Plots of the potential energy vs interatomic spacing, r, are shown below for all diatom sets associated with the interatomic potential. This calculation provides insights into the functional form of the potential's two-body interactions. A system consisting of only two atoms is created, and the potential energy is evaluated for the atoms separated by 0.02 Å <= r <= 6.0> Å in intervals of 0.02 Å. Two plots are shown: one for the "standard" interaction distance range, and one for small values of r. The small r plot is useful for determining whether the potential is suitable for radiation studies.
The calculation method used is available as the iprPy diatom_scan calculation method.
Clicking on the image of a plot will open an interactive version of it in a new tab. The underlying data for the plots can be downloaded by clicking on the links above each plot.
Notes and Disclaimers:
Version Information:
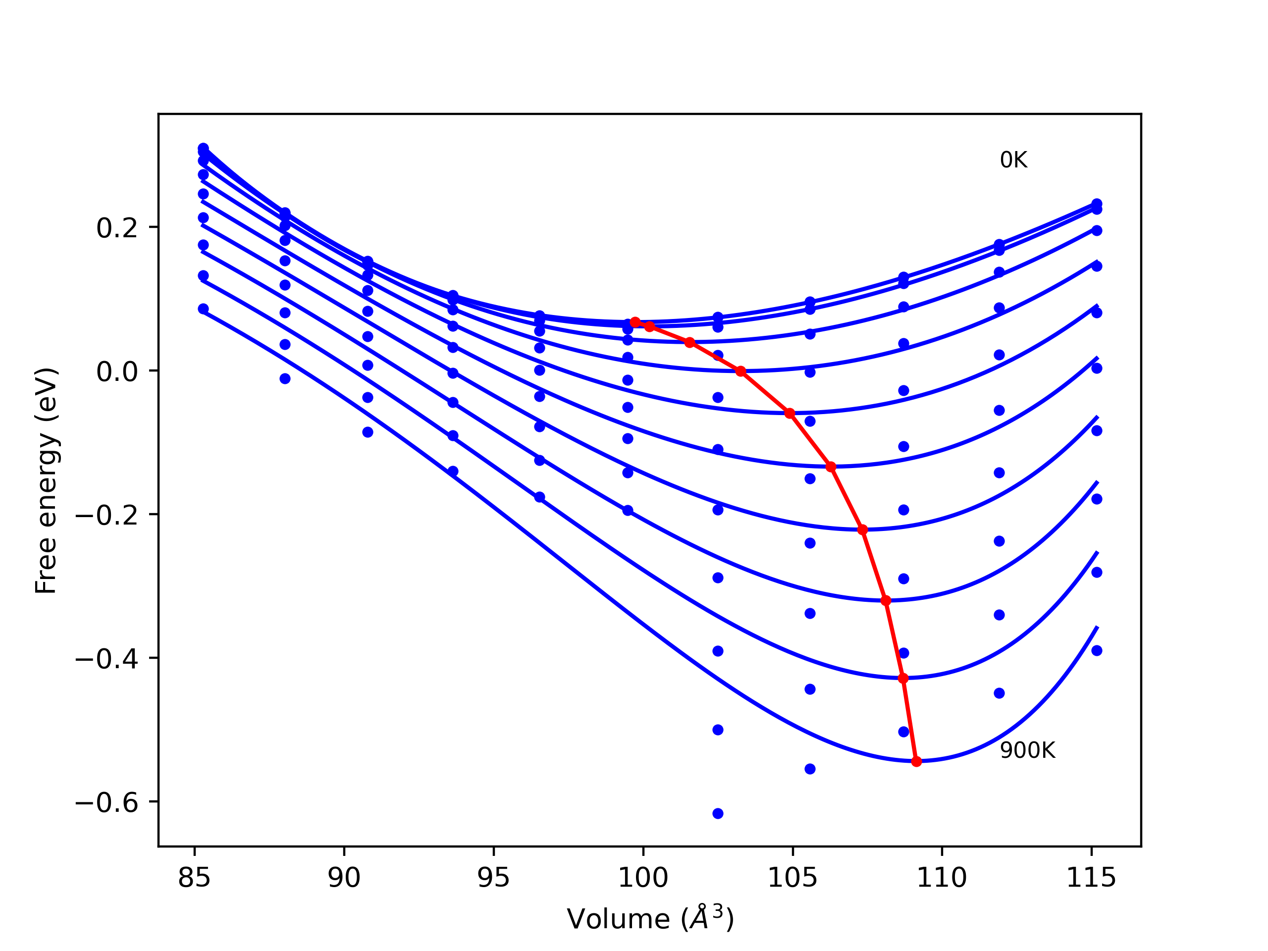
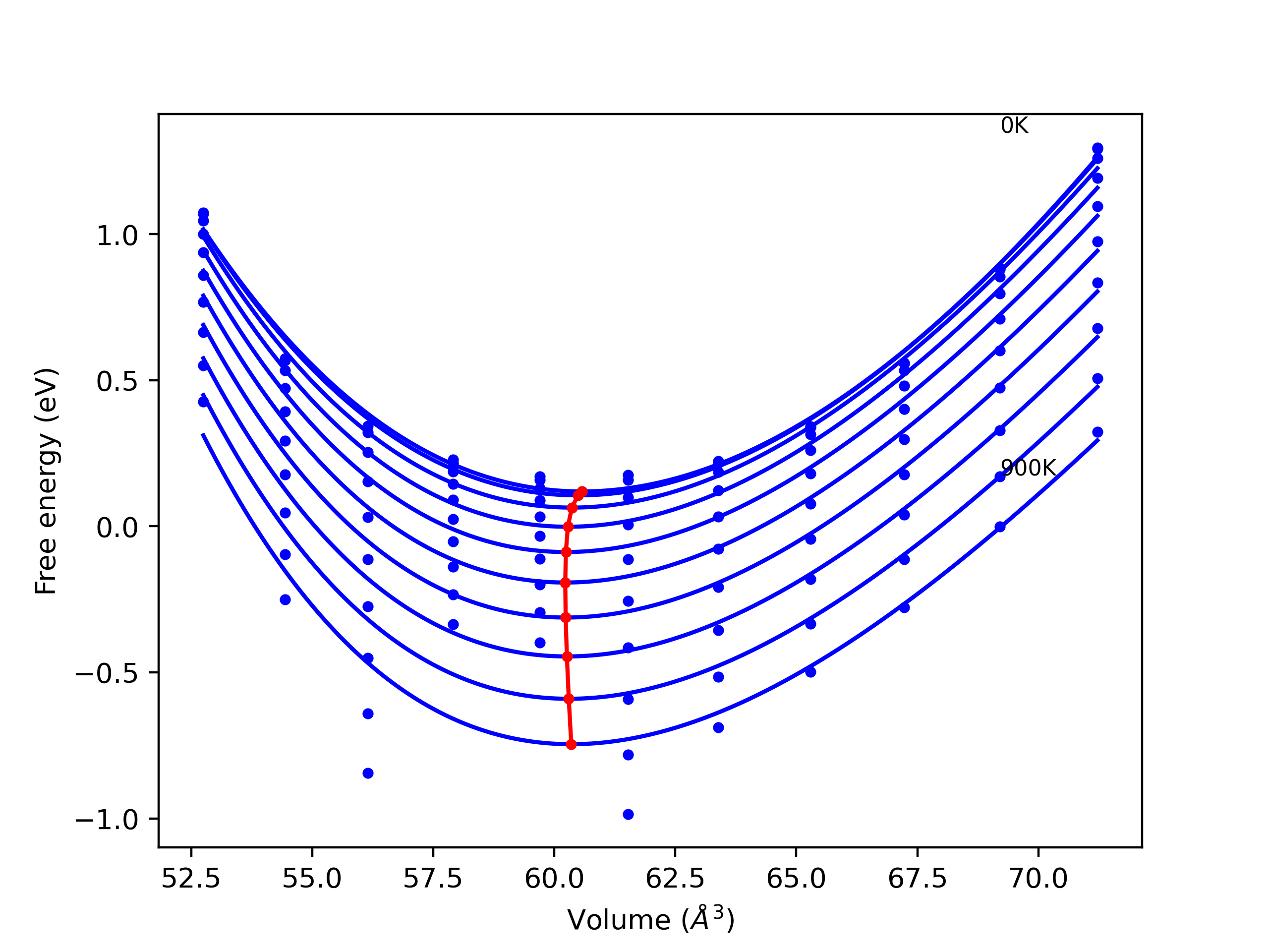
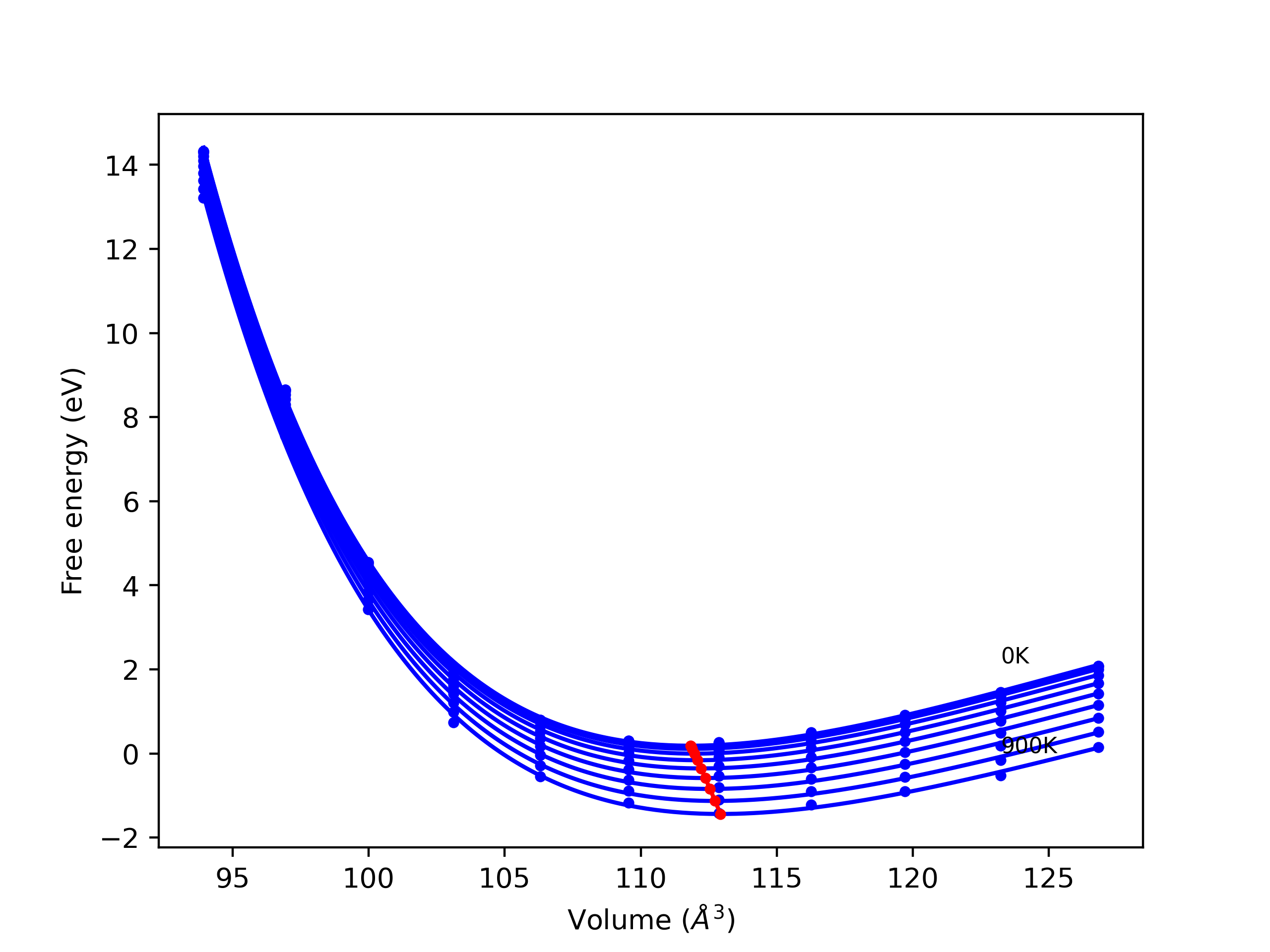
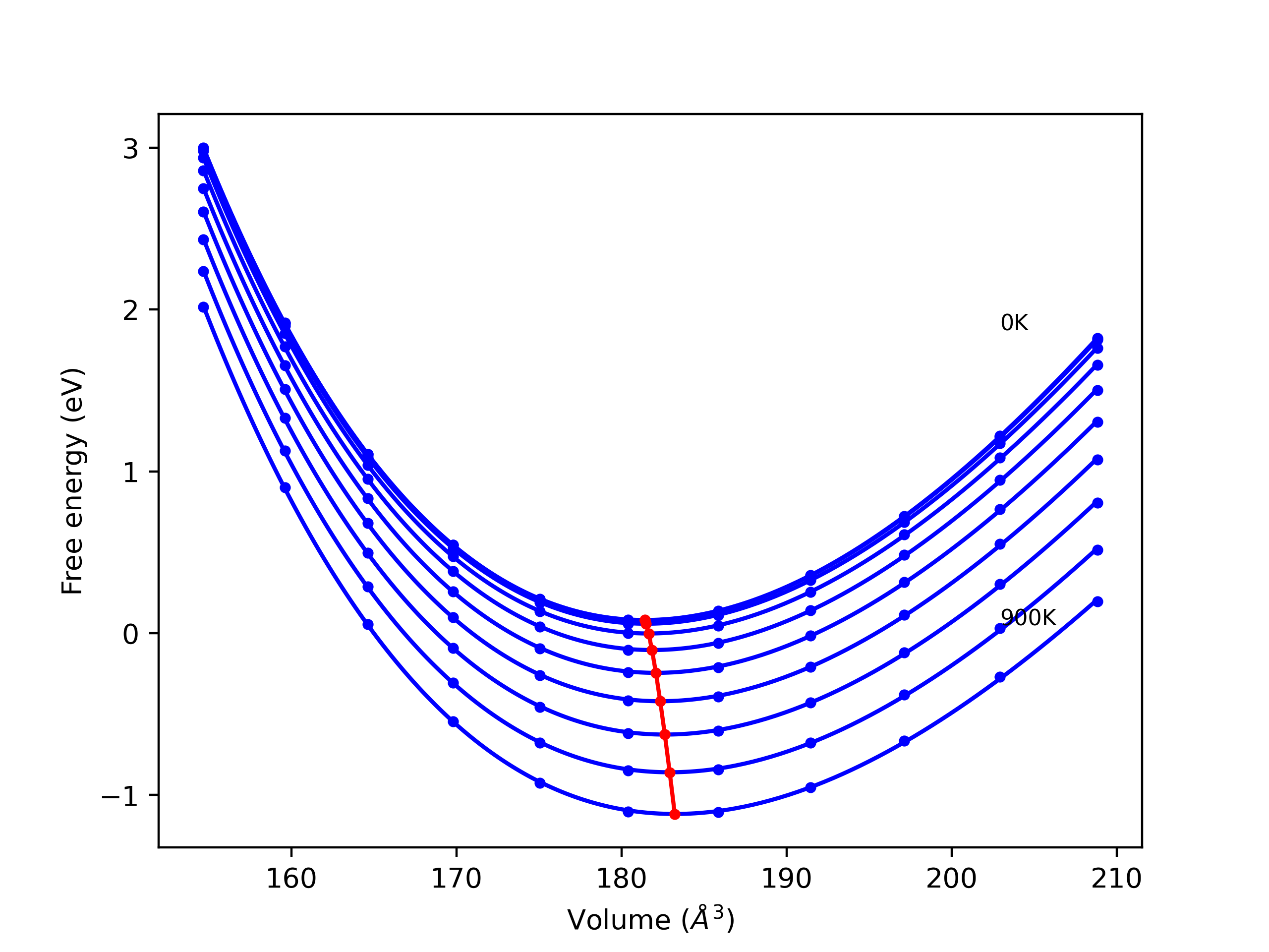
Plots of potential energy vs interatomic spacing, r, are shown below for a number of crystal structures. The structures are generated based on the ideal atomic positions and b/a and c/a lattice parameter ratios for a given crystal prototype. The size of the system is then uniformly scaled, and the energy calculated without relaxing the system. To obtain these plots, values of r are evaluated every 0.02 Å up to 6 Å.
The calculation method used is available as the iprPy E_vs_r_scan calculation method.
Clicking on the image of a plot will open an interactive version of it in a new tab. The underlying data for the plots can be downloaded by clicking on the links above each plot.
Notes and Disclaimers:
Version Information:
Computed lattice constants and cohesive/potential energies are displayed for a variety of crystal structures. The values displayed here are obtained using the following process.
The calculation methods used are implemented into iprPy as the following calculation styles
Notes and Disclaimers:
Version Information:
Download raw data (including filtered results)
Reference structure matches:
A1--Cu--fcc = oqmd-1214526
A15--beta-W = oqmd-1214971, oqmd-1280429
A2--W--bcc = oqmd-1215149
A3'--alpha-La--double-hcp = oqmd-1215417
A3--Mg--hcp = oqmd-1215327
A4--C--dc = oqmd-1215506
A5--beta-Sn = oqmd-1215595
A6--In--bct = mp-140, oqmd-675527, oqmd-676193, oqmd-1215684
| prototype | method | Ecoh (eV/atom) | Epot (eV/atom) | a0 (Å) | b0 (Å) | c0 (Å) | α (degrees) | β (degrees) | γ (degrees) | 
|---|---|---|---|---|---|---|---|---|---|
| A3--Mg--hcp | dynamic | -2.7928 | -2.7928 | 3.0594 | 3.0594 | 4.8387 | 90.0 | 90.0 | 120.0 | 
| oqmd-1216040 | dynamic | -2.7862 | -2.7862 | 3.0505 | 3.0505 | 21.924 | 90.0 | 90.0 | 120.0 | 
| oqmd-1216040 | static | -2.7862 | -2.7862 | 3.0505 | 3.0505 | 21.9218 | 90.0 | 90.0 | 120.0 | 
| A3'--alpha-La--double-hcp | dynamic | -2.7831 | -2.7831 | 3.0461 | 3.0461 | 9.7807 | 90.0 | 90.0 | 120.0 | 
| A2--W--bcc | dynamic | -2.7763 | -2.7763 | 3.3198 | 3.3198 | 3.3198 | 90.0 | 90.0 | 90.0 | 
| A1--Cu--fcc | dynamic | -2.7749 | -2.7749 | 4.2907 | 4.2907 | 4.2907 | 90.0 | 90.0 | 90.0 | 
| mp-1007857 | static | -2.7744 | -2.7744 | 4.2886 | 4.2901 | 8.5846 | 90.0 | 90.0 | 90.0 | 
| oqmd-107684 | static | -2.7744 | -2.7744 | 4.2887 | 4.2899 | 8.585 | 90.0 | 90.0 | 90.0 | 
| oqmd-107684 | box | -2.7648 | -2.7648 | 4.2489 | 4.2776 | 8.6455 | 90.0 | 90.0 | 90.0 | 
| mp-569423 | dynamic | -2.7297 | -2.7297 | 6.2673 | 6.2673 | 6.2673 | 90.0 | 90.0 | 90.0 | 
| oqmd-1214793 | dynamic | -2.7265 | -2.7265 | 10.1248 | 10.1248 | 10.1248 | 90.0 | 90.0 | 90.0 | 
| oqmd-1214793 | box | -2.7254 | -2.7254 | 10.1215 | 10.1215 | 10.1215 | 90.0 | 90.0 | 90.0 | 
| oqmd-1214882 | dynamic | -2.6852 | -2.6852 | 7.1721 | 7.1721 | 7.1721 | 90.0 | 90.0 | 90.0 | 
| oqmd-1214882 | box | -2.6841 | -2.6841 | 7.1804 | 7.1804 | 7.1804 | 90.0 | 90.0 | 90.0 | 
| oqmd-1215060 | box | -2.6809 | -2.6809 | 5.0116 | 10.6525 | 2.9729 | 90.0 | 90.0 | 90.0 | 
| oqmd-8115 | box | -2.6693 | -2.6693 | 2.8502 | 8.7648 | 3.1642 | 90.0 | 90.0 | 90.0 | 
| mp-10021 | box | -2.6677 | -2.6677 | 2.8521 | 3.1687 | 4.5992 | 90.0 | 107.9 | 90.0 | 
| A15--beta-W | dynamic | -2.6649 | -2.6649 | 5.1489 | 5.1489 | 5.1489 | 90.0 | 90.0 | 90.0 | 
| A5--beta-Sn | static | -2.6134 | -2.6134 | 5.4257 | 5.4257 | 2.8658 | 90.0 | 90.0 | 90.0 | 
| oqmd-4248 | box | -2.6001 | -2.6001 | 2.8782 | 7.68 | 3.9355 | 90.0 | 104.3 | 90.0 | 
| mp-569007 | dynamic | -2.5682 | -2.5682 | 9.2555 | 9.2555 | 16.9959 | 90.0 | 90.0 | 120.0 | 
| oqmd-2215 | box | -2.5653 | -2.5653 | 9.2383 | 9.2383 | 17.0209 | 90.0 | 90.0 | 120.0 | 
| mp-569007 | box | -2.5613 | -2.5613 | 9.234 | 9.234 | 17.0354 | 90.0 | 90.0 | 120.0 | 
| mp-567540 | static | -2.5596 | -2.5596 | 10.471 | 13.8903 | 5.3815 | 90.0 | 90.0 | 90.0 | 
| oqmd-2295 | static | -2.5583 | -2.5583 | 10.5238 | 13.8438 | 5.3671 | 90.0 | 90.0 | 90.0 | 
| oqmd-2295 | box | -2.5511 | -2.5511 | 10.6028 | 13.7797 | 5.3504 | 90.0 | 90.0 | 90.0 | 
| mp-567540 | box | -2.532 | -2.532 | 10.559 | 13.9329 | 5.3337 | 90.0 | 90.0 | 90.0 | 
| Ah--alpha-Po--sc | box | -2.3686 | -2.3686 | 2.7635 | 2.7635 | 2.7635 | 90.0 | 90.0 | 90.0 | 
| oqmd-1215862 | box | -2.3667 | -2.3667 | 3.9094 | 3.9094 | 4.7865 | 90.0 | 90.0 | 120.0 | 
| oqmd-1214704 | box | -2.0551 | -2.0551 | 4.7501 | 8.1986 | 4.4497 | 90.0 | 90.0 | 90.0 | 
| mp-142 | box | -2.055 | -2.055 | 4.7715 | 8.1288 | 4.4731 | 90.0 | 90.0 | 90.0 | 
| oqmd-676227 | box | -2.0536 | -2.0536 | 4.7506 | 8.1778 | 4.4593 | 90.0 | 90.0 | 90.0 | 
| A7--alpha-As | box | -1.8714 | -1.8714 | 3.5292 | 3.5292 | 13.2954 | 90.0 | 90.0 | 120.0 | 
| mp-1067880 | box | -1.8155 | -1.8155 | 8.1069 | 4.5686 | 4.7984 | 90.0 | 90.0 | 90.0 | 
| oqmd-686543 | box | -1.8125 | -1.8125 | 8.1176 | 4.5614 | 4.8068 | 90.0 | 90.0 | 90.0 | 
| oqmd-1215951 | box | -1.7379 | -1.7379 | 4.7238 | 4.7238 | 5.3707 | 90.0 | 90.0 | 120.0 | 
| A4--C--dc | static | -1.1348 | -1.1348 | 6.2217 | 6.2217 | 6.2217 | 90.0 | 90.0 | 90.0 | 
Download raw data (including filtered results)
Reference structure matches:
| prototype | method | Ecoh (eV/atom) | Epot (eV/atom) | a0 (Å) | b0 (Å) | c0 (Å) | α (degrees) | β (degrees) | γ (degrees) | 
|---|---|---|---|---|---|---|---|---|---|
| C1--CaF2--fluorite | static | -1.6746 | -1.6746 | 6.6521 | 6.6521 | 6.6521 | 90.0 | 90.0 | 90.0 | 
Download raw data (including filtered results)
Reference structure matches:
| prototype | method | Ecoh (eV/atom) | Epot (eV/atom) | a0 (Å) | b0 (Å) | c0 (Å) | α (degrees) | β (degrees) | γ (degrees) | 
|---|---|---|---|---|---|---|---|---|---|
| mp-1245786 | static | -2.596 | -2.596 | 6.0853 | 10.7606 | 8.9007 | 90.0 | 90.0 | 90.0 | 
Download raw data (including filtered results)
Reference structure matches:
| prototype | method | Ecoh (eV/atom) | Epot (eV/atom) | a0 (Å) | b0 (Å) | c0 (Å) | α (degrees) | β (degrees) | γ (degrees) | 
|---|---|---|---|---|---|---|---|---|---|
| L2_1--AlCu2Mn--heusler | static | -1.5071 | -1.5071 | 6.3632 | 6.3632 | 6.3632 | 90.0 | 90.0 | 90.0 | 
Download raw data (including filtered results)
Reference structure matches:
| prototype | method | Ecoh (eV/atom) | Epot (eV/atom) | a0 (Å) | b0 (Å) | c0 (Å) | α (degrees) | β (degrees) | γ (degrees) | 
|---|---|---|---|---|---|---|---|---|---|
| mp-1246567 | dynamic | -4.3124 | -4.3124 | 9.8795 | 5.7127 | 5.3871 | 90.0 | 90.0 | 90.0 | 
| mp-1246567 | box | -3.9915 | -3.9915 | 10.1361 | 5.803 | 5.4175 | 90.0 | 90.0 | 90.0 | 
Download raw data (including filtered results)
Reference structure matches:
| prototype | method | Ecoh (eV/atom) | Epot (eV/atom) | a0 (Å) | b0 (Å) | c0 (Å) | α (degrees) | β (degrees) | γ (degrees) | 
|---|---|---|---|---|---|---|---|---|---|
| C1--CaF2--fluorite | static | -2.0531 | -2.0531 | 5.6537 | 5.6537 | 5.6537 | 90.0 | 90.0 | 90.0 | 
| oqmd-1233019 | box | -2.016 | -2.016 | 5.5215 | 5.5215 | 3.4222 | 90.0 | 90.0 | 90.0 | 
| oqmd-1239212 | box | -0.9676 | -0.9676 | 9.8685 | 9.8685 | 9.8685 | 90.0 | 90.0 | 90.0 | 
| oqmd-1239212 | static | -0.9676 | -0.9676 | 9.8602 | 9.8602 | 9.8602 | 90.0 | 90.0 | 90.0 | 
Download raw data (including filtered results)
Reference structure matches:
| prototype | method | Ecoh (eV/atom) | Epot (eV/atom) | a0 (Å) | b0 (Å) | c0 (Å) | α (degrees) | β (degrees) | γ (degrees) | 
|---|---|---|---|---|---|---|---|---|---|
| oqmd-427097 | dynamic | -3.6987 | -3.6987 | 5.5191 | 5.5191 | 15.7805 | 90.0 | 90.0 | 120.0 | 
| oqmd-427097 | static | -3.677 | -3.677 | 5.5302 | 5.5302 | 15.9007 | 90.0 | 90.0 | 120.0 | 
Download raw data (including filtered results)
Reference structure matches:
L1_2--AuCu3 = mp-1184785
| prototype | method | Ecoh (eV/atom) | Epot (eV/atom) | a0 (Å) | b0 (Å) | c0 (Å) | α (degrees) | β (degrees) | γ (degrees) | 
|---|---|---|---|---|---|---|---|---|---|
| mp-1184811 | dynamic | -2.6203 | -2.6203 | 6.1854 | 6.1854 | 5.0016 | 90.0 | 90.0 | 120.0 | 
| mp-1184811 | box | -2.6178 | -2.6178 | 6.1979 | 6.1979 | 4.984 | 90.0 | 90.0 | 120.0 | 
| L1_2--AuCu3 | dynamic | -2.612 | -2.612 | 4.3597 | 4.3597 | 4.3597 | 90.0 | 90.0 | 90.0 | 
| D0_3--BiF3 | static | -2.5059 | -2.5059 | 6.8717 | 6.8717 | 6.8717 | 90.0 | 90.0 | 90.0 | 
| A15--Cr3Si | static | -2.456 | -2.456 | 5.5394 | 5.5394 | 5.5394 | 90.0 | 90.0 | 90.0 | 
Download raw data (including filtered results)
Reference structure matches:
| prototype | method | Ecoh (eV/atom) | Epot (eV/atom) | a0 (Å) | b0 (Å) | c0 (Å) | α (degrees) | β (degrees) | γ (degrees) | 
|---|---|---|---|---|---|---|---|---|---|
| mp-1246740 | static | -3.2348 | -3.2348 | 6.1564 | 6.5967 | 8.8503 | 103.1 | 108.0 | 98.8 | 
Download raw data (including filtered results)
Reference structure matches:
| prototype | method | Ecoh (eV/atom) | Epot (eV/atom) | a0 (Å) | b0 (Å) | c0 (Å) | α (degrees) | β (degrees) | γ (degrees) | 
|---|---|---|---|---|---|---|---|---|---|
| mp-1223879 | dynamic | -4.2202 | -4.2202 | 3.3061 | 3.3061 | 10.5678 | 90.0 | 90.0 | 120.0 | 
Download raw data (including filtered results)
Reference structure matches:
D0_3--BiF3 = oqmd-312564
L1_2--AuCu3 = oqmd-348421
| prototype | method | Ecoh (eV/atom) | Epot (eV/atom) | a0 (Å) | b0 (Å) | c0 (Å) | α (degrees) | β (degrees) | γ (degrees) | 
|---|---|---|---|---|---|---|---|---|---|
| oqmd-323935 | box | -2.0105 | -2.0105 | 7.3806 | 7.3806 | 3.2902 | 90.0 | 90.0 | 120.0 | 
| L1_2--AuCu3 | static | -1.929 | -1.929 | 3.8433 | 3.8433 | 3.8433 | 90.0 | 90.0 | 90.0 | 
| oqmd-302022 | static | -1.893 | -1.893 | 3.7592 | 3.7592 | 8.0007 | 90.0 | 90.0 | 90.0 | 
| D0_3--BiF3 | static | -1.8029 | -1.8029 | 6.2068 | 6.2068 | 6.2068 | 90.0 | 90.0 | 90.0 | 
| A15--Cr3Si | static | -1.7474 | -1.7474 | 4.8473 | 4.8473 | 4.8473 | 90.0 | 90.0 | 90.0 | 
Download raw data (including filtered results)
Reference structure matches:
| prototype | method | Ecoh (eV/atom) | Epot (eV/atom) | a0 (Å) | b0 (Å) | c0 (Å) | α (degrees) | β (degrees) | γ (degrees) | 
|---|---|---|---|---|---|---|---|---|---|
| L1_0--AuCu | dynamic | -2.5038 | -2.5038 | 3.0608 | 3.0608 | 4.6208 | 90.0 | 90.0 | 90.0 | 
| B2--CsCl | box | -2.4002 | -2.4002 | 3.5961 | 3.5961 | 3.5961 | 90.0 | 90.0 | 90.0 | 
| B1--NaCl--rock-salt | static | -2.1508 | -2.1508 | 5.8898 | 5.8898 | 5.8898 | 90.0 | 90.0 | 90.0 | 
| B3--ZnS--cubic-zinc-blende | box | -0.9211 | -0.9211 | 6.4413 | 6.4413 | 6.4413 | 90.0 | 90.0 | 90.0 | 
Download raw data (including filtered results)
Reference structure matches:
| prototype | method | Ecoh (eV/atom) | Epot (eV/atom) | a0 (Å) | b0 (Å) | c0 (Å) | α (degrees) | β (degrees) | γ (degrees) | 
|---|---|---|---|---|---|---|---|---|---|
| C1--CaF2--fluorite | static | -1.766 | -1.766 | 6.9034 | 6.9034 | 6.9034 | 90.0 | 90.0 | 90.0 | 
Download raw data (including filtered results)
Reference structure matches:
| prototype | method | Ecoh (eV/atom) | Epot (eV/atom) | a0 (Å) | b0 (Å) | c0 (Å) | α (degrees) | β (degrees) | γ (degrees) | 
|---|---|---|---|---|---|---|---|---|---|
| L2_1--AlCu2Mn--heusler | static | -1.5998 | -1.5998 | 6.6132 | 6.6132 | 6.6132 | 90.0 | 90.0 | 90.0 | 
Download raw data (including filtered results)
Reference structure matches:
| prototype | method | Ecoh (eV/atom) | Epot (eV/atom) | a0 (Å) | b0 (Å) | c0 (Å) | α (degrees) | β (degrees) | γ (degrees) | 
|---|---|---|---|---|---|---|---|---|---|
| mp-1246341 | static | -3.1382 | -3.1382 | 6.1991 | 11.5815 | 10.9154 | 90.0 | 90.0 | 90.0 | 
Download raw data (including filtered results)
Reference structure matches:
D0_3--BiF3 = mp-974309
| prototype | method | Ecoh (eV/atom) | Epot (eV/atom) | a0 (Å) | b0 (Å) | c0 (Å) | α (degrees) | β (degrees) | γ (degrees) | 
|---|---|---|---|---|---|---|---|---|---|
| L1_2--AuCu3 | dynamic | -2.4427 | -2.4427 | 4.5666 | 4.5666 | 4.5666 | 90.0 | 90.0 | 90.0 | 
| mp-1184904 | dynamic | -2.4413 | -2.4413 | 4.512 | 4.512 | 9.5039 | 90.0 | 90.0 | 90.0 | 
| D0_3--BiF3 | static | -2.3789 | -2.3789 | 7.3593 | 7.3593 | 7.3593 | 90.0 | 90.0 | 90.0 | 
| A15--Cr3Si | box | -2.3006 | -2.3006 | 5.8338 | 5.8338 | 5.8338 | 90.0 | 90.0 | 90.0 | 
Download raw data (including filtered results)
Reference structure matches:
| prototype | method | Ecoh (eV/atom) | Epot (eV/atom) | a0 (Å) | b0 (Å) | c0 (Å) | α (degrees) | β (degrees) | γ (degrees) | 
|---|---|---|---|---|---|---|---|---|---|
| mp-1120750 | dynamic | -4.0223 | -4.0223 | 6.724 | 6.724 | 5.4544 | 90.0 | 90.0 | 120.0 | 
| mp-1120750 | static | -4.0223 | -4.0223 | 6.7238 | 6.7238 | 5.4544 | 90.0 | 90.0 | 120.0 | 
| mp-1224009 | dynamic | -3.9868 | -3.9868 | 3.3766 | 3.3766 | 11.0946 | 90.0 | 90.0 | 120.0 | 
| mp-1120750 | box | -3.7135 | -3.7135 | 6.9304 | 6.9304 | 5.7205 | 90.0 | 90.0 | 120.0 | 
Download raw data (including filtered results)
Reference structure matches:
| prototype | method | Ecoh (eV/atom) | Epot (eV/atom) | a0 (Å) | b0 (Å) | c0 (Å) | α (degrees) | β (degrees) | γ (degrees) | 
|---|---|---|---|---|---|---|---|---|---|
| mp-1223660 | dynamic | -4.1579 | -4.1579 | 3.3386 | 3.3386 | 5.3863 | 90.0 | 90.0 | 120.0 | 
| L2_1--AlCu2Mn--heusler | static | -2.3387 | -2.3387 | 6.4679 | 6.4679 | 6.4679 | 90.0 | 90.0 | 90.0 | 
Download raw data (including filtered results)
Reference structure matches:
B1--NaCl--rock-salt = mp-2853, oqmd-1105884, oqmd-1236343
B2--CsCl = oqmd-306699
B3--ZnS--cubic-zinc-blende = mp-830, oqmd-1222562, oqmd-1236341
L1_0--AuCu = oqmd-338241
| prototype | method | Ecoh (eV/atom) | Epot (eV/atom) | a0 (Å) | b0 (Å) | c0 (Å) | α (degrees) | β (degrees) | γ (degrees) | 
|---|---|---|---|---|---|---|---|---|---|
| oqmd-6450 | dynamic | -4.4012 | -4.4012 | 3.1779 | 3.1779 | 5.1726 | 90.0 | 90.0 | 120.0 | 
| oqmd-97043 | dynamic | -4.4012 | -4.4012 | 3.1779 | 3.1779 | 5.1725 | 90.0 | 90.0 | 120.0 | 
| mp-804 | static | -4.4012 | -4.4012 | 3.1772 | 3.1772 | 5.174 | 90.0 | 90.0 | 120.0 | 
| oqmd-97043 | box | -4.401 | -4.401 | 3.1759 | 3.1759 | 5.1801 | 90.0 | 90.0 | 120.0 | 
| mp-804 | box | -4.4007 | -4.4007 | 3.1753 | 3.1753 | 5.1835 | 90.0 | 90.0 | 120.0 | 
| B3--ZnS--cubic-zinc-blende | dynamic | -4.3953 | -4.3953 | 4.4903 | 4.4903 | 4.4903 | 90.0 | 90.0 | 90.0 | 
| B3--ZnS--cubic-zinc-blende | dynamic | -4.3953 | -4.3953 | 4.4907 | 4.4907 | 4.4907 | 90.0 | 90.0 | 90.0 | 
| mp-1181864 | dynamic | -4.2 | -4.2 | 3.1749 | 3.1749 | 10.6823 | 90.0 | 90.0 | 120.0 | 
| mp-1181864 | static | -4.2 | -4.2 | 3.1751 | 3.1751 | 10.6836 | 90.0 | 90.0 | 120.0 | 
| mp-1181864 | box | -4.1611 | -4.1611 | 3.1879 | 3.1879 | 10.741 | 90.0 | 90.0 | 120.0 | 
| mp-1245095 | dynamic | -3.7405 | -3.7405 | 8.1745 | 9.1219 | 17.1121 | 97.3 | 94.0 | 104.8 | 
| mp-1244995 | dynamic | -3.5887 | -3.5887 | 9.3173 | 10.7863 | 13.3243 | 111.7 | 95.9 | 98.0 | 
| mp-1245002 | dynamic | -3.5805 | -3.5805 | 10.1398 | 11.0143 | 12.36 | 83.7 | 68.2 | 75.4 | 
| mp-1244886 | dynamic | -3.5706 | -3.5706 | 7.8552 | 9.1912 | 17.9286 | 85.9 | 89.0 | 79.9 | 
| mp-1245130 | dynamic | -3.544 | -3.544 | 10.3382 | 10.5627 | 13.367 | 76.0 | 83.0 | 63.0 | 
| mp-1245075 | dynamic | -3.5349 | -3.5349 | 10.3316 | 10.9541 | 12.3992 | 109.6 | 103.5 | 100.9 | 
| mp-1245172 | dynamic | -3.5105 | -3.5105 | 10.8886 | 10.9354 | 11.0655 | 88.1 | 83.0 | 73.4 | 
| mp-1245132 | dynamic | -3.501 | -3.501 | 8.4032 | 11.264 | 13.2425 | 84.9 | 89.3 | 83.7 | 
| mp-1245165 | dynamic | -3.4939 | -3.4939 | 10.655 | 10.988 | 11.3243 | 72.8 | 84.1 | 89.5 | 
| mp-1245288 | dynamic | -3.4775 | -3.4775 | 10.7726 | 10.8082 | 11.8263 | 71.2 | 83.6 | 85.1 | 
| mp-1244934 | dynamic | -3.4643 | -3.4643 | 10.639 | 11.1648 | 11.3072 | 70.8 | 82.5 | 79.8 | 
| mp-1244927 | dynamic | -3.4616 | -3.4616 | 8.62 | 12.5135 | 13.2402 | 109.6 | 96.2 | 106.0 | 
| mp-1245188 | dynamic | -3.4589 | -3.4589 | 10.3324 | 10.5349 | 11.8926 | 78.9 | 89.7 | 80.9 | 
| mp-1245181 | dynamic | -3.4518 | -3.4518 | 8.5449 | 12.0838 | 12.5317 | 97.9 | 91.8 | 94.6 | 
| mp-1245233 | dynamic | -3.4497 | -3.4497 | 7.6202 | 13.1165 | 13.7669 | 73.6 | 83.8 | 74.6 | 
| mp-1245069 | dynamic | -3.448 | -3.448 | 10.4125 | 10.9627 | 11.7148 | 94.5 | 99.7 | 103.7 | 
| mp-1245030 | dynamic | -3.4435 | -3.4435 | 10.3784 | 10.6474 | 11.7923 | 86.5 | 75.8 | 84.7 | 
| mp-1245286 | dynamic | -3.415 | -3.415 | 10.3982 | 10.5788 | 12.2862 | 71.1 | 89.7 | 87.5 | 
| mp-1244975 | dynamic | -3.4132 | -3.4132 | 10.8631 | 11.0702 | 13.0494 | 99.9 | 114.0 | 107.1 | 
| mp-1244998 | dynamic | -3.4093 | -3.4093 | 8.6632 | 11.3654 | 13.9654 | 79.0 | 72.7 | 76.4 | 
| mp-1244916 | dynamic | -3.4068 | -3.4068 | 10.5104 | 10.8862 | 12.4475 | 79.3 | 73.0 | 68.6 | 
| mp-1245138 | dynamic | -3.4043 | -3.4043 | 9.8892 | 10.7287 | 13.1448 | 96.2 | 100.3 | 109.5 | 
| mp-1244866 | dynamic | -3.4009 | -3.4009 | 8.807 | 11.9467 | 12.5935 | 83.2 | 75.3 | 89.6 | 
| mp-1245295 | dynamic | -3.3815 | -3.3815 | 10.7739 | 10.837 | 11.1728 | 97.6 | 93.6 | 98.1 | 
| mp-1245326 | dynamic | -3.3756 | -3.3756 | 9.9784 | 10.474 | 13.2088 | 101.3 | 105.6 | 90.6 | 
| mp-1245302 | dynamic | -3.3728 | -3.3728 | 9.7651 | 9.9272 | 13.706 | 98.1 | 98.1 | 98.4 | 
| mp-1245046 | dynamic | -3.3679 | -3.3679 | 9.7805 | 10.3036 | 13.5305 | 96.3 | 107.8 | 97.0 | 
| oqmd-1108167 | static | -3.3529 | -3.3529 | 5.6635 | 3.2595 | 5.6002 | 90.0 | 90.0 | 90.0 | 
| mp-1244884 | dynamic | -3.3481 | -3.3481 | 10.3061 | 10.493 | 13.0156 | 74.4 | 83.3 | 77.1 | 
| mp-1245013 | dynamic | -3.347 | -3.347 | 10.497 | 10.9943 | 12.7277 | 66.0 | 82.9 | 87.5 | 
| mp-1245148 | dynamic | -3.3146 | -3.3146 | 9.0557 | 11.6553 | 12.9807 | 103.8 | 90.6 | 90.3 | 
| mp-1245244 | dynamic | -3.3101 | -3.3101 | 10.3084 | 11.1215 | 12.3032 | 88.8 | 73.1 | 86.0 | 
| mp-1245150 | dynamic | -3.3055 | -3.3055 | 9.862 | 10.5797 | 14.2327 | 69.3 | 79.0 | 78.8 | 
| mp-1245258 | dynamic | -3.2775 | -3.2775 | 9.2559 | 11.3037 | 13.4658 | 93.8 | 98.0 | 98.2 | 
| mp-1007824 | static | -3.0556 | -3.0556 | 3.2197 | 3.2197 | 5.8722 | 90.0 | 90.0 | 120.0 | 
| oqmd-1108167 | box | -2.9611 | -2.9611 | 5.8346 | 3.3259 | 5.5588 | 90.0 | 90.0 | 90.0 | 
| B1--NaCl--rock-salt | static | -2.9129 | -2.9129 | 4.8194 | 4.8194 | 4.8194 | 90.0 | 90.0 | 90.0 | 
| oqmd-1229533 | box | -2.5493 | -2.5493 | 3.2825 | 3.2825 | 3.2439 | 90.0 | 90.0 | 120.0 | 
| B2--CsCl | static | -2.4129 | -2.4129 | 3.078 | 3.078 | 3.078 | 90.0 | 90.0 | 90.0 | 
| mp-1245172 | static | -2.2952 | -2.2952 | 11.3715 | 11.6064 | 13.4483 | 109.5 | 94.6 | 100.2 | 
| mp-1245002 | static | -1.9652 | -1.9652 | 10.7412 | 10.9968 | 16.5326 | 97.6 | 93.4 | 95.6 | 
| mp-1245258 | static | -1.8699 | -1.8699 | 7.2874 | 11.9049 | 22.5577 | 102.6 | 92.0 | 91.2 | 
| mp-1244975 | static | -1.7722 | -1.7722 | 11.2219 | 13.6194 | 14.0443 | 98.3 | 92.0 | 104.9 | 
| mp-1245033 | static | -1.7584 | -1.7584 | 8.7876 | 9.4587 | 26.7666 | 86.0 | 89.8 | 74.0 | 
| mp-1245233 | static | -1.7516 | -1.7516 | 8.8009 | 12.6577 | 19.9801 | 101.5 | 100.7 | 91.1 | 
| mp-1245013 | static | -1.6688 | -1.6688 | 11.0772 | 13.0368 | 16.3394 | 80.9 | 80.2 | 68.3 | 
| mp-1245046 | static | -1.6122 | -1.6122 | 10.1997 | 12.5598 | 18.3848 | 85.4 | 76.8 | 83.2 | 
| mp-1245075 | static | -1.6014 | -1.6014 | 9.715 | 12.222 | 20.6584 | 86.0 | 81.3 | 66.6 | 
| mp-1245132 | static | -1.3026 | -1.3026 | 8.2563 | 12.1111 | 25.9683 | 91.8 | 99.1 | 93.2 | 
| mp-1244927 | static | -1.1173 | -1.1173 | 9.7615 | 14.1238 | 24.7166 | 92.9 | 94.8 | 95.6 | 
| mp-1244995 | static | -1.0825 | -1.0825 | 8.3557 | 20.2892 | 21.1656 | 66.1 | 83.3 | 82.6 | 
| oqmd-101873 | box | -1.0669 | -1.0669 | 5.3729 | 5.3729 | 7.4233 | 90.0 | 90.0 | 120.0 | 
| mp-1244884 | static | -0.9661 | -0.9661 | 14.9935 | 16.4065 | 18.5366 | 96.6 | 105.0 | 113.6 | 
| mp-1245106 | dynamic | -0.3014 | -0.3014 | 27.6462 | 42.885 | 43.2012 | 95.4 | 105.0 | 100.4 | 
| mp-1244984 | dynamic | -0.233 | -0.233 | 30.2763 | 32.944 | 47.4186 | 104.5 | 96.7 | 97.7 | 
| mp-1244903 | dynamic | -0.2034 | -0.2034 | 30.5409 | 31.0041 | 49.4621 | 88.9 | 77.2 | 82.5 | 
| mp-1244896 | dynamic | -0.1883 | -0.1883 | 35.5231 | 37.7078 | 40.4203 | 84.5 | 79.6 | 86.3 | 
| mp-1244984 | static | -0.1528 | -0.1528 | 35.2482 | 36.6236 | 38.5953 | 75.2 | 84.4 | 82.9 | 
| mp-1245106 | static | -0.1401 | -0.1401 | 35.1839 | 37.4691 | 43.4974 | 92.5 | 90.7 | 93.7 | 
| mp-1244896 | static | -0.1274 | -0.1274 | 35.9062 | 36.6705 | 40.3455 | 89.2 | 89.1 | 89.7 | 
| mp-1244903 | static | -0.1274 | -0.1274 | 34.5104 | 39.1231 | 39.6581 | 94.1 | 91.5 | 96.8 | 
| mp-1245030 | static | -0.1019 | -0.1019 | 26.9658 | 27.4313 | 28.2248 | 92.9 | 90.2 | 95.2 | 
| mp-1245288 | static | -0.0892 | -0.0892 | 26.6859 | 30.9116 | 31.5231 | 81.4 | 69.1 | 87.3 | 
| mp-1245095 | static | -0.0892 | -0.0892 | 27.142 | 31.4942 | 34.8848 | 99.1 | 109.2 | 90.2 | 
| mp-1244886 | static | -0.0892 | -0.0892 | 26.6288 | 31.0408 | 32.1191 | 90.1 | 104.2 | 97.6 | 
| mp-1244934 | static | -0.0892 | -0.0892 | 31.2645 | 32.0017 | 32.7388 | 69.9 | 79.8 | 87.8 | 
| mp-1245069 | static | -0.0892 | -0.0892 | 29.5128 | 32.9718 | 33.7186 | 104.1 | 92.7 | 98.6 | 
| mp-1244998 | static | -0.0892 | -0.0892 | 30.7666 | 31.0577 | 35.1572 | 82.0 | 81.7 | 83.6 | 
| mp-1245302 | static | -0.0892 | -0.0892 | 30.1964 | 32.2089 | 32.3391 | 91.1 | 94.6 | 98.8 | 
| mp-1245150 | static | -0.0892 | -0.0892 | 30.7922 | 31.7712 | 34.2558 | 89.5 | 79.4 | 87.3 | 
| mp-1245295 | static | -0.0892 | -0.0892 | 29.1786 | 29.9918 | 31.4112 | 84.6 | 81.7 | 89.4 | 
| mp-1245165 | static | -0.0892 | -0.0892 | 26.9146 | 29.1626 | 30.2069 | 87.5 | 88.7 | 84.4 | 
| mp-1245130 | static | -0.0892 | -0.0892 | 30.3173 | 32.4303 | 34.2633 | 92.8 | 95.4 | 91.8 | 
| mp-1245138 | static | -0.0891 | -0.0891 | 27.0393 | 29.5411 | 33.693 | 98.5 | 90.6 | 96.3 | 
| mp-1245286 | static | -0.0828 | -0.0828 | 26.6426 | 30.2844 | 33.6281 | 81.9 | 86.2 | 79.5 | 
| mp-1244866 | static | -0.0828 | -0.0828 | 30.4877 | 30.6249 | 31.0123 | 98.3 | 97.1 | 100.6 | 
| mp-1245326 | static | -0.0828 | -0.0828 | 25.7883 | 32.2037 | 32.3147 | 95.5 | 97.4 | 94.3 | 
| mp-1245181 | static | -0.0828 | -0.0828 | 27.7666 | 29.6022 | 35.5922 | 90.3 | 93.7 | 90.5 | 
| mp-1245244 | static | -0.0828 | -0.0828 | 29.2469 | 31.1907 | 35.2864 | 90.2 | 94.5 | 104.6 | 
| mp-1245148 | static | -0.0828 | -0.0828 | 23.0778 | 31.0866 | 33.1965 | 97.8 | 99.0 | 92.4 | 
| mp-1245188 | static | -0.0827 | -0.0827 | 28.7551 | 30.5364 | 33.4021 | 80.7 | 72.2 | 80.6 | 
| mp-1244916 | static | -0.0764 | -0.0764 | 32.1588 | 32.8879 | 33.3175 | 87.1 | 85.2 | 88.0 | 
Download raw data (including filtered results)
Reference structure matches:
| prototype | method | Ecoh (eV/atom) | Epot (eV/atom) | a0 (Å) | b0 (Å) | c0 (Å) | α (degrees) | β (degrees) | γ (degrees) | 
|---|---|---|---|---|---|---|---|---|---|
| C1--CaF2--fluorite | box | -1.9514 | -1.9514 | 6.0551 | 6.0551 | 6.0551 | 90.0 | 90.0 | 90.0 | 
| oqmd-1239211 | static | -1.583 | -1.583 | 9.3034 | 9.3034 | 9.3034 | 90.0 | 90.0 | 90.0 | 
Download raw data (including filtered results)
Reference structure matches:
D0_3--BiF3 = oqmd-313393
L1_2--AuCu3 = oqmd-347592
| prototype | method | Ecoh (eV/atom) | Epot (eV/atom) | a0 (Å) | b0 (Å) | c0 (Å) | α (degrees) | β (degrees) | γ (degrees) | 
|---|---|---|---|---|---|---|---|---|---|
| L1_2--AuCu3 | static | -2.1022 | -2.1022 | 4.4047 | 4.4047 | 4.4047 | 90.0 | 90.0 | 90.0 | 
| D0_3--BiF3 | static | -2.0479 | -2.0479 | 6.884 | 6.884 | 6.884 | 90.0 | 90.0 | 90.0 | 
| A15--Cr3Si | static | -1.9664 | -1.9664 | 5.4451 | 5.4451 | 5.4451 | 90.0 | 90.0 | 90.0 | 
Download raw data (including filtered results)
Reference structure matches:
A1--Cu--fcc = oqmd-676454, oqmd-1214535
A15--beta-W = oqmd-1214980, oqmd-1280305
A2--W--bcc = mp-1184478, oqmd-1215158
A3'--alpha-La--double-hcp = mp-1184511, oqmd-1215426
A3--Mg--hcp = mp-973111, oqmd-1215336
A4--C--dc = oqmd-1215515
A5--beta-Sn = oqmd-1215604
A6--In--bct = mp-85, mp-1055994, oqmd-676455, oqmd-676499, oqmd-690124, oqmd-690158, oqmd-1215693
A7--alpha-As = oqmd-1215782
| prototype | method | Ecoh (eV/atom) | Epot (eV/atom) | a0 (Å) | b0 (Å) | c0 (Å) | α (degrees) | β (degrees) | γ (degrees) | 
|---|---|---|---|---|---|---|---|---|---|
| A3--Mg--hcp | dynamic | -2.489 | -2.489 | 3.346 | 3.346 | 5.38 | 90.0 | 90.0 | 120.0 | 
| mp-1184502 | dynamic | -2.4862 | -2.4862 | 3.342 | 3.342 | 24.318 | 90.0 | 90.0 | 120.0 | 
| mp-1184502 | box | -2.4862 | -2.4862 | 3.342 | 3.342 | 24.3178 | 90.0 | 90.0 | 120.0 | 
| A3'--alpha-La--double-hcp | dynamic | -2.4848 | -2.4848 | 3.3401 | 3.3401 | 10.831 | 90.0 | 90.0 | 120.0 | 
| A1--Cu--fcc | dynamic | -2.4812 | -2.4812 | 4.717 | 4.717 | 4.717 | 90.0 | 90.0 | 90.0 | 
| oqmd-1215247 | static | -2.4778 | -2.4778 | 3.2517 | 6.0017 | 5.4319 | 90.0 | 90.0 | 90.0 | 
| oqmd-1215247 | box | -2.4684 | -2.4684 | 3.2285 | 6.0588 | 5.4827 | 90.0 | 90.0 | 90.0 | 
| A2--W--bcc | dynamic | -2.4646 | -2.4646 | 3.7796 | 3.7796 | 3.7796 | 90.0 | 90.0 | 90.0 | 
| A5--beta-Sn | static | -2.3881 | -2.3881 | 5.8038 | 5.8038 | 3.1195 | 90.0 | 90.0 | 90.0 | 
| oqmd-1214802 | static | -2.3865 | -2.3865 | 11.5458 | 11.5458 | 11.5458 | 90.0 | 90.0 | 90.0 | 
| mp-1184693 | static | -2.3858 | -2.3858 | 11.5098 | 11.5098 | 11.5098 | 90.0 | 90.0 | 90.0 | 
| mp-1184693 | box | -2.3828 | -2.3828 | 11.4938 | 11.4938 | 11.4938 | 90.0 | 90.0 | 90.0 | 
| oqmd-1214891 | static | -2.3671 | -2.3671 | 8.1576 | 8.1576 | 8.1576 | 90.0 | 90.0 | 90.0 | 
| oqmd-1214891 | box | -2.3657 | -2.3657 | 8.1576 | 8.1576 | 8.1576 | 90.0 | 90.0 | 90.0 | 
| A15--beta-W | box | -2.3528 | -2.3528 | 6.0965 | 6.0965 | 6.0965 | 90.0 | 90.0 | 90.0 | 
| Ah--alpha-Po--sc | static | -2.1907 | -2.1907 | 2.9926 | 2.9926 | 2.9926 | 90.0 | 90.0 | 90.0 | 
| oqmd-1215871 | box | -2.1898 | -2.1898 | 4.2329 | 4.2329 | 5.1824 | 90.0 | 90.0 | 120.0 | 
| A7--alpha-As | box | -1.9526 | -1.9526 | 3.499 | 3.499 | 18.9329 | 90.0 | 90.0 | 120.0 | 
| oqmd-1215960 | box | -1.6245 | -1.6245 | 5.1893 | 5.1893 | 5.7439 | 90.0 | 90.0 | 120.0 | 
| A4--C--dc | box | -0.9547 | -0.9547 | 6.4497 | 6.4497 | 6.4497 | 90.0 | 90.0 | 90.0 | 
Download raw data (including filtered results)
Reference structure matches:
| prototype | method | Ecoh (eV/atom) | Epot (eV/atom) | a0 (Å) | b0 (Å) | c0 (Å) | α (degrees) | β (degrees) | γ (degrees) | 
|---|---|---|---|---|---|---|---|---|---|
| C1--CaF2--fluorite | box | -1.8326 | -1.8326 | 6.2451 | 6.2451 | 6.2451 | 90.0 | 90.0 | 90.0 | 
Download raw data (including filtered results)
Reference structure matches:
| prototype | method | Ecoh (eV/atom) | Epot (eV/atom) | a0 (Å) | b0 (Å) | c0 (Å) | α (degrees) | β (degrees) | γ (degrees) | 
|---|---|---|---|---|---|---|---|---|---|
| L1_2--AuCu3 | box | -1.5528 | -1.5528 | 4.2826 | 4.2826 | 4.2826 | 90.0 | 90.0 | 90.0 | 
| D0_3--BiF3 | static | -1.4808 | -1.4808 | 6.8434 | 6.8434 | 6.8434 | 90.0 | 90.0 | 90.0 | 
| A15--Cr3Si | static | -1.3928 | -1.3928 | 5.388 | 5.388 | 5.388 | 90.0 | 90.0 | 90.0 | 
Download raw data (including filtered results)
Reference structure matches:
B1--NaCl--rock-salt = mp-20812
B3--ZnS--cubic-zinc-blende = mp-20411
| prototype | method | Ecoh (eV/atom) | Epot (eV/atom) | a0 (Å) | b0 (Å) | c0 (Å) | α (degrees) | β (degrees) | γ (degrees) | 
|---|---|---|---|---|---|---|---|---|---|
| mp-22205 | dynamic | -3.7703 | -3.7703 | 3.5264 | 3.5264 | 5.7128 | 90.0 | 90.0 | 120.0 | 
| B3--ZnS--cubic-zinc-blende | dynamic | -3.7653 | -3.7653 | 4.9797 | 4.9797 | 4.9797 | 90.0 | 90.0 | 90.0 | 
| B1--NaCl--rock-salt | dynamic | -2.8899 | -2.8899 | 5.0911 | 5.0911 | 5.0911 | 90.0 | 90.0 | 90.0 | 
| B2--CsCl | box | -2.3898 | -2.3898 | 3.2819 | 3.2819 | 3.2819 | 90.0 | 90.0 | 90.0 | 
Download raw data (including filtered results)
Reference structure matches:
| prototype | method | Ecoh (eV/atom) | Epot (eV/atom) | a0 (Å) | b0 (Å) | c0 (Å) | α (degrees) | β (degrees) | γ (degrees) | 
|---|---|---|---|---|---|---|---|---|---|
| C1--CaF2--fluorite | static | -2.0604 | -2.0604 | 6.4846 | 6.4846 | 6.4846 | 90.0 | 90.0 | 90.0 | 
Download raw data (including filtered results)
Reference structure matches:
L1_2--AuCu3 = mp-975606
| prototype | method | Ecoh (eV/atom) | Epot (eV/atom) | a0 (Å) | b0 (Å) | c0 (Å) | α (degrees) | β (degrees) | γ (degrees) | 
|---|---|---|---|---|---|---|---|---|---|
| L1_2--AuCu3 | static | -2.2151 | -2.2151 | 4.443 | 4.443 | 4.443 | 90.0 | 90.0 | 90.0 | 
| D0_3--BiF3 | static | -2.1723 | -2.1723 | 6.9323 | 6.9323 | 6.9323 | 90.0 | 90.0 | 90.0 | 
| A15--Cr3Si | static | -2.1321 | -2.1321 | 5.454 | 5.454 | 5.454 | 90.0 | 90.0 | 90.0 | 
Download raw data (including filtered results)
Reference structure matches:
A1--Cu--fcc = oqmd-1214545
A15--beta-W = oqmd-1214990
A2--W--bcc = oqmd-1215168
A3'--alpha-La--double-hcp = oqmd-1215436
A3--Mg--hcp = mp-12103, mp-1061298, oqmd-30774, oqmd-1215346
A4--C--dc = oqmd-1215525
A5--beta-Sn = oqmd-1215614
A6--In--bct = oqmd-1215703
A7--alpha-As = oqmd-1215792
Ah--alpha-Po--sc = oqmd-1214634
| prototype | method | Ecoh (eV/atom) | Epot (eV/atom) | a0 (Å) | b0 (Å) | c0 (Å) | α (degrees) | β (degrees) | γ (degrees) | 
|---|---|---|---|---|---|---|---|---|---|
| A3--Mg--hcp | dynamic | -3.838 | -3.838 | 3.1768 | 3.1768 | 5.1877 | 90.0 | 90.0 | 120.0 | 
| A3--Mg--hcp | box | -3.838 | -3.838 | 3.1768 | 3.1768 | 5.1877 | 90.0 | 90.0 | 120.0 | 
| A3'--alpha-La--double-hcp | dynamic | -3.838 | -3.838 | 3.1768 | 3.1768 | 10.3755 | 90.0 | 90.0 | 120.0 | 
| A1--Cu--fcc | dynamic | -3.838 | -3.838 | 4.4927 | 4.4927 | 4.4927 | 90.0 | 90.0 | 90.0 | 
| A2--W--bcc | dynamic | -3.8085 | -3.8085 | 3.5093 | 3.5093 | 3.5093 | 90.0 | 90.0 | 90.0 | 
| oqmd-1214901 | dynamic | -3.7234 | -3.7234 | 7.6981 | 7.6981 | 7.6981 | 90.0 | 90.0 | 90.0 | 
| A15--beta-W | dynamic | -3.6851 | -3.6851 | 5.6139 | 5.6139 | 5.6139 | 90.0 | 90.0 | 90.0 | 
| A5--beta-Sn | static | -2.4222 | -2.4222 | 5.791 | 5.791 | 3.0293 | 90.0 | 90.0 | 90.0 | 
| oqmd-1215257 | box | -2.0454 | -2.0454 | 4.4648 | 4.2816 | 5.9886 | 90.0 | 90.0 | 90.0 | 
| Ah--alpha-Po--sc | static | -1.9506 | -1.9506 | 3.1422 | 3.1422 | 3.1422 | 90.0 | 90.0 | 90.0 | 
| oqmd-4724 | box | -1.9118 | -1.9118 | 5.1981 | 5.1981 | 5.1981 | 90.0 | 90.0 | 90.0 | 
| mp-672233 | dynamic | -1.9105 | -1.9105 | 3.1849 | 3.1849 | 77.1909 | 90.0 | 90.0 | 120.0 | 
| A7--alpha-As | box | -1.29 | -1.29 | 4.12 | 4.12 | 12.9747 | 90.0 | 90.0 | 120.0 | 
| A4--C--dc | dynamic | -1.2737 | -1.2737 | 7.3552 | 7.3552 | 7.3552 | 90.0 | 90.0 | 90.0 | 
| mp-1176403 | dynamic | -1.2737 | -1.2737 | 12.8109 | 3.1849 | 10.0935 | 90.0 | 90.0 | 90.0 | 
| mp-754514 | dynamic | -1.2737 | -1.2737 | 3.1849 | 12.4409 | 11.3429 | 90.0 | 90.0 | 90.0 | 
| mp-999498 | static | -0.9553 | -0.9553 | 8.5626 | 8.5626 | 8.5626 | 90.0 | 90.0 | 90.0 | 
| mp-999498 | box | -0.9553 | -0.9553 | 8.5629 | 8.5629 | 8.5629 | 90.0 | 90.0 | 90.0 | 
| oqmd-1214812 | static | -0.9205 | -0.9205 | 16.2143 | 16.2143 | 16.2143 | 90.0 | 90.0 | 90.0 | 
| oqmd-1214901 | box | -0.6598 | -0.6598 | 11.7142 | 11.7142 | 11.7142 | 90.0 | 90.0 | 90.0 | 
| mp-570747 | dynamic | -0.6368 | -0.6368 | 21.6202 | 21.6202 | 3.1849 | 90.0 | 90.0 | 90.0 | 
| mp-25 | static | -0.3184 | -0.3184 | 16.0027 | 16.0027 | 16.0027 | 90.0 | 90.0 | 90.0 | 
| oqmd-3234 | box | -0.3184 | -0.3184 | 14.1674 | 14.1674 | 14.1674 | 90.0 | 90.0 | 90.0 | 
| mp-154 | static | -0.3184 | -0.3184 | 16.7365 | 16.7365 | 16.7365 | 90.0 | 90.0 | 90.0 | 
| mp-154 | box | -0.3184 | -0.3184 | 16.7528 | 16.7528 | 16.7528 | 90.0 | 90.0 | 90.0 | 
| mp-25 | box | -0.3184 | -0.3184 | 16.0184 | 16.0184 | 16.0184 | 90.0 | 90.0 | 90.0 | 
| oqmd-3234 | static | -0.3184 | -0.3184 | 14.1536 | 14.1536 | 14.1536 | 90.0 | 90.0 | 90.0 | 
| oqmd-3113 | static | -0.3184 | -0.3184 | 14.2385 | 14.2385 | 14.2385 | 90.0 | 90.0 | 90.0 | 
| mp-1189505 | dynamic | -0.3184 | -0.3184 | 31.6055 | 6.0824 | 31.8638 | 90.0 | 90.0 | 90.0 | 
| mp-25 | dynamic | 0.0 | 0.0 | 23.6956 | 23.6956 | 23.6956 | 90.0 | 90.0 | 90.0 | 
| mp-154 | dynamic | 0.0 | 0.0 | 24.7931 | 24.7931 | 24.7931 | 90.0 | 90.0 | 90.0 | 
| mp-568584 | dynamic | 0.0 | 0.0 | 33.6639 | 33.6639 | 73.8336 | 90.0 | 90.0 | 120.0 | 
Static elastic constants are displayed for the unique structures identified in Crystal Structure Predictions above. The values displayed here are obtained by measuring the change in virial stresses due to applying small strains to the relaxed crystals. The initial structure and the strained states are all relaxed using force minimization.
The calculation method used is available as the iprPy elastic_constants_static calculation method.
Notes and Disclaimers:
Version Information:
| 84.647 | 135.254 | 20.671 | 0.000 | 0.000 | -0.000 | 
| 135.254 | 84.647 | 20.671 | -0.000 | -0.000 | 0.000 | 
| 20.671 | 20.671 | 237.627 | -0.000 | 0.000 | -0.000 | 
| -0.000 | -0.000 | -0.000 | 8.041 | 0.000 | 0.000 | 
| 0.000 | 0.000 | -0.000 | -0.000 | 8.041 | 0.000 | 
| 0.000 | 0.000 | -0.000 | 0.000 | 0.000 | -5.906 | 
| 84.647 | 135.254 | 20.671 | -0.000 | -0.000 | 0.000 | 
| 135.254 | 84.647 | 20.671 | -0.000 | -0.000 | 0.000 | 
| 20.671 | 20.671 | 237.627 | -0.000 | 0.000 | -0.000 | 
| 0.000 | 0.000 | 0.000 | 8.042 | 0.000 | -0.000 | 
| 0.000 | -0.000 | 0.000 | 0.000 | 8.041 | 0.000 | 
| 0.000 | -0.000 | 0.000 | 0.000 | -0.000 | -5.906 | 
| 84.647 | 135.254 | 20.671 | 0.000 | 0.000 | -0.000 | 
| 135.254 | 84.647 | 20.671 | -0.000 | 0.000 | 0.000 | 
| 20.671 | 20.671 | 237.627 | -0.000 | -0.000 | 0.000 | 
| -0.000 | 0.000 | -0.000 | 8.041 | 0.000 | 0.000 | 
| 0.000 | -0.000 | -0.000 | 0.000 | 8.041 | 0.000 | 
| -0.000 | -0.000 | -0.000 | -0.000 | -0.000 | -5.906 | 
| 84.647 | 135.254 | 20.671 | -0.000 | -0.000 | -0.000 | 
| 135.254 | 84.647 | 20.671 | 0.000 | -0.000 | -0.000 | 
| 20.671 | 20.671 | 237.627 | 0.000 | -0.000 | 0.000 | 
| 0.000 | -0.000 | 0.000 | 8.041 | -0.000 | -0.000 | 
| -0.000 | 0.000 | 0.000 | 0.000 | 8.041 | -0.000 | 
| 0.000 | 0.000 | 0.000 | 0.000 | 0.000 | -5.906 | 
| 84.646 | 135.254 | 20.672 | -0.000 | 0.000 | 0.000 | 
| 135.254 | 84.646 | 20.672 | 0.000 | 0.000 | 0.000 | 
| 20.671 | 20.671 | 237.628 | -0.000 | 0.000 | -0.000 | 
| -0.000 | 0.000 | -0.000 | 8.041 | 0.000 | 0.000 | 
| 0.000 | -0.000 | -0.000 | -0.000 | 8.041 | 0.000 | 
| -0.000 | -0.000 | -0.000 | -0.000 | -0.000 | -5.906 | 
| 84.647 | 135.253 | 20.670 | -0.000 | -0.000 | 0.000 | 
| 135.253 | 84.647 | 20.670 | -0.000 | -0.000 | -0.000 | 
| 20.671 | 20.671 | 237.626 | -0.000 | -0.000 | 0.000 | 
| 0.000 | -0.000 | 0.000 | 8.041 | -0.000 | -0.000 | 
| -0.000 | 0.000 | 0.000 | -0.000 | 8.041 | -0.000 | 
| 0.000 | 0.000 | 0.000 | 0.000 | -0.000 | -5.906 | 
| 41.674 | -3.745 | 18.737 | -35.438 | 0.000 | -0.000 | 
| -3.745 | 41.674 | 18.737 | 35.438 | 0.000 | 0.000 | 
| 13.837 | 13.838 | -32.359 | -0.000 | -0.000 | -0.000 | 
| -35.438 | 35.438 | 0.000 | 35.392 | 0.000 | 0.000 | 
| 0.000 | 0.000 | 0.000 | -0.000 | 35.392 | -35.438 | 
| 0.000 | 0.000 | 0.000 | -0.000 | -35.438 | 22.710 | 
| 41.674 | -3.745 | 18.737 | -35.438 | -0.000 | 0.000 | 
| -3.745 | 41.674 | 18.737 | 35.438 | -0.000 | -0.000 | 
| 13.837 | 13.837 | -32.359 | 0.000 | -0.000 | 0.000 | 
| -35.438 | 35.438 | -0.000 | 35.392 | -0.000 | 0.000 | 
| -0.000 | -0.000 | -0.000 | 0.000 | 35.392 | -35.438 | 
| -0.000 | -0.000 | -0.000 | 0.000 | -35.438 | 22.710 | 
| 41.674 | -3.745 | 18.737 | -35.438 | 0.000 | -0.000 | 
| -3.745 | 41.674 | 18.737 | 35.438 | 0.000 | -0.000 | 
| 13.837 | 13.837 | -32.359 | -0.000 | 0.000 | -0.000 | 
| -35.438 | 35.438 | 0.000 | 35.392 | 0.000 | -0.000 | 
| 0.000 | 0.000 | 0.000 | -0.000 | 35.392 | -35.438 | 
| 0.000 | 0.000 | 0.000 | -0.000 | -35.438 | 22.710 | 
| 41.674 | -3.745 | 18.737 | -35.438 | 0.000 | 0.000 | 
| -3.745 | 41.674 | 18.737 | 35.438 | -0.000 | 0.000 | 
| 13.837 | 13.837 | -32.359 | -0.000 | -0.000 | 0.000 | 
| -35.438 | 35.438 | -0.000 | 35.392 | -0.000 | -0.000 | 
| -0.000 | -0.000 | -0.000 | 0.000 | 35.392 | -35.438 | 
| -0.000 | -0.000 | -0.000 | 0.000 | -35.438 | 22.710 | 
| 41.675 | -3.745 | 18.737 | -35.438 | -0.000 | 0.000 | 
| -3.745 | 41.675 | 18.737 | 35.438 | 0.000 | -0.000 | 
| 13.838 | 13.838 | -32.359 | 0.000 | 0.000 | -0.000 | 
| -35.438 | 35.438 | 0.000 | 35.392 | 0.000 | -0.000 | 
| 0.000 | 0.000 | 0.000 | -0.000 | 35.392 | -35.438 | 
| 0.000 | 0.000 | 0.000 | -0.000 | -35.438 | 22.710 | 
| 41.674 | -3.745 | 18.737 | -35.438 | 0.000 | 0.000 | 
| -3.745 | 41.674 | 18.737 | 35.438 | -0.000 | 0.000 | 
| 13.837 | 13.837 | -32.360 | -0.000 | -0.000 | 0.000 | 
| -35.438 | 35.438 | -0.000 | 35.392 | 0.000 | 0.000 | 
| -0.000 | -0.000 | -0.000 | 0.000 | 35.392 | -35.438 | 
| -0.000 | -0.000 | -0.000 | 0.000 | -35.438 | 22.710 | 
| 247.345 | -38.521 | -38.521 | -0.000 | -0.000 | 0.000 | 
| -38.521 | 247.345 | -38.521 | -0.000 | 0.000 | 0.000 | 
| -38.521 | -38.521 | 247.345 | -0.000 | 0.000 | 0.000 | 
| -0.000 | 0.000 | -0.000 | -38.521 | 0.000 | 0.000 | 
| 0.000 | 0.000 | -0.000 | -0.000 | -38.521 | 0.000 | 
| 0.000 | 0.000 | -0.000 | -0.000 | 0.000 | -38.521 | 
| 247.345 | -38.521 | -38.521 | 0.000 | -0.000 | -0.000 | 
| -38.521 | 247.345 | -38.521 | 0.000 | -0.000 | -0.000 | 
| -38.521 | -38.521 | 247.345 | 0.000 | -0.000 | -0.000 | 
| 0.000 | -0.000 | 0.000 | -38.521 | -0.000 | -0.000 | 
| -0.000 | -0.000 | 0.000 | 0.000 | -38.521 | -0.000 | 
| -0.000 | -0.000 | -0.000 | 0.000 | -0.000 | -38.521 | 
| 247.346 | -38.521 | -38.521 | -0.000 | 0.000 | 0.000 | 
| -38.521 | 247.346 | -38.521 | -0.000 | -0.000 | 0.000 | 
| -38.521 | -38.521 | 247.346 | -0.000 | -0.000 | 0.000 | 
| 0.000 | 0.000 | -0.000 | -38.521 | 0.000 | 0.000 | 
| 0.000 | 0.000 | -0.000 | -0.000 | -38.521 | 0.000 | 
| 0.000 | -0.000 | 0.000 | -0.000 | 0.000 | -38.521 | 
| 247.345 | -38.521 | -38.521 | 0.000 | -0.000 | -0.000 | 
| -38.521 | 247.345 | -38.521 | -0.000 | -0.000 | -0.000 | 
| -38.521 | -38.521 | 247.345 | 0.000 | -0.000 | -0.000 | 
| -0.000 | -0.000 | 0.000 | -38.521 | -0.000 | -0.000 | 
| -0.000 | -0.000 | 0.000 | 0.000 | -38.521 | -0.000 | 
| -0.000 | 0.000 | -0.000 | 0.000 | -0.000 | -38.521 | 
| 247.346 | -38.521 | -38.521 | -0.000 | 0.000 | 0.000 | 
| -38.521 | 247.346 | -38.521 | -0.000 | -0.000 | 0.000 | 
| -38.521 | -38.521 | 247.346 | -0.000 | 0.000 | 0.000 | 
| 0.000 | 0.000 | -0.000 | -38.521 | -0.000 | 0.000 | 
| 0.000 | 0.000 | -0.000 | -0.000 | -38.521 | 0.000 | 
| 0.000 | -0.000 | 0.000 | -0.000 | 0.000 | -38.521 | 
| 247.344 | -38.521 | -38.521 | 0.000 | -0.000 | -0.000 | 
| -38.521 | 247.344 | -38.521 | 0.000 | -0.000 | -0.000 | 
| -38.521 | -38.521 | 247.344 | 0.000 | -0.000 | -0.000 | 
| -0.000 | -0.000 | 0.000 | -38.521 | -0.000 | -0.000 | 
| -0.000 | -0.000 | 0.000 | 0.000 | -38.521 | -0.000 | 
| -0.000 | 0.000 | -0.000 | 0.000 | -0.000 | -38.521 | 
| 174.634 | 10.441 | 6.822 | -0.000 | -0.000 | 0.000 | 
| 10.661 | 136.602 | 90.882 | -0.000 | -0.000 | -0.000 | 
| 6.934 | 90.773 | 109.997 | -0.000 | 0.000 | -0.000 | 
| 0.000 | 0.000 | -0.000 | 91.372 | -0.000 | 0.000 | 
| 0.000 | 0.000 | -0.000 | -0.000 | 6.379 | 0.000 | 
| 0.000 | 0.000 | -0.000 | -0.000 | -0.000 | 6.913 | 
| 174.633 | 10.441 | 6.822 | 0.000 | -0.000 | 0.000 | 
| 10.661 | 136.602 | 90.882 | 0.000 | -0.000 | 0.000 | 
| 6.934 | 90.773 | 109.997 | 0.000 | 0.000 | -0.000 | 
| -0.000 | -0.000 | 0.000 | 91.372 | 0.000 | 0.000 | 
| -0.000 | -0.000 | 0.000 | 0.000 | 6.379 | 0.000 | 
| -0.000 | -0.000 | 0.000 | 0.000 | -0.000 | 6.913 | 
| 174.634 | 10.441 | 6.822 | -0.000 | 0.000 | 0.000 | 
| 10.661 | 136.602 | 90.882 | -0.000 | -0.000 | -0.000 | 
| 6.934 | 90.773 | 109.997 | -0.000 | -0.000 | 0.000 | 
| 0.000 | 0.000 | -0.000 | 91.372 | -0.000 | -0.000 | 
| -0.000 | 0.000 | -0.000 | -0.000 | 6.379 | 0.000 | 
| 0.000 | -0.001 | -0.000 | -0.000 | -0.000 | -100.621 | 
| 174.633 | 10.441 | 6.822 | -0.000 | 0.000 | -0.000 | 
| 10.661 | 136.602 | 90.882 | 0.000 | 0.000 | 0.000 | 
| 6.934 | 90.773 | 109.997 | 0.000 | -0.000 | -0.000 | 
| -0.000 | -0.000 | 0.000 | 91.372 | 0.000 | -0.000 | 
| 0.000 | -0.000 | 0.000 | 0.000 | 6.379 | 0.000 | 
| -0.000 | 0.001 | 0.000 | 0.000 | 0.000 | -100.621 | 
| 174.634 | 10.440 | 6.822 | -0.000 | 0.000 | 0.000 | 
| 10.661 | 136.603 | 90.882 | -0.000 | 0.000 | -0.000 | 
| 6.933 | 90.773 | 109.997 | -0.000 | -0.000 | -0.000 | 
| 0.000 | 0.000 | -0.000 | 91.372 | -0.000 | 0.000 | 
| -0.000 | 0.000 | -0.000 | -0.000 | 6.379 | 0.000 | 
| -1.081 | 0.748 | 0.326 | 0.000 | 0.000 | -3289.956 | 
| 174.633 | 10.441 | 6.822 | 0.000 | 0.000 | -0.000 | 
| 10.661 | 136.601 | 90.882 | 0.000 | 0.000 | -0.000 | 
| 6.934 | 90.773 | 109.997 | 0.000 | 0.000 | 0.000 | 
| -0.000 | -0.000 | 0.000 | 91.372 | 0.000 | -0.000 | 
| 0.000 | -0.000 | 0.000 | 0.000 | 6.379 | 0.000 | 
| 1.081 | -0.748 | -0.326 | -0.000 | 0.000 | -3289.955 | 
| 55.588 | 39.304 | 34.184 | 0.000 | 0.000 | -0.000 | 
| 39.689 | 74.198 | 31.290 | 0.000 | 0.000 | 0.000 | 
| 35.416 | 32.138 | 91.474 | 0.000 | 0.000 | 0.000 | 
| -0.000 | -0.000 | 0.000 | 31.789 | 0.000 | 0.000 | 
| -0.000 | -0.000 | 0.000 | 0.000 | 34.683 | 0.000 | 
| -0.000 | -0.000 | 0.000 | 0.000 | 0.000 | 38.108 | 
| 55.588 | 39.304 | 34.184 | 0.000 | -0.000 | -0.000 | 
| 39.689 | 74.198 | 31.290 | -0.000 | -0.000 | -0.000 | 
| 35.416 | 32.138 | 91.474 | 0.000 | -0.000 | -0.000 | 
| 0.000 | 0.000 | -0.000 | 31.789 | 0.000 | -0.000 | 
| 0.000 | 0.000 | -0.000 | -0.000 | 34.683 | -0.000 | 
| -0.000 | 0.000 | 0.000 | -0.000 | -0.000 | 38.108 | 
| 55.588 | 39.304 | 34.184 | 0.000 | 0.000 | 0.000 | 
| 39.689 | 74.198 | 31.290 | -0.000 | 0.000 | 0.000 | 
| 35.416 | 32.138 | 91.474 | -0.000 | 0.000 | -0.000 | 
| -0.000 | -0.000 | -0.000 | 31.789 | 0.000 | -0.000 | 
| -0.000 | -0.000 | -0.000 | 0.000 | 34.683 | 0.000 | 
| -0.000 | -0.000 | -0.000 | 0.000 | 0.000 | 38.108 | 
| 55.588 | 39.304 | 34.184 | 0.000 | -0.000 | 0.000 | 
| 39.689 | 74.198 | 31.290 | 0.000 | 0.000 | -0.000 | 
| 35.416 | 32.138 | 91.474 | 0.000 | -0.000 | -0.000 | 
| 0.000 | 0.000 | 0.000 | 31.789 | -0.000 | -0.000 | 
| 0.000 | 0.000 | 0.000 | -0.000 | 34.683 | -0.000 | 
| 0.000 | 0.000 | 0.000 | -0.000 | -0.000 | 38.108 | 
| 55.587 | 39.304 | 34.184 | 0.000 | 0.000 | -0.000 | 
| 39.689 | 74.198 | 31.290 | 0.000 | 0.000 | -0.000 | 
| 35.416 | 32.138 | 91.473 | -0.000 | 0.000 | 0.000 | 
| -0.000 | -0.000 | -0.000 | 31.789 | 0.000 | 0.000 | 
| -0.000 | -0.000 | -0.000 | 0.000 | 34.683 | -0.000 | 
| -0.000 | -0.000 | -0.000 | 0.000 | 0.000 | 38.108 | 
| 55.588 | 39.304 | 34.184 | 0.000 | 0.000 | -0.000 | 
| 39.689 | 74.199 | 31.290 | 0.000 | -0.000 | 0.000 | 
| 35.416 | 32.138 | 91.474 | -0.000 | -0.000 | 0.000 | 
| 0.000 | 0.000 | 0.000 | 31.789 | 0.000 | 0.000 | 
| 0.000 | 0.000 | 0.000 | -0.000 | 34.683 | 0.000 | 
| 0.000 | 0.000 | 0.000 | -0.000 | -0.000 | 38.108 | 
| 85.923 | 85.432 | 52.525 | -0.000 | 0.000 | 0.000 | 
| 43.678 | 98.612 | 13.979 | -0.000 | 0.000 | -0.000 | 
| 68.053 | -9.792 | 36.204 | -0.000 | 0.000 | 0.000 | 
| 0.109 | -0.075 | -0.054 | 28.754 | -0.000 | 0.000 | 
| 0.512 | -0.352 | -0.256 | -0.000 | -64.027 | 0.000 | 
| 0.347 | -0.239 | -0.174 | -0.000 | 0.000 | -78.394 | 
| 85.705 | 85.582 | 52.634 | 0.000 | 0.000 | -0.000 | 
| 97.492 | 61.609 | -12.934 | 0.000 | 0.000 | -0.000 | 
| 67.836 | -9.642 | 36.313 | 0.000 | 0.000 | -0.000 | 
| -0.109 | 0.075 | 0.054 | 28.754 | -0.000 | -0.000 | 
| -0.512 | 0.352 | 0.256 | 0.000 | -64.027 | -0.000 | 
| -0.347 | 0.239 | 0.174 | 0.000 | -0.000 | -78.394 | 
| 85.825 | 85.500 | 52.574 | -0.000 | 0.000 | 0.000 | 
| 97.611 | 61.526 | -12.994 | -0.000 | 0.000 | 0.000 | 
| 67.955 | -9.724 | 36.253 | -0.000 | 0.000 | 0.000 | 
| 0.011 | -0.007 | -0.005 | 28.754 | 0.000 | 0.000 | 
| 0.051 | -0.035 | -0.026 | -0.000 | -64.029 | 0.000 | 
| 0.035 | -0.024 | -0.017 | -0.000 | 0.000 | -78.395 | 
| 164.234 | 31.584 | 13.360 | 0.000 | -0.000 | -0.000 | 
| 43.677 | 98.612 | 13.979 | 0.000 | -0.000 | -0.000 | 
| 67.934 | -9.709 | 36.264 | 0.000 | -0.000 | -0.000 | 
| -0.011 | 0.007 | 0.005 | 28.754 | -0.000 | -0.000 | 
| -0.051 | 0.035 | 0.026 | 0.000 | -64.029 | -0.000 | 
| -0.035 | 0.024 | 0.017 | 0.000 | -0.000 | -78.396 | 
| 85.814 | 85.508 | 52.580 | -0.000 | 0.000 | 0.000 | 
| 97.601 | 61.534 | -12.989 | -0.000 | 0.000 | 0.000 | 
| 67.945 | -9.717 | 36.258 | -0.000 | 0.000 | -0.000 | 
| 0.001 | -0.001 | -0.000 | 28.754 | 0.000 | 0.000 | 
| 0.005 | -0.004 | -0.003 | -0.000 | -64.029 | 0.000 | 
| 0.004 | -0.003 | -0.002 | -0.000 | -0.000 | -78.396 | 
| 85.814 | 85.506 | 52.578 | 0.000 | -0.000 | -0.000 | 
| 97.600 | 61.534 | -12.989 | 0.000 | -0.000 | -0.000 | 
| 67.944 | -9.716 | 36.258 | 0.000 | -0.000 | -0.000 | 
| -0.001 | 0.001 | 0.000 | 28.754 | 0.000 | -0.000 | 
| -0.005 | 0.004 | 0.003 | 0.000 | -64.029 | -0.000 | 
| -0.004 | 0.003 | 0.002 | 0.000 | -0.000 | -78.396 | 
| -16.076 | 101.506 | 7.443 | -0.000 | -0.000 | 0.000 | 
| 103.102 | 39.320 | 116.396 | -0.000 | -0.000 | 0.000 | 
| 31.500 | 109.455 | 92.838 | -0.000 | -0.000 | 0.000 | 
| 0.551 | -0.293 | 0.082 | -19.707 | -0.000 | 0.000 | 
| 0.285 | -0.152 | 0.042 | -0.000 | 25.322 | 0.000 | 
| 2.648 | -1.408 | 0.392 | -0.000 | -0.000 | -94.439 | 
| 66.223 | 72.437 | 6.060 | 0.000 | 0.000 | -0.000 | 
| 99.691 | 41.239 | 115.794 | 0.000 | 0.000 | -0.000 | 
| 9.066 | 121.753 | 89.174 | 0.000 | 0.000 | -0.000 | 
| -0.551 | 0.293 | -0.082 | -19.707 | 0.000 | -0.000 | 
| -0.285 | 0.152 | -0.042 | 0.000 | 25.322 | -0.000 | 
| -2.648 | 1.408 | -0.392 | 0.000 | 0.000 | -94.440 | 
| -17.611 | 102.369 | 7.172 | -0.000 | -0.000 | 0.000 | 
| 101.567 | 40.183 | 116.126 | -0.000 | -0.000 | 0.000 | 
| 31.247 | 109.649 | 92.745 | -0.000 | -0.000 | 0.000 | 
| 0.077 | -0.043 | 0.013 | -19.767 | -0.000 | 0.000 | 
| 0.029 | -0.015 | 0.004 | -0.000 | 25.326 | 0.000 | 
| 0.265 | -0.141 | 0.039 | -0.000 | -0.000 | -94.460 | 
| -17.953 | 102.562 | 7.112 | 0.000 | 0.000 | -0.000 | 
| 101.226 | 40.376 | 116.065 | 0.000 | 0.000 | -0.000 | 
| 53.456 | 71.955 | 119.941 | 0.000 | 0.000 | -0.000 | 
| -0.077 | 0.043 | -0.013 | -19.767 | 0.000 | -0.000 | 
| -0.029 | 0.015 | -0.004 | 0.000 | 25.326 | -0.000 | 
| -0.265 | 0.141 | -0.039 | 0.000 | 0.000 | -94.460 | 
| -17.763 | 102.455 | 7.146 | -0.000 | -0.000 | 0.000 | 
| 101.415 | 40.268 | 116.100 | -0.000 | -0.000 | 0.000 | 
| 10.789 | 120.784 | 89.479 | -0.000 | -0.000 | 0.000 | 
| 0.008 | -0.004 | 0.001 | -19.767 | -0.000 | 0.000 | 
| 0.003 | -0.001 | 0.000 | -0.000 | 25.326 | 0.000 | 
| 0.026 | -0.014 | 0.003 | -0.000 | -0.000 | -94.460 | 
| -17.801 | 102.476 | 7.138 | 0.000 | 0.000 | -0.000 | 
| 101.378 | 40.291 | 116.090 | 0.000 | 0.000 | -0.000 | 
| 10.754 | 120.804 | 89.471 | 0.000 | 0.000 | -0.000 | 
| -0.008 | 0.004 | -0.001 | -19.767 | 0.000 | -0.000 | 
| -0.003 | 0.001 | -0.000 | 0.000 | 25.326 | -0.000 | 
| -0.026 | 0.014 | -0.003 | 0.000 | 0.000 | -94.460 | 
| -51.750 | 169.772 | 150.383 | -0.000 | -0.000 | 0.000 | 
| 56.608 | 194.870 | 16.495 | -0.000 | -0.000 | 0.000 | 
| 20.220 | 15.755 | 191.771 | 0.000 | -0.000 | 0.000 | 
| -0.000 | 0.000 | 0.000 | 14.848 | -0.000 | -0.000 | 
| 0.000 | 0.000 | 0.000 | 0.000 | 20.270 | 0.000 | 
| -208.759 | 70.983 | 111.429 | -0.000 | -0.000 | -14.515 | 
| 181.151 | 57.566 | 21.918 | -0.000 | 0.000 | -0.000 | 
| 56.608 | 194.870 | 16.495 | 0.000 | 0.000 | -0.000 | 
| 20.220 | 15.755 | 191.771 | -0.000 | 0.000 | -0.000 | 
| -0.000 | 0.000 | -0.000 | 14.848 | 0.000 | -0.000 | 
| 0.000 | -0.000 | 0.000 | 0.000 | 20.270 | -0.000 | 
| 208.759 | -70.983 | -111.429 | 0.000 | 0.000 | -14.515 | 
| 129.384 | 95.477 | 32.661 | -0.000 | -0.000 | 0.000 | 
| 77.297 | 156.104 | 32.124 | -0.000 | -0.000 | 0.000 | 
| 9.047 | 26.094 | 181.662 | 0.000 | -0.000 | 0.000 | 
| -20.419 | 6.943 | 10.899 | 9.979 | -0.000 | -0.000 | 
| -21.232 | 7.220 | 11.333 | 0.000 | 17.052 | 0.000 | 
| -17.561 | 6.313 | 12.870 | 0.000 | -0.000 | 16.989 | 
| 181.151 | 57.566 | 21.918 | 0.000 | 0.000 | 0.000 | 
| 107.979 | 147.252 | 14.418 | 0.000 | 0.000 | -0.000 | 
| 42.406 | 18.699 | 153.374 | -0.000 | 0.000 | -0.000 | 
| 20.419 | -6.943 | -10.899 | 9.979 | 0.000 | -0.000 | 
| 21.232 | -7.220 | -11.333 | 0.000 | 17.052 | -0.000 | 
| 17.561 | -6.313 | -12.870 | 0.000 | 0.000 | 16.989 | 
| 144.014 | 90.671 | 24.859 | -0.000 | -0.000 | 0.000 | 
| 89.045 | 156.542 | 24.660 | 0.000 | -0.000 | 0.000 | 
| 16.731 | 26.286 | 173.176 | 0.000 | -0.000 | 0.000 | 
| -1.557 | 0.530 | 0.831 | 11.134 | -0.000 | 0.000 | 
| -2.172 | 0.739 | 1.160 | 0.000 | 16.978 | 0.000 | 
| -1.047 | -0.450 | 2.185 | 0.000 | -0.000 | 17.153 | 
| 150.969 | 85.045 | 23.711 | -0.000 | 0.000 | 0.000 | 
| 90.794 | 156.716 | 22.453 | -0.000 | 0.000 | -0.000 | 
| 20.220 | 15.755 | 191.771 | 0.000 | 0.000 | -0.000 | 
| 1.411 | -0.517 | -1.130 | 10.664 | 0.000 | -0.000 | 
| 2.172 | -0.739 | -1.160 | -0.000 | 16.978 | -0.000 | 
| 1.059 | -0.360 | -0.565 | 0.000 | 0.000 | 20.914 | 
| 126.367 | 42.504 | 62.245 | 11.861 | 0.000 | 0.000 | 
| 2866.252 | 2934.904 | -4286.881 | -10.841 | 0.000 | -0.000 | 
| 62.738 | 62.738 | 158.608 | 0.000 | 0.000 | -0.000 | 
| 2833.540 | 2811.858 | -4357.650 | 51.316 | 0.000 | -0.000 | 
| -0.000 | -0.000 | 0.000 | -0.000 | 62.658 | 11.861 | 
| -0.000 | 0.000 | 0.000 | 0.000 | 11.861 | 41.931 | 
| 126.367 | 42.504 | 62.245 | 11.861 | 0.000 | 0.000 | 
| 42.504 | 126.367 | 62.245 | -11.861 | -0.000 | -0.000 | 
| 62.738 | 62.738 | 158.608 | -0.000 | 0.000 | -0.000 | 
| -2811.858 | -2833.540 | 4357.650 | 51.316 | -0.000 | 0.000 | 
| 0.000 | 0.000 | -0.000 | 0.000 | 62.658 | 11.861 | 
| 0.000 | -0.000 | -0.000 | -0.000 | 11.861 | 41.931 | 
| 126.367 | 42.504 | 62.245 | 11.861 | -0.000 | 0.000 | 
| 373.082 | 420.039 | -418.943 | -10.172 | 0.000 | -0.000 | 
| 393.481 | 393.481 | -346.082 | 0.000 | -0.000 | -0.000 | 
| 330.504 | 310.124 | -490.074 | 41.838 | 0.000 | 0.000 | 
| 282.308 | 282.308 | -435.823 | -0.000 | 51.315 | 10.841 | 
| 282.333 | 282.333 | -435.862 | 0.000 | 10.841 | 34.323 | 
| 126.367 | 42.504 | 62.245 | 11.861 | -0.000 | 0.000 | 
| -238.647 | -170.016 | 506.439 | -10.840 | -0.000 | -0.000 | 
| -225.202 | -225.202 | 635.063 | 0.000 | -0.000 | 0.000 | 
| 11.861 | -11.861 | -0.000 | 62.658 | -0.000 | 0.000 | 
| -282.308 | -282.308 | 435.823 | 0.000 | 51.315 | 10.841 | 
| -282.333 | -282.333 | 435.862 | -0.000 | 10.841 | 34.323 | 
| 126.368 | 42.504 | 62.246 | 11.861 | 0.000 | 0.000 | 
| 42.504 | 126.368 | 62.246 | -11.861 | 0.000 | -0.000 | 
| 99.347 | 99.347 | 102.885 | 0.000 | -0.000 | 0.000 | 
| 41.993 | 21.592 | -48.640 | 41.960 | 0.000 | -0.000 | 
| 28.758 | 28.758 | -44.396 | -0.000 | 51.103 | 10.822 | 
| 32.064 | 32.064 | -49.051 | 0.000 | 10.182 | 23.622 | 
| 68.206 | 23.281 | 120.513 | 11.053 | -0.000 | -0.000 | 
| 42.504 | 126.366 | 62.245 | -11.861 | -0.000 | 0.000 | 
| 42.647 | 42.647 | 190.396 | -0.000 | -0.000 | -0.000 | 
| -19.901 | -41.993 | 50.493 | 43.702 | -0.000 | 0.000 | 
| -28.758 | -28.758 | 44.396 | 0.000 | 51.103 | 10.822 | 
| -32.064 | -32.064 | 49.051 | -0.000 | 10.182 | 23.622 | 
| 66.638 | 38.038 | 35.065 | 0.000 | 0.000 | -0.000 | 
| 38.257 | 74.622 | 33.730 | 0.000 | 0.000 | 0.000 | 
| 35.771 | 34.217 | 85.928 | 0.000 | 0.000 | -0.000 | 
| 0.000 | 0.000 | -0.000 | 34.031 | 0.000 | -0.000 | 
| 0.000 | 0.000 | -0.000 | 0.000 | 35.367 | -0.000 | 
| 0.000 | 0.000 | -0.000 | 0.000 | 0.000 | 37.366 | 
| 66.638 | 38.038 | 35.065 | -0.000 | -0.000 | -0.000 | 
| 38.257 | 74.622 | 33.730 | 0.000 | -0.000 | 0.000 | 
| 35.770 | 34.216 | 85.928 | -0.000 | -0.000 | -0.000 | 
| -0.000 | -0.000 | 0.000 | 34.031 | -0.000 | 0.000 | 
| -0.000 | -0.000 | 0.000 | -0.000 | 35.367 | 0.000 | 
| -0.000 | -0.000 | 0.000 | -0.000 | -0.000 | 37.366 | 
| 66.638 | 38.039 | 35.065 | 0.000 | 0.000 | -0.000 | 
| 38.257 | 74.622 | 33.730 | 0.000 | 0.000 | 0.000 | 
| 35.771 | 34.217 | 85.928 | -0.000 | 0.000 | 0.000 | 
| 0.000 | 0.000 | -0.000 | 34.031 | 0.000 | -0.000 | 
| 0.000 | 0.000 | -0.000 | 0.000 | 35.367 | -0.000 | 
| 0.000 | 0.000 | -0.000 | -0.000 | 0.000 | 37.366 | 
| 66.638 | 38.038 | 35.065 | -0.000 | -0.000 | 0.000 | 
| 38.257 | 74.622 | 33.730 | -0.000 | -0.000 | 0.000 | 
| 35.770 | 34.216 | 85.928 | -0.000 | -0.000 | 0.000 | 
| -0.000 | -0.000 | 0.000 | 34.031 | -0.000 | 0.000 | 
| -0.000 | -0.000 | 0.000 | -0.000 | 35.367 | -0.000 | 
| -0.000 | -0.000 | 0.000 | -0.000 | -0.000 | 37.366 | 
| 66.638 | 38.039 | 35.065 | 0.000 | 0.000 | -0.000 | 
| 38.257 | 74.622 | 33.730 | 0.000 | 0.000 | 0.000 | 
| 35.771 | 34.217 | 85.928 | -0.000 | 0.000 | 0.000 | 
| -0.000 | -0.000 | -0.000 | 34.031 | 0.000 | -0.000 | 
| -0.000 | -0.000 | -0.000 | 0.000 | 35.367 | 0.000 | 
| -0.000 | -0.000 | -0.000 | -0.000 | 0.000 | 37.366 | 
| 66.639 | 38.038 | 35.065 | -0.000 | -0.000 | -0.000 | 
| 38.257 | 74.623 | 33.730 | -0.000 | -0.000 | 0.000 | 
| 35.770 | 34.216 | 85.929 | -0.000 | -0.000 | 0.000 | 
| 0.000 | 0.000 | 0.000 | 34.031 | -0.000 | 0.000 | 
| 0.000 | 0.000 | 0.000 | -0.000 | 35.367 | -0.000 | 
| 0.000 | 0.000 | 0.000 | -0.000 | -0.000 | 37.366 | 
| 1315.897 | -1195.370 | 752.665 | -0.000 | 0.000 | 0.000 | 
| 1436.540 | -1257.465 | 862.317 | -0.000 | 0.000 | 0.000 | 
| 1346.053 | -1176.205 | 835.659 | -0.000 | 0.000 | 0.000 | 
| 1336.252 | -1296.978 | 746.397 | -19.822 | 0.000 | 0.000 | 
| 1336.299 | -1297.016 | 746.417 | -0.000 | 25.025 | 0.000 | 
| 1336.259 | -1296.953 | 746.372 | 0.000 | -0.000 | -96.256 | 
| -1356.690 | 1398.644 | -740.155 | 0.000 | -0.000 | -0.000 | 
| -0.142 | 129.257 | 66.965 | 0.000 | -0.000 | -0.000 | 
| -1326.533 | 1417.809 | -657.162 | 0.000 | -0.000 | -0.000 | 
| -1336.252 | 1296.978 | -746.397 | -19.822 | -0.000 | -0.000 | 
| -1336.299 | 1297.016 | -746.417 | 0.000 | 25.025 | -0.000 | 
| -1336.259 | 1296.953 | -746.372 | 0.000 | -0.000 | -96.256 | 
| 113.233 | -28.064 | 80.896 | -0.000 | 0.000 | 0.000 | 
| 233.876 | -90.159 | 190.548 | -0.000 | -0.000 | 0.000 | 
| 143.389 | -8.899 | 163.889 | 0.000 | 0.000 | -0.000 | 
| 86.169 | -102.078 | 65.164 | -35.159 | 0.000 | 0.000 | 
| 96.216 | -104.909 | 64.384 | -0.000 | 9.753 | 0.000 | 
| 133.659 | -129.747 | 74.674 | 0.000 | 0.000 | -96.260 | 
| -154.026 | 231.338 | -68.386 | 0.000 | -0.000 | -0.000 | 
| -33.383 | 169.243 | 41.265 | -0.000 | -0.000 | -0.000 | 
| -123.864 | 250.493 | 14.614 | 0.000 | -0.000 | -0.000 | 
| -86.169 | 102.078 | -65.164 | -35.159 | -0.000 | -0.000 | 
| -96.216 | 104.909 | -64.384 | 0.000 | 9.753 | -0.000 | 
| -133.659 | 129.747 | -74.674 | 0.000 | 0.000 | -96.260 | 
| -7.033 | 88.666 | 13.719 | -0.000 | 0.000 | 0.000 | 
| 113.611 | 26.571 | 123.373 | -0.000 | 0.000 | 0.000 | 
| 36.232 | 100.667 | 98.901 | -0.000 | 0.000 | -0.000 | 
| 13.363 | -12.970 | 7.464 | -19.731 | 0.000 | -0.000 | 
| 13.363 | -12.970 | 7.464 | -0.000 | 25.025 | 0.000 | 
| 13.368 | -12.979 | 7.469 | -0.000 | -0.000 | -96.267 | 
| -33.761 | 114.608 | -1.210 | 0.000 | -0.000 | -0.000 | 
| 86.882 | 52.514 | 108.441 | 0.000 | -0.000 | -0.000 | 
| -3.603 | 133.772 | 81.783 | 0.000 | 0.000 | -0.000 | 
| -13.363 | 12.970 | -7.464 | -19.731 | -0.000 | -0.000 | 
| -13.363 | 12.970 | -7.464 | 0.000 | 25.025 | -0.000 | 
| -13.368 | 12.979 | -7.469 | -0.000 | 0.000 | -96.267 | 
| 455.190 | 357.236 | 357.236 | -0.000 | -0.000 | -0.000 | 
| 357.236 | 455.190 | 357.236 | -0.000 | -0.000 | -0.000 | 
| 357.236 | 357.236 | 455.190 | -0.000 | -0.000 | -0.000 | 
| 311.744 | 311.744 | 311.744 | 2.504 | -0.000 | -0.000 | 
| 311.744 | 311.744 | 311.744 | -0.000 | 2.504 | -0.000 | 
| 311.744 | 311.744 | 311.744 | -0.000 | -0.000 | 2.504 | 
| -189.492 | -268.990 | -268.990 | 0.000 | 0.000 | 0.000 | 
| -268.990 | -189.492 | -268.990 | 0.000 | 0.000 | 0.000 | 
| -268.990 | -268.990 | -189.492 | 0.000 | 0.000 | 0.000 | 
| -317.513 | -317.513 | -317.513 | 20.808 | 0.000 | 0.000 | 
| -317.513 | -317.513 | -317.513 | 0.000 | 20.808 | 0.000 | 
| -311.744 | -311.744 | -311.744 | 0.000 | 0.000 | 2.505 | 
| 158.679 | 31.325 | 31.325 | 0.000 | 0.000 | 0.000 | 
| 31.325 | 158.679 | 31.325 | 0.000 | 0.000 | 0.000 | 
| 69.425 | 69.425 | 174.230 | -0.000 | -0.000 | -0.000 | 
| -0.631 | -0.631 | -0.631 | 40.943 | 0.000 | 0.000 | 
| -0.631 | -0.631 | -0.631 | 0.000 | 40.943 | 0.000 | 
| -0.631 | -0.631 | -0.631 | 0.000 | 0.000 | 40.943 | 
| 159.308 | 29.905 | 29.905 | -0.000 | -0.000 | -0.000 | 
| 29.905 | 159.308 | 29.905 | -0.000 | -0.000 | -0.000 | 
| 29.905 | 29.905 | 159.308 | -0.000 | -0.000 | -0.000 | 
| 0.631 | 0.631 | 0.631 | 40.943 | -0.000 | -0.000 | 
| 0.631 | 0.631 | 0.631 | -0.000 | 40.943 | -0.000 | 
| 0.631 | 0.631 | 0.631 | -0.000 | -0.000 | 40.943 | 
| 144.478 | 38.647 | 38.647 | -0.000 | -0.000 | -0.000 | 
| 38.647 | 144.478 | 38.647 | -0.000 | -0.000 | -0.000 | 
| 38.647 | 38.647 | 144.478 | -0.000 | -0.000 | -0.000 | 
| -2.076 | -2.076 | -2.076 | 26.348 | -0.000 | -0.000 | 
| 0.000 | 0.000 | 0.000 | -0.000 | 36.989 | -0.000 | 
| -2.076 | -2.076 | -2.076 | -0.000 | -0.000 | 26.348 | 
| 146.879 | 43.754 | 43.754 | 0.000 | 0.000 | 0.000 | 
| 43.754 | 146.879 | 43.754 | 0.000 | 0.000 | 0.000 | 
| 43.754 | 43.754 | 146.879 | 0.000 | 0.000 | 0.000 | 
| -0.000 | -0.000 | -0.000 | 36.989 | -0.000 | 0.000 | 
| -0.000 | -0.000 | -0.000 | 0.000 | 36.989 | 0.000 | 
| 2.076 | 2.076 | 2.076 | 0.000 | 0.000 | 26.348 | 
| 93.434 | 41.505 | 41.505 | 0.000 | 0.000 | -0.000 | 
| 41.505 | 93.434 | 41.505 | 0.000 | 0.000 | -0.000 | 
| 41.505 | 41.505 | 93.434 | 0.000 | 0.000 | -0.000 | 
| 131.524 | 131.524 | 131.524 | 5.175 | 0.000 | 0.000 | 
| 131.524 | 131.524 | 131.524 | -0.000 | 5.175 | -0.000 | 
| 131.524 | 131.524 | 131.524 | 0.000 | -0.000 | 5.175 | 
| -75.276 | -79.243 | -79.243 | -0.000 | -0.000 | 0.000 | 
| -79.243 | -75.276 | -79.243 | -0.000 | -0.000 | 0.000 | 
| -79.243 | -79.242 | -75.276 | -0.000 | -0.000 | 0.000 | 
| -131.524 | -131.524 | -131.524 | 5.175 | -0.000 | 0.000 | 
| -131.524 | -131.524 | -131.524 | -0.000 | 5.175 | 0.000 | 
| -131.524 | -131.524 | -131.524 | 0.000 | -0.000 | 5.175 | 
| 84.003 | 53.045 | 53.045 | 0.000 | -0.000 | -0.000 | 
| 53.045 | 84.003 | 53.045 | 0.000 | -0.000 | 0.000 | 
| 53.045 | 53.045 | 84.003 | -0.000 | 0.000 | -0.000 | 
| 0.000 | 0.000 | 0.000 | 41.901 | 0.000 | 0.000 | 
| 0.000 | 0.000 | 0.000 | 0.000 | 41.901 | -0.000 | 
| 0.000 | 0.000 | 0.000 | 0.000 | 0.000 | 41.901 | 
| 93.434 | 41.505 | 41.505 | -0.000 | -0.000 | -0.000 | 
| 41.505 | 93.434 | 41.505 | -0.000 | -0.000 | 0.000 | 
| 41.505 | 41.505 | 93.434 | -0.000 | -0.000 | -0.000 | 
| -0.000 | -0.000 | -0.000 | 41.901 | -0.000 | -0.000 | 
| -0.000 | -0.000 | -0.000 | -0.000 | 41.901 | 0.000 | 
| -0.000 | -0.000 | -0.000 | -0.000 | -0.000 | 41.901 | 
| 81.630 | 46.179 | 46.179 | -0.000 | 0.000 | 0.000 | 
| 46.179 | 81.630 | 46.179 | -0.000 | 0.000 | 0.000 | 
| 46.179 | 46.179 | 81.630 | 0.000 | 0.000 | 0.000 | 
| 0.000 | 0.000 | 0.000 | 41.901 | 0.000 | -0.000 | 
| 0.000 | 0.000 | 0.000 | 0.000 | 41.901 | -0.000 | 
| 0.000 | 0.000 | 0.000 | 0.000 | -0.000 | 41.901 | 
| 93.433 | 41.505 | 41.505 | -0.000 | -0.000 | -0.000 | 
| 41.505 | 93.433 | 41.505 | 0.000 | 0.000 | -0.000 | 
| 41.505 | 41.505 | 93.433 | -0.000 | 0.000 | 0.000 | 
| -0.000 | -0.000 | -0.000 | 41.901 | 0.000 | 0.000 | 
| -0.000 | -0.000 | -0.000 | -0.000 | 41.901 | 0.000 | 
| -0.000 | -0.000 | -0.000 | -0.000 | 0.000 | 41.901 | 
| 133.163 | -6.353 | 47.536 | -0.000 | -0.000 | 0.000 | 
| -6.136 | 233.762 | 16.044 | 0.000 | -0.000 | 0.000 | 
| 47.236 | 14.619 | 87.404 | -0.000 | -0.000 | -0.000 | 
| 0.292 | -2.562 | 4.320 | 0.939 | -0.000 | -0.000 | 
| 0.048 | -0.423 | 0.713 | -0.000 | 47.196 | -0.000 | 
| 0.050 | -0.440 | 0.742 | -0.000 | -0.000 | -6.125 | 
| 133.105 | -5.846 | 46.681 | 0.000 | 0.000 | 0.000 | 
| -6.233 | 234.607 | 14.619 | 0.000 | 0.000 | 0.000 | 
| 47.140 | 15.465 | 85.979 | 0.000 | 0.000 | -0.000 | 
| -0.048 | 0.423 | -0.713 | -16.481 | 0.000 | -0.000 | 
| -0.048 | 0.423 | -0.713 | -0.000 | 47.196 | 0.000 | 
| -0.050 | 0.440 | -0.742 | 0.000 | 0.000 | -6.125 | 
| 133.158 | -6.311 | 47.465 | -0.000 | -0.000 | -0.000 | 
| -6.180 | 234.143 | 15.403 | 0.000 | -0.000 | 0.000 | 
| 47.193 | 15.000 | 86.763 | -0.000 | -0.000 | 0.000 | 
| 0.005 | -0.042 | 0.071 | -16.481 | -0.000 | 0.000 | 
| 0.005 | -0.042 | 0.071 | -0.000 | 47.196 | 0.000 | 
| 0.027 | -0.235 | 0.396 | -0.000 | -0.000 | -6.168 | 
| 133.148 | -6.226 | 47.323 | 0.000 | 0.000 | -0.000 | 
| -6.189 | 234.227 | 15.260 | 0.000 | 0.000 | 0.000 | 
| 47.183 | 15.084 | 86.620 | 0.000 | 0.000 | 0.000 | 
| -0.005 | 0.042 | -0.071 | -16.481 | 0.000 | 0.000 | 
| -0.005 | 0.042 | -0.071 | 0.000 | 47.196 | 0.000 | 
| -0.027 | 0.235 | -0.396 | 0.000 | 0.000 | -6.168 | 
| 133.154 | -6.273 | 47.401 | -0.000 | -0.000 | 0.000 | 
| -6.269 | 234.928 | 14.079 | -0.000 | -0.000 | 0.000 | 
| 47.189 | 15.038 | 86.699 | -0.000 | -0.000 | -0.000 | 
| 0.000 | -0.005 | 0.007 | -16.481 | -0.000 | 0.000 | 
| 0.001 | -0.004 | 0.007 | -0.000 | 47.196 | -0.000 | 
| 0.008 | -0.073 | 0.122 | -0.000 | -0.000 | -6.280 | 
| 133.162 | -6.353 | 47.536 | 0.000 | 0.000 | -0.000 | 
| -6.185 | 234.188 | 15.324 | 0.000 | 0.000 | 0.000 | 
| 47.188 | 15.046 | 86.684 | 0.000 | 0.000 | 0.000 | 
| -0.000 | 0.005 | -0.007 | -16.481 | 0.000 | -0.000 | 
| -0.001 | 0.004 | -0.007 | 0.000 | 47.196 | -0.000 | 
| -0.008 | 0.073 | -0.122 | 0.000 | 0.000 | -6.280 | 
| 65.459 | 21.781 | 82.162 | -85.467 | -0.000 | 0.000 | 
| 21.781 | 65.459 | 82.162 | 85.467 | 0.000 | -0.000 | 
| 82.186 | 82.186 | 5.237 | -0.000 | -0.000 | -0.000 | 
| -85.467 | 85.467 | -0.000 | 82.269 | -0.000 | -0.000 | 
| 0.000 | 0.000 | 0.000 | -0.000 | 82.269 | -85.467 | 
| 0.000 | 0.000 | -0.000 | -0.000 | -85.467 | 21.839 | 
| 65.459 | 21.781 | 82.162 | -85.467 | 0.000 | -0.000 | 
| 21.781 | 65.459 | 82.162 | 85.467 | 0.000 | 0.000 | 
| 82.186 | 82.186 | 5.237 | 0.000 | 0.000 | 0.000 | 
| -85.467 | 85.467 | 0.000 | 82.269 | 0.000 | 0.000 | 
| -0.000 | -0.000 | -0.000 | 0.000 | 82.269 | -85.467 | 
| -0.000 | -0.000 | -0.000 | 0.000 | -85.467 | 21.839 | 
| 65.459 | 21.781 | 82.162 | -85.467 | -0.000 | -0.000 | 
| 21.781 | 65.459 | 82.162 | 85.467 | -0.000 | -0.000 | 
| 82.186 | 82.186 | 5.237 | -0.000 | -0.000 | -0.000 | 
| -85.467 | 85.467 | 0.000 | 82.269 | -0.000 | -0.000 | 
| 0.000 | 0.000 | 0.000 | -0.000 | 82.269 | -85.467 | 
| 0.000 | 0.000 | 0.000 | -0.000 | -85.467 | 21.839 | 
| 65.459 | 21.781 | 82.162 | -85.467 | 0.000 | -0.000 | 
| 21.781 | 65.459 | 82.162 | 85.467 | 0.000 | -0.000 | 
| 82.186 | 82.186 | 5.237 | 0.000 | 0.000 | 0.000 | 
| -85.467 | 85.467 | -0.000 | 82.269 | 0.000 | 0.000 | 
| -0.000 | -0.000 | -0.000 | 0.000 | 82.269 | -85.467 | 
| -0.000 | -0.000 | -0.000 | 0.000 | -85.467 | 21.839 | 
| 65.460 | 21.781 | 82.162 | -85.467 | 0.000 | -0.000 | 
| 21.781 | 65.460 | 82.162 | 85.467 | -0.000 | -0.000 | 
| 82.186 | 82.186 | 5.237 | -0.000 | -0.000 | 0.000 | 
| -85.467 | 85.467 | 0.000 | 82.269 | -0.000 | -0.000 | 
| 0.000 | 0.000 | 0.000 | -0.000 | 82.269 | -85.467 | 
| 0.000 | 0.000 | 0.000 | -0.000 | -85.467 | 21.839 | 
| 65.459 | 21.781 | 82.161 | -85.467 | 0.000 | 0.000 | 
| 21.781 | 65.459 | 82.161 | 85.467 | 0.000 | 0.000 | 
| 82.186 | 82.186 | 5.236 | 0.000 | 0.000 | -0.000 | 
| -85.467 | 85.467 | -0.000 | 82.268 | 0.000 | 0.000 | 
| -0.000 | -0.000 | -0.000 | 0.000 | 82.269 | -85.467 | 
| -0.000 | -0.000 | -0.000 | 0.000 | -85.467 | 21.839 | 
| -659263200.321 | -654059192.983 | -806310285.827 | 753613.514 | -1073762.555 | -6839853.474 | 
| 26.258 | 78.771 | -6.987 | 0.000 | 0.000 | -0.000 | 
| -6.986 | -6.986 | 118.460 | 0.000 | -0.000 | -0.000 | 
| -0.000 | 0.000 | 0.000 | -6.987 | -0.000 | -0.000 | 
| 0.000 | 0.000 | 0.000 | 0.000 | -6.987 | -0.000 | 
| -0.000 | 0.000 | 0.000 | -0.000 | -0.000 | -42.684 | 
| 9.830 | 95.198 | -6.987 | -0.000 | 0.000 | 0.000 | 
| 95.198 | 9.830 | -6.987 | -0.000 | 0.000 | 0.000 | 
| -6.986 | -6.986 | 118.460 | -0.000 | 0.000 | 0.000 | 
| 0.000 | -0.000 | -0.000 | -6.987 | 0.000 | 0.000 | 
| -0.000 | -0.000 | -0.000 | -0.000 | -6.987 | 0.000 | 
| -0.000 | -0.000 | -0.000 | 0.000 | 0.000 | -42.684 | 
| 78.771 | 26.258 | -6.987 | -0.000 | -0.000 | -0.000 | 
| 26.258 | 78.771 | -6.987 | -0.000 | -0.000 | -0.000 | 
| -6.986 | -6.986 | 118.460 | 0.000 | -0.000 | -0.000 | 
| -0.000 | 0.000 | -0.000 | -6.987 | -0.000 | -0.000 | 
| -0.000 | 0.000 | -0.000 | 0.000 | -6.987 | -0.000 | 
| -0.000 | 0.000 | -0.000 | 0.000 | -0.000 | -59.156 | 
| 9.830 | 95.199 | -6.987 | -0.000 | 0.000 | 0.000 | 
| 26.258 | 78.771 | -6.987 | -0.000 | 0.000 | 0.000 | 
| -6.986 | -6.986 | 118.460 | 0.000 | 0.000 | 0.000 | 
| 0.000 | -0.000 | 0.000 | -6.987 | 0.000 | 0.000 | 
| 0.000 | -0.000 | 0.000 | -0.000 | -6.987 | 0.000 | 
| 0.000 | -0.000 | 0.000 | -0.000 | 0.000 | -59.156 | 
| -7387954.181 | -7367758.885 | -7593151.574 | 7619.798 | -3893.287 | -39573.297 | 
| -6361491.809 | -6188995.773 | -8979398.338 | -7738.009 | -2600.939 | 192995.188 | 
| -6.986 | -6.986 | 118.460 | 0.000 | -0.000 | -0.000 | 
| -0.000 | -0.000 | -0.000 | -6.987 | -0.000 | -0.000 | 
| -0.000 | -0.000 | -0.000 | 0.000 | -6.987 | -0.000 | 
| -7174758.236 | -7293903.042 | -8897778.610 | 8681.296 | 2641.382 | 4429.248 | 
| 6199976.959 | 6232654.964 | 8959399.085 | 4117.928 | -7386.627 | 16836.315 | 
| 7233228.304 | 7192808.937 | 7485001.692 | 20935.258 | -24257.415 | -4633.758 | 
| -6.986 | -6.986 | 118.460 | -0.000 | 0.000 | 0.000 | 
| 0.000 | 0.000 | 0.000 | -6.987 | -0.000 | -0.000 | 
| 0.000 | 0.000 | 0.000 | -0.000 | -6.987 | 0.000 | 
| 6758804.910 | 6690723.832 | 8299304.406 | -23012.304 | -3628.351 | -22780.954 | 
| 123.953 | 41.541 | 61.776 | 11.341 | 0.000 | -0.000 | 
| 30.377 | 84.434 | 95.557 | -9.339 | 0.000 | 0.000 | 
| 57.674 | 57.674 | 167.295 | 0.000 | 0.000 | 0.000 | 
| -5.313 | -23.774 | 20.146 | 39.529 | 0.000 | 0.000 | 
| 0.000 | 0.000 | 0.000 | 0.000 | 61.668 | 11.341 | 
| -0.000 | 0.000 | 0.000 | 0.000 | 11.341 | 41.206 | 
| 123.953 | 41.541 | 61.776 | 11.341 | -0.000 | -0.000 | 
| 41.541 | 123.953 | 61.776 | -11.341 | -0.000 | -0.000 | 
| 89.270 | 89.270 | 118.614 | -0.000 | 0.000 | -0.000 | 
| 23.774 | 5.313 | -20.146 | 39.529 | -0.000 | -0.000 | 
| -0.000 | -0.000 | -0.000 | -0.000 | 61.668 | 11.341 | 
| 0.000 | -0.000 | -0.000 | -0.000 | 11.341 | 41.206 | 
| 96.416 | 48.738 | 73.673 | 9.625 | 0.000 | 0.000 | 
| 41.541 | 123.953 | 61.776 | -11.341 | -0.000 | -0.000 | 
| 61.890 | 61.890 | 157.501 | 0.000 | 0.000 | 0.000 | 
| 11.341 | -11.341 | 0.000 | 61.668 | 0.000 | 0.000 | 
| -1.118 | -1.118 | 1.548 | -0.000 | 44.655 | 9.719 | 
| 0.000 | 0.000 | 0.000 | 0.000 | 11.341 | 41.206 | 
| 123.953 | 41.541 | 61.776 | 11.341 | 0.000 | 0.000 | 
| 41.541 | 123.953 | 61.776 | -11.341 | -0.000 | -0.000 | 
| 61.890 | 61.890 | 157.501 | -0.000 | -0.000 | 0.000 | 
| 11.341 | -11.341 | -0.000 | 61.668 | 0.000 | -0.000 | 
| 1.118 | 1.118 | -1.548 | 0.000 | 44.655 | 9.719 | 
| -0.000 | -0.000 | -0.000 | -0.000 | 11.341 | 41.206 | 
| 123.953 | 41.541 | 61.777 | 11.341 | 0.000 | -0.000 | 
| 41.541 | 123.953 | 61.777 | -11.341 | 0.000 | -0.000 | 
| 70.634 | 70.634 | 143.834 | 0.000 | -0.000 | -0.000 | 
| 9.626 | -9.847 | 0.153 | 44.837 | -0.000 | 0.000 | 
| -0.011 | -0.004 | -0.303 | -0.033 | 61.611 | 11.335 | 
| -0.169 | -0.169 | 0.234 | 0.000 | 8.890 | 23.852 | 
| 97.094 | 50.490 | 71.582 | 9.585 | -0.000 | 0.000 | 
| 41.540 | 123.952 | 61.776 | -11.341 | -0.000 | 0.000 | 
| 71.327 | 71.327 | 142.155 | -0.000 | -0.000 | -0.000 | 
| 11.341 | -11.327 | 0.303 | 61.602 | -0.000 | 0.000 | 
| 0.011 | 0.004 | 0.303 | 0.033 | 61.611 | 11.335 | 
| 0.169 | 0.169 | -0.234 | -0.000 | 8.890 | 23.852 | 
| 180.980 | 57.858 | 21.880 | 0.000 | -0.000 | -0.000 | 
| 665.858 | -508.150 | -101.442 | 0.000 | -0.000 | -0.000 | 
| 604.492 | -648.500 | 47.963 | 0.000 | -0.000 | 0.000 | 
| 581.041 | -670.093 | -125.009 | 11.367 | 0.000 | -0.000 | 
| 0.000 | 0.000 | 0.000 | 0.000 | 20.261 | 0.000 | 
| 0.000 | 0.000 | 0.000 | 0.000 | -0.000 | 57.503 | 
| -439.348 | 763.369 | 150.266 | -0.000 | -0.000 | -0.000 | 
| -496.029 | 831.791 | 148.773 | -0.000 | -0.000 | -0.000 | 
| -557.243 | 691.273 | 297.934 | 0.000 | -0.000 | -0.000 | 
| -581.041 | 670.093 | 125.009 | 11.367 | 0.000 | -0.000 | 
| -0.000 | -0.000 | -0.000 | 0.000 | 20.261 | -0.000 | 
| -0.000 | -0.000 | -0.000 | -0.000 | -0.000 | 57.503 | 
| 200.173 | 26.538 | 13.037 | -0.000 | -0.000 | 0.000 | 
| 142.588 | 95.384 | 10.435 | 0.000 | 0.000 | 0.000 | 
| 20.176 | 15.920 | 191.816 | 0.000 | -0.000 | 0.000 | 
| 58.118 | -67.026 | -12.504 | 11.366 | -0.000 | 0.000 | 
| 58.236 | -67.162 | -12.529 | 0.000 | 17.991 | 0.000 | 
| 0.000 | 0.000 | 0.000 | 0.000 | -0.000 | 57.503 | 
| 43.751 | 177.206 | 35.629 | -0.000 | -0.000 | -0.000 | 
| 56.786 | 195.477 | 16.552 | -0.000 | 0.000 | -0.000 | 
| -62.983 | 85.363 | 197.086 | -0.000 | 0.000 | -0.000 | 
| -58.118 | 67.026 | 12.504 | 11.366 | -0.000 | -0.000 | 
| -58.236 | 67.162 | 12.529 | -0.000 | 17.991 | -0.000 | 
| -0.000 | -0.000 | -0.000 | -0.000 | 0.000 | 57.503 | 
| 180.981 | 57.859 | 21.880 | 0.000 | 0.000 | 0.000 | 
| 96.705 | 149.614 | 24.118 | 0.000 | -0.000 | -0.000 | 
| 26.580 | 15.396 | 177.271 | 0.000 | -0.000 | 0.000 | 
| 5.880 | -6.781 | -1.265 | 11.324 | 0.000 | -0.000 | 
| 6.705 | -7.733 | -1.443 | 0.000 | 17.648 | 0.000 | 
| 7.936 | -4.439 | -5.764 | -0.000 | 0.000 | 16.693 | 
| 180.979 | 57.858 | 21.879 | -0.000 | 0.000 | -0.000 | 
| 83.472 | 163.523 | 23.548 | -0.000 | 0.000 | -0.000 | 
| 18.305 | 24.381 | 180.118 | -0.000 | 0.000 | -0.000 | 
| -5.880 | 6.781 | 1.265 | 11.324 | 0.000 | -0.000 | 
| -6.705 | 7.733 | 1.443 | 0.000 | 17.648 | -0.000 | 
| -7.936 | 4.439 | 5.764 | -0.000 | 0.000 | 16.693 | 
| -15.009 | 100.567 | 8.144 | -0.000 | 0.000 | 0.000 | 
| 0.768 | 130.304 | 67.534 | -0.000 | 0.000 | 0.000 | 
| 31.913 | 109.334 | 93.202 | -0.000 | 0.000 | 0.000 | 
| 1.137 | -0.781 | 0.329 | -19.670 | 0.000 | 0.000 | 
| 0.587 | -0.403 | 0.170 | -0.000 | 25.209 | 0.000 | 
| -0.000 | 0.000 | 0.000 | -0.000 | 0.000 | -2.100 | 
| -21.330 | 104.252 | 6.920 | 0.000 | -0.000 | -0.000 | 
| 38.694 | 72.603 | 107.862 | 0.000 | -0.000 | -0.000 | 
| 8.011 | 122.614 | 89.176 | 0.000 | -0.000 | -0.000 | 
| -1.137 | 0.781 | -0.329 | -19.670 | -0.000 | -0.000 | 
| -0.587 | 0.403 | -0.170 | 0.000 | 25.209 | -0.000 | 
| -0.000 | -0.000 | -0.000 | 0.000 | -0.000 | -2.100 | 
| -17.853 | 102.226 | 7.593 | -0.000 | 0.000 | 0.000 | 
| 0.768 | 130.304 | 67.534 | -0.000 | 0.000 | 0.000 | 
| 11.488 | 120.587 | 89.850 | -0.000 | 0.000 | 0.000 | 
| -0.000 | -0.000 | 0.000 | 72.930 | 0.000 | 0.000 | 
| 0.059 | -0.040 | 0.017 | -0.000 | 25.219 | 0.000 | 
| 0.551 | -0.378 | 0.159 | -0.000 | 0.000 | -94.216 | 
| -18.486 | 102.594 | 7.471 | 0.000 | -0.000 | -0.000 | 
| 101.110 | 40.394 | 116.086 | 0.000 | -0.000 | -0.000 | 
| 10.856 | 120.956 | 89.727 | 0.000 | -0.000 | -0.000 | 
| 0.000 | 0.000 | -0.000 | 72.930 | -0.000 | -0.000 | 
| -0.059 | 0.040 | -0.017 | 0.000 | 25.219 | -0.000 | 
| -0.551 | 0.378 | -0.159 | 0.000 | -0.000 | -94.216 | 
| -18.137 | 102.390 | 7.539 | -0.000 | 0.000 | 0.000 | 
| 101.459 | 40.190 | 116.155 | -0.000 | 0.000 | 0.000 | 
| 11.204 | 120.753 | 89.796 | -0.000 | 0.000 | 0.000 | 
| 0.014 | -0.008 | 0.003 | -19.704 | 0.000 | 0.000 | 
| 0.006 | -0.004 | 0.002 | -0.000 | 25.220 | 0.000 | 
| 0.055 | -0.038 | 0.015 | -0.000 | 0.000 | -94.216 | 
| -18.203 | 102.429 | 7.525 | 0.000 | -0.000 | -0.000 | 
| 101.393 | 40.230 | 116.139 | 0.000 | -0.000 | -0.000 | 
| 11.140 | 120.790 | 89.782 | 0.000 | -0.000 | -0.000 | 
| -0.014 | 0.008 | -0.003 | -19.704 | -0.000 | -0.000 | 
| -0.006 | 0.004 | -0.002 | 0.000 | 25.220 | -0.000 | 
| -0.055 | 0.038 | -0.015 | 0.000 | -0.000 | -94.216 | 
| 90.251 | 88.439 | 54.172 | -0.000 | 0.000 | -0.000 | 
| 101.837 | 62.605 | -14.443 | -0.000 | 0.000 | 0.000 | 
| 70.736 | -11.277 | 35.073 | -0.000 | 0.000 | -0.000 | 
| 0.000 | 0.000 | 0.000 | 27.793 | 0.000 | -0.000 | 
| 4.743 | -3.229 | -2.332 | -0.000 | -59.649 | -0.000 | 
| 0.000 | 0.000 | 0.000 | 0.000 | 0.000 | 41.455 | 
| 88.148 | 89.871 | 55.206 | -0.000 | -0.000 | -0.000 | 
| 99.733 | 64.037 | -13.409 | 0.000 | -0.000 | -0.000 | 
| 68.632 | -9.845 | 36.107 | 0.000 | 0.000 | -0.000 | 
| -0.000 | -0.000 | -0.000 | 27.793 | -0.000 | 0.000 | 
| -4.743 | 3.229 | 2.332 | -0.000 | -59.649 | -0.000 | 
| -0.000 | -0.000 | -0.000 | -0.000 | -0.000 | 41.455 | 
| 89.305 | 89.084 | 54.637 | -0.000 | 0.000 | 0.000 | 
| 100.890 | 63.249 | -13.978 | -0.000 | 0.000 | -0.000 | 
| 69.789 | -10.632 | 35.538 | -0.000 | 0.000 | 0.000 | 
| 0.105 | -0.072 | -0.052 | 27.793 | 0.000 | 0.000 | 
| 0.000 | -0.000 | 0.000 | -0.000 | 29.115 | -0.000 | 
| 0.319 | -0.217 | -0.157 | 0.000 | 0.000 | -72.955 | 
| 170.630 | 33.721 | 14.651 | 0.000 | -0.000 | 0.000 | 
| 100.680 | 63.392 | -13.874 | 0.000 | -0.000 | -0.000 | 
| 69.579 | -10.489 | 35.641 | -0.000 | -0.000 | 0.000 | 
| -0.105 | 0.072 | 0.052 | 27.793 | -0.000 | -0.000 | 
| -0.000 | 0.000 | -0.000 | -0.000 | 29.115 | 0.000 | 
| -0.319 | 0.217 | 0.157 | 0.000 | -0.000 | -72.955 | 
| 89.209 | 89.150 | 54.685 | 0.000 | 0.000 | -0.000 | 
| 100.795 | 63.314 | -13.931 | 0.000 | 0.000 | -0.000 | 
| 69.694 | -10.568 | 35.585 | -0.000 | 0.000 | 0.000 | 
| 0.010 | -0.007 | -0.005 | 27.793 | 0.000 | 0.000 | 
| 0.048 | -0.033 | -0.024 | -0.000 | -59.864 | -0.000 | 
| 0.032 | -0.022 | -0.016 | 0.000 | 0.000 | -72.956 | 
| 89.190 | 89.160 | 54.692 | -0.000 | -0.000 | -0.000 | 
| 100.776 | 63.327 | -13.921 | -0.000 | -0.000 | 0.000 | 
| 69.674 | -10.554 | 35.594 | -0.000 | -0.000 | -0.000 | 
| -0.010 | 0.007 | 0.005 | 27.793 | -0.000 | 0.000 | 
| -0.048 | 0.033 | 0.024 | 0.000 | -59.864 | -0.000 | 
| -0.032 | 0.022 | 0.016 | -0.000 | -0.000 | -72.956 | 
| 169.756 | 14.912 | 9.296 | -0.000 | 0.000 | -0.000 | 
| 13.495 | 153.344 | 95.481 | -0.000 | 0.000 | -0.000 | 
| 8.623 | 96.225 | 112.729 | -0.000 | 0.000 | -0.000 | 
| -0.394 | 0.516 | 0.064 | 95.992 | 0.000 | -0.000 | 
| -0.195 | 0.256 | 0.032 | -0.000 | 8.779 | -0.000 | 
| 0.000 | -0.000 | 0.000 | 0.000 | 0.000 | 9.483 | 
| 170.146 | 14.399 | 9.232 | 0.000 | -0.000 | 0.000 | 
| 13.886 | 152.831 | 95.418 | 0.000 | -0.000 | 0.000 | 
| 9.014 | 95.713 | 112.666 | 0.000 | -0.000 | 0.000 | 
| 0.394 | -0.516 | -0.064 | 95.992 | -0.000 | 0.000 | 
| 0.195 | -0.256 | -0.032 | 0.000 | 8.779 | 0.000 | 
| -0.000 | 0.000 | 0.000 | -0.000 | -0.000 | 9.483 | 
| 169.932 | 14.681 | 9.267 | -0.000 | 0.000 | -0.000 | 
| 13.671 | 153.113 | 95.453 | -0.000 | 0.000 | -0.000 | 
| 8.799 | 95.995 | 112.701 | -0.000 | 0.000 | -0.000 | 
| -0.046 | 0.060 | 0.007 | 95.964 | -0.000 | -0.000 | 
| -0.020 | 0.026 | 0.003 | -0.000 | 8.779 | -0.000 | 
| -0.386 | 0.506 | 0.063 | -0.000 | 0.000 | -53.276 | 
| 169.970 | 14.630 | 9.261 | 0.000 | -0.000 | 0.000 | 
| 13.710 | 153.062 | 95.446 | 0.000 | -0.000 | 0.000 | 
| 8.838 | 95.943 | 112.694 | 0.000 | -0.000 | 0.000 | 
| 0.046 | -0.060 | -0.007 | 95.964 | -0.000 | 0.000 | 
| 0.020 | -0.026 | -0.003 | 0.000 | 8.779 | 0.000 | 
| 0.386 | -0.506 | -0.063 | 0.000 | -0.000 | -53.276 | 
| 169.950 | 14.658 | 9.264 | -0.000 | 0.000 | -0.000 | 
| 13.689 | 153.091 | 95.450 | -0.000 | -0.000 | -0.000 | 
| 8.816 | 95.972 | 112.698 | -0.000 | 0.000 | -0.000 | 
| -0.005 | 0.006 | 0.001 | 95.963 | 0.000 | -0.000 | 
| -0.002 | 0.003 | 0.000 | -0.000 | 8.779 | -0.000 | 
| -0.037 | 0.007 | 0.004 | -0.000 | 0.000 | -553.831 | 
| 169.952 | 14.653 | 9.263 | 0.000 | -0.000 | 0.000 | 
| 13.692 | 153.084 | 95.449 | 0.000 | -0.000 | 0.000 | 
| 8.820 | 95.966 | 112.697 | 0.000 | -0.000 | 0.000 | 
| 0.005 | -0.006 | -0.001 | 95.963 | -0.000 | 0.000 | 
| 0.002 | -0.003 | -0.000 | 0.000 | 8.779 | 0.000 | 
| 0.037 | -0.007 | -0.004 | 0.000 | -0.000 | -553.831 | 
| 53.075 | 108.615 | 108.615 | -0.001 | -0.001 | -0.001 | 
| 108.615 | 53.075 | 108.615 | -0.001 | -0.001 | -0.001 | 
| 108.615 | 108.615 | 53.075 | -0.001 | -0.001 | -0.001 | 
| 0.000 | 0.000 | 0.000 | -57.596 | -0.000 | -0.000 | 
| 0.000 | 0.000 | 0.000 | -0.000 | -57.596 | -0.000 | 
| 0.000 | 0.000 | 0.000 | -0.000 | -0.000 | -57.596 | 
| 53.074 | 108.614 | 108.614 | 0.001 | 0.001 | 0.001 | 
| 108.614 | 53.074 | 108.614 | 0.001 | 0.001 | 0.001 | 
| 108.614 | 108.614 | 53.074 | 0.001 | 0.001 | 0.001 | 
| -0.000 | -0.000 | -0.000 | -57.595 | 0.000 | 0.000 | 
| -0.000 | -0.000 | -0.000 | 0.000 | -57.595 | 0.000 | 
| -0.000 | -0.000 | -0.000 | 0.000 | 0.000 | -57.595 | 
| 53.075 | 108.615 | 108.615 | -0.000 | -0.000 | -0.000 | 
| 108.615 | 53.075 | 108.615 | -0.000 | -0.000 | -0.000 | 
| 108.615 | 108.615 | 53.075 | -0.000 | -0.000 | -0.000 | 
| 0.000 | 0.000 | 0.000 | -57.612 | -0.000 | -0.000 | 
| 0.000 | 0.000 | 0.000 | -0.000 | -57.612 | -0.000 | 
| 0.000 | 0.000 | 0.000 | -0.000 | -0.000 | -57.612 | 
| 53.074 | 108.615 | 108.615 | -0.000 | 0.000 | 0.000 | 
| 108.615 | 53.074 | 108.615 | 0.000 | -0.000 | 0.000 | 
| 108.615 | 108.615 | 53.074 | 0.000 | 0.000 | 0.000 | 
| -0.000 | -0.000 | -0.000 | -57.612 | 0.000 | 0.000 | 
| -0.000 | -0.000 | -0.000 | 0.000 | -57.612 | 0.000 | 
| -0.000 | -0.000 | -0.000 | 0.000 | 0.000 | -57.612 | 
| 53.075 | 108.615 | 108.615 | 0.000 | -0.000 | -0.000 | 
| 108.615 | 53.075 | 108.615 | -0.000 | -0.000 | -0.000 | 
| 108.615 | 108.615 | 53.075 | -0.000 | -0.000 | 0.000 | 
| 0.000 | 0.000 | -0.000 | -57.614 | -0.000 | -0.000 | 
| 0.000 | 0.000 | -0.000 | -0.000 | -57.614 | -0.000 | 
| 0.000 | -0.000 | 0.000 | -0.000 | -0.000 | -57.614 | 
| 53.074 | 108.614 | 108.614 | 0.000 | 0.000 | 0.000 | 
| 108.614 | 53.074 | 108.614 | 0.000 | 0.000 | 0.000 | 
| 108.614 | 108.614 | 53.074 | 0.000 | 0.000 | 0.000 | 
| -0.000 | -0.000 | 0.000 | -57.614 | 0.000 | 0.000 | 
| -0.000 | -0.000 | 0.000 | 0.000 | -57.614 | 0.000 | 
| -0.000 | 0.000 | -0.000 | 0.000 | 0.000 | -57.614 | 
| 1995.382 | 771.170 | 534.837 | 0.001 | 0.000 | -0.000 | 
| 688.599 | 2135.730 | 591.561 | 0.000 | 0.000 | -0.000 | 
| 606.710 | 591.560 | 2355.280 | 0.000 | 0.000 | -0.000 | 
| -291.137 | 104.918 | 33.328 | 535.813 | 0.000 | -0.000 | 
| 216.153 | -402.160 | -378.403 | -0.001 | 394.341 | -0.000 | 
| 215.702 | -403.632 | -380.134 | -0.001 | 0.000 | 598.510 | 
| 2367.072 | 688.600 | 606.711 | -0.000 | -0.000 | 0.000 | 
| 482.363 | 2368.121 | 839.991 | 0.001 | -0.000 | 0.000 | 
| 273.263 | 861.633 | 2401.160 | 0.001 | -0.000 | 0.000 | 
| 291.137 | -104.918 | -33.328 | 535.812 | -0.000 | 0.000 | 
| -0.000 | -0.000 | -0.000 | -0.000 | 638.149 | 0.000 | 
| -215.702 | 403.632 | 380.134 | 0.001 | -0.000 | 598.510 | 
| 2367.077 | 688.600 | 606.711 | 0.000 | 0.000 | -0.000 | 
| 643.463 | 2022.713 | 448.975 | 0.000 | 0.000 | -0.000 | 
| 519.097 | 508.087 | 2159.743 | 0.000 | 0.000 | -0.000 | 
| 0.000 | 0.000 | 0.001 | 622.089 | 0.000 | -0.000 | 
| 0.000 | 0.000 | 0.001 | 0.000 | 638.149 | -0.000 | 
| 23.159 | -36.326 | -33.169 | -0.000 | 0.000 | 627.507 | 
| 2367.067 | 688.599 | 606.710 | -0.000 | -0.000 | 0.000 | 
| 688.598 | 2135.725 | 591.560 | -0.000 | -0.000 | 0.000 | 
| 563.333 | 509.825 | 2186.267 | -0.000 | -0.000 | 0.000 | 
| -0.000 | -0.000 | -0.001 | 622.089 | -0.000 | 0.000 | 
| -0.000 | -0.000 | -0.001 | -0.000 | 638.149 | 0.000 | 
| -23.241 | 36.355 | 33.178 | 0.000 | -0.000 | 627.701 | 
| 2292.296 | 704.619 | 563.767 | 0.000 | -0.000 | -0.000 | 
| 708.971 | 2022.823 | 517.983 | -0.000 | 0.000 | 0.000 | 
| 554.163 | 525.646 | 2209.694 | 0.000 | -0.000 | -0.000 | 
| 2.767 | -3.491 | -3.907 | 564.660 | 0.000 | -0.000 | 
| -2.094 | 0.756 | 0.246 | 0.000 | 550.076 | -0.000 | 
| -1.907 | 0.699 | 0.217 | 0.000 | 0.000 | 680.263 | 
| 2367.019 | 688.593 | 606.704 | 0.000 | 0.000 | 0.000 | 
| 688.584 | 2135.596 | 591.508 | -0.000 | -0.000 | 0.000 | 
| 557.890 | 526.002 | 2212.398 | -0.000 | -0.000 | 0.000 | 
| -2.767 | 3.491 | 3.907 | 564.660 | -0.000 | 0.000 | 
| 2.094 | -0.756 | -0.246 | -0.000 | 550.076 | 0.000 | 
| 1.907 | -0.699 | -0.217 | -0.000 | 0.000 | 680.263 | 
| 500.453 | 128.853 | 197.349 | 0.000 | 0.000 | 0.000 | 
| 424.530 | 659.778 | 175.637 | -0.014 | 0.000 | -0.000 | 
| 182.708 | 205.171 | 1008.312 | 0.000 | -0.000 | 0.000 | 
| 178.395 | 60.490 | -58.374 | 294.632 | -0.000 | -0.000 | 
| 178.486 | 60.521 | -58.403 | 0.012 | 284.610 | -0.000 | 
| 296.955 | 47.223 | -12.633 | -0.014 | -0.000 | 253.085 | 
| 295.779 | 62.223 | 266.771 | -0.012 | -0.000 | 0.000 | 
| 120.813 | 664.618 | 211.771 | 0.000 | 0.000 | 0.000 | 
| 182.708 | 205.170 | 1008.312 | -0.000 | -0.000 | 0.000 | 
| -178.393 | -60.490 | 58.373 | 294.608 | -0.000 | -0.000 | 
| -178.486 | -60.521 | 58.403 | -0.012 | 284.610 | 0.000 | 
| -296.955 | -47.223 | 12.633 | 0.014 | 0.000 | 253.085 | 
| 508.296 | 135.730 | 210.080 | -0.001 | -0.000 | -0.000 | 
| 158.386 | 596.669 | 166.345 | 0.004 | -0.000 | -0.000 | 
| 206.638 | 201.931 | 920.591 | 0.001 | 0.000 | 0.000 | 
| 32.816 | 4.275 | -5.204 | 288.967 | 0.000 | -0.000 | 
| 28.377 | 4.633 | -1.396 | -0.001 | 289.025 | -0.000 | 
| 17.507 | 5.936 | -5.728 | 0.001 | -0.000 | 255.283 | 
| 500.452 | 128.853 | 197.349 | -0.000 | -0.000 | 0.000 | 
| 97.177 | 623.758 | 207.674 | -0.001 | -0.000 | -0.000 | 
| 182.708 | 205.170 | 1008.309 | 0.000 | -0.000 | -0.000 | 
| -32.815 | -4.275 | 5.204 | 288.967 | 0.000 | 0.000 | 
| -28.377 | -4.633 | 1.396 | 0.001 | 289.025 | -0.000 | 
| -17.507 | -5.936 | 5.728 | -0.001 | -0.000 | 255.284 | 
| 480.789 | 130.749 | 214.198 | -0.000 | 0.000 | -0.000 | 
| 129.492 | 590.329 | 175.656 | 0.000 | -0.000 | 0.000 | 
| 182.716 | 205.178 | 1008.338 | -0.000 | 0.000 | -0.000 | 
| 3.039 | 0.747 | -0.539 | 290.998 | -0.000 | -0.000 | 
| 3.207 | 0.143 | -0.977 | -0.005 | 291.911 | 0.000 | 
| 3.235 | 0.206 | -1.021 | 0.003 | -0.000 | 250.584 | 
| 481.736 | 124.556 | 205.278 | -0.000 | 0.000 | 0.000 | 
| 111.805 | 619.928 | 199.721 | -0.000 | 0.000 | 0.000 | 
| 194.365 | 185.184 | 919.622 | 0.000 | -0.000 | -0.000 | 
| -3.039 | -0.747 | 0.539 | 290.998 | -0.000 | -0.000 | 
| -3.207 | -0.143 | 0.977 | 0.005 | 291.911 | 0.000 | 
| -3.235 | -0.206 | 1.021 | -0.003 | -0.000 | 250.584 | 
| 260.643 | 44.417 | 44.417 | -0.000 | 0.000 | 0.000 | 
| 44.417 | 260.643 | 44.417 | 0.000 | 0.000 | 0.000 | 
| 44.417 | 44.417 | 260.643 | 0.000 | 0.000 | 0.000 | 
| 0.000 | 0.000 | 0.000 | -59.633 | -0.000 | 0.000 | 
| 0.000 | -0.000 | 0.000 | 0.000 | -59.633 | -0.000 | 
| 0.000 | -0.000 | 0.000 | 0.000 | 0.000 | -59.633 | 
| 260.642 | 44.417 | 44.417 | -0.000 | 0.000 | 0.000 | 
| 44.417 | 260.642 | 44.417 | -0.000 | -0.000 | -0.000 | 
| 44.417 | 44.417 | 260.642 | -0.000 | -0.000 | -0.000 | 
| -0.000 | -0.000 | -0.000 | -59.633 | -0.000 | -0.000 | 
| -0.000 | -0.000 | -0.000 | -0.000 | -59.633 | -0.000 | 
| -0.000 | 0.000 | -0.000 | -0.000 | -0.000 | -59.633 | 
| 260.643 | 44.417 | 44.417 | -0.000 | -0.000 | -0.000 | 
| 44.417 | 260.643 | 44.417 | -0.000 | -0.000 | 0.000 | 
| 44.417 | 44.417 | 260.643 | -0.000 | -0.000 | 0.000 | 
| 0.000 | 0.000 | -0.000 | -59.633 | 0.000 | 0.000 | 
| 0.000 | 0.000 | -0.000 | 0.000 | -59.633 | 0.000 | 
| 0.000 | -0.000 | 0.000 | 0.000 | 0.000 | -59.633 | 
| 260.642 | 44.417 | 44.417 | -0.000 | -0.000 | -0.000 | 
| 44.417 | 260.642 | 44.417 | 0.000 | 0.000 | -0.000 | 
| 44.417 | 44.417 | 260.642 | 0.000 | -0.000 | -0.000 | 
| -0.000 | -0.000 | 0.000 | -59.633 | -0.000 | -0.000 | 
| -0.000 | -0.000 | 0.000 | -0.000 | -59.633 | -0.000 | 
| -0.000 | 0.000 | -0.000 | -0.000 | 0.000 | -59.633 | 
| 260.644 | 44.417 | 44.417 | -0.000 | -0.000 | 0.000 | 
| 44.417 | 260.644 | 44.417 | -0.000 | -0.000 | 0.000 | 
| 44.417 | 44.417 | 260.644 | -0.000 | 0.000 | -0.000 | 
| 0.000 | 0.000 | -0.000 | -59.633 | -0.000 | 0.000 | 
| 0.000 | 0.000 | -0.000 | 0.000 | -59.633 | 0.000 | 
| 0.000 | -0.000 | 0.000 | 0.000 | -0.000 | -59.633 | 
| 260.641 | 44.417 | 44.417 | 0.000 | 0.000 | -0.000 | 
| 44.417 | 260.641 | 44.417 | 0.000 | 0.000 | -0.000 | 
| 44.417 | 44.417 | 260.641 | 0.000 | 0.000 | -0.000 | 
| -0.000 | -0.000 | 0.000 | -59.633 | 0.000 | -0.000 | 
| -0.000 | -0.000 | 0.000 | -0.000 | -59.633 | -0.000 | 
| -0.000 | 0.000 | -0.000 | -0.000 | 0.000 | -59.633 | 
| 588294136.464 | 315899309.118 | 246064368.685 | 2863585.884 | 200304.419 | -39233722.317 | 
| 586723609.934 | 314676742.450 | 245163455.264 | 2844360.796 | 306993.634 | -38417903.113 | 
| 586256555.652 | 316385428.196 | 247962129.704 | 3109750.332 | 116183.930 | -33590530.348 | 
| 585252196.476 | 315987023.441 | 247525510.689 | 3088917.528 | 124568.435 | -33484254.388 | 
| 586104226.037 | 316727761.519 | 248000141.933 | 3066739.029 | 67750.677 | -33371654.306 | 
| 587321948.981 | 315036781.516 | 245391301.959 | 2826991.875 | 271057.391 | -38511035.858 | 
| -585890819.236 | -316075954.378 | -247735619.480 | -3090234.046 | -113692.335 | 33538345.009 | 
| -586644652.600 | -316116506.010 | -247743337.120 | -3126612.150 | -98118.182 | 33691830.413 | 
| -586938492.900 | -315620433.879 | -246315372.110 | -3052706.057 | -508621.636 | 38583575.581 | 
| -588629383.501 | -316255348.559 | -246314298.132 | -2904154.722 | -144206.716 | 39769507.367 | 
| -588087965.566 | -315745910.700 | -245942497.870 | -2847860.973 | -222032.373 | 39021335.962 | 
| -586434392.555 | -316190200.978 | -247832947.209 | -3116766.615 | -102719.598 | 33633248.726 | 
| 58589700.656 | 31602624.867 | 24770961.431 | 309000.798 | 11114.083 | -3354629.647 | 
| 58666119.973 | 31633467.745 | 24786663.547 | 311644.981 | 11228.197 | -3362167.818 | 
| 58563385.668 | 31568192.894 | 24737746.029 | 310100.360 | 10449.533 | -3354964.717 | 
| 58664035.199 | 31647218.770 | 24760752.687 | 309215.111 | 16361.562 | -3345573.265 | 
| 58633048.918 | 31610378.694 | 24775861.839 | 311348.081 | 10679.702 | -3359477.686 | 
| 58693323.610 | 31533803.527 | 24590871.664 | 294667.778 | 41778.956 | -3857486.443 | 
| -58669962.569 | -31500937.909 | -24560324.707 | -291972.408 | -38971.311 | 3846940.059 | 
| -58671209.617 | -31528258.621 | -24594709.886 | -299138.641 | -46518.224 | 3855041.598 | 
| -58862242.346 | -31709277.240 | -24671542.988 | -301957.743 | -11925.816 | 4086052.814 | 
| -58856893.736 | -31639066.340 | -24638779.562 | -292646.420 | -16828.998 | 3978540.743 | 
| -58741348.127 | -31530524.190 | -24563294.015 | -283791.373 | -29169.682 | 3858858.974 | 
| -58661522.884 | -31494264.239 | -24554234.954 | -292112.685 | -39149.104 | 3847720.116 | 
| 5881298.848 | 3156422.299 | 2459001.357 | 28418.977 | 2244.097 | -389596.351 | 
| 5858903.618 | 3157118.754 | 2474516.352 | 30989.716 | 998.438 | -336151.986 | 
| 5865313.925 | 3166042.286 | 2481010.643 | 31118.799 | 1204.669 | -336009.910 | 
| 5859052.267 | 3151112.240 | 2466062.002 | 31294.862 | 603.335 | -334745.284 | 
| 5854523.707 | 3154286.656 | 2470243.740 | 31109.509 | 1021.302 | -334358.334 | 
| 5856098.656 | 3153972.604 | 2469909.444 | 31177.743 | 834.899 | -334995.490 | 
| -5871634.372 | -3153343.394 | -2457554.643 | -28740.219 | -3441.249 | 385909.626 | 
| -5869532.815 | -3151167.795 | -2456069.925 | -28793.283 | -3475.831 | 384940.133 | 
| -5853755.694 | -3154476.819 | -2468639.476 | -31089.233 | -915.695 | 333628.473 | 
| -5858985.715 | -3159620.154 | -2476716.791 | -30870.170 | -1042.611 | 335958.243 | 
| -5879540.976 | -3155825.854 | -2458145.927 | -28526.109 | -1903.785 | 391388.632 | 
| -5861236.539 | -3164310.476 | -2479844.905 | -31057.088 | -1256.357 | 335680.070 | 
| 20.473 | 4.041 | 4.041 | -0.000 | -0.000 | -0.000 | 
| 4.041 | 20.473 | 4.041 | -0.000 | -0.000 | -0.000 | 
| 4.041 | 4.041 | 20.473 | -0.000 | -0.000 | -0.000 | 
| 6999.269 | 6999.269 | 6999.269 | -5823.438 | 0.000 | -0.000 | 
| 6999.269 | 6999.269 | 6999.269 | -0.000 | -5823.438 | -0.000 | 
| 6999.269 | 6999.269 | 6999.269 | -0.000 | 0.000 | -5823.438 | 
| -13978.064 | -13994.496 | -13994.496 | -0.000 | -0.000 | -0.000 | 
| -13994.496 | -13978.064 | -13994.496 | -0.000 | -0.000 | -0.000 | 
| -13994.496 | -13994.496 | -13978.064 | -0.000 | -0.000 | -0.000 | 
| -6999.269 | -6999.269 | -6999.269 | -5823.438 | -0.000 | 0.000 | 
| -6999.269 | -6999.269 | -6999.269 | 0.000 | -5823.438 | 0.000 | 
| -6999.269 | -6999.269 | -6999.269 | -0.000 | -0.000 | -5823.438 | 
| 20.473 | 4.041 | 4.041 | 0.000 | 0.000 | 0.000 | 
| 4.041 | 20.473 | 4.041 | 0.000 | 0.000 | 0.000 | 
| 4.041 | 4.041 | 20.473 | 0.000 | 0.000 | -0.000 | 
| 699.927 | 699.927 | 699.927 | -573.986 | 0.000 | -0.000 | 
| 699.927 | 699.927 | 699.927 | 0.000 | -573.986 | -0.000 | 
| 699.927 | 699.927 | 699.927 | 0.000 | 0.000 | -573.986 | 
| -1379.380 | -1395.812 | -1395.812 | 0.000 | 0.000 | 0.000 | 
| -1395.812 | -1379.380 | -1395.812 | 0.000 | 0.000 | 0.000 | 
| -1395.812 | -1395.812 | -1379.380 | 0.000 | 0.000 | 0.000 | 
| -699.927 | -699.927 | -699.927 | -573.986 | -0.000 | 0.000 | 
| -699.927 | -699.927 | -699.927 | 0.000 | -573.986 | 0.000 | 
| -699.927 | -699.927 | -699.927 | 0.000 | -0.000 | -573.986 | 
| 20.473 | 4.041 | 4.041 | 0.000 | 0.000 | -0.000 | 
| 4.041 | 20.473 | 4.041 | 0.000 | 0.000 | -0.000 | 
| 4.041 | 4.041 | 20.473 | 0.000 | 0.000 | -0.000 | 
| 69.993 | 69.993 | 69.993 | -49.041 | 0.000 | -0.000 | 
| 69.993 | 69.993 | 69.993 | 0.000 | -49.041 | -0.000 | 
| 69.993 | 69.993 | 69.993 | 0.000 | 0.000 | -49.041 | 
| -119.512 | -135.944 | -135.944 | -0.000 | -0.000 | -0.000 | 
| -135.944 | -119.512 | -135.944 | -0.000 | -0.000 | -0.000 | 
| -135.944 | -135.944 | -119.512 | -0.000 | -0.000 | -0.000 | 
| -69.993 | -69.993 | -69.993 | -49.041 | 0.000 | 0.000 | 
| -69.993 | -69.993 | -69.993 | 0.000 | -49.041 | -0.000 | 
| -69.993 | -69.993 | -69.993 | -0.000 | -0.000 | -49.041 | 
| 20.314 | 4.024 | 4.024 | 0.000 | 0.000 | 0.000 | 
| 4.024 | 20.314 | 4.024 | 0.000 | 0.000 | 0.000 | 
| 4.024 | 4.024 | 20.314 | 0.000 | 0.000 | 0.000 | 
| -0.000 | 0.000 | 0.000 | 9.227 | 0.000 | 0.000 | 
| -0.000 | 0.000 | -0.000 | 0.000 | 9.227 | 0.000 | 
| -0.000 | 0.000 | -0.000 | 0.000 | 0.000 | 9.227 | 
| 20.314 | 4.024 | 4.024 | -0.000 | -0.000 | -0.000 | 
| 4.024 | 20.314 | 4.024 | -0.000 | -0.000 | -0.000 | 
| 4.024 | 4.024 | 20.314 | -0.000 | -0.000 | -0.000 | 
| 0.000 | -0.000 | -0.000 | 9.227 | -0.000 | -0.000 | 
| 0.000 | 0.000 | -0.000 | -0.000 | 9.227 | -0.000 | 
| 0.000 | -0.000 | 0.000 | -0.000 | -0.000 | 9.227 | 
| 20.314 | 4.024 | 4.024 | 0.000 | -0.000 | 0.000 | 
| 4.024 | 20.314 | 4.024 | 0.000 | -0.000 | 0.000 | 
| 4.024 | 4.024 | 20.314 | 0.000 | -0.000 | 0.000 | 
| -0.000 | 0.000 | 0.000 | 9.227 | 0.000 | 0.000 | 
| 0.000 | -0.000 | 0.000 | 0.000 | 9.227 | 0.000 | 
| 0.000 | 0.000 | -0.000 | 0.000 | 0.000 | 9.227 | 
| 20.314 | 4.024 | 4.024 | 0.000 | 0.000 | -0.000 | 
| 4.024 | 20.314 | 4.024 | -0.000 | -0.000 | -0.000 | 
| 4.024 | 4.024 | 20.314 | -0.000 | 0.000 | -0.000 | 
| 0.000 | -0.000 | -0.000 | 9.227 | -0.000 | -0.000 | 
| -0.000 | 0.000 | -0.000 | -0.000 | 9.227 | -0.000 | 
| -0.000 | -0.000 | 0.000 | -0.000 | -0.000 | 9.227 | 
| 20.315 | 4.024 | 4.024 | 0.000 | 0.000 | 0.000 | 
| 4.024 | 20.315 | 4.024 | 0.000 | -0.000 | 0.000 | 
| 4.024 | 4.024 | 20.315 | 0.000 | -0.000 | 0.000 | 
| -0.000 | 0.000 | 0.000 | 9.227 | 0.000 | 0.000 | 
| 0.000 | -0.000 | 0.000 | 0.000 | 9.227 | 0.000 | 
| 0.000 | 0.000 | -0.000 | 0.000 | 0.000 | 9.227 | 
| 20.314 | 4.024 | 4.024 | -0.000 | -0.000 | -0.000 | 
| 4.024 | 20.314 | 4.024 | -0.000 | -0.000 | -0.000 | 
| 4.024 | 4.024 | 20.314 | -0.000 | -0.000 | -0.000 | 
| 0.000 | -0.000 | -0.000 | 9.227 | -0.000 | -0.000 | 
| -0.000 | 0.000 | -0.000 | -0.000 | 9.227 | -0.000 | 
| -0.000 | -0.000 | 0.000 | -0.000 | -0.000 | 9.227 | 
| 113.861 | 37.954 | 36.441 | 0.000 | 0.000 | -0.000 | 
| 37.954 | 113.861 | 36.441 | 0.000 | 0.000 | -0.000 | 
| 36.442 | 36.442 | 113.064 | 0.000 | 0.000 | -0.000 | 
| 0.000 | 0.000 | -0.000 | 36.442 | 0.000 | -0.000 | 
| 0.000 | 0.000 | -0.001 | 0.000 | 34.292 | -0.000 | 
| 0.001 | 0.001 | -0.002 | -0.000 | -0.000 | 34.892 | 
| 113.861 | 37.954 | 36.442 | -0.000 | -0.000 | 0.000 | 
| 38.460 | 111.844 | 38.126 | -0.000 | 0.000 | 0.000 | 
| 36.441 | 36.442 | 113.064 | -0.000 | -0.000 | 0.000 | 
| 0.000 | -0.000 | 0.000 | 36.441 | -0.000 | 0.000 | 
| -0.000 | -0.000 | 0.001 | 0.000 | 34.292 | 0.000 | 
| -0.001 | -0.001 | 0.002 | 0.000 | 0.000 | 34.892 | 
| 113.861 | 37.954 | 36.441 | 0.000 | 0.000 | -0.000 | 
| 38.461 | 111.844 | 38.126 | -0.000 | -0.000 | 0.000 | 
| 36.442 | 36.442 | 113.064 | -0.000 | -0.000 | -0.000 | 
| -0.000 | -0.000 | 0.000 | 36.442 | 0.000 | -0.000 | 
| -0.000 | -0.000 | 0.000 | 0.000 | 36.442 | -0.000 | 
| -0.000 | 0.000 | -0.000 | 0.000 | 0.000 | 37.954 | 
| 113.861 | 37.954 | 36.442 | -0.000 | -0.000 | 0.000 | 
| 37.954 | 113.861 | 36.442 | -0.000 | -0.000 | 0.000 | 
| 36.441 | 36.441 | 113.064 | -0.000 | -0.000 | 0.000 | 
| 0.000 | 0.000 | -0.000 | 36.442 | 0.000 | 0.000 | 
| 0.000 | 0.000 | -0.000 | -0.000 | 36.442 | 0.000 | 
| 0.000 | -0.000 | 0.000 | -0.000 | -0.000 | 37.954 | 
| 113.861 | 37.954 | 36.442 | 0.000 | 0.000 | -0.000 | 
| 37.954 | 113.861 | 36.442 | 0.000 | -0.000 | -0.000 | 
| 36.442 | 36.442 | 113.065 | 0.000 | 0.000 | -0.000 | 
| -0.000 | -0.000 | 0.000 | 34.292 | -0.000 | -0.000 | 
| -0.000 | -0.000 | 0.000 | 0.000 | 34.292 | -0.000 | 
| -0.000 | 0.000 | -0.000 | 0.000 | -0.000 | 34.626 | 
| 113.860 | 37.954 | 36.441 | -0.000 | 0.000 | 0.000 | 
| 38.460 | 111.844 | 38.126 | 0.000 | 0.000 | 0.000 | 
| 36.441 | 36.441 | 113.064 | -0.000 | 0.000 | 0.000 | 
| 0.000 | 0.000 | -0.000 | 34.292 | 0.000 | 0.000 | 
| 0.000 | 0.000 | -0.000 | -0.000 | 34.292 | 0.000 | 
| 0.000 | -0.000 | 0.000 | -0.000 | -0.000 | 34.626 | 
| 112.872 | 37.399 | 37.695 | -0.000 | -0.000 | -0.000 | 
| 37.399 | 112.872 | 37.695 | -0.000 | -0.000 | -0.000 | 
| 37.287 | 37.287 | 112.586 | -0.000 | -0.000 | -0.000 | 
| -0.000 | -0.000 | 0.000 | 35.110 | -0.000 | -0.000 | 
| 0.000 | -0.000 | 0.000 | -0.000 | 37.217 | -0.000 | 
| 0.000 | -0.000 | 0.000 | -0.000 | -0.000 | 34.446 | 
| 110.640 | 38.114 | 39.426 | 0.000 | -0.000 | -0.000 | 
| 37.399 | 112.872 | 37.695 | 0.000 | 0.000 | 0.000 | 
| 38.122 | 38.122 | 110.679 | 0.000 | -0.000 | 0.000 | 
| -0.000 | 0.000 | -0.000 | 35.110 | 0.000 | 0.000 | 
| -0.000 | -0.000 | -0.000 | 0.000 | 37.217 | 0.000 | 
| -0.000 | -0.000 | -0.000 | -0.000 | 0.000 | 34.446 | 
| 110.640 | 38.114 | 39.426 | 0.000 | -0.000 | -0.000 | 
| 38.114 | 110.640 | 39.426 | -0.000 | 0.000 | -0.000 | 
| 37.287 | 37.287 | 112.586 | -0.000 | -0.000 | -0.000 | 
| -0.000 | -0.000 | 0.000 | 37.217 | -0.000 | -0.000 | 
| -0.000 | -0.000 | 0.000 | -0.000 | 37.217 | -0.000 | 
| -0.000 | 0.000 | -0.000 | 0.000 | -0.000 | 34.000 | 
| 112.872 | 37.399 | 37.695 | 0.000 | 0.000 | 0.000 | 
| 37.399 | 112.872 | 37.695 | -0.000 | 0.000 | 0.000 | 
| 37.287 | 37.287 | 112.586 | -0.000 | -0.000 | 0.000 | 
| 0.000 | 0.000 | -0.000 | 37.217 | 0.000 | -0.000 | 
| 0.000 | 0.000 | -0.000 | -0.000 | 37.217 | 0.000 | 
| 0.000 | -0.000 | 0.000 | 0.000 | 0.000 | 34.000 | 
| 110.640 | 38.114 | 39.426 | -0.000 | 0.000 | -0.000 | 
| 37.399 | 112.873 | 37.695 | -0.000 | -0.000 | -0.000 | 
| 37.287 | 37.287 | 112.586 | -0.000 | -0.000 | -0.000 | 
| -0.000 | -0.000 | 0.000 | 37.217 | -0.000 | 0.000 | 
| -0.000 | -0.000 | 0.000 | -0.000 | 37.217 | -0.000 | 
| -0.000 | 0.000 | -0.000 | -0.000 | 0.000 | 34.193 | 
| 112.872 | 37.399 | 37.695 | 0.000 | 0.000 | 0.000 | 
| 40.544 | 108.970 | 38.559 | 0.000 | -0.000 | -0.000 | 
| 38.122 | 38.122 | 110.679 | 0.000 | 0.000 | 0.000 | 
| 0.000 | 0.000 | -0.000 | 37.217 | 0.000 | -0.000 | 
| 0.000 | 0.000 | -0.000 | 0.000 | 37.217 | 0.000 | 
| 0.000 | -0.000 | 0.000 | -0.000 | -0.000 | 34.193 | 
| 1983.592 | 641.085 | 504.577 | -12.831 | 0.056 | 0.181 | 
| 673.834 | 1996.935 | 558.161 | 21.448 | -0.040 | 0.202 | 
| 451.523 | 451.523 | 1820.193 | 0.000 | -0.000 | -0.000 | 
| 18.553 | 49.318 | 95.272 | 501.973 | 0.023 | 0.158 | 
| 0.025 | -0.027 | -0.000 | -0.827 | 511.580 | -8.666 | 
| 33.640 | 34.061 | 95.030 | 0.220 | -13.446 | 672.741 | 
| 1914.904 | 572.188 | 311.084 | -13.192 | -0.092 | -0.134 | 
| 572.618 | 1914.471 | 311.080 | 13.237 | -0.113 | -0.139 | 
| 140.806 | 139.547 | 736.689 | 2.056 | 0.329 | -0.131 | 
| -49.014 | -18.857 | -95.269 | 503.542 | -0.035 | -0.106 | 
| 0.046 | -0.044 | 0.000 | 0.801 | 511.891 | -8.964 | 
| -33.637 | -34.062 | -95.029 | -0.214 | -13.439 | 672.508 | 
| 1961.007 | 621.290 | 451.534 | -4.176 | -0.002 | 0.005 | 
| 621.253 | 1961.045 | 451.534 | 4.191 | -0.002 | 0.005 | 
| 314.617 | 314.693 | 1299.444 | -0.055 | -0.019 | 0.027 | 
| -2.959 | 13.560 | 14.880 | 487.300 | 0.008 | 0.018 | 
| 17.216 | 17.248 | 48.688 | -0.092 | 438.655 | -19.909 | 
| 11.472 | 11.515 | 31.992 | -0.096 | -16.863 | 636.370 | 
| 1961.036 | 621.250 | 451.533 | -4.192 | 0.002 | -0.005 | 
| 603.947 | 1920.742 | 358.493 | 9.241 | -0.004 | -0.018 | 
| 451.522 | 451.522 | 1820.190 | -0.000 | 0.000 | 0.000 | 
| -4.715 | 4.714 | -0.001 | 500.832 | -0.001 | -0.005 | 
| -17.214 | -17.251 | -48.689 | 0.091 | 438.693 | -19.922 | 
| -11.459 | -11.502 | -31.956 | 0.096 | -16.814 | 636.383 | 
| 1960.339 | 622.012 | 451.538 | -3.884 | -0.000 | 0.000 | 
| 598.995 | 1870.870 | 257.106 | 15.446 | -0.001 | 0.001 | 
| 276.173 | 276.181 | 1166.212 | -0.008 | -0.002 | 0.002 | 
| -3.942 | 3.944 | 0.007 | 499.648 | 0.000 | 0.000 | 
| -0.000 | 0.003 | 0.007 | -0.006 | 499.675 | -3.953 | 
| 0.002 | 0.015 | 0.001 | 0.001 | -3.891 | 669.156 | 
| 1960.238 | 621.995 | 451.530 | -3.887 | 0.000 | -0.000 | 
| 621.990 | 1960.244 | 451.530 | 3.886 | 0.000 | -0.000 | 
| 229.243 | 229.231 | 918.262 | 0.006 | 0.003 | -0.001 | 
| -28.489 | 23.605 | -6.913 | 403.798 | 0.004 | -0.000 | 
| 0.000 | -0.003 | -0.007 | 0.006 | 499.678 | -3.955 | 
| -0.002 | -0.015 | -0.001 | -0.001 | -3.890 | 669.154 | 
| 59.651 | 34.820 | 49.069 | -0.000 | -0.000 | -0.000 | 
| 52.926 | 100.961 | 73.434 | 0.000 | 0.000 | 0.000 | 
| 73.142 | 73.142 | 272.138 | 0.000 | 0.000 | 0.000 | 
| 0.009 | 0.006 | 0.006 | -172.218 | 0.000 | -0.000 | 
| 0.000 | 0.000 | 0.000 | 0.000 | -70.965 | 0.000 | 
| 0.000 | 0.000 | -0.000 | -0.000 | 0.000 | 24.017 | 
| 59.652 | 34.820 | 49.069 | -0.000 | -0.000 | -0.000 | 
| 52.926 | 100.961 | 73.434 | 0.000 | -0.000 | -0.000 | 
| 73.142 | 73.142 | 272.138 | 0.000 | -0.000 | 0.000 | 
| -0.009 | -0.002 | -0.005 | -172.218 | -0.000 | 0.000 | 
| -0.000 | -0.000 | -0.000 | -0.000 | -70.965 | -0.000 | 
| 0.000 | -0.000 | 0.000 | 0.000 | -0.000 | 24.017 | 
| 100.961 | 52.926 | 73.434 | -0.000 | -0.000 | -0.000 | 
| 34.820 | 59.651 | 49.069 | 0.000 | -0.000 | 0.000 | 
| 73.142 | 73.142 | 272.138 | -0.000 | 0.000 | -0.000 | 
| 0.000 | -0.000 | -0.000 | 13.725 | 0.000 | 0.000 | 
| -0.000 | 0.000 | -0.000 | 0.000 | 13.725 | 0.000 | 
| -38582103.179 | -45347729.925 | -116384926.531 | -119.687 | -266.483 | -2848537.394 | 
| 100.961 | 52.926 | 73.434 | -0.000 | -0.000 | 0.000 | 
| 52.926 | 100.961 | 73.434 | -0.000 | -0.000 | 0.000 | 
| 53.742 | 53.742 | 256.227 | -0.000 | -0.000 | -0.000 | 
| 0.000 | 0.000 | 0.000 | 13.725 | -0.000 | -0.000 | 
| 0.000 | 0.000 | 0.000 | 0.000 | 13.725 | -0.000 | 
| 42997648.415 | 49527010.854 | 118302994.058 | -14316.378 | -18045.157 | -3985048.851 | 
| 100.961 | 52.926 | 73.434 | 0.000 | 0.000 | -0.000 | 
| 52.926 | 100.961 | 73.434 | -0.000 | 0.000 | -0.000 | 
| 53.743 | 53.743 | 256.230 | 0.000 | 0.000 | -0.000 | 
| -0.007 | -0.007 | -0.007 | -155.775 | -0.000 | -0.000 | 
| 0.010 | 0.025 | 0.013 | 0.000 | -172.218 | 0.000 | 
| -0.000 | -0.000 | -0.000 | 0.000 | 0.000 | 24.017 | 
| 59.652 | 34.820 | 49.069 | 0.000 | 0.000 | 0.000 | 
| 6872621.976 | 6039172.933 | 14304869.153 | -4201.830 | -6661.356 | -8183.652 | 
| 53.742 | 53.742 | 256.225 | -0.000 | -0.000 | -0.000 | 
| 0.002 | 0.001 | 0.002 | -130.444 | -0.000 | 0.000 | 
| -0.010 | -0.025 | -0.013 | 0.000 | -172.218 | 0.000 | 
| 0.000 | 0.000 | 0.000 | 0.000 | -0.000 | 24.017 | 
| 23.694 | 36.951 | 36.951 | 0.000 | 0.000 | -0.000 | 
| 36.951 | 23.694 | 36.951 | -0.000 | -0.000 | -0.000 | 
| 36.951 | 36.951 | 23.694 | -0.000 | 0.000 | 0.000 | 
| 0.000 | -0.000 | 0.000 | 36.951 | 0.000 | -0.000 | 
| -0.000 | 0.000 | 0.000 | 0.000 | 36.951 | -0.000 | 
| -0.000 | 0.000 | 0.000 | 0.000 | 0.000 | 36.951 | 
| 23.694 | 36.951 | 36.951 | 0.000 | 0.000 | 0.000 | 
| 36.951 | 23.694 | 36.951 | 0.000 | -0.000 | 0.000 | 
| 36.951 | 36.951 | 23.694 | 0.000 | -0.000 | 0.000 | 
| -0.000 | 0.000 | -0.000 | 36.951 | -0.000 | 0.000 | 
| 0.000 | -0.000 | -0.000 | -0.000 | 36.951 | 0.000 | 
| 0.000 | -0.000 | -0.000 | -0.000 | -0.000 | 36.951 | 
| 23.694 | 36.951 | 36.951 | -0.000 | -0.000 | -0.000 | 
| 36.951 | 23.694 | 36.951 | 0.000 | -0.000 | 0.000 | 
| 36.951 | 36.951 | 23.694 | 0.000 | -0.000 | -0.000 | 
| 0.000 | -0.000 | 0.000 | 36.951 | 0.000 | -0.000 | 
| -0.000 | 0.000 | 0.000 | 0.000 | 36.951 | -0.000 | 
| -0.000 | 0.000 | 0.000 | 0.000 | 0.000 | 36.951 | 
| 23.694 | 36.951 | 36.951 | -0.000 | -0.000 | 0.000 | 
| 36.951 | 23.694 | 36.951 | 0.000 | -0.000 | 0.000 | 
| 36.951 | 36.951 | 23.694 | 0.000 | 0.000 | -0.000 | 
| -0.000 | 0.000 | -0.000 | 36.951 | -0.000 | 0.000 | 
| 0.000 | -0.000 | -0.000 | -0.000 | 36.951 | 0.000 | 
| 0.000 | -0.000 | -0.000 | -0.000 | -0.000 | 36.951 | 
| 23.694 | 36.951 | 36.951 | 0.000 | 0.000 | -0.000 | 
| 36.951 | 23.694 | 36.951 | 0.000 | 0.000 | -0.000 | 
| 36.951 | 36.951 | 23.694 | -0.000 | 0.000 | 0.000 | 
| 0.000 | -0.000 | 0.000 | 36.951 | 0.000 | -0.000 | 
| -0.000 | 0.000 | 0.000 | -0.000 | 36.951 | -0.000 | 
| -0.000 | 0.000 | 0.000 | 0.000 | 0.000 | 36.951 | 
| 23.694 | 36.951 | 36.951 | -0.000 | -0.000 | 0.000 | 
| 36.951 | 23.694 | 36.951 | -0.000 | -0.000 | 0.000 | 
| 36.951 | 36.951 | 23.694 | -0.000 | -0.000 | -0.000 | 
| -0.000 | 0.000 | -0.000 | 36.951 | 0.000 | 0.000 | 
| 0.000 | -0.000 | -0.000 | -0.000 | 36.951 | 0.000 | 
| 0.000 | -0.000 | -0.000 | -0.000 | -0.000 | 36.951 | 
| 3.837 | 43.233 | 43.233 | 0.000 | -0.000 | -0.000 | 
| 43.233 | 3.837 | 43.233 | 0.000 | 0.000 | -0.000 | 
| 43.233 | 43.233 | 3.837 | 0.000 | -0.000 | 0.000 | 
| 0.000 | 0.000 | -0.000 | -62.929 | 0.000 | -0.000 | 
| 0.000 | -0.000 | -0.000 | -0.000 | -62.929 | -0.000 | 
| 0.000 | 0.000 | 0.000 | -0.000 | -0.000 | -62.929 | 
| 3.837 | 43.233 | 43.233 | 0.000 | -0.000 | 0.000 | 
| 43.233 | 3.837 | 43.233 | 0.000 | -0.000 | 0.000 | 
| 43.233 | 43.233 | 3.837 | 0.000 | 0.000 | -0.000 | 
| -0.000 | -0.000 | 0.000 | -62.929 | -0.000 | -0.000 | 
| -0.000 | 0.000 | -0.000 | 0.000 | -62.929 | -0.000 | 
| -0.000 | 0.000 | -0.000 | 0.000 | -0.000 | -62.929 | 
| 3.837 | 43.233 | 43.233 | -0.000 | -0.000 | -0.000 | 
| 43.233 | 3.837 | 43.233 | -0.000 | 0.000 | -0.000 | 
| 43.233 | 43.233 | 3.837 | -0.000 | 0.000 | 0.000 | 
| -0.000 | 0.000 | -0.000 | -62.929 | -0.000 | -0.000 | 
| 0.000 | -0.000 | -0.000 | -0.000 | -62.929 | 0.000 | 
| 0.000 | -0.000 | -0.000 | -0.000 | 0.000 | -62.929 | 
| 3.837 | 43.233 | 43.233 | 0.000 | 0.000 | -0.000 | 
| 43.233 | 3.837 | 43.233 | 0.000 | -0.000 | 0.000 | 
| 43.233 | 43.233 | 3.837 | 0.000 | 0.000 | -0.000 | 
| 0.000 | -0.000 | 0.000 | -62.929 | -0.000 | 0.000 | 
| -0.000 | 0.000 | 0.000 | 0.000 | -62.929 | 0.000 | 
| -0.000 | 0.000 | 0.000 | 0.000 | -0.000 | -62.929 | 
| 3.837 | 43.233 | 43.233 | -0.000 | -0.000 | -0.000 | 
| 43.233 | 3.837 | 43.233 | -0.000 | -0.000 | -0.000 | 
| 43.233 | 43.233 | 3.837 | 0.000 | -0.000 | 0.000 | 
| -0.000 | 0.000 | -0.000 | -62.929 | -0.000 | -0.000 | 
| 0.000 | -0.000 | -0.000 | -0.000 | -62.929 | 0.000 | 
| 0.000 | -0.000 | -0.000 | 0.000 | 0.000 | -62.929 | 
| 3.837 | 43.233 | 43.233 | 0.000 | -0.000 | -0.000 | 
| 43.233 | 3.837 | 43.233 | 0.000 | 0.000 | -0.000 | 
| 43.233 | 43.233 | 3.837 | -0.000 | -0.000 | 0.000 | 
| 0.000 | -0.000 | 0.000 | -62.929 | -0.000 | -0.000 | 
| -0.000 | 0.000 | 0.000 | 0.000 | -62.929 | -0.000 | 
| -0.000 | 0.000 | 0.000 | 0.000 | -0.000 | -62.929 | 
| 71.986 | 73.396 | 73.396 | -0.000 | -0.000 | -0.000 | 
| 73.396 | 71.986 | 73.396 | -0.000 | -0.000 | 0.000 | 
| 73.396 | 73.396 | 71.986 | -0.000 | -0.000 | 0.000 | 
| 0.000 | -0.000 | -0.000 | -27.043 | -0.000 | -0.000 | 
| 0.000 | 0.000 | -0.000 | -0.000 | -27.043 | 0.000 | 
| 0.000 | -0.000 | 0.000 | -0.000 | -0.000 | -27.043 | 
| 71.986 | 73.396 | 73.396 | 0.000 | 0.000 | -0.000 | 
| 73.396 | 71.986 | 73.396 | 0.000 | 0.000 | 0.000 | 
| 73.396 | 73.396 | 71.986 | 0.000 | 0.000 | 0.000 | 
| -0.000 | 0.000 | 0.000 | -27.043 | 0.000 | 0.000 | 
| -0.000 | -0.000 | 0.000 | 0.000 | -27.043 | -0.000 | 
| -0.000 | 0.000 | -0.000 | 0.000 | 0.000 | -27.043 | 
| 71.986 | 73.396 | 73.396 | -0.000 | -0.000 | -0.000 | 
| 73.396 | 71.986 | 73.396 | 0.000 | -0.000 | -0.000 | 
| 73.396 | 73.396 | 71.986 | -0.000 | 0.000 | 0.000 | 
| 0.000 | 0.000 | 0.000 | -27.043 | -0.000 | -0.000 | 
| 0.000 | 0.000 | 0.000 | -0.000 | -27.043 | 0.000 | 
| 0.000 | 0.000 | 0.000 | -0.000 | -0.000 | -27.043 | 
| 71.986 | 73.396 | 73.396 | 0.000 | -0.000 | 0.000 | 
| 73.396 | 71.986 | 73.396 | 0.000 | 0.000 | -0.000 | 
| 73.396 | 73.396 | 71.986 | 0.000 | 0.000 | 0.000 | 
| -0.000 | -0.000 | -0.000 | -27.043 | 0.000 | 0.000 | 
| -0.000 | -0.000 | -0.000 | 0.000 | -27.043 | 0.000 | 
| -0.000 | -0.000 | -0.000 | 0.000 | 0.000 | -27.043 | 
| 71.986 | 73.396 | 73.396 | -0.000 | -0.000 | -0.000 | 
| 73.396 | 71.986 | 73.396 | -0.000 | -0.000 | 0.000 | 
| 73.396 | 73.396 | 71.986 | -0.000 | -0.000 | 0.000 | 
| 0.000 | 0.000 | 0.000 | -27.043 | 0.000 | 0.000 | 
| 0.000 | 0.000 | 0.000 | -0.000 | -27.043 | -0.000 | 
| 0.000 | 0.000 | 0.000 | 0.000 | -0.000 | -27.043 | 
| 71.986 | 73.396 | 73.396 | -0.000 | 0.000 | 0.000 | 
| 73.396 | 71.986 | 73.396 | 0.000 | 0.000 | 0.000 | 
| 73.396 | 73.396 | 71.986 | 0.000 | 0.000 | 0.000 | 
| -0.000 | -0.000 | -0.000 | -27.043 | -0.000 | 0.000 | 
| -0.000 | -0.000 | -0.000 | 0.000 | -27.043 | 0.000 | 
| -0.000 | -0.000 | -0.000 | 0.000 | 0.000 | -27.043 | 
| 70.133 | -8.900 | -8.900 | -0.000 | 0.000 | -0.000 | 
| -8.900 | 70.133 | -8.900 | -0.000 | -0.000 | -0.000 | 
| -8.900 | -8.900 | 70.133 | -0.000 | -0.000 | -0.000 | 
| 0.000 | -0.000 | 0.000 | -9.664 | 0.000 | -0.000 | 
| 0.000 | 0.000 | -0.000 | 0.000 | -9.664 | -0.000 | 
| 0.000 | -0.000 | 0.000 | 0.000 | -0.000 | -9.664 | 
| 70.133 | -8.900 | -8.900 | 0.000 | -0.000 | 0.000 | 
| -8.900 | 70.133 | -8.900 | 0.000 | 0.000 | -0.000 | 
| -8.900 | -8.900 | 70.133 | 0.000 | 0.000 | -0.000 | 
| -0.000 | -0.000 | 0.000 | -9.664 | -0.000 | -0.000 | 
| -0.000 | -0.000 | -0.000 | 0.000 | -9.664 | 0.000 | 
| -0.000 | -0.000 | -0.000 | 0.000 | -0.000 | -9.664 | 
| 70.133 | -8.900 | -8.900 | -0.000 | 0.000 | 0.000 | 
| -8.900 | 70.133 | -8.900 | -0.000 | -0.000 | -0.000 | 
| -8.900 | -8.900 | 70.133 | -0.000 | -0.000 | -0.000 | 
| -0.000 | 0.000 | -0.000 | -9.664 | 0.000 | 0.000 | 
| 0.000 | -0.000 | -0.000 | -0.000 | -9.664 | -0.000 | 
| 0.000 | -0.000 | -0.000 | 0.000 | -0.000 | -9.664 | 
| 70.133 | -8.900 | -8.900 | 0.000 | 0.000 | 0.000 | 
| -8.900 | 70.133 | -8.900 | 0.000 | 0.000 | -0.000 | 
| -8.900 | -8.900 | 70.133 | -0.000 | -0.000 | -0.000 | 
| 0.000 | -0.000 | 0.000 | -9.664 | -0.000 | 0.000 | 
| -0.000 | 0.000 | 0.000 | -0.000 | -9.664 | 0.000 | 
| -0.000 | 0.000 | 0.000 | 0.000 | -0.000 | -9.664 | 
| 70.133 | -8.900 | -8.900 | -0.000 | 0.000 | -0.000 | 
| -8.900 | 70.133 | -8.900 | -0.000 | -0.000 | -0.000 | 
| -8.900 | -8.900 | 70.133 | -0.000 | -0.000 | -0.000 | 
| -0.000 | 0.000 | -0.000 | -9.664 | 0.000 | -0.000 | 
| 0.000 | -0.000 | -0.000 | -0.000 | -9.664 | -0.000 | 
| 0.000 | -0.000 | -0.000 | -0.000 | 0.000 | -9.664 | 
| 70.247 | -8.957 | -8.957 | -0.000 | -0.000 | 0.000 | 
| -8.957 | 70.247 | -8.957 | -0.000 | -0.000 | 0.000 | 
| -8.957 | -8.957 | 70.247 | -0.000 | 0.000 | -0.000 | 
| 0.000 | -0.000 | 0.000 | -9.664 | -0.000 | -0.000 | 
| -0.000 | 0.000 | 0.000 | 0.000 | -9.664 | 0.000 | 
| -0.000 | 0.000 | 0.000 | 0.000 | 0.000 | -9.664 | 
| 54.273 | 39.031 | 28.891 | 0.000 | 0.000 | -0.000 | 
| 39.031 | 54.273 | 28.891 | -0.000 | 0.000 | -0.000 | 
| 28.891 | 28.891 | 63.797 | -0.000 | -0.000 | -0.000 | 
| -0.000 | -0.000 | 0.000 | 28.727 | -0.000 | -0.000 | 
| 0.000 | -0.000 | -0.000 | -0.000 | 28.727 | -0.000 | 
| -0.000 | -0.000 | -0.000 | -0.000 | 0.000 | 38.656 | 
| 54.647 | 38.656 | 28.891 | 0.000 | 0.000 | 0.000 | 
| 38.656 | 54.647 | 28.891 | -0.000 | -0.000 | 0.000 | 
| 28.891 | 28.891 | 63.797 | -0.000 | -0.000 | -0.000 | 
| 0.000 | 0.000 | -0.000 | 28.727 | 0.000 | 0.000 | 
| 0.000 | 0.000 | -0.000 | 0.000 | 28.727 | 0.000 | 
| 0.000 | 0.000 | 0.000 | 0.000 | 0.000 | 38.656 | 
| 54.273 | 39.031 | 28.891 | 0.000 | 0.000 | -0.000 | 
| 39.031 | 54.273 | 28.891 | -0.000 | 0.000 | -0.000 | 
| 28.891 | 28.891 | 63.797 | -0.000 | 0.000 | -0.000 | 
| -0.000 | -0.000 | 0.000 | 28.727 | 0.000 | 0.000 | 
| -0.000 | -0.000 | 0.000 | -0.000 | 28.727 | -0.000 | 
| -0.000 | 0.000 | -0.000 | -0.000 | 0.000 | 38.656 | 
| 54.273 | 39.031 | 28.891 | 0.000 | -0.000 | 0.000 | 
| 39.031 | 54.273 | 28.891 | -0.000 | 0.000 | 0.000 | 
| 28.891 | 28.891 | 63.797 | -0.000 | -0.000 | 0.000 | 
| 0.000 | 0.000 | -0.000 | 28.727 | -0.000 | 0.000 | 
| 0.000 | 0.000 | -0.000 | 0.000 | 28.727 | 0.000 | 
| 0.000 | -0.000 | 0.000 | 0.000 | -0.000 | 38.656 | 
| 54.273 | 39.031 | 28.891 | -0.000 | 0.000 | -0.000 | 
| 39.031 | 54.273 | 28.891 | -0.000 | 0.000 | -0.000 | 
| 28.891 | 28.891 | 63.798 | 0.000 | -0.000 | -0.000 | 
| -0.000 | -0.000 | 0.000 | 28.727 | 0.000 | -0.000 | 
| -0.000 | -0.000 | 0.000 | -0.000 | 28.727 | -0.000 | 
| -0.000 | 0.000 | -0.000 | -0.000 | 0.000 | 38.656 | 
| 54.647 | 38.656 | 28.890 | 0.000 | -0.000 | 0.000 | 
| 38.656 | 54.647 | 28.890 | 0.000 | -0.000 | 0.000 | 
| 28.890 | 28.890 | 63.797 | 0.000 | -0.000 | 0.000 | 
| 0.000 | 0.000 | -0.000 | 28.727 | -0.000 | 0.000 | 
| 0.000 | 0.000 | -0.000 | 0.000 | 28.727 | 0.000 | 
| 0.000 | -0.000 | 0.000 | -0.000 | -0.000 | 38.656 | 
| 1068.873 | 325.105 | 363.063 | -0.000 | 0.000 | 0.000 | 
| 325.105 | 1068.873 | 363.063 | -0.000 | 0.000 | 0.000 | 
| 363.063 | 363.063 | 1465.132 | -0.000 | 0.000 | 0.000 | 
| 0.000 | -0.000 | 0.000 | 401.975 | 0.000 | 0.000 | 
| 0.000 | -0.000 | 0.000 | -0.000 | 401.975 | -0.000 | 
| 0.000 | -0.000 | -0.000 | -0.000 | 0.000 | 371.884 | 
| 1068.872 | 325.105 | 363.063 | 0.000 | -0.000 | -0.000 | 
| 266.319 | 941.225 | 354.060 | 0.000 | -0.000 | -0.000 | 
| 363.063 | 363.063 | 1465.131 | 0.000 | 0.000 | -0.000 | 
| -0.000 | 0.000 | -0.000 | 401.975 | -0.000 | -0.000 | 
| -0.000 | 0.000 | -0.000 | 0.000 | 401.975 | -0.000 | 
| -0.000 | -0.000 | 0.000 | 0.000 | -0.000 | 371.884 | 
| 740.290 | 194.411 | 336.083 | -0.000 | -0.000 | 0.000 | 
| 325.106 | 1068.876 | 363.063 | -0.000 | 0.000 | 0.000 | 
| 363.064 | 363.064 | 1465.136 | -0.000 | 0.000 | 0.000 | 
| 0.000 | 0.000 | 0.001 | 401.975 | 0.000 | 0.000 | 
| 0.000 | 0.000 | 0.001 | -0.000 | 401.975 | 0.000 | 
| -12.258 | -12.257 | -6.125 | -0.000 | 0.000 | 262.450 | 
| 901.277 | 251.474 | 344.531 | 0.000 | -0.000 | -0.000 | 
| 325.104 | 1068.869 | 363.062 | 0.000 | -0.000 | 0.000 | 
| 363.062 | 363.062 | 1465.127 | 0.000 | 0.000 | -0.000 | 
| -0.000 | -0.000 | -0.001 | 401.975 | -0.000 | 0.000 | 
| -0.000 | -0.000 | -0.001 | 0.000 | 401.975 | -0.000 | 
| 12.258 | 12.257 | 6.125 | 0.000 | -0.000 | 262.450 | 
| 887.973 | 246.107 | 342.138 | -0.000 | 0.000 | 0.000 | 
| 202.993 | 748.869 | 343.064 | 0.000 | 0.000 | -0.000 | 
| 363.076 | 363.076 | 1465.180 | 0.000 | -0.000 | -0.000 | 
| 0.001 | 0.004 | 0.012 | 401.975 | 0.000 | -0.000 | 
| 0.107 | 0.106 | -0.087 | -0.000 | 392.737 | -0.000 | 
| 0.003 | 0.010 | 0.002 | -0.000 | 0.000 | 371.884 | 
| 1068.834 | 325.101 | 363.057 | 0.000 | -0.000 | 0.000 | 
| 216.046 | 819.383 | 334.431 | 0.000 | -0.000 | 0.000 | 
| 345.926 | 345.926 | 1456.050 | 0.000 | -0.000 | -0.000 | 
| -0.001 | -0.004 | -0.012 | 401.975 | 0.000 | -0.000 | 
| -0.107 | -0.106 | 0.087 | 0.000 | 392.737 | -0.000 | 
| -0.003 | -0.010 | -0.002 | 0.000 | -0.000 | 371.884 | 
| 1241.070 | 900.421 | -241.759 | 0.000 | -0.000 | -0.000 | 
| -307.858 | 22.926 | -236.080 | 0.000 | -0.000 | -0.000 | 
| 45.144 | 45.144 | 316.443 | 0.000 | 0.000 | -0.000 | 
| 0.000 | -0.000 | -0.000 | 117.516 | -0.000 | 0.000 | 
| 0.000 | -0.000 | -0.000 | -0.000 | 117.516 | 0.000 | 
| 0.000 | -0.000 | -0.001 | 0.000 | -0.000 | 181.019 | 
| 759.167 | 428.542 | 292.364 | -0.000 | 0.000 | -0.000 | 
| 428.552 | 759.176 | 292.371 | -0.000 | 0.000 | 0.000 | 
| 397.029 | 397.029 | 566.415 | 0.000 | 0.000 | -0.000 | 
| -0.000 | 0.000 | 0.001 | 117.516 | 0.000 | 0.000 | 
| -0.000 | 0.000 | 0.000 | 0.000 | 117.516 | 0.000 | 
| -0.000 | 0.000 | 0.000 | 0.000 | 0.000 | 181.020 | 
| 454.939 | 92.900 | 43.925 | -0.000 | -0.000 | 0.000 | 
| 158.870 | 497.918 | 12.563 | -0.000 | -0.000 | 0.000 | 
| -8.113 | -8.113 | 275.706 | -0.000 | -0.000 | 0.000 | 
| -0.000 | -0.000 | -0.000 | 117.516 | -0.000 | -0.000 | 
| -0.000 | -0.000 | -0.000 | -0.000 | 117.516 | -0.000 | 
| -0.000 | 0.000 | -0.000 | 0.000 | -0.000 | 181.019 | 
| 454.938 | 92.900 | 43.925 | -0.000 | 0.000 | 0.000 | 
| 96.296 | 426.395 | 54.087 | -0.000 | 0.000 | -0.000 | 
| 45.144 | 45.144 | 316.443 | 0.000 | 0.000 | 0.000 | 
| 0.000 | 0.000 | 0.000 | 117.516 | 0.000 | -0.000 | 
| 0.000 | 0.000 | 0.000 | 0.000 | 117.516 | 0.000 | 
| 0.000 | -0.000 | 0.000 | 0.000 | 0.000 | 181.019 | 
| 427.195 | 85.018 | 30.441 | -0.000 | -0.000 | -0.000 | 
| 92.901 | 454.940 | 43.925 | -0.000 | -0.000 | 0.000 | 
| 26.126 | 26.126 | 300.411 | 0.000 | -0.000 | -0.000 | 
| -0.000 | -0.001 | -0.001 | 117.516 | -0.000 | -0.000 | 
| -0.001 | -0.000 | -0.001 | 0.000 | 117.516 | -0.000 | 
| -0.000 | 0.001 | -0.000 | -0.000 | -0.000 | 181.019 | 
| 405.024 | 68.564 | 32.649 | 0.000 | 0.000 | 0.000 | 
| 83.292 | 420.818 | 41.579 | 0.000 | 0.000 | 0.000 | 
| 39.054 | 39.054 | 313.546 | 0.000 | 0.000 | 0.000 | 
| 0.000 | 0.001 | 0.001 | 117.516 | 0.000 | -0.000 | 
| 0.001 | 0.000 | 0.001 | -0.000 | 117.516 | 0.000 | 
| 0.000 | -0.001 | 0.000 | 0.000 | 0.000 | 181.019 | 
| 738.914 | 203.348 | 376.368 | 7.297 | -0.029 | 0.161 | 
| 200.482 | 741.780 | 376.368 | -7.169 | -0.033 | 0.161 | 
| 323.290 | 322.308 | 1089.745 | -0.435 | 0.377 | 0.097 | 
| -288.005 | -276.220 | -361.542 | 320.627 | 0.136 | 0.602 | 
| -1.435 | 1.433 | -0.000 | -0.399 | 419.900 | 3.378 | 
| -1.434 | 1.432 | -0.000 | 0.066 | 6.855 | 272.026 | 
| 722.620 | 193.317 | 495.358 | 0.360 | -0.361 | -0.161 | 
| 196.128 | 719.809 | 495.358 | 1.028 | -0.315 | -0.157 | 
| 376.368 | 376.368 | 1507.260 | -0.003 | 0.010 | 0.000 | 
| 2.112 | -2.642 | 173.028 | 399.376 | -0.137 | -0.133 | 
| 1.435 | -1.433 | 0.000 | 0.399 | 419.630 | 2.646 | 
| 1.434 | -1.432 | 0.000 | -0.066 | 7.026 | 271.294 | 
| 629.245 | 173.980 | 152.345 | -1.785 | 0.018 | 0.050 | 
| 209.144 | 705.260 | 299.983 | -5.850 | 0.037 | 0.015 | 
| 376.368 | 376.368 | 1507.262 | 0.000 | -0.001 | -0.000 | 
| 8.427 | -8.426 | 0.001 | 394.984 | 0.007 | 0.016 | 
| -20.708 | -20.445 | -1.305 | -0.039 | 307.516 | -2.346 | 
| -0.143 | 0.144 | 0.000 | 0.007 | 8.872 | 255.276 | 
| 706.668 | 209.568 | 340.010 | 6.014 | -0.028 | -0.015 | 
| 216.279 | 725.981 | 376.367 | -8.916 | 0.003 | -0.016 | 
| 304.222 | 304.142 | 1204.077 | 0.090 | -0.030 | -0.021 | 
| 8.713 | -8.713 | -0.001 | 395.064 | -0.007 | -0.016 | 
| 0.143 | -0.143 | -0.001 | 0.040 | 395.374 | 8.452 | 
| 0.143 | -0.144 | -0.000 | -0.007 | 8.889 | 255.203 | 
| 724.715 | 217.575 | 376.371 | 9.079 | -0.000 | 0.002 | 
| 202.916 | 670.381 | 239.151 | -1.683 | 0.005 | 0.006 | 
| 263.373 | 263.416 | 992.361 | -0.006 | 0.003 | 0.004 | 
| -4.442 | -0.916 | -3.069 | 307.028 | 0.004 | 0.005 | 
| -0.006 | 0.020 | -5.148 | -0.005 | 340.441 | 2.572 | 
| -0.012 | 0.021 | 0.001 | 0.001 | 9.074 | 253.601 | 
| 724.692 | 217.541 | 376.365 | 9.077 | 0.000 | -0.002 | 
| 217.565 | 724.668 | 376.365 | -9.078 | 0.000 | -0.002 | 
| 260.593 | 260.550 | 987.031 | 0.006 | -0.003 | -0.004 | 
| 0.957 | 4.341 | 3.092 | 307.400 | -0.004 | -0.005 | 
| 0.006 | -0.020 | 5.148 | 0.005 | 340.438 | 2.566 | 
| 0.012 | -0.021 | -0.001 | -0.001 | 9.076 | 253.594 | 
| 1011.385 | 211.934 | 211.934 | 0.000 | 0.000 | 0.000 | 
| 211.934 | 1011.385 | 211.934 | 0.000 | 0.000 | 0.000 | 
| 211.934 | 211.934 | 1011.385 | -0.000 | 0.000 | 0.000 | 
| 0.000 | 0.000 | -0.000 | -18.971 | -0.000 | 0.000 | 
| 0.000 | -0.000 | -0.000 | 0.000 | -18.971 | 0.000 | 
| 0.000 | -0.000 | 0.000 | 0.000 | -0.000 | -18.971 | 
| 1011.385 | 211.934 | 211.934 | -0.000 | -0.000 | 0.000 | 
| 211.934 | 1011.385 | 211.934 | -0.000 | -0.000 | -0.000 | 
| 211.934 | 211.934 | 1011.385 | 0.000 | 0.000 | 0.000 | 
| -0.000 | -0.000 | 0.000 | -18.971 | 0.000 | -0.000 | 
| -0.000 | 0.000 | 0.000 | 0.000 | -18.971 | -0.000 | 
| -0.000 | 0.000 | -0.000 | -0.000 | -0.000 | -18.971 | 
| 1011.384 | 211.934 | 211.934 | 0.000 | 0.000 | 0.000 | 
| 211.934 | 1011.384 | 211.934 | 0.000 | 0.000 | 0.000 | 
| 211.934 | 211.934 | 1011.384 | -0.000 | -0.000 | -0.000 | 
| -0.000 | 0.000 | -0.000 | -18.971 | -0.000 | 0.000 | 
| 0.000 | -0.000 | -0.000 | 0.000 | -18.971 | 0.000 | 
| 0.000 | -0.000 | -0.000 | -0.000 | 0.000 | -18.971 | 
| 1011.386 | 211.934 | 211.934 | -0.000 | -0.000 | -0.000 | 
| 211.934 | 1011.386 | 211.934 | -0.000 | -0.000 | -0.000 | 
| 211.934 | 211.934 | 1011.386 | 0.000 | 0.000 | -0.000 | 
| 0.000 | -0.000 | 0.000 | -18.971 | 0.000 | 0.000 | 
| -0.000 | 0.000 | 0.000 | 0.000 | -18.971 | 0.000 | 
| -0.000 | 0.000 | 0.000 | -0.000 | -0.000 | -18.971 | 
| 1011.375 | 211.936 | 211.936 | 0.000 | 0.000 | -0.000 | 
| 211.936 | 1011.375 | 211.936 | 0.000 | 0.000 | 0.000 | 
| 211.936 | 211.936 | 1011.375 | -0.000 | -0.000 | -0.000 | 
| -0.000 | 0.000 | -0.000 | -18.971 | -0.000 | 0.000 | 
| 0.000 | -0.000 | -0.000 | 0.000 | -18.971 | 0.000 | 
| 0.000 | -0.000 | -0.000 | -0.000 | 0.000 | -18.971 | 
| 1011.395 | 211.932 | 211.932 | -0.000 | -0.000 | -0.000 | 
| 211.932 | 1011.395 | 211.932 | -0.000 | -0.000 | -0.000 | 
| 211.932 | 211.932 | 1011.395 | 0.000 | 0.000 | -0.000 | 
| 0.000 | -0.000 | 0.000 | -18.971 | 0.000 | 0.000 | 
| -0.000 | 0.000 | 0.000 | -0.000 | -18.971 | -0.000 | 
| -0.000 | 0.000 | 0.000 | 0.000 | -0.000 | -18.971 | 
| 497.611 | 121.192 | 190.071 | 0.014 | 0.009 | 0.035 | 
| 127.933 | 472.235 | 178.749 | -0.042 | -0.009 | 0.026 | 
| 192.482 | 192.482 | 801.612 | 0.000 | -0.000 | -0.000 | 
| -1.044 | 1.040 | -0.000 | 219.069 | 0.036 | 0.035 | 
| -1.053 | 1.039 | -0.000 | -0.292 | 217.492 | 0.155 | 
| -1.089 | 0.328 | -0.289 | -0.182 | -0.024 | 163.988 | 
| 472.684 | 128.542 | 179.135 | 0.042 | 0.008 | -0.025 | 
| 121.197 | 497.616 | 190.071 | -0.014 | -0.009 | -0.035 | 
| 184.934 | 184.924 | 782.730 | -0.001 | 0.010 | -0.004 | 
| 1.044 | -1.040 | 0.000 | 219.652 | -0.036 | -0.035 | 
| 1.053 | -1.039 | 0.000 | 0.292 | 217.651 | -0.155 | 
| 1.089 | -0.327 | 0.289 | 0.159 | 0.058 | 163.773 | 
| 511.661 | 107.146 | 190.071 | 0.001 | 0.001 | 0.004 | 
| 106.937 | 511.870 | 190.071 | 0.001 | 0.001 | 0.004 | 
| 192.482 | 192.482 | 801.612 | 0.000 | 0.000 | 0.000 | 
| -0.083 | 0.055 | 0.001 | 218.168 | -0.009 | 0.014 | 
| -0.105 | 0.104 | -0.000 | -0.029 | 229.581 | 0.015 | 
| -0.105 | 0.104 | -0.000 | 0.001 | -0.001 | 202.152 | 
| 511.872 | 106.938 | 190.071 | -0.001 | -0.001 | -0.004 | 
| 107.146 | 511.663 | 190.071 | -0.001 | -0.001 | -0.004 | 
| 185.140 | 185.137 | 782.526 | -0.000 | 0.001 | -0.000 | 
| 0.083 | -0.055 | -0.001 | 218.235 | 0.009 | -0.014 | 
| 0.105 | -0.104 | 0.000 | 0.029 | 229.597 | -0.015 | 
| 0.105 | -0.104 | 0.000 | -0.001 | 0.001 | 202.121 | 
| 513.059 | 105.740 | 190.071 | 0.000 | 0.000 | 0.000 | 
| 130.115 | 475.185 | 182.645 | -0.003 | 0.000 | 0.001 | 
| 192.483 | 192.483 | 801.612 | 0.000 | -0.000 | 0.000 | 
| -0.010 | 0.010 | -0.000 | 230.806 | 0.000 | 0.000 | 
| -0.011 | 0.010 | -0.000 | -0.003 | 230.790 | 0.002 | 
| -0.012 | 0.008 | -0.000 | 0.000 | -0.000 | 203.652 | 
| 481.802 | 118.242 | 178.535 | 0.004 | -0.000 | -0.000 | 
| 118.232 | 481.852 | 178.559 | 0.004 | -0.000 | -0.000 | 
| 192.481 | 192.481 | 801.611 | 0.000 | 0.000 | 0.000 | 
| 0.010 | -0.010 | 0.000 | 230.812 | -0.000 | -0.000 | 
| 0.011 | -0.010 | 0.000 | 0.003 | 230.792 | -0.002 | 
| 0.012 | -0.008 | 0.000 | -0.000 | 0.000 | 203.649 | 
| 346.848 | 122.925 | 132.336 | 5.236 | -6.795 | -3.777 | 
| 121.626 | 393.645 | 136.376 | -15.614 | -3.716 | 0.664 | 
| 137.311 | 126.490 | 464.976 | 0.597 | 21.257 | -1.172 | 
| 3.186 | -2.506 | 0.597 | 170.648 | -2.685 | -1.581 | 
| 0.553 | -5.111 | 18.772 | -2.692 | 112.735 | 4.607 | 
| 1.846 | -6.699 | -3.224 | -1.321 | -16.070 | 162.406 | 
| 380.652 | 119.211 | 132.719 | 4.797 | -10.693 | -6.085 | 
| 118.615 | 415.055 | 134.502 | -17.157 | -1.773 | -1.795 | 
| 132.983 | 136.891 | 372.493 | 2.490 | 17.283 | -3.757 | 
| 4.638 | -4.692 | 5.334 | 129.927 | -1.812 | -0.457 | 
| -8.814 | 0.065 | 21.257 | -2.685 | 172.762 | 0.602 | 
| 1.846 | -6.700 | -3.223 | -1.322 | -16.071 | 162.406 | 
| 332.666 | 122.611 | 133.173 | 4.673 | -5.783 | 1.151 | 
| 121.636 | 393.682 | 136.401 | -15.577 | -3.726 | 0.629 | 
| 137.311 | 126.490 | 464.976 | 0.597 | 21.257 | -1.172 | 
| 3.186 | -2.506 | 0.597 | 170.648 | -2.685 | -1.581 | 
| -0.578 | -4.632 | 17.255 | -3.637 | 123.342 | 3.769 | 
| 1.847 | -6.700 | -3.224 | -1.321 | -16.070 | 162.404 | 
| 318.409 | 125.237 | 130.997 | 5.807 | -3.194 | 4.743 | 
| 121.919 | 382.286 | 135.676 | -17.556 | -4.354 | 2.012 | 
| 132.925 | 135.602 | 397.264 | 5.861 | 17.359 | -1.910 | 
| 5.098 | -4.559 | 2.972 | 115.147 | -3.053 | 0.505 | 
| -8.815 | 0.065 | 21.257 | -2.685 | 172.761 | 0.604 | 
| 1.846 | -6.700 | -3.224 | -1.322 | -16.070 | 162.406 | 
| 380.614 | 119.222 | 132.699 | 4.805 | -10.697 | -6.079 | 
| 110.934 | 476.561 | 126.433 | -18.975 | 0.323 | -6.540 | 
| 133.929 | 135.806 | 356.452 | 4.829 | 18.651 | -3.270 | 
| 4.648 | -4.689 | 5.327 | 129.841 | -1.815 | -0.456 | 
| 0.572 | -5.080 | 18.828 | -2.622 | 112.693 | 4.555 | 
| 12.068 | 3.011 | -5.230 | 4.391 | -7.174 | 97.311 | 
| 332.514 | 122.632 | 133.171 | 4.685 | -5.770 | 1.155 | 
| 121.916 | 382.277 | 135.670 | -17.561 | -4.354 | 2.019 | 
| 132.966 | 136.867 | 372.446 | 2.448 | 17.295 | -3.719 | 
| 5.097 | -4.561 | 2.968 | 115.137 | -3.052 | 0.509 | 
| -3.324 | -2.252 | 17.067 | -1.645 | 138.588 | 1.908 | 
| 14.781 | 2.929 | -5.421 | 4.532 | -5.579 | 89.171 | 
| 487.512 | 104.386 | 114.677 | -7.501 | -2.463 | -4.448 | 
| 105.167 | 452.183 | 112.488 | -21.674 | -2.028 | -1.506 | 
| 113.709 | 112.245 | 456.067 | -1.790 | -14.225 | -2.537 | 
| -7.639 | -1.851 | -1.790 | 150.235 | 0.801 | -2.834 | 
| 5.015 | -1.923 | -14.225 | 0.801 | 145.093 | -10.557 | 
| 3.610 | -1.626 | -0.661 | -2.939 | -29.702 | 146.140 | 
| 590.986 | 159.723 | 409.134 | 34.405 | 79.466 | -0.391 | 
| 105.167 | 452.183 | 112.488 | -21.674 | -2.028 | -1.506 | 
| 217.582 | 167.535 | 750.191 | 40.110 | 67.687 | 1.547 | 
| 96.236 | 53.438 | 292.666 | 191.939 | 82.702 | 1.225 | 
| 108.894 | 53.376 | 280.233 | 42.690 | 226.828 | -6.485 | 
| 107.475 | 53.684 | 293.829 | 38.971 | 52.254 | 150.033 | 
| 487.513 | 104.386 | 114.677 | -7.501 | -2.463 | -4.448 | 
| 105.167 | 452.183 | 112.488 | -21.674 | -2.028 | -1.506 | 
| 113.709 | 112.245 | 456.067 | -1.790 | -14.225 | -2.538 | 
| -7.639 | -1.851 | -1.790 | 150.235 | 0.801 | -2.834 | 
| 5.015 | -1.923 | -14.225 | 0.801 | 145.093 | -10.557 | 
| 3.610 | -1.626 | -0.661 | -2.939 | -29.702 | 146.140 | 
| 497.495 | 109.955 | 144.116 | -3.314 | 5.738 | -4.046 | 
| 115.596 | 457.303 | 141.929 | -17.465 | 6.168 | -1.088 | 
| 113.709 | 112.245 | 456.067 | -1.790 | -14.225 | -2.537 | 
| 2.745 | 3.670 | 27.648 | 154.221 | 8.973 | -2.431 | 
| 17.996 | 4.983 | 22.561 | 6.013 | 155.097 | -10.036 | 
| 13.983 | 3.915 | 28.812 | 1.252 | -21.475 | 146.377 | 
| 302.220 | 45.120 | -189.495 | -42.557 | -44.145 | 33.665 | 
| 105.167 | 452.185 | 112.488 | -21.673 | -2.028 | -1.505 | 
| 2.499 | 53.882 | 94.932 | -34.105 | -54.817 | 38.567 | 
| -118.830 | -61.205 | -301.916 | 78.152 | -45.507 | 33.134 | 
| -104.209 | -59.786 | -312.548 | -35.502 | 66.999 | 28.632 | 
| 3.611 | -1.626 | -0.661 | -2.937 | -29.703 | 146.142 | 
| 488.775 | 105.568 | 120.550 | -6.672 | -0.808 | -4.376 | 
| 106.384 | 452.383 | 115.804 | -21.198 | -1.106 | -1.440 | 
| 113.710 | 112.245 | 456.070 | -1.789 | -14.223 | -2.537 | 
| -5.571 | -0.763 | 4.079 | 150.664 | 2.398 | -2.758 | 
| 5.015 | -1.924 | -14.224 | 0.800 | 145.094 | -10.557 | 
| 4.890 | -0.921 | 3.052 | -2.414 | -28.634 | 145.980 | 
| -3319.882 | 8626.062 | 136.096 | 46.621 | 507.005 | 4380.914 | 
| -3544.763 | 8851.652 | 126.912 | 46.567 | 527.237 | 4393.045 | 
| -3546.253 | 8613.831 | 379.963 | 34.424 | 535.571 | 4378.934 | 
| -3675.854 | 8509.407 | -5.591 | 174.558 | 529.588 | 4378.951 | 
| -3670.323 | 8496.946 | 15.221 | 49.249 | 662.527 | 4381.256 | 
| -3663.089 | 8507.649 | 4.907 | 44.062 | 514.812 | 4520.658 | 
| 4030.051 | -8367.888 | 119.666 | -49.845 | -550.139 | -4383.000 | 
| 3805.171 | -8142.295 | 110.483 | -49.899 | -529.907 | -4370.869 | 
| 3803.681 | -8380.119 | 363.532 | -62.041 | -521.574 | -4384.980 | 
| 3674.080 | -8484.543 | -22.021 | 78.093 | -527.556 | -4384.963 | 
| 3679.610 | -8497.003 | -1.209 | -47.217 | -394.616 | -4382.658 | 
| 3686.845 | -8486.300 | -11.523 | -52.403 | -542.332 | -4243.255 | 
| -12.411 | 978.791 | 128.703 | 3.211 | 31.290 | 437.156 | 
| -252.552 | 275.297 | 668.548 | -52.360 | -658.999 | 583.589 | 
| -238.785 | 966.559 | 372.575 | -8.985 | 59.856 | 435.175 | 
| -368.385 | 862.133 | -12.985 | 131.148 | 53.873 | 435.192 | 
| -362.854 | 849.673 | 7.827 | 5.840 | 186.807 | 437.496 | 
| -355.620 | 860.375 | -2.486 | 0.653 | 39.098 | 576.898 | 
| 722.579 | -720.616 | 127.060 | -6.435 | -74.424 | -439.242 | 
| 497.701 | -495.007 | 117.875 | -6.490 | -54.193 | -427.110 | 
| 496.212 | -732.845 | 370.919 | -18.632 | -45.859 | -441.221 | 
| 395.387 | 3.423 | -560.573 | 128.995 | 669.635 | -573.088 | 
| 372.141 | -849.730 | 6.185 | -3.808 | 81.104 | -438.898 | 
| 379.376 | -839.026 | -4.129 | -8.994 | -66.617 | -299.495 | 
| 225.931 | 138.236 | 180.842 | -2.843 | -80.003 | 63.927 | 
| 302.191 | 97.101 | 150.187 | 5.654 | -54.834 | -148.404 | 
| 89.909 | 123.388 | 340.393 | -22.404 | -56.782 | 59.214 | 
| -37.650 | 97.433 | -13.724 | 126.794 | 6.306 | 40.830 | 
| -37.062 | 6.753 | 64.083 | 0.660 | 14.069 | 54.750 | 
| -24.886 | 95.677 | -3.225 | -3.690 | -8.470 | 182.519 | 
| 391.781 | 44.062 | 127.797 | -2.094 | -26.843 | -44.896 | 
| 123.511 | 399.020 | 116.856 | -2.052 | -3.986 | 11.275 | 
| 165.486 | 31.833 | 371.574 | -14.293 | 1.708 | -46.870 | 
| 20.458 | 73.594 | -73.931 | 31.477 | 23.618 | 68.817 | 
| 41.405 | -85.036 | 6.925 | 0.527 | 128.715 | -44.537 | 
| 54.765 | 13.058 | -52.404 | -0.418 | 56.236 | 34.336 | 
| 1557.263 | 77.436 | 271.963 | 129.098 | -599.464 | -651.103 | 
| 201.454 | 611.104 | -83.541 | 256.156 | -128.175 | -114.569 | 
| 226.814 | 270.583 | 223.197 | 252.483 | -129.993 | -127.097 | 
| 1129.922 | 670.957 | -420.173 | -900.487 | -1370.420 | -1246.601 | 
| 90.898 | 140.892 | -215.441 | 247.066 | 37.248 | -116.575 | 
| 66.994 | 149.426 | -217.608 | 248.368 | -121.114 | 15.536 | 
| 316.933 | -27.259 | 354.347 | -252.339 | 120.391 | 90.683 | 
| 39.917 | 315.167 | 328.830 | -252.149 | 113.699 | 117.229 | 
| -1108.631 | 189.770 | 219.631 | -125.053 | 602.937 | 630.379 | 
| -731.889 | -201.539 | 192.076 | 37.810 | 353.807 | 373.128 | 
| 10.148 | -9.608 | -13.374 | -9.566 | 192.885 | 0.193 | 
| -17.433 | -0.559 | -9.877 | -0.739 | 0.799 | 161.981 | 
| 391.712 | 147.131 | 125.166 | 12.449 | -31.592 | -54.871 | 
| 128.823 | 477.525 | 102.001 | 27.533 | -19.369 | -10.299 | 
| 154.151 | 137.381 | 409.070 | 23.790 | -21.197 | -22.806 | 
| 9.543 | 16.556 | -22.404 | 155.061 | -19.481 | -17.763 | 
| 118.693 | 58.807 | -41.706 | -94.128 | -47.778 | -123.369 | 
| -5.665 | 16.269 | -32.077 | 19.638 | -12.293 | 119.653 | 
| 244.553 | 107.699 | 162.832 | 3.092 | 38.476 | 20.984 | 
| 53.834 | 358.565 | 147.892 | -5.757 | 29.024 | 39.062 | 
| 64.535 | 37.848 | 378.555 | 122.640 | 148.590 | 128.159 | 
| -6.666 | -13.072 | 18.825 | 105.323 | 4.668 | 5.616 | 
| 2.021 | -21.958 | 11.441 | -32.606 | 170.386 | 10.962 | 
| -21.874 | -13.383 | 9.224 | -31.201 | 11.932 | 143.169 | 
| 359.006 | 126.661 | 144.146 | 6.277 | -0.958 | -23.657 | 
| 139.293 | 400.299 | 126.508 | 4.892 | -11.826 | -4.315 | 
| 146.886 | 124.461 | 425.309 | 1.196 | -10.280 | -12.517 | 
| 16.925 | 3.073 | -1.109 | 83.193 | -4.750 | -15.596 | 
| 11.006 | -5.124 | -10.895 | -3.964 | 151.840 | -2.061 | 
| 6.937 | 2.959 | -7.698 | -10.153 | -5.938 | 85.168 | 
| 341.632 | 124.377 | 146.499 | 6.575 | 4.818 | -17.159 | 
| 122.974 | 392.122 | 126.886 | 1.522 | -2.870 | 4.970 | 
| 138.576 | 123.952 | 387.915 | -0.226 | -2.943 | -6.400 | 
| 0.497 | 0.063 | 0.518 | 128.032 | -6.074 | -4.647 | 
| 4.732 | -8.241 | -3.597 | -2.216 | 127.391 | 3.331 | 
| -17.433 | -0.559 | -9.877 | -0.739 | 0.799 | 161.981 | 
| 398.348 | 45.410 | -367.262 | 753.886 | -1500.486 | 1433.531 | 
| -73.603 | -303.518 | -2070.980 | 1395.264 | -1386.778 | 1547.880 | 
| 76.829 | 75.630 | 262.744 | 81.387 | -733.303 | 560.839 | 
| -9.726 | 4.424 | -15.588 | 165.815 | -727.014 | 565.386 | 
| 16.585 | -409.792 | -702.699 | 923.069 | -1570.101 | 1378.531 | 
| 177.615 | -40.211 | -438.373 | 757.862 | -1502.141 | 1493.810 | 
| 332.650 | 91.286 | 89.590 | -3.242 | 1.400 | -30.621 | 
| 91.034 | 339.827 | 87.234 | -22.232 | 0.459 | -5.126 | 
| 88.810 | 88.697 | 342.910 | 5.683 | -4.473 | -2.952 | 
| 643.918 | 93.901 | 1969.576 | -1337.914 | 1344.602 | -1368.450 | 
| -21.756 | 418.204 | 706.611 | -929.812 | 1661.609 | -1364.634 | 
| 6.282 | 2.497 | 19.959 | -71.588 | 708.722 | -472.746 | 
| 240.628 | 77.148 | 26.102 | 78.252 | -154.758 | 135.797 | 
| 87.821 | 270.024 | 78.336 | -4.774 | -71.639 | 52.257 | 
| 87.673 | 59.320 | 143.772 | 82.093 | -154.045 | 143.890 | 
| -51.217 | -8.335 | -186.024 | 168.860 | -136.816 | 131.631 | 
| -0.494 | -37.170 | -68.430 | 89.022 | -113.521 | 143.556 | 
| -12.164 | -44.964 | -176.161 | 152.368 | -159.795 | 191.697 | 
| 197.122 | -25.585 | 336.235 | -164.201 | 103.181 | -49.289 | 
| 89.583 | 272.067 | 82.722 | -20.002 | 74.153 | -60.644 | 
| 86.391 | 82.763 | 286.970 | -1.602 | 66.918 | -58.751 | 
| -0.167 | 11.563 | 8.080 | 82.249 | 72.866 | -53.976 | 
| 3.631 | 1.953 | -3.053 | -8.940 | 166.874 | -51.277 | 
| 69.852 | 21.746 | 195.635 | -140.025 | 128.478 | -97.673 | 
| 223.243 | 69.973 | 53.327 | 11.457 | -17.900 | 5.058 | 
| 61.861 | 165.205 | 17.806 | 9.585 | -11.443 | 22.315 | 
| 56.340 | 46.452 | 169.538 | 18.074 | -15.593 | 14.136 | 
| 3.455 | 15.433 | 2.791 | 69.504 | -13.903 | 15.649 | 
| -0.689 | -0.698 | -6.245 | 5.899 | 46.682 | 18.761 | 
| 5.384 | 9.264 | -13.265 | 9.980 | -21.807 | 53.715 | 
| 249.417 | 83.880 | 78.687 | -4.467 | 8.114 | -25.348 | 
| 77.954 | 199.411 | 61.152 | -9.268 | 15.400 | -14.340 | 
| 61.272 | 40.296 | 181.065 | 2.200 | 7.704 | -10.089 | 
| -2.443 | 7.817 | 5.682 | 116.739 | 0.129 | 3.701 | 
| 2.375 | 1.527 | -5.090 | -2.523 | 97.821 | -0.645 | 
| 11.553 | 7.612 | 17.755 | -12.836 | 6.549 | 30.822 | 
| 440.991 | 120.815 | 127.167 | -3.782 | 21.616 | -1.065 | 
| 130.461 | 373.129 | 127.650 | 1.503 | 0.047 | -3.678 | 
| 136.906 | 127.124 | 347.090 | 1.443 | 0.476 | -4.984 | 
| -3.251 | -5.327 | 7.991 | 152.263 | -4.939 | 1.521 | 
| 0.960 | -0.245 | -2.211 | -4.939 | 164.804 | -4.736 | 
| -17.449 | -6.878 | -2.531 | 5.228 | -2.911 | 98.232 | 
| 440.991 | 120.815 | 127.167 | -3.782 | 21.616 | -1.065 | 
| 129.312 | 345.703 | 127.198 | -0.435 | -0.560 | -7.369 | 
| 131.569 | 127.263 | 371.492 | 2.581 | 3.252 | -5.868 | 
| -4.786 | -7.151 | 1.189 | 94.850 | -3.344 | 5.978 | 
| 0.960 | -0.245 | -2.212 | -4.939 | 164.804 | -4.736 | 
| -10.001 | 3.234 | -5.948 | 1.170 | 6.966 | 151.374 | 
| 380.409 | 129.611 | 131.614 | -2.858 | 12.507 | -4.316 | 
| 129.308 | 345.721 | 127.198 | -0.437 | -0.565 | -7.367 | 
| 127.815 | 124.697 | 443.584 | 7.991 | -2.211 | -5.790 | 
| -2.622 | -6.361 | 2.091 | 110.934 | -2.884 | 3.377 | 
| -3.986 | 0.240 | 3.623 | -2.926 | 127.400 | -5.074 | 
| -10.572 | 3.114 | -5.964 | 1.126 | 7.062 | 151.636 | 
| 441.563 | 120.935 | 127.183 | -3.738 | 21.520 | -1.327 | 
| 130.460 | 373.134 | 127.651 | 1.504 | 0.047 | -3.677 | 
| 131.569 | 127.263 | 371.494 | 2.581 | 3.252 | -5.868 | 
| -2.622 | -6.361 | 2.090 | 110.932 | -2.884 | 3.377 | 
| 0.960 | -0.245 | -2.212 | -4.939 | 164.804 | -4.736 | 
| -10.001 | 3.234 | -5.948 | 1.170 | 6.966 | 151.374 | 
| 338.098 | 126.132 | 139.193 | -4.612 | 4.487 | -14.429 | 
| 129.309 | 345.700 | 127.199 | -0.434 | -0.566 | -7.364 | 
| 136.906 | 127.119 | 347.133 | 1.449 | 0.476 | -4.980 | 
| -4.787 | -7.145 | 1.197 | 94.901 | -3.354 | 5.976 | 
| 0.905 | -0.257 | -2.214 | -4.943 | 164.812 | -4.706 | 
| -22.040 | -8.125 | 0.428 | 7.282 | -4.967 | 89.455 | 
| 333.592 | 126.095 | 140.336 | -4.062 | 1.689 | -16.490 | 
| 129.349 | 345.755 | 127.201 | -0.433 | -0.572 | -7.393 | 
| 136.898 | 127.126 | 347.056 | 1.445 | 0.477 | -4.985 | 
| -2.576 | -6.346 | 2.098 | 110.934 | -2.895 | 3.348 | 
| 0.959 | -0.245 | -2.211 | -4.939 | 164.804 | -4.737 | 
| -13.683 | -7.906 | -4.877 | 5.719 | -0.134 | 106.605 | 
| 395.144 | 134.221 | 127.842 | 2.526 | 7.487 | -5.237 | 
| 119.818 | 454.605 | 132.890 | 19.843 | 1.941 | -0.510 | 
| 135.477 | 149.175 | 343.108 | -3.235 | 3.840 | -0.756 | 
| 4.080 | 6.275 | -1.283 | 138.279 | 0.110 | -2.589 | 
| 2.464 | 6.990 | -6.337 | -6.326 | 112.426 | -2.908 | 
| -10.571 | -0.095 | 5.571 | -2.063 | 20.040 | 159.647 | 
| 415.922 | 124.389 | 129.445 | 4.067 | 6.628 | 1.144 | 
| 126.396 | 348.651 | 146.575 | 23.483 | -5.549 | 0.237 | 
| 130.496 | 134.892 | 392.285 | -2.122 | 3.122 | 3.219 | 
| 5.369 | 3.049 | -4.667 | 141.992 | -2.864 | -2.706 | 
| 4.295 | 0.767 | 1.242 | -0.958 | 126.230 | 1.494 | 
| -13.306 | -12.141 | 10.545 | -1.327 | 9.837 | 111.732 | 
| 482.688 | 119.755 | 124.831 | 0.739 | 13.971 | 2.088 | 
| 126.809 | 391.032 | 136.676 | 19.162 | 2.172 | -1.856 | 
| 133.892 | 138.940 | 356.918 | -1.977 | 2.142 | 2.608 | 
| 0.865 | 1.682 | -0.094 | 174.978 | 2.398 | -2.312 | 
| 8.926 | 1.692 | 10.035 | 2.398 | 166.009 | 2.810 | 
| -10.571 | -0.095 | 5.572 | -2.063 | 20.040 | 159.647 | 
| 482.687 | 119.754 | 124.830 | 0.739 | 13.971 | 2.088 | 
| 119.818 | 454.605 | 132.890 | 19.843 | 1.941 | -0.510 | 
| 130.820 | 136.328 | 384.839 | -2.606 | 3.356 | 3.078 | 
| 4.872 | 4.464 | -3.265 | 139.937 | -1.648 | -2.660 | 
| 8.926 | 1.692 | 10.034 | 2.398 | 166.009 | 2.810 | 
| -10.571 | -0.095 | 5.571 | -2.063 | 20.040 | 159.647 | 
| 396.881 | 126.243 | 133.536 | 3.617 | 5.748 | -2.660 | 
| 126.956 | 365.176 | 137.748 | 21.663 | -2.721 | -2.893 | 
| 133.757 | 138.085 | 358.208 | -1.869 | 1.997 | 2.881 | 
| 4.805 | 4.646 | -3.080 | 139.697 | -1.487 | -2.654 | 
| 3.494 | 2.153 | 2.919 | -1.192 | 127.594 | 1.557 | 
| -13.627 | -3.443 | 2.689 | -2.365 | 12.421 | 98.195 | 
| 385.040 | 127.081 | 134.365 | 3.417 | 2.363 | -4.349 | 
| 127.971 | 351.806 | 134.953 | 19.242 | -0.956 | -3.433 | 
| 133.725 | 137.896 | 358.487 | -1.845 | 1.964 | 2.940 | 
| 4.818 | 4.612 | -3.115 | 139.734 | -1.518 | -2.656 | 
| 1.905 | -2.547 | 1.947 | -4.623 | 112.203 | 0.349 | 
| -13.058 | -3.174 | 3.226 | -2.641 | 11.792 | 108.439 | 
| 396.864 | 146.929 | 137.462 | -1.885 | 20.792 | 20.906 | 
| 148.760 | 359.311 | 145.011 | 14.086 | 1.885 | -7.921 | 
| 123.585 | 141.945 | 484.294 | -3.368 | -3.204 | 8.513 | 
| -2.616 | 8.322 | 4.518 | 130.665 | 6.279 | -0.465 | 
| 11.001 | -1.238 | -3.204 | 8.409 | 155.016 | -7.451 | 
| 3.223 | -7.971 | 6.987 | 0.107 | 3.347 | 138.470 | 
| 396.862 | 146.930 | 137.461 | -1.885 | 20.793 | 20.905 | 
| 139.549 | 432.364 | 141.787 | 10.171 | -0.844 | -8.927 | 
| 137.385 | 144.610 | 420.199 | 3.303 | -3.849 | 7.104 | 
| -2.026 | 2.379 | -3.368 | 166.263 | 8.409 | 0.892 | 
| 11.001 | -1.238 | -3.204 | 8.409 | 155.016 | -7.451 | 
| 1.323 | -8.576 | 5.098 | -0.500 | 5.121 | 124.879 | 
| 396.864 | 146.929 | 137.461 | -1.885 | 20.792 | 20.905 | 
| 151.677 | 330.416 | 146.779 | 14.374 | 2.366 | -8.758 | 
| 123.585 | 141.945 | 484.294 | -3.368 | -3.204 | 8.513 | 
| -2.616 | 8.323 | 4.518 | 130.665 | 6.280 | -0.465 | 
| 11.001 | -1.238 | -3.204 | 8.409 | 155.016 | -7.451 | 
| 3.223 | -7.971 | 6.987 | 0.107 | 3.347 | 138.470 | 
| 458.644 | 138.335 | 124.401 | -1.088 | 25.124 | 23.203 | 
| 139.549 | 432.364 | 141.787 | 10.171 | -0.844 | -8.927 | 
| 123.585 | 141.945 | 484.293 | -3.368 | -3.204 | 8.513 | 
| -2.616 | 8.323 | 4.517 | 130.664 | 6.280 | -0.466 | 
| 11.001 | -1.238 | -3.205 | 8.409 | 155.016 | -7.451 | 
| 1.202 | -9.027 | 8.363 | 1.286 | -0.185 | 175.042 | 
| 351.790 | 150.786 | 153.747 | -2.046 | 19.376 | 13.905 | 
| 150.034 | 303.751 | 149.823 | 12.100 | 3.471 | -9.079 | 
| 137.385 | 144.611 | 420.205 | 3.303 | -3.850 | 7.105 | 
| -2.026 | 2.379 | -3.367 | 166.263 | 8.409 | 0.892 | 
| 11.002 | -1.238 | -3.204 | 8.409 | 155.016 | -7.451 | 
| -0.051 | -7.021 | 3.214 | -1.156 | 5.199 | 116.949 | 
| 459.090 | 138.337 | 124.535 | -1.109 | 24.877 | 23.241 | 
| 148.740 | 359.151 | 144.978 | 14.013 | 1.915 | -7.875 | 
| 142.989 | 146.505 | 394.740 | 4.616 | -1.864 | 5.078 | 
| -2.616 | 8.322 | 4.517 | 130.667 | 6.280 | -0.465 | 
| 9.541 | 1.929 | -1.203 | 3.995 | 103.878 | 0.237 | 
| -0.051 | -7.021 | 3.218 | -1.154 | 5.193 | 116.996 | 
| 353.425 | 125.655 | 120.525 | 2.501 | 2.637 | -6.451 | 
| 112.997 | 504.947 | 111.649 | -2.525 | 3.675 | -2.365 | 
| 120.166 | 120.148 | 401.905 | 0.890 | 9.213 | -3.791 | 
| 2.157 | 6.302 | 0.963 | 117.897 | -3.975 | -3.153 | 
| 2.264 | -0.154 | 9.252 | -4.168 | 112.669 | 1.276 | 
| -3.186 | -2.100 | -4.217 | -2.712 | -3.543 | 119.927 | 
| 448.523 | 113.246 | 105.652 | 5.080 | -0.498 | -4.358 | 
| 123.836 | 447.560 | 119.471 | 0.948 | -0.040 | -2.026 | 
| 105.477 | 111.597 | 474.160 | -1.224 | 9.630 | -9.142 | 
| 2.548 | 8.827 | 3.669 | 104.084 | -4.019 | -5.222 | 
| 2.262 | -0.154 | 9.249 | -4.166 | 112.677 | 1.275 | 
| -0.053 | -2.350 | -9.546 | 4.045 | -2.442 | 155.186 | 
| 448.523 | 113.246 | 105.652 | 5.080 | -0.498 | -4.358 | 
| 123.834 | 447.581 | 119.470 | 0.946 | -0.038 | -2.025 | 
| 105.477 | 111.597 | 474.160 | -1.224 | 9.630 | -9.142 | 
| 5.141 | 3.917 | -1.224 | 153.512 | -5.582 | 3.811 | 
| 2.263 | -0.154 | 9.251 | -4.167 | 112.672 | 1.276 | 
| -3.541 | -4.935 | -2.324 | -5.053 | -2.982 | 106.170 | 
| 353.446 | 125.641 | 120.513 | 2.502 | 2.639 | -6.449 | 
| 112.997 | 504.947 | 111.649 | -2.525 | 3.675 | -2.365 | 
| 120.168 | 120.149 | 401.887 | 0.892 | 9.213 | -3.791 | 
| 5.784 | 11.008 | 5.339 | 95.292 | -3.972 | -7.011 | 
| 3.347 | -3.173 | 8.684 | -4.026 | 99.769 | 1.118 | 
| -3.539 | -4.937 | -2.326 | -5.052 | -2.982 | 106.171 | 
| 320.094 | 130.384 | 119.485 | 2.756 | -3.626 | -10.222 | 
| 123.834 | 447.578 | 119.470 | 0.946 | -0.038 | -2.025 | 
| 120.418 | 121.777 | 372.553 | 3.526 | 8.587 | -1.867 | 
| 2.503 | 13.086 | 7.077 | 89.685 | -3.519 | -8.741 | 
| 0.852 | 3.440 | 9.630 | -5.581 | 151.928 | 3.931 | 
| -3.186 | -2.101 | -4.220 | -2.710 | -3.544 | 119.929 | 
| 448.519 | 113.245 | 105.651 | 5.080 | -0.498 | -4.358 | 
| 127.440 | 408.812 | 118.732 | 6.580 | -4.755 | -3.267 | 
| 120.167 | 120.149 | 401.881 | 0.892 | 9.214 | -3.791 | 
| 5.140 | 3.916 | -1.223 | 153.513 | -5.582 | 3.811 | 
| -2.699 | -5.060 | 5.776 | -3.581 | 87.575 | -0.951 | 
| -7.579 | -3.805 | -0.857 | -8.516 | -4.741 | 92.193 | 
| 499.407 | 124.436 | 119.060 | -0.886 | -17.580 | 3.652 | 
| 124.599 | 507.247 | 117.389 | -13.639 | 3.561 | -5.175 | 
| 119.300 | 116.818 | 507.432 | -8.052 | 7.781 | -9.000 | 
| -1.260 | -1.381 | -8.052 | 172.937 | -9.287 | 0.143 | 
| -10.641 | 2.902 | 7.781 | -9.288 | 172.090 | -1.784 | 
| 5.779 | -5.371 | -9.551 | 0.801 | -13.980 | 178.013 | 
| 499.407 | 124.436 | 119.060 | -0.886 | -17.580 | 3.652 | 
| 124.599 | 507.247 | 117.389 | -13.639 | 3.560 | -5.175 | 
| 119.300 | 116.818 | 507.432 | -8.052 | 7.781 | -9.000 | 
| -1.260 | -1.381 | -8.052 | 172.937 | -9.288 | 0.143 | 
| -10.641 | 2.902 | 7.781 | -9.287 | 172.090 | -1.784 | 
| 5.779 | -5.371 | -9.551 | 0.801 | -13.980 | 178.013 | 
| 499.406 | 124.436 | 119.060 | -0.886 | -17.580 | 3.652 | 
| 124.599 | 507.247 | 117.389 | -13.639 | 3.561 | -5.175 | 
| 119.300 | 116.818 | 507.432 | -8.052 | 7.781 | -9.000 | 
| -1.260 | -1.381 | -8.051 | 172.937 | -9.287 | 0.143 | 
| -10.641 | 2.902 | 7.781 | -9.287 | 172.090 | -1.784 | 
| 5.780 | -5.371 | -9.552 | 0.802 | -13.979 | 178.012 | 
| 499.406 | 124.436 | 119.060 | -0.886 | -17.581 | 3.653 | 
| 124.599 | 507.246 | 117.389 | -13.639 | 3.560 | -5.175 | 
| 119.300 | 116.818 | 507.432 | -8.051 | 7.781 | -9.000 | 
| -1.260 | -1.381 | -8.052 | 172.937 | -9.288 | 0.143 | 
| -10.642 | 2.902 | 7.781 | -9.288 | 172.089 | -1.782 | 
| 5.779 | -5.371 | -9.551 | 0.801 | -13.980 | 178.013 | 
| 358.685 | -404.939 | -460.378 | 474.937 | -228.011 | 168.033 | 
| 124.598 | 507.248 | 117.391 | -13.638 | 3.562 | -5.175 | 
| 119.302 | 116.820 | 507.502 | -8.044 | 7.771 | -9.001 | 
| -1.260 | -1.380 | -8.051 | 172.936 | -9.287 | 0.142 | 
| -10.641 | 2.902 | 7.781 | -9.287 | 172.090 | -1.783 | 
| 5.780 | -5.371 | -9.551 | 0.802 | -13.979 | 178.018 | 
| 499.412 | 124.435 | 119.060 | -0.886 | -17.583 | 3.648 | 
| 124.598 | 507.245 | 117.387 | -13.640 | 3.559 | -5.175 | 
| 119.302 | 116.817 | 507.428 | -8.051 | 7.779 | -8.999 | 
| -1.260 | -1.383 | -8.052 | 172.936 | -9.288 | 0.144 | 
| -10.638 | 2.902 | 7.779 | -9.287 | 172.088 | -1.783 | 
| 5.779 | -5.371 | -9.552 | 0.801 | -13.981 | 178.012 | 
| 493.594 | 123.399 | 110.728 | 4.531 | 13.543 | 8.077 | 
| 129.097 | 429.359 | 112.397 | -9.231 | -3.785 | 13.998 | 
| 110.804 | 108.063 | 492.264 | -12.559 | 4.890 | -11.468 | 
| 4.933 | -15.876 | -12.559 | 151.081 | -9.049 | -6.566 | 
| 5.075 | -3.991 | -1.891 | -11.327 | 94.230 | -1.431 | 
| 5.985 | 13.992 | -15.419 | -5.027 | 6.646 | 134.741 | 
| 493.594 | 123.399 | 110.728 | 4.531 | 13.543 | 8.077 | 
| 126.287 | 389.847 | 113.409 | -11.369 | -2.252 | 11.755 | 
| 114.750 | 113.787 | 416.622 | -10.153 | 0.299 | -16.302 | 
| -0.105 | -16.506 | -10.344 | 115.580 | -11.330 | -4.046 | 
| 5.370 | -3.721 | -2.206 | -11.100 | 95.126 | -1.791 | 
| 4.918 | 14.339 | -14.667 | -4.423 | 4.763 | 122.587 | 
| 429.894 | 128.770 | 113.780 | 0.139 | 7.909 | 8.284 | 
| 123.656 | 487.497 | 107.283 | -6.492 | -7.623 | 13.033 | 
| 110.804 | 108.063 | 492.265 | -12.559 | 4.890 | -11.468 | 
| -0.079 | -16.568 | -10.318 | 115.359 | -11.389 | -4.067 | 
| 5.208 | -3.866 | -2.038 | -11.224 | 94.616 | -1.597 | 
| 5.314 | 13.002 | -11.164 | -7.129 | 10.307 | 168.355 | 
| 429.945 | 128.774 | 113.775 | 0.143 | 7.921 | 8.290 | 
| 127.551 | 407.442 | 114.781 | -11.559 | -4.370 | 14.231 | 
| 110.804 | 108.062 | 492.263 | -12.559 | 4.890 | -11.468 | 
| 4.933 | -15.876 | -12.559 | 151.081 | -9.049 | -6.566 | 
| 3.648 | -2.720 | 0.495 | -11.433 | 109.626 | -0.655 | 
| 5.314 | 13.002 | -11.164 | -7.129 | 10.307 | 168.355 | 
| 382.897 | 126.451 | 116.352 | -5.262 | 6.201 | 7.783 | 
| 127.529 | 407.440 | 114.799 | -11.572 | -4.398 | 14.253 | 
| 114.787 | 113.702 | 417.005 | -10.162 | 0.276 | -16.315 | 
| -4.709 | -17.846 | -11.547 | 91.260 | -12.122 | -1.807 | 
| 9.005 | -7.062 | 4.889 | -9.048 | 149.486 | 1.023 | 
| 4.796 | 14.234 | -14.522 | -4.530 | 4.574 | 122.893 | 
| 405.498 | 127.762 | 115.388 | -1.889 | 7.877 | 6.633 | 
| 125.350 | 396.443 | 114.499 | -11.830 | -4.618 | 12.833 | 
| 115.200 | 114.609 | 350.874 | -11.807 | -7.462 | -14.917 | 
| 4.935 | -15.875 | -12.559 | 151.080 | -9.048 | -6.567 | 
| 3.650 | -2.721 | 0.493 | -11.434 | 109.592 | -0.659 | 
| 5.617 | 12.901 | -13.405 | -3.080 | 3.886 | 115.672 | 
| 411.923 | 114.793 | 120.131 | 8.360 | -6.190 | -10.314 | 
| 114.058 | 401.976 | 126.611 | -6.384 | 0.871 | -8.314 | 
| 118.537 | 87.638 | 403.389 | 15.283 | 5.152 | -14.448 | 
| 8.521 | 1.632 | -11.424 | 156.130 | 1.041 | 2.788 | 
| -1.293 | -39.092 | -29.042 | 28.075 | 144.260 | -6.716 | 
| -9.633 | -46.270 | -30.456 | 27.524 | 4.333 | 119.160 | 
| 381.316 | 155.719 | 153.264 | -16.609 | -7.428 | 3.365 | 
| 114.058 | 401.976 | 126.611 | -6.384 | 0.871 | -8.314 | 
| 120.213 | 126.024 | 463.949 | -11.424 | 2.471 | -0.660 | 
| 13.723 | 43.993 | 19.945 | 112.920 | -1.503 | 16.340 | 
| 1.321 | 0.924 | 2.471 | 1.041 | 162.581 | 9.050 | 
| -3.505 | -8.218 | -0.787 | 2.735 | 0.703 | 156.265 | 
| 411.924 | 114.793 | 120.131 | 8.360 | -6.190 | -10.314 | 
| 114.058 | 401.976 | 126.611 | -6.384 | 0.871 | -8.314 | 
| 120.213 | 126.024 | 463.950 | -11.424 | 2.471 | -0.660 | 
| 8.522 | 1.630 | -11.423 | 156.125 | 1.043 | 2.787 | 
| 1.321 | 0.924 | 2.471 | 1.041 | 162.581 | 9.050 | 
| -3.505 | -8.218 | -0.787 | 2.735 | 0.703 | 156.265 | 
| 366.078 | 121.507 | 127.469 | 6.346 | -3.388 | -9.689 | 
| 115.934 | 364.219 | 132.774 | -5.655 | -0.246 | -4.011 | 
| 123.814 | 133.264 | 430.044 | -14.088 | 0.676 | 2.433 | 
| 8.521 | 1.632 | -11.424 | 156.129 | 1.041 | 2.788 | 
| 1.321 | 0.924 | 2.471 | 1.041 | 162.581 | 9.050 | 
| -3.505 | -8.218 | -0.787 | 2.735 | 0.703 | 156.265 | 
| 307.494 | 150.867 | 145.050 | -8.921 | -20.631 | -5.410 | 
| 119.382 | 295.034 | 134.898 | 0.188 | -11.201 | 3.721 | 
| 121.422 | 148.066 | 367.899 | -13.023 | -2.832 | 0.184 | 
| 17.954 | 8.851 | -10.185 | 91.469 | 4.301 | -0.159 | 
| 4.515 | -3.998 | 3.870 | 4.724 | 106.915 | 6.895 | 
| -17.974 | 25.979 | 9.996 | -12.488 | -8.308 | 80.702 | 
| 324.772 | 122.834 | 129.106 | 11.444 | -0.653 | -11.322 | 
| 123.513 | 289.925 | 134.985 | 2.953 | -4.107 | 1.350 | 
| 129.477 | 135.264 | 367.698 | -8.806 | 6.154 | 1.246 | 
| 25.239 | -0.569 | -8.837 | 94.405 | 10.063 | 1.558 | 
| 7.537 | -23.599 | -5.909 | 20.561 | 104.383 | 5.079 | 
| -7.648 | -0.342 | 2.079 | -1.998 | 1.595 | 98.051 | 
| 369.286 | 113.724 | 108.427 | -8.379 | -1.071 | -2.705 | 
| 113.606 | 418.500 | 109.201 | 7.652 | -3.058 | -1.330 | 
| 107.999 | 119.517 | 367.886 | -5.426 | 18.728 | -3.947 | 
| -9.288 | -1.657 | -5.630 | 154.893 | -1.194 | -1.743 | 
| -5.976 | -2.779 | 18.465 | -1.520 | 98.049 | -6.578 | 
| -1.773 | -1.405 | -5.441 | -1.813 | 1.129 | 151.395 | 
| 430.832 | 114.069 | 108.826 | -9.340 | 5.213 | -0.621 | 
| 113.606 | 418.500 | 109.201 | 7.652 | -3.058 | -1.330 | 
| 108.011 | 119.516 | 367.805 | -5.419 | 18.729 | -3.945 | 
| -9.290 | -1.653 | -5.632 | 154.899 | -1.197 | -1.741 | 
| -3.547 | -3.904 | 18.809 | -3.003 | 112.787 | -8.272 | 
| -3.790 | 1.681 | -2.475 | -2.326 | -1.639 | 124.194 | 
| 430.833 | 114.069 | 108.826 | -9.340 | 5.213 | -0.621 | 
| 113.606 | 418.500 | 109.201 | 7.652 | -3.057 | -1.330 | 
| 108.003 | 119.516 | 367.850 | -5.422 | 18.729 | -3.951 | 
| -8.481 | -1.800 | -5.437 | 124.462 | -2.773 | -2.073 | 
| -3.556 | -3.896 | 18.810 | -3.008 | 112.775 | -8.271 | 
| -3.801 | 1.692 | -2.478 | -2.329 | -1.640 | 124.177 | 
| 430.829 | 114.068 | 108.829 | -9.342 | 5.212 | -0.616 | 
| 113.605 | 418.500 | 109.201 | 7.652 | -3.058 | -1.331 | 
| 108.005 | 119.516 | 367.842 | -5.422 | 18.728 | -3.946 | 
| -8.478 | -1.801 | -5.433 | 124.456 | -2.774 | -2.069 | 
| -3.555 | -3.897 | 18.810 | -3.006 | 112.777 | -8.271 | 
| -3.797 | 1.690 | -2.474 | -2.330 | -1.640 | 124.183 | 
| 369.318 | 113.715 | 108.427 | -8.377 | -1.067 | -2.705 | 
| 114.284 | 325.595 | 117.389 | 3.181 | -2.765 | 1.503 | 
| 108.013 | 119.518 | 367.863 | -5.417 | 18.737 | -3.943 | 
| -12.331 | -8.230 | -5.188 | 102.796 | -0.745 | -3.283 | 
| -8.663 | -2.588 | 19.217 | -1.443 | 89.934 | -6.311 | 
| -3.798 | 1.690 | -2.474 | -2.330 | -1.640 | 124.180 | 
| 343.072 | 114.962 | 114.749 | -9.689 | -3.541 | -2.375 | 
| 114.285 | 325.609 | 117.383 | 3.175 | -2.764 | 1.501 | 
| 118.084 | 114.440 | 320.089 | -5.163 | 20.999 | 0.976 | 
| -10.694 | -6.017 | -5.643 | 106.685 | -1.513 | -2.395 | 
| 1.159 | -2.986 | 17.624 | -1.198 | 148.344 | -7.782 | 
| -3.875 | 1.791 | -1.757 | -2.938 | -0.876 | 112.070 | 
| 441.451 | 120.182 | 115.288 | -2.229 | -6.964 | -30.489 | 
| 120.208 | 468.883 | 113.829 | -1.474 | -1.006 | 0.284 | 
| 603.886 | 194.669 | 252.073 | 292.081 | 51.033 | -47.620 | 
| -2.974 | -1.816 | 5.447 | 154.998 | 1.034 | -3.346 | 
| -1.487 | -1.008 | 1.318 | 1.034 | 161.771 | -0.655 | 
| 1104.919 | 54.293 | 117.521 | 526.182 | -51.686 | 370.526 | 
| 441.451 | 120.182 | 115.288 | -2.229 | -6.964 | -30.489 | 
| 120.208 | 468.883 | 113.829 | -1.474 | -1.006 | 0.284 | 
| 116.355 | 113.817 | 488.781 | 5.447 | 1.318 | 4.376 | 
| -1618.123 | 413.571 | -715.118 | -698.688 | 125.746 | -519.340 | 
| -478.282 | -67.224 | 164.444 | -285.787 | 84.899 | 46.910 | 
| -1613.321 | 397.144 | -712.480 | -783.782 | 124.766 | -438.365 | 
| 488.961 | 81.143 | 223.524 | 70.123 | -21.623 | 30.788 | 
| 169.497 | 423.016 | 114.034 | 28.479 | 2.235 | -4.177 | 
| 361.079 | 144.944 | 402.429 | 79.276 | -55.060 | 83.017 | 
| -2.974 | -1.816 | 5.447 | 154.998 | 1.034 | -3.346 | 
| -1.487 | -1.008 | 1.318 | 1.034 | 161.771 | -0.655 | 
| 52.670 | 7.010 | -15.720 | 25.259 | 4.125 | 128.999 | 
| 441.451 | 120.182 | 115.288 | -2.229 | -6.964 | -30.489 | 
| 120.208 | 468.883 | 113.829 | -1.474 | -1.006 | 0.284 | 
| 116.355 | 113.817 | 488.781 | 5.447 | 1.318 | 4.376 | 
| -2.974 | -1.816 | 5.447 | 154.999 | 1.034 | -3.346 | 
| -51.003 | -9.147 | 17.946 | -26.887 | 129.456 | 3.733 | 
| 7.360 | 0.289 | 4.379 | -3.343 | -0.299 | 162.228 | 
| 376.978 | 122.064 | 141.642 | -1.041 | -9.099 | -20.088 | 
| 131.106 | 365.747 | 140.977 | 6.393 | -0.055 | -6.323 | 
| 162.893 | 140.768 | 333.496 | 17.193 | -7.461 | 14.267 | 
| 5.880 | -2.139 | 12.774 | 101.537 | -0.883 | 0.700 | 
| 16.705 | -0.970 | 7.804 | 8.662 | 96.335 | 4.816 | 
| 10.798 | 1.361 | -1.702 | -0.028 | -0.252 | 131.108 | 
| 327.651 | 123.780 | 138.084 | -12.000 | -4.497 | -28.021 | 
| 104.189 | 352.602 | 136.052 | -4.406 | 1.650 | -18.086 | 
| 126.088 | 142.140 | 316.231 | 3.947 | -0.485 | 1.953 | 
| -19.098 | 3.245 | 3.135 | 91.571 | 0.331 | -6.190 | 
| -1.488 | -1.008 | 1.317 | 1.035 | 161.771 | -0.656 | 
| 7.366 | 0.292 | 4.392 | -3.350 | -0.307 | 162.233 | 
| 450.328 | 129.757 | 117.387 | 9.299 | -8.430 | 16.516 | 
| 129.115 | 477.896 | 126.826 | -2.531 | 3.163 | 7.778 | 
| 120.864 | 135.324 | 382.803 | 1.852 | 8.709 | -4.541 | 
| 9.206 | -12.178 | -3.879 | 161.079 | -1.838 | 3.045 | 
| -28.182 | 3.273 | 10.039 | -1.838 | 152.674 | 9.956 | 
| -3.065 | 7.791 | -0.931 | 2.935 | 19.100 | 160.391 | 
| 450.328 | 129.757 | 117.387 | 9.299 | -8.430 | 16.516 | 
| 129.115 | 477.896 | 126.826 | -2.531 | 3.163 | 7.778 | 
| 122.326 | 140.298 | 354.146 | 6.390 | 8.091 | -6.571 | 
| 9.206 | -12.178 | -3.879 | 161.079 | -1.838 | 3.045 | 
| -25.287 | -1.086 | 8.120 | 0.969 | 108.912 | 13.351 | 
| -4.984 | 15.735 | -4.035 | 1.225 | 19.791 | 126.104 | 
| 450.329 | 129.757 | 117.387 | 9.299 | -8.431 | 16.516 | 
| 137.648 | 366.029 | 141.486 | -0.944 | 0.404 | 13.873 | 
| 122.326 | 140.302 | 354.216 | 6.386 | 8.089 | -6.545 | 
| 9.206 | -12.178 | -3.879 | 161.079 | -1.838 | 3.045 | 
| -28.182 | 3.273 | 10.039 | -1.838 | 152.674 | 9.956 | 
| -4.984 | 15.734 | -4.025 | 1.222 | 19.787 | 126.120 | 
| 450.325 | 129.757 | 117.386 | 9.299 | -8.430 | 16.516 | 
| 136.521 | 387.841 | 140.478 | 1.198 | -1.353 | 13.491 | 
| 116.321 | 127.066 | 463.723 | -3.877 | 10.028 | -1.542 | 
| 5.098 | -1.520 | 1.539 | 119.650 | 0.720 | 1.251 | 
| -24.932 | -0.864 | 8.768 | 0.724 | 119.537 | 12.588 | 
| -5.360 | 12.139 | -6.015 | 1.921 | 19.895 | 114.527 | 
| 388.015 | 140.784 | 121.310 | 5.263 | -8.975 | 11.315 | 
| 138.265 | 413.102 | 134.064 | 4.714 | -0.378 | 14.604 | 
| 121.570 | 139.363 | 335.765 | 10.256 | 6.664 | -7.395 | 
| 10.780 | -4.821 | 9.199 | 94.596 | 1.338 | 1.022 | 
| -25.285 | -1.078 | 8.158 | 0.969 | 108.913 | 13.374 | 
| -4.982 | 15.731 | -4.024 | 1.223 | 19.788 | 126.133 | 
| 388.002 | 140.798 | 121.303 | 5.250 | -8.968 | 11.319 | 
| 138.254 | 413.117 | 134.058 | 4.702 | -0.373 | 14.608 | 
| 120.869 | 135.339 | 382.674 | 1.863 | 8.710 | -4.564 | 
| 7.252 | -5.231 | 6.336 | 102.717 | 1.198 | 1.632 | 
| -25.296 | -1.063 | 8.152 | 0.958 | 108.918 | 13.380 | 
| -5.351 | 12.145 | -5.994 | 1.912 | 19.907 | 114.537 | 
| 470.794 | 112.227 | 114.508 | -11.984 | -0.341 | -2.231 | 
| 113.120 | 483.926 | 130.735 | -2.385 | -5.104 | 8.413 | 
| 114.924 | 130.718 | 498.375 | -1.967 | 15.725 | 3.616 | 
| -12.402 | -0.858 | -1.967 | 169.960 | 2.460 | -4.472 | 
| -0.798 | -5.081 | 15.725 | 2.460 | 158.210 | -12.014 | 
| 12.919 | 8.419 | 3.474 | -4.494 | -13.436 | 158.398 | 
| 470.794 | 112.227 | 114.508 | -11.983 | -0.341 | -2.231 | 
| 113.120 | 483.926 | 130.735 | -2.385 | -5.104 | 8.413 | 
| 114.924 | 130.718 | 498.374 | -1.967 | 15.725 | 3.616 | 
| -12.402 | -0.858 | -1.967 | 169.960 | 2.460 | -4.472 | 
| -0.798 | -5.081 | 15.725 | 2.460 | 158.210 | -12.014 | 
| 12.919 | 8.419 | 3.474 | -4.494 | -13.436 | 158.398 | 
| 470.794 | 112.227 | 114.508 | -11.983 | -0.341 | -2.231 | 
| 113.120 | 483.926 | 130.735 | -2.385 | -5.104 | 8.413 | 
| 114.924 | 130.718 | 498.375 | -1.967 | 15.725 | 3.616 | 
| -12.402 | -0.858 | -1.967 | 169.960 | 2.460 | -4.472 | 
| -0.798 | -5.082 | 15.725 | 2.460 | 158.210 | -12.014 | 
| 12.919 | 8.419 | 3.474 | -4.494 | -13.436 | 158.398 | 
| 470.794 | 112.227 | 114.508 | -11.983 | -0.341 | -2.231 | 
| 113.120 | 483.926 | 130.735 | -2.385 | -5.104 | 8.414 | 
| 114.924 | 130.717 | 498.374 | -1.967 | 15.725 | 3.616 | 
| -12.402 | -0.858 | -1.967 | 169.960 | 2.460 | -4.472 | 
| -0.798 | -5.081 | 15.725 | 2.460 | 158.210 | -12.014 | 
| 12.919 | 8.419 | 3.474 | -4.494 | -13.436 | 158.398 | 
| 470.794 | 112.227 | 114.508 | -11.983 | -0.341 | -2.230 | 
| 113.111 | 483.919 | 130.733 | -2.380 | -5.101 | 8.403 | 
| 114.906 | 130.707 | 496.782 | -1.835 | 15.555 | 3.630 | 
| -30.445 | -27.167 | -19.314 | 189.447 | -1.882 | 10.302 | 
| -0.798 | -5.082 | 15.726 | 2.460 | 158.211 | -12.014 | 
| -5.615 | -17.115 | -13.939 | 20.782 | -17.971 | 168.427 | 
| 470.796 | 112.228 | 114.508 | -11.984 | -0.340 | -2.231 | 
| 133.015 | 499.469 | 149.090 | -30.214 | -0.301 | -7.490 | 
| 114.923 | 130.717 | 498.367 | -1.967 | 15.724 | 3.616 | 
| -12.402 | -0.857 | -1.967 | 169.960 | 2.461 | -4.472 | 
| -0.798 | -5.081 | 15.724 | 2.460 | 158.210 | -12.014 | 
| 12.920 | 8.420 | 3.475 | -4.494 | -13.435 | 158.398 | 
| 357.581 | 109.445 | 122.818 | 2.863 | -9.225 | 0.579 | 
| 110.377 | 407.192 | 118.809 | 13.712 | 4.673 | -13.269 | 
| 122.373 | 114.099 | 301.206 | 0.529 | -7.749 | 1.457 | 
| 7.652 | -1.009 | 2.939 | 157.624 | -0.921 | -0.900 | 
| -15.764 | 4.759 | 0.369 | -0.921 | 149.024 | 4.407 | 
| -0.570 | -12.741 | -4.467 | -0.986 | 18.325 | 150.501 | 
| 434.447 | 109.134 | 118.026 | 7.568 | -9.801 | 9.162 | 
| 110.377 | 407.192 | 118.809 | 13.712 | 4.673 | -13.269 | 
| 118.254 | 118.534 | 403.191 | 2.939 | 0.369 | -4.501 | 
| 2.941 | -0.911 | 0.969 | 126.297 | 1.261 | -0.151 | 
| -15.764 | 4.759 | 0.369 | -0.921 | 149.024 | 4.407 | 
| -6.508 | -21.411 | 0.787 | 0.785 | 10.640 | 98.096 | 
| 316.532 | 111.646 | 123.871 | 4.344 | -12.068 | 2.829 | 
| 110.613 | 344.948 | 114.462 | 10.856 | 4.597 | -19.686 | 
| 122.692 | 114.381 | 331.853 | 0.986 | -2.887 | 2.389 | 
| 4.384 | -2.792 | 0.666 | 114.475 | 1.374 | 0.697 | 
| -15.764 | 4.759 | 0.369 | -0.921 | 149.024 | 4.407 | 
| -0.570 | -12.741 | -4.467 | -0.986 | 18.325 | 150.501 | 
| 434.447 | 109.134 | 118.026 | 7.568 | -9.801 | 9.162 | 
| 110.617 | 345.006 | 114.462 | 10.862 | 4.598 | -19.677 | 
| 122.688 | 114.391 | 331.968 | 0.992 | -2.880 | 2.381 | 
| 7.652 | -1.009 | 2.939 | 157.624 | -0.921 | -0.900 | 
| -16.109 | 7.319 | -9.626 | 4.405 | 92.308 | 1.421 | 
| -6.004 | -18.735 | 1.620 | -0.118 | 11.761 | 112.725 | 
| 329.060 | 110.987 | 121.797 | 4.640 | -12.728 | 0.736 | 
| 110.622 | 345.454 | 114.403 | 10.850 | 4.601 | -19.863 | 
| 125.333 | 111.829 | 262.726 | 4.701 | -10.230 | 6.159 | 
| 2.921 | -0.925 | 0.987 | 126.254 | 1.255 | -0.165 | 
| -13.945 | 4.490 | -2.938 | 1.201 | 118.545 | 0.490 | 
| -0.571 | -12.741 | -4.467 | -0.986 | 18.325 | 150.500 | 
| 303.921 | 117.526 | 121.964 | 5.141 | -12.520 | 6.215 | 
| 110.369 | 407.061 | 118.798 | 13.675 | 4.682 | -13.235 | 
| 124.038 | 111.877 | 278.779 | 3.963 | -10.643 | 2.214 | 
| 4.389 | -2.771 | 0.679 | 114.480 | 1.376 | 0.683 | 
| -16.508 | 7.857 | -10.034 | 3.230 | 96.900 | 0.891 | 
| -3.985 | -23.802 | 1.338 | 1.217 | 10.194 | 89.847 | 
| 462.226 | 114.799 | 127.076 | -6.176 | 1.620 | 2.686 | 
| 115.398 | 456.416 | 124.720 | -8.765 | 7.212 | 12.294 | 
| 127.449 | 124.779 | 463.918 | 1.587 | 7.991 | -1.478 | 
| -6.186 | -3.166 | 1.587 | 153.905 | -0.526 | 5.137 | 
| 9.071 | 7.193 | 7.991 | -0.526 | 157.839 | -3.013 | 
| 2.646 | 12.219 | -1.769 | 5.156 | -8.756 | 148.879 | 
| 462.226 | 114.799 | 127.076 | -6.176 | 1.620 | 2.686 | 
| 115.398 | 456.416 | 124.720 | -8.765 | 7.212 | 12.294 | 
| 127.449 | 124.779 | 463.917 | 1.587 | 7.991 | -1.478 | 
| -6.186 | -3.166 | 1.587 | 153.905 | -0.526 | 5.137 | 
| 9.071 | 7.193 | 7.991 | -0.526 | 157.839 | -3.013 | 
| 2.646 | 12.219 | -1.769 | 5.156 | -8.756 | 148.879 | 
| 462.226 | 114.799 | 127.076 | -6.176 | 1.620 | 2.686 | 
| 115.398 | 456.416 | 124.720 | -8.765 | 7.212 | 12.294 | 
| 127.449 | 124.779 | 463.918 | 1.587 | 7.991 | -1.478 | 
| -6.186 | -3.166 | 1.587 | 153.905 | -0.526 | 5.137 | 
| 79.359 | -69.162 | 4.311 | -23.875 | 166.772 | 11.941 | 
| 72.893 | -63.938 | -5.394 | -18.151 | 0.936 | 162.929 | 
| 389.668 | 191.695 | 130.950 | 17.289 | -8.082 | -12.335 | 
| 45.690 | 530.526 | 128.415 | 14.452 | -2.518 | -2.567 | 
| 57.311 | 201.090 | 466.318 | 24.901 | -1.693 | -16.393 | 
| -76.333 | 73.019 | 5.292 | 176.218 | -10.267 | -9.860 | 
| 9.071 | 7.193 | 7.991 | -0.526 | 157.839 | -3.013 | 
| 2.646 | 12.219 | -1.769 | 5.157 | -8.756 | 148.879 | 
| 697.300 | -183.539 | 173.174 | -23.884 | -79.417 | -30.926 | 
| 450.903 | 63.371 | 160.040 | -32.626 | -75.256 | -16.996 | 
| 469.228 | -179.740 | 429.931 | -18.126 | -71.262 | -32.851 | 
| 322.332 | -312.359 | 35.263 | 84.991 | -78.169 | -31.446 | 
| 9.071 | 7.194 | 7.991 | -0.527 | 157.838 | -3.013 | 
| 17.514 | -3.533 | -2.296 | 0.312 | -6.822 | 149.986 | 
| 443.386 | 131.177 | 128.077 | -1.286 | -0.214 | -0.274 | 
| 102.371 | 467.388 | 125.359 | -4.358 | 5.311 | 9.632 | 
| 127.448 | 124.779 | 463.911 | 1.587 | 7.992 | -1.478 | 
| -20.027 | 11.758 | 2.242 | 156.509 | -2.444 | 2.220 | 
| -318.489 | 309.127 | -23.149 | 22.277 | 197.446 | 29.999 | 
| -320.252 | 319.258 | -32.130 | 23.138 | 71.172 | 136.446 | 
| 421.010 | 83.082 | 76.213 | -0.089 | -0.003 | 0.038 | 
| 92.385 | 406.262 | 83.044 | 0.315 | 0.145 | 0.072 | 
| 95.454 | 95.391 | 400.423 | 0.082 | 0.022 | 0.017 | 
| 4.701 | 3.560 | -10.366 | 160.208 | 0.057 | -0.030 | 
| 4.722 | 3.587 | -10.432 | 0.376 | 156.105 | -0.073 | 
| 5.942 | 4.781 | -13.459 | -0.112 | -0.221 | 156.853 | 
| 401.358 | 81.211 | 103.213 | -0.074 | -0.156 | -0.045 | 
| 83.090 | 421.018 | 76.213 | 0.089 | 0.003 | -0.038 | 
| 77.141 | 77.142 | 446.260 | 0.000 | -0.000 | 0.000 | 
| -4.701 | -3.561 | 10.368 | 159.454 | -0.057 | 0.030 | 
| -4.722 | -3.587 | 10.431 | -0.376 | 156.069 | 0.073 | 
| -5.945 | -4.785 | 13.469 | -0.116 | 0.008 | 156.982 | 
| 415.453 | 78.459 | 88.983 | 0.035 | 0.002 | 0.000 | 
| 68.652 | 435.446 | 76.213 | -0.009 | -0.000 | 0.004 | 
| 91.827 | 91.821 | 409.446 | 0.008 | 0.002 | 0.002 | 
| 0.067 | -0.068 | -0.000 | 188.856 | 0.006 | 0.004 | 
| 0.465 | 0.351 | -1.024 | 0.038 | 181.063 | -0.007 | 
| 0.697 | 0.585 | -1.609 | 0.043 | 0.002 | 168.817 | 
| 435.448 | 68.654 | 76.213 | 0.009 | 0.000 | -0.004 | 
| 77.414 | 414.494 | 91.498 | -0.038 | -0.009 | -0.002 | 
| 91.027 | 91.034 | 411.438 | -0.008 | -0.002 | -0.002 | 
| -0.067 | 0.068 | 0.000 | 188.762 | -0.006 | -0.004 | 
| -0.465 | -0.351 | 1.024 | -0.038 | 181.060 | 0.007 | 
| -0.697 | -0.585 | 1.609 | -0.043 | -0.002 | 168.830 | 
| 417.678 | 71.619 | 94.760 | 0.004 | 0.001 | 0.000 | 
| 67.073 | 437.020 | 76.212 | -0.001 | -0.000 | 0.000 | 
| 91.465 | 91.465 | 410.339 | 0.001 | 0.000 | 0.000 | 
| 0.046 | 0.034 | -0.103 | 183.599 | 0.001 | -0.000 | 
| 0.046 | 0.035 | -0.104 | 0.004 | 183.475 | -0.001 | 
| 0.069 | 0.057 | -0.162 | 0.004 | 0.000 | 170.106 | 
| 417.543 | 71.536 | 95.054 | -0.004 | -0.001 | -0.001 | 
| 76.564 | 416.223 | 90.379 | -0.004 | -0.000 | -0.000 | 
| 91.372 | 91.373 | 410.587 | -0.001 | -0.000 | -0.000 | 
| -0.046 | -0.034 | 0.103 | 183.591 | -0.001 | 0.000 | 
| -0.046 | -0.035 | 0.104 | -0.004 | 183.474 | 0.001 | 
| -0.069 | -0.057 | 0.162 | -0.004 | -0.000 | 170.108 | 
| 145818734.639 | 140431869.952 | 152904844.380 | -6735341.055 | -747119.353 | -1549749.601 | 
| 145818707.947 | 140431643.450 | 152905529.928 | -6735518.219 | -747401.185 | -1549781.457 | 
| 145819055.154 | 140431408.427 | 152905828.923 | -6735154.031 | -747690.424 | -1549951.307 | 
| 145818599.301 | 140431579.837 | 152904319.172 | -6734954.791 | -747450.631 | -1549720.567 | 
| 145818821.132 | 140433095.783 | 152905685.851 | -6735251.926 | -746936.769 | -1549718.313 | 
| 145819159.432 | 140434423.309 | 152908077.077 | -6734926.662 | -746726.878 | -1549785.353 | 
| -145818693.593 | -140433089.896 | -152906142.168 | 6735289.940 | 746889.277 | 1549693.057 | 
| -145818051.627 | -140433455.361 | -152907242.859 | 6735365.902 | 746495.178 | 1550071.792 | 
| -145817396.892 | -140434159.176 | -152906868.334 | 6735189.594 | 746237.203 | 1549769.616 | 
| -145818166.702 | -140433710.308 | -152907231.009 | 6735089.854 | 746074.276 | 1549697.875 | 
| -145818525.817 | -140431769.096 | -152904937.594 | 6735392.714 | 747095.281 | 1549893.869 | 
| -145818121.895 | -140430523.995 | -152902302.746 | 6734918.354 | 747636.679 | 1549800.977 | 
| 14581730.779 | 14042547.319 | 15289625.277 | -673489.042 | -74865.444 | -154858.330 | 
| 14581800.404 | 14042399.996 | 15289464.224 | -673466.099 | -74988.793 | -154742.181 | 
| 14582254.909 | 14042864.536 | 15290029.753 | -673336.740 | -74791.321 | -154702.884 | 
| 14581264.416 | 14042117.809 | 15288356.336 | -673235.191 | -74700.656 | -154531.586 | 
| 14582047.644 | 14043731.423 | 15291145.311 | -673397.028 | -74630.771 | -155000.248 | 
| 14582952.684 | 14043510.165 | 15291407.912 | -673490.275 | -75144.014 | -155016.346 | 
| -14581840.042 | -14043723.469 | -15291303.017 | 673473.049 | 74553.230 | 155060.649 | 
| -14582414.808 | -14044033.917 | -15291735.294 | 673404.806 | 74689.116 | 155144.381 | 
| -14582391.924 | -14043922.608 | -15292084.939 | 673483.156 | 74968.987 | 155268.471 | 
| -14582635.866 | -14043528.044 | -15291542.904 | 673544.019 | 74990.542 | 155059.262 | 
| -14581363.311 | -14042466.172 | -15289435.979 | 673586.493 | 74734.508 | 154930.494 | 
| -14580913.845 | -14042102.312 | -15288082.924 | 673301.723 | 74552.248 | 154588.076 | 
| 1457578.814 | 1399651.006 | 1531089.178 | -66348.316 | -7663.425 | -15019.525 | 
| 1457687.340 | 1403613.049 | 1527760.812 | -67332.103 | -7500.994 | -15269.635 | 
| 1458092.326 | 1403393.758 | 1528259.495 | -66766.145 | -6671.510 | -15484.847 | 
| 1457430.218 | 1403647.821 | 1527534.087 | -67217.354 | -7261.397 | -15199.748 | 
| 1458395.580 | 1404640.673 | 1529493.626 | -67317.139 | -7507.603 | -15538.996 | 
| 1457290.619 | 1403642.894 | 1527440.335 | -67526.267 | -7237.221 | -15369.280 | 
| -1458421.736 | -1404730.651 | -1529741.552 | 67349.478 | 7436.462 | 15542.606 | 
| -1458003.951 | -1404547.095 | -1529014.683 | 67414.259 | 7330.352 | 15542.371 | 
| -1457402.055 | -1404137.805 | -1528371.306 | 67486.249 | 7378.284 | 15617.813 | 
| -1458069.097 | -1404213.494 | -1528958.494 | 67527.612 | 7420.872 | 15522.340 | 
| -1457960.674 | -1403916.568 | -1528581.976 | 67399.532 | 7493.987 | 15439.352 | 
| -1457333.383 | -1403585.914 | -1527405.206 | 67222.288 | 7271.823 | 15210.177 | 
| 488.067 | 148.918 | 55.819 | -0.002 | -0.000 | -0.000 | 
| 127.880 | 686.881 | 103.319 | -0.004 | 0.000 | -0.000 | 
| -1898146805.341 | -2457802618.063 | -1886696046.701 | -2344631.949 | -2126441.746 | 1167686.941 | 
| -1897173206.581 | -2459079558.817 | -1887981772.786 | -2191212.359 | -1164832.484 | 1350096.423 | 
| 5.786 | 18.281 | -23.176 | -0.001 | 40.726 | -0.000 | 
| 5.745 | 18.151 | -23.012 | -0.000 | -0.000 | 75.786 | 
| 498.526 | 135.600 | 122.715 | 0.000 | -0.000 | 0.000 | 
| 1904382430.105 | 2470766487.770 | 1901089167.329 | 1367295.863 | 751661.589 | -908817.417 | 
| 96.382 | 133.417 | 373.656 | 0.001 | -0.000 | 0.000 | 
| 1902845027.141 | 2464484939.483 | 1896156396.851 | 2271863.133 | 921473.096 | -1223105.741 | 
| -5.786 | -18.281 | 23.176 | 0.001 | 40.726 | 0.000 | 
| -5.745 | -18.151 | 23.011 | 0.001 | 0.000 | 75.787 | 
| -189693393.193 | -246029256.688 | -188303090.833 | -103013.753 | -348340.125 | 56707.192 | 
| -191139155.857 | -248985826.357 | -191751592.495 | 41493.655 | -107513.641 | -142898.372 | 
| 100.090 | 150.325 | 346.516 | -0.000 | 0.000 | -0.000 | 
| -189411618.481 | -245708678.643 | -188193040.659 | -356832.274 | -56556.415 | -23467.948 | 
| -2.340 | -2.127 | -3.374 | 0.000 | 39.609 | -0.000 | 
| 0.571 | 1.804 | -2.287 | -0.000 | 0.000 | 75.931 | 
| 189886301.162 | 245948644.224 | 188774071.883 | 413019.802 | -45207.477 | 196997.070 | 
| 145.153 | 693.407 | 144.271 | -0.000 | -0.000 | 0.000 | 
| 189238498.370 | 245300797.071 | 187592532.254 | 338675.934 | 25822.397 | -31297.654 | 
| 189247220.150 | 245282149.554 | 188061670.811 | 381834.110 | -76739.493 | 14392.787 | 
| 2.340 | 2.127 | 3.374 | -0.000 | 39.609 | 0.000 | 
| -0.571 | -1.804 | 2.287 | 0.000 | 0.000 | 75.931 | 
| -19091296.444 | -24804215.486 | -19065332.323 | -2349.553 | 5878.857 | -11861.823 | 
| 149.826 | 692.566 | 149.754 | 0.000 | 0.000 | -0.000 | 
| -18751296.558 | -24298273.574 | -18462063.614 | -45448.205 | 148.306 | -25269.662 | 
| -18943053.976 | -24649499.861 | -18919884.707 | -10612.197 | -3616.693 | -19463.182 | 
| 0.147 | 0.292 | -0.195 | 0.000 | 40.226 | -0.000 | 
| 0.057 | 0.180 | -0.229 | -0.000 | 0.000 | 75.974 | 
| 498.574 | 150.690 | 99.933 | -0.000 | -0.000 | 0.000 | 
| 19091932.694 | 24804949.972 | 19065567.296 | 2348.914 | -5879.497 | 11862.233 | 
| 19122776.067 | 24872101.706 | 19104242.069 | 10074.436 | -3785.832 | 10537.831 | 
| 18820921.714 | 24362636.466 | 18552031.707 | -8306.101 | -21044.222 | 9192.192 | 
| -0.147 | -0.292 | 0.195 | -0.000 | 40.226 | 0.000 | 
| -0.057 | -0.180 | 0.229 | 0.000 | 0.000 | 75.974 | 
| -75.915 | 102.356 | -727.746 | -0.000 | -0.000 | -0.000 | 
| -316.169 | 663.488 | -376.401 | -0.000 | -0.000 | -0.000 | 
| 318750763.876 | -1536565638.683 | -1210221983.193 | 3341705.077 | 4022207.712 | -6417517.717 | 
| 222472176.061 | -1559730443.278 | -1229592576.741 | 2088665.588 | -8815126.128 | -5063411.683 | 
| -472.337 | 5.676 | -811.626 | -0.000 | 36.037 | -0.000 | 
| -472.349 | 5.682 | -811.651 | -0.000 | -0.000 | 71.679 | 
| 816.750 | -85.836 | 618.643 | 0.000 | 0.000 | 0.000 | 
| -320133393.765 | 1536227351.552 | 1210069547.380 | -3316271.133 | -4076439.285 | 6538712.468 | 
| -319987281.832 | 1536266704.043 | 1210089424.427 | -3320271.492 | -4068404.702 | 6525522.115 | 
| -238277822.779 | 1553686228.379 | 1226655261.649 | -1998994.827 | 7851305.264 | 4243897.128 | 
| 472.337 | -5.676 | 811.626 | 0.000 | 36.037 | 0.000 | 
| 472.349 | -5.682 | 811.651 | 0.000 | 0.000 | 71.680 | 
| 354.319 | 124.836 | 29.439 | 0.000 | -0.000 | -0.000 | 
| 66.226 | 449.213 | 120.255 | 0.000 | -0.000 | -0.000 | 
| 91.633 | 159.872 | 420.693 | 0.000 | -0.000 | 0.000 | 
| -42.099 | 19.169 | -53.678 | 119.518 | -0.000 | -0.000 | 
| 29157302.638 | -155768774.379 | -125211906.596 | 181869.962 | 410079.862 | -575163.019 | 
| -47.235 | 0.568 | -81.165 | -0.000 | -0.000 | 71.724 | 
| 413.221 | 119.134 | 103.252 | 0.000 | 0.000 | -0.000 | 
| 146.264 | 452.818 | 212.804 | 0.000 | 0.000 | 0.000 | 
| -32007153.767 | 153624734.157 | 121007540.567 | -331802.122 | -407550.336 | 651780.831 | 
| -0.000 | 0.000 | 0.000 | 139.147 | 0.000 | 0.000 | 
| -35459727.540 | 152887871.553 | 120796190.854 | -160994.017 | -47802.715 | 1010934.971 | 
| 47.235 | -0.568 | 81.165 | 0.000 | 0.000 | 71.724 | 
| 2705532.413 | -15471712.476 | -12156453.035 | 41007.987 | -1755.767 | -55246.475 | 
| 100.026 | 473.896 | 153.874 | -0.000 | -0.000 | 0.000 | 
| 67.189 | 151.001 | 379.095 | -0.000 | -0.000 | -0.000 | 
| 3570318.639 | -15365745.981 | -12290867.904 | 79564.573 | 13263.022 | -59067.351 | 
| 3046355.214 | -15534354.170 | -12356490.404 | 35303.077 | -15220.147 | 82544.809 | 
| 3180932.694 | -15367594.466 | -12102897.040 | 33342.116 | 39666.682 | -61483.532 | 
| 400.552 | 103.761 | 88.353 | -0.000 | 0.000 | 0.000 | 
| -3184369.784 | 15366554.089 | 12102654.275 | -33450.447 | -40091.343 | 64089.414 | 
| -2739111.344 | 15487572.801 | 12194441.206 | -8775.252 | 590.671 | 71128.151 | 
| -3574165.271 | 15365583.605 | 12289904.457 | -79390.099 | -13422.141 | 59750.703 | 
| -4057995.521 | 15157719.051 | 12079674.084 | -17135.433 | -49568.590 | 181278.654 | 
| -2966047.095 | 15466197.843 | 12144914.024 | -45503.240 | 33237.127 | 20507.997 | 
| 446.754 | 284.408 | 174.116 | -0.000 | -0.000 | 0.024 | 
| 284.466 | 446.696 | 174.116 | -0.000 | -0.000 | 0.051 | 
| 174.112 | 174.120 | 520.983 | 0.000 | 0.000 | -0.006 | 
| 0.028 | -0.028 | 0.000 | -43.721 | -0.000 | 0.008 | 
| 0.027 | -0.028 | -0.000 | 0.000 | -43.795 | -0.015 | 
| 0.027 | -0.028 | -0.000 | 0.000 | -0.000 | 110.498 | 
| 446.697 | 284.467 | 174.116 | -0.000 | 0.000 | -0.052 | 
| 284.409 | 446.755 | 174.116 | 0.000 | -0.000 | -0.050 | 
| 174.120 | 174.112 | 520.983 | 0.000 | -0.000 | 0.006 | 
| -0.028 | 0.028 | -0.000 | -43.722 | -0.000 | -0.008 | 
| -0.027 | 0.028 | 0.000 | -0.000 | -43.795 | 0.015 | 
| -0.027 | 0.028 | 0.000 | -0.000 | 0.000 | 110.529 | 
| 476.683 | 254.481 | 174.116 | 0.000 | -0.000 | 0.001 | 
| 283.079 | 448.085 | 174.116 | 0.000 | -0.000 | 0.005 | 
| 174.116 | 174.117 | 520.983 | -0.000 | 0.000 | -0.001 | 
| 0.003 | -0.003 | -0.000 | -43.295 | -0.000 | 0.000 | 
| 0.003 | -0.003 | -0.000 | 0.000 | -43.302 | -0.002 | 
| 0.003 | -0.003 | -0.000 | 0.000 | -0.000 | 82.481 | 
| 448.084 | 283.078 | 174.116 | -0.000 | 0.000 | -0.004 | 
| 283.073 | 448.090 | 174.116 | -0.000 | 0.000 | -0.005 | 
| 174.116 | 174.116 | 520.983 | -0.000 | 0.000 | 0.001 | 
| -0.003 | 0.003 | 0.000 | -43.295 | 0.000 | -0.000 | 
| -0.003 | 0.003 | 0.000 | -0.000 | -43.302 | 0.002 | 
| -0.003 | 0.003 | 0.000 | -0.000 | 0.000 | 82.484 | 
| 448.227 | 282.940 | 174.117 | 0.000 | -0.000 | 0.001 | 
| 282.941 | 448.225 | 174.117 | -0.000 | 0.000 | 0.000 | 
| 174.117 | 174.117 | 520.984 | 0.000 | 0.000 | -0.000 | 
| 0.000 | -0.000 | -0.000 | -43.252 | 0.000 | 0.000 | 
| 0.000 | -0.000 | -0.000 | 0.000 | -43.253 | -0.000 | 
| -0.000 | -0.000 | -0.000 | 0.000 | -0.000 | 82.640 | 
| 448.221 | 282.939 | 174.115 | -0.000 | 0.000 | -0.000 | 
| 268.685 | 462.475 | 174.115 | -0.000 | 0.000 | -0.000 | 
| 174.115 | 174.115 | 520.982 | -0.000 | -0.000 | 0.000 | 
| -0.000 | 0.000 | 0.000 | -43.252 | -0.000 | -0.000 | 
| -0.000 | 0.000 | 0.000 | 0.000 | -43.253 | 0.000 | 
| 0.000 | 0.000 | 0.000 | -0.000 | 0.000 | 82.640 | 
| 407.508 | 86.771 | 93.373 | 0.187 | 0.115 | -0.058 | 
| 84.092 | 424.527 | 75.270 | -0.124 | 0.007 | -0.032 | 
| 75.928 | 75.928 | 441.141 | 0.000 | 0.000 | -0.000 | 
| -0.713 | 0.527 | 0.230 | 158.823 | 0.039 | -0.037 | 
| -0.654 | 0.479 | 0.210 | 0.341 | 154.897 | 0.053 | 
| -0.740 | 0.732 | -0.000 | -0.124 | 0.061 | 166.987 | 
| 408.608 | 85.879 | 93.122 | -0.212 | -0.131 | 0.059 | 
| 85.566 | 423.063 | 75.270 | 0.124 | -0.007 | 0.032 | 
| 90.351 | 90.265 | 404.854 | -0.009 | 0.017 | 0.020 | 
| 0.712 | -0.526 | -0.231 | 158.135 | -0.039 | 0.037 | 
| 0.654 | -0.479 | -0.210 | -0.340 | 155.315 | -0.052 | 
| 0.740 | -0.732 | 0.000 | 0.124 | -0.061 | 166.806 | 
| 418.308 | 79.337 | 89.120 | 0.031 | -0.004 | 0.004 | 
| 69.710 | 438.913 | 75.270 | -0.012 | 0.001 | -0.003 | 
| 90.201 | 90.210 | 405.112 | 0.001 | -0.002 | -0.002 | 
| -0.071 | 0.053 | 0.022 | 180.230 | 0.004 | -0.003 | 
| -0.066 | 0.049 | 0.021 | 0.034 | 179.809 | 0.005 | 
| -0.066 | 0.038 | 0.035 | 0.038 | -0.024 | 169.866 | 
| 438.915 | 69.711 | 75.270 | 0.012 | -0.001 | 0.003 | 
| 69.858 | 438.768 | 75.270 | 0.012 | -0.001 | 0.003 | 
| 90.227 | 90.218 | 405.070 | -0.001 | 0.002 | 0.002 | 
| 0.071 | -0.053 | -0.022 | 180.162 | -0.004 | 0.003 | 
| 0.066 | -0.049 | -0.021 | -0.034 | 179.851 | -0.005 | 
| 0.066 | -0.038 | -0.035 | -0.038 | 0.024 | 169.852 | 
| 419.579 | 77.712 | 89.558 | 0.003 | -0.000 | -0.000 | 
| 72.805 | 421.011 | 93.943 | 0.004 | 0.000 | -0.001 | 
| 90.211 | 90.212 | 405.089 | 0.000 | -0.000 | -0.000 | 
| -0.007 | 0.005 | 0.001 | 182.350 | 0.000 | -0.000 | 
| -0.007 | 0.005 | 0.001 | 0.003 | 182.308 | 0.001 | 
| -0.007 | 0.004 | -0.001 | 0.003 | -0.001 | 170.920 | 
| 419.749 | 77.804 | 89.249 | -0.003 | 0.000 | -0.000 | 
| 72.822 | 421.014 | 93.939 | -0.004 | -0.000 | 0.001 | 
| 90.216 | 90.216 | 405.094 | -0.000 | 0.000 | 0.000 | 
| 0.007 | -0.005 | -0.001 | 182.343 | -0.000 | 0.000 | 
| 0.007 | -0.005 | -0.001 | -0.003 | 182.312 | -0.001 | 
| 0.007 | -0.004 | 0.001 | -0.003 | 0.001 | 170.919 | 
| 410.077 | 95.981 | 89.727 | -0.035 | 0.022 | 0.120 | 
| 87.976 | 416.594 | 91.680 | -0.035 | -0.007 | 0.299 | 
| 73.402 | 73.402 | 430.500 | -0.000 | -0.000 | -0.000 | 
| -0.563 | 0.460 | -0.011 | 164.342 | -0.001 | 0.076 | 
| -0.666 | 0.455 | -0.016 | -0.035 | 160.757 | 0.202 | 
| -0.586 | 0.535 | -0.001 | -0.035 | -0.001 | 169.923 | 
| 432.292 | 86.711 | 73.402 | 0.035 | 0.001 | -0.076 | 
| 95.511 | 412.878 | 87.291 | 0.035 | 0.078 | -0.151 | 
| 73.401 | 73.402 | 430.500 | -0.000 | -0.000 | -0.000 | 
| 0.563 | -0.460 | 0.011 | 164.412 | 0.001 | -0.076 | 
| 0.666 | -0.455 | 0.016 | 0.035 | 160.759 | -0.202 | 
| 0.586 | -0.535 | 0.001 | 0.035 | 0.001 | 169.520 | 
| 446.427 | 72.580 | 73.402 | -0.004 | -0.000 | 0.008 | 
| 72.472 | 446.534 | 73.402 | -0.004 | -0.000 | 0.008 | 
| 73.401 | 73.402 | 430.500 | -0.000 | -0.000 | -0.000 | 
| -0.080 | 0.027 | 0.046 | 177.649 | 0.007 | 0.026 | 
| -0.067 | 0.045 | -0.002 | -0.004 | 185.069 | 0.020 | 
| -0.096 | 0.016 | 0.074 | -0.004 | -0.000 | 172.352 | 
| 427.672 | 76.819 | 92.033 | 0.004 | 0.014 | -0.016 | 
| 76.928 | 427.563 | 92.033 | 0.004 | 0.003 | -0.029 | 
| 73.402 | 73.402 | 430.501 | 0.000 | 0.000 | 0.000 | 
| 0.081 | -0.027 | -0.046 | 177.656 | -0.007 | -0.026 | 
| 0.067 | -0.045 | 0.002 | 0.004 | 185.069 | -0.020 | 
| 0.096 | -0.016 | -0.074 | 0.004 | 0.000 | 172.312 | 
| 428.715 | 75.650 | 92.157 | -0.000 | -0.001 | 0.002 | 
| 75.637 | 428.731 | 92.153 | -0.000 | -0.000 | 0.003 | 
| 73.401 | 73.401 | 430.496 | -0.000 | -0.000 | -0.000 | 
| -0.008 | 0.002 | 0.004 | 179.765 | 0.000 | 0.003 | 
| -0.007 | 0.004 | -0.001 | -0.000 | 187.500 | 0.002 | 
| -0.007 | 0.003 | -0.002 | -0.000 | -0.000 | 173.428 | 
| 428.689 | 75.661 | 92.203 | 0.000 | 0.000 | -0.002 | 
| 80.486 | 427.377 | 87.700 | 0.000 | 0.001 | -0.002 | 
| 87.709 | 87.708 | 393.832 | 0.004 | 0.001 | -0.004 | 
| 0.008 | -0.002 | -0.004 | 179.766 | -0.001 | -0.002 | 
| 0.007 | -0.004 | 0.001 | 0.000 | 187.500 | -0.002 | 
| 0.007 | -0.003 | 0.002 | 0.000 | 0.000 | 173.424 | 
| 304.564 | 17.036 | 17.036 | 0.000 | 0.000 | -0.000 | 
| 17.036 | 304.564 | 17.036 | 0.000 | 0.000 | -0.000 | 
| 17.036 | 17.036 | 304.564 | -0.000 | -0.000 | 0.000 | 
| -0.000 | -0.000 | 0.000 | -34.714 | 0.000 | 0.000 | 
| -0.000 | -0.000 | 0.000 | 0.000 | -34.714 | 0.000 | 
| -0.000 | -0.000 | 0.000 | 0.000 | 0.000 | -34.714 | 
| 304.564 | 17.036 | 17.036 | -0.000 | -0.000 | -0.000 | 
| 17.036 | 304.564 | 17.036 | -0.000 | -0.000 | -0.000 | 
| 17.036 | 17.036 | 304.564 | -0.000 | -0.000 | 0.000 | 
| 0.000 | 0.000 | -0.000 | -34.714 | -0.000 | 0.000 | 
| 0.000 | 0.000 | -0.000 | -0.000 | -34.714 | 0.000 | 
| 0.000 | 0.000 | -0.000 | -0.000 | -0.000 | -34.714 | 
| 304.564 | 17.036 | 17.036 | 0.000 | 0.000 | 0.000 | 
| 17.036 | 304.564 | 17.036 | 0.000 | 0.000 | 0.000 | 
| 17.036 | 17.036 | 304.564 | 0.000 | 0.000 | 0.000 | 
| 0.000 | -0.000 | -0.000 | -34.714 | 0.000 | -0.000 | 
| -0.000 | 0.000 | -0.000 | 0.000 | -34.714 | 0.000 | 
| -0.000 | -0.000 | 0.000 | 0.000 | 0.000 | -34.714 | 
| 304.564 | 17.036 | 17.036 | -0.000 | -0.000 | 0.000 | 
| 17.036 | 304.564 | 17.036 | -0.000 | -0.000 | 0.000 | 
| 17.036 | 17.036 | 304.564 | -0.000 | -0.000 | -0.000 | 
| -0.000 | 0.000 | 0.000 | -34.714 | -0.000 | -0.000 | 
| 0.000 | -0.000 | 0.000 | -0.000 | -34.714 | 0.000 | 
| 0.000 | 0.000 | -0.000 | -0.000 | -0.000 | -34.714 | 
| 304.565 | 17.036 | 17.036 | 0.000 | 0.000 | -0.000 | 
| 17.036 | 304.565 | 17.036 | 0.000 | 0.000 | 0.000 | 
| 17.036 | 17.036 | 304.565 | 0.000 | 0.000 | -0.000 | 
| 0.000 | -0.000 | -0.000 | -34.714 | 0.000 | -0.000 | 
| -0.000 | 0.000 | -0.000 | 0.000 | -34.714 | -0.000 | 
| -0.000 | -0.000 | 0.000 | 0.000 | 0.000 | -34.714 | 
| 304.563 | 17.036 | 17.036 | -0.000 | -0.000 | -0.000 | 
| 17.036 | 304.563 | 17.036 | -0.000 | -0.000 | 0.000 | 
| 17.036 | 17.036 | 304.563 | -0.000 | -0.000 | -0.000 | 
| -0.000 | 0.000 | 0.000 | -34.714 | -0.000 | 0.000 | 
| 0.000 | -0.000 | 0.000 | -0.000 | -34.714 | 0.000 | 
| 0.000 | 0.000 | -0.000 | -0.000 | -0.000 | -34.714 | 
| 122.952 | 48.497 | 48.497 | 0.000 | -0.000 | 0.000 | 
| 48.497 | 122.952 | 48.497 | 0.000 | 0.000 | 0.000 | 
| 48.497 | 48.497 | 122.952 | 0.000 | 0.000 | 0.000 | 
| -0.000 | 0.000 | 0.000 | 59.114 | 0.000 | 0.000 | 
| 0.000 | 0.000 | 0.000 | 0.000 | 59.114 | 0.000 | 
| -0.000 | 0.000 | 0.000 | 0.000 | 0.000 | 59.114 | 
| 122.952 | 48.497 | 48.497 | -0.000 | -0.000 | -0.000 | 
| 48.497 | 122.952 | 48.497 | 0.000 | -0.000 | -0.000 | 
| 48.497 | 48.497 | 122.952 | -0.000 | 0.000 | -0.000 | 
| 0.000 | -0.000 | -0.000 | 59.114 | -0.000 | -0.000 | 
| -0.000 | -0.000 | -0.000 | 0.000 | 59.114 | -0.000 | 
| -0.000 | -0.000 | -0.000 | -0.000 | 0.000 | 59.114 | 
| 122.952 | 48.497 | 48.497 | -0.000 | 0.000 | 0.000 | 
| 48.497 | 122.952 | 48.497 | 0.000 | 0.000 | 0.000 | 
| 48.497 | 48.497 | 122.952 | -0.000 | 0.000 | 0.000 | 
| -0.000 | 0.000 | 0.000 | 59.114 | 0.000 | 0.000 | 
| 0.000 | -0.000 | 0.000 | 0.000 | 59.114 | 0.000 | 
| 0.000 | 0.000 | -0.000 | -0.000 | 0.000 | 59.114 | 
| 122.952 | 48.497 | 48.497 | -0.000 | -0.000 | -0.000 | 
| 48.497 | 122.952 | 48.497 | -0.000 | -0.000 | -0.000 | 
| 48.497 | 48.497 | 122.952 | -0.000 | -0.000 | -0.000 | 
| 0.000 | -0.000 | -0.000 | 59.114 | -0.000 | -0.000 | 
| -0.000 | 0.000 | -0.000 | -0.000 | 59.114 | -0.000 | 
| -0.000 | -0.000 | 0.000 | 0.000 | -0.000 | 59.114 | 
| 122.952 | 48.497 | 48.497 | 0.000 | 0.000 | 0.000 | 
| 48.497 | 122.952 | 48.497 | 0.000 | 0.000 | 0.000 | 
| 48.497 | 48.497 | 122.952 | -0.000 | 0.000 | 0.000 | 
| -0.000 | 0.000 | 0.000 | 59.114 | -0.000 | 0.000 | 
| 0.000 | -0.000 | 0.000 | 0.000 | 59.114 | 0.000 | 
| 0.000 | 0.000 | -0.000 | 0.000 | 0.000 | 59.114 | 
| 122.951 | 48.497 | 48.497 | -0.000 | -0.000 | -0.000 | 
| 48.497 | 122.951 | 48.497 | 0.000 | -0.000 | 0.000 | 
| 48.497 | 48.497 | 122.951 | -0.000 | -0.000 | -0.000 | 
| 0.000 | -0.000 | -0.000 | 59.114 | -0.000 | -0.000 | 
| -0.000 | 0.000 | -0.000 | -0.000 | 59.114 | -0.000 | 
| -0.000 | -0.000 | 0.000 | -0.000 | -0.000 | 59.114 | 
| 102.077 | 78.110 | 78.110 | -0.000 | 0.000 | -0.000 | 
| 78.110 | 102.077 | 78.110 | -0.000 | 0.000 | -0.000 | 
| 78.110 | 78.110 | 102.077 | -0.000 | 0.000 | -0.000 | 
| 0.000 | 0.000 | -0.000 | 77.470 | 0.000 | -0.000 | 
| 0.000 | -0.000 | -0.000 | -0.000 | 77.470 | -0.000 | 
| 0.000 | -0.000 | -0.000 | -0.000 | 0.000 | 77.470 | 
| 102.077 | 78.110 | 78.110 | 0.000 | -0.000 | 0.000 | 
| 78.110 | 102.077 | 78.110 | 0.000 | -0.000 | 0.000 | 
| 78.110 | 78.110 | 102.077 | 0.000 | -0.000 | 0.000 | 
| -0.000 | -0.000 | 0.000 | 77.470 | -0.000 | 0.000 | 
| -0.000 | 0.000 | 0.000 | 0.000 | 77.470 | 0.000 | 
| -0.000 | 0.000 | 0.000 | 0.000 | -0.000 | 77.470 | 
| 102.078 | 78.110 | 78.110 | -0.000 | 0.000 | -0.000 | 
| 78.110 | 102.078 | 78.110 | -0.000 | 0.000 | -0.000 | 
| 78.110 | 78.110 | 102.078 | -0.000 | 0.000 | -0.000 | 
| -0.000 | -0.000 | 0.000 | 77.470 | 0.000 | -0.000 | 
| -0.000 | -0.000 | 0.000 | -0.000 | 77.470 | -0.000 | 
| -0.000 | 0.000 | -0.000 | -0.000 | 0.000 | 77.470 | 
| 102.078 | 78.109 | 78.109 | 0.000 | -0.000 | 0.000 | 
| 78.109 | 102.078 | 78.109 | 0.000 | -0.000 | 0.000 | 
| 78.109 | 78.109 | 102.078 | 0.000 | -0.000 | 0.000 | 
| 0.000 | 0.000 | -0.000 | 77.470 | -0.000 | 0.000 | 
| 0.000 | 0.000 | -0.000 | 0.000 | 77.470 | 0.000 | 
| 0.000 | -0.000 | 0.000 | 0.000 | -0.000 | 77.470 | 
| 102.077 | 78.110 | 78.110 | -0.000 | 0.000 | -0.000 | 
| 78.110 | 102.077 | 78.110 | -0.000 | 0.000 | -0.000 | 
| 78.110 | 78.110 | 102.077 | -0.000 | 0.000 | -0.000 | 
| -0.000 | 0.000 | 0.000 | 77.470 | 0.000 | -0.000 | 
| 0.000 | -0.000 | 0.000 | -0.000 | 77.470 | -0.000 | 
| 0.000 | 0.000 | -0.000 | -0.000 | 0.000 | 77.470 | 
| 102.078 | 78.109 | 78.109 | 0.000 | -0.000 | 0.000 | 
| 78.109 | 102.078 | 78.109 | 0.000 | -0.000 | 0.000 | 
| 78.109 | 78.109 | 102.078 | 0.000 | -0.000 | 0.000 | 
| 0.000 | -0.000 | -0.000 | 77.470 | -0.000 | 0.000 | 
| -0.000 | 0.000 | -0.000 | 0.000 | 77.470 | 0.000 | 
| -0.000 | -0.000 | 0.000 | 0.000 | -0.000 | 77.470 | 
| 60.395 | -2.591 | -2.591 | 0.000 | 0.000 | 0.000 | 
| -2.591 | 60.395 | -2.591 | 0.000 | 0.000 | 0.000 | 
| -2.591 | -2.591 | 60.395 | 0.000 | 0.000 | 0.000 | 
| -0.000 | -0.000 | 0.000 | -5.898 | 0.000 | -0.000 | 
| -0.000 | 0.000 | -0.000 | 0.000 | -5.898 | 0.000 | 
| -0.000 | -0.000 | -0.000 | 0.000 | 0.000 | -5.898 | 
| 60.395 | -2.591 | -2.591 | 0.000 | -0.000 | -0.000 | 
| -2.591 | 60.395 | -2.591 | -0.000 | -0.000 | -0.000 | 
| -2.591 | -2.591 | 60.395 | -0.000 | -0.000 | -0.000 | 
| 0.000 | 0.000 | 0.000 | -5.898 | -0.000 | -0.000 | 
| 0.000 | 0.000 | 0.000 | -0.000 | -5.898 | -0.000 | 
| 0.000 | 0.000 | 0.000 | -0.000 | -0.000 | -5.898 | 
| 60.929 | -2.858 | -2.858 | 0.000 | 0.000 | -0.000 | 
| -2.858 | 60.929 | -2.858 | -0.000 | 0.000 | 0.000 | 
| -2.858 | -2.858 | 60.929 | 0.000 | 0.000 | 0.000 | 
| -0.000 | -0.000 | -0.000 | -5.898 | 0.000 | 0.000 | 
| -0.000 | -0.000 | -0.000 | -0.000 | -5.898 | 0.000 | 
| -0.000 | -0.000 | -0.000 | 0.000 | 0.000 | -5.898 | 
| 60.929 | -2.858 | -2.858 | -0.000 | 0.000 | 0.000 | 
| -2.858 | 60.929 | -2.858 | -0.000 | -0.000 | -0.000 | 
| -2.858 | -2.858 | 60.929 | -0.000 | -0.000 | 0.000 | 
| 0.000 | 0.000 | 0.000 | -5.898 | -0.000 | -0.000 | 
| 0.000 | 0.000 | 0.000 | -0.000 | -5.898 | -0.000 | 
| 0.000 | 0.000 | 0.000 | -0.000 | -0.000 | -5.898 | 
| 60.395 | -2.591 | -2.591 | 0.000 | 0.000 | -0.000 | 
| -2.591 | 60.395 | -2.591 | 0.000 | 0.000 | 0.000 | 
| -2.591 | -2.591 | 60.395 | 0.000 | 0.000 | 0.000 | 
| -0.000 | -0.000 | -0.000 | -5.898 | 0.000 | 0.000 | 
| -0.000 | -0.000 | -0.000 | 0.000 | -5.898 | 0.000 | 
| -0.000 | -0.000 | -0.000 | 0.000 | 0.000 | -5.898 | 
| 60.395 | -2.591 | -2.591 | -0.000 | -0.000 | -0.000 | 
| -2.591 | 60.395 | -2.591 | -0.000 | -0.000 | -0.000 | 
| -2.591 | -2.591 | 60.395 | -0.000 | -0.000 | 0.000 | 
| 0.000 | 0.000 | 0.000 | -5.898 | -0.000 | 0.000 | 
| 0.000 | 0.000 | 0.000 | 0.000 | -5.898 | -0.000 | 
| 0.000 | 0.000 | 0.000 | -0.000 | -0.000 | -5.898 | 
| 72.621 | 24.207 | 17.174 | -0.000 | -0.000 | -0.000 | 
| 31.854 | 64.974 | 17.174 | 0.000 | -0.000 | -0.000 | 
| 17.174 | 17.174 | 76.865 | -0.000 | 0.000 | -0.000 | 
| 0.000 | 0.000 | -0.000 | 17.174 | 0.000 | -0.000 | 
| 0.000 | -0.000 | -0.000 | 0.000 | 17.174 | -0.000 | 
| 0.000 | 0.000 | -0.000 | 0.000 | 0.000 | 16.560 | 
| 64.974 | 31.854 | 17.174 | -0.000 | -0.000 | 0.000 | 
| 31.854 | 64.974 | 17.174 | -0.000 | -0.000 | 0.000 | 
| 17.174 | 17.174 | 76.865 | 0.000 | -0.000 | 0.000 | 
| 0.000 | -0.000 | 0.000 | 17.174 | -0.000 | 0.000 | 
| -0.000 | 0.000 | 0.000 | -0.000 | 17.174 | 0.000 | 
| -0.000 | -0.000 | 0.000 | -0.000 | -0.000 | 16.560 | 
| 64.974 | 31.854 | 17.174 | 0.000 | 0.000 | -0.000 | 
| 34.008 | 62.820 | 17.174 | 0.000 | 0.000 | -0.000 | 
| 17.174 | 17.174 | 76.865 | 0.000 | 0.000 | -0.000 | 
| 0.000 | -0.000 | 0.000 | 17.174 | 0.000 | -0.000 | 
| -0.000 | 0.000 | 0.000 | 0.000 | 17.174 | -0.000 | 
| 0.000 | 0.000 | 0.000 | -0.000 | 0.000 | 13.799 | 
| 72.621 | 24.207 | 17.174 | 0.000 | -0.000 | 0.000 | 
| 24.207 | 72.621 | 17.174 | 0.000 | -0.000 | 0.000 | 
| 17.174 | 17.174 | 76.865 | 0.000 | 0.000 | 0.000 | 
| -0.000 | 0.000 | -0.000 | 17.174 | -0.000 | 0.000 | 
| 0.000 | -0.000 | -0.000 | -0.000 | 17.174 | 0.000 | 
| -0.000 | -0.000 | -0.000 | -0.000 | -0.000 | 13.799 | 
| 64.974 | 31.854 | 17.174 | 0.000 | -0.000 | -0.000 | 
| 24.207 | 72.621 | 17.174 | -0.000 | 0.000 | -0.000 | 
| 17.174 | 17.174 | 76.865 | 0.000 | 0.000 | -0.000 | 
| -0.000 | -0.000 | 0.000 | 17.174 | 0.000 | -0.000 | 
| -0.000 | 0.000 | 0.000 | 0.000 | 17.174 | -0.000 | 
| 0.000 | 0.000 | 0.000 | 0.000 | 0.000 | 16.560 | 
| 68.797 | 28.030 | 17.174 | -0.000 | -0.000 | 0.000 | 
| 24.207 | 72.621 | 17.174 | 0.000 | -0.000 | 0.000 | 
| 17.174 | 17.174 | 76.865 | -0.000 | 0.000 | 0.000 | 
| 0.000 | 0.000 | -0.000 | 17.174 | -0.000 | 0.000 | 
| 0.000 | -0.000 | -0.000 | 0.000 | 17.174 | 0.000 | 
| -0.000 | -0.000 | -0.000 | -0.000 | 0.000 | 16.560 | 
| -11.573 | 34.017 | 34.017 | -0.000 | -0.000 | 0.000 | 
| 34.017 | -11.573 | 34.017 | -0.000 | -0.000 | 0.000 | 
| 34.017 | 34.017 | -11.573 | -0.000 | -0.000 | -0.000 | 
| -0.000 | -0.000 | -0.000 | -80.807 | 0.000 | 0.000 | 
| -0.000 | -0.000 | 0.000 | 0.000 | -80.807 | -0.000 | 
| -0.000 | -0.000 | 0.000 | 0.000 | -0.000 | -80.807 | 
| -11.573 | 34.017 | 34.017 | 0.000 | -0.000 | -0.000 | 
| 34.017 | -11.573 | 34.017 | 0.000 | 0.000 | 0.000 | 
| 34.017 | 34.017 | -11.573 | 0.000 | 0.000 | 0.000 | 
| 0.000 | 0.000 | -0.000 | -80.807 | 0.000 | 0.000 | 
| 0.000 | -0.000 | -0.000 | -0.000 | -80.807 | 0.000 | 
| 0.000 | -0.000 | -0.000 | -0.000 | 0.000 | -80.807 | 
| -11.573 | 34.017 | 34.017 | -0.000 | -0.000 | -0.000 | 
| 34.017 | -11.573 | 34.017 | -0.000 | -0.000 | 0.000 | 
| 34.017 | 34.017 | -11.573 | -0.000 | -0.000 | -0.000 | 
| -0.000 | 0.000 | -0.000 | -80.807 | -0.000 | -0.000 | 
| 0.000 | -0.000 | -0.000 | -0.000 | -80.807 | 0.000 | 
| 0.000 | -0.000 | -0.000 | 0.000 | 0.000 | -80.807 | 
| -11.573 | 34.017 | 34.017 | 0.000 | 0.000 | 0.000 | 
| 34.017 | -11.573 | 34.017 | -0.000 | 0.000 | 0.000 | 
| 34.017 | 34.017 | -11.573 | -0.000 | 0.000 | 0.000 | 
| 0.000 | -0.000 | 0.000 | -80.807 | 0.000 | -0.000 | 
| -0.000 | 0.000 | 0.000 | -0.000 | -80.807 | 0.000 | 
| -0.000 | 0.000 | 0.000 | -0.000 | 0.000 | -80.807 | 
| -11.574 | 34.017 | 34.017 | -0.000 | -0.000 | -0.000 | 
| 34.017 | -11.574 | 34.017 | 0.000 | -0.000 | 0.000 | 
| 34.017 | 34.017 | -11.574 | 0.000 | -0.000 | -0.000 | 
| -0.000 | 0.000 | -0.000 | -80.807 | -0.000 | -0.000 | 
| 0.000 | -0.000 | -0.000 | 0.000 | -80.807 | 0.000 | 
| 0.000 | -0.000 | -0.000 | 0.000 | -0.000 | -80.807 | 
| -11.573 | 34.017 | 34.017 | 0.000 | -0.000 | -0.000 | 
| 34.017 | -11.573 | 34.017 | -0.000 | 0.000 | -0.000 | 
| 34.017 | 34.017 | -11.573 | -0.000 | -0.000 | 0.000 | 
| 0.000 | -0.000 | 0.000 | -80.807 | -0.000 | 0.000 | 
| -0.000 | 0.000 | 0.000 | -0.000 | -80.807 | -0.000 | 
| -0.000 | 0.000 | 0.000 | 0.000 | 0.000 | -80.807 | 
| 40.605 | 9.030 | -17.100 | -12.845 | 0.000 | -0.000 | 
| 9.030 | 40.605 | -17.100 | 12.845 | -0.000 | 0.000 | 
| -11.868 | -11.868 | 29.907 | 0.000 | -0.000 | -0.000 | 
| -12.845 | 12.845 | 0.000 | 0.120 | -0.000 | -0.000 | 
| 0.000 | 0.000 | 0.000 | 0.000 | 0.120 | -12.845 | 
| -0.000 | -0.000 | -0.000 | 0.000 | -12.845 | 15.787 | 
| 40.605 | 9.030 | -17.100 | -12.845 | -0.000 | -0.000 | 
| 9.030 | 40.605 | -17.100 | 12.845 | 0.000 | -0.000 | 
| -11.868 | -11.868 | 29.907 | -0.000 | -0.000 | -0.000 | 
| -12.845 | 12.845 | -0.000 | 0.120 | -0.000 | 0.000 | 
| 0.000 | -0.000 | -0.000 | -0.000 | 0.120 | -12.845 | 
| 0.000 | 0.000 | 0.000 | 0.000 | -12.845 | 15.787 | 
| 40.605 | 9.030 | -17.100 | -12.845 | -0.000 | 0.000 | 
| 9.030 | 40.605 | -17.100 | 12.845 | 0.000 | 0.000 | 
| -11.868 | -11.868 | 29.907 | -0.000 | -0.000 | 0.000 | 
| -12.845 | 12.845 | 0.000 | 0.120 | -0.000 | 0.000 | 
| -0.000 | -0.000 | -0.000 | -0.000 | 0.120 | -12.845 | 
| -0.000 | 0.000 | 0.000 | -0.000 | -12.845 | 15.787 | 
| 40.605 | 9.030 | -17.100 | -12.845 | -0.000 | -0.000 | 
| 9.030 | 40.605 | -17.100 | 12.845 | -0.000 | -0.000 | 
| -11.868 | -11.868 | 29.907 | -0.000 | 0.000 | 0.000 | 
| -12.845 | 12.845 | 0.000 | 0.120 | 0.000 | -0.000 | 
| 0.000 | 0.000 | 0.000 | 0.000 | 0.120 | -12.845 | 
| 0.000 | -0.000 | -0.000 | 0.000 | -12.845 | 15.787 | 
| 40.605 | 9.030 | -17.100 | -12.845 | -0.000 | 0.000 | 
| 9.030 | 40.605 | -17.100 | 12.845 | 0.000 | 0.000 | 
| -11.868 | -11.868 | 29.907 | 0.000 | -0.000 | -0.000 | 
| -12.845 | 12.845 | 0.000 | 0.120 | 0.000 | 0.000 | 
| 0.000 | 0.000 | 0.000 | -0.000 | 0.120 | -12.845 | 
| -0.000 | 0.000 | 0.000 | -0.000 | -12.845 | 15.787 | 
| 40.605 | 9.030 | -17.100 | -12.845 | 0.000 | -0.000 | 
| 9.030 | 40.605 | -17.100 | 12.845 | 0.000 | -0.000 | 
| -11.868 | -11.868 | 29.907 | 0.000 | -0.000 | -0.000 | 
| -12.845 | 12.845 | -0.000 | 0.120 | 0.000 | -0.000 | 
| -0.000 | -0.000 | -0.000 | 0.000 | 0.120 | -12.845 | 
| 0.000 | -0.000 | -0.000 | 0.000 | -12.845 | 15.787 | 
| 173.326 | -19.950 | -19.950 | -0.000 | 0.000 | 0.000 | 
| -19.950 | 173.326 | -19.950 | 0.000 | 0.000 | 0.000 | 
| -19.950 | -19.950 | 173.326 | 0.000 | 0.000 | -0.000 | 
| -0.000 | -0.000 | 0.000 | -19.950 | 0.000 | -0.000 | 
| -0.000 | 0.000 | -0.000 | -0.000 | -19.950 | 0.000 | 
| -0.000 | -0.000 | 0.000 | -0.000 | 0.000 | -19.950 | 
| 173.326 | -19.950 | -19.950 | 0.000 | 0.000 | 0.000 | 
| -19.950 | 173.326 | -19.950 | 0.000 | 0.000 | -0.000 | 
| -19.950 | -19.950 | 173.326 | -0.000 | -0.000 | 0.000 | 
| 0.000 | -0.000 | 0.000 | -19.950 | -0.000 | -0.000 | 
| 0.000 | -0.000 | 0.000 | 0.000 | -19.950 | -0.000 | 
| 0.000 | 0.000 | -0.000 | 0.000 | -0.000 | -19.950 | 
| 173.326 | -19.950 | -19.950 | -0.000 | 0.000 | 0.000 | 
| -19.950 | 173.326 | -19.950 | 0.000 | 0.000 | -0.000 | 
| -19.950 | -19.950 | 173.326 | -0.000 | -0.000 | -0.000 | 
| -0.000 | 0.000 | -0.000 | -19.950 | 0.000 | 0.000 | 
| 0.000 | -0.000 | -0.000 | -0.000 | -19.950 | 0.000 | 
| 0.000 | -0.000 | -0.000 | -0.000 | -0.000 | -19.950 | 
| 173.326 | -19.950 | -19.950 | 0.000 | -0.000 | -0.000 | 
| -19.950 | 173.326 | -19.950 | -0.000 | 0.000 | -0.000 | 
| -19.950 | -19.950 | 173.326 | -0.000 | -0.000 | -0.000 | 
| 0.000 | -0.000 | 0.000 | -19.950 | -0.000 | -0.000 | 
| -0.000 | 0.000 | 0.000 | 0.000 | -19.950 | -0.000 | 
| -0.000 | 0.000 | 0.000 | 0.000 | -0.000 | -19.950 | 
| 173.327 | -19.950 | -19.950 | -0.000 | 0.000 | 0.000 | 
| -19.950 | 173.327 | -19.950 | 0.000 | -0.000 | 0.000 | 
| -19.950 | -19.950 | 173.327 | 0.000 | 0.000 | -0.000 | 
| -0.000 | 0.000 | -0.000 | -19.950 | -0.000 | 0.000 | 
| 0.000 | -0.000 | -0.000 | -0.000 | -19.950 | 0.000 | 
| 0.000 | -0.000 | -0.000 | -0.000 | 0.000 | -19.950 | 
| 173.326 | -19.950 | -19.950 | 0.000 | -0.000 | -0.000 | 
| -19.950 | 173.326 | -19.950 | -0.000 | 0.000 | -0.000 | 
| -19.950 | -19.950 | 173.326 | 0.000 | -0.000 | -0.000 | 
| 0.000 | -0.000 | 0.000 | -19.950 | 0.000 | 0.000 | 
| -0.000 | 0.000 | 0.000 | 0.000 | -19.950 | -0.000 | 
| -0.000 | 0.000 | 0.000 | 0.000 | -0.000 | -19.950 | 
| -52.834 | -87.403 | -87.403 | -0.000 | 0.000 | -0.000 | 
| -87.403 | -52.834 | -87.403 | -0.000 | -0.000 | 0.000 | 
| -87.403 | -87.403 | -52.834 | -0.000 | -0.000 | -0.000 | 
| -0.000 | -0.000 | -0.000 | 3.368 | -0.000 | -0.000 | 
| -0.000 | -0.000 | -0.000 | -0.000 | 3.368 | 0.000 | 
| 0.000 | -0.000 | 0.000 | -0.000 | -0.000 | 3.368 | 
| 102.214 | 70.141 | 70.141 | 0.000 | 0.000 | 0.000 | 
| 70.141 | 102.214 | 70.141 | 0.000 | 0.000 | -0.000 | 
| 70.141 | 70.141 | 102.214 | 0.000 | 0.000 | -0.000 | 
| 0.000 | 0.000 | 0.000 | 3.368 | 0.000 | 0.000 | 
| 0.000 | 0.000 | 0.000 | 0.000 | 3.368 | 0.000 | 
| 0.000 | -0.000 | 0.000 | 0.000 | 0.000 | 3.368 | 
| 36.092 | -1.524 | -1.524 | -0.000 | -0.000 | -0.000 | 
| -1.524 | 36.092 | -1.524 | -0.000 | -0.000 | 0.000 | 
| -1.524 | -1.524 | 36.092 | -0.000 | -0.000 | 0.000 | 
| -3.729 | -3.729 | -3.729 | -4.226 | -0.000 | -0.000 | 
| -3.729 | -3.729 | -3.729 | -0.000 | -4.226 | 0.000 | 
| -3.729 | -3.729 | -3.729 | -0.000 | -0.000 | -4.226 | 
| 58.380 | 3.311 | 3.311 | 0.000 | 0.000 | 0.000 | 
| 3.311 | 58.380 | 3.311 | 0.000 | 0.000 | -0.000 | 
| 3.311 | 3.311 | 58.380 | 0.000 | 0.000 | -0.000 | 
| 3.729 | 3.729 | 3.729 | -4.226 | 0.000 | 0.000 | 
| 3.729 | 3.729 | 3.729 | 0.000 | -4.226 | -0.000 | 
| 3.729 | 3.729 | 3.729 | 0.000 | 0.000 | -4.226 | 
| 49.102 | 5.126 | 5.126 | 0.000 | -0.000 | 0.000 | 
| 5.126 | 49.102 | 5.126 | -0.000 | -0.000 | 0.000 | 
| 5.126 | 5.126 | 49.102 | 0.000 | 0.000 | -0.000 | 
| -0.000 | 0.000 | -0.000 | 3.368 | -0.000 | 0.000 | 
| 0.000 | -0.000 | -0.000 | -0.000 | 3.368 | -0.000 | 
| 0.000 | -0.000 | -0.000 | -0.000 | 0.000 | 3.368 | 
| 58.380 | 3.311 | 3.311 | 0.000 | 0.000 | 0.000 | 
| 3.311 | 58.380 | 3.311 | 0.000 | 0.000 | -0.000 | 
| 3.311 | 3.311 | 58.380 | 0.000 | -0.000 | -0.000 | 
| 0.000 | -0.000 | 0.000 | 3.368 | 0.000 | 0.000 | 
| -0.000 | 0.000 | 0.000 | 0.000 | 3.368 | 0.000 | 
| -0.000 | 0.000 | 0.000 | 0.000 | 0.000 | 3.368 | 
| 32.197 | 18.936 | 18.936 | 0.000 | 0.000 | 0.000 | 
| 18.936 | 32.197 | 18.936 | 0.000 | -0.000 | 0.000 | 
| 18.936 | 18.936 | 32.197 | 0.000 | -0.000 | -0.000 | 
| -0.000 | -0.000 | -0.000 | 18.936 | 0.000 | -0.000 | 
| 0.000 | -0.000 | 0.000 | 0.000 | 18.936 | 0.000 | 
| -0.000 | -0.000 | 0.000 | 0.000 | 0.000 | 18.936 | 
| 32.197 | 18.936 | 18.936 | -0.000 | 0.000 | -0.000 | 
| 18.936 | 32.197 | 18.936 | -0.000 | -0.000 | -0.000 | 
| 18.936 | 18.936 | 32.197 | -0.000 | 0.000 | -0.000 | 
| 0.000 | 0.000 | -0.000 | 18.936 | -0.000 | 0.000 | 
| 0.000 | 0.000 | -0.000 | -0.000 | 18.936 | -0.000 | 
| 0.000 | 0.000 | -0.000 | -0.000 | -0.000 | 18.936 | 
| 32.197 | 18.936 | 18.936 | 0.000 | -0.000 | 0.000 | 
| 18.936 | 32.197 | 18.936 | 0.000 | -0.000 | 0.000 | 
| 18.936 | 18.936 | 32.197 | 0.000 | 0.000 | 0.000 | 
| -0.000 | -0.000 | 0.000 | 18.936 | -0.000 | 0.000 | 
| -0.000 | -0.000 | 0.000 | 0.000 | 18.936 | 0.000 | 
| -0.000 | 0.000 | -0.000 | 0.000 | 0.000 | 18.936 | 
| 32.197 | 18.936 | 18.936 | -0.000 | -0.000 | -0.000 | 
| 18.936 | 32.197 | 18.936 | -0.000 | -0.000 | -0.000 | 
| 18.936 | 18.936 | 32.197 | -0.000 | 0.000 | -0.000 | 
| 0.000 | 0.000 | -0.000 | 18.936 | -0.000 | -0.000 | 
| 0.000 | 0.000 | -0.000 | -0.000 | 18.936 | -0.000 | 
| 0.000 | -0.000 | -0.000 | -0.000 | -0.000 | 18.936 | 
| 32.197 | 18.936 | 18.936 | 0.000 | -0.000 | -0.000 | 
| 18.936 | 32.197 | 18.936 | 0.000 | -0.000 | -0.000 | 
| 18.936 | 18.936 | 32.197 | 0.000 | -0.000 | -0.000 | 
| -0.000 | -0.000 | 0.000 | 18.936 | 0.000 | 0.000 | 
| -0.000 | -0.000 | 0.000 | 0.000 | 18.936 | 0.000 | 
| -0.000 | 0.000 | -0.000 | 0.000 | 0.000 | 18.936 | 
| 30.201 | 19.920 | 19.920 | -0.000 | -0.000 | -0.000 | 
| 19.920 | 30.201 | 19.920 | -0.000 | 0.000 | 0.000 | 
| 19.920 | 19.920 | 30.201 | -0.000 | -0.000 | -0.000 | 
| 0.000 | 0.000 | -0.000 | 18.936 | -0.000 | -0.000 | 
| 0.000 | 0.000 | -0.000 | -0.000 | 18.936 | -0.000 | 
| 0.000 | -0.000 | 0.000 | -0.000 | -0.000 | 18.936 | 
| 82.310 | 26.800 | 15.665 | 0.000 | 0.000 | -0.000 | 
| 28.829 | 32.822 | 6.445 | 0.000 | 0.000 | -0.000 | 
| 17.723 | 6.474 | 65.975 | 0.000 | 0.000 | -0.000 | 
| -0.000 | 0.000 | 0.000 | 18.284 | 0.000 | -0.000 | 
| -0.000 | 0.000 | 0.000 | 0.000 | 13.589 | 0.000 | 
| -0.000 | 0.000 | 0.000 | 0.000 | -0.000 | 11.012 | 
| 82.310 | 26.800 | 15.665 | -0.000 | -0.000 | 0.000 | 
| 28.829 | 32.822 | 6.445 | -0.000 | 0.000 | 0.000 | 
| 17.724 | 6.474 | 65.975 | -0.000 | 0.000 | 0.000 | 
| 0.000 | -0.000 | -0.000 | 18.284 | 0.000 | 0.000 | 
| 0.000 | -0.000 | -0.000 | -0.000 | 13.589 | 0.000 | 
| 0.000 | -0.000 | -0.000 | -0.000 | 0.000 | 11.012 | 
| 82.310 | 26.800 | 15.665 | 0.000 | 0.000 | -0.000 | 
| 28.829 | 32.822 | 6.445 | 0.000 | 0.000 | -0.000 | 
| 17.723 | 6.474 | 65.975 | 0.000 | 0.000 | -0.000 | 
| 0.000 | -0.000 | 0.000 | 18.284 | -0.000 | -0.000 | 
| -0.000 | 0.000 | 0.000 | 0.000 | 13.589 | 0.000 | 
| -0.000 | 0.000 | 0.000 | 0.000 | 0.000 | 11.012 | 
| 82.310 | 26.800 | 15.665 | -0.000 | -0.000 | 0.000 | 
| 28.829 | 32.822 | 6.445 | -0.000 | 0.000 | 0.000 | 
| 17.723 | 6.474 | 65.975 | -0.000 | -0.000 | 0.000 | 
| -0.000 | 0.000 | -0.000 | 18.284 | 0.000 | -0.000 | 
| 0.000 | -0.000 | -0.000 | -0.000 | 13.589 | 0.000 | 
| 0.000 | -0.000 | -0.000 | -0.000 | 0.000 | 11.012 | 
| 82.310 | 26.800 | 15.665 | 0.000 | 0.000 | -0.000 | 
| 28.829 | 32.822 | 6.445 | 0.000 | -0.000 | -0.000 | 
| 17.724 | 6.474 | 65.975 | 0.000 | 0.000 | 0.000 | 
| 0.000 | -0.000 | 0.000 | 18.284 | 0.000 | -0.000 | 
| -0.000 | 0.000 | 0.000 | 0.000 | 13.589 | -0.000 | 
| 0.000 | 0.000 | 0.000 | 0.000 | -0.000 | 11.012 | 
| 82.309 | 26.800 | 15.665 | -0.000 | -0.000 | 0.000 | 
| 28.829 | 32.822 | 6.445 | -0.000 | -0.000 | 0.000 | 
| 17.723 | 6.474 | 65.975 | -0.000 | -0.000 | 0.000 | 
| -0.000 | 0.000 | -0.000 | 18.284 | 0.000 | 0.000 | 
| 0.000 | -0.000 | -0.000 | -0.000 | 13.589 | 0.000 | 
| -0.000 | -0.000 | -0.000 | -0.000 | -0.000 | 11.012 | 
| 56.682 | 18.890 | 57.727 | 54.939 | -0.000 | 0.000 | 
| 18.890 | 56.681 | 57.727 | -54.939 | -0.000 | 0.000 | 
| 57.741 | 57.740 | 17.814 | 0.000 | -0.000 | 0.000 | 
| 54.939 | -54.939 | -0.000 | 57.760 | -0.000 | 0.000 | 
| 0.000 | -0.000 | -0.000 | -0.000 | 57.760 | 54.939 | 
| 0.000 | -0.000 | -0.000 | -0.000 | 54.939 | 18.896 | 
| 56.681 | 18.890 | 57.727 | 54.939 | 0.000 | -0.000 | 
| 18.890 | 56.682 | 57.727 | -54.939 | 0.000 | -0.000 | 
| 57.740 | 57.741 | 17.814 | 0.000 | 0.000 | -0.000 | 
| 54.939 | -54.939 | 0.000 | 57.760 | 0.000 | -0.000 | 
| -0.000 | 0.000 | 0.000 | 0.000 | 57.760 | 54.939 | 
| -0.000 | 0.000 | 0.000 | 0.000 | 54.939 | 18.896 | 
| 56.682 | 18.890 | 57.727 | 54.939 | -0.000 | 0.000 | 
| 18.890 | 56.682 | 57.727 | -54.939 | -0.000 | -0.000 | 
| 57.741 | 57.741 | 17.814 | 0.000 | -0.000 | 0.000 | 
| 54.939 | -54.939 | 0.000 | 57.760 | -0.000 | 0.000 | 
| 0.000 | -0.000 | 0.000 | 0.000 | 57.760 | 54.939 | 
| 0.000 | -0.000 | 0.000 | 0.000 | 54.939 | 18.896 | 
| 56.682 | 18.890 | 57.727 | 54.939 | 0.000 | -0.000 | 
| 18.890 | 56.682 | 57.727 | -54.939 | 0.000 | -0.000 | 
| 57.740 | 57.740 | 17.814 | 0.000 | 0.000 | -0.000 | 
| 54.939 | -54.939 | -0.000 | 57.760 | 0.000 | -0.000 | 
| -0.000 | 0.000 | -0.000 | -0.000 | 57.760 | 54.939 | 
| -0.000 | 0.000 | -0.000 | -0.000 | 54.939 | 18.896 | 
| 56.682 | 18.890 | 57.727 | 54.939 | -0.000 | 0.000 | 
| 18.890 | 56.682 | 57.727 | -54.939 | -0.000 | 0.000 | 
| 57.741 | 57.741 | 17.814 | -0.000 | -0.000 | 0.000 | 
| 54.939 | -54.939 | 0.000 | 57.760 | -0.000 | 0.000 | 
| -0.000 | 0.000 | 0.000 | 0.000 | 57.760 | 54.939 | 
| -0.000 | -0.000 | 0.000 | 0.000 | 54.939 | 18.896 | 
| 56.681 | 18.890 | 57.727 | 54.939 | 0.000 | -0.000 | 
| 18.890 | 56.681 | 57.727 | -54.939 | 0.000 | -0.000 | 
| 57.740 | 57.740 | 17.814 | -0.000 | 0.000 | -0.000 | 
| 54.939 | -54.939 | -0.000 | 57.761 | 0.000 | -0.000 | 
| 0.000 | -0.000 | -0.000 | -0.000 | 57.760 | 54.939 | 
| 0.000 | 0.000 | -0.000 | -0.000 | 54.939 | 18.896 | 
| -5.493 | 48.786 | 4.310 | 0.000 | 0.000 | -0.000 | 
| 10.823 | 32.470 | 4.310 | -0.000 | -0.000 | -0.000 | 
| 4.310 | 4.310 | 91.217 | -0.000 | -0.000 | -0.000 | 
| 0.000 | -0.000 | 0.000 | 4.310 | -0.000 | -0.000 | 
| 0.000 | 0.000 | -0.000 | -0.000 | 4.310 | 0.000 | 
| -0.000 | 0.000 | 0.000 | 0.000 | 0.000 | -27.139 | 
| 32.470 | 10.823 | 4.310 | 0.000 | -0.000 | -0.000 | 
| 48.786 | -5.493 | 4.310 | -0.000 | -0.000 | 0.000 | 
| 4.310 | 4.310 | 91.217 | -0.000 | 0.000 | 0.000 | 
| -0.000 | 0.000 | -0.000 | 4.310 | 0.000 | 0.000 | 
| -0.000 | -0.000 | 0.000 | 0.000 | 4.310 | -0.000 | 
| -0.000 | 0.000 | -0.000 | -0.000 | -0.000 | -27.139 | 
| 32.470 | 10.823 | 4.310 | -0.000 | -0.000 | -0.000 | 
| 48.786 | -5.493 | 4.310 | 0.000 | 0.000 | -0.000 | 
| 4.310 | 4.310 | 91.217 | -0.000 | 0.000 | 0.000 | 
| -0.000 | -0.000 | 0.000 | 4.310 | 0.000 | -0.000 | 
| -0.000 | -0.000 | -0.000 | -0.000 | 4.310 | 0.000 | 
| 0.000 | -0.000 | -0.000 | 0.000 | -0.000 | -38.381 | 
| -16.734 | 60.028 | 4.310 | 0.000 | -0.000 | 0.000 | 
| 60.028 | -16.735 | 4.310 | 0.000 | 0.000 | 0.000 | 
| 4.310 | 4.310 | 91.217 | 0.000 | 0.000 | -0.000 | 
| -0.000 | 0.000 | 0.000 | 4.310 | -0.000 | 0.000 | 
| 0.000 | -0.000 | 0.000 | 0.000 | 4.310 | -0.000 | 
| -0.000 | 0.000 | 0.000 | -0.000 | -0.000 | -38.381 | 
| -5.492 | 48.786 | 4.310 | 0.000 | 0.000 | 0.000 | 
| 385.369 | -342.088 | 4.235 | -0.000 | 0.000 | 0.000 | 
| 4.310 | 4.310 | 91.217 | -0.000 | 0.000 | -0.000 | 
| -0.000 | -0.000 | -0.000 | 4.310 | 0.000 | 0.000 | 
| -0.000 | -0.000 | -0.000 | 0.000 | 4.310 | -0.000 | 
| 0.000 | -0.000 | -0.000 | 0.000 | 0.000 | -38.381 | 
| -5.493 | 48.787 | 4.310 | -0.000 | -0.000 | -0.000 | 
| 48.786 | -5.492 | 4.310 | -0.000 | -0.000 | 0.000 | 
| 4.310 | 4.310 | 91.217 | 0.000 | -0.000 | -0.000 | 
| 0.000 | 0.000 | 0.000 | 4.310 | -0.000 | 0.000 | 
| 0.000 | 0.000 | 0.000 | -0.000 | 4.310 | 0.000 | 
| -0.000 | 0.000 | 0.000 | -0.000 | -0.000 | -38.381 | 
| 216.702 | 64.492 | 64.492 | 0.000 | -0.000 | -0.000 | 
| 64.492 | 216.702 | 64.492 | 0.000 | -0.000 | -0.000 | 
| 64.492 | 64.492 | 216.702 | -0.000 | -0.000 | -0.000 | 
| -0.000 | -0.000 | -0.000 | -22.060 | -0.000 | -0.000 | 
| -0.000 | -0.000 | -0.000 | 0.000 | -22.060 | 0.000 | 
| -0.000 | -0.000 | -0.000 | 0.000 | -0.000 | -22.060 | 
| 216.702 | 64.492 | 64.492 | -0.000 | 0.000 | 0.000 | 
| 64.492 | 216.702 | 64.492 | 0.000 | 0.000 | 0.000 | 
| 64.492 | 64.492 | 216.702 | -0.000 | 0.000 | -0.000 | 
| 0.000 | 0.000 | 0.000 | -22.060 | 0.000 | -0.000 | 
| 0.000 | 0.000 | 0.000 | -0.000 | -22.060 | 0.000 | 
| 0.000 | 0.000 | 0.000 | -0.000 | 0.000 | -22.060 | 
| 216.702 | 64.492 | 64.492 | 0.000 | -0.000 | -0.000 | 
| 64.492 | 216.702 | 64.492 | 0.000 | -0.000 | -0.000 | 
| 64.492 | 64.492 | 216.702 | 0.000 | -0.000 | -0.000 | 
| -0.000 | -0.000 | -0.000 | -22.060 | -0.000 | -0.000 | 
| -0.000 | -0.000 | -0.000 | 0.000 | -22.060 | -0.000 | 
| -0.000 | -0.000 | -0.000 | 0.000 | -0.000 | -22.060 | 
| 216.702 | 64.492 | 64.492 | -0.000 | 0.000 | 0.000 | 
| 64.492 | 216.702 | 64.492 | 0.000 | 0.000 | 0.000 | 
| 64.492 | 64.492 | 216.702 | 0.000 | 0.000 | -0.000 | 
| 0.000 | 0.000 | 0.000 | -22.060 | 0.000 | 0.000 | 
| 0.000 | 0.000 | 0.000 | -0.000 | -22.060 | 0.000 | 
| 0.000 | 0.000 | 0.000 | -0.000 | 0.000 | -22.060 | 
| 216.703 | 64.492 | 64.492 | 0.000 | -0.000 | 0.000 | 
| 64.492 | 216.703 | 64.492 | 0.000 | -0.000 | -0.000 | 
| 64.492 | 64.492 | 216.703 | -0.000 | -0.000 | -0.000 | 
| -0.000 | -0.000 | -0.000 | -22.060 | -0.000 | -0.000 | 
| -0.000 | -0.000 | -0.000 | 0.000 | -22.060 | -0.000 | 
| -0.000 | -0.000 | -0.000 | 0.000 | -0.000 | -22.060 | 
| 216.702 | 64.492 | 64.492 | -0.000 | 0.000 | 0.000 | 
| 64.492 | 216.702 | 64.492 | -0.000 | 0.000 | 0.000 | 
| 64.492 | 64.492 | 216.702 | -0.000 | 0.000 | 0.000 | 
| 0.000 | 0.000 | 0.000 | -22.060 | 0.000 | 0.000 | 
| 0.000 | 0.000 | 0.000 | -0.000 | -22.060 | 0.000 | 
| 0.000 | 0.000 | 0.000 | -0.000 | 0.000 | -22.060 | 
| 40.372 | 50.641 | 50.641 | 0.000 | 0.000 | 0.000 | 
| 50.641 | 40.372 | 50.641 | 0.000 | 0.000 | 0.000 | 
| 50.641 | 50.641 | 40.372 | -0.000 | 0.000 | 0.000 | 
| 0.000 | -0.000 | 0.000 | 18.247 | 0.000 | 0.000 | 
| -0.000 | 0.000 | 0.000 | 0.000 | 18.247 | 0.000 | 
| -0.000 | 0.000 | 0.000 | 0.000 | 0.000 | 18.247 | 
| 40.372 | 50.641 | 50.641 | -0.000 | 0.000 | -0.000 | 
| 50.641 | 40.372 | 50.641 | 0.000 | -0.000 | -0.000 | 
| 50.641 | 50.641 | 40.372 | 0.000 | 0.000 | -0.000 | 
| 0.000 | 0.000 | -0.000 | 18.247 | -0.000 | -0.000 | 
| 0.000 | 0.000 | -0.000 | -0.000 | 18.247 | -0.000 | 
| 0.000 | -0.000 | 0.000 | 0.000 | -0.000 | 18.247 | 
| 40.145 | 50.755 | 50.755 | 0.000 | -0.000 | 0.000 | 
| 50.755 | 40.145 | 50.755 | 0.000 | 0.000 | 0.000 | 
| 50.755 | 50.755 | 40.145 | -0.000 | 0.000 | 0.000 | 
| -0.000 | -0.000 | 0.000 | 18.247 | 0.000 | 0.000 | 
| -0.000 | -0.000 | 0.000 | 0.000 | 18.247 | 0.000 | 
| -0.000 | 0.000 | -0.000 | 0.000 | 0.000 | 18.247 | 
| 40.145 | 50.754 | 50.755 | -0.000 | 0.000 | -0.000 | 
| 50.754 | 40.145 | 50.755 | -0.000 | -0.000 | -0.000 | 
| 50.754 | 50.754 | 40.145 | -0.000 | -0.000 | -0.000 | 
| 0.000 | -0.000 | -0.000 | 18.247 | -0.000 | -0.000 | 
| 0.000 | 0.000 | -0.000 | -0.000 | 18.247 | -0.000 | 
| -0.000 | -0.000 | 0.000 | -0.000 | -0.000 | 18.247 | 
| 40.122 | 50.766 | 50.766 | 0.000 | 0.000 | 0.000 | 
| 50.766 | 40.122 | 50.766 | -0.000 | 0.000 | 0.000 | 
| 50.766 | 50.766 | 40.122 | 0.000 | 0.000 | 0.000 | 
| -0.000 | 0.000 | 0.000 | 18.247 | 0.000 | 0.000 | 
| 0.000 | -0.000 | 0.000 | 0.000 | 18.247 | 0.000 | 
| 0.000 | 0.000 | -0.000 | 0.000 | 0.000 | 18.247 | 
| 40.122 | 50.766 | 50.766 | 0.000 | -0.000 | -0.000 | 
| 50.766 | 40.122 | 50.766 | 0.000 | -0.000 | -0.000 | 
| 50.766 | 50.766 | 40.122 | -0.000 | -0.000 | -0.000 | 
| 0.000 | -0.000 | -0.000 | 18.247 | -0.000 | -0.000 | 
| -0.000 | 0.000 | -0.000 | -0.000 | 18.247 | -0.000 | 
| -0.000 | -0.000 | 0.000 | -0.000 | -0.000 | 18.247 | 
| 1375.870 | 217.599 | 217.599 | 0.000 | -0.000 | -0.000 | 
| 217.599 | 1375.870 | 217.599 | 0.000 | -0.000 | -0.000 | 
| 217.599 | 217.599 | 1375.870 | 0.000 | -0.000 | -0.000 | 
| 0.000 | 0.000 | 0.000 | -2.993 | -0.000 | -0.000 | 
| 0.000 | 0.000 | -0.000 | 0.000 | -2.993 | -0.000 | 
| 0.000 | -0.000 | 0.000 | -0.000 | -0.000 | -2.993 | 
| 1375.869 | 217.599 | 217.599 | 0.000 | 0.000 | 0.000 | 
| 217.599 | 1375.869 | 217.599 | -0.000 | 0.000 | -0.000 | 
| 217.599 | 217.599 | 1375.869 | -0.000 | 0.000 | 0.000 | 
| -0.000 | -0.000 | -0.000 | -2.993 | 0.000 | 0.000 | 
| -0.000 | -0.000 | -0.000 | -0.000 | -2.993 | 0.000 | 
| -0.000 | 0.000 | -0.000 | 0.000 | 0.000 | -2.993 | 
| 1375.872 | 217.599 | 217.599 | 0.000 | -0.000 | 0.000 | 
| 217.599 | 1375.872 | 217.599 | 0.000 | -0.000 | 0.000 | 
| 217.599 | 217.599 | 1375.872 | 0.000 | -0.000 | 0.000 | 
| 0.000 | 0.000 | -0.000 | -2.993 | -0.000 | 0.000 | 
| 0.000 | 0.000 | -0.000 | 0.000 | -2.993 | -0.000 | 
| 0.000 | -0.000 | 0.000 | -0.000 | -0.000 | -2.993 | 
| 1375.867 | 217.598 | 217.598 | 0.000 | 0.000 | -0.000 | 
| 217.598 | 1375.867 | 217.598 | -0.000 | 0.000 | -0.000 | 
| 217.598 | 217.598 | 1375.867 | -0.000 | 0.000 | -0.000 | 
| -0.000 | -0.000 | 0.000 | -2.993 | 0.000 | 0.000 | 
| -0.000 | -0.000 | 0.000 | 0.000 | -2.993 | 0.000 | 
| -0.000 | 0.000 | -0.000 | 0.000 | 0.000 | -2.993 | 
| 1375.897 | 217.602 | 217.602 | 0.000 | -0.000 | 0.000 | 
| 217.602 | 1375.897 | 217.602 | 0.000 | -0.000 | 0.000 | 
| 217.602 | 217.602 | 1375.897 | 0.000 | -0.000 | -0.000 | 
| 0.000 | 0.000 | -0.001 | -2.993 | -0.000 | -0.000 | 
| 0.000 | 0.000 | -0.001 | 0.000 | -2.993 | 0.000 | 
| 0.000 | -0.001 | 0.000 | 0.000 | -0.000 | -2.993 | 
| 1375.842 | 217.595 | 217.595 | -0.000 | 0.000 | 0.000 | 
| 217.595 | 1375.842 | 217.595 | -0.000 | 0.000 | 0.000 | 
| 217.595 | 217.595 | 1375.842 | -0.000 | 0.000 | 0.000 | 
| -0.000 | -0.000 | 0.001 | -2.993 | 0.000 | 0.000 | 
| -0.000 | -0.000 | 0.001 | -0.000 | -2.993 | 0.000 | 
| -0.000 | 0.001 | -0.000 | -0.000 | 0.000 | -2.993 | 
| 295.845 | 111.110 | 37.248 | -0.027 | 0.173 | -0.097 | 
| 112.688 | 294.264 | 37.250 | 0.034 | -0.543 | -0.123 | 
| 86.346 | 85.030 | 140.435 | -1.498 | -0.111 | -0.205 | 
| 0.790 | -0.776 | 0.002 | 55.348 | 0.005 | -0.069 | 
| 0.805 | -0.775 | 0.004 | 0.065 | 57.142 | -0.133 | 
| 0.793 | -0.787 | 0.000 | 0.065 | 0.005 | 93.030 | 
| 262.212 | 80.636 | 102.078 | -0.074 | -0.161 | 0.126 | 
| 78.899 | 263.956 | 102.080 | -0.065 | -0.006 | 0.321 | 
| 53.189 | 54.086 | 205.266 | -1.494 | -0.103 | 0.061 | 
| -0.790 | 0.776 | -0.002 | 55.218 | -0.005 | 0.069 | 
| -0.805 | 0.775 | -0.004 | -0.065 | 57.131 | 0.133 | 
| -0.793 | 0.787 | -0.000 | -0.065 | -0.005 | 93.297 | 
| 272.079 | 103.347 | 69.130 | 0.006 | 0.001 | -0.007 | 
| 103.504 | 271.922 | 69.130 | 0.006 | 0.001 | -0.007 | 
| 69.226 | 69.034 | 173.931 | -0.010 | -0.001 | -0.002 | 
| 0.079 | -0.078 | 0.000 | 44.503 | 0.001 | -0.007 | 
| 1.681 | 1.523 | -3.240 | 0.006 | 44.382 | -0.013 | 
| 0.079 | -0.079 | -0.000 | 0.006 | 0.001 | 84.405 | 
| 271.924 | 103.504 | 69.131 | -0.006 | -0.001 | 0.007 | 
| 103.347 | 272.081 | 69.131 | -0.006 | -0.001 | 0.007 | 
| 67.937 | 68.185 | 176.094 | 0.118 | 0.007 | 0.017 | 
| -0.079 | 0.078 | -0.000 | 44.490 | -0.001 | 0.007 | 
| -1.681 | -1.523 | 3.240 | -0.006 | 44.381 | 0.013 | 
| -0.079 | 0.079 | 0.000 | -0.006 | -0.001 | 84.432 | 
| 269.647 | 105.841 | 69.058 | 0.001 | -0.004 | -0.001 | 
| 104.188 | 271.229 | 69.130 | 0.001 | 0.000 | -0.001 | 
| 69.139 | 69.119 | 173.926 | -0.001 | -0.000 | -0.000 | 
| 0.008 | -0.008 | -0.001 | 43.419 | 0.000 | -0.001 | 
| 0.008 | -0.008 | -0.001 | 0.001 | 43.437 | -0.001 | 
| 0.265 | 0.248 | -0.522 | 0.001 | 0.000 | 82.771 | 
| 270.133 | 104.260 | 70.187 | -0.001 | 0.001 | 0.003 | 
| 105.457 | 269.132 | 69.989 | -0.001 | -0.000 | 0.001 | 
| 69.122 | 69.141 | 173.937 | 0.001 | 0.000 | 0.000 | 
| -0.008 | 0.008 | 0.001 | 43.417 | -0.000 | 0.001 | 
| -0.008 | 0.008 | 0.001 | -0.001 | 43.437 | 0.001 | 
| -0.265 | -0.248 | 0.522 | -0.001 | -0.000 | 82.774 | 
| 309.270 | 135.663 | 79.981 | -0.000 | 0.000 | 0.000 | 
| 111.239 | 333.693 | 79.981 | 0.000 | -0.000 | 0.000 | 
| 79.985 | 79.985 | 364.792 | -0.000 | -0.000 | 0.000 | 
| 0.000 | -0.000 | 0.000 | 79.976 | -0.000 | 0.000 | 
| -0.000 | -0.000 | 0.000 | 0.000 | 79.976 | -0.000 | 
| -0.000 | 0.000 | -0.000 | -0.000 | -0.000 | 111.227 | 
| 333.693 | 111.239 | 79.981 | 0.000 | 0.000 | -0.000 | 
| 135.663 | 309.270 | 79.981 | 0.000 | 0.000 | -0.000 | 
| 79.985 | 79.985 | 364.792 | 0.000 | 0.000 | -0.000 | 
| 0.000 | -0.000 | -0.000 | 79.976 | -0.000 | -0.000 | 
| 0.000 | 0.000 | -0.000 | 0.000 | 79.976 | -0.000 | 
| 0.000 | -0.000 | 0.000 | 0.000 | -0.000 | 111.227 | 
| 309.270 | 135.663 | 79.981 | -0.000 | -0.000 | 0.000 | 
| 111.239 | 333.694 | 79.981 | 0.000 | -0.000 | 0.000 | 
| 79.985 | 79.985 | 364.792 | -0.000 | -0.000 | 0.000 | 
| 0.000 | -0.000 | 0.000 | 79.976 | -0.000 | 0.000 | 
| -0.000 | 0.000 | 0.000 | -0.000 | 79.976 | 0.000 | 
| -0.000 | 0.000 | -0.000 | -0.000 | 0.000 | 86.803 | 
| 333.693 | 111.239 | 79.981 | 0.000 | -0.000 | -0.000 | 
| 135.663 | 309.269 | 79.981 | -0.000 | 0.000 | -0.000 | 
| 79.985 | 79.985 | 364.792 | -0.000 | -0.000 | -0.000 | 
| -0.000 | 0.000 | -0.000 | 79.976 | 0.000 | -0.000 | 
| 0.000 | -0.000 | -0.000 | 0.000 | 79.976 | 0.000 | 
| 0.000 | -0.000 | 0.000 | 0.000 | 0.000 | 86.803 | 
| 309.271 | 135.663 | 79.981 | 0.000 | -0.000 | 0.000 | 
| 135.664 | 309.270 | 79.981 | -0.000 | 0.000 | 0.000 | 
| 79.985 | 79.985 | 364.793 | -0.000 | 0.000 | 0.000 | 
| 0.000 | -0.000 | 0.000 | 79.976 | -0.000 | 0.000 | 
| -0.000 | 0.000 | 0.000 | -0.000 | 79.976 | 0.000 | 
| -0.000 | 0.000 | -0.000 | -0.000 | -0.000 | 86.803 | 
| 333.692 | 111.239 | 79.981 | 0.000 | -0.000 | -0.000 | 
| 135.662 | 309.269 | 79.981 | 0.000 | -0.000 | -0.000 | 
| 79.984 | 79.984 | 364.791 | 0.000 | 0.000 | -0.000 | 
| -0.000 | 0.000 | -0.000 | 79.976 | 0.000 | -0.000 | 
| 0.000 | -0.000 | -0.000 | 0.000 | 79.976 | -0.000 | 
| 0.000 | -0.000 | 0.000 | 0.000 | 0.000 | 86.803 | 
| 333.663 | 111.221 | 79.977 | 0.000 | 0.000 | 0.000 | 
| 111.221 | 333.663 | 79.977 | -0.000 | -0.000 | -0.000 | 
| 79.977 | 79.977 | 364.769 | -0.000 | 0.000 | 0.000 | 
| -0.000 | 0.000 | 0.000 | 79.977 | 0.000 | 0.000 | 
| -0.000 | 0.000 | 0.000 | 0.000 | 79.977 | 0.000 | 
| -0.000 | 0.000 | -0.000 | -0.000 | 0.000 | 111.221 | 
| 333.662 | 111.221 | 79.977 | -0.000 | 0.000 | -0.000 | 
| 135.640 | 309.243 | 79.977 | 0.000 | -0.000 | -0.000 | 
| 79.977 | 79.977 | 364.769 | 0.000 | 0.000 | -0.000 | 
| -0.000 | 0.000 | -0.000 | 79.977 | -0.000 | -0.000 | 
| 0.000 | -0.000 | -0.000 | -0.000 | 79.977 | 0.000 | 
| 0.000 | -0.000 | 0.000 | 0.000 | -0.000 | 111.221 | 
| 333.663 | 111.221 | 79.977 | -0.000 | 0.000 | -0.000 | 
| 135.640 | 309.243 | 79.977 | -0.000 | 0.000 | 0.000 | 
| 79.977 | 79.977 | 364.769 | -0.000 | 0.000 | 0.000 | 
| 0.000 | -0.000 | 0.000 | 79.977 | 0.000 | 0.000 | 
| -0.000 | 0.000 | 0.000 | 0.000 | 79.977 | 0.000 | 
| -0.000 | 0.000 | -0.000 | -0.000 | 0.000 | 111.221 | 
| 333.662 | 111.221 | 79.977 | 0.000 | 0.000 | 0.000 | 
| 111.221 | 333.662 | 79.977 | 0.000 | 0.000 | 0.000 | 
| 79.977 | 79.977 | 364.768 | 0.000 | -0.000 | -0.000 | 
| -0.000 | 0.000 | -0.000 | 79.977 | -0.000 | -0.000 | 
| 0.000 | -0.000 | -0.000 | -0.000 | 79.977 | -0.000 | 
| 0.000 | -0.000 | 0.000 | 0.000 | 0.000 | 111.221 | 
| 309.244 | 135.640 | 79.977 | -0.000 | -0.000 | 0.000 | 
| 135.641 | 309.243 | 79.977 | -0.000 | 0.000 | 0.000 | 
| 79.978 | 79.978 | 364.769 | -0.000 | 0.000 | 0.000 | 
| 0.000 | -0.000 | 0.000 | 79.977 | 0.000 | 0.000 | 
| -0.000 | 0.000 | 0.000 | 0.000 | 79.977 | 0.000 | 
| -0.000 | 0.000 | -0.000 | -0.000 | 0.000 | 86.801 | 
| 309.242 | 135.640 | 79.977 | 0.000 | -0.000 | -0.000 | 
| 135.640 | 309.243 | 79.977 | 0.000 | -0.000 | -0.000 | 
| 79.977 | 79.977 | 364.768 | 0.000 | -0.000 | -0.000 | 
| -0.000 | 0.000 | -0.000 | 79.977 | -0.000 | -0.000 | 
| 0.000 | -0.000 | -0.000 | -0.000 | 79.977 | -0.000 | 
| 0.000 | -0.000 | 0.000 | 0.000 | -0.000 | 86.801 | 
| -56.247 | -34.395 | 66.307 | -38.179 | -0.000 | -0.000 | 
| -34.395 | -56.247 | 66.307 | 38.179 | -0.000 | -0.000 | 
| 57.092 | 57.092 | 114.502 | -0.000 | -0.000 | -0.000 | 
| -38.179 | 38.179 | 0.000 | 71.346 | -0.000 | -0.000 | 
| 0.000 | -0.000 | 0.000 | -0.000 | 71.346 | -38.179 | 
| 0.000 | -0.000 | 0.000 | -0.000 | -38.179 | -10.926 | 
| -56.247 | -34.395 | 66.307 | -38.179 | 0.000 | 0.000 | 
| -34.395 | -56.247 | 66.307 | 38.179 | -0.000 | 0.000 | 
| 57.092 | 57.092 | 114.502 | 0.000 | -0.000 | 0.000 | 
| -38.179 | 38.179 | -0.000 | 71.346 | 0.000 | 0.000 | 
| -0.000 | 0.000 | -0.000 | 0.000 | 71.346 | -38.179 | 
| -0.000 | 0.000 | -0.000 | 0.000 | -38.179 | -10.926 | 
| -56.247 | -34.395 | 66.307 | -38.179 | 0.000 | 0.000 | 
| -34.395 | -56.247 | 66.307 | 38.179 | -0.000 | -0.000 | 
| 57.092 | 57.092 | 114.502 | -0.000 | -0.000 | 0.000 | 
| -38.179 | 38.179 | 0.000 | 71.346 | -0.000 | -0.000 | 
| 0.000 | -0.000 | 0.000 | -0.000 | 71.346 | -38.179 | 
| 0.000 | -0.000 | -0.000 | -0.000 | -38.179 | -10.926 | 
| -56.247 | -34.395 | 66.307 | -38.179 | 0.000 | 0.000 | 
| -34.395 | -56.247 | 66.307 | 38.179 | 0.000 | 0.000 | 
| 57.092 | 57.092 | 114.502 | 0.000 | -0.000 | 0.000 | 
| -38.179 | 38.179 | -0.000 | 71.346 | 0.000 | 0.000 | 
| -0.000 | 0.000 | -0.000 | 0.000 | 71.346 | -38.179 | 
| -0.000 | 0.000 | -0.000 | 0.000 | -38.179 | -10.926 | 
| -56.247 | -34.395 | 66.307 | -38.179 | -0.000 | -0.000 | 
| -34.395 | -56.247 | 66.307 | 38.179 | -0.000 | -0.000 | 
| 57.092 | 57.092 | 114.502 | -0.000 | -0.000 | -0.000 | 
| -38.179 | 38.179 | 0.000 | 71.346 | 0.000 | -0.000 | 
| -0.000 | 0.000 | 0.000 | -0.000 | 71.346 | -38.179 | 
| 0.000 | -0.000 | 0.000 | -0.000 | -38.179 | -10.926 | 
| -56.247 | -34.395 | 66.307 | -38.179 | 0.000 | 0.000 | 
| -34.395 | -56.247 | 66.307 | 38.179 | 0.000 | -0.000 | 
| 57.092 | 57.092 | 114.502 | -0.000 | 0.000 | 0.000 | 
| -38.179 | 38.179 | -0.000 | 71.346 | 0.000 | 0.000 | 
| 0.000 | -0.000 | -0.000 | 0.000 | 71.346 | -38.179 | 
| -0.000 | 0.000 | -0.000 | 0.000 | -38.179 | -10.926 | 
| 0.444 | 0.418 | 0.423 | -0.013 | -0.011 | -0.013 | 
| 0.461 | 0.401 | 0.423 | -0.013 | -0.011 | -0.013 | 
| 0.461 | 0.418 | 0.407 | -0.013 | -0.011 | -0.013 | 
| 0.725 | 0.686 | 0.692 | 0.028 | -0.009 | -0.012 | 
| 0.725 | 0.686 | 0.692 | -0.012 | 0.031 | -0.012 | 
| 0.725 | 0.686 | 0.692 | -0.012 | -0.009 | 0.028 | 
| -0.466 | -0.407 | -0.413 | 0.013 | 0.011 | 0.013 | 
| -0.450 | -0.423 | -0.412 | 0.013 | 0.011 | 0.013 | 
| -0.450 | -0.407 | -0.429 | 0.013 | 0.011 | 0.013 | 
| -0.725 | -0.685 | -0.691 | 0.053 | 0.009 | 0.012 | 
| -0.725 | -0.685 | -0.691 | 0.012 | 0.050 | 0.012 | 
| -0.725 | -0.685 | -0.691 | 0.012 | 0.009 | 0.053 | 
| 0.038 | 0.041 | 0.042 | -0.001 | -0.001 | -0.001 | 
| 0.046 | 0.034 | 0.042 | -0.001 | -0.001 | -0.001 | 
| 0.046 | 0.041 | 0.035 | -0.001 | -0.001 | -0.001 | 
| 0.077 | 0.073 | 0.074 | -0.001 | -0.001 | -0.001 | 
| 0.077 | 0.073 | 0.074 | -0.001 | -0.000 | -0.001 | 
| 0.077 | 0.073 | 0.074 | -0.001 | -0.001 | -0.001 | 
| -0.053 | -0.041 | -0.042 | 0.001 | 0.001 | 0.001 | 
| -0.046 | -0.049 | -0.042 | 0.001 | 0.001 | 0.001 | 
| -0.046 | -0.041 | -0.049 | 0.001 | 0.001 | 0.001 | 
| -0.077 | -0.073 | -0.074 | 0.002 | 0.001 | 0.001 | 
| -0.077 | -0.073 | -0.074 | 0.001 | 0.001 | 0.001 | 
| -0.077 | -0.073 | -0.074 | 0.001 | 0.001 | 0.002 | 
| -0.002 | 0.004 | 0.004 | -0.000 | -0.000 | -0.000 | 
| 0.005 | -0.003 | 0.004 | -0.000 | -0.000 | -0.000 | 
| 0.005 | 0.004 | -0.003 | -0.000 | -0.000 | -0.000 | 
| 0.008 | 0.007 | 0.007 | -0.000 | -0.000 | -0.000 | 
| 0.008 | 0.007 | 0.007 | -0.000 | -0.000 | -0.000 | 
| 0.008 | 0.007 | 0.007 | -0.000 | -0.000 | -0.000 | 
| -0.012 | -0.004 | -0.004 | 0.000 | 0.000 | 0.000 | 
| -0.005 | -0.012 | -0.004 | 0.000 | 0.000 | 0.000 | 
| -0.005 | -0.004 | -0.012 | 0.000 | 0.000 | 0.000 | 
| -0.008 | -0.007 | -0.007 | 0.000 | 0.000 | 0.000 | 
| -0.008 | -0.007 | -0.007 | 0.000 | 0.000 | 0.000 | 
| -0.008 | -0.007 | -0.007 | 0.000 | 0.000 | 0.000 | 
| 0.000 | 0.000 | 0.000 | 0.000 | 0.000 | 0.000 | 
| 0.000 | 0.000 | 0.000 | 0.000 | 0.000 | 0.000 | 
| 0.000 | 0.000 | 0.000 | 0.000 | 0.000 | 0.000 | 
| -0.000 | -0.000 | -0.000 | 0.000 | 0.000 | 0.000 | 
| -0.000 | -0.000 | -0.000 | 0.000 | 0.000 | 0.000 | 
| -0.000 | -0.000 | -0.000 | 0.000 | 0.000 | 0.000 | 
| 0.000 | 0.000 | 0.000 | -0.000 | -0.000 | -0.000 | 
| 0.000 | 0.000 | 0.000 | -0.000 | -0.000 | -0.000 | 
| 0.000 | 0.000 | 0.000 | -0.000 | -0.000 | -0.000 | 
| 0.000 | 0.000 | 0.000 | 0.000 | -0.000 | -0.000 | 
| 0.000 | 0.000 | 0.000 | -0.000 | 0.000 | -0.000 | 
| 0.000 | 0.000 | 0.000 | -0.000 | -0.000 | 0.000 | 
| -0.000 | -0.000 | -0.000 | 0.000 | 0.000 | 0.000 | 
| -0.000 | -0.000 | -0.000 | 0.000 | 0.000 | 0.000 | 
| -0.000 | -0.000 | -0.000 | 0.000 | 0.000 | 0.000 | 
| -0.000 | -0.000 | -0.000 | -0.000 | -0.000 | 0.000 | 
| -0.000 | -0.000 | -0.000 | -0.000 | -0.000 | 0.000 | 
| -0.000 | -0.000 | -0.000 | -0.000 | 0.000 | -0.000 | 
| 0.000 | 0.000 | 0.000 | -0.000 | -0.000 | -0.000 | 
| 0.000 | 0.000 | 0.000 | -0.000 | -0.000 | -0.000 | 
| 0.000 | 0.000 | 0.000 | -0.000 | -0.000 | -0.000 | 
| 0.000 | 0.000 | 0.000 | -0.000 | -0.000 | -0.000 | 
| 0.000 | 0.000 | 0.000 | -0.000 | -0.000 | -0.000 | 
| 0.000 | 0.000 | 0.000 | -0.000 | -0.000 | -0.000 | 
| -0.000 | -0.000 | -0.000 | 0.000 | 0.000 | 0.000 | 
| -0.000 | -0.000 | -0.000 | 0.000 | 0.000 | 0.000 | 
| -0.000 | -0.000 | -0.000 | 0.000 | 0.000 | 0.000 | 
| -0.000 | -0.000 | -0.000 | 0.000 | 0.000 | 0.000 | 
| -0.000 | -0.000 | -0.000 | 0.000 | 0.000 | 0.000 | 
| -0.000 | -0.000 | -0.000 | 0.000 | 0.000 | 0.000 | 
| 0.000 | 0.000 | 0.000 | -0.000 | -0.000 | -0.000 | 
| 0.000 | 0.000 | 0.000 | -0.000 | -0.000 | -0.000 | 
| 0.000 | 0.000 | 0.000 | -0.000 | -0.000 | -0.000 | 
| 0.000 | 0.000 | 0.000 | -0.000 | -0.000 | -0.000 | 
| 0.000 | 0.000 | 0.000 | -0.000 | -0.000 | -0.000 | 
| 0.000 | 0.000 | 0.000 | -0.000 | -0.000 | -0.000 | 
| 0.000 | 0.000 | 0.000 | 0.000 | 0.000 | 0.000 | 
| 0.000 | 0.000 | 0.000 | 0.000 | 0.000 | 0.000 | 
| 0.000 | 0.000 | 0.000 | 0.000 | 0.000 | 0.000 | 
| -0.000 | -0.000 | -0.000 | 0.000 | 0.000 | 0.000 | 
| -0.000 | -0.000 | -0.000 | 0.000 | 0.000 | 0.000 | 
| -0.000 | -0.000 | -0.000 | 0.000 | 0.000 | 0.000 | 
| 0.000 | 0.000 | 0.000 | -0.000 | -0.000 | -0.000 | 
| 0.000 | 0.000 | 0.000 | -0.000 | -0.000 | -0.000 | 
| 0.000 | 0.000 | 0.000 | -0.000 | -0.000 | -0.000 | 
| 0.000 | 0.000 | 0.000 | 0.000 | -0.000 | -0.000 | 
| 0.000 | 0.000 | 0.000 | -0.000 | 0.000 | -0.000 | 
| 0.000 | 0.000 | 0.000 | -0.000 | -0.000 | 0.000 | 
| -0.000 | -0.000 | -0.000 | 0.000 | 0.000 | 0.000 | 
| -0.000 | -0.000 | -0.000 | 0.000 | 0.000 | 0.000 | 
| -0.000 | -0.000 | -0.000 | 0.000 | 0.000 | 0.000 | 
| -0.000 | -0.000 | -0.000 | -0.000 | 0.000 | 0.000 | 
| -0.000 | -0.000 | -0.000 | 0.000 | -0.000 | 0.000 | 
| -0.000 | -0.000 | -0.000 | 0.000 | 0.000 | -0.000 | 
| 0.000 | 0.000 | 0.000 | -0.000 | -0.000 | -0.000 | 
| 0.000 | 0.000 | 0.000 | -0.000 | -0.000 | -0.000 | 
| 0.000 | 0.000 | 0.000 | -0.000 | -0.000 | -0.000 | 
| 0.000 | 0.000 | 0.000 | -0.000 | -0.000 | -0.000 | 
| 0.000 | 0.000 | 0.000 | -0.000 | -0.000 | -0.000 | 
| 0.000 | 0.000 | 0.000 | -0.000 | -0.000 | -0.000 | 
| -0.000 | -0.000 | -0.000 | 0.000 | 0.000 | 0.000 | 
| -0.000 | -0.000 | -0.000 | 0.000 | 0.000 | 0.000 | 
| -0.000 | -0.000 | -0.000 | 0.000 | 0.000 | 0.000 | 
| -0.000 | -0.000 | -0.000 | 0.000 | 0.000 | 0.000 | 
| -0.000 | -0.000 | -0.000 | 0.000 | 0.000 | 0.000 | 
| -0.000 | -0.000 | -0.000 | 0.000 | 0.000 | 0.000 | 
| 0.000 | 0.000 | 0.000 | -0.000 | -0.000 | -0.000 | 
| 0.000 | 0.000 | 0.000 | -0.000 | -0.000 | -0.000 | 
| 0.000 | 0.000 | 0.000 | -0.000 | -0.000 | -0.000 | 
| 0.000 | 0.000 | 0.000 | -0.000 | -0.000 | -0.000 | 
| 0.000 | 0.000 | 0.000 | -0.000 | -0.000 | -0.000 | 
| 0.000 | 0.000 | 0.000 | -0.000 | -0.000 | -0.000 | 
| -0.000 | -0.000 | -0.000 | -0.000 | -0.000 | 0.000 | 
| -0.000 | -0.000 | -0.000 | 0.000 | -0.000 | -0.000 | 
| -0.000 | -0.000 | -0.000 | 0.000 | 0.000 | -0.000 | 
| -0.000 | -0.000 | -0.000 | -0.000 | -0.000 | -0.000 | 
| -0.000 | -0.000 | -0.000 | -0.000 | -0.000 | -0.000 | 
| -0.000 | -0.000 | -0.000 | -0.000 | -0.000 | -0.000 | 
| 0.000 | 0.000 | 0.000 | 0.000 | 0.000 | 0.000 | 
| 0.000 | 0.000 | 0.000 | 0.000 | 0.000 | 0.000 | 
| 0.000 | 0.000 | 0.000 | 0.000 | 0.000 | 0.000 | 
| 0.000 | 0.000 | 0.000 | 0.000 | 0.000 | 0.000 | 
| 0.000 | 0.000 | 0.000 | 0.000 | 0.000 | 0.000 | 
| 0.000 | 0.000 | 0.000 | 0.000 | 0.000 | 0.000 | 
| -0.000 | -0.000 | 0.000 | -0.000 | -0.000 | -0.000 | 
| 0.000 | -0.000 | -0.000 | 0.000 | -0.000 | -0.000 | 
| -0.000 | 0.000 | -0.000 | -0.000 | 0.000 | -0.000 | 
| -0.000 | -0.000 | -0.000 | -0.000 | 0.000 | -0.000 | 
| -0.000 | -0.000 | -0.000 | -0.000 | -0.000 | -0.000 | 
| -0.000 | -0.000 | -0.000 | -0.000 | -0.000 | -0.000 | 
| 0.000 | 0.000 | -0.000 | 0.000 | 0.000 | 0.000 | 
| -0.000 | 0.000 | 0.000 | 0.000 | 0.000 | 0.000 | 
| 0.000 | -0.000 | 0.000 | 0.000 | 0.000 | 0.000 | 
| 0.000 | 0.000 | 0.000 | 0.000 | 0.000 | 0.000 | 
| 0.000 | 0.000 | 0.000 | 0.000 | 0.000 | 0.000 | 
| 0.000 | 0.000 | 0.000 | 0.000 | 0.000 | 0.000 | 
| -0.000 | 0.000 | 0.000 | -0.000 | 0.000 | -0.000 | 
| 0.000 | -0.000 | 0.000 | -0.000 | -0.000 | -0.000 | 
| 0.000 | 0.000 | -0.000 | -0.000 | -0.000 | -0.000 | 
| 0.000 | -0.000 | -0.000 | -0.000 | -0.000 | -0.000 | 
| -0.000 | 0.000 | -0.000 | -0.000 | -0.000 | -0.000 | 
| -0.000 | -0.000 | 0.000 | -0.000 | -0.000 | -0.000 | 
| 0.000 | -0.000 | -0.000 | 0.000 | 0.000 | 0.000 | 
| -0.000 | 0.000 | -0.000 | 0.000 | 0.000 | 0.000 | 
| -0.000 | -0.000 | 0.000 | -0.000 | 0.000 | 0.000 | 
| -0.000 | 0.000 | 0.000 | 0.000 | 0.000 | 0.000 | 
| 0.000 | -0.000 | 0.000 | 0.000 | 0.000 | 0.000 | 
| 0.000 | 0.000 | -0.000 | 0.000 | 0.000 | 0.000 | 
| 0.047 | 0.148 | 0.148 | 0.000 | -0.000 | 0.000 | 
| 0.148 | 0.047 | 0.148 | 0.000 | -0.000 | 0.000 | 
| 0.148 | 0.148 | 0.047 | 0.000 | -0.000 | 0.000 | 
| -0.011 | -0.011 | -0.011 | 0.091 | 0.000 | 0.000 | 
| -0.011 | -0.011 | -0.011 | -0.000 | 0.091 | 0.000 | 
| -0.011 | -0.011 | -0.011 | -0.000 | -0.000 | 0.091 | 
| 0.073 | 0.165 | 0.165 | -0.000 | 0.000 | 0.000 | 
| 0.165 | 0.073 | 0.165 | -0.000 | 0.000 | 0.000 | 
| 0.165 | 0.165 | 0.073 | -0.000 | -0.000 | -0.000 | 
| 0.011 | 0.011 | 0.011 | 0.091 | 0.000 | 0.000 | 
| 0.011 | 0.011 | 0.011 | 0.000 | 0.091 | 0.000 | 
| 0.011 | 0.011 | 0.011 | 0.000 | 0.000 | 0.091 | 
| -0.026 | -0.072 | -0.072 | -0.000 | -0.000 | 0.000 | 
| -0.072 | -0.026 | -0.072 | -0.000 | 0.000 | 0.000 | 
| -0.072 | -0.072 | -0.026 | -0.000 | 0.000 | 0.000 | 
| -0.001 | -0.001 | -0.001 | -0.019 | -0.000 | -0.000 | 
| -0.001 | -0.001 | -0.001 | -0.000 | -0.019 | 0.000 | 
| -0.001 | -0.001 | -0.001 | 0.000 | 0.000 | -0.019 | 
| -0.023 | -0.069 | -0.069 | 0.000 | -0.000 | -0.000 | 
| -0.069 | -0.023 | -0.069 | 0.000 | -0.000 | -0.000 | 
| -0.069 | -0.069 | -0.023 | 0.000 | -0.000 | -0.000 | 
| 0.001 | 0.001 | 0.001 | -0.019 | 0.000 | 0.000 | 
| 0.001 | 0.001 | 0.001 | 0.000 | -0.019 | -0.000 | 
| 0.001 | 0.001 | 0.001 | 0.000 | -0.000 | -0.019 | 
| -0.027 | -0.073 | -0.073 | -0.000 | 0.000 | 0.000 | 
| -0.073 | -0.027 | -0.073 | -0.000 | 0.000 | 0.000 | 
| -0.073 | -0.073 | -0.027 | -0.000 | 0.000 | 0.000 | 
| -0.000 | -0.000 | -0.000 | -0.017 | 0.000 | 0.000 | 
| -0.000 | -0.000 | -0.000 | -0.000 | -0.017 | -0.000 | 
| -0.000 | -0.000 | -0.000 | 0.000 | 0.000 | -0.017 | 
| -0.032 | -0.033 | -0.033 | -0.000 | 0.000 | 0.000 | 
| -0.033 | -0.032 | -0.033 | -0.000 | 0.000 | 0.000 | 
| -0.033 | -0.033 | -0.032 | 0.000 | -0.000 | 0.000 | 
| 0.000 | 0.000 | 0.000 | -0.017 | -0.000 | 0.000 | 
| 0.000 | 0.000 | 0.000 | 0.000 | -0.017 | -0.000 | 
| 0.000 | 0.000 | 0.000 | 0.000 | 0.000 | -0.017 | 
| 94.333 | 126.802 | -78.967 | -0.000 | -0.000 | -0.000 | 
| 129.407 | 36.506 | -65.131 | -0.000 | -0.000 | -0.000 | 
| -39.867 | -28.636 | -53.177 | -0.000 | -0.000 | -0.000 | 
| 0.000 | 0.000 | 0.000 | 25.844 | -0.000 | -0.000 | 
| 0.000 | 0.000 | 0.000 | -0.000 | 12.007 | -0.000 | 
| 0.000 | 0.000 | 0.000 | -0.000 | -0.000 | 144.787 | 
| 94.333 | 126.802 | -78.967 | 0.000 | -0.000 | 0.000 | 
| 129.407 | 36.506 | -65.131 | 0.000 | 0.000 | 0.000 | 
| -39.867 | -28.636 | -53.177 | 0.000 | -0.000 | 0.000 | 
| -0.000 | 0.000 | -0.000 | 25.844 | 0.000 | 0.000 | 
| -0.000 | -0.000 | -0.000 | 0.000 | 12.007 | 0.000 | 
| -0.000 | -0.000 | -0.000 | 0.000 | 0.000 | 144.787 | 
| 94.333 | 126.802 | -78.967 | -0.000 | -0.000 | -0.000 | 
| 129.407 | 36.506 | -65.131 | -0.000 | -0.000 | 0.000 | 
| -39.867 | -28.636 | -53.176 | -0.000 | 0.000 | -0.000 | 
| 0.000 | 0.000 | 0.000 | 25.844 | -0.000 | -0.000 | 
| 0.000 | 0.000 | 0.000 | -0.000 | 12.007 | -0.000 | 
| 0.000 | 0.000 | 0.000 | -0.000 | -0.000 | 144.787 | 
| 94.333 | 126.802 | -78.967 | 0.000 | 0.000 | 0.000 | 
| 129.407 | 36.506 | -65.131 | 0.000 | 0.000 | 0.000 | 
| -39.867 | -28.636 | -53.177 | 0.000 | 0.000 | 0.000 | 
| -0.000 | -0.000 | -0.000 | 25.844 | 0.000 | 0.000 | 
| -0.000 | -0.000 | -0.000 | 0.000 | 12.007 | 0.000 | 
| -0.000 | -0.000 | -0.000 | 0.000 | 0.000 | 144.787 | 
| 94.333 | 126.803 | -78.967 | -0.000 | -0.000 | -0.000 | 
| 129.408 | 36.506 | -65.131 | -0.000 | -0.000 | -0.000 | 
| -39.867 | -28.636 | -53.176 | -0.000 | -0.000 | 0.000 | 
| 0.000 | 0.000 | 0.000 | 25.844 | -0.000 | -0.000 | 
| 0.000 | 0.000 | 0.000 | -0.000 | 12.007 | -0.000 | 
| 0.000 | 0.000 | 0.000 | -0.000 | 0.000 | 144.787 | 
| 94.333 | 126.802 | -78.967 | 0.000 | -0.000 | 0.000 | 
| 129.407 | 36.507 | -65.131 | 0.000 | 0.000 | 0.000 | 
| -39.867 | -28.636 | -53.178 | 0.000 | 0.000 | 0.000 | 
| -0.000 | -0.000 | -0.000 | 25.844 | 0.000 | 0.000 | 
| -0.000 | -0.000 | -0.000 | 0.000 | 12.007 | 0.000 | 
| -0.000 | -0.000 | -0.000 | 0.000 | 0.000 | 144.787 | 
| -0.000 | -0.000 | -0.000 | 0.000 | -0.000 | 0.000 | 
| -0.000 | -0.000 | -0.000 | 0.000 | -0.000 | 0.000 | 
| -0.000 | -0.000 | -0.000 | -0.000 | -0.000 | 0.000 | 
| -0.000 | -0.000 | -0.000 | 0.000 | -0.000 | -0.000 | 
| -0.000 | -0.000 | -0.000 | 0.000 | -0.000 | 0.000 | 
| -0.000 | -0.000 | -0.000 | -0.000 | -0.000 | 0.000 | 
| 0.000 | 0.000 | 0.000 | -0.000 | 0.000 | 0.000 | 
| 0.000 | 0.000 | 0.000 | 0.000 | 0.000 | 0.000 | 
| 0.000 | 0.000 | 0.000 | 0.000 | 0.000 | 0.000 | 
| 0.000 | 0.000 | 0.000 | 0.000 | 0.000 | -0.000 | 
| 0.000 | 0.000 | 0.000 | 0.000 | 0.000 | -0.000 | 
| 0.000 | 0.000 | 0.000 | -0.000 | 0.000 | -0.000 | 
| -0.000 | -0.000 | -0.000 | -0.000 | -0.000 | -0.000 | 
| -0.000 | -0.000 | -0.000 | -0.000 | -0.000 | -0.000 | 
| -0.000 | -0.000 | -0.000 | -0.000 | 0.000 | -0.000 | 
| -0.000 | -0.000 | -0.000 | 0.000 | -0.000 | 0.000 | 
| -0.000 | -0.000 | -0.000 | 0.000 | 0.000 | -0.000 | 
| -0.000 | -0.000 | -0.000 | 0.000 | -0.000 | 0.000 | 
| 0.000 | 0.000 | 0.000 | -0.000 | 0.000 | -0.000 | 
| 0.000 | 0.000 | 0.000 | -0.000 | 0.000 | 0.000 | 
| 0.000 | 0.000 | 0.000 | -0.000 | 0.000 | -0.000 | 
| 0.000 | 0.000 | 0.000 | 0.000 | 0.000 | 0.000 | 
| 0.000 | 0.000 | 0.000 | -0.000 | 0.000 | -0.000 | 
| 0.000 | 0.000 | 0.000 | 0.000 | 0.000 | 0.000 | 
| -0.000 | -0.000 | -0.000 | 0.000 | -0.000 | 0.000 | 
| -0.000 | -0.000 | -0.000 | 0.000 | -0.000 | 0.000 | 
| -0.000 | -0.000 | -0.000 | 0.000 | -0.000 | 0.000 | 
| -0.000 | -0.000 | -0.000 | -0.000 | -0.000 | -0.000 | 
| -0.000 | -0.000 | -0.000 | 0.000 | -0.000 | 0.000 | 
| -0.000 | -0.000 | -0.000 | 0.000 | -0.000 | 0.000 | 
| 0.000 | 0.000 | 0.000 | 0.000 | 0.000 | 0.000 | 
| 0.000 | 0.000 | 0.000 | 0.000 | 0.000 | 0.000 | 
| 0.000 | 0.000 | 0.000 | 0.000 | 0.000 | 0.000 | 
| 0.000 | 0.000 | 0.000 | -0.000 | 0.000 | 0.000 | 
| 0.000 | 0.000 | 0.000 | -0.000 | 0.000 | -0.000 | 
| 0.000 | 0.000 | 0.000 | -0.000 | 0.000 | -0.000 | 
| 56.966 | 59.797 | 59.797 | -0.000 | -0.000 | -0.000 | 
| 59.797 | 56.966 | 59.797 | -0.000 | -0.000 | -0.000 | 
| 59.797 | 59.797 | 56.966 | -0.000 | -0.000 | -0.000 | 
| 0.000 | -0.000 | -0.000 | 28.635 | -0.000 | -0.000 | 
| -0.000 | 0.000 | -0.000 | -0.000 | 28.635 | -0.000 | 
| -0.000 | -0.000 | 0.000 | -0.000 | -0.000 | 28.635 | 
| 56.966 | 59.797 | 59.797 | 0.000 | 0.000 | 0.000 | 
| 59.797 | 56.966 | 59.797 | 0.000 | 0.000 | 0.000 | 
| 59.797 | 59.797 | 56.966 | 0.000 | 0.000 | 0.000 | 
| 0.000 | 0.000 | 0.000 | 28.635 | 0.000 | 0.000 | 
| 0.000 | 0.000 | -0.000 | 0.000 | 28.635 | 0.000 | 
| 0.000 | 0.000 | 0.000 | 0.000 | 0.000 | 28.635 | 
| 56.966 | 59.797 | 59.797 | -0.000 | -0.000 | -0.000 | 
| 59.797 | 56.966 | 59.797 | -0.000 | -0.000 | -0.000 | 
| 59.797 | 59.797 | 56.966 | -0.000 | -0.000 | -0.000 | 
| 0.000 | -0.000 | -0.000 | 28.635 | -0.000 | -0.000 | 
| -0.000 | 0.000 | -0.000 | -0.000 | 28.635 | -0.000 | 
| -0.000 | -0.000 | 0.000 | -0.000 | -0.000 | 28.635 | 
| 56.966 | 59.797 | 59.797 | 0.000 | 0.000 | 0.000 | 
| 59.797 | 56.966 | 59.797 | 0.000 | 0.000 | 0.000 | 
| 59.797 | 59.797 | 56.966 | 0.000 | 0.000 | 0.000 | 
| -0.000 | 0.000 | 0.000 | 28.635 | 0.000 | 0.000 | 
| 0.000 | -0.000 | 0.000 | 0.000 | 28.635 | 0.000 | 
| 0.000 | 0.000 | -0.000 | 0.000 | 0.000 | 28.635 | 
| 56.966 | 59.797 | 59.797 | -0.000 | -0.000 | -0.000 | 
| 59.797 | 56.966 | 59.797 | -0.000 | -0.000 | -0.000 | 
| 59.797 | 59.797 | 56.966 | -0.000 | -0.000 | -0.000 | 
| 0.000 | -0.000 | -0.000 | 28.635 | -0.000 | -0.000 | 
| -0.000 | 0.000 | -0.000 | -0.000 | 28.635 | -0.000 | 
| -0.000 | -0.000 | 0.000 | -0.000 | -0.000 | 28.635 | 
| 56.966 | 59.797 | 59.797 | 0.000 | 0.000 | 0.000 | 
| 59.797 | 56.966 | 59.797 | 0.000 | 0.000 | 0.000 | 
| 59.797 | 59.797 | 56.966 | 0.000 | 0.000 | 0.000 | 
| -0.000 | 0.000 | 0.000 | 28.635 | 0.000 | 0.000 | 
| 0.000 | -0.000 | 0.000 | 0.000 | 28.635 | 0.000 | 
| 0.000 | 0.000 | -0.000 | 0.000 | 0.000 | 28.635 | 
Phonon band structures and crystal properties estimated from quasi-harmonic approximation (QHA) calculations are displayed for select crystals. The calculations were performed using phonopy and LAMMPS. For the phonon calculations, 3x3 supercells of the potential-specific relaxed crystals were used. The QHA calculations were based on 11 strain states ranging from -0.05 to 0.05.
The calculation method used is available as the iprPy phonon calculation method.
Notes and Disclaimers:
Version Information:



















































































































Static free surface formation energies are displayed for select crystals. The values displayed here are obtained by taking a perfect periodic bulk crystal, slicing along a crystallographic plane, and using force minimization to statically relax the surfaces. The free surface formation energy is computed by comparing the energy of the defect system to the bulk system and dividing by the total surface area created by the cut.
The calculation method used is available as the iprPy surface_energy_static calculation method.
Notes and Disclaimers:
Version Information:
| Surface | γfs (mJ/m2) | 
|---|---|
| (100) | 1604.19 | 
| (111) | 1674.22 | 
| (332) | 1703.71 | 
| (221) | 1751.72 | 
| (322) | 1772.41 | 
| (331) | 1794.15 | 
| (110) | 1813.28 | 
| (310) | 1815.45 | 
| (211) | 1818.67 | 
| (311) | 1823.07 | 
| (210) | 1855.85 | 
| (321) | 1858.53 | 
| (320) | 1860.21 | 
| Surface | γfs (mJ/m2) | 
|---|---|
| (332) 2 | -7300.93 | 
| (331) | -4554.52 | 
| (322) | -4311.91 | 
| (311) | -3802.27 | 
| (221) | -3785.99 | 
| (332) 1 | -2878.10 | 
| (321) 1 | -1266.00 | 
| (320) | -793.44 | 
| (310) | -771.71 | 
| (211) 1 | -233.98 | 
| (210) | -85.77 | 
| (110) | 806.47 | 
| (321) 2 | 1238.91 | 
| (211) 2 | 1457.26 | 
| (111) | 1515.40 | 
| (100) | 2051.80 | 
| Surface | γfs (mJ/m2) | 
|---|---|
| (332) | 1414.27 | 
| (100) | 1715.86 | 
| (320) | 1738.55 | 
| (310) | 1807.97 | 
| (210) | 1817.25 | 
| (110) | 1837.90 | 
| (331) | 1891.91 | 
| (311) | 1898.54 | 
| (221) | 1907.82 | 
| (321) | 1975.78 | 
| (211) | 2003.03 | 
| (322) | 2016.67 | 
| (111) | 2033.70 | 
| Surface | γfs (mJ/m2) | 
|---|---|
| (100) | 1170.31 | 
| (111) | 1216.37 | 
| (332) | 1238.49 | 
| (221) | 1270.34 | 
| (322) | 1283.86 | 
| (331) | 1300.88 | 
| (211) | 1315.27 | 
| (311) | 1318.86 | 
| (310) | 1319.60 | 
| (110) | 1327.27 | 
| (321) | 1340.73 | 
| (210) | 1349.31 | 
| (320) | 1354.89 | 
| Surface | γfs (mJ/m2) | 
|---|---|
| (321) | 769.17 | 
| (331) | 933.76 | 
| (332) | 977.31 | 
| (221) | 1026.06 | 
| (322) | 1028.23 | 
| (311) | 1088.06 | 
| (211) | 1127.37 | 
| (100) | 1161.21 | 
| (110) | 1164.32 | 
| (310) | 1184.19 | 
| (320) | 1189.62 | 
| (210) | 1200.18 | 
| (111) | 1368.60 | 
| Surface | γfs (mJ/m2) | 
|---|---|
| (111) | 1767.00 | 
| (332) | 1955.24 | 
| (322) | 1977.01 | 
| (100) | 2030.77 | 
| (221) | 2036.90 | 
| (211) | 2078.37 | 
| (331) | 2101.80 | 
| (311) | 2147.23 | 
| (110) | 2157.40 | 
| (321) | 2175.93 | 
| (310) | 2249.09 | 
| (320) | 2255.59 | 
| (210) | 2272.57 | 
| Surface | γfs (mJ/m2) | 
|---|---|
| (211) 2 | 1667.88 | 
| (332) 2 | 1757.54 | 
| (210) | 1792.59 | 
| (321) 2 | 1802.99 | 
| (111) | 1804.35 | 
| (311) | 1806.74 | 
| (321) 1 | 1807.51 | 
| (221) | 1814.83 | 
| (322) | 1819.87 | 
| (331) | 1856.69 | 
| (332) 1 | 1883.35 | 
| (100) | 1896.96 | 
| (320) | 1905.49 | 
| (310) | 1906.42 | 
| (211) 1 | 1938.71 | 
| (110) | 1940.85 | 
| Surface | γfs (mJ/m2) | 
|---|---|
| (110) | 1974.27 | 
| (320) | 2065.27 | 
| (210) | 2106.50 | 
| (100) | 2108.65 | 
| (310) | 2135.20 | 
| (321) | 2155.30 | 
| (211) | 2179.31 | 
| (311) | 2193.12 | 
| (331) | 2211.98 | 
| (221) | 2287.69 | 
| (322) | 2316.71 | 
| (332) | 2331.49 | 
| (111) | 2382.33 | 
| Surface | γfs (mJ/m2) | 
|---|---|
| (322) | -72725.26 | 
| (311) 2 | -62516.14 | 
| (311) 1 | -57588.71 | 
| (310) | -55425.64 | 
| (221) | -53034.47 | 
| (211) | -44060.53 | 
| (210) | -39668.57 | 
| (111) 2 | 217.80 | 
| (110) | 266.74 | 
| (100) | 377.23 | 
| (111) 1 | 653.37 | 
Stacking fault energy plots and maps are displayed for select crystals. The values are computed by
The calculation method used is available as the iprPy stacking_fault_map_2D calculation method.
Notes and Disclaimers:
Version Information:
| E_usf a/2 [0 -1 1] | 512.87 | 
| τ_ideal a/2 [0 -1 1] | 5.64 | 




| E_isf | -65.57 | 
| E_usf a/2 [0 -1 1] | 115.82 | 
| τ_ideal a/2 [0 -1 1] | 3.00 | 




| E_usf a/2 [-1 1 -1] | 304.26 | 
| τ_ideal a/2 [-1 1 -1] | 3.75 | 




| E_usf a/2 [-1 -1 1] | 332.45 | 
| τ_ideal a/2 [-1 -1 1] | 4.29 | 




| E_usf a/2 [-1 -1 1] | 337.97 | 
| τ_ideal a/2 [-1 -1 1] | 4.42 | 




| E_usf a/2 [0 -1 1] | 464.33 | 
| τ_ideal a/2 [0 -1 1] | 4.82 | 




| E_isf | -24.67 | 
| E_usf a/2 [0 -1 1] | 85.56 | 
| τ_ideal a/2 [0 -1 1] | 1.74 | 




| E_usf a/2 [-1 1 -1] | 179.21 | 
| τ_ideal a/2 [-1 1 -1] | 4.27 | 




| E_usf a/2 [-1 -1 1] | 206.03 | 
| τ_ideal a/2 [-1 -1 1] | 2.11 | 




| E_usf a/2 [-1 -1 1] | 207.20 | 
| τ_ideal a/2 [-1 -1 1] | 2.12 | 




| E_usf a/2 [0 -1 1] | 2001.99 | 
| τ_ideal a/2 [0 -1 1] | 24.21 | 




| E_isf | -0.02 | 
| E_usf a/2 [0 -1 1] | 428.71 | 
| τ_ideal a/2 [0 -1 1] | 7.23 | 




| E_usf a/2 [-1 1 -1] | 1183.23 | 
| τ_ideal a/2 [-1 1 -1] | 12.45 | 




| E_usf a/2 [-1 -1 1] | 1402.21 | 
| τ_ideal a/2 [-1 -1 1] | 15.27 | 




| E_usf a/2 [-1 -1 1] | 1375.38 | 
| τ_ideal a/2 [-1 -1 1] | 14.95 | 




Static point defect formation energies, Ef, and elastic dipole tensors, pij, are displayed for select crystals. Relaxed defect configurations are obtained by taking a 12x12x12 supercell of a perfect periodic bulk crystal, inserting the point defect, and using force minimization to statically relax the atomic positions while keeping the system dimensions constant. Ef is computed by comparing the energy of the defect system to the same number of atoms in a perfect bulk crystal. pij is estimated as the difference in the system's global pressure with and without the defect multiplied by the system's volume.
Simple structural comparisons of the unrelaxed and relaxed defect configurations are used to help determine if the defect structure has relaxed to a different configuration. Relaxed structures that are identified as no longer consistent with the ideal defect definition are excluded from the table below. The only exception to this is if the lowest energy interstitial configuration does not coincide with a known ideal defect, its energies and pressure tensor are included under the listing "relaxed interstitial". The full list of calculation results including the transformed structures and the structural comparison values is included in the csv file available from the "Download raw data" link.
The calculation method used is available as the iprPy point_defect_static calculation method.
Notes and Disclaimers:
| Point Defect | Ef (eV) | p11 (eV) | p22 (eV) | p33 (eV) | p12 (eV) | p13 (eV) | p23 (eV) | 
|---|---|---|---|---|---|---|---|
| 100 dumbbell | 2.390 | 4.429 | 4.429 | 6.171 | 0.000 | -0.000 | 0.000 | 
| 110 dumbbell | 2.509 | 8.018 | 4.270 | 4.270 | 0.000 | 0.000 | 4.429 | 
| crowdion interstitial | 2.509 | 4.271 | 4.271 | 8.024 | 4.424 | -0.000 | -0.000 | 
| vacancy | 2.661 | -1.288 | -1.288 | -1.288 | 0.000 | -0.000 | -0.000 | 
| 111 dumbbell | 2.862 | 3.925 | 3.925 | 3.925 | 1.993 | 1.993 | 1.993 | 
| tetrahedral interstitial | 2.914 | 3.471 | 3.471 | 3.471 | -0.000 | -0.000 | 0.000 | 
| 1nn divacancy | 4.719 | -19.499 | -4.650 | -4.650 | 0.000 | -0.000 | -2.737 | 
| 2nn divacancy | 5.170 | -2.989 | -2.989 | -2.847 | 0.000 | -0.000 | -0.000 | 
| Point Defect | Ef (eV) | p11 (eV) | p22 (eV) | p33 (eV) | p12 (eV) | p13 (eV) | p23 (eV) | 
|---|---|---|---|---|---|---|---|
| vacancy | 2.062 | -0.030 | -0.030 | -0.030 | -0.000 | 0.000 | 0.000 | 
| 111 dumbbell | 2.975 | 19.378 | 19.378 | 19.378 | 7.044 | 7.044 | 7.044 | 
| crowdion interstitial | 2.975 | 19.378 | 19.378 | 19.378 | 7.044 | 7.044 | 7.044 | 
| 110 dumbbell | 2.981 | 22.745 | 21.522 | 21.522 | 0.000 | 0.000 | 3.922 | 
| 2nn divacancy | 3.575 | 0.502 | 0.502 | -3.983 | 0.000 | -0.000 | 0.000 | 
| 1nn divacancy | 4.296 | -0.556 | -0.556 | -0.556 | 2.429 | 2.429 | 2.429 | 
| Point Defect | Ef (eV) | p11 (eV) | p22 (eV) | p33 (eV) | p12 (eV) | p13 (eV) | p23 (eV) | 
|---|---|---|---|---|---|---|---|
| crowdion interstitial | 2.115 | 6.746 | 6.746 | 8.803 | 2.298 | -0.000 | -0.000 | 
| 110 dumbbell | 2.116 | 8.803 | 6.745 | 6.745 | -0.000 | -0.000 | 2.297 | 
| 100 dumbbell | 2.208 | 7.507 | 7.507 | 5.531 | 0.000 | -0.000 | 0.000 | 
| vacancy | 2.320 | -0.981 | -0.981 | -0.981 | 0.000 | -0.000 | -0.000 | 
| octahedral interstitial | 2.393 | 8.604 | 8.604 | 8.604 | -0.000 | 0.000 | 0.000 | 
| 2nn divacancy | 4.530 | -2.235 | -2.235 | -2.646 | 0.000 | -0.000 | -0.000 | 
| Point Defect | Ef (eV) | p11 (eV) | p22 (eV) | p33 (eV) | p12 (eV) | p13 (eV) | p23 (eV) | 
|---|---|---|---|---|---|---|---|
| relaxed interstitial | -34.727 | -387.450 | -428.573 | -428.573 | -49.030 | -49.030 | 90.171 | 
| crowdion interstitial | 0.778 | -4.285 | -4.285 | -4.285 | 1.144 | 1.144 | 1.144 | 
| vacancy | 1.251 | -14.200 | -14.200 | -14.200 | 0.000 | -0.000 | -0.000 | 
| 1nn divacancy | 2.960 | -13.889 | -13.889 | -13.889 | 2.359 | 2.359 | 2.359 | 
| Point Defect | Ef (eV) | p11 (eV) | p22 (eV) | p33 (eV) | p12 (eV) | p13 (eV) | p23 (eV) | 
|---|---|---|---|---|---|---|---|
| vacancy | 3.837 | -0.147 | -0.147 | -0.147 | 0.000 | 0.000 | -0.000 | 
| 1nn divacancy | 7.037 | -0.541 | -0.214 | -0.214 | 0.000 | 0.000 | -0.026 | 
| 2nn divacancy | 7.668 | -0.311 | -0.311 | -0.459 | 0.000 | 0.000 | -0.000 | 
| 100 dumbbell | 9.341 | 32.596 | 32.596 | 37.077 | 0.000 | 0.000 | 0.000 | 
| 111 dumbbell | 10.463 | 28.165 | 28.165 | 28.165 | 16.254 | 16.254 | 16.254 | 
| 110 dumbbell | 10.543 | 40.926 | 26.459 | 26.459 | -0.000 | -0.000 | 31.887 | 
| tetrahedral interstitial | 10.743 | 27.136 | 27.136 | 27.136 | -0.000 | -0.000 | -0.000 | 
| Point Defect | Ef (eV) | p11 (eV) | p22 (eV) | p33 (eV) | p12 (eV) | p13 (eV) | p23 (eV) | 
|---|---|---|---|---|---|---|---|
| vacancy | 3.264 | -2.696 | -2.696 | -2.696 | 0.000 | -0.000 | 0.000 | 
| 2nn divacancy | 6.058 | -5.536 | -5.536 | -12.019 | 0.000 | -0.000 | 0.000 | 
| 1nn divacancy | 6.281 | -3.041 | -3.041 | -3.041 | 1.701 | 1.701 | 1.701 | 
| 111 dumbbell | 10.101 | 49.771 | 49.771 | 49.771 | 17.322 | 17.322 | 17.322 | 
| crowdion interstitial | 10.101 | 49.762 | 49.762 | 49.762 | 17.317 | 17.317 | 17.317 | 
| Point Defect | Ef (eV) | p11 (eV) | p22 (eV) | p33 (eV) | p12 (eV) | p13 (eV) | p23 (eV) | 
|---|---|---|---|---|---|---|---|
| relaxed interstitial | -23506.574 | -3920.691 | -4319.998 | -4234.678 | 428.787 | 642.473 | 226.692 | 
Plots of lattice and elastic constants are shown as a function of temperature. The 0K points were taken from the Crystal Structure Predictions and the Elastic Constants Predictions sections above for the unique crystal structures relaxed with the "dynamic" method. Starting from the 0 K relaxed crystal unit cells, supercell systems are created by replicating all three dimensions by the same multiplier to achieve at least 4000 atoms. The systems are then relaxed at 50 K and zero pressure using 1 million NPT steps. Lattice constants are estimated by averaging the measured box dimensions. Temperatures are iteratively increased by 50 K, with each subsequent relaxation calculation starting from the final atomic configuration at the previous temperature and relaxing for another 1 million steps.
The elastic constants are calculated using the deformation–fluctuation hybrid method. Starting from the final atomic configurations of the dynamic relaxations, the system is allowed to evolve at constant volume with a Langevin thermostat. The Born matrix is computed during this run by evaluating how the atomic forces would vary due to applied linear strain fields. The elastic constants can then be estimated using the averaged Born matrix values and the averaged stresses on the system.
The calculation methods used are available as the iprPy relax_dynamic and elastic_constants_dynamic calculation methods.
Clicking on the image of a plot will open an interactive version of it in a new tab. The underlying data for the plots can be downloaded by clicking on the links above each plot.
Notes and Disclaimers:
Version Information:
Plots of radial distribution functions at different temperatures and the temperature-dependent diffusion and viscosity are shown here for elemental liquids. Melt phases are constructed by starting with a 10x10x10 fcc super cell and relaxing with 50,000 NPT steps at zero pressure and a high melting temperature (3000 K for most potentials and elements). Following the melt, liquid structures are relaxed by running NPT for 10,000 steps over which the temperature is dropped by 50 K, then 50,000 NPT at the target temperature to estimate the equilibrium volume, followed by 20,000 NVT steps at the averaged equilibrium volume and target temperature. Structures from the NVT run are sampled to compute the radial distribution function of the liquid at the corresponding temperature.
The final relaxed configurations at each temperature explored are used as the initial configurations for the diffusion and viscosity calculations. For diffusion, the system is integrated for 100 runs of 2,000 NVT steps during which both the mean squared displacement (MSD) and the velocity auto correlation function (VACF) are computed. From these simulations, three estimates of diffusion are computed: one from the MSD of the full 200,000 step run, one in which the MSD is reset for each short run and then averaged, and one from the VACF computed for each short run and averaged. For viscosity, the Green-Kubo method is used which is evaluated during a 1 million step NVT run.
The calculation methods used are available as the iprPy relax_liquid_redo, diffusion_liquid, and viscosity_green_kubo calculation methods.
Clicking on the image of a plot will open an interactive version of it in a new tab. The underlying data for the plots can be downloaded by clicking on the links above each plot.
Notes and Disclaimers:
Version Information:
Plots of internal energy, Gibbs free energy, entropy, heat capacity and volume are shown here as a function of temperature for various crystal structures and liquid phases. The included crystal structures correspond to those in the Solid Structures vs. Temperature section, and the liquid phases to those in the Liquid Properties section. Internal energy and volume are taken from the associated structure relaxations mentioned in those previous sections. Constant pressure heat capacity is estimated using 3-point numerical derivatives of enthalpy versus temperature. Note that since all simulations done here are at 0 pressure, internal energy and enthalpy are equivalent.
The Gibbs energies of the phases are estimated using thermodynamic integration between the interatomic potential in question and a simpler model with known Gibbs free energy values. For solids, the reference model is an Einstein solid, while for liquids it is the Uhlenbeck-Ford potential. Besides a short run at the start of the solid calculations to estimate Einstein model spring constants, the two calculations proceed similarly. Starting with the final relaxation configurations, the systems are stabilized for 25,000 steps. Then, over the next 50,000 steps the potential is swapped out for the reference potential. The system is then stabilized for another 25,000 steps with the reference model before a reverse swap of 50,000 steps is performed. The simulation ends with one final 25,000 step stabilization period. From the simulation, the irreversible work of transformation is estimated and used to compute the absolute Gibbs free energy of the target phase and potential relative to the reference potential. Entropy is estimated as the difference in enthalpy and Gibbs free energy and divided by temperature.
The calculation methods used are available as the iprPy relax_dynamic, relax_liquid_redo, free_energy, and free_energy_liquid calculation methods.
Clicking on the image of a plot will open an interactive version of it in a new tab. The underlying data for the plots can be downloaded by clicking on the links above each plot.
Notes and Disclaimers:
Version Information:
            
            




