Plots of the potential energy vs interatomic spacing, r, are shown below for all diatom sets associated with the interatomic potential. This calculation provides insights into the functional form of the potential's two-body interactions. A system consisting of only two atoms is created, and the potential energy is evaluated for the atoms separated by 0.02 Å <= r <= 6.0> Å in intervals of 0.02 Å. Two plots are shown: one for the "standard" interaction distance range, and one for small values of r. The small r plot is useful for determining whether the potential is suitable for radiation studies.
The calculation method used is available as the iprPy diatom_scan calculation method.
Clicking on the image of a plot will open an interactive version of it in a new tab. The underlying data for the plots can be downloaded by clicking on the links above each plot.
Notes and Disclaimers:
Version Information:
Plots of potential energy vs interatomic spacing, r, are shown below for a number of crystal structures. The structures are generated based on the ideal atomic positions and b/a and c/a lattice parameter ratios for a given crystal prototype. The size of the system is then uniformly scaled, and the energy calculated without relaxing the system. To obtain these plots, values of r are evaluated every 0.02 Å up to 6 Å.
The calculation method used is available as the iprPy E_vs_r_scan calculation method.
Clicking on the image of a plot will open an interactive version of it in a new tab. The underlying data for the plots can be downloaded by clicking on the links above each plot.
Notes and Disclaimers:
Version Information:
Computed lattice constants and cohesive/potential energies are displayed for a variety of crystal structures. The values displayed here are obtained using the following process.
The calculation methods used are implemented into iprPy as the following calculation styles
Notes and Disclaimers:
Version Information:
Download raw data (including filtered results)
Reference structure matches:
A1--Cu--fcc = mp-8633, oqmd-592135, oqmd-1214518
A15--beta-W = mp-17, oqmd-620565, oqmd-691761, oqmd-1214963, oqmd-1280318
A2--W--bcc = mp-90, oqmd-676284, oqmd-676532, oqmd-677049, oqmd-685486, oqmd-690214, oqmd-691769, oqmd-1215141
A3'--alpha-La--double-hcp = oqmd-1215409
A3--Mg--hcp = mp-89, oqmd-592444, oqmd-622452, oqmd-1215319
A4--C--dc = oqmd-1215498
A5--beta-Sn = oqmd-1215587
A6--In--bct = oqmd-1215676
A7--alpha-As = oqmd-1215765
| prototype | method | Ecoh (eV/atom) | Epot (eV/atom) | a0 (Å) | b0 (Å) | c0 (Å) | α (degrees) | β (degrees) | γ (degrees) |
|---|---|---|---|---|---|---|---|---|---|
| A2--W--bcc | dynamic | -4.0937 | -4.0937 | 2.8846 | 2.8846 | 2.8846 | 90.0 | 90.0 | 90.0 |
| A1--Cu--fcc | dynamic | -4.0902 | -4.0902 | 3.6562 | 3.6562 | 3.6562 | 90.0 | 90.0 | 90.0 |
| A3'--alpha-La--double-hcp | dynamic | -4.0853 | -4.0853 | 2.5878 | 2.5878 | 8.3467 | 90.0 | 90.0 | 120.0 |
| oqmd-1216032 | dynamic | -4.0847 | -4.0847 | 2.5891 | 2.5891 | 18.6968 | 90.0 | 90.0 | 120.0 |
| A3--Mg--hcp | dynamic | -4.0837 | -4.0837 | 2.5915 | 2.5915 | 4.1195 | 90.0 | 90.0 | 120.0 |
| A3--Mg--hcp | box | -4.0837 | -4.0837 | 2.5916 | 2.5916 | 4.1195 | 90.0 | 90.0 | 120.0 |
| oqmd-1216032 | box | -4.0834 | -4.0834 | 2.5889 | 2.5889 | 18.7028 | 90.0 | 90.0 | 120.0 |
| oqmd-1215230 | box | -4.0495 | -4.0495 | 2.5195 | 4.5803 | 4.16 | 90.0 | 90.0 | 90.0 |
| mp-1059289 | box | -4.0146 | -4.0146 | 2.5026 | 4.5736 | 4.2165 | 90.0 | 90.0 | 90.0 |
| oqmd-691775 | box | -3.9949 | -3.9949 | 2.5595 | 2.5595 | 6.4206 | 90.0 | 90.0 | 120.0 |
| A15--beta-W | dynamic | -3.9902 | -3.9902 | 4.6919 | 4.6919 | 4.6919 | 90.0 | 90.0 | 90.0 |
| oqmd-1214785 | static | -3.9753 | -3.9753 | 8.9575 | 8.9575 | 8.9575 | 90.0 | 90.0 | 90.0 |
| oqmd-1214785 | box | -3.9693 | -3.9693 | 8.9727 | 8.9727 | 8.9727 | 90.0 | 90.0 | 90.0 |
| oqmd-1214874 | dynamic | -3.9656 | -3.9656 | 6.2732 | 6.2732 | 6.2732 | 90.0 | 90.0 | 90.0 |
| oqmd-1214874 | box | -3.9627 | -3.9627 | 6.285 | 6.285 | 6.285 | 90.0 | 90.0 | 90.0 |
| mp-1192789 | dynamic | -3.8875 | -3.8875 | 8.7451 | 8.7451 | 4.7261 | 90.0 | 90.0 | 90.0 |
| mp-1192789 | box | -3.8677 | -3.8677 | 8.8264 | 8.8264 | 4.7211 | 90.0 | 90.0 | 90.0 |
| oqmd-631035 | box | -3.8557 | -3.8557 | 8.723 | 8.723 | 4.7281 | 90.0 | 90.0 | 90.0 |
| oqmd-1214696 | static | -3.8197 | -3.8197 | 2.6688 | 4.1676 | 8.9608 | 90.0 | 90.0 | 90.0 |
| oqmd-1214696 | box | -3.8182 | -3.8182 | 2.6773 | 4.1709 | 8.9672 | 90.0 | 90.0 | 90.0 |
| oqmd-1215052 | box | -3.6405 | -3.6405 | 3.4574 | 8.8203 | 3.4599 | 90.0 | 90.0 | 90.0 |
| A5--beta-Sn | static | -3.5779 | -3.5779 | 4.6406 | 4.6406 | 2.4182 | 90.0 | 90.0 | 90.0 |
| Ah--alpha-Po--sc | static | -3.3281 | -3.3281 | 2.4205 | 2.4205 | 2.4205 | 90.0 | 90.0 | 90.0 |
| A7--alpha-As | box | -3.3279 | -3.3279 | 3.423 | 3.423 | 8.3859 | 90.0 | 90.0 | 120.0 |
| A7--alpha-As | box | -2.8844 | -2.8844 | 3.2998 | 3.2998 | 10.2677 | 90.0 | 90.0 | 120.0 |
| A4--C--dc | static | -2.2543 | -2.2543 | 5.4356 | 5.4356 | 5.4356 | 90.0 | 90.0 | 90.0 |
Download raw data (including filtered results)
Reference structure matches:
| prototype | method | Ecoh (eV/atom) | Epot (eV/atom) | a0 (Å) | b0 (Å) | c0 (Å) | α (degrees) | β (degrees) | γ (degrees) |
|---|---|---|---|---|---|---|---|---|---|
| mp-1077708 | static | -4.1773 | -4.1773 | 6.6379 | 6.6379 | 6.6379 | 90.0 | 90.0 | 90.0 |
| C1--CaF2--fluorite | static | -3.276 | -3.276 | 5.7701 | 5.7701 | 5.7701 | 90.0 | 90.0 | 90.0 |
| oqmd-1232501 | box | -2.5581 | -2.5581 | 5.542 | 5.542 | 3.6172 | 90.0 | 90.0 | 90.0 |
| oqmd-1240427 | static | -1.3746 | -1.3746 | 11.6446 | 11.6446 | 11.6446 | 90.0 | 90.0 | 90.0 |
Download raw data (including filtered results)
Reference structure matches:
| prototype | method | Ecoh (eV/atom) | Epot (eV/atom) | a0 (Å) | b0 (Å) | c0 (Å) | α (degrees) | β (degrees) | γ (degrees) |
|---|---|---|---|---|---|---|---|---|---|
| oqmd-426579 | box | -4.0593 | -4.0593 | 7.2391 | 7.2391 | 8.8498 | 90.0 | 90.0 | 120.0 |
Download raw data (including filtered results)
Reference structure matches:
L2_1--AlCu2Mn--heusler = oqmd-387658
| prototype | method | Ecoh (eV/atom) | Epot (eV/atom) | a0 (Å) | b0 (Å) | c0 (Å) | α (degrees) | β (degrees) | γ (degrees) |
|---|---|---|---|---|---|---|---|---|---|
| L2_1--AlCu2Mn--heusler | dynamic | -4.2835 | -4.2835 | 5.8583 | 5.8583 | 5.8583 | 90.0 | 90.0 | 90.0 |
Download raw data (including filtered results)
Reference structure matches:
| prototype | method | Ecoh (eV/atom) | Epot (eV/atom) | a0 (Å) | b0 (Å) | c0 (Å) | α (degrees) | β (degrees) | γ (degrees) |
|---|---|---|---|---|---|---|---|---|---|
| mp-1077252 | static | -4.078 | -4.078 | 6.6576 | 6.6576 | 6.6576 | 90.0 | 90.0 | 90.0 |
| C1--CaF2--fluorite | static | -3.5542 | -3.5542 | 5.4447 | 5.4447 | 5.4447 | 90.0 | 90.0 | 90.0 |
| oqmd-1232523 | box | -2.9003 | -2.9003 | 5.0921 | 5.0921 | 3.781 | 90.0 | 90.0 | 90.0 |
| oqmd-1238640 | static | -1.6578 | -1.6578 | 11.6909 | 11.6909 | 11.6909 | 90.0 | 90.0 | 90.0 |
Download raw data (including filtered results)
Reference structure matches:
| prototype | method | Ecoh (eV/atom) | Epot (eV/atom) | a0 (Å) | b0 (Å) | c0 (Å) | α (degrees) | β (degrees) | γ (degrees) |
|---|---|---|---|---|---|---|---|---|---|
| oqmd-426601 | box | -3.0998 | -3.0998 | 7.7069 | 7.7069 | 11.6791 | 90.0 | 90.0 | 120.0 |
Download raw data (including filtered results)
Reference structure matches:
D0_3--BiF3 = mp-1008282, oqmd-310984
L1_2--AuCu3 = mp-1008285, oqmd-343214
| prototype | method | Ecoh (eV/atom) | Epot (eV/atom) | a0 (Å) | b0 (Å) | c0 (Å) | α (degrees) | β (degrees) | γ (degrees) |
|---|---|---|---|---|---|---|---|---|---|
| oqmd-300442 | dynamic | -4.2876 | -4.2876 | 3.5738 | 3.5738 | 7.4418 | 90.0 | 90.0 | 90.0 |
| A15--Cr3Si | dynamic | -4.2449 | -4.2449 | 4.6577 | 4.6577 | 4.6577 | 90.0 | 90.0 | 90.0 |
| L1_2--AuCu3 | dynamic | -4.2434 | -4.2434 | 3.6051 | 3.6051 | 3.6051 | 90.0 | 90.0 | 90.0 |
| oqmd-318728 | dynamic | -4.2371 | -4.2371 | 5.0824 | 5.0824 | 4.2298 | 90.0 | 90.0 | 120.0 |
| D0_3--BiF3 | dynamic | -4.2362 | -4.2362 | 5.8158 | 5.8158 | 5.8158 | 90.0 | 90.0 | 90.0 |
| oqmd-318728 | box | -4.2291 | -4.2291 | 5.0832 | 5.0832 | 4.2367 | 90.0 | 90.0 | 120.0 |
Download raw data (including filtered results)
Reference structure matches:
A15--Cr3Si = oqmd-1280316
D0_3--BiF3 = mp-1008275, oqmd-313086
L1_2--AuCu3 = mp-1008278, oqmd-344860
| prototype | method | Ecoh (eV/atom) | Epot (eV/atom) | a0 (Å) | b0 (Å) | c0 (Å) | α (degrees) | β (degrees) | γ (degrees) |
|---|---|---|---|---|---|---|---|---|---|
| mp-1008284 | dynamic | -4.3603 | -4.3603 | 3.5666 | 3.5666 | 7.2227 | 90.0 | 90.0 | 90.0 |
| L1_2--AuCu3 | dynamic | -4.3316 | -4.3316 | 3.5735 | 3.5735 | 3.5735 | 90.0 | 90.0 | 90.0 |
| oqmd-320374 | dynamic | -4.3254 | -4.3254 | 5.0442 | 5.0442 | 4.1586 | 90.0 | 90.0 | 120.0 |
| D0_3--BiF3 | dynamic | -4.316 | -4.316 | 5.736 | 5.736 | 5.736 | 90.0 | 90.0 | 90.0 |
| oqmd-320374 | box | -4.2877 | -4.2877 | 5.0737 | 5.0737 | 4.1688 | 90.0 | 90.0 | 120.0 |
| A15--Cr3Si | static | -4.2838 | -4.2838 | 4.6047 | 4.6047 | 4.6047 | 90.0 | 90.0 | 90.0 |
Download raw data (including filtered results)
Reference structure matches:
| prototype | method | Ecoh (eV/atom) | Epot (eV/atom) | a0 (Å) | b0 (Å) | c0 (Å) | α (degrees) | β (degrees) | γ (degrees) |
|---|---|---|---|---|---|---|---|---|---|
| mp-1226243 | static | -4.208 | -4.208 | 2.89 | 4.0502 | 20.3062 | 90.0 | 90.0 | 90.0 |
| mp-1226243 | box | -4.2074 | -4.2074 | 2.8907 | 4.0499 | 20.3018 | 90.0 | 90.0 | 90.0 |
Download raw data (including filtered results)
Reference structure matches:
B1--NaCl--rock-salt = oqmd-1105105
B2--CsCl = oqmd-305920
B3--ZnS--cubic-zinc-blende = oqmd-1219336
L1_0--AuCu = oqmd-337462
| prototype | method | Ecoh (eV/atom) | Epot (eV/atom) | a0 (Å) | b0 (Å) | c0 (Å) | α (degrees) | β (degrees) | γ (degrees) |
|---|---|---|---|---|---|---|---|---|---|
| oqmd-327004 | dynamic | -4.4192 | -4.4192 | 2.5042 | 2.5042 | 12.7639 | 90.0 | 90.0 | 120.0 |
| oqmd-1229015 | dynamic | -4.4136 | -4.4136 | 2.5041 | 2.5041 | 4.1753 | 90.0 | 90.0 | 120.0 |
| mp-1226211 | static | -4.3788 | -4.3788 | 2.9042 | 4.022 | 4.0735 | 90.0 | 90.0 | 90.0 |
| L1_0--AuCu | dynamic | -4.369 | -4.369 | 2.4359 | 2.4359 | 3.8635 | 90.0 | 90.0 | 90.0 |
| oqmd-1219850 | dynamic | -4.3531 | -4.3531 | 4.2389 | 2.4278 | 4.5476 | 90.0 | 90.0 | 90.0 |
| oqmd-1219850 | box | -4.2728 | -4.2728 | 4.3579 | 2.4678 | 4.5117 | 90.0 | 90.0 | 90.0 |
| B2--CsCl | dynamic | -4.2329 | -4.2329 | 2.9425 | 2.9425 | 2.9425 | 90.0 | 90.0 | 90.0 |
| L1_0--AuCu | box | -4.2023 | -4.2023 | 3.0125 | 3.0125 | 2.6998 | 90.0 | 90.0 | 90.0 |
| B1--NaCl--rock-salt | static | -3.4754 | -3.4754 | 4.8467 | 4.8467 | 4.8467 | 90.0 | 90.0 | 90.0 |
| B4--ZnS--wurtzite | box | -2.2709 | -2.2709 | 4.035 | 4.035 | 6.4874 | 90.0 | 90.0 | 120.0 |
| oqmd-1225529 | box | -2.2707 | -2.2707 | 4.0333 | 4.0333 | 6.491 | 90.0 | 90.0 | 120.0 |
| B3--ZnS--cubic-zinc-blende | static | -2.2338 | -2.2338 | 5.6879 | 5.6879 | 5.6879 | 90.0 | 90.0 | 90.0 |
Download raw data (including filtered results)
Reference structure matches:
| prototype | method | Ecoh (eV/atom) | Epot (eV/atom) | a0 (Å) | b0 (Å) | c0 (Å) | α (degrees) | β (degrees) | γ (degrees) |
|---|---|---|---|---|---|---|---|---|---|
| C1--CaF2--fluorite | dynamic | -3.4254 | -3.4254 | 5.7971 | 5.7971 | 5.7971 | 90.0 | 90.0 | 90.0 |
| oqmd-1240426 | static | -1.7441 | -1.7441 | 11.5321 | 11.5321 | 11.5321 | 90.0 | 90.0 | 90.0 |
Download raw data (including filtered results)
Reference structure matches:
L2_1--AlCu2Mn--heusler = oqmd-527070
| prototype | method | Ecoh (eV/atom) | Epot (eV/atom) | a0 (Å) | b0 (Å) | c0 (Å) | α (degrees) | β (degrees) | γ (degrees) |
|---|---|---|---|---|---|---|---|---|---|
| L2_1--AlCu2Mn--heusler | dynamic | -4.2862 | -4.2862 | 5.8788 | 5.8788 | 5.8788 | 90.0 | 90.0 | 90.0 |
Download raw data (including filtered results)
Reference structure matches:
D0_3--BiF3 = mp-1018067, oqmd-308186
L1_2--AuCu3 = mp-1018081, oqmd-346012
| prototype | method | Ecoh (eV/atom) | Epot (eV/atom) | a0 (Å) | b0 (Å) | c0 (Å) | α (degrees) | β (degrees) | γ (degrees) |
|---|---|---|---|---|---|---|---|---|---|
| oqmd-297657 | dynamic | -4.383 | -4.383 | 3.5855 | 3.5855 | 7.4526 | 90.0 | 90.0 | 90.0 |
| L1_2--AuCu3 | dynamic | -4.3375 | -4.3375 | 3.6158 | 3.6158 | 3.6158 | 90.0 | 90.0 | 90.0 |
| oqmd-321526 | dynamic | -4.3313 | -4.3313 | 5.0988 | 5.0988 | 4.2393 | 90.0 | 90.0 | 120.0 |
| oqmd-321526 | box | -4.331 | -4.331 | 5.0986 | 5.0986 | 4.2388 | 90.0 | 90.0 | 120.0 |
| D0_3--BiF3 | dynamic | -4.3297 | -4.3297 | 5.8282 | 5.8282 | 5.8282 | 90.0 | 90.0 | 90.0 |
| A15--Cr3Si | dynamic | -4.3289 | -4.3289 | 4.6697 | 4.6697 | 4.6697 | 90.0 | 90.0 | 90.0 |
Download raw data (including filtered results)
Reference structure matches:
| prototype | method | Ecoh (eV/atom) | Epot (eV/atom) | a0 (Å) | b0 (Å) | c0 (Å) | α (degrees) | β (degrees) | γ (degrees) |
|---|---|---|---|---|---|---|---|---|---|
| mp-1226230 | dynamic | -4.3325 | -4.3325 | 2.8798 | 4.0565 | 20.5048 | 90.0 | 90.0 | 90.0 |
| mp-1226230 | box | -4.3315 | -4.3315 | 2.8815 | 4.0545 | 20.5037 | 90.0 | 90.0 | 90.0 |
Download raw data (including filtered results)
Reference structure matches:
| prototype | method | Ecoh (eV/atom) | Epot (eV/atom) | a0 (Å) | b0 (Å) | c0 (Å) | α (degrees) | β (degrees) | γ (degrees) |
|---|---|---|---|---|---|---|---|---|---|
| oqmd-959986 | static | -3.5991 | -3.5991 | 5.5746 | 5.5746 | 5.5746 | 90.0 | 90.0 | 90.0 |
| oqmd-835095 | box | -3.5669 | -3.5669 | 5.7885 | 5.7885 | 5.7885 | 90.0 | 90.0 | 90.0 |
| oqmd-958168 | static | -3.5201 | -3.5201 | 5.7652 | 5.7652 | 5.7652 | 90.0 | 90.0 | 90.0 |
Download raw data (including filtered results)
Reference structure matches:
L2_1--AlCu2Mn--heusler = oqmd-528888
| prototype | method | Ecoh (eV/atom) | Epot (eV/atom) | a0 (Å) | b0 (Å) | c0 (Å) | α (degrees) | β (degrees) | γ (degrees) |
|---|---|---|---|---|---|---|---|---|---|
| L2_1--AlCu2Mn--heusler | static | -4.3145 | -4.3145 | 5.8592 | 5.8592 | 5.8592 | 90.0 | 90.0 | 90.0 |
Download raw data (including filtered results)
Reference structure matches:
B1--NaCl--rock-salt = oqmd-1106140
B2--CsCl = mp-1226196, oqmd-306955
B3--ZnS--cubic-zinc-blende = oqmd-1219358
L1_0--AuCu = oqmd-338497
| prototype | method | Ecoh (eV/atom) | Epot (eV/atom) | a0 (Å) | b0 (Å) | c0 (Å) | α (degrees) | β (degrees) | γ (degrees) |
|---|---|---|---|---|---|---|---|---|---|
| mp-1226232 | dynamic | -4.443 | -4.443 | 2.4867 | 2.4867 | 12.3548 | 90.0 | 90.0 | 120.0 |
| L1_0--AuCu | dynamic | -4.4411 | -4.4411 | 2.446 | 2.446 | 3.6534 | 90.0 | 90.0 | 90.0 |
| oqmd-1229037 | dynamic | -4.4313 | -4.4313 | 2.4843 | 2.4843 | 4.0954 | 90.0 | 90.0 | 120.0 |
| oqmd-1219872 | dynamic | -4.4241 | -4.4241 | 4.1775 | 2.4294 | 4.3992 | 90.0 | 90.0 | 90.0 |
| oqmd-1219872 | box | -4.4208 | -4.4208 | 4.1779 | 2.4394 | 4.3775 | 90.0 | 90.0 | 90.0 |
| B2--CsCl | dynamic | -4.3188 | -4.3188 | 2.8976 | 2.8976 | 2.8976 | 90.0 | 90.0 | 90.0 |
| B1--NaCl--rock-salt | static | -3.7357 | -3.7357 | 4.7752 | 4.7752 | 4.7752 | 90.0 | 90.0 | 90.0 |
| oqmd-1225551 | box | -3.0194 | -3.0194 | 4.266 | 4.266 | 4.9786 | 90.0 | 90.0 | 120.0 |
| B4--ZnS--wurtzite | box | -2.7099 | -2.7099 | 3.8982 | 3.8982 | 6.3827 | 90.0 | 90.0 | 120.0 |
| B3--ZnS--cubic-zinc-blende | static | -2.6842 | -2.6842 | 5.4766 | 5.4766 | 5.4766 | 90.0 | 90.0 | 90.0 |
Download raw data (including filtered results)
Reference structure matches:
| prototype | method | Ecoh (eV/atom) | Epot (eV/atom) | a0 (Å) | b0 (Å) | c0 (Å) | α (degrees) | β (degrees) | γ (degrees) |
|---|---|---|---|---|---|---|---|---|---|
| mp-784631 | dynamic | -4.4799 | -4.4799 | 2.4442 | 3.6238 | 7.5581 | 90.0 | 90.0 | 90.0 |
| mp-784631 | box | -4.4797 | -4.4797 | 2.4436 | 3.6281 | 7.5537 | 90.0 | 90.0 | 90.0 |
| mp-1077077 | dynamic | -4.361 | -4.361 | 6.4202 | 6.4202 | 6.4202 | 90.0 | 90.0 | 90.0 |
| C1--CaF2--fluorite | static | -3.7025 | -3.7025 | 5.8053 | 5.8053 | 5.8053 | 90.0 | 90.0 | 90.0 |
| oqmd-1238639 | static | -2.574 | -2.574 | 11.5813 | 11.5813 | 11.5813 | 90.0 | 90.0 | 90.0 |
Download raw data (including filtered results)
Reference structure matches:
D0_3--BiF3 = mp-1007975, oqmd-309832
L1_2--AuCu3 = mp-1007974, oqmd-348114
| prototype | method | Ecoh (eV/atom) | Epot (eV/atom) | a0 (Å) | b0 (Å) | c0 (Å) | α (degrees) | β (degrees) | γ (degrees) |
|---|---|---|---|---|---|---|---|---|---|
| mp-1226338 | dynamic | -4.4704 | -4.4704 | 2.5017 | 2.5017 | 24.5919 | 90.0 | 90.0 | 120.0 |
| mp-1226338 | box | -4.4701 | -4.4701 | 2.5013 | 2.5013 | 24.6162 | 90.0 | 90.0 | 120.0 |
| mp-1007923 | dynamic | -4.4593 | -4.4593 | 3.5266 | 3.5266 | 7.2135 | 90.0 | 90.0 | 90.0 |
| L1_2--AuCu3 | dynamic | -4.4344 | -4.4344 | 3.5399 | 3.5399 | 3.5399 | 90.0 | 90.0 | 90.0 |
| A15--Cr3Si | dynamic | -4.4263 | -4.4263 | 4.5434 | 4.5434 | 4.5434 | 90.0 | 90.0 | 90.0 |
| oqmd-323628 | dynamic | -4.4155 | -4.4155 | 4.9883 | 4.9883 | 4.2511 | 90.0 | 90.0 | 120.0 |
| oqmd-323628 | box | -4.4148 | -4.4148 | 4.987 | 4.987 | 4.2471 | 90.0 | 90.0 | 120.0 |
| D0_3--BiF3 | static | -4.3565 | -4.3565 | 5.8522 | 5.8522 | 5.8522 | 90.0 | 90.0 | 90.0 |
Download raw data (including filtered results)
Reference structure matches:
A1--Cu--fcc = mp-150, oqmd-7505, oqmd-1214525
A15--beta-W = oqmd-1214970
A2--W--bcc = mp-13, oqmd-8568, oqmd-22514, oqmd-1215148
A3'--alpha-La--double-hcp = oqmd-1215416
A3--Mg--hcp = mp-136, oqmd-30158, oqmd-51781, oqmd-1215326, oqmd-1215391
A4--C--dc = oqmd-1215505
A5--beta-Sn = oqmd-1215594
A6--In--bct = oqmd-1215683
Ah--alpha-Po--sc = mp-568345
| prototype | method | Ecoh (eV/atom) | Epot (eV/atom) | a0 (Å) | b0 (Å) | c0 (Å) | α (degrees) | β (degrees) | γ (degrees) |
|---|---|---|---|---|---|---|---|---|---|
| A2--W--bcc | dynamic | -4.2803 | -4.2803 | 2.8667 | 2.8667 | 2.8667 | 90.0 | 90.0 | 90.0 |
| A1--Cu--fcc | dynamic | -4.2802 | -4.2802 | 3.633 | 3.633 | 3.633 | 90.0 | 90.0 | 90.0 |
| A3--Mg--hcp | dynamic | -4.2782 | -4.2782 | 2.5699 | 2.5699 | 4.0931 | 90.0 | 90.0 | 120.0 |
| oqmd-1216039 | dynamic | -4.2775 | -4.2775 | 2.5692 | 2.5692 | 18.5634 | 90.0 | 90.0 | 120.0 |
| A3'--alpha-La--double-hcp | dynamic | -4.2772 | -4.2772 | 2.569 | 2.569 | 8.285 | 90.0 | 90.0 | 120.0 |
| oqmd-1216039 | box | -4.2769 | -4.2769 | 2.5692 | 2.5692 | 18.5621 | 90.0 | 90.0 | 120.0 |
| oqmd-1215237 | box | -4.235 | -4.235 | 2.4969 | 4.5468 | 4.1363 | 90.0 | 90.0 | 90.0 |
| A15--beta-W | dynamic | -4.1561 | -4.1561 | 4.6866 | 4.6866 | 4.6866 | 90.0 | 90.0 | 90.0 |
| oqmd-1214792 | dynamic | -4.1523 | -4.1523 | 8.915 | 8.915 | 8.915 | 90.0 | 90.0 | 90.0 |
| oqmd-1214881 | dynamic | -4.1454 | -4.1454 | 6.2446 | 6.2446 | 6.2446 | 90.0 | 90.0 | 90.0 |
| oqmd-1214881 | box | -4.1433 | -4.1433 | 6.2418 | 6.2418 | 6.2418 | 90.0 | 90.0 | 90.0 |
| oqmd-1214792 | box | -4.1403 | -4.1403 | 8.9195 | 8.9195 | 8.9195 | 90.0 | 90.0 | 90.0 |
| mp-1245108 | dynamic | -4.1088 | -4.1088 | 10.6072 | 10.7622 | 10.7685 | 87.3 | 89.3 | 90.0 |
| mp-1245108 | static | -4.0826 | -4.0826 | 10.5003 | 10.7521 | 10.99 | 93.3 | 90.3 | 91.9 |
| mp-1194030 | dynamic | -4.0523 | -4.0523 | 8.7468 | 8.7468 | 4.7215 | 90.0 | 90.0 | 90.0 |
| oqmd-21053 | static | -4.0523 | -4.0523 | 8.7467 | 8.7467 | 4.7215 | 90.0 | 90.0 | 90.0 |
| oqmd-21053 | box | -4.0389 | -4.0389 | 8.6865 | 8.6865 | 4.7193 | 90.0 | 90.0 | 90.0 |
| mp-1194030 | box | -4.0362 | -4.0362 | 8.7083 | 8.7083 | 4.721 | 90.0 | 90.0 | 90.0 |
| mp-1245108 | box | -4.02 | -4.02 | 10.6826 | 10.7256 | 11.0019 | 91.7 | 90.7 | 91.6 |
| oqmd-1214703 | static | -3.9763 | -3.9763 | 2.6484 | 4.1701 | 8.9631 | 90.0 | 90.0 | 90.0 |
| oqmd-1215059 | box | -3.9753 | -3.9753 | 2.6397 | 4.1688 | 8.9604 | 90.0 | 90.0 | 90.0 |
| mp-1096950 | box | -3.7463 | -3.7463 | 2.5141 | 2.5141 | 2.4162 | 90.0 | 90.0 | 120.0 |
| A5--beta-Sn | static | -3.7046 | -3.7046 | 4.6583 | 4.6583 | 2.4276 | 90.0 | 90.0 | 90.0 |
| Ah--alpha-Po--sc | static | -3.4492 | -3.4492 | 2.441 | 2.441 | 2.441 | 90.0 | 90.0 | 90.0 |
| oqmd-21731 | box | -3.4492 | -3.4492 | 2.441 | 2.441 | 7.3233 | 90.0 | 90.0 | 90.0 |
| A7--alpha-As | box | -2.9872 | -2.9872 | 3.2852 | 3.2852 | 10.616 | 90.0 | 90.0 | 120.0 |
| oqmd-1215950 | box | -2.9107 | -2.9107 | 4.1016 | 4.5592 | 4.1235 | 90.0 | 119.5 | 90.0 |
| A4--C--dc | static | -2.3814 | -2.3814 | 5.5109 | 5.5109 | 5.5109 | 90.0 | 90.0 | 90.0 |
Download raw data (including filtered results)
Reference structure matches:
| prototype | method | Ecoh (eV/atom) | Epot (eV/atom) | a0 (Å) | b0 (Å) | c0 (Å) | α (degrees) | β (degrees) | γ (degrees) |
|---|---|---|---|---|---|---|---|---|---|
| mp-1224697 | dynamic | -4.3302 | -4.3302 | 2.5495 | 2.5495 | 6.2989 | 90.0 | 90.0 | 120.0 |
| mp-1224697 | box | -4.3203 | -4.3203 | 2.5494 | 2.5494 | 6.2843 | 90.0 | 90.0 | 120.0 |
| mp-1077745 | static | -4.0271 | -4.0271 | 6.8047 | 6.8047 | 6.8047 | 90.0 | 90.0 | 90.0 |
| C1--CaF2--fluorite | static | -3.5052 | -3.5052 | 5.5129 | 5.5129 | 5.5129 | 90.0 | 90.0 | 90.0 |
| oqmd-1232964 | box | -2.8795 | -2.8795 | 5.422 | 5.422 | 3.3904 | 90.0 | 90.0 | 90.0 |
| oqmd-1236414 | static | -1.5704 | -1.5704 | 11.4305 | 11.4305 | 11.4305 | 90.0 | 90.0 | 90.0 |
Download raw data (including filtered results)
Reference structure matches:
| prototype | method | Ecoh (eV/atom) | Epot (eV/atom) | a0 (Å) | b0 (Å) | c0 (Å) | α (degrees) | β (degrees) | γ (degrees) |
|---|---|---|---|---|---|---|---|---|---|
| oqmd-427042 | box | -3.7972 | -3.7972 | 6.2724 | 6.2724 | 12.2494 | 90.0 | 90.0 | 120.0 |
Download raw data (including filtered results)
Reference structure matches:
D0_3--BiF3 = mp-1007853, oqmd-312075
L1_2--AuCu3 = mp-999189, oqmd-343549
| prototype | method | Ecoh (eV/atom) | Epot (eV/atom) | a0 (Å) | b0 (Å) | c0 (Å) | α (degrees) | β (degrees) | γ (degrees) |
|---|---|---|---|---|---|---|---|---|---|
| mp-1224827 | dynamic | -4.3172 | -4.3172 | 2.5547 | 2.5547 | 25.1849 | 90.0 | 90.0 | 120.0 |
| mp-1224827 | box | -4.3168 | -4.3168 | 2.5547 | 2.5547 | 25.1669 | 90.0 | 90.0 | 120.0 |
| oqmd-301533 | dynamic | -4.2891 | -4.2891 | 3.6231 | 3.6231 | 7.3484 | 90.0 | 90.0 | 90.0 |
| mp-1224780 | static | -4.2837 | -4.2837 | 2.8701 | 4.0805 | 8.2328 | 90.0 | 90.0 | 90.0 |
| mp-1224780 | box | -4.2825 | -4.2825 | 2.8769 | 4.0717 | 8.2049 | 90.0 | 90.0 | 90.0 |
| L1_2--AuCu3 | dynamic | -4.2704 | -4.2704 | 3.6337 | 3.6337 | 3.6337 | 90.0 | 90.0 | 90.0 |
| oqmd-319063 | dynamic | -4.2583 | -4.2583 | 5.129 | 5.129 | 4.2187 | 90.0 | 90.0 | 120.0 |
| oqmd-319063 | box | -4.2554 | -4.2554 | 5.129 | 5.129 | 4.215 | 90.0 | 90.0 | 120.0 |
| D0_3--BiF3 | dynamic | -4.2461 | -4.2461 | 5.809 | 5.809 | 5.809 | 90.0 | 90.0 | 90.0 |
| A15--Cr3Si | dynamic | -4.2257 | -4.2257 | 4.6906 | 4.6906 | 4.6906 | 90.0 | 90.0 | 90.0 |
Download raw data (including filtered results)
Reference structure matches:
| prototype | method | Ecoh (eV/atom) | Epot (eV/atom) | a0 (Å) | b0 (Å) | c0 (Å) | α (degrees) | β (degrees) | γ (degrees) |
|---|---|---|---|---|---|---|---|---|---|
| mp-1225009 | dynamic | -4.3041 | -4.3041 | 2.4979 | 2.4979 | 18.7681 | 90.0 | 90.0 | 90.0 |
| mp-1225009 | box | -4.2978 | -4.2978 | 2.5004 | 2.5004 | 18.7187 | 90.0 | 90.0 | 90.0 |
Download raw data (including filtered results)
Reference structure matches:
B1--NaCl--rock-salt = oqmd-1105634
B2--CsCl = oqmd-306449
B3--ZnS--cubic-zinc-blende = oqmd-1222507
L1_0--AuCu = mp-2213, oqmd-17225, oqmd-30230, oqmd-337991
| prototype | method | Ecoh (eV/atom) | Epot (eV/atom) | a0 (Å) | b0 (Å) | c0 (Å) | α (degrees) | β (degrees) | γ (degrees) |
|---|---|---|---|---|---|---|---|---|---|
| mp-1224976 | dynamic | -4.3758 | -4.3758 | 2.5205 | 2.5205 | 12.6794 | 90.0 | 90.0 | 120.0 |
| oqmd-1229478 | dynamic | -4.3599 | -4.3599 | 2.5162 | 2.5162 | 4.2379 | 90.0 | 90.0 | 120.0 |
| mp-1224965 | static | -4.3246 | -4.3246 | 2.5851 | 4.3021 | 4.3339 | 90.0 | 90.0 | 90.0 |
| L1_0--AuCu | dynamic | -4.3175 | -4.3175 | 2.4739 | 2.4739 | 3.796 | 90.0 | 90.0 | 90.0 |
| oqmd-1220313 | dynamic | -4.3006 | -4.3006 | 4.2561 | 2.4617 | 4.5126 | 90.0 | 90.0 | 90.0 |
| oqmd-1220313 | box | -4.2736 | -4.2736 | 4.2767 | 2.5014 | 4.4319 | 90.0 | 90.0 | 90.0 |
| B2--CsCl | dynamic | -4.195 | -4.195 | 2.9257 | 2.9257 | 2.9257 | 90.0 | 90.0 | 90.0 |
| B1--NaCl--rock-salt | static | -3.6555 | -3.6555 | 4.8162 | 4.8162 | 4.8162 | 90.0 | 90.0 | 90.0 |
| oqmd-1225992 | box | -2.9363 | -2.9363 | 4.1938 | 4.1938 | 4.9323 | 90.0 | 90.0 | 120.0 |
| B4--ZnS--wurtzite | box | -2.6641 | -2.6641 | 3.7864 | 3.7864 | 6.2901 | 90.0 | 90.0 | 120.0 |
| B3--ZnS--cubic-zinc-blende | static | -2.6519 | -2.6519 | 5.3398 | 5.3398 | 5.3398 | 90.0 | 90.0 | 90.0 |
Download raw data (including filtered results)
Reference structure matches:
| prototype | method | Ecoh (eV/atom) | Epot (eV/atom) | a0 (Å) | b0 (Å) | c0 (Å) | α (degrees) | β (degrees) | γ (degrees) |
|---|---|---|---|---|---|---|---|---|---|
| mp-1072076 | dynamic | -4.3106 | -4.3106 | 6.5087 | 6.5087 | 6.5087 | 90.0 | 90.0 | 90.0 |
| C1--CaF2--fluorite | box | -3.5915 | -3.5915 | 5.6613 | 5.6613 | 5.6613 | 90.0 | 90.0 | 90.0 |
| oqmd-1236413 | static | -2.1703 | -2.1703 | 10.9581 | 10.9581 | 10.9581 | 90.0 | 90.0 | 90.0 |
Download raw data (including filtered results)
Reference structure matches:
D0_3--BiF3 = mp-1007854, oqmd-308521
L1_2--AuCu3 = mp-1418, oqmd-7241, oqmd-347103
| prototype | method | Ecoh (eV/atom) | Epot (eV/atom) | a0 (Å) | b0 (Å) | c0 (Å) | α (degrees) | β (degrees) | γ (degrees) |
|---|---|---|---|---|---|---|---|---|---|
| mp-1225078 | dynamic | -4.4102 | -4.4102 | 2.5117 | 2.5117 | 24.6633 | 90.0 | 90.0 | 120.0 |
| mp-1225078 | box | -4.4079 | -4.4079 | 2.5111 | 2.5111 | 24.7312 | 90.0 | 90.0 | 120.0 |
| mp-1007855 | dynamic | -4.3678 | -4.3678 | 3.5372 | 3.5372 | 7.2414 | 90.0 | 90.0 | 90.0 |
| L1_2--AuCu3 | dynamic | -4.3553 | -4.3553 | 3.554 | 3.554 | 3.554 | 90.0 | 90.0 | 90.0 |
| mp-1079337 | dynamic | -4.3398 | -4.3398 | 4.2496 | 4.9775 | 4.3722 | 90.0 | 90.0 | 90.0 |
| mp-1079337 | box | -4.336 | -4.336 | 4.2459 | 4.9999 | 4.3612 | 90.0 | 90.0 | 90.0 |
| oqmd-322617 | dynamic | -4.328 | -4.328 | 4.9952 | 4.9952 | 4.2539 | 90.0 | 90.0 | 120.0 |
| oqmd-322617 | box | -4.3279 | -4.3279 | 4.995 | 4.995 | 4.2521 | 90.0 | 90.0 | 120.0 |
| A15--Cr3Si | dynamic | -4.327 | -4.327 | 4.5554 | 4.5554 | 4.5554 | 90.0 | 90.0 | 90.0 |
| D0_3--BiF3 | static | -4.253 | -4.253 | 5.8078 | 5.8078 | 5.8078 | 90.0 | 90.0 | 90.0 |
Download raw data (including filtered results)
Reference structure matches:
A1--Cu--fcc = mp-23, oqmd-676148, oqmd-1214550
A15--beta-W = oqmd-1214995, oqmd-1280360
A2--W--bcc = mp-1008728, oqmd-22516, oqmd-1215173
A3'--alpha-La--double-hcp = oqmd-1215441
A3--Mg--hcp = mp-10257, oqmd-677944, oqmd-1215351
A4--C--dc = oqmd-1215530
A5--beta-Sn = oqmd-1215619
A6--In--bct = oqmd-1215708
| prototype | method | Ecoh (eV/atom) | Epot (eV/atom) | a0 (Å) | b0 (Å) | c0 (Å) | α (degrees) | β (degrees) | γ (degrees) |
|---|---|---|---|---|---|---|---|---|---|
| A1--Cu--fcc | dynamic | -4.4321 | -4.4321 | 3.524 | 3.524 | 3.524 | 90.0 | 90.0 | 90.0 |
| A3'--alpha-La--double-hcp | dynamic | -4.4113 | -4.4113 | 2.4868 | 2.4868 | 8.1882 | 90.0 | 90.0 | 120.0 |
| oqmd-1216067 | dynamic | -4.4048 | -4.4048 | 2.4843 | 2.4843 | 18.5291 | 90.0 | 90.0 | 120.0 |
| A3--Mg--hcp | dynamic | -4.3925 | -4.3925 | 2.4789 | 2.4789 | 4.1776 | 90.0 | 90.0 | 120.0 |
| oqmd-1215262 | box | -4.3919 | -4.3919 | 2.4719 | 4.3056 | 4.1785 | 90.0 | 90.0 | 90.0 |
| A15--beta-W | dynamic | -4.3703 | -4.3703 | 4.5152 | 4.5152 | 4.5152 | 90.0 | 90.0 | 90.0 |
| oqmd-1214817 | dynamic | -4.3361 | -4.3361 | 8.75 | 8.75 | 8.75 | 90.0 | 90.0 | 90.0 |
| oqmd-1214817 | box | -4.3357 | -4.3357 | 8.7537 | 8.7537 | 8.7537 | 90.0 | 90.0 | 90.0 |
| oqmd-1214906 | dynamic | -4.3278 | -4.3278 | 6.1267 | 6.1267 | 6.1267 | 90.0 | 90.0 | 90.0 |
| oqmd-1214906 | box | -4.3246 | -4.3246 | 6.1219 | 6.1219 | 6.1219 | 90.0 | 90.0 | 90.0 |
| A2--W--bcc | static | -4.305 | -4.305 | 2.7481 | 2.7481 | 2.7481 | 90.0 | 90.0 | 90.0 |
| oqmd-1215084 | box | -4.208 | -4.208 | 2.5093 | 4.3198 | 9.0518 | 90.0 | 90.0 | 90.0 |
| oqmd-1214728 | static | -4.18 | -4.18 | 2.4355 | 2.4355 | 8.1491 | 90.0 | 90.0 | 90.0 |
| oqmd-1214728 | box | -4.1654 | -4.1654 | 2.4673 | 2.4673 | 8.0567 | 90.0 | 90.0 | 90.0 |
| A5--beta-Sn | static | -4.0464 | -4.0464 | 4.5849 | 4.5849 | 2.5073 | 90.0 | 90.0 | 90.0 |
| Ah--alpha-Po--sc | static | -3.9887 | -3.9887 | 2.3839 | 2.3839 | 2.3839 | 90.0 | 90.0 | 90.0 |
| mp-1014111 | static | -3.695 | -3.695 | 2.484 | 2.484 | 14.1448 | 90.0 | 90.0 | 120.0 |
| mp-1014111 | dynamic | -3.695 | -3.695 | 2.484 | 2.484 | 13.8125 | 90.0 | 90.0 | 120.0 |
| mp-1014111 | box | -3.695 | -3.695 | 2.484 | 2.484 | 14.1451 | 90.0 | 90.0 | 120.0 |
| oqmd-1215975 | box | -3.6193 | -3.6193 | 3.8876 | 3.8876 | 4.2954 | 90.0 | 90.0 | 120.0 |
| A4--C--dc | static | -3.2754 | -3.2754 | 5.103 | 5.103 | 5.103 | 90.0 | 90.0 | 90.0 |
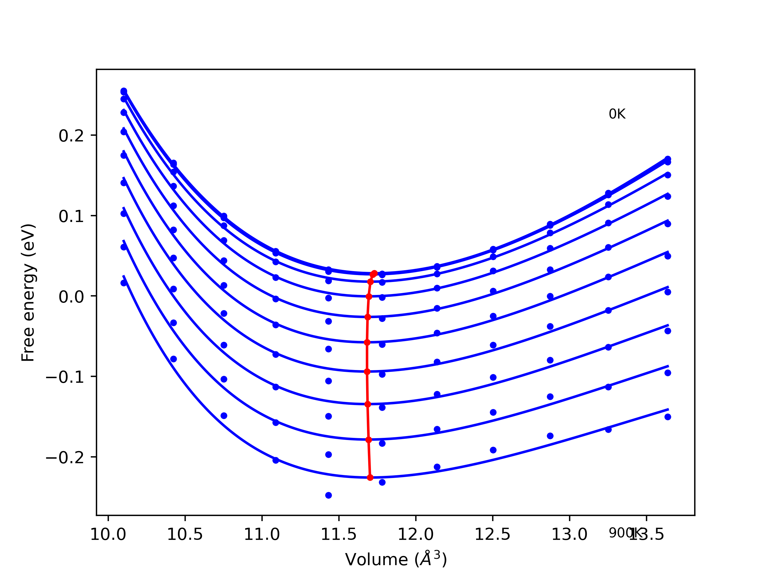
Static elastic constants are displayed for the unique structures identified in Crystal Structure Predictions above. The values displayed here are obtained by measuring the change in virial stresses due to applying small strains to the relaxed crystals. The initial structure and the strained states are all relaxed using force minimization.
The calculation method used is available as the iprPy elastic_constants_static calculation method.
Notes and Disclaimers:
Version Information:
| 230.756 | 160.578 | 160.578 | -0.000 | -0.000 | -0.000 |
| 160.578 | 230.756 | 160.578 | -0.000 | -0.000 | -0.000 |
| 160.578 | 160.578 | 230.756 | -0.000 | -0.000 | -0.000 |
| -0.000 | -0.000 | -0.000 | 117.628 | -0.000 | -0.000 |
| -0.000 | -0.000 | -0.000 | -0.000 | 117.628 | -0.000 |
| -0.000 | -0.000 | -0.000 | -0.000 | -0.000 | 117.628 |
| 230.756 | 160.578 | 160.578 | 0.000 | 0.000 | 0.000 |
| 160.578 | 230.756 | 160.578 | 0.000 | 0.000 | 0.000 |
| 160.578 | 160.578 | 230.756 | 0.000 | 0.000 | 0.000 |
| 0.000 | 0.000 | 0.000 | 117.628 | 0.000 | 0.000 |
| 0.000 | 0.000 | 0.000 | 0.000 | 117.628 | 0.000 |
| 0.000 | 0.000 | 0.000 | 0.000 | 0.000 | 117.628 |
| 230.756 | 160.578 | 160.578 | -0.000 | -0.000 | -0.000 |
| 160.578 | 230.756 | 160.578 | -0.000 | -0.000 | -0.000 |
| 160.578 | 160.578 | 230.756 | -0.000 | -0.000 | -0.000 |
| -0.000 | -0.000 | 0.000 | 117.628 | -0.000 | -0.000 |
| -0.000 | -0.000 | 0.000 | -0.000 | 117.628 | -0.000 |
| -0.000 | 0.000 | -0.000 | -0.000 | -0.000 | 117.628 |
| 230.756 | 160.578 | 160.578 | 0.000 | 0.000 | 0.000 |
| 160.578 | 230.756 | 160.578 | 0.000 | 0.000 | 0.000 |
| 160.578 | 160.578 | 230.756 | 0.000 | 0.000 | 0.000 |
| 0.000 | 0.000 | -0.000 | 117.628 | 0.000 | 0.000 |
| 0.000 | 0.000 | -0.000 | 0.000 | 117.628 | 0.000 |
| 0.000 | -0.000 | 0.000 | 0.000 | 0.000 | 117.628 |
| 230.758 | 160.581 | 160.581 | -0.000 | -0.000 | -0.000 |
| 160.581 | 230.758 | 160.581 | -0.000 | -0.000 | -0.000 |
| 160.581 | 160.581 | 230.758 | -0.000 | -0.000 | -0.000 |
| -0.000 | -0.000 | 0.000 | 117.628 | -0.000 | -0.000 |
| -0.000 | -0.000 | 0.000 | -0.000 | 117.628 | -0.000 |
| -0.000 | 0.000 | -0.000 | -0.000 | -0.000 | 117.628 |
| 230.754 | 160.576 | 160.576 | 0.000 | 0.000 | 0.000 |
| 160.576 | 230.754 | 160.576 | 0.000 | 0.000 | 0.000 |
| 160.576 | 160.576 | 230.754 | 0.000 | 0.000 | 0.000 |
| 0.000 | 0.000 | -0.000 | 117.628 | 0.000 | 0.000 |
| 0.000 | 0.000 | -0.000 | 0.000 | 117.628 | 0.000 |
| 0.000 | -0.000 | 0.000 | 0.000 | 0.000 | 117.628 |
| 396.557 | 99.094 | 99.094 | 0.000 | -0.000 | 0.000 |
| 99.094 | 396.557 | 99.094 | 0.000 | -0.000 | 0.000 |
| 99.094 | 99.094 | 396.557 | 0.000 | 0.000 | 0.000 |
| -0.000 | -0.000 | 0.000 | 60.507 | -0.000 | -0.000 |
| -0.000 | -0.000 | 0.000 | -0.000 | 60.507 | 0.000 |
| -0.000 | -0.000 | 0.000 | -0.000 | -0.000 | 60.507 |
| 396.479 | 99.133 | 99.133 | -0.000 | -0.000 | -0.000 |
| 99.133 | 396.479 | 99.133 | -0.000 | -0.000 | -0.000 |
| 99.133 | 99.133 | 396.479 | -0.000 | 0.000 | -0.000 |
| 0.000 | -0.000 | -0.000 | 60.507 | -0.000 | -0.000 |
| 0.000 | 0.000 | -0.000 | 0.000 | 60.507 | -0.000 |
| 0.000 | 0.000 | -0.000 | -0.000 | 0.000 | 60.507 |
| 396.479 | 99.133 | 99.133 | 0.000 | -0.000 | 0.000 |
| 99.133 | 396.479 | 99.133 | 0.000 | -0.000 | 0.000 |
| 99.133 | 99.133 | 396.479 | 0.000 | 0.000 | 0.000 |
| -0.000 | -0.000 | -0.000 | 60.204 | -0.000 | 0.000 |
| -0.000 | -0.000 | -0.000 | -0.000 | 60.204 | 0.000 |
| -0.000 | -0.000 | -0.000 | 0.000 | 0.000 | 60.204 |
| 396.558 | 99.094 | 99.094 | 0.000 | -0.000 | -0.000 |
| 99.094 | 396.558 | 99.094 | -0.000 | -0.000 | -0.000 |
| 99.094 | 99.094 | 396.558 | -0.000 | -0.000 | -0.000 |
| 0.000 | 0.000 | 0.000 | 60.204 | -0.000 | -0.000 |
| 0.000 | 0.000 | 0.000 | -0.000 | 60.204 | -0.000 |
| 0.000 | 0.000 | 0.000 | -0.000 | -0.000 | 60.204 |
| 396.557 | 99.094 | 99.094 | 0.000 | 0.000 | 0.000 |
| 99.094 | 396.557 | 99.094 | 0.000 | 0.000 | 0.000 |
| 99.094 | 99.094 | 396.557 | 0.000 | 0.000 | 0.000 |
| -0.000 | -0.001 | -0.001 | 60.204 | -0.000 | 0.000 |
| -0.001 | -0.000 | -0.001 | 0.000 | 60.204 | 0.000 |
| -0.001 | -0.001 | -0.000 | -0.000 | 0.000 | 60.204 |
| 396.480 | 99.133 | 99.133 | -0.000 | -0.000 | -0.000 |
| 99.133 | 396.480 | 99.133 | -0.000 | 0.000 | -0.000 |
| 99.133 | 99.133 | 396.480 | 0.000 | 0.000 | -0.000 |
| 0.000 | 0.001 | 0.001 | 60.204 | 0.000 | -0.000 |
| 0.001 | 0.000 | 0.001 | 0.000 | 60.204 | -0.000 |
| 0.001 | 0.001 | 0.000 | -0.000 | 0.000 | 60.204 |
| 427.602 | 181.944 | 181.944 | 0.000 | -0.000 | -0.000 |
| 181.944 | 427.602 | 181.944 | 0.000 | -0.000 | -0.000 |
| 181.944 | 181.944 | 427.602 | 0.000 | -0.000 | -0.000 |
| 0.000 | 0.000 | 0.000 | 132.932 | -0.000 | -0.000 |
| 0.000 | 0.000 | 0.000 | -0.000 | 132.932 | -0.000 |
| 0.000 | 0.000 | -0.000 | -0.000 | -0.000 | 132.932 |
| 427.602 | 181.944 | 181.944 | 0.000 | 0.000 | 0.000 |
| 181.944 | 427.602 | 181.944 | -0.000 | 0.000 | 0.000 |
| 181.944 | 181.944 | 427.602 | -0.000 | 0.000 | 0.000 |
| -0.000 | 0.000 | -0.000 | 132.932 | 0.000 | 0.000 |
| -0.000 | -0.000 | -0.000 | 0.000 | 132.932 | 0.000 |
| -0.000 | -0.000 | -0.000 | 0.000 | 0.000 | 132.932 |
| 427.601 | 181.944 | 181.944 | -0.000 | -0.000 | -0.000 |
| 181.944 | 427.601 | 181.944 | 0.000 | -0.000 | -0.000 |
| 181.944 | 181.944 | 427.601 | 0.000 | -0.000 | -0.000 |
| 0.000 | 0.000 | 0.000 | 132.932 | -0.000 | -0.000 |
| 0.000 | 0.000 | 0.000 | 0.000 | 132.932 | -0.000 |
| 0.000 | 0.000 | 0.000 | -0.000 | -0.000 | 132.932 |
| 427.603 | 181.944 | 181.944 | -0.000 | 0.000 | 0.000 |
| 181.944 | 427.603 | 181.944 | -0.000 | 0.000 | 0.000 |
| 181.944 | 181.944 | 427.603 | -0.000 | 0.000 | 0.000 |
| -0.000 | -0.000 | -0.000 | 132.932 | 0.000 | -0.000 |
| -0.000 | -0.000 | -0.000 | 0.000 | 132.932 | 0.000 |
| -0.000 | -0.000 | -0.000 | -0.000 | 0.000 | 132.932 |
| 427.595 | 181.945 | 181.945 | 0.000 | -0.000 | 0.000 |
| 181.945 | 427.595 | 181.945 | 0.000 | -0.000 | -0.000 |
| 181.945 | 181.945 | 427.595 | 0.000 | -0.000 | -0.000 |
| 0.000 | 0.000 | 0.000 | 132.932 | -0.000 | -0.000 |
| 0.000 | 0.000 | 0.000 | 0.000 | 132.932 | -0.000 |
| 0.000 | 0.000 | 0.000 | 0.000 | -0.000 | 132.932 |
| 427.609 | 181.944 | 181.944 | -0.000 | 0.000 | 0.000 |
| 181.944 | 427.609 | 181.944 | -0.000 | 0.000 | 0.000 |
| 181.944 | 181.944 | 427.609 | -0.000 | -0.000 | 0.000 |
| -0.000 | -0.000 | -0.000 | 132.932 | 0.000 | 0.000 |
| -0.000 | -0.000 | -0.000 | -0.000 | 132.932 | 0.000 |
| -0.000 | -0.000 | -0.000 | -0.000 | 0.000 | 132.932 |
| 316.502 | 134.565 | 107.563 | -0.000 | 0.000 | 0.000 |
| 134.565 | 316.502 | 107.563 | -0.000 | 0.000 | 0.000 |
| 107.563 | 107.563 | 310.430 | 0.000 | -0.000 | 0.000 |
| -0.000 | -0.000 | 0.000 | 62.703 | -0.000 | 0.000 |
| -0.000 | 0.000 | 0.000 | 0.000 | 62.703 | 0.000 |
| -0.000 | 0.000 | 0.000 | 0.000 | 0.000 | 90.969 |
| 287.736 | 163.332 | 107.563 | -0.000 | -0.000 | -0.000 |
| 134.565 | 316.502 | 107.563 | 0.000 | -0.000 | -0.000 |
| 107.563 | 107.563 | 310.430 | 0.000 | 0.000 | -0.000 |
| 0.000 | 0.000 | -0.000 | 62.703 | -0.000 | -0.000 |
| 0.000 | -0.000 | -0.000 | -0.000 | 62.703 | -0.000 |
| 0.000 | 0.000 | -0.000 | -0.000 | -0.000 | 90.969 |
| 287.736 | 163.332 | 107.563 | -0.000 | 0.000 | 0.000 |
| 134.565 | 316.502 | 107.563 | -0.000 | 0.000 | 0.000 |
| 107.563 | 107.563 | 310.430 | -0.000 | -0.000 | 0.000 |
| 0.000 | -0.000 | 0.000 | 62.703 | -0.000 | 0.000 |
| -0.000 | 0.000 | 0.000 | -0.000 | 62.703 | 0.000 |
| -0.000 | 0.000 | 0.000 | 0.000 | -0.000 | 90.969 |
| 316.502 | 134.565 | 107.563 | -0.000 | -0.000 | -0.000 |
| 134.565 | 316.502 | 107.563 | 0.000 | -0.000 | -0.000 |
| 107.563 | 107.563 | 310.430 | 0.000 | -0.000 | -0.000 |
| -0.000 | 0.000 | -0.000 | 62.703 | -0.000 | -0.000 |
| 0.000 | -0.000 | -0.000 | 0.000 | 62.703 | -0.000 |
| 0.000 | -0.000 | -0.000 | 0.000 | -0.000 | 90.969 |
| 287.736 | 163.332 | 107.563 | -0.000 | 0.000 | 0.000 |
| 134.565 | 316.502 | 107.563 | 0.000 | -0.000 | 0.000 |
| 107.563 | 107.563 | 310.431 | -0.000 | 0.000 | 0.000 |
| 0.000 | -0.000 | 0.000 | 62.703 | -0.000 | 0.000 |
| -0.000 | -0.000 | 0.000 | -0.000 | 62.703 | 0.000 |
| -0.000 | 0.000 | 0.000 | -0.000 | 0.000 | 90.969 |
| 287.735 | 163.331 | 107.563 | 0.000 | 0.000 | -0.000 |
| 163.331 | 287.735 | 107.563 | 0.000 | 0.000 | -0.000 |
| 107.562 | 107.562 | 310.428 | 0.000 | -0.000 | -0.000 |
| -0.000 | 0.000 | -0.000 | 62.703 | 0.000 | -0.000 |
| 0.000 | 0.000 | -0.000 | 0.000 | 62.703 | -0.000 |
| 0.000 | -0.000 | -0.000 | 0.000 | -0.000 | 90.969 |
| 323.528 | 137.264 | 122.158 | -0.000 | -0.000 | -0.000 |
| 137.264 | 323.528 | 122.158 | 0.000 | -0.000 | -0.000 |
| 122.158 | 122.158 | 343.408 | -0.000 | -0.000 | -0.000 |
| 0.000 | -0.000 | 0.000 | 75.296 | -0.000 | 0.000 |
| 0.000 | -0.000 | 0.000 | 0.000 | 75.296 | 0.000 |
| -0.000 | 0.000 | -0.000 | 0.000 | -0.000 | 59.077 |
| 289.473 | 171.319 | 122.158 | 0.000 | 0.000 | -0.000 |
| 171.319 | 289.473 | 122.158 | -0.000 | 0.000 | -0.000 |
| 122.158 | 122.158 | 343.408 | 0.000 | 0.000 | 0.000 |
| 0.000 | -0.000 | -0.000 | 75.296 | 0.000 | -0.000 |
| -0.000 | 0.000 | -0.000 | 0.000 | 75.296 | 0.000 |
| 0.000 | 0.000 | 0.000 | -0.000 | 0.000 | 59.077 |
| 289.473 | 171.319 | 122.158 | 0.000 | -0.000 | 0.000 |
| 171.319 | 289.473 | 122.158 | 0.000 | -0.000 | -0.000 |
| 122.158 | 122.158 | 343.408 | 0.000 | -0.000 | -0.000 |
| 0.000 | -0.000 | 0.000 | 75.296 | -0.000 | -0.000 |
| -0.000 | 0.000 | 0.000 | 0.000 | 75.296 | 0.000 |
| -0.000 | 0.000 | -0.000 | 0.000 | -0.000 | 59.077 |
| 289.473 | 171.319 | 122.158 | -0.000 | -0.000 | -0.000 |
| 137.264 | 323.528 | 122.158 | -0.000 | 0.000 | 0.000 |
| 122.158 | 122.158 | 343.408 | 0.000 | 0.000 | 0.000 |
| -0.000 | 0.000 | -0.000 | 75.296 | 0.000 | 0.000 |
| 0.000 | -0.000 | -0.000 | -0.000 | 75.296 | 0.000 |
| 0.000 | -0.000 | 0.000 | -0.000 | 0.000 | 59.077 |
| 289.474 | 171.319 | 122.158 | -0.000 | 0.000 | 0.000 |
| 171.320 | 289.474 | 122.158 | 0.000 | -0.000 | -0.000 |
| 122.159 | 122.159 | 343.411 | -0.000 | 0.000 | -0.000 |
| 0.000 | -0.000 | 0.001 | 75.296 | -0.000 | -0.000 |
| -0.000 | 0.000 | 0.001 | -0.000 | 75.296 | -0.000 |
| -0.000 | 0.000 | 0.000 | 0.000 | -0.000 | 93.132 |
| 289.472 | 171.319 | 122.157 | -0.000 | 0.000 | 0.000 |
| 171.318 | 289.473 | 122.157 | 0.000 | -0.000 | -0.000 |
| 122.157 | 122.157 | 343.405 | -0.000 | 0.000 | 0.000 |
| -0.000 | 0.000 | -0.001 | 75.296 | 0.000 | -0.000 |
| 0.000 | -0.000 | -0.001 | -0.000 | 75.296 | 0.000 |
| 0.000 | -0.000 | -0.000 | -0.000 | 0.000 | 93.132 |
| 323.469 | 137.212 | 122.110 | -0.000 | 0.000 | -0.000 |
| 171.265 | 289.416 | 122.110 | -0.000 | 0.000 | -0.000 |
| 122.105 | 122.105 | 343.288 | -0.000 | 0.000 | -0.000 |
| -0.000 | 0.000 | 0.000 | 75.288 | 0.000 | -0.000 |
| -0.000 | 0.000 | 0.000 | -0.000 | 75.288 | -0.000 |
| -0.000 | 0.000 | -0.000 | -0.000 | 0.000 | 59.076 |
| 323.469 | 137.212 | 122.110 | 0.000 | -0.000 | 0.000 |
| 137.212 | 323.469 | 122.110 | 0.000 | -0.000 | 0.000 |
| 122.105 | 122.105 | 343.288 | -0.000 | -0.000 | 0.000 |
| 0.000 | -0.000 | -0.000 | 75.288 | -0.000 | 0.000 |
| 0.000 | -0.000 | -0.000 | 0.000 | 75.288 | 0.000 |
| 0.000 | -0.000 | 0.000 | 0.000 | -0.000 | 59.076 |
| 323.469 | 137.212 | 122.110 | -0.000 | 0.000 | -0.000 |
| 137.212 | 323.469 | 122.110 | 0.000 | 0.000 | -0.000 |
| 122.105 | 122.105 | 343.288 | -0.000 | 0.000 | -0.000 |
| 0.000 | -0.000 | 0.000 | 75.288 | 0.000 | -0.000 |
| -0.000 | 0.000 | 0.000 | -0.000 | 75.288 | -0.000 |
| -0.000 | 0.000 | -0.000 | -0.000 | 0.000 | 59.076 |
| 289.416 | 171.265 | 122.110 | 0.000 | -0.000 | 0.000 |
| 171.264 | 289.416 | 122.110 | 0.000 | -0.000 | 0.000 |
| 122.105 | 122.105 | 343.287 | 0.000 | -0.000 | 0.000 |
| -0.000 | 0.000 | -0.000 | 75.288 | -0.000 | 0.000 |
| 0.000 | -0.000 | -0.000 | 0.000 | 75.288 | 0.000 |
| 0.000 | -0.000 | 0.000 | 0.000 | -0.000 | 59.076 |
| 289.416 | 171.265 | 122.110 | -0.000 | 0.000 | -0.000 |
| 137.212 | 323.469 | 122.111 | -0.000 | 0.000 | -0.000 |
| 122.106 | 122.106 | 343.291 | -0.000 | 0.000 | -0.000 |
| 0.000 | -0.000 | 0.001 | 75.288 | 0.000 | -0.000 |
| -0.000 | 0.000 | 0.001 | -0.000 | 75.288 | -0.000 |
| -0.000 | 0.000 | -0.000 | -0.000 | 0.000 | 59.076 |
| 289.415 | 171.264 | 122.110 | 0.000 | -0.000 | 0.000 |
| 171.263 | 289.415 | 122.110 | 0.000 | -0.000 | 0.000 |
| 122.104 | 122.104 | 343.284 | 0.000 | -0.000 | 0.000 |
| -0.000 | 0.000 | -0.001 | 75.288 | -0.000 | 0.000 |
| 0.000 | -0.000 | -0.001 | 0.000 | 75.288 | 0.000 |
| 0.000 | -0.000 | 0.000 | 0.000 | -0.000 | 59.076 |
| 54.467 | 82.955 | 82.955 | -0.000 | -0.000 | 0.000 |
| 82.955 | 54.467 | 82.955 | -0.000 | -0.000 | 0.000 |
| 82.955 | 82.955 | 54.467 | -0.000 | -0.000 | 0.000 |
| 0.000 | -0.000 | 0.000 | -43.809 | 0.000 | 0.000 |
| 0.000 | -0.000 | 0.000 | 0.000 | -43.809 | 0.000 |
| 0.000 | -0.000 | 0.000 | -0.000 | 0.000 | -43.809 |
| 54.467 | 82.955 | 82.955 | 0.000 | 0.000 | -0.000 |
| 82.955 | 54.467 | 82.955 | 0.000 | 0.000 | -0.000 |
| 82.955 | 82.955 | 54.467 | 0.000 | -0.000 | -0.000 |
| -0.000 | 0.000 | -0.000 | -43.809 | 0.000 | -0.000 |
| -0.000 | 0.000 | -0.000 | 0.000 | -43.809 | -0.000 |
| -0.000 | 0.000 | -0.000 | 0.000 | -0.000 | -43.809 |
| 54.467 | 82.955 | 82.955 | -0.000 | -0.000 | 0.000 |
| 82.955 | 54.467 | 82.955 | -0.000 | -0.000 | -0.000 |
| 82.955 | 82.955 | 54.467 | -0.000 | -0.000 | 0.000 |
| 0.000 | -0.000 | 0.000 | 60.020 | 0.000 | 0.000 |
| 0.000 | 0.000 | 0.000 | -0.000 | 60.020 | 0.000 |
| -0.000 | 0.000 | 0.000 | -0.000 | 0.000 | 60.020 |
| 54.467 | 82.955 | 82.955 | 0.000 | 0.000 | 0.000 |
| 82.955 | 54.467 | 82.955 | 0.000 | 0.000 | -0.000 |
| 82.955 | 82.955 | 54.467 | 0.000 | 0.000 | -0.000 |
| -0.000 | 0.000 | -0.000 | 60.020 | -0.000 | -0.000 |
| -0.000 | -0.000 | -0.000 | -0.000 | 60.020 | -0.000 |
| -0.000 | -0.000 | -0.000 | -0.000 | -0.000 | 60.020 |
| 54.467 | 82.955 | 82.955 | -0.000 | -0.000 | 0.000 |
| 82.955 | 54.467 | 82.955 | -0.000 | -0.000 | 0.000 |
| 82.955 | 82.955 | 54.467 | -0.000 | -0.000 | 0.000 |
| -0.000 | -0.000 | -0.000 | -43.809 | -0.000 | 0.000 |
| -0.000 | -0.000 | -0.000 | -0.000 | -43.809 | 0.000 |
| -0.000 | -0.000 | -0.000 | -0.000 | 0.000 | -43.809 |
| 54.467 | 82.954 | 82.954 | 0.000 | 0.000 | -0.000 |
| 82.954 | 54.467 | 82.954 | 0.000 | 0.000 | -0.000 |
| 82.954 | 82.954 | 54.467 | 0.000 | -0.000 | -0.000 |
| 0.000 | 0.000 | 0.000 | -43.809 | 0.000 | -0.000 |
| 0.000 | 0.000 | 0.000 | 0.000 | -43.809 | -0.000 |
| 0.000 | 0.000 | 0.000 | 0.000 | -0.000 | -43.809 |
| 539.250 | -20.434 | 109.679 | 0.000 | 0.000 | 0.000 |
| -20.434 | 539.250 | 109.679 | 0.000 | -0.000 | 0.000 |
| 109.679 | 109.679 | 512.778 | 0.000 | 0.000 | 0.000 |
| -0.000 | 0.000 | 0.000 | 69.080 | 0.000 | -0.000 |
| 0.000 | 0.000 | 0.000 | 0.000 | 69.080 | 0.000 |
| 0.000 | -0.000 | 0.000 | -0.000 | -0.000 | -57.195 |
| 539.250 | -20.434 | 109.679 | -0.000 | 0.000 | -0.000 |
| -20.434 | 539.250 | 109.679 | -0.000 | 0.000 | -0.000 |
| 109.679 | 109.679 | 512.778 | -0.000 | 0.000 | 0.000 |
| 0.000 | -0.000 | -0.000 | 69.080 | -0.000 | -0.000 |
| -0.000 | -0.000 | -0.000 | -0.000 | 69.080 | -0.000 |
| -0.000 | 0.000 | -0.000 | 0.000 | 0.000 | -57.195 |
| 539.250 | -20.434 | 109.679 | 0.000 | 0.000 | 0.000 |
| -20.434 | 539.250 | 109.679 | -0.000 | -0.000 | 0.000 |
| 109.679 | 109.679 | 512.778 | 0.000 | -0.000 | -0.000 |
| 0.000 | 0.000 | 0.000 | 69.089 | 0.000 | 0.000 |
| 0.000 | 0.000 | 0.000 | 0.000 | 69.089 | 0.000 |
| -0.000 | -0.000 | 0.000 | 0.000 | 0.000 | -57.195 |
| 539.250 | -20.434 | 109.678 | 0.000 | 0.000 | -0.000 |
| -20.434 | 539.250 | 109.678 | -0.000 | 0.000 | -0.000 |
| 109.678 | 109.678 | 512.777 | -0.000 | -0.000 | -0.000 |
| -0.000 | -0.000 | -0.000 | 69.089 | -0.000 | -0.000 |
| -0.000 | -0.000 | -0.000 | -0.000 | 69.089 | 0.000 |
| 0.000 | 0.000 | -0.000 | -0.000 | -0.000 | -57.195 |
| 539.252 | -20.433 | 109.680 | 0.000 | 0.000 | 0.000 |
| -20.433 | 539.252 | 109.680 | -0.000 | -0.000 | 0.000 |
| 109.680 | 109.680 | 512.783 | -0.000 | 0.000 | -0.000 |
| 0.000 | 0.001 | 0.000 | 69.080 | 0.000 | 0.000 |
| 0.001 | 0.000 | 0.000 | 0.000 | 69.080 | 0.000 |
| -0.000 | -0.000 | 0.000 | 0.000 | 0.000 | -57.195 |
| 539.248 | -20.434 | 109.677 | -0.000 | 0.000 | -0.000 |
| -20.434 | 539.248 | 109.677 | -0.000 | -0.000 | 0.000 |
| 109.677 | 109.677 | 512.773 | -0.000 | -0.000 | 0.000 |
| -0.000 | -0.001 | -0.000 | 69.080 | -0.000 | -0.000 |
| -0.001 | -0.000 | -0.000 | -0.000 | 69.080 | -0.000 |
| 0.000 | 0.000 | -0.000 | -0.000 | -0.000 | -57.195 |
| 35.414 | 10.056 | 79.192 | -47.067 | -0.000 | 0.000 |
| 10.056 | 35.414 | 79.192 | 47.067 | 0.000 | 0.000 |
| 69.768 | 69.768 | 54.844 | 0.000 | 0.000 | 0.000 |
| -47.067 | 47.067 | 0.000 | 58.601 | 0.000 | -0.000 |
| 0.000 | 0.000 | 0.000 | -0.000 | 58.601 | -47.067 |
| 0.000 | 0.000 | 0.000 | 0.000 | -47.067 | 12.679 |
| 35.414 | 10.056 | 79.192 | -47.067 | -0.000 | -0.000 |
| 10.056 | 35.414 | 79.192 | 47.067 | -0.000 | -0.000 |
| 69.768 | 69.768 | 54.844 | 0.000 | -0.000 | -0.000 |
| -47.067 | 47.067 | -0.000 | 58.601 | -0.000 | -0.000 |
| -0.000 | -0.000 | -0.000 | 0.000 | 58.601 | -47.067 |
| -0.000 | 0.000 | -0.000 | -0.000 | -47.067 | 12.679 |
| 35.414 | 10.056 | 79.192 | -47.067 | -0.000 | 0.000 |
| 10.056 | 35.414 | 79.192 | 47.067 | 0.000 | -0.000 |
| 69.768 | 69.768 | 54.844 | 0.000 | 0.000 | -0.000 |
| -47.067 | 47.067 | 0.000 | 58.601 | -0.000 | -0.000 |
| 0.000 | 0.000 | 0.000 | -0.000 | 58.601 | -47.067 |
| 0.000 | -0.000 | 0.000 | -0.000 | -47.067 | 12.679 |
| 35.414 | 10.056 | 79.192 | -47.067 | 0.000 | 0.000 |
| 10.056 | 35.414 | 79.192 | 47.067 | -0.000 | -0.000 |
| 69.768 | 69.768 | 54.844 | 0.000 | -0.000 | 0.000 |
| -47.067 | 47.067 | -0.000 | 58.601 | -0.000 | -0.000 |
| -0.000 | -0.000 | -0.000 | 0.000 | 58.601 | -47.067 |
| -0.000 | 0.000 | -0.000 | 0.000 | -47.067 | 12.679 |
| 35.414 | 10.056 | 79.192 | -47.067 | -0.000 | 0.000 |
| 10.056 | 35.414 | 79.192 | 47.067 | 0.000 | -0.000 |
| 69.768 | 69.768 | 54.844 | 0.000 | 0.000 | 0.000 |
| -47.067 | 47.067 | 0.000 | 58.601 | 0.000 | 0.000 |
| -0.000 | 0.000 | 0.000 | -0.000 | 58.601 | -47.067 |
| -0.000 | -0.000 | 0.000 | -0.000 | -47.067 | 12.679 |
| 35.414 | 10.056 | 79.192 | -47.067 | 0.000 | -0.000 |
| 10.056 | 35.414 | 79.192 | 47.067 | 0.000 | 0.000 |
| 69.769 | 69.769 | 54.845 | 0.000 | -0.000 | -0.000 |
| -47.067 | 47.067 | -0.000 | 58.600 | -0.000 | 0.000 |
| 0.000 | -0.000 | -0.000 | 0.000 | 58.601 | -47.067 |
| 0.000 | 0.000 | -0.000 | 0.000 | -47.067 | 12.679 |
| 164.644 | 81.389 | 159.100 | -109.822 | 0.000 | 0.000 |
| 81.389 | 164.644 | 159.100 | 109.822 | 0.000 | 0.000 |
| 159.088 | 159.088 | 87.109 | -0.000 | 0.000 | 0.000 |
| -109.822 | 109.822 | -0.000 | 119.310 | 0.000 | 0.000 |
| -0.000 | -0.000 | 0.000 | 0.000 | 119.310 | -109.822 |
| -0.000 | -0.000 | -0.000 | 0.000 | -109.822 | 41.628 |
| 164.644 | 81.389 | 159.100 | -109.822 | -0.000 | -0.000 |
| 81.389 | 164.644 | 159.100 | 109.822 | 0.000 | -0.000 |
| 159.088 | 159.088 | 87.109 | -0.000 | -0.000 | -0.000 |
| -109.822 | 109.822 | -0.000 | 119.310 | -0.000 | -0.000 |
| 0.000 | 0.000 | 0.000 | -0.000 | 119.310 | -109.822 |
| 0.000 | 0.000 | -0.000 | -0.000 | -109.822 | 41.627 |
| 164.644 | 81.389 | 159.100 | -109.822 | 0.000 | 0.000 |
| 81.389 | 164.644 | 159.100 | 109.822 | 0.000 | 0.000 |
| 159.088 | 159.088 | 87.109 | 0.000 | 0.000 | 0.000 |
| -109.822 | 109.822 | 0.000 | 119.310 | -0.000 | 0.000 |
| 0.000 | 0.000 | 0.000 | -0.000 | 119.310 | -109.822 |
| 0.000 | 0.000 | 0.000 | -0.000 | -109.822 | 41.627 |
| 164.644 | 81.389 | 159.100 | -109.822 | -0.000 | -0.000 |
| 81.389 | 164.644 | 159.100 | 109.822 | -0.000 | -0.000 |
| 159.088 | 159.088 | 87.109 | -0.000 | -0.000 | -0.000 |
| -109.822 | 109.822 | -0.000 | 119.310 | -0.000 | -0.000 |
| -0.000 | -0.000 | -0.000 | 0.000 | 119.310 | -109.822 |
| -0.000 | -0.000 | -0.000 | 0.000 | -109.822 | 41.627 |
| 164.644 | 81.389 | 159.101 | -109.822 | 0.000 | 0.000 |
| 81.389 | 164.645 | 159.101 | 109.822 | 0.000 | 0.000 |
| 159.088 | 159.088 | 87.109 | 0.000 | 0.000 | 0.000 |
| -109.821 | 109.822 | 0.000 | 119.311 | 0.000 | 0.000 |
| 0.000 | 0.000 | 0.000 | -0.000 | 119.310 | -109.822 |
| 0.000 | -0.000 | 0.000 | -0.000 | -109.822 | 41.627 |
| 164.644 | 81.389 | 159.100 | -109.821 | -0.000 | -0.000 |
| 81.389 | 164.644 | 159.100 | 109.821 | -0.000 | -0.000 |
| 159.088 | 159.088 | 87.109 | -0.000 | -0.000 | -0.000 |
| -109.822 | 109.821 | -0.000 | 119.310 | 0.000 | -0.000 |
| -0.000 | -0.000 | -0.000 | 0.000 | 119.310 | -109.822 |
| -0.000 | 0.000 | -0.000 | 0.000 | -109.822 | 41.627 |
| 397.730 | 3.739 | 3.738 | 0.000 | -0.000 | -0.000 |
| 3.739 | 397.730 | 3.738 | -0.000 | -0.000 | -0.000 |
| 3.739 | 3.739 | 397.730 | 0.000 | -0.000 | -0.000 |
| -0.000 | 0.000 | -0.000 | -36.025 | -0.000 | -0.000 |
| 0.000 | -0.000 | -0.000 | -0.000 | -36.025 | -0.000 |
| 0.000 | -0.000 | -0.000 | -0.000 | -0.000 | -36.025 |
| 397.730 | 3.739 | 3.739 | 0.000 | -0.000 | 0.000 |
| 3.739 | 397.730 | 3.739 | 0.000 | 0.000 | 0.000 |
| 3.739 | 3.739 | 397.730 | 0.000 | 0.000 | -0.000 |
| 0.000 | 0.000 | -0.000 | -36.025 | 0.000 | 0.000 |
| -0.000 | 0.000 | 0.000 | 0.000 | -36.025 | 0.000 |
| -0.000 | 0.000 | 0.000 | 0.000 | 0.000 | -36.025 |
| 397.731 | 3.738 | 3.738 | -0.000 | 0.000 | -0.000 |
| 3.738 | 397.731 | 3.738 | -0.000 | 0.000 | -0.000 |
| 3.738 | 3.738 | 397.731 | -0.000 | 0.000 | 0.000 |
| -0.000 | 0.000 | -0.000 | -36.025 | -0.000 | -0.000 |
| 0.000 | -0.000 | -0.000 | -0.000 | -36.025 | -0.000 |
| 0.000 | -0.000 | -0.000 | -0.000 | -0.000 | -36.025 |
| 397.730 | 3.739 | 3.739 | 0.000 | 0.000 | 0.000 |
| 3.739 | 397.730 | 3.739 | 0.000 | 0.000 | -0.000 |
| 3.739 | 3.739 | 397.730 | 0.000 | 0.000 | 0.000 |
| 0.000 | -0.000 | 0.000 | -36.025 | 0.000 | 0.000 |
| -0.000 | 0.000 | 0.000 | 0.000 | -36.025 | 0.000 |
| -0.000 | 0.000 | 0.000 | 0.000 | 0.000 | -36.025 |
| 397.733 | 3.738 | 3.738 | -0.000 | -0.000 | -0.000 |
| 3.738 | 397.733 | 3.738 | 0.000 | 0.000 | -0.000 |
| 3.738 | 3.738 | 397.733 | -0.000 | -0.000 | -0.000 |
| -0.000 | 0.000 | -0.000 | -36.025 | 0.000 | -0.000 |
| 0.000 | -0.000 | -0.000 | 0.000 | -36.025 | -0.000 |
| 0.000 | -0.000 | -0.000 | -0.000 | -0.000 | -36.025 |
| 397.728 | 3.739 | 3.739 | 0.000 | 0.000 | 0.000 |
| 3.739 | 397.728 | 3.739 | 0.000 | 0.000 | 0.000 |
| 3.739 | 3.739 | 397.728 | 0.000 | -0.000 | 0.000 |
| 0.000 | -0.000 | 0.000 | -36.025 | -0.000 | 0.000 |
| -0.000 | 0.000 | 0.000 | -0.000 | -36.025 | 0.000 |
| -0.000 | 0.000 | 0.000 | 0.000 | 0.000 | -36.025 |
| 328.884 | 149.022 | 99.902 | 0.000 | -0.000 | -0.000 |
| 155.989 | 308.896 | 115.918 | 0.000 | -0.000 | -0.000 |
| 106.709 | 115.758 | 302.500 | 0.000 | -0.000 | -0.000 |
| 0.000 | 0.000 | 0.000 | 73.304 | -0.000 | -0.000 |
| 0.000 | 0.000 | 0.000 | 0.000 | 57.658 | -0.000 |
| -0.000 | 0.000 | -0.000 | 0.000 | 0.000 | 45.897 |
| 328.884 | 149.022 | 99.902 | -0.000 | 0.000 | 0.000 |
| 155.989 | 308.896 | 115.919 | -0.000 | 0.000 | 0.000 |
| 107.344 | 115.178 | 302.515 | -0.000 | 0.000 | 0.000 |
| -0.000 | -0.000 | -0.000 | 73.302 | 0.000 | 0.000 |
| -0.000 | -0.000 | -0.000 | -0.000 | 57.658 | 0.000 |
| 0.000 | -0.000 | 0.000 | -0.000 | 0.000 | 45.897 |
| 328.884 | 149.022 | 99.902 | 0.000 | -0.000 | -0.000 |
| 155.989 | 308.896 | 115.918 | 0.000 | -0.000 | -0.000 |
| 106.709 | 115.758 | 302.500 | 0.000 | -0.000 | -0.000 |
| 0.000 | -0.000 | 0.000 | 73.302 | 0.000 | -0.000 |
| 0.000 | 0.000 | 0.000 | 0.000 | 57.658 | 0.000 |
| -0.000 | 0.000 | -0.000 | 0.000 | -0.000 | 45.897 |
| 328.884 | 149.022 | 99.902 | -0.000 | 0.000 | 0.000 |
| 155.989 | 308.897 | 115.919 | -0.000 | 0.000 | 0.000 |
| 106.709 | 115.758 | 302.500 | -0.000 | -0.000 | 0.000 |
| -0.000 | 0.000 | -0.000 | 73.302 | -0.000 | 0.000 |
| -0.000 | -0.000 | -0.000 | -0.000 | 57.658 | 0.000 |
| 0.000 | -0.000 | 0.000 | -0.000 | 0.000 | 45.897 |
| 328.884 | 149.021 | 99.901 | 0.000 | -0.000 | -0.000 |
| 155.988 | 308.895 | 115.917 | 0.000 | 0.000 | -0.000 |
| 106.708 | 115.757 | 302.501 | 0.000 | -0.000 | -0.000 |
| 0.000 | -0.000 | 0.001 | 73.302 | -0.000 | -0.000 |
| -0.000 | 0.000 | 0.001 | 0.000 | 57.658 | -0.000 |
| -0.000 | 0.000 | -0.000 | 0.000 | -0.000 | 45.897 |
| 328.884 | 149.024 | 99.904 | -0.000 | 0.000 | 0.000 |
| 155.990 | 308.898 | 115.920 | -0.000 | 0.000 | 0.000 |
| 106.710 | 115.759 | 302.499 | -0.000 | 0.000 | 0.000 |
| -0.000 | 0.000 | -0.001 | 73.302 | 0.000 | 0.000 |
| 0.000 | -0.000 | -0.001 | -0.000 | 57.658 | 0.000 |
| 0.000 | -0.000 | 0.000 | -0.000 | 0.000 | 45.897 |
| 287.950 | 122.916 | 106.060 | 0.000 | -0.000 | 0.000 |
| 122.916 | 287.950 | 106.060 | 0.000 | 0.000 | 0.000 |
| 101.908 | 101.908 | 400.719 | -0.000 | -0.000 | 0.000 |
| 8.683 | 8.683 | 10.050 | 58.378 | -0.000 | 0.000 |
| 8.683 | 8.683 | 10.050 | -0.000 | 58.378 | 0.000 |
| 9.603 | 9.603 | 10.306 | 0.000 | -0.000 | 48.509 |
| 227.680 | 110.207 | 76.336 | 0.000 | 0.000 | -0.000 |
| 110.207 | 227.680 | 76.336 | -0.000 | 0.000 | -0.000 |
| 101.908 | 101.908 | 400.719 | -0.000 | 0.000 | -0.000 |
| -8.683 | -8.683 | -10.050 | 58.378 | 0.000 | -0.000 |
| -8.683 | -8.683 | -10.050 | 0.000 | 58.378 | -0.000 |
| -9.603 | -9.603 | -10.306 | 0.000 | 0.000 | 48.509 |
| 259.655 | 116.665 | 91.526 | 0.000 | -0.000 | -0.000 |
| 116.665 | 259.655 | 91.526 | 0.000 | -0.000 | -0.000 |
| 92.553 | 92.553 | 389.568 | 0.000 | -0.000 | 0.000 |
| -0.000 | -0.000 | -0.000 | 62.790 | -0.000 | -0.000 |
| -0.000 | -0.000 | -0.000 | -0.000 | 62.790 | 0.000 |
| 1.619 | 1.619 | 1.874 | -0.000 | -0.000 | 55.970 |
| 210.355 | 114.675 | 80.100 | -0.000 | 0.000 | -0.000 |
| 114.675 | 210.355 | 80.100 | -0.000 | 0.000 | -0.000 |
| 101.908 | 101.908 | 400.719 | 0.000 | 0.000 | 0.000 |
| 0.000 | 0.000 | 0.000 | 62.790 | 0.000 | -0.000 |
| 0.000 | 0.000 | 0.000 | 0.000 | 62.790 | -0.000 |
| -1.619 | -1.619 | -1.874 | -0.000 | 0.000 | 55.970 |
| 258.308 | 115.058 | 89.752 | -0.000 | 0.000 | 0.000 |
| 115.058 | 258.308 | 89.752 | 0.000 | -0.000 | 0.000 |
| 101.908 | 101.908 | 400.720 | -0.000 | -0.000 | -0.000 |
| -0.000 | -0.000 | -0.000 | 62.790 | -0.000 | 0.000 |
| -0.000 | -0.000 | -0.000 | -0.000 | 62.790 | -0.000 |
| -0.000 | -0.000 | -0.000 | 0.000 | 0.000 | 73.422 |
| 258.642 | 114.673 | 89.545 | -0.000 | 0.000 | 0.000 |
| 114.673 | 258.642 | 89.545 | 0.000 | -0.000 | 0.000 |
| 101.908 | 101.908 | 400.718 | 0.000 | 0.000 | 0.000 |
| 0.000 | 0.000 | 0.000 | 62.790 | 0.000 | 0.000 |
| 0.000 | 0.000 | 0.000 | -0.000 | 62.790 | 0.000 |
| 0.000 | 0.000 | 0.000 | -0.000 | 0.000 | 73.422 |
| -598.873 | -718.623 | -803.137 | 0.000 | -0.000 | -0.000 |
| -718.623 | -598.873 | -803.137 | 0.000 | 0.000 | -0.000 |
| -1393.003 | -1393.003 | -828.181 | -0.000 | -0.000 | -0.000 |
| -548.063 | -548.063 | -622.611 | 57.624 | -0.000 | -0.000 |
| -548.063 | -548.063 | -622.611 | -0.000 | 57.624 | -0.000 |
| -839.544 | -839.544 | -887.519 | -0.000 | -0.000 | 54.622 |
| 812.572 | 663.545 | 712.931 | 0.000 | 0.000 | 0.000 |
| 663.545 | 812.572 | 712.931 | 0.000 | 0.000 | 0.000 |
| 925.900 | 925.900 | 1266.239 | -0.000 | -0.000 | 0.000 |
| 548.063 | 548.063 | 622.611 | 57.624 | -0.000 | 0.000 |
| 548.063 | 548.063 | 622.611 | 0.000 | 57.624 | 0.000 |
| 839.544 | 839.544 | 887.519 | -0.000 | -0.000 | 54.622 |
| 55.031 | -17.471 | -41.390 | 0.000 | 0.000 | -0.000 |
| -17.471 | 55.031 | -41.390 | -0.000 | -0.000 | -0.000 |
| 34.159 | 34.159 | 320.267 | 0.000 | 0.000 | -0.000 |
| -55.099 | -55.099 | -62.594 | 57.597 | -0.000 | -0.000 |
| -55.099 | -55.099 | -62.594 | -0.000 | 57.597 | -0.000 |
| -55.238 | -55.238 | -62.752 | 0.000 | 0.000 | 66.839 |
| 327.167 | 204.967 | 174.151 | -0.000 | 0.000 | 0.000 |
| 204.967 | 327.167 | 174.151 | -0.000 | -0.000 | 0.000 |
| 97.639 | 97.639 | 393.511 | -0.000 | -0.000 | 0.000 |
| 55.099 | 55.099 | 62.594 | 57.597 | -0.000 | 0.000 |
| 55.099 | 55.099 | 62.594 | -0.000 | 57.597 | 0.000 |
| 55.238 | 55.238 | 62.752 | -0.000 | -0.000 | 66.839 |
| 222.626 | 118.577 | 75.529 | -0.000 | -0.000 | -0.000 |
| 118.577 | 222.626 | 75.529 | -0.000 | -0.000 | -0.000 |
| 97.639 | 97.639 | 393.512 | -0.000 | -0.000 | -0.000 |
| -12.397 | -12.397 | -10.251 | 31.262 | -0.000 | -0.000 |
| -12.397 | -12.397 | -10.251 | 0.000 | 31.262 | -0.000 |
| -9.503 | -9.503 | -8.755 | -0.000 | -0.000 | 48.580 |
| 290.902 | 111.589 | 99.436 | 0.000 | -0.000 | 0.000 |
| 111.589 | 290.902 | 99.436 | -0.000 | -0.000 | 0.000 |
| 95.040 | 95.040 | 389.175 | -0.000 | 0.000 | 0.000 |
| 12.397 | 12.397 | 10.251 | 31.262 | 0.000 | 0.000 |
| 12.397 | 12.397 | 10.251 | 0.000 | 31.262 | 0.000 |
| 9.503 | 9.503 | 8.755 | 0.000 | -0.000 | 48.580 |
| 223.427 | 147.907 | 69.769 | -0.000 | -0.000 | -0.000 |
| 167.912 | 409.306 | 76.752 | 0.000 | 0.000 | -0.000 |
| 82.948 | 76.752 | 524.690 | 0.000 | 0.000 | -0.000 |
| 0.000 | -0.000 | 0.000 | 32.954 | -0.000 | -0.000 |
| -0.000 | -0.000 | -0.000 | 0.000 | 41.403 | -0.000 |
| -0.000 | -0.000 | 0.000 | 0.000 | 0.000 | 124.818 |
| 245.716 | 167.912 | 82.947 | 0.000 | 0.000 | 0.000 |
| 167.912 | 409.307 | 76.752 | 0.000 | -0.000 | 0.000 |
| 69.767 | 64.923 | 516.898 | 0.000 | -0.000 | 0.000 |
| -0.000 | 0.000 | -0.000 | 32.954 | -0.000 | 0.000 |
| 0.000 | 0.000 | 0.000 | 0.000 | 41.403 | 0.000 |
| -0.000 | 0.000 | -0.000 | -0.000 | -0.000 | 124.818 |
| 245.716 | 167.912 | 82.948 | -0.000 | 0.000 | -0.000 |
| 147.907 | 391.350 | 64.924 | 0.000 | 0.000 | -0.000 |
| 69.769 | 64.924 | 516.899 | 0.000 | 0.000 | -0.000 |
| -0.000 | 0.000 | 0.000 | 32.954 | 0.000 | -0.000 |
| 0.002 | 0.001 | 0.001 | 0.000 | -221.702 | -0.000 |
| -0.000 | 0.000 | -0.000 | 0.000 | 0.000 | 124.818 |
| 223.426 | 147.906 | 69.769 | 0.000 | -0.000 | 0.000 |
| 167.912 | 409.306 | 76.752 | -0.000 | -0.000 | 0.000 |
| 69.769 | 64.924 | 516.898 | -0.000 | -0.000 | 0.000 |
| 0.000 | -0.000 | -0.000 | 32.954 | -0.000 | 0.000 |
| -0.002 | -0.001 | -0.001 | -0.000 | -221.702 | 0.000 |
| 0.000 | -0.000 | 0.000 | -0.000 | -0.000 | 124.818 |
| 223.427 | 147.907 | 69.769 | 0.000 | -0.000 | -0.000 |
| 167.914 | 409.311 | 76.754 | 0.000 | -0.000 | -0.000 |
| 69.770 | 64.926 | 516.902 | -0.000 | -0.000 | -0.000 |
| -0.003 | 0.000 | -0.001 | -149.584 | 0.000 | -0.000 |
| -0.001 | -0.001 | -0.002 | 0.000 | -221.702 | -0.000 |
| -0.000 | 0.001 | -0.000 | 0.000 | 0.000 | 124.818 |
| 223.420 | 147.902 | 69.766 | 0.000 | -0.000 | 0.000 |
| 167.911 | 409.302 | 76.750 | -0.000 | -0.000 | 0.000 |
| 69.767 | 64.922 | 516.894 | -0.000 | -0.000 | 0.000 |
| 0.003 | -0.000 | 0.001 | -149.584 | -0.000 | 0.000 |
| 0.001 | 0.001 | 0.002 | -0.000 | -221.702 | 0.000 |
| 0.000 | -0.001 | 0.000 | -0.000 | -0.000 | 124.818 |
| 217.144 | 145.144 | 69.433 | 0.000 | -0.000 | 0.000 |
| 145.098 | 380.283 | 62.613 | -0.000 | -0.000 | 0.000 |
| 69.200 | 62.427 | 507.129 | -0.000 | -0.000 | 0.000 |
| 0.000 | -0.000 | 0.000 | 31.626 | 0.000 | 0.000 |
| 0.000 | -0.000 | 0.000 | 0.000 | 42.178 | 0.000 |
| 0.000 | 0.000 | 0.000 | 0.000 | -0.000 | 123.343 |
| 217.144 | 145.144 | 69.433 | -0.000 | 0.000 | -0.000 |
| 145.098 | 380.283 | 62.613 | 0.000 | -0.000 | -0.000 |
| 69.200 | 62.427 | 507.129 | -0.000 | 0.000 | -0.000 |
| -0.000 | 0.000 | -0.000 | 31.626 | -0.000 | -0.000 |
| -0.000 | 0.000 | -0.000 | -0.000 | 42.178 | -0.000 |
| -0.000 | -0.000 | -0.000 | -0.000 | 0.000 | 123.343 |
| 217.144 | 145.144 | 69.433 | 0.000 | -0.000 | 0.000 |
| 145.098 | 380.284 | 62.613 | 0.000 | -0.000 | 0.000 |
| 82.441 | 74.213 | 514.998 | -0.000 | -0.000 | 0.000 |
| -0.000 | 0.000 | -0.000 | -148.465 | 0.000 | 0.000 |
| -0.000 | -0.000 | -0.000 | -0.000 | -210.285 | 0.000 |
| -0.000 | 0.000 | 0.000 | -0.000 | -0.000 | 123.343 |
| 239.425 | 164.978 | 82.673 | 0.000 | 0.000 | -0.000 |
| 145.098 | 380.283 | 62.613 | 0.000 | 0.000 | -0.000 |
| 82.441 | 74.213 | 514.997 | 0.000 | -0.000 | -0.000 |
| 0.000 | -0.000 | 0.000 | -148.465 | -0.000 | -0.000 |
| 0.000 | 0.000 | 0.000 | -0.000 | -210.285 | -0.000 |
| 0.000 | -0.000 | -0.000 | 0.000 | 0.000 | 123.343 |
| 217.144 | 145.144 | 69.432 | -0.000 | -0.000 | 0.000 |
| 145.098 | 380.285 | 62.613 | 0.000 | -0.000 | 0.000 |
| 69.200 | 62.427 | 507.132 | -0.000 | -0.000 | 0.000 |
| -0.003 | -0.000 | -0.001 | -148.465 | -0.000 | 0.000 |
| -0.001 | -0.001 | -0.002 | 0.000 | -210.285 | 0.000 |
| -0.000 | 0.001 | -0.000 | 0.000 | -0.000 | 123.343 |
| 217.144 | 145.145 | 69.434 | -0.000 | 0.000 | -0.000 |
| 145.098 | 380.282 | 62.613 | 0.000 | 0.000 | -0.000 |
| 69.199 | 62.425 | 507.126 | 0.000 | -0.000 | -0.000 |
| 0.003 | 0.000 | 0.001 | -148.465 | 0.000 | -0.000 |
| 0.001 | 0.001 | 0.002 | 0.000 | -210.285 | -0.000 |
| 0.000 | -0.001 | 0.000 | -0.000 | 0.000 | 123.343 |
| 280.752 | 86.001 | 86.001 | 0.000 | 0.000 | 0.000 |
| 86.001 | 280.752 | 86.001 | -0.000 | 0.000 | -0.000 |
| 86.001 | 86.001 | 280.752 | 0.000 | 0.000 | 0.000 |
| -125.392 | -125.392 | -125.392 | 15.549 | -0.000 | 0.000 |
| -125.392 | -125.392 | -125.392 | -0.000 | 15.549 | -0.000 |
| -125.392 | -125.392 | -125.392 | 0.000 | 0.000 | 15.549 |
| 342.102 | 211.052 | 211.052 | 0.000 | -0.000 | -0.000 |
| 211.052 | 342.102 | 211.052 | -0.000 | -0.000 | 0.000 |
| 211.052 | 211.052 | 342.102 | -0.000 | -0.000 | -0.000 |
| 125.392 | 125.392 | 125.392 | 15.549 | -0.000 | -0.000 |
| 125.392 | 125.392 | 125.392 | 0.000 | 15.549 | -0.000 |
| 125.392 | 125.392 | 125.392 | 0.000 | -0.000 | 15.549 |
| 201.417 | 72.148 | 72.148 | -0.000 | 0.000 | 0.000 |
| 72.148 | 201.417 | 72.148 | -0.000 | 0.000 | -0.000 |
| 72.148 | 72.148 | 201.417 | 0.000 | 0.000 | 0.000 |
| -12.686 | -12.686 | -12.686 | 31.657 | 0.000 | -0.000 |
| -12.686 | -12.686 | -12.686 | -0.000 | 31.657 | 0.000 |
| -12.686 | -12.686 | -12.686 | 0.000 | 0.000 | 31.657 |
| 280.752 | 86.001 | 86.001 | 0.000 | -0.000 | -0.000 |
| 86.001 | 280.752 | 86.001 | 0.000 | 0.000 | 0.000 |
| 86.001 | 86.001 | 280.752 | -0.000 | -0.000 | -0.000 |
| 12.686 | 12.686 | 12.686 | 31.657 | -0.000 | 0.000 |
| 12.686 | 12.686 | 12.686 | 0.000 | 31.657 | 0.000 |
| 12.686 | 12.686 | 12.686 | 0.000 | 0.000 | 31.657 |
| 280.753 | 86.001 | 86.001 | -0.000 | -0.000 | 0.000 |
| 86.001 | 280.753 | 86.001 | 0.000 | -0.000 | -0.000 |
| 86.001 | 86.001 | 280.753 | -0.000 | -0.000 | 0.000 |
| -0.395 | -0.395 | -0.395 | 13.970 | -0.000 | -0.000 |
| -0.395 | -0.395 | -0.395 | -0.000 | 13.970 | -0.000 |
| -0.395 | -0.395 | -0.395 | -0.000 | -0.000 | 13.970 |
| 204.219 | 91.894 | 91.894 | 0.000 | 0.000 | -0.000 |
| 91.894 | 204.219 | 91.894 | -0.000 | -0.000 | -0.000 |
| 91.894 | 91.894 | 204.219 | -0.000 | -0.000 | -0.000 |
| 0.395 | 0.395 | 0.395 | 13.970 | -0.000 | -0.000 |
| 0.395 | 0.395 | 0.395 | -0.000 | 13.970 | -0.000 |
| 0.395 | 0.395 | 0.395 | -0.000 | -0.000 | 13.970 |
| 206.472 | 121.690 | 121.690 | -0.000 | -0.000 | 0.000 |
| 121.690 | 206.472 | 121.690 | -0.000 | -0.000 | 0.000 |
| 121.690 | 121.690 | 206.472 | -0.000 | -0.000 | 0.000 |
| -0.000 | 0.000 | 0.000 | 76.977 | 0.000 | 0.000 |
| -0.000 | 0.000 | 0.000 | -0.000 | 76.977 | 0.000 |
| -0.000 | 0.000 | -0.000 | 0.000 | 0.000 | 76.977 |
| 195.261 | 123.146 | 123.146 | 0.000 | 0.000 | 0.000 |
| 123.146 | 195.261 | 123.146 | 0.000 | -0.000 | -0.000 |
| 123.146 | 123.146 | 195.261 | 0.000 | 0.000 | -0.000 |
| 0.000 | -0.000 | -0.000 | 76.977 | 0.000 | 0.000 |
| 0.000 | -0.000 | -0.000 | 0.000 | 76.977 | -0.000 |
| 0.000 | -0.000 | -0.000 | 0.000 | -0.000 | 76.977 |
| 216.740 | 117.852 | 117.852 | 0.000 | -0.000 | 0.000 |
| 117.852 | 216.740 | 117.852 | -0.000 | 0.000 | 0.000 |
| 117.852 | 117.852 | 216.740 | -0.000 | 0.000 | 0.000 |
| 0.001 | 0.001 | 0.001 | 54.286 | -0.000 | 0.000 |
| 0.001 | 0.001 | 0.001 | -0.000 | 54.286 | 0.000 |
| 0.001 | 0.001 | 0.001 | -0.000 | -0.000 | 54.286 |
| 216.740 | 117.852 | 117.852 | 0.000 | -0.000 | -0.000 |
| 117.852 | 216.740 | 117.852 | 0.000 | -0.000 | -0.000 |
| 117.852 | 117.852 | 216.740 | 0.000 | -0.000 | -0.000 |
| -0.001 | -0.001 | -0.001 | 54.286 | 0.000 | -0.000 |
| -0.001 | -0.001 | -0.001 | 0.000 | 54.286 | -0.000 |
| -0.001 | -0.001 | -0.001 | 0.000 | 0.000 | 54.286 |
| 206.463 | 121.679 | 121.679 | -0.000 | -0.000 | 0.000 |
| 121.679 | 206.463 | 121.679 | -0.000 | -0.000 | 0.000 |
| 121.679 | 121.679 | 206.463 | -0.000 | -0.000 | 0.000 |
| 0.000 | 0.000 | 0.000 | 54.286 | -0.000 | 0.000 |
| 0.000 | 0.000 | 0.000 | -0.000 | 54.286 | 0.000 |
| 0.000 | 0.000 | 0.000 | -0.000 | -0.000 | 54.286 |
| 216.741 | 117.853 | 117.853 | 0.000 | -0.000 | -0.000 |
| 117.853 | 216.741 | 117.853 | 0.000 | -0.000 | -0.000 |
| 117.853 | 117.853 | 216.741 | 0.000 | 0.000 | -0.000 |
| -0.000 | -0.000 | -0.000 | 54.286 | 0.000 | -0.000 |
| -0.000 | -0.000 | -0.000 | 0.000 | 54.286 | -0.000 |
| -0.000 | -0.000 | -0.000 | 0.000 | 0.000 | 54.286 |
| 192.510 | 60.392 | 227.776 | -0.000 | -0.000 | 0.000 |
| 68.217 | 399.010 | 68.060 | -0.000 | 0.000 | 0.000 |
| 227.751 | 60.211 | 193.045 | -0.000 | -0.000 | 0.000 |
| 0.004 | -0.002 | 0.004 | -108.119 | 0.000 | 0.000 |
| 0.000 | -0.000 | 0.000 | -0.000 | 184.761 | 0.000 |
| 0.004 | -0.002 | 0.004 | -0.000 | 0.000 | -100.006 |
| 177.712 | 69.005 | 213.018 | 0.000 | -0.000 | -0.000 |
| 68.217 | 399.010 | 68.061 | 0.000 | 0.000 | -0.000 |
| 212.993 | 68.800 | 178.328 | 0.000 | -0.000 | -0.000 |
| -0.004 | 0.002 | -0.004 | -108.119 | -0.000 | -0.000 |
| -0.000 | 0.000 | -0.000 | 0.000 | 184.761 | -0.000 |
| -0.004 | 0.002 | -0.004 | 0.000 | -0.000 | -100.006 |
| 177.712 | 69.005 | 213.019 | -0.000 | 0.000 | 0.000 |
| 76.829 | 393.998 | 76.649 | -0.000 | -0.000 | 0.000 |
| 227.751 | 60.211 | 193.045 | -0.000 | -0.000 | 0.000 |
| 0.000 | -0.000 | 0.000 | -108.119 | -0.000 | 0.000 |
| 0.000 | -0.000 | 0.000 | -0.000 | 184.761 | 0.000 |
| 0.000 | 0.000 | -0.000 | -0.000 | -0.000 | 32.477 |
| 177.712 | 69.005 | 213.019 | 0.000 | -0.000 | -0.000 |
| 76.829 | 393.998 | 76.649 | -0.000 | 0.000 | -0.000 |
| 227.751 | 60.211 | 193.045 | 0.000 | -0.000 | -0.000 |
| -0.000 | 0.000 | -0.000 | -108.119 | 0.000 | -0.000 |
| -0.000 | 0.000 | -0.000 | 0.000 | 184.761 | -0.000 |
| -0.000 | -0.000 | 0.000 | 0.000 | 0.000 | 32.477 |
| 177.712 | 69.004 | 213.019 | 0.000 | -0.000 | 0.000 |
| 76.829 | 394.000 | 76.649 | -0.000 | 0.000 | 0.000 |
| 212.994 | 68.800 | 178.328 | -0.000 | 0.000 | 0.000 |
| -0.001 | -0.000 | -0.001 | -108.119 | -0.000 | 0.000 |
| 0.000 | -0.000 | 0.001 | -0.000 | 184.761 | 0.000 |
| -0.000 | -0.000 | -0.001 | -0.000 | -0.000 | -100.006 |
| 177.712 | 69.005 | 213.018 | 0.000 | 0.000 | -0.000 |
| 76.829 | 393.996 | 76.649 | 0.000 | -0.000 | -0.000 |
| 227.751 | 60.211 | 193.045 | 0.000 | 0.000 | -0.000 |
| 0.001 | 0.000 | 0.001 | -108.119 | 0.000 | -0.000 |
| -0.000 | 0.000 | -0.001 | 0.000 | 184.761 | -0.000 |
| 0.000 | 0.000 | 0.001 | 0.000 | -0.000 | -100.006 |
| 327.552 | 148.791 | 100.093 | 0.000 | -0.000 | 0.000 |
| 155.675 | 308.238 | 116.026 | 0.000 | -0.000 | 0.000 |
| 106.722 | 115.771 | 303.873 | 0.000 | 0.000 | 0.000 |
| -0.000 | 0.000 | 0.000 | 73.702 | 0.000 | 0.000 |
| -0.000 | 0.000 | 0.000 | 0.000 | 58.151 | 0.000 |
| -0.000 | 0.000 | -0.000 | 0.000 | -0.000 | 45.926 |
| 327.552 | 148.791 | 100.093 | -0.000 | 0.000 | -0.000 |
| 130.319 | 331.448 | 115.451 | -0.000 | -0.000 | -0.000 |
| 106.722 | 115.771 | 303.873 | -0.000 | -0.000 | -0.000 |
| 0.000 | -0.000 | -0.000 | 73.702 | 0.000 | 0.000 |
| 0.000 | -0.000 | -0.000 | -0.000 | 58.151 | -0.000 |
| 0.000 | -0.000 | -0.000 | -0.000 | -0.000 | 45.926 |
| 327.552 | 148.791 | 100.092 | 0.000 | 0.000 | 0.000 |
| 155.675 | 308.238 | 116.026 | 0.000 | -0.000 | 0.000 |
| 106.722 | 115.771 | 303.873 | 0.000 | -0.000 | 0.000 |
| 0.000 | -0.000 | 0.000 | 73.704 | 0.000 | 0.000 |
| -0.000 | 0.000 | 0.000 | 0.000 | 58.151 | -0.000 |
| -0.000 | 0.000 | -0.000 | 0.000 | 0.000 | 45.926 |
| 327.552 | 148.791 | 100.093 | -0.000 | -0.000 | -0.000 |
| 155.675 | 308.238 | 116.026 | -0.000 | -0.000 | -0.000 |
| 106.722 | 115.771 | 303.873 | -0.000 | 0.000 | -0.000 |
| -0.000 | 0.000 | -0.000 | 73.704 | -0.000 | -0.000 |
| 0.000 | -0.000 | -0.000 | -0.000 | 58.151 | -0.000 |
| 0.000 | -0.000 | 0.000 | -0.000 | 0.000 | 45.926 |
| 355.253 | 123.433 | 100.719 | 0.000 | 0.000 | 0.000 |
| 155.674 | 308.237 | 116.024 | 0.000 | -0.000 | 0.000 |
| 106.721 | 115.770 | 303.874 | 0.000 | 0.000 | 0.000 |
| 0.000 | -0.000 | 0.001 | 73.702 | 0.000 | 0.000 |
| -0.000 | 0.000 | 0.001 | 0.000 | 58.151 | 0.000 |
| -0.000 | 0.000 | -0.000 | 0.000 | 0.000 | 45.926 |
| 327.552 | 148.793 | 100.094 | -0.000 | -0.000 | -0.000 |
| 155.676 | 308.239 | 116.027 | -0.000 | 0.000 | -0.000 |
| 106.723 | 115.772 | 303.872 | -0.000 | 0.000 | -0.000 |
| -0.000 | 0.000 | -0.001 | 73.702 | -0.000 | -0.000 |
| 0.000 | -0.000 | -0.001 | -0.000 | 58.151 | 0.000 |
| 0.000 | -0.000 | 0.000 | -0.000 | 0.000 | 45.926 |
| 330.960 | 157.768 | 105.671 | 13.277 | -0.000 | -0.000 |
| 157.767 | 330.959 | 105.671 | -13.277 | -0.000 | -0.000 |
| 112.314 | 112.314 | 319.545 | -0.000 | -0.000 | -0.000 |
| 13.031 | -13.031 | 0.000 | 66.385 | 0.000 | 0.000 |
| 16.888 | 16.888 | -6.572 | 0.000 | 66.373 | 13.277 |
| 0.000 | 0.000 | 0.000 | -0.000 | 13.031 | 91.631 |
| 319.126 | 135.863 | 112.235 | 13.031 | 0.000 | 0.000 |
| 123.978 | 297.171 | 118.820 | -13.277 | -0.000 | 0.000 |
| 95.436 | 95.436 | 326.113 | 0.000 | 0.000 | -0.000 |
| -3.611 | -30.165 | 6.572 | 66.373 | -0.000 | -0.000 |
| -16.888 | -16.888 | 6.572 | -0.000 | 66.373 | 13.277 |
| -0.000 | 0.000 | -0.000 | 0.000 | 13.031 | 91.631 |
| 315.627 | 142.815 | 111.564 | 13.286 | -0.000 | -0.000 |
| 164.871 | 293.444 | 111.588 | -14.367 | -0.000 | -0.000 |
| 114.013 | 114.013 | 318.884 | -0.000 | -0.000 | -0.000 |
| 14.966 | -11.588 | -0.657 | 66.373 | -0.000 | -0.000 |
| 1.689 | 1.689 | -0.657 | 0.000 | 66.373 | 13.277 |
| 1.751 | 1.751 | -0.681 | 0.000 | 13.286 | 86.412 |
| 290.066 | 161.494 | 112.903 | 14.367 | 0.000 | 0.000 |
| 139.301 | 312.136 | 112.927 | -13.285 | -0.000 | 0.000 |
| 110.636 | 110.636 | 320.198 | 0.000 | 0.000 | 0.000 |
| 13.031 | -13.031 | -0.000 | 66.385 | 0.000 | -0.000 |
| -1.689 | -1.689 | 0.657 | -0.000 | 66.373 | 13.277 |
| -1.751 | -1.751 | 0.681 | -0.000 | 13.286 | 86.412 |
| 302.535 | 153.421 | 112.045 | 13.865 | -0.000 | -0.000 |
| 163.350 | 291.922 | 112.178 | -14.367 | -0.000 | -0.000 |
| 112.313 | 112.313 | 319.545 | -0.000 | -0.000 | -0.000 |
| 13.031 | -13.031 | 0.000 | 66.385 | -0.000 | -0.000 |
| 0.170 | 0.170 | -0.066 | 0.000 | 66.373 | 13.279 |
| -0.000 | 0.000 | 0.000 | 0.000 | 13.031 | 91.631 |
| 291.588 | 163.015 | 112.313 | 14.367 | 0.000 | 0.000 |
| 135.865 | 319.128 | 112.237 | -13.031 | -0.000 | 0.000 |
| 112.316 | 112.316 | 319.545 | 0.000 | 0.000 | -0.000 |
| 13.031 | -13.031 | -0.000 | 66.385 | -0.000 | 0.000 |
| -0.170 | -0.170 | 0.066 | -0.000 | 66.373 | 13.279 |
| 0.000 | -0.000 | -0.000 | -0.000 | 13.031 | 91.631 |
| 290.959 | 162.456 | 111.798 | 14.434 | 0.000 | 0.000 |
| 135.069 | 318.392 | 111.791 | -13.054 | 0.000 | 0.000 |
| 111.791 | 111.791 | 319.642 | -0.000 | 0.000 | 0.000 |
| 13.054 | -13.054 | 0.000 | 66.626 | 0.000 | 0.000 |
| 0.017 | 0.017 | -0.005 | 0.000 | 66.567 | 14.239 |
| -0.000 | 0.000 | -0.000 | 0.000 | 13.054 | 91.661 |
| 291.622 | 161.520 | 111.836 | 14.393 | -0.000 | -0.000 |
| 135.070 | 318.392 | 111.791 | -13.054 | 0.000 | -0.000 |
| 111.791 | 111.791 | 319.642 | -0.000 | 0.000 | -0.000 |
| 14.222 | -14.256 | 0.005 | 66.567 | -0.000 | -0.000 |
| -0.017 | -0.017 | 0.005 | -0.000 | 66.567 | 14.239 |
| 0.000 | -0.000 | 0.000 | -0.000 | 13.054 | 91.661 |
| 291.451 | 161.730 | 111.830 | 14.403 | -0.000 | -0.000 |
| 135.069 | 318.392 | 111.791 | -13.054 | 0.000 | 0.000 |
| 111.799 | 111.799 | 319.640 | 0.000 | 0.000 | 0.000 |
| 13.054 | -13.054 | 0.000 | 66.626 | 0.000 | 0.000 |
| -0.000 | 0.000 | 0.000 | 0.000 | 66.626 | 13.054 |
| 0.002 | 0.002 | -0.001 | 0.000 | 14.434 | 64.252 |
| 290.955 | 162.452 | 111.799 | 14.434 | 0.000 | 0.000 |
| 161.694 | 291.480 | 111.831 | -14.401 | -0.000 | 0.000 |
| 111.791 | 111.791 | 319.642 | 0.000 | 0.000 | -0.000 |
| 13.054 | -13.054 | -0.000 | 66.626 | -0.000 | -0.000 |
| 0.000 | -0.000 | -0.000 | -0.000 | 66.626 | 13.054 |
| -0.002 | -0.002 | 0.001 | -0.000 | 14.434 | 64.252 |
| 318.391 | 135.068 | 111.789 | 13.054 | 0.000 | 0.000 |
| 161.713 | 291.462 | 111.829 | -14.402 | 0.000 | 0.000 |
| 111.790 | 111.790 | 319.642 | 0.000 | 0.000 | -0.000 |
| 13.054 | -13.054 | 0.000 | 66.626 | 0.000 | 0.000 |
| 0.000 | 0.000 | 0.000 | 0.000 | 66.557 | 14.434 |
| -0.000 | 0.000 | 0.000 | 0.000 | 13.054 | 91.661 |
| 290.957 | 162.454 | 111.800 | 14.434 | 0.000 | -0.000 |
| 161.712 | 291.469 | 111.832 | -14.402 | -0.000 | -0.000 |
| 111.793 | 111.793 | 319.643 | -0.000 | -0.000 | -0.000 |
| 14.433 | -14.434 | -0.000 | 66.557 | -0.000 | -0.000 |
| -0.000 | -0.000 | -0.000 | -0.000 | 66.557 | 14.434 |
| 0.000 | -0.000 | -0.000 | -0.000 | 13.054 | 91.661 |
| 205.098 | 40.891 | -260.208 | -0.000 | -0.000 | 0.000 |
| 40.891 | 205.098 | -260.208 | -0.000 | -0.000 | 0.000 |
| 492.443 | 492.443 | -291.167 | -0.000 | 0.000 | -0.000 |
| 419.683 | 419.683 | -674.682 | 29.876 | 0.000 | -0.000 |
| 419.683 | 419.683 | -674.682 | 0.000 | 29.876 | -0.000 |
| -72.399 | -72.399 | -356.799 | -0.000 | 0.000 | 58.188 |
| 306.832 | 113.359 | 103.556 | 0.000 | 0.000 | 0.000 |
| 113.359 | 306.832 | 103.556 | 0.000 | 0.000 | 0.000 |
| -347.732 | -347.732 | 1057.533 | 0.000 | 0.000 | 0.000 |
| -419.683 | -419.683 | 674.682 | 29.876 | 0.000 | 0.000 |
| -419.683 | -419.683 | 674.682 | -0.000 | 29.876 | 0.000 |
| 72.399 | 72.399 | 356.799 | 0.000 | 0.000 | 58.188 |
| 306.832 | 113.360 | 103.556 | -0.000 | -0.000 | -0.000 |
| 113.360 | 306.832 | 103.556 | -0.000 | -0.000 | -0.000 |
| 104.047 | 104.047 | 403.031 | -0.000 | -0.000 | -0.000 |
| -0.000 | -0.000 | -0.000 | 63.437 | 0.000 | -0.000 |
| -0.000 | -0.000 | -0.000 | 0.000 | 63.437 | -0.000 |
| -0.000 | -0.000 | -0.000 | 0.000 | -0.000 | 72.119 |
| 306.832 | 113.359 | 103.556 | -0.000 | 0.000 | 0.000 |
| 113.359 | 306.832 | 103.556 | 0.000 | 0.000 | 0.000 |
| 25.918 | 25.918 | 446.975 | 0.000 | -0.000 | 0.000 |
| 0.000 | 0.000 | 0.000 | 63.437 | 0.000 | 0.000 |
| 0.000 | 0.000 | 0.000 | 0.000 | 63.437 | -0.000 |
| 0.000 | 0.000 | 0.000 | 0.000 | 0.000 | 72.119 |
| 235.822 | 118.132 | 81.943 | -0.000 | 0.000 | -0.000 |
| 118.132 | 235.822 | 81.943 | 0.000 | 0.000 | -0.000 |
| 104.047 | 104.047 | 403.032 | -0.000 | -0.000 | -0.000 |
| -0.000 | -0.000 | -0.000 | 63.437 | -0.000 | 0.000 |
| -0.000 | -0.000 | -0.000 | 0.000 | 63.437 | -0.000 |
| -0.000 | -0.000 | -0.000 | -0.000 | -0.000 | 72.119 |
| 306.831 | 113.359 | 103.556 | 0.000 | 0.000 | 0.000 |
| 113.359 | 306.831 | 103.556 | 0.000 | 0.000 | -0.000 |
| 93.780 | 93.780 | 394.753 | 0.000 | 0.000 | -0.000 |
| 0.000 | 0.000 | 0.000 | 63.437 | 0.000 | -0.000 |
| 0.000 | 0.000 | 0.000 | -0.000 | 63.437 | 0.000 |
| 0.000 | 0.000 | 0.000 | 0.000 | 0.000 | 72.119 |
| 233.038 | 106.938 | 40.980 | 0.000 | -0.000 | -0.000 |
| 131.686 | 208.290 | 40.980 | 0.000 | -0.000 | -0.000 |
| 40.980 | 40.980 | 342.203 | 0.000 | -0.000 | -0.000 |
| -0.000 | -0.000 | 0.000 | -3.514 | -0.000 | -0.000 |
| -0.000 | -0.000 | 0.000 | -0.000 | -3.514 | -0.000 |
| -0.000 | -0.000 | 0.000 | 0.000 | -0.000 | 38.302 |
| 233.038 | 106.938 | 40.980 | 0.000 | 0.000 | 0.000 |
| 131.686 | 208.290 | 40.980 | -0.000 | 0.000 | 0.000 |
| 40.980 | 40.980 | 342.203 | 0.000 | 0.000 | 0.000 |
| 0.000 | 0.000 | -0.000 | -3.514 | 0.000 | 0.000 |
| 0.000 | 0.000 | -0.000 | -0.000 | -3.514 | 0.000 |
| 0.000 | 0.000 | -0.000 | 0.000 | 0.000 | 38.302 |
| 208.290 | 131.686 | 40.980 | 0.000 | -0.000 | -0.000 |
| 131.686 | 208.290 | 40.980 | 0.000 | -0.000 | -0.000 |
| 40.980 | 40.980 | 342.203 | 0.000 | -0.000 | -0.000 |
| 31157284.010 | 31157212.349 | -27653605.035 | 60.471 | -0.000 | -0.000 |
| 30256205.027 | 30256204.798 | -31697961.194 | -0.014 | 59.453 | -27.819 |
| -0.000 | 0.000 | -0.000 | 0.000 | -0.000 | 38.302 |
| 233.038 | 106.938 | 40.981 | -0.000 | 0.000 | 0.000 |
| 131.686 | 208.290 | 40.981 | -0.000 | 0.000 | 0.000 |
| 40.980 | 40.980 | 342.203 | -0.000 | 0.000 | 0.000 |
| -31157284.010 | -31157212.349 | 27653605.035 | 60.471 | 0.000 | 0.000 |
| -30256204.881 | -30256204.940 | 31697961.213 | -0.003 | 59.449 | -27.775 |
| 0.000 | -0.000 | 0.000 | -0.000 | 0.000 | 38.302 |
| 208.289 | 131.685 | 40.979 | 0.000 | -0.000 | -0.000 |
| 131.688 | 208.287 | 40.979 | 0.000 | -0.000 | -0.000 |
| 40.979 | 40.979 | 342.203 | 0.000 | -0.000 | -0.000 |
| 3115760.648 | 3115688.987 | -2765360.503 | 60.471 | -0.000 | -0.000 |
| 3115724.818 | 3115724.818 | -2765360.503 | -0.000 | 60.471 | -35.830 |
| -0.000 | 0.000 | -0.000 | 0.000 | -0.000 | 63.050 |
| 208.291 | 131.687 | 40.982 | -0.000 | 0.000 | 0.000 |
| 106.938 | 233.039 | 40.982 | 0.000 | 0.000 | 0.000 |
| 40.981 | 40.981 | 342.203 | -0.000 | 0.000 | 0.000 |
| -3115760.648 | -3115688.987 | 2765360.503 | 60.471 | 0.000 | 0.000 |
| -3115724.818 | -3115724.818 | 2765360.503 | 0.000 | 60.471 | -35.830 |
| 0.000 | -0.000 | 0.000 | 0.000 | 0.000 | 63.050 |
| 137.160 | 83.557 | 83.557 | 0.000 | -0.000 | -0.000 |
| 83.557 | 137.160 | 83.557 | -0.000 | -0.000 | -0.000 |
| 83.557 | 83.557 | 137.160 | -0.000 | 0.000 | 0.000 |
| -0.000 | 0.000 | 0.000 | 62.463 | 0.000 | -0.000 |
| -0.000 | 0.000 | 0.000 | 0.000 | 62.463 | -0.000 |
| -0.000 | -0.000 | 0.000 | -0.000 | 0.000 | 62.463 |
| 137.160 | 83.557 | 83.557 | -0.000 | -0.000 | 0.000 |
| 83.557 | 137.160 | 83.557 | 0.000 | -0.000 | 0.000 |
| 83.557 | 83.557 | 137.160 | -0.000 | -0.000 | -0.000 |
| 0.000 | -0.000 | -0.000 | 62.463 | -0.000 | -0.000 |
| 0.000 | -0.000 | -0.000 | 0.000 | 62.463 | 0.000 |
| 0.000 | 0.000 | -0.000 | 0.000 | -0.000 | 62.463 |
| 137.160 | 83.557 | 83.557 | 0.000 | 0.000 | -0.000 |
| 83.557 | 137.160 | 83.557 | 0.000 | 0.000 | -0.000 |
| 83.557 | 83.557 | 137.160 | 0.000 | -0.000 | 0.000 |
| 0.000 | -0.000 | 0.000 | 62.463 | 0.000 | 0.000 |
| -0.000 | 0.000 | 0.000 | 0.000 | 62.463 | -0.000 |
| -0.000 | -0.000 | 0.000 | -0.000 | -0.000 | 62.463 |
| 137.161 | 83.557 | 83.557 | -0.000 | 0.000 | -0.000 |
| 83.557 | 137.161 | 83.557 | 0.000 | 0.000 | 0.000 |
| 83.557 | 83.557 | 137.161 | -0.000 | -0.000 | 0.000 |
| -0.000 | 0.000 | -0.000 | 62.463 | -0.000 | 0.000 |
| 0.000 | -0.000 | -0.000 | 0.000 | 62.463 | -0.000 |
| 0.000 | 0.000 | -0.000 | 0.000 | -0.000 | 62.463 |
| 137.155 | 83.557 | 83.557 | -0.000 | 0.000 | 0.000 |
| 83.557 | 137.155 | 83.557 | -0.000 | 0.000 | 0.000 |
| 83.557 | 83.557 | 137.155 | -0.000 | -0.000 | 0.000 |
| -0.001 | -0.000 | -0.000 | -5.440 | -0.000 | 0.000 |
| -0.000 | -0.001 | -0.000 | -0.000 | -5.440 | -0.000 |
| -0.000 | -0.000 | -0.001 | -0.000 | 0.000 | -5.440 |
| 137.165 | 83.557 | 83.557 | -0.000 | 0.000 | 0.000 |
| 83.557 | 137.165 | 83.557 | -0.000 | -0.000 | -0.000 |
| 83.557 | 83.557 | 137.165 | -0.000 | -0.000 | -0.000 |
| 0.001 | 0.000 | 0.000 | -5.440 | 0.000 | 0.000 |
| 0.000 | 0.001 | 0.000 | 0.000 | -5.440 | 0.000 |
| 0.000 | 0.000 | 0.001 | 0.000 | -0.000 | -5.440 |
| 348.215 | 174.292 | 174.292 | 0.000 | 0.000 | -0.000 |
| 174.292 | 348.215 | 174.292 | 0.000 | 0.000 | -0.000 |
| 174.292 | 174.292 | 348.215 | 0.000 | 0.000 | -0.000 |
| 0.000 | -0.000 | -0.000 | 145.495 | 0.000 | -0.000 |
| -0.000 | -0.000 | 0.000 | 0.000 | 145.495 | -0.000 |
| 0.000 | -0.000 | 0.000 | 0.000 | 0.000 | 145.495 |
| 348.215 | 174.292 | 174.292 | -0.000 | -0.000 | 0.000 |
| 174.292 | 348.215 | 174.292 | -0.000 | -0.000 | 0.000 |
| 174.292 | 174.292 | 348.215 | -0.000 | -0.000 | 0.000 |
| -0.000 | 0.000 | -0.000 | 145.495 | -0.000 | 0.000 |
| -0.000 | 0.000 | -0.000 | -0.000 | 145.495 | 0.000 |
| -0.000 | 0.000 | 0.000 | 0.000 | -0.000 | 145.495 |
| 348.215 | 174.292 | 174.292 | 0.000 | -0.000 | -0.000 |
| 174.292 | 348.215 | 174.292 | -0.000 | 0.000 | -0.000 |
| 174.292 | 174.292 | 348.215 | 0.000 | 0.000 | -0.000 |
| -0.000 | -0.000 | 0.000 | 145.469 | 0.000 | -0.000 |
| -0.000 | -0.000 | 0.000 | 0.000 | 145.469 | -0.000 |
| -0.000 | 0.000 | -0.000 | 0.000 | 0.000 | 145.469 |
| 348.215 | 174.292 | 174.292 | -0.000 | -0.000 | 0.000 |
| 174.292 | 348.215 | 174.292 | -0.000 | -0.000 | 0.000 |
| 174.292 | 174.292 | 348.215 | 0.000 | -0.000 | 0.000 |
| 0.000 | 0.000 | -0.000 | 145.469 | -0.000 | 0.000 |
| 0.000 | 0.000 | -0.000 | -0.000 | 145.469 | 0.000 |
| 0.000 | -0.000 | 0.000 | -0.000 | -0.000 | 145.469 |
| 348.217 | 174.293 | 174.293 | 0.000 | 0.000 | -0.000 |
| 174.293 | 348.217 | 174.293 | -0.000 | 0.000 | -0.000 |
| 174.293 | 174.293 | 348.217 | -0.000 | 0.000 | -0.000 |
| -0.000 | -0.000 | 0.000 | 145.495 | 0.000 | -0.000 |
| -0.000 | -0.000 | 0.000 | 0.000 | 145.495 | -0.000 |
| -0.000 | 0.000 | -0.000 | 0.000 | 0.000 | 145.495 |
| 348.213 | 174.291 | 174.291 | -0.000 | -0.000 | 0.000 |
| 174.291 | 348.213 | 174.291 | -0.000 | -0.000 | 0.000 |
| 174.291 | 174.291 | 348.213 | -0.000 | -0.000 | 0.000 |
| 0.000 | 0.000 | -0.000 | 145.495 | -0.000 | 0.000 |
| 0.000 | 0.000 | -0.000 | -0.000 | 145.495 | 0.000 |
| 0.000 | -0.000 | 0.000 | -0.000 | -0.000 | 145.495 |
| 67.336 | 104.662 | 64.061 | 0.000 | 0.000 | 0.000 |
| 104.661 | 67.336 | 64.061 | 0.000 | 0.000 | 0.000 |
| 64.227 | 64.227 | 130.006 | 0.000 | 0.000 | -0.000 |
| 0.000 | 0.000 | -0.001 | -50.491 | 0.000 | 0.000 |
| 0.000 | 0.000 | -0.001 | -0.000 | -50.491 | 0.000 |
| 0.000 | 0.000 | -0.000 | 0.000 | 0.000 | 70.208 |
| 48.740 | 86.067 | 108.693 | 0.000 | -0.000 | -0.000 |
| 86.067 | 48.740 | 108.693 | -0.000 | 0.000 | -0.000 |
| 64.227 | 64.227 | 130.006 | -0.000 | -0.000 | -0.000 |
| -0.000 | -0.000 | 0.001 | -50.491 | -0.000 | -0.000 |
| -0.000 | -0.000 | 0.001 | -0.000 | -50.491 | -0.000 |
| -0.000 | -0.000 | 0.000 | 0.000 | -0.000 | 70.208 |
| 48.740 | 86.067 | 108.693 | 0.000 | -0.000 | 0.000 |
| 86.067 | 48.740 | 108.693 | 0.000 | 0.000 | 0.000 |
| 108.858 | 108.858 | 22.883 | 0.000 | -0.000 | 0.000 |
| 0.000 | 0.000 | -0.000 | -50.491 | 0.000 | 0.000 |
| 0.000 | 0.000 | -0.000 | -0.000 | -50.491 | 0.000 |
| -0.000 | 0.000 | -0.000 | 0.000 | 0.000 | 70.208 |
| 48.740 | 86.067 | 108.693 | -0.000 | -0.000 | -0.000 |
| 86.067 | 48.740 | 108.693 | -0.000 | -0.000 | -0.000 |
| 64.227 | 64.227 | 130.006 | -0.000 | -0.000 | 0.000 |
| -0.000 | -0.000 | 0.000 | -50.491 | -0.000 | -0.000 |
| -0.000 | -0.000 | 0.000 | -0.000 | -50.491 | -0.000 |
| 0.000 | -0.000 | 0.000 | 0.000 | -0.000 | 70.208 |
| 48.740 | 86.067 | 108.694 | 0.000 | 0.000 | 0.000 |
| 86.067 | 48.740 | 108.694 | 0.000 | 0.000 | 0.000 |
| 108.856 | 108.856 | 22.887 | 0.000 | -0.000 | -0.000 |
| -0.000 | 0.000 | 0.000 | -50.491 | 0.000 | 0.000 |
| 0.000 | -0.000 | 0.000 | 0.000 | -50.491 | 0.000 |
| -0.000 | -0.000 | 0.000 | 0.000 | -0.000 | 70.208 |
| 48.740 | 86.068 | 108.692 | -0.000 | -0.000 | -0.000 |
| 86.068 | 48.740 | 108.692 | -0.000 | 0.000 | -0.000 |
| 108.859 | 108.859 | 22.878 | -0.000 | -0.000 | -0.000 |
| 0.000 | -0.000 | -0.000 | -50.491 | 0.000 | -0.000 |
| -0.000 | 0.000 | -0.000 | -0.000 | -50.491 | -0.000 |
| 0.000 | 0.000 | -0.000 | -0.000 | -0.000 | 70.208 |
| 8.312 | 10.324 | 10.324 | 0.000 | -0.000 | 0.000 |
| 10.324 | 8.312 | 10.324 | 0.000 | 0.000 | 0.000 |
| 10.324 | 10.324 | 8.312 | -0.000 | -0.000 | 0.000 |
| -0.000 | 0.000 | -0.000 | 8.382 | 0.000 | 0.000 |
| -0.000 | 0.000 | -0.000 | 0.000 | 8.382 | 0.000 |
| -0.000 | 0.000 | -0.000 | 0.000 | 0.000 | 8.382 |
| 8.312 | 10.324 | 10.324 | -0.000 | -0.000 | -0.000 |
| 10.324 | 8.312 | 10.324 | -0.000 | 0.000 | -0.000 |
| 10.324 | 10.324 | 8.312 | -0.000 | -0.000 | -0.000 |
| 0.000 | 0.000 | 0.000 | 8.382 | -0.000 | -0.000 |
| 0.000 | -0.000 | 0.000 | -0.000 | 8.382 | -0.000 |
| 0.000 | -0.000 | 0.000 | -0.000 | -0.000 | 8.382 |
| 8.312 | 10.324 | 10.324 | 0.000 | -0.000 | 0.000 |
| 10.324 | 8.312 | 10.324 | -0.000 | 0.000 | 0.000 |
| 10.324 | 10.324 | 8.312 | -0.000 | -0.000 | 0.000 |
| 0.000 | -0.000 | 0.000 | 8.382 | 0.000 | 0.000 |
| -0.000 | 0.000 | 0.000 | 0.000 | 8.382 | 0.000 |
| -0.000 | 0.000 | 0.000 | 0.000 | 0.000 | 8.382 |
| 8.312 | 10.324 | 10.324 | 0.000 | 0.000 | -0.000 |
| 10.324 | 8.312 | 10.324 | 0.000 | 0.000 | -0.000 |
| 10.324 | 10.324 | 8.312 | 0.000 | 0.000 | 0.000 |
| -0.000 | 0.000 | -0.000 | 8.382 | -0.000 | -0.000 |
| 0.000 | -0.000 | -0.000 | -0.000 | 8.382 | -0.000 |
| 0.000 | -0.000 | -0.000 | -0.000 | -0.000 | 8.382 |
| 8.312 | 10.324 | 10.324 | -0.000 | -0.000 | 0.000 |
| 10.324 | 8.312 | 10.324 | -0.000 | 0.000 | 0.000 |
| 10.324 | 10.324 | 8.312 | 0.000 | 0.000 | 0.000 |
| -0.000 | -0.000 | -0.000 | -3.205 | -0.000 | 0.000 |
| -0.000 | -0.000 | -0.000 | -0.000 | -3.205 | -0.000 |
| -0.000 | -0.000 | -0.000 | -0.000 | -0.000 | -3.205 |
| 8.312 | 10.324 | 10.324 | 0.000 | 0.000 | -0.000 |
| 10.324 | 8.312 | 10.324 | 0.000 | 0.000 | -0.000 |
| 10.324 | 10.324 | 8.312 | 0.000 | 0.000 | -0.000 |
| 0.000 | 0.000 | 0.000 | -3.205 | 0.000 | -0.000 |
| 0.000 | 0.000 | 0.000 | 0.000 | -3.205 | 0.000 |
| 0.000 | 0.000 | 0.000 | 0.000 | 0.000 | -3.205 |
| 210.990 | 101.851 | 12.665 | -7.148 | -0.000 | 0.000 |
| 96.017 | 240.335 | 30.925 | 7.148 | -0.000 | 0.000 |
| 24.322 | 24.322 | 423.110 | 0.000 | -0.000 | 0.000 |
| -75.754 | -58.731 | 45.769 | -2.300 | -0.000 | 0.000 |
| -1057274286.628 | -1035189941.977 | -1205833505.511 | 6083814.974 | -15667334.992 | 13395610.050 |
| 0.000 | 0.000 | -0.000 | 0.000 | -7.148 | 72.159 |
| 232.758 | 120.815 | 50.699 | -7.148 | 0.000 | -0.000 |
| 96.017 | 240.335 | 30.925 | 7.148 | 0.000 | -0.000 |
| 44.719 | 44.719 | 460.540 | -0.000 | 0.000 | -0.000 |
| 58.731 | 75.754 | -45.769 | -2.300 | 0.000 | -0.000 |
| 1063629378.447 | 1044612283.555 | 1220841399.462 | -7274718.632 | -19088722.055 | 15295521.788 |
| -0.000 | -0.000 | -0.000 | -0.000 | -7.148 | 72.159 |
| 203.488 | 124.489 | 30.231 | -7.149 | -0.000 | 0.000 |
| 96.017 | 240.335 | 30.925 | 7.148 | -0.000 | 0.000 |
| 32.228 | 32.228 | 444.026 | 0.000 | -0.000 | 0.000 |
| -8.391 | 5.906 | -2.339 | 5.087 | -0.000 | 0.000 |
| -1.242 | -1.242 | -2.339 | 0.000 | 5.087 | -7.148 |
| -4.539 | -4.539 | 2.630 | -0.000 | -8.032 | 29.753 |
| 240.335 | 96.017 | 30.925 | -7.148 | 0.000 | -0.000 |
| 96.017 | 240.335 | 30.925 | 7.148 | 0.000 | -0.000 |
| 32.228 | 32.228 | 444.025 | 0.000 | 0.000 | -0.000 |
| -5977100.595 | 36697058.785 | 32840302.370 | -14309032.265 | 0.051 | 0.044 |
| 1.242 | 1.242 | 2.339 | 0.000 | 5.087 | -7.148 |
| 4.539 | 4.539 | -2.630 | 0.000 | -8.032 | 29.753 |
| 240.335 | 96.017 | 30.924 | -7.148 | 0.000 | 0.000 |
| 96.017 | 240.335 | 30.924 | 7.148 | -0.000 | 0.000 |
| 33.373 | 33.373 | 441.005 | 0.000 | -0.000 | 0.000 |
| -7.148 | 7.147 | -0.001 | 7.928 | -0.000 | 0.000 |
| 37882.285 | -2699211.958 | -3620218.326 | 961502.462 | -1665348.478 | -2370232.513 |
| -0.231 | -0.231 | -0.434 | -0.000 | -7.149 | 33.748 |
| 240.336 | 96.017 | 30.925 | -7.148 | 0.000 | -0.000 |
| 134.204 | 197.158 | 33.385 | 8.253 | -0.000 | -0.000 |
| 32.228 | 32.228 | 444.022 | -0.000 | 0.000 | -0.000 |
| -6.580 | 7.721 | 1.075 | -5.116 | 0.000 | -0.000 |
| -37882.370 | 2699211.989 | 3620218.259 | -961502.462 | -1665348.441 | -2370232.543 |
| 0.231 | 0.231 | 0.434 | 0.000 | -7.149 | 33.748 |
| 285.133 | 132.428 | 132.428 | -0.000 | 0.000 | 0.000 |
| 132.428 | 285.133 | 132.428 | 0.000 | -0.000 | 0.000 |
| 132.428 | 132.428 | 285.133 | -0.000 | -0.000 | -0.000 |
| 0.000 | -0.000 | -0.000 | 112.579 | -0.000 | 0.000 |
| -0.000 | -0.000 | -0.000 | -0.000 | 112.579 | 0.000 |
| -0.000 | -0.000 | -0.000 | -0.000 | -0.000 | 112.579 |
| 285.133 | 132.428 | 132.428 | -0.000 | 0.000 | 0.000 |
| 132.428 | 285.133 | 132.428 | 0.000 | -0.000 | -0.000 |
| 132.428 | 132.428 | 285.133 | -0.000 | -0.000 | 0.000 |
| -0.000 | 0.000 | 0.000 | 112.579 | 0.000 | 0.000 |
| 0.000 | 0.000 | 0.000 | 0.000 | 112.579 | 0.000 |
| 0.000 | -0.000 | 0.000 | -0.000 | 0.000 | 112.579 |
| 285.133 | 132.428 | 132.428 | 0.000 | 0.000 | -0.000 |
| 132.428 | 285.133 | 132.428 | -0.000 | -0.000 | -0.000 |
| 132.428 | 132.428 | 285.133 | -0.000 | -0.000 | -0.000 |
| 0.000 | -0.000 | -0.000 | 112.579 | -0.000 | -0.000 |
| -0.000 | 0.000 | -0.000 | -0.000 | 112.579 | -0.000 |
| -0.000 | -0.000 | 0.000 | 0.000 | -0.000 | 112.579 |
| 285.133 | 132.428 | 132.428 | 0.000 | -0.000 | 0.000 |
| 132.428 | 285.133 | 132.428 | 0.000 | 0.000 | -0.000 |
| 132.428 | 132.428 | 285.133 | -0.000 | 0.000 | 0.000 |
| -0.000 | 0.000 | 0.000 | 112.579 | 0.000 | -0.000 |
| 0.000 | -0.000 | 0.000 | -0.000 | 112.579 | 0.000 |
| 0.000 | 0.000 | -0.000 | 0.000 | 0.000 | 112.579 |
| 285.132 | 132.428 | 132.428 | -0.000 | 0.000 | -0.000 |
| 132.428 | 285.132 | 132.428 | 0.000 | 0.000 | 0.000 |
| 132.428 | 132.428 | 285.132 | -0.000 | -0.000 | 0.000 |
| 0.000 | -0.000 | -0.000 | 112.579 | -0.000 | -0.000 |
| -0.000 | 0.000 | -0.000 | -0.000 | 112.579 | -0.000 |
| -0.000 | -0.000 | 0.000 | -0.000 | -0.000 | 112.579 |
| 285.134 | 132.428 | 132.428 | 0.000 | 0.000 | 0.000 |
| 132.428 | 285.134 | 132.428 | 0.000 | 0.000 | 0.000 |
| 132.428 | 132.428 | 285.134 | 0.000 | 0.000 | 0.000 |
| -0.000 | 0.000 | 0.000 | 112.579 | 0.000 | 0.000 |
| 0.000 | -0.000 | 0.000 | 0.000 | 112.579 | 0.000 |
| 0.000 | 0.000 | -0.000 | 0.000 | 0.000 | 112.579 |
| 52.713 | 125.132 | 125.132 | -0.000 | -0.000 | 0.000 |
| 125.132 | 52.713 | 125.132 | -0.000 | 0.000 | 0.000 |
| 125.132 | 125.132 | 52.713 | -0.000 | -0.000 | 0.000 |
| 0.000 | 0.000 | 0.000 | -60.775 | -0.000 | 0.000 |
| -0.000 | -0.000 | 0.000 | -0.000 | -60.775 | 0.000 |
| -0.000 | -0.000 | 0.000 | -0.000 | 0.000 | -60.775 |
| 52.713 | 125.132 | 125.132 | 0.000 | -0.000 | -0.000 |
| 125.132 | 52.713 | 125.132 | 0.000 | 0.000 | -0.000 |
| 125.132 | 125.132 | 52.713 | 0.000 | -0.000 | -0.000 |
| -0.000 | 0.000 | -0.000 | -60.775 | 0.000 | -0.000 |
| 0.000 | 0.000 | -0.000 | 0.000 | -60.775 | -0.000 |
| 0.000 | 0.000 | -0.000 | 0.000 | 0.000 | -60.775 |
| 52.713 | 125.132 | 125.132 | -0.000 | -0.000 | -0.000 |
| 125.132 | 52.713 | 125.132 | -0.000 | -0.000 | 0.000 |
| 125.132 | 125.132 | 52.713 | -0.000 | 0.000 | -0.000 |
| 0.000 | 0.000 | 0.000 | 100.341 | 0.000 | -0.000 |
| 0.000 | 0.000 | 0.000 | -0.000 | 100.341 | 0.000 |
| 0.000 | 0.000 | 0.000 | 0.000 | 0.000 | 100.341 |
| 52.713 | 125.132 | 125.132 | 0.000 | 0.000 | -0.000 |
| 125.132 | 52.713 | 125.132 | 0.000 | 0.000 | -0.000 |
| 125.132 | 125.132 | 52.713 | -0.000 | 0.000 | -0.000 |
| -0.000 | -0.000 | -0.000 | 100.341 | -0.000 | -0.000 |
| -0.000 | -0.000 | -0.000 | -0.000 | 100.341 | -0.000 |
| -0.000 | -0.000 | -0.000 | -0.000 | 0.000 | 100.341 |
| 52.715 | 125.133 | 125.133 | -0.000 | -0.000 | -0.000 |
| 125.133 | 52.715 | 125.133 | -0.000 | -0.000 | 0.000 |
| 125.133 | 125.133 | 52.715 | 0.000 | 0.000 | 0.000 |
| 0.002 | 0.000 | -0.000 | -60.775 | 0.000 | 0.000 |
| 0.000 | 0.002 | -0.000 | -0.000 | -60.775 | 0.000 |
| 0.000 | -0.000 | 0.002 | -0.000 | -0.000 | -60.775 |
| 52.711 | 125.132 | 125.132 | -0.000 | 0.000 | 0.000 |
| 125.132 | 52.711 | 125.132 | 0.000 | -0.000 | -0.000 |
| 125.132 | 125.132 | 52.711 | 0.000 | -0.000 | -0.000 |
| -0.002 | -0.000 | 0.000 | -60.775 | 0.000 | -0.000 |
| -0.000 | -0.002 | 0.000 | 0.000 | -60.775 | -0.000 |
| -0.000 | 0.000 | -0.002 | 0.000 | 0.000 | -60.775 |
| 240.231 | 126.829 | 126.829 | -0.000 | 0.000 | -0.000 |
| 126.829 | 240.231 | 126.829 | 0.000 | -0.000 | -0.000 |
| 126.829 | 126.829 | 240.231 | -0.000 | -0.000 | -0.000 |
| 0.000 | 0.000 | 0.000 | 99.536 | 0.000 | -0.000 |
| 0.000 | 0.000 | 0.000 | -0.000 | 99.536 | -0.000 |
| 0.000 | 0.000 | -0.000 | 0.000 | -0.000 | 99.536 |
| 240.231 | 126.829 | 126.829 | -0.000 | -0.000 | 0.000 |
| 126.829 | 240.231 | 126.829 | -0.000 | -0.000 | 0.000 |
| 126.829 | 126.829 | 240.231 | -0.000 | -0.000 | 0.000 |
| -0.000 | 0.000 | -0.000 | 99.536 | -0.000 | 0.000 |
| -0.000 | -0.000 | -0.000 | 0.000 | 99.536 | 0.000 |
| -0.000 | 0.000 | -0.000 | 0.000 | 0.000 | 99.536 |
| 240.231 | 126.829 | 126.829 | 0.000 | 0.000 | -0.000 |
| 126.829 | 240.231 | 126.829 | 0.000 | 0.000 | -0.000 |
| 126.829 | 126.829 | 240.231 | 0.000 | 0.000 | -0.000 |
| 0.000 | 0.000 | 0.000 | 101.646 | 0.000 | -0.000 |
| 0.000 | 0.000 | 0.000 | 0.000 | 101.646 | -0.000 |
| 0.000 | 0.000 | 0.000 | -0.000 | 0.000 | 101.646 |
| 240.231 | 126.829 | 126.829 | -0.000 | 0.000 | 0.000 |
| 126.829 | 240.231 | 126.829 | 0.000 | -0.000 | 0.000 |
| 126.829 | 126.829 | 240.231 | 0.000 | 0.000 | 0.000 |
| -0.000 | -0.000 | -0.000 | 101.646 | 0.000 | 0.000 |
| -0.000 | -0.000 | -0.000 | 0.000 | 101.646 | 0.000 |
| -0.000 | -0.000 | -0.000 | 0.000 | 0.000 | 101.646 |
| 240.232 | 126.830 | 126.830 | 0.000 | 0.000 | -0.000 |
| 126.830 | 240.232 | 126.830 | 0.000 | 0.000 | -0.000 |
| 126.830 | 126.830 | 240.232 | -0.000 | -0.000 | -0.000 |
| 0.000 | 0.000 | 0.000 | 99.536 | 0.000 | -0.000 |
| 0.000 | 0.000 | 0.000 | -0.000 | 99.536 | -0.000 |
| 0.000 | 0.000 | 0.000 | -0.000 | -0.000 | 99.536 |
| 240.230 | 126.828 | 126.828 | 0.000 | -0.000 | 0.000 |
| 126.828 | 240.230 | 126.828 | -0.000 | 0.000 | 0.000 |
| 126.828 | 126.828 | 240.230 | -0.000 | -0.000 | 0.000 |
| -0.000 | -0.000 | -0.000 | 99.536 | -0.000 | 0.000 |
| -0.000 | -0.000 | -0.000 | 0.000 | 99.536 | 0.000 |
| -0.000 | -0.000 | -0.000 | -0.000 | -0.000 | 99.536 |
| -20.894 | 92.266 | 87.406 | -0.000 | 0.000 | 0.000 |
| 92.266 | -20.894 | 87.406 | -0.000 | -0.000 | 0.000 |
| 77.676 | 77.676 | 69.503 | 0.000 | 0.000 | 0.000 |
| -0.000 | -0.000 | 0.000 | -80.423 | -0.000 | 0.000 |
| -0.000 | -0.000 | 0.000 | -0.000 | -80.423 | 0.000 |
| -0.000 | -0.000 | 0.000 | 0.000 | 0.000 | 75.290 |
| -20.894 | 92.266 | 87.406 | -0.000 | -0.000 | -0.000 |
| 92.266 | -20.894 | 87.406 | 0.000 | 0.000 | -0.000 |
| 77.676 | 77.676 | 69.503 | -0.000 | 0.000 | -0.000 |
| 0.000 | 0.000 | -0.000 | -80.423 | -0.000 | -0.000 |
| 0.000 | 0.000 | -0.000 | -0.000 | -80.423 | -0.000 |
| 0.000 | 0.000 | -0.000 | -0.000 | -0.000 | 75.290 |
| -31705365.246 | -10877855.695 | -106778544.150 | -416760.725 | 26604.535 | -2182751.677 |
| -1397874.445 | -24765762.896 | -98390060.975 | -700322.809 | -502912.902 | -735452.940 |
| 77.676 | 77.676 | 69.503 | -0.000 | -0.000 | 0.000 |
| -0.000 | -0.000 | -0.000 | -80.423 | -0.000 | 0.000 |
| -0.000 | -0.000 | -0.000 | 0.000 | -80.423 | 0.000 |
| -0.000 | 0.000 | 0.000 | 0.000 | -0.000 | 75.290 |
| -20.894 | 92.266 | 87.406 | -0.000 | -0.000 | -0.000 |
| 92.266 | -20.894 | 87.406 | 0.000 | -0.000 | -0.000 |
| 44.492 | 44.492 | 184.831 | -0.000 | 0.000 | -0.000 |
| 0.000 | 0.000 | 0.000 | -80.423 | 0.000 | -0.000 |
| 0.000 | 0.000 | 0.000 | 0.000 | -80.423 | -0.000 |
| 0.000 | -0.000 | -0.000 | -0.000 | -0.000 | 75.290 |
| -2951312.056 | -1145769.933 | -10436754.017 | -130669.994 | 41042.296 | -68976.683 |
| -354181.120 | -2436956.990 | -9757176.707 | -104138.244 | -74347.104 | 19044.050 |
| 77.677 | 77.677 | 69.502 | -0.000 | -0.000 | 0.000 |
| -0.000 | -0.000 | -0.000 | -80.423 | 0.000 | 0.000 |
| -0.000 | -0.000 | -0.000 | 0.000 | -80.423 | 0.000 |
| -0.000 | 0.000 | 0.000 | 0.000 | -0.000 | 75.290 |
| 85144.822 | 2351634.265 | 9522076.173 | 95367.228 | 9911.754 | 12944.079 |
| 2343820.996 | 625448.111 | 9879494.206 | -37389.842 | -38674.269 | 4332.880 |
| 77.675 | 77.675 | 69.505 | 0.000 | 0.000 | -0.000 |
| 0.000 | 0.000 | 0.000 | -80.423 | -0.000 | -0.000 |
| 0.000 | 0.000 | 0.000 | -0.000 | -80.423 | -0.000 |
| 0.000 | -0.000 | -0.000 | 0.000 | -0.000 | 75.290 |
| 4.630 | 6.632 | 6.632 | -0.000 | 0.000 | 0.000 |
| 6.632 | 4.630 | 6.632 | -0.000 | -0.000 | 0.000 |
| 6.632 | 6.632 | 4.630 | -0.000 | 0.000 | 0.000 |
| 0.000 | -0.000 | 0.000 | -3.212 | 0.000 | 0.000 |
| -0.000 | 0.000 | 0.000 | 0.000 | -3.212 | 0.000 |
| -0.000 | -0.000 | 0.000 | 0.000 | 0.000 | -3.212 |
| 4.630 | 6.632 | 6.632 | 0.000 | 0.000 | -0.000 |
| 6.632 | 4.630 | 6.632 | 0.000 | -0.000 | -0.000 |
| 6.632 | 6.632 | 4.630 | 0.000 | -0.000 | 0.000 |
| 0.000 | 0.000 | -0.000 | -3.212 | -0.000 | -0.000 |
| 0.000 | 0.000 | -0.000 | 0.000 | -3.212 | -0.000 |
| 0.000 | 0.000 | -0.000 | 0.000 | -0.000 | -3.212 |
| 4.630 | 6.632 | 6.632 | 0.000 | 0.000 | 0.000 |
| 6.632 | 4.630 | 6.632 | 0.000 | 0.000 | 0.000 |
| 6.632 | 6.632 | 4.630 | 0.000 | 0.000 | 0.000 |
| -0.000 | -0.000 | -0.000 | -3.212 | 0.000 | 0.000 |
| -0.000 | -0.000 | -0.000 | 0.000 | -3.212 | 0.000 |
| -0.000 | -0.000 | -0.000 | 0.000 | 0.000 | -3.212 |
| 4.630 | 6.632 | 6.632 | -0.000 | 0.000 | -0.000 |
| 6.632 | 4.630 | 6.632 | 0.000 | -0.000 | -0.000 |
| 6.632 | 6.632 | 4.630 | -0.000 | -0.000 | -0.000 |
| 0.000 | 0.000 | 0.000 | -3.212 | -0.000 | -0.000 |
| 0.000 | 0.000 | 0.000 | 0.000 | -3.212 | -0.000 |
| 0.000 | 0.000 | 0.000 | -0.000 | -0.000 | -3.212 |
| 4.630 | 6.632 | 6.632 | 0.000 | -0.000 | -0.000 |
| 6.632 | 4.630 | 6.632 | -0.000 | 0.000 | 0.000 |
| 6.632 | 6.632 | 4.630 | -0.000 | -0.000 | 0.000 |
| -0.000 | -0.000 | -0.000 | -3.212 | 0.000 | 0.000 |
| -0.000 | -0.000 | -0.000 | 0.000 | -3.212 | 0.000 |
| -0.000 | -0.000 | -0.000 | 0.000 | 0.000 | -3.212 |
| 4.630 | 6.632 | 6.632 | -0.000 | -0.000 | -0.000 |
| 6.632 | 4.630 | 6.632 | 0.000 | -0.000 | -0.000 |
| 6.632 | 6.632 | 4.630 | 0.000 | -0.000 | -0.000 |
| 0.000 | 0.000 | 0.000 | -3.212 | -0.000 | -0.000 |
| 0.000 | 0.000 | 0.000 | 0.000 | -3.212 | -0.000 |
| 0.000 | 0.000 | 0.000 | 0.000 | -0.000 | -3.212 |
| 41.302 | 0.813 | -13.210 | 1.497 | -0.000 | 0.000 |
| 0.813 | 41.302 | -13.210 | -1.497 | -0.000 | 0.000 |
| -10.378 | -10.378 | 65.780 | -0.000 | -0.000 | 0.000 |
| -3.440 | 4.019 | 0.369 | 7.741 | -0.000 | 0.000 |
| -0.394 | -0.394 | 0.809 | 0.000 | 0.911 | -9.010 |
| 0.000 | 0.000 | 0.000 | -0.000 | 1.497 | 20.244 |
| 29.151 | 11.405 | -14.312 | 0.279 | 0.000 | -0.000 |
| 14.246 | 26.261 | -15.640 | 1.258 | 0.000 | -0.000 |
| -9.940 | -9.940 | 66.139 | -0.000 | 0.000 | -0.000 |
| 1.497 | -1.497 | -0.000 | 17.284 | 0.000 | -0.000 |
| 0.395 | 0.394 | -0.809 | 0.000 | 0.911 | -9.010 |
| -0.000 | -0.000 | -0.000 | 0.000 | 1.497 | 20.244 |
| 41.302 | 0.813 | -13.210 | 1.497 | -0.000 | 0.000 |
| 0.813 | 41.302 | -13.210 | -1.497 | -0.000 | 0.000 |
| -8.346 | -8.346 | 71.192 | 0.000 | -0.000 | 0.000 |
| -10.989 | 11.464 | -0.276 | -12.936 | -0.000 | 0.000 |
| 0.000 | 0.000 | 0.000 | -0.000 | 17.284 | 1.497 |
| 0.007 | 0.007 | 0.009 | -0.000 | 0.261 | 8.699 |
| 26.263 | 14.369 | -15.522 | -1.337 | 0.000 | -0.000 |
| 11.497 | 29.176 | -14.237 | -0.276 | 0.000 | -0.000 |
| -9.784 | -9.784 | 66.471 | 0.000 | 0.000 | -0.000 |
| 1.497 | -1.497 | -0.000 | 17.284 | 0.000 | -0.000 |
| -0.000 | -0.000 | -0.000 | 0.000 | 17.284 | 1.497 |
| -0.007 | -0.007 | -0.009 | -0.000 | 0.261 | 8.699 |
| 41.303 | 0.813 | -13.210 | 1.497 | -0.000 | 0.000 |
| 11.509 | 29.180 | -14.228 | -0.275 | -0.000 | 0.000 |
| -8.346 | -8.346 | 71.192 | -0.000 | -0.000 | 0.000 |
| 1.497 | -1.497 | 0.000 | 17.284 | -0.000 | 0.000 |
| 0.000 | 0.000 | 0.000 | -0.000 | 17.284 | 1.497 |
| 0.001 | 0.001 | 0.003 | -0.000 | -2.433 | 4.894 |
| 41.301 | 0.813 | -13.210 | 1.497 | 0.000 | -0.000 |
| 11.506 | 29.178 | -14.230 | -0.275 | 0.000 | -0.000 |
| -10.467 | -10.467 | 65.593 | 0.000 | -0.000 | -0.000 |
| -3.733 | 3.727 | -0.004 | 7.741 | -0.000 | -0.000 |
| -0.000 | -0.000 | -0.000 | 0.000 | 17.284 | 1.497 |
| -0.001 | -0.001 | -0.003 | 0.000 | -2.433 | 4.894 |
| 417.929 | 89.090 | 89.090 | -0.000 | 0.000 | -0.000 |
| 89.090 | 417.929 | 89.090 | -0.000 | -0.000 | 0.000 |
| 89.090 | 89.090 | 417.929 | -0.000 | 0.000 | -0.000 |
| -0.000 | -0.000 | 0.000 | 23.354 | -0.000 | -0.000 |
| -0.000 | -0.000 | -0.000 | -0.000 | 23.354 | -0.000 |
| -0.000 | -0.000 | 0.000 | -0.000 | 0.000 | 23.354 |
| 422.068 | 87.020 | 87.020 | 0.000 | 0.000 | 0.000 |
| 87.020 | 422.068 | 87.020 | 0.000 | 0.000 | -0.000 |
| 87.020 | 87.020 | 422.068 | 0.000 | -0.000 | 0.000 |
| 0.000 | 0.000 | 0.000 | 23.354 | 0.000 | -0.000 |
| 0.000 | 0.000 | 0.000 | 0.000 | 23.354 | 0.000 |
| 0.000 | 0.000 | -0.000 | 0.000 | -0.000 | 23.354 |
| 422.068 | 87.020 | 87.020 | -0.000 | -0.000 | -0.000 |
| 87.020 | 422.068 | 87.020 | -0.000 | 0.000 | -0.000 |
| 87.020 | 87.020 | 422.068 | -0.000 | 0.000 | -0.000 |
| -0.000 | -0.000 | -0.000 | 23.354 | -0.000 | 0.000 |
| -0.000 | -0.000 | -0.000 | -0.000 | 23.354 | -0.000 |
| -0.000 | -0.000 | -0.000 | -0.000 | 0.000 | 23.354 |
| 417.929 | 89.090 | 89.090 | 0.000 | 0.000 | 0.000 |
| 89.090 | 417.929 | 89.090 | 0.000 | 0.000 | 0.000 |
| 89.090 | 89.090 | 417.929 | 0.000 | -0.000 | -0.000 |
| 0.000 | 0.000 | 0.000 | 23.354 | -0.000 | 0.000 |
| 0.000 | 0.000 | 0.000 | 0.000 | 23.354 | 0.000 |
| 0.000 | 0.000 | 0.000 | 0.000 | -0.000 | 23.354 |
| 417.928 | 89.090 | 89.090 | -0.000 | -0.000 | -0.000 |
| 89.090 | 417.928 | 89.090 | -0.000 | 0.000 | 0.000 |
| 89.090 | 89.090 | 417.928 | -0.000 | -0.000 | -0.000 |
| -0.000 | -0.001 | -0.001 | 50.704 | 0.000 | -0.000 |
| -0.001 | -0.000 | -0.001 | -0.000 | 50.704 | -0.000 |
| -0.001 | -0.001 | -0.000 | -0.000 | -0.000 | 50.704 |
| 417.929 | 89.089 | 89.089 | 0.000 | 0.000 | 0.000 |
| 89.089 | 417.929 | 89.089 | 0.000 | -0.000 | 0.000 |
| 89.089 | 89.089 | 417.929 | 0.000 | -0.000 | 0.000 |
| 0.000 | 0.001 | 0.001 | 50.704 | -0.000 | 0.000 |
| 0.001 | 0.000 | 0.001 | 0.000 | 50.704 | 0.000 |
| 0.001 | 0.001 | 0.000 | 0.000 | 0.000 | 50.704 |
| 332.685 | 177.391 | 177.391 | 0.000 | 0.000 | -0.000 |
| 177.391 | 332.685 | 177.391 | 0.000 | 0.000 | -0.000 |
| 177.391 | 177.391 | 332.685 | -0.000 | -0.000 | -0.000 |
| -0.000 | -0.000 | 0.000 | 135.359 | -0.000 | -0.000 |
| -0.000 | -0.000 | 0.000 | -0.000 | 135.359 | -0.000 |
| -0.000 | -0.000 | 0.000 | -0.000 | 0.000 | 135.359 |
| 332.685 | 177.391 | 177.391 | -0.000 | 0.000 | 0.000 |
| 177.391 | 332.685 | 177.391 | 0.000 | 0.000 | 0.000 |
| 177.391 | 177.391 | 332.685 | 0.000 | -0.000 | 0.000 |
| 0.000 | 0.000 | -0.000 | 135.359 | 0.000 | 0.000 |
| 0.000 | 0.000 | -0.000 | -0.000 | 135.359 | 0.000 |
| 0.000 | 0.000 | -0.000 | 0.000 | -0.000 | 135.359 |
| 332.685 | 177.391 | 177.391 | 0.000 | 0.000 | -0.000 |
| 177.391 | 332.685 | 177.391 | 0.000 | 0.000 | -0.000 |
| 177.391 | 177.391 | 332.685 | 0.000 | -0.000 | -0.000 |
| 0.000 | -0.000 | 0.000 | 135.359 | -0.000 | -0.000 |
| -0.000 | 0.000 | 0.000 | 0.000 | 135.359 | -0.000 |
| -0.000 | 0.000 | 0.000 | 0.000 | -0.000 | 135.359 |
| 332.685 | 177.391 | 177.391 | -0.000 | -0.000 | 0.000 |
| 177.391 | 332.685 | 177.391 | -0.000 | -0.000 | 0.000 |
| 177.391 | 177.391 | 332.685 | -0.000 | 0.000 | 0.000 |
| -0.000 | 0.000 | -0.000 | 135.359 | 0.000 | 0.000 |
| 0.000 | -0.000 | -0.000 | -0.000 | 135.359 | 0.000 |
| 0.000 | -0.000 | -0.000 | 0.000 | -0.000 | 135.359 |
| 332.684 | 177.392 | 177.392 | 0.000 | 0.000 | -0.000 |
| 177.392 | 332.684 | 177.392 | -0.000 | 0.000 | -0.000 |
| 177.392 | 177.392 | 332.684 | 0.000 | 0.000 | -0.000 |
| 0.000 | -0.000 | 0.000 | 135.359 | 0.000 | -0.000 |
| -0.000 | 0.000 | 0.000 | -0.000 | 135.359 | -0.000 |
| -0.000 | 0.000 | 0.000 | -0.000 | 0.000 | 135.359 |
| 332.686 | 177.390 | 177.390 | -0.000 | -0.000 | 0.000 |
| 177.390 | 332.686 | 177.390 | -0.000 | -0.000 | 0.000 |
| 177.390 | 177.390 | 332.686 | 0.000 | -0.000 | 0.000 |
| -0.000 | 0.000 | -0.000 | 135.359 | -0.000 | 0.000 |
| 0.000 | -0.000 | -0.000 | -0.000 | 135.359 | 0.000 |
| 0.000 | -0.000 | -0.000 | 0.000 | 0.000 | 135.359 |
| 207.137 | 147.857 | 147.857 | 0.000 | -0.000 | 0.000 |
| 147.857 | 207.137 | 147.857 | -0.000 | 0.000 | -0.000 |
| 147.857 | 147.857 | 207.137 | -0.000 | 0.000 | 0.000 |
| 0.000 | 0.000 | 0.000 | 110.550 | 0.000 | 0.000 |
| 0.000 | 0.000 | 0.000 | -0.000 | 110.550 | -0.000 |
| 0.000 | 0.000 | -0.000 | -0.000 | 0.000 | 110.550 |
| 207.137 | 147.857 | 147.857 | -0.000 | 0.000 | 0.000 |
| 147.857 | 207.137 | 147.857 | 0.000 | -0.000 | 0.000 |
| 147.857 | 147.857 | 207.137 | 0.000 | 0.000 | 0.000 |
| 0.000 | -0.000 | -0.000 | 110.550 | -0.000 | 0.000 |
| -0.000 | -0.000 | -0.000 | 0.000 | 110.550 | 0.000 |
| -0.000 | -0.000 | 0.000 | 0.000 | 0.000 | 110.550 |
| 207.137 | 147.858 | 147.858 | 0.000 | 0.000 | -0.000 |
| 147.858 | 207.137 | 147.858 | 0.000 | 0.000 | -0.000 |
| 147.858 | 147.858 | 207.137 | 0.000 | 0.000 | 0.000 |
| 0.000 | 0.000 | 0.000 | 110.550 | 0.000 | 0.000 |
| 0.000 | 0.000 | 0.000 | -0.000 | 110.550 | -0.000 |
| 0.000 | 0.000 | 0.000 | -0.000 | 0.000 | 110.550 |
| 207.137 | 147.857 | 147.857 | -0.000 | -0.000 | -0.000 |
| 147.857 | 207.137 | 147.857 | -0.000 | -0.000 | -0.000 |
| 147.857 | 147.857 | 207.137 | 0.000 | -0.000 | 0.000 |
| -0.000 | -0.000 | -0.000 | 110.550 | -0.000 | -0.000 |
| -0.000 | -0.000 | -0.000 | 0.000 | 110.550 | -0.000 |
| -0.000 | -0.000 | -0.000 | 0.000 | -0.000 | 110.550 |
| 207.138 | 147.858 | 147.858 | -0.000 | 0.000 | 0.000 |
| 147.858 | 207.138 | 147.858 | -0.000 | -0.000 | -0.000 |
| 147.858 | 147.858 | 207.138 | -0.000 | 0.000 | -0.000 |
| 0.000 | 0.000 | 0.001 | 110.550 | 0.000 | 0.000 |
| 0.000 | 0.000 | 0.001 | -0.000 | 110.550 | 0.000 |
| 0.000 | 0.001 | 0.000 | -0.000 | 0.000 | 110.550 |
| 207.136 | 147.857 | 147.857 | -0.000 | -0.000 | 0.000 |
| 147.857 | 207.136 | 147.857 | 0.000 | -0.000 | 0.000 |
| 147.857 | 147.857 | 207.136 | 0.000 | 0.000 | -0.000 |
| -0.000 | -0.000 | -0.001 | 110.550 | -0.000 | -0.000 |
| -0.000 | -0.000 | -0.001 | 0.000 | 110.550 | -0.000 |
| -0.000 | -0.001 | -0.000 | 0.000 | -0.000 | 110.550 |
| 206.193 | 170.827 | 162.021 | -0.000 | -0.000 | 0.000 |
| 170.827 | 206.193 | 162.021 | 0.000 | 0.000 | 0.000 |
| 162.021 | 162.021 | 298.964 | 0.000 | -0.000 | 0.000 |
| -0.000 | -0.000 | 0.000 | 122.210 | 0.000 | 0.000 |
| -0.000 | -0.000 | 0.000 | 0.000 | 122.210 | 0.000 |
| -0.000 | -0.000 | -0.000 | -0.000 | -0.000 | 128.034 |
| 206.193 | 170.827 | 162.021 | -0.000 | -0.000 | -0.000 |
| 170.827 | 206.193 | 162.021 | -0.000 | 0.000 | -0.000 |
| 162.021 | 162.021 | 298.964 | -0.000 | 0.000 | -0.000 |
| 0.000 | 0.000 | -0.000 | 122.210 | -0.000 | -0.000 |
| 0.000 | 0.000 | -0.000 | -0.000 | 122.210 | -0.000 |
| 0.000 | 0.000 | 0.000 | 0.000 | 0.000 | 128.034 |
| 210.444 | 166.576 | 162.021 | -0.000 | -0.000 | 0.000 |
| 166.576 | 210.444 | 162.021 | 0.000 | -0.000 | 0.000 |
| 162.021 | 162.021 | 298.964 | 0.000 | -0.000 | 0.000 |
| -0.000 | 0.000 | 0.000 | 122.210 | 0.000 | 0.000 |
| 0.000 | -0.000 | 0.000 | 0.000 | 122.210 | 0.000 |
| 0.000 | 0.000 | -0.000 | -0.000 | -0.000 | 128.034 |
| 206.193 | 170.827 | 162.021 | -0.000 | 0.000 | -0.000 |
| 170.827 | 206.193 | 162.021 | 0.000 | 0.000 | -0.000 |
| 162.021 | 162.021 | 298.964 | -0.000 | -0.000 | -0.000 |
| 0.000 | -0.000 | -0.000 | 122.210 | -0.000 | -0.000 |
| -0.000 | 0.000 | -0.000 | -0.000 | 122.210 | -0.000 |
| -0.000 | -0.000 | 0.000 | -0.000 | 0.000 | 128.034 |
| 206.194 | 170.828 | 162.022 | -0.000 | -0.000 | 0.000 |
| 170.828 | 206.194 | 162.022 | -0.000 | -0.000 | 0.000 |
| 162.022 | 162.022 | 298.965 | -0.000 | -0.000 | 0.000 |
| -0.000 | 0.000 | 0.000 | 122.210 | 0.000 | 0.000 |
| 0.000 | -0.000 | 0.000 | -0.000 | 122.210 | 0.000 |
| 0.000 | 0.001 | -0.000 | 0.000 | 0.000 | 128.034 |
| 210.443 | 166.575 | 162.021 | 0.000 | -0.000 | -0.000 |
| 166.575 | 210.443 | 162.021 | -0.000 | 0.000 | -0.000 |
| 162.021 | 162.021 | 298.963 | 0.000 | 0.000 | -0.000 |
| 0.000 | -0.000 | -0.000 | 122.210 | -0.000 | -0.000 |
| -0.000 | 0.000 | -0.000 | 0.000 | 122.210 | -0.000 |
| -0.000 | -0.001 | 0.000 | -0.000 | 0.000 | 128.034 |
| 298.907 | 124.425 | 90.888 | -0.000 | 0.000 | 0.000 |
| 103.101 | 270.267 | 122.855 | -0.000 | 0.000 | -0.000 |
| 90.888 | 90.888 | 359.243 | -0.000 | 0.000 | 0.000 |
| -0.000 | 0.000 | 0.000 | 51.973 | 0.000 | -0.000 |
| -24.515 | -24.515 | 31.370 | -0.000 | 48.769 | 0.000 |
| -0.000 | -0.000 | -0.000 | -0.000 | 0.000 | 87.241 |
| 319.402 | 152.237 | 59.981 | 0.000 | -0.000 | 0.000 |
| 152.237 | 319.402 | 59.981 | 0.000 | 0.000 | -0.000 |
| 90.888 | 90.888 | 359.243 | 0.000 | 0.000 | 0.000 |
| -0.000 | 0.000 | 0.000 | 51.973 | 0.000 | -0.000 |
| 24.515 | 24.515 | -31.370 | 0.000 | 48.769 | 0.000 |
| -0.000 | 0.000 | 0.000 | -0.000 | -0.000 | 87.241 |
| 291.394 | 125.328 | 95.116 | -0.000 | -0.000 | -0.000 |
| 146.280 | 271.321 | 94.554 | -0.000 | -0.000 | 0.000 |
| 88.967 | 88.967 | 361.701 | -0.000 | -0.000 | 0.000 |
| 0.000 | 0.000 | 0.000 | 51.973 | -0.000 | 0.000 |
| -2.553 | -2.553 | 3.267 | -0.000 | 51.128 | 0.000 |
| 0.000 | 0.000 | 0.000 | -0.000 | 0.000 | 87.241 |
| 298.907 | 124.425 | 90.888 | 0.000 | -0.000 | -0.000 |
| 131.790 | 296.817 | 87.513 | 0.000 | -0.000 | 0.000 |
| 90.888 | 90.888 | 359.243 | 0.000 | -0.000 | -0.000 |
| -0.000 | -0.000 | -0.000 | 51.973 | -0.000 | -0.000 |
| 2.553 | 2.553 | -3.267 | 0.000 | 51.128 | 0.000 |
| -0.000 | -0.000 | -0.000 | 0.000 | -0.000 | 87.241 |
| 298.908 | 124.424 | 90.887 | -0.000 | -0.000 | 0.000 |
| 148.490 | 273.533 | 91.725 | -0.000 | -0.000 | -0.000 |
| 90.887 | 90.887 | 359.244 | -0.000 | -0.000 | -0.000 |
| -0.669 | -0.669 | 0.857 | 49.757 | -0.000 | 0.000 |
| -0.669 | -0.669 | 0.857 | -0.000 | 49.757 | -0.000 |
| -0.231 | -0.231 | 0.296 | -0.000 | -0.000 | 62.520 |
| 274.035 | 148.997 | 91.081 | 0.000 | 0.000 | 0.000 |
| 124.425 | 298.906 | 90.888 | -0.000 | -0.000 | -0.000 |
| 91.664 | 91.664 | 358.249 | 0.000 | 0.000 | -0.000 |
| 0.669 | 0.669 | -0.857 | 49.757 | 0.000 | 0.000 |
| 0.669 | 0.669 | -0.857 | 0.000 | 49.757 | -0.000 |
| 0.231 | 0.231 | -0.296 | 0.000 | -0.000 | 62.520 |
| 275.836 | 142.913 | 90.511 | 0.000 | 0.000 | -0.000 |
| 124.003 | 297.252 | 88.869 | 0.000 | 0.000 | -0.000 |
| 89.974 | 89.974 | 353.343 | 0.000 | 0.000 | -0.000 |
| 0.182 | 0.182 | -0.238 | 47.283 | 0.000 | -0.000 |
| 0.182 | 0.182 | -0.238 | 0.000 | 47.283 | -0.000 |
| 1.097 | 1.097 | -1.437 | 0.000 | -0.000 | 65.443 |
| 272.538 | 147.564 | 89.624 | -0.000 | -0.000 | 0.000 |
| 133.395 | 284.129 | 91.314 | -0.000 | -0.000 | 0.000 |
| 89.267 | 89.267 | 354.269 | -0.000 | -0.000 | 0.000 |
| -0.182 | -0.182 | 0.238 | 47.283 | -0.000 | 0.000 |
| -0.182 | -0.182 | 0.238 | 0.000 | 47.283 | 0.000 |
| -1.097 | -1.097 | 1.437 | 0.000 | -0.000 | 65.443 |
| 297.253 | 124.004 | 88.869 | 0.000 | 0.000 | -0.000 |
| 137.824 | 280.058 | 91.079 | 0.000 | 0.000 | -0.000 |
| 89.810 | 89.810 | 353.558 | 0.000 | 0.000 | -0.000 |
| 0.073 | 0.073 | -0.095 | 47.293 | 0.000 | -0.000 |
| 0.073 | 0.073 | -0.095 | -0.000 | 47.293 | -0.000 |
| 0.010 | 0.010 | -0.013 | 0.000 | 0.000 | 62.217 |
| 272.704 | 147.730 | 89.407 | -0.000 | -0.000 | 0.000 |
| 136.855 | 280.924 | 91.146 | -0.000 | -0.000 | -0.000 |
| 89.774 | 89.774 | 353.605 | -0.000 | -0.000 | 0.000 |
| -0.073 | -0.073 | 0.095 | 47.293 | 0.000 | 0.000 |
| -0.073 | -0.073 | 0.095 | -0.000 | 47.293 | 0.000 |
| -0.010 | -0.010 | 0.013 | -0.000 | -0.000 | 62.217 |
| 272.444 | 148.017 | 89.391 | 0.000 | 0.000 | -0.000 |
| 148.014 | 272.448 | 89.390 | 0.000 | 0.000 | -0.000 |
| 89.268 | 89.268 | 354.270 | 0.000 | 0.000 | -0.000 |
| 0.000 | 0.000 | 0.000 | 50.602 | 0.000 | -0.000 |
| 0.007 | 0.007 | -0.009 | 0.000 | 47.283 | -0.000 |
| 0.000 | 0.001 | 0.000 | 0.000 | 0.000 | 86.624 |
| 280.539 | 137.282 | 91.118 | -0.000 | 0.000 | 0.000 |
| 124.003 | 297.250 | 88.868 | -0.000 | -0.000 | 0.000 |
| 89.790 | 89.790 | 353.582 | -0.000 | -0.000 | 0.000 |
| -0.000 | -0.000 | -0.000 | 50.602 | -0.000 | 0.000 |
| -0.007 | -0.007 | 0.009 | -0.000 | 47.283 | 0.000 |
| -0.000 | -0.001 | -0.000 | -0.000 | -0.000 | 86.624 |
| 294.292 | 46.247 | 46.247 | -0.000 | -0.000 | 0.000 |
| 46.247 | 294.292 | 46.247 | 0.000 | -0.000 | 0.000 |
| 46.247 | 46.247 | 294.292 | -0.000 | -0.000 | 0.000 |
| -0.000 | -0.000 | -0.000 | 8.138 | 0.000 | 0.000 |
| -0.000 | 0.000 | -0.000 | -0.000 | 8.138 | 0.000 |
| -0.000 | -0.000 | -0.000 | 0.000 | -0.000 | 8.138 |
| 294.292 | 46.247 | 46.247 | 0.000 | 0.000 | -0.000 |
| 46.247 | 294.292 | 46.247 | -0.000 | -0.000 | -0.000 |
| 46.247 | 46.247 | 294.292 | 0.000 | -0.000 | -0.000 |
| 0.000 | 0.000 | 0.000 | 8.138 | 0.000 | -0.000 |
| 0.000 | -0.000 | 0.000 | -0.000 | 8.138 | -0.000 |
| 0.000 | 0.000 | 0.000 | 0.000 | 0.000 | 8.138 |
| 294.292 | 46.247 | 46.247 | -0.000 | -0.000 | 0.000 |
| 46.247 | 294.292 | 46.247 | -0.000 | -0.000 | 0.000 |
| 46.247 | 46.247 | 294.292 | -0.000 | -0.000 | 0.000 |
| -0.000 | -0.000 | -0.000 | 8.138 | 0.000 | 0.000 |
| -0.000 | -0.000 | -0.000 | -0.000 | 8.138 | 0.000 |
| -0.000 | -0.000 | -0.000 | -0.000 | 0.000 | 8.138 |
| 294.292 | 46.247 | 46.247 | 0.000 | -0.000 | -0.000 |
| 46.247 | 294.292 | 46.247 | -0.000 | 0.000 | -0.000 |
| 46.247 | 46.247 | 294.292 | -0.000 | 0.000 | -0.000 |
| 0.000 | 0.000 | 0.000 | 8.138 | 0.000 | -0.000 |
| 0.000 | 0.000 | 0.000 | 0.000 | 8.138 | -0.000 |
| 0.000 | 0.000 | 0.000 | 0.000 | 0.000 | 8.138 |
| 300.266 | 43.259 | 43.259 | -0.000 | 0.000 | 0.000 |
| 43.259 | 300.266 | 43.259 | 0.000 | -0.000 | 0.000 |
| 43.259 | 43.259 | 300.266 | -0.000 | 0.000 | 0.000 |
| -1582082.128 | -1793646.052 | -1533114.946 | -24240.937 | 82551.776 | -26915.837 |
| -261430.736 | -242252.673 | -261433.136 | -0.000 | -1244356.755 | 0.000 |
| -1866567.967 | -1544693.749 | -1552482.372 | 36005.645 | 14633.998 | -31496.733 |
| 300.266 | 43.260 | 43.260 | -0.000 | -0.000 | -0.000 |
| 43.260 | 300.266 | 43.260 | 0.000 | -0.000 | -0.000 |
| 43.260 | 43.260 | 300.266 | -0.000 | -0.000 | -0.000 |
| 1527566.533 | 1584587.922 | 1533156.002 | 5330.767 | 2297.372 | -7800.753 |
| 1790297.681 | 1528470.512 | 1531464.885 | 52645.800 | -3033.823 | -9267.439 |
| 1528845.734 | 1720969.999 | 1503528.947 | 66547.159 | -18855.885 | 5004.593 |
| 205.022 | 167.697 | 167.697 | 0.000 | -0.000 | -0.000 |
| 167.697 | 205.022 | 167.697 | -0.000 | 0.000 | -0.000 |
| 167.697 | 167.697 | 205.022 | 0.000 | 0.000 | -0.000 |
| 0.000 | -0.000 | -0.000 | 127.007 | -0.000 | -0.000 |
| -0.000 | -0.000 | -0.000 | 0.000 | 127.007 | -0.000 |
| -0.000 | -0.000 | -0.000 | 0.000 | 0.000 | 127.007 |
| 205.022 | 167.697 | 167.697 | -0.000 | 0.000 | 0.000 |
| 167.697 | 205.022 | 167.697 | 0.000 | -0.000 | 0.000 |
| 167.697 | 167.697 | 205.022 | -0.000 | 0.000 | 0.000 |
| -0.000 | 0.000 | 0.000 | 127.007 | -0.000 | 0.000 |
| 0.000 | 0.000 | 0.000 | -0.000 | 127.007 | 0.000 |
| 0.000 | 0.000 | 0.000 | -0.000 | -0.000 | 127.007 |
| 205.021 | 167.697 | 167.697 | -0.000 | -0.000 | -0.000 |
| 167.697 | 205.021 | 167.697 | -0.000 | -0.000 | -0.000 |
| 167.697 | 167.697 | 205.021 | 0.000 | 0.000 | -0.000 |
| 0.000 | -0.000 | 0.000 | 127.019 | 0.000 | -0.000 |
| -0.000 | 0.000 | 0.000 | 0.000 | 127.019 | -0.000 |
| -0.000 | 0.000 | 0.000 | -0.000 | -0.000 | 127.019 |
| 205.022 | 167.697 | 167.697 | 0.000 | -0.000 | 0.000 |
| 167.697 | 205.022 | 167.697 | -0.000 | 0.000 | 0.000 |
| 167.697 | 167.697 | 205.022 | -0.000 | -0.000 | 0.000 |
| -0.000 | 0.000 | -0.000 | 127.019 | -0.000 | 0.000 |
| 0.000 | -0.000 | -0.000 | -0.000 | 127.019 | 0.000 |
| 0.000 | -0.000 | -0.000 | 0.000 | 0.000 | 127.019 |
| 205.018 | 167.697 | 167.697 | 0.000 | -0.000 | -0.000 |
| 167.697 | 205.018 | 167.697 | 0.000 | 0.000 | -0.000 |
| 167.697 | 167.697 | 205.018 | 0.000 | -0.000 | -0.000 |
| 0.000 | -0.000 | 0.000 | 127.019 | -0.000 | -0.000 |
| -0.000 | 0.000 | 0.000 | 0.000 | 127.019 | -0.000 |
| -0.000 | 0.000 | 0.000 | -0.000 | -0.000 | 127.019 |
| 205.026 | 167.696 | 167.696 | 0.000 | -0.000 | 0.000 |
| 167.696 | 205.026 | 167.696 | -0.000 | -0.000 | 0.000 |
| 167.696 | 167.696 | 205.026 | -0.000 | -0.000 | 0.000 |
| -0.000 | 0.000 | -0.000 | 127.019 | 0.000 | 0.000 |
| 0.000 | -0.000 | -0.000 | -0.000 | 127.019 | 0.000 |
| 0.000 | -0.000 | -0.000 | 0.000 | -0.000 | 127.019 |
| 230.675 | 155.450 | 155.450 | -0.000 | -0.000 | 0.000 |
| 155.450 | 230.675 | 155.450 | -0.000 | -0.000 | 0.000 |
| 155.450 | 155.450 | 230.675 | -0.000 | -0.000 | 0.000 |
| 0.000 | 0.000 | 0.000 | 118.133 | 0.000 | 0.000 |
| 0.000 | 0.000 | 0.000 | 0.000 | 118.133 | 0.000 |
| 0.000 | 0.000 | -0.000 | 0.000 | -0.000 | 118.133 |
| 230.675 | 155.449 | 155.450 | 0.000 | 0.000 | 0.000 |
| 155.449 | 230.675 | 155.450 | 0.000 | 0.000 | -0.000 |
| 155.449 | 155.449 | 230.675 | 0.000 | 0.000 | 0.000 |
| -0.000 | -0.000 | -0.000 | 118.133 | -0.000 | -0.000 |
| -0.000 | -0.000 | -0.000 | -0.000 | 118.133 | -0.000 |
| -0.000 | -0.000 | 0.000 | -0.000 | 0.000 | 118.133 |
| 230.675 | 155.450 | 155.450 | -0.000 | -0.000 | -0.000 |
| 155.450 | 230.675 | 155.450 | -0.000 | 0.000 | -0.000 |
| 155.450 | 155.450 | 230.675 | -0.000 | -0.000 | -0.000 |
| -0.000 | 0.000 | 0.000 | 118.133 | 0.000 | 0.000 |
| 0.000 | -0.000 | 0.000 | 0.000 | 118.133 | 0.000 |
| 0.000 | 0.000 | -0.000 | 0.000 | -0.000 | 118.133 |
| 230.674 | 155.449 | 155.449 | 0.000 | 0.000 | 0.000 |
| 155.449 | 230.674 | 155.449 | -0.000 | 0.000 | -0.000 |
| 155.449 | 155.449 | 230.674 | 0.000 | 0.000 | -0.000 |
| 0.000 | -0.000 | -0.000 | 118.133 | -0.000 | -0.000 |
| -0.000 | 0.000 | -0.000 | -0.000 | 118.133 | -0.000 |
| -0.000 | -0.000 | 0.000 | -0.000 | 0.000 | 118.133 |
| 230.676 | 155.451 | 155.451 | 0.000 | 0.000 | -0.000 |
| 155.451 | 230.676 | 155.451 | 0.000 | -0.000 | -0.000 |
| 155.451 | 155.451 | 230.676 | 0.000 | 0.000 | -0.000 |
| -0.000 | 0.000 | 0.000 | 118.133 | 0.000 | 0.000 |
| 0.000 | -0.000 | 0.000 | 0.000 | 118.133 | 0.000 |
| 0.000 | 0.000 | -0.000 | -0.000 | -0.000 | 118.133 |
| 230.673 | 155.448 | 155.448 | 0.000 | 0.000 | 0.000 |
| 155.448 | 230.673 | 155.448 | 0.000 | 0.000 | -0.000 |
| 155.448 | 155.448 | 230.673 | 0.000 | 0.000 | 0.000 |
| 0.000 | -0.000 | -0.000 | 118.133 | -0.000 | -0.000 |
| -0.000 | 0.000 | -0.000 | -0.000 | 118.133 | -0.000 |
| -0.000 | -0.000 | 0.000 | -0.000 | 0.000 | 118.133 |
| 233.504 | 160.916 | 165.942 | -0.000 | 0.000 | -0.000 |
| 160.916 | 233.504 | 165.942 | -0.000 | -0.000 | -0.000 |
| 165.942 | 165.942 | 267.646 | -0.000 | 0.000 | -0.000 |
| -0.000 | 0.000 | 0.000 | 128.937 | 0.000 | -0.000 |
| -0.000 | 0.000 | 0.000 | -0.000 | 128.937 | -0.000 |
| -0.000 | 0.000 | -0.000 | -0.000 | 0.000 | 121.749 |
| 233.691 | 160.729 | 165.942 | 0.000 | -0.000 | 0.000 |
| 160.729 | 233.691 | 165.942 | 0.000 | 0.000 | 0.000 |
| 165.942 | 165.942 | 267.646 | 0.000 | -0.000 | 0.000 |
| 0.000 | -0.000 | -0.000 | 128.937 | -0.000 | -0.000 |
| 0.000 | -0.000 | 0.000 | 0.000 | 128.937 | 0.000 |
| 0.000 | -0.000 | 0.000 | 0.000 | -0.000 | 121.749 |
| 233.691 | 160.729 | 165.942 | -0.000 | -0.000 | -0.000 |
| 160.729 | 233.691 | 165.942 | -0.000 | 0.000 | -0.000 |
| 165.942 | 165.942 | 267.646 | -0.000 | 0.000 | -0.000 |
| -0.000 | 0.000 | 0.000 | 128.937 | -0.000 | -0.000 |
| 0.000 | -0.000 | 0.000 | -0.000 | 128.937 | -0.000 |
| 0.000 | 0.000 | -0.000 | -0.000 | 0.000 | 121.749 |
| 233.504 | 160.915 | 165.942 | 0.000 | -0.000 | 0.000 |
| 160.915 | 233.504 | 165.942 | 0.000 | 0.000 | 0.000 |
| 165.942 | 165.942 | 267.646 | -0.000 | -0.000 | 0.000 |
| 0.000 | -0.000 | -0.000 | 128.937 | -0.000 | 0.000 |
| -0.000 | 0.000 | -0.000 | 0.000 | 128.937 | 0.000 |
| -0.000 | -0.000 | 0.000 | 0.000 | -0.000 | 121.749 |
| 233.506 | 160.917 | 165.943 | -0.000 | 0.000 | -0.000 |
| 160.917 | 233.506 | 165.943 | -0.000 | 0.000 | -0.000 |
| 165.943 | 165.943 | 267.649 | -0.000 | 0.000 | 0.000 |
| -0.000 | 0.000 | 0.000 | 129.028 | 0.000 | -0.000 |
| 0.000 | -0.000 | 0.000 | -0.000 | 129.028 | -0.000 |
| 0.000 | 0.000 | -0.000 | -0.000 | -0.000 | 121.749 |
| 233.503 | 160.914 | 165.941 | 0.000 | -0.000 | 0.000 |
| 160.914 | 233.503 | 165.941 | 0.000 | -0.000 | 0.000 |
| 165.941 | 165.941 | 267.644 | 0.000 | -0.000 | 0.000 |
| 0.000 | -0.000 | -0.000 | 129.028 | -0.000 | 0.000 |
| -0.000 | 0.000 | -0.000 | 0.000 | 129.028 | 0.000 |
| -0.000 | -0.000 | 0.000 | 0.000 | -0.000 | 121.749 |
| 315.826 | 130.228 | 99.886 | 0.000 | -0.000 | -0.000 |
| 146.315 | 297.037 | 97.616 | -0.000 | -0.000 | -0.000 |
| 99.366 | 99.366 | 345.641 | 0.000 | -0.000 | -0.000 |
| 0.052 | 0.052 | 0.088 | 59.818 | -0.000 | -0.000 |
| 0.000 | 0.000 | -0.000 | -0.000 | 60.270 | -0.000 |
| 0.008 | 0.008 | 0.013 | -0.000 | -0.000 | 67.958 |
| 297.644 | 145.602 | 97.526 | 0.000 | 0.000 | 0.000 |
| 145.602 | 297.644 | 97.526 | 0.000 | 0.000 | 0.000 |
| 99.886 | 99.886 | 346.515 | -0.000 | 0.000 | 0.000 |
| -0.052 | -0.052 | -0.088 | 59.818 | 0.000 | 0.000 |
| -0.000 | -0.000 | 0.000 | 0.000 | 60.270 | 0.000 |
| -0.008 | -0.008 | -0.013 | 0.000 | 0.000 | 67.958 |
| 297.311 | 145.992 | 97.574 | -0.000 | -0.000 | -0.000 |
| 154.778 | 290.677 | 99.382 | 0.000 | -0.000 | -0.000 |
| 99.886 | 99.886 | 346.515 | 0.000 | -0.000 | -0.000 |
| 0.005 | 0.005 | 0.009 | 59.812 | -0.000 | -0.000 |
| 0.000 | 0.000 | 0.000 | -0.000 | 60.270 | -0.000 |
| 0.001 | 0.001 | 0.001 | 0.000 | -0.000 | 67.958 |
| 315.826 | 130.228 | 99.886 | 0.000 | 0.000 | 0.000 |
| 130.228 | 315.826 | 99.886 | -0.000 | 0.000 | 0.000 |
| 99.352 | 99.352 | 345.619 | 0.000 | 0.000 | 0.000 |
| -0.005 | -0.005 | -0.009 | 59.812 | 0.000 | 0.000 |
| -0.000 | -0.000 | -0.000 | 0.000 | 60.270 | 0.000 |
| -0.001 | -0.001 | -0.001 | 0.000 | 0.000 | 67.958 |
| 297.340 | 145.960 | 97.570 | -0.000 | -0.000 | -0.000 |
| 154.778 | 290.677 | 99.380 | -0.000 | -0.000 | -0.000 |
| 99.886 | 99.886 | 346.516 | -0.000 | -0.000 | -0.000 |
| 0.001 | 0.000 | 0.001 | 59.812 | -0.000 | -0.000 |
| 0.000 | 0.001 | 0.001 | -0.000 | 59.812 | -0.000 |
| 0.001 | 0.001 | 0.001 | -0.000 | -0.000 | 69.360 |
| 290.673 | 154.777 | 99.380 | 0.000 | 0.000 | 0.000 |
| 130.228 | 315.825 | 99.886 | 0.000 | 0.000 | 0.000 |
| 99.885 | 99.885 | 346.514 | 0.000 | 0.000 | 0.000 |
| -0.001 | -0.000 | -0.001 | 59.812 | 0.000 | 0.000 |
| -0.000 | -0.001 | -0.001 | 0.000 | 59.812 | 0.000 |
| -0.001 | -0.001 | -0.001 | 0.000 | 0.000 | 69.360 |
| 533.180 | 408.564 | 541.934 | 0.000 | 0.000 | 0.000 |
| 388.759 | 552.992 | 541.940 | -0.000 | 0.000 | 0.000 |
| 358.115 | 358.115 | 774.584 | -0.000 | 0.000 | 0.000 |
| 267.336 | 267.336 | 450.374 | 56.158 | 0.000 | 0.000 |
| 267.332 | 267.332 | 450.367 | -0.000 | 56.158 | 0.000 |
| 267.335 | 267.335 | 450.372 | -0.000 | 0.000 | 82.117 |
| 18.322 | -145.912 | -358.805 | 0.000 | -0.000 | -0.000 |
| 117.871 | 289.790 | 92.057 | -0.000 | -0.000 | -0.000 |
| 91.273 | 91.273 | 325.041 | 0.000 | -0.000 | -0.000 |
| -267.336 | -267.336 | -450.374 | 56.158 | -0.000 | -0.000 |
| -267.332 | -267.332 | -450.367 | 0.000 | 56.158 | -0.000 |
| -267.335 | -267.335 | -450.372 | 0.000 | -0.000 | 82.117 |
| 292.582 | 167.965 | 136.604 | -0.000 | 0.000 | 0.000 |
| 167.955 | 292.593 | 136.604 | -0.000 | 0.000 | 0.000 |
| 91.273 | 91.273 | 325.042 | -0.000 | 0.000 | 0.000 |
| 0.000 | 0.000 | 0.000 | 56.235 | 0.000 | 0.000 |
| 26.734 | 26.734 | 45.038 | -0.000 | 56.158 | 0.000 |
| 0.000 | 0.000 | 0.000 | -0.000 | -0.000 | 85.960 |
| 258.885 | 94.661 | 46.473 | -0.000 | -0.000 | -0.000 |
| 94.661 | 258.885 | 46.473 | 0.000 | -0.000 | -0.000 |
| 91.273 | 91.273 | 325.041 | 0.000 | -0.000 | -0.000 |
| -0.000 | -0.000 | -0.000 | 56.235 | -0.000 | -0.000 |
| -26.734 | -26.734 | -45.038 | 0.000 | 56.158 | -0.000 |
| -0.000 | -0.000 | -0.000 | 0.000 | -0.000 | 85.960 |
| 289.792 | 117.871 | 92.057 | -0.000 | 0.000 | 0.000 |
| 117.872 | 289.792 | 92.057 | -0.000 | 0.000 | 0.000 |
| 93.457 | 93.457 | 328.722 | -0.000 | 0.000 | 0.000 |
| 0.000 | 0.000 | 0.000 | 56.235 | 0.000 | 0.000 |
| 2.673 | 2.673 | 4.504 | -0.000 | 55.907 | 0.000 |
| 0.000 | 0.000 | 0.000 | -0.000 | 0.000 | 85.960 |
| 289.789 | 117.871 | 92.057 | 0.000 | 0.000 | -0.000 |
| 138.560 | 263.176 | 87.067 | 0.000 | -0.000 | -0.000 |
| 88.110 | 88.110 | 319.713 | 0.000 | -0.000 | -0.000 |
| -0.000 | -0.000 | -0.000 | 56.235 | -0.000 | -0.000 |
| -2.673 | -2.673 | -4.504 | -0.000 | 55.907 | -0.000 |
| -0.000 | -0.000 | -0.000 | 0.000 | -0.000 | 85.960 |
| 366.946 | 166.083 | 167.326 | 0.000 | -0.000 | -0.000 |
| 149.109 | 266.616 | 39.573 | 0.000 | 0.000 | -0.000 |
| 151.528 | 37.574 | 292.792 | 0.000 | 0.000 | -0.000 |
| -0.000 | 0.000 | -0.000 | 54.514 | -0.000 | 0.000 |
| -12.472 | -43.809 | -39.665 | 0.000 | 129.363 | -0.000 |
| -9.987 | -35.016 | -32.719 | 0.000 | -0.000 | 119.848 |
| 374.789 | 193.547 | 193.514 | -0.000 | 0.000 | -0.000 |
| 166.082 | 326.270 | 93.065 | -0.000 | 0.000 | -0.000 |
| 167.325 | 93.065 | 343.018 | -0.000 | 0.000 | 0.000 |
| 0.000 | -0.000 | 0.000 | 54.514 | 0.000 | -0.000 |
| 12.472 | 43.809 | 39.665 | -0.000 | 129.363 | 0.000 |
| 9.987 | 35.016 | 32.719 | -0.000 | 0.000 | 119.848 |
| 364.373 | 157.025 | 159.449 | -0.000 | -0.000 | 0.000 |
| 160.211 | 305.608 | 74.970 | 0.000 | -0.000 | -0.000 |
| 162.353 | 75.543 | 328.013 | 0.000 | -0.000 | 0.000 |
| -3.229 | -11.320 | -10.578 | 26.255 | 0.000 | 0.000 |
| 0.000 | -0.000 | 0.000 | 0.000 | 129.389 | -0.000 |
| -0.999 | -3.502 | -3.272 | 0.000 | -0.000 | 119.848 |
| 366.774 | 165.466 | 166.946 | -0.000 | -0.000 | 0.000 |
| 162.706 | 314.369 | 82.903 | -0.000 | -0.000 | 0.000 |
| 167.325 | 93.065 | 343.018 | -0.000 | 0.000 | 0.000 |
| 3.229 | 11.320 | 10.578 | 26.255 | -0.000 | 0.000 |
| -0.000 | 0.000 | -0.000 | -0.000 | 129.389 | 0.000 |
| 0.999 | 3.502 | 3.272 | -0.000 | 0.000 | 119.848 |
| 366.939 | 166.082 | 167.325 | 0.000 | -0.000 | 0.000 |
| 166.082 | 326.269 | 93.063 | 0.000 | -0.000 | -0.000 |
| 167.325 | 93.063 | 343.017 | 0.000 | -0.000 | 0.000 |
| -0.499 | -1.748 | -1.634 | 10.844 | -0.000 | 0.000 |
| 0.000 | -0.000 | 0.001 | 0.000 | 129.389 | -0.000 |
| -0.100 | -0.350 | -0.327 | 0.000 | -0.000 | 119.848 |
| 365.764 | 161.898 | 163.709 | -0.000 | 0.000 | 0.000 |
| 161.583 | 310.427 | 79.334 | -0.000 | 0.000 | -0.000 |
| 163.436 | 79.376 | 331.070 | -0.000 | 0.000 | 0.000 |
| 0.499 | 1.748 | 1.634 | 10.844 | 0.000 | -0.000 |
| -0.000 | 0.000 | -0.001 | -0.000 | 129.389 | 0.000 |
| 0.100 | 0.350 | 0.327 | -0.000 | 0.000 | 119.848 |
| 368.847 | 161.635 | 163.584 | -0.000 | -0.000 | -0.000 |
| 162.143 | 311.876 | 81.132 | 0.000 | -0.000 | -0.000 |
| 167.463 | 92.530 | 342.385 | -0.000 | 0.000 | -0.000 |
| 1.016 | 3.635 | 2.154 | 28.814 | 0.000 | -0.000 |
| 0.125 | 0.446 | 0.265 | -0.000 | 129.478 | -0.000 |
| 0.000 | 0.000 | 0.000 | 0.000 | -0.000 | 119.787 |
| 369.318 | 163.263 | 165.365 | 0.000 | 0.000 | 0.000 |
| 162.923 | 314.598 | 83.756 | 0.000 | 0.000 | 0.000 |
| 163.481 | 78.540 | 330.314 | -0.000 | -0.000 | 0.000 |
| -1.016 | -3.635 | -2.154 | 28.814 | -0.000 | 0.000 |
| -0.125 | -0.446 | -0.265 | 0.000 | 129.478 | 0.000 |
| -0.000 | 0.000 | -0.000 | -0.000 | 0.000 | 119.787 |
| 370.109 | 166.061 | 167.545 | -0.000 | -0.000 | -0.000 |
| 162.564 | 313.346 | 82.548 | -0.000 | -0.000 | -0.000 |
| 163.513 | 78.661 | 330.282 | 0.000 | -0.000 | -0.000 |
| -0.000 | -0.000 | -0.000 | 53.899 | -0.000 | -0.000 |
| 0.000 | -0.000 | 0.000 | -0.000 | 129.487 | -0.000 |
| 0.012 | 0.043 | 0.026 | -0.000 | -0.000 | 119.787 |
| 368.807 | 161.484 | 163.594 | 0.000 | 0.000 | 0.000 |
| 161.446 | 309.452 | 78.689 | 0.000 | 0.000 | 0.000 |
| 167.463 | 92.530 | 342.385 | -0.000 | 0.000 | 0.000 |
| 0.000 | 0.000 | 0.000 | 53.899 | 0.000 | 0.000 |
| -0.000 | 0.000 | -0.000 | 0.000 | 129.487 | 0.000 |
| -0.012 | -0.043 | -0.026 | 0.000 | -0.000 | 119.787 |
| 368.803 | 161.495 | 163.591 | -0.000 | -0.000 | -0.000 |
| 162.600 | 313.471 | 82.668 | -0.000 | -0.000 | -0.000 |
| 167.463 | 92.528 | 342.384 | -0.000 | 0.000 | -0.000 |
| 0.018 | 0.064 | 0.038 | 10.481 | -0.000 | -0.000 |
| 0.004 | 0.014 | 0.009 | -0.000 | 129.459 | -0.000 |
| 0.001 | 0.005 | 0.003 | -0.000 | -0.000 | 119.787 |
| 369.143 | 162.635 | 164.726 | 0.000 | 0.000 | 0.000 |
| 161.449 | 309.462 | 78.687 | 0.000 | -0.000 | 0.000 |
| 167.463 | 92.532 | 342.386 | 0.000 | -0.000 | 0.000 |
| -0.018 | -0.064 | -0.038 | 10.481 | 0.000 | 0.000 |
| -0.004 | -0.014 | -0.009 | 0.000 | 129.459 | 0.000 |
| -0.001 | -0.005 | -0.003 | 0.000 | 0.000 | 119.787 |
| 478.270 | -7.263 | -7.263 | 0.000 | 0.000 | -0.000 |
| -7.263 | 478.270 | -7.263 | 0.000 | 0.000 | 0.000 |
| -7.263 | -7.263 | 478.270 | 0.000 | -0.000 | 0.000 |
| -0.000 | -0.000 | -0.000 | -25.243 | 0.000 | 0.000 |
| 0.000 | -0.000 | -0.000 | 0.000 | -25.243 | 0.000 |
| 0.000 | -0.000 | 0.000 | 0.000 | 0.000 | -25.243 |
| 478.270 | -7.263 | -7.263 | -0.000 | -0.000 | 0.000 |
| -7.263 | 478.270 | -7.263 | -0.000 | 0.000 | 0.000 |
| -7.263 | -7.263 | 478.270 | -0.000 | -0.000 | 0.000 |
| 0.000 | 0.000 | 0.000 | -25.243 | -0.000 | 0.000 |
| -0.000 | 0.000 | 0.000 | -0.000 | -25.243 | 0.000 |
| -0.000 | 0.000 | -0.000 | -0.000 | -0.000 | -25.243 |
| 478.270 | -7.263 | -7.263 | 0.000 | -0.000 | -0.000 |
| -7.263 | 478.270 | -7.263 | 0.000 | 0.000 | 0.000 |
| -7.263 | -7.263 | 478.270 | 0.000 | 0.000 | 0.000 |
| 0.000 | 0.000 | -0.000 | -25.243 | 0.000 | 0.000 |
| 0.000 | 0.000 | -0.000 | 0.000 | -25.243 | -0.000 |
| 0.000 | -0.000 | 0.000 | 0.000 | 0.000 | -25.243 |
| 478.270 | -7.263 | -7.263 | -0.000 | -0.000 | -0.000 |
| -7.263 | 478.270 | -7.263 | -0.000 | -0.000 | 0.000 |
| -7.263 | -7.263 | 478.270 | -0.000 | -0.000 | 0.000 |
| -0.000 | -0.000 | 0.000 | -25.243 | -0.000 | 0.000 |
| -0.000 | -0.000 | 0.000 | -0.000 | -25.243 | -0.000 |
| -0.000 | 0.000 | -0.000 | -0.000 | -0.000 | -25.243 |
| 478.273 | -7.263 | -7.263 | 0.000 | 0.000 | -0.000 |
| -7.263 | 478.273 | -7.263 | 0.000 | 0.000 | 0.000 |
| -7.263 | -7.263 | 478.273 | 0.000 | 0.000 | -0.000 |
| 0.000 | 0.000 | -0.000 | -25.243 | 0.000 | -0.000 |
| 0.000 | 0.000 | -0.000 | 0.000 | -25.243 | -0.000 |
| 0.000 | -0.000 | 0.000 | 0.000 | 0.000 | -25.243 |
| 478.267 | -7.263 | -7.263 | -0.000 | -0.000 | -0.000 |
| -7.263 | 478.267 | -7.263 | -0.000 | -0.000 | 0.000 |
| -7.263 | -7.263 | 478.267 | -0.000 | -0.000 | 0.000 |
| -0.000 | -0.000 | 0.000 | -25.243 | -0.000 | -0.000 |
| -0.000 | -0.000 | 0.000 | -0.000 | -25.243 | 0.000 |
| -0.000 | 0.000 | -0.000 | -0.000 | -0.000 | -25.243 |
| 461.916 | 150.805 | 150.805 | 0.000 | 0.000 | -0.000 |
| 150.805 | 461.916 | 150.805 | 0.000 | -0.000 | -0.000 |
| 150.805 | 150.805 | 461.916 | 0.000 | 0.000 | 0.000 |
| 0.000 | 0.000 | 0.000 | 125.704 | -0.000 | -0.000 |
| -0.000 | 0.000 | 0.000 | 0.000 | 125.704 | -0.000 |
| -0.000 | 0.000 | 0.000 | 0.000 | -0.000 | 125.704 |
| 461.916 | 150.805 | 150.805 | -0.000 | 0.000 | 0.000 |
| 150.805 | 461.916 | 150.805 | -0.000 | 0.000 | 0.000 |
| 150.805 | 150.805 | 461.916 | -0.000 | 0.000 | 0.000 |
| -0.000 | -0.000 | -0.000 | 125.704 | 0.000 | 0.000 |
| 0.000 | -0.000 | -0.000 | -0.000 | 125.704 | -0.000 |
| 0.000 | -0.000 | -0.000 | -0.000 | 0.000 | 125.704 |
| 461.916 | 150.805 | 150.805 | 0.000 | 0.000 | -0.000 |
| 150.805 | 461.916 | 150.805 | -0.000 | -0.000 | -0.000 |
| 150.805 | 150.805 | 461.916 | -0.000 | -0.000 | -0.000 |
| 0.000 | -0.000 | -0.000 | 125.704 | -0.000 | -0.000 |
| -0.000 | 0.000 | -0.000 | -0.000 | 125.704 | -0.000 |
| -0.000 | -0.000 | 0.000 | 0.000 | -0.000 | 125.704 |
| 461.916 | 150.805 | 150.805 | -0.000 | -0.000 | -0.000 |
| 150.805 | 461.916 | 150.805 | -0.000 | -0.000 | -0.000 |
| 150.805 | 150.805 | 461.916 | -0.000 | 0.000 | 0.000 |
| -0.000 | 0.000 | 0.000 | 125.704 | 0.000 | -0.000 |
| 0.000 | -0.000 | 0.000 | 0.000 | 125.704 | -0.000 |
| 0.000 | 0.000 | -0.000 | -0.000 | 0.000 | 125.704 |
| 461.919 | 150.805 | 150.805 | -0.000 | 0.000 | 0.000 |
| 150.805 | 461.919 | 150.805 | 0.000 | -0.000 | 0.000 |
| 150.805 | 150.805 | 461.919 | 0.000 | -0.000 | 0.000 |
| 0.000 | -0.000 | -0.000 | 125.704 | -0.000 | 0.000 |
| -0.000 | 0.000 | -0.000 | 0.000 | 125.704 | -0.000 |
| -0.000 | -0.000 | 0.000 | 0.000 | 0.000 | 125.704 |
| 461.913 | 150.804 | 150.804 | -0.000 | -0.000 | 0.000 |
| 150.804 | 461.913 | 150.804 | -0.000 | 0.000 | 0.000 |
| 150.804 | 150.804 | 461.913 | -0.000 | 0.000 | -0.000 |
| -0.000 | 0.000 | 0.000 | 125.704 | -0.000 | 0.000 |
| 0.000 | -0.000 | 0.000 | -0.000 | 125.704 | 0.000 |
| 0.000 | 0.000 | -0.000 | -0.000 | -0.000 | 125.704 |
| -6.497 | 48.637 | 48.637 | 0.000 | 0.000 | 0.000 |
| 48.637 | -6.497 | 48.637 | 0.000 | 0.000 | 0.000 |
| 48.637 | 48.637 | -6.497 | -0.000 | 0.000 | 0.000 |
| 0.000 | -0.000 | -0.000 | 34.975 | 0.000 | -0.000 |
| 0.000 | 0.000 | 0.000 | 0.000 | 34.975 | -0.000 |
| 0.000 | 0.000 | -0.000 | 0.000 | 0.000 | 34.975 |
| -6.497 | 48.637 | 48.637 | -0.000 | -0.000 | -0.000 |
| 48.637 | -6.497 | 48.637 | -0.000 | -0.000 | -0.000 |
| 48.637 | 48.637 | -6.497 | -0.000 | -0.000 | -0.000 |
| -0.000 | 0.000 | 0.000 | 34.975 | -0.000 | -0.000 |
| -0.000 | -0.000 | 0.000 | -0.000 | 34.975 | 0.000 |
| -0.000 | -0.000 | -0.000 | -0.000 | -0.000 | 34.975 |
| -6.497 | 48.637 | 48.637 | 0.000 | 0.000 | 0.000 |
| 48.637 | -6.497 | 48.637 | 0.000 | 0.000 | 0.000 |
| 48.637 | 48.637 | -6.497 | 0.000 | 0.000 | 0.000 |
| -0.000 | -0.000 | -0.000 | -65.015 | 0.000 | 0.000 |
| -0.000 | -0.000 | -0.000 | 0.000 | -65.015 | 0.000 |
| -0.000 | -0.000 | -0.000 | 0.000 | 0.000 | -65.015 |
| -6.496 | 48.637 | 48.637 | -0.000 | -0.000 | -0.000 |
| 48.637 | -6.496 | 48.637 | -0.000 | -0.000 | -0.000 |
| 48.637 | 48.637 | -6.496 | -0.000 | -0.000 | -0.000 |
| 0.000 | 0.000 | 0.000 | -65.015 | -0.000 | -0.000 |
| 0.000 | 0.000 | 0.000 | -0.000 | -65.015 | -0.000 |
| 0.000 | 0.000 | 0.000 | -0.000 | -0.000 | -65.015 |
| -6.497 | 48.637 | 48.637 | 0.000 | 0.000 | 0.000 |
| 48.637 | -6.497 | 48.637 | 0.000 | 0.000 | 0.000 |
| 48.637 | 48.637 | -6.497 | 0.000 | 0.000 | 0.000 |
| -0.000 | -0.000 | -0.000 | -65.015 | 0.000 | 0.000 |
| -0.000 | -0.000 | -0.000 | 0.000 | -65.015 | 0.000 |
| -0.000 | -0.000 | -0.000 | 0.000 | 0.000 | -65.015 |
| -6.496 | 48.637 | 48.637 | -0.000 | -0.000 | -0.000 |
| 48.637 | -6.496 | 48.637 | -0.000 | -0.000 | -0.000 |
| 48.637 | 48.637 | -6.496 | -0.000 | -0.000 | -0.000 |
| 0.000 | 0.000 | 0.000 | -65.015 | -0.000 | -0.000 |
| 0.000 | 0.000 | 0.000 | -0.000 | -65.015 | -0.000 |
| 0.000 | 0.000 | 0.000 | -0.000 | -0.000 | -65.015 |
| 522.520 | 62.779 | 173.040 | -0.000 | -0.000 | 0.000 |
| 62.779 | 522.520 | 173.040 | -0.000 | -0.000 | -0.000 |
| 173.040 | 173.040 | 384.854 | 0.000 | 0.000 | 0.000 |
| -0.000 | 0.000 | 0.000 | 149.404 | -0.000 | 0.000 |
| 0.000 | 0.000 | 0.000 | -0.000 | 149.404 | -0.000 |
| 0.000 | -0.000 | 0.000 | 0.000 | 0.000 | 25.185 |
| 522.520 | 62.779 | 173.040 | 0.000 | -0.000 | -0.000 |
| 62.779 | 522.520 | 173.040 | -0.000 | -0.000 | 0.000 |
| 173.040 | 173.040 | 384.854 | -0.000 | -0.000 | 0.000 |
| 0.000 | -0.000 | -0.000 | 149.404 | 0.000 | 0.000 |
| -0.000 | -0.000 | -0.000 | 0.000 | 149.404 | -0.000 |
| -0.000 | 0.000 | -0.000 | -0.000 | -0.000 | 25.185 |
| 522.521 | 62.779 | 173.040 | -0.000 | -0.000 | 0.000 |
| 62.779 | 522.521 | 173.040 | -0.000 | -0.000 | 0.000 |
| 173.040 | 173.040 | 384.854 | -0.000 | -0.000 | 0.000 |
| 0.000 | 0.000 | 0.000 | 149.404 | 0.000 | -0.000 |
| 0.000 | 0.000 | 0.000 | 0.000 | 149.404 | 0.000 |
| 0.000 | 0.000 | 0.000 | 0.000 | 0.000 | 25.185 |
| 522.520 | 62.779 | 173.040 | -0.000 | -0.000 | 0.000 |
| 62.779 | 522.520 | 173.040 | -0.000 | -0.000 | -0.000 |
| 173.040 | 173.040 | 384.854 | 0.000 | 0.000 | 0.000 |
| -0.000 | -0.000 | -0.000 | 149.404 | -0.000 | -0.000 |
| -0.000 | -0.000 | -0.000 | -0.000 | 149.404 | -0.000 |
| -0.000 | -0.000 | -0.000 | -0.000 | -0.000 | 25.185 |
| 522.526 | 62.780 | 173.041 | 0.000 | 0.000 | 0.000 |
| 62.780 | 522.526 | 173.041 | 0.000 | 0.000 | 0.000 |
| 173.041 | 173.041 | 384.854 | 0.000 | 0.000 | 0.000 |
| 0.000 | 0.000 | 0.000 | 149.404 | 0.000 | -0.000 |
| 0.000 | 0.000 | 0.000 | 0.000 | 149.404 | 0.000 |
| 0.000 | 0.000 | 0.000 | 0.000 | 0.000 | 25.185 |
| 522.515 | 62.779 | 173.040 | -0.000 | -0.000 | 0.000 |
| 62.779 | 522.515 | 173.040 | 0.000 | -0.000 | 0.000 |
| 173.040 | 173.040 | 384.854 | -0.000 | -0.000 | -0.000 |
| -0.000 | -0.000 | -0.000 | 149.404 | 0.000 | 0.000 |
| -0.000 | -0.000 | -0.000 | -0.000 | 149.404 | 0.000 |
| -0.000 | -0.000 | -0.000 | -0.000 | -0.000 | 25.185 |
| 153.430 | 199.500 | 123.685 | -0.000 | 0.000 | 0.000 |
| 199.500 | 153.430 | 123.685 | -0.000 | 0.000 | 0.000 |
| 123.685 | 123.685 | -28.277 | -0.000 | 0.000 | -0.000 |
| -0.000 | 0.000 | 0.000 | 96.847 | 0.000 | 0.000 |
| -0.000 | -0.000 | 0.000 | -0.000 | 96.847 | -0.000 |
| -0.000 | 0.000 | 0.000 | -0.000 | 0.000 | 175.075 |
| 153.430 | 199.500 | 123.685 | 0.000 | -0.000 | 0.000 |
| 199.500 | 153.430 | 123.685 | 0.000 | 0.000 | 0.000 |
| 123.685 | 123.685 | -28.277 | 0.000 | 0.000 | 0.000 |
| 0.000 | 0.000 | -0.000 | 96.847 | -0.000 | 0.000 |
| 0.000 | 0.000 | -0.000 | 0.000 | 96.847 | -0.000 |
| 0.000 | -0.000 | -0.000 | 0.000 | -0.000 | 175.075 |
| 153.431 | 199.500 | 123.685 | -0.000 | 0.000 | -0.000 |
| 199.500 | 153.431 | 123.685 | -0.000 | 0.000 | -0.000 |
| 123.685 | 123.685 | -28.277 | -0.000 | 0.000 | 0.000 |
| 0.000 | 0.000 | 0.000 | 96.847 | 0.000 | -0.000 |
| -0.000 | 0.000 | 0.000 | -0.000 | 96.847 | 0.000 |
| -0.000 | 0.000 | 0.000 | -0.000 | 0.000 | 175.075 |
| 153.429 | 199.500 | 123.685 | 0.000 | 0.000 | -0.000 |
| 199.500 | 153.429 | 123.685 | 0.000 | -0.000 | -0.000 |
| 123.685 | 123.685 | -28.277 | 0.000 | -0.000 | -0.000 |
| -0.000 | 0.000 | -0.000 | 96.847 | -0.000 | -0.000 |
| 0.000 | -0.000 | -0.000 | 0.000 | 96.847 | 0.000 |
| 0.000 | -0.000 | -0.000 | 0.000 | -0.000 | 175.075 |
| 153.438 | 199.501 | 123.686 | -0.000 | 0.000 | 0.000 |
| 199.501 | 153.438 | 123.686 | -0.000 | -0.000 | 0.000 |
| 123.686 | 123.686 | -28.275 | -0.000 | 0.000 | 0.000 |
| 0.000 | -0.000 | 0.000 | 96.847 | 0.000 | 0.000 |
| -0.000 | 0.000 | 0.000 | -0.000 | 96.847 | 0.000 |
| -0.000 | 0.000 | 0.000 | 0.000 | 0.000 | 175.075 |
| 153.421 | 199.500 | 123.685 | 0.000 | 0.000 | -0.000 |
| 199.500 | 153.421 | 123.685 | 0.000 | -0.000 | 0.000 |
| 123.685 | 123.685 | -28.279 | 0.000 | -0.000 | -0.000 |
| -0.000 | 0.000 | -0.000 | 96.847 | -0.000 | -0.000 |
| 0.000 | -0.000 | -0.000 | 0.000 | 96.847 | -0.000 |
| 0.000 | -0.000 | -0.000 | 0.000 | -0.000 | 175.075 |
| 526.076 | 196.327 | 203.261 | 0.000 | 0.000 | 0.000 |
| 196.327 | 259.661 | 42.601 | -0.000 | -0.000 | -0.000 |
| 203.261 | 42.601 | 397.248 | 0.000 | -0.000 | 0.000 |
| 0.000 | -0.000 | 0.000 | 16.347 | -0.000 | -0.000 |
| 0.000 | -0.000 | 0.000 | -0.000 | 177.522 | -0.000 |
| 0.000 | -0.000 | -0.000 | -0.000 | -0.000 | 156.078 |
| 526.076 | 196.327 | 203.261 | 0.000 | 0.000 | -0.000 |
| 196.327 | 259.661 | 42.601 | 0.000 | 0.000 | 0.000 |
| 203.261 | 42.601 | 397.248 | -0.000 | 0.000 | 0.000 |
| -0.000 | 0.000 | -0.000 | 16.347 | 0.000 | 0.000 |
| 0.000 | 0.000 | -0.000 | 0.000 | 177.522 | -0.000 |
| -0.000 | -0.000 | -0.000 | 0.000 | 0.000 | 156.078 |
| 526.076 | 196.327 | 203.261 | -0.000 | -0.000 | -0.000 |
| 196.327 | 259.661 | 42.601 | -0.000 | 0.000 | 0.000 |
| 203.261 | 42.601 | 397.249 | 0.000 | -0.000 | -0.000 |
| -0.000 | -0.000 | 0.000 | 16.347 | -0.000 | 0.000 |
| -0.000 | -0.000 | 0.000 | -0.000 | 177.522 | -0.000 |
| 0.000 | 0.000 | -0.000 | -0.000 | -0.000 | 156.078 |
| 526.077 | 196.327 | 203.261 | -0.000 | 0.000 | 0.000 |
| 196.327 | 259.661 | 42.601 | 0.000 | 0.000 | -0.000 |
| 203.261 | 42.601 | 397.248 | -0.000 | -0.000 | -0.000 |
| 0.000 | 0.000 | -0.000 | 16.347 | -0.000 | -0.000 |
| 0.000 | 0.000 | -0.000 | -0.000 | 177.522 | 0.000 |
| -0.000 | -0.000 | 0.000 | 0.000 | 0.000 | 156.078 |
| 526.071 | 196.327 | 203.261 | 0.000 | -0.000 | 0.000 |
| 196.327 | 259.661 | 42.601 | 0.000 | -0.000 | -0.000 |
| 203.262 | 42.601 | 397.250 | 0.000 | -0.000 | -0.000 |
| -0.000 | -0.000 | 0.000 | 16.347 | -0.000 | 0.000 |
| -0.000 | -0.000 | 0.001 | -0.000 | 177.522 | -0.000 |
| 0.000 | 0.001 | -0.000 | -0.000 | -0.000 | 156.078 |
| 526.082 | 196.326 | 203.260 | -0.000 | -0.000 | -0.000 |
| 196.326 | 259.661 | 42.601 | -0.000 | 0.000 | 0.000 |
| 203.260 | 42.600 | 397.246 | -0.000 | 0.000 | -0.000 |
| 0.000 | 0.000 | -0.000 | 16.347 | 0.000 | -0.000 |
| 0.000 | 0.000 | -0.001 | -0.000 | 177.522 | -0.000 |
| -0.000 | -0.001 | 0.000 | 0.000 | 0.000 | 156.078 |
| 429.317 | 76.923 | 139.255 | 0.000 | -0.000 | 0.000 |
| 79.116 | 508.038 | 148.819 | 0.000 | -0.000 | 0.000 |
| 139.648 | 143.752 | 410.303 | 0.000 | -0.000 | 0.000 |
| 0.000 | -0.000 | 0.000 | 57.398 | -0.000 | 0.000 |
| 0.000 | 0.000 | 0.000 | -0.000 | 115.266 | 0.000 |
| 0.000 | -0.000 | -0.000 | 0.000 | -0.000 | 36.736 |
| 429.317 | 76.923 | 139.255 | 0.000 | 0.000 | -0.000 |
| 79.116 | 508.038 | 148.819 | 0.000 | -0.000 | -0.000 |
| 139.648 | 143.752 | 410.303 | -0.000 | 0.000 | -0.000 |
| -0.000 | 0.000 | -0.000 | 57.398 | 0.000 | -0.000 |
| -0.000 | -0.000 | -0.000 | 0.000 | 115.266 | -0.000 |
| -0.000 | 0.000 | -0.000 | 0.000 | 0.000 | 36.736 |
| 428.476 | 79.116 | 137.503 | -0.000 | 0.000 | 0.000 |
| 71.717 | 525.895 | 141.008 | 0.000 | -0.000 | 0.000 |
| 139.648 | 143.752 | 410.303 | 0.000 | -0.000 | 0.000 |
| -0.000 | 0.000 | 0.000 | 57.398 | -0.000 | 0.000 |
| 0.000 | 0.000 | 0.000 | -0.000 | 113.710 | 0.000 |
| 0.000 | 0.000 | 0.000 | -0.000 | -0.000 | 36.736 |
| 428.475 | 79.116 | 137.503 | -0.000 | 0.000 | -0.000 |
| 79.116 | 508.037 | 148.819 | -0.000 | 0.000 | -0.000 |
| 140.647 | 141.008 | 413.126 | -0.000 | 0.000 | -0.000 |
| 0.000 | -0.000 | -0.000 | 57.398 | 0.000 | -0.000 |
| -0.000 | -0.000 | -0.000 | 0.000 | 113.710 | -0.000 |
| -0.000 | -0.000 | -0.000 | -0.000 | 0.000 | 36.736 |
| 431.551 | 71.718 | 140.647 | 0.000 | -0.000 | 0.000 |
| 79.117 | 508.043 | 148.820 | 0.000 | -0.000 | 0.000 |
| 139.648 | 143.753 | 410.304 | 0.000 | 0.000 | 0.000 |
| -0.000 | 0.000 | 0.001 | 57.396 | 0.000 | 0.000 |
| 0.000 | 0.000 | 0.000 | -0.000 | 115.266 | 0.000 |
| 0.001 | 0.000 | 0.000 | 0.000 | -0.000 | 36.736 |
| 429.315 | 76.922 | 139.254 | -0.000 | -0.000 | -0.000 |
| 79.116 | 508.033 | 148.819 | -0.000 | 0.000 | -0.000 |
| 137.503 | 148.818 | 408.611 | -0.000 | 0.000 | -0.000 |
| 0.000 | -0.000 | -0.001 | 57.396 | -0.000 | -0.000 |
| -0.000 | -0.000 | -0.000 | -0.000 | 115.266 | -0.000 |
| -0.001 | -0.000 | -0.000 | -0.000 | 0.000 | 36.736 |
| 330.127 | 24.530 | 102.384 | 0.000 | -0.000 | -0.000 |
| 24.561 | 334.905 | 126.100 | 0.000 | 0.000 | -0.000 |
| 94.347 | 118.435 | 374.222 | 0.000 | 0.000 | -0.000 |
| 0.143 | -0.242 | 0.232 | 49.616 | 0.000 | -0.000 |
| -0.093 | 0.174 | 0.240 | -0.000 | 81.512 | -0.000 |
| -0.058 | 0.109 | 0.151 | 0.000 | -0.000 | 3.435 |
| 328.618 | 27.138 | 101.150 | -0.000 | -0.000 | 0.000 |
| 24.570 | 334.873 | 125.740 | 0.000 | 0.000 | 0.000 |
| 94.337 | 118.411 | 373.221 | -0.000 | 0.000 | 0.000 |
| -0.143 | 0.242 | -0.232 | 49.616 | -0.000 | 0.000 |
| 0.093 | -0.174 | -0.240 | -0.000 | 81.512 | 0.000 |
| 0.058 | -0.109 | -0.151 | -0.000 | 0.000 | 3.435 |
| 329.629 | 25.394 | 102.046 | 0.000 | -0.000 | -0.000 |
| 24.565 | 334.891 | 125.938 | 0.000 | 0.000 | -0.000 |
| 92.782 | 121.132 | 372.727 | 0.000 | 0.000 | -0.000 |
| -0.003 | 0.005 | 0.017 | 48.984 | -0.000 | -0.000 |
| -0.001 | 0.002 | 0.012 | 0.000 | 81.207 | -0.000 |
| -0.006 | 0.011 | 0.015 | 0.000 | 0.000 | 3.435 |
| 328.326 | 27.630 | 100.620 | 0.000 | -0.000 | 0.000 |
| 18.487 | 345.490 | 123.225 | -0.000 | 0.000 | 0.000 |
| 94.271 | 118.532 | 373.328 | -0.000 | -0.000 | 0.000 |
| 0.003 | -0.005 | -0.017 | 48.984 | 0.000 | 0.000 |
| 0.001 | -0.002 | -0.012 | -0.000 | 81.207 | 0.000 |
| 0.006 | -0.011 | -0.015 | -0.000 | -0.000 | 3.435 |
| 328.327 | 27.632 | 100.641 | 0.000 | 0.000 | -0.000 |
| 24.566 | 334.894 | 125.923 | 0.000 | 0.000 | -0.000 |
| 94.348 | 118.436 | 374.224 | 0.000 | -0.000 | -0.000 |
| -0.000 | 0.001 | 0.002 | 48.984 | -0.000 | -0.000 |
| 0.000 | 0.000 | 0.001 | 0.000 | 81.207 | -0.000 |
| -0.000 | 0.001 | 0.002 | 0.000 | 0.000 | 3.435 |
| 328.325 | 27.631 | 100.636 | -0.000 | 0.000 | 0.000 |
| 24.565 | 334.884 | 125.917 | 0.000 | -0.000 | 0.000 |
| 94.263 | 118.544 | 373.337 | -0.000 | -0.000 | 0.000 |
| 0.000 | -0.001 | -0.002 | 48.984 | 0.000 | 0.000 |
| -0.000 | -0.000 | -0.001 | -0.000 | 81.207 | 0.000 |
| 0.000 | -0.001 | -0.002 | -0.000 | -0.000 | 3.435 |
| -25.833 | 55.664 | 68.621 | 0.000 | -0.000 | 0.000 |
| 64.803 | -24.852 | 60.268 | 0.000 | 0.000 | 0.000 |
| 12.568 | 12.568 | 97.079 | 0.000 | 0.000 | 0.000 |
| -0.096 | -0.096 | 0.159 | -31.433 | -0.000 | 0.000 |
| -0.096 | -0.096 | 0.159 | 0.000 | -31.433 | 0.000 |
| -0.088 | -0.088 | 0.145 | 0.000 | -0.000 | -40.755 |
| -25.615 | 55.882 | 68.261 | -0.000 | -0.000 | -0.000 |
| 64.974 | -24.612 | 59.928 | -0.000 | 0.000 | -0.000 |
| 72.254 | 72.254 | -1.452 | 0.000 | -0.000 | -0.000 |
| 0.096 | 0.096 | -0.159 | -31.433 | -0.000 | -0.000 |
| 0.096 | 0.096 | -0.159 | -0.000 | -31.433 | -0.000 |
| 0.088 | 0.088 | -0.145 | -0.000 | 0.000 | -40.755 |
| -24.744 | 64.880 | 60.115 | -0.000 | -0.000 | 0.000 |
| 33.808 | 68.441 | 8.846 | 0.000 | -0.000 | 0.000 |
| 12.568 | 12.568 | 97.079 | 0.000 | -0.000 | -0.000 |
| -0.010 | -0.010 | 0.016 | -31.433 | -0.000 | 0.000 |
| -0.000 | 0.000 | -0.000 | -0.000 | 0.495 | 0.000 |
| -0.009 | -0.009 | 0.014 | 0.000 | -0.000 | -40.755 |
| 68.441 | 33.808 | 8.846 | -0.000 | -0.000 | -0.000 |
| 55.783 | -25.713 | 68.423 | -0.000 | 0.000 | -0.000 |
| 12.568 | 12.568 | 97.079 | -0.000 | 0.000 | -0.000 |
| 0.010 | 0.010 | -0.016 | -31.433 | -0.000 | -0.000 |
| 0.000 | -0.000 | 0.000 | -0.000 | 0.495 | 0.000 |
| 0.009 | 0.009 | -0.014 | -0.000 | -0.000 | -40.755 |
| -24.733 | 64.887 | 60.099 | -0.000 | -0.000 | 0.000 |
| 55.773 | -25.730 | 68.445 | -0.000 | -0.000 | 0.000 |
| 72.147 | 72.147 | -1.276 | 0.000 | 0.000 | 0.000 |
| -0.001 | -0.001 | 0.001 | -31.433 | -0.000 | 0.000 |
| -0.000 | -0.000 | -0.000 | 0.000 | 0.495 | 0.000 |
| -0.001 | -0.001 | 0.001 | 0.000 | 0.000 | -40.755 |
| -25.723 | 55.774 | 68.440 | -0.000 | 0.000 | -0.000 |
| 55.786 | -25.800 | 68.493 | -0.000 | 0.000 | 0.000 |
| 72.142 | 72.142 | -1.267 | 0.000 | -0.000 | -0.000 |
| 0.001 | 0.001 | -0.001 | -31.433 | 0.000 | -0.000 |
| 0.000 | 0.000 | 0.000 | -0.000 | 0.495 | 0.000 |
| 0.001 | 0.001 | -0.001 | -0.000 | 0.000 | -40.755 |
| 370.742 | 150.859 | 100.613 | -0.000 | 0.000 | -0.000 |
| 183.871 | 337.730 | 100.613 | -0.000 | 0.000 | -0.000 |
| 100.614 | 100.614 | 451.851 | 0.000 | 0.000 | -0.000 |
| -0.000 | 0.000 | 0.000 | 75.409 | 0.000 | -0.000 |
| 0.000 | 0.000 | 0.000 | -0.000 | 75.409 | -0.000 |
| -0.000 | -0.000 | 0.000 | -0.000 | 0.000 | 76.930 |
| 337.730 | 183.871 | 100.613 | 0.000 | -0.000 | 0.000 |
| 183.871 | 337.730 | 100.613 | 0.000 | -0.000 | 0.000 |
| 100.614 | 100.614 | 451.851 | 0.000 | -0.000 | 0.000 |
| -0.000 | -0.000 | -0.000 | 75.409 | -0.000 | 0.000 |
| -0.000 | -0.000 | -0.000 | 0.000 | 75.409 | 0.000 |
| 0.000 | -0.000 | -0.000 | 0.000 | -0.000 | 76.930 |
| 370.742 | 150.859 | 100.614 | -0.000 | -0.000 | -0.000 |
| 150.859 | 370.742 | 100.614 | -0.000 | 0.000 | -0.000 |
| 100.614 | 100.614 | 451.851 | -0.000 | 0.000 | -0.000 |
| 0.000 | 0.000 | 0.000 | 75.409 | 0.000 | -0.000 |
| 0.000 | 0.000 | 0.000 | -0.000 | 75.409 | -0.000 |
| -0.000 | 0.000 | 0.000 | -0.000 | 0.000 | 76.930 |
| 370.741 | 150.859 | 100.613 | 0.000 | -0.000 | 0.000 |
| 183.870 | 337.730 | 100.613 | 0.000 | -0.000 | 0.000 |
| 100.613 | 100.613 | 451.851 | 0.000 | -0.000 | 0.000 |
| -0.000 | -0.000 | -0.000 | 75.409 | -0.000 | 0.000 |
| -0.000 | -0.000 | -0.000 | 0.000 | 75.409 | 0.000 |
| 0.000 | -0.000 | -0.000 | -0.000 | -0.000 | 76.930 |
| 337.733 | 183.872 | 100.614 | -0.000 | 0.000 | -0.000 |
| 150.860 | 370.745 | 100.614 | -0.000 | 0.000 | -0.000 |
| 100.615 | 100.615 | 451.855 | -0.000 | 0.000 | -0.000 |
| 0.000 | 0.001 | 0.001 | 75.409 | 0.000 | -0.000 |
| 0.000 | 0.000 | 0.001 | -0.000 | 75.409 | -0.000 |
| -0.000 | 0.001 | 0.000 | -0.000 | 0.000 | 76.930 |
| 337.726 | 183.869 | 100.613 | 0.000 | -0.000 | 0.000 |
| 183.868 | 337.727 | 100.613 | 0.000 | -0.000 | 0.000 |
| 100.612 | 100.612 | 451.847 | 0.000 | -0.000 | 0.000 |
| -0.000 | -0.001 | -0.001 | 75.409 | -0.000 | 0.000 |
| -0.000 | -0.000 | -0.001 | 0.000 | 75.409 | 0.000 |
| 0.000 | -0.001 | -0.000 | 0.000 | 0.000 | 76.930 |
| 195.935 | 83.696 | 83.696 | -0.000 | -0.000 | -0.000 |
| 83.696 | 195.935 | 83.696 | -0.000 | -0.000 | -0.000 |
| 83.696 | 83.696 | 195.935 | 0.000 | 0.000 | -0.000 |
| -0.000 | 0.000 | 0.000 | 11.641 | 0.000 | -0.000 |
| -0.000 | 0.000 | 0.000 | 0.000 | 11.641 | -0.000 |
| -0.000 | 0.000 | 0.000 | 0.000 | 0.000 | 11.641 |
| 195.935 | 83.696 | 83.696 | 0.000 | 0.000 | 0.000 |
| 83.696 | 195.935 | 83.696 | 0.000 | 0.000 | 0.000 |
| 83.696 | 83.696 | 195.935 | 0.000 | -0.000 | 0.000 |
| 0.000 | -0.000 | -0.000 | 11.641 | -0.000 | -0.000 |
| 0.000 | -0.000 | -0.000 | -0.000 | 11.641 | 0.000 |
| 0.000 | -0.000 | -0.000 | 0.000 | -0.000 | 11.641 |
| 195.934 | 83.696 | 83.696 | 0.000 | 0.000 | -0.000 |
| 83.696 | 195.934 | 83.696 | 0.000 | 0.000 | -0.000 |
| 83.696 | 83.696 | 195.934 | 0.000 | 0.000 | -0.000 |
| -0.000 | -0.000 | -0.000 | 11.641 | 0.000 | -0.000 |
| -0.000 | -0.000 | -0.000 | 0.000 | 11.641 | -0.000 |
| -0.000 | -0.000 | -0.000 | 0.000 | 0.000 | 11.641 |
| 195.935 | 83.696 | 83.696 | 0.000 | -0.000 | 0.000 |
| 83.696 | 195.935 | 83.696 | 0.000 | -0.000 | 0.000 |
| 83.696 | 83.696 | 195.935 | 0.000 | -0.000 | 0.000 |
| 0.000 | 0.000 | 0.000 | 11.641 | -0.000 | 0.000 |
| 0.000 | 0.000 | 0.000 | -0.000 | 11.641 | 0.000 |
| 0.000 | 0.000 | 0.000 | -0.000 | -0.000 | 11.641 |
| 195.931 | 83.696 | 83.696 | -0.000 | 0.000 | -0.000 |
| 83.696 | 195.931 | 83.696 | -0.000 | 0.000 | -0.000 |
| 83.696 | 83.696 | 195.931 | 0.000 | 0.000 | -0.000 |
| -0.001 | -0.000 | -0.000 | 11.641 | 0.000 | -0.000 |
| -0.000 | -0.001 | -0.000 | 0.000 | 11.641 | -0.000 |
| -0.000 | -0.000 | -0.001 | 0.000 | 0.000 | 11.641 |
| 195.938 | 83.696 | 83.696 | -0.000 | -0.000 | 0.000 |
| 83.696 | 195.938 | 83.696 | -0.000 | -0.000 | 0.000 |
| 83.696 | 83.696 | 195.938 | -0.000 | -0.000 | 0.000 |
| 0.001 | 0.000 | 0.000 | 11.641 | -0.000 | 0.000 |
| 0.000 | 0.001 | 0.000 | -0.000 | 11.641 | 0.000 |
| 0.000 | 0.000 | 0.001 | -0.000 | -0.000 | 11.641 |
| 12.258 | 13.708 | 13.708 | -0.000 | 0.000 | 0.000 |
| 13.708 | 12.258 | 13.708 | 0.000 | -0.000 | 0.000 |
| 13.708 | 13.708 | 12.258 | 0.000 | 0.000 | -0.000 |
| -0.000 | -0.000 | -0.000 | -2.282 | -0.000 | -0.000 |
| 0.000 | -0.000 | -0.000 | 0.000 | -2.282 | 0.000 |
| 0.000 | -0.000 | -0.000 | -0.000 | 0.000 | -2.282 |
| 12.258 | 13.708 | 13.708 | -0.000 | -0.000 | -0.000 |
| 13.708 | 12.258 | 13.708 | -0.000 | -0.000 | -0.000 |
| 13.708 | 13.708 | 12.258 | -0.000 | -0.000 | -0.000 |
| 0.000 | 0.000 | 0.000 | -2.282 | -0.000 | 0.000 |
| -0.000 | -0.000 | 0.000 | -0.000 | -2.282 | 0.000 |
| 0.000 | 0.000 | 0.000 | -0.000 | -0.000 | -2.282 |
| 12.258 | 13.708 | 13.708 | 0.000 | 0.000 | 0.000 |
| 13.708 | 12.258 | 13.708 | 0.000 | 0.000 | 0.000 |
| 13.708 | 13.708 | 12.258 | 0.000 | 0.000 | 0.000 |
| -0.000 | -0.000 | -0.000 | -2.282 | -0.000 | 0.000 |
| -0.000 | -0.000 | -0.000 | 0.000 | -2.282 | -0.000 |
| -0.000 | -0.000 | -0.000 | 0.000 | -0.000 | -2.282 |
| 12.258 | 13.708 | 13.708 | -0.000 | -0.000 | -0.000 |
| 13.708 | 12.258 | 13.708 | -0.000 | -0.000 | -0.000 |
| 13.708 | 13.708 | 12.258 | -0.000 | -0.000 | -0.000 |
| 0.000 | 0.000 | 0.000 | -2.282 | 0.000 | 0.000 |
| 0.000 | 0.000 | 0.000 | 0.000 | -2.282 | 0.000 |
| 0.000 | 0.000 | 0.000 | -0.000 | -0.000 | -2.282 |
| 12.258 | 13.708 | 13.708 | 0.000 | 0.000 | 0.000 |
| 13.708 | 12.258 | 13.708 | 0.000 | -0.000 | 0.000 |
| 13.708 | 13.708 | 12.258 | 0.000 | 0.000 | -0.000 |
| -0.000 | -0.000 | -0.000 | -2.282 | -0.000 | 0.000 |
| -0.000 | -0.000 | -0.000 | -0.000 | -2.282 | -0.000 |
| -0.000 | -0.000 | -0.000 | -0.000 | -0.000 | -2.282 |
| 12.258 | 13.708 | 13.708 | -0.000 | -0.000 | -0.000 |
| 13.708 | 12.258 | 13.708 | -0.000 | -0.000 | -0.000 |
| 13.708 | 13.708 | 12.258 | -0.000 | -0.000 | -0.000 |
| 0.000 | 0.000 | 0.000 | -2.282 | 0.000 | 0.000 |
| 0.000 | 0.000 | 0.000 | -0.000 | -2.282 | 0.000 |
| 0.000 | 0.000 | 0.000 | -0.000 | 0.000 | -2.282 |
| 270.702 | 136.603 | 136.603 | -0.000 | 0.000 | 0.000 |
| 136.603 | 270.702 | 136.603 | -0.000 | 0.000 | 0.000 |
| 136.603 | 136.603 | 270.702 | 0.000 | 0.000 | 0.000 |
| -0.000 | 0.000 | 0.000 | 111.340 | 0.000 | 0.000 |
| -0.000 | 0.000 | 0.000 | -0.000 | 111.340 | 0.000 |
| -0.000 | 0.000 | 0.000 | -0.000 | 0.000 | 111.340 |
| 270.702 | 136.603 | 136.603 | -0.000 | -0.000 | -0.000 |
| 136.603 | 270.702 | 136.603 | 0.000 | -0.000 | -0.000 |
| 136.603 | 136.603 | 270.702 | -0.000 | -0.000 | -0.000 |
| 0.000 | -0.000 | -0.000 | 111.340 | -0.000 | -0.000 |
| 0.000 | -0.000 | -0.000 | 0.000 | 111.340 | -0.000 |
| 0.000 | -0.000 | -0.000 | -0.000 | -0.000 | 111.340 |
| 270.702 | 136.603 | 136.603 | -0.000 | 0.000 | 0.000 |
| 136.603 | 270.702 | 136.603 | -0.000 | 0.000 | 0.000 |
| 136.603 | 136.603 | 270.702 | -0.000 | 0.000 | 0.000 |
| 0.000 | -0.000 | -0.000 | 110.433 | 0.000 | 0.000 |
| -0.000 | 0.000 | -0.000 | 0.000 | 110.433 | 0.000 |
| -0.000 | -0.000 | 0.000 | -0.000 | 0.000 | 110.433 |
| 270.702 | 136.603 | 136.603 | -0.000 | -0.000 | -0.000 |
| 136.603 | 270.702 | 136.603 | 0.000 | -0.000 | -0.000 |
| 136.603 | 136.603 | 270.702 | 0.000 | -0.000 | -0.000 |
| -0.000 | 0.000 | 0.000 | 110.433 | -0.000 | -0.000 |
| 0.000 | -0.000 | 0.000 | -0.000 | 110.433 | -0.000 |
| 0.000 | 0.000 | -0.000 | 0.000 | -0.000 | 110.433 |
| 270.703 | 136.603 | 136.603 | -0.000 | 0.000 | 0.000 |
| 136.603 | 270.703 | 136.603 | 0.000 | 0.000 | 0.000 |
| 136.603 | 136.603 | 270.703 | 0.000 | 0.000 | 0.000 |
| 0.000 | -0.000 | -0.000 | 110.433 | 0.000 | 0.000 |
| -0.000 | 0.000 | -0.000 | 0.000 | 110.433 | 0.000 |
| -0.000 | -0.000 | 0.000 | -0.000 | 0.000 | 110.433 |
| 270.701 | 136.603 | 136.603 | -0.000 | -0.000 | -0.000 |
| 136.603 | 270.701 | 136.603 | 0.000 | -0.000 | -0.000 |
| 136.603 | 136.603 | 270.701 | -0.000 | 0.000 | -0.000 |
| -0.000 | 0.000 | 0.000 | 110.433 | -0.000 | -0.000 |
| 0.000 | -0.000 | 0.000 | -0.000 | 110.433 | -0.000 |
| 0.000 | 0.000 | -0.000 | 0.000 | -0.000 | 110.433 |
| 466.847 | 92.036 | 92.036 | 0.000 | 0.000 | -0.000 |
| 92.036 | 466.847 | 92.036 | 0.000 | 0.000 | 0.000 |
| 92.036 | 92.036 | 466.847 | 0.000 | 0.000 | 0.000 |
| 0.000 | -0.000 | -0.000 | 57.784 | 0.000 | -0.000 |
| -0.000 | -0.000 | -0.000 | 0.000 | 57.784 | 0.000 |
| -0.000 | -0.000 | -0.000 | 0.000 | 0.000 | 57.784 |
| 465.871 | 92.525 | 92.525 | -0.000 | -0.000 | -0.000 |
| 92.525 | 465.871 | 92.525 | -0.000 | -0.000 | -0.000 |
| 92.525 | 92.525 | 465.871 | -0.000 | -0.000 | -0.000 |
| -0.000 | 0.000 | 0.000 | 57.784 | -0.000 | -0.000 |
| 0.000 | 0.000 | 0.000 | -0.000 | 57.784 | -0.000 |
| 0.000 | 0.000 | 0.000 | -0.000 | -0.000 | 57.784 |
| 466.847 | 92.036 | 92.036 | 0.000 | 0.000 | 0.000 |
| 92.036 | 466.847 | 92.036 | 0.000 | 0.000 | 0.000 |
| 92.036 | 92.036 | 466.847 | 0.000 | 0.000 | 0.000 |
| -0.000 | -0.000 | -0.000 | 57.784 | 0.000 | 0.000 |
| -0.000 | -0.000 | -0.000 | 0.000 | 57.784 | 0.000 |
| -0.000 | -0.000 | -0.000 | 0.000 | 0.000 | 57.784 |
| 466.847 | 92.036 | 92.036 | -0.000 | -0.000 | -0.000 |
| 92.036 | 466.847 | 92.036 | -0.000 | -0.000 | -0.000 |
| 92.036 | 92.036 | 466.847 | -0.000 | -0.000 | 0.000 |
| 0.000 | 0.000 | 0.000 | 57.784 | -0.000 | 0.000 |
| 0.000 | 0.000 | 0.000 | -0.000 | 57.784 | -0.000 |
| 0.000 | 0.000 | 0.000 | -0.000 | -0.000 | 57.784 |
| 465.870 | 92.524 | 92.524 | 0.000 | 0.000 | 0.000 |
| 92.524 | 465.870 | 92.524 | 0.000 | 0.000 | 0.000 |
| 92.524 | 92.524 | 465.870 | 0.000 | 0.000 | -0.000 |
| -0.000 | -0.001 | -0.001 | 57.784 | 0.000 | -0.000 |
| -0.001 | -0.000 | -0.001 | 0.000 | 57.784 | 0.000 |
| -0.001 | -0.001 | -0.000 | 0.000 | 0.000 | 57.784 |
| 466.848 | 92.037 | 92.037 | -0.000 | -0.000 | 0.000 |
| 92.037 | 466.848 | 92.037 | -0.000 | -0.000 | 0.000 |
| 92.037 | 92.037 | 466.848 | -0.000 | -0.000 | 0.000 |
| 0.000 | 0.001 | 0.001 | 57.784 | -0.000 | -0.000 |
| 0.001 | 0.000 | 0.001 | -0.000 | 57.784 | -0.000 |
| 0.001 | 0.001 | 0.000 | -0.000 | -0.000 | 57.784 |
| 320.142 | 173.523 | 173.523 | 0.000 | 0.000 | 0.000 |
| 173.523 | 320.142 | 173.523 | 0.000 | -0.000 | 0.000 |
| 173.523 | 173.523 | 320.142 | -0.000 | -0.000 | 0.000 |
| 0.000 | -0.000 | -0.000 | 142.369 | -0.000 | 0.000 |
| 0.000 | -0.000 | -0.000 | -0.000 | 142.369 | 0.000 |
| 0.000 | -0.000 | -0.000 | -0.000 | -0.000 | 142.369 |
| 320.142 | 173.523 | 173.523 | -0.000 | -0.000 | -0.000 |
| 173.523 | 320.142 | 173.523 | -0.000 | -0.000 | -0.000 |
| 173.523 | 173.523 | 320.142 | 0.000 | -0.000 | -0.000 |
| -0.000 | 0.000 | 0.000 | 142.369 | 0.000 | -0.000 |
| -0.000 | 0.000 | 0.000 | 0.000 | 142.369 | -0.000 |
| -0.000 | 0.000 | 0.000 | 0.000 | 0.000 | 142.369 |
| 320.142 | 173.523 | 173.523 | 0.000 | -0.000 | 0.000 |
| 173.523 | 320.142 | 173.523 | -0.000 | 0.000 | 0.000 |
| 173.523 | 173.523 | 320.142 | -0.000 | -0.000 | 0.000 |
| 0.000 | -0.000 | 0.000 | 142.344 | -0.000 | 0.000 |
| -0.000 | 0.000 | 0.000 | -0.000 | 142.344 | 0.000 |
| -0.000 | 0.000 | 0.000 | -0.000 | -0.000 | 142.344 |
| 320.142 | 173.523 | 173.523 | -0.000 | -0.000 | -0.000 |
| 173.523 | 320.142 | 173.523 | 0.000 | -0.000 | -0.000 |
| 173.523 | 173.523 | 320.142 | 0.000 | 0.000 | -0.000 |
| -0.000 | 0.000 | -0.000 | 142.344 | 0.000 | -0.000 |
| 0.000 | -0.000 | -0.000 | 0.000 | 142.344 | -0.000 |
| 0.000 | -0.000 | -0.000 | 0.000 | 0.000 | 142.344 |
| 320.141 | 173.523 | 173.523 | -0.000 | -0.000 | 0.000 |
| 173.523 | 320.141 | 173.523 | -0.000 | 0.000 | 0.000 |
| 173.523 | 173.523 | 320.141 | -0.000 | -0.000 | 0.000 |
| 0.000 | -0.000 | 0.000 | 142.344 | -0.000 | -0.000 |
| -0.000 | 0.000 | 0.000 | -0.000 | 142.344 | 0.000 |
| -0.000 | 0.000 | 0.000 | -0.000 | -0.000 | 142.344 |
| 320.142 | 173.522 | 173.522 | 0.000 | -0.000 | -0.000 |
| 173.522 | 320.142 | 173.522 | -0.000 | 0.000 | -0.000 |
| 173.522 | 173.522 | 320.142 | 0.000 | 0.000 | -0.000 |
| -0.000 | 0.000 | -0.000 | 142.344 | 0.000 | -0.000 |
| 0.000 | -0.000 | -0.000 | 0.000 | 142.344 | -0.000 |
| 0.000 | -0.000 | -0.000 | 0.000 | 0.000 | 142.344 |
| 194.122 | 137.633 | 137.633 | -0.000 | 0.000 | 0.000 |
| 137.633 | 194.122 | 137.633 | 0.000 | 0.000 | 0.000 |
| 137.633 | 137.633 | 194.122 | 0.000 | 0.000 | 0.000 |
| 0.000 | 0.000 | 0.000 | 113.206 | 0.000 | 0.000 |
| 0.000 | 0.000 | 0.000 | -0.000 | 113.206 | 0.000 |
| 0.000 | 0.000 | -0.000 | -0.000 | 0.000 | 113.206 |
| 194.122 | 137.633 | 137.633 | 0.000 | 0.000 | -0.000 |
| 137.633 | 194.122 | 137.633 | -0.000 | 0.000 | -0.000 |
| 137.633 | 137.633 | 194.122 | 0.000 | -0.000 | -0.000 |
| -0.000 | 0.000 | -0.000 | 113.206 | -0.000 | -0.000 |
| -0.000 | -0.000 | -0.000 | 0.000 | 113.206 | -0.000 |
| -0.000 | -0.000 | 0.000 | 0.000 | 0.000 | 113.206 |
| 194.122 | 137.633 | 137.633 | 0.000 | 0.000 | 0.000 |
| 137.633 | 194.122 | 137.633 | 0.000 | -0.000 | 0.000 |
| 137.633 | 137.633 | 194.122 | 0.000 | 0.000 | 0.000 |
| 0.000 | 0.000 | 0.000 | 113.206 | 0.000 | 0.000 |
| 0.000 | 0.000 | 0.000 | -0.000 | 113.206 | 0.000 |
| 0.000 | 0.000 | 0.000 | -0.000 | -0.000 | 113.206 |
| 194.122 | 137.633 | 137.633 | 0.000 | 0.000 | -0.000 |
| 137.633 | 194.122 | 137.633 | 0.000 | -0.000 | -0.000 |
| 137.633 | 137.633 | 194.122 | 0.000 | -0.000 | -0.000 |
| -0.000 | -0.000 | -0.000 | 113.206 | -0.000 | -0.000 |
| -0.000 | -0.000 | -0.000 | 0.000 | 113.206 | -0.000 |
| -0.000 | -0.000 | -0.000 | -0.000 | -0.000 | 113.206 |
| 194.123 | 137.634 | 137.634 | -0.000 | 0.000 | -0.000 |
| 137.634 | 194.123 | 137.634 | -0.000 | 0.000 | 0.000 |
| 137.634 | 137.634 | 194.123 | 0.000 | -0.000 | 0.000 |
| 0.000 | 0.000 | 0.001 | 113.206 | -0.000 | 0.000 |
| 0.000 | 0.000 | 0.001 | 0.000 | 113.206 | 0.000 |
| 0.000 | 0.001 | 0.000 | -0.000 | 0.000 | 113.206 |
| 194.121 | 137.632 | 137.632 | -0.000 | -0.000 | -0.000 |
| 137.632 | 194.121 | 137.632 | -0.000 | -0.000 | -0.000 |
| 137.632 | 137.632 | 194.121 | 0.000 | -0.000 | -0.000 |
| -0.000 | -0.000 | -0.001 | 113.206 | -0.000 | -0.000 |
| -0.000 | -0.000 | -0.001 | -0.000 | 113.206 | -0.000 |
| -0.000 | -0.001 | -0.000 | 0.000 | -0.000 | 113.206 |
| 197.417 | 156.059 | 154.106 | -0.000 | 0.000 | 0.000 |
| 156.059 | 197.417 | 154.106 | -0.000 | -0.000 | 0.000 |
| 154.106 | 154.106 | 297.410 | -0.000 | 0.000 | 0.000 |
| -0.000 | -0.000 | 0.000 | 128.587 | -0.000 | 0.000 |
| -0.000 | -0.000 | 0.000 | -0.000 | 128.587 | 0.000 |
| -0.000 | -0.000 | 0.000 | -0.000 | -0.000 | 130.358 |
| 196.532 | 156.945 | 154.106 | 0.000 | 0.000 | -0.000 |
| 156.945 | 196.532 | 154.106 | 0.000 | -0.000 | -0.000 |
| 154.106 | 154.106 | 297.410 | 0.000 | 0.000 | 0.000 |
| 0.000 | 0.000 | -0.000 | 128.587 | -0.000 | -0.000 |
| 0.000 | 0.000 | -0.000 | 0.000 | 128.587 | 0.000 |
| 0.000 | -0.000 | -0.000 | 0.000 | 0.000 | 130.358 |
| 196.532 | 156.945 | 154.106 | -0.000 | -0.000 | 0.000 |
| 156.945 | 196.532 | 154.106 | -0.000 | -0.000 | 0.000 |
| 154.106 | 154.106 | 297.410 | 0.000 | -0.000 | 0.000 |
| -0.000 | 0.000 | 0.000 | 129.032 | 0.000 | 0.000 |
| 0.000 | -0.000 | 0.000 | -0.000 | 129.032 | 0.000 |
| 0.000 | 0.000 | -0.000 | -0.000 | -0.000 | 130.358 |
| 196.532 | 156.945 | 154.106 | 0.000 | 0.000 | 0.000 |
| 156.945 | 196.532 | 154.106 | 0.000 | 0.000 | 0.000 |
| 154.106 | 154.106 | 297.410 | 0.000 | 0.000 | 0.000 |
| 0.000 | -0.000 | -0.000 | 129.032 | 0.000 | 0.000 |
| -0.000 | 0.000 | -0.000 | 0.000 | 129.032 | -0.000 |
| -0.000 | -0.000 | 0.000 | 0.000 | 0.000 | 130.358 |
| 196.533 | 156.945 | 154.107 | -0.000 | -0.000 | 0.000 |
| 156.945 | 196.533 | 154.107 | -0.000 | -0.000 | 0.000 |
| 154.107 | 154.107 | 297.410 | -0.000 | -0.000 | 0.000 |
| -0.000 | 0.000 | 0.000 | 128.587 | 0.000 | -0.000 |
| 0.000 | -0.000 | 0.000 | -0.000 | 128.587 | -0.000 |
| 0.000 | 0.001 | -0.000 | -0.000 | -0.000 | 130.358 |
| 196.531 | 156.944 | 154.105 | 0.000 | 0.000 | -0.000 |
| 156.944 | 196.531 | 154.105 | 0.000 | 0.000 | -0.000 |
| 154.106 | 154.106 | 297.410 | 0.000 | -0.000 | -0.000 |
| 0.000 | -0.000 | -0.000 | 128.587 | 0.000 | -0.000 |
| -0.000 | 0.000 | -0.000 | 0.000 | 128.587 | 0.000 |
| -0.000 | -0.001 | 0.000 | 0.000 | 0.000 | 130.358 |
| 286.470 | 112.992 | 75.773 | 0.000 | 0.000 | -0.000 |
| 112.992 | 286.470 | 75.773 | -0.000 | -0.000 | -0.000 |
| 75.403 | 75.403 | 343.550 | -0.000 | -0.000 | 0.000 |
| -0.119 | -0.119 | -0.148 | 47.910 | -0.000 | -0.000 |
| -0.000 | 0.000 | -0.000 | -0.000 | 48.391 | 0.000 |
| -0.000 | -0.000 | 0.000 | 0.000 | 0.000 | 86.739 |
| 266.574 | 130.418 | 74.241 | 0.000 | 0.000 | 0.000 |
| 130.418 | 266.574 | 74.241 | 0.000 | 0.000 | 0.000 |
| 75.462 | 75.462 | 343.623 | 0.000 | 0.000 | 0.000 |
| 0.119 | 0.119 | 0.148 | 47.910 | 0.000 | 0.000 |
| 0.000 | -0.000 | 0.000 | 0.000 | 48.391 | 0.000 |
| 0.000 | -0.000 | 0.000 | -0.000 | 0.000 | 86.739 |
| 267.773 | 129.061 | 74.143 | -0.000 | -0.000 | -0.000 |
| 112.992 | 286.470 | 75.773 | -0.000 | -0.000 | 0.000 |
| 75.751 | 75.751 | 343.981 | 0.000 | -0.000 | -0.000 |
| -0.013 | -0.013 | -0.016 | 47.865 | -0.000 | -0.000 |
| 0.000 | 0.000 | 0.000 | -0.000 | 48.391 | -0.000 |
| 0.000 | 0.000 | 0.000 | -0.000 | -0.000 | 86.739 |
| 260.911 | 138.057 | 75.466 | 0.000 | 0.000 | 0.000 |
| 112.992 | 286.470 | 75.773 | -0.000 | 0.000 | 0.000 |
| 75.751 | 75.751 | 343.981 | 0.000 | 0.000 | 0.000 |
| 0.013 | 0.013 | 0.016 | 47.865 | 0.000 | -0.000 |
| -0.000 | -0.000 | -0.000 | -0.000 | 48.391 | -0.000 |
| -0.000 | -0.000 | -0.000 | -0.000 | 0.000 | 86.739 |
| 260.910 | 138.054 | 75.462 | -0.000 | -0.000 | 0.000 |
| 129.170 | 267.677 | 74.150 | -0.000 | -0.000 | -0.000 |
| 75.433 | 75.433 | 343.587 | 0.000 | -0.000 | 0.000 |
| 0.000 | 0.000 | 0.000 | 48.391 | -0.000 | 0.000 |
| -0.001 | -0.001 | -0.001 | -0.000 | 47.865 | -0.000 |
| 0.000 | 0.001 | 0.000 | -0.000 | -0.000 | 86.739 |
| 267.653 | 129.193 | 74.151 | 0.000 | 0.000 | 0.000 |
| 112.991 | 286.468 | 75.773 | -0.000 | 0.000 | 0.000 |
| 75.751 | 75.751 | 343.980 | 0.000 | 0.000 | -0.000 |
| -0.000 | -0.000 | -0.000 | 48.391 | 0.000 | -0.000 |
| 0.001 | 0.001 | 0.001 | 0.000 | 47.865 | -0.000 |
| -0.000 | -0.001 | -0.000 | 0.000 | 0.000 | 86.739 |
| 371.822 | 249.051 | 212.789 | -0.000 | -0.000 | -0.000 |
| 112.886 | 286.185 | 75.588 | 0.000 | 0.000 | -0.000 |
| 186.426 | 186.426 | 480.619 | -0.000 | -0.000 | -0.000 |
| 111.160 | 111.160 | 137.522 | 48.148 | -0.000 | -0.000 |
| 111.160 | 111.160 | 137.522 | -0.000 | 48.148 | -0.000 |
| 0.000 | -0.000 | 0.000 | -0.000 | -0.000 | 86.649 |
| 171.333 | 4.886 | -62.264 | 0.000 | 0.000 | -0.000 |
| 112.886 | 286.185 | 75.588 | 0.000 | -0.000 | 0.000 |
| 75.588 | 75.588 | 343.494 | 0.000 | 0.000 | 0.000 |
| -111.160 | -111.160 | -137.522 | 48.149 | 0.000 | 0.000 |
| -111.160 | -111.160 | -137.522 | 0.000 | 48.149 | 0.000 |
| -0.000 | -0.000 | -0.000 | 0.000 | -0.000 | 86.650 |
| 293.665 | 127.261 | 89.107 | -0.000 | -0.000 | -0.000 |
| 112.886 | 286.185 | 75.588 | 0.000 | 0.000 | -0.000 |
| 86.383 | 86.383 | 356.850 | -0.000 | -0.000 | -0.000 |
| 0.000 | 0.000 | 0.000 | 48.268 | -0.000 | -0.000 |
| 11.118 | 11.118 | 13.755 | -0.000 | 48.148 | -0.000 |
| 11.116 | 11.116 | 13.752 | 0.000 | -0.000 | 61.135 |
| 286.185 | 112.886 | 75.588 | -0.000 | -0.000 | 0.000 |
| 104.889 | 271.297 | 61.431 | 0.000 | 0.000 | 0.000 |
| 75.588 | 75.588 | 343.494 | 0.000 | 0.000 | 0.000 |
| -0.000 | -0.000 | -0.000 | 48.268 | 0.000 | 0.000 |
| -11.118 | -11.118 | -13.755 | 0.000 | 48.148 | 0.000 |
| -11.116 | -11.116 | -13.752 | -0.000 | 0.000 | 61.135 |
| 281.287 | 121.035 | 77.597 | 0.000 | -0.000 | -0.000 |
| 112.887 | 286.187 | 75.588 | -0.000 | 0.000 | -0.000 |
| 76.380 | 76.380 | 344.475 | -0.000 | -0.000 | -0.000 |
| 1.133 | 1.133 | 1.402 | 48.146 | -0.000 | -0.000 |
| 0.000 | 0.000 | 0.000 | -0.000 | 48.268 | 0.000 |
| 1.740 | 1.741 | 2.153 | -0.000 | -0.000 | 81.288 |
| 286.183 | 112.885 | 75.587 | 0.000 | 0.000 | 0.000 |
| 112.885 | 286.183 | 75.587 | -0.000 | -0.000 | 0.000 |
| 74.155 | 74.155 | 341.720 | 0.000 | 0.000 | 0.000 |
| -1.133 | -1.133 | -1.402 | 48.146 | 0.000 | 0.000 |
| -0.000 | -0.000 | -0.000 | 0.000 | 48.268 | 0.000 |
| -1.740 | -1.741 | -2.153 | 0.000 | 0.000 | 81.288 |
| 395.215 | 183.750 | 183.166 | 0.000 | -0.000 | 0.000 |
| 185.168 | 378.184 | 88.290 | -0.000 | 0.000 | 0.000 |
| 183.892 | 88.439 | 424.208 | 0.000 | -0.000 | 0.000 |
| -0.000 | 0.000 | -0.000 | 68.939 | 0.000 | 0.000 |
| 0.245 | -0.710 | -0.512 | -0.000 | 161.195 | 0.000 |
| -0.000 | 0.000 | 0.000 | 0.000 | -0.000 | 157.942 |
| 394.131 | 185.965 | 184.447 | -0.000 | -0.000 | 0.000 |
| 184.965 | 378.837 | 88.783 | -0.000 | 0.000 | 0.000 |
| 183.628 | 89.202 | 424.759 | 0.000 | -0.000 | -0.000 |
| 0.000 | -0.000 | -0.000 | 68.939 | -0.000 | -0.000 |
| -0.245 | 0.710 | 0.512 | 0.000 | 161.195 | -0.000 |
| 0.000 | -0.000 | -0.000 | -0.000 | 0.000 | 157.942 |
| 395.214 | 183.750 | 183.166 | -0.000 | -0.000 | 0.000 |
| 185.071 | 378.487 | 88.517 | 0.000 | -0.000 | 0.000 |
| 183.773 | 88.782 | 424.456 | 0.000 | 0.000 | 0.000 |
| 0.106 | -0.306 | -0.221 | 37.329 | 0.000 | 0.000 |
| -0.000 | -0.000 | 0.000 | -0.000 | 161.402 | 0.000 |
| 0.000 | 0.000 | -0.000 | -0.000 | -0.000 | 157.942 |
| 394.115 | 185.815 | 184.272 | -0.000 | -0.000 | -0.000 |
| 183.750 | 381.561 | 90.476 | 0.000 | -0.000 | -0.000 |
| 183.166 | 90.476 | 425.656 | -0.000 | -0.000 | -0.000 |
| -0.106 | 0.306 | 0.221 | 37.329 | -0.000 | -0.000 |
| 0.000 | 0.000 | -0.000 | 0.000 | 161.402 | -0.000 |
| -0.000 | -0.000 | 0.000 | 0.000 | 0.000 | 157.942 |
| 394.101 | 185.803 | 184.252 | -0.000 | 0.000 | 0.000 |
| 183.751 | 381.562 | 90.476 | -0.000 | -0.000 | 0.000 |
| 183.762 | 88.816 | 424.481 | -0.000 | -0.000 | 0.000 |
| -0.136 | 0.432 | 0.326 | 10.288 | 0.000 | 0.000 |
| 0.005 | -0.014 | -0.010 | -0.000 | 160.983 | 0.000 |
| 0.001 | -0.003 | -0.003 | -0.000 | 0.000 | 157.942 |
| 393.781 | 185.896 | 184.021 | -0.000 | -0.000 | -0.000 |
| 185.059 | 378.523 | 88.544 | -0.000 | -0.000 | -0.000 |
| 183.757 | 88.825 | 424.486 | -0.000 | -0.000 | -0.000 |
| 0.136 | -0.432 | -0.326 | 10.288 | -0.000 | -0.000 |
| -0.005 | 0.014 | 0.010 | 0.000 | 160.983 | -0.000 |
| -0.001 | 0.003 | 0.003 | 0.000 | 0.000 | 157.942 |
| 403.797 | 184.066 | 182.892 | -0.000 | 0.000 | 0.000 |
| 187.119 | 375.239 | 87.324 | -0.000 | 0.000 | 0.000 |
| 182.800 | 89.680 | 423.979 | -0.000 | 0.000 | 0.000 |
| 0.000 | -0.000 | -0.000 | 68.131 | -0.000 | 0.000 |
| 0.000 | -0.000 | -0.000 | -0.000 | 161.239 | 0.000 |
| 1.152 | -1.579 | -0.537 | -0.000 | 0.000 | 158.115 |
| 401.474 | 187.862 | 184.624 | 0.000 | -0.000 | -0.000 |
| 184.573 | 378.382 | 88.144 | 0.000 | -0.000 | -0.000 |
| 182.989 | 88.548 | 422.966 | 0.000 | -0.000 | -0.000 |
| -0.000 | 0.000 | 0.000 | 68.131 | 0.000 | -0.000 |
| -0.000 | 0.000 | 0.000 | 0.000 | 161.239 | -0.000 |
| -1.152 | 1.579 | 0.537 | 0.000 | -0.000 | 158.115 |
| 402.425 | 186.063 | 183.655 | 0.000 | 0.000 | 0.000 |
| 183.851 | 380.387 | 89.556 | -0.000 | 0.000 | 0.000 |
| 183.423 | 88.005 | 422.819 | -0.000 | 0.000 | -0.000 |
| 0.317 | -0.435 | -0.148 | 36.936 | 0.000 | 0.000 |
| -0.000 | -0.000 | 0.000 | -0.000 | 161.239 | 0.000 |
| 0.115 | -0.158 | -0.054 | -0.000 | 0.000 | 158.115 |
| 403.798 | 184.066 | 182.892 | 0.000 | -0.000 | -0.000 |
| 183.851 | 380.387 | 89.556 | 0.000 | -0.000 | -0.000 |
| 183.488 | 87.972 | 422.848 | 0.000 | -0.000 | -0.000 |
| -0.317 | 0.435 | 0.148 | 36.936 | -0.000 | 0.000 |
| 0.000 | 0.000 | -0.000 | 0.000 | 161.239 | -0.000 |
| -0.115 | 0.158 | 0.054 | 0.000 | -0.000 | 158.115 |
| 402.660 | 186.111 | 183.943 | -0.000 | 0.000 | 0.000 |
| 185.169 | 377.395 | 87.684 | -0.000 | 0.000 | 0.000 |
| 183.381 | 88.073 | 422.850 | -0.000 | 0.000 | -0.000 |
| -0.108 | 0.216 | 0.123 | 10.300 | 0.000 | 0.000 |
| -0.000 | -0.000 | 0.001 | -0.000 | 161.239 | 0.000 |
| 0.000 | 0.001 | -0.000 | -0.000 | 0.000 | 158.115 |
| 402.649 | 186.144 | 183.956 | 0.000 | -0.000 | -0.000 |
| 185.976 | 376.667 | 87.712 | 0.000 | -0.000 | -0.000 |
| 183.370 | 88.089 | 422.855 | 0.000 | -0.000 | -0.000 |
| 0.108 | -0.216 | -0.123 | 10.300 | -0.000 | -0.000 |
| 0.000 | 0.000 | -0.001 | 0.000 | 161.239 | -0.000 |
| -0.000 | -0.001 | 0.000 | -0.000 | -0.000 | 158.115 |
| 55.735 | 73.051 | 73.051 | 0.000 | 0.000 | -0.000 |
| 73.051 | 55.735 | 73.051 | -0.000 | 0.000 | -0.000 |
| 73.051 | 73.051 | 55.735 | 0.000 | 0.000 | 0.000 |
| -0.000 | -0.000 | -0.000 | -15.903 | 0.000 | -0.000 |
| -0.000 | -0.000 | -0.000 | 0.000 | -15.903 | -0.000 |
| -0.000 | -0.000 | 0.000 | 0.000 | 0.000 | -15.903 |
| 55.735 | 73.051 | 73.051 | -0.000 | -0.000 | 0.000 |
| 73.051 | 55.735 | 73.051 | -0.000 | 0.000 | 0.000 |
| 73.051 | 73.051 | 55.735 | -0.000 | 0.000 | 0.000 |
| 0.000 | 0.000 | 0.000 | -15.903 | -0.000 | 0.000 |
| 0.000 | 0.000 | 0.000 | -0.000 | -15.903 | 0.000 |
| 0.000 | 0.000 | -0.000 | -0.000 | -0.000 | -15.903 |
| 55.735 | 73.051 | 73.051 | 0.000 | 0.000 | -0.000 |
| 73.051 | 55.735 | 73.051 | 0.000 | 0.000 | -0.000 |
| 73.051 | 73.051 | 55.735 | 0.000 | -0.000 | -0.000 |
| -0.000 | -0.000 | -0.000 | -15.903 | -0.000 | -0.000 |
| -0.000 | -0.000 | -0.000 | 0.000 | -15.903 | -0.000 |
| -0.000 | -0.000 | -0.000 | 0.000 | -0.000 | -15.903 |
| 55.735 | 73.051 | 73.051 | -0.000 | 0.000 | 0.000 |
| 73.051 | 55.735 | 73.051 | -0.000 | -0.000 | 0.000 |
| 73.051 | 73.051 | 55.735 | -0.000 | 0.000 | 0.000 |
| 0.000 | 0.000 | 0.000 | -15.903 | 0.000 | 0.000 |
| 0.000 | 0.000 | 0.000 | -0.000 | -15.903 | 0.000 |
| 0.000 | 0.000 | 0.000 | -0.000 | -0.000 | -15.903 |
| 55.735 | 73.051 | 73.051 | 0.000 | -0.000 | -0.000 |
| 73.051 | 55.735 | 73.051 | 0.000 | 0.000 | -0.000 |
| 73.051 | 73.051 | 55.735 | 0.000 | -0.000 | 0.000 |
| -0.000 | -0.000 | -0.000 | -20.369 | -0.000 | 0.000 |
| -0.000 | -0.000 | -0.000 | 0.000 | -20.369 | -0.000 |
| -0.000 | -0.000 | -0.000 | 0.000 | 0.000 | -20.369 |
| 55.736 | 73.051 | 73.051 | -0.000 | -0.000 | 0.000 |
| 73.051 | 55.736 | 73.051 | 0.000 | -0.000 | 0.000 |
| 73.051 | 73.051 | 55.736 | -0.000 | -0.000 | -0.000 |
| 0.000 | 0.000 | 0.000 | -20.369 | 0.000 | 0.000 |
| 0.000 | 0.000 | 0.000 | -0.000 | -20.369 | 0.000 |
| 0.000 | 0.000 | 0.000 | -0.000 | -0.000 | -20.369 |
| 39.080 | 77.614 | 77.614 | 0.000 | 0.000 | 0.000 |
| 77.614 | 39.080 | 77.614 | 0.000 | -0.000 | -0.000 |
| 77.614 | 77.614 | 39.080 | 0.000 | 0.000 | -0.000 |
| -0.000 | -0.000 | 0.000 | -23.270 | -0.000 | -0.000 |
| -0.000 | -0.000 | 0.000 | 0.000 | -23.270 | -0.000 |
| -0.000 | -0.000 | 0.000 | 0.000 | -0.000 | -23.270 |
| 39.080 | 77.614 | 77.614 | -0.000 | -0.000 | -0.000 |
| 77.614 | 39.080 | 77.614 | -0.000 | -0.000 | -0.000 |
| 77.614 | 77.614 | 39.080 | -0.000 | -0.000 | 0.000 |
| 0.000 | 0.000 | -0.000 | -23.270 | 0.000 | 0.000 |
| 0.000 | 0.000 | -0.000 | -0.000 | -23.270 | 0.000 |
| 0.000 | 0.000 | 0.000 | -0.000 | 0.000 | -23.270 |
| 39.080 | 77.614 | 77.614 | 0.000 | 0.000 | -0.000 |
| 77.614 | 39.080 | 77.614 | 0.000 | 0.000 | -0.000 |
| 77.614 | 77.614 | 39.080 | 0.000 | 0.000 | 0.000 |
| 0.000 | -0.000 | 0.000 | 62.985 | 0.000 | 0.000 |
| -0.000 | 0.000 | 0.000 | 0.000 | 62.985 | 0.000 |
| -0.000 | -0.000 | 0.000 | 0.000 | 0.000 | 62.985 |
| 39.080 | 77.614 | 77.614 | -0.000 | -0.000 | -0.000 |
| 77.614 | 39.080 | 77.614 | -0.000 | -0.000 | 0.000 |
| 77.614 | 77.614 | 39.080 | -0.000 | 0.000 | 0.000 |
| -0.000 | 0.000 | -0.000 | 62.985 | -0.000 | -0.000 |
| 0.000 | -0.000 | -0.000 | -0.000 | 62.985 | -0.000 |
| 0.000 | 0.000 | -0.000 | -0.000 | -0.000 | 62.985 |
| 39.079 | 77.614 | 77.614 | 0.000 | -0.000 | 0.000 |
| 77.614 | 39.079 | 77.614 | 0.000 | 0.000 | 0.000 |
| 77.614 | 77.614 | 39.079 | 0.000 | -0.000 | 0.000 |
| 0.000 | -0.000 | -0.000 | -29.458 | -0.000 | -0.000 |
| -0.000 | 0.000 | -0.000 | 0.000 | -29.458 | -0.000 |
| -0.000 | -0.000 | 0.000 | 0.000 | 0.000 | -29.458 |
| 39.080 | 77.614 | 77.614 | -0.000 | -0.000 | -0.000 |
| 77.614 | 39.080 | 77.614 | -0.000 | -0.000 | 0.000 |
| 77.614 | 77.614 | 39.080 | -0.000 | -0.000 | 0.000 |
| -0.000 | 0.000 | 0.000 | -29.458 | 0.000 | -0.000 |
| 0.000 | -0.000 | 0.000 | -0.000 | -29.458 | 0.000 |
| 0.000 | 0.000 | -0.000 | -0.000 | -0.000 | -29.458 |
| 40.000 | 78.731 | 78.731 | -0.000 | 0.000 | 0.000 |
| 78.731 | 39.999 | 78.731 | 0.000 | 0.000 | -0.000 |
| 78.731 | 78.731 | 40.000 | 0.000 | -0.000 | 0.000 |
| 0.000 | -0.000 | -0.000 | 60.522 | -0.000 | -0.000 |
| 0.000 | -0.000 | 0.000 | -0.000 | 60.522 | 0.000 |
| 0.000 | 0.000 | 0.000 | -0.000 | -0.000 | 60.522 |
| 39.999 | 78.731 | 78.731 | 0.000 | -0.000 | 0.000 |
| 78.731 | 39.999 | 78.731 | -0.000 | -0.000 | -0.000 |
| 78.731 | 78.731 | 39.999 | 0.000 | -0.000 | -0.000 |
| -0.000 | 0.000 | -0.000 | 60.522 | -0.000 | 0.000 |
| 0.000 | 0.000 | -0.000 | 0.000 | 60.522 | -0.000 |
| -0.000 | -0.000 | -0.000 | 0.000 | -0.000 | 60.522 |
| 40.000 | 78.731 | 78.731 | 0.000 | 0.000 | -0.000 |
| 78.731 | 40.000 | 78.731 | 0.000 | 0.000 | -0.000 |
| 78.731 | 78.731 | 40.000 | -0.000 | 0.000 | -0.000 |
| 0.000 | -0.000 | 0.000 | 60.522 | 0.000 | 0.000 |
| -0.000 | 0.000 | 0.000 | -0.000 | 60.522 | 0.000 |
| -0.000 | 0.000 | 0.000 | -0.000 | 0.000 | 60.522 |
| 39.999 | 78.731 | 78.731 | 0.000 | -0.000 | 0.000 |
| 78.731 | 39.999 | 78.731 | -0.000 | -0.000 | -0.000 |
| 78.731 | 78.731 | 39.999 | -0.000 | -0.000 | -0.000 |
| -0.000 | 0.000 | -0.000 | 60.522 | -0.000 | 0.000 |
| 0.000 | -0.000 | -0.000 | 0.000 | 60.522 | 0.000 |
| 0.000 | -0.000 | -0.000 | -0.000 | -0.000 | 60.522 |
| 40.000 | 78.731 | 78.731 | 0.000 | 0.000 | 0.000 |
| 78.731 | 40.000 | 78.731 | 0.000 | 0.000 | 0.000 |
| 78.731 | 78.731 | 40.000 | -0.000 | 0.000 | 0.000 |
| 0.000 | -0.000 | -0.000 | -44.014 | 0.000 | -0.000 |
| -0.000 | 0.000 | -0.000 | 0.000 | -44.014 | 0.000 |
| -0.000 | -0.000 | 0.000 | -0.000 | 0.000 | -44.014 |
| 39.999 | 78.731 | 78.731 | -0.000 | -0.000 | -0.000 |
| 78.731 | 39.999 | 78.731 | -0.000 | 0.000 | 0.000 |
| 78.731 | 78.731 | 39.999 | 0.000 | -0.000 | -0.000 |
| -0.000 | 0.000 | 0.000 | -44.014 | -0.000 | -0.000 |
| 0.000 | -0.000 | 0.000 | 0.000 | -44.014 | -0.000 |
| 0.000 | 0.000 | -0.000 | 0.000 | -0.000 | -44.014 |
| 73.393 | 110.389 | 110.389 | 0.000 | -0.000 | -0.000 |
| 110.389 | 73.393 | 110.389 | 0.000 | -0.000 | -0.000 |
| 110.389 | 110.389 | 73.393 | -0.000 | -0.000 | -0.000 |
| -0.000 | -0.000 | -0.000 | 99.599 | -0.000 | -0.000 |
| -0.000 | -0.000 | 0.000 | 0.000 | 99.599 | -0.000 |
| -0.000 | -0.000 | 0.000 | 0.000 | -0.000 | 99.599 |
| 73.393 | 110.389 | 110.389 | -0.000 | -0.000 | -0.000 |
| 110.389 | 73.393 | 110.389 | -0.000 | -0.000 | 0.000 |
| 110.389 | 110.389 | 73.393 | -0.000 | -0.000 | -0.000 |
| 0.000 | 0.000 | 0.000 | 99.599 | 0.000 | -0.000 |
| 0.000 | 0.000 | -0.000 | 0.000 | 99.599 | 0.000 |
| 0.000 | 0.000 | -0.000 | -0.000 | 0.000 | 99.599 |
| 73.393 | 110.389 | 110.389 | 0.000 | 0.000 | -0.000 |
| 110.389 | 73.393 | 110.389 | 0.000 | 0.000 | -0.000 |
| 110.389 | 110.389 | 73.393 | -0.000 | 0.000 | -0.000 |
| 0.000 | -0.000 | -0.000 | 99.504 | -0.000 | -0.000 |
| -0.000 | 0.000 | -0.000 | 0.000 | 99.504 | -0.000 |
| -0.000 | -0.000 | 0.000 | -0.000 | -0.000 | 99.504 |
| 73.393 | 110.389 | 110.389 | -0.000 | 0.000 | -0.000 |
| 110.389 | 73.393 | 110.389 | -0.000 | 0.000 | -0.000 |
| 110.389 | 110.389 | 73.393 | -0.000 | 0.000 | -0.000 |
| -0.000 | 0.000 | 0.000 | 99.504 | -0.000 | 0.000 |
| 0.000 | -0.000 | 0.000 | -0.000 | 99.504 | 0.000 |
| 0.000 | 0.000 | -0.000 | 0.000 | 0.000 | 99.504 |
| 73.392 | 110.389 | 110.389 | 0.000 | -0.000 | 0.000 |
| 110.389 | 73.392 | 110.389 | 0.000 | -0.000 | -0.000 |
| 110.389 | 110.389 | 73.392 | 0.000 | 0.000 | -0.000 |
| 0.000 | -0.000 | -0.000 | 99.599 | -0.000 | -0.000 |
| -0.000 | 0.000 | -0.000 | -0.000 | 99.599 | 0.000 |
| -0.000 | -0.000 | 0.000 | 0.000 | -0.000 | 99.599 |
| 73.393 | 110.389 | 110.389 | -0.000 | 0.000 | -0.000 |
| 110.389 | 73.393 | 110.389 | 0.000 | -0.000 | -0.000 |
| 110.389 | 110.389 | 73.393 | -0.000 | -0.000 | 0.000 |
| -0.000 | 0.000 | 0.000 | 99.599 | 0.000 | 0.000 |
| 0.000 | -0.000 | 0.000 | 0.000 | 99.599 | -0.000 |
| 0.000 | 0.000 | -0.000 | -0.000 | 0.000 | 99.599 |
| 385.379 | -13.145 | -13.145 | -0.000 | 0.000 | 0.000 |
| -13.145 | 385.379 | -13.145 | -0.000 | 0.000 | 0.000 |
| -13.145 | -13.145 | 385.379 | 0.000 | 0.000 | 0.000 |
| -0.000 | 0.000 | 0.000 | -22.941 | -0.000 | 0.000 |
| -0.000 | 0.000 | -0.000 | -0.000 | -22.941 | 0.000 |
| -0.000 | -0.000 | 0.000 | 0.000 | 0.000 | -22.941 |
| 385.379 | -13.145 | -13.145 | -0.000 | -0.000 | -0.000 |
| -13.145 | 385.379 | -13.145 | 0.000 | -0.000 | -0.000 |
| -13.145 | -13.145 | 385.379 | -0.000 | -0.000 | -0.000 |
| 0.000 | -0.000 | -0.000 | -22.941 | 0.000 | -0.000 |
| 0.000 | -0.000 | -0.000 | -0.000 | -22.941 | -0.000 |
| 0.000 | 0.000 | -0.000 | -0.000 | -0.000 | -22.941 |
| 385.379 | -13.145 | -13.145 | -0.000 | 0.000 | 0.000 |
| -13.145 | 385.379 | -13.145 | -0.000 | 0.000 | 0.000 |
| -13.145 | -13.145 | 385.379 | 0.000 | 0.000 | 0.000 |
| -0.000 | 0.000 | -0.000 | -22.941 | 0.000 | 0.000 |
| 0.000 | 0.000 | -0.000 | 0.000 | -22.941 | 0.000 |
| 0.000 | -0.000 | 0.000 | 0.000 | 0.000 | -22.941 |
| 385.379 | -13.145 | -13.145 | -0.000 | -0.000 | -0.000 |
| -13.145 | 385.379 | -13.145 | -0.000 | 0.000 | -0.000 |
| -13.145 | -13.145 | 385.379 | -0.000 | -0.000 | -0.000 |
| 0.000 | -0.000 | 0.000 | -22.941 | -0.000 | -0.000 |
| -0.000 | -0.000 | 0.000 | -0.000 | -22.941 | -0.000 |
| -0.000 | 0.000 | -0.000 | -0.000 | -0.000 | -22.941 |
| 385.381 | -13.145 | -13.145 | 0.000 | 0.000 | 0.000 |
| -13.145 | 385.381 | -13.145 | -0.000 | 0.000 | 0.000 |
| -13.145 | -13.145 | 385.381 | -0.000 | 0.000 | 0.000 |
| 0.000 | 0.000 | -0.000 | -22.941 | 0.000 | 0.000 |
| 0.000 | 0.000 | -0.000 | -0.000 | -22.941 | 0.000 |
| 0.000 | -0.000 | 0.000 | 0.000 | 0.000 | -22.941 |
| 385.377 | -13.145 | -13.145 | 0.000 | 0.000 | -0.000 |
| -13.145 | 385.377 | -13.145 | -0.000 | 0.000 | -0.000 |
| -13.145 | -13.145 | 385.377 | 0.000 | -0.000 | -0.000 |
| -0.000 | -0.000 | 0.000 | -22.941 | -0.000 | -0.000 |
| -0.000 | -0.000 | 0.000 | 0.000 | -22.941 | -0.000 |
| -0.000 | 0.000 | -0.000 | -0.000 | -0.000 | -22.941 |
| 174.903 | 104.164 | 104.164 | 0.000 | -0.000 | -0.000 |
| 104.164 | 174.903 | 104.164 | -0.000 | -0.000 | -0.000 |
| 104.164 | 104.164 | 174.903 | -0.000 | -0.000 | -0.000 |
| 0.000 | -0.000 | -0.000 | 88.824 | -0.000 | 0.000 |
| -0.000 | -0.000 | 0.000 | 0.000 | 88.824 | -0.000 |
| -0.000 | -0.000 | -0.000 | -0.000 | -0.000 | 88.824 |
| 174.903 | 104.164 | 104.164 | -0.000 | 0.000 | 0.000 |
| 104.164 | 174.903 | 104.164 | -0.000 | 0.000 | -0.000 |
| 104.164 | 104.164 | 174.903 | -0.000 | 0.000 | 0.000 |
| -0.000 | 0.000 | 0.000 | 88.824 | 0.000 | 0.000 |
| 0.000 | 0.000 | -0.000 | -0.000 | 88.824 | 0.000 |
| 0.000 | 0.000 | -0.000 | 0.000 | 0.000 | 88.824 |
| 174.903 | 104.164 | 104.164 | -0.000 | -0.000 | -0.000 |
| 104.164 | 174.903 | 104.164 | 0.000 | -0.000 | -0.000 |
| 104.164 | 104.164 | 174.903 | 0.000 | -0.000 | -0.000 |
| 0.000 | -0.000 | -0.000 | 88.824 | -0.000 | -0.000 |
| -0.000 | 0.000 | -0.000 | 0.000 | 88.824 | -0.000 |
| -0.000 | -0.000 | 0.000 | 0.000 | -0.000 | 88.824 |
| 174.904 | 104.164 | 104.164 | 0.000 | 0.000 | 0.000 |
| 104.164 | 174.904 | 104.164 | 0.000 | 0.000 | 0.000 |
| 104.164 | 104.164 | 174.904 | -0.000 | 0.000 | 0.000 |
| -0.000 | 0.000 | 0.000 | 88.824 | 0.000 | 0.000 |
| 0.000 | -0.000 | 0.000 | -0.000 | 88.824 | 0.000 |
| 0.000 | 0.000 | -0.000 | 0.000 | 0.000 | 88.824 |
| 174.899 | 104.164 | 104.164 | 0.000 | -0.000 | 0.000 |
| 104.164 | 174.899 | 104.164 | -0.000 | -0.000 | 0.000 |
| 104.164 | 104.164 | 174.899 | 0.000 | -0.000 | -0.000 |
| 0.000 | -0.000 | -0.000 | 88.824 | -0.000 | 0.000 |
| -0.000 | 0.000 | -0.000 | -0.000 | 88.824 | -0.000 |
| -0.000 | -0.000 | 0.000 | -0.000 | -0.000 | 88.824 |
| 174.908 | 104.164 | 104.164 | -0.000 | 0.000 | 0.000 |
| 104.164 | 174.908 | 104.164 | 0.000 | 0.000 | 0.000 |
| 104.164 | 104.164 | 174.908 | -0.000 | 0.000 | 0.000 |
| -0.000 | 0.000 | 0.000 | 88.824 | 0.000 | 0.000 |
| 0.000 | -0.000 | 0.000 | -0.000 | 88.824 | 0.000 |
| 0.000 | 0.000 | -0.000 | 0.000 | 0.000 | 88.824 |
| -21.629 | 42.934 | 42.934 | 0.000 | -0.000 | -0.000 |
| 42.934 | -21.629 | 42.934 | 0.000 | -0.000 | -0.000 |
| 42.934 | 42.934 | -21.629 | 0.000 | 0.000 | -0.000 |
| -0.000 | 0.000 | 0.000 | -82.718 | -0.000 | -0.000 |
| 0.000 | 0.000 | 0.000 | 0.000 | -82.718 | -0.000 |
| -0.000 | 0.000 | 0.000 | 0.000 | -0.000 | -82.718 |
| -21.629 | 42.934 | 42.934 | 0.000 | 0.000 | 0.000 |
| 42.934 | -21.629 | 42.934 | -0.000 | 0.000 | 0.000 |
| 42.934 | 42.934 | -21.629 | 0.000 | 0.000 | 0.000 |
| 0.000 | -0.000 | -0.000 | -82.718 | 0.000 | 0.000 |
| -0.000 | -0.000 | -0.000 | -0.000 | -82.718 | 0.000 |
| 0.000 | -0.000 | -0.000 | -0.000 | 0.000 | -82.718 |
| -21.629 | 42.934 | 42.934 | 0.000 | -0.000 | -0.000 |
| 42.934 | -21.629 | 42.934 | 0.000 | -0.000 | -0.000 |
| 42.934 | 42.934 | -21.629 | 0.000 | -0.000 | -0.000 |
| -0.000 | 0.000 | -0.000 | -82.718 | 0.000 | -0.000 |
| 0.000 | -0.000 | -0.000 | 0.000 | -82.718 | -0.000 |
| 0.000 | -0.000 | -0.000 | -0.000 | -0.000 | -82.718 |
| -21.629 | 42.934 | 42.934 | -0.000 | -0.000 | 0.000 |
| 42.934 | -21.629 | 42.934 | -0.000 | 0.000 | 0.000 |
| 42.934 | 42.934 | -21.629 | 0.000 | 0.000 | 0.000 |
| 0.000 | -0.000 | 0.000 | -82.718 | 0.000 | 0.000 |
| -0.000 | 0.000 | 0.000 | -0.000 | -82.718 | 0.000 |
| -0.000 | 0.000 | 0.000 | -0.000 | 0.000 | -82.718 |
| -21.629 | 42.934 | 42.934 | 0.000 | 0.000 | -0.000 |
| 42.934 | -21.629 | 42.934 | 0.000 | 0.000 | -0.000 |
| 42.934 | 42.934 | -21.629 | 0.000 | -0.000 | -0.000 |
| -0.000 | 0.000 | -0.000 | -82.718 | -0.000 | -0.000 |
| 0.000 | -0.000 | -0.000 | 0.000 | -82.718 | -0.000 |
| 0.000 | -0.000 | -0.000 | 0.000 | -0.000 | -82.718 |
| -21.629 | 42.934 | 42.934 | -0.000 | 0.000 | 0.000 |
| 42.934 | -21.629 | 42.934 | -0.000 | 0.000 | 0.000 |
| 42.934 | 42.934 | -21.629 | -0.000 | 0.000 | 0.000 |
| 0.000 | -0.000 | 0.000 | -82.718 | 0.000 | 0.000 |
| -0.000 | 0.000 | 0.000 | -0.000 | -82.718 | 0.000 |
| -0.000 | 0.000 | 0.000 | -0.000 | 0.000 | -82.718 |
| 371.630 | 76.033 | 155.081 | 0.000 | 0.000 | -0.000 |
| 76.033 | 371.630 | 155.081 | 0.000 | 0.000 | -0.000 |
| 155.081 | 155.081 | 286.678 | 0.000 | 0.000 | -0.000 |
| -0.000 | 0.000 | 0.000 | 140.635 | 0.000 | -0.000 |
| -0.000 | -0.000 | 0.000 | 0.000 | 140.635 | 0.000 |
| 0.000 | -0.000 | -0.000 | 0.000 | -0.000 | 40.542 |
| 371.630 | 76.033 | 155.081 | -0.000 | -0.000 | 0.000 |
| 76.033 | 371.630 | 155.081 | -0.000 | 0.000 | 0.000 |
| 155.081 | 155.081 | 286.678 | 0.000 | 0.000 | -0.000 |
| 0.000 | 0.000 | -0.000 | 140.635 | -0.000 | -0.000 |
| 0.000 | 0.000 | 0.000 | -0.000 | 140.635 | 0.000 |
| 0.000 | 0.000 | 0.000 | -0.000 | 0.000 | 40.542 |
| 371.630 | 76.033 | 155.081 | 0.000 | 0.000 | -0.000 |
| 76.033 | 371.630 | 155.081 | 0.000 | 0.000 | 0.000 |
| 155.081 | 155.081 | 286.678 | -0.000 | 0.000 | -0.000 |
| 0.000 | 0.000 | 0.000 | 140.635 | -0.000 | -0.000 |
| 0.000 | 0.000 | 0.000 | 0.000 | 140.635 | -0.000 |
| 0.000 | -0.000 | 0.000 | 0.000 | -0.000 | 40.542 |
| 371.630 | 76.033 | 155.081 | -0.000 | -0.000 | -0.000 |
| 76.033 | 371.630 | 155.081 | -0.000 | -0.000 | -0.000 |
| 155.081 | 155.081 | 286.678 | -0.000 | -0.000 | -0.000 |
| -0.000 | -0.000 | -0.000 | 140.635 | -0.000 | 0.000 |
| -0.000 | -0.000 | -0.000 | -0.000 | 140.635 | 0.000 |
| -0.000 | 0.000 | -0.000 | -0.000 | -0.000 | 40.542 |
| 371.633 | 76.033 | 155.081 | 0.000 | 0.000 | -0.000 |
| 76.033 | 371.633 | 155.081 | 0.000 | 0.000 | -0.000 |
| 155.081 | 155.081 | 286.679 | 0.000 | 0.000 | -0.000 |
| 0.000 | 0.000 | 0.001 | 140.635 | -0.000 | -0.000 |
| 0.000 | 0.000 | 0.001 | 0.000 | 140.635 | -0.000 |
| 0.000 | -0.000 | 0.000 | 0.000 | -0.000 | 40.542 |
| 371.627 | 76.032 | 155.080 | -0.000 | 0.000 | 0.000 |
| 76.032 | 371.627 | 155.080 | -0.000 | -0.000 | 0.000 |
| 155.080 | 155.080 | 286.677 | -0.000 | -0.000 | 0.000 |
| -0.000 | -0.000 | -0.001 | 140.635 | 0.000 | 0.000 |
| -0.000 | -0.000 | -0.001 | -0.000 | 140.635 | 0.000 |
| -0.000 | 0.000 | -0.000 | -0.000 | 0.000 | 40.542 |
| 335.520 | 139.354 | 83.631 | -40.959 | 0.000 | -0.000 |
| 139.354 | 335.520 | 83.631 | 40.959 | 0.000 | -0.000 |
| 83.631 | 83.631 | 395.575 | -0.000 | 0.000 | -0.000 |
| -40.959 | 40.959 | -0.000 | 72.778 | 0.000 | -0.000 |
| 0.000 | 0.000 | -0.000 | 0.000 | 72.778 | -40.960 |
| 0.000 | 0.000 | -0.000 | -0.000 | -40.959 | 98.082 |
| 335.519 | 139.354 | 83.631 | -40.959 | -0.000 | 0.000 |
| 139.354 | 335.519 | 83.631 | 40.959 | 0.000 | 0.000 |
| 83.631 | 83.631 | 395.575 | 0.000 | -0.000 | 0.000 |
| -40.959 | 40.959 | 0.000 | 72.778 | -0.000 | 0.000 |
| -0.000 | -0.000 | 0.000 | 0.000 | 72.778 | -40.959 |
| -0.000 | -0.000 | 0.000 | -0.000 | -40.959 | 98.083 |
| 335.522 | 139.355 | 83.631 | -40.959 | 0.000 | -0.000 |
| 139.355 | 335.522 | 83.631 | 40.959 | 0.000 | -0.000 |
| 83.631 | 83.631 | 395.575 | -0.000 | 0.000 | -0.000 |
| -40.959 | 40.960 | 0.000 | 72.778 | 0.000 | -0.000 |
| 0.000 | 0.000 | 0.000 | 0.000 | 72.778 | -40.959 |
| 0.000 | 0.000 | 0.000 | 0.000 | -40.959 | 98.083 |
| 335.517 | 139.354 | 83.630 | -40.960 | 0.000 | 0.000 |
| 139.354 | 335.517 | 83.630 | 40.960 | -0.000 | 0.000 |
| 83.630 | 83.630 | 395.575 | 0.000 | -0.000 | 0.000 |
| -40.960 | 40.959 | -0.000 | 72.778 | -0.000 | 0.000 |
| -0.000 | -0.000 | -0.000 | -0.000 | 72.778 | -40.959 |
| -0.000 | -0.000 | -0.000 | -0.000 | -40.959 | 98.083 |
| 335.541 | 139.359 | 83.635 | -40.956 | 0.000 | -0.000 |
| 139.359 | 335.541 | 83.635 | 40.954 | -0.000 | -0.000 |
| 83.632 | 83.632 | 395.577 | -0.000 | 0.000 | -0.000 |
| -40.958 | 40.963 | 0.001 | 72.777 | 0.000 | -0.000 |
| 0.004 | 0.001 | 0.001 | 0.001 | 72.778 | -40.959 |
| 0.004 | 0.004 | 0.001 | 0.001 | -40.959 | 98.083 |
| 335.498 | 139.350 | 83.626 | -40.963 | -0.000 | 0.000 |
| 139.350 | 335.498 | 83.626 | 40.965 | 0.000 | 0.000 |
| 83.629 | 83.629 | 395.573 | 0.000 | -0.000 | 0.000 |
| -40.961 | 40.955 | -0.001 | 72.778 | -0.000 | 0.000 |
| -0.004 | -0.001 | -0.001 | -0.001 | 72.778 | -40.959 |
| -0.004 | -0.004 | -0.001 | -0.001 | -40.959 | 98.083 |
| 308.951 | 72.040 | 81.326 | 0.000 | -0.000 | 0.000 |
| 68.696 | 370.931 | 124.630 | 0.000 | -0.000 | 0.000 |
| 80.639 | 125.065 | 336.170 | 0.000 | -0.000 | 0.000 |
| -2.360 | -6.274 | 2.714 | 75.033 | -0.000 | -0.000 |
| -2.274 | -4.231 | 0.820 | 0.000 | 63.826 | 0.000 |
| -2.415 | -1.681 | -1.909 | 0.000 | -0.000 | 45.219 |
| 312.879 | 75.677 | 83.540 | -0.000 | 0.000 | -0.000 |
| 77.189 | 376.158 | 132.025 | -0.000 | 0.000 | 0.000 |
| 85.988 | 142.077 | 327.260 | -0.000 | 0.000 | -0.000 |
| 2.360 | 6.274 | -2.714 | 75.033 | 0.000 | 0.000 |
| 2.274 | 4.231 | -0.820 | -0.000 | 63.826 | -0.000 |
| 2.415 | 1.681 | 1.909 | -0.000 | 0.000 | 45.219 |
| 313.917 | 74.587 | 86.154 | 0.000 | 0.000 | 0.000 |
| 70.564 | 368.869 | 129.432 | -0.000 | -0.000 | 0.000 |
| 86.154 | 125.135 | 344.259 | 0.000 | 0.000 | 0.000 |
| -0.232 | -0.498 | 0.150 | 74.249 | -0.000 | -0.000 |
| -0.224 | -0.411 | 0.074 | 0.000 | 64.034 | 0.000 |
| -0.241 | -0.168 | -0.191 | 0.000 | 0.000 | 45.219 |
| 311.473 | 73.768 | 83.348 | -0.000 | 0.000 | -0.000 |
| 73.318 | 365.483 | 136.854 | -0.000 | 0.000 | 0.000 |
| 83.900 | 137.519 | 328.679 | -0.000 | 0.000 | -0.000 |
| 0.232 | 0.498 | -0.150 | 74.249 | 0.000 | -0.000 |
| 0.224 | 0.411 | -0.074 | -0.000 | 64.034 | 0.000 |
| 0.241 | 0.168 | 0.191 | -0.000 | 0.000 | 45.219 |
| 313.917 | 74.587 | 86.154 | 0.000 | 0.000 | 0.000 |
| 74.587 | 379.235 | 125.136 | 0.000 | 0.000 | -0.000 |
| 83.645 | 136.962 | 328.855 | 0.000 | -0.000 | -0.000 |
| -0.023 | -0.050 | 0.015 | 74.250 | -0.000 | -0.000 |
| -0.022 | -0.041 | 0.007 | 0.000 | 64.037 | 0.000 |
| -0.024 | -0.017 | -0.019 | 0.000 | -0.000 | 45.219 |
| 313.917 | 74.587 | 86.154 | -0.000 | -0.000 | -0.000 |
| 73.110 | 365.026 | 136.996 | -0.000 | 0.000 | 0.000 |
| 83.691 | 137.062 | 328.820 | -0.000 | 0.000 | 0.000 |
| 0.023 | 0.050 | -0.015 | 74.250 | 0.000 | -0.000 |
| 0.022 | 0.041 | -0.007 | -0.000 | 64.037 | -0.000 |
| 0.024 | 0.017 | 0.019 | -0.000 | 0.000 | 45.219 |
| 311.487 | 73.098 | 85.148 | -0.000 | -0.000 | -0.000 |
| 76.528 | 350.410 | 146.844 | 0.000 | -0.000 | -0.000 |
| 82.169 | 130.809 | 345.754 | 0.000 | -0.000 | -0.000 |
| 1.138 | -2.496 | 4.154 | 77.739 | -0.000 | -0.000 |
| 2.716 | -0.029 | 4.052 | 0.000 | 64.633 | -0.000 |
| 1.340 | -0.014 | 1.999 | 0.000 | -0.000 | 46.454 |
| 309.146 | 73.210 | 81.569 | -0.000 | 0.000 | 0.000 |
| 72.582 | 352.594 | 138.838 | 0.000 | 0.000 | 0.000 |
| 85.430 | 128.115 | 353.249 | -0.000 | 0.000 | 0.000 |
| -1.138 | 2.496 | -4.154 | 77.739 | 0.000 | 0.000 |
| -2.716 | 0.029 | -4.052 | 0.000 | 64.633 | 0.000 |
| -1.340 | 0.014 | -1.999 | -0.000 | 0.000 | 46.454 |
| 310.517 | 73.201 | 83.610 | 0.000 | -0.000 | -0.000 |
| 73.878 | 350.529 | 142.800 | 0.000 | -0.000 | -0.000 |
| 82.854 | 140.401 | 337.281 | 0.000 | -0.000 | -0.000 |
| 0.118 | -0.188 | 0.360 | 77.316 | -0.000 | -0.000 |
| 0.455 | -0.005 | 0.679 | 0.000 | 62.195 | -0.000 |
| 0.134 | -0.001 | 0.200 | 0.000 | -0.000 | 46.454 |
| 310.276 | 73.205 | 83.248 | -0.000 | 0.000 | 0.000 |
| 73.642 | 350.904 | 142.079 | -0.000 | 0.000 | 0.000 |
| 82.618 | 140.776 | 336.560 | -0.000 | 0.000 | 0.000 |
| -0.118 | 0.188 | -0.360 | 77.316 | 0.000 | 0.000 |
| -0.455 | 0.005 | -0.679 | -0.000 | 62.195 | 0.000 |
| -0.134 | 0.001 | -0.200 | 0.000 | 0.000 | 46.454 |
| 310.402 | 72.878 | 83.760 | 0.000 | 0.000 | -0.000 |
| 71.477 | 354.144 | 135.670 | 0.000 | -0.000 | -0.000 |
| 82.748 | 140.571 | 336.958 | 0.000 | 0.000 | -0.000 |
| -0.306 | -0.123 | -0.330 | 77.359 | -0.000 | -0.000 |
| 0.011 | -0.014 | 0.030 | 0.000 | 61.748 | -0.000 |
| 0.014 | -0.000 | 0.020 | 0.000 | -0.000 | 46.454 |
| 310.379 | 72.915 | 83.687 | -0.000 | 0.000 | 0.000 |
| 73.748 | 350.733 | 142.403 | -0.000 | 0.000 | 0.000 |
| 82.724 | 140.607 | 336.883 | 0.000 | 0.000 | 0.000 |
| 0.306 | 0.123 | 0.330 | 77.359 | -0.000 | 0.000 |
| -0.011 | 0.014 | -0.030 | -0.000 | 61.748 | 0.000 |
| -0.014 | 0.000 | -0.020 | 0.000 | -0.000 | 46.454 |
| 105.579 | 36.804 | -13.158 | 0.000 | -0.000 | 0.000 |
| 36.804 | 105.579 | -13.158 | -0.000 | 0.000 | -0.000 |
| -13.139 | -13.139 | 167.730 | 0.000 | -0.000 | -0.000 |
| 0.000 | -0.000 | -0.000 | -16.254 | -0.000 | -0.000 |
| 0.000 | 0.000 | -0.002 | 0.000 | -16.254 | -0.000 |
| 0.000 | 0.000 | -0.000 | 0.000 | 0.000 | 34.388 |
| 63.978 | 78.404 | -13.156 | 0.000 | 0.000 | 0.000 |
| 78.404 | 63.978 | -13.156 | 0.000 | 0.000 | 0.000 |
| -13.140 | -13.140 | 167.732 | 0.000 | -0.000 | 0.000 |
| 0.000 | -0.000 | 0.000 | -16.254 | 0.000 | 0.000 |
| -0.000 | -0.000 | 0.002 | -0.000 | -16.254 | 0.000 |
| 0.000 | -0.000 | 0.000 | -0.000 | -0.000 | 34.388 |
| 105.579 | 36.804 | -13.158 | 0.000 | -0.000 | 0.000 |
| 36.804 | 105.579 | -13.158 | 0.000 | -0.000 | -0.000 |
| -13.139 | -13.139 | 167.730 | -0.000 | -0.000 | -0.000 |
| -0.000 | -0.000 | -0.000 | -16.254 | -0.000 | -0.000 |
| -0.000 | -0.000 | -0.000 | 0.000 | -16.254 | -0.000 |
| 0.000 | -0.000 | -0.000 | -0.000 | 0.000 | 34.388 |
| 63.523 | 78.860 | -13.158 | -0.000 | 0.000 | 0.000 |
| 36.804 | 105.579 | -13.158 | 0.000 | 0.000 | 0.000 |
| -13.139 | -13.139 | 167.730 | -0.000 | 0.000 | -0.000 |
| 0.000 | 0.000 | 0.000 | -16.254 | -0.000 | 0.000 |
| 0.000 | 0.000 | 0.000 | -0.000 | -16.254 | 0.000 |
| -0.000 | 0.000 | 0.000 | 0.000 | -0.000 | 34.388 |
| 58.219 | 84.163 | -13.158 | -0.000 | 0.000 | 0.000 |
| 84.165 | 58.217 | -13.158 | -0.000 | -0.000 | -0.000 |
| -13.139 | -13.139 | 167.731 | -0.000 | -0.000 | 0.000 |
| -0.000 | -0.000 | -0.000 | -16.254 | 0.000 | -0.000 |
| -0.000 | -0.000 | -0.000 | -0.000 | -16.254 | -0.000 |
| -0.000 | -0.000 | -0.000 | 0.000 | 0.000 | -12.972 |
| 58.219 | 84.165 | -13.158 | -0.000 | -0.000 | 0.000 |
| 84.165 | 58.219 | -13.158 | 0.000 | 0.000 | 0.000 |
| -13.139 | -13.139 | 167.729 | -0.000 | 0.000 | 0.000 |
| 0.000 | 0.000 | 0.000 | -16.254 | 0.000 | 0.000 |
| 0.000 | 0.000 | 0.000 | 0.000 | -16.254 | 0.000 |
| 0.000 | 0.000 | 0.000 | -0.000 | -0.000 | -12.972 |
| 315.462 | 174.968 | 83.343 | -0.000 | 0.000 | 0.000 |
| 174.968 | 315.462 | 83.343 | -0.000 | 0.000 | 0.000 |
| 83.343 | 83.343 | 336.234 | -0.000 | 0.000 | -0.000 |
| 0.000 | -0.000 | -0.000 | 69.664 | 0.000 | 0.000 |
| 0.000 | -0.000 | -0.000 | -0.000 | 69.664 | -0.000 |
| -0.000 | -0.000 | -0.000 | -0.000 | 0.000 | 70.247 |
| 346.536 | 143.895 | 83.343 | 0.000 | -0.000 | 0.000 |
| 143.895 | 346.536 | 83.343 | 0.000 | -0.000 | 0.000 |
| 83.343 | 83.343 | 336.234 | 0.000 | -0.000 | -0.000 |
| -0.000 | 0.000 | 0.000 | 69.664 | -0.000 | 0.000 |
| -0.000 | 0.000 | 0.000 | 0.000 | 69.664 | -0.000 |
| 0.000 | -0.000 | 0.000 | 0.000 | -0.000 | 70.247 |
| 315.463 | 174.968 | 83.343 | -0.000 | 0.000 | -0.000 |
| 174.968 | 315.463 | 83.343 | -0.000 | 0.000 | 0.000 |
| 83.343 | 83.343 | 336.234 | -0.000 | 0.000 | -0.000 |
| 0.000 | 0.000 | 0.000 | 69.664 | 0.000 | 0.000 |
| 0.000 | 0.000 | 0.000 | -0.000 | 69.664 | 0.000 |
| -0.000 | 0.000 | -0.000 | -0.000 | 0.000 | 70.247 |
| 346.536 | 143.895 | 83.343 | 0.000 | -0.000 | 0.000 |
| 174.968 | 315.462 | 83.343 | 0.000 | -0.000 | 0.000 |
| 83.343 | 83.343 | 336.234 | 0.000 | -0.000 | 0.000 |
| -0.000 | -0.000 | -0.000 | 69.664 | -0.000 | -0.000 |
| -0.000 | -0.000 | -0.000 | 0.000 | 69.664 | -0.000 |
| 0.000 | -0.000 | 0.000 | 0.000 | -0.000 | 70.247 |
| 346.538 | 143.895 | 83.343 | -0.000 | 0.000 | -0.000 |
| 174.969 | 315.464 | 83.343 | -0.000 | 0.000 | 0.000 |
| 83.344 | 83.344 | 336.236 | -0.000 | 0.000 | -0.000 |
| 0.000 | -0.000 | 0.000 | 69.664 | 0.000 | -0.000 |
| -0.000 | 0.000 | 0.000 | -0.000 | 69.664 | -0.000 |
| 0.000 | 0.000 | 0.000 | -0.000 | 0.000 | 101.321 |
| 315.460 | 174.968 | 83.343 | 0.000 | -0.000 | -0.000 |
| 174.967 | 315.461 | 83.343 | 0.000 | -0.000 | 0.000 |
| 83.342 | 83.342 | 336.233 | 0.000 | -0.000 | 0.000 |
| -0.000 | 0.000 | -0.000 | 69.664 | -0.000 | 0.000 |
| 0.000 | -0.000 | -0.000 | 0.000 | 69.664 | -0.000 |
| -0.000 | -0.000 | -0.000 | 0.000 | -0.000 | 101.321 |
| 28.343 | 51.361 | 51.361 | -0.000 | 0.000 | 0.000 |
| 51.361 | 28.343 | 51.361 | -0.000 | 0.000 | 0.000 |
| 51.361 | 51.361 | 28.343 | -0.000 | -0.000 | 0.000 |
| 0.000 | 0.000 | 0.000 | 48.250 | 0.000 | 0.000 |
| -0.000 | 0.000 | 0.000 | -0.000 | 48.250 | 0.000 |
| -0.000 | 0.000 | 0.000 | -0.000 | 0.000 | 48.250 |
| 28.343 | 51.361 | 51.361 | 0.000 | -0.000 | -0.000 |
| 51.361 | 28.343 | 51.361 | 0.000 | -0.000 | 0.000 |
| 51.361 | 51.361 | 28.343 | 0.000 | 0.000 | 0.000 |
| -0.000 | 0.000 | -0.000 | 48.250 | -0.000 | -0.000 |
| 0.000 | -0.000 | -0.000 | 0.000 | 48.250 | -0.000 |
| 0.000 | -0.000 | -0.000 | 0.000 | -0.000 | 48.250 |
| 28.343 | 51.361 | 51.361 | -0.000 | 0.000 | -0.000 |
| 51.361 | 28.343 | 51.361 | -0.000 | -0.000 | 0.000 |
| 51.361 | 51.361 | 28.343 | -0.000 | -0.000 | 0.000 |
| -0.000 | -0.000 | -0.000 | -25.880 | -0.000 | 0.000 |
| -0.000 | -0.000 | -0.000 | -0.000 | -25.880 | 0.000 |
| -0.000 | -0.000 | -0.000 | -0.000 | 0.000 | -25.880 |
| 28.343 | 51.361 | 51.361 | 0.000 | -0.000 | -0.000 |
| 51.361 | 28.343 | 51.361 | 0.000 | -0.000 | -0.000 |
| 51.361 | 51.361 | 28.343 | 0.000 | 0.000 | -0.000 |
| 0.000 | 0.000 | 0.000 | -25.880 | -0.000 | 0.000 |
| 0.000 | 0.000 | 0.000 | 0.000 | -25.880 | -0.000 |
| 0.000 | 0.000 | 0.000 | 0.000 | -0.000 | -25.880 |
| 28.343 | 51.361 | 51.361 | 0.000 | -0.000 | -0.000 |
| 51.361 | 28.343 | 51.361 | -0.000 | 0.000 | -0.000 |
| 51.361 | 51.361 | 28.343 | -0.000 | -0.000 | 0.000 |
| -0.000 | -0.000 | -0.000 | -25.880 | -0.000 | 0.000 |
| -0.000 | -0.000 | -0.000 | -0.000 | -25.880 | 0.000 |
| -0.000 | -0.000 | -0.000 | -0.000 | 0.000 | -25.880 |
| 28.344 | 51.361 | 51.361 | 0.000 | -0.000 | -0.000 |
| 51.361 | 28.344 | 51.361 | 0.000 | -0.000 | 0.000 |
| 51.361 | 51.361 | 28.344 | 0.000 | 0.000 | -0.000 |
| 0.000 | 0.000 | 0.000 | -25.880 | 0.000 | -0.000 |
| 0.000 | 0.000 | 0.000 | 0.000 | -25.880 | -0.000 |
| 0.000 | 0.000 | 0.000 | 0.000 | 0.000 | -25.880 |
| 259.114 | 89.077 | 89.077 | 0.000 | -0.000 | 0.000 |
| 89.077 | 259.114 | 89.077 | 0.000 | -0.000 | 0.000 |
| 89.077 | 89.077 | 259.114 | 0.000 | -0.000 | 0.000 |
| 0.000 | 0.000 | 0.000 | 48.642 | -0.000 | 0.000 |
| 0.000 | 0.000 | 0.000 | 0.000 | 48.642 | 0.000 |
| 0.000 | 0.000 | 0.000 | 0.000 | -0.000 | 48.642 |
| 259.114 | 89.077 | 89.077 | -0.000 | 0.000 | -0.000 |
| 89.077 | 259.114 | 89.077 | -0.000 | 0.000 | -0.000 |
| 89.077 | 89.077 | 259.114 | -0.000 | 0.000 | -0.000 |
| -0.000 | -0.000 | -0.000 | 48.642 | -0.000 | -0.000 |
| -0.000 | -0.000 | -0.000 | -0.000 | 48.642 | -0.000 |
| -0.000 | -0.000 | -0.000 | 0.000 | 0.000 | 48.642 |
| 259.114 | 89.077 | 89.077 | -0.000 | -0.000 | 0.000 |
| 89.077 | 259.114 | 89.077 | 0.000 | -0.000 | 0.000 |
| 89.077 | 89.077 | 259.114 | 0.000 | -0.000 | 0.000 |
| 0.000 | 0.000 | 0.000 | 48.642 | -0.000 | 0.000 |
| 0.000 | 0.000 | 0.000 | -0.000 | 48.642 | 0.000 |
| 0.000 | 0.000 | 0.000 | -0.000 | -0.000 | 48.642 |
| 259.114 | 89.077 | 89.077 | -0.000 | 0.000 | -0.000 |
| 89.077 | 259.114 | 89.077 | -0.000 | 0.000 | -0.000 |
| 89.077 | 89.077 | 259.114 | -0.000 | 0.000 | -0.000 |
| -0.000 | -0.000 | -0.000 | 48.642 | -0.000 | -0.000 |
| -0.000 | -0.000 | -0.000 | 0.000 | 48.642 | -0.000 |
| -0.000 | -0.000 | -0.000 | 0.000 | 0.000 | 48.642 |
| 259.115 | 89.077 | 89.077 | 0.000 | -0.000 | 0.000 |
| 89.077 | 259.115 | 89.077 | 0.000 | -0.000 | 0.000 |
| 89.077 | 89.077 | 259.115 | 0.000 | -0.000 | 0.000 |
| 0.000 | 0.000 | 0.000 | 48.642 | -0.000 | 0.000 |
| 0.000 | 0.000 | 0.000 | -0.000 | 48.642 | 0.000 |
| 0.000 | 0.000 | 0.000 | -0.000 | 0.000 | 48.642 |
| 259.113 | 89.077 | 89.077 | -0.000 | 0.000 | -0.000 |
| 89.077 | 259.113 | 89.077 | -0.000 | 0.000 | -0.000 |
| 89.077 | 89.077 | 259.113 | -0.000 | 0.000 | -0.000 |
| -0.000 | -0.000 | -0.000 | 48.642 | -0.000 | -0.000 |
| -0.000 | -0.000 | -0.000 | 0.000 | 48.642 | -0.000 |
| -0.000 | -0.000 | -0.000 | -0.000 | 0.000 | 48.642 |
| 336.972 | 147.899 | 57.986 | -0.000 | -0.000 | -0.000 |
| 147.972 | 241.378 | 143.556 | -0.000 | 0.000 | -0.000 |
| 57.936 | 143.432 | 353.867 | 0.000 | -0.000 | -0.000 |
| 0.083 | 0.231 | -0.080 | 130.027 | 0.000 | 0.000 |
| 0.221 | 0.616 | -0.213 | -0.000 | 46.932 | -0.000 |
| 0.000 | 0.000 | 0.000 | -0.000 | -0.000 | 140.867 |
| 336.796 | 147.410 | 58.156 | -0.000 | -0.000 | 0.000 |
| 147.797 | 240.890 | 143.725 | -0.000 | -0.000 | 0.000 |
| 57.760 | 142.943 | 354.036 | -0.000 | 0.000 | -0.000 |
| -0.083 | -0.231 | 0.080 | 130.027 | -0.000 | 0.000 |
| -0.221 | -0.616 | 0.213 | 0.000 | 46.932 | 0.000 |
| -0.000 | 0.000 | 0.000 | -0.000 | 0.000 | 140.867 |
| 337.807 | 150.223 | 57.180 | 0.000 | 0.000 | -0.000 |
| 147.893 | 241.159 | 143.632 | -0.000 | 0.000 | -0.000 |
| 56.957 | 140.708 | 354.812 | 0.000 | -0.000 | -0.000 |
| 0.008 | 0.023 | -0.008 | 130.027 | 0.000 | 0.000 |
| 0.000 | 0.000 | -0.000 | -0.000 | 49.102 | -0.000 |
| 0.009 | 0.024 | -0.008 | 0.000 | 0.000 | 140.867 |
| 336.875 | 147.630 | 58.079 | 0.000 | 0.000 | 0.000 |
| 147.875 | 241.110 | 143.649 | 0.000 | -0.000 | 0.000 |
| 57.839 | 143.163 | 353.960 | -0.000 | -0.000 | 0.000 |
| -0.008 | -0.023 | 0.008 | 130.027 | -0.000 | 0.000 |
| -0.000 | -0.000 | 0.000 | -0.000 | 49.102 | 0.000 |
| -0.009 | -0.024 | 0.008 | 0.000 | 0.000 | 140.867 |
| 337.809 | 150.224 | 57.180 | 0.000 | -0.000 | -0.000 |
| 150.454 | 248.289 | 141.161 | 0.000 | 0.000 | -0.000 |
| 56.957 | 140.708 | 354.813 | 0.000 | 0.000 | -0.000 |
| 0.001 | 0.003 | -0.001 | 130.027 | 0.000 | -0.000 |
| 0.000 | 0.000 | -0.000 | 0.000 | 49.102 | -0.000 |
| -0.000 | 0.000 | 0.000 | 0.000 | -0.000 | 140.867 |
| 336.882 | 147.652 | 58.072 | -0.000 | -0.000 | 0.000 |
| 147.883 | 241.131 | 143.641 | -0.000 | 0.000 | 0.000 |
| 56.957 | 140.707 | 354.810 | 0.000 | -0.000 | 0.000 |
| -0.001 | -0.003 | 0.001 | 130.027 | -0.000 | 0.000 |
| -0.000 | -0.000 | 0.000 | -0.000 | 49.102 | 0.000 |
| 0.000 | -0.000 | -0.000 | -0.000 | 0.000 | 140.867 |
| 336.570 | 149.272 | 58.753 | 0.000 | -0.000 | 0.000 |
| 149.271 | 243.343 | 145.231 | 0.000 | -0.000 | 0.000 |
| 57.883 | 142.814 | 353.388 | 0.000 | -0.000 | 0.000 |
| -0.000 | 0.000 | 0.000 | 138.599 | -0.000 | 0.000 |
| 0.001 | 0.002 | -0.001 | 0.000 | 47.828 | 0.000 |
| 0.000 | 0.001 | -0.000 | 0.000 | -0.000 | 141.816 |
| 337.511 | 151.882 | 57.883 | -0.000 | 0.000 | 0.000 |
| 151.882 | 250.587 | 142.814 | -0.000 | 0.000 | 0.000 |
| 58.753 | 145.230 | 352.582 | -0.000 | 0.000 | 0.000 |
| 0.000 | -0.000 | 0.000 | 138.599 | 0.000 | 0.000 |
| -0.001 | -0.002 | 0.001 | -0.000 | 47.828 | -0.000 |
| -0.000 | -0.001 | 0.000 | -0.000 | 0.000 | 141.816 |
| 337.512 | 151.882 | 57.883 | -0.000 | -0.000 | -0.000 |
| 151.882 | 250.587 | 142.814 | 0.000 | 0.000 | 0.000 |
| 57.883 | 142.814 | 353.388 | 0.000 | -0.000 | -0.000 |
| 0.000 | 0.000 | 0.000 | 138.599 | 0.000 | 0.000 |
| 0.000 | 0.000 | -0.000 | -0.000 | 50.044 | 0.000 |
| 0.000 | 0.000 | -0.000 | 0.000 | -0.000 | 141.816 |
| 337.511 | 151.882 | 57.883 | -0.000 | -0.000 | 0.000 |
| 151.882 | 250.587 | 142.814 | -0.000 | 0.000 | 0.000 |
| 58.754 | 145.231 | 352.582 | -0.000 | 0.000 | -0.000 |
| -0.000 | -0.000 | -0.000 | 138.599 | -0.000 | -0.000 |
| -0.000 | -0.000 | 0.000 | 0.000 | 50.044 | 0.000 |
| -0.000 | -0.000 | 0.000 | -0.000 | 0.000 | 141.816 |
| 336.572 | 149.272 | 58.754 | 0.000 | -0.000 | 0.000 |
| 149.272 | 243.344 | 145.231 | 0.000 | -0.000 | 0.000 |
| 57.883 | 142.815 | 353.390 | 0.000 | -0.000 | -0.000 |
| 0.000 | 0.000 | 0.000 | 131.898 | -0.000 | 0.000 |
| 0.000 | 0.000 | -0.000 | 0.000 | 50.044 | 0.000 |
| -0.000 | 0.000 | 0.000 | 0.000 | -0.000 | 141.816 |
| 336.568 | 149.271 | 58.754 | -0.000 | 0.000 | -0.000 |
| 149.271 | 243.342 | 145.230 | 0.000 | 0.000 | -0.000 |
| 58.754 | 145.230 | 352.580 | -0.000 | 0.000 | 0.000 |
| -0.000 | -0.000 | -0.000 | 131.898 | 0.000 | 0.000 |
| -0.000 | -0.000 | 0.000 | -0.000 | 50.044 | 0.000 |
| 0.000 | -0.000 | -0.000 | -0.000 | 0.000 | 141.816 |
| 10.085 | 10.216 | 10.216 | 0.000 | 0.000 | 0.000 |
| 10.216 | 10.085 | 10.216 | 0.000 | 0.000 | -0.000 |
| 10.216 | 10.216 | 10.085 | 0.000 | 0.000 | 0.000 |
| 0.000 | -0.000 | 0.000 | 10.051 | 0.000 | -0.000 |
| 0.000 | -0.000 | 0.000 | 0.000 | 10.051 | -0.000 |
| 0.000 | -0.000 | 0.000 | 0.000 | -0.000 | 10.051 |
| 10.085 | 10.216 | 10.216 | -0.000 | -0.000 | -0.000 |
| 10.216 | 10.085 | 10.216 | -0.000 | -0.000 | -0.000 |
| 10.216 | 10.216 | 10.085 | -0.000 | -0.000 | -0.000 |
| -0.000 | 0.000 | 0.000 | 10.051 | -0.000 | 0.000 |
| -0.000 | 0.000 | 0.000 | -0.000 | 10.051 | 0.000 |
| -0.000 | 0.000 | -0.000 | -0.000 | 0.000 | 10.051 |
| 10.085 | 10.216 | 10.216 | 0.000 | 0.000 | 0.000 |
| 10.216 | 10.085 | 10.216 | 0.000 | 0.000 | 0.000 |
| 10.216 | 10.216 | 10.085 | 0.000 | 0.000 | -0.000 |
| -0.000 | -0.000 | -0.000 | -0.785 | 0.000 | 0.000 |
| -0.000 | -0.000 | -0.000 | 0.000 | -0.785 | 0.000 |
| -0.000 | -0.000 | -0.000 | 0.000 | 0.000 | -0.785 |
| 10.085 | 10.216 | 10.216 | -0.000 | -0.000 | -0.000 |
| 10.216 | 10.085 | 10.216 | -0.000 | -0.000 | -0.000 |
| 10.216 | 10.216 | 10.085 | -0.000 | -0.000 | -0.000 |
| 0.000 | 0.000 | 0.000 | -0.785 | -0.000 | -0.000 |
| 0.000 | 0.000 | 0.000 | -0.000 | -0.785 | -0.000 |
| 0.000 | 0.000 | 0.000 | -0.000 | -0.000 | -0.785 |
| 10.085 | 10.216 | 10.216 | 0.000 | 0.000 | 0.000 |
| 10.216 | 10.085 | 10.216 | 0.000 | 0.000 | 0.000 |
| 10.216 | 10.216 | 10.085 | 0.000 | 0.000 | -0.000 |
| -0.000 | -0.000 | -0.000 | -0.785 | 0.000 | 0.000 |
| -0.000 | -0.000 | -0.000 | 0.000 | -0.785 | 0.000 |
| -0.000 | -0.000 | -0.000 | 0.000 | 0.000 | -0.785 |
| 10.085 | 10.216 | 10.216 | -0.000 | -0.000 | -0.000 |
| 10.216 | 10.085 | 10.216 | -0.000 | -0.000 | -0.000 |
| 10.216 | 10.216 | 10.085 | -0.000 | -0.000 | 0.000 |
| 0.000 | 0.000 | 0.000 | -0.785 | -0.000 | -0.000 |
| 0.000 | 0.000 | 0.000 | -0.000 | -0.785 | -0.000 |
| 0.000 | 0.000 | 0.000 | -0.000 | -0.000 | -0.785 |
| 330.542 | 77.945 | 77.945 | -0.000 | -0.000 | -0.000 |
| 77.945 | 330.542 | 77.945 | -0.000 | -0.000 | -0.000 |
| 77.945 | 77.945 | 330.542 | -0.000 | 0.000 | -0.000 |
| -0.000 | -0.000 | -0.000 | 52.723 | 0.000 | -0.000 |
| -0.000 | -0.000 | -0.000 | -0.000 | 52.723 | -0.000 |
| 0.000 | 0.000 | -0.000 | 0.000 | 0.000 | 52.723 |
| 330.542 | 77.945 | 77.945 | -0.000 | -0.000 | 0.000 |
| 77.945 | 330.542 | 77.945 | -0.000 | -0.000 | 0.000 |
| 77.945 | 77.945 | 330.542 | 0.000 | 0.000 | 0.000 |
| 0.000 | -0.000 | 0.000 | 52.723 | 0.000 | 0.000 |
| 0.000 | -0.000 | 0.000 | 0.000 | 52.723 | 0.000 |
| 0.000 | 0.000 | 0.000 | -0.000 | -0.000 | 52.723 |
| 330.542 | 77.945 | 77.945 | 0.000 | -0.000 | -0.000 |
| 77.945 | 330.542 | 77.945 | 0.000 | 0.000 | -0.000 |
| 77.945 | 77.945 | 330.542 | -0.000 | 0.000 | -0.000 |
| -0.000 | -0.000 | -0.000 | 52.723 | 0.000 | 0.000 |
| -0.000 | -0.000 | -0.000 | -0.000 | 52.723 | -0.000 |
| -0.000 | -0.000 | -0.000 | 0.000 | 0.000 | 52.723 |
| 330.542 | 77.945 | 77.945 | 0.000 | 0.000 | 0.000 |
| 77.945 | 330.542 | 77.945 | 0.000 | 0.000 | 0.000 |
| 77.945 | 77.945 | 330.542 | 0.000 | 0.000 | 0.000 |
| 0.000 | 0.000 | 0.000 | 52.723 | -0.000 | 0.000 |
| 0.000 | 0.000 | 0.000 | 0.000 | 52.723 | 0.000 |
| 0.000 | 0.000 | 0.000 | 0.000 | -0.000 | 52.723 |
| 330.544 | 77.945 | 77.945 | 0.000 | 0.000 | -0.000 |
| 77.945 | 330.544 | 77.945 | 0.000 | -0.000 | -0.000 |
| 77.945 | 77.945 | 330.544 | 0.000 | 0.000 | -0.000 |
| -0.000 | -0.000 | -0.000 | 52.723 | 0.000 | -0.000 |
| -0.000 | -0.000 | -0.000 | -0.000 | 52.723 | -0.000 |
| -0.000 | -0.000 | -0.000 | 0.000 | 0.000 | 52.723 |
| 324.925 | 80.752 | 80.752 | -0.000 | -0.000 | 0.000 |
| 80.752 | 324.925 | 80.752 | -0.000 | -0.000 | 0.000 |
| 80.752 | 80.752 | 324.925 | 0.000 | -0.000 | 0.000 |
| 0.000 | 0.000 | 0.000 | 52.723 | -0.000 | 0.000 |
| 0.000 | 0.000 | 0.000 | -0.000 | 52.723 | 0.000 |
| 0.000 | 0.000 | 0.000 | -0.000 | -0.000 | 52.723 |
| 41.655 | 84.727 | 84.727 | 0.000 | 0.000 | -0.000 |
| 84.727 | 41.655 | 84.727 | 0.000 | 0.000 | -0.000 |
| 84.727 | 84.727 | 41.655 | -0.000 | -0.000 | -0.000 |
| 0.000 | 0.000 | -0.000 | 79.959 | 0.000 | -0.000 |
| -0.000 | -0.000 | -0.000 | -0.000 | 79.959 | -0.000 |
| -0.000 | -0.000 | -0.000 | -0.000 | 0.000 | 79.959 |
| 41.655 | 84.727 | 84.727 | -0.000 | -0.000 | 0.000 |
| 84.727 | 41.655 | 84.727 | -0.000 | -0.000 | 0.000 |
| 84.727 | 84.727 | 41.655 | -0.000 | 0.000 | 0.000 |
| -0.000 | 0.000 | 0.000 | 79.959 | -0.000 | 0.000 |
| 0.000 | 0.000 | 0.000 | 0.000 | 79.959 | 0.000 |
| 0.000 | 0.000 | 0.000 | 0.000 | -0.000 | 79.959 |
| 41.655 | 84.727 | 84.727 | 0.000 | 0.000 | -0.000 |
| 84.727 | 41.655 | 84.727 | -0.000 | 0.000 | -0.000 |
| 84.727 | 84.727 | 41.655 | 0.000 | 0.000 | -0.000 |
| 0.000 | -0.000 | -0.000 | 79.959 | 0.000 | -0.000 |
| -0.000 | 0.000 | -0.000 | -0.000 | 79.959 | -0.000 |
| -0.000 | -0.000 | 0.000 | 0.000 | 0.000 | 79.959 |
| 41.655 | 84.727 | 84.727 | -0.000 | -0.000 | 0.000 |
| 84.727 | 41.655 | 84.727 | -0.000 | -0.000 | 0.000 |
| 84.727 | 84.727 | 41.655 | 0.000 | -0.000 | 0.000 |
| -0.000 | 0.000 | 0.000 | 79.959 | -0.000 | 0.000 |
| 0.000 | -0.000 | 0.000 | -0.000 | 79.959 | 0.000 |
| 0.000 | 0.000 | -0.000 | -0.000 | -0.000 | 79.959 |
| 41.654 | 84.727 | 84.727 | -0.000 | 0.000 | -0.000 |
| 84.727 | 41.654 | 84.727 | 0.000 | 0.000 | -0.000 |
| 84.727 | 84.727 | 41.654 | -0.000 | -0.000 | -0.000 |
| 0.000 | -0.000 | -0.000 | 79.959 | 0.000 | -0.000 |
| -0.000 | 0.000 | -0.000 | -0.000 | 79.959 | -0.000 |
| -0.000 | -0.000 | 0.000 | -0.000 | 0.000 | 79.959 |
| 41.656 | 84.727 | 84.727 | 0.000 | -0.000 | 0.000 |
| 84.727 | 41.656 | 84.727 | -0.000 | -0.000 | 0.000 |
| 84.727 | 84.727 | 41.656 | -0.000 | -0.000 | 0.000 |
| -0.000 | 0.000 | 0.000 | 79.959 | -0.000 | 0.000 |
| 0.000 | -0.000 | 0.000 | 0.000 | 79.959 | 0.000 |
| 0.000 | 0.000 | -0.000 | 0.000 | -0.000 | 79.959 |
| 224.422 | 132.670 | 132.670 | -0.000 | 0.000 | -0.000 |
| 132.670 | 224.422 | 132.670 | -0.000 | -0.000 | 0.000 |
| 132.670 | 132.670 | 224.422 | 0.000 | 0.000 | 0.000 |
| -0.000 | -0.000 | 0.000 | 127.772 | -0.000 | 0.000 |
| -0.000 | -0.000 | 0.000 | -0.000 | 127.772 | 0.000 |
| 0.000 | 0.000 | -0.000 | -0.000 | -0.000 | 127.772 |
| 224.422 | 132.670 | 132.670 | 0.000 | -0.000 | -0.000 |
| 132.670 | 224.422 | 132.670 | -0.000 | 0.000 | -0.000 |
| 132.670 | 132.670 | 224.422 | -0.000 | -0.000 | -0.000 |
| 0.000 | -0.000 | -0.000 | 127.772 | 0.000 | -0.000 |
| 0.000 | 0.000 | -0.000 | 0.000 | 127.772 | -0.000 |
| -0.000 | 0.000 | 0.000 | 0.000 | 0.000 | 127.772 |
| 224.422 | 132.670 | 132.670 | -0.000 | -0.000 | -0.000 |
| 132.670 | 224.422 | 132.670 | -0.000 | -0.000 | 0.000 |
| 132.670 | 132.670 | 224.422 | 0.000 | 0.000 | -0.000 |
| 0.000 | 0.000 | 0.000 | 127.772 | 0.000 | -0.000 |
| 0.000 | 0.000 | 0.000 | 0.000 | 127.772 | 0.000 |
| 0.000 | 0.000 | 0.000 | -0.000 | 0.000 | 127.772 |
| 224.422 | 132.670 | 132.670 | -0.000 | -0.000 | -0.000 |
| 132.670 | 224.422 | 132.670 | -0.000 | 0.000 | 0.000 |
| 132.670 | 132.670 | 224.422 | -0.000 | 0.000 | -0.000 |
| -0.000 | -0.000 | -0.000 | 127.772 | 0.000 | -0.000 |
| -0.000 | -0.000 | -0.000 | 0.000 | 127.772 | -0.000 |
| -0.000 | -0.000 | -0.000 | 0.000 | 0.000 | 127.772 |
| 224.423 | 132.671 | 132.671 | 0.000 | 0.000 | 0.000 |
| 132.671 | 224.423 | 132.671 | 0.000 | 0.000 | 0.000 |
| 132.671 | 132.671 | 224.423 | 0.000 | 0.000 | 0.000 |
| 0.000 | 0.000 | 0.000 | 127.772 | 0.000 | 0.000 |
| 0.000 | 0.000 | 0.000 | 0.000 | 127.772 | 0.000 |
| 0.000 | 0.000 | 0.000 | -0.000 | -0.000 | 127.772 |
| 224.421 | 132.670 | 132.670 | 0.000 | 0.000 | -0.000 |
| 132.670 | 224.421 | 132.670 | 0.000 | 0.000 | -0.000 |
| 132.670 | 132.670 | 224.421 | -0.000 | -0.000 | -0.000 |
| -0.000 | -0.000 | -0.000 | 127.772 | 0.000 | 0.000 |
| -0.000 | -0.000 | -0.000 | 0.000 | 127.772 | 0.000 |
| -0.000 | -0.000 | -0.000 | 0.000 | 0.000 | 127.772 |
| 227.143 | 135.665 | 138.669 | -0.000 | 0.000 | 0.000 |
| 135.665 | 227.143 | 138.669 | 0.000 | -0.000 | 0.000 |
| 138.669 | 138.669 | 254.784 | -0.000 | -0.000 | 0.000 |
| 0.000 | 0.000 | -0.000 | 130.444 | -0.000 | 0.000 |
| 0.000 | 0.000 | 0.000 | -0.000 | 130.444 | 0.000 |
| 0.000 | 0.000 | 0.000 | 0.000 | -0.000 | 130.556 |
| 227.143 | 135.665 | 138.669 | -0.000 | 0.000 | -0.000 |
| 135.665 | 227.143 | 138.669 | -0.000 | 0.000 | -0.000 |
| 138.669 | 138.669 | 254.784 | -0.000 | 0.000 | -0.000 |
| -0.000 | -0.000 | 0.000 | 130.444 | 0.000 | -0.000 |
| -0.000 | -0.000 | -0.000 | -0.000 | 130.444 | -0.000 |
| -0.000 | -0.000 | -0.000 | 0.000 | 0.000 | 130.556 |
| 227.143 | 135.665 | 138.669 | -0.000 | -0.000 | 0.000 |
| 135.665 | 227.143 | 138.669 | 0.000 | 0.000 | 0.000 |
| 138.669 | 138.669 | 254.784 | 0.000 | 0.000 | 0.000 |
| 0.000 | 0.000 | 0.000 | 130.444 | -0.000 | 0.000 |
| 0.000 | 0.000 | 0.000 | -0.000 | 130.444 | 0.000 |
| 0.000 | 0.000 | 0.000 | -0.000 | -0.000 | 130.556 |
| 227.143 | 135.664 | 138.669 | 0.000 | 0.000 | -0.000 |
| 135.664 | 227.143 | 138.669 | -0.000 | 0.000 | -0.000 |
| 138.669 | 138.669 | 254.784 | 0.000 | 0.000 | -0.000 |
| -0.000 | -0.000 | -0.000 | 130.444 | 0.000 | -0.000 |
| -0.000 | -0.000 | -0.000 | -0.000 | 130.444 | -0.000 |
| -0.000 | -0.000 | -0.000 | -0.000 | 0.000 | 130.556 |
| 221.050 | 141.761 | 138.670 | -0.000 | 0.000 | 0.000 |
| 141.761 | 221.050 | 138.670 | 0.000 | -0.000 | 0.000 |
| 138.670 | 138.670 | 254.785 | -0.000 | -0.000 | 0.000 |
| 0.000 | 0.000 | 0.000 | 130.444 | 0.000 | 0.000 |
| 0.000 | 0.000 | 0.000 | 0.000 | 130.444 | 0.000 |
| 0.000 | 0.001 | 0.000 | -0.000 | -0.000 | 130.556 |
| 221.046 | 141.759 | 138.669 | 0.000 | -0.000 | -0.000 |
| 141.759 | 221.046 | 138.669 | -0.000 | 0.000 | -0.000 |
| 138.669 | 138.669 | 254.784 | -0.000 | -0.000 | -0.000 |
| -0.000 | -0.000 | -0.000 | 130.444 | -0.000 | -0.000 |
| -0.000 | -0.000 | -0.000 | -0.000 | 130.444 | -0.000 |
| -0.000 | -0.001 | -0.000 | -0.000 | 0.000 | 130.556 |
| 318.767 | 124.169 | 92.296 | 39.981 | 0.000 | 0.000 |
| 124.233 | 318.524 | 90.782 | -39.833 | -0.000 | 0.000 |
| 92.585 | 92.585 | 357.898 | -0.000 | -0.000 | 0.000 |
| 39.981 | -39.981 | 0.000 | 78.571 | -0.000 | 0.000 |
| -0.000 | -0.000 | 0.000 | 0.000 | 78.571 | 39.982 |
| 0.063 | 0.063 | 1.063 | 0.000 | 39.707 | 97.016 |
| 318.562 | 124.167 | 90.539 | 39.883 | 0.000 | -0.000 |
| 124.169 | 318.767 | 92.296 | -39.981 | 0.000 | -0.000 |
| 92.585 | 92.585 | 357.897 | 0.000 | 0.000 | -0.000 |
| 39.981 | -39.981 | -0.000 | 78.571 | -0.000 | -0.000 |
| 0.000 | 0.000 | -0.000 | 0.000 | 78.571 | 39.981 |
| -0.063 | -0.063 | -1.063 | 0.000 | 39.707 | 97.015 |
| 318.550 | 124.196 | 90.682 | 39.863 | 0.000 | 0.000 |
| 124.196 | 318.550 | 90.682 | -39.863 | -0.000 | 0.000 |
| 91.697 | 91.697 | 342.846 | -0.000 | -0.000 | 0.000 |
| 39.646 | -39.630 | 0.133 | 78.238 | 0.000 | 0.000 |
| 0.008 | 0.008 | 0.133 | 0.000 | 78.238 | 39.638 |
| 0.008 | 0.008 | 0.133 | 0.000 | 39.638 | 96.944 |
| 318.553 | 124.190 | 90.658 | 39.868 | 0.000 | -0.000 |
| 124.169 | 318.767 | 92.296 | -39.981 | 0.000 | -0.000 |
| 91.694 | 91.694 | 342.796 | -0.000 | 0.000 | -0.000 |
| 39.981 | -39.981 | -0.000 | 78.571 | 0.000 | -0.000 |
| -0.008 | -0.008 | -0.133 | -0.000 | 78.238 | 39.638 |
| -0.008 | -0.008 | -0.133 | -0.000 | 39.638 | 96.944 |
| 318.769 | 124.169 | 92.296 | 39.982 | 0.000 | 0.000 |
| 124.194 | 318.553 | 90.672 | -39.866 | -0.000 | 0.000 |
| 91.696 | 91.696 | 342.825 | 0.000 | 0.000 | 0.000 |
| 39.638 | -39.636 | 0.014 | 78.237 | -0.000 | 0.000 |
| 0.000 | 0.000 | 0.000 | 0.000 | 78.571 | 39.981 |
| 0.001 | 0.001 | 0.013 | 0.000 | 39.637 | 96.943 |
| 318.765 | 124.169 | 92.295 | 39.981 | 0.000 | -0.000 |
| 124.192 | 318.550 | 90.669 | -39.866 | 0.000 | -0.000 |
| 91.695 | 91.695 | 342.817 | 0.000 | 0.000 | -0.000 |
| 39.636 | -39.638 | -0.014 | 78.237 | 0.000 | -0.000 |
| -0.000 | -0.000 | -0.000 | -0.000 | 78.571 | 39.981 |
| -0.001 | -0.001 | -0.013 | -0.000 | 39.637 | 96.943 |
| 318.948 | 124.262 | 93.325 | 40.189 | -0.000 | 0.000 |
| 124.286 | 318.732 | 91.701 | -40.072 | -0.000 | 0.000 |
| 92.437 | 92.437 | 345.819 | 0.000 | -0.000 | 0.000 |
| 39.841 | -39.841 | 0.000 | 78.563 | 0.000 | 0.000 |
| 0.000 | 0.000 | 0.000 | 0.000 | 78.563 | 39.841 |
| 0.000 | 0.000 | 0.000 | 0.000 | 40.189 | 97.343 |
| 318.732 | 124.286 | 91.701 | 40.072 | -0.000 | -0.000 |
| 124.262 | 318.948 | 93.325 | -40.189 | 0.000 | -0.000 |
| 92.437 | 92.437 | 345.819 | -0.000 | 0.000 | -0.000 |
| 39.841 | -39.841 | -0.000 | 78.563 | -0.000 | 0.000 |
| -0.000 | -0.000 | -0.000 | -0.000 | 78.563 | 39.841 |
| -0.000 | -0.000 | 0.000 | -0.000 | 40.189 | 97.343 |
| 318.537 | 124.568 | 92.436 | 39.841 | -0.000 | 0.000 |
| 124.262 | 318.948 | 93.325 | -40.189 | -0.000 | 0.000 |
| 92.437 | 92.437 | 345.819 | 0.000 | 0.000 | 0.000 |
| 39.841 | -39.841 | 0.000 | 78.563 | -0.000 | 0.000 |
| 0.000 | 0.000 | 0.000 | 0.000 | 78.901 | 40.189 |
| 0.000 | 0.000 | 0.000 | 0.000 | 39.841 | 96.985 |
| 318.948 | 124.262 | 93.325 | 40.189 | -0.000 | -0.000 |
| 124.286 | 318.731 | 91.701 | -40.072 | 0.000 | -0.000 |
| 93.326 | 93.326 | 360.780 | -0.000 | 0.000 | -0.000 |
| 39.841 | -39.841 | -0.000 | 78.563 | 0.000 | -0.000 |
| -0.000 | -0.000 | -0.000 | -0.000 | 78.901 | 40.189 |
| -0.000 | -0.000 | -0.000 | -0.000 | 39.841 | 96.985 |
| 318.950 | 124.263 | 93.326 | 40.189 | -0.000 | 0.000 |
| 124.263 | 318.950 | 93.326 | -40.189 | -0.000 | 0.000 |
| 92.438 | 92.438 | 345.821 | 0.000 | -0.000 | 0.000 |
| 40.189 | -40.188 | 0.000 | 78.901 | 0.000 | -0.000 |
| 0.000 | 0.000 | 0.000 | 0.000 | 78.563 | 39.841 |
| 0.000 | 0.000 | 0.000 | 0.000 | 39.841 | 96.985 |
| 318.947 | 124.262 | 93.325 | 40.188 | 0.000 | -0.000 |
| 124.567 | 318.536 | 92.436 | -39.841 | 0.000 | -0.000 |
| 93.325 | 93.325 | 360.779 | -0.000 | 0.000 | -0.000 |
| 40.188 | -40.189 | -0.000 | 78.901 | -0.000 | -0.000 |
| -0.000 | -0.000 | -0.000 | -0.000 | 78.563 | 39.841 |
| -0.000 | -0.000 | -0.000 | -0.000 | 39.841 | 96.985 |
| 292.626 | 100.884 | 50.920 | 0.000 | -0.000 | -0.000 |
| 100.884 | 292.626 | 50.920 | 0.000 | -0.000 | -0.000 |
| 608.969 | 608.969 | 1136.462 | -0.000 | -0.000 | -0.000 |
| 560.540 | 560.540 | 881.728 | 43.648 | -0.000 | -0.000 |
| -0.000 | 0.000 | 0.000 | 0.000 | 45.429 | -0.000 |
| 560.543 | 560.544 | 881.733 | 0.000 | -0.000 | 91.992 |
| -273.299 | -457.284 | -833.179 | 0.000 | 0.000 | 0.000 |
| 100.884 | 292.626 | 50.919 | -0.000 | 0.000 | 0.000 |
| -512.104 | -512.104 | -626.982 | 0.000 | 0.000 | 0.000 |
| -560.540 | -560.540 | -881.728 | 43.648 | 0.000 | -0.000 |
| 0.000 | -0.000 | -0.000 | -0.000 | 45.430 | 0.000 |
| -560.543 | -560.544 | -881.733 | 0.000 | 0.000 | 91.992 |
| 343.366 | 159.391 | 136.842 | -0.000 | -0.000 | -0.000 |
| 159.391 | 343.366 | 136.842 | 0.000 | -0.000 | -0.000 |
| 50.797 | 50.797 | 258.460 | 0.000 | -0.000 | -0.000 |
| 0.000 | 0.000 | 0.000 | 45.430 | -0.000 | -0.000 |
| 0.000 | 0.000 | 0.000 | 0.000 | 45.430 | -0.000 |
| 56.085 | 56.086 | 88.222 | 0.000 | -0.000 | 79.807 |
| 218.974 | 59.360 | -39.666 | -0.000 | 0.000 | -0.000 |
| 100.884 | 292.626 | 50.919 | -0.000 | 0.000 | -0.000 |
| 50.797 | 50.797 | 258.460 | 0.000 | 0.000 | 0.000 |
| -0.000 | -0.000 | -0.000 | 45.430 | 0.000 | 0.000 |
| -0.000 | -0.000 | -0.000 | -0.000 | 45.430 | 0.000 |
| -56.085 | -56.086 | -88.222 | -0.000 | 0.000 | 79.807 |
| 280.851 | 121.663 | 57.999 | 0.000 | -0.000 | -0.000 |
| 100.885 | 292.628 | 50.920 | 0.000 | -0.000 | -0.000 |
| 50.798 | 50.798 | 258.460 | -0.000 | -0.000 | -0.000 |
| 5.605 | 5.605 | 8.817 | 38.141 | -0.000 | -0.000 |
| 5.605 | 5.605 | 8.817 | 0.000 | 38.141 | -0.000 |
| 0.000 | 0.000 | 0.000 | 0.000 | -0.000 | 95.871 |
| 292.624 | 100.884 | 50.919 | -0.000 | 0.000 | 0.000 |
| 100.884 | 292.624 | 50.919 | -0.000 | 0.000 | 0.000 |
| 42.827 | 42.827 | 245.924 | 0.000 | 0.000 | 0.000 |
| -5.605 | -5.605 | -8.817 | 38.141 | 0.000 | 0.000 |
| -5.605 | -5.605 | -8.817 | -0.000 | 38.141 | 0.000 |
| -0.000 | -0.000 | -0.000 | -0.000 | 0.000 | 95.871 |
| 270.553 | 116.969 | 47.752 | -0.000 | -0.000 | 0.000 |
| 104.400 | 280.126 | 45.422 | -0.000 | -0.000 | 0.000 |
| 47.673 | 47.673 | 255.606 | -0.000 | -0.000 | -0.000 |
| 0.000 | -0.000 | 0.000 | 45.358 | -0.000 | -0.000 |
| 0.000 | -0.000 | -0.000 | -0.000 | 45.358 | -0.000 |
| 0.000 | -0.000 | -0.000 | -0.000 | -0.000 | 95.382 |
| 280.181 | 104.292 | 45.380 | 0.000 | 0.000 | 0.000 |
| 114.471 | 271.485 | 46.534 | 0.000 | 0.000 | -0.000 |
| 50.007 | 50.007 | 259.239 | 0.000 | 0.000 | 0.000 |
| -0.000 | 0.000 | 0.000 | 45.358 | 0.000 | -0.000 |
| -0.000 | 0.000 | 0.000 | 0.000 | 45.358 | 0.000 |
| -0.000 | 0.000 | 0.000 | 0.000 | 0.000 | 95.382 |
| 271.486 | 114.499 | 46.557 | -0.000 | -0.000 | -0.000 |
| 99.828 | 290.593 | 50.007 | -0.000 | -0.000 | -0.000 |
| 47.659 | 47.659 | 255.585 | -0.000 | -0.000 | 0.000 |
| 0.006 | 0.006 | 0.010 | 38.172 | -0.000 | 0.000 |
| 0.006 | 0.006 | 0.010 | -0.000 | 38.172 | 0.000 |
| 0.003 | 0.003 | 0.005 | -0.000 | -0.000 | 76.959 |
| 290.593 | 99.828 | 50.007 | -0.000 | 0.000 | 0.000 |
| 114.494 | 271.486 | 46.553 | 0.000 | 0.000 | 0.000 |
| 47.656 | 47.656 | 255.580 | 0.000 | 0.000 | 0.000 |
| -0.006 | -0.006 | -0.010 | 38.172 | 0.000 | 0.000 |
| -0.006 | -0.006 | -0.010 | 0.000 | 38.172 | -0.000 |
| -0.003 | -0.003 | -0.005 | 0.000 | 0.000 | 76.959 |
| 280.155 | 104.347 | 45.401 | -0.000 | -0.000 | 0.000 |
| 117.111 | 270.292 | 47.658 | -0.000 | -0.000 | 0.000 |
| 50.008 | 50.008 | 259.238 | -0.000 | -0.000 | -0.000 |
| 0.001 | 0.001 | 0.001 | 38.172 | -0.000 | -0.000 |
| 0.000 | 0.000 | -0.000 | -0.000 | 45.358 | -0.000 |
| 0.001 | 0.001 | 0.001 | -0.000 | -0.000 | 83.317 |
| 290.591 | 99.828 | 50.007 | 0.000 | 0.000 | 0.000 |
| 99.828 | 290.591 | 50.007 | 0.000 | 0.000 | -0.000 |
| 50.007 | 50.007 | 259.239 | 0.000 | 0.000 | -0.000 |
| -0.001 | -0.001 | -0.001 | 38.172 | 0.000 | -0.000 |
| -0.000 | -0.000 | 0.000 | 0.000 | 45.358 | 0.000 |
| -0.001 | -0.001 | -0.001 | 0.000 | 0.000 | 83.317 |
| 203.843 | 126.751 | 126.751 | -0.000 | -0.000 | 0.000 |
| 126.751 | 203.843 | 126.751 | -0.000 | -0.000 | 0.000 |
| 126.751 | 126.751 | 203.843 | -0.000 | 0.000 | 0.000 |
| -0.000 | -0.000 | 0.000 | 133.962 | -0.000 | 0.000 |
| -0.000 | -0.000 | 0.000 | -0.000 | 133.962 | 0.000 |
| -0.000 | -0.000 | -0.000 | -0.000 | 0.000 | 133.962 |
| 203.843 | 126.751 | 126.751 | 0.000 | 0.000 | -0.000 |
| 126.751 | 203.843 | 126.751 | -0.000 | 0.000 | -0.000 |
| 126.751 | 126.751 | 203.843 | -0.000 | -0.000 | -0.000 |
| 0.000 | 0.000 | -0.000 | 133.962 | 0.000 | -0.000 |
| 0.000 | 0.000 | -0.000 | 0.000 | 133.962 | -0.000 |
| 0.000 | 0.000 | 0.000 | -0.000 | -0.000 | 133.962 |
| 203.843 | 126.751 | 126.751 | -0.000 | 0.000 | 0.000 |
| 126.751 | 203.843 | 126.751 | 0.000 | -0.000 | 0.000 |
| 126.751 | 126.751 | 203.843 | -0.000 | -0.000 | 0.000 |
| -0.000 | -0.000 | 0.000 | 133.962 | -0.000 | 0.000 |
| -0.000 | -0.000 | 0.000 | -0.000 | 133.962 | 0.000 |
| -0.000 | 0.000 | -0.000 | -0.000 | 0.000 | 133.962 |
| 203.843 | 126.751 | 126.751 | 0.000 | 0.000 | -0.000 |
| 126.751 | 203.843 | 126.751 | 0.000 | 0.000 | -0.000 |
| 126.751 | 126.751 | 203.843 | 0.000 | -0.000 | -0.000 |
| 0.000 | 0.000 | -0.000 | 133.962 | 0.000 | -0.000 |
| 0.000 | 0.000 | -0.000 | 0.000 | 133.962 | -0.000 |
| 0.000 | -0.000 | 0.000 | 0.000 | -0.000 | 133.962 |
| 203.843 | 126.752 | 126.752 | -0.000 | -0.000 | 0.000 |
| 126.752 | 203.843 | 126.752 | -0.000 | 0.000 | 0.000 |
| 126.752 | 126.752 | 203.843 | -0.000 | -0.000 | 0.000 |
| -0.000 | -0.000 | 0.000 | 133.962 | -0.000 | 0.000 |
| -0.000 | -0.000 | 0.000 | -0.000 | 133.962 | 0.000 |
| -0.000 | 0.000 | -0.000 | -0.000 | 0.000 | 133.962 |
| 203.843 | 126.751 | 126.751 | 0.000 | -0.000 | -0.000 |
| 126.751 | 203.843 | 126.751 | -0.000 | -0.000 | -0.000 |
| 126.751 | 126.751 | 203.843 | 0.000 | 0.000 | -0.000 |
| 0.000 | 0.000 | -0.000 | 133.962 | -0.000 | -0.000 |
| 0.000 | 0.000 | -0.000 | 0.000 | 133.962 | -0.000 |
| 0.000 | -0.000 | 0.000 | 0.000 | 0.000 | 133.962 |
| 395.435 | 53.516 | 53.516 | -0.000 | 0.000 | -0.000 |
| 53.516 | 395.435 | 53.516 | 0.000 | -0.000 | -0.000 |
| 53.516 | 53.516 | 395.435 | -0.000 | 0.000 | 0.000 |
| -0.000 | -0.000 | -0.000 | 59.975 | -0.000 | 0.000 |
| -0.000 | 0.000 | -0.000 | 0.000 | 59.975 | -0.000 |
| -0.000 | -0.000 | -0.000 | 0.000 | 0.000 | 59.975 |
| 395.159 | 53.654 | 53.654 | -0.000 | 0.000 | 0.000 |
| 53.654 | 395.159 | 53.654 | -0.000 | 0.000 | 0.000 |
| 53.654 | 53.654 | 395.159 | -0.000 | 0.000 | 0.000 |
| 0.000 | 0.000 | 0.000 | 59.975 | 0.000 | -0.000 |
| 0.000 | 0.000 | 0.000 | 0.000 | 59.975 | 0.000 |
| 0.000 | 0.000 | 0.000 | -0.000 | 0.000 | 59.975 |
| 395.159 | 53.654 | 53.654 | 0.000 | 0.000 | -0.000 |
| 53.654 | 395.159 | 53.654 | 0.000 | 0.000 | -0.000 |
| 53.654 | 53.654 | 395.159 | -0.000 | -0.000 | 0.000 |
| -0.000 | -0.000 | -0.000 | 61.420 | 0.000 | 0.000 |
| -0.000 | -0.000 | -0.000 | 0.000 | 61.420 | -0.000 |
| -0.000 | -0.000 | -0.000 | -0.000 | -0.000 | 61.420 |
| 395.435 | 53.516 | 53.516 | 0.000 | 0.000 | 0.000 |
| 53.516 | 395.435 | 53.516 | 0.000 | 0.000 | 0.000 |
| 53.516 | 53.516 | 395.435 | 0.000 | 0.000 | 0.000 |
| 0.000 | 0.000 | 0.000 | 61.420 | 0.000 | 0.000 |
| 0.000 | 0.000 | 0.000 | -0.000 | 61.420 | 0.000 |
| 0.000 | 0.000 | 0.000 | 0.000 | 0.000 | 61.420 |
| 395.433 | 53.515 | 53.515 | 0.000 | -0.000 | -0.000 |
| 53.515 | 395.433 | 53.515 | 0.000 | -0.000 | -0.000 |
| 53.515 | 53.515 | 395.433 | 0.000 | -0.000 | -0.000 |
| -0.000 | -0.001 | -0.001 | 59.975 | -0.000 | 0.000 |
| -0.001 | -0.000 | -0.001 | 0.000 | 59.975 | -0.000 |
| -0.001 | -0.001 | -0.000 | 0.000 | 0.000 | 59.975 |
| 395.436 | 53.517 | 53.517 | 0.000 | -0.000 | 0.000 |
| 53.517 | 395.436 | 53.517 | -0.000 | 0.000 | 0.000 |
| 53.517 | 53.517 | 395.436 | -0.000 | -0.000 | 0.000 |
| 0.000 | 0.001 | 0.001 | 59.975 | 0.000 | 0.000 |
| 0.001 | 0.000 | 0.001 | -0.000 | 59.975 | 0.000 |
| 0.001 | 0.001 | 0.000 | -0.000 | 0.000 | 59.975 |
| 336.171 | 170.395 | 170.395 | -0.000 | -0.000 | -0.000 |
| 170.395 | 336.171 | 170.395 | -0.000 | 0.000 | -0.000 |
| 170.395 | 170.395 | 336.171 | -0.000 | 0.000 | 0.000 |
| 0.000 | -0.000 | 0.000 | 168.781 | -0.000 | -0.000 |
| -0.000 | 0.000 | -0.000 | -0.000 | 168.781 | -0.000 |
| -0.000 | 0.000 | -0.000 | -0.000 | 0.000 | 168.781 |
| 336.171 | 170.395 | 170.395 | 0.000 | -0.000 | -0.000 |
| 170.395 | 336.171 | 170.395 | 0.000 | 0.000 | -0.000 |
| 170.395 | 170.395 | 336.171 | 0.000 | 0.000 | -0.000 |
| -0.000 | 0.000 | -0.000 | 168.781 | 0.000 | 0.000 |
| -0.000 | -0.000 | 0.000 | 0.000 | 168.781 | -0.000 |
| 0.000 | -0.000 | 0.000 | 0.000 | -0.000 | 168.781 |
| 336.171 | 170.395 | 170.395 | -0.000 | -0.000 | -0.000 |
| 170.395 | 336.171 | 170.395 | -0.000 | 0.000 | 0.000 |
| 170.395 | 170.395 | 336.171 | -0.000 | -0.000 | -0.000 |
| 0.000 | 0.000 | 0.000 | 168.781 | 0.000 | -0.000 |
| 0.000 | 0.000 | 0.000 | -0.000 | 168.781 | -0.000 |
| 0.000 | 0.000 | 0.000 | -0.000 | 0.000 | 168.781 |
| 336.172 | 170.395 | 170.395 | 0.000 | 0.000 | -0.000 |
| 170.395 | 336.172 | 170.395 | 0.000 | 0.000 | 0.000 |
| 170.395 | 170.395 | 336.172 | 0.000 | 0.000 | 0.000 |
| -0.000 | -0.000 | -0.000 | 168.781 | -0.000 | 0.000 |
| -0.000 | -0.000 | -0.000 | 0.000 | 168.781 | -0.000 |
| -0.000 | -0.000 | -0.000 | 0.000 | -0.000 | 168.781 |
| 336.166 | 170.396 | 170.396 | -0.000 | 0.000 | -0.000 |
| 170.396 | 336.166 | 170.396 | -0.000 | 0.000 | -0.000 |
| 170.396 | 170.396 | 336.166 | -0.000 | 0.000 | 0.000 |
| 0.000 | 0.000 | 0.000 | 168.781 | -0.000 | 0.000 |
| 0.000 | 0.000 | 0.000 | -0.000 | 168.781 | -0.000 |
| 0.000 | 0.000 | 0.000 | -0.000 | -0.000 | 168.781 |
| 336.177 | 170.394 | 170.394 | 0.000 | -0.000 | 0.000 |
| 170.394 | 336.177 | 170.394 | 0.000 | 0.000 | 0.000 |
| 170.394 | 170.394 | 336.177 | 0.000 | -0.000 | -0.000 |
| -0.000 | -0.000 | -0.000 | 168.781 | 0.000 | 0.000 |
| -0.000 | -0.000 | -0.000 | 0.000 | 168.781 | 0.000 |
| -0.000 | -0.000 | -0.000 | 0.000 | 0.000 | 168.781 |
| 309.835 | 102.520 | 74.207 | -0.000 | -0.000 | -0.000 |
| 136.283 | 276.072 | 74.207 | 0.000 | 0.000 | -0.000 |
| 74.207 | 74.207 | 329.143 | 0.000 | 0.000 | -0.000 |
| -0.000 | -0.000 | -0.000 | 75.381 | -0.000 | -0.000 |
| -0.000 | -0.000 | 0.000 | -0.000 | 75.381 | -0.000 |
| -0.000 | -0.000 | -0.000 | -0.000 | 0.000 | 69.894 |
| 276.072 | 136.283 | 74.207 | 0.000 | 0.000 | 0.000 |
| 102.520 | 309.835 | 74.207 | -0.000 | 0.000 | 0.000 |
| 74.207 | 74.207 | 329.143 | 0.000 | -0.000 | 0.000 |
| 0.000 | 0.000 | -0.000 | 75.381 | -0.000 | 0.000 |
| 0.000 | 0.000 | -0.000 | 0.000 | 75.381 | 0.000 |
| 0.000 | 0.000 | 0.000 | 0.000 | -0.000 | 69.894 |
| 309.835 | 102.520 | 74.207 | 0.000 | 0.000 | -0.000 |
| 102.520 | 309.835 | 74.207 | -0.000 | -0.000 | -0.000 |
| 74.207 | 74.207 | 329.144 | -0.000 | -0.000 | -0.000 |
| 0.000 | -0.000 | 0.000 | 75.381 | -0.000 | -0.000 |
| -0.000 | 0.000 | 0.000 | -0.000 | 75.381 | -0.000 |
| -0.000 | 0.000 | -0.000 | -0.000 | 0.000 | 69.894 |
| 309.835 | 102.520 | 74.206 | 0.000 | 0.000 | 0.000 |
| 102.520 | 309.835 | 74.206 | 0.000 | -0.000 | 0.000 |
| 74.206 | 74.206 | 329.143 | -0.000 | 0.000 | 0.000 |
| -0.000 | 0.000 | -0.000 | 75.381 | 0.000 | 0.000 |
| 0.000 | -0.000 | -0.000 | -0.000 | 75.381 | 0.000 |
| 0.000 | -0.000 | 0.000 | -0.000 | -0.000 | 69.894 |
| 309.836 | 102.520 | 74.207 | 0.000 | -0.000 | -0.000 |
| 102.521 | 309.836 | 74.207 | -0.000 | 0.000 | -0.000 |
| 74.207 | 74.207 | 329.146 | -0.000 | -0.000 | -0.000 |
| 0.000 | -0.000 | 0.000 | 75.381 | -0.000 | -0.000 |
| -0.000 | 0.000 | 0.000 | -0.000 | 75.381 | -0.000 |
| -0.000 | 0.000 | -0.000 | -0.000 | 0.000 | 69.894 |
| 276.071 | 136.283 | 74.206 | -0.000 | 0.000 | 0.000 |
| 102.519 | 309.835 | 74.206 | 0.000 | 0.000 | 0.000 |
| 74.206 | 74.206 | 329.141 | 0.000 | 0.000 | 0.000 |
| -0.000 | 0.000 | -0.000 | 75.381 | 0.000 | 0.000 |
| 0.000 | -0.000 | -0.000 | 0.000 | 75.381 | 0.000 |
| 0.000 | -0.000 | 0.000 | 0.000 | 0.000 | 69.894 |
| 325.412 | 112.103 | 101.317 | 0.000 | -0.000 | -0.000 |
| 151.317 | 286.197 | 101.317 | 0.000 | -0.000 | 0.000 |
| 101.317 | 101.317 | 404.057 | 0.000 | 0.000 | 0.000 |
| 0.000 | -0.000 | 0.000 | 95.531 | -0.000 | 0.000 |
| 0.000 | 0.000 | 0.000 | 0.000 | 95.531 | 0.000 |
| 0.000 | -0.000 | -0.000 | 0.000 | -0.000 | 67.440 |
| 286.197 | 151.317 | 101.316 | -0.000 | -0.000 | 0.000 |
| 112.103 | 325.412 | 101.316 | -0.000 | 0.000 | -0.000 |
| 101.316 | 101.316 | 404.057 | -0.000 | -0.000 | 0.000 |
| 0.000 | -0.000 | -0.000 | 95.531 | -0.000 | 0.000 |
| -0.000 | 0.000 | -0.000 | -0.000 | 95.531 | -0.000 |
| -0.000 | 0.000 | 0.000 | -0.000 | 0.000 | 67.440 |
| 286.198 | 151.317 | 101.317 | 0.000 | 0.000 | 0.000 |
| 151.318 | 286.197 | 101.317 | 0.000 | -0.000 | -0.000 |
| 101.317 | 101.317 | 404.057 | 0.000 | 0.000 | -0.000 |
| 0.000 | -0.000 | 0.000 | 95.531 | -0.000 | 0.000 |
| -0.000 | 0.000 | 0.000 | 0.000 | 95.531 | 0.000 |
| -0.000 | 0.000 | 0.000 | 0.000 | -0.000 | 106.655 |
| 325.412 | 112.103 | 101.316 | -0.000 | -0.000 | -0.000 |
| 112.103 | 325.412 | 101.316 | -0.000 | -0.000 | 0.000 |
| 101.316 | 101.316 | 404.057 | -0.000 | 0.000 | 0.000 |
| -0.000 | 0.000 | -0.000 | 95.531 | 0.000 | -0.000 |
| 0.000 | -0.000 | -0.000 | -0.000 | 95.531 | 0.000 |
| 0.000 | -0.000 | -0.000 | -0.000 | 0.000 | 106.655 |
| 286.199 | 151.318 | 101.317 | 0.000 | -0.000 | 0.000 |
| 151.319 | 286.198 | 101.317 | 0.000 | -0.000 | -0.000 |
| 101.318 | 101.318 | 404.061 | 0.000 | 0.000 | 0.000 |
| 0.000 | -0.000 | 0.001 | 95.531 | 0.000 | 0.000 |
| -0.000 | 0.000 | 0.001 | 0.000 | 95.531 | -0.000 |
| -0.000 | 0.000 | 0.000 | 0.000 | -0.000 | 106.655 |
| 286.196 | 151.317 | 101.316 | -0.000 | 0.000 | -0.000 |
| 112.102 | 325.411 | 101.316 | -0.000 | 0.000 | -0.000 |
| 101.315 | 101.315 | 404.053 | -0.000 | 0.000 | -0.000 |
| -0.000 | 0.000 | -0.001 | 95.531 | -0.000 | -0.000 |
| 0.000 | -0.000 | -0.001 | -0.000 | 95.531 | -0.000 |
| 0.000 | -0.000 | -0.000 | -0.000 | 0.000 | 106.655 |
| 67.928 | 88.624 | 88.624 | -0.000 | -0.000 | -0.000 |
| 88.624 | 67.928 | 88.624 | 0.000 | -0.000 | 0.000 |
| 88.624 | 88.624 | 67.928 | 0.000 | 0.000 | -0.000 |
| -0.000 | -0.000 | 0.000 | -35.246 | -0.000 | 0.000 |
| -0.000 | -0.000 | 0.000 | -0.000 | -35.246 | -0.000 |
| -0.000 | -0.000 | 0.000 | -0.000 | -0.000 | -35.246 |
| 67.928 | 88.624 | 88.624 | 0.000 | -0.000 | -0.000 |
| 88.624 | 67.928 | 88.624 | -0.000 | 0.000 | -0.000 |
| 88.624 | 88.624 | 67.928 | -0.000 | 0.000 | 0.000 |
| 0.000 | 0.000 | -0.000 | -35.246 | -0.000 | 0.000 |
| 0.000 | 0.000 | -0.000 | -0.000 | -35.246 | 0.000 |
| 0.000 | 0.000 | -0.000 | 0.000 | -0.000 | -35.246 |
| 67.928 | 88.624 | 88.624 | -0.000 | 0.000 | 0.000 |
| 88.624 | 67.928 | 88.624 | 0.000 | 0.000 | -0.000 |
| 88.624 | 88.624 | 67.928 | 0.000 | -0.000 | -0.000 |
| -0.000 | -0.000 | -0.000 | -35.246 | 0.000 | 0.000 |
| -0.000 | -0.000 | -0.000 | -0.000 | -35.246 | 0.000 |
| -0.000 | -0.000 | -0.000 | 0.000 | -0.000 | -35.246 |
| 67.928 | 88.624 | 88.624 | -0.000 | 0.000 | 0.000 |
| 88.624 | 67.928 | 88.624 | -0.000 | 0.000 | 0.000 |
| 88.624 | 88.624 | 67.928 | -0.000 | 0.000 | 0.000 |
| 0.000 | 0.000 | 0.000 | -35.246 | 0.000 | 0.000 |
| 0.000 | 0.000 | 0.000 | -0.000 | -35.246 | 0.000 |
| 0.000 | 0.000 | 0.000 | 0.000 | 0.000 | -35.246 |
| 67.927 | 88.624 | 88.624 | -0.000 | 0.000 | 0.000 |
| 88.624 | 67.927 | 88.624 | 0.000 | -0.000 | 0.000 |
| 88.624 | 88.624 | 67.927 | -0.000 | -0.000 | -0.000 |
| -0.000 | -0.000 | -0.000 | -35.246 | 0.000 | 0.000 |
| -0.000 | -0.000 | -0.000 | -0.000 | -35.246 | 0.000 |
| -0.000 | -0.000 | -0.000 | 0.000 | -0.000 | -35.246 |
| 67.928 | 88.624 | 88.624 | 0.000 | 0.000 | 0.000 |
| 88.624 | 67.928 | 88.624 | -0.000 | -0.000 | 0.000 |
| 88.624 | 88.624 | 67.928 | -0.000 | -0.000 | 0.000 |
| 0.000 | 0.000 | 0.000 | -35.246 | -0.000 | -0.000 |
| 0.000 | 0.000 | 0.000 | -0.000 | -35.246 | 0.000 |
| 0.000 | 0.000 | 0.000 | 0.000 | 0.000 | -35.246 |
| 530.608 | -49.071 | 48.116 | 0.000 | -0.000 | -0.000 |
| -49.071 | 530.608 | 48.116 | 0.000 | 0.000 | -0.000 |
| 48.116 | 48.116 | 465.876 | -0.000 | -0.000 | 0.000 |
| -0.000 | 0.000 | 0.000 | 48.231 | -0.000 | 0.000 |
| 0.000 | -0.000 | 0.000 | -0.000 | 48.231 | -0.000 |
| -0.000 | -0.000 | -0.000 | 0.000 | 0.000 | -57.122 |
| 530.608 | -49.070 | 48.116 | -0.000 | 0.000 | 0.000 |
| -49.070 | 530.608 | 48.116 | 0.000 | 0.000 | -0.000 |
| 48.116 | 48.116 | 465.876 | -0.000 | -0.000 | -0.000 |
| 0.000 | -0.000 | 0.000 | 48.231 | 0.000 | 0.000 |
| -0.000 | 0.000 | 0.000 | 0.000 | 48.231 | 0.000 |
| 0.000 | 0.000 | 0.000 | 0.000 | -0.000 | -57.122 |
| 530.608 | -49.071 | 48.116 | -0.000 | -0.000 | 0.000 |
| -49.071 | 530.608 | 48.116 | -0.000 | -0.000 | -0.000 |
| 48.116 | 48.116 | 465.877 | -0.000 | -0.000 | 0.000 |
| 0.000 | 0.000 | 0.000 | 50.630 | -0.000 | 0.000 |
| 0.000 | 0.000 | 0.000 | 0.000 | 50.630 | -0.000 |
| 0.000 | -0.000 | 0.000 | 0.000 | -0.000 | -57.122 |
| 530.607 | -49.070 | 48.116 | 0.000 | 0.000 | 0.000 |
| -49.070 | 530.607 | 48.116 | -0.000 | -0.000 | 0.000 |
| 48.116 | 48.116 | 465.876 | 0.000 | -0.000 | -0.000 |
| -0.000 | -0.000 | -0.000 | 50.630 | 0.000 | 0.000 |
| -0.000 | -0.000 | -0.000 | 0.000 | 50.630 | -0.000 |
| -0.000 | 0.000 | -0.000 | -0.000 | 0.000 | -57.122 |
| 540.932 | -59.393 | 48.117 | 0.000 | 0.000 | -0.000 |
| -59.393 | 540.932 | 48.117 | 0.000 | -0.000 | 0.000 |
| 48.116 | 48.116 | 465.881 | -0.000 | -0.000 | -0.000 |
| -0.000 | 0.001 | 0.001 | 48.231 | -0.000 | 0.000 |
| 0.001 | -0.000 | 0.001 | -0.000 | 48.231 | -0.000 |
| 0.000 | -0.000 | 0.000 | -0.000 | 0.000 | -57.122 |
| 530.605 | -49.070 | 48.114 | -0.000 | -0.000 | -0.000 |
| -49.070 | 530.605 | 48.114 | -0.000 | 0.000 | -0.000 |
| 48.115 | 48.115 | 465.871 | -0.000 | 0.000 | -0.000 |
| 0.000 | -0.001 | -0.001 | 48.231 | 0.000 | 0.000 |
| -0.001 | 0.000 | -0.001 | 0.000 | 48.231 | -0.000 |
| -0.000 | 0.000 | -0.000 | -0.000 | 0.000 | -57.122 |
| 40.706 | 11.287 | 87.709 | -47.960 | -0.000 | 0.000 |
| 11.287 | 40.706 | 87.709 | 47.960 | -0.000 | 0.000 |
| 76.825 | 76.825 | 108.589 | 0.000 | -0.000 | 0.000 |
| -47.960 | 47.960 | 0.000 | 63.975 | 0.000 | 0.000 |
| 0.000 | 0.000 | 0.000 | 0.000 | 63.975 | -47.960 |
| 0.000 | 0.000 | 0.000 | -0.000 | -47.960 | 14.709 |
| 40.706 | 11.287 | 87.709 | -47.960 | -0.000 | -0.000 |
| 11.287 | 40.706 | 87.709 | 47.960 | 0.000 | -0.000 |
| 76.825 | 76.825 | 108.589 | -0.000 | -0.000 | -0.000 |
| -47.960 | 47.959 | -0.000 | 63.975 | 0.000 | -0.000 |
| -0.000 | -0.000 | -0.000 | -0.000 | 63.975 | -47.960 |
| -0.000 | -0.000 | -0.000 | 0.000 | -47.960 | 14.709 |
| 40.706 | 11.287 | 87.709 | -47.960 | -0.000 | 0.000 |
| 11.287 | 40.706 | 87.709 | 47.960 | 0.000 | 0.000 |
| 76.825 | 76.825 | 108.589 | 0.000 | 0.000 | -0.000 |
| -47.960 | 47.960 | 0.000 | 63.975 | 0.000 | 0.000 |
| 0.000 | 0.000 | 0.000 | -0.000 | 63.975 | -47.960 |
| -0.000 | 0.000 | 0.000 | -0.000 | -47.960 | 14.709 |
| 40.706 | 11.287 | 87.709 | -47.960 | 0.000 | -0.000 |
| 11.287 | 40.706 | 87.709 | 47.960 | 0.000 | -0.000 |
| 76.825 | 76.825 | 108.589 | -0.000 | -0.000 | 0.000 |
| -47.960 | 47.960 | -0.000 | 63.975 | 0.000 | -0.000 |
| -0.000 | -0.000 | -0.000 | 0.000 | 63.975 | -47.960 |
| -0.000 | -0.000 | -0.000 | 0.000 | -47.960 | 14.709 |
| 40.706 | 11.287 | 87.709 | -47.960 | 0.000 | 0.000 |
| 11.287 | 40.706 | 87.709 | 47.960 | -0.000 | 0.000 |
| 76.825 | 76.825 | 108.589 | 0.000 | 0.000 | 0.000 |
| -47.960 | 47.960 | 0.000 | 63.975 | 0.000 | 0.000 |
| -0.000 | 0.000 | 0.000 | -0.000 | 63.975 | -47.960 |
| -0.000 | -0.000 | 0.000 | -0.000 | -47.960 | 14.709 |
| 40.706 | 11.287 | 87.709 | -47.959 | -0.000 | -0.000 |
| 11.287 | 40.706 | 87.709 | 47.959 | 0.000 | 0.000 |
| 76.825 | 76.825 | 108.589 | 0.000 | -0.000 | -0.000 |
| -47.960 | 47.960 | -0.000 | 63.975 | -0.000 | -0.000 |
| 0.000 | -0.000 | -0.000 | 0.000 | 63.975 | -47.960 |
| 0.000 | 0.000 | -0.000 | 0.000 | -47.960 | 14.709 |
| 394.230 | -9.947 | -9.947 | -0.000 | 0.000 | 0.000 |
| -9.947 | 394.230 | -9.947 | 0.000 | -0.000 | -0.000 |
| -9.947 | -9.947 | 394.230 | -0.000 | -0.000 | 0.000 |
| -0.000 | -0.000 | 0.000 | -36.828 | -0.000 | 0.000 |
| 0.000 | -0.000 | -0.000 | 0.000 | -36.828 | 0.000 |
| 0.000 | -0.000 | 0.000 | 0.000 | 0.000 | -36.828 |
| 394.230 | -9.947 | -9.947 | -0.000 | -0.000 | -0.000 |
| -9.947 | 394.230 | -9.947 | -0.000 | -0.000 | -0.000 |
| -9.947 | -9.947 | 394.230 | 0.000 | 0.000 | -0.000 |
| 0.000 | -0.000 | -0.000 | -36.828 | 0.000 | 0.000 |
| -0.000 | 0.000 | -0.000 | -0.000 | -36.828 | -0.000 |
| -0.000 | 0.000 | -0.000 | -0.000 | -0.000 | -36.828 |
| 394.230 | -9.947 | -9.947 | 0.000 | -0.000 | 0.000 |
| -9.947 | 394.230 | -9.947 | 0.000 | -0.000 | 0.000 |
| -9.947 | -9.947 | 394.230 | 0.000 | -0.000 | 0.000 |
| -0.000 | 0.000 | -0.000 | -36.828 | -0.000 | 0.000 |
| 0.000 | -0.000 | -0.000 | -0.000 | -36.828 | 0.000 |
| 0.000 | -0.000 | -0.000 | 0.000 | 0.000 | -36.828 |
| 394.230 | -9.947 | -9.947 | 0.000 | 0.000 | 0.000 |
| -9.947 | 394.230 | -9.947 | -0.000 | -0.000 | -0.000 |
| -9.947 | -9.947 | 394.230 | -0.000 | -0.000 | -0.000 |
| 0.000 | -0.000 | 0.000 | -36.828 | 0.000 | -0.000 |
| -0.000 | 0.000 | 0.000 | -0.000 | -36.828 | -0.000 |
| -0.000 | 0.000 | 0.000 | -0.000 | -0.000 | -36.828 |
| 394.233 | -9.947 | -9.947 | 0.000 | 0.000 | 0.000 |
| -9.947 | 394.233 | -9.947 | 0.000 | 0.000 | 0.000 |
| -9.947 | -9.947 | 394.233 | -0.000 | -0.000 | 0.000 |
| -0.000 | 0.000 | -0.000 | -36.828 | -0.000 | 0.000 |
| 0.000 | -0.000 | -0.000 | 0.000 | -36.828 | 0.000 |
| 0.000 | -0.000 | -0.000 | -0.000 | -0.000 | -36.828 |
| 394.227 | -9.947 | -9.947 | -0.000 | 0.000 | -0.000 |
| -9.947 | 394.227 | -9.947 | -0.000 | -0.000 | -0.000 |
| -9.947 | -9.947 | 394.227 | -0.000 | -0.000 | -0.000 |
| 0.000 | -0.000 | 0.000 | -36.828 | -0.000 | -0.000 |
| -0.000 | 0.000 | 0.000 | -0.000 | -36.828 | -0.000 |
| -0.000 | 0.000 | 0.000 | 0.000 | -0.000 | -36.828 |
| 241.478 | 81.416 | -68.878 | 0.000 | 0.000 | 0.000 |
| 81.416 | 241.478 | -68.878 | -0.000 | -0.000 | 0.000 |
| -68.878 | -68.878 | 448.321 | 0.000 | -0.000 | 0.000 |
| 0.000 | -0.000 | -0.000 | -70.166 | -0.000 | -0.000 |
| 0.000 | -0.000 | -0.000 | 0.000 | -70.166 | 0.000 |
| 0.000 | 0.000 | -0.000 | 0.000 | 0.000 | 80.031 |
| 241.478 | 81.416 | -68.878 | -0.000 | 0.000 | -0.000 |
| 81.416 | 241.478 | -68.878 | -0.000 | -0.000 | -0.000 |
| -68.878 | -68.878 | 448.321 | -0.000 | -0.000 | -0.000 |
| -0.000 | -0.000 | 0.000 | -70.166 | 0.000 | -0.000 |
| -0.000 | 0.000 | 0.000 | 0.000 | -70.166 | -0.000 |
| -0.000 | 0.000 | 0.000 | -0.000 | -0.000 | 80.031 |
| 241.478 | 81.416 | -68.878 | 0.000 | 0.000 | 0.000 |
| 81.416 | 241.478 | -68.878 | -0.000 | 0.000 | 0.000 |
| -68.878 | -68.878 | 448.322 | 0.000 | 0.000 | 0.000 |
| 0.000 | 0.000 | -0.000 | -70.166 | 0.000 | 0.000 |
| 0.000 | 0.000 | -0.000 | 0.000 | -70.166 | 0.000 |
| -0.000 | 0.000 | 0.000 | 0.000 | 0.000 | 80.031 |
| 241.478 | 81.416 | -68.878 | -0.000 | -0.000 | -0.000 |
| 81.416 | 241.478 | -68.878 | -0.000 | -0.000 | -0.000 |
| -68.878 | -68.878 | 448.321 | -0.000 | -0.000 | -0.000 |
| -0.000 | -0.000 | 0.000 | -70.166 | -0.000 | -0.000 |
| -0.000 | -0.000 | 0.000 | -0.000 | -70.166 | -0.000 |
| 0.000 | -0.000 | -0.000 | -0.000 | -0.000 | 80.031 |
| 241.479 | 81.416 | -68.879 | -0.000 | -0.000 | 0.000 |
| 81.416 | 241.479 | -68.879 | 0.000 | -0.000 | 0.000 |
| -68.879 | -68.879 | 448.324 | 0.000 | -0.000 | 0.000 |
| 0.000 | 0.000 | -0.000 | -70.166 | 0.000 | 0.000 |
| 0.000 | 0.000 | -0.000 | 0.000 | -70.166 | 0.000 |
| -0.000 | 0.000 | 0.000 | 0.000 | 0.000 | 80.031 |
| 241.476 | 81.416 | -68.878 | -0.000 | -0.000 | -0.000 |
| 81.415 | 241.477 | -68.878 | -0.000 | -0.000 | -0.000 |
| -68.878 | -68.878 | 448.318 | 0.000 | 0.000 | -0.000 |
| -0.000 | -0.000 | 0.000 | -70.166 | 0.000 | -0.000 |
| -0.000 | -0.000 | 0.000 | -0.000 | -70.166 | -0.000 |
| 0.000 | -0.000 | -0.000 | -0.000 | -0.000 | 80.031 |
| 720.349 | 575.642 | -5.168 | -0.000 | -0.000 | -0.000 |
| 575.642 | 720.349 | -5.168 | -0.000 | -0.000 | -0.000 |
| -234.327 | -234.327 | -36.570 | 0.000 | -0.000 | 0.000 |
| 95.794 | 95.794 | -299.038 | 47.025 | 0.000 | -0.000 |
| 95.794 | 95.794 | -299.038 | -0.000 | 47.025 | 0.000 |
| -278.308 | -278.308 | -417.132 | -0.000 | 0.000 | 61.593 |
| 536.481 | 346.922 | 461.491 | -0.000 | 0.000 | -0.000 |
| 346.922 | 536.481 | 461.491 | 0.000 | 0.000 | -0.000 |
| 322.246 | 322.246 | 797.640 | -0.000 | -0.000 | -0.000 |
| -95.794 | -95.794 | 299.038 | 47.025 | 0.000 | -0.000 |
| -95.794 | -95.794 | 299.038 | 0.000 | 47.025 | -0.000 |
| 278.308 | 278.308 | 417.132 | -0.000 | 0.000 | 61.593 |
| 267.310 | 124.589 | 32.722 | -0.000 | -0.000 | -0.000 |
| 124.589 | 267.310 | 32.722 | 0.000 | -0.000 | -0.000 |
| 45.264 | 45.264 | 343.413 | -0.000 | -0.000 | 0.000 |
| -0.000 | 0.000 | -0.000 | 64.406 | 0.000 | 0.000 |
| 0.000 | -0.000 | -0.000 | -0.000 | 64.406 | 0.000 |
| 0.000 | 0.000 | -0.000 | -0.000 | -0.000 | 78.570 |
| 204.825 | 63.062 | 66.698 | 0.000 | 0.000 | -0.000 |
| 63.062 | 204.825 | 66.698 | 0.000 | 0.000 | 0.000 |
| -8.533 | -8.533 | 374.891 | 0.000 | 0.000 | 0.000 |
| 0.000 | -0.000 | 0.000 | 64.406 | -0.000 | -0.000 |
| -0.000 | 0.000 | 0.000 | -0.000 | 64.406 | 0.000 |
| -0.000 | -0.000 | 0.000 | -0.000 | 0.000 | 78.570 |
| 284.791 | 64.794 | 48.394 | 0.000 | 0.000 | -0.000 |
| 64.794 | 284.791 | 48.394 | 0.000 | -0.000 | 0.000 |
| 40.856 | 40.856 | 375.789 | -0.000 | -0.000 | 0.000 |
| -0.000 | 0.000 | -0.000 | 64.406 | 0.000 | 0.000 |
| 0.000 | -0.000 | -0.000 | -0.000 | 64.406 | 0.000 |
| 0.000 | 0.000 | -0.000 | 0.000 | -0.000 | 78.570 |
| 169.837 | 63.951 | 28.984 | 0.000 | -0.000 | 0.000 |
| 63.951 | 169.837 | 28.984 | 0.000 | 0.000 | 0.000 |
| 31.210 | 31.210 | 374.611 | 0.000 | 0.000 | 0.000 |
| 0.000 | -0.000 | 0.000 | 64.406 | 0.000 | -0.000 |
| -0.000 | 0.000 | 0.000 | 0.000 | 64.406 | -0.000 |
| -0.000 | -0.000 | 0.000 | -0.000 | 0.000 | 78.570 |
| 277.245 | 66.523 | 48.532 | -0.000 | -0.000 | -0.000 |
| 66.523 | 277.245 | 48.532 | -0.000 | -0.000 | -0.000 |
| 48.530 | 48.530 | 383.889 | -0.000 | -0.000 | -0.000 |
| -0.000 | 0.000 | 0.000 | 62.981 | -0.000 | -0.000 |
| -0.000 | 0.000 | 0.000 | -0.000 | 62.981 | -0.000 |
| -64.265 | -64.265 | -23.076 | 0.000 | 0.000 | 19.366 |
| 242.648 | 107.689 | 48.243 | -0.000 | 0.000 | 0.000 |
| 107.689 | 242.648 | 48.243 | 0.000 | 0.000 | 0.000 |
| 75.865 | 75.865 | 376.268 | 0.000 | -0.000 | 0.000 |
| 0.000 | -0.000 | -0.000 | 62.981 | 0.000 | 0.000 |
| 0.000 | -0.000 | -0.000 | 0.000 | 62.981 | 0.000 |
| 64.265 | 64.265 | 23.076 | -0.000 | 0.000 | 19.366 |
| 277.245 | 66.523 | 48.532 | -0.000 | -0.000 | -0.000 |
| 66.523 | 277.245 | 48.532 | -0.000 | 0.000 | -0.000 |
| 48.530 | 48.530 | 383.889 | -0.000 | -0.000 | -0.000 |
| -8.618 | -8.618 | -3.913 | 30.980 | -0.000 | -0.000 |
| -8.618 | -8.618 | -3.913 | 0.000 | 30.980 | -0.000 |
| -0.000 | -0.000 | -0.000 | -0.000 | -0.000 | 79.778 |
| 277.245 | 66.523 | 48.532 | 0.000 | 0.000 | 0.000 |
| 66.523 | 277.245 | 48.532 | 0.000 | 0.000 | 0.000 |
| 42.843 | 42.843 | 374.335 | 0.000 | 0.000 | 0.000 |
| 8.618 | 8.618 | 3.913 | 30.980 | -0.000 | 0.000 |
| 8.618 | 8.618 | 3.913 | 0.000 | 30.980 | 0.000 |
| 0.000 | 0.000 | 0.000 | 0.000 | 0.000 | 79.778 |
| 235.599 | 73.343 | 39.486 | 0.000 | -0.000 | -0.000 |
| 73.343 | 235.599 | 39.486 | -0.000 | -0.000 | -0.000 |
| 32.413 | 32.413 | 370.568 | 0.000 | 0.000 | -0.000 |
| -0.892 | -0.892 | -0.405 | 29.845 | -0.000 | -0.000 |
| -0.892 | -0.892 | -0.405 | -0.000 | 29.845 | -0.000 |
| -0.367 | -0.367 | -0.130 | 0.000 | -0.000 | 49.473 |
| 277.244 | 66.523 | 48.532 | 0.000 | 0.000 | 0.000 |
| 66.523 | 277.244 | 48.532 | 0.000 | 0.000 | 0.000 |
| 41.832 | 41.832 | 375.043 | 0.000 | 0.000 | 0.000 |
| 0.892 | 0.892 | 0.405 | 29.845 | -0.000 | 0.000 |
| 0.892 | 0.892 | 0.405 | -0.000 | 29.845 | 0.000 |
| 0.367 | 0.367 | 0.130 | 0.000 | 0.000 | 49.473 |
| 304.117 | 109.897 | 87.179 | -3.705 | -6.721 | 5.899 |
| -63.873 | 350.925 | 279.622 | -41.984 | -132.424 | 142.191 |
| -83.881 | 175.142 | 446.323 | -24.942 | -152.404 | 147.536 |
| -160.128 | -90.924 | 233.112 | 10.171 | -426.475 | 492.721 |
| -179.876 | 86.490 | 170.463 | -20.020 | -58.862 | 136.702 |
| -151.630 | -77.514 | 241.344 | -54.632 | -443.872 | 579.372 |
| 1326.880 | 1041.979 | -9.289 | 419.707 | 619.881 | -940.803 |
| 285.381 | 197.899 | -82.301 | 8.626 | 151.163 | -139.615 |
| 265.363 | 22.094 | 84.428 | 25.666 | 131.178 | -134.263 |
| 153.559 | 67.548 | -232.647 | 129.433 | 438.576 | -481.187 |
| 169.376 | -66.559 | -191.454 | 30.589 | 224.738 | -145.100 |
| 180.120 | -75.588 | -173.503 | 32.276 | 130.016 | -31.473 |
| 109.941 | 20.580 | 113.608 | -45.471 | -63.269 | 103.274 |
| 110.401 | 294.814 | 95.378 | -16.140 | 7.795 | 0.112 |
| 86.963 | 95.467 | 290.406 | 0.952 | -10.642 | 5.844 |
| -3.566 | -6.421 | 0.952 | 106.138 | 5.865 | 8.335 |
| -4.639 | 8.332 | -10.642 | 5.865 | 97.660 | -3.477 |
| -11.976 | 8.589 | 25.561 | 4.444 | -25.971 | 123.596 |
| 255.798 | 117.677 | 72.717 | 2.503 | 36.103 | -43.356 |
| 128.243 | 266.829 | 80.523 | -14.142 | 23.565 | -12.829 |
| 111.215 | 110.572 | 202.667 | 6.076 | 32.974 | -40.837 |
| 120.216 | 109.448 | -0.256 | 87.268 | 83.384 | -88.060 |
| 12.232 | 2.300 | -28.609 | 7.819 | 97.177 | -18.301 |
| 22.963 | -6.717 | -10.651 | 9.499 | 2.417 | 95.257 |
| 241.748 | 109.047 | 97.458 | -3.962 | -10.661 | 9.401 |
| 105.071 | 216.306 | 101.497 | -26.980 | 6.590 | 8.668 |
| 86.963 | 95.467 | 290.407 | 0.952 | -10.642 | 5.844 |
| -4.724 | -12.617 | 2.436 | 68.761 | 1.911 | 10.468 |
| -7.176 | 10.959 | -8.553 | 4.951 | 79.815 | -2.778 |
| 3.591 | 1.777 | 9.419 | 6.684 | -13.295 | 110.731 |
| 304.115 | 109.896 | 87.179 | -3.705 | -6.721 | 5.899 |
| 111.792 | 250.300 | 99.816 | -17.274 | 14.900 | -2.251 |
| 93.227 | 98.119 | 260.200 | 0.582 | -8.968 | 5.102 |
| -3.566 | -6.421 | 0.952 | 106.138 | 5.865 | 8.335 |
| 16.973 | 28.599 | -14.198 | 14.704 | 59.382 | -13.798 |
| 23.660 | 8.741 | 4.652 | 3.306 | -7.851 | 79.750 |
| -817.254 | 2177.053 | 776.127 | 970.374 | 55.966 | 451.261 |
| 71.473 | 301.253 | 74.260 | 0.581 | 5.072 | 5.854 |
| 75.699 | 77.034 | 266.642 | 6.187 | -15.169 | -2.519 |
| 258.664 | 446.172 | 183.801 | 234.100 | -56.060 | 202.802 |
| -1798.465 | 2746.682 | 787.296 | 1808.108 | 750.146 | 365.310 |
| 0.418 | 5.849 | -3.271 | 5.224 | 4.731 | 90.229 |
| 280.100 | 74.623 | 75.443 | 2.109 | 5.058 | 3.418 |
| 1084.480 | -1904.823 | -620.144 | -967.488 | -44.719 | -446.331 |
| 75.699 | 77.034 | 266.642 | 6.187 | -15.169 | -2.519 |
| 2495.487 | -3429.857 | -602.465 | -2619.108 | -1355.829 | -610.790 |
| 2642.080 | -4843.650 | -407.069 | -3770.944 | -1685.735 | -835.354 |
| -256.374 | -443.315 | -181.847 | -145.890 | 56.471 | -117.527 |
| 285.796 | 118.904 | 91.509 | 17.705 | -0.060 | 22.867 |
| 95.710 | 323.986 | 94.148 | 15.621 | 0.035 | 24.364 |
| 75.699 | 77.034 | 266.642 | 6.187 | -15.169 | -2.519 |
| 1.956 | -2.305 | 6.187 | 95.722 | -2.855 | 5.447 |
| 3.978 | 5.295 | -15.169 | -2.855 | 97.272 | 1.891 |
| 0.418 | 5.849 | -3.271 | 5.224 | 4.731 | 90.229 |
| 235.135 | 29.191 | 55.814 | -12.637 | 10.409 | -16.573 |
| 71.473 | 301.253 | 74.260 | 0.581 | 5.072 | 5.854 |
| 119.861 | -33.532 | 165.554 | -27.825 | -7.139 | -26.355 |
| 190.131 | -283.968 | -80.863 | -147.523 | -76.822 | -28.238 |
| 3.978 | 5.295 | -15.169 | -2.855 | 97.272 | 1.891 |
| 105.063 | -209.663 | -75.497 | -88.910 | -1.673 | -10.207 |
| 280.100 | 74.624 | 75.443 | 2.109 | 5.058 | 3.418 |
| 67.302 | 255.842 | 84.304 | 3.071 | 4.260 | 4.591 |
| 42.439 | 146.726 | 178.415 | 30.170 | -1.444 | 2.787 |
| 1.956 | -2.305 | 6.187 | 95.722 | -2.855 | 5.447 |
| 3.978 | 5.295 | -15.169 | -2.855 | 97.271 | 1.891 |
| 0.418 | 5.849 | -3.271 | 5.224 | 4.731 | 90.229 |
| 258.656 | 69.067 | 71.760 | 0.817 | 5.753 | 0.959 |
| 81.275 | 201.775 | 81.217 | -10.400 | 4.180 | -3.017 |
| 74.492 | 73.670 | 185.753 | -2.923 | -19.980 | -6.869 |
| 8.650 | -13.108 | 0.686 | 58.219 | -4.103 | 3.328 |
| 9.903 | -6.913 | -20.701 | -8.454 | 64.982 | -0.791 |
| 11.298 | -16.390 | -10.268 | -1.207 | 3.064 | 41.080 |
| 300.843 | 140.573 | 95.825 | -0.000 | -0.000 | -0.000 |
| 107.619 | 327.730 | 104.064 | 0.000 | -0.000 | -0.000 |
| 97.634 | 102.987 | 400.437 | -0.000 | 0.000 | -0.000 |
| -0.000 | 0.000 | 0.000 | 98.832 | -0.000 | -0.000 |
| -0.000 | 0.000 | 0.000 | -0.000 | 90.693 | -0.000 |
| -0.000 | 0.000 | 0.000 | -0.000 | -0.000 | 59.831 |
| 300.843 | 140.573 | 95.825 | 0.000 | 0.000 | 0.000 |
| 143.456 | 292.970 | 104.204 | 0.000 | 0.000 | 0.000 |
| 97.634 | 102.987 | 400.437 | 0.000 | 0.000 | 0.000 |
| 0.000 | -0.000 | -0.000 | 98.832 | -0.000 | 0.000 |
| 0.000 | -0.000 | -0.000 | 0.000 | 90.693 | 0.000 |
| 0.000 | -0.000 | -0.000 | 0.000 | 0.000 | 59.831 |
| 300.842 | 140.573 | 95.825 | -0.000 | -0.000 | -0.000 |
| 143.457 | 292.969 | 104.204 | -0.000 | -0.000 | -0.000 |
| 97.563 | 103.056 | 400.437 | -0.000 | -0.000 | -0.000 |
| 0.000 | 0.000 | 0.000 | 98.832 | -0.000 | 0.000 |
| -0.000 | 0.000 | 0.000 | -0.000 | 90.693 | 0.000 |
| -0.000 | 0.000 | -0.000 | -0.000 | -0.000 | 59.830 |
| 300.842 | 140.573 | 95.824 | 0.000 | 0.000 | -0.000 |
| 143.456 | 292.969 | 104.203 | 0.000 | 0.000 | 0.000 |
| 97.563 | 103.055 | 400.437 | 0.000 | 0.000 | 0.000 |
| -0.000 | -0.000 | -0.000 | 98.832 | 0.000 | -0.000 |
| 0.000 | -0.000 | -0.000 | 0.000 | 90.693 | 0.000 |
| 0.000 | -0.000 | 0.000 | 0.000 | 0.000 | 59.830 |
| 300.844 | 140.574 | 95.825 | -0.000 | -0.000 | -0.000 |
| 143.458 | 292.970 | 104.204 | -0.000 | -0.000 | -0.000 |
| 97.563 | 103.059 | 400.441 | -0.000 | -0.000 | -0.000 |
| 0.000 | -0.000 | 0.001 | 98.832 | -0.000 | -0.000 |
| -0.000 | 0.000 | 0.001 | -0.000 | 90.693 | 0.000 |
| -0.000 | 0.000 | -0.000 | -0.000 | -0.000 | 59.830 |
| 300.840 | 140.573 | 95.824 | 0.000 | 0.000 | 0.000 |
| 143.455 | 292.969 | 104.203 | 0.000 | -0.000 | 0.000 |
| 97.704 | 102.916 | 400.434 | -0.000 | -0.000 | 0.000 |
| -0.000 | 0.000 | -0.001 | 98.832 | -0.000 | 0.000 |
| 0.000 | -0.000 | -0.001 | 0.000 | 90.693 | -0.000 |
| 0.000 | -0.000 | 0.000 | 0.000 | 0.000 | 59.830 |
| -86.392 | -205.412 | -205.412 | 0.000 | 0.000 | 0.000 |
| -205.412 | -86.392 | -205.412 | 0.000 | -0.000 | 0.000 |
| -205.412 | -205.412 | -86.392 | 0.000 | 0.000 | 0.000 |
| 239.459 | 239.459 | 239.459 | -33.415 | 0.000 | -0.000 |
| 239.459 | 239.459 | 239.459 | 0.000 | -33.415 | -0.000 |
| 239.459 | 239.459 | 239.459 | -0.000 | 0.000 | -33.415 |
| 450.298 | 332.193 | 332.193 | -0.000 | -0.000 | -0.000 |
| 332.193 | 450.298 | 332.193 | -0.000 | -0.000 | -0.000 |
| 332.193 | 332.193 | 450.298 | -0.000 | -0.000 | -0.000 |
| -239.459 | -239.459 | -239.459 | -33.415 | -0.000 | 0.000 |
| -239.459 | -239.459 | -239.459 | -0.000 | -33.415 | -0.000 |
| -239.459 | -239.459 | -239.459 | -0.000 | -0.000 | -33.415 |
| 287.451 | 46.953 | 46.954 | 0.000 | 0.000 | 0.000 |
| 46.954 | 287.451 | 46.953 | 0.000 | 0.000 | 0.000 |
| 46.954 | 46.953 | 287.451 | 0.000 | 0.000 | -0.000 |
| 0.000 | 0.000 | 0.000 | 57.383 | 0.000 | 0.000 |
| 0.000 | 0.000 | 0.000 | 0.000 | 57.383 | -0.000 |
| 0.000 | 0.000 | 0.000 | -0.000 | 0.000 | 57.383 |
| 206.803 | 91.262 | 91.262 | -0.000 | -0.000 | 0.000 |
| 91.262 | 206.803 | 91.262 | -0.000 | -0.000 | -0.000 |
| 91.262 | 91.262 | 206.803 | 0.000 | 0.000 | -0.000 |
| -0.000 | -0.000 | -0.000 | 57.383 | -0.000 | -0.000 |
| -0.000 | -0.000 | -0.000 | -0.000 | 57.383 | 0.000 |
| -0.000 | -0.000 | -0.000 | 0.000 | -0.000 | 57.383 |
| 212.674 | 59.212 | 59.212 | 0.000 | 0.000 | 0.000 |
| 59.212 | 212.674 | 59.212 | 0.000 | 0.000 | -0.000 |
| 59.212 | 59.212 | 212.674 | 0.000 | 0.000 | 0.000 |
| -2.406 | -2.406 | -2.406 | 8.161 | 0.000 | 0.000 |
| -2.406 | -2.406 | -2.406 | 0.000 | 8.161 | -0.000 |
| -2.406 | -2.406 | -2.406 | 0.000 | 0.000 | 8.161 |
| 220.464 | 55.283 | 55.283 | -0.000 | 0.000 | 0.000 |
| 55.283 | 220.464 | 55.283 | 0.000 | 0.000 | 0.000 |
| 55.283 | 55.283 | 220.464 | -0.000 | -0.000 | 0.000 |
| 2.406 | 2.406 | 2.406 | 8.161 | 0.000 | -0.000 |
| 2.406 | 2.406 | 2.406 | -0.000 | 8.161 | -0.000 |
| 2.406 | 2.406 | 2.406 | -0.000 | -0.000 | 8.161 |
| -1121.458 | -1335.300 | -1335.300 | -0.000 | -0.000 | 0.000 |
| -1335.300 | -1121.458 | -1335.300 | -0.000 | -0.000 | 0.000 |
| -1335.300 | -1335.300 | -1121.458 | -0.000 | 0.000 | 0.000 |
| -390.752 | -390.752 | -390.752 | 28.120 | -0.000 | 0.000 |
| -390.752 | -390.752 | -390.752 | -0.000 | 28.120 | 0.000 |
| -390.752 | -390.752 | -390.752 | -0.000 | -0.000 | 28.120 |
| 285.285 | 45.928 | 45.928 | 0.000 | 0.000 | -0.000 |
| 45.928 | 285.285 | 45.928 | 0.000 | -0.000 | -0.000 |
| 45.928 | 45.928 | 285.285 | 0.000 | 0.000 | -0.000 |
| 390.752 | 390.752 | 390.752 | 28.120 | 0.000 | -0.000 |
| 390.752 | 390.752 | 390.752 | 0.000 | 28.120 | -0.000 |
| 390.752 | 390.752 | 390.752 | 0.000 | 0.000 | 28.120 |
| 124.616 | -89.260 | -89.260 | -0.000 | -0.000 | 0.000 |
| -89.260 | 124.616 | -89.260 | 0.000 | 0.000 | 0.000 |
| -89.260 | -89.260 | 124.616 | -0.000 | -0.000 | 0.000 |
| -7.859 | -7.859 | -7.859 | 17.359 | -0.000 | 0.000 |
| -7.859 | -7.859 | -7.859 | -0.000 | 17.359 | 0.000 |
| -7.859 | -7.859 | -7.859 | -0.000 | -0.000 | 17.359 |
| 401.502 | 187.715 | 187.715 | 0.000 | -0.000 | -0.000 |
| 187.715 | 401.502 | 187.715 | -0.000 | 0.000 | -0.000 |
| 187.715 | 187.715 | 401.502 | 0.000 | 0.000 | -0.000 |
| 7.859 | 7.859 | 7.859 | 17.359 | 0.000 | -0.000 |
| 7.859 | 7.859 | 7.859 | -0.000 | 17.359 | -0.000 |
| 7.859 | 7.859 | 7.859 | 0.000 | 0.000 | 17.359 |
| 216.032 | 57.306 | 57.306 | -0.000 | -0.000 | 0.000 |
| 57.306 | 216.032 | 57.306 | -0.000 | -0.000 | 0.000 |
| 57.306 | 57.306 | 216.032 | -0.000 | -0.000 | 0.000 |
| -14.002 | -14.002 | -14.002 | 42.236 | -0.000 | 0.000 |
| -14.002 | -14.002 | -14.002 | -0.000 | 42.236 | 0.000 |
| -14.002 | -14.002 | -14.002 | -0.000 | -0.000 | 42.236 |
| 234.001 | 56.004 | 56.004 | 0.000 | 0.000 | -0.000 |
| 56.004 | 234.001 | 56.004 | 0.000 | 0.000 | -0.000 |
| 56.004 | 56.004 | 234.001 | 0.000 | 0.000 | -0.000 |
| 14.002 | 14.002 | 14.002 | 42.236 | 0.000 | -0.000 |
| 14.002 | 14.002 | 14.002 | 0.000 | 42.236 | -0.000 |
| 14.002 | 14.002 | 14.002 | 0.000 | 0.000 | 42.236 |
| 198.241 | 82.526 | 82.526 | 0.000 | 0.000 | 0.000 |
| 82.526 | 198.241 | 82.526 | 0.000 | 0.000 | 0.000 |
| 82.526 | 82.526 | 198.241 | 0.000 | 0.000 | 0.000 |
| 0.003 | 0.003 | 0.003 | 65.278 | -0.000 | -0.000 |
| -0.037 | -0.037 | -0.037 | 0.000 | 60.755 | 0.000 |
| 0.003 | 0.003 | 0.003 | 0.000 | -0.000 | 65.278 |
| 198.241 | 82.526 | 82.526 | -0.000 | -0.000 | -0.000 |
| 82.526 | 198.241 | 82.526 | -0.000 | -0.000 | -0.000 |
| 82.526 | 82.526 | 198.241 | -0.000 | -0.000 | -0.000 |
| 0.037 | 0.037 | 0.037 | 60.755 | 0.000 | -0.000 |
| -0.003 | -0.003 | -0.003 | -0.000 | 65.278 | 0.000 |
| 0.037 | 0.037 | 0.037 | -0.000 | 0.000 | 60.755 |
| 175.494 | 89.756 | 89.756 | 0.000 | -0.000 | -0.000 |
| 89.756 | 175.494 | 89.756 | 0.000 | -0.000 | -0.000 |
| 89.756 | 89.756 | 175.494 | 0.000 | -0.000 | -0.000 |
| 0.000 | 0.000 | 0.000 | 92.608 | 0.000 | 0.000 |
| 0.000 | 0.000 | 0.000 | 0.000 | 92.608 | 0.000 |
| 0.000 | 0.000 | 0.000 | 0.000 | 0.000 | 92.608 |
| 174.041 | 90.834 | 90.834 | -0.000 | 0.000 | -0.000 |
| 90.834 | 174.041 | 90.834 | -0.000 | 0.000 | -0.000 |
| 90.834 | 90.834 | 174.041 | -0.000 | 0.000 | -0.000 |
| -0.000 | -0.000 | -0.000 | 92.608 | -0.000 | -0.000 |
| -0.000 | -0.000 | -0.000 | -0.000 | 92.608 | -0.000 |
| -0.000 | -0.000 | -0.000 | -0.000 | -0.000 | 92.608 |
| 186.727 | 87.149 | 87.149 | 0.000 | -0.000 | 0.000 |
| 87.149 | 186.727 | 87.149 | 0.000 | -0.000 | 0.000 |
| 87.149 | 87.149 | 186.727 | 0.000 | -0.000 | 0.000 |
| 0.000 | 0.000 | 0.000 | 92.608 | -0.000 | 0.000 |
| 0.000 | 0.000 | 0.000 | 0.000 | 92.608 | 0.000 |
| 0.000 | 0.000 | 0.000 | 0.000 | 0.000 | 92.608 |
| 198.240 | 82.525 | 82.525 | -0.000 | 0.000 | -0.000 |
| 82.525 | 198.240 | 82.525 | -0.000 | -0.000 | -0.000 |
| 82.525 | 82.525 | 198.240 | -0.000 | 0.000 | -0.000 |
| -0.000 | -0.000 | -0.000 | 92.608 | -0.000 | -0.000 |
| -0.000 | -0.000 | -0.000 | -0.000 | 92.608 | -0.000 |
| -0.000 | -0.000 | -0.000 | -0.000 | -0.000 | 92.608 |
| 202.137 | 111.186 | 22.368 | -0.000 | 0.000 | 0.000 |
| 111.403 | 388.780 | -3.703 | -0.000 | 0.000 | 0.000 |
| 33.221 | 4.117 | 527.953 | -0.000 | 0.000 | 0.000 |
| 0.001 | 0.001 | 0.001 | -201.818 | -0.000 | 0.000 |
| 0.000 | 0.000 | 0.000 | -0.000 | 46.188 | 0.000 |
| 0.000 | 0.000 | 0.000 | -0.000 | 0.000 | 141.772 |
| 202.137 | 111.186 | 22.368 | 0.000 | -0.000 | -0.000 |
| 111.403 | 388.780 | -3.703 | 0.000 | -0.000 | -0.000 |
| 33.221 | 4.117 | 527.953 | 0.000 | -0.000 | -0.000 |
| -0.001 | -0.001 | -0.001 | -201.818 | -0.000 | -0.000 |
| -0.000 | -0.000 | -0.000 | 0.000 | 46.188 | -0.000 |
| -0.000 | -0.000 | -0.000 | -0.000 | -0.000 | 141.772 |
| 202.137 | 111.186 | 22.368 | -0.000 | 0.000 | 0.000 |
| 111.403 | 388.780 | -3.703 | -0.000 | -0.000 | 0.000 |
| 22.836 | -3.452 | 523.341 | -0.000 | 0.000 | 0.000 |
| -0.000 | 0.000 | 0.000 | -201.818 | -0.000 | 0.000 |
| 0.000 | 0.000 | 0.000 | -0.000 | -251.344 | 0.000 |
| 0.000 | 0.000 | 0.000 | -0.000 | 0.000 | 141.772 |
| 225.513 | 128.223 | 32.753 | 0.000 | -0.000 | -0.000 |
| 128.440 | 401.197 | 3.865 | -0.000 | -0.000 | -0.000 |
| 33.220 | 4.116 | 527.952 | 0.000 | -0.000 | -0.000 |
| 0.000 | -0.000 | -0.000 | -201.818 | 0.000 | -0.000 |
| -0.000 | -0.000 | -0.000 | 0.000 | -251.344 | -0.000 |
| -0.000 | -0.000 | -0.000 | 0.000 | -0.000 | 141.772 |
| 202.139 | 111.187 | 22.369 | -0.000 | 0.000 | 0.000 |
| 111.405 | 388.784 | -3.702 | -0.000 | 0.000 | 0.000 |
| 22.840 | -3.449 | 523.354 | -0.000 | 0.000 | 0.000 |
| -0.003 | 0.003 | 0.002 | -201.818 | -0.000 | 0.000 |
| -0.000 | -0.000 | 0.002 | -0.000 | -251.344 | 0.000 |
| 0.000 | 0.001 | 0.001 | -0.000 | 0.000 | 141.772 |
| 202.136 | 111.186 | 22.367 | 0.000 | 0.000 | -0.000 |
| 111.402 | 388.776 | -3.705 | 0.000 | -0.000 | -0.000 |
| 22.831 | -3.456 | 523.325 | 0.000 | 0.000 | -0.000 |
| 0.003 | -0.003 | -0.002 | -201.818 | -0.000 | -0.000 |
| 0.000 | 0.000 | -0.002 | 0.000 | -251.344 | -0.000 |
| -0.000 | -0.001 | -0.001 | 0.000 | -0.000 | 141.772 |
| 344.105 | 120.931 | 69.655 | 0.000 | 0.000 | 0.000 |
| 129.278 | 303.142 | 87.784 | 0.000 | 0.000 | 0.000 |
| 78.149 | 87.932 | 342.622 | 0.000 | 0.000 | 0.000 |
| -0.000 | 0.000 | 0.000 | 90.574 | 0.000 | 0.000 |
| -0.000 | 0.000 | 0.000 | -0.000 | 73.198 | -0.000 |
| -0.000 | 0.000 | 0.000 | 0.000 | 0.000 | 51.443 |
| 344.105 | 120.931 | 69.655 | -0.000 | -0.000 | -0.000 |
| 129.278 | 303.142 | 87.784 | -0.000 | -0.000 | -0.000 |
| 78.589 | 87.528 | 342.628 | 0.000 | -0.000 | -0.000 |
| 0.000 | -0.000 | -0.000 | 90.574 | -0.000 | -0.000 |
| -0.000 | -0.000 | -0.000 | 0.000 | 73.197 | -0.000 |
| 0.000 | -0.000 | -0.000 | -0.000 | -0.000 | 51.443 |
| 344.105 | 120.931 | 69.655 | 0.000 | 0.000 | 0.000 |
| 129.278 | 303.142 | 87.784 | 0.000 | 0.000 | 0.000 |
| 78.150 | 87.932 | 342.623 | 0.000 | 0.000 | 0.000 |
| 0.000 | 0.000 | 0.000 | 90.574 | 0.000 | 0.000 |
| 0.000 | 0.000 | 0.000 | 0.000 | 73.198 | 0.000 |
| 0.000 | 0.000 | -0.000 | 0.000 | 0.000 | 51.443 |
| 344.104 | 120.931 | 69.655 | -0.000 | -0.000 | -0.000 |
| 100.396 | 329.671 | 87.380 | 0.000 | -0.000 | -0.000 |
| 78.149 | 87.932 | 342.622 | -0.000 | -0.000 | -0.000 |
| -0.000 | -0.000 | -0.000 | 90.574 | -0.000 | -0.000 |
| -0.000 | -0.000 | -0.000 | -0.000 | 73.198 | 0.000 |
| -0.000 | -0.000 | 0.000 | -0.000 | -0.000 | 51.443 |
| 344.109 | 120.931 | 69.655 | 0.000 | 0.000 | 0.000 |
| 129.279 | 303.143 | 87.785 | 0.000 | 0.000 | 0.000 |
| 78.151 | 87.933 | 342.626 | -0.000 | 0.000 | 0.000 |
| 0.000 | 0.000 | 0.001 | 90.574 | 0.000 | 0.000 |
| 0.000 | 0.000 | 0.001 | 0.000 | 73.198 | 0.000 |
| 0.000 | 0.000 | -0.000 | 0.000 | 0.000 | 51.443 |
| 344.101 | 120.931 | 69.654 | -0.000 | -0.000 | -0.000 |
| 129.278 | 303.141 | 87.784 | -0.000 | -0.000 | -0.000 |
| 78.148 | 87.930 | 342.618 | -0.000 | -0.000 | -0.000 |
| -0.000 | -0.000 | -0.001 | 90.574 | -0.000 | -0.000 |
| -0.000 | -0.000 | -0.001 | -0.000 | 73.198 | -0.000 |
| -0.000 | -0.000 | 0.000 | -0.000 | -0.000 | 51.443 |
| 60.909 | -97.639 | 203.320 | -0.000 | -30.215 | -0.000 |
| -81.191 | 48.572 | 91.512 | -0.000 | 2.770 | -0.000 |
| 192.697 | 65.212 | 168.985 | 0.000 | 2.772 | -0.000 |
| 5.646 | 4.790 | -2.217 | -108.538 | -0.714 | -0.171 |
| 4.480 | 3.552 | -1.307 | -0.000 | -56.205 | -0.000 |
| 5.652 | 3.203 | -4.962 | -0.034 | -0.370 | 21.757 |
| 48.461 | -107.534 | 209.346 | 0.000 | -29.628 | 0.000 |
| -93.543 | 38.775 | 97.539 | 0.000 | 4.205 | 0.000 |
| 186.018 | 61.430 | 174.856 | 0.000 | 3.207 | 0.000 |
| -5.646 | -4.790 | 2.217 | -108.538 | 0.714 | -0.171 |
| -5.277 | -1.979 | 7.260 | -0.000 | -55.472 | 0.000 |
| -5.652 | -3.203 | 4.962 | -0.034 | 0.370 | 21.757 |
| 56.778 | -100.578 | 205.910 | -0.000 | -30.359 | -0.000 |
| -85.864 | 45.138 | 94.241 | -0.000 | 1.438 | -0.000 |
| 193.206 | 67.356 | 171.729 | 0.000 | 2.262 | -0.000 |
| 0.558 | 0.474 | -0.218 | -107.490 | -0.071 | -0.174 |
| 0.086 | 1.060 | 2.551 | -0.000 | -55.641 | -0.000 |
| 0.561 | 0.318 | -0.493 | -0.035 | -0.037 | 21.985 |
| 55.525 | -101.576 | 206.513 | 0.000 | -30.300 | 0.000 |
| -87.109 | 44.149 | 94.844 | 0.000 | 1.494 | 0.000 |
| 191.992 | 66.399 | 172.330 | 0.000 | 2.314 | 0.000 |
| -0.558 | -0.474 | 0.218 | -107.490 | 0.071 | -0.174 |
| 0.314 | 1.054 | 2.118 | 0.000 | -55.586 | 0.000 |
| -0.561 | -0.318 | 0.493 | -0.035 | 0.037 | 21.985 |
| 56.227 | -101.013 | 206.182 | 0.000 | -30.337 | -0.000 |
| -86.414 | 44.704 | 94.515 | -0.000 | 1.602 | -0.000 |
| 192.244 | 66.488 | 172.018 | -0.000 | 2.184 | -0.000 |
| 0.031 | 0.036 | 0.004 | -107.479 | -0.006 | -0.183 |
| 0.686 | 1.474 | 2.152 | 0.000 | -55.619 | 0.000 |
| 0.056 | 0.032 | -0.049 | -0.035 | -0.004 | 21.988 |
| 56.093 | -101.114 | 206.255 | 0.000 | -30.339 | 0.000 |
| -86.535 | 44.608 | 94.573 | -0.000 | 1.607 | 0.000 |
| 192.123 | 66.387 | 172.066 | -0.000 | 2.189 | 0.000 |
| -0.031 | -0.036 | -0.004 | -107.479 | 0.006 | -0.183 |
| 0.531 | 1.343 | 2.214 | 0.000 | -55.612 | 0.000 |
| -0.056 | -0.032 | 0.049 | -0.035 | 0.004 | 21.988 |
| 283.467 | 137.337 | 83.097 | 18.165 | 0.000 | 0.000 |
| 135.625 | 284.642 | 82.512 | -18.027 | 0.000 | -0.000 |
| 83.222 | 83.222 | 353.735 | 0.000 | 0.000 | -0.000 |
| 15.145 | -15.145 | -0.000 | 82.023 | 0.000 | 0.000 |
| 0.000 | 0.000 | 0.000 | -0.000 | 81.735 | 18.165 |
| 0.000 | 0.000 | 0.000 | 0.000 | 18.165 | 73.065 |
| 315.128 | 105.806 | 83.238 | 15.145 | -0.000 | 0.000 |
| 105.806 | 315.128 | 83.238 | -15.145 | 0.000 | -0.000 |
| 83.222 | 83.222 | 353.735 | 0.000 | -0.000 | 0.000 |
| 18.165 | -18.166 | -0.000 | 81.734 | -0.000 | -0.000 |
| -0.000 | -0.000 | -0.000 | 0.000 | 81.734 | 18.165 |
| -0.000 | -0.000 | -0.000 | 0.000 | 18.165 | 73.065 |
| 315.128 | 105.807 | 83.238 | 15.145 | -0.000 | -0.000 |
| 135.625 | 284.643 | 82.512 | -18.027 | 0.000 | -0.000 |
| 83.081 | 83.081 | 353.428 | -0.000 | 0.000 | -0.000 |
| 15.145 | -15.145 | 0.000 | 82.023 | 0.000 | 0.000 |
| -0.000 | 0.000 | 0.000 | 0.000 | 81.734 | 18.165 |
| -0.000 | 0.000 | -0.000 | -0.000 | 18.165 | 73.065 |
| 315.128 | 105.806 | 83.238 | 15.145 | -0.000 | 0.000 |
| 105.806 | 315.128 | 83.238 | -15.145 | -0.000 | 0.000 |
| 83.222 | 83.222 | 353.735 | 0.000 | -0.000 | -0.000 |
| 18.165 | -18.165 | -0.000 | 81.734 | -0.000 | 0.000 |
| 0.000 | -0.000 | -0.000 | -0.000 | 81.734 | 18.165 |
| 0.000 | -0.000 | 0.000 | 0.000 | 18.165 | 73.065 |
| 283.468 | 137.338 | 83.097 | 18.166 | 0.000 | -0.000 |
| 105.807 | 315.129 | 83.239 | -15.145 | 0.000 | 0.000 |
| 83.224 | 83.224 | 353.738 | 0.000 | 0.000 | -0.000 |
| 15.145 | -15.145 | 0.001 | 82.023 | -0.000 | 0.000 |
| -0.000 | 0.000 | 0.001 | 0.000 | 82.023 | 15.145 |
| -0.000 | 0.000 | -0.000 | -0.000 | 18.165 | 73.065 |
| 283.466 | 137.337 | 83.096 | 18.165 | 0.000 | 0.000 |
| 105.806 | 315.127 | 83.238 | -15.145 | 0.000 | 0.000 |
| 83.221 | 83.221 | 353.732 | 0.000 | -0.000 | -0.000 |
| 18.165 | -18.165 | -0.001 | 81.735 | -0.000 | 0.000 |
| 0.000 | -0.000 | -0.001 | -0.000 | 82.023 | 15.145 |
| 0.000 | -0.000 | 0.000 | 0.000 | 18.165 | 73.065 |
| 315.009 | 105.716 | 83.047 | 15.137 | -0.000 | -0.000 |
| 137.230 | 283.367 | 82.909 | -18.144 | -0.000 | -0.000 |
| 83.047 | 83.047 | 353.273 | 0.000 | -0.000 | -0.000 |
| 15.137 | -15.137 | 0.000 | 81.941 | -0.000 | -0.000 |
| 0.004 | 0.004 | 0.009 | 0.000 | 81.655 | 18.142 |
| 0.004 | 0.004 | 0.009 | 0.000 | 18.144 | 73.069 |
| 315.009 | 105.716 | 83.047 | 15.137 | 0.000 | 0.000 |
| 105.716 | 315.009 | 83.047 | -15.137 | 0.000 | 0.000 |
| 83.047 | 83.047 | 353.273 | -0.000 | 0.000 | 0.000 |
| 15.137 | -15.137 | 0.000 | 81.941 | 0.000 | 0.000 |
| -0.004 | -0.004 | -0.009 | -0.000 | 81.655 | 18.142 |
| -0.004 | -0.004 | -0.009 | -0.000 | 18.144 | 73.069 |
| 315.009 | 105.716 | 83.047 | 15.137 | -0.000 | -0.000 |
| 105.716 | 315.009 | 83.047 | -15.137 | -0.000 | -0.000 |
| 83.047 | 83.047 | 353.273 | 0.000 | -0.000 | -0.000 |
| 18.144 | -18.144 | 0.001 | 81.655 | -0.000 | -0.000 |
| 0.000 | 0.000 | 0.001 | 0.000 | 81.655 | 18.144 |
| -0.000 | 0.000 | 0.000 | 0.000 | 15.137 | 104.646 |
| 284.536 | 135.526 | 82.329 | 18.007 | -0.000 | 0.000 |
| 135.526 | 284.536 | 82.329 | -18.007 | -0.000 | 0.000 |
| 82.907 | 82.907 | 352.970 | -0.000 | 0.000 | 0.000 |
| 18.144 | -18.144 | -0.001 | 81.655 | 0.000 | 0.000 |
| -0.000 | -0.000 | -0.001 | -0.000 | 81.655 | 18.144 |
| 0.000 | -0.000 | -0.000 | -0.000 | 15.137 | 104.646 |
| 284.534 | 135.530 | 82.330 | 18.008 | -0.000 | -0.000 |
| 105.717 | 315.010 | 83.047 | -15.137 | -0.000 | -0.000 |
| 82.908 | 82.908 | 352.974 | -0.000 | -0.000 | -0.000 |
| 15.137 | -15.137 | 0.001 | 81.941 | 0.000 | -0.000 |
| -0.000 | 0.000 | 0.001 | 0.000 | 81.655 | 18.144 |
| -0.000 | 0.000 | 0.000 | 0.000 | 15.137 | 104.646 |
| 315.008 | 105.716 | 83.046 | 15.137 | -0.000 | 0.000 |
| 105.716 | 315.008 | 83.046 | -15.137 | 0.000 | 0.000 |
| 82.906 | 82.906 | 352.968 | -0.000 | -0.000 | 0.000 |
| 15.137 | -15.137 | -0.001 | 81.941 | 0.000 | 0.000 |
| 0.000 | -0.000 | -0.001 | -0.000 | 81.655 | 18.144 |
| 0.000 | -0.000 | -0.000 | -0.000 | 15.137 | 104.646 |
| 35.525 | -158.096 | 150.628 | -0.000 | -0.000 | 0.000 |
| -158.096 | 35.525 | 150.628 | 0.000 | -0.000 | 0.000 |
| 51.373 | 51.373 | 390.331 | -0.000 | -0.000 | 0.000 |
| -33.014 | -33.014 | 629.990 | 50.591 | 0.000 | 0.000 |
| -33.014 | -33.014 | 629.990 | 0.000 | 50.591 | 0.000 |
| -226.513 | -226.513 | 107.123 | -0.000 | -0.000 | 58.915 |
| -1598.424 | -1745.213 | -653.082 | 0.000 | -0.000 | -0.000 |
| -1745.213 | -1598.424 | -653.082 | 0.000 | -0.000 | -0.000 |
| 272.011 | 272.011 | 274.451 | -0.000 | -0.000 | -0.000 |
| 33.014 | 33.014 | -629.990 | 50.591 | -0.000 | -0.000 |
| 33.014 | 33.014 | -629.990 | 0.000 | 50.591 | -0.000 |
| 226.513 | 226.513 | -107.123 | -0.000 | -0.000 | 58.915 |
| 232.921 | 66.484 | 98.146 | -0.000 | -0.000 | 0.000 |
| 66.484 | 232.921 | 98.146 | -0.000 | -0.000 | 0.000 |
| 23.068 | 23.068 | 392.604 | -0.000 | -0.000 | 0.000 |
| -22.710 | -22.710 | 10.740 | 60.208 | -0.000 | 0.000 |
| -22.710 | -22.710 | 10.740 | 0.000 | 60.208 | 0.000 |
| 174.007 | 174.007 | 68.342 | -0.000 | -0.000 | 44.400 |
| 231.820 | 73.424 | -30.310 | 0.000 | -0.000 | -0.000 |
| 73.424 | 231.820 | -30.310 | -0.000 | -0.000 | -0.000 |
| -137.267 | -137.267 | 310.913 | 0.000 | -0.000 | -0.000 |
| 22.710 | 22.710 | -10.740 | 60.208 | 0.000 | -0.000 |
| 22.710 | 22.710 | -10.740 | 0.000 | 60.208 | -0.000 |
| -174.007 | -174.007 | -68.342 | -0.000 | 0.000 | 44.400 |
| 255.616 | 65.610 | 44.203 | -0.000 | 0.000 | 0.000 |
| 65.610 | 255.616 | 44.203 | -0.000 | -0.000 | 0.000 |
| 51.373 | 51.373 | 390.332 | -0.000 | -0.000 | 0.000 |
| -0.000 | 0.000 | -0.000 | 65.712 | 0.000 | 0.000 |
| 0.000 | -0.000 | -0.000 | -0.000 | 65.712 | 0.000 |
| -0.251 | -0.251 | 5.790 | -0.000 | -0.000 | 45.911 |
| 142.886 | 30.247 | 16.155 | -0.000 | -0.000 | -0.000 |
| 30.247 | 142.886 | 16.155 | 0.000 | 0.000 | -0.000 |
| 41.091 | 41.091 | 371.608 | -0.000 | 0.000 | -0.000 |
| 0.000 | -0.000 | 0.000 | 65.712 | -0.000 | -0.000 |
| -0.000 | 0.000 | 0.000 | 0.000 | 65.712 | -0.000 |
| 0.251 | 0.251 | -5.790 | -0.000 | 0.000 | 45.911 |
| 277.259 | 66.514 | 48.527 | -0.000 | -0.000 | -0.000 |
| 66.514 | 277.259 | 48.527 | -0.000 | -0.000 | -0.000 |
| -8383.841 | -8383.841 | -4014.081 | -0.000 | -0.000 | -0.000 |
| -8181.665 | -8181.665 | -4789.539 | 39.143 | -0.000 | -0.000 |
| -8181.665 | -8181.665 | -4789.539 | -0.000 | 39.143 | -0.000 |
| -8419.118 | -8419.118 | -4384.155 | -0.000 | -0.000 | 38.343 |
| 8369.945 | 8264.727 | 4820.325 | 0.000 | 0.000 | 0.000 |
| 8264.727 | 8369.945 | 4820.325 | 0.000 | 0.000 | 0.000 |
| 8218.958 | 8218.958 | 5155.986 | 0.000 | 0.000 | 0.000 |
| 8181.665 | 8181.665 | 4789.539 | 39.143 | 0.000 | 0.000 |
| 8181.665 | 8181.665 | 4789.539 | 0.000 | 39.143 | 0.000 |
| 8419.118 | 8419.118 | 4384.155 | 0.000 | 0.000 | 38.343 |
| 277.259 | 66.514 | 48.527 | -0.000 | 0.000 | -0.000 |
| 66.514 | 277.259 | 48.527 | -0.000 | -0.000 | -0.000 |
| -806.458 | -806.458 | -68.242 | -0.000 | -0.000 | -0.000 |
| -841.934 | -841.934 | -438.409 | 34.141 | -0.000 | -0.000 |
| -841.934 | -841.934 | -438.409 | -0.000 | 34.141 | -0.000 |
| -1240.432 | -1240.432 | -524.837 | -0.000 | -0.000 | 63.638 |
| 1037.988 | 915.819 | 470.343 | 0.000 | 0.000 | 0.000 |
| 915.819 | 1037.988 | 470.343 | 0.000 | 0.000 | 0.000 |
| 440.137 | 440.137 | 571.676 | 0.000 | 0.000 | 0.000 |
| 841.934 | 841.934 | 438.409 | 34.141 | 0.000 | 0.000 |
| 841.934 | 841.934 | 438.409 | 0.000 | 34.141 | 0.000 |
| 1240.432 | 1240.432 | 524.837 | 0.000 | 0.000 | 63.638 |
| 277.260 | 66.513 | 48.527 | -0.000 | -0.000 | 0.000 |
| 66.513 | 277.260 | 48.527 | -0.000 | -0.000 | -0.000 |
| 48.526 | 48.526 | 383.896 | 0.000 | 0.000 | -0.000 |
| -107.489 | -107.488 | -46.866 | 26.808 | -0.000 | -0.000 |
| -107.488 | -107.489 | -46.866 | -0.000 | 26.808 | -0.000 |
| -39.484 | -39.484 | -19.805 | -0.000 | -0.000 | 51.898 |
| 290.094 | 193.483 | 81.052 | 0.000 | 0.000 | 0.000 |
| 193.483 | 290.094 | 81.052 | 0.000 | 0.000 | 0.000 |
| 119.040 | 119.040 | 413.618 | 0.000 | 0.000 | 0.000 |
| 107.489 | 107.488 | 46.866 | 26.808 | 0.000 | 0.000 |
| 107.488 | 107.489 | 46.866 | 0.000 | 26.808 | 0.000 |
| 39.484 | 39.484 | 19.805 | 0.000 | 0.000 | 51.898 |
| 394.222 | -9.939 | -9.951 | 0.000 | 0.000 | 0.000 |
| -9.939 | 394.222 | -9.951 | -0.000 | -0.000 | 0.000 |
| -9.941 | -9.941 | 394.100 | 0.000 | 0.000 | 0.000 |
| 0.000 | -0.000 | -0.000 | -36.819 | 0.000 | 0.000 |
| 0.000 | -0.000 | -0.000 | -0.000 | -36.819 | 0.000 |
| 0.000 | -0.000 | -0.000 | -0.000 | 0.000 | -36.827 |
| 394.222 | -9.939 | -9.951 | 0.000 | -0.000 | -0.000 |
| -9.939 | 394.222 | -9.951 | -0.000 | -0.000 | -0.000 |
| -9.941 | -9.941 | 394.100 | -0.000 | -0.000 | -0.000 |
| -0.000 | 0.000 | 0.000 | -36.819 | -0.000 | -0.000 |
| -0.000 | 0.000 | 0.000 | 0.000 | -36.819 | -0.000 |
| -0.000 | 0.000 | 0.000 | 0.000 | -0.000 | -36.827 |
| 394.223 | -9.939 | -9.951 | -0.000 | 0.000 | 0.000 |
| -9.939 | 394.223 | -9.951 | -0.000 | 0.000 | 0.000 |
| -9.941 | -9.941 | 394.100 | 0.000 | 0.000 | 0.000 |
| 0.000 | 0.000 | -0.000 | -36.819 | 0.000 | 0.000 |
| 0.000 | -0.000 | -0.000 | -0.000 | -36.819 | 0.000 |
| 0.000 | -0.000 | -0.000 | 0.000 | 0.000 | -36.827 |
| 394.222 | -9.939 | -9.951 | -0.000 | -0.000 | -0.000 |
| -9.939 | 394.222 | -9.951 | -0.000 | -0.000 | -0.000 |
| -9.941 | -9.941 | 394.099 | 0.000 | -0.000 | -0.000 |
| -0.000 | -0.000 | 0.000 | -36.819 | -0.000 | -0.000 |
| -0.000 | 0.000 | 0.000 | 0.000 | -36.819 | -0.000 |
| -0.000 | 0.000 | 0.000 | -0.000 | -0.000 | -36.827 |
| 394.225 | -9.939 | -9.951 | -0.000 | 0.000 | 0.000 |
| -9.939 | 394.225 | -9.951 | 0.000 | 0.000 | 0.000 |
| -9.942 | -9.942 | 394.103 | 0.000 | -0.000 | 0.000 |
| -0.000 | 0.000 | -0.000 | -36.819 | 0.000 | 0.000 |
| 0.000 | -0.000 | -0.000 | 0.000 | -36.819 | 0.000 |
| 0.000 | -0.000 | -0.000 | 0.000 | 0.000 | -36.827 |
| 394.219 | -9.939 | -9.951 | 0.000 | -0.000 | -0.000 |
| -9.939 | 394.219 | -9.951 | 0.000 | -0.000 | -0.000 |
| -9.941 | -9.941 | 394.097 | -0.000 | -0.000 | -0.000 |
| 0.000 | -0.000 | 0.000 | -36.819 | -0.000 | -0.000 |
| -0.000 | 0.000 | 0.000 | 0.000 | -36.819 | -0.000 |
| -0.000 | 0.000 | 0.000 | -0.000 | -0.000 | -36.827 |
| 7.396 | 111.817 | 111.817 | -0.000 | 0.000 | 0.000 |
| 111.817 | 7.396 | 111.817 | 0.000 | -0.000 | 0.000 |
| 111.817 | 111.817 | 7.396 | 0.000 | -0.000 | -0.000 |
| 0.000 | 0.000 | 0.000 | 76.409 | 0.000 | 0.000 |
| 0.000 | 0.000 | 0.000 | -0.000 | 76.409 | 0.000 |
| 0.000 | 0.000 | 0.000 | -0.000 | -0.000 | 76.409 |
| 7.396 | 111.817 | 111.817 | 0.000 | 0.000 | 0.000 |
| 111.817 | 7.396 | 111.817 | -0.000 | -0.000 | -0.000 |
| 111.817 | 111.817 | 7.396 | 0.000 | 0.000 | -0.000 |
| -0.000 | -0.000 | -0.000 | 76.409 | -0.000 | -0.000 |
| -0.000 | -0.000 | -0.000 | -0.000 | 76.409 | -0.000 |
| -0.000 | -0.000 | -0.000 | 0.000 | 0.000 | 76.409 |
| 7.396 | 111.817 | 111.817 | 0.000 | 0.000 | 0.000 |
| 111.817 | 7.396 | 111.817 | 0.000 | 0.000 | 0.000 |
| 111.817 | 111.817 | 7.396 | 0.000 | -0.000 | 0.000 |
| 0.000 | 0.000 | 0.000 | -107.132 | 0.000 | 0.000 |
| 0.000 | 0.000 | 0.000 | -0.000 | -107.132 | 0.000 |
| 0.000 | 0.000 | 0.000 | -0.000 | -0.000 | -107.132 |
| 7.396 | 111.817 | 111.817 | 0.000 | -0.000 | -0.000 |
| 111.817 | 7.396 | 111.817 | -0.000 | 0.000 | -0.000 |
| 111.817 | 111.817 | 7.396 | 0.000 | -0.000 | -0.000 |
| -0.000 | -0.000 | -0.000 | -107.132 | -0.000 | -0.000 |
| -0.000 | -0.000 | -0.000 | 0.000 | -107.132 | -0.000 |
| -0.000 | -0.000 | -0.000 | 0.000 | 0.000 | -107.132 |
| 7.398 | 111.818 | 111.818 | 0.000 | -0.000 | 0.000 |
| 111.818 | 7.398 | 111.818 | -0.000 | 0.000 | 0.000 |
| 111.818 | 111.818 | 7.398 | -0.000 | -0.000 | 0.000 |
| 0.003 | 0.000 | 0.000 | -107.132 | -0.000 | 0.000 |
| 0.000 | 0.003 | 0.000 | -0.000 | -107.132 | 0.000 |
| 0.000 | 0.000 | 0.003 | -0.000 | -0.000 | -107.132 |
| 7.394 | 111.817 | 111.817 | -0.000 | 0.000 | -0.000 |
| 111.817 | 7.394 | 111.817 | 0.000 | 0.000 | -0.000 |
| 111.817 | 111.817 | 7.394 | -0.000 | 0.000 | -0.000 |
| -0.003 | -0.000 | -0.000 | -107.132 | 0.000 | -0.000 |
| -0.000 | -0.003 | -0.000 | 0.000 | -107.132 | -0.000 |
| -0.000 | -0.000 | -0.003 | 0.000 | 0.000 | -107.132 |
| 207.022 | 111.564 | 111.564 | 0.000 | -0.000 | 0.000 |
| 111.564 | 207.022 | 111.564 | 0.000 | -0.000 | -0.000 |
| 111.564 | 111.564 | 207.022 | 0.000 | -0.000 | -0.000 |
| 0.000 | -0.000 | 0.000 | 83.550 | -0.000 | 0.000 |
| 0.000 | -0.000 | 0.000 | 0.000 | 83.550 | 0.000 |
| 0.000 | -0.000 | 0.000 | -0.000 | -0.000 | 83.550 |
| 207.022 | 111.564 | 111.564 | -0.000 | 0.000 | -0.000 |
| 111.564 | 207.022 | 111.564 | -0.000 | 0.000 | -0.000 |
| 111.564 | 111.564 | 207.022 | -0.000 | 0.000 | -0.000 |
| -0.000 | 0.000 | -0.000 | 83.550 | 0.000 | -0.000 |
| -0.000 | 0.000 | -0.000 | -0.000 | 83.550 | 0.000 |
| -0.000 | 0.000 | -0.000 | -0.000 | 0.000 | 83.550 |
| 207.022 | 111.564 | 111.564 | 0.000 | -0.000 | 0.000 |
| 111.564 | 207.022 | 111.564 | 0.000 | -0.000 | 0.000 |
| 111.564 | 111.564 | 207.022 | -0.000 | -0.000 | 0.000 |
| 0.000 | 0.000 | 0.000 | 83.550 | -0.000 | 0.000 |
| 0.000 | 0.000 | 0.000 | 0.000 | 83.550 | 0.000 |
| 0.000 | 0.000 | 0.000 | 0.000 | -0.000 | 83.550 |
| 207.022 | 111.564 | 111.564 | -0.000 | 0.000 | -0.000 |
| 111.564 | 207.022 | 111.564 | -0.000 | 0.000 | -0.000 |
| 111.564 | 111.564 | 207.022 | -0.000 | 0.000 | -0.000 |
| -0.000 | -0.000 | -0.000 | 83.550 | 0.000 | -0.000 |
| -0.000 | -0.000 | -0.000 | -0.000 | 83.550 | -0.000 |
| -0.000 | -0.000 | -0.000 | -0.000 | 0.000 | 83.550 |
| 207.024 | 111.565 | 111.565 | 0.000 | -0.000 | 0.000 |
| 111.565 | 207.024 | 111.565 | 0.000 | -0.000 | 0.000 |
| 111.565 | 111.565 | 207.024 | 0.000 | -0.000 | 0.000 |
| 0.000 | 0.001 | 0.001 | 83.550 | -0.000 | 0.000 |
| 0.001 | 0.000 | 0.001 | -0.000 | 83.550 | 0.000 |
| 0.001 | 0.001 | 0.000 | 0.000 | -0.000 | 83.550 |
| 207.020 | 111.564 | 111.564 | -0.000 | 0.000 | 0.000 |
| 111.564 | 207.020 | 111.564 | -0.000 | 0.000 | -0.000 |
| 111.564 | 111.564 | 207.020 | -0.000 | 0.000 | -0.000 |
| -0.000 | -0.001 | -0.001 | 83.550 | 0.000 | -0.000 |
| -0.001 | -0.000 | -0.001 | -0.000 | 83.550 | -0.000 |
| -0.001 | -0.001 | -0.000 | -0.000 | 0.000 | 83.550 |
| 272.610 | 95.467 | 69.174 | -35.838 | -0.000 | -0.000 |
| 95.467 | 272.610 | 69.174 | 35.838 | -0.000 | -0.000 |
| 69.495 | 69.495 | 303.279 | 0.000 | -0.000 | -0.000 |
| -33.018 | 33.019 | 0.002 | 54.058 | -0.000 | -0.000 |
| 0.001 | 0.001 | 0.002 | -0.000 | 54.058 | -33.018 |
| 0.001 | 0.001 | 0.002 | -0.000 | -33.018 | 86.897 |
| 272.610 | 95.466 | 69.173 | -35.838 | 0.000 | 0.000 |
| 95.807 | 273.999 | 71.860 | 36.721 | -0.000 | 0.000 |
| 69.494 | 69.494 | 303.279 | -0.000 | 0.000 | 0.000 |
| -36.721 | 36.721 | -0.000 | 60.291 | -0.000 | 0.000 |
| -0.001 | -0.001 | -0.002 | 0.000 | 54.058 | -33.018 |
| -0.001 | -0.001 | -0.002 | 0.000 | -33.018 | 86.897 |
| 272.610 | 95.466 | 69.173 | -35.838 | -0.000 | 0.000 |
| 95.807 | 273.999 | 71.860 | 36.721 | 0.000 | -0.000 |
| 71.333 | 71.333 | 308.990 | -0.000 | -0.000 | -0.000 |
| -36.721 | 36.721 | 0.000 | 60.291 | -0.000 | -0.000 |
| 0.000 | 0.000 | 0.000 | -0.000 | 54.058 | -33.018 |
| -0.000 | 0.000 | 0.000 | -0.000 | -36.721 | 89.096 |
| 273.999 | 95.807 | 71.860 | -36.721 | 0.000 | 0.000 |
| 95.807 | 273.999 | 71.860 | 36.721 | -0.000 | 0.000 |
| 69.494 | 69.494 | 303.279 | 0.000 | 0.000 | 0.000 |
| -36.721 | 36.721 | -0.000 | 60.291 | 0.000 | 0.000 |
| -0.000 | -0.000 | -0.000 | 0.000 | 54.058 | -33.018 |
| 0.000 | -0.000 | -0.000 | 0.000 | -36.721 | 89.096 |
| 272.611 | 95.466 | 69.173 | -35.838 | 0.000 | -0.000 |
| 95.467 | 272.611 | 69.173 | 35.838 | 0.000 | -0.000 |
| 69.495 | 69.495 | 303.280 | -0.000 | -0.000 | 0.000 |
| -36.721 | 36.721 | 0.000 | 60.291 | -0.000 | -0.000 |
| 0.000 | 0.000 | 0.000 | -0.000 | 60.291 | -36.721 |
| 0.000 | 0.000 | 0.000 | -0.000 | -33.018 | 86.897 |
| 273.998 | 95.807 | 71.860 | -36.721 | -0.000 | 0.000 |
| 95.807 | 273.998 | 71.860 | 36.721 | 0.000 | -0.000 |
| 69.494 | 69.494 | 303.278 | 0.000 | 0.000 | 0.000 |
| -36.721 | 36.721 | -0.000 | 60.291 | 0.000 | 0.000 |
| -0.000 | -0.000 | -0.000 | 0.000 | 60.291 | -36.721 |
| -0.000 | -0.000 | -0.000 | 0.000 | -33.018 | 86.897 |
| 3.895 | 113.329 | 104.268 | -0.000 | -0.000 | 0.000 |
| 113.329 | 3.895 | 104.268 | -0.000 | -0.000 | 0.000 |
| 94.629 | 94.629 | 21.224 | -0.000 | -0.000 | 0.000 |
| 0.001 | 0.001 | -0.004 | -69.458 | -0.000 | 0.000 |
| 0.001 | 0.001 | -0.004 | -0.000 | -69.458 | 0.000 |
| 0.001 | 0.001 | -0.002 | -0.000 | -0.000 | 70.044 |
| 32.657 | 112.511 | 62.578 | -0.000 | 0.000 | 0.000 |
| 112.511 | 32.657 | 62.578 | 0.000 | 0.000 | -0.000 |
| 94.628 | 94.628 | 21.227 | 0.000 | 0.000 | -0.000 |
| -0.001 | -0.001 | 0.004 | -69.458 | 0.000 | -0.000 |
| -0.001 | -0.001 | 0.004 | 0.000 | -69.458 | -0.000 |
| -0.001 | -0.001 | 0.002 | 0.000 | 0.000 | 70.044 |
| 20.776 | 102.136 | 95.781 | -0.000 | -0.000 | 0.000 |
| 102.136 | 20.776 | 95.781 | -0.000 | -0.000 | 0.000 |
| 63.956 | 63.956 | 112.745 | -0.000 | -0.000 | -0.000 |
| 0.000 | 0.000 | -0.000 | -69.458 | -0.000 | -0.000 |
| 0.000 | 0.000 | -0.000 | -0.000 | -69.458 | 0.000 |
| -0.000 | 0.000 | 0.000 | -0.000 | -0.000 | 90.437 |
| 20.777 | 102.136 | 95.782 | 0.000 | 0.000 | -0.000 |
| 102.136 | 20.777 | 95.782 | -0.000 | 0.000 | 0.000 |
| 94.628 | 94.628 | 21.225 | 0.000 | 0.000 | 0.000 |
| -0.000 | -0.000 | 0.000 | -69.458 | 0.000 | -0.000 |
| -0.000 | -0.000 | 0.000 | 0.000 | -69.458 | -0.000 |
| 0.000 | -0.000 | -0.000 | -0.000 | 0.000 | 90.437 |
| -3350893.350 | -1489897.337 | -2336812.925 | 47540.776 | -60214.226 | -40958.105 |
| -838319.755 | -3146711.304 | -1747577.091 | -5087.863 | -17686.364 | -14153.947 |
| 94.628 | 94.628 | 21.227 | 0.000 | -0.000 | -0.000 |
| -0.000 | -0.000 | -0.000 | -69.458 | -0.000 | -0.000 |
| -0.000 | -0.000 | -0.000 | -0.000 | -69.458 | 0.000 |
| -0.000 | -0.000 | 0.000 | -0.000 | -0.000 | 70.044 |
| 1051694.281 | 3172776.650 | 2177934.578 | -44446.793 | 22141.549 | -3994.467 |
| 3218964.442 | 852898.296 | 1619175.787 | -28325.137 | -4842.746 | 46141.431 |
| 94.629 | 94.629 | 21.223 | 0.000 | 0.000 | -0.000 |
| 0.000 | 0.000 | 0.000 | -69.458 | 0.000 | -0.000 |
| 0.000 | 0.000 | 0.000 | 0.000 | -69.458 | -0.000 |
| 0.000 | 0.000 | -0.000 | -0.000 | 0.000 | 70.044 |
| 6.600 | 9.093 | 9.093 | 0.000 | 0.000 | 0.000 |
| 9.093 | 6.600 | 9.093 | 0.000 | 0.000 | 0.000 |
| 9.093 | 9.093 | 6.600 | 0.000 | 0.000 | 0.000 |
| 0.000 | -0.000 | 0.000 | -3.987 | 0.000 | 0.000 |
| -0.000 | -0.000 | 0.000 | 0.000 | -3.987 | 0.000 |
| -0.000 | -0.000 | 0.000 | 0.000 | 0.000 | -3.987 |
| 6.600 | 9.093 | 9.093 | -0.000 | -0.000 | -0.000 |
| 9.093 | 6.600 | 9.093 | -0.000 | -0.000 | -0.000 |
| 9.093 | 9.093 | 6.600 | -0.000 | -0.000 | -0.000 |
| 0.000 | 0.000 | -0.000 | -3.987 | -0.000 | -0.000 |
| -0.000 | 0.000 | -0.000 | -0.000 | -3.987 | -0.000 |
| 0.000 | 0.000 | -0.000 | -0.000 | -0.000 | -3.987 |
| 6.600 | 9.093 | 9.093 | 0.000 | 0.000 | 0.000 |
| 9.093 | 6.600 | 9.093 | 0.000 | 0.000 | 0.000 |
| 9.093 | 9.093 | 6.600 | 0.000 | 0.000 | 0.000 |
| -0.000 | -0.000 | -0.000 | -3.987 | 0.000 | 0.000 |
| -0.000 | -0.000 | -0.000 | 0.000 | -3.987 | 0.000 |
| -0.000 | -0.000 | -0.000 | 0.000 | 0.000 | -3.987 |
| 6.600 | 9.093 | 9.093 | -0.000 | -0.000 | -0.000 |
| 9.093 | 6.600 | 9.093 | -0.000 | -0.000 | -0.000 |
| 9.093 | 9.093 | 6.600 | -0.000 | -0.000 | -0.000 |
| 0.000 | 0.000 | 0.000 | -3.987 | -0.000 | -0.000 |
| 0.000 | 0.000 | 0.000 | -0.000 | -3.987 | -0.000 |
| 0.000 | 0.000 | 0.000 | -0.000 | -0.000 | -3.987 |
| 6.600 | 9.093 | 9.093 | 0.000 | 0.000 | 0.000 |
| 9.093 | 6.600 | 9.093 | 0.000 | 0.000 | 0.000 |
| 9.093 | 9.093 | 6.600 | 0.000 | 0.000 | 0.000 |
| -0.000 | -0.000 | -0.000 | -3.987 | 0.000 | 0.000 |
| -0.000 | -0.000 | -0.000 | 0.000 | -3.987 | 0.000 |
| -0.000 | -0.000 | -0.000 | 0.000 | 0.000 | -3.987 |
| 6.600 | 9.093 | 9.093 | -0.000 | -0.000 | -0.000 |
| 9.093 | 6.600 | 9.093 | -0.000 | -0.000 | -0.000 |
| 9.093 | 9.093 | 6.600 | -0.000 | -0.000 | -0.000 |
| 0.000 | 0.000 | 0.000 | -3.987 | -0.000 | -0.000 |
| 0.000 | 0.000 | 0.000 | -0.000 | -3.987 | -0.000 |
| 0.000 | 0.000 | 0.000 | -0.000 | -0.000 | -3.987 |
| 97.616 | 126.391 | 104.391 | -11.077 | 0.000 | 0.000 |
| 126.391 | 97.616 | 104.391 | 11.077 | -0.000 | -0.000 |
| 82.001 | 82.001 | 151.851 | -0.000 | -0.000 | 0.000 |
| 0.175 | -0.175 | 0.000 | 25.769 | -0.000 | 0.000 |
| -0.000 | -0.000 | 0.000 | -0.000 | 25.769 | 0.175 |
| -0.000 | -0.000 | 0.000 | -0.000 | 0.175 | 52.873 |
| 64.700 | 151.902 | 101.721 | -5.223 | 0.000 | -0.000 |
| 151.902 | 64.700 | 101.721 | 5.223 | 0.000 | 0.000 |
| 56.473 | 56.473 | 226.141 | 0.000 | -0.000 | 0.000 |
| 0.175 | -0.175 | -0.000 | 25.769 | 0.000 | 0.000 |
| 0.000 | 0.000 | -0.000 | 0.000 | 25.769 | 0.175 |
| 0.000 | 0.000 | -0.000 | 0.000 | 0.175 | 52.873 |
| 184.145 | 78.400 | 57.057 | 0.175 | 0.000 | -0.000 |
| 128.416 | 101.624 | 97.343 | 10.911 | -0.000 | 0.000 |
| 103.435 | 103.435 | 112.031 | -0.000 | 0.000 | -0.000 |
| -4.854 | 3.708 | 1.204 | -26.131 | 0.000 | 0.000 |
| -0.000 | -0.000 | 0.000 | 0.000 | 25.769 | 0.175 |
| -0.000 | -0.000 | -0.000 | 0.000 | 0.175 | 52.873 |
| 184.146 | 78.400 | 57.057 | 0.175 | -0.000 | 0.000 |
| 128.863 | 102.492 | 95.809 | 10.876 | 0.000 | -0.000 |
| 85.808 | 85.808 | 142.213 | 0.000 | -0.000 | -0.000 |
| 0.175 | -0.175 | -0.000 | 25.769 | 0.000 | 0.000 |
| 0.000 | 0.000 | -0.000 | -0.000 | 25.769 | 0.175 |
| 0.000 | 0.000 | 0.000 | -0.000 | 0.175 | 52.873 |
| 102.025 | 128.608 | 96.644 | -10.893 | 0.000 | 0.000 |
| 78.400 | 184.143 | 57.056 | -0.176 | -0.000 | 0.000 |
| 85.422 | 85.422 | 143.188 | -0.000 | -0.000 | -0.000 |
| 0.175 | -0.176 | -0.000 | 25.769 | -0.000 | -0.000 |
| -0.001 | -0.000 | -0.000 | 0.000 | 25.769 | 0.175 |
| -2797036.426 | 1888976.120 | -1940386.188 | -939627.869 | -1627521.826 | -4058308.638 |
| 65.135 | 143.102 | 111.496 | -5.614 | 0.000 | 0.000 |
| 78.400 | 184.149 | 57.057 | -0.174 | 0.000 | 0.000 |
| 85.488 | 85.488 | 143.018 | 0.000 | -0.000 | -0.000 |
| 0.175 | -0.175 | 0.000 | 25.769 | 0.000 | -0.000 |
| 0.001 | 0.000 | 0.000 | -0.000 | 25.769 | 0.175 |
| 2797036.426 | -1888976.127 | 1940386.182 | 939627.862 | -1627521.825 | -4058308.637 |
| 404.499 | 96.372 | 96.372 | 0.000 | 0.000 | -0.000 |
| 96.372 | 404.499 | 96.372 | -0.000 | 0.000 | -0.000 |
| 96.372 | 96.372 | 404.499 | -0.000 | -0.000 | -0.000 |
| -0.000 | 0.000 | -0.000 | 65.799 | -0.000 | -0.000 |
| -0.000 | -0.000 | -0.000 | -0.000 | 65.799 | -0.000 |
| -0.000 | -0.000 | -0.000 | -0.000 | -0.000 | 65.799 |
| 404.499 | 96.372 | 96.372 | 0.000 | 0.000 | -0.000 |
| 96.372 | 404.499 | 96.372 | 0.000 | 0.000 | 0.000 |
| 96.372 | 96.372 | 404.499 | 0.000 | 0.000 | -0.000 |
| 0.000 | -0.000 | 0.000 | 65.799 | 0.000 | -0.000 |
| 0.000 | 0.000 | 0.000 | 0.000 | 65.799 | -0.000 |
| 0.000 | -0.000 | 0.000 | 0.000 | 0.000 | 65.799 |
| 404.499 | 96.371 | 96.371 | -0.000 | -0.000 | 0.000 |
| 96.371 | 404.499 | 96.371 | -0.000 | -0.000 | -0.000 |
| 96.371 | 96.371 | 404.499 | -0.000 | -0.000 | 0.000 |
| -0.000 | -0.000 | -0.000 | 65.806 | -0.000 | 0.000 |
| -0.000 | -0.000 | -0.000 | -0.000 | 65.806 | -0.000 |
| -0.000 | -0.000 | -0.000 | -0.000 | -0.000 | 65.806 |
| 404.492 | 96.375 | 96.375 | 0.000 | 0.000 | 0.000 |
| 96.375 | 404.492 | 96.375 | 0.000 | 0.000 | 0.000 |
| 96.375 | 96.375 | 404.492 | 0.000 | -0.000 | 0.000 |
| 0.000 | 0.000 | 0.000 | 65.806 | 0.000 | 0.000 |
| 0.000 | 0.000 | 0.000 | 0.000 | 65.806 | -0.000 |
| 0.000 | 0.000 | 0.000 | 0.000 | 0.000 | 65.806 |
| 404.498 | 96.371 | 96.371 | -0.000 | -0.000 | -0.000 |
| 96.371 | 404.498 | 96.371 | -0.000 | -0.000 | -0.000 |
| 96.371 | 96.371 | 404.498 | -0.000 | -0.000 | -0.000 |
| -0.000 | -0.001 | -0.001 | 65.799 | -0.000 | -0.000 |
| -0.001 | -0.000 | -0.001 | -0.000 | 65.799 | -0.000 |
| -0.001 | -0.001 | -0.000 | -0.000 | -0.000 | 65.799 |
| 404.500 | 96.372 | 96.372 | 0.000 | 0.000 | -0.000 |
| 96.372 | 404.500 | 96.372 | 0.000 | 0.000 | -0.000 |
| 96.372 | 96.372 | 404.500 | 0.000 | 0.000 | 0.000 |
| 0.000 | 0.001 | 0.001 | 65.799 | 0.000 | -0.000 |
| 0.001 | 0.000 | 0.001 | 0.000 | 65.799 | 0.000 |
| 0.001 | 0.001 | 0.000 | 0.000 | 0.000 | 65.799 |
| 267.325 | 142.357 | 142.357 | 0.000 | 0.000 | -0.000 |
| 142.357 | 267.325 | 142.357 | 0.000 | 0.000 | -0.000 |
| 142.357 | 142.357 | 267.325 | 0.000 | 0.000 | 0.000 |
| -0.000 | 0.000 | -0.000 | 114.855 | 0.000 | -0.000 |
| -0.000 | 0.000 | -0.000 | 0.000 | 114.855 | -0.000 |
| -0.000 | 0.000 | -0.000 | 0.000 | 0.000 | 114.855 |
| 267.325 | 142.357 | 142.357 | -0.000 | -0.000 | 0.000 |
| 142.357 | 267.325 | 142.357 | -0.000 | -0.000 | 0.000 |
| 142.357 | 142.357 | 267.325 | -0.000 | -0.000 | 0.000 |
| 0.000 | 0.000 | 0.000 | 114.855 | -0.000 | -0.000 |
| 0.000 | -0.000 | 0.000 | -0.000 | 114.855 | 0.000 |
| 0.000 | -0.000 | 0.000 | -0.000 | -0.000 | 114.855 |
| 267.325 | 142.357 | 142.357 | 0.000 | 0.000 | -0.000 |
| 142.357 | 267.325 | 142.357 | 0.000 | 0.000 | -0.000 |
| 142.357 | 142.357 | 267.325 | 0.000 | 0.000 | -0.000 |
| 0.000 | -0.000 | 0.000 | 114.855 | 0.000 | -0.000 |
| -0.000 | 0.000 | 0.000 | 0.000 | 114.855 | -0.000 |
| -0.000 | 0.000 | 0.000 | 0.000 | 0.000 | 114.855 |
| 267.325 | 142.357 | 142.357 | -0.000 | -0.000 | 0.000 |
| 142.357 | 267.325 | 142.357 | -0.000 | -0.000 | 0.000 |
| 142.357 | 142.357 | 267.325 | -0.000 | -0.000 | 0.000 |
| -0.000 | -0.000 | -0.000 | 114.855 | -0.000 | 0.000 |
| 0.000 | -0.000 | -0.000 | -0.000 | 114.855 | 0.000 |
| 0.000 | -0.000 | -0.000 | -0.000 | -0.000 | 114.855 |
| 267.324 | 142.357 | 142.357 | 0.000 | 0.000 | -0.000 |
| 142.357 | 267.324 | 142.357 | 0.000 | 0.000 | -0.000 |
| 142.357 | 142.357 | 267.324 | 0.000 | 0.000 | -0.000 |
| 0.000 | -0.000 | 0.000 | 114.855 | 0.000 | -0.000 |
| -0.000 | 0.000 | 0.000 | 0.000 | 114.855 | -0.000 |
| -0.000 | 0.000 | 0.000 | 0.000 | 0.000 | 114.855 |
| 267.327 | 142.357 | 142.357 | -0.000 | -0.000 | 0.000 |
| 142.357 | 267.327 | 142.357 | -0.000 | -0.000 | 0.000 |
| 142.357 | 142.357 | 267.327 | 0.000 | 0.000 | 0.000 |
| -0.000 | 0.000 | -0.000 | 114.855 | -0.000 | 0.000 |
| 0.000 | -0.000 | -0.000 | -0.000 | 114.855 | 0.000 |
| 0.000 | -0.000 | -0.000 | -0.000 | -0.000 | 114.855 |
| 188.255 | 126.696 | 126.696 | 0.000 | 0.000 | 0.000 |
| 126.696 | 188.255 | 126.696 | 0.000 | 0.000 | -0.000 |
| 126.696 | 126.696 | 188.255 | 0.000 | 0.000 | -0.000 |
| 0.000 | 0.000 | 0.000 | 107.742 | 0.000 | -0.000 |
| 0.000 | 0.000 | 0.000 | 0.000 | 107.742 | -0.000 |
| 0.000 | 0.000 | -0.000 | 0.000 | 0.000 | 107.742 |
| 188.255 | 126.696 | 126.696 | -0.000 | -0.000 | -0.000 |
| 126.696 | 188.255 | 126.696 | -0.000 | 0.000 | 0.000 |
| 126.696 | 126.696 | 188.255 | -0.000 | -0.000 | 0.000 |
| 0.000 | -0.000 | -0.000 | 107.742 | 0.000 | -0.000 |
| -0.000 | -0.000 | -0.000 | -0.000 | 107.742 | -0.000 |
| -0.000 | -0.000 | 0.000 | -0.000 | -0.000 | 107.742 |
| 188.255 | 126.696 | 126.696 | -0.000 | -0.000 | 0.000 |
| 126.696 | 188.255 | 126.696 | -0.000 | 0.000 | -0.000 |
| 126.696 | 126.696 | 188.255 | 0.000 | 0.000 | 0.000 |
| -0.000 | 0.000 | 0.000 | 107.742 | 0.000 | -0.000 |
| 0.000 | -0.000 | 0.000 | -0.000 | 107.742 | 0.000 |
| 0.000 | 0.000 | -0.000 | -0.000 | 0.000 | 107.742 |
| 188.255 | 126.696 | 126.696 | -0.000 | -0.000 | -0.000 |
| 126.696 | 188.255 | 126.696 | -0.000 | -0.000 | 0.000 |
| 126.696 | 126.696 | 188.255 | -0.000 | -0.000 | 0.000 |
| 0.000 | -0.000 | -0.000 | 107.742 | 0.000 | 0.000 |
| -0.000 | 0.000 | -0.000 | -0.000 | 107.742 | -0.000 |
| -0.000 | -0.000 | 0.000 | -0.000 | -0.000 | 107.742 |
| 188.256 | 126.697 | 126.697 | 0.000 | 0.000 | -0.000 |
| 126.697 | 188.256 | 126.697 | 0.000 | 0.000 | 0.000 |
| 126.697 | 126.697 | 188.256 | 0.000 | 0.000 | 0.000 |
| -0.000 | 0.000 | 0.000 | 107.742 | 0.000 | 0.000 |
| 0.000 | -0.000 | 0.000 | 0.000 | 107.742 | 0.000 |
| 0.000 | 0.000 | -0.000 | -0.000 | 0.000 | 107.742 |
| 188.255 | 126.696 | 126.696 | -0.000 | -0.000 | 0.000 |
| 126.696 | 188.255 | 126.696 | -0.000 | -0.000 | -0.000 |
| 126.696 | 126.696 | 188.255 | 0.000 | -0.000 | 0.000 |
| 0.000 | -0.000 | -0.000 | 107.742 | 0.000 | -0.000 |
| -0.000 | 0.000 | -0.000 | 0.000 | 107.742 | -0.000 |
| -0.000 | -0.000 | 0.000 | -0.000 | 0.000 | 107.742 |
| 238.349 | 138.107 | 136.492 | -0.000 | -0.000 | -0.000 |
| 133.930 | 299.532 | 46.562 | -0.000 | 0.000 | -0.000 |
| 129.198 | 46.903 | 292.685 | -0.000 | -0.000 | 0.000 |
| -0.000 | -0.000 | -0.000 | 51.911 | -0.000 | 0.000 |
| -0.531 | -1.270 | -2.261 | 0.000 | 115.890 | 0.000 |
| -0.183 | -0.437 | -0.779 | 0.000 | -0.000 | 127.114 |
| 238.349 | 138.107 | 136.492 | 0.000 | 0.000 | -0.000 |
| 134.295 | 300.407 | 48.120 | 0.000 | -0.000 | 0.000 |
| 129.563 | 47.778 | 294.243 | 0.000 | 0.000 | -0.000 |
| 0.000 | 0.000 | 0.000 | 51.911 | 0.000 | -0.000 |
| 0.531 | 1.270 | 2.261 | 0.000 | 115.890 | -0.000 |
| 0.183 | 0.437 | 0.779 | -0.000 | 0.000 | 127.114 |
| 238.349 | 138.107 | 136.492 | 0.000 | -0.000 | 0.000 |
| 138.107 | 309.535 | 64.368 | -0.000 | -0.000 | 0.000 |
| 129.362 | 47.297 | 293.386 | -0.000 | -0.000 | -0.000 |
| -0.114 | -0.272 | -0.485 | -19.902 | -0.000 | 0.000 |
| -0.054 | -0.129 | -0.229 | -0.000 | 115.779 | 0.000 |
| -0.018 | -0.044 | -0.078 | -0.000 | 0.000 | 127.114 |
| 238.350 | 138.107 | 136.492 | 0.000 | 0.000 | -0.000 |
| 138.107 | 309.535 | 64.368 | 0.000 | 0.000 | 0.000 |
| 129.399 | 47.384 | 293.542 | 0.000 | 0.000 | -0.000 |
| 0.114 | 0.272 | 0.485 | -19.902 | 0.000 | -0.000 |
| 0.054 | 0.129 | 0.229 | 0.000 | 115.779 | -0.000 |
| 0.018 | 0.044 | 0.078 | 0.000 | 0.000 | 127.114 |
| 236.674 | 134.109 | 129.373 | -0.000 | -0.000 | 0.000 |
| 134.112 | 299.966 | 47.333 | -0.000 | -0.000 | 0.000 |
| 129.379 | 47.336 | 293.457 | -0.000 | -0.000 | -0.000 |
| -0.011 | -0.027 | -0.047 | -19.908 | -0.000 | 0.000 |
| -0.000 | -0.000 | 0.000 | -0.000 | 123.591 | 0.000 |
| -0.002 | -0.004 | -0.008 | -0.000 | -0.000 | 127.114 |
| 236.688 | 134.117 | 129.388 | -0.000 | -0.000 | 0.000 |
| 134.114 | 299.974 | 47.349 | 0.000 | -0.000 | 0.000 |
| 129.382 | 47.345 | 293.471 | 0.000 | 0.000 | 0.000 |
| 0.011 | 0.027 | 0.047 | -19.908 | 0.000 | -0.000 |
| 0.000 | 0.000 | -0.000 | 0.000 | 123.591 | -0.000 |
| 0.002 | 0.004 | 0.008 | 0.000 | 0.000 | 127.114 |
| 259.383 | 128.965 | 119.927 | 0.000 | -0.000 | 0.000 |
| 139.419 | 303.266 | 59.055 | 0.000 | -0.000 | 0.000 |
| 129.402 | 37.888 | 281.427 | 0.000 | -0.000 | 0.000 |
| -0.000 | -0.000 | 0.000 | 45.483 | -0.000 | 0.000 |
| -4.062 | -8.848 | -16.154 | 0.000 | 122.627 | 0.000 |
| 0.000 | 0.000 | 0.000 | 0.000 | -0.000 | 128.273 |
| 266.179 | 143.768 | 146.952 | -0.000 | 0.000 | -0.000 |
| 139.419 | 303.266 | 59.055 | -0.000 | 0.000 | -0.000 |
| 136.199 | 52.691 | 308.452 | -0.000 | 0.000 | -0.000 |
| 0.000 | 0.000 | -0.000 | 45.483 | 0.000 | -0.000 |
| 4.062 | 8.848 | 16.154 | -0.000 | 122.627 | -0.000 |
| -0.000 | 0.000 | -0.000 | -0.000 | 0.000 | 128.273 |
| 262.440 | 135.626 | 132.088 | 0.000 | -0.000 | 0.000 |
| 139.419 | 303.266 | 59.055 | 0.000 | 0.000 | 0.000 |
| 138.980 | 58.748 | 319.511 | 0.000 | -0.000 | 0.000 |
| -0.340 | -0.740 | -1.351 | -17.113 | 0.000 | 0.000 |
| -0.340 | -0.740 | -1.351 | 0.000 | 118.432 | 0.000 |
| 0.000 | 0.000 | -0.000 | 0.000 | -0.000 | 128.273 |
| 263.121 | 137.107 | 134.791 | -0.000 | 0.000 | -0.000 |
| 139.419 | 303.266 | 59.055 | -0.000 | 0.000 | -0.000 |
| 133.140 | 46.029 | 296.291 | -0.000 | 0.000 | -0.000 |
| 0.340 | 0.740 | 1.351 | -17.113 | -0.000 | -0.000 |
| 0.340 | 0.740 | 1.351 | -0.000 | 118.432 | -0.000 |
| -0.000 | -0.000 | 0.000 | -0.000 | 0.000 | 128.273 |
| 262.742 | 136.293 | 133.304 | 0.000 | -0.000 | 0.000 |
| 139.420 | 303.266 | 59.054 | 0.000 | -0.000 | 0.000 |
| 132.767 | 45.215 | 294.805 | 0.000 | -0.000 | 0.000 |
| -0.034 | -0.074 | -0.135 | -17.113 | -0.000 | 0.000 |
| -0.098 | -0.214 | -0.390 | 0.000 | 118.436 | 0.000 |
| -0.034 | -0.073 | -0.135 | 0.000 | -0.000 | 128.273 |
| 264.339 | 139.751 | 139.618 | -0.000 | 0.000 | -0.000 |
| 136.068 | 295.967 | 45.731 | -0.000 | 0.000 | -0.000 |
| 132.834 | 45.363 | 295.074 | -0.000 | 0.000 | -0.000 |
| 0.034 | 0.074 | 0.135 | -17.113 | -0.000 | -0.000 |
| 0.098 | 0.214 | 0.390 | -0.000 | 118.436 | -0.000 |
| 0.034 | 0.073 | 0.135 | -0.000 | 0.000 | 128.273 |
| 278.588 | 97.576 | 68.152 | 37.057 | -0.000 | -0.000 |
| 97.576 | 278.588 | 68.152 | -37.057 | -0.000 | -0.000 |
| 70.068 | 70.068 | 309.396 | 0.000 | -0.000 | -0.000 |
| 38.153 | -38.153 | -0.000 | 61.189 | -0.000 | -0.000 |
| 0.089 | 0.089 | 0.332 | 0.000 | 55.983 | 34.852 |
| 0.423 | 0.423 | 1.572 | 0.000 | 35.692 | 89.641 |
| 279.843 | 97.441 | 70.235 | 38.153 | 0.000 | 0.000 |
| 97.274 | 278.715 | 67.827 | -37.395 | 0.000 | 0.000 |
| 70.068 | 70.068 | 309.396 | -0.000 | 0.000 | 0.000 |
| 34.763 | -34.942 | -0.332 | 55.983 | 0.000 | 0.000 |
| -0.089 | -0.089 | -0.332 | -0.000 | 55.983 | 34.852 |
| -0.423 | -0.423 | -1.572 | 0.000 | 35.692 | 89.641 |
| 278.685 | 97.413 | 68.029 | 37.262 | -0.000 | -0.000 |
| 97.441 | 279.843 | 70.235 | -38.153 | -0.000 | -0.000 |
| 70.068 | 70.068 | 309.397 | -0.000 | -0.000 | -0.000 |
| 34.861 | -34.843 | 0.033 | 55.983 | -0.000 | -0.000 |
| 0.009 | 0.009 | 0.033 | 0.000 | 55.983 | 34.852 |
| -0.000 | 0.000 | -0.000 | 0.000 | 38.153 | 91.201 |
| 279.843 | 97.441 | 70.235 | 38.153 | 0.000 | 0.000 |
| 97.384 | 278.696 | 67.997 | -37.293 | 0.000 | 0.000 |
| 70.068 | 70.068 | 309.396 | 0.000 | 0.000 | 0.000 |
| 38.153 | -38.153 | -0.000 | 61.189 | 0.000 | 0.000 |
| -0.009 | -0.009 | -0.033 | -0.000 | 55.983 | 34.852 |
| 0.000 | -0.000 | 0.000 | -0.000 | 38.153 | 91.201 |
| 277.397 | 99.179 | 68.917 | 34.852 | -0.000 | -0.000 |
| 97.400 | 278.691 | 68.015 | -37.276 | -0.000 | -0.000 |
| 70.068 | 70.068 | 309.398 | -0.000 | -0.000 | -0.000 |
| 38.153 | -38.153 | 0.000 | 61.189 | -0.000 | -0.000 |
| 0.000 | 0.000 | 0.000 | 0.000 | 61.189 | 38.153 |
| -0.000 | 0.000 | 0.000 | 0.000 | 38.153 | 91.201 |
| 279.842 | 97.441 | 70.235 | 38.153 | 0.000 | 0.000 |
| 97.441 | 279.842 | 70.235 | -38.153 | 0.000 | 0.000 |
| 68.745 | 68.745 | 304.482 | -0.000 | 0.000 | 0.000 |
| 34.847 | -34.858 | -0.021 | 55.983 | 0.000 | 0.000 |
| -0.000 | -0.000 | -0.000 | -0.000 | 61.189 | 38.153 |
| 0.000 | -0.000 | -0.000 | -0.000 | 38.153 | 91.201 |
| 279.511 | 97.324 | 69.544 | 37.943 | -0.000 | -0.000 |
| 97.324 | 279.511 | 69.544 | -37.943 | -0.000 | 0.000 |
| 69.544 | 69.544 | 307.867 | 0.000 | -0.000 | 0.000 |
| 37.943 | -37.943 | 0.000 | 60.875 | -0.000 | 0.000 |
| 0.013 | 0.013 | 0.049 | 0.000 | 55.639 | 34.624 |
| -0.000 | 0.000 | 0.000 | 0.000 | 37.943 | 91.094 |
| 278.357 | 97.282 | 67.333 | 37.066 | 0.000 | -0.000 |
| 99.072 | 277.051 | 68.228 | -34.624 | 0.000 | -0.000 |
| 69.544 | 69.544 | 307.867 | 0.000 | 0.000 | 0.000 |
| 34.611 | -34.638 | -0.049 | 55.639 | 0.000 | -0.000 |
| -0.013 | -0.013 | -0.049 | -0.000 | 55.639 | 34.624 |
| 0.000 | -0.000 | -0.000 | 0.000 | 37.943 | 91.094 |
| 278.356 | 97.285 | 67.337 | 37.062 | -0.000 | 0.000 |
| 97.324 | 279.511 | 69.544 | -37.943 | -0.000 | 0.000 |
| 68.236 | 68.236 | 303.028 | 0.000 | -0.000 | 0.000 |
| 37.943 | -37.943 | 0.000 | 60.875 | -0.000 | 0.000 |
| -0.000 | 0.000 | 0.000 | 0.000 | 60.875 | 37.943 |
| -0.000 | 0.000 | 0.000 | 0.000 | 37.943 | 91.094 |
| 279.511 | 97.324 | 69.544 | 37.943 | 0.000 | -0.000 |
| 97.324 | 279.511 | 69.544 | -37.943 | 0.000 | -0.000 |
| 69.544 | 69.544 | 307.867 | -0.000 | 0.000 | -0.000 |
| 34.623 | -34.625 | -0.005 | 55.639 | 0.000 | -0.000 |
| 0.000 | -0.000 | -0.000 | -0.000 | 60.875 | 37.943 |
| 0.000 | -0.000 | -0.000 | -0.000 | 37.943 | 91.094 |
| 278.357 | 97.285 | 67.337 | 37.062 | -0.000 | 0.000 |
| 97.324 | 279.512 | 69.544 | -37.943 | -0.000 | 0.000 |
| 68.236 | 68.236 | 303.028 | 0.000 | 0.000 | 0.000 |
| 34.624 | -34.624 | 0.001 | 55.639 | -0.000 | 0.000 |
| 0.000 | 0.000 | 0.001 | 0.000 | 55.639 | 34.624 |
| 0.000 | 0.000 | 0.001 | 0.000 | 34.624 | 88.990 |
| 279.510 | 97.324 | 69.544 | 37.943 | 0.000 | -0.000 |
| 97.323 | 279.510 | 69.544 | -37.943 | 0.000 | 0.000 |
| 68.235 | 68.235 | 303.025 | -0.000 | -0.000 | -0.000 |
| 37.943 | -37.943 | -0.000 | 60.875 | 0.000 | 0.000 |
| -0.000 | -0.000 | -0.001 | -0.000 | 55.639 | 34.624 |
| -0.000 | -0.000 | -0.001 | -0.000 | 34.624 | 88.990 |
| 189.112 | 133.069 | 134.031 | -0.000 | -0.000 | 0.000 |
| 133.069 | 189.112 | 134.031 | -0.000 | -0.000 | 0.000 |
| 134.031 | 134.031 | 224.578 | -0.000 | -0.000 | -0.000 |
| 0.000 | 0.000 | 0.000 | 113.780 | -0.000 | -0.000 |
| 0.000 | 0.000 | 0.000 | -0.000 | 113.780 | 0.000 |
| 0.000 | 0.000 | -0.000 | -0.000 | -0.000 | 112.044 |
| 189.525 | 132.655 | 134.031 | 0.000 | 0.000 | 0.000 |
| 132.656 | 189.525 | 134.031 | 0.000 | 0.000 | 0.000 |
| 134.031 | 134.031 | 224.578 | 0.000 | 0.000 | -0.000 |
| -0.000 | -0.000 | -0.000 | 113.780 | 0.000 | 0.000 |
| -0.000 | -0.000 | -0.000 | 0.000 | 113.780 | -0.000 |
| -0.000 | -0.000 | 0.000 | 0.000 | 0.000 | 112.044 |
| 189.112 | 133.069 | 134.031 | -0.000 | -0.000 | 0.000 |
| 133.069 | 189.112 | 134.031 | -0.000 | -0.000 | 0.000 |
| 134.031 | 134.031 | 224.578 | -0.000 | -0.000 | 0.000 |
| -0.000 | 0.000 | 0.000 | 113.980 | -0.000 | -0.000 |
| 0.000 | -0.000 | 0.000 | -0.000 | 113.980 | 0.000 |
| 0.000 | 0.000 | -0.000 | -0.000 | -0.000 | 112.044 |
| 189.112 | 133.069 | 134.031 | 0.000 | 0.000 | 0.000 |
| 133.069 | 189.112 | 134.031 | 0.000 | 0.000 | 0.000 |
| 134.031 | 134.031 | 224.577 | 0.000 | 0.000 | 0.000 |
| 0.000 | -0.000 | -0.000 | 113.980 | 0.000 | -0.000 |
| -0.000 | 0.000 | -0.000 | 0.000 | 113.980 | 0.000 |
| -0.000 | -0.000 | 0.000 | 0.000 | 0.000 | 112.044 |
| 189.112 | 133.070 | 134.031 | -0.000 | -0.000 | -0.000 |
| 133.070 | 189.112 | 134.031 | -0.000 | -0.000 | -0.000 |
| 134.031 | 134.031 | 224.578 | -0.000 | -0.000 | 0.000 |
| -0.000 | 0.000 | 0.000 | 113.780 | -0.000 | 0.000 |
| 0.000 | -0.000 | 0.000 | -0.000 | 113.780 | 0.000 |
| 0.000 | 0.000 | -0.000 | -0.000 | -0.000 | 112.044 |
| 189.111 | 133.069 | 134.031 | 0.000 | 0.000 | -0.000 |
| 133.069 | 189.111 | 134.031 | 0.000 | 0.000 | -0.000 |
| 134.031 | 134.031 | 224.577 | 0.000 | 0.000 | -0.000 |
| 0.000 | -0.000 | -0.000 | 113.780 | 0.000 | 0.000 |
| -0.000 | 0.000 | -0.000 | 0.000 | 113.780 | -0.000 |
| -0.000 | -0.000 | 0.000 | 0.000 | 0.000 | 112.044 |
| 242.525 | 126.408 | 63.629 | 0.000 | 0.000 | -0.000 |
| 111.857 | 253.870 | 61.658 | -0.000 | 0.000 | 0.000 |
| 63.492 | 63.492 | 257.355 | -0.000 | -0.000 | -0.000 |
| -0.000 | 0.000 | -0.000 | 44.296 | 0.000 | -0.000 |
| -0.000 | -0.000 | 0.000 | 0.000 | 42.438 | 0.000 |
| -0.000 | -0.000 | 0.000 | 0.000 | 0.000 | 82.810 |
| 267.901 | 102.282 | 64.398 | -0.000 | -0.000 | 0.000 |
| 102.282 | 267.901 | 64.398 | -0.000 | -0.000 | 0.000 |
| 63.492 | 63.492 | 257.355 | -0.000 | -0.000 | -0.000 |
| 0.000 | 0.000 | -0.000 | 44.296 | -0.000 | 0.000 |
| 0.000 | 0.000 | -0.000 | -0.000 | 42.438 | 0.000 |
| 0.000 | 0.000 | -0.000 | -0.000 | -0.000 | 82.810 |
| 267.901 | 102.282 | 64.398 | 0.000 | 0.000 | 0.000 |
| 102.282 | 267.901 | 64.398 | 0.000 | 0.000 | -0.000 |
| 63.492 | 63.492 | 257.355 | 0.000 | 0.000 | -0.000 |
| 0.000 | -0.000 | 0.000 | 42.438 | -0.000 | 0.000 |
| -0.000 | 0.000 | 0.000 | 0.000 | 42.438 | -0.000 |
| -0.000 | 0.000 | 0.000 | 0.000 | 0.000 | 82.810 |
| 253.870 | 111.857 | 61.658 | 0.000 | -0.000 | 0.000 |
| 102.282 | 267.901 | 64.398 | -0.000 | -0.000 | 0.000 |
| 64.398 | 64.398 | 258.468 | -0.000 | 0.000 | -0.000 |
| -0.000 | 0.000 | -0.000 | 42.438 | 0.000 | 0.000 |
| 0.000 | -0.000 | -0.000 | -0.000 | 42.438 | -0.000 |
| 0.000 | -0.000 | -0.000 | -0.000 | -0.000 | 82.810 |
| 267.902 | 102.282 | 64.398 | 0.000 | 0.000 | -0.000 |
| 102.282 | 267.902 | 64.398 | 0.000 | 0.000 | -0.000 |
| 64.398 | 64.398 | 258.469 | -0.000 | -0.000 | -0.000 |
| 0.000 | 0.000 | 0.000 | 44.296 | -0.000 | -0.000 |
| -0.000 | 0.000 | 0.000 | 0.000 | 42.438 | -0.000 |
| -0.000 | 0.000 | -0.000 | 0.000 | -0.000 | 58.090 |
| 267.900 | 102.282 | 64.398 | 0.000 | -0.000 | -0.000 |
| 102.281 | 267.900 | 64.398 | -0.000 | -0.000 | 0.000 |
| 64.397 | 64.397 | 258.467 | 0.000 | -0.000 | 0.000 |
| -0.000 | -0.000 | -0.000 | 44.296 | 0.000 | 0.000 |
| 0.000 | -0.000 | -0.000 | -0.000 | 42.438 | 0.000 |
| 0.000 | -0.000 | 0.000 | -0.000 | -0.000 | 58.090 |
| 252.037 | 114.445 | 62.708 | 0.000 | -0.000 | -0.000 |
| 114.445 | 252.037 | 62.708 | 0.000 | -0.000 | -0.000 |
| 64.256 | 64.256 | 259.450 | 0.000 | -0.000 | -0.000 |
| 0.000 | 0.000 | 0.000 | 44.835 | -0.000 | -0.000 |
| -0.000 | -0.000 | 0.000 | 0.000 | 44.835 | -0.000 |
| 0.850 | 0.850 | 1.059 | 0.000 | -0.000 | 64.390 |
| 255.401 | 110.238 | 62.182 | 0.000 | 0.000 | 0.000 |
| 102.274 | 268.150 | 65.164 | -0.000 | 0.000 | 0.000 |
| 63.892 | 63.892 | 258.997 | 0.000 | 0.000 | 0.000 |
| -0.000 | -0.000 | 0.000 | 44.835 | 0.000 | 0.000 |
| 0.000 | -0.000 | -0.000 | -0.000 | 44.835 | 0.000 |
| -0.850 | -0.850 | -1.059 | -0.000 | 0.000 | 64.390 |
| 268.150 | 102.274 | 65.164 | -0.000 | -0.000 | -0.000 |
| 102.274 | 268.150 | 65.164 | 0.000 | -0.000 | -0.000 |
| 64.989 | 64.989 | 260.363 | 0.000 | -0.000 | -0.000 |
| 0.088 | 0.088 | 0.109 | 42.943 | -0.000 | -0.000 |
| 0.088 | 0.088 | 0.109 | 0.000 | 42.943 | -0.000 |
| -0.000 | 0.000 | 0.000 | -0.000 | -0.000 | 82.938 |
| 242.441 | 126.477 | 64.226 | -0.000 | 0.000 | 0.000 |
| 111.881 | 254.042 | 62.360 | 0.000 | 0.000 | 0.000 |
| 64.989 | 64.989 | 260.363 | -0.000 | 0.000 | 0.000 |
| -0.088 | -0.088 | -0.109 | 42.943 | 0.000 | 0.000 |
| -0.088 | -0.088 | -0.109 | -0.000 | 42.943 | 0.000 |
| 0.000 | -0.000 | -0.000 | 0.000 | 0.000 | 82.938 |
| 253.858 | 112.110 | 62.387 | -0.000 | -0.000 | -0.000 |
| 126.497 | 242.462 | 64.250 | 0.000 | -0.000 | -0.000 |
| 64.989 | 64.989 | 260.364 | 0.000 | -0.000 | -0.000 |
| 0.000 | 0.000 | 0.000 | 44.835 | -0.000 | -0.000 |
| 0.009 | 0.009 | 0.011 | 0.000 | 42.935 | -0.000 |
| -0.000 | 0.000 | 0.000 | 0.000 | -0.000 | 82.938 |
| 242.537 | 126.637 | 64.386 | -0.000 | 0.000 | 0.000 |
| 112.067 | 253.890 | 62.382 | 0.000 | 0.000 | 0.000 |
| 64.072 | 64.072 | 259.220 | 0.000 | 0.000 | 0.000 |
| -0.000 | -0.000 | -0.000 | 44.835 | 0.000 | 0.000 |
| -0.009 | -0.009 | -0.011 | -0.000 | 42.935 | 0.000 |
| 0.000 | -0.000 | -0.000 | 0.000 | 0.000 | 82.938 |
| 311.844 | 50.910 | 123.558 | 0.000 | -0.000 | -0.000 |
| 50.910 | 311.844 | 123.558 | 0.000 | -0.000 | -0.000 |
| 123.553 | 123.553 | 214.135 | 0.000 | -0.000 | 0.000 |
| -0.000 | 0.000 | 0.000 | 103.908 | -0.000 | -0.000 |
| 0.000 | 0.000 | -0.000 | 0.000 | 103.908 | -0.000 |
| 0.035 | 0.035 | 0.065 | -0.000 | 0.000 | 24.126 |
| 311.765 | 50.831 | 123.409 | 0.000 | 0.000 | 0.000 |
| 50.831 | 311.765 | 123.409 | 0.000 | 0.000 | 0.000 |
| 123.475 | 123.475 | 213.988 | 0.000 | 0.000 | 0.000 |
| 0.000 | -0.000 | -0.000 | 103.908 | 0.000 | 0.000 |
| -0.000 | -0.000 | 0.000 | -0.000 | 103.908 | 0.000 |
| -0.035 | -0.035 | -0.065 | -0.000 | 0.000 | 24.126 |
| 311.775 | 50.840 | 123.441 | 0.000 | -0.000 | 0.000 |
| 50.840 | 311.775 | 123.441 | 0.000 | 0.000 | 0.000 |
| 123.436 | 123.436 | 213.938 | -0.000 | 0.000 | -0.000 |
| 0.027 | 0.027 | 0.045 | 102.261 | -0.000 | -0.000 |
| 0.027 | 0.027 | 0.045 | -0.000 | 102.261 | -0.000 |
| 0.004 | 0.004 | 0.006 | 0.000 | 0.000 | 24.126 |
| 311.768 | 50.834 | 123.430 | -0.000 | 0.000 | 0.000 |
| 50.834 | 311.768 | 123.430 | -0.000 | 0.000 | 0.000 |
| 123.510 | 123.510 | 214.055 | -0.000 | 0.000 | 0.000 |
| -0.027 | -0.027 | -0.045 | 102.261 | 0.000 | 0.000 |
| -0.027 | -0.027 | -0.045 | 0.000 | 102.261 | 0.000 |
| -0.004 | -0.004 | -0.006 | 0.000 | 0.000 | 24.126 |
| 311.767 | 50.831 | 123.424 | 0.000 | -0.000 | -0.000 |
| 50.831 | 311.767 | 123.424 | 0.000 | -0.000 | -0.000 |
| 124.209 | 124.209 | 215.490 | 0.000 | -0.000 | 0.000 |
| 0.000 | 0.000 | 0.000 | 103.908 | 0.000 | -0.000 |
| 0.000 | 0.000 | 0.000 | 0.000 | 103.908 | -0.000 |
| 0.000 | 0.000 | 0.001 | 0.000 | -0.000 | 24.126 |
| 312.158 | 51.226 | 124.208 | 0.000 | 0.000 | 0.000 |
| 51.226 | 312.158 | 124.208 | -0.000 | 0.000 | 0.000 |
| 124.208 | 124.208 | 215.489 | 0.000 | 0.000 | 0.000 |
| -0.000 | -0.000 | -0.000 | 103.908 | -0.000 | -0.000 |
| -0.000 | -0.000 | -0.000 | -0.000 | 103.908 | 0.000 |
| -0.000 | -0.000 | -0.001 | 0.000 | 0.000 | 24.126 |
| 309.580 | 51.828 | 125.613 | -0.000 | -0.000 | -0.000 |
| 51.828 | 309.580 | 125.613 | -0.000 | -0.000 | -0.000 |
| 125.261 | 125.261 | 216.233 | -0.000 | -0.000 | -0.000 |
| -45.735 | -45.735 | -57.347 | 103.495 | -0.000 | -0.000 |
| -45.735 | -45.735 | -57.347 | -0.000 | 103.495 | -0.000 |
| -45.734 | -45.734 | -57.346 | -0.000 | -0.000 | 24.804 |
| 358.269 | 100.517 | 190.533 | 0.000 | 0.000 | 0.000 |
| 100.517 | 358.269 | 190.533 | 0.000 | 0.000 | 0.000 |
| 173.541 | 173.541 | 280.321 | 0.000 | 0.000 | 0.000 |
| 45.735 | 45.735 | 57.347 | 103.495 | 0.000 | 0.000 |
| 45.735 | 45.735 | 57.347 | 0.000 | 103.495 | 0.000 |
| 45.734 | 45.734 | 57.346 | 0.000 | 0.000 | 24.804 |
| 309.580 | 51.828 | 125.613 | -0.000 | -0.000 | -0.000 |
| 51.828 | 309.580 | 125.613 | -0.000 | -0.000 | -0.000 |
| 125.261 | 125.261 | 216.233 | -0.000 | -0.000 | -0.000 |
| -4.578 | -4.578 | -5.741 | 103.492 | -0.000 | -0.000 |
| -4.578 | -4.578 | -5.741 | -0.000 | 103.492 | -0.000 |
| 0.000 | -0.000 | 0.000 | 0.000 | -0.000 | 24.804 |
| 309.579 | 51.828 | 125.613 | 0.000 | 0.000 | 0.000 |
| 51.828 | 309.579 | 125.613 | 0.000 | 0.000 | 0.000 |
| 129.340 | 129.340 | 221.134 | 0.000 | 0.000 | 0.000 |
| 4.578 | 4.578 | 5.741 | 103.492 | 0.000 | 0.000 |
| 4.578 | 4.578 | 5.741 | 0.000 | 103.492 | 0.000 |
| -0.000 | 0.000 | -0.000 | 0.000 | 0.000 | 24.804 |
| 309.582 | 51.828 | 125.614 | -0.000 | -0.000 | -0.000 |
| 51.828 | 309.582 | 125.614 | -0.000 | -0.000 | -0.000 |
| 125.262 | 125.262 | 216.234 | -0.000 | -0.000 | -0.000 |
| 0.045 | 0.045 | 0.403 | 104.289 | -0.000 | -0.000 |
| 0.045 | 0.045 | 0.403 | -0.000 | 104.289 | -0.000 |
| 0.044 | 0.044 | 0.390 | -0.000 | -0.000 | 24.804 |
| 309.645 | 51.896 | 125.429 | 0.000 | 0.000 | 0.000 |
| 51.896 | 309.645 | 125.429 | 0.000 | 0.000 | 0.000 |
| 124.928 | 124.928 | 215.233 | 0.000 | 0.000 | 0.000 |
| -0.045 | -0.045 | -0.403 | 104.289 | 0.000 | 0.000 |
| -0.045 | -0.045 | -0.403 | 0.000 | 104.289 | 0.000 |
| -0.044 | -0.044 | -0.390 | 0.000 | 0.000 | 24.804 |
| 338.530 | 3.905 | 3.905 | 0.000 | -0.000 | -0.000 |
| 3.905 | 338.530 | 3.905 | -0.000 | 0.000 | -0.000 |
| 3.905 | 3.905 | 338.530 | 0.000 | 0.000 | -0.000 |
| -0.000 | 0.000 | 0.000 | -22.081 | -0.000 | -0.000 |
| -0.000 | 0.000 | 0.000 | -0.000 | -22.080 | -0.000 |
| -0.000 | -0.000 | 0.000 | -0.000 | -0.000 | -22.080 |
| 338.530 | 3.905 | 3.905 | 0.000 | -0.000 | 0.000 |
| 3.905 | 338.530 | 3.905 | 0.000 | 0.000 | 0.000 |
| 3.905 | 3.905 | 338.530 | 0.000 | 0.000 | 0.000 |
| 0.000 | -0.000 | -0.000 | -22.080 | 0.000 | 0.000 |
| 0.000 | -0.000 | -0.000 | 0.000 | -22.080 | 0.000 |
| 0.000 | 0.000 | -0.000 | -0.000 | -0.000 | -22.080 |
| 338.530 | 3.905 | 3.905 | -0.000 | 0.000 | -0.000 |
| 3.905 | 338.530 | 3.905 | 0.000 | -0.000 | -0.000 |
| 3.905 | 3.905 | 338.530 | 0.000 | 0.000 | -0.000 |
| -0.000 | 0.000 | -0.000 | -22.080 | 0.000 | -0.000 |
| -0.000 | 0.000 | -0.000 | 0.000 | -22.080 | -0.000 |
| -0.000 | -0.000 | 0.000 | 0.000 | -0.000 | -22.080 |
| 338.530 | 3.905 | 3.905 | 0.000 | -0.000 | 0.000 |
| 3.905 | 338.530 | 3.905 | 0.000 | 0.000 | 0.000 |
| 3.905 | 3.905 | 338.530 | 0.000 | 0.000 | 0.000 |
| 0.000 | -0.000 | 0.000 | -22.080 | -0.000 | 0.000 |
| 0.000 | -0.000 | 0.000 | -0.000 | -22.080 | 0.000 |
| 0.000 | 0.000 | -0.000 | -0.000 | -0.000 | -22.080 |
| 338.532 | 3.905 | 3.905 | -0.000 | 0.000 | -0.000 |
| 3.905 | 338.532 | 3.905 | -0.000 | 0.000 | -0.000 |
| 3.905 | 3.905 | 338.532 | 0.000 | 0.000 | -0.000 |
| 0.000 | 0.000 | -0.000 | -22.080 | 0.000 | -0.000 |
| 0.000 | 0.000 | -0.000 | 0.000 | -22.080 | -0.000 |
| 0.000 | -0.000 | 0.000 | 0.000 | -0.000 | -22.080 |
| 338.528 | 3.905 | 3.905 | 0.000 | -0.000 | 0.000 |
| 3.905 | 338.528 | 3.905 | 0.000 | 0.000 | 0.000 |
| 3.905 | 3.905 | 338.528 | -0.000 | -0.000 | 0.000 |
| -0.000 | -0.000 | 0.000 | -22.080 | -0.000 | 0.000 |
| -0.000 | -0.000 | 0.000 | 0.000 | -22.080 | 0.000 |
| -0.000 | 0.000 | -0.000 | -0.000 | 0.000 | -22.080 |
| 217.437 | 114.622 | 114.622 | 0.000 | -0.000 | 0.000 |
| 114.622 | 217.437 | 114.622 | -0.000 | 0.000 | 0.000 |
| 114.622 | 114.622 | 217.437 | 0.000 | 0.000 | 0.000 |
| -0.000 | 0.000 | -0.000 | 82.565 | 0.000 | 0.000 |
| -0.000 | 0.000 | 0.000 | 0.000 | 82.565 | 0.000 |
| -0.000 | -0.000 | 0.000 | -0.000 | 0.000 | 82.565 |
| 217.437 | 114.622 | 114.622 | -0.000 | -0.000 | -0.000 |
| 114.622 | 217.437 | 114.622 | -0.000 | -0.000 | 0.000 |
| 114.622 | 114.622 | 217.437 | -0.000 | -0.000 | 0.000 |
| 0.000 | 0.000 | -0.000 | 82.564 | -0.000 | -0.000 |
| 0.000 | -0.000 | -0.000 | -0.000 | 82.564 | -0.000 |
| 0.000 | -0.000 | 0.000 | -0.000 | -0.000 | 82.564 |
| 217.437 | 114.622 | 114.622 | 0.000 | 0.000 | -0.000 |
| 114.622 | 217.437 | 114.622 | 0.000 | 0.000 | -0.000 |
| 114.622 | 114.622 | 217.437 | 0.000 | 0.000 | -0.000 |
| 0.000 | -0.000 | -0.000 | 82.564 | 0.000 | 0.000 |
| -0.000 | 0.000 | -0.000 | 0.000 | 82.564 | 0.000 |
| -0.000 | -0.000 | 0.000 | -0.000 | 0.000 | 82.564 |
| 217.438 | 114.622 | 114.622 | -0.000 | -0.000 | -0.000 |
| 114.622 | 217.438 | 114.622 | -0.000 | -0.000 | -0.000 |
| 114.622 | 114.622 | 217.438 | -0.000 | 0.000 | -0.000 |
| -0.000 | 0.000 | 0.000 | 82.564 | -0.000 | 0.000 |
| 0.000 | -0.000 | 0.000 | -0.000 | 82.564 | -0.000 |
| 0.000 | 0.000 | -0.000 | -0.000 | -0.000 | 82.564 |
| 217.436 | 114.622 | 114.622 | 0.000 | 0.000 | -0.000 |
| 114.622 | 217.436 | 114.622 | 0.000 | 0.000 | 0.000 |
| 114.622 | 114.622 | 217.436 | -0.000 | 0.000 | 0.000 |
| 0.000 | -0.000 | -0.000 | 82.564 | 0.000 | -0.000 |
| -0.000 | 0.000 | -0.000 | 0.000 | 82.564 | 0.000 |
| -0.000 | -0.000 | 0.000 | 0.000 | 0.000 | 82.564 |
| 217.439 | 114.622 | 114.622 | -0.000 | -0.000 | 0.000 |
| 114.622 | 217.439 | 114.622 | -0.000 | -0.000 | 0.000 |
| 114.622 | 114.622 | 217.439 | -0.000 | -0.000 | 0.000 |
| -0.000 | 0.000 | 0.000 | 82.564 | -0.000 | -0.000 |
| 0.000 | -0.000 | 0.000 | -0.000 | 82.564 | -0.000 |
| 0.000 | 0.000 | -0.000 | -0.000 | -0.000 | 82.564 |
| 17.760 | 70.109 | 70.108 | -0.000 | -0.000 | 0.000 |
| 70.108 | 17.760 | 70.108 | -0.000 | -0.000 | -0.000 |
| 70.108 | 70.109 | 17.760 | -0.000 | -0.000 | -0.000 |
| -0.000 | 0.000 | 0.000 | 53.466 | 0.000 | 0.000 |
| -0.000 | 0.000 | 0.000 | 0.000 | 53.466 | 0.000 |
| -0.000 | -0.000 | 0.000 | 0.000 | 0.000 | 53.466 |
| 17.760 | 70.108 | 70.108 | 0.000 | 0.000 | -0.000 |
| 70.108 | 17.760 | 70.108 | 0.000 | 0.000 | 0.000 |
| 70.108 | 70.108 | 17.760 | 0.000 | 0.000 | 0.000 |
| -0.000 | -0.000 | -0.000 | 53.466 | 0.000 | 0.000 |
| -0.000 | -0.000 | 0.000 | 0.000 | 53.466 | -0.000 |
| -0.000 | -0.000 | 0.000 | -0.000 | -0.000 | 53.466 |
| 17.760 | 70.109 | 70.109 | -0.000 | -0.000 | -0.000 |
| 70.109 | 17.760 | 70.109 | -0.000 | 0.000 | 0.000 |
| 70.109 | 70.109 | 17.760 | -0.000 | -0.000 | -0.000 |
| 0.000 | 0.000 | 0.000 | 53.466 | 0.000 | -0.000 |
| 0.000 | 0.000 | 0.000 | 0.000 | 53.466 | 0.000 |
| 0.000 | 0.000 | 0.000 | -0.000 | 0.000 | 53.466 |
| 17.760 | 70.108 | 70.108 | 0.000 | 0.000 | 0.000 |
| 70.108 | 17.760 | 70.108 | 0.000 | 0.000 | 0.000 |
| 70.108 | 70.108 | 17.760 | 0.000 | 0.000 | 0.000 |
| -0.000 | -0.000 | -0.000 | 53.466 | -0.000 | -0.000 |
| -0.000 | -0.000 | -0.000 | -0.000 | 53.466 | -0.000 |
| -0.000 | -0.000 | -0.000 | -0.000 | -0.000 | 53.466 |
| 17.760 | 70.109 | 70.109 | -0.000 | -0.000 | -0.000 |
| 70.109 | 17.760 | 70.109 | -0.000 | -0.000 | -0.000 |
| 70.109 | 70.109 | 17.760 | -0.000 | -0.000 | -0.000 |
| 0.000 | 0.000 | 0.000 | -74.149 | -0.000 | -0.000 |
| 0.000 | 0.000 | 0.000 | 0.000 | -74.149 | 0.000 |
| 0.000 | 0.000 | 0.000 | -0.000 | 0.000 | -74.149 |
| 17.759 | 70.108 | 70.108 | 0.000 | 0.000 | 0.000 |
| 70.108 | 17.759 | 70.108 | 0.000 | -0.000 | 0.000 |
| 70.108 | 70.108 | 17.759 | 0.000 | -0.000 | 0.000 |
| -0.000 | -0.000 | -0.000 | -74.149 | 0.000 | -0.000 |
| -0.000 | -0.000 | -0.000 | 0.000 | -74.149 | -0.000 |
| -0.000 | -0.000 | -0.000 | 0.000 | -0.000 | -74.149 |
| 341.090 | 61.791 | 126.657 | 0.000 | 0.000 | -0.000 |
| 61.791 | 341.090 | 126.657 | 0.000 | 0.000 | -0.000 |
| 126.657 | 126.657 | 221.253 | 0.000 | 0.000 | -0.000 |
| -0.000 | 0.000 | 0.000 | 99.790 | 0.000 | -0.000 |
| -0.000 | 0.000 | 0.000 | 0.000 | 99.790 | -0.000 |
| -0.000 | 0.000 | 0.000 | 0.000 | 0.000 | 23.103 |
| 341.090 | 61.791 | 126.657 | -0.000 | -0.000 | 0.000 |
| 61.791 | 341.090 | 126.657 | -0.000 | -0.000 | 0.000 |
| 126.657 | 126.657 | 221.253 | -0.000 | -0.000 | 0.000 |
| 0.000 | -0.000 | -0.000 | 99.790 | -0.000 | 0.000 |
| 0.000 | -0.000 | -0.000 | -0.000 | 99.790 | 0.000 |
| 0.000 | 0.000 | -0.000 | -0.000 | -0.000 | 23.103 |
| 341.090 | 61.791 | 126.658 | 0.000 | 0.000 | -0.000 |
| 61.791 | 341.090 | 126.658 | -0.000 | 0.000 | -0.000 |
| 126.658 | 126.658 | 221.254 | 0.000 | 0.000 | -0.000 |
| 0.000 | 0.000 | 0.000 | 99.790 | 0.000 | -0.000 |
| 0.000 | 0.000 | 0.000 | -0.000 | 99.790 | -0.000 |
| 0.000 | -0.000 | 0.000 | 0.000 | 0.000 | 23.103 |
| 341.090 | 61.791 | 126.657 | -0.000 | -0.000 | 0.000 |
| 61.791 | 341.090 | 126.657 | 0.000 | -0.000 | 0.000 |
| 126.657 | 126.657 | 221.253 | -0.000 | -0.000 | 0.000 |
| -0.000 | -0.000 | -0.000 | 99.790 | -0.000 | 0.000 |
| -0.000 | -0.000 | -0.000 | -0.000 | 99.790 | 0.000 |
| -0.000 | 0.000 | -0.000 | -0.000 | -0.000 | 23.103 |
| 341.092 | 61.792 | 126.658 | 0.000 | 0.000 | -0.000 |
| 61.792 | 341.092 | 126.658 | 0.000 | 0.000 | -0.000 |
| 126.658 | 126.658 | 221.254 | 0.000 | 0.000 | -0.000 |
| 0.000 | 0.000 | 0.000 | 99.790 | 0.000 | -0.000 |
| 0.000 | 0.000 | 0.000 | -0.000 | 99.790 | -0.000 |
| 0.000 | -0.000 | 0.000 | 0.000 | 0.000 | 23.103 |
| 341.087 | 61.791 | 126.657 | -0.000 | -0.000 | 0.000 |
| 61.791 | 341.087 | 126.657 | -0.000 | -0.000 | 0.000 |
| 126.657 | 126.657 | 221.253 | -0.000 | -0.000 | 0.000 |
| -0.000 | -0.000 | -0.000 | 99.790 | -0.000 | 0.000 |
| -0.000 | -0.000 | -0.000 | -0.000 | 99.790 | 0.000 |
| -0.000 | 0.000 | -0.000 | -0.000 | -0.000 | 23.103 |
| 258.531 | 129.786 | 104.572 | -0.000 | -0.000 | -0.000 |
| 129.786 | 304.239 | 3.675 | -0.000 | 0.000 | -0.000 |
| 104.572 | 3.675 | 244.929 | -0.000 | -0.000 | -0.000 |
| 0.000 | -0.000 | 0.000 | -24.785 | -0.000 | 0.000 |
| 0.000 | -0.000 | 0.000 | -0.000 | 74.255 | -0.000 |
| 0.000 | -0.000 | 0.000 | -0.000 | -0.000 | 90.531 |
| 258.531 | 129.786 | 104.572 | 0.000 | 0.000 | 0.000 |
| 129.786 | 304.239 | 3.675 | 0.000 | -0.000 | 0.000 |
| 104.572 | 3.676 | 244.929 | 0.000 | -0.000 | 0.000 |
| -0.000 | 0.000 | -0.000 | -24.785 | -0.000 | 0.000 |
| -0.000 | 0.000 | -0.000 | 0.000 | 74.255 | 0.000 |
| -0.000 | 0.000 | -0.000 | 0.000 | 0.000 | 90.531 |
| 258.531 | 129.786 | 104.572 | -0.000 | -0.000 | -0.000 |
| 129.786 | 304.239 | 3.675 | -0.000 | -0.000 | -0.000 |
| 104.572 | 3.675 | 244.929 | -0.000 | 0.000 | -0.000 |
| -0.000 | -0.000 | -0.000 | -24.785 | 0.000 | -0.000 |
| 0.000 | -0.000 | 0.000 | -0.000 | 74.255 | -0.000 |
| -0.000 | 0.000 | -0.000 | 0.000 | -0.000 | 90.531 |
| 258.531 | 129.786 | 104.572 | 0.000 | -0.000 | 0.000 |
| 129.786 | 304.239 | 3.675 | 0.000 | -0.000 | 0.000 |
| 104.572 | 3.675 | 244.929 | 0.000 | -0.000 | 0.000 |
| 0.000 | 0.000 | 0.000 | -24.785 | 0.000 | 0.000 |
| -0.000 | 0.000 | -0.000 | 0.000 | 74.255 | 0.000 |
| 0.000 | -0.000 | 0.000 | 0.000 | 0.000 | 90.531 |
| 258.533 | 129.787 | 104.572 | -0.000 | 0.000 | -0.000 |
| 129.787 | 304.240 | 3.675 | -0.000 | -0.000 | -0.000 |
| 104.572 | 3.675 | 244.930 | -0.000 | -0.000 | -0.000 |
| -0.000 | -0.000 | -0.000 | -24.785 | -0.000 | -0.000 |
| 0.000 | -0.000 | 0.000 | -0.000 | 74.255 | -0.000 |
| -0.000 | 0.000 | -0.000 | -0.000 | -0.000 | 90.531 |
| 258.529 | 129.786 | 104.572 | 0.000 | 0.000 | 0.000 |
| 129.786 | 304.239 | 3.676 | 0.000 | 0.000 | 0.000 |
| 104.571 | 3.676 | 244.929 | 0.000 | -0.000 | -0.000 |
| 0.000 | 0.000 | 0.000 | -24.785 | 0.000 | 0.000 |
| -0.000 | 0.000 | -0.000 | 0.000 | 74.255 | 0.000 |
| 0.000 | -0.000 | 0.000 | 0.000 | 0.000 | 90.531 |
| 309.906 | 126.996 | 77.689 | -29.490 | -0.000 | 0.000 |
| 126.995 | 309.906 | 77.689 | 29.490 | -0.000 | 0.000 |
| 77.689 | 77.689 | 322.572 | -0.000 | -0.000 | 0.000 |
| -29.490 | 29.490 | 0.000 | 52.084 | -0.000 | 0.000 |
| -0.000 | 0.000 | 0.000 | -0.000 | 52.084 | -29.490 |
| -0.000 | 0.000 | 0.000 | -0.000 | -29.490 | 91.456 |
| 309.906 | 126.995 | 77.689 | -29.490 | 0.000 | -0.000 |
| 126.995 | 309.906 | 77.689 | 29.490 | 0.000 | -0.000 |
| 77.689 | 77.689 | 322.572 | -0.000 | 0.000 | -0.000 |
| -29.490 | 29.490 | 0.000 | 52.084 | -0.000 | -0.000 |
| 0.000 | -0.000 | -0.000 | 0.000 | 52.084 | -29.490 |
| 0.000 | -0.000 | -0.000 | 0.000 | -29.490 | 91.455 |
| 309.906 | 126.995 | 77.689 | -29.490 | -0.000 | 0.000 |
| 126.996 | 309.906 | 77.689 | 29.490 | -0.000 | 0.000 |
| 77.689 | 77.689 | 322.572 | -0.000 | -0.000 | 0.000 |
| -29.490 | 29.490 | 0.000 | 52.084 | 0.000 | 0.000 |
| 0.000 | 0.000 | 0.000 | -0.000 | 52.084 | -29.490 |
| 0.000 | 0.000 | 0.000 | -0.000 | -29.490 | 91.455 |
| 309.906 | 126.995 | 77.689 | -29.490 | 0.000 | -0.000 |
| 126.995 | 309.906 | 77.689 | 29.490 | 0.000 | -0.000 |
| 77.689 | 77.689 | 322.572 | -0.000 | 0.000 | -0.000 |
| -29.490 | 29.490 | -0.000 | 52.084 | 0.000 | -0.000 |
| -0.000 | -0.000 | -0.000 | 0.000 | 52.084 | -29.490 |
| -0.000 | -0.000 | -0.000 | 0.000 | -29.490 | 91.455 |
| 309.908 | 126.996 | 77.690 | -29.490 | -0.000 | 0.000 |
| 126.996 | 309.908 | 77.690 | 29.490 | -0.000 | 0.000 |
| 77.690 | 77.690 | 322.573 | -0.000 | -0.000 | 0.000 |
| -29.490 | 29.490 | 0.000 | 52.084 | -0.000 | 0.000 |
| 0.000 | 0.000 | 0.000 | -0.000 | 52.084 | -29.490 |
| 0.000 | 0.000 | 0.000 | -0.000 | -29.490 | 91.455 |
| 309.904 | 126.995 | 77.689 | -29.490 | 0.000 | -0.000 |
| 126.995 | 309.905 | 77.689 | 29.490 | 0.000 | -0.000 |
| 77.689 | 77.689 | 322.571 | -0.000 | 0.000 | -0.000 |
| -29.490 | 29.490 | -0.000 | 52.084 | 0.000 | -0.000 |
| -0.000 | -0.000 | -0.000 | 0.000 | 52.084 | -29.490 |
| -0.000 | -0.000 | -0.000 | 0.000 | -29.490 | 91.455 |
| 281.108 | 57.756 | 90.529 | 0.000 | -0.000 | -0.000 |
| 62.593 | 338.908 | 120.216 | -0.000 | -0.000 | -0.000 |
| 85.394 | 120.022 | 263.217 | 0.000 | -0.000 | -0.000 |
| 0.000 | -0.000 | 0.000 | 47.052 | -0.000 | -0.000 |
| 0.000 | -0.000 | 0.000 | 0.000 | 60.289 | -0.000 |
| 0.000 | -0.000 | 0.000 | 0.000 | -0.000 | 19.435 |
| 281.108 | 57.756 | 90.528 | 0.000 | 0.000 | 0.000 |
| 62.593 | 338.908 | 120.215 | -0.000 | -0.000 | 0.000 |
| 87.099 | 113.824 | 269.403 | -0.000 | 0.000 | 0.000 |
| -0.000 | 0.000 | -0.000 | 47.052 | 0.000 | 0.000 |
| -0.000 | 0.000 | -0.000 | 0.000 | 60.289 | 0.000 |
| -0.000 | 0.000 | -0.000 | -0.000 | 0.000 | 19.435 |
| 278.693 | 62.197 | 85.393 | 0.000 | -0.000 | -0.000 |
| 56.292 | 347.415 | 109.394 | 0.000 | -0.000 | 0.000 |
| 95.025 | 109.394 | 277.771 | 0.000 | 0.000 | -0.000 |
| -0.000 | -0.001 | -0.000 | 47.052 | -0.000 | -0.000 |
| 0.000 | -0.000 | -0.000 | 0.000 | 58.544 | -0.000 |
| 0.000 | -0.000 | -0.000 | 0.000 | -0.000 | 19.435 |
| 278.693 | 62.197 | 85.393 | -0.000 | 0.000 | -0.000 |
| 62.593 | 338.908 | 120.215 | -0.000 | 0.000 | 0.000 |
| 85.393 | 120.022 | 263.217 | -0.000 | 0.000 | -0.000 |
| 0.000 | 0.001 | 0.000 | 47.052 | 0.000 | 0.000 |
| -0.000 | 0.000 | 0.000 | -0.000 | 58.544 | 0.000 |
| -0.000 | 0.000 | 0.000 | -0.000 | -0.000 | 19.435 |
| 278.694 | 62.198 | 85.394 | 0.000 | -0.000 | -0.000 |
| 62.197 | 338.860 | 120.021 | 0.000 | -0.000 | -0.000 |
| 85.393 | 120.022 | 263.217 | 0.000 | -0.000 | -0.000 |
| -0.001 | -0.005 | -0.003 | 47.049 | -0.000 | -0.000 |
| -0.000 | -0.001 | -0.000 | 0.000 | 58.544 | -0.000 |
| 0.000 | -0.001 | -0.000 | 0.000 | -0.000 | 19.435 |
| 278.693 | 62.197 | 85.393 | -0.000 | 0.000 | 0.000 |
| 56.293 | 347.415 | 109.396 | -0.000 | 0.000 | -0.000 |
| 87.099 | 113.825 | 269.403 | -0.000 | 0.000 | 0.000 |
| 0.001 | 0.005 | 0.003 | 47.049 | 0.000 | 0.000 |
| 0.000 | 0.001 | 0.000 | 0.000 | 58.544 | 0.000 |
| -0.000 | 0.001 | 0.000 | -0.000 | -0.000 | 19.435 |
| 277.589 | 50.842 | 89.414 | 0.000 | 0.000 | 0.000 |
| 53.005 | 287.240 | 117.761 | 0.000 | -0.000 | 0.000 |
| 84.431 | 113.301 | 292.514 | 0.000 | 0.000 | 0.000 |
| 5.685 | -8.469 | 10.836 | 56.904 | 0.000 | 0.000 |
| 0.000 | 0.000 | 0.000 | 0.000 | 57.998 | 0.000 |
| -0.908 | -1.887 | 0.793 | -0.000 | -0.000 | 19.947 |
| 282.729 | 50.826 | 93.258 | -0.000 | 0.000 | -0.000 |
| 55.259 | 286.457 | 120.052 | -0.000 | 0.000 | -0.000 |
| 74.822 | 123.625 | 277.308 | -0.000 | 0.000 | -0.000 |
| -5.685 | 8.469 | -10.836 | 56.904 | 0.000 | -0.000 |
| -0.000 | -0.000 | -0.000 | -0.000 | 57.998 | -0.000 |
| 0.908 | 1.887 | -0.793 | 0.000 | 0.000 | 19.947 |
| 274.051 | 56.677 | 82.231 | 0.000 | 0.000 | 0.000 |
| 53.005 | 287.241 | 117.761 | 0.000 | -0.000 | 0.000 |
| 82.055 | 115.507 | 289.025 | -0.000 | -0.000 | 0.000 |
| 0.687 | -0.987 | 1.281 | 52.955 | -0.000 | 0.000 |
| 0.161 | -0.349 | 0.392 | 0.000 | 50.986 | 0.000 |
| -0.091 | -0.189 | 0.079 | 0.000 | -0.000 | 19.947 |
| 273.476 | 57.702 | 81.003 | -0.000 | -0.000 | -0.000 |
| 59.080 | 279.579 | 128.258 | 0.000 | -0.000 | -0.000 |
| 89.915 | 112.239 | 297.430 | -0.000 | -0.000 | -0.000 |
| -0.687 | 0.987 | -1.281 | 52.955 | 0.000 | -0.000 |
| -0.161 | 0.349 | -0.392 | -0.000 | 50.986 | -0.000 |
| 0.091 | 0.189 | -0.079 | -0.000 | 0.000 | 19.947 |
| 282.730 | 50.827 | 93.259 | -0.000 | -0.000 | 0.000 |
| 59.398 | 279.025 | 128.934 | -0.000 | 0.000 | 0.000 |
| 89.915 | 112.240 | 297.431 | -0.000 | 0.000 | 0.000 |
| 0.072 | -0.095 | 0.130 | 52.899 | 0.000 | 0.000 |
| -0.008 | -0.016 | 0.007 | -0.000 | 53.018 | 0.000 |
| 0.000 | 0.001 | 0.000 | -0.000 | 0.000 | 19.947 |
| 277.145 | 52.017 | 88.167 | -0.000 | 0.000 | -0.000 |
| 58.377 | 279.283 | 127.959 | -0.000 | 0.000 | -0.000 |
| 78.244 | 123.401 | 280.032 | -0.000 | -0.000 | -0.000 |
| -0.072 | 0.095 | -0.130 | 52.899 | -0.000 | -0.000 |
| 0.008 | 0.016 | -0.007 | -0.000 | 53.018 | -0.000 |
| -0.000 | -0.001 | -0.000 | 0.000 | -0.000 | 19.947 |
| 24.630 | 99.919 | -11.667 | 0.000 | -0.000 | -0.000 |
| 99.919 | 24.630 | -11.667 | 0.000 | 0.000 | -0.000 |
| -11.667 | -11.667 | 180.736 | -0.000 | -0.000 | -0.000 |
| -0.000 | 0.000 | 0.000 | -30.175 | -0.000 | -0.000 |
| -0.000 | 0.000 | 0.000 | 0.000 | -30.175 | -0.000 |
| 0.000 | -0.000 | -0.000 | -0.000 | -0.000 | 23.334 |
| 24.630 | 99.919 | -11.667 | -0.000 | 0.000 | 0.000 |
| 99.919 | 24.630 | -11.667 | -0.000 | 0.000 | 0.000 |
| -11.667 | -11.667 | 180.736 | 0.000 | 0.000 | 0.000 |
| 0.000 | -0.000 | -0.000 | -30.175 | -0.000 | 0.000 |
| 0.000 | -0.000 | -0.000 | -0.000 | -30.175 | 0.000 |
| -0.000 | -0.000 | 0.000 | 0.000 | 0.000 | 23.334 |
| 24.631 | 99.919 | -11.667 | 0.000 | 0.000 | 0.000 |
| 38.940 | 85.610 | -11.667 | -0.000 | -0.000 | -0.000 |
| -11.667 | -11.667 | 180.736 | 0.000 | -0.000 | -0.000 |
| -0.000 | 0.000 | 0.000 | -30.175 | 0.000 | -0.000 |
| 0.000 | -0.000 | 0.000 | 0.000 | -30.175 | -0.000 |
| 0.000 | 0.000 | 0.000 | 0.000 | 0.000 | -37.644 |
| 85.609 | 38.940 | -11.667 | 0.000 | 0.000 | 0.000 |
| 38.940 | 85.609 | -11.667 | 0.000 | 0.000 | 0.000 |
| -11.667 | -11.667 | 180.736 | 0.000 | 0.000 | 0.000 |
| 0.000 | -0.000 | -0.000 | -30.175 | -0.000 | 0.000 |
| -0.000 | 0.000 | -0.000 | -0.000 | -30.175 | 0.000 |
| -0.000 | -0.000 | -0.000 | -0.000 | 0.000 | -37.644 |
| 85.613 | 38.942 | -11.666 | -0.000 | -0.000 | -0.000 |
| 38.941 | 85.614 | -11.666 | -0.000 | -0.000 | -0.000 |
| -11.666 | -11.666 | 180.738 | -0.000 | -0.000 | -0.000 |
| 0.000 | 0.001 | 0.000 | -30.175 | -0.000 | -0.000 |
| 0.002 | -0.000 | 0.000 | 0.000 | -30.175 | -0.000 |
| -4176152.828 | -4004431.632 | -4906460.547 | 31213.596 | 47658.689 | 200059.161 |
| 24.624 | 99.918 | -11.669 | -0.000 | -0.000 | -0.000 |
| 38.940 | 85.605 | -11.668 | 0.000 | 0.000 | -0.000 |
| -11.667 | -11.667 | 180.735 | 0.000 | -0.000 | 0.000 |
| -0.000 | -0.001 | -0.000 | -30.175 | 0.000 | 0.000 |
| -0.002 | 0.000 | -0.000 | -0.000 | -30.175 | 0.000 |
| 4110328.941 | 4205615.571 | 5008014.137 | 9763.289 | 16878.760 | 151861.345 |
| 292.015 | 147.807 | 61.878 | -0.000 | 0.000 | 0.000 |
| 147.807 | 292.015 | 61.878 | -0.000 | 0.000 | 0.000 |
| 61.878 | 61.878 | 248.403 | -0.000 | 0.000 | 0.000 |
| -0.000 | -0.000 | 0.000 | 35.130 | 0.000 | 0.000 |
| 0.000 | -0.000 | 0.000 | -0.000 | 35.130 | 0.000 |
| -0.000 | -0.000 | 0.000 | -0.000 | 0.000 | 72.104 |
| 311.820 | 128.002 | 61.878 | 0.000 | -0.000 | -0.000 |
| 147.807 | 292.015 | 61.878 | 0.000 | -0.000 | -0.000 |
| 61.878 | 61.878 | 248.403 | 0.000 | -0.000 | -0.000 |
| 0.000 | 0.000 | -0.000 | 35.130 | -0.000 | -0.000 |
| -0.000 | 0.000 | -0.000 | 0.000 | 35.130 | -0.000 |
| 0.000 | -0.000 | -0.000 | 0.000 | -0.000 | 72.104 |
| 311.820 | 128.002 | 61.878 | -0.000 | 0.000 | -0.000 |
| 128.002 | 311.820 | 61.878 | -0.000 | 0.000 | 0.000 |
| 61.878 | 61.878 | 248.403 | -0.000 | 0.000 | 0.000 |
| 0.000 | 0.000 | 0.000 | 35.130 | 0.000 | 0.000 |
| 0.000 | 0.000 | 0.000 | -0.000 | 35.130 | 0.000 |
| 0.000 | 0.000 | 0.000 | -0.000 | 0.000 | 91.909 |
| 311.820 | 128.002 | 61.878 | 0.000 | -0.000 | -0.000 |
| 128.002 | 311.820 | 61.878 | 0.000 | -0.000 | -0.000 |
| 61.878 | 61.878 | 248.403 | -0.000 | -0.000 | 0.000 |
| -0.000 | -0.000 | -0.000 | 35.130 | -0.000 | -0.000 |
| -0.000 | -0.000 | -0.000 | 0.000 | 35.130 | -0.000 |
| -0.000 | -0.000 | -0.000 | 0.000 | -0.000 | 91.909 |
| 311.822 | 128.002 | 61.878 | -0.000 | 0.000 | 0.000 |
| 147.808 | 292.017 | 61.878 | -0.000 | 0.000 | 0.000 |
| 61.878 | 61.878 | 248.404 | -0.000 | 0.000 | -0.000 |
| 0.000 | 0.000 | 0.000 | 35.130 | 0.000 | 0.000 |
| 0.000 | 0.000 | 0.000 | -0.000 | 35.130 | 0.000 |
| 0.000 | 0.000 | 0.000 | -0.000 | 0.000 | 91.909 |
| 292.014 | 147.807 | 61.878 | 0.000 | -0.000 | -0.000 |
| 147.806 | 292.014 | 61.878 | 0.000 | -0.000 | -0.000 |
| 61.877 | 61.877 | 248.402 | 0.000 | -0.000 | 0.000 |
| -0.000 | -0.000 | -0.000 | 35.130 | -0.000 | -0.000 |
| -0.000 | -0.000 | -0.000 | 0.000 | 35.130 | -0.000 |
| -0.000 | -0.000 | -0.000 | 0.000 | -0.000 | 91.909 |
| 4.564 | 65.254 | 65.254 | -0.000 | 0.000 | -0.000 |
| 65.254 | 4.564 | 65.254 | -0.000 | 0.000 | -0.000 |
| 65.254 | 65.254 | 4.564 | -0.000 | -0.000 | -0.000 |
| 0.000 | 0.000 | -0.000 | 41.711 | 0.000 | -0.000 |
| -0.000 | 0.000 | -0.000 | -0.000 | 41.711 | 0.000 |
| -0.000 | -0.000 | -0.000 | -0.000 | 0.000 | 41.711 |
| 4.564 | 65.254 | 65.254 | 0.000 | -0.000 | 0.000 |
| 65.254 | 4.564 | 65.254 | 0.000 | -0.000 | 0.000 |
| 65.254 | 65.254 | 4.564 | 0.000 | -0.000 | 0.000 |
| -0.000 | 0.000 | 0.000 | 41.711 | -0.000 | -0.000 |
| 0.000 | -0.000 | 0.000 | -0.000 | 41.711 | -0.000 |
| 0.000 | 0.000 | 0.000 | -0.000 | -0.000 | 41.711 |
| 4.564 | 65.254 | 65.254 | -0.000 | 0.000 | -0.000 |
| 65.254 | 4.564 | 65.254 | 0.000 | 0.000 | -0.000 |
| 65.254 | 65.254 | 4.564 | -0.000 | -0.000 | -0.000 |
| 0.000 | -0.000 | 0.000 | 41.711 | 0.000 | 0.000 |
| -0.000 | 0.000 | 0.000 | -0.000 | 41.711 | 0.000 |
| -0.000 | 0.000 | 0.000 | 0.000 | 0.000 | 41.711 |
| 4.564 | 65.254 | 65.254 | 0.000 | -0.000 | 0.000 |
| 65.254 | 4.564 | 65.254 | 0.000 | -0.000 | -0.000 |
| 65.254 | 65.254 | 4.564 | 0.000 | 0.000 | -0.000 |
| -0.000 | 0.000 | -0.000 | 41.711 | -0.000 | 0.000 |
| 0.000 | -0.000 | -0.000 | 0.000 | 41.711 | -0.000 |
| 0.000 | -0.000 | -0.000 | -0.000 | -0.000 | 41.711 |
| 4.563 | 65.254 | 65.254 | -0.000 | -0.000 | -0.000 |
| 65.254 | 4.563 | 65.254 | -0.000 | 0.000 | 0.000 |
| 65.254 | 65.254 | 4.563 | -0.000 | -0.000 | -0.000 |
| 0.000 | -0.000 | -0.000 | -72.048 | 0.000 | 0.000 |
| -0.000 | 0.000 | -0.000 | -0.000 | -72.048 | -0.000 |
| -0.000 | -0.000 | -0.000 | -0.000 | 0.000 | -72.048 |
| 4.564 | 65.254 | 65.254 | 0.000 | -0.000 | 0.000 |
| 65.254 | 4.564 | 65.254 | -0.000 | -0.000 | 0.000 |
| 65.254 | 65.254 | 4.564 | -0.000 | 0.000 | 0.000 |
| -0.000 | 0.000 | 0.000 | -72.048 | -0.000 | 0.000 |
| 0.000 | -0.000 | 0.000 | 0.000 | -72.048 | 0.000 |
| 0.000 | 0.000 | 0.000 | 0.000 | -0.000 | -72.048 |
| 252.147 | 102.083 | 102.083 | 0.000 | -0.000 | 0.000 |
| 102.083 | 252.147 | 102.083 | 0.000 | 0.000 | 0.000 |
| 102.083 | 102.083 | 252.147 | 0.000 | -0.000 | 0.000 |
| -0.000 | 0.000 | -0.000 | 67.896 | -0.000 | 0.000 |
| -0.000 | -0.000 | 0.000 | 0.000 | 67.896 | 0.000 |
| -0.000 | 0.000 | 0.000 | 0.000 | -0.000 | 67.896 |
| 252.147 | 102.083 | 102.083 | -0.000 | -0.000 | -0.000 |
| 102.083 | 252.147 | 102.083 | -0.000 | 0.000 | 0.000 |
| 102.083 | 102.083 | 252.147 | -0.000 | 0.000 | -0.000 |
| 0.000 | -0.000 | -0.000 | 67.896 | 0.000 | -0.000 |
| 0.000 | -0.000 | -0.000 | 0.000 | 67.896 | -0.000 |
| 0.000 | -0.000 | 0.000 | 0.000 | 0.000 | 67.896 |
| 252.147 | 102.083 | 102.083 | 0.000 | -0.000 | 0.000 |
| 102.083 | 252.147 | 102.083 | 0.000 | -0.000 | 0.000 |
| 102.083 | 102.083 | 252.147 | 0.000 | 0.000 | 0.000 |
| -0.000 | 0.000 | 0.000 | 67.896 | -0.000 | 0.000 |
| 0.000 | -0.000 | 0.000 | -0.000 | 67.896 | 0.000 |
| 0.000 | 0.000 | -0.000 | -0.000 | -0.000 | 67.896 |
| 252.147 | 102.083 | 102.083 | 0.000 | -0.000 | 0.000 |
| 102.083 | 252.147 | 102.083 | -0.000 | 0.000 | -0.000 |
| 102.083 | 102.083 | 252.147 | -0.000 | 0.000 | 0.000 |
| 0.000 | -0.000 | -0.000 | 67.896 | 0.000 | -0.000 |
| -0.000 | 0.000 | -0.000 | -0.000 | 67.896 | -0.000 |
| -0.000 | -0.000 | 0.000 | -0.000 | 0.000 | 67.896 |
| 252.148 | 102.083 | 102.083 | 0.000 | -0.000 | 0.000 |
| 102.083 | 252.148 | 102.083 | 0.000 | -0.000 | 0.000 |
| 102.083 | 102.083 | 252.148 | 0.000 | -0.000 | -0.000 |
| -0.000 | -0.000 | -0.000 | 49.182 | -0.000 | 0.000 |
| -0.000 | -0.000 | -0.000 | 0.000 | 49.182 | 0.000 |
| -0.000 | -0.000 | -0.000 | 0.000 | -0.000 | 49.182 |
| 252.146 | 102.082 | 102.082 | -0.000 | 0.000 | -0.000 |
| 102.082 | 252.146 | 102.082 | -0.000 | 0.000 | 0.000 |
| 102.082 | 102.082 | 252.146 | -0.000 | 0.000 | -0.000 |
| 0.000 | 0.000 | 0.000 | 49.182 | 0.000 | -0.000 |
| 0.000 | 0.000 | 0.000 | -0.000 | 49.182 | -0.000 |
| 0.000 | 0.000 | 0.000 | -0.000 | 0.000 | 49.182 |
| 18.887 | 20.168 | 20.168 | -0.000 | -0.000 | -0.000 |
| 20.168 | 18.887 | 20.168 | -0.000 | -0.000 | -0.000 |
| 20.168 | 20.168 | 18.887 | -0.000 | -0.000 | -0.000 |
| -0.000 | -0.000 | 0.000 | 18.689 | -0.000 | -0.000 |
| -0.000 | 0.000 | 0.000 | -0.000 | 18.689 | -0.000 |
| -0.000 | 0.000 | 0.000 | -0.000 | -0.000 | 18.689 |
| 18.887 | 20.168 | 20.168 | 0.000 | 0.000 | 0.000 |
| 20.168 | 18.887 | 20.168 | 0.000 | 0.000 | 0.000 |
| 20.168 | 20.168 | 18.887 | 0.000 | 0.000 | 0.000 |
| 0.000 | 0.000 | -0.000 | 18.689 | 0.000 | 0.000 |
| 0.000 | 0.000 | -0.000 | 0.000 | 18.689 | 0.000 |
| 0.000 | -0.000 | -0.000 | 0.000 | 0.000 | 18.689 |
| 18.887 | 20.168 | 20.168 | -0.000 | -0.000 | -0.000 |
| 20.168 | 18.887 | 20.168 | -0.000 | -0.000 | -0.000 |
| 20.168 | 20.168 | 18.887 | -0.000 | -0.000 | -0.000 |
| 0.000 | -0.000 | 0.000 | 18.689 | 0.000 | -0.000 |
| -0.000 | 0.000 | 0.000 | 0.000 | 18.689 | -0.000 |
| -0.000 | 0.000 | 0.000 | -0.000 | -0.000 | 18.689 |
| 18.887 | 20.168 | 20.168 | 0.000 | 0.000 | 0.000 |
| 20.168 | 18.887 | 20.168 | 0.000 | 0.000 | 0.000 |
| 20.168 | 20.168 | 18.887 | 0.000 | 0.000 | 0.000 |
| -0.000 | 0.000 | -0.000 | 18.689 | 0.000 | 0.000 |
| 0.000 | -0.000 | -0.000 | 0.000 | 18.689 | 0.000 |
| 0.000 | -0.000 | -0.000 | 0.000 | 0.000 | 18.689 |
| 18.887 | 20.168 | 20.168 | -0.000 | -0.000 | -0.000 |
| 20.168 | 18.887 | 20.168 | -0.000 | -0.000 | -0.000 |
| 20.168 | 20.168 | 18.887 | -0.000 | -0.000 | -0.000 |
| -0.000 | -0.000 | -0.000 | -2.473 | -0.000 | -0.000 |
| -0.000 | -0.000 | -0.000 | -0.000 | -2.473 | -0.000 |
| -0.000 | -0.000 | -0.000 | -0.000 | -0.000 | -2.473 |
| 18.887 | 20.168 | 20.168 | 0.000 | 0.000 | 0.000 |
| 20.168 | 18.887 | 20.168 | 0.000 | 0.000 | 0.000 |
| 20.168 | 20.168 | 18.887 | 0.000 | 0.000 | 0.000 |
| 0.000 | 0.000 | 0.000 | -2.473 | 0.000 | 0.000 |
| 0.000 | 0.000 | 0.000 | 0.000 | -2.473 | 0.000 |
| 0.000 | 0.000 | 0.000 | 0.000 | 0.000 | -2.473 |
| 325.163 | 103.427 | 103.427 | -0.000 | 0.000 | -0.000 |
| 103.427 | 325.163 | 103.427 | -0.000 | 0.000 | -0.000 |
| 103.427 | 103.427 | 325.163 | -0.000 | 0.000 | -0.000 |
| 0.000 | -0.000 | 0.000 | 47.788 | 0.000 | -0.000 |
| 0.000 | -0.000 | 0.000 | -0.000 | 47.788 | -0.000 |
| 0.000 | -0.000 | -0.000 | -0.000 | 0.000 | 47.788 |
| 325.163 | 103.427 | 103.427 | 0.000 | -0.000 | 0.000 |
| 103.427 | 325.163 | 103.427 | 0.000 | -0.000 | 0.000 |
| 103.427 | 103.427 | 325.163 | -0.000 | -0.000 | 0.000 |
| -0.000 | -0.000 | -0.000 | 47.788 | -0.000 | 0.000 |
| -0.000 | -0.000 | 0.000 | 0.000 | 47.788 | 0.000 |
| -0.000 | -0.000 | 0.000 | -0.000 | -0.000 | 47.788 |
| 325.163 | 103.427 | 103.427 | -0.000 | -0.000 | -0.000 |
| 103.427 | 325.163 | 103.427 | -0.000 | 0.000 | -0.000 |
| 103.427 | 103.427 | 325.163 | -0.000 | 0.000 | -0.000 |
| -0.000 | -0.000 | -0.000 | 47.788 | 0.000 | -0.000 |
| -0.000 | -0.000 | -0.000 | -0.000 | 47.788 | -0.000 |
| -0.000 | -0.000 | -0.000 | -0.000 | 0.000 | 47.788 |
| 330.655 | 100.681 | 100.681 | 0.000 | 0.000 | 0.000 |
| 100.681 | 330.655 | 100.681 | 0.000 | -0.000 | 0.000 |
| 100.681 | 100.681 | 330.655 | 0.000 | -0.000 | 0.000 |
| 0.000 | 0.000 | 0.000 | 47.788 | -0.000 | 0.000 |
| 0.000 | 0.000 | 0.000 | 0.000 | 47.788 | 0.000 |
| 0.000 | 0.000 | 0.000 | 0.000 | -0.000 | 47.788 |
| 325.164 | 103.428 | 103.428 | -0.000 | -0.000 | -0.000 |
| 103.428 | 325.164 | 103.428 | -0.000 | -0.000 | -0.000 |
| 103.428 | 103.428 | 325.164 | -0.000 | 0.000 | -0.000 |
| -0.000 | -0.000 | -0.000 | 47.788 | 0.000 | -0.000 |
| -0.000 | -0.000 | -0.000 | -0.000 | 47.788 | -0.000 |
| -0.000 | -0.000 | -0.000 | 0.000 | 0.000 | 47.788 |
| 325.162 | 103.427 | 103.427 | 0.000 | -0.000 | 0.000 |
| 103.427 | 325.162 | 103.427 | 0.000 | 0.000 | 0.000 |
| 103.427 | 103.427 | 325.162 | 0.000 | -0.000 | 0.000 |
| 0.000 | 0.000 | 0.000 | 47.788 | -0.000 | 0.000 |
| 0.000 | 0.000 | 0.000 | 0.000 | 47.788 | 0.000 |
| 0.000 | 0.000 | 0.000 | -0.000 | -0.000 | 47.788 |
| 27.190 | 98.112 | 98.112 | 0.000 | 0.000 | 0.000 |
| 98.112 | 27.190 | 98.112 | 0.000 | 0.000 | 0.000 |
| 98.112 | 98.112 | 27.190 | 0.000 | 0.000 | 0.000 |
| -0.000 | 0.000 | 0.000 | 63.881 | 0.000 | 0.000 |
| -0.000 | 0.000 | 0.000 | 0.000 | 63.881 | 0.000 |
| -0.000 | 0.000 | 0.000 | 0.000 | 0.000 | 63.881 |
| 27.190 | 98.112 | 98.112 | -0.000 | -0.000 | -0.000 |
| 98.112 | 27.190 | 98.112 | -0.000 | -0.000 | -0.000 |
| 98.112 | 98.112 | 27.190 | -0.000 | -0.000 | -0.000 |
| 0.000 | -0.000 | -0.000 | 63.881 | -0.000 | 0.000 |
| 0.000 | -0.000 | -0.000 | -0.000 | 63.881 | -0.000 |
| 0.000 | -0.000 | -0.000 | -0.000 | -0.000 | 63.881 |
| 27.190 | 98.112 | 98.112 | 0.000 | 0.000 | 0.000 |
| 98.112 | 27.190 | 98.112 | 0.000 | 0.000 | 0.000 |
| 98.112 | 98.112 | 27.190 | 0.000 | 0.000 | 0.000 |
| 0.000 | -0.000 | -0.000 | 63.881 | 0.000 | 0.000 |
| -0.000 | 0.000 | -0.000 | 0.000 | 63.881 | 0.000 |
| -0.000 | -0.000 | 0.000 | 0.000 | 0.000 | 63.881 |
| 27.190 | 98.112 | 98.112 | -0.000 | -0.000 | -0.000 |
| 98.112 | 27.190 | 98.112 | -0.000 | -0.000 | -0.000 |
| 98.112 | 98.112 | 27.190 | -0.000 | -0.000 | -0.000 |
| -0.000 | 0.000 | 0.000 | 63.881 | -0.000 | -0.000 |
| 0.000 | -0.000 | 0.000 | -0.000 | 63.881 | -0.000 |
| 0.000 | 0.000 | -0.000 | -0.000 | -0.000 | 63.881 |
| 27.189 | 98.112 | 98.112 | 0.000 | 0.000 | 0.000 |
| 98.112 | 27.189 | 98.112 | 0.000 | 0.000 | 0.000 |
| 98.112 | 98.112 | 27.189 | 0.000 | 0.000 | 0.000 |
| 0.000 | -0.000 | -0.000 | 63.881 | 0.000 | 0.000 |
| -0.000 | 0.000 | -0.000 | 0.000 | 63.881 | 0.000 |
| -0.000 | -0.000 | 0.000 | 0.000 | 0.000 | 63.881 |
| 27.191 | 98.112 | 98.112 | -0.000 | -0.000 | -0.000 |
| 98.112 | 27.191 | 98.112 | -0.000 | -0.000 | -0.000 |
| 98.112 | 98.112 | 27.191 | -0.000 | -0.000 | -0.000 |
| -0.000 | 0.000 | 0.000 | 63.881 | -0.000 | -0.000 |
| 0.000 | -0.000 | 0.000 | -0.000 | 63.881 | -0.000 |
| 0.000 | 0.000 | -0.000 | -0.000 | -0.000 | 63.881 |
| 245.408 | 154.821 | 154.821 | 0.000 | 0.000 | 0.000 |
| 154.821 | 245.408 | 154.821 | 0.000 | 0.000 | 0.000 |
| 154.821 | 154.821 | 245.408 | 0.000 | -0.000 | 0.000 |
| -0.000 | 0.000 | 0.000 | 121.944 | 0.000 | 0.000 |
| 0.000 | 0.000 | 0.000 | 0.000 | 121.944 | 0.000 |
| 0.000 | 0.000 | 0.000 | 0.000 | -0.000 | 121.944 |
| 245.408 | 154.821 | 154.821 | -0.000 | 0.000 | -0.000 |
| 154.821 | 245.408 | 154.821 | -0.000 | 0.000 | -0.000 |
| 154.821 | 154.821 | 245.408 | 0.000 | 0.000 | -0.000 |
| -0.000 | -0.000 | -0.000 | 121.944 | -0.000 | -0.000 |
| -0.000 | -0.000 | 0.000 | 0.000 | 121.944 | -0.000 |
| -0.000 | -0.000 | -0.000 | -0.000 | 0.000 | 121.944 |
| 245.408 | 154.821 | 154.821 | -0.000 | -0.000 | 0.000 |
| 154.821 | 245.408 | 154.821 | 0.000 | 0.000 | 0.000 |
| 154.821 | 154.821 | 245.408 | 0.000 | -0.000 | 0.000 |
| 0.000 | 0.000 | 0.000 | 121.944 | 0.000 | 0.000 |
| 0.000 | 0.000 | 0.000 | 0.000 | 121.944 | 0.000 |
| 0.000 | 0.000 | 0.000 | 0.000 | -0.000 | 121.944 |
| 245.408 | 154.821 | 154.821 | -0.000 | 0.000 | -0.000 |
| 154.821 | 245.408 | 154.821 | 0.000 | -0.000 | -0.000 |
| 154.821 | 154.821 | 245.408 | 0.000 | 0.000 | -0.000 |
| -0.000 | -0.000 | -0.000 | 121.944 | -0.000 | -0.000 |
| -0.000 | -0.000 | -0.000 | -0.000 | 121.944 | -0.000 |
| -0.000 | -0.000 | -0.000 | -0.000 | 0.000 | 121.944 |
| 245.409 | 154.821 | 154.821 | 0.000 | 0.000 | 0.000 |
| 154.821 | 245.409 | 154.821 | 0.000 | 0.000 | 0.000 |
| 154.821 | 154.821 | 245.409 | -0.000 | 0.000 | 0.000 |
| 0.000 | 0.000 | 0.000 | 121.944 | -0.000 | 0.000 |
| 0.000 | 0.000 | 0.000 | -0.000 | 121.944 | 0.000 |
| 0.000 | 0.000 | 0.000 | 0.000 | -0.000 | 121.944 |
| 245.407 | 154.820 | 154.820 | 0.000 | 0.000 | -0.000 |
| 154.820 | 245.407 | 154.820 | 0.000 | 0.000 | -0.000 |
| 154.820 | 154.820 | 245.407 | -0.000 | -0.000 | -0.000 |
| -0.000 | -0.000 | -0.000 | 121.944 | -0.000 | -0.000 |
| -0.000 | -0.000 | -0.000 | 0.000 | 121.944 | -0.000 |
| -0.000 | -0.000 | -0.000 | -0.000 | 0.000 | 121.944 |
| 807.187 | -872.771 | 741.234 | -0.000 | -0.000 | 0.000 |
| 70.344 | 311.675 | 131.005 | 0.000 | -0.000 | 0.000 |
| 614.346 | -246.142 | 601.328 | -0.000 | 0.000 | 0.000 |
| 479.723 | -1238.035 | 1018.214 | 70.232 | 0.000 | 0.000 |
| 558.977 | -939.720 | 657.056 | 0.000 | 41.907 | 0.000 |
| 535.335 | -384.731 | 284.381 | -0.000 | -0.000 | 36.464 |
| -231.531 | 1308.058 | -937.184 | -0.000 | -0.000 | -0.000 |
| -433.525 | 1485.644 | -859.853 | -0.000 | 0.000 | -0.000 |
| -423.277 | 1337.398 | -694.693 | -0.000 | 0.000 | -0.000 |
| -479.723 | 1238.035 | -1018.214 | 70.232 | -0.000 | -0.000 |
| -558.977 | 939.720 | -657.056 | 0.000 | 41.907 | -0.000 |
| -535.335 | 384.731 | -284.381 | 0.000 | 0.000 | 36.464 |
| 252.075 | 69.637 | 80.792 | -0.000 | -0.000 | 0.000 |
| 127.532 | 263.199 | 168.827 | 0.000 | -0.000 | 0.000 |
| 80.616 | 130.122 | 329.377 | 0.000 | -0.000 | 0.000 |
| 55.974 | -94.357 | 65.967 | 75.056 | -0.000 | 0.000 |
| 53.621 | -38.536 | 28.485 | 0.000 | 44.825 | 0.000 |
| 50.411 | -119.132 | 100.691 | -0.000 | -0.000 | 36.137 |
| 192.351 | 161.010 | 18.364 | 0.000 | 0.000 | -0.000 |
| 70.344 | 311.674 | 131.005 | 0.000 | 0.000 | -0.000 |
| 25.703 | 177.268 | 288.046 | 0.000 | -0.000 | -0.000 |
| -55.974 | 94.357 | -65.967 | 75.056 | 0.000 | -0.000 |
| -53.621 | 38.536 | -28.485 | -0.000 | 44.825 | -0.000 |
| -50.411 | 119.132 | -100.691 | 0.000 | 0.000 | 36.137 |
| 253.532 | 58.032 | 91.034 | -0.000 | 0.000 | 0.000 |
| 79.203 | 292.817 | 148.317 | -0.000 | -0.000 | 0.000 |
| 80.616 | 130.122 | 329.378 | -0.000 | 0.000 | -0.000 |
| 0.000 | 0.000 | 0.000 | 96.492 | -0.000 | 0.000 |
| 0.000 | 0.000 | 0.000 | -0.000 | 47.600 | 0.000 |
| 5.372 | -3.861 | 2.854 | 0.000 | -0.000 | 36.459 |
| 242.795 | 77.144 | 76.765 | -0.000 | 0.000 | -0.000 |
| 65.865 | 308.792 | 135.244 | 0.000 | 0.000 | -0.000 |
| 75.236 | 156.288 | 303.512 | -0.000 | 0.000 | -0.000 |
| -0.000 | -0.000 | -0.000 | 96.492 | 0.000 | -0.000 |
| -0.000 | -0.000 | -0.000 | -0.000 | 47.600 | -0.000 |
| -5.372 | 3.861 | -2.854 | 0.000 | 0.000 | 36.459 |
| 1565.561 | -3070.389 | 2478.108 | -0.000 | 0.000 | -0.000 |
| 1388.080 | -2835.924 | 2539.874 | 0.000 | 0.000 | -0.000 |
| 1402.344 | -1227.773 | 1497.235 | 0.000 | 0.000 | -0.000 |
| 1316.816 | -3137.371 | 2392.976 | 73.149 | -0.000 | -0.000 |
| -0.000 | 0.000 | 0.000 | 0.000 | 48.460 | -0.000 |
| 1118.970 | -3659.399 | 3158.169 | 0.000 | 0.000 | 35.352 |
| -1067.979 | 3204.260 | -2307.768 | 0.000 | -0.000 | 0.000 |
| -1245.459 | 3438.714 | -2245.997 | -0.000 | -0.000 | 0.000 |
| -1037.226 | 3805.477 | -2846.389 | -0.000 | 0.000 | 0.000 |
| -1316.816 | 3137.371 | -2392.976 | 73.149 | 0.000 | 0.000 |
| 0.000 | -0.000 | -0.000 | -0.000 | 48.460 | 0.000 |
| -1118.970 | 3659.399 | -3158.169 | -0.000 | -0.000 | 35.352 |
| 360.765 | -296.194 | 397.614 | 0.000 | 0.000 | -0.000 |
| 202.955 | -12.346 | 386.270 | -0.000 | -0.000 | -0.000 |
| 211.249 | -166.744 | 549.977 | -0.000 | -0.000 | -0.000 |
| 131.681 | -313.833 | 239.363 | 73.143 | -0.000 | -0.000 |
| 105.833 | -372.805 | 315.729 | 0.000 | 41.867 | -0.000 |
| 105.844 | -372.810 | 315.735 | 0.000 | 0.000 | 35.781 |
| 118.420 | 203.369 | -33.417 | -0.000 | -0.000 | 0.000 |
| 70.147 | 319.699 | 130.526 | -0.000 | -0.000 | 0.000 |
| -30.128 | 512.018 | -4.043 | -0.000 | -0.000 | 0.000 |
| -131.681 | 313.833 | -239.363 | 73.143 | -0.000 | 0.000 |
| -105.833 | 372.805 | -315.729 | 0.000 | 41.867 | 0.000 |
| -105.844 | 372.810 | -315.735 | 0.000 | -0.000 | 35.781 |
| 260.031 | 33.286 | 113.246 | -0.000 | 0.000 | -0.000 |
| 84.196 | 270.054 | 171.084 | 0.000 | 0.000 | -0.000 |
| 92.767 | 109.435 | 343.455 | 0.000 | 0.000 | -0.000 |
| 13.164 | -32.231 | 24.516 | 72.595 | 0.000 | -0.000 |
| 10.548 | -37.232 | 31.519 | 0.000 | 41.884 | -0.000 |
| 11.089 | -36.553 | 31.619 | 0.000 | -0.000 | 35.373 |
| 252.968 | 70.147 | 81.212 | -0.000 | -0.000 | 0.000 |
| 58.532 | 333.315 | 122.132 | -0.000 | -0.000 | 0.000 |
| 70.886 | 182.828 | 280.096 | 0.000 | -0.000 | 0.000 |
| -13.164 | 32.231 | -24.516 | 72.595 | -0.000 | 0.000 |
| -10.548 | 37.232 | -31.519 | 0.000 | 41.884 | 0.000 |
| -11.089 | 36.553 | -31.619 | -0.000 | 0.000 | 35.373 |
| 331.273 | 130.374 | 99.972 | 36.113 | 0.000 | -0.000 |
| 130.374 | 331.273 | 99.972 | -36.113 | -0.000 | -0.000 |
| 100.706 | 100.706 | 349.427 | 0.000 | 0.000 | -0.000 |
| 36.114 | -36.113 | 0.000 | 72.769 | 0.000 | -0.000 |
| 0.529 | 0.529 | 3.793 | -0.000 | 72.761 | 36.118 |
| 0.000 | 0.000 | 0.000 | -0.000 | 36.113 | 100.450 |
| 330.582 | 129.687 | 95.027 | 36.118 | -0.000 | 0.000 |
| 129.687 | 330.582 | 95.027 | -36.118 | -0.000 | 0.000 |
| 100.706 | 100.706 | 349.427 | -0.000 | -0.000 | 0.000 |
| 36.113 | -36.113 | -0.000 | 72.769 | -0.000 | 0.000 |
| -0.529 | -0.529 | -3.793 | -0.000 | 72.761 | 36.118 |
| -0.000 | -0.000 | -0.000 | 0.000 | 36.113 | 100.450 |
| 331.273 | 130.374 | 99.972 | 36.113 | 0.000 | -0.000 |
| 130.374 | 331.273 | 99.972 | -36.114 | -0.000 | 0.000 |
| 99.595 | 99.595 | 341.452 | -0.000 | -0.000 | -0.000 |
| 36.191 | -36.047 | 0.514 | 72.758 | -0.000 | -0.000 |
| 0.000 | 0.000 | 0.000 | 0.000 | 72.769 | 36.113 |
| 0.000 | 0.000 | 0.000 | 0.000 | 36.113 | 100.450 |
| 331.273 | 130.374 | 99.972 | 36.113 | -0.000 | 0.000 |
| 130.160 | 331.055 | 98.421 | -36.118 | -0.000 | 0.000 |
| 100.706 | 100.706 | 349.427 | -0.000 | 0.000 | 0.000 |
| 36.113 | -36.113 | -0.000 | 72.769 | -0.000 | 0.000 |
| -0.000 | -0.000 | -0.000 | -0.000 | 72.769 | 36.113 |
| -0.000 | -0.000 | -0.000 | -0.000 | 36.113 | 100.450 |
| 331.275 | 130.374 | 99.972 | 36.114 | 0.000 | 0.000 |
| 130.218 | 331.114 | 98.834 | -36.118 | -0.000 | -0.000 |
| 99.548 | 99.548 | 341.114 | 0.000 | 0.000 | -0.000 |
| 36.141 | -36.130 | 0.038 | 72.724 | -0.000 | -0.000 |
| 0.005 | 0.005 | 0.038 | 0.000 | 72.724 | 36.135 |
| 0.000 | 0.000 | 0.000 | 0.000 | 36.113 | 100.450 |
| 331.100 | 130.206 | 98.759 | 36.117 | -0.000 | 0.000 |
| 130.373 | 331.272 | 99.972 | -36.113 | 0.000 | -0.000 |
| 99.536 | 99.536 | 341.035 | 0.000 | -0.000 | 0.000 |
| 36.107 | -36.160 | -0.189 | 72.728 | -0.000 | 0.000 |
| -0.005 | -0.005 | -0.038 | -0.000 | 72.724 | 36.135 |
| -0.000 | -0.000 | -0.000 | -0.000 | 36.113 | 100.450 |
| 332.419 | 130.934 | 102.690 | 36.684 | 0.000 | -0.000 |
| 130.934 | 332.418 | 102.690 | -36.684 | 0.000 | -0.000 |
| 102.691 | 102.691 | 357.531 | -0.000 | 0.000 | -0.000 |
| 36.684 | -36.684 | -0.000 | 73.750 | 0.000 | -0.000 |
| 0.000 | -0.000 | -0.000 | -0.000 | 73.750 | 36.684 |
| 0.000 | -0.000 | -0.000 | -0.000 | 36.684 | 100.742 |
| 326.907 | 125.427 | 62.875 | 36.688 | 0.000 | 0.000 |
| 130.934 | 332.418 | 102.690 | -36.684 | -0.000 | 0.000 |
| 96.144 | 96.144 | 310.206 | -0.000 | -0.000 | 0.000 |
| 36.684 | -36.684 | 0.000 | 73.750 | 0.000 | 0.000 |
| -0.000 | 0.000 | 0.000 | -0.000 | 73.750 | 36.684 |
| -0.000 | 0.000 | 0.000 | 0.000 | 36.684 | 100.743 |
| 332.785 | 131.304 | 105.351 | 36.688 | 0.000 | -0.000 |
| 131.304 | 332.785 | 105.351 | -36.688 | 0.000 | -0.000 |
| 102.020 | 102.020 | 352.677 | -0.000 | -0.000 | -0.000 |
| 36.684 | -36.684 | 0.000 | 73.750 | -0.000 | -0.000 |
| 0.000 | 0.000 | 0.000 | 0.000 | 73.750 | 36.684 |
| 0.535 | 0.535 | 3.865 | 0.000 | 36.688 | 100.740 |
| 332.418 | 130.934 | 102.690 | 36.684 | 0.000 | 0.000 |
| 130.234 | 331.715 | 97.620 | -36.688 | 0.000 | 0.000 |
| 102.691 | 102.691 | 357.531 | 0.000 | 0.000 | 0.000 |
| 36.684 | -36.684 | -0.000 | 73.750 | 0.000 | 0.000 |
| -0.000 | -0.000 | -0.000 | -0.000 | 73.750 | 36.684 |
| -0.535 | -0.535 | -3.865 | -0.000 | 36.688 | 100.740 |
| 332.420 | 130.934 | 102.690 | 36.684 | 0.000 | -0.000 |
| 130.934 | 332.420 | 102.690 | -36.684 | 0.000 | -0.000 |
| 102.692 | 102.692 | 357.532 | 0.000 | -0.000 | -0.000 |
| 36.756 | -36.621 | 0.490 | 73.743 | 0.000 | -0.000 |
| 0.000 | 0.000 | 0.000 | 0.000 | 73.750 | 36.684 |
| 0.000 | 0.000 | 0.000 | 0.000 | 36.684 | 100.742 |
| 332.185 | 130.725 | 101.098 | 36.704 | 0.000 | 0.000 |
| 130.933 | 332.417 | 102.690 | -36.684 | 0.000 | 0.000 |
| 101.432 | 101.432 | 348.428 | 0.000 | 0.000 | 0.000 |
| 36.684 | -36.684 | -0.000 | 73.750 | -0.000 | 0.000 |
| -0.000 | -0.000 | -0.000 | -0.000 | 73.750 | 36.684 |
| -0.000 | -0.000 | -0.000 | -0.000 | 36.684 | 100.742 |
| 238.672 | 164.228 | 156.276 | 0.000 | 0.000 | 0.000 |
| 164.228 | 238.672 | 156.276 | 0.000 | 0.000 | 0.000 |
| 156.276 | 156.276 | 262.212 | 0.000 | 0.000 | 0.000 |
| 0.000 | 0.000 | 0.000 | 123.859 | 0.000 | 0.000 |
| -0.000 | 0.000 | 0.000 | -0.000 | 123.859 | 0.000 |
| -0.000 | 0.000 | 0.000 | 0.000 | 0.000 | 125.001 |
| 243.976 | 158.923 | 156.276 | -0.000 | -0.000 | -0.000 |
| 158.923 | 243.976 | 156.276 | 0.000 | -0.000 | -0.000 |
| 156.276 | 156.276 | 262.212 | -0.000 | -0.000 | -0.000 |
| -0.000 | -0.000 | -0.000 | 123.859 | 0.000 | -0.000 |
| -0.000 | -0.000 | -0.000 | -0.000 | 123.859 | -0.000 |
| 0.000 | -0.000 | -0.000 | 0.000 | -0.000 | 125.001 |
| 238.672 | 164.228 | 156.276 | -0.000 | 0.000 | 0.000 |
| 164.228 | 238.672 | 156.276 | 0.000 | 0.000 | 0.000 |
| 156.276 | 156.276 | 262.212 | 0.000 | 0.000 | 0.000 |
| 0.000 | 0.000 | 0.000 | 120.390 | 0.000 | 0.000 |
| 0.000 | 0.000 | 0.000 | 0.000 | 120.390 | 0.000 |
| 0.000 | 0.000 | 0.000 | -0.000 | -0.000 | 125.001 |
| 243.976 | 158.923 | 156.276 | 0.000 | -0.000 | -0.000 |
| 158.923 | 243.976 | 156.276 | -0.000 | -0.000 | -0.000 |
| 156.276 | 156.276 | 262.212 | -0.000 | -0.000 | -0.000 |
| -0.000 | -0.000 | -0.000 | 120.390 | 0.000 | -0.000 |
| -0.000 | -0.000 | -0.000 | -0.000 | 120.390 | -0.000 |
| -0.000 | -0.000 | -0.000 | 0.000 | -0.000 | 125.001 |
| 243.977 | 158.923 | 156.277 | 0.000 | 0.000 | 0.000 |
| 158.923 | 243.977 | 156.277 | -0.000 | 0.000 | 0.000 |
| 156.277 | 156.277 | 262.213 | 0.000 | 0.000 | 0.000 |
| 0.000 | 0.000 | 0.000 | 123.859 | -0.000 | 0.000 |
| 0.000 | 0.000 | 0.000 | -0.000 | 123.859 | 0.000 |
| 0.000 | 0.000 | 0.000 | 0.000 | 0.000 | 125.001 |
| 243.975 | 158.922 | 156.275 | -0.000 | -0.000 | -0.000 |
| 158.922 | 243.975 | 156.275 | -0.000 | -0.000 | -0.000 |
| 156.275 | 156.275 | 262.211 | -0.000 | -0.000 | -0.000 |
| -0.000 | -0.000 | -0.000 | 123.859 | 0.000 | -0.000 |
| -0.000 | -0.000 | -0.000 | -0.000 | 123.859 | -0.000 |
| -0.000 | -0.000 | -0.000 | -0.000 | -0.000 | 125.001 |
| 317.871 | 128.692 | 75.230 | -0.000 | -0.000 | -0.000 |
| 128.692 | 317.871 | 75.230 | -0.000 | 0.000 | -0.000 |
| 75.165 | 75.165 | 256.601 | 0.000 | -0.000 | -0.000 |
| -0.000 | 0.000 | -0.000 | 41.858 | -0.000 | -0.000 |
| -815.119 | -815.119 | -1832.072 | -0.000 | 40.322 | -0.000 |
| -815.120 | -815.120 | -1832.075 | -0.000 | 0.000 | 91.074 |
| 317.871 | 128.692 | 75.230 | 0.000 | 0.000 | 0.000 |
| 946.557 | 1128.705 | 1905.574 | -0.000 | -0.000 | 0.000 |
| 888.551 | 888.551 | 2084.779 | -0.000 | -0.000 | 0.000 |
| -0.000 | 0.000 | 0.000 | 41.858 | 0.000 | 0.000 |
| 815.119 | 815.119 | 1832.072 | 0.000 | 40.322 | 0.000 |
| 815.120 | 815.120 | 1832.075 | 0.000 | -0.000 | 91.074 |
| 232.048 | 49.902 | -109.764 | -0.000 | -0.000 | -0.000 |
| 128.692 | 317.871 | 75.230 | -0.000 | -0.000 | -0.000 |
| 75.165 | 75.165 | 256.601 | -0.000 | -0.000 | -0.000 |
| 0.000 | 0.000 | -0.000 | 41.858 | 0.000 | -0.000 |
| -81.523 | -81.523 | -183.232 | -0.000 | 40.321 | -0.000 |
| 0.000 | 0.000 | 0.000 | -0.000 | -0.000 | 94.589 |
| 317.870 | 128.692 | 75.230 | 0.000 | 0.000 | 0.000 |
| 128.692 | 317.870 | 75.230 | 0.000 | 0.000 | 0.000 |
| 75.165 | 75.165 | 256.601 | 0.000 | 0.000 | 0.000 |
| -0.000 | -0.000 | 0.000 | 41.858 | -0.000 | 0.000 |
| 81.523 | 81.523 | 183.232 | 0.000 | 40.321 | 0.000 |
| -0.000 | -0.000 | -0.000 | 0.000 | 0.000 | 94.589 |
| 317.872 | 128.693 | 75.230 | -0.000 | -0.000 | -0.000 |
| 128.693 | 317.872 | 75.230 | -0.000 | -0.000 | -0.000 |
| 65.282 | 65.282 | 234.388 | -0.000 | -0.000 | -0.000 |
| 0.000 | 0.000 | 0.000 | 41.858 | -0.000 | -0.000 |
| -8.151 | -8.151 | -18.321 | -0.000 | 35.311 | -0.000 |
| -8.395 | -8.394 | -18.868 | 0.000 | 0.000 | 90.969 |
| 321.875 | 139.984 | 92.422 | -0.000 | -0.000 | 0.000 |
| 139.984 | 321.875 | 92.422 | -0.000 | -0.000 | 0.000 |
| 81.584 | 81.584 | 271.030 | 0.000 | 0.000 | 0.000 |
| -0.000 | -0.000 | -0.000 | 41.858 | 0.000 | 0.000 |
| 8.151 | 8.151 | 18.321 | 0.000 | 35.311 | 0.000 |
| 8.395 | 8.394 | 18.868 | -0.000 | 0.000 | 90.969 |
| 306.936 | 125.265 | 59.600 | -0.000 | -0.000 | 0.000 |
| 125.265 | 306.936 | 59.600 | -0.000 | -0.000 | -0.000 |
| 67.464 | 67.464 | 240.198 | 0.000 | -0.000 | -0.000 |
| -5.815 | -5.815 | -13.010 | 35.341 | -0.000 | -0.000 |
| -5.969 | -5.969 | -13.356 | -0.000 | 40.287 | -0.000 |
| -6.151 | -6.151 | -13.764 | -0.000 | -0.000 | 90.792 |
| 304.400 | 151.643 | 86.274 | 0.000 | 0.000 | 0.000 |
| 128.507 | 317.468 | 75.009 | 0.000 | 0.000 | 0.000 |
| 79.093 | 79.093 | 266.219 | -0.000 | -0.000 | 0.000 |
| 5.815 | 5.815 | 13.010 | 35.341 | 0.000 | 0.000 |
| 5.969 | 5.969 | 13.356 | 0.000 | 40.287 | -0.000 |
| 6.151 | 6.151 | 13.764 | 0.000 | 0.000 | 90.792 |
| 317.468 | 128.507 | 75.009 | 0.000 | -0.000 | -0.000 |
| 132.321 | 308.807 | 69.586 | -0.000 | -0.000 | -0.000 |
| 72.697 | 72.697 | 251.907 | -0.000 | -0.000 | -0.000 |
| -0.581 | -0.581 | -1.301 | 35.341 | -0.000 | -0.000 |
| -1.436 | -1.436 | -3.214 | -0.000 | 38.080 | -0.000 |
| 0.000 | 0.000 | 0.000 | 0.000 | -0.000 | 94.481 |
| 317.468 | 128.507 | 75.009 | -0.000 | 0.000 | 0.000 |
| 140.762 | 303.784 | 73.410 | 0.000 | 0.000 | 0.000 |
| 75.009 | 75.009 | 257.081 | -0.000 | -0.000 | 0.000 |
| 0.581 | 0.581 | 1.301 | 35.341 | 0.000 | 0.000 |
| 1.436 | 1.436 | 3.214 | -0.000 | 38.080 | 0.000 |
| -0.000 | -0.000 | -0.000 | 0.000 | 0.000 | 94.481 |
| 317.470 | 128.507 | 75.009 | 0.000 | -0.000 | -0.000 |
| 134.982 | 306.939 | 70.472 | 0.000 | -0.000 | -0.000 |
| 73.220 | 73.220 | 253.078 | -0.000 | -0.000 | -0.000 |
| -0.245 | -0.246 | -0.549 | 35.401 | -0.000 | -0.000 |
| 0.000 | 0.000 | 0.000 | -0.000 | 41.856 | -0.000 |
| 0.000 | 0.000 | 0.000 | 0.000 | -0.000 | 94.481 |
| 317.466 | 128.506 | 75.009 | -0.000 | 0.000 | 0.000 |
| 128.506 | 317.467 | 75.009 | 0.000 | 0.000 | -0.000 |
| 73.336 | 73.336 | 253.339 | 0.000 | 0.000 | 0.000 |
| 0.245 | 0.246 | 0.549 | 35.401 | 0.000 | 0.000 |
| -0.000 | -0.000 | -0.000 | 0.000 | 41.856 | 0.000 |
| -0.000 | -0.000 | -0.000 | -0.000 | 0.000 | 94.481 |
| 261.343 | 150.724 | 150.724 | -0.000 | -0.000 | 0.000 |
| 150.724 | 261.343 | 150.724 | -0.000 | -0.000 | 0.000 |
| 150.724 | 150.724 | 261.343 | -0.000 | -0.000 | 0.000 |
| -0.000 | 0.000 | -0.000 | 131.721 | -0.000 | 0.000 |
| -0.000 | 0.000 | 0.000 | -0.000 | 131.721 | 0.000 |
| -0.000 | 0.000 | -0.000 | -0.000 | -0.000 | 131.721 |
| 261.343 | 150.724 | 150.724 | 0.000 | 0.000 | 0.000 |
| 150.724 | 261.343 | 150.724 | 0.000 | 0.000 | 0.000 |
| 150.724 | 150.724 | 261.343 | 0.000 | 0.000 | -0.000 |
| 0.000 | -0.000 | -0.000 | 131.721 | 0.000 | -0.000 |
| 0.000 | -0.000 | -0.000 | -0.000 | 131.721 | -0.000 |
| 0.000 | -0.000 | 0.000 | 0.000 | 0.000 | 131.721 |
| 261.343 | 150.724 | 150.724 | -0.000 | -0.000 | 0.000 |
| 150.724 | 261.343 | 150.724 | -0.000 | 0.000 | 0.000 |
| 150.724 | 150.724 | 261.343 | -0.000 | 0.000 | 0.000 |
| -0.000 | -0.000 | 0.000 | 131.721 | -0.000 | 0.000 |
| -0.000 | -0.000 | 0.000 | -0.000 | 131.721 | 0.000 |
| -0.000 | 0.000 | -0.000 | -0.000 | -0.000 | 131.721 |
| 261.343 | 150.724 | 150.724 | 0.000 | 0.000 | -0.000 |
| 150.724 | 261.343 | 150.724 | -0.000 | 0.000 | -0.000 |
| 150.724 | 150.724 | 261.343 | 0.000 | -0.000 | -0.000 |
| 0.000 | 0.000 | -0.000 | 131.721 | 0.000 | -0.000 |
| 0.000 | -0.000 | -0.000 | 0.000 | 131.721 | -0.000 |
| 0.000 | -0.000 | 0.000 | 0.000 | 0.000 | 131.721 |
| 261.343 | 150.725 | 150.725 | -0.000 | -0.000 | 0.000 |
| 150.725 | 261.343 | 150.725 | -0.000 | -0.000 | 0.000 |
| 150.725 | 150.725 | 261.343 | -0.000 | -0.000 | 0.000 |
| -0.000 | -0.000 | 0.000 | 131.721 | -0.000 | 0.000 |
| -0.000 | -0.000 | 0.000 | 0.000 | 131.721 | 0.000 |
| -0.000 | 0.000 | -0.000 | -0.000 | -0.000 | 131.721 |
| 261.342 | 150.724 | 150.724 | 0.000 | 0.000 | -0.000 |
| 150.724 | 261.342 | 150.724 | -0.000 | 0.000 | -0.000 |
| 150.724 | 150.724 | 261.342 | 0.000 | 0.000 | -0.000 |
| 0.000 | 0.000 | -0.000 | 131.721 | -0.000 | -0.000 |
| 0.000 | 0.000 | -0.000 | -0.000 | 131.721 | -0.000 |
| 0.000 | -0.000 | 0.000 | 0.000 | 0.000 | 131.721 |
| 263.182 | 75.938 | 75.938 | -0.000 | -0.000 | 0.000 |
| 75.938 | 263.182 | 75.938 | -0.000 | -0.000 | 0.000 |
| 75.938 | 75.938 | 263.182 | 0.000 | 0.000 | 0.000 |
| -0.000 | -0.000 | -0.000 | 50.736 | -0.000 | 0.000 |
| -0.000 | -0.000 | -0.000 | -0.000 | 50.736 | 0.000 |
| -0.000 | -0.000 | -0.000 | 0.000 | -0.000 | 50.736 |
| 263.182 | 75.938 | 75.938 | 0.000 | 0.000 | -0.000 |
| 75.938 | 263.182 | 75.938 | 0.000 | 0.000 | -0.000 |
| 75.938 | 75.938 | 263.182 | 0.000 | -0.000 | -0.000 |
| 0.000 | 0.000 | 0.000 | 50.736 | 0.000 | -0.000 |
| 0.000 | 0.000 | -0.000 | 0.000 | 50.736 | -0.000 |
| 0.000 | 0.000 | 0.000 | -0.000 | 0.000 | 50.736 |
| 263.182 | 75.938 | 75.938 | -0.000 | -0.000 | 0.000 |
| 75.938 | 263.182 | 75.938 | -0.000 | -0.000 | 0.000 |
| 75.938 | 75.938 | 263.182 | -0.000 | -0.000 | 0.000 |
| -0.000 | -0.000 | -0.000 | 50.736 | -0.000 | 0.000 |
| -0.000 | -0.000 | -0.000 | -0.000 | 50.736 | 0.000 |
| -0.000 | -0.000 | -0.000 | -0.000 | -0.000 | 50.736 |
| 263.182 | 75.938 | 75.938 | 0.000 | -0.000 | -0.000 |
| 75.938 | 263.182 | 75.938 | 0.000 | 0.000 | -0.000 |
| 75.938 | 75.938 | 263.182 | 0.000 | 0.000 | -0.000 |
| 0.000 | 0.000 | 0.000 | 50.736 | 0.000 | 0.000 |
| 0.000 | 0.000 | 0.000 | 0.000 | 50.736 | -0.000 |
| 0.000 | 0.000 | 0.000 | 0.000 | 0.000 | 50.736 |
| 263.183 | 75.939 | 75.939 | -0.000 | -0.000 | 0.000 |
| 75.939 | 263.183 | 75.939 | -0.000 | -0.000 | 0.000 |
| 75.939 | 75.939 | 263.183 | -0.000 | 0.000 | 0.000 |
| -0.000 | -0.000 | -0.000 | 60.441 | 0.000 | 0.000 |
| -0.000 | -0.000 | -0.000 | -0.000 | 60.441 | 0.000 |
| -0.000 | -0.000 | -0.000 | -0.000 | -0.000 | 60.441 |
| 265.086 | 74.986 | 74.986 | 0.000 | -0.000 | -0.000 |
| 74.986 | 265.086 | 74.986 | 0.000 | -0.000 | -0.000 |
| 74.986 | 74.986 | 265.086 | 0.000 | 0.000 | -0.000 |
| 0.000 | 0.000 | 0.000 | 60.441 | -0.000 | -0.000 |
| 0.000 | 0.000 | 0.000 | 0.000 | 60.441 | -0.000 |
| 0.000 | 0.000 | 0.000 | 0.000 | 0.000 | 60.441 |
| 22.692 | 80.263 | 80.263 | 0.000 | 0.000 | -0.000 |
| 80.263 | 22.692 | 80.263 | 0.000 | 0.000 | -0.000 |
| 80.263 | 80.263 | 22.692 | 0.000 | 0.000 | -0.000 |
| 0.000 | 0.000 | 0.000 | 54.730 | 0.000 | -0.000 |
| 0.000 | 0.000 | 0.000 | 0.000 | 54.730 | -0.000 |
| 0.000 | 0.000 | 0.000 | 0.000 | 0.000 | 54.730 |
| 22.692 | 80.263 | 80.263 | -0.000 | -0.000 | 0.000 |
| 80.263 | 22.692 | 80.263 | -0.000 | -0.000 | 0.000 |
| 80.263 | 80.263 | 22.692 | -0.000 | -0.000 | 0.000 |
| -0.000 | -0.000 | -0.000 | 54.730 | -0.000 | 0.000 |
| -0.000 | -0.000 | -0.000 | -0.000 | 54.730 | 0.000 |
| -0.000 | -0.000 | -0.000 | -0.000 | -0.000 | 54.730 |
| 22.692 | 80.263 | 80.263 | 0.000 | 0.000 | -0.000 |
| 80.263 | 22.692 | 80.263 | 0.000 | 0.000 | -0.000 |
| 80.263 | 80.263 | 22.692 | 0.000 | 0.000 | -0.000 |
| 0.000 | 0.000 | 0.000 | 54.730 | -0.000 | -0.000 |
| 0.000 | 0.000 | 0.000 | 0.000 | 54.730 | -0.000 |
| 0.000 | 0.000 | 0.000 | 0.000 | 0.000 | 54.730 |
| 22.692 | 80.263 | 80.263 | -0.000 | -0.000 | 0.000 |
| 80.263 | 22.692 | 80.263 | -0.000 | -0.000 | 0.000 |
| 80.263 | 80.263 | 22.692 | 0.000 | -0.000 | 0.000 |
| -0.000 | -0.000 | -0.000 | 54.730 | -0.000 | 0.000 |
| -0.000 | -0.000 | -0.000 | -0.000 | 54.730 | 0.000 |
| -0.000 | -0.000 | -0.000 | -0.000 | -0.000 | 54.730 |
| 22.695 | 80.264 | 80.264 | 0.000 | 0.000 | -0.000 |
| 80.264 | 22.695 | 80.264 | 0.000 | 0.000 | -0.000 |
| 80.264 | 80.264 | 22.695 | 0.000 | 0.000 | -0.000 |
| 0.000 | 0.000 | 0.000 | 54.730 | 0.000 | -0.000 |
| 0.000 | 0.000 | 0.000 | 0.000 | 54.730 | -0.000 |
| 0.000 | 0.000 | 0.000 | 0.000 | -0.000 | 54.730 |
| 22.689 | 80.263 | 80.263 | -0.000 | -0.000 | 0.000 |
| 80.263 | 22.689 | 80.263 | 0.000 | -0.000 | 0.000 |
| 80.263 | 80.263 | 22.689 | 0.000 | -0.000 | 0.000 |
| -0.000 | -0.000 | -0.000 | 54.730 | -0.000 | -0.000 |
| -0.000 | -0.000 | -0.000 | -0.000 | 54.730 | 0.000 |
| -0.000 | -0.000 | -0.000 | -0.000 | -0.000 | 54.730 |
| 332.689 | 123.510 | 75.684 | 0.000 | 0.000 | 0.000 |
| 123.510 | 332.689 | 75.684 | 0.000 | 0.000 | 0.000 |
| 75.684 | 75.684 | 217.736 | 0.000 | -0.000 | 0.000 |
| -0.000 | 0.000 | -0.000 | 57.073 | -0.000 | 0.000 |
| -0.000 | 0.000 | -0.000 | 0.000 | 57.073 | 0.000 |
| -0.000 | 0.000 | -0.000 | 0.000 | -0.000 | 86.164 |
| 314.264 | 141.935 | 75.684 | -0.000 | 0.000 | -0.000 |
| 141.935 | 314.264 | 75.684 | -0.000 | -0.000 | -0.000 |
| 75.684 | 75.684 | 217.736 | -0.000 | 0.000 | -0.000 |
| 0.000 | -0.000 | 0.000 | 57.073 | 0.000 | -0.000 |
| -0.000 | -0.000 | 0.000 | -0.000 | 57.073 | -0.000 |
| -0.000 | -0.000 | 0.000 | -0.000 | 0.000 | 86.164 |
| 314.264 | 141.935 | 75.684 | 0.000 | 0.000 | 0.000 |
| 141.935 | 314.264 | 75.684 | 0.000 | 0.000 | 0.000 |
| 75.684 | 75.684 | 217.736 | 0.000 | 0.000 | 0.000 |
| 0.000 | -0.000 | -0.000 | 57.073 | -0.000 | 0.000 |
| -0.000 | 0.000 | -0.000 | 0.000 | 57.073 | 0.000 |
| -0.000 | 0.000 | -0.000 | 0.000 | -0.000 | 86.164 |
| 332.689 | 123.510 | 75.684 | -0.000 | -0.000 | -0.000 |
| 123.510 | 332.689 | 75.684 | -0.000 | 0.000 | -0.000 |
| 75.684 | 75.684 | 217.736 | -0.000 | 0.000 | -0.000 |
| -0.000 | 0.000 | 0.000 | 57.073 | 0.000 | -0.000 |
| 0.000 | -0.000 | 0.000 | -0.000 | 57.073 | -0.000 |
| 0.000 | -0.000 | 0.000 | -0.000 | 0.000 | 86.164 |
| 332.690 | 123.510 | 75.685 | 0.000 | 0.000 | 0.000 |
| 123.510 | 332.690 | 75.685 | 0.000 | -0.000 | 0.000 |
| 75.685 | 75.685 | 217.736 | 0.000 | -0.000 | 0.000 |
| 0.000 | -0.000 | 0.000 | 57.073 | -0.000 | 0.000 |
| -0.000 | 0.000 | 0.000 | 0.000 | 57.073 | 0.000 |
| -0.000 | 0.000 | 0.000 | 0.000 | 0.000 | 104.589 |
| 314.263 | 141.935 | 75.684 | -0.000 | 0.000 | -0.000 |
| 123.510 | 332.688 | 75.684 | -0.000 | -0.000 | -0.000 |
| 75.684 | 75.684 | 217.736 | -0.000 | -0.000 | -0.000 |
| -0.000 | 0.000 | -0.000 | 57.073 | 0.000 | -0.000 |
| 0.000 | -0.000 | -0.000 | -0.000 | 57.073 | -0.000 |
| 0.000 | -0.000 | -0.000 | -0.000 | -0.000 | 104.589 |
| 303.674 | 138.252 | 56.474 | 0.000 | -0.000 | -0.000 |
| 138.252 | 303.674 | 56.474 | 0.000 | 0.000 | 0.000 |
| 56.474 | 56.474 | 138.295 | 0.000 | -0.000 | -0.000 |
| -0.000 | 0.000 | 0.000 | 39.633 | 0.000 | -0.000 |
| -0.000 | 0.000 | 0.000 | 0.000 | 39.633 | -0.000 |
| -0.000 | 0.000 | 0.000 | 0.000 | 0.000 | 82.711 |
| 303.674 | 138.252 | 56.474 | -0.000 | 0.000 | 0.000 |
| 138.252 | 303.674 | 56.474 | -0.000 | -0.000 | 0.000 |
| 56.474 | 56.474 | 138.295 | -0.000 | -0.000 | -0.000 |
| 0.000 | -0.000 | -0.000 | 39.633 | 0.000 | 0.000 |
| 0.000 | -0.000 | -0.000 | 0.000 | 39.633 | 0.000 |
| 0.000 | -0.000 | -0.000 | 0.000 | 0.000 | 82.711 |
| 322.462 | 119.464 | 56.474 | -0.000 | -0.000 | -0.000 |
| 138.252 | 303.674 | 56.474 | -0.000 | 0.000 | -0.000 |
| 56.474 | 56.474 | 138.295 | -0.000 | -0.000 | -0.000 |
| 0.000 | -0.000 | -0.000 | 39.633 | 0.000 | -0.000 |
| -0.000 | 0.000 | -0.000 | -0.000 | 39.633 | -0.000 |
| -0.000 | 0.000 | 0.000 | -0.000 | -0.000 | 101.499 |
| 322.462 | 119.464 | 56.474 | 0.000 | -0.000 | 0.000 |
| 138.252 | 303.674 | 56.474 | -0.000 | -0.000 | -0.000 |
| 56.474 | 56.474 | 138.295 | -0.000 | -0.000 | 0.000 |
| -0.000 | 0.000 | 0.000 | 39.633 | 0.000 | 0.000 |
| 0.000 | -0.000 | 0.000 | -0.000 | 39.633 | 0.000 |
| 0.000 | -0.000 | -0.000 | 0.000 | -0.000 | 101.499 |
| 322.463 | 119.464 | 56.474 | -0.000 | -0.000 | 0.000 |
| 138.252 | 303.675 | 56.474 | 0.000 | 0.000 | -0.000 |
| 56.474 | 56.474 | 138.294 | -0.000 | 0.000 | -0.000 |
| 0.000 | -0.000 | -0.000 | 39.633 | 0.000 | -0.000 |
| -0.000 | 0.000 | -0.000 | -0.000 | 39.633 | -0.000 |
| -0.000 | 0.000 | -0.000 | -0.000 | 0.000 | 82.711 |
| 303.674 | 138.251 | 56.474 | -0.000 | -0.000 | 0.000 |
| 138.251 | 303.674 | 56.474 | -0.000 | 0.000 | 0.000 |
| 56.474 | 56.474 | 138.297 | 0.000 | 0.000 | 0.000 |
| -0.000 | 0.000 | 0.000 | 39.633 | -0.000 | 0.000 |
| 0.000 | -0.000 | 0.000 | 0.000 | 39.633 | 0.000 |
| 0.000 | -0.000 | 0.000 | 0.000 | 0.000 | 82.711 |
| 100.295 | 103.668 | 103.668 | -0.000 | -0.000 | -0.000 |
| 103.668 | 100.295 | 103.668 | -0.000 | -0.000 | -0.000 |
| 103.668 | 103.668 | 100.295 | -0.000 | -0.000 | -0.000 |
| -0.000 | -0.000 | -0.000 | -23.892 | -0.000 | -0.000 |
| 0.000 | -0.000 | -0.000 | -0.000 | -23.892 | -0.000 |
| 0.000 | -0.000 | -0.000 | -0.000 | -0.000 | -23.892 |
| 100.295 | 103.668 | 103.668 | 0.000 | 0.000 | 0.000 |
| 103.668 | 100.295 | 103.668 | 0.000 | 0.000 | 0.000 |
| 103.668 | 103.668 | 100.295 | 0.000 | 0.000 | 0.000 |
| -0.000 | -0.000 | -0.000 | -23.892 | 0.000 | 0.000 |
| -0.000 | 0.000 | -0.000 | 0.000 | -23.892 | 0.000 |
| -0.000 | 0.000 | 0.000 | 0.000 | 0.000 | -23.892 |
| 100.295 | 103.668 | 103.668 | -0.000 | -0.000 | -0.000 |
| 103.668 | 100.295 | 103.668 | -0.000 | -0.000 | -0.000 |
| 103.668 | 103.668 | 100.295 | -0.000 | -0.000 | -0.000 |
| -0.000 | -0.000 | -0.000 | -23.892 | -0.000 | -0.000 |
| -0.000 | -0.000 | -0.000 | -0.000 | -23.892 | -0.000 |
| -0.000 | -0.000 | -0.000 | -0.000 | -0.000 | -23.892 |
| 100.295 | 103.668 | 103.668 | 0.000 | 0.000 | 0.000 |
| 103.668 | 100.295 | 103.668 | 0.000 | 0.000 | 0.000 |
| 103.668 | 103.668 | 100.295 | 0.000 | 0.000 | 0.000 |
| 0.000 | 0.000 | 0.000 | -23.892 | 0.000 | 0.000 |
| 0.000 | 0.000 | 0.000 | 0.000 | -23.892 | 0.000 |
| 0.000 | 0.000 | 0.000 | 0.000 | 0.000 | -23.892 |
| 100.294 | 103.668 | 103.668 | -0.000 | -0.000 | -0.000 |
| 103.668 | 100.294 | 103.668 | -0.000 | -0.000 | -0.000 |
| 103.668 | 103.668 | 100.294 | -0.000 | -0.000 | -0.000 |
| -0.000 | -0.000 | -0.000 | -23.892 | -0.000 | -0.000 |
| -0.000 | -0.000 | -0.000 | -0.000 | -23.892 | -0.000 |
| -0.000 | -0.000 | -0.000 | -0.000 | -0.000 | -23.892 |
| 100.295 | 103.668 | 103.668 | 0.000 | 0.000 | 0.000 |
| 103.668 | 100.295 | 103.668 | 0.000 | 0.000 | 0.000 |
| 103.668 | 103.668 | 100.295 | 0.000 | 0.000 | 0.000 |
| 0.000 | 0.000 | 0.000 | -23.892 | 0.000 | 0.000 |
| 0.000 | 0.000 | 0.000 | 0.000 | -23.892 | 0.000 |
| 0.000 | 0.000 | 0.000 | 0.000 | 0.000 | -23.892 |
| 186.576 | 15.255 | 33.541 | 0.000 | -0.000 | -0.000 |
| 15.255 | 186.576 | 33.541 | 0.000 | 0.000 | -0.000 |
| 33.541 | 33.541 | 140.388 | 0.000 | 0.000 | -0.000 |
| -0.000 | 0.000 | -0.000 | -13.043 | 0.000 | -0.000 |
| -0.000 | 0.000 | -0.000 | 0.000 | -13.043 | -0.000 |
| 0.000 | 0.000 | -0.000 | -0.000 | 0.000 | -19.590 |
| 3.278 | 198.553 | 33.541 | -0.000 | 0.000 | 0.000 |
| 198.553 | 3.278 | 33.541 | 0.000 | 0.000 | 0.000 |
| 33.541 | 33.541 | 140.388 | 0.000 | 0.000 | 0.000 |
| 0.000 | -0.000 | 0.000 | -13.043 | -0.000 | -0.000 |
| 0.000 | -0.000 | 0.000 | -0.000 | -13.043 | 0.000 |
| 0.000 | 0.000 | -0.000 | 0.000 | -0.000 | -19.590 |
| 3.278 | 198.553 | 33.541 | 0.000 | -0.000 | -0.000 |
| 198.553 | 3.278 | 33.541 | -0.000 | -0.000 | -0.000 |
| 33.541 | 33.541 | 140.388 | 0.000 | -0.000 | -0.000 |
| -0.000 | 0.000 | -0.000 | -13.043 | -0.000 | -0.000 |
| 0.000 | -0.000 | -0.000 | 0.000 | -13.043 | 0.000 |
| -0.000 | -0.000 | -0.000 | 0.000 | 0.000 | -19.590 |
| 186.576 | 15.255 | 33.541 | -0.000 | -0.000 | 0.000 |
| 15.255 | 186.576 | 33.541 | -0.000 | -0.000 | -0.000 |
| 33.541 | 33.541 | 140.388 | -0.000 | -0.000 | 0.000 |
| 0.000 | -0.000 | 0.000 | -13.043 | 0.000 | -0.000 |
| -0.000 | 0.000 | 0.000 | -0.000 | -13.043 | 0.000 |
| 0.000 | 0.000 | 0.000 | 0.000 | -0.000 | -19.590 |
| -11670510.831 | -11670626.501 | -8048049.181 | 0.000 | 0.000 | -0.000 |
| -11670626.501 | -11670510.831 | -8048049.181 | 0.000 | 0.000 | -0.000 |
| 33.541 | 33.541 | 140.388 | 0.000 | 0.000 | -0.000 |
| -0.000 | 0.000 | -0.000 | -13.043 | 0.000 | -0.000 |
| 0.000 | -0.000 | -0.000 | 0.000 | -13.043 | -0.000 |
| 0.000 | -0.000 | -0.000 | -0.000 | 0.000 | -19.590 |
| 11670782.527 | 11670666.860 | 8048208.969 | -0.000 | -0.000 | 0.000 |
| 11670666.860 | 11670782.527 | 8048208.969 | -0.000 | -0.000 | 0.000 |
| 33.541 | 33.541 | 140.389 | -0.000 | -0.000 | 0.000 |
| 0.000 | -0.000 | 0.000 | -13.043 | -0.000 | 0.000 |
| -0.000 | 0.000 | 0.000 | -0.000 | -13.043 | 0.000 |
| -0.000 | 0.000 | 0.000 | -0.000 | -0.000 | -19.590 |
| 210.556 | 27.335 | 27.335 | 0.000 | 0.000 | 0.000 |
| 27.335 | 210.556 | 27.335 | 0.000 | 0.000 | 0.000 |
| 27.335 | 27.335 | 210.556 | 0.000 | 0.000 | 0.000 |
| 0.000 | -0.000 | 0.000 | -6.464 | 0.000 | 0.000 |
| 0.000 | -0.000 | 0.000 | 0.000 | -6.464 | -0.000 |
| -0.000 | -0.000 | -0.000 | 0.000 | 0.000 | -6.464 |
| 210.556 | 27.335 | 27.335 | -0.000 | -0.000 | 0.000 |
| 27.335 | 210.556 | 27.335 | -0.000 | 0.000 | 0.000 |
| 27.335 | 27.335 | 210.556 | -0.000 | 0.000 | 0.000 |
| -0.000 | -0.000 | -0.000 | -6.464 | -0.000 | 0.000 |
| -0.000 | 0.000 | -0.000 | -0.000 | -6.464 | -0.000 |
| -0.000 | 0.000 | 0.000 | -0.000 | -0.000 | -6.464 |
| 210.556 | 27.335 | 27.335 | 0.000 | 0.000 | -0.000 |
| 27.335 | 210.556 | 27.335 | -0.000 | -0.000 | 0.000 |
| 27.335 | 27.335 | 210.556 | 0.000 | 0.000 | -0.000 |
| -0.000 | -0.000 | -0.000 | -6.464 | 0.000 | -0.000 |
| -0.000 | -0.000 | -0.000 | -0.000 | -6.464 | 0.000 |
| -0.000 | -0.000 | -0.000 | 0.000 | 0.000 | -6.464 |
| 210.556 | 27.335 | 27.335 | -0.000 | -0.000 | -0.000 |
| 27.335 | 210.556 | 27.335 | -0.000 | -0.000 | -0.000 |
| 27.335 | 27.335 | 210.556 | -0.000 | -0.000 | 0.000 |
| 0.000 | 0.000 | 0.000 | -6.464 | -0.000 | 0.000 |
| 0.000 | 0.000 | 0.000 | -0.000 | -6.464 | 0.000 |
| 0.000 | 0.000 | 0.000 | -0.000 | -0.000 | -6.464 |
| 210.556 | 27.335 | 27.335 | 0.000 | 0.000 | 0.000 |
| 27.335 | 210.556 | 27.335 | 0.000 | 0.000 | 0.000 |
| 27.335 | 27.335 | 210.556 | 0.000 | 0.000 | -0.000 |
| -0.000 | -0.000 | -0.000 | -6.464 | 0.000 | -0.000 |
| -0.000 | -0.000 | -0.000 | 0.000 | -6.464 | -0.000 |
| -0.000 | -0.000 | -0.000 | -0.000 | 0.000 | -6.464 |
| 210.555 | 27.335 | 27.335 | -0.000 | -0.000 | -0.000 |
| 27.335 | 210.555 | 27.335 | -0.000 | -0.000 | 0.000 |
| 27.335 | 27.335 | 210.555 | -0.000 | -0.000 | -0.000 |
| 0.000 | 0.000 | 0.000 | -6.464 | 0.000 | -0.000 |
| 0.000 | 0.000 | 0.000 | -0.000 | -6.464 | 0.000 |
| 0.000 | 0.000 | 0.000 | -0.000 | -0.000 | -6.464 |
| 61.458 | 6.450 | 2.200 | 0.000 | 0.000 | -0.000 |
| 7.803 | 22.711 | 2.200 | 0.000 | 0.000 | -0.000 |
| 0.757 | 1.029 | 3.249 | 0.000 | 0.000 | -0.000 |
| 0.390 | 0.450 | 2.083 | 0.155 | 0.000 | -0.000 |
| 280645992.379 | 367840857.695 | 2.242 | 0.001 | -0.797 | -0.000 |
| 0.405 | 0.468 | 2.166 | 0.000 | 0.000 | 11.626 |
| 60.454 | 5.227 | -2.200 | -0.000 | -0.000 | 0.000 |
| 6.799 | 21.487 | -2.200 | -0.000 | -0.000 | 0.000 |
| 9.606 | 11.397 | 48.397 | -0.000 | 0.000 | 0.000 |
| -0.390 | -0.450 | -2.083 | 0.155 | -0.000 | 0.000 |
| -280645992.367 | -367840857.684 | -2.229 | -0.001 | -0.789 | 0.000 |
| -0.405 | -0.468 | -2.166 | -0.000 | -0.000 | 11.626 |
| 61.006 | 5.900 | 0.220 | 0.000 | 0.000 | -0.000 |
| 7.351 | 22.160 | 0.220 | 0.000 | 0.000 | -0.000 |
| -3.049 | -4.501 | 0.220 | 0.000 | 0.000 | -0.000 |
| 0.000 | -0.000 | -0.000 | 3.496 | -0.000 | -0.000 |
| -0.796 | -0.888 | -4.750 | 0.000 | -15.941 | -0.000 |
| 0.041 | 0.047 | 0.217 | 0.000 | -0.000 | 11.626 |
| 65.566 | 13.156 | -5.829 | -0.000 | -0.000 | 0.000 |
| 25.712 | 48.762 | 15.959 | -0.000 | 0.000 | 0.000 |
| -3.150 | -4.623 | -0.220 | -0.000 | -0.000 | 0.000 |
| -0.000 | 0.000 | 0.000 | 3.496 | -0.000 | 0.000 |
| 0.796 | 0.888 | 4.750 | -0.000 | -15.941 | 0.000 |
| -0.041 | -0.047 | -0.217 | -0.000 | 0.000 | 11.626 |
| 60.961 | 5.845 | 0.022 | 0.000 | 0.000 | -0.000 |
| 7.306 | 22.105 | 0.022 | 0.000 | 0.000 | -0.000 |
| -3.095 | -4.556 | 0.021 | 0.000 | 0.000 | -0.000 |
| -0.005 | -0.005 | -0.027 | 0.154 | 0.000 | -0.000 |
| 0.000 | 0.000 | -0.000 | 0.000 | -1.250 | -0.000 |
| 0.004 | 0.005 | 0.022 | 0.000 | -0.000 | 11.626 |
| 73.742 | 24.250 | 12.705 | -0.000 | -0.000 | 0.000 |
| 7.296 | 22.093 | -0.022 | -0.000 | -0.000 | 0.000 |
| -3.104 | -4.568 | -0.021 | 0.000 | -0.000 | 0.000 |
| -0.071 | -0.081 | -0.394 | 0.115 | -0.000 | 0.000 |
| -0.000 | -0.000 | 0.000 | -0.000 | -1.250 | 0.000 |
| -0.004 | -0.005 | -0.022 | -0.000 | -0.000 | 11.626 |
| 256.047 | 29.821 | 65.979 | 0.000 | -0.000 | -0.000 |
| 29.821 | 256.047 | 65.979 | -0.000 | -0.000 | -0.000 |
| 78.387 | 78.387 | 306.389 | 0.000 | 0.000 | -0.000 |
| -0.000 | -0.000 | 0.000 | -42.901 | 0.000 | -0.000 |
| -0.000 | -0.000 | -0.000 | 0.000 | -42.901 | 0.000 |
| -0.000 | -0.000 | -0.000 | 0.000 | 0.000 | 18.323 |
| 240.856 | 14.630 | 78.387 | 0.000 | -0.000 | 0.000 |
| 14.630 | 240.856 | 78.386 | 0.000 | 0.000 | 0.000 |
| 65.979 | 65.979 | 316.523 | -0.000 | 0.000 | -0.000 |
| 0.000 | 0.000 | -0.000 | -42.901 | -0.000 | -0.000 |
| 0.000 | 0.000 | -0.000 | -0.000 | -42.901 | -0.000 |
| 0.000 | 0.000 | 0.000 | -0.000 | 0.000 | 18.323 |
| 240.856 | 14.630 | 78.386 | 0.000 | 0.000 | -0.000 |
| 14.630 | 240.856 | 78.386 | 0.000 | 0.000 | 0.000 |
| 78.387 | 78.387 | 306.389 | 0.000 | 0.000 | 0.000 |
| -0.000 | -0.000 | -0.000 | -42.901 | -0.000 | 0.000 |
| -0.000 | -0.000 | -0.000 | 0.000 | -42.901 | 0.000 |
| -0.000 | -0.000 | 0.000 | 0.000 | -0.000 | 18.323 |
| 240.856 | 14.630 | 78.386 | 0.000 | -0.000 | 0.000 |
| 14.630 | 240.856 | 78.386 | -0.000 | -0.000 | 0.000 |
| 78.386 | 78.386 | 306.389 | -0.000 | -0.000 | 0.000 |
| 0.000 | 0.000 | 0.000 | -42.901 | 0.000 | 0.000 |
| 0.000 | 0.000 | 0.000 | -0.000 | -42.901 | 0.000 |
| 0.000 | 0.000 | -0.000 | -0.000 | -0.000 | 18.323 |
| 240.857 | 14.630 | 78.387 | -0.000 | 0.000 | 0.000 |
| 14.630 | 240.857 | 78.387 | 0.000 | 0.000 | 0.000 |
| 78.387 | 78.387 | 306.392 | 0.000 | -0.000 | 0.000 |
| -0.000 | -0.000 | -0.000 | -42.901 | 0.000 | -0.000 |
| -0.000 | -0.000 | -0.000 | 0.000 | -42.901 | -0.000 |
| -0.000 | -0.000 | 0.000 | -0.000 | 0.000 | 18.323 |
| 240.856 | 14.630 | 78.386 | -0.000 | -0.000 | -0.000 |
| 14.630 | 240.856 | 78.386 | -0.000 | -0.000 | 0.000 |
| 78.386 | 78.386 | 306.386 | -0.000 | -0.000 | -0.000 |
| 0.000 | 0.000 | 0.000 | -42.901 | -0.000 | -0.000 |
| 0.000 | 0.000 | 0.000 | -0.000 | -42.901 | 0.000 |
| 0.000 | 0.000 | -0.000 | 0.000 | 0.000 | 18.323 |
| 237.515 | 13.860 | 85.508 | -0.000 | 0.000 | 0.000 |
| 13.860 | 237.515 | 85.508 | -0.000 | 0.000 | 0.000 |
| 81.608 | 81.608 | 331.430 | 0.000 | 0.000 | 0.000 |
| -0.000 | -0.000 | 0.000 | -37.861 | -0.000 | -0.000 |
| -0.000 | -0.000 | 0.000 | -0.000 | -37.861 | -0.000 |
| -0.000 | -0.000 | 0.000 | 0.000 | -0.000 | 23.404 |
| 237.515 | 13.860 | 85.508 | 0.000 | 0.000 | 0.000 |
| 13.860 | 237.515 | 85.508 | -0.000 | 0.000 | 0.000 |
| 81.608 | 81.608 | 331.430 | -0.000 | 0.000 | -0.000 |
| 0.000 | 0.000 | -0.000 | -37.861 | -0.000 | -0.000 |
| 0.000 | 0.000 | -0.000 | -0.000 | -37.861 | 0.000 |
| 0.000 | 0.000 | -0.000 | -0.000 | 0.000 | 23.404 |
| 237.515 | 13.860 | 85.508 | -0.000 | 0.000 | -0.000 |
| 13.860 | 237.515 | 85.508 | -0.000 | -0.000 | -0.000 |
| 81.608 | 81.608 | 331.430 | -0.000 | -0.000 | -0.000 |
| 0.000 | -0.000 | 0.000 | 55.661 | 0.000 | -0.000 |
| -0.000 | 0.000 | 0.000 | 0.000 | 55.661 | -0.000 |
| -0.000 | -0.000 | 0.000 | 0.000 | -0.000 | 23.404 |
| 237.515 | 13.860 | 85.508 | -0.000 | 0.000 | 0.000 |
| 13.860 | 237.515 | 85.508 | 0.000 | 0.000 | 0.000 |
| 81.608 | 81.608 | 331.430 | -0.000 | 0.000 | 0.000 |
| -0.000 | 0.000 | -0.000 | 55.661 | -0.000 | -0.000 |
| 0.000 | -0.000 | -0.000 | 0.000 | 55.661 | 0.000 |
| 0.000 | 0.000 | -0.000 | -0.000 | 0.000 | 23.404 |
| 237.516 | 13.860 | 85.508 | -0.000 | -0.000 | 0.000 |
| 13.860 | 237.516 | 85.508 | -0.000 | -0.000 | 0.000 |
| 81.609 | 81.609 | 331.432 | -0.000 | -0.000 | 0.000 |
| -0.000 | -0.000 | -0.000 | -37.861 | -0.000 | -0.000 |
| -0.000 | -0.000 | -0.000 | 0.000 | -37.861 | -0.000 |
| -0.000 | -0.000 | 0.000 | 0.000 | -0.000 | 23.404 |
| 237.515 | 13.860 | 85.508 | 0.000 | 0.000 | -0.000 |
| 13.860 | 237.515 | 85.508 | 0.000 | 0.000 | 0.000 |
| 81.608 | 81.608 | 331.428 | -0.000 | -0.000 | 0.000 |
| 0.000 | 0.000 | 0.000 | -37.861 | 0.000 | -0.000 |
| 0.000 | 0.000 | 0.000 | 0.000 | -37.861 | 0.000 |
| 0.000 | 0.000 | -0.000 | -0.000 | 0.000 | 23.404 |
| 1729.554 | 1606.252 | 1606.252 | -0.000 | 0.000 | 0.000 |
| 1606.252 | 1729.554 | 1606.252 | -0.000 | 0.000 | -0.000 |
| 1606.252 | 1606.252 | 1729.554 | -0.000 | -0.000 | -0.000 |
| 1550.135 | 1550.135 | 1550.135 | 34.235 | 0.000 | -0.000 |
| 1550.135 | 1550.135 | 1550.135 | 0.000 | 34.235 | 0.000 |
| 1550.135 | 1550.135 | 1550.135 | 0.000 | 0.000 | 34.235 |
| -1370.701 | -1494.063 | -1494.063 | -0.000 | 0.000 | -0.000 |
| -1494.063 | -1370.701 | -1494.063 | -0.000 | -0.000 | -0.000 |
| -1494.063 | -1494.063 | -1370.701 | 0.000 | -0.000 | -0.000 |
| -1550.135 | -1550.135 | -1550.135 | 34.235 | -0.000 | -0.000 |
| -1550.135 | -1550.135 | -1550.135 | 0.000 | 34.235 | -0.000 |
| -1550.135 | -1550.135 | -1550.135 | 0.000 | -0.000 | 34.235 |
| 189.584 | 54.932 | 54.932 | -0.000 | -0.000 | -0.000 |
| 54.932 | 189.584 | 54.932 | -0.000 | -0.000 | -0.000 |
| 54.932 | 54.932 | 189.584 | -0.000 | -0.000 | 0.000 |
| 155.126 | 155.126 | 155.126 | 33.870 | 0.000 | 0.000 |
| 155.126 | 155.126 | 155.126 | -0.000 | 33.870 | 0.000 |
| 155.126 | 155.126 | 155.126 | -0.000 | 0.000 | 33.870 |
| 24.254 | -98.975 | -98.975 | -0.000 | 0.000 | -0.000 |
| -98.975 | 24.254 | -98.975 | -0.000 | -0.000 | -0.000 |
| -98.975 | -98.975 | 24.254 | -0.000 | 0.000 | -0.000 |
| -155.126 | -155.126 | -155.126 | 33.870 | -0.000 | 0.000 |
| -155.126 | -155.126 | -155.126 | 0.000 | 33.870 | 0.000 |
| -155.126 | -155.126 | -155.126 | 0.000 | -0.000 | 33.870 |
| 185.821 | 74.402 | 74.402 | -0.000 | -0.000 | -0.000 |
| 74.402 | 185.821 | 74.402 | 0.000 | 0.000 | -0.000 |
| 74.402 | 74.402 | 185.821 | -0.000 | -0.000 | -0.000 |
| -0.000 | 0.000 | 0.000 | 40.793 | 0.000 | 0.000 |
| 0.000 | -0.000 | 0.000 | -0.000 | 40.793 | -0.000 |
| 0.000 | 0.000 | -0.000 | -0.000 | 0.000 | 40.793 |
| 157.566 | 43.603 | 43.603 | 0.000 | -0.000 | 0.000 |
| 43.603 | 157.566 | 43.603 | 0.000 | 0.000 | -0.000 |
| 43.603 | 43.603 | 157.566 | 0.000 | 0.000 | 0.000 |
| 0.000 | -0.000 | -0.000 | 40.793 | 0.000 | 0.000 |
| -0.000 | 0.000 | -0.000 | 0.000 | 40.793 | 0.000 |
| -0.000 | -0.000 | 0.000 | -0.000 | -0.000 | 40.793 |
| 188.850 | 54.542 | 54.542 | 0.000 | 0.000 | 0.000 |
| 54.542 | 188.850 | 54.542 | 0.000 | 0.000 | 0.000 |
| 54.542 | 54.542 | 188.850 | 0.000 | -0.000 | 0.000 |
| -0.000 | 0.000 | -0.000 | 40.721 | -0.000 | 0.000 |
| 0.000 | 0.000 | -0.000 | 0.000 | 40.721 | 0.000 |
| 0.000 | 0.000 | -0.000 | 0.000 | -0.000 | 40.721 |
| 188.850 | 54.542 | 54.542 | -0.000 | 0.000 | -0.000 |
| 54.542 | 188.850 | 54.542 | -0.000 | 0.000 | -0.000 |
| 54.542 | 54.542 | 188.850 | -0.000 | 0.000 | -0.000 |
| -0.000 | -0.000 | 0.000 | 40.721 | -0.000 | -0.000 |
| -0.000 | -0.000 | 0.000 | -0.000 | 40.721 | -0.000 |
| 0.000 | -0.000 | 0.000 | -0.000 | 0.000 | 40.721 |
| 194.223 | 82.111 | 82.111 | 0.000 | 0.000 | 0.000 |
| 82.111 | 194.223 | 82.111 | 0.000 | 0.000 | 0.000 |
| 82.111 | 82.111 | 194.223 | 0.000 | 0.000 | 0.000 |
| 27.243 | 27.243 | 27.243 | 24.984 | 0.000 | 0.000 |
| 27.243 | 27.243 | 27.243 | 0.000 | 24.984 | 0.000 |
| 27.243 | 27.243 | 27.243 | 0.000 | 0.000 | 24.984 |
| 188.850 | 54.542 | 54.542 | -0.000 | -0.000 | -0.000 |
| 54.542 | 188.850 | 54.542 | -0.000 | -0.000 | -0.000 |
| 54.542 | 54.542 | 188.850 | -0.000 | -0.000 | -0.000 |
| -27.243 | -27.243 | -27.243 | 24.984 | -0.000 | -0.000 |
| -27.243 | -27.243 | -27.243 | -0.000 | 24.984 | -0.000 |
| -27.243 | -27.243 | -27.243 | -0.000 | -0.000 | 24.984 |
| 188.851 | 54.542 | 54.542 | 0.000 | -0.000 | 0.000 |
| 54.542 | 188.851 | 54.542 | 0.000 | -0.000 | 0.000 |
| 54.542 | 54.542 | 188.851 | 0.000 | -0.000 | 0.000 |
| 2.006 | 2.006 | 2.006 | 28.303 | 0.000 | 0.000 |
| 2.006 | 2.006 | 2.006 | 0.000 | 28.303 | 0.000 |
| 2.006 | 2.006 | 2.006 | 0.000 | 0.000 | 28.303 |
| 188.850 | 54.542 | 54.542 | -0.000 | -0.000 | -0.000 |
| 54.542 | 188.850 | 54.542 | -0.000 | 0.000 | -0.000 |
| 54.542 | 54.542 | 188.850 | -0.000 | 0.000 | -0.000 |
| -2.006 | -2.006 | -2.006 | 28.303 | -0.000 | -0.000 |
| -2.006 | -2.006 | -2.006 | -0.000 | 28.303 | -0.000 |
| -2.006 | -2.006 | -2.006 | -0.000 | 0.000 | 28.303 |
| 181.466 | 84.998 | 84.998 | -0.000 | -0.000 | -0.000 |
| 84.998 | 181.466 | 84.998 | -0.000 | -0.000 | -0.000 |
| 84.998 | 84.998 | 181.466 | -0.000 | -0.000 | 0.000 |
| 0.000 | 0.000 | 0.000 | 69.507 | -0.000 | 0.000 |
| 0.000 | 0.000 | -0.000 | -0.000 | 69.507 | 0.000 |
| -0.000 | 0.000 | -0.000 | -0.000 | -0.000 | 69.507 |
| 179.237 | 109.167 | 109.167 | 0.000 | -0.000 | -0.000 |
| 109.167 | 179.237 | 109.167 | 0.000 | -0.000 | 0.000 |
| 109.167 | 109.167 | 179.237 | -0.000 | -0.000 | -0.000 |
| 0.000 | -0.000 | 0.000 | 69.507 | 0.000 | 0.000 |
| 0.000 | -0.000 | -0.000 | 0.000 | 69.507 | 0.000 |
| 0.000 | -0.000 | 0.000 | 0.000 | 0.000 | 69.507 |
| 171.257 | 87.492 | 87.492 | -0.000 | 0.000 | 0.000 |
| 87.492 | 171.257 | 87.492 | -0.000 | 0.000 | -0.000 |
| 87.492 | 87.492 | 171.257 | -0.000 | 0.000 | 0.000 |
| -0.000 | -0.000 | 0.000 | 69.507 | -0.000 | 0.000 |
| -0.000 | -0.000 | 0.000 | -0.000 | 69.507 | 0.000 |
| -0.000 | 0.000 | -0.000 | -0.000 | -0.000 | 69.507 |
| 173.721 | 87.822 | 87.822 | 0.000 | -0.000 | 0.000 |
| 87.822 | 173.721 | 87.822 | 0.000 | 0.000 | -0.000 |
| 87.822 | 87.822 | 173.721 | 0.000 | -0.000 | -0.000 |
| 0.000 | 0.000 | -0.000 | 69.507 | 0.000 | 0.000 |
| 0.000 | 0.000 | -0.000 | 0.000 | 69.507 | -0.000 |
| 0.000 | -0.000 | 0.000 | 0.000 | 0.000 | 69.507 |
| 181.467 | 84.998 | 84.998 | -0.000 | -0.000 | -0.000 |
| 84.998 | 181.467 | 84.998 | -0.000 | -0.000 | 0.000 |
| 84.998 | 84.998 | 181.467 | -0.000 | -0.000 | -0.000 |
| -0.037 | -0.037 | -0.037 | 57.340 | 0.000 | 0.000 |
| -0.037 | -0.037 | -0.037 | -0.000 | 57.340 | -0.000 |
| -0.037 | -0.037 | -0.037 | -0.000 | 0.000 | 57.340 |
| 181.466 | 84.997 | 84.997 | 0.000 | 0.000 | -0.000 |
| 84.997 | 181.466 | 84.997 | 0.000 | 0.000 | -0.000 |
| 84.997 | 84.997 | 181.466 | 0.000 | -0.000 | -0.000 |
| 0.037 | 0.037 | 0.037 | 57.340 | 0.000 | -0.000 |
| 0.037 | 0.037 | 0.037 | 0.000 | 57.340 | 0.000 |
| 0.037 | 0.037 | 0.037 | 0.000 | -0.000 | 57.340 |
| 239.778 | 79.310 | 25.694 | 0.000 | -0.000 | -0.000 |
| 78.875 | 205.629 | -9.390 | 0.000 | -0.000 | -0.000 |
| 25.884 | -9.341 | 98.517 | 0.000 | -0.000 | -0.000 |
| -0.000 | -0.000 | 0.000 | -22.704 | 0.000 | -0.000 |
| 0.000 | 0.000 | -0.000 | 0.000 | 11.426 | -0.000 |
| -0.000 | -0.000 | 0.000 | 0.000 | -0.000 | 65.122 |
| 239.778 | 79.310 | 25.694 | -0.000 | -0.000 | 0.000 |
| 76.897 | 205.202 | -9.180 | -0.000 | 0.000 | 0.000 |
| 26.829 | -9.137 | 98.416 | -0.000 | -0.000 | 0.000 |
| 0.000 | 0.000 | 0.000 | -22.704 | -0.000 | 0.000 |
| 0.000 | -0.000 | 0.000 | -0.000 | 11.426 | 0.000 |
| 0.000 | -0.000 | -0.000 | 0.000 | 0.000 | 65.122 |
| 239.778 | 79.310 | 25.694 | 0.000 | 0.000 | -0.000 |
| 76.377 | 205.090 | -9.125 | 0.000 | -0.000 | -0.000 |
| 26.309 | -9.249 | 98.472 | 0.000 | -0.000 | -0.000 |
| -0.000 | -0.000 | -0.000 | -22.704 | 0.000 | -0.000 |
| -0.000 | -0.000 | 0.000 | 0.000 | 11.426 | -0.000 |
| -0.000 | 0.000 | -0.000 | 0.000 | -0.000 | 65.122 |
| 239.778 | 79.310 | 25.694 | -0.000 | -0.000 | 0.000 |
| 76.472 | 205.111 | -9.134 | -0.000 | 0.000 | 0.000 |
| 25.149 | -9.499 | 98.595 | 0.000 | 0.000 | 0.000 |
| 0.000 | 0.000 | 0.000 | -22.704 | -0.000 | 0.000 |
| 0.000 | 0.000 | -0.000 | -0.000 | 11.426 | 0.000 |
| 0.000 | -0.000 | 0.000 | -0.000 | 0.000 | 65.122 |
| 239.779 | 79.310 | 25.694 | 0.000 | 0.000 | -0.000 |
| 76.420 | 205.099 | -9.129 | -0.000 | -0.000 | -0.000 |
| 26.352 | -9.240 | 98.467 | 0.000 | -0.000 | -0.000 |
| -0.000 | -0.000 | -0.000 | -22.704 | -0.000 | -0.000 |
| -0.006 | -0.001 | -0.000 | 0.000 | -121.147 | -0.000 |
| -0.005 | -0.001 | 0.000 | -0.000 | -0.000 | 65.122 |
| 228.411 | 76.861 | 26.901 | -0.000 | 0.000 | 0.000 |
| 78.875 | 205.629 | -9.389 | -0.000 | 0.000 | 0.000 |
| 25.149 | -9.499 | 98.595 | -0.000 | 0.000 | 0.000 |
| 0.000 | 0.000 | 0.000 | -22.704 | 0.000 | 0.000 |
| 0.006 | 0.001 | 0.000 | -0.000 | -121.147 | 0.000 |
| 0.005 | 0.001 | -0.000 | 0.000 | 0.000 | 65.122 |
| 304.561 | 136.917 | 55.730 | 0.000 | -0.000 | 0.000 |
| 137.853 | 303.661 | 57.176 | 0.000 | -0.000 | 0.000 |
| 56.236 | 56.718 | 138.923 | 0.000 | -0.000 | 0.000 |
| 0.000 | -0.000 | -0.000 | 40.261 | -0.000 | 0.000 |
| -0.000 | -0.000 | -0.000 | 0.000 | 39.108 | 0.000 |
| -0.000 | 0.000 | -0.000 | 0.000 | -0.000 | 82.415 |
| 304.561 | 136.917 | 55.730 | -0.000 | 0.000 | -0.000 |
| 137.853 | 303.661 | 57.176 | -0.000 | 0.000 | -0.000 |
| 56.237 | 56.718 | 138.923 | -0.000 | 0.000 | -0.000 |
| 0.000 | 0.000 | 0.000 | 40.261 | 0.000 | -0.000 |
| 0.000 | 0.000 | 0.000 | -0.000 | 39.108 | -0.000 |
| 0.000 | -0.000 | 0.000 | -0.000 | 0.000 | 82.415 |
| 304.561 | 136.918 | 55.730 | 0.000 | -0.000 | 0.000 |
| 137.853 | 303.661 | 57.176 | 0.000 | -0.000 | 0.000 |
| 56.222 | 56.732 | 138.923 | 0.000 | -0.000 | 0.000 |
| 0.000 | -0.000 | -0.000 | 40.261 | -0.000 | 0.000 |
| -0.000 | 0.000 | -0.000 | 0.000 | 39.108 | 0.000 |
| -0.000 | 0.000 | -0.000 | 0.000 | -0.000 | 82.415 |
| 304.561 | 136.918 | 55.730 | -0.000 | -0.000 | -0.000 |
| 137.853 | 303.661 | 57.176 | -0.000 | 0.000 | -0.000 |
| 56.222 | 56.732 | 138.923 | -0.000 | 0.000 | -0.000 |
| -0.000 | 0.000 | 0.000 | 40.261 | -0.000 | -0.000 |
| 0.000 | -0.000 | 0.000 | -0.000 | 39.108 | -0.000 |
| 0.000 | -0.000 | 0.000 | -0.000 | 0.000 | 82.415 |
| 304.561 | 136.918 | 55.730 | 0.000 | -0.000 | 0.000 |
| 137.854 | 303.662 | 57.176 | 0.000 | -0.000 | 0.000 |
| 56.222 | 56.732 | 138.921 | 0.000 | -0.000 | 0.000 |
| 0.000 | -0.000 | -0.000 | 40.261 | -0.000 | 0.000 |
| -0.000 | 0.000 | -0.000 | 0.000 | 39.108 | 0.000 |
| -0.000 | 0.000 | -0.000 | 0.000 | -0.000 | 82.415 |
| 304.560 | 136.917 | 55.730 | -0.000 | 0.000 | -0.000 |
| 137.853 | 303.661 | 57.176 | -0.000 | 0.000 | -0.000 |
| 56.343 | 56.611 | 138.925 | -0.000 | 0.000 | -0.000 |
| -0.000 | 0.000 | 0.000 | 40.261 | 0.000 | -0.000 |
| 0.000 | -0.000 | 0.000 | -0.000 | 39.108 | -0.000 |
| 0.000 | -0.000 | 0.000 | -0.000 | 0.000 | 82.415 |
| 41.121 | 208.277 | 19.162 | -0.000 | 0.000 | -0.000 |
| 301.824 | -52.425 | 19.162 | 0.000 | -0.000 | -0.000 |
| 19.162 | 19.162 | 187.365 | 0.000 | -0.000 | -0.000 |
| -0.000 | -0.000 | -0.000 | -19.227 | 0.000 | -0.000 |
| 0.000 | -0.000 | -0.000 | 0.000 | -19.227 | -0.000 |
| 0.000 | -0.000 | -0.000 | -0.000 | -0.000 | -83.578 |
| 166.458 | 82.941 | 19.162 | 0.000 | 0.000 | 0.000 |
| 182.691 | 66.707 | 19.162 | -0.000 | 0.000 | 0.000 |
| 19.162 | 19.162 | 187.365 | -0.000 | 0.000 | 0.000 |
| 0.000 | 0.000 | 0.000 | -19.227 | -0.000 | 0.000 |
| 0.000 | 0.000 | 0.000 | -0.000 | -19.227 | 0.000 |
| -0.000 | 0.000 | 0.000 | 0.000 | 0.000 | -83.578 |
| 66.708 | 182.691 | 19.162 | 0.000 | -0.000 | -0.000 |
| 82.941 | 166.458 | 19.162 | -0.000 | -0.000 | -0.000 |
| 19.162 | 19.162 | 187.365 | 0.000 | -0.000 | -0.000 |
| -0.000 | 0.000 | -0.000 | -19.227 | -0.000 | -0.000 |
| 0.000 | -0.000 | -0.000 | 0.000 | -19.227 | -0.000 |
| -144285633.121 | -144054977.302 | -143870211.685 | -72401.988 | 453981.419 | -137187.382 |
| 166.458 | 82.941 | 19.162 | 0.000 | 0.000 | 0.000 |
| 208.277 | 41.122 | 19.162 | -0.000 | 0.000 | 0.000 |
| 19.162 | 19.162 | 187.365 | -0.000 | 0.000 | 0.000 |
| 0.000 | -0.000 | 0.000 | -19.227 | -0.000 | 0.000 |
| -0.000 | 0.000 | 0.000 | -0.000 | -19.227 | 0.000 |
| 144237838.563 | 143762423.600 | 144269161.076 | 181215.880 | 204105.202 | -230665.976 |
| -14376589.099 | -14414580.617 | -14409015.053 | 12412.091 | -23748.998 | -30739.157 |
| 182.688 | 66.712 | 19.162 | 0.000 | -0.000 | -0.000 |
| 19.162 | 19.162 | 187.365 | 0.000 | -0.000 | -0.000 |
| -0.000 | 0.000 | -0.000 | -19.227 | -0.000 | -0.000 |
| 0.000 | -0.000 | -0.000 | 0.000 | -19.227 | -0.000 |
| 0.000 | 0.000 | 0.000 | -0.000 | -0.000 | 41.759 |
| 14160055.754 | 14182352.151 | 14053331.797 | 28317.097 | -24317.726 | 52230.738 |
| 182.705 | 66.691 | 19.162 | -0.000 | 0.000 | 0.000 |
| 19.162 | 19.162 | 187.365 | -0.000 | 0.000 | 0.000 |
| 0.000 | -0.000 | 0.000 | -19.227 | 0.000 | 0.000 |
| -0.000 | 0.000 | 0.000 | -0.000 | -19.227 | 0.000 |
| -0.000 | -0.000 | -0.000 | 0.000 | 0.000 | 41.759 |
Phonon band structures and crystal properties estimated from quasi-harmonic approximation (QHA) calculations are displayed for select crystals. The calculations were performed using phonopy and LAMMPS. For the phonon calculations, 3x3 supercells of the potential-specific relaxed crystals were used. The QHA calculations were based on 11 strain states ranging from -0.05 to 0.05.
The calculation method used is available as the iprPy phonon calculation method.
Notes and Disclaimers:
Version Information:












































































































































































































































































































Static free surface formation energies are displayed for select crystals. The values displayed here are obtained by taking a perfect periodic bulk crystal, slicing along a crystallographic plane, and using force minimization to statically relax the surfaces. The free surface formation energy is computed by comparing the energy of the defect system to the bulk system and dividing by the total surface area created by the cut.
The calculation method used is available as the iprPy surface_energy_static calculation method.
Notes and Disclaimers:
Version Information:
| Surface | γfs (mJ/m2) |
|---|---|
| (111) | 2531.35 |
| (100) | 2643.60 |
| (332) | 2712.81 |
| (322) | 2741.38 |
| (221) | 2786.42 |
| (211) | 2826.74 |
| (110) | 2837.33 |
| (331) | 2838.29 |
| (311) | 2855.93 |
| (321) | 2905.78 |
| (310) | 2910.39 |
| (320) | 2931.34 |
| (210) | 2933.86 |
| Surface | γfs (mJ/m2) |
|---|---|
| (211) 2 | 2394.70 |
| (332) 2 | 2494.28 |
| (210) | 2497.30 |
| (321) 2 | 2523.29 |
| (321) 1 | 2533.34 |
| (311) | 2542.83 |
| (322) | 2544.05 |
| (221) | 2544.46 |
| (111) | 2545.18 |
| (332) 1 | 2563.95 |
| (331) | 2574.08 |
| (100) | 2579.85 |
| (320) | 2583.55 |
| (310) | 2603.09 |
| (110) | 2633.67 |
| (211) 1 | 2653.34 |
| Surface | γfs (mJ/m2) |
|---|---|
| (110) | 2612.67 |
| (100) | 2713.32 |
| (320) | 2751.78 |
| (210) | 2798.52 |
| (310) | 2828.75 |
| (321) | 2881.23 |
| (331) | 2888.26 |
| (211) | 2904.21 |
| (311) | 2928.77 |
| (221) | 2964.84 |
| (322) | 2997.33 |
| (332) | 3002.82 |
| (111) | 3018.04 |
| Surface | γfs (mJ/m2) |
|---|---|
| (0001) | 2508.96 |
| (1011) 2 | 2636.25 |
| (1010) 1 | 2692.51 |
| (2021) 1 | 2747.06 |
| (1012) 1 | 2790.01 |
| (1120) | 2847.43 |
| (2130) 1 | 2873.87 |
| (2112) | 2876.45 |
| (1012) 2 | 2920.23 |
| (2131) 2 | 2924.70 |
| (2132) 1 | 2933.09 |
| (2132) 2 | 2938.22 |
| (2241) | 2946.77 |
| (1121) | 2979.49 |
| (2021) 2 | 2980.06 |
| (2131) 1 | 2998.16 |
| (2130) 2 | 3049.23 |
| (1010) 2 | 3192.81 |
| (1011) 1 | 3264.08 |
| Surface | γfs (mJ/m2) |
|---|---|
| (111) | 2554.69 |
| (100) | 2642.77 |
| (332) | 2723.88 |
| (322) | 2759.90 |
| (221) | 2797.71 |
| (211) | 2843.84 |
| (331) | 2851.19 |
| (110) | 2853.82 |
| (311) | 2871.64 |
| (321) | 2925.26 |
| (310) | 2925.97 |
| (320) | 2952.08 |
| (210) | 2955.12 |
| Surface | γfs (mJ/m2) |
|---|---|
| (211) 2 | 2285.73 |
| (332) 2 | 2386.66 |
| (210) | 2409.37 |
| (321) 2 | 2417.49 |
| (321) 1 | 2426.83 |
| (322) | 2441.60 |
| (221) | 2442.37 |
| (311) | 2443.25 |
| (111) | 2447.19 |
| (332) 1 | 2457.07 |
| (310) | 2474.37 |
| (331) | 2474.44 |
| (320) | 2491.90 |
| (100) | 2509.30 |
| (110) | 2543.61 |
| (211) 1 | 2558.75 |
| Surface | γfs (mJ/m2) |
|---|---|
| (110) | 2657.58 |
| (100) | 2709.34 |
| (320) | 2766.60 |
| (210) | 2801.52 |
| (310) | 2822.73 |
| (321) | 2915.87 |
| (331) | 2935.52 |
| (211) | 2936.20 |
| (311) | 2939.99 |
| (221) | 3012.84 |
| (322) | 3044.30 |
| (332) | 3050.12 |
| (111) | 3072.63 |
| Surface | γfs (mJ/m2) |
|---|---|
| (111) | 2190.75 |
| (100) | 2208.61 |
| (332) | 2314.46 |
| (322) | 2341.80 |
| (221) | 2362.55 |
| (110) | 2367.35 |
| (331) | 2393.62 |
| (211) | 2398.79 |
| (311) | 2406.75 |
| (310) | 2423.23 |
| (210) | 2437.00 |
| (320) | 2440.07 |
| (321) | 2441.75 |
| Surface | γfs (mJ/m2) |
|---|---|
| (211) 2 | 2077.04 |
| (210) | 2161.31 |
| (332) 2 | 2174.64 |
| (321) 2 | 2181.60 |
| (111) | 2200.97 |
| (321) 1 | 2202.70 |
| (311) | 2205.47 |
| (221) | 2216.04 |
| (322) | 2218.56 |
| (310) | 2243.70 |
| (331) | 2243.79 |
| (100) | 2247.88 |
| (332) 1 | 2259.74 |
| (320) | 2269.04 |
| (110) | 2271.12 |
| (211) 1 | 2305.67 |
| Surface | γfs (mJ/m2) |
|---|---|
| (0001) | 2136.01 |
| (1012) 2 | 2188.50 |
| (1011) 1 | 2279.28 |
| (2021) 1 | 2296.49 |
| (1120) | 2321.19 |
| (2021) 2 | 2364.29 |
| (2241) | 2372.14 |
| (2131) 1 | 2393.87 |
| (2132) 2 | 2395.97 |
| (1121) | 2409.64 |
| (1010) | 2422.26 |
| (2130) | 2426.38 |
| (2132) 1 | 2434.75 |
| (2112) | 2445.65 |
| (2131) 2 | 2450.63 |
| (1011) 2 | 2452.59 |
| (1012) 1 | 2464.29 |
Stacking fault energy plots and maps are displayed for select crystals. The values are computed by
The calculation method used is available as the iprPy stacking_fault_map_2D calculation method.
Notes and Disclaimers:
Version Information:
| E_usf a/2 [0 -1 1] | 1399.15 |
| τ_ideal a/2 [0 -1 1] | 23.37 |




| E_isf | 47.01 |
| E_usf a/2 [0 -1 1] | 293.90 |
| τ_ideal a/2 [0 -1 1] | 6.58 |




| E_usf a/2 [-1 1 -1] | 672.87 |
| τ_ideal a/2 [-1 1 -1] | 8.89 |




| E_usf a/2 [-1 -1 1] | 796.93 |
| τ_ideal a/2 [-1 -1 1] | 10.35 |




| E_usf a/2 [-1 -1 1] | 780.67 |
| τ_ideal a/2 [-1 -1 1] | 9.91 |




| E_isf | -25.25 |
| E_usf a/3 [-2 1 1 0] | 264.15 |
| τ_ideal a/3 [-2 1 1 0] | 6.46 |




| E_usf a/3 [-1 2 -1 0] | 565.07 |
| τ_ideal a/3 [-1 2 -1 0] | 11.73 |




| E_usf a/3 [-1 2 -1 0] | 1905.48 |
| τ_ideal a/3 [-1 2 -1 0] | 28.60 |




| E_usf a/3 [-1 2 -1 0] | 842.04 |
| E_usf a/3 [-2 1 1 3] | 5085.95 |
| τ_ideal a/3 [-1 2 -1 0] | 15.89 |
| τ_ideal a/3 [-2 1 1 3] | 87.83 |





| E_usf a/3 [-1 2 -1 0] | 1046.90 |
| E_usf a/3 [-2 1 1 3] | 1394.98 |
| τ_ideal a/3 [-1 2 -1 0] | 17.43 |
| τ_ideal a/3 [-2 1 1 3] | 20.78 |





| E_usf a/3 [-2 1 1 3] | 2126.35 |
| τ_ideal a/3 [-2 1 1 3] | 24.79 |




| E_usf a/2 [0 -1 1] | 1539.31 |
| τ_ideal a/2 [0 -1 1] | 24.80 |




| E_isf | 24.28 |
| E_usf a/2 [0 -1 1] | 314.96 |
| τ_ideal a/2 [0 -1 1] | 6.32 |




| E_usf a/2 [-1 1 -1] | 775.48 |
| τ_ideal a/2 [-1 1 -1] | 9.45 |




| E_usf a/2 [-1 -1 1] | 915.84 |
| τ_ideal a/2 [-1 -1 1] | 12.60 |




| E_usf a/2 [-1 -1 1] | 898.93 |
| τ_ideal a/2 [-1 -1 1] | 12.30 |




| E_usf a/2 [0 -1 1] | 1006.15 |
| τ_ideal a/2 [0 -1 1] | 14.78 |




| E_isf | 245.87 |
| E_usf a/2 [0 -1 1] | 341.34 |
| τ_ideal a/2 [0 -1 1] | 6.23 |




Static point defect formation energies, Ef, and elastic dipole tensors, pij, are displayed for select crystals. Relaxed defect configurations are obtained by taking a 12x12x12 supercell of a perfect periodic bulk crystal, inserting the point defect, and using force minimization to statically relax the atomic positions while keeping the system dimensions constant. Ef is computed by comparing the energy of the defect system to the same number of atoms in a perfect bulk crystal. pij is estimated as the difference in the system's global pressure with and without the defect multiplied by the system's volume.
Simple structural comparisons of the unrelaxed and relaxed defect configurations are used to help determine if the defect structure has relaxed to a different configuration. Relaxed structures that are identified as no longer consistent with the ideal defect definition are excluded from the table below. The only exception to this is if the lowest energy interstitial configuration does not coincide with a known ideal defect, its energies and pressure tensor are included under the listing "relaxed interstitial". The full list of calculation results including the transformed structures and the structural comparison values is included in the csv file available from the "Download raw data" link.
The calculation method used is available as the iprPy point_defect_static calculation method.
Notes and Disclaimers:
| Point Defect | Ef (eV) | p11 (eV) | p22 (eV) | p33 (eV) | p12 (eV) | p13 (eV) | p23 (eV) |
|---|---|---|---|---|---|---|---|
| vacancy | 2.562 | -3.397 | -3.397 | -3.397 | 0.000 | 0.000 | 0.000 |
| 100 dumbbell | 4.455 | 20.832 | 20.832 | 20.620 | 0.000 | -0.000 | 0.000 |
| 1nn divacancy | 4.793 | -10.525 | -6.469 | -6.469 | 0.000 | 0.000 | -0.341 |
| tetrahedral interstitial | 4.987 | 21.419 | 21.419 | 21.419 | -0.000 | 0.000 | 0.000 |
| 2nn divacancy | 5.030 | -7.154 | -7.154 | -7.203 | 0.000 | 0.000 | -0.000 |
| Point Defect | Ef (eV) | p11 (eV) | p22 (eV) | p33 (eV) | p12 (eV) | p13 (eV) | p23 (eV) |
|---|---|---|---|---|---|---|---|
| vacancy | 2.307 | -10.972 | -10.972 | -10.972 | 0.000 | -0.000 | 0.000 |
| 2nn divacancy | 4.234 | -20.857 | -20.857 | -16.222 | 0.000 | 0.000 | 0.000 |
| 1nn divacancy | 4.517 | -18.323 | -18.323 | -18.323 | 1.812 | 1.812 | 1.812 |
| crowdion interstitial | 5.126 | 23.197 | 23.197 | 23.197 | 8.560 | 8.560 | 8.560 |
| 111 dumbbell | 5.153 | 22.415 | 22.415 | 22.415 | 8.428 | 8.428 | 8.428 |
| 100 dumbbell | 5.951 | 12.194 | 12.194 | 28.638 | 0.000 | -0.000 | 0.000 |
| octahedral interstitial | 6.141 | 27.976 | 13.709 | 13.709 | 0.000 | 0.000 | 0.000 |
| Point Defect | Ef (eV) | p11 (eV) | p22 (eV) | p33 (eV) | p12 (eV) | p13 (eV) | p23 (eV) |
|---|---|---|---|---|---|---|---|
| vacancy | 2.484 | -3.273 | -3.273 | -3.836 | -0.000 | 0.000 | 0.000 |
| relaxed interstitial | 4.755 | 28.149 | 28.801 | 20.934 | 0.000 | 0.000 | 0.000 |
| Point Defect | Ef (eV) | p11 (eV) | p22 (eV) | p33 (eV) | p12 (eV) | p13 (eV) | p23 (eV) |
|---|---|---|---|---|---|---|---|
| vacancy | 2.783 | -0.422 | -0.422 | -0.422 | 0.000 | -0.000 | -0.000 |
| 100 dumbbell | 5.145 | 21.147 | 21.147 | 20.598 | 0.000 | 0.000 | 0.000 |
| 1nn divacancy | 5.157 | -4.725 | -0.550 | -0.550 | 0.000 | -0.000 | -0.433 |
| 2nn divacancy | 5.439 | -0.982 | -0.982 | -1.396 | 0.000 | -0.000 | -0.000 |
| tetrahedral interstitial | 5.821 | 21.718 | 21.718 | 21.718 | -0.000 | -0.000 | -0.000 |
| Point Defect | Ef (eV) | p11 (eV) | p22 (eV) | p33 (eV) | p12 (eV) | p13 (eV) | p23 (eV) |
|---|---|---|---|---|---|---|---|
| vacancy | 2.442 | -8.967 | -8.967 | -8.967 | 0.000 | -0.000 | 0.000 |
| 2nn divacancy | 4.478 | -16.122 | -16.122 | -13.502 | 0.000 | 0.000 | 0.000 |
| 1nn divacancy | 4.794 | -13.144 | -13.144 | -13.144 | 2.214 | 2.214 | 2.214 |
| crowdion interstitial | 5.715 | 19.890 | 19.890 | 19.890 | 10.305 | 10.305 | 10.305 |
| 111 dumbbell | 5.718 | 18.730 | 18.730 | 18.730 | 10.360 | 10.360 | 10.360 |
| 100 dumbbell | 6.645 | 8.326 | 8.326 | 27.362 | 0.000 | 0.000 | -0.000 |
| Point Defect | Ef (eV) | p11 (eV) | p22 (eV) | p33 (eV) | p12 (eV) | p13 (eV) | p23 (eV) |
|---|---|---|---|---|---|---|---|
| vacancy | 1.733 | -1.912 | -1.912 | -1.912 | 0.000 | 0.000 | 0.000 |
| 1nn divacancy | 3.268 | -6.312 | -3.296 | -3.296 | -0.000 | 0.000 | -0.122 |
| 2nn divacancy | 3.371 | -3.807 | -3.807 | -4.415 | -0.000 | 0.000 | 0.000 |
| 100 dumbbell | 3.569 | 15.264 | 15.264 | 14.204 | -0.000 | 0.000 | 0.000 |
| octahedral interstitial | 3.668 | 15.088 | 15.088 | 15.088 | -0.000 | 0.000 | 0.000 |
| crowdion interstitial | 3.769 | 14.431 | 14.431 | 16.147 | 10.144 | 0.000 | 0.000 |
| 110 dumbbell | 3.769 | 16.134 | 14.460 | 14.460 | -0.000 | 0.000 | 10.151 |
| 111 dumbbell | 3.865 | 15.562 | 15.562 | 15.562 | 4.438 | 4.438 | 4.438 |
| tetrahedral interstitial | 3.957 | 15.897 | 15.897 | 15.897 | -0.000 | -0.000 | -0.000 |
Plots of the atomic structure of dislocation cores are shown here. The dislocations were constructed using dislocation monopole configurations in which a straight dislocation is created in the center of the system using anisotropic elasticity and the elastic constants computed above. A cylindrical region centered around the dislocation is allowed to relax while the remaining atoms are held fixed. The relaxation consists of 1 million NVT steps at 10 K followed by an energy/force minimization. The final plots show the atomic configuration near the center of the monopole system, and display differential displacement arrows and Nye tensor color maps that are both taken with respect to the Burgers vector direction.
These plots show a wide range of final structures, some corresponding to expected dislocation structures and others not. While the characterizations are dislocation-type dependent, some general classification guidelines are listed here.
The calculation method used is available as the iprPy dislocation_monopole calculation method.
Links are provided above the images allowing for users to download the final defect configuration and a corresponding defect-free configuration if they wish to further analyze the structures or use them for subsequent simulations.
Notes and Disclaimers:
Version Information:
Plots of lattice and elastic constants are shown as a function of temperature. The 0K points were taken from the Crystal Structure Predictions and the Elastic Constants Predictions sections above for the unique crystal structures relaxed with the "dynamic" method. Starting from the 0 K relaxed crystal unit cells, supercell systems are created by replicating all three dimensions by the same multiplier to achieve at least 4000 atoms. The systems are then relaxed at 50 K and zero pressure using 1 million NPT steps. Lattice constants are estimated by averaging the measured box dimensions. Temperatures are iteratively increased by 50 K, with each subsequent relaxation calculation starting from the final atomic configuration at the previous temperature and relaxing for another 1 million steps.
The elastic constants are calculated using the deformation–fluctuation hybrid method. Starting from the final atomic configurations of the dynamic relaxations, the system is allowed to evolve at constant volume with a Langevin thermostat. The Born matrix is computed during this run by evaluating how the atomic forces would vary due to applied linear strain fields. The elastic constants can then be estimated using the averaged Born matrix values and the averaged stresses on the system.
The calculation methods used are available as the iprPy relax_dynamic and elastic_constants_dynamic calculation methods.
Clicking on the image of a plot will open an interactive version of it in a new tab. The underlying data for the plots can be downloaded by clicking on the links above each plot.
Notes and Disclaimers:
Version Information:
Plots of radial distribution functions at different temperatures and the temperature-dependent diffusion and viscosity are shown here for elemental liquids. Melt phases are constructed by starting with a 10x10x10 fcc super cell and relaxing with 50,000 NPT steps at zero pressure and a high melting temperature (3000 K for most potentials and elements). Following the melt, liquid structures are relaxed by running NPT for 10,000 steps over which the temperature is dropped by 50 K, then 50,000 NPT at the target temperature to estimate the equilibrium volume, followed by 20,000 NVT steps at the averaged equilibrium volume and target temperature. Structures from the NVT run are sampled to compute the radial distribution function of the liquid at the corresponding temperature.
The final relaxed configurations at each temperature explored are used as the initial configurations for the diffusion and viscosity calculations. For diffusion, the system is integrated for 100 runs of 2,000 NVT steps during which both the mean squared displacement (MSD) and the velocity auto correlation function (VACF) are computed. From these simulations, three estimates of diffusion are computed: one from the MSD of the full 200,000 step run, one in which the MSD is reset for each short run and then averaged, and one from the VACF computed for each short run and averaged. For viscosity, the Green-Kubo method is used which is evaluated during a 1 million step NVT run.
The calculation methods used are available as the iprPy relax_liquid_redo, diffusion_liquid, and viscosity_green_kubo calculation methods.
Clicking on the image of a plot will open an interactive version of it in a new tab. The underlying data for the plots can be downloaded by clicking on the links above each plot.
Notes and Disclaimers:
Version Information:
Estimated melting temperatures are tabulated below. The melting temperature is computed here using a two-phase solid-liquid atomic configuration. The two-phase configuration is created by starting with a crystalline system in which the c box vector is roughly twice the length of the other two box vectors. Based on some input temperature Tinit, an NPH plus a Berensen thermostat simulation is performed for 10,000 steps in which half the system is subjected to a temperature of 1.25*Tinit and the other half to a temperature of 0.5*Tinit. This is then followed by 10,000 steps during which the temperature of the two regions are both scaled to Tinit. The system is then ran for 200,000 NPH steps to equilibrate the system. For the second half of the final NPH run, the average temperature of the system is calculated and the polyhedral template matching algorithm is used to estimate the number of solid and liquid atoms for a number of configuration snapshots. If the averaged fraction of solid atoms is found to be between 0.25-0.75, then the averaged temperature provides an estimate of the melting temperature.
This calculation is iteratively performed where the Tinit value is adjusted up or down if the fraction of solid atoms is outside the range 0.25-0.75. Iterations are repeated until 10 calculations are performed that produce solid fractions in the target range, or 30 total calculations are performed.
The calculation method used is available as the iprPy melting_temperature calculation method.
Notes and Disclaimers:
Version Information:
| prototype | Tmelt | stderr |
|---|---|---|
| A1--Cu--fcc | 2267.2 | 1.65 |
| A3--Mg--hcp | 2244.94 | 9.14 |
| prototype | Tmelt | stderr |
|---|---|---|
| A1--Cu--fcc | 2420.76 | 1.17 |
| prototype | Tmelt | stderr |
|---|---|---|
| A1--Cu--fcc | 1346.62 | 1.13 |
Plots of internal energy, Gibbs free energy, entropy, heat capacity and volume are shown here as a function of temperature for various crystal structures and liquid phases. The included crystal structures correspond to those in the Solid Structures vs. Temperature section, and the liquid phases to those in the Liquid Properties section. Internal energy and volume are taken from the associated structure relaxations mentioned in those previous sections. Constant pressure heat capacity is estimated using 3-point numerical derivatives of enthalpy versus temperature. Note that since all simulations done here are at 0 pressure, internal energy and enthalpy are equivalent.
The Gibbs energies of the phases are estimated using thermodynamic integration between the interatomic potential in question and a simpler model with known Gibbs free energy values. For solids, the reference model is an Einstein solid, while for liquids it is the Uhlenbeck-Ford potential. Besides a short run at the start of the solid calculations to estimate Einstein model spring constants, the two calculations proceed similarly. Starting with the final relaxation configurations, the systems are stabilized for 25,000 steps. Then, over the next 50,000 steps the potential is swapped out for the reference potential. The system is then stabilized for another 25,000 steps with the reference model before a reverse swap of 50,000 steps is performed. The simulation ends with one final 25,000 step stabilization period. From the simulation, the irreversible work of transformation is estimated and used to compute the absolute Gibbs free energy of the target phase and potential relative to the reference potential. Entropy is estimated as the difference in enthalpy and Gibbs free energy and divided by temperature.
The calculation methods used are available as the iprPy relax_dynamic, relax_liquid_redo, free_energy, and free_energy_liquid calculation methods.
Clicking on the image of a plot will open an interactive version of it in a new tab. The underlying data for the plots can be downloaded by clicking on the links above each plot.
Notes and Disclaimers:
Version Information:






