Plots of the potential energy vs interatomic spacing, r, are shown below for all diatom sets associated with the interatomic potential. This calculation provides insights into the functional form of the potential's two-body interactions. A system consisting of only two atoms is created, and the potential energy is evaluated for the atoms separated by 0.02 Å <= r <= 6.0> Å in intervals of 0.02 Å. Two plots are shown: one for the "standard" interaction distance range, and one for small values of r. The small r plot is useful for determining whether the potential is suitable for radiation studies.
The calculation method used is available as the iprPy diatom_scan calculation method.
Clicking on the image of a plot will open an interactive version of it in a new tab. The underlying data for the plots can be downloaded by clicking on the links above each plot.
Notes and Disclaimers:
Version Information:
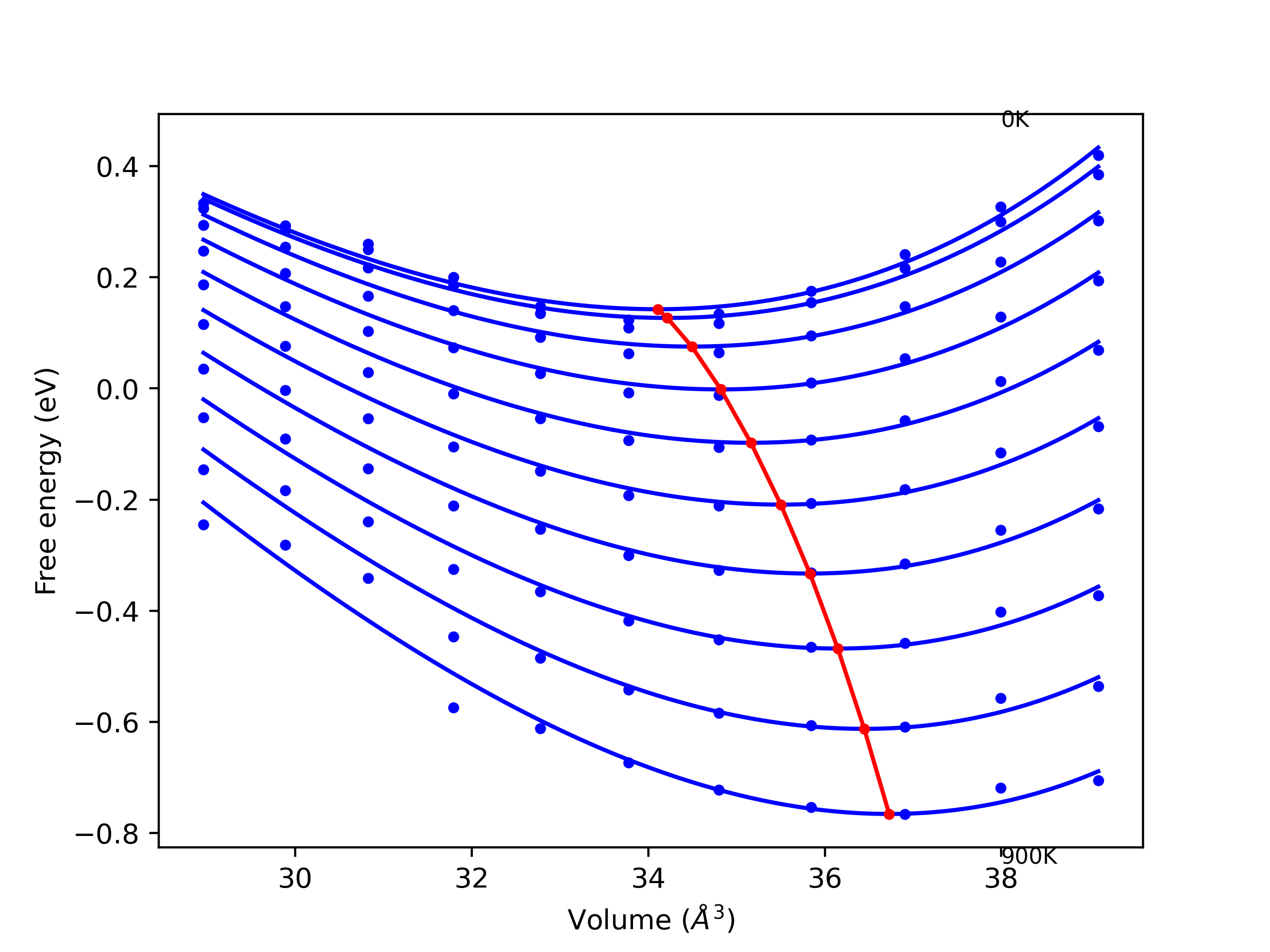
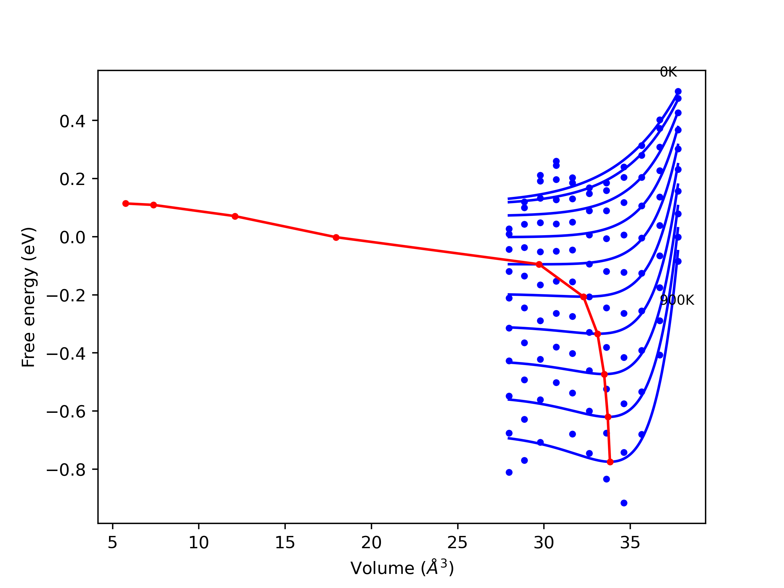
Plots of potential energy vs interatomic spacing, r, are shown below for a number of crystal structures. The structures are generated based on the ideal atomic positions and b/a and c/a lattice parameter ratios for a given crystal prototype. The size of the system is then uniformly scaled, and the energy calculated without relaxing the system. To obtain these plots, values of r are evaluated every 0.02 Å up to 6 Å.
The calculation method used is available as the iprPy E_vs_r_scan calculation method.
Clicking on the image of a plot will open an interactive version of it in a new tab. The underlying data for the plots can be downloaded by clicking on the links above each plot.
Notes and Disclaimers:
Version Information:
Computed lattice constants and cohesive/potential energies are displayed for a variety of crystal structures. The values displayed here are obtained using the following process.
The calculation methods used are implemented into iprPy as the following calculation styles
Notes and Disclaimers:
Version Information:
Download raw data (including filtered results)
Reference structure matches:
A1--Cu--fcc = mp-81, oqmd-592562, oqmd-593868, oqmd-594005, oqmd-594521, oqmd-594522, oqmd-598514, oqmd-629973, oqmd-636381, oqmd-636382, oqmd-1214506
A15--beta-W = oqmd-1214951, oqmd-1280361
A2--W--bcc = oqmd-1215129
A3'--alpha-La--double-hcp = oqmd-1215397
A3--Mg--hcp = oqmd-1215307
A4--C--dc = oqmd-1215486
A5--beta-Sn = oqmd-1215575
A6--In--bct = oqmd-1215664
A7--alpha-As = oqmd-1215753
| prototype | method | Ecoh (eV/atom) | Epot (eV/atom) | a0 (Å) | b0 (Å) | c0 (Å) | α (degrees) | β (degrees) | γ (degrees) |
|---|---|---|---|---|---|---|---|---|---|
| A3--Mg--hcp | dynamic | -3.9064 | -3.9064 | 2.9495 | 2.9495 | 4.6619 | 90.0 | 90.0 | 120.0 |
| oqmd-1216020 | dynamic | -3.9042 | -3.9042 | 2.9546 | 2.9546 | 21.1716 | 90.0 | 90.0 | 120.0 |
| oqmd-1215218 | box | -3.9041 | -3.9041 | 2.9163 | 5.1628 | 4.6758 | 90.0 | 90.0 | 90.0 |
| oqmd-1216020 | box | -3.9039 | -3.9039 | 2.9544 | 2.9544 | 21.1675 | 90.0 | 90.0 | 120.0 |
| A3'--alpha-La--double-hcp | dynamic | -3.9031 | -3.9031 | 2.9574 | 2.9574 | 9.4663 | 90.0 | 90.0 | 120.0 |
| A1--Cu--fcc | dynamic | -3.9024 | -3.9024 | 4.182 | 4.182 | 4.182 | 90.0 | 90.0 | 90.0 |
| A2--W--bcc | static | -3.8711 | -3.8711 | 3.2742 | 3.2742 | 3.2742 | 90.0 | 90.0 | 90.0 |
| oqmd-1214684 | box | -3.8707 | -3.8707 | 4.6575 | 4.6584 | 6.4767 | 90.0 | 90.0 | 90.0 |
| oqmd-1214862 | dynamic | -3.8605 | -3.8605 | 7.1883 | 7.1883 | 7.1883 | 90.0 | 90.0 | 90.0 |
| oqmd-1214862 | box | -3.8603 | -3.8603 | 7.191 | 7.191 | 7.191 | 90.0 | 90.0 | 90.0 |
| oqmd-1214773 | dynamic | -3.8482 | -3.8482 | 10.2558 | 10.2558 | 10.2558 | 90.0 | 90.0 | 90.0 |
| oqmd-1214773 | static | -3.8482 | -3.8482 | 10.2568 | 10.2568 | 10.2568 | 90.0 | 90.0 | 90.0 |
| oqmd-1214773 | box | -3.8479 | -3.8479 | 10.2631 | 10.2631 | 10.2631 | 90.0 | 90.0 | 90.0 |
| oqmd-1038224 | dynamic | -3.8438 | -3.8438 | 4.7533 | 4.7533 | 2.8632 | 90.0 | 90.0 | 120.0 |
| oqmd-1038224 | box | -3.8438 | -3.8438 | 4.7526 | 4.7526 | 2.8632 | 90.0 | 90.0 | 120.0 |
| A15--beta-W | static | -3.8014 | -3.8014 | 5.3572 | 5.3572 | 5.3572 | 90.0 | 90.0 | 90.0 |
| A5--beta-Sn | static | -3.7384 | -3.7384 | 5.3976 | 5.3976 | 2.7845 | 90.0 | 90.0 | 90.0 |
| Ah--alpha-Po--sc | static | -3.681 | -3.681 | 2.77 | 2.77 | 2.77 | 90.0 | 90.0 | 90.0 |
| A7--alpha-As | box | -3.6809 | -3.6809 | 3.9167 | 3.9167 | 9.5984 | 90.0 | 90.0 | 120.0 |
| oqmd-1215931 | box | -3.4157 | -3.4157 | 4.5829 | 4.5829 | 5.2652 | 90.0 | 90.0 | 120.0 |
| A4--C--dc | static | -3.3365 | -3.3365 | 6.0974 | 6.0974 | 6.0974 | 90.0 | 90.0 | 90.0 |
| A15--beta-W | dynamic | -0.0217 | -0.0217 | 11.0636 | 11.0636 | 11.0636 | 90.0 | 90.0 | 90.0 |
Download raw data (including filtered results)
Reference structure matches:
| prototype | method | Ecoh (eV/atom) | Epot (eV/atom) | a0 (Å) | b0 (Å) | c0 (Å) | α (degrees) | β (degrees) | γ (degrees) |
|---|---|---|---|---|---|---|---|---|---|
| mp-1219349 | dynamic | -4.0555 | -4.0555 | 9.5639 | 9.5639 | 9.5639 | 90.0 | 90.0 | 90.0 |
| mp-1219349 | box | -4.0394 | -4.0394 | 9.5928 | 9.5928 | 9.5928 | 90.0 | 90.0 | 90.0 |
Download raw data (including filtered results)
Reference structure matches:
| prototype | method | Ecoh (eV/atom) | Epot (eV/atom) | a0 (Å) | b0 (Å) | c0 (Å) | α (degrees) | β (degrees) | γ (degrees) |
|---|---|---|---|---|---|---|---|---|---|
| C1--CaF2--fluorite | dynamic | -4.2264 | -4.2264 | 5.9565 | 5.9565 | 5.9565 | 90.0 | 90.0 | 90.0 |
| C1--CaF2--fluorite | dynamic | -4.1564 | -4.1564 | 5.5385 | 5.5385 | 5.5385 | 90.0 | 90.0 | 90.0 |
| oqmd-1231673 | box | -4.0725 | -4.0725 | 5.5029 | 5.5029 | 3.8362 | 90.0 | 90.0 | 90.0 |
| C1--CaF2--fluorite | dynamic | -0.1215 | -0.1215 | 13.6486 | 13.6486 | 13.6486 | 90.0 | 90.0 | 90.0 |
| C1--CaF2--fluorite | box | 0.1109 | 0.1109 | 12.3574 | 12.3574 | 12.3574 | 90.0 | 90.0 | 90.0 |
Download raw data (including filtered results)
Reference structure matches:
| prototype | method | Ecoh (eV/atom) | Epot (eV/atom) | a0 (Å) | b0 (Å) | c0 (Å) | α (degrees) | β (degrees) | γ (degrees) |
|---|---|---|---|---|---|---|---|---|---|
| oqmd-425751 | static | -4.1447 | -4.1447 | 5.9295 | 5.9295 | 18.9666 | 90.0 | 90.0 | 120.0 |
| oqmd-425751 | box | -4.0969 | -4.0969 | 6.0644 | 6.0644 | 17.7659 | 90.0 | 90.0 | 120.0 |
Download raw data (including filtered results)
Reference structure matches:
D0_3--BiF3 = mp-1186998, oqmd-313099
L1_2--AuCu3 = oqmd-346755
| prototype | method | Ecoh (eV/atom) | Epot (eV/atom) | a0 (Å) | b0 (Å) | c0 (Å) | α (degrees) | β (degrees) | γ (degrees) |
|---|---|---|---|---|---|---|---|---|---|
| mp-972868 | static | -4.0023 | -4.0023 | 5.9045 | 5.9045 | 4.4112 | 90.0 | 90.0 | 120.0 |
| D0_3--BiF3 | dynamic | -3.9788 | -3.9788 | 6.4318 | 6.4318 | 6.4318 | 90.0 | 90.0 | 90.0 |
| oqmd-302557 | static | -3.9627 | -3.9627 | 4.1424 | 4.1424 | 7.7863 | 90.0 | 90.0 | 90.0 |
| oqmd-302557 | box | -3.9626 | -3.9626 | 4.1605 | 4.1605 | 7.7219 | 90.0 | 90.0 | 90.0 |
| L1_2--AuCu3 | static | -3.9547 | -3.9547 | 4.0618 | 4.0618 | 4.0618 | 90.0 | 90.0 | 90.0 |
| oqmd-322269 | box | -3.9065 | -3.9065 | 5.2891 | 5.2891 | 4.2589 | 90.0 | 90.0 | 120.0 |
| L1_2--AuCu3 | static | -3.8686 | -3.8686 | 3.7301 | 3.7301 | 3.7301 | 90.0 | 90.0 | 90.0 |
| A15--Cr3Si | static | -3.8577 | -3.8577 | 5.1505 | 5.1505 | 5.1505 | 90.0 | 90.0 | 90.0 |
| D0_3--BiF3 | static | -3.7856 | -3.7856 | 5.9441 | 5.9441 | 5.9441 | 90.0 | 90.0 | 90.0 |
| A15--Cr3Si | static | -3.6546 | -3.6546 | 4.8152 | 4.8152 | 4.8152 | 90.0 | 90.0 | 90.0 |
| A15--Cr3Si | box | -0.1629 | -0.1629 | 10.5613 | 10.5613 | 10.5613 | 90.0 | 90.0 | 90.0 |
| L1_2--AuCu3 | box | -0.1324 | -0.1324 | 8.3357 | 8.3357 | 8.3357 | 90.0 | 90.0 | 90.0 |
| D0_3--BiF3 | box | -0.0882 | -0.0882 | 13.6113 | 13.6113 | 13.6113 | 90.0 | 90.0 | 90.0 |
Download raw data (including filtered results)
Reference structure matches:
B1--NaCl--rock-salt = oqmd-1106148
B2--CsCl = oqmd-306963
B3--ZnS--cubic-zinc-blende = oqmd-1218508
L1_0--AuCu = oqmd-338505
| prototype | method | Ecoh (eV/atom) | Epot (eV/atom) | a0 (Å) | b0 (Å) | c0 (Å) | α (degrees) | β (degrees) | γ (degrees) |
|---|---|---|---|---|---|---|---|---|---|
| B2--CsCl | static | -4.8976 | -4.8976 | 2.6789 | 2.6789 | 2.6789 | 90.0 | 90.0 | 90.0 |
| B2--CsCl | dynamic | -4.6575 | -4.6575 | 2.8174 | 2.8174 | 2.8174 | 90.0 | 90.0 | 90.0 |
| L1_0--AuCu | static | -4.6393 | -4.6393 | 2.4903 | 2.4903 | 3.2614 | 90.0 | 90.0 | 90.0 |
| B1--NaCl--rock-salt | dynamic | -4.2537 | -4.2537 | 5.1312 | 5.1312 | 5.1312 | 90.0 | 90.0 | 90.0 |
| oqmd-1228187 | dynamic | -4.2167 | -4.2167 | 3.5127 | 3.5127 | 3.2441 | 90.0 | 90.0 | 120.0 |
| B4--ZnS--wurtzite | dynamic | -4.2035 | -4.2035 | 3.7948 | 3.7948 | 6.6218 | 90.0 | 90.0 | 120.0 |
| B3--ZnS--cubic-zinc-blende | dynamic | -4.2018 | -4.2018 | 5.4818 | 5.4818 | 5.4818 | 90.0 | 90.0 | 90.0 |
| B4--ZnS--wurtzite | box | -4.1973 | -4.1973 | 3.8632 | 3.8632 | 6.3873 | 90.0 | 90.0 | 120.0 |
| oqmd-1224701 | box | -4.1972 | -4.1972 | 3.864 | 3.864 | 6.3846 | 90.0 | 90.0 | 120.0 |
| B2--CsCl | dynamic | -4.0937 | -4.0937 | 3.1953 | 3.1953 | 3.1953 | 90.0 | 90.0 | 90.0 |
| oqmd-1228187 | box | -3.4497 | -3.4497 | 2.6922 | 2.6922 | 11.6713 | 90.0 | 90.0 | 120.0 |
| B1--NaCl--rock-salt | dynamic | -0.6012 | -0.6012 | 8.9654 | 8.9654 | 8.9654 | 90.0 | 90.0 | 90.0 |
| B3--ZnS--cubic-zinc-blende | dynamic | -0.4218 | -0.4218 | 10.3764 | 10.3764 | 10.3764 | 90.0 | 90.0 | 90.0 |
| B4--ZnS--wurtzite | dynamic | -0.4218 | -0.4218 | 7.3354 | 7.3354 | 11.9878 | 90.0 | 90.0 | 120.0 |
| B4--ZnS--wurtzite | static | -0.4218 | -0.4218 | 7.3353 | 7.3353 | 11.9879 | 90.0 | 90.0 | 120.0 |
| B4--ZnS--wurtzite | box | -0.4218 | -0.4218 | 7.3353 | 7.3353 | 11.9881 | 90.0 | 90.0 | 120.0 |
| L1_0--AuCu | dynamic | -0.3992 | -0.3992 | 5.9713 | 5.9713 | 6.643 | 90.0 | 90.0 | 90.0 |
| B2--CsCl | dynamic | -0.3833 | -0.3833 | 6.2032 | 6.2032 | 6.2032 | 90.0 | 90.0 | 90.0 |
| B2--CsCl | dynamic | -0.1777 | -0.1777 | 6.824 | 6.824 | 6.824 | 90.0 | 90.0 | 90.0 |
| L1_0--AuCu | box | -0.169 | -0.169 | 5.9695 | 5.9695 | 8.2715 | 90.0 | 90.0 | 90.0 |
| B1--NaCl--rock-salt | dynamic | -0.135 | -0.135 | 11.8198 | 11.8198 | 11.8198 | 90.0 | 90.0 | 90.0 |
| B3--ZnS--cubic-zinc-blende | dynamic | -0.0912 | -0.0912 | 13.6487 | 13.6487 | 13.6487 | 90.0 | 90.0 | 90.0 |
| B4--ZnS--wurtzite | dynamic | -0.0912 | -0.0912 | 9.6486 | 9.6486 | 15.7683 | 90.0 | 90.0 | 120.0 |
| B4--ZnS--wurtzite | static | -0.0912 | -0.0912 | 9.6485 | 9.6485 | 15.7685 | 90.0 | 90.0 | 120.0 |
| B1--NaCl--rock-salt | dynamic | -0.0479 | -0.0479 | 10.7403 | 10.7403 | 10.7403 | 90.0 | 90.0 | 90.0 |
| B3--ZnS--cubic-zinc-blende | dynamic | 0.0839 | 0.0839 | 12.3695 | 12.3695 | 12.3695 | 90.0 | 90.0 | 90.0 |
| B4--ZnS--wurtzite | dynamic | 0.0839 | 0.0839 | 8.7443 | 8.7443 | 14.2906 | 90.0 | 90.0 | 120.0 |
Download raw data (including filtered results)
Reference structure matches:
| prototype | method | Ecoh (eV/atom) | Epot (eV/atom) | a0 (Å) | b0 (Å) | c0 (Å) | α (degrees) | β (degrees) | γ (degrees) |
|---|---|---|---|---|---|---|---|---|---|
| C1--CaF2--fluorite | static | -4.2686 | -4.2686 | 5.6934 | 5.6934 | 5.6934 | 90.0 | 90.0 | 90.0 |
| C1--CaF2--fluorite | static | -4.1343 | -4.1343 | 6.0771 | 6.0771 | 6.0771 | 90.0 | 90.0 | 90.0 |
| C1--CaF2--fluorite | static | -4.1282 | -4.1282 | 5.2654 | 5.2654 | 5.2654 | 90.0 | 90.0 | 90.0 |
| oqmd-1238854 | static | -3.3389 | -3.3389 | 10.7958 | 10.7958 | 10.7958 | 90.0 | 90.0 | 90.0 |
| C1--CaF2--fluorite | dynamic | -0.5453 | -0.5453 | 10.5239 | 10.5239 | 10.5239 | 90.0 | 90.0 | 90.0 |
| C1--CaF2--fluorite | dynamic | -0.2546 | -0.2546 | 12.4066 | 12.4066 | 12.4066 | 90.0 | 90.0 | 90.0 |
| C1--CaF2--fluorite | dynamic | -0.1185 | -0.1185 | 13.6482 | 13.6482 | 13.6482 | 90.0 | 90.0 | 90.0 |
Download raw data (including filtered results)
Reference structure matches:
D0_3--BiF3 = oqmd-311727
L1_2--AuCu3 = oqmd-348127
| prototype | method | Ecoh (eV/atom) | Epot (eV/atom) | a0 (Å) | b0 (Å) | c0 (Å) | α (degrees) | β (degrees) | γ (degrees) |
|---|---|---|---|---|---|---|---|---|---|
| D0_3--BiF3 | static | -5.3174 | -5.3174 | 5.2192 | 5.2192 | 5.2192 | 90.0 | 90.0 | 90.0 |
| L1_2--AuCu3 | static | -5.2796 | -5.2796 | 3.3093 | 3.3093 | 3.3093 | 90.0 | 90.0 | 90.0 |
| A15--Cr3Si | static | -5.047 | -5.047 | 4.12 | 4.12 | 4.12 | 90.0 | 90.0 | 90.0 |
| D0_3--BiF3 | box | -4.8721 | -4.8721 | 5.5595 | 5.5595 | 5.5595 | 90.0 | 90.0 | 90.0 |
| L1_2--AuCu3 | dynamic | -4.8355 | -4.8355 | 3.5343 | 3.5343 | 3.5343 | 90.0 | 90.0 | 90.0 |
| A15--Cr3Si | box | -4.3603 | -4.3603 | 4.5328 | 4.5328 | 4.5328 | 90.0 | 90.0 | 90.0 |
| oqmd-323641 | static | -4.1757 | -4.1757 | 7.1452 | 7.1452 | 3.0981 | 90.0 | 90.0 | 120.0 |
| D0_3--BiF3 | static | -3.966 | -3.966 | 6.3926 | 6.3926 | 6.3926 | 90.0 | 90.0 | 90.0 |
| oqmd-301185 | static | -3.9572 | -3.9572 | 3.485 | 3.485 | 11.8329 | 90.0 | 90.0 | 90.0 |
| L1_2--AuCu3 | static | -3.8984 | -3.8984 | 4.0681 | 4.0681 | 4.0681 | 90.0 | 90.0 | 90.0 |
| A15--Cr3Si | static | -3.7846 | -3.7846 | 5.1869 | 5.1869 | 5.1869 | 90.0 | 90.0 | 90.0 |
| oqmd-301185 | box | -3.6859 | -3.6859 | 3.4182 | 3.4182 | 22.4709 | 90.0 | 90.0 | 90.0 |
| A15--Cr3Si | static | -0.9664 | -0.9664 | 9.6095 | 9.6095 | 9.6095 | 90.0 | 90.0 | 90.0 |
| L1_2--AuCu3 | static | -0.6922 | -0.6922 | 5.9972 | 5.9972 | 5.9972 | 90.0 | 90.0 | 90.0 |
| L1_2--AuCu3 | static | -0.1181 | -0.1181 | 8.3489 | 8.3489 | 8.3489 | 90.0 | 90.0 | 90.0 |
| A15--Cr3Si | box | -0.1032 | -0.1032 | 10.4965 | 10.4965 | 10.4965 | 90.0 | 90.0 | 90.0 |
| D0_3--BiF3 | box | -0.0798 | -0.0798 | 13.6349 | 13.6349 | 13.6349 | 90.0 | 90.0 | 90.0 |
| A15--Cr3Si | static | -0.0074 | -0.0074 | 11.3388 | 11.3388 | 11.3388 | 90.0 | 90.0 | 90.0 |
Download raw data (including filtered results)
Reference structure matches:
A1--Cu--fcc = mp-27, oqmd-9287, oqmd-1214570
A15--beta-W = oqmd-1215015, oqmd-1236371, oqmd-1280410
A2--W--bcc = mp-1014212, oqmd-1215193
A3'--alpha-La--double-hcp = oqmd-1215461
A3--Mg--hcp = mp-10649, oqmd-9288, oqmd-1215371
A4--C--dc = mp-149, oqmd-5714, oqmd-12378, oqmd-1215550
A5--beta-Sn = mp-92, oqmd-18979, oqmd-1215639
A6--In--bct = mp-1056579, oqmd-691768, oqmd-1215728
A7--alpha-As = oqmd-1215817
Ah--alpha-Po--sc = oqmd-1215906
| prototype | method | Ecoh (eV/atom) | Epot (eV/atom) | a0 (Å) | b0 (Å) | c0 (Å) | α (degrees) | β (degrees) | γ (degrees) |
|---|---|---|---|---|---|---|---|---|---|
| A3--Mg--hcp | static | -5.5771 | -5.5771 | 2.28 | 2.28 | 3.7232 | 90.0 | 90.0 | 120.0 |
| A3'--alpha-La--double-hcp | static | -5.5544 | -5.5544 | 2.28 | 2.28 | 7.4464 | 90.0 | 90.0 | 120.0 |
| A1--Cu--fcc | static | -5.5353 | -5.5353 | 3.1961 | 3.1961 | 3.1961 | 90.0 | 90.0 | 90.0 |
| A6--In--bct | static | -5.5216 | -5.5216 | 2.22 | 2.22 | 3.33 | 90.0 | 90.0 | 90.0 |
| A2--W--bcc | static | -5.4344 | -5.4344 | 2.5865 | 2.5865 | 2.5865 | 90.0 | 90.0 | 90.0 |
| A15--beta-W | static | -5.2394 | -5.2394 | 4.08 | 4.08 | 4.08 | 90.0 | 90.0 | 90.0 |
| A1--Cu--fcc | dynamic | -4.7845 | -4.7845 | 3.5258 | 3.5258 | 3.5258 | 90.0 | 90.0 | 90.0 |
| A3'--alpha-La--double-hcp | dynamic | -4.7486 | -4.7486 | 2.4975 | 2.4975 | 8.1994 | 90.0 | 90.0 | 120.0 |
| A4--C--dc | dynamic | -4.6281 | -4.6281 | 5.4027 | 5.4027 | 5.4027 | 90.0 | 90.0 | 90.0 |
| mp-165 | dynamic | -4.6037 | -4.6037 | 3.7788 | 3.7788 | 6.3632 | 90.0 | 90.0 | 120.0 |
| mp-165 | box | -4.601 | -4.601 | 3.7979 | 3.7979 | 6.2973 | 90.0 | 90.0 | 120.0 |
| oqmd-5764 | box | -4.6009 | -4.6009 | 3.7981 | 3.7981 | 6.2965 | 90.0 | 90.0 | 120.0 |
| oqmd-22507 | box | -4.6006 | -4.6006 | 3.8033 | 6.5723 | 6.2938 | 90.0 | 90.0 | 90.0 |
| oqmd-22408 | dynamic | -4.4803 | -4.4803 | 13.1128 | 3.8238 | 6.4835 | 90.0 | 95.8 | 90.0 |
| mp-1079297 | static | -4.4803 | -4.4803 | 13.1129 | 3.8238 | 6.4835 | 90.0 | 95.8 | 90.0 |
| mp-999200 | box | -4.4741 | -4.4741 | 6.5197 | 6.5197 | 3.8549 | 90.0 | 90.0 | 90.0 |
| oqmd-22407 | box | -4.4735 | -4.4735 | 6.5243 | 6.5243 | 3.8515 | 90.0 | 90.0 | 90.0 |
| mp-1079297 | box | -4.4615 | -4.4615 | 13.5633 | 3.8175 | 6.3836 | 90.0 | 95.9 | 90.0 |
| oqmd-22408 | box | -4.4605 | -4.4605 | 13.5705 | 3.8182 | 6.3822 | 90.0 | 95.9 | 90.0 |
| oqmd-3484 | dynamic | -4.4492 | -4.4492 | 6.7204 | 6.7204 | 6.7204 | 90.0 | 90.0 | 90.0 |
| oqmd-3484 | box | -4.4473 | -4.4473 | 6.7094 | 6.7094 | 6.7094 | 90.0 | 90.0 | 90.0 |
| mp-168 | box | -4.447 | -4.447 | 6.7086 | 6.7086 | 6.7086 | 90.0 | 90.0 | 90.0 |
| mp-1095269 | static | -4.4074 | -4.4074 | 3.7743 | 11.0076 | 12.4064 | 90.0 | 90.0 | 90.0 |
| oqmd-18985 | static | -4.4038 | -4.4038 | 9.6595 | 9.6595 | 5.6451 | 90.0 | 90.0 | 120.0 |
| mp-571520 | static | -4.4038 | -4.4038 | 9.6595 | 9.6595 | 5.645 | 90.0 | 90.0 | 120.0 |
| mp-1095269 | box | -4.4026 | -4.4026 | 3.8078 | 10.8549 | 12.6093 | 90.0 | 90.0 | 90.0 |
| mp-1244933 | dynamic | -4.4019 | -4.4019 | 12.2971 | 12.7255 | 13.2916 | 76.6 | 77.2 | 76.3 |
| mp-571520 | box | -4.3972 | -4.3972 | 9.6194 | 9.6194 | 5.6632 | 90.0 | 90.0 | 120.0 |
| oqmd-18985 | box | -4.393 | -4.393 | 9.6167 | 9.6167 | 5.6403 | 90.0 | 90.0 | 120.0 |
| mp-1245041 | dynamic | -4.3924 | -4.3924 | 12.66 | 12.7958 | 13.3144 | 73.3 | 69.9 | 82.6 |
| mp-1244990 | dynamic | -4.3825 | -4.3825 | 12.3845 | 12.5754 | 13.0117 | 102.3 | 102.3 | 96.7 |
| mp-1245242 | dynamic | -4.3669 | -4.3669 | 12.1125 | 12.6552 | 13.0875 | 82.7 | 79.2 | 80.6 |
| mp-1244971 | dynamic | -4.3602 | -4.3602 | 11.973 | 12.8801 | 12.9389 | 100.3 | 95.8 | 100.8 |
| oqmd-1214748 | static | -4.3532 | -4.3532 | 4.6068 | 7.3465 | 4.0114 | 90.0 | 90.0 | 90.0 |
| oqmd-717361 | dynamic | -4.3496 | -4.3496 | 7.4763 | 7.4763 | 7.4763 | 90.0 | 90.0 | 90.0 |
| oqmd-717362 | dynamic | -4.344 | -4.344 | 14.4684 | 14.4684 | 14.4684 | 90.0 | 90.0 | 90.0 |
| oqmd-717362 | box | -4.3439 | -4.3439 | 14.4701 | 14.4701 | 14.4701 | 90.0 | 90.0 | 90.0 |
| mp-1203790 | dynamic | -4.343 | -4.343 | 10.2167 | 10.2167 | 16.729 | 90.0 | 90.0 | 120.0 |
| mp-1203790 | box | -4.3427 | -4.3427 | 10.2213 | 10.2213 | 16.7266 | 90.0 | 90.0 | 120.0 |
| oqmd-717360 | static | -4.3425 | -4.3425 | 10.0241 | 10.0241 | 10.0241 | 90.0 | 90.0 | 90.0 |
| mp-971662 | box | -4.3419 | -4.3419 | 10.0325 | 10.0325 | 10.0325 | 90.0 | 90.0 | 90.0 |
| oqmd-717360 | box | -4.3418 | -4.3418 | 10.0331 | 10.0331 | 10.0331 | 90.0 | 90.0 | 90.0 |
| mp-1244971 | static | -4.3333 | -4.3333 | 11.9081 | 12.7541 | 13.2644 | 98.3 | 96.7 | 101.1 |
| mp-971661 | dynamic | -4.3329 | -4.3329 | 9.9904 | 9.9904 | 9.9904 | 90.0 | 90.0 | 90.0 |
| mp-1196961 | dynamic | -4.3328 | -4.3328 | 10.0624 | 10.0624 | 10.0266 | 90.0 | 90.0 | 120.0 |
| mp-1196961 | static | -4.3328 | -4.3328 | 10.0616 | 10.0616 | 10.0287 | 90.0 | 90.0 | 120.0 |
| mp-971661 | box | -4.3318 | -4.3318 | 9.9959 | 9.9959 | 9.9959 | 90.0 | 90.0 | 90.0 |
| oqmd-1214748 | box | -4.3311 | -4.3311 | 4.6905 | 7.3831 | 3.9296 | 90.0 | 90.0 | 90.0 |
| mp-1196961 | box | -4.3285 | -4.3285 | 10.0289 | 10.0289 | 10.2092 | 90.0 | 90.0 | 120.0 |
| mp-1204627 | dynamic | -4.3271 | -4.3271 | 16.642 | 12.6726 | 9.7057 | 90.0 | 90.0 | 90.0 |
| mp-1204627 | static | -4.327 | -4.327 | 16.6178 | 12.6762 | 9.7253 | 90.0 | 90.0 | 90.0 |
| mp-1245242 | static | -4.3255 | -4.3255 | 12.4216 | 12.6099 | 12.7639 | 79.7 | 80.3 | 83.2 |
| mp-1245041 | static | -4.3248 | -4.3248 | 12.7117 | 12.8866 | 13.0305 | 71.6 | 74.4 | 76.2 |
| mp-1204627 | box | -4.3234 | -4.3234 | 16.5554 | 12.6651 | 9.8181 | 90.0 | 90.0 | 90.0 |
| mp-1200830 | dynamic | -4.3189 | -4.3189 | 12.2683 | 12.2683 | 12.2683 | 90.0 | 90.0 | 90.0 |
| mp-1199894 | dynamic | -4.317 | -4.317 | 25.0945 | 14.8727 | 9.724 | 90.0 | 94.2 | 90.0 |
| mp-1199894 | static | -4.3166 | -4.3166 | 25.1125 | 14.9465 | 9.6917 | 90.0 | 94.1 | 90.0 |
| mp-1200830 | box | -4.3163 | -4.3163 | 12.2832 | 12.2832 | 12.2832 | 90.0 | 90.0 | 90.0 |
| mp-1199894 | box | -4.3123 | -4.3123 | 25.1378 | 14.965 | 9.7237 | 90.0 | 94.3 | 90.0 |
| mp-1245041 | box | -4.3042 | -4.3042 | 12.8473 | 12.872 | 12.9833 | 71.5 | 74.0 | 76.2 |
| mp-1201492 | dynamic | -4.3038 | -4.3038 | 17.3103 | 17.3103 | 17.3103 | 90.0 | 90.0 | 90.0 |
| mp-1244933 | static | -4.3036 | -4.3036 | 12.4522 | 12.6051 | 12.8283 | 78.4 | 74.4 | 76.7 |
| mp-1201492 | static | -4.3035 | -4.3035 | 17.3224 | 17.3224 | 17.3224 | 90.0 | 90.0 | 90.0 |
| mp-1201492 | box | -4.2987 | -4.2987 | 17.3626 | 17.3626 | 17.3626 | 90.0 | 90.0 | 90.0 |
| mp-1244990 | static | -4.2974 | -4.2974 | 12.3062 | 12.3242 | 13.075 | 104.6 | 101.0 | 97.9 |
| mp-1244971 | box | -4.2954 | -4.2954 | 11.7665 | 12.7471 | 13.4088 | 97.9 | 97.4 | 99.6 |
| oqmd-717361 | box | -4.2901 | -4.2901 | 7.5066 | 7.5066 | 7.5066 | 90.0 | 90.0 | 90.0 |
| mp-1202745 | dynamic | -4.2871 | -4.2871 | 9.8104 | 9.8104 | 15.8362 | 90.0 | 90.0 | 120.0 |
| mp-1202745 | static | -4.2871 | -4.2871 | 9.8099 | 9.8099 | 15.8395 | 90.0 | 90.0 | 120.0 |
| Ah--alpha-Po--sc | dynamic | -4.285 | -4.285 | 2.5346 | 2.5346 | 2.5346 | 90.0 | 90.0 | 90.0 |
| A7--alpha-As | box | -4.285 | -4.285 | 3.5845 | 3.5845 | 8.7803 | 90.0 | 90.0 | 120.0 |
| mp-1245242 | box | -4.2838 | -4.2838 | 12.4177 | 12.6438 | 12.7024 | 79.7 | 81.0 | 82.4 |
| mp-1204046 | static | -4.2831 | -4.2831 | 9.9533 | 9.9533 | 23.8774 | 90.0 | 90.0 | 90.0 |
| mp-1202745 | box | -4.2805 | -4.2805 | 9.8274 | 9.8274 | 15.9058 | 90.0 | 90.0 | 120.0 |
| oqmd-1214837 | dynamic | -4.2714 | -4.2714 | 10.1565 | 10.1565 | 10.1565 | 90.0 | 90.0 | 90.0 |
| oqmd-1214837 | static | -4.2714 | -4.2714 | 10.1566 | 10.1566 | 10.1566 | 90.0 | 90.0 | 90.0 |
| oqmd-1214837 | box | -4.2706 | -4.2706 | 10.1562 | 10.1562 | 10.1562 | 90.0 | 90.0 | 90.0 |
| mp-1204046 | box | -4.2693 | -4.2693 | 10.0164 | 10.0164 | 23.9829 | 90.0 | 90.0 | 90.0 |
| mp-1244933 | box | -4.2622 | -4.2622 | 12.4353 | 12.6226 | 12.6456 | 78.5 | 73.4 | 77.2 |
| A7--alpha-As | box | -4.2462 | -4.2462 | 3.6853 | 3.6853 | 9.0744 | 90.0 | 90.0 | 120.0 |
| A5--beta-Sn | static | -4.2405 | -4.2405 | 4.1268 | 4.1268 | 2.2697 | 90.0 | 90.0 | 90.0 |
| mp-1244990 | box | -4.239 | -4.239 | 12.2949 | 12.3036 | 12.8449 | 101.2 | 104.0 | 99.0 |
| mp-1120747 | dynamic | -4.2301 | -4.2301 | 5.7036 | 5.7036 | 3.5604 | 90.0 | 90.0 | 120.0 |
| mp-1120747 | static | -4.2301 | -4.2301 | 5.7002 | 5.7002 | 3.5655 | 90.0 | 90.0 | 120.0 |
| A3'--alpha-La--double-hcp | static | -4.2089 | -4.2089 | 3.5699 | 3.5699 | 6.128 | 90.0 | 90.0 | 120.0 |
| mp-676011 | static | -4.2035 | -4.2035 | 4.1174 | 6.069 | 7.3608 | 101.5 | 104.8 | 107.8 |
| mp-16220 | static | -4.1935 | -4.1935 | 14.6164 | 14.6164 | 14.6164 | 90.0 | 90.0 | 90.0 |
| oqmd-10215 | static | -4.1934 | -4.1934 | 14.6153 | 14.6153 | 14.6153 | 90.0 | 90.0 | 90.0 |
| mp-644693 | static | -4.1781 | -4.1781 | 3.8814 | 5.0662 | 9.2458 | 79.2 | 80.4 | 75.2 |
| mp-1072544 | dynamic | -4.1743 | -4.1743 | 6.6799 | 6.6799 | 6.6799 | 90.0 | 90.0 | 90.0 |
| oqmd-1215995 | box | -4.1673 | -4.1673 | 4.0715 | 4.0715 | 5.2592 | 90.0 | 90.0 | 120.0 |
| mp-1268191 | box | -4.1626 | -4.1626 | 6.8434 | 6.8434 | 2.5418 | 90.0 | 90.0 | 120.0 |
| mp-1120447 | static | -4.1493 | -4.1493 | 4.8312 | 5.6409 | 6.846 | 71.1 | 69.8 | 84.0 |
| oqmd-10215 | box | -4.1434 | -4.1434 | 14.7154 | 14.7154 | 14.7154 | 90.0 | 90.0 | 90.0 |
| oqmd-7479 | box | -4.1423 | -4.1423 | 4.7692 | 4.9256 | 2.6953 | 90.0 | 90.0 | 90.0 |
| A5--beta-Sn | static | -4.1422 | -4.1422 | 4.8463 | 4.8463 | 2.6914 | 90.0 | 90.0 | 90.0 |
| mp-109 | static | -4.1406 | -4.1406 | 5.0123 | 5.4513 | 9.3765 | 90.0 | 90.0 | 90.0 |
| oqmd-78173 | static | -4.1404 | -4.1404 | 5.0303 | 5.4454 | 9.3268 | 90.0 | 90.0 | 90.0 |
| mp-1079649 | static | -4.1402 | -4.1402 | 9.3898 | 5.0078 | 5.455 | 90.0 | 90.0 | 90.0 |
| oqmd-78173 | box | -4.1399 | -4.1399 | 5.0302 | 5.4533 | 9.309 | 90.0 | 90.0 | 90.0 |
| mp-109 | box | -4.1397 | -4.1397 | 5.0074 | 5.4799 | 9.3381 | 90.0 | 90.0 | 90.0 |
| mp-16220 | box | -4.1392 | -4.1392 | 14.7232 | 14.7232 | 14.7232 | 90.0 | 90.0 | 90.0 |
| mp-1120447 | box | -4.1349 | -4.1349 | 4.9691 | 5.5857 | 6.8537 | 71.1 | 70.1 | 84.0 |
| mp-34 | static | -4.1301 | -4.1301 | 2.6942 | 2.6942 | 2.5467 | 90.0 | 90.0 | 120.0 |
| oqmd-1215282 | box | -4.1295 | -4.1295 | 2.7938 | 4.494 | 2.5428 | 90.0 | 90.0 | 90.0 |
| mp-676011 | box | -4.1172 | -4.1172 | 4.6862 | 5.6216 | 7.2376 | 94.1 | 108.1 | 113.9 |
| mp-644693 | box | -4.1018 | -4.1018 | 3.9168 | 5.5063 | 9.1634 | 73.2 | 78.9 | 70.9 |
| mp-1120747 | box | -4.0729 | -4.0729 | 5.3296 | 5.3296 | 3.8425 | 90.0 | 90.0 | 120.0 |
| oqmd-1214926 | box | -3.9763 | -3.9763 | 6.5967 | 6.5967 | 6.5967 | 90.0 | 90.0 | 90.0 |
| mp-1001113 | box | -3.9566 | -3.9566 | 2.5704 | 10.3229 | 5.0863 | 90.0 | 90.0 | 90.0 |
| A6--In--bct | static | -3.8786 | -3.8786 | 3.695 | 3.695 | 2.5188 | 90.0 | 90.0 | 90.0 |
| Ah--alpha-Po--sc | static | -3.8312 | -3.8312 | 2.26 | 2.26 | 2.26 | 90.0 | 90.0 | 90.0 |
| A2--W--bcc | static | -3.8257 | -3.8257 | 3.2092 | 3.2092 | 3.2092 | 90.0 | 90.0 | 90.0 |
| A6--In--bct | static | -3.8082 | -3.8082 | 2.5329 | 2.5329 | 5.3138 | 90.0 | 90.0 | 90.0 |
| A3'--alpha-La--double-hcp | box | -3.7758 | -3.7758 | 2.8233 | 2.8233 | 9.4759 | 90.0 | 90.0 | 120.0 |
| A6--In--bct | static | -3.7702 | -3.7702 | 2.4632 | 2.4632 | 4.6292 | 90.0 | 90.0 | 90.0 |
| oqmd-691764 | box | -3.7647 | -3.7647 | 2.6325 | 2.6325 | 7.1968 | 90.0 | 90.0 | 120.0 |
| A1--Cu--fcc | static | -3.76 | -3.76 | 4.0431 | 4.0431 | 4.0431 | 90.0 | 90.0 | 90.0 |
| A3--Mg--hcp | box | -3.7505 | -3.7505 | 2.6568 | 2.6568 | 4.6449 | 90.0 | 90.0 | 120.0 |
| A3--Mg--hcp | box | -3.7505 | -3.7505 | 2.6568 | 2.6568 | 4.6449 | 90.0 | 90.0 | 120.0 |
| oqmd-1216087 | box | -3.741 | -3.741 | 2.6615 | 2.6615 | 20.8632 | 90.0 | 90.0 | 120.0 |
| A1--Cu--fcc | static | -3.7203 | -3.7203 | 3.8533 | 3.8533 | 3.8533 | 90.0 | 90.0 | 90.0 |
| A6--In--bct | box | -3.7176 | -3.7176 | 2.6593 | 2.6593 | 4.0392 | 90.0 | 90.0 | 90.0 |
| A1--Cu--fcc | box | -3.7089 | -3.7089 | 3.9153 | 3.9153 | 3.9153 | 90.0 | 90.0 | 90.0 |
| A15--beta-W | static | -3.702 | -3.702 | 5.1762 | 5.1762 | 5.1762 | 90.0 | 90.0 | 90.0 |
| A15--beta-W | static | -3.6842 | -3.6842 | 4.8041 | 4.8041 | 4.8041 | 90.0 | 90.0 | 90.0 |
| A15--beta-W | box | -3.6517 | -3.6517 | 4.9642 | 4.9642 | 4.9642 | 90.0 | 90.0 | 90.0 |
| A3'--alpha-La--double-hcp | dynamic | -0.3573 | -0.3573 | 4.1923 | 4.1923 | 13.6922 | 90.0 | 90.0 | 120.0 |
| A1--Cu--fcc | dynamic | -0.3573 | -0.3573 | 5.9289 | 5.9289 | 5.9289 | 90.0 | 90.0 | 90.0 |
| A3--Mg--hcp | dynamic | -0.3573 | -0.3573 | 4.1923 | 4.1923 | 6.8461 | 90.0 | 90.0 | 120.0 |
| A6--In--bct | static | -0.3505 | -0.3505 | 4.1806 | 4.1806 | 6.2122 | 90.0 | 90.0 | 90.0 |
| Ah--alpha-Po--sc | static | -0.2247 | -0.2247 | 3.9097 | 3.9097 | 3.9097 | 90.0 | 90.0 | 90.0 |
| Ah--alpha-Po--sc | static | -0.2201 | -0.2201 | 3.7844 | 3.7844 | 3.7844 | 90.0 | 90.0 | 90.0 |
| A6--In--bct | static | -0.1604 | -0.1604 | 4.3269 | 4.3269 | 8.7639 | 90.0 | 90.0 | 90.0 |
| A15--beta-W | static | -0.14 | -0.14 | 8.7218 | 8.7218 | 8.7218 | 90.0 | 90.0 | 90.0 |
| A7--alpha-As | box | -0.1054 | -0.1054 | 5.3088 | 5.3088 | 14.7709 | 90.0 | 90.0 | 120.0 |
| A1--Cu--fcc | box | -0.1039 | -0.1039 | 7.1366 | 7.1366 | 7.1366 | 90.0 | 90.0 | 90.0 |
| A3--Mg--hcp | box | -0.1039 | -0.1039 | 5.0463 | 5.0463 | 8.2406 | 90.0 | 90.0 | 120.0 |
| A3'--alpha-La--double-hcp | box | -0.1039 | -0.1039 | 5.0463 | 5.0463 | 16.4812 | 90.0 | 90.0 | 120.0 |
| A6--In--bct | box | -0.0958 | -0.0958 | 5.3068 | 5.3068 | 6.2259 | 90.0 | 90.0 | 90.0 |
| A7--alpha-As | dynamic | -0.0937 | -0.0937 | 6.2485 | 6.2485 | 17.0334 | 90.0 | 90.0 | 120.0 |
| A7--alpha-As | static | -0.0937 | -0.0937 | 6.1961 | 6.1961 | 17.34 | 90.0 | 90.0 | 120.0 |
| A5--beta-Sn | dynamic | -0.0874 | -0.0874 | 10.5397 | 10.5397 | 4.0639 | 90.0 | 90.0 | 90.0 |
| A4--C--dc | dynamic | -0.0818 | -0.0818 | 9.3155 | 9.3155 | 9.3155 | 90.0 | 90.0 | 90.0 |
| A2--W--bcc | static | -0.0715 | -0.0715 | 5.9047 | 5.9047 | 5.9047 | 90.0 | 90.0 | 90.0 |
| A5--beta-Sn | static | -0.0552 | -0.0552 | 9.5955 | 9.5955 | 5.2908 | 90.0 | 90.0 | 90.0 |
| Ah--alpha-Po--sc | static | -0.0533 | -0.0533 | 5.0535 | 5.0535 | 5.0535 | 90.0 | 90.0 | 90.0 |
| A4--C--dc | static | -0.0368 | -0.0368 | 8.2864 | 8.2864 | 8.2864 | 90.0 | 90.0 | 90.0 |
| A4--C--dc | static | -0.0365 | -0.0365 | 11.6874 | 11.6874 | 11.6874 | 90.0 | 90.0 | 90.0 |
| A3--Mg--hcp | dynamic | -0.0337 | -0.0337 | 5.7263 | 5.7263 | 9.351 | 90.0 | 90.0 | 120.0 |
| A1--Cu--fcc | dynamic | -0.0337 | -0.0337 | 8.0982 | 8.0982 | 8.0982 | 90.0 | 90.0 | 90.0 |
| A3'--alpha-La--double-hcp | dynamic | -0.0337 | -0.0337 | 5.7263 | 5.7263 | 18.7021 | 90.0 | 90.0 | 120.0 |
| A6--In--bct | box | -0.0337 | -0.0337 | 5.6838 | 5.6838 | 8.22 | 90.0 | 90.0 | 90.0 |
| A15--beta-W | box | -0.0275 | -0.0275 | 9.0319 | 9.0319 | 9.0319 | 90.0 | 90.0 | 90.0 |
| A15--beta-W | static | -0.0259 | -0.0259 | 10.2526 | 10.2526 | 10.2526 | 90.0 | 90.0 | 90.0 |
| A2--W--bcc | dynamic | -0.0242 | -0.0242 | 6.6055 | 6.6055 | 6.6055 | 90.0 | 90.0 | 90.0 |
| Ah--alpha-Po--sc | dynamic | -0.0194 | -0.0194 | 5.7148 | 5.7148 | 5.7148 | 90.0 | 90.0 | 90.0 |
| A4--C--dc | box | -0.0147 | -0.0147 | 13.1715 | 13.1715 | 13.1715 | 90.0 | 90.0 | 90.0 |
| A15--beta-W | static | -0.0074 | -0.0074 | 11.3388 | 11.3388 | 11.3388 | 90.0 | 90.0 | 90.0 |
Static elastic constants are displayed for the unique structures identified in Crystal Structure Predictions above. The values displayed here are obtained by measuring the change in virial stresses due to applying small strains to the relaxed crystals. The initial structure and the strained states are all relaxed using force minimization.
The calculation method used is available as the iprPy elastic_constants_static calculation method.
Notes and Disclaimers:
Version Information:
| 52.448 | 29.222 | 29.222 | 0.000 | 0.000 | -0.000 |
| 29.222 | 52.448 | 29.222 | 0.000 | 0.000 | -0.000 |
| 29.222 | 29.222 | 52.448 | 0.000 | 0.000 | -0.000 |
| -0.000 | -0.000 | -0.000 | 26.770 | -0.000 | 0.000 |
| -0.000 | -0.000 | -0.000 | -0.000 | 26.770 | -0.000 |
| -0.000 | -0.000 | -0.000 | 0.000 | -0.000 | 26.770 |
| 52.448 | 29.222 | 29.222 | -0.000 | 0.000 | 0.000 |
| 29.222 | 52.448 | 29.222 | -0.000 | -0.000 | 0.000 |
| 29.222 | 29.222 | 52.448 | -0.000 | -0.000 | -0.000 |
| 0.000 | 0.000 | 0.000 | 26.770 | -0.000 | 0.000 |
| 0.000 | 0.000 | 0.000 | -0.000 | 26.770 | 0.000 |
| 0.000 | 0.000 | 0.000 | -0.000 | 0.000 | 26.770 |
| 52.448 | 29.222 | 29.222 | 0.000 | -0.000 | -0.000 |
| 29.222 | 52.448 | 29.222 | -0.000 | 0.000 | 0.000 |
| 29.222 | 29.222 | 52.448 | 0.000 | 0.000 | -0.000 |
| -0.000 | -0.000 | -0.000 | 26.770 | 0.000 | 0.000 |
| -0.000 | -0.000 | -0.000 | -0.000 | 26.770 | 0.000 |
| -0.000 | -0.000 | -0.000 | 0.000 | 0.000 | 26.770 |
| 52.448 | 29.222 | 29.222 | 0.000 | 0.000 | 0.000 |
| 29.222 | 52.448 | 29.222 | 0.000 | 0.000 | -0.000 |
| 29.222 | 29.222 | 52.448 | 0.000 | 0.000 | 0.000 |
| 0.000 | 0.000 | 0.000 | 26.770 | -0.000 | -0.000 |
| 0.000 | 0.000 | 0.000 | -0.000 | 26.770 | 0.000 |
| 0.000 | 0.000 | 0.000 | -0.000 | 0.000 | 26.770 |
| 52.447 | 29.221 | 29.221 | 0.000 | -0.000 | 0.000 |
| 29.221 | 52.447 | 29.221 | -0.000 | 0.000 | -0.000 |
| 29.221 | 29.221 | 52.447 | 0.000 | 0.000 | -0.000 |
| -0.000 | -0.000 | -0.000 | 26.770 | -0.000 | -0.000 |
| -0.000 | -0.000 | -0.000 | 0.000 | 26.770 | -0.000 |
| -0.000 | -0.000 | -0.000 | 0.000 | 0.000 | 26.770 |
| 52.449 | 29.223 | 29.223 | 0.000 | -0.000 | 0.000 |
| 29.223 | 52.449 | 29.223 | -0.000 | -0.000 | 0.000 |
| 29.223 | 29.223 | 52.449 | -0.000 | -0.000 | -0.000 |
| 0.000 | 0.000 | 0.000 | 26.770 | -0.000 | 0.000 |
| 0.000 | 0.000 | 0.000 | 0.000 | 26.770 | 0.000 |
| 0.000 | 0.000 | 0.000 | -0.000 | -0.000 | 26.770 |
| 146.158 | 60.345 | 60.345 | 0.000 | 0.000 | -0.000 |
| 60.345 | 146.158 | 60.345 | 0.000 | 0.000 | -0.000 |
| 60.345 | 60.345 | 146.158 | 0.000 | 0.000 | -0.000 |
| 0.000 | 0.000 | -0.000 | -16.896 | 0.000 | -0.000 |
| 0.000 | -0.000 | -0.000 | 0.000 | -16.896 | -0.000 |
| -0.000 | -0.000 | 0.000 | 0.000 | 0.000 | -16.896 |
| 146.158 | 60.345 | 60.345 | -0.000 | -0.000 | 0.000 |
| 60.345 | 146.158 | 60.345 | -0.000 | -0.000 | 0.000 |
| 60.345 | 60.345 | 146.158 | 0.000 | -0.000 | 0.000 |
| -0.000 | -0.000 | 0.000 | -16.896 | -0.000 | 0.000 |
| 0.000 | 0.000 | -0.000 | -0.000 | -16.896 | 0.000 |
| 0.000 | 0.000 | -0.000 | -0.000 | -0.000 | -16.896 |
| 145.443 | 60.702 | 60.702 | -0.000 | 0.000 | -0.000 |
| 60.702 | 145.443 | 60.702 | 0.000 | 0.000 | -0.000 |
| 60.702 | 60.702 | 145.443 | -0.000 | 0.000 | -0.000 |
| 0.000 | 0.000 | 0.000 | -6.576 | 0.000 | -0.000 |
| 0.000 | 0.000 | 0.000 | 0.000 | -6.576 | -0.000 |
| 0.000 | 0.000 | 0.000 | 0.000 | 0.000 | -6.576 |
| 145.443 | 60.702 | 60.702 | -0.000 | -0.000 | 0.000 |
| 60.702 | 145.443 | 60.702 | 0.000 | -0.000 | -0.000 |
| 60.702 | 60.702 | 145.443 | -0.000 | -0.000 | -0.000 |
| -0.000 | -0.000 | -0.000 | -6.576 | -0.000 | -0.000 |
| -0.000 | -0.000 | -0.000 | -0.000 | -6.576 | 0.000 |
| -0.000 | -0.000 | -0.000 | -0.000 | -0.000 | -6.576 |
| 146.158 | 60.344 | 60.344 | 0.000 | 0.000 | -0.000 |
| 60.344 | 146.158 | 60.344 | 0.000 | 0.000 | -0.000 |
| 60.344 | 60.344 | 146.158 | 0.000 | 0.000 | -0.000 |
| 0.000 | 0.000 | 0.000 | -6.576 | 0.000 | 0.000 |
| 0.000 | 0.000 | 0.000 | 0.000 | -6.576 | -0.000 |
| 0.000 | 0.000 | 0.000 | 0.000 | 0.000 | -6.576 |
| 145.443 | 60.702 | 60.702 | -0.000 | -0.000 | 0.000 |
| 60.702 | 145.443 | 60.702 | -0.000 | -0.000 | 0.000 |
| 60.702 | 60.702 | 145.443 | -0.000 | 0.000 | 0.000 |
| -0.000 | -0.000 | -0.000 | -6.576 | -0.000 | 0.000 |
| -0.000 | -0.000 | -0.000 | -0.000 | -6.576 | 0.000 |
| -0.000 | -0.000 | -0.000 | -0.000 | -0.000 | -6.576 |
| 11.691 | 2.699 | 2.699 | 0.000 | 0.000 | 0.000 |
| 2.699 | 11.691 | 2.699 | 0.000 | 0.000 | 0.000 |
| 2.699 | 2.699 | 11.691 | 0.000 | 0.000 | 0.000 |
| -0.000 | -0.000 | -0.000 | 2.330 | 0.000 | 0.000 |
| -0.000 | 0.000 | -0.000 | 0.000 | 2.330 | -0.000 |
| -0.000 | -0.000 | -0.000 | 0.000 | 0.000 | 2.330 |
| 11.691 | 2.699 | 2.699 | -0.000 | -0.000 | -0.000 |
| 2.699 | 11.691 | 2.699 | -0.000 | -0.000 | -0.000 |
| 2.699 | 2.699 | 11.691 | -0.000 | -0.000 | -0.000 |
| 0.000 | 0.000 | 0.000 | 2.330 | -0.000 | 0.000 |
| 0.000 | -0.000 | 0.000 | 0.000 | 2.330 | -0.000 |
| 0.000 | 0.000 | 0.000 | -0.000 | -0.000 | 2.330 |
| 11.691 | 2.699 | 2.699 | 0.000 | 0.000 | 0.000 |
| 2.699 | 11.691 | 2.699 | 0.000 | 0.000 | 0.000 |
| 2.699 | 2.699 | 11.691 | 0.000 | 0.000 | 0.000 |
| -0.000 | -0.000 | -0.000 | 0.828 | 0.000 | 0.000 |
| -0.000 | -0.000 | -0.000 | -0.000 | 0.828 | 0.000 |
| -0.000 | -0.000 | -0.000 | 0.000 | 0.000 | 0.828 |
| 11.691 | 2.699 | 2.699 | -0.000 | -0.000 | 0.000 |
| 2.699 | 11.691 | 2.699 | 0.000 | -0.000 | 0.000 |
| 2.699 | 2.699 | 11.691 | -0.000 | -0.000 | -0.000 |
| 0.000 | 0.000 | 0.000 | 0.828 | -0.000 | 0.000 |
| 0.000 | 0.000 | 0.000 | 0.000 | 0.828 | -0.000 |
| 0.000 | 0.000 | 0.000 | -0.000 | -0.000 | 0.828 |
| 11.691 | 2.698 | 2.698 | 0.000 | 0.000 | 0.000 |
| 2.698 | 11.691 | 2.698 | 0.000 | 0.000 | 0.000 |
| 2.698 | 2.698 | 11.691 | 0.000 | 0.000 | 0.000 |
| -0.000 | -0.000 | -0.000 | 0.054 | 0.000 | 0.000 |
| -0.000 | -0.000 | -0.000 | 0.000 | 0.054 | 0.000 |
| -0.000 | -0.000 | -0.000 | -0.000 | 0.000 | 0.054 |
| 11.691 | 2.699 | 2.699 | -0.000 | -0.000 | 0.000 |
| 2.699 | 11.691 | 2.699 | -0.000 | -0.000 | -0.000 |
| 2.699 | 2.699 | 11.691 | -0.000 | -0.000 | -0.000 |
| 0.000 | 0.000 | 0.000 | 0.054 | -0.000 | 0.000 |
| 0.000 | 0.000 | 0.000 | 0.000 | 0.054 | -0.000 |
| 0.000 | 0.000 | 0.000 | -0.000 | -0.000 | 0.054 |
| 52.211 | 53.469 | 53.469 | -0.000 | 0.000 | -0.000 |
| 53.469 | 52.211 | 53.469 | 0.000 | 0.000 | -0.000 |
| 53.469 | 53.469 | 52.211 | -0.000 | 0.000 | 0.000 |
| 0.000 | -0.000 | 0.000 | 76.397 | 0.000 | 0.000 |
| -0.000 | 0.000 | 0.000 | -0.000 | 76.397 | 0.000 |
| -0.000 | 0.000 | 0.000 | -0.000 | 0.000 | 76.397 |
| 52.211 | 53.469 | 53.469 | 0.000 | -0.000 | -0.000 |
| 53.469 | 52.211 | 53.469 | 0.000 | -0.000 | 0.000 |
| 53.469 | 53.469 | 52.211 | 0.000 | -0.000 | 0.000 |
| -0.000 | 0.000 | -0.000 | 76.397 | 0.000 | 0.000 |
| 0.000 | -0.000 | -0.000 | 0.000 | 76.397 | -0.000 |
| 0.000 | -0.000 | -0.000 | 0.000 | -0.000 | 76.397 |
| 52.211 | 53.469 | 53.469 | -0.000 | 0.000 | -0.000 |
| 53.469 | 52.211 | 53.469 | -0.000 | 0.000 | -0.000 |
| 53.469 | 53.469 | 52.211 | -0.000 | -0.000 | 0.000 |
| 0.000 | 0.000 | 0.000 | 76.397 | 0.000 | 0.000 |
| 0.000 | 0.000 | 0.000 | -0.000 | 76.397 | -0.000 |
| 0.000 | 0.000 | 0.000 | -0.000 | -0.000 | 76.397 |
| 52.211 | 53.469 | 53.469 | 0.000 | -0.000 | 0.000 |
| 53.469 | 52.211 | 53.469 | 0.000 | -0.000 | -0.000 |
| 53.469 | 53.469 | 52.211 | 0.000 | 0.000 | 0.000 |
| -0.000 | -0.000 | -0.000 | 76.397 | 0.000 | 0.000 |
| -0.000 | -0.000 | -0.000 | 0.000 | 76.397 | 0.000 |
| -0.000 | -0.000 | -0.000 | 0.000 | -0.000 | 76.397 |
| 52.212 | 53.470 | 53.470 | -0.000 | -0.000 | -0.000 |
| 53.470 | 52.212 | 53.470 | -0.000 | 0.000 | -0.000 |
| 53.470 | 53.470 | 52.212 | -0.000 | 0.000 | 0.000 |
| 0.000 | 0.000 | 0.000 | 76.397 | -0.000 | -0.000 |
| 0.000 | 0.000 | 0.000 | -0.000 | 76.397 | -0.000 |
| 0.000 | 0.000 | 0.000 | -0.000 | -0.000 | 76.397 |
| 52.210 | 53.468 | 53.468 | 0.000 | -0.000 | 0.000 |
| 53.468 | 52.210 | 53.468 | 0.000 | -0.000 | -0.000 |
| 53.468 | 53.468 | 52.210 | 0.000 | 0.000 | 0.000 |
| -0.000 | -0.000 | -0.000 | 76.397 | -0.000 | 0.000 |
| -0.000 | -0.000 | -0.000 | 0.000 | 76.397 | 0.000 |
| -0.000 | -0.000 | -0.000 | 0.000 | 0.000 | 76.397 |
| 43.776 | 6.861 | 0.487 | 0.000 | -0.000 | 0.000 |
| 2.847 | 47.791 | 0.487 | 0.000 | -0.000 | 0.000 |
| 0.487 | 0.487 | 50.953 | 0.000 | 0.000 | 0.000 |
| -0.000 | -0.000 | 0.000 | 19.846 | -0.000 | 0.000 |
| -0.000 | 0.000 | 0.000 | 0.000 | 19.846 | 0.000 |
| -0.000 | -0.000 | -0.000 | -0.000 | -0.000 | 18.457 |
| 47.791 | 2.847 | 0.487 | -0.000 | 0.000 | -0.000 |
| 2.847 | 47.791 | 0.487 | -0.000 | 0.000 | -0.000 |
| 0.487 | 0.487 | 50.953 | -0.000 | 0.000 | -0.000 |
| 0.000 | 0.000 | -0.000 | 19.846 | 0.000 | -0.000 |
| 0.000 | -0.000 | -0.000 | -0.000 | 19.846 | -0.000 |
| 0.000 | 0.000 | 0.000 | -0.000 | 0.000 | 18.457 |
| 47.790 | 2.847 | 0.487 | -0.000 | -0.000 | 0.000 |
| 2.847 | 47.790 | 0.487 | 0.000 | -0.000 | 0.000 |
| 0.487 | 0.487 | 50.953 | 0.000 | -0.000 | 0.000 |
| -0.000 | -0.000 | 0.000 | 19.846 | -0.000 | 0.000 |
| -0.000 | -0.000 | 0.000 | 0.000 | 19.846 | 0.000 |
| -0.000 | -0.000 | -0.000 | -0.000 | -0.000 | 22.472 |
| 47.791 | 2.847 | 0.488 | -0.000 | 0.000 | -0.000 |
| 2.847 | 47.791 | 0.488 | -0.000 | 0.000 | -0.000 |
| 0.487 | 0.487 | 50.953 | -0.000 | 0.000 | -0.000 |
| 0.000 | 0.000 | -0.000 | 19.846 | 0.000 | -0.000 |
| 0.000 | 0.000 | -0.000 | -0.000 | 19.846 | -0.000 |
| 0.000 | 0.000 | 0.000 | -0.000 | 0.000 | 22.472 |
| 47.790 | 2.846 | 0.487 | 0.000 | -0.000 | 0.000 |
| 7.594 | 43.042 | 0.487 | 0.000 | -0.000 | 0.000 |
| 0.487 | 0.487 | 50.954 | 0.000 | -0.000 | 0.000 |
| -0.000 | -0.000 | 0.000 | 19.846 | -0.000 | 0.000 |
| -0.000 | -0.000 | 0.000 | 0.000 | 19.846 | 0.000 |
| -0.000 | -0.000 | -0.000 | 0.000 | -0.000 | 18.457 |
| 43.044 | 7.595 | 0.488 | -0.000 | 0.000 | -0.000 |
| 6.862 | 43.777 | 0.488 | -0.000 | 0.000 | -0.000 |
| 0.488 | 0.488 | 50.953 | 0.000 | 0.000 | -0.000 |
| 0.000 | 0.000 | -0.000 | 19.846 | 0.000 | -0.000 |
| 0.000 | 0.000 | -0.000 | -0.000 | 19.846 | -0.000 |
| 0.000 | 0.000 | 0.000 | -0.000 | 0.000 | 18.457 |
| 40.475 | 7.326 | 11.490 | -0.000 | -0.000 | 0.000 |
| 7.326 | 40.475 | 11.490 | -0.000 | -0.000 | 0.000 |
| 11.490 | 11.490 | 109.626 | -0.000 | -0.000 | 0.000 |
| 0.000 | -0.000 | 0.000 | 34.012 | -0.000 | 0.000 |
| 0.000 | 0.000 | 0.000 | -0.000 | 34.012 | 0.000 |
| 0.000 | 0.000 | -0.000 | -0.000 | -0.000 | 16.574 |
| 40.475 | 7.326 | 11.490 | 0.000 | 0.000 | -0.000 |
| 0.156 | 47.645 | 11.490 | 0.000 | 0.000 | 0.000 |
| 11.490 | 11.490 | 109.626 | 0.000 | 0.000 | -0.000 |
| 0.000 | -0.000 | -0.000 | 34.012 | 0.000 | -0.000 |
| -0.000 | -0.000 | -0.000 | 0.000 | 34.012 | 0.000 |
| -0.000 | -0.000 | 0.000 | 0.000 | 0.000 | 16.574 |
| 47.645 | 0.156 | 11.490 | -0.000 | -0.000 | -0.000 |
| 7.326 | 40.475 | 11.490 | -0.000 | -0.000 | 0.000 |
| 11.490 | 11.490 | 109.627 | -0.000 | -0.000 | 0.000 |
| 0.000 | -0.000 | 0.000 | 34.012 | -0.000 | 0.000 |
| -0.000 | 0.000 | 0.000 | -0.000 | 34.012 | -0.000 |
| -0.000 | 0.000 | 0.000 | -0.000 | -0.000 | 23.745 |
| 40.474 | 7.326 | 11.490 | 0.000 | 0.000 | -0.000 |
| 7.326 | 40.474 | 11.490 | 0.000 | 0.000 | -0.000 |
| 11.490 | 11.490 | 109.626 | 0.000 | 0.000 | -0.000 |
| -0.000 | 0.000 | -0.000 | 34.012 | 0.000 | -0.000 |
| 0.000 | -0.000 | -0.000 | 0.000 | 34.012 | -0.000 |
| 0.000 | -0.000 | -0.000 | -0.000 | 0.000 | 23.745 |
| 47.646 | 0.156 | 11.490 | -0.000 | -0.000 | -0.000 |
| 0.156 | 47.645 | 11.490 | -0.000 | -0.000 | -0.000 |
| 11.491 | 11.491 | 109.628 | -0.000 | -0.000 | 0.000 |
| 0.000 | 0.000 | 0.000 | 34.012 | -0.000 | -0.000 |
| -0.000 | 0.000 | 0.000 | -0.000 | 34.012 | 0.000 |
| -0.000 | 0.000 | 0.000 | -0.000 | -0.000 | 23.745 |
| 47.644 | 0.156 | 11.490 | 0.000 | 0.000 | 0.000 |
| 0.155 | 47.645 | 11.490 | 0.000 | 0.000 | 0.000 |
| 11.489 | 11.489 | 109.625 | 0.000 | 0.000 | -0.000 |
| -0.000 | -0.000 | -0.000 | 34.012 | 0.000 | 0.000 |
| 0.000 | -0.000 | -0.000 | 0.000 | 34.012 | -0.000 |
| 0.000 | -0.000 | -0.000 | 0.000 | 0.000 | 23.745 |
| 56.656 | 68.288 | 68.288 | 0.000 | 0.000 | 0.000 |
| 68.288 | 56.656 | 68.288 | 0.000 | 0.000 | 0.000 |
| 68.288 | 68.288 | 56.656 | 0.000 | 0.000 | 0.000 |
| -0.000 | -0.000 | 0.000 | 44.895 | -0.000 | -0.000 |
| -0.000 | -0.000 | 0.000 | -0.000 | 44.895 | -0.000 |
| 0.000 | -0.000 | 0.000 | -0.000 | -0.000 | 44.895 |
| 56.656 | 68.288 | 68.288 | -0.000 | -0.000 | -0.000 |
| 68.288 | 56.656 | 68.288 | -0.000 | -0.000 | -0.000 |
| 68.288 | 68.288 | 56.656 | -0.000 | -0.000 | -0.000 |
| -0.000 | 0.000 | -0.000 | 44.895 | 0.000 | 0.000 |
| -0.000 | -0.000 | -0.000 | 0.000 | 44.895 | 0.000 |
| 0.000 | 0.000 | -0.000 | 0.000 | 0.000 | 44.895 |
| 56.656 | 68.288 | 68.288 | 0.000 | 0.000 | 0.000 |
| 68.288 | 56.656 | 68.288 | 0.000 | 0.000 | 0.000 |
| 68.288 | 68.288 | 56.656 | 0.000 | 0.000 | 0.000 |
| 0.000 | -0.000 | 0.000 | 44.895 | -0.000 | -0.000 |
| -0.000 | 0.000 | 0.000 | -0.000 | 44.895 | -0.000 |
| -0.000 | 0.000 | 0.000 | -0.000 | -0.000 | 44.895 |
| 56.656 | 68.288 | 68.288 | -0.000 | -0.000 | -0.000 |
| 68.288 | 56.656 | 68.288 | -0.000 | -0.000 | -0.000 |
| 68.288 | 68.288 | 56.656 | -0.000 | -0.000 | -0.000 |
| -0.000 | 0.000 | -0.000 | 44.895 | 0.000 | 0.000 |
| 0.000 | -0.000 | -0.000 | 0.000 | 44.895 | 0.000 |
| 0.000 | -0.000 | -0.000 | 0.000 | 0.000 | 44.895 |
| 56.656 | 68.288 | 68.288 | 0.000 | 0.000 | 0.000 |
| 68.288 | 56.656 | 68.288 | 0.000 | 0.000 | 0.000 |
| 68.288 | 68.288 | 56.656 | 0.000 | 0.000 | 0.000 |
| -0.000 | -0.000 | -0.000 | -6.809 | 0.000 | 0.000 |
| -0.000 | -0.000 | -0.000 | 0.000 | -6.809 | 0.000 |
| -0.000 | -0.000 | -0.000 | 0.000 | 0.000 | -6.809 |
| 56.656 | 68.287 | 68.287 | -0.000 | -0.000 | -0.000 |
| 68.287 | 56.656 | 68.287 | -0.000 | -0.000 | -0.000 |
| 68.287 | 68.287 | 56.656 | -0.000 | -0.000 | -0.000 |
| 0.000 | 0.000 | 0.000 | -6.809 | -0.000 | -0.000 |
| 0.000 | 0.000 | 0.000 | -0.000 | -6.809 | -0.000 |
| 0.000 | 0.000 | 0.000 | -0.000 | -0.000 | -6.809 |
| 42.534 | 229.849 | 89.599 | -0.000 | -0.000 | 0.000 |
| 229.849 | 42.534 | 89.599 | -0.000 | -0.000 | -0.000 |
| 89.599 | 89.599 | 268.051 | 0.000 | 0.000 | 0.000 |
| -0.000 | 0.000 | 0.000 | -15.851 | -0.000 | 0.000 |
| -0.000 | 0.000 | -0.000 | -0.000 | -15.851 | -0.000 |
| -0.000 | 0.000 | 0.000 | 0.000 | -0.000 | -7.890 |
| -38.472 | 310.856 | 89.599 | 0.000 | 0.000 | -0.000 |
| 310.856 | -38.472 | 89.599 | 0.000 | -0.000 | -0.000 |
| 89.599 | 89.599 | 268.051 | 0.000 | 0.000 | -0.000 |
| 0.000 | -0.000 | -0.000 | -15.851 | 0.000 | -0.000 |
| 0.000 | -0.000 | -0.000 | 0.000 | -15.851 | -0.000 |
| 0.000 | -0.000 | -0.000 | -0.000 | 0.000 | -7.890 |
| 207.104 | 65.280 | 89.599 | -0.000 | -0.000 | 0.000 |
| 65.280 | 207.104 | 89.599 | -0.000 | 0.000 | 0.000 |
| 89.599 | 89.599 | 268.051 | -0.000 | -0.000 | -0.000 |
| -0.000 | 0.000 | -0.000 | -15.851 | -0.000 | -0.000 |
| 0.000 | -0.000 | -0.000 | -0.000 | -15.851 | 0.000 |
| 0.000 | -0.000 | -0.000 | 0.000 | -0.000 | -7.890 |
| 207.104 | 65.280 | 89.599 | -0.000 | 0.000 | -0.000 |
| 65.280 | 207.104 | 89.599 | -0.000 | -0.000 | 0.000 |
| 89.599 | 89.599 | 268.051 | 0.000 | 0.000 | -0.000 |
| 0.000 | -0.000 | 0.000 | -15.851 | 0.000 | -0.000 |
| -0.000 | 0.000 | 0.000 | 0.000 | -15.851 | 0.000 |
| -0.000 | 0.000 | 0.000 | 0.000 | 0.000 | -7.890 |
| -116.995 | 389.375 | 89.598 | 0.000 | -0.000 | 0.000 |
| 389.375 | -116.995 | 89.598 | -0.000 | -0.000 | 0.000 |
| 89.599 | 89.599 | 268.053 | -0.000 | -0.000 | -0.000 |
| -0.000 | 0.000 | -0.000 | -15.851 | -0.000 | 0.000 |
| 0.000 | -0.000 | -0.000 | -0.000 | -15.851 | 0.000 |
| 0.000 | -0.000 | -0.000 | -0.000 | -0.000 | -7.890 |
| -78.340 | 350.727 | 89.599 | -0.000 | 0.000 | 0.000 |
| 350.727 | -78.340 | 89.599 | 0.000 | 0.000 | 0.000 |
| 89.599 | 89.599 | 268.050 | 0.000 | 0.000 | 0.000 |
| 0.000 | -0.000 | 0.000 | -15.851 | 0.000 | 0.000 |
| -0.000 | 0.000 | 0.000 | 0.000 | -15.851 | -0.000 |
| -0.000 | 0.000 | 0.000 | 0.000 | -0.000 | -7.890 |
| 142.409 | 105.267 | 139.826 | -40.400 | 0.000 | 0.000 |
| 105.267 | 142.409 | 139.826 | 40.400 | -0.000 | 0.000 |
| 139.818 | 139.818 | 131.695 | -0.000 | -0.000 | -0.000 |
| -40.400 | 40.400 | -0.000 | 53.087 | 0.000 | -0.000 |
| -0.000 | -0.000 | -0.000 | 0.000 | 53.087 | -40.400 |
| -0.000 | -0.000 | -0.000 | 0.000 | -40.400 | 18.571 |
| 142.410 | 105.267 | 139.826 | -40.400 | 0.000 | -0.000 |
| 105.267 | 142.410 | 139.826 | 40.400 | -0.000 | 0.000 |
| 139.819 | 139.819 | 131.696 | -0.000 | -0.000 | -0.000 |
| -40.400 | 40.400 | 0.000 | 53.087 | 0.000 | -0.000 |
| 0.000 | 0.000 | 0.000 | -0.000 | 53.087 | -40.400 |
| 0.000 | 0.000 | 0.000 | -0.000 | -40.400 | 18.571 |
| 142.406 | 105.266 | 139.825 | -40.400 | 0.000 | -0.000 |
| 105.266 | 142.406 | 139.825 | 40.400 | 0.000 | 0.000 |
| 139.818 | 139.818 | 131.693 | -0.000 | -0.000 | -0.000 |
| -40.400 | 40.399 | -0.001 | 53.087 | -0.000 | -0.000 |
| -0.001 | -0.000 | -0.001 | 0.000 | 53.087 | -40.400 |
| -0.000 | -0.001 | -0.000 | 0.000 | -40.400 | 18.571 |
| 142.413 | 105.267 | 139.827 | -40.400 | 0.000 | -0.000 |
| 105.267 | 142.412 | 139.827 | 40.401 | 0.000 | -0.000 |
| 139.819 | 139.819 | 131.698 | -0.000 | -0.000 | -0.000 |
| -40.400 | 40.401 | 0.001 | 53.087 | 0.000 | -0.000 |
| 0.001 | 0.000 | 0.001 | -0.000 | 53.087 | -40.400 |
| 0.000 | 0.001 | 0.000 | -0.000 | -40.400 | 18.571 |
| 142.375 | 105.262 | 139.820 | -40.398 | -0.000 | 0.000 |
| 105.259 | 142.379 | 139.820 | 40.396 | -0.000 | 0.000 |
| 139.810 | 139.810 | 131.670 | -0.000 | 0.000 | 0.000 |
| -40.402 | 40.394 | -0.009 | 53.087 | 0.000 | -0.000 |
| -0.007 | -0.002 | -0.009 | 0.000 | 53.087 | -40.400 |
| -0.005 | -0.008 | -0.002 | 0.001 | -40.400 | 18.571 |
| 142.443 | 105.272 | 139.832 | -40.402 | 0.000 | 0.000 |
| 105.275 | 142.440 | 139.832 | 40.404 | 0.000 | -0.000 |
| 139.827 | 139.827 | 131.721 | -0.000 | 0.000 | 0.000 |
| -40.398 | 40.407 | 0.009 | 53.087 | -0.000 | -0.000 |
| 0.007 | 0.002 | 0.009 | -0.000 | 53.087 | -40.400 |
| 0.005 | 0.008 | 0.002 | -0.001 | -40.400 | 18.571 |
| 240.469 | 79.307 | 79.307 | 0.000 | -0.000 | 0.000 |
| 79.307 | 240.469 | 79.307 | 0.000 | 0.000 | 0.000 |
| 79.307 | 79.307 | 240.469 | -0.000 | -0.000 | -0.000 |
| -0.000 | -0.000 | -0.000 | -7.421 | 0.000 | -0.000 |
| -0.000 | -0.000 | -0.000 | -0.000 | -7.421 | 0.000 |
| -0.000 | -0.000 | -0.000 | -0.000 | 0.000 | -7.421 |
| 240.470 | 79.307 | 79.307 | -0.000 | -0.000 | 0.000 |
| 79.307 | 240.470 | 79.307 | 0.000 | -0.000 | 0.000 |
| 79.307 | 79.307 | 240.470 | -0.000 | 0.000 | -0.000 |
| 0.000 | 0.000 | 0.000 | -7.421 | -0.000 | -0.000 |
| 0.000 | 0.000 | 0.000 | 0.000 | -7.421 | -0.000 |
| 0.000 | 0.000 | 0.000 | -0.000 | 0.000 | -7.421 |
| 240.466 | 79.306 | 79.306 | 0.000 | -0.000 | -0.000 |
| 79.306 | 240.466 | 79.306 | -0.000 | -0.000 | 0.000 |
| 79.306 | 79.306 | 240.466 | 0.000 | 0.000 | -0.000 |
| 0.000 | -0.001 | -0.001 | -7.421 | 0.000 | 0.000 |
| -0.001 | -0.000 | -0.001 | 0.000 | -7.421 | 0.000 |
| -0.001 | -0.001 | -0.000 | 0.000 | -0.000 | -7.421 |
| 240.473 | 79.307 | 79.307 | 0.000 | -0.000 | 0.000 |
| 79.307 | 240.473 | 79.307 | 0.000 | 0.000 | 0.000 |
| 79.307 | 79.307 | 240.473 | -0.000 | -0.000 | 0.000 |
| -0.000 | 0.001 | 0.001 | -7.421 | 0.000 | 0.000 |
| 0.001 | 0.000 | 0.001 | 0.000 | -7.421 | -0.000 |
| 0.001 | 0.001 | -0.000 | -0.000 | -0.000 | -7.421 |
| 240.431 | 79.300 | 79.300 | 0.000 | 0.000 | 0.000 |
| 79.300 | 240.431 | 79.300 | 0.000 | 0.000 | -0.000 |
| 79.300 | 79.300 | 240.431 | 0.000 | -0.000 | -0.000 |
| 0.000 | -0.006 | -0.006 | -7.421 | -0.000 | -0.000 |
| -0.006 | 0.000 | -0.006 | 0.000 | -7.421 | 0.000 |
| -0.006 | -0.006 | 0.000 | 0.000 | 0.000 | -7.421 |
| 240.509 | 79.313 | 79.313 | -0.000 | -0.000 | -0.000 |
| 79.313 | 240.509 | 79.313 | 0.000 | -0.000 | -0.000 |
| 79.313 | 79.313 | 240.509 | 0.000 | -0.000 | -0.000 |
| -0.000 | 0.006 | 0.006 | -7.421 | -0.000 | -0.000 |
| 0.006 | -0.000 | 0.006 | -0.000 | -7.421 | -0.000 |
| 0.006 | 0.006 | -0.000 | 0.000 | 0.000 | -7.421 |
| 104.453 | 49.101 | 22.558 | 0.000 | 0.000 | 0.000 |
| 72.029 | 81.525 | 22.558 | -0.000 | 0.000 | 0.000 |
| 22.574 | 22.574 | 151.441 | 0.000 | 0.000 | 0.000 |
| 0.000 | -0.000 | -0.000 | 0.660 | 0.000 | 0.000 |
| 0.000 | -0.000 | 0.000 | 0.000 | 0.660 | 0.000 |
| 0.000 | 0.000 | 0.000 | 0.000 | 0.000 | 27.676 |
| 81.525 | 72.029 | 22.558 | -0.000 | -0.000 | -0.000 |
| 72.029 | 81.525 | 22.558 | -0.000 | -0.000 | -0.000 |
| 22.574 | 22.574 | 151.441 | 0.000 | -0.000 | -0.000 |
| -0.000 | 0.000 | 0.000 | 0.660 | -0.000 | -0.000 |
| -0.000 | 0.000 | -0.000 | -0.000 | 0.660 | -0.000 |
| -0.000 | 0.000 | -0.000 | -0.000 | 0.000 | 27.676 |
| 104.453 | 49.101 | 22.558 | 0.000 | 0.000 | 0.000 |
| 49.101 | 104.453 | 22.558 | 0.000 | 0.000 | 0.000 |
| 22.574 | 22.574 | 151.441 | 0.000 | 0.000 | 0.000 |
| 0.000 | 0.000 | -0.000 | 0.660 | 0.000 | -0.000 |
| 0.000 | 0.000 | -0.000 | 0.000 | 0.660 | 0.000 |
| 0.000 | 0.000 | 0.000 | 0.000 | 0.000 | 27.676 |
| 104.453 | 49.101 | 22.558 | -0.000 | 0.000 | -0.000 |
| 72.029 | 81.525 | 22.558 | -0.000 | 0.000 | -0.000 |
| 22.574 | 22.574 | 151.441 | -0.000 | -0.000 | -0.000 |
| -0.000 | -0.000 | 0.000 | 0.660 | -0.000 | -0.000 |
| -0.000 | -0.000 | 0.000 | -0.000 | 0.660 | -0.000 |
| -0.000 | -0.000 | -0.000 | -0.000 | 0.000 | 27.676 |
| 81.525 | 72.028 | 22.558 | 0.000 | 0.000 | 0.000 |
| 72.028 | 81.526 | 22.558 | 0.000 | 0.000 | 0.000 |
| 22.573 | 22.573 | 151.441 | 0.000 | 0.000 | -0.000 |
| 0.000 | 0.000 | -0.000 | 0.660 | 0.000 | 0.000 |
| 0.000 | 0.000 | -0.000 | -0.000 | 0.660 | 0.000 |
| 0.000 | 0.000 | 0.000 | -0.000 | 0.000 | 4.748 |
| 81.524 | 72.030 | 22.559 | -0.000 | -0.000 | 0.000 |
| 72.032 | 81.521 | 22.559 | -0.000 | -0.000 | -0.000 |
| 22.574 | 22.574 | 151.440 | -0.000 | -0.000 | -0.000 |
| -0.000 | -0.000 | 0.000 | 0.660 | -0.000 | -0.000 |
| -0.000 | -0.000 | 0.000 | -0.000 | 0.660 | -0.000 |
| -0.000 | -0.000 | -0.000 | 0.000 | -0.000 | 4.748 |
| 125.950 | -26.783 | 52.259 | 0.000 | 0.000 | 0.000 |
| -26.755 | 125.526 | 52.114 | -0.000 | 0.000 | -0.000 |
| 52.269 | 52.096 | 57.882 | -0.000 | 0.000 | -0.000 |
| -0.000 | -0.000 | 0.000 | 75.601 | 0.000 | -0.000 |
| 0.000 | -0.000 | 0.000 | 0.000 | 75.750 | -0.000 |
| 0.000 | 0.000 | -0.000 | 0.000 | 0.000 | -2.756 |
| 125.950 | -26.783 | 52.259 | -0.000 | -0.000 | 0.000 |
| -26.755 | 125.526 | 52.114 | -0.000 | -0.000 | 0.000 |
| 52.269 | 52.096 | 57.882 | 0.000 | -0.000 | 0.000 |
| 0.000 | 0.000 | 0.000 | 75.601 | -0.000 | -0.000 |
| -0.000 | 0.000 | 0.000 | 0.000 | 75.750 | 0.000 |
| -0.000 | -0.000 | 0.000 | 0.000 | -0.000 | -2.756 |
| 125.950 | -26.783 | 52.259 | -0.000 | 0.000 | -0.000 |
| -26.754 | 125.526 | 52.114 | -0.000 | 0.000 | -0.000 |
| 52.269 | 52.096 | 57.882 | -0.000 | -0.000 | -0.000 |
| -0.000 | 0.000 | 0.000 | 75.601 | -0.000 | -0.000 |
| 0.000 | -0.000 | 0.000 | 0.000 | 75.750 | 0.000 |
| 0.000 | 0.000 | 0.000 | 0.000 | 0.000 | -2.756 |
| 125.950 | -26.783 | 52.259 | 0.000 | -0.000 | 0.000 |
| -26.755 | 125.526 | 52.114 | -0.000 | -0.000 | 0.000 |
| 52.269 | 52.096 | 57.882 | -0.000 | -0.000 | 0.000 |
| 0.000 | -0.000 | -0.000 | 75.601 | 0.000 | -0.000 |
| -0.000 | 0.000 | -0.000 | -0.000 | 75.750 | 0.000 |
| -0.000 | -0.000 | -0.000 | 0.000 | -0.000 | -2.756 |
| 125.952 | -26.782 | 52.260 | 0.000 | 0.000 | 0.000 |
| -26.754 | 125.528 | 52.115 | 0.000 | 0.000 | -0.000 |
| 52.270 | 52.097 | 57.882 | 0.000 | 0.000 | -0.000 |
| -0.000 | 0.000 | 0.000 | 75.601 | 0.000 | -0.000 |
| 0.000 | -0.000 | 0.000 | -0.000 | 75.750 | -0.000 |
| 0.000 | 0.000 | 0.000 | -0.000 | 0.000 | -2.756 |
| 125.948 | -26.783 | 52.258 | 0.000 | -0.000 | 0.000 |
| -26.755 | 125.524 | 52.113 | 0.000 | -0.000 | 0.000 |
| 52.269 | 52.095 | 57.881 | -0.000 | 0.000 | -0.000 |
| 0.000 | -0.000 | -0.000 | 75.601 | -0.000 | 0.000 |
| -0.000 | 0.000 | -0.000 | 0.000 | 75.750 | 0.000 |
| -0.000 | -0.000 | -0.000 | 0.000 | -0.000 | -2.756 |
| 122.450 | 89.896 | 89.896 | -0.000 | -0.000 | 0.000 |
| 89.896 | 122.450 | 89.896 | -0.000 | 0.000 | 0.000 |
| 89.896 | 89.896 | 122.450 | -0.000 | -0.000 | 0.000 |
| 58.464 | 58.464 | 58.464 | 6.503 | -0.000 | 0.000 |
| 58.464 | 58.464 | 58.464 | -0.000 | 6.503 | 0.000 |
| 58.464 | 58.464 | 58.464 | -0.000 | -0.000 | 6.503 |
| 116.387 | 38.725 | 38.725 | 0.000 | 0.000 | -0.000 |
| 38.725 | 116.387 | 38.725 | 0.000 | 0.000 | -0.000 |
| 38.725 | 38.725 | 116.387 | 0.000 | -0.000 | -0.000 |
| -58.464 | -58.464 | -58.464 | 6.503 | -0.000 | -0.000 |
| -58.464 | -58.464 | -58.464 | 0.000 | 6.503 | -0.000 |
| -58.464 | -58.464 | -58.464 | 0.000 | -0.000 | 6.503 |
| 116.387 | 38.725 | 38.725 | -0.000 | -0.000 | 0.000 |
| 38.725 | 116.387 | 38.725 | -0.000 | -0.000 | 0.000 |
| 38.725 | 38.725 | 116.387 | -0.000 | -0.000 | 0.000 |
| 0.000 | 0.000 | 0.000 | 20.164 | -0.000 | 0.000 |
| 0.000 | 0.000 | 0.000 | -0.000 | 20.164 | 0.000 |
| 0.000 | 0.000 | 0.000 | -0.000 | -0.000 | 20.164 |
| 116.387 | 38.725 | 38.725 | 0.000 | 0.000 | -0.000 |
| 38.725 | 116.387 | 38.725 | 0.000 | -0.000 | -0.000 |
| 38.725 | 38.725 | 116.387 | 0.000 | 0.000 | -0.000 |
| -0.000 | -0.000 | -0.000 | 20.164 | -0.000 | -0.000 |
| -0.000 | -0.000 | -0.000 | 0.000 | 20.164 | -0.000 |
| -0.000 | -0.000 | -0.000 | 0.000 | 0.000 | 20.164 |
| 116.388 | 38.725 | 38.725 | -0.000 | 0.000 | 0.000 |
| 38.725 | 116.388 | 38.725 | -0.000 | -0.000 | 0.000 |
| 38.725 | 38.725 | 116.388 | -0.000 | -0.000 | 0.000 |
| 0.000 | 0.000 | 0.000 | 20.164 | -0.000 | 0.000 |
| 0.000 | 0.000 | 0.000 | -0.000 | 20.164 | 0.000 |
| 0.000 | 0.000 | 0.000 | -0.000 | -0.000 | 20.164 |
| 116.386 | 38.726 | 38.726 | 0.000 | 0.000 | -0.000 |
| 38.726 | 116.386 | 38.726 | 0.000 | 0.000 | -0.000 |
| 38.726 | 38.726 | 116.386 | 0.000 | 0.000 | -0.000 |
| -0.000 | -0.000 | -0.000 | 20.164 | -0.000 | -0.000 |
| -0.000 | -0.000 | -0.000 | 0.000 | 20.164 | -0.000 |
| -0.000 | -0.000 | -0.000 | 0.000 | 0.000 | 20.164 |
| 106.924 | 44.776 | 44.776 | -0.000 | -0.000 | -0.000 |
| 44.776 | 106.924 | 44.776 | -0.000 | 0.000 | -0.000 |
| 44.776 | 44.776 | 106.924 | -0.000 | 0.000 | -0.000 |
| -18.346 | -18.346 | -18.346 | 4.795 | 0.000 | -0.000 |
| -18.346 | -18.346 | -18.346 | -0.000 | 4.795 | -0.000 |
| -18.346 | -18.346 | -18.346 | -0.000 | 0.000 | 4.795 |
| 116.823 | 40.359 | 40.359 | -0.000 | -0.000 | 0.000 |
| 40.359 | 116.823 | 40.359 | -0.000 | -0.000 | 0.000 |
| 40.359 | 40.359 | 116.823 | 0.000 | -0.000 | 0.000 |
| 18.346 | 18.346 | 18.346 | 4.795 | -0.000 | 0.000 |
| 18.346 | 18.346 | 18.346 | 0.000 | 4.795 | 0.000 |
| 18.346 | 18.346 | 18.346 | 0.000 | -0.000 | 4.795 |
| 93.214 | 45.669 | 45.669 | -0.000 | 0.000 | -0.000 |
| 45.669 | 93.214 | 45.669 | -0.000 | 0.000 | -0.000 |
| 45.669 | 45.669 | 93.214 | -0.000 | 0.000 | -0.000 |
| 0.000 | 0.000 | 0.000 | 19.834 | 0.000 | -0.000 |
| 0.000 | 0.000 | 0.000 | -0.000 | 19.834 | -0.000 |
| 0.000 | 0.000 | 0.000 | -0.000 | 0.000 | 19.834 |
| 97.787 | 48.957 | 48.957 | 0.000 | -0.000 | 0.000 |
| 48.957 | 97.787 | 48.957 | 0.000 | -0.000 | 0.000 |
| 48.957 | 48.957 | 97.787 | 0.000 | -0.000 | 0.000 |
| -0.000 | -0.000 | -0.000 | 19.834 | 0.000 | 0.000 |
| -0.000 | -0.000 | -0.000 | 0.000 | 19.834 | 0.000 |
| -0.000 | -0.000 | -0.000 | -0.000 | -0.000 | 19.834 |
| 103.803 | 45.377 | 45.377 | -0.000 | -0.000 | -0.000 |
| 45.377 | 103.803 | 45.377 | -0.000 | 0.000 | -0.000 |
| 45.377 | 45.377 | 103.803 | -0.000 | -0.000 | -0.000 |
| 0.000 | 0.000 | 0.000 | 19.834 | 0.000 | -0.000 |
| 0.000 | 0.000 | 0.000 | -0.000 | 19.834 | -0.000 |
| 0.000 | 0.000 | 0.000 | -0.000 | 0.000 | 19.834 |
| 116.823 | 40.359 | 40.359 | -0.000 | -0.000 | 0.000 |
| 40.359 | 116.823 | 40.359 | 0.000 | -0.000 | 0.000 |
| 40.359 | 40.359 | 116.823 | -0.000 | -0.000 | 0.000 |
| -0.000 | -0.000 | -0.000 | 19.834 | -0.000 | 0.000 |
| -0.000 | -0.000 | -0.000 | -0.000 | 19.834 | 0.000 |
| -0.000 | -0.000 | -0.000 | -0.000 | -0.000 | 19.834 |
| 93.728 | 56.828 | 56.828 | 0.000 | 0.000 | 0.000 |
| 56.828 | 93.728 | 56.828 | 0.000 | 0.000 | 0.000 |
| 56.828 | 56.828 | 93.728 | 0.000 | 0.000 | 0.000 |
| 0.000 | -0.000 | 0.000 | 31.957 | 0.000 | 0.000 |
| 0.000 | 0.000 | -0.000 | 0.000 | 31.957 | 0.000 |
| 0.000 | 0.000 | -0.000 | 0.000 | 0.000 | 31.957 |
| 93.728 | 56.828 | 56.828 | -0.000 | -0.000 | -0.000 |
| 56.828 | 93.728 | 56.828 | -0.000 | -0.000 | -0.000 |
| 56.828 | 56.828 | 93.728 | -0.000 | -0.000 | -0.000 |
| 0.000 | -0.000 | -0.000 | 31.957 | -0.000 | -0.000 |
| -0.000 | -0.000 | 0.000 | -0.000 | 31.957 | -0.000 |
| -0.000 | -0.000 | 0.000 | -0.000 | -0.000 | 31.957 |
| 93.728 | 56.828 | 56.828 | 0.000 | 0.000 | 0.000 |
| 56.828 | 93.728 | 56.828 | 0.000 | 0.000 | 0.000 |
| 56.828 | 56.828 | 93.728 | 0.000 | 0.000 | 0.000 |
| 0.000 | -0.000 | -0.000 | 17.114 | 0.000 | 0.000 |
| -0.000 | 0.000 | -0.000 | 0.000 | 17.114 | 0.000 |
| -0.000 | -0.000 | 0.000 | 0.000 | 0.000 | 17.114 |
| 93.728 | 56.828 | 56.828 | -0.000 | -0.000 | -0.000 |
| 56.828 | 93.728 | 56.828 | -0.000 | -0.000 | -0.000 |
| 56.828 | 56.828 | 93.728 | -0.000 | -0.000 | -0.000 |
| -0.000 | 0.000 | 0.000 | 17.114 | -0.000 | -0.000 |
| 0.000 | -0.000 | 0.000 | -0.000 | 17.114 | -0.000 |
| 0.000 | 0.000 | -0.000 | -0.000 | -0.000 | 17.114 |
| 101.707 | 54.326 | 54.326 | 0.000 | 0.000 | 0.000 |
| 54.326 | 101.707 | 54.326 | 0.000 | 0.000 | -0.000 |
| 54.326 | 54.326 | 101.707 | 0.000 | 0.000 | 0.000 |
| 0.000 | -0.000 | -0.000 | 18.497 | 0.000 | 0.000 |
| -0.000 | 0.000 | -0.000 | 0.000 | 18.497 | 0.000 |
| -0.000 | -0.000 | 0.000 | 0.000 | 0.000 | 18.497 |
| 89.706 | 57.157 | 57.157 | -0.000 | -0.000 | -0.000 |
| 57.157 | 89.706 | 57.157 | -0.000 | -0.000 | -0.000 |
| 57.157 | 57.157 | 89.706 | -0.000 | -0.000 | -0.000 |
| -0.000 | 0.000 | 0.000 | 18.497 | -0.000 | -0.000 |
| 0.000 | -0.000 | 0.000 | -0.000 | 18.497 | -0.000 |
| 0.000 | 0.000 | -0.000 | -0.000 | -0.000 | 18.497 |
| 101.901 | 54.841 | 54.841 | -0.000 | -0.000 | 0.000 |
| 54.841 | 101.901 | 54.841 | -0.000 | -0.000 | -0.000 |
| 54.841 | 54.841 | 101.901 | -0.000 | -0.000 | -0.000 |
| 0.000 | 0.000 | 0.000 | 31.826 | -0.000 | 0.000 |
| 0.000 | 0.000 | 0.000 | -0.000 | 31.826 | 0.000 |
| 0.000 | 0.000 | -0.000 | -0.000 | -0.000 | 31.826 |
| 101.901 | 54.841 | 54.841 | 0.000 | 0.000 | -0.000 |
| 54.841 | 101.901 | 54.841 | 0.000 | 0.000 | 0.000 |
| 54.841 | 54.841 | 101.901 | 0.000 | 0.000 | -0.000 |
| -0.000 | -0.000 | -0.000 | 31.826 | -0.000 | 0.000 |
| -0.000 | -0.000 | -0.000 | -0.000 | 31.826 | -0.000 |
| 0.000 | -0.000 | -0.000 | -0.000 | 0.000 | 31.826 |
| 101.901 | 54.841 | 54.841 | -0.000 | -0.000 | 0.000 |
| 54.841 | 101.901 | 54.841 | 0.000 | -0.000 | -0.000 |
| 54.841 | 54.841 | 101.901 | -0.000 | 0.000 | -0.000 |
| -0.069 | -0.069 | -0.069 | 16.832 | 0.000 | 0.000 |
| -0.069 | -0.069 | -0.069 | 0.000 | 16.832 | 0.000 |
| -0.069 | -0.069 | -0.069 | 0.000 | 0.000 | 16.832 |
| 101.901 | 54.841 | 54.841 | 0.000 | -0.000 | -0.000 |
| 54.841 | 101.901 | 54.841 | 0.000 | 0.000 | -0.000 |
| 54.841 | 54.841 | 101.901 | -0.000 | -0.000 | 0.000 |
| 0.069 | 0.069 | 0.069 | 16.832 | -0.000 | -0.000 |
| 0.069 | 0.069 | 0.069 | -0.000 | 16.832 | -0.000 |
| 0.069 | 0.069 | 0.069 | -0.000 | -0.000 | 16.832 |
| 93.898 | 57.323 | 57.323 | 0.000 | 0.000 | 0.000 |
| 57.323 | 93.898 | 57.323 | 0.000 | 0.000 | 0.000 |
| 57.323 | 57.323 | 93.898 | 0.000 | 0.000 | 0.000 |
| 0.000 | 0.000 | 0.000 | 31.826 | -0.000 | 0.000 |
| 0.000 | 0.000 | 0.000 | -0.000 | 31.826 | -0.000 |
| 0.000 | 0.000 | 0.000 | -0.000 | 0.000 | 31.826 |
| 93.902 | 57.324 | 57.324 | -0.000 | -0.000 | -0.000 |
| 57.324 | 93.902 | 57.324 | -0.000 | -0.000 | -0.000 |
| 57.324 | 57.324 | 93.902 | -0.000 | -0.000 | -0.000 |
| -0.000 | -0.000 | -0.000 | 31.826 | 0.000 | 0.000 |
| -0.000 | -0.000 | -0.000 | 0.000 | 31.826 | -0.000 |
| -0.000 | -0.000 | -0.000 | 0.000 | 0.000 | 31.826 |
| 59.781 | -3.689 | 5.980 | 0.000 | 0.000 | -0.000 |
| -0.539 | 47.588 | 10.252 | -0.000 | 0.000 | -0.000 |
| 3.097 | 13.797 | 99.638 | -0.000 | 0.000 | -0.000 |
| -3.823 | 3.764 | 0.127 | 33.705 | -0.000 | -0.000 |
| 0.000 | 0.000 | 0.000 | 0.000 | 30.548 | 0.000 |
| -4.264 | 4.198 | 0.141 | -0.000 | 0.000 | 14.844 |
| 57.358 | -1.304 | 6.061 | 0.000 | -0.000 | 0.000 |
| 7.108 | 40.060 | 9.998 | 0.000 | 0.000 | -0.000 |
| 10.743 | 6.269 | 99.384 | 0.000 | -0.000 | 0.000 |
| 3.823 | -3.764 | -0.127 | 33.705 | -0.000 | 0.000 |
| -0.000 | -0.000 | -0.000 | 0.000 | 30.548 | 0.000 |
| 4.264 | -4.198 | -0.141 | 0.000 | -0.000 | 14.844 |
| 53.152 | 2.836 | 6.200 | -0.000 | -0.000 | -0.000 |
| 2.902 | 44.201 | 10.137 | -0.000 | -0.000 | -0.000 |
| 6.538 | 10.409 | 99.524 | -0.000 | 0.000 | 0.000 |
| 0.000 | 0.000 | 0.000 | 33.705 | 0.000 | -0.000 |
| 0.000 | 0.000 | 0.000 | 0.000 | 30.548 | 0.000 |
| -0.446 | 0.439 | 0.015 | -0.000 | 0.000 | 14.534 |
| 59.780 | -3.689 | 5.980 | -0.000 | 0.000 | 0.000 |
| 3.667 | 43.448 | 10.112 | 0.000 | -0.000 | 0.000 |
| 7.302 | 9.656 | 99.498 | 0.000 | -0.000 | 0.000 |
| -0.000 | -0.000 | -0.000 | 33.705 | -0.000 | 0.000 |
| -0.000 | -0.000 | -0.000 | -0.000 | 30.548 | 0.000 |
| 0.446 | -0.439 | -0.015 | 0.000 | -0.000 | 14.534 |
| 53.498 | 2.498 | 6.189 | -0.000 | 0.000 | -0.000 |
| 3.246 | 43.861 | 10.126 | -0.000 | 0.000 | -0.000 |
| 6.882 | 10.071 | 99.514 | -0.000 | 0.000 | 0.000 |
| -0.019 | 0.019 | 0.001 | 33.705 | -0.000 | 0.000 |
| -0.038 | 0.038 | 0.002 | -0.000 | 30.548 | 0.000 |
| -0.045 | 0.044 | 0.001 | -0.000 | 0.000 | 14.529 |
| 53.571 | 2.422 | 6.186 | 0.000 | -0.000 | -0.000 |
| -2.865 | 49.879 | 10.328 | -0.000 | 0.000 | 0.000 |
| 6.958 | 9.994 | 99.508 | 0.000 | -0.000 | 0.000 |
| 0.019 | -0.019 | -0.001 | 33.705 | 0.000 | 0.000 |
| 0.038 | -0.038 | -0.002 | 0.000 | 30.548 | 0.000 |
| 0.045 | -0.044 | -0.001 | 0.000 | 0.000 | 14.529 |
| 121.484 | 141.292 | 29.769 | 0.000 | 0.000 | 0.000 |
| 141.292 | 121.484 | 29.769 | 0.000 | -0.000 | 0.000 |
| 29.769 | 29.769 | 139.811 | 0.000 | 0.000 | 0.000 |
| -0.000 | 0.000 | -0.000 | -19.159 | 0.000 | 0.000 |
| 0.000 | 0.000 | -0.000 | 0.000 | -19.159 | 0.000 |
| -0.000 | 0.000 | -0.000 | 0.000 | 0.000 | -9.904 |
| 176.379 | 86.397 | 29.769 | -0.000 | -0.000 | -0.000 |
| 141.292 | 121.484 | 29.769 | -0.000 | 0.000 | -0.000 |
| 29.769 | 29.769 | 139.811 | -0.000 | -0.000 | -0.000 |
| -0.000 | -0.000 | 0.000 | -19.159 | -0.000 | -0.000 |
| 0.000 | -0.000 | 0.000 | -0.000 | -19.159 | -0.000 |
| 0.000 | 0.000 | 0.000 | -0.000 | -0.000 | -9.904 |
| 121.484 | 141.293 | 29.769 | 0.000 | 0.000 | 0.000 |
| 141.292 | 121.484 | 29.769 | 0.000 | 0.000 | 0.000 |
| 29.769 | 29.769 | 139.811 | 0.000 | 0.000 | 0.000 |
| 0.000 | -0.000 | -0.000 | -19.159 | 0.000 | 0.000 |
| -0.000 | 0.000 | -0.000 | 0.000 | -19.159 | 0.000 |
| -43086428.018 | -39900047.024 | -35825426.223 | 472791.702 | -691671.762 | -3167659.394 |
| 121.484 | 141.292 | 29.769 | -0.000 | -0.000 | -0.000 |
| 86.397 | 176.379 | 29.769 | -0.000 | -0.000 | -0.000 |
| 29.769 | 29.769 | 139.810 | -0.000 | -0.000 | -0.000 |
| -0.000 | 0.000 | 0.000 | -19.159 | -0.000 | -0.000 |
| 0.000 | -0.000 | 0.000 | -0.000 | -19.159 | -0.000 |
| 44114354.220 | 41062072.511 | 36523057.068 | -426465.660 | -724391.327 | -3080146.057 |
| 176.379 | 86.398 | 29.769 | 0.000 | 0.000 | 0.000 |
| 141.294 | 121.483 | 29.769 | 0.000 | 0.000 | 0.000 |
| 29.769 | 29.769 | 139.812 | 0.000 | 0.000 | 0.000 |
| 0.000 | -0.000 | -0.000 | -19.159 | 0.000 | 0.000 |
| -0.000 | 0.000 | -0.000 | 0.000 | -19.159 | 0.000 |
| -0.000 | 0.000 | -0.000 | 0.000 | 0.000 | -10.260 |
| 4095201.964 | 5617621.797 | 5517467.669 | 2319.455 | -39274.330 | 7690.400 |
| 86.397 | 176.378 | 29.769 | -0.000 | -0.000 | -0.000 |
| 29.769 | 29.769 | 139.809 | -0.000 | -0.000 | -0.000 |
| -0.000 | 0.000 | 0.000 | -19.159 | -0.000 | -0.000 |
| 0.000 | -0.000 | 0.000 | -0.000 | -19.159 | -0.000 |
| 0.000 | -0.000 | 0.000 | -0.000 | -0.000 | -10.260 |
| 44.005 | -1.207 | 2.231 | 3.006 | -0.000 | -0.000 |
| 1.664 | 45.224 | 9.240 | -3.199 | -0.000 | 0.000 |
| 2.220 | 2.220 | 70.641 | -0.000 | -0.000 | 0.000 |
| 3.006 | -3.006 | 0.000 | 25.485 | -0.000 | 0.000 |
| 0.000 | 0.000 | 0.000 | 0.000 | 25.485 | 3.006 |
| -0.000 | -0.000 | 0.000 | 0.000 | 3.006 | 22.606 |
| 36.786 | 1.790 | -5.001 | 4.200 | 0.000 | 0.000 |
| -1.207 | 44.005 | 2.231 | -3.006 | 0.000 | 0.000 |
| 2.220 | 2.220 | 70.641 | -0.000 | 0.000 | 0.000 |
| 3.006 | -3.006 | -0.000 | 25.485 | -0.000 | 0.000 |
| -0.000 | -0.000 | -0.000 | -0.000 | 25.485 | 3.006 |
| 0.000 | 0.000 | -0.000 | -0.000 | 3.006 | 22.606 |
| 42.825 | 0.580 | 3.272 | 3.353 | -0.000 | -0.000 |
| -1.207 | 44.005 | 2.231 | -3.006 | -0.000 | -0.000 |
| 2.220 | 2.220 | 70.641 | 0.000 | -0.000 | -0.000 |
| 3.006 | -3.006 | 0.000 | 25.485 | -0.000 | -0.000 |
| 0.000 | 0.000 | 0.000 | 0.000 | 25.485 | 3.006 |
| 0.323 | 0.323 | 1.108 | -0.000 | 3.306 | 21.325 |
| 44.005 | -1.207 | 2.231 | 3.006 | 0.000 | -0.000 |
| -1.207 | 44.005 | 2.231 | -3.006 | 0.000 | 0.000 |
| 1.879 | 1.879 | 69.472 | -0.000 | -0.000 | -0.000 |
| 3.006 | -3.006 | -0.000 | 25.485 | 0.000 | -0.000 |
| -0.000 | -0.000 | -0.000 | -0.000 | 25.485 | 3.006 |
| -0.323 | -0.323 | -1.108 | 0.000 | 3.306 | 21.325 |
| 44.004 | -1.207 | 2.231 | 3.006 | -0.000 | 0.000 |
| 3.527 | 39.052 | 1.858 | -4.138 | -0.000 | -0.000 |
| 2.221 | 2.221 | 70.643 | 0.000 | 0.000 | 0.000 |
| 3.006 | -3.006 | 0.000 | 25.485 | -0.000 | 0.000 |
| 0.064 | 0.064 | 0.219 | 0.000 | 25.347 | 3.596 |
| -0.000 | -0.000 | 0.000 | -0.000 | 3.006 | 22.606 |
| 44.005 | -1.207 | 2.231 | 3.006 | 0.000 | 0.000 |
| 1.900 | 40.410 | 1.393 | -3.789 | 0.000 | 0.000 |
| 2.220 | 2.220 | 70.640 | 0.000 | 0.000 | 0.000 |
| 3.532 | -3.659 | -0.218 | 25.347 | 0.000 | 0.000 |
| -0.064 | -0.064 | -0.219 | -0.000 | 25.347 | 3.596 |
| 0.000 | 0.000 | -0.000 | 0.000 | 3.006 | 22.606 |
| 39.025 | 3.952 | 1.982 | 4.183 | -0.000 | 0.000 |
| -1.096 | 44.149 | 2.113 | -3.000 | -0.000 | -0.000 |
| 2.113 | 2.113 | 70.027 | 0.000 | -0.000 | -0.000 |
| 4.183 | -4.183 | -0.000 | 25.014 | -0.000 | -0.000 |
| -0.000 | -0.000 | -0.000 | 0.000 | 25.014 | 4.183 |
| -0.000 | -0.000 | -0.000 | -0.000 | 4.183 | 17.536 |
| 44.149 | -1.096 | 2.113 | 3.000 | 0.000 | -0.000 |
| -1.096 | 44.149 | 2.113 | -3.000 | 0.000 | -0.000 |
| 2.113 | 2.113 | 70.027 | 0.000 | 0.000 | 0.000 |
| 3.000 | -3.000 | -0.000 | 25.289 | 0.000 | -0.000 |
| 0.000 | 0.000 | 0.000 | -0.000 | 25.014 | 4.183 |
| 0.000 | 0.000 | 0.000 | 0.000 | 4.183 | 17.536 |
| 44.149 | -1.096 | 2.113 | 3.000 | -0.000 | -0.000 |
| 3.952 | 39.025 | 1.982 | -4.183 | -0.000 | -0.000 |
| 2.113 | 2.113 | 70.027 | 0.000 | -0.000 | -0.000 |
| 4.183 | -4.183 | 0.000 | 25.014 | -0.000 | -0.000 |
| 0.000 | 0.000 | 0.000 | 0.000 | 25.014 | 4.183 |
| -0.000 | -0.000 | -0.000 | -0.000 | 4.183 | 17.536 |
| 44.149 | -1.096 | 2.113 | 3.000 | 0.000 | 0.000 |
| -1.096 | 44.149 | 2.113 | -3.000 | 0.000 | 0.000 |
| 1.982 | 1.982 | 69.582 | 0.000 | 0.000 | 0.000 |
| 4.183 | -4.183 | -0.000 | 25.014 | 0.000 | 0.000 |
| -0.000 | -0.000 | -0.000 | -0.000 | 25.014 | 4.183 |
| 0.000 | 0.000 | 0.000 | 0.000 | 4.183 | 17.536 |
| 44.148 | -1.096 | 2.112 | 3.000 | -0.000 | -0.000 |
| 3.952 | 39.024 | 1.982 | -4.183 | 0.000 | -0.000 |
| 2.113 | 2.113 | 70.029 | -0.000 | -0.000 | -0.000 |
| 4.183 | -4.183 | 0.000 | 25.014 | -0.000 | -0.000 |
| 0.000 | 0.000 | 0.000 | 0.000 | 25.289 | 3.000 |
| -0.000 | -0.000 | -0.000 | -0.000 | 4.183 | 17.536 |
| 44.149 | -1.095 | 2.113 | 3.000 | 0.000 | 0.000 |
| 2.835 | 39.834 | 1.455 | -3.959 | 0.000 | 0.000 |
| 1.982 | 1.982 | 69.581 | 0.000 | 0.000 | 0.000 |
| 3.000 | -3.000 | -0.000 | 25.289 | 0.000 | 0.000 |
| -0.000 | -0.000 | -0.000 | -0.000 | 25.289 | 3.000 |
| 0.000 | 0.000 | 0.000 | 0.000 | 4.183 | 17.536 |
| 208.402 | 157.390 | 157.390 | 0.000 | 0.000 | 0.000 |
| 157.390 | 208.402 | 157.390 | 0.000 | 0.000 | 0.000 |
| 157.390 | 157.390 | 208.402 | -0.000 | 0.000 | -0.000 |
| 0.000 | 0.000 | 0.000 | 38.423 | 0.000 | -0.000 |
| 0.000 | 0.000 | 0.000 | 0.000 | 38.423 | 0.000 |
| 0.000 | 0.000 | 0.000 | 0.000 | 0.000 | 38.423 |
| 1286.166 | 1242.493 | 1242.691 | -0.000 | -0.000 | 0.000 |
| 1242.707 | 1285.946 | 1242.688 | 0.000 | 0.000 | 0.000 |
| 1242.710 | 1242.493 | 1286.147 | -0.000 | 0.000 | 0.000 |
| -0.000 | -0.000 | -0.000 | 38.423 | 0.000 | -0.000 |
| -0.000 | -0.000 | -0.000 | 0.000 | 38.423 | -0.000 |
| -0.000 | -0.000 | -0.000 | 0.000 | -0.000 | 38.423 |
| 80.263 | 36.698 | 36.659 | -0.000 | 0.000 | -0.000 |
| 36.657 | 80.307 | 36.661 | 0.000 | 0.000 | 0.000 |
| 36.656 | 36.698 | 80.267 | 0.000 | -0.000 | -0.000 |
| -85.464 | -85.404 | -85.459 | 20.238 | -0.000 | -0.000 |
| -85.464 | -85.404 | -85.459 | -0.000 | 20.238 | -0.000 |
| -85.464 | -85.404 | -85.459 | -0.000 | -0.000 | 20.238 |
| 208.402 | 157.390 | 157.390 | -0.000 | 0.000 | -0.000 |
| 157.390 | 208.402 | 157.390 | 0.000 | -0.000 | -0.000 |
| 157.390 | 157.390 | 208.402 | -0.000 | -0.000 | -0.000 |
| 85.464 | 85.404 | 85.459 | 20.238 | 0.000 | 0.000 |
| 85.464 | 85.404 | 85.459 | 0.000 | 20.238 | 0.000 |
| 85.464 | 85.404 | 85.459 | 0.000 | 0.000 | 20.238 |
| 180.044 | 138.700 | 138.695 | -0.000 | -0.000 | -0.000 |
| 138.694 | 180.049 | 138.694 | 0.000 | -0.000 | -0.000 |
| 138.694 | 138.700 | 180.045 | -0.000 | -0.000 | -0.000 |
| -3.316 | -3.309 | -3.316 | 29.081 | -0.000 | -0.000 |
| -3.316 | -3.309 | -3.316 | -0.000 | 29.081 | -0.000 |
| -3.316 | -3.309 | -3.316 | -0.000 | 0.000 | 29.081 |
| 200.343 | 156.718 | 156.723 | 0.000 | 0.000 | 0.000 |
| 156.723 | 200.339 | 156.723 | 0.000 | 0.000 | 0.000 |
| 156.723 | 156.718 | 200.343 | 0.000 | -0.000 | 0.000 |
| 3.316 | 3.309 | 3.316 | 29.081 | 0.000 | 0.000 |
| 3.316 | 3.309 | 3.316 | 0.000 | 29.081 | 0.000 |
| 3.316 | 3.309 | 3.316 | 0.000 | 0.000 | 29.081 |
| 298.850 | 75.841 | 75.841 | 0.000 | 0.000 | 0.000 |
| 75.841 | 298.850 | 75.841 | 0.000 | 0.000 | 0.000 |
| 75.841 | 75.842 | 298.850 | 0.000 | 0.000 | -0.000 |
| -0.000 | -0.000 | -0.000 | 81.492 | 0.000 | 0.000 |
| -0.000 | -0.000 | -0.000 | 0.000 | 81.492 | -0.000 |
| -0.000 | -0.000 | -0.000 | 0.000 | 0.000 | 81.492 |
| 298.851 | 75.842 | 75.842 | -0.000 | -0.000 | -0.000 |
| 75.842 | 298.851 | 75.842 | -0.000 | -0.000 | 0.000 |
| 75.842 | 75.842 | 298.851 | -0.000 | -0.000 | 0.000 |
| 0.000 | 0.000 | 0.000 | 81.492 | -0.000 | 0.000 |
| 0.000 | 0.000 | 0.000 | -0.000 | 81.492 | 0.000 |
| 0.000 | 0.000 | 0.000 | -0.000 | -0.000 | 81.492 |
| 298.847 | 75.841 | 75.841 | 0.000 | 0.000 | 0.000 |
| 75.841 | 298.847 | 75.841 | 0.000 | 0.000 | -0.000 |
| 75.841 | 75.841 | 298.847 | 0.000 | 0.000 | -0.000 |
| 0.000 | -0.001 | -0.001 | 138.232 | 0.000 | -0.000 |
| -0.001 | 0.000 | -0.001 | 0.000 | 138.232 | -0.000 |
| -0.001 | -0.001 | 0.000 | 0.000 | 0.000 | 138.232 |
| 298.854 | 75.842 | 75.842 | -0.000 | -0.000 | -0.000 |
| 75.842 | 298.854 | 75.842 | -0.000 | -0.000 | 0.000 |
| 75.842 | 75.842 | 298.854 | -0.000 | -0.000 | 0.000 |
| -0.000 | 0.001 | 0.001 | 138.232 | -0.000 | -0.000 |
| 0.001 | -0.000 | 0.001 | -0.000 | 138.232 | 0.000 |
| 0.001 | 0.001 | -0.000 | -0.000 | -0.000 | 138.232 |
| 298.815 | 75.836 | 75.836 | 0.000 | 0.000 | -0.000 |
| 75.836 | 298.815 | 75.836 | 0.000 | 0.000 | -0.000 |
| 75.836 | 75.836 | 298.815 | 0.000 | 0.000 | -0.000 |
| 0.000 | -0.005 | -0.005 | 138.232 | 0.000 | -0.000 |
| -0.005 | 0.000 | -0.005 | 0.000 | 138.232 | -0.000 |
| -0.005 | -0.005 | 0.000 | 0.000 | 0.000 | 138.232 |
| 298.885 | 75.848 | 75.848 | -0.000 | -0.000 | 0.000 |
| 75.848 | 298.885 | 75.848 | -0.000 | -0.000 | 0.000 |
| 75.848 | 75.848 | 298.885 | -0.000 | -0.000 | 0.000 |
| -0.000 | 0.005 | 0.005 | 138.232 | -0.000 | 0.000 |
| 0.005 | -0.000 | 0.005 | -0.000 | 138.232 | 0.000 |
| 0.005 | 0.005 | -0.000 | -0.000 | -0.000 | 138.232 |
| 283.288 | 251.420 | 251.420 | -0.000 | -0.000 | 0.000 |
| 251.420 | 283.288 | 251.420 | -0.000 | -0.000 | 0.000 |
| 251.420 | 251.420 | 283.288 | 0.000 | -0.000 | 0.000 |
| 0.000 | 0.000 | 0.000 | 35.317 | -0.000 | 0.000 |
| 0.000 | 0.000 | 0.000 | -0.000 | 35.317 | 0.000 |
| 0.000 | 0.000 | 0.000 | -0.000 | -0.000 | 35.317 |
| 283.288 | 251.420 | 251.420 | 0.000 | 0.000 | -0.000 |
| 251.420 | 283.288 | 251.420 | 0.000 | 0.000 | -0.000 |
| 251.420 | 251.420 | 283.288 | 0.000 | 0.000 | -0.000 |
| -0.000 | -0.000 | -0.000 | 35.317 | 0.000 | -0.000 |
| -0.000 | -0.000 | -0.000 | 0.000 | 35.317 | -0.000 |
| -0.000 | -0.000 | -0.000 | 0.000 | 0.000 | 35.317 |
| 283.289 | 251.421 | 251.421 | -0.000 | -0.000 | -0.000 |
| 251.421 | 283.289 | 251.421 | -0.000 | -0.000 | -0.000 |
| 251.421 | 251.421 | 283.289 | -0.000 | -0.000 | 0.000 |
| 0.000 | 0.000 | 0.000 | 35.317 | -0.000 | 0.000 |
| 0.000 | 0.000 | 0.000 | -0.000 | 35.317 | 0.000 |
| 0.000 | 0.000 | 0.000 | -0.000 | -0.000 | 35.317 |
| 283.287 | 251.419 | 251.419 | -0.000 | -0.000 | -0.000 |
| 251.419 | 283.287 | 251.419 | -0.000 | 0.000 | -0.000 |
| 251.419 | 251.419 | 283.287 | 0.000 | -0.000 | -0.000 |
| -0.000 | -0.000 | -0.000 | 35.317 | 0.000 | -0.000 |
| -0.000 | -0.000 | -0.000 | 0.000 | 35.317 | -0.000 |
| -0.000 | -0.000 | -0.000 | 0.000 | 0.000 | 35.317 |
| 283.299 | 251.430 | 251.430 | -0.000 | -0.000 | 0.000 |
| 251.430 | 283.299 | 251.430 | -0.000 | 0.000 | -0.000 |
| 251.430 | 251.430 | 283.299 | -0.000 | -0.000 | 0.000 |
| 0.000 | 0.000 | 0.000 | 35.317 | -0.000 | 0.000 |
| 0.000 | 0.000 | 0.000 | -0.000 | 35.317 | 0.000 |
| 0.000 | 0.000 | 0.000 | -0.000 | -0.000 | 35.317 |
| 283.278 | 251.410 | 251.410 | 0.000 | 0.000 | -0.000 |
| 251.410 | 283.278 | 251.410 | 0.000 | 0.000 | -0.000 |
| 251.410 | 251.410 | 283.278 | 0.000 | 0.000 | -0.000 |
| -0.000 | -0.000 | -0.000 | 35.317 | 0.000 | -0.000 |
| -0.000 | -0.000 | -0.000 | -0.000 | 35.317 | -0.000 |
| -0.000 | -0.000 | -0.000 | 0.000 | 0.000 | 35.317 |
| 1.804 | 6.831 | 6.831 | 0.000 | -0.000 | -0.000 |
| 6.831 | 1.804 | 6.831 | -0.000 | 0.000 | -0.000 |
| 6.831 | 6.831 | 1.804 | 0.000 | 0.000 | -0.000 |
| -0.000 | -0.000 | -0.000 | 7.259 | 0.000 | -0.000 |
| -0.000 | -0.000 | -0.000 | 0.000 | 7.259 | 0.000 |
| -0.000 | -0.000 | -0.000 | 0.000 | 0.000 | 7.259 |
| 1.804 | 6.831 | 6.831 | -0.000 | 0.000 | 0.000 |
| 6.831 | 1.804 | 6.831 | 0.000 | -0.000 | 0.000 |
| 6.831 | 6.831 | 1.804 | -0.000 | -0.000 | 0.000 |
| 0.000 | 0.000 | 0.000 | 7.259 | -0.000 | 0.000 |
| 0.000 | 0.000 | 0.000 | -0.000 | 7.259 | 0.000 |
| 0.000 | 0.000 | 0.000 | -0.000 | -0.000 | 7.259 |
| 1.804 | 6.831 | 6.831 | 0.000 | 0.000 | -0.000 |
| 6.831 | 1.804 | 6.831 | 0.000 | 0.000 | -0.000 |
| 6.831 | 6.831 | 1.804 | 0.000 | 0.000 | -0.000 |
| 0.000 | 0.000 | 0.000 | -0.865 | 0.000 | 0.000 |
| 0.000 | 0.000 | 0.000 | 0.000 | -0.865 | -0.000 |
| 0.000 | 0.000 | 0.000 | 0.000 | 0.000 | -0.865 |
| 1.804 | 6.831 | 6.831 | -0.000 | 0.000 | -0.000 |
| 6.831 | 1.804 | 6.831 | 0.000 | -0.000 | -0.000 |
| 6.831 | 6.831 | 1.804 | -0.000 | -0.000 | -0.000 |
| -0.000 | -0.000 | -0.000 | -0.865 | -0.000 | 0.000 |
| -0.000 | -0.000 | -0.000 | -0.000 | -0.865 | 0.000 |
| -0.000 | -0.000 | -0.000 | -0.000 | 0.000 | -0.865 |
| 1.804 | 6.831 | 6.831 | 0.000 | 0.000 | -0.000 |
| 6.831 | 1.804 | 6.831 | 0.000 | 0.000 | -0.000 |
| 6.831 | 6.831 | 1.804 | 0.000 | 0.000 | -0.000 |
| 0.002 | 0.000 | 0.000 | -18.024 | 0.000 | 0.000 |
| 0.000 | 0.002 | 0.000 | 0.000 | -18.024 | 0.000 |
| 0.000 | 0.000 | 0.002 | 0.000 | 0.000 | -18.024 |
| 1.804 | 6.831 | 6.831 | -0.000 | -0.000 | 0.000 |
| 6.831 | 1.804 | 6.831 | -0.000 | -0.000 | -0.000 |
| 6.831 | 6.831 | 1.804 | -0.000 | -0.000 | 0.000 |
| -0.002 | -0.000 | -0.000 | -18.024 | -0.000 | -0.000 |
| -0.000 | -0.002 | -0.000 | -0.000 | -18.024 | 0.000 |
| -0.000 | -0.000 | -0.002 | -0.000 | -0.000 | -18.024 |
| 25.496 | 25.495 | 25.495 | 0.000 | 0.000 | -0.000 |
| 25.495 | 25.496 | 25.495 | 0.000 | 0.000 | -0.000 |
| 25.495 | 25.495 | 25.496 | 0.000 | 0.000 | -0.000 |
| 0.000 | 0.000 | 0.000 | 0.000 | 0.000 | 0.000 |
| 0.000 | 0.000 | 0.000 | 0.000 | 0.000 | 0.000 |
| 0.000 | 0.000 | 0.000 | 0.000 | 0.000 | 0.000 |
| 25.496 | 25.495 | 25.495 | -0.000 | -0.000 | -0.000 |
| 25.495 | 25.496 | 25.495 | -0.000 | -0.000 | -0.000 |
| 25.495 | 25.495 | 25.496 | -0.000 | -0.000 | 0.000 |
| -0.000 | -0.000 | -0.000 | 0.000 | -0.000 | -0.000 |
| -0.000 | -0.000 | -0.000 | -0.000 | 0.000 | -0.000 |
| -0.000 | -0.000 | -0.000 | -0.000 | -0.000 | 0.000 |
| 25.496 | 25.495 | 25.495 | 0.000 | 0.000 | 0.000 |
| 25.495 | 25.496 | 25.495 | 0.000 | 0.000 | 0.000 |
| 25.495 | 25.495 | 25.496 | 0.000 | 0.000 | 0.000 |
| -0.000 | -0.000 | -0.000 | 0.000 | 0.000 | 0.000 |
| -0.000 | -0.000 | -0.000 | 0.000 | 0.000 | 0.000 |
| -0.000 | -0.000 | -0.000 | 0.000 | 0.000 | 0.000 |
| 25.496 | 25.495 | 25.495 | -0.000 | -0.000 | 0.000 |
| 25.495 | 25.496 | 25.495 | -0.000 | -0.000 | 0.000 |
| 25.495 | 25.495 | 25.496 | -0.000 | -0.000 | 0.000 |
| 0.000 | 0.000 | 0.000 | 0.000 | -0.000 | -0.000 |
| 0.000 | 0.000 | 0.000 | -0.000 | 0.000 | -0.000 |
| 0.000 | 0.000 | 0.000 | -0.000 | -0.000 | 0.000 |
| 25.496 | 25.495 | 25.495 | 0.000 | 0.000 | 0.000 |
| 25.495 | 25.496 | 25.495 | 0.000 | 0.000 | 0.000 |
| 25.495 | 25.495 | 25.496 | 0.000 | 0.000 | 0.000 |
| -0.000 | -0.000 | -0.000 | 0.000 | 0.000 | -0.000 |
| -0.000 | -0.000 | -0.000 | 0.000 | 0.000 | -0.000 |
| -0.000 | -0.000 | -0.000 | 0.000 | 0.000 | 0.000 |
| 25.495 | 25.495 | 25.495 | -0.000 | -0.000 | 0.000 |
| 25.495 | 25.495 | 25.495 | -0.000 | -0.000 | 0.000 |
| 25.495 | 25.495 | 25.495 | -0.000 | -0.000 | 0.000 |
| 0.000 | 0.000 | 0.000 | 0.000 | -0.000 | -0.000 |
| 0.000 | 0.000 | 0.000 | -0.000 | 0.000 | -0.000 |
| 0.000 | 0.000 | 0.000 | -0.000 | -0.000 | 0.000 |
| 41.717 | 59.516 | 23.660 | 0.000 | 0.000 | -0.000 |
| 59.516 | 41.717 | 23.660 | 0.000 | 0.000 | -0.000 |
| 37.955 | 37.955 | 107.847 | 0.000 | 0.000 | -0.000 |
| 0.016 | 0.016 | -0.045 | -6.669 | 0.000 | -0.000 |
| 0.016 | 0.016 | -0.045 | 0.000 | -6.669 | -0.000 |
| 0.005 | 0.005 | -0.015 | 0.000 | 0.000 | 55.583 |
| 36.250 | 54.385 | 38.386 | -0.000 | -0.000 | 0.000 |
| 54.385 | 36.250 | 38.386 | -0.000 | -0.000 | 0.000 |
| 23.746 | 23.746 | 147.337 | -0.000 | -0.000 | 0.000 |
| -0.016 | -0.016 | 0.045 | -6.669 | -0.000 | 0.000 |
| -0.016 | -0.016 | 0.045 | -0.000 | -6.669 | 0.000 |
| -0.005 | -0.005 | 0.015 | -0.000 | -0.000 | 55.583 |
| 33.643 | 56.463 | 39.123 | 0.000 | 0.000 | 0.000 |
| 56.463 | 33.643 | 39.123 | 0.000 | 0.000 | 0.000 |
| 37.949 | 37.949 | 107.865 | 0.000 | 0.000 | -0.000 |
| 0.002 | 0.002 | -0.005 | -6.669 | 0.000 | -0.000 |
| 0.002 | 0.002 | -0.005 | 0.000 | -6.669 | -0.000 |
| 0.001 | 0.001 | -0.002 | 0.000 | 0.000 | 55.583 |
| 36.256 | 54.391 | 38.368 | -0.000 | -0.000 | 0.000 |
| 54.391 | 36.256 | 38.368 | -0.000 | -0.000 | 0.000 |
| 37.947 | 37.947 | 107.868 | -0.000 | -0.000 | 0.000 |
| -0.002 | -0.002 | 0.005 | -6.669 | -0.000 | 0.000 |
| -0.002 | -0.002 | 0.005 | -0.000 | -6.669 | 0.000 |
| -0.001 | -0.001 | 0.002 | -0.000 | -0.000 | 55.583 |
| 41.719 | 59.518 | 23.663 | 0.000 | 0.000 | -0.000 |
| 59.518 | 41.719 | 23.663 | 0.000 | 0.000 | -0.000 |
| 23.750 | 23.750 | 147.343 | 0.000 | 0.000 | -0.000 |
| 0.000 | 0.000 | -0.000 | -6.669 | 0.000 | -0.000 |
| 0.000 | 0.000 | -0.000 | 0.000 | -6.669 | -0.000 |
| 0.000 | 0.000 | 0.000 | 0.000 | 0.000 | 55.583 |
| 36.255 | 54.390 | 38.364 | -0.000 | -0.000 | 0.000 |
| 54.390 | 36.255 | 38.364 | -0.000 | -0.000 | 0.000 |
| 37.944 | 37.944 | 107.861 | -0.000 | -0.000 | 0.000 |
| -0.000 | -0.000 | 0.000 | -6.669 | -0.000 | 0.000 |
| -0.000 | -0.000 | 0.000 | -0.000 | -6.669 | 0.000 |
| -0.000 | -0.000 | -0.000 | -0.000 | -0.000 | 55.583 |
| 197.451 | 145.874 | 166.706 | -9.350 | -0.000 | -0.000 |
| 145.874 | 197.451 | 166.706 | 9.350 | 0.000 | 0.000 |
| 429.753 | 429.753 | 899.506 | -0.000 | 0.000 | 0.000 |
| -9.350 | 9.351 | 0.000 | 29.330 | 0.000 | -0.000 |
| 213.751 | 213.751 | 343.961 | -0.000 | 10.790 | -1.065 |
| 227.430 | 227.430 | 779.063 | -0.000 | 51.455 | -133.797 |
| -43.950 | -49.893 | -195.561 | -8.559 | -0.000 | 0.000 |
| 145.874 | 197.452 | 166.706 | 9.351 | -0.000 | 0.000 |
| -32.940 | -32.940 | -520.878 | 0.000 | -0.000 | -0.000 |
| -9.351 | 9.350 | -0.000 | 29.330 | 0.000 | 0.000 |
| -213.751 | -213.751 | -343.961 | 0.000 | 10.790 | -1.065 |
| -227.430 | -227.430 | -779.063 | 0.000 | 51.455 | -133.797 |
| 197.451 | 145.873 | 166.705 | -9.350 | 0.000 | 0.000 |
| 145.873 | 197.451 | 166.705 | 9.350 | 0.000 | -0.000 |
| 166.231 | 166.231 | 236.165 | 0.000 | 0.000 | -0.000 |
| 21.410 | -4.663 | 28.684 | -0.388 | 0.000 | 0.000 |
| 15.207 | 15.207 | 18.174 | 0.000 | 2.290 | -18.179 |
| -0.000 | -0.000 | -0.000 | -0.000 | -9.350 | 25.789 |
| 151.649 | 172.194 | 127.770 | 4.390 | -0.000 | -0.000 |
| 149.657 | 143.365 | 119.781 | 1.109 | 0.000 | -0.000 |
| 166.232 | 166.232 | 236.166 | -0.000 | -0.000 | 0.000 |
| 4.663 | -21.410 | -28.684 | -0.388 | -0.000 | 0.000 |
| -15.207 | -15.207 | -18.174 | -0.000 | 2.290 | -18.179 |
| 0.000 | 0.000 | 0.000 | 0.000 | -9.351 | 25.789 |
| 197.442 | 145.865 | 166.697 | -9.350 | 0.000 | 0.000 |
| 168.302 | 169.879 | 153.412 | 3.713 | -0.000 | -0.000 |
| 153.226 | 153.226 | 174.569 | -0.000 | 0.000 | -0.000 |
| -9.351 | 9.350 | -0.000 | 29.330 | 0.000 | -0.000 |
| -0.000 | -0.001 | -0.000 | -0.000 | 29.330 | -9.351 |
| -0.000 | -0.000 | -0.000 | -0.000 | -9.351 | 25.789 |
| 197.461 | 145.882 | 166.714 | -9.351 | -0.000 | 0.000 |
| 165.548 | 171.287 | 152.033 | 0.618 | 0.000 | 0.000 |
| 149.220 | 149.220 | 168.018 | 0.000 | -0.000 | 0.000 |
| -9.350 | 9.351 | 0.000 | 29.330 | -0.000 | 0.000 |
| 0.000 | 0.001 | 0.000 | 0.000 | 29.330 | -9.351 |
| 0.000 | 0.000 | 0.000 | 0.000 | -9.351 | 25.789 |
| 298.509 | -47.749 | -47.749 | 0.000 | -0.000 | 0.000 |
| -47.749 | 298.509 | -47.749 | 0.000 | -0.000 | 0.000 |
| -47.749 | -47.749 | 298.509 | 0.000 | -0.000 | 0.000 |
| 0.000 | -0.000 | -0.000 | 6.420 | -0.000 | 0.000 |
| 0.000 | -0.000 | 0.000 | -0.000 | 6.420 | 0.000 |
| 0.000 | -0.000 | 0.000 | -0.000 | -0.000 | 6.420 |
| 298.509 | -47.749 | -47.749 | 0.000 | 0.000 | -0.000 |
| -47.749 | 298.509 | -47.749 | 0.000 | -0.000 | -0.000 |
| -47.749 | -47.749 | 298.509 | 0.000 | 0.000 | -0.000 |
| -0.000 | 0.000 | -0.000 | 6.420 | 0.000 | -0.000 |
| -0.000 | 0.000 | -0.000 | -0.000 | 6.420 | -0.000 |
| -0.000 | 0.000 | -0.000 | 0.000 | 0.000 | 6.420 |
| 298.510 | -47.747 | -47.747 | -0.000 | -0.000 | 0.000 |
| -47.747 | 298.510 | -47.747 | -0.000 | -0.000 | 0.000 |
| -47.747 | -47.747 | 298.510 | 0.000 | -0.000 | 0.000 |
| 0.000 | 0.000 | 0.000 | 6.420 | -0.000 | 0.000 |
| 0.000 | 0.000 | 0.000 | -0.000 | 6.420 | 0.000 |
| 0.000 | 0.000 | 0.000 | -0.000 | -0.000 | 6.420 |
| 298.522 | -47.758 | -47.758 | -0.000 | 0.000 | -0.000 |
| -47.758 | 298.522 | -47.758 | -0.000 | 0.000 | -0.000 |
| -47.758 | -47.758 | 298.522 | -0.000 | 0.000 | -0.000 |
| -0.000 | -0.000 | -0.000 | 6.420 | 0.000 | -0.000 |
| -0.000 | -0.000 | -0.000 | 0.000 | 6.420 | -0.000 |
| -0.000 | -0.000 | -0.000 | -0.000 | 0.000 | 6.420 |
| 298.541 | -47.742 | -47.742 | -0.000 | -0.000 | 0.000 |
| -47.742 | 298.541 | -47.742 | 0.000 | -0.000 | 0.000 |
| -47.742 | -47.742 | 298.541 | -0.000 | -0.000 | 0.000 |
| 0.000 | 0.000 | 0.000 | 6.420 | -0.000 | 0.000 |
| 0.000 | 0.000 | 0.000 | 0.000 | 6.420 | 0.000 |
| 0.000 | 0.000 | 0.000 | -0.000 | -0.000 | 6.420 |
| 298.507 | -47.771 | -47.771 | 0.000 | 0.000 | -0.000 |
| -47.771 | 298.507 | -47.771 | 0.000 | 0.000 | -0.000 |
| -47.771 | -47.771 | 298.507 | -0.000 | 0.000 | 0.000 |
| -0.000 | -0.000 | -0.000 | 6.420 | -0.000 | -0.000 |
| -0.000 | -0.000 | -0.000 | 0.000 | 6.420 | -0.000 |
| -0.000 | -0.000 | -0.000 | 0.000 | 0.000 | 6.420 |
| 300.734 | 184.677 | 184.677 | 0.000 | 0.000 | -0.000 |
| 184.677 | 300.734 | 184.677 | 0.000 | 0.000 | 0.000 |
| 184.677 | 184.677 | 300.734 | -0.000 | 0.000 | 0.000 |
| -0.000 | 0.000 | 0.000 | -13.157 | 0.000 | 0.000 |
| -0.000 | -0.000 | 0.000 | 0.000 | -13.157 | -0.000 |
| -0.000 | -0.000 | -0.000 | 0.000 | 0.000 | -13.157 |
| 300.733 | 184.678 | 184.678 | -0.000 | -0.000 | 0.000 |
| 184.678 | 300.733 | 184.678 | -0.000 | -0.000 | -0.000 |
| 184.678 | 184.678 | 300.733 | -0.000 | -0.000 | 0.000 |
| 0.000 | -0.000 | -0.000 | -13.157 | -0.000 | 0.000 |
| 0.000 | 0.000 | -0.000 | -0.000 | -13.157 | 0.000 |
| 0.000 | -0.000 | -0.000 | 0.000 | -0.000 | -13.157 |
| 300.734 | 184.677 | 184.677 | 0.000 | 0.000 | -0.000 |
| 184.677 | 300.734 | 184.677 | -0.000 | 0.000 | -0.000 |
| 184.677 | 184.677 | 300.734 | 0.000 | 0.000 | 0.000 |
| 16215383.812 | 16307555.694 | 15822760.180 | -932198.973 | 451077.272 | -208572.723 |
| 16583226.430 | 15697012.873 | 16536811.580 | 38404.743 | -138189.347 | -272300.165 |
| 17947032.858 | 17960193.560 | 18032424.368 | 212656.948 | -89148.257 | -730877.945 |
| 300.733 | 184.678 | 184.678 | -0.000 | 0.000 | -0.000 |
| 184.678 | 300.733 | 184.678 | -0.000 | -0.000 | -0.000 |
| 184.678 | 184.678 | 300.733 | -0.000 | 0.000 | 0.000 |
| -16865757.068 | -17101614.291 | -17528702.305 | -673347.943 | 438467.565 | 165256.471 |
| -16476052.510 | -16803489.368 | -16362935.525 | 140370.377 | -229147.842 | -102699.527 |
| -16206867.630 | -16008252.859 | -15995498.573 | 321080.025 | 41824.603 | -687473.273 |
| 300.734 | 184.677 | 184.677 | 0.000 | -0.000 | -0.000 |
| 184.677 | 300.734 | 184.677 | 0.000 | 0.000 | -0.000 |
| 184.677 | 184.677 | 300.734 | 0.000 | -0.000 | -0.000 |
| -0.000 | -0.000 | -0.000 | -13.157 | -0.000 | 0.000 |
| -0.000 | -0.000 | -0.000 | -0.000 | -13.157 | -0.000 |
| -0.000 | -0.000 | -0.000 | 0.000 | 0.000 | -13.157 |
| 300.733 | 184.678 | 184.678 | -0.000 | -0.000 | 0.000 |
| 184.678 | 300.733 | 184.678 | -0.000 | -0.000 | 0.000 |
| 184.678 | 184.678 | 300.733 | -0.000 | -0.000 | 0.000 |
| 0.000 | 0.000 | 0.000 | -13.157 | 0.000 | 0.000 |
| 0.000 | 0.000 | 0.000 | -0.000 | -13.157 | -0.000 |
| 0.000 | 0.000 | 0.000 | -0.000 | -0.000 | -13.157 |
| -7049849.559 | -8592020.532 | -8618616.341 | 627102.166 | 32826.693 | -202815.149 |
| -8735121.556 | -7251652.087 | -8763504.034 | -316267.488 | 219222.609 | 238083.804 |
| -8065384.740 | -7999073.218 | -6927828.821 | 166561.834 | -96936.308 | 1120492.938 |
| 0.000 | -0.000 | -0.000 | 0.201 | 0.000 | -0.000 |
| -0.000 | 0.000 | -0.000 | -0.000 | 0.201 | 0.000 |
| -0.000 | -0.000 | 0.000 | -0.000 | 0.000 | 0.201 |
| 3345858.203 | 10044019.576 | 10295984.222 | -132922.247 | -182796.130 | 137852.637 |
| 10232643.128 | 2884805.696 | 9855732.278 | -44418.941 | 47427.660 | -220458.931 |
| 10135509.305 | 10000780.021 | 4197570.355 | -121991.216 | 73712.920 | -47555.514 |
| -0.000 | 0.000 | 0.000 | 0.201 | -0.000 | 0.000 |
| 0.000 | -0.000 | 0.000 | 0.000 | 0.201 | -0.000 |
| 0.000 | 0.000 | -0.000 | 0.000 | -0.000 | 0.201 |
| -749068.846 | -758167.448 | -787158.776 | 31719.692 | 20146.131 | -5101.138 |
| -879771.289 | -708977.638 | -821981.859 | -7374.611 | -1687.291 | 21377.985 |
| -845723.452 | -848315.565 | -734403.271 | -2133.640 | 1343.890 | 26459.389 |
| 0.000 | -0.000 | -0.000 | 0.201 | 0.000 | 0.000 |
| -0.000 | 0.000 | -0.000 | -0.000 | 0.201 | 0.000 |
| -0.000 | -0.000 | 0.000 | -0.000 | 0.000 | 0.201 |
| 381652.430 | 1055809.322 | 1070950.467 | 2319.822 | 12272.826 | 7715.579 |
| 937023.307 | 273621.340 | 936665.516 | 30887.222 | 20247.550 | -4741.004 |
| 1078300.843 | 1073765.504 | 347125.424 | 26273.506 | -13437.480 | 13365.062 |
| -0.000 | 0.000 | 0.000 | 0.201 | -0.000 | -0.000 |
| 0.000 | -0.000 | 0.000 | 0.000 | 0.201 | 0.000 |
| 0.000 | 0.000 | -0.000 | 0.000 | -0.000 | 0.201 |
| -69908.200 | -83228.911 | -71509.710 | -1955.031 | 806.168 | 3635.133 |
| -72273.546 | -72484.083 | -74019.086 | 1206.923 | -1710.514 | -1185.843 |
| -68262.684 | -71662.253 | -71564.342 | 989.756 | -142.038 | 4163.121 |
| 0.000 | -0.000 | -0.000 | 0.201 | 0.000 | -0.000 |
| -0.000 | 0.000 | -0.000 | -0.000 | 0.201 | -0.000 |
| -0.000 | -0.000 | 0.000 | -0.000 | 0.000 | 0.201 |
| 34814.315 | 111546.587 | 116786.218 | 258.408 | 673.899 | 678.148 |
| 102223.953 | 29674.958 | 103392.176 | -1382.153 | 2103.736 | 584.987 |
| 108241.730 | 98250.735 | 47451.269 | 1680.687 | -534.034 | 1981.560 |
| -0.000 | 0.000 | 0.000 | 0.201 | -0.000 | -0.000 |
| 0.000 | -0.000 | 0.000 | 0.000 | 0.201 | 0.000 |
| 0.000 | 0.000 | -0.000 | 0.000 | -0.000 | 0.201 |
| 101.790 | 183.344 | 183.344 | -0.000 | -0.000 | 0.000 |
| 183.344 | 101.790 | 183.344 | -0.000 | -0.000 | 0.000 |
| 183.344 | 183.344 | 101.790 | -0.000 | -0.000 | 0.000 |
| 0.000 | 0.000 | -0.000 | 108.254 | -0.000 | 0.000 |
| -0.000 | 0.000 | -0.000 | -0.000 | 108.254 | 0.000 |
| 0.000 | 0.000 | -0.000 | -0.000 | -0.000 | 108.254 |
| 101.790 | 183.344 | 183.344 | 0.000 | 0.000 | -0.000 |
| 183.344 | 101.790 | 183.344 | -0.000 | 0.000 | 0.000 |
| 183.344 | 183.344 | 101.790 | 0.000 | -0.000 | -0.000 |
| -0.000 | -0.000 | 0.000 | 108.254 | 0.000 | -0.000 |
| -0.000 | -0.000 | 0.000 | 0.000 | 108.254 | -0.000 |
| -0.000 | -0.000 | 0.000 | 0.000 | 0.000 | 108.254 |
| 101.789 | 183.343 | 183.343 | -0.000 | 0.000 | 0.000 |
| 183.343 | 101.789 | 183.343 | -0.000 | -0.000 | 0.000 |
| 183.343 | 183.343 | 101.789 | -0.000 | 0.000 | 0.000 |
| 0.000 | 0.000 | 0.000 | 172.567 | -0.000 | 0.000 |
| 0.000 | 0.000 | 0.000 | -0.000 | 172.567 | 0.000 |
| 0.000 | 0.000 | 0.000 | -0.000 | -0.000 | 172.567 |
| 101.791 | 183.345 | 183.345 | 0.000 | 0.000 | -0.000 |
| 183.345 | 101.791 | 183.345 | 0.000 | 0.000 | -0.000 |
| 183.345 | 183.345 | 101.791 | 0.000 | 0.000 | -0.000 |
| -0.000 | -0.000 | -0.000 | 172.567 | 0.000 | -0.000 |
| -0.000 | -0.000 | -0.000 | 0.000 | 172.567 | -0.000 |
| -0.000 | -0.000 | -0.000 | 0.000 | 0.000 | 172.567 |
| 101.780 | 183.335 | 183.335 | -0.000 | -0.000 | 0.000 |
| 183.335 | 101.780 | 183.335 | -0.000 | -0.000 | 0.000 |
| 183.335 | 183.335 | 101.780 | -0.000 | -0.000 | 0.000 |
| 0.000 | 0.000 | 0.000 | 108.254 | -0.000 | 0.000 |
| 0.000 | 0.000 | 0.000 | -0.000 | 108.254 | 0.000 |
| 0.000 | 0.000 | 0.000 | -0.000 | -0.000 | 108.254 |
| 101.800 | 183.353 | 183.353 | 0.000 | 0.000 | -0.000 |
| 183.353 | 101.800 | 183.353 | 0.000 | 0.000 | -0.000 |
| 183.353 | 183.353 | 101.800 | -0.000 | 0.000 | 0.000 |
| -0.000 | -0.000 | -0.000 | 108.254 | 0.000 | 0.000 |
| -0.000 | -0.000 | -0.000 | 0.000 | 108.254 | -0.000 |
| -0.000 | -0.000 | -0.000 | 0.000 | 0.000 | 108.254 |
| 259.545 | 227.746 | 227.746 | 0.000 | 0.000 | -0.000 |
| 227.746 | 259.545 | 227.746 | -0.000 | 0.000 | 0.000 |
| 227.746 | 227.746 | 259.545 | 0.000 | 0.000 | -0.000 |
| 0.000 | 0.000 | 0.000 | 34.225 | 0.000 | -0.000 |
| 0.000 | 0.000 | 0.000 | -0.000 | 34.225 | -0.000 |
| 0.000 | 0.000 | 0.000 | -0.000 | 0.000 | 34.225 |
| 259.545 | 227.745 | 227.745 | 0.000 | -0.000 | 0.000 |
| 227.745 | 259.545 | 227.745 | -0.000 | -0.000 | 0.000 |
| 227.745 | 227.745 | 259.545 | -0.000 | 0.000 | -0.000 |
| -0.000 | -0.000 | -0.000 | 34.225 | -0.000 | -0.000 |
| -0.000 | -0.000 | -0.000 | 0.000 | 34.225 | -0.000 |
| -0.000 | -0.000 | -0.000 | -0.000 | -0.000 | 34.225 |
| 259.546 | 227.746 | 227.746 | -0.000 | -0.000 | -0.000 |
| 227.746 | 259.546 | 227.746 | -0.000 | 0.000 | -0.000 |
| 227.746 | 227.746 | 259.546 | 0.000 | -0.000 | -0.000 |
| 0.000 | 0.000 | 0.000 | 34.225 | -0.000 | -0.000 |
| 0.000 | 0.000 | 0.000 | 0.000 | 34.225 | -0.000 |
| 0.000 | 0.000 | 0.000 | 0.000 | 0.000 | 34.225 |
| 259.545 | 227.745 | 227.745 | 0.000 | -0.000 | 0.000 |
| 227.745 | 259.545 | 227.745 | 0.000 | -0.000 | -0.000 |
| 227.745 | 227.745 | 259.545 | -0.000 | -0.000 | -0.000 |
| -0.000 | -0.000 | -0.000 | 34.225 | -0.000 | -0.000 |
| -0.000 | -0.000 | -0.000 | -0.000 | 34.225 | -0.000 |
| -0.000 | -0.000 | -0.000 | 0.000 | -0.000 | 34.225 |
| 259.552 | 227.752 | 227.752 | -0.000 | 0.000 | 0.000 |
| 227.752 | 259.552 | 227.752 | -0.000 | 0.000 | -0.000 |
| 227.752 | 227.752 | 259.552 | -0.000 | 0.000 | -0.000 |
| 0.000 | 0.000 | 0.000 | 34.225 | -0.000 | -0.000 |
| 0.000 | 0.000 | 0.000 | 0.000 | 34.225 | -0.000 |
| 0.000 | 0.000 | 0.000 | -0.000 | 0.000 | 34.225 |
| 259.538 | 227.739 | 227.739 | -0.000 | -0.000 | 0.000 |
| 227.739 | 259.538 | 227.739 | -0.000 | -0.000 | 0.000 |
| 227.739 | 227.739 | 259.538 | -0.000 | -0.000 | 0.000 |
| -0.000 | -0.000 | -0.000 | 34.225 | 0.000 | 0.000 |
| -0.000 | -0.000 | -0.000 | 0.000 | 34.225 | -0.000 |
| -0.000 | -0.000 | -0.000 | -0.000 | -0.000 | 34.225 |
| 20.904 | 20.901 | 20.901 | -0.000 | 0.000 | -0.000 |
| 20.901 | 20.904 | 20.901 | 0.000 | -0.000 | -0.000 |
| 20.901 | 20.901 | 20.904 | 0.000 | 0.000 | -0.000 |
| 0.000 | 0.000 | 0.000 | -30.341 | 0.000 | -0.000 |
| 0.000 | 0.000 | 0.000 | 0.000 | -30.341 | -0.000 |
| 0.000 | 0.000 | 0.000 | 0.000 | -0.000 | -30.341 |
| 20.904 | 20.901 | 20.901 | 0.000 | -0.000 | 0.000 |
| 20.901 | 20.904 | 20.901 | -0.000 | 0.000 | 0.000 |
| 20.901 | 20.901 | 20.904 | -0.000 | -0.000 | 0.000 |
| -0.000 | -0.000 | -0.000 | -30.341 | -0.000 | -0.000 |
| -0.000 | -0.000 | -0.000 | -0.000 | -30.341 | -0.000 |
| -0.000 | -0.000 | -0.000 | -0.000 | -0.000 | -30.341 |
| 20.904 | 20.901 | 20.901 | -0.000 | -0.000 | -0.000 |
| 20.901 | 20.904 | 20.901 | -0.000 | -0.000 | -0.000 |
| 20.901 | 20.901 | 20.904 | -0.000 | -0.000 | -0.000 |
| 0.000 | 0.000 | 0.000 | -30.341 | 0.000 | -0.000 |
| 0.000 | 0.000 | 0.000 | 0.000 | -30.341 | -0.000 |
| 0.000 | 0.000 | 0.000 | 0.000 | 0.000 | -30.341 |
| 20.904 | 20.901 | 20.901 | -0.000 | 0.000 | 0.000 |
| 20.901 | 20.904 | 20.901 | 0.000 | -0.000 | 0.000 |
| 20.901 | 20.901 | 20.904 | -0.000 | -0.000 | -0.000 |
| -0.000 | -0.000 | -0.000 | -30.341 | -0.000 | -0.000 |
| -0.000 | -0.000 | -0.000 | -0.000 | -30.341 | -0.000 |
| -0.000 | -0.000 | -0.000 | -0.000 | -0.000 | -30.341 |
| 20.904 | 20.901 | 20.901 | -0.000 | 0.000 | -0.000 |
| 20.901 | 20.904 | 20.901 | 0.000 | -0.000 | -0.000 |
| 20.901 | 20.901 | 20.904 | -0.000 | -0.000 | -0.000 |
| 0.000 | 0.000 | 0.000 | -30.341 | 0.000 | 0.000 |
| 0.000 | 0.000 | 0.000 | 0.000 | -30.341 | 0.000 |
| 0.000 | 0.000 | 0.000 | 0.000 | 0.000 | -30.341 |
| 20.904 | 20.902 | 20.902 | -0.000 | 0.000 | 0.000 |
| 20.902 | 20.904 | 20.902 | 0.000 | -0.000 | 0.000 |
| 20.902 | 20.902 | 20.904 | 0.000 | 0.000 | -0.000 |
| -0.000 | -0.000 | -0.000 | -30.341 | -0.000 | -0.000 |
| -0.000 | -0.000 | -0.000 | -0.000 | -30.341 | -0.000 |
| -0.000 | -0.000 | -0.000 | -0.000 | 0.000 | -30.341 |
| 300.241 | 133.234 | 133.234 | -0.000 | -0.000 | 0.000 |
| 133.234 | 300.241 | 133.234 | -0.000 | -0.000 | -0.000 |
| 133.234 | 133.234 | 300.241 | -0.000 | -0.000 | 0.000 |
| -0.000 | -0.000 | -0.000 | 129.284 | -0.000 | -0.000 |
| -0.000 | 0.000 | -0.000 | -0.000 | 129.284 | -0.000 |
| -0.000 | 0.000 | -0.000 | -0.000 | -0.000 | 129.284 |
| 300.241 | 133.234 | 133.234 | 0.000 | 0.000 | 0.000 |
| 133.234 | 300.241 | 133.234 | 0.000 | 0.000 | -0.000 |
| 133.234 | 133.234 | 300.241 | 0.000 | 0.000 | -0.000 |
| 0.000 | -0.000 | 0.000 | 129.284 | 0.000 | 0.000 |
| 0.000 | -0.000 | 0.000 | 0.000 | 129.284 | -0.000 |
| 0.000 | -0.000 | 0.000 | 0.000 | 0.000 | 129.284 |
| 300.243 | 133.236 | 133.236 | -0.000 | -0.000 | -0.000 |
| 133.236 | 300.243 | 133.236 | -0.000 | -0.000 | -0.000 |
| 133.236 | 133.236 | 300.243 | -0.000 | -0.000 | -0.000 |
| -0.000 | -0.000 | -0.000 | 129.284 | -0.000 | -0.000 |
| -0.000 | -0.000 | -0.000 | -0.000 | 129.284 | -0.000 |
| -0.000 | -0.000 | -0.000 | -0.000 | -0.000 | 129.284 |
| 300.239 | 133.232 | 133.232 | 0.000 | 0.000 | 0.000 |
| 133.232 | 300.239 | 133.232 | 0.000 | 0.000 | 0.000 |
| 133.232 | 133.232 | 300.239 | 0.000 | 0.000 | 0.000 |
| 0.000 | 0.000 | 0.000 | 129.284 | 0.000 | -0.000 |
| 0.000 | 0.000 | 0.000 | 0.000 | 129.284 | -0.000 |
| 0.000 | 0.000 | 0.000 | 0.000 | 0.000 | 129.284 |
| 300.261 | 133.254 | 133.254 | -0.000 | -0.000 | -0.000 |
| 133.254 | 300.261 | 133.254 | -0.000 | -0.000 | 0.000 |
| 133.254 | 133.254 | 300.261 | -0.000 | -0.000 | 0.000 |
| -0.000 | -0.000 | -0.000 | 129.284 | -0.000 | 0.000 |
| -0.000 | -0.000 | -0.000 | -0.000 | 129.284 | 0.000 |
| -0.000 | -0.000 | -0.000 | -0.000 | -0.000 | 129.284 |
| 300.221 | 133.214 | 133.214 | 0.000 | 0.000 | -0.000 |
| 133.214 | 300.221 | 133.214 | 0.000 | 0.000 | 0.000 |
| 133.214 | 133.214 | 300.221 | 0.000 | 0.000 | 0.000 |
| 0.000 | 0.000 | 0.000 | 129.284 | 0.000 | 0.000 |
| 0.000 | 0.000 | 0.000 | 0.000 | 129.284 | -0.000 |
| 0.000 | 0.000 | 0.000 | 0.000 | 0.000 | 129.284 |
| 270.981 | 254.367 | 254.367 | -0.000 | -0.000 | 0.000 |
| 254.367 | 270.981 | 254.367 | -0.000 | -0.000 | 0.000 |
| 254.367 | 254.367 | 270.981 | -0.000 | -0.000 | 0.000 |
| -0.000 | 0.000 | 0.000 | 20.585 | -0.000 | 0.000 |
| 0.000 | -0.000 | 0.000 | -0.000 | 20.585 | 0.000 |
| 0.000 | 0.000 | -0.000 | 0.000 | -0.000 | 20.585 |
| 270.981 | 254.367 | 254.367 | 0.000 | 0.000 | 0.000 |
| 254.367 | 270.981 | 254.367 | 0.000 | 0.000 | -0.000 |
| 254.367 | 254.367 | 270.981 | 0.000 | 0.000 | -0.000 |
| 0.000 | -0.000 | -0.000 | 20.585 | 0.000 | -0.000 |
| -0.000 | 0.000 | -0.000 | 0.000 | 20.585 | -0.000 |
| -0.000 | -0.000 | 0.000 | 0.000 | -0.000 | 20.585 |
| 270.981 | 254.367 | 254.367 | -0.000 | -0.000 | 0.000 |
| 254.367 | 270.981 | 254.367 | -0.000 | -0.000 | -0.000 |
| 254.367 | 254.367 | 270.981 | -0.000 | -0.000 | -0.000 |
| -0.000 | 0.000 | 0.000 | 20.585 | -0.000 | -0.000 |
| 0.000 | -0.000 | 0.000 | -0.000 | 20.585 | 0.000 |
| 0.000 | 0.000 | -0.000 | -0.000 | -0.000 | 20.585 |
| 270.981 | 254.367 | 254.367 | 0.000 | 0.000 | 0.000 |
| 254.367 | 270.981 | 254.367 | 0.000 | 0.000 | -0.000 |
| 254.367 | 254.367 | 270.981 | 0.000 | 0.000 | -0.000 |
| 0.000 | -0.000 | -0.000 | 20.585 | 0.000 | 0.000 |
| -0.000 | 0.000 | -0.000 | 0.000 | 20.585 | -0.000 |
| -0.000 | -0.000 | 0.000 | 0.000 | 0.000 | 20.585 |
| 270.982 | 254.367 | 254.367 | -0.000 | -0.000 | -0.000 |
| 254.367 | 270.982 | 254.367 | -0.000 | -0.000 | 0.000 |
| 254.367 | 254.367 | 270.982 | -0.000 | -0.000 | 0.000 |
| -0.000 | 0.000 | 0.000 | 20.585 | -0.000 | 0.000 |
| 0.000 | -0.000 | 0.000 | -0.000 | 20.585 | 0.000 |
| 0.000 | 0.000 | -0.000 | -0.000 | -0.000 | 20.585 |
| 270.981 | 254.367 | 254.367 | 0.000 | 0.000 | -0.000 |
| 254.367 | 270.981 | 254.367 | 0.000 | 0.000 | 0.000 |
| 254.367 | 254.367 | 270.981 | 0.000 | 0.000 | -0.000 |
| 0.000 | -0.000 | -0.000 | 20.585 | 0.000 | 0.000 |
| -0.000 | 0.000 | -0.000 | 0.000 | 20.585 | -0.000 |
| -0.000 | -0.000 | 0.000 | 0.000 | 0.000 | 20.585 |
| 51.698 | 25.865 | 25.865 | -0.000 | 0.000 | 0.000 |
| 25.865 | 51.698 | 25.865 | 0.000 | -0.000 | 0.000 |
| 25.865 | 25.865 | 51.698 | -0.000 | -0.000 | 0.000 |
| 0.000 | -0.000 | -0.000 | 25.742 | 0.000 | 0.000 |
| -0.000 | 0.000 | -0.000 | 0.000 | 25.742 | -0.000 |
| -0.000 | -0.000 | 0.000 | 0.000 | 0.000 | 25.742 |
| 51.698 | 25.865 | 25.865 | -0.000 | -0.000 | -0.000 |
| 25.865 | 51.698 | 25.865 | -0.000 | -0.000 | -0.000 |
| 25.865 | 25.865 | 51.698 | -0.000 | -0.000 | -0.000 |
| -0.000 | 0.000 | 0.000 | 25.742 | 0.000 | -0.000 |
| 0.000 | -0.000 | 0.000 | 0.000 | 25.742 | -0.000 |
| 0.000 | 0.000 | -0.000 | -0.000 | -0.000 | 25.742 |
| 51.698 | 25.865 | 25.865 | 0.000 | 0.000 | 0.000 |
| 25.865 | 51.698 | 25.865 | 0.000 | 0.000 | -0.000 |
| 25.865 | 25.865 | 51.698 | 0.000 | 0.000 | 0.000 |
| -0.000 | -0.000 | -0.000 | 25.742 | 0.000 | 0.000 |
| -0.000 | -0.000 | -0.000 | 0.000 | 25.742 | -0.000 |
| -0.000 | -0.000 | -0.000 | 0.000 | 0.000 | 25.742 |
| 51.698 | 25.865 | 25.865 | -0.000 | -0.000 | -0.000 |
| 25.865 | 51.698 | 25.865 | -0.000 | -0.000 | -0.000 |
| 25.865 | 25.865 | 51.698 | -0.000 | -0.000 | -0.000 |
| 0.000 | 0.000 | 0.000 | 25.742 | -0.000 | -0.000 |
| 0.000 | 0.000 | 0.000 | -0.000 | 25.742 | -0.000 |
| 0.000 | 0.000 | 0.000 | -0.000 | -0.000 | 25.742 |
| 51.698 | 25.865 | 25.865 | 0.000 | 0.000 | 0.000 |
| 25.865 | 51.698 | 25.865 | 0.000 | 0.000 | 0.000 |
| 25.865 | 25.865 | 51.698 | 0.000 | 0.000 | 0.000 |
| -0.000 | -0.000 | -0.000 | 25.742 | 0.000 | 0.000 |
| -0.000 | -0.000 | -0.000 | 0.000 | 25.742 | 0.000 |
| -0.000 | -0.000 | -0.000 | 0.000 | 0.000 | 25.742 |
| 51.699 | 25.865 | 25.865 | -0.000 | -0.000 | -0.000 |
| 25.865 | 51.699 | 25.865 | -0.000 | -0.000 | -0.000 |
| 25.865 | 25.865 | 51.699 | -0.000 | -0.000 | 0.000 |
| 0.000 | 0.000 | 0.000 | 25.742 | -0.000 | -0.000 |
| 0.000 | 0.000 | 0.000 | -0.000 | 25.742 | -0.000 |
| 0.000 | 0.000 | 0.000 | -0.000 | -0.000 | 25.742 |
| 34.178 | 29.526 | 21.840 | 0.000 | -0.000 | -0.000 |
| 29.526 | 34.178 | 21.840 | 0.000 | -0.000 | -0.000 |
| 20.124 | 20.124 | 36.048 | 0.000 | -0.000 | -0.000 |
| -0.000 | -0.000 | -0.000 | 24.876 | 0.000 | -0.000 |
| -0.000 | -0.000 | -0.000 | 0.000 | 24.876 | 0.000 |
| 0.029 | 0.029 | 0.066 | 0.000 | -0.000 | 2.397 |
| 63.061 | 1.615 | 22.930 | -0.000 | 0.000 | 0.000 |
| 29.928 | 33.326 | 21.337 | -0.000 | 0.000 | 0.000 |
| 20.054 | 20.054 | 35.891 | -0.000 | -0.000 | 0.000 |
| 0.000 | 0.000 | 0.000 | 24.876 | -0.000 | 0.000 |
| 0.000 | 0.000 | 0.000 | -0.000 | 24.876 | 0.000 |
| -0.029 | -0.029 | -0.066 | -0.000 | 0.000 | 2.397 |
| 63.062 | 1.615 | 22.930 | 0.000 | 0.000 | -0.000 |
| 1.615 | 63.062 | 22.930 | 0.000 | -0.000 | -0.000 |
| 20.093 | 20.093 | 35.978 | 0.000 | -0.000 | -0.000 |
| -0.000 | -0.000 | -0.000 | 24.876 | -0.000 | -0.000 |
| -0.000 | -0.000 | -0.000 | 0.000 | 24.876 | -0.000 |
| -0.000 | -0.000 | -0.000 | -0.000 | -0.000 | 30.723 |
| 63.061 | 1.615 | 22.929 | -0.000 | 0.000 | 0.000 |
| 1.614 | 63.061 | 22.929 | -0.000 | 0.000 | 0.000 |
| 21.457 | 21.457 | 39.036 | -0.000 | 0.000 | 0.000 |
| 0.000 | 0.000 | 0.000 | 24.876 | 0.000 | 0.000 |
| 0.000 | 0.000 | 0.000 | -0.000 | 24.876 | -0.000 |
| 0.000 | 0.000 | 0.000 | 0.000 | 0.000 | 30.723 |
| 34.142 | 29.507 | 21.776 | 0.000 | -0.000 | -0.000 |
| 31.728 | 30.585 | 20.279 | 0.000 | 0.000 | 0.000 |
| 20.093 | 20.093 | 35.975 | 0.000 | -0.000 | -0.000 |
| 0.003 | -0.002 | 0.002 | 24.334 | -0.000 | 0.000 |
| -0.002 | -0.001 | -0.002 | -0.000 | 24.876 | -0.000 |
| -0.000 | -0.000 | -0.001 | 0.000 | -0.000 | 30.723 |
| 63.059 | 1.612 | 22.926 | -0.000 | -0.000 | 0.000 |
| 1.612 | 63.059 | 22.926 | -0.000 | 0.000 | 0.000 |
| 21.453 | 21.453 | 39.030 | -0.000 | 0.000 | 0.000 |
| -0.003 | 0.002 | -0.002 | 24.334 | 0.000 | -0.000 |
| 0.002 | 0.001 | 0.002 | 0.000 | 24.876 | -0.000 |
| 0.000 | 0.000 | 0.001 | -0.000 | 0.000 | 30.723 |
| 220.908 | 256.887 | 247.656 | -0.000 | -0.000 | -0.000 |
| 256.887 | 220.908 | 247.656 | -0.000 | -0.000 | 0.000 |
| 247.700 | 247.700 | 275.888 | -0.000 | -0.000 | 0.000 |
| 0.000 | 0.000 | 0.000 | 17.705 | -0.000 | -0.000 |
| 0.000 | 0.000 | 0.000 | -0.000 | 17.705 | 0.000 |
| 0.000 | 0.000 | 0.000 | 0.000 | -0.000 | 2.512 |
| 220.908 | 256.887 | 247.656 | -0.000 | 0.000 | -0.000 |
| 256.887 | 220.908 | 247.656 | -0.000 | 0.000 | 0.000 |
| 247.700 | 247.700 | 275.888 | -0.000 | 0.000 | 0.000 |
| -0.000 | -0.000 | -0.000 | 17.705 | 0.000 | -0.000 |
| -0.000 | -0.000 | -0.000 | 0.000 | 17.705 | 0.000 |
| -0.000 | -0.000 | -0.000 | -0.000 | 0.000 | 2.512 |
| 220.909 | 256.887 | 247.656 | -0.000 | -0.000 | 0.000 |
| 256.887 | 220.909 | 247.656 | 0.000 | -0.000 | -0.000 |
| 247.701 | 247.701 | 275.888 | -0.000 | -0.000 | 0.000 |
| 0.000 | 0.000 | 0.000 | 17.705 | -0.000 | 0.000 |
| 0.000 | 0.000 | 0.000 | 0.000 | 17.705 | 0.000 |
| 0.000 | 0.000 | 0.000 | -0.000 | -0.000 | 2.512 |
| 220.908 | 256.886 | 247.655 | 0.000 | 0.000 | -0.000 |
| 256.886 | 220.908 | 247.655 | -0.000 | 0.000 | 0.000 |
| 247.700 | 247.700 | 275.887 | -0.000 | 0.000 | -0.000 |
| -0.000 | -0.000 | -0.000 | 17.705 | 0.000 | 0.000 |
| -0.000 | -0.000 | -0.000 | 0.000 | 17.705 | 0.000 |
| -0.000 | -0.000 | -0.000 | 0.000 | 0.000 | 2.512 |
| 220.913 | 256.892 | 247.661 | -0.000 | -0.000 | -0.000 |
| 256.892 | 220.913 | 247.661 | 0.000 | -0.000 | -0.000 |
| 247.705 | 247.705 | 275.893 | -0.000 | -0.000 | 0.000 |
| 0.000 | 0.000 | 0.000 | 17.705 | -0.000 | 0.000 |
| 0.000 | 0.000 | 0.000 | -0.000 | 17.705 | -0.000 |
| 0.000 | 0.000 | 0.000 | 0.000 | -0.000 | 2.512 |
| 220.903 | 256.882 | 247.651 | -0.000 | 0.000 | -0.000 |
| 256.882 | 220.903 | 247.651 | 0.000 | 0.000 | -0.000 |
| 247.695 | 247.695 | 275.882 | 0.000 | 0.000 | 0.000 |
| -0.000 | -0.000 | -0.000 | 17.705 | 0.000 | 0.000 |
| -0.000 | -0.000 | -0.000 | 0.000 | 17.705 | -0.000 |
| -0.000 | -0.000 | -0.000 | -0.000 | 0.000 | 2.512 |
| 212.738 | 250.535 | 242.178 | -0.000 | -0.000 | 0.000 |
| 250.535 | 212.738 | 242.178 | -0.000 | -0.000 | 0.000 |
| 242.178 | 242.178 | 223.169 | 0.000 | 0.000 | -0.000 |
| 0.000 | 0.000 | 0.000 | 26.234 | -0.000 | 0.000 |
| 0.000 | 0.000 | 0.000 | -0.000 | 26.234 | -0.000 |
| 0.000 | 0.000 | 0.000 | -0.000 | -0.000 | 2.519 |
| 212.738 | 250.535 | 242.178 | 0.000 | 0.000 | 0.000 |
| 250.535 | 212.738 | 242.178 | 0.000 | 0.000 | -0.000 |
| 242.178 | 242.178 | 223.169 | 0.000 | 0.000 | 0.000 |
| -0.000 | -0.000 | -0.000 | 26.234 | -0.000 | 0.000 |
| -0.000 | -0.000 | -0.000 | 0.000 | 26.234 | 0.000 |
| -0.000 | -0.000 | -0.000 | 0.000 | 0.000 | 2.519 |
| 212.738 | 250.535 | 242.178 | 0.000 | -0.000 | 0.000 |
| 250.535 | 212.738 | 242.178 | 0.000 | 0.000 | -0.000 |
| 242.178 | 242.178 | 223.169 | 0.000 | -0.000 | -0.000 |
| 0.000 | 0.000 | 0.000 | 13.219 | 0.000 | 0.000 |
| 0.000 | 0.000 | 0.000 | -0.000 | 13.219 | 0.000 |
| -0.000 | -0.000 | 0.000 | -0.000 | -0.000 | 2.519 |
| 246.738 | 216.535 | 242.178 | 0.000 | -0.000 | 0.000 |
| 216.535 | 246.738 | 242.178 | 0.000 | -0.000 | -0.000 |
| 242.178 | 242.178 | 223.169 | 0.000 | 0.000 | -0.000 |
| -0.000 | -0.000 | -0.000 | 13.219 | 0.000 | 0.000 |
| -0.000 | -0.000 | -0.000 | 0.000 | 13.219 | 0.000 |
| 0.000 | 0.000 | -0.000 | 0.000 | 0.000 | 2.519 |
| 212.738 | 250.535 | 242.178 | 0.000 | 0.000 | -0.000 |
| 250.535 | 212.738 | 242.178 | 0.000 | -0.000 | 0.000 |
| 242.177 | 242.177 | 223.168 | -0.000 | -0.000 | 0.000 |
| 0.000 | 0.000 | 0.000 | 13.219 | -0.000 | 0.000 |
| 0.000 | 0.000 | 0.000 | -0.000 | 13.219 | -0.000 |
| -0.000 | -0.000 | 0.000 | -0.000 | -0.000 | 2.519 |
| 212.738 | 250.536 | 242.179 | -0.000 | 0.000 | -0.000 |
| 250.536 | 212.738 | 242.179 | 0.000 | 0.000 | -0.000 |
| 242.179 | 242.179 | 223.170 | 0.000 | 0.000 | 0.000 |
| -0.000 | -0.000 | -0.000 | 13.219 | 0.000 | 0.000 |
| -0.000 | -0.000 | -0.000 | 0.000 | 13.219 | 0.000 |
| 0.000 | 0.000 | -0.000 | 0.000 | 0.000 | 2.519 |
| 974.081 | 793.082 | -352.808 | 0.000 | 0.000 | -0.000 |
| 761.052 | 1006.294 | -352.885 | 0.000 | 0.000 | 0.000 |
| 735.380 | 735.380 | -189.250 | 0.000 | -0.000 | 0.000 |
| -0.000 | -0.000 | 0.000 | 85.517 | 0.000 | 0.000 |
| -0.000 | 0.000 | 0.000 | 0.000 | 85.517 | 0.000 |
| 588.577 | 588.577 | -499.417 | 0.000 | 0.000 | 122.621 |
| 434.216 | 179.255 | 136.651 | -0.000 | -0.000 | 0.000 |
| -383.894 | -202.896 | 645.873 | -0.000 | -0.000 | 0.000 |
| -441.810 | -441.810 | 809.613 | 0.000 | 0.000 | -0.000 |
| 0.000 | -0.000 | -0.000 | 85.517 | -0.000 | -0.000 |
| 0.000 | -0.000 | -0.000 | 0.000 | 85.517 | 0.000 |
| -588.577 | -588.577 | 499.417 | -0.000 | -0.000 | 122.621 |
| 477.459 | 232.420 | 95.758 | 0.000 | 0.000 | 0.000 |
| 179.258 | 434.220 | 136.655 | -0.000 | -0.000 | 0.000 |
| 205.541 | 205.541 | 260.333 | 0.000 | -0.000 | 0.000 |
| 0.000 | 0.000 | 0.000 | 85.517 | 0.000 | -0.000 |
| 60.286 | 60.286 | -51.154 | -0.000 | 77.007 | 0.000 |
| 59.666 | 59.667 | -50.628 | 0.000 | 0.000 | 122.554 |
| 434.213 | 179.251 | 136.648 | -0.000 | 0.000 | -0.000 |
| 112.999 | 358.150 | 197.030 | 0.000 | -0.000 | -0.000 |
| 87.834 | 87.834 | 360.195 | 0.000 | -0.000 | -0.000 |
| -0.000 | -0.000 | -0.000 | 85.517 | -0.000 | -0.000 |
| -60.286 | -60.286 | 51.154 | -0.000 | 77.007 | -0.000 |
| -59.666 | -59.667 | 50.628 | 0.000 | -0.000 | 122.554 |
| 389.167 | 212.845 | 141.575 | 0.000 | 0.000 | -0.000 |
| 177.393 | 411.917 | 146.961 | 0.000 | 0.000 | -0.000 |
| 152.611 | 152.611 | 305.305 | 0.000 | 0.000 | 0.000 |
| 16.236 | 16.236 | -13.775 | 62.599 | 0.000 | 0.000 |
| 0.000 | 0.000 | 0.001 | -0.000 | 85.517 | 0.000 |
| 12.164 | 12.165 | -10.322 | 0.000 | 0.000 | 117.436 |
| 408.449 | 164.661 | 153.719 | -0.000 | -0.000 | -0.000 |
| 164.661 | 408.449 | 153.719 | 0.000 | -0.000 | -0.000 |
| 140.768 | 140.768 | 315.220 | -0.000 | -0.000 | -0.000 |
| -16.236 | -16.236 | 13.775 | 62.599 | -0.000 | -0.000 |
| -0.000 | -0.000 | -0.001 | 0.000 | 85.517 | 0.000 |
| -12.164 | -12.165 | 10.322 | -0.000 | -0.000 | 117.436 |
| 271.646 | 175.961 | 175.961 | 0.000 | -0.000 | 0.000 |
| 175.961 | 271.646 | 175.961 | 0.000 | 0.000 | 0.000 |
| 175.961 | 175.961 | 271.646 | 0.000 | 0.000 | -0.000 |
| 0.000 | 0.000 | 0.000 | 22.826 | 0.000 | 0.000 |
| 0.000 | 0.000 | 0.000 | -0.000 | 22.826 | -0.000 |
| 0.000 | 0.000 | 0.000 | 0.000 | 0.000 | 22.826 |
| 271.646 | 175.961 | 175.961 | -0.000 | 0.000 | 0.000 |
| 175.961 | 271.646 | 175.961 | 0.000 | 0.000 | 0.000 |
| 175.961 | 175.961 | 271.646 | -0.000 | -0.000 | -0.000 |
| -0.000 | -0.000 | -0.000 | 22.826 | 0.000 | 0.000 |
| -0.000 | -0.000 | -0.000 | -0.000 | 22.826 | 0.000 |
| -0.000 | -0.000 | -0.000 | 0.000 | -0.000 | 22.826 |
| 271.647 | 175.961 | 175.961 | 0.000 | 0.000 | -0.000 |
| 175.961 | 271.647 | 175.961 | 0.000 | 0.000 | 0.000 |
| 175.961 | 175.961 | 271.647 | -0.000 | -0.000 | -0.000 |
| 0.000 | 0.000 | 0.000 | 22.826 | 0.000 | -0.000 |
| 0.000 | 0.000 | 0.000 | 0.000 | 22.826 | -0.000 |
| 0.000 | 0.000 | 0.000 | 0.000 | -0.000 | 22.826 |
| 271.646 | 175.960 | 175.960 | -0.000 | -0.000 | 0.000 |
| 175.960 | 271.646 | 175.960 | -0.000 | -0.000 | 0.000 |
| 175.960 | 175.960 | 271.646 | -0.000 | -0.000 | 0.000 |
| -0.000 | -0.000 | -0.000 | 22.826 | -0.000 | -0.000 |
| -0.000 | -0.000 | -0.000 | -0.000 | 22.826 | 0.000 |
| -0.000 | -0.000 | -0.000 | -0.000 | -0.000 | 22.826 |
| 271.651 | 175.962 | 175.962 | 0.000 | 0.000 | -0.000 |
| 175.962 | 271.651 | 175.962 | -0.000 | -0.000 | -0.000 |
| 175.962 | 175.962 | 271.651 | -0.000 | 0.000 | -0.000 |
| 0.000 | 0.000 | 0.000 | 22.826 | -0.000 | -0.000 |
| 0.000 | 0.000 | 0.000 | 0.000 | 22.826 | -0.000 |
| 0.000 | 0.000 | 0.000 | 0.000 | 0.000 | 22.826 |
| 271.641 | 175.959 | 175.959 | 0.000 | -0.000 | -0.000 |
| 175.959 | 271.641 | 175.959 | -0.000 | 0.000 | 0.000 |
| 175.959 | 175.959 | 271.641 | 0.000 | -0.000 | 0.000 |
| -0.000 | -0.000 | -0.000 | 22.826 | -0.000 | 0.000 |
| -0.000 | -0.000 | -0.000 | -0.000 | 22.826 | 0.000 |
| -0.000 | -0.000 | -0.000 | 0.000 | -0.000 | 22.826 |
| 23.798 | -0.175 | -0.175 | 0.000 | 0.000 | 0.000 |
| -0.175 | 23.798 | -0.175 | 0.000 | 0.000 | 0.000 |
| -0.175 | -0.175 | 23.798 | 0.000 | 0.000 | 0.000 |
| 0.000 | -0.000 | -0.000 | 0.000 | 0.000 | 0.000 |
| -0.000 | 0.000 | -0.000 | 0.000 | 0.000 | 0.000 |
| -0.000 | -0.000 | 0.000 | 0.000 | 0.000 | 0.000 |
| 23.798 | -0.175 | -0.175 | -0.000 | -0.000 | -0.000 |
| -0.175 | 23.798 | -0.175 | -0.000 | -0.000 | -0.000 |
| -0.175 | -0.175 | 23.798 | -0.000 | -0.000 | -0.000 |
| -0.000 | 0.000 | 0.000 | 0.000 | 0.000 | 0.000 |
| 0.000 | -0.000 | 0.000 | 0.000 | 0.000 | -0.000 |
| 0.000 | 0.000 | -0.000 | -0.000 | -0.000 | 0.000 |
| 23.798 | -0.175 | -0.175 | 0.000 | -0.000 | 0.000 |
| -0.175 | 23.798 | -0.175 | -0.000 | -0.000 | 0.000 |
| -0.175 | -0.175 | 23.798 | -0.000 | -0.000 | 0.000 |
| 0.000 | -0.000 | -0.000 | 0.000 | -0.000 | 0.000 |
| -0.000 | 0.000 | -0.000 | -0.000 | 0.000 | 0.000 |
| -0.000 | -0.000 | 0.000 | 0.000 | 0.000 | 0.000 |
| 23.798 | -0.175 | -0.175 | -0.000 | -0.000 | -0.000 |
| -0.175 | 23.798 | -0.175 | -0.000 | -0.000 | -0.000 |
| -0.175 | -0.175 | 23.798 | 0.000 | 0.000 | -0.000 |
| -0.000 | -0.000 | 0.000 | 0.000 | -0.000 | 0.000 |
| -0.000 | -0.000 | 0.000 | -0.000 | 0.000 | -0.000 |
| -0.000 | 0.000 | -0.000 | -0.000 | -0.000 | 0.000 |
| 23.797 | -0.175 | -0.175 | 0.000 | -0.000 | -0.000 |
| -0.175 | 23.797 | -0.175 | -0.000 | 0.000 | -0.000 |
| -0.175 | -0.175 | 23.797 | -0.000 | 0.000 | 0.000 |
| 0.000 | 0.000 | -0.000 | 0.000 | -0.000 | 0.000 |
| 0.000 | 0.000 | -0.000 | -0.000 | 0.000 | 0.000 |
| 0.000 | -0.000 | 0.000 | -0.000 | 0.000 | 0.000 |
| 23.798 | -0.175 | -0.175 | 0.000 | -0.000 | -0.000 |
| -0.175 | 23.798 | -0.175 | -0.000 | 0.000 | -0.000 |
| -0.175 | -0.175 | 23.798 | -0.000 | -0.000 | -0.000 |
| -0.000 | -0.000 | 0.000 | 0.000 | -0.000 | 0.000 |
| -0.000 | -0.000 | 0.000 | -0.000 | 0.000 | -0.000 |
| -0.000 | 0.000 | -0.000 | -0.000 | -0.000 | 0.000 |
| 119.873 | -0.061 | -0.061 | -0.000 | 0.000 | 0.000 |
| -0.061 | 119.873 | -0.061 | 0.000 | -0.000 | -0.000 |
| -0.061 | -0.061 | 119.873 | 0.000 | 0.000 | 0.000 |
| 0.000 | 0.000 | 0.000 | 0.000 | -0.000 | 0.000 |
| 0.000 | 0.000 | 0.000 | -0.000 | 0.000 | -0.000 |
| 0.000 | 0.000 | 0.000 | -0.000 | 0.000 | 0.000 |
| 119.873 | -0.061 | -0.061 | -0.000 | 0.000 | 0.000 |
| -0.061 | 119.873 | -0.061 | 0.000 | 0.000 | 0.000 |
| -0.061 | -0.061 | 119.873 | 0.000 | 0.000 | 0.000 |
| -0.000 | -0.000 | -0.000 | 0.000 | -0.000 | 0.000 |
| -0.000 | -0.000 | -0.000 | 0.000 | 0.000 | -0.000 |
| -0.000 | -0.000 | -0.000 | 0.000 | -0.000 | 0.000 |
| 119.873 | -0.061 | -0.061 | -0.000 | -0.000 | 0.000 |
| -0.061 | 119.873 | -0.061 | -0.000 | -0.000 | -0.000 |
| -0.061 | -0.061 | 119.873 | 0.000 | 0.000 | 0.000 |
| 0.000 | -0.000 | -0.000 | 0.000 | -0.000 | -0.000 |
| -0.000 | 0.000 | -0.000 | 0.000 | 0.000 | -0.000 |
| -0.000 | -0.000 | 0.000 | -0.000 | -0.000 | 0.000 |
| 119.873 | -0.061 | -0.061 | -0.000 | -0.000 | -0.000 |
| -0.061 | 119.873 | -0.061 | -0.000 | -0.000 | 0.000 |
| -0.061 | -0.061 | 119.873 | -0.000 | -0.000 | 0.000 |
| -0.000 | -0.000 | 0.000 | 0.000 | -0.000 | -0.000 |
| -0.000 | -0.000 | 0.000 | -0.000 | 0.000 | -0.000 |
| -0.000 | 0.000 | -0.000 | 0.000 | -0.000 | 0.000 |
| 119.874 | -0.061 | -0.061 | -0.000 | 0.000 | 0.000 |
| -0.061 | 119.874 | -0.061 | 0.000 | -0.000 | -0.000 |
| -0.061 | -0.061 | 119.874 | -0.000 | -0.000 | -0.000 |
| 0.000 | 0.000 | -0.000 | 0.000 | 0.000 | 0.000 |
| 0.000 | 0.000 | -0.000 | 0.000 | 0.000 | 0.000 |
| 0.000 | -0.000 | 0.000 | -0.000 | 0.000 | 0.000 |
| 119.872 | -0.061 | -0.061 | 0.000 | 0.000 | 0.000 |
| -0.061 | 119.872 | -0.061 | 0.000 | 0.000 | -0.000 |
| -0.061 | -0.061 | 119.872 | -0.000 | -0.000 | 0.000 |
| -0.000 | -0.000 | 0.000 | 0.000 | 0.000 | 0.000 |
| -0.000 | -0.000 | 0.000 | 0.000 | 0.000 | -0.000 |
| -0.000 | 0.000 | -0.000 | 0.000 | 0.000 | 0.000 |
| 85.921 | 0.024 | 0.024 | 0.000 | -0.000 | -0.000 |
| 0.024 | 85.921 | 0.024 | 0.000 | 0.000 | -0.000 |
| 0.024 | 0.024 | 85.921 | -0.000 | 0.000 | 0.000 |
| 0.000 | 0.000 | 0.000 | 0.000 | 0.000 | -0.000 |
| 0.000 | 0.000 | 0.000 | 0.000 | 0.000 | -0.000 |
| 0.000 | 0.000 | 0.000 | -0.000 | -0.000 | 0.000 |
| 85.921 | 0.024 | 0.024 | -0.000 | 0.000 | -0.000 |
| 0.024 | 85.921 | 0.024 | 0.000 | 0.000 | 0.000 |
| 0.024 | 0.024 | 85.921 | -0.000 | 0.000 | -0.000 |
| -0.000 | 0.000 | -0.000 | 0.000 | -0.000 | -0.000 |
| 0.000 | -0.000 | -0.000 | -0.000 | 0.000 | 0.000 |
| 0.000 | -0.000 | -0.000 | 0.000 | 0.000 | 0.000 |
| 85.921 | 0.024 | 0.024 | -0.000 | 0.000 | 0.000 |
| 0.024 | 85.921 | 0.024 | -0.000 | 0.000 | -0.000 |
| 0.024 | 0.024 | 85.921 | -0.000 | -0.000 | 0.000 |
| -0.000 | 0.000 | -0.000 | 0.000 | 0.000 | -0.000 |
| 0.000 | -0.000 | -0.000 | 0.000 | 0.000 | -0.000 |
| 0.000 | -0.000 | -0.000 | -0.000 | -0.000 | 0.000 |
| 85.921 | 0.024 | 0.024 | 0.000 | -0.000 | -0.000 |
| 0.024 | 85.921 | 0.024 | -0.000 | -0.000 | -0.000 |
| 0.024 | 0.024 | 85.921 | 0.000 | 0.000 | -0.000 |
| 0.000 | -0.000 | 0.000 | 0.000 | 0.000 | -0.000 |
| -0.000 | 0.000 | 0.000 | 0.000 | 0.000 | 0.000 |
| -0.000 | 0.000 | 0.000 | 0.000 | 0.000 | 0.000 |
| 85.923 | 0.024 | 0.024 | -0.000 | -0.000 | 0.000 |
| 0.024 | 85.923 | 0.024 | 0.000 | 0.000 | -0.000 |
| 0.024 | 0.024 | 85.923 | 0.000 | -0.000 | 0.000 |
| -0.000 | -0.000 | -0.000 | 0.000 | 0.000 | 0.000 |
| -0.000 | -0.000 | -0.000 | 0.000 | 0.000 | 0.000 |
| -0.000 | -0.000 | -0.000 | -0.000 | -0.000 | 0.000 |
| 85.919 | 0.024 | 0.024 | -0.000 | -0.000 | 0.000 |
| 0.024 | 85.919 | 0.024 | -0.000 | -0.000 | -0.000 |
| 0.024 | 0.024 | 85.919 | -0.000 | -0.000 | 0.000 |
| 0.000 | 0.000 | 0.000 | 0.000 | 0.000 | -0.000 |
| 0.000 | 0.000 | 0.000 | 0.000 | 0.000 | -0.000 |
| 0.000 | 0.000 | 0.000 | -0.000 | 0.000 | 0.000 |
| 736.596 | 493.279 | 493.279 | -0.000 | 0.000 | 0.000 |
| 493.279 | 736.596 | 493.279 | -0.000 | -0.000 | -0.000 |
| 493.279 | 493.279 | 736.596 | -0.000 | 0.000 | 0.000 |
| 0.000 | 0.000 | 0.000 | 448.900 | -0.000 | 0.000 |
| 0.000 | 0.000 | 0.000 | -0.000 | 448.901 | 0.000 |
| 0.000 | 0.000 | 0.000 | 0.000 | 0.000 | 448.901 |
| 736.596 | 493.279 | 493.279 | 0.000 | -0.000 | -0.000 |
| 493.279 | 736.596 | 493.279 | 0.000 | -0.000 | -0.000 |
| 493.279 | 493.279 | 736.596 | 0.000 | -0.000 | -0.000 |
| -0.000 | -0.000 | -0.000 | 448.901 | 0.000 | -0.000 |
| 0.000 | -0.000 | -0.000 | 0.000 | 448.901 | -0.000 |
| -0.000 | -0.000 | -0.000 | 0.000 | -0.000 | 448.901 |
| 736.596 | 493.279 | 493.279 | -0.000 | 0.000 | 0.000 |
| 493.279 | 736.596 | 493.279 | -0.000 | 0.000 | 0.000 |
| 493.279 | 493.279 | 736.596 | -0.000 | 0.000 | 0.000 |
| 0.000 | -0.000 | -0.000 | 448.901 | -0.000 | 0.000 |
| -0.000 | 0.000 | -0.000 | -0.000 | 448.901 | 0.000 |
| -0.000 | -0.000 | 0.000 | -0.000 | 0.000 | 448.901 |
| 736.596 | 493.279 | 493.279 | 0.000 | -0.000 | -0.000 |
| 493.279 | 736.596 | 493.279 | 0.000 | -0.000 | -0.000 |
| 493.279 | 493.279 | 736.596 | 0.000 | 0.000 | -0.000 |
| -0.000 | 0.000 | 0.000 | 448.901 | -0.000 | -0.000 |
| 0.000 | -0.000 | 0.000 | 0.000 | 448.901 | -0.000 |
| 0.000 | 0.000 | -0.000 | 0.000 | -0.000 | 448.901 |
| 736.595 | 493.279 | 493.279 | -0.000 | -0.000 | 0.000 |
| 493.279 | 736.595 | 493.279 | -0.000 | -0.000 | -0.000 |
| 493.279 | 493.279 | 736.595 | -0.000 | 0.000 | -0.000 |
| 0.001 | -0.001 | -0.000 | 448.901 | 0.000 | 0.000 |
| -0.001 | 0.001 | -0.000 | -0.000 | 448.901 | 0.000 |
| -0.001 | -0.000 | 0.001 | -0.000 | 0.000 | 448.901 |
| 736.596 | 493.278 | 493.278 | 0.000 | -0.000 | -0.000 |
| 493.278 | 736.596 | 493.278 | 0.000 | 0.000 | -0.000 |
| 493.278 | 493.278 | 736.596 | 0.000 | -0.000 | -0.000 |
| -0.001 | 0.001 | 0.000 | 448.901 | 0.000 | -0.000 |
| 0.001 | -0.001 | 0.000 | 0.000 | 448.901 | -0.000 |
| 0.001 | 0.000 | -0.001 | 0.000 | 0.000 | 448.901 |
| 216.815 | 120.759 | 120.759 | 0.000 | -0.000 | -0.000 |
| 120.759 | 216.815 | 120.759 | -0.000 | -0.000 | -0.000 |
| 120.759 | 120.759 | 216.815 | 0.000 | -0.000 | -0.000 |
| 0.000 | 0.000 | 0.000 | 149.865 | -0.000 | 0.000 |
| 0.000 | 0.000 | 0.000 | 0.000 | 149.865 | 0.000 |
| 0.000 | 0.000 | 0.000 | 0.000 | 0.000 | 149.865 |
| 216.815 | 120.759 | 120.759 | -0.000 | -0.000 | -0.000 |
| 120.759 | 216.815 | 120.759 | -0.000 | 0.000 | 0.000 |
| 120.759 | 120.759 | 216.815 | 0.000 | -0.000 | -0.000 |
| -0.000 | -0.000 | -0.000 | 149.865 | -0.000 | -0.000 |
| -0.000 | -0.000 | -0.000 | -0.000 | 149.865 | -0.000 |
| -0.000 | -0.000 | -0.000 | -0.000 | 0.000 | 149.865 |
| 216.815 | 120.759 | 120.759 | -0.000 | -0.000 | 0.000 |
| 120.759 | 216.815 | 120.759 | -0.000 | -0.000 | -0.000 |
| 120.759 | 120.759 | 216.815 | 0.000 | -0.000 | 0.000 |
| 0.000 | 0.000 | 0.000 | 149.865 | -0.000 | 0.000 |
| 0.000 | 0.000 | 0.000 | 0.000 | 149.865 | -0.000 |
| 0.000 | 0.000 | 0.000 | -0.000 | -0.000 | 149.865 |
| 216.815 | 120.759 | 120.759 | 0.000 | -0.000 | 0.000 |
| 120.759 | 216.815 | 120.759 | 0.000 | 0.000 | -0.000 |
| 120.759 | 120.759 | 216.815 | 0.000 | 0.000 | -0.000 |
| -0.000 | -0.000 | -0.000 | 149.865 | -0.000 | -0.000 |
| -0.000 | -0.000 | -0.000 | -0.000 | 149.865 | 0.000 |
| -0.000 | -0.000 | -0.000 | 0.000 | 0.000 | 149.865 |
| 216.819 | 120.760 | 120.760 | 0.000 | 0.000 | 0.000 |
| 120.760 | 216.819 | 120.760 | -0.000 | 0.000 | -0.000 |
| 120.760 | 120.760 | 216.819 | 0.000 | -0.000 | -0.000 |
| 0.001 | 0.001 | 0.001 | 149.865 | -0.000 | -0.000 |
| 0.001 | 0.001 | 0.001 | -0.000 | 149.865 | 0.000 |
| 0.001 | 0.001 | 0.001 | 0.000 | -0.000 | 149.865 |
| 216.811 | 120.757 | 120.757 | -0.000 | -0.000 | 0.000 |
| 120.757 | 216.811 | 120.757 | -0.000 | -0.000 | 0.000 |
| 120.757 | 120.757 | 216.811 | -0.000 | -0.000 | -0.000 |
| -0.001 | -0.001 | -0.001 | 149.865 | -0.000 | -0.000 |
| -0.001 | -0.001 | -0.001 | -0.000 | 149.865 | -0.000 |
| -0.001 | -0.001 | -0.001 | -0.000 | 0.000 | 149.865 |
| 385.303 | 309.308 | 309.308 | -0.000 | -0.000 | -0.000 |
| 309.308 | 385.303 | 309.308 | -0.000 | -0.000 | 0.000 |
| 309.308 | 309.308 | 385.303 | -0.000 | -0.000 | -0.000 |
| -0.000 | -0.000 | -0.000 | 30.002 | 0.000 | 0.000 |
| -0.000 | -0.000 | -0.000 | 0.000 | 30.002 | 0.000 |
| -0.000 | -0.000 | -0.000 | -0.000 | 0.000 | 30.002 |
| 385.304 | 309.308 | 309.308 | 0.000 | -0.000 | 0.000 |
| 309.308 | 385.304 | 309.308 | 0.000 | -0.000 | 0.000 |
| 309.308 | 309.308 | 385.304 | 0.000 | -0.000 | -0.000 |
| 0.000 | 0.000 | 0.000 | 30.002 | -0.000 | -0.000 |
| 0.000 | 0.000 | 0.000 | 0.000 | 30.002 | -0.000 |
| 0.000 | 0.000 | 0.000 | 0.000 | -0.000 | 30.002 |
| 385.303 | 309.307 | 309.307 | -0.000 | 0.000 | -0.000 |
| 309.307 | 385.303 | 309.307 | -0.000 | -0.000 | 0.000 |
| 309.307 | 309.307 | 385.303 | -0.000 | -0.000 | -0.000 |
| 0.000 | -0.000 | -0.000 | 30.002 | -0.000 | -0.000 |
| -0.000 | 0.000 | -0.000 | -0.000 | 30.002 | 0.000 |
| -0.000 | -0.000 | 0.000 | -0.000 | -0.000 | 30.002 |
| 385.305 | 309.309 | 309.309 | 0.000 | 0.000 | -0.000 |
| 309.309 | 385.305 | 309.309 | 0.000 | 0.000 | -0.000 |
| 309.309 | 309.309 | 385.305 | 0.000 | 0.000 | 0.000 |
| -0.000 | 0.000 | 0.000 | 30.002 | -0.000 | -0.000 |
| 0.000 | -0.000 | 0.000 | 0.000 | 30.002 | -0.000 |
| 0.000 | 0.000 | -0.000 | 0.000 | -0.000 | 30.002 |
| 385.293 | 309.296 | 309.296 | -0.000 | -0.000 | -0.000 |
| 309.296 | 385.293 | 309.296 | -0.000 | -0.000 | -0.000 |
| 309.296 | 309.296 | 385.293 | -0.000 | 0.000 | -0.000 |
| 0.000 | -0.000 | -0.000 | 30.002 | -0.000 | 0.000 |
| -0.000 | 0.000 | -0.000 | -0.000 | 30.002 | 0.000 |
| -0.000 | -0.000 | 0.000 | -0.000 | -0.000 | 30.002 |
| 385.315 | 309.319 | 309.319 | 0.000 | -0.000 | 0.000 |
| 309.319 | 385.315 | 309.319 | 0.000 | -0.000 | -0.000 |
| 309.319 | 309.319 | 385.315 | 0.000 | -0.000 | -0.000 |
| -0.000 | 0.000 | 0.000 | 30.002 | 0.000 | 0.000 |
| 0.000 | -0.000 | 0.000 | 0.000 | 30.002 | -0.000 |
| 0.000 | 0.000 | -0.000 | 0.000 | 0.000 | 30.002 |
| 143.992 | 143.991 | 143.991 | -0.000 | -0.000 | -0.000 |
| 143.991 | 143.992 | 143.991 | -0.000 | -0.000 | -0.000 |
| 143.991 | 143.991 | 143.992 | -0.000 | -0.000 | 0.000 |
| -0.000 | -0.000 | -0.000 | 144.052 | -0.000 | -0.000 |
| -0.000 | -0.000 | -0.000 | -0.000 | 144.052 | -0.000 |
| -0.000 | -0.000 | -0.000 | -0.000 | -0.000 | 144.052 |
| 143.992 | 143.991 | 143.991 | 0.000 | -0.000 | 0.000 |
| 143.991 | 143.992 | 143.991 | -0.000 | 0.000 | 0.000 |
| 143.991 | 143.991 | 143.992 | 0.000 | 0.000 | 0.000 |
| 0.000 | 0.000 | 0.000 | 144.052 | 0.000 | 0.000 |
| 0.000 | 0.000 | 0.000 | 0.000 | 144.052 | 0.000 |
| 0.000 | 0.000 | 0.000 | 0.000 | 0.000 | 144.052 |
| 143.992 | 143.991 | 143.991 | -0.000 | -0.000 | -0.000 |
| 143.991 | 143.992 | 143.991 | -0.000 | -0.000 | -0.000 |
| 143.991 | 143.991 | 143.992 | -0.000 | -0.000 | -0.000 |
| -0.000 | -0.000 | -0.000 | 144.052 | -0.000 | -0.000 |
| -0.000 | -0.000 | -0.000 | -0.000 | 144.052 | -0.000 |
| -0.000 | -0.000 | -0.000 | -0.000 | 0.000 | 144.052 |
| 143.992 | 143.991 | 143.991 | 0.000 | 0.000 | 0.000 |
| 143.991 | 143.992 | 143.991 | 0.000 | 0.000 | 0.000 |
| 143.991 | 143.991 | 143.992 | 0.000 | 0.000 | -0.000 |
| 0.000 | 0.000 | 0.000 | 144.052 | 0.000 | 0.000 |
| 0.000 | 0.000 | 0.000 | 0.000 | 144.052 | 0.000 |
| 0.000 | 0.000 | 0.000 | 0.000 | 0.000 | 144.052 |
| 143.992 | 143.991 | 143.991 | -0.000 | -0.000 | -0.000 |
| 143.991 | 143.992 | 143.991 | -0.000 | -0.000 | -0.000 |
| 143.991 | 143.991 | 143.992 | -0.000 | -0.000 | -0.000 |
| -0.000 | -0.000 | -0.000 | 144.052 | -0.000 | -0.000 |
| -0.000 | -0.000 | -0.000 | -0.000 | 144.052 | -0.000 |
| -0.000 | -0.000 | -0.000 | -0.000 | 0.000 | 144.052 |
| 143.992 | 143.991 | 143.991 | 0.000 | -0.000 | 0.000 |
| 143.991 | 143.992 | 143.991 | -0.000 | 0.000 | 0.000 |
| 143.991 | 143.991 | 143.992 | 0.000 | 0.000 | 0.000 |
| 0.000 | 0.000 | 0.000 | 144.052 | 0.000 | -0.000 |
| 0.000 | 0.000 | 0.000 | 0.000 | 144.052 | -0.000 |
| 0.000 | 0.000 | 0.000 | 0.000 | 0.000 | 144.052 |
| 48.321 | 48.320 | 48.320 | 0.000 | 0.000 | -0.000 |
| 48.320 | 48.321 | 48.320 | 0.000 | 0.000 | -0.000 |
| 48.320 | 48.320 | 48.321 | 0.000 | 0.000 | -0.000 |
| 0.000 | 0.000 | 0.000 | 48.251 | 0.000 | -0.000 |
| 0.000 | 0.000 | 0.000 | 0.000 | 48.251 | -0.000 |
| 0.000 | 0.000 | 0.000 | 0.000 | 0.000 | 48.251 |
| 48.321 | 48.320 | 48.320 | -0.000 | -0.000 | 0.000 |
| 48.320 | 48.321 | 48.320 | -0.000 | -0.000 | 0.000 |
| 48.320 | 48.320 | 48.321 | -0.000 | -0.000 | 0.000 |
| -0.000 | -0.000 | -0.000 | 48.251 | -0.000 | 0.000 |
| -0.000 | -0.000 | -0.000 | -0.000 | 48.251 | 0.000 |
| -0.000 | -0.000 | -0.000 | -0.000 | -0.000 | 48.251 |
| 48.321 | 48.320 | 48.320 | 0.000 | 0.000 | -0.000 |
| 48.320 | 48.321 | 48.320 | 0.000 | 0.000 | -0.000 |
| 48.320 | 48.320 | 48.321 | 0.000 | 0.000 | -0.000 |
| 0.000 | 0.000 | 0.000 | 48.251 | 0.000 | -0.000 |
| 0.000 | 0.000 | 0.000 | 0.000 | 48.251 | -0.000 |
| 0.000 | 0.000 | 0.000 | 0.000 | 0.000 | 48.251 |
| 48.321 | 48.320 | 48.320 | -0.000 | -0.000 | 0.000 |
| 48.320 | 48.321 | 48.320 | -0.000 | -0.000 | 0.000 |
| 48.320 | 48.320 | 48.321 | -0.000 | -0.000 | 0.000 |
| -0.000 | -0.000 | -0.000 | 48.251 | -0.000 | 0.000 |
| -0.000 | -0.000 | -0.000 | -0.000 | 48.251 | 0.000 |
| -0.000 | -0.000 | -0.000 | -0.000 | -0.000 | 48.251 |
| 48.322 | 48.321 | 48.321 | 0.000 | 0.000 | -0.000 |
| 48.321 | 48.322 | 48.321 | 0.000 | 0.000 | -0.000 |
| 48.321 | 48.321 | 48.322 | 0.000 | 0.000 | -0.000 |
| 0.000 | 0.000 | 0.000 | 48.251 | 0.000 | -0.000 |
| 0.000 | 0.000 | 0.000 | 0.000 | 48.251 | -0.000 |
| 0.000 | 0.000 | 0.000 | 0.000 | 0.000 | 48.251 |
| 48.321 | 48.320 | 48.320 | -0.000 | -0.000 | 0.000 |
| 48.320 | 48.321 | 48.320 | -0.000 | -0.000 | 0.000 |
| 48.320 | 48.320 | 48.321 | -0.000 | -0.000 | 0.000 |
| -0.000 | -0.000 | -0.000 | 48.251 | -0.000 | 0.000 |
| -0.000 | -0.000 | -0.000 | -0.000 | 48.251 | 0.000 |
| -0.000 | -0.000 | -0.000 | -0.000 | -0.000 | 48.251 |
| 88.672 | 73.192 | 73.192 | 0.000 | 0.000 | 0.000 |
| 73.192 | 88.672 | 73.192 | 0.000 | 0.000 | 0.000 |
| 73.192 | 73.192 | 88.672 | 0.000 | 0.000 | 0.000 |
| -0.000 | 0.000 | 0.000 | 76.122 | -0.000 | -0.000 |
| -0.000 | 0.000 | 0.000 | -0.000 | 76.122 | -0.000 |
| -0.000 | 0.000 | 0.000 | -0.000 | -0.000 | 76.122 |
| 88.672 | 73.192 | 73.192 | -0.000 | -0.000 | -0.000 |
| 73.192 | 88.672 | 73.192 | -0.000 | -0.000 | -0.000 |
| 73.192 | 73.192 | 88.672 | -0.000 | -0.000 | -0.000 |
| 0.000 | -0.000 | -0.000 | 76.122 | -0.000 | 0.000 |
| 0.000 | -0.000 | -0.000 | 0.000 | 76.122 | 0.000 |
| 0.000 | -0.000 | -0.000 | 0.000 | 0.000 | 76.122 |
| 88.672 | 73.192 | 73.192 | 0.000 | 0.000 | 0.000 |
| 73.192 | 88.672 | 73.192 | 0.000 | 0.000 | 0.000 |
| 73.192 | 73.192 | 88.672 | 0.000 | 0.000 | 0.000 |
| -0.000 | -0.000 | 0.000 | 21.002 | 0.000 | 0.000 |
| -0.000 | 0.000 | 0.000 | 0.000 | 21.002 | 0.000 |
| -0.000 | 0.000 | 0.000 | 0.000 | 0.000 | 21.002 |
| 88.672 | 73.192 | 73.192 | -0.000 | -0.000 | -0.000 |
| 73.192 | 88.672 | 73.192 | -0.000 | -0.000 | -0.000 |
| 73.192 | 73.192 | 88.672 | -0.000 | -0.000 | -0.000 |
| 0.000 | 0.000 | -0.000 | 21.002 | -0.000 | -0.000 |
| 0.000 | -0.000 | -0.000 | 0.000 | 21.002 | -0.000 |
| 0.000 | -0.000 | -0.000 | -0.000 | -0.000 | 21.002 |
| 88.672 | 73.193 | 73.193 | 0.000 | 0.000 | 0.000 |
| 73.193 | 88.672 | 73.193 | 0.000 | 0.000 | 0.000 |
| 73.193 | 73.193 | 88.672 | 0.000 | 0.000 | 0.000 |
| 0.000 | -0.000 | 0.000 | 21.002 | 0.000 | 0.000 |
| -0.000 | 0.000 | 0.000 | 0.000 | 21.002 | 0.000 |
| -0.000 | 0.000 | 0.000 | 0.000 | 0.000 | 21.002 |
| 88.671 | 73.192 | 73.192 | -0.000 | -0.000 | -0.000 |
| 73.192 | 88.671 | 73.192 | -0.000 | -0.000 | -0.000 |
| 73.192 | 73.192 | 88.671 | -0.000 | -0.000 | -0.000 |
| -0.000 | 0.000 | -0.000 | 21.002 | -0.000 | -0.000 |
| 0.000 | -0.000 | -0.000 | -0.000 | 21.002 | -0.000 |
| 0.000 | -0.000 | -0.000 | -0.000 | -0.000 | 21.002 |
| 4.115 | 4.115 | 4.115 | -0.000 | -0.000 | -0.000 |
| 4.115 | 4.115 | 4.115 | -0.000 | -0.000 | -0.000 |
| 4.115 | 4.115 | 4.115 | -0.000 | -0.000 | -0.000 |
| -0.000 | -0.000 | -0.000 | 0.000 | -0.000 | -0.000 |
| -0.000 | -0.000 | -0.000 | -0.000 | 0.000 | -0.000 |
| -0.000 | -0.000 | -0.000 | -0.000 | -0.000 | 0.000 |
| 4.115 | 4.115 | 4.115 | 0.000 | 0.000 | 0.000 |
| 4.115 | 4.115 | 4.115 | 0.000 | 0.000 | 0.000 |
| 4.115 | 4.115 | 4.115 | 0.000 | 0.000 | 0.000 |
| 0.000 | 0.000 | 0.000 | 0.000 | 0.000 | 0.000 |
| 0.000 | 0.000 | 0.000 | 0.000 | 0.000 | 0.000 |
| 0.000 | 0.000 | 0.000 | 0.000 | 0.000 | 0.000 |
| 4.115 | 4.115 | 4.115 | -0.000 | -0.000 | -0.000 |
| 4.115 | 4.115 | 4.115 | -0.000 | -0.000 | -0.000 |
| 4.115 | 4.115 | 4.115 | -0.000 | -0.000 | -0.000 |
| -0.000 | -0.000 | -0.000 | 0.000 | -0.000 | -0.000 |
| -0.000 | -0.000 | -0.000 | -0.000 | 0.000 | -0.000 |
| -0.000 | -0.000 | -0.000 | -0.000 | -0.000 | 0.000 |
| 4.115 | 4.115 | 4.115 | 0.000 | 0.000 | 0.000 |
| 4.115 | 4.115 | 4.115 | 0.000 | 0.000 | 0.000 |
| 4.115 | 4.115 | 4.115 | 0.000 | 0.000 | 0.000 |
| 0.000 | 0.000 | 0.000 | 0.000 | 0.000 | 0.000 |
| 0.000 | 0.000 | 0.000 | 0.000 | 0.000 | 0.000 |
| 0.000 | 0.000 | 0.000 | 0.000 | 0.000 | 0.000 |
| 4.115 | 4.115 | 4.115 | -0.000 | -0.000 | -0.000 |
| 4.115 | 4.115 | 4.115 | -0.000 | -0.000 | -0.000 |
| 4.115 | 4.115 | 4.115 | -0.000 | -0.000 | -0.000 |
| -0.000 | -0.000 | -0.000 | 0.000 | -0.000 | -0.000 |
| -0.000 | -0.000 | -0.000 | -0.000 | 0.000 | -0.000 |
| -0.000 | -0.000 | -0.000 | -0.000 | -0.000 | 0.000 |
| 4.115 | 4.115 | 4.115 | 0.000 | 0.000 | 0.000 |
| 4.115 | 4.115 | 4.115 | 0.000 | 0.000 | 0.000 |
| 4.115 | 4.115 | 4.115 | 0.000 | 0.000 | 0.000 |
| 0.000 | 0.000 | 0.000 | 0.000 | 0.000 | 0.000 |
| 0.000 | 0.000 | 0.000 | 0.000 | 0.000 | 0.000 |
| 0.000 | 0.000 | 0.000 | 0.000 | 0.000 | 0.000 |
| 3.563 | 3.563 | 3.563 | 0.000 | 0.000 | 0.000 |
| 3.563 | 3.563 | 3.563 | 0.000 | 0.000 | 0.000 |
| 3.563 | 3.563 | 3.563 | 0.000 | 0.000 | 0.000 |
| -0.000 | -0.000 | -0.000 | 0.000 | 0.000 | 0.000 |
| -0.000 | -0.000 | -0.000 | 0.000 | 0.000 | 0.000 |
| -0.000 | -0.000 | -0.000 | 0.000 | 0.000 | 0.000 |
| 3.563 | 3.563 | 3.563 | -0.000 | -0.000 | -0.000 |
| 3.563 | 3.563 | 3.563 | -0.000 | -0.000 | -0.000 |
| 3.563 | 3.563 | 3.563 | -0.000 | -0.000 | -0.000 |
| 0.000 | 0.000 | 0.000 | 0.000 | -0.000 | -0.000 |
| 0.000 | 0.000 | 0.000 | -0.000 | 0.000 | -0.000 |
| 0.000 | 0.000 | 0.000 | -0.000 | -0.000 | 0.000 |
| 3.563 | 3.563 | 3.563 | 0.000 | 0.000 | 0.000 |
| 3.563 | 3.563 | 3.563 | 0.000 | 0.000 | 0.000 |
| 3.563 | 3.563 | 3.563 | 0.000 | 0.000 | 0.000 |
| -0.000 | -0.000 | -0.000 | 0.000 | 0.000 | 0.000 |
| -0.000 | -0.000 | -0.000 | 0.000 | 0.000 | 0.000 |
| -0.000 | -0.000 | -0.000 | 0.000 | 0.000 | 0.000 |
| 3.563 | 3.563 | 3.563 | -0.000 | -0.000 | -0.000 |
| 3.563 | 3.563 | 3.563 | -0.000 | -0.000 | -0.000 |
| 3.563 | 3.563 | 3.563 | -0.000 | -0.000 | -0.000 |
| 0.000 | 0.000 | 0.000 | 0.000 | -0.000 | -0.000 |
| 0.000 | 0.000 | 0.000 | -0.000 | 0.000 | -0.000 |
| 0.000 | 0.000 | 0.000 | -0.000 | -0.000 | 0.000 |
| 3.563 | 3.563 | 3.563 | 0.000 | 0.000 | 0.000 |
| 3.563 | 3.563 | 3.563 | 0.000 | 0.000 | 0.000 |
| 3.563 | 3.563 | 3.563 | 0.000 | 0.000 | 0.000 |
| -0.000 | -0.000 | -0.000 | 0.000 | 0.000 | 0.000 |
| -0.000 | -0.000 | -0.000 | 0.000 | 0.000 | 0.000 |
| -0.000 | -0.000 | -0.000 | 0.000 | 0.000 | 0.000 |
| 3.563 | 3.563 | 3.563 | -0.000 | -0.000 | -0.000 |
| 3.563 | 3.563 | 3.563 | -0.000 | -0.000 | -0.000 |
| 3.563 | 3.563 | 3.563 | -0.000 | -0.000 | -0.000 |
| 0.000 | 0.000 | 0.000 | 0.000 | -0.000 | -0.000 |
| 0.000 | 0.000 | 0.000 | -0.000 | 0.000 | -0.000 |
| 0.000 | 0.000 | 0.000 | -0.000 | -0.000 | 0.000 |
| 12.745 | 12.745 | 12.745 | -0.000 | -0.000 | -0.000 |
| 12.745 | 12.745 | 12.745 | -0.000 | -0.000 | -0.000 |
| 12.745 | 12.745 | 12.745 | -0.000 | -0.000 | -0.000 |
| -0.000 | -0.000 | -0.000 | 0.000 | -0.000 | -0.000 |
| -0.000 | -0.000 | -0.000 | -0.000 | 0.000 | -0.000 |
| 0.000 | 0.000 | 0.000 | -0.000 | -0.000 | 0.000 |
| 12.745 | 12.745 | 12.745 | 0.000 | 0.000 | 0.000 |
| 12.745 | 12.745 | 12.745 | 0.000 | 0.000 | 0.000 |
| 12.745 | 12.745 | 12.745 | 0.000 | 0.000 | 0.000 |
| 0.000 | 0.000 | 0.000 | 0.000 | 0.000 | 0.000 |
| 0.000 | 0.000 | 0.000 | 0.000 | 0.000 | 0.000 |
| 0.000 | 0.000 | 0.000 | 0.000 | 0.000 | 0.000 |
| 12.745 | 12.745 | 12.745 | -0.000 | -0.000 | -0.000 |
| 12.745 | 12.745 | 12.745 | -0.000 | -0.000 | -0.000 |
| 12.745 | 12.745 | 12.745 | -0.000 | -0.000 | -0.000 |
| -0.000 | -0.000 | -0.000 | 0.000 | -0.000 | -0.000 |
| -0.000 | -0.000 | -0.000 | -0.000 | 0.000 | -0.000 |
| -0.000 | -0.000 | -0.000 | -0.000 | -0.000 | 0.000 |
| 12.745 | 12.745 | 12.745 | 0.000 | 0.000 | 0.000 |
| 12.745 | 12.745 | 12.745 | 0.000 | 0.000 | 0.000 |
| 12.745 | 12.745 | 12.745 | 0.000 | 0.000 | 0.000 |
| 0.000 | 0.000 | 0.000 | 0.000 | 0.000 | 0.000 |
| 0.000 | 0.000 | 0.000 | 0.000 | 0.000 | 0.000 |
| 0.000 | 0.000 | 0.000 | 0.000 | 0.000 | 0.000 |
| 12.745 | 12.745 | 12.745 | -0.000 | -0.000 | -0.000 |
| 12.745 | 12.745 | 12.745 | -0.000 | -0.000 | -0.000 |
| 12.745 | 12.745 | 12.745 | -0.000 | -0.000 | -0.000 |
| -0.000 | -0.000 | -0.000 | 0.000 | -0.000 | -0.000 |
| -0.000 | -0.000 | -0.000 | -0.000 | 0.000 | -0.000 |
| -0.000 | -0.000 | -0.000 | -0.000 | -0.000 | 0.000 |
| 12.745 | 12.745 | 12.745 | 0.000 | 0.000 | 0.000 |
| 12.745 | 12.745 | 12.745 | 0.000 | 0.000 | 0.000 |
| 12.745 | 12.745 | 12.745 | 0.000 | 0.000 | 0.000 |
| 0.000 | 0.000 | 0.000 | 0.000 | 0.000 | 0.000 |
| 0.000 | 0.000 | 0.000 | 0.000 | 0.000 | 0.000 |
| 0.000 | 0.000 | 0.000 | 0.000 | 0.000 | 0.000 |
| 952.367 | 218.546 | 301.712 | 0.000 | -0.000 | 0.000 |
| 218.546 | 952.367 | 301.712 | -0.000 | -0.000 | 0.000 |
| 335.237 | 335.237 | 373.600 | -0.000 | -0.000 | -0.000 |
| 0.000 | 0.000 | 0.000 | 266.361 | -0.000 | 0.000 |
| 0.000 | 0.000 | 0.000 | 0.000 | 266.361 | 0.000 |
| 0.000 | 0.000 | 0.000 | 0.000 | -0.000 | 169.422 |
| 952.367 | 218.546 | 301.712 | -0.000 | 0.000 | -0.000 |
| 218.546 | 952.367 | 301.712 | -0.000 | 0.000 | 0.000 |
| 335.237 | 335.238 | 373.600 | 0.000 | -0.000 | 0.000 |
| -0.000 | -0.000 | -0.000 | 266.361 | 0.000 | -0.000 |
| -0.000 | -0.000 | -0.000 | -0.000 | 266.361 | -0.000 |
| -0.000 | -0.000 | -0.000 | -0.000 | 0.000 | 169.421 |
| 952.367 | 218.546 | 301.712 | -0.000 | -0.000 | 0.000 |
| 218.546 | 952.367 | 301.712 | -0.000 | 0.000 | -0.000 |
| 335.238 | 335.238 | 373.600 | 0.000 | -0.000 | -0.000 |
| 0.000 | -0.000 | 0.000 | 266.361 | -0.000 | 0.000 |
| -0.000 | 0.000 | 0.000 | 0.000 | 266.361 | 0.000 |
| 0.000 | 0.000 | 0.000 | 0.000 | -0.000 | 169.421 |
| 952.366 | 218.546 | 301.712 | -0.000 | -0.000 | -0.000 |
| 218.546 | 952.366 | 301.712 | 0.000 | 0.000 | -0.000 |
| 335.237 | 335.237 | 373.600 | -0.000 | -0.000 | -0.000 |
| -0.000 | 0.000 | -0.000 | 266.361 | 0.000 | -0.000 |
| 0.000 | -0.000 | -0.000 | -0.000 | 266.361 | -0.000 |
| -0.000 | -0.000 | -0.000 | -0.000 | 0.000 | 169.421 |
| 952.371 | 218.547 | 301.712 | 0.000 | -0.000 | -0.000 |
| 218.547 | 952.371 | 301.712 | -0.000 | -0.000 | 0.000 |
| 335.238 | 335.238 | 373.601 | 0.000 | -0.000 | 0.000 |
| 0.000 | -0.000 | 0.001 | 266.361 | 0.000 | 0.000 |
| -0.000 | 0.000 | 0.001 | 0.000 | 266.361 | 0.000 |
| 0.000 | 0.000 | 0.000 | -0.000 | -0.000 | 169.421 |
| 952.362 | 218.546 | 301.711 | -0.000 | 0.000 | -0.000 |
| 218.546 | 952.362 | 301.711 | 0.000 | 0.000 | -0.000 |
| 335.236 | 335.236 | 373.599 | -0.000 | 0.000 | -0.000 |
| -0.000 | 0.000 | -0.001 | 266.361 | 0.000 | -0.000 |
| 0.000 | -0.000 | -0.001 | -0.000 | 266.361 | -0.000 |
| -0.000 | -0.000 | -0.000 | 0.000 | 0.000 | 169.421 |
| 16.645 | 30.653 | 58.462 | 0.000 | 0.000 | -0.000 |
| 30.653 | 16.645 | 58.462 | 0.000 | 0.000 | -0.000 |
| 58.462 | 58.462 | 112.147 | 0.000 | 0.000 | 0.000 |
| 0.000 | 0.000 | 0.000 | 58.409 | 0.000 | 0.000 |
| 0.000 | 0.000 | 0.000 | 0.000 | 58.409 | 0.000 |
| 0.000 | 0.000 | 0.000 | 0.000 | -0.000 | 30.418 |
| 16.645 | 30.653 | 58.462 | -0.000 | -0.000 | -0.000 |
| 30.653 | 16.645 | 58.462 | -0.000 | -0.000 | -0.000 |
| 58.462 | 58.462 | 112.147 | -0.000 | -0.000 | 0.000 |
| -0.000 | -0.000 | -0.000 | 58.409 | -0.000 | 0.000 |
| -0.000 | -0.000 | -0.000 | -0.000 | 58.409 | 0.000 |
| -0.000 | -0.000 | -0.000 | -0.000 | 0.000 | 30.418 |
| 16.645 | 30.653 | 58.462 | 0.000 | 0.000 | -0.000 |
| 30.653 | 16.645 | 58.462 | 0.000 | 0.000 | -0.000 |
| 58.462 | 58.462 | 112.147 | 0.000 | 0.000 | 0.000 |
| 0.000 | 0.000 | 0.000 | 58.409 | 0.000 | -0.000 |
| 0.000 | 0.000 | 0.000 | 0.000 | 58.409 | -0.000 |
| 0.000 | 0.000 | 0.000 | -0.000 | -0.000 | 30.418 |
| 16.645 | 30.653 | 58.462 | 0.000 | 0.000 | -0.000 |
| 30.653 | 16.645 | 58.462 | 0.000 | 0.000 | -0.000 |
| 58.462 | 58.462 | 112.146 | -0.000 | -0.000 | -0.000 |
| -0.000 | -0.000 | -0.000 | 58.409 | -0.000 | 0.000 |
| -0.000 | -0.000 | -0.000 | -0.000 | 58.409 | 0.000 |
| -0.000 | -0.000 | -0.000 | 0.000 | 0.000 | 30.418 |
| 16.645 | 30.653 | 58.462 | 0.000 | 0.000 | -0.000 |
| 30.653 | 16.645 | 58.462 | 0.000 | 0.000 | -0.000 |
| 58.463 | 58.463 | 112.148 | 0.000 | 0.000 | -0.000 |
| 0.000 | 0.000 | 0.001 | 58.409 | 0.000 | -0.000 |
| 0.000 | 0.000 | 0.001 | 0.000 | 58.409 | -0.000 |
| 0.000 | 0.000 | 0.000 | -0.000 | -0.000 | 30.418 |
| 16.645 | 30.653 | 58.462 | -0.000 | -0.000 | -0.000 |
| 30.653 | 16.645 | 58.462 | -0.000 | -0.000 | -0.000 |
| 58.461 | 58.461 | 112.146 | 0.000 | 0.000 | -0.000 |
| -0.000 | -0.000 | -0.001 | 58.409 | -0.000 | -0.000 |
| -0.000 | -0.000 | -0.001 | -0.000 | 58.409 | -0.000 |
| -0.000 | -0.000 | -0.000 | -0.000 | 0.000 | 30.418 |
| 174.011 | 127.460 | 157.915 | 0.000 | -0.000 | 0.000 |
| 127.460 | 174.011 | 157.915 | -0.000 | 0.000 | 0.000 |
| 157.915 | 157.915 | 195.447 | 0.000 | 0.000 | 0.000 |
| -0.000 | -0.000 | -0.000 | 157.985 | 0.000 | 0.000 |
| -0.000 | -0.000 | -0.000 | 0.000 | 157.985 | 0.000 |
| -0.000 | -0.000 | -0.000 | 0.000 | 0.000 | 127.650 |
| 174.011 | 127.460 | 157.915 | -0.000 | -0.000 | -0.000 |
| 127.460 | 174.011 | 157.915 | -0.000 | -0.000 | -0.000 |
| 157.915 | 157.915 | 195.447 | -0.000 | -0.000 | -0.000 |
| 0.000 | 0.000 | 0.000 | 157.985 | -0.000 | -0.000 |
| 0.000 | 0.000 | 0.000 | -0.000 | 157.985 | -0.000 |
| 0.000 | 0.000 | 0.000 | -0.000 | 0.000 | 127.650 |
| 174.011 | 127.460 | 157.915 | 0.000 | 0.000 | 0.000 |
| 127.460 | 174.011 | 157.915 | 0.000 | 0.000 | 0.000 |
| 157.915 | 157.915 | 195.447 | -0.000 | -0.000 | 0.000 |
| -0.000 | -0.000 | -0.000 | 157.985 | 0.000 | 0.000 |
| -0.000 | -0.000 | -0.000 | 0.000 | 157.985 | 0.000 |
| -0.000 | -0.000 | -0.000 | 0.000 | 0.000 | 127.650 |
| 174.011 | 127.460 | 157.915 | -0.000 | -0.000 | -0.000 |
| 127.460 | 174.011 | 157.915 | -0.000 | -0.000 | -0.000 |
| 157.915 | 157.915 | 195.447 | 0.000 | 0.000 | -0.000 |
| 0.000 | 0.000 | 0.000 | 157.985 | -0.000 | -0.000 |
| 0.000 | 0.000 | 0.000 | -0.000 | 157.985 | -0.000 |
| 0.000 | 0.000 | 0.000 | -0.000 | -0.000 | 127.650 |
| 174.012 | 127.460 | 157.915 | 0.000 | 0.000 | 0.000 |
| 127.460 | 174.012 | 157.915 | 0.000 | 0.000 | 0.000 |
| 157.915 | 157.915 | 195.447 | -0.000 | -0.000 | 0.000 |
| -0.000 | -0.000 | -0.000 | 157.985 | -0.000 | 0.000 |
| -0.000 | -0.000 | -0.000 | -0.000 | 157.985 | 0.000 |
| -0.000 | -0.000 | -0.000 | 0.000 | 0.000 | 127.650 |
| 174.010 | 127.460 | 157.915 | -0.000 | -0.000 | 0.000 |
| 127.460 | 174.010 | 157.915 | -0.000 | -0.000 | 0.000 |
| 157.915 | 157.915 | 195.447 | -0.000 | -0.000 | -0.000 |
| 0.000 | 0.000 | 0.000 | 157.985 | -0.000 | -0.000 |
| 0.000 | 0.000 | 0.000 | -0.000 | 157.985 | -0.000 |
| 0.000 | 0.000 | 0.000 | -0.000 | -0.000 | 127.650 |
| 151.429 | 44.506 | 23.551 | 0.000 | -0.000 | -0.000 |
| 44.506 | 151.429 | 23.551 | -0.000 | -0.000 | 0.000 |
| 21.572 | 21.572 | 167.842 | -0.000 | -0.000 | 0.000 |
| 0.000 | 0.000 | -0.000 | 29.892 | -0.000 | 0.000 |
| 0.000 | 0.000 | -0.000 | 0.000 | 29.892 | -0.000 |
| 0.000 | 0.000 | -0.000 | -0.000 | -0.000 | 53.461 |
| 657.180 | 628.157 | -1062.034 | -0.000 | 0.000 | 0.000 |
| 628.157 | 657.180 | -1062.034 | 0.000 | 0.000 | 0.000 |
| 623.451 | 623.451 | -1031.698 | -0.000 | -0.000 | 0.000 |
| -0.000 | 0.000 | 0.000 | 29.892 | 0.000 | -0.000 |
| -0.000 | -0.000 | 0.000 | -0.000 | 29.893 | -0.000 |
| -0.000 | -0.000 | 0.000 | 0.000 | 0.000 | 53.461 |
| 151.429 | 44.507 | 23.552 | -0.000 | -0.000 | 0.000 |
| 10.411 | 34.814 | 173.735 | -0.000 | -0.000 | -0.000 |
| 21.572 | 21.572 | 167.842 | 0.000 | 0.000 | 0.000 |
| 0.000 | 0.000 | 0.000 | 29.892 | -0.000 | -0.000 |
| 0.000 | 0.000 | 0.000 | -0.000 | 29.892 | 0.000 |
| 0.000 | 0.000 | 0.000 | 0.000 | -0.000 | 53.461 |
| 151.429 | 44.506 | 23.551 | -0.000 | 0.000 | 0.000 |
| 44.506 | 151.429 | 23.551 | -0.000 | 0.000 | -0.000 |
| 21.572 | 21.572 | 167.842 | 0.000 | 0.000 | -0.000 |
| -0.000 | -0.000 | -0.000 | 29.892 | 0.000 | -0.000 |
| -0.000 | -0.000 | -0.000 | 0.000 | 29.892 | 0.000 |
| -0.000 | -0.000 | -0.000 | -0.000 | 0.000 | 53.461 |
| 151.431 | 44.508 | 23.553 | 0.000 | -0.000 | -0.000 |
| 44.508 | 151.431 | 23.553 | 0.000 | -0.000 | 0.000 |
| 54.048 | 54.048 | 103.122 | 0.000 | -0.000 | -0.000 |
| 0.000 | 0.000 | 0.000 | 29.892 | -0.000 | 0.000 |
| 0.000 | 0.000 | 0.000 | 0.000 | 29.892 | 0.000 |
| 0.000 | 0.000 | 0.000 | 0.000 | -0.000 | 53.461 |
| 151.427 | 44.505 | 23.550 | 0.000 | 0.000 | -0.000 |
| 44.505 | 151.427 | 23.550 | 0.000 | 0.000 | 0.000 |
| 65.327 | 65.327 | 80.633 | 0.000 | 0.000 | 0.000 |
| -0.000 | -0.000 | -0.000 | 29.892 | 0.000 | -0.000 |
| -0.000 | -0.000 | -0.000 | 0.000 | 29.892 | -0.000 |
| -0.000 | -0.000 | -0.000 | -0.000 | 0.000 | 53.461 |
| 142.901 | 92.435 | 9.028 | -0.000 | -0.000 | -0.000 |
| 92.435 | 142.901 | 9.028 | -0.000 | -0.000 | -0.000 |
| 9.028 | 9.028 | -25.360 | -0.000 | -0.000 | 0.000 |
| -0.000 | 0.000 | 0.000 | -0.808 | -0.000 | -0.000 |
| -0.000 | 0.000 | 0.000 | -0.000 | -0.808 | 0.000 |
| -0.000 | 0.000 | 0.000 | -0.000 | -0.000 | 25.233 |
| 142.901 | 92.435 | 9.028 | 0.000 | 0.000 | -0.000 |
| 92.435 | 142.902 | 9.028 | 0.000 | 0.000 | 0.000 |
| 9.028 | 9.028 | -25.360 | 0.000 | 0.000 | 0.000 |
| -0.000 | -0.000 | -0.000 | -0.808 | 0.000 | 0.000 |
| -0.000 | -0.000 | -0.000 | -0.000 | -0.808 | -0.000 |
| 0.000 | -0.000 | -0.000 | 0.000 | -0.000 | 25.233 |
| 142.901 | 92.435 | 9.028 | -0.000 | -0.000 | 0.000 |
| 92.434 | 142.901 | 9.028 | -0.000 | -0.000 | 0.000 |
| 9.028 | 9.028 | -25.360 | 0.000 | -0.000 | 0.000 |
| -0.000 | -0.000 | 0.000 | -0.808 | -0.000 | -0.000 |
| -0.000 | -0.000 | 0.000 | -0.000 | -0.808 | -0.000 |
| -0.000 | 0.000 | 0.000 | -0.000 | 0.000 | 25.233 |
| 142.902 | 92.436 | 9.028 | 0.000 | 0.000 | -0.000 |
| 92.435 | 142.902 | 9.028 | 0.000 | 0.000 | 0.000 |
| 9.028 | 9.028 | -25.360 | 0.000 | 0.000 | 0.000 |
| 0.000 | 0.000 | -0.000 | -0.808 | 0.000 | 0.000 |
| 0.000 | 0.000 | -0.000 | 0.000 | -0.808 | 0.000 |
| 0.000 | -0.000 | -0.000 | 0.000 | 0.000 | 25.233 |
| 142.897 | 92.430 | 9.028 | -0.000 | -0.000 | 0.000 |
| 92.430 | 142.896 | 9.028 | -0.000 | -0.000 | -0.000 |
| 9.028 | 9.028 | -25.359 | -0.000 | -0.000 | 0.000 |
| -0.000 | -0.000 | 0.000 | -0.808 | -0.000 | -0.000 |
| -0.000 | -0.000 | 0.000 | -0.000 | -0.808 | -0.000 |
| -0.000 | 0.000 | 0.000 | -0.000 | -0.000 | 25.233 |
| 142.906 | 92.440 | 9.028 | 0.000 | 0.000 | -0.000 |
| 92.440 | 142.906 | 9.028 | 0.000 | 0.000 | 0.000 |
| 9.028 | 9.028 | -25.361 | 0.000 | 0.000 | -0.000 |
| 0.000 | 0.000 | -0.000 | -0.808 | -0.000 | 0.000 |
| 0.000 | 0.000 | -0.000 | 0.000 | -0.808 | -0.000 |
| 0.000 | -0.000 | -0.000 | 0.000 | -0.000 | 25.233 |
| 229.501 | 172.594 | 241.107 | -0.000 | -0.000 | 0.000 |
| 172.594 | 229.501 | 241.107 | -0.000 | 0.000 | 0.000 |
| 241.107 | 241.107 | 400.035 | 0.000 | 0.000 | 0.000 |
| -0.000 | 0.000 | -0.000 | 24.794 | 0.000 | 0.000 |
| -0.000 | 0.000 | -0.000 | 0.000 | 24.794 | -0.000 |
| -0.000 | 0.000 | -0.000 | -0.000 | -0.000 | 28.453 |
| 229.501 | 172.594 | 241.107 | 0.000 | 0.000 | -0.000 |
| 161.790 | 240.305 | 241.107 | -0.000 | -0.000 | 0.000 |
| 241.107 | 241.107 | 400.035 | -0.000 | -0.000 | -0.000 |
| 0.000 | -0.000 | 0.000 | 24.794 | 0.000 | -0.000 |
| 0.000 | -0.000 | 0.000 | 0.000 | 24.794 | -0.000 |
| 0.000 | -0.000 | 0.000 | 0.000 | -0.000 | 28.453 |
| 229.501 | 172.594 | 241.107 | -0.000 | -0.000 | 0.000 |
| 172.594 | 229.501 | 241.107 | -0.000 | -0.000 | 0.000 |
| 241.107 | 241.107 | 400.035 | 0.000 | 0.000 | 0.000 |
| 0.000 | 0.000 | 0.000 | 24.794 | 0.000 | 0.000 |
| 0.000 | 0.000 | 0.000 | 0.000 | 24.794 | 0.000 |
| -0.000 | 0.000 | 0.000 | -0.000 | -0.000 | 28.453 |
| 229.500 | 172.593 | 241.106 | 0.000 | 0.000 | 0.000 |
| 172.593 | 229.500 | 241.106 | 0.000 | 0.000 | 0.000 |
| 241.106 | 241.106 | 400.034 | 0.000 | 0.000 | -0.000 |
| -0.000 | -0.000 | -0.000 | 24.794 | 0.000 | -0.000 |
| -0.000 | -0.000 | -0.000 | 0.000 | 24.794 | -0.000 |
| 0.000 | -0.000 | -0.000 | 0.000 | 0.000 | 28.453 |
| 229.505 | 172.598 | 241.112 | -0.000 | -0.000 | 0.000 |
| 172.599 | 229.505 | 241.112 | -0.000 | -0.000 | -0.000 |
| 241.112 | 241.112 | 400.040 | 0.000 | -0.000 | 0.000 |
| 0.000 | 0.000 | 0.000 | 24.794 | -0.000 | 0.000 |
| 0.000 | 0.000 | 0.000 | -0.000 | 24.794 | 0.000 |
| 0.000 | 0.000 | 0.000 | 0.000 | 0.000 | 39.257 |
| 240.300 | 161.785 | 241.101 | -0.000 | -0.000 | 0.000 |
| 161.785 | 240.300 | 241.101 | -0.000 | -0.000 | -0.000 |
| 241.101 | 241.101 | 400.029 | 0.000 | -0.000 | -0.000 |
| -0.000 | -0.000 | -0.000 | 24.794 | 0.000 | -0.000 |
| -0.000 | -0.000 | -0.000 | -0.000 | 24.794 | -0.000 |
| -0.000 | -0.000 | -0.000 | -0.000 | -0.000 | 39.257 |
| 186.865 | 273.742 | 273.742 | 0.000 | -0.000 | 0.000 |
| 273.742 | 186.865 | 273.742 | 0.000 | 0.000 | 0.000 |
| 273.742 | 273.742 | 186.865 | -0.000 | -0.000 | 0.000 |
| 0.000 | 0.000 | 0.000 | 265.951 | -0.000 | 0.000 |
| 0.000 | 0.000 | 0.000 | 0.000 | 265.951 | 0.000 |
| -0.000 | -0.000 | 0.000 | -0.000 | -0.000 | 265.951 |
| 186.865 | 273.742 | 273.742 | 0.000 | 0.000 | -0.000 |
| 273.742 | 186.865 | 273.742 | 0.000 | 0.000 | -0.000 |
| 273.742 | 273.742 | 186.865 | -0.000 | 0.000 | -0.000 |
| -0.000 | -0.000 | -0.000 | 265.951 | -0.000 | -0.000 |
| -0.000 | -0.000 | -0.000 | -0.000 | 265.951 | -0.000 |
| -0.000 | 0.000 | -0.000 | 0.000 | 0.000 | 265.951 |
| 186.865 | 273.742 | 273.742 | -0.000 | -0.000 | 0.000 |
| 273.742 | 186.865 | 273.742 | 0.000 | -0.000 | 0.000 |
| 273.742 | 273.742 | 186.865 | -0.000 | -0.000 | 0.000 |
| 0.000 | -0.000 | 0.000 | 265.951 | 0.000 | 0.000 |
| -0.000 | 0.000 | 0.000 | 0.000 | 265.951 | 0.000 |
| -0.000 | 0.000 | 0.000 | -0.000 | -0.000 | 265.951 |
| 186.865 | 273.742 | 273.742 | -0.000 | -0.000 | -0.000 |
| 273.742 | 186.865 | 273.742 | -0.000 | 0.000 | -0.000 |
| 273.742 | 273.742 | 186.865 | 0.000 | 0.000 | -0.000 |
| -0.000 | -0.000 | -0.000 | 265.951 | 0.000 | -0.000 |
| -0.000 | -0.000 | -0.000 | -0.000 | 265.951 | -0.000 |
| 0.000 | -0.000 | -0.000 | 0.000 | 0.000 | 265.951 |
| 186.867 | 273.742 | 273.742 | 0.000 | -0.000 | 0.000 |
| 273.742 | 186.867 | 273.742 | -0.000 | 0.000 | 0.000 |
| 273.742 | 273.742 | 186.867 | 0.000 | 0.000 | 0.000 |
| 0.000 | -0.000 | 0.000 | 265.951 | -0.000 | 0.000 |
| -0.000 | 0.000 | 0.000 | -0.000 | 265.951 | 0.000 |
| -0.000 | 0.000 | 0.000 | -0.000 | -0.000 | 265.951 |
| 186.863 | 273.741 | 273.741 | 0.000 | 0.000 | -0.000 |
| 273.741 | 186.863 | 273.741 | -0.000 | 0.000 | -0.000 |
| 273.741 | 273.741 | 186.863 | 0.000 | -0.000 | -0.000 |
| -0.000 | 0.000 | -0.000 | 265.951 | 0.000 | -0.000 |
| 0.000 | -0.000 | -0.000 | -0.000 | 265.951 | -0.000 |
| 0.000 | -0.000 | -0.000 | 0.000 | 0.000 | 265.951 |
| 194.554 | 163.264 | 163.264 | -0.000 | 0.000 | -0.000 |
| 163.264 | 194.554 | 163.264 | 0.000 | -0.000 | -0.000 |
| 163.264 | 163.264 | 194.554 | 0.000 | 0.000 | -0.000 |
| 0.000 | 0.000 | 0.000 | 103.951 | -0.000 | -0.000 |
| -0.000 | 0.000 | 0.000 | -0.000 | 103.951 | -0.000 |
| 0.000 | 0.000 | 0.000 | -0.000 | -0.000 | 103.951 |
| 194.554 | 163.264 | 163.264 | -0.000 | -0.000 | 0.000 |
| 163.264 | 194.554 | 163.264 | -0.000 | 0.000 | 0.000 |
| 163.264 | 163.264 | 194.554 | 0.000 | 0.000 | 0.000 |
| 0.000 | -0.000 | -0.000 | 103.951 | 0.000 | 0.000 |
| 0.000 | -0.000 | -0.000 | 0.000 | 103.951 | 0.000 |
| 0.000 | -0.000 | -0.000 | -0.000 | 0.000 | 103.951 |
| 194.555 | 163.266 | 163.266 | 0.000 | 0.000 | 0.000 |
| 163.266 | 194.555 | 163.266 | 0.000 | 0.000 | -0.000 |
| 163.266 | 163.266 | 194.555 | 0.000 | -0.000 | -0.000 |
| 0.000 | 0.000 | 0.000 | 103.951 | -0.000 | -0.000 |
| 0.000 | 0.000 | 0.000 | 0.000 | 103.951 | -0.000 |
| 0.000 | 0.000 | 0.000 | -0.000 | -0.000 | 103.951 |
| 194.552 | 163.262 | 163.262 | 0.000 | -0.000 | 0.000 |
| 163.262 | 194.552 | 163.262 | -0.000 | 0.000 | 0.000 |
| 163.262 | 163.262 | 194.552 | -0.000 | 0.000 | 0.000 |
| -0.000 | -0.000 | -0.000 | 103.951 | 0.000 | 0.000 |
| -0.000 | -0.000 | -0.000 | -0.000 | 103.951 | 0.000 |
| -0.000 | -0.000 | -0.000 | -0.000 | 0.000 | 103.951 |
| 194.570 | 163.280 | 163.280 | -0.000 | -0.000 | -0.000 |
| 163.280 | 194.570 | 163.280 | 0.000 | -0.000 | -0.000 |
| 163.280 | 163.280 | 194.570 | 0.000 | -0.000 | -0.000 |
| -0.000 | 0.000 | 0.000 | -41.902 | 0.000 | -0.000 |
| 0.000 | -0.000 | 0.000 | 0.000 | -41.902 | -0.000 |
| 0.000 | 0.000 | -0.000 | -0.000 | -0.000 | -41.902 |
| 194.538 | 163.248 | 163.248 | -0.000 | 0.000 | -0.000 |
| 163.248 | 194.538 | 163.248 | -0.000 | 0.000 | -0.000 |
| 163.248 | 163.248 | 194.538 | -0.000 | -0.000 | 0.000 |
| 0.000 | -0.000 | -0.000 | -41.902 | -0.000 | 0.000 |
| -0.000 | 0.000 | -0.000 | 0.000 | -41.902 | 0.000 |
| -0.000 | -0.000 | 0.000 | 0.000 | -0.000 | -41.902 |
| 183.304 | 175.991 | 175.991 | 0.000 | -0.000 | -0.000 |
| 175.991 | 183.304 | 175.991 | -0.000 | 0.000 | -0.000 |
| 175.991 | 175.991 | 183.304 | 0.000 | -0.000 | -0.000 |
| 0.000 | -0.000 | -0.000 | -21.552 | -0.000 | 0.000 |
| -0.000 | 0.000 | -0.000 | 0.000 | -21.552 | -0.000 |
| -0.000 | -0.000 | 0.000 | 0.000 | -0.000 | -21.552 |
| 183.304 | 175.991 | 175.991 | -0.000 | 0.000 | 0.000 |
| 175.991 | 183.304 | 175.991 | 0.000 | 0.000 | 0.000 |
| 175.991 | 175.991 | 183.304 | -0.000 | 0.000 | 0.000 |
| -0.000 | 0.000 | 0.000 | -21.552 | 0.000 | 0.000 |
| 0.000 | -0.000 | 0.000 | 0.000 | -21.552 | 0.000 |
| 0.000 | 0.000 | -0.000 | 0.000 | 0.000 | -21.552 |
| 183.303 | 175.991 | 175.991 | 0.000 | -0.000 | -0.000 |
| 175.991 | 183.303 | 175.991 | 0.000 | 0.000 | -0.000 |
| 175.991 | 175.991 | 183.303 | 0.000 | -0.000 | -0.000 |
| 0.000 | 0.000 | 0.000 | -60.571 | -0.000 | 0.000 |
| 0.000 | 0.000 | 0.000 | 0.000 | -60.571 | -0.000 |
| 0.000 | 0.000 | 0.000 | 0.000 | -0.000 | -60.571 |
| 183.304 | 175.992 | 175.992 | -0.000 | 0.000 | -0.000 |
| 175.992 | 183.304 | 175.992 | -0.000 | -0.000 | -0.000 |
| 175.992 | 175.992 | 183.304 | -0.000 | 0.000 | -0.000 |
| -0.000 | -0.000 | -0.000 | -60.571 | 0.000 | 0.000 |
| -0.000 | -0.000 | -0.000 | 0.000 | -60.571 | -0.000 |
| -0.000 | -0.000 | -0.000 | -0.000 | 0.000 | -60.571 |
| 183.300 | 175.988 | 175.988 | 0.000 | -0.000 | 0.000 |
| 175.988 | 183.300 | 175.988 | 0.000 | 0.000 | 0.000 |
| 175.988 | 175.988 | 183.300 | 0.000 | 0.000 | 0.000 |
| 0.008 | 0.004 | 0.004 | -118.437 | -0.000 | 0.000 |
| 0.004 | 0.008 | 0.004 | 0.000 | -118.437 | 0.000 |
| 0.004 | 0.004 | 0.008 | -0.000 | -0.000 | -118.437 |
| 183.307 | 175.995 | 175.995 | -0.000 | 0.000 | 0.000 |
| 175.995 | 183.307 | 175.995 | -0.000 | 0.000 | -0.000 |
| 175.995 | 175.995 | 183.307 | -0.000 | -0.000 | -0.000 |
| -0.008 | -0.004 | -0.004 | -118.437 | 0.000 | -0.000 |
| -0.004 | -0.008 | -0.004 | 0.000 | -118.437 | -0.000 |
| -0.004 | -0.004 | -0.008 | 0.000 | 0.000 | -118.437 |
| 40.080 | 24.615 | 24.615 | 0.000 | -0.000 | -0.000 |
| 24.615 | 40.080 | 24.615 | 0.000 | 0.000 | 0.000 |
| 24.615 | 24.615 | 40.080 | 0.000 | 0.000 | -0.000 |
| 0.000 | 0.000 | 0.000 | 5.418 | 0.000 | -0.000 |
| 0.000 | 0.000 | -0.000 | -0.000 | 5.418 | -0.000 |
| 0.000 | 0.000 | -0.000 | 0.000 | -0.000 | 5.418 |
| 40.080 | 24.615 | 24.615 | 0.000 | -0.000 | 0.000 |
| 24.615 | 40.080 | 24.615 | 0.000 | 0.000 | -0.000 |
| 24.615 | 24.615 | 40.080 | -0.000 | -0.000 | 0.000 |
| -0.000 | -0.000 | -0.000 | 5.418 | -0.000 | -0.000 |
| -0.000 | -0.000 | -0.000 | -0.000 | 5.418 | 0.000 |
| -0.000 | -0.000 | 0.000 | -0.000 | 0.000 | 5.418 |
| 40.080 | 24.615 | 24.615 | -0.000 | 0.000 | -0.000 |
| 24.615 | 40.080 | 24.615 | 0.000 | -0.000 | -0.000 |
| 24.615 | 24.615 | 40.080 | 0.000 | 0.000 | -0.000 |
| -0.000 | -0.000 | 0.000 | 5.418 | 0.000 | -0.000 |
| -0.000 | -0.000 | 0.000 | 0.000 | 5.418 | -0.000 |
| -0.000 | 0.000 | -0.000 | 0.000 | 0.000 | 5.418 |
| 40.080 | 24.616 | 24.616 | -0.000 | 0.000 | 0.000 |
| 24.616 | 40.080 | 24.616 | -0.000 | 0.000 | -0.000 |
| 24.616 | 24.616 | 40.080 | -0.000 | -0.000 | 0.000 |
| 0.000 | 0.000 | -0.000 | 5.418 | -0.000 | -0.000 |
| 0.000 | 0.000 | -0.000 | -0.000 | 5.418 | -0.000 |
| 0.000 | -0.000 | 0.000 | -0.000 | -0.000 | 5.418 |
| 40.079 | 24.614 | 24.614 | 0.000 | 0.000 | -0.000 |
| 24.614 | 40.079 | 24.614 | 0.000 | -0.000 | -0.000 |
| 24.614 | 24.614 | 40.079 | -0.000 | -0.000 | -0.000 |
| -0.000 | -0.000 | 0.000 | 5.418 | 0.000 | -0.000 |
| -0.000 | -0.000 | 0.000 | 0.000 | 5.418 | -0.000 |
| -0.000 | 0.000 | -0.000 | 0.000 | 0.000 | 5.418 |
| 40.081 | 24.616 | 24.616 | -0.000 | -0.000 | 0.000 |
| 24.616 | 40.081 | 24.616 | -0.000 | -0.000 | 0.000 |
| 24.616 | 24.616 | 40.081 | -0.000 | -0.000 | 0.000 |
| 0.000 | 0.000 | -0.000 | 5.418 | -0.000 | 0.000 |
| 0.000 | 0.000 | -0.000 | -0.000 | 5.418 | 0.000 |
| 0.000 | -0.000 | 0.000 | -0.000 | -0.000 | 5.418 |
| 72.136 | 72.136 | 72.136 | 0.000 | 0.000 | 0.000 |
| 72.136 | 72.136 | 72.136 | 0.000 | 0.000 | 0.000 |
| 72.136 | 72.136 | 72.136 | 0.000 | 0.000 | 0.000 |
| -0.000 | -0.000 | -0.000 | 0.000 | -0.000 | 0.000 |
| -0.000 | -0.000 | -0.000 | -0.000 | 0.000 | 0.000 |
| -0.000 | -0.000 | -0.000 | -0.000 | -0.000 | 0.000 |
| 72.136 | 72.136 | 72.136 | 0.000 | -0.000 | -0.000 |
| 72.136 | 72.136 | 72.136 | -0.000 | 0.000 | -0.000 |
| 72.136 | 72.136 | 72.136 | -0.000 | -0.000 | -0.000 |
| 0.000 | 0.000 | 0.000 | 0.000 | 0.000 | 0.000 |
| 0.000 | 0.000 | 0.000 | 0.000 | 0.000 | 0.000 |
| 0.000 | 0.000 | 0.000 | 0.000 | 0.000 | 0.000 |
| 72.136 | 72.136 | 72.136 | 0.000 | 0.000 | 0.000 |
| 72.136 | 72.136 | 72.136 | 0.000 | 0.000 | 0.000 |
| 72.136 | 72.136 | 72.136 | 0.000 | 0.000 | 0.000 |
| -0.000 | -0.000 | -0.000 | 0.000 | -0.000 | -0.000 |
| -0.000 | -0.000 | -0.000 | -0.000 | 0.000 | -0.000 |
| -0.000 | -0.000 | -0.000 | -0.000 | -0.000 | 0.000 |
| 72.136 | 72.136 | 72.136 | -0.000 | -0.000 | -0.000 |
| 72.136 | 72.136 | 72.136 | -0.000 | -0.000 | -0.000 |
| 72.136 | 72.136 | 72.136 | -0.000 | -0.000 | -0.000 |
| 0.000 | 0.000 | 0.000 | 0.000 | 0.000 | 0.000 |
| 0.000 | 0.000 | 0.000 | 0.000 | 0.000 | 0.000 |
| 0.000 | 0.000 | 0.000 | 0.000 | 0.000 | 0.000 |
| 72.136 | 72.136 | 72.136 | 0.000 | 0.000 | 0.000 |
| 72.136 | 72.136 | 72.136 | 0.000 | 0.000 | 0.000 |
| 72.136 | 72.136 | 72.136 | 0.000 | 0.000 | -0.000 |
| -0.000 | -0.000 | -0.000 | 0.000 | -0.000 | 0.000 |
| -0.000 | -0.000 | -0.000 | -0.000 | 0.000 | 0.000 |
| -0.000 | -0.000 | -0.000 | -0.000 | 0.000 | 0.000 |
| 72.137 | 72.136 | 72.136 | -0.000 | -0.000 | -0.000 |
| 72.136 | 72.137 | 72.136 | -0.000 | -0.000 | -0.000 |
| 72.136 | 72.136 | 72.137 | -0.000 | -0.000 | -0.000 |
| 0.000 | 0.000 | 0.000 | 0.000 | 0.000 | -0.000 |
| 0.000 | 0.000 | 0.000 | 0.000 | 0.000 | -0.000 |
| 0.000 | 0.000 | 0.000 | 0.000 | 0.000 | 0.000 |
| 24.155 | 24.155 | 24.155 | 0.000 | 0.000 | 0.000 |
| 24.155 | 24.155 | 24.155 | 0.000 | 0.000 | 0.000 |
| 24.155 | 24.155 | 24.155 | 0.000 | 0.000 | 0.000 |
| -0.000 | -0.000 | -0.000 | 0.000 | 0.000 | 0.000 |
| -0.000 | -0.000 | -0.000 | 0.000 | 0.000 | 0.000 |
| -0.000 | -0.000 | -0.000 | 0.000 | 0.000 | 0.000 |
| 24.155 | 24.155 | 24.155 | -0.000 | 0.000 | 0.000 |
| 24.155 | 24.155 | 24.155 | 0.000 | -0.000 | 0.000 |
| 24.155 | 24.155 | 24.155 | -0.000 | -0.000 | -0.000 |
| 0.000 | 0.000 | 0.000 | 0.000 | -0.000 | 0.000 |
| 0.000 | 0.000 | 0.000 | -0.000 | 0.000 | 0.000 |
| 0.000 | 0.000 | 0.000 | -0.000 | -0.000 | 0.000 |
| 24.155 | 24.155 | 24.155 | 0.000 | 0.000 | -0.000 |
| 24.155 | 24.155 | 24.155 | 0.000 | 0.000 | -0.000 |
| 24.155 | 24.155 | 24.155 | 0.000 | 0.000 | 0.000 |
| -0.000 | -0.000 | -0.000 | 0.000 | 0.000 | 0.000 |
| -0.000 | -0.000 | -0.000 | 0.000 | 0.000 | 0.000 |
| -0.000 | -0.000 | -0.000 | 0.000 | 0.000 | 0.000 |
| 24.155 | 24.155 | 24.155 | -0.000 | -0.000 | -0.000 |
| 24.155 | 24.155 | 24.155 | -0.000 | -0.000 | -0.000 |
| 24.155 | 24.155 | 24.155 | -0.000 | -0.000 | -0.000 |
| 0.000 | 0.000 | 0.000 | 0.000 | -0.000 | 0.000 |
| 0.000 | 0.000 | 0.000 | -0.000 | 0.000 | 0.000 |
| 0.000 | 0.000 | 0.000 | -0.000 | 0.000 | 0.000 |
| 24.155 | 24.155 | 24.155 | 0.000 | -0.000 | -0.000 |
| 24.155 | 24.155 | 24.155 | -0.000 | 0.000 | -0.000 |
| 24.155 | 24.155 | 24.155 | 0.000 | 0.000 | -0.000 |
| -0.000 | -0.000 | -0.000 | 0.000 | 0.000 | -0.000 |
| -0.000 | -0.000 | -0.000 | 0.000 | 0.000 | -0.000 |
| -0.000 | -0.000 | -0.000 | -0.000 | 0.000 | 0.000 |
| 24.155 | 24.155 | 24.155 | -0.000 | -0.000 | -0.000 |
| 24.155 | 24.155 | 24.155 | -0.000 | -0.000 | -0.000 |
| 24.155 | 24.155 | 24.155 | -0.000 | -0.000 | -0.000 |
| 0.000 | 0.000 | 0.000 | 0.000 | -0.000 | -0.000 |
| 0.000 | 0.000 | 0.000 | -0.000 | 0.000 | -0.000 |
| 0.000 | 0.000 | 0.000 | -0.000 | 0.000 | 0.000 |
| 25.144 | 24.870 | 24.870 | -0.000 | -0.000 | -0.000 |
| 24.870 | 25.144 | 24.870 | -0.000 | -0.000 | -0.000 |
| 24.870 | 24.870 | 25.144 | -0.000 | -0.000 | -0.000 |
| 0.000 | -0.000 | -0.000 | 0.684 | 0.000 | 0.000 |
| 0.000 | 0.000 | -0.000 | 0.000 | 0.684 | 0.000 |
| 0.000 | -0.000 | 0.000 | 0.000 | 0.000 | 0.684 |
| 25.144 | 24.870 | 24.870 | -0.000 | 0.000 | 0.000 |
| 24.870 | 25.144 | 24.870 | 0.000 | -0.000 | 0.000 |
| 24.870 | 24.870 | 25.144 | 0.000 | 0.000 | 0.000 |
| 0.000 | 0.000 | 0.000 | 0.684 | -0.000 | -0.000 |
| -0.000 | 0.000 | 0.000 | -0.000 | 0.684 | -0.000 |
| -0.000 | 0.000 | -0.000 | -0.000 | -0.000 | 0.684 |
| 25.144 | 24.870 | 24.870 | -0.000 | -0.000 | -0.000 |
| 24.870 | 25.144 | 24.870 | -0.000 | -0.000 | -0.000 |
| 24.870 | 24.870 | 25.144 | -0.000 | -0.000 | -0.000 |
| -0.000 | -0.000 | -0.000 | 0.684 | 0.000 | 0.000 |
| -0.000 | -0.000 | -0.000 | 0.000 | 0.684 | 0.000 |
| -0.000 | -0.000 | -0.000 | 0.000 | 0.000 | 0.684 |
| 25.144 | 24.870 | 24.870 | 0.000 | 0.000 | 0.000 |
| 24.870 | 25.144 | 24.870 | 0.000 | 0.000 | 0.000 |
| 24.870 | 24.870 | 25.144 | 0.000 | 0.000 | 0.000 |
| 0.000 | 0.000 | 0.000 | 0.684 | -0.000 | -0.000 |
| 0.000 | 0.000 | 0.000 | -0.000 | 0.684 | -0.000 |
| 0.000 | 0.000 | 0.000 | -0.000 | -0.000 | 0.684 |
| 25.144 | 24.871 | 24.871 | -0.000 | -0.000 | -0.000 |
| 24.871 | 25.144 | 24.871 | -0.000 | -0.000 | -0.000 |
| 24.871 | 24.871 | 25.144 | -0.000 | -0.000 | -0.000 |
| -0.000 | -0.000 | -0.000 | 0.684 | 0.000 | 0.000 |
| -0.000 | -0.000 | -0.000 | 0.000 | 0.684 | 0.000 |
| -0.000 | -0.000 | -0.000 | 0.000 | 0.000 | 0.684 |
| 25.144 | 24.870 | 24.870 | 0.000 | 0.000 | 0.000 |
| 24.870 | 25.144 | 24.870 | 0.000 | 0.000 | 0.000 |
| 24.870 | 24.870 | 25.144 | 0.000 | 0.000 | 0.000 |
| 0.000 | 0.000 | 0.000 | 0.684 | -0.000 | -0.000 |
| 0.000 | 0.000 | 0.000 | -0.000 | 0.684 | -0.000 |
| 0.000 | 0.000 | 0.000 | -0.000 | -0.000 | 0.684 |
| 1352.471 | 277.229 | 277.229 | 0.000 | 0.000 | 0.000 |
| 277.229 | 1352.472 | 277.229 | 0.000 | -0.000 | 0.000 |
| 277.229 | 277.229 | 1352.472 | 0.000 | 0.000 | 0.000 |
| 0.000 | 0.000 | 0.000 | -24.463 | 0.000 | -0.000 |
| 0.000 | 0.000 | 0.000 | 0.000 | -24.463 | 0.000 |
| -0.000 | 0.000 | 0.000 | 0.000 | 0.000 | -24.463 |
| 1318.622 | 294.153 | 294.154 | -0.000 | -0.000 | -0.000 |
| 294.154 | 1318.622 | 294.154 | -0.000 | -0.000 | -0.000 |
| 294.154 | 294.154 | 1318.622 | -0.000 | 0.000 | 0.000 |
| -0.000 | -0.000 | -0.000 | -24.463 | -0.000 | 0.000 |
| -0.000 | -0.000 | -0.000 | -0.000 | -24.463 | -0.000 |
| -0.000 | -0.000 | -0.000 | -0.000 | -0.000 | -24.463 |
| 1318.623 | 294.154 | 294.154 | 0.000 | 0.000 | -0.000 |
| 294.154 | 1318.623 | 294.154 | -0.000 | 0.000 | -0.000 |
| 294.154 | 294.154 | 1318.623 | 0.000 | 0.000 | 0.000 |
| 0.000 | 0.000 | 0.000 | 141.486 | 0.000 | 0.000 |
| 0.000 | 0.000 | 0.000 | 0.000 | 141.486 | 0.000 |
| 0.000 | 0.000 | 0.000 | 0.000 | -0.000 | 141.486 |
| 1318.621 | 294.153 | 294.153 | -0.000 | -0.000 | 0.000 |
| 294.153 | 1318.621 | 294.153 | -0.000 | -0.000 | 0.000 |
| 294.153 | 294.153 | 1318.621 | 0.000 | 0.000 | -0.000 |
| -0.000 | -0.000 | -0.000 | 141.486 | -0.000 | -0.000 |
| -0.000 | -0.000 | -0.000 | -0.000 | 141.486 | -0.000 |
| -0.000 | -0.000 | -0.000 | -0.000 | -0.000 | 141.486 |
| 1352.483 | 277.231 | 277.231 | -0.000 | 0.000 | 0.000 |
| 277.231 | 1352.483 | 277.231 | 0.000 | 0.000 | 0.000 |
| 277.231 | 277.231 | 1352.483 | 0.000 | 0.000 | 0.000 |
| 0.000 | 0.001 | 0.001 | 141.486 | 0.000 | 0.000 |
| 0.001 | 0.000 | 0.001 | -0.000 | 141.486 | 0.000 |
| 0.001 | 0.001 | 0.000 | -0.000 | -0.000 | 141.486 |
| 1318.611 | 294.152 | 294.152 | 0.000 | 0.000 | -0.000 |
| 294.152 | 1318.611 | 294.152 | -0.000 | 0.000 | -0.000 |
| 294.152 | 294.152 | 1318.611 | -0.000 | -0.000 | -0.000 |
| -0.000 | -0.001 | -0.001 | 141.486 | -0.000 | 0.000 |
| -0.001 | -0.000 | -0.001 | 0.000 | 141.486 | -0.000 |
| -0.001 | -0.001 | -0.000 | -0.000 | -0.000 | 141.486 |
| 273.484 | 7.543 | 7.543 | -0.000 | -0.000 | 0.000 |
| 7.543 | 273.484 | 7.543 | -0.000 | -0.000 | 0.000 |
| 7.543 | 7.543 | 273.484 | -0.000 | -0.000 | 0.000 |
| 0.000 | 0.000 | -0.000 | -11.297 | -0.000 | 0.000 |
| 0.000 | 0.000 | -0.000 | -0.000 | -11.297 | 0.000 |
| 0.000 | -0.000 | 0.000 | -0.000 | -0.000 | -11.297 |
| 273.484 | 7.543 | 7.543 | 0.000 | 0.000 | -0.000 |
| 7.543 | 273.484 | 7.543 | 0.000 | 0.000 | -0.000 |
| 7.543 | 7.543 | 273.484 | 0.000 | 0.000 | -0.000 |
| 0.000 | -0.000 | -0.000 | -11.297 | 0.000 | -0.000 |
| -0.000 | 0.000 | 0.000 | 0.000 | -11.297 | -0.000 |
| -0.000 | -0.000 | 0.000 | 0.000 | 0.000 | -11.297 |
| 270.794 | 8.888 | 8.888 | -0.000 | -0.000 | 0.000 |
| 8.888 | 270.794 | 8.888 | -0.000 | -0.000 | -0.000 |
| 8.888 | 8.888 | 270.794 | -0.000 | -0.000 | 0.000 |
| 0.000 | 0.000 | 0.000 | -11.297 | -0.000 | 0.000 |
| 0.000 | 0.000 | 0.000 | -0.000 | -11.297 | 0.000 |
| 0.000 | 0.000 | 0.000 | -0.000 | -0.000 | -11.297 |
| 273.483 | 7.543 | 7.543 | -0.000 | 0.000 | -0.000 |
| 7.543 | 273.483 | 7.543 | 0.000 | 0.000 | -0.000 |
| 7.543 | 7.543 | 273.483 | 0.000 | -0.000 | -0.000 |
| -0.000 | -0.000 | -0.000 | -11.297 | 0.000 | -0.000 |
| -0.000 | -0.000 | -0.000 | 0.000 | -11.297 | 0.000 |
| -0.000 | -0.000 | -0.000 | 0.000 | 0.000 | -11.297 |
| 270.799 | 8.889 | 8.889 | -0.000 | -0.000 | 0.000 |
| 8.889 | 270.799 | 8.889 | -0.000 | -0.000 | 0.000 |
| 8.889 | 8.889 | 270.799 | -0.000 | -0.000 | -0.000 |
| 0.000 | 0.000 | 0.000 | -11.297 | -0.000 | -0.000 |
| 0.000 | 0.000 | 0.000 | -0.000 | -11.297 | 0.000 |
| 0.000 | 0.000 | 0.000 | -0.000 | -0.000 | -11.297 |
| 270.789 | 8.888 | 8.888 | -0.000 | 0.000 | -0.000 |
| 8.888 | 270.789 | 8.888 | 0.000 | 0.000 | -0.000 |
| 8.888 | 8.888 | 270.789 | 0.000 | 0.000 | -0.000 |
| -0.000 | -0.000 | -0.000 | -11.297 | 0.000 | -0.000 |
| -0.000 | -0.000 | -0.000 | 0.000 | -11.297 | -0.000 |
| -0.000 | -0.000 | -0.000 | 0.000 | 0.000 | -11.297 |
| 148.958 | 178.276 | 178.276 | 0.000 | 0.000 | 0.000 |
| 178.276 | 148.958 | 178.276 | 0.000 | 0.000 | -0.000 |
| 178.276 | 178.276 | 148.958 | -0.000 | -0.000 | 0.000 |
| -0.000 | -0.000 | -0.000 | -51.888 | 0.000 | -0.000 |
| -0.000 | -0.000 | -0.000 | -0.000 | -51.888 | 0.000 |
| -0.000 | -0.000 | -0.000 | 0.000 | 0.000 | -51.888 |
| 134.211 | 185.648 | 185.648 | 0.000 | 0.000 | -0.000 |
| 185.648 | 134.211 | 185.648 | 0.000 | -0.000 | -0.000 |
| 185.648 | 185.648 | 134.211 | 0.000 | 0.000 | -0.000 |
| 0.000 | -0.000 | 0.000 | -51.888 | -0.000 | -0.000 |
| 0.000 | 0.000 | 0.000 | 0.000 | -51.888 | -0.000 |
| 0.000 | 0.000 | 0.000 | -0.000 | -0.000 | -51.888 |
| 148.961 | 178.278 | 178.278 | -0.000 | -0.000 | 0.000 |
| 178.278 | 148.961 | 178.278 | 0.000 | 0.000 | 0.000 |
| 178.278 | 178.278 | 148.961 | -0.000 | -0.000 | 0.000 |
| -0.000 | -0.000 | -0.000 | -51.888 | 0.000 | 0.000 |
| -0.000 | -0.000 | -0.000 | -0.000 | -51.888 | 0.000 |
| -0.000 | -0.000 | -0.000 | 0.000 | 0.000 | -51.888 |
| 134.209 | 185.645 | 185.645 | -0.000 | 0.000 | -0.000 |
| 185.645 | 134.209 | 185.645 | -0.000 | 0.000 | -0.000 |
| 185.645 | 185.645 | 134.209 | 0.000 | -0.000 | -0.000 |
| 0.000 | 0.000 | 0.000 | -51.888 | -0.000 | 0.000 |
| 0.000 | 0.000 | 0.000 | 0.000 | -51.888 | -0.000 |
| 0.000 | 0.000 | 0.000 | -0.000 | -0.000 | -51.888 |
| 134.240 | 185.678 | 185.678 | 0.000 | 0.000 | 0.000 |
| 185.678 | 134.240 | 185.678 | 0.000 | 0.000 | 0.000 |
| 185.678 | 185.678 | 134.240 | 0.000 | 0.000 | -0.000 |
| -1175881.570 | -1064097.238 | -1054580.804 | -52021.923 | 2278.547 | -11022.303 |
| -306588.864 | -683201.362 | -278584.237 | 24895.435 | 3905.900 | -1475.843 |
| -902308.419 | -935486.391 | -1046018.254 | -24274.771 | -1608.504 | -54192.756 |
| 148.929 | 178.246 | 178.246 | -0.000 | -0.000 | -0.000 |
| 178.246 | 148.929 | 178.246 | -0.000 | -0.000 | -0.000 |
| 178.246 | 178.246 | 148.929 | 0.000 | -0.000 | 0.000 |
| -2616919.234 | -2579715.541 | -2451914.824 | -55873.155 | 33435.837 | -33701.652 |
| -1942284.469 | -1608612.472 | -2073860.503 | -1789.405 | -63934.741 | 50640.530 |
| -2682168.535 | -2513082.367 | -2440795.635 | -3262.789 | -31314.755 | -99135.805 |
| 272.946 | 289.279 | 289.279 | -0.000 | -0.000 | -0.000 |
| 289.279 | 272.946 | 289.279 | -0.000 | -0.000 | -0.000 |
| 289.279 | 289.279 | 272.946 | -0.000 | -0.000 | -0.000 |
| -0.000 | -0.000 | -0.000 | -12.004 | -0.000 | -0.000 |
| -0.000 | -0.000 | -0.000 | -0.000 | -12.004 | -0.000 |
| -0.000 | -0.000 | -0.000 | -0.000 | -0.000 | -12.004 |
| 272.946 | 289.279 | 289.279 | 0.000 | -0.000 | 0.000 |
| 289.279 | 272.946 | 289.279 | 0.000 | 0.000 | 0.000 |
| 289.279 | 289.279 | 272.946 | 0.000 | 0.000 | 0.000 |
| 0.000 | 0.000 | 0.000 | -12.004 | 0.000 | 0.000 |
| 0.000 | 0.000 | 0.000 | 0.000 | -12.004 | 0.000 |
| 0.000 | 0.000 | 0.000 | 0.000 | 0.000 | -12.004 |
| 272.947 | 289.279 | 289.279 | -0.000 | -0.000 | -0.000 |
| 289.279 | 272.947 | 289.279 | -0.000 | -0.000 | -0.000 |
| 289.279 | 289.279 | 272.947 | -0.000 | -0.000 | -0.000 |
| -0.000 | -0.000 | -0.000 | -12.004 | -0.000 | -0.000 |
| -0.000 | -0.000 | -0.000 | -0.000 | -12.004 | -0.000 |
| -0.000 | -0.000 | -0.000 | -0.000 | -0.000 | -12.004 |
| 272.946 | 289.279 | 289.279 | 0.000 | 0.000 | 0.000 |
| 289.279 | 272.946 | 289.279 | 0.000 | 0.000 | 0.000 |
| 289.279 | 289.279 | 272.946 | 0.000 | 0.000 | 0.000 |
| 0.000 | 0.000 | 0.000 | -12.004 | 0.000 | 0.000 |
| 0.000 | 0.000 | 0.000 | 0.000 | -12.004 | 0.000 |
| 0.000 | 0.000 | 0.000 | 0.000 | 0.000 | -12.004 |
| 272.947 | 289.280 | 289.280 | -0.000 | -0.000 | -0.000 |
| 289.280 | 272.947 | 289.280 | -0.000 | -0.000 | -0.000 |
| 289.280 | 289.280 | 272.947 | -0.000 | -0.000 | -0.000 |
| -0.000 | -0.000 | -0.000 | -12.004 | -0.000 | -0.000 |
| -0.000 | -0.000 | -0.000 | -0.000 | -12.004 | -0.000 |
| -0.000 | -0.000 | -0.000 | -0.000 | -0.000 | -12.004 |
| 272.946 | 289.278 | 289.278 | 0.000 | -0.000 | 0.000 |
| 289.278 | 272.946 | 289.278 | 0.000 | 0.000 | 0.000 |
| 289.278 | 289.278 | 272.946 | 0.000 | 0.000 | 0.000 |
| 0.000 | 0.000 | 0.000 | -12.004 | 0.000 | 0.000 |
| 0.000 | 0.000 | 0.000 | 0.000 | -12.004 | 0.000 |
| 0.000 | 0.000 | 0.000 | 0.000 | 0.000 | -12.004 |
| -18531277.804 | -25237144.954 | -21254368.088 | -54924.829 | 282683.468 | -205261.175 |
| -24830279.267 | -27146571.326 | -22996432.516 | -83908.571 | 208130.522 | -72989.517 |
| -24507361.643 | -25611902.393 | -25194084.650 | -91791.800 | -184439.878 | 93803.598 |
| -0.000 | -0.000 | -0.000 | 0.901 | -0.000 | -0.000 |
| 0.000 | -0.000 | -0.000 | -0.000 | 0.901 | -0.000 |
| 0.000 | -0.000 | -0.000 | 0.000 | -0.000 | 0.901 |
| 29393628.729 | 34514892.695 | 26577206.895 | 48102.887 | -201669.496 | -216598.653 |
| 28094374.465 | 31700466.559 | 36713496.047 | -9708.418 | 23004.332 | 200425.598 |
| 20204914.174 | 26095870.496 | 21176074.526 | -34419.034 | -68468.523 | 27542.595 |
| 0.000 | 0.000 | -0.000 | 0.901 | 0.000 | -0.000 |
| -0.000 | 0.000 | -0.000 | 0.000 | 0.901 | 0.000 |
| -0.000 | -0.000 | 0.000 | -0.000 | 0.000 | 0.901 |
| -2085874.499 | -2431606.935 | -2330244.830 | 19027.797 | -26639.591 | -5427.471 |
| -2536811.937 | -2855586.095 | -2487003.483 | 19991.432 | -4044.500 | -4554.074 |
| -2650189.507 | -2287131.475 | -2110419.179 | -16900.876 | 8564.384 | 6631.653 |
| -0.000 | 0.000 | -0.000 | 0.901 | -0.000 | -0.000 |
| 0.000 | -0.000 | -0.000 | -0.000 | 0.901 | 0.000 |
| 0.000 | -0.000 | -0.000 | -0.000 | -0.000 | 0.901 |
| 2523850.510 | 3435957.515 | 2791575.561 | -5030.704 | 15778.545 | 19590.591 |
| 2846092.049 | 2594179.691 | 3282267.301 | -1243.091 | -11431.484 | -1426.106 |
| 3270899.177 | 2675053.958 | 2791671.742 | 11893.019 | 11799.530 | -3077.879 |
| 0.000 | -0.000 | 0.000 | 0.901 | 0.000 | 0.000 |
| -0.000 | 0.000 | 0.000 | 0.000 | 0.901 | 0.000 |
| -0.000 | 0.000 | 0.000 | 0.000 | 0.000 | 0.901 |
| -201303.480 | -244588.641 | -223319.121 | 75.145 | 2404.886 | -537.894 |
| -249630.093 | -228643.257 | -270348.280 | -647.647 | 1485.408 | -1218.743 |
| -249975.968 | -238455.790 | -239144.662 | -495.683 | 648.935 | -1412.221 |
| -0.000 | 0.000 | -0.000 | 0.901 | -0.000 | 0.000 |
| 0.000 | -0.000 | -0.000 | 0.000 | 0.901 | -0.000 |
| 0.000 | -0.000 | -0.000 | -0.000 | -0.000 | 0.901 |
| 302363.882 | 347461.663 | 244773.381 | 1424.602 | 698.892 | 58.146 |
| 283375.467 | 277367.941 | 335527.093 | 982.794 | -329.073 | -306.020 |
| 324918.646 | 286674.995 | 251147.970 | 1393.506 | 1407.554 | -256.563 |
| 0.000 | -0.000 | 0.000 | 0.901 | 0.000 | 0.000 |
| -0.000 | 0.000 | 0.000 | 0.000 | 0.901 | 0.000 |
| -0.000 | 0.000 | 0.000 | 0.000 | 0.000 | 0.901 |
| 20.805 | -0.000 | -0.000 | 0.000 | 0.000 | -0.000 |
| -0.000 | 20.805 | -0.000 | -0.000 | -0.000 | -0.000 |
| -0.000 | -0.000 | 20.805 | -0.000 | -0.000 | 0.000 |
| -0.000 | -0.000 | -0.000 | -0.000 | -0.000 | -0.000 |
| -0.000 | -0.000 | -0.000 | -0.000 | -0.000 | -0.000 |
| -0.000 | -0.000 | -0.000 | 0.000 | -0.000 | -0.000 |
| 20.805 | 0.000 | 0.000 | -0.000 | 0.000 | 0.000 |
| 0.000 | 20.805 | 0.000 | -0.000 | 0.000 | 0.000 |
| 0.000 | 0.000 | 20.805 | 0.000 | 0.000 | -0.000 |
| 0.000 | 0.000 | 0.000 | -0.000 | 0.000 | -0.000 |
| 0.000 | 0.000 | 0.000 | 0.000 | -0.000 | 0.000 |
| 0.000 | 0.000 | 0.000 | -0.000 | 0.000 | -0.000 |
| 20.805 | -0.000 | -0.000 | 0.000 | -0.000 | -0.000 |
| -0.000 | 20.805 | -0.000 | -0.000 | -0.000 | 0.000 |
| -0.000 | -0.000 | 20.805 | 0.000 | 0.000 | 0.000 |
| -0.000 | -0.000 | -0.000 | 0.000 | 0.000 | -0.000 |
| -0.000 | -0.000 | -0.000 | -0.000 | 0.000 | -0.000 |
| -0.000 | -0.000 | -0.000 | 0.000 | -0.000 | 0.000 |
| 20.805 | 0.000 | 0.000 | -0.000 | 0.000 | 0.000 |
| 0.000 | 20.805 | 0.000 | 0.000 | 0.000 | 0.000 |
| 0.000 | 0.000 | 20.805 | -0.000 | 0.000 | -0.000 |
| 0.000 | -0.000 | 0.000 | 0.000 | -0.000 | 0.000 |
| -0.000 | 0.000 | 0.000 | 0.000 | 0.000 | -0.000 |
| -0.000 | 0.000 | 0.000 | -0.000 | 0.000 | 0.000 |
| 20.806 | -0.000 | -0.000 | 0.000 | 0.000 | -0.000 |
| -0.000 | 20.806 | -0.000 | -0.000 | -0.000 | 0.000 |
| -0.000 | -0.000 | 20.806 | 0.000 | 0.000 | 0.000 |
| -0.000 | -0.000 | -0.000 | 0.000 | 0.000 | -0.000 |
| 0.000 | -0.000 | -0.000 | 0.000 | 0.000 | -0.000 |
| -0.000 | -0.000 | -0.000 | 0.000 | -0.000 | 0.000 |
| 20.805 | 0.000 | 0.000 | -0.000 | 0.000 | -0.000 |
| 0.000 | 20.805 | 0.000 | -0.000 | 0.000 | 0.000 |
| 0.000 | 0.000 | 20.805 | 0.000 | 0.000 | -0.000 |
| 0.000 | 0.000 | 0.000 | 0.000 | -0.000 | -0.000 |
| 0.000 | 0.000 | 0.000 | -0.000 | 0.000 | -0.000 |
| 0.000 | 0.000 | 0.000 | -0.000 | 0.000 | 0.000 |
| 586.895 | 606.878 | 606.877 | 0.000 | 0.000 | 0.000 |
| 606.878 | 586.895 | 606.878 | -0.000 | 0.000 | -0.000 |
| 606.878 | 606.878 | 586.894 | 0.000 | 0.000 | -0.000 |
| 0.000 | -0.000 | -0.000 | 556.798 | 0.000 | 0.000 |
| 0.000 | -0.000 | -0.000 | -0.000 | 556.798 | 0.000 |
| 0.000 | -0.000 | -0.000 | -0.000 | 0.000 | 556.798 |
| 586.895 | 606.878 | 606.878 | 0.000 | -0.000 | -0.000 |
| 606.878 | 586.895 | 606.878 | -0.000 | -0.000 | 0.000 |
| 606.878 | 606.878 | 586.895 | -0.000 | -0.000 | 0.000 |
| 0.000 | 0.000 | 0.000 | 556.797 | -0.000 | -0.000 |
| -0.000 | 0.000 | 0.000 | 0.000 | 556.797 | 0.000 |
| -0.000 | 0.000 | 0.000 | 0.000 | -0.000 | 556.798 |
| 586.895 | 606.878 | 606.878 | -0.000 | 0.000 | 0.000 |
| 606.878 | 586.895 | 606.878 | -0.000 | 0.000 | 0.000 |
| 606.878 | 606.878 | 586.895 | 0.000 | -0.000 | -0.000 |
| 0.000 | 0.000 | 0.000 | 556.798 | 0.000 | 0.000 |
| 0.000 | 0.000 | 0.000 | 0.000 | 556.798 | -0.000 |
| 0.000 | 0.000 | 0.000 | -0.000 | 0.000 | 556.798 |
| 586.894 | 606.878 | 606.878 | -0.000 | -0.000 | 0.000 |
| 606.878 | 586.894 | 606.878 | 0.000 | -0.000 | -0.000 |
| 606.878 | 606.878 | 586.894 | 0.000 | -0.000 | 0.000 |
| -0.000 | -0.000 | -0.000 | 556.798 | -0.000 | 0.000 |
| -0.000 | -0.000 | -0.000 | -0.000 | 556.798 | 0.000 |
| -0.000 | -0.000 | -0.000 | 0.000 | -0.000 | 556.798 |
| 586.899 | 606.880 | 606.880 | 0.000 | 0.000 | 0.000 |
| 606.880 | 586.899 | 606.880 | 0.000 | 0.000 | 0.000 |
| 606.880 | 606.880 | 586.899 | -0.000 | -0.000 | 0.000 |
| 0.001 | 0.001 | 0.002 | 556.798 | 0.000 | 0.000 |
| 0.001 | 0.001 | 0.002 | -0.000 | 556.798 | 0.000 |
| 0.001 | 0.002 | 0.001 | -0.000 | 0.000 | 556.798 |
| 586.891 | 606.876 | 606.876 | -0.000 | -0.000 | -0.000 |
| 606.876 | 586.891 | 606.876 | 0.000 | -0.000 | 0.000 |
| 606.876 | 606.876 | 586.891 | -0.000 | -0.000 | 0.000 |
| -0.001 | -0.001 | -0.002 | 556.798 | -0.000 | 0.000 |
| -0.001 | -0.001 | -0.002 | -0.000 | 556.798 | -0.000 |
| -0.001 | -0.002 | -0.001 | 0.000 | -0.000 | 556.798 |
| 139.727 | 166.440 | 166.440 | 0.000 | 0.000 | 0.000 |
| 166.440 | 139.727 | 166.440 | 0.000 | 0.000 | -0.000 |
| 166.440 | 166.440 | 139.727 | 0.000 | 0.000 | -0.000 |
| 0.000 | 0.000 | 0.000 | 175.591 | -0.000 | -0.000 |
| 0.000 | 0.000 | 0.000 | 0.000 | 175.591 | -0.000 |
| 0.000 | 0.000 | 0.000 | 0.000 | 0.000 | 175.591 |
| 139.727 | 166.440 | 166.440 | -0.000 | 0.000 | -0.000 |
| 166.440 | 139.727 | 166.440 | -0.000 | -0.000 | 0.000 |
| 166.440 | 166.440 | 139.727 | 0.000 | -0.000 | 0.000 |
| -0.000 | -0.000 | -0.000 | 175.591 | 0.000 | -0.000 |
| -0.000 | -0.000 | -0.000 | -0.000 | 175.591 | 0.000 |
| -0.000 | -0.000 | -0.000 | -0.000 | -0.000 | 175.591 |
| 139.727 | 166.441 | 166.441 | 0.000 | 0.000 | -0.000 |
| 166.441 | 139.727 | 166.441 | 0.000 | -0.000 | 0.000 |
| 166.441 | 166.441 | 139.727 | 0.000 | 0.000 | 0.000 |
| 0.000 | 0.000 | 0.000 | 183.520 | -0.000 | -0.000 |
| 0.000 | 0.000 | 0.000 | -0.000 | 183.520 | -0.000 |
| 0.000 | 0.000 | 0.000 | 0.000 | -0.000 | 183.520 |
| 139.727 | 166.440 | 166.440 | -0.000 | -0.000 | 0.000 |
| 166.440 | 139.727 | 166.440 | -0.000 | -0.000 | -0.000 |
| 166.440 | 166.440 | 139.727 | -0.000 | -0.000 | -0.000 |
| -0.000 | -0.000 | -0.000 | 183.520 | 0.000 | 0.000 |
| -0.000 | -0.000 | -0.000 | -0.000 | 183.520 | 0.000 |
| -0.000 | -0.000 | -0.000 | -0.000 | -0.000 | 183.520 |
| 139.729 | 166.442 | 166.442 | 0.000 | -0.000 | -0.000 |
| 166.442 | 139.729 | 166.442 | 0.000 | 0.000 | -0.000 |
| 166.442 | 166.442 | 139.729 | -0.000 | -0.000 | 0.000 |
| 0.001 | 0.001 | 0.001 | 175.591 | -0.000 | -0.000 |
| 0.001 | 0.001 | 0.001 | 0.000 | 175.591 | 0.000 |
| 0.001 | 0.001 | 0.001 | 0.000 | 0.000 | 175.591 |
| 139.725 | 166.439 | 166.439 | -0.000 | 0.000 | -0.000 |
| 166.439 | 139.725 | 166.439 | -0.000 | -0.000 | 0.000 |
| 166.439 | 166.439 | 139.725 | -0.000 | -0.000 | -0.000 |
| -0.001 | -0.001 | -0.001 | 175.591 | -0.000 | 0.000 |
| -0.001 | -0.001 | -0.001 | -0.000 | 175.591 | -0.000 |
| -0.001 | -0.001 | -0.001 | -0.000 | -0.000 | 175.591 |
| 257.161 | 204.202 | 204.202 | -0.000 | -0.000 | -0.000 |
| 204.202 | 257.161 | 204.202 | -0.000 | -0.000 | -0.000 |
| 204.202 | 204.202 | 257.161 | -0.000 | -0.000 | -0.000 |
| 0.000 | -0.000 | -0.000 | 26.290 | -0.000 | -0.000 |
| 0.000 | -0.000 | -0.000 | -0.000 | 26.290 | -0.000 |
| 0.000 | -0.000 | -0.000 | -0.000 | -0.000 | 26.290 |
| 257.162 | 204.202 | 204.202 | 0.000 | 0.000 | 0.000 |
| 204.202 | 257.162 | 204.202 | 0.000 | 0.000 | 0.000 |
| 204.202 | 204.202 | 257.162 | 0.000 | 0.000 | 0.000 |
| -0.000 | 0.000 | 0.000 | 26.290 | 0.000 | 0.000 |
| -0.000 | 0.000 | 0.000 | 0.000 | 26.290 | 0.000 |
| -0.000 | 0.000 | 0.000 | 0.000 | 0.000 | 26.290 |
| 257.161 | 204.202 | 204.202 | -0.000 | -0.000 | -0.000 |
| 204.202 | 257.161 | 204.202 | -0.000 | -0.000 | -0.000 |
| 204.202 | 204.202 | 257.161 | -0.000 | -0.000 | -0.000 |
| 0.000 | -0.000 | -0.000 | 26.264 | -0.000 | -0.000 |
| -0.000 | 0.000 | -0.000 | -0.000 | 26.264 | -0.000 |
| -0.000 | -0.000 | 0.000 | -0.000 | -0.000 | 26.264 |
| 257.162 | 204.202 | 204.202 | 0.000 | 0.000 | 0.000 |
| 204.202 | 257.162 | 204.202 | 0.000 | 0.000 | 0.000 |
| 204.202 | 204.202 | 257.162 | 0.000 | 0.000 | 0.000 |
| -0.000 | 0.000 | 0.000 | 26.264 | 0.000 | 0.000 |
| 0.000 | -0.000 | 0.000 | 0.000 | 26.264 | 0.000 |
| 0.000 | 0.000 | -0.000 | 0.000 | 0.000 | 26.264 |
| 257.159 | 204.200 | 204.200 | -0.000 | -0.000 | -0.000 |
| 204.200 | 257.159 | 204.200 | -0.000 | -0.000 | -0.000 |
| 204.200 | 204.200 | 257.159 | -0.000 | -0.000 | -0.000 |
| 0.000 | -0.000 | -0.000 | 26.264 | -0.000 | -0.000 |
| -0.000 | 0.000 | -0.000 | -0.000 | 26.264 | -0.000 |
| -0.000 | -0.000 | 0.000 | -0.000 | -0.000 | 26.264 |
| 257.164 | 204.204 | 204.204 | 0.000 | 0.000 | 0.000 |
| 204.204 | 257.164 | 204.204 | 0.000 | 0.000 | 0.000 |
| 204.204 | 204.204 | 257.164 | 0.000 | 0.000 | 0.000 |
| -0.000 | 0.000 | 0.000 | 26.264 | 0.000 | 0.000 |
| 0.000 | -0.000 | 0.000 | 0.000 | 26.264 | 0.000 |
| 0.000 | 0.000 | -0.000 | 0.000 | 0.000 | 26.264 |
| 21.805 | 21.805 | 21.805 | 0.000 | -0.000 | 0.000 |
| 21.805 | 21.805 | 21.805 | 0.000 | -0.000 | 0.000 |
| 21.805 | 21.805 | 21.805 | 0.000 | -0.000 | 0.000 |
| -0.000 | -0.000 | -0.000 | -14.939 | -0.000 | -0.000 |
| -0.000 | -0.000 | -0.000 | -0.000 | -14.939 | -0.000 |
| -0.000 | -0.000 | -0.000 | -0.000 | -0.000 | -14.939 |
| 21.805 | 21.805 | 21.805 | -0.000 | 0.000 | 0.000 |
| 21.805 | 21.805 | 21.805 | -0.000 | 0.000 | 0.000 |
| 21.805 | 21.805 | 21.805 | -0.000 | 0.000 | 0.000 |
| 0.000 | 0.000 | 0.000 | -14.939 | 0.000 | 0.000 |
| 0.000 | 0.000 | 0.000 | 0.000 | -14.939 | 0.000 |
| 0.000 | 0.000 | 0.000 | 0.000 | -0.000 | -14.939 |
| 21.805 | 21.805 | 21.805 | 0.000 | -0.000 | -0.000 |
| 21.805 | 21.805 | 21.805 | 0.000 | -0.000 | -0.000 |
| 21.805 | 21.805 | 21.805 | 0.000 | -0.000 | -0.000 |
| -0.000 | -0.000 | -0.000 | -14.939 | -0.000 | -0.000 |
| -0.000 | -0.000 | -0.000 | -0.000 | -14.939 | -0.000 |
| -0.000 | -0.000 | -0.000 | -0.000 | -0.000 | -14.939 |
| 21.805 | 21.805 | 21.805 | -0.000 | -0.000 | 0.000 |
| 21.805 | 21.805 | 21.805 | -0.000 | 0.000 | 0.000 |
| 21.805 | 21.805 | 21.805 | -0.000 | 0.000 | 0.000 |
| 0.000 | 0.000 | 0.000 | -14.939 | 0.000 | 0.000 |
| 0.000 | 0.000 | 0.000 | 0.000 | -14.939 | 0.000 |
| 0.000 | 0.000 | 0.000 | 0.000 | 0.000 | -14.939 |
| 21.805 | 21.805 | 21.805 | 0.000 | -0.000 | -0.000 |
| 21.805 | 21.805 | 21.805 | 0.000 | -0.000 | 0.000 |
| 21.805 | 21.805 | 21.805 | 0.000 | -0.000 | -0.000 |
| -0.000 | -0.000 | -0.000 | -14.939 | -0.000 | -0.000 |
| -0.000 | -0.000 | -0.000 | -0.000 | -14.939 | -0.000 |
| -0.000 | -0.000 | -0.000 | -0.000 | -0.000 | -14.939 |
| 21.805 | 21.805 | 21.805 | -0.000 | 0.000 | 0.000 |
| 21.805 | 21.805 | 21.805 | -0.000 | 0.000 | 0.000 |
| 21.805 | 21.805 | 21.805 | -0.000 | 0.000 | 0.000 |
| 0.000 | 0.000 | 0.000 | -14.939 | 0.000 | 0.000 |
| 0.000 | 0.000 | 0.000 | 0.000 | -14.939 | 0.000 |
| 0.000 | 0.000 | 0.000 | 0.000 | 0.000 | -14.939 |
| 644.136 | 375.367 | 375.367 | 0.000 | 0.000 | 0.000 |
| 375.367 | 644.136 | 375.367 | 0.000 | 0.000 | 0.000 |
| 375.367 | 375.367 | 644.136 | 0.000 | -0.000 | 0.000 |
| -0.000 | 0.000 | 0.000 | 257.367 | -0.000 | 0.000 |
| -0.000 | 0.000 | 0.000 | 0.000 | 257.367 | 0.000 |
| -0.000 | -0.000 | 0.000 | 0.000 | 0.000 | 257.367 |
| 644.136 | 375.367 | 375.367 | -0.000 | -0.000 | -0.000 |
| 375.367 | 644.136 | 375.367 | -0.000 | -0.000 | -0.000 |
| 375.367 | 375.367 | 644.136 | -0.000 | -0.000 | -0.000 |
| 0.000 | -0.000 | -0.000 | 257.367 | -0.000 | -0.000 |
| 0.000 | -0.000 | -0.000 | -0.000 | 257.367 | -0.000 |
| 0.000 | 0.000 | -0.000 | -0.000 | -0.000 | 257.367 |
| 644.136 | 375.367 | 375.367 | 0.000 | -0.000 | 0.000 |
| 375.367 | 644.136 | 375.367 | 0.000 | 0.000 | 0.000 |
| 375.367 | 375.367 | 644.136 | 0.000 | -0.000 | 0.000 |
| 0.000 | -0.000 | 0.000 | 257.367 | 0.000 | 0.000 |
| -0.000 | 0.000 | 0.000 | 0.000 | 257.367 | 0.000 |
| -0.000 | 0.000 | 0.000 | 0.000 | 0.000 | 257.367 |
| 644.136 | 375.367 | 375.367 | -0.000 | -0.000 | -0.000 |
| 375.367 | 644.136 | 375.367 | -0.000 | -0.000 | -0.000 |
| 375.367 | 375.367 | 644.136 | -0.000 | -0.000 | -0.000 |
| -0.000 | 0.000 | -0.000 | 257.367 | 0.000 | -0.000 |
| 0.000 | -0.000 | -0.000 | -0.000 | 257.367 | -0.000 |
| 0.000 | -0.000 | -0.000 | -0.000 | 0.000 | 257.367 |
| 644.133 | 375.368 | 375.368 | 0.000 | 0.000 | 0.000 |
| 375.368 | 644.133 | 375.368 | 0.000 | 0.000 | 0.000 |
| 375.368 | 375.368 | 644.133 | 0.000 | 0.000 | 0.000 |
| 0.000 | -0.000 | 0.000 | 257.367 | 0.000 | 0.000 |
| -0.000 | 0.000 | 0.000 | 0.000 | 257.367 | 0.000 |
| -0.000 | 0.000 | 0.000 | 0.000 | 0.000 | 257.367 |
| 644.138 | 375.366 | 375.366 | -0.000 | -0.000 | -0.000 |
| 375.366 | 644.138 | 375.366 | -0.000 | 0.000 | -0.000 |
| 375.366 | 375.366 | 644.138 | -0.000 | -0.000 | -0.000 |
| -0.000 | 0.000 | -0.000 | 257.367 | 0.000 | -0.000 |
| 0.000 | -0.000 | -0.000 | -0.000 | 257.367 | -0.000 |
| 0.000 | -0.000 | -0.000 | -0.000 | -0.000 | 257.367 |
| 347.794 | 102.423 | 102.423 | 0.000 | 0.000 | 0.000 |
| 102.423 | 347.794 | 102.423 | 0.000 | -0.000 | -0.000 |
| 102.423 | 102.423 | 347.794 | -0.000 | 0.000 | -0.000 |
| -0.000 | 0.000 | 0.000 | 142.821 | -0.000 | 0.000 |
| 0.000 | -0.000 | 0.000 | -0.000 | 142.821 | -0.000 |
| 0.000 | 0.000 | -0.000 | 0.000 | 0.000 | 142.821 |
| 347.794 | 102.423 | 102.423 | 0.000 | -0.000 | 0.000 |
| 102.423 | 347.794 | 102.423 | -0.000 | 0.000 | 0.000 |
| 102.423 | 102.423 | 347.794 | -0.000 | -0.000 | 0.000 |
| 0.000 | -0.000 | -0.000 | 142.821 | -0.000 | 0.000 |
| -0.000 | 0.000 | -0.000 | 0.000 | 142.821 | 0.000 |
| -0.000 | -0.000 | 0.000 | 0.000 | -0.000 | 142.821 |
| 347.795 | 102.423 | 102.423 | -0.000 | 0.000 | -0.000 |
| 102.423 | 347.795 | 102.423 | 0.000 | 0.000 | 0.000 |
| 102.423 | 102.423 | 347.795 | -0.000 | 0.000 | -0.000 |
| -0.000 | 0.000 | 0.000 | 142.821 | -0.000 | -0.000 |
| 0.000 | -0.000 | 0.000 | -0.000 | 142.821 | -0.000 |
| 0.000 | 0.000 | -0.000 | -0.000 | 0.000 | 142.821 |
| 347.794 | 102.423 | 102.423 | 0.000 | -0.000 | 0.000 |
| 102.423 | 347.794 | 102.423 | -0.000 | -0.000 | 0.000 |
| 102.423 | 102.423 | 347.794 | 0.000 | -0.000 | 0.000 |
| 0.000 | -0.000 | -0.000 | 142.821 | -0.000 | 0.000 |
| -0.000 | 0.000 | -0.000 | 0.000 | 142.821 | 0.000 |
| -0.000 | -0.000 | 0.000 | 0.000 | -0.000 | 142.821 |
| 347.798 | 102.424 | 102.424 | -0.000 | 0.000 | -0.000 |
| 102.424 | 347.798 | 102.424 | -0.000 | 0.000 | -0.000 |
| 102.424 | 102.424 | 347.798 | -0.000 | 0.000 | -0.000 |
| -0.000 | 0.001 | 0.001 | 142.821 | 0.000 | -0.000 |
| 0.001 | -0.000 | 0.001 | -0.000 | 142.821 | -0.000 |
| 0.001 | 0.001 | -0.000 | 0.000 | 0.000 | 142.821 |
| 347.790 | 102.422 | 102.422 | -0.000 | -0.000 | 0.000 |
| 102.422 | 347.790 | 102.422 | 0.000 | -0.000 | 0.000 |
| 102.422 | 102.422 | 347.790 | 0.000 | -0.000 | 0.000 |
| 0.000 | -0.001 | -0.001 | 142.821 | -0.000 | -0.000 |
| -0.001 | 0.000 | -0.001 | 0.000 | 142.821 | 0.000 |
| -0.001 | -0.001 | 0.000 | -0.000 | -0.000 | 142.821 |
| 126.580 | 160.026 | 160.026 | -0.000 | -0.000 | 0.000 |
| 160.026 | 126.580 | 160.026 | -0.000 | -0.000 | 0.000 |
| 160.026 | 160.026 | 126.580 | -0.000 | -0.000 | 0.000 |
| 0.000 | -0.000 | -0.000 | -24.475 | -0.000 | 0.000 |
| 0.000 | -0.000 | -0.000 | 0.000 | -24.475 | 0.000 |
| -0.000 | -0.000 | -0.000 | -0.000 | -0.000 | -24.475 |
| 126.581 | 160.027 | 160.027 | 0.000 | 0.000 | -0.000 |
| 160.027 | 126.581 | 160.027 | 0.000 | 0.000 | -0.000 |
| 160.027 | 160.027 | 126.581 | 0.000 | 0.000 | -0.000 |
| -0.000 | 0.000 | -0.000 | -24.475 | 0.000 | -0.000 |
| -0.000 | -0.000 | 0.000 | 0.000 | -24.475 | -0.000 |
| -0.000 | 0.000 | -0.000 | -0.000 | 0.000 | -24.475 |
| 126.575 | 160.022 | 160.022 | -0.000 | -0.000 | 0.000 |
| 160.022 | 126.575 | 160.022 | -0.000 | -0.000 | 0.000 |
| 160.022 | 160.022 | 126.575 | -0.000 | -0.000 | 0.000 |
| 0.000 | -0.000 | -0.000 | -24.475 | -0.000 | 0.000 |
| -0.000 | 0.000 | -0.000 | -0.000 | -24.475 | 0.000 |
| -0.000 | -0.000 | 0.000 | -0.000 | -0.000 | -24.475 |
| 126.585 | 160.032 | 160.032 | -0.000 | 0.000 | -0.000 |
| 160.032 | 126.585 | 160.032 | 0.000 | 0.000 | -0.000 |
| 160.032 | 160.032 | 126.585 | 0.000 | 0.000 | -0.000 |
| -0.000 | 0.000 | 0.000 | -24.475 | 0.000 | -0.000 |
| 0.000 | -0.000 | 0.000 | 0.000 | -24.475 | -0.000 |
| 0.000 | 0.000 | -0.000 | 0.000 | 0.000 | -24.475 |
| 126.530 | 159.976 | 159.976 | -0.000 | -0.000 | 0.000 |
| 159.976 | 126.530 | 159.976 | -0.000 | -0.000 | 0.000 |
| 159.976 | 159.976 | 126.530 | 0.000 | -0.000 | 0.000 |
| 0.000 | -0.000 | -0.000 | -24.475 | -0.000 | 0.000 |
| -0.000 | 0.000 | -0.000 | -0.000 | -24.475 | 0.000 |
| -0.000 | -0.000 | 0.000 | -0.000 | -0.000 | -24.475 |
| 126.630 | 160.077 | 160.077 | 0.000 | 0.000 | -0.000 |
| 160.077 | 126.630 | 160.077 | -0.000 | 0.000 | -0.000 |
| 160.077 | 160.077 | 126.630 | 0.000 | 0.000 | -0.000 |
| -0.000 | 0.000 | 0.000 | -24.475 | 0.000 | -0.000 |
| 0.000 | -0.000 | 0.000 | 0.000 | -24.475 | -0.000 |
| 0.000 | 0.000 | -0.000 | 0.000 | 0.000 | -24.475 |
| 20.472 | 4.672 | 4.672 | 0.000 | 0.000 | 0.000 |
| 4.672 | 20.472 | 4.672 | 0.000 | 0.000 | -0.000 |
| 4.672 | 4.672 | 20.472 | -0.000 | 0.000 | -0.000 |
| -0.000 | -0.000 | -0.000 | 4.360 | 0.000 | 0.000 |
| -0.000 | 0.000 | -0.000 | 0.000 | 4.360 | -0.000 |
| -0.000 | -0.000 | -0.000 | 0.000 | 0.000 | 4.360 |
| 20.472 | 4.672 | 4.672 | 0.000 | -0.000 | 0.000 |
| 4.672 | 20.472 | 4.672 | -0.000 | -0.000 | 0.000 |
| 4.672 | 4.672 | 20.472 | 0.000 | -0.000 | -0.000 |
| 0.000 | 0.000 | 0.000 | 4.360 | -0.000 | -0.000 |
| 0.000 | -0.000 | 0.000 | 0.000 | 4.360 | -0.000 |
| 0.000 | 0.000 | 0.000 | 0.000 | -0.000 | 4.360 |
| 20.472 | 4.672 | 4.672 | -0.000 | 0.000 | -0.000 |
| 4.672 | 20.472 | 4.672 | -0.000 | 0.000 | 0.000 |
| 4.672 | 4.672 | 20.472 | -0.000 | 0.000 | 0.000 |
| -0.000 | -0.000 | -0.000 | 4.360 | 0.000 | 0.000 |
| -0.000 | -0.000 | -0.000 | 0.000 | 4.360 | 0.000 |
| -0.000 | -0.000 | -0.000 | -0.000 | 0.000 | 4.360 |
| 20.472 | 4.672 | 4.672 | 0.000 | -0.000 | 0.000 |
| 4.672 | 20.472 | 4.672 | 0.000 | -0.000 | -0.000 |
| 4.672 | 4.672 | 20.472 | 0.000 | 0.000 | 0.000 |
| 0.000 | 0.000 | 0.000 | 4.360 | -0.000 | -0.000 |
| 0.000 | 0.000 | 0.000 | 0.000 | 4.360 | -0.000 |
| 0.000 | 0.000 | 0.000 | 0.000 | -0.000 | 4.360 |
| 20.473 | 4.672 | 4.672 | -0.000 | 0.000 | 0.000 |
| 4.672 | 20.473 | 4.672 | -0.000 | 0.000 | 0.000 |
| 4.672 | 4.672 | 20.473 | -0.000 | -0.000 | -0.000 |
| -0.000 | -0.000 | -0.000 | 4.360 | 0.000 | -0.000 |
| -0.000 | -0.000 | -0.000 | -0.000 | 4.360 | -0.000 |
| -0.000 | -0.000 | -0.000 | -0.000 | 0.000 | 4.360 |
| 20.471 | 4.672 | 4.672 | 0.000 | 0.000 | -0.000 |
| 4.672 | 20.471 | 4.672 | 0.000 | -0.000 | -0.000 |
| 4.672 | 4.672 | 20.471 | -0.000 | -0.000 | 0.000 |
| 0.000 | 0.000 | 0.000 | 4.360 | -0.000 | 0.000 |
| 0.000 | 0.000 | 0.000 | 0.000 | 4.360 | -0.000 |
| 0.000 | 0.000 | 0.000 | -0.000 | -0.000 | 4.360 |
| 50.849 | 25.450 | 25.450 | -0.000 | -0.000 | -0.000 |
| 25.450 | 50.849 | 25.450 | -0.000 | -0.000 | -0.000 |
| 25.450 | 25.450 | 50.849 | -0.000 | -0.000 | -0.000 |
| -0.000 | 0.000 | 0.000 | 25.409 | -0.000 | -0.000 |
| 0.000 | -0.000 | 0.000 | -0.000 | 25.409 | -0.000 |
| 0.000 | 0.000 | -0.000 | -0.000 | -0.000 | 25.409 |
| 50.849 | 25.450 | 25.450 | 0.000 | -0.000 | -0.000 |
| 25.450 | 50.849 | 25.450 | 0.000 | 0.000 | 0.000 |
| 25.450 | 25.450 | 50.849 | 0.000 | 0.000 | 0.000 |
| 0.000 | -0.000 | -0.000 | 25.409 | 0.000 | 0.000 |
| -0.000 | 0.000 | -0.000 | 0.000 | 25.409 | 0.000 |
| -0.000 | -0.000 | 0.000 | 0.000 | 0.000 | 25.409 |
| 50.849 | 25.450 | 25.450 | -0.000 | 0.000 | -0.000 |
| 25.450 | 50.849 | 25.450 | 0.000 | -0.000 | -0.000 |
| 25.450 | 25.450 | 50.849 | -0.000 | -0.000 | -0.000 |
| -0.000 | 0.000 | 0.000 | 25.409 | -0.000 | -0.000 |
| 0.000 | -0.000 | 0.000 | -0.000 | 25.409 | -0.000 |
| 0.000 | 0.000 | -0.000 | -0.000 | -0.000 | 25.409 |
| 50.849 | 25.450 | 25.450 | 0.000 | -0.000 | -0.000 |
| 25.450 | 50.849 | 25.450 | 0.000 | 0.000 | 0.000 |
| 25.450 | 25.450 | 50.849 | 0.000 | 0.000 | 0.000 |
| 0.000 | -0.000 | -0.000 | 25.409 | 0.000 | 0.000 |
| -0.000 | 0.000 | -0.000 | 0.000 | 25.409 | 0.000 |
| -0.000 | -0.000 | 0.000 | 0.000 | 0.000 | 25.409 |
| 50.850 | 25.450 | 25.450 | -0.000 | -0.000 | -0.000 |
| 25.450 | 50.850 | 25.450 | -0.000 | -0.000 | -0.000 |
| 25.450 | 25.450 | 50.850 | -0.000 | -0.000 | -0.000 |
| -0.000 | 0.000 | 0.000 | 25.409 | -0.000 | -0.000 |
| 0.000 | -0.000 | 0.000 | -0.000 | 25.409 | -0.000 |
| 0.000 | 0.000 | -0.000 | -0.000 | -0.000 | 25.409 |
| 50.848 | 25.449 | 25.449 | 0.000 | 0.000 | 0.000 |
| 25.449 | 50.848 | 25.449 | 0.000 | 0.000 | 0.000 |
| 25.449 | 25.449 | 50.848 | 0.000 | 0.000 | 0.000 |
| 0.000 | -0.000 | -0.000 | 25.409 | 0.000 | 0.000 |
| -0.000 | 0.000 | -0.000 | 0.000 | 25.409 | 0.000 |
| -0.000 | -0.000 | 0.000 | 0.000 | 0.000 | 25.409 |
| 129.364 | 97.797 | 3.112 | 0.000 | 0.000 | 0.000 |
| 97.797 | 129.364 | 3.112 | 0.000 | 0.000 | 0.000 |
| 3.112 | 3.112 | 73.833 | 0.000 | 0.000 | 0.000 |
| 0.000 | 0.000 | -0.000 | 3.646 | 0.000 | -0.000 |
| 0.000 | 0.000 | -0.000 | 0.000 | 3.646 | -0.000 |
| 0.000 | 0.000 | 0.000 | 0.000 | 0.000 | 69.303 |
| 129.364 | 97.797 | 3.112 | -0.000 | -0.000 | -0.000 |
| 97.797 | 129.364 | 3.112 | -0.000 | -0.000 | -0.000 |
| 3.112 | 3.112 | 73.833 | -0.000 | -0.000 | 0.000 |
| -0.000 | -0.000 | 0.000 | 3.646 | -0.000 | 0.000 |
| -0.000 | -0.000 | 0.000 | -0.000 | 3.646 | 0.000 |
| -0.000 | -0.000 | -0.000 | -0.000 | -0.000 | 69.303 |
| 129.364 | 97.798 | 3.111 | 0.000 | 0.000 | -0.000 |
| 97.798 | 129.364 | 3.111 | 0.000 | 0.000 | 0.000 |
| 3.111 | 3.111 | 73.833 | 0.000 | 0.000 | 0.000 |
| -0.000 | -0.000 | -0.000 | 3.646 | 0.000 | 0.000 |
| -0.000 | -0.000 | -0.000 | 0.000 | 3.646 | 0.000 |
| 0.000 | 0.000 | -0.000 | 0.000 | 0.000 | 69.303 |
| 129.363 | 97.797 | 3.112 | -0.000 | -0.000 | -0.000 |
| 97.519 | 129.642 | 3.112 | -0.000 | -0.000 | -0.000 |
| 3.112 | 3.112 | 73.833 | -0.000 | -0.000 | -0.000 |
| 0.000 | 0.000 | 0.000 | 3.646 | -0.000 | -0.000 |
| 0.000 | 0.000 | 0.000 | -0.000 | 3.646 | 0.000 |
| -0.000 | -0.000 | 0.000 | -0.000 | -0.000 | 69.303 |
| 129.645 | 97.521 | 3.111 | 0.000 | -0.000 | -0.000 |
| 97.521 | 129.645 | 3.111 | -0.000 | 0.000 | 0.000 |
| 3.111 | 3.111 | 73.833 | 0.000 | 0.000 | 0.000 |
| -0.000 | -0.000 | -0.000 | 3.646 | 0.000 | 0.000 |
| -0.000 | -0.000 | -0.000 | 0.000 | 3.646 | -0.000 |
| 0.000 | 0.000 | -0.000 | -0.000 | 0.000 | 69.303 |
| 129.361 | 97.795 | 3.112 | -0.000 | -0.000 | -0.000 |
| 97.795 | 129.361 | 3.112 | -0.000 | -0.000 | -0.000 |
| 3.112 | 3.112 | 73.834 | -0.000 | -0.000 | 0.000 |
| 0.000 | 0.000 | 0.000 | 3.646 | -0.000 | -0.000 |
| 0.000 | 0.000 | 0.000 | -0.000 | 3.646 | 0.000 |
| -0.000 | -0.000 | 0.000 | 0.000 | -0.000 | 69.303 |
| 699.914 | 613.483 | 613.482 | 0.000 | 0.000 | -0.000 |
| 613.482 | 699.915 | 613.482 | 0.000 | 0.000 | 0.000 |
| 613.482 | 613.483 | 699.914 | 0.000 | 0.000 | -0.000 |
| 0.000 | 0.001 | 0.000 | 386.867 | 0.000 | 0.000 |
| 0.000 | 0.000 | 0.000 | -0.000 | 386.867 | 0.000 |
| 0.000 | 0.000 | 0.000 | 0.000 | 0.000 | 386.867 |
| 699.915 | 613.482 | 613.483 | 0.000 | 0.000 | -0.000 |
| 613.483 | 699.914 | 613.483 | -0.000 | 0.000 | 0.000 |
| 613.483 | 613.482 | 699.915 | -0.000 | -0.000 | -0.000 |
| -0.000 | -0.001 | -0.000 | 386.867 | -0.000 | 0.000 |
| -0.000 | -0.000 | -0.000 | 0.000 | 386.867 | -0.000 |
| -0.000 | -0.000 | -0.000 | -0.000 | -0.000 | 386.867 |
| 699.914 | 613.483 | 613.482 | 0.000 | 0.000 | -0.000 |
| 613.482 | 699.914 | 613.482 | 0.000 | 0.000 | 0.000 |
| 613.482 | 613.483 | 699.914 | -0.000 | 0.000 | 0.000 |
| -0.000 | 0.000 | 0.000 | 386.867 | 0.000 | 0.000 |
| 0.000 | 0.000 | 0.000 | 0.000 | 386.867 | 0.000 |
| 0.000 | 0.000 | -0.000 | 0.000 | 0.000 | 386.867 |
| 699.915 | 613.482 | 613.482 | -0.000 | -0.000 | -0.000 |
| 613.482 | 699.915 | 613.482 | -0.000 | -0.000 | 0.000 |
| 613.482 | 613.482 | 699.915 | -0.000 | -0.000 | -0.000 |
| 0.000 | -0.000 | -0.000 | 386.867 | -0.000 | -0.000 |
| -0.000 | -0.000 | -0.000 | -0.000 | 386.867 | -0.000 |
| -0.000 | -0.000 | 0.000 | -0.000 | -0.000 | 386.867 |
| 699.907 | 613.484 | 613.484 | 0.000 | 0.000 | 0.000 |
| 613.484 | 699.907 | 613.484 | 0.000 | 0.000 | -0.000 |
| 613.484 | 613.484 | 699.907 | 0.000 | 0.000 | 0.000 |
| -0.001 | 0.000 | 0.001 | 386.867 | 0.000 | 0.000 |
| 0.000 | -0.001 | 0.001 | 0.000 | 386.867 | 0.000 |
| 0.000 | 0.001 | -0.001 | 0.000 | 0.000 | 386.867 |
| 699.922 | 613.481 | 613.481 | -0.000 | -0.000 | 0.000 |
| 613.481 | 699.922 | 613.481 | -0.000 | -0.000 | -0.000 |
| 613.481 | 613.481 | 699.922 | -0.000 | -0.000 | -0.000 |
| 0.001 | -0.000 | -0.001 | 386.867 | -0.000 | -0.000 |
| -0.000 | 0.001 | -0.001 | -0.000 | 386.867 | -0.000 |
| -0.000 | -0.001 | 0.001 | -0.000 | -0.000 | 386.867 |
| 377.376 | 41.352 | 41.352 | -0.000 | 0.000 | 0.000 |
| 41.352 | 377.376 | 41.352 | -0.000 | -0.000 | 0.000 |
| 41.352 | 41.352 | 377.376 | -0.000 | -0.000 | -0.000 |
| -0.000 | -0.000 | -0.000 | 100.856 | 0.000 | 0.000 |
| -0.000 | -0.000 | -0.000 | -0.000 | 100.856 | 0.000 |
| -0.000 | -0.000 | -0.000 | -0.000 | 0.000 | 100.856 |
| 377.376 | 41.352 | 41.352 | 0.000 | -0.000 | -0.000 |
| 41.352 | 377.376 | 41.352 | 0.000 | -0.000 | -0.000 |
| 41.352 | 41.352 | 377.376 | 0.000 | -0.000 | -0.000 |
| 0.000 | 0.000 | 0.000 | 100.856 | -0.000 | -0.000 |
| 0.000 | 0.000 | 0.000 | 0.000 | 100.856 | -0.000 |
| 0.000 | 0.000 | 0.000 | -0.000 | -0.000 | 100.856 |
| 377.376 | 41.352 | 41.352 | -0.000 | 0.000 | 0.000 |
| 41.352 | 377.376 | 41.352 | -0.000 | 0.000 | 0.000 |
| 41.352 | 41.352 | 377.376 | -0.000 | 0.000 | 0.000 |
| -0.000 | -0.000 | -0.000 | 100.856 | 0.000 | 0.000 |
| -0.000 | -0.000 | -0.000 | -0.000 | 100.856 | 0.000 |
| -0.000 | -0.000 | -0.000 | -0.000 | 0.000 | 100.856 |
| 377.376 | 41.352 | 41.352 | 0.000 | -0.000 | 0.000 |
| 41.352 | 377.376 | 41.352 | 0.000 | 0.000 | -0.000 |
| 41.352 | 41.352 | 377.376 | 0.000 | -0.000 | -0.000 |
| 0.000 | 0.000 | 0.000 | 100.856 | -0.000 | -0.000 |
| 0.000 | 0.000 | 0.000 | 0.000 | 100.856 | -0.000 |
| 0.000 | 0.000 | 0.000 | 0.000 | -0.000 | 100.856 |
| 377.377 | 41.351 | 41.351 | -0.000 | 0.000 | 0.000 |
| 41.351 | 377.377 | 41.351 | -0.000 | -0.000 | -0.000 |
| 41.351 | 41.351 | 377.377 | -0.000 | -0.000 | 0.000 |
| -0.000 | -0.001 | -0.001 | 100.856 | -0.000 | 0.000 |
| -0.001 | -0.000 | -0.001 | -0.000 | 100.856 | 0.000 |
| -0.001 | -0.001 | -0.000 | -0.000 | 0.000 | 100.856 |
| 377.374 | 41.352 | 41.352 | 0.000 | -0.000 | -0.000 |
| 41.352 | 377.374 | 41.352 | 0.000 | -0.000 | 0.000 |
| 41.352 | 41.352 | 377.374 | 0.000 | 0.000 | -0.000 |
| 0.000 | 0.001 | 0.001 | 100.856 | 0.000 | -0.000 |
| 0.001 | 0.000 | 0.001 | 0.000 | 100.856 | -0.000 |
| 0.001 | 0.001 | 0.000 | 0.000 | -0.000 | 100.856 |
| 344.940 | 322.745 | 322.745 | -0.000 | 0.000 | -0.000 |
| 322.745 | 344.940 | 322.745 | 0.000 | 0.000 | -0.000 |
| 322.745 | 322.745 | 344.940 | 0.000 | 0.000 | -0.000 |
| 0.000 | 0.000 | 0.000 | -11.728 | 0.000 | -0.000 |
| 0.000 | 0.000 | 0.000 | 0.000 | -11.728 | -0.000 |
| 0.000 | 0.000 | 0.000 | 0.000 | 0.000 | -11.728 |
| 344.943 | 322.748 | 322.748 | -0.000 | -0.000 | 0.000 |
| 322.748 | 344.943 | 322.748 | -0.000 | -0.000 | -0.000 |
| 322.748 | 322.748 | 344.943 | -0.000 | -0.000 | 0.000 |
| -0.000 | -0.000 | -0.000 | -11.728 | -0.000 | 0.000 |
| -0.000 | -0.000 | -0.000 | -0.000 | -11.728 | 0.000 |
| -0.000 | -0.000 | -0.000 | -0.000 | -0.000 | -11.728 |
| 344.926 | 322.732 | 322.732 | -0.000 | 0.000 | -0.000 |
| 322.732 | 344.926 | 322.732 | -0.000 | 0.000 | -0.000 |
| 322.732 | 322.732 | 344.926 | -0.000 | 0.000 | -0.000 |
| -0.000 | -0.000 | -0.000 | -11.728 | 0.000 | -0.000 |
| -0.000 | -0.000 | -0.000 | -0.000 | -11.728 | -0.000 |
| -0.000 | -0.000 | -0.000 | -0.000 | 0.000 | -11.728 |
| 344.957 | 322.762 | 322.762 | 0.000 | -0.000 | 0.000 |
| 322.762 | 344.957 | 322.762 | -0.000 | -0.000 | 0.000 |
| 322.762 | 322.762 | 344.957 | 0.000 | -0.000 | -0.000 |
| 0.000 | 0.000 | 0.000 | -11.728 | -0.000 | -0.000 |
| 0.000 | 0.000 | 0.000 | -0.000 | -11.728 | 0.000 |
| 0.000 | 0.000 | 0.000 | -0.000 | -0.000 | -11.728 |
| 344.788 | 322.595 | 322.595 | -0.000 | 0.000 | -0.000 |
| 322.595 | 344.788 | 322.595 | -0.000 | 0.000 | -0.000 |
| 322.595 | 322.595 | 344.788 | 0.000 | 0.000 | -0.000 |
| -0.000 | -0.000 | -0.000 | -11.728 | 0.000 | -0.000 |
| -0.000 | -0.000 | -0.000 | -0.000 | -11.728 | -0.000 |
| -0.000 | -0.000 | -0.000 | -0.000 | 0.000 | -11.728 |
| 345.095 | 322.899 | 322.899 | 0.000 | -0.000 | 0.000 |
| 322.899 | 345.095 | 322.899 | -0.000 | -0.000 | -0.000 |
| 322.899 | 322.899 | 345.095 | 0.000 | -0.000 | 0.000 |
| 0.000 | 0.000 | 0.000 | -11.728 | -0.000 | 0.000 |
| 0.000 | 0.000 | 0.000 | 0.000 | -11.728 | 0.000 |
| 0.000 | 0.000 | 0.000 | -0.000 | -0.000 | -11.728 |
| 63.975 | 104.071 | 104.071 | 0.000 | -0.000 | -0.000 |
| 104.071 | 63.975 | 104.071 | -0.000 | -0.000 | 0.000 |
| 104.071 | 104.071 | 63.975 | 0.000 | -0.000 | 0.000 |
| 0.000 | 0.000 | 0.000 | -29.507 | -0.000 | -0.000 |
| 0.000 | 0.000 | 0.000 | 0.000 | -29.507 | 0.000 |
| 0.000 | 0.000 | 0.000 | 0.000 | -0.000 | -29.507 |
| 63.975 | 104.071 | 104.071 | -0.000 | 0.000 | -0.000 |
| 104.071 | 63.975 | 104.071 | -0.000 | 0.000 | -0.000 |
| 104.071 | 104.071 | 63.975 | -0.000 | 0.000 | -0.000 |
| -0.000 | -0.000 | -0.000 | -29.507 | 0.000 | 0.000 |
| -0.000 | 0.000 | -0.000 | -0.000 | -29.507 | -0.000 |
| -0.000 | -0.000 | -0.000 | -0.000 | 0.000 | -29.507 |
| 63.975 | 104.071 | 104.071 | -0.000 | -0.000 | -0.000 |
| 104.071 | 63.975 | 104.071 | 0.000 | -0.000 | -0.000 |
| 104.071 | 104.071 | 63.975 | 0.000 | 0.000 | 0.000 |
| 0.000 | 0.000 | 0.000 | -29.507 | -0.000 | 0.000 |
| 0.000 | 0.000 | 0.000 | -0.000 | -29.507 | 0.000 |
| 0.000 | 0.000 | 0.000 | -0.000 | -0.000 | -29.507 |
| 63.975 | 104.070 | 104.070 | -0.000 | 0.000 | -0.000 |
| 104.070 | 63.975 | 104.070 | -0.000 | 0.000 | -0.000 |
| 104.070 | 104.070 | 63.975 | 0.000 | 0.000 | 0.000 |
| -0.000 | -0.000 | -0.000 | -29.507 | 0.000 | 0.000 |
| -0.000 | -0.000 | -0.000 | -0.000 | -29.507 | -0.000 |
| -0.000 | -0.000 | -0.000 | -0.000 | 0.000 | -29.507 |
| 63.977 | 104.071 | 104.071 | 0.000 | -0.000 | 0.000 |
| 104.071 | 63.977 | 104.071 | 0.000 | -0.000 | -0.000 |
| 104.071 | 104.071 | 63.977 | -0.000 | -0.000 | 0.000 |
| 0.000 | 0.000 | 0.000 | -29.507 | -0.000 | 0.000 |
| 0.000 | 0.000 | 0.000 | -0.000 | -29.507 | 0.000 |
| 0.000 | 0.000 | 0.000 | -0.000 | -0.000 | -29.507 |
| 63.974 | 104.070 | 104.070 | -0.000 | 0.000 | 0.000 |
| 104.070 | 63.974 | 104.070 | 0.000 | 0.000 | -0.000 |
| 104.070 | 104.070 | 63.974 | 0.000 | 0.000 | 0.000 |
| -0.000 | -0.000 | -0.000 | -29.507 | 0.000 | -0.000 |
| -0.000 | -0.000 | -0.000 | 0.000 | -29.507 | 0.000 |
| -0.000 | -0.000 | -0.000 | -0.000 | 0.000 | -29.507 |
| 61.150 | 2.858 | 2.858 | 0.000 | 0.000 | 0.000 |
| 2.858 | 61.150 | 2.858 | -0.000 | 0.000 | 0.000 |
| 2.858 | 2.858 | 61.150 | -0.000 | 0.000 | 0.000 |
| 0.000 | 0.000 | 0.000 | 4.000 | 0.000 | 0.000 |
| 0.000 | 0.000 | 0.000 | -0.000 | 4.000 | 0.000 |
| 0.000 | 0.000 | 0.000 | -0.000 | 0.000 | 4.000 |
| 61.150 | 2.858 | 2.858 | 0.000 | -0.000 | -0.000 |
| 2.858 | 61.150 | 2.858 | -0.000 | -0.000 | -0.000 |
| 2.858 | 2.858 | 61.150 | 0.000 | -0.000 | -0.000 |
| -0.000 | 0.000 | -0.000 | 4.000 | -0.000 | -0.000 |
| 0.000 | -0.000 | -0.000 | 0.000 | 4.000 | -0.000 |
| 0.000 | -0.000 | -0.000 | 0.000 | -0.000 | 4.000 |
| 61.150 | 2.858 | 2.858 | -0.000 | -0.000 | -0.000 |
| 2.858 | 61.150 | 2.858 | -0.000 | -0.000 | -0.000 |
| 2.858 | 2.858 | 61.150 | -0.000 | 0.000 | 0.000 |
| -0.000 | -0.000 | -0.000 | 4.000 | 0.000 | -0.000 |
| -0.000 | -0.000 | -0.000 | 0.000 | 4.000 | 0.000 |
| -0.000 | -0.000 | -0.000 | -0.000 | 0.000 | 4.000 |
| 61.149 | 2.858 | 2.858 | -0.000 | -0.000 | 0.000 |
| 2.858 | 61.149 | 2.858 | 0.000 | -0.000 | 0.000 |
| 2.858 | 2.858 | 61.149 | 0.000 | 0.000 | -0.000 |
| 0.000 | 0.000 | 0.000 | 4.000 | -0.000 | -0.000 |
| 0.000 | 0.000 | 0.000 | -0.000 | 4.000 | -0.000 |
| 0.000 | 0.000 | 0.000 | 0.000 | -0.000 | 4.000 |
| 61.151 | 2.858 | 2.858 | -0.000 | -0.000 | -0.000 |
| 2.858 | 61.151 | 2.858 | 0.000 | 0.000 | 0.000 |
| 2.858 | 2.858 | 61.151 | -0.000 | 0.000 | 0.000 |
| -0.000 | -0.000 | -0.000 | 4.000 | 0.000 | -0.000 |
| -0.000 | -0.000 | -0.000 | -0.000 | 4.000 | 0.000 |
| -0.000 | -0.000 | -0.000 | 0.000 | 0.000 | 4.000 |
| 61.148 | 2.858 | 2.858 | 0.000 | 0.000 | 0.000 |
| 2.858 | 61.148 | 2.858 | 0.000 | 0.000 | 0.000 |
| 2.858 | 2.858 | 61.148 | -0.000 | -0.000 | -0.000 |
| 0.000 | 0.000 | 0.000 | 4.000 | 0.000 | 0.000 |
| 0.000 | 0.000 | 0.000 | 0.000 | 4.000 | -0.000 |
| 0.000 | 0.000 | 0.000 | -0.000 | -0.000 | 4.000 |
| 716.691 | 719.706 | 719.706 | -0.000 | 0.000 | 0.000 |
| 719.706 | 716.691 | 719.706 | -0.000 | -0.000 | -0.000 |
| 719.706 | 719.706 | 716.691 | -0.000 | -0.000 | -0.000 |
| 0.000 | 0.000 | 0.000 | -3.030 | -0.000 | -0.000 |
| 0.000 | 0.000 | 0.000 | -0.000 | -3.030 | 0.000 |
| 0.000 | 0.000 | 0.000 | -0.000 | 0.000 | -3.030 |
| 716.692 | 719.707 | 719.707 | 0.000 | 0.000 | 0.000 |
| 719.707 | 716.692 | 719.707 | 0.000 | 0.000 | 0.000 |
| 719.707 | 719.707 | 716.692 | 0.000 | 0.000 | 0.000 |
| -0.000 | -0.000 | -0.000 | -3.030 | 0.000 | 0.000 |
| -0.000 | -0.000 | -0.000 | 0.000 | -3.030 | -0.000 |
| -0.000 | -0.000 | -0.000 | 0.000 | -0.000 | -3.030 |
| 716.686 | 719.701 | 719.701 | -0.000 | 0.000 | 0.000 |
| 719.701 | 716.686 | 719.701 | 0.000 | -0.000 | -0.000 |
| 719.701 | 719.701 | 716.686 | -0.000 | -0.000 | -0.000 |
| 0.000 | 0.000 | 0.000 | -3.030 | -0.000 | -0.000 |
| 0.000 | 0.000 | 0.000 | -0.000 | -3.030 | 0.000 |
| 0.000 | 0.000 | 0.000 | -0.000 | 0.000 | -3.030 |
| 716.697 | 719.712 | 719.712 | 0.000 | 0.000 | 0.000 |
| 719.712 | 716.697 | 719.712 | 0.000 | 0.000 | 0.000 |
| 719.712 | 719.712 | 716.697 | 0.000 | 0.000 | 0.000 |
| -0.000 | -0.000 | -0.000 | -3.030 | 0.000 | 0.000 |
| -0.000 | -0.000 | -0.000 | 0.000 | -3.030 | 0.000 |
| -0.000 | -0.000 | -0.000 | -0.000 | 0.000 | -3.030 |
| 716.637 | 719.651 | 719.651 | -0.000 | -0.000 | -0.000 |
| 719.651 | 716.637 | 719.651 | -0.000 | -0.000 | -0.000 |
| 719.651 | 719.651 | 716.637 | -0.000 | -0.000 | -0.000 |
| 0.001 | 0.001 | 0.001 | -3.030 | -0.000 | -0.000 |
| 0.001 | 0.001 | 0.001 | -0.000 | -3.030 | 0.000 |
| 0.001 | 0.001 | 0.001 | -0.000 | 0.000 | -3.030 |
| 716.746 | 719.762 | 719.762 | 0.000 | 0.000 | 0.000 |
| 719.762 | 716.746 | 719.762 | 0.000 | 0.000 | 0.000 |
| 719.762 | 719.762 | 716.746 | 0.000 | 0.000 | 0.000 |
| -0.001 | -0.001 | -0.001 | -3.030 | 0.000 | 0.000 |
| -0.001 | -0.001 | -0.001 | 0.000 | -3.030 | -0.000 |
| -0.001 | -0.001 | -0.001 | 0.000 | -0.000 | -3.030 |
| 444.660 | 444.536 | 444.536 | -0.000 | 0.000 | 0.000 |
| 444.536 | 444.660 | 444.536 | 0.000 | -0.000 | -0.000 |
| 444.536 | 444.536 | 444.660 | -0.000 | -0.000 | -0.000 |
| 0.000 | 0.000 | 0.000 | 0.178 | -0.000 | -0.000 |
| 0.000 | 0.000 | 0.000 | -0.000 | 0.178 | -0.000 |
| 0.000 | 0.000 | 0.000 | -0.000 | -0.000 | 0.178 |
| 444.660 | 444.535 | 444.535 | 0.000 | 0.000 | 0.000 |
| 444.535 | 444.660 | 444.535 | -0.000 | 0.000 | 0.000 |
| 444.535 | 444.535 | 444.660 | 0.000 | 0.000 | 0.000 |
| -0.000 | -0.000 | -0.000 | 0.178 | 0.000 | 0.000 |
| -0.000 | -0.000 | -0.000 | 0.000 | 0.178 | -0.000 |
| -0.000 | -0.000 | -0.000 | 0.000 | -0.000 | 0.178 |
| 444.663 | 444.538 | 444.538 | -0.000 | -0.000 | -0.000 |
| 444.538 | 444.663 | 444.538 | -0.000 | -0.000 | -0.000 |
| 444.538 | 444.538 | 444.663 | -0.000 | -0.000 | -0.000 |
| 0.000 | 0.000 | 0.000 | 0.178 | -0.000 | -0.000 |
| 0.000 | 0.000 | 0.000 | -0.000 | 0.178 | -0.000 |
| 0.000 | 0.000 | 0.000 | -0.000 | -0.000 | 0.178 |
| 444.657 | 444.532 | 444.532 | 0.000 | 0.000 | 0.000 |
| 444.532 | 444.657 | 444.532 | 0.000 | 0.000 | 0.000 |
| 444.532 | 444.532 | 444.657 | 0.000 | 0.000 | 0.000 |
| -0.000 | -0.000 | -0.000 | 0.178 | 0.000 | 0.000 |
| -0.000 | -0.000 | -0.000 | 0.000 | 0.178 | 0.000 |
| -0.000 | -0.000 | -0.000 | 0.000 | 0.000 | 0.178 |
| 444.690 | 444.565 | 444.565 | -0.000 | 0.000 | 0.000 |
| 444.565 | 444.690 | 444.565 | 0.000 | -0.000 | -0.000 |
| 444.565 | 444.565 | 444.690 | -0.000 | -0.000 | -0.000 |
| 0.000 | 0.000 | 0.000 | 0.178 | -0.000 | -0.000 |
| 0.000 | 0.000 | 0.000 | -0.000 | 0.178 | -0.000 |
| 0.000 | 0.000 | 0.000 | -0.000 | -0.000 | 0.178 |
| 444.630 | 444.506 | 444.506 | 0.000 | 0.000 | 0.000 |
| 444.506 | 444.630 | 444.506 | 0.000 | 0.000 | 0.000 |
| 444.506 | 444.506 | 444.630 | 0.000 | 0.000 | 0.000 |
| -0.000 | -0.000 | -0.000 | 0.178 | 0.000 | 0.000 |
| -0.000 | -0.000 | -0.000 | 0.000 | 0.178 | 0.000 |
| -0.000 | -0.000 | -0.000 | 0.000 | 0.000 | 0.178 |
| 1584.117 | 415.123 | 415.123 | 0.000 | 0.000 | -0.000 |
| 415.123 | 1584.117 | 415.123 | 0.000 | 0.000 | -0.000 |
| 415.123 | 415.123 | 1584.117 | 0.000 | 0.000 | -0.000 |
| 0.000 | 0.000 | -0.000 | 167.230 | 0.000 | -0.000 |
| 0.000 | 0.000 | 0.000 | 0.000 | 167.230 | -0.000 |
| 0.000 | 0.000 | 0.000 | 0.000 | 0.000 | 167.230 |
| 1584.117 | 415.123 | 415.123 | -0.000 | -0.000 | 0.000 |
| 415.123 | 1584.117 | 415.123 | 0.000 | 0.000 | 0.000 |
| 415.123 | 415.123 | 1584.117 | -0.000 | -0.000 | 0.000 |
| -0.000 | -0.000 | 0.000 | 167.230 | 0.000 | -0.000 |
| -0.000 | -0.000 | -0.000 | -0.000 | 167.230 | 0.000 |
| -0.000 | -0.000 | -0.000 | -0.000 | -0.000 | 167.230 |
| 1584.118 | 415.123 | 415.123 | -0.000 | 0.000 | 0.000 |
| 415.123 | 1584.118 | 415.123 | -0.000 | -0.000 | 0.000 |
| 415.123 | 415.123 | 1584.118 | 0.000 | 0.000 | 0.000 |
| 0.000 | 0.000 | 0.000 | 167.230 | 0.000 | -0.000 |
| 0.000 | 0.000 | 0.000 | 0.000 | 167.230 | -0.000 |
| 0.000 | 0.000 | 0.000 | 0.000 | -0.000 | 167.230 |
| 1584.116 | 415.123 | 415.123 | 0.000 | 0.000 | 0.000 |
| 415.123 | 1584.116 | 415.123 | 0.000 | 0.000 | 0.000 |
| 415.123 | 415.123 | 1584.116 | 0.000 | -0.000 | -0.000 |
| -0.000 | -0.000 | -0.000 | 167.230 | -0.000 | 0.000 |
| -0.000 | -0.000 | -0.000 | 0.000 | 167.230 | 0.000 |
| -0.000 | -0.000 | -0.000 | -0.000 | -0.000 | 167.230 |
| 1599.129 | 407.623 | 407.623 | -0.000 | -0.000 | -0.000 |
| 407.623 | 1599.129 | 407.623 | -0.000 | -0.000 | -0.000 |
| 407.623 | 407.623 | 1599.129 | -0.000 | 0.000 | -0.000 |
| 0.000 | 0.001 | 0.001 | 257.220 | 0.000 | -0.000 |
| 0.001 | 0.000 | 0.001 | -0.000 | 257.220 | -0.000 |
| 0.001 | 0.001 | 0.000 | -0.000 | -0.000 | 257.220 |
| 1599.113 | 407.619 | 407.619 | -0.000 | 0.000 | 0.000 |
| 407.619 | 1599.113 | 407.619 | -0.000 | 0.000 | -0.000 |
| 407.619 | 407.619 | 1599.113 | -0.000 | -0.000 | -0.000 |
| -0.000 | -0.001 | -0.001 | 257.220 | -0.000 | 0.000 |
| -0.001 | -0.000 | -0.001 | 0.000 | 257.220 | 0.000 |
| -0.001 | -0.001 | -0.000 | 0.000 | -0.000 | 257.220 |
| 179.077 | 94.453 | 94.453 | -0.000 | 0.000 | 0.000 |
| 94.453 | 179.077 | 94.453 | 0.000 | -0.000 | 0.000 |
| 94.453 | 94.453 | 179.077 | -0.000 | -0.000 | 0.000 |
| 0.000 | 0.000 | 0.000 | -27.020 | 0.000 | 0.000 |
| 0.000 | 0.000 | 0.000 | -0.000 | -27.020 | 0.000 |
| 0.000 | -0.000 | 0.000 | -0.000 | 0.000 | -27.020 |
| 179.077 | 94.453 | 94.453 | 0.000 | -0.000 | -0.000 |
| 94.453 | 179.077 | 94.453 | -0.000 | -0.000 | -0.000 |
| 94.453 | 94.453 | 179.077 | -0.000 | 0.000 | -0.000 |
| -0.000 | -0.000 | -0.000 | -27.020 | -0.000 | -0.000 |
| -0.000 | -0.000 | -0.000 | 0.000 | -27.020 | -0.000 |
| -0.000 | 0.000 | -0.000 | -0.000 | -0.000 | -27.020 |
| 179.482 | 94.248 | 94.248 | -0.000 | -0.000 | 0.000 |
| 94.248 | 179.482 | 94.248 | -0.000 | -0.000 | -0.000 |
| 94.248 | 94.248 | 179.482 | -0.000 | 0.000 | 0.000 |
| 0.000 | 0.000 | 0.000 | 1.486 | 0.000 | 0.000 |
| 0.000 | 0.000 | 0.000 | 0.000 | 1.486 | 0.000 |
| 0.000 | 0.000 | 0.000 | -0.000 | 0.000 | 1.486 |
| 179.485 | 94.252 | 94.252 | 0.000 | 0.000 | -0.000 |
| 94.252 | 179.485 | 94.252 | 0.000 | -0.000 | -0.000 |
| 94.252 | 94.252 | 179.485 | 0.000 | 0.000 | -0.000 |
| -0.000 | -0.000 | -0.000 | 1.486 | -0.000 | -0.000 |
| -0.000 | -0.000 | -0.000 | 0.000 | 1.486 | -0.000 |
| -0.000 | -0.000 | -0.000 | -0.000 | -0.000 | 1.486 |
| 179.059 | 94.436 | 94.436 | -0.000 | 0.000 | 0.000 |
| 94.436 | 179.059 | 94.436 | 0.000 | 0.000 | 0.000 |
| 94.436 | 94.436 | 179.059 | -0.000 | 0.000 | 0.000 |
| 0.000 | 0.000 | 0.000 | -27.020 | 0.000 | 0.000 |
| 0.000 | 0.000 | 0.000 | -0.000 | -27.020 | 0.000 |
| 0.000 | 0.000 | 0.000 | -0.000 | 0.000 | -27.020 |
| 179.095 | 94.470 | 94.470 | 0.000 | -0.000 | -0.000 |
| 94.470 | 179.095 | 94.470 | 0.000 | -0.000 | -0.000 |
| 94.470 | 94.470 | 179.095 | 0.000 | -0.000 | -0.000 |
| -0.000 | -0.000 | -0.000 | -27.020 | -0.000 | -0.000 |
| -0.000 | -0.000 | -0.000 | 0.000 | -27.020 | -0.000 |
| -0.000 | -0.000 | -0.000 | 0.000 | -0.000 | -27.020 |
| -229.610 | -243.176 | -243.176 | -0.000 | -0.000 | -0.000 |
| -243.176 | -229.610 | -243.176 | -0.000 | 0.000 | 0.000 |
| -243.176 | -243.176 | -229.610 | -0.000 | 0.000 | -0.000 |
| 0.000 | 0.000 | 0.000 | -45.155 | 0.000 | 0.000 |
| 0.000 | 0.000 | 0.000 | 0.000 | -45.155 | 0.000 |
| 0.000 | 0.000 | 0.000 | -0.000 | 0.000 | -45.155 |
| -229.610 | -243.176 | -243.176 | 0.000 | -0.000 | -0.000 |
| -243.176 | -229.610 | -243.176 | 0.000 | -0.000 | 0.000 |
| -243.176 | -243.176 | -229.610 | -0.000 | 0.000 | -0.000 |
| -0.000 | -0.000 | -0.000 | -45.155 | 0.000 | -0.000 |
| -0.000 | -0.000 | -0.000 | 0.000 | -45.155 | -0.000 |
| -0.000 | -0.000 | -0.000 | 0.000 | 0.000 | -45.155 |
| -229.612 | -243.178 | -243.178 | 0.000 | -0.000 | 0.000 |
| -243.178 | -229.612 | -243.178 | 0.000 | -0.000 | 0.000 |
| -243.178 | -243.178 | -229.612 | 0.000 | -0.000 | 0.000 |
| 130183345.569 | 127984927.955 | 128218039.807 | 575703.339 | -62638.737 | 124244.954 |
| 128374275.233 | 130218912.862 | 126759035.959 | 935803.936 | 299188.325 | 689953.243 |
| 128684463.796 | 128924140.266 | 129993016.239 | 40873.994 | -112368.445 | 741073.383 |
| -229.608 | -243.174 | -243.174 | 0.000 | -0.000 | -0.000 |
| -243.174 | -229.608 | -243.174 | 0.000 | -0.000 | -0.000 |
| -243.174 | -243.174 | -229.608 | 0.000 | -0.000 | -0.000 |
| -130202101.371 | -127336355.732 | -130146663.791 | 200019.684 | 570210.547 | 377535.736 |
| -126854669.706 | -128593859.432 | -128293358.738 | 225690.761 | 488704.998 | -103874.797 |
| -126844774.076 | -126056521.166 | -129200447.887 | -127225.217 | -56071.036 | 166043.515 |
| -229.315 | -243.358 | -243.358 | -0.000 | -0.000 | -0.000 |
| -243.358 | -229.315 | -243.358 | -0.000 | -0.000 | -0.000 |
| -243.358 | -243.358 | -229.315 | -0.000 | -0.000 | 0.000 |
| 13021013.211 | 12570197.134 | 12496813.818 | 52303.531 | -49005.534 | -11227.443 |
| 12672188.091 | 12785186.137 | 12495484.471 | -1017.321 | -16714.374 | -62066.777 |
| 12902666.616 | 12864071.383 | 13018479.102 | -147641.297 | -16216.501 | -48440.063 |
| -229.268 | -243.311 | -243.311 | 0.000 | 0.000 | -0.000 |
| -243.311 | -229.268 | -243.311 | 0.000 | -0.000 | 0.000 |
| -243.311 | -243.311 | -229.268 | 0.000 | 0.000 | -0.000 |
| -12853727.581 | -12829125.445 | -12870683.480 | 41182.916 | 39508.451 | -47414.423 |
| -12759344.820 | -12937014.529 | -12819536.026 | 49397.146 | 12187.478 | -48953.231 |
| -12657242.099 | -12683832.551 | -12796911.644 | 17813.286 | 75807.375 | -31571.866 |
| 57.218 | 32.796 | 32.796 | -0.000 | -0.000 | 0.000 |
| 32.796 | 57.218 | 32.796 | -0.000 | -0.000 | 0.000 |
| 32.796 | 32.796 | 57.218 | 0.000 | 0.000 | 0.000 |
| -0.000 | -0.000 | -0.000 | -35.237 | 0.000 | 0.000 |
| 0.000 | -0.000 | 0.000 | -0.000 | -35.237 | 0.000 |
| 0.000 | -0.000 | 0.000 | -0.000 | -0.000 | -35.237 |
| 51.637 | 35.587 | 35.587 | 0.000 | 0.000 | -0.000 |
| 35.587 | 51.637 | 35.587 | 0.000 | -0.000 | -0.000 |
| 35.587 | 35.587 | 51.637 | 0.000 | 0.000 | -0.000 |
| 0.000 | 0.000 | 0.000 | -35.237 | -0.000 | 0.000 |
| -0.000 | 0.000 | 0.000 | 0.000 | -35.237 | -0.000 |
| -0.000 | 0.000 | 0.000 | 0.000 | 0.000 | -35.237 |
| 51.635 | 35.586 | 35.586 | -0.000 | 0.000 | 0.000 |
| 35.586 | 51.635 | 35.586 | -0.000 | 0.000 | 0.000 |
| 35.586 | 35.586 | 51.635 | 0.000 | 0.000 | -0.000 |
| -0.000 | -0.000 | -0.000 | -35.801 | 0.000 | -0.000 |
| -0.000 | -0.000 | -0.000 | -0.000 | -35.801 | 0.000 |
| -0.000 | -0.000 | -0.000 | -0.000 | -0.000 | -35.801 |
| 57.220 | 32.798 | 32.798 | -0.000 | 0.000 | -0.000 |
| 32.798 | 57.220 | 32.798 | 0.000 | -0.000 | -0.000 |
| 32.798 | 32.798 | 57.220 | 0.000 | -0.000 | -0.000 |
| 0.000 | 0.000 | 0.000 | -35.801 | -0.000 | -0.000 |
| 0.000 | 0.000 | 0.000 | 0.000 | -35.801 | -0.000 |
| 0.000 | 0.000 | 0.000 | 0.000 | -0.000 | -35.801 |
| 57.203 | 32.783 | 32.783 | -0.000 | -0.000 | -0.000 |
| 32.783 | 57.203 | 32.783 | -0.000 | -0.000 | 0.000 |
| 32.783 | 32.783 | 57.203 | -0.000 | -0.000 | 0.000 |
| 6302980.114 | 6071851.207 | 6345480.946 | -82945.664 | 179389.206 | 200477.818 |
| 6866496.291 | 7219640.276 | 6891007.797 | -131602.339 | 256490.056 | 259443.793 |
| 5813154.970 | 6342735.540 | 6234422.213 | 178440.033 | -57035.990 | 32150.119 |
| 57.233 | 32.810 | 32.810 | 0.000 | -0.000 | -0.000 |
| 32.810 | 57.233 | 32.810 | 0.000 | -0.000 | -0.000 |
| 32.810 | 32.810 | 57.233 | 0.000 | -0.000 | -0.000 |
| -6589030.551 | -6247546.973 | -6482415.353 | -33791.651 | -65359.838 | -65894.936 |
| -5953003.993 | -6231860.212 | -5725540.493 | -78788.711 | 97978.662 | 79940.526 |
| -6430293.933 | -6388104.129 | -6268259.601 | -5581.302 | -10434.739 | -40036.611 |
| 45.298 | 46.233 | 46.233 | -0.000 | 0.000 | -0.000 |
| 46.233 | 45.298 | 46.233 | 0.000 | -0.000 | -0.000 |
| 46.233 | 46.233 | 45.298 | -0.000 | 0.000 | -0.000 |
| 0.000 | 0.000 | 0.000 | 1.211 | 0.000 | -0.000 |
| 0.000 | 0.000 | 0.000 | -0.000 | 1.211 | 0.000 |
| 0.000 | 0.000 | 0.000 | -0.000 | 0.000 | 1.211 |
| 45.298 | 46.233 | 46.233 | 0.000 | -0.000 | -0.000 |
| 46.233 | 45.298 | 46.233 | -0.000 | 0.000 | -0.000 |
| 46.233 | 46.233 | 45.298 | 0.000 | 0.000 | 0.000 |
| -0.000 | -0.000 | -0.000 | 1.211 | -0.000 | 0.000 |
| -0.000 | -0.000 | -0.000 | 0.000 | 1.211 | 0.000 |
| -0.000 | -0.000 | -0.000 | 0.000 | -0.000 | 1.211 |
| 45.297 | 46.233 | 46.233 | -0.000 | -0.000 | 0.000 |
| 46.233 | 45.297 | 46.233 | 0.000 | -0.000 | -0.000 |
| 46.233 | 46.233 | 45.297 | 0.000 | 0.000 | 0.000 |
| 0.000 | 0.000 | 0.000 | 1.211 | 0.000 | 0.000 |
| 0.000 | 0.000 | 0.000 | -0.000 | 1.211 | -0.000 |
| 0.000 | 0.000 | 0.000 | -0.000 | 0.000 | 1.211 |
| 45.298 | 46.234 | 46.234 | 0.000 | -0.000 | 0.000 |
| 46.234 | 45.298 | 46.234 | -0.000 | -0.000 | 0.000 |
| 46.234 | 46.234 | 45.298 | 0.000 | -0.000 | 0.000 |
| -0.000 | -0.000 | -0.000 | 1.211 | 0.000 | 0.000 |
| -0.000 | -0.000 | -0.000 | -0.000 | 1.211 | -0.000 |
| -0.000 | -0.000 | -0.000 | 0.000 | -0.000 | 1.211 |
| 45.293 | 46.231 | 46.231 | -0.000 | 0.000 | -0.000 |
| 46.231 | 45.293 | 46.231 | 0.000 | 0.000 | 0.000 |
| 46.231 | 46.231 | 45.293 | -0.000 | -0.000 | -0.000 |
| 0.000 | 0.000 | 0.000 | 1.211 | 0.000 | -0.000 |
| 0.000 | 0.000 | 0.000 | 0.000 | 1.211 | -0.000 |
| 0.000 | 0.000 | 0.000 | 0.000 | 0.000 | 1.211 |
| 45.302 | 46.236 | 46.236 | 0.000 | -0.000 | 0.000 |
| 46.236 | 45.302 | 46.236 | -0.000 | 0.000 | -0.000 |
| 46.236 | 46.236 | 45.302 | -0.000 | -0.000 | 0.000 |
| -0.000 | -0.000 | -0.000 | 1.211 | 0.000 | -0.000 |
| -0.000 | -0.000 | -0.000 | -0.000 | 1.211 | -0.000 |
| -0.000 | -0.000 | -0.000 | -0.000 | 0.000 | 1.211 |
| 60.117 | 149.678 | 149.678 | 0.000 | -0.000 | -0.000 |
| 149.678 | 60.117 | 149.678 | 0.000 | -0.000 | -0.000 |
| 149.678 | 149.678 | 60.117 | 0.000 | -0.000 | -0.000 |
| -40593039.907 | -37868412.340 | -38025074.785 | -1880476.414 | -33138.598 | -141488.785 |
| -37610903.376 | -40009717.689 | -37949765.374 | -28452.103 | -2113352.621 | -202856.602 |
| -38362875.468 | -38462054.078 | -40282801.130 | 155398.183 | 49935.344 | -1891777.507 |
| 60.118 | 149.679 | 149.679 | -0.000 | 0.000 | 0.000 |
| 149.679 | 60.118 | 149.679 | -0.000 | -0.000 | 0.000 |
| 149.679 | 149.679 | 60.118 | -0.000 | 0.000 | -0.000 |
| 38200305.221 | 36090360.749 | 35369433.839 | -2185129.883 | 72829.918 | -237390.172 |
| 37694111.438 | 39592686.621 | 37162459.122 | -23002.548 | -1971417.946 | 206706.809 |
| 37188784.406 | 38124245.251 | 39952976.050 | 256154.333 | -29694.988 | -1722992.402 |
| 60.116 | 149.677 | 149.677 | 0.000 | -0.000 | -0.000 |
| 149.677 | 60.116 | 149.677 | 0.000 | -0.000 | -0.000 |
| 149.677 | 149.677 | 60.116 | 0.000 | -0.000 | -0.000 |
| 412616.440 | -545390.363 | -545390.282 | 419337.560 | -0.000 | 0.000 |
| -545390.363 | 412616.441 | -545390.281 | -0.000 | 419337.563 | 0.000 |
| -545390.363 | -545390.282 | 412616.440 | -0.000 | -0.000 | 419337.560 |
| 60.119 | 149.680 | 149.680 | -0.000 | 0.000 | 0.000 |
| 149.680 | 60.119 | 149.680 | -0.000 | 0.000 | -0.000 |
| 149.680 | 149.680 | 60.119 | -0.000 | -0.000 | -0.000 |
| -412616.441 | 545390.363 | 545390.282 | 419337.561 | -0.000 | 0.000 |
| 545390.363 | -412616.441 | 545390.281 | 0.000 | 419337.562 | 0.000 |
| 545390.363 | 545390.282 | -412616.441 | 0.000 | 0.000 | 419337.561 |
| 60.102 | 149.665 | 149.665 | 0.000 | 0.000 | -0.000 |
| 149.665 | 60.102 | 149.665 | 0.000 | -0.000 | -0.000 |
| 149.665 | 149.665 | 60.102 | 0.000 | -0.000 | 0.000 |
| 41252.286 | -54544.875 | -54544.793 | 41935.701 | -0.000 | 0.000 |
| -54544.875 | 41252.286 | -54544.793 | -0.000 | 41935.701 | 0.000 |
| -54544.875 | -54544.793 | 41252.286 | -0.000 | 0.000 | 41935.701 |
| 60.134 | 149.692 | 149.692 | -0.000 | -0.000 | 0.000 |
| 149.692 | 60.134 | 149.692 | -0.000 | 0.000 | -0.000 |
| 149.692 | 149.692 | 60.134 | -0.000 | 0.000 | 0.000 |
| -41252.286 | 54544.875 | 54544.793 | 41935.701 | -0.000 | 0.000 |
| 54544.875 | -41252.286 | 54544.793 | 0.000 | 41935.701 | 0.000 |
| 54544.875 | 54544.793 | -41252.286 | 0.000 | 0.000 | 41935.701 |
| -5346677.225 | -4655569.437 | -4848961.957 | 3091.114 | -23451.124 | 67367.261 |
| -4804694.277 | -5484613.454 | -4947611.566 | 89909.146 | -228853.872 | -27501.045 |
| -4599905.115 | -4611340.619 | -5380394.238 | -48226.365 | 38666.208 | 60380.834 |
| 0.000 | -0.000 | -0.000 | 0.540 | -0.000 | -0.000 |
| -0.000 | 0.000 | -0.000 | -0.000 | 0.540 | 0.000 |
| -0.000 | -0.000 | 0.000 | -0.000 | -0.000 | 0.540 |
| 5421268.543 | 5031534.742 | 5087546.564 | 54588.355 | 72181.368 | -97238.752 |
| 5246892.148 | 5290731.123 | 5182418.216 | 111736.247 | -72226.014 | -136137.141 |
| 5173743.373 | 5355017.787 | 5117729.340 | -53738.358 | 198893.288 | -104271.057 |
| -0.000 | 0.000 | 0.000 | 0.540 | 0.000 | -0.000 |
| 0.000 | -0.000 | 0.000 | 0.000 | 0.540 | -0.000 |
| 0.000 | 0.000 | -0.000 | 0.000 | 0.000 | 0.540 |
| -536743.863 | -451185.782 | -479424.575 | -1609.338 | 13276.661 | 17035.730 |
| -480624.731 | -522651.957 | -464272.685 | 10115.033 | 3162.601 | 1353.565 |
| -496274.868 | -486278.237 | -565293.081 | -2476.801 | -8441.263 | -4774.645 |
| 0.000 | 0.000 | -0.000 | 0.540 | -0.000 | -0.000 |
| 0.000 | 0.000 | -0.000 | 0.000 | 0.540 | -0.000 |
| 0.000 | -0.000 | 0.000 | 0.000 | -0.000 | 0.540 |
| 134.197 | 63.471 | 63.471 | -0.000 | 0.000 | 0.000 |
| 63.471 | 134.197 | 63.471 | -0.000 | 0.000 | 0.000 |
| 63.471 | 63.471 | 134.197 | -0.000 | 0.000 | -0.000 |
| -0.000 | -0.000 | 0.000 | 0.540 | -0.000 | 0.000 |
| -0.000 | -0.000 | 0.000 | 0.000 | 0.540 | -0.000 |
| -0.000 | 0.000 | -0.000 | -0.000 | 0.000 | 0.540 |
| -52818.385 | -47391.931 | -46423.822 | -1079.685 | 246.855 | 832.785 |
| -47380.175 | -54708.115 | -47975.918 | -435.175 | 1713.042 | 1084.793 |
| -46542.371 | -48473.027 | -54567.502 | -283.449 | -318.539 | -418.729 |
| -56670.371 | -43679.002 | -45344.939 | 4966.501 | 687.044 | 765.286 |
| -45298.135 | -57705.654 | -46512.717 | 509.100 | 3083.192 | 381.818 |
| -42733.799 | -45036.640 | -57276.878 | -1247.865 | 341.293 | 3366.331 |
| 54914.446 | 52332.618 | 49787.213 | -575.891 | 571.558 | 147.778 |
| 52316.364 | 56296.682 | 53213.649 | 206.953 | 4.065 | 297.972 |
| 51724.298 | 53185.549 | 54741.547 | -806.213 | -833.141 | -1180.349 |
| 57997.862 | 46949.000 | 46742.823 | 5699.729 | -148.026 | -714.904 |
| 45570.276 | 58129.401 | 45328.168 | -503.032 | 2497.160 | 2287.011 |
| 45644.463 | 46574.256 | 55180.871 | 398.062 | -118.390 | 4633.455 |
| 20.805 | -0.000 | -0.000 | -0.000 | -0.000 | -0.000 |
| -0.000 | 20.805 | -0.000 | -0.000 | -0.000 | -0.000 |
| -0.000 | -0.000 | 20.805 | -0.000 | -0.000 | -0.000 |
| -0.000 | 0.000 | -0.000 | -0.000 | -0.000 | 0.000 |
| 0.000 | -0.000 | -0.000 | -0.000 | -0.000 | -0.000 |
| 0.000 | -0.000 | -0.000 | -0.000 | -0.000 | -0.000 |
| 20.805 | 0.000 | 0.000 | 0.000 | 0.000 | 0.000 |
| 0.000 | 20.805 | 0.000 | 0.000 | -0.000 | -0.000 |
| 0.000 | 0.000 | 20.805 | -0.000 | -0.000 | 0.000 |
| 0.000 | -0.000 | 0.000 | -0.000 | 0.000 | 0.000 |
| -0.000 | 0.000 | 0.000 | 0.000 | -0.000 | 0.000 |
| -0.000 | 0.000 | 0.000 | 0.000 | 0.000 | -0.000 |
| 20.805 | -0.000 | -0.000 | -0.000 | -0.000 | -0.000 |
| -0.000 | 20.805 | -0.000 | -0.000 | -0.000 | 0.000 |
| -0.000 | -0.000 | 20.805 | -0.000 | 0.000 | -0.000 |
| -0.000 | 0.000 | -0.000 | 0.000 | 0.000 | -0.000 |
| 0.000 | -0.000 | -0.000 | -0.000 | 0.000 | -0.000 |
| 0.000 | -0.000 | -0.000 | -0.000 | -0.000 | 0.000 |
| 20.805 | -0.000 | -0.000 | 0.000 | 0.000 | -0.000 |
| -0.000 | 20.805 | -0.000 | 0.000 | 0.000 | 0.000 |
| -0.000 | -0.000 | 20.805 | -0.000 | 0.000 | 0.000 |
| 0.000 | -0.000 | 0.000 | 0.000 | -0.000 | 0.000 |
| -0.000 | 0.000 | 0.000 | 0.000 | 0.000 | 0.000 |
| -0.000 | 0.000 | 0.000 | 0.000 | 0.000 | 0.000 |
| 20.806 | 0.000 | 0.000 | -0.000 | -0.000 | -0.000 |
| 0.000 | 20.806 | 0.000 | -0.000 | -0.000 | -0.000 |
| 0.000 | 0.000 | 20.806 | -0.000 | 0.000 | -0.000 |
| -0.000 | 0.000 | -0.000 | 0.000 | 0.000 | -0.000 |
| 0.000 | -0.000 | -0.000 | -0.000 | 0.000 | -0.000 |
| 0.000 | -0.000 | -0.000 | -0.000 | -0.000 | 0.000 |
| 20.805 | 0.000 | 0.000 | 0.000 | 0.000 | 0.000 |
| 0.000 | 20.805 | 0.000 | 0.000 | -0.000 | -0.000 |
| 0.000 | 0.000 | 20.805 | -0.000 | 0.000 | 0.000 |
| 0.000 | -0.000 | 0.000 | 0.000 | 0.000 | 0.000 |
| -0.000 | 0.000 | 0.000 | -0.000 | 0.000 | 0.000 |
| -0.000 | 0.000 | 0.000 | 0.000 | 0.000 | 0.000 |
| 481.521 | 648.093 | 648.093 | -0.000 | -0.000 | -0.000 |
| 648.093 | 481.521 | 648.093 | -0.000 | 0.000 | -0.000 |
| 648.093 | 648.093 | 481.521 | 0.000 | 0.000 | -0.000 |
| 0.000 | 0.000 | 0.000 | 591.504 | 0.000 | -0.000 |
| 0.000 | 0.000 | 0.000 | -0.000 | 591.504 | -0.000 |
| 0.000 | 0.000 | 0.000 | 0.000 | 0.000 | 591.504 |
| 481.521 | 648.093 | 648.093 | -0.000 | -0.000 | 0.000 |
| 648.093 | 481.521 | 648.093 | 0.000 | -0.000 | 0.000 |
| 648.093 | 648.093 | 481.521 | 0.000 | 0.000 | 0.000 |
| -0.000 | -0.000 | -0.000 | 591.504 | 0.000 | 0.000 |
| -0.000 | -0.000 | -0.000 | -0.000 | 591.504 | 0.000 |
| -0.000 | -0.000 | -0.000 | -0.000 | -0.000 | 591.504 |
| 481.522 | 648.094 | 648.094 | 0.000 | 0.000 | -0.000 |
| 648.094 | 481.522 | 648.094 | -0.000 | 0.000 | -0.000 |
| 648.094 | 648.094 | 481.522 | 0.000 | 0.000 | -0.000 |
| 0.000 | 0.000 | 0.000 | 591.504 | -0.000 | -0.000 |
| 0.000 | 0.000 | 0.000 | -0.000 | 591.504 | -0.000 |
| 0.000 | 0.000 | 0.000 | -0.000 | 0.000 | 591.504 |
| 481.520 | 648.093 | 648.093 | -0.000 | -0.000 | 0.000 |
| 648.093 | 481.520 | 648.093 | 0.000 | -0.000 | 0.000 |
| 648.093 | 648.093 | 481.520 | -0.000 | -0.000 | 0.000 |
| -0.000 | -0.000 | -0.000 | 591.504 | -0.000 | 0.000 |
| -0.000 | -0.000 | -0.000 | 0.000 | 591.504 | -0.000 |
| -0.000 | -0.000 | -0.000 | -0.000 | -0.000 | 591.504 |
| 481.528 | 648.096 | 648.096 | -0.000 | 0.000 | 0.000 |
| 648.096 | 481.528 | 648.096 | 0.000 | 0.000 | -0.000 |
| 648.096 | 648.096 | 481.528 | -0.000 | 0.000 | -0.000 |
| 0.001 | 0.002 | 0.003 | 591.504 | 0.000 | -0.000 |
| 0.002 | 0.001 | 0.003 | -0.000 | 591.504 | -0.000 |
| 0.002 | 0.003 | 0.001 | -0.000 | -0.000 | 591.504 |
| 481.514 | 648.090 | 648.090 | -0.000 | -0.000 | 0.000 |
| 648.090 | 481.514 | 648.090 | -0.000 | -0.000 | 0.000 |
| 648.090 | 648.090 | 481.514 | -0.000 | 0.000 | 0.000 |
| -0.001 | -0.002 | -0.003 | 591.504 | -0.000 | 0.000 |
| -0.002 | -0.001 | -0.003 | 0.000 | 591.504 | 0.000 |
| -0.002 | -0.003 | -0.001 | 0.000 | -0.000 | 591.504 |
| 110.149 | 61.945 | 61.945 | -0.000 | -0.000 | -0.000 |
| 61.945 | 110.149 | 61.945 | 0.000 | -0.000 | -0.000 |
| 61.945 | 61.945 | 110.149 | -0.000 | -0.000 | -0.000 |
| 0.000 | 0.000 | 0.000 | 16.057 | -0.000 | -0.000 |
| 0.000 | 0.000 | 0.000 | -0.000 | 16.057 | -0.000 |
| 0.000 | 0.000 | 0.000 | 0.000 | -0.000 | 16.057 |
| 110.149 | 61.945 | 61.945 | -0.000 | 0.000 | 0.000 |
| 61.945 | 110.149 | 61.945 | 0.000 | 0.000 | 0.000 |
| 61.945 | 61.945 | 110.149 | 0.000 | -0.000 | 0.000 |
| -0.000 | -0.000 | -0.000 | 16.057 | 0.000 | 0.000 |
| -0.000 | -0.000 | -0.000 | 0.000 | 16.057 | 0.000 |
| -0.000 | -0.000 | -0.000 | 0.000 | 0.000 | 16.057 |
| 110.149 | 61.945 | 61.945 | 0.000 | -0.000 | -0.000 |
| 61.945 | 110.149 | 61.945 | -0.000 | -0.000 | -0.000 |
| 61.945 | 61.945 | 110.149 | -0.000 | -0.000 | -0.000 |
| 0.000 | 0.000 | 0.000 | 16.057 | -0.000 | -0.000 |
| 0.000 | 0.000 | 0.000 | -0.000 | 16.057 | -0.000 |
| 0.000 | 0.000 | 0.000 | -0.000 | -0.000 | 16.057 |
| 110.149 | 61.945 | 61.945 | -0.000 | 0.000 | 0.000 |
| 61.945 | 110.149 | 61.945 | 0.000 | -0.000 | 0.000 |
| 61.945 | 61.945 | 110.149 | 0.000 | 0.000 | 0.000 |
| -0.000 | -0.000 | -0.000 | 16.057 | 0.000 | 0.000 |
| -0.000 | -0.000 | -0.000 | 0.000 | 16.057 | 0.000 |
| -0.000 | -0.000 | -0.000 | 0.000 | 0.000 | 16.057 |
| 110.150 | 61.946 | 61.946 | -0.000 | -0.000 | -0.000 |
| 61.946 | 110.150 | 61.946 | -0.000 | -0.000 | -0.000 |
| 61.946 | 61.946 | 110.150 | -0.000 | -0.000 | -0.000 |
| 0.000 | 0.000 | 0.000 | 16.057 | 0.000 | -0.000 |
| 0.000 | 0.000 | 0.000 | 0.000 | 16.057 | -0.000 |
| 0.000 | 0.000 | 0.000 | -0.000 | -0.000 | 16.057 |
| 110.148 | 61.945 | 61.945 | -0.000 | 0.000 | 0.000 |
| 61.945 | 110.148 | 61.945 | 0.000 | 0.000 | 0.000 |
| 61.945 | 61.945 | 110.148 | 0.000 | 0.000 | 0.000 |
| -0.000 | -0.000 | -0.000 | 16.057 | 0.000 | 0.000 |
| -0.000 | -0.000 | -0.000 | 0.000 | 16.057 | 0.000 |
| -0.000 | -0.000 | -0.000 | 0.000 | 0.000 | 16.057 |
| 164.635 | 178.109 | 178.109 | 0.000 | 0.000 | 0.000 |
| 178.109 | 164.635 | 178.109 | -0.000 | 0.000 | -0.000 |
| 178.109 | 178.109 | 164.635 | -0.000 | -0.000 | -0.000 |
| 0.000 | 0.000 | 0.000 | -0.585 | -0.000 | 0.000 |
| 0.000 | 0.000 | 0.000 | -0.000 | -0.585 | 0.000 |
| 0.000 | 0.000 | 0.000 | 0.000 | 0.000 | -0.585 |
| 164.636 | 178.109 | 178.109 | 0.000 | -0.000 | 0.000 |
| 178.109 | 164.636 | 178.109 | 0.000 | -0.000 | 0.000 |
| 178.109 | 178.109 | 164.636 | -0.000 | -0.000 | 0.000 |
| -0.000 | -0.000 | -0.000 | -0.585 | 0.000 | -0.000 |
| -0.000 | -0.000 | -0.000 | 0.000 | -0.585 | -0.000 |
| -0.000 | -0.000 | -0.000 | -0.000 | 0.000 | -0.585 |
| 164.634 | 178.108 | 178.108 | -0.000 | -0.000 | 0.000 |
| 178.108 | 164.634 | 178.108 | -0.000 | 0.000 | 0.000 |
| 178.108 | 178.108 | 164.634 | -0.000 | 0.000 | -0.000 |
| 0.000 | 0.000 | 0.000 | -0.585 | -0.000 | 0.000 |
| 0.000 | 0.000 | 0.000 | -0.000 | -0.585 | -0.000 |
| 0.000 | 0.000 | 0.000 | -0.000 | -0.000 | -0.585 |
| 164.637 | 178.110 | 178.110 | -0.000 | -0.000 | -0.000 |
| 178.110 | 164.637 | 178.110 | 0.000 | 0.000 | -0.000 |
| 178.110 | 178.110 | 164.637 | 0.000 | 0.000 | -0.000 |
| -0.000 | -0.000 | -0.000 | -0.585 | 0.000 | 0.000 |
| -0.000 | -0.000 | -0.000 | 0.000 | -0.585 | 0.000 |
| -0.000 | -0.000 | -0.000 | 0.000 | 0.000 | -0.585 |
| 164.617 | 178.099 | 178.099 | -0.000 | 0.000 | 0.000 |
| 178.099 | 164.617 | 178.099 | 0.000 | -0.000 | -0.000 |
| 178.099 | 178.099 | 164.617 | -0.000 | 0.000 | -0.000 |
| 0.000 | 0.000 | 0.000 | -0.585 | -0.000 | 0.000 |
| 0.000 | 0.000 | 0.000 | 0.000 | -0.585 | -0.000 |
| 0.000 | 0.000 | 0.000 | -0.000 | 0.000 | -0.585 |
| 164.654 | 178.120 | 178.120 | 0.000 | 0.000 | 0.000 |
| 178.120 | 164.654 | 178.120 | 0.000 | -0.000 | -0.000 |
| 178.120 | 178.120 | 164.654 | 0.000 | -0.000 | -0.000 |
| -0.000 | -0.000 | -0.000 | -0.585 | -0.000 | -0.000 |
| -0.000 | -0.000 | -0.000 | -0.000 | -0.585 | -0.000 |
| -0.000 | -0.000 | -0.000 | 0.000 | -0.000 | -0.585 |
| 184.817 | 184.816 | 184.816 | -0.000 | 0.000 | -0.000 |
| 184.816 | 184.817 | 184.816 | 0.000 | -0.000 | -0.000 |
| 184.816 | 184.816 | 184.817 | -0.000 | -0.000 | -0.000 |
| 0.000 | 0.000 | 0.000 | 0.071 | -0.000 | -0.000 |
| 0.000 | 0.000 | 0.000 | -0.000 | 0.071 | -0.000 |
| 0.000 | 0.000 | 0.000 | -0.000 | -0.000 | 0.071 |
| 184.816 | 184.816 | 184.816 | 0.000 | 0.000 | -0.000 |
| 184.816 | 184.816 | 184.816 | 0.000 | 0.000 | -0.000 |
| 184.816 | 184.816 | 184.816 | 0.000 | 0.000 | 0.000 |
| -0.000 | -0.000 | -0.000 | 0.071 | 0.000 | 0.000 |
| -0.000 | -0.000 | -0.000 | 0.000 | 0.071 | 0.000 |
| -0.000 | -0.000 | -0.000 | 0.000 | 0.000 | 0.071 |
| 184.817 | 184.817 | 184.817 | -0.000 | -0.000 | -0.000 |
| 184.817 | 184.817 | 184.817 | -0.000 | -0.000 | -0.000 |
| 184.817 | 184.817 | 184.817 | -0.000 | -0.000 | -0.000 |
| 0.000 | 0.000 | 0.000 | 0.071 | -0.000 | -0.000 |
| 0.000 | 0.000 | 0.000 | -0.000 | 0.071 | -0.000 |
| 0.000 | 0.000 | 0.000 | -0.000 | -0.000 | 0.071 |
| 184.816 | 184.816 | 184.816 | 0.000 | 0.000 | 0.000 |
| 184.816 | 184.816 | 184.816 | 0.000 | 0.000 | 0.000 |
| 184.816 | 184.816 | 184.816 | 0.000 | 0.000 | -0.000 |
| -0.000 | -0.000 | -0.000 | 0.071 | 0.000 | 0.000 |
| -0.000 | -0.000 | -0.000 | 0.000 | 0.071 | 0.000 |
| -0.000 | -0.000 | -0.000 | 0.000 | 0.000 | 0.071 |
| 184.825 | 184.825 | 184.825 | -0.000 | -0.000 | -0.000 |
| 184.825 | 184.825 | 184.825 | -0.000 | -0.000 | -0.000 |
| 184.825 | 184.825 | 184.825 | -0.000 | -0.000 | -0.000 |
| 0.000 | 0.000 | 0.000 | 0.071 | -0.000 | -0.000 |
| 0.000 | 0.000 | 0.000 | -0.000 | 0.071 | -0.000 |
| 0.000 | 0.000 | 0.000 | -0.000 | -0.000 | 0.071 |
| 184.808 | 184.808 | 184.808 | 0.000 | 0.000 | 0.000 |
| 184.808 | 184.808 | 184.808 | 0.000 | 0.000 | 0.000 |
| 184.808 | 184.808 | 184.808 | 0.000 | 0.000 | 0.000 |
| -0.000 | -0.000 | -0.000 | 0.071 | 0.000 | 0.000 |
| -0.000 | -0.000 | -0.000 | 0.000 | 0.071 | 0.000 |
| -0.000 | -0.000 | -0.000 | 0.000 | 0.000 | 0.071 |
| 946.742 | 560.746 | 400.107 | 0.000 | -0.000 | -0.000 |
| 560.746 | 946.741 | 400.108 | -0.000 | -0.000 | -0.000 |
| 411.571 | 411.571 | 1380.292 | -0.000 | -0.000 | -0.000 |
| 0.000 | -0.000 | 0.000 | 244.132 | -0.001 | -0.000 |
| -0.000 | 0.000 | 0.000 | -0.000 | 244.131 | -0.000 |
| 0.000 | 0.000 | 0.000 | -0.000 | -0.001 | 285.522 |
| 1039.266 | 468.222 | 400.107 | 0.000 | 0.001 | 0.000 |
| 468.221 | 1039.266 | 400.107 | -0.000 | 0.001 | 0.000 |
| 411.571 | 411.571 | 1380.291 | -0.000 | 0.000 | 0.000 |
| -0.000 | 0.000 | -0.000 | 244.132 | 0.001 | 0.000 |
| -0.000 | -0.000 | -0.000 | -0.000 | 244.132 | 0.000 |
| -0.000 | -0.000 | -0.000 | -0.000 | 0.000 | 285.522 |
| 1039.266 | 468.221 | 400.107 | 0.000 | -0.000 | -0.000 |
| 468.222 | 1039.266 | 400.107 | 0.000 | -0.000 | -0.000 |
| 411.571 | 411.571 | 1380.292 | -0.000 | -0.000 | -0.000 |
| 0.000 | -0.000 | 0.000 | 244.132 | -0.000 | -0.000 |
| -0.000 | 0.000 | 0.000 | 0.000 | 244.132 | -0.000 |
| -0.000 | 0.000 | 0.000 | -0.000 | -0.000 | 285.522 |
| 946.741 | 560.746 | 400.107 | -0.000 | 0.000 | 0.000 |
| 560.745 | 946.742 | 400.107 | -0.000 | 0.000 | 0.000 |
| 411.571 | 411.571 | 1380.290 | -0.000 | 0.000 | 0.000 |
| -0.000 | 0.000 | -0.000 | 244.132 | 0.000 | 0.000 |
| 0.000 | -0.000 | -0.000 | -0.000 | 244.132 | 0.000 |
| 0.000 | -0.000 | -0.000 | 0.000 | 0.000 | 285.522 |
| 946.747 | 560.744 | 400.107 | 0.000 | -0.000 | -0.000 |
| 560.751 | 946.740 | 400.107 | -0.000 | -0.000 | -0.000 |
| 411.574 | 411.574 | 1380.303 | -0.000 | -0.000 | -0.000 |
| 0.000 | -0.000 | 0.002 | 244.132 | -0.000 | -0.000 |
| -0.001 | 0.001 | 0.002 | 0.000 | 244.132 | -0.000 |
| -0.002 | 0.001 | -0.001 | -0.000 | -0.000 | 192.998 |
| 1039.261 | 468.221 | 400.107 | 0.000 | 0.000 | 0.000 |
| 560.741 | 946.743 | 400.107 | -0.000 | 0.000 | 0.000 |
| 411.568 | 411.568 | 1380.279 | 0.000 | 0.000 | 0.000 |
| -0.000 | 0.000 | -0.002 | 244.132 | 0.000 | 0.000 |
| 0.001 | -0.001 | -0.002 | -0.000 | 244.132 | 0.000 |
| 0.002 | -0.001 | 0.001 | -0.000 | 0.000 | 192.998 |
| 249.678 | 58.408 | 31.118 | -0.000 | 0.000 | 0.000 |
| 58.408 | 249.678 | 31.118 | -0.000 | 0.000 | -0.000 |
| 31.118 | 31.118 | 115.725 | -0.000 | 0.000 | 0.000 |
| 0.000 | -0.000 | 0.000 | 70.447 | -0.000 | -0.000 |
| -0.000 | 0.000 | 0.000 | -0.000 | 70.447 | -0.000 |
| -0.000 | 0.000 | -0.000 | -0.000 | -0.000 | 95.635 |
| 249.678 | 58.408 | 31.118 | -0.000 | 0.000 | -0.000 |
| 58.408 | 249.678 | 31.118 | 0.000 | 0.000 | 0.000 |
| 31.118 | 31.118 | 115.725 | 0.000 | 0.000 | -0.000 |
| -0.000 | 0.000 | 0.000 | 70.447 | -0.000 | -0.000 |
| 0.000 | -0.000 | -0.000 | -0.000 | 70.447 | -0.000 |
| 0.000 | -0.000 | 0.000 | 0.000 | 0.000 | 95.635 |
| 249.678 | 58.408 | 31.118 | 0.000 | 0.000 | -0.000 |
| 60.864 | 247.222 | 31.118 | -0.000 | 0.000 | 0.000 |
| 31.118 | 31.118 | 115.725 | 0.000 | 0.000 | 0.000 |
| -0.000 | -0.000 | -0.000 | 70.447 | -0.000 | -0.000 |
| -0.000 | -0.000 | -0.000 | -0.000 | 70.447 | -0.000 |
| -0.000 | 0.000 | -0.000 | -0.000 | -0.000 | 95.635 |
| 249.678 | 58.408 | 31.118 | 0.000 | -0.000 | 0.000 |
| 58.408 | 249.678 | 31.118 | 0.000 | 0.000 | -0.000 |
| 31.118 | 31.118 | 115.725 | 0.000 | 0.000 | 0.000 |
| 0.000 | 0.000 | 0.000 | 70.447 | -0.000 | 0.000 |
| 0.000 | 0.000 | 0.000 | 0.000 | 70.447 | -0.000 |
| 0.000 | -0.000 | 0.000 | 0.000 | 0.000 | 95.635 |
| 247.225 | 60.864 | 31.118 | -0.000 | 0.000 | -0.000 |
| 58.409 | 249.680 | 31.118 | -0.000 | -0.000 | -0.000 |
| 31.118 | 31.118 | 115.724 | -0.000 | 0.000 | -0.000 |
| -0.000 | -0.000 | -0.000 | 70.447 | -0.000 | 0.000 |
| -0.000 | -0.000 | -0.000 | -0.000 | 70.447 | 0.000 |
| -0.000 | 0.001 | -0.000 | -0.000 | -0.000 | 95.635 |
| 247.220 | 60.863 | 31.118 | 0.000 | -0.000 | -0.000 |
| 58.407 | 249.676 | 31.118 | 0.000 | 0.000 | 0.000 |
| 31.118 | 31.118 | 115.726 | 0.000 | 0.000 | 0.000 |
| 0.000 | 0.000 | 0.000 | 70.447 | 0.000 | -0.000 |
| 0.000 | 0.000 | 0.000 | 0.000 | 70.447 | 0.000 |
| 0.000 | -0.001 | 0.000 | 0.000 | 0.000 | 95.635 |
| 127.783 | 174.614 | 158.407 | 0.000 | 0.000 | 0.000 |
| 176.889 | 125.508 | 158.407 | -0.000 | -0.000 | -0.000 |
| 158.407 | 158.407 | 127.450 | -0.000 | -0.000 | 0.000 |
| 0.000 | 0.000 | 0.000 | -19.184 | -0.000 | -0.000 |
| 0.000 | 0.000 | 0.000 | -0.000 | -19.184 | 0.000 |
| 0.000 | 0.000 | 0.000 | 0.000 | 0.000 | -23.415 |
| 127.784 | 174.614 | 158.407 | -0.000 | -0.000 | -0.000 |
| 176.889 | 125.509 | 158.407 | 0.000 | 0.000 | 0.000 |
| 158.407 | 158.407 | 127.450 | 0.000 | 0.000 | -0.000 |
| -0.000 | -0.000 | -0.000 | -19.184 | -0.000 | 0.000 |
| -0.000 | -0.000 | -0.000 | 0.000 | -19.184 | -0.000 |
| -0.000 | -0.000 | -0.000 | 0.000 | 0.000 | -23.415 |
| 125.507 | 176.887 | 158.405 | -0.000 | -0.000 | -0.000 |
| 174.612 | 127.782 | 158.405 | 0.000 | 0.000 | 0.000 |
| 158.406 | 158.406 | 127.449 | -0.000 | 0.000 | -0.000 |
| 0.000 | 0.000 | 0.000 | -19.184 | -0.000 | -0.000 |
| 0.000 | 0.000 | 0.000 | -0.000 | -19.184 | 0.000 |
| 0.000 | 0.000 | 0.000 | -0.000 | -0.000 | -23.415 |
| 127.785 | 174.616 | 158.409 | -0.000 | -0.000 | 0.000 |
| 176.891 | 125.510 | 158.409 | 0.000 | 0.000 | -0.000 |
| 158.408 | 158.408 | 127.451 | -0.000 | 0.000 | 0.000 |
| -0.000 | -0.000 | -0.000 | -19.184 | -0.000 | -0.000 |
| -0.000 | -0.000 | -0.000 | 0.000 | -19.184 | -0.000 |
| -0.000 | -0.000 | -0.000 | 0.000 | -0.000 | -23.415 |
| 125.490 | 176.870 | 158.392 | -0.000 | -0.000 | 0.000 |
| 9486135.158 | 9593354.516 | 4355812.167 | 14464.582 | -17444.515 | 82510.775 |
| 158.395 | 158.395 | 127.440 | -0.000 | -0.000 | -0.000 |
| 0.000 | 0.000 | 0.000 | -19.184 | -0.000 | 0.000 |
| 0.000 | 0.000 | 0.000 | 0.000 | -19.184 | -0.000 |
| -0.000 | 0.000 | 0.000 | -0.000 | -0.000 | -25.690 |
| 125.527 | 176.907 | 158.422 | 0.000 | 0.000 | -0.000 |
| 174.632 | 127.802 | 158.422 | -0.000 | 0.000 | -0.000 |
| 158.420 | 158.420 | 127.461 | 0.000 | -0.000 | 0.000 |
| -0.000 | -0.000 | -0.000 | -19.184 | 0.000 | 0.000 |
| -0.000 | -0.000 | -0.000 | 0.000 | -19.184 | -0.000 |
| 0.000 | -0.000 | -0.000 | 0.000 | -0.000 | -25.690 |
| 29.276 | 17.968 | 19.622 | -0.000 | 0.000 | 0.000 |
| 11.232 | 36.012 | 19.622 | -0.000 | 0.000 | 0.000 |
| 19.622 | 19.622 | 27.622 | -0.000 | 0.000 | 0.000 |
| 0.000 | 0.000 | 0.000 | 20.758 | 0.000 | 0.000 |
| 0.000 | 0.000 | 0.000 | -0.000 | 20.758 | 0.000 |
| -0.000 | -0.000 | -0.000 | 0.000 | 0.000 | 5.654 |
| 29.276 | 17.968 | 19.622 | 0.000 | -0.000 | -0.000 |
| 17.968 | 29.276 | 19.622 | 0.000 | -0.000 | -0.000 |
| 19.622 | 19.622 | 27.622 | 0.000 | -0.000 | -0.000 |
| -0.000 | -0.000 | -0.000 | 20.758 | -0.000 | -0.000 |
| -0.000 | -0.000 | -0.000 | 0.000 | 20.758 | -0.000 |
| 0.000 | 0.000 | 0.000 | 0.000 | -0.000 | 5.654 |
| 29.276 | 17.968 | 19.622 | -0.000 | 0.000 | 0.000 |
| 17.968 | 29.276 | 19.622 | -0.000 | 0.000 | 0.000 |
| 19.622 | 19.622 | 27.622 | -0.000 | 0.000 | 0.000 |
| 0.000 | 0.000 | 0.000 | 20.758 | 0.000 | 0.000 |
| 0.000 | 0.000 | 0.000 | -0.000 | 20.758 | 0.000 |
| -0.000 | 0.000 | -0.000 | -0.000 | 0.000 | 5.654 |
| 29.276 | 17.968 | 19.622 | 0.000 | -0.000 | -0.000 |
| 17.968 | 29.276 | 19.622 | 0.000 | -0.000 | -0.000 |
| 19.622 | 19.622 | 27.622 | -0.000 | -0.000 | -0.000 |
| -0.000 | -0.000 | -0.000 | 20.758 | -0.000 | -0.000 |
| -0.000 | -0.000 | -0.000 | -0.000 | 20.758 | -0.000 |
| 0.000 | -0.000 | 0.000 | 0.000 | -0.000 | 5.654 |
| 29.276 | 17.968 | 19.622 | -0.000 | -0.000 | 0.000 |
| 17.968 | 29.276 | 19.622 | -0.000 | 0.000 | 0.000 |
| 19.622 | 19.622 | 27.622 | -0.000 | 0.000 | 0.000 |
| 0.000 | 0.000 | 0.000 | 20.758 | 0.000 | 0.000 |
| 0.000 | 0.000 | 0.000 | -0.000 | 20.758 | 0.000 |
| -0.000 | 0.000 | -0.000 | -0.000 | -0.000 | 5.654 |
| 29.276 | 17.968 | 19.622 | 0.000 | -0.000 | -0.000 |
| 17.968 | 29.276 | 19.622 | 0.000 | -0.000 | -0.000 |
| 19.622 | 19.622 | 27.622 | 0.000 | -0.000 | -0.000 |
| -0.000 | -0.000 | -0.000 | 20.758 | -0.000 | 0.000 |
| -0.000 | -0.000 | -0.000 | 0.000 | 20.758 | -0.000 |
| 0.000 | -0.000 | 0.000 | 0.000 | -0.000 | 5.654 |
| 715.170 | 720.212 | 720.721 | -0.000 | -0.000 | -0.000 |
| 720.246 | 715.136 | 720.721 | 0.000 | -0.000 | -0.000 |
| 720.721 | 720.721 | 714.661 | 0.000 | 0.000 | -0.000 |
| 0.000 | 0.000 | 0.000 | -2.015 | 0.000 | -0.000 |
| 0.000 | 0.000 | 0.000 | -0.000 | -2.015 | 0.000 |
| 0.000 | 0.000 | 0.000 | 0.000 | -0.000 | -2.555 |
| 715.171 | 720.213 | 720.722 | -0.000 | 0.000 | -0.000 |
| 720.213 | 715.171 | 720.722 | -0.000 | 0.000 | 0.000 |
| 720.722 | 720.722 | 714.662 | -0.000 | -0.000 | 0.000 |
| -0.000 | -0.000 | -0.000 | -2.015 | -0.000 | 0.000 |
| -0.000 | -0.000 | -0.000 | -0.000 | -2.015 | 0.000 |
| -0.000 | -0.000 | -0.000 | -0.000 | 0.000 | -2.555 |
| 715.165 | 720.207 | 720.716 | 0.000 | -0.000 | -0.000 |
| 720.207 | 715.165 | 720.716 | 0.000 | -0.000 | -0.000 |
| 720.716 | 720.716 | 714.656 | 0.000 | 0.000 | -0.000 |
| 0.000 | 0.000 | 0.000 | -2.015 | 0.000 | -0.000 |
| 0.000 | 0.000 | 0.000 | 0.000 | -2.015 | -0.000 |
| 0.000 | 0.000 | 0.000 | 0.000 | 0.000 | -2.652 |
| 715.176 | 720.218 | 720.727 | -0.000 | -0.000 | 0.000 |
| 720.218 | 715.176 | 720.727 | -0.000 | 0.000 | 0.000 |
| 720.727 | 720.727 | 714.667 | -0.000 | -0.000 | 0.000 |
| -0.000 | -0.000 | -0.000 | -2.015 | -0.000 | 0.000 |
| -0.000 | -0.000 | -0.000 | -0.000 | -2.015 | -0.000 |
| 4174432.798 | 4004937.388 | 3611710.444 | 7007.677 | -14652.884 | -132706.108 |
| 715.117 | 720.157 | 720.666 | 0.000 | -0.000 | -0.000 |
| -390729.963 | -430609.636 | -350812.096 | -2928.700 | 101.672 | 428.802 |
| 720.666 | 720.666 | 714.609 | 0.000 | 0.000 | -0.000 |
| 0.000 | 0.000 | 0.000 | -2.015 | -0.000 | -0.000 |
| 0.000 | 0.000 | 0.000 | -0.000 | -2.015 | -0.000 |
| 0.000 | 0.000 | 0.001 | 0.000 | 0.000 | -2.521 |
| 715.224 | 720.268 | 720.777 | 0.000 | -0.000 | 0.000 |
| 720.268 | 715.224 | 720.777 | 0.000 | -0.000 | 0.000 |
| 720.777 | 720.777 | 714.714 | -0.000 | -0.000 | 0.000 |
| -0.000 | -0.000 | -0.000 | -2.015 | 0.000 | 0.000 |
| -0.000 | -0.000 | -0.000 | -0.000 | -2.015 | -0.000 |
| -0.000 | -0.000 | -0.001 | -0.000 | 0.000 | -2.521 |
| 444.773 | 444.500 | 444.459 | -0.000 | 0.000 | 0.000 |
| 444.500 | 444.773 | 444.459 | -0.000 | 0.000 | 0.000 |
| 444.459 | 444.459 | 444.814 | -0.000 | 0.000 | -0.000 |
| 0.000 | 0.000 | 0.000 | 0.098 | 0.000 | -0.000 |
| 0.000 | 0.000 | 0.000 | -0.000 | 0.098 | -0.000 |
| 0.000 | 0.000 | 0.000 | 0.000 | -0.000 | 0.136 |
| 444.772 | 444.500 | 444.458 | 0.000 | -0.000 | 0.000 |
| 444.500 | 444.772 | 444.458 | 0.000 | -0.000 | -0.000 |
| 444.458 | 444.458 | 444.813 | 0.000 | -0.000 | 0.000 |
| -0.000 | -0.000 | -0.000 | 0.098 | -0.000 | 0.000 |
| -0.000 | -0.000 | -0.000 | 0.000 | 0.098 | -0.000 |
| -0.000 | -0.000 | -0.000 | -0.000 | -0.000 | 0.136 |
| 444.775 | 444.503 | 444.461 | -0.000 | 0.000 | -0.000 |
| 444.503 | 444.775 | 444.461 | -0.000 | 0.000 | 0.000 |
| 444.461 | 444.461 | 444.817 | 0.000 | 0.000 | 0.000 |
| 0.000 | 0.000 | 0.000 | 0.098 | 0.000 | -0.000 |
| 0.000 | 0.000 | 0.000 | -0.000 | 0.098 | -0.000 |
| 0.000 | 0.000 | 0.000 | -0.000 | 0.000 | 0.136 |
| 444.769 | 444.497 | 444.456 | 0.000 | -0.000 | 0.000 |
| 444.497 | 444.769 | 444.456 | 0.000 | 0.000 | -0.000 |
| 444.456 | 444.456 | 444.811 | 0.000 | -0.000 | 0.000 |
| -0.000 | -0.000 | -0.000 | 0.098 | -0.000 | 0.000 |
| -0.000 | -0.000 | -0.000 | 0.000 | 0.098 | -0.000 |
| -0.000 | -0.000 | -0.000 | 0.000 | -0.000 | 0.136 |
| 444.803 | 444.530 | 444.488 | -0.000 | 0.000 | -0.000 |
| 444.529 | 444.803 | 444.488 | 0.000 | -0.000 | 0.000 |
| 444.488 | 444.488 | 444.845 | -0.000 | 0.000 | 0.000 |
| 0.000 | 0.000 | 0.000 | 0.098 | 0.000 | -0.000 |
| 0.000 | 0.000 | 0.000 | -0.000 | 0.098 | -0.000 |
| 0.000 | 0.000 | 0.000 | -0.000 | -0.000 | 0.136 |
| 444.741 | 444.471 | 444.429 | 0.000 | 0.000 | 0.000 |
| 444.470 | 444.742 | 444.429 | -0.000 | 0.000 | 0.000 |
| 444.429 | 444.429 | 444.783 | 0.000 | 0.000 | 0.000 |
| -0.000 | -0.000 | -0.000 | 0.098 | -0.000 | 0.000 |
| -0.000 | -0.000 | -0.000 | 0.000 | 0.098 | -0.000 |
| -0.000 | -0.000 | -0.000 | 0.000 | 0.000 | 0.136 |
| 952.242 | 558.848 | 402.535 | -0.000 | 0.000 | 0.000 |
| 558.848 | 952.241 | 402.535 | -0.000 | 0.000 | 0.000 |
| 416.463 | 416.462 | 1426.023 | -0.000 | -0.000 | 0.000 |
| 0.000 | -0.000 | 0.000 | 268.442 | 0.000 | 0.000 |
| -0.000 | 0.000 | 0.000 | -0.000 | 268.442 | -0.000 |
| 0.000 | 0.000 | 0.000 | -0.000 | 0.000 | 196.697 |
| 952.241 | 558.849 | 402.536 | 0.000 | -0.000 | -0.000 |
| 462.354 | 1048.736 | 402.536 | 0.000 | 0.000 | -0.000 |
| 416.463 | 416.462 | 1426.023 | 0.000 | 0.000 | -0.000 |
| -0.000 | 0.000 | -0.000 | 268.443 | 0.000 | 0.000 |
| -0.000 | -0.000 | -0.000 | 0.000 | 268.442 | 0.000 |
| -0.000 | -0.000 | -0.000 | 0.000 | -0.000 | 196.697 |
| 1048.736 | 462.354 | 402.536 | -0.000 | 0.000 | 0.000 |
| 558.849 | 952.241 | 402.536 | -0.000 | 0.000 | -0.000 |
| 416.463 | 416.463 | 1426.024 | -0.000 | 0.000 | -0.000 |
| 0.000 | 0.000 | 0.000 | 268.442 | -0.000 | 0.000 |
| 0.000 | 0.000 | 0.000 | -0.000 | 268.442 | 0.000 |
| -0.000 | 0.000 | -0.000 | -0.000 | -0.000 | 196.697 |
| 1048.735 | 462.354 | 402.535 | 0.000 | 0.000 | 0.000 |
| 558.847 | 952.242 | 402.535 | 0.000 | -0.000 | -0.000 |
| 416.462 | 416.462 | 1426.021 | 0.000 | -0.000 | -0.000 |
| -0.000 | -0.000 | -0.000 | 268.442 | 0.000 | -0.000 |
| -0.000 | -0.000 | -0.000 | 0.000 | 268.442 | -0.000 |
| 0.000 | -0.000 | 0.000 | 0.000 | -0.000 | 196.697 |
| 1048.742 | 462.354 | 402.537 | -0.000 | -0.000 | 0.000 |
| 558.829 | 952.266 | 402.537 | -0.000 | -0.000 | 0.000 |
| 416.467 | 416.467 | 1426.035 | -0.000 | -0.000 | -0.000 |
| 0.000 | 0.001 | 0.003 | 268.442 | -0.000 | -0.000 |
| 0.000 | 0.001 | 0.003 | -0.000 | 268.442 | -0.000 |
| -0.001 | 0.002 | -0.000 | -0.000 | 0.000 | 196.697 |
| 952.233 | 558.851 | 402.534 | 0.000 | -0.000 | 0.000 |
| 462.351 | 1048.732 | 402.534 | 0.000 | 0.000 | -0.000 |
| 416.459 | 416.459 | 1426.010 | 0.000 | 0.000 | -0.000 |
| -0.000 | -0.001 | -0.003 | 268.442 | 0.000 | -0.000 |
| -0.000 | -0.001 | -0.003 | 0.000 | 268.442 | 0.000 |
| 0.001 | -0.002 | 0.000 | 0.000 | -0.000 | 196.697 |
| 264.399 | 288.893 | 260.592 | -0.000 | -0.000 | -0.000 |
| 299.058 | 254.234 | 260.592 | -0.000 | -0.000 | -0.000 |
| 260.592 | 260.592 | 381.847 | -0.000 | -0.000 | -0.000 |
| -0.000 | -0.000 | -0.000 | -9.739 | -0.000 | -0.000 |
| -0.000 | -0.000 | 0.000 | -0.000 | -9.739 | 0.000 |
| -0.000 | 0.000 | -0.000 | -0.000 | -0.000 | -22.412 |
| 254.234 | 299.058 | 260.592 | 0.000 | 0.000 | 0.000 |
| 288.892 | 264.399 | 260.592 | 0.000 | 0.000 | 0.000 |
| 260.592 | 260.592 | 381.847 | 0.000 | 0.000 | 0.000 |
| 0.000 | -0.000 | 0.000 | -9.739 | 0.000 | 0.000 |
| 0.000 | -0.000 | -0.000 | 0.000 | -9.739 | 0.000 |
| 0.000 | -0.000 | 0.000 | 0.000 | 0.000 | -22.412 |
| 254.234 | 299.058 | 260.592 | -0.000 | -0.000 | -0.000 |
| 151045069.275 | 153999953.798 | 143728793.817 | 420826.303 | 94226.939 | 2044617.918 |
| 260.592 | 260.592 | 381.847 | -0.000 | -0.000 | -0.000 |
| -0.000 | -0.000 | 0.000 | -9.739 | -0.000 | -0.000 |
| -0.000 | -0.000 | 0.000 | 0.000 | -9.739 | -0.000 |
| -0.000 | -0.000 | -0.000 | 0.000 | -0.000 | -12.247 |
| -153300263.244 | -156826696.449 | -138234490.925 | 878559.353 | 154832.029 | -1701970.977 |
| 299.058 | 254.234 | 260.592 | -0.000 | -0.000 | 0.000 |
| 260.592 | 260.592 | 381.847 | 0.000 | 0.000 | 0.000 |
| 0.000 | 0.000 | -0.000 | -9.739 | 0.000 | 0.000 |
| 0.000 | 0.000 | -0.000 | 0.000 | -9.739 | 0.000 |
| 0.000 | 0.000 | 0.000 | 0.000 | 0.000 | -12.247 |
| 16455396.670 | 16372029.505 | 15773081.506 | 68221.978 | -58889.646 | -131405.472 |
| 15105897.042 | 15269873.326 | 14071496.445 | 108885.627 | -74124.364 | 64200.939 |
| 260.593 | 260.593 | 381.850 | 0.000 | -0.000 | -0.000 |
| -0.000 | -0.000 | 0.000 | -9.739 | -0.000 | -0.000 |
| -0.000 | -0.000 | 0.000 | -0.000 | -9.739 | -0.000 |
| -0.000 | -0.000 | -0.000 | 0.000 | -0.000 | -12.247 |
| -15158034.217 | -15116068.498 | -13933720.549 | 40263.168 | -12933.152 | -168304.853 |
| 288.892 | 264.400 | 260.592 | 0.000 | -0.000 | 0.000 |
| 260.591 | 260.591 | 381.844 | -0.000 | 0.000 | 0.000 |
| 0.000 | 0.000 | -0.000 | -9.739 | 0.000 | 0.000 |
| 0.000 | 0.000 | -0.000 | 0.000 | -9.739 | 0.000 |
| 0.000 | 0.000 | 0.000 | 0.000 | 0.000 | -12.247 |
| 264.443 | 288.903 | 260.585 | 0.000 | -0.000 | -0.000 |
| 386.831 | 166.514 | 260.585 | 0.000 | 0.000 | -0.000 |
| 260.584 | 260.584 | 381.770 | -0.000 | 0.000 | -0.000 |
| -0.000 | -0.000 | -0.000 | -9.731 | 0.000 | -0.000 |
| -0.000 | -0.000 | -0.000 | 0.000 | -9.731 | -0.000 |
| -0.000 | -0.000 | -0.000 | 0.000 | 0.000 | -12.230 |
| 254.260 | 299.086 | 260.585 | -0.000 | -0.000 | 0.000 |
| 288.903 | 264.443 | 260.585 | -0.000 | 0.000 | 0.000 |
| 260.584 | 260.584 | 381.770 | -0.000 | 0.000 | 0.000 |
| 0.000 | 0.000 | 0.000 | -9.731 | 0.000 | 0.000 |
| -0.000 | 0.000 | 0.000 | -0.000 | -9.731 | 0.000 |
| 0.000 | 0.000 | 0.000 | -0.000 | -0.000 | -12.230 |
| 165126650.229 | 160245359.882 | 155415629.203 | -212771.491 | 227388.686 | 799272.968 |
| 151212591.981 | 153278307.146 | 141967462.243 | -213583.858 | 509631.681 | 255703.505 |
| 260.584 | 260.584 | 381.770 | -0.000 | -0.000 | -0.000 |
| -0.000 | -0.000 | 0.000 | -9.731 | 0.000 | -0.000 |
| -0.000 | -0.000 | 0.000 | 0.000 | -9.731 | -0.000 |
| 148738686.447 | 147455373.500 | 135868294.889 | 560642.636 | 311887.002 | 561531.214 |
| 264.444 | 288.903 | 260.585 | -0.000 | 0.000 | 0.000 |
| -163238699.992 | -157529991.829 | -151768865.136 | -43912.692 | 617695.022 | -126861.097 |
| 260.584 | 260.584 | 381.770 | -0.000 | -0.000 | 0.000 |
| 0.000 | 0.000 | -0.000 | -9.731 | 0.000 | 0.000 |
| 0.000 | 0.000 | -0.000 | -0.000 | -9.731 | 0.000 |
| -158466883.717 | -153449091.363 | -144507867.065 | -523669.065 | 422775.783 | 4761035.397 |
| 264.443 | 288.902 | 260.585 | -0.000 | -0.000 | -0.000 |
| 15251610.350 | 15415481.554 | 14416689.114 | -75900.610 | 58679.520 | -134698.155 |
| 260.585 | 260.585 | 381.773 | 0.000 | 0.000 | -0.000 |
| -0.000 | -0.000 | 0.000 | -9.731 | -0.000 | -0.000 |
| -0.000 | -0.000 | 0.000 | 0.000 | -9.731 | -0.000 |
| 14932249.416 | 15007435.007 | 13539755.427 | 9171.576 | 53157.836 | 270328.710 |
| -15300439.903 | -15332633.801 | -14635134.743 | 15208.686 | -18645.465 | 107912.401 |
| 288.902 | 264.445 | 260.585 | -0.000 | -0.000 | 0.000 |
| 260.583 | 260.583 | 381.767 | -0.000 | 0.000 | 0.000 |
| 0.000 | 0.000 | -0.000 | -9.731 | 0.000 | 0.000 |
| 0.000 | 0.000 | -0.000 | -0.000 | -9.731 | 0.000 |
| -15362087.059 | -15128138.882 | -14585563.253 | -12889.246 | 41631.572 | 333476.764 |
| 29.315 | 17.929 | 19.622 | 0.000 | -0.000 | 0.000 |
| 17.929 | 29.315 | 19.622 | 0.000 | -0.000 | 0.000 |
| 19.622 | 19.622 | 27.622 | 0.000 | -0.000 | 0.000 |
| 0.000 | 0.000 | 0.000 | 20.752 | -0.000 | 0.000 |
| 0.000 | 0.000 | 0.000 | 0.000 | 20.752 | 0.000 |
| -0.000 | 0.000 | 0.000 | 0.000 | -0.000 | 5.693 |
| 29.315 | 17.929 | 19.622 | 0.000 | 0.000 | 0.000 |
| 17.929 | 29.315 | 19.622 | -0.000 | 0.000 | -0.000 |
| 19.622 | 19.622 | 27.622 | -0.000 | 0.000 | -0.000 |
| -0.000 | -0.000 | -0.000 | 20.752 | 0.000 | -0.000 |
| -0.000 | -0.000 | -0.000 | -0.000 | 20.752 | -0.000 |
| 0.000 | -0.000 | 0.000 | -0.000 | 0.000 | 5.693 |
| 29.315 | 17.929 | 19.622 | 0.000 | -0.000 | 0.000 |
| 17.929 | 29.315 | 19.622 | 0.000 | -0.000 | 0.000 |
| 19.622 | 19.622 | 27.622 | 0.000 | -0.000 | 0.000 |
| 0.000 | 0.000 | 0.000 | 20.752 | 0.000 | 0.000 |
| 0.000 | 0.000 | 0.000 | 0.000 | 20.752 | 0.000 |
| -0.000 | 0.000 | -0.000 | -0.000 | -0.000 | 5.693 |
| 29.315 | 17.929 | 19.622 | -0.000 | 0.000 | -0.000 |
| 17.929 | 29.315 | 19.622 | -0.000 | 0.000 | -0.000 |
| 19.622 | 19.622 | 27.622 | -0.000 | 0.000 | -0.000 |
| -0.000 | -0.000 | -0.000 | 20.752 | 0.000 | -0.000 |
| -0.000 | -0.000 | -0.000 | -0.000 | 20.752 | -0.000 |
| 0.000 | -0.000 | 0.000 | -0.000 | 0.000 | 5.693 |
| 29.315 | 17.929 | 19.622 | 0.000 | -0.000 | -0.000 |
| 17.929 | 29.315 | 19.622 | 0.000 | -0.000 | 0.000 |
| 19.622 | 19.622 | 27.622 | 0.000 | -0.000 | 0.000 |
| 0.000 | 0.000 | 0.000 | 20.752 | -0.000 | 0.000 |
| 0.000 | 0.000 | 0.000 | 0.000 | 20.752 | -0.000 |
| -0.000 | 0.000 | -0.000 | 0.000 | -0.000 | 5.693 |
| 29.315 | 17.929 | 19.622 | -0.000 | 0.000 | -0.000 |
| 17.929 | 29.315 | 19.622 | -0.000 | 0.000 | -0.000 |
| 19.622 | 19.622 | 27.622 | -0.000 | -0.000 | -0.000 |
| -0.000 | -0.000 | -0.000 | 20.752 | 0.000 | -0.000 |
| -0.000 | -0.000 | -0.000 | -0.000 | 20.752 | 0.000 |
| 0.000 | -0.000 | 0.000 | 0.000 | 0.000 | 5.693 |
| 715.104 | 720.279 | 720.721 | -0.000 | 0.000 | 0.000 |
| 720.211 | 715.172 | 720.721 | 0.000 | -0.000 | -0.000 |
| 720.721 | 720.721 | 714.661 | -0.000 | -0.000 | 0.000 |
| 0.000 | 0.000 | 0.000 | -2.015 | -0.000 | 0.000 |
| 0.000 | 0.000 | 0.000 | 0.000 | -2.015 | 0.000 |
| 0.000 | 0.000 | 0.000 | -0.000 | 0.000 | -2.587 |
| 715.173 | 720.212 | 720.722 | 0.000 | 0.000 | 0.000 |
| 720.212 | 715.173 | 720.722 | 0.000 | 0.000 | 0.000 |
| 720.722 | 720.722 | 714.662 | 0.000 | 0.000 | -0.000 |
| -0.000 | -0.000 | -0.000 | -2.015 | -0.000 | 0.000 |
| -0.000 | -0.000 | -0.000 | -0.000 | -2.015 | 0.000 |
| -0.000 | -0.000 | -0.000 | 0.000 | 0.000 | -2.519 |
| 715.099 | 720.274 | 720.716 | 0.000 | 0.000 | 0.000 |
| 720.206 | 715.167 | 720.716 | 0.000 | -0.000 | -0.000 |
| 720.716 | 720.716 | 714.656 | 0.000 | 0.000 | 0.000 |
| 0.000 | 0.000 | 0.000 | -2.015 | -0.000 | 0.000 |
| 0.000 | 0.000 | 0.000 | 0.000 | -2.015 | 0.000 |
| 0.000 | 0.000 | 0.000 | 0.000 | 0.000 | -2.587 |
| 715.178 | 720.217 | 720.727 | 0.000 | 0.000 | -0.000 |
| 720.285 | 715.110 | 720.727 | -0.000 | 0.000 | -0.000 |
| 720.727 | 720.727 | 714.667 | -0.000 | 0.000 | -0.000 |
| -0.000 | -0.000 | -0.000 | -2.015 | 0.000 | -0.000 |
| -0.000 | -0.000 | -0.000 | -0.000 | -2.015 | 0.000 |
| 4218514.297 | 4034865.881 | 3809781.718 | -14958.601 | 6846.237 | -169941.294 |
| -415395.547 | -375155.878 | -410246.994 | 1973.951 | 443.741 | 1129.030 |
| -396665.257 | -430284.835 | -374009.443 | 635.640 | 402.348 | 1965.699 |
| 720.666 | 720.666 | 714.609 | 0.000 | -0.000 | 0.000 |
| 0.000 | 0.000 | 0.000 | -2.015 | 0.000 | 0.000 |
| 0.000 | 0.000 | 0.000 | -0.000 | -2.015 | -0.000 |
| -422899.629 | -401835.425 | -384483.591 | -1500.998 | -703.421 | -13950.852 |
| 394632.449 | 433585.014 | 382061.041 | -2338.746 | 1519.321 | 1158.178 |
| 416698.690 | 375128.178 | 411279.695 | -1090.405 | -985.534 | -950.306 |
| 720.777 | 720.777 | 714.714 | 0.000 | -0.000 | -0.000 |
| -0.000 | -0.000 | -0.000 | -2.015 | -0.000 | -0.000 |
| -0.000 | -0.000 | -0.000 | 0.000 | -2.015 | -0.000 |
| 421252.016 | 402151.719 | 383321.619 | 589.434 | -2873.004 | -14902.759 |
| 444.770 | 444.503 | 444.459 | -0.000 | 0.000 | 0.000 |
| 444.503 | 444.770 | 444.459 | 0.000 | -0.000 | 0.000 |
| 444.459 | 444.459 | 444.814 | 0.000 | 0.000 | 0.000 |
| 0.000 | 0.000 | 0.000 | 0.095 | 0.000 | 0.000 |
| 0.000 | 0.000 | 0.000 | 0.000 | 0.095 | -0.000 |
| 0.000 | 0.000 | 0.000 | -0.000 | -0.000 | 0.133 |
| 444.769 | 444.502 | 444.458 | 0.000 | -0.000 | -0.000 |
| 444.503 | 444.769 | 444.458 | -0.000 | 0.000 | -0.000 |
| 444.458 | 444.458 | 444.813 | -0.000 | -0.000 | -0.000 |
| -0.000 | -0.000 | -0.000 | 0.095 | -0.000 | -0.000 |
| -0.000 | -0.000 | -0.000 | -0.000 | 0.095 | -0.000 |
| -0.000 | -0.000 | -0.000 | 0.000 | -0.000 | 0.133 |
| 444.772 | 444.506 | 444.461 | -0.000 | -0.000 | 0.000 |
| 444.506 | 444.772 | 444.461 | 0.000 | 0.000 | 0.000 |
| 444.461 | 444.461 | 444.817 | 0.000 | 0.000 | 0.000 |
| 0.000 | 0.000 | 0.000 | 0.095 | 0.000 | 0.000 |
| 0.000 | 0.000 | 0.000 | 0.000 | 0.095 | -0.000 |
| 0.000 | 0.000 | 0.000 | 0.000 | 0.000 | 0.133 |
| 444.766 | 444.500 | 444.456 | -0.000 | -0.000 | -0.000 |
| 444.500 | 444.766 | 444.456 | -0.000 | 0.000 | -0.000 |
| 444.456 | 444.456 | 444.811 | 0.000 | -0.000 | -0.000 |
| -0.000 | -0.000 | -0.000 | 0.095 | -0.000 | -0.000 |
| -0.000 | -0.000 | -0.000 | -0.000 | 0.095 | -0.000 |
| -0.000 | -0.000 | -0.000 | -0.000 | -0.000 | 0.133 |
| 444.800 | 444.533 | 444.488 | -0.000 | -0.000 | 0.000 |
| 444.532 | 444.800 | 444.488 | -0.000 | 0.000 | 0.000 |
| 444.488 | 444.488 | 444.845 | 0.000 | 0.000 | 0.000 |
| 0.000 | 0.000 | 0.000 | 0.095 | 0.000 | 0.000 |
| 0.000 | 0.000 | 0.000 | 0.000 | 0.095 | 0.000 |
| 0.000 | 0.000 | 0.000 | 0.000 | 0.000 | 0.133 |
| 444.738 | 444.474 | 444.429 | 0.000 | 0.000 | -0.000 |
| 444.473 | 444.739 | 444.429 | -0.000 | -0.000 | -0.000 |
| 444.429 | 444.429 | 444.783 | 0.000 | -0.000 | -0.000 |
| -0.000 | -0.000 | -0.000 | 0.095 | 0.000 | -0.000 |
| -0.000 | -0.000 | -0.000 | -0.000 | 0.095 | 0.000 |
| -0.000 | -0.000 | -0.000 | -0.000 | 0.000 | 0.133 |
| 182.224 | 92.562 | 92.562 | 0.000 | 0.000 | 0.000 |
| 92.562 | 182.224 | 92.562 | 0.000 | 0.000 | 0.000 |
| 92.562 | 92.562 | 182.224 | 0.000 | 0.000 | 0.000 |
| -0.000 | -0.000 | -0.000 | 57.183 | 0.000 | 0.000 |
| -0.000 | -0.000 | -0.000 | 0.000 | 57.183 | 0.000 |
| -0.000 | -0.000 | -0.000 | 0.000 | 0.000 | 57.183 |
| 182.224 | 92.562 | 92.562 | -0.000 | -0.000 | -0.000 |
| 92.562 | 182.224 | 92.562 | -0.000 | -0.000 | -0.000 |
| 92.562 | 92.562 | 182.224 | -0.000 | -0.000 | -0.000 |
| 0.000 | 0.000 | 0.000 | 57.183 | -0.000 | -0.000 |
| 0.000 | 0.000 | 0.000 | -0.000 | 57.183 | -0.000 |
| 0.000 | 0.000 | 0.000 | -0.000 | -0.000 | 57.183 |
| 182.224 | 92.561 | 92.561 | 0.000 | 0.000 | 0.000 |
| 92.561 | 182.224 | 92.561 | 0.000 | 0.000 | 0.000 |
| 92.561 | 92.561 | 182.224 | 0.000 | 0.000 | 0.000 |
| -0.000 | -0.000 | -0.000 | 57.183 | 0.000 | 0.000 |
| -0.000 | -0.000 | -0.000 | 0.000 | 57.183 | 0.000 |
| -0.000 | -0.000 | -0.000 | 0.000 | 0.000 | 57.183 |
| 182.224 | 92.562 | 92.562 | -0.000 | -0.000 | -0.000 |
| 92.562 | 182.224 | 92.562 | -0.000 | -0.000 | -0.000 |
| 92.562 | 92.562 | 182.224 | -0.000 | -0.000 | -0.000 |
| 0.000 | 0.000 | 0.000 | 57.183 | -0.000 | -0.000 |
| 0.000 | 0.000 | 0.000 | -0.000 | 57.183 | -0.000 |
| 0.000 | 0.000 | 0.000 | -0.000 | -0.000 | 57.183 |
| 182.223 | 92.561 | 92.561 | 0.000 | 0.000 | 0.000 |
| 92.561 | 182.223 | 92.561 | 0.000 | 0.000 | 0.000 |
| 92.561 | 92.561 | 182.223 | 0.000 | 0.000 | 0.000 |
| -0.000 | -0.000 | -0.000 | 57.183 | 0.000 | 0.000 |
| -0.000 | -0.000 | -0.000 | 0.000 | 57.183 | 0.000 |
| -0.000 | -0.000 | -0.000 | 0.000 | 0.000 | 57.183 |
| 182.225 | 92.562 | 92.562 | -0.000 | -0.000 | -0.000 |
| 92.562 | 182.225 | 92.562 | -0.000 | -0.000 | -0.000 |
| 92.562 | 92.562 | 182.225 | -0.000 | -0.000 | -0.000 |
| 0.000 | 0.000 | 0.000 | 57.183 | -0.000 | -0.000 |
| 0.000 | 0.000 | 0.000 | -0.000 | 57.183 | -0.000 |
| 0.000 | 0.000 | 0.000 | -0.000 | -0.000 | 57.183 |
| 21.195 | 7.343 | 7.343 | 0.000 | 0.000 | 0.000 |
| 7.343 | 21.195 | 7.343 | 0.000 | 0.000 | 0.000 |
| 7.343 | 7.343 | 21.195 | 0.000 | 0.000 | 0.000 |
| -119788496.040 | -99226942.353 | -92885322.143 | -18591976.564 | 5246417.567 | 2049791.422 |
| -0.000 | 0.000 | -0.000 | 0.000 | 10.319 | 0.000 |
| -0.000 | -0.000 | 0.000 | 0.000 | 0.000 | 10.319 |
| 21.195 | 7.343 | 7.343 | -0.000 | -0.000 | -0.000 |
| 7.343 | 21.195 | 7.343 | -0.000 | -0.000 | -0.000 |
| 7.343 | 7.343 | 21.195 | -0.000 | -0.000 | -0.000 |
| 148091717.103 | 108501244.448 | 116322096.048 | -20812758.735 | -948905.302 | -1648744.988 |
| 110363869.199 | 149568229.339 | 115600124.020 | -2167361.408 | -22668411.519 | -700138.743 |
| 109171692.744 | 112048146.555 | 143278478.448 | -3833049.829 | -624715.109 | -19397310.757 |
| 21.195 | 7.343 | 7.343 | 0.000 | 0.000 | 0.000 |
| 7.343 | 21.195 | 7.343 | 0.000 | 0.000 | 0.000 |
| 7.343 | 7.343 | 21.195 | 0.000 | 0.000 | 0.000 |
| -11267678.296 | -9210190.144 | -9605155.655 | -2041113.909 | 175591.181 | 39903.179 |
| -8914586.071 | -11192342.733 | -9395899.357 | 59037.598 | -2174621.290 | 49326.346 |
| -8891999.985 | -9262170.925 | -11045471.989 | 382779.794 | 141412.950 | -1795229.382 |
| 21.195 | 7.343 | 7.343 | -0.000 | -0.000 | -0.000 |
| 7.343 | 21.195 | 7.343 | -0.000 | -0.000 | -0.000 |
| 7.343 | 7.343 | 21.195 | -0.000 | -0.000 | -0.000 |
| 14221642.352 | 11052145.559 | 11355638.554 | -2348847.753 | 61210.418 | 205557.837 |
| 11158497.131 | 14563593.851 | 11593419.632 | -140310.003 | -2743048.380 | 525584.728 |
| 11070304.000 | 10971128.049 | 13967239.518 | -127916.827 | 171167.333 | -2768039.993 |
| 21.195 | 7.343 | 7.343 | 0.000 | 0.000 | 0.000 |
| 7.343 | 21.195 | 7.343 | 0.000 | 0.000 | 0.000 |
| 7.343 | 7.343 | 21.195 | 0.000 | 0.000 | 0.000 |
| -1065179.114 | -821380.951 | -855021.748 | -184574.544 | -35243.186 | 2946.338 |
| -782292.943 | -1044342.955 | -853570.896 | -34678.589 | -173547.088 | 4395.079 |
| -908425.726 | -918196.819 | -1087843.354 | -23011.789 | 28684.747 | -157151.221 |
| 21.195 | 7.343 | 7.343 | -0.000 | -0.000 | -0.000 |
| 7.343 | 21.195 | 7.343 | -0.000 | -0.000 | -0.000 |
| 7.343 | 7.343 | 21.195 | -0.000 | -0.000 | -0.000 |
| 1403272.950 | 1127061.592 | 1123526.946 | -193457.067 | -22095.586 | -20539.857 |
| 1128616.334 | 1440839.851 | 1192932.159 | -15887.293 | -198642.049 | -2105.751 |
| 1002243.990 | 1028588.333 | 1275789.112 | 9163.987 | -26281.611 | -227512.948 |
| 1.608 | 1.601 | 1.601 | 0.000 | 0.000 | 0.000 |
| 1.601 | 1.608 | 1.601 | 0.000 | 0.000 | 0.000 |
| 1.601 | 1.601 | 1.608 | 0.000 | 0.000 | 0.000 |
| -0.000 | -0.000 | -0.000 | 0.356 | 0.000 | 0.000 |
| -0.000 | -0.000 | -0.000 | 0.000 | 0.356 | 0.000 |
| -0.000 | -0.000 | -0.000 | 0.000 | 0.000 | 0.356 |
| 1.608 | 1.601 | 1.601 | -0.000 | -0.000 | -0.000 |
| 1.601 | 1.608 | 1.601 | -0.000 | -0.000 | -0.000 |
| 1.601 | 1.601 | 1.608 | -0.000 | -0.000 | -0.000 |
| 0.000 | 0.000 | 0.000 | 0.356 | -0.000 | -0.000 |
| 0.000 | 0.000 | 0.000 | -0.000 | 0.356 | -0.000 |
| 0.000 | 0.000 | 0.000 | -0.000 | -0.000 | 0.356 |
| 1.608 | 1.601 | 1.601 | 0.000 | 0.000 | 0.000 |
| 1.601 | 1.608 | 1.601 | 0.000 | 0.000 | 0.000 |
| 1.601 | 1.601 | 1.608 | 0.000 | 0.000 | 0.000 |
| 0.000 | 0.000 | 0.000 | 1.683 | -0.000 | 0.000 |
| 0.000 | 0.000 | 0.000 | -0.000 | 1.683 | 0.000 |
| 0.000 | 0.000 | 0.000 | -0.000 | 0.000 | 1.683 |
| 1.608 | 1.601 | 1.601 | -0.000 | -0.000 | -0.000 |
| 1.601 | 1.608 | 1.601 | -0.000 | -0.000 | -0.000 |
| 1.601 | 1.601 | 1.608 | -0.000 | -0.000 | -0.000 |
| -0.000 | -0.000 | -0.000 | 1.683 | 0.000 | -0.000 |
| -0.000 | -0.000 | -0.000 | 0.000 | 1.683 | -0.000 |
| -0.000 | -0.000 | -0.000 | 0.000 | -0.000 | 1.683 |
| 1.608 | 1.601 | 1.601 | 0.000 | 0.000 | 0.000 |
| 1.601 | 1.608 | 1.601 | 0.000 | 0.000 | 0.000 |
| 1.601 | 1.601 | 1.608 | 0.000 | 0.000 | 0.000 |
| -0.000 | -0.000 | -0.000 | 0.077 | 0.000 | 0.000 |
| -0.000 | -0.000 | -0.000 | 0.000 | 0.077 | 0.000 |
| -0.000 | -0.000 | -0.000 | 0.000 | 0.000 | 0.077 |
| 1.608 | 1.601 | 1.601 | -0.000 | -0.000 | -0.000 |
| 1.601 | 1.608 | 1.601 | -0.000 | -0.000 | -0.000 |
| 1.601 | 1.601 | 1.608 | -0.000 | -0.000 | -0.000 |
| 0.000 | 0.000 | 0.000 | 0.077 | -0.000 | -0.000 |
| 0.000 | 0.000 | 0.000 | -0.000 | 0.077 | -0.000 |
| 0.000 | 0.000 | 0.000 | -0.000 | -0.000 | 0.077 |
| 34.248 | 34.247 | 34.247 | -0.000 | -0.000 | -0.000 |
| 34.247 | 34.248 | 34.247 | -0.000 | -0.000 | -0.000 |
| 34.247 | 34.247 | 34.248 | -0.000 | -0.000 | -0.000 |
| 0.000 | 0.000 | 0.000 | -0.556 | -0.000 | -0.000 |
| 0.000 | 0.000 | 0.000 | -0.000 | -0.556 | -0.000 |
| 0.000 | 0.000 | 0.000 | -0.000 | -0.000 | -0.556 |
| 34.248 | 34.247 | 34.247 | 0.000 | 0.000 | 0.000 |
| 34.247 | 34.248 | 34.247 | 0.000 | 0.000 | 0.000 |
| 34.247 | 34.247 | 34.248 | 0.000 | 0.000 | 0.000 |
| -0.000 | -0.000 | -0.000 | -0.556 | 0.000 | 0.000 |
| -0.000 | -0.000 | -0.000 | 0.000 | -0.556 | 0.000 |
| -0.000 | -0.000 | -0.000 | 0.000 | 0.000 | -0.738 |
| 34.248 | 34.247 | 34.247 | -0.000 | -0.000 | -0.000 |
| 34.247 | 34.248 | 34.247 | -0.000 | -0.000 | -0.000 |
| 34.247 | 34.247 | 34.248 | -0.000 | -0.000 | -0.000 |
| -504585.112 | -514239.740 | -514315.897 | -91998.546 | -57647.013 | -57261.857 |
| -514556.870 | -504647.593 | -514650.985 | -57431.200 | -92597.488 | -57009.602 |
| 0.000 | 0.000 | 0.000 | -0.000 | -0.000 | -0.556 |
| 34.248 | 34.247 | 34.247 | 0.000 | 0.000 | 0.000 |
| 34.247 | 34.248 | 34.247 | 0.000 | 0.000 | 0.000 |
| 34.247 | 34.247 | 34.248 | 0.000 | 0.000 | 0.000 |
| 502920.380 | 509572.875 | 509950.722 | -83435.045 | -44693.750 | 44248.833 |
| 512081.824 | 505406.837 | 512395.209 | -44705.329 | -83626.632 | 44508.874 |
| 512269.649 | 512522.824 | 505264.951 | -45246.351 | 45030.308 | -84182.060 |
| 34.247 | 34.246 | 34.246 | -0.000 | -0.000 | -0.000 |
| 34.246 | 34.247 | 34.246 | -0.000 | -0.000 | -0.000 |
| 34.246 | 34.246 | 34.247 | -0.000 | -0.000 | -0.000 |
| -50268.710 | -50896.260 | -50885.905 | -8284.239 | -5491.622 | -5535.548 |
| -50873.825 | -50235.070 | -50859.869 | -5484.116 | -8314.597 | -5520.664 |
| -50971.728 | -50946.255 | -50303.978 | -5493.862 | -5573.019 | -8378.666 |
| 34.249 | 34.247 | 34.247 | 0.000 | 0.000 | 0.000 |
| 34.247 | 34.249 | 34.247 | 0.000 | 0.000 | 0.000 |
| 34.247 | 34.247 | 34.249 | 0.000 | 0.000 | 0.000 |
| 50309.742 | 50806.047 | 50769.029 | -7617.165 | -319.596 | 288.639 |
| 50851.756 | 50354.474 | 50824.360 | -302.922 | -7638.949 | 236.951 |
| 50951.724 | 50930.558 | 50445.575 | -341.060 | 266.878 | -7678.565 |
| 23.968 | 23.968 | 23.968 | -0.000 | -0.000 | -0.000 |
| 23.968 | 23.968 | 23.968 | -0.000 | -0.000 | -0.000 |
| 23.968 | 23.968 | 23.968 | -0.000 | -0.000 | -0.000 |
| 0.000 | 0.000 | 0.000 | -0.041 | -0.000 | -0.000 |
| 0.000 | 0.000 | 0.000 | -0.000 | -0.041 | -0.000 |
| 0.000 | 0.000 | 0.000 | -0.000 | -0.000 | -0.041 |
| 23.968 | 23.968 | 23.968 | 0.000 | 0.000 | 0.000 |
| 23.968 | 23.968 | 23.968 | 0.000 | 0.000 | 0.000 |
| 23.968 | 23.968 | 23.968 | 0.000 | 0.000 | 0.000 |
| -0.000 | -0.000 | -0.000 | -0.041 | 0.000 | 0.000 |
| -0.000 | -0.000 | -0.000 | 0.000 | -0.041 | 0.000 |
| -0.000 | -0.000 | -0.000 | 0.000 | 0.000 | -0.041 |
| 23.968 | 23.968 | 23.968 | -0.000 | -0.000 | -0.000 |
| 23.968 | 23.968 | 23.968 | -0.000 | -0.000 | -0.000 |
| 23.968 | 23.968 | 23.968 | -0.000 | -0.000 | -0.000 |
| 0.000 | 0.000 | 0.000 | -0.040 | -0.000 | -0.000 |
| 0.000 | 0.000 | 0.000 | -0.000 | -0.040 | -0.000 |
| 0.000 | 0.000 | 0.000 | -0.000 | -0.000 | -0.040 |
| 23.968 | 23.968 | 23.968 | 0.000 | 0.000 | 0.000 |
| 23.968 | 23.968 | 23.968 | 0.000 | 0.000 | 0.000 |
| 23.968 | 23.968 | 23.968 | 0.000 | 0.000 | 0.000 |
| -0.000 | -0.000 | -0.000 | -0.040 | 0.000 | 0.000 |
| -0.000 | -0.000 | -0.000 | 0.000 | -0.040 | 0.000 |
| -0.000 | -0.000 | -0.000 | 0.000 | 0.000 | -0.040 |
| 23.969 | 23.969 | 23.969 | -0.000 | -0.000 | -0.000 |
| 23.969 | 23.969 | 23.969 | -0.000 | -0.000 | -0.000 |
| 23.969 | 23.969 | 23.969 | -0.000 | -0.000 | -0.000 |
| 0.000 | 0.000 | 0.000 | -0.044 | -0.000 | -0.000 |
| 0.000 | 0.000 | 0.000 | -0.000 | -0.044 | -0.000 |
| 0.000 | 0.000 | 0.000 | -0.000 | -0.000 | -0.044 |
| 23.968 | 23.968 | 23.968 | 0.000 | 0.000 | 0.000 |
| 23.968 | 23.968 | 23.968 | 0.000 | 0.000 | 0.000 |
| 23.968 | 23.968 | 23.968 | 0.000 | 0.000 | 0.000 |
| -0.000 | -0.000 | -0.000 | -0.044 | 0.000 | 0.000 |
| -0.000 | -0.000 | -0.000 | 0.000 | -0.044 | 0.000 |
| -0.000 | -0.000 | -0.000 | 0.000 | 0.000 | -0.044 |
| 1131.838 | 10.726 | 176.834 | 0.000 | 0.000 | 0.000 |
| 10.726 | 1131.838 | 176.834 | -0.000 | 0.000 | 0.000 |
| 224.979 | 224.978 | 993.383 | 0.000 | -0.000 | 0.000 |
| 0.000 | 0.000 | 0.000 | -78.133 | 0.000 | 0.000 |
| 0.000 | 0.000 | 0.000 | 0.000 | -78.133 | 0.000 |
| 0.000 | 0.000 | 0.000 | 0.000 | 0.000 | -182.248 |
| -4879.444 | 6022.009 | 176.836 | 0.000 | 0.000 | -0.000 |
| 6022.009 | -4879.444 | 176.836 | 0.000 | -0.000 | -0.000 |
| 224.978 | 224.978 | 993.383 | 0.000 | 0.000 | -0.000 |
| -0.000 | -0.000 | -0.000 | -78.133 | 0.000 | 0.000 |
| -0.000 | -0.000 | -0.000 | -0.000 | -78.133 | -0.000 |
| -0.000 | -0.000 | -0.000 | -0.000 | -0.000 | -182.248 |
| -4879.473 | 6022.020 | 176.824 | -0.000 | 0.000 | 0.000 |
| 6022.020 | -4879.473 | 176.824 | -0.000 | 0.000 | 0.000 |
| 224.978 | 224.978 | 993.384 | -0.000 | 0.000 | 0.000 |
| 0.000 | 0.000 | -0.000 | -78.133 | -0.000 | 0.000 |
| 0.000 | 0.000 | -0.000 | -0.000 | -78.133 | 0.000 |
| 0.000 | 0.000 | 0.000 | -0.000 | 0.000 | -182.248 |
| -4879.420 | 6022.000 | 176.845 | 0.000 | 0.000 | -0.000 |
| 6022.000 | -4879.420 | 176.845 | 0.000 | -0.000 | -0.000 |
| 224.978 | 224.978 | 993.382 | 0.000 | -0.000 | -0.000 |
| -0.000 | -0.000 | 0.000 | -78.133 | -0.000 | -0.000 |
| -0.000 | -0.000 | 0.000 | -0.000 | -78.133 | -0.000 |
| -0.000 | -0.000 | -0.000 | 0.000 | -0.000 | -182.248 |
| -4879.711 | 6022.108 | 176.730 | -0.000 | 0.000 | 0.000 |
| 6022.108 | -4879.711 | 176.730 | -0.000 | -0.000 | 0.000 |
| 224.978 | 224.978 | 993.392 | -0.000 | 0.000 | 0.000 |
| -0.000 | 0.000 | -0.001 | -78.133 | 0.000 | 0.000 |
| 0.000 | -0.000 | -0.001 | -0.000 | -78.133 | 0.000 |
| 0.001 | 0.000 | 0.000 | -0.000 | 0.000 | -182.248 |
| -4879.182 | 6021.912 | 176.939 | 0.000 | 0.000 | -0.000 |
| 6021.912 | -4879.182 | 176.939 | 0.000 | -0.000 | -0.000 |
| 224.979 | 224.979 | 993.373 | 0.000 | 0.000 | -0.000 |
| 0.000 | -0.000 | 0.001 | -78.133 | -0.000 | -0.000 |
| -0.000 | 0.000 | 0.001 | 0.000 | -78.133 | -0.000 |
| -0.001 | -0.000 | -0.000 | 0.000 | -0.000 | -182.248 |
| 155.855 | 143.637 | 117.028 | 0.000 | 0.000 | 0.000 |
| 143.637 | 155.855 | 117.028 | 0.000 | 0.000 | 0.000 |
| 117.028 | 117.028 | 178.278 | 0.000 | 0.000 | 0.000 |
| 0.000 | 0.000 | -0.000 | 34.776 | 0.000 | 0.000 |
| 0.000 | 0.000 | -0.000 | 0.000 | 34.776 | 0.000 |
| 0.000 | 0.000 | -0.000 | 0.000 | 0.000 | 100.347 |
| 223.970 | 75.521 | 117.027 | -0.000 | -0.000 | -0.000 |
| 75.521 | 223.970 | 117.027 | -0.000 | -0.000 | -0.000 |
| 117.027 | 117.027 | 178.277 | -0.000 | -0.000 | -0.000 |
| -0.000 | -0.000 | 0.000 | 34.776 | -0.000 | -0.000 |
| -0.000 | -0.000 | 0.000 | -0.000 | 34.776 | -0.000 |
| -0.000 | -0.000 | 0.000 | -0.000 | -0.000 | 100.347 |
| 155.856 | 143.638 | 117.029 | 0.000 | 0.000 | 0.000 |
| 143.638 | 155.856 | 117.029 | 0.000 | 0.000 | 0.000 |
| 117.029 | 117.029 | 178.280 | -0.000 | 0.000 | 0.000 |
| 0.000 | 0.000 | -0.000 | 34.776 | 0.000 | 0.000 |
| 0.000 | 0.000 | -0.000 | 0.000 | 34.776 | 0.000 |
| 0.000 | 0.000 | 0.000 | 0.000 | 0.000 | 100.347 |
| 155.853 | 143.636 | 117.026 | -0.000 | -0.000 | -0.000 |
| 143.636 | 155.853 | 117.026 | -0.000 | -0.000 | -0.000 |
| 117.026 | 117.026 | 178.275 | -0.000 | -0.000 | -0.000 |
| -0.000 | -0.000 | 0.000 | 34.776 | -0.000 | -0.000 |
| -0.000 | -0.000 | 0.000 | -0.000 | 34.776 | -0.000 |
| -0.000 | -0.000 | -0.000 | -0.000 | -0.000 | 100.347 |
| 155.868 | 143.648 | 117.041 | 0.000 | 0.000 | 0.000 |
| 143.648 | 155.868 | 117.041 | 0.000 | 0.000 | 0.000 |
| 117.044 | 117.044 | 178.299 | 0.000 | 0.000 | 0.000 |
| 0.000 | 0.000 | -0.000 | 34.776 | 0.000 | 0.000 |
| 0.000 | 0.000 | -0.000 | 0.000 | 34.776 | 0.000 |
| 0.000 | 0.000 | 0.000 | 0.000 | 0.000 | 100.347 |
| 155.841 | 143.626 | 117.014 | -0.000 | -0.000 | -0.000 |
| 143.626 | 155.841 | 117.014 | 0.000 | -0.000 | -0.000 |
| 117.011 | 117.011 | 178.256 | -0.000 | -0.000 | -0.000 |
| -0.000 | -0.000 | 0.000 | 34.776 | -0.000 | -0.000 |
| -0.000 | -0.000 | 0.000 | -0.000 | 34.776 | -0.000 |
| -0.000 | -0.000 | -0.000 | 0.000 | -0.000 | 100.347 |
| 29.633 | 18.555 | 2.331 | 0.000 | -0.000 | -0.000 |
| 18.555 | 29.633 | 2.331 | -0.000 | -0.000 | 0.000 |
| 2.331 | 2.331 | 6.185 | -0.000 | 0.000 | -0.000 |
| 0.000 | -0.000 | -0.000 | 0.611 | -0.000 | -0.000 |
| -0.000 | 0.000 | -0.000 | 0.000 | 0.611 | -0.000 |
| -0.000 | -0.000 | 0.000 | 0.000 | -0.000 | 0.002 |
| 29.834 | 18.354 | 2.331 | -0.000 | 0.000 | -0.000 |
| 18.354 | 29.834 | 2.331 | -0.000 | -0.000 | -0.000 |
| 2.331 | 2.331 | 6.185 | -0.000 | -0.000 | 0.000 |
| -0.000 | 0.000 | 0.000 | 0.611 | 0.000 | -0.000 |
| 0.000 | -0.000 | 0.000 | -0.000 | 0.611 | 0.000 |
| 0.000 | 0.000 | 0.000 | -0.000 | -0.000 | 0.002 |
| 29.633 | 18.555 | 2.331 | 0.000 | -0.000 | 0.000 |
| 18.555 | 29.633 | 2.331 | 0.000 | -0.000 | -0.000 |
| 2.331 | 2.331 | 6.185 | 0.000 | 0.000 | -0.000 |
| 0.000 | -0.000 | -0.000 | 0.611 | 0.000 | -0.000 |
| -0.000 | 0.000 | -0.000 | -0.000 | 0.611 | -0.000 |
| -0.000 | -0.000 | -0.000 | 0.000 | 0.000 | 0.002 |
| 29.834 | 18.354 | 2.331 | -0.000 | 0.000 | 0.000 |
| 18.354 | 29.834 | 2.331 | 0.000 | -0.000 | 0.000 |
| 2.331 | 2.331 | 6.185 | -0.000 | 0.000 | -0.000 |
| -0.000 | 0.000 | 0.000 | 0.611 | 0.000 | -0.000 |
| 0.000 | -0.000 | 0.000 | 0.000 | 0.611 | -0.000 |
| 0.000 | 0.000 | 0.000 | -0.000 | -0.000 | 0.002 |
| 29.018 | 19.171 | 2.331 | -0.000 | 0.000 | -0.000 |
| 19.171 | 29.018 | 2.331 | -0.000 | 0.000 | -0.000 |
| 2.331 | 2.331 | 6.185 | 0.000 | -0.000 | -0.000 |
| 0.000 | -0.000 | -0.000 | 0.611 | -0.000 | -0.000 |
| -0.000 | 0.000 | -0.000 | -0.000 | 0.611 | -0.000 |
| -0.000 | -0.000 | -0.000 | 0.000 | -0.000 | 0.002 |
| 28.946 | 19.241 | 2.331 | -0.000 | 0.000 | 0.000 |
| 19.241 | 28.946 | 2.331 | -0.000 | -0.000 | 0.000 |
| 2.331 | 2.331 | 6.185 | -0.000 | 0.000 | 0.000 |
| -0.000 | 0.000 | 0.000 | 0.611 | -0.000 | -0.000 |
| 0.000 | -0.000 | 0.000 | -0.000 | 0.611 | -0.000 |
| 0.000 | 0.000 | 0.000 | -0.000 | -0.000 | 0.002 |
| 1103.794 | 152.741 | 544.459 | -0.000 | 0.000 | 0.000 |
| 152.741 | 1103.794 | 544.459 | -0.000 | -0.000 | 0.000 |
| 562.111 | 562.111 | 1296.917 | -0.000 | 0.000 | 0.000 |
| 0.000 | 0.000 | 0.000 | 355.316 | 0.000 | 0.000 |
| 0.000 | 0.000 | 0.000 | -0.000 | 355.316 | 0.000 |
| 0.000 | 0.000 | 0.000 | -0.000 | 0.000 | -61.628 |
| 1103.795 | 152.742 | 544.459 | -0.000 | 0.000 | -0.000 |
| 152.742 | 1103.795 | 544.459 | 0.000 | -0.000 | -0.000 |
| 562.112 | 562.112 | 1296.917 | 0.000 | 0.000 | -0.000 |
| -0.000 | -0.000 | -0.000 | 355.316 | -0.000 | -0.000 |
| -0.000 | -0.000 | -0.000 | 0.000 | 355.315 | -0.000 |
| -0.000 | -0.000 | -0.000 | -0.000 | -0.000 | -61.628 |
| 1103.796 | 152.741 | 544.459 | 0.000 | 0.000 | 0.000 |
| 152.741 | 1103.796 | 544.459 | -0.000 | 0.000 | 0.000 |
| 562.112 | 562.112 | 1296.916 | 0.000 | 0.000 | 0.000 |
| 0.000 | 0.000 | 0.000 | 355.316 | 0.000 | 0.000 |
| 0.000 | 0.000 | 0.000 | 0.000 | 355.316 | 0.000 |
| 0.000 | 0.000 | 0.000 | 0.000 | -0.000 | -61.628 |
| 1103.794 | 152.741 | 544.459 | -0.000 | 0.000 | -0.000 |
| 152.741 | 1103.794 | 544.459 | 0.000 | -0.000 | -0.000 |
| 562.112 | 562.112 | 1296.918 | -0.000 | -0.000 | -0.000 |
| -0.000 | -0.000 | -0.000 | 355.316 | -0.000 | -0.000 |
| -0.000 | -0.000 | -0.000 | 0.000 | 355.316 | -0.000 |
| -0.000 | -0.000 | -0.000 | -0.000 | -0.000 | -61.628 |
| 1103.807 | 152.742 | 544.461 | -0.000 | -0.000 | 0.000 |
| 152.742 | 1103.807 | 544.461 | -0.000 | 0.000 | 0.000 |
| 562.114 | 562.114 | 1296.911 | 0.000 | 0.000 | 0.000 |
| 0.001 | 0.000 | 0.002 | 355.316 | -0.000 | 0.000 |
| 0.000 | 0.001 | 0.002 | -0.000 | 355.316 | 0.000 |
| 0.000 | -0.000 | 0.001 | -0.000 | -0.000 | -61.628 |
| 1103.782 | 152.741 | 544.458 | 0.000 | 0.000 | -0.000 |
| 152.741 | 1103.782 | 544.458 | 0.000 | 0.000 | -0.000 |
| 562.109 | 562.109 | 1296.923 | 0.000 | -0.000 | -0.000 |
| -0.001 | -0.000 | -0.002 | 355.316 | 0.000 | -0.000 |
| -0.000 | -0.001 | -0.002 | 0.000 | 355.316 | -0.000 |
| -0.000 | 0.000 | -0.001 | 0.000 | -0.000 | -61.628 |
| 366.272 | 133.473 | 159.431 | -0.000 | 0.000 | -0.000 |
| 133.473 | 366.272 | 159.431 | 0.000 | 0.000 | -0.000 |
| 159.431 | 159.431 | 268.372 | 0.000 | 0.000 | -0.000 |
| 0.000 | 0.000 | 0.000 | -22.672 | 0.000 | -0.000 |
| 0.000 | 0.000 | 0.000 | 0.000 | -22.672 | -0.000 |
| 0.000 | 0.000 | 0.000 | 0.000 | 0.000 | 67.205 |
| 366.273 | 133.473 | 159.432 | -0.000 | -0.000 | 0.000 |
| 133.473 | 366.273 | 159.432 | -0.000 | -0.000 | 0.000 |
| 159.432 | 159.432 | 268.374 | -0.000 | -0.000 | 0.000 |
| -0.000 | -0.000 | -0.000 | -22.672 | -0.000 | 0.000 |
| -0.000 | -0.000 | -0.000 | -0.000 | -22.672 | 0.000 |
| -0.000 | -0.000 | -0.000 | 0.000 | -0.000 | 67.205 |
| 366.269 | 133.470 | 159.428 | -0.000 | 0.000 | -0.000 |
| 133.470 | 366.269 | 159.428 | 0.000 | 0.000 | -0.000 |
| 159.427 | 159.427 | 268.367 | -0.000 | 0.000 | -0.000 |
| 0.000 | -0.000 | -0.000 | -22.672 | 0.000 | 0.000 |
| -0.000 | 0.000 | -0.000 | -0.000 | -22.672 | -0.000 |
| 0.000 | 0.000 | 0.000 | 0.000 | 0.000 | 67.205 |
| 366.275 | 133.476 | 159.436 | 0.000 | -0.000 | 0.000 |
| 133.476 | 366.275 | 159.436 | 0.000 | -0.000 | 0.000 |
| 159.437 | 159.437 | 268.379 | 0.000 | 0.000 | 0.000 |
| -0.000 | 0.000 | 0.000 | -22.672 | 0.000 | 0.000 |
| 0.000 | -0.000 | 0.000 | -0.000 | -22.672 | 0.000 |
| -0.000 | -0.000 | -0.000 | 0.000 | -0.000 | 67.205 |
| 366.241 | 133.442 | 159.393 | 0.000 | 0.000 | -0.000 |
| 133.442 | 366.241 | 159.393 | -0.000 | 0.000 | -0.000 |
| 159.384 | 159.384 | 268.313 | 0.000 | 0.000 | -0.000 |
| 0.000 | -0.000 | -0.000 | -22.672 | 0.000 | -0.000 |
| -0.000 | 0.000 | -0.000 | 0.000 | -22.672 | -0.000 |
| 0.000 | 0.000 | 0.000 | 0.000 | 0.000 | 67.205 |
| 366.303 | 133.504 | 159.471 | -0.000 | -0.000 | 0.000 |
| 133.504 | 366.303 | 159.471 | 0.000 | -0.000 | 0.000 |
| 159.480 | 159.480 | 268.433 | 0.000 | -0.000 | 0.000 |
| -0.000 | 0.000 | 0.000 | -22.672 | -0.000 | 0.000 |
| 0.000 | -0.000 | 0.000 | -0.000 | -22.672 | 0.000 |
| -0.000 | -0.000 | -0.000 | -0.000 | -0.000 | 67.205 |
| 90.617 | 109.112 | 144.721 | 0.000 | 0.000 | -0.000 |
| 109.112 | 90.617 | 144.721 | 0.000 | 0.000 | -0.000 |
| 144.721 | 144.721 | 114.821 | 0.000 | 0.000 | -0.000 |
| -0.000 | -0.000 | -0.000 | -28.300 | 0.000 | -0.000 |
| -0.000 | -0.000 | -0.000 | 0.000 | -28.300 | -0.000 |
| -0.000 | -0.000 | -0.000 | -0.000 | 0.000 | -40.129 |
| 90.613 | 109.107 | 144.716 | -0.000 | -0.000 | 0.000 |
| 109.107 | 90.613 | 144.716 | 0.000 | -0.000 | 0.000 |
| 144.716 | 144.716 | 114.817 | 0.000 | -0.000 | -0.000 |
| 0.000 | 0.000 | 0.000 | -28.300 | 0.000 | 0.000 |
| 0.000 | 0.000 | -0.000 | 0.000 | -28.300 | 0.000 |
| 0.000 | 0.000 | 0.000 | -0.000 | 0.000 | -40.129 |
| 90.637 | 109.131 | 144.740 | 0.000 | 0.000 | 0.000 |
| 109.131 | 90.637 | 144.740 | -0.000 | 0.000 | 0.000 |
| 144.740 | 144.740 | 114.841 | 0.000 | 0.000 | -0.000 |
| -0.000 | -0.000 | 0.000 | -28.300 | 0.000 | -0.000 |
| -0.000 | -0.000 | 0.000 | -0.000 | -28.300 | -0.000 |
| -0.000 | -0.000 | -0.000 | -0.000 | -0.000 | -40.129 |
| 90.594 | 109.088 | 144.697 | 0.000 | -0.000 | 0.000 |
| 109.088 | 90.594 | 144.697 | -0.000 | -0.000 | -0.000 |
| 144.697 | 144.697 | 114.797 | 0.000 | -0.000 | 0.000 |
| 0.000 | 0.000 | -0.000 | -28.300 | 0.000 | 0.000 |
| 0.000 | 0.000 | -0.000 | 0.000 | -28.300 | -0.000 |
| 0.000 | 0.000 | 0.000 | -0.000 | 0.000 | -40.129 |
| 90.831 | 109.326 | 144.936 | -0.000 | -0.000 | -0.000 |
| 109.326 | 90.831 | 144.936 | -0.000 | -0.000 | -0.000 |
| 144.936 | 144.936 | 115.037 | 0.000 | 0.000 | -0.000 |
| -0.000 | -0.000 | 0.000 | -28.300 | 0.000 | -0.000 |
| -0.000 | -0.000 | 0.000 | 0.000 | -28.300 | -0.000 |
| -0.001 | -0.001 | -0.000 | -0.000 | 0.000 | -40.129 |
| 90.399 | 108.893 | 144.501 | 0.000 | 0.000 | -0.000 |
| 108.893 | 90.399 | 144.501 | 0.000 | -0.000 | 0.000 |
| 144.501 | 144.501 | 114.601 | -0.000 | -0.000 | 0.000 |
| 0.000 | 0.000 | -0.000 | -28.300 | 0.000 | 0.000 |
| 0.000 | 0.000 | -0.000 | 0.000 | -28.300 | 0.000 |
| 0.001 | 0.001 | 0.000 | 0.000 | 0.000 | -40.129 |
| 141.353 | 77.804 | 68.537 | -0.000 | -0.000 | -0.000 |
| 77.804 | 141.353 | 68.537 | -0.000 | -0.000 | -0.000 |
| 68.537 | 68.537 | 171.297 | -0.000 | -0.000 | -0.000 |
| -0.000 | 0.000 | 0.000 | -20.023 | -0.000 | 0.000 |
| 0.000 | -0.000 | -0.000 | -0.000 | -20.023 | -0.000 |
| -0.000 | -0.000 | -0.000 | 0.000 | -0.000 | 67.016 |
| 141.352 | 77.803 | 68.536 | 0.000 | 0.000 | 0.000 |
| 77.803 | 141.352 | 68.536 | 0.000 | -0.000 | 0.000 |
| 68.536 | 68.536 | 171.297 | -0.000 | 0.000 | 0.000 |
| 0.000 | -0.000 | 0.000 | -20.023 | 0.000 | 0.000 |
| -0.000 | 0.000 | 0.000 | 0.000 | -20.023 | 0.000 |
| 0.000 | 0.000 | -0.000 | 0.000 | 0.000 | 67.016 |
| 141.354 | 77.805 | 68.538 | 0.000 | -0.000 | -0.000 |
| 77.805 | 141.354 | 68.538 | -0.000 | -0.000 | -0.000 |
| 68.538 | 68.538 | 171.299 | -0.000 | -0.000 | -0.000 |
| -0.000 | 0.000 | -0.000 | -20.023 | -0.000 | -0.000 |
| 0.000 | -0.000 | -0.000 | -0.000 | -20.023 | -0.000 |
| -0.000 | -0.000 | 0.000 | 0.000 | -0.000 | 67.016 |
| 141.351 | 77.802 | 68.535 | 0.000 | 0.000 | 0.000 |
| 77.802 | 141.351 | 68.535 | 0.000 | 0.000 | 0.000 |
| 68.535 | 68.535 | 171.295 | 0.000 | 0.000 | 0.000 |
| 0.000 | -0.000 | 0.000 | -20.023 | 0.000 | 0.000 |
| -0.000 | 0.000 | 0.000 | 0.000 | -20.023 | 0.000 |
| 0.000 | 0.000 | -0.000 | 0.000 | 0.000 | 67.016 |
| 141.368 | 77.820 | 68.554 | -0.000 | -0.000 | -0.000 |
| 77.820 | 141.368 | 68.554 | 0.000 | -0.000 | -0.000 |
| 68.555 | 68.555 | 171.314 | -0.000 | -0.000 | -0.000 |
| -0.000 | 0.000 | -0.000 | -20.023 | -0.000 | -0.000 |
| 0.000 | -0.000 | -0.000 | 0.000 | -20.023 | -0.000 |
| -0.000 | -0.000 | 0.000 | 0.000 | -0.000 | 67.016 |
| 141.337 | 77.787 | 68.519 | 0.000 | 0.000 | -0.000 |
| 77.787 | 141.337 | 68.519 | 0.000 | 0.000 | 0.000 |
| 68.518 | 68.518 | 171.279 | 0.000 | 0.000 | 0.000 |
| 0.000 | -0.000 | 0.000 | -20.023 | 0.000 | 0.000 |
| -0.000 | 0.000 | 0.000 | 0.000 | -20.023 | 0.000 |
| 0.000 | 0.000 | -0.000 | 0.000 | 0.000 | 67.016 |
| 38.209 | 30.785 | 3.284 | 0.000 | 0.000 | -0.000 |
| 30.785 | 38.209 | 3.284 | 0.000 | -0.000 | 0.000 |
| 3.284 | 3.284 | 9.162 | 0.000 | -0.000 | -0.000 |
| -0.000 | -0.000 | -0.000 | 4.865 | 0.000 | 0.000 |
| -0.000 | -0.000 | -0.000 | 0.000 | 4.865 | -0.000 |
| 0.000 | 0.000 | -0.000 | 0.000 | 0.000 | 32.414 |
| 38.209 | 30.785 | 3.284 | -0.000 | -0.000 | -0.000 |
| 30.785 | 38.209 | 3.284 | -0.000 | 0.000 | 0.000 |
| 3.284 | 3.284 | 9.162 | -0.000 | 0.000 | 0.000 |
| 0.000 | 0.000 | 0.000 | 4.865 | 0.000 | 0.000 |
| 0.000 | 0.000 | 0.000 | -0.000 | 4.865 | 0.000 |
| -0.000 | -0.000 | 0.000 | -0.000 | -0.000 | 32.414 |
| 38.209 | 30.785 | 3.284 | 0.000 | 0.000 | -0.000 |
| 30.785 | 38.209 | 3.284 | 0.000 | -0.000 | -0.000 |
| 3.284 | 3.284 | 9.162 | 0.000 | -0.000 | -0.000 |
| -0.000 | -0.000 | -0.000 | 4.865 | -0.000 | -0.000 |
| -0.000 | -0.000 | -0.000 | 0.000 | 4.865 | 0.000 |
| 0.000 | 0.000 | -0.000 | 0.000 | 0.000 | 32.414 |
| 38.209 | 30.785 | 3.284 | -0.000 | -0.000 | -0.000 |
| 30.785 | 38.209 | 3.284 | -0.000 | 0.000 | 0.000 |
| 3.284 | 3.284 | 9.162 | -0.000 | 0.000 | 0.000 |
| 0.000 | 0.000 | 0.000 | 4.865 | 0.000 | 0.000 |
| 0.000 | 0.000 | 0.000 | -0.000 | 4.865 | -0.000 |
| -0.000 | -0.000 | 0.000 | -0.000 | -0.000 | 32.414 |
| 38.210 | 30.786 | 3.283 | 0.000 | 0.000 | 0.000 |
| 30.786 | 38.210 | 3.283 | 0.000 | -0.000 | 0.000 |
| 3.284 | 3.284 | 9.162 | 0.000 | -0.000 | -0.000 |
| -0.000 | -0.000 | -0.000 | 4.865 | -0.000 | -0.000 |
| -0.000 | -0.000 | -0.000 | 0.000 | 4.865 | -0.000 |
| 0.000 | 0.000 | -0.000 | 0.000 | 0.000 | 32.414 |
| 38.209 | 30.785 | 3.284 | -0.000 | 0.000 | 0.000 |
| 30.785 | 38.209 | 3.284 | 0.000 | -0.000 | -0.000 |
| 3.284 | 3.284 | 9.162 | -0.000 | 0.000 | 0.000 |
| 0.000 | 0.000 | 0.000 | 4.865 | -0.000 | 0.000 |
| 0.000 | 0.000 | 0.000 | -0.000 | 4.865 | 0.000 |
| -0.000 | -0.000 | 0.000 | -0.000 | -0.000 | 32.414 |
| 21.332 | 19.578 | 18.116 | -0.000 | 0.000 | -0.000 |
| 19.578 | 21.332 | 18.116 | 0.000 | -0.000 | -0.000 |
| 18.116 | 18.116 | 62.293 | -0.000 | -0.000 | -0.000 |
| 0.000 | 0.000 | 0.000 | 14.241 | 0.000 | -0.000 |
| 0.000 | 0.000 | 0.000 | 0.000 | 14.241 | -0.000 |
| -0.000 | -0.000 | 0.000 | 0.000 | 0.000 | 15.958 |
| 21.332 | 19.578 | 18.116 | -0.000 | -0.000 | 0.000 |
| 19.578 | 21.332 | 18.116 | -0.000 | -0.000 | 0.000 |
| 18.116 | 18.116 | 62.293 | -0.000 | -0.000 | 0.000 |
| -0.000 | -0.000 | -0.000 | 14.241 | -0.000 | 0.000 |
| -0.000 | -0.000 | -0.000 | -0.000 | 14.241 | 0.000 |
| 0.000 | 0.000 | -0.000 | -0.000 | -0.000 | 15.958 |
| 21.332 | 19.578 | 18.116 | 0.000 | 0.000 | -0.000 |
| 19.578 | 21.332 | 18.116 | 0.000 | 0.000 | -0.000 |
| 18.116 | 18.116 | 62.293 | 0.000 | -0.000 | -0.000 |
| 0.000 | 0.000 | 0.000 | 14.241 | 0.000 | -0.000 |
| 0.000 | 0.000 | 0.000 | 0.000 | 14.241 | -0.000 |
| -0.000 | -0.000 | 0.000 | 0.000 | 0.000 | 15.958 |
| 21.332 | 19.578 | 18.116 | -0.000 | -0.000 | -0.000 |
| 19.578 | 21.332 | 18.116 | -0.000 | -0.000 | 0.000 |
| 18.116 | 18.116 | 62.293 | -0.000 | -0.000 | 0.000 |
| -0.000 | -0.000 | -0.000 | 14.241 | 0.000 | -0.000 |
| -0.000 | -0.000 | -0.000 | 0.000 | 14.241 | 0.000 |
| 0.000 | 0.000 | -0.000 | -0.000 | -0.000 | 15.958 |
| 21.331 | 19.578 | 18.116 | 0.000 | 0.000 | -0.000 |
| 19.578 | 21.331 | 18.116 | 0.000 | 0.000 | -0.000 |
| 18.116 | 18.116 | 62.294 | 0.000 | 0.000 | -0.000 |
| 0.000 | 0.000 | 0.000 | 14.241 | -0.000 | -0.000 |
| 0.000 | 0.000 | 0.000 | -0.000 | 14.241 | 0.000 |
| -0.000 | -0.000 | 0.000 | 0.000 | 0.000 | 15.958 |
| 21.332 | 19.578 | 18.116 | -0.000 | -0.000 | 0.000 |
| 19.578 | 21.332 | 18.116 | -0.000 | -0.000 | -0.000 |
| 18.115 | 18.115 | 62.293 | -0.000 | -0.000 | 0.000 |
| -0.000 | -0.000 | -0.000 | 14.241 | -0.000 | 0.000 |
| -0.000 | -0.000 | -0.000 | -0.000 | 14.241 | 0.000 |
| 0.000 | 0.000 | -0.000 | -0.000 | -0.000 | 15.958 |
| -69.008 | -18.379 | -15.406 | 0.000 | -0.000 | -0.000 |
| -18.379 | -69.008 | -15.406 | 0.000 | 0.000 | -0.000 |
| -15.406 | -15.406 | 143.730 | 0.000 | 0.000 | -0.000 |
| -0.000 | -0.000 | -0.000 | -18.493 | -0.000 | 0.000 |
| -0.000 | -0.000 | -0.000 | 0.000 | -18.493 | -0.000 |
| -0.000 | -0.000 | -0.000 | 0.000 | -0.000 | -18.146 |
| -69.008 | -18.379 | -15.406 | -0.000 | -0.000 | -0.000 |
| -18.379 | -69.008 | -15.406 | -0.000 | -0.000 | -0.000 |
| -15.406 | -15.406 | 143.730 | -0.000 | 0.000 | -0.000 |
| 0.000 | 0.000 | 0.000 | -18.493 | -0.000 | 0.000 |
| 0.000 | 0.000 | 0.000 | -0.000 | -18.493 | 0.000 |
| 0.000 | 0.000 | 0.000 | -0.000 | -0.000 | -18.146 |
| -69.008 | -18.379 | -15.406 | 0.000 | -0.000 | -0.000 |
| -18.379 | -69.008 | -15.406 | 0.000 | 0.000 | -0.000 |
| -15.406 | -15.406 | 143.730 | 0.000 | -0.000 | -0.000 |
| -0.000 | -0.000 | -0.000 | -18.493 | -0.000 | -0.000 |
| -0.000 | -0.000 | -0.000 | 0.000 | -18.493 | -0.000 |
| -0.000 | -0.000 | -0.000 | -0.000 | -0.000 | -18.146 |
| -69.008 | -18.379 | -15.406 | -0.000 | -0.000 | -0.000 |
| -18.379 | -69.008 | -15.406 | -0.000 | 0.000 | -0.000 |
| -15.406 | -15.406 | 143.730 | -0.000 | -0.000 | 0.000 |
| 0.000 | 0.000 | 0.000 | -18.493 | 0.000 | -0.000 |
| 0.000 | 0.000 | 0.000 | -0.000 | -18.493 | -0.000 |
| 0.000 | 0.000 | 0.000 | 0.000 | 0.000 | -18.146 |
| -69.009 | -18.379 | -15.407 | 0.000 | -0.000 | -0.000 |
| -18.379 | -69.009 | -15.407 | 0.000 | -0.000 | -0.000 |
| -15.407 | -15.407 | 143.729 | 0.000 | 0.000 | 0.000 |
| -0.000 | -0.000 | -0.000 | -18.493 | 0.000 | -0.000 |
| -0.000 | -0.000 | -0.000 | 0.000 | -18.493 | 0.000 |
| -0.000 | -0.000 | -0.000 | 0.000 | 0.000 | -18.146 |
| -69.006 | -18.379 | -15.406 | -0.000 | 0.000 | 0.000 |
| -18.379 | -69.006 | -15.406 | -0.000 | 0.000 | 0.000 |
| -15.406 | -15.406 | 143.730 | -0.000 | 0.000 | 0.000 |
| 0.000 | 0.000 | 0.000 | -18.493 | 0.000 | -0.000 |
| 0.000 | 0.000 | 0.000 | -0.000 | -18.493 | 0.000 |
| 0.000 | 0.000 | 0.000 | -0.000 | -0.000 | -18.146 |
| 4.897 | -9.193 | -11.165 | -0.000 | -0.000 | 0.000 |
| -9.193 | 4.897 | -11.165 | -0.000 | -0.000 | 0.000 |
| -11.165 | -11.165 | -13.692 | 0.000 | 0.000 | 0.000 |
| 0.000 | 0.000 | 0.000 | -3.795 | -0.000 | 0.000 |
| 0.000 | 0.000 | 0.000 | -0.000 | -3.795 | 0.000 |
| 0.000 | 0.000 | 0.000 | -0.000 | 0.000 | -2.748 |
| 4.897 | -9.193 | -11.165 | -0.000 | -0.000 | -0.000 |
| -9.193 | 4.897 | -11.165 | -0.000 | -0.000 | -0.000 |
| -11.165 | -11.165 | -13.692 | 0.000 | 0.000 | -0.000 |
| -0.000 | -0.000 | -0.000 | -3.795 | 0.000 | -0.000 |
| -0.000 | -0.000 | -0.000 | -0.000 | -3.795 | -0.000 |
| -0.000 | -0.000 | -0.000 | 0.000 | -0.000 | -2.748 |
| 4.897 | -9.193 | -11.165 | -0.000 | -0.000 | 0.000 |
| -9.193 | 4.897 | -11.165 | -0.000 | -0.000 | 0.000 |
| -11.165 | -11.165 | -13.692 | -0.000 | -0.000 | 0.000 |
| 0.000 | 0.000 | 0.000 | -3.795 | 0.000 | 0.000 |
| 0.000 | 0.000 | 0.000 | 0.000 | -3.795 | 0.000 |
| 0.000 | 0.000 | 0.000 | -0.000 | 0.000 | -2.748 |
| 4.897 | -9.193 | -11.165 | -0.000 | -0.000 | -0.000 |
| -9.193 | 4.897 | -11.165 | -0.000 | -0.000 | -0.000 |
| -11.165 | -11.165 | -13.692 | 0.000 | 0.000 | -0.000 |
| -0.000 | -0.000 | -0.000 | -3.795 | -0.000 | -0.000 |
| -0.000 | -0.000 | -0.000 | -0.000 | -3.795 | -0.000 |
| -0.000 | -0.000 | -0.000 | 0.000 | 0.000 | -2.748 |
| 4.897 | -9.193 | -11.165 | -0.000 | -0.000 | 0.000 |
| -9.193 | 4.897 | -11.165 | -0.000 | -0.000 | 0.000 |
| -11.165 | -11.165 | -13.692 | 0.000 | 0.000 | 0.000 |
| 0.000 | 0.000 | 0.000 | -3.795 | 0.000 | 0.000 |
| 0.000 | 0.000 | 0.000 | 0.000 | -3.795 | 0.000 |
| 0.000 | 0.000 | 0.000 | -0.000 | 0.000 | -2.748 |
| 4.897 | -9.193 | -11.165 | 0.000 | -0.000 | -0.000 |
| -9.193 | 4.897 | -11.165 | -0.000 | 0.000 | -0.000 |
| -11.165 | -11.165 | -13.692 | 0.000 | 0.000 | -0.000 |
| -0.000 | -0.000 | -0.000 | -3.795 | -0.000 | -0.000 |
| -0.000 | -0.000 | -0.000 | -0.000 | -3.795 | -0.000 |
| -0.000 | -0.000 | -0.000 | -0.000 | -0.000 | -2.748 |
| 427.481 | 428.210 | 427.774 | 0.000 | 0.000 | -0.000 |
| 428.210 | 427.481 | 427.774 | 0.000 | 0.000 | -0.000 |
| 427.774 | 427.774 | 427.523 | 0.000 | 0.000 | -0.000 |
| 0.000 | 0.000 | 0.000 | 0.475 | 0.000 | -0.000 |
| 0.000 | 0.000 | 0.000 | 0.000 | 0.475 | -0.000 |
| 0.000 | 0.000 | 0.000 | -0.000 | -0.000 | 0.205 |
| 427.480 | 428.210 | 427.774 | -0.000 | -0.000 | 0.000 |
| 428.210 | 427.480 | 427.774 | -0.000 | -0.000 | 0.000 |
| 427.774 | 427.774 | 427.522 | -0.000 | -0.000 | 0.000 |
| -0.000 | -0.000 | -0.000 | 0.475 | -0.000 | 0.000 |
| -0.000 | -0.000 | -0.000 | -0.000 | 0.475 | 0.000 |
| -0.000 | -0.000 | -0.000 | -0.000 | 0.000 | 0.205 |
| 427.483 | 428.213 | 427.777 | 0.000 | 0.000 | -0.000 |
| 428.213 | 427.483 | 427.777 | 0.000 | 0.000 | -0.000 |
| 427.777 | 427.777 | 427.526 | 0.000 | 0.000 | -0.000 |
| 0.000 | 0.000 | 0.000 | 0.475 | 0.000 | -0.000 |
| 0.000 | 0.000 | 0.000 | 0.000 | 0.475 | 0.000 |
| 0.000 | 0.000 | 0.000 | -0.000 | -0.000 | 0.205 |
| 427.478 | 428.207 | 427.771 | -0.000 | -0.000 | -0.000 |
| 428.207 | 427.478 | 427.771 | -0.000 | -0.000 | -0.000 |
| 427.771 | 427.771 | 427.520 | -0.000 | -0.000 | 0.000 |
| -0.000 | -0.000 | -0.000 | 0.475 | -0.000 | 0.000 |
| -0.000 | -0.000 | -0.000 | -0.000 | 0.475 | 0.000 |
| -0.000 | -0.000 | -0.000 | 0.000 | 0.000 | 0.205 |
| 427.506 | 428.237 | 427.802 | 0.000 | -0.000 | 0.000 |
| 428.237 | 427.506 | 427.802 | -0.000 | 0.000 | 0.000 |
| 427.803 | 427.803 | 427.553 | 0.000 | 0.000 | -0.000 |
| 0.001 | 0.001 | 0.001 | 0.475 | 0.000 | -0.000 |
| 0.001 | 0.001 | 0.001 | 0.000 | 0.475 | -0.000 |
| 0.000 | 0.000 | 0.000 | 0.000 | 0.000 | 0.205 |
| 427.454 | 428.183 | 427.746 | -0.000 | 0.000 | -0.000 |
| 428.183 | 427.454 | 427.746 | 0.000 | -0.000 | -0.000 |
| 427.745 | 427.745 | 427.493 | -0.000 | -0.000 | -0.000 |
| -0.001 | -0.001 | -0.001 | 0.475 | -0.000 | 0.000 |
| -0.001 | -0.001 | -0.001 | -0.000 | 0.475 | 0.000 |
| -0.000 | -0.000 | -0.000 | 0.000 | 0.000 | 0.205 |
| 181.653 | 42.744 | 46.324 | -5.060 | -0.000 | 0.000 |
| 42.744 | 181.653 | 46.324 | 5.060 | -0.000 | 0.000 |
| 46.602 | 46.602 | 178.355 | 0.000 | -0.000 | -0.000 |
| -5.341 | 4.780 | -0.279 | 73.033 | -0.000 | 0.000 |
| -0.280 | -0.280 | -0.279 | 0.000 | 73.033 | -5.060 |
| -0.280 | -0.280 | -0.279 | -0.000 | -5.060 | 69.454 |
| 182.214 | 43.305 | 46.881 | -5.060 | 0.000 | -0.000 |
| 43.305 | 182.214 | 46.881 | 5.060 | -0.000 | -0.000 |
| 46.603 | 46.603 | 178.355 | -0.000 | 0.000 | 0.000 |
| -4.780 | 5.341 | 0.279 | 73.033 | 0.000 | -0.000 |
| 0.280 | 0.280 | 0.279 | 0.000 | 73.033 | -5.060 |
| 0.280 | 0.280 | 0.279 | 0.000 | -5.060 | 69.454 |
| 181.904 | 42.995 | 46.574 | -5.060 | -0.000 | 0.000 |
| 42.995 | 181.904 | 46.574 | 5.060 | 0.000 | 0.000 |
| 46.574 | 46.574 | 178.326 | 0.000 | 0.000 | 0.000 |
| -5.088 | 5.032 | -0.028 | 73.033 | -0.000 | 0.000 |
| 0.000 | 0.000 | 0.000 | -0.000 | 73.033 | -5.060 |
| -0.028 | -0.028 | -0.028 | -0.000 | -5.060 | 69.454 |
| 181.962 | 43.053 | 46.631 | -5.060 | 0.000 | -0.000 |
| 43.025 | 181.934 | 46.603 | 5.060 | 0.000 | -0.000 |
| 46.631 | 46.631 | 178.384 | -0.000 | 0.000 | -0.000 |
| -5.032 | 5.088 | 0.028 | 73.033 | 0.000 | -0.000 |
| -0.000 | -0.000 | -0.000 | 0.000 | 73.033 | -5.060 |
| 0.028 | 0.028 | 0.028 | 0.000 | -5.060 | 69.454 |
| 181.923 | 43.014 | 46.592 | -5.060 | -0.000 | 0.000 |
| 43.014 | 181.923 | 46.592 | 5.060 | -0.000 | 0.000 |
| 46.595 | 46.595 | 178.348 | 0.000 | -0.000 | 0.000 |
| -5.060 | 5.060 | 0.000 | 73.033 | -0.000 | 0.000 |
| -0.003 | -0.003 | -0.003 | -0.000 | 73.033 | -5.060 |
| 0.000 | 0.000 | 0.000 | -0.000 | -5.060 | 69.454 |
| 181.943 | 43.035 | 46.613 | -5.060 | 0.000 | -0.000 |
| 43.035 | 181.943 | 46.613 | 5.060 | 0.000 | -0.000 |
| 46.613 | 46.613 | 178.365 | -0.000 | 0.000 | -0.000 |
| -5.058 | 5.063 | 0.003 | 73.033 | 0.000 | -0.000 |
| 0.003 | 0.003 | 0.003 | 0.000 | 73.033 | -5.060 |
| -0.000 | -0.000 | -0.000 | 0.000 | -5.060 | 69.454 |
| 153.646 | 40.551 | 55.262 | -13.316 | 0.000 | 0.000 |
| 40.551 | 153.646 | 55.262 | 13.316 | 0.000 | 0.000 |
| 55.064 | 55.064 | 138.806 | 0.000 | 0.000 | 0.000 |
| 45.924 | -45.746 | 0.110 | -32.769 | 0.000 | 0.000 |
| 0.000 | -0.000 | -0.000 | 0.000 | 58.955 | -13.316 |
| 0.089 | 0.089 | 0.110 | 0.000 | 45.835 | 18.403 |
| 153.646 | 40.551 | 55.262 | -13.316 | -0.000 | -0.000 |
| 40.551 | 153.646 | 55.262 | 13.316 | -0.000 | -0.000 |
| 33.501 | 33.501 | 112.090 | -0.000 | -0.000 | -0.000 |
| 45.746 | -45.924 | -0.110 | -32.769 | -0.000 | -0.000 |
| -0.000 | 0.000 | 0.000 | -0.000 | 58.955 | -13.316 |
| -0.089 | -0.089 | -0.110 | -0.000 | 45.835 | 18.403 |
| 153.646 | 40.550 | 55.261 | -13.316 | 0.000 | 0.000 |
| 61.383 | 98.188 | 33.811 | -45.835 | 0.000 | 0.000 |
| 33.610 | 33.610 | 112.225 | 0.000 | 0.000 | 0.000 |
| -13.316 | 13.316 | 0.000 | 58.955 | 0.000 | 0.000 |
| 0.000 | 0.000 | 0.000 | -0.000 | 58.955 | -13.316 |
| -0.000 | -0.000 | -0.000 | -0.000 | -13.316 | 56.548 |
| 98.335 | 64.102 | 35.586 | 47.829 | -0.000 | -0.000 |
| 40.552 | 153.647 | 55.263 | 13.316 | -0.000 | -0.000 |
| 33.593 | 33.593 | 112.203 | 0.000 | -0.000 | -0.000 |
| -13.316 | 13.316 | -0.000 | 58.955 | -0.000 | -0.000 |
| -0.000 | -0.000 | -0.000 | 0.000 | 58.955 | -13.316 |
| 0.000 | 0.000 | 0.000 | 0.000 | -13.316 | 56.548 |
| 98.167 | 61.365 | 33.788 | 45.838 | 0.000 | 0.000 |
| 64.103 | 98.329 | 35.584 | -47.835 | 0.000 | 0.000 |
| 33.589 | 33.589 | 112.200 | -0.000 | 0.000 | 0.000 |
| 45.839 | -45.837 | 0.001 | -32.774 | 0.000 | 0.000 |
| 0.001 | 0.001 | 0.001 | -0.000 | -32.769 | 45.835 |
| 0.001 | 0.001 | 0.001 | 0.000 | 45.835 | 18.403 |
| 98.357 | 64.117 | 35.608 | 47.824 | -0.000 | -0.000 |
| 61.385 | 98.186 | 33.810 | -45.838 | -0.000 | -0.000 |
| 55.071 | 55.071 | 138.814 | -0.000 | -0.000 | -0.000 |
| 45.831 | -45.832 | -0.001 | -32.764 | -0.000 | -0.000 |
| -0.001 | -0.001 | -0.001 | 0.000 | -32.769 | 45.835 |
| -0.001 | -0.001 | -0.001 | -0.000 | 45.835 | 18.403 |
| 29.605 | 9.828 | 2.292 | -7.032 | -0.000 | -0.000 |
| 9.828 | 29.605 | 2.292 | 7.032 | -0.000 | -0.000 |
| 3.400 | 3.400 | -25.777 | -0.000 | -0.000 | -0.000 |
| -7.032 | 7.032 | 0.000 | 3.558 | 0.000 | -0.000 |
| 0.000 | 0.000 | 0.000 | 0.000 | 3.558 | -7.032 |
| 0.000 | 0.000 | 0.000 | 0.000 | -7.032 | 9.888 |
| 29.605 | 9.828 | 2.292 | -7.032 | 0.000 | 0.000 |
| 9.828 | 29.605 | 2.292 | 7.032 | 0.000 | 0.000 |
| 3.400 | 3.400 | -25.777 | -0.000 | 0.000 | 0.000 |
| -7.032 | 7.032 | -0.000 | 3.558 | 0.000 | 0.000 |
| -0.000 | -0.000 | -0.000 | -0.000 | 3.558 | -7.032 |
| 0.000 | -0.000 | -0.000 | -0.000 | -7.032 | 9.888 |
| 29.605 | 9.828 | 2.292 | -7.032 | 0.000 | -0.000 |
| 9.828 | 29.605 | 2.292 | 7.032 | 0.000 | -0.000 |
| 3.400 | 3.400 | -25.777 | 0.000 | -0.000 | -0.000 |
| -7.032 | 7.032 | 0.000 | 3.558 | -0.000 | -0.000 |
| 0.000 | 0.000 | 0.000 | 0.000 | 3.558 | -7.032 |
| 0.000 | 0.000 | 0.000 | -0.000 | -7.032 | 9.888 |
| 29.605 | 9.828 | 2.292 | -7.032 | -0.000 | 0.000 |
| 9.828 | 29.605 | 2.292 | 7.032 | -0.000 | 0.000 |
| 3.400 | 3.400 | -25.777 | -0.000 | -0.000 | 0.000 |
| -7.032 | 7.032 | -0.000 | 3.558 | 0.000 | 0.000 |
| -0.000 | -0.000 | -0.000 | -0.000 | 3.558 | -7.032 |
| -0.000 | -0.000 | -0.000 | 0.000 | -7.032 | 9.888 |
| 29.605 | 9.828 | 2.292 | -7.032 | -0.000 | -0.000 |
| 9.828 | 29.605 | 2.292 | 7.032 | 0.000 | -0.000 |
| 3.400 | 3.400 | -25.777 | 0.000 | -0.000 | -0.000 |
| -7.032 | 7.032 | 0.000 | 3.558 | -0.000 | -0.000 |
| 0.000 | 0.000 | 0.000 | 0.000 | 3.558 | -7.032 |
| 0.000 | 0.000 | 0.000 | -0.000 | -7.032 | 9.888 |
| 29.605 | 9.828 | 2.292 | -7.032 | -0.000 | 0.000 |
| 9.828 | 29.605 | 2.292 | 7.032 | -0.000 | 0.000 |
| 3.400 | 3.400 | -25.778 | 0.000 | -0.000 | 0.000 |
| -7.032 | 7.032 | -0.000 | 3.558 | 0.000 | 0.000 |
| -0.000 | -0.000 | -0.000 | -0.000 | 3.558 | -7.032 |
| -0.000 | -0.000 | -0.000 | 0.000 | -7.032 | 9.888 |
| 784.429 | 59.845 | 59.845 | -0.000 | -0.000 | -0.000 |
| 59.845 | 784.429 | 59.845 | -0.000 | 0.000 | -0.000 |
| 59.845 | 59.845 | 784.429 | -0.000 | -0.000 | -0.000 |
| 0.000 | 0.000 | 0.000 | 11.247 | -0.000 | -0.000 |
| 0.000 | 0.000 | 0.000 | -0.000 | 11.247 | -0.000 |
| 0.000 | 0.000 | 0.000 | -0.000 | 0.000 | 11.247 |
| 784.429 | 59.845 | 59.845 | 0.000 | -0.000 | 0.000 |
| 59.845 | 784.429 | 59.845 | 0.000 | 0.000 | 0.000 |
| 59.845 | 59.845 | 784.429 | 0.000 | 0.000 | 0.000 |
| -0.000 | -0.000 | -0.000 | 11.247 | 0.000 | 0.000 |
| -0.000 | -0.000 | -0.000 | 0.000 | 11.247 | 0.000 |
| -0.000 | -0.000 | -0.000 | 0.000 | 0.000 | 11.247 |
| 784.429 | 59.845 | 59.845 | 0.000 | -0.000 | -0.000 |
| 59.845 | 784.429 | 59.845 | -0.000 | 0.000 | -0.000 |
| 59.845 | 59.845 | 784.429 | -0.000 | -0.000 | -0.000 |
| 0.000 | -0.000 | -0.000 | 11.247 | 0.000 | -0.000 |
| -0.000 | 0.000 | -0.000 | -0.000 | 11.247 | -0.000 |
| -0.000 | -0.000 | 0.000 | -0.000 | 0.000 | 11.247 |
| 784.428 | 59.845 | 59.845 | 0.000 | -0.000 | -0.000 |
| 59.845 | 784.428 | 59.845 | 0.000 | 0.000 | 0.000 |
| 59.845 | 59.845 | 784.428 | 0.000 | -0.000 | 0.000 |
| -0.000 | 0.000 | 0.000 | 11.247 | -0.000 | 0.000 |
| 0.000 | -0.000 | 0.000 | 0.000 | 11.247 | 0.000 |
| 0.000 | 0.000 | -0.000 | 0.000 | -0.000 | 11.247 |
| 784.432 | 59.845 | 59.845 | -0.000 | 0.000 | 0.000 |
| 59.845 | 784.432 | 59.845 | 0.000 | -0.000 | -0.000 |
| 59.845 | 59.845 | 784.432 | -0.000 | 0.000 | -0.000 |
| 0.000 | -0.000 | -0.001 | 11.247 | 0.000 | 0.000 |
| -0.000 | 0.000 | -0.001 | -0.000 | 11.247 | -0.000 |
| -0.000 | -0.001 | 0.000 | -0.000 | -0.000 | 11.247 |
| 784.425 | 59.845 | 59.845 | 0.000 | -0.000 | 0.000 |
| 59.845 | 784.425 | 59.845 | 0.000 | -0.000 | 0.000 |
| 59.845 | 59.845 | 784.425 | -0.000 | -0.000 | 0.000 |
| -0.000 | 0.000 | 0.001 | 11.247 | 0.000 | 0.000 |
| 0.000 | -0.000 | 0.001 | 0.000 | 11.247 | 0.000 |
| 0.000 | 0.001 | -0.000 | 0.000 | -0.000 | 11.247 |
| 192.249 | 39.002 | 39.002 | 0.000 | -0.000 | -0.000 |
| 39.002 | 192.249 | 39.002 | 0.000 | 0.000 | -0.000 |
| 39.002 | 39.002 | 192.249 | -0.000 | 0.000 | 0.000 |
| -0.000 | 0.000 | 0.000 | 65.882 | 0.000 | -0.000 |
| 0.000 | -0.000 | 0.000 | 0.000 | 65.882 | -0.000 |
| 0.000 | 0.000 | -0.000 | -0.000 | 0.000 | 65.882 |
| 192.249 | 39.003 | 39.003 | -0.000 | -0.000 | -0.000 |
| 39.003 | 192.249 | 39.003 | -0.000 | -0.000 | 0.000 |
| 39.003 | 39.003 | 192.249 | -0.000 | 0.000 | 0.000 |
| 0.000 | 0.000 | -0.000 | 65.882 | -0.000 | 0.000 |
| 0.000 | 0.000 | -0.000 | 0.000 | 65.882 | 0.000 |
| 0.000 | -0.000 | 0.000 | -0.000 | -0.000 | 65.882 |
| 192.248 | 39.002 | 39.002 | -0.000 | 0.000 | -0.000 |
| 39.002 | 192.248 | 39.002 | -0.000 | 0.000 | 0.000 |
| 39.002 | 39.002 | 192.248 | -0.000 | 0.000 | -0.000 |
| 0.000 | 0.000 | 0.000 | 65.882 | -0.000 | -0.000 |
| 0.000 | 0.000 | 0.000 | -0.000 | 65.882 | -0.000 |
| 0.000 | 0.000 | 0.000 | -0.000 | 0.000 | 65.882 |
| 192.250 | 39.003 | 39.003 | 0.000 | 0.000 | 0.000 |
| 39.003 | 192.250 | 39.003 | -0.000 | -0.000 | 0.000 |
| 39.003 | 39.003 | 192.250 | 0.000 | 0.000 | -0.000 |
| -0.000 | -0.000 | -0.000 | 65.882 | -0.000 | -0.000 |
| -0.000 | -0.000 | -0.000 | -0.000 | 65.882 | 0.000 |
| -0.000 | -0.000 | -0.000 | -0.000 | -0.000 | 65.882 |
| 192.242 | 38.995 | 38.995 | 0.000 | 0.000 | -0.000 |
| 38.995 | 192.242 | 38.995 | 0.000 | 0.000 | -0.000 |
| 38.995 | 38.995 | 192.242 | -0.000 | 0.000 | -0.000 |
| 0.000 | 0.000 | 0.000 | 65.882 | -0.000 | -0.000 |
| 0.000 | 0.000 | 0.000 | 0.000 | 65.882 | -0.000 |
| 0.000 | 0.000 | 0.000 | 0.000 | 0.000 | 65.882 |
| 192.256 | 39.010 | 39.010 | -0.000 | -0.000 | 0.000 |
| 39.010 | 192.256 | 39.010 | 0.000 | 0.000 | 0.000 |
| 39.010 | 39.010 | 192.256 | 0.000 | -0.000 | 0.000 |
| -0.000 | -0.000 | -0.000 | 65.882 | 0.000 | 0.000 |
| -0.000 | -0.000 | -0.000 | 0.000 | 65.882 | 0.000 |
| -0.000 | -0.000 | -0.000 | -0.000 | -0.000 | 65.882 |
| 334.391 | 331.845 | 331.845 | -0.000 | -0.000 | 0.000 |
| 331.845 | 334.391 | 331.845 | -0.000 | -0.000 | 0.000 |
| 331.845 | 331.845 | 334.391 | -0.000 | -0.000 | -0.000 |
| 0.000 | 0.000 | 0.000 | -3.328 | -0.000 | 0.000 |
| 0.000 | 0.000 | 0.000 | -0.000 | -3.328 | 0.000 |
| 0.000 | 0.000 | 0.000 | -0.000 | 0.000 | -3.328 |
| 334.391 | 331.845 | 331.845 | 0.000 | 0.000 | 0.000 |
| 331.845 | 334.391 | 331.845 | 0.000 | 0.000 | -0.000 |
| 331.845 | 331.845 | 334.391 | 0.000 | -0.000 | -0.000 |
| -0.000 | -0.000 | -0.000 | -3.328 | -0.000 | -0.000 |
| -0.000 | -0.000 | -0.000 | 0.000 | -3.328 | 0.000 |
| -0.000 | -0.000 | -0.000 | 0.000 | 0.000 | -3.328 |
| 334.392 | 331.845 | 331.845 | -0.000 | -0.000 | -0.000 |
| 331.845 | 334.392 | 331.845 | -0.000 | 0.000 | 0.000 |
| 331.845 | 331.845 | 334.392 | -0.000 | -0.000 | -0.000 |
| 0.000 | 0.000 | 0.000 | -3.328 | -0.000 | 0.000 |
| 0.000 | 0.000 | 0.000 | -0.000 | -3.328 | -0.000 |
| 0.000 | 0.000 | 0.000 | 0.000 | -0.000 | -3.328 |
| 334.389 | 331.845 | 331.845 | 0.000 | 0.000 | -0.000 |
| 331.845 | 334.389 | 331.845 | 0.000 | -0.000 | -0.000 |
| 331.845 | 331.845 | 334.389 | 0.000 | 0.000 | -0.000 |
| -0.000 | -0.000 | -0.000 | -3.328 | 0.000 | -0.000 |
| -0.000 | -0.000 | -0.000 | 0.000 | -3.328 | -0.000 |
| -0.000 | -0.000 | -0.000 | -0.000 | -0.000 | -3.328 |
| 334.403 | 331.846 | 331.846 | -0.000 | 0.000 | -0.000 |
| 331.846 | 334.403 | 331.846 | 0.000 | -0.000 | -0.000 |
| 331.846 | 331.846 | 334.403 | 0.000 | -0.000 | 0.000 |
| 0.002 | 0.002 | 0.002 | -3.328 | -0.000 | 0.000 |
| 0.002 | 0.002 | 0.002 | -0.000 | -3.328 | 0.000 |
| 0.002 | 0.002 | 0.002 | -0.000 | 0.000 | -3.328 |
| 334.378 | 331.844 | 331.844 | 0.000 | -0.000 | -0.000 |
| 331.844 | 334.378 | 331.844 | 0.000 | 0.000 | 0.000 |
| 331.844 | 331.844 | 334.378 | 0.000 | -0.000 | 0.000 |
| -0.002 | -0.002 | -0.002 | -3.328 | -0.000 | -0.000 |
| -0.002 | -0.002 | -0.002 | 0.000 | -3.328 | -0.000 |
| -0.002 | -0.002 | -0.002 | 0.000 | -0.000 | -3.328 |
| 266.423 | 256.048 | 256.048 | 0.000 | -0.000 | -0.000 |
| 256.048 | 266.423 | 256.048 | 0.000 | -0.000 | -0.000 |
| 256.048 | 256.048 | 266.423 | 0.000 | -0.000 | -0.000 |
| -0.000 | -0.000 | -0.000 | -1.707 | -0.000 | -0.000 |
| -0.000 | -0.000 | -0.000 | 0.000 | -1.707 | 0.000 |
| -0.000 | -0.000 | -0.000 | -0.000 | 0.000 | -1.707 |
| 266.423 | 256.048 | 256.048 | -0.000 | -0.000 | 0.000 |
| 256.048 | 266.423 | 256.048 | -0.000 | 0.000 | 0.000 |
| 256.048 | 256.048 | 266.423 | -0.000 | 0.000 | 0.000 |
| 0.000 | 0.000 | 0.000 | -1.707 | -0.000 | 0.000 |
| 0.000 | 0.000 | 0.000 | -0.000 | -1.707 | 0.000 |
| 0.000 | 0.000 | 0.000 | -0.000 | 0.000 | -1.707 |
| 266.423 | 256.049 | 256.049 | -0.000 | 0.000 | -0.000 |
| 256.049 | 266.423 | 256.049 | 0.000 | -0.000 | -0.000 |
| 256.049 | 256.049 | 266.423 | -0.000 | 0.000 | -0.000 |
| -0.000 | -0.000 | -0.000 | -1.707 | 0.000 | -0.000 |
| -0.000 | -0.000 | -0.000 | 0.000 | -1.707 | -0.000 |
| -0.000 | -0.000 | -0.000 | 0.000 | 0.000 | -1.707 |
| 266.424 | 256.048 | 256.048 | -0.000 | -0.000 | 0.000 |
| 256.048 | 266.424 | 256.048 | -0.000 | -0.000 | -0.000 |
| 256.048 | 256.048 | 266.424 | -0.000 | 0.000 | 0.000 |
| 0.000 | 0.000 | 0.000 | -1.707 | 0.000 | 0.000 |
| 0.000 | 0.000 | 0.000 | -0.000 | -1.707 | -0.000 |
| 0.000 | 0.000 | 0.000 | -0.000 | 0.000 | -1.707 |
| 266.417 | 256.050 | 256.050 | 0.000 | 0.000 | -0.000 |
| 256.050 | 266.417 | 256.050 | 0.000 | 0.000 | -0.000 |
| 256.050 | 256.050 | 266.417 | 0.000 | 0.000 | -0.000 |
| -0.001 | -0.001 | -0.001 | -1.707 | 0.000 | -0.000 |
| -0.001 | -0.001 | -0.001 | 0.000 | -1.707 | 0.000 |
| -0.001 | -0.001 | -0.001 | -0.000 | 0.000 | -1.707 |
| 266.429 | 256.047 | 256.047 | -0.000 | -0.000 | 0.000 |
| 256.047 | 266.429 | 256.047 | -0.000 | -0.000 | 0.000 |
| 256.047 | 256.047 | 266.429 | -0.000 | -0.000 | 0.000 |
| 0.001 | 0.001 | 0.001 | -1.707 | 0.000 | 0.000 |
| 0.001 | 0.001 | 0.001 | -0.000 | -1.707 | 0.000 |
| 0.001 | 0.001 | 0.001 | -0.000 | 0.000 | -1.707 |
| 120.142 | 124.262 | 124.262 | 0.000 | 0.000 | 0.000 |
| 124.262 | 120.142 | 124.262 | 0.000 | 0.000 | -0.000 |
| 124.262 | 124.262 | 120.142 | -0.000 | -0.000 | -0.000 |
| -0.000 | -0.000 | -0.000 | 0.003 | 0.000 | -0.000 |
| -0.000 | -0.000 | -0.000 | 0.000 | 0.003 | -0.000 |
| -0.000 | -0.000 | -0.000 | -0.000 | -0.000 | 0.003 |
| 120.143 | 124.262 | 124.262 | -0.000 | 0.000 | -0.000 |
| 124.262 | 120.143 | 124.262 | 0.000 | -0.000 | 0.000 |
| 124.262 | 124.262 | 120.143 | -0.000 | -0.000 | -0.000 |
| 0.000 | 0.000 | 0.000 | 0.003 | -0.000 | 0.000 |
| 0.000 | 0.000 | 0.000 | -0.000 | 0.003 | 0.000 |
| 0.000 | 0.000 | 0.000 | 0.000 | 0.000 | 0.003 |
| 120.142 | 124.261 | 124.261 | 0.000 | 0.000 | 0.000 |
| 124.261 | 120.142 | 124.261 | 0.000 | 0.000 | 0.000 |
| 124.261 | 124.261 | 120.142 | 0.000 | 0.000 | -0.000 |
| -0.000 | -0.000 | -0.000 | 0.003 | -0.000 | 0.000 |
| -0.000 | -0.000 | -0.000 | -0.000 | 0.003 | -0.000 |
| -0.000 | -0.000 | -0.000 | -0.000 | 0.000 | 0.003 |
| 120.143 | 124.262 | 124.262 | 0.000 | 0.000 | -0.000 |
| 124.262 | 120.143 | 124.262 | 0.000 | -0.000 | -0.000 |
| 124.262 | 124.262 | 120.143 | -0.000 | -0.000 | -0.000 |
| 0.000 | 0.000 | 0.000 | 0.003 | -0.000 | -0.000 |
| 0.000 | 0.000 | 0.000 | -0.000 | 0.003 | 0.000 |
| 0.000 | 0.000 | 0.000 | 0.000 | -0.000 | 0.003 |
| 120.139 | 124.258 | 124.258 | -0.000 | 0.000 | 0.000 |
| 124.258 | 120.139 | 124.258 | -0.000 | -0.000 | 0.000 |
| 124.258 | 124.258 | 120.139 | -0.000 | -0.000 | -0.000 |
| -0.000 | -0.000 | -0.000 | 0.003 | -0.000 | -0.000 |
| -0.000 | -0.000 | -0.000 | -0.000 | 0.003 | -0.000 |
| -0.000 | -0.000 | -0.000 | 0.000 | -0.000 | 0.003 |
| 120.146 | 124.266 | 124.266 | -0.000 | 0.000 | 0.000 |
| 124.266 | 120.146 | 124.266 | 0.000 | -0.000 | -0.000 |
| 124.266 | 124.266 | 120.146 | -0.000 | -0.000 | -0.000 |
| 0.000 | 0.000 | 0.000 | 0.003 | -0.000 | -0.000 |
| 0.000 | 0.000 | 0.000 | -0.000 | 0.003 | 0.000 |
| 0.000 | 0.000 | 0.000 | -0.000 | 0.000 | 0.003 |
| 81.270 | 81.234 | 81.234 | 0.000 | -0.000 | 0.000 |
| 81.234 | 81.270 | 81.234 | 0.000 | 0.000 | 0.000 |
| 81.234 | 81.234 | 81.270 | 0.000 | 0.000 | 0.000 |
| 0.000 | 0.000 | 0.000 | 0.000 | -0.000 | 0.000 |
| 0.000 | 0.000 | 0.000 | 0.000 | 0.000 | 0.000 |
| 0.000 | 0.000 | 0.000 | -0.000 | -0.000 | 0.000 |
| 81.270 | 81.234 | 81.234 | -0.000 | -0.000 | -0.000 |
| 81.234 | 81.270 | 81.234 | 0.000 | 0.000 | -0.000 |
| 81.234 | 81.234 | 81.270 | 0.000 | -0.000 | -0.000 |
| -0.000 | -0.000 | -0.000 | 0.000 | 0.000 | 0.000 |
| -0.000 | -0.000 | -0.000 | 0.000 | 0.000 | -0.000 |
| -0.000 | -0.000 | -0.000 | 0.000 | 0.000 | 0.000 |
| 81.271 | 81.235 | 81.235 | -0.000 | -0.000 | 0.000 |
| 81.235 | 81.271 | 81.235 | 0.000 | -0.000 | 0.000 |
| 81.235 | 81.235 | 81.271 | 0.000 | 0.000 | 0.000 |
| -0.000 | -0.000 | -0.000 | 0.000 | -0.000 | 0.000 |
| -0.000 | -0.000 | -0.000 | 0.000 | 0.000 | -0.000 |
| -0.000 | -0.000 | -0.000 | 0.000 | -0.000 | 0.000 |
| 81.270 | 81.234 | 81.234 | -0.000 | 0.000 | -0.000 |
| 81.234 | 81.270 | 81.234 | 0.000 | -0.000 | -0.000 |
| 81.234 | 81.234 | 81.270 | 0.000 | -0.000 | -0.000 |
| 0.000 | 0.000 | 0.000 | 0.000 | 0.000 | 0.000 |
| 0.000 | 0.000 | 0.000 | -0.000 | 0.000 | 0.000 |
| 0.000 | 0.000 | 0.000 | 0.000 | 0.000 | 0.000 |
| 81.274 | 81.237 | 81.237 | -0.000 | 0.000 | -0.000 |
| 81.237 | 81.274 | 81.237 | 0.000 | -0.000 | 0.000 |
| 81.237 | 81.237 | 81.274 | -0.000 | -0.000 | -0.000 |
| -0.000 | -0.000 | -0.000 | 0.000 | -0.000 | 0.000 |
| -0.000 | -0.000 | -0.000 | -0.000 | 0.000 | 0.000 |
| -0.000 | -0.000 | -0.000 | 0.000 | -0.000 | 0.000 |
| 81.267 | 81.232 | 81.232 | -0.000 | -0.000 | -0.000 |
| 81.232 | 81.267 | 81.232 | -0.000 | 0.000 | -0.000 |
| 81.232 | 81.232 | 81.267 | -0.000 | -0.000 | -0.000 |
| 0.000 | 0.000 | 0.000 | 0.000 | 0.000 | -0.000 |
| 0.000 | 0.000 | 0.000 | -0.000 | 0.000 | -0.000 |
| 0.000 | 0.000 | 0.000 | 0.000 | -0.000 | 0.000 |
| 119.565 | 70.228 | 70.228 | 0.000 | 0.000 | 0.000 |
| 70.228 | 119.565 | 70.228 | -0.000 | -0.000 | -0.000 |
| 70.228 | 70.228 | 119.565 | -0.000 | -0.000 | -0.000 |
| 0.000 | -0.000 | 0.000 | 16.556 | 0.000 | -0.000 |
| -0.000 | 0.000 | 0.000 | -0.000 | 16.556 | -0.000 |
| -0.000 | -0.000 | 0.000 | -0.000 | -0.000 | 16.556 |
| 144.241 | 57.890 | 57.890 | -0.000 | 0.000 | 0.000 |
| 57.890 | 144.241 | 57.890 | -0.000 | 0.000 | -0.000 |
| 57.890 | 57.890 | 144.241 | -0.000 | 0.000 | 0.000 |
| -0.000 | 0.000 | -0.000 | 16.556 | 0.000 | 0.000 |
| 0.000 | -0.000 | -0.000 | -0.000 | 16.556 | 0.000 |
| 0.000 | 0.000 | -0.000 | -0.000 | 0.000 | 16.556 |
| 119.565 | 70.228 | 70.228 | 0.000 | 0.000 | -0.000 |
| 70.228 | 119.565 | 70.228 | 0.000 | -0.000 | -0.000 |
| 70.228 | 70.228 | 119.565 | -0.000 | -0.000 | -0.000 |
| 0.000 | -0.000 | -0.000 | 16.556 | 0.000 | -0.000 |
| -0.000 | 0.000 | -0.000 | 0.000 | 16.556 | -0.000 |
| -0.000 | -0.000 | 0.000 | 0.000 | -0.000 | 16.556 |
| 119.565 | 70.228 | 70.228 | -0.000 | 0.000 | 0.000 |
| 70.228 | 119.565 | 70.228 | -0.000 | 0.000 | 0.000 |
| 70.228 | 70.228 | 119.565 | -0.000 | 0.000 | 0.000 |
| -0.000 | 0.000 | 0.000 | 16.556 | 0.000 | -0.000 |
| 0.000 | -0.000 | 0.000 | 0.000 | 16.556 | 0.000 |
| 0.000 | 0.000 | -0.000 | -0.000 | 0.000 | 16.556 |
| 119.564 | 70.227 | 70.227 | 0.000 | -0.000 | -0.000 |
| 70.227 | 119.564 | 70.227 | 0.000 | 0.000 | -0.000 |
| 70.227 | 70.227 | 119.564 | 0.000 | -0.000 | -0.000 |
| 0.000 | -0.000 | -0.000 | 16.556 | -0.000 | -0.000 |
| -0.000 | 0.000 | -0.000 | -0.000 | 16.556 | -0.000 |
| -0.000 | -0.000 | 0.000 | 0.000 | -0.000 | 16.556 |
| 119.566 | 70.229 | 70.229 | -0.000 | -0.000 | 0.000 |
| 70.229 | 119.566 | 70.229 | -0.000 | 0.000 | 0.000 |
| 70.229 | 70.229 | 119.566 | -0.000 | 0.000 | 0.000 |
| -0.000 | 0.000 | 0.000 | 16.556 | 0.000 | 0.000 |
| 0.000 | -0.000 | 0.000 | 0.000 | 16.556 | 0.000 |
| 0.000 | 0.000 | -0.000 | -0.000 | 0.000 | 16.556 |
| 190.877 | 41.725 | 68.366 | 0.000 | 17.766 | 0.000 |
| 43.343 | 226.035 | 66.141 | -0.000 | -16.050 | -0.000 |
| 66.483 | 66.141 | 174.901 | 0.000 | 18.684 | 0.000 |
| -0.427 | 0.317 | -0.103 | 35.548 | -0.077 | 1.824 |
| 11.832 | -16.050 | 18.684 | 0.000 | 58.854 | 0.000 |
| 0.000 | -0.000 | -0.000 | -15.376 | 0.000 | 37.856 |
| 104.747 | 65.014 | 81.548 | 0.000 | 5.317 | 0.000 |
| 43.343 | 226.035 | 66.141 | -0.000 | -16.050 | -0.000 |
| 77.396 | 82.763 | 157.234 | -0.000 | 10.841 | -0.000 |
| 0.427 | -0.317 | 0.103 | 35.548 | 0.077 | 1.824 |
| 5.912 | 1.677 | 9.775 | -0.000 | 30.731 | -0.000 |
| -0.000 | 0.000 | 0.000 | -15.376 | -0.000 | 37.856 |
| 116.861 | 72.422 | 78.849 | 0.000 | 13.938 | -0.000 |
| 43.343 | 226.035 | 66.141 | -0.000 | -16.050 | 0.000 |
| 76.924 | 83.259 | 157.002 | 0.000 | 10.698 | -0.000 |
| 0.000 | -0.000 | 0.000 | 71.313 | -0.000 | -15.376 |
| 4.925 | 0.459 | 8.435 | 0.000 | 30.047 | 0.000 |
| -0.055 | 0.032 | -0.021 | 2.656 | -0.022 | 20.791 |
| 104.041 | 65.292 | 81.352 | 0.000 | 5.012 | -0.000 |
| 68.314 | 173.835 | 82.050 | -0.000 | -2.078 | 0.000 |
| 77.010 | 83.168 | 157.044 | -0.000 | 10.724 | -0.000 |
| -0.000 | 0.000 | -0.000 | 71.313 | 0.000 | -15.376 |
| 5.267 | 1.985 | 9.588 | 0.000 | 30.509 | 0.000 |
| 0.055 | -0.032 | 0.021 | 2.656 | 0.022 | 20.791 |
| 103.954 | 65.328 | 81.329 | 0.000 | 4.974 | 0.000 |
| 43.343 | 226.035 | 66.141 | 0.000 | -16.050 | -0.000 |
| 66.483 | 66.141 | 174.902 | 0.000 | 18.684 | 0.000 |
| -0.004 | 0.003 | -0.001 | 35.551 | -0.001 | 1.823 |
| 5.189 | 2.022 | 9.565 | 0.000 | 30.482 | 0.000 |
| -0.005 | 0.004 | -0.001 | 4.173 | -0.001 | 22.089 |
| 98.565 | 66.105 | 78.239 | 0.000 | 7.232 | 0.000 |
| 43.343 | 226.034 | 66.141 | -0.000 | -16.050 | -0.000 |
| 66.482 | 66.141 | 174.900 | -0.000 | 18.684 | -0.000 |
| 0.004 | -0.003 | 0.001 | 35.551 | 0.001 | 1.823 |
| 10.686 | 0.576 | 9.842 | -0.000 | 31.527 | 0.000 |
| 0.005 | -0.004 | 0.001 | 4.173 | 0.001 | 22.089 |
| -172.949 | -197.184 | -718.454 | -0.000 | -576.426 | 0.000 |
| -325.039 | -136.593 | -623.151 | -0.000 | -532.666 | -0.000 |
| 239.829 | -403.067 | -333.744 | -0.000 | -279.693 | 0.000 |
| 0.000 | -0.000 | -0.000 | 70.527 | 0.000 | -16.265 |
| -266.541 | -258.764 | -801.892 | -0.000 | -560.521 | 0.000 |
| 0.000 | -0.000 | -0.000 | -16.356 | 0.000 | 39.011 |
| -43.424 | 560.310 | 555.088 | 0.000 | 289.648 | 0.000 |
| -84.236 | 658.653 | 568.534 | 0.000 | 290.824 | -0.000 |
| -77.463 | 573.903 | 620.030 | 0.000 | 289.745 | -0.000 |
| -0.000 | 0.000 | 0.000 | 70.527 | -0.000 | -16.265 |
| -152.540 | 490.258 | 480.943 | 0.000 | 308.967 | 0.000 |
| -0.000 | 0.000 | 0.000 | -16.356 | -0.000 | 39.011 |
| 64.731 | 49.126 | 5.374 | -0.000 | -57.554 | 0.000 |
| 44.084 | 230.022 | 70.237 | -0.000 | -14.934 | 0.000 |
| 66.308 | 69.606 | 169.163 | -0.000 | 18.020 | 0.000 |
| 15.447 | -47.577 | -46.438 | 25.731 | -27.726 | 4.356 |
| -46.565 | -30.708 | -65.416 | -0.000 | -29.641 | 0.000 |
| -0.000 | -0.000 | -0.000 | -16.356 | 0.000 | 39.011 |
| 186.999 | 43.994 | 70.225 | 0.000 | 12.940 | -0.000 |
| 44.084 | 230.022 | 70.237 | 0.000 | -14.934 | -0.000 |
| 66.308 | 69.606 | 169.163 | 0.000 | 18.020 | -0.000 |
| -15.447 | 47.577 | 46.438 | 25.731 | 27.726 | 4.356 |
| 7.281 | -14.843 | 18.020 | -0.000 | 56.873 | -0.000 |
| 0.000 | 0.000 | 0.000 | -16.356 | -0.000 | 39.011 |
| 103.683 | 68.726 | 77.132 | 0.000 | -3.459 | -0.000 |
| 70.347 | 175.442 | 79.912 | -0.000 | -2.660 | 0.000 |
| 82.112 | 81.444 | 140.013 | -0.000 | 3.111 | 0.000 |
| -1.660 | -2.748 | -6.549 | 35.121 | -4.606 | 1.170 |
| 7.115 | -1.369 | 0.827 | -0.000 | 22.107 | 0.000 |
| 1.369 | -4.217 | -4.116 | 1.921 | -2.457 | 23.362 |
| 113.870 | 71.127 | 90.371 | 0.000 | 7.613 | -0.000 |
| 44.083 | 230.022 | 70.237 | 0.000 | -14.934 | -0.000 |
| 83.010 | 86.732 | 148.766 | 0.000 | 6.834 | -0.000 |
| 1.660 | 2.748 | 6.549 | 35.121 | 4.606 | 1.170 |
| 4.269 | 6.074 | 11.190 | 0.000 | 30.795 | -0.000 |
| -1.369 | 4.217 | 4.116 | 1.921 | 2.457 | 23.362 |
| 95.017 | 876.998 | 1482.220 | 0.000 | -0.000 | 0.000 |
| 60.845 | 211.825 | 167.326 | 0.000 | -0.000 | 0.000 |
| 65.647 | 166.903 | 226.132 | 0.000 | -0.000 | 0.000 |
| 0.000 | -0.000 | 0.000 | 38.915 | -0.000 | 0.000 |
| -4.467 | 587.920 | 1296.948 | 0.000 | 71.648 | 0.000 |
| -4.467 | 587.914 | 1296.934 | 0.000 | -0.000 | 84.679 |
| 158.598 | -522.851 | -1228.227 | 0.000 | 0.000 | -0.000 |
| 60.844 | 211.824 | 167.325 | -0.000 | 0.000 | -0.000 |
| 71.781 | -447.935 | -1119.769 | -0.000 | 0.000 | -0.000 |
| -0.000 | 0.000 | -0.000 | 38.915 | 0.000 | -0.000 |
| 4.467 | -587.920 | -1296.948 | -0.000 | 71.648 | -0.000 |
| 4.467 | -587.914 | -1296.934 | -0.000 | 0.000 | 84.679 |
| 153.669 | 124.027 | 198.669 | 0.000 | -0.000 | 0.000 |
| 60.846 | 211.827 | 167.328 | 0.000 | 0.000 | 0.000 |
| 65.388 | 205.357 | 311.179 | 0.000 | -0.000 | 0.000 |
| -0.463 | 60.922 | 134.393 | 16.316 | -0.000 | 0.000 |
| 0.000 | 0.000 | 0.000 | 0.000 | 74.275 | 0.000 |
| 0.000 | 0.000 | 0.000 | 0.000 | -0.000 | 84.685 |
| 155.196 | 60.289 | 65.514 | 0.000 | -0.000 | -0.000 |
| 65.632 | 123.900 | 2.759 | 0.000 | 0.000 | -0.000 |
| 65.646 | 166.901 | 226.129 | -0.000 | 0.000 | -0.000 |
| 0.463 | -60.922 | -134.393 | 16.316 | 0.000 | -0.000 |
| -0.000 | -0.000 | -0.000 | -0.000 | 74.275 | -0.000 |
| -0.000 | -0.000 | -0.000 | -0.000 | 0.000 | 84.685 |
| 152.134 | 78.673 | 85.146 | 0.000 | -0.000 | 0.000 |
| 70.427 | 168.116 | 136.723 | 0.000 | -0.000 | 0.000 |
| 67.478 | 144.376 | 188.139 | -0.000 | -0.000 | 0.000 |
| -880154.667 | 395156.876 | 299497.322 | -470322.726 | -0.000 | 0.000 |
| -0.047 | 6.266 | 13.824 | 0.000 | 71.476 | 0.000 |
| -0.565 | 8.023 | 14.099 | 0.000 | -0.000 | 84.683 |
| 155.187 | 60.279 | 65.504 | -0.000 | -0.000 | -0.000 |
| 71.711 | 152.544 | 111.001 | -0.000 | 0.000 | -0.000 |
| 67.429 | 133.332 | 163.093 | -0.000 | 0.000 | -0.000 |
| 880154.667 | -395156.876 | -299497.322 | -470322.726 | 0.000 | -0.000 |
| 0.047 | -6.266 | -13.824 | -0.000 | 71.476 | -0.000 |
| 0.565 | -8.023 | -14.099 | -0.000 | 0.000 | 84.683 |
| 150.580 | 67.433 | 66.775 | 0.000 | -0.000 | 0.000 |
| 58.054 | 208.762 | 163.550 | -0.000 | -0.000 | 0.000 |
| 62.588 | 163.242 | 221.123 | -0.000 | -0.000 | 0.000 |
| 0.000 | 0.000 | 0.000 | 38.469 | -0.000 | 0.000 |
| -0.032 | 0.165 | 0.130 | 0.000 | 71.112 | 0.000 |
| -0.025 | 0.130 | 0.102 | -0.000 | -0.000 | 84.185 |
| 150.721 | 66.720 | 66.237 | 0.000 | 0.000 | -0.000 |
| 58.054 | 208.762 | 163.550 | 0.000 | 0.000 | -0.000 |
| 62.588 | 163.242 | 221.123 | -0.000 | 0.000 | -0.000 |
| -0.000 | -0.000 | -0.000 | 38.469 | 0.000 | -0.000 |
| 0.032 | -0.165 | -0.130 | -0.000 | 71.112 | -0.000 |
| 0.025 | -0.130 | -0.102 | -0.000 | 0.000 | 84.185 |
| 150.614 | 67.701 | 67.718 | 0.000 | -0.000 | 0.000 |
| 65.716 | 162.963 | 116.656 | -0.000 | -0.000 | 0.000 |
| 64.467 | 136.491 | 171.712 | 0.000 | -0.000 | 0.000 |
| -0.008 | 0.039 | 0.031 | -20.984 | -0.000 | 0.000 |
| -0.003 | 0.017 | 0.013 | 0.000 | 71.113 | 0.000 |
| -0.002 | 0.011 | 0.008 | 0.000 | -0.000 | 84.185 |
| 152.904 | 57.576 | 62.418 | 0.000 | 0.000 | -0.000 |
| 58.053 | 208.761 | 163.549 | 0.000 | 0.000 | -0.000 |
| 62.587 | 163.241 | 221.122 | -0.000 | 0.000 | -0.000 |
| 0.008 | -0.039 | -0.031 | -20.984 | 0.000 | -0.000 |
| 0.003 | -0.017 | -0.013 | -0.000 | 71.113 | -0.000 |
| 0.002 | -0.011 | -0.008 | 0.000 | 0.000 | 84.185 |
| 150.654 | 67.085 | 66.512 | 0.000 | -0.000 | 0.000 |
| 58.060 | 208.771 | 163.559 | 0.000 | -0.000 | 0.000 |
| 62.595 | 163.252 | 221.134 | 0.000 | -0.000 | 0.000 |
| -861272.891 | 417076.647 | 279861.744 | -466115.005 | 0.000 | 0.000 |
| 0.000 | 0.002 | 0.002 | 0.000 | 71.113 | 0.000 |
| -0.000 | 0.001 | 0.001 | -0.000 | -0.000 | 84.185 |
| 150.646 | 67.070 | 66.499 | 0.000 | 0.000 | -0.000 |
| 68.143 | 157.056 | 122.852 | 0.000 | 0.000 | -0.000 |
| 64.465 | 136.464 | 171.686 | 0.000 | 0.000 | -0.000 |
| 861272.891 | -417076.647 | -279861.744 | -466115.005 | 0.000 | -0.000 |
| -0.000 | -0.002 | -0.002 | 0.000 | 71.113 | -0.000 |
| 0.000 | -0.001 | -0.001 | 0.000 | 0.000 | 84.185 |
| 305.406 | 326.574 | 260.770 | -3.050 | 0.000 | -0.000 |
| 297.566 | 278.232 | 280.753 | 3.065 | 0.000 | -0.000 |
| 280.833 | 280.833 | 383.822 | -0.000 | -0.000 | -0.000 |
| -3.065 | 3.065 | -0.000 | -5.566 | 0.000 | -0.000 |
| -0.000 | -0.000 | -0.000 | 0.000 | -5.566 | -3.065 |
| -0.000 | -0.000 | -0.000 | 0.000 | -3.065 | -9.667 |
| 240.274 | 275.725 | 302.022 | -2.934 | -0.000 | 0.000 |
| 268.620 | 247.452 | 301.996 | 3.050 | 0.000 | 0.000 |
| 252.520 | 252.520 | 403.962 | 0.000 | -0.000 | 0.000 |
| -31.994 | -25.894 | 20.590 | -5.567 | -0.000 | 0.000 |
| 0.000 | 0.000 | 0.000 | -0.000 | -5.566 | -3.065 |
| 0.000 | 0.000 | 0.000 | -0.000 | -3.065 | -9.667 |
| 278.233 | 297.568 | 280.754 | -3.065 | 0.000 | -0.000 |
| 301.206 | 279.592 | 278.977 | 3.046 | 0.000 | -0.000 |
| 280.834 | 280.834 | 383.823 | -0.000 | -0.000 | -0.000 |
| -3.065 | 3.065 | 0.000 | -5.566 | -0.000 | -0.000 |
| 2.894 | 2.894 | -2.059 | 0.000 | -5.567 | -3.050 |
| 3.655 | 3.655 | -2.600 | 0.000 | -2.917 | -18.781 |
| 278.231 | 297.565 | 280.751 | -3.065 | -0.000 | 0.000 |
| 297.565 | 278.231 | 280.751 | 3.065 | -0.000 | 0.000 |
| 280.831 | 280.831 | 383.820 | 0.000 | 0.000 | 0.000 |
| -5.944 | 0.155 | 2.059 | -5.567 | 0.000 | 0.000 |
| -2.894 | -2.894 | 2.059 | -0.000 | -5.567 | -3.050 |
| -3.655 | -3.655 | 2.600 | -0.000 | -2.917 | -18.781 |
| 16116687.933 | 16074002.091 | 14663134.677 | -79675.810 | -18124.327 | 20456.295 |
| 13737289.828 | 13845750.413 | 13599220.813 | 12526.733 | -15898.202 | 29101.197 |
| 281.767 | 281.767 | 383.182 | -0.000 | -0.000 | -0.000 |
| -2.643 | 3.225 | -0.207 | -5.568 | -0.000 | -0.000 |
| -0.000 | -0.000 | 0.000 | 0.000 | -5.566 | -3.065 |
| -0.000 | -0.000 | -0.000 | 0.000 | -3.065 | -9.667 |
| 278.220 | 297.554 | 280.740 | -3.065 | 0.000 | 0.000 |
| 297.553 | 278.220 | 280.740 | 3.065 | -0.000 | 0.000 |
| 280.819 | 280.819 | 383.806 | 0.000 | 0.000 | 0.000 |
| -3.065 | 3.065 | -0.000 | -5.566 | 0.000 | 0.000 |
| 0.000 | 0.000 | -0.000 | -0.000 | -5.566 | -3.065 |
| 0.000 | 0.000 | 0.000 | -0.000 | -3.065 | -9.667 |
| 145.302 | 55.309 | 61.791 | -0.000 | -0.000 | -0.000 |
| 57.604 | 142.195 | 68.432 | -0.000 | -0.000 | -0.000 |
| 47.129 | 52.899 | 110.152 | -0.000 | 0.000 | -0.000 |
| -0.000 | 0.000 | -0.000 | 42.069 | -0.000 | 0.000 |
| 0.000 | -0.000 | 0.000 | 0.000 | 55.540 | 0.000 |
| -4.307 | -6.275 | 8.923 | -0.000 | 0.000 | 30.633 |
| 202.567 | 46.541 | 50.629 | -0.000 | 0.000 | 0.000 |
| 46.541 | 176.982 | 41.582 | -0.000 | 0.000 | 0.000 |
| 56.940 | 65.638 | 94.625 | -0.000 | 0.000 | 0.000 |
| 0.000 | 0.000 | -0.000 | 42.069 | -0.000 | 0.000 |
| -0.000 | 0.000 | -0.000 | -0.000 | 55.540 | 0.000 |
| 4.307 | 6.275 | -8.923 | 0.000 | -0.000 | 30.633 |
| 202.567 | 46.541 | 50.629 | 0.000 | -0.000 | -0.000 |
| 63.962 | 147.482 | 58.969 | -0.000 | -0.000 | -0.000 |
| 50.629 | 41.582 | 153.584 | 0.000 | 0.000 | 0.000 |
| -0.529 | -0.770 | 1.095 | 19.782 | 0.000 | 0.000 |
| -0.462 | -0.673 | 0.957 | -0.000 | 27.544 | -0.000 |
| -0.000 | -0.000 | -0.000 | 0.000 | -0.000 | 51.529 |
| 202.567 | 46.541 | 50.629 | -0.000 | 0.000 | 0.000 |
| 63.192 | 149.091 | 58.072 | -0.000 | -0.000 | 0.000 |
| 52.742 | 60.021 | 101.782 | -0.000 | -0.000 | -0.000 |
| 0.529 | 0.770 | -1.095 | 19.782 | -0.000 | 0.000 |
| 0.462 | 0.673 | -0.957 | 0.000 | 27.544 | 0.000 |
| 0.000 | 0.000 | 0.000 | -0.000 | 0.000 | 51.529 |
| 202.567 | 46.542 | 50.630 | 0.000 | 0.000 | 0.000 |
| 46.541 | 176.982 | 41.583 | 0.000 | -0.000 | -0.000 |
| 47.818 | 56.486 | 100.250 | -0.000 | 0.000 | 0.000 |
| -0.000 | -0.000 | -0.000 | 42.069 | -0.000 | -0.000 |
| -0.046 | -0.067 | 0.096 | -0.000 | 27.543 | -0.000 |
| -0.043 | -0.063 | 0.089 | -0.000 | 0.000 | 30.737 |
| 148.411 | 62.613 | 52.115 | -0.000 | -0.000 | -0.000 |
| 62.718 | 148.524 | 58.932 | 0.000 | -0.000 | 0.000 |
| 47.749 | 58.165 | 101.176 | 0.000 | 0.000 | 0.000 |
| 0.000 | 0.000 | 0.000 | 42.069 | 0.000 | 0.000 |
| 0.046 | 0.067 | -0.096 | 0.000 | 27.543 | 0.000 |
| 0.043 | 0.063 | -0.089 | 0.000 | -0.000 | 30.737 |
| 206.763 | 42.316 | 45.738 | 0.000 | -0.000 | -0.000 |
| 40.595 | 161.318 | 36.980 | 0.000 | 0.000 | -0.000 |
| 45.606 | 38.569 | 136.193 | 0.000 | 0.000 | -0.000 |
| 0.000 | 0.000 | 0.000 | 41.992 | -0.000 | -0.000 |
| 1010.589 | 212.690 | 623.359 | -0.000 | 19.494 | -0.000 |
| 1053.857 | 196.945 | 937.393 | -0.000 | -0.000 | 30.824 |
| -864.507 | -150.531 | -579.141 | -0.000 | 0.000 | 0.000 |
| -992.230 | -70.044 | -882.758 | -0.000 | 0.000 | 0.000 |
| -973.835 | -159.118 | -548.979 | -0.000 | 0.000 | -0.000 |
| -0.000 | -0.000 | -0.000 | 41.992 | 0.000 | 0.000 |
| -1010.589 | -212.690 | -623.359 | 0.000 | 19.494 | -0.000 |
| -1053.857 | -196.945 | -937.393 | -0.000 | 0.000 | 30.824 |
| 247.768 | 81.069 | 129.978 | 0.000 | -0.000 | -0.000 |
| 40.595 | 161.318 | 36.980 | 0.000 | -0.000 | -0.000 |
| 136.953 | 73.477 | 140.137 | -0.000 | -0.000 | -0.000 |
| 105.227 | 19.615 | 94.178 | 14.589 | 0.000 | -0.000 |
| 105.401 | 19.710 | 93.601 | 0.000 | 24.185 | 0.000 |
| -0.000 | -0.000 | -0.000 | 0.000 | -0.000 | 48.179 |
| 206.763 | 42.316 | 45.738 | 0.000 | 0.000 | 0.000 |
| -39.967 | 108.096 | -8.597 | 0.000 | 0.000 | -0.000 |
| -62.681 | 33.177 | 11.270 | 0.000 | 0.000 | -0.000 |
| -105.227 | -19.615 | -94.178 | 14.589 | 0.000 | -0.000 |
| -105.401 | -19.710 | -93.601 | -0.000 | 24.185 | -0.000 |
| 0.000 | 0.000 | 0.000 | -0.000 | -0.000 | 48.179 |
| 206.763 | 42.317 | 45.739 | 0.000 | -0.000 | -0.000 |
| 68.528 | 132.199 | 58.182 | 0.000 | -0.000 | 0.000 |
| 45.607 | 38.570 | 136.194 | -0.000 | -0.000 | -0.000 |
| 9.895 | 2.083 | 6.104 | 18.057 | 0.000 | -0.000 |
| -0.000 | -0.000 | -0.000 | 0.000 | 55.007 | -0.000 |
| -0.000 | -0.000 | -0.000 | -0.000 | -0.000 | 48.179 |
| 135.393 | 54.520 | 30.242 | -0.000 | -0.000 | -0.000 |
| 40.594 | 161.317 | 36.979 | -0.000 | -0.000 | 0.000 |
| 27.150 | 50.524 | 72.616 | -0.000 | -0.000 | 0.000 |
| -9.895 | -2.083 | -6.104 | 18.057 | 0.000 | -0.000 |
| 0.000 | 0.000 | 0.000 | -0.000 | 55.007 | -0.000 |
| 0.000 | 0.000 | 0.000 | 0.000 | 0.000 | 48.179 |
| 46.861 | 54.314 | 52.748 | -2.914 | 18.460 | 9.733 |
| 40.960 | 134.210 | 50.121 | -23.592 | 2.221 | 6.285 |
| 51.969 | 75.109 | 83.890 | -14.798 | 13.789 | 13.301 |
| -22.599 | -17.250 | -7.208 | 25.503 | 3.490 | 14.010 |
| -7.755 | -6.529 | -7.794 | -8.998 | 14.196 | 30.542 |
| -0.819 | -1.889 | -3.208 | 2.499 | -12.635 | 39.486 |
| 77.549 | 64.655 | 90.259 | 11.947 | 9.076 | -27.367 |
| 81.008 | 131.665 | 88.371 | -5.779 | -11.052 | -19.115 |
| 81.838 | 58.153 | 129.733 | 11.163 | 16.173 | -24.721 |
| 21.474 | -10.445 | 34.443 | 41.606 | 1.920 | -15.358 |
| 27.197 | -4.513 | 12.502 | 3.841 | 38.485 | -0.386 |
| -0.819 | -1.889 | -3.208 | 2.499 | -12.635 | 39.486 |
| 89.474 | 62.599 | 68.526 | 2.332 | 12.736 | 3.341 |
| 63.241 | 138.721 | 58.388 | -18.803 | -4.813 | 2.336 |
| 68.110 | 61.337 | 122.773 | 2.151 | 14.665 | -3.839 |
| -0.496 | -8.765 | 2.210 | 32.524 | -0.707 | 6.154 |
| 15.769 | -7.342 | 14.598 | 0.531 | 19.884 | 7.525 |
| -4.754 | 2.431 | -8.645 | 5.715 | -3.521 | 15.165 |
| 89.475 | 62.599 | 68.525 | 2.332 | 12.736 | 3.340 |
| 58.867 | 161.774 | 44.465 | -26.316 | -6.249 | -4.673 |
| 68.942 | 59.416 | 128.497 | 4.390 | 13.672 | -5.868 |
| 1.643 | -8.717 | 3.573 | 30.406 | 0.068 | 6.144 |
| 27.197 | -4.513 | 12.502 | 3.841 | 38.485 | -0.386 |
| 1.435 | 5.322 | -6.555 | 7.482 | -4.451 | 11.585 |
| 41.109 | 55.150 | 69.821 | 4.801 | 0.528 | -3.855 |
| 64.791 | 139.007 | 59.252 | -18.254 | -5.125 | 1.328 |
| 76.358 | 63.204 | 117.386 | -0.701 | 22.406 | -0.287 |
| 0.077 | -8.529 | 2.232 | 29.403 | 0.257 | 7.845 |
| 6.364 | -11.247 | 21.599 | 1.764 | 9.367 | 2.435 |
| -2.066 | 3.769 | -7.792 | 6.541 | -3.811 | 13.254 |
| 69.965 | 62.249 | 61.330 | 1.892 | 13.983 | 3.092 |
| 60.626 | 142.218 | 57.538 | -18.646 | -2.119 | -0.627 |
| 71.943 | 60.466 | 119.112 | 0.483 | 19.651 | -1.013 |
| 1.887 | -7.915 | 3.337 | 33.424 | -1.092 | 5.303 |
| 19.111 | -7.462 | 21.986 | 2.825 | 16.569 | 6.510 |
| -0.818 | -1.889 | -3.208 | 2.499 | -12.635 | 39.486 |
| 64.075 | 55.818 | 58.115 | 0.791 | 5.127 | 1.393 |
| 44.415 | -303.952 | 283.654 | -131.157 | -4.745 | 82.080 |
| 253.192 | -206.273 | 445.910 | 2.696 | -5.648 | 153.209 |
| -67.111 | -398.971 | 136.782 | -89.038 | -58.907 | 182.124 |
| -53.472 | -401.964 | 144.821 | -110.002 | -34.802 | 180.794 |
| -112.183 | -456.774 | 171.920 | -161.626 | -33.280 | 116.723 |
| 92.791 | 459.705 | -103.460 | 101.500 | 55.989 | -177.854 |
| 52.924 | 144.546 | 42.729 | -20.306 | -5.068 | -3.969 |
| -156.333 | 305.451 | -210.208 | -9.543 | 3.355 | -150.954 |
| -205.652 | 251.556 | -329.020 | 17.395 | 0.840 | -144.774 |
| -10.294 | 367.447 | -144.795 | 178.722 | 101.018 | -82.995 |
| -205.449 | 257.130 | -332.758 | -0.852 | 0.460 | -141.477 |
| 19.532 | 5.873 | 66.517 | -19.593 | -5.291 | 10.525 |
| 52.924 | 144.546 | 42.729 | -20.306 | -5.068 | -3.969 |
| 53.685 | 9.634 | 151.969 | -3.987 | 9.744 | 11.431 |
| 2.600 | -42.527 | 21.481 | 6.657 | -2.194 | 12.858 |
| 36.994 | -25.516 | 31.992 | -2.598 | 24.151 | 19.493 |
| -6.201 | -33.518 | 6.774 | -3.465 | -6.150 | 14.217 |
| 37.562 | 92.543 | 38.294 | 17.009 | 9.413 | -10.080 |
| 52.924 | 144.546 | 42.729 | -20.306 | -5.068 | -3.969 |
| 61.231 | 47.284 | 155.830 | 12.283 | 8.841 | 1.601 |
| 2.396 | -7.011 | 12.283 | 40.910 | 3.970 | 2.104 |
| 19.984 | -3.200 | 8.841 | 3.970 | 39.828 | 1.224 |
| -20.605 | 26.489 | -35.820 | 4.982 | -3.591 | -3.367 |
| 41.684 | 57.896 | 51.076 | -3.305 | 2.101 | 1.744 |
| 59.515 | 121.362 | 56.246 | -12.601 | -5.115 | 1.425 |
| 51.345 | 51.361 | 125.168 | 0.134 | 6.421 | -1.464 |
| -0.886 | -5.988 | 4.467 | 25.125 | 0.515 | 9.071 |
| 14.761 | -7.852 | 11.609 | 1.626 | 26.229 | 6.667 |
| -0.961 | 0.948 | -4.400 | 4.489 | -4.456 | 11.196 |
| 41.831 | 63.019 | 46.724 | -1.856 | 3.443 | -1.230 |
| 53.084 | 126.083 | 49.664 | -11.887 | -5.816 | -1.081 |
| 51.389 | 58.318 | 122.050 | 4.742 | 7.641 | -4.416 |
| 0.747 | 0.110 | 0.820 | 24.890 | 2.091 | 3.587 |
| 16.346 | 0.610 | 0.275 | -0.818 | 29.858 | 2.239 |
| -0.072 | 6.288 | -6.006 | 4.304 | -3.806 | 8.510 |
| 145.717 | 50.939 | -155.063 | -0.000 | 0.000 | -0.000 |
| -63.109 | 38.639 | -89.726 | 0.000 | 0.000 | -0.000 |
| -78.354 | -78.354 | 19.753 | -0.000 | 0.000 | -0.000 |
| -0.000 | 0.000 | -0.000 | 61.492 | 0.000 | -0.000 |
| -0.000 | 0.000 | -0.000 | -0.000 | 61.492 | -0.000 |
| 151.400 | 151.400 | -89.469 | -0.000 | 0.000 | 47.404 |
| 38.639 | -63.109 | -89.726 | -0.000 | -0.000 | 0.000 |
| -252.002 | -157.181 | 23.946 | 0.000 | -0.000 | 0.000 |
| -204.709 | -204.709 | 94.422 | 0.000 | -0.000 | 0.000 |
| -0.000 | -0.000 | 0.000 | 61.492 | -0.000 | 0.000 |
| -0.000 | -0.000 | 0.000 | 0.000 | 61.492 | 0.000 |
| -151.400 | -151.400 | 89.469 | 0.000 | -0.000 | 47.404 |
| 38.639 | -63.109 | -89.726 | -0.000 | 0.000 | -0.000 |
| -89.305 | 4.438 | -71.881 | -0.000 | 0.000 | -0.000 |
| -38.991 | -38.991 | -3.509 | -0.000 | 0.000 | -0.000 |
| 0.000 | -0.000 | 0.000 | 61.492 | 0.000 | -0.000 |
| -0.000 | 0.000 | 0.000 | 0.000 | 61.492 | -0.000 |
| -0.000 | -0.000 | -0.000 | -0.000 | 0.000 | 50.874 |
| -34.288 | -102.544 | -56.525 | 0.000 | -0.000 | 0.000 |
| -117.703 | -23.104 | -55.351 | 0.000 | -0.000 | 0.000 |
| -78.353 | -78.353 | 19.753 | 0.000 | -0.000 | 0.000 |
| -0.000 | 0.000 | -0.000 | 61.492 | -0.000 | 0.000 |
| 0.000 | -0.000 | -0.000 | 0.000 | 61.492 | 0.000 |
| 0.000 | 0.000 | 0.000 | 0.000 | -0.000 | 50.874 |
| 38.635 | -63.113 | -89.730 | -0.000 | 0.000 | -0.000 |
| -85.970 | -17.713 | -66.329 | -0.000 | 0.000 | -0.000 |
| -52.553 | -52.553 | 4.500 | -0.000 | 0.000 | -0.000 |
| 0.000 | -0.000 | 0.000 | 61.492 | 0.000 | -0.000 |
| -0.000 | 0.000 | 0.000 | -0.000 | 61.492 | -0.000 |
| 1.507 | 1.506 | -0.890 | -0.000 | 0.000 | 34.128 |
| -10.242 | -104.664 | -62.996 | 0.000 | -0.000 | 0.000 |
| -104.664 | -10.242 | -62.996 | 0.000 | -0.000 | 0.000 |
| -55.561 | -55.561 | 6.290 | 0.000 | -0.000 | 0.000 |
| -0.000 | 0.000 | -0.000 | 61.492 | -0.000 | 0.000 |
| 0.000 | -0.000 | -0.000 | 0.000 | 61.492 | 0.000 |
| -1.507 | -1.506 | 0.890 | 0.000 | -0.000 | 34.128 |
| 196.485 | 138.488 | 148.141 | -0.000 | -0.000 | -0.000 |
| 138.488 | 196.485 | 148.141 | -0.000 | -0.000 | -0.000 |
| 154.476 | 154.476 | 259.405 | -0.000 | -0.000 | -0.000 |
| 0.000 | 0.000 | -0.000 | 50.368 | -0.000 | -0.000 |
| -0.000 | -0.000 | 0.000 | -0.000 | 54.272 | -0.000 |
| -0.000 | 0.000 | 0.000 | -0.000 | -0.000 | 28.998 |
| 190.460 | 133.361 | 154.682 | -0.000 | 0.000 | 0.000 |
| 133.361 | 190.460 | 154.682 | 0.000 | 0.000 | 0.000 |
| 154.476 | 154.476 | 259.405 | 0.000 | 0.000 | 0.000 |
| -0.000 | -0.000 | 0.000 | 50.368 | 0.000 | 0.000 |
| 0.000 | -0.000 | -0.000 | 0.000 | 54.272 | 0.000 |
| 0.000 | -0.000 | -0.000 | 0.000 | 0.000 | 28.998 |
| 190.461 | 133.362 | 154.683 | -0.000 | -0.000 | -0.000 |
| 133.362 | 190.461 | 154.683 | -0.000 | -0.000 | -0.000 |
| 154.477 | 154.477 | 259.406 | 0.000 | -0.000 | -0.000 |
| -0.000 | -0.000 | 0.000 | 54.272 | -0.000 | -0.000 |
| 0.000 | 0.000 | -0.000 | -0.000 | 50.368 | -0.000 |
| 0.000 | 0.000 | -0.000 | -0.000 | -0.000 | 28.998 |
| 190.460 | 133.361 | 154.682 | 0.000 | 0.000 | 0.000 |
| 133.361 | 190.460 | 154.682 | 0.000 | 0.000 | 0.000 |
| 148.141 | 148.141 | 266.838 | -0.000 | 0.000 | 0.000 |
| 0.000 | 0.000 | -0.000 | 54.272 | 0.000 | 0.000 |
| -0.000 | -0.000 | 0.000 | 0.000 | 50.368 | 0.000 |
| -0.000 | -0.000 | 0.000 | 0.000 | 0.000 | 28.998 |
| 190.465 | 133.365 | 154.686 | 0.000 | -0.000 | -0.000 |
| 133.365 | 190.465 | 154.686 | -0.000 | -0.000 | -0.000 |
| 154.479 | 154.479 | 259.409 | 0.000 | -0.000 | -0.000 |
| 0.000 | -0.000 | -0.000 | 50.368 | -0.000 | -0.000 |
| -0.000 | -0.000 | 0.000 | -0.000 | 54.272 | -0.000 |
| 0.000 | 0.000 | 0.000 | -0.000 | -0.000 | 28.245 |
| 190.223 | 134.037 | 154.418 | 0.000 | 0.000 | 0.000 |
| 138.485 | 196.481 | 148.138 | -0.000 | 0.000 | 0.000 |
| 148.138 | 148.138 | 266.835 | 0.000 | 0.000 | 0.000 |
| -0.000 | 0.000 | 0.000 | 50.368 | 0.000 | 0.000 |
| 0.000 | 0.000 | -0.000 | -0.000 | 54.272 | 0.000 |
| -0.000 | -0.000 | -0.000 | 0.000 | 0.000 | 28.245 |
| -62.577 | -465.495 | -3090.734 | -0.000 | -0.000 | 0.000 |
| 3488.627 | -1241.975 | -2752.772 | 0.000 | 0.000 | 0.000 |
| -1634.472 | 392.858 | -2144.034 | -0.000 | 0.000 | 0.000 |
| 3424.450 | -1317.216 | -2835.190 | -2.503 | 0.000 | -0.000 |
| 3424.449 | -1317.216 | -2835.190 | -0.000 | -4.596 | 0.000 |
| -111.023 | -515.341 | -3142.891 | -0.000 | 0.000 | 22.335 |
| 1732.618 | -296.003 | 2311.028 | 0.000 | -0.000 | 0.000 |
| 1752.755 | -245.017 | 2289.814 | 0.000 | -0.000 | -0.000 |
| -3361.277 | 1397.955 | 2913.389 | 0.000 | 0.000 | 0.000 |
| -3424.450 | 1317.216 | 2835.190 | -2.503 | -0.000 | 0.000 |
| -3424.449 | 1317.216 | 2835.190 | 0.000 | -4.596 | -0.000 |
| 111.023 | 515.341 | 3142.891 | 0.000 | -0.000 | 22.335 |
| 398.170 | -66.883 | -225.164 | -0.000 | 0.000 | 0.000 |
| 2.690 | 66.190 | -327.463 | -0.000 | 0.000 | 0.000 |
| 45.429 | 43.745 | 135.911 | -0.000 | 0.000 | 0.000 |
| 341.877 | -131.503 | -283.049 | -2.422 | -0.000 | -0.000 |
| 341.740 | -131.451 | -282.936 | -0.000 | -4.483 | 0.000 |
| -31.728 | -26.936 | -385.835 | -0.000 | 0.000 | 31.654 |
| -281.982 | 194.939 | 340.633 | 0.000 | -0.000 | -0.000 |
| 60.332 | 149.185 | 372.872 | 0.000 | -0.000 | 0.000 |
| -23.341 | 120.762 | 464.855 | 0.000 | 0.000 | -0.000 |
| -341.877 | 131.503 | 283.049 | -2.422 | 0.000 | -0.000 |
| -341.740 | 131.451 | 282.936 | 0.000 | -4.483 | -0.000 |
| 31.728 | 26.936 | 385.835 | 0.000 | -0.000 | 31.654 |
| 70.062 | 58.827 | 39.886 | -0.000 | 0.000 | 0.000 |
| 54.601 | 81.609 | 22.016 | 0.000 | -0.000 | 0.000 |
| 91.954 | 60.960 | 62.920 | -0.000 | -0.000 | 0.000 |
| 5.840 | -5.466 | -37.419 | 13.508 | 0.000 | 0.000 |
| 1.554 | -4.385 | -41.132 | -0.000 | 25.109 | 0.000 |
| 1.541 | -4.380 | -41.125 | 0.000 | 0.000 | 25.079 |
| 35.979 | 73.164 | 84.413 | 0.000 | -0.000 | 0.000 |
| 35.764 | 90.288 | 101.769 | 0.000 | 0.000 | -0.000 |
| 48.882 | 64.918 | 127.649 | 0.000 | -0.000 | -0.000 |
| -5.840 | 5.466 | 37.419 | 13.508 | -0.000 | 0.000 |
| -1.554 | 4.385 | 41.132 | 0.000 | 25.109 | 0.000 |
| -1.541 | 4.380 | 41.125 | 0.000 | -0.000 | 25.079 |
| 96.685 | 66.238 | 64.859 | 0.000 | -0.960 | 0.000 |
| 64.973 | 97.621 | 70.734 | 0.000 | -0.119 | 0.000 |
| 66.999 | 70.215 | 91.330 | -0.000 | -1.970 | 0.000 |
| 0.000 | 0.000 | -0.000 | 52.152 | 0.000 | 1.603 |
| -3.166 | 0.023 | -1.981 | 0.000 | 17.832 | 0.000 |
| 0.000 | 0.000 | -0.000 | 0.408 | 0.000 | 16.133 |
| 138.246 | 48.111 | 53.793 | 0.000 | 2.617 | 0.000 |
| 48.010 | 134.844 | 56.004 | 0.000 | 1.370 | 0.000 |
| 66.999 | 70.215 | 91.330 | 0.000 | -1.971 | -0.000 |
| 0.000 | -0.000 | 0.000 | 52.152 | -0.000 | 1.603 |
| -1.201 | 1.370 | -2.133 | -0.000 | 51.692 | 0.000 |
| -0.000 | -0.000 | 0.000 | 0.408 | -0.000 | 16.133 |
| 138.246 | 48.111 | 53.793 | -0.000 | 2.617 | -0.000 |
| 48.010 | 134.844 | 56.004 | 0.000 | 1.370 | -0.000 |
| 64.407 | 68.453 | 88.637 | -0.000 | -0.169 | 0.000 |
| 0.000 | 0.000 | -0.000 | 17.327 | 0.000 | 0.132 |
| -1.201 | 1.370 | -2.133 | 0.000 | 51.692 | -0.000 |
| 0.000 | 0.000 | -0.000 | 0.109 | 0.000 | 15.228 |
| 138.245 | 48.111 | 53.793 | 0.000 | 2.617 | 0.000 |
| 48.010 | 134.844 | 56.004 | -0.000 | 1.370 | 0.000 |
| 66.999 | 70.215 | 91.330 | 0.000 | -1.970 | -0.000 |
| -0.000 | -0.000 | 0.000 | 17.327 | -0.000 | 0.132 |
| -3.166 | 0.023 | -1.981 | 0.000 | 17.832 | 0.000 |
| -0.000 | -0.000 | 0.000 | 0.109 | -0.000 | 15.228 |
| 138.246 | 48.112 | 53.794 | -0.000 | 2.617 | -0.000 |
| 63.746 | 92.478 | 68.311 | 0.000 | -1.512 | 0.000 |
| 53.951 | 56.004 | 127.830 | 0.000 | -2.133 | -0.000 |
| 0.000 | 0.000 | 0.000 | 18.888 | -0.000 | 0.371 |
| -1.201 | 1.370 | -2.133 | -0.000 | 51.692 | -0.000 |
| 0.000 | 0.000 | 0.000 | 1.603 | -0.000 | 45.722 |
| 138.245 | 48.111 | 53.793 | -0.000 | 2.617 | 0.000 |
| 64.972 | 97.621 | 70.733 | 0.000 | -0.119 | -0.000 |
| 53.950 | 56.003 | 127.827 | -0.000 | -2.133 | 0.000 |
| -0.000 | -0.000 | -0.000 | 18.888 | 0.000 | 0.371 |
| -3.166 | 0.023 | -1.981 | -0.000 | 17.832 | 0.000 |
| -0.000 | -0.000 | -0.000 | 1.603 | 0.000 | 45.722 |
| 132.729 | 43.676 | 50.615 | -0.000 | 2.483 | 0.000 |
| 43.727 | 127.526 | 51.554 | -0.000 | 0.635 | 0.000 |
| 1114.911 | -129.118 | 69.000 | -0.000 | -48.574 | -0.000 |
| 0.000 | 0.000 | 0.000 | 50.073 | -0.000 | 0.877 |
| 2157.215 | -768.015 | -1145.405 | -0.000 | 642.400 | -0.000 |
| 0.000 | 0.000 | 0.000 | 0.863 | 0.000 | 43.929 |
| 132.729 | 43.676 | 50.615 | 0.000 | 2.483 | -0.000 |
| -2528.090 | 279.926 | 216.264 | 0.000 | -176.964 | 0.000 |
| -2094.857 | 839.615 | 1210.630 | -0.000 | -647.148 | 0.000 |
| -0.000 | -0.000 | -0.000 | 50.073 | 0.000 | 0.877 |
| -1.105 | 0.650 | -2.558 | -0.000 | 50.362 | -0.000 |
| -0.000 | -0.000 | -0.000 | 0.863 | 0.000 | 43.929 |
| 132.729 | 43.676 | 50.615 | 0.000 | 2.483 | 0.000 |
| 255.144 | 75.168 | 13.622 | -0.000 | 56.534 | -0.000 |
| 50.796 | 51.455 | 118.924 | 0.000 | -2.558 | 0.000 |
| 215.018 | -76.234 | -113.699 | 4.322 | 64.065 | -0.797 |
| 262.272 | -19.602 | -11.547 | -0.000 | 60.443 | -0.000 |
| 0.000 | 0.000 | 0.000 | 0.863 | -0.000 | 43.929 |
| 132.729 | 43.676 | 50.615 | -0.000 | 2.483 | -0.000 |
| -150.625 | 151.873 | 188.167 | -0.000 | -66.745 | 0.000 |
| 50.796 | 51.454 | 118.925 | -0.000 | -2.558 | -0.000 |
| -215.018 | 76.234 | 113.699 | 4.322 | -64.065 | -0.797 |
| -215.707 | 73.372 | 109.400 | 0.000 | -63.507 | 0.000 |
| -0.000 | -0.000 | -0.000 | 0.863 | 0.000 | 43.929 |
| 132.729 | 43.676 | 50.615 | -0.000 | 2.483 | 0.000 |
| 77.905 | 83.293 | 59.475 | -0.000 | 0.293 | -0.000 |
| 73.587 | 60.364 | 76.938 | -0.000 | 0.921 | -0.000 |
| 15.771 | 0.406 | -2.464 | 13.644 | 3.608 | -2.857 |
| 13.742 | -7.391 | -11.665 | -0.000 | 13.580 | -0.000 |
| 17.864 | -6.334 | -9.446 | -0.528 | 5.323 | 9.192 |
| 132.728 | 43.676 | 50.615 | 0.000 | 2.483 | -0.000 |
| 43.727 | 127.525 | 51.554 | 0.000 | 0.635 | -0.000 |
| 50.796 | 51.454 | 118.927 | -0.000 | -2.558 | -0.000 |
| -15.771 | -0.406 | 2.464 | 13.644 | -3.608 | -2.857 |
| -1.105 | 0.650 | -2.558 | 0.000 | 50.362 | 0.000 |
| -17.864 | 6.334 | 9.446 | -0.528 | -5.323 | 9.192 |
| 110.521 | 68.456 | 68.456 | 0.000 | 0.000 | 0.000 |
| 68.456 | 110.521 | 68.456 | 0.000 | 0.000 | 0.000 |
| 68.456 | 68.456 | 110.521 | 0.000 | 0.000 | 0.000 |
| -0.000 | 0.000 | 0.000 | 54.945 | -0.000 | 0.000 |
| 0.000 | 0.000 | 0.000 | -0.000 | 54.945 | 0.000 |
| 0.000 | 0.000 | -0.000 | -0.000 | 0.000 | 54.945 |
| 110.521 | 68.456 | 68.456 | -0.000 | -0.000 | -0.000 |
| 68.456 | 110.521 | 68.456 | -0.000 | -0.000 | -0.000 |
| 68.456 | 68.456 | 110.521 | -0.000 | -0.000 | -0.000 |
| 0.000 | -0.000 | 0.000 | 54.945 | 0.000 | -0.000 |
| -0.000 | -0.000 | 0.000 | 0.000 | 54.945 | -0.000 |
| -0.000 | -0.000 | 0.000 | 0.000 | -0.000 | 54.945 |
| 148.611 | 51.623 | 51.623 | -0.000 | 0.000 | 0.000 |
| 51.623 | 148.611 | 51.623 | 0.000 | -0.000 | 0.000 |
| 51.623 | 51.623 | 148.611 | 0.000 | 0.000 | -0.000 |
| 0.000 | 0.000 | 0.000 | 54.945 | 0.000 | 0.000 |
| 0.000 | 0.000 | 0.000 | 0.000 | 54.945 | 0.000 |
| 0.000 | 0.000 | 0.000 | 0.000 | 0.000 | 54.945 |
| 110.521 | 68.456 | 68.456 | -0.000 | -0.000 | -0.000 |
| 68.456 | 110.521 | 68.456 | -0.000 | -0.000 | -0.000 |
| 68.456 | 68.456 | 110.521 | -0.000 | -0.000 | -0.000 |
| -0.000 | -0.000 | -0.000 | 54.945 | 0.000 | -0.000 |
| -0.000 | -0.000 | -0.000 | 0.000 | 54.945 | -0.000 |
| -0.000 | -0.000 | -0.000 | 0.000 | -0.000 | 54.945 |
| 108.057 | 68.491 | 68.491 | 0.000 | 0.000 | 0.000 |
| 68.491 | 108.057 | 68.491 | 0.000 | 0.000 | 0.000 |
| 68.491 | 68.491 | 108.057 | 0.000 | 0.000 | 0.000 |
| 0.000 | -0.000 | -0.000 | 26.045 | 0.000 | 0.000 |
| -0.000 | 0.000 | -0.000 | 0.000 | 26.045 | 0.000 |
| -0.000 | -0.000 | 0.000 | 0.000 | 0.000 | 26.045 |
| 148.611 | 51.623 | 51.623 | -0.000 | -0.000 | -0.000 |
| 51.623 | 148.611 | 51.623 | 0.000 | 0.000 | -0.000 |
| 51.623 | 51.623 | 148.611 | 0.000 | -0.000 | -0.000 |
| -0.000 | 0.000 | 0.000 | 26.045 | -0.000 | -0.000 |
| 0.000 | -0.000 | 0.000 | -0.000 | 26.045 | -0.000 |
| 0.000 | 0.000 | -0.000 | -0.000 | -0.000 | 26.045 |
| 200.425 | 158.567 | 158.567 | -0.000 | -0.000 | -0.000 |
| 158.567 | 200.425 | 158.567 | -0.000 | -0.000 | -0.000 |
| 158.567 | 158.567 | 200.425 | -0.000 | -0.000 | -0.000 |
| -0.000 | -0.000 | -0.000 | 54.376 | -0.000 | -0.000 |
| -0.000 | -0.000 | -0.000 | 0.000 | 54.376 | -0.000 |
| -0.000 | 0.000 | -0.000 | 0.000 | -0.000 | 54.376 |
| -121.039 | -140.454 | -140.454 | 0.000 | 0.000 | 0.000 |
| -140.454 | -121.039 | -140.454 | 0.000 | 0.000 | 0.000 |
| -140.454 | -140.454 | -121.039 | 0.000 | 0.000 | 0.000 |
| 0.000 | -0.000 | 0.000 | 54.376 | 0.000 | 0.000 |
| 0.000 | 0.000 | 0.000 | -0.000 | 54.376 | 0.000 |
| -0.000 | 0.000 | 0.000 | 0.000 | 0.000 | 54.376 |
| 115.783 | 73.899 | 73.899 | -0.000 | -0.000 | -0.000 |
| 73.899 | 115.783 | 73.899 | -0.000 | -0.000 | -0.000 |
| 73.899 | 73.899 | 115.783 | -0.000 | -0.000 | -0.000 |
| -0.000 | -0.000 | 0.000 | 54.376 | -0.000 | -0.000 |
| -0.000 | -0.000 | 0.000 | 0.000 | 54.376 | -0.000 |
| -0.000 | 0.000 | -0.000 | 0.000 | -0.000 | 54.376 |
| 144.500 | 48.684 | 48.684 | -0.000 | 0.000 | 0.000 |
| 48.684 | 144.500 | 48.684 | 0.000 | 0.000 | 0.000 |
| 48.684 | 48.684 | 144.500 | -0.000 | 0.000 | 0.000 |
| 0.000 | 0.000 | -0.000 | 54.376 | 0.000 | 0.000 |
| 0.000 | 0.000 | -0.000 | 0.000 | 54.376 | 0.000 |
| 0.000 | -0.000 | 0.000 | 0.000 | 0.000 | 54.376 |
| 106.302 | 66.037 | 66.037 | -0.000 | -0.000 | -0.000 |
| 66.037 | 106.302 | 66.037 | 0.000 | -0.000 | -0.000 |
| 66.037 | 66.037 | 106.302 | -0.000 | -0.000 | -0.000 |
| -0.000 | -0.000 | 0.000 | 54.376 | -0.000 | -0.000 |
| -0.000 | -0.000 | 0.000 | -0.000 | 54.376 | -0.000 |
| -0.000 | 0.000 | -0.000 | 0.000 | -0.000 | 54.376 |
| 144.500 | 48.684 | 48.684 | -0.000 | 0.000 | 0.000 |
| 48.684 | 144.500 | 48.684 | 0.000 | -0.000 | 0.000 |
| 48.684 | 48.684 | 144.500 | -0.000 | 0.000 | -0.000 |
| 0.000 | 0.000 | -0.000 | 54.376 | 0.000 | 0.000 |
| 0.000 | 0.000 | -0.000 | -0.000 | 54.376 | 0.000 |
| 0.000 | -0.000 | 0.000 | 0.000 | 0.000 | 54.376 |
| 145.827 | 47.097 | 47.097 | 0.000 | -0.000 | -0.000 |
| 47.097 | 145.827 | 47.097 | 0.000 | -0.000 | -0.000 |
| 47.097 | 47.097 | 145.827 | 0.000 | -0.000 | -0.000 |
| 0.000 | 0.000 | 0.000 | 17.648 | -0.000 | 0.000 |
| 0.000 | 0.000 | 0.000 | 0.000 | 17.648 | 0.000 |
| 0.000 | 0.000 | 0.000 | 0.000 | 0.000 | 17.648 |
| 145.827 | 47.097 | 47.097 | -0.000 | 0.000 | 0.000 |
| 47.097 | 145.827 | 47.097 | -0.000 | -0.000 | 0.000 |
| 47.097 | 47.097 | 145.827 | -0.000 | 0.000 | 0.000 |
| -0.000 | -0.000 | -0.000 | 17.648 | 0.000 | -0.000 |
| -0.000 | -0.000 | -0.000 | -0.000 | 17.648 | -0.000 |
| -0.000 | -0.000 | -0.000 | -0.000 | -0.000 | 17.648 |
| 102.029 | 65.538 | 65.539 | 0.000 | -0.000 | 0.000 |
| 65.539 | 102.029 | 65.538 | 0.000 | 0.000 | 0.000 |
| 65.538 | 65.539 | 102.029 | 0.000 | 0.000 | 0.000 |
| 0.000 | -0.000 | -0.000 | 16.685 | 0.000 | 0.000 |
| -0.000 | 0.000 | -0.000 | 0.000 | 16.685 | 0.000 |
| -0.000 | -0.000 | 0.000 | 0.000 | 0.000 | 16.685 |
| 99.714 | 64.568 | 64.568 | -0.000 | -0.000 | -0.000 |
| 64.568 | 99.714 | 64.568 | -0.000 | -0.000 | -0.000 |
| 64.568 | 64.568 | 99.714 | -0.000 | 0.000 | -0.000 |
| -0.000 | 0.000 | 0.000 | 16.685 | -0.000 | -0.000 |
| 0.000 | -0.000 | 0.000 | -0.000 | 16.685 | -0.000 |
| 0.000 | 0.000 | -0.000 | -0.000 | -0.000 | 16.685 |
| 145.827 | 47.097 | 47.097 | 0.000 | 0.000 | -0.000 |
| 47.097 | 145.827 | 47.097 | 0.000 | -0.000 | -0.000 |
| 47.097 | 47.097 | 145.827 | 0.000 | -0.000 | -0.000 |
| -0.000 | -0.001 | -0.001 | 17.648 | 0.000 | 0.000 |
| -0.001 | -0.000 | -0.001 | 0.000 | 17.648 | 0.000 |
| -0.001 | -0.001 | -0.000 | 0.000 | 0.000 | 17.648 |
| 102.031 | 65.538 | 65.538 | -0.000 | -0.000 | -0.000 |
| 65.538 | 102.031 | 65.538 | -0.000 | 0.000 | -0.000 |
| 65.538 | 65.538 | 102.031 | -0.000 | -0.000 | -0.000 |
| 0.000 | 0.001 | 0.001 | 17.648 | -0.000 | -0.000 |
| 0.001 | 0.000 | 0.001 | -0.000 | 17.648 | -0.000 |
| 0.001 | 0.001 | 0.000 | -0.000 | -0.000 | 17.648 |
| 139.059 | 41.368 | 41.368 | 0.000 | 0.000 | -0.000 |
| 41.368 | 139.059 | 41.368 | -0.000 | 0.000 | -0.000 |
| 41.368 | 41.368 | 139.059 | -0.000 | 0.000 | -0.000 |
| 1665.187 | 1671.558 | 1669.764 | 115.922 | -0.805 | 0.777 |
| 1665.186 | 1671.557 | 1669.763 | 0.066 | 115.050 | 0.777 |
| 1665.188 | 1671.559 | 1669.766 | 0.066 | -0.805 | 116.634 |
| 142.546 | 134.830 | 137.251 | -0.713 | -2.231 | -1.838 |
| -1669.095 | -1448.622 | -1673.668 | -0.068 | 0.796 | -0.778 |
| -1669.095 | -1675.462 | -1446.830 | -0.068 | 0.796 | -0.778 |
| -1665.187 | -1671.558 | -1669.764 | 115.788 | 0.805 | -0.777 |
| -1665.187 | -1671.559 | -1669.765 | -0.066 | 116.659 | -0.777 |
| -1665.186 | -1671.557 | -1669.763 | -0.066 | 0.805 | 115.076 |
| 139.059 | 41.368 | 41.368 | -0.000 | 0.000 | -0.000 |
| 174.878 | 351.787 | 175.323 | 0.012 | -0.051 | 0.083 |
| 174.878 | 175.498 | 351.612 | 0.012 | -0.051 | 0.083 |
| 197.672 | 198.173 | 198.030 | 20.559 | 0.187 | 0.120 |
| 181.443 | 181.808 | 181.705 | 0.094 | -10.313 | 0.143 |
| 197.672 | 198.172 | 198.030 | 0.052 | 0.187 | 20.625 |
| -106.398 | -140.369 | -140.225 | -0.052 | -0.186 | -0.120 |
| -139.867 | -106.899 | -140.226 | -0.052 | -0.186 | -0.120 |
| -139.868 | -140.368 | -106.756 | -0.052 | -0.186 | -0.120 |
| -197.672 | -198.172 | -198.030 | 20.456 | -0.187 | -0.120 |
| -197.671 | -198.171 | -198.029 | -0.052 | 20.321 | -0.120 |
| -197.672 | -198.173 | -198.030 | -0.052 | -0.186 | 20.390 |
| 85.784 | 57.719 | 57.718 | 0.000 | 0.001 | 0.001 |
| 57.699 | 85.807 | 57.701 | 0.000 | 0.001 | 0.000 |
| 57.703 | 57.706 | 85.801 | 0.000 | 0.001 | 0.000 |
| 14.226 | 14.283 | 14.266 | 16.182 | 0.007 | 0.011 |
| 14.226 | 14.283 | 14.267 | 0.003 | 16.188 | 0.011 |
| 14.226 | 14.282 | 14.267 | 0.003 | 0.007 | 16.189 |
| 69.692 | 45.088 | 45.104 | -0.005 | -0.017 | -0.012 |
| 45.142 | 69.638 | 45.103 | -0.005 | -0.017 | -0.012 |
| 45.142 | 45.088 | 69.654 | -0.005 | -0.017 | -0.012 |
| -14.226 | -14.283 | -14.266 | 16.174 | -0.007 | -0.011 |
| -14.225 | -14.283 | -14.266 | -0.003 | 16.167 | -0.011 |
| -14.226 | -14.282 | -14.267 | -0.003 | -0.007 | 16.167 |
| 141.742 | 58.722 | 59.152 | -3.322 | 0.000 | -0.000 |
| 77.218 | 101.308 | 73.683 | 2.412 | 0.000 | -0.000 |
| 59.152 | 59.152 | 140.841 | 0.000 | 0.000 | 0.000 |
| -3.322 | 3.322 | 0.000 | 53.232 | 0.000 | 0.000 |
| 0.000 | 0.000 | 0.000 | 0.000 | 53.232 | -3.322 |
| 0.000 | 0.000 | 0.000 | 0.000 | -0.145 | 11.282 |
| 141.742 | 58.722 | 59.152 | -3.322 | -0.000 | -0.000 |
| 75.476 | 98.125 | 75.595 | -0.074 | -0.000 | 0.000 |
| 75.070 | 75.070 | 103.872 | -0.000 | -0.000 | 0.000 |
| -3.322 | 3.322 | -0.000 | 53.232 | -0.000 | -0.000 |
| -0.000 | -0.000 | -0.000 | -0.000 | 53.232 | -3.322 |
| -0.000 | -0.000 | -0.000 | -0.000 | -0.145 | 11.282 |
| 101.309 | 77.218 | 73.683 | -2.412 | 0.000 | 0.000 |
| 58.723 | 141.743 | 59.152 | 3.322 | 0.000 | 0.000 |
| 59.152 | 59.152 | 140.841 | 0.000 | 0.000 | -0.000 |
| -3.322 | 3.322 | 0.000 | 53.232 | 0.000 | -0.000 |
| 0.000 | 0.000 | 0.000 | 0.000 | 53.232 | -3.322 |
| 0.000 | 0.000 | 0.000 | -0.000 | -2.442 | 13.025 |
| 101.308 | 77.218 | 73.683 | -2.412 | -0.000 | 0.000 |
| 75.476 | 98.125 | 75.595 | -0.074 | -0.000 | -0.000 |
| 59.151 | 59.151 | 140.841 | -0.000 | -0.000 | -0.000 |
| -2.413 | 2.413 | -0.000 | 21.727 | -0.000 | 0.000 |
| -0.000 | -0.000 | -0.000 | -0.000 | 53.232 | -3.322 |
| -0.000 | -0.000 | -0.000 | 0.000 | -2.442 | 13.025 |
| 98.126 | 75.478 | 75.596 | 0.074 | 0.000 | -0.000 |
| 76.071 | 97.704 | 74.085 | -0.248 | 0.000 | -0.000 |
| 75.036 | 75.036 | 100.674 | 0.000 | 0.000 | 0.000 |
| -3.322 | 3.322 | 0.000 | 53.232 | 0.000 | -0.000 |
| -0.000 | 0.000 | 0.000 | 0.000 | 21.727 | -2.413 |
| 0.000 | 0.000 | 0.000 | 0.000 | -3.322 | 41.510 |
| 101.307 | 77.216 | 73.682 | -2.412 | -0.000 | -0.000 |
| 58.721 | 141.740 | 59.150 | 3.322 | -0.000 | 0.000 |
| 59.150 | 59.150 | 140.839 | -0.000 | -0.000 | 0.000 |
| -2.413 | 2.413 | -0.000 | 21.727 | -0.000 | 0.000 |
| 0.000 | -0.000 | -0.000 | -0.000 | 21.727 | -2.413 |
| -0.000 | -0.000 | -0.000 | -0.000 | -3.322 | 41.510 |
| 804.711 | 834.953 | -524.002 | 1.528 | 0.000 | 0.000 |
| 53.954 | 135.165 | 55.739 | -3.165 | 0.000 | 0.000 |
| 829.357 | 829.357 | -525.982 | -0.000 | -0.000 | 0.000 |
| 3.165 | -3.165 | -0.000 | 53.487 | 0.000 | 0.000 |
| 745.929 | 745.929 | -606.510 | -0.000 | -4.640 | 1.529 |
| 161.167 | 161.167 | -2366.489 | -0.000 | -3.588 | 27.102 |
| -50.522 | -104.687 | 2432.103 | -3.586 | -0.000 | -0.000 |
| 53.954 | 135.165 | 55.739 | -3.165 | -0.000 | -0.000 |
| -662.547 | -662.547 | 687.134 | 0.000 | -0.000 | -0.000 |
| -744.400 | -747.458 | 606.510 | -4.640 | -0.000 | -0.000 |
| -745.929 | -745.929 | 606.510 | 0.000 | -4.640 | 1.529 |
| -161.167 | -161.167 | 2366.489 | 0.000 | -3.588 | 27.102 |
| 135.165 | 53.954 | 55.739 | 3.165 | 0.000 | 0.000 |
| 53.954 | 135.165 | 55.739 | -3.165 | 0.000 | -0.000 |
| 55.800 | 55.800 | 141.054 | -0.000 | 0.000 | 0.000 |
| 3.165 | -3.165 | 0.000 | 53.487 | 0.000 | -0.000 |
| -25.134 | -25.134 | -252.222 | -0.000 | 27.496 | 0.243 |
| 16.383 | 16.383 | -236.156 | -0.000 | -3.574 | 26.908 |
| 93.731 | 40.358 | 301.860 | -3.544 | -0.000 | -0.000 |
| 53.954 | 135.165 | 55.739 | -3.165 | -0.000 | -0.000 |
| 49.951 | 49.951 | 346.361 | 0.000 | -0.000 | -0.000 |
| -19.861 | -12.700 | 236.378 | 35.554 | -0.000 | -0.000 |
| 25.134 | 25.134 | 252.222 | 0.000 | 27.496 | 0.243 |
| -16.383 | -16.383 | 236.156 | 0.000 | -3.574 | 26.908 |
| 100.796 | 66.939 | 49.461 | -2.925 | 0.000 | 0.000 |
| 66.923 | 100.823 | 49.453 | 2.924 | 0.000 | 0.000 |
| 55.800 | 55.800 | 141.054 | -0.000 | 0.000 | 0.000 |
| 3.165 | -3.165 | 0.000 | 53.487 | 0.000 | 0.000 |
| 6.568 | 6.569 | -5.341 | -0.000 | 2.301 | 1.724 |
| 2.956 | 2.956 | -21.027 | 0.000 | -2.815 | 17.307 |
| 135.164 | 53.954 | 55.738 | 3.165 | -0.000 | -0.000 |
| 76.703 | 64.977 | 83.341 | -1.800 | -0.000 | -0.000 |
| 72.278 | 72.278 | 95.621 | -0.000 | -0.000 | 0.000 |
| -5.653 | 0.582 | 22.064 | 29.027 | -0.000 | -0.000 |
| -6.568 | -6.569 | 5.341 | 0.000 | 2.301 | 1.724 |
| -2.956 | -2.956 | 21.027 | -0.000 | -2.815 | 17.307 |
| 87.743 | 62.944 | 59.050 | -0.000 | -0.000 | 0.000 |
| 41.004 | 131.263 | 39.174 | -0.000 | -0.000 | 0.000 |
| 39.174 | 39.174 | 122.817 | -0.000 | -0.000 | 0.000 |
| 0.000 | -0.000 | 0.000 | 43.813 | -0.000 | 0.000 |
| 0.000 | -0.000 | 0.000 | -0.000 | 43.813 | 0.000 |
| 0.000 | 0.000 | -0.000 | 0.000 | -0.000 | 12.900 |
| 131.263 | 41.004 | 39.174 | -0.000 | 0.000 | -0.000 |
| 62.943 | 87.742 | 59.051 | -0.000 | 0.000 | -0.000 |
| 39.174 | 39.174 | 122.817 | -0.000 | 0.000 | -0.000 |
| -0.000 | 0.000 | -0.000 | 43.813 | 0.000 | -0.000 |
| -0.000 | 0.000 | -0.000 | 0.000 | 43.813 | 0.000 |
| -0.000 | -0.000 | 0.000 | -0.000 | 0.000 | 12.900 |
| 131.264 | 41.004 | 39.174 | 0.000 | -0.000 | 0.000 |
| 62.944 | 87.743 | 59.050 | -0.000 | -0.000 | 0.000 |
| 39.174 | 39.174 | 122.817 | -0.000 | -0.000 | 0.000 |
| 0.000 | 0.000 | 0.000 | 43.813 | -0.000 | 0.000 |
| 0.000 | 0.000 | 0.000 | -0.000 | 43.813 | 0.000 |
| 0.000 | 0.000 | -0.000 | 0.000 | -0.000 | 12.900 |
| 87.743 | 62.943 | 59.050 | -0.000 | 0.000 | -0.000 |
| 41.004 | 131.263 | 39.173 | -0.000 | 0.000 | -0.000 |
| 39.173 | 39.173 | 122.817 | 0.000 | 0.000 | -0.000 |
| -0.000 | -0.000 | -0.000 | 43.813 | 0.000 | -0.000 |
| -0.000 | -0.000 | -0.000 | 0.000 | 43.813 | 0.000 |
| -0.000 | -0.000 | 0.000 | -0.000 | 0.000 | 12.900 |
| 131.265 | 41.006 | 39.175 | 0.000 | -0.000 | 0.000 |
| 62.945 | 87.743 | 59.052 | 0.000 | -0.000 | 0.000 |
| 39.175 | 39.175 | 122.819 | 0.000 | -0.000 | 0.000 |
| 0.000 | 0.000 | 0.000 | 43.813 | -0.000 | 0.000 |
| 0.000 | -0.000 | 0.000 | -0.000 | 10.236 | 0.000 |
| -0.000 | -0.000 | 0.000 | -0.000 | -0.000 | 12.900 |
| 85.474 | 60.476 | 57.349 | 0.000 | 0.000 | -0.000 |
| 41.003 | 131.262 | 39.172 | 0.000 | 0.000 | -0.000 |
| 57.358 | 57.358 | 77.368 | 0.000 | 0.000 | -0.000 |
| -0.000 | -0.000 | -0.000 | 43.813 | 0.000 | -0.000 |
| -0.000 | 0.000 | -0.000 | 0.000 | 10.236 | -0.000 |
| 0.000 | 0.000 | -0.000 | -0.000 | 0.000 | 12.900 |
| 129.420 | 39.654 | 37.632 | -0.000 | 0.000 | 0.000 |
| -4980.304 | -4968.570 | 9044.695 | -0.000 | -0.000 | 0.000 |
| -4989.103 | -4989.103 | 9057.820 | -0.000 | 0.000 | -0.000 |
| -5047.025 | -5047.025 | 8984.944 | 3.320 | -0.000 | -0.000 |
| 0.000 | 0.000 | 0.000 | -0.000 | 43.513 | 0.000 |
| -5047.025 | -5047.025 | 8984.944 | -0.000 | -0.000 | 5.861 |
| 5125.463 | 5113.755 | -8925.185 | 0.000 | -0.000 | 0.000 |
| 5113.755 | 5125.463 | -8925.185 | 0.000 | 0.000 | 0.000 |
| 37.630 | 37.630 | 120.693 | 0.000 | -0.000 | -0.000 |
| 5047.025 | 5047.025 | -8984.944 | 3.320 | 0.000 | 0.000 |
| -0.000 | -0.000 | -0.000 | 0.000 | 43.513 | -0.000 |
| 5047.025 | 5047.025 | -8984.944 | 0.000 | 0.000 | 5.861 |
| -382.592 | -415.537 | 852.786 | 0.000 | -0.000 | -0.000 |
| 39.654 | 129.420 | 37.632 | -0.000 | -0.000 | -0.000 |
| 37.630 | 37.630 | 120.693 | -0.000 | 0.000 | 0.000 |
| -504.621 | -504.621 | 898.349 | 3.326 | -0.000 | -0.000 |
| -504.621 | -504.621 | 898.349 | -0.000 | 3.326 | -0.000 |
| -519.760 | -519.760 | 712.413 | -0.000 | -0.000 | 16.041 |
| 608.772 | 576.580 | -658.427 | 0.000 | -0.000 | 0.000 |
| 576.580 | 608.772 | -658.427 | 0.000 | 0.000 | 0.000 |
| 37.630 | 37.630 | 120.693 | 0.000 | -0.000 | 0.000 |
| 504.621 | 504.621 | -898.349 | 3.326 | 0.000 | -0.000 |
| 504.621 | 504.621 | -898.349 | 0.000 | 3.326 | -0.000 |
| 519.760 | 519.760 | -712.413 | 0.000 | 0.000 | 16.041 |
| 29.903 | 16.082 | 148.022 | -0.000 | -0.000 | 0.000 |
| 39.654 | 129.421 | 37.633 | -0.000 | -0.000 | -0.000 |
| 9.122 | 9.122 | 159.054 | 0.000 | -0.000 | -0.000 |
| -49.714 | -49.714 | 88.503 | 3.922 | 0.000 | -0.000 |
| 0.000 | 0.000 | 0.000 | -0.000 | 43.513 | 0.000 |
| -49.729 | -49.730 | 88.531 | -0.000 | -0.000 | 6.433 |
| 128.095 | 116.120 | -28.410 | 0.000 | 0.000 | -0.000 |
| 116.119 | 128.095 | -28.410 | 0.000 | 0.000 | 0.000 |
| 107.459 | 107.459 | -14.640 | 0.000 | 0.000 | -0.000 |
| 49.714 | 49.714 | -88.503 | 3.922 | -0.000 | 0.000 |
| -0.000 | -0.000 | -0.000 | 0.000 | 43.513 | 0.000 |
| 49.729 | 49.730 | -88.531 | 0.000 | 0.000 | 6.433 |
| 97.240 | 101.262 | 334.805 | 0.000 | -0.000 | 0.000 |
| 101.262 | 97.240 | 334.805 | 0.000 | -0.000 | 0.000 |
| 98.429 | 98.430 | 335.362 | 0.000 | -0.000 | 0.000 |
| 29.700 | 29.700 | 265.924 | -11.422 | -0.000 | 0.000 |
| 29.700 | 29.700 | 265.924 | 0.000 | -11.422 | 0.000 |
| -0.000 | -0.000 | 0.000 | 0.000 | -0.000 | 45.963 |
| 124.758 | 48.835 | 48.729 | -0.000 | 0.000 | -0.000 |
| 48.835 | 124.758 | 48.729 | -0.000 | 0.000 | -0.000 |
| 48.746 | 48.746 | 134.726 | -0.000 | 0.000 | -0.000 |
| -29.700 | -29.700 | -265.924 | -11.422 | 0.000 | 0.000 |
| -29.700 | -29.700 | -265.924 | -0.000 | -11.422 | 0.000 |
| 0.000 | -0.000 | -0.000 | -0.000 | 0.000 | 45.963 |
| 124.758 | 48.835 | 48.729 | -0.000 | -0.000 | -0.000 |
| 48.835 | 124.758 | 48.729 | 0.000 | -0.000 | 0.000 |
| 48.746 | 48.746 | 134.726 | 0.000 | -0.000 | -0.000 |
| 42.138 | 42.138 | -29.764 | -5.945 | -0.000 | -0.000 |
| 42.138 | 42.138 | -29.764 | 0.000 | -5.945 | 0.000 |
| 0.000 | 0.000 | 0.000 | 0.000 | -0.000 | 45.963 |
| 124.758 | 48.835 | 48.729 | -0.000 | 0.000 | -0.000 |
| 48.835 | 124.758 | 48.729 | -0.000 | 0.000 | 0.000 |
| 48.746 | 48.746 | 134.726 | -0.000 | 0.000 | 0.000 |
| -42.138 | -42.138 | 29.764 | -5.945 | 0.000 | -0.000 |
| -42.138 | -42.138 | 29.764 | -0.000 | -5.945 | 0.000 |
| -0.000 | -0.000 | -0.000 | -0.000 | 0.000 | 45.963 |
| 124.759 | 48.835 | 48.730 | 0.000 | -0.000 | -0.000 |
| 48.835 | 124.759 | 48.730 | 0.000 | -0.000 | 0.000 |
| 60.581 | 60.581 | 98.140 | -0.000 | -0.000 | 0.000 |
| 0.170 | 0.170 | 1.524 | 13.550 | -0.000 | 0.000 |
| 0.170 | 0.170 | 1.524 | 0.000 | 13.550 | 0.000 |
| 0.000 | 0.000 | 0.000 | 0.000 | -0.000 | 45.963 |
| 89.056 | 62.740 | 59.479 | -0.000 | 0.000 | 0.000 |
| 62.740 | 89.056 | 59.479 | 0.000 | 0.000 | -0.000 |
| 53.145 | 53.145 | 89.793 | -0.000 | 0.000 | -0.000 |
| -0.170 | -0.170 | -1.524 | 13.550 | 0.000 | 0.000 |
| -0.170 | -0.170 | -1.524 | -0.000 | 13.550 | -0.000 |
| -0.000 | -0.000 | -0.000 | -0.000 | 0.000 | 45.963 |
| 126.282 | 38.055 | 42.551 | -0.000 | -0.000 | 0.000 |
| 38.267 | 141.569 | 45.642 | -0.000 | -0.000 | 0.000 |
| 43.015 | 45.893 | 122.329 | -0.000 | -0.000 | 0.000 |
| 503.188 | -1268.850 | -163.845 | 11.048 | -0.000 | -0.000 |
| 0.000 | -0.000 | 0.000 | -0.000 | 46.393 | -0.000 |
| 0.000 | -0.000 | 0.000 | -0.000 | -0.000 | 42.808 |
| -894.499 | 1057.296 | 120.998 | 0.000 | 0.000 | 0.000 |
| 38.267 | 141.569 | 45.642 | 0.000 | 0.000 | -0.000 |
| -893.210 | 1065.715 | 118.259 | 0.000 | 0.000 | 0.000 |
| -503.188 | 1268.850 | 163.845 | 11.048 | 0.000 | 0.000 |
| -0.000 | 0.000 | -0.000 | 0.000 | 46.393 | -0.000 |
| -0.000 | 0.000 | -0.000 | 0.000 | 0.000 | 42.808 |
| 141.285 | -44.248 | 64.033 | -0.000 | 0.000 | 0.000 |
| 158.892 | -7.474 | 64.544 | -0.000 | -0.000 | -0.000 |
| 157.333 | -25.264 | 57.489 | 0.000 | -0.000 | -0.000 |
| 93.976 | -97.462 | -5.597 | 2.682 | -0.000 | -0.000 |
| 0.000 | 0.000 | 0.000 | -0.000 | 46.393 | 0.000 |
| 94.413 | -97.915 | -5.623 | -0.000 | -0.000 | 0.002 |
| 126.282 | 38.055 | 42.551 | 0.000 | 0.000 | -0.000 |
| 2.837 | 196.001 | 34.043 | 0.000 | 0.000 | -0.000 |
| 43.015 | 45.893 | 122.329 | 0.000 | 0.000 | -0.000 |
| -93.976 | 97.462 | 5.597 | 2.682 | 0.000 | 0.000 |
| -0.000 | -0.000 | -0.000 | 0.000 | 46.393 | 0.000 |
| -94.413 | 97.915 | 5.623 | 0.000 | 0.000 | 0.002 |
| 84.883 | 54.178 | 57.031 | -0.000 | -0.000 | -0.000 |
| 63.453 | 87.578 | 56.001 | -0.000 | -0.000 | 0.000 |
| 43.016 | 45.894 | 122.330 | -0.000 | -0.000 | 0.000 |
| 0.000 | 0.000 | 0.000 | 50.858 | -0.000 | 0.000 |
| 0.000 | 0.000 | 0.000 | -0.000 | 46.393 | -0.000 |
| 6.842 | -7.096 | -0.407 | -0.000 | -0.000 | 11.787 |
| 126.280 | 38.054 | 42.551 | 0.000 | 0.000 | -0.000 |
| 50.354 | 108.210 | 53.804 | 0.000 | -0.000 | -0.000 |
| 51.556 | 70.580 | 80.751 | 0.000 | 0.000 | 0.000 |
| -0.000 | -0.000 | -0.000 | 50.858 | 0.000 | 0.000 |
| -0.000 | -0.000 | -0.000 | 0.000 | 46.393 | -0.000 |
| -6.842 | 7.096 | 0.407 | 0.000 | 0.000 | 11.787 |
| 88.098 | 60.924 | 57.528 | -0.000 | -0.000 | -0.000 |
| 62.878 | 106.294 | 64.547 | 0.000 | -0.000 | -0.000 |
| 44.991 | 47.975 | 124.497 | -0.000 | -0.000 | -0.000 |
| -0.000 | 0.000 | -0.000 | 18.678 | -0.000 | -0.000 |
| 0.000 | -0.000 | -0.000 | -0.000 | 46.084 | -0.000 |
| -0.000 | 0.000 | -0.000 | -0.000 | -0.000 | 16.020 |
| 132.751 | 40.915 | 44.991 | 0.000 | 0.000 | 0.000 |
| 40.915 | 145.516 | 47.975 | 0.000 | 0.000 | 0.000 |
| 44.990 | 47.975 | 124.497 | 0.000 | 0.000 | 0.000 |
| 0.000 | -0.000 | 0.000 | 18.678 | 0.000 | 0.000 |
| -0.000 | 0.000 | 0.000 | 0.000 | 46.084 | 0.000 |
| 0.000 | -0.000 | 0.000 | 0.000 | 0.000 | 16.020 |
| 132.751 | 40.915 | 44.991 | -0.000 | -0.000 | -0.000 |
| 62.878 | 106.294 | 64.547 | -0.000 | -0.000 | -0.000 |
| 44.991 | 47.975 | 124.497 | -0.000 | -0.000 | -0.000 |
| 0.000 | 0.000 | 0.000 | 49.426 | -0.000 | -0.000 |
| 0.000 | 0.000 | 0.000 | -0.000 | 46.084 | -0.000 |
| 0.000 | 0.000 | 0.000 | -0.000 | -0.000 | 44.486 |
| 89.102 | 62.336 | 58.973 | 0.000 | 0.000 | 0.000 |
| 40.915 | 145.516 | 47.975 | 0.000 | 0.000 | 0.000 |
| 44.990 | 47.975 | 124.497 | -0.000 | 0.000 | 0.000 |
| -0.000 | -0.000 | -0.000 | 49.426 | 0.000 | 0.000 |
| -0.000 | -0.000 | -0.000 | 0.000 | 46.084 | 0.000 |
| -0.000 | -0.000 | -0.000 | 0.000 | 0.000 | 44.486 |
| 89.102 | 62.336 | 58.973 | -0.000 | -0.000 | -0.000 |
| 62.878 | 106.294 | 64.547 | -0.000 | -0.000 | -0.000 |
| 58.693 | 62.202 | 82.765 | -0.000 | -0.000 | -0.000 |
| 0.000 | -0.000 | -0.000 | 18.678 | -0.000 | -0.000 |
| 0.000 | 0.000 | -0.000 | -0.000 | 12.767 | -0.000 |
| -0.000 | -0.000 | 0.000 | -0.000 | -0.000 | 16.020 |
| 88.393 | 62.422 | 58.530 | 0.000 | 0.000 | 0.000 |
| 40.915 | 145.515 | 47.975 | 0.000 | 0.000 | 0.000 |
| 44.990 | 47.975 | 124.496 | 0.000 | 0.000 | 0.000 |
| -0.000 | 0.000 | 0.000 | 18.678 | 0.000 | 0.000 |
| -0.000 | -0.000 | 0.000 | 0.000 | 12.767 | 0.000 |
| 0.000 | 0.000 | -0.000 | 0.000 | 0.000 | 16.020 |
| 14691.749 | 484302.340 | 34752.601 | -129559.204 | 22414.238 | -83818.470 |
| 68.754 | 159.417 | 81.062 | -2.312 | 0.781 | 8.880 |
| 78.186 | 42.079 | 202.444 | -6.796 | 8.828 | 22.831 |
| 14519.199 | 484239.468 | 34695.296 | -129506.183 | 22429.457 | -83806.098 |
| 15.518 | -17.548 | 22.673 | -9.607 | 58.216 | 18.494 |
| 14516.521 | 484236.697 | 34698.346 | -129551.275 | 22412.967 | -83753.574 |
| -14341.029 | -484173.875 | -34639.167 | 129546.981 | -22441.138 | 83801.703 |
| 54.061 | 184.889 | 25.004 | -2.500 | -2.872 | -25.679 |
| 43.689 | 77.713 | 146.001 | 2.560 | -3.613 | -22.963 |
| -14516.374 | -484233.849 | -34702.128 | 129600.699 | -22426.866 | 83809.961 |
| -14527.792 | -484235.066 | -34694.754 | 129553.710 | -22380.320 | 83803.411 |
| -14516.407 | -484237.217 | -34702.505 | 129553.929 | -22442.000 | 83862.434 |
| 172.086 | 64.160 | 63.384 | -3.744 | -15.241 | -7.198 |
| 66.802 | 167.304 | 59.661 | -4.158 | 1.016 | -2.264 |
| 61.104 | 59.524 | 175.078 | -2.104 | 2.648 | 0.412 |
| -3.264 | 3.972 | 1.378 | 50.075 | -1.029 | 1.472 |
| 1445.208 | 48423.729 | 3472.490 | -12956.857 | 2292.247 | -8384.067 |
| 1455.545 | 48420.982 | 3469.492 | -12955.591 | 2229.861 | -8323.498 |
| -1280.061 | -48358.159 | -3410.311 | 12951.297 | -2258.030 | 8371.622 |
| 64.512 | 170.160 | 54.253 | -3.749 | 0.269 | -6.107 |
| 60.269 | 61.670 | 169.745 | -2.387 | 2.547 | -2.552 |
| -4.164 | 5.638 | -2.357 | 50.060 | -1.238 | -0.782 |
| -8.280 | 1.713 | 0.247 | -1.001 | 48.800 | -5.340 |
| 3.727 | -1.721 | -3.405 | -0.617 | -12.819 | 55.882 |
| 171.210 | 65.509 | 60.580 | -3.664 | -15.515 | -9.025 |
| 68.757 | 166.381 | 58.125 | -5.267 | 1.906 | -2.109 |
| 206.178 | 4902.822 | 519.407 | -1297.940 | 227.022 | -838.981 |
| -3.584 | 4.814 | -0.809 | 49.797 | -1.053 | 0.251 |
| 138.014 | 4842.787 | 349.446 | -1296.788 | 273.487 | -841.754 |
| 149.936 | 4839.178 | 346.407 | -1296.298 | 211.825 | -780.448 |
| 25.817 | -4776.660 | -286.678 | 1291.891 | -239.816 | 828.853 |
| 64.472 | 169.067 | 56.026 | -3.453 | 0.087 | -5.564 |
| 60.751 | 60.727 | 171.972 | -2.302 | 2.627 | -1.205 |
| -149.946 | -4836.668 | -348.596 | 1345.876 | -225.823 | 837.299 |
| -152.253 | -4842.032 | -344.366 | 1294.260 | -175.060 | 834.529 |
| -141.190 | -4845.073 | -347.781 | 1295.129 | -237.106 | 895.292 |
| 170.204 | 71.013 | 58.915 | 0.138 | -8.693 | -19.670 |
| -113.681 | 541.509 | -384.948 | -378.897 | -11.126 | -4.279 |
| -160.051 | 385.504 | -248.849 | -202.854 | -288.823 | 90.336 |
| -127.535 | 424.140 | -606.811 | -254.779 | -112.520 | -419.866 |
| -191.842 | 411.099 | -462.949 | -370.622 | 10.714 | -4.621 |
| -5.710 | 3.380 | -2.456 | 0.096 | -7.659 | 60.259 |
| 347.960 | -237.464 | 420.062 | 196.237 | 284.987 | -96.672 |
| 70.999 | 166.952 | 62.180 | -11.795 | -1.931 | 3.081 |
| 561.259 | -786.908 | 1032.287 | 267.003 | 463.324 | 706.355 |
| 235.694 | -313.922 | 337.014 | 211.198 | 289.689 | -91.362 |
| 196.312 | -407.821 | 458.227 | 370.970 | 34.747 | 6.385 |
| 193.215 | -408.595 | 458.877 | 370.153 | 9.545 | 30.474 |
| 170.204 | 71.013 | 58.915 | 0.138 | -8.693 | -19.670 |
| 61.093 | 172.645 | 29.754 | -45.099 | -0.297 | 0.660 |
| 57.972 | 62.000 | 171.100 | -0.706 | -0.223 | -3.046 |
| -22.889 | 30.320 | -41.152 | -4.442 | -28.411 | 10.488 |
| -11.732 | 43.006 | -58.957 | -29.891 | 9.401 | -44.558 |
| -20.249 | 41.720 | -47.656 | -37.627 | -3.686 | 24.630 |
| 170.204 | 71.013 | 58.915 | 0.138 | -8.693 | -19.670 |
| 145.762 | 49.964 | 241.332 | 10.462 | 49.971 | 104.141 |
| 98.223 | 41.079 | 130.172 | 12.773 | 29.239 | -11.520 |
| 11.539 | -45.714 | 52.883 | 48.683 | 9.561 | 43.548 |
| 21.630 | -39.284 | 43.657 | 37.181 | 24.084 | 1.417 |
| 18.502 | -39.987 | 44.239 | 36.346 | -1.259 | 25.504 |
| 170.204 | 71.013 | 58.915 | 0.138 | -8.693 | -19.670 |
| 78.516 | 136.309 | 71.349 | -11.415 | 0.718 | 1.213 |
| 57.213 | 68.880 | 81.363 | -10.124 | -4.170 | -8.713 |
| -0.693 | 0.331 | -6.648 | 22.814 | -0.158 | -0.279 |
| -0.694 | 2.445 | -2.083 | -1.918 | 17.681 | -0.672 |
| -5.710 | 3.380 | -2.456 | 0.096 | -7.659 | 60.259 |
| 170.204 | 71.013 | 58.914 | 0.138 | -8.693 | -19.670 |
| 81.419 | 131.362 | 78.935 | -4.747 | 0.723 | 1.462 |
| 77.331 | 71.327 | 126.068 | 0.880 | -1.921 | -2.670 |
| 3.053 | -7.274 | 1.742 | 27.449 | 0.402 | -0.198 |
| 3.711 | -2.024 | -0.223 | -3.630 | 44.098 | -1.163 |
| -5.710 | 3.380 | -2.456 | 0.096 | -7.659 | 60.259 |
| 173.201 | 64.161 | 63.826 | 0.278 | 12.148 | 4.414 |
| -75224.754 | -107595.572 | -3429.658 | -19381.244 | -16203.770 | -90085.503 |
| 64.874 | 60.597 | 172.050 | -3.467 | -3.632 | 0.862 |
| 146142.987 | 35948.460 | 205324.301 | 85935.357 | 173241.653 | 72471.181 |
| 146145.743 | 35944.887 | 205324.284 | 85891.775 | 173287.652 | 72470.954 |
| 146140.067 | 35941.323 | 205328.420 | 85892.783 | 173252.578 | 72518.114 |
| -145969.596 | -35879.895 | -205263.880 | -85890.393 | -173230.466 | -72464.435 |
| 75366.211 | 107935.033 | 3553.451 | 19415.923 | 16207.354 | 90080.262 |
| -146084.476 | -35889.377 | -205155.138 | -85882.879 | -173266.830 | -72467.008 |
| -146142.569 | -35939.705 | -205331.212 | -85846.008 | -173243.637 | -72466.529 |
| 75299.486 | 107768.015 | 3487.723 | 19396.311 | 16257.075 | 90085.157 |
| 75292.553 | 107763.288 | 3491.970 | 19399.397 | 16218.268 | 90132.356 |
| 14791.289 | 3656.562 | 20598.055 | 8592.226 | 17337.816 | 7251.042 |
| 7151.540 | -7009.867 | 20244.231 | 6662.236 | 15705.230 | -1764.162 |
| 64.903 | 60.465 | 172.097 | -3.230 | -3.703 | 0.908 |
| 14614.487 | 3598.786 | 20529.320 | 8633.743 | 17323.272 | 7249.212 |
| 14619.138 | 3595.436 | 20529.585 | 8589.563 | 17373.680 | 7249.161 |
| -2.722 | -2.768 | 0.650 | 2.098 | 9.921 | 49.281 |
| -6910.376 | 7245.091 | -20119.172 | -6646.995 | -15690.289 | 1766.230 |
| -7017.956 | 7355.026 | -20123.195 | -6636.386 | -15699.650 | 1759.037 |
| -14550.011 | -3534.357 | -20360.729 | -8591.396 | -17329.908 | -7245.921 |
| -14614.486 | -3590.405 | -20536.190 | -8543.701 | -17326.552 | -7244.499 |
| -7079.972 | 7183.123 | -20186.896 | -6648.879 | -15655.269 | 1763.407 |
| 7527.865 | 10772.214 | 350.470 | 1944.562 | 1630.637 | 9058.016 |
| 1634.401 | 422.383 | 2118.361 | 861.985 | 1744.474 | 729.440 |
| 64.944 | 173.666 | 59.918 | 11.798 | 1.549 | -2.621 |
| -687.589 | -1017.757 | 136.740 | -195.751 | -166.577 | -899.805 |
| 708.901 | -714.431 | 2015.141 | 710.338 | 1568.965 | -173.690 |
| 4.485 | 0.869 | -3.187 | 0.789 | 48.065 | 2.219 |
| 706.828 | -722.250 | 2019.552 | 669.161 | 1580.403 | -127.272 |
| 172.572 | 62.579 | 64.637 | 3.568 | 11.492 | 5.250 |
| -643.500 | 889.268 | -1957.485 | -650.985 | -1568.334 | 174.473 |
| -1397.011 | -299.505 | -1882.342 | -859.975 | -1737.429 | -723.278 |
| 0.072 | 3.702 | -3.225 | 45.795 | -1.365 | 2.649 |
| 756.767 | 1078.618 | 31.677 | 194.782 | 209.583 | 903.182 |
| 749.996 | 1073.521 | 36.025 | 198.769 | 171.765 | 950.323 |
| 142593.026 | 55236.633 | 30800.091 | -41184.077 | 66171.164 | -88640.521 |
| 128981.138 | -86343.573 | -37938.713 | 57546.630 | 96686.489 | -132404.935 |
| 60.192 | 60.078 | 176.350 | 0.321 | 3.452 | 0.960 |
| -1.756 | 4.334 | 0.321 | 48.646 | 0.030 | 0.662 |
| 140837.367 | 54196.681 | 35130.737 | -41912.976 | 70454.758 | -87391.846 |
| 142421.889 | 55180.431 | 30758.816 | -41184.618 | 66191.849 | -88598.786 |
| 179.391 | 59.118 | 60.980 | -1.661 | 7.388 | 4.317 |
| 58.711 | 177.978 | 60.148 | 14.936 | 1.377 | -1.639 |
| -142363.575 | -55121.816 | -30580.815 | 41185.608 | -66180.709 | 88647.135 |
| -128924.140 | 86525.794 | 37999.224 | -57483.124 | -96685.080 | 132403.963 |
| -128899.002 | 86519.330 | 38006.361 | -57530.562 | -96645.506 | 132399.292 |
| -142425.705 | -55183.407 | -30755.408 | 41185.963 | -66176.479 | 88693.582 |
| 13067.771 | -8593.409 | -3742.133 | 5751.898 | 9673.213 | -13235.689 |
| 12833.966 | -8593.682 | -3277.511 | 5687.205 | 10107.070 | -13123.455 |
| 14145.448 | 5492.260 | 3681.070 | -4187.709 | 7062.023 | -8724.862 |
| 12854.217 | -8738.814 | -3221.270 | 5709.157 | 10200.057 | -13099.592 |
| 14209.080 | 5430.928 | 3660.036 | -4195.813 | 7182.890 | -8728.399 |
| 14147.537 | 5417.078 | 3613.752 | -4187.438 | 7122.348 | -8685.057 |
| -12712.615 | 8711.423 | 3861.373 | -5754.914 | -9660.576 | 13244.578 |
| 1409.790 | 14348.745 | 6937.408 | -9857.045 | -3046.853 | 4373.953 |
| -12739.994 | 8820.066 | 3405.964 | -5682.741 | -10163.864 | 13095.432 |
| -14081.770 | -5422.117 | -3545.794 | 4222.657 | -7066.156 | 8725.608 |
| -12735.624 | 8749.851 | 3371.324 | -5679.884 | -10054.432 | 13115.274 |
| -12891.255 | 8651.349 | 3805.090 | -5753.007 | -9657.330 | 13287.423 |
| 1556.885 | 612.426 | 423.350 | -419.878 | 710.629 | -870.762 |
| 1340.241 | -732.651 | -259.293 | 581.071 | 1014.080 | -1305.397 |
| 1478.009 | 613.410 | 500.561 | -416.939 | 709.411 | -870.427 |
| 1413.108 | 546.022 | 351.745 | -384.142 | 703.841 | -873.490 |
| 1408.572 | 543.200 | 356.412 | -418.656 | 737.176 | -874.749 |
| 1414.293 | 540.992 | 362.307 | -417.362 | 717.431 | -839.325 |
| -1274.863 | -474.015 | -295.546 | 419.645 | -710.749 | 876.337 |
| -1357.090 | -6810.716 | -1948.874 | -2825.435 | -799.847 | 708.624 |
| -1207.720 | 950.758 | 466.194 | -570.123 | -1016.239 | 1305.533 |
| -1425.315 | -6951.367 | -2020.317 | -2804.025 | -797.593 | 707.986 |
| -1420.381 | -6953.760 | -2011.719 | -2836.043 | -763.437 | 705.541 |
| -1273.063 | 874.142 | 334.515 | -566.953 | -1005.523 | 1342.456 |
| 176.073 | 65.273 | 63.265 | -0.931 | 17.795 | 7.002 |
| -124225.487 | -144821.742 | -40901.787 | 36523.457 | -67694.307 | 22311.865 |
| 63.966 | 64.930 | 172.937 | -2.872 | -1.351 | 0.533 |
| -24698.459 | -132646.013 | -20610.135 | 52438.604 | -22665.177 | 57427.863 |
| -24738.522 | -132690.803 | -20703.492 | 52431.199 | -22598.537 | 57329.037 |
| -24695.146 | -132646.995 | -20606.502 | 52385.181 | -22655.745 | 57475.373 |
| 24916.925 | 132755.962 | 20764.057 | -52429.814 | 22668.600 | -57325.269 |
| 124275.556 | 145202.822 | 40868.966 | -36533.472 | 67642.369 | -22145.648 |
| 18.181 | 14.836 | 105.927 | -15.962 | -44.771 | -6.558 |
| 124284.107 | 145001.460 | 40958.504 | -36457.804 | 67691.620 | -22314.146 |
| 24700.108 | 132647.839 | 20605.983 | -52383.346 | 22718.696 | -57429.755 |
| 99570.054 | 12311.660 | 20332.122 | 15863.080 | 45010.081 | 35144.954 |
| -17977.650 | -19016.096 | -10667.300 | 9166.933 | -584.561 | -2884.568 |
| -2406.340 | -13076.531 | -2002.124 | 5258.122 | -2261.544 | 5737.187 |
| 63.966 | 64.930 | 172.937 | -2.872 | -1.351 | 0.533 |
| -9958.793 | -1230.543 | -2036.711 | -1532.768 | -4498.475 | -3510.544 |
| -18153.127 | -19083.097 | -10740.575 | 9174.261 | -548.700 | -2901.747 |
| -2472.730 | -13269.249 | -2070.414 | 5243.588 | -2253.735 | 5779.724 |
| 12608.504 | 14569.801 | 4168.782 | -3656.431 | 6784.960 | -2214.854 |
| 2539.159 | 13457.017 | 2135.273 | -5229.079 | 2265.456 | -5730.838 |
| 10021.436 | 1297.578 | 2206.308 | 1583.160 | 4498.029 | 3511.869 |
| 12427.531 | 14502.114 | 4093.710 | -3597.445 | 6771.147 | -2231.224 |
| 2476.775 | 13269.210 | 2067.924 | -5240.842 | 2317.248 | -5735.887 |
| 2475.612 | 13269.040 | 2070.069 | -5242.342 | 2276.363 | -5686.434 |
| -73.144 | -1258.180 | -140.400 | 523.306 | -209.007 | 581.258 |
| -1177.612 | -1264.084 | -344.866 | 379.239 | -676.093 | 224.398 |
| -1176.978 | -1383.495 | -239.031 | 363.287 | -676.678 | 222.789 |
| -249.090 | -1325.522 | -209.401 | 577.800 | -225.945 | 572.352 |
| -992.505 | -122.255 | -202.590 | -157.724 | -401.089 | -352.844 |
| -244.904 | -1325.270 | -205.555 | 524.839 | -214.784 | 620.637 |
| 1414.601 | 1518.125 | 471.899 | -365.688 | 695.102 | -214.184 |
| 1880.259 | 2095.666 | 1137.852 | -902.650 | 60.899 | 290.895 |
| 311.613 | 1392.070 | 379.410 | -527.033 | 225.855 | -572.277 |
| 245.673 | 1327.964 | 203.498 | -470.338 | 228.256 | -574.052 |
| 3.004 | 0.839 | -1.186 | 1.514 | 51.506 | -1.461 |
| 0.930 | 0.832 | -1.335 | 0.802 | 10.839 | 46.452 |
| 173.088 | 63.022 | 58.003 | 0.371 | 20.632 | 4.800 |
| -1000.555 | -8.360 | 2779.302 | -2486.761 | -1709.104 | 839.778 |
| 161005.612 | 35633.246 | 46431.376 | 36998.233 | -85900.621 | -75139.727 |
| -126.416 | 103.844 | 149.393 | -84.916 | -105.235 | 120.696 |
| 3.412 | 0.705 | -2.749 | 0.845 | 51.427 | -1.258 |
| -2.740 | 1.273 | 1.168 | 2.614 | 10.423 | 50.404 |
| -141.346 | 568.300 | -1396.122 | 1527.341 | 1096.304 | 318.606 |
| 191.317 | 48.990 | -82.828 | 134.278 | 105.904 | -116.575 |
| -160756.091 | -35405.684 | -46429.586 | -37005.278 | 85907.624 | 75126.979 |
| -160487.224 | -35970.007 | -45999.848 | -37639.545 | 85622.361 | 74695.373 |
| 1400.914 | -436.041 | -2183.015 | 1847.454 | 1386.197 | -1194.841 |
| 123.874 | -104.674 | -147.733 | 129.309 | 114.734 | -74.593 |
| 155.730 | 72.399 | 72.441 | -8.995 | 11.185 | 12.736 |
| -6.015 | -4.057 | 378.877 | -254.991 | -172.367 | 83.758 |
| 51.310 | 75.941 | 170.691 | -11.739 | -12.671 | 13.039 |
| 16218.244 | 3511.975 | 4518.441 | 3794.046 | -8530.480 | -7624.133 |
| 3.412 | 0.705 | -2.749 | 0.845 | 51.427 | -1.258 |
| 16161.849 | 3575.883 | 4408.063 | 3926.387 | -8431.522 | -7526.954 |
| 172.428 | 53.384 | 45.269 | 17.185 | 31.117 | -10.167 |
| 62.515 | 164.747 | 62.000 | 8.692 | 0.897 | 1.663 |
| 3.905 | 116.582 | 50.538 | 75.740 | 87.684 | 67.002 |
| 12.108 | -12.505 | -13.921 | 54.512 | 10.808 | -9.323 |
| -16056.177 | -3609.068 | -4569.108 | -3786.997 | 8523.479 | 7474.826 |
| -16175.556 | -3565.258 | -4394.924 | -3931.550 | 8440.490 | 7618.216 |
| 153.362 | 62.425 | 64.478 | -2.893 | 13.969 | 1.923 |
| 1690.942 | 458.742 | 534.865 | 386.954 | -851.514 | -748.858 |
| 1701.463 | 444.899 | 545.596 | 387.003 | -848.165 | -752.124 |
| -10.754 | 4.004 | 12.083 | 1.532 | -9.879 | 11.343 |
| -2.936 | 3.425 | 5.042 | -6.020 | 22.478 | 4.365 |
| -4.929 | 4.580 | 5.111 | -2.303 | 2.142 | 29.831 |
| 138.658 | 80.218 | 17.306 | 16.896 | 31.467 | 27.833 |
| 70.677 | 143.047 | 66.146 | 8.968 | 2.066 | -0.790 |
| 40.671 | 73.196 | 152.298 | 3.077 | -2.375 | 11.315 |
| 1.875 | -3.799 | -2.208 | 37.679 | 1.910 | 0.234 |
| 11.081 | -6.732 | -9.446 | 6.145 | 13.256 | -8.431 |
| 8.830 | -3.813 | -9.764 | 9.933 | 9.676 | 5.208 |
| 121820.883 | 291616.175 | 278462.960 | -251942.144 | 193735.456 | -166547.853 |
| -5747.646 | 32692.342 | 8449.430 | -6601.700 | -11769.954 | 17932.160 |
| 114180.515 | 288920.924 | 291178.172 | -271578.275 | 175018.260 | -155958.003 |
| 115949.132 | 269376.735 | 272720.598 | -285189.050 | 174985.161 | -161329.733 |
| 114138.029 | 288775.970 | 291069.641 | -271504.358 | 175129.537 | -156016.916 |
| 114132.855 | 288774.575 | 291070.624 | -271505.919 | 175100.656 | -155998.048 |
| -113997.841 | -288737.417 | -290983.697 | 271541.355 | -175064.783 | 155981.329 |
| -120441.860 | -258448.474 | -280842.921 | 269745.398 | -185695.780 | 172391.828 |
| 3344.963 | -34107.671 | -5927.021 | 2098.037 | 7790.006 | -16840.131 |
| 3280.981 | -34202.990 | -6049.275 | 2146.926 | 7815.417 | -16860.207 |
| -121677.440 | -291494.521 | -278405.260 | 252038.639 | -193686.024 | 166514.694 |
| -115794.722 | -290243.346 | -288464.687 | 268898.571 | -177773.848 | 156817.801 |
| 11530.525 | 28958.257 | 29180.829 | -27155.083 | 17502.115 | -15603.788 |
| 11808.406 | 25624.331 | 28562.641 | -26952.241 | 18290.556 | -17292.448 |
| 56.900 | 62.644 | 176.813 | -1.308 | -1.621 | 5.087 |
| 11594.153 | 26936.221 | 27273.662 | -28499.450 | 17497.189 | -16133.875 |
| 304.417 | 405.212 | -413.909 | -53.369 | 298.000 | 57.886 |
| -0.501 | -4.570 | 3.410 | -0.144 | -14.657 | 50.550 |
| -73.485 | -1383.816 | 1807.448 | 558.905 | -260.242 | -485.804 |
| -11523.020 | -26815.246 | -27199.314 | 28507.844 | -17506.134 | 16134.770 |
| -513.070 | -3302.814 | 437.429 | -2170.110 | -1305.915 | -317.146 |
| -11742.511 | -25455.621 | -28499.720 | 26983.903 | -18292.905 | 17288.482 |
| -11412.161 | -28878.525 | -29106.905 | 27149.531 | -17487.101 | 15601.853 |
| -11413.797 | -28884.273 | -29105.373 | 27153.441 | -17512.558 | 15617.213 |
| 163.987 | 69.337 | 57.657 | -2.632 | -8.876 | -7.942 |
| 1240.745 | 2713.563 | 2911.011 | -2711.110 | 1825.921 | -1732.104 |
| 1274.925 | 2659.680 | 2940.896 | -2698.099 | 1857.366 | -1724.169 |
| -57.659 | 324.594 | 85.274 | -46.737 | -117.794 | 176.317 |
| 1159.711 | 2901.169 | 2884.423 | -2689.271 | 1802.817 | -1568.241 |
| 31.393 | 175.773 | -237.117 | -4.803 | 60.045 | 49.366 |
| -1022.299 | -2812.731 | -2835.059 | 2714.655 | -1754.901 | 1554.360 |
| -1067.133 | -2763.409 | -2835.368 | 2707.738 | -1751.504 | 1559.294 |
| -1066.916 | -2810.472 | -2784.831 | 2715.018 | -1752.061 | 1560.827 |
| -1.365 | -155.480 | 155.124 | 138.412 | 34.652 | -90.513 |
| 58.750 | -324.490 | -83.197 | 64.042 | 135.233 | -178.717 |
| -1223.644 | -2609.430 | -2743.121 | 2694.800 | -1893.421 | 1750.249 |
| 164.457 | 59.406 | 50.039 | -4.391 | -3.203 | -2.406 |
| 399.776 | 352957.078 | 3772.205 | 36199.486 | 1120.334 | 10915.784 |
| 395.978 | 352847.195 | 3890.189 | 36219.742 | 1118.969 | 10917.602 |
| 344.776 | 352799.824 | 3739.763 | 36275.385 | 1105.759 | 10902.450 |
| 342.000 | 352791.798 | 3723.958 | 36218.781 | 1162.521 | 10916.086 |
| 339.283 | 352788.054 | 3720.381 | 36215.993 | 1107.918 | 10965.825 |
| 161.382 | 61.030 | 52.143 | 0.758 | -6.970 | -11.242 |
| 61.750 | 167.990 | 54.645 | -15.178 | -0.505 | -2.514 |
| 55.587 | 54.987 | 167.558 | 1.888 | 1.341 | 1.202 |
| -339.505 | -352798.718 | -3725.815 | -36178.598 | -1113.339 | -10911.510 |
| 2.699 | -0.556 | 1.341 | -0.046 | 45.492 | 1.736 |
| 0.127 | -3.647 | -1.481 | -2.149 | -9.710 | 50.815 |
| 163.757 | 62.514 | 54.919 | 1.504 | -8.101 | -10.217 |
| 95.461 | 35445.954 | 424.973 | 3604.871 | 112.834 | 1090.974 |
| 55.587 | 54.987 | 167.558 | 1.888 | 1.341 | 1.202 |
| 1.207 | -3.019 | 1.763 | 44.193 | 0.061 | -0.703 |
| 3.163 | -0.248 | 1.896 | 0.102 | 45.215 | 1.943 |
| 0.691 | -2.595 | 0.307 | -0.796 | -10.988 | 49.638 |
| 129.402 | -35216.721 | -317.451 | -3620.220 | -119.857 | -1102.103 |
| 26.772 | -35113.041 | -320.333 | -3638.928 | -110.335 | -1092.538 |
| 55.376 | 54.858 | 167.224 | 1.809 | 1.452 | 1.096 |
| 1.081 | -3.184 | 1.474 | 44.003 | 0.247 | -0.582 |
| -31.628 | -35279.935 | -371.230 | -3621.877 | -66.229 | -1090.092 |
| -33.668 | -35282.858 | -373.482 | -3623.901 | -121.563 | -1040.721 |
| 167.140 | 3590.454 | 92.150 | 363.694 | 3.070 | 98.929 |
| 62.150 | 165.705 | 53.471 | -16.725 | 1.166 | -0.201 |
| 58.966 | 3582.901 | 204.733 | 364.038 | 12.549 | 110.383 |
| 4.595 | 3524.987 | 39.066 | 406.473 | 11.160 | 108.335 |
| 2.727 | -0.536 | 1.367 | -0.043 | 45.449 | 1.756 |
| 4.066 | 3525.273 | 37.440 | 361.312 | 0.258 | 158.852 |
| 160.306 | -3465.363 | 17.739 | -360.650 | -19.292 | -119.401 |
| 57.766 | -3362.465 | 15.338 | -378.949 | -9.835 | -110.143 |
| 55.581 | 54.971 | 167.504 | 1.859 | 1.367 | 1.224 |
| 1.127 | -3.086 | 1.617 | 44.074 | 0.138 | -0.682 |
| 2.699 | -0.556 | 1.341 | -0.046 | 45.492 | 1.736 |
| -2.745 | -3530.560 | -37.001 | -363.029 | -22.100 | -59.529 |
| -376090.276 | -27494.978 | -4451.930 | 11176.961 | 41150.034 | -101744.223 |
| 0.748 | 128.638 | 54.530 | 125.476 | -5.646 | 39.056 |
| 63.606 | 60.967 | 170.507 | 0.724 | 1.691 | 0.016 |
| -62.129 | -36.560 | -4.503 | 175.583 | -8.430 | 33.136 |
| -376230.476 | -27540.325 | -4504.514 | 11146.872 | 41204.542 | -101757.673 |
| -64.670 | -37.266 | -6.126 | 130.800 | -11.153 | 80.529 |
| 376457.681 | 27641.749 | 4580.432 | -11241.686 | -41165.960 | 101712.180 |
| 125.944 | 207.701 | 67.686 | -118.750 | 4.876 | -29.986 |
| 376335.399 | 27629.563 | 4678.388 | -11247.148 | -41145.055 | 101736.398 |
| -0.783 | 2.931 | 0.724 | 47.279 | -1.173 | -0.177 |
| 376258.121 | 27559.218 | 4516.973 | -11178.667 | -41110.155 | 101736.186 |
| 376219.882 | 27539.179 | 4503.574 | -11140.089 | -41157.275 | 101809.860 |
| 164.107 | 61.634 | 62.231 | 6.172 | -13.094 | -4.187 |
| -2880.098 | 161.213 | -52523.717 | 459.927 | 12429.688 | -98.448 |
| 63.606 | 60.967 | 170.507 | 0.724 | 1.691 | 0.016 |
| -37626.740 | -2752.978 | -450.807 | 1164.959 | 4114.851 | -10173.741 |
| -2946.182 | -7.618 | -52582.954 | 459.398 | 12479.503 | -102.011 |
| -2946.010 | -4.562 | -52584.954 | 462.105 | 12424.694 | -56.354 |
| 175.132 | 67.662 | 63.607 | -14.234 | -7.855 | -11.666 |
| 37690.830 | 2925.328 | 512.473 | -1119.474 | -4115.773 | 10177.376 |
| 63.606 | 60.967 | 170.507 | 0.724 | 1.691 | 0.016 |
| 4.342 | 5.487 | 1.456 | 38.096 | 2.312 | -4.033 |
| 2943.954 | 8.568 | 52586.258 | -465.021 | -12378.354 | 102.206 |
| 5.251 | 7.033 | 0.427 | -11.560 | -1.866 | 41.706 |
| -126.537 | 62.920 | -5195.529 | 45.050 | 1232.927 | -17.563 |
| -3697.713 | -106.280 | 15.863 | 110.128 | 411.515 | -1013.492 |
| 61.793 | 60.118 | 169.077 | 5.266 | 0.563 | 1.493 |
| -1.371 | 2.537 | 0.682 | 48.490 | -1.257 | 0.136 |
| -1.717 | 0.106 | 1.722 | -0.914 | 50.059 | 0.510 |
| -1.329 | 3.308 | -0.383 | 0.731 | -4.435 | 46.005 |
| 3930.804 | 339.333 | 108.304 | -113.741 | -419.657 | 1009.210 |
| 359.345 | 170.090 | 5319.392 | -47.975 | -1242.647 | 14.066 |
| 62.628 | 60.055 | 169.905 | 3.319 | 3.438 | 0.073 |
| -0.345 | 3.112 | 0.793 | 46.428 | -0.771 | -0.546 |
| 4055.764 | 276.744 | 5305.306 | -159.664 | -1604.677 | 1027.917 |
| 3762.039 | 279.344 | 44.785 | -112.886 | -415.608 | 1062.951 |
| -217394.251 | -6596.131 | -43394.934 | 16999.888 | -97209.918 | 37968.779 |
| -217501.453 | -6484.729 | -43398.539 | 16988.605 | -97204.696 | 37978.307 |
| -217502.097 | -6590.090 | -43288.546 | 16991.054 | -97203.686 | 37973.009 |
| 260.929 | -2025.537 | 1886.856 | 3123.629 | -18.153 | 120.037 |
| -211540.588 | -3805.953 | 595679.349 | -25734.269 | -35102.384 | 33826.547 |
| -217565.336 | -6656.604 | -43459.031 | 16996.134 | -97212.496 | 38021.817 |
| 211715.579 | 3874.987 | -595628.993 | 25719.202 | 35152.601 | -33832.375 |
| 217349.851 | 8568.797 | 41836.371 | -19677.303 | 97175.741 | -38078.253 |
| 211227.613 | 6656.536 | -598190.383 | 21510.594 | 35171.821 | -33994.070 |
| 211541.578 | 3802.409 | -595675.554 | 25786.195 | 35152.580 | -33829.987 |
| 211541.225 | 3803.518 | -595671.594 | 25735.714 | 35201.333 | -33828.970 |
| 211539.326 | 3807.031 | -595676.563 | 25732.460 | 35142.538 | -33781.784 |
| -20982.697 | -320.142 | 59629.904 | -2570.070 | -3519.864 | 3376.662 |
| -21091.790 | -206.298 | 59626.957 | -2583.558 | -3516.706 | 3385.237 |
| 67.713 | 58.931 | 167.314 | 2.383 | 6.076 | 0.494 |
| -21153.419 | -382.800 | 59567.465 | -2522.296 | -3514.464 | 3380.547 |
| -21153.278 | -381.850 | 59571.520 | -2572.746 | -3465.313 | 3381.673 |
| -21155.672 | -378.178 | 59566.455 | -2576.030 | -3524.506 | 3428.750 |
| 21928.910 | 727.441 | 4407.681 | -1698.667 | 9716.533 | -3803.631 |
| 21818.678 | 840.060 | 4405.203 | -1709.926 | 9718.798 | -3795.124 |
| 21217.364 | 445.690 | -59399.882 | 2569.531 | 3516.784 | -3384.368 |
| 21757.449 | 662.995 | 4345.593 | -1648.102 | 9721.462 | -3799.613 |
| 21154.409 | 379.256 | -59563.670 | 2574.221 | 3564.660 | -3383.987 |
| -3.001 | 5.857 | -0.705 | -6.521 | -11.004 | 44.937 |
| 171.837 | 60.702 | 62.913 | 2.888 | -4.064 | -6.015 |
| -2113.152 | 107.445 | -375.126 | 159.994 | -973.404 | 382.264 |
| 127.360 | 90.306 | 6558.817 | -427.779 | 625.494 | -41.735 |
| 0.364 | -2.528 | -0.095 | 51.582 | 0.487 | -2.249 |
| -2173.915 | -68.491 | -430.590 | 171.054 | -921.450 | 378.926 |
| -2117.459 | -35.526 | 5955.794 | -259.941 | -361.284 | 384.092 |
| 2346.563 | 129.376 | 495.847 | -170.026 | 967.902 | -385.828 |
| 2177.756 | 212.260 | -5897.323 | 247.211 | 350.023 | -335.822 |
| 66.767 | 64.106 | 165.987 | -3.851 | 4.761 | -0.506 |
| -59.615 | -30.827 | -6391.410 | 478.530 | -619.834 | 39.234 |
| -58.667 | -29.583 | -6388.042 | 427.129 | -570.067 | 40.571 |
| 2173.284 | 69.372 | 433.493 | -172.831 | 962.016 | -334.098 |
| 151.710 | 68.045 | 19.432 | -0.000 | 0.000 | -0.000 |
| -63.188 | -27.555 | -17.536 | 0.000 | 0.000 | 0.000 |
| 16.836 | 16.836 | 167.172 | -0.000 | 0.000 | -0.000 |
| 0.000 | -0.000 | 0.000 | 51.964 | 0.000 | -0.000 |
| 0.000 | -0.000 | 0.000 | -0.000 | 51.964 | -0.000 |
| -0.000 | -0.000 | 0.000 | 0.000 | 0.000 | 41.832 |
| 151.710 | 68.045 | 19.432 | -0.000 | -0.000 | 0.000 |
| 68.045 | 151.710 | 19.432 | -0.000 | -0.000 | 0.000 |
| 16.836 | 16.836 | 167.172 | 0.000 | -0.000 | 0.000 |
| -0.000 | 0.000 | -0.000 | 51.964 | -0.000 | -0.000 |
| 0.000 | 0.000 | -0.000 | -0.000 | 51.964 | 0.000 |
| -0.000 | 0.000 | -0.000 | -0.000 | -0.000 | 41.832 |
| 151.708 | 68.043 | 19.430 | -0.000 | 0.000 | -0.000 |
| 68.043 | 151.708 | 19.430 | -0.000 | 0.000 | -0.000 |
| 1.212 | 1.212 | 163.452 | 0.000 | 0.000 | 0.000 |
| 0.000 | 0.000 | 0.000 | 51.964 | 0.000 | -0.000 |
| 0.000 | 0.000 | 0.000 | -0.000 | 51.964 | -0.000 |
| 0.000 | 0.000 | 0.000 | -0.000 | 0.000 | 41.832 |
| 151.712 | 68.047 | 19.433 | 0.000 | -0.000 | 0.000 |
| 105.863 | 142.480 | 22.838 | -0.000 | -0.000 | -0.000 |
| 16.838 | 16.838 | 167.173 | -0.000 | -0.000 | 0.000 |
| -0.000 | -0.000 | -0.000 | 51.964 | -0.000 | 0.000 |
| -0.000 | -0.000 | -0.000 | 0.000 | 51.964 | 0.000 |
| -0.000 | -0.000 | -0.000 | 0.000 | -0.000 | 41.832 |
| 132.321 | 83.890 | 18.999 | -0.000 | 0.000 | 0.000 |
| 83.886 | 132.325 | 18.999 | -0.000 | 0.000 | -0.000 |
| 16.823 | 16.823 | 167.162 | -0.000 | 0.000 | -0.000 |
| -2.411 | -2.411 | -0.574 | 46.126 | 0.000 | 0.000 |
| 0.000 | 0.000 | 0.000 | 0.000 | 51.964 | -0.000 |
| 0.000 | 0.000 | 0.000 | -0.000 | 0.000 | 41.832 |
| 129.058 | 93.685 | 19.800 | -0.000 | 0.000 | 0.000 |
| 85.420 | 135.346 | 19.564 | 0.000 | 0.000 | -0.000 |
| 18.237 | 18.237 | 167.513 | 0.000 | -0.000 | -0.000 |
| 2.411 | 2.411 | 0.574 | 46.126 | 0.000 | -0.000 |
| -0.000 | -0.000 | -0.000 | 0.000 | 51.964 | 0.000 |
| -0.000 | -0.000 | -0.000 | 0.000 | -0.000 | 41.832 |
| 69.432 | 49.223 | 49.223 | -0.000 | -0.000 | -0.000 |
| 49.223 | 69.432 | 49.223 | -0.000 | -0.000 | -0.000 |
| 49.223 | 49.223 | 69.432 | -0.000 | -0.000 | -0.000 |
| -0.910 | -0.910 | -0.910 | 14.739 | -0.000 | -0.000 |
| -0.910 | -0.910 | -0.910 | -0.000 | 14.739 | -0.000 |
| -0.910 | -0.910 | -0.910 | -0.000 | -0.000 | 14.739 |
| 90.387 | 53.210 | 53.210 | 0.000 | 0.000 | 0.000 |
| 53.210 | 90.387 | 53.210 | -0.000 | 0.000 | 0.000 |
| 53.210 | 53.210 | 90.387 | 0.000 | 0.000 | 0.000 |
| 0.910 | 0.910 | 0.910 | 14.739 | 0.000 | 0.000 |
| 0.910 | 0.910 | 0.910 | -0.000 | 14.739 | 0.000 |
| 0.910 | 0.910 | 0.910 | 0.000 | 0.000 | 14.739 |
| 90.387 | 53.210 | 53.210 | 0.000 | -0.000 | -0.000 |
| 53.210 | 90.387 | 53.210 | 0.000 | -0.000 | -0.000 |
| 53.210 | 53.210 | 90.387 | 0.000 | -0.000 | -0.000 |
| 0.093 | 0.093 | 0.093 | 16.993 | -0.000 | -0.000 |
| 0.093 | 0.093 | 0.093 | 0.000 | 16.993 | -0.000 |
| 0.093 | 0.093 | 0.093 | 0.000 | -0.000 | 16.993 |
| 90.387 | 53.210 | 53.210 | -0.000 | 0.000 | 0.000 |
| 53.210 | 90.387 | 53.210 | 0.000 | 0.000 | 0.000 |
| 53.210 | 53.210 | 90.387 | 0.000 | 0.000 | 0.000 |
| -0.093 | -0.093 | -0.093 | 16.993 | -0.000 | 0.000 |
| -0.093 | -0.093 | -0.093 | -0.000 | 16.993 | 0.000 |
| -0.093 | -0.093 | -0.093 | 0.000 | 0.000 | 16.993 |
| 74.021 | 47.639 | 47.639 | -0.000 | -0.000 | -0.000 |
| 47.639 | 74.021 | 47.639 | 0.000 | -0.000 | -0.000 |
| 47.639 | 47.639 | 74.021 | 0.000 | -0.000 | -0.000 |
| 0.000 | 0.000 | 0.000 | 50.900 | -0.000 | -0.000 |
| 0.000 | 0.000 | 0.000 | 0.000 | 50.900 | -0.000 |
| 0.000 | 0.000 | 0.000 | -0.000 | -0.000 | 50.900 |
| 90.386 | 53.210 | 53.210 | -0.000 | 0.000 | 0.000 |
| 53.210 | 90.386 | 53.210 | -0.000 | 0.000 | 0.000 |
| 53.210 | 53.210 | 90.386 | 0.000 | 0.000 | 0.000 |
| -0.000 | -0.000 | -0.000 | 50.900 | 0.000 | 0.000 |
| -0.000 | -0.000 | -0.000 | 0.000 | 50.900 | 0.000 |
| -0.000 | -0.000 | -0.000 | 0.000 | 0.000 | 50.900 |
| -545.340 | -653.795 | 1688.641 | 0.000 | -0.000 | 0.000 |
| -653.920 | -545.475 | 1688.924 | 0.000 | -0.000 | 0.000 |
| -664.433 | -664.433 | 1813.271 | 0.000 | -0.000 | 0.000 |
| 0.000 | -0.000 | -0.000 | 60.036 | -0.000 | 0.000 |
| -741.702 | -741.702 | 1609.367 | 0.000 | 47.259 | 0.000 |
| 0.000 | 0.000 | -0.000 | 0.000 | -0.000 | 82.739 |
| 239.546 | 74.068 | 47.437 | -0.000 | 0.000 | -0.000 |
| 74.068 | 239.546 | 47.437 | -0.000 | 0.000 | -0.000 |
| 818.924 | 818.924 | -1405.361 | -0.000 | 0.000 | -0.000 |
| -0.000 | -0.000 | 0.000 | 60.036 | 0.000 | -0.000 |
| 741.702 | 741.702 | -1609.367 | -0.000 | 47.259 | -0.000 |
| -0.000 | -0.000 | 0.000 | -0.000 | 0.000 | 82.739 |
| 121.520 | 13.409 | 241.295 | 0.000 | -0.000 | 0.000 |
| 13.409 | 121.520 | 241.295 | 0.000 | -0.000 | 0.000 |
| 3.078 | 3.078 | 364.886 | 0.000 | -0.000 | 0.000 |
| -74.398 | -74.398 | 161.430 | 47.220 | -0.000 | 0.000 |
| 0.000 | 0.000 | 0.000 | 0.000 | 60.036 | 0.000 |
| -0.000 | -0.000 | 0.000 | 0.000 | -0.000 | 82.739 |
| 270.979 | 163.258 | -83.427 | -0.000 | 0.000 | -0.000 |
| 166.062 | 266.630 | -81.752 | -0.000 | 0.000 | -0.000 |
| 151.439 | 151.439 | 42.968 | -0.000 | 0.000 | -0.000 |
| 74.398 | 74.398 | -161.430 | 47.220 | 0.000 | -0.000 |
| -0.000 | -0.000 | -0.000 | -0.000 | 60.036 | -0.000 |
| 0.000 | 0.000 | -0.000 | -0.000 | 0.000 | 82.739 |
| 185.045 | 84.477 | 95.273 | 0.000 | -0.000 | 0.000 |
| 74.068 | 239.545 | 47.437 | 0.000 | -0.000 | 0.000 |
| 69.831 | 69.831 | 220.045 | 0.000 | -0.000 | 0.000 |
| -7.993 | -7.993 | 17.344 | 46.266 | -0.000 | 0.000 |
| 0.000 | 0.000 | 0.000 | 0.000 | 60.036 | -0.000 |
| -0.000 | -0.000 | 0.000 | 0.000 | -0.000 | 82.739 |
| 199.880 | 99.311 | 63.087 | -0.000 | 0.000 | -0.000 |
| 97.947 | 199.496 | 64.984 | -0.000 | 0.000 | -0.000 |
| 84.670 | 84.670 | 187.844 | -0.000 | 0.000 | -0.000 |
| 7.993 | 7.993 | -17.344 | 46.266 | 0.000 | -0.000 |
| -0.000 | -0.000 | -0.000 | -0.000 | 60.036 | 0.000 |
| 0.000 | 0.000 | -0.000 | -0.000 | 0.000 | 82.739 |
| 137.454 | 69.106 | 69.106 | -0.000 | -0.000 | -0.000 |
| 69.106 | 137.454 | 69.106 | -0.000 | -0.000 | 0.000 |
| 69.106 | 69.106 | 137.454 | -0.000 | -0.000 | -0.000 |
| -0.000 | 0.000 | 0.000 | 67.707 | -0.000 | 0.000 |
| -0.000 | 0.000 | 0.000 | -0.000 | 67.707 | 0.000 |
| -0.000 | 0.000 | 0.000 | -0.000 | -0.000 | 67.707 |
| 135.641 | 67.353 | 67.353 | 0.000 | 0.000 | -0.000 |
| 67.353 | 135.641 | 67.353 | 0.000 | 0.000 | -0.000 |
| 67.353 | 67.353 | 135.641 | 0.000 | 0.000 | -0.000 |
| 0.000 | -0.000 | -0.000 | 67.707 | 0.000 | 0.000 |
| 0.000 | -0.000 | -0.000 | 0.000 | 67.707 | 0.000 |
| 0.000 | -0.000 | -0.000 | 0.000 | 0.000 | 67.707 |
| 136.639 | 68.318 | 68.318 | -0.000 | -0.000 | 0.000 |
| 68.318 | 136.639 | 68.318 | 0.000 | -0.000 | 0.000 |
| 68.318 | 68.318 | 136.639 | -0.000 | -0.000 | 0.000 |
| 0.099 | 0.099 | 0.099 | 42.090 | -0.000 | -0.000 |
| 0.099 | 0.099 | 0.099 | -0.000 | 42.090 | -0.000 |
| 0.099 | 0.099 | 0.099 | -0.000 | -0.000 | 42.090 |
| 136.458 | 68.143 | 68.143 | 0.000 | 0.000 | -0.000 |
| 68.143 | 136.458 | 68.143 | 0.000 | 0.000 | -0.000 |
| 68.143 | 68.143 | 136.458 | 0.000 | 0.000 | -0.000 |
| -0.099 | -0.099 | -0.099 | 42.090 | 0.000 | -0.000 |
| -0.099 | -0.099 | -0.099 | 0.000 | 42.090 | 0.000 |
| -0.099 | -0.099 | -0.099 | 0.000 | 0.000 | 42.090 |
| 158.005 | 67.563 | 67.563 | -0.000 | -0.000 | -0.000 |
| 67.563 | 158.005 | 67.563 | -0.000 | 0.000 | 0.000 |
| 67.563 | 67.563 | 158.005 | -0.000 | -0.000 | 0.000 |
| 0.008 | 0.008 | 0.008 | 42.149 | -0.000 | 0.000 |
| 0.008 | 0.008 | 0.008 | -0.000 | 42.149 | 0.000 |
| 0.008 | 0.008 | 0.008 | -0.000 | -0.000 | 42.149 |
| 136.539 | 68.222 | 68.223 | 0.000 | 0.000 | 0.000 |
| 68.223 | 136.539 | 68.222 | 0.000 | 0.000 | 0.000 |
| 68.222 | 68.223 | 136.539 | 0.000 | 0.000 | -0.000 |
| -0.008 | -0.008 | -0.008 | 42.149 | -0.000 | -0.000 |
| -0.008 | -0.008 | -0.008 | 0.000 | 42.149 | -0.000 |
| -0.008 | -0.008 | -0.008 | 0.000 | 0.000 | 42.149 |
| 195.231 | 184.678 | 59.752 | 0.000 | -0.000 | -0.000 |
| 184.678 | 195.231 | 59.752 | 0.000 | 0.000 | 0.000 |
| 59.752 | 59.752 | 180.486 | -0.000 | 0.000 | -0.000 |
| 0.000 | 0.000 | 0.000 | 82.467 | -0.000 | -0.000 |
| -0.000 | 0.000 | -0.000 | -0.000 | 82.467 | -0.000 |
| 0.000 | 0.000 | -0.000 | -0.000 | -0.000 | 5.277 |
| 195.231 | 184.677 | 59.752 | 0.000 | -0.000 | -0.000 |
| 184.677 | 195.231 | 59.752 | -0.000 | -0.000 | -0.000 |
| 59.752 | 59.752 | 180.486 | -0.000 | 0.000 | -0.000 |
| -0.000 | 0.000 | -0.000 | 82.467 | 0.000 | -0.000 |
| -0.000 | -0.000 | 0.000 | 0.000 | 82.467 | 0.000 |
| -0.000 | 0.000 | 0.000 | -0.000 | 0.000 | 5.277 |
| 195.233 | 184.680 | 59.754 | -0.000 | -0.000 | -0.000 |
| 184.680 | 195.233 | 59.754 | -0.000 | 0.000 | 0.000 |
| 59.753 | 59.753 | 180.487 | -0.000 | -0.000 | 0.000 |
| 0.000 | 0.000 | 0.000 | 82.467 | 0.000 | 0.000 |
| 0.000 | 0.000 | 0.000 | -0.000 | 82.467 | -0.000 |
| 0.000 | -0.000 | -0.000 | 0.000 | -0.000 | 5.277 |
| 195.229 | 184.675 | 59.751 | 0.000 | 0.000 | 0.000 |
| 184.675 | 195.229 | 59.751 | -0.000 | -0.000 | 0.000 |
| 59.751 | 59.751 | 180.486 | 0.000 | -0.000 | 0.000 |
| -0.000 | -0.000 | -0.000 | 82.467 | -0.000 | 0.000 |
| -0.000 | -0.000 | -0.000 | 0.000 | 82.467 | 0.000 |
| -0.000 | -0.000 | 0.000 | -0.000 | -0.000 | 5.277 |
| 195.255 | 184.702 | 59.767 | 0.000 | -0.000 | 0.000 |
| 184.702 | 195.255 | 59.767 | 0.000 | 0.000 | -0.000 |
| 59.761 | 59.761 | 180.493 | -0.000 | -0.000 | 0.000 |
| 0.000 | 0.000 | 0.000 | 82.467 | 0.000 | -0.000 |
| 0.000 | 0.000 | 0.000 | -0.000 | 82.467 | 0.000 |
| 0.000 | 0.000 | 0.000 | 0.000 | 0.000 | 5.277 |
| 195.207 | 184.653 | 59.738 | 0.000 | -0.000 | 0.000 |
| 184.654 | 195.207 | 59.738 | 0.000 | -0.000 | 0.000 |
| 59.743 | 59.743 | 180.480 | -0.000 | -0.000 | 0.000 |
| -0.000 | -0.000 | -0.000 | 82.467 | 0.000 | -0.000 |
| -0.000 | -0.000 | -0.000 | -0.000 | 82.467 | -0.000 |
| -0.000 | -0.000 | -0.000 | -0.000 | -0.000 | 5.277 |
| -8721.265 | -8795.301 | -17369.695 | 8.113 | -5.497 | -0.000 |
| -12042.248 | -12012.231 | -12431.488 | 0.625 | 0.493 | 0.000 |
| -8804.694 | -8804.694 | -17145.047 | 0.000 | 0.000 | -0.000 |
| -12157.086 | -12155.755 | -12532.367 | 22.923 | -0.000 | 0.469 |
| -8883.057 | -8871.200 | -17241.706 | 0.000 | 32.991 | 7.264 |
| -8680.198 | -8680.198 | -23544.183 | 5.525 | 9.669 | 39.793 |
| 12300.383 | 12270.792 | 12633.403 | -0.706 | -0.445 | -0.000 |
| 12270.792 | 12300.383 | 12633.403 | 0.706 | 0.445 | 0.000 |
| 8757.070 | 8757.070 | 23620.424 | -0.000 | 0.000 | 0.000 |
| 8690.179 | 8670.844 | 23543.252 | 47.958 | 0.000 | 5.525 |
| 12151.996 | 12152.941 | 12528.293 | 0.000 | 22.934 | -0.660 |
| 8680.198 | 8680.198 | 23544.183 | 5.525 | 9.669 | 39.793 |
| -710.357 | -789.574 | -2290.431 | 9.595 | -5.486 | -0.000 |
| -803.503 | -731.192 | -1655.797 | -7.276 | 5.933 | -0.000 |
| -790.869 | -790.869 | -2276.176 | 0.000 | 0.000 | -0.000 |
| -858.698 | -878.023 | -2354.360 | 47.946 | 0.000 | 5.522 |
| -873.911 | -862.868 | -2354.267 | -0.000 | 47.944 | 9.661 |
| -887.814 | -887.814 | -1743.616 | 5.498 | 8.113 | 37.017 |
| 1357.904 | 1330.248 | 1354.299 | -1.074 | -0.226 | -0.000 |
| 1330.248 | 1357.904 | 1354.299 | 1.074 | 0.226 | 0.000 |
| 944.642 | 944.642 | 2428.884 | -0.000 | 0.000 | 0.000 |
| 1214.374 | 1215.688 | 1252.606 | 22.941 | -0.000 | 0.474 |
| 1214.556 | 1215.505 | 1252.606 | 0.000 | 22.941 | -0.657 |
| 887.817 | 887.817 | 1743.847 | 5.498 | 8.113 | 37.018 |
| 67.557 | -5.020 | -105.413 | 7.350 | -5.936 | -0.000 |
| -13.213 | 34.027 | -28.529 | -2.650 | 2.438 | 0.000 |
| -55.946 | -55.946 | -48.022 | -0.000 | 0.000 | -0.000 |
| -115.762 | -116.041 | -119.486 | 24.585 | -0.000 | 0.947 |
| -92.007 | -79.679 | -179.585 | 0.000 | 35.708 | 8.028 |
| -87.921 | -87.921 | -235.437 | 5.414 | 9.467 | 39.280 |
| 202.586 | 81.873 | 77.682 | 16.620 | -10.737 | 0.000 |
| 165.752 | 248.343 | 298.960 | -10.275 | 5.843 | 0.000 |
| 181.742 | 181.742 | 212.176 | -0.000 | -0.000 | 0.000 |
| 16.620 | -16.620 | -0.000 | 58.610 | 0.000 | 10.737 |
| 79.679 | 92.007 | 179.581 | 0.000 | 35.707 | 8.028 |
| 0.000 | -0.000 | 0.000 | 10.737 | 16.620 | 60.356 |
| 135.334 | 68.486 | 67.208 | -3.330 | 3.886 | 1.042 |
| 70.639 | 129.962 | 72.268 | -2.157 | 0.592 | -5.166 |
| 58.776 | 62.480 | 153.935 | 0.041 | 0.107 | -4.921 |
| -3.850 | -3.653 | -11.344 | 19.390 | -0.500 | -1.976 |
| 0.565 | 0.080 | -1.589 | 0.844 | 18.181 | -1.766 |
| -6.002 | -4.088 | -2.321 | -2.121 | -0.630 | 19.075 |
| 135.993 | 67.746 | 66.918 | -5.969 | 5.711 | 3.019 |
| 70.640 | 129.962 | 72.268 | -2.157 | 0.592 | -5.166 |
| 67.679 | 56.558 | 87.203 | -9.174 | -0.797 | -2.488 |
| -5.317 | -3.861 | -4.937 | 25.679 | -0.264 | -1.713 |
| 3.175 | -0.703 | -5.516 | -0.655 | 16.321 | -1.540 |
| -5.172 | -4.931 | 0.696 | -1.743 | 2.350 | 23.440 |
| 134.033 | 70.689 | 67.487 | -5.214 | 5.586 | -1.473 |
| 70.640 | 129.962 | 72.268 | -2.157 | 0.592 | -5.166 |
| 58.776 | 62.480 | 153.934 | 0.041 | 0.107 | -4.921 |
| -4.215 | -6.405 | -12.141 | 16.990 | 0.442 | -2.453 |
| 3.174 | -0.703 | -5.516 | -0.655 | 16.321 | -1.540 |
| -2.573 | -2.161 | -4.914 | -2.041 | -3.189 | 46.348 |
| 134.033 | 70.689 | 67.487 | -5.214 | 5.586 | -1.473 |
| 72.022 | 121.264 | 55.026 | -1.012 | -0.591 | -2.719 |
| 68.011 | 64.045 | 96.957 | -6.638 | -1.723 | -2.781 |
| -5.641 | -4.180 | 0.041 | 60.411 | -0.283 | -2.022 |
| 3.174 | -0.703 | -5.516 | -0.655 | 16.321 | -1.540 |
| -2.573 | -2.161 | -4.914 | -2.041 | -3.189 | 46.348 |
| 134.233 | 70.476 | 67.285 | -4.945 | 5.549 | -1.811 |
| 69.830 | 116.702 | 55.069 | -4.829 | 1.813 | -0.372 |
| 68.909 | 54.507 | 85.018 | -12.660 | -1.164 | -0.384 |
| -2.956 | -5.099 | -6.046 | 22.737 | 0.702 | -2.081 |
| 3.174 | -0.703 | -5.516 | -0.655 | 16.321 | -1.540 |
| -5.888 | 1.077 | -0.228 | -2.479 | -2.465 | 13.351 |
| 135.992 | 67.746 | 66.918 | -5.969 | 5.711 | 3.019 |
| 72.023 | 121.263 | 55.027 | -1.012 | -0.591 | -2.719 |
| 68.935 | 74.050 | 108.942 | -5.587 | -1.216 | 1.780 |
| -3.850 | -3.654 | -11.345 | 19.389 | -0.500 | -1.976 |
| 3.079 | -0.183 | -1.741 | 1.820 | 15.008 | -2.934 |
| -5.224 | -0.341 | -3.288 | -4.930 | -1.533 | 14.306 |
| 106.309 | -578.391 | -768.544 | 60.876 | 5.374 | 156.577 |
| 628.079 | -453.728 | -876.066 | -18.633 | -32.800 | -183.081 |
| 183.880 | -548.057 | -845.068 | 26.915 | -122.584 | 75.900 |
| 195.053 | -141.505 | -768.492 | -179.709 | -13.045 | 95.462 |
| 200.546 | -144.215 | -795.882 | -199.103 | -0.519 | 96.575 |
| 2.968 | -4.381 | -0.654 | -3.874 | 6.527 | 27.124 |
| -82.723 | 231.799 | 825.616 | 195.334 | 17.524 | -80.399 |
| -121.328 | 714.871 | 824.835 | 63.731 | 69.150 | 41.765 |
| -348.664 | 564.493 | 1013.553 | 12.903 | 23.431 | 166.824 |
| -5.928 | 1.417 | 3.397 | 37.486 | 0.199 | -2.724 |
| -10.402 | 660.317 | 798.297 | -62.124 | 7.773 | -139.553 |
| 2.968 | -4.381 | -0.654 | -3.874 | 6.527 | 27.124 |
| 126.486 | 62.699 | -35.232 | -19.630 | 5.610 | 24.548 |
| 90.449 | 18.699 | -68.613 | 7.101 | -9.019 | 21.591 |
| 68.686 | 43.535 | 8.773 | -16.103 | -11.204 | 7.120 |
| -5.928 | 1.417 | 3.397 | 37.486 | 0.199 | -2.724 |
| 4.756 | -66.917 | -91.761 | 1.004 | 11.143 | 15.918 |
| 84.557 | -47.590 | -100.138 | -10.299 | 1.178 | -10.689 |
| 145.870 | 83.314 | 43.092 | -7.758 | 4.705 | 15.102 |
| 58.197 | 84.189 | 112.664 | 25.507 | 3.539 | -4.223 |
| 22.894 | 70.899 | 147.641 | 11.486 | -4.417 | -10.214 |
| -0.704 | 74.082 | 70.998 | 2.028 | 3.335 | -11.693 |
| -15.609 | 23.624 | 65.008 | 17.244 | 11.956 | -8.375 |
| -12.332 | 21.616 | 75.279 | 19.919 | 4.617 | 8.266 |
| 97.226 | 71.080 | 38.312 | 1.231 | 4.406 | 18.946 |
| 71.735 | 54.394 | 27.391 | 8.662 | -3.411 | 8.785 |
| 54.093 | 27.423 | 60.069 | -2.420 | -9.045 | -0.522 |
| 9.329 | 0.025 | -10.062 | 2.774 | -0.472 | -1.248 |
| 11.305 | -3.519 | -18.749 | -1.886 | 6.107 | -0.599 |
| 2.968 | -4.381 | -0.654 | -3.874 | 6.527 | 27.124 |
| 81.346 | 79.386 | 57.263 | 3.357 | 5.026 | 22.810 |
| 64.979 | 62.450 | 41.909 | 6.725 | 0.772 | 7.329 |
| 43.326 | 42.018 | 81.800 | 3.442 | -9.758 | 2.808 |
| -5.304 | 9.211 | 18.154 | 12.238 | 1.889 | 0.821 |
| 0.406 | 4.923 | -4.057 | -0.087 | 14.141 | 0.362 |
| 9.044 | 8.743 | 10.520 | 0.052 | 4.807 | 12.109 |
| 234.737 | 76.992 | 126.022 | -0.000 | 0.000 | 0.000 |
| 77.036 | 214.295 | 110.042 | -0.000 | 0.000 | 0.000 |
| 120.404 | 115.360 | 174.284 | -0.000 | 0.000 | 0.000 |
| 0.008 | -0.008 | 0.001 | 35.396 | 0.000 | 0.000 |
| 0.008 | -0.007 | 0.001 | -0.000 | 31.659 | -0.000 |
| 0.009 | -0.009 | 0.001 | 0.000 | 0.000 | 100.321 |
| 154.194 | 153.270 | 120.344 | 0.000 | -0.000 | -0.000 |
| 153.246 | 142.119 | 115.414 | 0.000 | -0.000 | -0.000 |
| 126.043 | 110.018 | 174.681 | 0.000 | -0.000 | -0.000 |
| -0.008 | 0.008 | -0.001 | 35.396 | -0.000 | 0.000 |
| -0.008 | 0.007 | -0.001 | 0.000 | 31.659 | -0.000 |
| -0.009 | 0.009 | -0.001 | 0.000 | -0.000 | 100.321 |
| 154.233 | 153.235 | 120.348 | -0.000 | 0.000 | 0.000 |
| 153.285 | 142.084 | 115.418 | -0.000 | 0.000 | 0.000 |
| 120.373 | 115.392 | 174.284 | -0.000 | 0.000 | 0.000 |
| 0.001 | -0.001 | 0.000 | 35.396 | 0.000 | -0.000 |
| 0.001 | -0.001 | 0.000 | -0.000 | 31.659 | 0.000 |
| 0.001 | -0.001 | 0.000 | -0.000 | -0.000 | 100.321 |
| 234.735 | 76.990 | 126.021 | 0.000 | -0.000 | -0.000 |
| 153.277 | 142.088 | 115.415 | 0.000 | -0.000 | -0.000 |
| 120.363 | 115.395 | 174.279 | 0.000 | -0.000 | -0.000 |
| -0.001 | 0.001 | -0.000 | 35.396 | -0.000 | -0.000 |
| -0.001 | 0.001 | -0.000 | 0.000 | 31.659 | -0.000 |
| -0.001 | 0.001 | -0.000 | 0.000 | -0.000 | 100.321 |
| 154.239 | 153.251 | 120.361 | -0.000 | 0.000 | 0.000 |
| 153.290 | 142.100 | 115.430 | -0.000 | 0.000 | 0.000 |
| 126.060 | 110.035 | 174.703 | -0.000 | 0.000 | 0.000 |
| 0.000 | 0.000 | 0.000 | 35.396 | 0.000 | 0.000 |
| -0.000 | -0.000 | -0.000 | -0.000 | 31.659 | 0.000 |
| 0.000 | 0.000 | 0.000 | -0.000 | 0.000 | 100.321 |
| 154.219 | 153.223 | 120.333 | 0.000 | -0.000 | 0.000 |
| 153.272 | 142.073 | 115.403 | 0.000 | -0.000 | -0.000 |
| 120.351 | 115.377 | 174.259 | 0.000 | -0.000 | -0.000 |
| -0.000 | -0.000 | -0.000 | 35.396 | 0.000 | -0.000 |
| 0.000 | 0.000 | 0.000 | 0.000 | 31.659 | -0.000 |
| -0.000 | -0.000 | -0.000 | 0.000 | -0.000 | 100.321 |
| 134.904 | 66.998 | 66.998 | -0.000 | -0.000 | 0.000 |
| 66.998 | 134.904 | 66.998 | -0.000 | -0.000 | 0.000 |
| 66.998 | 66.998 | 134.904 | -0.000 | -0.000 | 0.000 |
| 6.868 | 6.868 | 6.868 | 16.849 | -0.000 | -0.000 |
| 6.868 | 6.868 | 6.868 | -0.000 | 16.849 | -0.000 |
| 6.868 | 6.868 | 6.868 | -0.000 | -0.000 | 16.849 |
| 84.412 | 75.656 | 75.656 | -0.000 | -0.000 | 0.000 |
| 75.656 | 84.412 | 75.656 | -0.000 | -0.000 | 0.000 |
| 75.656 | 75.656 | 84.412 | 0.000 | -0.000 | 0.000 |
| -6.868 | -6.868 | -6.868 | 16.849 | 0.000 | 0.000 |
| -6.868 | -6.868 | -6.868 | 0.000 | 16.849 | 0.000 |
| -6.868 | -6.868 | -6.868 | 0.000 | 0.000 | 16.849 |
| 98.333 | 78.421 | 78.421 | -0.000 | -0.000 | -0.000 |
| 78.421 | 98.333 | 78.421 | -0.000 | -0.000 | -0.000 |
| 78.421 | 78.421 | 98.333 | 0.000 | -0.000 | -0.000 |
| 0.000 | 0.000 | 0.000 | 54.027 | -0.000 | -0.000 |
| 0.000 | 0.000 | 0.000 | -0.000 | 54.027 | 0.000 |
| 0.000 | 0.000 | 0.000 | -0.000 | -0.000 | 54.027 |
| 134.904 | 66.998 | 66.998 | 0.000 | 0.000 | 0.000 |
| 66.998 | 134.904 | 66.998 | 0.000 | 0.000 | -0.000 |
| 66.998 | 66.998 | 134.904 | 0.000 | 0.000 | -0.000 |
| -0.000 | -0.000 | -0.000 | 54.027 | 0.000 | -0.000 |
| -0.000 | -0.000 | -0.000 | 0.000 | 54.027 | -0.000 |
| -0.000 | -0.000 | -0.000 | 0.000 | 0.000 | 54.027 |
| 96.089 | 77.806 | 77.806 | -0.000 | -0.000 | -0.000 |
| 77.806 | 96.089 | 77.806 | 0.000 | -0.000 | -0.000 |
| 77.806 | 77.806 | 96.089 | -0.000 | -0.000 | -0.000 |
| 0.067 | 0.067 | 0.067 | 16.209 | -0.000 | -0.000 |
| 0.067 | 0.067 | 0.067 | -0.000 | 16.209 | -0.000 |
| 0.067 | 0.067 | 0.067 | 0.000 | -0.000 | 16.209 |
| 97.623 | 78.061 | 78.061 | 0.000 | 0.000 | 0.000 |
| 78.061 | 97.623 | 78.061 | 0.000 | 0.000 | 0.000 |
| 78.061 | 78.061 | 97.623 | 0.000 | 0.000 | 0.000 |
| -0.067 | -0.067 | -0.067 | 16.209 | -0.000 | -0.000 |
| -0.067 | -0.067 | -0.067 | -0.000 | 16.209 | 0.000 |
| -0.067 | -0.067 | -0.067 | 0.000 | 0.000 | 16.209 |
| 130.784 | 64.409 | 64.409 | 0.000 | 0.000 | 0.000 |
| 64.409 | 130.784 | 64.409 | 0.000 | 0.000 | 0.000 |
| 64.409 | 64.409 | 130.784 | 0.000 | 0.000 | 0.000 |
| -368.064 | -368.064 | -368.064 | -0.097 | -0.000 | 0.000 |
| -368.064 | -368.064 | -368.064 | -0.000 | -0.097 | -0.000 |
| -368.064 | -368.064 | -368.064 | -0.000 | -0.000 | -0.097 |
| 130.784 | 64.409 | 64.409 | 0.000 | -0.000 | -0.000 |
| 64.409 | 130.784 | 64.409 | -0.000 | 0.000 | -0.000 |
| 64.409 | 64.409 | 130.784 | -0.000 | -0.000 | 0.000 |
| 368.064 | 368.064 | 368.064 | -0.097 | 0.000 | 0.000 |
| 368.064 | 368.064 | 368.064 | 0.000 | -0.097 | 0.000 |
| 368.064 | 368.064 | 368.064 | -0.000 | 0.000 | -0.097 |
| 130.784 | 64.409 | 64.409 | -0.000 | 0.000 | 0.000 |
| 64.409 | 130.784 | 64.409 | 0.000 | 0.000 | 0.000 |
| 64.409 | 64.409 | 130.784 | 0.000 | 0.000 | 0.000 |
| -35.429 | -35.429 | -35.429 | 1.899 | -0.000 | 0.000 |
| -35.429 | -35.429 | -35.429 | -0.000 | 1.899 | -0.000 |
| -35.429 | -35.429 | -35.429 | -0.000 | -0.000 | 1.899 |
| 130.783 | 64.409 | 64.409 | -0.000 | -0.000 | -0.000 |
| 64.409 | 130.783 | 64.409 | -0.000 | -0.000 | -0.000 |
| 64.409 | 64.409 | 130.783 | -0.000 | -0.000 | -0.000 |
| 35.429 | 35.429 | 35.429 | 1.899 | 0.000 | -0.000 |
| 35.429 | 35.429 | 35.429 | 0.000 | 1.899 | 0.000 |
| 35.429 | 35.429 | 35.429 | 0.000 | 0.000 | 1.899 |
| 89.223 | 73.825 | 73.825 | 0.000 | 0.000 | 0.000 |
| 73.825 | 89.223 | 73.825 | 0.000 | -0.000 | 0.000 |
| 73.825 | 73.825 | 89.223 | -0.000 | 0.000 | 0.000 |
| -3.489 | -3.489 | -3.489 | 15.601 | -0.000 | 0.000 |
| -3.489 | -3.489 | -3.489 | 0.000 | 15.601 | 0.000 |
| -3.489 | -3.489 | -3.489 | 0.000 | -0.000 | 15.601 |
| 96.488 | 77.915 | 77.915 | -0.000 | 0.000 | -0.000 |
| 77.915 | 96.488 | 77.915 | 0.000 | 0.000 | -0.000 |
| 77.915 | 77.915 | 96.488 | -0.000 | -0.000 | -0.000 |
| 3.489 | 3.489 | 3.489 | 15.601 | -0.000 | -0.000 |
| 3.489 | 3.489 | 3.489 | -0.000 | 15.601 | -0.000 |
| 3.489 | 3.489 | 3.489 | -0.000 | -0.000 | 15.601 |
| 94.225 | 68.515 | 68.515 | -0.000 | 0.000 | -0.000 |
| 68.515 | 94.225 | 68.515 | -0.000 | 0.000 | -0.000 |
| 68.515 | 68.515 | 94.225 | -0.000 | -0.000 | -0.000 |
| 0.159 | 0.159 | 0.159 | 18.793 | -0.000 | -0.000 |
| 0.159 | 0.159 | 0.159 | -0.000 | 18.793 | 0.000 |
| 0.159 | 0.159 | 0.159 | -0.000 | 0.000 | 18.793 |
| 130.160 | 52.044 | 52.044 | 0.000 | 0.000 | -0.000 |
| 52.044 | 130.160 | 52.044 | 0.000 | 0.000 | -0.000 |
| 52.044 | 52.044 | 130.160 | 0.000 | 0.000 | 0.000 |
| -0.159 | -0.159 | -0.159 | 18.793 | 0.000 | -0.000 |
| -0.159 | -0.159 | -0.159 | 0.000 | 18.793 | 0.000 |
| -0.159 | -0.159 | -0.159 | 0.000 | -0.000 | 18.793 |
| 130.159 | 52.043 | 52.043 | -0.000 | 0.000 | 0.000 |
| 52.043 | 130.159 | 52.043 | -0.000 | 0.000 | -0.000 |
| 52.043 | 52.043 | 130.159 | -0.000 | 0.000 | 0.000 |
| -0.000 | -0.000 | -0.000 | 54.959 | -0.000 | -0.000 |
| -0.000 | -0.000 | -0.000 | -0.000 | 54.959 | 0.000 |
| -0.000 | -0.000 | -0.000 | -0.000 | 0.000 | 54.959 |
| 92.697 | 67.484 | 67.484 | 0.000 | -0.000 | 0.000 |
| 67.484 | 92.697 | 67.484 | -0.000 | -0.000 | 0.000 |
| 67.484 | 67.484 | 92.697 | 0.000 | -0.000 | -0.000 |
| 0.000 | 0.000 | 0.000 | 54.959 | 0.000 | -0.000 |
| 0.000 | 0.000 | 0.000 | 0.000 | 54.959 | 0.000 |
| 0.000 | 0.000 | 0.000 | 0.000 | -0.000 | 54.959 |
| 130.147 | 52.040 | 52.040 | -0.000 | 0.000 | 0.000 |
| 52.040 | 130.147 | 52.040 | -0.000 | 0.000 | -0.000 |
| 52.040 | 52.040 | 130.147 | -0.000 | 0.000 | 0.000 |
| -0.002 | -0.005 | -0.005 | 18.977 | -0.000 | -0.000 |
| -0.005 | -0.002 | -0.005 | -0.000 | 18.977 | -0.000 |
| -0.005 | -0.005 | -0.002 | -0.000 | -0.000 | 18.977 |
| 130.173 | 52.047 | 52.047 | 0.000 | -0.000 | -0.000 |
| 52.047 | 130.173 | 52.047 | 0.000 | -0.000 | -0.000 |
| 52.047 | 52.047 | 130.173 | 0.000 | -0.000 | 0.000 |
| 0.002 | 0.005 | 0.005 | 18.977 | 0.000 | -0.000 |
| 0.005 | 0.002 | 0.005 | -0.000 | 18.977 | -0.000 |
| 0.005 | 0.005 | 0.002 | 0.000 | 0.000 | 18.977 |
| 98.551 | 66.339 | 85.591 | 0.000 | 0.000 | 0.000 |
| 66.339 | 98.551 | 85.591 | 0.000 | 0.000 | 0.000 |
| 46.567 | 46.567 | 217.767 | 0.000 | -0.000 | -0.000 |
| 0.000 | 0.000 | 0.000 | 32.367 | 0.000 | -0.000 |
| 0.000 | 0.000 | 0.000 | 0.000 | 32.367 | -0.000 |
| -1.526 | -1.526 | 1.577 | 0.000 | 0.000 | -28.321 |
| 208.437 | 26.711 | 49.270 | -0.000 | 0.000 | 0.000 |
| 26.711 | 208.437 | 49.270 | -0.000 | -0.000 | 0.000 |
| 82.864 | 82.864 | 180.237 | -0.000 | -0.000 | 0.000 |
| -0.000 | -0.000 | -0.000 | 32.367 | -0.000 | -0.000 |
| -0.000 | -0.000 | -0.000 | -0.000 | 32.367 | -0.000 |
| 1.526 | 1.526 | -1.577 | -0.000 | -0.000 | -28.321 |
| 99.179 | 66.966 | 84.942 | 0.000 | 0.000 | 0.000 |
| 66.966 | 99.179 | 84.942 | 0.000 | 0.000 | -0.000 |
| 82.097 | 82.097 | 181.031 | 0.000 | 0.000 | 0.000 |
| -0.083 | -0.083 | 0.086 | 4.601 | 0.000 | -0.000 |
| -0.083 | -0.083 | 0.086 | 0.000 | 4.601 | 0.000 |
| -0.153 | -0.153 | 0.158 | 0.000 | 0.000 | -28.357 |
| 208.437 | 26.711 | 49.271 | -0.000 | 0.000 | 0.000 |
| 26.711 | 208.437 | 49.271 | -0.000 | -0.000 | 0.000 |
| 46.567 | 46.567 | 217.767 | -0.000 | -0.000 | -0.000 |
| 0.083 | 0.083 | -0.086 | 4.601 | -0.000 | -0.000 |
| 0.083 | 0.083 | -0.086 | -0.000 | 4.601 | 0.000 |
| 0.153 | 0.153 | -0.158 | -0.000 | -0.000 | -28.357 |
| 99.236 | 67.026 | 84.877 | 0.000 | 0.000 | 0.000 |
| 67.026 | 99.236 | 84.877 | 0.000 | 0.000 | 0.000 |
| 82.158 | 82.158 | 180.964 | -0.000 | 0.000 | -0.000 |
| -0.008 | -0.008 | 0.009 | 4.601 | 0.000 | 0.000 |
| -0.008 | -0.008 | 0.009 | 0.000 | 4.601 | 0.000 |
| -0.015 | -0.015 | 0.016 | 0.000 | 0.000 | -28.358 |
| 99.262 | 67.046 | 84.863 | -0.000 | 0.000 | 0.000 |
| 67.046 | 99.262 | 84.863 | -0.000 | -0.000 | -0.000 |
| 82.176 | 82.176 | 180.953 | -0.000 | 0.000 | 0.000 |
| 0.008 | 0.008 | -0.009 | 4.601 | -0.000 | 0.000 |
| 0.008 | 0.008 | -0.009 | -0.000 | 4.601 | 0.000 |
| 0.015 | 0.015 | -0.016 | -0.000 | -0.000 | -28.358 |
| -193.940 | -223.850 | -223.850 | -0.000 | 0.000 | 0.000 |
| -223.850 | -193.940 | -223.850 | -0.000 | -0.000 | 0.000 |
| -223.850 | -223.850 | -193.940 | -0.000 | 0.000 | 0.000 |
| -276.372 | -276.372 | -276.372 | -5.952 | 0.000 | 0.000 |
| -276.372 | -276.372 | -276.372 | -0.000 | -5.952 | 0.000 |
| -276.372 | -276.372 | -276.372 | -0.000 | 0.000 | -5.952 |
| 90.249 | 52.976 | 52.976 | -0.000 | -0.000 | -0.000 |
| 52.976 | 90.249 | 52.976 | -0.000 | 0.000 | -0.000 |
| 52.976 | 52.976 | 90.249 | 0.000 | -0.000 | -0.000 |
| 276.372 | 276.372 | 276.372 | -5.952 | -0.000 | -0.000 |
| 276.372 | 276.372 | 276.372 | -0.000 | -5.952 | -0.000 |
| 276.372 | 276.372 | 276.372 | -0.000 | 0.000 | -5.952 |
| 48.390 | 19.381 | 19.381 | 0.000 | 0.000 | 0.000 |
| 19.381 | 48.390 | 19.381 | -0.000 | 0.000 | 0.000 |
| 19.381 | 19.381 | 48.390 | 0.000 | 0.000 | 0.000 |
| 0.000 | -0.000 | 0.000 | 50.961 | -0.000 | -0.000 |
| -0.000 | 0.000 | 0.000 | -0.000 | 50.961 | 0.000 |
| -0.000 | 0.000 | 0.000 | 0.000 | 0.000 | 50.961 |
| 97.431 | 73.668 | 73.668 | 0.000 | 0.000 | -0.000 |
| 73.668 | 97.431 | 73.668 | 0.000 | 0.000 | -0.000 |
| 73.668 | 73.668 | 97.431 | 0.000 | 0.000 | -0.000 |
| -0.000 | 0.000 | -0.000 | 50.961 | -0.000 | -0.000 |
| 0.000 | -0.000 | -0.000 | 0.000 | 50.961 | -0.000 |
| 0.000 | -0.000 | -0.000 | 0.000 | 0.000 | 50.961 |
| 72.096 | 43.626 | 43.626 | -0.000 | 0.000 | 0.000 |
| 43.626 | 72.096 | 43.626 | -0.000 | 0.000 | 0.000 |
| 43.626 | 43.626 | 72.096 | 0.000 | 0.000 | 0.000 |
| -1.652 | -1.652 | -1.652 | 16.933 | 0.000 | 0.000 |
| -1.652 | -1.652 | -1.652 | 0.000 | 16.933 | 0.000 |
| -1.652 | -1.652 | -1.652 | -0.000 | 0.000 | 16.933 |
| 79.664 | 51.628 | 51.628 | 0.000 | 0.000 | 0.000 |
| 51.628 | 79.664 | 51.628 | 0.000 | -0.000 | 0.000 |
| 51.628 | 51.628 | 79.664 | 0.000 | 0.000 | -0.000 |
| 1.652 | 1.652 | 1.652 | 16.933 | -0.000 | -0.000 |
| 1.652 | 1.652 | 1.652 | 0.000 | 16.933 | -0.000 |
| 1.652 | 1.652 | 1.652 | 0.000 | -0.000 | 16.933 |
| 377.892 | 99.581 | -24.294 | -0.000 | 0.000 | -0.000 |
| 37.642 | 170.461 | 67.495 | 0.000 | 0.000 | 0.000 |
| 92.963 | 65.531 | 214.843 | 0.000 | 0.000 | -0.000 |
| 0.000 | -0.000 | 0.000 | 82.305 | 0.000 | -0.000 |
| 142.626 | 50.950 | -123.614 | 0.000 | 44.256 | -0.000 |
| -0.000 | 0.000 | 0.000 | -0.000 | 0.000 | 23.674 |
| 257.465 | 39.859 | 97.143 | -0.000 | -0.000 | 0.000 |
| -96.208 | 104.523 | 202.017 | -0.000 | -0.000 | -0.000 |
| -47.604 | 25.610 | 326.159 | 0.000 | -0.000 | 0.000 |
| 0.000 | -0.000 | 0.000 | 82.305 | -0.000 | -0.000 |
| -142.626 | -50.950 | 123.614 | 0.000 | 44.256 | -0.000 |
| 0.000 | -0.000 | -0.000 | 0.000 | -0.000 | 23.674 |
| 246.414 | 53.017 | 89.239 | -0.000 | 0.000 | -0.000 |
| 60.763 | 160.479 | 66.086 | 0.000 | 0.000 | 0.000 |
| 90.647 | 87.962 | 193.092 | -0.000 | 0.000 | -0.000 |
| -0.000 | -0.000 | 0.000 | 82.305 | 0.000 | -0.000 |
| 14.648 | 4.322 | -11.765 | 0.000 | 44.181 | 0.000 |
| 13.399 | 7.199 | -14.078 | 0.000 | 0.000 | 11.165 |
| 226.808 | 57.734 | 94.274 | -0.000 | -0.000 | 0.000 |
| 32.227 | 150.309 | 90.803 | 0.000 | -0.000 | -0.000 |
| 80.830 | 71.395 | 214.945 | -0.000 | -0.000 | -0.000 |
| 0.000 | 0.000 | -0.000 | 82.305 | -0.000 | 0.000 |
| -14.648 | -4.322 | 11.765 | 0.000 | 44.181 | -0.000 |
| -13.399 | -7.199 | 14.078 | 0.000 | -0.000 | 11.165 |
| 241.591 | 53.099 | 91.510 | 0.000 | 0.000 | 0.000 |
| 47.898 | 155.884 | 77.195 | 0.000 | 0.000 | -0.000 |
| 86.750 | 77.593 | 205.617 | 0.000 | 0.000 | 0.000 |
| 0.851 | 0.292 | -0.726 | 46.381 | 0.000 | 0.000 |
| 1.398 | 0.538 | -1.251 | 0.000 | 44.288 | 0.000 |
| 1.290 | 0.838 | -1.505 | -0.000 | 0.000 | 9.625 |
| 239.666 | 53.823 | 91.883 | -0.000 | -0.000 | -0.000 |
| 49.491 | 155.880 | 76.488 | -0.000 | -0.000 | -0.000 |
| 92.979 | 65.543 | 214.853 | -0.000 | -0.000 | -0.000 |
| -0.851 | -0.292 | 0.726 | 46.381 | -0.000 | -0.000 |
| -1.398 | -0.538 | 1.251 | -0.000 | 44.288 | -0.000 |
| -1.290 | -0.838 | 1.505 | 0.000 | -0.000 | 9.625 |
| -2384.248 | -2473.332 | -2473.332 | 0.000 | 0.000 | -0.000 |
| -2473.332 | -2384.248 | -2473.332 | 0.000 | 0.000 | -0.000 |
| -2473.332 | -2473.332 | -2384.248 | -0.000 | 0.000 | -0.000 |
| 0.000 | -0.000 | 0.000 | 40.534 | -0.000 | 0.000 |
| 0.000 | -0.000 | 0.000 | 0.000 | 40.534 | 0.000 |
| 0.000 | -0.000 | 0.000 | -0.000 | 0.000 | 40.534 |
| 2202.049 | 2106.216 | 2106.216 | -0.000 | 0.000 | -0.000 |
| 2106.216 | 2202.049 | 2106.216 | -0.000 | -0.000 | -0.000 |
| 2106.216 | 2106.216 | 2202.049 | -0.000 | 0.000 | -0.000 |
| -0.000 | 0.000 | -0.000 | 40.534 | -0.000 | -0.000 |
| -0.000 | 0.000 | -0.000 | -0.000 | 40.534 | -0.000 |
| -0.000 | 0.000 | -0.000 | -0.000 | -0.000 | 40.534 |
| -62.928 | -158.946 | -158.946 | -0.000 | -0.000 | 0.000 |
| -158.946 | -62.928 | -158.946 | 0.000 | 0.000 | 0.000 |
| -158.946 | -158.946 | -62.928 | 0.000 | -0.000 | 0.000 |
| -205.777 | -205.777 | -205.777 | 33.214 | 0.000 | 0.000 |
| -205.777 | -205.777 | -205.777 | 0.000 | 33.214 | 0.000 |
| -205.777 | -205.777 | -205.777 | 0.000 | -0.000 | 33.214 |
| 363.378 | 282.281 | 282.281 | -0.000 | -0.000 | 0.000 |
| 282.281 | 363.378 | 282.281 | -0.000 | -0.000 | -0.000 |
| 282.281 | 282.281 | 363.378 | 0.000 | -0.000 | -0.000 |
| 205.777 | 205.777 | 205.777 | 33.214 | 0.000 | -0.000 |
| 205.777 | 205.777 | 205.777 | -0.000 | 33.214 | -0.000 |
| 205.777 | 205.777 | 205.777 | -0.000 | 0.000 | 33.214 |
| 109.276 | 28.413 | 28.413 | 0.000 | -0.000 | 0.000 |
| 28.413 | 109.276 | 28.413 | -0.000 | -0.000 | 0.000 |
| 28.413 | 28.413 | 109.276 | 0.000 | -0.000 | 0.000 |
| -19.339 | -19.339 | -19.339 | 33.655 | -0.000 | 0.000 |
| -19.339 | -19.339 | -19.339 | 0.000 | 33.655 | 0.000 |
| -19.339 | -19.339 | -19.339 | 0.000 | -0.000 | 33.655 |
| 155.944 | 72.940 | 72.940 | -0.000 | -0.000 | 0.000 |
| 72.940 | 155.944 | 72.940 | -0.000 | -0.000 | 0.000 |
| 72.940 | 72.940 | 155.944 | 0.000 | 0.000 | -0.000 |
| 19.339 | 19.339 | 19.339 | 33.655 | 0.000 | -0.000 |
| 19.339 | 19.339 | 19.339 | -0.000 | 33.655 | -0.000 |
| 19.339 | 19.339 | 19.339 | -0.000 | 0.000 | 33.655 |
| -406.875 | -475.986 | -475.986 | -0.000 | -0.000 | -0.000 |
| -475.986 | -406.875 | -475.986 | -0.000 | 0.000 | -0.000 |
| -475.986 | -475.986 | -406.875 | -0.000 | -0.000 | -0.000 |
| -528.098 | -528.098 | -528.098 | 28.908 | -0.000 | -0.000 |
| -528.098 | -528.098 | -528.098 | -0.000 | 28.908 | -0.000 |
| -528.098 | -528.098 | -528.098 | -0.000 | -0.000 | 28.908 |
| 852.073 | 778.657 | 778.657 | -0.000 | 0.000 | 0.000 |
| 778.657 | 852.073 | 778.657 | 0.000 | 0.000 | 0.000 |
| 778.657 | 778.657 | 852.073 | -0.000 | 0.000 | 0.000 |
| 528.098 | 528.098 | 528.098 | 28.908 | -0.000 | 0.000 |
| 528.098 | 528.098 | 528.098 | 0.000 | 28.908 | 0.000 |
| 528.098 | 528.098 | 528.098 | 0.000 | 0.000 | 28.908 |
| 68.553 | -0.315 | -0.315 | -0.000 | -0.000 | -0.000 |
| -0.315 | 68.553 | -0.315 | -0.000 | -0.000 | -0.000 |
| -0.315 | -0.315 | 68.553 | -0.000 | -0.000 | -0.000 |
| -52.549 | -52.549 | -52.549 | 28.965 | -0.000 | -0.000 |
| -52.549 | -52.549 | -52.549 | -0.000 | 28.965 | -0.000 |
| -52.549 | -52.549 | -52.549 | -0.000 | -0.000 | 28.965 |
| 199.172 | 125.034 | 125.034 | -0.000 | 0.000 | -0.000 |
| 125.034 | 199.172 | 125.034 | -0.000 | 0.000 | -0.000 |
| 125.034 | 125.034 | 199.172 | -0.000 | 0.000 | -0.000 |
| 52.549 | 52.549 | 52.549 | 28.965 | 0.000 | 0.000 |
| 52.549 | 52.549 | 52.549 | 0.000 | 28.965 | 0.000 |
| 52.549 | 52.549 | 52.549 | 0.000 | 0.000 | 28.965 |
| 126.241 | 45.512 | 45.512 | -0.000 | -0.000 | -0.000 |
| 45.512 | 126.241 | 45.512 | -0.000 | -0.000 | -0.000 |
| 45.512 | 45.512 | 126.241 | -0.000 | -0.000 | -0.000 |
| 0.000 | 0.000 | 0.000 | 40.515 | 0.000 | -0.000 |
| 0.000 | 0.000 | 0.000 | -0.000 | 40.515 | -0.000 |
| 0.000 | 0.000 | 0.000 | 0.000 | 0.000 | 40.515 |
| 177.141 | 35.740 | 35.740 | 0.000 | 0.000 | 0.000 |
| 35.740 | 177.141 | 35.740 | -0.000 | -0.000 | 0.000 |
| 35.740 | 35.740 | 177.141 | 0.000 | 0.000 | 0.000 |
| -0.000 | -0.000 | -0.000 | 40.515 | 0.000 | 0.000 |
| -0.000 | -0.000 | -0.000 | 0.000 | 40.515 | 0.000 |
| -0.000 | -0.000 | -0.000 | -0.000 | 0.000 | 40.515 |
| 192.012 | 106.376 | 106.376 | 0.000 | -0.000 | -0.000 |
| 106.376 | 192.012 | 106.376 | -0.000 | 0.000 | -0.000 |
| 106.376 | 106.376 | 192.012 | 0.000 | 0.000 | -0.000 |
| 0.042 | 0.042 | 0.042 | 34.109 | -0.000 | 0.000 |
| 0.042 | 0.042 | 0.042 | 0.000 | 34.109 | -0.000 |
| 0.042 | 0.042 | 0.042 | 0.000 | 0.000 | 34.109 |
| 192.011 | 106.376 | 106.376 | -0.000 | -0.000 | 0.000 |
| 106.376 | 192.011 | 106.376 | -0.000 | 0.000 | -0.000 |
| 106.376 | 106.376 | 192.011 | -0.000 | 0.000 | 0.000 |
| -0.042 | -0.042 | -0.042 | 34.109 | 0.000 | -0.000 |
| -0.042 | -0.042 | -0.042 | -0.000 | 34.109 | -0.000 |
| -0.042 | -0.042 | -0.042 | -0.000 | -0.000 | 34.109 |
| 192.013 | 106.378 | 106.378 | 0.000 | 0.000 | 0.000 |
| 106.378 | 192.013 | 106.378 | 0.000 | 0.000 | -0.000 |
| 106.378 | 106.378 | 192.013 | 0.000 | 0.000 | -0.000 |
| 0.013 | 0.013 | 0.013 | 27.992 | 0.000 | 0.000 |
| 0.013 | 0.013 | 0.013 | 0.000 | 27.992 | 0.000 |
| 0.013 | 0.013 | 0.013 | 0.000 | 0.000 | 27.992 |
| 146.210 | 102.516 | 102.516 | -0.000 | 0.000 | -0.000 |
| 102.516 | 146.210 | 102.516 | -0.000 | -0.000 | -0.000 |
| 102.516 | 102.516 | 146.210 | -0.000 | -0.000 | -0.000 |
| -0.013 | -0.013 | -0.013 | 27.992 | -0.000 | -0.000 |
| -0.013 | -0.013 | -0.013 | -0.000 | 27.992 | -0.000 |
| -0.013 | -0.013 | -0.013 | -0.000 | 0.000 | 27.992 |
| 192.026 | 106.390 | 106.390 | 0.000 | -0.000 | 0.000 |
| 106.390 | 192.026 | 106.390 | 0.000 | -0.000 | 0.000 |
| 106.390 | 106.390 | 192.026 | 0.000 | -0.000 | -0.000 |
| 0.000 | 0.000 | 0.000 | 55.421 | -0.000 | 0.000 |
| 0.000 | 0.000 | 0.000 | 0.000 | 55.421 | -0.000 |
| 0.000 | 0.000 | 0.000 | 0.000 | -0.000 | 55.421 |
| 146.201 | 102.506 | 102.506 | -0.000 | -0.000 | 0.000 |
| 102.506 | 146.201 | 102.506 | -0.000 | -0.000 | -0.000 |
| 102.506 | 102.506 | 146.201 | -0.000 | 0.000 | 0.000 |
| -0.000 | -0.000 | -0.000 | 55.421 | 0.000 | 0.000 |
| -0.000 | -0.000 | -0.000 | -0.000 | 55.421 | -0.000 |
| -0.000 | -0.000 | -0.000 | -0.000 | -0.000 | 55.421 |
| 192.563 | 182.689 | 63.003 | 0.000 | 0.000 | 0.000 |
| 182.689 | 152.028 | 45.942 | 0.000 | 0.000 | 0.000 |
| 63.003 | 45.941 | 182.487 | 0.000 | -0.000 | 0.000 |
| 0.000 | 0.000 | 0.000 | 63.032 | 0.000 | 0.000 |
| 0.000 | 0.000 | 0.000 | 0.000 | 86.311 | 0.000 |
| 0.000 | 0.000 | 0.000 | 0.000 | 0.000 | 1.602 |
| 192.563 | 182.689 | 63.003 | -0.000 | -0.000 | -0.000 |
| 182.689 | 152.028 | 45.942 | -0.000 | 0.000 | -0.000 |
| 63.003 | 45.941 | 182.487 | -0.000 | -0.000 | -0.000 |
| -0.000 | -0.000 | -0.000 | 63.032 | -0.000 | -0.000 |
| -0.000 | -0.000 | -0.000 | -0.000 | 86.311 | -0.000 |
| -0.000 | -0.000 | -0.000 | 0.000 | -0.000 | 1.602 |
| 192.564 | 182.689 | 63.003 | 0.000 | -0.000 | 0.000 |
| 182.689 | 152.028 | 45.942 | 0.000 | 0.000 | 0.000 |
| 63.003 | 45.941 | 182.487 | 0.000 | 0.000 | 0.000 |
| 0.000 | -0.000 | 0.000 | 63.032 | -0.000 | 0.000 |
| 0.000 | 0.000 | 0.000 | 0.000 | 86.311 | 0.000 |
| 0.000 | -0.000 | 0.000 | 0.000 | 0.000 | 1.602 |
| 192.563 | 182.689 | 63.003 | -0.000 | -0.000 | -0.000 |
| 182.689 | 152.028 | 45.942 | -0.000 | -0.000 | -0.000 |
| 63.003 | 45.941 | 182.487 | -0.000 | -0.000 | -0.000 |
| -0.000 | 0.000 | -0.000 | 63.032 | 0.000 | -0.000 |
| -0.000 | -0.000 | -0.000 | -0.000 | 86.311 | -0.000 |
| -0.000 | 0.000 | -0.000 | -0.000 | -0.000 | 1.602 |
| 192.565 | 182.690 | 63.004 | 0.000 | -0.000 | 0.000 |
| 182.689 | 152.028 | 45.942 | 0.000 | 0.000 | 0.000 |
| 63.004 | 45.942 | 182.488 | 0.000 | 0.000 | 0.000 |
| 0.000 | -0.000 | 0.000 | 63.032 | 0.000 | 0.000 |
| 0.000 | 0.000 | 0.000 | 0.000 | 86.311 | 0.000 |
| 0.000 | -0.000 | 0.000 | 0.000 | 0.000 | 1.602 |
| 192.562 | 182.688 | 63.003 | -0.000 | -0.000 | -0.000 |
| 182.689 | 152.028 | 45.942 | -0.000 | -0.000 | -0.000 |
| 63.003 | 45.941 | 182.486 | -0.000 | 0.000 | -0.000 |
| -0.000 | 0.000 | -0.000 | 63.032 | -0.000 | -0.000 |
| -0.000 | -0.000 | -0.000 | -0.000 | 86.311 | -0.000 |
| -0.000 | 0.000 | -0.000 | -0.000 | -0.000 | 1.602 |
| 146.767 | 116.408 | 24.571 | -0.000 | -0.000 | -0.000 |
| 116.408 | 146.767 | 24.571 | -0.000 | -0.000 | 0.000 |
| 24.571 | 24.571 | 81.479 | -0.000 | -0.000 | -0.000 |
| 0.000 | 0.000 | -0.000 | 1.563 | -0.000 | -0.000 |
| 0.000 | 0.000 | -0.000 | 0.000 | 1.563 | -0.000 |
| 0.000 | 0.000 | -0.000 | -0.000 | -0.000 | 15.180 |
| 191.862 | 71.313 | 24.571 | 0.000 | 0.000 | 0.000 |
| 71.313 | 191.862 | 24.571 | 0.000 | 0.000 | -0.000 |
| 24.571 | 24.571 | 81.479 | -0.000 | 0.000 | 0.000 |
| -0.000 | 0.000 | 0.000 | 1.563 | 0.000 | 0.000 |
| -0.000 | -0.000 | 0.000 | -0.000 | 1.563 | -0.000 |
| -0.000 | -0.000 | 0.000 | 0.000 | 0.000 | 15.180 |
| 191.862 | 71.314 | 24.571 | 0.000 | -0.000 | -0.000 |
| 116.408 | 146.767 | 24.571 | -0.000 | -0.000 | 0.000 |
| 24.571 | 24.571 | 81.479 | 0.000 | -0.000 | -0.000 |
| 0.000 | 0.000 | -0.000 | 1.563 | -0.000 | -0.000 |
| 0.000 | 0.000 | -0.000 | -0.000 | 1.563 | -0.000 |
| 0.000 | 0.000 | -0.000 | -0.000 | -0.000 | 15.180 |
| 146.767 | 116.408 | 24.571 | 0.000 | 0.000 | 0.000 |
| 71.313 | 191.862 | 24.571 | 0.000 | 0.000 | -0.000 |
| 24.571 | 24.571 | 81.479 | 0.000 | 0.000 | 0.000 |
| -0.000 | -0.000 | 0.000 | 1.563 | 0.000 | 0.000 |
| -0.000 | -0.000 | 0.000 | -0.000 | 1.563 | -0.000 |
| -0.000 | -0.000 | 0.000 | 0.000 | 0.000 | 15.180 |
| 137.554 | 125.626 | 24.573 | 0.000 | -0.000 | 0.000 |
| 116.410 | 146.770 | 24.573 | 0.000 | -0.000 | 0.000 |
| 24.574 | 24.574 | 81.483 | -0.000 | -0.000 | -0.000 |
| 0.000 | 0.000 | -0.000 | 1.563 | -0.000 | -0.000 |
| 0.000 | 0.000 | -0.000 | -0.000 | 1.563 | -0.000 |
| 0.000 | 0.000 | -0.000 | -0.000 | -0.000 | 15.180 |
| 145.470 | 117.700 | 24.568 | -0.000 | 0.000 | 0.000 |
| 116.406 | 146.765 | 24.568 | 0.000 | 0.000 | -0.000 |
| 24.568 | 24.568 | 81.475 | 0.000 | 0.000 | 0.000 |
| -0.000 | -0.000 | 0.000 | 1.563 | 0.000 | 0.000 |
| -0.000 | -0.000 | 0.000 | 0.000 | 1.563 | 0.000 |
| -0.000 | -0.000 | 0.000 | 0.000 | 0.000 | 15.180 |
| 278.340 | 297.711 | 280.850 | -3.065 | 0.000 | -0.000 |
| 297.711 | 278.340 | 280.850 | 3.065 | 0.000 | -0.000 |
| 280.937 | 280.937 | 383.914 | 0.000 | 0.000 | -0.000 |
| -3.065 | 3.065 | -0.000 | -5.584 | 0.000 | -0.000 |
| -0.000 | 0.000 | -0.000 | 0.000 | -5.584 | -3.065 |
| 2.752 | 2.752 | -1.950 | 0.000 | -2.961 | -15.758 |
| 278.340 | 297.711 | 280.850 | -3.065 | 0.000 | -0.000 |
| 297.711 | 278.340 | 280.850 | 3.065 | -0.000 | 0.000 |
| 280.936 | 280.936 | 383.914 | -0.000 | -0.000 | 0.000 |
| -3.464 | 2.635 | 0.294 | -5.584 | -0.000 | 0.000 |
| 0.000 | -0.000 | 0.000 | -0.000 | -5.584 | -3.065 |
| -2.752 | -2.752 | 1.950 | -0.000 | -2.961 | -15.758 |
| 156191718.463 | 155375356.340 | 146145498.065 | -383844.871 | -909160.638 | 914395.330 |
| 297.712 | 278.341 | 280.851 | 3.065 | 0.000 | -0.000 |
| 280.938 | 280.938 | 383.916 | -0.000 | -0.000 | 0.000 |
| -2.998 | 3.095 | -0.034 | -5.584 | 0.000 | -0.000 |
| -0.000 | -0.000 | 0.000 | 0.000 | -5.584 | -3.065 |
| 0.275 | 0.275 | -0.195 | 0.000 | -2.961 | -15.758 |
| 278.339 | 297.710 | 280.849 | -3.065 | -0.000 | -0.000 |
| 297.684 | 274.076 | 282.368 | 3.029 | -0.000 | 0.000 |
| 280.935 | 280.935 | 383.913 | -0.000 | -0.000 | 0.000 |
| -3.065 | 3.065 | -0.000 | -5.584 | -0.000 | 0.000 |
| 0.000 | 0.000 | -0.000 | -0.000 | -5.584 | -3.065 |
| -0.275 | -0.275 | 0.195 | -0.000 | -2.961 | -15.758 |
| 273.889 | 297.809 | 282.414 | -3.026 | 0.000 | -0.000 |
| 297.724 | 278.352 | 280.863 | 3.065 | 0.000 | -0.000 |
| 280.951 | 280.951 | 383.930 | 0.000 | 0.000 | 0.000 |
| -2.933 | 2.988 | -0.019 | -5.585 | 0.000 | -0.000 |
| 0.027 | 0.027 | -0.019 | 0.000 | -5.585 | -2.961 |
| 0.014 | 0.014 | -0.010 | 0.000 | -3.013 | -12.722 |
| 278.328 | 297.699 | 280.837 | -3.065 | -0.000 | 0.000 |
| 297.698 | 278.329 | 280.837 | 3.065 | -0.000 | -0.000 |
| 281.544 | 281.544 | 383.459 | -0.000 | -0.000 | 0.000 |
| -3.065 | 3.065 | -0.000 | -5.584 | -0.000 | -0.000 |
| -0.027 | -0.027 | 0.019 | -0.000 | -5.585 | -2.961 |
| -0.014 | -0.014 | 0.010 | -0.000 | -3.013 | -12.722 |
| 3301.187 | 3231.049 | -3256.893 | 7.043 | 4.718 | 0.000 |
| 3231.049 | 3301.187 | -3256.893 | -7.043 | -4.718 | -0.000 |
| 3224.495 | 3224.495 | -3196.729 | 0.000 | 0.000 | 0.000 |
| 16.581 | -16.581 | 0.000 | 58.909 | -0.000 | -10.459 |
| 10.459 | -10.459 | 0.000 | -0.000 | 58.909 | 16.581 |
| 0.000 | 0.000 | 0.000 | -10.459 | 16.581 | 60.256 |
| 206.386 | 85.873 | 82.516 | 16.581 | 10.459 | -0.000 |
| 85.873 | 206.386 | 82.516 | -16.581 | -10.459 | -0.000 |
| 82.963 | 82.963 | 198.239 | 0.000 | 0.000 | -0.000 |
| -3133.448 | -3147.554 | 3331.545 | 38.861 | -0.000 | -4.724 |
| -3135.777 | -3145.225 | 3331.545 | 0.000 | 38.861 | 7.053 |
| -0.000 | -0.000 | -0.000 | -10.459 | 16.581 | 60.256 |
| 206.386 | 85.873 | 82.516 | 16.581 | 10.459 | 0.000 |
| 85.873 | 206.386 | 82.516 | -16.581 | -10.459 | 0.000 |
| 398.430 | 398.430 | -199.803 | 0.000 | 0.000 | 0.000 |
| 320.993 | 306.880 | -333.034 | 38.868 | -0.000 | -4.726 |
| 253.814 | 243.717 | -478.657 | -0.000 | 43.556 | 8.372 |
| -0.000 | 0.000 | -0.000 | -10.459 | 16.581 | 60.256 |
| -94.505 | -167.577 | 583.517 | 7.873 | 5.122 | 0.000 |
| 85.874 | 206.386 | 82.516 | -16.581 | -10.459 | -0.000 |
| -230.699 | -230.699 | 469.687 | -0.000 | -0.000 | -0.000 |
| 16.581 | -16.581 | 0.000 | 58.909 | -0.000 | -10.459 |
| 10.459 | -10.459 | 0.000 | -0.000 | 58.909 | 16.581 |
| -313.950 | -313.950 | 333.048 | -4.726 | 7.056 | 35.103 |
| 206.384 | 85.871 | 82.513 | 16.581 | 10.459 | 0.000 |
| 85.871 | 206.383 | 82.513 | -16.581 | -10.459 | 0.000 |
| 94.299 | 94.299 | 42.652 | 0.000 | 0.000 | 0.000 |
| 32.541 | 16.169 | -51.703 | 40.383 | 0.000 | -5.202 |
| 35.392 | 25.615 | -32.359 | -0.000 | 39.436 | 7.327 |
| 30.843 | 30.843 | -32.719 | -4.827 | 7.224 | 35.545 |
| 134.192 | 61.029 | 120.883 | 7.920 | 5.143 | -0.000 |
| 57.586 | 130.692 | 109.794 | -7.606 | -5.056 | -0.000 |
| 41.424 | 41.424 | 170.039 | -0.000 | -0.000 | 0.000 |
| -23.177 | -37.830 | 32.359 | 39.436 | -0.000 | -4.889 |
| -25.615 | -35.392 | 32.359 | 0.000 | 39.437 | 7.327 |
| 0.000 | -0.000 | 0.000 | -10.459 | 16.581 | 60.256 |
| 110.081 | 29.897 | 97.503 | 0.000 | -0.000 | -0.000 |
| 29.897 | 110.081 | 97.503 | 0.000 | -0.000 | -0.000 |
| 80.873 | 80.873 | 181.128 | 0.000 | -0.000 | -0.000 |
| -0.925 | -0.925 | 0.963 | 4.666 | -0.000 | -0.000 |
| -0.925 | -0.925 | 0.963 | 0.000 | 4.666 | -0.000 |
| 0.000 | 0.000 | -0.000 | 0.000 | -0.000 | -18.399 |
| 110.715 | 32.078 | 96.039 | -0.000 | 0.000 | 0.000 |
| 32.078 | 110.715 | 96.039 | -0.000 | 0.000 | 0.000 |
| 46.073 | 46.073 | 217.339 | -0.000 | 0.000 | 0.000 |
| 0.925 | 0.925 | -0.963 | 4.666 | 0.000 | 0.000 |
| 0.925 | 0.925 | -0.963 | -0.000 | 4.666 | 0.000 |
| -0.000 | -0.000 | 0.000 | -0.000 | 0.000 | -18.399 |
| 110.370 | 30.870 | 96.846 | 0.000 | -0.000 | -0.000 |
| 30.870 | 110.370 | 96.846 | 0.000 | -0.000 | -0.000 |
| 81.575 | 81.575 | 180.398 | 0.000 | -0.000 | -0.000 |
| -0.093 | -0.093 | 0.096 | 4.662 | -0.000 | -0.000 |
| -0.093 | -0.093 | 0.096 | 0.000 | 4.662 | -0.000 |
| 0.000 | 0.000 | 0.000 | 0.000 | -0.000 | -18.399 |
| 98.904 | 66.528 | 84.261 | -0.000 | 0.000 | 0.000 |
| 66.528 | 98.904 | 84.261 | -0.000 | 0.000 | 0.000 |
| 46.073 | 46.073 | 217.339 | -0.000 | 0.000 | 0.000 |
| 0.093 | 0.093 | -0.096 | 4.662 | 0.000 | 0.000 |
| 0.093 | 0.093 | -0.096 | -0.000 | 4.662 | 0.000 |
| -0.000 | -0.000 | -0.000 | -0.000 | 0.000 | -18.399 |
| 98.812 | 66.439 | 84.350 | 0.000 | -0.000 | -0.000 |
| 66.439 | 98.812 | 84.350 | 0.000 | -0.000 | -0.000 |
| 81.643 | 81.643 | 180.324 | 0.000 | -0.000 | -0.000 |
| 0.000 | 0.000 | 0.000 | 32.420 | -0.000 | -0.000 |
| 0.000 | 0.000 | 0.000 | 0.000 | 32.420 | -0.000 |
| -0.017 | -0.017 | 0.018 | 0.000 | -0.000 | -28.259 |
| 98.839 | 66.461 | 84.334 | -0.000 | 0.000 | 0.000 |
| 66.461 | 98.839 | 84.334 | -0.000 | 0.000 | 0.000 |
| 81.665 | 81.665 | 180.308 | -0.000 | 0.000 | 0.000 |
| -0.000 | -0.000 | -0.000 | 32.420 | 0.000 | 0.000 |
| -0.000 | -0.000 | -0.000 | -0.000 | 32.420 | 0.000 |
| 0.017 | 0.017 | -0.018 | -0.000 | 0.000 | -28.259 |
| 186.913 | 43.870 | 70.218 | 0.000 | 12.829 | 0.000 |
| 43.881 | 229.289 | 70.182 | 0.000 | -14.991 | 0.000 |
| -198.479 | 646.382 | -583.135 | -0.000 | -649.062 | 0.000 |
| -281.596 | 556.562 | -722.443 | 16.661 | -652.039 | 8.489 |
| 7.183 | -14.896 | 18.022 | 0.000 | 56.876 | 0.000 |
| 0.000 | -0.000 | 0.000 | -16.428 | -0.000 | 38.883 |
| 186.913 | 43.870 | 70.218 | -0.000 | 12.829 | -0.000 |
| 559.759 | -806.900 | 1034.655 | -0.000 | 889.678 | -0.000 |
| 364.786 | -466.960 | 862.039 | 0.000 | 655.259 | -0.000 |
| 281.596 | -556.562 | 722.443 | 16.661 | 652.039 | 8.489 |
| 7.183 | -14.896 | 18.022 | 0.000 | 56.876 | -0.000 |
| -0.000 | 0.000 | -0.000 | -16.428 | 0.000 | 38.883 |
| 186.913 | 43.870 | 70.218 | -0.000 | 12.829 | 0.000 |
| 51.964 | 211.544 | 21.024 | 0.000 | -55.919 | 0.000 |
| 32.699 | 181.631 | 47.072 | -0.000 | -86.634 | 0.000 |
| -0.000 | -0.000 | 0.000 | 70.564 | -0.000 | -16.333 |
| 7.183 | -14.896 | 18.022 | 0.000 | 56.876 | 0.000 |
| -0.000 | -0.000 | 0.000 | -16.428 | 0.000 | 38.883 |
| 130.298 | 27.848 | 154.685 | 0.000 | 69.898 | -0.000 |
| 43.881 | 229.289 | 70.182 | -0.000 | -14.991 | -0.000 |
| 131.738 | -13.967 | 236.642 | -0.000 | 90.008 | -0.000 |
| 0.000 | 0.000 | -0.000 | 70.564 | 0.000 | -16.333 |
| 32.844 | -48.506 | 74.806 | 0.000 | 84.363 | -0.000 |
| 0.000 | 0.000 | -0.000 | -16.428 | -0.000 | 38.883 |
| 100.218 | 81.398 | 74.230 | -0.000 | -8.112 | 0.000 |
| 66.345 | 183.640 | 78.435 | 0.000 | -5.112 | 0.000 |
| 79.006 | 92.195 | 136.608 | -0.000 | -0.733 | 0.000 |
| -7.840 | 7.192 | -8.993 | 36.267 | -8.592 | 0.229 |
| -6.885 | 9.528 | -6.563 | -0.000 | 15.772 | 0.000 |
| -0.000 | -0.000 | 0.000 | -16.428 | 0.000 | 38.883 |
| 122.099 | 69.606 | 87.761 | 0.000 | 13.325 | -0.000 |
| 74.502 | 167.307 | 91.001 | -0.000 | 6.641 | -0.000 |
| 81.468 | 80.425 | 152.343 | -0.000 | 11.943 | -0.000 |
| 7.840 | -7.192 | 8.993 | 36.267 | 8.592 | 0.229 |
| 7.786 | -2.314 | 12.282 | 0.000 | 32.564 | -0.000 |
| 0.000 | 0.000 | -0.000 | -16.428 | -0.000 | 38.883 |
| 194.208 | 88.688 | 82.750 | -0.000 | -0.000 | -0.000 |
| 89.251 | 191.819 | 82.682 | 0.000 | -0.000 | -0.000 |
| 77.493 | 76.906 | 204.641 | 0.000 | -0.000 | -0.000 |
| 0.156 | -0.631 | 0.517 | 45.902 | -0.000 | 0.000 |
| -0.000 | -0.000 | 0.000 | 0.000 | 60.030 | -0.000 |
| -0.000 | -0.000 | 0.000 | 0.000 | -0.000 | 82.498 |
| 241.153 | 74.129 | 47.589 | 0.000 | 0.000 | 0.000 |
| 88.948 | 193.050 | 81.673 | 0.000 | 0.000 | 0.000 |
| 77.210 | 78.048 | 203.706 | 0.000 | 0.000 | 0.000 |
| -0.156 | 0.631 | -0.517 | 45.902 | 0.000 | 0.000 |
| 0.000 | 0.000 | -0.000 | -0.000 | 60.030 | -0.000 |
| 0.000 | 0.000 | -0.000 | -0.000 | 0.000 | 82.498 |
| 241.153 | 74.129 | 47.589 | -0.000 | -0.000 | -0.000 |
| 73.897 | 239.432 | 47.582 | -0.000 | 0.000 | -0.000 |
| 77.366 | 77.420 | 204.220 | 0.000 | -0.000 | -0.000 |
| 0.016 | -0.063 | 0.052 | 45.902 | -0.000 | -0.000 |
| 0.000 | 0.000 | 0.000 | -0.000 | 60.030 | 0.000 |
| -0.000 | -0.000 | 0.000 | -0.000 | -0.000 | 82.498 |
| 193.777 | 92.167 | 79.435 | 0.000 | 0.000 | 0.000 |
| 91.853 | 192.315 | 79.315 | 0.000 | 0.000 | 0.000 |
| 45.465 | 45.690 | 273.376 | 0.000 | 0.000 | 0.000 |
| -0.016 | 0.063 | -0.052 | 45.902 | 0.000 | 0.000 |
| -0.000 | -0.000 | -0.000 | 0.000 | 60.030 | 0.000 |
| 0.000 | 0.000 | -0.000 | 0.000 | 0.000 | 82.498 |
| 193.975 | 89.328 | 82.305 | 0.000 | 0.000 | -0.000 |
| 89.100 | 192.428 | 82.182 | -0.000 | -0.000 | -0.000 |
| 77.354 | 77.473 | 204.175 | 0.000 | -0.000 | -0.000 |
| 0.002 | -0.006 | 0.005 | 45.902 | -0.000 | -0.000 |
| 0.000 | 0.000 | 0.000 | -0.000 | 60.030 | -0.000 |
| 0.002 | -0.007 | 0.005 | -0.000 | -0.000 | 50.144 |
| 193.795 | 92.112 | 79.478 | 0.000 | 0.000 | 0.000 |
| 89.098 | 192.441 | 82.173 | 0.000 | 0.000 | 0.000 |
| 77.348 | 77.481 | 204.173 | 0.000 | 0.000 | 0.000 |
| -0.002 | 0.006 | -0.005 | 45.902 | 0.000 | 0.000 |
| -0.000 | -0.000 | -0.000 | 0.000 | 60.030 | -0.000 |
| -0.002 | 0.007 | -0.005 | 0.000 | 0.000 | 50.144 |
| 158.336 | 67.903 | 67.903 | 0.000 | 0.000 | -0.000 |
| 67.903 | 158.336 | 67.903 | 0.000 | 0.000 | -0.000 |
| 67.903 | 67.903 | 158.336 | 0.000 | -0.000 | -0.000 |
| -0.000 | 0.000 | -0.000 | 67.738 | -0.000 | 0.000 |
| -0.000 | 0.000 | -0.000 | -0.000 | 67.738 | -0.000 |
| -0.000 | 0.000 | -0.000 | 0.000 | 0.000 | 67.738 |
| 158.336 | 67.903 | 67.903 | -0.000 | -0.000 | 0.000 |
| 67.903 | 158.336 | 67.903 | -0.000 | 0.000 | 0.000 |
| 67.903 | 67.903 | 158.336 | -0.000 | -0.000 | 0.000 |
| 0.000 | -0.000 | 0.000 | 67.738 | 0.000 | 0.000 |
| 0.000 | -0.000 | 0.000 | -0.000 | 67.738 | 0.000 |
| 0.000 | -0.000 | 0.000 | -0.000 | -0.000 | 67.738 |
| 137.517 | 69.187 | 69.187 | 0.000 | -0.000 | -0.000 |
| 69.187 | 137.517 | 69.187 | 0.000 | 0.000 | -0.000 |
| 69.187 | 69.187 | 137.517 | 0.000 | 0.000 | -0.000 |
| -0.000 | -0.000 | -0.000 | 67.738 | 0.000 | -0.000 |
| -0.000 | -0.000 | 0.000 | 0.000 | 67.738 | -0.000 |
| -0.000 | -0.000 | -0.000 | 0.000 | 0.000 | 67.738 |
| 136.181 | 67.894 | 67.894 | -0.000 | -0.000 | 0.000 |
| 67.894 | 136.181 | 67.894 | -0.000 | -0.000 | 0.000 |
| 67.894 | 67.894 | 136.181 | -0.000 | -0.000 | 0.000 |
| 0.000 | 0.000 | 0.000 | 67.738 | -0.000 | 0.000 |
| 0.000 | 0.000 | -0.000 | -0.000 | 67.738 | 0.000 |
| 0.000 | 0.000 | 0.000 | -0.000 | -0.000 | 67.738 |
| 158.335 | 67.902 | 67.902 | 0.000 | -0.000 | -0.000 |
| 67.902 | 158.335 | 67.902 | 0.000 | 0.000 | -0.000 |
| 67.902 | 67.902 | 158.335 | 0.000 | 0.000 | -0.000 |
| -0.000 | -0.000 | -0.000 | 67.738 | 0.000 | 0.000 |
| -0.000 | -0.000 | 0.000 | 0.000 | 67.738 | -0.000 |
| -0.000 | -0.000 | -0.000 | 0.000 | 0.000 | 67.738 |
| 136.783 | 68.477 | 68.477 | -0.000 | -0.000 | 0.000 |
| 68.477 | 136.783 | 68.477 | -0.000 | 0.000 | 0.000 |
| 68.477 | 68.477 | 136.783 | -0.000 | -0.000 | 0.000 |
| 0.000 | 0.000 | 0.000 | 67.738 | -0.000 | 0.000 |
| 0.000 | 0.000 | -0.000 | -0.000 | 67.738 | 0.000 |
| 0.000 | 0.000 | 0.000 | -0.000 | -0.000 | 67.738 |
| 136.156 | 68.628 | 68.628 | 0.000 | 0.000 | 0.000 |
| 68.628 | 136.156 | 68.628 | 0.000 | -0.000 | 0.000 |
| 68.628 | 68.628 | 136.156 | 0.000 | -0.000 | 0.000 |
| -0.000 | -0.000 | -0.000 | 42.730 | -0.000 | 0.000 |
| 0.000 | -0.000 | -0.000 | 0.000 | 42.730 | 0.000 |
| -0.000 | 0.000 | -0.000 | 0.000 | 0.000 | 42.730 |
| 136.156 | 68.628 | 68.628 | -0.000 | 0.000 | -0.000 |
| 68.628 | 136.156 | 68.628 | -0.000 | -0.000 | -0.000 |
| 68.628 | 68.628 | 136.156 | -0.000 | 0.000 | -0.000 |
| 0.000 | 0.000 | 0.000 | 42.730 | 0.000 | -0.000 |
| -0.000 | 0.000 | 0.000 | -0.000 | 42.730 | -0.000 |
| 0.000 | -0.000 | 0.000 | -0.000 | -0.000 | 42.730 |
| 136.156 | 68.628 | 68.628 | -0.000 | -0.000 | 0.000 |
| 68.628 | 136.156 | 68.628 | 0.000 | 0.000 | 0.000 |
| 68.628 | 68.628 | 136.156 | 0.000 | 0.000 | 0.000 |
| -0.000 | -0.000 | 0.000 | 67.963 | -0.000 | 0.000 |
| 0.000 | -0.000 | -0.000 | -0.000 | 67.963 | 0.000 |
| -0.000 | 0.000 | -0.000 | -0.000 | -0.000 | 67.963 |
| 157.598 | 67.961 | 67.961 | 0.000 | 0.000 | -0.000 |
| 67.961 | 157.598 | 67.961 | 0.000 | -0.000 | -0.000 |
| 67.961 | 67.961 | 157.598 | 0.000 | -0.000 | -0.000 |
| 0.000 | 0.000 | -0.000 | 67.963 | 0.000 | -0.000 |
| -0.000 | 0.000 | 0.000 | 0.000 | 67.963 | -0.000 |
| 0.000 | -0.000 | 0.000 | 0.000 | 0.000 | 67.963 |
| 136.156 | 68.628 | 68.628 | -0.000 | -0.000 | 0.000 |
| 68.628 | 136.156 | 68.628 | 0.000 | -0.000 | 0.000 |
| 68.628 | 68.628 | 136.156 | 0.000 | 0.000 | 0.000 |
| -0.000 | -0.000 | 0.000 | 42.673 | 0.000 | 0.000 |
| 0.000 | -0.000 | -0.000 | -0.000 | 42.673 | 0.000 |
| -0.000 | 0.000 | -0.000 | -0.000 | 0.000 | 42.673 |
| 136.155 | 68.628 | 68.628 | -0.000 | 0.000 | -0.000 |
| 68.628 | 136.155 | 68.628 | -0.000 | 0.000 | -0.000 |
| 68.628 | 68.628 | 136.155 | -0.000 | 0.000 | -0.000 |
| 0.000 | 0.000 | -0.000 | 42.673 | -0.000 | -0.000 |
| -0.000 | 0.000 | 0.000 | 0.000 | 42.673 | -0.000 |
| 0.000 | -0.000 | 0.000 | 0.000 | 0.000 | 42.673 |
| -493.881 | -594.433 | 1567.984 | -0.000 | 0.000 | 0.000 |
| 74.042 | 239.496 | 47.415 | 0.000 | -0.000 | -0.000 |
| 45.491 | 45.491 | 272.758 | 0.000 | 0.000 | -0.000 |
| -686.325 | -686.325 | 1488.895 | 47.263 | -0.000 | 0.000 |
| -686.325 | -686.325 | 1488.895 | -0.000 | 47.263 | -0.000 |
| -686.373 | -686.373 | 1489.000 | -0.000 | -0.000 | 54.220 |
| 878.718 | 778.166 | -1409.694 | 0.000 | 0.000 | -0.000 |
| 774.405 | 882.836 | -1410.081 | -0.000 | 0.000 | 0.000 |
| 45.491 | 45.491 | 272.758 | 0.000 | -0.000 | -0.000 |
| 686.325 | 686.325 | -1488.895 | 47.263 | -0.000 | 0.000 |
| 686.325 | 686.325 | -1488.895 | 0.000 | 47.263 | 0.000 |
| 686.373 | 686.373 | -1489.000 | -0.000 | -0.000 | 54.220 |
| 239.496 | 74.042 | 47.415 | 0.000 | -0.000 | 0.000 |
| 18.900 | 126.939 | 229.316 | -0.000 | 0.000 | 0.000 |
| 8.591 | 8.591 | 352.807 | -0.000 | 0.000 | 0.000 |
| 0.000 | 0.000 | 0.000 | 60.043 | 0.000 | -0.000 |
| 0.000 | 0.000 | 0.000 | 0.000 | 60.043 | 0.000 |
| -0.000 | -0.000 | 0.000 | -0.000 | 0.000 | 82.727 |
| 261.049 | 160.497 | -69.739 | -0.000 | -0.000 | -0.000 |
| 157.825 | 265.389 | -71.549 | 0.000 | -0.000 | -0.000 |
| 145.851 | 145.851 | 55.040 | -0.000 | -0.000 | -0.000 |
| -0.000 | -0.000 | -0.000 | 60.043 | -0.000 | 0.000 |
| -0.000 | -0.000 | -0.000 | 0.000 | 60.043 | 0.000 |
| 0.000 | 0.000 | -0.000 | 0.000 | -0.000 | 82.727 |
| 186.428 | 81.488 | 96.900 | -0.000 | -0.000 | 0.000 |
| 74.042 | 239.495 | 47.415 | 0.000 | 0.000 | -0.000 |
| 45.490 | 45.490 | 272.759 | -0.000 | -0.000 | -0.000 |
| 0.000 | 0.000 | 0.000 | 60.043 | -0.000 | -0.000 |
| -6.863 | -6.863 | 14.889 | 0.000 | 45.947 | 0.000 |
| -0.000 | -0.000 | 0.000 | 0.000 | 0.000 | 82.727 |
| 198.916 | 97.250 | 66.260 | 0.000 | 0.000 | -0.000 |
| 97.249 | 198.917 | 66.260 | -0.000 | -0.000 | 0.000 |
| 84.116 | 84.116 | 188.965 | -0.000 | -0.000 | 0.000 |
| -0.000 | -0.000 | -0.000 | 60.043 | 0.000 | 0.000 |
| 6.863 | 6.863 | -14.889 | -0.000 | 45.947 | -0.000 |
| 0.000 | 0.000 | -0.000 | -0.000 | 0.000 | 82.727 |
| 124.038 | 98.034 | 25.440 | -0.000 | 0.000 | -0.000 |
| 98.034 | 124.038 | 25.440 | 0.000 | -0.000 | 0.000 |
| 25.440 | 25.440 | 50.251 | -0.000 | 0.000 | 0.000 |
| -0.000 | -0.000 | -0.000 | -19.462 | 0.000 | 0.000 |
| -0.000 | -0.000 | -0.000 | 0.000 | -67.423 | -0.000 |
| 0.000 | 0.000 | -0.000 | 0.000 | 0.000 | 13.002 |
| 124.039 | 98.035 | 25.441 | 0.000 | -0.000 | 0.000 |
| 98.035 | 124.039 | 25.441 | -0.000 | 0.000 | -0.000 |
| 25.441 | 25.441 | 50.252 | 0.000 | -0.000 | 0.000 |
| -0.000 | 0.000 | 0.000 | -19.462 | 0.000 | -0.000 |
| 0.000 | 0.000 | 0.000 | 0.000 | -67.423 | -0.000 |
| -0.000 | -0.000 | 0.000 | 0.000 | 0.000 | 13.002 |
| 124.033 | 98.029 | 25.434 | -0.000 | -0.000 | 0.000 |
| 98.029 | 124.033 | 25.434 | 0.000 | -0.000 | -0.000 |
| 25.433 | 25.433 | 50.244 | -0.000 | 0.000 | 0.000 |
| -0.000 | -0.000 | -0.000 | -67.423 | 0.000 | -0.000 |
| -0.000 | -0.000 | -0.000 | 0.000 | -67.423 | -0.000 |
| 0.000 | 0.000 | -0.000 | -0.000 | 0.000 | 13.002 |
| 124.043 | 98.040 | 25.447 | -0.000 | 0.000 | -0.000 |
| 98.040 | 124.043 | 25.447 | 0.000 | -0.000 | 0.000 |
| 25.447 | 25.447 | 50.260 | 0.000 | -0.000 | 0.000 |
| 0.000 | 0.000 | 0.000 | -67.423 | 0.000 | 0.000 |
| 0.000 | 0.000 | 0.000 | -0.000 | -67.423 | 0.000 |
| -0.000 | -0.000 | 0.000 | 0.000 | -0.000 | 13.002 |
| 123.985 | 97.980 | 25.378 | 0.000 | -0.000 | -0.000 |
| 97.981 | 123.985 | 25.378 | 0.000 | -0.000 | 0.000 |
| 25.370 | 25.370 | 50.172 | -0.000 | 0.000 | -0.000 |
| 14915511.143 | 15356341.350 | 16479305.804 | -54989.611 | -419.404 | -132986.035 |
| 14407473.836 | 13874991.192 | 14283719.294 | -43821.437 | 75978.801 | -51292.090 |
| 0.000 | 0.000 | -0.000 | 0.000 | -0.000 | 13.002 |
| 124.091 | 98.089 | 25.502 | -0.000 | 0.000 | 0.000 |
| 98.089 | 124.092 | 25.502 | 0.000 | -0.000 | 0.000 |
| 25.510 | 25.510 | 50.331 | 0.000 | -0.000 | -0.000 |
| -14960530.019 | -15704234.182 | -16230217.436 | -4440.617 | -12825.708 | 125439.153 |
| -14466998.643 | -14215774.707 | -14537415.096 | -32738.722 | 49257.250 | -576.401 |
| -0.000 | -0.000 | 0.000 | -0.000 | 0.000 | 13.002 |
| 120.204 | 48.447 | 48.447 | -0.000 | 0.000 | 0.000 |
| 48.447 | 120.204 | 48.447 | -0.000 | 0.000 | 0.000 |
| 48.447 | 48.447 | 120.204 | 0.000 | 0.000 | 0.000 |
| 0.000 | 0.000 | 0.000 | 49.743 | 0.000 | 0.000 |
| 0.000 | 0.000 | 0.000 | 0.000 | 49.743 | 0.000 |
| 0.000 | 0.000 | 0.000 | -0.000 | 0.000 | 49.743 |
| 120.204 | 48.447 | 48.447 | -0.000 | -0.000 | -0.000 |
| 48.447 | 120.204 | 48.447 | 0.000 | -0.000 | -0.000 |
| 48.447 | 48.447 | 120.204 | -0.000 | -0.000 | -0.000 |
| -0.000 | -0.000 | -0.000 | 49.743 | -0.000 | -0.000 |
| -0.000 | -0.000 | -0.000 | -0.000 | 49.743 | -0.000 |
| -0.000 | -0.000 | -0.000 | -0.000 | -0.000 | 49.743 |
| 120.204 | 48.447 | 48.447 | -0.000 | 0.000 | 0.000 |
| 48.447 | 120.204 | 48.447 | 0.000 | 0.000 | 0.000 |
| 48.447 | 48.447 | 120.204 | -0.000 | 0.000 | 0.000 |
| 0.000 | 0.000 | 0.000 | 49.743 | 0.000 | 0.000 |
| 0.000 | 0.000 | 0.000 | -0.000 | 49.743 | 0.000 |
| 0.000 | 0.000 | 0.000 | 0.000 | 0.000 | 49.743 |
| 120.204 | 48.447 | 48.447 | -0.000 | -0.000 | -0.000 |
| 48.447 | 120.204 | 48.447 | 0.000 | -0.000 | -0.000 |
| 48.447 | 48.447 | 120.204 | -0.000 | -0.000 | -0.000 |
| -0.000 | -0.000 | -0.000 | 49.743 | -0.000 | -0.000 |
| -0.000 | -0.000 | -0.000 | -0.000 | 49.743 | -0.000 |
| -0.000 | -0.000 | -0.000 | -0.000 | -0.000 | 49.743 |
| 120.205 | 48.448 | 48.448 | 0.000 | 0.000 | 0.000 |
| 48.448 | 120.205 | 48.448 | -0.000 | 0.000 | 0.000 |
| 48.448 | 48.448 | 120.205 | 0.000 | 0.000 | 0.000 |
| 0.000 | 0.000 | 0.000 | 49.743 | 0.000 | 0.000 |
| 0.000 | 0.000 | 0.000 | -0.000 | 49.743 | 0.000 |
| 0.000 | 0.000 | 0.000 | 0.000 | 0.000 | 49.743 |
| 81.113 | 64.832 | 64.832 | -0.000 | -0.000 | -0.000 |
| 64.832 | 81.113 | 64.832 | 0.000 | -0.000 | -0.000 |
| 64.832 | 64.832 | 81.113 | 0.000 | -0.000 | -0.000 |
| -0.000 | -0.000 | -0.000 | 49.743 | -0.000 | -0.000 |
| -0.000 | -0.000 | -0.000 | -0.000 | 49.743 | -0.000 |
| -0.000 | -0.000 | -0.000 | -0.000 | -0.000 | 49.743 |
| 131.679 | 52.700 | 52.700 | 0.000 | -0.000 | 0.000 |
| 52.700 | 131.679 | 52.700 | 0.000 | 0.000 | 0.000 |
| 52.700 | 52.700 | 131.679 | 0.000 | 0.000 | 0.000 |
| -0.000 | -0.000 | -0.000 | 55.685 | 0.000 | 0.000 |
| -0.000 | -0.000 | -0.000 | 0.000 | 55.685 | 0.000 |
| -0.000 | -0.000 | -0.000 | 0.000 | 0.000 | 55.685 |
| 89.256 | 62.917 | 62.917 | -0.000 | -0.000 | -0.000 |
| 62.917 | 89.256 | 62.917 | -0.000 | -0.000 | -0.000 |
| 62.917 | 62.917 | 89.256 | -0.000 | 0.000 | -0.000 |
| 0.000 | 0.000 | 0.000 | 55.685 | -0.000 | -0.000 |
| 0.000 | 0.000 | 0.000 | -0.000 | 55.685 | -0.000 |
| 0.000 | 0.000 | 0.000 | -0.000 | -0.000 | 55.685 |
| 96.393 | 69.319 | 69.319 | 0.000 | 0.000 | 0.000 |
| 69.319 | 96.393 | 69.319 | 0.000 | -0.000 | 0.000 |
| 69.319 | 69.319 | 96.393 | 0.000 | -0.000 | 0.000 |
| -0.000 | -0.000 | -0.000 | 55.685 | 0.000 | 0.000 |
| -0.000 | -0.000 | -0.000 | 0.000 | 55.685 | 0.000 |
| -0.000 | -0.000 | -0.000 | 0.000 | -0.000 | 55.685 |
| 131.680 | 52.701 | 52.701 | -0.000 | -0.000 | -0.000 |
| 52.701 | 131.680 | 52.701 | -0.000 | -0.000 | -0.000 |
| 52.701 | 52.701 | 131.680 | -0.000 | 0.000 | -0.000 |
| 0.000 | 0.000 | 0.000 | 55.685 | 0.000 | 0.000 |
| 0.000 | 0.000 | 0.000 | -0.000 | 55.685 | -0.000 |
| 0.000 | 0.000 | 0.000 | -0.000 | 0.000 | 55.685 |
| 94.503 | 68.436 | 68.436 | 0.000 | -0.000 | -0.000 |
| 68.436 | 94.503 | 68.436 | 0.000 | -0.000 | 0.000 |
| 68.436 | 68.436 | 94.503 | -0.000 | 0.000 | 0.000 |
| 0.058 | 0.055 | 0.055 | 19.651 | -0.000 | 0.000 |
| 0.055 | 0.058 | 0.055 | 0.000 | 19.651 | 0.000 |
| 0.055 | 0.055 | 0.058 | 0.000 | 0.000 | 19.651 |
| 95.676 | 69.309 | 69.309 | -0.000 | -0.000 | -0.000 |
| 69.309 | 95.676 | 69.309 | -0.000 | -0.000 | -0.000 |
| 69.309 | 69.309 | 95.676 | -0.000 | -0.000 | -0.000 |
| -0.058 | -0.055 | -0.055 | 19.651 | 0.000 | -0.000 |
| -0.055 | -0.058 | -0.055 | -0.000 | 19.651 | -0.000 |
| -0.055 | -0.055 | -0.058 | -0.000 | -0.000 | 19.651 |
| 118.615 | 78.959 | 78.959 | 0.000 | -0.000 | 0.000 |
| 78.959 | 118.615 | 78.959 | 0.000 | -0.000 | 0.000 |
| 78.959 | 78.959 | 118.615 | 0.000 | -0.000 | 0.000 |
| 0.588 | 0.588 | 0.588 | 21.683 | -0.000 | 0.000 |
| 0.588 | 0.588 | 0.588 | 0.000 | 21.683 | 0.000 |
| 0.588 | 0.588 | 0.588 | 0.000 | -0.000 | 21.683 |
| 124.388 | 74.919 | 74.919 | -0.000 | 0.000 | -0.000 |
| 74.919 | 124.388 | 74.919 | -0.000 | 0.000 | -0.000 |
| 74.919 | 74.919 | 124.388 | -0.000 | 0.000 | -0.000 |
| -0.588 | -0.588 | -0.588 | 21.683 | 0.000 | -0.000 |
| -0.588 | -0.588 | -0.588 | -0.000 | 21.683 | -0.000 |
| -0.588 | -0.588 | -0.588 | -0.000 | 0.000 | 21.683 |
| 161.147 | 61.068 | 61.068 | -0.000 | -0.000 | -0.000 |
| 61.068 | 161.147 | 61.068 | -0.000 | 0.000 | -0.000 |
| 61.068 | 61.068 | 161.147 | 0.000 | 0.000 | 0.000 |
| 0.056 | 0.056 | 0.056 | 23.251 | -0.000 | 0.000 |
| 0.056 | 0.056 | 0.056 | 0.000 | 23.251 | 0.000 |
| 0.056 | 0.056 | 0.056 | 0.000 | -0.000 | 23.251 |
| 113.972 | 72.291 | 72.291 | -0.000 | 0.000 | -0.000 |
| 72.291 | 113.972 | 72.291 | -0.000 | 0.000 | -0.000 |
| 72.291 | 72.291 | 113.972 | -0.000 | 0.000 | -0.000 |
| -0.056 | -0.056 | -0.056 | 23.251 | 0.000 | -0.000 |
| -0.056 | -0.056 | -0.056 | -0.000 | 23.251 | -0.000 |
| -0.056 | -0.056 | -0.056 | -0.000 | 0.000 | 23.251 |
| 123.232 | 76.182 | 76.182 | 0.000 | -0.000 | 0.000 |
| 76.182 | 123.232 | 76.182 | 0.000 | -0.000 | 0.000 |
| 76.182 | 76.182 | 123.232 | 0.000 | -0.000 | 0.000 |
| -0.172 | -0.172 | -0.172 | 14.983 | -0.000 | 0.000 |
| -0.172 | -0.172 | -0.172 | 0.000 | 14.983 | 0.000 |
| -0.172 | -0.172 | -0.172 | 0.000 | -0.000 | 14.983 |
| 123.295 | 76.138 | 76.138 | -0.000 | 0.000 | -0.000 |
| 76.138 | 123.295 | 76.138 | -0.000 | 0.000 | -0.000 |
| 76.138 | 76.138 | 123.295 | -0.000 | 0.000 | -0.000 |
| 0.172 | 0.172 | 0.172 | 14.983 | 0.000 | -0.000 |
| 0.172 | 0.172 | 0.172 | -0.000 | 14.983 | -0.000 |
| 0.172 | 0.172 | 0.172 | -0.000 | 0.000 | 14.983 |
| 151.025 | 54.275 | 54.275 | 0.000 | -0.000 | 0.000 |
| 54.275 | 151.025 | 54.275 | 0.000 | -0.000 | 0.000 |
| 54.275 | 54.275 | 151.025 | 0.000 | -0.000 | 0.000 |
| 399.952 | 399.952 | 399.952 | 22.468 | -0.000 | 0.000 |
| 399.952 | 399.952 | 399.952 | -0.000 | 22.468 | 0.000 |
| 399.952 | 399.952 | 399.952 | 0.000 | -0.000 | 22.468 |
| -204.792 | -241.524 | -241.524 | 0.000 | 0.000 | -0.000 |
| -241.524 | -204.792 | -241.524 | -0.000 | 0.000 | -0.000 |
| -241.524 | -241.524 | -204.792 | 0.000 | 0.000 | -0.000 |
| -399.952 | -399.952 | -399.952 | 22.468 | 0.000 | 0.000 |
| -399.952 | -399.952 | -399.952 | -0.000 | 22.468 | 0.000 |
| -399.952 | -399.952 | -399.952 | 0.000 | 0.000 | 22.468 |
| 151.025 | 54.274 | 54.274 | 0.000 | -0.000 | 0.000 |
| 54.274 | 151.025 | 54.274 | 0.000 | -0.000 | 0.000 |
| 54.274 | 54.274 | 151.025 | 0.000 | 0.000 | 0.000 |
| 30.925 | 30.925 | 30.925 | 16.429 | -0.000 | 0.000 |
| 30.925 | 30.925 | 30.925 | 0.000 | 16.429 | 0.000 |
| 30.925 | 30.925 | 30.925 | 0.000 | -0.000 | 16.429 |
| 151.025 | 54.275 | 54.275 | -0.000 | 0.000 | -0.000 |
| 54.275 | 151.025 | 54.275 | -0.000 | 0.000 | 0.000 |
| 54.275 | 54.275 | 151.025 | -0.000 | 0.000 | -0.000 |
| -30.925 | -30.925 | -30.925 | 16.429 | 0.000 | -0.000 |
| -30.925 | -30.925 | -30.925 | -0.000 | 16.429 | -0.000 |
| -30.925 | -30.925 | -30.925 | -0.000 | 0.000 | 16.429 |
| 117.808 | 71.609 | 71.609 | 0.000 | -0.000 | 0.000 |
| 71.609 | 117.808 | 71.609 | 0.000 | -0.000 | 0.000 |
| 71.609 | 71.609 | 117.808 | 0.000 | -0.000 | 0.000 |
| -0.000 | -0.000 | 0.000 | 48.391 | -0.000 | 0.000 |
| 0.000 | -0.000 | -0.000 | 0.000 | 48.391 | 0.000 |
| -0.000 | 0.000 | -0.000 | 0.000 | -0.000 | 48.391 |
| 102.878 | 60.888 | 60.888 | -0.000 | 0.000 | 0.000 |
| 60.888 | 102.878 | 60.888 | -0.000 | 0.000 | 0.000 |
| 60.888 | 60.888 | 102.878 | -0.000 | 0.000 | 0.000 |
| 0.000 | 0.000 | -0.000 | 48.391 | 0.000 | -0.000 |
| -0.000 | 0.000 | 0.000 | -0.000 | 48.391 | -0.000 |
| 0.000 | -0.000 | 0.000 | -0.000 | -0.000 | 48.391 |
| 123.563 | 32.920 | 32.920 | -0.000 | 0.000 | 0.000 |
| 32.920 | 123.563 | 32.920 | 0.000 | 0.000 | 0.000 |
| 32.920 | 32.920 | 123.563 | 0.000 | 0.000 | 0.000 |
| -0.000 | -0.000 | -0.000 | 40.510 | 0.000 | 0.000 |
| -0.000 | -0.000 | -0.000 | 0.000 | 40.510 | 0.000 |
| -0.000 | -0.000 | -0.000 | 0.000 | 0.000 | 40.510 |
| 583.463 | 546.886 | 546.886 | 0.000 | -0.000 | -0.000 |
| 546.886 | 583.463 | 546.886 | 0.000 | -0.000 | -0.000 |
| 546.886 | 546.886 | 583.463 | 0.000 | -0.000 | -0.000 |
| 0.000 | 0.000 | 0.000 | 40.510 | -0.000 | -0.000 |
| 0.000 | 0.000 | 0.000 | -0.000 | 40.510 | -0.000 |
| 0.000 | 0.000 | 0.000 | -0.000 | -0.000 | 40.510 |
| 34.629 | -0.096 | -0.096 | -0.000 | 0.000 | 0.000 |
| -0.096 | 34.629 | -0.096 | -0.000 | 0.000 | 0.000 |
| -0.096 | -0.096 | 34.629 | -0.000 | 0.000 | 0.000 |
| -33.045 | -33.045 | -33.045 | -12.110 | -0.000 | -0.000 |
| -33.045 | -33.045 | -33.045 | -0.000 | -12.110 | -0.000 |
| -33.045 | -33.045 | -33.045 | -0.000 | -0.000 | -12.110 |
| 123.563 | 32.920 | 32.920 | -0.000 | -0.000 | -0.000 |
| 32.920 | 123.563 | 32.920 | -0.000 | -0.000 | -0.000 |
| 32.920 | 32.920 | 123.563 | -0.000 | -0.000 | -0.000 |
| 33.045 | 33.045 | 33.045 | -12.110 | 0.000 | 0.000 |
| 33.045 | 33.045 | 33.045 | 0.000 | -12.110 | 0.000 |
| 33.045 | 33.045 | 33.045 | 0.000 | 0.000 | -12.110 |
| 71.786 | 54.154 | 54.154 | -0.000 | 0.000 | -0.000 |
| 54.154 | 71.786 | 54.154 | -0.000 | 0.000 | -0.000 |
| 54.154 | 54.154 | 71.786 | -0.000 | -0.000 | -0.000 |
| -2.225 | -2.225 | -2.225 | 5.165 | 0.000 | -0.000 |
| -2.225 | -2.225 | -2.225 | -0.000 | 5.165 | 0.000 |
| -2.225 | -2.225 | -2.225 | -0.000 | 0.000 | 5.165 |
| 123.564 | 32.922 | 32.922 | -0.000 | -0.000 | -0.000 |
| 32.922 | 123.564 | 32.922 | -0.000 | -0.000 | -0.000 |
| 32.922 | 32.922 | 123.564 | -0.000 | -0.000 | 0.000 |
| 2.225 | 2.225 | 2.225 | 5.165 | -0.000 | -0.000 |
| 2.225 | 2.225 | 2.225 | 0.000 | 5.165 | 0.000 |
| 2.225 | 2.225 | 2.225 | 0.000 | -0.000 | 5.165 |
| 248.903 | 68.034 | 137.244 | 0.000 | -0.000 | -0.000 |
| 67.861 | 186.209 | 83.492 | 0.000 | 0.000 | -0.000 |
| 137.165 | 83.586 | 151.297 | 0.000 | -0.000 | -0.000 |
| 2.347 | -1.987 | 0.369 | 46.620 | 0.000 | 0.000 |
| 2.053 | -1.738 | 0.323 | 0.000 | 27.568 | -0.000 |
| 9.003 | -7.621 | 1.417 | 0.000 | 0.000 | 99.348 |
| 156.209 | 146.499 | 122.657 | -0.000 | -0.000 | 0.000 |
| 129.702 | 133.860 | 93.224 | 0.000 | 0.000 | 0.000 |
| 114.991 | 102.355 | 147.807 | -0.000 | -0.000 | 0.000 |
| -2.347 | 1.987 | -0.369 | 46.620 | 0.000 | -0.000 |
| -2.053 | 1.738 | -0.323 | -0.000 | 27.568 | -0.000 |
| -9.003 | 7.621 | -1.417 | -0.000 | 0.000 | 99.348 |
| 166.114 | 138.117 | 124.218 | 0.000 | 0.000 | -0.000 |
| 139.606 | 125.478 | 94.783 | 0.000 | 0.000 | -0.000 |
| 124.897 | 93.974 | 149.368 | -0.000 | 0.000 | -0.000 |
| 0.213 | -0.180 | 0.033 | 46.787 | 0.000 | -0.000 |
| 0.000 | -0.000 | -0.000 | 0.000 | 36.631 | -0.000 |
| 0.000 | 0.000 | -0.000 | 0.000 | -0.000 | 99.348 |
| 164.310 | 139.639 | 123.931 | -0.000 | -0.000 | 0.000 |
| 137.804 | 127.000 | 94.498 | -0.000 | -0.000 | 0.000 |
| 123.092 | 95.495 | 149.080 | 0.000 | -0.000 | 0.000 |
| -0.213 | 0.180 | -0.033 | 46.787 | -0.000 | -0.000 |
| -0.000 | 0.000 | 0.000 | -0.000 | 36.631 | 0.000 |
| -0.000 | -0.000 | 0.000 | -0.000 | 0.000 | 99.348 |
| 165.319 | 138.814 | 124.106 | 0.000 | 0.000 | -0.000 |
| 138.806 | 126.172 | 94.666 | 0.000 | 0.000 | -0.000 |
| 124.103 | 94.673 | 149.260 | -0.000 | 0.000 | -0.000 |
| 0.021 | -0.018 | 0.003 | 46.789 | -0.000 | -0.000 |
| 0.020 | -0.017 | 0.003 | -0.000 | 27.735 | -0.000 |
| 0.090 | -0.076 | 0.014 | 0.000 | 0.000 | 99.348 |
| 165.105 | 138.943 | 124.043 | -0.000 | -0.000 | 0.000 |
| 67.850 | 186.199 | 83.480 | -0.000 | -0.000 | 0.000 |
| 137.147 | 83.570 | 151.275 | -0.000 | 0.000 | 0.000 |
| -0.021 | 0.018 | -0.003 | 46.789 | 0.000 | 0.000 |
| -0.020 | 0.017 | -0.003 | 0.000 | 27.735 | 0.000 |
| -0.090 | 0.076 | -0.014 | 0.000 | -0.000 | 99.348 |
| 160.937 | 50.434 | -10.234 | 0.000 | 0.000 | -0.000 |
| 71.548 | 186.987 | 74.530 | -0.000 | -0.000 | -0.000 |
| 79.109 | 193.786 | 248.670 | -0.000 | 0.000 | 0.000 |
| -6.373 | -28.860 | -95.228 | 18.904 | 0.000 | 0.000 |
| 0.000 | -0.000 | -0.000 | -0.000 | 74.267 | -0.000 |
| -6.017 | -27.244 | -89.896 | -0.000 | 0.000 | 85.494 |
| 167.822 | 74.941 | 79.761 | -0.000 | -0.000 | 0.000 |
| 84.342 | 243.703 | 263.334 | 0.000 | -0.000 | -0.000 |
| 79.110 | 193.787 | 248.671 | -0.000 | -0.000 | 0.000 |
| 6.373 | 28.860 | 95.228 | 18.904 | -0.000 | 0.000 |
| -0.000 | 0.000 | 0.000 | -0.000 | 74.267 | 0.000 |
| 6.017 | 27.244 | 89.896 | 0.000 | 0.000 | 85.494 |
| 166.199 | 75.023 | 69.871 | 0.000 | 0.000 | -0.000 |
| 74.881 | 238.348 | 194.375 | -0.000 | 0.000 | -0.000 |
| 79.105 | 193.780 | 248.664 | 0.000 | 0.000 | 0.000 |
| 0.000 | 0.000 | 0.000 | 40.558 | -0.000 | -0.000 |
| -0.701 | -3.172 | -10.468 | 0.000 | 71.211 | -0.000 |
| 0.000 | 0.000 | 0.000 | -0.000 | 0.000 | 85.494 |
| 167.502 | 82.099 | 91.577 | 0.000 | -0.000 | 0.000 |
| 83.465 | 189.140 | 152.528 | -0.000 | -0.000 | 0.000 |
| 79.114 | 193.793 | 248.677 | 0.000 | -0.000 | 0.000 |
| -0.000 | -0.000 | -0.000 | 40.558 | 0.000 | 0.000 |
| 0.701 | 3.172 | 10.468 | -0.000 | 71.211 | 0.000 |
| -0.000 | -0.000 | -0.000 | 0.000 | -0.000 | 85.494 |
| 166.222 | 79.301 | 78.400 | -0.000 | 0.000 | -0.000 |
| 80.278 | 193.536 | 141.682 | 0.000 | 0.000 | -0.000 |
| 83.259 | 146.394 | 183.275 | 0.000 | 0.000 | 0.000 |
| 0.000 | 0.000 | 0.001 | 40.558 | 0.000 | -0.000 |
| 0.000 | 0.000 | -0.000 | 0.000 | 74.267 | -0.000 |
| -0.060 | -0.271 | -0.895 | -0.000 | -0.000 | 85.494 |
| 165.977 | 83.624 | 84.939 | 0.000 | -0.000 | 0.000 |
| 83.390 | 187.384 | 148.308 | 0.000 | 0.000 | 0.000 |
| 79.376 | 164.678 | 193.789 | 0.000 | -0.000 | 0.000 |
| -0.000 | -0.000 | -0.001 | 40.558 | -0.000 | 0.000 |
| -0.000 | -0.000 | 0.000 | 0.000 | 74.267 | 0.000 |
| 0.060 | 0.271 | 0.895 | -0.000 | -0.000 | 85.494 |
| 179.361 | 92.386 | 96.325 | 0.000 | -0.000 | 0.000 |
| 92.303 | 264.962 | 217.948 | 0.000 | 0.000 | -0.000 |
| 96.689 | 193.378 | 222.297 | 0.000 | 0.000 | 0.000 |
| -0.088 | 0.293 | 0.154 | -17.018 | 0.000 | 0.000 |
| -0.000 | -0.000 | -0.000 | 0.000 | 75.217 | 0.000 |
| -0.000 | -0.000 | 0.000 | 0.000 | 0.000 | 85.255 |
| 176.581 | 100.328 | 98.103 | -0.000 | -0.000 | -0.000 |
| 92.303 | 264.961 | 217.947 | -0.000 | -0.000 | -0.000 |
| 96.760 | 193.060 | 221.989 | -0.000 | -0.000 | -0.000 |
| 0.088 | -0.293 | -0.154 | -17.018 | -0.000 | -0.000 |
| 0.000 | 0.000 | 0.000 | -0.000 | 75.217 | -0.000 |
| 0.000 | 0.000 | -0.000 | -0.000 | -0.000 | 85.255 |
| 179.363 | 92.388 | 96.327 | 0.000 | 0.000 | 0.000 |
| 92.307 | 264.967 | 217.953 | 0.000 | -0.000 | 0.000 |
| 100.901 | 179.968 | 216.394 | -0.000 | 0.000 | 0.000 |
| -0.009 | 0.029 | 0.015 | -17.018 | -0.000 | -0.000 |
| -0.000 | -0.000 | -0.000 | 0.000 | 75.217 | 0.000 |
| -0.003 | 0.009 | 0.005 | 0.000 | 0.000 | 85.255 |
| 179.359 | 92.383 | 96.322 | -0.000 | 0.000 | -0.000 |
| 92.300 | 264.957 | 217.943 | -0.000 | -0.000 | -0.000 |
| 96.724 | 193.198 | 222.123 | -0.000 | -0.000 | -0.000 |
| 0.009 | -0.029 | -0.015 | -17.018 | -0.000 | -0.000 |
| 0.000 | 0.000 | 0.000 | -0.000 | 75.217 | -0.000 |
| 0.003 | -0.009 | -0.005 | -0.000 | -0.000 | 85.255 |
| 179.379 | 92.410 | 96.349 | 0.000 | 0.000 | 0.000 |
| 99.591 | 227.660 | 174.865 | 0.000 | 0.000 | 0.000 |
| 95.810 | 217.531 | 272.662 | 0.000 | 0.000 | 0.000 |
| -0.000 | 0.000 | 0.000 | 40.016 | -0.000 | 0.000 |
| -0.000 | 0.001 | 0.001 | 0.000 | 71.484 | 0.000 |
| 0.000 | -0.000 | 0.000 | 0.000 | 0.000 | 85.255 |
| 176.487 | 100.557 | 98.206 | -0.000 | -0.000 | 0.000 |
| 92.268 | 264.911 | 217.898 | -0.000 | -0.000 | 0.000 |
| 96.692 | 193.168 | 222.094 | -0.000 | -0.000 | 0.000 |
| 0.000 | -0.000 | -0.000 | 40.016 | 0.000 | -0.000 |
| 0.000 | -0.001 | -0.001 | -0.000 | 71.484 | -0.000 |
| -0.000 | 0.000 | -0.000 | -0.000 | -0.000 | 85.255 |
Phonon band structures and crystal properties estimated from quasi-harmonic approximation (QHA) calculations are displayed for select crystals. The calculations were performed using phonopy and LAMMPS. For the phonon calculations, 3x3 supercells of the potential-specific relaxed crystals were used. The QHA calculations were based on 11 strain states ranging from -0.05 to 0.05.
The calculation method used is available as the iprPy phonon calculation method.
Notes and Disclaimers:
Version Information:





































































































































































Static free surface formation energies are displayed for select crystals. The values displayed here are obtained by taking a perfect periodic bulk crystal, slicing along a crystallographic plane, and using force minimization to statically relax the surfaces. The free surface formation energy is computed by comparing the energy of the defect system to the bulk system and dividing by the total surface area created by the cut.
The calculation method used is available as the iprPy surface_energy_static calculation method.
Notes and Disclaimers:
Version Information:
| Surface | γfs (mJ/m2) |
|---|---|
| (111) | 666.67 |
| (332) | 689.59 |
| (322) | 705.38 |
| (221) | 715.30 |
| (211) | 739.24 |
| (331) | 746.56 |
| (321) | 770.98 |
| (311) | 773.91 |
| (110) | 789.21 |
| (100) | 805.18 |
| (320) | 816.81 |
| (210) | 823.10 |
| (310) | 828.08 |
| Surface | γfs (mJ/m2) |
|---|---|
| (221) | -34265.87 |
| (111) | -18069.90 |
| (110) | -12119.78 |
| (100) | 1.81 |
| (210) | 2.43 |
| Surface | γfs (mJ/m2) |
|---|---|
| (110) | 3131.58 |
| (210) | 3188.91 |
| (320) | 3201.85 |
| (310) | 3304.52 |
| (311) | 3328.23 |
| (100) | 3365.36 |
| (321) | 3455.81 |
| (331) | 3501.01 |
| (211) | 3538.19 |
| (221) | 3665.11 |
| (322) | 3742.92 |
| (332) | 3795.28 |
| (111) | 3925.12 |
| Surface | γfs (mJ/m2) |
|---|---|
| (111) | 139.01 |
| (332) | 150.67 |
| (322) | 151.91 |
| (100) | 152.26 |
| (221) | 155.31 |
| (211) | 157.39 |
| (331) | 158.59 |
| (311) | 159.96 |
| (110) | 160.25 |
| (321) | 162.49 |
| (310) | 165.54 |
| (320) | 166.08 |
| (210) | 166.48 |
| Surface | γfs (mJ/m2) |
|---|---|
| (332) | -1052.01 |
| (331) | -942.46 |
| (322) | -905.03 |
| (321) | -836.97 |
| (320) | -826.95 |
| (311) | -757.15 |
| (310) | -679.98 |
| (221) | -667.92 |
| (211) | -563.02 |
| (210) | -495.66 |
| (111) | -368.33 |
| (110) | 2.49 |
| (100) | 3.52 |
| Surface | γfs (mJ/m2) |
|---|---|
| (2112) | -531.43 |
| (2132) 2 | -515.01 |
| (1012) 2 | -507.99 |
| (2132) 1 | -497.63 |
| (1012) 1 | -488.58 |
| (2021) 1 | -389.66 |
| (1011) 2 | -377.09 |
| (2021) 2 | -375.22 |
| (1011) 1 | -361.71 |
| (2241) | -225.37 |
| (1010) 1 | -213.53 |
| (2130) 1 | -209.71 |
| (2130) 2 | -207.96 |
| (2131) 1 | -205.03 |
| (1120) | -198.11 |
| (1121) | -197.04 |
| (2131) 2 | -194.93 |
| (0001) | 4.07 |
| (1010) 2 | 5.75 |
| Surface | γfs (mJ/m2) |
|---|---|
| (111) 2 | 1064.77 |
| (322) | 1149.66 |
| (332) | 1206.43 |
| (331) 2 | 1217.48 |
| (110) | 1226.83 |
| (221) | 1280.27 |
| (321) | 1338.50 |
| (211) | 1343.48 |
| (331) 1 | 1352.79 |
| (320) | 1379.66 |
| (311) 1 | 1428.73 |
| (210) | 1448.50 |
| (111) 1 | 1460.79 |
| (311) 2 | 1498.20 |
| (310) | 1503.34 |
| (100) | 1588.09 |
| Surface | γfs (mJ/m2) |
|---|---|
| (111) 2 | 9.93 |
| (331) 2 | 11.83 |
| (110) | 12.15 |
| (321) | 13.65 |
| (211) | 13.83 |
| (320) | 14.16 |
| (332) | 14.35 |
| (210) | 15.15 |
| (311) 2 | 15.25 |
| (311) 1 | 15.26 |
| (310) | 16.00 |
| (322) | 16.21 |
| (221) | 16.71 |
| (100) | 16.71 |
| (331) 1 | 19.06 |
| (111) 1 | 28.12 |
| Surface | γfs (mJ/m2) |
|---|---|
| (100) | -197.25 |
| (101) 2 | -100.37 |
| (112) | -81.83 |
| (111) | -63.74 |
| (001) | -59.60 |
| (110) | 15.22 |
| Surface | γfs (mJ/m2) |
|---|---|
| (100) | 597.62 |
| (310) | 688.44 |
| (110) | 689.24 |
| (210) | 715.26 |
| (320) | 715.47 |
| (331) | 734.92 |
| (311) | 738.00 |
| (321) | 749.44 |
| (221) | 755.82 |
| (211) | 757.01 |
| (111) | 760.09 |
| (332) | 765.25 |
| (322) | 776.66 |
| Surface | γfs (mJ/m2) |
|---|---|
| (322) | -459.20 |
| (311) | -393.86 |
| (332) | -361.59 |
| (221) | -358.97 |
| (331) | -335.12 |
| (321) | -317.57 |
| (320) | -271.39 |
| (310) | -238.55 |
| (211) | -183.35 |
| (210) | -146.73 |
| (100) | 1.17 |
| (110) | 1.65 |
| (111) | 2.02 |
Stacking fault energy plots and maps are displayed for select crystals. The values are computed by
The calculation method used is available as the iprPy stacking_fault_map_2D calculation method.
Notes and Disclaimers:
Version Information:
| E_usf a/2 [0 -1 1] | 232.12 |
| τ_ideal a/2 [0 -1 1] | 3.55 |




| E_isf | -9.19 |
| E_usf a/2 [0 -1 1] | 81.09 |
| τ_ideal a/2 [0 -1 1] | 1.82 |




| E_usf a/2 [0 -1 1] | 645.82 |
| τ_ideal a/2 [0 -1 1] | 13.21 |




| E_isf | -198.55 |
| E_usf a/2 [0 -1 1] | 289.98 |
| τ_ideal a/2 [0 -1 1] | 10.55 |




| E_isf | 0.00 |
| E_usf a/3 [-2 1 1 0] | 9.10 |
| τ_ideal a/3 [-2 1 1 0] | 2.90 |




Static point defect formation energies, Ef, and elastic dipole tensors, pij, are displayed for select crystals. Relaxed defect configurations are obtained by taking a 12x12x12 supercell of a perfect periodic bulk crystal, inserting the point defect, and using force minimization to statically relax the atomic positions while keeping the system dimensions constant. Ef is computed by comparing the energy of the defect system to the same number of atoms in a perfect bulk crystal. pij is estimated as the difference in the system's global pressure with and without the defect multiplied by the system's volume.
Simple structural comparisons of the unrelaxed and relaxed defect configurations are used to help determine if the defect structure has relaxed to a different configuration. Relaxed structures that are identified as no longer consistent with the ideal defect definition are excluded from the table below. The only exception to this is if the lowest energy interstitial configuration does not coincide with a known ideal defect, its energies and pressure tensor are included under the listing "relaxed interstitial". The full list of calculation results including the transformed structures and the structural comparison values is included in the csv file available from the "Download raw data" link.
The calculation method used is available as the iprPy point_defect_static calculation method.
Notes and Disclaimers:
| Point Defect | Ef (eV) | p11 (eV) | p22 (eV) | p33 (eV) | p12 (eV) | p13 (eV) | p23 (eV) |
|---|---|---|---|---|---|---|---|
| vacancy | 0.484 | -0.748 | -0.748 | -0.748 | -0.000 | 0.000 | -0.000 |
| 2nn divacancy | 0.976 | -2.130 | -2.130 | -1.872 | 0.000 | -0.000 | -0.000 |
| 1nn divacancy | 1.009 | -2.007 | -2.101 | -2.101 | 0.000 | 0.000 | -0.027 |
| 100 dumbbell | 2.063 | 11.496 | 11.496 | 10.179 | -0.000 | -0.000 | 0.000 |
| octahedral interstitial | 2.190 | 11.381 | 11.381 | 11.381 | -0.000 | -0.000 | -0.000 |
| crowdion interstitial | 2.212 | 11.472 | 11.472 | 12.751 | 8.393 | 0.000 | 0.000 |
| Point Defect | Ef (eV) | p11 (eV) | p22 (eV) | p33 (eV) | p12 (eV) | p13 (eV) | p23 (eV) |
|---|---|---|---|---|---|---|---|
| octahedral interstitial | 0.535 | 30.817 | 30.817 | 30.817 | 0.000 | -0.000 | 0.000 |
| 100 dumbbell | 0.654 | 40.099 | 40.099 | 27.714 | 0.000 | -0.000 | 0.000 |
| crowdion interstitial | 1.060 | 41.514 | 41.514 | 38.216 | 8.834 | -0.000 | 0.000 |
| 110 dumbbell | 1.137 | 35.217 | 41.035 | 41.035 | 0.000 | 0.000 | 10.702 |
| 111 dumbbell | 2.174 | 38.551 | 38.551 | 38.551 | 4.152 | 4.152 | 4.152 |
| tetrahedral interstitial | 2.176 | 39.804 | 39.804 | 39.804 | -0.000 | -0.000 | -0.000 |
| vacancy | 4.169 | 4.495 | 4.495 | 4.495 | 0.000 | 0.000 | 0.000 |
| 1nn divacancy | 7.835 | 9.348 | 8.075 | 8.075 | 0.000 | 0.000 | 0.822 |
| 2nn divacancy | 7.970 | 8.076 | 8.076 | 8.276 | 0.000 | 0.000 | 0.000 |
| Point Defect | Ef (eV) | p11 (eV) | p22 (eV) | p33 (eV) | p12 (eV) | p13 (eV) | p23 (eV) |
|---|---|---|---|---|---|---|---|
| relaxed interstitial | -99.639 | -39.266 | -23.011 | -17.633 | 0.000 | 0.000 | 4.584 |
| 100 dumbbell | -38.742 | -22.146 | -22.146 | -17.778 | -0.000 | -0.000 | -0.000 |
| 111 dumbbell | -23.532 | -8.339 | -8.339 | -8.339 | 1.671 | 1.671 | 1.671 |
| octahedral interstitial | -20.056 | -5.856 | -5.856 | -5.856 | -0.000 | -0.000 | -0.000 |
| vacancy | 0.556 | -0.326 | -0.326 | -0.326 | -0.000 | -0.000 | 0.000 |
| 1nn divacancy | 1.011 | -0.632 | -0.606 | -0.606 | -0.000 | -0.000 | 0.014 |
| 2nn divacancy | 1.091 | -0.671 | -0.671 | -0.853 | -0.000 | -0.000 | 0.000 |
| Point Defect | Ef (eV) | p11 (eV) | p22 (eV) | p33 (eV) | p12 (eV) | p13 (eV) | p23 (eV) |
|---|---|---|---|---|---|---|---|
| relaxed interstitial | -247.723 | -111.881 | -115.623 | -116.987 | 1.426 | 6.528 | 4.602 |
| Point Defect | Ef (eV) | p11 (eV) | p22 (eV) | p33 (eV) | p12 (eV) | p13 (eV) | p23 (eV) |
|---|---|---|---|---|---|---|---|
| relaxed interstitial | -241.732 | -175.082 | -159.589 | -187.179 | 8.657 | -6.651 | -0.451 |
| vacancy | 0.029 | -1.896 | -1.896 | -1.896 | -0.000 | 0.000 | -0.000 |
| Point Defect | Ef (eV) | p11 (eV) | p22 (eV) | p33 (eV) | p12 (eV) | p13 (eV) | p23 (eV) |
|---|---|---|---|---|---|---|---|
| tetragonal interstitial | 1.762 | 5.467 | 5.467 | 5.467 | -0.000 | -0.000 | -0.000 |
| vacancy | 2.056 | -1.778 | -1.778 | -1.778 | 0.000 | 0.000 | 0.000 |
| 100 dumbbell | 3.367 | 14.508 | 14.508 | 17.153 | 0.000 | 0.000 | 0.000 |
| 1nn divacancy | 3.390 | -3.075 | -3.075 | -3.075 | -0.225 | -0.225 | -0.225 |
| Point Defect | Ef (eV) | p11 (eV) | p22 (eV) | p33 (eV) | p12 (eV) | p13 (eV) | p23 (eV) |
|---|---|---|---|---|---|---|---|
| relaxed interstitial | -18.214 | -6.346 | -6.348 | -6.344 | -0.002 | -0.000 | -0.003 |
| tetragonal interstitial | -0.369 | -0.517 | -0.517 | -0.517 | -0.000 | -0.000 | -0.000 |
| vacancy | 0.093 | -0.421 | -0.421 | -0.421 | -0.000 | -0.000 | -0.000 |
| 1nn divacancy | 0.139 | -0.646 | -0.646 | -0.646 | -0.001 | -0.001 | -0.001 |
Plots of the atomic structure of dislocation cores are shown here. The dislocations were constructed using dislocation monopole configurations in which a straight dislocation is created in the center of the system using anisotropic elasticity and the elastic constants computed above. A cylindrical region centered around the dislocation is allowed to relax while the remaining atoms are held fixed. The relaxation consists of 1 million NVT steps at 10 K followed by an energy/force minimization. The final plots show the atomic configuration near the center of the monopole system, and display differential displacement arrows and Nye tensor color maps that are both taken with respect to the Burgers vector direction.
These plots show a wide range of final structures, some corresponding to expected dislocation structures and others not. While the characterizations are dislocation-type dependent, some general classification guidelines are listed here.
The calculation method used is available as the iprPy dislocation_monopole calculation method.
Links are provided above the images allowing for users to download the final defect configuration and a corresponding defect-free configuration if they wish to further analyze the structures or use them for subsequent simulations.
Notes and Disclaimers:
Version Information:
Plots of lattice and elastic constants are shown as a function of temperature. The 0K points were taken from the Crystal Structure Predictions and the Elastic Constants Predictions sections above for the unique crystal structures relaxed with the "dynamic" method. Starting from the 0 K relaxed crystal unit cells, supercell systems are created by replicating all three dimensions by the same multiplier to achieve at least 4000 atoms. The systems are then relaxed at 50 K and zero pressure using 1 million NPT steps. Lattice constants are estimated by averaging the measured box dimensions. Temperatures are iteratively increased by 50 K, with each subsequent relaxation calculation starting from the final atomic configuration at the previous temperature and relaxing for another 1 million steps.
The elastic constants are calculated using the deformation–fluctuation hybrid method. Starting from the final atomic configurations of the dynamic relaxations, the system is allowed to evolve at constant volume with a Langevin thermostat. The Born matrix is computed during this run by evaluating how the atomic forces would vary due to applied linear strain fields. The elastic constants can then be estimated using the averaged Born matrix values and the averaged stresses on the system.
The calculation methods used are available as the iprPy relax_dynamic and elastic_constants_dynamic calculation methods.
Clicking on the image of a plot will open an interactive version of it in a new tab. The underlying data for the plots can be downloaded by clicking on the links above each plot.
Notes and Disclaimers:
Version Information:
Plots of radial distribution functions at different temperatures and the temperature-dependent diffusion and viscosity are shown here for elemental liquids. Melt phases are constructed by starting with a 10x10x10 fcc super cell and relaxing with 50,000 NPT steps at zero pressure and a high melting temperature (3000 K for most potentials and elements). Following the melt, liquid structures are relaxed by running NPT for 10,000 steps over which the temperature is dropped by 50 K, then 50,000 NPT at the target temperature to estimate the equilibrium volume, followed by 20,000 NVT steps at the averaged equilibrium volume and target temperature. Structures from the NVT run are sampled to compute the radial distribution function of the liquid at the corresponding temperature.
The final relaxed configurations at each temperature explored are used as the initial configurations for the diffusion and viscosity calculations. For diffusion, the system is integrated for 100 runs of 2,000 NVT steps during which both the mean squared displacement (MSD) and the velocity auto correlation function (VACF) are computed. From these simulations, three estimates of diffusion are computed: one from the MSD of the full 200,000 step run, one in which the MSD is reset for each short run and then averaged, and one from the VACF computed for each short run and averaged. For viscosity, the Green-Kubo method is used which is evaluated during a 1 million step NVT run.
The calculation methods used are available as the iprPy relax_liquid_redo, diffusion_liquid, and viscosity_green_kubo calculation methods.
Clicking on the image of a plot will open an interactive version of it in a new tab. The underlying data for the plots can be downloaded by clicking on the links above each plot.
Notes and Disclaimers:
Version Information:
Plots of internal energy, Gibbs free energy, entropy, heat capacity and volume are shown here as a function of temperature for various crystal structures and liquid phases. The included crystal structures correspond to those in the Solid Structures vs. Temperature section, and the liquid phases to those in the Liquid Properties section. Internal energy and volume are taken from the associated structure relaxations mentioned in those previous sections. Constant pressure heat capacity is estimated using 3-point numerical derivatives of enthalpy versus temperature. Note that since all simulations done here are at 0 pressure, internal energy and enthalpy are equivalent.
The Gibbs energies of the phases are estimated using thermodynamic integration between the interatomic potential in question and a simpler model with known Gibbs free energy values. For solids, the reference model is an Einstein solid, while for liquids it is the Uhlenbeck-Ford potential. Besides a short run at the start of the solid calculations to estimate Einstein model spring constants, the two calculations proceed similarly. Starting with the final relaxation configurations, the systems are stabilized for 25,000 steps. Then, over the next 50,000 steps the potential is swapped out for the reference potential. The system is then stabilized for another 25,000 steps with the reference model before a reverse swap of 50,000 steps is performed. The simulation ends with one final 25,000 step stabilization period. From the simulation, the irreversible work of transformation is estimated and used to compute the absolute Gibbs free energy of the target phase and potential relative to the reference potential. Entropy is estimated as the difference in enthalpy and Gibbs free energy and divided by temperature.
The calculation methods used are available as the iprPy relax_dynamic, relax_liquid_redo, free_energy, and free_energy_liquid calculation methods.
Clicking on the image of a plot will open an interactive version of it in a new tab. The underlying data for the plots can be downloaded by clicking on the links above each plot.
Notes and Disclaimers:
Version Information:






