -0.000 | 
| 386.103 | 603.309 | 386.103 | 0.000 | -0.000 | -0.000 | 
| 386.103 | 386.103 | 603.309 | -0.000 | -0.000 | -0.000 | 
| 0.000 | 0.000 | 0.000 | 57.662 | -0.000 | -0.000 | 
| 0.000 | 0.000 | 0.000 | -0.000 | 57.662 | -0.000 | 
| 0.000 | 0.000 | 0.000 | -0.000 | -0.000 | 57.662 | 
| 603.311 | 386.105 | 386.105 | 0.000 | 0.000 | 0.000 | 
| 386.105 | 603.311 | 386.105 | 0.000 | 0.000 | 0.000 | 
| 386.105 | 386.105 | 603.311 | 0.000 | 0.000 | 0.000 | 
| -0.000 | -0.000 | -0.000 | 57.661 | 0.000 | 0.000 | 
| -0.000 | -0.000 | -0.000 | 0.000 | 57.661 | 0.000 | 
| -0.000 | -0.000 | -0.000 | 0.000 | -0.000 | 57.661 | 
| 603.307 | 386.101 | 386.101 | -0.000 | 0.000 | -0.000 | 
| 386.101 | 603.307 | 386.101 | 0.000 | -0.000 | -0.000 | 
| 386.101 | 386.101 | 603.307 | -0.000 | -0.000 | -0.000 | 
| 0.000 | 0.000 | 0.000 | 57.661 | -0.000 | -0.000 | 
| 0.000 | 0.000 | 0.000 | -0.000 | 57.661 | -0.000 | 
| 0.000 | 0.000 | 0.000 | -0.000 | 0.000 | 57.661 | 
| -6012091.702 | -5969707.291 | -6183732.810 | 1159323.759 | -34257.442 | -204918.158 | 
| -6208321.787 | -5902555.734 | -6160710.639 | 18254.542 | 1206890.805 | 87550.835 | 
| -4888696.713 | -5115548.855 | -4689578.065 | 118200.224 | -102064.080 | 763744.347 | 
| -0.012 | 0.010 | 0.010 | 0.010 | -0.000 | -0.000 | 
| -0.019 | -0.011 | -0.019 | 0.000 | -0.019 | 0.000 | 
| 0.005 | 0.005 | -0.006 | 0.000 | 0.000 | 0.011 | 
| -0.000 | -0.000 | -0.000 | -0.000 | -0.000 | -0.000 | 
| -0.000 | -0.000 | -0.000 | -0.000 | -0.000 | -0.000 | 
| -0.000 | -0.000 | -0.000 | -0.000 | -0.000 | -0.000 | 
| -0.000 | 0.000 | 0.000 | 0.001 | 0.001 | -0.001 | 
| 0.001 | 0.023 | 0.001 | 0.001 | 0.001 | -0.001 | 
| 0.004 | 0.004 | 0.000 | 0.000 | -0.000 | -0.004 | 
| -182303.782 | -643194.512 | -608294.680 | -6715.332 | -21868.041 | -20675.717 | 
| -539264.238 | -183000.493 | -516162.060 | -22111.717 | 21616.846 | -28771.689 | 
| -599867.542 | -568497.607 | -157819.734 | -19781.787 | -15264.498 | -139585.876 | 
| -0.001 | -0.000 | -0.000 | -0.001 | 0.000 | 0.000 | 
| 0.001 | -0.000 | 0.001 | -0.000 | 0.001 | -0.000 | 
| -0.000 | -0.000 | -0.000 | 0.000 | 0.000 | -0.000 | 
| -0.000 | -0.000 | -0.000 | -0.000 | -0.000 | -0.000 | 
| -0.000 | -0.000 | -0.000 | -0.000 | -0.000 | -0.000 | 
| -0.000 | -0.000 | -0.000 | -0.000 | -0.000 | -0.000 | 
| 0.001 | 0.001 | 0.001 | -0.001 | -0.000 | 0.000 | 
| 0.002 | -0.002 | 0.002 | 0.000 | -0.003 | -0.000 | 
| 0.001 | 0.001 | -0.001 | -0.000 | 0.000 | 0.000 | 
| -54156.716 | -61366.054 | -55303.256 | -2928.746 | -223.330 | -265.342 | 
| -58998.368 | -54267.148 | -55889.689 | -817.743 | -1396.192 | -3562.516 | 
| -58353.251 | -58020.319 | -60208.732 | 214.960 | 1693.054 | 2614.234 | 
| -0.000 | -189458.313 | -189458.692 | -189458.502 | -0.000 | -0.000 | 
| -189458.313 | -0.000 | -189458.692 | 0.000 | -189458.502 | 0.000 | 
| -189458.313 | -189458.692 | -0.000 | 0.000 | 0.000 | -189458.502 | 
| -0.000 | -0.000 | -0.000 | -0.000 | -0.000 | -0.000 | 
| -0.000 | -0.000 | -0.000 | -0.000 | -0.000 | -0.000 | 
| -0.000 | -0.000 | -0.000 | -0.000 | -0.000 | -0.000 | 
| 0.000 | 189458.313 | 189458.692 | -189458.502 | 0.000 | -0.000 | 
| 189458.313 | 0.000 | 189458.692 | -0.000 | -189458.502 | 0.000 | 
| 189458.313 | 189458.692 | 0.000 | 0.000 | -0.000 | -189458.502 | 
| -3023.353 | 1311.376 | -3189.807 | -0.000 | -0.000 | -0.000 | 
| -2188.250 | 3031.365 | -3267.288 | -0.000 | 0.000 | -0.000 | 
| -2151.248 | 2843.627 | -3062.851 | -0.000 | -0.000 | -0.000 | 
| -2402.743 | 2370.957 | -2988.202 | 65.814 | 0.000 | -0.000 | 
| -2199.901 | 2858.363 | -3251.707 | 0.000 | 65.519 | -0.000 | 
| -3259.467 | 1305.812 | -3267.741 | -0.000 | -0.000 | 98.727 | 
| 315.603 | 36.024 | 116.145 | 0.000 | 0.000 | -0.000 | 
| 2212.402 | -2686.085 | 3236.890 | 0.000 | 0.000 | 0.000 | 
| 2248.020 | -2873.870 | 3440.222 | 0.000 | 0.000 | 0.000 | 
| 2402.743 | -2370.957 | 2988.202 | 65.815 | 0.000 | 0.000 | 
| 2199.901 | -2858.363 | 3251.707 | -0.000 | 65.519 | 0.000 | 
| 3259.467 | -1305.812 | 3267.741 | 0.000 | -0.000 | 98.727 | 
| -89.578 | 140.479 | -251.537 | -0.000 | 0.000 | -0.000 | 
| -283.793 | 306.556 | -329.124 | -0.000 | 0.000 | -0.000 | 
| -170.155 | 272.749 | -135.122 | -0.000 | 0.000 | -0.000 | 
| -219.786 | 285.760 | -324.969 | 72.309 | 0.000 | -0.000 | 
| -252.022 | 234.712 | -284.230 | -0.000 | 63.688 | -0.000 | 
| -233.498 | 236.723 | -291.502 | -0.000 | 0.000 | 84.064 | 
| 315.603 | 36.024 | 116.145 | 0.000 | 0.000 | -0.000 | 
| 233.305 | -113.253 | 309.800 | 0.000 | 0.000 | 0.000 | 
| 396.627 | -156.652 | 549.872 | 0.000 | -0.000 | 0.000 | 
| 219.786 | -285.760 | 324.969 | 72.309 | -0.000 | 0.000 | 
| 252.022 | -234.712 | 284.230 | 0.000 | 63.688 | 0.000 | 
| 233.498 | -236.723 | 291.502 | 0.000 | -0.000 | 84.064 | 
| 144.205 | 35.516 | -4.065 | -0.000 | -0.000 | -0.000 | 
| -2.029 | 179.457 | -31.110 | -0.000 | 0.000 | -0.000 | 
| 27.769 | -6.583 | 180.325 | -0.000 | -0.000 | -0.000 | 
| -20.097 | 27.966 | -30.686 | 72.615 | -0.000 | -0.000 | 
| -20.107 | 23.091 | -28.114 | -0.000 | 78.800 | -0.000 | 
| -40.308 | 16.149 | -40.410 | -0.000 | 0.000 | 92.611 | 
| 186.033 | -9.730 | 43.158 | 0.000 | -0.000 | 0.000 | 
| 61.762 | 151.306 | 29.563 | 0.000 | 0.000 | 0.000 | 
| 74.516 | -17.736 | 204.334 | 0.000 | -0.000 | 0.000 | 
| 20.097 | -27.966 | 30.686 | 72.615 | 0.000 | 0.000 | 
| 20.107 | -23.091 | 28.114 | 0.000 | 78.800 | 0.000 | 
| 40.308 | -16.149 | 40.410 | 0.000 | 0.000 | 92.611 | 
| -7.339 | -3.925 | -10.872 | -0.000 | -0.000 | 0.000 | 
| -3.925 | -7.339 | -10.872 | -0.000 | -0.000 | -0.000 | 
| -9.780 | -9.780 | -15.631 | -0.000 | -0.000 | 0.000 | 
| 0.910 | 0.910 | 3.378 | -3.389 | -0.000 | 0.000 | 
| 0.910 | 0.910 | 3.378 | -0.000 | -3.389 | -0.000 | 
| 0.243 | 0.243 | 0.903 | -0.000 | -0.000 | -1.489 | 
| -7.826 | -4.412 | -12.677 | 0.000 | 0.000 | -0.000 | 
| -4.412 | -7.826 | -12.677 | 0.000 | 0.000 | -0.000 | 
| -10.267 | -10.267 | -17.436 | 0.000 | 0.000 | -0.000 | 
| -0.910 | -0.910 | -3.378 | -3.389 | 0.000 | 0.000 | 
| -0.910 | -0.910 | -3.378 | 0.000 | -3.389 | -0.000 | 
| -0.243 | -0.243 | -0.903 | 0.000 | 0.000 | -1.489 | 
| -7.558 | -4.144 | -11.684 | -0.000 | -0.000 | 0.000 | 
| -4.144 | -7.558 | -11.684 | -0.000 | -0.000 | -0.000 | 
| -9.999 | -9.999 | -16.443 | -0.000 | -0.000 | -0.000 | 
| -2.900 | -2.900 | -10.761 | -6.831 | -0.000 | 0.000 | 
| -2.900 | -2.900 | -10.761 | -0.000 | -6.831 | 0.000 | 
| 0.024 | 0.024 | 0.090 | -0.000 | -0.000 | -1.489 | 
| -7.607 | -4.193 | -11.865 | 0.000 | 0.000 | -0.000 | 
| -4.193 | -7.607 | -11.865 | 0.000 | 0.000 | 0.000 | 
| -10.048 | -10.048 | -16.623 | 0.000 | 0.000 | -0.000 | 
| 2.900 | 2.900 | 10.761 | -6.831 | 0.000 | -0.000 | 
| 2.900 | 2.900 | 10.761 | 0.000 | -6.831 | -0.000 | 
| -0.024 | -0.024 | -0.090 | 0.000 | 0.000 | -1.489 | 
| -7.580 | -4.166 | -11.766 | -0.000 | -0.000 | -0.000 | 
| -4.166 | -7.580 | -11.766 | -0.000 | -0.000 | -0.000 | 
| -10.022 | -10.022 | -16.528 | -0.000 | -0.000 | 0.000 | 
| 0.060 | 0.060 | 0.224 | -4.543 | -0.000 | 0.000 | 
| 0.060 | 0.060 | 0.224 | -0.000 | -4.543 | 0.000 | 
| 0.002 | 0.002 | 0.009 | -0.000 | -0.000 | -1.489 | 
| -7.585 | -4.171 | -11.783 | 0.000 | 0.000 | 0.000 | 
| -4.171 | -7.585 | -11.783 | -0.000 | 0.000 | 0.000 | 
| -10.025 | -10.025 | -16.538 | 0.000 | -0.000 | -0.000 | 
| -0.060 | -0.060 | -0.224 | -4.543 | 0.000 | -0.000 | 
| -0.060 | -0.060 | -0.224 | 0.000 | -4.543 | -0.000 | 
| -0.002 | -0.002 | -0.009 | 0.000 | 0.000 | -1.489 | 
| 335.394 | 156.894 | 156.894 | -0.000 | 0.000 | 0.000 | 
| 156.894 | 335.394 | 156.894 | -0.000 | 0.000 | 0.000 | 
| 156.894 | 156.894 | 335.394 | -0.000 | 0.000 | 0.000 | 
| -1355981472.511 | -1365569906.687 | -1361521587.972 | -114675419.658 | -15011829.084 | 582119.824 | 
| -1367994092.469 | -1356758485.740 | -1357736045.848 | 6481023.179 | -119738430.683 | 14702193.063 | 
| -1369763443.505 | -1364382140.409 | -1359560290.490 | -2601905.610 | 6830971.427 | -98502143.071 | 
| 335.394 | 156.894 | 156.894 | 0.000 | -0.000 | -0.000 | 
| 156.894 | 335.394 | 156.894 | 0.000 | -0.000 | 0.000 | 
| 156.894 | 156.894 | 335.394 | 0.000 | -0.000 | -0.000 | 
| 1356350484.163 | 1366917872.980 | 1366011763.660 | -107424787.502 | -11675406.259 | 6687917.681 | 
| 1372282095.070 | 1353600925.242 | 1360070833.656 | 2034148.526 | -106933253.656 | -16060056.611 | 
| 1363587492.678 | 1373703425.070 | 1356841315.214 | 16052697.790 | -5350841.480 | -109559257.304 | 
| 335.394 | 156.894 | 156.894 | -0.000 | 0.000 | 0.000 | 
| 156.894 | 335.394 | 156.894 | -0.000 | 0.000 | 0.000 | 
| 156.894 | 156.894 | 335.394 | -0.000 | 0.000 | 0.000 | 
| -135462239.935 | -136316044.843 | -136184727.578 | -12340151.604 | -547651.268 | 247731.971 | 
| -135635542.814 | -136400736.888 | -136787273.839 | 325167.197 | -10523196.693 | 156959.403 | 
| -136667090.043 | -136708196.533 | -136926866.190 | 94767.458 | 1653011.876 | -10082052.586 | 
| 335.393 | 156.894 | 156.894 | 0.000 | -0.000 | -0.000 | 
| 156.894 | 335.393 | 156.894 | 0.000 | -0.000 | -0.000 | 
| 156.894 | 156.894 | 335.393 | 0.000 | -0.000 | -0.000 | 
| 135383819.228 | 136190411.358 | 136657932.258 | -11903281.438 | -2187825.142 | 743923.223 | 
| 136460628.607 | 136524612.227 | 136134085.519 | 1009057.549 | -11674860.355 | 1201724.105 | 
| 136307457.080 | 137011698.556 | 136142463.135 | 505880.430 | -784157.152 | -10171659.990 | 
| 335.400 | 156.893 | 156.893 | -0.000 | 0.000 | 0.000 | 
| 156.893 | 335.400 | 156.893 | -0.000 | 0.000 | 0.000 | 
| 156.893 | 156.893 | 335.400 | -0.000 | 0.000 | 0.000 | 
| -13590809.473 | -13535056.067 | -13677456.787 | -1182048.818 | 76255.907 | -107452.416 | 
| -13587630.254 | -13567458.694 | -13564535.195 | -2262.147 | -1150342.323 | 37160.049 | 
| -13640014.531 | -13599910.852 | -13672087.851 | -190820.363 | 165300.591 | -1109475.846 | 
| 335.387 | 156.895 | 156.895 | 0.000 | -0.000 | -0.000 | 
| 156.895 | 335.387 | 156.895 | 0.000 | -0.000 | -0.000 | 
| 156.895 | 156.895 | 335.387 | 0.000 | -0.000 | -0.000 | 
| 13517581.987 | 13634780.933 | 13652625.791 | -963108.229 | 59259.834 | -46685.788 | 
| 13696683.818 | 13520188.740 | 13606510.601 | 57332.173 | -1085975.498 | -37261.112 | 
| 13620769.697 | 13637061.521 | 13601046.338 | -13849.519 | 16341.030 | -1117456.288 | 
| 10801913.476 | -4355475.764 | -4355475.721 | -0.001 | -0.003 | -0.002 | 
| -4355475.742 | 10801913.514 | -4355475.739 | 0.013 | -0.001 | 0.012 | 
| -4355475.747 | -4355475.746 | 10801913.510 | -0.002 | -0.013 | -0.001 | 
| 0.104 | 0.090 | 0.144 | 4498031.804 | 0.016 | -0.004 | 
| 0.090 | 0.108 | 0.147 | 0.021 | 4498031.815 | -0.006 | 
| 0.093 | 0.117 | 0.146 | 0.016 | 0.005 | 4498031.813 | 
| 10801912.651 | -4355475.835 | -4355475.837 | -0.006 | -0.005 | -0.004 | 
| -4355475.831 | 10801912.649 | -4355475.836 | -0.009 | -0.004 | -0.006 | 
| -4355475.848 | -4355475.849 | 10801912.639 | -0.009 | -0.008 | -0.004 | 
| -0.114 | -0.085 | -0.150 | 4498031.779 | -0.022 | -0.009 | 
| -0.078 | -0.109 | -0.147 | -0.027 | 4498031.776 | -0.008 | 
| -0.097 | -0.116 | -0.160 | 0.014 | -0.009 | 4498031.780 | 
| 10801917.176 | -4355475.558 | -4355475.553 | -0.002 | 0.000 | 0.001 | 
| -4355475.558 | 10801917.176 | -4355475.553 | 0.000 | -0.002 | 0.002 | 
| -4355475.557 | -4355475.557 | 10801917.179 | 0.001 | 0.001 | 0.002 | 
| 0.833 | 0.792 | 0.932 | 4498132.864 | -0.002 | 0.001 | 
| 0.792 | 0.834 | 0.932 | -0.002 | 4498132.866 | 0.000 | 
| 0.792 | 0.933 | 0.833 | 0.002 | 0.000 | 4498132.867 | 
| 10801908.996 | -4355476.008 | -4355476.008 | -0.001 | -0.000 | -0.000 | 
| -4355476.008 | 10801908.995 | -4355476.008 | -0.000 | -0.000 | -0.000 | 
| -4355476.005 | -4355476.005 | 10801908.995 | -0.000 | 0.001 | -0.000 | 
| -0.833 | -0.792 | -0.931 | 4498132.862 | 0.001 | 0.001 | 
| -0.792 | -0.833 | -0.931 | 0.001 | 4498132.864 | 0.000 | 
| -0.792 | -0.932 | -0.833 | 0.001 | 0.001 | 4498132.861 | 
| 10801953.951 | -4355473.563 | -4355473.563 | 0.000 | 0.000 | 0.000 | 
| -4355473.563 | 10801953.951 | -4355473.563 | 0.000 | -0.000 | 0.000 | 
| -4355473.562 | -4355473.562 | 10801953.952 | 0.000 | 0.000 | -0.000 | 
| 8.298 | 7.868 | 9.285 | 4498032.556 | -0.000 | 0.000 | 
| 7.868 | 8.298 | 9.285 | -0.000 | 4498032.556 | -0.000 | 
| 7.868 | 9.285 | 8.298 | 0.000 | 0.000 | 4498032.556 | 
| 10801872.212 | -4355477.999 | -4355477.999 | -0.000 | -0.000 | -0.000 | 
| -4355477.999 | 10801872.212 | -4355477.999 | -0.000 | 0.000 | -0.000 | 
| -4355477.999 | -4355477.999 | 10801872.212 | -0.000 | -0.000 | -0.000 | 
| -8.298 | -7.868 | -9.285 | 4498032.555 | -0.000 | 0.000 | 
| -7.868 | -8.298 | -9.285 | 0.000 | 4498032.556 | 0.000 | 
| -7.868 | -9.285 | -8.298 | 0.000 | -0.000 | 4498032.555 | 
| 262.390 | 105.086 | 105.086 | 0.000 | 0.000 | 0.000 | 
| 105.086 | 262.390 | 105.086 | 0.000 | 0.000 | 0.000 | 
| 105.086 | 105.086 | 262.390 | 0.000 | 0.000 | -0.000 | 
| 0.000 | 0.000 | 0.000 | 174.886 | 0.000 | -0.000 | 
| 0.000 | 0.000 | 0.000 | 0.000 | 174.886 | -0.000 | 
| 0.000 | 0.000 | 0.000 | 0.000 | 0.000 | 174.886 | 
| 262.390 | 105.086 | 105.086 | -0.000 | -0.000 | -0.000 | 
| 105.086 | 262.390 | 105.086 | -0.000 | -0.000 | -0.000 | 
| 105.086 | 105.086 | 262.390 | -0.000 | -0.000 | -0.000 | 
| -0.000 | -0.000 | -0.000 | 174.886 | -0.000 | 0.000 | 
| -0.000 | -0.000 | -0.000 | -0.000 | 174.886 | 0.000 | 
| -0.000 | -0.000 | -0.000 | -0.000 | -0.000 | 174.886 | 
| 262.390 | 105.086 | 105.086 | 0.000 | 0.000 | 0.000 | 
| 105.086 | 262.390 | 105.086 | 0.000 | 0.000 | 0.000 | 
| 105.086 | 105.086 | 262.390 | 0.000 | 0.000 | 0.000 | 
| 0.000 | 0.000 | 0.000 | 174.886 | 0.000 | -0.000 | 
| 0.000 | 0.000 | 0.000 | 0.000 | 174.886 | -0.000 | 
| 0.000 | 0.000 | 0.000 | -0.000 | 0.000 | 174.886 | 
| 262.390 | 105.086 | 105.086 | -0.000 | -0.000 | -0.000 | 
| 105.086 | 262.390 | 105.086 | -0.000 | -0.000 | -0.000 | 
| 105.086 | 105.086 | 262.390 | -0.000 | -0.000 | -0.000 | 
| -0.000 | -0.000 | -0.000 | 174.886 | 0.000 | -0.000 | 
| -0.000 | -0.000 | -0.000 | -0.000 | 174.886 | -0.000 | 
| -0.000 | -0.000 | -0.000 | -0.000 | -0.000 | 174.886 | 
| 262.391 | 105.086 | 105.086 | 0.000 | 0.000 | 0.000 | 
| 105.086 | 262.391 | 105.086 | 0.000 | 0.000 | 0.000 | 
| 105.086 | 105.086 | 262.391 | 0.000 | 0.000 | -0.000 | 
| 0.000 | 0.000 | 0.000 | 71.328 | 0.000 | -0.000 | 
| 0.000 | 0.000 | 0.000 | 0.000 | 71.328 | 0.000 | 
| 0.000 | 0.000 | 0.000 | 0.000 | 0.000 | 71.328 | 
| 262.389 | 105.085 | 105.085 | -0.000 | -0.000 | -0.000 | 
| 105.085 | 262.389 | 105.085 | -0.000 | -0.000 | -0.000 | 
| 105.085 | 105.085 | 262.389 | -0.000 | -0.000 | -0.000 | 
| -0.000 | -0.000 | -0.000 | 71.328 | -0.000 | 0.000 | 
| -0.000 | -0.000 | -0.000 | -0.000 | 71.328 | -0.000 | 
| -0.000 | -0.000 | -0.000 | -0.000 | -0.000 | 71.328 | 
| 90.524 | 87.916 | 87.916 | -0.000 | 0.000 | -0.000 | 
| 87.916 | 90.524 | 87.916 | -0.000 | -0.000 | -0.000 | 
| 87.916 | 87.916 | 90.524 | -0.000 | -0.000 | -0.000 | 
| 0.000 | 0.000 | 0.000 | -15.082 | -0.000 | -0.000 | 
| 0.000 | 0.000 | 0.000 | -0.000 | -15.082 | -0.000 | 
| 0.000 | 0.000 | 0.000 | -0.000 | 0.000 | -15.082 | 
| 90.524 | 87.916 | 87.916 | 0.000 | -0.000 | 0.000 | 
| 87.916 | 90.524 | 87.916 | 0.000 | -0.000 | -0.000 | 
| 87.916 | 87.916 | 90.524 | 0.000 | -0.000 | 0.000 | 
| -0.000 | -0.000 | -0.000 | -15.082 | -0.000 | -0.000 | 
| -0.000 | -0.000 | -0.000 | -0.000 | -15.082 | -0.000 | 
| -0.000 | -0.000 | -0.000 | 0.000 | -0.000 | -15.082 | 
| 90.524 | 87.916 | 87.916 | -0.000 | 0.000 | -0.000 | 
| 87.916 | 90.524 | 87.916 | -0.000 | -0.000 | 0.000 | 
| 87.916 | 87.916 | 90.524 | 0.000 | 0.000 | -0.000 | 
| 0.000 | 0.000 | 0.000 | -15.082 | -0.000 | -0.000 | 
| 0.000 | 0.000 | 0.000 | -0.000 | -15.082 | -0.000 | 
| 0.000 | 0.000 | 0.000 | -0.000 | -0.000 | -15.082 | 
| 90.524 | 87.916 | 87.916 | 0.000 | -0.000 | -0.000 | 
| 87.916 | 90.524 | 87.916 | 0.000 | 0.000 | -0.000 | 
| 87.916 | 87.916 | 90.524 | 0.000 | -0.000 | 0.000 | 
| -0.000 | -0.000 | -0.000 | -15.082 | 0.000 | -0.000 | 
| -0.000 | -0.000 | -0.000 | 0.000 | -15.082 | -0.000 | 
| -0.000 | -0.000 | -0.000 | 0.000 | -0.000 | -15.082 | 
| 90.525 | 87.916 | 87.916 | -0.000 | -0.000 | -0.000 | 
| 87.916 | 90.525 | 87.916 | -0.000 | -0.000 | 0.000 | 
| 87.916 | 87.916 | 90.525 | -0.000 | 0.000 | -0.000 | 
| 0.000 | 0.000 | 0.000 | -15.082 | -0.000 | -0.000 | 
| 0.000 | 0.000 | 0.000 | -0.000 | -15.082 | 0.000 | 
| 0.000 | 0.000 | 0.000 | -0.000 | -0.000 | -15.082 | 
| 90.524 | 87.916 | 87.916 | 0.000 | -0.000 | -0.000 | 
| 87.916 | 90.524 | 87.916 | 0.000 | -0.000 | 0.000 | 
| 87.916 | 87.916 | 90.524 | 0.000 | -0.000 | 0.000 | 
| -0.000 | -0.000 | -0.000 | -15.082 | 0.000 | 0.000 | 
| -0.000 | -0.000 | -0.000 | 0.000 | -15.082 | 0.000 | 
| -0.000 | -0.000 | -0.000 | 0.000 | -0.000 | -15.082 | 
| 202.257 | 128.250 | 128.250 | -0.000 | -0.000 | -0.000 | 
| 128.250 | 202.257 | 128.250 | -0.000 | -0.000 | -0.000 | 
| 128.250 | 128.250 | 202.257 | 0.000 | 0.000 | -0.000 | 
| 0.000 | 0.000 | 0.000 | 122.586 | -0.000 | -0.000 | 
| 0.000 | 0.000 | 0.000 | -0.000 | 122.586 | -0.000 | 
| 0.000 | 0.000 | -0.000 | -0.000 | 0.000 | 122.586 | 
| 202.257 | 128.250 | 128.250 | 0.000 | -0.000 | 0.000 | 
| 128.250 | 202.257 | 128.250 | -0.000 | 0.000 | 0.000 | 
| 128.250 | 128.250 | 202.257 | -0.000 | -0.000 | 0.000 | 
| 0.000 | 0.000 | 0.000 | 122.586 | 0.000 | 0.000 | 
| 0.000 | 0.000 | 0.000 | 0.000 | 122.586 | 0.000 | 
| 0.000 | 0.000 | 0.000 | 0.000 | -0.000 | 122.586 | 
| 202.257 | 128.251 | 128.251 | -0.000 | -0.000 | -0.000 | 
| 128.251 | 202.257 | 128.251 | -0.000 | 0.000 | -0.000 | 
| 128.251 | 128.251 | 202.257 | -0.000 | -0.000 | -0.000 | 
| -0.000 | 0.000 | 0.000 | 122.586 | -0.000 | -0.000 | 
| 0.000 | -0.000 | 0.000 | -0.000 | 122.586 | -0.000 | 
| 0.000 | 0.000 | -0.000 | -0.000 | 0.000 | 122.586 | 
| 202.257 | 128.250 | 128.250 | 0.000 | 0.000 | 0.000 | 
| 128.250 | 202.257 | 128.250 | 0.000 | 0.000 | 0.000 | 
| 128.250 | 128.250 | 202.257 | -0.000 | -0.000 | 0.000 | 
| 0.000 | -0.000 | -0.000 | 122.586 | 0.000 | 0.000 | 
| -0.000 | 0.000 | -0.000 | 0.000 | 122.586 | 0.000 | 
| -0.000 | -0.000 | 0.000 | 0.000 | -0.000 | 122.586 | 
| 202.257 | 128.251 | 128.251 | -0.000 | 0.000 | -0.000 | 
| 128.251 | 202.257 | 128.251 | 0.000 | -0.000 | -0.000 | 
| 128.251 | 128.251 | 202.257 | -0.000 | 0.000 | -0.000 | 
| -0.000 | 0.000 | 0.000 | 122.586 | 0.000 | 0.000 | 
| 0.000 | -0.000 | 0.000 | 0.000 | 122.586 | -0.000 | 
| 0.000 | 0.000 | -0.000 | 0.000 | 0.000 | 122.586 | 
| 202.256 | 128.250 | 128.250 | -0.000 | 0.000 | 0.000 | 
| 128.250 | 202.256 | 128.250 | 0.000 | -0.000 | 0.000 | 
| 128.250 | 128.250 | 202.256 | 0.000 | 0.000 | 0.000 | 
| 0.000 | -0.000 | -0.000 | 122.586 | -0.000 | 0.000 | 
| -0.000 | 0.000 | -0.000 | -0.000 | 122.586 | 0.000 | 
| -0.000 | -0.000 | 0.000 | -0.000 | 0.000 | 122.586 | 
| 397.671 | 10.608 | 10.608 | -0.000 | -0.000 | -0.000 | 
| 10.608 | 397.671 | 10.608 | -0.000 | -0.000 | -0.000 | 
| 10.608 | 10.608 | 397.671 | 0.000 | -0.000 | -0.000 | 
| -0.000 | -0.000 | -0.000 | -2.429 | -0.000 | -0.000 | 
| -0.000 | -0.000 | -0.000 | -0.000 | -2.429 | -0.000 | 
| -0.000 | -0.000 | -0.000 | 0.000 | 0.000 | -2.429 | 
| 397.671 | 10.608 | 10.608 | 0.000 | -0.000 | 0.000 | 
| 10.608 | 397.671 | 10.608 | 0.000 | 0.000 | 0.000 | 
| 10.608 | 10.608 | 397.671 | 0.000 | -0.000 | 0.000 | 
| 0.000 | 0.000 | 0.000 | -2.429 | 0.000 | 0.000 | 
| 0.000 | 0.000 | 0.000 | 0.000 | -2.429 | 0.000 | 
| 0.000 | 0.000 | 0.000 | -0.000 | 0.000 | -2.429 | 
| 397.671 | 10.608 | 10.608 | 0.000 | 0.000 | -0.000 | 
| 10.608 | 397.671 | 10.608 | -0.000 | -0.000 | -0.000 | 
| 10.608 | 10.608 | 397.671 | 0.000 | 0.000 | -0.000 | 
| 0.000 | 0.000 | -0.000 | -2.429 | -0.000 | -0.000 | 
| 0.000 | 0.000 | -0.000 | -0.000 | -2.429 | -0.000 | 
| 0.000 | -0.000 | 0.000 | -0.000 | -0.000 | -2.429 | 
| 394.583 | 12.152 | 12.152 | 0.000 | -0.000 | 0.000 | 
| 12.152 | 394.583 | 12.152 | 0.000 | 0.000 | 0.000 | 
| 12.152 | 12.152 | 394.583 | 0.000 | -0.000 | 0.000 | 
| -0.000 | -0.000 | 0.000 | -2.429 | 0.000 | 0.000 | 
| -0.000 | -0.000 | 0.000 | 0.000 | -2.429 | 0.000 | 
| -0.000 | 0.000 | -0.000 | 0.000 | 0.000 | -2.429 | 
| 394.585 | 12.152 | 12.152 | 0.000 | -0.000 | -0.000 | 
| 12.152 | 394.585 | 12.152 | -0.000 | 0.000 | -0.000 | 
| 12.152 | 12.152 | 394.585 | -0.000 | 0.000 | -0.000 | 
| 0.000 | 0.000 | -0.000 | -2.429 | 0.000 | -0.000 | 
| 0.000 | 0.000 | -0.000 | -0.000 | -2.429 | -0.000 | 
| 0.000 | -0.000 | 0.000 | -0.000 | -0.000 | -2.429 | 
| 394.581 | 12.152 | 12.152 | 0.000 | 0.000 | 0.000 | 
| 12.152 | 394.581 | 12.152 | 0.000 | 0.000 | 0.000 | 
| 12.152 | 12.152 | 394.581 | 0.000 | -0.000 | 0.000 | 
| -0.000 | -0.000 | 0.000 | -2.429 | 0.000 | 0.000 | 
| -0.000 | -0.000 | 0.000 | 0.000 | -2.429 | 0.000 | 
| -0.000 | 0.000 | -0.000 | 0.000 | 0.000 | -2.429 | 
| 1654.317 | 1924.458 | 1924.458 | -0.000 | -0.000 | 0.000 | 
| 1924.458 | 1654.317 | 1924.458 | -0.000 | -0.000 | -0.000 | 
| 1924.458 | 1924.458 | 1654.317 | -0.000 | 0.000 | 0.000 | 
| -0.002 | -0.000 | -0.000 | 912.862 | -0.000 | 0.000 | 
| -0.000 | -0.002 | -0.000 | -0.000 | 912.862 | -0.000 | 
| -0.000 | -0.000 | -0.002 | -0.000 | 0.000 | 912.862 | 
| 1653.946 | 1924.649 | 1924.649 | 0.000 | 0.000 | -0.000 | 
| 1924.649 | 1653.946 | 1924.649 | 0.000 | 0.000 | 0.000 | 
| 1924.649 | 1924.649 | 1653.946 | 0.000 | 0.000 | -0.000 | 
| 0.002 | 0.000 | 0.000 | 912.862 | 0.000 | -0.000 | 
| 0.000 | 0.002 | 0.000 | 0.000 | 912.862 | -0.000 | 
| 0.000 | 0.000 | 0.002 | 0.000 | 0.000 | 912.862 | 
| 1653.919 | 1924.633 | 1924.633 | -0.000 | -0.000 | 0.000 | 
| 1924.633 | 1653.919 | 1924.633 | -0.000 | -0.000 | -0.000 | 
| 1924.633 | 1924.633 | 1653.919 | -0.000 | -0.000 | -0.000 | 
| -0.021 | -0.001 | -0.001 | 912.864 | -0.000 | 0.000 | 
| -0.001 | -0.021 | -0.001 | -0.000 | 912.864 | 0.000 | 
| -0.001 | -0.001 | -0.021 | 0.000 | -0.000 | 912.864 | 
| 1653.968 | 1924.662 | 1924.662 | 0.000 | -0.000 | -0.000 | 
| 1924.662 | 1653.968 | 1924.662 | 0.000 | 0.000 | -0.000 | 
| 1924.662 | 1924.662 | 1653.968 | 0.000 | 0.000 | 0.000 | 
| 0.021 | 0.001 | 0.001 | 912.864 | 0.000 | -0.000 | 
| 0.001 | 0.021 | 0.001 | 0.000 | 912.864 | -0.000 | 
| 0.001 | 0.001 | 0.021 | 0.000 | 0.000 | 912.864 | 
| 1653.741 | 1924.481 | 1924.481 | -0.000 | -0.000 | 0.000 | 
| 1924.481 | 1653.741 | 1924.481 | -0.000 | -0.000 | -0.000 | 
| 1924.481 | 1924.481 | 1653.741 | -0.000 | -0.000 | 0.000 | 
| -0.025 | -0.099 | -0.097 | 912.862 | -0.000 | -0.000 | 
| -0.099 | -0.025 | -0.097 | -0.000 | 912.862 | -0.000 | 
| -0.099 | -0.097 | -0.025 | -0.000 | 0.000 | 912.862 | 
| 1654.190 | 1924.791 | 1924.791 | 0.000 | 0.000 | -0.000 | 
| 1924.791 | 1654.190 | 1924.791 | 0.000 | 0.000 | 0.000 | 
| 1924.791 | 1924.791 | 1654.190 | 0.000 | 0.000 | 0.000 | 
| 0.025 | 0.099 | 0.097 | 912.862 | 0.000 | 0.000 | 
| 0.099 | 0.025 | 0.097 | 0.000 | 912.862 | 0.000 | 
| 0.099 | 0.097 | 0.025 | 0.000 | 0.000 | 912.862 | 
| -5177602.513 | -4480531.546 | -4514785.513 | -2305.749 | 321797.174 | 387005.729 | 
| -5558315.405 | -4527915.476 | -4708142.745 | 12392.714 | 257596.024 | 332404.980 | 
| -5398179.549 | -4411498.831 | -4569325.445 | 79520.880 | 441356.028 | 405395.580 | 
| -5367133.043 | -4395019.198 | -4589933.616 | 24737.253 | 463167.275 | 433157.626 | 
| -5634322.667 | -4589990.505 | -4789180.713 | -27356.798 | 460710.525 | 298636.619 | 
| -5145385.709 | -4090580.816 | -4391160.817 | 152918.679 | 490119.403 | 435452.009 | 
| 5281931.421 | 4245862.925 | 4693705.926 | 1242.206 | -370372.185 | -415865.673 | 
| 5258194.224 | 4429430.776 | 4606893.345 | 5552.882 | -329022.320 | -424186.656 | 
| 5582052.765 | 4282776.479 | 4679439.600 | -68144.443 | -455854.398 | -445738.559 | 
| 5418596.979 | 4433929.793 | 4640944.246 | 32251.442 | -468602.410 | -472407.051 | 
| 5512693.980 | 4331933.770 | 4413962.048 | -64523.336 | -440225.119 | -427537.209 | 
| 5433377.628 | 4523455.704 | 4622040.615 | -58384.007 | -322768.205 | -465989.071 | 
| -526613.474 | -420702.469 | -450710.394 | 14515.392 | 52879.754 | 46669.252 | 
| -548510.453 | -434948.053 | -446689.257 | -971.444 | 54555.586 | 45305.778 | 
| -534269.678 | -417226.664 | -449386.291 | 6715.547 | 47119.422 | 45412.873 | 
| -545329.177 | -455554.800 | -471797.387 | -6258.002 | 40885.857 | 33559.950 | 
| -521764.298 | -431355.981 | -458897.123 | 9993.518 | 41485.605 | 46695.826 | 
| -528791.572 | -427389.380 | -464719.603 | 7665.869 | 38738.113 | 42291.934 | 
| 519690.041 | 438824.253 | 435608.459 | -4095.570 | -43647.505 | -42457.450 | 
| 549555.566 | 439713.357 | 467292.061 | -14367.097 | -51944.517 | -44946.391 | 
| 540930.964 | 443783.307 | 470681.848 | -9021.963 | -47756.515 | -42349.386 | 
| 529508.301 | 441508.437 | 455593.130 | -14475.558 | -55168.551 | -38414.749 | 
| 533066.755 | 448732.869 | 454522.833 | 6704.547 | -36216.575 | -37062.489 | 
| 537180.475 | 448021.361 | 462118.577 | -11444.535 | -39765.142 | -44868.628 | 
| -55195.234 | -44490.472 | -45830.081 | 506.483 | 4189.226 | 3913.526 | 
| -55155.295 | -44073.962 | -46959.157 | 216.861 | 4773.663 | 3818.905 | 
| -53400.695 | -43034.368 | -44973.429 | 170.322 | 5191.263 | 4270.765 | 
| -55448.197 | -44882.226 | -48186.121 | -209.867 | 4462.367 | 3904.842 | 
| -54001.655 | -44605.995 | -46218.410 | 824.255 | 4814.341 | 3918.864 | 
| -56603.685 | -45060.070 | -47987.170 | 646.371 | 4911.259 | 3120.044 | 
| 52968.845 | 44322.266 | 45901.044 | -33.968 | -3408.951 | -3939.631 | 
| 52167.337 | 43913.637 | 45198.074 | -1410.938 | -4623.358 | -4831.038 | 
| 56198.166 | 46418.563 | 47138.317 | 184.847 | -4616.099 | -3194.033 | 
| 52599.866 | 45022.998 | 46614.269 | -460.030 | -4776.183 | -4832.726 | 
| 53016.129 | 43714.434 | 46113.128 | 158.452 | -3872.241 | -4779.290 | 
| 53635.570 | 43024.140 | 43921.368 | -344.313 | -4747.037 | -4287.748 | 
| 148.920 | 157.658 | 157.658 | -0.000 | 0.000 | -0.000 | 
| 157.658 | 148.920 | 157.658 | 0.000 | -0.000 | -0.000 | 
| 157.658 | 157.658 | 148.920 | -0.000 | 0.000 | 0.000 | 
| -0.000 | -0.000 | -0.000 | 135.046 | 0.000 | -0.000 | 
| -0.000 | -0.000 | -0.000 | 0.000 | 135.046 | 0.000 | 
| -0.000 | -0.000 | -0.000 | -0.000 | 0.000 | 135.046 | 
| 148.920 | 157.658 | 157.658 | -0.000 | 0.000 | -0.000 | 
| 157.658 | 148.920 | 157.658 | 0.000 | 0.000 | -0.000 | 
| 157.658 | 157.658 | 148.920 | -0.000 | 0.000 | 0.000 | 
| 0.000 | 0.000 | 0.000 | 135.046 | 0.000 | -0.000 | 
| 0.000 | 0.000 | 0.000 | 0.000 | 135.046 | 0.000 | 
| 0.000 | 0.000 | 0.000 | 0.000 | 0.000 | 135.046 | 
| 148.920 | 157.658 | 157.658 | -0.000 | -0.000 | 0.000 | 
| 157.658 | 148.920 | 157.658 | -0.000 | -0.000 | 0.000 | 
| 157.658 | 157.658 | 148.920 | -0.000 | -0.000 | 0.000 | 
| 0.000 | -0.000 | 0.000 | 135.046 | 0.000 | -0.000 | 
| -0.000 | 0.000 | 0.000 | 0.000 | 135.046 | -0.000 | 
| -0.000 | 0.000 | 0.000 | -0.000 | -0.000 | 135.046 | 
| 148.920 | 157.658 | 157.658 | 0.000 | 0.000 | -0.000 | 
| 157.658 | 148.920 | 157.658 | 0.000 | -0.000 | 0.000 | 
| 157.658 | 157.658 | 148.920 | -0.000 | -0.000 | 0.000 | 
| -0.000 | 0.000 | -0.000 | 135.046 | 0.000 | -0.000 | 
| 0.000 | -0.000 | -0.000 | -0.000 | 135.046 | -0.000 | 
| 0.000 | -0.000 | -0.000 | 0.000 | 0.000 | 135.046 | 
| 148.921 | 157.659 | 157.659 | -0.000 | -0.000 | 0.000 | 
| 157.659 | 148.921 | 157.659 | -0.000 | -0.000 | 0.000 | 
| 157.659 | 157.659 | 148.921 | -0.000 | -0.000 | -0.000 | 
| 0.000 | -0.000 | 0.000 | 135.046 | -0.000 | -0.000 | 
| -0.000 | 0.000 | 0.000 | -0.000 | 135.046 | 0.000 | 
| -0.000 | 0.000 | 0.000 | 0.000 | -0.000 | 135.046 | 
| 148.920 | 157.658 | 157.658 | 0.000 | 0.000 | 0.000 | 
| 157.658 | 148.920 | 157.658 | 0.000 | 0.000 | -0.000 | 
| 157.658 | 157.658 | 148.920 | -0.000 | 0.000 | 0.000 | 
| -0.000 | 0.000 | -0.000 | 135.046 | 0.000 | 0.000 | 
| 0.000 | -0.000 | -0.000 | 0.000 | 135.046 | -0.000 | 
| 0.000 | -0.000 | -0.000 | 0.000 | 0.000 | 135.046 | 
| 275.791 | 109.959 | 75.800 | 0.000 | -0.000 | 0.000 | 
| 109.959 | 275.791 | 75.800 | 0.000 | -0.000 | 0.000 | 
| 75.800 | 75.800 | 302.776 | 0.000 | -0.000 | 0.000 | 
| 0.000 | 0.000 | 0.000 | 50.972 | -0.000 | 0.000 | 
| 0.000 | 0.000 | 0.000 | 0.000 | 50.972 | 0.000 | 
| 0.000 | 0.000 | 0.000 | 0.000 | -0.000 | 82.916 | 
| 275.791 | 109.959 | 75.800 | -0.000 | -0.000 | -0.000 | 
| 109.959 | 275.791 | 75.800 | -0.000 | 0.000 | 0.000 | 
| 75.800 | 75.800 | 302.776 | -0.000 | 0.000 | -0.000 | 
| -0.000 | -0.000 | -0.000 | 50.972 | 0.000 | -0.000 | 
| -0.000 | -0.000 | -0.000 | -0.000 | 50.972 | -0.000 | 
| -0.000 | -0.000 | -0.000 | -0.000 | 0.000 | 82.916 | 
| 259.339 | 126.411 | 75.800 | 0.000 | 0.000 | 0.000 | 
| 126.411 | 259.339 | 75.800 | 0.000 | -0.000 | 0.000 | 
| 75.800 | 75.800 | 302.776 | 0.000 | 0.000 | 0.000 | 
| -0.000 | -0.000 | 0.000 | 50.972 | -0.000 | 0.000 | 
| -0.000 | -0.000 | 0.000 | 0.000 | 50.972 | 0.000 | 
| -0.000 | 0.000 | 0.000 | 0.000 | 0.000 | 82.916 | 
| 259.339 | 126.411 | 75.800 | 0.000 | 0.000 | -0.000 | 
| 126.411 | 259.339 | 75.800 | -0.000 | 0.000 | -0.000 | 
| 75.800 | 75.800 | 302.776 | -0.000 | -0.000 | -0.000 | 
| 0.000 | 0.000 | -0.000 | 50.972 | -0.000 | -0.000 | 
| 0.000 | 0.000 | -0.000 | -0.000 | 50.972 | -0.000 | 
| 0.000 | -0.000 | -0.000 | -0.000 | -0.000 | 82.916 | 
| 259.341 | 126.411 | 75.800 | 0.000 | 0.000 | 0.000 | 
| 109.960 | 275.792 | 75.800 | 0.000 | 0.000 | 0.000 | 
| 75.801 | 75.801 | 302.777 | 0.000 | -0.000 | 0.000 | 
| 0.000 | -0.000 | 0.000 | 50.972 | -0.000 | 0.000 | 
| -0.000 | 0.000 | 0.000 | 0.000 | 50.972 | 0.000 | 
| -0.000 | 0.000 | -0.000 | 0.000 | 0.000 | 66.464 | 
| 259.338 | 126.410 | 75.800 | -0.000 | -0.000 | -0.000 | 
| 126.410 | 259.338 | 75.800 | -0.000 | -0.000 | 0.000 | 
| 75.800 | 75.800 | 302.776 | -0.000 | 0.000 | -0.000 | 
| -0.000 | 0.000 | -0.000 | 50.972 | -0.000 | -0.000 | 
| 0.000 | -0.000 | -0.000 | -0.000 | 50.972 | -0.000 | 
| 0.000 | -0.000 | 0.000 | -0.000 | 0.000 | 66.464 | 
| 262.461 | 121.444 | 81.032 | 0.000 | -0.000 | -0.000 | 
| 129.952 | 253.952 | 81.032 | 0.000 | 0.000 | -0.000 | 
| 81.032 | 81.032 | 287.562 | 0.000 | -0.000 | -0.000 | 
| -0.000 | -0.000 | -0.000 | 34.894 | 0.000 | -0.000 | 
| -0.000 | -0.000 | -0.000 | 0.000 | 34.894 | -0.000 | 
| -0.000 | 0.000 | -0.000 | -0.000 | 0.000 | 62.000 | 
| 253.952 | 129.952 | 81.032 | -0.000 | -0.000 | 0.000 | 
| 129.952 | 253.952 | 81.032 | -0.000 | 0.000 | 0.000 | 
| 81.032 | 81.032 | 287.562 | -0.000 | -0.000 | 0.000 | 
| 0.000 | 0.000 | 0.000 | 34.894 | -0.000 | -0.000 | 
| 0.000 | 0.000 | 0.000 | 0.000 | 34.894 | 0.000 | 
| 0.000 | -0.000 | 0.000 | -0.000 | -0.000 | 62.000 | 
| 253.952 | 129.952 | 81.032 | -0.000 | -0.000 | -0.000 | 
| 129.952 | 253.952 | 81.032 | 0.000 | 0.000 | 0.000 | 
| 81.033 | 81.033 | 287.562 | 0.000 | 0.000 | -0.000 | 
| -0.000 | -0.000 | 0.000 | 34.894 | 0.000 | -0.000 | 
| -0.000 | -0.000 | 0.000 | 0.000 | 34.894 | -0.000 | 
| -0.000 | 0.000 | -0.000 | 0.000 | 0.000 | 62.000 | 
| 262.460 | 121.444 | 81.032 | -0.000 | -0.000 | 0.000 | 
| 121.444 | 262.460 | 81.032 | 0.000 | -0.000 | 0.000 | 
| 81.032 | 81.032 | 287.561 | -0.000 | -0.000 | 0.000 | 
| 0.000 | 0.000 | -0.000 | 34.894 | 0.000 | -0.000 | 
| 0.000 | 0.000 | -0.000 | -0.000 | 34.894 | -0.000 | 
| 0.000 | -0.000 | 0.000 | -0.000 | 0.000 | 62.000 | 
| 253.954 | 129.953 | 81.032 | -0.000 | 0.000 | 0.000 | 
| 121.445 | 262.462 | 81.032 | -0.000 | 0.000 | -0.000 | 
| 81.033 | 81.033 | 287.562 | 0.000 | 0.000 | -0.000 | 
| 0.000 | -0.000 | 0.000 | 34.894 | -0.000 | -0.000 | 
| -0.000 | -0.000 | 0.000 | 0.000 | 34.894 | -0.000 | 
| -0.000 | 0.000 | -0.000 | 0.000 | -0.000 | 62.000 | 
| 262.459 | 121.444 | 81.032 | -0.000 | -0.000 | 0.000 | 
| 129.952 | 253.951 | 81.033 | -0.000 | -0.000 | -0.000 | 
| 81.032 | 81.032 | 287.561 | -0.000 | -0.000 | -0.000 | 
| -0.000 | 0.000 | -0.000 | 34.894 | -0.000 | 0.000 | 
| 0.000 | 0.000 | -0.000 | 0.000 | 34.894 | 0.000 | 
| 0.000 | -0.000 | 0.000 | -0.000 | -0.000 | 62.000 | 
| 20.873 | 167.659 | 167.659 | 0.007 | 0.005 | 0.005 | 
| 167.659 | 20.873 | 167.659 | 0.005 | 0.007 | 0.005 | 
| 167.659 | 167.659 | 20.873 | 0.005 | 0.005 | 0.007 | 
| -423533466.001 | -473576295.478 | -441003341.666 | 17844568.399 | -37636.855 | -6603409.410 | 
| -456773834.945 | -433306400.589 | -438992656.199 | 1695460.817 | 16978791.139 | -6313575.383 | 
| -445156155.111 | -456197319.772 | -440139947.300 | 7738136.841 | -3193957.349 | 21505726.937 | 
| 20.873 | 167.659 | 167.659 | 0.000 | -0.000 | -0.000 | 
| 167.659 | 20.873 | 167.659 | -0.000 | 0.000 | -0.000 | 
| 167.659 | 167.659 | 20.873 | -0.000 | -0.000 | 0.000 | 
| 448738787.027 | 434826618.927 | 437380520.042 | -2937216.802 | 852132.491 | -788631.769 | 
| 501196269.334 | 451129659.360 | 501346718.320 | 2537018.923 | 34951053.125 | 1091533.708 | 
| 458702619.547 | 446494119.634 | 432448689.973 | 470922.590 | 2678217.798 | 6867389.060 | 
| 20.873 | 167.659 | 167.659 | 0.001 | 0.001 | 0.001 | 
| 167.659 | 20.873 | 167.659 | 0.001 | 0.001 | 0.001 | 
| 167.659 | 167.659 | 20.873 | 0.001 | 0.001 | 0.001 | 
| -42626007.443 | -43492992.596 | -42984627.165 | -436940.932 | 198796.215 | -309535.041 | 
| -44923664.097 | -44753333.621 | -43310368.984 | -303010.919 | -784876.299 | -261813.979 | 
| -63448827.336 | -63448830.818 | -57498426.725 | 0.079 | -0.020 | -17408902.792 | 
| 20.873 | 167.658 | 167.658 | 0.000 | -0.000 | -0.000 | 
| 167.658 | 20.873 | 167.658 | -0.000 | 0.000 | -0.000 | 
| 167.658 | 167.658 | 20.873 | -0.000 | -0.000 | 0.000 | 
| 41829102.923 | 44864003.654 | 46592092.623 | 1483500.257 | 227837.050 | 23947.440 | 
| 63448827.336 | 57498426.724 | 63448830.818 | -2.232 | -17408902.790 | -2.255 | 
| 44477530.069 | 44069114.159 | 42952648.582 | -442702.532 | -265362.594 | -605786.453 | 
| 20.873 | 167.660 | 167.660 | 0.000 | 0.000 | 0.000 | 
| 167.660 | 20.873 | 167.660 | 0.000 | 0.000 | 0.000 | 
| 167.660 | 167.660 | 20.873 | 0.000 | 0.000 | 0.000 | 
| -5749839.349 | -6344874.218 | -6344877.700 | -1740881.085 | -0.002 | 0.000 | 
| -6344874.218 | -5749839.349 | -6344877.700 | -0.002 | -1740881.085 | 0.000 | 
| -6344874.218 | -6344877.700 | -5749839.349 | -0.002 | 0.000 | -1740881.085 | 
| 20.874 | 167.657 | 167.657 | -0.000 | -0.000 | -0.000 | 
| 167.657 | 20.874 | 167.657 | -0.000 | -0.000 | -0.000 | 
| 167.657 | 167.657 | 20.874 | -0.000 | -0.000 | -0.000 | 
| 5749839.349 | 6344874.218 | 6344877.700 | -1740881.085 | -0.020 | -0.019 | 
| 6344874.218 | 5749839.349 | 6344877.700 | -0.020 | -1740881.085 | -0.019 | 
| 6344874.218 | 6344877.700 | 5749839.349 | -0.020 | -0.019 | -1740881.085 | 
| 243.692 | 37.534 | 58.649 | 0.000 | 0.000 | -0.000 | 
| 37.534 | 243.692 | 58.649 | 0.000 | 0.000 | 0.000 | 
| 58.649 | 58.649 | 336.753 | 0.000 | 0.000 | 0.000 | 
| 0.000 | 0.000 | -0.000 | 6.890 | 0.000 | 0.000 | 
| 0.000 | 0.000 | -0.000 | 0.000 | 6.890 | -0.000 | 
| -0.000 | 0.000 | -0.000 | -0.000 | 0.000 | -23.034 | 
| 243.692 | 37.534 | 58.649 | -0.000 | -0.000 | -0.000 | 
| 37.534 | 243.692 | 58.649 | 0.000 | -0.000 | -0.000 | 
| 58.649 | 58.649 | 336.753 | 0.000 | 0.000 | -0.000 | 
| -0.000 | -0.000 | 0.000 | 6.890 | -0.000 | 0.000 | 
| -0.000 | -0.000 | -0.000 | -0.000 | 6.890 | 0.000 | 
| 0.000 | -0.000 | 0.000 | -0.000 | -0.000 | -23.034 | 
| 243.692 | 37.534 | 58.649 | -0.000 | 0.000 | 0.000 | 
| 37.534 | 243.692 | 58.649 | 0.000 | 0.000 | -0.000 | 
| 58.649 | 58.649 | 336.754 | 0.000 | 0.000 | 0.000 | 
| -0.000 | 0.000 | -0.000 | 6.890 | 0.000 | 0.000 | 
| 0.000 | -0.000 | -0.000 | 0.000 | 6.890 | 0.000 | 
| 0.000 | -0.000 | -0.000 | -0.000 | 0.000 | -23.034 | 
| 243.692 | 37.534 | 58.649 | -0.000 | -0.000 | -0.000 | 
| 37.534 | 243.692 | 58.649 | -0.000 | -0.000 | -0.000 | 
| 58.649 | 58.649 | 336.753 | 0.000 | -0.000 | -0.000 | 
| 0.000 | -0.000 | 0.000 | 6.890 | -0.000 | 0.000 | 
| -0.000 | 0.000 | 0.000 | 0.000 | 6.890 | -0.000 | 
| -0.000 | 0.000 | 0.000 | 0.000 | -0.000 | -23.034 | 
| 243.692 | 37.534 | 58.650 | -0.000 | 0.000 | 0.000 | 
| 37.534 | 243.692 | 58.650 | 0.000 | 0.000 | 0.000 | 
| 58.649 | 58.649 | 336.756 | 0.000 | 0.000 | -0.000 | 
| -17358661.398 | 7259276.482 | 19426.325 | -3714539.634 | 0.025 | 0.019 | 
| -10527014.971 | -11826756.908 | -10721660.501 | -521815.918 | -1043493.263 | 1770207.012 | 
| 0.000 | -0.000 | -0.000 | 0.000 | 0.000 | -23.034 | 
| 243.692 | 37.534 | 58.648 | -0.000 | -0.000 | 0.000 | 
| 37.534 | 243.692 | 58.648 | 0.000 | -0.000 | 0.000 | 
| 58.649 | 58.649 | 336.751 | 0.000 | -0.000 | -0.000 | 
| 17358661.397 | -7259276.481 | -19426.325 | -3714539.634 | -0.022 | 0.017 | 
| 10916369.778 | 11053703.166 | 10443078.374 | 630667.909 | -764555.058 | 1646567.173 | 
| -0.000 | 0.000 | 0.000 | -0.000 | -0.000 | -23.034 | 
| 92.595 | -0.335 | 0.000 | 0.000 | 0.000 | 0.000 | 
| -0.335 | 92.595 | 0.000 | 0.000 | 0.000 | 0.000 | 
| 0.000 | -0.000 | 0.000 | 0.000 | 0.000 | 0.000 | 
| -0.000 | -0.000 | 0.000 | 0.000 | 0.000 | 0.000 | 
| -0.000 | -0.000 | 0.000 | 0.000 | 0.000 | -0.000 | 
| -0.000 | -0.000 | 0.000 | 0.000 | 0.000 | 6.408 | 
| 92.595 | -0.335 | -0.000 | -0.000 | -0.000 | -0.000 | 
| -0.335 | 92.595 | -0.000 | -0.000 | -0.000 | -0.000 | 
| -0.000 | 0.000 | -0.000 | -0.000 | -0.000 | -0.000 | 
| 0.000 | 0.000 | -0.000 | -0.000 | -0.000 | -0.000 | 
| 0.000 | 0.000 | -0.000 | -0.000 | -0.000 | -0.000 | 
| 0.000 | 0.000 | -0.000 | -0.000 | -0.000 | 6.408 | 
| 92.596 | -0.335 | 0.000 | 0.000 | 0.000 | 0.000 | 
| -0.335 | 92.596 | 0.000 | 0.000 | 0.000 | -0.000 | 
| 0.000 | -0.000 | 0.000 | 0.000 | 0.000 | 0.000 | 
| -0.000 | -0.000 | 0.000 | 0.000 | 0.000 | -0.000 | 
| -0.000 | -0.000 | 0.000 | 0.000 | 0.000 | 0.000 | 
| 0.000 | -0.000 | 0.000 | 0.000 | 0.000 | 6.408 | 
| 92.595 | -0.335 | -0.000 | -0.000 | -0.000 | -0.000 | 
| -0.335 | 92.595 | -0.000 | -0.000 | -0.000 | 0.000 | 
| -0.000 | 0.000 | -0.000 | -0.000 | -0.000 | -0.000 | 
| 0.000 | 0.000 | -0.000 | -0.000 | -0.000 | -0.000 | 
| 0.000 | 0.000 | -0.000 | -0.000 | -0.000 | -0.000 | 
| -0.000 | 0.000 | -0.000 | -0.000 | -0.000 | 6.408 | 
| 92.596 | -0.335 | 0.000 | 0.000 | 0.000 | 0.000 | 
| -0.335 | 92.596 | 0.000 | 0.000 | 0.000 | 0.000 | 
| 489.042 | 489.042 | 5179.898 | 0.000 | 0.000 | 0.000 | 
| -0.000 | -0.000 | 0.000 | 0.000 | 0.000 | 0.000 | 
| -0.000 | -0.000 | 0.000 | 0.000 | 0.000 | 0.000 | 
| 0.000 | -0.000 | 0.000 | 0.000 | 0.000 | 6.408 | 
| 92.595 | -0.335 | -0.000 | -0.000 | -0.000 | -0.000 | 
| -0.335 | 92.595 | -0.000 | -0.000 | -0.000 | -0.000 | 
| -0.000 | 0.000 | -0.000 | -0.000 | -0.000 | -0.000 | 
| 0.000 | -0.000 | -0.000 | -0.000 | -0.000 | -0.000 | 
| 0.000 | 0.000 | -0.000 | -0.000 | -0.000 | 0.000 | 
| -0.000 | 0.000 | -0.000 | -0.000 | -0.000 | 6.408 | 
| 312.210 | 8.367 | 83.853 | -202.076 | 0.000 | -0.000 | 
| 249.994 | -7.583 | 120.713 | -120.039 | 0.000 | -0.000 | 
| 124.692 | 124.692 | 53.336 | 0.000 | 0.000 | -0.000 | 
| 120.861 | -119.186 | -0.790 | -156.331 | 0.000 | -0.000 | 
| 0.000 | 0.000 | -0.000 | -0.000 | 213.279 | -202.076 | 
| 0.000 | 0.000 | -0.000 | -0.000 | -202.076 | 151.922 | 
| 312.210 | 8.367 | 83.853 | -202.076 | -0.000 | 0.000 | 
| 8.367 | 312.210 | 83.853 | 202.076 | -0.000 | -0.000 | 
| 87.742 | 87.742 | 88.185 | -0.000 | -0.000 | 0.000 | 
| -202.076 | 202.076 | -0.000 | 213.279 | -0.000 | -0.000 | 
| -0.000 | -0.000 | 0.000 | 0.000 | 213.279 | -202.076 | 
| -0.000 | -0.000 | 0.000 | 0.000 | -202.076 | 151.922 | 
| 312.210 | 8.367 | 83.853 | -202.077 | 0.000 | -0.000 | 
| 249.938 | -7.662 | 120.777 | -120.052 | 0.000 | -0.000 | 
| 87.742 | 87.742 | 88.185 | 0.000 | 0.000 | -0.000 | 
| -202.076 | 202.076 | 0.000 | 213.279 | 0.000 | 0.000 | 
| 0.000 | -0.000 | 0.000 | -0.000 | 213.279 | -202.076 | 
| 0.000 | -0.000 | 0.000 | -0.000 | -202.076 | 151.922 | 
| -7.601 | 249.966 | 120.734 | 120.033 | -0.000 | 0.000 | 
| 249.957 | -7.592 | 120.735 | -120.023 | -0.000 | 0.000 | 
| 124.644 | 124.644 | 53.382 | -0.000 | -0.000 | 0.000 | 
| -202.076 | 202.076 | -0.000 | 213.279 | -0.000 | -0.000 | 
| -0.000 | 0.000 | -0.000 | 0.000 | 213.279 | -202.076 | 
| -0.000 | 0.000 | -0.000 | 0.000 | -202.076 | 151.922 | 
| -7.936 | 249.709 | 121.015 | 120.077 | -0.000 | 0.000 | 
| 254.091 | 22.009 | 104.828 | -105.410 | 0.000 | -0.000 | 
| 124.924 | 124.924 | 53.118 | -0.000 | 0.000 | 0.000 | 
| 120.101 | -120.073 | -0.013 | -156.404 | 0.000 | -0.000 | 
| 0.014 | 0.014 | -0.013 | -0.000 | -156.348 | 120.037 | 
| -0.000 | -0.000 | 0.000 | -0.000 | -202.076 | 151.922 | 
| -7.697 | 250.026 | 120.751 | 120.123 | -0.000 | 0.000 | 
| 250.091 | -7.234 | 120.502 | -119.894 | -0.000 | -0.000 | 
| 124.682 | 124.682 | 53.345 | 0.000 | -0.000 | -0.000 | 
| 119.992 | -119.990 | -0.001 | -156.294 | -0.000 | -0.000 | 
| -0.014 | -0.014 | 0.013 | 0.000 | -156.348 | 120.037 | 
| 0.000 | 0.000 | -0.000 | 0.000 | -202.076 | 151.922 | 
| 612.019 | -150.063 | -150.063 | 0.000 | 0.000 | 0.000 | 
| -150.063 | 612.019 | -150.063 | 0.000 | 0.000 | 0.000 | 
| -150.063 | -150.063 | 612.019 | 0.000 | 0.000 | 0.000 | 
| -0.000 | 0.000 | -0.000 | -8.797 | -0.000 | 0.000 | 
| 0.000 | -0.000 | -0.000 | 0.000 | -8.797 | 0.000 | 
| 0.000 | -0.000 | -0.000 | 0.000 | 0.000 | -8.797 | 
| 612.019 | -150.063 | -150.063 | -0.000 | -0.000 | -0.000 | 
| -150.063 | 612.019 | -150.063 | -0.000 | -0.000 | -0.000 | 
| -150.063 | -150.063 | 612.019 | -0.000 | 0.000 | -0.000 | 
| 0.000 | -0.000 | 0.000 | -8.797 | -0.000 | -0.000 | 
| -0.000 | 0.000 | 0.000 | -0.000 | -8.797 | -0.000 | 
| -0.000 | 0.000 | 0.000 | -0.000 | -0.000 | -8.797 | 
| 612.019 | -150.063 | -150.063 | 0.000 | 0.000 | 0.000 | 
| -150.063 | 612.019 | -150.063 | 0.000 | 0.000 | 0.000 | 
| -150.063 | -150.063 | 612.019 | 0.000 | 0.000 | 0.000 | 
| -0.000 | 0.000 | -0.000 | -8.797 | 0.000 | 0.000 | 
| 0.000 | -0.000 | -0.000 | 0.000 | -8.797 | 0.000 | 
| 0.000 | -0.000 | -0.000 | 0.000 | 0.000 | -8.797 | 
| 612.019 | -150.062 | -150.062 | -0.000 | 0.000 | 0.000 | 
| -150.062 | 612.019 | -150.062 | -0.000 | -0.000 | -0.000 | 
| -150.062 | -150.062 | 612.019 | -0.000 | -0.000 | -0.000 | 
| 0.000 | -0.000 | 0.000 | -8.797 | -0.000 | -0.000 | 
| -0.000 | 0.000 | 0.000 | 0.000 | -8.797 | -0.000 | 
| -0.000 | 0.000 | 0.000 | -0.000 | -0.000 | -8.797 | 
| 612.023 | -150.063 | -150.063 | 0.000 | 0.000 | 0.000 | 
| -150.063 | 612.023 | -150.063 | 0.000 | 0.000 | 0.000 | 
| -150.063 | -150.063 | 612.023 | 0.000 | 0.000 | 0.000 | 
| -0.000 | 0.000 | -0.000 | -8.797 | -0.000 | 0.000 | 
| 0.000 | -0.000 | -0.000 | 0.000 | -8.797 | 0.000 | 
| 0.000 | -0.000 | -0.000 | 0.000 | -0.000 | -8.797 | 
| 612.015 | -150.062 | -150.062 | -0.000 | -0.000 | -0.000 | 
| -150.062 | 612.015 | -150.062 | -0.000 | -0.000 | -0.000 | 
| -150.062 | -150.062 | 612.015 | -0.000 | 0.000 | -0.000 | 
| 0.000 | -0.000 | 0.000 | -8.797 | -0.000 | -0.000 | 
| -0.000 | 0.000 | 0.000 | -0.000 | -8.797 | -0.000 | 
| -0.000 | 0.000 | 0.000 | -0.000 | -0.000 | -8.797 | 
| 66103958.229 | 66519634.102 | 63615011.850 | -864171.324 | 2415483.622 | -24967.533 | 
| 65842817.955 | 66487819.020 | 63386144.419 | -771067.476 | 2381672.437 | -28325.236 | 
| 65607137.363 | 66155300.941 | 63199665.840 | -678613.202 | 2287080.088 | -72111.259 | 
| 65891759.604 | 66546656.143 | 63500998.642 | -849007.006 | 2399615.069 | 11083.243 | 
| 65479312.603 | 66307751.043 | 63243439.818 | -716860.759 | 2311839.245 | -86513.948 | 
| 65698870.811 | 66437671.487 | 63254039.772 | -825275.130 | 2282480.796 | -80341.013 | 
| -65827189.198 | -66407256.141 | -63335998.132 | 769211.023 | -2232861.782 | 84912.366 | 
| -65050301.100 | -65728501.352 | -62750452.635 | 778221.166 | -2361781.910 | 186398.235 | 
| -65608865.068 | -66427019.024 | -63313478.507 | 773351.173 | -2378576.732 | 105253.144 | 
| -65121710.703 | -65814240.664 | -62812563.251 | 724926.309 | -2323029.534 | 110681.358 | 
| -65974672.167 | -66447896.229 | -63568377.487 | 879075.471 | -2473465.490 | 19176.255 | 
| -65878884.269 | -66433717.076 | -63387355.944 | 827785.360 | -2387459.684 | 15539.305 | 
| 6531272.660 | 6600541.085 | 6298348.033 | -79421.605 | 233783.450 | -10458.216 | 
| 6572460.029 | 6645885.036 | 6350285.163 | -83253.661 | 245317.924 | -4471.102 | 
| 6582418.224 | 6645681.015 | 6344114.903 | -79776.944 | 240519.726 | -3992.740 | 
| 6593558.638 | 6648333.680 | 6351280.008 | -81252.740 | 235887.693 | -2464.483 | 
| 6571154.317 | 6615489.430 | 6318857.651 | -77441.486 | 224651.432 | -5334.120 | 
| 6571062.749 | 6644074.587 | 6334751.686 | -82697.540 | 236225.234 | -5529.729 | 
| -6558022.113 | -6615704.227 | -6309788.802 | 87000.612 | -226823.197 | 1024.216 | 
| -6551448.669 | -6623345.448 | -6317704.814 | 75267.114 | -229143.525 | 3268.649 | 
| -6586406.338 | -6646683.258 | -6342470.248 | 79289.172 | -234317.596 | 4640.746 | 
| -6540577.525 | -6621055.356 | -6318444.259 | 71432.921 | -233575.438 | 8915.133 | 
| -6551737.719 | -6602226.731 | -6312193.665 | 75479.149 | -234328.045 | 2232.432 | 
| -6579489.887 | -6634276.660 | -6335434.502 | 85147.561 | -236275.958 | 2376.298 | 
| 653325.053 | 660281.005 | 630515.143 | -7389.848 | 23182.824 | -474.327 | 
| 654168.111 | 659869.374 | 630533.426 | -7780.062 | 23222.000 | -214.589 | 
| 661331.545 | 665045.116 | 637099.136 | -7697.003 | 24405.552 | -63.616 | 
| 654613.330 | 662429.215 | 631671.964 | -8094.882 | 23446.368 | -448.734 | 
| 656406.164 | 663244.685 | 632376.266 | -7652.404 | 22364.008 | -506.475 | 
| 660390.152 | 667092.707 | 637560.930 | -7604.968 | 24422.086 | -1385.598 | 
| -652827.144 | -659657.460 | -630013.402 | 7675.895 | -23160.609 | 737.422 | 
| -661996.820 | -666175.275 | -636543.656 | 8230.046 | -23977.997 | 1014.142 | 
| -656362.793 | -663394.181 | -633687.249 | 8377.334 | -23593.628 | 443.341 | 
| -653113.858 | -659814.499 | -630262.018 | 7400.321 | -23236.396 | 736.318 | 
| -653125.101 | -659505.831 | -629851.409 | 7289.191 | -22633.087 | 775.928 | 
| -656721.479 | -661870.731 | -631824.378 | 6574.798 | -22668.178 | 449.357 | 
| 278.601 | 91.113 | 91.113 | 0.000 | -0.000 | 0.000 | 
| 91.113 | 278.601 | 91.113 | 0.000 | -0.000 | 0.000 | 
| 91.113 | 91.113 | 278.601 | 0.000 | 0.000 | 0.000 | 
| -250.491 | -250.491 | -250.491 | 53.060 | 0.000 | 0.000 | 
| -250.491 | -250.491 | -250.491 | 0.000 | 53.060 | 0.000 | 
| -250.491 | -250.491 | -250.491 | 0.000 | 0.000 | 53.060 | 
| 278.601 | 91.113 | 91.113 | -0.000 | 0.000 | -0.000 | 
| 91.113 | 278.601 | 91.113 | -0.000 | 0.000 | -0.000 | 
| 91.113 | 91.113 | 278.601 | -0.000 | 0.000 | -0.000 | 
| 250.491 | 250.491 | 250.491 | 53.060 | -0.000 | -0.000 | 
| 250.491 | 250.491 | 250.491 | -0.000 | 53.060 | -0.000 | 
| 250.491 | 250.491 | 250.491 | -0.000 | -0.000 | 53.060 | 
| 228.445 | 69.758 | 69.758 | 0.000 | -0.000 | -0.000 | 
| 69.758 | 228.445 | 69.758 | 0.000 | 0.000 | -0.000 | 
| 69.758 | 69.758 | 228.445 | 0.000 | -0.000 | -0.000 | 
| -25.152 | -25.152 | -25.152 | 53.012 | 0.000 | 0.000 | 
| -25.152 | -25.152 | -25.152 | 0.000 | 53.012 | 0.000 | 
| -25.152 | -25.152 | -25.152 | 0.000 | 0.000 | 53.012 | 
| 283.621 | 115.484 | 115.484 | -0.000 | 0.000 | 0.000 | 
| 115.484 | 283.621 | 115.484 | -0.000 | 0.000 | 0.000 | 
| 115.484 | 115.484 | 283.621 | -0.000 | 0.000 | 0.000 | 
| 25.152 | 25.152 | 25.152 | 53.012 | 0.000 | -0.000 | 
| 25.152 | 25.152 | 25.152 | -0.000 | 53.012 | -0.000 | 
| 25.152 | 25.152 | 25.152 | -0.000 | -0.000 | 53.012 | 
| 258.977 | 95.498 | 95.498 | 0.000 | -0.000 | 0.000 | 
| 95.498 | 258.977 | 95.498 | 0.000 | -0.000 | 0.000 | 
| 95.498 | 95.498 | 258.977 | 0.000 | -0.000 | 0.000 | 
| -2.916 | -2.916 | -2.916 | 50.604 | -0.000 | -0.000 | 
| -2.916 | -2.916 | -2.916 | 0.000 | 50.604 | -0.000 | 
| -2.916 | -2.916 | -2.916 | 0.000 | -0.000 | 50.604 | 
| 278.600 | 91.113 | 91.113 | -0.000 | 0.000 | -0.000 | 
| 91.113 | 278.600 | 91.113 | -0.000 | -0.000 | -0.000 | 
| 91.113 | 91.113 | 278.600 | -0.000 | 0.000 | -0.000 | 
| 2.916 | 2.916 | 2.916 | 50.604 | 0.000 | 0.000 | 
| 2.916 | 2.916 | 2.916 | -0.000 | 50.604 | 0.000 | 
| 2.916 | 2.916 | 2.916 | -0.000 | 0.000 | 50.604 | 
| 270.285 | 86.945 | 86.945 | -0.000 | -0.000 | -0.000 | 
| 86.945 | 270.285 | 86.945 | -0.000 | -0.000 | -0.000 | 
| 86.945 | 86.945 | 270.285 | -0.000 | 0.000 | -0.000 | 
| 0.000 | 0.000 | 0.000 | 54.395 | 0.000 | -0.000 | 
| 0.000 | 0.000 | 0.000 | -0.000 | 54.395 | -0.000 | 
| 0.000 | 0.000 | 0.000 | -0.000 | 0.000 | 54.395 | 
| 270.285 | 86.945 | 86.945 | 0.000 | -0.000 | 0.000 | 
| 86.945 | 270.285 | 86.945 | 0.000 | -0.000 | 0.000 | 
| 86.945 | 86.945 | 270.285 | 0.000 | 0.000 | 0.000 | 
| -0.000 | -0.000 | -0.000 | 54.395 | 0.000 | 0.000 | 
| -0.000 | -0.000 | -0.000 | 0.000 | 54.395 | 0.000 | 
| -0.000 | -0.000 | -0.000 | 0.000 | 0.000 | 54.395 | 
| 261.222 | 90.981 | 90.981 | -0.000 | -0.000 | -0.000 | 
| 90.981 | 261.222 | 90.981 | -0.000 | -0.000 | -0.000 | 
| 90.981 | 90.981 | 261.223 | -0.000 | -0.000 | -0.000 | 
| 0.000 | 0.000 | 0.000 | 54.395 | -0.000 | -0.000 | 
| 0.000 | 0.000 | 0.000 | -0.000 | 54.395 | 0.000 | 
| 0.000 | 0.000 | 0.000 | -0.000 | -0.000 | 54.395 | 
| 270.285 | 86.945 | 86.945 | 0.000 | 0.000 | 0.000 | 
| 86.945 | 270.285 | 86.945 | 0.000 | 0.000 | 0.000 | 
| 86.945 | 86.945 | 270.285 | 0.000 | 0.000 | 0.000 | 
| -0.000 | -0.000 | -0.000 | 54.395 | 0.000 | 0.000 | 
| -0.000 | -0.000 | -0.000 | 0.000 | 54.395 | 0.000 | 
| -0.000 | -0.000 | -0.000 | 0.000 | 0.000 | 54.395 | 
| 258.307 | 89.514 | 89.514 | -0.000 | -0.000 | -0.000 | 
| 89.514 | 258.307 | 89.514 | -0.000 | -0.000 | -0.000 | 
| 89.514 | 89.514 | 258.307 | -0.000 | -0.000 | -0.000 | 
| 0.000 | 0.000 | 0.000 | 54.395 | -0.000 | -0.000 | 
| 0.000 | 0.000 | 0.000 | -0.000 | 54.395 | -0.000 | 
| 0.000 | 0.000 | 0.000 | -0.000 | -0.000 | 54.395 | 
| 270.284 | 86.945 | 86.945 | -0.000 | 0.000 | 0.000 | 
| 86.945 | 270.284 | 86.945 | 0.000 | 0.000 | 0.000 | 
| 86.945 | 86.945 | 270.284 | 0.000 | -0.000 | 0.000 | 
| -0.000 | -0.000 | -0.000 | 54.395 | -0.000 | -0.000 | 
| -0.000 | -0.000 | -0.000 | 0.000 | 54.395 | 0.000 | 
| -0.000 | -0.000 | -0.000 | 0.000 | 0.000 | 54.395 | 
| 229.458 | 44.802 | 44.802 | 0.000 | 0.000 | 0.000 | 
| 44.802 | 229.458 | 44.802 | 0.000 | 0.000 | 0.000 | 
| 44.802 | 44.802 | 229.458 | 0.000 | 0.000 | 0.000 | 
| -0.000 | 0.000 | 0.000 | 98.057 | 0.000 | 0.000 | 
| -0.000 | -0.000 | 0.000 | 0.000 | 98.057 | 0.000 | 
| -0.000 | 0.000 | 0.000 | 0.000 | 0.000 | 98.057 | 
| 229.458 | 44.802 | 44.802 | -0.000 | -0.000 | 0.000 | 
| 44.802 | 229.458 | 44.802 | 0.000 | -0.000 | -0.000 | 
| 44.802 | 44.802 | 229.458 | -0.000 | -0.000 | -0.000 | 
| 0.000 | 0.000 | -0.000 | 98.057 | -0.000 | -0.000 | 
| 0.000 | -0.000 | 0.000 | -0.000 | 98.057 | -0.000 | 
| 0.000 | 0.000 | -0.000 | -0.000 | -0.000 | 98.057 | 
| 229.458 | 44.802 | 44.802 | 0.000 | 0.000 | -0.000 | 
| 44.802 | 229.458 | 44.802 | -0.000 | 0.000 | 0.000 | 
| 44.802 | 44.802 | 229.458 | 0.000 | 0.000 | 0.000 | 
| -0.451 | -0.451 | -0.451 | 45.530 | -0.000 | 0.000 | 
| -0.451 | -0.451 | -0.451 | 0.000 | 45.530 | 0.000 | 
| -0.451 | -0.451 | -0.451 | 0.000 | -0.000 | 45.530 | 
| 229.458 | 44.802 | 44.802 | -0.000 | -0.000 | -0.000 | 
| 44.802 | 229.458 | 44.802 | -0.000 | -0.000 | -0.000 | 
| 44.802 | 44.802 | 229.458 | -0.000 | -0.000 | -0.000 | 
| 0.451 | 0.451 | 0.451 | 45.530 | -0.000 | 0.000 | 
| 0.451 | 0.451 | 0.451 | -0.000 | 45.530 | -0.000 | 
| 0.451 | 0.451 | 0.451 | 0.000 | -0.000 | 45.530 | 
| 179.932 | 68.521 | 68.521 | 0.000 | 0.000 | 0.000 | 
| 68.521 | 179.932 | 68.521 | 0.000 | 0.000 | 0.000 | 
| 68.521 | 68.521 | 179.932 | 0.000 | 0.000 | 0.000 | 
| 0.000 | 0.000 | 0.000 | 98.057 | 0.000 | 0.000 | 
| 0.000 | 0.000 | 0.000 | 0.000 | 98.057 | 0.000 | 
| 0.000 | 0.000 | 0.000 | 0.000 | 0.000 | 98.057 | 
| 167.614 | 74.201 | 74.201 | 0.000 | 0.000 | -0.000 | 
| 74.201 | 167.614 | 74.201 | -0.000 | 0.000 | 0.000 | 
| 74.201 | 74.201 | 167.614 | 0.000 | -0.000 | 0.000 | 
| -0.000 | -0.000 | -0.000 | 98.057 | -0.000 | -0.000 | 
| -0.000 | -0.000 | -0.000 | -0.000 | 98.057 | -0.000 | 
| -0.000 | -0.000 | -0.000 | -0.000 | -0.000 | 98.057 | 
| 229.696 | 44.894 | 44.894 | 0.000 | 0.000 | -0.000 | 
| 44.894 | 229.696 | 44.894 | 0.000 | 0.000 | 0.000 | 
| 44.894 | 44.894 | 229.696 | 0.000 | -0.000 | 0.000 | 
| -15.622 | -15.622 | -15.622 | 63.191 | -0.000 | -0.000 | 
| -15.622 | -15.622 | -15.622 | 0.000 | 63.191 | -0.000 | 
| -15.622 | -15.622 | -15.622 | 0.000 | 0.000 | 63.191 | 
| 229.696 | 44.894 | 44.894 | -0.000 | -0.000 | 0.000 | 
| 44.894 | 229.696 | 44.894 | -0.000 | -0.000 | -0.000 | 
| 44.894 | 44.894 | 229.696 | -0.000 | 0.000 | -0.000 | 
| 15.622 | 15.622 | 15.622 | 63.191 | -0.000 | -0.000 | 
| 15.622 | 15.622 | 15.622 | -0.000 | 63.191 | 0.000 | 
| 15.622 | 15.622 | 15.622 | -0.000 | -0.000 | 63.191 | 
| 229.696 | 44.894 | 44.894 | 0.000 | 0.000 | -0.000 | 
| 44.894 | 229.696 | 44.894 | 0.000 | 0.000 | 0.000 | 
| 44.894 | 44.894 | 229.696 | 0.000 | -0.000 | 0.000 | 
| -1.470 | -1.470 | -1.470 | 65.243 | 0.000 | 0.000 | 
| -1.470 | -1.470 | -1.470 | 0.000 | 65.243 | -0.000 | 
| -1.470 | -1.470 | -1.470 | 0.000 | 0.000 | 65.243 | 
| 173.706 | 76.542 | 76.542 | 0.000 | 0.000 | 0.000 | 
| 76.542 | 173.706 | 76.542 | 0.000 | -0.000 | 0.000 | 
| 76.542 | 76.542 | 173.706 | 0.000 | 0.000 | 0.000 | 
| 1.470 | 1.470 | 1.470 | 65.243 | 0.000 | 0.000 | 
| 1.470 | 1.470 | 1.470 | -0.000 | 65.243 | 0.000 | 
| 1.470 | 1.470 | 1.470 | -0.000 | -0.000 | 65.243 | 
| 180.178 | 68.381 | 68.381 | 0.000 | -0.000 | 0.000 | 
| 68.381 | 180.178 | 68.381 | 0.000 | -0.000 | 0.000 | 
| 68.381 | 68.381 | 180.178 | 0.000 | -0.000 | 0.000 | 
| -0.204 | -0.204 | -0.204 | 62.515 | 0.000 | -0.000 | 
| -0.204 | -0.204 | -0.204 | 0.000 | 62.515 | -0.000 | 
| -0.204 | -0.204 | -0.204 | 0.000 | 0.000 | 62.515 | 
| 179.996 | 68.989 | 68.989 | -0.000 | 0.000 | 0.000 | 
| 68.989 | 179.996 | 68.989 | 0.000 | -0.000 | -0.000 | 
| 68.989 | 68.989 | 179.996 | -0.000 | 0.000 | -0.000 | 
| 0.204 | 0.204 | 0.204 | 62.515 | -0.000 | 0.000 | 
| 0.204 | 0.204 | 0.204 | -0.000 | 62.515 | 0.000 | 
| 0.204 | 0.204 | 0.204 | -0.000 | -0.000 | 62.515 | 
| 258.368 | 88.701 | 88.701 | 0.000 | -0.000 | 0.000 | 
| 88.701 | 258.368 | 88.701 | 0.000 | -0.000 | 0.000 | 
| 88.701 | 88.701 | 258.367 | 0.000 | -0.000 | 0.000 | 
| 0.000 | 0.000 | -0.000 | 54.204 | -0.000 | -0.000 | 
| 0.000 | 0.000 | 0.000 | 0.000 | 54.204 | -0.000 | 
| 0.000 | 0.000 | -0.000 | 0.000 | 0.000 | 54.204 | 
| 269.195 | 86.401 | 86.401 | 0.000 | -0.000 | 0.000 | 
| 86.401 | 269.195 | 86.401 | -0.000 | 0.000 | 0.000 | 
| 86.401 | 86.401 | 269.195 | -0.000 | 0.000 | 0.000 | 
| -0.000 | -0.000 | -0.000 | 54.204 | 0.000 | 0.000 | 
| -0.000 | -0.000 | 0.000 | 0.000 | 54.204 | 0.000 | 
| -0.000 | -0.000 | -0.000 | 0.000 | 0.000 | 54.204 | 
| 259.819 | 90.254 | 90.254 | 0.000 | -0.000 | 0.000 | 
| 90.254 | 259.819 | 90.254 | 0.000 | -0.000 | 0.000 | 
| 90.254 | 90.254 | 259.819 | 0.000 | -0.000 | 0.000 | 
| 0.050 | 0.050 | 0.050 | 50.305 | -0.000 | 0.000 | 
| 0.050 | 0.050 | 0.050 | 0.000 | 50.305 | 0.000 | 
| 0.050 | 0.050 | 0.050 | 0.000 | -0.000 | 50.305 | 
| 269.194 | 86.401 | 86.401 | 0.000 | 0.000 | 0.000 | 
| 86.401 | 269.194 | 86.401 | 0.000 | 0.000 | 0.000 | 
| 86.401 | 86.401 | 269.194 | 0.000 | 0.000 | -0.000 | 
| -0.050 | -0.050 | -0.050 | 50.305 | 0.000 | -0.000 | 
| -0.050 | -0.050 | -0.050 | -0.000 | 50.305 | -0.000 | 
| -0.050 | -0.050 | -0.050 | -0.000 | 0.000 | 50.305 | 
| 257.166 | 88.917 | 88.917 | 0.000 | -0.000 | 0.000 | 
| 88.917 | 257.166 | 88.917 | 0.000 | -0.000 | 0.000 | 
| 88.917 | 88.917 | 257.166 | 0.000 | -0.000 | 0.000 | 
| 0.000 | 0.000 | 0.000 | 54.204 | -0.000 | -0.000 | 
| 0.000 | 0.000 | 0.000 | -0.000 | 54.204 | -0.000 | 
| 0.000 | 0.000 | 0.000 | -0.000 | -0.000 | 54.204 | 
| 269.193 | 86.401 | 86.401 | -0.000 | 0.000 | 0.000 | 
| 86.401 | 269.193 | 86.401 | 0.000 | -0.000 | 0.000 | 
| 86.401 | 86.401 | 269.193 | 0.000 | 0.000 | 0.000 | 
| -0.000 | -0.000 | -0.000 | 54.204 | 0.000 | 0.000 | 
| -0.000 | -0.000 | -0.000 | 0.000 | 54.204 | 0.000 | 
| -0.000 | -0.000 | -0.000 | -0.000 | 0.000 | 54.204 | 
| -148747653.111 | -144411197.687 | -248785098.480 | -2359666.321 | -2947022.347 | -3409600.298 | 
| -148841780.738 | -144366808.621 | -248883106.627 | -2382663.767 | -3027820.059 | -3370521.850 | 
| -148595594.831 | -144278789.432 | -248639091.815 | -2354614.307 | -2986052.185 | -3554850.372 | 
| -148812284.821 | -144553087.241 | -249030201.228 | -2205183.525 | -2945159.869 | -3400722.255 | 
| -148785980.900 | -144488200.196 | -248990295.055 | -2251817.295 | -2938076.031 | -3322250.281 | 
| -148680500.738 | -144334038.121 | -248838666.790 | -2379661.288 | -2903981.185 | -3445211.491 | 
| 148755903.181 | 144452219.459 | 248999227.787 | 2217819.209 | 2904029.230 | 3399924.555 | 
| 148715718.030 | 144602112.406 | 249074732.079 | 2209470.309 | 2938429.382 | 3332301.021 | 
| 148728090.028 | 144374489.323 | 248953887.931 | 2249054.612 | 2977091.005 | 3378151.839 | 
| 148835155.857 | 144410202.637 | 248932615.883 | 2268574.445 | 3014903.071 | 3342894.497 | 
| 148628035.359 | 144335194.444 | 248786954.148 | 2264258.957 | 2857865.259 | 3413308.779 | 
| 148758827.462 | 144365720.692 | 248817425.273 | 2385664.898 | 2954994.358 | 3453316.602 | 
| -14854907.962 | -14486450.533 | -24901099.260 | -248034.578 | -305284.325 | -327346.360 | 
| -14842456.923 | -14478721.088 | -24896963.522 | -233735.914 | -298624.323 | -308817.187 | 
| -14837968.440 | -14457597.574 | -24881396.600 | -263080.301 | -294935.809 | -335082.626 | 
| -14852135.774 | -14429880.439 | -24838794.811 | -240111.143 | -312296.959 | -345326.360 | 
| -14811634.756 | -14470973.523 | -24835300.089 | -260749.289 | -307496.199 | -322004.493 | 
| -14834813.921 | -14498503.954 | -24902565.901 | -236739.683 | -288106.817 | -317070.582 | 
| 14863304.574 | 14436225.130 | 24855192.194 | 247592.834 | 307736.155 | 351785.167 | 
| 14857711.218 | 14404489.557 | 24811562.934 | 234478.398 | 300441.181 | 347171.583 | 
| 14885194.341 | 14469509.540 | 24891727.720 | 229315.677 | 298074.315 | 345135.320 | 
| 14845293.654 | 14482025.277 | 24916557.796 | 243201.731 | 313514.782 | 310831.736 | 
| 14853985.741 | 14406992.978 | 24824552.363 | 250061.865 | 306039.179 | 349269.727 | 
| 14861660.787 | 14421042.384 | 24836300.282 | 245118.354 | 313802.716 | 349994.026 | 
| -1479893.942 | -1450078.843 | -2481677.748 | -22781.340 | -28231.846 | -28449.254 | 
| -1482907.793 | -1447024.150 | -2482488.163 | -22242.592 | -27517.919 | -33849.947 | 
| -1478183.798 | -1446732.567 | -2480075.656 | -25634.120 | -29286.817 | -32066.995 | 
| -1468882.706 | -1435323.871 | -2469658.535 | -20217.482 | -33988.290 | -40889.411 | 
| -1479459.814 | -1443329.803 | -2474514.251 | -24620.687 | -30940.455 | -33182.947 | 
| -1479232.635 | -1447216.547 | -2483420.220 | -23138.881 | -28406.401 | -31831.534 | 
| 1484547.308 | 1445966.664 | 2484052.843 | 23918.055 | 30589.549 | 34038.227 | 
| 1474784.310 | 1444164.502 | 2473796.743 | 19763.534 | 32045.610 | 38902.470 | 
| 1487452.860 | 1444002.315 | 2481970.263 | 24627.014 | 31473.515 | 34827.415 | 
| 1480736.706 | 1448941.224 | 2481009.301 | 26067.425 | 31129.704 | 34263.120 | 
| 1472161.241 | 1436683.620 | 2475600.949 | 19299.197 | 30963.051 | 41239.805 | 
| 1482516.988 | 1443799.964 | 2479419.958 | 23415.205 | 34964.088 | 36540.839 | 
| 864.645 | 753.621 | 753.621 | -0.000 | -0.000 | 0.000 | 
| 753.621 | 864.645 | 753.621 | -0.000 | -0.000 | 0.000 | 
| 753.621 | 753.621 | 864.645 | 0.000 | 0.000 | 0.000 | 
| -0.000 | -0.000 | -0.000 | 43.394 | -0.000 | -0.000 | 
| -0.000 | -0.000 | -0.000 | -0.000 | 43.394 | -0.000 | 
| -0.000 | -0.000 | -0.000 | -0.000 | -0.000 | 43.394 | 
| 864.644 | 753.620 | 753.620 | 0.000 | 0.000 | 0.000 | 
| 753.620 | 864.644 | 753.620 | 0.000 | 0.000 | 0.000 | 
| 753.620 | 753.620 | 864.644 | 0.000 | 0.000 | 0.000 | 
| 0.000 | 0.000 | 0.000 | 43.394 | -0.000 | 0.000 | 
| 0.000 | 0.000 | 0.000 | -0.000 | 43.394 | 0.000 | 
| 0.000 | 0.000 | 0.000 | -0.000 | 0.000 | 43.394 | 
| 864.645 | 753.621 | 753.621 | 0.000 | 0.000 | -0.000 | 
| 753.621 | 864.645 | 753.621 | 0.000 | -0.000 | -0.000 | 
| 753.621 | 753.621 | 864.645 | 0.000 | 0.000 | -0.000 | 
| -0.000 | -0.000 | -0.000 | 43.394 | 0.000 | 0.000 | 
| -0.000 | -0.000 | -0.000 | -0.000 | 43.394 | 0.000 | 
| -0.000 | -0.000 | -0.000 | 0.000 | -0.000 | 43.394 | 
| 864.644 | 753.620 | 753.620 | 0.000 | 0.000 | -0.000 | 
| 753.620 | 864.644 | 753.620 | 0.000 | 0.000 | -0.000 | 
| 753.620 | 753.620 | 864.644 | -0.000 | -0.000 | 0.000 | 
| 0.000 | 0.000 | 0.000 | 43.394 | 0.000 | 0.000 | 
| 0.000 | 0.000 | 0.000 | -0.000 | 43.394 | 0.000 | 
| 0.000 | 0.000 | 0.000 | 0.000 | 0.000 | 43.394 | 
| 864.648 | 753.626 | 753.626 | -0.000 | 0.000 | 0.000 | 
| 753.626 | 864.648 | 753.626 | 0.000 | -0.000 | 0.000 | 
| 753.626 | 753.626 | 864.648 | 0.000 | 0.000 | -0.000 | 
| -0.001 | -0.001 | -0.001 | 43.394 | -0.000 | -0.000 | 
| -0.001 | -0.001 | -0.001 | -0.000 | 43.394 | -0.000 | 
| -0.001 | -0.001 | -0.001 | 0.000 | -0.000 | 43.394 | 
| 864.640 | 753.615 | 753.615 | 0.000 | 0.000 | 0.000 | 
| 753.615 | 864.640 | 753.615 | 0.000 | 0.000 | 0.000 | 
| 753.615 | 753.615 | 864.640 | 0.000 | 0.000 | 0.000 | 
| 0.001 | 0.001 | 0.001 | 43.394 | 0.000 | -0.000 | 
| 0.001 | 0.001 | 0.001 | 0.000 | 43.394 | -0.000 | 
| 0.001 | 0.001 | 0.001 | 0.000 | -0.000 | 43.394 | 
| 0.334 | 2.833 | 2.833 | -0.000 | 0.000 | -0.000 | 
| 2.833 | 0.334 | 2.833 | 0.000 | 0.000 | -0.000 | 
| 2.833 | 2.833 | 0.334 | -0.000 | -0.000 | 0.000 | 
| -0.000 | 0.000 | -0.000 | -4.612 | 0.000 | 0.000 | 
| 0.000 | -0.000 | -0.000 | -0.000 | -4.612 | 0.000 | 
| 0.000 | -0.000 | -0.000 | -0.000 | 0.000 | -4.612 | 
| 0.334 | 2.833 | 2.833 | -0.000 | -0.000 | 0.000 | 
| 2.833 | 0.334 | 2.833 | -0.000 | -0.000 | 0.000 | 
| 2.833 | 2.833 | 0.334 | -0.000 | -0.000 | -0.000 | 
| 0.000 | -0.000 | 0.000 | -4.612 | -0.000 | -0.000 | 
| -0.000 | 0.000 | 0.000 | -0.000 | -4.612 | -0.000 | 
| -0.000 | 0.000 | 0.000 | -0.000 | -0.000 | -4.612 | 
| 0.334 | 2.833 | 2.833 | -0.000 | -0.000 | 0.000 | 
| 2.833 | 0.334 | 2.833 | -0.000 | 0.000 | -0.000 | 
| 2.833 | 2.833 | 0.334 | -0.000 | -0.000 | -0.000 | 
| -3403413.663 | -646191.870 | -722243.140 | -695431.410 | 1089.320 | -7486.637 | 
| -648275.112 | -3411456.250 | -765254.760 | -6437.968 | -696150.684 | -2260.769 | 
| -634189.264 | -772574.983 | -3415955.890 | -4592.684 | -6628.921 | -719405.925 | 
| 0.334 | 2.833 | 2.833 | -0.000 | -0.000 | -0.000 | 
| 2.833 | 0.334 | 2.833 | -0.000 | -0.000 | -0.000 | 
| 2.833 | 2.833 | 0.334 | -0.000 | -0.000 | -0.000 | 
| 3392295.207 | 681551.623 | 729194.080 | -725603.598 | 3485.096 | 128.417 | 
| 692837.089 | 3395334.070 | 723547.463 | 908.109 | -743156.401 | 4441.095 | 
| 701656.319 | 748969.718 | 3409706.489 | -6812.728 | 8530.791 | -741405.396 | 
| 0.334 | 2.833 | 2.833 | 0.000 | -0.000 | 0.000 | 
| 2.833 | 0.334 | 2.833 | -0.000 | 0.000 | 0.000 | 
| 2.833 | 2.833 | 0.334 | 0.000 | -0.000 | 0.000 | 
| -293820.458 | -39586.047 | -52810.405 | -53023.014 | 1614.510 | 964.342 | 
| -42291.836 | -295532.011 | -54662.290 | -1208.581 | -51741.142 | -1415.576 | 
| -40730.023 | -54576.761 | -301894.402 | 1026.935 | 1207.039 | -50731.374 | 
| 0.334 | 2.833 | 2.833 | 0.000 | -0.000 | -0.000 | 
| 2.833 | 0.334 | 2.833 | -0.000 | 0.000 | -0.000 | 
| 2.833 | 2.833 | 0.334 | -0.000 | -0.000 | 0.000 | 
| 302800.102 | 43425.131 | 54233.173 | -54122.455 | -1155.688 | 2437.366 | 
| 40779.974 | 299873.961 | 55721.709 | -1324.548 | -51509.985 | 2115.918 | 
| 45907.492 | 56984.141 | 304265.509 | -871.547 | 2423.965 | -52578.820 | 
| 2680.639 | 58.700 | 58.700 | 0.000 | 0.000 | -0.000 | 
| 58.700 | 2680.639 | 58.700 | 0.000 | 0.000 | 0.000 | 
| 58.700 | 58.700 | 2680.639 | 0.000 | 0.000 | -0.000 | 
| 0.000 | 0.000 | 0.000 | -866.948 | 0.000 | -0.000 | 
| 0.000 | 0.000 | 0.000 | 0.000 | -866.948 | 0.000 | 
| 0.000 | 0.000 | 0.000 | 0.000 | 0.000 | -866.948 | 
| 2705.283 | 46.378 | 46.378 | 0.000 | -0.000 | 0.000 | 
| 46.378 | 2705.283 | 46.378 | -0.000 | 0.000 | -0.000 | 
| 46.378 | 46.378 | 2705.283 | 0.000 | -0.000 | -0.000 | 
| -0.000 | -0.000 | -0.000 | -866.948 | -0.000 | -0.000 | 
| -0.000 | -0.000 | -0.000 | -0.000 | -866.948 | 0.000 | 
| -0.000 | -0.000 | -0.000 | -0.000 | -0.000 | -866.948 | 
| 2680.642 | 58.701 | 58.701 | 0.000 | 0.000 | 0.000 | 
| 58.701 | 2680.642 | 58.701 | 0.000 | 0.000 | 0.000 | 
| 58.701 | 58.701 | 2680.642 | 0.000 | 0.000 | 0.000 | 
| 0.001 | 0.003 | 0.003 | -866.948 | 0.000 | 0.000 | 
| 0.003 | 0.001 | 0.003 | 0.000 | -866.948 | 0.000 | 
| 0.003 | 0.003 | 0.001 | 0.000 | 0.000 | -866.948 | 
| 2680.635 | 58.700 | 58.700 | -0.000 | -0.000 | 0.000 | 
| 58.700 | 2680.635 | 58.700 | -0.000 | -0.000 | -0.000 | 
| 58.700 | 58.700 | 2680.635 | -0.000 | 0.000 | -0.000 | 
| -0.001 | -0.003 | -0.003 | -866.948 | -0.000 | -0.000 | 
| -0.003 | -0.001 | -0.003 | -0.000 | -866.948 | -0.000 | 
| -0.003 | -0.003 | -0.001 | -0.000 | -0.000 | -866.948 | 
| 2680.673 | 58.702 | 58.702 | 0.000 | 0.000 | -0.000 | 
| 58.702 | 2680.673 | 58.702 | 0.000 | 0.000 | 0.000 | 
| 58.702 | 58.702 | 2680.673 | 0.000 | 0.000 | 0.000 | 
| 0.010 | 0.032 | 0.029 | -866.964 | 0.000 | -0.000 | 
| 0.032 | 0.010 | 0.029 | 0.000 | -866.964 | 0.000 | 
| 0.032 | 0.029 | 0.010 | 0.000 | 0.000 | -866.964 | 
| 2680.603 | 58.698 | 58.698 | -0.000 | -0.000 | 0.000 | 
| 58.698 | 2680.603 | 58.698 | -0.000 | 0.000 | -0.000 | 
| 58.698 | 58.698 | 2680.603 | -0.000 | -0.000 | 0.000 | 
| -0.010 | -0.032 | -0.029 | -866.964 | -0.000 | -0.000 | 
| -0.032 | -0.010 | -0.029 | -0.000 | -866.964 | -0.000 | 
| -0.032 | -0.029 | -0.010 | -0.000 | -0.000 | -866.964 | 
| 35878003.197 | 19056591.355 | 17819291.650 | 48022.716 | -1910445.510 | 1330014.856 | 
| 16126778.989 | 33025229.257 | 16707077.098 | -1249702.841 | -254910.982 | 371963.942 | 
| 16432354.338 | 14724008.906 | 36049122.048 | 364744.651 | -434737.411 | -1946311.636 | 
| 0.000 | -0.000 | 0.000 | 4.170 | -0.000 | 0.000 | 
| -0.000 | -0.000 | 0.000 | 0.000 | 4.170 | 0.000 | 
| 0.000 | -0.000 | -0.000 | 0.000 | -0.000 | 4.170 | 
| -15652173.471 | -19599698.779 | -27025970.901 | 1249282.177 | -520674.779 | -163561.794 | 
| -29743452.254 | -23277712.315 | -25100344.934 | 60672.408 | -347682.613 | 291628.777 | 
| -25391819.326 | -27453801.661 | -14853828.894 | -758287.133 | 785374.568 | -482338.953 | 
| 0.000 | 0.000 | -0.000 | 4.170 | 0.000 | -0.000 | 
| -0.000 | 0.000 | -0.000 | 0.000 | 4.170 | -0.000 | 
| -0.000 | 0.000 | -0.000 | -0.000 | -0.000 | 4.170 | 
| 2838018.288 | 2272200.096 | 2246973.255 | 26403.831 | -48447.907 | 198648.102 | 
| 2128258.619 | 2771592.554 | 2495167.626 | 113355.867 | 55860.908 | -100324.952 | 
| 2122205.048 | 2157080.690 | 2702718.712 | -52865.346 | 39654.597 | 18230.621 | 
| -0.000 | 0.000 | 0.000 | 2.458 | -0.000 | 0.000 | 
| 0.000 | -0.000 | 0.000 | -0.000 | 2.458 | -0.000 | 
| 0.000 | 0.000 | -0.000 | -0.000 | 0.000 | 2.458 | 
| 1.942 | 7.476 | 7.476 | -0.000 | 0.000 | -0.000 | 
| 7.476 | 1.942 | 7.476 | 0.000 | -0.000 | -0.000 | 
| 7.476 | 7.476 | 1.942 | -0.000 | 0.000 | -0.000 | 
| 0.000 | -0.000 | -0.000 | 2.458 | -0.000 | -0.000 | 
| -0.000 | 0.000 | -0.000 | 0.000 | 2.458 | -0.000 | 
| -0.000 | -0.000 | 0.000 | 0.000 | -0.000 | 2.458 | 
| 207805.347 | 245887.410 | 247112.179 | 3234.699 | -15664.632 | -4999.665 | 
| 219649.705 | 234791.869 | 281670.309 | -764.676 | 9543.328 | -8369.161 | 
| 257539.140 | 191260.104 | 193282.717 | 2928.940 | 13973.018 | -10395.991 | 
| 338348.963 | 204990.087 | 180289.513 | -11228.952 | -4978.949 | -6276.044 | 
| 284440.465 | 344365.051 | 181965.780 | -10388.183 | -14252.912 | 1028.107 | 
| 188020.304 | 189659.857 | 340126.645 | -9064.733 | 5220.618 | 7178.135 | 
| -120572.219 | -282488.696 | -284445.446 | -8123.016 | -7266.568 | -7230.244 | 
| -274230.517 | -96985.381 | -282633.541 | -11364.211 | -3679.768 | -8902.668 | 
| -280136.058 | -273395.989 | -116921.874 | -10340.868 | -4496.918 | 10498.827 | 
| -334830.022 | -195818.231 | -212772.461 | 19833.722 | -11801.612 | -1764.980 | 
| -168934.771 | -309473.658 | -165087.674 | -5531.905 | 9054.909 | 3636.000 | 
| -233770.332 | -225592.550 | -362429.829 | -4899.909 | -3873.712 | 7075.794 | 
| 969.676 | 792.148 | 792.148 | 0.000 | 0.000 | 0.000 | 
| 792.148 | 969.676 | 792.148 | 0.000 | 0.000 | -0.000 | 
| 792.148 | 792.148 | 969.676 | 0.000 | 0.000 | -0.000 | 
| -0.000 | -0.000 | -0.000 | 264.932 | 0.000 | -0.000 | 
| -0.000 | -0.000 | -0.000 | 0.000 | 264.932 | -0.000 | 
| -0.000 | -0.000 | -0.000 | 0.000 | 0.000 | 264.932 | 
| 969.676 | 792.148 | 792.148 | -0.000 | -0.000 | 0.000 | 
| 792.148 | 969.676 | 792.148 | -0.000 | -0.000 | 0.000 | 
| 792.148 | 792.148 | 969.676 | -0.000 | -0.000 | 0.000 | 
| 0.000 | 0.000 | 0.000 | 264.932 | -0.000 | -0.000 | 
| 0.000 | 0.000 | 0.000 | -0.000 | 264.932 | -0.000 | 
| 0.000 | 0.000 | 0.000 | -0.000 | -0.000 | 264.932 | 
| 969.676 | 792.148 | 792.148 | 0.000 | 0.000 | 0.000 | 
| 792.148 | 969.676 | 792.148 | 0.000 | 0.000 | 0.000 | 
| 792.148 | 792.148 | 969.676 | 0.000 | 0.000 | 0.000 | 
| 0.000 | -0.000 | 0.000 | 264.932 | 0.000 | 0.000 | 
| -0.000 | 0.000 | 0.000 | 0.000 | 264.932 | 0.000 | 
| -0.000 | 0.000 | 0.000 | 0.000 | 0.000 | 264.932 | 
| 969.675 | 792.147 | 792.147 | -0.000 | -0.000 | -0.000 | 
| 792.147 | 969.675 | 792.147 | -0.000 | -0.000 | -0.000 | 
| 792.147 | 792.147 | 969.675 | -0.000 | -0.000 | -0.000 | 
| -0.000 | 0.000 | -0.000 | 264.932 | -0.000 | -0.000 | 
| 0.000 | -0.000 | -0.000 | -0.000 | 264.932 | -0.000 | 
| 0.000 | -0.000 | -0.000 | -0.000 | -0.000 | 264.932 | 
| 969.680 | 792.153 | 792.153 | 0.000 | 0.000 | -0.000 | 
| 792.153 | 969.680 | 792.153 | 0.000 | 0.000 | 0.000 | 
| 792.153 | 792.153 | 969.680 | 0.000 | 0.000 | -0.000 | 
| 0.000 | -0.000 | 0.000 | 264.932 | 0.000 | 0.000 | 
| -0.000 | 0.000 | 0.000 | 0.000 | 264.932 | 0.000 | 
| -0.000 | 0.000 | 0.000 | 0.000 | 0.000 | 264.932 | 
| 969.671 | 792.142 | 792.142 | -0.000 | -0.000 | 0.000 | 
| 792.142 | 969.671 | 792.142 | -0.000 | -0.000 | 0.000 | 
| 792.142 | 792.142 | 969.671 | -0.000 | -0.000 | -0.000 | 
| -0.000 | 0.000 | -0.000 | 264.932 | -0.000 | -0.000 | 
| 0.000 | -0.000 | -0.000 | -0.000 | 264.932 | -0.000 | 
| 0.000 | -0.000 | -0.000 | -0.000 | -0.000 | 264.932 | 
| -1.257 | 4.407 | 4.407 | 0.000 | 0.000 | -0.000 | 
| 4.407 | -1.257 | 4.407 | 0.000 | 0.000 | -0.000 | 
| 4.407 | 4.407 | -1.257 | -0.000 | -0.000 | 0.000 | 
| -0.000 | 0.000 | -0.000 | -31.455 | 0.000 | -0.000 | 
| 0.000 | -0.000 | -0.000 | 0.000 | -31.455 | -0.000 | 
| 0.000 | -0.000 | -0.000 | -0.000 | 0.000 | -31.455 | 
| -1.257 | 4.407 | 4.407 | -0.000 | -0.000 | 0.000 | 
| 4.407 | -1.257 | 4.407 | 0.000 | -0.000 | 0.000 | 
| 4.407 | 4.407 | -1.257 | 0.000 | 0.000 | 0.000 | 
| 0.000 | -0.000 | 0.000 | -31.455 | -0.000 | 0.000 | 
| -0.000 | 0.000 | 0.000 | 0.000 | -31.455 | 0.000 | 
| -0.000 | 0.000 | 0.000 | -0.000 | -0.000 | -31.455 | 
| -1.257 | 4.407 | 4.407 | -0.000 | 0.000 | 0.000 | 
| 4.407 | -1.257 | 4.407 | 0.000 | -0.000 | 0.000 | 
| 4.407 | 4.407 | -1.257 | -0.000 | -0.000 | -0.000 | 
| -155246.056 | 2704458.891 | 2748069.664 | 335086.642 | -24472.252 | -47052.212 | 
| 2828393.760 | -139528.756 | 2850574.990 | -8750.479 | 379144.951 | -62638.190 | 
| 2555505.846 | 2573020.180 | -212224.789 | -12698.495 | 42104.028 | 481743.470 | 
| -1.257 | 4.407 | 4.407 | -0.000 | -0.000 | -0.000 | 
| 4.407 | -1.257 | 4.407 | -0.000 | -0.000 | -0.000 | 
| 4.407 | 4.407 | -1.257 | -0.000 | -0.000 | -0.000 | 
| 852974.766 | -1865168.656 | -1982881.126 | 501181.237 | 80862.480 | -15534.783 | 
| -1928707.965 | 874156.564 | -1914545.540 | 31940.372 | 460333.647 | -27018.735 | 
| -1894874.882 | -1800924.017 | 827545.042 | 4541.757 | -33264.091 | 495187.756 | 
| -1.257 | 4.407 | 4.407 | 0.000 | 0.000 | -0.000 | 
| 4.407 | -1.257 | 4.407 | 0.000 | 0.000 | -0.000 | 
| 4.407 | 4.407 | -1.257 | 0.000 | 0.000 | 0.000 | 
| -76817.972 | 190373.314 | 205907.692 | 19494.840 | -1954.094 | -3814.320 | 
| 177818.003 | -86269.374 | 210678.578 | 2566.301 | 16073.796 | -5469.255 | 
| 190145.545 | 210871.189 | -88647.677 | 4918.998 | -6654.703 | 8651.741 | 
| -1.257 | 4.407 | 4.407 | -0.000 | -0.000 | -0.000 | 
| 4.407 | -1.257 | 4.407 | -0.000 | -0.000 | -0.000 | 
| 4.407 | 4.407 | -1.257 | 0.000 | 0.000 | 0.000 | 
| 21683.429 | -303250.645 | -288783.597 | 6879.080 | -685.112 | 4548.192 | 
| -316501.249 | 28298.253 | -296096.860 | -1598.468 | -12313.130 | -6717.421 | 
| -307545.737 | -291565.644 | 30490.361 | 809.820 | 1629.999 | 9400.137 | 
| 1504.352 | 744.777 | 744.777 | -0.000 | -0.000 | 0.000 | 
| 744.777 | 1504.352 | 744.777 | -0.000 | -0.000 | -0.000 | 
| 744.777 | 744.777 | 1504.352 | -0.000 | 0.000 | -0.000 | 
| -0.000 | 0.000 | 0.000 | 767.404 | 0.000 | 0.000 | 
| 0.000 | -0.000 | 0.000 | -0.000 | 767.404 | 0.000 | 
| 0.000 | 0.000 | -0.000 | -0.000 | -0.000 | 767.404 | 
| 1504.352 | 744.776 | 744.776 | -0.000 | -0.000 | 0.000 | 
| 744.776 | 1504.352 | 744.776 | -0.000 | -0.000 | -0.000 | 
| 744.776 | 744.776 | 1504.352 | -0.000 | -0.000 | -0.000 | 
| 0.000 | -0.000 | -0.000 | 767.404 | 0.000 | 0.000 | 
| -0.000 | 0.000 | -0.000 | 0.000 | 767.404 | -0.000 | 
| -0.000 | -0.000 | 0.000 | -0.000 | 0.000 | 767.404 | 
| 1504.353 | 744.777 | 744.777 | 0.000 | -0.000 | 0.000 | 
| 744.777 | 1504.353 | 744.777 | -0.000 | 0.000 | -0.000 | 
| 744.777 | 744.777 | 1504.353 | 0.000 | 0.000 | -0.000 | 
| -0.000 | 0.001 | 0.001 | 767.404 | 0.000 | 0.000 | 
| 0.001 | -0.000 | 0.001 | 0.000 | 767.404 | -0.000 | 
| 0.001 | 0.001 | -0.000 | 0.000 | 0.000 | 767.404 | 
| 1504.351 | 744.776 | 744.776 | -0.000 | 0.000 | 0.000 | 
| 744.776 | 1504.351 | 744.776 | 0.000 | -0.000 | -0.000 | 
| 744.776 | 744.776 | 1504.351 | -0.000 | -0.000 | -0.000 | 
| 0.000 | -0.001 | -0.001 | 767.404 | 0.000 | -0.000 | 
| -0.001 | 0.000 | -0.001 | 0.000 | 767.404 | 0.000 | 
| -0.001 | -0.001 | 0.000 | 0.000 | 0.000 | 767.404 | 
| 1504.365 | 744.784 | 744.784 | 0.000 | 0.000 | -0.000 | 
| 744.784 | 1504.365 | 744.784 | 0.000 | 0.000 | -0.000 | 
| 744.784 | 744.784 | 1504.365 | 0.000 | 0.000 | 0.000 | 
| -0.000 | 0.005 | 0.007 | 767.404 | -0.000 | 0.000 | 
| 0.005 | -0.000 | 0.007 | -0.000 | 767.404 | -0.000 | 
| 0.005 | 0.007 | -0.000 | 0.000 | -0.000 | 767.404 | 
| 1504.339 | 744.769 | 744.769 | 0.000 | 0.000 | -0.000 | 
| 744.769 | 1504.339 | 744.769 | 0.000 | -0.000 | -0.000 | 
| 744.769 | 744.769 | 1504.339 | -0.000 | -0.000 | 0.000 | 
| 0.000 | -0.005 | -0.007 | 767.404 | -0.000 | 0.000 | 
| -0.005 | 0.000 | -0.007 | 0.000 | 767.404 | -0.000 | 
| -0.005 | -0.007 | 0.000 | -0.000 | -0.000 | 767.404 | 
| 4.024 | 3.878 | 3.878 | 0.000 | 0.000 | 0.000 | 
| 3.878 | 4.024 | 3.878 | 0.000 | 0.000 | 0.000 | 
| 3.878 | 3.878 | 4.024 | 0.000 | -0.000 | 0.000 | 
| 0.000 | -0.000 | -0.000 | -5.686 | -0.000 | 0.000 | 
| -0.000 | 0.000 | -0.000 | 0.000 | -5.686 | 0.000 | 
| -0.000 | -0.000 | 0.000 | 0.000 | -0.000 | -5.686 | 
| 4.024 | 3.878 | 3.878 | -0.000 | 0.000 | -0.000 | 
| 3.878 | 4.024 | 3.878 | -0.000 | 0.000 | -0.000 | 
| 3.878 | 3.878 | 4.024 | -0.000 | 0.000 | -0.000 | 
| -0.000 | 0.000 | 0.000 | -5.686 | 0.000 | -0.000 | 
| 0.000 | -0.000 | 0.000 | 0.000 | -5.686 | -0.000 | 
| 0.000 | 0.000 | -0.000 | -0.000 | 0.000 | -5.686 | 
| 4.024 | 3.878 | 3.878 | 0.000 | 0.000 | -0.000 | 
| 3.878 | 4.024 | 3.878 | -0.000 | 0.000 | 0.000 | 
| 3.878 | 3.878 | 4.024 | 0.000 | 0.000 | 0.000 | 
| 0.000 | -0.000 | -0.000 | -5.686 | -0.000 | 0.000 | 
| -0.000 | 0.000 | -0.000 | -0.000 | -5.686 | 0.000 | 
| -0.000 | -0.000 | 0.000 | 0.000 | -0.000 | -5.686 | 
| 4.024 | 3.878 | 3.878 | 0.000 | 0.000 | -0.000 | 
| 3.878 | 4.024 | 3.878 | 0.000 | 0.000 | -0.000 | 
| 3.878 | 3.878 | 4.024 | -0.000 | 0.000 | -0.000 | 
| -0.000 | 0.000 | 0.000 | -5.686 | 0.000 | -0.000 | 
| 0.000 | -0.000 | 0.000 | 0.000 | -5.686 | -0.000 | 
| 0.000 | 0.000 | -0.000 | -0.000 | -0.000 | -5.686 | 
| 4.024 | 3.878 | 3.878 | 0.000 | -0.000 | 0.000 | 
| 3.878 | 4.024 | 3.878 | 0.000 | -0.000 | 0.000 | 
| 3.878 | 3.878 | 4.024 | 0.000 | -0.000 | -0.000 | 
| 0.000 | -0.000 | -0.000 | -5.686 | -0.000 | 0.000 | 
| -0.000 | 0.000 | -0.000 | -0.000 | -5.686 | 0.000 | 
| -0.000 | -0.000 | 0.000 | 0.000 | 0.000 | -5.686 | 
| 4.024 | 3.878 | 3.878 | -0.000 | -0.000 | -0.000 | 
| 3.878 | 4.024 | 3.878 | -0.000 | 0.000 | -0.000 | 
| 3.878 | 3.878 | 4.024 | 0.000 | -0.000 | -0.000 | 
| -0.000 | 0.000 | 0.000 | -5.686 | 0.000 | -0.000 | 
| 0.000 | -0.000 | 0.000 | -0.000 | -5.686 | 0.000 | 
| 0.000 | 0.000 | -0.000 | -0.000 | 0.000 | -5.686 | 
| -40146246.643 | -43219698.310 | -121571791.436 | 18230505.509 | -28400324.361 | -8773678.991 | 
| -37517816.585 | -46504876.462 | -124959291.193 | 21838098.085 | -28251766.074 | -4428580.487 | 
| -39933532.968 | -43539455.136 | -120619546.538 | 19353042.507 | -27317275.075 | -6093783.300 | 
| -41092198.466 | -44651516.961 | -122528412.708 | 17623048.860 | -26912231.296 | -6974744.943 | 
| -39266200.871 | -45406639.505 | -123562900.574 | 18476639.365 | -27136799.492 | -6077544.416 | 
| -38964058.923 | -46047927.448 | -121598059.414 | 20438695.077 | -25960585.544 | -7532525.766 | 
| 38960370.505 | 45924743.313 | 124020657.349 | -19845733.784 | 27057240.919 | 6510131.188 | 
| 39835484.542 | 44680713.546 | 123779850.283 | -19363546.375 | 26672640.883 | 6288415.230 | 
| 38163862.870 | 43884123.675 | 121575395.578 | -17933717.383 | 28417672.569 | 7960561.400 | 
| 38334406.696 | 44309150.835 | 124392839.316 | -18316774.181 | 25627322.078 | 7406910.686 | 
| 39424606.509 | 45263817.127 | 122685966.459 | -18567534.492 | 27424130.679 | 7478375.355 | 
| 37819080.242 | 43660843.748 | 122379757.791 | -16491710.894 | 27831915.517 | 7171713.907 | 
| -3901892.173 | -4219700.159 | -12056246.304 | 1745897.058 | -2734869.333 | -738324.826 | 
| -4015675.938 | -4636598.908 | -12193379.772 | 1802283.074 | -2725714.150 | -606309.213 | 
| -3963679.392 | -4655042.464 | -12276666.846 | 1986308.159 | -2755320.729 | -641591.363 | 
| -3905917.768 | -4398180.922 | -12226039.826 | 1753862.045 | -2632371.849 | -590524.968 | 
| -4099515.269 | -4647731.612 | -12302785.144 | 1864141.764 | -2704788.546 | -693587.011 | 
| -4099735.952 | -4551737.984 | -12284464.756 | 1960190.607 | -2731859.537 | -669052.877 | 
| 3989742.930 | 4398197.366 | 12134747.489 | -1955590.630 | 2779919.852 | 679734.755 | 
| 3928381.450 | 4600698.699 | 12372162.190 | -1929465.547 | 2665985.377 | 747566.940 | 
| 4049736.952 | 4487611.766 | 12322672.591 | -1851942.768 | 2680951.575 | 636120.476 | 
| 3716730.269 | 4514502.346 | 12347560.177 | -1844831.384 | 2687465.969 | 839789.027 | 
| 3869591.264 | 4443144.909 | 12151752.494 | -1982737.035 | 2621750.438 | 578597.783 | 
| 4002882.286 | 4408457.037 | 12147819.430 | -1799482.224 | 2707376.561 | 722339.734 | 
| -376517.805 | -459388.016 | -1212841.768 | 193756.720 | -270937.330 | -56545.214 | 
| -403759.627 | -450654.004 | -1246854.095 | 184037.631 | -275206.752 | -84541.617 | 
| -383995.545 | -451069.646 | -1221228.943 | 193047.592 | -268376.922 | -74300.583 | 
| -390606.508 | -434193.929 | -1220077.421 | 200220.680 | -264586.616 | -59025.677 | 
| -399470.664 | -451712.936 | -1211669.374 | 186397.806 | -268266.780 | -55042.579 | 
| -397451.033 | -444997.339 | -1226407.398 | 186809.163 | -264743.806 | -75584.466 | 
| 374756.821 | 451888.052 | 1217482.318 | -181077.262 | 280081.991 | 62182.114 | 
| 413643.091 | 464001.340 | 1216657.808 | -210890.116 | 269500.495 | 54708.603 | 
| 374141.021 | 444792.600 | 1222895.002 | -188529.165 | 274312.106 | 66988.335 | 
| 381621.107 | 452763.066 | 1257323.997 | -185697.842 | 269423.362 | 66490.954 | 
| 397025.979 | 454393.285 | 1218760.266 | -183838.560 | 268130.732 | 62319.342 | 
| 375368.243 | 429248.892 | 1205489.194 | -184722.398 | 257523.532 | 47357.300 | 
| 2942.261 | -107.879 | -107.879 | 0.000 | 0.000 | 0.000 | 
| -107.879 | 2942.261 | -107.879 | 0.000 | -0.000 | 0.000 | 
| -107.879 | -107.879 | 2942.261 | -0.000 | -0.000 | -0.000 | 
| 0.000 | 0.000 | 0.000 | 42.113 | 0.000 | -0.000 | 
| 0.000 | 0.000 | 0.000 | 0.000 | 42.113 | -0.000 | 
| 0.000 | 0.000 | 0.000 | -0.000 | 0.000 | 42.113 | 
| 2942.260 | -107.879 | -107.879 | -0.000 | -0.000 | 0.000 | 
| -107.879 | 2942.260 | -107.879 | 0.000 | 0.000 | -0.000 | 
| -107.879 | -107.879 | 2942.260 | -0.000 | 0.000 | -0.000 | 
| -0.000 | -0.000 | -0.000 | 42.113 | -0.000 | -0.000 | 
| -0.000 | -0.000 | -0.000 | -0.000 | 42.113 | 0.000 | 
| -0.000 | -0.000 | -0.000 | 0.000 | -0.000 | 42.113 | 
| 2942.266 | -107.879 | -107.879 | -0.000 | 0.000 | 0.000 | 
| -107.879 | 2942.266 | -107.879 | 0.000 | 0.000 | 0.000 | 
| -107.879 | -107.879 | 2942.266 | 0.000 | 0.000 | 0.000 | 
| 0.000 | 0.000 | -0.000 | 42.113 | -0.000 | 0.000 | 
| 0.000 | 0.000 | -0.000 | -0.000 | 42.113 | -0.000 | 
| 0.000 | -0.000 | 0.000 | -0.000 | 0.000 | 42.113 | 
| 2942.256 | -107.879 | -107.879 | -0.000 | -0.000 | -0.000 | 
| -107.879 | 2942.256 | -107.879 | -0.000 | 0.000 | 0.000 | 
| -107.879 | -107.879 | 2942.256 | 0.000 | 0.000 | -0.000 | 
| -0.000 | -0.000 | 0.000 | 42.113 | -0.000 | -0.000 | 
| -0.000 | -0.000 | 0.000 | 0.000 | 42.113 | 0.000 | 
| -0.000 | 0.000 | -0.000 | 0.000 | 0.000 | 42.113 | 
| 2942.309 | -107.879 | -107.879 | -0.000 | 0.000 | -0.000 | 
| -107.879 | 2942.309 | -107.879 | 0.000 | 0.000 | 0.000 | 
| -107.879 | -107.879 | 2942.309 | -0.000 | -0.000 | 0.000 | 
| 0.000 | 0.000 | -0.001 | 42.113 | 0.000 | 0.000 | 
| 0.000 | 0.000 | -0.001 | 0.000 | 42.113 | 0.000 | 
| 0.000 | -0.001 | 0.000 | 0.000 | -0.000 | 42.113 | 
| 2942.212 | -107.878 | -107.878 | 0.000 | 0.000 | -0.000 | 
| -107.878 | 2942.212 | -107.878 | 0.000 | -0.000 | -0.000 | 
| -107.878 | -107.878 | 2942.212 | 0.000 | 0.000 | -0.000 | 
| -0.000 | -0.000 | 0.001 | 42.113 | 0.000 | 0.000 | 
| -0.000 | -0.000 | 0.001 | 0.000 | 42.113 | 0.000 | 
| -0.000 | 0.001 | -0.000 | 0.000 | -0.000 | 42.113 | 
| -25.146 | 16.065 | 16.065 | 0.000 | -0.000 | -0.000 | 
| 16.065 | -25.146 | 16.065 | -0.000 | 0.000 | 0.000 | 
| 16.065 | 16.065 | -25.146 | -0.000 | 0.000 | 0.000 | 
| 0.000 | 0.000 | -0.000 | -1.609 | -0.000 | -0.000 | 
| 0.000 | 0.000 | -0.000 | -0.000 | -1.609 | 0.000 | 
| 0.000 | -0.000 | 0.000 | -0.000 | 0.000 | -1.609 | 
| -25.146 | 16.065 | 16.065 | -0.000 | 0.000 | 0.000 | 
| 16.065 | -25.146 | 16.065 | 0.000 | 0.000 | 0.000 | 
| 16.065 | 16.065 | -25.146 | -0.000 | -0.000 | 0.000 | 
| -0.000 | 0.000 | 0.000 | -1.609 | -0.000 | 0.000 | 
| 0.000 | -0.000 | -0.000 | 0.000 | -1.609 | -0.000 | 
| 0.000 | -0.000 | -0.000 | 0.000 | -0.000 | -1.609 | 
| -25.146 | 16.065 | 16.065 | 0.000 | 0.000 | 0.000 | 
| 16.065 | -25.146 | 16.065 | -0.000 | 0.000 | -0.000 | 
| 16.065 | 16.065 | -25.146 | 0.000 | 0.000 | 0.000 | 
| -0.000 | -0.000 | 0.000 | -1.609 | -0.000 | -0.000 | 
| -0.000 | -0.000 | 0.000 | 0.000 | -1.609 | 0.000 | 
| -0.000 | 0.000 | -0.000 | -0.000 | 0.000 | -1.609 | 
| -25.146 | 16.065 | 16.065 | -0.000 | -0.000 | -0.000 | 
| 16.065 | -25.146 | 16.065 | 0.000 | -0.000 | 0.000 | 
| 16.065 | 16.065 | -25.146 | -0.000 | 0.000 | -0.000 | 
| 0.000 | 0.000 | -0.000 | -1.609 | 0.000 | -0.000 | 
| 0.000 | 0.000 | -0.000 | -0.000 | -1.609 | -0.000 | 
| 0.000 | -0.000 | 0.000 | 0.000 | -0.000 | -1.609 | 
| -25.147 | 16.065 | 16.065 | 0.000 | 0.000 | -0.000 | 
| 16.065 | -25.147 | 16.065 | 0.000 | 0.000 | 0.000 | 
| 16.065 | 16.065 | -25.147 | -0.000 | 0.000 | 0.000 | 
| -0.000 | -0.000 | 0.000 | -1.609 | 0.000 | -0.000 | 
| -0.000 | -0.000 | 0.000 | 0.000 | -1.609 | 0.000 | 
| -0.000 | 0.000 | -0.000 | -0.000 | -0.000 | -1.609 | 
| -25.146 | 16.065 | 16.065 | 0.000 | 0.000 | 0.000 | 
| 16.065 | -25.146 | 16.065 | 0.000 | 0.000 | -0.000 | 
| 16.065 | 16.065 | -25.146 | -0.000 | 0.000 | 0.000 | 
| 0.000 | 0.000 | -0.000 | -1.609 | 0.000 | 0.000 | 
| 0.000 | 0.000 | -0.000 | -0.000 | -1.609 | -0.000 | 
| 0.000 | -0.000 | 0.000 | -0.000 | 0.000 | -1.609 | 
| 1573.147 | 1354.219 | 1354.219 | -0.000 | 0.000 | -0.000 | 
| 1354.219 | 1573.147 | 1354.219 | 0.000 | -0.000 | -0.000 | 
| 1354.219 | 1354.219 | 1573.147 | -0.000 | -0.000 | -0.000 | 
| 0.000 | 0.000 | 0.000 | 1515.436 | -0.000 | -0.000 | 
| 0.000 | 0.000 | 0.000 | -0.000 | 1515.436 | -0.000 | 
| 0.000 | 0.000 | 0.000 | -0.000 | 0.000 | 1515.436 | 
| 1573.147 | 1354.218 | 1354.218 | 0.000 | 0.000 | 0.000 | 
| 1354.218 | 1573.147 | 1354.218 | 0.000 | 0.000 | 0.000 | 
| 1354.218 | 1354.218 | 1573.147 | 0.000 | -0.000 | -0.000 | 
| -0.000 | -0.000 | -0.000 | 1515.436 | 0.000 | 0.000 | 
| -0.000 | -0.000 | -0.000 | 0.000 | 1515.436 | 0.000 | 
| -0.000 | -0.000 | -0.000 | -0.000 | -0.000 | 1515.436 | 
| 1573.148 | 1354.219 | 1354.219 | -0.000 | -0.000 | -0.000 | 
| 1354.219 | 1573.148 | 1354.219 | -0.000 | -0.000 | -0.000 | 
| 1354.219 | 1354.219 | 1573.148 | -0.000 | -0.000 | -0.000 | 
| 0.001 | 0.001 | 0.001 | 1515.436 | -0.000 | 0.000 | 
| 0.001 | 0.001 | 0.001 | -0.000 | 1515.436 | 0.000 | 
| 0.001 | 0.001 | 0.001 | 0.000 | 0.000 | 1515.436 | 
| 1573.146 | 1354.218 | 1354.218 | 0.000 | 0.000 | -0.000 | 
| 1354.218 | 1573.146 | 1354.218 | 0.000 | -0.000 | -0.000 | 
| 1354.218 | 1354.218 | 1573.146 | 0.000 | 0.000 | 0.000 | 
| -0.001 | -0.001 | -0.001 | 1515.436 | 0.000 | -0.000 | 
| -0.001 | -0.001 | -0.001 | 0.000 | 1515.436 | -0.000 | 
| -0.001 | -0.001 | -0.001 | 0.000 | -0.000 | 1515.436 | 
| 1573.155 | 1354.228 | 1354.228 | -0.000 | -0.000 | 0.000 | 
| 1354.228 | 1573.155 | 1354.228 | -0.000 | -0.000 | 0.000 | 
| 1354.228 | 1354.228 | 1573.155 | -0.000 | -0.000 | 0.000 | 
| 0.008 | 0.005 | 0.008 | 1515.436 | -0.000 | -0.000 | 
| 0.005 | 0.008 | 0.008 | -0.000 | 1515.436 | -0.000 | 
| 0.005 | 0.008 | 0.008 | -0.000 | 0.000 | 1515.436 | 
| 1573.140 | 1354.209 | 1354.209 | 0.000 | 0.000 | 0.000 | 
| 1354.209 | 1573.140 | 1354.209 | 0.000 | 0.000 | 0.000 | 
| 1354.209 | 1354.209 | 1573.140 | 0.000 | 0.000 | -0.000 | 
| -0.008 | -0.005 | -0.008 | 1515.436 | 0.000 | -0.000 | 
| -0.005 | -0.008 | -0.008 | 0.000 | 1515.436 | -0.000 | 
| -0.005 | -0.008 | -0.008 | -0.000 | -0.000 | 1515.436 | 
| 0.642 | 5.262 | 5.262 | 0.000 | 0.000 | 0.000 | 
| 5.262 | 0.642 | 5.262 | 0.000 | 0.000 | 0.000 | 
| 5.262 | 5.262 | 0.642 | 0.000 | 0.000 | 0.000 | 
| -0.000 | 0.000 | -0.000 | -8.778 | 0.000 | 0.000 | 
| 0.000 | -0.000 | -0.000 | 0.000 | -8.778 | 0.000 | 
| 0.000 | -0.000 | -0.000 | 0.000 | 0.000 | -8.778 | 
| 0.642 | 5.262 | 5.262 | -0.000 | -0.000 | -0.000 | 
| 5.262 | 0.642 | 5.262 | -0.000 | -0.000 | -0.000 | 
| 5.262 | 5.262 | 0.642 | -0.000 | -0.000 | -0.000 | 
| 0.000 | -0.000 | 0.000 | -8.778 | 0.000 | -0.000 | 
| -0.000 | 0.000 | 0.000 | 0.000 | -8.778 | -0.000 | 
| -0.000 | 0.000 | 0.000 | 0.000 | -0.000 | -8.778 | 
| 0.642 | 5.262 | 5.262 | 0.000 | 0.000 | -0.000 | 
| 5.262 | 0.642 | 5.262 | 0.000 | 0.000 | -0.000 | 
| 5.262 | 5.262 | 0.642 | 0.000 | 0.000 | 0.000 | 
| -0.000 | 0.000 | -0.000 | -8.778 | 0.000 | 0.000 | 
| 0.000 | -0.000 | -0.000 | 0.000 | -8.778 | -0.000 | 
| 0.000 | -0.000 | -0.000 | 0.000 | 0.000 | -8.778 | 
| 0.642 | 5.262 | 5.262 | -0.000 | -0.000 | -0.000 | 
| 5.262 | 0.642 | 5.262 | -0.000 | -0.000 | -0.000 | 
| 5.262 | 5.262 | 0.642 | -0.000 | -0.000 | -0.000 | 
| 0.000 | -0.000 | 0.000 | -8.778 | -0.000 | -0.000 | 
| -0.000 | 0.000 | 0.000 | -0.000 | -8.778 | -0.000 | 
| -0.000 | 0.000 | 0.000 | -0.000 | -0.000 | -8.778 | 
| 0.642 | 5.262 | 5.262 | -0.000 | -0.000 | -0.000 | 
| 5.262 | 0.642 | 5.262 | -0.000 | -0.000 | -0.000 | 
| 5.262 | 5.262 | 0.642 | -0.000 | 0.000 | 0.000 | 
| -0.000 | 0.000 | -0.000 | -8.778 | 0.000 | 0.000 | 
| 0.000 | -0.000 | -0.000 | 0.000 | -8.778 | 0.000 | 
| 0.000 | -0.000 | -0.000 | 0.000 | 0.000 | -8.778 | 
| 0.642 | 5.262 | 5.262 | -0.000 | -0.000 | -0.000 | 
| 5.262 | 0.642 | 5.262 | -0.000 | -0.000 | -0.000 | 
| 5.262 | 5.262 | 0.642 | -0.000 | -0.000 | -0.000 | 
| 0.000 | -0.000 | 0.000 | -8.778 | -0.000 | -0.000 | 
| -0.000 | 0.000 | 0.000 | -0.000 | -8.778 | -0.000 | 
| -0.000 | 0.000 | 0.000 | -0.000 | -0.000 | -8.778 | 
| 516.858 | 822.720 | 822.720 | 0.000 | 0.000 | 0.000 | 
| 822.720 | 516.858 | 822.720 | 0.000 | 0.000 | 0.000 | 
| 822.720 | 822.720 | 516.858 | 0.000 | 0.000 | 0.000 | 
| -340585487.140 | -300249636.128 | -302320972.784 | 123096532.753 | -73657385.830 | -74507430.144 | 
| -286689414.613 | -330610129.845 | -293358505.393 | -68310358.005 | 120732232.819 | -73334170.127 | 
| -289693739.146 | -291190946.553 | -330584460.188 | -71459480.005 | -73447162.262 | 122010562.819 | 
| 239898967.524 | 235711703.759 | 240260359.964 | 46545960.863 | 43594795.145 | 42909564.337 | 
| 223583623.886 | 227393449.488 | 226596934.028 | 43247605.560 | 43401970.653 | 38404575.955 | 
| 226797721.066 | 224335572.036 | 231585425.934 | 48120946.461 | 45933977.052 | 43702066.636 | 
| 149859803.624 | 136140440.843 | 138006988.222 | 73179694.325 | 8740503.337 | 9557962.296 | 
| 144823253.058 | 161061059.701 | 144607608.785 | 7763210.399 | 76200203.220 | 8990965.442 | 
| 141637557.262 | 141535581.121 | 155635379.721 | 5297001.760 | 10542395.131 | 74119434.320 | 
| 516.858 | 822.721 | 822.721 | 0.000 | 0.000 | 0.000 | 
| 822.721 | 516.858 | 822.721 | 0.000 | 0.000 | 0.000 | 
| 822.721 | 822.721 | 516.858 | 0.000 | 0.000 | 0.000 | 
| -31109367.306 | -26793328.743 | -27577511.776 | 11455126.035 | -6376321.344 | -7579851.984 | 
| -28646565.458 | -33052941.809 | -29425527.158 | -6423707.233 | 12039429.447 | -7498615.460 | 
| -28616157.438 | -28990933.037 | -33041949.826 | -6569141.355 | -6964545.632 | 12279932.903 | 
| 24803343.800 | 24599557.436 | 24775741.407 | 4759614.062 | 4292117.138 | 4423018.695 | 
| 21288382.521 | 21547625.414 | 21987433.205 | 3937262.514 | 3998516.666 | 3896577.704 | 
| 26679699.013 | 26713357.695 | 27230995.645 | 4989380.001 | 5004146.170 | 4973759.962 | 
| 14047990.206 | 13074814.517 | 13200947.928 | 7300202.229 | 830883.415 | 970924.044 | 
| 14396364.668 | 15469001.304 | 14570485.985 | 857892.825 | 7402384.233 | 1013519.108 | 
| 14183983.406 | 13871648.738 | 15248823.622 | 174598.744 | 635909.569 | 7333071.990 | 
| 516.863 | 822.733 | 822.733 | 0.000 | 0.000 | 0.000 | 
| 822.733 | 516.863 | 822.733 | 0.000 | 0.000 | 0.000 | 
| 822.733 | 822.733 | 516.863 | 0.000 | 0.000 | 0.000 | 
| -3530536.698 | -3151777.100 | -3151397.863 | 1255609.657 | -771160.121 | -783805.582 | 
| -3119238.710 | -3546603.962 | -3178309.408 | -758179.276 | 1265829.074 | -838082.146 | 
| -3237643.054 | -3222615.336 | -3582508.998 | -802456.956 | -795283.021 | 1231022.882 | 
| 2470529.622 | 2448694.310 | 2430725.124 | 470040.430 | 444630.276 | 439408.536 | 
| 2389015.174 | 2367558.094 | 2361975.989 | 451630.412 | 439652.567 | 408358.514 | 
| 2125872.340 | 2094595.900 | 2091035.091 | 414101.403 | 399680.675 | 414539.654 | 
| 2081980.080 | 1892378.746 | 1910806.084 | 826549.956 | 63844.203 | 62475.941 | 
| 1748102.671 | 1961668.087 | 1785911.906 | 82005.236 | 793552.708 | 57532.050 | 
| 1549808.000 | 1571133.759 | 1731322.297 | 32027.888 | 73098.158 | 773993.052 | 
| -0.074 | 1.729 | 1.729 | -0.000 | -0.000 | -0.000 | 
| 1.729 | -0.074 | 1.729 | -0.000 | -0.000 | -0.000 | 
| 1.729 | 1.729 | -0.074 | -0.000 | -0.000 | -0.000 | 
| -219773.113 | -7108818.119 | -7223042.991 | -6316620.805 | 86419.227 | -93774.399 | 
| -7270383.212 | -335733.719 | -7350860.200 | -13238.906 | -6471347.026 | -20256.108 | 
| -7455690.819 | -7319482.091 | -388704.634 | -188098.537 | -167818.811 | -6189057.044 | 
| -0.074 | 1.729 | 1.729 | 0.000 | -0.000 | 0.000 | 
| 1.729 | -0.074 | 1.729 | -0.000 | 0.000 | 0.000 | 
| 1.729 | 1.729 | -0.074 | -0.000 | -0.000 | 0.000 | 
| 573402.733 | 6977386.181 | 7600765.915 | -6154586.926 | -2566.959 | 112909.831 | 
| 6866192.403 | 303388.542 | 7406733.345 | 118644.754 | -6157900.430 | 173075.349 | 
| 7266360.288 | 7221978.056 | 513176.788 | 106160.098 | 133570.184 | -6267591.090 | 
| -0.074 | 1.729 | 1.729 | 0.000 | -0.000 | -0.000 | 
| 1.729 | -0.074 | 1.729 | -0.000 | 0.000 | -0.000 | 
| 1.729 | 1.729 | -0.074 | -0.000 | -0.000 | 0.000 | 
| -54237.982 | -739081.668 | -733858.250 | -653006.047 | -14333.166 | -17409.064 | 
| -753018.752 | -70082.032 | -721452.886 | 6113.433 | -642135.517 | -24461.693 | 
| -703543.292 | -676827.483 | -42099.229 | 13063.718 | -13254.254 | -627545.792 | 
| -0.074 | 1.729 | 1.729 | 0.000 | 0.000 | 0.000 | 
| 1.729 | -0.074 | 1.729 | 0.000 | 0.000 | 0.000 | 
| 1.729 | 1.729 | -0.074 | 0.000 | 0.000 | 0.000 | 
| 39358.939 | 740797.949 | 646305.638 | -566457.854 | 9210.795 | 14576.443 | 
| 748335.400 | 19913.226 | 637618.309 | 4262.344 | -597928.975 | 15411.279 | 
| 716415.694 | 686549.451 | 24309.269 | -9492.352 | 22363.561 | -620211.928 | 
| -0.074 | 1.729 | 1.729 | 0.000 | 0.000 | -0.000 | 
| 1.729 | -0.074 | 1.729 | 0.000 | 0.000 | -0.000 | 
| 1.729 | 1.729 | -0.074 | -0.000 | 0.000 | 0.000 | 
| -2072.861 | -80037.175 | -77048.220 | -69501.499 | -2056.445 | -1020.766 | 
| -79222.529 | -4098.092 | -75296.573 | -1837.789 | -67729.006 | -1156.947 | 
| -73847.529 | -73382.678 | -1670.850 | -1685.193 | -1480.245 | -66437.457 | 
| -0.074 | 1.729 | 1.729 | 0.000 | 0.000 | 0.000 | 
| 1.729 | -0.074 | 1.729 | 0.000 | 0.000 | 0.000 | 
| 1.729 | 1.729 | -0.074 | 0.000 | 0.000 | 0.000 | 
| 6008.739 | 78559.805 | 73925.193 | -61749.282 | 2418.979 | -939.995 | 
| 73355.460 | 5176.607 | 72555.537 | 1097.132 | -61021.791 | -1186.434 | 
| 75708.931 | 70840.043 | 1998.424 | 1711.153 | 182.808 | -63875.834 | 
| 831.226 | 343.454 | 343.454 | 0.000 | -0.000 | 0.000 | 
| 343.454 | 831.226 | 343.454 | 0.000 | -0.000 | -0.000 | 
| 343.454 | 343.454 | 831.226 | 0.000 | -0.000 | -0.000 | 
| -0.008 | -0.008 | -0.008 | 104.650 | 0.000 | 0.000 | 
| -0.008 | -0.008 | -0.008 | 0.000 | 104.650 | 0.000 | 
| -0.008 | -0.008 | -0.008 | 0.000 | -0.000 | 104.650 | 
| 831.064 | 343.294 | 343.294 | -0.000 | -0.000 | 0.000 | 
| 343.294 | 831.064 | 343.294 | -0.000 | -0.000 | 0.000 | 
| 343.294 | 343.294 | 831.064 | -0.000 | 0.000 | 0.000 | 
| 0.008 | 0.008 | 0.008 | 104.650 | -0.000 | -0.000 | 
| 0.008 | 0.008 | 0.008 | 0.000 | 104.650 | -0.000 | 
| 0.008 | 0.008 | 0.008 | -0.000 | 0.000 | 104.650 | 
| 831.159 | 343.382 | 343.382 | 0.000 | 0.000 | -0.000 | 
| 343.382 | 831.159 | 343.382 | 0.000 | 0.000 | -0.000 | 
| 343.382 | 343.382 | 831.159 | 0.000 | -0.000 | -0.000 | 
| 0.008 | 0.008 | 0.008 | 104.546 | -0.000 | 0.000 | 
| 0.008 | 0.008 | 0.008 | 0.000 | 104.546 | 0.000 | 
| 0.008 | 0.008 | 0.008 | 0.000 | -0.000 | 104.546 | 
| 831.130 | 343.366 | 343.366 | -0.000 | -0.000 | 0.000 | 
| 343.366 | 831.130 | 343.366 | -0.000 | 0.000 | 0.000 | 
| 343.366 | 343.366 | 831.130 | -0.000 | -0.000 | 0.000 | 
| -0.008 | -0.008 | -0.008 | 104.546 | -0.000 | -0.000 | 
| -0.008 | -0.008 | -0.008 | -0.000 | 104.546 | -0.000 | 
| -0.008 | -0.008 | -0.008 | -0.000 | 0.000 | 104.546 | 
| 831.210 | 343.377 | 343.377 | 0.000 | -0.000 | -0.000 | 
| 343.377 | 831.210 | 343.377 | 0.000 | 0.000 | -0.000 | 
| 343.377 | 343.377 | 831.210 | 0.000 | -0.000 | 0.000 | 
| 0.002 | 0.001 | 0.001 | 104.546 | 0.000 | 0.000 | 
| 0.001 | 0.002 | 0.001 | 0.000 | 104.546 | 0.000 | 
| 0.001 | 0.001 | 0.002 | 0.000 | -0.000 | 104.546 | 
| 831.079 | 343.371 | 343.370 | -0.000 | -0.000 | 0.000 | 
| 343.370 | 831.079 | 343.371 | -0.000 | -0.000 | 0.000 | 
| 343.371 | 343.370 | 831.079 | -0.000 | 0.000 | 0.000 | 
| -0.002 | -0.001 | -0.001 | 104.546 | -0.000 | -0.000 | 
| -0.001 | -0.002 | -0.001 | -0.000 | 104.546 | -0.000 | 
| -0.001 | -0.001 | -0.002 | -0.000 | 0.000 | 104.546 | 
| 398988127.428 | 419457906.816 | 394036098.810 | 5041191.293 | -2952967.806 | 10009659.148 | 
| 393035678.227 | 386635402.581 | 383545214.372 | 1476000.935 | -6280151.129 | -13876964.461 | 
| 436217397.952 | 444795651.597 | 449536304.005 | -9508619.035 | -13457902.972 | 9795573.806 | 
| 417111167.059 | 648301305.188 | 630835278.894 | -14788413.460 | 3028880.375 | 10807469.876 | 
| 649546576.185 | 431137347.937 | 655152864.319 | -11139113.848 | -14491350.871 | 8156471.339 | 
| 605360254.515 | 640207238.571 | 373255367.206 | -12825214.838 | -1469087.861 | -7042749.909 | 
| 847.393 | 1386.366 | 1386.366 | 0.000 | 0.000 | 0.000 | 
| 1386.366 | 847.393 | 1386.366 | 0.000 | -0.000 | 0.000 | 
| 1386.366 | 1386.366 | 847.393 | 0.000 | 0.000 | -0.000 | 
| -445070841.143 | -651573308.252 | -651714977.796 | -46974531.407 | 8230414.468 | 591748.818 | 
| -664157969.825 | -498884310.446 | -682497846.021 | 321006.046 | -55532099.109 | -2090364.687 | 
| -632149072.081 | -632830180.171 | -454511059.781 | 2543301.663 | 5639041.566 | -42836248.935 | 
| 39809849.408 | 40851776.486 | 40472037.789 | -964354.852 | 480266.611 | -341733.296 | 
| 39775473.651 | 40021483.463 | 41715879.699 | 592859.711 | 189488.876 | 118265.605 | 
| 39837822.335 | 38688273.985 | 40038255.697 | -1089856.496 | -2172569.511 | 628907.212 | 
| 44538427.232 | 66413993.713 | 63717159.213 | -1313275.622 | -813803.851 | 608304.271 | 
| 65543264.248 | 43533502.551 | 65615777.950 | 1032612.294 | 266.292 | -125275.943 | 
| 61264329.380 | 62766301.819 | 38471780.618 | 350346.558 | 592358.806 | -1740034.730 | 
| 847.392 | 1386.364 | 1386.364 | -0.000 | -0.000 | 0.000 | 
| 1386.364 | 847.392 | 1386.364 | 0.000 | -0.000 | 0.000 | 
| 1386.364 | 1386.364 | 847.392 | -0.000 | 0.000 | -0.000 | 
| -44781316.420 | -65212235.946 | -64392736.037 | -4690453.608 | -1038115.832 | -46504.153 | 
| -64552849.526 | -47535010.063 | -64618262.620 | -1084000.177 | -4332279.833 | -551391.823 | 
| -63116156.547 | -64531592.675 | -46257885.820 | 665197.293 | -187329.705 | -4342966.536 | 
| 847.400 | 1386.387 | 1386.387 | -0.000 | -0.000 | -0.000 | 
| 1386.387 | 847.400 | 1386.387 | -0.000 | -0.000 | -0.000 | 
| 3727660.077 | 3681939.377 | 3948965.848 | -28017.476 | -27351.615 | 37363.154 | 
| 4240585.792 | 6446909.647 | 6389403.660 | -258046.340 | 24300.189 | -17455.283 | 
| 6528528.321 | 4451926.809 | 6648071.481 | 38126.460 | -352607.984 | -73780.016 | 
| 6471174.947 | 6553035.828 | 4326242.963 | -110647.202 | 92739.475 | 15052.383 | 
| 847.386 | 1386.345 | 1386.345 | -0.000 | 0.000 | 0.000 | 
| 1386.345 | 847.386 | 1386.345 | 0.000 | 0.000 | 0.000 | 
| 1386.345 | 1386.345 | 847.386 | 0.000 | 0.000 | 0.000 | 
| -4661154.883 | -6319690.439 | -6289205.243 | -342649.905 | -15828.500 | 56369.427 | 
| -5981265.150 | -4785581.897 | -6040531.274 | 8210.213 | -218717.970 | -97602.624 | 
| -6513131.076 | -6464159.898 | -4727879.612 | -209009.959 | 4414.362 | -557071.020 | 
| -0.109 | 3.197 | 3.197 | -0.000 | 0.000 | -0.000 | 
| 3.197 | -0.109 | 3.197 | 0.000 | -0.000 | -0.000 | 
| 3.197 | 3.197 | -0.109 | -0.000 | -0.000 | 0.000 | 
| -10481248.640 | 576846.917 | 1215308.754 | -1631863.606 | -391762.221 | -128969.062 | 
| 755771.013 | -10076764.378 | 1538111.336 | -278239.796 | -1452193.027 | -313136.022 | 
| 824683.190 | 1868482.838 | -10913654.022 | 3167.964 | 192767.797 | -1236223.738 | 
| -0.109 | 3.197 | 3.197 | 0.000 | 0.000 | 0.000 | 
| 3.197 | -0.109 | 3.197 | 0.000 | 0.000 | 0.000 | 
| 3.197 | 3.197 | -0.109 | 0.000 | 0.000 | 0.000 | 
| 9680790.176 | -2502285.203 | -1129953.287 | -454575.413 | 101414.055 | 270394.825 | 
| -2851753.155 | 10198180.605 | -1290827.192 | -417045.412 | -422089.633 | -123185.305 | 
| -2524673.673 | -816195.244 | 9281079.639 | 263412.700 | 112259.376 | -135935.822 | 
| -0.109 | 3.197 | 3.197 | -0.000 | -0.000 | 0.000 | 
| 3.197 | -0.109 | 3.197 | -0.000 | -0.000 | 0.000 | 
| 3.197 | 3.197 | -0.109 | -0.000 | -0.000 | -0.000 | 
| -888768.098 | 605573.957 | 690779.342 | 501619.569 | -11616.635 | -2115.461 | 
| 623018.795 | -915360.227 | 702514.580 | -1627.203 | 501174.380 | 4234.514 | 
| 608514.251 | 695118.335 | -861173.912 | -3912.359 | -14991.976 | 506144.411 | 
| -0.109 | 3.197 | 3.197 | 0.000 | 0.000 | 0.000 | 
| 3.197 | -0.109 | 3.197 | 0.000 | 0.000 | 0.000 | 
| 3.197 | 3.197 | -0.109 | 0.000 | 0.000 | 0.000 | 
| 674354.329 | -667356.122 | -736800.608 | 569203.618 | 1889.606 | -2256.775 | 
| -678657.960 | 740289.772 | -749432.059 | 11535.850 | 556678.788 | 8120.750 | 
| -610313.507 | -706739.196 | 762691.578 | 15245.043 | -2336.234 | 546375.835 | 
| -0.109 | 3.197 | 3.197 | -0.000 | 0.000 | -0.000 | 
| 3.197 | -0.109 | 3.197 | 0.000 | -0.000 | -0.000 | 
| 3.197 | 3.197 | -0.109 | -0.000 | -0.000 | -0.000 | 
| -42102.671 | 31153.290 | 30257.268 | 17853.309 | -153.324 | -2514.491 | 
| 30124.942 | -44967.166 | 30229.538 | 1619.440 | 16687.959 | -1490.598 | 
| 30671.721 | 32616.717 | -38815.153 | -585.565 | -1858.142 | 16877.986 | 
| -0.109 | 3.197 | 3.197 | 0.000 | -0.000 | 0.000 | 
| 3.197 | -0.109 | 3.197 | -0.000 | 0.000 | 0.000 | 
| 3.197 | 3.197 | -0.109 | 0.000 | -0.000 | 0.000 | 
| -14825.896 | -50900.723 | -48939.716 | 36654.383 | 1189.079 | 245.969 | 
| -49510.862 | -6589.415 | -46074.784 | -1149.430 | 33207.939 | -2327.079 | 
| -49181.460 | -44641.481 | -1717.336 | -149.405 | 1210.637 | 36305.449 | 
| 1019.209 | 930.984 | 930.984 | -0.000 | -0.000 | 0.000 | 
| 930.984 | 1019.209 | 930.984 | -0.000 | -0.000 | 0.000 | 
| 930.984 | 930.984 | 1019.209 | -0.000 | -0.000 | 0.000 | 
| 5938137459.947 | 6025324532.978 | 6132512923.095 | 58437798.326 | 9798827.588 | -14897759.213 | 
| 6071042767.205 | 5945258117.650 | 6124619004.340 | -22576662.081 | 76985224.756 | -4681553.125 | 
| 6193957550.268 | 6014625379.634 | 6001515492.755 | 53346317.584 | -45161927.291 | -3424004.470 | 
| 1019.215 | 930.981 | 930.981 | 0.000 | 0.000 | -0.000 | 
| 930.981 | 1019.215 | 930.981 | 0.000 | 0.000 | -0.000 | 
| 930.981 | 930.981 | 1019.215 | 0.000 | 0.000 | -0.000 | 
| -5967076438.624 | -6086671433.664 | -6064360714.767 | 159881539.982 | 34467426.734 | 53389938.046 | 
| -6061875054.374 | -5991816444.164 | -6156418908.241 | 39453591.978 | 83993256.349 | -25631151.567 | 
| -6052205406.671 | -6142068830.256 | -5972158476.781 | -1587928.121 | 1285644.127 | 129324922.182 | 
| 1019.180 | 931.000 | 931.000 | -0.000 | -0.000 | 0.000 | 
| 931.000 | 1019.180 | 931.000 | -0.000 | -0.000 | 0.000 | 
| 931.000 | 931.000 | 1019.180 | -0.000 | -0.000 | 0.000 | 
| 590240838.492 | 607080364.070 | 614454858.117 | 11592550.326 | 3015398.228 | 1164478.906 | 
| 612527127.723 | 591255723.423 | 609142762.900 | 1616152.496 | 11594982.942 | -5302434.267 | 
| 606654680.414 | 604710852.862 | 597138242.131 | -531593.042 | 4879642.381 | 8827828.574 | 
| 1019.244 | 930.965 | 930.965 | 0.000 | 0.000 | -0.000 | 
| 930.965 | 1019.244 | 930.965 | 0.000 | 0.000 | -0.000 | 
| 930.965 | 930.965 | 1019.244 | 0.000 | 0.000 | -0.000 | 
| -591792200.176 | -611595532.508 | -607134376.920 | 6454734.385 | 1070966.812 | 3363659.321 | 
| -608286977.240 | -596509158.151 | -613597290.587 | 2157160.589 | 5899755.709 | 3393303.558 | 
| -612630036.933 | -608145794.848 | -595581410.732 | -416591.979 | 1084708.135 | 8047543.427 | 
| 1019.198 | 931.002 | 931.002 | -0.000 | -0.000 | 0.000 | 
| 931.002 | 1019.198 | 931.002 | -0.000 | -0.000 | 0.000 | 
| 931.002 | 931.002 | 1019.198 | -0.000 | -0.000 | 0.000 | 
| 58967698.499 | 60757024.781 | 61613052.212 | 912816.823 | -295771.298 | 61433.403 | 
| 61215007.985 | 59164560.488 | 60921873.204 | -445223.801 | 1123549.232 | -51970.723 | 
| 60630093.717 | 61651583.563 | 58677126.475 | -176982.383 | -550093.445 | 1704905.088 | 
| 1019.226 | 930.963 | 930.963 | 0.000 | 0.000 | -0.000 | 
| 930.963 | 1019.226 | 930.963 | 0.000 | 0.000 | -0.000 | 
| 930.963 | 930.963 | 1019.226 | 0.000 | 0.000 | -0.000 | 
| -59738332.483 | -61982251.462 | -60508341.891 | 1011014.122 | 113639.014 | 11919.435 | 
| -60602792.038 | -58699697.204 | -61994023.572 | 217183.039 | 761157.922 | 311236.002 | 
| -61433626.272 | -60819114.414 | -59192812.853 | 360385.897 | 213481.169 | 1442230.142 | 
| -1.079 | 17.277 | 17.277 | -0.000 | -0.000 | 0.000 | 
| 17.277 | -1.079 | 17.277 | -0.000 | -0.000 | 0.000 | 
| 17.277 | 17.277 | -1.079 | 0.000 | -0.000 | 0.000 | 
| -0.000 | 0.000 | -0.000 | 10.426 | 0.000 | -0.000 | 
| 0.000 | -0.000 | -0.000 | 0.000 | 10.426 | 0.000 | 
| 0.000 | 0.000 | -0.000 | 0.000 | -0.000 | 10.426 | 
| -1.079 | 17.277 | 17.277 | 0.000 | 0.000 | 0.000 | 
| 17.277 | -1.079 | 17.277 | 0.000 | 0.000 | -0.000 | 
| 17.277 | 17.277 | -1.079 | 0.000 | -0.000 | -0.000 | 
| 0.000 | -0.000 | 0.000 | 10.426 | -0.000 | -0.000 | 
| -0.000 | 0.000 | 0.000 | -0.000 | 10.426 | -0.000 | 
| -0.000 | -0.000 | 0.000 | 0.000 | 0.000 | 10.426 | 
| -1.079 | 17.277 | 17.277 | -0.000 | -0.000 | 0.000 | 
| 17.277 | -1.079 | 17.277 | -0.000 | -0.000 | 0.000 | 
| 17.277 | 17.277 | -1.079 | -0.000 | 0.000 | -0.000 | 
| -0.000 | 0.000 | 0.000 | 10.426 | -0.000 | -0.000 | 
| 0.000 | -0.000 | 0.000 | -0.000 | 10.426 | 0.000 | 
| 0.000 | 0.000 | -0.000 | 0.000 | -0.000 | 10.426 | 
| -1.079 | 17.277 | 17.277 | 0.000 | 0.000 | -0.000 | 
| 17.277 | -1.079 | 17.277 | 0.000 | 0.000 | -0.000 | 
| 17.277 | 17.277 | -1.079 | 0.000 | -0.000 | -0.000 | 
| 0.000 | -0.000 | -0.000 | 10.426 | -0.000 | -0.000 | 
| -0.000 | 0.000 | -0.000 | 0.000 | 10.426 | 0.000 | 
| -0.000 | -0.000 | 0.000 | -0.000 | 0.000 | 10.426 | 
| -274219.737 | -653667.218 | 519411.668 | 14935.429 | -3028.027 | 6591.537 | 
| -623683.190 | -316360.457 | 467331.685 | -27695.174 | 21075.019 | -13080.730 | 
| -118761.532 | -192432.372 | -387276.293 | -15516.858 | 44001.943 | -27886.800 | 
| -0.000 | 0.000 | 0.000 | 10.426 | -0.000 | 0.000 | 
| 0.000 | -0.000 | 0.000 | 0.000 | 10.426 | 0.000 | 
| 0.000 | 0.000 | -0.000 | -0.000 | -0.000 | 10.426 | 
| 370667.189 | 515798.683 | 516780.491 | -7604.366 | 6916.273 | -17923.354 | 
| 489531.657 | 252312.419 | 419735.438 | -675.651 | 29137.803 | -32086.061 | 
| 506055.112 | 532172.406 | 306501.327 | -49174.069 | 11668.274 | 14279.998 | 
| 0.000 | -0.000 | -0.000 | 10.426 | 0.000 | -0.000 | 
| -0.000 | 0.000 | -0.000 | -0.000 | 10.426 | -0.000 | 
| -0.000 | -0.000 | 0.000 | 0.000 | 0.000 | 10.426 | 
| 831.802 | 719.467 | 719.467 | 0.000 | -0.000 | 0.000 | 
| 719.467 | 831.802 | 719.467 | -0.000 | 0.000 | 0.000 | 
| 719.467 | 719.467 | 831.802 | 0.000 | 0.000 | -0.000 | 
| 0.000 | 0.000 | 0.000 | 336.554 | -0.000 | -0.000 | 
| 0.000 | 0.000 | 0.000 | -0.000 | 336.554 | -0.000 | 
| 0.000 | 0.000 | 0.000 | -0.000 | 0.000 | 336.554 | 
| 831.802 | 719.467 | 719.467 | -0.000 | 0.000 | -0.000 | 
| 719.467 | 831.802 | 719.467 | 0.000 | -0.000 | -0.000 | 
| 719.467 | 719.467 | 831.802 | -0.000 | -0.000 | -0.000 | 
| -0.000 | -0.000 | -0.000 | 336.554 | 0.000 | 0.000 | 
| -0.000 | -0.000 | -0.000 | 0.000 | 336.554 | 0.000 | 
| -0.000 | -0.000 | -0.000 | 0.000 | 0.000 | 336.554 | 
| 831.802 | 719.467 | 719.467 | -0.000 | -0.000 | -0.000 | 
| 719.467 | 831.802 | 719.467 | -0.000 | 0.000 | -0.000 | 
| 719.467 | 719.467 | 831.802 | 0.000 | 0.000 | 0.000 | 
| 0.000 | 0.000 | 0.000 | 336.554 | -0.000 | -0.000 | 
| 0.000 | 0.000 | 0.000 | -0.000 | 336.554 | -0.000 | 
| 0.000 | 0.000 | 0.000 | -0.000 | -0.000 | 336.554 | 
| 831.802 | 719.466 | 719.466 | -0.000 | 0.000 | -0.000 | 
| 719.466 | 831.802 | 719.466 | 0.000 | -0.000 | -0.000 | 
| 719.466 | 719.466 | 831.802 | -0.000 | -0.000 | -0.000 | 
| -0.000 | -0.000 | -0.000 | 336.554 | 0.000 | 0.000 | 
| -0.000 | -0.000 | -0.000 | 0.000 | 336.554 | 0.000 | 
| -0.000 | -0.000 | -0.000 | 0.000 | 0.000 | 336.554 | 
| 831.806 | 719.472 | 719.472 | 0.000 | -0.000 | 0.000 | 
| 719.472 | 831.806 | 719.472 | -0.000 | 0.000 | 0.000 | 
| 719.472 | 719.472 | 831.806 | 0.000 | 0.000 | 0.000 | 
| 0.001 | 0.000 | 0.001 | 336.554 | -0.000 | -0.000 | 
| 0.000 | 0.001 | 0.001 | -0.000 | 336.554 | -0.000 | 
| 0.000 | 0.001 | 0.001 | -0.000 | -0.000 | 336.554 | 
| 831.798 | 719.462 | 719.462 | -0.000 | 0.000 | -0.000 | 
| 719.462 | 831.798 | 719.462 | 0.000 | -0.000 | -0.000 | 
| 719.462 | 719.462 | 831.798 | -0.000 | -0.000 | 0.000 | 
| -0.001 | -0.000 | -0.001 | 336.554 | 0.000 | 0.000 | 
| -0.000 | -0.001 | -0.001 | 0.000 | 336.554 | 0.000 | 
| -0.000 | -0.001 | -0.001 | -0.000 | 0.000 | 336.554 | 
| 8.797 | 11.794 | 11.794 | 0.000 | -0.000 | 0.000 | 
| 11.794 | 8.797 | 11.794 | -0.000 | -0.000 | 0.000 | 
| 11.794 | 11.794 | 8.797 | -0.000 | -0.000 | 0.000 | 
| -0.000 | 0.000 | -0.000 | -36.056 | 0.000 | 0.000 | 
| 0.000 | -0.000 | -0.000 | 0.000 | -36.056 | -0.000 | 
| 0.000 | -0.000 | -0.000 | -0.000 | 0.000 | -36.056 | 
| 8.797 | 11.794 | 11.794 | -0.000 | -0.000 | 0.000 | 
| 11.794 | 8.797 | 11.794 | -0.000 | -0.000 | 0.000 | 
| 11.794 | 11.794 | 8.797 | -0.000 | -0.000 | -0.000 | 
| 0.000 | -0.000 | 0.000 | -36.056 | -0.000 | 0.000 | 
| -0.000 | 0.000 | 0.000 | 0.000 | -36.056 | 0.000 | 
| -0.000 | 0.000 | 0.000 | 0.000 | 0.000 | -36.056 | 
| 8.797 | 11.794 | 11.794 | -0.000 | -0.000 | 0.000 | 
| 11.794 | 8.797 | 11.794 | -0.000 | 0.000 | -0.000 | 
| 11.794 | 11.794 | 8.797 | -0.000 | 0.000 | 0.000 | 
| 0.000 | 0.000 | 0.000 | -29.890 | 0.000 | 0.000 | 
| 0.000 | 0.000 | 0.000 | 0.000 | -29.890 | -0.000 | 
| 0.000 | 0.000 | 0.000 | -0.000 | 0.000 | -29.890 | 
| 8.797 | 11.794 | 11.794 | -0.000 | 0.000 | -0.000 | 
| 11.794 | 8.797 | 11.794 | 0.000 | -0.000 | 0.000 | 
| 11.794 | 11.794 | 8.797 | 0.000 | 0.000 | 0.000 | 
| -0.000 | -0.000 | -0.000 | -29.890 | 0.000 | -0.000 | 
| -0.000 | -0.000 | -0.000 | 0.000 | -29.890 | 0.000 | 
| -0.000 | -0.000 | -0.000 | 0.000 | -0.000 | -29.890 | 
| 8.797 | 11.794 | 11.794 | 0.000 | -0.000 | 0.000 | 
| 11.794 | 8.797 | 11.794 | -0.000 | 0.000 | 0.000 | 
| 11.794 | 11.794 | 8.797 | -0.000 | 0.000 | -0.000 | 
| -951824.585 | 350408.717 | 263588.519 | -347241.432 | 15574.660 | -17823.634 | 
| 353171.027 | -935755.828 | 321265.648 | -12662.934 | -345865.840 | 4122.348 | 
| 319890.697 | 314080.457 | -953213.825 | 24542.642 | -2197.187 | -310527.148 | 
| 8.797 | 11.794 | 11.794 | 0.000 | 0.000 | -0.000 | 
| 11.794 | 8.797 | 11.794 | 0.000 | -0.000 | 0.000 | 
| 11.794 | 11.794 | 8.797 | -0.000 | -0.000 | 0.000 | 
| 922446.519 | -359222.538 | -341472.951 | -304520.951 | -18570.138 | 8742.158 | 
| -341654.408 | 880091.682 | -388529.083 | 11379.980 | -328292.112 | -18583.816 | 
| -293215.505 | -288317.181 | 914190.544 | 14349.150 | -10596.835 | -266166.586 | 
| 461.668 | 257.136 | 257.136 | 0.000 | 0.000 | 0.000 | 
| 257.136 | 461.668 | 257.136 | 0.000 | 0.000 | 0.000 | 
| 257.136 | 257.136 | 461.668 | 0.000 | 0.000 | 0.000 | 
| 0.000 | 0.000 | 0.000 | 257.163 | 0.000 | 0.000 | 
| 0.000 | 0.000 | 0.000 | 0.000 | 257.163 | 0.000 | 
| 0.000 | 0.000 | 0.000 | 0.000 | 0.000 | 257.163 | 
| 461.668 | 257.136 | 257.136 | -0.000 | -0.000 | -0.000 | 
| 257.136 | 461.668 | 257.136 | -0.000 | -0.000 | -0.000 | 
| 257.136 | 257.136 | 461.668 | -0.000 | -0.000 | -0.000 | 
| -0.000 | -0.000 | -0.000 | 257.163 | -0.000 | -0.000 | 
| -0.000 | -0.000 | -0.000 | -0.000 | 257.163 | -0.000 | 
| -0.000 | -0.000 | -0.000 | -0.000 | -0.000 | 257.163 | 
| 461.669 | 257.136 | 257.136 | 0.000 | 0.000 | 0.000 | 
| 257.136 | 461.669 | 257.136 | 0.000 | 0.000 | 0.000 | 
| 257.136 | 257.136 | 461.669 | 0.000 | 0.000 | 0.000 | 
| -0.000 | 0.000 | 0.000 | 257.163 | 0.000 | 0.000 | 
| 0.000 | -0.000 | 0.000 | 0.000 | 257.163 | 0.000 | 
| 0.000 | 0.000 | -0.000 | 0.000 | 0.000 | 257.163 | 
| 461.668 | 257.136 | 257.136 | -0.000 | -0.000 | -0.000 | 
| 257.136 | 461.668 | 257.136 | -0.000 | -0.000 | -0.000 | 
| 257.136 | 257.136 | 461.668 | -0.000 | -0.000 | -0.000 | 
| 0.000 | -0.000 | -0.000 | 257.163 | -0.000 | -0.000 | 
| -0.000 | 0.000 | -0.000 | -0.000 | 257.163 | -0.000 | 
| -0.000 | -0.000 | 0.000 | -0.000 | -0.000 | 257.163 | 
| 461.675 | 257.140 | 257.140 | 0.000 | 0.000 | 0.000 | 
| 257.140 | 461.675 | 257.140 | 0.000 | 0.000 | 0.000 | 
| 257.140 | 257.140 | 461.675 | 0.000 | 0.000 | 0.000 | 
| -0.000 | 0.003 | 0.004 | 257.163 | 0.000 | 0.000 | 
| 0.003 | -0.000 | 0.004 | 0.000 | 257.163 | 0.000 | 
| 0.003 | 0.004 | -0.000 | 0.000 | 0.000 | 257.163 | 
| 461.661 | 257.132 | 257.132 | -0.000 | -0.000 | -0.000 | 
| 257.132 | 461.661 | 257.132 | -0.000 | -0.000 | 0.000 | 
| 257.132 | 257.132 | 461.661 | -0.000 | -0.000 | -0.000 | 
| 0.000 | -0.003 | -0.004 | 257.163 | -0.000 | -0.000 | 
| -0.003 | 0.000 | -0.004 | -0.000 | 257.163 | -0.000 | 
| -0.003 | -0.004 | 0.000 | -0.000 | -0.000 | 257.163 | 
| 16.329 | 14.538 | 14.538 | 0.000 | 0.000 | 0.000 | 
| 14.538 | 16.329 | 14.538 | 0.000 | 0.000 | 0.000 | 
| 14.538 | 14.538 | 16.329 | 0.000 | 0.000 | 0.000 | 
| 0.000 | 0.000 | -0.000 | -1.558 | -0.000 | 0.000 | 
| 0.000 | 0.000 | 0.000 | -0.000 | -1.558 | 0.000 | 
| 0.000 | -0.000 | 0.000 | 0.000 | 0.000 | -1.558 | 
| 16.329 | 14.538 | 14.538 | 0.000 | -0.000 | -0.000 | 
| 14.538 | 16.329 | 14.538 | -0.000 | 0.000 | -0.000 | 
| 14.538 | 14.538 | 16.329 | -0.000 | -0.000 | -0.000 | 
| -0.000 | 0.000 | -0.000 | -1.558 | -0.000 | -0.000 | 
| -0.000 | -0.000 | -0.000 | -0.000 | -1.558 | -0.000 | 
| -0.000 | -0.000 | -0.000 | 0.000 | -0.000 | -1.558 | 
| 16.329 | 14.538 | 14.538 | 0.000 | -0.000 | 0.000 | 
| 14.538 | 16.329 | 14.538 | -0.000 | 0.000 | 0.000 | 
| 14.538 | 14.538 | 16.329 | 0.000 | 0.000 | 0.000 | 
| 0.000 | 0.000 | 0.000 | -1.558 | 0.000 | 0.000 | 
| 0.000 | 0.000 | 0.000 | 0.000 | -1.558 | -0.000 | 
| 0.000 | 0.000 | 0.000 | 0.000 | -0.000 | -1.558 | 
| 16.329 | 14.538 | 14.538 | -0.000 | -0.000 | -0.000 | 
| 14.538 | 16.329 | 14.538 | -0.000 | -0.000 | -0.000 | 
| 14.538 | 14.538 | 16.329 | -0.000 | -0.000 | -0.000 | 
| -0.000 | -0.000 | -0.000 | -1.558 | 0.000 | 0.000 | 
| -0.000 | -0.000 | -0.000 | -0.000 | -1.558 | -0.000 | 
| -0.000 | -0.000 | -0.000 | -0.000 | 0.000 | -1.558 | 
| 16.329 | 14.538 | 14.538 | 0.000 | -0.000 | -0.000 | 
| 14.538 | 16.329 | 14.538 | -0.000 | 0.000 | 0.000 | 
| 14.538 | 14.538 | 16.329 | 0.000 | 0.000 | 0.000 | 
| 0.000 | 0.000 | 0.000 | -1.558 | 0.000 | 0.000 | 
| 0.000 | 0.000 | 0.000 | 0.000 | -1.558 | 0.000 | 
| 0.000 | 0.000 | 0.000 | -0.000 | -0.000 | -1.558 | 
| 16.329 | 14.538 | 14.538 | 0.000 | 0.000 | 0.000 | 
| 14.538 | 16.329 | 14.538 | 0.000 | 0.000 | -0.000 | 
| 14.538 | 14.538 | 16.329 | -0.000 | 0.000 | 0.000 | 
| -0.000 | -0.000 | -0.000 | -1.558 | -0.000 | -0.000 | 
| -0.000 | -0.000 | -0.000 | -0.000 | -1.558 | -0.000 | 
| -0.000 | -0.000 | -0.000 | 0.000 | 0.000 | -1.558 | 
| 76.730 | 85.786 | 85.786 | 0.000 | 0.000 | 0.000 | 
| 85.786 | 76.730 | 85.786 | 0.000 | 0.000 | 0.000 | 
| 85.786 | 85.786 | 76.730 | 0.000 | 0.000 | 0.000 | 
| -0.000 | 0.000 | 0.000 | 0.624 | -0.000 | 0.000 | 
| 0.000 | -0.000 | 0.000 | 0.000 | 0.624 | -0.000 | 
| 0.000 | 0.000 | -0.000 | -0.000 | -0.000 | 0.624 | 
| 76.730 | 85.786 | 85.786 | -0.000 | 0.000 | 0.000 | 
| 85.786 | 76.730 | 85.786 | 0.000 | -0.000 | -0.000 | 
| 85.786 | 85.786 | 76.730 | 0.000 | -0.000 | -0.000 | 
| 0.000 | -0.000 | -0.000 | 0.624 | -0.000 | -0.000 | 
| -0.000 | 0.000 | -0.000 | 0.000 | 0.624 | -0.000 | 
| -0.000 | -0.000 | 0.000 | 0.000 | -0.000 | 0.624 | 
| 76.730 | 85.786 | 85.786 | 0.000 | -0.000 | -0.000 | 
| 85.786 | 76.730 | 85.786 | -0.000 | 0.000 | -0.000 | 
| 85.786 | 85.786 | 76.730 | 0.000 | -0.000 | 0.000 | 
| 0.000 | 0.000 | 0.000 | 0.624 | -0.000 | -0.000 | 
| 0.000 | 0.000 | 0.000 | 0.000 | 0.624 | -0.000 | 
| 0.000 | 0.000 | 0.000 | 0.000 | -0.000 | 0.624 | 
| 76.730 | 85.786 | 85.786 | -0.000 | -0.000 | 0.000 | 
| 85.786 | 76.730 | 85.786 | -0.000 | -0.000 | -0.000 | 
| 85.786 | 85.786 | 76.730 | -0.000 | -0.000 | -0.000 | 
| -0.000 | -0.000 | -0.000 | 0.624 | 0.000 | 0.000 | 
| -0.000 | -0.000 | -0.000 | -0.000 | 0.624 | 0.000 | 
| -0.000 | -0.000 | -0.000 | -0.000 | 0.000 | 0.624 | 
| 76.730 | 85.786 | 85.786 | 0.000 | -0.000 | 0.000 | 
| 85.786 | 76.730 | 85.786 | -0.000 | -0.000 | -0.000 | 
| 85.786 | 85.786 | 76.730 | -0.000 | -0.000 | 0.000 | 
| 0.000 | 0.000 | 0.000 | 0.624 | -0.000 | -0.000 | 
| 0.000 | 0.000 | 0.000 | -0.000 | 0.624 | 0.000 | 
| 0.000 | 0.000 | 0.000 | -0.000 | 0.000 | 0.624 | 
| 76.730 | 85.786 | 85.786 | -0.000 | -0.000 | -0.000 | 
| 85.786 | 76.730 | 85.786 | -0.000 | -0.000 | 0.000 | 
| 85.786 | 85.786 | 76.730 | -0.000 | -0.000 | -0.000 | 
| -0.000 | -0.000 | -0.000 | 0.624 | -0.000 | -0.000 | 
| -0.000 | -0.000 | -0.000 | 0.000 | 0.624 | 0.000 | 
| -0.000 | -0.000 | -0.000 | 0.000 | -0.000 | 0.624 | 
| 188.809 | 52.855 | 52.855 | -0.000 | 0.000 | 0.000 | 
| 52.855 | 188.809 | 52.855 | -0.000 | 0.000 | -0.000 | 
| 52.855 | 52.855 | 188.809 | -0.000 | 0.000 | -0.000 | 
| -0.000 | -0.000 | -0.000 | 32.835 | 0.000 | 0.000 | 
| -0.000 | -0.000 | -0.000 | -0.000 | 32.835 | 0.000 | 
| -0.000 | -0.000 | -0.000 | -0.000 | 0.000 | 32.835 | 
| 188.809 | 52.855 | 52.855 | 0.000 | -0.000 | -0.000 | 
| 52.855 | 188.809 | 52.855 | 0.000 | -0.000 | -0.000 | 
| 52.855 | 52.855 | 188.809 | 0.000 | 0.000 | -0.000 | 
| 0.000 | 0.000 | 0.000 | 32.835 | -0.000 | 0.000 | 
| 0.000 | 0.000 | 0.000 | 0.000 | 32.835 | 0.000 | 
| 0.000 | 0.000 | 0.000 | 0.000 | -0.000 | 32.835 | 
| 188.809 | 52.855 | 52.855 | -0.000 | 0.000 | 0.000 | 
| 52.855 | 188.809 | 52.855 | -0.000 | 0.000 | 0.000 | 
| 52.855 | 52.855 | 188.809 | 0.000 | 0.000 | 0.000 | 
| -0.000 | -0.000 | -0.000 | 35.170 | 0.000 | -0.000 | 
| -0.000 | -0.000 | -0.000 | -0.000 | 35.170 | 0.000 | 
| -0.000 | -0.000 | -0.000 | -0.000 | 0.000 | 35.170 | 
| 188.809 | 52.855 | 52.855 | 0.000 | -0.000 | 0.000 | 
| 52.855 | 188.809 | 52.855 | 0.000 | -0.000 | 0.000 | 
| 52.855 | 52.855 | 188.809 | -0.000 | -0.000 | -0.000 | 
| 0.000 | 0.000 | 0.000 | 35.170 | -0.000 | -0.000 | 
| 0.000 | 0.000 | 0.000 | 0.000 | 35.170 | -0.000 | 
| 0.000 | 0.000 | 0.000 | 0.000 | -0.000 | 35.170 | 
| 188.810 | 52.855 | 52.855 | -0.000 | 0.000 | 0.000 | 
| 52.855 | 188.810 | 52.855 | -0.000 | 0.000 | 0.000 | 
| 52.855 | 52.855 | 188.810 | -0.000 | 0.000 | 0.000 | 
| -0.001 | -0.001 | -0.001 | 32.835 | 0.000 | -0.000 | 
| -0.001 | -0.001 | -0.001 | -0.000 | 32.835 | 0.000 | 
| -0.001 | -0.001 | -0.001 | -0.000 | 0.000 | 32.835 | 
| 188.808 | 52.855 | 52.855 | 0.000 | -0.000 | -0.000 | 
| 52.855 | 188.808 | 52.855 | 0.000 | -0.000 | -0.000 | 
| 52.855 | 52.855 | 188.808 | 0.000 | -0.000 | -0.000 | 
| 0.001 | 0.001 | 0.001 | 32.835 | -0.000 | -0.000 | 
| 0.001 | 0.001 | 0.001 | 0.000 | 32.835 | -0.000 | 
| 0.001 | 0.001 | 0.001 | 0.000 | -0.000 | 32.835 | 
| 108.738 | 89.901 | 89.901 | 0.000 | 0.000 | -0.000 | 
| 89.901 | 108.738 | 89.901 | 0.000 | 0.000 | -0.000 | 
| 89.901 | 89.901 | 108.738 | 0.000 | 0.000 | -0.000 | 
| 0.000 | 0.000 | 0.000 | 83.050 | 0.000 | -0.000 | 
| 0.000 | 0.000 | 0.000 | 0.000 | 83.050 | 0.000 | 
| 0.000 | 0.000 | 0.000 | 0.000 | -0.000 | 83.050 | 
| 108.738 | 89.901 | 89.901 | -0.000 | 0.000 | -0.000 | 
| 89.901 | 108.738 | 89.901 | 0.000 | -0.000 | 0.000 | 
| 89.901 | 89.901 | 108.738 | -0.000 | -0.000 | 0.000 | 
| -0.000 | -0.000 | -0.000 | 83.050 | -0.000 | 0.000 | 
| -0.000 | -0.000 | -0.000 | -0.000 | 83.050 | -0.000 | 
| -0.000 | -0.000 | -0.000 | -0.000 | -0.000 | 83.050 | 
| 108.738 | 89.901 | 89.901 | 0.000 | 0.000 | -0.000 | 
| 89.901 | 108.738 | 89.901 | -0.000 | 0.000 | -0.000 | 
| 89.901 | 89.901 | 108.738 | 0.000 | 0.000 | -0.000 | 
| 0.000 | 0.000 | 0.000 | 83.050 | 0.000 | -0.000 | 
| 0.000 | 0.000 | 0.000 | 0.000 | 83.050 | -0.000 | 
| 0.000 | 0.000 | 0.000 | -0.000 | -0.000 | 83.050 | 
| 108.738 | 89.901 | 89.901 | -0.000 | 0.000 | -0.000 | 
| 89.901 | 108.738 | 89.901 | 0.000 | -0.000 | -0.000 | 
| 89.901 | 89.901 | 108.738 | -0.000 | -0.000 | -0.000 | 
| -0.000 | -0.000 | -0.000 | 83.050 | -0.000 | 0.000 | 
| -0.000 | -0.000 | -0.000 | -0.000 | 83.050 | 0.000 | 
| -0.000 | -0.000 | -0.000 | -0.000 | -0.000 | 83.050 | 
| 108.738 | 89.902 | 89.902 | 0.000 | 0.000 | -0.000 | 
| 89.902 | 108.738 | 89.902 | 0.000 | 0.000 | -0.000 | 
| 89.902 | 89.902 | 108.738 | 0.000 | 0.000 | -0.000 | 
| 0.000 | 0.000 | 0.000 | 83.050 | 0.000 | 0.000 | 
| 0.000 | 0.000 | 0.000 | 0.000 | 83.050 | -0.000 | 
| 0.000 | 0.000 | 0.000 | 0.000 | 0.000 | 83.050 | 
| 108.737 | 89.901 | 89.901 | -0.000 | -0.000 | 0.000 | 
| 89.901 | 108.737 | 89.901 | -0.000 | -0.000 | -0.000 | 
| 89.901 | 89.901 | 108.737 | -0.000 | -0.000 | 0.000 | 
| -0.000 | -0.000 | -0.000 | 83.050 | -0.000 | -0.000 | 
| -0.000 | -0.000 | -0.000 | -0.000 | 83.050 | -0.000 | 
| -0.000 | -0.000 | -0.000 | -0.000 | -0.000 | 83.050 | 
| 166.027 | 63.998 | 63.998 | 0.000 | 0.000 | 0.000 | 
| 63.998 | 166.027 | 63.998 | 0.000 | 0.000 | 0.000 | 
| 63.998 | 63.998 | 166.027 | 0.000 | 0.000 | 0.000 | 
| 0.000 | -0.000 | 0.000 | 79.093 | 0.000 | 0.000 | 
| -0.000 | 0.000 | 0.000 | 0.000 | 79.093 | 0.000 | 
| 0.000 | 0.000 | 0.000 | 0.000 | 0.000 | 79.093 | 
| 166.027 | 63.998 | 63.998 | -0.000 | -0.000 | -0.000 | 
| 63.998 | 166.027 | 63.998 | -0.000 | -0.000 | -0.000 | 
| 63.998 | 63.998 | 166.027 | -0.000 | -0.000 | -0.000 | 
| -0.000 | 0.000 | -0.000 | 79.093 | -0.000 | -0.000 | 
| 0.000 | -0.000 | -0.000 | -0.000 | 79.093 | -0.000 | 
| -0.000 | -0.000 | -0.000 | -0.000 | -0.000 | 79.093 | 
| 166.027 | 63.998 | 63.998 | 0.000 | 0.000 | 0.000 | 
| 63.998 | 166.027 | 63.998 | 0.000 | 0.000 | 0.000 | 
| 63.998 | 63.998 | 166.027 | 0.000 | 0.000 | 0.000 | 
| 0.000 | 0.000 | 0.000 | 79.093 | 0.000 | 0.000 | 
| 0.000 | 0.000 | 0.000 | 0.000 | 79.093 | 0.000 | 
| 0.000 | 0.000 | 0.000 | 0.000 | 0.000 | 79.093 | 
| 166.027 | 63.998 | 63.998 | -0.000 | -0.000 | -0.000 | 
| 63.998 | 166.027 | 63.998 | -0.000 | -0.000 | -0.000 | 
| 63.998 | 63.998 | 166.027 | -0.000 | -0.000 | -0.000 | 
| -0.000 | -0.000 | -0.000 | 79.093 | -0.000 | -0.000 | 
| -0.000 | -0.000 | -0.000 | -0.000 | 79.093 | -0.000 | 
| -0.000 | -0.000 | -0.000 | -0.000 | -0.000 | 79.093 | 
| 166.028 | 63.999 | 63.999 | 0.000 | 0.000 | 0.000 | 
| 63.999 | 166.028 | 63.999 | 0.000 | 0.000 | 0.000 | 
| 63.999 | 63.999 | 166.028 | 0.000 | 0.000 | 0.000 | 
| 0.000 | 0.000 | 0.000 | 79.093 | 0.000 | 0.000 | 
| 0.000 | 0.000 | 0.000 | 0.000 | 79.093 | 0.000 | 
| 0.000 | 0.000 | 0.000 | 0.000 | 0.000 | 79.093 | 
| 166.026 | 63.998 | 63.998 | -0.000 | -0.000 | -0.000 | 
| 63.998 | 166.026 | 63.998 | -0.000 | -0.000 | -0.000 | 
| 63.998 | 63.998 | 166.026 | -0.000 | -0.000 | -0.000 | 
| -0.000 | -0.000 | -0.000 | 79.093 | -0.000 | -0.000 | 
| -0.000 | -0.000 | -0.000 | -0.000 | 79.093 | -0.000 | 
| -0.000 | -0.000 | -0.000 | -0.000 | -0.000 | 79.093 | 
| 293.611 | 105.965 | -90.031 | -0.000 | -0.000 | 0.000 | 
| 105.965 | 293.611 | -90.031 | -0.000 | 0.000 | 0.000 | 
| -90.031 | -90.031 | 497.743 | 0.000 | -0.000 | -0.000 | 
| -0.000 | 0.000 | -0.000 | 22.623 | 0.000 | -0.000 | 
| -0.000 | 0.000 | -0.000 | -0.000 | 22.623 | -0.000 | 
| -0.000 | 0.000 | 0.000 | 0.000 | 0.000 | 23.449 | 
| 293.611 | 105.965 | -90.031 | 0.000 | 0.000 | 0.000 | 
| 105.965 | 293.611 | -90.031 | 0.000 | -0.000 | -0.000 | 
| -90.031 | -90.031 | 497.742 | -0.000 | -0.000 | 0.000 | 
| 0.000 | -0.000 | 0.000 | 22.623 | 0.000 | 0.000 | 
| 0.000 | -0.000 | 0.000 | 0.000 | 22.623 | -0.000 | 
| 0.000 | -0.000 | -0.000 | 0.000 | -0.000 | 23.449 | 
| 293.611 | 105.965 | -90.031 | -0.000 | -0.000 | -0.000 | 
| 105.965 | 293.611 | -90.031 | -0.000 | -0.000 | -0.000 | 
| -90.031 | -90.031 | 497.743 | -0.000 | -0.000 | -0.000 | 
| 0.000 | 0.000 | -0.000 | 22.623 | 0.000 | -0.000 | 
| 0.000 | 0.000 | -0.000 | -0.000 | 22.623 | -0.000 | 
| 0.000 | -0.000 | 0.000 | 0.000 | 0.000 | 23.449 | 
| 293.611 | 105.965 | -90.031 | 0.000 | -0.000 | 0.000 | 
| 105.965 | 293.611 | -90.031 | 0.000 | -0.000 | -0.000 | 
| -90.031 | -90.031 | 497.742 | -0.000 | 0.000 | 0.000 | 
| -0.000 | -0.000 | 0.000 | 22.623 | -0.000 | 0.000 | 
| -0.000 | -0.000 | 0.000 | 0.000 | 22.623 | -0.000 | 
| -0.000 | 0.000 | -0.000 | -0.000 | -0.000 | 23.449 | 
| 293.611 | 105.967 | -90.030 | -0.000 | 0.000 | 0.000 | 
| 105.967 | 293.611 | -90.030 | 0.000 | -0.000 | 0.000 | 
| -90.032 | -90.032 | 497.750 | 0.000 | 0.000 | 0.000 | 
| 0.000 | 0.000 | -0.000 | 22.623 | -0.000 | -0.000 | 
| 0.000 | 0.000 | -0.000 | -0.000 | 22.623 | -0.000 | 
| 0.000 | -0.000 | 0.000 | -0.000 | 0.000 | 23.449 | 
| 293.611 | 105.964 | -90.031 | 0.000 | 0.000 | -0.000 | 
| 105.964 | 293.611 | -90.031 | 0.000 | -0.000 | -0.000 | 
| -90.030 | -90.030 | 497.735 | -0.000 | 0.000 | -0.000 | 
| -0.000 | -0.000 | 0.000 | 22.623 | -0.000 | 0.000 | 
| -0.000 | -0.000 | 0.000 | 0.000 | 22.623 | -0.000 | 
| -0.000 | 0.000 | -0.000 | -0.000 | -0.000 | 23.449 | 
| 166.729 | 19.059 | 80.279 | -0.000 | -0.000 | 0.000 | 
| 19.059 | 166.729 | 80.279 | -0.000 | -0.000 | 0.000 | 
| 80.279 | 80.279 | 101.438 | -0.000 | -0.000 | 0.000 | 
| -0.000 | -0.000 | -0.000 | -24.439 | -0.000 | 0.000 | 
| -0.000 | -0.000 | -0.000 | -0.000 | -24.439 | 0.000 | 
| -0.000 | -0.000 | -0.000 | -0.000 | -0.000 | -13.642 | 
| 166.729 | 19.059 | 80.279 | 0.000 | 0.000 | 0.000 | 
| 19.059 | 166.729 | 80.279 | 0.000 | 0.000 | -0.000 | 
| 80.279 | 80.279 | 101.438 | 0.000 | 0.000 | 0.000 | 
| 0.000 | 0.000 | 0.000 | -24.439 | 0.000 | 0.000 | 
| 0.000 | 0.000 | 0.000 | 0.000 | -24.439 | 0.000 | 
| 0.000 | 0.000 | 0.000 | 0.000 | 0.000 | -13.642 | 
| 166.730 | 19.059 | 80.279 | -0.000 | -0.000 | -0.000 | 
| 19.059 | 166.730 | 80.279 | -0.000 | -0.000 | -0.000 | 
| 80.279 | 80.279 | 101.438 | 0.000 | -0.000 | 0.000 | 
| -0.000 | -0.000 | -0.000 | -24.439 | -0.000 | 0.000 | 
| -0.000 | -0.000 | -0.000 | -0.000 | -24.439 | -0.000 | 
| -0.000 | -0.000 | -0.000 | -0.000 | 0.000 | -13.642 | 
| 166.729 | 19.059 | 80.279 | 0.000 | 0.000 | 0.000 | 
| 19.059 | 166.729 | 80.279 | 0.000 | -0.000 | -0.000 | 
| 80.278 | 80.278 | 101.438 | 0.000 | 0.000 | 0.000 | 
| 0.000 | 0.000 | 0.000 | -24.439 | 0.000 | 0.000 | 
| 0.000 | 0.000 | 0.000 | 0.000 | -24.439 | -0.000 | 
| 0.000 | 0.000 | 0.000 | 0.000 | 0.000 | -13.642 | 
| 166.731 | 19.058 | 80.279 | -0.000 | -0.000 | 0.000 | 
| 19.058 | 166.731 | 80.279 | -0.000 | -0.000 | 0.000 | 
| 80.279 | 80.279 | 101.438 | -0.000 | -0.000 | 0.000 | 
| -0.001 | -0.001 | -0.001 | -24.439 | -0.000 | 0.000 | 
| -0.001 | -0.001 | -0.001 | -0.000 | -24.439 | -0.000 | 
| -0.001 | -0.001 | -0.001 | -0.000 | -0.000 | -13.642 | 
| 166.728 | 19.059 | 80.278 | 0.000 | 0.000 | -0.000 | 
| 19.059 | 166.728 | 80.278 | 0.000 | 0.000 | -0.000 | 
| 80.278 | 80.278 | 101.438 | -0.000 | -0.000 | -0.000 | 
| 0.001 | 0.001 | 0.001 | -24.439 | -0.000 | 0.000 | 
| 0.001 | 0.001 | 0.001 | 0.000 | -24.439 | -0.000 | 
| 0.001 | 0.001 | 0.001 | 0.000 | 0.000 | -13.642 | 
| -409.704 | -521.745 | -1247.873 | -35.629 | 0.000 | -0.000 | 
| -504.475 | -425.899 | -1246.584 | 22.618 | -0.000 | -0.000 | 
| 78.793 | 78.793 | 128.305 | -0.000 | 0.000 | 0.000 | 
| -577.527 | -506.269 | -1297.754 | 78.340 | -0.000 | -0.000 | 
| 0.000 | -0.000 | 0.000 | -0.000 | 103.314 | -67.747 | 
| -541.333 | -541.333 | -1296.402 | -0.000 | -22.622 | 39.292 | 
| 186.651 | -8.004 | 81.374 | -67.747 | 0.000 | 0.000 | 
| 578.209 | 656.797 | 1346.277 | 22.623 | -0.000 | 0.000 | 
| 589.199 | 589.199 | 1350.640 | 0.000 | 0.000 | -0.000 | 
| 518.969 | 564.172 | 1296.971 | 68.211 | 0.000 | 0.000 | 
| -0.000 | 0.000 | -0.000 | 0.000 | 103.314 | -67.747 | 
| 541.333 | 541.333 | 1296.402 | 0.000 | -22.622 | 39.292 | 
| 68.157 | -16.737 | -70.968 | -25.075 | 0.000 | 0.000 | 
| -34.038 | 78.003 | -79.894 | 35.629 | 0.000 | -0.000 | 
| 78.794 | 78.794 | 128.305 | -0.000 | 0.000 | -0.000 | 
| -76.292 | -26.414 | -122.982 | 70.028 | -0.000 | -0.000 | 
| -51.353 | -51.353 | -122.982 | -0.000 | 70.028 | -24.939 | 
| -49.995 | -49.995 | -119.730 | -0.000 | -26.071 | 43.729 | 
| 186.651 | -8.004 | 81.374 | -67.747 | 0.000 | 0.000 | 
| -8.004 | 186.651 | 81.374 | 67.747 | 0.000 | -0.000 | 
| 78.793 | 78.793 | 128.305 | 0.000 | -0.000 | 0.000 | 
| -67.747 | 67.747 | 0.000 | 103.314 | 0.000 | 0.000 | 
| 51.353 | 51.353 | 122.982 | 0.000 | 70.028 | -24.939 | 
| 49.995 | 49.995 | 119.730 | 0.000 | -26.071 | 43.729 | 
| 126.757 | 22.875 | 46.633 | -32.457 | 0.000 | -0.000 | 
| 14.734 | 126.772 | 36.902 | 35.628 | 0.000 | 0.000 | 
| 41.884 | 41.884 | 39.912 | 0.000 | 0.000 | -0.000 | 
| -38.984 | 31.143 | -9.390 | 77.900 | -0.000 | -0.000 | 
| -3.920 | -3.920 | -9.389 | -0.000 | 77.903 | -35.066 | 
| -3.894 | -3.895 | -9.327 | -0.000 | -35.281 | 55.573 | 
| 138.843 | 28.574 | 67.927 | -34.940 | 0.000 | 0.000 | 
| 28.573 | 138.845 | 67.928 | 34.941 | -0.000 | 0.000 | 
| 52.720 | 52.720 | 65.863 | 0.000 | 0.000 | 0.000 | 
| -31.143 | 38.984 | 9.389 | 77.901 | -0.000 | 0.000 | 
| 3.920 | 3.920 | 9.389 | 0.000 | 77.903 | -35.066 | 
| 3.894 | 3.895 | 9.327 | 0.000 | -35.281 | 55.573 | 
| 684.491 | -199.729 | -199.729 | 0.000 | 0.000 | -0.000 | 
| -199.729 | 684.491 | -199.729 | -0.000 | 0.000 | 0.000 | 
| -199.729 | -199.729 | 684.491 | 0.000 | 0.000 | -0.000 | 
| 0.000 | 0.000 | -0.000 | 18.179 | -0.000 | -0.000 | 
| 0.000 | 0.000 | -0.000 | 0.000 | 18.179 | 0.000 | 
| 0.000 | -0.000 | 0.000 | -0.000 | 0.000 | 18.179 | 
| 684.491 | -199.729 | -199.729 | -0.000 | 0.000 | 0.000 | 
| -199.729 | 684.491 | -199.729 | 0.000 | 0.000 | -0.000 | 
| -199.729 | -199.729 | 684.491 | 0.000 | 0.000 | 0.000 | 
| 0.000 | 0.000 | 0.000 | 18.179 | 0.000 | 0.000 | 
| 0.000 | 0.000 | 0.000 | 0.000 | 18.179 | -0.000 | 
| 0.000 | 0.000 | 0.000 | 0.000 | -0.000 | 18.179 | 
| 684.492 | -199.730 | -199.730 | 0.000 | 0.000 | -0.000 | 
| -199.730 | 684.492 | -199.730 | 0.000 | 0.000 | 0.000 | 
| -199.730 | -199.730 | 684.492 | 0.000 | 0.000 | -0.000 | 
| 0.000 | 0.000 | -0.000 | 18.179 | 0.000 | 0.000 | 
| 0.000 | 0.000 | -0.000 | -0.000 | 18.179 | -0.000 | 
| 0.000 | -0.000 | 0.000 | -0.000 | -0.000 | 18.179 | 
| 684.490 | -199.729 | -199.729 | 0.000 | -0.000 | 0.000 | 
| -199.729 | 684.490 | -199.729 | -0.000 | 0.000 | -0.000 | 
| -199.729 | -199.729 | 684.490 | -0.000 | -0.000 | 0.000 | 
| -0.000 | -0.000 | 0.000 | 18.179 | -0.000 | -0.000 | 
| -0.000 | -0.000 | 0.000 | 0.000 | 18.179 | -0.000 | 
| -0.000 | 0.000 | -0.000 | 0.000 | 0.000 | 18.179 | 
| 684.501 | -199.731 | -199.731 | -0.000 | -0.000 | -0.000 | 
| -199.731 | 684.501 | -199.731 | -0.000 | 0.000 | 0.000 | 
| -199.731 | -199.731 | 684.501 | -0.000 | -0.000 | 0.000 | 
| 0.000 | 0.000 | -0.000 | 18.179 | 0.000 | -0.000 | 
| 0.000 | 0.000 | -0.000 | -0.000 | 18.179 | 0.000 | 
| 0.000 | -0.000 | 0.000 | -0.000 | 0.000 | 18.179 | 
| 684.482 | -199.728 | -199.728 | -0.000 | 0.000 | -0.000 | 
| -199.728 | 684.482 | -199.728 | -0.000 | -0.000 | -0.000 | 
| -199.728 | -199.728 | 684.482 | -0.000 | 0.000 | -0.000 | 
| -0.000 | -0.000 | 0.000 | 18.179 | -0.000 | 0.000 | 
| -0.000 | -0.000 | 0.000 | -0.000 | 18.179 | 0.000 | 
| -0.000 | 0.000 | -0.000 | -0.000 | 0.000 | 18.179 | 
| 162.888 | 129.007 | 15.281 | 0.001 | 0.000 | -0.002 | 
| -326752870.777 | -233313460.770 | 41285985.551 | -11706880.927 | 44238891.841 | -7199833.926 | 
| -241898932.611 | -225826440.972 | 31307495.187 | 1607827.078 | 796976.636 | 292266.621 | 
| -0.392 | 1.839 | -0.465 | -64.357 | 0.001 | -0.059 | 
| -0.125 | 0.589 | -0.149 | 0.007 | 111.189 | -0.019 | 
| -0.059 | 0.276 | -0.070 | 0.003 | 0.000 | 13.867 | 
| 162.832 | 128.896 | 15.318 | -0.001 | -0.000 | 0.002 | 
| 138.865 | 330.308 | -85.242 | -0.001 | -0.000 | 0.003 | 
| 311622102.632 | 241358643.728 | -41343382.878 | -7072745.064 | 34072713.994 | 8471618.096 | 
| 0.391 | -1.838 | 0.465 | -64.399 | -0.001 | 0.059 | 
| 0.125 | -0.589 | 0.149 | -0.007 | 111.189 | 0.019 | 
| 0.059 | -0.276 | 0.070 | -0.003 | -0.000 | 13.884 | 
| -27050920.177 | -15684670.776 | 5242360.286 | -4842815.842 | 2023827.929 | -1890268.527 | 
| 63.942 | 159.750 | -28.872 | -0.016 | -0.000 | 0.040 | 
| -24189883.838 | -22582656.987 | 3130761.659 | 160782.199 | -79694.529 | -29225.436 | 
| -29627849.935 | -21795288.984 | 4465238.788 | -2528554.109 | 4491061.069 | -1634065.697 | 
| -0.010 | 0.049 | -0.012 | 0.001 | 112.065 | -0.002 | 
| -0.006 | 0.027 | -0.007 | 0.000 | 0.000 | 14.426 | 
| 30854634.567 | 23860307.183 | -3917514.848 | -542794.230 | 5110960.953 | -130383.771 | 
| 138.213 | 330.699 | -85.273 | -0.000 | -0.000 | 0.000 | 
| 31608460.096 | 23978324.519 | -3584943.336 | 316652.232 | -5298506.326 | 723104.692 | 
| 31204919.701 | 23338524.770 | -4091992.787 | 83642.944 | -4388685.108 | 153234.141 | 
| 0.010 | -0.049 | 0.012 | -0.001 | 112.065 | 0.002 | 
| 0.006 | -0.027 | 0.007 | -0.000 | -0.000 | 14.428 | 
| -3175352.951 | -2445720.839 | 401924.338 | -69601.091 | -512800.601 | -30762.169 | 
| -3056576.169 | -2369859.360 | 435656.899 | -52835.526 | 454004.912 | -134951.801 | 
| -2418979.952 | -2258281.372 | 313087.514 | 16077.415 | -7965.514 | -2920.963 | 
| -2705105.438 | -1568481.029 | 524229.123 | -484269.736 | 202379.045 | -189026.182 | 
| 0.000 | 0.004 | -0.000 | 0.000 | 112.074 | -0.000 | 
| -0.002 | 0.003 | -0.001 | 0.000 | 0.000 | 14.433 | 
| 3178128.712 | 2300021.016 | -397859.269 | 107803.426 | -452362.320 | 92661.440 | 
| 3265953.567 | 2475312.397 | -375337.850 | 38989.005 | -594842.896 | 40039.718 | 
| 40.127 | -25.103 | 13.866 | 0.000 | -0.000 | -0.001 | 
| 3390423.092 | 2568417.345 | -325337.259 | -57179.813 | -627886.492 | -78537.134 | 
| -0.000 | -0.004 | 0.000 | -0.000 | 112.074 | 0.000 | 
| 0.002 | -0.003 | 0.001 | -0.000 | -0.000 | 14.433 | 
| 105.965 | 72.885 | 72.885 | -0.000 | -0.000 | -0.000 | 
| 72.885 | 105.965 | 72.885 | -0.000 | 0.000 | -0.000 | 
| 72.885 | 72.885 | 105.965 | -0.000 | -0.000 | 0.000 | 
| 0.000 | -0.000 | -0.000 | 13.653 | -0.000 | 0.000 | 
| -0.000 | 0.000 | -0.000 | 0.000 | 13.653 | -0.000 | 
| -0.000 | -0.000 | 0.000 | 0.000 | -0.000 | 13.653 | 
| 105.965 | 72.885 | 72.885 | 0.000 | -0.000 | -0.000 | 
| 72.885 | 105.965 | 72.885 | 0.000 | -0.000 | -0.000 | 
| 72.885 | 72.885 | 105.965 | 0.000 | -0.000 | -0.000 | 
| -0.000 | 0.000 | 0.000 | 13.653 | 0.000 | -0.000 | 
| 0.000 | -0.000 | 0.000 | -0.000 | 13.653 | -0.000 | 
| 0.000 | 0.000 | -0.000 | -0.000 | -0.000 | 13.653 | 
| 105.939 | 72.898 | 72.898 | -0.000 | 0.000 | 0.000 | 
| 72.898 | 105.939 | 72.898 | -0.000 | 0.000 | 0.000 | 
| 72.898 | 72.898 | 105.939 | -0.000 | 0.000 | 0.000 | 
| 0.000 | -0.000 | -0.000 | 13.653 | -0.000 | 0.000 | 
| -0.000 | 0.000 | -0.000 | -0.000 | 13.653 | 0.000 | 
| -0.000 | -0.000 | 0.000 | -0.000 | -0.000 | 13.653 | 
| 105.964 | 72.886 | 72.886 | 0.000 | 0.000 | -0.000 | 
| 72.886 | 105.964 | 72.886 | 0.000 | -0.000 | -0.000 | 
| 72.886 | 72.886 | 105.964 | 0.000 | -0.000 | -0.000 | 
| -0.000 | 0.000 | 0.000 | 13.653 | 0.000 | -0.000 | 
| 0.000 | -0.000 | 0.000 | 0.000 | 13.653 | -0.000 | 
| 0.000 | 0.000 | -0.000 | -0.000 | -0.000 | 13.653 | 
| 105.973 | 72.882 | 72.882 | -0.000 | -0.000 | 0.000 | 
| 72.882 | 105.973 | 72.882 | -0.000 | 0.000 | 0.000 | 
| 72.882 | 72.882 | 105.973 | -0.000 | 0.000 | 0.000 | 
| 0.001 | -0.000 | -0.000 | 13.653 | 0.000 | 0.000 | 
| -0.000 | 0.001 | -0.000 | -0.000 | 13.653 | 0.000 | 
| -0.000 | -0.000 | 0.001 | -0.000 | -0.000 | 13.653 | 
| 105.957 | 72.889 | 72.889 | 0.000 | 0.000 | -0.000 | 
| 72.889 | 105.957 | 72.889 | 0.000 | -0.000 | -0.000 | 
| 72.889 | 72.889 | 105.957 | 0.000 | -0.000 | -0.000 | 
| -0.001 | 0.000 | 0.000 | 13.653 | -0.000 | -0.000 | 
| 0.000 | -0.001 | 0.000 | 0.000 | 13.653 | -0.000 | 
| 0.000 | 0.000 | -0.001 | 0.000 | -0.000 | 13.653 | 
| 207.812 | 429.967 | -237.465 | 0.000 | 245.299 | -0.000 | 
| 158.571 | 457.426 | -204.801 | 0.000 | 260.052 | -0.000 | 
| 121.142 | 445.122 | -147.099 | -0.000 | 242.224 | 0.000 | 
| 76.938 | 373.757 | -309.235 | 45.528 | 238.722 | -2.424 | 
| -15.540 | 332.029 | -232.218 | 0.000 | 304.898 | 0.000 | 
| -292.908 | 702.899 | -357.008 | 107.221 | 170.605 | -76.378 | 
| -8.622 | -317.605 | 431.547 | 0.000 | -187.338 | -0.000 | 
| 108.205 | -227.876 | 310.668 | 0.000 | -251.742 | -0.000 | 
| 64.843 | -274.130 | 412.093 | -0.000 | -223.634 | 0.000 | 
| -76.938 | -373.757 | 309.235 | 45.528 | -238.722 | -2.424 | 
| 284.123 | -630.494 | 299.422 | 0.000 | -257.469 | -0.000 | 
| 292.908 | -702.899 | 357.008 | 107.221 | -170.605 | -76.378 | 
| 131.608 | 88.862 | 51.203 | 0.000 | 30.395 | 0.000 | 
| 39.787 | 181.128 | 51.905 | -0.000 | 3.787 | 0.000 | 
| 88.480 | 92.185 | 116.240 | -0.000 | 30.843 | 0.000 | 
| -11.555 | 44.796 | -26.616 | 41.431 | 20.677 | -9.460 | 
| -2.736 | 38.735 | -23.262 | -0.000 | 69.434 | 0.000 | 
| -16.819 | 40.362 | -20.500 | 8.180 | 9.796 | 18.034 | 
| 140.439 | 36.069 | 72.416 | 0.000 | -32.361 | -0.000 | 
| 72.308 | 100.165 | 93.862 | 0.000 | -19.353 | -0.000 | 
| 63.557 | 26.918 | 179.136 | 0.000 | -17.567 | -0.000 | 
| 11.555 | -44.796 | 26.616 | 41.431 | -20.677 | -9.460 | 
| -4.637 | -43.753 | 34.737 | -0.000 | 16.141 | 0.000 | 
| 16.819 | -40.362 | 20.500 | 8.180 | -9.796 | 18.034 | 
| 132.835 | 59.600 | 67.849 | 0.000 | 8.705 | -0.000 | 
| 52.282 | 157.449 | 60.472 | -0.000 | -5.356 | 0.000 | 
| 68.028 | 70.547 | 145.265 | -0.000 | 7.128 | 0.000 | 
| -1.377 | 4.203 | -2.338 | 45.806 | 1.537 | -3.125 | 
| 2.257 | -4.468 | 4.695 | -0.000 | 43.184 | 0.000 | 
| 1.131 | 3.376 | -2.700 | -3.292 | 2.479 | 29.895 | 
| 133.782 | 53.598 | 70.197 | -0.000 | 0.235 | -0.000 | 
| 55.723 | 148.581 | 65.905 | 0.000 | -10.617 | -0.000 | 
| 71.350 | 59.595 | 151.202 | 0.000 | 5.733 | -0.000 | 
| 1.377 | -4.203 | 2.338 | 45.806 | -1.537 | -3.125 | 
| 1.031 | -11.692 | 12.182 | 0.000 | 39.001 | -0.000 | 
| -1.131 | -3.376 | 2.700 | -3.292 | -2.479 | 29.895 | 
| 509.102 | -201.725 | -26.697 | 0.000 | 61.654 | -0.000 | 
| -182.754 | 527.680 | -65.123 | 0.000 | -157.003 | -0.000 | 
| 58.915 | 81.488 | 162.815 | 0.000 | 9.616 | -0.000 | 
| -0.000 | 0.000 | -0.000 | 308.062 | -0.000 | -131.620 | 
| 1.324 | -8.235 | 10.585 | 0.000 | 40.927 | -0.000 | 
| 0.790 | -0.507 | -0.130 | 2.373 | 0.159 | 32.158 | 
| 509.102 | -201.725 | -26.697 | -0.000 | 61.654 | 0.000 | 
| 55.067 | 155.976 | 69.405 | -0.000 | -7.527 | 0.000 | 
| 57.744 | 82.505 | 162.942 | -0.000 | 9.895 | 0.000 | 
| 0.000 | -0.000 | 0.000 | 308.062 | 0.000 | -131.620 | 
| 29.273 | -157.003 | 135.343 | -0.000 | 267.984 | -0.000 | 
| -0.790 | 0.507 | 0.130 | 2.373 | -0.159 | 32.158 | 
| 154.122 | 64.541 | 60.688 | 0.000 | 6.307 | -0.000 | 
| 53.891 | 156.577 | 68.091 | 0.000 | -6.086 | -0.000 | 
| 72.011 | 69.361 | 157.656 | 0.000 | 6.340 | -0.000 | 
| 0.066 | -0.045 | -0.001 | 46.232 | 0.024 | -3.396 | 
| 1.530 | -3.391 | 9.499 | 0.000 | 45.344 | -0.000 | 
| 0.066 | -0.045 | -0.001 | -3.395 | 0.024 | 31.479 | 
| 138.615 | 55.738 | 76.966 | -0.000 | 9.093 | 0.000 | 
| 46.936 | 158.238 | 73.290 | -0.000 | -12.715 | 0.000 | 
| 72.341 | 70.640 | 156.031 | -0.000 | 5.327 | 0.000 | 
| -0.066 | 0.045 | 0.001 | 46.232 | -0.024 | -3.396 | 
| 0.660 | -7.637 | 10.607 | -0.000 | 40.989 | 0.000 | 
| -0.066 | 0.045 | 0.001 | -3.395 | -0.024 | 31.479 | 
| 137.862 | 56.487 | 76.667 | -0.000 | 8.547 | 0.000 | 
| 53.864 | 156.587 | 68.107 | 0.000 | -6.064 | -0.000 | 
| 80.012 | 63.210 | 159.190 | 0.000 | 5.963 | -0.000 | 
| 0.006 | -0.004 | 0.000 | 46.232 | 0.002 | -3.394 | 
| 2.013 | -7.023 | 7.199 | 0.000 | 40.511 | 0.000 | 
| 0.005 | -0.005 | 0.000 | -5.992 | -0.001 | 33.129 | 
| 137.271 | 56.599 | 77.144 | 0.000 | 8.576 | -0.000 | 
| 55.543 | 155.755 | 68.207 | -0.000 | -8.917 | 0.000 | 
| 72.303 | 70.415 | 156.291 | -0.000 | 5.453 | 0.000 | 
| -0.006 | 0.004 | -0.000 | 46.232 | -0.002 | -3.394 | 
| 8.571 | -8.641 | 5.228 | -0.000 | 41.710 | -0.000 | 
| -0.005 | 0.005 | -0.000 | -5.992 | 0.001 | 33.129 | 
| 815.966 | -205.441 | -221.426 | 0.000 | -0.000 | -0.000 | 
| -198.583 | 241.830 | 205.453 | 0.000 | 0.000 | -0.000 | 
| -213.209 | 206.811 | 248.218 | -0.000 | 0.000 | -0.000 | 
| 0.000 | 0.000 | 0.000 | 420.159 | -0.000 | -0.000 | 
| 0.000 | 0.000 | 0.000 | 0.000 | 22.459 | 0.000 | 
| 0.000 | 0.000 | 0.000 | 0.000 | -0.000 | 19.781 | 
| 815.966 | -205.441 | -221.426 | -0.000 | 0.000 | 0.000 | 
| -198.583 | 241.830 | 205.453 | -0.000 | -0.000 | 0.000 | 
| -213.209 | 206.811 | 248.218 | -0.000 | 0.000 | 0.000 | 
| -0.000 | -0.000 | -0.000 | 420.159 | 0.000 | 0.000 | 
| -0.000 | -0.000 | 0.000 | -0.000 | 22.459 | 0.000 | 
| -0.000 | -0.000 | -0.000 | -0.000 | 0.000 | 19.781 | 
| 815.967 | -205.441 | -221.426 | 0.000 | -0.000 | -0.000 | 
| -198.583 | 241.830 | 205.453 | 0.000 | -0.000 | 0.000 | 
| -213.209 | 206.811 | 248.218 | -0.000 | 0.000 | -0.000 | 
| -0.000 | 0.000 | 0.000 | 420.159 | 0.000 | -0.000 | 
| 0.000 | -0.000 | -0.000 | 0.000 | 22.459 | -0.000 | 
| 0.000 | -0.000 | -0.000 | -0.000 | -0.000 | 19.781 | 
| 815.965 | -205.441 | -221.426 | -0.000 | 0.000 | 0.000 | 
| -198.583 | 241.830 | 205.453 | -0.000 | -0.000 | 0.000 | 
| -213.208 | 206.811 | 248.218 | -0.000 | 0.000 | 0.000 | 
| 0.000 | -0.000 | -0.000 | 420.159 | -0.000 | 0.000 | 
| -0.000 | 0.000 | 0.000 | -0.000 | 22.459 | 0.000 | 
| -0.000 | 0.000 | 0.000 | -0.000 | 0.000 | 19.781 | 
| 815.977 | -205.443 | -221.427 | 0.000 | -0.000 | -0.000 | 
| -198.583 | 241.832 | 205.454 | 0.000 | 0.000 | -0.000 | 
| -213.209 | 206.813 | 248.219 | 0.000 | 0.000 | -0.000 | 
| -0.001 | 0.002 | 0.003 | 420.159 | -0.000 | -0.000 | 
| 0.000 | -0.000 | -0.000 | 0.000 | 22.459 | -0.000 | 
| 0.000 | -0.000 | -0.000 | 0.000 | 0.000 | 19.781 | 
| 815.955 | -205.440 | -221.424 | -0.000 | 0.000 | 0.000 | 
| -198.582 | 241.829 | 205.451 | -0.000 | -0.000 | 0.000 | 
| -213.208 | 206.810 | 248.216 | -0.000 | -0.000 | 0.000 | 
| 0.001 | -0.002 | -0.003 | 420.159 | 0.000 | -0.000 | 
| -0.000 | 0.000 | 0.000 | -0.000 | 22.459 | 0.000 | 
| -0.000 | 0.000 | 0.000 | -0.000 | 0.000 | 19.781 | 
| 456.165 | -125.697 | -73.393 | -0.000 | 0.000 | 0.000 | 
| -125.551 | 518.439 | -77.690 | -0.000 | 0.000 | -0.000 | 
| -323.967 | 284.306 | 235.056 | -0.000 | -0.000 | -0.000 | 
| 8.048 | -94.610 | 61.024 | 134.602 | 0.000 | 0.000 | 
| -81.470 | 51.745 | 19.396 | 0.000 | -201.541 | -0.000 | 
| 0.000 | 0.000 | -0.000 | -0.000 | 0.000 | 181.940 | 
| -79.382 | 269.723 | 95.439 | -0.000 | -0.000 | -0.000 | 
| -125.551 | 518.439 | -77.690 | 0.000 | -0.000 | -0.000 | 
| -164.913 | 357.665 | 56.187 | -0.000 | -0.000 | 0.000 | 
| -8.048 | 94.610 | -61.024 | 134.602 | -0.000 | -0.000 | 
| 81.470 | -51.745 | -19.396 | -0.000 | -201.541 | -0.000 | 
| -0.000 | -0.000 | 0.000 | 0.000 | 0.000 | 181.940 | 
| 133.670 | 52.423 | 61.814 | -0.000 | 0.000 | 0.000 | 
| 63.268 | 199.792 | 68.992 | 0.000 | 0.000 | -0.000 | 
| 33.967 | 90.159 | 108.231 | 0.000 | -0.000 | 0.000 | 
| -4.560 | 2.896 | 1.086 | 28.416 | -0.000 | -0.000 | 
| 16.028 | -22.898 | 4.714 | -0.000 | 28.738 | -0.000 | 
| -3.693 | 2.345 | 0.879 | -0.000 | -0.000 | 29.098 | 
| 131.072 | 91.969 | 22.455 | -0.000 | 0.000 | -0.000 | 
| 61.539 | 190.009 | 83.106 | 0.000 | 0.000 | -0.000 | 
| 43.536 | 78.923 | 111.785 | -0.000 | 0.000 | -0.000 | 
| 4.560 | -2.896 | -1.086 | 28.416 | -0.000 | -0.000 | 
| -16.028 | 22.898 | -4.714 | 0.000 | 28.738 | -0.000 | 
| 3.693 | -2.345 | -0.879 | 0.000 | 0.000 | 29.098 | 
| 135.621 | 65.258 | 45.370 | -0.000 | -0.000 | 0.000 | 
| 66.199 | 197.532 | 69.088 | -0.000 | 0.000 | 0.000 | 
| 62.440 | 62.039 | 110.408 | -0.000 | -0.000 | 0.000 | 
| -0.443 | 0.281 | 0.106 | 32.240 | 0.000 | 0.000 | 
| -0.290 | 0.369 | -0.148 | 0.000 | 33.300 | 0.000 | 
| -0.362 | 0.230 | 0.086 | -0.000 | -0.000 | 32.421 | 
| 136.137 | 67.120 | 43.762 | -0.000 | -0.000 | -0.000 | 
| 66.603 | 196.930 | 69.411 | 0.000 | 0.000 | -0.000 | 
| 46.611 | 70.187 | 117.646 | 0.000 | -0.000 | -0.000 | 
| 0.443 | -0.281 | -0.106 | 32.240 | -0.000 | -0.000 | 
| 0.290 | -0.369 | 0.148 | -0.000 | 33.300 | -0.000 | 
| 0.362 | -0.230 | -0.086 | 0.000 | 0.000 | 32.421 | 
| 141.311 | 46.242 | 62.181 | 0.000 | 0.000 | -0.000 | 
| -128.023 | 524.604 | -78.324 | 0.000 | 0.000 | -0.000 | 
| 49.213 | 69.771 | 119.120 | 0.000 | -0.000 | 0.000 | 
| 2.036 | -2.367 | 0.431 | 30.589 | 0.000 | -0.000 | 
| 1.831 | -1.823 | 0.087 | 0.000 | 34.424 | -0.000 | 
| -0.000 | 0.000 | -0.000 | 0.000 | -0.000 | 183.870 | 
| 461.929 | -128.023 | -75.886 | -0.000 | 0.000 | -0.000 | 
| -128.023 | 524.604 | -78.324 | -0.000 | -0.000 | -0.000 | 
| 58.888 | 56.458 | 123.930 | -0.000 | -0.000 | 0.000 | 
| -2.036 | 2.367 | -0.431 | 30.589 | -0.000 | -0.000 | 
| -1.831 | 1.823 | -0.087 | -0.000 | 34.424 | -0.000 | 
| 0.000 | -0.000 | 0.000 | -0.000 | 0.000 | 183.870 | 
| 139.437 | 48.081 | 62.120 | 0.000 | 0.000 | -0.000 | 
| 66.138 | 200.456 | 69.068 | 0.000 | 0.000 | -0.000 | 
| 60.471 | 53.673 | 125.287 | 0.000 | 0.000 | -0.000 | 
| 0.217 | -0.216 | 0.010 | 32.204 | -0.000 | 0.000 | 
| 0.000 | 0.000 | 0.000 | 0.000 | 233.632 | -0.000 | 
| 0.704 | -0.982 | 0.311 | -0.000 | -0.000 | 32.587 | 
| 138.892 | 48.560 | 62.162 | -0.000 | -0.000 | 0.000 | 
| 65.693 | 200.901 | 69.046 | -0.000 | -0.000 | 0.000 | 
| 45.165 | 75.000 | 118.229 | -0.000 | -0.000 | 0.000 | 
| -0.217 | 0.216 | -0.010 | 32.204 | 0.000 | -0.000 | 
| -0.000 | -0.000 | -0.000 | -0.000 | 233.632 | -0.000 | 
| -0.704 | 0.982 | -0.311 | 0.000 | 0.000 | 32.587 | 
| 134.655 | 60.032 | 53.029 | -0.000 | 0.000 | 0.000 | 
| 61.561 | 198.945 | 75.433 | 0.000 | -0.000 | -0.000 | 
| 47.138 | 72.236 | 118.612 | 0.000 | -0.000 | 0.000 | 
| 0.022 | -0.022 | 0.001 | 32.204 | -0.000 | -0.000 | 
| -0.008 | 0.018 | -0.018 | 0.000 | 29.855 | 0.000 | 
| -0.010 | 0.027 | -0.029 | 0.000 | -0.000 | 32.230 | 
| 139.197 | 48.311 | 62.117 | -0.000 | 0.000 | 0.000 | 
| 66.268 | 199.168 | 70.593 | -0.000 | -0.000 | -0.000 | 
| 45.633 | 75.183 | 117.564 | -0.000 | -0.000 | 0.000 | 
| -0.022 | 0.022 | -0.001 | 32.204 | 0.000 | -0.000 | 
| 0.008 | -0.018 | 0.018 | -0.000 | 29.855 | -0.000 | 
| 0.010 | -0.027 | 0.029 | -0.000 | 0.000 | 32.230 | 
| 130.800 | 77.707 | 44.444 | -8.514 | 29.937 | 11.526 | 
| 77.609 | 119.791 | 73.240 | -7.035 | -4.115 | 3.866 | 
| 25.189 | 77.527 | 147.645 | 14.457 | -56.172 | -18.485 | 
| -14.153 | 0.088 | 14.916 | 22.358 | -17.611 | -1.351 | 
| 61.136 | -7.643 | -56.186 | -17.154 | 81.759 | 23.327 | 
| 0.406 | 2.742 | -1.336 | 2.783 | -3.264 | 8.770 | 
| 130.095 | 78.364 | 44.705 | -9.356 | 30.738 | 9.061 | 
| 78.010 | 122.448 | 72.884 | -6.593 | -2.742 | 0.238 | 
| 24.551 | 78.276 | 147.787 | 13.705 | -55.322 | -20.810 | 
| -14.857 | 0.842 | 15.124 | 21.633 | -16.792 | -3.673 | 
| 59.551 | -8.527 | -55.032 | -18.567 | 80.730 | 23.213 | 
| -0.322 | 3.507 | -1.127 | 1.950 | -2.458 | 6.445 | 
| 127.832 | 75.185 | 45.328 | -7.987 | 28.153 | 9.832 | 
| 76.349 | 119.730 | 72.783 | -6.373 | -4.499 | 1.217 | 
| 24.802 | 77.899 | 146.326 | 13.914 | -54.729 | -18.597 | 
| -14.268 | 0.657 | 13.810 | 20.930 | -17.811 | -2.360 | 
| 59.387 | -9.884 | -54.669 | -17.719 | 79.989 | 22.827 | 
| 0.551 | 3.273 | -1.333 | 2.965 | -2.752 | 7.204 | 
| 127.741 | 75.336 | 45.324 | -8.061 | 28.209 | 9.593 | 
| 76.271 | 119.861 | 72.814 | -6.446 | -4.430 | 0.967 | 
| 24.713 | 78.050 | 146.345 | 13.846 | -54.676 | -18.842 | 
| -14.342 | 0.782 | 13.809 | 20.847 | -17.761 | -2.599 | 
| 59.320 | -9.896 | -54.613 | -17.932 | 80.031 | 22.765 | 
| 0.467 | 3.431 | -1.338 | 2.881 | -2.697 | 6.965 | 
| 127.803 | 75.254 | 45.303 | -8.038 | 28.238 | 9.736 | 
| 76.308 | 119.764 | 72.809 | -6.464 | -4.457 | 1.117 | 
| 24.690 | 77.947 | 146.332 | 13.841 | -54.665 | -18.879 | 
| -14.342 | 0.716 | 13.806 | 20.877 | -17.844 | -2.483 | 
| 59.336 | -9.879 | -54.678 | -17.830 | 80.003 | 22.890 | 
| 0.473 | 3.443 | -1.269 | 2.912 | -2.773 | 7.076 | 
| 127.795 | 75.259 | 45.312 | -8.042 | 28.246 | 9.712 | 
| 76.298 | 119.777 | 72.810 | -6.470 | -4.451 | 1.094 | 
| 24.684 | 77.965 | 146.325 | 13.834 | -54.662 | -18.905 | 
| -14.350 | 0.718 | 13.818 | 20.873 | -17.844 | -2.505 | 
| 59.325 | -9.864 | -54.678 | -17.832 | 80.009 | 22.867 | 
| 0.461 | 3.471 | -1.280 | 2.900 | -2.770 | 7.052 | 
| 137.423 | 71.342 | 25.572 | -0.000 | 0.000 | -0.000 | 
| 71.342 | 137.423 | 25.572 | -0.000 | 0.000 | 0.000 | 
| 30.085 | 30.085 | 67.399 | -0.000 | 0.000 | 0.000 | 
| 0.066 | 0.066 | -0.172 | 12.735 | 0.000 | -0.000 | 
| 0.000 | 0.000 | -0.000 | -0.000 | 13.507 | 0.000 | 
| 0.000 | 0.000 | -0.000 | -0.000 | 0.000 | 33.041 | 
| 129.792 | 66.147 | 42.173 | 0.000 | 0.000 | -0.000 | 
| 71.342 | 137.423 | 25.572 | 0.000 | 0.000 | 0.000 | 
| 30.085 | 30.085 | 67.399 | 0.000 | 0.000 | 0.000 | 
| -0.066 | -0.066 | 0.172 | 12.735 | -0.000 | 0.000 | 
| -0.000 | -0.000 | 0.000 | -0.000 | 13.507 | -0.000 | 
| -0.000 | -0.000 | 0.000 | 0.000 | 0.000 | 33.041 | 
| 137.423 | 71.342 | 25.572 | -0.000 | 0.000 | -0.000 | 
| 71.342 | 137.423 | 25.572 | -0.000 | 0.000 | 0.000 | 
| 44.265 | 44.265 | 30.691 | -0.000 | 0.000 | 0.000 | 
| 0.000 | 0.000 | 0.000 | 13.507 | 0.000 | -0.000 | 
| 0.136 | 0.136 | -0.352 | -0.000 | 12.738 | -0.000 | 
| 0.000 | 0.000 | -0.000 | -0.000 | -0.000 | 33.041 | 
| 129.839 | 66.201 | 42.042 | 0.000 | -0.000 | -0.000 | 
| 66.201 | 129.839 | 42.042 | 0.000 | 0.000 | 0.000 | 
| 44.251 | 44.251 | 30.727 | 0.000 | 0.000 | 0.000 | 
| -0.000 | -0.000 | -0.000 | 13.507 | -0.000 | 0.000 | 
| -0.136 | -0.136 | 0.352 | 0.000 | 12.738 | 0.000 | 
| -0.000 | -0.000 | 0.000 | 0.000 | 0.000 | 33.041 | 
| 129.846 | 66.208 | 42.026 | -0.000 | -0.000 | 0.000 | 
| 66.208 | 129.846 | 42.026 | -0.000 | 0.000 | -0.000 | 
| 44.265 | 44.265 | 30.692 | 0.000 | 0.000 | -0.000 | 
| 0.014 | 0.014 | -0.036 | 12.735 | 0.000 | -0.000 | 
| 0.014 | 0.014 | -0.036 | -0.000 | 12.735 | 0.000 | 
| 0.005 | 0.005 | -0.012 | -0.000 | 0.000 | 25.504 | 
| 124.179 | 73.669 | 39.700 | 0.000 | 0.000 | 0.000 | 
| 73.669 | 124.180 | 39.699 | 0.000 | -0.000 | 0.000 | 
| 30.085 | 30.085 | 67.399 | 0.000 | -0.000 | 0.000 | 
| -0.014 | -0.014 | 0.036 | 12.735 | -0.000 | 0.000 | 
| -0.014 | -0.014 | 0.036 | 0.000 | 12.735 | 0.000 | 
| -0.005 | -0.005 | 0.012 | 0.000 | -0.000 | 25.504 | 
| -7.748 | 28.439 | 366.340 | 0.000 | -721.666 | 0.000 | 
| 234.079 | -305.965 | 313.877 | 0.000 | -1149.600 | -0.000 | 
| -38.289 | -32.778 | 331.402 | -0.000 | 0.262 | 0.000 | 
| -0.000 | 0.000 | 0.000 | 240.743 | -0.000 | 2.227 | 
| -187.965 | -827.484 | 991.078 | 0.000 | -677.598 | 0.000 | 
| 101.613 | -293.451 | 355.211 | -10.374 | -387.524 | -5.855 | 
| 360.744 | -68.728 | -37.617 | 0.000 | 22.284 | -0.000 | 
| -39.597 | 422.213 | -127.794 | -0.000 | 1165.346 | -0.000 | 
| -41.231 | 460.947 | -151.855 | -0.000 | 1160.852 | -0.000 | 
| 0.000 | -0.000 | -0.000 | 240.743 | 0.000 | 2.227 | 
| 210.776 | 804.291 | -984.884 | -0.000 | 409.525 | 0.000 | 
| 90.048 | 52.870 | -278.584 | -15.427 | 696.312 | -54.934 | 
| 102.951 | 47.693 | 102.251 | 0.000 | -103.252 | 0.000 | 
| 89.228 | 61.132 | 97.619 | 0.000 | -97.777 | 0.000 | 
| -38.289 | -32.778 | 331.402 | -0.000 | 0.262 | 0.000 | 
| 0.000 | 0.000 | 0.000 | 240.743 | -0.000 | 2.227 | 
| 12.974 | -24.548 | 13.860 | 0.000 | -72.421 | 0.000 | 
| -18.263 | -66.585 | 82.572 | 9.749 | -35.886 | -51.541 | 
| 174.977 | 83.737 | -12.541 | 0.000 | 77.373 | -0.000 | 
| 169.291 | 28.340 | 51.531 | 0.000 | 15.361 | 0.000 | 
| -38.289 | -32.778 | 331.401 | 0.000 | 0.262 | -0.000 | 
| -0.000 | -0.000 | -0.000 | 240.743 | 0.000 | 2.227 | 
| -11.774 | 41.173 | -26.147 | 0.000 | 50.768 | -0.000 | 
| 18.263 | 66.585 | -82.572 | 9.749 | 35.886 | -51.541 | 
| 136.583 | 52.855 | 64.141 | 0.000 | -4.633 | 0.000 | 
| 68.007 | 117.948 | 61.639 | 0.000 | -5.325 | 0.000 | 
| 62.281 | 60.747 | 139.890 | 0.000 | -4.080 | 0.000 | 
| -0.337 | -2.879 | 3.863 | 31.348 | -4.344 | -5.058 | 
| 3.736 | 0.015 | -0.970 | 0.000 | 34.806 | -0.000 | 
| 0.089 | -3.406 | 3.227 | 2.969 | -5.974 | 31.837 | 
| 126.012 | 65.248 | 56.805 | -0.000 | 11.274 | -0.000 | 
| 60.691 | 124.316 | 63.443 | -0.000 | 3.814 | 0.000 | 
| 61.229 | 67.447 | 132.898 | -0.000 | 7.676 | -0.000 | 
| 0.337 | 2.879 | -3.863 | 31.348 | 4.344 | -5.058 | 
| 1.863 | 4.991 | -3.995 | -0.000 | 46.171 | -0.000 | 
| -0.089 | 3.406 | -3.227 | 2.969 | 5.974 | 31.837 | 
| -113.758 | 187.402 | 187.402 | 0.000 | 0.000 | 0.000 | 
| 187.402 | -113.758 | 187.402 | 0.000 | 0.000 | 0.000 | 
| 187.402 | 187.402 | -113.758 | 0.000 | 0.000 | 0.000 | 
| -0.000 | 0.000 | 0.000 | 221.980 | -0.000 | -0.000 | 
| 0.000 | 0.000 | 0.000 | -0.000 | 221.980 | -0.000 | 
| 0.000 | 0.000 | -0.000 | -0.000 | 0.000 | 221.980 | 
| 103.290 | 91.112 | 91.112 | 0.000 | -0.000 | 0.000 | 
| 91.112 | 103.290 | 91.112 | 0.000 | -0.000 | 0.000 | 
| 91.112 | 91.112 | 103.290 | 0.000 | -0.000 | 0.000 | 
| 0.000 | -0.000 | -0.000 | 221.980 | 0.000 | 0.000 | 
| -0.000 | -0.000 | -0.000 | 0.000 | 221.980 | 0.000 | 
| -0.000 | -0.000 | -0.000 | 0.000 | 0.000 | 221.980 | 
| 131.084 | 65.822 | 65.822 | 0.000 | 0.000 | 0.000 | 
| 65.822 | 131.084 | 65.822 | 0.000 | 0.000 | 0.000 | 
| 65.822 | 65.822 | 131.084 | 0.000 | 0.000 | 0.000 | 
| -0.025 | -0.025 | -0.025 | 33.418 | 0.000 | 0.000 | 
| -0.025 | -0.025 | -0.025 | 0.000 | 33.418 | 0.000 | 
| -0.025 | -0.025 | -0.025 | 0.000 | 0.000 | 33.418 | 
| 352.670 | -44.824 | -44.824 | 0.000 | 0.000 | 0.000 | 
| -44.824 | 352.670 | -44.824 | 0.000 | 0.000 | 0.000 | 
| -44.824 | -44.824 | 352.670 | 0.000 | 0.000 | -0.000 | 
| 0.025 | 0.025 | 0.025 | 33.418 | -0.000 | -0.000 | 
| 0.025 | 0.025 | 0.025 | -0.000 | 33.418 | -0.000 | 
| 0.025 | 0.025 | 0.025 | -0.000 | -0.000 | 33.418 | 
| 132.316 | 64.768 | 64.768 | -0.000 | 0.000 | 0.000 | 
| 64.768 | 132.316 | 64.768 | -0.000 | 0.000 | 0.000 | 
| 64.768 | 64.768 | 132.316 | -0.000 | 0.000 | 0.000 | 
| -0.002 | -0.003 | -0.003 | 41.970 | 0.000 | 0.000 | 
| -0.003 | -0.002 | -0.003 | 0.000 | 41.970 | 0.000 | 
| -0.003 | -0.003 | -0.002 | 0.000 | 0.000 | 41.970 | 
| 132.968 | 64.705 | 64.705 | -0.000 | -0.000 | -0.000 | 
| 64.705 | 132.968 | 64.705 | -0.000 | -0.000 | -0.000 | 
| 64.705 | 64.705 | 132.968 | -0.000 | -0.000 | -0.000 | 
| 0.002 | 0.003 | 0.003 | 41.970 | -0.000 | -0.000 | 
| 0.003 | 0.002 | 0.003 | -0.000 | 41.970 | -0.000 | 
| 0.003 | 0.003 | 0.002 | -0.000 | -0.000 | 41.970 | 
| 115.824 | 59.770 | 59.770 | 0.000 | 0.000 | 0.000 | 
| 59.770 | 115.824 | 59.770 | 0.000 | 0.000 | 0.000 | 
| 59.770 | 59.770 | 115.824 | 0.000 | 0.000 | 0.000 | 
| -21.335 | -21.335 | -21.335 | 26.577 | 0.000 | 0.000 | 
| -21.335 | -21.335 | -21.335 | 0.000 | 26.577 | 0.000 | 
| -21.335 | -21.335 | -21.335 | 0.000 | 0.000 | 26.577 | 
| 181.423 | 99.869 | 99.869 | -0.000 | -0.000 | -0.000 | 
| 99.869 | 181.423 | 99.869 | -0.000 | -0.000 | -0.000 | 
| 99.869 | 99.869 | 181.423 | -0.000 | -0.000 | -0.000 | 
| 21.335 | 21.335 | 21.335 | 26.577 | -0.000 | -0.000 | 
| 21.335 | 21.335 | 21.335 | -0.000 | 26.577 | -0.000 | 
| 21.335 | 21.335 | 21.335 | -0.000 | -0.000 | 26.577 | 
| 130.795 | 61.669 | 61.669 | 0.000 | 0.000 | 0.000 | 
| 61.669 | 130.795 | 61.669 | 0.000 | 0.000 | 0.000 | 
| 61.669 | 61.669 | 130.795 | 0.000 | 0.000 | 0.000 | 
| -1.686 | -1.686 | -1.686 | 29.918 | 0.000 | 0.000 | 
| -1.686 | -1.686 | -1.686 | 0.000 | 29.918 | 0.000 | 
| -1.686 | -1.686 | -1.686 | 0.000 | 0.000 | 29.918 | 
| 133.733 | 62.187 | 62.187 | -0.000 | -0.000 | -0.000 | 
| 62.187 | 133.733 | 62.187 | -0.000 | -0.000 | -0.000 | 
| 62.187 | 62.187 | 133.733 | -0.000 | -0.000 | -0.000 | 
| 1.686 | 1.686 | 1.686 | 29.918 | -0.000 | -0.000 | 
| 1.686 | 1.686 | 1.686 | -0.000 | 29.918 | -0.000 | 
| 1.686 | 1.686 | 1.686 | -0.000 | -0.000 | 29.918 | 
| 129.878 | 62.415 | 62.415 | 0.000 | 0.000 | 0.000 | 
| 62.415 | 129.878 | 62.415 | 0.000 | 0.000 | 0.000 | 
| 62.415 | 62.415 | 129.878 | 0.000 | 0.000 | 0.000 | 
| -0.148 | -0.148 | -0.148 | 32.335 | 0.000 | 0.000 | 
| -0.148 | -0.148 | -0.148 | 0.000 | 32.335 | 0.000 | 
| -0.148 | -0.148 | -0.148 | 0.000 | 0.000 | 32.335 | 
| 130.521 | 62.916 | 62.916 | -0.000 | -0.000 | -0.000 | 
| 62.916 | 130.521 | 62.916 | -0.000 | -0.000 | -0.000 | 
| 62.916 | 62.916 | 130.521 | -0.000 | -0.000 | -0.000 | 
| 0.148 | 0.148 | 0.148 | 32.335 | -0.000 | -0.000 | 
| 0.148 | 0.148 | 0.148 | -0.000 | 32.335 | -0.000 | 
| 0.148 | 0.148 | 0.148 | -0.000 | -0.000 | 32.335 | 
| 35.526 | 153.605 | 153.605 | 0.000 | 0.000 | -0.000 | 
| 153.604 | 35.527 | 153.605 | 0.000 | 0.000 | -0.000 | 
| 153.604 | 153.605 | 35.527 | 0.000 | 0.000 | -0.000 | 
| 2.490 | 2.490 | 2.491 | -73.399 | 0.000 | -0.000 | 
| 2.490 | 2.490 | 2.491 | 0.000 | -73.399 | -0.000 | 
| 2.490 | 2.490 | 2.491 | 0.000 | 0.000 | -73.399 | 
| 188.744 | 20.563 | 20.562 | -0.000 | -0.000 | 0.000 | 
| 20.563 | 188.743 | 20.563 | -0.000 | -0.000 | 0.000 | 
| 20.563 | 20.562 | 188.743 | -0.000 | -0.000 | 0.000 | 
| -2.490 | -2.490 | -2.491 | -73.399 | -0.000 | 0.000 | 
| -2.490 | -2.490 | -2.491 | -0.000 | -73.399 | 0.000 | 
| -2.490 | -2.490 | -2.491 | -0.000 | -0.000 | -73.399 | 
| 44.460 | 112.855 | 112.855 | 0.000 | 0.000 | -0.000 | 
| 112.855 | 44.460 | 112.855 | 0.000 | 0.000 | -0.000 | 
| 112.855 | 112.855 | 44.460 | 0.000 | 0.000 | -0.000 | 
| 2.318 | 2.318 | 2.318 | 64.861 | 0.000 | -0.000 | 
| 2.318 | 2.318 | 2.318 | 0.000 | 64.861 | -0.000 | 
| 2.318 | 2.318 | 2.318 | 0.000 | 0.000 | 64.861 | 
| 176.073 | 39.585 | 39.585 | -0.000 | -0.000 | 0.000 | 
| 39.585 | 176.073 | 39.585 | -0.000 | -0.000 | 0.000 | 
| 39.585 | 39.585 | 176.073 | -0.000 | -0.000 | 0.000 | 
| -2.318 | -2.318 | -2.318 | 64.861 | -0.000 | 0.000 | 
| -2.318 | -2.318 | -2.318 | -0.000 | 64.861 | 0.000 | 
| -2.318 | -2.318 | -2.318 | -0.000 | -0.000 | 64.861 | 
| 130.679 | 66.324 | 66.324 | 0.000 | 0.000 | -0.000 | 
| 66.324 | 130.679 | 66.324 | 0.000 | 0.000 | -0.000 | 
| 66.324 | 66.324 | 130.679 | 0.000 | 0.000 | -0.000 | 
| 0.221 | 0.221 | 0.221 | 31.048 | 0.000 | -0.000 | 
| 0.221 | 0.221 | 0.221 | 0.000 | 31.048 | -0.000 | 
| 0.221 | 0.221 | 0.221 | 0.000 | 0.000 | 31.048 | 
| 130.452 | 65.774 | 65.774 | -0.000 | -0.000 | 0.000 | 
| 65.774 | 130.452 | 65.774 | -0.000 | -0.000 | 0.000 | 
| 65.774 | 65.774 | 130.452 | -0.000 | -0.000 | 0.000 | 
| -0.221 | -0.221 | -0.221 | 31.048 | -0.000 | 0.000 | 
| -0.221 | -0.221 | -0.221 | -0.000 | 31.048 | 0.000 | 
| -0.221 | -0.221 | -0.221 | -0.000 | -0.000 | 31.048 | 
| 379.100 | -66.761 | -66.761 | -0.000 | 0.000 | -0.000 | 
| 92.480 | 40.836 | 94.041 | -0.088 | -0.227 | 0.499 | 
| 119.073 | 100.739 | 23.604 | -0.688 | -1.806 | 3.769 | 
| 0.000 | 0.000 | 0.000 | 193.001 | 0.000 | 0.000 | 
| 0.000 | 0.000 | 0.000 | -0.000 | 193.001 | -0.000 | 
| -12.076 | -27.508 | -2.472 | -0.582 | -1.534 | 164.409 | 
| 10.093 | 149.444 | 138.725 | 0.237 | 0.614 | -1.361 | 
| -8.845 | 312.832 | -20.244 | 0.689 | 1.815 | -3.735 | 
| 108.590 | 126.211 | 11.947 | 0.661 | 1.735 | -3.623 | 
| -0.000 | -0.000 | -0.000 | 193.001 | -0.000 | 0.000 | 
| -0.000 | -0.000 | -0.000 | -0.000 | 193.001 | -0.000 | 
| -1.774 | 17.382 | -13.842 | 0.719 | 1.887 | -51.580 | 
| 127.169 | 57.964 | 60.007 | -0.047 | -0.123 | 0.258 | 
| 57.411 | 119.830 | 58.191 | -0.047 | -0.124 | 0.255 | 
| 57.709 | 56.730 | 120.556 | -0.037 | -0.096 | 0.202 | 
| -1.835 | -2.701 | -1.290 | 30.103 | -0.086 | 0.178 | 
| -0.057 | -0.973 | 0.522 | -0.034 | 28.289 | 0.189 | 
| 0.118 | -1.157 | 0.922 | -0.048 | -0.126 | 33.037 | 
| 121.779 | 62.569 | 61.065 | 0.035 | 0.091 | -0.190 | 
| 58.997 | 128.165 | 58.208 | 0.047 | 0.123 | -0.258 | 
| 61.728 | 62.653 | 121.032 | 0.035 | 0.091 | -0.190 | 
| -0.118 | 1.157 | -0.921 | 32.907 | 0.126 | -0.262 | 
| 0.679 | 1.857 | -0.060 | 0.044 | 30.931 | -0.242 | 
| 0.057 | 0.974 | -0.522 | 0.034 | 0.090 | 28.161 | 
| 123.538 | 59.345 | 59.520 | -0.004 | -0.011 | 0.022 | 
| 59.612 | 123.899 | 59.681 | -0.004 | -0.011 | 0.022 | 
| 59.618 | 59.509 | 124.066 | -0.004 | -0.011 | 0.022 | 
| 0.001 | -0.103 | 0.066 | 32.132 | -0.010 | 0.021 | 
| -0.095 | -0.204 | -0.026 | -0.004 | 31.257 | 0.022 | 
| -0.215 | -0.319 | -0.148 | -0.004 | -0.010 | 31.141 | 
| 124.049 | 59.831 | 59.657 | 0.004 | 0.011 | -0.022 | 
| 59.814 | 124.559 | 59.749 | 0.004 | 0.010 | -0.021 | 
| 59.784 | 59.893 | 124.186 | 0.004 | 0.011 | -0.022 | 
| 0.071 | 0.175 | 0.006 | 31.395 | 0.010 | -0.021 | 
| 0.013 | 0.120 | -0.054 | 0.004 | 31.856 | -0.022 | 
| 0.013 | 0.120 | -0.054 | 0.004 | 0.011 | 31.824 | 
| 769.665 | 707.903 | -1276.877 | -10.148 | 0.000 | -0.000 | 
| 708.075 | 769.751 | -1277.147 | 10.146 | -0.000 | -0.000 | 
| 761.763 | 761.763 | -1387.158 | -0.000 | -0.000 | -0.000 | 
| -15.864 | 15.864 | 0.000 | 243.231 | 0.000 | -0.000 | 
| 636.377 | 636.377 | -1324.584 | 0.000 | 29.740 | -10.171 | 
| 692.530 | 692.530 | -1480.917 | -0.000 | 0.635 | 24.496 | 
| -1202.649 | -1329.644 | 2974.301 | 21.430 | -0.000 | 0.000 | 
| -623.449 | -576.111 | 1548.374 | -0.407 | -0.000 | 0.000 | 
| -587.825 | -587.825 | 1461.484 | -0.000 | 0.000 | 0.000 | 
| -646.548 | -626.206 | 1324.584 | 29.740 | 0.000 | 0.000 | 
| -636.377 | -636.377 | 1324.584 | -0.000 | 29.740 | -10.171 | 
| -692.530 | -692.530 | 1480.917 | 0.000 | 0.635 | 24.496 | 
| 200.507 | 126.630 | -83.413 | 2.552 | -0.000 | -0.000 | 
| -69.815 | 379.171 | -57.882 | 15.864 | -0.000 | -0.000 | 
| 132.227 | 132.227 | -41.602 | -0.000 | -0.000 | -0.000 | 
| 64.838 | 65.933 | -139.722 | 13.845 | 0.000 | -0.000 | 
| 65.290 | 65.290 | -139.524 | 0.000 | 14.162 | -0.552 | 
| 54.638 | 54.638 | -138.248 | -0.000 | 20.612 | -51.989 | 
| 379.171 | -69.815 | -57.882 | -15.864 | 0.000 | 0.000 | 
| -69.815 | 379.171 | -57.882 | 15.864 | 0.000 | 0.000 | 
| -54.235 | -54.235 | 360.030 | -0.000 | 0.000 | 0.000 | 
| -65.844 | -64.732 | 139.518 | 14.173 | -0.000 | 0.000 | 
| -65.290 | -65.290 | 139.524 | -0.000 | 14.162 | -0.552 | 
| -54.638 | -54.638 | 138.248 | 0.000 | 20.612 | -51.989 | 
| 148.009 | 65.569 | 38.994 | -2.911 | 0.000 | -0.000 | 
| 65.658 | 147.838 | 39.077 | 2.876 | -0.000 | -0.000 | 
| 60.304 | 60.304 | 110.741 | -0.000 | -0.000 | -0.000 | 
| 1.407 | 10.341 | -12.461 | 39.664 | -0.000 | -0.000 | 
| 5.688 | 5.689 | -11.840 | -0.000 | 52.400 | -10.775 | 
| 6.356 | 6.356 | -13.530 | 0.000 | -2.329 | 39.408 | 
| 133.391 | 54.308 | 66.409 | -3.328 | -0.000 | 0.000 | 
| 49.978 | 129.423 | 75.077 | -0.172 | 0.000 | 0.000 | 
| 44.782 | 44.782 | 143.346 | 0.000 | 0.000 | 0.000 | 
| -16.463 | 5.105 | 11.820 | 52.717 | 0.000 | 0.000 | 
| -5.688 | -5.689 | 11.840 | 0.000 | 52.400 | -10.775 | 
| -6.356 | -6.356 | 13.530 | -0.000 | -2.329 | 39.408 | 
| 491.728 | -120.661 | -114.458 | 0.000 | -0.000 | 0.000 | 
| 1189.740 | 1169.290 | -2181.076 | -0.000 | -0.000 | 0.000 | 
| 1299.890 | 1299.890 | -2337.934 | -0.000 | 0.000 | -0.000 | 
| 0.000 | 0.000 | -0.000 | 313.397 | -0.000 | 0.000 | 
| -140.319 | -140.319 | 218.111 | -0.000 | 37.472 | -0.000 | 
| 1144.145 | 1144.145 | -2368.068 | -0.000 | -0.000 | 21.405 | 
| 699.466 | -17.547 | -383.377 | -0.000 | 0.000 | -0.000 | 
| 193.455 | 206.591 | -81.355 | 0.000 | -0.000 | 0.000 | 
| -24.768 | -24.768 | 348.767 | -0.000 | 0.000 | -0.000 | 
| -0.000 | -0.000 | 0.000 | 313.397 | 0.000 | 0.000 | 
| 140.319 | 140.319 | -218.111 | 0.000 | 37.472 | 0.000 | 
| -1144.145 | -1144.145 | 2368.068 | 0.000 | 0.000 | 21.405 | 
| 128.397 | 193.618 | -73.447 | -0.000 | -0.000 | 0.000 | 
| -35.193 | 219.770 | 65.376 | -0.000 | 0.000 | -0.000 | 
| -114.458 | -114.458 | 487.386 | -0.000 | -0.000 | -0.000 | 
| 78.203 | 78.203 | -164.083 | -2.544 | -0.000 | 0.000 | 
| 65.074 | 65.074 | -129.983 | -0.000 | -424.889 | -0.000 | 
| -15.342 | -15.342 | 24.572 | -0.000 | 0.000 | 65.161 | 
| 491.727 | -120.661 | -114.458 | 0.000 | 0.000 | -0.000 | 
| 44.354 | 145.754 | 71.723 | 0.000 | -0.000 | 0.000 | 
| 1.862 | 1.862 | 257.765 | 0.000 | 0.000 | -0.000 | 
| -78.203 | -78.203 | 164.083 | -2.544 | 0.000 | -0.000 | 
| -65.074 | -65.074 | 129.983 | 0.000 | -424.889 | -0.000 | 
| 15.342 | 15.342 | -24.572 | 0.000 | -0.000 | 65.161 | 
| 157.470 | 35.022 | 63.055 | -0.000 | -0.000 | -0.000 | 
| 46.953 | 156.361 | 51.817 | -0.000 | 0.000 | 0.000 | 
| 57.396 | 57.396 | 144.056 | -0.000 | 0.000 | -0.000 | 
| 1.821 | 1.821 | -4.674 | 50.731 | -0.000 | 0.000 | 
| 1.973 | 1.969 | -4.116 | -0.000 | 40.470 | 0.000 | 
| 3.185 | 3.185 | -7.072 | -0.000 | -0.000 | 51.977 | 
| 165.077 | 30.956 | 60.467 | 0.000 | -0.000 | 0.000 | 
| 37.653 | 151.635 | 67.207 | 0.000 | -0.000 | 0.000 | 
| 47.659 | 47.659 | 163.862 | 0.000 | -0.000 | 0.000 | 
| -1.821 | -1.821 | 4.674 | 50.731 | 0.000 | -0.000 | 
| -1.973 | -1.969 | 4.116 | 0.000 | 40.470 | -0.000 | 
| -3.185 | -3.185 | 7.072 | 0.000 | 0.000 | 51.977 | 
| -1028.181 | -1002.823 | 2350.470 | -0.000 | -0.000 | -0.000 | 
| -1632.597 | -1775.017 | 3667.219 | -0.000 | -0.000 | 0.000 | 
| -1710.661 | -1710.661 | 3684.257 | 0.000 | -0.000 | 0.000 | 
| -1793.212 | -1793.212 | 3593.400 | -79.487 | -0.000 | 0.000 | 
| 0.000 | 0.000 | 0.000 | 0.000 | 308.838 | -0.000 | 
| -1796.689 | -1796.689 | 3600.368 | 0.000 | -0.000 | -77.744 | 
| 1151.831 | 1172.240 | -2139.172 | 0.000 | -0.000 | 0.000 | 
| 1977.894 | 1806.276 | -3538.588 | 0.000 | 0.000 | -0.000 | 
| 1196.458 | 1196.458 | -2203.687 | 0.000 | -0.000 | 0.000 | 
| 1793.212 | 1793.212 | -3593.400 | -79.487 | 0.000 | -0.000 | 
| -0.000 | -0.000 | -0.000 | 0.000 | 308.838 | 0.000 | 
| 1796.689 | 1796.689 | -3600.368 | -0.000 | -0.000 | -77.744 | 
| -28.159 | -20.836 | 307.756 | 0.000 | 0.000 | -0.000 | 
| -21.072 | -26.134 | 305.966 | -0.000 | -0.000 | -0.000 | 
| -29.573 | -29.573 | 322.092 | -0.000 | 0.000 | -0.000 | 
| -101.055 | -101.055 | 208.739 | -0.012 | 0.000 | -0.000 | 
| -161.885 | -161.885 | 324.400 | 0.000 | -41.728 | 0.000 | 
| -94.776 | -94.776 | 202.776 | 0.000 | -0.000 | 36.799 | 
| 169.503 | 306.794 | -224.241 | -0.000 | -0.000 | -0.000 | 
| 156.778 | 209.337 | -120.486 | 0.000 | -0.000 | 0.000 | 
| 144.248 | 144.248 | -43.634 | 0.000 | 0.000 | -0.000 | 
| 101.055 | 101.055 | -208.739 | -0.012 | -0.000 | -0.000 | 
| 161.885 | 161.885 | -324.400 | -0.000 | -41.728 | -0.000 | 
| 94.776 | 94.776 | -202.776 | -0.000 | -0.000 | 36.799 | 
| 142.482 | 32.083 | 79.016 | -0.000 | -0.000 | 0.000 | 
| 37.269 | 143.843 | 71.799 | -0.000 | -0.000 | 0.000 | 
| 42.833 | 42.833 | 170.634 | -0.000 | -0.000 | 0.000 | 
| -11.918 | -11.919 | 23.884 | 50.730 | -0.000 | 0.000 | 
| -11.919 | -11.918 | 23.884 | 0.000 | 50.730 | 0.000 | 
| -11.616 | -11.616 | 24.191 | 0.000 | -0.000 | 51.836 | 
| 160.648 | 63.285 | 28.642 | -0.000 | 0.000 | 0.000 | 
| 55.522 | 162.365 | 33.875 | 0.000 | -0.000 | 0.000 | 
| 67.324 | 67.324 | 120.824 | 0.000 | 0.000 | -0.000 | 
| 11.918 | 11.919 | -23.884 | 50.730 | 0.000 | 0.000 | 
| 11.919 | 11.918 | -23.884 | -0.000 | 50.730 | 0.000 | 
| 11.616 | 11.616 | -24.191 | -0.000 | -0.000 | 51.836 | 
| 225.589 | 101.701 | 99.909 | -0.179 | -0.580 | 0.000 | 
| -2.855 | -19.234 | 322.097 | 0.114 | 0.374 | -0.000 | 
| -0.953 | -1.199 | 300.474 | 0.117 | 0.385 | -0.000 | 
| -95.825 | -96.067 | 230.406 | -47.737 | 0.377 | -0.000 | 
| -95.829 | -96.070 | 230.415 | 0.115 | -47.485 | -0.000 | 
| -95.847 | -96.089 | 230.460 | 0.115 | 0.377 | -41.751 | 
| 167.909 | 192.410 | -137.543 | -0.116 | -0.382 | 0.000 | 
| -40.734 | 95.448 | 29.959 | 0.185 | 0.599 | -0.000 | 
| 137.753 | 139.098 | -308.937 | -0.731 | -2.368 | 0.001 | 
| 95.822 | 96.063 | -230.399 | -47.958 | -0.377 | 0.000 | 
| 95.819 | 96.060 | -230.391 | -0.115 | -48.209 | 0.000 | 
| 95.847 | 96.089 | -230.460 | -0.115 | -0.377 | -41.750 | 
| 122.881 | 56.223 | 85.394 | 0.009 | 0.029 | -0.000 | 
| 56.236 | 122.875 | 85.387 | 0.009 | 0.029 | -0.000 | 
| 67.113 | 67.128 | 133.000 | -0.008 | -0.027 | 0.000 | 
| -4.075 | -4.079 | 16.802 | 18.736 | 0.005 | -0.000 | 
| 2.219 | 2.211 | 22.879 | 0.002 | 28.699 | -0.000 | 
| 4.314 | 4.294 | 11.045 | 0.011 | 0.036 | 0.724 | 
| 95.192 | 105.212 | 38.295 | -0.010 | -0.032 | 0.000 | 
| 75.746 | 130.199 | 52.448 | -0.009 | -0.031 | 0.000 | 
| 74.414 | 74.402 | 93.251 | 0.007 | 0.023 | -0.000 | 
| 4.074 | 4.078 | -16.798 | 18.776 | -0.005 | 0.000 | 
| 4.075 | 4.080 | -16.800 | -0.001 | 18.754 | 0.000 | 
| -4.314 | -4.294 | -11.045 | -0.011 | -0.036 | 0.724 | 
| 126.397 | 69.652 | 64.427 | 0.001 | 0.002 | -0.000 | 
| 69.653 | 126.396 | 64.427 | 0.001 | 0.002 | -0.000 | 
| 64.307 | 64.304 | 127.649 | 0.001 | 0.005 | -0.000 | 
| -0.536 | -0.537 | 1.608 | 32.556 | 0.002 | -0.000 | 
| -0.536 | -0.537 | 1.608 | 0.000 | 32.558 | -0.000 | 
| -0.318 | -0.320 | 1.467 | 0.001 | 0.002 | 30.195 | 
| 126.597 | 71.191 | 61.010 | -0.001 | -0.002 | 0.000 | 
| 71.189 | 126.598 | 61.010 | -0.001 | -0.002 | 0.000 | 
| 64.762 | 64.765 | 124.984 | -0.001 | -0.004 | 0.000 | 
| 0.536 | 0.537 | -1.608 | 32.555 | -0.002 | 0.000 | 
| 0.536 | 0.537 | -1.608 | -0.000 | 32.554 | 0.000 | 
| 0.318 | 0.320 | -1.467 | -0.001 | -0.002 | 30.195 | 
| -315.522 | -346.699 | 941.920 | 0.000 | -0.000 | 0.000 | 
| -346.699 | -315.522 | 941.920 | 0.000 | -0.000 | 0.000 | 
| -84.432 | -84.432 | 541.616 | 0.000 | -0.000 | 0.000 | 
| -266.029 | -266.029 | 595.992 | 42.747 | -0.000 | -0.000 | 
| -266.029 | -266.029 | 595.992 | -0.000 | 42.747 | 0.000 | 
| -611.738 | -611.738 | 1381.794 | -0.000 | 0.000 | 179.574 | 
| 503.103 | 476.485 | -819.356 | -0.000 | 0.000 | -0.000 | 
| 476.485 | 503.103 | -819.356 | -0.000 | 0.000 | -0.000 | 
| 328.686 | 328.686 | -500.317 | -0.000 | 0.000 | -0.000 | 
| 266.029 | 266.029 | -595.992 | 42.747 | 0.000 | -0.000 | 
| 266.029 | 266.029 | -595.992 | -0.000 | 42.747 | -0.000 | 
| 611.738 | 611.738 | -1381.794 | 0.000 | -0.000 | 179.574 | 
| 68.899 | 24.691 | 130.905 | 0.000 | -0.000 | 0.000 | 
| 24.691 | 68.899 | 130.905 | -0.000 | -0.000 | -0.000 | 
| -21.834 | -21.834 | 277.395 | -0.000 | -0.000 | -0.000 | 
| -15.237 | -15.237 | 39.221 | 11.588 | -0.000 | -0.000 | 
| -15.237 | -15.237 | 39.221 | 0.000 | 11.588 | 0.000 | 
| -31.773 | -31.773 | 70.089 | -0.000 | -0.000 | 30.525 | 
| 112.295 | 97.446 | -5.565 | -0.000 | 0.000 | -0.000 | 
| 97.446 | 112.295 | -5.565 | -0.000 | 0.000 | 0.000 | 
| -21.834 | -21.834 | 277.394 | 0.000 | 0.000 | -0.000 | 
| 15.237 | 15.237 | -39.221 | 11.588 | 0.000 | -0.000 | 
| 15.237 | 15.237 | -39.221 | 0.000 | 11.588 | 0.000 | 
| 31.773 | 31.773 | -70.089 | 0.000 | 0.000 | 30.525 | 
| 105.195 | 49.672 | 61.187 | 0.000 | -0.000 | 0.000 | 
| 49.672 | 105.195 | 61.187 | 0.000 | -0.000 | -0.000 | 
| 51.504 | 51.504 | 121.570 | 0.000 | -0.000 | 0.000 | 
| -2.825 | -2.825 | 6.268 | 27.402 | -0.000 | 0.000 | 
| -2.825 | -2.825 | 6.268 | 0.000 | 27.402 | 0.000 | 
| -3.241 | -3.241 | 7.052 | 0.000 | -0.000 | 29.239 | 
| 113.392 | 52.763 | 52.481 | -0.000 | 0.000 | -0.000 | 
| 52.763 | 113.392 | 52.481 | 0.000 | 0.000 | -0.000 | 
| 56.717 | 56.717 | 104.662 | -0.000 | 0.000 | -0.000 | 
| 2.825 | 2.825 | -6.268 | 27.402 | 0.000 | -0.000 | 
| 2.825 | 2.825 | -6.268 | -0.000 | 27.402 | -0.000 | 
| 3.241 | 3.241 | -7.052 | -0.000 | 0.000 | 29.239 | 
| 4336.763 | -3552.214 | -1339.210 | -0.001 | 0.000 | 0.000 | 
| 3773.302 | -3024.250 | -1191.913 | 0.001 | -0.000 | -0.000 | 
| 3521.670 | -3943.815 | -175.971 | 0.000 | -0.000 | -0.000 | 
| 4704.310 | -4192.758 | -1091.582 | -78.272 | -0.000 | 0.000 | 
| 4509.224 | -3352.908 | -1245.595 | -0.001 | -54.789 | 0.000 | 
| 4340.358 | -3995.026 | -1155.951 | -0.001 | -0.000 | -288.256 | 
| -4279.485 | 4161.383 | 1183.385 | 0.001 | -0.000 | -0.000 | 
| -4342.413 | 3958.343 | 1453.650 | 0.001 | -0.000 | -0.000 | 
| -5549.194 | 4644.522 | 1720.847 | 0.004 | 0.000 | -0.000 | 
| -4704.311 | 4192.758 | 1091.583 | -78.271 | 0.000 | -0.000 | 
| -4509.224 | 3352.908 | 1245.595 | 0.001 | -54.789 | -0.000 | 
| -4340.358 | 3995.026 | 1155.951 | 0.001 | -0.000 | -288.256 | 
| 577.286 | -271.527 | -137.952 | -0.000 | -0.000 | 0.000 | 
| 459.305 | -286.496 | 15.042 | -0.000 | -0.000 | 0.000 | 
| 525.978 | -421.301 | 71.541 | -0.000 | 0.000 | 0.000 | 
| 431.725 | -321.016 | -119.257 | -60.496 | -0.000 | 0.000 | 
| 494.058 | -414.339 | -137.959 | -0.000 | 53.885 | 0.000 | 
| 427.333 | -343.710 | -169.794 | -0.000 | 0.000 | 93.038 | 
| -260.055 | 408.545 | 191.301 | 0.000 | 0.000 | -0.000 | 
| -235.254 | 117.622 | 451.461 | 0.000 | -0.000 | -0.000 | 
| -391.901 | 523.061 | 199.745 | 0.000 | -0.000 | -0.000 | 
| -431.725 | 321.016 | 119.257 | -60.496 | -0.000 | -0.000 | 
| -494.058 | 414.339 | 137.959 | 0.000 | 53.885 | -0.000 | 
| -427.333 | 343.710 | 169.794 | 0.000 | 0.000 | 93.038 | 
| 176.832 | 28.273 | 40.118 | -0.000 | -0.000 | 0.000 | 
| 87.390 | 104.547 | 58.831 | -0.000 | -0.000 | 0.000 | 
| 109.888 | 12.977 | 132.657 | -0.000 | 0.000 | 0.000 | 
| 44.980 | -42.511 | -10.762 | 45.688 | 0.000 | 0.000 | 
| 45.437 | -38.770 | -15.081 | -0.000 | 44.292 | 0.000 | 
| 43.748 | -36.299 | -12.416 | -0.000 | -0.000 | 37.339 | 
| 96.059 | 89.765 | 75.555 | 0.000 | -0.000 | -0.000 | 
| 29.700 | 169.336 | 62.638 | 0.000 | 0.000 | -0.000 | 
| 49.324 | 69.002 | 146.329 | 0.000 | -0.000 | -0.000 | 
| -44.980 | 42.511 | 10.762 | 45.688 | -0.000 | -0.000 | 
| -45.437 | 38.770 | 15.081 | 0.000 | 44.292 | -0.000 | 
| -43.748 | 36.299 | 12.416 | 0.000 | -0.000 | 37.339 | 
| 1214.513 | -1.327 | -914.149 | 0.000 | 0.000 | -0.000 | 
| 528.927 | 168.735 | -341.413 | -0.000 | 0.000 | 0.000 | 
| 578.332 | 100.128 | -320.175 | -0.000 | 0.000 | 0.000 | 
| 943.956 | 38.193 | -922.865 | 156.491 | 0.000 | -0.000 | 
| 937.371 | 47.623 | -925.542 | 0.000 | 76.691 | -0.000 | 
| -0.000 | 0.000 | 0.000 | -0.000 | -0.000 | 236.474 | 
| -650.913 | -84.717 | 916.236 | -0.000 | -0.000 | 0.000 | 
| -932.912 | 206.093 | 918.146 | -0.000 | -0.000 | 0.000 | 
| -991.635 | 24.706 | 1162.082 | -0.000 | -0.000 | 0.000 | 
| -1468.377 | 801.218 | 473.406 | 61.478 | -0.000 | 0.000 | 
| -937.371 | -47.623 | 925.542 | -0.000 | 76.691 | 0.000 | 
| 0.000 | -0.000 | -0.000 | -0.000 | 0.000 | 236.474 | 
| 417.026 | -106.035 | -66.933 | 0.000 | -0.000 | -0.000 | 
| 122.750 | 136.373 | 1.242 | -0.000 | 0.000 | 0.000 | 
| -67.463 | -81.174 | 401.964 | 0.000 | 0.000 | 0.000 | 
| 95.500 | -36.036 | -43.401 | 41.489 | 0.000 | 0.000 | 
| 102.372 | -15.125 | -81.972 | 0.000 | 31.568 | -0.000 | 
| 0.000 | 0.000 | 0.000 | 0.000 | -0.000 | 236.474 | 
| 52.681 | 73.897 | 109.367 | 0.000 | -0.000 | -0.000 | 
| -28.715 | 182.462 | 86.981 | 0.000 | -0.000 | -0.000 | 
| -59.405 | 118.856 | 189.660 | 0.000 | -0.000 | -0.000 | 
| -95.500 | 36.036 | 43.401 | 41.489 | -0.000 | -0.000 | 
| -102.372 | 15.125 | 81.972 | 0.000 | 31.568 | 0.000 | 
| -0.000 | -0.000 | -0.000 | -0.000 | 0.000 | 236.474 | 
| 141.524 | 45.410 | 55.196 | -0.000 | 0.000 | 0.000 | 
| 56.598 | 137.621 | 57.482 | -0.000 | 0.000 | 0.000 | 
| 60.666 | 55.133 | 138.361 | -0.000 | 0.000 | 0.000 | 
| 7.818 | -2.642 | -4.693 | 41.979 | 0.000 | 0.000 | 
| 7.127 | -5.444 | -1.579 | -0.000 | 48.985 | 0.000 | 
| 10.232 | -3.045 | -5.779 | -0.000 | 0.000 | 42.609 | 
| 125.347 | 62.127 | 54.193 | 0.000 | -0.000 | -0.000 | 
| 39.699 | 142.610 | 67.028 | 0.000 | -0.000 | -0.000 | 
| 43.357 | 62.717 | 147.586 | 0.000 | -0.000 | -0.000 | 
| -7.818 | 2.643 | 4.693 | 41.979 | -0.000 | -0.000 | 
| -7.127 | 5.444 | 1.579 | 0.000 | 48.985 | -0.000 | 
| -10.232 | 3.045 | 5.779 | 0.000 | -0.000 | 42.609 | 
| -461.451 | -250.532 | 1063.299 | -146.287 | -307.986 | -305.927 | 
| -24.343 | 337.236 | 5.465 | -50.741 | -0.188 | 13.156 | 
| -35.200 | 7.493 | 347.387 | 12.281 | 12.409 | 13.027 | 
| -499.370 | -582.959 | 1376.152 | -237.261 | 250.562 | -158.844 | 
| -638.295 | -309.451 | 1002.676 | -136.140 | -254.864 | -261.407 | 
| -655.062 | -314.906 | 1015.973 | -136.027 | -289.155 | -237.587 | 
| 802.099 | 383.999 | -947.458 | 131.726 | 274.808 | 235.238 | 
| 701.063 | 486.023 | -934.445 | 127.033 | 296.459 | 272.268 | 
| 499.550 | 436.860 | -970.404 | 593.694 | -87.499 | 558.129 | 
| 769.657 | 229.419 | -1154.432 | 482.055 | -11.284 | 335.616 | 
| 627.464 | 324.533 | -1009.603 | 141.955 | 326.340 | 279.529 | 
| 777.295 | 237.789 | -1183.533 | 455.592 | -20.780 | 367.001 | 
| 63.518 | 22.367 | 180.396 | -39.229 | -9.141 | -39.290 | 
| 33.839 | 60.035 | 225.737 | -17.534 | 23.380 | -21.013 | 
| 4.169 | 42.510 | 268.831 | -4.540 | -26.725 | -15.254 | 
| -55.933 | 0.940 | 96.087 | -27.386 | -1.113 | 10.056 | 
| 10.238 | -106.424 | 104.289 | -70.010 | -25.655 | 109.285 | 
| -84.639 | -28.536 | 108.414 | -10.655 | -27.061 | 10.659 | 
| 377.138 | -27.107 | -41.315 | 7.209 | -46.527 | -81.993 | 
| 111.711 | 151.033 | -31.808 | 50.460 | 0.238 | 2.061 | 
| 120.409 | 99.515 | 85.299 | 23.040 | 31.351 | 38.018 | 
| -0.393 | 113.147 | -111.393 | 93.768 | 53.007 | -79.680 | 
| 67.266 | 17.062 | -100.547 | 49.593 | 38.000 | 29.403 | 
| 68.431 | -9.510 | -101.889 | 77.135 | -9.787 | 30.610 | 
| 143.127 | 62.935 | 78.689 | -7.161 | -6.450 | -24.586 | 
| 62.057 | 124.590 | 74.606 | -10.635 | -6.379 | 5.600 | 
| 66.614 | 67.748 | 135.025 | 0.063 | 0.924 | -2.157 | 
| -2.977 | -2.032 | 12.494 | 17.828 | -1.525 | 4.911 | 
| -8.718 | -2.570 | 12.801 | 2.249 | 40.884 | 5.988 | 
| -3.673 | -11.145 | 7.505 | -9.276 | -9.819 | 29.973 | 
| 136.876 | 63.124 | 63.678 | 1.569 | -8.224 | -13.755 | 
| 54.819 | 142.991 | 55.960 | 5.138 | 5.653 | -6.605 | 
| 73.672 | 72.721 | 138.473 | 11.230 | 4.005 | -0.825 | 
| 4.629 | 1.223 | -3.866 | 29.575 | 3.089 | 1.798 | 
| -1.133 | 6.921 | -6.363 | 8.059 | 31.627 | -1.198 | 
| -8.496 | 2.670 | -5.564 | 1.729 | 0.173 | 39.576 | 
| 302.531 | 10.337 | -25.147 | 8.367 | -36.866 | -56.437 | 
| 9.229 | 279.638 | -21.284 | -33.797 | -3.762 | 8.034 | 
| -25.037 | -20.114 | 313.686 | 5.740 | -1.647 | 3.672 | 
| 164.774 | 171.532 | -289.697 | 217.265 | -27.799 | -34.860 | 
| 154.675 | 176.886 | -294.572 | 192.510 | -2.906 | -31.429 | 
| 156.090 | 168.935 | -289.795 | 188.712 | -29.889 | 3.091 | 
| -54.690 | -103.011 | 369.574 | -48.285 | 73.944 | -121.500 | 
| -62.970 | -133.638 | 361.674 | -39.963 | 74.684 | -117.903 | 
| -25.037 | -20.114 | 313.686 | 5.740 | -1.647 | 3.672 | 
| -50.557 | -241.295 | 214.236 | -259.998 | 308.240 | -109.005 | 
| -170.402 | -166.305 | 286.010 | -186.537 | 57.708 | 39.787 | 
| -168.845 | -174.425 | 290.765 | -190.288 | 30.682 | 72.535 | 
| 181.152 | 80.269 | 31.547 | 17.711 | -20.161 | -21.225 | 
| 78.372 | 152.893 | 23.543 | 9.873 | 1.385 | -3.761 | 
| 65.672 | 63.068 | 136.991 | 21.346 | -6.464 | -5.049 | 
| 8.493 | -15.188 | 5.740 | 123.290 | 3.799 | -4.952 | 
| -0.737 | -3.165 | -1.647 | 3.799 | 121.788 | 10.451 | 
| 8.426 | 14.989 | -27.521 | 17.274 | -3.292 | 45.077 | 
| 302.530 | 10.337 | -25.147 | 8.367 | -36.866 | -56.437 | 
| 9.229 | 279.638 | -21.284 | -33.797 | -3.762 | 8.034 | 
| 61.192 | 52.486 | 128.682 | -4.586 | 6.819 | -9.844 | 
| -15.801 | -14.336 | 29.209 | -3.109 | 8.606 | -7.319 | 
| -22.686 | -11.428 | 23.220 | -14.799 | 36.570 | 7.950 | 
| -19.256 | -21.225 | 28.774 | -27.671 | 20.437 | 17.508 | 
| 127.004 | 59.509 | 58.777 | 0.102 | -9.367 | -11.003 | 
| 66.130 | 128.086 | 49.771 | -5.167 | -1.500 | 1.350 | 
| 62.591 | 57.586 | 111.512 | 0.949 | -2.982 | 0.529 | 
| 3.708 | 0.933 | -1.586 | 30.521 | 2.051 | 0.554 | 
| -5.023 | 0.526 | -1.449 | 4.777 | 28.876 | 3.010 | 
| -7.838 | 2.631 | -2.081 | -0.329 | -0.199 | 39.405 | 
| 125.844 | 54.214 | 63.770 | -2.949 | -6.721 | -12.730 | 
| 60.575 | 114.053 | 60.030 | -6.362 | -0.357 | 0.933 | 
| 60.213 | 55.477 | 121.262 | 1.215 | -2.458 | -1.933 | 
| 1.504 | -2.426 | 2.973 | 27.609 | 4.182 | -0.424 | 
| -8.074 | 2.267 | -1.212 | 1.427 | 44.219 | 5.598 | 
| -5.511 | -1.342 | 1.966 | -3.882 | -0.940 | 29.494 | 
| 383.034 | 282.316 | -412.058 | 161.706 | -1714.142 | 689.528 | 
| 423.811 | 245.517 | -407.242 | 157.606 | -1711.158 | 683.223 | 
| 33.797 | 313.092 | -86.237 | -205.061 | -2211.806 | 473.928 | 
| -1.859 | 9.868 | -17.681 | 171.517 | 4.410 | 14.058 | 
| 6.162 | 424.519 | -452.599 | -174.991 | 217.514 | 236.637 | 
| 132.151 | 134.961 | -321.670 | 21.169 | -2442.871 | 776.123 | 
| -246.563 | -63.160 | 632.170 | -167.821 | 1703.845 | -687.943 | 
| -207.358 | -99.701 | 638.171 | -171.998 | 1705.834 | -694.208 | 
| -11.154 | -316.403 | 578.974 | -105.190 | 1752.373 | -663.739 | 
| -6.713 | -424.502 | 443.552 | 207.349 | -181.909 | -234.886 | 
| -67.697 | -357.475 | 488.243 | -213.723 | 2025.909 | -742.977 | 
| -25.759 | 22.627 | -3.011 | 14.864 | 31.499 | 160.073 | 
| 176.743 | 82.911 | 18.351 | -14.327 | -200.961 | 53.208 | 
| 125.734 | 113.779 | 55.142 | 12.633 | -159.957 | 60.783 | 
| 66.264 | 117.274 | 106.639 | -19.194 | 18.521 | 24.419 | 
| -1.658 | 36.039 | -44.381 | 30.571 | 17.927 | 23.373 | 
| 27.952 | 13.083 | -46.016 | 14.310 | -160.471 | 67.459 | 
| 12.418 | 14.936 | -37.303 | 7.907 | -234.530 | 93.325 | 
| 168.484 | 22.500 | 113.209 | 15.088 | -11.535 | -31.405 | 
| 70.147 | 75.902 | 154.807 | -19.095 | 155.398 | -67.104 | 
| 75.692 | 90.715 | 113.854 | -14.161 | 164.814 | -70.164 | 
| -33.565 | -15.566 | 48.370 | -18.370 | 170.555 | -63.941 | 
| -36.994 | -19.261 | 57.521 | -21.210 | 163.330 | -67.576 | 
| -10.468 | -27.410 | 32.715 | 19.645 | 219.053 | -0.151 | 
| 136.406 | 72.276 | 67.621 | 0.451 | -14.145 | 4.945 | 
| 73.149 | 141.752 | 68.638 | 9.219 | -16.676 | 6.908 | 
| 76.896 | 76.681 | 129.996 | -2.289 | -16.312 | 1.981 | 
| -1.297 | 6.069 | -6.441 | 29.118 | -18.580 | 7.451 | 
| 1.881 | 4.251 | -6.720 | 1.684 | 8.126 | 6.108 | 
| -4.662 | 3.743 | -4.503 | 1.098 | -12.493 | 36.768 | 
| 140.785 | 70.169 | 74.725 | -0.841 | 23.861 | -7.650 | 
| 68.240 | 131.397 | 72.332 | 5.237 | 21.277 | -6.778 | 
| 64.716 | 69.797 | 117.755 | -2.693 | 17.229 | -8.398 | 
| -3.474 | -1.979 | 1.865 | 31.863 | 18.242 | -4.533 | 
| 0.960 | -0.603 | -0.998 | -0.446 | 54.016 | -3.777 | 
| -8.127 | -2.637 | 3.150 | 2.123 | 22.190 | 28.752 | 
| -95.001 | 18.313 | 437.373 | 223.094 | -182.531 | -1.276 | 
| 144.882 | -50.471 | 392.314 | 231.158 | 166.761 | -54.949 | 
| 33.938 | -217.415 | 494.391 | 284.390 | -216.880 | 58.099 | 
| -29.328 | -306.112 | 397.577 | 297.155 | -226.038 | 53.008 | 
| 19.665 | 14.212 | -32.341 | 2.366 | 146.245 | 0.079 | 
| -172.342 | -75.427 | 348.509 | 219.610 | -180.026 | -5.129 | 
| 291.559 | -15.662 | -12.896 | 2.754 | 42.937 | 1.576 | 
| -48.142 | 426.219 | -286.691 | -378.130 | 271.139 | -133.745 | 
| -30.365 | 299.981 | -191.483 | -395.917 | 245.991 | -145.437 | 
| 0.122 | 8.340 | -7.952 | 143.923 | 2.366 | 13.198 | 
| 172.799 | 69.750 | -352.548 | -220.610 | 174.839 | 5.529 | 
| -86.490 | 267.495 | -328.930 | -386.400 | 277.298 | -94.096 | 
| 291.560 | -15.662 | -12.896 | 2.754 | 42.937 | 1.576 | 
| 54.239 | 114.286 | 101.554 | 29.112 | -20.658 | 0.538 | 
| 59.475 | 75.673 | 113.836 | 13.118 | -19.726 | -6.913 | 
| -0.664 | -31.476 | 37.610 | 43.617 | -20.684 | 4.937 | 
| -17.571 | -7.545 | 34.792 | 20.999 | -11.579 | 1.154 | 
| -10.134 | -34.633 | 42.197 | 26.928 | -19.608 | 27.037 | 
| 143.043 | 87.371 | 23.619 | -22.020 | 22.350 | -7.870 | 
| 19.636 | 132.216 | 0.240 | -20.294 | 10.925 | -6.519 | 
| 56.714 | 87.354 | 70.370 | -41.311 | 17.757 | -16.225 | 
| 4.917 | 25.472 | -36.320 | 5.774 | 21.176 | -3.394 | 
| -0.083 | 23.505 | -29.164 | -25.180 | 38.447 | -7.007 | 
| -4.701 | 20.910 | -30.054 | -24.106 | 22.255 | 20.921 | 
| 111.707 | 54.592 | 62.398 | 0.833 | 2.495 | 2.117 | 
| 58.943 | 119.413 | 68.251 | 5.187 | -3.003 | -1.216 | 
| 59.233 | 65.673 | 113.170 | 0.853 | -4.044 | 0.422 | 
| 0.096 | -2.179 | 2.659 | 22.426 | 0.801 | 2.408 | 
| 4.223 | -3.420 | 1.846 | 4.806 | 21.513 | 0.997 | 
| -2.921 | -0.603 | 4.004 | 3.280 | 4.250 | 23.078 | 
| 114.148 | 64.980 | 54.894 | -5.856 | 8.812 | 2.720 | 
| 57.612 | 137.883 | 64.134 | 3.090 | 5.056 | -2.472 | 
| 56.487 | 57.015 | 88.921 | -3.425 | 1.260 | 0.135 | 
| -1.657 | 4.709 | -5.680 | 19.427 | 1.032 | -0.891 | 
| 3.992 | 1.331 | -6.092 | -0.156 | 30.738 | -0.064 | 
| -2.851 | -1.428 | -4.400 | 0.916 | 6.871 | 30.749 | 
| 258.864 | -74.604 | 104.642 | 52.333 | 417.103 | -158.117 | 
| -0.637 | 348.146 | -25.585 | 55.471 | -4.088 | -1.642 | 
| -21.323 | -25.631 | 358.457 | 0.159 | -7.960 | 11.099 | 
| 146.357 | 300.843 | -485.124 | 425.168 | 530.337 | 372.113 | 
| 146.463 | 297.770 | -481.804 | 396.402 | 571.025 | 364.726 | 
| -15.870 | -1.584 | 8.802 | -4.286 | 28.983 | 155.477 | 
| -161.109 | -24.684 | 432.668 | -514.690 | -666.325 | -76.626 | 
| -455.265 | 280.480 | 397.871 | -779.507 | -630.381 | -203.493 | 
| -21.323 | -25.631 | 358.457 | 0.159 | -7.960 | 11.099 | 
| -85.309 | -97.757 | 230.753 | -115.819 | -212.922 | -91.701 | 
| -109.255 | 139.654 | -45.537 | -52.290 | -368.094 | 158.902 | 
| -94.276 | -104.000 | 237.631 | -186.335 | -221.097 | -34.128 | 
| 88.572 | 91.602 | 89.152 | 24.528 | 5.101 | 38.593 | 
| 73.967 | 174.002 | 69.745 | 15.875 | 33.923 | -16.528 | 
| 63.953 | 58.069 | 182.620 | 8.911 | 44.023 | -18.778 | 
| 9.870 | -18.122 | 8.351 | 50.078 | 39.277 | -17.436 | 
| 8.074 | 29.186 | -42.573 | 34.550 | 79.924 | 28.320 | 
| -15.870 | -1.584 | 8.802 | -4.286 | 28.983 | 155.477 | 
| 130.105 | 55.412 | 85.010 | -17.462 | -17.717 | -12.808 | 
| 55.437 | 152.932 | 87.126 | 0.287 | -17.539 | -12.058 | 
| 42.187 | 82.430 | 180.039 | -1.237 | -37.574 | 13.265 | 
| 12.131 | -12.460 | 0.593 | -24.770 | -9.196 | -34.196 | 
| 2.515 | -7.234 | -7.961 | 10.905 | 135.247 | -10.043 | 
| -18.971 | -8.555 | 20.537 | -22.357 | -23.636 | 32.241 | 
| 126.206 | 67.963 | 62.576 | 3.884 | 6.488 | 0.802 | 
| 68.600 | 163.028 | 70.766 | 13.057 | 6.813 | -1.814 | 
| 68.945 | 71.065 | 136.519 | 3.087 | 1.475 | -1.374 | 
| 1.886 | -0.414 | -3.816 | 41.068 | 7.127 | -2.197 | 
| -4.832 | 2.565 | -6.225 | 5.627 | 39.336 | -1.667 | 
| -6.477 | -0.057 | -4.969 | 0.924 | 10.085 | 42.035 | 
| 127.540 | 69.089 | 67.990 | -3.127 | -0.505 | -0.305 | 
| 70.047 | 145.122 | 70.353 | 4.694 | -4.961 | -0.363 | 
| 62.626 | 72.522 | 156.376 | -3.602 | -8.111 | -1.660 | 
| -0.019 | -0.289 | -1.730 | 33.955 | 0.587 | -3.890 | 
| -4.733 | 2.898 | -5.779 | 3.781 | 32.218 | -2.727 | 
| -9.605 | -0.749 | 0.011 | -2.775 | -0.710 | 25.490 | 
| 274.986 | -211.573 | 302.274 | 35.059 | -133.562 | 47.878 | 
| 1.606 | 285.212 | -12.625 | 33.070 | -4.302 | -16.594 | 
| -19.052 | -12.543 | 313.657 | -4.168 | 8.773 | 20.076 | 
| 70.030 | -183.467 | 143.444 | 42.361 | 7.740 | 202.509 | 
| 77.264 | -176.201 | 139.295 | 13.571 | 30.665 | 196.699 | 
| 5.206 | -16.163 | 22.118 | -5.993 | 35.057 | 149.741 | 
| -83.566 | 359.809 | -140.669 | -40.124 | 120.633 | -15.552 | 
| -105.931 | 370.169 | -136.126 | -36.927 | 131.378 | -41.687 | 
| 2.395 | 234.378 | -7.917 | -5.515 | -5.016 | -190.880 | 
| -80.912 | 172.054 | -129.383 | 16.813 | -5.926 | -193.941 | 
| -73.430 | 178.962 | -133.302 | -11.500 | 19.103 | -199.545 | 
| -67.975 | 125.639 | -204.927 | -22.844 | -7.534 | -179.762 | 
| 163.266 | 39.715 | 79.093 | -2.039 | 14.887 | 28.151 | 
| 63.000 | 136.162 | 64.497 | 5.986 | 3.067 | 15.719 | 
| -19.052 | -12.543 | 313.657 | -4.168 | 8.773 | 20.076 | 
| 2.281 | 0.910 | -4.168 | 127.134 | 16.333 | -10.206 | 
| 10.832 | -21.494 | 23.371 | 7.456 | 15.012 | -0.567 | 
| 5.206 | -16.163 | 22.118 | -5.993 | 35.057 | 149.741 | 
| 303.856 | -4.293 | -12.821 | 5.493 | 52.362 | 26.510 | 
| 51.745 | 131.915 | 55.169 | 0.467 | 13.682 | -11.607 | 
| 54.977 | 69.972 | 95.584 | -9.106 | -5.614 | -15.158 | 
| -11.668 | 10.999 | -6.291 | 36.437 | 1.553 | -14.928 | 
| 10.345 | -8.515 | 8.773 | 16.333 | 139.013 | -0.360 | 
| 5.206 | -16.163 | 22.118 | -5.993 | 35.057 | 149.741 | 
| 127.215 | 53.123 | 60.968 | -0.473 | 11.929 | 9.477 | 
| 56.109 | 121.748 | 58.621 | 2.170 | 1.205 | -1.514 | 
| 56.278 | 46.448 | 117.785 | -1.610 | -1.481 | 3.609 | 
| -1.119 | -2.262 | 0.780 | 37.689 | 4.020 | 0.063 | 
| 0.243 | -0.784 | 5.952 | 4.993 | 39.829 | -1.105 | 
| 3.382 | -6.045 | 4.322 | 0.772 | 8.063 | 37.274 | 
| 134.464 | 60.837 | 59.076 | 3.775 | 17.139 | 6.768 | 
| 54.464 | 142.489 | 56.466 | 7.700 | 3.302 | -7.304 | 
| 56.564 | 57.566 | 142.560 | -0.441 | 4.864 | 2.611 | 
| -4.432 | -3.090 | 3.791 | 49.134 | 3.963 | -0.065 | 
| -2.073 | 3.189 | 2.903 | 4.307 | 39.413 | -2.475 | 
| -0.908 | 0.435 | -0.748 | 0.347 | 7.131 | 31.858 | 
| 115.238 | -31.851 | 232.048 | 74.834 | -31.588 | -8.068 | 
| 101.332 | -2.850 | 236.295 | 72.570 | -33.699 | 20.333 | 
| -35.731 | -33.277 | 382.130 | -11.863 | -20.163 | 16.424 | 
| -2.678 | 7.070 | -11.863 | 153.782 | 13.034 | 16.028 | 
| 57.923 | 23.087 | -47.002 | 168.003 | -260.966 | 92.970 | 
| 81.250 | 13.484 | -62.781 | 157.961 | -233.662 | 54.049 | 
| -44.363 | 105.059 | 180.285 | -184.880 | 233.575 | -80.120 | 
| 181.164 | 93.984 | 38.612 | -74.867 | -1001.451 | 184.664 | 
| -35.731 | -33.277 | 382.130 | -11.863 | -20.163 | 16.424 | 
| -2.678 | 7.070 | -11.863 | 153.782 | 13.034 | 16.028 | 
| -164.686 | 155.711 | 20.440 | -627.128 | 616.986 | 146.045 | 
| -19.829 | 138.361 | -143.143 | -66.133 | 35.042 | 18.111 | 
| 362.597 | -25.306 | -34.345 | -9.738 | -30.981 | -48.054 | 
| 72.695 | 156.910 | 84.287 | 5.347 | 2.583 | 10.680 | 
| 88.890 | 103.593 | 101.599 | 18.411 | -15.891 | 17.313 | 
| 7.608 | -2.296 | -9.955 | 29.459 | -4.108 | 1.685 | 
| 1.547 | 1.218 | 0.489 | 14.131 | -16.075 | 4.730 | 
| 13.077 | -14.256 | 2.424 | 3.237 | -18.029 | -9.613 | 
| 362.596 | -25.306 | -34.345 | -9.738 | -30.981 | -48.054 | 
| 78.124 | 163.251 | 68.085 | -2.838 | 8.935 | 10.783 | 
| 75.363 | 90.799 | 97.375 | -38.082 | 45.049 | 22.198 | 
| -15.477 | 2.653 | 2.148 | -18.551 | 18.825 | -14.926 | 
| 6.663 | 15.775 | -23.835 | -6.108 | 31.782 | -4.560 | 
| -2.321 | -15.559 | 14.211 | -21.128 | 14.868 | -0.935 | 
| 153.119 | 71.379 | 64.743 | -3.784 | -7.544 | -14.055 | 
| 75.303 | 133.665 | 74.641 | -7.975 | 5.096 | -3.139 | 
| 65.287 | 67.222 | 122.328 | -1.306 | 4.626 | 2.377 | 
| -0.403 | -3.337 | -4.539 | 28.758 | 6.057 | -0.941 | 
| 2.506 | 5.106 | -6.985 | 3.921 | 33.951 | -2.103 | 
| -3.425 | -2.371 | 4.557 | -0.768 | -7.727 | 31.082 | 
| 142.444 | 74.558 | 67.576 | -3.679 | -4.112 | -12.071 | 
| 74.564 | 137.071 | 73.597 | -9.717 | -0.211 | -2.319 | 
| 66.964 | 67.582 | 119.793 | -9.192 | -8.815 | 4.898 | 
| -2.231 | 5.525 | -10.768 | 34.081 | 3.666 | -0.454 | 
| 1.245 | 5.829 | -6.869 | 2.698 | 34.782 | -2.534 | 
| -5.141 | -4.364 | 9.349 | -2.643 | -11.823 | 44.397 | 
| 300.979 | -6.196 | -35.344 | -1.920 | -23.816 | -41.835 | 
| -5.734 | 276.612 | -13.148 | -23.422 | 3.184 | -1.974 | 
| 114.023 | 317.645 | -331.907 | -151.193 | -63.728 | -30.059 | 
| -39.046 | -100.244 | -158.025 | 74.550 | -88.934 | 38.158 | 
| 5.380 | 6.041 | -13.546 | 11.317 | 120.136 | 4.110 | 
| 56.409 | 253.414 | -449.540 | -157.873 | -65.709 | -0.633 | 
| 159.350 | 23.974 | 369.113 | -9.248 | -0.065 | 33.188 | 
| 181.252 | -99.343 | 225.915 | 200.052 | 14.516 | -50.774 | 
| -34.273 | -15.480 | 303.172 | -12.509 | -13.546 | 14.305 | 
| -54.163 | -261.223 | 444.785 | 169.187 | 56.494 | 18.697 | 
| 5.380 | 6.041 | -13.546 | 11.317 | 120.136 | 4.110 | 
| -41.785 | -262.214 | 434.371 | 156.728 | 54.381 | 41.489 | 
| 77.900 | 83.119 | 7.163 | -5.604 | -21.228 | -13.936 | 
| -5.734 | 276.613 | -13.148 | -23.422 | 3.184 | -1.974 | 
| 56.252 | 78.934 | 89.196 | -14.068 | -9.627 | -6.231 | 
| -0.267 | 22.359 | -39.869 | 1.731 | -7.860 | -3.534 | 
| 6.010 | 18.645 | -45.154 | -17.942 | 8.140 | -4.386 | 
| 9.432 | 20.625 | -46.658 | -16.712 | -12.069 | 24.556 | 
| 111.680 | 44.942 | 93.238 | 10.888 | 3.630 | -0.603 | 
| 62.249 | 93.649 | 95.990 | 6.756 | 0.848 | -2.750 | 
| 68.655 | 43.606 | 137.550 | 17.087 | 0.602 | -5.732 | 
| 12.742 | -18.882 | 8.117 | 27.066 | 2.406 | 0.218 | 
| -2.503 | 4.227 | 20.011 | -0.716 | 43.029 | 0.207 | 
| -8.499 | -2.155 | 17.796 | 2.519 | -28.583 | 136.477 | 
| 112.066 | 64.187 | 48.118 | -2.550 | -8.340 | -10.170 | 
| 57.607 | 112.240 | 49.653 | -5.919 | -2.273 | -3.567 | 
| 52.253 | 57.403 | 122.776 | -6.150 | -4.845 | 2.911 | 
| -1.658 | 2.719 | -7.490 | 25.843 | -1.605 | 1.217 | 
| -3.846 | -0.717 | -3.399 | 0.500 | 21.982 | -0.054 | 
| -3.425 | -2.176 | -2.119 | -1.259 | -9.204 | 26.849 | 
| 105.154 | 57.541 | 53.593 | -0.925 | -6.892 | -9.188 | 
| 61.498 | 114.078 | 57.174 | -7.142 | -1.074 | -4.131 | 
| 52.790 | 51.343 | 115.662 | -3.091 | -1.317 | 1.561 | 
| -0.532 | -1.395 | -1.195 | 30.792 | 0.870 | 1.209 | 
| -0.327 | -2.262 | -0.833 | 0.563 | 24.065 | -2.148 | 
| -2.431 | -0.129 | 5.522 | 5.785 | -10.355 | 49.944 | 
| 376.456 | -241.708 | 194.999 | -15.623 | -386.914 | 46.316 | 
| 250.811 | -0.051 | 82.724 | 132.273 | -373.658 | -159.572 | 
| 256.412 | -231.046 | 303.850 | 256.457 | -227.714 | -56.857 | 
| 342.946 | -349.963 | 53.265 | -52.580 | -392.590 | 31.856 | 
| 216.040 | -298.409 | 131.963 | 253.721 | -183.314 | -53.724 | 
| 345.081 | -358.658 | 49.381 | -24.572 | -392.038 | 2.623 | 
| -38.178 | 212.729 | 93.738 | -132.524 | 369.206 | 149.165 | 
| -153.847 | 451.503 | -68.828 | -261.469 | 222.079 | 68.447 | 
| -202.895 | 482.775 | -26.844 | 16.805 | 384.579 | -41.677 | 
| -168.436 | 136.940 | -1.117 | -106.636 | 373.522 | 167.984 | 
| -340.512 | 357.987 | -63.674 | 18.203 | 363.061 | -41.086 | 
| -331.007 | 346.163 | -66.771 | 21.894 | 388.083 | -64.687 | 
| 165.844 | 58.058 | 81.367 | 15.913 | -38.433 | -25.138 | 
| -4.071 | 351.329 | -41.853 | -25.096 | 0.781 | 4.139 | 
| 137.068 | 74.508 | 89.584 | -7.911 | -35.607 | -1.697 | 
| 34.566 | -29.687 | 1.239 | -3.003 | -35.096 | -1.510 | 
| 28.756 | -27.582 | 0.685 | -4.562 | -32.565 | -0.186 | 
| 31.541 | -14.942 | -9.365 | 75.783 | -10.791 | 63.776 | 
| 334.971 | -4.661 | -20.127 | 0.081 | -25.080 | -37.544 | 
| 66.588 | 114.591 | 107.362 | 6.175 | 35.728 | -8.627 | 
| -19.154 | -42.415 | 367.478 | -2.956 | -0.950 | 9.168 | 
| -20.498 | -3.322 | 21.842 | 0.790 | 8.564 | -1.480 | 
| -15.663 | 13.470 | -2.551 | -9.262 | 62.073 | 20.750 | 
| -21.192 | 14.628 | -2.910 | -3.050 | 38.155 | 50.914 | 
| 130.924 | 66.820 | 65.274 | 5.091 | -6.155 | -4.750 | 
| 73.375 | 133.742 | 72.459 | -2.166 | 0.160 | -4.055 | 
| 79.500 | 68.395 | 153.391 | -4.482 | -5.717 | -2.606 | 
| 6.167 | 0.003 | -5.528 | 46.172 | 1.915 | 7.636 | 
| 1.538 | -2.249 | 0.006 | 1.068 | 27.838 | 4.458 | 
| 1.004 | -8.035 | 0.965 | 2.162 | -8.094 | 27.552 | 
| 128.528 | 71.000 | 69.838 | 2.780 | -2.656 | -11.133 | 
| 65.650 | 132.492 | 74.130 | -8.320 | 0.813 | -2.746 | 
| 62.267 | 71.756 | 122.692 | -5.265 | 0.163 | -3.152 | 
| -0.965 | 3.074 | 0.146 | 26.189 | 1.421 | -0.698 | 
| 0.201 | -4.568 | 2.646 | 0.385 | 34.692 | 3.338 | 
| -8.197 | 0.322 | 0.393 | -3.489 | -1.565 | 26.799 | 
| 317.662 | 261.310 | 254.278 | -158.267 | 165.533 | -394.205 | 
| 515.191 | 133.054 | -133.967 | -75.442 | 71.996 | -291.803 | 
| 432.490 | 49.653 | -182.924 | 157.241 | 325.378 | -234.380 | 
| 352.886 | -33.888 | -273.040 | 170.764 | 330.786 | -223.393 | 
| 294.742 | 122.068 | 127.891 | 37.468 | 291.490 | -316.915 | 
| 320.687 | -0.164 | -175.191 | -106.480 | 262.555 | -142.490 | 
| 284.219 | -11.947 | -10.189 | 1.742 | -24.014 | -26.367 | 
| -12.439 | 309.403 | -30.700 | -15.200 | -0.764 | 1.336 | 
| -8.728 | -31.126 | 303.443 | -3.260 | 5.213 | 6.885 | 
| -320.507 | -14.934 | 186.818 | 111.225 | -276.093 | 152.159 | 
| -318.052 | -124.785 | -114.227 | -24.960 | -306.353 | 295.546 | 
| -326.713 | -8.343 | 180.596 | 91.326 | -275.401 | 185.282 | 
| 146.066 | 58.828 | 53.055 | 12.528 | 33.909 | -30.666 | 
| -12.439 | 309.404 | -30.700 | -15.200 | -0.764 | 1.336 | 
| 84.457 | 57.009 | 88.805 | -14.369 | 9.340 | -11.256 | 
| 33.607 | -1.953 | -27.098 | 27.986 | 31.684 | -13.261 | 
| 48.469 | -15.514 | -4.804 | -9.176 | 30.964 | -15.999 | 
| 25.843 | 5.169 | -27.587 | 23.133 | 26.320 | 9.902 | 
| 35.076 | 52.766 | 37.213 | 6.604 | -41.457 | 26.301 | 
| 29.005 | 128.314 | 98.847 | -15.971 | -33.713 | 27.239 | 
| 43.521 | 77.319 | 129.843 | -14.742 | -30.730 | 17.322 | 
| 2.660 | 3.686 | -3.260 | 116.746 | 8.760 | -1.356 | 
| -25.956 | -0.735 | 23.238 | -14.201 | -7.311 | 20.578 | 
| -40.075 | 12.340 | 22.521 | -5.733 | -34.465 | 45.575 | 
| 121.837 | 57.961 | 57.660 | 1.882 | -0.932 | -13.068 | 
| 57.482 | 110.683 | 52.878 | -4.022 | 3.222 | 0.309 | 
| 60.851 | 58.828 | 113.664 | -0.208 | 0.828 | -3.490 | 
| 2.940 | -0.762 | -0.264 | 19.466 | 1.779 | -3.280 | 
| 4.134 | -1.367 | -1.072 | -0.450 | 29.831 | -1.115 | 
| -1.607 | 4.032 | -3.305 | 1.041 | -2.114 | 24.571 | 
| 110.575 | 53.674 | 60.985 | 1.359 | -5.434 | -6.896 | 
| 49.077 | 114.993 | 62.305 | -2.711 | 0.042 | 4.394 | 
| 46.041 | 44.102 | 99.104 | -1.742 | -3.723 | 3.137 | 
| -1.354 | -0.356 | 1.609 | 23.772 | -2.582 | 1.668 | 
| -7.011 | 1.660 | 0.796 | -1.160 | 20.530 | 1.933 | 
| -9.815 | 6.266 | 0.523 | -0.073 | -6.269 | 31.431 | 
| 165.952 | 122.932 | -99.067 | 0.000 | -0.000 | -0.001 | 
| 122.939 | 165.945 | -99.067 | 0.000 | -0.000 | -0.001 | 
| -98.710 | -98.716 | 373.184 | 0.000 | 0.000 | -0.001 | 
| -0.008 | -0.016 | -0.005 | 15.762 | -0.000 | -0.001 | 
| -0.008 | -0.016 | -0.005 | 0.000 | 15.762 | -0.001 | 
| -0.007 | -0.014 | -0.004 | 0.000 | -0.000 | 21.487 | 
| 165.964 | 122.959 | -99.058 | 0.000 | -0.000 | 0.001 | 
| 122.952 | 165.971 | -99.058 | 0.000 | 0.000 | 0.001 | 
| -98.697 | -98.690 | 373.192 | -0.000 | 0.000 | 0.001 | 
| 0.008 | 0.016 | 0.005 | 15.762 | 0.000 | 0.001 | 
| 0.008 | 0.016 | 0.005 | -0.000 | 15.762 | 0.001 | 
| 0.007 | 0.014 | 0.004 | -0.000 | 0.000 | 21.489 | 
| 165.982 | 122.951 | -99.056 | 0.000 | -0.000 | -0.000 | 
| 122.951 | 165.982 | -99.056 | 0.000 | -0.000 | -0.000 | 
| -98.678 | -98.678 | 373.199 | 0.000 | -0.000 | -0.000 | 
| -0.001 | -0.002 | -0.001 | 15.762 | -0.000 | -0.000 | 
| -0.001 | -0.002 | -0.001 | 0.000 | 15.762 | -0.000 | 
| -0.001 | -0.001 | -0.000 | -0.000 | -0.000 | 21.515 | 
| 165.983 | 122.953 | -99.055 | -0.000 | 0.000 | 0.000 | 
| 122.952 | 165.984 | -99.055 | -0.000 | 0.000 | 0.000 | 
| -98.676 | -98.676 | 373.199 | -0.000 | 0.000 | 0.000 | 
| 0.001 | 0.002 | 0.001 | 15.762 | 0.000 | 0.000 | 
| 0.001 | 0.002 | 0.001 | 0.000 | 15.762 | 0.000 | 
| 0.001 | 0.001 | 0.000 | -0.000 | 0.000 | 21.515 | 
| 165.983 | 122.954 | -99.056 | 0.000 | -0.000 | -0.000 | 
| 122.953 | 165.984 | -99.056 | 0.000 | -0.000 | -0.000 | 
| -98.678 | -98.678 | 373.205 | 0.000 | -0.000 | -0.000 | 
| 0.000 | 0.000 | -0.000 | 15.756 | -0.000 | -0.000 | 
| 0.000 | 0.000 | -0.000 | 0.000 | 15.756 | -0.000 | 
| -0.000 | -0.000 | -0.000 | 0.000 | -0.000 | 21.515 | 
| 165.983 | 122.951 | -99.055 | -0.000 | 0.000 | 0.000 | 
| 122.952 | 165.982 | -99.055 | -0.000 | 0.000 | 0.000 | 
| -98.676 | -98.676 | 373.194 | 0.000 | 0.000 | 0.000 | 
| -0.000 | -0.000 | 0.000 | 15.756 | 0.000 | 0.000 | 
| -0.000 | -0.000 | 0.000 | -0.000 | 15.756 | 0.000 | 
| 0.000 | 0.000 | 0.000 | -0.000 | 0.000 | 21.515 | 
| 88.590 | 41.249 | 41.249 | -0.000 | -0.000 | -0.000 | 
| 41.249 | 88.590 | 41.249 | 0.000 | -0.000 | -0.000 | 
| 41.249 | 41.249 | 88.590 | -0.000 | -0.000 | -0.000 | 
| 0.000 | 0.000 | 0.000 | 124.479 | -0.000 | -0.000 | 
| -0.000 | 0.000 | 0.000 | -0.000 | 124.479 | -0.000 | 
| 0.000 | 0.000 | 0.000 | -0.000 | -0.000 | 124.479 | 
| 88.590 | 41.249 | 41.249 | 0.000 | 0.000 | 0.000 | 
| 41.249 | 88.590 | 41.249 | -0.000 | 0.000 | 0.000 | 
| 41.249 | 41.249 | 88.590 | -0.000 | -0.000 | 0.000 | 
| -0.000 | -0.000 | -0.000 | 124.479 | 0.000 | 0.000 | 
| -0.000 | -0.000 | -0.000 | -0.000 | 124.479 | 0.000 | 
| -0.000 | -0.000 | -0.000 | 0.000 | 0.000 | 124.479 | 
| 143.359 | 103.020 | 103.020 | -0.000 | -0.000 | -0.000 | 
| 103.020 | 143.359 | 103.020 | -0.000 | -0.000 | -0.000 | 
| 103.020 | 103.020 | 143.359 | -0.000 | -0.000 | -0.000 | 
| 64.307 | 64.307 | 64.307 | 39.147 | -0.000 | -0.000 | 
| 64.307 | 64.307 | 64.307 | -0.000 | 39.147 | -0.000 | 
| 64.307 | 64.307 | 64.307 | -0.000 | -0.000 | 39.147 | 
| 88.590 | 41.249 | 41.249 | 0.000 | 0.000 | 0.000 | 
| 41.249 | 88.590 | 41.249 | 0.000 | 0.000 | 0.000 | 
| 41.249 | 41.249 | 88.590 | 0.000 | -0.000 | 0.000 | 
| -64.307 | -64.307 | -64.307 | 39.148 | 0.000 | 0.000 | 
| -64.307 | -64.307 | -64.307 | 0.000 | 39.148 | 0.000 | 
| -64.307 | -64.307 | -64.307 | 0.000 | 0.000 | 39.148 | 
| 79.413 | 51.216 | 51.216 | -0.000 | -0.000 | -0.000 | 
| 51.216 | 79.413 | 51.216 | -0.000 | -0.000 | -0.000 | 
| 51.216 | 51.216 | 79.413 | -0.000 | -0.000 | -0.000 | 
| 6.371 | 6.371 | 6.371 | 21.212 | -0.000 | -0.000 | 
| 6.371 | 6.371 | 6.371 | -0.000 | 21.212 | -0.000 | 
| 6.371 | 6.371 | 6.371 | -0.000 | -0.000 | 21.212 | 
| 65.582 | 38.929 | 38.929 | 0.000 | 0.000 | 0.000 | 
| 38.929 | 65.582 | 38.929 | 0.000 | 0.000 | 0.000 | 
| 37.117 | 37.117 | 66.563 | 0.000 | 0.000 | 0.000 | 
| -6.371 | -6.371 | -6.371 | 21.212 | 0.000 | 0.000 | 
| -6.371 | -6.371 | -6.371 | 0.000 | 21.212 | 0.000 | 
| -6.371 | -6.371 | -6.371 | 0.000 | 0.000 | 21.212 | 
| 731.925 | -125.945 | -310.642 | 0.000 | -0.000 | -0.000 | 
| -125.945 | 731.925 | -310.642 | -0.000 | 0.000 | 0.000 | 
| 2.468 | 2.468 | 286.085 | -0.000 | 0.000 | 0.000 | 
| 0.000 | -0.000 | -0.000 | 243.335 | 0.000 | 0.000 | 
| 0.000 | -0.000 | -0.000 | 0.000 | 243.335 | -0.000 | 
| -42.136 | -42.136 | 84.320 | -0.000 | -0.000 | 67.142 | 
| 235.047 | 100.761 | -40.313 | -0.000 | -0.000 | 0.000 | 
| 89.810 | 233.561 | -27.868 | -0.000 | -0.000 | -0.000 | 
| 86.733 | 86.733 | 117.457 | 0.000 | -0.000 | -0.000 | 
| -0.000 | 0.000 | 0.000 | 243.335 | -0.000 | -0.000 | 
| -0.000 | 0.000 | 0.000 | -0.000 | 243.335 | -0.000 | 
| 42.136 | 42.136 | -84.320 | 0.000 | 0.000 | 67.142 | 
| 188.697 | 54.413 | 52.440 | -0.000 | -0.000 | 0.000 | 
| 40.041 | 189.285 | 66.233 | -0.000 | 0.000 | 0.000 | 
| 40.378 | 40.378 | 210.220 | -0.000 | 0.000 | 0.000 | 
| -4.210 | -4.210 | 8.425 | 60.646 | 0.000 | 0.000 | 
| -4.209 | -4.209 | 8.424 | -0.000 | 60.675 | -0.000 | 
| 0.000 | 0.000 | 0.000 | 0.000 | 0.000 | 428.935 | 
| 731.924 | -125.945 | -310.642 | -0.000 | 0.000 | -0.000 | 
| 48.997 | 197.392 | 49.159 | -0.000 | -0.000 | -0.000 | 
| 49.596 | 49.596 | 191.773 | 0.000 | -0.000 | -0.000 | 
| 4.210 | 4.210 | -8.425 | 60.646 | -0.000 | 0.000 | 
| 4.209 | 4.209 | -8.424 | 0.000 | 60.675 | 0.000 | 
| -0.000 | -0.000 | -0.000 | -0.000 | -0.000 | 428.935 | 
| 192.907 | 44.076 | 58.572 | -0.000 | -0.000 | -0.000 | 
| 58.297 | 192.180 | 45.070 | 0.000 | 0.000 | 0.000 | 
| 44.180 | 44.180 | 202.613 | -0.000 | 0.000 | -0.000 | 
| -0.421 | -0.422 | 0.843 | 60.646 | 0.000 | 0.000 | 
| -0.422 | -0.421 | 0.843 | -0.000 | 60.646 | -0.000 | 
| -0.421 | -0.421 | 0.843 | 0.000 | -0.000 | 67.142 | 
| 193.736 | 44.965 | 56.849 | 0.000 | -0.000 | 0.000 | 
| 59.053 | 193.332 | 43.158 | 0.000 | -0.000 | -0.000 | 
| 45.022 | 45.022 | 200.926 | 0.000 | -0.000 | 0.000 | 
| 0.421 | 0.422 | -0.843 | 60.646 | -0.000 | -0.000 | 
| 0.422 | 0.421 | -0.843 | 0.000 | 60.646 | 0.000 | 
| 0.421 | 0.421 | -0.843 | -0.000 | 0.000 | 67.142 | 
| 321.185 | -6.192 | -6.192 | 0.000 | 0.000 | -0.000 | 
| -6.192 | 321.185 | -6.192 | 0.000 | 0.000 | 0.000 | 
| -6.192 | -6.192 | 321.185 | 0.000 | 0.000 | 0.000 | 
| 0.000 | 0.000 | 0.000 | 31.404 | -0.000 | -0.000 | 
| 0.000 | 0.000 | 0.000 | 0.000 | 31.404 | -0.000 | 
| 0.000 | 0.000 | 0.000 | 0.000 | 0.000 | 31.404 | 
| 156.640 | 75.757 | 75.757 | -0.000 | -0.000 | 0.000 | 
| 75.757 | 156.640 | 75.757 | -0.000 | 0.000 | 0.000 | 
| 75.757 | 75.757 | 156.640 | -0.000 | 0.000 | 0.000 | 
| -0.000 | -0.000 | -0.000 | 31.404 | 0.000 | -0.000 | 
| -0.000 | -0.000 | -0.000 | -0.000 | 31.404 | 0.000 | 
| -0.000 | -0.000 | -0.000 | -0.000 | -0.000 | 31.404 | 
| 156.632 | 75.697 | 75.697 | 0.000 | -0.000 | -0.000 | 
| 75.697 | 156.632 | 75.697 | 0.000 | 0.000 | -0.000 | 
| 75.752 | 75.752 | 156.650 | 0.000 | -0.000 | -0.000 | 
| 0.000 | 0.000 | -0.000 | 31.404 | -0.000 | -0.000 | 
| -0.000 | 0.000 | 0.000 | 0.000 | 31.404 | -0.000 | 
| 0.000 | -0.000 | 0.000 | 0.000 | -0.000 | 31.404 | 
| 156.634 | 75.696 | 75.696 | -0.000 | -0.000 | -0.000 | 
| 75.696 | 156.634 | 75.696 | -0.000 | -0.000 | -0.000 | 
| 75.696 | 75.696 | 156.634 | -0.000 | -0.000 | -0.000 | 
| -0.000 | -0.000 | 0.000 | 31.404 | 0.000 | 0.000 | 
| 0.000 | -0.000 | -0.000 | -0.000 | 31.404 | 0.000 | 
| -0.000 | 0.000 | -0.000 | -0.000 | -0.000 | 31.404 | 
| 156.625 | 75.700 | 75.701 | 0.000 | 0.000 | -0.000 | 
| 75.701 | 156.625 | 75.700 | 0.000 | 0.000 | -0.000 | 
| 75.700 | 75.701 | 156.625 | 0.000 | 0.000 | 0.000 | 
| -0.003 | 0.000 | 0.004 | 31.055 | 0.000 | -0.000 | 
| -0.032 | 0.031 | -0.000 | -0.000 | 30.226 | 0.000 | 
| 0.000 | 0.004 | -0.003 | 0.000 | 0.000 | 31.055 | 
| 156.648 | 75.752 | 75.753 | -0.000 | -0.000 | 0.000 | 
| 75.753 | 156.648 | 75.752 | -0.000 | -0.000 | -0.000 | 
| 75.752 | 75.753 | 156.648 | -0.000 | 0.000 | -0.000 | 
| 0.003 | -0.000 | -0.004 | 31.055 | -0.000 | -0.000 | 
| 0.032 | -0.031 | 0.000 | 0.000 | 30.226 | 0.000 | 
| -0.000 | -0.004 | 0.003 | -0.000 | -0.000 | 31.055 | 
| 153.787 | 74.042 | 74.042 | -0.000 | -0.000 | 0.000 | 
| 74.042 | 153.787 | 74.042 | 0.000 | -0.000 | 0.000 | 
| 74.042 | 74.042 | 153.786 | 0.000 | -0.000 | 0.000 | 
| -0.300 | -0.300 | -0.300 | 31.157 | -0.000 | -0.000 | 
| -0.300 | -0.300 | -0.300 | -0.000 | 31.157 | 0.000 | 
| -0.300 | -0.300 | -0.300 | -0.000 | -0.000 | 31.157 | 
| 154.539 | 74.518 | 74.518 | -0.000 | 0.000 | -0.000 | 
| 74.518 | 154.539 | 74.518 | -0.000 | 0.000 | -0.000 | 
| 74.518 | 74.518 | 154.539 | 0.000 | 0.000 | -0.000 | 
| 0.300 | 0.300 | 0.300 | 31.157 | 0.000 | -0.000 | 
| 0.300 | 0.300 | 0.300 | 0.000 | 31.157 | -0.000 | 
| 0.300 | 0.300 | 0.300 | -0.000 | 0.000 | 31.157 | 
| 154.176 | 74.154 | 74.154 | 0.000 | -0.000 | 0.000 | 
| 74.154 | 154.176 | 74.154 | 0.000 | -0.000 | 0.000 | 
| 74.154 | 74.154 | 154.176 | -0.000 | -0.000 | 0.000 | 
| -0.030 | -0.030 | -0.030 | 31.198 | -0.000 | 0.000 | 
| -0.030 | -0.030 | -0.030 | 0.000 | 31.198 | 0.000 | 
| -0.030 | -0.030 | -0.030 | -0.000 | -0.000 | 31.198 | 
| 154.244 | 74.222 | 74.222 | -0.000 | 0.000 | -0.000 | 
| 74.222 | 154.244 | 74.222 | -0.000 | 0.000 | -0.000 | 
| 74.222 | 74.222 | 154.244 | -0.000 | 0.000 | -0.000 | 
| 0.030 | 0.030 | 0.030 | 31.198 | 0.000 | -0.000 | 
| 0.030 | 0.030 | 0.030 | 0.000 | 31.198 | -0.000 | 
| 0.030 | 0.030 | 0.030 | 0.000 | 0.000 | 31.198 | 
| 154.207 | 74.254 | 74.254 | -0.000 | -0.000 | 0.000 | 
| 74.254 | 154.207 | 74.254 | 0.000 | -0.000 | 0.000 | 
| 74.254 | 74.254 | 154.207 | -0.000 | -0.000 | 0.000 | 
| -0.002 | -0.004 | -0.003 | 31.198 | -0.000 | 0.000 | 
| -0.003 | -0.002 | -0.004 | -0.000 | 31.198 | 0.000 | 
| -0.004 | -0.003 | -0.002 | -0.000 | -0.000 | 31.198 | 
| 154.220 | 74.188 | 74.188 | -0.000 | 0.000 | -0.000 | 
| 74.188 | 154.220 | 74.188 | 0.000 | 0.000 | -0.000 | 
| 74.188 | 74.188 | 154.220 | -0.000 | 0.000 | -0.000 | 
| 0.002 | 0.004 | 0.003 | 31.198 | 0.000 | -0.000 | 
| 0.003 | 0.002 | 0.004 | -0.000 | 31.198 | -0.000 | 
| 0.004 | 0.003 | 0.002 | 0.000 | 0.000 | 31.198 | 
| 4624.622 | 4560.083 | -6542.445 | 2.880 | -11.056 | -0.000 | 
| 5617.704 | 5670.286 | -9304.177 | 4.706 | 1.355 | -0.000 | 
| 4537.538 | 4537.538 | -6515.259 | -0.000 | -0.000 | -0.000 | 
| 4458.050 | 4452.262 | -6608.944 | 68.420 | 0.000 | 11.105 | 
| 5495.855 | 5498.712 | -9354.070 | 0.000 | 6.017 | -4.606 | 
| 5497.415 | 5497.415 | -9354.294 | 1.427 | -4.608 | 26.524 | 
| -4284.234 | -4348.516 | 6671.645 | 2.925 | -11.172 | 0.000 | 
| -5377.642 | -5324.143 | 9404.474 | 4.512 | 1.497 | -0.000 | 
| -4370.925 | -4370.925 | 6698.146 | 0.000 | 0.000 | 0.000 | 
| -4452.181 | -4457.970 | 6608.733 | 68.425 | 0.000 | 11.106 | 
| -5498.712 | -5495.855 | 9354.070 | 0.000 | 6.017 | -4.606 | 
| -4454.406 | -4454.406 | 6607.213 | 11.113 | 2.902 | 32.206 | 
| 615.995 | 550.434 | -595.009 | 2.728 | -10.645 | -0.000 | 
| 550.411 | 615.975 | -594.954 | -2.730 | 10.647 | -0.000 | 
| 599.830 | 599.830 | -767.697 | 0.000 | -0.000 | -0.000 | 
| 513.262 | 510.148 | -491.238 | 29.768 | -0.000 | 5.314 | 
| 546.505 | 549.743 | -932.677 | -0.000 | 6.553 | -4.347 | 
| 549.414 | 549.414 | -934.872 | 1.466 | -4.555 | 26.649 | 
| -278.173 | -339.925 | 727.247 | 2.948 | -11.644 | 0.000 | 
| -338.753 | -275.765 | 724.153 | -3.209 | 11.836 | 0.000 | 
| -360.484 | -360.484 | 747.639 | -0.000 | 0.000 | 0.000 | 
| -552.471 | -543.778 | 932.678 | 6.553 | 0.000 | 1.619 | 
| -549.743 | -546.506 | 932.678 | 0.000 | 6.553 | -4.347 | 
| -445.641 | -445.641 | 661.226 | 11.093 | 2.885 | 32.186 | 
| 213.802 | 148.361 | 5.027 | 1.696 | -9.064 | -0.000 | 
| 148.382 | 213.780 | 5.029 | -1.687 | 9.057 | -0.000 | 
| 132.363 | 132.363 | 7.213 | 0.000 | -0.000 | -0.000 | 
| 43.441 | 38.987 | -54.771 | 26.785 | -0.000 | 6.207 | 
| 47.242 | 55.611 | -82.248 | 0.000 | 32.781 | -3.926 | 
| 45.797 | 45.798 | -69.424 | 9.963 | 2.048 | 31.700 | 
| 108.794 | 46.878 | 162.794 | -4.167 | 1.542 | -0.000 | 
| 46.882 | 108.775 | 162.807 | 4.173 | -1.547 | -0.000 | 
| 43.278 | 43.278 | 155.254 | -0.000 | 0.000 | 0.000 | 
| -55.383 | -47.493 | 82.268 | 32.741 | -0.000 | 4.171 | 
| -55.609 | -47.267 | 82.268 | -0.000 | 32.742 | -3.945 | 
| -53.920 | -53.920 | 91.749 | 2.676 | -2.906 | 30.545 | 
| -3094745.618 | 20609894.511 | 78127.358 | 461500.705 | 289232.210 | -9001690.444 | 
| -3094727.601 | 20609918.115 | 78080.272 | 461550.166 | 289068.532 | -9001416.110 | 
| -3094679.195 | 20609975.365 | 78055.260 | 461628.467 | 289011.169 | -9001380.480 | 
| -3094693.482 | 20609955.367 | 78060.790 | 461608.726 | 289042.290 | -9001416.906 | 
| -3094650.519 | 20610017.977 | 78048.509 | 461688.401 | 288992.552 | -9001410.855 | 
| -3094690.950 | 20609957.903 | 78043.839 | 461615.866 | 289042.254 | -9001421.835 | 
| 3094626.377 | -20609968.566 | -78029.000 | -461649.049 | -288738.064 | 9000887.507 | 
| 3094641.527 | -20610021.273 | -78043.229 | -461698.104 | -288997.340 | 9001422.973 | 
| 3094690.343 | -20609959.628 | -78061.625 | -461614.544 | -289044.794 | 9001428.526 | 
| 3094676.074 | -20609980.266 | -78056.019 | -461634.890 | -289014.608 | 9001394.630 | 
| 3094717.510 | -20609921.596 | -78076.814 | -461560.706 | -289074.098 | 9001432.106 | 
| 3094678.840 | -20609978.150 | -78072.694 | -461627.901 | -289015.200 | 9001390.861 | 
| -309572.299 | 2060826.547 | 7854.088 | 45958.158 | 29039.742 | -900191.080 | 
| -309508.680 | 2060960.632 | 7836.290 | 46101.113 | 28957.566 | -900198.566 | 
| -309463.199 | 2061003.416 | 7803.491 | 46167.925 | 28885.586 | -900114.617 | 
| -309476.607 | 2060983.962 | 7808.992 | 46148.044 | 28915.825 | -900150.267 | 
| -309576.176 | 2060931.601 | 7793.585 | 45811.332 | 28600.055 | -899181.272 | 
| -309472.306 | 2060991.059 | 7794.425 | 46160.727 | 28922.473 | -900173.900 | 
| 309411.674 | -2061076.638 | -7803.164 | -46214.219 | -28729.369 | 899897.070 | 
| 309558.558 | -2060935.759 | -7799.262 | -45838.906 | -28636.330 | 899274.095 | 
| 309473.978 | -2060988.119 | -7809.312 | -46153.985 | -28918.862 | 900162.432 | 
| 309459.718 | -2061008.214 | -7804.757 | -46174.418 | -28889.098 | 900129.086 | 
| 309500.366 | -2060959.211 | -7827.757 | -46106.691 | -28956.223 | 900193.164 | 
| 309461.907 | -2061001.722 | -7822.899 | -46162.157 | -28883.169 | 900110.105 | 
| -31034.797 | 205927.772 | 895.086 | 4521.212 | 3125.221 | -90797.134 | 
| -31021.868 | 206034.257 | 791.070 | 4503.437 | 2885.439 | -89899.112 | 
| -30951.239 | 206104.404 | 777.944 | 4589.251 | 2847.895 | -89906.659 | 
| -30955.678 | 206085.578 | 784.654 | 4599.817 | 2904.715 | -90026.216 | 
| -30908.257 | 206155.789 | 768.911 | 4684.767 | 2838.103 | -90004.701 | 
| -30953.368 | 206089.309 | 770.266 | 4612.519 | 2913.434 | -90051.406 | 
| 30885.888 | -206252.590 | -774.016 | -4682.866 | -2707.433 | 89941.217 | 
| 30889.026 | -206150.106 | -773.952 | -4768.130 | -2904.647 | 90235.848 | 
| 30953.489 | -206088.160 | -786.008 | -4605.762 | -2910.420 | 90043.344 | 
| 30946.937 | -206106.697 | -779.548 | -4598.599 | -2855.338 | 89929.782 | 
| 30996.045 | -206032.547 | -803.247 | -4545.341 | -2951.030 | 90077.580 | 
| 30949.316 | -206103.439 | -798.029 | -4590.401 | -2861.418 | 89939.915 | 
| 285.753 | 100.817 | -76.530 | 0.000 | -0.000 | 0.000 | 
| 110.328 | 301.404 | -102.671 | 0.000 | -0.000 | 0.000 | 
| -71.702 | -107.355 | 497.083 | 0.000 | -0.000 | 0.000 | 
| 1.730 | -1.676 | -0.002 | 22.864 | 0.000 | 0.000 | 
| 1.565 | -1.517 | -0.002 | 0.000 | 22.310 | 0.000 | 
| 4.019 | -3.894 | -0.005 | 0.000 | -0.000 | 24.221 | 
| 277.715 | 108.605 | -76.519 | -0.000 | 0.000 | 0.000 | 
| 102.290 | 309.191 | -102.661 | -0.000 | 0.000 | -0.000 | 
| -79.741 | -99.567 | 497.093 | -0.000 | 0.000 | -0.000 | 
| -1.730 | 1.676 | 0.002 | 22.864 | 0.000 | -0.000 | 
| -1.565 | 1.517 | 0.002 | -0.000 | 22.310 | -0.000 | 
| -4.019 | 3.894 | 0.005 | -0.000 | -0.000 | 24.221 | 
| 282.135 | 104.322 | -76.525 | 0.000 | 0.000 | 0.000 | 
| 106.711 | 304.909 | -102.667 | 0.000 | -0.000 | 0.000 | 
| -75.320 | -103.850 | 497.088 | 0.000 | -0.000 | -0.000 | 
| 0.173 | -0.168 | -0.000 | 22.874 | 0.000 | 0.000 | 
| 0.156 | -0.152 | -0.000 | 0.000 | 22.320 | 0.000 | 
| 0.402 | -0.389 | -0.001 | 0.000 | -0.000 | 24.221 | 
| 281.332 | 105.100 | -76.524 | -0.000 | 0.000 | 0.000 | 
| 105.907 | 305.687 | -102.666 | -0.000 | 0.000 | -0.000 | 
| -76.123 | -103.071 | 497.088 | -0.000 | 0.000 | -0.000 | 
| -0.173 | 0.168 | 0.000 | 22.874 | 0.000 | -0.000 | 
| -0.156 | 0.152 | 0.000 | -0.000 | 22.320 | -0.000 | 
| -0.402 | 0.389 | 0.001 | -0.000 | -0.000 | 24.221 | 
| 281.771 | 104.676 | -76.524 | 0.000 | 0.000 | 0.000 | 
| 106.348 | 305.262 | -102.666 | 0.000 | -0.000 | 0.000 | 
| -75.683 | -103.501 | 497.095 | 0.000 | -0.000 | -0.000 | 
| 0.017 | -0.017 | -0.000 | 22.874 | 0.000 | 0.000 | 
| 0.016 | -0.015 | -0.000 | -0.000 | 22.320 | 0.000 | 
| 0.040 | -0.039 | 0.000 | 0.000 | 0.000 | 24.221 | 
| 281.696 | 104.746 | -76.525 | -0.000 | 0.000 | -0.000 | 
| 106.270 | 305.334 | -102.666 | -0.000 | 0.000 | 0.000 | 
| -75.761 | -103.421 | 497.080 | -0.000 | 0.000 | 0.000 | 
| -0.017 | 0.017 | 0.000 | 22.874 | 0.000 | -0.000 | 
| -0.016 | 0.015 | 0.000 | 0.000 | 22.320 | -0.000 | 
| -0.040 | 0.039 | -0.000 | -0.000 | 0.000 | 24.221 | 
| 294.089 | -8.318 | -8.318 | -0.000 | -0.000 | 0.000 | 
| -8.318 | 294.089 | -8.318 | 0.000 | 0.000 | 0.000 | 
| -8.318 | -8.318 | 294.089 | -0.000 | -0.000 | 0.000 | 
| -0.059 | -0.059 | -0.058 | 34.367 | -0.000 | -0.000 | 
| -0.059 | -0.059 | -0.058 | -0.000 | 34.367 | -0.000 | 
| -0.059 | -0.059 | -0.058 | -0.000 | -0.000 | 34.367 | 
| 140.156 | 68.630 | 68.630 | 0.000 | 0.000 | 0.000 | 
| 68.630 | 140.156 | 68.630 | 0.000 | 0.000 | 0.000 | 
| 68.630 | 68.630 | 140.156 | 0.000 | 0.000 | 0.000 | 
| 0.059 | 0.059 | 0.058 | 34.367 | 0.000 | 0.000 | 
| 0.059 | 0.059 | 0.058 | 0.000 | 34.367 | 0.000 | 
| 0.059 | 0.059 | 0.058 | 0.000 | 0.000 | 34.367 | 
| 140.180 | 68.518 | 68.518 | -0.000 | -0.000 | -0.000 | 
| 68.518 | 140.180 | 68.518 | -0.000 | -0.000 | -0.000 | 
| 68.518 | 68.518 | 140.180 | -0.000 | -0.000 | -0.000 | 
| -0.007 | -0.007 | -0.007 | 37.784 | -0.000 | -0.000 | 
| -0.007 | -0.007 | -0.007 | -0.000 | 37.784 | -0.000 | 
| -0.007 | -0.007 | -0.007 | -0.000 | -0.000 | 37.784 | 
| 133.948 | 71.503 | 71.503 | 0.000 | 0.000 | 0.000 | 
| 71.503 | 133.948 | 71.503 | 0.000 | 0.000 | 0.000 | 
| 71.503 | 71.503 | 133.948 | 0.000 | 0.000 | 0.000 | 
| 0.007 | 0.007 | 0.007 | 37.784 | 0.000 | 0.000 | 
| 0.007 | 0.007 | 0.007 | 0.000 | 37.784 | 0.000 | 
| 0.007 | 0.007 | 0.007 | 0.000 | 0.000 | 37.784 | 
| 140.165 | 68.534 | 68.534 | -0.000 | -0.000 | -0.000 | 
| 68.534 | 140.165 | 68.534 | -0.000 | -0.000 | -0.000 | 
| 68.534 | 68.534 | 140.165 | -0.000 | -0.000 | -0.000 | 
| -0.001 | -0.001 | -0.001 | 34.417 | -0.000 | -0.000 | 
| -0.001 | -0.001 | -0.001 | -0.000 | 34.417 | -0.000 | 
| -0.001 | -0.001 | -0.001 | -0.000 | -0.000 | 34.417 | 
| 133.947 | 71.500 | 71.500 | 0.000 | 0.000 | 0.000 | 
| 71.500 | 133.947 | 71.500 | 0.000 | 0.000 | 0.000 | 
| 71.500 | 71.500 | 133.947 | 0.000 | 0.000 | 0.000 | 
| 0.001 | 0.001 | 0.001 | 34.417 | 0.000 | 0.000 | 
| 0.001 | 0.001 | 0.001 | 0.000 | 34.417 | 0.000 | 
| 0.001 | 0.001 | 0.001 | 0.000 | 0.000 | 34.417 | 
| 132.259 | 67.182 | 67.182 | 0.000 | -0.000 | 0.000 | 
| 67.182 | 132.259 | 67.182 | 0.000 | -0.000 | -0.000 | 
| 67.182 | 67.182 | 132.259 | -0.000 | -0.000 | 0.000 | 
| 0.000 | 0.000 | 0.000 | 240.100 | 0.000 | 0.000 | 
| 0.000 | 0.000 | 0.000 | 0.000 | 240.100 | 0.000 | 
| 0.000 | 0.000 | 0.000 | -0.000 | 0.000 | 240.100 | 
| 281.739 | -7.962 | -7.962 | -0.000 | -0.000 | -0.000 | 
| -7.962 | 281.739 | -7.962 | -0.000 | -0.000 | -0.000 | 
| -7.962 | -7.962 | 281.739 | -0.000 | -0.000 | -0.000 | 
| -0.000 | -0.000 | -0.000 | 240.100 | 0.000 | -0.000 | 
| -0.000 | -0.000 | -0.000 | 0.000 | 240.100 | 0.000 | 
| -0.000 | -0.000 | -0.000 | 0.000 | -0.000 | 240.100 | 
| 135.241 | 65.217 | 65.217 | 0.000 | 0.000 | 0.000 | 
| 65.217 | 135.241 | 65.217 | 0.000 | -0.000 | -0.000 | 
| 65.217 | 65.217 | 135.241 | -0.000 | -0.000 | -0.000 | 
| -0.007 | -0.007 | -0.007 | 33.263 | -0.000 | 0.000 | 
| -0.007 | -0.007 | -0.007 | 0.000 | 33.263 | -0.000 | 
| -0.007 | -0.007 | -0.007 | -0.000 | -0.000 | 33.263 | 
| 135.069 | 65.199 | 65.199 | -0.000 | 0.000 | 0.000 | 
| 65.199 | 135.069 | 65.199 | 0.000 | -0.000 | -0.000 | 
| 65.199 | 65.199 | 135.069 | -0.000 | -0.000 | -0.000 | 
| 0.007 | 0.007 | 0.007 | 33.263 | 0.000 | -0.000 | 
| 0.007 | 0.007 | 0.007 | 0.000 | 33.263 | -0.000 | 
| 0.007 | 0.007 | 0.007 | -0.000 | 0.000 | 33.263 | 
| 130.052 | 67.658 | 67.658 | -0.000 | -0.000 | 0.000 | 
| 67.658 | 130.052 | 67.658 | 0.000 | -0.000 | 0.000 | 
| 67.658 | 67.658 | 130.052 | 0.000 | -0.000 | 0.000 | 
| 0.003 | 0.003 | 0.003 | 33.784 | -0.000 | 0.000 | 
| 0.003 | 0.003 | 0.003 | 0.000 | 33.784 | 0.000 | 
| 0.003 | 0.003 | 0.003 | -0.000 | -0.000 | 33.784 | 
| 129.194 | 68.036 | 68.036 | 0.000 | 0.000 | 0.000 | 
| 68.036 | 129.194 | 68.036 | 0.000 | 0.000 | 0.000 | 
| 68.036 | 68.036 | 129.194 | 0.000 | 0.000 | 0.000 | 
| -0.003 | -0.003 | -0.003 | 33.784 | 0.000 | 0.000 | 
| -0.003 | -0.003 | -0.003 | 0.000 | 33.784 | -0.000 | 
| -0.003 | -0.003 | -0.003 | -0.000 | 0.000 | 33.784 | 
| 238.989 | 92.226 | 92.226 | -0.000 | 0.000 | 0.000 | 
| 92.226 | 238.989 | 92.226 | -0.000 | 0.000 | 0.000 | 
| 92.226 | 92.226 | 238.989 | -0.000 | 0.000 | 0.000 | 
| -0.000 | 0.000 | 0.000 | 341.842 | 0.000 | -0.000 | 
| 0.000 | -0.000 | 0.000 | 0.000 | 341.842 | -0.000 | 
| 0.000 | 0.000 | 0.000 | 0.000 | 0.000 | 341.842 | 
| -216.632 | 185.553 | 185.553 | 0.000 | -0.000 | -0.000 | 
| 185.553 | -216.632 | 185.553 | 0.000 | -0.000 | -0.000 | 
| 185.553 | 185.553 | -216.632 | 0.000 | -0.000 | -0.000 | 
| 0.000 | -0.000 | -0.000 | 341.842 | 0.000 | 0.000 | 
| -0.000 | 0.000 | -0.000 | -0.000 | 341.842 | 0.000 | 
| 0.000 | -0.000 | -0.000 | -0.000 | 0.000 | 341.842 | 
| 119.377 | 73.071 | 73.071 | -0.000 | 0.000 | 0.000 | 
| 73.071 | 119.377 | 73.071 | -0.000 | 0.000 | 0.000 | 
| 73.071 | 73.071 | 119.377 | -0.000 | 0.000 | 0.000 | 
| 5.430 | 5.430 | 5.430 | 52.391 | 0.000 | 0.000 | 
| 5.430 | 5.430 | 5.430 | -0.000 | 52.391 | -0.000 | 
| 5.430 | 5.430 | 5.430 | -0.000 | 0.000 | 52.391 | 
| 112.268 | 71.238 | 71.238 | 0.000 | -0.000 | -0.000 | 
| 71.238 | 112.268 | 71.238 | -0.000 | -0.000 | -0.000 | 
| 71.238 | 71.238 | 112.268 | 0.000 | -0.000 | -0.000 | 
| -5.430 | -5.430 | -5.430 | 52.391 | -0.000 | -0.000 | 
| -5.430 | -5.430 | -5.430 | 0.000 | 52.391 | -0.000 | 
| -5.430 | -5.430 | -5.430 | -0.000 | -0.000 | 52.391 | 
| 157.119 | 52.268 | 52.268 | -0.000 | 0.000 | 0.000 | 
| 52.268 | 157.119 | 52.268 | -0.000 | 0.000 | 0.000 | 
| 52.268 | 52.268 | 157.119 | 0.000 | 0.000 | 0.000 | 
| 0.322 | 0.322 | 0.322 | 51.032 | 0.000 | 0.000 | 
| 0.322 | 0.322 | 0.322 | -0.000 | 51.032 | 0.000 | 
| 0.322 | 0.322 | 0.322 | -0.000 | 0.000 | 51.032 | 
| 156.313 | 51.225 | 51.225 | 0.000 | -0.000 | 0.000 | 
| 51.225 | 156.313 | 51.225 | 0.000 | -0.000 | 0.000 | 
| 51.225 | 51.225 | 156.313 | 0.000 | 0.000 | 0.000 | 
| -0.322 | -0.322 | -0.322 | 51.032 | -0.000 | -0.000 | 
| -0.322 | -0.322 | -0.322 | 0.000 | 51.032 | -0.000 | 
| -0.322 | -0.322 | -0.322 | 0.000 | -0.000 | 51.032 | 
| 425.540 | -82.646 | -82.646 | -0.000 | -0.000 | 0.000 | 
| -82.646 | 425.540 | -82.646 | -0.000 | -0.000 | 0.000 | 
| -82.646 | -82.646 | 425.540 | -0.000 | -0.000 | 0.000 | 
| -0.000 | -0.000 | 0.000 | 341.788 | -0.000 | 0.000 | 
| -0.000 | -0.000 | 0.000 | -0.000 | 341.788 | 0.000 | 
| -0.000 | 0.000 | 0.000 | -0.000 | 0.000 | 341.788 | 
| 141.014 | 59.074 | 59.074 | -0.000 | 0.000 | -0.000 | 
| 59.074 | 141.014 | 59.074 | -0.000 | -0.000 | 0.000 | 
| 59.074 | 59.074 | 141.014 | -0.000 | -0.000 | -0.000 | 
| 0.000 | 0.000 | -0.000 | 341.788 | 0.000 | -0.000 | 
| 0.000 | 0.000 | -0.000 | 0.000 | 341.788 | -0.000 | 
| 0.000 | -0.000 | -0.000 | 0.000 | -0.000 | 341.788 | 
| 158.307 | 50.962 | 50.962 | 0.000 | 0.000 | 0.000 | 
| 50.962 | 158.307 | 50.962 | 0.000 | -0.000 | -0.000 | 
| 50.962 | 50.962 | 158.307 | 0.000 | 0.000 | 0.000 | 
| 0.028 | 0.027 | 0.027 | 52.773 | 0.000 | 0.000 | 
| 0.027 | 0.028 | 0.027 | 0.000 | 52.773 | 0.000 | 
| 0.027 | 0.027 | 0.028 | 0.000 | -0.000 | 52.773 | 
| 157.642 | 51.203 | 51.203 | -0.000 | 0.000 | -0.000 | 
| 51.203 | 157.642 | 51.203 | 0.000 | -0.000 | -0.000 | 
| 51.203 | 51.203 | 157.642 | -0.000 | 0.000 | -0.000 | 
| -0.028 | -0.027 | -0.027 | 52.773 | -0.000 | -0.000 | 
| -0.027 | -0.028 | -0.027 | -0.000 | 52.773 | -0.000 | 
| -0.027 | -0.027 | -0.028 | 0.000 | -0.000 | 52.773 | 
| 155.560 | 52.241 | 52.241 | 0.000 | 0.000 | -0.000 | 
| 52.241 | 155.560 | 52.241 | 0.000 | 0.000 | -0.000 | 
| 52.241 | 52.241 | 155.560 | 0.000 | 0.000 | 0.000 | 
| 0.003 | 0.003 | 0.003 | 53.023 | 0.000 | 0.000 | 
| 0.003 | 0.003 | 0.003 | 0.000 | 53.023 | 0.000 | 
| 0.003 | 0.003 | 0.003 | 0.000 | 0.000 | 53.023 | 
| 157.125 | 51.413 | 51.413 | 0.000 | 0.000 | 0.000 | 
| 51.413 | 157.125 | 51.413 | -0.000 | 0.000 | -0.000 | 
| 51.413 | 51.413 | 157.125 | 0.000 | 0.000 | 0.000 | 
| -0.003 | -0.003 | -0.003 | 53.023 | -0.000 | 0.000 | 
| -0.003 | -0.003 | -0.003 | -0.000 | 53.023 | -0.000 | 
| -0.003 | -0.003 | -0.003 | 0.000 | 0.000 | 53.023 | 
| 110.243 | 64.978 | 77.844 | -0.000 | -0.000 | 0.000 | 
| 64.978 | 110.243 | 77.844 | -0.000 | 0.000 | 0.000 | 
| 76.023 | 76.023 | 206.848 | -0.000 | -0.000 | -0.000 | 
| 0.165 | 0.165 | -0.323 | 36.186 | -0.000 | 0.000 | 
| 0.165 | 0.165 | -0.323 | -0.000 | 36.186 | -0.000 | 
| 0.499 | 0.498 | -0.974 | -0.000 | -0.000 | 29.523 | 
| 109.939 | 64.666 | 78.445 | 0.000 | 0.000 | -0.000 | 
| 64.666 | 109.939 | 78.445 | 0.000 | 0.000 | -0.000 | 
| 75.714 | 75.714 | 207.451 | 0.000 | -0.000 | -0.000 | 
| -0.165 | -0.165 | 0.323 | 36.186 | -0.000 | -0.000 | 
| -0.165 | -0.165 | 0.323 | -0.000 | 36.186 | -0.000 | 
| -0.499 | -0.498 | 0.974 | 0.000 | 0.000 | 29.523 | 
| 110.080 | 64.849 | 78.129 | -0.000 | -0.000 | 0.000 | 
| 64.849 | 110.080 | 78.129 | -0.000 | -0.000 | 0.000 | 
| 75.882 | 75.882 | 207.123 | -0.000 | 0.000 | 0.000 | 
| 0.017 | 0.017 | -0.032 | 36.186 | -0.000 | -0.000 | 
| 0.017 | 0.017 | -0.032 | -0.000 | 36.186 | -0.000 | 
| 0.050 | 0.050 | -0.098 | -0.000 | -0.000 | 29.521 | 
| 110.102 | 64.796 | 78.160 | 0.000 | -0.000 | 0.000 | 
| 64.796 | 110.102 | 78.160 | 0.000 | 0.000 | -0.000 | 
| 75.855 | 75.855 | 207.177 | 0.000 | 0.000 | -0.000 | 
| -0.017 | -0.017 | 0.032 | 36.186 | -0.000 | 0.000 | 
| -0.017 | -0.017 | 0.032 | 0.000 | 36.186 | 0.000 | 
| -0.050 | -0.050 | 0.098 | 0.000 | 0.000 | 29.521 | 
| 109.827 | 64.935 | 78.293 | -0.000 | -0.000 | -0.000 | 
| 64.935 | 109.827 | 78.293 | 0.000 | -0.000 | 0.000 | 
| 75.854 | 75.854 | 207.180 | -0.000 | -0.000 | -0.000 | 
| 0.002 | 0.002 | -0.004 | 36.186 | -0.000 | -0.000 | 
| 0.002 | 0.002 | -0.004 | -0.000 | 36.186 | -0.000 | 
| 0.005 | 0.006 | -0.010 | -0.000 | -0.000 | 29.521 | 
| 110.087 | 64.831 | 78.139 | 0.000 | 0.000 | 0.000 | 
| 64.831 | 110.087 | 78.139 | 0.000 | 0.000 | 0.000 | 
| 75.883 | 75.883 | 207.120 | 0.000 | -0.000 | 0.000 | 
| -0.002 | -0.002 | 0.004 | 36.186 | -0.000 | 0.000 | 
| -0.002 | -0.002 | 0.004 | -0.000 | 36.186 | 0.000 | 
| -0.005 | -0.006 | 0.010 | 0.000 | 0.000 | 29.521 | 
| 69.196 | 42.626 | 42.626 | -0.000 | 0.000 | -0.000 | 
| 42.626 | 69.196 | 42.626 | 0.000 | 0.000 | -0.000 | 
| 42.626 | 42.626 | 69.196 | 0.000 | -0.000 | -0.000 | 
| 0.004 | 0.004 | 0.004 | 22.652 | -0.000 | -0.000 | 
| 0.004 | 0.004 | 0.004 | 0.000 | 22.652 | -0.000 | 
| 0.004 | 0.004 | 0.004 | -0.000 | 0.000 | 22.652 | 
| 89.154 | 41.618 | 41.618 | -0.000 | 0.000 | 0.000 | 
| 41.618 | 89.154 | 41.618 | -0.000 | -0.000 | 0.000 | 
| 41.618 | 41.618 | 89.154 | -0.000 | -0.000 | 0.000 | 
| -0.004 | -0.004 | -0.004 | 22.652 | -0.000 | 0.000 | 
| -0.004 | -0.004 | -0.004 | 0.000 | 22.652 | 0.000 | 
| -0.004 | -0.004 | -0.004 | 0.000 | -0.000 | 22.652 | 
| 74.617 | 45.704 | 45.704 | -0.000 | 0.000 | -0.000 | 
| 45.704 | 74.617 | 45.704 | -0.000 | 0.000 | -0.000 | 
| 45.704 | 45.704 | 74.617 | -0.000 | 0.000 | -0.000 | 
| 0.000 | 0.000 | 0.000 | 125.469 | -0.000 | -0.000 | 
| 0.000 | 0.000 | 0.000 | 0.000 | 125.469 | -0.000 | 
| 0.000 | 0.000 | 0.000 | 0.000 | 0.000 | 125.469 | 
| 89.154 | 41.618 | 41.618 | -0.000 | 0.000 | 0.000 | 
| 41.618 | 89.154 | 41.618 | -0.000 | -0.000 | 0.000 | 
| 41.618 | 41.618 | 89.154 | -0.000 | -0.000 | 0.000 | 
| -0.000 | -0.000 | -0.000 | 125.469 | -0.000 | 0.000 | 
| -0.000 | -0.000 | -0.000 | -0.000 | 125.469 | 0.000 | 
| -0.000 | -0.000 | -0.000 | -0.000 | -0.000 | 125.469 | 
| 71.575 | 45.491 | 45.491 | 0.000 | 0.000 | -0.000 | 
| 45.491 | 71.575 | 45.491 | 0.000 | 0.000 | -0.000 | 
| 45.491 | 45.491 | 71.575 | 0.000 | 0.000 | -0.000 | 
| -0.003 | -0.003 | -0.003 | 21.608 | 0.000 | -0.000 | 
| -0.003 | -0.003 | -0.003 | -0.000 | 21.608 | -0.000 | 
| -0.003 | -0.003 | -0.003 | -0.000 | 0.000 | 21.608 | 
| 89.154 | 41.618 | 41.618 | -0.000 | -0.000 | 0.000 | 
| 41.618 | 89.154 | 41.618 | -0.000 | 0.000 | 0.000 | 
| 41.618 | 41.618 | 89.154 | -0.000 | -0.000 | 0.000 | 
| 0.003 | 0.003 | 0.003 | 21.608 | -0.000 | 0.000 | 
| 0.003 | 0.003 | 0.003 | 0.000 | 21.608 | 0.000 | 
| 0.003 | 0.003 | 0.003 | -0.000 | -0.000 | 21.608 | 
| 217.130 | 24.982 | -52.836 | -0.000 | -0.000 | 0.000 | 
| 35.374 | 210.785 | 151.751 | -0.000 | 0.000 | -0.000 | 
| -69.561 | 175.218 | 252.470 | -0.000 | 0.000 | 0.000 | 
| -0.001 | 0.000 | 0.000 | 27.838 | -0.000 | 0.000 | 
| -0.000 | 0.000 | 0.000 | -0.000 | 14.388 | 0.000 | 
| -0.011 | 0.002 | 0.009 | 0.000 | -0.000 | 14.664 | 
| 105.318 | 44.214 | 38.193 | 0.000 | 0.000 | -0.000 | 
| 35.376 | 210.784 | 151.750 | 0.000 | -0.000 | -0.000 | 
| 29.952 | 152.347 | 178.047 | 0.000 | -0.000 | 0.000 | 
| 0.001 | -0.000 | -0.000 | 27.838 | -0.000 | 0.000 | 
| 0.000 | -0.000 | -0.000 | 0.000 | 14.388 | 0.000 | 
| 0.011 | -0.002 | -0.009 | -0.000 | 0.000 | 14.664 | 
| 446.507 | -170.080 | -61.318 | -0.000 | 0.000 | 0.000 | 
| 35.377 | 210.782 | 151.751 | -0.000 | 0.000 | 0.000 | 
| -65.236 | 213.159 | 204.634 | -0.000 | -0.000 | -0.000 | 
| -0.000 | -0.000 | 0.000 | 27.838 | -0.000 | -0.000 | 
| -0.000 | 0.000 | 0.000 | -0.000 | 14.388 | -0.000 | 
| -0.001 | 0.000 | 0.001 | 0.000 | -0.000 | 14.664 | 
| 105.314 | 44.216 | 38.194 | 0.000 | 0.000 | 0.000 | 
| 35.373 | 210.787 | 151.750 | 0.000 | -0.000 | 0.000 | 
| -69.561 | 175.218 | 252.470 | 0.000 | -0.000 | 0.000 | 
| 0.000 | 0.000 | -0.000 | 27.838 | -0.000 | -0.000 | 
| 0.000 | -0.000 | -0.000 | 0.000 | 14.388 | 0.000 | 
| 0.001 | -0.000 | -0.001 | -0.000 | 0.000 | 14.664 | 
| 105.344 | 44.195 | 38.188 | -0.000 | 0.000 | -0.000 | 
| 35.395 | 210.761 | 151.759 | -0.000 | 0.000 | 0.000 | 
| 29.950 | 152.348 | 178.049 | 0.000 | 0.000 | 0.000 | 
| 0.000 | -0.001 | 0.000 | 27.838 | -0.000 | -0.000 | 
| -0.000 | -0.000 | -0.000 | -0.000 | 14.388 | -0.000 | 
| 0.000 | -0.000 | -0.000 | -0.000 | -0.000 | 15.269 | 
| 105.290 | 44.233 | 38.199 | 0.000 | 0.000 | 0.000 | 
| 35.354 | 210.808 | 151.742 | 0.000 | -0.000 | 0.000 | 
| 29.952 | 152.346 | 178.047 | 0.000 | -0.000 | -0.000 | 
| -0.000 | 0.001 | -0.000 | 27.838 | 0.000 | 0.000 | 
| 0.000 | 0.000 | 0.000 | 0.000 | 14.388 | 0.000 | 
| -0.000 | 0.000 | 0.000 | 0.000 | 0.000 | 15.269 | 
| 552.141 | -129.914 | -129.914 | 0.000 | -0.000 | -0.000 | 
| -129.914 | 552.141 | -129.914 | 0.000 | 0.000 | -0.000 | 
| -129.914 | -129.914 | 552.141 | 0.000 | -0.000 | -0.000 | 
| 0.000 | -0.000 | -0.000 | 41.402 | 0.000 | 0.000 | 
| 0.000 | 0.000 | -0.000 | -0.000 | 41.402 | -0.000 | 
| 0.000 | -0.000 | 0.000 | 0.000 | 0.000 | 41.402 | 
| 552.140 | -129.914 | -129.914 | -0.000 | -0.000 | 0.000 | 
| -129.914 | 552.140 | -129.914 | -0.000 | -0.000 | 0.000 | 
| -129.914 | -129.914 | 552.140 | 0.000 | -0.000 | 0.000 | 
| -0.000 | -0.000 | 0.000 | 41.402 | -0.000 | 0.000 | 
| -0.000 | -0.000 | 0.000 | -0.000 | 41.402 | -0.000 | 
| -0.000 | -0.000 | -0.000 | 0.000 | 0.000 | 41.402 | 
| 245.328 | 10.912 | 10.912 | 0.005 | 0.004 | 0.002 | 
| 10.912 | 245.328 | 10.912 | 0.005 | 0.004 | 0.002 | 
| 10.912 | 10.912 | 245.328 | 0.005 | 0.004 | 0.002 | 
| -2.297 | -2.297 | -2.297 | 15.665 | -0.000 | -0.000 | 
| -2.297 | -2.297 | -2.297 | -0.001 | 15.666 | -0.000 | 
| -2.297 | -2.297 | -2.297 | -0.001 | -0.000 | 15.666 | 
| 347.896 | -30.641 | -30.641 | 0.003 | 0.002 | 0.001 | 
| -30.641 | 347.896 | -30.641 | 0.003 | 0.002 | 0.001 | 
| 11.564 | 11.564 | 252.926 | -0.005 | -0.004 | -0.002 | 
| 2.297 | 2.297 | 2.297 | 15.667 | 0.000 | 0.000 | 
| 2.297 | 2.297 | 2.297 | 0.001 | 15.667 | 0.000 | 
| 2.297 | 2.297 | 2.297 | 0.001 | 0.000 | 15.667 | 
| 262.525 | -5.816 | -5.816 | -0.000 | -0.000 | -0.000 | 
| -5.816 | 262.525 | -5.816 | -0.000 | -0.000 | -0.000 | 
| -5.816 | -5.816 | 262.525 | -0.000 | -0.000 | -0.000 | 
| -0.020 | -0.020 | -0.020 | 16.624 | -0.000 | -0.000 | 
| -0.020 | -0.020 | -0.020 | -0.000 | 16.624 | -0.000 | 
| 0.000 | -0.000 | 0.000 | 0.000 | 0.000 | 41.402 | 
| 293.344 | -8.481 | -8.481 | -0.000 | -0.000 | -0.000 | 
| -8.481 | 293.344 | -8.481 | -0.000 | -0.000 | -0.000 | 
| -8.481 | -8.481 | 293.344 | -0.000 | -0.000 | -0.000 | 
| 0.020 | 0.020 | 0.020 | 16.624 | 0.000 | 0.000 | 
| 0.020 | 0.020 | 0.020 | 0.000 | 16.624 | 0.000 | 
| 0.020 | 0.020 | 0.020 | 0.000 | 0.000 | 16.624 | 
| 245.626 | -3.858 | -3.858 | 0.013 | 0.013 | 0.013 | 
| -3.858 | 245.626 | -3.858 | 0.013 | 0.013 | 0.013 | 
| -3.858 | -3.858 | 245.625 | 0.013 | 0.013 | 0.013 | 
| 0.067 | 0.067 | 0.067 | 15.486 | 0.049 | 0.048 | 
| 0.067 | 0.067 | 0.067 | 0.049 | 15.486 | 0.048 | 
| 0.067 | 0.067 | 0.067 | 0.049 | 0.049 | 15.485 | 
| 245.225 | -4.200 | -4.200 | -0.013 | -0.013 | -0.012 | 
| -8.244 | 248.445 | -8.244 | -0.045 | -0.045 | -0.044 | 
| -4.200 | -4.200 | 245.226 | -0.013 | -0.013 | -0.012 | 
| -0.068 | -0.068 | -0.067 | 15.386 | -0.049 | -0.048 | 
| -0.068 | -0.068 | -0.067 | -0.049 | 15.386 | -0.048 | 
| -0.068 | -0.068 | -0.067 | -0.049 | -0.049 | 15.387 | 
| 245.217 | -3.203 | -3.203 | -0.002 | -0.002 | -0.002 | 
| -3.203 | 245.217 | -3.203 | -0.002 | -0.002 | -0.002 | 
| -3.203 | -3.203 | 245.217 | -0.002 | -0.002 | -0.002 | 
| 0.008 | 0.008 | 0.008 | 14.945 | 0.005 | 0.005 | 
| 0.028 | 0.028 | 0.028 | 0.005 | 14.944 | 0.005 | 
| 0.028 | 0.028 | 0.028 | 0.005 | 0.005 | 14.943 | 
| 245.237 | -3.271 | -3.271 | 0.002 | 0.002 | 0.002 | 
| -3.271 | 245.237 | -3.271 | 0.002 | 0.002 | 0.002 | 
| -3.271 | -3.271 | 245.237 | 0.002 | 0.002 | 0.002 | 
| -0.028 | -0.028 | -0.028 | 14.934 | -0.005 | -0.005 | 
| -0.028 | -0.028 | -0.028 | -0.005 | 14.934 | -0.005 | 
| -0.028 | -0.028 | -0.028 | -0.005 | -0.005 | 14.934 | 
| 245.234 | -3.241 | -3.241 | 0.000 | 0.000 | 0.000 | 
| -3.241 | 245.234 | -3.241 | 0.000 | 0.000 | 0.000 | 
| -3.241 | -3.241 | 245.234 | 0.000 | 0.000 | 0.000 | 
| 0.002 | 0.002 | 0.002 | 14.938 | 0.000 | 0.000 | 
| 0.002 | 0.002 | 0.002 | 0.000 | 14.938 | 0.000 | 
| 0.002 | 0.002 | 0.002 | 0.000 | 0.000 | 14.938 | 
| 245.225 | -3.243 | -3.243 | -0.000 | -0.000 | -0.000 | 
| -3.243 | 245.225 | -3.243 | -0.000 | -0.000 | -0.000 | 
| -3.243 | -3.243 | 245.225 | -0.000 | -0.000 | -0.000 | 
| -0.002 | -0.002 | -0.002 | 14.937 | -0.000 | -0.000 | 
| -0.002 | -0.002 | -0.002 | -0.000 | 14.937 | -0.000 | 
| -0.002 | -0.002 | -0.002 | -0.000 | -0.000 | 14.937 | 
| 27.826 | 57.677 | 57.677 | 0.000 | -0.000 | -0.000 | 
| 57.677 | 27.826 | 57.677 | 0.000 | -0.000 | -0.000 | 
| 57.677 | 57.677 | 27.826 | 0.000 | 0.000 | -0.000 | 
| -23.929 | -23.929 | -23.929 | 48.847 | -0.000 | -0.000 | 
| -23.929 | -23.929 | -23.929 | -0.000 | 48.847 | -0.000 | 
| -23.929 | -23.929 | -23.929 | -0.000 | 0.000 | 48.847 | 
| 76.287 | 48.110 | 48.110 | -0.000 | -0.000 | 0.000 | 
| 48.110 | 76.287 | 48.110 | -0.000 | -0.000 | -0.000 | 
| 48.110 | 48.110 | 76.287 | -0.000 | -0.000 | -0.000 | 
| 23.929 | 23.929 | 23.929 | 48.847 | 0.000 | 0.000 | 
| 23.929 | 23.929 | 23.929 | -0.000 | 48.847 | -0.000 | 
| 23.929 | 23.929 | 23.929 | -0.000 | -0.000 | 48.847 | 
| 127.510 | 77.825 | 77.825 | -0.000 | 0.000 | -0.000 | 
| 77.825 | 127.510 | 77.825 | -0.000 | 0.000 | 0.000 | 
| 77.825 | 77.825 | 127.510 | -0.000 | 0.000 | 0.000 | 
| -0.000 | -0.000 | 0.000 | 73.053 | 0.000 | -0.000 | 
| -0.000 | -0.000 | 0.000 | -0.000 | 73.053 | 0.000 | 
| -0.000 | 0.000 | -0.000 | -0.000 | 0.000 | 73.053 | 
| 55.810 | 69.542 | 69.542 | -0.000 | 0.000 | 0.000 | 
| 69.542 | 55.810 | 69.542 | -0.000 | 0.000 | -0.000 | 
| 69.542 | 69.542 | 55.810 | -0.000 | 0.000 | -0.000 | 
| 0.000 | 0.000 | -0.000 | 73.053 | -0.000 | -0.000 | 
| 0.000 | 0.000 | -0.000 | 0.000 | 73.053 | 0.000 | 
| 0.000 | -0.000 | 0.000 | 0.000 | -0.000 | 73.053 | 
| 55.466 | 66.375 | 66.375 | -0.000 | -0.000 | -0.000 | 
| 66.375 | 55.466 | 66.375 | -0.000 | -0.000 | 0.000 | 
| 66.375 | 66.375 | 55.466 | -0.000 | 0.000 | -0.000 | 
| -0.202 | -0.202 | -0.202 | 49.402 | -0.000 | 0.000 | 
| -0.202 | -0.202 | -0.202 | -0.000 | 49.402 | 0.000 | 
| -0.202 | -0.202 | -0.202 | 0.000 | -0.000 | 49.402 | 
| 53.775 | 66.862 | 66.862 | 0.000 | -0.000 | 0.000 | 
| 66.862 | 53.775 | 66.862 | -0.000 | -0.000 | -0.000 | 
| 66.862 | 66.862 | 53.775 | -0.000 | -0.000 | -0.000 | 
| 0.202 | 0.202 | 0.202 | 49.402 | 0.000 | 0.000 | 
| 0.202 | 0.202 | 0.202 | 0.000 | 49.402 | 0.000 | 
| 0.202 | 0.202 | 0.202 | -0.000 | 0.000 | 49.402 | 
| 105.767 | 13.629 | 21.811 | -0.385 | 0.278 | 0.395 | 
| 13.634 | 118.195 | 57.450 | -0.261 | 0.063 | -0.140 | 
| 22.117 | 57.134 | 113.811 | -4.494 | -0.005 | -0.147 | 
| 1.342 | -2.417 | -3.028 | 38.055 | 0.005 | 0.048 | 
| 0.642 | 0.041 | -0.092 | -0.039 | 18.179 | -0.122 | 
| 0.901 | -0.378 | -0.368 | 0.015 | -0.192 | 20.528 | 
| 104.844 | 13.884 | 22.016 | -0.110 | 0.266 | 0.399 | 
| 12.930 | 118.392 | 57.743 | -0.242 | 0.100 | -0.154 | 
| 21.185 | 57.624 | 113.908 | -4.510 | 0.033 | -0.163 | 
| 0.813 | -2.229 | -2.700 | 38.174 | 0.050 | 0.078 | 
| 0.505 | 0.109 | -0.021 | -0.023 | 18.236 | -0.135 | 
| 0.665 | -0.270 | -0.238 | 0.033 | -0.145 | 20.529 | 
| 102.239 | 12.079 | 22.773 | 0.169 | 0.357 | 0.624 | 
| 13.354 | 115.457 | 56.891 | 0.176 | 0.133 | -0.024 | 
| 23.220 | 56.114 | 110.610 | -3.882 | 0.016 | 0.090 | 
| 0.044 | -0.067 | -3.720 | 34.803 | 0.093 | 0.009 | 
| 0.363 | 0.128 | -0.011 | 0.002 | 17.778 | -0.260 | 
| 0.673 | 0.033 | 0.188 | -0.008 | -0.261 | 19.430 | 
| 102.026 | 11.971 | 22.676 | 0.347 | 0.356 | 0.689 | 
| 12.854 | 115.225 | 56.512 | 0.340 | 0.135 | 0.078 | 
| 22.924 | 55.921 | 110.317 | -3.607 | 0.014 | 0.187 | 
| 0.005 | -0.175 | -3.928 | 35.023 | 0.085 | 0.065 | 
| 0.259 | 0.154 | 0.004 | 0.021 | 17.767 | -0.274 | 
| 0.407 | -0.144 | -0.096 | 0.028 | -0.254 | 19.580 | 
| 102.075 | 11.911 | 22.435 | 0.304 | 0.369 | 0.711 | 
| 13.056 | 115.257 | 56.536 | 0.341 | 0.136 | 0.056 | 
| 23.112 | 56.032 | 110.383 | -3.656 | 0.006 | 0.142 | 
| 0.080 | -0.092 | -3.629 | 34.792 | 0.099 | 0.018 | 
| 0.398 | 0.163 | 0.026 | 0.091 | 17.664 | -0.278 | 
| 0.768 | 0.064 | 0.180 | 0.003 | -0.273 | 19.443 | 
| 102.065 | 11.876 | 22.394 | 0.322 | 0.369 | 0.727 | 
| 13.058 | 115.230 | 56.497 | 0.355 | 0.135 | 0.067 | 
| 23.097 | 56.007 | 110.345 | -3.636 | 0.006 | 0.156 | 
| 0.063 | -0.106 | -3.652 | 34.806 | 0.098 | 0.029 | 
| 0.389 | 0.151 | 0.006 | 0.112 | 17.662 | -0.270 | 
| 0.763 | 0.051 | 0.145 | 0.031 | -0.274 | 19.456 | 
| 859.407 | 889.590 | 462.184 | 45.591 | 89.865 | 0.000 | 
| 773.979 | 848.254 | 655.342 | 28.618 | 46.221 | 0.000 | 
| 637.576 | 637.576 | -854.678 | 0.000 | -0.000 | -0.000 | 
| 544.630 | 656.946 | -1030.763 | -100.940 | -0.000 | 36.738 | 
| 564.121 | 637.627 | -1030.910 | 0.000 | -100.982 | -56.178 | 
| 846.313 | 846.313 | 27.848 | -88.601 | 46.586 | -6.515 | 
| -515.025 | -373.211 | 1072.681 | -46.423 | -29.543 | 0.000 | 
| -39.051 | 437.281 | -53.477 | -85.123 | -67.682 | -0.000 | 
| -622.549 | -622.549 | 1279.376 | -0.000 | 0.000 | 0.000 | 
| -656.946 | -544.630 | 1030.763 | -100.940 | -0.000 | 36.738 | 
| 67.682 | -67.682 | -0.000 | -0.000 | 192.382 | 85.123 | 
| -603.665 | -603.665 | 1035.699 | 37.238 | -56.834 | -95.370 | 
| 437.281 | -39.051 | -53.477 | 85.123 | 67.682 | 0.000 | 
| 165.735 | 191.848 | -2.168 | 10.687 | 3.130 | -0.000 | 
| -50.780 | -50.780 | 378.602 | -0.000 | 0.000 | 0.000 | 
| 35.868 | 37.016 | -62.523 | 14.462 | 0.000 | -4.344 | 
| 72.282 | 61.738 | 37.558 | -0.000 | 17.705 | 8.479 | 
| 73.677 | 73.677 | 34.543 | 10.085 | -7.519 | 29.964 | 
| 116.664 | 81.874 | 133.951 | -8.840 | -1.766 | 0.000 | 
| 81.768 | 116.943 | 133.788 | 8.758 | 1.705 | 0.000 | 
| 68.672 | 68.672 | 114.062 | -0.000 | -0.000 | -0.000 | 
| -172.870 | -13.792 | 109.580 | 34.565 | 0.000 | 37.145 | 
| -32.148 | -40.772 | 62.555 | 0.000 | 14.372 | -0.617 | 
| -73.677 | -73.677 | -34.543 | 10.086 | -7.520 | 29.965 | 
| 169.947 | 104.495 | 78.309 | -2.052 | 2.667 | -0.000 | 
| 104.487 | 169.971 | 78.292 | 2.047 | -2.670 | -0.000 | 
| 89.330 | 89.330 | 72.277 | 0.000 | -0.000 | 0.000 | 
| -1.423 | 9.786 | -6.473 | 29.555 | -0.000 | -2.967 | 
| 11.515 | 1.457 | 6.086 | 0.002 | 26.959 | -0.215 | 
| 3.725 | 3.724 | -6.390 | -2.944 | -2.468 | 32.367 | 
| 167.259 | 109.769 | 65.789 | -4.010 | 1.804 | 0.000 | 
| 95.005 | 158.716 | 86.770 | -0.549 | -6.757 | 0.000 | 
| 72.241 | 72.241 | 48.651 | 0.000 | -0.000 | -0.000 | 
| -9.815 | 1.449 | 6.475 | 29.499 | 0.000 | -2.947 | 
| 1.429 | -10.302 | 4.086 | 0.000 | 28.538 | 1.488 | 
| -4.005 | -4.005 | 5.880 | -9.328 | 1.691 | 31.815 | 
| 110.295 | 65.039 | 77.798 | -0.000 | -0.000 | -0.000 | 
| 65.039 | 110.295 | 77.798 | -0.000 | -0.000 | -0.000 | 
| 75.995 | 75.995 | 206.783 | 0.000 | -0.000 | 0.000 | 
| 0.161 | 0.161 | -0.315 | 36.230 | -0.000 | 0.000 | 
| 0.161 | 0.161 | -0.315 | -0.000 | 36.230 | 0.000 | 
| 0.485 | 0.485 | -0.949 | 0.000 | -0.000 | 29.523 | 
| 109.999 | 64.736 | 78.383 | 0.000 | 0.000 | 0.000 | 
| 64.736 | 109.999 | 78.383 | 0.000 | 0.000 | 0.000 | 
| 75.695 | 75.695 | 207.371 | 0.000 | 0.000 | -0.000 | 
| -0.161 | -0.161 | 0.315 | 36.230 | -0.000 | -0.000 | 
| -0.161 | -0.161 | 0.315 | 0.000 | 36.230 | -0.000 | 
| -0.485 | -0.485 | 0.949 | -0.000 | -0.000 | 29.523 | 
| 110.135 | 64.914 | 78.076 | -0.000 | -0.000 | -0.000 | 
| 64.914 | 110.135 | 78.076 | -0.000 | -0.000 | -0.000 | 
| 75.858 | 75.858 | 207.051 | -0.000 | -0.000 | 0.000 | 
| 0.016 | 0.016 | -0.032 | 36.230 | 0.000 | 0.000 | 
| 0.016 | 0.016 | -0.032 | -0.000 | 36.230 | -0.000 | 
| 0.049 | 0.049 | -0.095 | 0.000 | -0.000 | 29.521 | 
| 109.982 | 65.205 | 77.941 | 0.000 | 0.000 | 0.000 | 
| 65.205 | 109.982 | 77.941 | 0.000 | 0.000 | 0.000 | 
| 75.831 | 75.831 | 207.103 | 0.000 | 0.000 | 0.000 | 
| -0.016 | -0.016 | 0.032 | 36.230 | 0.000 | 0.000 | 
| -0.016 | -0.016 | 0.032 | 0.000 | 36.230 | -0.000 | 
| -0.049 | -0.049 | 0.095 | -0.000 | 0.000 | 29.521 | 
| 110.149 | 64.889 | 78.088 | -0.000 | -0.000 | -0.000 | 
| 64.889 | 110.149 | 78.088 | -0.000 | -0.000 | -0.000 | 
| 75.830 | 75.830 | 207.107 | -0.000 | -0.000 | 0.000 | 
| 0.002 | 0.002 | -0.004 | 36.230 | -0.000 | 0.000 | 
| 0.002 | 0.002 | -0.004 | -0.000 | 36.230 | 0.000 | 
| 0.005 | 0.005 | -0.010 | -0.000 | -0.000 | 29.521 | 
| 110.143 | 64.897 | 78.085 | 0.000 | 0.000 | 0.000 | 
| 64.897 | 110.143 | 78.085 | 0.000 | 0.000 | 0.000 | 
| 75.859 | 75.859 | 207.047 | 0.000 | 0.000 | 0.000 | 
| -0.002 | -0.002 | 0.004 | 36.230 | 0.000 | -0.000 | 
| -0.002 | -0.002 | 0.004 | 0.000 | 36.230 | -0.000 | 
| -0.005 | -0.005 | 0.010 | -0.000 | 0.000 | 29.521 | 
| 208.502 | 41.476 | -11.080 | 0.000 | -11.731 | -0.000 | 
| 118.472 | 144.689 | -14.741 | 0.000 | -30.846 | -0.000 | 
| -43.401 | -53.510 | 380.934 | 0.000 | 125.167 | 0.000 | 
| 71.468 | -10.481 | -83.031 | 43.598 | -25.513 | -2.436 | 
| 86.263 | -2.429 | -105.248 | -0.000 | 12.524 | 0.000 | 
| 46.925 | -15.043 | -35.667 | 36.112 | -9.415 | -8.756 | 
| 48.969 | 22.842 | 209.392 | -0.000 | 37.640 | 0.000 | 
| 39.036 | 109.356 | 125.741 | -0.000 | 20.010 | 0.000 | 
| 17.026 | 106.429 | 166.808 | -0.000 | 5.436 | 0.000 | 
| -71.468 | 10.481 | 83.031 | 43.598 | 25.513 | -2.436 | 
| 27.742 | -148.074 | 125.167 | 0.000 | 257.386 | -0.000 | 
| -46.925 | 15.043 | 35.667 | 36.111 | 9.415 | -8.756 | 
| 141.172 | 53.713 | 61.952 | 0.000 | 5.667 | -0.000 | 
| 50.766 | 154.677 | 64.965 | 0.000 | -14.350 | -0.000 | 
| 59.933 | 78.557 | 147.437 | 0.000 | 5.299 | -0.000 | 
| 6.980 | -1.036 | -8.218 | 45.996 | -1.774 | -3.156 | 
| 10.013 | -9.451 | -1.545 | -0.000 | 38.841 | 0.000 | 
| 6.569 | -1.853 | -7.244 | -5.190 | -2.054 | 30.913 | 
| 142.519 | 66.961 | 58.413 | -0.000 | 6.451 | 0.000 | 
| 43.953 | 155.373 | 71.716 | -0.000 | -12.013 | 0.000 | 
| 49.105 | 78.257 | 159.204 | -0.000 | 9.734 | 0.000 | 
| -6.980 | 1.036 | 8.218 | 45.996 | 1.774 | -3.156 | 
| -6.072 | -7.008 | 16.389 | -0.000 | 43.087 | 0.000 | 
| -6.569 | 1.853 | 7.244 | -5.190 | 2.054 | 30.913 | 
| 133.096 | 55.975 | 69.910 | 0.000 | 6.115 | -0.000 | 
| 56.921 | 152.854 | 63.025 | 0.000 | -7.845 | -0.000 | 
| 70.831 | 64.252 | 148.341 | 0.000 | 8.963 | -0.000 | 
| 0.462 | -0.087 | -0.439 | 45.967 | -0.107 | -2.986 | 
| 3.687 | -8.419 | 5.518 | 0.000 | 40.677 | -0.000 | 
| 0.746 | -0.232 | -0.627 | -3.273 | -0.066 | 29.693 | 
| 131.927 | 56.434 | 70.450 | -0.000 | 4.998 | 0.000 | 
| 52.739 | 154.204 | 63.878 | -0.000 | -7.460 | 0.000 | 
| 70.721 | 64.235 | 148.609 | 0.000 | 6.830 | -0.000 | 
| -0.462 | 0.087 | 0.439 | 45.967 | 0.107 | -2.986 | 
| 1.233 | -8.298 | 8.413 | -0.000 | 41.102 | 0.000 | 
| -0.746 | 0.232 | 0.627 | -3.273 | 0.066 | 29.693 | 
| 734.390 | -129.139 | -312.630 | 0.000 | 0.000 | -0.000 | 
| -129.695 | 737.359 | -310.292 | 0.000 | -0.000 | -0.000 | 
| 43.140 | 46.430 | 202.200 | -0.000 | -0.000 | -0.000 | 
| -0.002 | -0.003 | 0.005 | 60.393 | -0.000 | -0.000 | 
| -0.002 | -0.003 | 0.005 | -0.000 | 60.739 | -0.000 | 
| -0.002 | -0.004 | 0.005 | -0.000 | 0.000 | 67.084 | 
| 190.578 | 58.693 | 43.223 | 0.000 | 0.000 | 0.000 | 
| 58.135 | 194.218 | 45.456 | -0.000 | 0.000 | 0.000 | 
| 43.137 | 46.430 | 202.202 | -0.000 | 0.000 | 0.000 | 
| 0.002 | 0.003 | -0.005 | 60.393 | 0.000 | 0.000 | 
| 0.002 | 0.003 | -0.005 | 0.000 | 60.739 | -0.000 | 
| 0.002 | 0.004 | -0.005 | 0.000 | 0.000 | 67.084 | 
| 190.575 | 58.690 | 43.229 | 0.000 | -0.000 | -0.000 | 
| 43.920 | 194.594 | 59.295 | 0.000 | -0.000 | -0.000 | 
| 43.170 | 46.461 | 202.138 | -0.000 | -0.000 | -0.000 | 
| -0.000 | -0.000 | 0.001 | 60.393 | -0.000 | -0.000 | 
| -0.000 | -0.000 | 0.001 | -0.000 | 60.739 | -0.000 | 
| -0.000 | -0.000 | 0.001 | -0.000 | -0.000 | 67.084 | 
| 190.577 | 58.690 | 43.227 | -0.000 | 0.000 | 0.000 | 
| 58.124 | 194.243 | 45.441 | -0.000 | 0.000 | 0.000 | 
| 43.107 | 46.399 | 202.263 | 0.000 | 0.000 | 0.000 | 
| 0.000 | 0.000 | -0.001 | 60.393 | 0.000 | 0.000 | 
| 0.000 | 0.000 | -0.001 | 0.000 | 60.739 | 0.000 | 
| 0.000 | 0.000 | -0.001 | 0.000 | -0.000 | 67.084 | 
| 190.566 | 58.693 | 43.235 | 0.000 | -0.000 | -0.000 | 
| 58.143 | 194.212 | 45.456 | 0.000 | -0.000 | -0.000 | 
| 43.389 | 46.180 | 202.201 | 0.000 | -0.000 | -0.000 | 
| -0.001 | 0.003 | -0.002 | 60.393 | 0.000 | 0.000 | 
| -0.001 | 0.000 | 0.001 | -0.000 | 60.739 | -0.000 | 
| -0.001 | 0.000 | 0.001 | -0.000 | 0.000 | 67.084 | 
| 190.586 | 58.686 | 43.220 | -0.000 | 0.000 | 0.000 | 
| 58.133 | 194.211 | 45.463 | -0.000 | 0.000 | 0.000 | 
| 43.381 | 46.195 | 202.192 | -0.000 | 0.000 | 0.000 | 
| 0.001 | -0.003 | 0.002 | 60.393 | -0.000 | -0.000 | 
| 0.001 | -0.000 | -0.001 | 0.000 | 60.739 | 0.000 | 
| 0.001 | -0.000 | -0.001 | 0.000 | -0.000 | 67.084 | 
| 314.239 | -5.932 | -5.932 | -0.000 | -0.000 | 0.000 | 
| -5.932 | 314.239 | -5.932 | 0.000 | -0.000 | 0.000 | 
| -5.932 | -5.932 | 314.239 | -0.000 | -0.000 | 0.000 | 
| 0.004 | 0.004 | 0.004 | 31.158 | -0.000 | -0.000 | 
| 0.004 | 0.004 | 0.004 | 0.000 | 31.158 | -0.000 | 
| 0.004 | 0.004 | 0.004 | -0.000 | -0.000 | 31.158 | 
| 153.742 | 73.955 | 73.955 | -0.000 | 0.000 | -0.000 | 
| 73.955 | 153.742 | 73.955 | 0.000 | 0.000 | 0.000 | 
| 73.955 | 73.955 | 153.742 | -0.000 | 0.000 | 0.000 | 
| -0.004 | -0.004 | -0.004 | 31.158 | 0.000 | 0.000 | 
| -0.004 | -0.004 | -0.004 | 0.000 | 31.158 | 0.000 | 
| -0.004 | -0.004 | -0.004 | -0.000 | 0.000 | 31.159 | 
| 153.739 | 73.894 | 73.894 | 0.000 | 0.000 | -0.000 | 
| 73.894 | 153.739 | 73.894 | 0.000 | -0.000 | -0.000 | 
| 73.894 | 73.894 | 153.739 | 0.000 | -0.000 | -0.000 | 
| 0.001 | 0.000 | 0.000 | 31.159 | -0.000 | -0.000 | 
| 0.000 | 0.001 | 0.000 | 0.000 | 31.159 | -0.000 | 
| 0.000 | 0.000 | 0.001 | 0.000 | -0.000 | 31.159 | 
| 153.740 | 73.892 | 73.892 | 0.000 | 0.000 | 0.000 | 
| 73.892 | 153.740 | 73.892 | 0.000 | 0.000 | 0.000 | 
| 73.892 | 73.892 | 153.740 | 0.000 | 0.000 | 0.000 | 
| -0.001 | -0.000 | -0.000 | 31.159 | 0.000 | 0.000 | 
| -0.000 | -0.001 | -0.000 | -0.000 | 31.159 | 0.000 | 
| -0.000 | -0.000 | -0.001 | -0.000 | 0.000 | 31.159 | 
| 153.732 | 73.897 | 73.897 | 0.000 | -0.000 | -0.000 | 
| 73.897 | 153.732 | 73.897 | 0.000 | -0.000 | -0.000 | 
| 73.897 | 73.897 | 153.732 | 0.000 | 0.000 | -0.000 | 
| 0.030 | -0.001 | -0.030 | 30.056 | 0.000 | 0.000 | 
| -0.031 | 0.030 | -0.000 | 0.000 | 30.056 | -0.000 | 
| -0.001 | -0.030 | 0.030 | -0.000 | 0.000 | 30.056 | 
| 153.745 | 73.890 | 73.890 | -0.000 | 0.000 | -0.000 | 
| 73.890 | 153.745 | 73.890 | 0.000 | 0.000 | 0.000 | 
| 73.890 | 73.890 | 153.745 | -0.000 | 0.000 | 0.000 | 
| -0.030 | 0.001 | 0.030 | 30.056 | 0.000 | 0.000 | 
| 0.031 | -0.030 | 0.000 | -0.000 | 30.056 | -0.000 | 
| 0.001 | 0.030 | -0.030 | -0.000 | 0.000 | 30.056 | 
| 200.957 | 141.147 | -66.310 | 0.000 | -0.000 | 0.000 | 
| 141.147 | 200.957 | -66.310 | 0.000 | -0.000 | 0.000 | 
| -66.310 | -66.310 | 358.521 | 0.000 | 0.000 | 0.000 | 
| 0.000 | 0.000 | -0.000 | 8.594 | 0.000 | 0.000 | 
| -0.000 | -0.000 | -0.000 | 0.000 | 8.594 | 0.000 | 
| -0.000 | 0.000 | -0.000 | 0.000 | -0.000 | 29.905 | 
| 200.957 | 141.147 | -66.310 | -0.000 | 0.000 | -0.000 | 
| 141.147 | 200.957 | -66.310 | 0.000 | 0.000 | -0.000 | 
| -66.310 | -66.310 | 358.521 | -0.000 | 0.000 | -0.000 | 
| -0.000 | -0.000 | 0.000 | 8.594 | 0.000 | -0.000 | 
| 0.000 | 0.000 | 0.000 | -0.000 | 8.594 | -0.000 | 
| 0.000 | -0.000 | 0.000 | -0.000 | -0.000 | 29.905 | 
| 200.957 | 141.147 | -66.310 | 0.000 | -0.000 | 0.000 | 
| 141.148 | 200.957 | -66.310 | -0.000 | 0.000 | 0.000 | 
| -66.310 | -66.310 | 358.521 | 0.000 | -0.000 | 0.000 | 
| 0.000 | 0.000 | -0.000 | 8.594 | -0.000 | 0.000 | 
| 0.000 | 0.000 | -0.000 | -0.000 | 8.594 | 0.000 | 
| -0.000 | 0.000 | -0.000 | 0.000 | -0.000 | 29.905 | 
| 200.957 | 141.147 | -66.310 | 0.000 | -0.000 | -0.000 | 
| 141.147 | 200.957 | -66.310 | 0.000 | -0.000 | 0.000 | 
| -66.310 | -66.310 | 358.520 | -0.000 | 0.000 | -0.000 | 
| -0.000 | -0.000 | 0.000 | 8.594 | 0.000 | -0.000 | 
| -0.000 | -0.000 | 0.000 | -0.000 | 8.594 | -0.000 | 
| 0.000 | -0.000 | 0.000 | -0.000 | 0.000 | 29.905 | 
| 200.959 | 141.148 | -66.310 | 0.000 | 0.000 | 0.000 | 
| 141.148 | 200.959 | -66.310 | -0.000 | -0.000 | 0.000 | 
| -66.310 | -66.310 | 358.526 | 0.000 | 0.000 | 0.000 | 
| 0.000 | 0.000 | -0.000 | 8.594 | -0.000 | 0.000 | 
| 0.000 | 0.000 | -0.000 | -0.000 | 8.594 | 0.000 | 
| -0.000 | 0.001 | -0.000 | -0.000 | 0.000 | 29.905 | 
| 200.955 | 141.147 | -66.309 | 0.000 | -0.000 | -0.000 | 
| 141.146 | 200.955 | -66.309 | 0.000 | 0.000 | -0.000 | 
| -66.309 | -66.309 | 358.516 | -0.000 | 0.000 | -0.000 | 
| -0.000 | -0.000 | 0.000 | 8.594 | -0.000 | -0.000 | 
| -0.000 | -0.000 | 0.000 | 0.000 | 8.594 | -0.000 | 
| 0.000 | -0.001 | 0.000 | 0.000 | -0.000 | 29.905 | 
| 731.935 | -125.986 | -310.548 | -0.000 | -0.000 | -0.000 | 
| 44.586 | 193.369 | 57.669 | 0.000 | 0.000 | 0.000 | 
| -309.933 | -309.933 | 911.180 | -0.000 | -0.000 | -0.000 | 
| -0.000 | -0.000 | 0.000 | 60.658 | -0.000 | 0.000 | 
| -0.000 | -0.000 | 0.000 | 0.000 | 60.658 | 0.000 | 
| 0.000 | 0.000 | -0.000 | -0.000 | -0.000 | 428.960 | 
| 193.361 | 44.589 | 57.674 | -0.000 | -0.000 | 0.000 | 
| 58.780 | 192.665 | 44.171 | 0.000 | -0.000 | -0.000 | 
| -309.933 | -309.933 | 911.180 | 0.000 | 0.000 | 0.000 | 
| 0.000 | 0.000 | -0.000 | 60.658 | 0.000 | -0.000 | 
| 0.000 | 0.000 | -0.000 | -0.000 | 60.658 | -0.000 | 
| -0.000 | -0.000 | 0.000 | 0.000 | 0.000 | 428.960 | 
| 192.961 | 58.686 | 43.969 | -0.000 | 0.000 | 0.000 | 
| 44.595 | 193.341 | 57.688 | -0.000 | -0.000 | 0.000 | 
| 44.613 | 44.613 | 201.657 | 0.000 | -0.000 | 0.000 | 
| 0.000 | -0.000 | 0.000 | 60.658 | -0.000 | 0.000 | 
| -0.000 | 0.000 | 0.000 | -0.000 | 60.658 | 0.000 | 
| -0.000 | 0.000 | 0.000 | 0.000 | 0.000 | 67.138 | 
| 193.258 | 44.622 | 57.744 | -0.000 | 0.000 | -0.000 | 
| 44.576 | 193.403 | 57.645 | -0.000 | -0.000 | -0.000 | 
| 44.582 | 44.582 | 201.719 | -0.000 | 0.000 | -0.000 | 
| -0.000 | 0.000 | -0.000 | 60.658 | 0.000 | -0.000 | 
| 0.000 | -0.000 | -0.000 | -0.000 | 60.658 | 0.000 | 
| 0.000 | -0.000 | -0.000 | -0.000 | -0.000 | 67.138 | 
| 192.951 | 58.690 | 43.976 | -0.000 | -0.000 | 0.000 | 
| 58.778 | 192.652 | 44.187 | -0.000 | 0.000 | 0.000 | 
| 44.582 | 44.582 | 201.720 | 0.000 | -0.000 | 0.000 | 
| 0.000 | -0.001 | 0.001 | 60.658 | -0.000 | 0.000 | 
| -0.001 | 0.000 | 0.001 | 0.000 | 60.658 | 0.000 | 
| -0.001 | 0.001 | 0.001 | 0.000 | -0.000 | 67.138 | 
| 193.383 | 44.582 | 57.658 | -0.000 | -0.000 | 0.000 | 
| 58.691 | 192.961 | 43.962 | 0.000 | -0.000 | 0.000 | 
| 44.270 | 44.270 | 202.344 | -0.000 | 0.000 | -0.000 | 
| -0.000 | 0.001 | -0.001 | 60.658 | -0.000 | -0.000 | 
| 0.001 | -0.000 | -0.001 | -0.000 | 60.658 | -0.000 | 
| 0.001 | -0.001 | -0.001 | 0.000 | -0.000 | 67.138 | 
| 216.682 | 261.696 | -52.809 | 0.000 | -0.000 | 0.000 | 
| 261.696 | 216.682 | -52.809 | -0.000 | -0.000 | 0.000 | 
| -52.807 | -52.807 | 100.652 | -0.000 | -0.000 | 0.000 | 
| 0.000 | -0.000 | 0.000 | 6.399 | -0.000 | -0.000 | 
| 0.000 | -0.000 | 0.000 | -0.000 | 6.399 | -0.000 | 
| -0.000 | -0.000 | 0.000 | 0.000 | -0.000 | -22.507 | 
| 216.683 | 261.696 | -52.809 | 0.000 | 0.000 | -0.000 | 
| 261.696 | 216.683 | -52.809 | 0.000 | 0.000 | -0.000 | 
| -52.807 | -52.807 | 100.652 | -0.000 | 0.000 | -0.000 | 
| -0.000 | 0.000 | 0.000 | 6.399 | 0.000 | 0.000 | 
| -0.000 | 0.000 | -0.000 | 0.000 | 6.399 | 0.000 | 
| 0.000 | 0.000 | -0.000 | 0.000 | 0.000 | -22.507 | 
| 216.682 | 261.696 | -52.808 | 0.000 | -0.000 | 0.000 | 
| 261.696 | 216.682 | -52.808 | -0.000 | -0.000 | 0.000 | 
| -52.807 | -52.807 | 100.653 | -0.000 | -0.000 | 0.000 | 
| 0.000 | -0.000 | -0.000 | 6.399 | -0.000 | -0.000 | 
| -0.000 | 0.000 | -0.000 | -0.000 | 6.399 | -0.000 | 
| -0.000 | -0.000 | 0.000 | -0.000 | -0.000 | 5.047 | 
| 244.237 | 234.142 | -52.809 | 0.000 | 0.000 | -0.000 | 
| 261.696 | 216.683 | -52.809 | 0.000 | 0.000 | -0.000 | 
| -52.807 | -52.807 | 100.652 | 0.000 | 0.000 | -0.000 | 
| -0.000 | 0.000 | 0.000 | 6.399 | 0.000 | 0.000 | 
| 0.000 | -0.000 | 0.000 | 0.000 | 6.399 | 0.000 | 
| 0.000 | 0.000 | -0.000 | -0.000 | 0.000 | 5.047 | 
| 216.675 | 261.697 | -52.804 | 0.000 | -0.000 | 0.000 | 
| 261.695 | 216.677 | -52.804 | 0.000 | -0.000 | 0.000 | 
| -52.811 | -52.811 | 100.657 | 0.000 | -0.000 | 0.000 | 
| 0.000 | 0.000 | 0.000 | 37.299 | -0.000 | 0.000 | 
| -0.000 | 0.000 | -0.000 | 0.000 | 6.399 | -0.000 | 
| -0.002 | -0.002 | 0.001 | -0.000 | -0.000 | -22.507 | 
| 216.692 | 261.693 | -52.813 | -0.000 | 0.000 | -0.000 | 
| 261.697 | 216.688 | -52.813 | 0.000 | 0.000 | -0.000 | 
| -52.803 | -52.803 | 100.647 | -0.000 | 0.000 | -0.000 | 
| -0.000 | -0.000 | -0.000 | 37.299 | 0.000 | -0.000 | 
| 0.000 | -0.000 | 0.000 | -0.000 | 6.399 | 0.000 | 
| 0.002 | 0.002 | -0.001 | 0.000 | 0.000 | -22.507 | 
| 425.456 | -82.596 | -82.596 | 0.000 | 0.000 | -0.000 | 
| -82.596 | 425.456 | -82.596 | 0.000 | 0.000 | -0.000 | 
| -82.596 | -82.596 | 425.456 | 0.000 | 0.000 | -0.000 | 
| -0.000 | 0.000 | 0.000 | 341.709 | 0.000 | -0.000 | 
| -0.000 | -0.000 | 0.000 | 0.000 | 341.709 | -0.000 | 
| -0.000 | 0.000 | 0.000 | -0.000 | 0.000 | 341.709 | 
| 425.456 | -82.596 | -82.596 | -0.000 | -0.000 | 0.000 | 
| -82.596 | 425.456 | -82.596 | 0.000 | -0.000 | 0.000 | 
| -82.596 | -82.596 | 425.456 | -0.000 | -0.000 | -0.000 | 
| 0.000 | -0.000 | -0.000 | 341.709 | -0.000 | 0.000 | 
| 0.000 | -0.000 | -0.000 | -0.000 | 341.709 | 0.000 | 
| 0.000 | -0.000 | -0.000 | -0.000 | -0.000 | 341.709 | 
| 147.501 | 57.658 | 57.658 | 0.000 | 0.000 | 0.000 | 
| 57.658 | 147.501 | 57.658 | 0.000 | 0.000 | -0.000 | 
| 57.658 | 57.658 | 147.501 | 0.000 | 0.000 | 0.000 | 
| 2.276 | 2.277 | 2.277 | 50.562 | -0.000 | 0.000 | 
| 2.277 | 2.276 | 2.277 | -0.000 | 50.562 | -0.000 | 
| 2.277 | 2.277 | 2.276 | 0.000 | -0.000 | 50.562 | 
| 143.564 | 56.947 | 56.947 | -0.000 | -0.000 | -0.000 | 
| 56.947 | 143.564 | 56.947 | -0.000 | -0.000 | -0.000 | 
| 56.947 | 56.947 | 143.564 | -0.000 | -0.000 | -0.000 | 
| -2.276 | -2.277 | -2.277 | 50.562 | 0.000 | 0.000 | 
| -2.277 | -2.276 | -2.277 | 0.000 | 50.562 | 0.000 | 
| -2.277 | -2.277 | -2.276 | -0.000 | -0.000 | 50.562 | 
| 158.386 | 51.012 | 51.012 | 0.000 | -0.000 | -0.000 | 
| 51.012 | 158.386 | 51.012 | -0.000 | 0.000 | -0.000 | 
| 51.012 | 51.012 | 158.386 | -0.000 | 0.000 | -0.000 | 
| 0.420 | 0.419 | 0.419 | 50.819 | 0.000 | -0.000 | 
| 0.419 | 0.420 | 0.419 | -0.000 | 50.819 | -0.000 | 
| 0.419 | 0.419 | 0.420 | 0.000 | 0.000 | 50.819 | 
| 156.029 | 51.429 | 51.429 | 0.000 | -0.000 | 0.000 | 
| 51.429 | 156.029 | 51.429 | -0.000 | 0.000 | -0.000 | 
| 51.429 | 51.429 | 156.029 | 0.000 | -0.000 | 0.000 | 
| -0.420 | -0.419 | -0.419 | 50.819 | 0.000 | -0.000 | 
| -0.419 | -0.420 | -0.419 | 0.000 | 50.819 | 0.000 | 
| -0.419 | -0.419 | -0.420 | 0.000 | 0.000 | 50.819 | 
| 99.351 | 60.292 | 60.269 | 0.036 | 0.006 | 0.023 | 
| 60.293 | 99.350 | 60.269 | 0.036 | 0.006 | 0.023 | 
| 60.293 | 60.292 | 99.327 | 0.036 | 0.006 | 0.023 | 
| -0.351 | -0.352 | -0.375 | 18.987 | 0.004 | 0.015 | 
| -0.351 | -0.352 | -0.375 | 0.023 | 18.969 | 0.015 | 
| -0.351 | -0.352 | -0.375 | 0.023 | 0.004 | 18.980 | 
| 102.085 | 62.933 | 62.956 | -0.035 | -0.006 | -0.022 | 
| 62.932 | 102.086 | 62.956 | -0.035 | -0.006 | -0.022 | 
| 62.932 | 62.933 | 102.109 | -0.035 | -0.006 | -0.022 | 
| 0.351 | 0.351 | 0.375 | 18.943 | -0.004 | -0.015 | 
| 0.351 | 0.352 | 0.375 | -0.023 | 18.961 | -0.015 | 
| 0.351 | 0.352 | 0.375 | -0.023 | -0.004 | 18.950 | 
| 100.324 | 61.113 | 61.112 | 0.003 | 0.000 | 0.002 | 
| 61.115 | 100.324 | 61.111 | 0.003 | 0.000 | 0.002 | 
| 61.113 | 61.115 | 100.322 | 0.003 | 0.000 | 0.002 | 
| -0.133 | -0.134 | -0.136 | 18.701 | 0.000 | 0.002 | 
| -0.134 | -0.133 | -0.136 | 0.002 | 18.699 | 0.001 | 
| -0.133 | -0.134 | -0.136 | 0.002 | 0.000 | 18.700 | 
| 100.748 | 61.290 | 61.291 | -0.003 | -0.000 | -0.002 | 
| 61.289 | 100.748 | 61.292 | -0.003 | -0.000 | -0.002 | 
| 61.290 | 61.289 | 100.750 | -0.003 | -0.000 | -0.002 | 
| 0.133 | 0.134 | 0.136 | 18.696 | -0.000 | -0.001 | 
| 0.134 | 0.133 | 0.136 | -0.002 | 18.698 | -0.001 | 
| 0.133 | 0.134 | 0.136 | -0.002 | -0.000 | 18.697 | 
| 100.521 | 61.190 | 61.190 | 0.000 | 0.000 | 0.000 | 
| 61.190 | 100.521 | 61.190 | 0.000 | 0.000 | 0.000 | 
| 61.190 | 61.190 | 100.521 | 0.000 | 0.000 | 0.000 | 
| -0.006 | -0.010 | -0.024 | 18.693 | 0.000 | 0.000 | 
| -0.023 | -0.006 | -0.010 | 0.000 | 18.693 | 0.000 | 
| -0.010 | -0.023 | -0.007 | 0.000 | 0.000 | 18.693 | 
| 100.547 | 61.215 | 61.216 | -0.000 | -0.000 | -0.000 | 
| 61.215 | 100.547 | 61.216 | -0.000 | -0.000 | -0.000 | 
| 61.215 | 61.215 | 100.547 | -0.000 | -0.000 | -0.000 | 
| 0.006 | 0.010 | 0.024 | 18.693 | -0.000 | -0.000 | 
| 0.023 | 0.006 | 0.010 | -0.000 | 18.693 | -0.000 | 
| 0.010 | 0.023 | 0.007 | -0.000 | -0.000 | 18.693 | 
| 157.414 | 49.950 | 49.951 | 0.000 | 0.000 | -0.000 | 
| 49.950 | 157.414 | 49.951 | 0.000 | 0.000 | -0.000 | 
| 49.950 | 49.950 | 157.414 | 0.000 | 0.000 | -0.000 | 
| 0.001 | 0.001 | 0.002 | 53.513 | 0.000 | -0.000 | 
| 0.001 | 0.001 | 0.002 | 0.000 | 53.513 | -0.000 | 
| 0.001 | 0.001 | 0.002 | 0.000 | 0.000 | 53.513 | 
| 156.273 | 50.468 | 50.468 | -0.000 | -0.000 | -0.000 | 
| 50.468 | 156.273 | 50.468 | -0.000 | -0.000 | -0.000 | 
| 50.468 | 50.468 | 156.273 | -0.000 | -0.000 | -0.000 | 
| -0.001 | -0.001 | -0.002 | 53.513 | -0.000 | 0.000 | 
| -0.001 | -0.001 | -0.002 | -0.000 | 53.513 | 0.000 | 
| -0.001 | -0.001 | -0.002 | -0.000 | -0.000 | 53.513 | 
| 156.258 | 50.482 | 50.482 | 0.000 | 0.000 | 0.000 | 
| 50.482 | 156.258 | 50.482 | 0.000 | 0.000 | 0.000 | 
| 50.482 | 50.482 | 156.258 | 0.000 | 0.000 | 0.000 | 
| 0.000 | 0.000 | 0.000 | 304.143 | 0.000 | 0.000 | 
| 0.000 | 0.000 | 0.000 | 0.000 | 304.143 | 0.000 | 
| 0.000 | 0.000 | 0.000 | 0.000 | 0.000 | 304.143 | 
| 157.429 | 49.942 | 49.942 | -0.000 | -0.000 | 0.000 | 
| 49.942 | 157.429 | 49.942 | -0.000 | -0.000 | 0.000 | 
| 49.942 | 49.942 | 157.429 | -0.000 | -0.000 | 0.000 | 
| -0.000 | -0.000 | -0.000 | 304.143 | -0.000 | -0.000 | 
| -0.000 | -0.000 | -0.000 | -0.000 | 304.143 | -0.000 | 
| -0.000 | -0.000 | -0.000 | -0.000 | -0.000 | 304.143 | 
| 156.118 | 50.552 | 50.552 | 0.000 | 0.000 | 0.000 | 
| 50.552 | 156.118 | 50.552 | 0.000 | 0.000 | 0.000 | 
| 50.552 | 50.552 | 156.118 | 0.000 | 0.000 | -0.000 | 
| 0.000 | 0.000 | 0.000 | 53.513 | 0.000 | -0.000 | 
| 0.000 | 0.000 | 0.000 | 0.000 | 53.513 | -0.000 | 
| 0.000 | 0.000 | 0.000 | 0.000 | 0.000 | 53.513 | 
| 157.568 | 49.871 | 49.871 | -0.000 | -0.000 | 0.000 | 
| 49.871 | 157.568 | 49.871 | -0.000 | -0.000 | 0.000 | 
| 49.871 | 49.871 | 157.568 | -0.000 | -0.000 | 0.000 | 
| -0.000 | -0.000 | -0.000 | 53.513 | -0.000 | 0.000 | 
| -0.000 | -0.000 | -0.000 | -0.000 | 53.513 | 0.000 | 
| -0.000 | -0.000 | -0.000 | -0.000 | -0.000 | 53.513 | 
| 155.654 | 49.282 | 49.282 | 0.000 | -0.000 | -0.000 | 
| 49.282 | 155.654 | 49.282 | 0.000 | -0.000 | -0.000 | 
| 49.282 | 49.282 | 155.654 | 0.000 | -0.000 | -0.000 | 
| 0.016 | 0.016 | 0.016 | 55.016 | -0.000 | -0.000 | 
| 0.016 | 0.016 | 0.016 | 0.000 | 55.016 | -0.000 | 
| 0.016 | 0.016 | 0.016 | 0.000 | -0.000 | 55.016 | 
| 503.192 | -124.494 | -124.494 | 0.000 | 0.000 | -0.000 | 
| -124.494 | 503.192 | -124.494 | 0.000 | -0.000 | 0.000 | 
| -124.494 | -124.494 | 503.192 | 0.000 | 0.000 | -0.000 | 
| -0.016 | -0.016 | -0.016 | 55.016 | 0.000 | 0.000 | 
| -0.016 | -0.016 | -0.016 | -0.000 | 55.016 | 0.000 | 
| -0.016 | -0.016 | -0.016 | -0.000 | 0.000 | 55.016 | 
| 155.628 | 49.274 | 49.274 | 0.000 | -0.000 | -0.000 | 
| 49.274 | 155.628 | 49.274 | 0.000 | -0.000 | -0.000 | 
| 49.274 | 49.274 | 155.628 | 0.000 | -0.000 | -0.000 | 
| 0.000 | 0.000 | 0.000 | 300.095 | -0.000 | 0.000 | 
| 0.000 | 0.000 | 0.000 | -0.000 | 300.095 | -0.000 | 
| 0.000 | 0.000 | 0.000 | -0.000 | -0.000 | 300.095 | 
| 155.649 | 49.258 | 49.258 | -0.000 | 0.000 | 0.000 | 
| 49.258 | 155.649 | 49.258 | -0.000 | -0.000 | 0.000 | 
| 49.258 | 49.258 | 155.649 | -0.000 | 0.000 | -0.000 | 
| -0.000 | -0.000 | -0.000 | 300.095 | 0.000 | 0.000 | 
| -0.000 | -0.000 | -0.000 | -0.000 | 300.095 | 0.000 | 
| -0.000 | -0.000 | -0.000 | -0.000 | 0.000 | 300.095 | 
| 150.095 | 51.982 | 51.982 | 0.000 | -0.000 | -0.000 | 
| 51.982 | 150.095 | 51.982 | -0.000 | -0.000 | -0.000 | 
| 51.982 | 51.982 | 150.095 | 0.000 | -0.000 | -0.000 | 
| 0.001 | -0.000 | 0.000 | 55.043 | -0.000 | -0.000 | 
| -0.000 | 0.001 | 0.000 | 0.000 | 55.043 | -0.000 | 
| -0.000 | 0.000 | 0.001 | 0.000 | -0.000 | 55.043 | 
| 155.789 | 49.190 | 49.190 | -0.000 | 0.000 | 0.000 | 
| 49.190 | 155.789 | 49.190 | -0.000 | 0.000 | -0.000 | 
| 49.190 | 49.190 | 155.789 | -0.000 | 0.000 | 0.000 | 
| -0.001 | 0.000 | -0.000 | 55.043 | 0.000 | 0.000 | 
| 0.000 | -0.001 | -0.000 | -0.000 | 55.043 | 0.000 | 
| 0.000 | -0.000 | -0.001 | -0.000 | 0.000 | 55.043 | 
| 250.591 | 97.219 | -37.800 | 0.000 | -0.000 | 0.000 | 
| 103.016 | 334.093 | -130.834 | 0.000 | -0.000 | 0.000 | 
| -34.854 | -133.685 | 489.218 | 0.000 | -0.000 | 0.000 | 
| 0.000 | -0.000 | 0.000 | 23.248 | -0.000 | 0.000 | 
| 0.000 | 0.000 | -0.000 | 0.000 | 21.282 | 0.000 | 
| 0.000 | -0.000 | 0.000 | 0.000 | -0.000 | 25.983 | 
| 250.591 | 97.219 | -37.800 | -0.000 | 0.000 | -0.000 | 
| 103.016 | 334.093 | -130.834 | -0.000 | 0.000 | -0.000 | 
| -34.854 | -133.685 | 489.218 | -0.000 | 0.000 | -0.000 | 
| -0.000 | 0.000 | -0.000 | 23.248 | 0.000 | -0.000 | 
| -0.000 | -0.000 | 0.000 | -0.000 | 21.282 | 0.000 | 
| -0.000 | 0.000 | -0.000 | -0.000 | 0.000 | 25.983 | 
| 250.590 | 97.220 | -37.800 | 0.000 | -0.000 | 0.000 | 
| 103.015 | 334.094 | -130.834 | 0.000 | -0.000 | 0.000 | 
| -34.854 | -133.686 | 489.219 | 0.000 | -0.000 | 0.000 | 
| 0.000 | 0.000 | -0.000 | 23.248 | -0.000 | -0.000 | 
| 0.000 | 0.000 | -0.000 | 0.000 | 21.282 | -0.000 | 
| 0.000 | -0.000 | 0.000 | 0.000 | -0.000 | 25.983 | 
| 250.592 | 97.218 | -37.800 | -0.000 | 0.000 | 0.000 | 
| 103.017 | 334.092 | -130.834 | -0.000 | 0.000 | -0.000 | 
| -34.854 | -133.685 | 489.218 | -0.000 | 0.000 | -0.000 | 
| -0.000 | -0.000 | 0.000 | 23.248 | 0.000 | -0.000 | 
| -0.000 | -0.000 | 0.000 | -0.000 | 21.282 | -0.000 | 
| -0.000 | 0.000 | -0.000 | -0.000 | 0.000 | 25.983 | 
| 250.579 | 97.230 | -37.799 | 0.000 | -0.000 | 0.000 | 
| 103.008 | 334.102 | -130.834 | 0.000 | -0.000 | 0.000 | 
| -34.855 | -133.687 | 489.226 | 0.000 | -0.000 | 0.000 | 
| 0.000 | 0.000 | -0.000 | 23.248 | -0.000 | -0.000 | 
| 0.000 | 0.000 | -0.000 | 0.000 | 21.282 | -0.000 | 
| 0.000 | -0.000 | 0.000 | 0.000 | 0.000 | 25.983 | 
| 250.603 | 97.207 | -37.801 | -0.000 | 0.000 | -0.000 | 
| 103.023 | 334.084 | -130.834 | -0.000 | 0.000 | 0.000 | 
| -34.853 | -133.684 | 489.211 | -0.000 | 0.000 | -0.000 | 
| -0.000 | -0.000 | 0.000 | 23.248 | 0.000 | 0.000 | 
| -0.000 | -0.000 | 0.000 | -0.000 | 21.282 | -0.000 | 
| -0.000 | 0.000 | -0.000 | -0.000 | 0.000 | 25.983 | 
| 407.809 | -175.804 | -44.191 | 0.000 | 0.000 | 0.000 | 
| 181.620 | -275.232 | 99.882 | 0.000 | 0.000 | 0.000 | 
| 241.556 | -196.634 | 462.699 | 0.000 | -0.000 | -0.000 | 
| 47.037 | -226.975 | 35.170 | 14.850 | 0.000 | -0.000 | 
| 0.000 | -0.000 | 0.000 | 0.000 | 13.292 | 0.000 | 
| 0.000 | -0.000 | 0.000 | 0.000 | 0.000 | 16.272 | 
| 258.806 | 132.451 | -67.662 | -0.000 | 0.000 | -0.000 | 
| -202.866 | 269.329 | 93.024 | 0.000 | 0.000 | 0.000 | 
| -270.139 | 401.949 | 480.581 | 0.000 | 0.000 | -0.000 | 
| -47.037 | 226.975 | -35.170 | 14.850 | 0.000 | -0.000 | 
| 0.000 | 0.000 | -0.000 | 0.000 | 13.292 | -0.000 | 
| 0.000 | 0.000 | -0.000 | 0.000 | -0.000 | 16.272 | 
| 407.810 | -175.804 | -44.191 | 0.000 | 0.000 | -0.000 | 
| -48.642 | -5.872 | 107.929 | -0.000 | -0.000 | -0.000 | 
| 11.293 | 72.729 | 470.746 | 0.000 | -0.000 | -0.000 | 
| 9.252 | -44.644 | 6.917 | -68.973 | -0.000 | 0.000 | 
| 0.000 | -0.000 | -0.000 | -0.000 | 13.292 | -0.000 | 
| 0.000 | -0.000 | -0.000 | 0.000 | -0.000 | 16.272 | 
| 166.288 | -39.860 | -4.367 | -0.000 | 0.000 | -0.000 | 
| -163.212 | 79.026 | 122.450 | -0.000 | -0.000 | -0.000 | 
| -39.877 | 132.586 | 472.534 | 0.000 | 0.000 | -0.000 | 
| -9.252 | 44.644 | -6.917 | -68.973 | -0.000 | -0.000 | 
| -0.000 | 0.000 | 0.000 | -0.000 | 13.292 | 0.000 | 
| -0.000 | 0.000 | 0.000 | 0.000 | 0.000 | 16.272 | 
| 194.095 | -74.006 | -4.993 | 0.000 | -0.000 | 0.000 | 
| -158.461 | 55.865 | 126.051 | -0.000 | -0.000 | 0.000 | 
| -11.731 | 99.669 | 471.549 | 0.000 | -0.000 | -0.000 | 
| -2120976.974 | 1442827.067 | -6898032.946 | -3040501.264 | -0.000 | 0.000 | 
| 3.360 | -3.428 | -0.225 | 0.000 | 11.283 | 0.000 | 
| 0.757 | -3.650 | 0.566 | 0.000 | -0.000 | 15.917 | 
| 188.919 | -67.993 | -4.803 | -0.000 | -0.000 | -0.000 | 
| -76.770 | 27.064 | 108.906 | 0.000 | -0.000 | -0.000 | 
| -39.024 | 121.130 | 474.744 | 0.000 | 0.000 | 0.000 | 
| 2120976.974 | -1442827.066 | 6898032.945 | -3040501.264 | 0.000 | -0.000 | 
| -3.360 | 3.428 | 0.225 | 0.000 | 11.283 | 0.000 | 
| -0.757 | 3.650 | -0.566 | -0.000 | 0.000 | 15.917 | 
Phonon band structures and crystal properties estimated from quasi-harmonic approximation (QHA) calculations are displayed for select crystals. The calculations were performed using phonopy and LAMMPS. For the phonon calculations, 3x3 supercells of the potential-specific relaxed crystals were used. The QHA calculations were based on 11 strain states ranging from -0.05 to 0.05.
The calculation method used is available as the iprPy phonon calculation method.
Notes and Disclaimers:
Version Information:

























































































































































































Static free surface formation energies are displayed for select crystals. The values displayed here are obtained by taking a perfect periodic bulk crystal, slicing along a crystallographic plane, and using force minimization to statically relax the surfaces. The free surface formation energy is computed by comparing the energy of the defect system to the bulk system and dividing by the total surface area created by the cut.
The calculation method used is available as the iprPy surface_energy_static calculation method.
Notes and Disclaimers:
Version Information:
| Surface | γfs (mJ/m2) | 
|---|---|
| (111) 2 | 7022.57 | 
| (310) | 7221.60 | 
| (311) 2 | 7337.81 | 
| (100) | 7527.49 | 
| (332) | 7659.88 | 
| (210) | 7853.31 | 
| (321) | 7916.80 | 
| (211) | 7951.08 | 
| (221) | 7957.49 | 
| (320) | 8042.75 | 
| (322) | 8073.07 | 
| (311) 1 | 8088.62 | 
| (331) 1 | 8227.27 | 
| (331) 2 | 8245.25 | 
| (110) | 8422.55 | 
| (111) 1 | 12698.29 | 
| Surface | γfs (mJ/m2) | 
|---|---|
| (211) 2 | 685.39 | 
| (332) 2 | 733.32 | 
| (210) | 735.67 | 
| (311) | 778.20 | 
| (321) 2 | 809.71 | 
| (322) | 817.77 | 
| (221) | 822.67 | 
| (321) 1 | 826.47 | 
| (111) | 841.93 | 
| (320) | 852.48 | 
| (332) 1 | 866.06 | 
| (331) | 896.32 | 
| (310) | 904.37 | 
| (100) | 1007.05 | 
| (211) 1 | 1018.03 | 
| (110) | 1185.11 | 
| Surface | γfs (mJ/m2) | 
|---|---|
| (2132) 2 | -1186.44 | 
| (2132) 1 | -757.14 | 
| (1012) 2 | -599.32 | 
| (2021) 2 | -19.40 | 
| (2021) 1 | 27.72 | 
| (1012) 1 | 75.67 | 
| (1010) 1 | 153.05 | 
| (2131) 2 | 197.64 | 
| (2131) 1 | 224.72 | 
| (1121) | 310.02 | 
| (1011) 2 | 321.14 | 
| (1011) 1 | 321.14 | 
| (2130) 2 | 322.79 | 
| (2241) | 337.12 | 
| (2130) 1 | 370.45 | 
| (0001) | 825.62 | 
| (2112) | 904.88 | 
| (1120) | 1131.94 | 
| (1010) 2 | 1771.78 | 
| Surface | γfs (mJ/m2) | 
|---|---|
| (310) | -10199.36 | 
| (320) | -9367.49 | 
| (332) | -7903.63 | 
| (331) | -7163.23 | 
| (211) | -5444.37 | 
| (210) | -4931.97 | 
| (311) | -4551.91 | 
| (221) | -3603.10 | 
| (111) | -749.66 | 
| (322) | 695.84 | 
| (100) | 983.51 | 
| (110) | 3178.60 | 
| Surface | γfs (mJ/m2) | 
|---|---|
| (332) 2 | -16314.91 | 
| (332) 1 | -16223.69 | 
| (331) | -14970.69 | 
| (322) | -14183.92 | 
| (321) 1 | -12751.25 | 
| (321) 2 | -12680.14 | 
| (320) | -12375.91 | 
| (311) | -11093.32 | 
| (310) | -10783.05 | 
| (221) | -10201.82 | 
| (211) 1 | -8108.81 | 
| (211) 2 | -7877.05 | 
| (210) | -7451.07 | 
| (111) | -5604.55 | 
| (110) | -4453.43 | 
| (100) | -2953.81 | 
| Surface | γfs (mJ/m2) | 
|---|---|
| (211) | 369.81 | 
| (111) | 374.46 | 
| (321) | 391.78 | 
| (110) | 394.52 | 
| (332) | 397.10 | 
| (322) | 406.87 | 
| (221) | 408.86 | 
| (331) | 414.04 | 
| (311) | 447.05 | 
| (320) | 476.94 | 
| (210) | 559.37 | 
| (310) | 649.48 | 
| (100) | 823.36 | 
| Surface | γfs (mJ/m2) | 
|---|---|
| (100) | 588.96 | 
| (101) 1 | 739.62 | 
| (201) | 755.76 | 
| (112) | 776.06 | 
| (001) | 902.91 | 
| (110) | 904.26 | 
| (211) 1 | 926.62 | 
| (111) | 1006.68 | 
| (211) 2 | 1093.74 | 
| (101) 2 | 1677.71 | 
| Surface | γfs (mJ/m2) | 
|---|---|
| (100) | 442.71 | 
| (310) | 594.69 | 
| (210) | 630.90 | 
| (320) | 675.99 | 
| (110) | 707.50 | 
| (311) | 775.59 | 
| (321) | 837.31 | 
| (331) | 839.04 | 
| (221) | 866.42 | 
| (211) | 867.38 | 
| (332) | 921.11 | 
| (322) | 923.70 | 
| (111) | 965.59 | 
Stacking fault energy plots and maps are displayed for select crystals. The values are computed by
The calculation method used is available as the iprPy stacking_fault_map_2D calculation method.
Notes and Disclaimers:
Version Information:
| E_isf | 71.03 | 
| E_usf a/3 [-2 1 1 0] | 81.42 | 
| τ_ideal a/3 [-2 1 1 0] | 3.33 | 




| E_usf a/3 [-1 2 -1 0] | 1103.01 | 
| τ_ideal a/3 [-1 2 -1 0] | 14.86 | 




| E_usf a/3 [-1 2 -1 0] | 1610.95 | 
| τ_ideal a/3 [-1 2 -1 0] | 20.18 | 




| E_usf a/3 [-1 2 -1 0] | 636.53 | 
| E_usf a/3 [-2 1 1 3] | 3610.55 | 
| τ_ideal a/3 [-1 2 -1 0] | 9.97 | 
| τ_ideal a/3 [-2 1 1 3] | 49.53 | 





| E_usf a/3 [-1 2 -1 0] | 779.55 | 
| E_usf a/3 [-2 1 1 3] | 1090.23 | 
| τ_ideal a/3 [-1 2 -1 0] | 10.12 | 
| τ_ideal a/3 [-2 1 1 3] | 14.01 | 





| E_usf a/3 [-2 1 1 3] | 1537.84 | 
| τ_ideal a/3 [-2 1 1 3] | 15.63 | 




| E_usf a/2 [0 -1 1] | 894.41 | 
| τ_ideal a/2 [0 -1 1] | 22.55 | 




| E_isf | -74.29 | 
| E_usf a/2 [0 -1 1] | 137.61 | 
| τ_ideal a/2 [0 -1 1] | 32.19 | 




| E_usf a/2 [-1 1 -1] | 43.66 | 
| τ_ideal a/2 [-1 1 -1] | 2.05 | 




| E_usf a/2 [-1 -1 1] | 74.61 | 
| τ_ideal a/2 [-1 -1 1] | 2.70 | 




| E_usf a/2 [-1 -1 1] | 120.95 | 
| τ_ideal a/2 [-1 -1 1] | 4.13 | 




Static point defect formation energies, Ef, and elastic dipole tensors, pij, are displayed for select crystals. Relaxed defect configurations are obtained by taking a 12x12x12 supercell of a perfect periodic bulk crystal, inserting the point defect, and using force minimization to statically relax the atomic positions while keeping the system dimensions constant. Ef is computed by comparing the energy of the defect system to the same number of atoms in a perfect bulk crystal. pij is estimated as the difference in the system's global pressure with and without the defect multiplied by the system's volume.
Simple structural comparisons of the unrelaxed and relaxed defect configurations are used to help determine if the defect structure has relaxed to a different configuration. Relaxed structures that are identified as no longer consistent with the ideal defect definition are excluded from the table below. The only exception to this is if the lowest energy interstitial configuration does not coincide with a known ideal defect, its energies and pressure tensor are included under the listing "relaxed interstitial". The full list of calculation results including the transformed structures and the structural comparison values is included in the csv file available from the "Download raw data" link.
The calculation method used is available as the iprPy point_defect_static calculation method.
Notes and Disclaimers:
| Point Defect | Ef (eV) | p11 (eV) | p22 (eV) | p33 (eV) | p12 (eV) | p13 (eV) | p23 (eV) | 
|---|---|---|---|---|---|---|---|
| vacancy | 6.629 | 1.486 | 1.486 | 1.486 | 0.000 | -0.000 | 0.000 | 
| 1nn divacancy | 11.206 | 1.850 | 1.850 | 1.850 | 6.852 | 6.852 | 6.852 | 
| relaxed interstitial | 13.989 | 30.098 | 28.924 | 27.073 | 12.240 | 14.245 | 12.555 | 
| tetragonal interstitial | 15.540 | 30.739 | 30.739 | 30.739 | -0.000 | 0.000 | 0.000 | 
| Point Defect | Ef (eV) | p11 (eV) | p22 (eV) | p33 (eV) | p12 (eV) | p13 (eV) | p23 (eV) | 
|---|---|---|---|---|---|---|---|
| relaxed interstitial | -100.581 | 432.059 | 392.232 | -848.378 | -588.328 | -0.000 | 0.000 | 
| vacancy | 1.755 | -4.422 | -4.422 | -4.570 | -0.000 | 0.000 | 0.000 | 
| 0001 dumbbell | 1.838 | 21.043 | 21.043 | 12.310 | -0.000 | -0.000 | 0.000 | 
| Point Defect | Ef (eV) | p11 (eV) | p22 (eV) | p33 (eV) | p12 (eV) | p13 (eV) | p23 (eV) | 
|---|---|---|---|---|---|---|---|
| 100 dumbbell | 0.881 | 9.566 | 9.566 | 13.769 | 0.000 | -0.000 | -0.000 | 
| 111 dumbbell | 1.648 | 11.572 | 11.572 | 11.572 | -1.110 | -1.110 | -1.110 | 
| tetrahedral interstitial | 1.800 | 12.960 | 12.960 | 12.960 | 0.000 | 0.000 | -0.000 | 
| vacancy | 2.796 | -3.560 | -3.560 | -3.560 | 0.000 | -0.000 | 0.000 | 
| 2nn divacancy | 5.125 | -9.793 | -9.793 | -3.396 | 0.000 | -0.000 | -0.000 | 
| Point Defect | Ef (eV) | p11 (eV) | p22 (eV) | p33 (eV) | p12 (eV) | p13 (eV) | p23 (eV) | 
|---|---|---|---|---|---|---|---|
| vacancy | -0.018 | -2.917 | -2.917 | -2.917 | -0.000 | 0.000 | -0.000 | 
| 1nn divacancy | -0.011 | -5.199 | -5.199 | -5.199 | -0.030 | -0.030 | -0.030 | 
| 100 dumbbell | 0.325 | 18.116 | 18.116 | 15.575 | -0.000 | 0.000 | -0.000 | 
| 2nn divacancy | 0.425 | -2.111 | -2.111 | -3.166 | -0.000 | 0.000 | 0.000 | 
| octahedral interstitial | 0.433 | 19.098 | 18.106 | 18.106 | 0.000 | 0.000 | 0.000 | 
| tetrahedral interstitial | 0.647 | 19.825 | 17.094 | 19.825 | 0.000 | -0.000 | 0.000 | 
Plots of the atomic structure of dislocation cores are shown here. The dislocations were constructed using dislocation monopole configurations in which a straight dislocation is created in the center of the system using anisotropic elasticity and the elastic constants computed above. A cylindrical region centered around the dislocation is allowed to relax while the remaining atoms are held fixed. The relaxation consists of 1 million NVT steps at 10 K followed by an energy/force minimization. The final plots show the atomic configuration near the center of the monopole system, and display differential displacement arrows and Nye tensor color maps that are both taken with respect to the Burgers vector direction.
These plots show a wide range of final structures, some corresponding to expected dislocation structures and others not. While the characterizations are dislocation-type dependent, some general classification guidelines are listed here.
The calculation method used is available as the iprPy dislocation_monopole calculation method.
Links are provided above the images allowing for users to download the final defect configuration and a corresponding defect-free configuration if they wish to further analyze the structures or use them for subsequent simulations.
Notes and Disclaimers:
Version Information:
Plots of lattice and elastic constants are shown as a function of temperature. The 0K points were taken from the Crystal Structure Predictions and the Elastic Constants Predictions sections above for the unique crystal structures relaxed with the "dynamic" method. Starting from the 0 K relaxed crystal unit cells, supercell systems are created by replicating all three dimensions by the same multiplier to achieve at least 4000 atoms. The systems are then relaxed at 50 K and zero pressure using 1 million NPT steps. Lattice constants are estimated by averaging the measured box dimensions. Temperatures are iteratively increased by 50 K, with each subsequent relaxation calculation starting from the final atomic configuration at the previous temperature and relaxing for another 1 million steps.
The elastic constants are calculated using the deformation–fluctuation hybrid method. Starting from the final atomic configurations of the dynamic relaxations, the system is allowed to evolve at constant volume with a Langevin thermostat. The Born matrix is computed during this run by evaluating how the atomic forces would vary due to applied linear strain fields. The elastic constants can then be estimated using the averaged Born matrix values and the averaged stresses on the system.
The calculation methods used are available as the iprPy relax_dynamic and elastic_constants_dynamic calculation methods.
Clicking on the image of a plot will open an interactive version of it in a new tab. The underlying data for the plots can be downloaded by clicking on the links above each plot.
Notes and Disclaimers:
Version Information:
Plots of internal energy, Gibbs free energy, entropy, heat capacity and volume are shown here as a function of temperature for various crystal structures and liquid phases. The included crystal structures correspond to those in the Solid Structures vs. Temperature section, and the liquid phases to those in the Liquid Properties section. Internal energy and volume are taken from the associated structure relaxations mentioned in those previous sections. Constant pressure heat capacity is estimated using 3-point numerical derivatives of enthalpy versus temperature. Note that since all simulations done here are at 0 pressure, internal energy and enthalpy are equivalent.
The Gibbs energies of the phases are estimated using thermodynamic integration between the interatomic potential in question and a simpler model with known Gibbs free energy values. For solids, the reference model is an Einstein solid, while for liquids it is the Uhlenbeck-Ford potential. Besides a short run at the start of the solid calculations to estimate Einstein model spring constants, the two calculations proceed similarly. Starting with the final relaxation configurations, the systems are stabilized for 25,000 steps. Then, over the next 50,000 steps the potential is swapped out for the reference potential. The system is then stabilized for another 25,000 steps with the reference model before a reverse swap of 50,000 steps is performed. The simulation ends with one final 25,000 step stabilization period. From the simulation, the irreversible work of transformation is estimated and used to compute the absolute Gibbs free energy of the target phase and potential relative to the reference potential. Entropy is estimated as the difference in enthalpy and Gibbs free energy and divided by temperature.
The calculation methods used are available as the iprPy relax_dynamic, relax_liquid_redo, free_energy, and free_energy_liquid calculation methods.
Clicking on the image of a plot will open an interactive version of it in a new tab. The underlying data for the plots can be downloaded by clicking on the links above each plot.
Notes and Disclaimers:
Version Information:
            
            




