Plots of the potential energy vs interatomic spacing, r, are shown below for all diatom sets associated with the interatomic potential. This calculation provides insights into the functional form of the potential's two-body interactions. A system consisting of only two atoms is created, and the potential energy is evaluated for the atoms separated by 0.02 Å <= r <= 6.0> Å in intervals of 0.02 Å. Two plots are shown: one for the "standard" interaction distance range, and one for small values of r. The small r plot is useful for determining whether the potential is suitable for radiation studies.
The calculation method used is available as the iprPy diatom_scan calculation method.
Clicking on the image of a plot will open an interactive version of it in a new tab. The underlying data for the plots can be downloaded by clicking on the links above each plot.
Notes and Disclaimers:
Version Information:
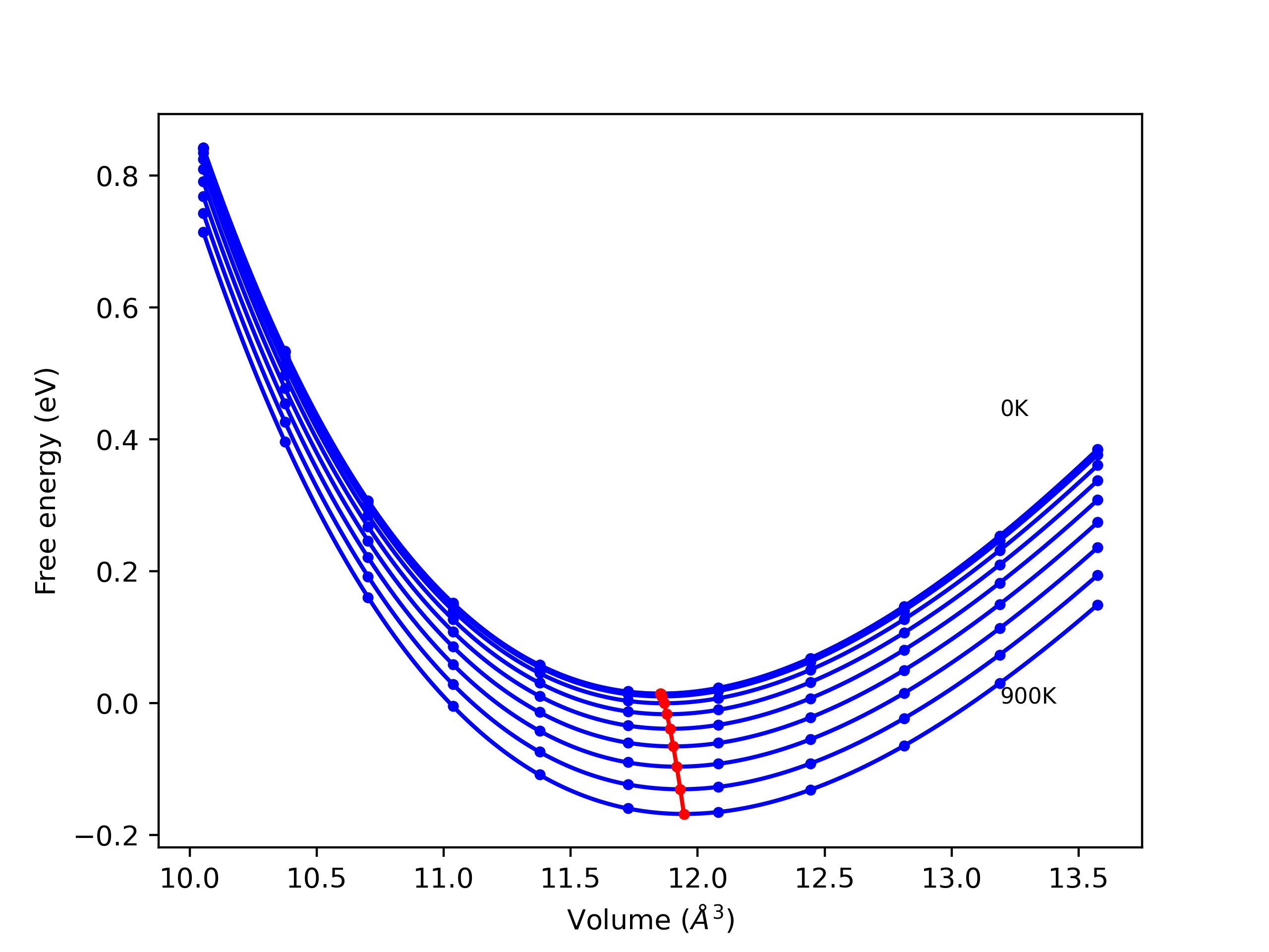
Plots of potential energy vs interatomic spacing, r, are shown below for a number of crystal structures. The structures are generated based on the ideal atomic positions and b/a and c/a lattice parameter ratios for a given crystal prototype. The size of the system is then uniformly scaled, and the energy calculated without relaxing the system. To obtain these plots, values of r are evaluated every 0.02 Å up to 6 Å.
The calculation method used is available as the iprPy E_vs_r_scan calculation method.
Clicking on the image of a plot will open an interactive version of it in a new tab. The underlying data for the plots can be downloaded by clicking on the links above each plot.
Notes and Disclaimers:
Version Information:
Computed lattice constants and cohesive/potential energies are displayed for a variety of crystal structures. The values displayed here are obtained using the following process.
The calculation methods used are implemented into iprPy as the following calculation styles
Notes and Disclaimers:
Version Information:
Download raw data (including filtered results)
Reference structure matches:
A1--Cu--fcc = oqmd-1214512
A15--beta-W = oqmd-1214957
A2--W--bcc = oqmd-1215135
A3'--alpha-La--double-hcp = oqmd-1215403
A3--Mg--hcp = oqmd-1215313
A4--C--dc = mp-66, oqmd-675640
A5--beta-Sn = oqmd-1215581
A6--In--bct = mp-1181996, oqmd-1215670
A7--alpha-As = oqmd-594528
Ah--alpha-Po--sc = mp-998866, oqmd-636457, oqmd-1214601
| prototype | method | Ecoh (eV/atom) | Epot (eV/atom) | a0 (Å) | b0 (Å) | c0 (Å) | α (degrees) | β (degrees) | γ (degrees) | 
|---|---|---|---|---|---|---|---|---|---|
| mp-569416 | static | -7.4028 | -7.4028 | 2.4562 | 2.4562 | 54.6869 | 90.0 | 90.0 | 120.0 | 
| mp-606949 | dynamic | -7.4028 | -7.4028 | 2.4562 | 2.4562 | 29.4917 | 90.0 | 90.0 | 120.0 | 
| mp-569416 | dynamic | -7.4028 | -7.4028 | 2.4562 | 2.4562 | 54.7122 | 90.0 | 90.0 | 120.0 | 
| mp-990424 | dynamic | -7.4028 | -7.4028 | 2.4562 | 2.4562 | 24.1254 | 90.0 | 90.0 | 120.0 | 
| mp-937760 | dynamic | -7.4028 | -7.4028 | 2.4562 | 4.2542 | 7.1733 | 90.0 | 90.0 | 90.0 | 
| mp-568363 | static | -7.4028 | -7.4028 | 2.4562 | 4.2542 | 8.1499 | 90.0 | 90.0 | 90.0 | 
| mp-606949 | static | -7.4028 | -7.4028 | 2.4562 | 2.4562 | 29.4913 | 90.0 | 90.0 | 120.0 | 
| mp-990424 | static | -7.4028 | -7.4028 | 2.4562 | 2.4562 | 24.1327 | 90.0 | 90.0 | 120.0 | 
| oqmd-683819 | static | -7.4028 | -7.4028 | 2.4562 | 4.2542 | 6.6519 | 90.0 | 90.0 | 90.0 | 
| mp-568806 | static | -7.4028 | -7.4028 | 2.4562 | 2.4562 | 3.6535 | 90.0 | 90.0 | 120.0 | 
| oqmd-1214690 | dynamic | -7.4028 | -7.4028 | 2.4562 | 4.2542 | 6.6767 | 90.0 | 90.0 | 90.0 | 
| mp-169 | static | -7.4028 | -7.4028 | 4.2542 | 2.4562 | 3.7636 | 90.0 | 111.5 | 90.0 | 
| mp-568363 | dynamic | -7.4028 | -7.4028 | 2.4562 | 4.2542 | 8.2893 | 90.0 | 90.0 | 90.0 | 
| mp-48 | dynamic | -7.4028 | -7.4028 | 2.4562 | 2.4562 | 7.8031 | 90.0 | 90.0 | 120.0 | 
| oqmd-1215937 | dynamic | -7.4028 | -7.4028 | 2.4562 | 2.4562 | 7.3725 | 90.0 | 90.0 | 120.0 | 
| mp-169 | dynamic | -7.4028 | -7.4028 | 4.2542 | 2.4562 | 3.7634 | 90.0 | 111.5 | 90.0 | 
| mp-632329 | static | -7.4028 | -7.4028 | 4.2542 | 2.4562 | 3.7374 | 90.0 | 94.1 | 90.0 | 
| mp-632329 | dynamic | -7.4028 | -7.4028 | 4.2542 | 2.4562 | 3.3722 | 90.0 | 94.4 | 90.0 | 
| oqmd-683820 | dynamic | -7.4028 | -7.4028 | 2.4562 | 4.2542 | 6.8163 | 90.0 | 90.0 | 90.0 | 
| oqmd-683820 | static | -7.4028 | -7.4028 | 2.4562 | 4.2542 | 6.7738 | 90.0 | 90.0 | 90.0 | 
| mp-568806 | dynamic | -7.4028 | -7.4028 | 2.4562 | 2.4562 | 3.6594 | 90.0 | 90.0 | 120.0 | 
| mp-568286 | static | -7.4028 | -7.4028 | 2.4562 | 4.2542 | 7.0357 | 90.0 | 90.0 | 90.0 | 
| oqmd-589492 | dynamic | -7.4028 | -7.4028 | 2.4562 | 2.4562 | 53.495 | 90.0 | 90.0 | 120.0 | 
| mp-997182 | dynamic | -7.4028 | -7.4028 | 2.4562 | 2.4562 | 12.0458 | 90.0 | 90.0 | 120.0 | 
| mp-569304 | dynamic | -7.4028 | -7.4028 | 2.4562 | 2.4562 | 33.1908 | 90.0 | 90.0 | 120.0 | 
| oqmd-589493 | static | -7.4028 | -7.4028 | 2.4562 | 2.4562 | 28.9518 | 90.0 | 90.0 | 120.0 | 
| mp-990448 | dynamic | -7.4028 | -7.4028 | 2.4562 | 2.4562 | 8.5238 | 90.0 | 90.0 | 120.0 | 
| oqmd-589491 | dynamic | -7.4028 | -7.4028 | 2.4562 | 2.4562 | 33.3582 | 90.0 | 90.0 | 120.0 | 
| oqmd-589491 | static | -7.4028 | -7.4028 | 2.4562 | 2.4562 | 33.2379 | 90.0 | 90.0 | 120.0 | 
| oqmd-683819 | dynamic | -7.4028 | -7.4028 | 2.4562 | 4.2542 | 6.6661 | 90.0 | 90.0 | 90.0 | 
| oqmd-589493 | dynamic | -7.4028 | -7.4028 | 2.4562 | 2.4562 | 28.956 | 90.0 | 90.0 | 120.0 | 
| mp-1040425 | dynamic | -7.4028 | -7.4028 | 2.4562 | 2.4562 | 19.9983 | 90.0 | 90.0 | 120.0 | 
| oqmd-589492 | static | -7.4028 | -7.4028 | 2.4562 | 2.4562 | 53.4804 | 90.0 | 90.0 | 120.0 | 
| A7--alpha-As | dynamic | -7.4028 | -7.4028 | 2.4562 | 2.4562 | 10.2131 | 90.0 | 90.0 | 120.0 | 
| oqmd-590101 | static | -7.4028 | -7.4028 | 2.4562 | 2.4562 | 6.7957 | 90.0 | 90.0 | 120.0 | 
| oqmd-590101 | dynamic | -7.4028 | -7.4028 | 2.4562 | 2.4562 | 6.7965 | 90.0 | 90.0 | 120.0 | 
| mp-568410 | static | -7.4028 | -7.4028 | 4.7566 | 4.9123 | 4.2543 | 90.0 | 90.0 | 90.0 | 
| mp-569567 | dynamic | -7.3759 | -7.3759 | 2.4394 | 2.4394 | 41.8262 | 90.0 | 90.0 | 120.0 | 
| mp-611448 | dynamic | -7.3759 | -7.3759 | 2.4394 | 2.4394 | 11.9503 | 90.0 | 90.0 | 120.0 | 
| mp-616440 | dynamic | -7.3759 | -7.3759 | 2.4394 | 2.4394 | 15.9338 | 90.0 | 90.0 | 120.0 | 
| A4--C--dc | dynamic | -7.3759 | -7.3759 | 3.4498 | 3.4498 | 3.4498 | 90.0 | 90.0 | 90.0 | 
| mp-47 | dynamic | -7.3759 | -7.3759 | 2.4394 | 2.4394 | 3.9834 | 90.0 | 90.0 | 120.0 | 
| mp-569517 | dynamic | -7.3759 | -7.3759 | 2.4394 | 2.4394 | 29.8759 | 90.0 | 90.0 | 120.0 | 
| oqmd-599490 | dynamic | -7.3759 | -7.3759 | 2.4394 | 2.4394 | 7.9669 | 90.0 | 90.0 | 120.0 | 
| oqmd-599489 | box | -7.3758 | -7.3758 | 2.439 | 2.439 | 3.9846 | 90.0 | 90.0 | 120.0 | 
| mp-47 | box | -7.3758 | -7.3758 | 2.4389 | 2.4389 | 3.9848 | 90.0 | 90.0 | 120.0 | 
| oqmd-599492 | box | -7.3751 | -7.3751 | 2.4392 | 2.4392 | 15.936 | 90.0 | 90.0 | 120.0 | 
| mp-616440 | box | -7.375 | -7.375 | 2.4393 | 2.4393 | 15.9353 | 90.0 | 90.0 | 120.0 | 
| oqmd-599491 | box | -7.3749 | -7.3749 | 2.4393 | 2.4393 | 11.9518 | 90.0 | 90.0 | 120.0 | 
| mp-569567 | box | -7.3748 | -7.3748 | 2.4393 | 2.4393 | 41.8296 | 90.0 | 90.0 | 120.0 | 
| mp-611448 | box | -7.3748 | -7.3748 | 2.4393 | 2.4393 | 11.9516 | 90.0 | 90.0 | 120.0 | 
| oqmd-599493 | box | -7.3747 | -7.3747 | 2.4393 | 2.4393 | 29.8786 | 90.0 | 90.0 | 120.0 | 
| mp-569517 | box | -7.3746 | -7.3746 | 2.4393 | 2.4393 | 29.8796 | 90.0 | 90.0 | 120.0 | 
| mp-611426 | box | -7.3745 | -7.3745 | 2.4392 | 2.4392 | 7.9685 | 90.0 | 90.0 | 120.0 | 
| oqmd-599490 | box | -7.3744 | -7.3744 | 2.4393 | 2.4393 | 7.9679 | 90.0 | 90.0 | 120.0 | 
| mp-1096869 | static | -7.3219 | -7.3219 | 25.4723 | 14.7653 | 2.37 | 90.0 | 94.8 | 90.0 | 
| mp-1008374 | dynamic | -7.164 | -7.164 | 2.4858 | 7.7401 | 2.4643 | 90.0 | 90.0 | 90.0 | 
| mp-1008374 | box | -7.1625 | -7.1625 | 2.4879 | 7.7286 | 2.4673 | 90.0 | 90.0 | 90.0 | 
| mp-1078845 | dynamic | -6.9333 | -6.9333 | 4.4992 | 8.4445 | 2.4619 | 90.0 | 90.0 | 90.0 | 
| mp-1190171 | dynamic | -6.8589 | -6.8589 | 8.875 | 2.4455 | 4.0745 | 90.0 | 90.0 | 90.0 | 
| mp-1080826 | dynamic | -6.8551 | -6.8551 | 8.9573 | 2.4458 | 4.0668 | 90.0 | 96.4 | 90.0 | 
| oqmd-637130 | box | -6.8315 | -6.8315 | 8.9852 | 2.4335 | 4.0872 | 90.0 | 90.0 | 90.0 | 
| oqmd-637352 | box | -6.8311 | -6.8311 | 9.047 | 2.4372 | 4.0761 | 90.0 | 96.2 | 90.0 | 
| mp-1190171 | box | -6.8308 | -6.8308 | 8.992 | 2.4336 | 4.0856 | 90.0 | 90.0 | 90.0 | 
| mp-1080826 | box | -6.8306 | -6.8306 | 9.0492 | 2.4375 | 4.0751 | 90.0 | 96.2 | 90.0 | 
| mp-1078845 | box | -6.7996 | -6.7996 | 4.1852 | 8.7713 | 2.4123 | 90.0 | 90.0 | 90.0 | 
| oqmd-689315 | static | -6.7176 | -6.7176 | 10.2821 | 17.3828 | 17.9039 | 90.0 | 90.0 | 90.0 | 
| mp-683919 | static | -6.7175 | -6.7175 | 10.2889 | 17.4522 | 17.9279 | 90.0 | 90.0 | 90.0 | 
| mp-568028 | dynamic | -6.7136 | -6.7136 | 7.8927 | 13.796 | 9.3262 | 90.0 | 90.0 | 90.0 | 
| mp-568028 | static | -6.7114 | -6.7114 | 7.9747 | 13.7957 | 9.3226 | 90.0 | 90.0 | 90.0 | 
| mp-683919 | box | -6.7036 | -6.7036 | 10.2428 | 17.5294 | 17.9949 | 90.0 | 90.0 | 90.0 | 
| oqmd-689315 | box | -6.6945 | -6.6945 | 10.1362 | 17.5764 | 18.0322 | 90.0 | 90.0 | 90.0 | 
| oqmd-610557 | box | -6.687 | -6.687 | 4.7392 | 5.6109 | 4.2719 | 90.0 | 90.0 | 90.0 | 
| oqmd-610556 | box | -6.6835 | -6.6835 | 4.7382 | 5.614 | 4.2722 | 90.0 | 90.0 | 90.0 | 
| mp-568410 | box | -6.6808 | -6.6808 | 4.7381 | 5.6155 | 4.2726 | 90.0 | 90.0 | 90.0 | 
| oqmd-677227 | dynamic | -6.6573 | -6.6573 | 14.051 | 14.051 | 14.051 | 90.0 | 90.0 | 90.0 | 
| oqmd-603085 | dynamic | -6.6573 | -6.6573 | 13.8439 | 13.8439 | 13.8439 | 90.0 | 90.0 | 90.0 | 
| oqmd-684315 | dynamic | -6.6573 | -6.6573 | 9.8948 | 14.8601 | 9.3952 | 90.0 | 90.0 | 90.0 | 
| mp-1196583 | dynamic | -6.6573 | -6.6573 | 14.2765 | 14.2765 | 14.2765 | 90.0 | 90.0 | 90.0 | 
| mp-1205283 | dynamic | -6.6573 | -6.6573 | 9.564 | 14.0556 | 9.6862 | 90.0 | 90.0 | 90.0 | 
| mp-667273 | dynamic | -6.6573 | -6.6573 | 14.2617 | 14.2617 | 14.2617 | 90.0 | 90.0 | 90.0 | 
| oqmd-677227 | static | -6.6573 | -6.6573 | 14.1926 | 14.1926 | 14.1926 | 90.0 | 90.0 | 90.0 | 
| mp-1196583 | static | -6.6572 | -6.6572 | 14.415 | 14.415 | 14.415 | 90.0 | 90.0 | 90.0 | 
| oqmd-603085 | static | -6.6571 | -6.6571 | 13.9974 | 13.9974 | 13.9974 | 90.0 | 90.0 | 90.0 | 
| mp-667273 | static | -6.6565 | -6.6565 | 14.4745 | 14.4745 | 14.4745 | 90.0 | 90.0 | 90.0 | 
| mp-1196583 | box | -6.6562 | -6.6562 | 14.4111 | 14.4111 | 14.4111 | 90.0 | 90.0 | 90.0 | 
| oqmd-603085 | box | -6.6562 | -6.6562 | 13.995 | 13.995 | 13.995 | 90.0 | 90.0 | 90.0 | 
| mp-667273 | box | -6.6559 | -6.6559 | 14.4721 | 14.4721 | 14.4721 | 90.0 | 90.0 | 90.0 | 
| mp-1147718 | static | -6.6534 | -6.6534 | 10.2428 | 14.7482 | 9.1969 | 90.0 | 90.0 | 90.0 | 
| mp-630227 | static | -6.6502 | -6.6502 | 9.0668 | 9.1098 | 15.6975 | 90.0 | 90.0 | 90.0 | 
| oqmd-595714 | static | -6.65 | -6.65 | 9.0816 | 9.1234 | 14.6288 | 90.0 | 90.0 | 90.0 | 
| oqmd-684627 | static | -6.6498 | -6.6498 | 9.1093 | 9.1093 | 15.276 | 90.0 | 90.0 | 90.0 | 
| oqmd-677227 | box | -6.6495 | -6.6495 | 14.1918 | 14.1918 | 14.1918 | 90.0 | 90.0 | 90.0 | 
| mp-1205283 | static | -6.6408 | -6.6408 | 8.9079 | 13.6744 | 9.3398 | 90.0 | 90.0 | 90.0 | 
| mp-1147718 | box | -6.6366 | -6.6366 | 10.2493 | 14.7411 | 9.2548 | 90.0 | 90.0 | 90.0 | 
| mp-680372 | static | -6.6357 | -6.6357 | 9.1817 | 9.1817 | 25.3516 | 90.0 | 90.0 | 120.0 | 
| oqmd-614417 | static | -6.6349 | -6.6349 | 9.1802 | 9.1802 | 24.1622 | 90.0 | 90.0 | 120.0 | 
| oqmd-595714 | box | -6.6236 | -6.6236 | 9.1242 | 9.1749 | 14.5633 | 90.0 | 90.0 | 90.0 | 
| mp-630227 | box | -6.6232 | -6.6232 | 9.1202 | 9.1602 | 15.634 | 90.0 | 90.0 | 90.0 | 
| oqmd-684627 | box | -6.6127 | -6.6127 | 9.1632 | 9.1632 | 15.2013 | 90.0 | 90.0 | 90.0 | 
| oqmd-614417 | box | -6.5987 | -6.5987 | 9.1897 | 9.1897 | 24.2659 | 90.0 | 90.0 | 120.0 | 
| mp-680372 | box | -6.5963 | -6.5963 | 9.1983 | 9.1983 | 25.4424 | 90.0 | 90.0 | 120.0 | 
| mp-568028 | box | -6.5623 | -6.5623 | 8.4904 | 13.873 | 9.5885 | 90.0 | 90.0 | 90.0 | 
| mp-1018088 | dynamic | -6.51 | -6.51 | 4.1082 | 4.1082 | 4.1082 | 90.0 | 90.0 | 90.0 | 
| mp-24 | dynamic | -6.5058 | -6.5058 | 4.3092 | 4.3092 | 4.3092 | 90.0 | 90.0 | 90.0 | 
| mp-24 | box | -6.5055 | -6.5055 | 4.3104 | 4.3104 | 4.3104 | 90.0 | 90.0 | 90.0 | 
| mp-579909 | static | -6.4658 | -6.4658 | 4.7975 | 5.07 | 6.8108 | 90.0 | 90.0 | 90.0 | 
| oqmd-610552 | static | -6.4658 | -6.4658 | 4.7975 | 5.07 | 6.3948 | 90.0 | 90.0 | 90.0 | 
| oqmd-637443 | static | -6.4552 | -6.4552 | 5.176 | 5.176 | 5.176 | 90.0 | 90.0 | 90.0 | 
| mp-1188817 | static | -6.4552 | -6.4552 | 5.1762 | 5.1762 | 5.1762 | 90.0 | 90.0 | 90.0 | 
| oqmd-637443 | box | -6.407 | -6.407 | 5.2018 | 5.2018 | 5.2018 | 90.0 | 90.0 | 90.0 | 
| mp-1188817 | box | -6.4055 | -6.4055 | 5.2018 | 5.2018 | 5.2018 | 90.0 | 90.0 | 90.0 | 
| oqmd-637353 | box | -6.3873 | -6.3873 | 4.4435 | 4.4435 | 2.384 | 90.0 | 90.0 | 90.0 | 
| mp-1008395 | box | -6.3853 | -6.3853 | 4.4438 | 4.4438 | 2.3841 | 90.0 | 90.0 | 90.0 | 
| mp-624889 | static | -6.3399 | -6.3399 | 4.8191 | 4.917 | 5.7336 | 90.0 | 90.0 | 90.0 | 
| mp-624889 | box | -6.2683 | -6.2683 | 4.6969 | 5.241 | 5.8199 | 90.0 | 90.0 | 90.0 | 
| mp-579909 | box | -6.2574 | -6.2574 | 4.6555 | 5.5023 | 6.9064 | 90.0 | 90.0 | 90.0 | 
| oqmd-610552 | box | -6.2537 | -6.2537 | 4.6512 | 5.4993 | 6.4982 | 90.0 | 90.0 | 90.0 | 
| mp-1245190 | dynamic | -6.2279 | -6.2279 | 9.8987 | 10.165 | 10.7113 | 88.0 | 88.4 | 87.7 | 
| mp-1244964 | dynamic | -6.2222 | -6.2222 | 10.2941 | 11.0272 | 12.6724 | 90.7 | 94.0 | 92.5 | 
| mp-1245190 | static | -6.1571 | -6.1571 | 9.8792 | 10.6305 | 11.0906 | 91.1 | 93.6 | 90.1 | 
| oqmd-684315 | static | -6.1432 | -6.1432 | 9.8346 | 16.0998 | 9.1207 | 90.0 | 90.0 | 90.0 | 
| mp-1196857 | dynamic | -6.0516 | -6.0516 | 9.1363 | 18.8543 | 5.9558 | 90.0 | 90.0 | 90.0 | 
| mp-1196857 | static | -6.0455 | -6.0455 | 12.6433 | 18.6489 | 4.8446 | 90.0 | 90.0 | 90.0 | 
| mp-1244964 | static | -5.9838 | -5.9838 | 9.6872 | 11.4582 | 11.9166 | 89.7 | 85.8 | 88.4 | 
| mp-570002 | static | -5.9037 | -5.9037 | 5.4446 | 5.4446 | 5.4446 | 90.0 | 90.0 | 90.0 | 
| oqmd-585286 | static | -5.9037 | -5.9037 | 5.4445 | 5.4445 | 5.4445 | 90.0 | 90.0 | 90.0 | 
| mp-1182684 | static | -5.8371 | -5.8371 | 12.975 | 13.3148 | 22.2453 | 90.0 | 90.0 | 90.0 | 
| mp-1244913 | dynamic | -5.8067 | -5.8067 | 11.7945 | 12.7349 | 13.8659 | 89.2 | 82.4 | 87.7 | 
| mp-1244913 | static | -5.779 | -5.779 | 11.1216 | 11.9676 | 12.6262 | 78.5 | 81.2 | 82.9 | 
| mp-1205283 | box | -5.7177 | -5.7177 | 10.2994 | 13.3001 | 9.139 | 90.0 | 90.0 | 90.0 | 
| mp-1182684 | dynamic | -5.5995 | -5.5995 | 9.9777 | 13.9447 | 18.6156 | 90.0 | 90.0 | 90.0 | 
| oqmd-1214779 | dynamic | -5.5935 | -5.5935 | 8.7483 | 8.7483 | 8.7483 | 90.0 | 90.0 | 90.0 | 
| mp-1197903 | static | -5.4831 | -5.4831 | 10.1539 | 10.8878 | 25.1342 | 86.6 | 89.5 | 62.9 | 
| mp-1197903 | dynamic | -5.3235 | -5.3235 | 10.3253 | 10.8719 | 32.5573 | 94.8 | 94.8 | 108.6 | 
| oqmd-684315 | box | -5.253 | -5.253 | 10.4831 | 15.2928 | 9.2446 | 90.0 | 90.0 | 90.0 | 
| mp-1192619 | dynamic | -5.0926 | -5.0926 | 11.8185 | 11.8185 | 11.8185 | 90.0 | 90.0 | 90.0 | 
| oqmd-585286 | box | -4.9906 | -4.9906 | 5.0091 | 5.0091 | 5.0091 | 90.0 | 90.0 | 90.0 | 
| mp-570002 | box | -4.9901 | -4.9901 | 5.0092 | 5.0092 | 5.0092 | 90.0 | 90.0 | 90.0 | 
| mp-1245190 | box | -4.9261 | -4.9261 | 10.4783 | 11.0896 | 11.0993 | 91.2 | 90.9 | 91.5 | 
| mp-1244964 | box | -4.5257 | -4.5257 | 10.5158 | 11.0405 | 11.9233 | 90.2 | 95.4 | 92.1 | 
| mp-1205417 | static | -4.3325 | -4.3325 | 15.767 | 15.767 | 9.0944 | 90.0 | 90.0 | 90.0 | 
| mp-1182684 | box | -4.0886 | -4.0886 | 13.1966 | 14.3505 | 17.5198 | 90.0 | 90.0 | 90.0 | 
| mp-1244913 | box | -4.0884 | -4.0884 | 11.2731 | 11.4666 | 12.066 | 81.5 | 88.8 | 86.5 | 
| mp-1095633 | box | -3.6152 | -3.6152 | 6.5134 | 6.5134 | 8.4885 | 90.0 | 90.0 | 90.0 | 
| mp-1197903 | box | -3.5153 | -3.5153 | 8.8523 | 10.4294 | 25.7369 | 98.2 | 91.2 | 106.7 | 
| mp-1205417 | box | -3.4404 | -3.4404 | 13.7821 | 13.7821 | 7.9375 | 90.0 | 90.0 | 90.0 | 
| mp-1192619 | box | -2.7546 | -2.7546 | 10.3547 | 10.3547 | 10.3547 | 90.0 | 90.0 | 90.0 | 
| oqmd-1214779 | box | -2.6767 | -2.6767 | 9.943 | 9.943 | 9.943 | 90.0 | 90.0 | 90.0 | 
| A3'--alpha-La--double-hcp | box | -2.3096 | -2.3096 | 2.5605 | 2.5605 | 4.2722 | 90.0 | 90.0 | 120.0 | 
| Ah--alpha-Po--sc | static | -2.2195 | -2.2195 | 1.8209 | 1.8209 | 1.8209 | 90.0 | 90.0 | 90.0 | 
| oqmd-1214868 | box | -1.9228 | -1.9228 | 7.6801 | 7.6801 | 7.6801 | 90.0 | 90.0 | 90.0 | 
| A15--beta-W | static | -1.5736 | -1.5736 | 3.5916 | 3.5916 | 3.5916 | 90.0 | 90.0 | 90.0 | 
| A2--W--bcc | static | -1.4589 | -1.4589 | 2.2399 | 2.2399 | 2.2399 | 90.0 | 90.0 | 90.0 | 
Download raw data (including filtered results)
Reference structure matches:
| prototype | method | Ecoh (eV/atom) | Epot (eV/atom) | a0 (Å) | b0 (Å) | c0 (Å) | α (degrees) | β (degrees) | γ (degrees) | 
|---|---|---|---|---|---|---|---|---|---|
| C1--CaF2--fluorite | box | -0.2667 | -0.2667 | 8.7757 | 8.7757 | 8.7757 | 90.0 | 90.0 | 90.0 | 
| C1--CaF2--fluorite | dynamic | -0.2667 | -0.2667 | 8.744 | 8.744 | 8.744 | 90.0 | 90.0 | 90.0 | 
| oqmd-1232079 | static | 42.7767 | 42.7767 | 4.7828 | 4.7828 | 3.0814 | 90.0 | 90.0 | 90.0 | 
Download raw data (including filtered results)
Reference structure matches:
| prototype | method | Ecoh (eV/atom) | Epot (eV/atom) | a0 (Å) | b0 (Å) | c0 (Å) | α (degrees) | β (degrees) | γ (degrees) | 
|---|---|---|---|---|---|---|---|---|---|
| oqmd-426157 | static | 36.3337 | 36.3337 | 5.2988 | 5.2988 | 14.4785 | 90.0 | 90.0 | 120.0 | 
Download raw data (including filtered results)
Reference structure matches:
D0_3--BiF3 = oqmd-309890
L1_2--AuCu3 = oqmd-348451
| prototype | method | Ecoh (eV/atom) | Epot (eV/atom) | a0 (Å) | b0 (Å) | c0 (Å) | α (degrees) | β (degrees) | γ (degrees) | 
|---|---|---|---|---|---|---|---|---|---|
| D0_3--BiF3 | static | -0.303 | -0.303 | 8.4984 | 8.4984 | 8.4984 | 90.0 | 90.0 | 90.0 | 
| oqmd-299348 | box | -0.3029 | -0.3029 | 6.1817 | 6.1817 | 8.1245 | 90.0 | 90.0 | 90.0 | 
| D0_3--BiF3 | box | -0.3027 | -0.3027 | 8.5302 | 8.5302 | 8.5302 | 90.0 | 90.0 | 90.0 | 
| L1_2--AuCu3 | box | -0.3 | -0.3 | 5.374 | 5.374 | 5.374 | 90.0 | 90.0 | 90.0 | 
| A15--Cr3Si | box | -0.3 | -0.3 | 6.7976 | 6.7976 | 6.7976 | 90.0 | 90.0 | 90.0 | 
| A15--Cr3Si | dynamic | -0.3 | -0.3 | 6.773 | 6.773 | 6.773 | 90.0 | 90.0 | 90.0 | 
| L1_2--AuCu3 | dynamic | -0.3 | -0.3 | 5.3546 | 5.3546 | 5.3546 | 90.0 | 90.0 | 90.0 | 
| oqmd-323965 | static | 20.6776 | 20.6776 | 4.2494 | 4.2494 | 5.2637 | 90.0 | 90.0 | 120.0 | 
| L1_2--AuCu3 | static | 27.5887 | 27.5887 | 3.2236 | 3.2236 | 3.2236 | 90.0 | 90.0 | 90.0 | 
| D0_3--BiF3 | static | 28.1441 | 28.1441 | 5.1201 | 5.1201 | 5.1201 | 90.0 | 90.0 | 90.0 | 
| L1_2--AuCu3 | static | 31.5251 | 31.5251 | 3.1678 | 3.1678 | 3.1678 | 90.0 | 90.0 | 90.0 | 
| oqmd-299348 | static | 43.0648 | 43.0648 | 2.5837 | 2.5837 | 10.4171 | 90.0 | 90.0 | 90.0 | 
Download raw data (including filtered results)
Reference structure matches:
| prototype | method | Ecoh (eV/atom) | Epot (eV/atom) | a0 (Å) | b0 (Å) | c0 (Å) | α (degrees) | β (degrees) | γ (degrees) | 
|---|---|---|---|---|---|---|---|---|---|
| mp-1213653 | static | -4.8211 | -4.8211 | 6.8847 | 13.3935 | 8.6224 | 90.0 | 90.0 | 90.0 | 
Download raw data (including filtered results)
Reference structure matches:
B1--NaCl--rock-salt = oqmd-1104545
B2--CsCl = oqmd-305360
| prototype | method | Ecoh (eV/atom) | Epot (eV/atom) | a0 (Å) | b0 (Å) | c0 (Å) | α (degrees) | β (degrees) | γ (degrees) | 
|---|---|---|---|---|---|---|---|---|---|
| oqmd-326444 | static | -1599.2941 | -1599.2941 | 2.8188 | 2.8188 | 8.2358 | 90.0 | 90.0 | 120.0 | 
| B2--CsCl | box | -0.4 | -0.4 | 4.3879 | 4.3879 | 4.3879 | 90.0 | 90.0 | 90.0 | 
| L1_0--AuCu | box | -0.4 | -0.4 | 4.1012 | 4.1012 | 4.9113 | 90.0 | 90.0 | 90.0 | 
| L1_0--AuCu | box | -0.4 | -0.4 | 3.9467 | 3.9467 | 5.1581 | 90.0 | 90.0 | 90.0 | 
| L1_0--AuCu | box | -0.4 | -0.4 | 4.1827 | 4.1827 | 4.7719 | 90.0 | 90.0 | 90.0 | 
| L1_0--AuCu | static | -0.4 | -0.4 | 3.9272 | 3.9272 | 5.1476 | 90.0 | 90.0 | 90.0 | 
| B2--CsCl | dynamic | -0.4 | -0.4 | 4.372 | 4.372 | 4.372 | 90.0 | 90.0 | 90.0 | 
| L1_0--AuCu | dynamic | -0.4 | -0.4 | 3.9495 | 3.9495 | 5.1133 | 90.0 | 90.0 | 90.0 | 
| oqmd-1228593 | box | -0.3 | -0.3 | 4.3425 | 4.3425 | 5.7112 | 90.0 | 90.0 | 120.0 | 
| B1--NaCl--rock-salt | dynamic | -0.3 | -0.3 | 7.5725 | 7.5725 | 7.5725 | 90.0 | 90.0 | 90.0 | 
| oqmd-1225107 | box | -0.2 | -0.2 | 6.3664 | 6.3664 | 9.5283 | 90.0 | 90.0 | 120.0 | 
| B3--ZnS--cubic-zinc-blende | box | -0.2 | -0.2 | 8.7757 | 8.7757 | 8.7757 | 90.0 | 90.0 | 90.0 | 
| B3--ZnS--cubic-zinc-blende | dynamic | -0.2 | -0.2 | 8.744 | 8.744 | 8.744 | 90.0 | 90.0 | 90.0 | 
| L1_0--AuCu | static | 1.048 | 1.048 | 3.1752 | 3.1752 | 4.1582 | 90.0 | 90.0 | 90.0 | 
| oqmd-1219428 | static | 14.3447 | 14.3447 | 4.109 | 2.7273 | 4.19 | 90.0 | 90.0 | 90.0 | 
| B1--NaCl--rock-salt | static | 31.2157 | 31.2157 | 4.48 | 4.48 | 4.48 | 90.0 | 90.0 | 90.0 | 
| B2--CsCl | static | 35.1904 | 35.1904 | 2.6275 | 2.6275 | 2.6275 | 90.0 | 90.0 | 90.0 | 
| oqmd-1228593 | static | 45.7001 | 45.7001 | 3.0357 | 3.0357 | 2.41 | 90.0 | 90.0 | 120.0 | 
| B1--NaCl--rock-salt | static | 48.8738 | 48.8738 | 4.21 | 4.21 | 4.21 | 90.0 | 90.0 | 90.0 | 
| L1_0--AuCu | static | 54.9736 | 54.9736 | 2.2413 | 2.2413 | 2.9352 | 90.0 | 90.0 | 90.0 | 
| oqmd-1225107 | static | 57.7298 | 57.7298 | 3.2655 | 3.2655 | 4.8907 | 90.0 | 90.0 | 120.0 | 
Download raw data (including filtered results)
Reference structure matches:
| prototype | method | Ecoh (eV/atom) | Epot (eV/atom) | a0 (Å) | b0 (Å) | c0 (Å) | α (degrees) | β (degrees) | γ (degrees) | 
|---|---|---|---|---|---|---|---|---|---|
| C1--CaF2--fluorite | box | -0.2667 | -0.2667 | 8.7757 | 8.7757 | 8.7757 | 90.0 | 90.0 | 90.0 | 
| C1--CaF2--fluorite | dynamic | -0.2667 | -0.2667 | 8.744 | 8.744 | 8.744 | 90.0 | 90.0 | 90.0 | 
Download raw data (including filtered results)
Reference structure matches:
D0_3--BiF3 = oqmd-313423
L1_2--AuCu3 = oqmd-344918
| prototype | method | Ecoh (eV/atom) | Epot (eV/atom) | a0 (Å) | b0 (Å) | c0 (Å) | α (degrees) | β (degrees) | γ (degrees) | 
|---|---|---|---|---|---|---|---|---|---|
| oqmd-302881 | dynamic | -1.1206 | -1.1206 | 4.1735 | 4.1735 | 8.325 | 90.0 | 90.0 | 90.0 | 
| L1_2--AuCu3 | static | -1.0971 | -1.0971 | 4.1578 | 4.1578 | 4.1578 | 90.0 | 90.0 | 90.0 | 
| oqmd-302881 | box | -1.0433 | -1.0433 | 4.1862 | 4.1862 | 8.3634 | 90.0 | 90.0 | 90.0 | 
| L1_2--AuCu3 | dynamic | -1.039 | -1.039 | 4.1845 | 4.1845 | 4.1845 | 90.0 | 90.0 | 90.0 | 
| L1_2--AuCu3 | box | -1.0272 | -1.0272 | 4.1845 | 4.1845 | 4.1845 | 90.0 | 90.0 | 90.0 | 
| D0_3--BiF3 | static | -0.9341 | -0.9341 | 6.8306 | 6.8306 | 6.8306 | 90.0 | 90.0 | 90.0 | 
| D0_3--BiF3 | box | -0.8621 | -0.8621 | 6.8479 | 6.8479 | 6.8479 | 90.0 | 90.0 | 90.0 | 
| D0_3--BiF3 | static | -0.5642 | -0.5642 | 7.4342 | 7.4342 | 7.4342 | 90.0 | 90.0 | 90.0 | 
| D0_3--BiF3 | box | -0.5298 | -0.5298 | 7.4621 | 7.4621 | 7.4621 | 90.0 | 90.0 | 90.0 | 
| L1_2--AuCu3 | static | -0.4787 | -0.4787 | 4.6381 | 4.6381 | 4.6381 | 90.0 | 90.0 | 90.0 | 
| L1_2--AuCu3 | static | -0.4744 | -0.4744 | 4.5821 | 4.5821 | 4.5821 | 90.0 | 90.0 | 90.0 | 
| L1_2--AuCu3 | box | -0.439 | -0.439 | 4.6319 | 4.6319 | 4.6319 | 90.0 | 90.0 | 90.0 | 
| L1_2--AuCu3 | box | -0.3 | -0.3 | 5.374 | 5.374 | 5.374 | 90.0 | 90.0 | 90.0 | 
| L1_2--AuCu3 | dynamic | -0.3 | -0.3 | 5.3546 | 5.3546 | 5.3546 | 90.0 | 90.0 | 90.0 | 
| oqmd-302881 | static | 9.7039 | 9.7039 | 3.4534 | 3.4534 | 7.1028 | 90.0 | 90.0 | 90.0 | 
| D0_3--BiF3 | static | 9.942 | 9.942 | 5.531 | 5.531 | 5.531 | 90.0 | 90.0 | 90.0 | 
| L1_2--AuCu3 | static | 10.2595 | 10.2595 | 3.4729 | 3.4729 | 3.4729 | 90.0 | 90.0 | 90.0 | 
| L1_2--AuCu3 | static | 30.2988 | 30.2988 | 3.1678 | 3.1678 | 3.1678 | 90.0 | 90.0 | 90.0 | 
| oqmd-320432 | static | 30.3679 | 30.3679 | 6.294 | 6.294 | 2.7057 | 90.0 | 90.0 | 120.0 | 
Download raw data (including filtered results)
Reference structure matches:
A1--Cu--fcc = mp-30, oqmd-592441, oqmd-593869, oqmd-594301, oqmd-594302, oqmd-594517, oqmd-594518, oqmd-594519, oqmd-594520, oqmd-598513, oqmd-635950, oqmd-1214520
A15--beta-W = oqmd-1214965
A2--W--bcc = oqmd-637373, oqmd-1215143
A3'--alpha-La--double-hcp = mp-989695, oqmd-1215411
A3--Mg--hcp = mp-989782, oqmd-1215321
A4--C--dc = oqmd-1215500
A5--beta-Sn = oqmd-1215589
A6--In--bct = mp-998890, mp-1010136, oqmd-1215678
| prototype | method | Ecoh (eV/atom) | Epot (eV/atom) | a0 (Å) | b0 (Å) | c0 (Å) | α (degrees) | β (degrees) | γ (degrees) | 
|---|---|---|---|---|---|---|---|---|---|
| A1--Cu--fcc | dynamic | -8.2733 | -8.2733 | 3.6152 | 3.6152 | 3.6152 | 90.0 | 90.0 | 90.0 | 
| A2--W--bcc | static | -8.2731 | -8.2731 | 2.8613 | 2.8613 | 2.8613 | 90.0 | 90.0 | 90.0 | 
| A1--Cu--fcc | dynamic | -8.2729 | -8.2729 | 3.6064 | 3.6064 | 3.6064 | 90.0 | 90.0 | 90.0 | 
| A6--In--bct | dynamic | -8.2709 | -8.2709 | 2.9009 | 2.9009 | 2.8022 | 90.0 | 90.0 | 90.0 | 
| A3'--alpha-La--double-hcp | dynamic | -8.2701 | -8.2701 | 2.5567 | 2.5567 | 8.3471 | 90.0 | 90.0 | 120.0 | 
| A2--W--bcc | box | -8.2697 | -8.2697 | 2.8686 | 2.8686 | 2.8686 | 90.0 | 90.0 | 90.0 | 
| oqmd-1216034 | static | -8.2691 | -8.2691 | 2.5569 | 2.5569 | 18.7796 | 90.0 | 90.0 | 120.0 | 
| oqmd-1216034 | dynamic | -8.2686 | -8.2686 | 2.5506 | 2.5506 | 18.7334 | 90.0 | 90.0 | 120.0 | 
| A3--Mg--hcp | dynamic | -8.2669 | -8.2669 | 2.5571 | 2.5571 | 4.1726 | 90.0 | 90.0 | 120.0 | 
| oqmd-1215232 | box | -8.2638 | -8.2638 | 2.5502 | 4.4408 | 4.1738 | 90.0 | 90.0 | 90.0 | 
| oqmd-1214787 | dynamic | -7.8819 | -7.8819 | 8.8227 | 8.8227 | 8.8227 | 90.0 | 90.0 | 90.0 | 
| oqmd-1214876 | dynamic | -7.8622 | -7.8622 | 6.2338 | 6.2338 | 6.2338 | 90.0 | 90.0 | 90.0 | 
| oqmd-1214787 | static | -7.8614 | -7.8614 | 8.8335 | 8.8335 | 8.8335 | 90.0 | 90.0 | 90.0 | 
| oqmd-1214876 | box | -7.8495 | -7.8495 | 6.2476 | 6.2476 | 6.2476 | 90.0 | 90.0 | 90.0 | 
| oqmd-1214787 | box | -7.8395 | -7.8395 | 8.8266 | 8.8266 | 8.8266 | 90.0 | 90.0 | 90.0 | 
| A15--beta-W | static | -7.8014 | -7.8014 | 4.5837 | 4.5837 | 4.5837 | 90.0 | 90.0 | 90.0 | 
| A15--beta-W | box | -7.7922 | -7.7922 | 4.5955 | 4.5955 | 4.5955 | 90.0 | 90.0 | 90.0 | 
| mp-1120774 | dynamic | -7.6828 | -7.6828 | 2.5516 | 2.5516 | 24.8163 | 90.0 | 90.0 | 120.0 | 
| mp-1120774 | static | -7.6828 | -7.6828 | 2.5516 | 2.5516 | 24.8393 | 90.0 | 90.0 | 120.0 | 
| mp-1120774 | box | -7.6828 | -7.6828 | 2.5516 | 2.5516 | 24.8424 | 90.0 | 90.0 | 120.0 | 
| mp-1059259 | dynamic | -7.3021 | -7.3021 | 2.5296 | 8.061 | 2.5435 | 90.0 | 90.0 | 90.0 | 
| oqmd-1215054 | box | -7.1538 | -7.1538 | 2.6598 | 9.0445 | 4.171 | 90.0 | 90.0 | 90.0 | 
| oqmd-1214698 | box | -6.7878 | -6.7878 | 3.5725 | 8.7008 | 3.5722 | 90.0 | 90.0 | 90.0 | 
| oqmd-1277912 | static | -6.551 | -6.551 | 11.6704 | 11.6704 | 11.6704 | 90.0 | 90.0 | 90.0 | 
| oqmd-1277912 | box | -6.5116 | -6.5116 | 11.6315 | 11.6315 | 11.6315 | 90.0 | 90.0 | 90.0 | 
| A5--beta-Sn | dynamic | -6.0881 | -6.0881 | 4.6706 | 4.6706 | 2.4201 | 90.0 | 90.0 | 90.0 | 
| Ah--alpha-Po--sc | dynamic | -5.3502 | -5.3502 | 2.5124 | 2.5124 | 2.5124 | 90.0 | 90.0 | 90.0 | 
| Ah--alpha-Po--sc | box | -5.3413 | -5.3413 | 2.5187 | 2.5187 | 2.5187 | 90.0 | 90.0 | 90.0 | 
| A5--beta-Sn | static | -5.1699 | -5.1699 | 4.9506 | 4.9506 | 2.704 | 90.0 | 90.0 | 90.0 | 
| A6--In--bct | static | -4.5763 | -4.5763 | 2.255 | 2.255 | 3.3795 | 90.0 | 90.0 | 90.0 | 
| A4--C--dc | box | -3.8156 | -3.8156 | 5.7818 | 5.7818 | 5.7818 | 90.0 | 90.0 | 90.0 | 
| A1--Cu--fcc | dynamic | -3.4733 | -3.4733 | 3.6153 | 3.6153 | 3.6153 | 90.0 | 90.0 | 90.0 | 
| Ah--alpha-Po--sc | static | -2.6028 | -2.6028 | 2.24 | 2.24 | 2.24 | 90.0 | 90.0 | 90.0 | 
| A1--Cu--fcc | static | -1.9499 | -1.9499 | 3.1678 | 3.1678 | 3.1678 | 90.0 | 90.0 | 90.0 | 
| A3'--alpha-La--double-hcp | static | -1.9429 | -1.9429 | 2.24 | 2.24 | 7.3158 | 90.0 | 90.0 | 120.0 | 
| A3--Mg--hcp | static | -1.9359 | -1.9359 | 2.24 | 2.24 | 3.6579 | 90.0 | 90.0 | 120.0 | 
| mp-1056079 | static | -1.8992 | -1.8992 | 11.5703 | 2.5043 | 22.2237 | 90.0 | 101.9 | 90.0 | 
| A15--beta-W | static | -1.749 | -1.749 | 5.7243 | 5.7243 | 5.7243 | 90.0 | 90.0 | 90.0 | 
| A7--alpha-As | static | -1.4832 | -1.4832 | 3.1673 | 3.1673 | 8.7956 | 90.0 | 90.0 | 120.0 | 
| A1--Cu--fcc | static | -1.4535 | -1.4535 | 4.5255 | 4.5255 | 4.5255 | 90.0 | 90.0 | 90.0 | 
| A2--W--bcc | static | -1.2499 | -1.2499 | 3.695 | 3.695 | 3.695 | 90.0 | 90.0 | 90.0 | 
| A6--In--bct | static | -1.1496 | -1.1496 | 3.2 | 3.2 | 4.8013 | 90.0 | 90.0 | 90.0 | 
| Ah--alpha-Po--sc | static | -1.0365 | -1.0365 | 3.2 | 3.2 | 3.2 | 90.0 | 90.0 | 90.0 | 
| A5--beta-Sn | static | -0.8171 | -0.8171 | 6.1709 | 6.1709 | 3.3943 | 90.0 | 90.0 | 90.0 | 
| oqmd-1215945 | static | 10.4057 | 10.4057 | 3.3144 | 3.3144 | 4.983 | 90.0 | 90.0 | 120.0 | 
| A4--C--dc | static | 30.221 | 30.221 | 7.3901 | 7.3901 | 7.3901 | 90.0 | 90.0 | 90.0 | 
| A15--beta-W | static | 3539.5241 | 3539.5241 | 6.4 | 6.4 | 6.4 | 90.0 | 90.0 | 90.0 | 
| A6--In--bct | static | 14393.4592 | 14393.4592 | 3.099 | 3.099 | 4.6639 | 90.0 | 90.0 | 90.0 | 
Static elastic constants are displayed for the unique structures identified in Crystal Structure Predictions above. The values displayed here are obtained by measuring the change in virial stresses due to applying small strains to the relaxed crystals. The initial structure and the strained states are all relaxed using force minimization.
The calculation method used is available as the iprPy elastic_constants_static calculation method.
Notes and Disclaimers:
Version Information:
| 6574088160.443 | 6154760578.671 | 4553238081.875 | -150973542.584 | 146716602.827 | 32388603.618 | 
| 4571883839.157 | 6322323524.788 | 6346553287.014 | 46332878.060 | -26022139.682 | -49785081.131 | 
| 6056506945.211 | 4500163400.293 | 6586954841.795 | 159466441.231 | 54924615.159 | 65858352.178 | 
| -0.000 | 0.000 | -0.000 | -10.488 | 0.000 | 0.000 | 
| 0.000 | 0.000 | 0.000 | 0.000 | -10.488 | 0.000 | 
| 0.000 | 0.000 | 0.000 | 0.000 | 0.000 | -10.488 | 
| -4913788051.017 | -6123871543.755 | -6265217429.073 | -168532034.082 | 58189213.853 | -5197530.525 | 
| -6078685549.338 | -4732079176.771 | -5986242012.641 | -60511720.560 | 2040384.852 | -74696386.593 | 
| -6005163053.230 | -6382447787.139 | -5032205117.039 | -57805342.202 | -1766019.751 | 13088288.646 | 
| 0.000 | -0.000 | -0.000 | 61.047 | -0.000 | 0.000 | 
| -0.000 | -0.000 | -0.000 | -0.000 | 61.047 | -0.000 | 
| 0.000 | -0.000 | -0.000 | -0.000 | -0.000 | -10.488 | 
| 675629813.003 | 626300629.415 | 456832969.191 | -14144969.871 | 9785842.774 | 2251643.651 | 
| 444392906.633 | 653168700.028 | 618393025.107 | -4718464.339 | -4277414.753 | 13120492.964 | 
| 636080727.276 | 447257205.969 | 653403818.224 | -2801888.010 | -3512871.371 | -7739141.517 | 
| 0.000 | -0.000 | -0.000 | -10.488 | -0.000 | 0.000 | 
| -0.000 | 0.000 | 0.000 | 0.000 | -10.488 | 0.000 | 
| -0.000 | -0.000 | 0.000 | 0.000 | 0.000 | -10.488 | 
| -472380925.403 | -589671768.444 | -604296548.528 | -2809534.867 | 9931883.101 | 1933467.568 | 
| -620193161.338 | -476712064.475 | -603001738.259 | -1603974.632 | 8441300.956 | -1744545.848 | 
| -634739057.861 | -624568758.592 | -493001678.155 | -8096031.926 | 80989.778 | -8135289.721 | 
| -0.000 | 0.000 | 0.000 | -10.488 | -0.000 | 0.000 | 
| 0.000 | -0.000 | -0.000 | -0.000 | -10.488 | -0.000 | 
| 0.000 | 0.000 | -0.000 | -0.000 | -0.000 | -10.488 | 
| 65156362.888 | 60913586.076 | 46139803.416 | -288488.063 | 1219041.823 | -302696.827 | 
| 43862877.306 | 64074489.844 | 63264414.528 | -689553.911 | -591136.038 | 1282265.646 | 
| 62941213.135 | 44189864.137 | 64271127.816 | 877716.079 | -94744.044 | -37873.742 | 
| 0.000 | -0.001 | -0.000 | 61.047 | 0.000 | 0.000 | 
| -0.001 | 0.000 | -0.000 | 0.000 | 61.047 | 0.000 | 
| -0.001 | -0.000 | 0.000 | 0.000 | -0.000 | 61.047 | 
| -49244272.042 | -61274039.869 | -63722141.195 | -1320546.782 | -1249173.512 | -1227673.472 | 
| -61758772.002 | -46455855.324 | -60540397.877 | -918482.345 | -437493.448 | -1152523.129 | 
| -62220544.271 | -61437751.575 | -49319097.646 | -840986.307 | 268031.862 | -608331.405 | 
| -0.000 | 0.001 | 0.000 | 61.047 | 0.000 | -0.000 | 
| 0.001 | -0.000 | 0.000 | -0.000 | 61.047 | -0.000 | 
| 0.001 | 0.000 | -0.000 | -0.000 | -0.000 | 61.047 | 
| 674.618 | 544.650 | 544.650 | -0.000 | 0.000 | 0.000 | 
| 544.650 | 674.619 | 544.650 | -0.000 | -0.000 | 0.000 | 
| 544.650 | 544.651 | 674.618 | -0.000 | 0.000 | 0.000 | 
| -0.000 | 0.000 | -0.000 | -362.782 | -0.000 | 0.000 | 
| -0.000 | 0.000 | -0.000 | -0.000 | -362.782 | 0.000 | 
| -0.000 | 0.000 | -0.000 | -0.000 | -0.000 | -362.782 | 
| 674.618 | 544.650 | 544.651 | 0.000 | 0.000 | -0.000 | 
| 544.650 | 674.618 | 544.651 | 0.000 | 0.000 | -0.000 | 
| 544.650 | 544.650 | 674.618 | 0.000 | 0.000 | 0.000 | 
| 0.000 | 0.000 | 0.000 | -362.782 | 0.000 | 0.000 | 
| 0.000 | -0.000 | 0.000 | 0.000 | -362.781 | -0.000 | 
| 0.000 | -0.000 | 0.000 | 0.000 | 0.000 | -362.782 | 
| 674.618 | 544.651 | 544.651 | -0.000 | 0.000 | 0.000 | 
| 544.651 | 674.618 | 544.651 | -0.000 | -0.000 | 0.000 | 
| 544.651 | 544.651 | 674.618 | -0.000 | -0.000 | 0.000 | 
| 0.000 | 0.000 | -0.000 | -362.782 | -0.000 | 0.000 | 
| 0.000 | 0.000 | -0.000 | -0.000 | -362.782 | 0.000 | 
| 0.000 | -0.000 | 0.000 | 0.000 | 0.000 | -362.782 | 
| 674.619 | 544.650 | 544.650 | 0.000 | 0.000 | -0.000 | 
| 544.650 | 674.619 | 544.650 | 0.000 | 0.000 | -0.000 | 
| 544.650 | 544.650 | 674.619 | 0.000 | 0.000 | -0.000 | 
| -0.000 | -0.000 | 0.000 | -362.782 | -0.000 | -0.000 | 
| -0.000 | -0.000 | 0.000 | 0.000 | -362.782 | -0.000 | 
| -0.000 | 0.000 | -0.000 | 0.000 | 0.000 | -362.782 | 
| 674.616 | 544.652 | 544.652 | -0.000 | 0.000 | -0.000 | 
| 544.652 | 674.616 | 544.652 | -0.000 | -0.000 | 0.000 | 
| 544.652 | 544.652 | 674.616 | -0.000 | -0.000 | -0.000 | 
| 0.001 | 0.001 | -0.000 | -362.782 | -0.000 | 0.000 | 
| 0.001 | 0.001 | -0.000 | -0.000 | -362.782 | 0.000 | 
| 0.001 | -0.000 | 0.001 | -0.000 | -0.000 | -362.782 | 
| 674.621 | 544.649 | 544.649 | 0.000 | 0.000 | -0.000 | 
| 544.649 | 674.621 | 544.649 | 0.000 | 0.000 | 0.000 | 
| 544.649 | 544.649 | 674.621 | 0.000 | 0.000 | -0.000 | 
| -0.001 | -0.001 | 0.000 | -362.782 | 0.000 | -0.000 | 
| -0.001 | -0.001 | 0.000 | 0.000 | -362.782 | -0.000 | 
| -0.001 | 0.000 | -0.001 | 0.000 | 0.000 | -362.782 | 
| 766.036 | 202.475 | 294.174 | 0.000 | -0.000 | -0.000 | 
| 202.475 | 766.036 | 294.174 | -0.000 | 0.000 | 0.000 | 
| 294.174 | 294.174 | 967.848 | 0.000 | -0.000 | 0.000 | 
| -0.000 | 0.000 | 0.000 | -459.021 | -0.000 | 0.000 | 
| -0.000 | 0.000 | 0.000 | 0.000 | -459.021 | -0.000 | 
| -0.000 | 0.000 | 0.000 | 0.000 | -0.000 | 262.310 | 
| 746.565 | 221.946 | 294.174 | 0.000 | 0.000 | 0.000 | 
| 221.946 | 746.565 | 294.174 | -0.000 | 0.000 | -0.000 | 
| 4247357120.846 | 3762350200.857 | -4345917968.631 | 21846247.650 | 71472571.795 | -9952711.714 | 
| 0.000 | 0.000 | -0.000 | -459.021 | 0.000 | 0.000 | 
| 0.000 | -0.000 | -0.000 | -0.000 | -459.021 | -0.000 | 
| 0.000 | -0.000 | -0.000 | -0.000 | 0.000 | 262.310 | 
| 746.579 | 221.933 | 294.174 | -0.000 | -0.000 | -0.000 | 
| 221.933 | 746.578 | 294.174 | 0.000 | -0.000 | 0.000 | 
| 294.174 | 294.174 | 967.848 | 0.000 | -0.000 | 0.000 | 
| 0.000 | 0.000 | 0.000 | -459.021 | -0.000 | 0.000 | 
| 0.000 | 0.000 | 0.000 | -0.000 | -459.021 | 0.000 | 
| -0.000 | 0.000 | 0.000 | 0.000 | -0.000 | 262.323 | 
| 766.036 | 202.475 | 294.174 | 0.000 | 0.000 | 0.000 | 
| 202.475 | 766.036 | 294.174 | -0.000 | 0.000 | -0.000 | 
| 424297622.188 | 376794910.753 | -429233461.228 | 2417853.464 | 6394132.913 | -791137.945 | 
| -0.000 | -0.000 | -0.000 | -459.021 | 0.000 | -0.000 | 
| 0.000 | -0.000 | -0.000 | 0.000 | -459.021 | -0.000 | 
| 0.000 | -0.000 | -0.000 | -0.000 | 0.000 | 262.323 | 
| 766.038 | 202.475 | 294.175 | -0.000 | -0.000 | -0.000 | 
| 202.476 | 766.037 | 294.175 | 0.000 | -0.000 | 0.000 | 
| -42322540.002 | -37771570.431 | 42727417.916 | -237743.838 | -682610.930 | 90764.382 | 
| 0.000 | 0.000 | 0.001 | -459.021 | -0.000 | 0.000 | 
| -42249223.997 | -37566681.858 | 43913086.928 | -1085972.627 | 865085.126 | 344386.809 | 
| -0.001 | 0.001 | 0.001 | 0.000 | -0.000 | 262.323 | 
| 746.576 | 221.933 | 294.173 | -0.000 | 0.000 | 0.000 | 
| 221.931 | 746.578 | 294.173 | -0.000 | 0.000 | -0.000 | 
| 42344632.490 | 37885749.551 | -43113563.010 | 209932.658 | 1179637.197 | 25886.347 | 
| 41948325.866 | 38887439.706 | -42258685.034 | 332526.322 | -479702.960 | -494112.952 | 
| 42077115.523 | 37494982.906 | -43412742.170 | 727135.977 | -758500.285 | -311889.511 | 
| 0.001 | -0.001 | -0.001 | -0.000 | 0.000 | 262.323 | 
| 1070.197 | 224.291 | 224.291 | 0.000 | -0.000 | -0.000 | 
| 224.291 | 1070.197 | 224.291 | -0.000 | -0.000 | -0.000 | 
| 224.291 | 224.291 | 1070.197 | -0.000 | -0.000 | -0.000 | 
| -0.000 | -0.000 | 0.000 | 605.519 | -0.000 | -0.000 | 
| -0.000 | -0.000 | 0.000 | 0.000 | 605.519 | -0.000 | 
| -0.000 | 0.000 | -0.000 | -0.000 | -0.000 | 605.519 | 
| 1070.197 | 224.291 | 224.291 | 0.000 | 0.000 | 0.000 | 
| 224.291 | 1070.197 | 224.291 | 0.000 | 0.000 | 0.000 | 
| 224.291 | 224.291 | 1070.197 | 0.000 | 0.000 | 0.000 | 
| 0.000 | -0.000 | -0.000 | 605.519 | 0.000 | 0.000 | 
| 0.000 | 0.000 | -0.000 | 0.000 | 605.519 | 0.000 | 
| 0.000 | -0.000 | 0.000 | 0.000 | 0.000 | 605.519 | 
| 1070.197 | 224.291 | 224.291 | -0.000 | -0.000 | -0.000 | 
| 224.291 | 1070.197 | 224.291 | -0.000 | -0.000 | -0.000 | 
| 224.291 | 224.291 | 1070.197 | -0.000 | -0.000 | -0.000 | 
| -0.000 | 0.000 | 0.000 | 644.057 | -0.000 | -0.000 | 
| 0.000 | -0.000 | 0.000 | 0.000 | 644.057 | 0.000 | 
| 0.000 | 0.000 | -0.000 | 0.000 | -0.000 | 644.057 | 
| 1070.197 | 224.291 | 224.291 | 0.000 | 0.000 | 0.000 | 
| 224.291 | 1070.197 | 224.291 | 0.000 | 0.000 | 0.000 | 
| 224.291 | 224.291 | 1070.197 | -0.000 | 0.000 | 0.000 | 
| 0.000 | -0.000 | -0.000 | 644.057 | -0.000 | 0.000 | 
| -0.000 | 0.000 | -0.000 | -0.000 | 644.057 | 0.000 | 
| -0.000 | -0.000 | 0.000 | -0.000 | -0.000 | 644.057 | 
| 1070.196 | 224.293 | 224.293 | -0.000 | -0.000 | -0.000 | 
| 224.293 | 1070.196 | 224.293 | 0.000 | -0.000 | -0.000 | 
| 224.293 | 224.293 | 1070.196 | -0.000 | -0.000 | -0.000 | 
| -0.000 | 0.000 | 0.001 | 644.057 | -0.000 | -0.000 | 
| 0.000 | -0.000 | 0.001 | 0.000 | 644.057 | -0.000 | 
| 0.000 | 0.001 | -0.000 | -0.000 | -0.000 | 644.057 | 
| 1070.197 | 224.289 | 224.289 | 0.000 | 0.000 | 0.000 | 
| 224.289 | 1070.197 | 224.289 | 0.000 | 0.000 | 0.000 | 
| 224.289 | 224.289 | 1070.197 | -0.000 | 0.000 | 0.000 | 
| 0.000 | -0.000 | -0.001 | 644.057 | -0.000 | 0.000 | 
| -0.000 | 0.000 | -0.001 | -0.000 | 644.057 | 0.000 | 
| -0.000 | -0.001 | 0.000 | 0.000 | 0.000 | 644.057 | 
| 578.201 | 415.690 | 0.000 | 0.000 | 0.000 | -0.000 | 
| 415.690 | 578.201 | 0.000 | 0.000 | 0.000 | 0.000 | 
| -0.000 | -0.000 | 0.000 | 0.000 | 0.000 | -0.000 | 
| -0.000 | -0.000 | 0.000 | 0.000 | 0.000 | 0.000 | 
| -0.000 | -0.000 | 0.000 | 0.000 | 0.000 | -0.000 | 
| -0.000 | -0.000 | 0.000 | 0.000 | 0.000 | 326.581 | 
| 578.202 | 415.690 | -0.000 | -0.000 | -0.000 | -0.000 | 
| 415.690 | 578.202 | -0.000 | -0.000 | -0.000 | 0.000 | 
| 0.000 | 0.000 | -0.000 | -0.000 | -0.000 | 0.000 | 
| 0.000 | 0.000 | -0.000 | -0.000 | -0.000 | -0.000 | 
| 0.000 | 0.000 | -0.000 | -0.000 | -0.000 | 0.000 | 
| 0.000 | 0.000 | -0.000 | -0.000 | -0.000 | 326.581 | 
| 578.202 | 415.690 | 0.000 | 0.000 | 0.000 | -0.000 | 
| 415.690 | 578.202 | 0.000 | 0.000 | 0.000 | 0.000 | 
| -0.000 | -0.000 | 0.000 | 0.000 | 0.000 | -0.000 | 
| -0.000 | -0.000 | 0.000 | 0.000 | 0.000 | 0.000 | 
| -0.000 | -0.000 | 0.000 | 0.000 | 0.000 | -0.000 | 
| -0.000 | 0.000 | 0.000 | 0.000 | 0.000 | 326.581 | 
| 578.201 | 415.690 | -0.000 | -0.000 | -0.000 | 0.000 | 
| 415.690 | 578.201 | -0.000 | -0.000 | -0.000 | 0.000 | 
| 0.000 | 0.000 | -0.000 | -0.000 | -0.000 | 0.000 | 
| 0.000 | 0.000 | -0.000 | -0.000 | -0.000 | -0.000 | 
| 0.000 | 0.000 | -0.000 | -0.000 | -0.000 | 0.000 | 
| 0.000 | -0.000 | -0.000 | -0.000 | -0.000 | 326.581 | 
| 578.204 | 415.690 | 0.000 | 0.000 | 0.000 | 0.000 | 
| 415.690 | 578.204 | 0.000 | 0.000 | 0.000 | -0.000 | 
| -0.000 | -0.000 | 0.000 | 0.000 | 0.000 | -0.000 | 
| -0.000 | -0.000 | 0.000 | 0.000 | 0.000 | 0.000 | 
| -0.000 | -0.000 | 0.000 | 0.000 | 0.000 | -0.000 | 
| -0.000 | 0.000 | 0.000 | 0.000 | 0.000 | 326.581 | 
| 578.199 | 415.689 | -0.000 | -0.000 | -0.000 | -0.000 | 
| 415.689 | 578.199 | -0.000 | -0.000 | -0.000 | 0.000 | 
| 0.000 | 0.000 | -0.000 | -0.000 | -0.000 | 0.000 | 
| 0.000 | 0.000 | -0.000 | -0.000 | -0.000 | -0.000 | 
| 0.000 | 0.000 | -0.000 | -0.000 | -0.000 | 0.000 | 
| 0.000 | -0.000 | -0.000 | -0.000 | -0.000 | 326.581 | 
| 672.670 | 348.056 | 0.000 | -0.000 | -0.000 | 0.000 | 
| 288.676 | 732.050 | 0.000 | 0.000 | -0.000 | 0.000 | 
| 0.000 | 0.000 | 0.000 | -0.000 | -0.000 | 0.000 | 
| 0.000 | -0.000 | 0.000 | -0.000 | -0.000 | -0.000 | 
| 0.000 | -0.000 | -0.000 | -0.000 | -0.000 | -0.000 | 
| 0.000 | -0.000 | -0.000 | -0.000 | -0.000 | 221.687 | 
| 732.050 | 288.676 | 0.000 | -0.000 | 0.000 | -0.000 | 
| 288.676 | 732.050 | 0.000 | 0.000 | -0.000 | -0.000 | 
| 0.000 | 0.000 | -0.000 | -0.000 | 0.000 | 0.000 | 
| -0.000 | -0.000 | 0.000 | 0.000 | 0.000 | 0.000 | 
| -0.000 | -0.000 | 0.000 | 0.000 | 0.000 | 0.000 | 
| 0.000 | -0.000 | 0.000 | 0.000 | -0.000 | 221.687 | 
| 732.050 | 288.676 | -0.000 | -0.000 | -0.000 | -0.000 | 
| 348.056 | 672.671 | 0.000 | -0.000 | 0.000 | -0.000 | 
| 0.000 | 0.000 | 0.000 | -0.000 | -0.000 | 0.000 | 
| 0.000 | 0.000 | -0.000 | -0.000 | -0.000 | -0.000 | 
| 0.000 | -0.000 | -0.000 | 0.000 | -0.000 | -0.000 | 
| 0.000 | -0.000 | 0.000 | -0.000 | -0.000 | 162.307 | 
| 672.665 | 348.061 | -0.000 | -0.000 | 0.000 | 0.000 | 
| 348.057 | 672.669 | -0.000 | 0.000 | -0.000 | 0.000 | 
| 0.000 | 0.000 | 0.000 | 0.000 | 0.000 | 0.000 | 
| -0.000 | -0.000 | 0.000 | 0.000 | 0.000 | 0.000 | 
| -0.000 | 0.000 | 0.000 | 0.000 | 0.000 | 0.000 | 
| -0.000 | 0.000 | -0.000 | 0.000 | -0.000 | 162.307 | 
| 672.662 | 348.067 | 0.000 | -0.000 | -0.000 | 0.000 | 
| 348.274 | 672.455 | 0.000 | 0.000 | -0.000 | -0.000 | 
| 0.000 | 0.000 | 0.000 | -0.000 | -0.000 | 0.000 | 
| 0.000 | 0.000 | -0.000 | -0.000 | -0.000 | -0.000 | 
| -0.000 | -0.000 | -0.000 | -0.000 | -0.000 | -0.000 | 
| 0.001 | -0.001 | 0.000 | -0.000 | -0.000 | 162.307 | 
| 672.659 | 348.065 | -0.000 | -0.000 | 0.000 | 0.000 | 
| 288.676 | 732.048 | -0.000 | 0.000 | -0.000 | 0.000 | 
| 0.000 | 0.000 | 0.000 | 0.000 | 0.000 | 0.000 | 
| -0.000 | -0.000 | 0.000 | 0.000 | 0.000 | 0.000 | 
| -0.000 | 0.000 | -0.000 | -0.000 | -0.000 | 0.000 | 
| -0.001 | 0.001 | -0.000 | 0.000 | -0.000 | 162.307 | 
| 586.089 | 340.620 | 340.620 | 0.000 | -0.000 | 0.000 | 
| 340.620 | 586.089 | 340.620 | 0.000 | 0.000 | 0.000 | 
| 340.620 | 340.620 | 586.089 | 0.000 | 0.000 | 0.000 | 
| -0.000 | -0.000 | 0.000 | 251.782 | -0.000 | 0.000 | 
| 0.000 | -0.000 | 0.000 | 0.000 | 251.782 | 0.000 | 
| -0.000 | 0.000 | -0.000 | 0.000 | 0.000 | 251.782 | 
| 586.089 | 340.620 | 340.620 | -0.000 | 0.000 | -0.000 | 
| 340.620 | 586.089 | 340.620 | -0.000 | -0.000 | 0.000 | 
| 340.620 | 340.620 | 586.089 | -0.000 | -0.000 | 0.000 | 
| 0.000 | 0.000 | -0.000 | 251.782 | -0.000 | -0.000 | 
| 0.000 | 0.000 | -0.000 | -0.000 | 251.782 | -0.000 | 
| 0.000 | -0.000 | 0.000 | -0.000 | -0.000 | 251.782 | 
| 586.089 | 340.620 | 340.620 | 0.000 | 0.000 | 0.000 | 
| 340.620 | 586.089 | 340.620 | 0.000 | 0.000 | -0.000 | 
| 340.620 | 340.620 | 586.089 | 0.000 | 0.000 | -0.000 | 
| -0.000 | 0.000 | 0.000 | 251.782 | 0.000 | -0.000 | 
| 0.000 | -0.000 | 0.000 | 0.000 | 251.782 | 0.000 | 
| 0.000 | 0.000 | -0.000 | 0.000 | -0.000 | 251.782 | 
| 586.089 | 340.620 | 340.620 | -0.000 | -0.000 | -0.000 | 
| 340.620 | 586.089 | 340.620 | -0.000 | 0.000 | -0.000 | 
| 340.620 | 340.620 | 586.089 | -0.000 | -0.000 | -0.000 | 
| 0.000 | -0.000 | -0.000 | 251.782 | -0.000 | -0.000 | 
| -0.000 | 0.000 | -0.000 | -0.000 | 251.782 | -0.000 | 
| -0.000 | -0.000 | 0.000 | -0.000 | -0.000 | 251.782 | 
| 586.094 | 340.621 | 340.621 | 0.000 | 0.000 | 0.000 | 
| 340.621 | 586.094 | 340.621 | 0.000 | 0.000 | -0.000 | 
| 340.621 | 340.621 | 586.094 | 0.000 | 0.000 | -0.000 | 
| -0.001 | 0.000 | 0.001 | 251.782 | -0.000 | 0.000 | 
| 0.000 | -0.001 | 0.001 | -0.000 | 251.782 | 0.000 | 
| 0.000 | 0.001 | -0.001 | 0.000 | 0.000 | 251.782 | 
| 586.084 | 340.620 | 340.620 | -0.000 | -0.000 | 0.000 | 
| 340.620 | 586.084 | 340.620 | -0.000 | 0.000 | -0.000 | 
| 340.620 | 340.620 | 586.084 | -0.000 | -0.000 | 0.000 | 
| 0.001 | -0.000 | -0.001 | 251.782 | -0.000 | 0.000 | 
| -0.000 | 0.001 | -0.001 | -0.000 | 251.782 | -0.000 | 
| -0.000 | -0.001 | 0.001 | -0.000 | -0.000 | 251.782 | 
| 546.469 | 12.639 | 57.246 | 0.000 | -0.000 | -0.000 | 
| -126.125 | 1485.488 | 234.854 | -0.000 | -0.000 | -0.000 | 
| -97.496 | 776.861 | 841.078 | 0.000 | -0.000 | -0.000 | 
| 0.000 | 0.000 | -0.000 | 639.704 | -0.000 | -0.000 | 
| 0.000 | -0.000 | -0.000 | 0.000 | 193.339 | -0.000 | 
| 0.000 | -0.000 | -0.000 | 0.000 | -0.000 | 322.832 | 
| 546.469 | 12.639 | 57.247 | -0.000 | -0.000 | 0.000 | 
| 179.979 | 640.096 | 469.730 | -0.000 | 0.000 | -0.000 | 
| 57.417 | 347.935 | 961.601 | -0.000 | 0.000 | 0.000 | 
| -0.000 | 0.000 | 0.000 | 639.704 | -0.000 | -0.000 | 
| 0.000 | 0.000 | 0.000 | -0.000 | 193.339 | 0.000 | 
| -0.000 | 0.000 | 0.000 | -0.000 | 0.000 | 322.832 | 
| 524.632 | 70.867 | 43.652 | 0.000 | 0.000 | -0.000 | 
| 11.629 | 1105.028 | 340.574 | -0.000 | -0.000 | -0.000 | 
| 40.254 | 396.428 | 946.774 | 0.000 | -0.000 | -0.000 | 
| -15.448 | 42.674 | -11.867 | 632.403 | -0.000 | 0.000 | 
| -0.000 | 0.000 | -0.000 | 0.000 | 193.339 | -0.000 | 
| -18.517 | 51.154 | -14.232 | -0.000 | -0.000 | 132.556 | 
| 555.234 | -13.649 | 67.134 | -0.000 | 0.000 | 0.000 | 
| 42.222 | 1020.548 | 364.032 | 0.000 | 0.000 | -0.000 | 
| 70.862 | 311.895 | 970.259 | 0.000 | 0.000 | -0.000 | 
| 15.448 | -42.674 | 11.867 | 632.403 | -0.000 | -0.000 | 
| 0.000 | -0.000 | 0.000 | -0.000 | 193.339 | -0.000 | 
| 18.517 | -51.154 | 14.232 | 0.000 | 0.000 | 132.556 | 
| 538.420 | 32.806 | 54.208 | -0.000 | 0.000 | 0.000 | 
| 25.372 | 1067.078 | 351.115 | 0.000 | 0.000 | -0.000 | 
| 54.031 | 358.379 | 957.348 | -0.000 | -0.000 | -0.000 | 
| -2.146 | 5.927 | -1.646 | 632.221 | 0.000 | -0.000 | 
| -0.001 | 0.001 | -0.001 | -0.000 | 193.339 | -0.000 | 
| -1.934 | 5.341 | -1.484 | -0.000 | -0.000 | 174.458 | 
| 541.479 | 24.343 | 56.567 | -0.000 | 0.000 | 0.000 | 
| 28.435 | 1058.619 | 353.458 | 0.000 | 0.000 | -0.000 | 
| 57.092 | 349.923 | 959.695 | -0.000 | 0.000 | -0.000 | 
| 2.146 | -5.927 | 1.646 | 632.221 | 0.000 | 0.000 | 
| 0.001 | -0.001 | 0.001 | 0.000 | 193.339 | 0.000 | 
| 1.934 | -5.341 | 1.484 | 0.000 | 0.000 | 174.458 | 
| 695.161 | 102.304 | 273.186 | -0.000 | -0.000 | 0.000 | 
| 102.304 | 695.161 | 273.186 | -0.000 | 0.000 | 0.000 | 
| 249.935 | 249.935 | 1035.885 | -0.000 | 0.000 | -0.000 | 
| 0.000 | -0.000 | 0.000 | 202.977 | 0.000 | -0.000 | 
| -0.000 | -0.000 | 0.000 | -0.000 | 202.977 | -0.000 | 
| -0.000 | -0.000 | 0.000 | -0.000 | -0.000 | 671.925 | 
| 672.675 | 86.428 | 354.697 | 0.000 | -0.000 | 0.000 | 
| 86.428 | 672.675 | 354.697 | -0.000 | 0.000 | 0.000 | 
| 249.935 | 249.935 | 1035.885 | 0.000 | 0.000 | 0.000 | 
| -0.000 | 0.000 | 0.000 | 202.977 | 0.000 | 0.000 | 
| 0.000 | 0.000 | 0.000 | -0.000 | 202.977 | 0.000 | 
| 0.000 | -0.000 | -0.000 | 0.000 | -0.000 | 671.925 | 
| -231355172.134 | 557574575.490 | -97499308.414 | -0.000 | 0.000 | -0.000 | 
| 557574575.489 | -231355172.128 | -97499308.432 | 0.000 | -0.000 | -0.000 | 
| 249.935 | 249.935 | 1035.885 | -0.000 | -0.000 | -0.000 | 
| -0.000 | 0.000 | 0.000 | 202.977 | -0.000 | -0.000 | 
| 0.000 | -0.000 | 0.000 | 0.000 | 202.977 | -0.000 | 
| -0.006 | -0.006 | 0.026 | -0.000 | -0.000 | 510.651 | 
| 672.609 | 86.346 | 355.011 | -0.000 | -0.000 | 0.000 | 
| 86.346 | 672.609 | 355.011 | -0.000 | -0.000 | 0.000 | 
| 316.302 | 316.302 | 753.845 | 0.000 | -0.000 | 0.000 | 
| 0.000 | -0.000 | -0.000 | 202.977 | -0.000 | 0.000 | 
| -0.000 | 0.000 | -0.000 | 0.000 | 202.977 | 0.000 | 
| -0.000 | -0.000 | -0.000 | 0.000 | -0.000 | 671.925 | 
| -23134475.349 | 55757470.454 | -9749568.702 | 0.000 | 0.000 | -0.000 | 
| 55757470.454 | -23134475.349 | -9749568.702 | -0.000 | 0.000 | -0.000 | 
| 316.287 | 316.287 | 753.911 | 0.000 | 0.000 | -0.000 | 
| -0.002 | -0.001 | 0.004 | 127.096 | -0.000 | -0.000 | 
| -0.001 | -0.002 | 0.004 | -0.000 | 127.096 | -0.000 | 
| -0.001 | -0.001 | 0.004 | -0.000 | -0.000 | 510.651 | 
| -55755637.684 | 23135568.421 | 9749947.502 | 0.000 | -0.000 | 0.000 | 
| 23135568.421 | -55755637.684 | 9749947.502 | -0.000 | -0.000 | 0.000 | 
| 316.290 | 316.290 | 753.896 | 0.000 | -0.000 | -0.000 | 
| 0.002 | 0.001 | -0.004 | 127.096 | -0.000 | 0.000 | 
| 0.001 | 0.002 | -0.004 | 0.000 | 127.096 | 0.000 | 
| 0.001 | 0.001 | -0.004 | 0.000 | -0.000 | 510.651 | 
| 241.184 | 224.036 | 224.036 | -0.000 | 0.000 | -0.000 | 
| 224.036 | 241.184 | 224.036 | 0.000 | 0.000 | -0.000 | 
| 224.036 | 224.036 | 241.184 | -0.000 | -0.000 | -0.000 | 
| -0.000 | -0.000 | 0.000 | 63.523 | -0.000 | 0.000 | 
| -0.000 | -0.000 | -0.000 | 0.000 | 63.523 | -0.000 | 
| -0.000 | 0.000 | 0.000 | -0.000 | 0.000 | 63.523 | 
| 317.548 | 185.854 | 185.853 | 0.000 | 0.000 | 0.000 | 
| 185.854 | 317.548 | 185.854 | 0.000 | -0.000 | 0.000 | 
| 185.854 | 185.853 | 317.548 | 0.000 | 0.000 | 0.000 | 
| 0.000 | -0.000 | -0.000 | 63.523 | -0.000 | 0.000 | 
| 0.000 | 0.000 | -0.000 | -0.000 | 63.523 | 0.000 | 
| 0.000 | 0.000 | 0.000 | 0.000 | 0.000 | 63.523 | 
| 241.183 | 224.036 | 224.036 | -0.000 | -0.000 | -0.000 | 
| 224.036 | 241.183 | 224.036 | -0.000 | 0.000 | -0.000 | 
| 224.036 | 224.036 | 241.183 | -0.000 | 0.000 | -0.000 | 
| -0.000 | -0.000 | 0.000 | 181.274 | 0.000 | -0.000 | 
| -0.000 | -0.000 | 0.000 | -0.000 | 181.274 | 0.000 | 
| -0.000 | 0.000 | -0.000 | -0.000 | 0.000 | 181.274 | 
| 317.548 | 185.853 | 185.853 | 0.000 | 0.000 | 0.000 | 
| 185.853 | 317.548 | 185.853 | -0.000 | 0.000 | 0.000 | 
| 185.853 | 185.853 | 317.548 | 0.000 | -0.000 | 0.000 | 
| 0.000 | 0.000 | -0.000 | 181.274 | 0.000 | 0.000 | 
| 0.000 | 0.000 | -0.000 | 0.000 | 181.274 | 0.000 | 
| 0.000 | -0.000 | 0.000 | 0.000 | 0.000 | 181.274 | 
| 241.187 | 224.034 | 224.034 | -0.000 | -0.000 | -0.000 | 
| 224.034 | 241.187 | 224.034 | -0.000 | -0.000 | -0.000 | 
| 224.034 | 224.034 | 241.187 | -0.000 | 0.000 | -0.000 | 
| -0.001 | 0.000 | 0.000 | 63.523 | 0.000 | -0.000 | 
| 0.000 | -0.001 | 0.000 | -0.000 | 63.523 | -0.000 | 
| 0.000 | 0.000 | -0.001 | 0.000 | -0.000 | 63.523 | 
| 241.188 | 224.033 | 224.033 | -0.000 | -0.000 | 0.000 | 
| 224.033 | 241.188 | 224.033 | -0.000 | 0.000 | 0.000 | 
| 224.033 | 224.033 | 241.188 | 0.000 | 0.000 | 0.000 | 
| 0.001 | -0.000 | -0.000 | 63.523 | -0.000 | -0.000 | 
| -0.000 | 0.001 | -0.000 | 0.000 | 63.523 | 0.000 | 
| -0.000 | -0.000 | 0.001 | 0.000 | 0.000 | 63.523 | 
| 114.510 | 59.250 | 0.000 | 0.000 | 0.000 | 0.000 | 
| 49.142 | 124.618 | 0.000 | 0.000 | 0.000 | -0.000 | 
| -0.000 | -0.000 | 0.000 | 0.000 | 0.000 | -0.000 | 
| -0.000 | 0.000 | 0.000 | 0.000 | 0.000 | 0.000 | 
| 0.000 | 0.000 | 0.000 | 0.000 | 0.000 | -0.000 | 
| -0.000 | -0.000 | 0.000 | 0.000 | 0.000 | 37.738 | 
| 124.618 | 49.142 | -0.000 | -0.000 | -0.000 | 0.000 | 
| 59.250 | 114.510 | -0.000 | -0.000 | -0.000 | 0.000 | 
| 0.000 | 0.000 | -0.000 | -0.000 | -0.000 | 0.000 | 
| 0.000 | 0.000 | -0.000 | -0.000 | -0.000 | -0.000 | 
| -0.000 | 0.000 | -0.000 | -0.000 | -0.000 | 0.000 | 
| -0.000 | 0.000 | -0.000 | -0.000 | -0.000 | 37.738 | 
| 124.618 | 49.142 | 0.000 | 0.000 | 0.000 | 0.000 | 
| 59.250 | 114.510 | 0.000 | 0.000 | 0.000 | 0.000 | 
| -0.000 | -0.000 | 0.000 | 0.000 | 0.000 | -0.000 | 
| -0.000 | -0.000 | 0.000 | 0.000 | 0.000 | 0.000 | 
| 0.000 | -0.000 | 0.000 | 0.000 | 0.000 | -0.000 | 
| 0.000 | -0.000 | 0.000 | 0.000 | 0.000 | 27.630 | 
| 124.618 | 49.142 | -0.000 | -0.000 | -0.000 | -0.000 | 
| 59.250 | 114.510 | -0.000 | -0.000 | -0.000 | -0.000 | 
| 0.000 | 0.000 | -0.000 | -0.000 | -0.000 | 0.000 | 
| -0.000 | 0.000 | -0.000 | -0.000 | -0.000 | -0.000 | 
| -0.000 | -0.000 | -0.000 | -0.000 | -0.000 | 0.000 | 
| -0.000 | 0.000 | -0.000 | -0.000 | -0.000 | 27.630 | 
| 114.509 | 59.252 | 0.000 | 0.000 | 0.000 | -0.000 | 
| 49.142 | 124.619 | 0.000 | 0.000 | 0.000 | -0.000 | 
| -0.000 | -0.000 | 0.000 | 0.000 | 0.000 | -0.000 | 
| -0.000 | 0.000 | 0.000 | 0.000 | 0.000 | 0.000 | 
| 0.000 | 0.000 | 0.000 | 0.000 | 0.000 | -0.000 | 
| 0.000 | -0.000 | 0.000 | 0.000 | 0.000 | 27.630 | 
| 114.511 | 59.249 | -0.000 | -0.000 | -0.000 | 0.000 | 
| 59.252 | 114.508 | -0.000 | -0.000 | -0.000 | -0.000 | 
| 0.000 | 0.000 | -0.000 | -0.000 | -0.000 | 0.000 | 
| 0.000 | 0.000 | -0.000 | -0.000 | -0.000 | -0.000 | 
| -0.000 | -0.000 | -0.000 | -0.000 | -0.000 | 0.000 | 
| -0.000 | 0.000 | -0.000 | -0.000 | -0.000 | 27.630 | 
| 10015.951 | 4005.523 | -2407.836 | 540.115 | 3810.091 | -2647.622 | 
| 2208.995 | 2443.025 | -3203.001 | 105.413 | -145.582 | -1654.938 | 
| 2413.180 | 2837.812 | -3784.715 | 1130.492 | 5093.808 | -5104.659 | 
| 8600.969 | 4118.284 | -2466.352 | 2182.485 | 3735.336 | -7354.480 | 
| 6405.145 | 3779.329 | -3349.288 | 1170.395 | 5630.405 | -6492.146 | 
| 1971.234 | 2235.625 | -4207.664 | 1735.707 | 953.363 | -5118.887 | 
| 3501.364 | 418.951 | 858.347 | -547.996 | -1337.826 | 918.760 | 
| -12061.065 | -2892.059 | 2731.587 | -1799.504 | -1081.304 | 5607.862 | 
| -7825.282 | -2173.275 | 8047.408 | -121.563 | 111.365 | -116.638 | 
| -5660.391 | -1962.222 | 7622.595 | -204.331 | -1226.492 | 802.578 | 
| -2195.845 | -338.912 | -883.000 | -546.906 | 1895.183 | 862.369 | 
| -6485.376 | -2816.551 | 2466.166 | -1719.775 | -3732.121 | 6295.496 | 
| 3583.752 | 792.991 | -281.712 | 124.793 | 230.674 | -157.065 | 
| 1209.407 | 1734.813 | -128.185 | -5.540 | 240.785 | -646.241 | 
| 1081.705 | 701.895 | 1391.505 | 343.501 | 252.800 | -973.608 | 
| 335.867 | 253.352 | -589.298 | 638.062 | 408.753 | -752.812 | 
| 212.490 | 291.759 | -846.187 | 126.302 | 757.735 | -644.208 | 
| 217.967 | 36.458 | -596.575 | 71.625 | 124.568 | 1010.327 | 
| -841.378 | -673.203 | -542.324 | -43.739 | -118.616 | 893.261 | 
| 796.318 | 1393.508 | 284.479 | -54.780 | -134.557 | 90.651 | 
| 74.912 | -84.048 | 1817.357 | -61.032 | -143.722 | 743.633 | 
| -1000.452 | -442.441 | 759.326 | 524.922 | -124.477 | 601.149 | 
| -437.541 | -336.112 | 90.047 | -53.107 | 683.597 | 354.354 | 
| -734.039 | -370.175 | 762.071 | -61.455 | -128.923 | 1488.374 | 
| 1284.396 | 47.153 | 163.694 | 11.561 | 51.227 | -47.797 | 
| 266.778 | 1209.111 | 212.405 | 6.259 | -16.232 | -24.467 | 
| 83.945 | 178.722 | 1203.117 | 12.502 | 24.141 | -10.186 | 
| 181.769 | 74.002 | 17.545 | 475.452 | 26.020 | -65.743 | 
| 136.749 | 41.794 | -7.801 | -7.852 | 511.481 | -61.063 | 
| 97.093 | 38.854 | 0.396 | 21.909 | 51.281 | 542.437 | 
| 1186.890 | 1.366 | 102.304 | -4.774 | -38.088 | 57.897 | 
| 6.882 | 1117.479 | 290.555 | -12.238 | -53.299 | 49.977 | 
| -20.056 | 112.697 | 1236.140 | -22.983 | -81.246 | 51.382 | 
| -71.069 | -56.557 | 25.032 | 433.755 | -64.702 | 123.286 | 
| -55.420 | -38.842 | 25.774 | -16.154 | 436.416 | 76.822 | 
| -91.358 | -28.331 | -17.445 | -22.395 | -28.288 | 684.346 | 
| 1999.165 | 175.611 | -766.504 | -0.000 | 2201.683 | -0.000 | 
| 879.941 | 1343.606 | -821.888 | -0.000 | 1861.626 | -0.000 | 
| 66.020 | 133.102 | 1440.283 | -0.000 | 47.142 | -0.000 | 
| 845.232 | 140.735 | -984.695 | 681.583 | 2007.521 | 30.970 | 
| 843.150 | 300.047 | -1659.638 | -0.000 | 1946.724 | -0.000 | 
| 623.661 | 50.933 | -1472.698 | 24.261 | 1285.568 | 368.207 | 
| 355.819 | -110.100 | 1180.297 | 0.000 | -1795.982 | 0.000 | 
| -806.660 | 1065.567 | 1140.661 | 0.000 | -2140.786 | 0.000 | 
| 66.020 | 133.102 | 1440.283 | 0.000 | 47.142 | 0.000 | 
| -845.232 | -140.735 | 984.695 | 681.583 | -2007.521 | 30.970 | 
| 199.153 | -104.353 | 47.142 | 0.000 | 942.808 | 0.000 | 
| -623.661 | -50.933 | 1472.698 | 24.261 | -1285.568 | 368.207 | 
| 1190.977 | 35.498 | 189.858 | -0.000 | 238.769 | -0.000 | 
| 58.845 | 1220.746 | 89.804 | -0.000 | -11.371 | -0.000 | 
| 375.562 | 250.559 | 921.711 | -0.000 | 293.973 | -0.000 | 
| -0.000 | 0.000 | 0.000 | 738.264 | -0.000 | 27.194 | 
| 112.453 | -94.786 | -15.208 | -0.000 | 750.883 | -0.000 | 
| 64.351 | 3.547 | -176.048 | 23.722 | 126.329 | 309.972 | 
| 1153.049 | 6.657 | 294.248 | 0.000 | -27.504 | 0.000 | 
| -39.616 | 1175.396 | 385.210 | 0.000 | -253.083 | -0.000 | 
| 172.280 | 168.456 | 1273.516 | 0.000 | -28.845 | 0.000 | 
| 0.000 | -0.000 | -0.000 | 738.264 | 0.000 | 27.194 | 
| -56.818 | -168.126 | 319.880 | 0.000 | 466.797 | 0.000 | 
| -64.351 | -3.547 | 176.048 | 23.722 | -126.329 | 309.972 | 
| 1073.611 | 23.941 | 288.865 | -0.000 | 119.693 | 0.000 | 
| 23.541 | 1228.768 | 152.508 | -0.000 | -138.013 | -0.000 | 
| 302.072 | 209.187 | 1083.904 | -0.000 | 168.465 | -0.000 | 
| 14.390 | 2.395 | -16.763 | 641.773 | 34.175 | 33.621 | 
| 100.554 | -135.708 | 104.222 | -0.000 | 682.944 | -0.000 | 
| 12.451 | 10.339 | -26.045 | -15.620 | 18.794 | 125.696 | 
| 1458.645 | 5.905 | 76.233 | 0.000 | 294.440 | 0.000 | 
| 7.092 | 1210.500 | 218.133 | 0.000 | -153.821 | 0.000 | 
| 284.462 | 200.315 | 1119.329 | 0.000 | 137.794 | 0.000 | 
| -14.390 | -2.395 | 16.763 | 641.773 | -34.175 | 33.621 | 
| 92.017 | -137.099 | 114.289 | 0.000 | 662.719 | 0.000 | 
| -12.451 | -10.339 | 26.045 | -15.620 | -18.794 | 125.696 | 
| -15991345.509 | -16556279.410 | -56624508.618 | -1068160.894 | -151802.848 | 196468.790 | 
| -15684363.765 | -16937157.864 | -56694735.987 | -1146517.337 | 20482.947 | 259410.154 | 
| -15732225.080 | -16809477.184 | -56693986.825 | -1113553.178 | -36076.866 | 210190.590 | 
| -16145533.935 | -16747671.351 | -56645524.691 | -998848.218 | -188653.956 | 162715.270 | 
| -15694197.384 | -16450172.213 | -56752232.401 | -1064988.455 | -187711.631 | 82060.365 | 
| -15725267.117 | -16900223.945 | -56751603.669 | -1160078.509 | -60163.073 | 255462.430 | 
| 15675222.852 | 16960300.694 | 56714112.736 | 1212177.630 | 15306.496 | -273156.447 | 
| 15730042.617 | 16917702.134 | 56735418.090 | 1176369.013 | 36098.523 | -254557.807 | 
| 15718560.958 | 16862457.667 | 56778241.760 | 1145980.999 | 69085.805 | -225406.260 | 
| 15719524.051 | 16917293.545 | 56772485.157 | 1127849.963 | 25394.981 | -257911.262 | 
| 15633730.316 | 16825196.361 | 56954757.251 | 1084010.366 | 91628.204 | -249606.895 | 
| 15711873.322 | 16902761.470 | 56729588.871 | 1192323.295 | 35729.063 | -243722.502 | 
| -1586518.296 | -1672366.421 | -5690844.204 | -95362.709 | -31146.301 | 21202.368 | 
| -1572145.292 | -1692195.618 | -5670154.095 | -117880.739 | -297.939 | 27219.461 | 
| -1569763.699 | -1676448.340 | -5664542.190 | -113892.728 | -3671.252 | 11868.688 | 
| -1617783.892 | -1680521.798 | -5723899.294 | -97589.602 | -12188.305 | 21126.926 | 
| -1569623.000 | -1675186.087 | -5675619.878 | -113617.575 | -8204.333 | 18038.496 | 
| -1569456.875 | -1660559.628 | -5662909.758 | -111158.906 | -10903.042 | 13871.155 | 
| 1569524.908 | 1689981.332 | 5646788.597 | 124320.689 | -2100.909 | -24376.910 | 
| 1612546.096 | 1668618.506 | 5672523.264 | 104962.697 | 25234.758 | -23925.118 | 
| 1570515.308 | 1696513.767 | 5649676.164 | 125158.928 | -3287.203 | -27604.633 | 
| 1573308.340 | 1690897.091 | 5675184.747 | 117087.451 | 5167.692 | -24961.211 | 
| 1571083.526 | 1693834.346 | 5666997.642 | 117838.240 | 2097.431 | -22994.321 | 
| 1574703.739 | 1665243.252 | 5675711.669 | 98039.334 | 13863.690 | -12861.428 | 
| -156883.033 | -164958.085 | -566822.997 | -10436.521 | -1637.174 | 500.009 | 
| -156119.603 | -166403.591 | -564767.652 | -11679.592 | 114.499 | 1656.006 | 
| -157191.912 | -169302.430 | -566695.350 | -12161.291 | -166.538 | 2579.524 | 
| -157266.114 | -169347.421 | -566934.396 | -12116.444 | -271.620 | 2512.400 | 
| -157202.766 | -169058.165 | -566958.656 | -11839.983 | -166.622 | 2530.737 | 
| -157165.551 | -166753.997 | -567279.587 | -11127.035 | -1273.696 | 1563.986 | 
| 156884.500 | 169177.357 | 569009.719 | 11323.113 | 741.758 | -2809.558 | 
| 156977.406 | 169355.929 | 564729.667 | 12549.480 | -302.552 | -2565.533 | 
| 158593.830 | 165983.082 | 566161.582 | 11386.184 | 1545.141 | -1577.993 | 
| 158207.921 | 166990.485 | 567078.867 | 10315.781 | 1619.684 | -2062.179 | 
| 159908.968 | 165957.951 | 566092.443 | 10709.845 | 2236.222 | -1509.175 | 
| 156472.884 | 167398.949 | 566907.842 | 10920.834 | 802.453 | -2000.719 | 
| 22077.687 | -21445.232 | -6387.224 | 2143.483 | 4163.449 | -761.089 | 
| 1544.302 | 6427.965 | 15268.650 | -2326.408 | 3632.198 | -692.628 | 
| -53480.700 | -60000.109 | -226000.735 | 2056.550 | -896.629 | 6217.513 | 
| -25768.114 | -38420.407 | -132348.559 | -258.062 | 3930.035 | 2797.337 | 
| 7266.173 | -6441.264 | -176.118 | -5715.745 | 32694.449 | -743.240 | 
| 5855.199 | 11873.076 | 38328.919 | 112.545 | -1545.167 | 4311.461 | 
| 16807.660 | 6781.293 | 53129.210 | 306.596 | -2071.168 | -377.826 | 
| 3990.624 | -24023.649 | -38523.691 | -392.281 | -3492.029 | 1733.267 | 
| -23328.332 | -28334.769 | -98424.804 | -371.687 | -2451.247 | 2656.340 | 
| -167.260 | -26307.185 | -57069.452 | -1546.396 | 2586.769 | 769.868 | 
| -5275.608 | 8264.036 | 4806.974 | -2347.077 | 8067.764 | 517.477 | 
| 10953.329 | 12475.200 | 48440.569 | -1397.818 | -389.392 | 3827.641 | 
| -601.716 | -686.147 | -2425.949 | -311.012 | 380.067 | 9.628 | 
| 1700.690 | 669.688 | 3867.346 | 321.477 | 330.196 | -104.810 | 
| -1940.032 | -1995.647 | -7576.902 | 205.498 | 14.957 | 88.023 | 
| 994.381 | 647.727 | 3207.061 | 19.767 | 441.628 | -99.871 | 
| -813.402 | -476.689 | -2614.072 | 521.497 | 45.973 | 38.534 | 
| -4804.892 | 77.810 | -9753.857 | 45.353 | 297.829 | -1221.376 | 
| 829.684 | 324.929 | 1755.423 | -12.482 | 56.446 | 5.438 | 
| 1925.755 | 1991.345 | 6964.602 | -55.739 | 126.688 | -119.477 | 
| 1045.232 | 1270.853 | 5071.182 | -341.561 | -238.741 | -29.083 | 
| -248.159 | -345.561 | -988.212 | 11.444 | -225.042 | 78.285 | 
| 992.712 | 584.383 | 3655.357 | 267.541 | -246.054 | -19.180 | 
| 3659.159 | 104.201 | 7925.766 | -320.567 | -148.536 | -511.255 | 
| 327.813 | 92.138 | 69.250 | -1.598 | 59.633 | 2.193 | 
| 106.682 | 340.686 | 120.922 | 37.260 | -0.034 | -3.421 | 
| -61.165 | -83.950 | -319.864 | 18.166 | 45.085 | 14.472 | 
| -104.151 | -94.889 | -435.613 | 150.863 | 12.685 | 7.943 | 
| -283.612 | -335.139 | -1290.676 | -44.700 | 172.481 | 13.737 | 
| -193.262 | -224.483 | -876.281 | 1.825 | 39.867 | 155.834 | 
| 376.886 | 77.791 | 130.931 | 2.441 | -23.078 | 2.442 | 
| 123.309 | 360.917 | 220.494 | 1.293 | -13.306 | -6.283 | 
| 275.497 | 274.267 | 1072.962 | -38.982 | -35.369 | -14.769 | 
| 28.043 | 34.858 | 146.740 | 126.637 | -0.341 | -7.361 | 
| 71.074 | 92.609 | 391.652 | -10.435 | 145.303 | -3.110 | 
| -70.141 | -60.403 | -286.263 | 9.904 | -37.783 | 139.303 | 
| 325.225 | -158.556 | 26.461 | 0.000 | 29.941 | 0.000 | 
| 235.006 | -106.113 | 18.266 | -0.000 | 29.888 | 0.000 | 
| 232.034 | -169.945 | 18.182 | 0.000 | 29.917 | 0.000 | 
| 273.576 | -143.593 | 18.544 | 3.138 | 80.706 | 0.002 | 
| 37.950 | 28.675 | -13.954 | -0.000 | 49.220 | 0.000 | 
| 273.581 | -143.596 | 18.544 | 0.002 | 80.707 | 31.631 | 
| 117.961 | 14.155 | 12.473 | -0.000 | 0.021 | -0.000 | 
| -10.856 | -458.535 | 2.093 | 0.000 | -71.623 | -0.000 | 
| -42.568 | 174.725 | 17.608 | 0.000 | -112.922 | -0.000 | 
| -273.576 | 143.593 | -18.544 | 3.138 | -80.706 | 0.002 | 
| -222.185 | 171.853 | -16.495 | 0.000 | -19.544 | -0.000 | 
| -273.581 | 143.596 | -18.544 | 0.002 | -80.707 | 31.631 | 
| 111.804 | -5.815 | 8.760 | -0.000 | 8.520 | 0.000 | 
| 35.424 | 48.223 | 3.450 | -0.000 | 2.998 | 0.000 | 
| -34.816 | 3.276 | -7.434 | 0.000 | 13.718 | -0.000 | 
| 22.223 | -17.188 | 1.650 | 4.564 | 2.994 | 0.008 | 
| 3.058 | 3.363 | -1.470 | 0.000 | 6.954 | 0.000 | 
| 12.450 | 42.714 | 4.830 | 0.004 | 10.434 | 9.699 | 
| 80.580 | 30.540 | 8.287 | 0.000 | -3.001 | -0.000 | 
| 14.155 | 80.802 | 2.152 | 0.000 | 0.008 | -0.000 | 
| -12.236 | 18.980 | 0.049 | 0.000 | -2.994 | -0.000 | 
| -22.223 | 17.188 | -1.650 | 4.564 | -2.994 | 0.008 | 
| -27.214 | 14.259 | -1.840 | -0.000 | -0.605 | -0.000 | 
| -6.934 | -41.596 | -0.153 | -0.021 | -6.592 | -107.870 | 
| 53.508 | -3.072 | 3.770 | 0.000 | -0.086 | 0.000 | 
| 8.857 | 34.504 | 0.765 | 0.000 | 1.136 | 0.000 | 
| 4.377 | -0.165 | -0.263 | 0.000 | 0.344 | 0.000 | 
| 0.666 | 0.014 | -0.093 | 0.686 | 0.466 | -0.004 | 
| 2.441 | -1.880 | 0.180 | 0.000 | 10.466 | 0.000 | 
| 2.192 | -2.363 | 0.113 | 0.001 | 0.802 | 4.670 | 
| 13.701 | -3.262 | 1.739 | 0.000 | -0.703 | -0.000 | 
| -1.782 | 2.477 | -0.404 | -0.000 | -0.556 | -0.000 | 
| 4.567 | 2.509 | 0.517 | 0.000 | -0.783 | -0.000 | 
| -0.666 | -0.014 | 0.093 | 0.686 | -0.466 | -0.004 | 
| -2.715 | 2.108 | -0.202 | 0.000 | 9.432 | -0.000 | 
| -2.967 | 1.198 | -0.192 | -0.001 | -1.107 | 24.792 | 
| 704.299 | -385.574 | -44.948 | 78.229 | 7.888 | 215.871 | 
| 233.232 | 33.412 | -1.262 | -36.854 | 160.557 | 20.948 | 
| 625.453 | -242.948 | -103.219 | 80.190 | 171.953 | -40.520 | 
| 226.515 | -3.743 | 0.886 | -18.586 | 160.686 | 14.633 | 
| 212.177 | 4.713 | -8.223 | -28.420 | 182.876 | 18.252 | 
| -26.000 | -1.574 | 11.686 | -4.897 | -5.849 | 36.575 | 
| -585.051 | 247.132 | 112.658 | -73.211 | -186.647 | 34.040 | 
| -203.199 | -68.401 | 174.930 | -7.078 | -63.210 | -20.015 | 
| -192.156 | -96.550 | 238.217 | 12.605 | -67.935 | -21.353 | 
| -760.863 | 433.568 | 83.107 | -109.970 | 132.511 | -257.130 | 
| -16.849 | -0.455 | 6.970 | -8.092 | 57.265 | 0.163 | 
| -26.000 | -1.574 | 11.686 | -4.897 | -5.849 | 36.575 | 
| 76.981 | -25.545 | 0.453 | 12.144 | 12.806 | -8.111 | 
| 29.378 | 26.447 | 4.444 | -12.811 | 14.686 | 3.908 | 
| 33.473 | 19.290 | 58.393 | 4.886 | 0.339 | 1.774 | 
| 64.411 | -32.094 | -9.432 | 11.747 | 18.934 | -8.270 | 
| 55.531 | -26.166 | -22.614 | 8.186 | 20.405 | -7.526 | 
| 8.571 | 11.051 | -16.268 | -5.514 | 0.299 | 25.330 | 
| -105.687 | 39.196 | 5.307 | -5.591 | 7.317 | -32.215 | 
| -62.207 | 43.961 | 14.776 | -15.815 | -19.658 | 7.837 | 
| -51.450 | 28.126 | 24.759 | -5.663 | -28.122 | 2.664 | 
| -21.749 | -10.140 | 5.509 | 10.725 | -18.158 | -6.118 | 
| -109.512 | 45.981 | 16.965 | 0.674 | -11.698 | -33.102 | 
| -61.043 | 28.249 | 10.618 | -12.305 | -22.351 | 13.889 | 
| 22.142 | -0.384 | 1.599 | 0.965 | -1.474 | -2.956 | 
| 8.421 | 23.871 | 4.400 | -9.929 | -0.205 | 2.187 | 
| 12.020 | 2.029 | 9.281 | 1.827 | -7.850 | 0.826 | 
| 3.005 | -9.367 | 5.085 | 7.721 | -0.121 | -3.961 | 
| 2.291 | -4.190 | -9.123 | -0.541 | 5.162 | -0.822 | 
| -8.958 | 1.784 | -2.260 | -4.875 | -5.216 | 22.698 | 
| 8.111 | 5.337 | 4.301 | -0.363 | -1.058 | -5.455 | 
| 3.967 | 27.879 | 4.397 | -10.479 | -3.408 | 1.609 | 
| 0.687 | 7.136 | 10.243 | 0.647 | -8.339 | -1.970 | 
| -3.125 | -6.006 | 3.142 | 4.157 | -1.941 | -4.229 | 
| -7.252 | 2.158 | -5.565 | -1.150 | 3.004 | -4.631 | 
| -13.603 | -0.465 | 1.463 | -4.729 | -6.505 | 22.598 | 
| 477.209 | 245.908 | 245.908 | 0.000 | -0.000 | -0.000 | 
| 245.908 | 477.209 | 245.908 | 0.000 | -0.000 | -0.000 | 
| 245.908 | 245.908 | 477.209 | 0.000 | -0.000 | -0.000 | 
| 0.000 | -0.000 | 0.000 | 279.662 | -0.000 | -0.000 | 
| 0.000 | -0.000 | 0.000 | 0.000 | 279.662 | -0.000 | 
| 0.000 | -0.000 | 0.000 | -0.000 | -0.000 | 279.662 | 
| 477.484 | 245.870 | 245.870 | -0.000 | 0.000 | 0.000 | 
| 245.870 | 477.484 | 245.870 | 0.000 | 0.000 | 0.000 | 
| 257.384 | 257.384 | 419.103 | 0.000 | 0.000 | 0.000 | 
| -0.000 | 0.000 | -0.000 | 279.662 | 0.000 | 0.000 | 
| -0.000 | 0.000 | -0.000 | -0.000 | 279.662 | 0.000 | 
| -0.000 | -0.000 | -0.000 | 0.000 | 0.000 | 279.662 | 
| 642.425 | 168.508 | 168.508 | -0.000 | -0.000 | -0.000 | 
| 168.508 | 642.425 | 168.508 | -0.000 | -0.000 | -0.000 | 
| 168.508 | 168.508 | 642.425 | 0.000 | -0.000 | -0.000 | 
| -0.003 | -0.003 | -0.003 | 143.101 | -0.000 | -0.000 | 
| -0.003 | -0.003 | -0.003 | 0.000 | 143.101 | -0.000 | 
| -0.003 | -0.003 | -0.003 | 0.000 | -0.000 | 143.101 | 
| 642.424 | 168.508 | 168.508 | 0.000 | 0.000 | 0.000 | 
| 168.508 | 642.425 | 168.508 | -0.000 | 0.000 | 0.000 | 
| 245.886 | 245.886 | 477.361 | 0.000 | 0.000 | 0.000 | 
| 0.003 | 0.003 | 0.003 | 143.101 | 0.000 | -0.000 | 
| 0.003 | 0.003 | 0.003 | -0.000 | 143.101 | 0.000 | 
| 0.003 | 0.003 | 0.003 | -0.000 | 0.000 | 143.101 | 
| 418.889 | 256.834 | 256.834 | -0.000 | -0.000 | -0.000 | 
| 256.834 | 418.889 | 256.834 | -0.000 | -0.000 | -0.000 | 
| 256.834 | 256.834 | 418.889 | -0.000 | -0.000 | -0.000 | 
| -0.000 | 0.000 | 0.000 | 279.662 | -0.000 | -0.000 | 
| 0.000 | -0.000 | 0.000 | 0.000 | 279.662 | -0.000 | 
| 0.000 | 0.000 | -0.000 | 0.000 | -0.000 | 279.662 | 
| 418.887 | 256.847 | 256.847 | 0.000 | 0.000 | 0.000 | 
| 256.847 | 418.887 | 256.847 | 0.000 | 0.000 | 0.000 | 
| 256.847 | 256.847 | 418.887 | 0.000 | 0.000 | 0.000 | 
| 0.000 | -0.000 | -0.000 | 279.662 | 0.000 | -0.000 | 
| -0.000 | 0.000 | -0.000 | 0.000 | 279.662 | 0.000 | 
| -0.000 | -0.000 | 0.000 | -0.000 | 0.000 | 279.662 | 
| 3931.313 | 5641.165 | -11374.506 | 0.000 | 0.000 | 0.000 | 
| 1696.540 | 6513.735 | -9169.538 | -0.000 | -0.000 | -0.000 | 
| -3406.496 | 3515.831 | -552.449 | 0.000 | -0.000 | -0.000 | 
| 0.000 | 0.000 | -0.000 | 726.994 | 0.000 | -0.000 | 
| -158.463 | 7197.301 | -9265.973 | 0.000 | 1554.996 | 0.000 | 
| 0.000 | 0.000 | -0.000 | 0.000 | 0.000 | 595.585 | 
| -2152.013 | -5367.547 | 11946.733 | 0.000 | -0.000 | 0.000 | 
| 3634.040 | -1961.108 | 1713.144 | 0.000 | 0.000 | -0.000 | 
| -2654.573 | -5405.802 | 12739.263 | 0.000 | -0.000 | 0.000 | 
| -0.000 | -0.000 | -0.000 | 726.994 | -0.000 | 0.000 | 
| 158.463 | -7197.302 | 9265.973 | -0.000 | 1554.996 | -0.000 | 
| -0.000 | 0.000 | -0.000 | -0.000 | 0.000 | 595.584 | 
| 892.335 | 220.149 | 176.960 | 0.000 | -0.000 | 0.000 | 
| -407.648 | 1526.840 | 61.859 | 0.000 | 0.000 | -0.000 | 
| 48.035 | 860.857 | 327.935 | -0.000 | 0.000 | -0.000 | 
| -370.404 | 320.264 | -151.816 | 657.264 | -0.000 | 0.000 | 
| 387.631 | 529.260 | -1160.588 | 0.000 | 425.651 | -0.000 | 
| -376.892 | 325.873 | -154.475 | -0.000 | -0.000 | 483.001 | 
| 1537.313 | -6.037 | 36.197 | -0.000 | 0.000 | -0.000 | 
| -260.504 | 699.027 | 1345.431 | -0.000 | -0.000 | -0.000 | 
| 546.392 | -23.538 | 1245.396 | -0.000 | 0.000 | -0.000 | 
| 370.404 | -320.264 | 151.816 | 657.264 | 0.000 | 0.000 | 
| -387.631 | -529.260 | 1160.588 | -0.000 | 425.651 | 0.000 | 
| 376.892 | -325.873 | 154.475 | 0.000 | 0.000 | 483.001 | 
| 1043.586 | 61.842 | 258.149 | -0.000 | -0.000 | -0.000 | 
| -24.749 | 1285.738 | 136.269 | 0.000 | -0.000 | -0.000 | 
| 267.160 | 231.814 | 1110.611 | 0.000 | -0.000 | -0.000 | 
| -45.940 | 39.721 | -18.830 | 640.508 | -0.000 | 0.000 | 
| -15.461 | 13.368 | -6.336 | 0.000 | 670.581 | 0.000 | 
| -5.353 | 61.182 | -76.715 | 0.000 | 0.000 | 95.685 | 
| 1049.117 | -19.702 | 381.964 | -0.000 | 0.000 | 0.000 | 
| -24.262 | 1300.822 | 135.189 | 0.000 | -0.000 | -0.000 | 
| 275.334 | 193.246 | 1117.721 | 0.000 | 0.000 | 0.000 | 
| 45.940 | -39.721 | 18.830 | 640.508 | 0.000 | 0.000 | 
| -32.286 | -45.915 | 100.579 | 0.000 | 614.646 | -0.000 | 
| 5.353 | -61.182 | 76.715 | 0.000 | -0.000 | 95.685 | 
| 361.695 | 132.326 | 132.326 | -0.000 | -0.000 | -0.000 | 
| 132.326 | 361.695 | 132.326 | -0.000 | -0.000 | -0.000 | 
| 132.326 | 132.326 | 361.695 | -0.000 | -0.000 | -0.000 | 
| -0.000 | -0.000 | -0.000 | 199.542 | -0.000 | -0.000 | 
| -0.000 | -0.000 | 0.000 | -0.000 | 199.542 | 0.000 | 
| 0.000 | -0.000 | -0.000 | 0.000 | -0.000 | 199.542 | 
| 361.695 | 132.326 | 132.326 | 0.000 | 0.000 | 0.000 | 
| 132.326 | 361.695 | 132.326 | -0.000 | 0.000 | 0.000 | 
| 132.326 | 132.326 | 361.695 | 0.000 | 0.000 | -0.000 | 
| 0.000 | -0.000 | 0.000 | 199.542 | 0.000 | 0.000 | 
| 0.000 | -0.000 | 0.000 | 0.000 | 199.542 | -0.000 | 
| -0.000 | -0.000 | -0.000 | 0.000 | 0.000 | 199.542 | 
| 421.464 | 131.830 | 131.830 | 0.000 | -0.000 | 0.000 | 
| 131.830 | 421.464 | 131.830 | 0.000 | -0.000 | 0.000 | 
| 131.830 | 131.830 | 421.464 | 0.000 | -0.000 | 0.000 | 
| 0.000 | -0.000 | 0.000 | 233.450 | 0.000 | 0.000 | 
| -0.000 | 0.000 | 0.000 | -0.000 | 233.450 | 0.000 | 
| -0.000 | 0.000 | 0.000 | 0.000 | 0.000 | 233.450 | 
| 421.464 | 131.830 | 131.830 | -0.000 | -0.000 | -0.000 | 
| 131.830 | 421.464 | 131.830 | -0.000 | -0.000 | -0.000 | 
| 131.830 | 131.830 | 421.464 | -0.000 | -0.000 | -0.000 | 
| -0.000 | 0.000 | -0.000 | 233.450 | 0.000 | 0.000 | 
| 0.000 | -0.000 | -0.000 | 0.000 | 233.450 | -0.000 | 
| 0.000 | -0.000 | -0.000 | -0.000 | -0.000 | 233.450 | 
| 350.483 | 127.294 | 127.294 | 0.000 | 0.000 | 0.000 | 
| 127.294 | 350.483 | 127.294 | 0.000 | 0.000 | 0.000 | 
| 127.294 | 127.294 | 350.483 | 0.000 | 0.000 | 0.000 | 
| 0.000 | -0.000 | 0.000 | 233.450 | 0.000 | 0.000 | 
| -0.000 | 0.000 | 0.000 | 0.000 | 233.450 | 0.000 | 
| -0.000 | 0.000 | 0.000 | -0.000 | -0.000 | 233.450 | 
| 350.495 | 127.293 | 127.293 | -0.000 | -0.000 | -0.000 | 
| 127.293 | 350.495 | 127.293 | -0.000 | -0.000 | -0.000 | 
| 127.293 | 127.293 | 350.495 | -0.000 | -0.000 | -0.000 | 
| -0.000 | 0.000 | -0.000 | 233.450 | 0.000 | -0.000 | 
| 0.000 | -0.000 | -0.000 | -0.000 | 233.450 | -0.000 | 
| 0.000 | -0.000 | -0.000 | -0.000 | 0.000 | 233.450 | 
| 41.016 | 35.481 | 35.411 | -0.346 | -0.398 | -1.089 | 
| 35.472 | 41.023 | 35.410 | -0.346 | -0.398 | -1.089 | 
| 35.480 | 35.488 | 40.961 | -0.346 | -0.398 | -1.089 | 
| 39.150 | 39.169 | 38.998 | -0.750 | -0.431 | -1.132 | 
| 37.806 | 37.813 | 37.744 | -0.347 | 1.973 | -1.091 | 
| 37.802 | 37.810 | 37.740 | -0.347 | -0.399 | 1.281 | 
| -34.911 | -40.624 | -40.554 | 0.348 | 0.400 | 1.093 | 
| 31.227 | 49.081 | 31.227 | 0.000 | -0.000 | -0.000 | 
| -40.626 | -40.634 | -34.858 | 0.348 | 0.400 | 1.093 | 
| -37.810 | -37.818 | -37.748 | 2.716 | 0.399 | 1.091 | 
| -37.810 | -37.818 | -37.748 | 0.347 | 2.768 | 1.091 | 
| 108.490 | 108.486 | 108.520 | 0.222 | 0.259 | -12.758 | 
| 6.149 | 4.761 | 4.744 | -0.035 | -0.040 | -0.103 | 
| -3.485 | 3.787 | -3.487 | -0.013 | -0.015 | -0.043 | 
| -3.524 | -3.524 | 3.733 | -0.013 | -0.015 | -0.044 | 
| 4.738 | 4.739 | 4.728 | 1.224 | -0.036 | -0.096 | 
| 4.738 | 4.740 | 4.728 | -0.032 | 1.220 | -0.096 | 
| -0.000 | 0.000 | 0.000 | -0.000 | 0.000 | 33.479 | 
| -0.346 | -5.790 | -5.783 | 0.036 | 0.041 | 0.113 | 
| -3.869 | -3.019 | -3.867 | 0.021 | 0.025 | 0.070 | 
| -5.517 | -5.518 | -2.904 | 0.028 | 0.032 | 0.083 | 
| -0.000 | 0.000 | -0.000 | 33.479 | -0.000 | -0.000 | 
| 0.000 | -0.000 | -0.000 | 0.000 | 33.479 | -0.000 | 
| 7.680 | 7.680 | 7.682 | 0.016 | 0.018 | 0.279 | 
| 2.159 | -2.596 | -2.597 | -0.004 | -0.005 | -0.013 | 
| -2.596 | 2.159 | -2.597 | -0.004 | -0.005 | -0.013 | 
| -2.597 | -2.597 | 2.157 | -0.004 | -0.005 | -0.013 | 
| 0.566 | 0.566 | 0.565 | 1.270 | -0.004 | -0.012 | 
| 0.566 | 0.566 | 0.565 | -0.004 | 1.270 | -0.012 | 
| 0.565 | 0.565 | 0.564 | -0.004 | -0.004 | 1.265 | 
| 1.936 | -3.107 | -3.106 | 0.004 | 0.004 | 0.012 | 
| -3.108 | 1.934 | -3.108 | 0.004 | 0.004 | 0.012 | 
| -3.106 | -3.107 | 1.938 | 0.004 | 0.004 | 0.012 | 
| 0.664 | 0.664 | 0.664 | 4.726 | 0.002 | 0.004 | 
| 0.664 | 0.664 | 0.664 | 0.001 | 4.726 | 0.004 | 
| -0.567 | -0.567 | -0.566 | 0.004 | 0.004 | 1.279 | 
| 22.868 | 43.872 | 36.292 | 0.000 | 20.560 | -0.000 | 
| 6.375 | 15.651 | 10.932 | -0.000 | 2.559 | -0.000 | 
| 29.811 | 70.636 | 270.220 | -0.000 | 35.728 | -0.000 | 
| 0.000 | -0.000 | -0.000 | 78.116 | -0.000 | 10.417 | 
| 6.916 | 3.955 | 17.596 | -0.000 | 15.713 | -0.000 | 
| -0.000 | -0.000 | -0.000 | 10.417 | -0.000 | 42.530 | 
| 22.868 | 43.872 | 36.292 | 0.000 | 20.560 | -0.000 | 
| 42.246 | 111.955 | 70.636 | 0.000 | 8.961 | 0.000 | 
| 11.914 | 25.700 | 145.044 | -0.000 | 20.291 | 0.000 | 
| 0.000 | 0.000 | 0.000 | 78.116 | 0.000 | 10.417 | 
| 6.906 | 3.947 | 17.586 | -0.000 | 15.694 | 0.000 | 
| 0.000 | 0.000 | 0.000 | 10.417 | 0.000 | 42.530 | 
| 8.454 | 13.181 | 13.664 | 0.000 | 10.511 | -0.000 | 
| 42.246 | 111.955 | 70.636 | 0.000 | 8.961 | -0.000 | 
| -2.726 | -14.519 | 43.080 | -0.000 | 10.993 | 0.000 | 
| 0.000 | -0.000 | -0.000 | 78.116 | -0.000 | 10.417 | 
| 6.912 | 3.952 | 17.591 | -0.000 | 15.704 | -0.000 | 
| 0.000 | 0.000 | -0.000 | 5.055 | 0.001 | 6.273 | 
| 3.433 | 3.899 | 8.222 | 0.000 | 5.909 | -0.000 | 
| 14.597 | 37.129 | 25.122 | 0.000 | 4.643 | -0.000 | 
| 2.569 | -0.678 | 77.618 | 0.000 | 14.799 | 0.000 | 
| -0.000 | 0.000 | 0.000 | 78.116 | 0.000 | 10.417 | 
| 14.650 | 8.961 | 35.728 | -0.000 | 32.579 | 0.000 | 
| -0.000 | -0.000 | 0.000 | 5.055 | -0.001 | 6.273 | 
| 0.209 | -0.062 | 0.611 | -0.000 | 0.654 | -0.000 | 
| 14.593 | 37.118 | 25.114 | 0.000 | 4.642 | -0.000 | 
| -1.664 | -9.475 | 24.035 | -0.000 | 7.071 | 0.000 | 
| 0.000 | 0.000 | -0.000 | 12.452 | 0.000 | 3.004 | 
| 0.583 | -1.879 | 10.819 | -0.000 | 4.336 | -0.000 | 
| 0.000 | 0.000 | -0.000 | 1.047 | 0.000 | 1.138 | 
| 1.072 | 0.164 | 2.794 | 0.000 | 2.870 | 0.000 | 
| 2.463 | 6.560 | -1.693 | 0.000 | -0.073 | 0.000 | 
| -3.234 | -12.268 | 13.173 | -0.000 | 4.637 | 0.000 | 
| -0.000 | -0.000 | 0.000 | 6.651 | -0.000 | 1.996 | 
| 0.583 | -1.879 | 10.818 | 0.000 | 4.336 | 0.000 | 
| -0.000 | -0.000 | 0.000 | 1.047 | -0.000 | 1.138 | 
| 136.252 | 83.521 | 83.521 | -0.000 | -0.000 | -0.000 | 
| 83.521 | 136.252 | 83.521 | -0.000 | -0.000 | -0.000 | 
| 83.521 | 83.521 | 136.252 | -0.000 | 0.000 | -0.000 | 
| 0.008 | 0.008 | 0.008 | 47.738 | -0.000 | 0.000 | 
| 0.008 | 0.008 | 0.008 | -0.000 | 47.738 | -0.000 | 
| 0.008 | 0.008 | 0.008 | -0.000 | -0.000 | 47.738 | 
| 323.999 | 92.149 | 92.149 | 0.000 | 0.000 | 0.000 | 
| 92.149 | 323.999 | 92.148 | 0.000 | 0.000 | 0.000 | 
| 92.149 | 92.149 | 323.999 | 0.000 | 0.000 | 0.000 | 
| -0.008 | -0.008 | -0.008 | 47.738 | -0.000 | 0.000 | 
| -0.008 | -0.008 | -0.008 | -0.000 | 47.738 | 0.000 | 
| -0.008 | -0.008 | -0.008 | -0.000 | 0.000 | 47.738 | 
| 323.999 | 92.149 | 92.149 | -0.000 | 0.000 | -0.000 | 
| 92.149 | 323.999 | 92.149 | -0.000 | -0.000 | -0.000 | 
| 92.149 | 92.149 | 323.999 | -0.000 | -0.000 | -0.000 | 
| 0.001 | 0.001 | 0.001 | 47.738 | -0.000 | -0.000 | 
| 0.001 | 0.001 | 0.001 | -0.000 | 47.738 | -0.000 | 
| 0.001 | 0.001 | 0.001 | -0.000 | -0.000 | 47.738 | 
| 66.863 | 43.507 | 43.507 | 0.000 | 0.000 | 0.000 | 
| 43.507 | 66.863 | 43.507 | 0.000 | 0.000 | 0.000 | 
| 43.507 | 43.507 | 66.863 | 0.000 | 0.000 | 0.000 | 
| -0.001 | -0.001 | -0.001 | 47.738 | 0.000 | -0.000 | 
| -0.001 | -0.001 | -0.001 | 0.000 | 47.738 | 0.000 | 
| -0.001 | -0.001 | -0.001 | 0.000 | 0.000 | 47.738 | 
| 324.000 | 92.149 | 92.149 | 0.000 | -0.000 | -0.000 | 
| 92.149 | 324.000 | 92.149 | 0.000 | -0.000 | -0.000 | 
| 92.149 | 92.149 | 324.000 | -0.000 | -0.000 | -0.000 | 
| 0.000 | 0.000 | 0.000 | 115.925 | 0.000 | 0.000 | 
| -0.000 | 0.000 | 0.000 | -0.000 | 115.925 | -0.000 | 
| 0.000 | 0.000 | 0.000 | -0.000 | -0.000 | 115.925 | 
| 323.998 | 92.148 | 92.148 | -0.000 | 0.000 | -0.000 | 
| 92.148 | 323.998 | 92.148 | 0.000 | 0.000 | 0.000 | 
| 92.148 | 92.148 | 323.998 | 0.000 | 0.000 | 0.000 | 
| -0.000 | -0.000 | -0.000 | 115.925 | 0.000 | 0.000 | 
| 0.000 | -0.000 | -0.000 | -0.000 | 115.925 | 0.000 | 
| -0.000 | -0.000 | -0.000 | -0.000 | 0.000 | 115.925 | 
| -221.898 | -338.517 | -338.517 | 0.000 | -0.000 | -0.000 | 
| -338.517 | -221.898 | -338.517 | 0.000 | 0.000 | -0.000 | 
| -338.517 | -338.517 | -221.898 | -0.000 | -0.000 | 0.000 | 
| -423.105 | -423.105 | -423.105 | 58.341 | -0.000 | 0.000 | 
| -423.105 | -423.105 | -423.105 | 0.000 | 58.341 | 0.000 | 
| -423.105 | -423.105 | -423.105 | 0.000 | -0.000 | 58.341 | 
| 624.459 | 507.727 | 507.727 | -0.000 | 0.000 | 0.000 | 
| 507.727 | 624.459 | 507.727 | -0.000 | 0.000 | 0.000 | 
| 507.727 | 507.727 | 624.459 | -0.000 | 0.000 | 0.000 | 
| 423.105 | 423.105 | 423.105 | 58.341 | 0.000 | 0.000 | 
| 423.105 | 423.105 | 423.105 | -0.000 | 58.341 | 0.000 | 
| 423.105 | 423.105 | 423.105 | -0.000 | 0.000 | 58.341 | 
| 158.052 | 42.167 | 42.167 | 0.000 | 0.000 | -0.000 | 
| 42.167 | 158.052 | 42.167 | 0.000 | 0.000 | -0.000 | 
| 42.167 | 42.167 | 158.052 | 0.000 | 0.000 | 0.000 | 
| 0.000 | -0.000 | 0.000 | 113.387 | -0.000 | -0.000 | 
| -0.000 | 0.000 | 0.000 | -0.000 | 113.387 | -0.000 | 
| -0.000 | 0.000 | 0.000 | 0.000 | 0.000 | 113.387 | 
| 244.050 | 127.011 | 127.011 | -0.000 | -0.000 | -0.000 | 
| 127.011 | 244.050 | 127.011 | -0.000 | 0.000 | 0.000 | 
| 127.011 | 127.011 | 244.050 | -0.000 | 0.000 | -0.000 | 
| 0.000 | -0.000 | -0.000 | 113.387 | -0.000 | 0.000 | 
| 0.000 | -0.000 | -0.000 | 0.000 | 113.387 | 0.000 | 
| 0.000 | -0.000 | -0.000 | -0.000 | 0.000 | 113.387 | 
| -11.055 | 23.950 | 23.950 | 0.000 | 0.000 | -0.000 | 
| 23.950 | -11.055 | 23.950 | 0.000 | -0.000 | -0.000 | 
| 23.950 | 23.950 | -11.055 | 0.000 | 0.000 | -0.000 | 
| -17.303 | -17.303 | -17.303 | -12.495 | 0.000 | -0.000 | 
| -17.303 | -17.303 | -17.303 | 0.000 | -12.495 | -0.000 | 
| -17.303 | -17.303 | -17.303 | 0.000 | -0.000 | -12.495 | 
| -39.209 | 12.113 | 12.113 | -0.000 | 0.000 | 0.000 | 
| 12.113 | -39.209 | 12.113 | -0.000 | 0.000 | 0.000 | 
| 12.113 | 12.113 | -39.209 | -0.000 | -0.000 | 0.000 | 
| 17.303 | 17.303 | 17.303 | -12.495 | 0.000 | 0.000 | 
| 17.303 | 17.303 | 17.303 | -0.000 | -12.495 | -0.000 | 
| 17.303 | 17.303 | 17.303 | -0.000 | 0.000 | -12.495 | 
| 713.700 | 623.022 | 623.022 | 0.000 | 0.000 | -0.000 | 
| 623.022 | 713.700 | 623.022 | 0.000 | 0.000 | -0.000 | 
| 623.022 | 623.022 | 713.700 | 0.000 | 0.000 | -0.000 | 
| 312.341 | 312.342 | 312.341 | 80.062 | -0.000 | -0.000 | 
| 312.341 | 312.341 | 312.341 | -0.000 | 80.062 | -0.000 | 
| 312.341 | 312.341 | 312.341 | 0.000 | 0.000 | 80.062 | 
| -65.396 | -225.517 | -225.517 | -0.000 | 0.000 | 0.000 | 
| -225.517 | -65.396 | -225.517 | -0.000 | 0.000 | 0.000 | 
| -225.517 | -225.517 | -65.396 | -0.000 | 0.000 | 0.000 | 
| -312.341 | -312.342 | -312.341 | 80.062 | 0.000 | 0.000 | 
| -312.341 | -312.341 | -312.341 | -0.000 | 80.062 | 0.000 | 
| -312.341 | -312.341 | -312.341 | -0.000 | -0.000 | 80.062 | 
| 278.179 | 118.082 | 118.082 | 0.000 | 0.000 | -0.000 | 
| 118.082 | 278.179 | 118.082 | 0.000 | -0.000 | -0.000 | 
| 118.082 | 118.082 | 278.179 | 0.000 | 0.000 | -0.000 | 
| 31.243 | 31.243 | 31.243 | 80.053 | -0.000 | -0.000 | 
| 31.243 | 31.243 | 31.243 | 0.000 | 80.053 | -0.000 | 
| 31.243 | 31.243 | 31.243 | 0.000 | 0.000 | 80.053 | 
| 215.618 | 55.565 | 55.565 | -0.000 | -0.000 | 0.000 | 
| 55.565 | 215.618 | 55.565 | -0.000 | 0.000 | 0.000 | 
| 55.565 | 55.565 | 215.618 | -0.000 | -0.000 | 0.000 | 
| -31.243 | -31.243 | -31.243 | 80.053 | 0.000 | 0.000 | 
| -31.243 | -31.243 | -31.243 | -0.000 | 80.053 | 0.000 | 
| -31.243 | -31.243 | -31.243 | 0.000 | -0.000 | 80.053 | 
| 149.774 | 73.729 | 73.729 | 0.000 | 0.000 | -0.000 | 
| 73.729 | 149.774 | 73.729 | 0.000 | -0.000 | 0.000 | 
| 73.729 | 73.729 | 149.774 | 0.000 | 0.000 | -0.000 | 
| 3.210 | 3.210 | 3.210 | 79.144 | -0.000 | -0.000 | 
| 3.210 | 3.210 | 3.210 | 0.000 | 79.144 | -0.000 | 
| 3.210 | 3.210 | 3.210 | 0.000 | 0.000 | 79.144 | 
| 238.368 | 83.237 | 83.237 | -0.000 | -0.000 | 0.000 | 
| 83.237 | 238.368 | 83.237 | -0.000 | -0.000 | 0.000 | 
| 83.237 | 83.237 | 238.368 | -0.000 | 0.000 | 0.000 | 
| -3.210 | -3.210 | -3.210 | 79.144 | 0.000 | 0.000 | 
| -3.210 | -3.210 | -3.210 | -0.000 | 79.144 | 0.000 | 
| -3.210 | -3.210 | -3.210 | -0.000 | 0.000 | 79.144 | 
| 36.312 | 16.323 | 70.587 | -0.000 | 0.000 | 0.000 | 
| 16.323 | 419.024 | 31.730 | 0.000 | 0.000 | 0.000 | 
| 34.663 | 30.709 | 67.381 | -0.000 | -0.000 | 0.000 | 
| -0.000 | -0.000 | -0.000 | 64.707 | 0.000 | 0.000 | 
| -0.000 | -0.000 | -0.000 | -0.000 | 70.587 | 0.000 | 
| -0.000 | -0.000 | -0.000 | 0.000 | 0.000 | 33.287 | 
| 36.312 | 16.323 | 70.587 | 0.000 | 0.000 | -0.000 | 
| 16.323 | 419.024 | 31.730 | 0.000 | -0.000 | -0.000 | 
| 34.665 | 30.710 | 67.385 | -0.000 | -0.000 | -0.000 | 
| 0.000 | 0.000 | 0.000 | 64.707 | -0.000 | 0.000 | 
| 0.000 | 0.000 | -0.000 | -0.000 | 70.587 | -0.000 | 
| 0.000 | 0.000 | 0.000 | -0.000 | 0.000 | 33.287 | 
| 36.312 | 16.323 | 70.587 | -0.000 | 0.000 | 0.000 | 
| -20.615 | 64.642 | -40.074 | 0.000 | 0.000 | -0.000 | 
| 5.091 | -12.451 | 9.896 | 0.000 | 0.000 | 0.000 | 
| 0.000 | 0.000 | 0.000 | 88.903 | -0.000 | 0.000 | 
| -0.000 | -0.000 | 0.000 | 0.000 | 70.587 | 0.000 | 
| -0.000 | -0.000 | -0.000 | 0.000 | 0.000 | 0.734 | 
| 17.825 | 15.798 | 34.649 | -0.000 | -0.000 | -0.000 | 
| 15.534 | 283.759 | 30.195 | 0.000 | -0.000 | -0.000 | 
| 34.657 | 30.710 | 67.369 | 0.000 | -0.000 | 0.000 | 
| -0.000 | -0.000 | -0.000 | 88.903 | -0.000 | -0.000 | 
| 0.000 | 0.000 | -0.000 | 0.000 | 70.587 | 0.000 | 
| 0.000 | 0.000 | 0.000 | 0.000 | -0.000 | 0.734 | 
| 36.312 | 16.323 | 70.587 | 0.000 | 0.000 | 0.000 | 
| -10.681 | 30.210 | -20.763 | -0.000 | 0.000 | 0.000 | 
| 34.966 | 30.718 | 67.970 | 0.000 | 0.000 | -0.000 | 
| 0.000 | 0.000 | 0.000 | 64.706 | 0.000 | -0.000 | 
| -0.000 | 0.000 | 0.000 | -0.000 | 34.664 | -0.000 | 
| -0.000 | -0.000 | 0.000 | -0.000 | 0.000 | 45.735 | 
| 17.828 | 15.798 | 34.655 | 0.000 | -0.000 | -0.000 | 
| -20.616 | 64.606 | -40.076 | -0.000 | -0.000 | 0.000 | 
| 5.107 | -12.447 | 9.928 | 0.000 | -0.000 | 0.000 | 
| -0.000 | -0.000 | -0.000 | 64.706 | 0.000 | -0.000 | 
| 0.000 | -0.000 | -0.000 | 0.000 | 34.664 | -0.000 | 
| 0.000 | 0.000 | 0.000 | -0.000 | -0.000 | 11.560 | 
| 390.509 | 111.064 | 111.064 | 0.000 | -0.000 | 0.000 | 
| 100.685 | 164.216 | 100.632 | 0.000 | -0.000 | -0.000 | 
| 111.064 | 111.064 | 390.509 | 0.000 | -0.000 | 0.000 | 
| 0.024 | -0.005 | -0.017 | 57.538 | -0.000 | -0.000 | 
| 0.024 | -0.005 | -0.017 | 0.000 | 57.538 | -0.000 | 
| 0.024 | -0.005 | -0.017 | 0.000 | 0.000 | 57.537 | 
| 80.595 | 52.458 | 52.475 | -0.000 | 0.000 | 0.000 | 
| 100.620 | 164.177 | 100.673 | 0.000 | 0.000 | 0.000 | 
| 100.619 | 100.657 | 164.182 | -0.000 | -0.000 | 0.000 | 
| -0.024 | 0.005 | 0.017 | 57.537 | -0.000 | -0.000 | 
| -0.024 | 0.005 | 0.017 | -0.000 | 57.538 | 0.000 | 
| -0.024 | 0.005 | 0.017 | -0.000 | 0.000 | 57.538 | 
| 390.509 | 111.064 | 111.064 | 0.000 | -0.000 | 0.000 | 
| 111.064 | 390.509 | 111.064 | 0.000 | -0.000 | 0.000 | 
| 52.446 | 52.444 | 80.590 | 0.000 | 0.000 | -0.000 | 
| 0.002 | -0.000 | -0.002 | 57.537 | 0.000 | -0.000 | 
| 0.000 | 0.000 | 0.000 | 0.000 | 139.722 | 0.000 | 
| 0.000 | 0.000 | 0.000 | 0.000 | -0.000 | 139.722 | 
| 80.574 | 52.441 | 52.443 | -0.000 | 0.000 | 0.000 | 
| 100.648 | 164.182 | 100.654 | -0.000 | 0.000 | -0.000 | 
| 100.649 | 100.653 | 164.196 | -0.000 | 0.000 | 0.000 | 
| -0.002 | 0.000 | 0.002 | 57.537 | 0.000 | 0.000 | 
| -0.000 | -0.000 | -0.000 | 0.000 | 139.722 | -0.000 | 
| -0.000 | -0.000 | -0.000 | -0.000 | 0.000 | 139.722 | 
| 164.185 | 100.652 | 100.652 | 0.000 | 0.000 | 0.000 | 
| 52.439 | 80.571 | 52.438 | 0.000 | -0.000 | -0.000 | 
| -34.111 | -34.111 | 23.219 | 0.000 | -0.000 | -0.000 | 
| 0.000 | -0.000 | -0.000 | 31.336 | -0.000 | -0.000 | 
| 0.000 | -0.000 | -0.000 | 0.000 | 57.537 | -0.000 | 
| 0.000 | -0.000 | -0.000 | 0.000 | -0.000 | 31.336 | 
| 164.208 | 100.653 | 100.653 | -0.000 | 0.000 | 0.000 | 
| 52.440 | 80.589 | 52.440 | -0.000 | 0.000 | 0.000 | 
| 111.064 | 111.064 | 390.508 | -0.000 | 0.000 | 0.000 | 
| -0.000 | 0.000 | 0.000 | 31.336 | -0.000 | 0.000 | 
| -0.000 | 0.000 | 0.000 | -0.000 | 57.537 | 0.000 | 
| -0.000 | 0.000 | 0.000 | -0.000 | 0.000 | 31.336 | 
| 693.958 | 639.259 | -711.807 | 0.000 | -0.001 | 0.000 | 
| 18.430 | 462.623 | 48.766 | -0.000 | 0.000 | -0.000 | 
| 418.271 | 673.012 | -431.030 | 0.000 | -0.001 | 0.000 | 
| 337.775 | 604.151 | -784.998 | 151.689 | -0.001 | -0.000 | 
| 337.867 | 604.316 | -785.213 | 0.000 | 159.738 | 0.000 | 
| -0.000 | 0.000 | 0.000 | 0.000 | -0.000 | 196.904 | 
| 2605.978 | -3040.015 | 1091.913 | -0.000 | 0.001 | -0.000 | 
| -303.314 | -214.727 | 853.681 | -0.000 | 0.001 | -0.000 | 
| -257.265 | -535.271 | 1138.928 | -0.000 | 0.001 | 0.000 | 
| -337.775 | -604.151 | 784.998 | 151.689 | 0.001 | 0.000 | 
| -337.868 | -604.316 | 785.213 | -0.000 | 159.740 | -0.000 | 
| -337.863 | -604.307 | 785.201 | -0.000 | 0.001 | 128.871 | 
| 386.998 | 96.079 | -4.354 | 0.000 | -0.000 | 0.000 | 
| 67.776 | 451.962 | -10.398 | 0.000 | -0.000 | 0.000 | 
| 48.821 | 51.185 | 462.706 | -0.000 | -0.000 | 0.000 | 
| 33.773 | 60.407 | -78.490 | 151.694 | -0.000 | 0.000 | 
| 33.800 | 60.455 | -78.552 | 0.000 | 159.724 | 0.000 | 
| -0.000 | 0.000 | 0.000 | -0.000 | 0.000 | 196.904 | 
| 325.767 | -26.017 | 150.690 | -0.000 | 0.000 | 0.000 | 
| 268.928 | 38.731 | 151.078 | -0.000 | 0.000 | 0.000 | 
| 271.119 | -251.090 | 436.299 | -0.000 | 0.000 | 0.000 | 
| -33.773 | -60.407 | 78.490 | 151.694 | 0.000 | 0.000 | 
| -33.800 | -60.455 | 78.552 | -0.000 | 159.724 | 0.000 | 
| 0.000 | -0.000 | -0.000 | -0.000 | 0.000 | 196.904 | 
| 450.727 | 16.084 | 44.056 | -0.000 | 0.000 | -0.000 | 
| 35.647 | 407.169 | 57.159 | 0.000 | -0.000 | -0.000 | 
| -32.786 | 86.478 | 116.950 | 0.000 | -0.000 | 0.000 | 
| 3.347 | 5.986 | -7.778 | 152.060 | -0.000 | -0.000 | 
| 3.478 | 6.221 | -8.083 | 0.000 | 158.617 | -0.000 | 
| 3.165 | 5.662 | -7.357 | 0.000 | -0.000 | 133.162 | 
| 367.431 | 25.244 | 77.425 | -0.000 | 0.000 | 0.000 | 
| 21.850 | 132.758 | 34.795 | -0.000 | 0.000 | -0.000 | 
| 56.740 | -17.181 | 258.856 | 0.000 | 0.000 | -0.000 | 
| -3.347 | -5.986 | 7.778 | 152.060 | 0.000 | 0.000 | 
| -3.478 | -6.221 | 8.083 | -0.000 | 158.617 | -0.000 | 
| -3.165 | -5.662 | 7.357 | -0.000 | 0.000 | 133.162 | 
| 59.939 | 8.741 | 7.331 | 0.000 | -0.000 | 0.010 | 
| 8.741 | 60.164 | 7.331 | -0.000 | 0.000 | -0.090 | 
| 7.331 | 7.331 | 22.057 | 0.000 | -0.000 | -0.001 | 
| 0.409 | 0.342 | -0.052 | -3.482 | 0.021 | 0.036 | 
| 0.214 | 0.026 | -0.046 | -0.007 | -2.015 | 0.126 | 
| 0.010 | -0.090 | -0.001 | -0.000 | -0.000 | 45.077 | 
| 59.939 | 8.741 | 7.331 | 0.000 | -0.000 | 0.010 | 
| 8.741 | 60.164 | 7.331 | -0.000 | 0.000 | -0.090 | 
| 7.331 | 7.331 | 22.057 | 0.000 | -0.000 | -0.001 | 
| -2.206 | -2.326 | 0.035 | 0.033 | -0.019 | -0.220 | 
| -0.000 | 0.000 | -0.000 | -0.001 | 7.331 | -0.000 | 
| 0.010 | -0.090 | -0.001 | -0.000 | -0.000 | 45.077 | 
| 18.823 | 9.803 | 0.236 | -0.001 | 0.002 | -0.017 | 
| -0.471 | 8.200 | -1.988 | -0.001 | 0.002 | -0.008 | 
| 7.331 | 7.331 | 22.057 | 0.000 | -0.000 | -0.001 | 
| 0.000 | -0.000 | 0.000 | 7.331 | -0.001 | -0.000 | 
| -0.000 | 0.000 | -0.000 | -0.001 | 7.331 | -0.000 | 
| 0.002 | -0.090 | -0.002 | -0.000 | 0.000 | 18.621 | 
| 18.920 | 9.815 | 0.264 | 0.000 | -0.000 | -0.035 | 
| 8.741 | 60.164 | 7.331 | -0.000 | 0.000 | -0.090 | 
| -0.018 | 0.004 | -0.010 | 0.001 | -0.001 | -0.009 | 
| 0.000 | -0.000 | 0.000 | 7.331 | -0.001 | -0.000 | 
| -0.013 | 0.008 | 0.004 | 0.001 | 0.015 | -0.009 | 
| 0.010 | -0.090 | -0.001 | -0.000 | -0.000 | 45.077 | 
| 1.953 | -1.896 | -0.151 | 0.000 | -0.000 | -0.023 | 
| -0.031 | -0.114 | -0.027 | -0.000 | 0.000 | -0.022 | 
| -0.000 | -0.002 | -0.006 | -0.000 | 0.000 | 0.002 | 
| 0.001 | -0.000 | -0.000 | 0.002 | 0.000 | 0.001 | 
| -0.000 | 0.000 | -0.000 | -0.001 | 7.331 | -0.000 | 
| -0.023 | -0.023 | -0.000 | -0.000 | 0.000 | 0.132 | 
| 0.466 | 0.056 | 0.810 | -0.000 | -0.000 | -0.033 | 
| 0.210 | 0.115 | -0.022 | 0.000 | -0.000 | -0.027 | 
| -0.000 | 0.001 | 0.004 | 0.000 | -0.000 | -0.002 | 
| 0.000 | -0.000 | 0.000 | 7.331 | -0.001 | -0.000 | 
| -0.001 | 0.001 | 0.000 | 0.000 | 0.001 | -0.000 | 
| -0.003 | -0.087 | -0.001 | -0.000 | -0.000 | 18.626 | 
| 132334.516 | -100969.872 | -31955.795 | 141469.212 | 30311.643 | 158876.428 | 
| 161561.484 | 52404.252 | 33023.395 | 41730.109 | 74102.090 | 91711.393 | 
| 161690.154 | 52233.542 | 33311.260 | 41699.769 | 74143.054 | 91714.594 | 
| 161533.040 | 52151.826 | 32974.612 | 41873.939 | 74111.257 | 91693.801 | 
| 161456.324 | -26274.743 | -136040.976 | -73414.007 | 70197.045 | 88912.569 | 
| 161527.413 | 52166.257 | 32979.442 | 41732.284 | 74056.353 | 91842.909 | 
| -161179.054 | 26305.302 | 136051.878 | 73406.012 | -70053.565 | -88938.357 | 
| -161424.815 | 26509.961 | 136064.336 | 73408.472 | -70048.512 | -88925.145 | 
| -161533.311 | 26282.601 | 136344.530 | 73395.275 | -70097.647 | -88940.258 | 
| -161483.442 | 26265.416 | 136010.574 | 73544.684 | -70052.376 | -88951.476 | 
| -161602.751 | -52189.392 | -32968.447 | -41737.835 | -73981.291 | -91725.036 | 
| -161497.353 | -52154.918 | -32970.322 | -41740.789 | -74070.787 | -91585.357 | 
| 16524.249 | -2567.132 | -13544.458 | -7354.867 | 6994.728 | 8921.393 | 
| 16245.825 | -2356.873 | -13532.962 | -7361.005 | 6989.166 | 8923.984 | 
| -2383.625 | -2036.694 | -19948.853 | 6461.391 | -6964.767 | 2225.628 | 
| 13274.170 | -17923.993 | -20078.128 | 2755.271 | 2623.194 | 15624.101 | 
| 13260.495 | -10086.883 | -3178.197 | 14136.977 | 3174.152 | 15887.092 | 
| 16208.683 | 5247.298 | 3328.450 | 4155.522 | 7384.786 | 9314.202 | 
| -12895.968 | 10129.871 | 3221.211 | -14145.815 | -3032.347 | -15882.107 | 
| -16141.334 | -4978.836 | -3264.362 | -4178.020 | -7422.416 | -9164.888 | 
| -13711.662 | -3108.389 | 17268.830 | -10678.695 | -415.203 | -11413.908 | 
| -16157.150 | -5228.974 | -3312.425 | -4034.271 | -7409.478 | -9179.219 | 
| -16151.309 | 2618.306 | 13591.450 | 7340.633 | -6857.159 | -8913.319 | 
| -16147.276 | 2635.495 | 13604.038 | 7333.495 | -7018.777 | -8769.390 | 
| 1930.860 | 555.358 | 358.359 | 416.585 | 737.926 | 925.382 | 
| 1654.251 | 765.311 | 367.314 | 411.137 | 732.986 | 928.057 | 
| 30.348 | 32.694 | 309.701 | -18.618 | -0.931 | 0.302 | 
| -291.494 | -1541.775 | -665.591 | 1139.197 | -434.465 | 663.006 | 
| 1324.040 | -1015.900 | -328.249 | 1413.360 | 450.877 | 1571.436 | 
| 1382.900 | 325.996 | -1689.477 | 1057.061 | 24.276 | 1269.639 | 
| -1013.052 | 1039.872 | 343.148 | -1413.683 | -303.926 | -1583.707 | 
| -1588.361 | -276.470 | -299.812 | -421.957 | -746.075 | -909.744 | 
| -1595.150 | -493.399 | -15.934 | -433.598 | -746.556 | -918.098 | 
| 1.723 | -10.177 | -17.461 | 139.898 | -5.147 | -5.767 | 
| -1621.234 | -530.544 | -342.697 | -417.593 | -592.151 | -937.708 | 
| -1377.694 | -306.496 | 1694.892 | -1073.220 | -53.149 | -1018.882 | 
| -3343.160 | -9478.207 | -845.877 | 2885.955 | -1820.889 | 5839.618 | 
| -3246.178 | -8260.019 | -762.039 | 2587.693 | -1591.406 | 5275.953 | 
| 732.452 | 1890.219 | 349.233 | -569.308 | 316.822 | -1172.567 | 
| -5974.698 | -15748.308 | -1450.492 | 4895.569 | -2947.023 | 9684.814 | 
| 1421.856 | 3878.086 | 323.378 | -1177.262 | 833.720 | -2378.584 | 
| -3229.790 | -8547.153 | -801.220 | 2565.189 | -1604.675 | 5413.447 | 
| 3506.002 | 8550.538 | 809.255 | -2578.218 | 1547.106 | -5271.133 | 
| 7255.113 | 19385.159 | 1776.227 | -5790.996 | 3573.037 | -11760.807 | 
| 1237.491 | 3229.222 | 473.056 | -975.002 | 566.974 | -1996.527 | 
| 4574.257 | 12035.184 | 1101.869 | -3524.874 | 2242.201 | -7435.586 | 
| 911.532 | 2547.199 | 202.541 | -773.727 | 584.719 | -1556.830 | 
| -5007.069 | -13218.821 | -1229.427 | 3981.193 | -2477.555 | 8293.408 | 
| -447.856 | -1850.302 | -144.930 | 574.224 | -396.334 | 1139.533 | 
| 127.762 | 641.498 | 57.886 | -110.218 | 69.524 | -207.793 | 
| -99.702 | -299.706 | 148.138 | 94.436 | -92.352 | 177.148 | 
| 1346.041 | 3522.670 | 318.829 | -945.864 | 652.240 | -2191.311 | 
| 0.935 | 139.383 | -19.658 | -44.131 | 135.055 | -74.302 | 
| -995.109 | -2653.542 | -258.960 | 779.122 | -504.365 | 1782.841 | 
| 363.119 | 287.035 | 51.471 | -73.506 | 3.230 | -177.449 | 
| 138.912 | 666.387 | 59.684 | -117.917 | 75.736 | -223.753 | 
| -1454.573 | -3864.961 | -179.148 | 1175.022 | -758.246 | 2374.514 | 
| 467.895 | 1213.091 | 106.952 | -245.100 | 221.314 | -767.803 | 
| -308.775 | -674.913 | -94.312 | 202.675 | -16.983 | 427.645 | 
| 626.926 | 1600.841 | 130.017 | -510.542 | 291.708 | -841.172 | 
| 388.395 | 361.297 | 58.481 | -95.658 | 17.058 | -222.828 | 
| -13.159 | 251.365 | 24.179 | 4.861 | -2.667 | 26.129 | 
| -72.582 | -227.122 | 154.835 | 72.465 | -78.839 | 132.601 | 
| 118.090 | 290.857 | 22.279 | 32.626 | 48.839 | -199.495 | 
| 13.875 | 172.780 | -16.053 | -54.687 | 139.305 | -95.016 | 
| 52.310 | 92.664 | -7.372 | -52.699 | 9.916 | 84.079 | 
| 279.808 | 73.456 | 31.860 | -8.505 | -36.292 | -45.687 | 
| 1.506 | 285.252 | 26.407 | -5.736 | 4.820 | 4.710 | 
| 31.316 | 45.186 | 178.594 | -9.986 | -27.741 | -34.965 | 
| 82.478 | 194.924 | 13.317 | 60.221 | 31.297 | -140.582 | 
| -8.794 | 112.263 | -21.830 | -36.302 | 128.786 | -57.838 | 
| -111.133 | -339.918 | -47.340 | 78.329 | -70.136 | 349.622 | 
| 272.168 | 48.059 | 38.919 | 11.143 | 1.652 | 25.977 | 
| 47.913 | 305.356 | 56.482 | -5.874 | -1.098 | 15.786 | 
| 40.314 | 56.087 | 331.146 | -8.315 | 24.576 | -15.330 | 
| 37779.535 | 93875.148 | 123499.481 | -107541.733 | 68280.946 | -59531.402 | 
| 37761.894 | 93869.811 | 123545.277 | -107662.326 | 68392.387 | -59521.154 | 
| 29.089 | 16.340 | -16.497 | 10.542 | -4.091 | 118.579 | 
| -37478.567 | -93821.965 | -123481.699 | 107691.227 | -68262.706 | 59548.373 | 
| 3.016 | 290.173 | 104.564 | -14.542 | 10.756 | 61.617 | 
| 40.314 | 56.087 | 331.146 | -8.315 | 24.576 | -15.330 | 
| -28.763 | -11.190 | 29.533 | 131.637 | 24.651 | 57.568 | 
| 11.338 | -0.240 | 24.576 | 18.068 | 128.111 | 1.997 | 
| 13.643 | 9.313 | 10.575 | 3.050 | 6.813 | 127.067 | 
| 273.679 | 48.720 | 36.744 | 11.500 | 0.963 | 24.116 | 
| 3823.211 | 9691.693 | 12410.179 | -10774.530 | 6826.480 | -5937.929 | 
| 3813.380 | 9442.228 | 12686.470 | -10777.197 | 6852.273 | -5966.340 | 
| 15.694 | 2.160 | -13.669 | 138.692 | 15.732 | 9.491 | 
| 11.764 | -0.009 | 23.675 | 18.304 | 127.674 | 1.814 | 
| 33.377 | 17.377 | -19.474 | 10.514 | -4.173 | 112.351 | 
| 266.991 | 46.594 | 44.290 | 9.788 | 3.079 | 29.737 | 
| 47.913 | 305.356 | 56.482 | -5.874 | -1.098 | 15.786 | 
| 40.314 | 56.087 | 331.146 | -8.315 | 24.576 | -15.330 | 
| 11.954 | 0.842 | -9.605 | 138.355 | 16.845 | 13.703 | 
| 9.495 | -1.105 | 28.091 | 16.939 | 129.451 | 2.697 | 
| -3745.504 | -9370.528 | -12368.867 | 10778.480 | -6830.533 | 6069.979 | 
| 271.937 | 48.156 | 39.253 | 10.586 | 1.967 | 24.240 | 
| 50.847 | 301.809 | 57.054 | -5.810 | 0.325 | 10.928 | 
| 41.826 | 56.028 | 331.969 | -9.409 | 26.362 | -18.811 | 
| 390.619 | 940.583 | 1224.280 | -940.757 | 698.625 | -585.301 | 
| 12.152 | -0.088 | 24.792 | 17.312 | 128.062 | -0.163 | 
| 41.779 | 18.619 | -27.283 | 1.654 | -5.032 | 62.983 | 
| 218.574 | 44.206 | 56.967 | 1.577 | -2.285 | 42.171 | 
| 46.718 | 301.476 | 59.857 | -6.148 | 0.418 | 16.138 | 
| 38.964 | 55.807 | 330.834 | -9.049 | 25.670 | -13.875 | 
| 8.763 | 0.970 | -8.248 | 135.603 | 15.791 | 15.316 | 
| 6.394 | -0.894 | 27.502 | 15.942 | 125.421 | 5.788 | 
| 26.953 | 16.011 | -16.238 | 10.409 | -4.808 | 120.014 | 
| 156.028 | 119.193 | -40.638 | 39.465 | 92.019 | 19.304 | 
| -1851.035 | 549.928 | 240.545 | 1013.301 | 591.333 | -198.946 | 
| -63.826 | 122.100 | 164.203 | 32.351 | 82.472 | 20.024 | 
| 4.416 | -12.778 | 4.101 | 115.956 | 9.040 | -1.312 | 
| -90.674 | 85.399 | -67.196 | 40.515 | 173.126 | 20.776 | 
| -1980.433 | 814.399 | 766.224 | 907.113 | 95.667 | -367.458 | 
| 1771.474 | -492.339 | -259.159 | -1086.296 | -383.622 | 189.525 | 
| 125.914 | 85.844 | 105.348 | -42.572 | -80.557 | -8.456 | 
| 16.125 | 27.919 | 312.925 | 4.101 | -1.024 | -1.141 | 
| 1827.526 | -532.753 | -283.430 | -1009.031 | -573.917 | 229.593 | 
| 193.930 | -64.911 | 143.885 | -40.086 | -135.903 | 34.293 | 
| 100.317 | 16.800 | 10.733 | -41.069 | -101.667 | 70.866 | 
| 238.376 | 42.441 | 21.270 | 8.606 | 19.268 | 3.827 | 
| -151.747 | 43.503 | -13.987 | 56.627 | 32.638 | 11.745 | 
| -91.252 | 64.944 | -26.070 | 33.272 | 39.049 | -11.635 | 
| -105.571 | 57.151 | -26.130 | 20.660 | 33.063 | -25.265 | 
| -7.555 | 8.373 | -5.198 | 9.587 | 100.442 | 5.254 | 
| -8.144 | 17.285 | -2.771 | 3.047 | 12.544 | 83.340 | 
| 318.426 | 25.619 | 15.568 | 6.521 | 9.279 | 9.479 | 
| 25.212 | 227.532 | 27.964 | -9.385 | 5.698 | 11.116 | 
| 28.285 | 20.074 | 118.630 | -19.660 | -22.283 | 7.854 | 
| 4.416 | -12.778 | 4.101 | 115.956 | 9.040 | -1.312 | 
| 96.927 | -30.636 | 11.662 | -33.833 | -24.864 | 1.470 | 
| 8.276 | 11.164 | 0.086 | -0.978 | -1.024 | 105.424 | 
| 87.757 | 13.304 | 9.461 | 5.075 | 14.372 | 5.092 | 
| -0.356 | 61.980 | 10.306 | -8.297 | 10.296 | 14.677 | 
| -0.672 | 12.892 | 87.260 | -8.624 | 8.515 | -0.410 | 
| 5.269 | -17.655 | -10.710 | 55.845 | 5.624 | -0.154 | 
| 0.205 | 1.258 | 0.724 | 6.804 | 97.285 | 3.085 | 
| 2.123 | 6.438 | 4.697 | 1.241 | 4.220 | 64.767 | 
| 130.398 | 10.822 | 16.997 | 5.956 | 8.335 | 2.937 | 
| 14.661 | 47.806 | 12.335 | -19.813 | 4.577 | 17.637 | 
| 14.894 | 6.746 | 85.252 | -19.299 | 5.186 | 0.415 | 
| 6.049 | -17.155 | -18.036 | 29.542 | -1.770 | -3.001 | 
| 18.475 | 5.424 | 8.565 | -5.420 | 28.578 | -0.046 | 
| 4.138 | 9.019 | 7.772 | -1.019 | 1.749 | 45.753 | 
| -142378.556 | -79910.999 | -56603.699 | 67324.531 | -89950.245 | 106832.652 | 
| 73.542 | 309.761 | 58.831 | -18.454 | 2.076 | -20.721 | 
| -142717.061 | -79927.033 | -56220.161 | 67287.009 | -89938.891 | 106866.389 | 
| 34.982 | -48.326 | -104.176 | 253.514 | -81.424 | -1.456 | 
| -13.255 | -15.261 | -49.299 | 35.436 | 134.523 | -0.199 | 
| -142800.364 | -80006.403 | -56659.174 | 67306.434 | -89944.303 | 107018.977 | 
| 143170.920 | 80059.922 | 56719.348 | -67307.601 | 89912.379 | -106895.651 | 
| 142834.865 | 80285.166 | 56695.130 | -67317.723 | 89915.226 | -106873.078 | 
| 142818.935 | 80033.861 | 57077.724 | -67328.310 | 89905.544 | -106850.070 | 
| 7.808 | -16.244 | -29.059 | 148.813 | -10.957 | -9.840 | 
| 142747.163 | 79977.377 | 56628.695 | -67310.224 | 90083.299 | -106862.786 | 
| -15.962 | -11.461 | 26.379 | -27.900 | 4.877 | 144.941 | 
| -13884.130 | -7926.086 | -5613.352 | 6743.420 | -9015.686 | 10657.290 | 
| -14206.568 | -7691.010 | -5612.336 | 6716.489 | -8994.683 | 10668.007 | 
| 56.958 | 54.298 | 430.626 | -18.522 | -15.969 | 5.096 | 
| 7.975 | -16.230 | -29.006 | 148.890 | -10.955 | -9.918 | 
| -14.175 | 1.912 | -7.603 | -10.957 | 170.187 | -10.434 | 
| -24.216 | -20.785 | 2.800 | -9.006 | -12.944 | 154.174 | 
| 393.409 | 74.181 | 56.956 | 7.180 | -19.011 | -30.162 | 
| 14348.374 | 8306.333 | 5719.954 | -6746.721 | 8991.602 | -10704.809 | 
| 57.448 | 58.494 | 441.698 | -29.429 | -7.382 | 2.290 | 
| 14281.717 | 7989.421 | 5654.288 | -6605.177 | 8997.436 | -10699.125 | 
| -14.841 | 1.852 | -7.810 | -11.287 | 170.158 | -10.114 | 
| 14253.396 | 7978.749 | 5671.391 | -6743.162 | 8982.235 | -10532.988 | 
| -1036.119 | -727.717 | -514.233 | 686.131 | -922.450 | 1039.602 | 
| 72.575 | 306.800 | 55.264 | -15.307 | -0.886 | -19.486 | 
| -1370.801 | -742.006 | -127.290 | 645.172 | -907.982 | 1071.552 | 
| -1418.468 | -815.981 | -595.046 | 822.126 | -910.197 | 1058.125 | 
| -15.398 | 0.226 | -11.537 | -7.707 | 166.090 | -8.738 | 
| -1450.893 | -820.449 | -563.221 | 664.338 | -911.821 | 1221.686 | 
| 389.214 | 75.376 | 60.180 | 3.391 | -16.253 | -30.412 | 
| 1499.434 | 1108.372 | 625.348 | -693.014 | 901.612 | -1088.650 | 
| 56.577 | 58.518 | 440.437 | -29.986 | -7.256 | 2.658 | 
| 8.206 | -15.141 | -26.053 | 145.278 | -8.647 | -10.666 | 
| -16.028 | 2.095 | -7.024 | -13.184 | 169.870 | -9.601 | 
| 1404.040 | 780.267 | 572.412 | -685.076 | 888.973 | -915.974 | 
| 152.608 | 90.856 | -683.648 | -135.113 | 168.436 | -29.398 | 
| 18.427 | 571.147 | -2135.506 | -183.171 | 11.487 | -303.066 | 
| -103.400 | 31.830 | -336.561 | -161.914 | 370.005 | 67.470 | 
| -75.291 | -4.431 | -256.811 | -1.029 | 216.416 | 41.876 | 
| -98.978 | 377.784 | -2390.709 | -310.764 | 357.190 | -207.115 | 
| 2.429 | 3.607 | 5.828 | -7.335 | 25.491 | 134.711 | 
| 146.237 | -206.081 | 914.277 | 1.085 | 224.864 | 240.741 | 
| 168.389 | -661.189 | 4424.894 | 630.405 | -973.967 | 280.643 | 
| 27.123 | 37.234 | 328.039 | 11.500 | -3.876 | 5.136 | 
| 115.373 | -932.171 | 4835.975 | 697.121 | -1067.367 | 334.071 | 
| 111.936 | -455.357 | 2907.345 | 387.087 | -344.894 | 266.145 | 
| 87.701 | 25.480 | 270.195 | 96.432 | -195.960 | 57.506 | 
| 167.370 | 350.269 | -915.118 | -132.616 | 408.427 | -55.472 | 
| 24.476 | 303.633 | 40.395 | 10.756 | 12.559 | 6.944 | 
| 23.260 | 74.654 | -54.955 | -11.077 | -3.111 | -34.839 | 
| -4.527 | 9.622 | -16.826 | 87.157 | 20.463 | 0.743 | 
| -17.480 | 111.503 | -536.315 | -77.949 | 198.558 | -14.240 | 
| -9.533 | 91.339 | -480.642 | -69.477 | 140.115 | 24.896 | 
| 498.017 | -13.383 | 521.211 | 487.914 | -1867.771 | -568.929 | 
| -65.101 | -591.413 | 1264.866 | 183.139 | -700.866 | 116.801 | 
| 410.627 | 226.927 | 356.920 | 472.580 | -1704.210 | -627.824 | 
| 22.355 | -28.294 | 308.530 | 109.801 | -76.284 | 13.269 | 
| 389.586 | 167.641 | 312.751 | 466.562 | -1662.548 | -592.249 | 
| 13.982 | 5.811 | 28.192 | 4.232 | -2.925 | 96.874 | 
| 186.811 | 27.275 | 2.845 | -2.282 | -4.007 | 6.213 | 
| 24.113 | 300.280 | 41.120 | 10.140 | 13.505 | 7.657 | 
| 25.551 | 36.931 | 174.344 | 7.744 | -3.472 | -5.132 | 
| -0.582 | 18.502 | -27.112 | 54.087 | 4.948 | -1.771 | 
| -9.504 | 3.122 | -8.346 | -3.507 | 93.972 | 16.587 | 
| 9.993 | 49.013 | -109.418 | -14.225 | 71.743 | 28.595 | 
| 185.486 | 19.283 | 51.869 | 4.619 | -11.833 | 9.943 | 
| 24.530 | 231.323 | 40.879 | 13.413 | 5.229 | 6.923 | 
| 18.331 | 25.178 | 157.924 | 11.429 | -11.239 | -1.387 | 
| -6.313 | -66.478 | 138.996 | 55.040 | -76.367 | 16.254 | 
| 39.738 | 33.304 | 10.902 | 43.629 | -109.731 | -47.068 | 
| 38.538 | -13.229 | 58.788 | 50.353 | -174.999 | -19.430 | 
| 2216.189 | -12.864 | -12.864 | -0.000 | -0.000 | -0.000 | 
| -12.863 | 2216.188 | -12.864 | -0.000 | 0.000 | -0.000 | 
| -12.863 | -12.864 | 2216.188 | -0.000 | -0.000 | -0.000 | 
| 0.000 | -0.000 | -0.000 | 603.060 | 0.000 | -0.000 | 
| 0.000 | -0.000 | -0.000 | -0.000 | 603.060 | -0.000 | 
| 0.000 | 0.000 | -0.000 | -0.000 | 0.000 | 603.060 | 
| 2218.832 | -4.258 | -4.258 | 0.000 | -0.000 | 0.000 | 
| -4.258 | 2218.832 | -4.258 | -0.000 | -0.000 | 0.000 | 
| -4.258 | -4.258 | 2218.833 | 0.000 | -0.000 | 0.000 | 
| -0.000 | -0.000 | 0.000 | 603.060 | -0.000 | 0.000 | 
| -0.000 | 0.000 | 0.000 | 0.000 | 603.060 | 0.000 | 
| -0.000 | -0.000 | 0.000 | 0.000 | 0.000 | 603.060 | 
| 2218.834 | -4.258 | -4.258 | -0.000 | 0.000 | -0.000 | 
| -4.258 | 2218.834 | -4.258 | 0.000 | 0.000 | -0.000 | 
| -4.258 | -4.258 | 2218.834 | -0.000 | 0.000 | 0.000 | 
| 0.000 | -0.000 | 0.000 | 603.060 | 0.000 | -0.000 | 
| 0.000 | 0.000 | -0.000 | 0.000 | 603.060 | -0.000 | 
| 0.000 | 0.000 | 0.000 | -0.000 | 0.000 | 603.060 | 
| 2216.186 | -12.863 | -12.863 | 0.000 | -0.000 | 0.000 | 
| -12.863 | 2216.186 | -12.863 | 0.000 | 0.000 | 0.000 | 
| -12.863 | -12.863 | 2216.186 | -0.000 | -0.000 | 0.000 | 
| -0.000 | 0.000 | -0.000 | 603.060 | -0.000 | 0.000 | 
| -0.000 | -0.000 | 0.000 | 0.000 | 603.060 | 0.000 | 
| -0.000 | -0.000 | -0.000 | 0.000 | -0.000 | 603.060 | 
| 2216.180 | -12.852 | -12.851 | -0.000 | 0.000 | -0.000 | 
| -12.851 | 2216.180 | -12.852 | -0.000 | -0.000 | -0.000 | 
| -12.852 | -12.851 | 2216.180 | -0.000 | 0.000 | -0.000 | 
| 0.000 | -0.000 | 0.003 | 824.083 | 0.000 | -0.000 | 
| 0.003 | 0.000 | -0.000 | -0.000 | 824.083 | -0.000 | 
| -0.000 | 0.003 | 0.000 | -0.000 | -0.000 | 824.083 | 
| 2216.172 | -12.864 | -12.865 | 0.000 | 0.000 | 0.000 | 
| -12.865 | 2216.172 | -12.864 | 0.000 | -0.000 | 0.000 | 
| -12.864 | -12.865 | 2216.172 | 0.000 | 0.000 | 0.000 | 
| -0.000 | 0.000 | -0.003 | 824.083 | -0.000 | -0.000 | 
| -0.003 | -0.000 | 0.000 | 0.000 | 824.083 | 0.000 | 
| 0.000 | -0.003 | -0.000 | 0.000 | 0.000 | 824.083 | 
| 2238.936 | 34.490 | 34.490 | -0.000 | -0.000 | 0.000 | 
| 34.490 | 2238.936 | 34.490 | -0.000 | -0.000 | -0.000 | 
| 34.490 | 34.490 | 2238.936 | 0.000 | 0.000 | -0.000 | 
| -0.000 | 0.000 | 0.000 | 823.803 | -0.000 | -0.000 | 
| -0.000 | 0.000 | -0.000 | -0.000 | 823.803 | -0.000 | 
| -0.000 | 0.000 | -0.000 | -0.000 | -0.000 | 823.803 | 
| 2162.407 | -65.485 | -65.485 | 0.000 | 0.000 | 0.000 | 
| -65.485 | 2162.406 | -65.485 | -0.000 | 0.000 | 0.000 | 
| -65.485 | -65.485 | 2162.406 | -0.000 | -0.000 | 0.000 | 
| 0.000 | -0.000 | 0.000 | 823.803 | 0.000 | 0.000 | 
| -0.000 | -0.000 | 0.000 | -0.000 | 823.803 | 0.000 | 
| 0.000 | -0.000 | 0.000 | -0.000 | 0.000 | 823.803 | 
| 2220.006 | -7.888 | -7.888 | -0.000 | -0.000 | 0.000 | 
| -7.888 | 2220.006 | -7.888 | 0.000 | 0.000 | -0.000 | 
| -7.888 | -7.888 | 2220.006 | -0.000 | -0.000 | -0.000 | 
| 2.872 | 2.872 | 2.872 | 602.442 | 0.000 | 0.000 | 
| 2.872 | 2.872 | 2.872 | -0.000 | 602.442 | -0.000 | 
| 2.872 | 2.872 | 2.872 | -0.000 | -0.000 | 602.442 | 
| 2211.355 | -6.544 | -6.544 | -0.000 | 0.000 | -0.000 | 
| -6.544 | 2211.355 | -6.544 | 0.000 | 0.000 | -0.000 | 
| -6.544 | -6.544 | 2211.355 | -0.000 | 0.000 | 0.000 | 
| -2.872 | -2.872 | -2.872 | 602.442 | 0.000 | 0.000 | 
| -2.872 | -2.872 | -2.872 | 0.000 | 602.442 | 0.000 | 
| -2.872 | -2.872 | -2.872 | 0.000 | 0.000 | 602.442 | 
| 2215.283 | -12.589 | -12.588 | 0.000 | -0.000 | 0.000 | 
| -12.588 | 2215.283 | -12.589 | -0.000 | -0.000 | -0.000 | 
| -12.589 | -12.588 | 2215.283 | -0.000 | -0.000 | 0.000 | 
| 0.000 | -0.000 | 0.003 | 823.803 | 0.000 | 0.000 | 
| 0.003 | 0.000 | 0.000 | -0.000 | 823.803 | -0.000 | 
| -0.000 | 0.003 | 0.000 | 0.000 | -0.000 | 823.803 | 
| 2214.194 | -13.633 | -13.635 | -0.000 | 0.000 | -0.000 | 
| -13.635 | 2214.194 | -13.633 | -0.000 | -0.000 | 0.000 | 
| -13.633 | -13.635 | 2214.194 | -0.000 | 0.000 | 0.000 | 
| -0.000 | 0.000 | -0.003 | 823.803 | -0.000 | 0.000 | 
| -0.003 | -0.000 | -0.000 | -0.000 | 823.803 | 0.000 | 
| 0.000 | -0.003 | -0.000 | -0.000 | -0.000 | 823.803 | 
| 1290.506 | 150.045 | 78.740 | -0.000 | 0.000 | 0.000 | 
| 176.168 | 1240.019 | 103.070 | 0.000 | -0.000 | -0.000 | 
| 103.624 | 103.624 | 1311.877 | 0.000 | 0.000 | -0.000 | 
| -0.000 | -0.000 | 0.000 | 486.477 | 0.000 | -0.000 | 
| -0.000 | -0.000 | 0.000 | 0.000 | 486.477 | -0.000 | 
| -0.000 | -0.000 | 0.000 | -0.000 | 0.000 | 531.925 | 
| 1240.018 | 176.169 | 103.070 | -0.000 | 0.000 | -0.000 | 
| 150.045 | 1290.506 | 78.740 | -0.000 | -0.000 | 0.000 | 
| 79.294 | 79.294 | 1360.469 | -0.000 | -0.000 | -0.000 | 
| 0.000 | 0.000 | -0.000 | 486.477 | 0.000 | 0.000 | 
| 0.000 | 0.000 | -0.000 | -0.000 | 486.477 | 0.000 | 
| 0.000 | 0.000 | -0.000 | -0.000 | -0.000 | 570.230 | 
| 1240.022 | 176.167 | 103.069 | 0.000 | 0.000 | 0.000 | 
| 176.167 | 1240.022 | 103.068 | 0.000 | -0.000 | 0.000 | 
| 103.628 | 103.628 | 1311.870 | 0.000 | -0.000 | 0.000 | 
| -0.000 | -0.000 | 0.000 | 486.477 | -0.000 | 0.000 | 
| -0.000 | -0.000 | 0.000 | 0.000 | 502.360 | -0.000 | 
| -0.000 | 0.000 | -0.000 | 0.000 | -0.000 | 531.926 | 
| 1240.481 | 171.795 | 106.976 | -0.000 | -0.000 | 0.000 | 
| 171.795 | 1240.481 | 106.976 | -0.000 | 0.000 | 0.000 | 
| 103.820 | 103.820 | 1311.485 | 0.000 | 0.000 | 0.000 | 
| 0.000 | 0.000 | -0.000 | 486.477 | -0.000 | -0.000 | 
| 0.000 | 0.000 | -0.000 | 0.000 | 502.360 | 0.000 | 
| 0.000 | -0.000 | 0.000 | -0.000 | 0.000 | 531.926 | 
| 1240.519 | 171.780 | 106.957 | 0.000 | 0.000 | -0.000 | 
| 171.780 | 1240.522 | 106.954 | 0.000 | 0.000 | -0.000 | 
| 103.623 | 103.623 | 1311.882 | 0.000 | -0.000 | -0.000 | 
| -0.000 | -0.002 | 0.002 | 502.360 | 0.000 | 0.000 | 
| -0.001 | -0.000 | 0.002 | -0.000 | 486.476 | -0.000 | 
| -0.002 | 0.000 | 0.002 | -0.000 | -0.000 | 570.230 | 
| 1240.447 | 171.808 | 106.993 | -0.000 | 0.000 | 0.000 | 
| 176.185 | 1239.976 | 103.093 | -0.000 | 0.000 | 0.000 | 
| 103.737 | 103.737 | 1311.649 | -0.000 | 0.000 | 0.000 | 
| 0.000 | 0.002 | -0.002 | 502.360 | 0.000 | 0.000 | 
| 0.001 | 0.000 | -0.002 | -0.000 | 486.476 | 0.000 | 
| 0.002 | -0.000 | -0.002 | 0.000 | -0.000 | 570.230 | 
| 363.145 | 98.965 | 107.558 | -0.000 | -0.000 | -0.000 | 
| 101.834 | 457.889 | 51.469 | 0.000 | 0.000 | -0.000 | 
| 110.031 | 87.093 | 721.821 | -0.000 | -0.000 | -0.000 | 
| -0.002 | 0.001 | 0.000 | 150.748 | 0.000 | -0.000 | 
| 0.000 | 0.000 | -0.001 | -0.000 | 157.889 | -0.000 | 
| 0.001 | -0.000 | -0.001 | -0.000 | 0.000 | 130.212 | 
| 363.146 | 98.967 | 107.561 | 0.000 | -0.000 | 0.000 | 
| 43.968 | 649.225 | 87.093 | -0.000 | 0.000 | 0.000 | 
| 127.200 | 100.537 | 609.027 | 0.000 | 0.000 | 0.000 | 
| 0.002 | -0.001 | -0.000 | 150.748 | 0.000 | 0.000 | 
| -0.000 | -0.000 | 0.001 | 0.000 | 157.889 | 0.000 | 
| -0.001 | 0.000 | 0.001 | -0.000 | -0.000 | 130.212 | 
| 363.142 | 98.967 | 107.559 | -0.000 | 0.000 | -0.000 | 
| 90.373 | 563.432 | 96.817 | 0.000 | 0.000 | -0.000 | 
| 91.784 | 82.389 | 509.880 | -0.000 | 0.000 | -0.000 | 
| -0.000 | 0.000 | 0.000 | 150.748 | 0.000 | -0.000 | 
| 0.000 | 0.000 | 0.000 | -0.000 | 282.488 | -0.000 | 
| 0.000 | -0.000 | -0.000 | 0.000 | 0.000 | 115.006 | 
| 619.738 | 43.968 | 110.031 | -0.000 | 0.000 | -0.000 | 
| 101.837 | 457.875 | 51.471 | 0.000 | -0.000 | 0.000 | 
| 127.209 | 100.539 | 608.987 | 0.000 | -0.000 | 0.000 | 
| 0.000 | -0.000 | -0.000 | 150.748 | 0.000 | 0.000 | 
| 0.000 | -0.000 | -0.000 | 0.000 | 282.488 | 0.000 | 
| -0.000 | 0.000 | 0.000 | 0.000 | -0.000 | 115.006 | 
| 363.472 | 98.972 | 107.618 | -0.000 | 0.000 | -0.000 | 
| 78.285 | 438.967 | 49.226 | 0.000 | 0.000 | -0.000 | 
| 127.205 | 100.536 | 609.019 | -0.000 | 0.000 | 0.000 | 
| 0.000 | 0.000 | 0.000 | 266.522 | 0.000 | -0.000 | 
| -0.000 | 0.000 | 0.000 | 0.000 | 219.344 | -0.000 | 
| -0.000 | 0.000 | 0.000 | -0.000 | 0.000 | 223.333 | 
| 362.820 | 98.960 | 107.500 | -0.000 | -0.000 | -0.000 | 
| 90.373 | 563.429 | 96.817 | 0.000 | -0.000 | 0.000 | 
| 91.747 | 82.373 | 509.695 | 0.000 | -0.000 | 0.000 | 
| -0.000 | -0.000 | -0.000 | 266.522 | -0.000 | 0.000 | 
| 0.000 | -0.000 | -0.000 | 0.000 | 219.344 | 0.000 | 
| 0.000 | -0.000 | -0.000 | 0.000 | -0.000 | 223.333 | 
| -955645.305 | -532505.283 | -646786.373 | -0.000 | 0.000 | -0.000 | 
| -50235.928 | 33043.285 | 6461.206 | 0.000 | 0.000 | -0.000 | 
| 148.457 | 40.567 | 434.384 | 0.000 | -0.000 | -0.000 | 
| 0.000 | -0.000 | 0.000 | 233.264 | 0.000 | -0.000 | 
| -896665.718 | 26751.820 | -198663.041 | 0.000 | -381505.669 | -0.000 | 
| -552781.689 | 379340.193 | 82185.960 | 0.000 | 0.000 | 2771.138 | 
| 457.080 | 15.463 | 56.083 | 0.000 | -0.000 | 0.000 | 
| 3.940 | 544.977 | 63.867 | -0.000 | 0.000 | 0.000 | 
| 956141.676 | 532612.502 | 647418.196 | 0.000 | 0.000 | 0.000 | 
| -0.000 | 0.000 | -0.000 | 233.264 | 0.000 | 0.000 | 
| 885667.683 | -16669.857 | 197335.391 | -0.000 | -395036.594 | 0.000 | 
| 514892.817 | -346561.744 | -88659.027 | -0.000 | -0.000 | 2794.827 | 
| -99242.292 | -50692.269 | -64193.637 | -0.000 | 0.000 | -0.000 | 
| -3878.552 | 2920.202 | 467.580 | 0.000 | 0.000 | -0.000 | 
| 62.963 | 69.506 | 575.376 | 0.000 | 0.000 | -0.000 | 
| -47804.737 | -26626.198 | -32342.799 | 29573.699 | 0.000 | -0.000 | 
| 31.463 | -31.335 | 2.170 | -0.000 | 200.983 | -0.000 | 
| -47765.608 | -26663.911 | -32343.208 | -0.000 | 0.000 | -35492.009 | 
| 96075.201 | 53264.908 | 64727.116 | -0.000 | 0.000 | 0.000 | 
| 96978.658 | 52848.197 | 64617.260 | 0.000 | -0.000 | 0.000 | 
| 3930.425 | -2471.748 | -26.707 | 0.000 | 0.000 | 0.000 | 
| 47804.737 | 26626.198 | 32342.799 | 29573.699 | 0.000 | 0.000 | 
| -31.463 | 31.335 | -2.170 | -0.000 | 200.983 | 0.000 | 
| 47765.608 | 26663.911 | 32343.208 | 0.000 | 0.000 | -35492.009 | 
| -9023.516 | -5518.447 | -6530.623 | -0.000 | 0.000 | -0.000 | 
| 8.655 | 541.574 | 57.714 | 0.000 | 0.000 | -0.000 | 
| -581.253 | 432.815 | 479.347 | -0.000 | 0.000 | -0.000 | 
| -4762.229 | -2679.623 | -3235.841 | -2710.613 | 0.000 | -0.000 | 
| -4753.014 | -2689.335 | -3233.553 | -0.000 | -3728.240 | -0.000 | 
| -4730.875 | -2704.450 | -3249.753 | -0.000 | 0.000 | 3747.061 | 
| 840.598 | -364.216 | -61.168 | -0.000 | 0.000 | 0.000 | 
| -355.030 | 786.205 | 182.885 | -0.000 | -0.000 | 0.000 | 
| 285.360 | -127.974 | 395.069 | -0.000 | -0.000 | 0.000 | 
| 4762.229 | 2679.623 | 3235.841 | -2710.613 | -0.000 | 0.000 | 
| 4753.014 | 2689.335 | 3233.553 | -0.000 | -3728.240 | 0.000 | 
| 4730.875 | 2704.450 | 3249.753 | -0.000 | -0.000 | 3747.061 | 
| 620.841 | 244.822 | 0.000 | 0.000 | 0.000 | 0.000 | 
| 295.181 | 570.481 | 0.000 | 0.000 | 0.000 | 0.000 | 
| 0.000 | -0.000 | 0.000 | 0.000 | 0.000 | 0.000 | 
| 0.000 | -0.000 | 0.000 | 0.000 | 0.000 | 0.000 | 
| 0.000 | -0.000 | 0.000 | 0.000 | 0.000 | 0.000 | 
| 0.000 | -0.000 | 0.000 | 0.000 | 0.000 | 188.009 | 
| 620.840 | 244.822 | -0.000 | -0.000 | -0.000 | -0.000 | 
| 244.822 | 620.840 | -0.000 | -0.000 | -0.000 | -0.000 | 
| -0.000 | 0.000 | -0.000 | -0.000 | -0.000 | -0.000 | 
| -0.000 | 0.000 | -0.000 | -0.000 | -0.000 | -0.000 | 
| -0.000 | 0.000 | -0.000 | -0.000 | -0.000 | -0.000 | 
| -0.000 | 0.000 | -0.000 | -0.000 | -0.000 | 188.009 | 
| 620.841 | 244.822 | 0.000 | 0.000 | 0.000 | 0.000 | 
| 295.182 | 570.480 | 0.000 | 0.000 | 0.000 | 0.000 | 
| 0.000 | -0.000 | 0.000 | 0.000 | 0.000 | 0.000 | 
| 0.000 | -0.000 | 0.000 | 0.000 | 0.000 | 0.000 | 
| 0.000 | -0.000 | 0.000 | 0.000 | 0.000 | 0.000 | 
| -0.000 | 0.000 | 0.000 | 0.000 | 0.000 | 137.650 | 
| 620.840 | 244.822 | -0.000 | -0.000 | -0.000 | -0.000 | 
| 244.822 | 620.840 | -0.000 | -0.000 | -0.000 | -0.000 | 
| -0.000 | 0.000 | -0.000 | -0.000 | -0.000 | -0.000 | 
| -0.000 | 0.000 | -0.000 | -0.000 | -0.000 | -0.000 | 
| -0.000 | 0.000 | -0.000 | -0.000 | -0.000 | -0.000 | 
| 0.000 | -0.000 | -0.000 | -0.000 | -0.000 | 137.650 | 
| 570.490 | 295.174 | 0.000 | 0.000 | 0.000 | 0.000 | 
| 295.190 | 570.474 | 0.000 | 0.000 | 0.000 | 0.000 | 
| 0.000 | -0.000 | 0.000 | 0.000 | 0.000 | 0.000 | 
| 0.000 | -0.000 | 0.000 | 0.000 | 0.000 | 0.000 | 
| 0.000 | -0.000 | 0.000 | 0.000 | 0.000 | 0.000 | 
| -0.001 | 0.001 | 0.000 | 0.000 | 0.000 | 137.650 | 
| 570.472 | 295.188 | -0.000 | -0.000 | -0.000 | -0.000 | 
| 295.172 | 570.488 | -0.000 | -0.000 | -0.000 | -0.000 | 
| -0.000 | 0.000 | -0.000 | -0.000 | -0.000 | -0.000 | 
| -0.000 | 0.000 | -0.000 | -0.000 | -0.000 | -0.000 | 
| -0.000 | 0.000 | -0.000 | -0.000 | -0.000 | -0.000 | 
| 0.001 | -0.001 | -0.000 | -0.000 | -0.000 | 137.650 | 
| 611.579 | 241.170 | 0.000 | 0.000 | 0.000 | 0.000 | 
| 290.778 | 561.971 | 0.000 | 0.000 | 0.000 | 0.000 | 
| -0.000 | -0.000 | 0.000 | 0.000 | 0.000 | 0.000 | 
| -0.000 | -0.000 | 0.000 | 0.000 | 0.000 | 0.000 | 
| -0.000 | 0.000 | 0.000 | 0.000 | 0.000 | 0.000 | 
| -0.000 | 0.000 | 0.000 | 0.000 | 0.000 | 185.205 | 
| 611.579 | 241.170 | -0.000 | -0.000 | -0.000 | -0.000 | 
| 241.170 | 611.579 | -0.000 | -0.000 | -0.000 | 0.000 | 
| 0.000 | 0.000 | -0.000 | -0.000 | -0.000 | -0.000 | 
| 0.000 | 0.000 | -0.000 | -0.000 | -0.000 | -0.000 | 
| 0.000 | 0.000 | -0.000 | -0.000 | -0.000 | -0.000 | 
| 0.000 | -0.000 | -0.000 | -0.000 | -0.000 | 185.205 | 
| 611.579 | 241.170 | 0.000 | 0.000 | 0.000 | 0.000 | 
| 290.779 | 561.970 | 0.000 | 0.000 | 0.000 | 0.000 | 
| -0.000 | -0.000 | 0.000 | 0.000 | 0.000 | 0.000 | 
| -0.000 | -0.000 | 0.000 | 0.000 | 0.000 | 0.000 | 
| -0.000 | 0.000 | 0.000 | 0.000 | 0.000 | 0.000 | 
| -0.000 | 0.000 | 0.000 | 0.000 | 0.000 | 135.596 | 
| 611.579 | 241.170 | -0.000 | -0.000 | -0.000 | -0.000 | 
| 241.169 | 611.579 | -0.000 | -0.000 | -0.000 | -0.000 | 
| 0.000 | 0.000 | -0.000 | -0.000 | -0.000 | -0.000 | 
| 0.000 | -0.000 | -0.000 | -0.000 | -0.000 | -0.000 | 
| 0.000 | -0.000 | -0.000 | -0.000 | -0.000 | -0.000 | 
| 0.000 | -0.000 | -0.000 | -0.000 | -0.000 | 135.596 | 
| 561.979 | 290.771 | 0.000 | 0.000 | 0.000 | 0.000 | 
| 290.787 | 561.964 | 0.000 | 0.000 | 0.000 | 0.000 | 
| -0.000 | -0.000 | 0.000 | 0.000 | 0.000 | 0.000 | 
| -0.000 | 0.000 | 0.000 | 0.000 | 0.000 | 0.000 | 
| -0.000 | 0.000 | 0.000 | 0.000 | 0.000 | 0.000 | 
| -0.001 | 0.001 | 0.000 | 0.000 | 0.000 | 135.596 | 
| 561.962 | 290.785 | -0.000 | -0.000 | -0.000 | -0.000 | 
| 290.769 | 561.978 | -0.000 | -0.000 | -0.000 | -0.000 | 
| 0.000 | 0.000 | -0.000 | -0.000 | -0.000 | -0.000 | 
| 0.000 | -0.000 | -0.000 | -0.000 | -0.000 | -0.000 | 
| 0.000 | -0.000 | -0.000 | -0.000 | -0.000 | -0.000 | 
| 0.001 | -0.001 | -0.000 | -0.000 | -0.000 | 135.596 | 
| -2491.285 | 0.001 | 3313.796 | -0.000 | -0.000 | 0.000 | 
| -3342.186 | 0.001 | 2863.022 | -0.000 | -0.000 | 0.000 | 
| -2891.997 | 0.001 | 3745.332 | 0.000 | -0.000 | 0.000 | 
| -3368.825 | 0.001 | 2848.791 | -14.232 | -0.000 | 0.000 | 
| 0.000 | -0.000 | 0.000 | 0.000 | 390.060 | 0.000 | 
| -3368.825 | 0.001 | 2848.791 | -0.000 | -0.000 | 0.000 | 
| 3588.316 | -0.001 | -1827.317 | -0.000 | 0.000 | -0.000 | 
| 3395.464 | -0.001 | -2834.559 | 0.000 | 0.000 | -0.000 | 
| 3219.415 | -0.001 | -1422.681 | 0.000 | 0.000 | -0.000 | 
| 3368.825 | -0.001 | -2848.791 | -14.232 | 0.000 | -0.000 | 
| -0.000 | -0.000 | -0.000 | -0.000 | 390.060 | -0.000 | 
| 3368.825 | -0.001 | -2848.791 | 0.000 | 0.000 | -0.000 | 
| 587.618 | 0.000 | 710.174 | 0.000 | -0.000 | 0.000 | 
| -310.244 | 0.000 | 299.111 | -0.000 | -0.000 | 0.000 | 
| 218.686 | 0.000 | 1114.835 | 0.000 | -0.000 | 0.000 | 
| -336.883 | 0.000 | 284.879 | -14.232 | -0.000 | 0.000 | 
| -335.141 | 0.000 | 283.406 | 0.000 | 383.168 | 0.000 | 
| -336.883 | 0.000 | 284.879 | -0.000 | -0.000 | -0.000 | 
| 1218.298 | -0.000 | 176.849 | -0.000 | 0.000 | -0.000 | 
| 363.522 | -0.000 | -270.647 | 0.000 | 0.000 | -0.000 | 
| 816.493 | -0.000 | 609.310 | -0.000 | 0.000 | -0.000 | 
| 336.883 | -0.000 | -284.879 | -14.232 | 0.000 | -0.000 | 
| 335.141 | -0.000 | -283.406 | 0.000 | 383.168 | -0.000 | 
| 336.883 | -0.000 | -284.879 | 0.000 | 0.000 | -0.000 | 
| 830.651 | 0.000 | 504.663 | 0.000 | -0.000 | 0.000 | 
| -7.049 | 0.000 | 42.719 | -0.000 | -0.000 | 0.000 | 
| 465.566 | 0.000 | 906.066 | 0.000 | -0.000 | 0.000 | 
| -33.692 | 0.000 | 28.490 | -14.232 | -0.000 | 0.000 | 
| -35.863 | 0.000 | 30.327 | 0.000 | 387.500 | 0.000 | 
| -27.282 | 0.000 | 23.071 | 0.000 | -0.000 | 0.000 | 
| 883.756 | -0.000 | 459.743 | 0.000 | 0.000 | -0.000 | 
| 60.327 | -0.000 | -14.256 | 0.000 | 0.000 | -0.000 | 
| 519.584 | -0.000 | 860.385 | -0.000 | 0.000 | -0.000 | 
| 33.692 | -0.000 | -28.490 | -14.232 | 0.000 | -0.000 | 
| 35.863 | -0.000 | -30.327 | -0.000 | 387.500 | -0.000 | 
| 27.282 | -0.000 | -23.071 | -0.000 | 0.000 | -0.000 | 
| 597.907 | 309.373 | 0.000 | 0.000 | 0.000 | 0.000 | 
| 256.592 | 650.688 | 0.000 | 0.000 | 0.000 | -0.000 | 
| 0.000 | -0.000 | 0.000 | 0.000 | 0.000 | -0.000 | 
| -0.000 | -0.000 | 0.000 | 0.000 | 0.000 | 0.000 | 
| 0.000 | -0.000 | 0.000 | 0.000 | 0.000 | -0.000 | 
| 0.000 | -0.000 | 0.000 | 0.000 | 0.000 | 197.048 | 
| 650.688 | 256.592 | -0.000 | -0.000 | -0.000 | 0.000 | 
| 309.372 | 597.907 | -0.000 | -0.000 | -0.000 | 0.000 | 
| 0.000 | -0.000 | -0.000 | -0.000 | -0.000 | -0.000 | 
| 0.000 | 0.000 | -0.000 | -0.000 | -0.000 | -0.000 | 
| -0.000 | 0.000 | -0.000 | -0.000 | -0.000 | 0.000 | 
| -0.000 | 0.000 | -0.000 | -0.000 | -0.000 | 197.048 | 
| 650.688 | 256.592 | 0.000 | 0.000 | 0.000 | 0.000 | 
| 309.372 | 597.908 | 0.000 | 0.000 | 0.000 | -0.000 | 
| 0.000 | -0.000 | 0.000 | 0.000 | 0.000 | -0.000 | 
| -0.000 | 0.000 | 0.000 | 0.000 | 0.000 | -0.000 | 
| 0.000 | 0.000 | 0.000 | 0.000 | 0.000 | -0.000 | 
| 0.000 | -0.000 | 0.000 | 0.000 | 0.000 | 144.267 | 
| 650.688 | 256.592 | -0.000 | -0.000 | -0.000 | -0.000 | 
| 309.373 | 597.906 | -0.000 | -0.000 | -0.000 | -0.000 | 
| 0.000 | -0.000 | -0.000 | -0.000 | -0.000 | -0.000 | 
| 0.000 | -0.000 | -0.000 | -0.000 | -0.000 | 0.000 | 
| -0.000 | 0.000 | -0.000 | -0.000 | -0.000 | 0.000 | 
| -0.000 | 0.000 | -0.000 | -0.000 | -0.000 | 144.267 | 
| 597.900 | 309.382 | 0.000 | 0.000 | 0.000 | 0.000 | 
| 256.592 | 650.690 | 0.000 | 0.000 | 0.000 | -0.000 | 
| 0.000 | -0.000 | 0.000 | 0.000 | 0.000 | -0.000 | 
| -0.000 | -0.000 | 0.000 | 0.000 | 0.000 | 0.000 | 
| 0.000 | -0.000 | 0.000 | 0.000 | 0.000 | -0.000 | 
| 0.001 | -0.001 | 0.000 | 0.000 | 0.000 | 144.267 | 
| 597.915 | 309.363 | -0.000 | -0.000 | -0.000 | -0.000 | 
| 309.380 | 597.898 | -0.000 | -0.000 | -0.000 | 0.000 | 
| 0.000 | -0.000 | -0.000 | -0.000 | -0.000 | -0.000 | 
| -0.000 | 0.000 | -0.000 | -0.000 | -0.000 | -0.000 | 
| -0.000 | 0.000 | -0.000 | -0.000 | -0.000 | 0.000 | 
| -0.001 | 0.001 | -0.000 | -0.000 | -0.000 | 144.267 | 
| 479.883 | 248.304 | -0.000 | 0.000 | -0.000 | 0.000 | 
| 248.303 | 479.883 | -0.000 | 0.000 | 0.000 | 0.000 | 
| 0.000 | -0.000 | 0.000 | 0.000 | -0.000 | 0.000 | 
| 0.000 | -0.000 | 0.000 | 0.000 | -0.000 | 0.000 | 
| -0.000 | -0.000 | 0.000 | 0.000 | -0.000 | 0.000 | 
| -0.000 | -0.000 | -0.000 | 0.000 | -0.000 | 115.790 | 
| 479.883 | 248.303 | 0.000 | -0.000 | -0.000 | -0.000 | 
| 205.941 | 522.245 | 0.000 | -0.000 | -0.000 | -0.000 | 
| -0.000 | 0.000 | -0.000 | -0.000 | 0.000 | -0.000 | 
| -0.000 | -0.000 | -0.000 | -0.000 | 0.000 | -0.000 | 
| 0.000 | 0.000 | -0.000 | -0.000 | 0.000 | -0.000 | 
| 0.000 | 0.000 | 0.000 | -0.000 | -0.000 | 115.790 | 
| 479.882 | 248.304 | -0.000 | 0.000 | 0.000 | -0.000 | 
| 205.942 | 522.245 | -0.000 | -0.000 | -0.000 | -0.000 | 
| 0.000 | -0.000 | 0.000 | 0.000 | -0.000 | 0.000 | 
| 0.000 | -0.000 | 0.000 | 0.000 | -0.000 | 0.000 | 
| -0.000 | -0.000 | 0.000 | 0.000 | -0.000 | 0.000 | 
| 0.000 | -0.000 | -0.000 | -0.000 | 0.000 | 158.152 | 
| 479.884 | 248.303 | -0.000 | -0.000 | -0.000 | 0.000 | 
| 248.304 | 479.882 | 0.000 | -0.000 | -0.000 | -0.000 | 
| -0.000 | 0.000 | -0.000 | -0.000 | 0.000 | -0.000 | 
| -0.000 | -0.000 | -0.000 | -0.000 | 0.000 | -0.000 | 
| 0.000 | 0.000 | -0.000 | -0.000 | 0.000 | -0.000 | 
| -0.000 | 0.000 | 0.000 | 0.000 | 0.000 | 158.152 | 
| 480.038 | 248.150 | -0.000 | -0.000 | -0.000 | -0.000 | 
| 248.298 | 479.890 | -0.000 | 0.000 | 0.000 | -0.000 | 
| 0.000 | -0.000 | 0.000 | 0.000 | -0.000 | 0.000 | 
| 0.000 | 0.000 | 0.000 | 0.000 | -0.000 | 0.000 | 
| -0.000 | -0.000 | 0.000 | 0.000 | -0.000 | 0.000 | 
| 0.001 | -0.001 | -0.000 | 0.000 | -0.000 | 115.790 | 
| 479.889 | 248.296 | 0.000 | -0.000 | 0.000 | 0.000 | 
| 248.149 | 480.036 | 0.000 | 0.000 | -0.000 | 0.000 | 
| -0.000 | 0.000 | -0.000 | -0.000 | 0.000 | -0.000 | 
| -0.000 | -0.000 | -0.000 | -0.000 | 0.000 | -0.000 | 
| 0.000 | 0.000 | -0.000 | -0.000 | 0.000 | -0.000 | 
| -0.001 | 0.001 | 0.000 | -0.000 | -0.000 | 115.790 | 
| 1247.902 | 166.616 | 104.261 | 16.975 | 0.000 | -0.000 | 
| 166.617 | 1247.902 | 104.261 | -16.975 | 0.000 | 0.000 | 
| 76.888 | 76.888 | 1365.003 | -0.000 | 0.000 | -0.000 | 
| 17.257 | -17.256 | -0.000 | 485.252 | 0.000 | -0.000 | 
| 0.000 | 0.000 | -0.000 | -0.000 | 485.252 | 17.256 | 
| 0.000 | 0.000 | -0.000 | -0.000 | 18.810 | 535.919 | 
| 1291.301 | 150.590 | 76.888 | 20.846 | -0.000 | -0.000 | 
| 150.589 | 1291.301 | 76.888 | -20.846 | -0.000 | 0.000 | 
| 102.579 | 102.580 | 1313.619 | 0.000 | -0.000 | 0.000 | 
| 20.845 | -20.846 | 0.000 | 499.227 | -0.000 | 0.000 | 
| -0.000 | -0.000 | 0.000 | 0.000 | 485.252 | 17.257 | 
| -0.000 | -0.001 | 0.000 | 0.000 | 18.810 | 535.919 | 
| 1247.902 | 166.616 | 104.262 | 16.975 | 0.000 | -0.000 | 
| 150.590 | 1291.302 | 76.888 | -20.846 | 0.000 | -0.000 | 
| 76.888 | 76.888 | 1365.003 | -0.000 | 0.000 | -0.000 | 
| 20.846 | -20.846 | 0.000 | 499.227 | 0.000 | -0.000 | 
| -0.000 | 0.000 | 0.000 | 0.000 | 485.252 | 17.257 | 
| 0.000 | 0.000 | -0.000 | 0.000 | 20.846 | 570.356 | 
| 1291.301 | 150.590 | 76.888 | 20.846 | -0.000 | 0.000 | 
| 150.590 | 1291.301 | 76.888 | -20.846 | -0.000 | -0.000 | 
| 76.888 | 76.888 | 1365.003 | 0.000 | -0.000 | 0.000 | 
| 17.256 | -17.256 | -0.000 | 485.252 | -0.000 | -0.000 | 
| 0.000 | -0.000 | -0.000 | -0.000 | 485.252 | 17.257 | 
| -0.000 | -0.000 | 0.000 | -0.000 | 20.846 | 570.356 | 
| 1247.905 | 166.616 | 104.262 | 16.975 | 0.000 | -0.000 | 
| 150.591 | 1291.305 | 76.888 | -20.846 | 0.000 | -0.000 | 
| 102.584 | 102.584 | 1313.616 | -0.000 | 0.000 | -0.000 | 
| 17.203 | -17.204 | 0.001 | 485.251 | 0.000 | -0.000 | 
| -0.001 | 0.000 | 0.001 | 0.000 | 485.252 | 17.256 | 
| -0.001 | 0.002 | -0.001 | 0.000 | 16.868 | 539.824 | 
| 1245.010 | 175.728 | 98.037 | 17.854 | -0.000 | -0.000 | 
| 175.726 | 1245.013 | 98.037 | -17.854 | -0.000 | 0.000 | 
| 102.580 | 102.580 | 1313.615 | 0.000 | -0.000 | 0.000 | 
| 17.256 | -17.256 | -0.001 | 485.252 | -0.000 | 0.000 | 
| 0.001 | -0.000 | -0.001 | -0.000 | 485.252 | 17.256 | 
| 0.001 | -0.002 | 0.001 | -0.000 | 16.868 | 539.824 | 
| 1538.614 | 471.850 | -491.985 | 16.014 | -0.000 | 0.000 | 
| 471.850 | 1538.614 | -491.985 | -16.014 | -0.000 | 0.000 | 
| 76.881 | 76.881 | 1364.793 | 0.000 | -0.000 | -0.000 | 
| 232.946 | 198.171 | -431.146 | 486.136 | -0.000 | 0.000 | 
| 215.639 | 215.639 | -431.306 | 0.000 | 486.131 | 17.387 | 
| 0.000 | -0.000 | -0.000 | 0.000 | 20.837 | 570.343 | 
| 940.184 | -127.496 | 705.869 | 16.074 | -0.000 | -0.000 | 
| -127.157 | 940.612 | 705.103 | -16.080 | 0.000 | -0.000 | 
| 76.882 | 76.882 | 1364.793 | -0.000 | 0.000 | -0.000 | 
| -218.291 | -252.456 | 470.778 | 483.901 | 0.000 | -0.000 | 
| -215.639 | -215.639 | 431.306 | -0.000 | 486.131 | 17.386 | 
| 0.000 | -0.000 | 0.000 | -0.000 | 20.837 | 570.343 | 
| 1268.288 | 191.608 | 58.620 | 17.488 | -0.000 | 0.000 | 
| 150.501 | 1291.189 | 76.827 | -20.837 | -0.000 | -0.000 | 
| 133.664 | 133.664 | 1251.221 | 0.000 | -0.000 | 0.000 | 
| 45.528 | 13.260 | -58.792 | 480.819 | -0.000 | 0.000 | 
| 29.360 | 29.361 | -58.725 | 0.000 | 480.840 | 16.139 | 
| -0.000 | 0.000 | 0.000 | 0.000 | 20.837 | 570.343 | 
| 1291.188 | 150.501 | 76.827 | 20.837 | 0.000 | 0.000 | 
| 150.501 | 1291.188 | 76.827 | -20.837 | 0.000 | -0.000 | 
| 81.055 | 81.055 | 1356.445 | -0.000 | 0.000 | -0.000 | 
| 20.837 | -20.837 | -0.000 | 499.159 | 0.000 | -0.000 | 
| -29.360 | -29.361 | 58.725 | -0.000 | 480.840 | 16.139 | 
| 0.000 | -0.000 | -0.000 | -0.000 | 20.837 | 570.343 | 
| 1249.449 | 169.289 | 99.785 | 16.888 | -0.000 | 0.000 | 
| 175.184 | 1248.502 | 94.836 | -17.739 | -0.000 | 0.000 | 
| 104.497 | 104.497 | 1309.561 | 0.000 | -0.000 | -0.000 | 
| 19.442 | -14.792 | -4.650 | 484.650 | -0.000 | -0.000 | 
| -0.001 | 0.000 | 0.001 | 0.000 | 499.159 | 20.837 | 
| 2.912 | 2.914 | -5.826 | 0.000 | 16.196 | 534.613 | 
| 1245.273 | 164.125 | 109.117 | 16.953 | 0.000 | 0.000 | 
| 150.501 | 1291.185 | 76.826 | -20.837 | 0.000 | -0.000 | 
| 100.576 | 100.576 | 1317.399 | -0.000 | 0.000 | -0.000 | 
| 20.837 | -20.836 | -0.001 | 499.159 | 0.000 | -0.000 | 
| 0.001 | -0.000 | -0.001 | -0.000 | 499.159 | 20.837 | 
| -2.912 | -2.914 | 5.826 | -0.000 | 16.196 | 534.613 | 
| 1247.459 | 171.349 | 99.971 | 12.558 | -0.000 | 0.000 | 
| 171.350 | 1247.458 | 99.971 | -12.558 | -0.000 | 0.000 | 
| 76.889 | 76.888 | 1365.002 | 0.000 | -0.000 | -0.000 | 
| 12.319 | -12.318 | -0.001 | 484.839 | -0.000 | 0.000 | 
| 0.001 | -0.000 | -0.000 | 0.000 | 484.839 | 12.318 | 
| 0.001 | 0.000 | -0.000 | 0.000 | 12.113 | 541.183 | 
| 1249.323 | 165.676 | 103.781 | 12.174 | 0.000 | 0.000 | 
| 165.675 | 1249.324 | 103.781 | -12.174 | 0.000 | -0.000 | 
| 102.579 | 102.580 | 1313.619 | -0.000 | 0.000 | -0.000 | 
| 12.316 | -12.318 | 0.000 | 484.839 | 0.000 | -0.000 | 
| -0.001 | -0.000 | 0.000 | -0.000 | 484.839 | 12.318 | 
| -0.001 | -0.000 | 0.000 | -0.000 | 12.113 | 541.183 | 
| 1249.325 | 165.676 | 103.778 | 12.174 | 0.000 | 0.000 | 
| 150.590 | 1291.302 | 76.888 | -14.890 | 0.000 | 0.000 | 
| 76.888 | 76.888 | 1365.003 | 0.000 | -0.000 | -0.000 | 
| 12.318 | -12.318 | -0.000 | 484.839 | -0.000 | 0.000 | 
| 0.000 | 0.000 | -0.000 | 0.000 | 484.839 | 12.318 | 
| 0.000 | 0.000 | -0.000 | 0.000 | 12.113 | 541.183 | 
| 1247.457 | 171.349 | 99.973 | 12.558 | 0.000 | -0.000 | 
| 165.676 | 1249.324 | 103.779 | -12.174 | 0.000 | -0.000 | 
| 76.888 | 76.888 | 1365.003 | -0.000 | 0.000 | 0.000 | 
| 12.318 | -12.318 | 0.000 | 484.839 | 0.000 | -0.000 | 
| -0.000 | -0.000 | 0.000 | -0.000 | 484.839 | 12.318 | 
| -0.000 | -0.000 | 0.000 | -0.000 | 12.113 | 541.183 | 
| 1291.306 | 150.590 | 76.888 | 14.890 | -0.000 | -0.000 | 
| 165.589 | 1249.573 | 103.621 | -12.190 | -0.000 | 0.000 | 
| 102.584 | 102.584 | 1313.616 | 0.000 | -0.000 | 0.000 | 
| 12.318 | -12.319 | 0.001 | 484.839 | 0.000 | 0.000 | 
| -0.001 | 0.000 | 0.001 | 0.000 | 484.839 | 12.318 | 
| -0.001 | 0.002 | -0.001 | 0.000 | 12.113 | 541.184 | 
| 1239.476 | 174.285 | 105.014 | 12.049 | 0.000 | -0.000 | 
| 165.598 | 1249.535 | 103.642 | -12.187 | -0.000 | -0.000 | 
| 102.405 | 102.405 | 1313.964 | -0.000 | 0.000 | 0.000 | 
| 12.318 | -12.317 | -0.001 | 484.839 | 0.000 | -0.000 | 
| 0.001 | -0.000 | -0.001 | -0.000 | 484.839 | 12.318 | 
| 0.001 | -0.002 | 0.001 | -0.000 | 12.113 | 541.184 | 
| 1072.963 | 39.196 | 406.972 | 12.472 | -0.000 | 0.000 | 
| 150.579 | 1290.526 | 77.494 | -14.894 | -0.000 | 0.000 | 
| 77.264 | 77.259 | 1364.507 | 0.000 | -0.000 | -0.000 | 
| -158.780 | -182.777 | 342.113 | 482.078 | -0.000 | 0.000 | 
| 190.271 | 190.271 | -381.172 | 0.000 | 516.652 | 18.119 | 
| 0.000 | 0.000 | -0.001 | 0.000 | 14.894 | 569.976 | 
| 1290.523 | 150.574 | 77.496 | 14.894 | 0.000 | -0.000 | 
| 612.081 | 1603.175 | -697.931 | -7.859 | 0.000 | -0.000 | 
| 77.253 | 77.259 | 1364.509 | -0.000 | 0.000 | 0.000 | 
| 14.891 | -14.895 | 0.001 | 498.468 | 0.000 | -0.000 | 
| -190.271 | -190.271 | 381.172 | -0.000 | 516.652 | 18.119 | 
| -0.002 | 0.000 | 0.001 | -0.000 | 14.894 | 569.976 | 
| 1290.527 | 150.574 | 77.494 | 14.894 | -0.000 | 0.000 | 
| 150.574 | 1290.527 | 77.494 | -14.894 | -0.000 | 0.000 | 
| 105.650 | 105.650 | 1307.631 | 0.000 | -0.000 | 0.000 | 
| -3.668 | -28.072 | 31.791 | 483.181 | -0.000 | 0.000 | 
| 8.479 | 8.479 | -16.986 | 0.000 | 507.188 | 16.353 | 
| -37.208 | -37.207 | 74.537 | 0.000 | 8.686 | 504.298 | 
| 1290.526 | 150.574 | 77.495 | 14.894 | 0.000 | -0.000 | 
| 228.961 | 1226.650 | 62.961 | -8.171 | 0.000 | -0.000 | 
| 97.141 | 97.140 | 1324.678 | -0.000 | 0.000 | -0.000 | 
| 28.095 | 3.701 | -31.847 | 483.155 | 0.000 | 0.000 | 
| -8.479 | -8.479 | 16.986 | -0.000 | 507.188 | 16.353 | 
| 37.208 | 37.207 | -74.537 | -0.000 | 8.686 | 504.298 | 
| 1245.262 | 164.822 | 108.564 | 12.081 | -0.000 | 0.000 | 
| 150.575 | 1290.531 | 77.492 | -14.895 | -0.000 | 0.000 | 
| 102.214 | 102.214 | 1314.519 | 0.000 | -0.000 | -0.000 | 
| 10.249 | -13.732 | 3.488 | 483.152 | -0.000 | 0.000 | 
| -1.547 | -1.546 | 3.098 | 0.000 | 485.710 | 12.344 | 
| -1.761 | -1.759 | 3.526 | 0.000 | 11.957 | 538.902 | 
| 1244.649 | 175.291 | 98.688 | 12.466 | 0.000 | -0.000 | 
| 168.461 | 1247.993 | 102.179 | -12.039 | 0.000 | -0.000 | 
| 103.796 | 103.796 | 1311.342 | -0.000 | 0.000 | -0.000 | 
| 14.894 | -14.894 | 0.000 | 498.468 | 0.000 | -0.000 | 
| 1.547 | 1.546 | -3.098 | -0.000 | 485.710 | 12.344 | 
| 1.761 | 1.759 | -3.526 | -0.000 | 11.957 | 538.902 | 
| 741.264 | -27.080 | -27.081 | 0.000 | 0.000 | 0.000 | 
| -27.080 | 741.264 | -27.081 | 0.000 | 0.000 | -0.000 | 
| -27.080 | -27.080 | 741.264 | -0.000 | -0.000 | -0.000 | 
| -84.476 | -84.476 | -84.476 | 281.604 | -0.000 | 0.000 | 
| -84.476 | -84.476 | -84.476 | -0.000 | 281.604 | 0.000 | 
| -84.476 | -84.476 | -84.476 | -0.000 | 0.000 | 281.604 | 
| 741.264 | -27.080 | -27.080 | 0.000 | 0.000 | 0.000 | 
| -27.080 | 741.264 | -27.080 | 0.000 | 0.000 | 0.000 | 
| -27.080 | -27.080 | 741.264 | 0.000 | 0.000 | 0.000 | 
| 84.476 | 84.476 | 84.476 | 281.604 | 0.000 | 0.000 | 
| 84.476 | 84.476 | 84.476 | -0.000 | 281.604 | 0.000 | 
| 84.476 | 84.476 | 84.476 | -0.000 | 0.000 | 281.604 | 
| 607.861 | -133.129 | -133.129 | 0.000 | -0.000 | -0.000 | 
| -133.129 | 607.861 | -133.129 | -0.000 | 0.000 | 0.000 | 
| -133.129 | -133.129 | 607.861 | -0.000 | 0.000 | 0.000 | 
| -7.082 | -7.082 | -7.082 | 284.205 | -0.000 | 0.000 | 
| -7.082 | -7.082 | -7.082 | 0.000 | 284.205 | -0.000 | 
| -7.082 | -7.082 | -7.082 | 0.000 | -0.000 | 284.205 | 
| 741.263 | -27.080 | -27.080 | 0.000 | 0.000 | 0.000 | 
| -27.080 | 741.263 | -27.080 | 0.000 | 0.000 | -0.000 | 
| -27.080 | -27.080 | 741.263 | 0.000 | 0.000 | 0.000 | 
| 7.082 | 7.082 | 7.082 | 284.205 | 0.000 | 0.000 | 
| 7.082 | 7.082 | 7.082 | 0.000 | 284.205 | -0.000 | 
| 7.082 | 7.082 | 7.082 | 0.000 | 0.000 | 284.205 | 
| 615.856 | -125.149 | -125.149 | -0.000 | -0.000 | 0.000 | 
| -125.149 | 615.856 | -125.149 | 0.000 | 0.000 | 0.000 | 
| -125.149 | -125.149 | 615.856 | -0.000 | -0.000 | 0.000 | 
| -0.001 | -0.000 | 0.000 | 473.755 | 0.000 | -0.000 | 
| -0.000 | -0.001 | 0.000 | 0.000 | 473.755 | -0.000 | 
| -0.000 | 0.000 | -0.001 | 0.000 | -0.000 | 473.755 | 
| 617.545 | -123.518 | -123.518 | 0.000 | 0.000 | -0.000 | 
| -123.518 | 617.545 | -123.518 | 0.000 | 0.000 | -0.000 | 
| -123.372 | -123.372 | 617.602 | -0.000 | 0.000 | 0.000 | 
| 0.001 | 0.000 | -0.000 | 473.755 | 0.000 | 0.000 | 
| 0.000 | 0.001 | -0.000 | 0.000 | 473.755 | 0.000 | 
| 0.000 | -0.000 | 0.001 | 0.000 | -0.000 | 473.755 | 
| 706.594 | 71.948 | -4.462 | -0.000 | -0.000 | -0.000 | 
| -38.944 | 132.180 | 656.857 | -0.000 | -0.000 | -0.000 | 
| -153.314 | 25.049 | 704.892 | -0.000 | -0.000 | 0.000 | 
| 0.000 | 0.000 | -0.000 | 63.854 | -0.000 | -0.000 | 
| -202.095 | 20.852 | 413.241 | 0.000 | 46.694 | -0.000 | 
| -201.301 | 20.770 | 411.619 | -0.000 | -0.000 | 110.846 | 
| 881.629 | 67.375 | -408.000 | 0.000 | 0.000 | 0.000 | 
| 93.732 | 287.236 | 27.433 | 0.000 | 0.000 | 0.000 | 
| 4.492 | 14.603 | 469.547 | 0.000 | 0.000 | 0.000 | 
| -0.000 | -0.000 | 0.000 | 63.854 | 0.000 | -0.000 | 
| 202.095 | -20.852 | -413.241 | 0.000 | 46.694 | 0.000 | 
| 201.301 | -20.770 | -411.619 | 0.000 | 0.000 | 110.846 | 
| 660.027 | 74.969 | 72.139 | -0.000 | -0.000 | -0.000 | 
| 93.732 | 287.236 | 27.433 | -0.000 | -0.000 | -0.000 | 
| -6.255 | 4.685 | 73.796 | -0.000 | -0.000 | -0.000 | 
| -26.932 | 2.779 | 55.070 | 15.624 | -0.000 | -0.000 | 
| -14.051 | -10.288 | 70.718 | 0.000 | -3.203 | -0.000 | 
| -32.575 | 3.361 | 66.608 | -0.000 | -0.000 | 91.969 | 
| 684.532 | 89.640 | -11.504 | 0.000 | 0.000 | 0.000 | 
| 93.732 | 287.236 | 27.433 | 0.000 | 0.000 | 0.000 | 
| 84.161 | -2.417 | 174.971 | 0.000 | 0.000 | -0.000 | 
| 26.932 | -2.779 | -55.070 | 15.624 | 0.000 | 0.000 | 
| 14.051 | 10.288 | -70.718 | 0.000 | -3.203 | 0.000 | 
| 32.575 | -3.361 | -66.608 | 0.000 | 0.000 | 91.969 | 
| 672.458 | 82.873 | 6.189 | 0.000 | -0.000 | -0.000 | 
| 120.062 | 239.232 | 17.127 | -0.000 | -0.000 | -0.000 | 
| 7.522 | -13.679 | 9.620 | -0.000 | -0.000 | -0.000 | 
| -3.190 | 0.329 | 6.522 | 6.731 | -0.000 | -0.000 | 
| 0.770 | -1.838 | 3.498 | -0.000 | -3.324 | -0.000 | 
| 1.134 | -2.341 | 4.099 | -0.000 | -0.000 | 55.030 | 
| 677.053 | 85.280 | 21.141 | 0.000 | 0.000 | 0.000 | 
| 107.703 | 227.716 | 23.544 | 0.000 | 0.000 | 0.000 | 
| 10.403 | -11.991 | -7.028 | 0.000 | 0.000 | 0.000 | 
| 3.190 | -0.329 | -6.522 | 6.731 | 0.000 | 0.000 | 
| -0.770 | 1.838 | -3.498 | 0.000 | -3.324 | 0.000 | 
| -1.134 | 2.341 | -4.099 | 0.000 | 0.000 | 55.030 | 
| 467.528 | 184.365 | 0.000 | -0.000 | 0.000 | 0.000 | 
| 184.364 | 467.528 | 0.000 | 0.000 | 0.000 | 0.000 | 
| -0.000 | 0.000 | 0.000 | 0.000 | -0.000 | 0.000 | 
| -0.000 | 0.000 | -0.000 | 0.000 | -0.000 | 0.000 | 
| -0.000 | 0.000 | -0.000 | 0.000 | -0.000 | 0.000 | 
| 0.000 | 0.000 | -0.000 | -0.000 | -0.000 | 141.582 | 
| 429.604 | 222.288 | 0.000 | 0.000 | 0.000 | -0.000 | 
| 184.365 | 467.528 | 0.000 | 0.000 | -0.000 | -0.000 | 
| 0.000 | -0.000 | -0.000 | -0.000 | 0.000 | -0.000 | 
| 0.000 | -0.000 | 0.000 | -0.000 | -0.000 | -0.000 | 
| 0.000 | -0.000 | 0.000 | -0.000 | 0.000 | -0.000 | 
| 0.000 | 0.000 | 0.000 | 0.000 | -0.000 | 141.582 | 
| 429.605 | 222.288 | -0.000 | 0.000 | -0.000 | -0.000 | 
| 184.365 | 467.528 | -0.000 | 0.000 | -0.000 | 0.000 | 
| -0.000 | 0.000 | 0.000 | 0.000 | -0.000 | 0.000 | 
| -0.000 | 0.000 | -0.000 | 0.000 | -0.000 | 0.000 | 
| -0.000 | 0.000 | -0.000 | 0.000 | -0.000 | 0.000 | 
| 0.000 | -0.000 | -0.000 | 0.000 | -0.000 | 141.582 | 
| 429.605 | 222.287 | 0.000 | 0.000 | 0.000 | -0.000 | 
| 222.285 | 429.607 | 0.000 | -0.000 | 0.000 | -0.000 | 
| 0.000 | -0.000 | -0.000 | -0.000 | 0.000 | -0.000 | 
| -0.000 | -0.000 | 0.000 | -0.000 | 0.000 | -0.000 | 
| 0.000 | -0.000 | 0.000 | -0.000 | -0.000 | -0.000 | 
| -0.000 | 0.000 | 0.000 | -0.000 | -0.000 | 141.582 | 
| 429.599 | 222.295 | 0.000 | -0.000 | -0.000 | 0.000 | 
| 222.288 | 429.606 | -0.000 | 0.000 | -0.000 | 0.000 | 
| -0.000 | 0.000 | 0.000 | 0.000 | -0.000 | 0.000 | 
| 0.000 | 0.000 | -0.000 | 0.000 | -0.000 | 0.000 | 
| -0.000 | 0.000 | -0.000 | 0.000 | -0.000 | 0.000 | 
| 0.001 | -0.001 | 0.000 | -0.000 | 0.000 | 103.658 | 
| 429.610 | 222.281 | 0.000 | 0.000 | 0.000 | -0.000 | 
| 222.293 | 429.598 | 0.000 | 0.000 | 0.000 | -0.000 | 
| 0.000 | -0.000 | -0.000 | -0.000 | 0.000 | 0.000 | 
| -0.000 | -0.000 | 0.000 | -0.000 | 0.000 | -0.000 | 
| 0.000 | -0.000 | 0.000 | -0.000 | 0.000 | -0.000 | 
| -0.001 | 0.001 | 0.000 | 0.000 | 0.000 | 103.658 | 
| -13149.162 | -14223.608 | 28882.266 | 0.000 | -0.000 | 0.000 | 
| -14223.608 | -13149.163 | 28882.266 | -0.000 | -0.000 | 0.000 | 
| -14311.470 | -14311.471 | 30132.434 | -0.000 | -0.000 | 0.000 | 
| -14902.751 | -14902.751 | 29796.008 | 484.537 | -0.000 | 0.000 | 
| -14478.743 | -14478.743 | 28948.258 | -0.000 | 484.966 | 0.000 | 
| -14414.164 | -14414.164 | 28819.141 | -0.000 | -0.000 | 542.073 | 
| 15664.345 | 14580.198 | -28716.686 | 0.000 | 0.000 | -0.000 | 
| 14674.988 | 15749.011 | -28896.086 | -0.000 | 0.000 | -0.000 | 
| 14516.853 | 14516.852 | -27505.839 | 0.000 | 0.000 | -0.000 | 
| 14902.751 | 14902.751 | -29796.008 | 484.537 | 0.000 | -0.000 | 
| 14478.743 | 14478.743 | -28948.258 | -0.000 | 484.966 | -0.000 | 
| 14414.164 | 14414.164 | -28819.141 | 0.000 | 0.000 | 542.073 | 
| -193.759 | -1277.812 | 2989.321 | -0.000 | -0.000 | 0.000 | 
| -1275.410 | -191.263 | 2984.424 | 0.000 | -0.000 | 0.000 | 
| -1337.439 | -1337.439 | 4192.639 | 0.000 | -0.000 | 0.000 | 
| -1441.414 | -1441.414 | 2881.910 | 485.032 | -0.000 | 0.000 | 
| -1459.759 | -1459.759 | 2918.587 | -0.000 | 484.846 | 0.000 | 
| -1453.599 | -1453.599 | 2906.272 | -0.000 | -0.000 | 541.834 | 
| 2691.622 | 1607.479 | -2779.514 | -0.000 | -0.000 | -0.000 | 
| 1616.593 | 2679.222 | -2776.228 | -0.000 | 0.000 | -0.000 | 
| 1542.941 | 1542.941 | -1566.286 | -0.000 | 0.000 | -0.000 | 
| 1441.414 | 1441.414 | -2881.910 | 485.032 | 0.000 | -0.000 | 
| 1459.759 | 1459.759 | -2918.587 | -0.000 | 484.846 | -0.000 | 
| 1453.599 | 1453.599 | -2906.272 | 0.000 | 0.000 | 541.834 | 
| 1099.085 | 25.837 | 393.659 | -0.000 | -0.000 | 0.000 | 
| 21.677 | 1105.751 | 391.154 | 0.000 | -0.000 | 0.000 | 
| -42.821 | -42.821 | 1604.229 | -0.000 | -0.000 | 0.000 | 
| -144.121 | -144.122 | 288.151 | 485.034 | -0.000 | 0.000 | 
| -144.122 | -144.121 | 288.151 | -0.000 | 485.034 | 0.000 | 
| -144.235 | -144.233 | 288.377 | 0.000 | -0.000 | 536.259 | 
| 1394.539 | 310.545 | -186.326 | -0.000 | 0.000 | -0.000 | 
| 315.552 | 1387.723 | -184.518 | -0.000 | 0.000 | -0.000 | 
| 246.861 | 246.861 | 1025.046 | -0.000 | 0.000 | -0.000 | 
| 144.121 | 144.122 | -288.151 | 485.034 | 0.000 | -0.000 | 
| 144.122 | 144.121 | -288.151 | 0.000 | 485.034 | -0.000 | 
| 144.235 | 144.233 | -288.377 | -0.000 | 0.000 | 536.259 | 
| 1024.451 | -55.910 | 550.031 | 0.000 | -0.000 | 0.000 | 
| -55.910 | 1024.451 | 550.031 | -0.000 | -0.000 | 0.000 | 
| -118.097 | -118.097 | 1754.778 | -0.000 | -0.000 | 0.000 | 
| -195.767 | -195.767 | 391.500 | 485.592 | -0.000 | 0.000 | 
| -0.000 | 0.000 | -0.000 | -0.000 | 498.716 | 0.000 | 
| -222.892 | -222.892 | 445.745 | -0.000 | 0.000 | 540.129 | 
| 1469.922 | 389.712 | -340.985 | -0.000 | 0.000 | -0.000 | 
| 389.713 | 1469.922 | -340.986 | 0.000 | 0.000 | 0.000 | 
| 297.747 | 297.747 | 923.161 | 0.000 | -0.000 | 0.000 | 
| 195.767 | 195.767 | -391.500 | 485.592 | -0.000 | -0.000 | 
| 0.000 | -0.000 | 0.000 | 0.000 | 498.716 | -0.000 | 
| 222.892 | 222.892 | -445.745 | 0.000 | 0.000 | 540.129 | 
| 1225.575 | 144.430 | 148.602 | -0.000 | 0.000 | 0.000 | 
| 150.497 | 1291.260 | 76.855 | -0.000 | -0.000 | 0.000 | 
| 82.347 | 82.347 | 1353.923 | -0.000 | 0.000 | 0.000 | 
| -19.641 | -19.641 | 39.278 | 485.547 | 0.000 | 0.000 | 
| -19.630 | -19.630 | 39.257 | 0.000 | 485.554 | 0.000 | 
| -19.458 | -19.457 | 38.912 | -0.000 | -0.000 | 538.295 | 
| 1269.022 | 189.186 | 60.406 | -0.000 | -0.000 | -0.000 | 
| 189.590 | 1266.366 | 62.658 | -0.000 | -0.000 | -0.000 | 
| 76.945 | 76.945 | 1364.727 | 0.000 | 0.000 | -0.000 | 
| -0.000 | 0.000 | -0.000 | 498.716 | -0.000 | -0.000 | 
| 19.630 | 19.630 | -39.257 | 0.000 | 485.554 | -0.000 | 
| 19.458 | 19.457 | -38.912 | 0.000 | -0.000 | 538.295 | 
| 1246.725 | 163.784 | 108.104 | -0.000 | -0.000 | 0.000 | 
| 163.784 | 1246.732 | 108.099 | 0.000 | -0.000 | -0.000 | 
| 100.723 | 100.723 | 1317.177 | -0.000 | 0.000 | 0.000 | 
| -2.042 | -2.043 | 4.084 | 484.617 | -0.000 | -0.000 | 
| -2.043 | -2.042 | 4.084 | 0.000 | 484.617 | 0.000 | 
| -0.000 | 0.001 | 0.000 | -0.000 | -0.000 | 570.381 | 
| 1249.012 | 173.727 | 95.867 | 0.000 | 0.000 | -0.000 | 
| 168.236 | 1250.536 | 99.834 | 0.000 | 0.000 | -0.000 | 
| 104.735 | 104.735 | 1309.150 | 0.000 | 0.000 | 0.000 | 
| 2.042 | 2.043 | -4.084 | 484.617 | -0.000 | -0.000 | 
| 2.043 | 2.042 | -4.084 | 0.000 | 484.617 | -0.000 | 
| 0.000 | -0.001 | -0.000 | -0.000 | 0.000 | 570.381 | 
| 1242.252 | 172.554 | 103.973 | 0.000 | 0.000 | 0.000 | 
| 150.590 | 1291.301 | 76.888 | 0.000 | 0.000 | 0.000 | 
| 76.888 | 76.888 | 1365.003 | 0.000 | 0.000 | -0.000 | 
| -0.002 | -0.002 | 0.004 | 484.711 | -0.000 | 0.000 | 
| -0.002 | -0.002 | 0.004 | 0.000 | 484.711 | -0.000 | 
| -0.002 | -0.002 | 0.004 | 0.000 | 0.000 | 541.632 | 
| 1242.256 | 172.559 | 103.965 | -0.000 | -0.000 | -0.000 | 
| 170.197 | 1248.164 | 100.419 | 0.000 | -0.000 | -0.000 | 
| 102.583 | 102.582 | 1313.615 | -0.000 | -0.000 | 0.000 | 
| 0.002 | 0.002 | -0.004 | 484.711 | -0.000 | -0.000 | 
| 0.002 | 0.002 | -0.004 | -0.000 | 484.711 | 0.000 | 
| 0.002 | 0.002 | -0.004 | -0.000 | -0.000 | 541.632 | 
| 1291.302 | 150.590 | 76.888 | 0.000 | 0.000 | 0.000 | 
| 150.590 | 1291.302 | 76.888 | 0.000 | -0.000 | 0.000 | 
| 102.580 | 102.580 | 1313.619 | 0.000 | 0.000 | -0.000 | 
| -0.000 | -0.000 | 0.000 | 484.711 | 0.000 | 0.000 | 
| -0.000 | 0.000 | 0.000 | 0.000 | 498.263 | 0.000 | 
| -0.000 | 0.000 | -0.000 | 0.000 | 0.000 | 570.356 | 
| 1249.763 | 165.388 | 103.628 | -0.000 | 0.000 | 0.000 | 
| 165.388 | 1249.763 | 103.628 | -0.000 | -0.000 | -0.000 | 
| 102.581 | 102.581 | 1313.617 | 0.000 | -0.000 | 0.000 | 
| 0.000 | 0.000 | -0.000 | 484.711 | -0.000 | -0.000 | 
| 0.000 | -0.000 | -0.000 | -0.000 | 498.262 | -0.000 | 
| 0.000 | -0.000 | 0.000 | -0.000 | -0.000 | 570.356 | 
| 1249.767 | 165.388 | 103.629 | 0.000 | 0.000 | 0.000 | 
| 170.185 | 1248.197 | 100.402 | 0.000 | 0.000 | 0.000 | 
| 102.584 | 102.584 | 1313.616 | 0.000 | 0.000 | -0.000 | 
| -0.000 | -0.001 | 0.001 | 484.711 | -0.000 | 0.000 | 
| -0.001 | 0.000 | 0.001 | 0.000 | 498.262 | 0.000 | 
| -0.001 | 0.002 | -0.001 | 0.000 | -0.000 | 541.631 | 
| 1249.761 | 165.387 | 103.626 | -0.000 | -0.000 | -0.000 | 
| 165.312 | 1249.971 | 103.493 | -0.000 | -0.000 | -0.000 | 
| 102.582 | 102.582 | 1313.611 | -0.000 | -0.000 | 0.000 | 
| 0.000 | 0.001 | -0.001 | 484.711 | -0.000 | -0.000 | 
| 0.001 | -0.000 | -0.001 | -0.000 | 498.262 | -0.000 | 
| 0.001 | -0.002 | 0.001 | -0.000 | 0.000 | 541.631 | 
| 1291.189 | 150.553 | 76.865 | -0.000 | 0.000 | 0.000 | 
| 251.733 | 1337.412 | -70.544 | 0.000 | -0.000 | -0.000 | 
| 76.861 | 76.861 | 1364.894 | 0.000 | -0.000 | 0.000 | 
| 0.000 | -0.000 | -0.001 | 498.240 | -0.000 | -0.000 | 
| 86.325 | 86.325 | -172.655 | -0.000 | 484.442 | 0.000 | 
| 86.486 | 86.486 | -172.978 | 0.000 | -0.000 | 542.921 | 
| 1164.591 | 78.625 | 275.396 | 0.000 | 0.000 | 0.000 | 
| 150.553 | 1291.189 | 76.864 | -0.000 | 0.000 | 0.000 | 
| 76.861 | 76.861 | 1364.894 | 0.000 | -0.000 | -0.000 | 
| -0.000 | 0.000 | 0.000 | 498.240 | -0.000 | 0.000 | 
| -86.325 | -86.325 | 172.655 | 0.000 | 484.442 | -0.000 | 
| -86.486 | -86.486 | 172.978 | -0.000 | 0.000 | 542.921 | 
| 1258.058 | 174.597 | 85.951 | -0.000 | -0.000 | 0.000 | 
| 150.553 | 1291.189 | 76.864 | 0.000 | -0.000 | 0.000 | 
| 76.861 | 76.861 | 1364.894 | -0.000 | -0.000 | 0.000 | 
| 0.000 | -0.000 | 0.000 | 498.240 | 0.000 | 0.000 | 
| -0.000 | 0.000 | 0.000 | 0.000 | 498.240 | -0.000 | 
| 8.963 | 8.963 | -17.927 | 0.000 | 0.000 | 541.925 | 
| 1238.816 | 162.019 | 117.771 | -0.000 | 0.000 | -0.000 | 
| 150.553 | 1291.188 | 76.864 | -0.000 | -0.000 | -0.000 | 
| 94.063 | 94.063 | 1330.487 | 0.000 | 0.000 | 0.000 | 
| -0.000 | 0.000 | -0.000 | 498.240 | 0.000 | -0.000 | 
| 0.000 | -0.000 | -0.000 | 0.000 | 498.240 | 0.000 | 
| -8.963 | -8.963 | 17.927 | 0.000 | -0.000 | 541.925 | 
| 1291.193 | 150.553 | 76.864 | -0.000 | -0.000 | -0.000 | 
| 166.253 | 1250.516 | 101.841 | -0.000 | -0.000 | -0.000 | 
| 103.398 | 103.398 | 1311.822 | -0.000 | -0.000 | -0.000 | 
| 0.000 | -0.001 | 0.001 | 498.240 | 0.000 | 0.000 | 
| -0.001 | 0.000 | 0.001 | 0.000 | 498.240 | -0.000 | 
| 0.721 | 0.724 | -1.445 | -0.000 | -0.000 | 539.854 | 
| 1249.039 | 164.371 | 105.193 | 0.000 | 0.000 | 0.000 | 
| 171.555 | 1241.424 | 105.624 | 0.000 | 0.000 | 0.000 | 
| 76.861 | 76.861 | 1364.889 | 0.000 | 0.000 | -0.000 | 
| -0.000 | 0.001 | -0.001 | 498.240 | 0.000 | -0.000 | 
| 0.001 | -0.000 | -0.001 | -0.000 | 498.240 | 0.000 | 
| -0.721 | -0.724 | 1.445 | 0.000 | -0.000 | 539.854 | 
| 2387.881 | -2659.491 | -166.146 | 0.000 | -0.000 | 0.000 | 
| 1808.569 | -2555.823 | -215.979 | -0.000 | -0.000 | -0.000 | 
| 2315.299 | -4447.499 | 2865.124 | -0.000 | -0.000 | 0.000 | 
| 2300.424 | -4472.826 | 2736.850 | -7.138 | -0.000 | 0.000 | 
| 0.000 | 0.000 | -0.000 | 0.000 | 118.092 | 0.000 | 
| 0.000 | -0.000 | -0.000 | -0.000 | -0.000 | 184.316 | 
| 767.763 | 118.849 | 61.100 | 0.000 | 0.000 | -0.000 | 
| -2123.059 | 4689.710 | -2718.287 | -0.000 | 0.000 | 0.000 | 
| -1614.383 | 2859.626 | 559.906 | 0.000 | 0.000 | 0.000 | 
| -2300.424 | 4472.826 | -2736.850 | -7.138 | 0.000 | 0.000 | 
| -0.000 | 0.000 | 0.000 | 0.000 | 118.092 | 0.000 | 
| -0.000 | 0.000 | 0.000 | 0.000 | 0.000 | 184.316 | 
| 974.586 | -288.362 | 285.507 | -0.000 | -0.000 | -0.000 | 
| 402.807 | -222.712 | 294.966 | -0.000 | -0.000 | -0.000 | 
| 253.435 | -445.538 | 417.242 | 0.000 | -0.000 | -0.000 | 
| 228.751 | -444.644 | 271.409 | -6.695 | -0.000 | -0.000 | 
| 228.225 | -443.410 | 269.570 | 0.000 | -19.346 | 0.000 | 
| 229.185 | -445.438 | 271.648 | -0.000 | -0.000 | 134.367 | 
| 514.515 | 606.196 | -262.238 | 0.000 | 0.000 | 0.000 | 
| -62.927 | 659.382 | -313.631 | -0.000 | -0.000 | 0.000 | 
| -222.725 | 483.320 | -182.400 | 0.000 | 0.000 | 0.000 | 
| -228.751 | 444.644 | -271.409 | -6.695 | 0.000 | 0.000 | 
| -228.225 | 443.410 | -269.570 | 0.000 | -19.346 | 0.000 | 
| -229.185 | 445.438 | -271.648 | 0.000 | 0.000 | 134.367 | 
| 767.201 | 111.863 | 31.472 | -0.000 | -0.000 | -0.000 | 
| 187.604 | 217.894 | -0.394 | 0.000 | -0.000 | 0.000 | 
| 30.063 | -52.775 | 31.577 | 0.000 | -0.000 | -0.000 | 
| 23.532 | -45.274 | 29.906 | 3.581 | -0.000 | -0.000 | 
| 21.088 | -40.608 | 22.822 | 0.000 | -6.197 | 0.000 | 
| 20.838 | -40.073 | 22.246 | 0.000 | -0.000 | 139.936 | 
| 734.306 | 174.611 | 52.530 | -0.000 | 0.000 | 0.000 | 
| 151.572 | 260.352 | -20.655 | 0.000 | 0.000 | 0.000 | 
| 1.401 | 61.291 | 47.766 | 0.000 | 0.000 | -0.000 | 
| -23.532 | 45.274 | -29.906 | 3.581 | 0.000 | -0.000 | 
| -21.088 | 40.608 | -22.822 | 0.000 | -6.197 | 0.000 | 
| -20.838 | 40.073 | -22.246 | 0.000 | 0.000 | 139.936 | 
| 424.526 | 3349.704 | 1512.430 | 317.382 | 59.934 | -227.814 | 
| 63.694 | 757.056 | 266.687 | -247.455 | 2.034 | -211.410 | 
| 217.144 | 3787.105 | 1964.937 | -33.018 | -43.290 | -261.698 | 
| 911.791 | 1771.164 | 848.195 | -11.174 | -121.460 | -617.771 | 
| 253.028 | 822.233 | 333.508 | 66.918 | -36.728 | 47.998 | 
| 1615.346 | 2936.129 | 1084.313 | 0.756 | -406.414 | 144.084 | 
| -231.521 | -2106.891 | -593.632 | 331.720 | 471.843 | 267.175 | 
| -315.944 | -238.455 | -236.709 | -335.083 | 229.146 | -13.424 | 
| 187.582 | -2146.340 | -290.235 | 119.511 | 458.959 | 359.723 | 
| -242.895 | -835.821 | -330.053 | 89.979 | 139.572 | -108.657 | 
| -1071.323 | -812.975 | -229.784 | 600.192 | 296.265 | 344.610 | 
| -178.698 | -2543.427 | -799.818 | 501.714 | 417.951 | 461.700 | 
| 289.185 | 444.077 | 255.520 | -85.363 | 12.561 | 12.564 | 
| 97.998 | 564.768 | 142.445 | -44.058 | -11.667 | -34.328 | 
| 149.491 | 282.811 | 488.074 | -46.139 | 0.948 | 38.764 | 
| -32.407 | 161.195 | 35.602 | 295.300 | -24.142 | -55.610 | 
| 37.406 | 194.689 | 73.119 | -89.441 | 125.336 | -13.166 | 
| -79.530 | 300.156 | 108.097 | 47.520 | -45.071 | 186.570 | 
| 584.233 | -95.676 | 30.934 | 24.663 | 50.144 | -9.937 | 
| 103.243 | -37.385 | -82.791 | 8.693 | 22.979 | 4.549 | 
| 40.374 | -405.781 | 229.382 | 14.121 | 29.370 | 10.270 | 
| -16.993 | -202.352 | -62.374 | 198.761 | -13.541 | 45.140 | 
| 1.803 | -187.345 | -49.291 | 60.318 | 217.601 | -17.108 | 
| 46.278 | -178.461 | -55.732 | -31.971 | 21.908 | 177.695 | 
| -12.010 | 17.264 | -6.703 | -3.407 | -1.347 | 5.216 | 
| 115.551 | 338.011 | 94.629 | 7.744 | -4.409 | -6.599 | 
| -58.468 | 9.985 | 37.321 | -5.653 | 1.741 | 0.829 | 
| 1.282 | 19.442 | 7.907 | -8.117 | -4.418 | -0.069 | 
| 8.464 | 26.592 | 9.528 | -4.630 | 152.228 | -1.076 | 
| 13.887 | 35.125 | 12.017 | 0.790 | -0.447 | 158.443 | 
| 383.745 | 99.833 | 83.428 | -7.307 | 4.091 | 4.516 | 
| 3.775 | -83.011 | -15.935 | -5.779 | 1.216 | 0.338 | 
| 89.766 | 66.881 | 393.389 | -7.315 | 2.794 | -7.200 | 
| 0.531 | -20.739 | -7.975 | 147.383 | 0.574 | 3.331 | 
| 0.595 | -20.120 | -11.041 | 3.069 | 155.780 | 3.106 | 
| -10.886 | -28.005 | -8.088 | -0.270 | 3.039 | 162.024 | 
| 726.360 | 375.837 | -0.000 | -0.000 | -0.000 | -0.000 | 
| 311.717 | 790.480 | -0.000 | -0.000 | 0.000 | -0.000 | 
| 0.000 | -0.000 | 0.000 | 0.000 | -0.000 | 0.000 | 
| 0.000 | -0.000 | 0.000 | -0.000 | -0.000 | 0.000 | 
| 0.000 | -0.000 | 0.000 | -0.000 | -0.000 | -0.000 | 
| 0.000 | -0.000 | -0.000 | 0.000 | -0.000 | 175.262 | 
| 726.127 | 375.716 | 0.000 | 0.000 | 0.000 | 0.000 | 
| 311.617 | 790.226 | 0.000 | 0.000 | 0.000 | 0.000 | 
| -0.000 | 0.000 | 0.000 | 0.000 | 0.000 | 0.000 | 
| 0.000 | 0.000 | 0.000 | 0.000 | 0.000 | 0.000 | 
| -0.000 | 0.000 | 0.000 | 0.000 | 0.000 | 0.000 | 
| -0.000 | 0.000 | 0.000 | 0.000 | 0.000 | 175.205 | 
| 726.360 | 375.837 | 0.000 | 0.000 | 0.000 | 0.000 | 
| 375.837 | 726.360 | 0.000 | -0.000 | 0.000 | -0.000 | 
| -0.000 | 0.000 | -0.000 | -0.000 | 0.000 | -0.000 | 
| -0.000 | 0.000 | -0.000 | -0.000 | 0.000 | -0.000 | 
| -0.000 | 0.000 | -0.000 | 0.000 | 0.000 | 0.000 | 
| -0.000 | 0.000 | 0.000 | 0.000 | 0.000 | 175.261 | 
| 726.127 | 375.716 | -0.000 | -0.000 | -0.000 | -0.000 | 
| 375.716 | 726.127 | -0.000 | -0.000 | -0.000 | -0.000 | 
| 0.000 | -0.000 | -0.000 | -0.000 | -0.000 | -0.000 | 
| 0.000 | -0.000 | -0.000 | -0.000 | -0.000 | -0.000 | 
| -0.000 | -0.000 | -0.000 | -0.000 | -0.000 | -0.000 | 
| 0.000 | -0.000 | -0.000 | -0.000 | -0.000 | 175.205 | 
| 726.361 | 375.836 | -0.000 | 0.000 | 0.000 | 0.000 | 
| 375.838 | 726.359 | -0.000 | 0.000 | 0.000 | 0.000 | 
| 0.000 | -0.000 | 0.000 | 0.000 | -0.000 | 0.000 | 
| 0.000 | -0.000 | 0.000 | 0.000 | -0.000 | -0.000 | 
| 0.000 | -0.000 | 0.000 | 0.000 | -0.000 | 0.000 | 
| -0.000 | 0.000 | -0.000 | -0.000 | 0.000 | 175.262 | 
| 726.128 | 375.715 | 0.000 | 0.000 | 0.000 | 0.000 | 
| 375.717 | 726.126 | 0.000 | 0.000 | 0.000 | -0.000 | 
| -0.000 | 0.000 | 0.000 | 0.000 | 0.000 | 0.000 | 
| -0.000 | 0.000 | 0.000 | 0.000 | 0.000 | 0.000 | 
| -0.000 | 0.000 | 0.000 | 0.000 | 0.000 | 0.000 | 
| -0.000 | 0.000 | 0.000 | 0.000 | 0.000 | 175.205 | 
| 790.480 | 311.717 | 0.000 | 0.000 | -0.000 | -0.000 | 
| 375.836 | 726.361 | 0.000 | -0.000 | -0.000 | -0.000 | 
| -0.000 | 0.000 | -0.000 | 0.000 | 0.000 | -0.000 | 
| -0.000 | 0.000 | -0.000 | 0.000 | 0.000 | -0.000 | 
| -0.000 | 0.000 | -0.000 | 0.000 | 0.000 | -0.000 | 
| 0.000 | -0.000 | 0.000 | 0.000 | -0.000 | 175.262 | 
| 790.226 | 311.617 | -0.000 | -0.000 | -0.000 | -0.000 | 
| 375.715 | 726.128 | -0.000 | -0.000 | -0.000 | 0.000 | 
| 0.000 | -0.000 | -0.000 | -0.000 | -0.000 | -0.000 | 
| 0.000 | -0.000 | -0.000 | -0.000 | -0.000 | -0.000 | 
| 0.000 | -0.000 | -0.000 | -0.000 | -0.000 | -0.000 | 
| 0.000 | -0.000 | -0.000 | -0.000 | -0.000 | 175.205 | 
| 726.371 | 375.828 | -0.000 | -0.000 | 0.000 | -0.000 | 
| 375.848 | 726.351 | -0.000 | -0.000 | 0.000 | 0.000 | 
| 0.000 | -0.000 | 0.000 | -0.000 | -0.000 | 0.000 | 
| 0.000 | -0.000 | 0.000 | -0.000 | -0.000 | 0.000 | 
| 0.000 | -0.000 | 0.000 | -0.000 | -0.000 | -0.000 | 
| -0.002 | 0.001 | -0.000 | -0.000 | 0.000 | 175.262 | 
| 726.138 | 375.707 | 0.000 | 0.000 | 0.000 | 0.000 | 
| 375.728 | 726.118 | 0.000 | 0.000 | 0.000 | -0.000 | 
| -0.000 | 0.000 | 0.000 | 0.000 | 0.000 | 0.000 | 
| -0.000 | 0.000 | 0.000 | 0.000 | 0.000 | 0.000 | 
| -0.000 | 0.000 | 0.000 | 0.000 | 0.000 | -0.000 | 
| -0.002 | 0.001 | 0.000 | 0.000 | 0.000 | 175.205 | 
| 726.357 | 375.838 | 0.000 | 0.000 | 0.000 | 0.000 | 
| 375.826 | 726.369 | 0.000 | 0.000 | -0.000 | -0.000 | 
| -0.000 | 0.000 | -0.000 | 0.000 | 0.000 | -0.000 | 
| -0.000 | 0.000 | -0.000 | 0.000 | 0.000 | 0.000 | 
| -0.000 | 0.000 | -0.000 | 0.000 | 0.000 | -0.000 | 
| 0.002 | -0.001 | 0.000 | -0.000 | -0.000 | 175.262 | 
| 726.124 | 375.717 | -0.000 | -0.000 | -0.000 | 0.000 | 
| 375.705 | 726.136 | -0.000 | -0.000 | -0.000 | -0.000 | 
| 0.000 | -0.000 | -0.000 | -0.000 | -0.000 | -0.000 | 
| 0.000 | -0.000 | -0.000 | -0.000 | -0.000 | -0.000 | 
| 0.000 | -0.000 | -0.000 | -0.000 | -0.000 | -0.000 | 
| 0.002 | -0.001 | -0.000 | -0.000 | -0.000 | 175.205 | 
| 343.214 | 97.613 | 97.613 | 0.000 | -0.000 | 0.000 | 
| 97.613 | 343.214 | 97.613 | 0.000 | -0.000 | 0.000 | 
| 97.613 | 97.613 | 343.214 | -0.000 | -0.000 | 0.000 | 
| -0.000 | -0.000 | 0.000 | 122.800 | -0.000 | 0.000 | 
| 0.000 | -0.000 | 0.000 | -0.000 | 122.800 | 0.000 | 
| -0.000 | -0.000 | 0.000 | 0.000 | 0.000 | 122.800 | 
| 144.321 | 88.473 | 88.473 | 0.000 | 0.000 | -0.000 | 
| 88.473 | 144.321 | 88.473 | 0.000 | 0.000 | -0.000 | 
| 88.473 | 88.473 | 144.321 | 0.000 | 0.000 | 0.000 | 
| 0.000 | 0.000 | -0.000 | 122.800 | 0.000 | -0.000 | 
| 0.000 | 0.000 | -0.000 | 0.000 | 122.800 | -0.000 | 
| 0.000 | 0.000 | -0.000 | -0.000 | 0.000 | 122.800 | 
| 144.308 | 88.461 | 88.461 | -0.000 | -0.000 | 0.000 | 
| 88.461 | 144.308 | 88.461 | -0.000 | -0.000 | 0.000 | 
| 88.461 | 88.461 | 144.308 | -0.000 | -0.000 | 0.000 | 
| 0.000 | -0.000 | 0.000 | 122.800 | -0.000 | 0.000 | 
| -0.001 | -0.001 | -0.001 | -0.000 | 32.742 | 0.000 | 
| -0.000 | 0.000 | 0.000 | 0.000 | 0.000 | 122.800 | 
| 343.213 | 97.613 | 97.613 | 0.000 | 0.000 | -0.000 | 
| 97.613 | 343.213 | 97.613 | 0.000 | 0.000 | -0.000 | 
| 97.613 | 97.613 | 343.213 | -0.000 | 0.000 | -0.000 | 
| -0.000 | 0.000 | -0.000 | 122.800 | 0.000 | -0.000 | 
| 0.001 | 0.001 | 0.001 | 0.000 | 32.742 | -0.000 | 
| 0.000 | -0.000 | -0.000 | -0.000 | 0.000 | 122.800 | 
| 70.811 | 46.087 | 46.087 | -0.000 | -0.000 | -0.000 | 
| 46.087 | 70.811 | 46.087 | -0.000 | -0.000 | 0.000 | 
| 46.087 | 46.087 | 70.811 | -0.000 | -0.000 | 0.000 | 
| 0.000 | -0.000 | 0.000 | 122.800 | -0.000 | 0.000 | 
| 0.000 | 0.000 | 0.000 | -0.000 | 122.800 | 0.000 | 
| -0.000 | 0.000 | 0.000 | -0.000 | -0.000 | 122.800 | 
| 45.230 | 16.439 | 16.439 | 0.000 | 0.000 | -0.000 | 
| 16.439 | 45.230 | 16.439 | 0.000 | 0.000 | 0.000 | 
| 16.439 | 16.439 | 45.230 | 0.000 | 0.000 | -0.000 | 
| -0.000 | 0.000 | -0.000 | 122.800 | 0.000 | -0.000 | 
| -0.000 | -0.000 | -0.000 | 0.000 | 122.800 | -0.000 | 
| 0.000 | -0.000 | -0.000 | -0.000 | 0.000 | 122.800 | 
| 335.200 | 95.334 | 95.334 | 0.000 | 0.000 | 0.000 | 
| 95.334 | 335.200 | 95.334 | -0.000 | -0.000 | 0.000 | 
| 95.334 | 95.334 | 335.200 | 0.000 | 0.000 | 0.000 | 
| -0.000 | 0.000 | 0.000 | 119.933 | -0.000 | 0.000 | 
| -0.000 | 0.000 | -0.000 | -0.000 | 119.933 | 0.000 | 
| -0.000 | 0.000 | -0.000 | 0.000 | 0.000 | 119.933 | 
| 335.200 | 95.334 | 95.334 | -0.000 | -0.000 | -0.000 | 
| 95.334 | 335.200 | 95.334 | -0.000 | 0.000 | -0.000 | 
| 95.334 | 95.334 | 335.200 | -0.000 | 0.000 | -0.000 | 
| 0.000 | -0.000 | -0.000 | 119.933 | 0.000 | -0.000 | 
| 0.000 | -0.000 | -0.000 | 0.000 | 119.933 | -0.000 | 
| 0.000 | -0.000 | 0.000 | -0.000 | -0.000 | 119.933 | 
| 335.200 | 95.334 | 95.334 | 0.000 | 0.000 | 0.000 | 
| 95.334 | 335.200 | 95.334 | 0.000 | -0.000 | 0.000 | 
| 95.334 | 95.334 | 335.200 | -0.000 | 0.000 | 0.000 | 
| 0.000 | 0.000 | 0.000 | 119.933 | 0.000 | 0.000 | 
| -0.000 | 0.000 | 0.000 | 0.000 | 119.933 | 0.000 | 
| -0.000 | 0.000 | 0.000 | 0.000 | 0.000 | 119.933 | 
| 335.200 | 95.334 | 95.334 | 0.000 | -0.000 | -0.000 | 
| 95.334 | 335.200 | 95.334 | -0.000 | -0.000 | -0.000 | 
| 95.334 | 95.334 | 335.200 | -0.000 | -0.000 | -0.000 | 
| -0.000 | -0.000 | -0.000 | 119.933 | -0.000 | -0.000 | 
| 0.000 | -0.000 | -0.000 | -0.000 | 119.933 | -0.000 | 
| 0.000 | -0.000 | -0.000 | -0.000 | -0.000 | 119.933 | 
| 198.195 | 60.459 | 60.459 | 0.000 | -0.000 | -0.000 | 
| 95.335 | 335.201 | 95.334 | 0.000 | -0.000 | 0.000 | 
| 60.459 | 60.459 | 198.195 | 0.000 | -0.000 | -0.000 | 
| -23.332 | -23.332 | -23.332 | 80.153 | -0.000 | -0.000 | 
| 0.000 | 0.000 | 0.000 | 0.000 | 119.933 | 0.000 | 
| -23.332 | -23.332 | -23.332 | 0.000 | -0.000 | 80.153 | 
| 276.299 | 114.451 | 114.451 | -0.000 | 0.000 | 0.000 | 
| 114.462 | 276.263 | 114.463 | -0.000 | 0.000 | 0.000 | 
| 114.462 | 114.462 | 276.263 | -0.000 | 0.000 | 0.000 | 
| -0.000 | 0.000 | -0.000 | 119.933 | 0.000 | -0.000 | 
| -0.000 | -0.000 | -0.000 | -0.000 | 119.933 | -0.000 | 
| 23.332 | 23.332 | 23.332 | -0.000 | 0.000 | 80.153 | 
| 334.848 | 95.234 | 95.234 | -0.000 | -0.000 | 0.000 | 
| 95.234 | 334.848 | 95.234 | -0.000 | 0.000 | 0.000 | 
| 95.234 | 95.234 | 334.848 | 0.000 | -0.000 | -0.000 | 
| -0.000 | 0.000 | 0.000 | 119.807 | 0.000 | -0.000 | 
| -0.000 | 0.000 | 0.000 | -0.000 | 119.807 | 0.000 | 
| -0.000 | 0.000 | 0.000 | -0.000 | 0.000 | 119.807 | 
| 334.848 | 95.234 | 95.234 | -0.000 | 0.000 | 0.000 | 
| 95.234 | 334.848 | 95.234 | -0.000 | 0.000 | 0.000 | 
| 95.234 | 95.234 | 334.848 | 0.000 | -0.000 | 0.000 | 
| 0.000 | -0.000 | 0.000 | 119.807 | 0.000 | 0.000 | 
| 0.000 | -0.000 | -0.000 | 0.000 | 119.807 | 0.000 | 
| 0.000 | -0.000 | -0.000 | 0.000 | -0.000 | 119.807 | 
| 334.848 | 95.234 | 95.234 | -0.000 | 0.000 | 0.000 | 
| 95.234 | 334.848 | 95.234 | -0.000 | -0.000 | -0.000 | 
| 95.234 | 95.234 | 334.848 | -0.000 | 0.000 | -0.000 | 
| 0.000 | 0.000 | 0.000 | 119.807 | -0.000 | 0.000 | 
| -0.000 | 0.000 | 0.000 | -0.000 | 119.807 | 0.000 | 
| 0.000 | 0.000 | 0.000 | -0.000 | -0.000 | 119.807 | 
| 191.956 | 93.390 | 93.391 | 0.000 | -0.000 | -0.000 | 
| 93.391 | 191.956 | 93.390 | -0.000 | -0.000 | 0.000 | 
| 93.390 | 93.391 | 191.956 | -0.000 | -0.000 | -0.000 | 
| 0.000 | -0.000 | -0.000 | 119.807 | -0.000 | 0.000 | 
| 0.000 | -0.000 | -0.000 | -0.000 | 119.807 | 0.000 | 
| 0.000 | -0.000 | -0.000 | -0.000 | -0.000 | 119.807 | 
| 172.898 | 87.267 | 87.267 | -0.000 | 0.000 | 0.000 | 
| 87.267 | 172.898 | 87.267 | -0.000 | -0.000 | -0.000 | 
| 95.234 | 95.234 | 334.849 | -0.000 | -0.000 | -0.000 | 
| -0.496 | -0.496 | -0.496 | 49.308 | 0.000 | -0.000 | 
| -0.496 | -0.496 | -0.496 | 0.000 | 49.308 | 0.000 | 
| -0.496 | -0.496 | -0.496 | 0.000 | -0.000 | 49.308 | 
| 334.847 | 95.234 | 95.234 | -0.000 | 0.000 | 0.000 | 
| -0.092 | 38.913 | -0.092 | -0.000 | -0.000 | 0.000 | 
| 95.234 | 95.234 | 334.847 | 0.000 | -0.000 | 0.000 | 
| 0.496 | 0.496 | 0.496 | 49.308 | -0.000 | 0.000 | 
| 0.496 | 0.496 | 0.496 | -0.000 | 49.308 | 0.000 | 
| 0.496 | 0.496 | 0.496 | -0.000 | -0.000 | 49.308 | 
| 8158.469 | 7836.621 | 17121.374 | 13.767 | 0.013 | 0.013 | 
| 7837.430 | 8157.660 | 17121.374 | -13.030 | 0.013 | 0.013 | 
| 7863.499 | 7862.690 | 17297.118 | 0.369 | 0.013 | 0.013 | 
| 7770.078 | 7742.469 | 17021.329 | 119.682 | 0.013 | 0.013 | 
| 7756.678 | 7755.868 | 17021.328 | 0.369 | 119.325 | 13.413 | 
| 7756.676 | 7755.867 | 17021.325 | 0.369 | 13.413 | 160.517 | 
| -7354.957 | -7675.126 | -16921.286 | 13.033 | -0.013 | -0.013 | 
| -7675.936 | -7354.148 | -16921.287 | -13.771 | -0.013 | -0.013 | 
| -7649.865 | -7649.056 | -16745.570 | -0.369 | -0.013 | -0.013 | 
| -7743.277 | -7769.268 | -17021.328 | 118.943 | -0.013 | -0.013 | 
| -7756.677 | -7755.869 | -17021.328 | -0.369 | 119.300 | 13.387 | 
| -7756.676 | -7755.867 | -17021.325 | -0.369 | 13.387 | 160.492 | 
| 1177.805 | 856.417 | 1802.261 | 13.419 | 0.001 | 0.001 | 
| 859.442 | 1180.451 | 1808.793 | -13.359 | 0.001 | 0.001 | 
| 98.339 | 98.339 | 386.375 | 0.000 | -0.000 | 0.000 | 
| 789.098 | 762.217 | 1702.200 | 119.348 | 0.001 | 0.001 | 
| 775.698 | 775.617 | 1702.199 | 0.037 | 119.312 | 13.401 | 
| 775.683 | 775.602 | 1702.167 | 0.037 | 13.402 | 160.505 | 
| 467.084 | 89.292 | 100.294 | 10.018 | 0.000 | -0.000 | 
| -695.004 | -374.221 | -1602.171 | -13.456 | -0.001 | -0.001 | 
| -680.412 | -680.330 | -1453.738 | -0.037 | -0.001 | -0.001 | 
| 10.018 | -10.018 | -0.000 | 163.751 | 0.000 | -0.000 | 
| -775.698 | -775.617 | -1702.199 | -0.037 | 119.309 | 13.399 | 
| -775.683 | -775.602 | -1702.167 | -0.037 | 13.399 | 160.502 | 
| 482.715 | 159.114 | 271.189 | 13.250 | 0.000 | 0.000 | 
| -2745461.853 | -2651843.819 | 1237.491 | 3.055 | -2.133 | 2408.450 | 
| 186.523 | 186.514 | 448.004 | 0.004 | 0.000 | 0.000 | 
| -2745450.917 | -2651938.361 | 1243.031 | 2.826 | 0.262 | 2453.162 | 
| -2745486.817 | -2651949.509 | 1243.745 | 2.395 | -0.031 | 2439.347 | 
| -2745572.441 | -2652084.663 | 1236.233 | 1.775 | 2.390 | 2464.602 | 
| 467.083 | 89.292 | 100.294 | 10.018 | 0.000 | -0.000 | 
| 89.292 | 467.083 | 100.294 | -10.018 | 0.000 | -0.000 | 
| 98.339 | 98.339 | 386.373 | 0.000 | 0.000 | -0.000 | 
| 2745464.871 | 2651976.934 | -1245.064 | 0.508 | 0.897 | -2474.675 | 
| 2745488.995 | 2652068.833 | -1235.913 | -1.151 | -2.241 | -2448.557 | 
| 2745650.859 | 2652224.425 | -1225.562 | -1.491 | -4.053 | -2414.045 | 
| 23756.703 | 22549.528 | -1194742.480 | -7912.230 | -3273.349 | 6496.138 | 
| 21600.623 | 23051.929 | -1121556.608 | -7851.402 | -3410.363 | 5624.740 | 
| 20766.682 | 22569.456 | -1132582.233 | -6980.011 | -3511.663 | 6048.174 | 
| 22665.160 | 22520.123 | -1156546.493 | -7462.027 | -2975.206 | 5814.152 | 
| 23493.587 | 22317.154 | -1178219.494 | -7275.763 | -2894.129 | 5918.002 | 
| 21635.180 | 21525.746 | -1119481.372 | -8274.451 | -2775.171 | 5656.115 | 
| -21911.500 | -21977.220 | 1141726.444 | 6822.596 | 3430.367 | -6530.673 | 
| -24414.946 | -23574.597 | 1229143.831 | 7605.084 | 3888.370 | -5814.734 | 
| -23364.781 | -22546.253 | 1171215.133 | 7481.525 | 2966.177 | -4847.155 | 
| -23496.235 | -22089.896 | 1172638.169 | 7009.921 | 3338.110 | -5522.942 | 
| -22240.274 | -23411.932 | 1146558.797 | 7729.857 | 2286.749 | -5872.128 | 
| -21418.849 | -20823.004 | 1115465.663 | 7500.137 | 3102.467 | -4889.092 | 
| 2285.396 | 2257.475 | -115230.278 | -661.685 | -312.735 | 535.900 | 
| 2364.314 | 2331.256 | -117135.187 | -737.924 | -255.637 | 538.847 | 
| 2199.836 | 2312.916 | -112972.650 | -716.285 | -264.572 | 623.573 | 
| 2383.546 | 2280.455 | -117900.945 | -728.132 | -316.352 | 609.950 | 
| 2111.465 | 2163.247 | -111360.732 | -733.986 | -267.193 | 559.507 | 
| 2173.493 | 2280.075 | -113418.884 | -721.764 | -314.620 | 591.702 | 
| -2271.794 | -2286.213 | 115647.824 | 702.082 | 353.396 | -500.811 | 
| -2308.658 | -2220.434 | 117327.801 | 806.989 | 330.984 | -608.357 | 
| -2324.637 | -2322.086 | 115793.439 | 762.581 | 308.420 | -513.712 | 
| -2264.312 | -2374.317 | 115038.421 | 739.632 | 297.473 | -630.769 | 
| -95.712 | 76.544 | 373.677 | -36.146 | 109.544 | -3.034 | 
| -2332.276 | -2268.915 | 117520.955 | 787.635 | 300.120 | -546.242 | 
| 573.934 | 296.968 | 0.000 | 0.000 | 0.000 | 0.000 | 
| 246.303 | 624.598 | 0.000 | 0.000 | 0.000 | -0.000 | 
| 0.000 | -0.000 | 0.000 | 0.000 | 0.000 | -0.000 | 
| 0.000 | -0.000 | 0.000 | 0.000 | 0.000 | -0.000 | 
| 0.000 | -0.000 | 0.000 | 0.000 | 0.000 | -0.000 | 
| 0.000 | -0.000 | 0.000 | 0.000 | 0.000 | 189.147 | 
| 624.598 | 246.303 | -0.000 | -0.000 | -0.000 | 0.000 | 
| 246.304 | 624.598 | -0.000 | -0.000 | -0.000 | 0.000 | 
| -0.000 | 0.000 | -0.000 | -0.000 | -0.000 | 0.000 | 
| -0.000 | 0.000 | -0.000 | -0.000 | -0.000 | 0.000 | 
| -0.000 | 0.000 | -0.000 | -0.000 | -0.000 | 0.000 | 
| -0.000 | -0.000 | -0.000 | -0.000 | -0.000 | 189.147 | 
| 573.933 | 296.969 | 0.000 | 0.000 | 0.000 | -0.000 | 
| 246.303 | 624.598 | 0.000 | 0.000 | 0.000 | 0.000 | 
| 0.000 | -0.000 | 0.000 | 0.000 | 0.000 | -0.000 | 
| 0.000 | -0.000 | 0.000 | 0.000 | 0.000 | -0.000 | 
| 0.000 | -0.000 | 0.000 | 0.000 | 0.000 | -0.000 | 
| 0.000 | -0.000 | 0.000 | 0.000 | 0.000 | 138.483 | 
| 624.598 | 246.303 | -0.000 | -0.000 | -0.000 | 0.000 | 
| 246.303 | 624.598 | -0.000 | -0.000 | -0.000 | -0.000 | 
| -0.000 | 0.000 | -0.000 | -0.000 | -0.000 | 0.000 | 
| -0.000 | 0.000 | -0.000 | -0.000 | -0.000 | 0.000 | 
| -0.000 | 0.000 | -0.000 | -0.000 | -0.000 | 0.000 | 
| -0.000 | 0.000 | -0.000 | -0.000 | -0.000 | 138.483 | 
| 573.927 | 296.977 | 0.000 | 0.000 | 0.000 | 0.000 | 
| 296.961 | 573.943 | 0.000 | 0.000 | 0.000 | -0.000 | 
| 0.000 | -0.000 | 0.000 | 0.000 | 0.000 | -0.000 | 
| 0.000 | -0.000 | 0.000 | 0.000 | 0.000 | -0.000 | 
| 0.000 | -0.000 | 0.000 | 0.000 | 0.000 | -0.000 | 
| 0.001 | -0.001 | 0.000 | 0.000 | 0.000 | 138.483 | 
| 573.941 | 296.959 | -0.000 | -0.000 | -0.000 | 0.000 | 
| 296.975 | 573.925 | -0.000 | -0.000 | -0.000 | 0.000 | 
| -0.000 | 0.000 | -0.000 | -0.000 | -0.000 | 0.000 | 
| -0.000 | 0.000 | -0.000 | -0.000 | -0.000 | 0.000 | 
| -0.000 | 0.000 | -0.000 | -0.000 | -0.000 | 0.000 | 
| -0.001 | 0.001 | -0.000 | -0.000 | -0.000 | 138.483 | 
| 229.022 | 118.502 | 0.000 | 0.000 | 0.000 | -0.000 | 
| 98.285 | 249.239 | 0.000 | 0.000 | 0.000 | -0.000 | 
| -0.000 | -0.000 | 0.000 | 0.000 | 0.000 | 0.000 | 
| -0.000 | 0.000 | 0.000 | 0.000 | 0.000 | -0.000 | 
| -0.000 | 0.000 | 0.000 | 0.000 | 0.000 | -0.000 | 
| -0.000 | -0.000 | 0.000 | 0.000 | 0.000 | 75.477 | 
| 249.239 | 98.285 | -0.000 | -0.000 | -0.000 | 0.000 | 
| 118.502 | 229.022 | -0.000 | -0.000 | -0.000 | 0.000 | 
| 0.000 | 0.000 | -0.000 | -0.000 | -0.000 | -0.000 | 
| 0.000 | 0.000 | -0.000 | -0.000 | -0.000 | 0.000 | 
| 0.000 | -0.000 | -0.000 | -0.000 | -0.000 | 0.000 | 
| 0.000 | 0.000 | -0.000 | -0.000 | -0.000 | 75.477 | 
| 249.239 | 98.285 | 0.000 | 0.000 | 0.000 | -0.000 | 
| 118.501 | 229.022 | 0.000 | 0.000 | 0.000 | 0.000 | 
| -0.000 | -0.000 | 0.000 | 0.000 | 0.000 | 0.000 | 
| -0.000 | 0.000 | 0.000 | 0.000 | 0.000 | -0.000 | 
| -0.000 | 0.000 | 0.000 | 0.000 | 0.000 | -0.000 | 
| 0.000 | -0.000 | 0.000 | 0.000 | 0.000 | 55.260 | 
| 249.239 | 98.285 | -0.000 | -0.000 | -0.000 | 0.000 | 
| 118.502 | 229.022 | -0.000 | -0.000 | -0.000 | 0.000 | 
| 0.000 | 0.000 | -0.000 | -0.000 | -0.000 | -0.000 | 
| 0.000 | 0.000 | -0.000 | -0.000 | -0.000 | 0.000 | 
| 0.000 | -0.000 | -0.000 | -0.000 | -0.000 | 0.000 | 
| -0.000 | 0.000 | -0.000 | -0.000 | -0.000 | 55.260 | 
| 229.019 | 118.505 | 0.000 | 0.000 | 0.000 | -0.000 | 
| 98.285 | 249.240 | 0.000 | 0.000 | 0.000 | -0.000 | 
| -0.000 | -0.000 | 0.000 | 0.000 | 0.000 | 0.000 | 
| -0.000 | 0.000 | 0.000 | 0.000 | 0.000 | -0.000 | 
| -0.000 | -0.000 | 0.000 | 0.000 | 0.000 | -0.000 | 
| 0.000 | -0.000 | 0.000 | 0.000 | 0.000 | 55.260 | 
| 229.025 | 118.498 | -0.000 | -0.000 | -0.000 | -0.000 | 
| 118.505 | 229.018 | -0.000 | -0.000 | -0.000 | 0.000 | 
| 0.000 | 0.000 | -0.000 | -0.000 | -0.000 | -0.000 | 
| 0.000 | -0.000 | -0.000 | -0.000 | -0.000 | 0.000 | 
| 0.000 | 0.000 | -0.000 | -0.000 | -0.000 | 0.000 | 
| -0.000 | 0.000 | -0.000 | -0.000 | -0.000 | 55.260 | 
| 685.967 | 354.937 | 0.000 | 0.000 | 0.000 | 0.000 | 
| 294.382 | 746.521 | 0.000 | 0.000 | 0.000 | 0.000 | 
| -0.000 | 0.000 | 0.000 | 0.000 | 0.000 | 0.000 | 
| -0.000 | 0.000 | 0.000 | 0.000 | 0.000 | 0.000 | 
| -0.000 | 0.000 | 0.000 | 0.000 | 0.000 | 0.000 | 
| 0.000 | 0.000 | 0.000 | 0.000 | 0.000 | 226.069 | 
| 746.521 | 294.382 | -0.000 | -0.000 | -0.000 | 0.000 | 
| 294.382 | 746.521 | -0.000 | -0.000 | -0.000 | -0.000 | 
| 0.000 | -0.000 | -0.000 | -0.000 | -0.000 | -0.000 | 
| 0.000 | -0.000 | -0.000 | -0.000 | -0.000 | -0.000 | 
| 0.000 | -0.000 | -0.000 | -0.000 | -0.000 | -0.000 | 
| -0.000 | -0.000 | -0.000 | -0.000 | -0.000 | 226.069 | 
| 685.966 | 354.938 | 0.000 | 0.000 | 0.000 | 0.000 | 
| 294.382 | 746.521 | 0.000 | 0.000 | 0.000 | -0.000 | 
| -0.000 | 0.000 | 0.000 | 0.000 | 0.000 | 0.000 | 
| -0.000 | 0.000 | 0.000 | 0.000 | 0.000 | 0.000 | 
| -0.000 | 0.000 | 0.000 | 0.000 | 0.000 | -0.000 | 
| 0.000 | -0.000 | 0.000 | 0.000 | 0.000 | 165.515 | 
| 746.521 | 294.382 | -0.000 | -0.000 | -0.000 | 0.000 | 
| 294.382 | 746.521 | -0.000 | -0.000 | -0.000 | -0.000 | 
| 0.000 | -0.000 | -0.000 | -0.000 | -0.000 | -0.000 | 
| 0.000 | -0.000 | -0.000 | -0.000 | -0.000 | -0.000 | 
| 0.000 | -0.000 | -0.000 | -0.000 | -0.000 | 0.000 | 
| -0.000 | 0.000 | -0.000 | -0.000 | -0.000 | 165.515 | 
| 685.958 | 354.947 | 0.000 | 0.000 | 0.000 | 0.000 | 
| 354.928 | 685.977 | 0.000 | 0.000 | 0.000 | 0.000 | 
| -0.000 | 0.000 | 0.000 | 0.000 | 0.000 | 0.000 | 
| -0.000 | 0.000 | 0.000 | 0.000 | 0.000 | 0.000 | 
| -0.000 | 0.000 | 0.000 | 0.000 | 0.000 | 0.000 | 
| 0.001 | -0.001 | 0.000 | 0.000 | 0.000 | 165.515 | 
| 685.975 | 354.926 | -0.000 | -0.000 | -0.000 | -0.000 | 
| 354.945 | 685.956 | -0.000 | -0.000 | -0.000 | -0.000 | 
| 0.000 | -0.000 | -0.000 | -0.000 | -0.000 | -0.000 | 
| 0.000 | -0.000 | -0.000 | -0.000 | -0.000 | -0.000 | 
| 0.000 | -0.000 | -0.000 | -0.000 | -0.000 | -0.000 | 
| -0.001 | 0.001 | -0.000 | -0.000 | -0.000 | 165.515 | 
| 3.036 | 20.514 | 19.277 | 2.228 | -0.181 | 0.756 | 
| 14.531 | 130.838 | 14.495 | 1.415 | -1.296 | 0.511 | 
| 26.078 | 26.714 | 77.043 | 1.767 | 0.726 | 0.010 | 
| -1.984 | 1.415 | 2.007 | 89.060 | 0.418 | 0.767 | 
| 0.868 | -0.451 | 0.766 | 0.818 | 46.523 | 0.436 | 
| 0.521 | 0.320 | -0.103 | 0.880 | 0.343 | 48.443 | 
| 2.743 | 18.982 | 18.833 | -0.294 | 0.767 | -0.431 | 
| 19.139 | 2.447 | 19.491 | -0.735 | 1.052 | -0.417 | 
| 25.804 | 26.889 | 76.810 | 0.269 | 0.553 | -0.396 | 
| -0.704 | 1.240 | 0.921 | 46.641 | -0.002 | -0.050 | 
| -0.277 | -0.173 | 0.087 | -1.422 | -9.016 | -1.125 | 
| 0.247 | 0.488 | -0.319 | -0.587 | 0.152 | 47.071 | 
| 7.699 | 8.935 | 8.593 | 0.454 | 0.345 | 0.203 | 
| 16.389 | 28.605 | 16.331 | 0.767 | 0.123 | 0.289 | 
| 28.182 | 29.157 | 66.812 | 0.917 | 0.536 | -0.063 | 
| 0.069 | 0.689 | 0.428 | 3.667 | -0.063 | -0.049 | 
| 0.332 | 0.143 | 0.352 | -0.049 | 3.602 | -0.160 | 
| 0.337 | 0.375 | -0.108 | 0.138 | 0.103 | 40.902 | 
| 129.704 | 14.531 | 14.371 | -1.984 | 1.002 | 0.771 | 
| 16.230 | 28.354 | 16.234 | 0.575 | 0.213 | 0.191 | 
| 14.371 | 14.495 | 129.609 | 2.007 | 1.232 | -0.741 | 
| 0.196 | 0.651 | 0.905 | 14.771 | 0.035 | -0.054 | 
| 0.681 | -0.222 | 0.554 | -0.049 | 40.368 | 0.079 | 
| 0.279 | 0.191 | 0.030 | -0.101 | -0.038 | 14.804 | 
| 17.693 | 19.246 | 18.609 | 0.632 | 0.373 | 0.235 | 
| -2.429 | 1.459 | -2.359 | -0.067 | -0.009 | 0.010 | 
| -2.167 | -2.216 | 0.182 | 0.013 | 0.024 | -0.010 | 
| -0.014 | -0.031 | 0.001 | 0.044 | 0.004 | 0.015 | 
| 0.417 | 0.160 | 0.307 | -0.023 | 8.635 | 0.144 | 
| 0.011 | -0.002 | 0.030 | 0.010 | 0.081 | 1.019 | 
| 12.833 | 5.285 | 4.839 | 0.025 | 0.391 | 0.148 | 
| 6.298 | 14.709 | 6.601 | 0.675 | 0.155 | 0.089 | 
| 15.663 | 16.112 | 28.557 | 0.902 | 0.557 | 0.062 | 
| 0.218 | 0.711 | 0.934 | 15.363 | 0.003 | -0.003 | 
| 0.332 | -0.037 | 0.298 | -0.037 | 5.486 | -0.255 | 
| 0.026 | -0.041 | -0.045 | 0.049 | 0.054 | 1.160 | 
| 196.298 | 196.261 | 196.182 | 0.020 | -0.005 | 0.020 | 
| 196.455 | 196.337 | 196.457 | 0.028 | 0.020 | 0.026 | 
| 196.511 | 196.495 | 196.220 | 0.022 | -0.008 | 0.037 | 
| 4149.584 | 2057.979 | 2753.923 | -1122.741 | -27.849 | -222.764 | 
| 2964.187 | 8380.992 | 3449.220 | -343.786 | -2429.398 | -9.684 | 
| 855.983 | 1476.088 | 4261.976 | 179.006 | -27.050 | -1218.824 | 
| -195.893 | -196.376 | -196.267 | -0.013 | 0.019 | -0.051 | 
| -196.333 | -196.513 | -196.263 | 0.026 | 0.041 | 0.030 | 
| -195.958 | -195.992 | -195.805 | -0.045 | 0.005 | -0.022 | 
| -4181.730 | -1050.935 | -558.241 | 112.403 | 505.446 | 225.891 | 
| -9535.696 | -9287.172 | -8153.652 | 3453.251 | -3511.844 | 4583.806 | 
| -6930.261 | -6697.779 | -5675.518 | -743.866 | -359.484 | -634.492 | 
| 19.632 | 19.666 | 19.662 | 0.004 | -0.001 | 0.003 | 
| 19.644 | 19.633 | 19.628 | 0.003 | 0.000 | 0.003 | 
| 19.622 | 19.624 | 19.622 | 0.003 | -0.001 | 0.005 | 
| 19.636 | 19.653 | 19.636 | -0.010 | -0.001 | 0.003 | 
| 19.627 | 19.629 | 19.625 | 0.002 | 0.003 | 0.002 | 
| 19.627 | 19.629 | 19.631 | 0.001 | 0.001 | -0.001 | 
| -19.644 | -19.632 | -19.622 | -0.003 | -0.000 | -0.002 | 
| -19.642 | -19.594 | -19.635 | -0.004 | 0.003 | -0.003 | 
| -19.624 | -19.627 | -19.683 | -0.005 | -0.000 | -0.004 | 
| -19.624 | -19.617 | -19.621 | -0.002 | -0.001 | -0.004 | 
| -19.632 | -19.630 | -19.625 | -0.003 | -0.001 | -0.003 | 
| -19.633 | -19.635 | -19.627 | -0.001 | 0.001 | -0.006 | 
| 1.963 | 1.963 | 1.962 | 0.000 | 0.000 | 0.000 | 
| 1.962 | 1.963 | 1.960 | 0.000 | -0.000 | 0.000 | 
| 1.968 | 1.967 | 1.963 | 0.000 | 0.000 | 0.000 | 
| 1.965 | 1.964 | 1.963 | 0.001 | -0.000 | 0.000 | 
| 1.959 | 1.961 | 1.959 | 0.000 | -0.000 | 0.000 | 
| 1.963 | 1.964 | 1.961 | 0.000 | 0.000 | -0.000 | 
| -1.961 | -1.965 | -1.964 | -0.000 | 0.000 | -0.000 | 
| -1.962 | -1.968 | -1.962 | -0.000 | 0.000 | -0.000 | 
| -1.962 | -1.962 | -1.959 | -0.000 | 0.000 | -0.000 | 
| -1.962 | -1.961 | -1.961 | 0.000 | 0.000 | -0.000 | 
| -1.962 | -1.963 | -1.962 | -0.000 | 0.000 | -0.000 | 
| -1.962 | -1.963 | -1.963 | -0.000 | 0.000 | -0.000 | 
| 741.377 | -26.904 | -26.904 | 0.000 | 0.000 | 0.000 | 
| -26.904 | 741.377 | -26.904 | 0.000 | -0.000 | -0.000 | 
| -26.904 | -26.904 | 741.377 | 0.000 | -0.000 | 0.000 | 
| 0.000 | -0.000 | -0.000 | 287.109 | -0.000 | 0.000 | 
| 0.000 | -0.000 | -0.000 | 0.000 | 287.109 | 0.000 | 
| 0.000 | -0.000 | 0.000 | 0.000 | -0.000 | 287.109 | 
| 741.377 | -26.904 | -26.904 | -0.000 | 0.000 | -0.000 | 
| -26.904 | 741.377 | -26.904 | 0.000 | 0.000 | 0.000 | 
| -26.904 | -26.904 | 741.377 | 0.000 | 0.000 | -0.000 | 
| 0.000 | 0.000 | 0.000 | 287.109 | -0.000 | -0.000 | 
| -0.000 | 0.000 | 0.000 | 0.000 | 287.109 | -0.000 | 
| -0.000 | 0.000 | -0.000 | -0.000 | 0.000 | 287.109 | 
| 626.686 | -98.485 | -98.485 | 0.000 | -0.000 | 0.000 | 
| -98.485 | 626.686 | -98.485 | 0.000 | -0.000 | 0.000 | 
| -98.485 | -98.485 | 626.686 | -0.000 | 0.000 | -0.000 | 
| 0.000 | -0.000 | -0.000 | 287.109 | -0.000 | 0.000 | 
| -0.000 | 0.000 | -0.000 | 0.000 | 287.109 | 0.000 | 
| -0.000 | -0.000 | 0.000 | -0.000 | -0.000 | 287.109 | 
| 741.376 | -26.904 | -26.904 | -0.000 | 0.000 | 0.000 | 
| -26.904 | 741.376 | -26.904 | -0.000 | -0.000 | -0.000 | 
| -26.904 | -26.904 | 741.376 | 0.000 | 0.000 | -0.000 | 
| -0.000 | 0.000 | 0.000 | 287.109 | 0.000 | -0.000 | 
| 0.000 | -0.000 | 0.000 | 0.000 | 287.109 | -0.000 | 
| 0.000 | 0.000 | -0.000 | -0.000 | 0.000 | 287.109 | 
| 741.385 | -26.908 | -26.908 | -0.000 | -0.000 | -0.000 | 
| -26.908 | 741.385 | -26.908 | -0.000 | 0.000 | 0.000 | 
| -26.908 | -26.908 | 741.385 | 0.000 | -0.000 | 0.000 | 
| 0.000 | -0.001 | -0.000 | 287.107 | -0.000 | -0.000 | 
| -0.001 | 0.000 | -0.000 | -0.000 | 287.107 | 0.000 | 
| -0.001 | -0.000 | 0.000 | 0.000 | -0.000 | 287.107 | 
| 626.503 | -98.587 | -98.587 | -0.000 | 0.000 | 0.000 | 
| -98.587 | 626.503 | -98.587 | 0.000 | -0.000 | 0.000 | 
| -98.587 | -98.587 | 626.503 | -0.000 | 0.000 | -0.000 | 
| -0.000 | 0.001 | 0.000 | 287.107 | 0.000 | -0.000 | 
| 0.001 | -0.000 | 0.000 | 0.000 | 287.107 | -0.000 | 
| 0.001 | 0.000 | -0.000 | -0.000 | 0.000 | 287.107 | 
| 559.040 | 220.452 | 0.000 | 0.000 | 0.000 | 0.000 | 
| 220.451 | 559.040 | 0.000 | 0.000 | 0.000 | 0.000 | 
| 0.000 | -0.000 | 0.000 | 0.000 | 0.000 | -0.000 | 
| 0.000 | 0.000 | 0.000 | 0.000 | 0.000 | 0.000 | 
| -0.000 | 0.000 | 0.000 | 0.000 | 0.000 | 0.000 | 
| -0.000 | 0.000 | 0.000 | 0.000 | 0.000 | 169.294 | 
| 513.693 | 265.797 | -0.000 | -0.000 | -0.000 | -0.001 | 
| 265.798 | 513.693 | -0.000 | -0.000 | -0.000 | -0.001 | 
| 0.000 | -0.000 | -0.000 | -0.000 | -0.000 | -0.000 | 
| 0.000 | -0.000 | -0.000 | -0.000 | -0.000 | -0.000 | 
| 0.000 | -0.000 | -0.000 | -0.000 | -0.000 | -0.000 | 
| 0.000 | -0.000 | -0.000 | -0.000 | -0.000 | 169.294 | 
| 513.693 | 265.799 | 0.000 | 0.000 | 0.000 | 0.000 | 
| 265.797 | 513.694 | 0.000 | 0.000 | 0.000 | 0.000 | 
| 0.000 | -0.000 | 0.000 | 0.000 | 0.000 | -0.000 | 
| -0.000 | 0.000 | 0.000 | 0.000 | 0.000 | 0.000 | 
| -0.000 | 0.000 | 0.000 | 0.000 | 0.000 | 0.000 | 
| 0.000 | 0.000 | 0.000 | 0.000 | 0.000 | 169.294 | 
| 513.694 | 265.797 | -0.000 | -0.000 | -0.000 | -0.000 | 
| 220.451 | 559.040 | -0.000 | -0.000 | -0.000 | -0.000 | 
| 0.000 | -0.000 | -0.000 | -0.000 | -0.000 | -0.000 | 
| 0.000 | -0.000 | -0.000 | -0.000 | -0.000 | -0.000 | 
| -0.000 | -0.000 | -0.000 | -0.000 | -0.000 | -0.000 | 
| -0.000 | -0.000 | -0.000 | -0.000 | -0.000 | 169.294 | 
| 513.687 | 265.806 | 0.000 | 0.000 | 0.000 | 0.000 | 
| 265.797 | 513.695 | 0.000 | 0.000 | 0.000 | 0.000 | 
| 0.000 | -0.000 | 0.000 | 0.000 | 0.000 | -0.000 | 
| -0.000 | 0.000 | 0.000 | 0.000 | 0.000 | 0.000 | 
| -0.000 | 0.000 | 0.000 | 0.000 | 0.000 | 0.000 | 
| 0.001 | -0.001 | 0.000 | 0.000 | 0.000 | 123.948 | 
| 513.700 | 265.790 | -0.000 | -0.000 | -0.000 | -0.000 | 
| 265.804 | 513.686 | -0.000 | -0.000 | -0.000 | -0.000 | 
| 0.000 | -0.000 | -0.000 | -0.000 | -0.000 | -0.000 | 
| -0.000 | -0.000 | -0.000 | -0.000 | -0.000 | -0.000 | 
| -0.000 | -0.000 | -0.000 | -0.000 | -0.000 | -0.000 | 
| -0.001 | 0.001 | -0.000 | -0.000 | -0.000 | 123.948 | 
| 559.194 | 220.512 | 0.000 | -0.000 | -0.000 | 0.000 | 
| 220.512 | 559.193 | 0.000 | 0.000 | -0.000 | -0.000 | 
| -0.000 | -0.000 | -0.000 | 0.000 | -0.000 | 0.000 | 
| -0.000 | -0.000 | -0.000 | 0.000 | -0.000 | 0.000 | 
| -0.000 | -0.000 | -0.000 | 0.000 | -0.000 | 0.000 | 
| -0.000 | -0.000 | -0.000 | -0.000 | -0.000 | 169.341 | 
| 513.835 | 265.871 | 0.000 | 0.000 | 0.000 | -0.000 | 
| 265.871 | 513.835 | 0.000 | -0.000 | 0.000 | -0.000 | 
| 0.000 | 0.000 | 0.000 | -0.000 | 0.000 | -0.000 | 
| 0.000 | 0.000 | 0.000 | 0.000 | 0.000 | -0.000 | 
| 0.000 | 0.000 | -0.000 | -0.000 | 0.000 | -0.000 | 
| 0.000 | 0.000 | 0.000 | 0.000 | -0.000 | 169.340 | 
| 513.834 | 265.872 | 0.000 | -0.000 | -0.000 | 0.000 | 
| 265.870 | 513.835 | 0.000 | -0.000 | -0.000 | 0.000 | 
| -0.000 | -0.000 | 0.000 | 0.000 | -0.000 | 0.000 | 
| -0.000 | -0.000 | -0.000 | -0.000 | -0.000 | 0.000 | 
| -0.000 | -0.000 | 0.000 | 0.000 | -0.000 | 0.000 | 
| 0.000 | -0.000 | -0.000 | 0.000 | -0.000 | 169.341 | 
| 513.835 | 265.870 | 0.000 | 0.000 | 0.000 | -0.000 | 
| 220.512 | 559.193 | 0.000 | 0.000 | 0.000 | -0.000 | 
| 0.000 | 0.000 | 0.000 | -0.000 | 0.000 | -0.000 | 
| 0.000 | 0.000 | 0.000 | -0.000 | 0.000 | -0.000 | 
| 0.000 | 0.000 | -0.000 | -0.000 | 0.000 | -0.000 | 
| -0.000 | 0.000 | 0.000 | -0.000 | -0.000 | 169.341 | 
| 513.828 | 265.879 | 0.000 | -0.000 | -0.000 | 0.000 | 
| 265.870 | 513.836 | -0.000 | -0.000 | -0.000 | 0.000 | 
| -0.000 | -0.000 | -0.000 | 0.000 | -0.000 | 0.000 | 
| -0.000 | -0.000 | 0.000 | 0.000 | -0.000 | 0.000 | 
| -0.000 | -0.000 | -0.000 | 0.000 | -0.000 | 0.000 | 
| 0.001 | -0.001 | -0.000 | -0.000 | 0.000 | 123.982 | 
| 513.841 | 265.863 | 0.000 | 0.000 | 0.000 | -0.000 | 
| 265.877 | 513.827 | 0.000 | 0.000 | 0.000 | -0.000 | 
| 0.000 | 0.000 | -0.000 | -0.000 | 0.000 | -0.000 | 
| 0.000 | 0.000 | -0.000 | -0.000 | 0.000 | -0.000 | 
| 0.000 | 0.000 | -0.000 | -0.000 | 0.000 | -0.000 | 
| -0.001 | 0.001 | 0.000 | 0.000 | 0.000 | 123.982 | 
| 474.513 | 245.525 | 0.000 | 0.000 | 0.000 | 0.000 | 
| 203.637 | 516.401 | 0.000 | 0.000 | 0.000 | 0.000 | 
| -0.000 | 0.000 | 0.000 | 0.000 | 0.000 | 0.000 | 
| -0.000 | 0.000 | 0.000 | 0.000 | 0.000 | 0.000 | 
| -0.000 | 0.000 | 0.000 | 0.000 | 0.000 | 0.000 | 
| -0.000 | 0.000 | 0.000 | 0.000 | 0.000 | 156.382 | 
| 474.513 | 245.525 | -0.000 | -0.000 | -0.000 | -0.000 | 
| 245.525 | 474.513 | -0.000 | -0.000 | -0.000 | -0.000 | 
| 0.000 | -0.000 | -0.000 | -0.000 | -0.000 | -0.000 | 
| 0.000 | -0.000 | -0.000 | -0.000 | -0.000 | -0.000 | 
| 0.000 | -0.000 | -0.000 | -0.000 | -0.000 | -0.000 | 
| 0.000 | -0.000 | -0.000 | -0.000 | -0.000 | 156.382 | 
| 474.528 | 245.510 | 0.000 | 0.000 | 0.000 | 0.000 | 
| 203.637 | 516.401 | 0.000 | 0.000 | 0.000 | 0.000 | 
| -0.000 | 0.000 | 0.000 | 0.000 | 0.000 | 0.000 | 
| -0.000 | 0.000 | 0.000 | 0.000 | 0.000 | 0.000 | 
| -0.000 | 0.000 | 0.000 | 0.000 | 0.000 | 0.000 | 
| 0.000 | -0.000 | 0.000 | 0.000 | 0.000 | 114.494 | 
| 474.514 | 245.524 | -0.000 | -0.000 | -0.000 | -0.000 | 
| 245.526 | 474.512 | -0.000 | -0.000 | -0.000 | -0.000 | 
| 0.000 | -0.000 | -0.000 | -0.000 | -0.000 | -0.000 | 
| 0.000 | -0.000 | -0.000 | -0.000 | -0.000 | -0.000 | 
| 0.000 | -0.000 | -0.000 | -0.000 | -0.000 | -0.000 | 
| -0.000 | 0.000 | -0.000 | -0.000 | -0.000 | 114.494 | 
| 474.507 | 245.532 | 0.000 | 0.000 | 0.000 | 0.000 | 
| 203.637 | 516.403 | 0.000 | 0.000 | 0.000 | 0.000 | 
| -0.000 | 0.000 | 0.000 | 0.000 | 0.000 | 0.000 | 
| -0.000 | 0.000 | 0.000 | 0.000 | 0.000 | 0.000 | 
| -0.000 | 0.000 | 0.000 | 0.000 | 0.000 | 0.000 | 
| 0.001 | -0.001 | 0.000 | 0.000 | 0.000 | 114.494 | 
| 474.519 | 245.518 | -0.000 | -0.000 | -0.000 | -0.000 | 
| 245.531 | 474.506 | -0.000 | -0.000 | -0.000 | -0.000 | 
| 0.000 | -0.000 | -0.000 | -0.000 | -0.000 | -0.000 | 
| 0.000 | -0.000 | -0.000 | -0.000 | -0.000 | -0.000 | 
| 0.000 | -0.000 | -0.000 | -0.000 | -0.000 | -0.000 | 
| -0.001 | 0.001 | -0.000 | -0.000 | -0.000 | 114.494 | 
| 516.477 | 203.666 | 0.000 | -0.000 | -0.000 | 0.000 | 
| 245.561 | 474.583 | 0.000 | -0.000 | -0.000 | -0.000 | 
| 0.000 | -0.000 | 0.000 | -0.000 | 0.000 | -0.001 | 
| 0.000 | -0.000 | 0.000 | -0.000 | -0.000 | -0.000 | 
| 0.000 | -0.000 | 0.000 | -0.000 | 0.000 | -0.001 | 
| 0.000 | -0.000 | -0.000 | -0.000 | -0.000 | 114.510 | 
| 474.583 | 245.561 | 0.000 | 0.000 | 0.000 | 0.000 | 
| 245.561 | 474.582 | -0.000 | 0.000 | -0.000 | 0.000 | 
| -0.000 | 0.000 | -0.000 | 0.000 | 0.000 | 0.001 | 
| -0.000 | 0.000 | -0.000 | 0.000 | 0.000 | 0.001 | 
| -0.000 | 0.000 | -0.000 | 0.000 | 0.000 | 0.001 | 
| 0.000 | 0.000 | -0.000 | 0.000 | 0.000 | 114.511 | 
| 474.582 | 245.562 | 0.000 | -0.000 | -0.000 | -0.000 | 
| 245.560 | 474.583 | 0.000 | -0.000 | -0.000 | -0.000 | 
| 0.000 | -0.000 | 0.000 | -0.000 | -0.000 | -0.000 | 
| 0.000 | -0.000 | 0.000 | -0.000 | -0.000 | -0.000 | 
| 0.000 | -0.000 | 0.000 | -0.000 | -0.000 | -0.000 | 
| 0.000 | -0.000 | 0.000 | -0.000 | 0.000 | 114.511 | 
| 474.567 | 245.576 | 0.000 | -0.000 | 0.000 | 0.000 | 
| 245.562 | 474.582 | -0.000 | 0.000 | 0.000 | 0.000 | 
| -0.000 | 0.000 | -0.000 | 0.000 | -0.000 | 0.000 | 
| -0.000 | 0.000 | -0.000 | 0.000 | -0.000 | 0.000 | 
| -0.000 | 0.000 | -0.000 | 0.000 | 0.000 | 0.000 | 
| -0.000 | 0.000 | -0.000 | 0.000 | 0.000 | 114.511 | 
| 474.736 | 245.409 | -0.000 | 0.000 | -0.000 | -0.000 | 
| 245.555 | 474.590 | -0.000 | -0.000 | -0.000 | -0.000 | 
| 0.000 | -0.000 | 0.000 | -0.000 | -0.000 | -0.000 | 
| 0.000 | -0.000 | 0.000 | -0.000 | 0.000 | -0.000 | 
| 0.000 | -0.000 | 0.000 | -0.000 | -0.000 | -0.000 | 
| 0.001 | -0.001 | -0.000 | -0.000 | 0.000 | 114.511 | 
| 474.589 | 245.554 | -0.000 | 0.000 | 0.000 | 0.000 | 
| 245.562 | 474.581 | -0.000 | -0.000 | 0.000 | 0.000 | 
| 0.000 | 0.000 | -0.000 | 0.000 | 0.000 | 0.000 | 
| -0.000 | 0.000 | -0.000 | 0.000 | 0.000 | 0.000 | 
| -0.000 | 0.000 | -0.000 | 0.000 | 0.000 | 0.000 | 
| -0.001 | 0.001 | -0.000 | 0.000 | 0.000 | 114.511 | 
| 733.449 | 289.228 | 0.000 | 0.000 | 0.000 | -0.000 | 
| 289.228 | 733.449 | 0.000 | 0.000 | 0.000 | -0.000 | 
| -0.000 | 0.000 | 0.000 | 0.000 | 0.000 | 0.000 | 
| -0.000 | 0.000 | 0.000 | 0.000 | 0.000 | -0.000 | 
| 0.000 | 0.000 | 0.000 | 0.000 | 0.000 | -0.000 | 
| 0.000 | 0.000 | 0.000 | 0.000 | 0.000 | 222.111 | 
| 733.366 | 289.195 | 0.000 | 0.000 | 0.000 | -0.000 | 
| 289.195 | 733.366 | 0.000 | 0.000 | 0.000 | -0.000 | 
| -0.000 | 0.000 | 0.000 | 0.000 | 0.000 | 0.000 | 
| -0.000 | -0.000 | 0.000 | 0.000 | 0.000 | -0.000 | 
| 0.000 | 0.000 | 0.000 | 0.000 | 0.000 | -0.000 | 
| 0.000 | 0.000 | 0.000 | 0.000 | 0.000 | 222.085 | 
| 733.449 | 289.228 | -0.000 | -0.000 | -0.000 | 0.000 | 
| 289.228 | 733.449 | -0.000 | -0.000 | -0.000 | 0.000 | 
| -0.000 | 0.000 | -0.000 | -0.000 | -0.000 | 0.000 | 
| 0.000 | 0.000 | -0.000 | -0.000 | -0.000 | 0.000 | 
| -0.000 | 0.000 | -0.000 | -0.000 | -0.000 | 0.000 | 
| -0.000 | -0.000 | -0.000 | -0.000 | -0.000 | 222.111 | 
| 733.366 | 289.195 | -0.000 | -0.000 | -0.000 | 0.000 | 
| 289.195 | 733.366 | -0.000 | -0.000 | -0.000 | 0.000 | 
| -0.000 | 0.000 | -0.000 | -0.000 | -0.000 | 0.000 | 
| 0.000 | -0.000 | -0.000 | -0.000 | -0.000 | 0.000 | 
| -0.000 | -0.000 | -0.000 | -0.000 | -0.000 | 0.000 | 
| -0.000 | -0.000 | -0.000 | -0.000 | -0.000 | 222.086 | 
| 733.449 | 289.228 | 0.000 | 0.000 | 0.000 | -0.000 | 
| 348.721 | 673.956 | 0.000 | 0.000 | 0.000 | -0.000 | 
| -0.000 | 0.000 | 0.000 | 0.000 | 0.000 | 0.000 | 
| -0.000 | -0.000 | 0.000 | 0.000 | 0.000 | -0.000 | 
| 0.000 | 0.000 | 0.000 | 0.000 | 0.000 | -0.000 | 
| 0.000 | -0.000 | 0.000 | 0.000 | 0.000 | 162.617 | 
| 733.366 | 289.195 | 0.000 | 0.000 | 0.000 | -0.000 | 
| 348.681 | 673.880 | 0.000 | 0.000 | 0.000 | -0.000 | 
| -0.000 | 0.000 | 0.000 | 0.000 | 0.000 | 0.000 | 
| -0.000 | -0.000 | 0.000 | 0.000 | 0.000 | -0.000 | 
| 0.000 | 0.000 | 0.000 | 0.000 | 0.000 | -0.000 | 
| 0.000 | -0.000 | 0.000 | 0.000 | 0.000 | 162.598 | 
| 733.449 | 289.227 | -0.000 | -0.000 | -0.000 | 0.000 | 
| 348.722 | 673.954 | -0.000 | -0.000 | -0.000 | 0.000 | 
| -0.000 | 0.000 | -0.000 | -0.000 | -0.000 | 0.000 | 
| 0.000 | -0.000 | -0.000 | -0.000 | -0.000 | 0.000 | 
| -0.000 | -0.000 | -0.000 | -0.000 | -0.000 | 0.000 | 
| -0.000 | 0.000 | -0.000 | -0.000 | -0.000 | 162.617 | 
| 733.366 | 289.195 | -0.000 | -0.000 | -0.000 | 0.000 | 
| 348.683 | 673.878 | -0.000 | -0.000 | -0.000 | 0.000 | 
| -0.000 | 0.000 | -0.000 | -0.000 | -0.000 | 0.000 | 
| 0.000 | 0.000 | -0.000 | -0.000 | -0.000 | 0.000 | 
| -0.000 | 0.000 | -0.000 | -0.000 | -0.000 | 0.000 | 
| -0.000 | 0.000 | -0.000 | -0.000 | -0.000 | 162.598 | 
| 673.947 | 348.732 | 0.000 | 0.000 | 0.000 | -0.000 | 
| 348.723 | 673.956 | 0.000 | 0.000 | 0.000 | -0.000 | 
| -0.000 | 0.000 | 0.000 | 0.000 | 0.000 | 0.000 | 
| -0.000 | 0.000 | 0.000 | 0.000 | 0.000 | -0.000 | 
| 0.000 | 0.000 | 0.000 | 0.000 | 0.000 | -0.000 | 
| 0.001 | -0.000 | 0.000 | 0.000 | 0.000 | 222.111 | 
| 673.871 | 348.692 | 0.000 | 0.000 | 0.000 | -0.000 | 
| 348.684 | 673.879 | 0.000 | 0.000 | 0.000 | -0.000 | 
| -0.000 | 0.000 | 0.000 | 0.000 | 0.000 | 0.000 | 
| -0.000 | 0.000 | 0.000 | 0.000 | 0.000 | -0.000 | 
| 0.000 | 0.000 | 0.000 | 0.000 | 0.000 | -0.000 | 
| 0.001 | -0.000 | 0.000 | 0.000 | 0.000 | 222.086 | 
| 673.944 | 348.730 | -0.000 | -0.000 | -0.000 | 0.000 | 
| 289.227 | 733.446 | -0.000 | -0.000 | -0.000 | 0.000 | 
| -0.000 | 0.000 | -0.000 | -0.000 | -0.000 | 0.000 | 
| -0.000 | -0.000 | -0.000 | -0.000 | -0.000 | 0.000 | 
| -0.000 | 0.000 | -0.000 | -0.000 | -0.000 | 0.000 | 
| -0.001 | 0.000 | -0.000 | -0.000 | -0.000 | 222.111 | 
| 673.868 | 348.691 | -0.000 | -0.000 | -0.000 | 0.000 | 
| 289.195 | 733.363 | -0.000 | -0.000 | -0.000 | 0.000 | 
| -0.000 | 0.000 | -0.000 | -0.000 | -0.000 | 0.000 | 
| 0.000 | 0.000 | -0.000 | -0.000 | -0.000 | 0.000 | 
| -0.000 | -0.000 | -0.000 | -0.000 | -0.000 | 0.000 | 
| -0.001 | 0.000 | -0.000 | -0.000 | -0.000 | 222.086 | 
| -2861.178 | 104.726 | -806.163 | -78.591 | 4866.412 | -2187.589 | 
| -10447.469 | -497.976 | -3312.544 | -578.231 | 2986.853 | -1815.857 | 
| 1192.286 | 597.549 | 801.318 | 1224.064 | 2817.596 | -1167.181 | 
| 40.255 | 983.343 | -22.992 | -417.901 | 6101.752 | -2169.081 | 
| -14086.568 | -2332.036 | -4679.489 | -176.517 | 2159.261 | -3111.913 | 
| -18685.223 | -2926.834 | -6181.388 | -143.447 | 3670.609 | -868.520 | 
| 2962.785 | 264.003 | 896.076 | -552.438 | -4829.176 | 1394.367 | 
| -198.057 | -61.983 | -106.823 | -73.389 | -982.963 | 1146.542 | 
| 12018.659 | 1791.627 | 4169.181 | 278.256 | -1167.914 | 534.630 | 
| -3777.862 | -729.517 | -1217.342 | 318.006 | -931.274 | -411.481 | 
| 19454.673 | 3274.674 | 6559.661 | 368.367 | -4865.780 | 1064.594 | 
| 18898.007 | 3189.910 | 6207.402 | 1013.256 | -7718.970 | -673.279 | 
| -1188.503 | -124.276 | -442.010 | -13.073 | 404.035 | -53.375 | 
| -505.222 | 360.466 | -118.718 | -26.962 | 298.485 | -207.488 | 
| -788.320 | -55.115 | 156.584 | -18.377 | -72.389 | 22.964 | 
| 228.562 | 79.157 | 65.722 | 219.236 | 642.614 | -424.933 | 
| -2303.906 | -332.534 | -764.245 | -38.545 | -585.337 | -42.868 | 
| -1642.120 | -250.624 | -539.384 | 2.861 | 260.074 | -715.219 | 
| 534.056 | 97.882 | 117.050 | -51.090 | -298.367 | 45.747 | 
| 888.959 | 590.708 | 339.080 | 9.614 | -179.868 | 208.281 | 
| 595.474 | 173.561 | 576.907 | 42.959 | -650.063 | 52.048 | 
| 1658.654 | 265.955 | 557.248 | 316.992 | -362.956 | 177.488 | 
| 2120.866 | 321.670 | 685.108 | 36.155 | 511.170 | -130.356 | 
| 1514.458 | 243.403 | 500.558 | 0.055 | -329.048 | -421.953 | 
| 336.762 | 92.047 | 49.660 | -4.947 | 33.711 | -14.178 | 
| 157.367 | 445.413 | 109.278 | -14.867 | 30.407 | -13.037 | 
| -21.161 | 82.613 | 391.669 | 15.848 | 21.419 | -22.063 | 
| 165.087 | 35.438 | 53.401 | 147.888 | 44.171 | 9.473 | 
| -45.789 | -2.778 | -15.063 | 6.236 | 184.493 | -29.297 | 
| 113.413 | 28.921 | 37.428 | -7.777 | 4.598 | 160.909 | 
| 638.396 | 139.611 | 148.866 | 8.727 | -56.352 | 11.507 | 
| 2.404 | 408.135 | 54.757 | 0.664 | -19.216 | -3.354 | 
| 198.497 | 110.598 | 465.578 | -4.863 | -27.913 | 21.557 | 
| 152.072 | 22.727 | 50.359 | 180.383 | -40.153 | 1.233 | 
| 180.160 | 32.242 | 59.748 | 1.009 | 130.302 | 24.354 | 
| 101.597 | 13.836 | 32.558 | 9.997 | -11.424 | 206.454 | 
| 290.205 | -788.503 | 2014.944 | -0.000 | 0.000 | 0.000 | 
| -781.677 | 282.197 | 2016.124 | -0.000 | 0.000 | 0.000 | 
| 79.021 | 79.021 | 1361.008 | -0.000 | 0.000 | 0.000 | 
| -957.757 | -957.757 | 1912.907 | 486.585 | 0.000 | 0.000 | 
| -957.817 | -957.817 | 1913.028 | -0.000 | 485.956 | 0.000 | 
| -0.000 | -0.000 | 0.000 | 0.000 | 0.000 | 570.285 | 
| 2204.787 | 1126.080 | -1809.011 | 0.000 | -0.000 | -0.000 | 
| 1134.054 | 2197.921 | -1810.118 | 0.000 | -0.000 | -0.000 | 
| 1060.698 | 1060.698 | -599.675 | 0.000 | 0.000 | -0.000 | 
| 957.757 | 957.757 | -1912.907 | 486.585 | 0.000 | -0.000 | 
| 957.817 | 957.817 | -1913.028 | -0.000 | 485.956 | -0.000 | 
| 0.000 | 0.000 | -0.000 | -0.000 | -0.000 | 570.285 | 
| 1146.156 | 69.943 | 302.880 | -0.000 | 0.000 | 0.000 | 
| 80.492 | 1144.349 | 294.149 | -0.000 | 0.000 | 0.000 | 
| 7.766 | 7.766 | 1503.325 | -0.000 | 0.000 | 0.000 | 
| -98.582 | -98.582 | 196.895 | 485.555 | 0.000 | 0.000 | 
| -95.734 | -95.734 | 191.208 | -0.000 | 485.964 | 0.000 | 
| -96.486 | -96.486 | 192.709 | -0.000 | 0.000 | 531.682 | 
| 1290.674 | 150.105 | 78.505 | 0.000 | -0.000 | -0.000 | 
| 150.104 | 1290.674 | 78.505 | 0.000 | -0.000 | -0.000 | 
| 203.806 | 203.806 | 1111.778 | 0.000 | -0.000 | -0.000 | 
| 98.582 | 98.582 | -196.895 | 485.555 | 0.000 | -0.000 | 
| 95.734 | 95.734 | -191.208 | 0.000 | 485.964 | -0.000 | 
| 96.486 | 96.486 | -192.709 | 0.000 | -0.000 | 531.682 | 
| 1290.674 | 150.104 | 78.511 | -0.000 | 0.000 | 0.000 | 
| 166.631 | 1230.530 | 122.068 | -0.000 | 0.000 | 0.000 | 
| 79.015 | 79.015 | 1361.022 | -0.000 | 0.000 | 0.000 | 
| -9.330 | -9.331 | 18.636 | 486.383 | 0.000 | 0.000 | 
| -9.336 | -9.335 | 18.645 | -0.000 | 486.375 | 0.000 | 
| -11.576 | -11.574 | 23.119 | -0.000 | 0.000 | 532.882 | 
| 1249.146 | 184.999 | 85.126 | 0.000 | -0.000 | -0.000 | 
| 185.003 | 1249.142 | 85.127 | 0.000 | -0.000 | -0.000 | 
| 113.024 | 113.024 | 1293.093 | 0.000 | -0.000 | -0.000 | 
| 9.330 | 9.331 | -18.636 | 486.383 | -0.000 | -0.000 | 
| 9.336 | 9.335 | -18.645 | -0.000 | 486.375 | -0.000 | 
| 11.576 | 11.574 | -23.119 | 0.000 | -0.000 | 532.882 | 
| 1239.463 | 176.735 | 102.580 | 0.000 | 0.000 | 0.000 | 
| 150.590 | 1291.301 | 76.888 | 0.000 | 0.000 | 0.000 | 
| 102.580 | 102.580 | 1313.619 | -0.000 | -0.000 | 0.000 | 
| -0.000 | -0.000 | 0.000 | 487.366 | 0.000 | 0.000 | 
| -0.000 | -0.000 | -0.000 | 0.000 | 503.087 | 0.000 | 
| 0.000 | -0.000 | -0.000 | -0.000 | 0.000 | 570.356 | 
| 1291.302 | 150.590 | 76.888 | -0.000 | -0.000 | -0.000 | 
| 171.956 | 1239.995 | 106.828 | 0.000 | -0.000 | -0.000 | 
| 76.888 | 76.888 | 1365.003 | -0.000 | 0.000 | -0.000 | 
| 0.000 | 0.000 | -0.000 | 487.366 | -0.000 | -0.000 | 
| 0.000 | 0.000 | 0.000 | -0.000 | 503.087 | -0.000 | 
| 0.000 | 0.000 | 0.000 | -0.000 | -0.000 | 570.356 | 
| 1291.302 | 150.590 | 76.888 | 0.000 | 0.000 | 0.000 | 
| 150.590 | 1291.302 | 76.888 | 0.000 | -0.000 | 0.000 | 
| 76.888 | 76.888 | 1365.004 | 0.000 | -0.000 | 0.000 | 
| -0.000 | -0.000 | 0.000 | 487.366 | 0.000 | 0.000 | 
| -0.000 | 0.000 | 0.000 | 0.000 | 503.087 | 0.000 | 
| -0.000 | 0.000 | -0.000 | 0.000 | 0.000 | 531.364 | 
| 1239.995 | 171.956 | 106.828 | -0.000 | -0.000 | -0.000 | 
| 171.956 | 1239.995 | 106.828 | -0.000 | -0.000 | -0.000 | 
| 102.580 | 102.580 | 1313.618 | 0.000 | -0.000 | -0.000 | 
| 0.000 | 0.000 | -0.000 | 487.366 | -0.000 | -0.000 | 
| 0.000 | -0.000 | -0.000 | -0.000 | 503.087 | -0.000 | 
| 0.000 | -0.000 | 0.000 | -0.000 | -0.000 | 531.364 | 
| 1240.000 | 171.956 | 106.828 | 0.000 | 0.000 | 0.000 | 
| 150.591 | 1291.305 | 76.888 | 0.000 | 0.000 | 0.000 | 
| 102.584 | 102.584 | 1313.616 | -0.000 | 0.000 | 0.000 | 
| 0.000 | -0.001 | 0.001 | 487.366 | 0.000 | 0.000 | 
| -0.001 | 0.000 | 0.001 | 0.000 | 487.366 | 0.000 | 
| -0.000 | 0.001 | -0.000 | 0.000 | 0.000 | 570.356 | 
| 1239.458 | 176.736 | 102.581 | -0.000 | 0.000 | -0.000 | 
| 176.736 | 1239.456 | 102.583 | -0.000 | -0.000 | 0.000 | 
| 102.405 | 102.405 | 1313.964 | -0.000 | -0.000 | -0.000 | 
| -0.000 | 0.001 | -0.001 | 487.366 | 0.000 | -0.000 | 
| 0.001 | -0.000 | -0.001 | -0.000 | 487.366 | -0.000 | 
| 0.000 | -0.001 | 0.000 | -0.000 | 0.000 | 570.356 | 
| 1457.842 | 404.290 | -343.505 | 0.000 | -0.000 | -0.000 | 
| 404.311 | 1457.856 | -343.540 | 0.000 | -0.000 | 0.000 | 
| 77.152 | 77.152 | 1364.291 | 0.000 | -0.000 | 0.000 | 
| 149.362 | 149.361 | -298.684 | 485.496 | 0.000 | -0.000 | 
| 0.000 | -0.000 | 0.000 | 0.000 | 499.692 | -0.000 | 
| 228.574 | 228.574 | -457.090 | 0.000 | -0.000 | 527.029 | 
| 1291.192 | 150.408 | 76.972 | -0.000 | 0.000 | 0.000 | 
| -53.057 | 1001.541 | 570.025 | 0.000 | -0.000 | 0.000 | 
| 77.152 | 77.152 | 1364.291 | -0.000 | -0.000 | 0.000 | 
| -149.362 | -149.361 | 298.684 | 485.496 | 0.000 | 0.000 | 
| -0.000 | 0.000 | -0.000 | -0.000 | 499.692 | -0.000 | 
| -228.574 | -228.574 | 457.089 | -0.000 | 0.000 | 527.029 | 
| 1291.193 | 150.408 | 76.972 | 0.000 | -0.000 | -0.000 | 
| 183.347 | 1262.096 | 73.130 | 0.000 | 0.000 | -0.000 | 
| 117.605 | 117.605 | 1283.396 | -0.000 | -0.000 | 0.000 | 
| 22.213 | 22.213 | -44.420 | 478.032 | 0.000 | -0.000 | 
| 22.213 | 22.213 | -44.420 | 0.000 | 478.032 | -0.000 | 
| 17.440 | 17.440 | -34.875 | 0.000 | -0.000 | 537.828 | 
| 1231.292 | 156.226 | 131.047 | -0.000 | 0.000 | 0.000 | 
| 156.229 | 1231.304 | 131.032 | -0.000 | -0.000 | 0.000 | 
| 77.152 | 77.152 | 1364.291 | -0.000 | 0.000 | 0.000 | 
| -22.213 | -22.213 | 44.420 | 478.032 | 0.000 | 0.000 | 
| -22.213 | -22.213 | 44.420 | 0.000 | 478.032 | 0.000 | 
| -17.440 | -17.440 | 34.875 | -0.000 | 0.000 | 537.828 | 
| 1291.195 | 150.408 | 76.975 | 0.000 | -0.000 | -0.000 | 
| 175.986 | 1247.060 | 95.528 | 0.000 | -0.000 | -0.000 | 
| 104.597 | 104.597 | 1309.411 | 0.000 | -0.000 | 0.000 | 
| 1.554 | 1.553 | -3.107 | 484.536 | 0.000 | -0.000 | 
| 1.553 | 1.554 | -3.107 | 0.000 | 484.536 | -0.000 | 
| -0.001 | 0.001 | 0.001 | 0.000 | -0.000 | 570.392 | 
| 1243.592 | 173.319 | 101.655 | -0.000 | 0.000 | 0.000 | 
| 165.790 | 1244.661 | 108.114 | -0.000 | 0.000 | 0.000 | 
| 101.627 | 101.627 | 1315.347 | -0.000 | 0.000 | -0.000 | 
| -1.554 | -1.553 | 3.107 | 484.536 | 0.000 | 0.000 | 
| -1.553 | -1.554 | 3.107 | -0.000 | 484.536 | 0.000 | 
| 0.001 | -0.001 | -0.001 | -0.000 | 0.000 | 570.392 | 
| 1071.252 | -5.418 | 452.753 | -0.000 | 0.000 | 0.000 | 
| 150.417 | 1291.253 | 77.034 | 0.000 | 0.000 | -0.000 | 
| -76.042 | -76.042 | 1670.668 | -0.000 | -0.000 | -0.000 | 
| -176.615 | -176.615 | 353.122 | 481.851 | -0.000 | 0.000 | 
| -176.389 | -176.390 | 352.671 | -0.000 | 481.872 | -0.000 | 
| 0.000 | -0.000 | -0.000 | 0.000 | 0.000 | 570.418 | 
| 1291.253 | 150.417 | 77.033 | -0.000 | -0.000 | -0.000 | 
| 348.828 | 1422.716 | -252.740 | 0.000 | -0.000 | -0.000 | 
| 77.231 | 77.231 | 1364.215 | 0.000 | -0.000 | -0.000 | 
| 176.615 | 176.615 | -353.122 | 481.851 | 0.000 | 0.000 | 
| 176.389 | 176.390 | -352.671 | -0.000 | 481.873 | 0.000 | 
| -0.000 | -0.000 | 0.000 | -0.000 | -0.000 | 570.418 | 
| 1232.341 | 150.294 | 136.051 | 0.000 | -0.000 | -0.000 | 
| 156.096 | 1232.093 | 130.498 | -0.000 | 0.000 | 0.000 | 
| 87.817 | 87.817 | 1343.051 | 0.000 | -0.000 | -0.000 | 
| 0.000 | -0.000 | 0.000 | 498.617 | 0.000 | 0.000 | 
| -0.000 | 0.000 | 0.000 | 0.000 | 498.617 | 0.000 | 
| -0.000 | 0.000 | 0.000 | -0.000 | -0.000 | 570.418 | 
| 1260.639 | 185.943 | 72.123 | 0.000 | -0.000 | -0.000 | 
| 185.945 | 1260.637 | 72.122 | -0.000 | -0.000 | 0.000 | 
| 117.495 | 117.495 | 1283.712 | 0.000 | 0.000 | -0.000 | 
| -0.000 | 0.000 | -0.000 | 498.617 | -0.000 | -0.000 | 
| 0.000 | -0.000 | -0.000 | -0.000 | 498.617 | -0.000 | 
| 0.000 | -0.000 | -0.000 | 0.000 | -0.000 | 570.418 | 
| 1291.255 | 150.417 | 77.036 | -0.000 | 0.000 | 0.000 | 
| 164.451 | 1246.955 | 107.292 | -0.000 | 0.000 | -0.000 | 
| 101.254 | 101.254 | 1316.186 | 0.000 | 0.000 | -0.000 | 
| -1.505 | -1.506 | 3.010 | 484.746 | -0.000 | 0.000 | 
| -1.467 | -1.466 | 2.933 | 0.000 | 484.697 | 0.000 | 
| -0.001 | 0.001 | 0.001 | 0.000 | 0.000 | 570.418 | 
| 1250.415 | 167.461 | 100.815 | -0.000 | -0.000 | -0.000 | 
| 167.516 | 1250.282 | 100.894 | 0.000 | -0.000 | -0.000 | 
| 104.198 | 104.198 | 1310.295 | -0.000 | 0.000 | 0.000 | 
| 1.505 | 1.506 | -3.010 | 484.746 | -0.000 | -0.000 | 
| 1.467 | 1.466 | -2.933 | -0.000 | 484.697 | -0.000 | 
| 0.001 | -0.001 | -0.001 | -0.000 | 0.000 | 570.418 | 
| 1291.301 | 150.590 | 76.888 | 0.000 | -0.000 | 0.000 | 
| 150.590 | 1291.301 | 76.888 | -0.000 | 0.000 | 0.000 | 
| 76.888 | 76.888 | 1365.003 | 0.000 | -0.000 | -0.000 | 
| 0.000 | 0.000 | -0.000 | 485.011 | 0.000 | -0.000 | 
| -0.000 | -0.000 | -0.000 | 0.000 | 498.799 | -0.000 | 
| -0.000 | 0.000 | -0.000 | -0.000 | 0.000 | 540.578 | 
| 1246.490 | 173.003 | 99.286 | 0.000 | -0.000 | 0.000 | 
| 150.590 | 1291.302 | 76.888 | -0.000 | -0.000 | -0.000 | 
| 102.580 | 102.580 | 1313.618 | -0.000 | -0.000 | 0.000 | 
| -0.000 | -0.000 | 0.000 | 485.011 | -0.000 | -0.000 | 
| 0.000 | 0.000 | -0.000 | -0.000 | 498.799 | 0.000 | 
| 0.000 | 0.000 | 0.000 | 0.000 | -0.000 | 540.578 | 
| 1246.491 | 173.003 | 99.286 | -0.000 | 0.000 | -0.000 | 
| 173.003 | 1246.490 | 99.286 | -0.000 | -0.000 | -0.000 | 
| 102.576 | 102.576 | 1313.628 | -0.000 | -0.000 | -0.000 | 
| 0.000 | -0.000 | 0.000 | 485.011 | 0.000 | 0.000 | 
| -0.000 | 0.000 | 0.000 | -0.000 | 498.799 | -0.000 | 
| -0.000 | 0.000 | -0.000 | 0.000 | 0.000 | 570.356 | 
| 1248.734 | 166.065 | 103.980 | 0.000 | -0.000 | 0.000 | 
| 166.065 | 1248.735 | 103.980 | 0.000 | 0.000 | 0.000 | 
| 76.888 | 76.888 | 1365.003 | 0.000 | -0.000 | 0.000 | 
| -0.000 | 0.000 | -0.000 | 485.011 | 0.000 | 0.000 | 
| 0.000 | -0.000 | -0.000 | 0.000 | 498.799 | -0.000 | 
| 0.000 | -0.000 | 0.000 | -0.000 | -0.000 | 570.356 | 
| 1246.511 | 172.997 | 99.275 | 0.000 | -0.000 | -0.000 | 
| 166.065 | 1248.742 | 103.977 | 0.000 | 0.000 | -0.000 | 
| 76.888 | 76.888 | 1365.008 | -0.000 | 0.000 | -0.000 | 
| 0.000 | -0.001 | 0.001 | 485.011 | 0.000 | -0.000 | 
| -0.001 | 0.000 | 0.001 | 0.000 | 498.799 | -0.000 | 
| -0.001 | 0.002 | -0.001 | -0.000 | 0.000 | 540.577 | 
| 1248.934 | 165.991 | 103.850 | -0.000 | 0.000 | -0.000 | 
| 165.985 | 1248.949 | 103.842 | -0.000 | -0.000 | -0.000 | 
| 102.563 | 102.563 | 1313.650 | -0.000 | -0.000 | 0.000 | 
| -0.000 | 0.001 | -0.001 | 485.011 | 0.000 | 0.000 | 
| 0.001 | -0.000 | -0.001 | -0.000 | 498.799 | 0.000 | 
| 0.001 | -0.002 | 0.001 | 0.000 | -0.000 | 540.577 | 
| 1259.874 | 332.104 | -73.118 | -0.000 | 0.000 | 0.000 | 
| 332.104 | 1259.874 | -73.118 | -0.000 | -0.000 | 0.000 | 
| 258.938 | 258.938 | 1001.021 | -0.000 | 0.000 | 0.000 | 
| 0.001 | 0.000 | 0.000 | 498.052 | -0.000 | 0.000 | 
| 31.511 | 31.511 | -62.993 | -0.000 | 484.225 | 0.000 | 
| -0.000 | 0.000 | 0.000 | -0.000 | -0.000 | 570.431 | 
| 1291.261 | 150.401 | 77.129 | 0.000 | 0.000 | -0.000 | 
| 90.610 | 1047.313 | 380.735 | -0.000 | 0.000 | -0.000 | 
| 77.358 | 77.359 | 1364.015 | -0.000 | 0.000 | -0.000 | 
| -0.001 | -0.000 | -0.000 | 498.052 | 0.000 | -0.000 | 
| -30.168 | -30.168 | 60.310 | -0.000 | 485.527 | -0.000 | 
| 0.000 | -0.000 | 0.000 | 0.000 | 0.000 | 570.430 | 
| 1236.980 | 176.285 | 105.515 | 0.000 | -0.000 | 0.000 | 
| 176.290 | 1236.970 | 105.520 | -0.000 | -0.000 | -0.000 | 
| 112.895 | 112.895 | 1292.976 | -0.000 | 0.000 | 0.000 | 
| 5.843 | 5.843 | -11.680 | 472.672 | -0.000 | 0.000 | 
| -0.000 | 0.000 | 0.000 | 0.000 | 498.052 | 0.000 | 
| 5.028 | 5.029 | -10.052 | -0.000 | -0.000 | 527.723 | 
| 1232.832 | 165.481 | 120.459 | -0.000 | 0.000 | -0.000 | 
| 165.483 | 1232.825 | 120.465 | -0.000 | 0.000 | 0.000 | 
| 108.133 | 108.133 | 1302.496 | 0.000 | 0.000 | -0.000 | 
| -5.843 | -5.843 | 11.680 | 472.672 | 0.000 | -0.000 | 
| 0.000 | -0.000 | -0.000 | -0.000 | 498.052 | -0.000 | 
| -5.028 | -5.029 | 10.052 | 0.000 | 0.000 | 527.723 | 
| 1250.025 | 165.647 | 103.113 | 0.000 | 0.000 | -0.000 | 
| 169.357 | 1246.526 | 102.902 | 0.000 | -0.000 | 0.000 | 
| 77.356 | 77.356 | 1364.024 | -0.000 | -0.000 | 0.000 | 
| 0.318 | 0.317 | -0.635 | 484.235 | 0.000 | -0.000 | 
| 0.317 | 0.318 | -0.635 | 0.000 | 484.235 | 0.000 | 
| 0.338 | 0.340 | -0.677 | -0.000 | -0.000 | 541.705 | 
| 1291.260 | 150.401 | 77.126 | 0.000 | -0.000 | -0.000 | 
| 169.705 | 1248.022 | 101.050 | 0.000 | 0.000 | -0.000 | 
| 103.446 | 103.446 | 1311.863 | 0.000 | -0.000 | -0.000 | 
| -0.318 | -0.317 | 0.635 | 484.235 | -0.000 | 0.000 | 
| -0.317 | -0.318 | 0.635 | 0.000 | 484.235 | -0.000 | 
| -0.338 | -0.340 | 0.677 | 0.000 | 0.000 | 541.705 | 
| 1178.515 | 235.978 | 104.097 | 7.870 | 0.000 | -0.000 | 
| 150.462 | 1291.243 | 76.891 | -20.832 | 0.000 | 0.000 | 
| 77.022 | 77.021 | 1364.566 | 0.000 | -0.000 | -0.000 | 
| 40.834 | 26.388 | -67.216 | 445.922 | 0.000 | 0.000 | 
| -0.000 | -0.000 | 0.001 | -0.000 | 499.106 | 20.831 | 
| -0.000 | -0.000 | 0.000 | -0.000 | 20.832 | 570.391 | 
| 1156.106 | 166.898 | 195.579 | 10.922 | -0.000 | -0.000 | 
| 166.897 | 1156.106 | 195.579 | -10.922 | -0.000 | -0.000 | 
| 77.021 | 77.022 | 1364.564 | -0.000 | -0.000 | 0.000 | 
| 9.380 | -25.694 | 16.309 | 487.426 | -0.000 | -0.000 | 
| 0.000 | 0.000 | -0.000 | 0.000 | 499.106 | 20.832 | 
| -0.000 | 0.000 | -0.001 | 0.000 | 20.832 | 570.391 | 
| 1246.843 | 168.251 | 103.500 | 16.766 | -0.000 | -0.000 | 
| 150.461 | 1291.243 | 76.891 | -20.832 | -0.000 | 0.000 | 
| 104.410 | 104.410 | 1309.793 | 0.000 | 0.000 | -0.000 | 
| 20.832 | -20.832 | 0.000 | 499.106 | 0.000 | 0.000 | 
| -0.000 | 0.000 | 0.000 | 0.000 | 499.106 | 20.832 | 
| -0.000 | 0.000 | 0.000 | 0.000 | 20.832 | 570.391 | 
| 1245.267 | 166.095 | 107.230 | 16.804 | -0.000 | -0.000 | 
| 150.461 | 1291.243 | 76.891 | -20.832 | 0.000 | -0.000 | 
| 101.695 | 101.695 | 1315.224 | 0.000 | -0.000 | -0.000 | 
| 20.832 | -20.832 | -0.000 | 499.106 | -0.000 | -0.000 | 
| 0.000 | -0.000 | -0.000 | -0.000 | 499.106 | 20.832 | 
| 0.000 | -0.000 | 0.000 | -0.000 | 20.832 | 570.391 | 
| 1245.184 | 175.687 | 97.726 | 17.857 | 0.000 | 0.000 | 
| 175.689 | 1245.183 | 97.726 | -17.857 | -0.000 | 0.000 | 
| 102.676 | 102.675 | 1313.265 | 0.000 | 0.000 | -0.000 | 
| 20.832 | -20.833 | 0.001 | 499.106 | -0.000 | 0.000 | 
| -0.001 | 0.000 | 0.001 | 0.000 | 499.106 | 20.832 | 
| 0.098 | 0.100 | -0.198 | 0.000 | 16.835 | 539.830 | 
| 1247.868 | 166.364 | 104.356 | 16.957 | -0.000 | -0.000 | 
| 175.524 | 1244.957 | 98.108 | -17.844 | 0.000 | -0.000 | 
| 102.526 | 102.526 | 1313.559 | -0.000 | 0.000 | 0.000 | 
| 17.147 | -17.323 | 0.176 | 485.053 | -0.000 | -0.000 | 
| 0.001 | -0.000 | -0.001 | -0.000 | 499.106 | 20.832 | 
| -0.098 | -0.100 | 0.198 | -0.000 | 16.835 | 539.830 | 
| -140.949 | -270.390 | -270.390 | -0.000 | 0.000 | 0.000 | 
| -270.390 | -140.949 | -270.390 | -0.000 | -0.000 | 0.000 | 
| -270.390 | -270.390 | -140.949 | 0.000 | -0.000 | 0.000 | 
| 0.000 | 0.000 | -0.000 | 127.901 | -0.000 | 0.000 | 
| 0.000 | 0.000 | 0.000 | -0.000 | 127.901 | 0.000 | 
| 0.000 | 0.000 | 0.000 | 0.000 | -0.000 | 127.902 | 
| 357.471 | 101.668 | 101.668 | -0.000 | 0.000 | -0.000 | 
| 101.668 | 357.471 | 101.668 | -0.000 | 0.000 | -0.000 | 
| 101.668 | 101.668 | 357.471 | -0.000 | 0.000 | -0.000 | 
| -0.000 | -0.000 | 0.000 | 127.901 | -0.000 | -0.000 | 
| -0.000 | -0.000 | 0.000 | 0.000 | 127.901 | -0.000 | 
| -0.000 | -0.000 | 0.000 | 0.000 | 0.000 | 127.901 | 
| 93.411 | 34.986 | 34.986 | -0.000 | -0.000 | 0.000 | 
| 34.986 | 93.411 | 34.986 | 0.000 | -0.000 | 0.000 | 
| 34.986 | 34.986 | 93.411 | -0.000 | -0.000 | 0.000 | 
| -37.701 | -37.701 | -37.701 | 62.813 | -0.000 | 0.000 | 
| -37.701 | -37.701 | -37.701 | -0.000 | 62.813 | 0.000 | 
| -37.701 | -37.701 | -37.701 | -0.000 | -0.000 | 62.813 | 
| 211.195 | 143.825 | 143.825 | -0.000 | 0.000 | 0.000 | 
| 143.825 | 211.195 | 143.825 | 0.000 | -0.000 | 0.000 | 
| 143.825 | 143.825 | 211.195 | 0.000 | 0.000 | -0.000 | 
| 37.701 | 37.701 | 37.701 | 62.813 | -0.000 | -0.000 | 
| 37.701 | 37.701 | 37.701 | 0.000 | 62.813 | -0.000 | 
| 37.701 | 37.701 | 37.701 | 0.000 | 0.000 | 62.813 | 
| 56.335 | 35.889 | 35.889 | 0.000 | 0.000 | 0.000 | 
| 35.889 | 56.335 | 35.889 | 0.000 | 0.000 | 0.000 | 
| 35.889 | 35.889 | 56.335 | -0.000 | -0.000 | 0.000 | 
| 0.000 | -0.000 | 0.000 | 127.901 | 0.000 | 0.000 | 
| 0.000 | 0.000 | 0.000 | -0.000 | 127.901 | 0.000 | 
| -0.000 | 0.000 | 0.000 | 0.000 | 0.000 | 127.901 | 
| 90.910 | 60.203 | 60.203 | -0.000 | 0.000 | -0.000 | 
| 60.203 | 90.910 | 60.203 | -0.000 | 0.000 | 0.000 | 
| 60.203 | 60.203 | 90.910 | 0.000 | 0.000 | -0.000 | 
| -0.000 | 0.000 | -0.000 | 127.901 | -0.000 | -0.000 | 
| -0.000 | -0.000 | -0.000 | 0.000 | 127.901 | -0.000 | 
| 0.000 | -0.000 | -0.000 | -0.000 | 0.000 | 127.901 | 
| 346.015 | 98.410 | 98.410 | 0.000 | 0.000 | 0.000 | 
| 98.410 | 346.015 | 98.410 | -0.000 | 0.000 | 0.000 | 
| 98.410 | 98.410 | 346.015 | -0.000 | -0.000 | -0.000 | 
| -0.000 | -0.000 | 0.000 | 123.802 | 0.000 | -0.000 | 
| -0.000 | 0.000 | 0.000 | -0.000 | 123.802 | -0.000 | 
| -0.000 | -0.000 | 0.000 | -0.000 | 0.000 | 123.802 | 
| 346.015 | 98.410 | 98.410 | -0.000 | 0.000 | 0.000 | 
| 98.410 | 346.015 | 98.410 | -0.000 | -0.000 | 0.000 | 
| 98.410 | 98.410 | 346.015 | -0.000 | -0.000 | -0.000 | 
| 0.000 | 0.000 | 0.000 | 123.802 | -0.000 | 0.000 | 
| -0.000 | -0.000 | -0.000 | 0.000 | 123.802 | 0.000 | 
| -0.000 | -0.000 | -0.000 | 0.000 | -0.000 | 123.802 | 
| 346.015 | 98.410 | 98.410 | 0.000 | 0.000 | 0.000 | 
| 98.410 | 346.015 | 98.410 | 0.000 | 0.000 | -0.000 | 
| 98.410 | 98.410 | 346.015 | 0.000 | -0.000 | -0.000 | 
| 0.000 | -0.000 | 0.000 | 123.802 | -0.000 | -0.000 | 
| 0.000 | 0.000 | 0.000 | 0.000 | 123.802 | -0.000 | 
| -0.000 | 0.000 | 0.000 | 0.000 | -0.000 | 123.802 | 
| 346.015 | 98.410 | 98.410 | 0.000 | -0.000 | -0.000 | 
| 98.410 | 346.015 | 98.410 | -0.000 | 0.000 | 0.000 | 
| 98.410 | 98.410 | 346.015 | 0.000 | 0.000 | 0.000 | 
| -0.000 | 0.000 | -0.000 | 123.802 | -0.000 | 0.000 | 
| -0.000 | -0.000 | -0.000 | 0.000 | 123.802 | -0.000 | 
| 0.000 | -0.000 | -0.000 | -0.000 | 0.000 | 123.802 | 
| 99.581 | 48.262 | 48.262 | -0.000 | 0.000 | -0.000 | 
| 48.262 | 99.581 | 48.262 | -0.000 | 0.000 | -0.000 | 
| 48.262 | 48.262 | 99.581 | -0.000 | -0.000 | -0.000 | 
| 0.000 | -0.000 | 0.000 | 123.802 | 0.000 | -0.000 | 
| 0.000 | 0.000 | 0.000 | 0.000 | 123.802 | 0.000 | 
| -0.000 | 0.000 | 0.000 | 0.000 | 0.000 | 123.802 | 
| 170.384 | 120.605 | 120.605 | 0.000 | 0.000 | 0.000 | 
| 120.605 | 170.384 | 120.605 | 0.000 | -0.000 | -0.000 | 
| 120.605 | 120.605 | 170.384 | 0.000 | 0.000 | 0.000 | 
| -0.000 | 0.000 | -0.000 | 123.802 | 0.000 | 0.000 | 
| -0.000 | -0.000 | -0.000 | 0.000 | 123.802 | 0.000 | 
| 0.000 | -0.000 | -0.000 | 0.000 | 0.000 | 123.802 | 
| 345.840 | 98.360 | 98.360 | -0.000 | 0.000 | -0.000 | 
| 98.360 | 345.840 | 98.360 | -0.000 | 0.000 | -0.000 | 
| 98.360 | 98.360 | 345.840 | 0.000 | 0.000 | -0.000 | 
| 0.000 | -0.000 | -0.000 | 123.740 | -0.000 | -0.000 | 
| 0.000 | 0.000 | -0.000 | 0.000 | 123.740 | -0.000 | 
| 0.000 | 0.000 | -0.000 | 0.000 | 0.000 | 123.740 | 
| 345.840 | 98.360 | 98.360 | -0.000 | -0.000 | 0.000 | 
| 98.360 | 345.840 | 98.360 | -0.000 | -0.000 | -0.000 | 
| -3263.309 | -3263.310 | -3451.976 | -0.000 | 0.000 | 0.000 | 
| -0.000 | -0.000 | -0.000 | 123.740 | -0.000 | 0.000 | 
| -0.000 | -0.000 | -0.000 | -0.000 | 123.740 | 0.000 | 
| -0.000 | 0.000 | 0.000 | -0.000 | 0.000 | 123.740 | 
| 345.840 | 98.360 | 98.360 | -0.000 | 0.000 | -0.000 | 
| 98.360 | 345.840 | 98.360 | 0.000 | 0.000 | -0.000 | 
| 98.360 | 98.360 | 345.840 | -0.000 | 0.000 | -0.000 | 
| 0.000 | -0.000 | 0.000 | 123.740 | 0.000 | 0.000 | 
| 0.000 | 0.000 | 0.000 | -0.000 | 123.740 | -0.000 | 
| 0.000 | 0.000 | 0.000 | -0.000 | 0.000 | 123.740 | 
| 345.840 | 98.360 | 98.360 | -0.000 | -0.000 | 0.000 | 
| 98.360 | 345.840 | 98.360 | -0.000 | -0.000 | 0.000 | 
| 98.360 | 98.360 | 345.840 | -0.000 | -0.000 | -0.000 | 
| -0.000 | 0.000 | -0.000 | 123.740 | -0.000 | -0.000 | 
| -0.000 | -0.000 | -0.000 | 0.000 | 123.740 | -0.000 | 
| -0.000 | -0.000 | -0.000 | -0.000 | -0.000 | 123.740 | 
| -10.973 | 64.592 | 64.592 | 0.000 | -0.000 | 0.000 | 
| 100.170 | 272.833 | 100.170 | 0.000 | 0.000 | -0.000 | 
| 64.592 | 64.592 | -10.973 | -0.000 | 0.000 | 0.000 | 
| 24.055 | 24.054 | 24.055 | -36.433 | 0.000 | -0.000 | 
| 24.055 | 24.055 | 24.054 | 0.000 | -36.433 | -0.000 | 
| 24.054 | 24.055 | 24.055 | 0.000 | 0.000 | -36.433 | 
| 345.839 | 98.360 | 98.360 | -0.000 | -0.000 | -0.000 | 
| 98.360 | 345.839 | 98.360 | -0.000 | 0.000 | 0.000 | 
| 98.360 | 98.360 | 345.839 | -0.000 | 0.000 | -0.000 | 
| -24.055 | -24.054 | -24.055 | -36.433 | -0.000 | -0.000 | 
| -24.055 | -24.055 | -24.054 | 0.000 | -36.433 | 0.000 | 
| -24.054 | -24.055 | -24.055 | -0.000 | -0.000 | -36.433 | 
| -1137.215 | 2824.189 | 7374.106 | -0.000 | -0.000 | -0.000 | 
| 100.190 | 305.268 | 29.056 | 0.000 | -0.000 | 0.000 | 
| 5.873 | 15.720 | 498.055 | 0.000 | -0.000 | -0.000 | 
| -6.246 | 3899.269 | 11247.874 | -46.379 | -0.000 | 0.000 | 
| 0.000 | 0.000 | 0.000 | -0.000 | 101.881 | -0.000 | 
| -0.000 | 0.000 | 0.000 | 0.000 | -0.000 | 150.024 | 
| 2581.357 | -2771.157 | -7700.805 | -0.000 | -0.000 | 0.000 | 
| 126.015 | -3673.899 | -11181.751 | 0.000 | 0.000 | 0.000 | 
| 1922.425 | -2768.246 | -7318.298 | 0.000 | 0.000 | 0.000 | 
| 6.246 | -3899.269 | -11247.874 | -46.379 | 0.000 | 0.000 | 
| -0.000 | -0.000 | -0.000 | -0.000 | 101.881 | 0.000 | 
| -0.000 | -0.000 | -0.000 | -0.000 | 0.000 | 150.024 | 
| 713.839 | 479.962 | 1118.361 | -0.000 | 0.000 | -0.000 | 
| 113.068 | 609.367 | 1175.693 | -0.000 | -0.000 | -0.000 | 
| 11.325 | 352.809 | 1185.200 | 0.000 | 0.000 | 0.000 | 
| -183.787 | 276.255 | 744.212 | -15.033 | -0.000 | -0.000 | 
| -185.261 | 278.470 | 750.178 | -0.000 | -11.783 | -0.000 | 
| 0.000 | 0.000 | 0.000 | 0.000 | 0.000 | 150.024 | 
| 713.741 | -277.077 | -1184.295 | 0.000 | 0.000 | 0.000 | 
| 109.348 | -126.790 | -1181.887 | 0.000 | -0.000 | 0.000 | 
| 7.933 | -379.507 | -1184.815 | -0.000 | -0.000 | -0.000 | 
| 183.787 | -276.255 | -744.212 | -15.033 | -0.000 | 0.000 | 
| 185.261 | -278.470 | -750.178 | -0.000 | -11.783 | 0.000 | 
| -0.000 | -0.000 | -0.000 | -0.000 | 0.000 | 150.024 | 
| 707.519 | 103.708 | 58.371 | 0.000 | -0.000 | -0.000 | 
| 100.190 | 305.268 | 29.056 | -0.000 | -0.000 | -0.000 | 
| 11.102 | 50.941 | 153.130 | 0.000 | -0.000 | -0.000 | 
| 4.388 | 24.026 | 70.578 | -2.139 | -0.000 | 0.000 | 
| 0.000 | 0.000 | -0.000 | 0.000 | 101.881 | -0.000 | 
| 0.000 | 0.000 | 0.000 | -0.000 | -0.000 | 150.024 | 
| 715.402 | 51.662 | -117.334 | -0.000 | -0.000 | -0.000 | 
| 145.116 | 233.346 | -48.041 | -0.000 | 0.000 | 0.000 | 
| 9.482 | -50.003 | -119.325 | 0.000 | 0.000 | -0.000 | 
| -4.388 | -24.026 | -70.578 | -2.139 | 0.000 | 0.000 | 
| -0.000 | -0.000 | 0.000 | -0.000 | 101.881 | 0.000 | 
| -0.000 | -0.000 | -0.000 | 0.000 | 0.000 | 150.024 | 
| -78.714 | 0.000 | 1288.393 | 0.000 | 0.000 | -0.000 | 
| -842.852 | 0.000 | 751.116 | -0.000 | -0.000 | -0.000 | 
| 410.539 | -0.000 | 953.111 | 0.000 | 0.000 | -0.000 | 
| -869.117 | 0.000 | 737.041 | -14.075 | -0.000 | -0.000 | 
| -327.736 | 0.000 | 277.932 | 0.000 | 383.286 | -0.000 | 
| -869.117 | 0.000 | 737.041 | 0.000 | -0.000 | -0.000 | 
| 1612.412 | -0.000 | -145.743 | -0.000 | 0.000 | 0.000 | 
| 895.382 | -0.000 | -722.966 | -0.000 | -0.000 | 0.000 | 
| 851.656 | -0.000 | 579.029 | 0.000 | -0.000 | 0.000 | 
| 869.117 | -0.000 | -737.041 | -14.075 | -0.000 | 0.000 | 
| 327.736 | -0.000 | -277.932 | -0.000 | 383.286 | -0.000 | 
| 869.117 | -0.000 | -737.041 | -0.000 | 0.000 | 0.000 | 
| 785.502 | 0.000 | 555.522 | -0.000 | -0.000 | -0.000 | 
| -60.646 | 0.000 | 87.779 | 0.000 | 0.000 | -0.000 | 
| 530.913 | 0.000 | 851.030 | -0.000 | -0.000 | -0.000 | 
| -86.912 | 0.000 | 73.704 | -14.075 | -0.000 | -0.000 | 
| 0.000 | -0.000 | -0.000 | 0.000 | 388.690 | -0.000 | 
| -86.912 | 0.000 | 73.704 | -0.000 | -0.000 | -0.000 | 
| 899.694 | -0.000 | 458.653 | -0.000 | 0.000 | 0.000 | 
| 113.177 | -0.000 | -59.629 | -0.000 | -0.000 | -0.000 | 
| 584.704 | -0.000 | 805.413 | -0.000 | -0.000 | 0.000 | 
| 86.912 | -0.000 | -73.704 | -14.075 | 0.000 | 0.000 | 
| -0.000 | 0.000 | 0.000 | -0.000 | 388.690 | 0.000 | 
| 86.912 | -0.000 | -73.704 | 0.000 | -0.000 | 0.000 | 
| 867.188 | 0.000 | 486.381 | 0.000 | 0.000 | -0.000 | 
| 17.574 | 0.000 | 21.445 | -0.000 | -0.000 | -0.000 | 
| 410.540 | -0.000 | 953.112 | -0.000 | -0.000 | -0.000 | 
| -0.000 | 0.000 | -0.000 | -14.075 | -0.000 | -0.000 | 
| -6.339 | 0.000 | 5.375 | 0.000 | 384.913 | 0.000 | 
| -8.691 | 0.000 | 7.370 | -0.000 | -0.000 | -0.000 | 
| 873.198 | -0.000 | 480.991 | -0.000 | 0.000 | 0.000 | 
| 34.956 | -0.000 | 6.705 | 0.000 | -0.000 | -0.000 | 
| 499.270 | -0.000 | 877.863 | 0.000 | -0.000 | 0.000 | 
| 0.000 | -0.000 | 0.000 | -14.075 | 0.000 | 0.000 | 
| 6.339 | -0.000 | -5.375 | -0.000 | 384.913 | 0.000 | 
| 8.691 | -0.000 | -7.370 | -0.000 | -0.000 | 0.000 | 
| 732.597 | 0.000 | 540.673 | -0.000 | -0.000 | -0.000 | 
| 26.131 | 0.000 | 14.026 | -0.000 | 0.000 | 0.000 | 
| 436.793 | 0.000 | 930.916 | -0.000 | -0.000 | -0.000 | 
| 0.000 | 0.000 | 0.000 | -14.026 | 0.000 | 0.000 | 
| -66.449 | 0.000 | 56.419 | -0.000 | 384.033 | -0.000 | 
| 0.000 | 0.000 | 0.000 | -0.000 | 0.000 | 0.000 | 
| 899.747 | -0.000 | 398.750 | -0.000 | 0.000 | 0.000 | 
| 26.131 | -0.000 | 14.025 | 0.000 | -0.000 | -0.000 | 
| 564.296 | -0.000 | 822.659 | 0.000 | -0.000 | -0.000 | 
| -0.000 | -0.000 | -0.000 | -14.025 | -0.000 | -0.000 | 
| 66.449 | -0.000 | -56.419 | 0.000 | 384.033 | 0.000 | 
| 0.000 | -0.000 | -0.000 | 0.000 | -0.000 | -0.000 | 
| 792.679 | 0.000 | 489.673 | -0.000 | -0.000 | -0.000 | 
| 26.131 | 0.000 | 14.025 | -0.000 | 0.000 | -0.000 | 
| 410.856 | 0.000 | 952.939 | -0.000 | 0.000 | -0.000 | 
| -0.000 | 0.000 | -0.000 | -14.025 | 0.000 | -0.000 | 
| -4.221 | 0.000 | 3.584 | -0.000 | 383.920 | -0.000 | 
| -0.000 | 0.000 | 0.000 | -0.000 | 0.000 | -0.000 | 
| 805.863 | -0.000 | 478.450 | 0.000 | 0.000 | 0.000 | 
| 26.131 | -0.000 | 14.025 | 0.000 | -0.000 | -0.000 | 
| 502.760 | -0.000 | 874.906 | 0.000 | -0.000 | -0.000 | 
| 0.000 | -0.000 | 0.000 | -14.025 | -0.000 | 0.000 | 
| 4.221 | -0.000 | -3.584 | 0.000 | 383.920 | 0.000 | 
| 0.000 | -0.000 | -0.000 | 0.000 | -0.000 | 0.000 | 
| 798.829 | 0.000 | 484.583 | -0.000 | -0.000 | -0.000 | 
| 26.131 | 0.000 | 14.026 | -0.000 | 0.000 | 0.000 | 
| 495.485 | 0.000 | 881.085 | -0.000 | 0.000 | -0.000 | 
| -0.000 | 0.000 | -0.000 | -14.025 | -0.000 | 0.000 | 
| -0.746 | 0.000 | 0.634 | -0.000 | 384.053 | -0.000 | 
| -0.000 | 0.000 | 0.000 | -0.000 | 0.000 | 0.000 | 
| 799.785 | -0.000 | 483.478 | -0.000 | -0.000 | 0.000 | 
| 26.131 | -0.000 | 14.025 | 0.000 | -0.000 | -0.000 | 
| 496.787 | -0.000 | 879.977 | 0.000 | -0.000 | 0.000 | 
| 0.000 | -0.000 | 0.000 | -14.025 | 0.000 | 0.000 | 
| 0.746 | -0.000 | -0.634 | 0.000 | 384.053 | 0.000 | 
| -0.000 | -0.000 | -0.000 | 0.000 | 0.000 | 0.000 | 
| 1075.329 | 881.135 | 164.298 | 19.099 | -141.031 | 345.905 | 
| 136.422 | 1677.141 | 358.566 | 82.271 | -73.366 | 124.022 | 
| 197.069 | 852.735 | 98.397 | 116.263 | -96.523 | 302.836 | 
| 55.299 | 754.282 | 100.297 | 377.343 | 124.648 | -100.681 | 
| -160.972 | 1477.481 | 19.698 | 506.713 | 309.725 | 152.967 | 
| 2.115 | 469.511 | -215.543 | 273.538 | -35.941 | 246.061 | 
| 288.276 | -431.899 | 159.941 | -112.327 | -119.171 | 64.560 | 
| 331.746 | -23.171 | 302.098 | -254.281 | -133.623 | -137.253 | 
| 233.972 | -1362.999 | 543.258 | -499.810 | -103.578 | -139.334 | 
| 203.077 | -867.777 | -103.376 | -83.809 | -60.828 | -66.826 | 
| 288.557 | -895.240 | 66.447 | -114.778 | 329.128 | -267.861 | 
| -105.063 | -182.556 | 59.416 | -261.388 | -30.148 | 135.185 | 
| 349.095 | 98.698 | 60.893 | 48.413 | -15.134 | 17.207 | 
| 56.608 | 504.677 | 74.993 | -4.994 | 19.278 | -8.831 | 
| 46.657 | 158.403 | 448.151 | 33.940 | 9.721 | -8.691 | 
| 11.365 | 108.137 | 33.914 | 210.380 | 1.208 | 5.039 | 
| -2.976 | 90.623 | -25.033 | 1.158 | 174.348 | -13.642 | 
| 0.683 | 153.849 | 12.892 | 44.168 | -22.431 | 261.464 | 
| 356.822 | -39.560 | 43.834 | -1.260 | -23.655 | 6.569 | 
| 40.560 | 87.103 | 19.220 | -101.783 | 7.741 | -10.719 | 
| 124.772 | 64.329 | 530.026 | -11.850 | 10.750 | -16.800 | 
| 22.750 | -177.743 | 4.197 | 121.665 | -21.554 | -11.263 | 
| 21.789 | -63.614 | 33.236 | -11.117 | 148.817 | 27.590 | 
| -13.663 | -93.235 | -7.103 | -18.375 | 35.381 | 127.942 | 
| 459.352 | 97.784 | 93.268 | 7.621 | 0.567 | 0.640 | 
| 88.739 | 465.110 | 92.762 | -3.764 | 0.362 | 0.407 | 
| 82.962 | 95.962 | 444.393 | 2.506 | 0.667 | -1.898 | 
| 24.776 | -41.973 | -4.812 | 140.450 | -4.093 | 1.452 | 
| -2.123 | 12.154 | 1.076 | 6.124 | 206.132 | -8.269 | 
| -2.749 | 2.011 | -0.990 | 1.225 | 8.396 | 177.239 | 
| 462.001 | 80.749 | 89.844 | 4.573 | -3.385 | 1.151 | 
| 80.246 | 441.091 | 87.518 | -5.939 | 0.382 | -4.653 | 
| 73.040 | 57.802 | 464.932 | -6.241 | 0.150 | 1.150 | 
| 32.878 | -34.709 | -1.965 | 145.969 | -0.129 | -1.607 | 
| -4.535 | -11.584 | -5.472 | -3.022 | 158.614 | 18.113 | 
| -2.292 | -11.486 | -0.740 | -2.045 | 4.656 | 185.025 | 
| 1307.040 | -5.893 | 251.231 | 0.000 | -0.000 | -0.000 | 
| -5.928 | 1224.670 | 210.631 | -0.000 | -0.000 | 0.000 | 
| 286.454 | 218.327 | 1202.813 | 0.000 | -0.000 | -0.000 | 
| 0.000 | -0.000 | 0.000 | 740.501 | 0.000 | -0.000 | 
| 0.018 | 0.001 | -0.005 | -0.000 | 695.191 | -0.000 | 
| 0.129 | 0.011 | -0.038 | 0.000 | 0.000 | 275.470 | 
| 1640.349 | -10.811 | 55.766 | -0.000 | 0.000 | 0.000 | 
| -10.811 | 1280.873 | 170.948 | 0.000 | 0.000 | -0.000 | 
| 294.926 | 245.838 | 1098.195 | -0.000 | -0.000 | -0.000 | 
| -0.000 | 0.000 | 0.000 | 740.501 | 0.000 | -0.000 | 
| -0.018 | -0.001 | 0.005 | -0.000 | 695.191 | 0.000 | 
| -0.129 | -0.011 | 0.038 | 0.000 | 0.000 | 275.471 | 
| 1125.035 | 21.012 | 326.349 | 0.000 | -0.000 | 0.000 | 
| -5.949 | 1224.678 | 210.630 | 0.000 | 0.000 | -0.000 | 
| 286.458 | 218.331 | 1202.788 | 0.000 | -0.000 | 0.000 | 
| -0.000 | -0.000 | 0.000 | 740.501 | -0.000 | -0.000 | 
| 0.002 | 0.000 | -0.000 | 0.000 | 695.191 | -0.000 | 
| 0.000 | -0.000 | 0.000 | 0.000 | -0.000 | 625.114 | 
| 1640.348 | -10.811 | 55.766 | -0.000 | -0.000 | -0.000 | 
| -5.958 | 1224.720 | 210.601 | 0.000 | 0.000 | -0.000 | 
| 55.766 | 170.948 | 1466.321 | -0.000 | 0.000 | -0.000 | 
| 0.000 | 0.000 | -0.000 | 740.501 | 0.000 | 0.000 | 
| -0.000 | -0.000 | -0.000 | -0.000 | 941.020 | 0.000 | 
| -0.000 | 0.000 | -0.000 | 0.000 | -0.000 | 625.114 | 
| 1306.978 | -5.894 | 251.264 | -0.000 | -0.000 | 0.000 | 
| -10.811 | 1280.878 | 170.948 | -0.000 | -0.000 | -0.000 | 
| 294.972 | 245.836 | 1098.184 | 0.000 | -0.000 | 0.000 | 
| -0.000 | 0.000 | 0.002 | 740.501 | 0.000 | 0.000 | 
| 0.000 | 0.000 | 0.001 | -0.000 | 695.191 | -0.000 | 
| -0.000 | 0.000 | -0.001 | 0.000 | 0.000 | 109.108 | 
| 1114.274 | 3.245 | 340.442 | 0.000 | 0.000 | -0.000 | 
| -10.811 | 1280.869 | 170.948 | -0.000 | -0.000 | 0.000 | 
| 294.915 | 245.820 | 1098.248 | -0.000 | 0.000 | -0.000 | 
| 0.000 | -0.000 | -0.002 | 740.501 | -0.000 | 0.000 | 
| -0.000 | -0.000 | -0.001 | -0.000 | 695.191 | 0.000 | 
| 0.000 | -0.000 | 0.001 | 0.000 | -0.000 | 109.108 | 
| -3524.733 | 591.532 | 2934.158 | 0.000 | 0.000 | 0.000 | 
| 316.855 | -567.581 | 4238.624 | -0.000 | -0.000 | 0.000 | 
| 3508.420 | -1661.995 | 1323.686 | 0.000 | -0.000 | -0.000 | 
| -4259.360 | 730.667 | 2322.340 | 529.711 | -0.000 | 0.000 | 
| 290.648 | -1801.976 | 4074.991 | 0.000 | 756.113 | 0.000 | 
| 0.000 | 0.000 | -0.000 | 0.000 | -0.000 | 595.349 | 
| 784.158 | 1821.737 | -3732.530 | -0.000 | 0.000 | -0.000 | 
| 4203.262 | 432.951 | -2022.435 | -0.000 | 0.000 | -0.000 | 
| 28.521 | 146.697 | 1437.230 | -0.000 | 0.000 | -0.000 | 
| 4259.360 | -730.667 | -2322.340 | 529.711 | -0.000 | -0.000 | 
| -3319.501 | 1895.359 | -154.683 | -0.000 | 547.247 | -0.000 | 
| 0.000 | -0.000 | -0.000 | -0.000 | 0.000 | 595.349 | 
| 1109.469 | -159.026 | 733.849 | 0.000 | -0.000 | -0.000 | 
| -448.021 | 1230.500 | 543.333 | 0.000 | -0.000 | 0.000 | 
| 80.456 | 309.338 | 1142.530 | 0.000 | -0.000 | 0.000 | 
| 336.044 | -191.873 | 15.659 | 681.935 | 0.000 | 0.000 | 
| 0.000 | 0.000 | 0.000 | 0.000 | 902.389 | 0.000 | 
| 341.003 | -194.705 | 15.890 | 0.000 | -0.000 | 523.138 | 
| 1533.201 | -5.957 | 36.443 | -0.000 | 0.000 | -0.000 | 
| -371.758 | 1429.184 | 175.085 | -0.000 | 0.000 | 0.000 | 
| 636.197 | 173.068 | 891.332 | -0.000 | 0.000 | -0.000 | 
| -336.037 | 191.870 | -15.659 | 681.936 | 0.000 | -0.000 | 
| -0.000 | -0.000 | -0.000 | -0.000 | 902.389 | -0.000 | 
| -341.003 | 194.705 | -15.890 | -0.000 | 0.000 | 523.138 | 
| 1030.034 | -15.591 | 372.600 | 0.000 | -0.000 | 0.000 | 
| 6.035 | 1227.438 | 181.444 | 0.000 | -0.000 | 0.000 | 
| 250.045 | 175.569 | 1207.268 | 0.000 | -0.000 | 0.000 | 
| -7.241 | -4.079 | 12.076 | 615.928 | -0.000 | 0.000 | 
| 17.726 | -19.561 | 24.262 | 0.000 | 646.284 | 0.000 | 
| 0.000 | -0.000 | 0.001 | 0.000 | -0.000 | 595.349 | 
| 1051.377 | 12.650 | 312.516 | -0.000 | 0.000 | 0.000 | 
| -53.108 | 1254.104 | 184.406 | 0.000 | 0.000 | -0.000 | 
| 334.580 | 230.379 | 1032.871 | 0.000 | 0.000 | -0.000 | 
| 7.241 | 4.079 | -12.076 | 615.928 | 0.000 | -0.000 | 
| -17.726 | 19.561 | -24.262 | -0.000 | 646.284 | -0.000 | 
| -0.000 | 0.000 | -0.001 | -0.000 | 0.000 | 595.349 | 
| 1112.272 | 36.737 | 320.839 | -0.000 | 147.860 | 0.000 | 
| 13.492 | 1277.944 | 148.403 | 0.000 | -112.077 | 0.000 | 
| 273.406 | 185.387 | 1238.719 | 0.000 | 179.254 | 0.000 | 
| -0.030 | -0.007 | 0.013 | 641.553 | -0.044 | 30.215 | 
| 108.539 | -145.163 | 135.461 | 0.000 | 686.714 | 0.000 | 
| -0.000 | -0.000 | 0.000 | 23.121 | 0.000 | 610.461 | 
| 1274.395 | 14.478 | 252.046 | -0.000 | 135.037 | -0.000 | 
| 32.491 | 1217.934 | 177.786 | 0.000 | -157.103 | -0.000 | 
| 331.396 | 207.550 | 1136.986 | 0.000 | 171.230 | 0.000 | 
| 0.030 | 0.007 | -0.013 | 641.553 | 0.044 | 30.215 | 
| 108.555 | -145.160 | 135.454 | 0.000 | 686.738 | -0.000 | 
| 0.000 | 0.000 | -0.000 | 23.121 | -0.000 | 610.461 | 
| 1544.774 | 0.846 | 105.605 | -0.000 | 338.543 | 0.000 | 
| 32.476 | 1217.938 | 177.788 | 0.000 | -157.117 | -0.000 | 
| 97.250 | 148.403 | 1472.964 | 0.000 | 74.045 | 0.000 | 
| -0.011 | -0.011 | 0.005 | 623.801 | -0.042 | -37.780 | 
| 228.446 | -112.077 | 74.045 | 0.000 | 975.787 | 0.000 | 
| -0.002 | 0.005 | 0.002 | -7.314 | 0.016 | 120.819 | 
| 1111.774 | 36.761 | 321.110 | -0.000 | 147.473 | -0.000 | 
| 32.466 | 1217.976 | 177.769 | 0.000 | -157.085 | -0.000 | 
| 269.738 | 220.340 | 1158.379 | 0.000 | 143.494 | 0.000 | 
| 0.011 | 0.011 | -0.005 | 623.801 | 0.042 | -37.780 | 
| 108.547 | -145.161 | 135.457 | 0.000 | 686.726 | -0.000 | 
| 0.002 | -0.005 | -0.002 | -7.314 | -0.016 | 120.819 | 
| 1117.665 | 36.455 | 317.935 | 0.000 | 151.809 | 0.000 | 
| 32.509 | 1217.842 | 177.837 | -0.000 | -157.190 | 0.000 | 
| 272.671 | 185.234 | 1239.715 | -0.000 | 178.827 | 0.000 | 
| 0.001 | -0.000 | 0.000 | 641.553 | -0.000 | 30.215 | 
| 29.121 | -142.507 | 185.586 | 0.000 | 621.647 | 0.000 | 
| 0.001 | 0.000 | -0.002 | -7.314 | 0.003 | 120.819 | 
| 1110.970 | 36.802 | 321.542 | -0.000 | 146.886 | -0.000 | 
| 33.524 | 1203.236 | 218.602 | -0.000 | -143.021 | 0.000 | 
| 269.718 | 220.335 | 1158.401 | -0.000 | 143.484 | 0.000 | 
| -0.001 | 0.000 | -0.000 | 641.553 | 0.000 | 30.215 | 
| 64.261 | -120.290 | 159.206 | 0.000 | 642.067 | 0.000 | 
| -0.001 | -0.000 | 0.002 | -7.314 | -0.003 | 120.819 | 
| 15066.287 | -6203.275 | -69.300 | -0.000 | -1709.738 | -0.000 | 
| 13993.681 | -5339.055 | 1238.234 | 0.000 | -18.771 | -0.000 | 
| 14338.749 | -6350.923 | 2139.240 | -0.000 | 263.532 | -0.000 | 
| 14077.067 | -6284.925 | -376.735 | 629.668 | -1880.856 | 17.422 | 
| 8728.662 | -5938.288 | -326.979 | -0.000 | -3814.233 | -0.000 | 
| 14089.022 | -6283.917 | -372.195 | 13.430 | -1865.004 | 339.845 | 
| -12923.807 | 6573.659 | -768.201 | 0.000 | -8.745 | -0.000 | 
| -14014.626 | 7769.263 | -831.670 | 0.000 | -211.152 | 0.000 | 
| -13645.942 | 6739.491 | 71.254 | 0.000 | 57.703 | 0.000 | 
| -14077.067 | 6284.925 | 376.735 | 629.668 | 1880.856 | 17.423 | 
| -15614.128 | 5879.193 | 2554.951 | 0.000 | 1407.370 | 0.000 | 
| -14089.022 | 6283.917 | 372.195 | 13.430 | 1865.004 | 339.845 | 
| 2014.945 | -540.397 | 202.203 | -0.000 | -330.293 | -0.000 | 
| 1407.098 | 553.307 | 307.365 | -0.000 | -103.855 | -0.000 | 
| 1870.611 | -401.351 | 848.636 | -0.000 | 60.183 | -0.000 | 
| 0.000 | -0.000 | 0.000 | 738.736 | -0.000 | 27.521 | 
| 837.259 | -676.973 | 95.696 | -0.000 | 152.059 | -0.000 | 
| 1419.962 | -630.637 | -44.143 | 12.751 | -195.386 | 334.324 | 
| -507.590 | 622.641 | 560.387 | 0.000 | 182.813 | -0.000 | 
| -1543.024 | 1819.736 | 431.414 | 0.000 | -58.822 | 0.000 | 
| 66.003 | 133.680 | 1440.047 | 0.000 | 46.741 | 0.000 | 
| -0.000 | 0.000 | -0.000 | 738.736 | 0.000 | 27.521 | 
| -1386.874 | 500.476 | 218.856 | 0.000 | 823.781 | 0.000 | 
| -1419.962 | 630.637 | 44.143 | 12.751 | 195.386 | 334.324 | 
| 1208.728 | -36.135 | 297.138 | -0.000 | 95.416 | -0.000 | 
| 1.824 | 1290.075 | 123.628 | -0.000 | -108.510 | -0.000 | 
| 463.986 | 138.975 | 1075.682 | 0.000 | 138.507 | -0.000 | 
| 162.578 | -59.156 | -32.121 | 627.957 | -4.455 | 0.823 | 
| 149.627 | -173.082 | 106.857 | -0.000 | 642.819 | -0.000 | 
| 195.085 | -58.118 | -63.868 | -24.348 | 4.183 | 142.918 | 
| 911.406 | 78.936 | 327.160 | 0.000 | 104.306 | 0.000 | 
| -104.160 | 1271.484 | 188.991 | 0.000 | -98.124 | 0.000 | 
| 149.358 | 258.525 | 1119.566 | -0.000 | 148.316 | 0.000 | 
| -162.578 | 59.156 | 32.121 | 627.957 | 4.455 | 0.823 | 
| -68.083 | -43.174 | 116.627 | 0.000 | 648.626 | 0.000 | 
| -195.085 | 58.118 | 63.868 | -24.348 | -4.183 | 142.918 | 
| 695.040 | 102.314 | 273.196 | -0.000 | -0.000 | 0.000 | 
| 85.703 | 671.934 | 357.646 | -0.000 | -0.000 | 0.000 | 
| 315.470 | 315.471 | 757.254 | -0.000 | -0.000 | 0.000 | 
| 0.000 | 0.000 | 0.000 | 202.981 | -0.000 | 0.000 | 
| -0.000 | 0.000 | 0.000 | 0.000 | 202.981 | 0.000 | 
| -0.000 | -0.000 | 0.000 | -0.000 | -0.000 | 671.942 | 
| 695.040 | 102.314 | 273.196 | 0.000 | 0.000 | -0.000 | 
| 102.314 | 695.040 | 273.196 | 0.000 | 0.000 | -0.000 | 
| 249.944 | 249.944 | 1035.908 | 0.000 | 0.000 | -0.000 | 
| -0.000 | -0.000 | -0.000 | 202.981 | 0.000 | -0.000 | 
| -0.000 | -0.000 | -0.000 | -0.000 | 202.981 | -0.000 | 
| 0.000 | -0.000 | -0.000 | 0.000 | 0.000 | 671.942 | 
| 695.041 | 102.314 | 273.196 | -0.000 | -0.000 | 0.000 | 
| 557608293.794 | -231342033.494 | -97504074.318 | 0.000 | -0.000 | 0.000 | 
| 249.944 | 249.944 | 1035.908 | -0.000 | -0.000 | 0.000 | 
| -0.000 | 0.000 | 0.000 | 202.981 | -0.000 | 0.000 | 
| 0.000 | -0.000 | 0.000 | 0.000 | 202.981 | 0.000 | 
| 0.000 | 0.000 | 0.000 | -0.000 | -0.000 | 671.942 | 
| 672.523 | 86.432 | 354.843 | 0.000 | 0.000 | 0.000 | 
| 231343126.931 | -557606460.905 | 97504452.158 | 0.000 | 0.000 | -0.000 | 
| 316.346 | 316.346 | 753.530 | 0.000 | 0.000 | -0.000 | 
| 0.000 | -0.000 | -0.000 | 202.981 | 0.000 | -0.000 | 
| -0.000 | 0.000 | -0.000 | 0.000 | 202.981 | -0.000 | 
| -0.000 | -0.000 | -0.000 | 0.000 | 0.000 | 671.942 | 
| -23133161.474 | 55760842.286 | -9750045.284 | 0.000 | -0.000 | 0.000 | 
| 55760842.287 | -23133161.482 | -9750045.261 | 0.000 | -0.000 | 0.000 | 
| 316.249 | 316.249 | 753.946 | -0.000 | -0.000 | 0.000 | 
| -0.000 | 0.000 | 0.000 | 202.981 | -0.000 | -0.000 | 
| -0.008 | -0.009 | 0.036 | 0.000 | 127.095 | 0.000 | 
| -0.005 | -0.004 | 0.020 | -0.000 | -0.000 | 510.658 | 
| -55759009.382 | 23134254.560 | 9750424.086 | -0.000 | 0.000 | -0.000 | 
| 23134254.558 | -55759009.382 | 9750424.092 | 0.000 | 0.000 | -0.000 | 
| 316.097 | 316.097 | 754.586 | 0.000 | 0.000 | -0.000 | 
| 0.000 | -0.000 | -0.000 | 202.981 | 0.000 | 0.000 | 
| 0.008 | 0.009 | -0.036 | -0.000 | 127.095 | -0.000 | 
| 0.005 | 0.004 | -0.020 | 0.000 | 0.000 | 510.658 | 
| 642.445 | 168.515 | 168.515 | 0.000 | 0.000 | -0.000 | 
| 168.515 | 642.445 | 168.515 | 0.000 | -0.000 | -0.000 | 
| 168.515 | 168.515 | 642.445 | 0.000 | 0.000 | 0.000 | 
| 0.000 | 0.000 | 0.000 | 279.669 | -0.000 | -0.000 | 
| 0.000 | 0.000 | 0.000 | 0.000 | 279.669 | -0.000 | 
| 0.000 | -0.000 | 0.000 | -0.000 | -0.000 | 279.669 | 
| 477.415 | 245.175 | 245.175 | 0.000 | 0.000 | -0.000 | 
| 245.175 | 477.415 | 245.175 | -0.000 | -0.000 | -0.000 | 
| 245.175 | 245.175 | 477.415 | 0.000 | 0.000 | -0.000 | 
| -0.000 | 0.000 | -0.000 | 279.669 | -0.000 | 0.000 | 
| 0.000 | 0.000 | -0.000 | 0.000 | 279.669 | 0.000 | 
| 0.000 | 0.000 | -0.000 | 0.000 | 0.000 | 279.669 | 
| 477.358 | 245.970 | 245.970 | 0.000 | 0.000 | 0.000 | 
| 245.970 | 477.358 | 245.970 | 0.000 | -0.000 | 0.000 | 
| 245.970 | 245.970 | 477.358 | 0.000 | -0.000 | 0.000 | 
| -0.000 | 0.000 | 0.000 | 279.669 | -0.000 | -0.000 | 
| 0.000 | 0.000 | 0.000 | 0.000 | 279.669 | -0.000 | 
| 0.000 | 0.000 | 0.000 | 0.000 | -0.000 | 279.669 | 
| 642.445 | 168.515 | 168.515 | 0.000 | 0.000 | -0.000 | 
| 168.515 | 642.445 | 168.515 | -0.000 | -0.000 | -0.000 | 
| 168.515 | 168.515 | 642.445 | -0.000 | 0.000 | -0.000 | 
| 0.000 | -0.000 | -0.000 | 279.669 | 0.000 | 0.000 | 
| -0.000 | 0.000 | -0.000 | -0.000 | 279.669 | 0.000 | 
| -0.000 | -0.000 | -0.000 | -0.000 | 0.000 | 279.669 | 
| 418.831 | 256.864 | 256.864 | 0.000 | -0.000 | -0.000 | 
| 256.864 | 418.831 | 256.864 | 0.000 | -0.000 | -0.000 | 
| 256.864 | 256.864 | 418.831 | 0.000 | -0.000 | -0.000 | 
| 0.004 | 0.004 | 0.004 | 143.103 | -0.000 | 0.000 | 
| 0.004 | 0.004 | 0.004 | 0.000 | 143.103 | 0.000 | 
| 0.004 | 0.004 | 0.004 | -0.000 | 0.000 | 143.103 | 
| 477.362 | 245.890 | 245.890 | 0.000 | -0.000 | -0.000 | 
| 245.890 | 477.362 | 245.890 | 0.000 | -0.000 | -0.000 | 
| 245.890 | 245.890 | 477.362 | 0.000 | 0.000 | -0.000 | 
| -0.004 | -0.004 | -0.004 | 143.103 | -0.000 | -0.000 | 
| -0.004 | -0.004 | -0.004 | -0.000 | 143.103 | -0.000 | 
| -0.004 | -0.004 | -0.004 | -0.000 | -0.000 | 143.103 | 
| 143.752 | 88.124 | 88.123 | 0.000 | -0.000 | 0.000 | 
| 88.123 | 143.752 | 88.123 | -0.000 | -0.000 | 0.000 | 
| 88.123 | 88.123 | 143.751 | -0.000 | 0.000 | 0.000 | 
| 0.001 | 0.001 | 0.001 | 50.375 | -0.000 | 0.000 | 
| 0.001 | 0.001 | 0.001 | 0.000 | 50.375 | 0.000 | 
| 0.001 | 0.001 | 0.001 | -0.000 | -0.000 | 50.375 | 
| 143.762 | 88.122 | 88.122 | -0.000 | 0.000 | -0.000 | 
| 88.122 | 143.762 | 88.122 | -0.000 | 0.000 | -0.000 | 
| 88.122 | 88.122 | 143.762 | -0.000 | -0.000 | -0.000 | 
| -0.001 | -0.001 | -0.001 | 50.375 | 0.000 | -0.000 | 
| -0.001 | -0.001 | -0.001 | 0.000 | 50.375 | -0.000 | 
| -0.001 | -0.001 | -0.001 | 0.000 | 0.000 | 50.375 | 
| 26.128 | -19.630 | -19.630 | 0.000 | -0.000 | 0.000 | 
| -19.630 | 26.128 | -19.630 | -0.000 | -0.000 | 0.000 | 
| 45.913 | 45.913 | 70.574 | -0.000 | -0.000 | 0.000 | 
| -0.000 | -0.000 | -0.000 | 27.435 | -0.000 | 0.000 | 
| -0.000 | -0.000 | -0.000 | 0.000 | 27.435 | 0.000 | 
| -0.000 | -0.000 | -0.000 | 0.000 | -0.000 | 27.435 | 
| 341.897 | 97.239 | 97.239 | -0.000 | -0.000 | -0.000 | 
| 97.239 | 341.897 | 97.239 | 0.000 | 0.000 | -0.000 | 
| 97.239 | 97.239 | 341.897 | -0.000 | 0.000 | -0.000 | 
| 0.000 | 0.000 | 0.000 | 27.435 | 0.000 | -0.000 | 
| 0.000 | 0.000 | 0.000 | -0.000 | 27.435 | -0.000 | 
| 0.000 | 0.000 | 0.000 | -0.000 | 0.000 | 27.435 | 
| 341.898 | 97.239 | 97.239 | 0.000 | -0.000 | 0.000 | 
| 97.239 | 341.898 | 97.239 | 0.000 | 0.000 | 0.000 | 
| 97.239 | 97.239 | 341.898 | 0.000 | -0.000 | 0.000 | 
| 0.000 | 0.000 | 0.000 | 122.329 | -0.000 | -0.000 | 
| -0.000 | 0.000 | 0.000 | -0.000 | 122.329 | 0.000 | 
| 0.000 | 0.000 | 0.000 | 0.000 | -0.000 | 122.329 | 
| 70.553 | 45.913 | 45.913 | -0.000 | 0.000 | -0.000 | 
| 45.913 | 70.553 | 45.913 | 0.000 | 0.000 | -0.000 | 
| 45.913 | 45.913 | 70.553 | -0.000 | 0.000 | -0.000 | 
| -0.000 | -0.000 | -0.000 | 122.329 | -0.000 | -0.000 | 
| 0.000 | -0.000 | -0.000 | 0.000 | 122.329 | -0.000 | 
| -0.000 | -0.000 | -0.000 | 0.000 | 0.000 | 122.329 | 
| 331.819 | 94.373 | 94.373 | 0.000 | 0.000 | 0.000 | 
| 94.373 | 331.819 | 94.373 | -0.000 | 0.000 | 0.000 | 
| 94.373 | 94.373 | 331.819 | -0.000 | 0.000 | 0.000 | 
| -1175.493 | -1175.493 | -1175.493 | 85.585 | 0.000 | 0.000 | 
| -1175.493 | -1175.493 | -1175.493 | -0.000 | 85.585 | 0.000 | 
| -1175.493 | -1175.493 | -1175.493 | -0.000 | 0.000 | 85.585 | 
| 331.819 | 94.373 | 94.373 | 0.000 | -0.000 | -0.000 | 
| 94.373 | 331.819 | 94.373 | 0.000 | 0.000 | -0.000 | 
| 94.373 | 94.373 | 331.819 | 0.000 | -0.000 | -0.000 | 
| 1175.493 | 1175.493 | 1175.493 | 85.585 | -0.000 | -0.000 | 
| 1175.493 | 1175.493 | 1175.493 | -0.000 | 85.585 | -0.000 | 
| 1175.493 | 1175.493 | 1175.493 | 0.000 | -0.000 | 85.585 | 
| 331.819 | 94.373 | 94.373 | 0.000 | 0.000 | 0.000 | 
| 94.373 | 331.819 | 94.373 | -0.000 | 0.000 | 0.000 | 
| 94.373 | 94.373 | 331.819 | -0.000 | 0.000 | -0.000 | 
| -117.604 | -117.604 | -117.604 | 85.570 | 0.000 | -0.000 | 
| -117.677 | -117.677 | -117.677 | 0.000 | 85.549 | -0.000 | 
| -117.677 | -117.677 | -117.677 | -0.000 | -0.000 | 85.549 | 
| 379.437 | 207.635 | 207.635 | 0.000 | 0.000 | -0.000 | 
| 207.635 | 379.437 | 207.635 | 0.000 | -0.000 | -0.000 | 
| 207.635 | 207.635 | 379.437 | 0.000 | -0.000 | -0.000 | 
| 117.677 | 117.677 | 117.677 | 85.549 | -0.000 | -0.000 | 
| 117.677 | 117.677 | 117.677 | 0.000 | 85.549 | -0.000 | 
| 117.677 | 117.677 | 117.677 | 0.000 | -0.000 | 85.549 | 
| 220.429 | 73.870 | 73.870 | -0.000 | 0.000 | 0.000 | 
| 73.870 | 220.429 | 73.870 | 0.000 | 0.000 | -0.000 | 
| 73.870 | 73.870 | 220.429 | -0.000 | 0.000 | 0.000 | 
| 0.000 | 0.000 | 0.000 | 118.723 | 0.000 | 0.000 | 
| -0.000 | 0.000 | 0.000 | -0.000 | 118.723 | 0.000 | 
| 0.000 | 0.000 | 0.000 | -0.000 | 0.000 | 118.723 | 
| 331.818 | 94.372 | 94.372 | -0.000 | -0.000 | -0.000 | 
| 94.372 | 331.818 | 94.372 | 0.000 | -0.000 | -0.000 | 
| 94.372 | 94.373 | 331.818 | 0.000 | -0.000 | -0.000 | 
| -0.000 | -0.000 | -0.000 | 118.723 | -0.000 | -0.000 | 
| 0.000 | -0.000 | -0.000 | 0.000 | 118.723 | -0.000 | 
| -0.000 | -0.000 | -0.000 | 0.000 | -0.000 | 118.723 | 
| 331.765 | 94.356 | 94.356 | -0.000 | 0.000 | 0.000 | 
| 94.356 | 331.765 | 94.356 | 0.000 | 0.000 | 0.000 | 
| 94.356 | 94.356 | 331.765 | -0.000 | 0.000 | 0.000 | 
| -347.240 | -347.240 | -347.240 | 58.118 | 0.000 | 0.000 | 
| -347.240 | -347.240 | -347.240 | 0.000 | 58.118 | 0.000 | 
| -347.240 | -347.240 | -347.240 | 0.000 | 0.000 | 58.118 | 
| 331.765 | 94.356 | 94.356 | -0.000 | -0.000 | 0.000 | 
| 94.356 | 331.765 | 94.356 | 0.000 | -0.000 | -0.000 | 
| 94.356 | 94.356 | 331.764 | -0.000 | -0.000 | -0.000 | 
| 347.240 | 347.240 | 347.240 | 58.118 | -0.000 | -0.000 | 
| 347.240 | 347.240 | 347.240 | 0.000 | 58.118 | -0.000 | 
| 347.240 | 347.240 | 347.240 | -0.000 | -0.000 | 58.118 | 
| 331.765 | 94.356 | 94.356 | 0.000 | 0.000 | 0.000 | 
| 94.356 | 331.765 | 94.356 | -0.000 | 0.000 | 0.000 | 
| 94.356 | 94.356 | 331.765 | -0.000 | 0.000 | 0.000 | 
| -34.734 | -34.734 | -34.734 | 58.101 | 0.000 | 0.000 | 
| -34.734 | -34.734 | -34.734 | 0.000 | 58.101 | 0.000 | 
| -34.734 | -34.734 | -34.734 | 0.000 | 0.000 | 58.101 | 
| 239.420 | 123.254 | 123.254 | -0.000 | -0.000 | -0.000 | 
| 123.254 | 239.420 | 123.254 | -0.000 | -0.000 | -0.000 | 
| 123.254 | 123.254 | 239.420 | -0.000 | 0.000 | -0.000 | 
| 34.734 | 34.734 | 34.734 | 58.101 | -0.000 | -0.000 | 
| 34.734 | 34.734 | 34.734 | 0.000 | 58.101 | -0.000 | 
| 34.734 | 34.734 | 34.734 | -0.000 | -0.000 | 58.101 | 
| 4.621 | 32.702 | 32.702 | -0.000 | 0.000 | 0.000 | 
| 32.702 | 4.621 | 32.702 | 0.000 | 0.000 | -0.000 | 
| 32.702 | 32.702 | 4.621 | -0.000 | 0.000 | -0.000 | 
| -3.515 | -3.515 | -3.515 | 57.380 | 0.000 | 0.000 | 
| -3.515 | -3.515 | -3.515 | 0.000 | 57.380 | 0.000 | 
| -3.515 | -3.515 | -3.515 | 0.000 | 0.000 | 57.380 | 
| -82.361 | -101.756 | -101.757 | -0.000 | -0.000 | -0.000 | 
| -101.757 | -82.361 | -101.756 | 0.000 | -0.000 | -0.000 | 
| -101.756 | -101.757 | -82.361 | -0.000 | -0.000 | -0.000 | 
| 3.515 | 3.515 | 3.515 | 57.380 | -0.000 | -0.000 | 
| 3.515 | 3.515 | 3.515 | 0.000 | 57.380 | -0.000 | 
| 3.515 | 3.515 | 3.515 | -0.000 | -0.000 | 57.380 | 
| 687.063 | 355.504 | 0.000 | 0.000 | 0.000 | 0.000 | 
| 294.853 | 747.715 | 0.000 | 0.000 | 0.000 | 0.000 | 
| -0.000 | 0.000 | 0.000 | 0.000 | 0.000 | 0.000 | 
| -0.000 | -0.000 | 0.000 | 0.000 | 0.000 | -0.000 | 
| -0.000 | 0.000 | 0.000 | 0.000 | 0.000 | 0.000 | 
| -0.000 | 0.000 | 0.000 | 0.000 | 0.000 | 226.431 | 
| 687.064 | 355.504 | -0.000 | -0.000 | -0.000 | -0.000 | 
| 355.504 | 687.063 | -0.000 | -0.000 | -0.000 | -0.000 | 
| 0.000 | -0.000 | -0.000 | -0.000 | -0.000 | -0.000 | 
| 0.000 | -0.000 | -0.000 | -0.000 | -0.000 | 0.000 | 
| 0.000 | -0.000 | -0.000 | -0.000 | -0.000 | 0.000 | 
| 0.000 | -0.000 | -0.000 | -0.000 | -0.000 | 226.431 | 
| 687.063 | 355.505 | 0.000 | 0.000 | 0.000 | -0.000 | 
| 294.853 | 747.715 | 0.000 | 0.000 | 0.000 | -0.000 | 
| -0.000 | 0.000 | 0.000 | 0.000 | 0.000 | 0.000 | 
| -0.000 | 0.000 | 0.000 | 0.000 | 0.000 | -0.000 | 
| -0.000 | 0.000 | 0.000 | 0.000 | 0.000 | -0.000 | 
| 0.000 | -0.000 | 0.000 | 0.000 | 0.000 | 165.780 | 
| 747.714 | 294.853 | -0.000 | -0.000 | -0.000 | 0.000 | 
| 294.853 | 747.714 | -0.000 | -0.000 | -0.000 | 0.000 | 
| 0.000 | -0.000 | -0.000 | -0.000 | -0.000 | -0.000 | 
| 0.000 | -0.000 | -0.000 | -0.000 | -0.000 | 0.000 | 
| 0.000 | -0.000 | -0.000 | -0.000 | -0.000 | -0.000 | 
| -0.000 | 0.000 | -0.000 | -0.000 | -0.000 | 165.780 | 
| 687.055 | 355.515 | 0.000 | 0.000 | 0.000 | 0.000 | 
| 355.726 | 686.844 | 0.000 | 0.000 | 0.000 | -0.000 | 
| -0.000 | 0.000 | 0.000 | 0.000 | 0.000 | 0.000 | 
| -0.000 | -0.000 | 0.000 | 0.000 | 0.000 | -0.000 | 
| -0.000 | 0.000 | 0.000 | 0.000 | 0.000 | -0.000 | 
| 0.001 | -0.001 | 0.000 | 0.000 | 0.000 | 165.780 | 
| 687.072 | 355.493 | -0.000 | -0.000 | -0.000 | 0.000 | 
| 355.512 | 687.053 | -0.000 | -0.000 | -0.000 | 0.000 | 
| 0.000 | -0.000 | -0.000 | -0.000 | -0.000 | -0.000 | 
| 0.000 | 0.000 | -0.000 | -0.000 | -0.000 | 0.000 | 
| 0.000 | -0.000 | -0.000 | -0.000 | -0.000 | 0.000 | 
| -0.001 | 0.001 | -0.000 | -0.000 | -0.000 | 165.780 | 
| 20.445 | -29.998 | -29.996 | 0.000 | -0.000 | -0.000 | 
| 88.480 | 144.338 | 88.481 | -0.000 | -0.000 | -0.000 | 
| 97.632 | 97.633 | 343.281 | 0.000 | -0.000 | 0.000 | 
| 0.000 | 0.000 | -0.000 | 122.824 | 0.000 | 0.000 | 
| 0.000 | -0.001 | 0.001 | 0.000 | 50.579 | 0.000 | 
| 0.000 | -0.001 | 0.001 | 0.000 | 0.000 | 50.579 | 
| 144.338 | 88.481 | 88.478 | -0.000 | -0.000 | -0.000 | 
| 88.479 | 144.339 | 88.478 | -0.000 | 0.000 | 0.000 | 
| 88.479 | 88.481 | 144.339 | -0.000 | -0.000 | -0.000 | 
| -0.000 | -0.000 | 0.000 | 122.824 | 0.000 | -0.000 | 
| -0.000 | 0.001 | -0.001 | -0.000 | 50.579 | -0.000 | 
| -0.000 | 0.001 | -0.001 | -0.000 | 0.000 | 50.579 | 
| 343.281 | 97.632 | 97.632 | 0.000 | 0.000 | 0.000 | 
| 46.098 | 70.841 | 46.098 | 0.000 | -0.000 | 0.000 | 
| 88.480 | 88.479 | 144.337 | 0.000 | -0.000 | 0.000 | 
| 0.000 | -0.000 | 0.000 | 50.579 | 0.000 | 0.000 | 
| -0.000 | 0.000 | 0.000 | 0.000 | 122.824 | 0.000 | 
| -0.000 | -0.000 | 0.000 | -0.000 | 0.000 | 50.579 | 
| 343.281 | 97.632 | 97.632 | -0.000 | -0.000 | 0.000 | 
| 97.632 | 343.281 | 97.632 | -0.000 | 0.000 | -0.000 | 
| -19.708 | -19.708 | 26.232 | -0.000 | -0.000 | -0.000 | 
| -0.000 | 0.000 | -0.000 | 50.579 | 0.000 | -0.000 | 
| -0.000 | -0.000 | -0.000 | -0.000 | 122.824 | 0.000 | 
| 0.000 | 0.000 | -0.000 | -0.000 | 0.000 | 50.579 | 
| 20.413 | -29.987 | -29.987 | 0.000 | -0.000 | -0.000 | 
| -19.708 | 26.239 | -19.708 | 0.000 | -0.000 | 0.000 | 
| -29.993 | -29.993 | 20.437 | 0.000 | -0.000 | 0.000 | 
| 0.000 | -0.000 | -0.000 | 50.579 | -0.000 | 0.000 | 
| -0.000 | 0.000 | -0.000 | -0.000 | 50.579 | 0.000 | 
| -0.000 | 0.000 | 0.000 | 0.000 | 0.000 | 122.824 | 
| 20.434 | -29.998 | -29.998 | -0.000 | 0.000 | -0.000 | 
| 88.480 | 144.348 | 88.480 | 0.000 | -0.000 | 0.000 | 
| 97.632 | 97.632 | 343.280 | -0.000 | -0.000 | -0.000 | 
| -0.000 | 0.000 | 0.000 | 50.579 | 0.000 | 0.000 | 
| 0.000 | -0.000 | 0.000 | -0.000 | 50.579 | -0.000 | 
| 0.000 | -0.000 | -0.000 | -0.000 | 0.000 | 122.824 | 
| 357.752 | 20.498 | 66.743 | -0.000 | -0.000 | 0.000 | 
| 37.000 | 408.902 | 27.749 | -0.000 | -0.000 | -0.000 | 
| 61.536 | 6.041 | 370.359 | -0.000 | -0.000 | 0.000 | 
| -0.000 | 0.000 | -0.000 | 108.881 | -0.000 | -0.000 | 
| -0.000 | 0.000 | 0.000 | -0.000 | 128.685 | -0.000 | 
| -0.000 | 0.000 | 0.000 | 0.000 | -0.000 | 117.878 | 
| 357.752 | 20.498 | 66.743 | 0.000 | 0.000 | 0.000 | 
| 37.000 | 408.902 | 27.749 | 0.000 | 0.000 | 0.000 | 
| 61.536 | 6.041 | 370.359 | -0.000 | 0.000 | -0.000 | 
| 0.000 | -0.000 | -0.000 | 108.881 | 0.000 | 0.000 | 
| 0.000 | -0.000 | -0.000 | 0.000 | 128.685 | 0.000 | 
| 0.000 | -0.000 | 0.000 | 0.000 | 0.000 | 117.878 | 
| 223.551 | 130.189 | -7.496 | 0.000 | -0.001 | -0.000 | 
| 37.000 | 408.902 | 27.749 | -0.000 | -0.000 | -0.000 | 
| 16.598 | 94.403 | 211.873 | 0.000 | -0.001 | -0.000 | 
| -36.756 | 83.205 | -64.858 | 94.540 | -0.001 | -0.000 | 
| 0.000 | 0.000 | 0.000 | -0.000 | 128.685 | -0.000 | 
| -36.762 | 83.220 | -64.870 | 0.000 | -0.001 | 100.344 | 
| 357.751 | 20.498 | 66.743 | 0.000 | 0.000 | 0.000 | 
| 67.946 | -76.883 | -140.804 | -0.000 | 0.001 | 0.000 | 
| 61.536 | 6.041 | 370.358 | 0.000 | 0.000 | 0.000 | 
| -0.000 | -0.000 | -0.000 | 108.881 | 0.000 | 0.000 | 
| -0.000 | -0.000 | -0.000 | 0.000 | 128.685 | 0.000 | 
| 0.000 | -0.000 | -0.000 | 0.000 | 0.000 | 117.878 | 
| 260.228 | 55.602 | 50.154 | 0.000 | -0.000 | -0.000 | 
| 4.966 | 232.172 | 33.078 | 0.000 | -0.000 | -0.000 | 
| 47.490 | 24.436 | 266.173 | 0.000 | -0.000 | -0.000 | 
| 0.000 | 0.000 | 0.000 | 108.881 | -0.000 | -0.000 | 
| -3.555 | 8.048 | -6.274 | 0.000 | 82.135 | -0.000 | 
| -4.210 | 9.530 | -7.428 | 0.000 | -0.000 | 97.800 | 
| 166.736 | 12.656 | 0.838 | -0.000 | 0.000 | -0.000 | 
| 37.000 | 408.901 | 27.749 | 0.000 | 0.000 | 0.000 | 
| 5.453 | -15.555 | 143.988 | -0.000 | 0.000 | -0.000 | 
| -0.000 | -0.000 | -0.000 | 108.881 | 0.000 | 0.000 | 
| 3.555 | -8.048 | 6.274 | -0.000 | 82.135 | 0.000 | 
| 4.210 | -9.530 | 7.428 | -0.000 | 0.000 | 97.800 | 
| 222.587 | -1889.276 | -833.792 | 634.033 | 1340.453 | 886.534 | 
| -1540.278 | -1370.928 | -869.540 | 1247.071 | 564.586 | 1768.606 | 
| -3590.818 | -606.869 | -1318.413 | 214.493 | 1408.091 | 1653.520 | 
| -3918.945 | -1734.297 | -1400.046 | 18.905 | 589.831 | 844.663 | 
| -2408.524 | -2683.301 | -1795.757 | 926.568 | 707.152 | 855.724 | 
| -963.893 | -1324.573 | -1379.635 | 1437.060 | 137.516 | 2033.438 | 
| 4215.775 | 3758.355 | 2159.599 | -751.191 | -1365.735 | -284.562 | 
| 2536.252 | 500.896 | 1187.931 | 840.748 | -862.050 | -875.634 | 
| 953.904 | 73.642 | 815.729 | -1046.171 | -1279.477 | -1160.085 | 
| 1042.376 | 1396.846 | 1050.765 | -1644.766 | -552.881 | -2607.742 | 
| 2172.449 | 36.528 | 765.158 | -2603.393 | -1646.074 | -1457.050 | 
| -135.749 | -1146.603 | -630.988 | -347.441 | -248.322 | -924.981 | 
| 304.323 | 147.305 | 102.483 | 56.177 | 95.209 | 209.376 | 
| -180.003 | 113.814 | -72.307 | 136.497 | 193.635 | 177.496 | 
| 92.278 | -319.312 | 41.222 | -32.138 | -11.294 | 102.721 | 
| -80.342 | -248.936 | -143.143 | 165.229 | 129.252 | 129.108 | 
| -342.600 | -4.108 | -143.404 | 167.030 | 208.281 | 90.985 | 
| 72.293 | -128.108 | -43.375 | 138.903 | 130.277 | 224.438 | 
| 624.899 | 443.540 | 261.173 | -87.729 | -97.944 | -261.474 | 
| 103.184 | 358.211 | 127.766 | -123.901 | -149.849 | -93.303 | 
| 166.927 | -44.070 | 198.563 | -241.914 | -28.356 | -164.952 | 
| 304.464 | 195.596 | 160.712 | -17.821 | -144.830 | -176.209 | 
| 353.884 | 56.278 | 162.648 | -2.314 | -23.699 | -106.236 | 
| 326.887 | 23.502 | 147.037 | -179.935 | -184.617 | -69.133 | 
| 280.979 | 88.641 | 82.984 | 12.279 | 8.920 | 6.207 | 
| 63.657 | 241.148 | 62.397 | 4.789 | 21.667 | 8.544 | 
| 65.650 | 83.150 | 230.511 | 6.318 | 4.765 | 12.120 | 
| -18.744 | -11.339 | -10.836 | 88.364 | -0.098 | 15.064 | 
| -38.802 | 19.470 | -3.658 | 5.257 | 93.861 | 2.577 | 
| -33.141 | -52.193 | -23.279 | 7.341 | 12.636 | 125.841 | 
| 308.189 | 87.667 | 90.284 | -15.340 | -1.603 | -12.312 | 
| 126.487 | 295.092 | 92.934 | -15.225 | -6.487 | -22.563 | 
| 81.885 | 74.291 | 217.986 | 2.366 | -16.671 | -12.831 | 
| 27.596 | 24.732 | 18.581 | 74.370 | -26.387 | -19.608 | 
| 15.613 | 2.393 | 11.720 | -16.248 | 83.725 | 6.145 | 
| 30.174 | -18.290 | 6.637 | 2.545 | -19.600 | 59.825 | 
| 22287.803 | -14667.099 | -1153410.138 | 2018.936 | -224.571 | 4431.876 | 
| 24278.048 | -13057.199 | -1193669.902 | 1430.082 | 9.699 | 4212.901 | 
| 21691.120 | -14142.345 | -1112457.642 | 1489.176 | 938.008 | 4198.912 | 
| 22858.610 | -14503.315 | -1142504.112 | 1630.640 | 875.389 | 4605.581 | 
| 24279.268 | -13988.714 | -1199205.303 | 1992.096 | 553.789 | 5349.908 | 
| 22229.283 | -14994.964 | -1121852.156 | 1701.365 | 809.388 | 5116.904 | 
| -22429.339 | 14718.490 | 1147180.146 | -1509.136 | -560.236 | -5024.468 | 
| -22646.753 | 14321.770 | 1144256.728 | -2566.487 | -543.056 | -4312.774 | 
| -22965.939 | 15081.745 | 1167675.254 | -2409.953 | -269.469 | -5523.003 | 
| -23964.542 | 13861.273 | 1188432.486 | -2166.254 | -105.242 | -5239.216 | 
| -22857.798 | 14786.054 | 1151208.824 | -1494.571 | -94.422 | -4900.601 | 
| -23093.859 | 14249.242 | 1181033.257 | -2376.862 | -274.367 | -5826.038 | 
| 2367.595 | -1427.472 | -119383.866 | 179.404 | 14.281 | 561.216 | 
| 2354.639 | -1418.730 | -120975.356 | 226.708 | 32.158 | 492.798 | 
| 2321.393 | -1277.496 | -116353.843 | 172.772 | 33.209 | 579.223 | 
| 2288.905 | -1367.489 | -116963.289 | 174.336 | -42.387 | 509.824 | 
| 2280.208 | -1446.818 | -117466.731 | 209.040 | 20.120 | 528.162 | 
| 2265.874 | -1337.629 | -116905.276 | 192.072 | -112.158 | 471.737 | 
| -2283.708 | 1428.518 | 117013.502 | -158.970 | -74.827 | -501.595 | 
| -2245.088 | 1538.325 | 115727.494 | -191.592 | 15.251 | -512.366 | 
| -2160.128 | 1401.531 | 110956.330 | -162.191 | -18.531 | -591.605 | 
| -2319.356 | 1474.632 | 113887.703 | -194.010 | -59.808 | -473.520 | 
| -2188.847 | 1449.589 | 115141.283 | -234.351 | -17.737 | -459.145 | 
| -2392.498 | 1451.996 | 119130.787 | -242.776 | -7.744 | -497.489 | 
| 213.749 | -157.292 | -10957.635 | 20.851 | -0.803 | 54.780 | 
| 210.845 | -144.252 | -11183.610 | 16.091 | -3.338 | 48.084 | 
| 241.923 | -130.842 | -11709.917 | 13.396 | 0.084 | 59.049 | 
| 240.950 | -136.191 | -12034.299 | 22.555 | 0.281 | 41.954 | 
| 227.209 | -145.189 | -11656.686 | 17.364 | 7.411 | 54.150 | 
| 225.401 | -139.245 | -11399.049 | 16.359 | 2.132 | 50.670 | 
| -226.669 | 132.248 | 11485.267 | -22.523 | 3.940 | -47.762 | 
| -225.381 | 156.328 | 11645.966 | -19.222 | -5.657 | -52.828 | 
| -219.106 | 135.624 | 11142.118 | -17.241 | -0.204 | -48.892 | 
| -218.646 | 140.450 | 11617.276 | -15.623 | -7.136 | -56.079 | 
| -223.103 | 142.118 | 11301.206 | -18.953 | -1.732 | -54.393 | 
| -227.144 | 148.268 | 11665.311 | -23.682 | -6.971 | -57.590 | 
| 6.091 | 6.091 | 6.091 | 0.000 | 0.000 | 0.000 | 
| 6.091 | 6.091 | 6.091 | 0.000 | 0.000 | 0.000 | 
| 6.091 | 6.091 | 6.091 | 0.000 | 0.000 | 0.000 | 
| 0.000 | 0.000 | 0.000 | 6.091 | 0.000 | 0.000 | 
| 0.000 | 0.000 | 0.000 | 0.000 | 6.091 | 0.000 | 
| 0.000 | 0.000 | 0.000 | 0.000 | 0.000 | 6.091 | 
| 6.091 | 6.091 | 6.091 | -0.000 | -0.000 | 0.000 | 
| 6.091 | 6.091 | 6.091 | -0.000 | -0.000 | 0.000 | 
| 6.091 | 6.091 | 6.091 | -0.000 | -0.000 | 0.000 | 
| -0.000 | -0.000 | -0.000 | 6.091 | -0.000 | -0.000 | 
| -0.000 | -0.000 | -0.000 | -0.000 | 6.091 | -0.000 | 
| -0.000 | -0.000 | -0.000 | -0.000 | -0.000 | 6.091 | 
| 6.091 | 6.091 | 6.091 | 0.000 | 0.000 | 0.000 | 
| 6.091 | 6.091 | 6.091 | 0.000 | 0.000 | 0.000 | 
| 6.091 | 6.091 | 6.091 | 0.000 | 0.000 | 0.000 | 
| 0.000 | 0.000 | 0.000 | 6.091 | 0.000 | 0.000 | 
| 0.000 | 0.000 | 0.000 | 0.000 | 6.091 | 0.000 | 
| 0.000 | 0.000 | 0.000 | 0.000 | 0.000 | 6.091 | 
| 6.091 | 6.091 | 6.091 | -0.000 | -0.000 | -0.000 | 
| 6.091 | 6.091 | 6.091 | -0.000 | -0.000 | -0.000 | 
| 6.091 | 6.091 | 6.091 | -0.000 | -0.000 | 0.000 | 
| -0.000 | -0.000 | -0.000 | 6.091 | -0.000 | -0.000 | 
| -0.000 | -0.000 | -0.000 | -0.000 | 6.091 | -0.000 | 
| -0.000 | -0.000 | -0.000 | -0.000 | -0.000 | 6.091 | 
| 6.091 | 6.091 | 6.091 | 0.000 | 0.000 | -0.000 | 
| 6.091 | 6.091 | 6.091 | 0.000 | 0.000 | -0.000 | 
| 6.091 | 6.091 | 6.091 | 0.000 | 0.000 | -0.000 | 
| 0.000 | -0.000 | -0.000 | 2.042 | 0.000 | 0.000 | 
| -0.000 | 0.000 | -0.000 | 0.000 | 2.042 | 0.000 | 
| -0.000 | -0.000 | 0.000 | 0.000 | 0.000 | 2.042 | 
| 6.091 | 6.091 | 6.091 | -0.000 | -0.000 | -0.000 | 
| 6.091 | 6.091 | 6.091 | -0.000 | -0.000 | -0.000 | 
| 6.091 | 6.091 | 6.091 | -0.000 | -0.000 | 0.000 | 
| -0.000 | 0.000 | 0.000 | 2.042 | -0.000 | -0.000 | 
| 0.000 | -0.000 | 0.000 | -0.000 | 2.042 | -0.000 | 
| 0.000 | 0.000 | -0.000 | -0.000 | -0.000 | 2.042 | 
| -18764586430.680 | -18765297297.395 | -18763655114.526 | 466599380.327 | -174374684.426 | -207278577.889 | 
| -433055359.756 | -433441673.588 | -433097706.944 | 88830868.588 | -53522801.684 | -8614669.750 | 
| 1003145663.936 | 1006508325.955 | 1006366817.472 | -64293449.275 | -68659495.356 | -144136395.765 | 
| -0.299 | -0.296 | -0.296 | 0.296 | -0.022 | 0.022 | 
| -0.751 | -0.758 | -0.751 | -0.007 | 0.751 | 0.007 | 
| -0.629 | -0.629 | -0.636 | 0.014 | -0.014 | 0.629 | 
| -10196418548.389 | -10196310143.200 | -10200019550.346 | 91468860.654 | 1143758292.660 | 21195625.697 | 
| 215966150.507 | 216315551.303 | 216328760.152 | 184160.581 | 26577273.592 | -15455275.267 | 
| -21929999734.704 | -22009076459.129 | -21969638319.915 | 90873548.081 | -2012952842.085 | 1792595375.212 | 
| 0.034 | 0.034 | 0.034 | 0.034 | 0.008 | 0.008 | 
| 0.252 | 0.255 | 0.252 | 0.052 | 0.252 | 0.052 | 
| 1.081 | 1.081 | 1.091 | -0.032 | -0.032 | 1.081 | 
| 3404031733.541 | 3405640128.680 | 3410831174.017 | 165447111.209 | 59050694.046 | -133523022.226 | 
| 486643520598.280 | 486643423269.590 | 486643520598.280 | 0.009 | 0.001 | 0.006 | 
| 486643520598.280 | 486643520598.280 | 486643423269.580 | 0.006 | 0.007 | 0.002 | 
| 486454063889.270 | 486454063889.290 | 486454063889.280 | -86176.389 | 0.034 | -0.012 | 
| 486454063889.260 | 486454063889.240 | 486454063889.240 | -0.008 | -96364.151 | -0.007 | 
| 486454063889.250 | 486454063889.230 | 486454063889.230 | 0.032 | -0.019 | -97123.347 | 
| -486264715706.360 | -486264618453.430 | -486264618453.430 | 0.000 | -0.002 | -0.005 | 
| -486264618453.440 | -486264715706.360 | -486264618453.440 | -0.005 | 0.000 | -0.005 | 
| -486264618453.400 | -486264618453.400 | -486264715706.330 | -0.006 | -0.003 | 0.003 | 
| -486454063889.250 | -486454063889.240 | -486454063889.240 | -29044.423 | 0.035 | -0.008 | 
| -486454063889.260 | -486454063889.240 | -486454063889.250 | 0.001 | -97310.885 | 0.040 | 
| -486454063889.220 | -486454063889.230 | -486454063889.230 | 0.011 | 0.012 | -28914.924 | 
| -9354050.960 | -9476556.837 | -9407967.930 | 454810.408 | -534661.572 | 3331827.933 | 
| -15641792.777 | -15642883.850 | -15641896.101 | 77643.504 | -17355.849 | -59406.601 | 
| 13356090.095 | 13499135.502 | 13367768.512 | 2921980.664 | 327305.849 | 1497519.728 | 
| -0.003 | -0.003 | -0.003 | 0.003 | 0.000 | -0.000 | 
| -0.003 | -0.003 | -0.003 | 0.000 | 0.003 | -0.000 | 
| -0.010 | -0.010 | -0.010 | 0.000 | -0.000 | 0.010 | 
| 644949008.105 | 645037401.491 | 644832331.540 | 3167394.045 | -5456961.684 | -614106.354 | 
| -101985.819 | -95641.989 | -91496.037 | -4727.123 | -217691.592 | -75098.162 | 
| -16558667.827 | -16626860.828 | -16672988.277 | 5135425.701 | -2075690.048 | -3677387.188 | 
| 0.003 | 0.003 | 0.003 | 0.003 | -0.000 | -0.000 | 
| -0.004 | -0.004 | -0.004 | -0.000 | -0.004 | -0.000 | 
| 0.003 | 0.003 | 0.003 | -0.000 | -0.000 | 0.003 | 
| -9834652610586.352 | -9733725496072.152 | -63316096323520.188 | -0.188 | -0.277 | 26.622 | 
| -9733725496248.652 | -9834652610745.652 | -63316096323527.195 | -0.160 | -0.069 | 28.290 | 
| -9789711676657.551 | -9789711676684.250 | -63316948945560.188 | -0.536 | -0.058 | 25.868 | 
| -9790676526093.551 | -9790675695705.951 | -63316831326227.188 | 555256343.870 | -0.164 | 21.983 | 
| -9790675696042.451 | -9790676526449.852 | -63316831326241.188 | -0.040 | 555256343.511 | 23.863 | 
| -9790496901927.551 | -9790496902878.252 | -63316824358312.195 | 0.074 | 0.070 | -959039464.052 | 
| 9731575801180.951 | 9832341067568.150 | 63316969982702.188 | 0.018 | -0.161 | -24.837 | 
| 9832341067557.453 | 9731575801103.252 | 63316969982700.188 | -0.856 | -0.234 | -24.795 | 
| 9791640754645.150 | 9791640754636.951 | 63316713697251.195 | -0.600 | -0.548 | -29.181 | 
| 9790676529603.152 | 9790675698460.451 | 63316831326349.195 | 555256343.443 | 0.315 | -27.484 | 
| 9790675698472.053 | 9790676529607.854 | 63316831326350.188 | 0.500 | 555256344.062 | -27.590 | 
| 9790497101471.951 | 9790497099566.752 | 63316824366027.188 | -0.036 | 0.053 | -959039525.046 | 
| -1043592633814.695 | -944634343303.285 | -6331769449761.619 | 0.028 | -0.020 | 2.866 | 
| -944634343303.725 | -1043592633811.295 | -6331769449761.619 | -0.004 | 0.003 | 2.921 | 
| -978103116092.465 | -978103116089.465 | -6331800653300.819 | 0.018 | -0.008 | 2.333 | 
| -979070866932.455 | -979062553918.055 | -6331683081365.119 | 555256505.901 | 0.015 | 2.362 | 
| -979062553921.625 | -979070866934.335 | -6331683081365.220 | 0.010 | 555256505.920 | 2.264 | 
| -978888318232.765 | -978888313259.385 | -6331676238963.219 | -0.022 | 0.004 | -959754443.838 | 
| 942763501741.025 | 1040202304948.595 | 6332626659821.020 | -0.019 | -0.060 | -2.805 | 
| 1040202304943.695 | 942763501738.495 | 6332626659820.818 | 0.003 | 0.047 | -2.754 | 
| 980032194385.815 | 980032194384.445 | 6331565405013.319 | 0.035 | 0.013 | -2.824 | 
| 979070866519.395 | 979062553242.085 | 6331683081343.919 | 555256505.846 | 0.005 | -2.548 | 
| 979062553239.095 | 979070866521.565 | 6331683081343.919 | -0.014 | 555256505.864 | -2.516 | 
| 978888337582.895 | 978888332830.915 | 6331676239720.920 | 0.042 | -0.022 | -959754459.811 | 
| -150983295435.320 | -160395139429.810 | -635104376895.462 | 0.002 | 0.005 | 0.465 | 
| -160395139451.070 | -150983295445.990 | -635104376896.172 | 0.002 | 0.002 | 0.457 | 
| -96942564226.274 | -96942564226.316 | -633284896824.452 | -0.002 | -0.002 | 0.229 | 
| -97939394048.082 | -97856261333.720 | -633167801783.932 | 555272743.875 | 0.001 | 0.250 | 
| -97856261335.709 | -97939394050.245 | -633167801784.012 | 0.003 | 555272743.876 | 0.236 | 
| -97727320287.339 | -97727270825.919 | -633162209975.042 | -0.004 | -0.002 | -966978455.360 | 
| 127661381307.350 | 138825680071.230 | 635060883723.372 | 0.004 | 0.001 | -0.381 | 
| 138825680174.120 | 127661381347.420 | 635060883726.312 | 0.002 | 0.001 | -0.379 | 
| 98871642613.883 | 98871642613.883 | 633049649427.512 | -0.004 | -0.004 | -0.209 | 
| 97939393980.050 | 97856261263.103 | 633167801781.232 | 555272743.901 | -0.004 | -0.261 | 
| 97856261263.171 | 97939393980.180 | 633167801781.232 | -0.003 | 555272743.899 | -0.256 | 
| 97727322903.257 | 97727273448.932 | 633162210077.022 | -0.003 | 0.003 | -966978470.793 | 
| -11096751599167.688 | -11102526167456.688 | 40628409762492.578 | -1844445234.919 | -100.547 | 101.603 | 
| -11095007538617.688 | -11089263767468.689 | 40630630817049.578 | 1872324538.491 | -80.918 | 85.274 | 
| -11058474594781.686 | -11058474598890.689 | 40696527240944.586 | -1856.898 | -81.371 | 84.718 | 
| -11104167247697.688 | -11099881076183.689 | 40628515393688.578 | 2928837802.637 | -95.070 | 110.852 | 
| -11095290136433.688 | -11095292526432.689 | 40620595783874.570 | -234586.914 | 2797280154.895 | -2187719848.867 | 
| -11095301049615.688 | -11095301578023.688 | 40620612725990.578 | -69315.012 | -1709268277.052 | 2748500560.887 | 
| 11062008624706.688 | 11056691464733.689 | -40556827775222.570 | -1600907642.154 | 86.581 | -101.340 | 
| 11050010374033.688 | 11055397349979.689 | -40545652246314.570 | 1604644299.059 | 100.161 | -114.052 | 
| 11080427713213.688 | 11080427717887.688 | -40712065809963.578 | 1493.206 | 46.183 | -68.082 | 
| 11069219679926.689 | 11073667132834.686 | -40578992189784.578 | 2689592218.744 | 124.097 | -117.330 | 
| 11095290066306.688 | 11095292456158.688 | -40620595679555.578 | 234480.559 | 2797279722.131 | -2187720175.155 | 
| 11095301057797.688 | 11095301586234.686 | -40620612736523.578 | 69335.122 | -1709268196.463 | 2748500472.275 | 
| -1103485101697.669 | -1109413586472.369 | 4071215760610.958 | -1907471201.027 | -11.910 | 11.633 | 
| -1105180605885.469 | -1100036779574.469 | 4053312798447.258 | 1519073368.156 | -3.623 | 4.556 | 
| -1107190009300.569 | -1107190009274.069 | 4072842484517.558 | 30.803 | 2.071 | -0.193 | 
| -1097189819547.969 | -1091925289088.569 | 4053142221024.158 | 3052552914.342 | 1.008 | 7.863 | 
| -1109400125055.269 | -1109423976996.269 | 4061850310139.658 | -2336590.730 | 2794434011.121 | -2186956083.952 | 
| -1109510811387.469 | -1109516057432.869 | 4062021920116.358 | -676752.852 | -1709676915.695 | 2748937523.667 | 
| 1111637959829.069 | 1105657127915.069 | -4070885459371.258 | -1476420556.747 | 4.362 | -13.240 | 
| 1104719937983.769 | 1106704340241.869 | -4055047268791.758 | 921591740.492 | 5.471 | -4.843 | 
| 1106663823156.269 | 1106663823648.769 | -4053559749884.059 | 179.253 | 6.946 | -9.807 | 
| 1105979327148.969 | 1112158411257.869 | -4072926958131.458 | 2628294636.860 | 6.208 | -4.041 | 
| 1109400119903.969 | 1109423971854.469 | -4061850305269.158 | 2336569.803 | 2794433655.690 | -2186956154.610 | 
| 1109510811601.569 | 1109516057643.069 | -4062021919591.658 | 676755.032 | -1709676856.873 | 2748937482.959 | 
| -109766358808.297 | -110049028899.407 | 406296760474.226 | -249035879.237 | 1.156 | 2.410 | 
| -110442663221.407 | -109021183956.097 | 406117654995.526 | 299520297.132 | 0.508 | -0.954 | 
| -109862524997.677 | -109862524997.247 | 410971506934.346 | 4.476 | 0.133 | -0.086 | 
| -109927689608.997 | -109064341698.187 | 404908998895.136 | 1118339892.061 | 0.694 | -5.258 | 
| -110279899254.377 | -110280003013.217 | 405540903155.666 | 14624971.087 | 751322352.040 | 62442163.681 | 
| -110424941937.447 | -110443379120.597 | 405463914793.266 | -2569240.046 | 186192391.950 | -361217873.441 | 
| 109629872582.157 | 110837828149.397 | -403958387502.326 | 538984135.227 | 119.539 | 15.566 | 
| 109142190392.107 | 112508663578.637 | -404504464167.746 | 1372373057.817 | -2.799 | -0.338 | 
| 111345803975.247 | 111345804175.017 | -402939511927.846 | 48.631 | 3.383 | -6.084 | 
| 109317611275.977 | 110131214590.167 | -404823830397.556 | 784250386.892 | -4.252 | 0.141 | 
| 110279900077.877 | 110280003853.837 | -405540905772.626 | -14625021.116 | 751323747.502 | 62441733.522 | 
| 110424993819.217 | 110443428981.997 | -405463964395.706 | 2570158.098 | 186209506.973 | -361242357.819 | 
| 20.051 | 4.718 | 4.718 | 0.000 | 0.000 | 0.000 | 
| 4.718 | 20.051 | 4.718 | 0.000 | 0.000 | 0.000 | 
| 4.718 | 4.718 | 20.051 | 0.000 | 0.000 | 0.000 | 
| -0.000 | 0.000 | 0.000 | 4.718 | 0.000 | 0.000 | 
| 0.000 | 0.000 | 0.000 | 0.000 | 4.718 | 0.000 | 
| 0.000 | 0.000 | -0.000 | 0.000 | 0.000 | 4.718 | 
| 20.051 | 4.718 | 4.718 | -0.000 | -0.000 | 0.000 | 
| 4.718 | 20.051 | 4.718 | 0.000 | -0.000 | -0.000 | 
| 4.718 | 4.718 | 20.051 | -0.000 | -0.000 | -0.000 | 
| -0.000 | -0.000 | -0.000 | 4.718 | -0.000 | -0.000 | 
| -0.000 | -0.000 | -0.000 | -0.000 | 4.718 | 0.000 | 
| -0.000 | -0.000 | -0.000 | -0.000 | -0.000 | 4.718 | 
| 20.051 | 4.718 | 4.718 | 0.000 | -0.000 | 0.000 | 
| 4.718 | 20.051 | 4.718 | 0.000 | 0.000 | 0.000 | 
| 6.600 | 6.600 | 16.287 | 0.000 | 0.000 | 0.000 | 
| -0.000 | 0.000 | 0.000 | 4.718 | 0.000 | 0.000 | 
| 0.000 | -0.000 | 0.000 | 0.000 | 4.718 | -0.000 | 
| 0.000 | 0.000 | -0.000 | 0.000 | 0.000 | 4.718 | 
| 20.051 | 4.718 | 4.718 | -0.000 | -0.000 | 0.000 | 
| 4.718 | 20.051 | 4.718 | 0.000 | -0.000 | -0.000 | 
| 6.600 | 6.600 | 16.287 | -0.000 | -0.000 | -0.000 | 
| 0.000 | -0.000 | -0.000 | 4.718 | -0.000 | -0.000 | 
| -0.000 | 0.000 | -0.000 | -0.000 | 4.718 | -0.000 | 
| -0.000 | -0.000 | 0.000 | -0.000 | -0.000 | 4.718 | 
| 14.025 | 7.731 | 7.731 | 0.000 | 0.000 | 0.000 | 
| 7.731 | 14.025 | 7.731 | 0.000 | 0.000 | -0.000 | 
| 7.731 | 7.731 | 14.025 | 0.000 | 0.000 | -0.000 | 
| -0.000 | -0.000 | -0.000 | 0.954 | 0.000 | 0.000 | 
| -0.000 | -0.000 | -0.000 | 0.000 | 0.954 | 0.000 | 
| -0.000 | -0.000 | -0.000 | 0.000 | 0.000 | 0.954 | 
| 14.024 | 7.731 | 7.731 | -0.000 | -0.000 | -0.000 | 
| 7.731 | 14.024 | 7.731 | -0.000 | -0.000 | -0.000 | 
| 7.731 | 7.731 | 14.024 | -0.000 | 0.000 | 0.000 | 
| 0.000 | 0.000 | 0.000 | 0.954 | -0.000 | -0.000 | 
| 0.000 | 0.000 | 0.000 | -0.000 | 0.954 | -0.000 | 
| 0.000 | 0.000 | 0.000 | -0.000 | -0.000 | 0.954 | 
| -9214267275077.301 | -9214283414396.699 | -9214283414396.400 | -0.041 | 0.207 | 0.038 | 
| -9214283414399.199 | -9214267275072.100 | -9214283414399.400 | 0.183 | -0.063 | 0.077 | 
| -9214283414375.598 | -9214283414375.598 | -9214267275119.699 | 0.118 | -0.006 | 0.074 | 
| -9214409121120.600 | -9214409121121.301 | -9214409121121.199 | 128980.319 | -0.121 | 0.081 | 
| -9214409121123.500 | -9214409121116.498 | -9214409121123.100 | -0.172 | 128977.865 | -0.080 | 
| -9214409121121.199 | -9214409121121.199 | -9214409121121.199 | 0.070 | 0.134 | 128980.626 | 
| 9214550964561.000 | 9214534825683.199 | 9214534825683.199 | -0.004 | 0.039 | 0.079 | 
| 9214534825941.801 | 9214550964044.900 | 9214534825941.900 | 0.020 | -0.040 | -0.266 | 
| 9214534825683.199 | 9214534825683.000 | 9214550964561.301 | 0.006 | 0.135 | -0.079 | 
| 9214409121120.500 | 9214409121121.400 | 9214409121121.301 | 128980.509 | -0.047 | -0.021 | 
| 9214409121121.400 | 9214409121120.898 | 9214409121121.100 | -0.354 | 128980.330 | -0.078 | 
| 9214409121121.500 | 9214409121121.301 | 9214409121121.100 | -0.183 | -0.022 | 128979.830 | 
| -921299054341.970 | -921315195671.300 | -921315195671.330 | -0.007 | 0.012 | -0.004 | 
| -921315195670.580 | -921299054343.490 | -921315195670.670 | 0.020 | 0.038 | 0.006 | 
| -921315195670.410 | -921315195670.400 | -921299054343.970 | 0.015 | -0.014 | -0.001 | 
| -921440912121.470 | -921440912120.740 | -921440912121.530 | 128992.117 | 0.003 | 0.022 | 
| -921440912120.740 | -921440912121.530 | -921440912121.550 | 0.006 | 128998.812 | 0.008 | 
| -921440912120.730 | -921440912121.550 | -921440912121.490 | 0.010 | 0.023 | 128980.547 | 
| 921582743831.100 | 921566606954.520 | 921566606954.550 | 0.002 | -0.006 | 0.013 | 
| 921566606959.590 | 921582743820.980 | 921566606959.590 | 0.009 | -0.007 | -0.015 | 
| 921566606961.780 | 921566606961.750 | 921582743816.670 | 0.010 | -0.019 | 0.039 | 
| 921440912121.570 | 921440912120.770 | 921440912121.520 | 128980.158 | -0.004 | 0.015 | 
| 921440912120.750 | 921440912121.520 | 921440912121.550 | 0.008 | 128981.018 | -0.014 | 
| 921440912120.710 | 921440912121.600 | 921440912121.540 | 0.011 | -0.001 | 128980.183 | 
| -92002116104.271 | -92018277631.916 | -92018277631.915 | -0.004 | -0.000 | -0.001 | 
| -92018277631.899 | -92002116104.294 | -92018277631.904 | 0.002 | 0.001 | 0.001 | 
| -92018277631.916 | -92018277631.912 | -92002116104.271 | 0.001 | -0.000 | -0.002 | 
| -92144091305.413 | -92144091297.855 | -92144091305.672 | 128980.195 | 0.001 | 0.000 | 
| -92144091297.867 | -92144091305.388 | -92144091305.685 | -0.001 | 128980.291 | 0.002 | 
| -92144091297.858 | -92144091305.673 | -92144091305.424 | 0.000 | -0.000 | 128980.236 | 
| 92285805577.679 | 92269688922.190 | 92269688922.188 | 0.000 | 0.000 | -0.003 | 
| 92269688913.356 | 92285805595.341 | 92269688913.356 | -0.000 | 0.002 | -0.000 | 
| 92269688916.748 | 92269688916.747 | 92285805588.572 | 0.001 | -0.001 | -0.004 | 
| 92144091305.579 | 92144091297.769 | 92144091305.588 | 128980.134 | -0.001 | 0.001 | 
| 92144091297.789 | 92144091305.554 | 92144091305.606 | -0.001 | 128981.973 | -0.000 | 
| 92144091297.778 | 92144091305.584 | 92144091305.593 | 0.002 | 0.002 | 128978.259 | 
| 10017727252098.434 | 10717748884231.436 | 10852290997198.432 | 240782373457.140 | -11713540818.408 | 172279892356.690 | 
| 11692013856077.434 | 10570851728097.434 | 11412193462611.434 | 234873537364.360 | 369972122053.000 | 181006690797.650 | 
| 12259369410822.434 | 12380015013537.436 | 11783116462838.432 | 238624688546.520 | 263733438165.630 | 428568315897.550 | 
| 9142030898689.135 | 10796240822751.434 | 7435873537222.733 | 3138543521091.100 | -47912096509.229 | 248713758794.640 | 
| 10447644197131.434 | 10346405288298.434 | 9222046375963.332 | -98688075884.762 | 2423668510171.400 | 3405801565.635 | 
| 9294575019072.334 | 8060388495852.634 | 10525485950648.434 | 129149858228.820 | -94285413306.267 | 3023752157920.700 | 
| -9749868264294.033 | -11334483673740.434 | -11218749684550.434 | -271868257609.500 | 7226075770.973 | -210999791911.890 | 
| -11537121722669.436 | -10328921803323.434 | -11391092948818.432 | 84902870511.668 | -317192704234.630 | 21221614832.157 | 
| -11875215924010.436 | -11797762249071.436 | -9993251446216.633 | -24618299747.409 | -249852162948.010 | -302443856898.670 | 
| -8028559198055.533 | -7151715380833.732 | -6191643221571.033 | 3268308408071.300 | 2445416018.213 | -60258242406.327 | 
| -11486114731293.434 | -9055680883851.135 | -13960899710451.434 | -18559879298.346 | 10104851675838.000 | -33546884465.160 | 
| -7471249444495.533 | -7588024035473.134 | -8379874952762.132 | -105326879758.690 | 130006714249.070 | 3460798336493.899 | 
| 1181975552191.344 | 1153518812631.443 | 1171856242940.443 | 21752605185.792 | 49108913030.971 | 41683538773.972 | 
| 1069701386710.943 | 1123935241059.644 | 1086364755891.443 | 18359275620.867 | 15485183996.823 | 25726498616.014 | 
| 1088428101019.943 | 1081323716040.044 | 1152007015548.543 | 14218531451.803 | 23939214693.425 | 21799237558.809 | 
| 1394977469472.543 | 745640813083.633 | 933866276879.193 | 151559754750.770 | 1433432063.106 | 18873203069.657 | 
| 742068847076.063 | 1333302928984.243 | 898142999126.783 | 3689714226.711 | 188689837190.300 | 28203793391.561 | 
| 714582953437.523 | 874424218630.543 | 1299964136961.743 | -7381534567.233 | -19175419988.071 | 173772283922.690 | 
| -1022794585316.144 | -997938656809.533 | -1036546380942.143 | -20582195194.353 | -20406485858.440 | -20041410078.218 | 
| -978032725553.924 | -1030355830777.643 | -1051049007780.343 | -11227387740.900 | -5696005492.833 | -21216742845.762 | 
| -1001983051290.744 | -991945508673.324 | -1032822728216.743 | -33373166325.910 | -32177152330.213 | -32628446353.939 | 
| -1282953352851.943 | -658138982193.063 | -607189529399.723 | 170242994039.320 | -16004262576.502 | -4047608683.418 | 
| -586140553898.733 | -1252358931164.243 | -602063493307.833 | -14666661405.583 | 111925240631.890 | 9554749827.133 | 
| -674036135978.723 | -667966532947.984 | -1251653122613.343 | 10837353964.754 | 22767236648.285 | 178743125542.160 | 
| 110113228921.714 | 102594255362.834 | 98045862523.869 | 564159371.939 | 2591715722.965 | 2427707167.486 | 
| 101845734153.024 | 109999284877.674 | 100727510652.214 | 3282561827.567 | 1324726634.389 | 1818614287.815 | 
| 99280764366.716 | 103039295853.084 | 114783302454.724 | 2291945932.639 | 4108171884.368 | -712003649.490 | 
| 119002046422.924 | 107282477958.324 | 131459851906.764 | 16743434916.449 | 128658896.657 | 55596079.859 | 
| 99694377290.760 | 119324211645.904 | 133585951119.324 | 1881717054.020 | 18944627475.239 | -529019407.033 | 
| 98099968406.838 | 117905526390.644 | 116952457612.984 | 1343366508.707 | -479336836.237 | 18730488461.043 | 
| -106560302737.004 | -115129550211.924 | -108874103984.774 | 3258501060.885 | 2116710021.947 | 176999350.081 | 
| -109291038195.054 | -113455800067.154 | -114675512483.924 | 1612465160.491 | 3082996108.998 | 3104695014.942 | 
| -120945535924.694 | -121274332623.554 | -125299251389.024 | -1252997224.558 | -3592203844.367 | -1001796868.020 | 
| -136930092278.334 | -122302646371.694 | -113490804919.534 | 13772276210.484 | -2017034500.139 | -2424323500.185 | 
| -109824835316.244 | -128751603414.634 | -107742780623.604 | -3662018768.087 | 12775157807.242 | -1976851883.120 | 
| -105497857765.354 | -102471322128.584 | -129891392986.744 | -5086223081.414 | 1056283583.426 | 13940666456.942 | 
| 9.320 | 10.355 | 10.355 | -0.000 | -0.000 | -0.000 | 
| 10.355 | 9.320 | 10.355 | -0.000 | -0.000 | 0.000 | 
| 10.355 | 10.355 | 9.320 | 0.000 | 0.000 | -0.000 | 
| -0.000 | -0.000 | 0.000 | -0.750 | 0.000 | -0.000 | 
| -0.000 | -0.000 | 0.000 | -0.000 | -0.750 | -0.000 | 
| -0.000 | -0.000 | 0.000 | 0.000 | 0.000 | -0.750 | 
| 9.320 | 10.355 | 10.355 | 0.000 | -0.000 | 0.000 | 
| 10.355 | 9.320 | 10.355 | -0.000 | -0.000 | 0.000 | 
| 10.355 | 10.355 | 9.320 | 0.000 | 0.000 | 0.000 | 
| 0.000 | 0.000 | -0.000 | -0.750 | -0.000 | 0.000 | 
| 0.000 | 0.000 | -0.000 | 0.000 | -0.750 | 0.000 | 
| 0.000 | 0.000 | -0.000 | -0.000 | -0.000 | -0.750 | 
| 9.320 | 10.355 | 10.355 | -0.000 | 0.000 | -0.000 | 
| 10.355 | 9.320 | 10.355 | 0.000 | -0.000 | -0.000 | 
| 10.355 | 10.355 | 9.320 | -0.000 | -0.000 | -0.000 | 
| -0.000 | -0.000 | -0.000 | -0.750 | 0.000 | -0.000 | 
| -0.000 | -0.000 | -0.000 | 0.000 | -0.750 | -0.000 | 
| -0.000 | -0.000 | -0.000 | 0.000 | 0.000 | -0.750 | 
| 9.320 | 10.355 | 10.355 | 0.000 | 0.000 | 0.000 | 
| 10.355 | 9.320 | 10.355 | 0.000 | 0.000 | 0.000 | 
| 10.355 | 10.355 | 9.320 | 0.000 | 0.000 | 0.000 | 
| 0.000 | 0.000 | 0.000 | -0.750 | -0.000 | 0.000 | 
| 0.000 | 0.000 | 0.000 | -0.000 | -0.750 | 0.000 | 
| 0.000 | 0.000 | 0.000 | -0.000 | -0.000 | -0.750 | 
| 9.320 | 10.356 | 10.356 | -0.000 | -0.000 | -0.000 | 
| 10.356 | 9.320 | 10.356 | -0.000 | -0.000 | -0.000 | 
| 10.356 | 10.356 | 9.320 | -0.000 | -0.000 | -0.000 | 
| -0.000 | -0.000 | -0.000 | -0.750 | -0.000 | -0.000 | 
| -0.000 | -0.000 | -0.000 | -0.000 | -0.750 | -0.000 | 
| -0.000 | -0.000 | -0.000 | 0.000 | 0.000 | -0.750 | 
| 9.320 | 10.355 | 10.355 | 0.000 | 0.000 | 0.000 | 
| 10.355 | 9.320 | 10.355 | 0.000 | -0.000 | 0.000 | 
| 10.355 | 10.355 | 9.320 | 0.000 | 0.000 | 0.000 | 
| 0.000 | 0.000 | 0.000 | -0.750 | -0.000 | 0.000 | 
| 0.000 | 0.000 | 0.000 | -0.000 | -0.750 | 0.000 | 
| 0.000 | 0.000 | 0.000 | -0.000 | -0.000 | -0.750 | 
| 87588776032.894 | 87588777784.669 | 87588777784.671 | -0.001 | -0.000 | -0.001 | 
| 87588777784.669 | 87588776032.894 | 87588777784.671 | -0.001 | -0.001 | -0.001 | 
| 87588777784.666 | 87588777784.667 | 87588776032.892 | -0.000 | -0.000 | -0.000 | 
| 87587339803.541 | 87587339803.541 | 87587339803.541 | -1752.277 | -0.002 | 0.002 | 
| 87587339803.541 | 87587339803.541 | 87587339803.541 | 0.001 | -1752.276 | -0.002 | 
| 87587339803.541 | 87587339803.541 | 87587339803.541 | -0.003 | -0.003 | -1752.281 | 
| -87585903533.485 | -87585901781.766 | -87585901781.768 | 0.000 | 0.000 | 0.001 | 
| -87585901781.766 | -87585903533.486 | -87585901781.768 | 0.000 | -0.000 | 0.000 | 
| -87585901781.766 | -87585901781.766 | -87585903533.486 | 0.001 | 0.001 | -0.000 | 
| -87587339803.542 | -87587339803.542 | -87587339803.542 | -1752.283 | 0.001 | -0.001 | 
| -87587339803.541 | -87587339803.542 | -87587339803.541 | -0.001 | -1752.283 | 0.002 | 
| -87587339803.543 | -87587339803.543 | -87587339803.543 | -0.002 | 0.003 | -1752.283 | 
| 8760170026.355 | 8760171778.389 | 8760171778.389 | 0.000 | -0.000 | -0.000 | 
| 8760171778.389 | 8760170026.355 | 8760171778.389 | -0.000 | 0.000 | -0.000 | 
| 8760171778.389 | 8760171778.389 | 8760170026.354 | -0.000 | -0.000 | 0.000 | 
| 67864557561.895 | 68607037127.013 | 68607027941.566 | -45948740497.490 | 7378.186 | 7515.616 | 
| 68607032212.351 | 67864552549.278 | 68607023026.909 | 7435.062 | -45948746454.973 | 7464.202 | 
| 68607359625.132 | 68607350439.778 | 67864886486.021 | 8959.032 | 9083.151 | -45948349712.865 | 
| -8757297526.959 | -8757295775.500 | -8757295775.500 | 0.000 | 0.000 | 0.000 | 
| -8757295775.500 | -8757297526.959 | -8757295775.500 | 0.000 | 0.000 | 0.000 | 
| -8757295775.500 | -8757295775.500 | -8757297526.959 | 0.000 | 0.000 | 0.000 | 
| -67857570757.093 | -68600186825.752 | -68600177637.099 | -45957041715.026 | -1847.643 | 1725.808 | 
| -68600176421.476 | -67857560145.484 | -68600167232.821 | 3229.122 | -45957054323.974 | -3351.012 | 
| -68598749237.918 | -68598740048.914 | -67856104524.624 | 4600.052 | -4702.165 | -45958783693.146 | 
| 877307610.750 | 877309365.368 | 877309365.368 | -0.000 | 0.000 | 0.000 | 
| 877309365.368 | 877307610.750 | 877309365.368 | 0.000 | -0.000 | -0.000 | 
| 877309365.368 | 877309365.368 | 877307610.750 | -0.000 | -0.000 | -0.000 | 
| 6785021965.486 | 6859311044.781 | 6859301852.023 | -4596384026.196 | 105.683 | 104.575 | 
| 6859311284.277 | 6785022209.756 | 6859302091.520 | 103.695 | -4596383735.993 | 106.797 | 
| 6859312116.737 | 6859302923.983 | 6785023058.807 | 188.639 | 194.419 | -4596382727.270 | 
| -874435111.349 | -874433362.482 | -874433362.482 | 0.000 | -0.000 | -0.000 | 
| -874433362.482 | -874435111.349 | -874433362.482 | -0.000 | 0.000 | 0.000 | 
| -874433362.482 | -874433362.482 | -874435111.349 | 0.000 | 0.000 | -0.000 | 
| -6784121124.440 | -6858427806.652 | -6858418611.759 | -4597454279.626 | -6.366 | 3.829 | 
| -6858427892.686 | -6784121212.188 | -6858418697.793 | -46.156 | -4597454175.377 | 43.620 | 
| -6858410810.918 | -6858401615.984 | -6784103789.982 | -166.774 | 167.108 | -4597474873.941 | 
| 52879121740775.695 | 52877549963451.695 | 52877549963452.703 | 0.130 | 0.307 | 0.262 | 
| 68585247430490.711 | 69200713132798.703 | 68769323519087.695 | -258785977812.830 | -360515052005.380 | -312400490241.100 | 
| 29297755143238.695 | 29393621665985.703 | 28009544613009.695 | -335838033456.070 | -1102167260847.800 | -1072267417882.000 | 
| 52877375297098.688 | 52877375294762.695 | 52877375294757.703 | 173610736.599 | -0.104 | -0.134 | 
| 52877375294762.695 | 52877375297098.688 | 52877375294757.703 | -0.300 | 173610736.504 | -0.047 | 
| 52877375294762.695 | 52877375294754.688 | 52877375297098.688 | -0.092 | 0.026 | 173610736.653 | 
| -57847652445765.695 | -57941312681963.703 | -57600211852036.695 | -84156896445.896 | -40815276429.351 | -45934545902.073 | 
| -42949486418501.703 | -44337338755483.688 | -44591926732295.695 | -676842462801.470 | 41261469812.035 | -306379088815.420 | 
| -37094231897841.695 | -41991657382242.703 | -48076994242723.695 | 208493810046.690 | 18198392757.094 | -405566550028.860 | 
| -10042141519827.699 | -9368739467245.699 | -10128517913052.699 | -2100023266077.900 | -1816923713244.600 | -1534495031585.000 | 
| -39963057839245.695 | -39220940338647.703 | -40381595707376.695 | 873464296359.620 | 408966970005.060 | 401627380328.570 | 
| -52877375294761.695 | -52877375294754.688 | -52877375297097.695 | 0.344 | 0.121 | 173610736.631 | 
| 430525832511.200 | 503590509680.980 | 559555747057.570 | 29108777773.046 | 33209711432.114 | -42612913309.577 | 
| 5758104820684.370 | 5809791269261.171 | 5782128717131.471 | -3700598372.367 | 15432917969.564 | -22506865922.372 | 
| 5287912173357.771 | 5287912173357.671 | 5289483642650.869 | -0.019 | -0.003 | -0.015 | 
| 3478704698988.170 | 3447374765200.270 | 3198155942711.871 | 43091567484.896 | 20420153518.571 | 21067221802.006 | 
| 3138837342784.670 | 3166463358652.670 | 3105757242134.970 | 3171235613.616 | 12094720763.549 | 20862296054.967 | 
| 3574123871730.470 | 3472247032600.070 | 3667807381885.070 | -57588708277.841 | -81257959537.123 | -3775524342.131 | 
| -669667730153.050 | -643177019636.930 | -563361817496.830 | -97485803913.190 | -76897283322.455 | -81511178732.615 | 
| -872615038295.970 | -835484103662.620 | -816490507396.140 | -124279767240.700 | -23271269657.556 | -71658011313.243 | 
| -2783456782175.771 | -2782762999565.570 | -2734648143680.970 | 55006601532.821 | 58211586728.165 | 94525995692.910 | 
| -4734939532295.870 | -4705810720166.470 | -4856844348877.970 | -12403138638.268 | -24961817837.794 | -2345918480.053 | 
| -826307208912.870 | -968149075160.980 | -855781486339.630 | -106405166822.100 | -241285706630.440 | -227830499677.350 | 
| -4090442493359.870 | -3836945341468.470 | -3356590677666.770 | 105062862419.700 | 81890116711.436 | 47034374958.832 | 
| 530516560026.437 | 528948171097.657 | 528948171097.657 | 0.001 | -0.001 | 0.001 | 
| 625983584791.277 | 622493304223.657 | 625146606255.017 | -15402977.999 | 517397942.255 | -277467305.474 | 
| 617889473747.617 | 617443765182.337 | 620096451092.197 | -224413731.693 | -343936911.999 | -365697061.338 | 
| 528773735605.947 | 528773501888.937 | 528773501450.247 | 173610737.222 | -0.000 | -0.001 | 
| 528773501888.937 | 528773735605.947 | 528773501450.247 | -0.002 | 173610737.224 | -0.001 | 
| 379602621848.127 | 371757040663.087 | 383579104605.127 | 9620908273.168 | 3805275346.029 | 7337628918.836 | 
| -544061384244.347 | -541678552018.577 | -546256501215.167 | -902889127.892 | 2094534833.769 | 559006306.082 | 
| -330062927170.447 | -323330523246.857 | -311997900571.897 | -2059395723.830 | 7116646071.188 | 4476693300.409 | 
| -642534673564.237 | -642533085445.617 | -640997525058.307 | -2186981677.473 | -2186666116.829 | -2219403014.612 | 
| -354594915145.537 | -355937143435.817 | -378090783883.667 | 4073702379.569 | -2969237910.373 | 2035979523.085 | 
| -338850727218.877 | -339145486275.967 | -336416331177.757 | 3714038860.694 | 18993001177.564 | 6081487314.888 | 
| -263814517931.047 | -259392789117.047 | -268178853949.937 | 1776143071.562 | 3200791471.958 | 669343397.781 | 
| 14801532219100.588 | 14757549781427.588 | 12589188367975.588 | 209543447996.740 | -167941897830.000 | -619586093534.660 | 
| 13042323502191.590 | 13596466616305.588 | 11985704303904.590 | 1108629637395.400 | 712023728924.800 | -58710390373.464 | 
| 18194806832430.590 | 18094193854195.590 | 20454939161417.586 | 984102213664.440 | 632177027767.540 | -250737629252.180 | 
| 13908650110605.588 | 14199166379017.588 | 9041477212459.588 | -481134311867.860 | 111220269680.870 | -913349834652.470 | 
| 14727625727443.590 | 13585392121399.588 | 10913106680157.590 | 891542714008.590 | 745455412873.870 | -1616905675364.100 | 
| 12468653332882.590 | 13564358533617.590 | 12076136605588.588 | 384987838636.020 | 2040198674983.900 | -1024963930063.900 | 
| -13789265703500.590 | -13539056741052.588 | -14867983233948.590 | -1517224141491.000 | 93621000094.703 | -751843737230.810 | 
| -12926341052816.588 | -14271146260014.588 | -11032584209523.588 | -372358088362.420 | -623303328304.990 | -162811297140.070 | 
| -12915193814802.588 | -13414666670424.588 | -14000973387506.590 | -67096450114.245 | -1298189567817.900 | -554418826738.710 | 
| -11964049220868.590 | -14316605489947.590 | -12839675629112.586 | -1458241131890.500 | -659812428458.830 | 206444096307.170 | 
| -13834353924480.590 | -11960559541257.588 | -8390072136347.188 | -1292089727639.200 | 459623864350.580 | -116087088798.340 | 
| -15983074282999.588 | -14913883576760.590 | -11461919243499.588 | 229841768021.430 | -773235306938.090 | 25993943605.804 | 
| 1552240327051.759 | 1567001780185.659 | 1462062254022.759 | -67271262824.306 | 26845866567.411 | -226763737547.500 | 
| 1446065684106.459 | 1516464505137.559 | 1225715996320.359 | 43724679433.199 | 21132601903.072 | -139097607461.960 | 
| 1234535358525.259 | 1233565460229.159 | 1386066986566.559 | 64875319271.115 | 95253500756.657 | -104616853502.350 | 
| 1215873107482.959 | 1341149247570.459 | 1013944528202.459 | 92682980968.441 | 126410771971.600 | -13821630453.794 | 
| 1435138075994.559 | 1303434469742.259 | 1282587125093.259 | -53784669781.270 | 95364511735.355 | 49180321315.054 | 
| 1569496103062.459 | 1416009110125.759 | 1605655511899.459 | 65629807420.866 | -17747684349.026 | -90251551435.986 | 
| -1294579286668.659 | -1436058089859.059 | -1148223463546.259 | -55933828498.996 | -98178018371.906 | 11353511508.841 | 
| -1374919215615.559 | -1233866008502.559 | -1347953009221.059 | -143294847928.490 | -81300813242.057 | 104042245465.260 | 
| -1678160523616.059 | -1571967988105.559 | -1778277191562.659 | -26451632534.266 | -107979878838.500 | 36170414190.629 | 
| -1439551474971.959 | -1388936932426.159 | -1127209256902.859 | -17388356311.319 | 38435595482.563 | 172824818525.690 | 
| -1282890653662.659 | -1514683415880.059 | -1273754540912.559 | -107289691412.090 | -25995251521.032 | 91215065319.532 | 
| -1646243802481.559 | -1544322859407.659 | -1658220437974.159 | -123422126978.730 | 4844295912.026 | 27506524376.198 | 
| 146984966750.536 | 164784296521.746 | 97325795397.297 | 13597069063.957 | -4673707168.359 | -6312259616.519 | 
| 124866256493.036 | 151271541785.796 | 147926883297.396 | -1802852418.054 | 4198988409.390 | -5101841374.542 | 
| 131319697669.626 | 124726042984.136 | 121311753494.966 | -3209522609.064 | 9168480686.702 | -3140676264.628 | 
| 155018421107.446 | 144442229475.256 | 119773878650.916 | -12547929143.619 | 6267515379.340 | -13588858047.398 | 
| 151244952932.026 | 160807415245.056 | 85893663103.218 | 2286745561.148 | 2753799882.807 | -10228195410.268 | 
| 119043868251.866 | 171113151478.046 | 140983612177.406 | 14824273026.833 | 14387800002.256 | -10575273194.349 | 
| -136779959393.266 | -144667496060.926 | -123524022911.386 | 1235468780.541 | -3765320608.682 | 8691329753.776 | 
| -130064852246.926 | -126483347250.236 | -128318531093.426 | 840276041.881 | -5719912793.388 | 2006697000.364 | 
| -141237785402.846 | -149672241526.086 | -152157006205.616 | -15928104182.358 | -9322359014.481 | -599316192.478 | 
| -133090541376.446 | -134860394924.136 | -114373311090.886 | -8915071817.545 | -10299407876.125 | 16258165924.087 | 
| -147619211174.506 | -146122717613.846 | -153812074388.486 | -9543688327.890 | -16102849367.707 | 6295968834.617 | 
| -154853780444.146 | -149924898632.906 | -124832230995.326 | -3425505220.320 | -46007821.801 | 4389899146.400 | 
| 14.919 | 7.459 | 7.459 | -0.000 | -0.000 | -0.000 | 
| 7.459 | 14.919 | 7.459 | -0.000 | -0.000 | -0.000 | 
| 7.459 | 7.459 | 14.919 | -0.000 | -0.000 | -0.000 | 
| -0.000 | 0.000 | 0.000 | 7.459 | -0.000 | -0.000 | 
| 0.000 | -0.000 | 0.000 | -0.000 | 7.459 | -0.000 | 
| 0.000 | 0.000 | -0.000 | -0.000 | -0.000 | 7.459 | 
| 14.919 | 7.459 | 7.459 | 0.000 | -0.000 | -0.000 | 
| 7.459 | 14.919 | 7.459 | -0.000 | 0.000 | -0.000 | 
| 7.459 | 7.459 | 14.919 | -0.000 | -0.000 | 0.000 | 
| 0.000 | -0.000 | -0.000 | 7.459 | 0.000 | 0.000 | 
| -0.000 | 0.000 | -0.000 | 0.000 | 7.459 | 0.000 | 
| -0.000 | -0.000 | 0.000 | 0.000 | 0.000 | 7.459 | 
| 14.919 | 7.459 | 7.459 | -0.000 | -0.000 | -0.000 | 
| 7.459 | 14.919 | 7.459 | -0.000 | -0.000 | -0.000 | 
| 7.459 | 7.459 | 14.919 | -0.000 | -0.000 | -0.000 | 
| -0.000 | 0.000 | 0.000 | 7.459 | -0.000 | -0.000 | 
| 0.000 | -0.000 | 0.000 | -0.000 | 7.459 | -0.000 | 
| 0.000 | 0.000 | -0.000 | -0.000 | -0.000 | 7.459 | 
| 14.919 | 7.459 | 7.459 | 0.000 | -0.000 | -0.000 | 
| 7.459 | 14.919 | 7.459 | -0.000 | 0.000 | -0.000 | 
| 7.459 | 7.459 | 14.919 | -0.000 | -0.000 | 0.000 | 
| 0.000 | -0.000 | -0.000 | 7.459 | 0.000 | 0.000 | 
| -0.000 | 0.000 | -0.000 | 0.000 | 7.459 | 0.000 | 
| -0.000 | -0.000 | 0.000 | 0.000 | 0.000 | 7.459 | 
| 14.919 | 7.459 | 7.459 | -0.000 | 0.000 | 0.000 | 
| 7.459 | 14.919 | 7.459 | 0.000 | -0.000 | 0.000 | 
| 7.459 | 7.459 | 14.919 | 0.000 | 0.000 | -0.000 | 
| -0.000 | 0.000 | 0.000 | 7.459 | -0.000 | -0.000 | 
| 0.000 | -0.000 | 0.000 | -0.000 | 7.459 | -0.000 | 
| 0.000 | 0.000 | -0.000 | -0.000 | -0.000 | 7.459 | 
| 14.919 | 7.459 | 7.459 | 0.000 | 0.000 | 0.000 | 
| 7.459 | 14.919 | 7.459 | 0.000 | 0.000 | 0.000 | 
| 7.459 | 7.459 | 14.919 | 0.000 | 0.000 | 0.000 | 
| 0.000 | -0.000 | -0.000 | 7.459 | 0.000 | 0.000 | 
| -0.000 | 0.000 | -0.000 | 0.000 | 7.459 | 0.000 | 
| -0.000 | -0.000 | 0.000 | 0.000 | 0.000 | 7.459 | 
| -14941333324591.998 | -14941529076349.002 | -14941529076349.998 | -0.181 | -0.147 | -0.122 | 
| -14941529076349.002 | -14941333324591.998 | -14941529076349.002 | -0.154 | -0.204 | -0.172 | 
| -14941529076349.002 | -14941529076349.002 | -14941333324591.998 | -0.009 | 0.006 | -0.059 | 
| -14941724379863.998 | -14941724377642.000 | -14941724377639.002 | 195600120.855 | -0.169 | -0.185 | 
| -14941724377642.000 | -14941724379863.998 | -14941724377637.998 | -0.020 | 195600120.848 | -0.019 | 
| -14941724377642.000 | -14941724377639.002 | -14941724379863.998 | -0.138 | -0.051 | 195600120.884 | 
| 14942115426243.000 | 14941919678924.002 | 14941919678924.002 | -0.114 | 0.169 | 0.148 | 
| 14941919678923.000 | 14942115426243.000 | 14941919678924.002 | 0.299 | -0.021 | -0.002 | 
| 14941919678923.000 | 14941919678923.000 | 14942115426243.000 | -0.142 | -0.160 | 0.055 | 
| 14941724379863.998 | 14941724377642.000 | 14941724377639.002 | 195600120.923 | 0.080 | 0.108 | 
| 14941724377642.000 | 14941724379863.998 | 14941724377639.002 | 0.055 | 195600121.011 | 0.087 | 
| 14941724377642.000 | 14941724377639.002 | 14941724379863.998 | 0.053 | 0.097 | 195600121.065 | 
| -1493781342732.700 | -1493977114446.200 | -1493977114446.200 | 0.003 | -0.005 | -0.003 | 
| -1493977114446.300 | -1493781342732.700 | -1493977114446.300 | -0.003 | -0.021 | -0.023 | 
| -1493977114446.200 | -1493977114446.200 | -1493781342732.700 | 0.009 | 0.009 | -0.006 | 
| -1494172437996.000 | -1494172415791.700 | -1494172415762.200 | 195600121.159 | 0.001 | 0.003 | 
| -1494172415791.700 | -1494172437996.000 | -1494172415762.200 | -0.003 | 195600121.159 | 0.003 | 
| -1494172415791.700 | -1494172415762.200 | -1494172437995.900 | -0.016 | -0.012 | 195600121.166 | 
| 1494563444383.000 | 1494367717019.700 | 1494367717019.700 | 0.005 | 0.010 | 0.008 | 
| 1494367717019.700 | 1494563444383.000 | 1494367717019.700 | 0.010 | 0.005 | 0.006 | 
| 1494367717019.700 | 1494367717019.700 | 1494563444383.000 | 0.004 | 0.004 | 0.006 | 
| 1494172437995.800 | 1494172415791.700 | 1494172415762.100 | 195600121.160 | 0.003 | 0.014 | 
| 1494172415791.600 | 1494172437995.800 | 1494172415762.100 | -0.003 | 195600121.137 | 0.010 | 
| 1494172415791.700 | 1494172415762.100 | 1494172437995.900 | 0.009 | 0.003 | 195600121.177 | 
| -149025748693.190 | -149221719980.580 | -149221719980.580 | -0.000 | -0.004 | -0.004 | 
| -149221719980.580 | -149025748693.190 | -149221719980.580 | -0.004 | -0.000 | -0.000 | 
| -149221719980.570 | -149221719980.570 | -149025748693.180 | 0.000 | 0.000 | 0.000 | 
| -149417243896.340 | -149417021853.770 | -149417021560.420 | 195600120.884 | -0.002 | -0.003 | 
| -149417021853.770 | -149417243896.340 | -149417021560.420 | -0.002 | 195600120.885 | -0.001 | 
| -149417021853.760 | -149417021560.420 | -149417243896.330 | -0.001 | -0.001 | 195600120.885 | 
| 149807850342.190 | 149612322554.240 | 149612322554.240 | 0.001 | -0.006 | -0.006 | 
| 149612322554.240 | 149807850342.190 | 149612322554.240 | -0.005 | -0.000 | -0.001 | 
| 149612322554.250 | 149612322554.250 | 149807850342.210 | 0.003 | 0.003 | 0.003 | 
| 149417243896.340 | 149417021853.760 | 149417021560.420 | 195600120.887 | 0.002 | 0.002 | 
| 149417021853.770 | 149417243896.340 | 149417021560.420 | 0.002 | 195600120.887 | 0.001 | 
| 149417021853.760 | 149417021560.420 | 149417243896.330 | 0.001 | 0.001 | 195600120.887 | 
| -83812668837465.547 | 54906407612103.430 | -83854491208444.984 | 1975099172.863 | 78876176.653 | -244705980.294 | 
| 54916553622128.445 | -83796180046640.562 | -83853683121227.984 | 70843838.799 | 2008917544.187 | -184576831.175 | 
| -26979096143598.562 | -26979096143599.555 | -42563744948662.000 | 0.193 | 0.264 | 0.222 | 
| 28283014447909.441 | 15384557990433.441 | 13475052581914.000 | 24374386857916.004 | -369024.182 | -475551.410 | 
| 15384560275003.441 | 28283012957221.441 | 13475049055023.998 | -467011.110 | 24374376629272.000 | -601511.338 | 
| 7008352661808.142 | 5837942496485.642 | 4041332577142.300 | -20638601055.617 | 28611519494.689 | -220078568134.840 | 
| -47339687366380.438 | 63071569359856.562 | 85270084617791.000 | -7930355178.108 | 2026061902.137 | 93210133505.102 | 
| 60442484005326.570 | -59039345379674.445 | 84467537743121.000 | 2089.666 | 321740500.400 | 48304622128.710 | 
| 26979261096205.555 | 26979261096205.555 | 42564345650358.000 | -0.073 | -0.096 | -0.254 | 
| -28282945784741.445 | -15384165101664.441 | -13474856117513.002 | 24374467036070.000 | 355898.149 | -458628.829 | 
| -15384327683312.439 | -28282970954817.438 | -13474929477981.000 | 442501.070 | 24374417287744.996 | -570454.940 | 
| -8696837409196.642 | -8438884324393.343 | -1607192022071.800 | 361867150740.870 | 714029413986.150 | 1237405956615.600 | 
| -6018669709647.856 | 5297412266644.144 | -8436789068876.602 | -30753206.406 | 358643519.976 | 86790648313.667 | 
| 5729356549751.345 | -5768271850411.957 | -8346728997583.700 | 229875656.266 | -140079970.533 | -43458872693.977 | 
| -2697835347246.156 | -2697835347246.156 | -4256104139335.801 | -0.000 | 0.007 | 0.027 | 
| 2828675023666.244 | 1541367597389.344 | 1349246131738.600 | 2437559468919.200 | -3267.191 | -4209.455 | 
| 1541367609780.844 | 2828675021739.044 | 1349246127877.400 | -4777.937 | 2437559445388.200 | -6155.991 | 
| -2697917818694.556 | -2697917818759.656 | -4256404502776.300 | -0.005 | 0.006 | -279417522.374 | 
| -4451578096703.844 | 6515000656088.355 | 8380750676924.801 | 3559413879.992 | -300463160.114 | -99685497747.389 | 
| 6252667778004.057 | -5312806810778.845 | 8526775156888.301 | 39844644.375 | 6220330.775 | -32535910820.079 | 
| 2698000299852.456 | 2698000299852.456 | 4256704841032.100 | -0.007 | -0.014 | -0.021 | 
| -2828673838545.545 | -1541360733061.444 | -1349242733954.100 | 2437560943315.300 | 3192.678 | -4113.276 | 
| -1541360790247.944 | -2828673868066.145 | -1349242810605.200 | 3554.543 | 2437561032022.800 | -4579.432 | 
| 2697917818694.556 | 2697917818759.656 | 4256404502776.300 | 0.004 | -0.001 | -279417522.370 | 
| -646062620894.926 | 450680715688.034 | -856146702338.600 | -100265755.339 | -23453341.447 | 3561899020.995 | 
| 473381131289.724 | -621441944410.216 | -843406320295.060 | 444804011.209 | 112461697.821 | 3006930091.499 | 
| -269708921642.276 | -269708921642.276 | -425339700500.690 | 0.001 | 0.001 | 0.002 | 
| 283352061796.024 | 158579288085.554 | 137048034000.950 | 242758179366.730 | -31.427 | -40.620 | 
| 158579288045.774 | 283352061475.614 | 137048033206.420 | -40.290 | 242758177751.680 | -52.071 | 
| -25905417354.745 | 17161533988.640 | 49544079355.273 | 3176923023.072 | 8025257957.614 | 717179982.117 | 
| -508968690867.974 | 632657497162.716 | 854334048965.710 | 24580313.326 | 72910449.742 | 3566763988.009 | 
| 624651376112.196 | -438367479174.644 | 785236151152.560 | -566135780.680 | 10987900154.689 | 1849081422.069 | 
| 269873874249.056 | 269873874249.056 | 425940402195.860 | -0.001 | -0.001 | -0.002 | 
| -283352053287.394 | -158579254376.464 | -137048010692.140 | 242758172834.500 | 25.675 | -33.185 | 
| -158579261195.864 | -283352054517.424 | -137048014193.510 | 33.655 | 242758171611.880 | -43.502 | 
| -34028204594.219 | -66662656003.007 | -82580445437.957 | -2245857625.874 | -2381722602.753 | -9719237337.936 | 
| 6791348760628.500 | 5732364226223.600 | 1679147546299.600 | -1293.088 | -16712.160 | -47861.790 | 
| 5732364234242.300 | 6791348755525.400 | 1679147547620.600 | -16710.782 | -1292.398 | -47822.176 | 
| 49660106615.333 | 43659085564.929 | 85988674142.483 | -82863661.192 | 404013338.153 | -10599318589.677 | 
| -53038260372.739 | 34497799564.527 | 114847372888.040 | 8604494895.093 | 3245852148.894 | 63682679266.101 | 
| -13011442784.497 | -12803394475.983 | 59642283761.627 | 61195142.110 | -196317451.265 | -3557137006.879 | 
| 164913508131.220 | 164543731453.590 | 89715866433.564 | 223516295.040 | 1006732257.051 | -16463304626.156 | 
| -5732748517886.600 | -6791092910071.800 | -1679158711156.500 | 7646.817 | -17403.967 | 83944.887 | 
| -6791092910886.398 | -5732748503642.300 | -1679158705674.200 | -17395.192 | 7664.840 | 84443.317 | 
| -1515821960.324 | -497018981.357 | -2579017576.009 | 9715828.587 | 366082975.970 | 395055749.317 | 
| 25147138547.887 | 25139397494.510 | -65265357790.594 | -1134448368.434 | 45691724.733 | 3481152406.887 | 
| 8074466930.802 | 11772791751.069 | -52227505691.219 | 286767726.609 | -59843522.936 | -777693846.531 | 
| -114013077033.000 | -112840991406.360 | -26627784171.958 | -163222340.443 | -244338863.117 | 15998850516.417 | 
| 722546952365.120 | 444955188684.050 | 129984596961.960 | -86.120 | -293.823 | -520.612 | 
| 444955188751.070 | 722546952423.580 | 129984597015.800 | -293.784 | -86.135 | -520.433 | 
| 3976224434.978 | 3709429520.198 | 9122741113.926 | 19056489.041 | -99176672.791 | -5724940.786 | 
| -943795121.995 | 162758174.954 | 5945005736.146 | -144882769.397 | 12509632.732 | 4360304059.836 | 
| 16169974389.860 | 20092781945.129 | 8101839772.199 | 114770825.840 | 404758117.504 | 15513951278.255 | 
| 6164965566.877 | 6237161937.903 | 7739673498.338 | 107426799.026 | -11214253.350 | -4582102617.259 | 
| -444884635077.120 | -722587114311.440 | -129921612175.230 | 564.201 | -116.460 | 625.294 | 
| -722587113702.340 | -444884635202.990 | -129921611976.290 | -116.360 | 565.159 | 628.437 | 
| -7455421512.476 | -7490939938.621 | -1336049116.720 | 5264280.900 | -46221719.029 | -2053012377.204 | 
| -1511663062.858 | 3948174709.024 | -3441460449.690 | -375386262.102 | -164316065.604 | -4309272861.982 | 
| 4482989480.479 | 4699292903.392 | -6912173204.637 | -9418455.622 | -25980197.890 | 434573610.592 | 
| -10225204477.034 | -9931321795.087 | -2491058394.716 | 37752365.798 | -57327203.960 | 33874426.951 | 
| 72242637678.653 | 44482379093.317 | 13009652083.399 | -0.391 | -1.280 | -0.527 | 
| 44482379093.634 | 72242637681.011 | 13009652084.525 | -1.279 | -0.390 | -0.523 | 
| -43706638.924 | -48135963.197 | 309431026.975 | 2824990.125 | 4819549.840 | 52003208.610 | 
| 254776796.439 | 296769453.849 | 990958698.723 | 2175072.450 | 2971463.176 | 166586208.503 | 
| 3199298740.163 | 3199141505.435 | 3023352759.983 | 4337062.385 | 36488233.836 | 95279798.216 | 
| 23016498.598 | 18852654.565 | 320043190.863 | -2425463.024 | -1024643.694 | 65997228.893 | 
| -44415505852.271 | -72282533121.065 | -12948172137.449 | 0.336 | -1.113 | 0.585 | 
| -72282533121.964 | -44415505852.494 | -12948172137.922 | -1.113 | 0.334 | 0.581 | 
| 52031183.234 | 49106935.863 | -197490392.952 | 210081.406 | 245754.341 | -45086065.591 | 
| 601613458.132 | 585546355.184 | -652880482.981 | -4330010.056 | -3809895.200 | -151028642.905 | 
| 142882935.201 | 248105785.396 | -691650681.285 | 1575004.342 | 8259637.534 | -139374274.658 | 
| 13167451.664 | 17812470.830 | -56669012.894 | 1051884.734 | -506144.434 | 16492292.246 | 
| 15495600370701.736 | 2672448024720.335 | -20811449987856.047 | -1485806751171.000 | 2611141105.273 | 3449197870.885 | 
| 7459995872820.835 | 5241773522495.635 | 34694021546361.949 | 837116.193 | 41.585 | -1199186.966 | 
| -9432112770136.064 | -9238459893366.066 | -7838515949586.751 | 112501192631.730 | -13639977320.137 | 49039193281.146 | 
| -6764419695334.664 | -7035800014212.565 | -4633065872063.449 | 18281138185.769 | -117483437083.470 | 95484535470.886 | 
| -7038781213583.265 | -6856235327678.165 | -5557902437151.649 | -93729240286.244 | -413646810716.390 | 10516658874.297 | 
| -8532615829908.564 | -920558160964.385 | 15469646201618.953 | -2615743.871 | 11183206.542 | -2137016085775.500 | 
| -7895280935748.935 | -5492029146283.735 | -34960089389732.945 | -1175105.728 | -4.896 | 37147311.818 | 
| 6859229546775.964 | 5897436405848.165 | 13636183552100.051 | 128427035217.790 | 116452549853.680 | -211139587094.720 | 
| 7106053594032.465 | 6952834238981.565 | 5998671859238.149 | 56221735908.448 | -31604259544.731 | -164161347884.100 | 
| 7871771662610.364 | 8073590763986.666 | 4932734313224.549 | 260376619800.470 | 68503022955.935 | 212897984529.620 | 
| 7702404587646.364 | 7127382700074.666 | 5641979206383.349 | 33283377862.153 | 6154268579.276 | -84731505800.063 | 
| 8538440398879.764 | 927122458774.055 | -15458590084838.951 | 2615504.365 | 11191820.994 | -2137074427775.100 | 
| 917189448154.104 | -450427057427.967 | -2148235388858.805 | -3076978879.720 | 9674377930.267 | -18413534152.679 | 
| 746215817612.364 | 527670326574.953 | 3470483833229.595 | 18324.566 | -0.087 | 273067.303 | 
| -676373116565.976 | -713567365105.207 | -596944404288.985 | -2988255506.327 | 8316645358.806 | 6762077004.050 | 
| -692750124202.816 | -651288863482.447 | -715986933596.825 | -5441815458.803 | -8409307507.857 | 44356516528.103 | 
| -665310186296.566 | -1238114039873.526 | -346814806941.745 | -2312823151.301 | -1909537382438.500 | 2182078399.543 | 
| -412898637655.577 | 9933784748.452 | -1940931589135.505 | -3720493067.193 | -6981146879.776 | 429560528120.540 | 
| -763508730091.854 | -542245001967.934 | -3486013730262.795 | -27284.173 | 0.243 | -409784.796 | 
| -635658462455.444 | 556575405042.217 | 2078407255441.705 | -25234096789.096 | 1382122041.784 | 2509897911.522 | 
| 930776632027.197 | 934140866314.287 | 688018542132.865 | -23671183596.454 | -4596245409.891 | -7410518016.064 | 
| 892363373247.187 | 776487763616.387 | 648519088153.355 | -12385103586.202 | 4296432831.956 | -36618124537.272 | 
| 667216791850.237 | 1259189886215.126 | 349619522799.825 | 1506207742.819 | -1910973071789.300 | 3216795313.533 | 
| 429955221882.487 | 358916554410.596 | 1342071529785.305 | 548070960.287 | -3326334260.379 | 82696334404.144 | 
| 353428993.619 | -63635450266.709 | -181489396419.821 | -86268797.736 | -120565584.207 | 863911333.431 | 
| 75278201255.950 | 51825132405.534 | 346719773808.590 | -12.092 | -0.018 | -5.200 | 
| -61617763094.891 | -62891140408.029 | -59341410924.829 | -716764158.181 | -2784265760.099 | -968086582.362 | 
| -58993431279.365 | -51694465861.228 | -119743671331.501 | 3625744094.500 | 159448322.068 | -4580484816.536 | 
| 71453018164.120 | 41381227709.141 | 338846867366.650 | -4302310.835 | 23943813258.972 | -3228912.947 | 
| -55616082263.695 | -503207857.308 | 138858419506.260 | 2293.661 | 4155.099 | 16185001218.248 | 
| -76365387204.521 | -52246367346.502 | -347885000649.640 | 12.879 | -0.009 | 8.430 | 
| 37812184347.500 | 96498743927.953 | -489300483404.689 | 4087.485 | -0.003 | 7227.679 | 
| 73079044947.987 | 64461453499.333 | 62526751135.448 | -697441978.151 | 1461737768.677 | -1276943719.870 | 
| 44767054462.058 | 71011898880.070 | 125027924627.050 | 6163216752.331 | -10436897.393 | 1330884914.473 | 
| 67008149293.677 | 65553200964.062 | 75407980807.908 | 1246966540.613 | 950972664.079 | 2023206347.523 | 
| 55285763889.323 | -5093948642.291 | -146496541776.860 | -1568.197 | 2764.284 | 9219936699.632 | 
| 114504619173525.781 | 114499292967605.797 | 114499292967605.797 | -0.251 | -0.376 | 0.155 | 
| 114499292967605.797 | 114504619173525.781 | 114499292967605.797 | 0.165 | -0.150 | 0.030 | 
| 114499292967595.781 | 114499292967605.797 | 114504619173525.781 | -0.304 | 0.546 | -0.145 | 
| 114496959501145.797 | 114496959484735.812 | 114496959484755.797 | 2331192897.691 | 0.341 | -0.221 | 
| 114496959484735.812 | 114496959501145.797 | 114496959484755.797 | 0.368 | 2331192897.561 | 0.132 | 
| 114496959484735.812 | 114496959484775.797 | 114496959501145.797 | -0.432 | 0.256 | 2331192898.144 | 
| -114489299611285.797 | -114494626002025.797 | -114494626002025.797 | -1.696 | -1.361 | -0.662 | 
| -114494626002025.797 | -114489299611275.781 | -114494626002025.797 | -0.541 | -1.887 | -2.602 | 
| -114494626002025.797 | -114494626002025.797 | -114489299611275.781 | -2.474 | -2.937 | -1.981 | 
| -114496959501145.797 | -114496959484735.812 | -114496959484755.797 | 2331192897.286 | -0.037 | 0.045 | 
| -114496959484735.812 | -114496959501145.797 | -114496959484755.797 | -0.490 | 2331192897.573 | -0.147 | 
| -114496959484735.812 | -114496959484775.797 | -114496959501145.797 | 0.213 | -0.582 | 2331192898.054 | 
| 11457354695579.580 | 11452029321240.580 | 11452029321240.580 | 0.130 | 0.085 | 0.077 | 
| 11452029321240.580 | 11457354695578.580 | 11452029321240.580 | 0.038 | 0.158 | 0.190 | 
| 11452029321239.580 | 11452029321239.580 | 11457354695577.580 | 0.023 | -0.026 | 0.021 | 
| 11449696001738.580 | 11449695837727.580 | 11449695837927.580 | 2331192899.991 | -0.026 | 0.013 | 
| 11449695837727.580 | 11449696001738.580 | 11449695837927.580 | -0.041 | 2331192900.089 | -0.011 | 
| 11449695837727.580 | 11449695837926.580 | 11449696001737.580 | -0.046 | -0.064 | 2331192899.956 | 
| -11442035133228.578 | -11447362355614.582 | -11447362355614.582 | -0.066 | 0.022 | 0.005 | 
| -11447362355614.582 | -11442035133228.578 | -11447362355614.582 | -0.021 | 0.048 | 0.032 | 
| -11447362355614.582 | -11447362355614.582 | -11442035133228.578 | 0.052 | 0.064 | 0.030 | 
| -11449696001738.580 | -11449695837727.580 | -11449695837927.580 | 2331192899.973 | 0.072 | -0.008 | 
| -11449695837727.580 | -11449696001738.580 | -11449695837927.580 | -0.039 | 2331192899.966 | 0.008 | 
| -11449695837727.580 | -11449695837926.580 | -11449696001737.580 | -0.003 | -0.073 | 2331192899.964 | 
| 1152619024253.558 | 1147301966115.958 | 1147301966115.958 | -0.005 | -0.003 | -0.002 | 
| 1147301966115.958 | 1152619024253.558 | 1147301966115.958 | 0.005 | -0.002 | -0.000 | 
| 1147301966115.958 | 1147301966115.958 | 1152619024253.558 | -0.001 | 0.005 | 0.002 | 
| 1144970116407.958 | 1144968476306.358 | 1144968478305.658 | 2331192901.833 | 0.003 | 0.003 | 
| 1144968476306.358 | 1144970116407.958 | 1144968478305.658 | 0.005 | 2331192901.829 | -0.004 | 
| 1144968476306.358 | 1144968478305.558 | 1144970116407.858 | -0.002 | 0.000 | 2331192901.833 | 
| -1137299461884.158 | -1142635000490.758 | -1142635000490.858 | 0.001 | 0.001 | -0.004 | 
| -1142635000490.858 | -1137299461884.058 | -1142635000490.858 | -0.001 | 0.002 | -0.001 | 
| -1142635000490.858 | -1142635000490.858 | -1137299461884.158 | 0.009 | 0.001 | -0.004 | 
| -1144970116407.958 | -1144968476306.358 | -1144968478305.658 | 2331192901.837 | -0.003 | -0.004 | 
| -1144968476306.358 | -1144970116407.958 | -1144968478305.658 | -0.003 | 2331192901.835 | -0.001 | 
| -1144968476306.358 | -1144968478305.558 | -1144970116407.858 | -0.001 | -0.000 | 2331192901.834 | 
| 327002485989365.000 | 326999998422695.062 | 326999998422695.062 | -1.379 | -0.994 | -0.458 | 
| 326999998422695.062 | 327002485989375.000 | 326999998422695.062 | 1.050 | -1.941 | -0.884 | 
| 326999998422704.938 | 326999998422695.062 | 327002485989375.000 | 0.418 | 1.196 | -1.011 | 
| 326999241894525.000 | 326999241868245.000 | 326999241868245.000 | 750014473.710 | -1.092 | -0.715 | 
| 326999241868245.000 | 326999241894525.000 | 326999241868245.000 | -1.379 | 750014473.533 | -1.365 | 
| 326999241868245.000 | 326999241868245.000 | 326999241894525.000 | -1.173 | -0.358 | 750014473.519 | 
| -326995997458185.000 | -326998485313835.000 | -326998485313844.938 | -0.038 | 0.217 | -0.700 | 
| -326998485313844.938 | -326995997458174.938 | -326998485313844.938 | 1.941 | 0.357 | 1.504 | 
| -326998485313844.938 | -326998485313844.938 | -326995997458174.938 | 2.093 | 0.814 | 0.641 | 
| -326999241894525.000 | -326999241868245.000 | -326999241868255.000 | 750014471.746 | 1.480 | -0.513 | 
| -326999241868255.000 | -326999241894525.000 | -326999241868255.000 | 1.233 | 750014473.300 | 0.368 | 
| -326999241868255.000 | -326999241868245.000 | -326999241894525.000 | 1.484 | -0.637 | 750014472.790 | 
| 32703166746008.500 | 32700680479694.500 | 32700680479694.500 | -0.135 | 0.074 | -0.043 | 
| 32700680479694.500 | 32703166746007.496 | 32700680479694.500 | 0.025 | -0.086 | -0.070 | 
| 32700680479694.500 | 32700680479693.500 | 32703166746008.500 | -0.232 | 0.012 | -0.197 | 
| 32699924187801.496 | 32699923925047.500 | 32699923925073.504 | 750014470.677 | 0.014 | 0.063 | 
| 32699923925047.500 | 32699924187802.504 | 32699923925073.504 | -0.004 | 750014470.588 | -0.056 | 
| 32699923925047.500 | 32699923925074.504 | 32699924187802.504 | 0.031 | -0.136 | 750014470.695 | 
| -32696678214850.496 | -32699167370854.500 | -32699167370854.500 | 0.076 | 0.201 | 0.017 | 
| -32699167370854.500 | -32696678214851.504 | -32699167370854.500 | 0.004 | -0.050 | 0.085 | 
| -32699167370854.500 | -32699167370854.500 | -32696678214850.496 | 0.076 | 0.021 | 0.009 | 
| -32699924187802.504 | -32699923925047.500 | -32699923925073.504 | 750014470.629 | 0.063 | 0.109 | 
| -32699923925047.500 | -32699924187802.504 | -32699923925073.504 | 0.039 | 750014470.749 | 0.041 | 
| -32699923925047.500 | -32699923925074.504 | -32699924187802.504 | -0.092 | 0.047 | 750014470.726 | 
| 3273219594126.050 | 3270746331413.850 | 3270746331413.850 | -0.002 | -0.006 | -0.005 | 
| 3270746331413.850 | 3273219594125.950 | 3270746331413.850 | -0.010 | -0.004 | 0.015 | 
| 3270746331413.950 | 3270746331413.850 | 3273219594126.050 | 0.007 | 0.012 | -0.004 | 
| 3269992402278.850 | 3269989774738.150 | 3269989774994.350 | 750014474.196 | 0.007 | 0.008 | 
| 3269989774738.050 | 3269992402278.850 | 3269989774994.350 | -0.017 | 750014474.201 | -0.006 | 
| 3269989774738.050 | 3269989774994.350 | 3269992402278.850 | -0.011 | -0.003 | 750014474.203 | 
| -3266731062956.150 | -3269233222582.050 | -3269233222582.050 | 0.012 | -0.010 | -0.006 | 
| -3269233222582.050 | -3266731062956.150 | -3269233222582.050 | -0.005 | 0.008 | -0.009 | 
| -3269233222582.050 | -3269233222581.950 | -3266731062956.150 | -0.014 | -0.009 | 0.012 | 
| -3269992402278.850 | -3269989774738.050 | -3269989774994.250 | 750014474.219 | -0.005 | 0.010 | 
| -3269989774738.050 | -3269992402278.850 | -3269989774994.250 | 0.013 | 750014474.217 | 0.002 | 
| -3269989774738.050 | -3269989774994.250 | -3269992402278.850 | 0.007 | -0.002 | 750014474.217 | 
| 21.099 | 0.000 | 0.000 | 0.000 | 0.000 | 0.000 | 
| 0.000 | 21.099 | 0.000 | 0.000 | 0.000 | 0.000 | 
| 0.000 | 0.000 | 21.099 | 0.000 | 0.000 | 0.000 | 
| 0.000 | 0.000 | -0.000 | -0.000 | 0.000 | 0.000 | 
| 0.000 | 0.000 | -0.000 | 0.000 | -0.000 | 0.000 | 
| 0.000 | -0.000 | 0.000 | 0.000 | 0.000 | -0.000 | 
| 21.099 | 0.000 | 0.000 | -0.000 | -0.000 | -0.000 | 
| 0.000 | 21.099 | 0.000 | -0.000 | -0.000 | -0.000 | 
| 0.000 | 0.000 | 21.099 | -0.000 | -0.000 | -0.000 | 
| -0.000 | -0.000 | 0.000 | -0.000 | -0.000 | -0.000 | 
| -0.000 | -0.000 | 0.000 | -0.000 | -0.000 | -0.000 | 
| -0.000 | 0.000 | -0.000 | -0.000 | -0.000 | -0.000 | 
| 21.099 | 0.000 | 0.000 | 0.000 | 0.000 | 0.000 | 
| 0.000 | 21.099 | 0.000 | 0.000 | 0.000 | -0.000 | 
| 0.000 | 0.000 | 21.099 | 0.000 | -0.000 | 0.000 | 
| 0.000 | 0.000 | -0.000 | -0.000 | 0.000 | 0.000 | 
| 0.000 | 0.000 | -0.000 | 0.000 | -0.000 | 0.000 | 
| 0.000 | -0.000 | 0.000 | 0.000 | 0.000 | -0.000 | 
| 21.099 | 0.000 | 0.000 | -0.000 | -0.000 | -0.000 | 
| 0.000 | 21.099 | 0.000 | -0.000 | -0.000 | -0.000 | 
| 0.000 | 0.000 | 21.099 | 0.000 | -0.000 | -0.000 | 
| -0.000 | -0.000 | 0.000 | -0.000 | -0.000 | -0.000 | 
| -0.000 | -0.000 | 0.000 | -0.000 | -0.000 | -0.000 | 
| -0.000 | 0.000 | -0.000 | -0.000 | -0.000 | -0.000 | 
| 21.099 | 0.000 | 0.000 | 0.000 | 0.000 | 0.000 | 
| 0.000 | 21.099 | 0.000 | 0.000 | 0.000 | 0.000 | 
| 0.000 | 0.000 | 21.099 | -0.000 | -0.000 | 0.000 | 
| 0.000 | 0.000 | -0.000 | -0.000 | 0.000 | 0.000 | 
| 0.000 | 0.000 | -0.000 | 0.000 | -0.000 | 0.000 | 
| 0.000 | -0.000 | 0.000 | 0.000 | 0.000 | -0.000 | 
| 21.098 | 0.000 | 0.000 | -0.000 | -0.000 | -0.000 | 
| 0.000 | 21.098 | 0.000 | -0.000 | -0.000 | 0.000 | 
| 0.000 | 0.000 | 21.098 | 0.000 | 0.000 | -0.000 | 
| -0.000 | -0.000 | 0.000 | -0.000 | -0.000 | -0.000 | 
| -0.000 | -0.000 | 0.000 | -0.000 | -0.000 | -0.000 | 
| -0.000 | 0.000 | -0.000 | -0.000 | -0.000 | -0.000 | 
| 144.915 | -25.888 | -25.888 | -0.000 | -0.000 | 0.000 | 
| -25.888 | 144.915 | -25.888 | -0.000 | -0.000 | 0.000 | 
| -25.888 | -25.888 | 144.915 | -0.000 | -0.000 | -0.000 | 
| 0.000 | 0.000 | 0.000 | 24.800 | -0.000 | 0.000 | 
| 0.000 | 0.000 | 0.000 | -0.000 | 24.800 | 0.000 | 
| 0.000 | 0.000 | 0.000 | -0.000 | -0.000 | 24.800 | 
| 144.916 | -25.888 | -25.888 | 0.000 | -0.000 | -0.000 | 
| -25.888 | 144.916 | -25.888 | -0.000 | 0.000 | -0.000 | 
| -25.888 | -25.888 | 144.916 | -0.000 | -0.000 | -0.000 | 
| -0.000 | -0.000 | -0.000 | 24.800 | 0.000 | -0.000 | 
| -0.000 | -0.000 | -0.000 | 0.000 | 24.800 | -0.000 | 
| -0.000 | -0.000 | -0.000 | 0.000 | 0.000 | 24.800 | 
| 144.916 | -25.888 | -25.888 | -0.000 | 0.000 | 0.000 | 
| -25.888 | 144.916 | -25.888 | 0.000 | -0.000 | -0.000 | 
| -25.888 | -25.888 | 144.916 | -0.000 | -0.000 | -0.000 | 
| 0.000 | 0.000 | 0.000 | 24.800 | -0.000 | 0.000 | 
| 0.000 | 0.000 | 0.000 | -0.000 | 24.800 | 0.000 | 
| 0.000 | 0.000 | 0.000 | 0.000 | -0.000 | 24.800 | 
| 144.915 | -25.888 | -25.888 | 0.000 | -0.000 | -0.000 | 
| -25.888 | 144.915 | -25.888 | -0.000 | 0.000 | -0.000 | 
| -25.888 | -25.888 | 144.915 | 0.000 | 0.000 | 0.000 | 
| -0.000 | -0.000 | -0.000 | 24.800 | -0.000 | 0.000 | 
| -0.000 | -0.000 | -0.000 | -0.000 | 24.800 | -0.000 | 
| -0.000 | -0.000 | -0.000 | -0.000 | 0.000 | 24.800 | 
| 144.916 | -25.888 | -25.888 | -0.000 | -0.000 | -0.000 | 
| -25.888 | 144.916 | -25.888 | -0.000 | -0.000 | -0.000 | 
| -25.888 | -25.888 | 144.916 | -0.000 | -0.000 | 0.000 | 
| 0.000 | 0.000 | 0.000 | 24.800 | -0.000 | -0.000 | 
| 0.000 | 0.000 | 0.000 | -0.000 | 24.800 | 0.000 | 
| 0.000 | 0.000 | 0.000 | 0.000 | 0.000 | 24.800 | 
| 144.915 | -25.888 | -25.888 | -0.000 | 0.000 | 0.000 | 
| -25.888 | 144.915 | -25.888 | 0.000 | -0.000 | 0.000 | 
| -25.888 | -25.888 | 144.915 | 0.000 | 0.000 | -0.000 | 
| -0.000 | -0.000 | -0.000 | 24.800 | -0.000 | 0.000 | 
| -0.000 | -0.000 | -0.000 | 0.000 | 24.800 | -0.000 | 
| -0.000 | -0.000 | -0.000 | -0.000 | 0.000 | 24.800 | 
| 12.181 | 12.181 | 12.181 | -0.000 | 0.000 | 0.000 | 
| 12.181 | 12.181 | 12.181 | 0.000 | -0.000 | -0.000 | 
| 12.181 | 12.181 | 12.181 | 0.000 | 0.000 | -0.000 | 
| 0.000 | 0.000 | 0.000 | 12.181 | -0.000 | 0.000 | 
| 0.000 | 0.000 | 0.000 | 0.000 | 12.181 | -0.000 | 
| 0.000 | 0.000 | 0.000 | 0.000 | -0.000 | 12.181 | 
| 12.181 | 12.181 | 12.181 | 0.000 | -0.000 | -0.000 | 
| 12.181 | 12.181 | 12.181 | -0.000 | 0.000 | 0.000 | 
| 12.181 | 12.181 | 12.181 | -0.000 | -0.000 | -0.000 | 
| -0.000 | -0.000 | -0.000 | 12.181 | -0.000 | 0.000 | 
| -0.000 | -0.000 | -0.000 | -0.000 | 12.181 | 0.000 | 
| -0.000 | -0.000 | -0.000 | -0.000 | 0.000 | 12.181 | 
| 12.181 | 12.181 | 12.181 | 0.000 | -0.000 | -0.000 | 
| 12.181 | 12.181 | 12.181 | -0.000 | 0.000 | 0.000 | 
| 12.181 | 12.181 | 12.181 | 0.000 | -0.000 | -0.000 | 
| 0.000 | 0.000 | 0.000 | 12.181 | -0.000 | 0.000 | 
| 0.000 | 0.000 | 0.000 | 0.000 | 12.181 | -0.000 | 
| 0.000 | 0.000 | 0.000 | 0.000 | -0.000 | 12.181 | 
| 12.181 | 12.181 | 12.181 | -0.000 | 0.000 | 0.000 | 
| 12.181 | 12.181 | 12.181 | -0.000 | -0.000 | 0.000 | 
| 12.181 | 12.181 | 12.181 | -0.000 | 0.000 | -0.000 | 
| -0.000 | -0.000 | -0.000 | 12.181 | -0.000 | 0.000 | 
| -0.000 | -0.000 | -0.000 | -0.000 | 12.181 | 0.000 | 
| -0.000 | -0.000 | -0.000 | -0.000 | 0.000 | 12.181 | 
| 12.181 | 12.181 | 12.181 | 0.000 | -0.000 | -0.000 | 
| 12.181 | 12.181 | 12.181 | 0.000 | -0.000 | 0.000 | 
| 12.181 | 12.181 | 12.181 | 0.000 | -0.000 | -0.000 | 
| 0.000 | 0.000 | 0.000 | 12.181 | 0.000 | -0.000 | 
| 0.000 | 0.000 | 0.000 | 0.000 | 12.181 | 0.000 | 
| 0.000 | 0.000 | 0.000 | 0.000 | -0.000 | 12.181 | 
| 12.181 | 12.181 | 12.181 | -0.000 | 0.000 | 0.000 | 
| 12.181 | 12.181 | 12.181 | 0.000 | 0.000 | -0.000 | 
| 12.181 | 12.181 | 12.181 | -0.000 | 0.000 | -0.000 | 
| -0.000 | -0.000 | -0.000 | 12.181 | 0.000 | 0.000 | 
| -0.000 | -0.000 | -0.000 | -0.000 | 12.181 | -0.000 | 
| -0.000 | -0.000 | -0.000 | -0.000 | -0.000 | 12.181 | 
| -0.000 | -0.000 | -0.000 | -0.000 | -0.000 | -0.000 | 
| -0.000 | -0.000 | -0.000 | -0.000 | -0.000 | -0.000 | 
| -0.000 | -0.000 | -0.000 | -0.000 | -0.000 | -0.000 | 
| -0.000 | -0.000 | -0.000 | 0.000 | -0.000 | -0.000 | 
| -0.000 | -0.000 | -0.000 | -0.000 | 0.000 | -0.000 | 
| -0.000 | -0.000 | -0.000 | -0.000 | -0.000 | 0.000 | 
| 0.000 | 0.000 | 0.000 | 0.000 | 0.000 | 0.000 | 
| 0.000 | 0.000 | 0.000 | 0.000 | 0.000 | 0.000 | 
| 0.000 | 0.000 | 0.000 | 0.000 | 0.000 | 0.000 | 
| 0.000 | 0.000 | 0.000 | 0.000 | 0.000 | 0.000 | 
| 0.000 | 0.000 | 0.000 | 0.000 | 0.000 | 0.000 | 
| 0.000 | 0.000 | 0.000 | 0.000 | 0.000 | 0.000 | 
| -0.000 | -0.000 | -0.000 | -0.000 | -0.000 | -0.000 | 
| -0.000 | -0.000 | -0.000 | -0.000 | -0.000 | -0.000 | 
| -0.000 | -0.000 | -0.000 | -0.000 | -0.000 | -0.000 | 
| -0.000 | -0.000 | -0.000 | 0.000 | -0.000 | -0.000 | 
| -0.000 | -0.000 | -0.000 | -0.000 | 0.000 | -0.000 | 
| -0.000 | -0.000 | -0.000 | -0.000 | -0.000 | 0.000 | 
| 0.000 | 0.000 | 0.000 | 0.000 | 0.000 | 0.000 | 
| 0.000 | 0.000 | 0.000 | 0.000 | 0.000 | 0.000 | 
| 0.000 | 0.000 | 0.000 | 0.000 | 0.000 | 0.000 | 
| 0.000 | 0.000 | 0.000 | 0.000 | -0.000 | 0.000 | 
| 0.000 | 0.000 | 0.000 | -0.000 | 0.000 | 0.000 | 
| 0.000 | 0.000 | 0.000 | -0.000 | 0.000 | 0.000 | 
| -0.000 | -0.000 | -0.000 | -0.000 | -0.000 | -0.000 | 
| -0.000 | -0.000 | -0.000 | -0.000 | -0.000 | -0.000 | 
| -0.000 | -0.000 | -0.000 | -0.000 | -0.000 | -0.000 | 
| -0.000 | -0.000 | -0.000 | 0.000 | -0.000 | -0.000 | 
| -0.000 | -0.000 | -0.000 | -0.000 | 0.000 | -0.000 | 
| -0.000 | -0.000 | -0.000 | -0.000 | -0.000 | 0.000 | 
| 0.000 | 0.000 | 0.000 | 0.000 | 0.000 | 0.000 | 
| 0.000 | 0.000 | 0.000 | 0.000 | 0.000 | 0.000 | 
| 0.000 | 0.000 | 0.000 | 0.000 | 0.000 | 0.000 | 
| 0.000 | 0.000 | 0.000 | 0.000 | 0.000 | 0.000 | 
| 0.000 | 0.000 | 0.000 | 0.000 | 0.000 | 0.000 | 
| 0.000 | 0.000 | 0.000 | 0.000 | 0.000 | 0.000 | 
| -4007839053158.900 | -4007839133315.700 | -4007839133315.700 | -14.551 | -14.890 | -14.835 | 
| -4007839133315.700 | -4007839053158.900 | -4007839133315.700 | -14.910 | -14.538 | -14.831 | 
| -4007839133315.899 | -4007839133315.899 | -4007839053159.100 | 1.077 | 1.085 | 0.232 | 
| 3045949179.480 | 3053311283.182 | 3051601607.472 | -507386352.928 | 145739917.275 | -295971727.640 | 
| -76050579.276 | -75760676.202 | -76024142.012 | -19555141.622 | 36012077.820 | 15504293.625 | 
| -785192484.038 | -784111422.038 | -784766617.952 | 63992640.196 | 58959262.535 | 146766029.092 | 
| 4007966676256.900 | 4007966596097.600 | 4007966596097.500 | 1.793 | -1.040 | -1.163 | 
| 4007966596097.500 | 4007966676256.900 | 4007966596097.500 | -1.010 | 1.816 | -1.162 | 
| 4007966596097.500 | 4007966596097.500 | 4007966676256.900 | -1.458 | -1.460 | 1.842 | 
| 1975866.351 | 1975913.543 | 1975827.249 | -17789.770 | 26953.064 | 8175.373 | 
| -2666370819.499 | -2626407436.208 | -2651065363.919 | -1752551199.322 | -2947741239.210 | 651682967.811 | 
| 4864711.356 | 4864113.579 | 4861109.249 | -91304.781 | -110731.112 | 126282.275 | 
| -400726469886.240 | -400726550031.550 | -400726550031.540 | -1.060 | -1.486 | -1.485 | 
| -400726550031.550 | -400726469886.240 | -400726550031.540 | -1.486 | -1.060 | -1.485 | 
| -400726550031.570 | -400726550031.570 | -400726469886.260 | -1.488 | -1.489 | -1.058 | 
| 376251499.285 | 376288331.009 | 375947030.349 | 9918223.305 | -47692224.168 | 45038798.707 | 
| 367436.334 | 367753.383 | 367421.586 | 1791.618 | 17126.838 | -4970.883 | 
| 3210354.685 | 3195517.410 | 3198146.137 | -839020.046 | 728020.083 | -1685205.244 | 
| 400854092983.480 | 400854012812.670 | 400854012812.670 | 0.399 | 0.220 | 0.210 | 
| 400854012812.670 | 400854092983.480 | 400854012812.670 | 0.218 | 0.400 | 0.210 | 
| 400854012812.690 | 400854012812.690 | 400854092983.490 | -0.516 | -0.517 | -0.604 | 
| -704394452.299 | -699126299.585 | -699241076.218 | 629938830.312 | -175412237.088 | -164279217.388 | 
| -556637286.138 | -555490914.880 | -557320256.128 | -21247760.686 | -65987737.057 | -24222225.960 | 
| -203469417.300 | -203665031.263 | -203552312.707 | -47660691.892 | -15937854.464 | 27320108.218 | 
| -40015166235.753 | -40015246266.206 | -40015246266.206 | 0.002 | 0.008 | 0.007 | 
| -40015246266.203 | -40015166235.751 | -40015246266.203 | -0.023 | 0.029 | -0.019 | 
| -40015246266.206 | -40015246266.206 | -40015166235.753 | 0.009 | 0.009 | 0.002 | 
| 4810374.224 | 4810678.599 | 4810710.426 | -36898.317 | 32045.005 | -32843.019 | 
| 26582820.910 | 26576342.686 | 26584163.054 | -284659.453 | -436003.326 | 149007.897 | 
| -5408383.376 | -5408791.140 | -5408116.584 | 26770.174 | -26720.439 | 55537.345 | 
| 40142789332.778 | 40142709047.320 | 40142709047.320 | 0.000 | -0.014 | -0.013 | 
| 40142709047.320 | 40142789332.778 | 40142709047.320 | -0.014 | 0.000 | -0.014 | 
| 40142709047.320 | 40142709047.319 | 40142789332.778 | -0.014 | -0.014 | 0.001 | 
| 1989347008.027 | 1995351303.834 | 1993869971.062 | 621892039.738 | -96355483.594 | -34006670.998 | 
| 324115154.449 | 324007472.196 | 324043581.706 | 4500656.736 | -95776.723 | 1548639.920 | 
| -1958063.973 | -1954863.406 | -1954777.726 | 53612.212 | 57707.869 | -176197.571 | 
| -1396.782 | 573.363 | -22.076 | 0.000 | -0.000 | 0.000 | 
| 573.363 | -1396.782 | -22.076 | -0.000 | 0.000 | 0.000 | 
| -14.141 | -14.141 | 56.607 | -0.000 | -0.000 | 0.000 | 
| 0.000 | 0.000 | 0.000 | 50.861 | 0.000 | 0.000 | 
| 0.000 | 0.000 | 0.000 | -0.000 | 50.861 | 0.000 | 
| 0.000 | 0.000 | 0.000 | -0.000 | 0.000 | 19.362 | 
| -1396.782 | 573.362 | -22.076 | -0.000 | 0.000 | -0.000 | 
| 573.362 | -1396.782 | -22.076 | 0.000 | -0.000 | 0.000 | 
| -14.141 | -14.141 | 56.607 | -0.000 | -0.000 | -0.000 | 
| -0.000 | -0.000 | -0.000 | 50.861 | -0.000 | -0.000 | 
| -0.000 | -0.000 | -0.000 | -0.000 | 50.861 | -0.000 | 
| -0.000 | -0.000 | -0.000 | 0.000 | -0.000 | 19.361 | 
| -1396.782 | 573.363 | -22.076 | 0.000 | -0.000 | 0.000 | 
| 573.363 | -1396.782 | -22.076 | -0.000 | 0.000 | 0.000 | 
| -14.141 | -14.141 | 56.607 | -0.000 | 0.000 | -0.000 | 
| -0.000 | 0.000 | 0.000 | 50.861 | 0.000 | 0.000 | 
| 0.000 | -0.000 | 0.000 | 0.000 | 50.861 | 0.000 | 
| -0.000 | 0.000 | 0.000 | -0.000 | 0.000 | 19.362 | 
| -1396.782 | 573.362 | -22.076 | -0.000 | -0.000 | 0.000 | 
| 573.362 | -1396.782 | -22.076 | 0.000 | -0.000 | -0.000 | 
| -14.141 | -14.141 | 56.607 | 0.000 | -0.000 | -0.000 | 
| -0.000 | 0.000 | -0.000 | 50.861 | 0.000 | -0.000 | 
| -0.000 | -0.000 | -0.000 | 0.000 | 50.861 | -0.000 | 
| 0.000 | -0.000 | -0.000 | 0.000 | -0.000 | 19.362 | 
| -1396.783 | 573.365 | -22.076 | -0.000 | 0.000 | -0.000 | 
| 573.365 | -1396.783 | -22.076 | 0.000 | -0.000 | 0.000 | 
| -14.141 | -14.141 | 56.609 | 0.000 | 0.000 | 0.000 | 
| -0.000 | -0.000 | 0.000 | 50.861 | 0.000 | 0.000 | 
| -0.000 | -0.000 | 0.000 | -0.000 | 50.861 | 0.000 | 
| -0.000 | 0.001 | 0.000 | -0.000 | -0.000 | 19.362 | 
| -1396.782 | 573.360 | -22.076 | -0.000 | 0.000 | -0.000 | 
| 573.360 | -1396.782 | -22.076 | 0.000 | -0.000 | -0.000 | 
| -14.141 | -14.141 | 56.606 | -0.000 | -0.000 | -0.000 | 
| 0.000 | 0.000 | -0.000 | 50.861 | -0.000 | -0.000 | 
| 0.000 | 0.000 | -0.000 | 0.000 | 50.861 | -0.000 | 
| 0.000 | -0.001 | -0.000 | 0.000 | -0.000 | 19.362 | 
| 11.114 | -38.657 | 0.000 | -0.000 | -0.000 | 0.000 | 
| -38.657 | 11.114 | 0.000 | -0.000 | -0.000 | 0.000 | 
| -15.356 | -15.356 | 0.000 | -0.000 | -0.000 | 0.000 | 
| 0.000 | 0.000 | 0.000 | -0.000 | -0.000 | -0.000 | 
| 0.000 | 0.000 | 0.000 | -0.000 | -0.000 | 0.000 | 
| 0.000 | 0.000 | 0.000 | -0.000 | -0.000 | 16.313 | 
| 11.114 | -38.657 | -0.000 | 0.000 | 0.000 | 0.000 | 
| -38.657 | 11.114 | -0.000 | -0.000 | 0.000 | -0.000 | 
| -15.356 | -15.356 | -0.000 | 0.000 | 0.000 | -0.000 | 
| -0.000 | -0.000 | -0.000 | -0.000 | 0.000 | -0.000 | 
| -0.000 | -0.000 | -0.000 | 0.000 | 0.000 | -0.000 | 
| -0.000 | -0.000 | -0.000 | 0.000 | 0.000 | 16.313 | 
| 11.114 | -38.657 | 0.000 | -0.000 | -0.000 | 0.000 | 
| -38.657 | 11.114 | 0.000 | -0.000 | -0.000 | 0.000 | 
| -15.356 | -15.356 | 0.000 | -0.000 | -0.000 | 0.000 | 
| 0.000 | 0.000 | 0.000 | -0.000 | -0.000 | 0.000 | 
| 0.000 | 0.000 | 0.000 | -0.000 | -0.000 | 0.000 | 
| 0.000 | 0.000 | 0.000 | -0.000 | -0.000 | 16.313 | 
| 11.114 | -38.657 | -0.000 | 0.000 | -0.000 | -0.000 | 
| -38.657 | 11.114 | -0.000 | -0.000 | 0.000 | 0.000 | 
| -15.356 | -15.356 | -0.000 | 0.000 | 0.000 | -0.000 | 
| -0.000 | -0.000 | -0.000 | -0.000 | 0.000 | -0.000 | 
| -0.000 | -0.000 | -0.000 | 0.000 | -0.000 | -0.000 | 
| -0.000 | -0.000 | -0.000 | 0.000 | 0.000 | 16.313 | 
| 11.115 | -38.657 | 0.000 | -0.000 | -0.000 | 0.000 | 
| -38.657 | 11.115 | 0.000 | -0.000 | -0.000 | 0.000 | 
| -15.356 | -15.356 | 0.000 | -0.000 | -0.000 | 0.000 | 
| 0.000 | 0.000 | 0.000 | -0.000 | -0.000 | 0.000 | 
| 0.000 | 0.000 | 0.000 | -0.000 | -0.000 | -0.000 | 
| -0.000 | 0.000 | 0.000 | -0.000 | -0.000 | 16.313 | 
| 11.114 | -38.657 | -0.000 | 0.000 | 0.000 | -0.000 | 
| -38.657 | 11.114 | -0.000 | 0.000 | 0.000 | -0.000 | 
| -15.356 | -15.356 | -0.000 | 0.000 | 0.000 | -0.000 | 
| -0.000 | -0.000 | -0.000 | -0.000 | 0.000 | -0.000 | 
| -0.000 | -0.000 | -0.000 | 0.000 | -0.000 | -0.000 | 
| 0.000 | -0.000 | -0.000 | 0.000 | -0.000 | 16.313 | 
| 8.348 | 8.348 | 14.342 | -0.000 | -0.000 | -0.000 | 
| 8.348 | 8.348 | 14.342 | -0.000 | -0.000 | -0.000 | 
| 14.342 | 14.342 | 24.641 | -0.000 | -0.000 | 0.000 | 
| 0.000 | 0.000 | 0.000 | 14.342 | -0.000 | 0.000 | 
| 0.000 | 0.000 | 0.000 | -0.000 | 14.342 | 0.000 | 
| -0.000 | 0.000 | 0.000 | -0.000 | -0.000 | 8.348 | 
| 8.348 | 8.348 | 14.342 | 0.000 | 0.000 | -0.000 | 
| 8.348 | 8.348 | 14.342 | 0.000 | 0.000 | 0.000 | 
| 14.342 | 14.342 | 24.641 | 0.000 | 0.000 | -0.000 | 
| -0.000 | -0.000 | -0.000 | 14.342 | 0.000 | 0.000 | 
| -0.000 | -0.000 | -0.000 | -0.000 | 14.342 | -0.000 | 
| -0.000 | -0.000 | -0.000 | 0.000 | 0.000 | 8.348 | 
| 8.348 | 8.348 | 14.342 | -0.000 | -0.000 | 0.000 | 
| 8.348 | 8.348 | 14.342 | -0.000 | -0.000 | 0.000 | 
| 14.342 | 14.342 | 24.641 | -0.000 | -0.000 | 0.000 | 
| 0.000 | 0.000 | 0.000 | 14.342 | -0.000 | -0.000 | 
| 0.000 | 0.000 | 0.000 | 0.000 | 14.342 | 0.000 | 
| 0.000 | 0.000 | 0.000 | -0.000 | -0.000 | 8.348 | 
| 8.348 | 8.348 | 14.342 | -0.000 | 0.000 | -0.000 | 
| 8.348 | 8.348 | 14.342 | 0.000 | 0.000 | 0.000 | 
| 14.342 | 14.342 | 24.641 | 0.000 | 0.000 | -0.000 | 
| -0.000 | -0.000 | -0.000 | 14.342 | 0.000 | -0.000 | 
| -0.000 | -0.000 | -0.000 | 0.000 | 14.342 | -0.000 | 
| -0.000 | -0.000 | -0.000 | 0.000 | 0.000 | 8.348 | 
| 8.348 | 8.348 | 14.342 | -0.000 | -0.000 | -0.000 | 
| 8.348 | 8.348 | 14.342 | -0.000 | -0.000 | 0.000 | 
| 14.342 | 14.342 | 24.641 | -0.000 | -0.000 | 0.000 | 
| 0.000 | 0.000 | 0.000 | 14.342 | -0.000 | -0.000 | 
| 0.000 | 0.000 | 0.000 | -0.000 | 14.342 | 0.000 | 
| 0.000 | 0.000 | 0.000 | -0.000 | -0.000 | 8.348 | 
| 8.348 | 8.348 | 14.342 | 0.000 | 0.000 | -0.000 | 
| 8.348 | 8.348 | 14.342 | 0.000 | 0.000 | -0.000 | 
| 14.342 | 14.342 | 24.641 | 0.000 | 0.000 | 0.000 | 
| -0.000 | -0.000 | -0.000 | 14.342 | 0.000 | -0.000 | 
| -0.000 | -0.000 | -0.000 | 0.000 | 14.342 | -0.000 | 
| -0.000 | -0.000 | -0.000 | 0.000 | 0.000 | 8.348 | 
| 8.499 | 8.499 | 14.247 | -0.000 | -0.000 | -0.000 | 
| 8.499 | 8.499 | 14.247 | 0.000 | -0.000 | -0.000 | 
| 14.247 | 14.247 | 23.880 | 0.000 | 0.000 | -0.000 | 
| 0.000 | 0.000 | 0.000 | 14.247 | -0.000 | -0.000 | 
| 0.000 | 0.000 | 0.000 | -0.000 | 14.247 | -0.000 | 
| 0.000 | 0.000 | 0.000 | -0.000 | 0.000 | 8.499 | 
| 8.499 | 8.499 | 14.247 | 0.000 | 0.000 | 0.000 | 
| 8.499 | 8.499 | 14.247 | 0.000 | 0.000 | 0.000 | 
| 14.247 | 14.247 | 23.880 | 0.000 | 0.000 | 0.000 | 
| -0.000 | -0.000 | -0.000 | 14.247 | -0.000 | 0.000 | 
| -0.000 | -0.000 | -0.000 | -0.000 | 14.247 | 0.000 | 
| 0.000 | -0.000 | -0.000 | 0.000 | 0.000 | 8.499 | 
| 8.499 | 8.499 | 14.247 | 0.000 | 0.000 | -0.000 | 
| 8.499 | 8.499 | 14.247 | 0.000 | 0.000 | -0.000 | 
| 14.247 | 14.247 | 23.880 | -0.000 | -0.000 | -0.000 | 
| 0.000 | 0.000 | 0.000 | 14.247 | 0.000 | -0.000 | 
| 0.000 | 0.000 | 0.000 | -0.000 | 14.247 | -0.000 | 
| 0.000 | 0.000 | 0.000 | 0.000 | 0.000 | 8.499 | 
| 8.499 | 8.499 | 14.247 | 0.000 | 0.000 | -0.000 | 
| 8.499 | 8.499 | 14.247 | 0.000 | 0.000 | -0.000 | 
| 14.247 | 14.247 | 23.880 | 0.000 | -0.000 | 0.000 | 
| -0.000 | -0.000 | -0.000 | 14.247 | -0.000 | 0.000 | 
| -0.000 | -0.000 | -0.000 | 0.000 | 14.247 | 0.000 | 
| -0.000 | -0.000 | -0.000 | 0.000 | 0.000 | 8.499 | 
| 8.499 | 8.499 | 14.247 | -0.000 | 0.000 | -0.000 | 
| 8.499 | 8.499 | 14.247 | -0.000 | -0.000 | -0.000 | 
| 14.247 | 14.247 | 23.880 | 0.000 | 0.000 | -0.000 | 
| 0.000 | 0.000 | 0.000 | 14.247 | -0.000 | 0.000 | 
| 0.000 | 0.000 | 0.000 | -0.000 | 14.247 | 0.000 | 
| 0.000 | 0.000 | 0.000 | 0.000 | 0.000 | 8.499 | 
| 8.499 | 8.499 | 14.247 | -0.000 | -0.000 | 0.000 | 
| 8.499 | 8.499 | 14.247 | -0.000 | -0.000 | 0.000 | 
| 14.247 | 14.247 | 23.880 | 0.000 | -0.000 | 0.000 | 
| -0.000 | -0.000 | -0.000 | 14.247 | -0.000 | -0.000 | 
| -0.000 | -0.000 | -0.000 | -0.000 | 14.247 | -0.000 | 
| -0.000 | -0.000 | -0.000 | -0.000 | -0.000 | 8.499 | 
| 110107393469562.156 | -48243899966868.672 | 64432929197923.055 | -0.401 | -108814.707 | 0.063 | 
| 110112974575182.141 | -48243633799533.680 | 64434425530243.062 | -9.300 | -27649.181 | 0.111 | 
| 110095597671042.141 | -48244825134528.664 | 64426751783669.062 | 0.536 | -27635.020 | -0.195 | 
| 110111643104532.141 | -48244083555285.672 | 64433963528899.047 | 700118987.820 | -27260.037 | 0.916 | 
| 110221998183042.141 | -48237381657038.672 | 64484801799321.055 | -0.641 | 372114780001.050 | -0.071 | 
| 110111638198532.141 | -48244083983196.672 | 64433960790890.055 | -0.280 | -6418.254 | 686249510.895 | 
| -110115882759632.141 | 48244267984302.680 | -64434992378401.062 | 0.430 | 47356.882 | 0.191 | 
| -110110299117182.141 | 48244534296808.680 | -64433494598737.055 | 7.547 | 27663.219 | -0.453 | 
| -110127717504182.141 | 48243341234804.672 | -64441181508505.055 | 1.970 | 27816.478 | 0.496 | 
| -110111643192732.141 | 48244083550010.672 | -64433963566576.055 | 700119011.968 | 27328.656 | -0.459 | 
| -110221998959152.141 | 48237381605546.664 | -64484802208239.062 | 0.924 | 372114780604.810 | -0.731 | 
| -110111638459262.141 | 48244083967439.664 | -64433960904747.070 | 1.038 | -14769.858 | 686249509.741 | 
| 11006933784194.217 | -4824223261766.867 | 6442372669781.006 | -0.198 | -311.740 | -0.013 | 
| 11012512912909.215 | -4823957176077.866 | 6443866623338.605 | 0.416 | -2778.818 | -0.040 | 
| 10995322154993.215 | -4825140758307.067 | 6436251723994.808 | -0.085 | -2794.347 | 0.024 | 
| 11011237939373.215 | -4824402486350.768 | 6443435871947.307 | 700119839.646 | -2950.937 | 0.062 | 
| 11865667896981.215 | -4774426801194.467 | 6838704186248.207 | -0.014 | 258135093089.100 | 0.003 | 
| 11011164186062.217 | -4824408357368.067 | 6443396213237.606 | 0.141 | -1992.694 | 686249496.459 | 
| -11015424244344.217 | 4824591206888.868 | -6444436390752.106 | 0.066 | 607.153 | 0.048 | 
| -11009837379314.215 | 4824857678865.067 | -6442935661136.907 | 0.762 | 2767.856 | 0.011 | 
| -11027442494848.215 | 4823656892424.167 | -6450681425189.105 | 0.073 | 2751.684 | -0.005 | 
| -11011237938258.217 | 4824402486416.168 | -6443435871489.606 | 700119840.339 | 2969.041 | -0.056 | 
| -11865667925951.217 | 4774426799811.168 | -6838704194904.106 | 0.075 | 258135099897.090 | -0.021 | 
| -11011164141224.217 | 4824408360129.167 | -6443396192886.405 | 0.293 | 3871.329 | 686249497.634 | 
| 1097027805644.922 | -482244909899.187 | 643394508061.651 | -0.022 | -17.666 | 0.003 | 
| 1102570022660.322 | -481980672773.237 | 644856751378.001 | -0.011 | -270.489 | 0.003 | 
| 1087226686217.922 | -483084556180.607 | 637837623982.691 | -0.018 | -317.396 | 0.004 | 
| 1101861049150.022 | -482381525491.527 | 644739002248.291 | 700205451.174 | -279.184 | 0.019 | 
| 1864925368741.322 | -303391352991.547 | 2019289448402.131 | -0.005 | 2484035496.658 | 0.002 | 
| 1101120515139.922 | -482440398636.077 | 644341172487.951 | -0.040 | 92.094 | 686248151.993 | 
| -1105512974912.622 | 482613219211.597 | -645455795327.391 | 0.003 | -385.041 | -0.001 | 
| -1099894409065.122 | 482881257374.667 | -643926250877.111 | -0.038 | 279.805 | 0.002 | 
| -1119383752700.322 | 481604952069.577 | -652258258643.951 | 0.008 | 239.156 | 0.004 | 
| -1101861049546.021 | 482381525467.867 | -644739002417.561 | 700205451.231 | 280.088 | 0.017 | 
| -1864925672486.421 | 303391331680.237 | -2019289530000.830 | -0.001 | 2483855430.863 | -0.001 | 
| -1101120528437.522 | 482440397803.697 | -644341178726.761 | 0.018 | 36.349 | 686248148.710 | 
| 46749081029540.008 | 46748690874375.008 | 64870075103901.125 | 47.732 | 6.744 | 0.271 | 
| 46748690873503.000 | 46749081024733.000 | 64870075095510.133 | 37.866 | 7.876 | 0.265 | 
| 46747298223434.000 | 46747298223455.008 | 64864071993367.125 | -8.303 | 13.559 | -0.056 | 
| 46748903516463.016 | 46748903508209.008 | 64871257241409.133 | 45380941.021 | -6.614 | -0.180 | 
| 46748903509259.008 | 46748903517557.008 | 64871257244577.125 | -0.624 | 45381255.677 | 0.002 | 
| 46748903832684.000 | 46748903834690.008 | 64871258185046.125 | -4.290 | -70.183 | 195145099.254 | 
| -46748725764650.008 | -46749116189776.008 | -64872439104388.125 | -60.402 | 6.596 | 0.420 | 
| -46749116184631.016 | -46748725755591.000 | -64872439083399.125 | -35.045 | -0.752 | 0.121 | 
| -46750503212804.008 | -46750503212825.000 | -64878425717118.117 | -4.006 | -10.470 | 0.196 | 
| -46748903505860.016 | -46748903497606.008 | -64871257210071.125 | 45380939.754 | -1.763 | 0.070 | 
| -46748903503443.008 | -46748903511740.016 | -64871257227387.125 | -8.120 | 45381373.122 | -0.215 | 
| -46748903832800.008 | -46748903834808.008 | -64871258185394.133 | 13.822 | 16.827 | 195145098.863 | 
| 4675063609531.302 | 4674674674163.001 | 6485932978090.912 | -0.131 | 0.787 | 0.042 | 
| 4674674695032.601 | 4675063589736.401 | 6485932979685.313 | -1.991 | -1.119 | 0.009 | 
| 4673256766592.801 | 4673256766595.001 | 6479855825751.414 | 1.158 | 0.164 | -0.024 | 
| 4674887157797.001 | 4674887075027.901 | 6487116304713.812 | 45284318.832 | -1.585 | 0.012 | 
| 4674887075384.901 | 4674887158158.401 | 6487116305775.213 | 0.999 | 45284319.536 | -0.027 | 
| 4674890321979.801 | 4674890341834.201 | 6487125746934.713 | 0.616 | 1.596 | 195145097.991 | 
| -4674708350347.801 | -4675099984937.601 | -6488296979628.212 | 0.549 | 2.612 | 0.001 | 
| -4675100004312.501 | -4674708331050.601 | -6488296979736.713 | -2.548 | -0.535 | -0.027 | 
| -4676461693533.900 | -4676461693536.201 | -6494209389684.312 | -0.327 | -0.436 | -0.018 | 
| -4674887157029.102 | -4674887074260.201 | -6487116302444.313 | 45284318.330 | 0.725 | 0.012 | 
| -4674887075042.801 | -4674887157816.302 | -6487116304764.013 | -2.054 | 45284316.653 | -0.038 | 
| -4674890321748.701 | -4674890341603.101 | -6487125746251.514 | -0.344 | -5.446 | 195145097.998 | 
| 467622408305.630 | 467246154231.240 | 647422348117.491 | 1.152 | -0.220 | 0.003 | 
| 467246405475.910 | 467622155734.870 | 647422346840.001 | 0.170 | -0.008 | 0.002 | 
| 465577816896.590 | 465577816896.760 | 640610701752.481 | -0.091 | -0.163 | 0.003 | 
| 467456770188.020 | 467455927767.720 | 648617421891.101 | 35638768.236 | 0.081 | -0.002 | 
| 467455932728.060 | 467456775150.490 | 648617436554.431 | -0.007 | 35638781.343 | -0.000 | 
| 467488417955.830 | 467488616478.610 | 648711854983.551 | 0.186 | -0.041 | 195144899.685 | 
| -467267577016.290 | -467670858521.760 | -649786029568.201 | 0.162 | 0.086 | 0.001 | 
| -467671010896.970 | -467267425553.620 | -649786030391.491 | 0.182 | -0.086 | -0.000 | 
| -468777087470.920 | -468777087471.190 | -654950019816.261 | 0.092 | 0.038 | -0.000 | 
| -467456770175.690 | -467455927755.410 | -648617421854.711 | 35638770.037 | -0.006 | 0.000 | 
| -467455932750.310 | -467456775172.720 | -648617436620.141 | -0.134 | 35638782.681 | 0.003 | 
| -467488417916.050 | -467488616438.830 | -648711854865.971 | -0.032 | -1.145 | 195144899.688 | 
| 0.000 | 0.000 | -6.218 | -0.000 | -0.000 | 0.000 | 
| -0.000 | -0.000 | -6.665 | -0.000 | 0.000 | -0.000 | 
| -0.000 | -0.000 | 0.827 | 0.000 | -0.000 | 0.000 | 
| 0.000 | 0.000 | 19.410 | 0.000 | -0.000 | -0.000 | 
| 0.000 | 0.000 | 17.819 | 0.000 | 0.000 | 0.000 | 
| 0.000 | -0.000 | -6.463 | -0.000 | 0.000 | 0.000 | 
| -0.000 | -0.000 | 5.051 | 0.000 | 0.000 | 0.000 | 
| -0.000 | 0.000 | 5.768 | -0.000 | 0.000 | 0.000 | 
| 0.000 | 0.000 | 4.970 | 0.000 | -0.000 | -0.000 | 
| -0.000 | -0.000 | -17.066 | 0.000 | -0.000 | 0.000 | 
| -0.000 | -0.000 | -16.619 | 0.000 | 0.000 | -0.000 | 
| 0.000 | -0.000 | 6.352 | 0.000 | 0.000 | -0.000 | 
| -0.000 | -0.000 | -0.812 | -0.000 | -0.000 | -0.000 | 
| -0.000 | 0.000 | -0.808 | 0.000 | 0.000 | 0.000 | 
| -0.000 | -0.000 | -0.473 | -0.000 | -0.000 | -0.000 | 
| -0.000 | -0.000 | -1.252 | -0.000 | -0.000 | 0.000 | 
| -0.000 | -0.000 | -1.289 | 0.000 | -0.000 | 0.000 | 
| 0.000 | 0.000 | -0.653 | -0.000 | -0.000 | -0.000 | 
| 0.000 | -0.000 | 0.613 | 0.000 | 0.000 | -0.000 | 
| 0.000 | 0.000 | 0.764 | -0.000 | 0.000 | -0.000 | 
| 0.000 | 0.000 | 0.595 | -0.000 | -0.000 | -0.000 | 
| 0.000 | 0.000 | 1.351 | -0.000 | -0.000 | 0.000 | 
| 0.000 | 0.000 | 1.399 | -0.000 | -0.000 | 0.000 | 
| -0.000 | 0.000 | 0.728 | 0.000 | -0.000 | 0.000 | 
| -0.000 | -0.000 | -0.096 | 0.000 | 0.000 | -0.000 | 
| -0.000 | -0.000 | -0.084 | -0.000 | -0.000 | 0.000 | 
| 0.000 | -0.000 | -0.000 | -0.000 | -0.000 | 0.000 | 
| -0.000 | -0.000 | -0.068 | -0.000 | -0.000 | -0.000 | 
| -0.000 | -0.000 | -0.061 | -0.000 | -0.000 | -0.000 | 
| 0.000 | 0.000 | -0.056 | -0.000 | 0.000 | -0.000 | 
| 0.000 | 0.000 | 0.055 | 0.000 | -0.000 | 0.000 | 
| -0.000 | -0.000 | 0.058 | -0.000 | -0.000 | 0.000 | 
| -0.000 | 0.000 | 0.087 | 0.000 | -0.000 | -0.000 | 
| 0.000 | 0.000 | 0.047 | -0.000 | 0.000 | -0.000 | 
| 0.000 | 0.000 | 0.055 | -0.000 | -0.000 | 0.000 | 
| -0.000 | -0.000 | 0.058 | 0.000 | 0.000 | 0.000 | 
| 695821058747.705 | -20518075096904.141 | -74402160611796.797 | 198129945.545 | 42.869 | -1800304.981 | 
| -15038793983042.146 | -124752392559015.141 | 7624504346636.098 | -68765214342.529 | 34986063.657 | 203800581069.160 | 
| -6172574194906.144 | -1175123345165.745 | -318753433001.862 | 362650771372.100 | -189801548787.240 | 587927808696.180 | 
| -5733195993796.144 | -4690177467013.345 | -1191368413287.702 | 7972698930.601 | -345807416838.570 | 409232470048.770 | 
| -7192823199125.244 | -3942440164679.646 | -1618742891061.502 | -4077573601.258 | -6230384400.733 | -57444019929.159 | 
| -7787193496055.245 | 410038095342.505 | -15077182390155.803 | -496258539173.310 | 182428470272.870 | 117330339227.570 | 
| 10032553957057.145 | 43100520000909.148 | 5755476186110.803 | 502279064220.770 | -327184205258.090 | 204839358179.870 | 
| -695580804639.125 | 20520230113032.145 | 74402083294574.812 | -193616741.320 | -56.522 | 3850239.518 | 
| 5925797540100.245 | 2039890855933.445 | 90124508947.009 | -714193100402.440 | 152737544784.610 | 43336000207.856 | 
| 6052054759535.244 | 3799045877407.845 | 885369678311.002 | 104766998910.690 | -124541976273.650 | -82156341364.982 | 
| 6025705245400.145 | 3357774178155.646 | 1151277268478.002 | 385604469964.410 | -493818103689.570 | -111477998741.870 | 
| 19410641403595.145 | 734638379915.395 | 29372625877687.805 | -63579864195.181 | 110802419888.320 | -4465736336362.900 | 
| 75287530457.949 | -2308121663952.514 | -7523518865853.980 | -18963010.405 | -0.502 | 161973.823 | 
| -13863414081848.516 | 3118270416045.686 | 9547893069844.420 | -14382.445 | 0.043 | 300811.357 | 
| 442521100893.356 | 43566073758.286 | -296907619956.030 | -10767911783.601 | -51826950663.081 | -158734589034.760 | 
| -13864459438906.516 | 3109280551273.186 | 9547304550084.420 | 455382322.363 | -12364.188 | -305178006.612 | 
| -768747827744.865 | -3394916800785.014 | -1472434026214.180 | -91016594698.052 | 2047829393.968 | -137453537190.380 | 
| -5850089611179.015 | 7022009766642.685 | 4625672214694.920 | -28.908 | -786.703 | -2562638705763.100 | 
| 13864620297532.516 | -3117402469431.486 | -9547438528447.818 | 14562.129 | 0.022 | -258823.428 | 
| 251544004296.385 | 18641605415533.516 | -3254697738925.420 | 248504.599 | -0.119 | 512188.641 | 
| -10107220254364.484 | -10079809028974.484 | 2945618483238.081 | 8069349587.823 | 199914672.742 | -114581475141.090 | 
| 13863827856845.516 | -3114392059991.386 | -9547405991700.520 | 375541926.038 | 112756.249 | -335358485.431 | 
| 330834525877.585 | 18267924076006.516 | -3285382326986.020 | -264163920.213 | 230160956.703 | -2623667325.879 | 
| 5850089765693.814 | -7022008764546.086 | -4625672018940.220 | 28.941 | -787.330 | -2562639561104.600 | 
| 7346874399.731 | -230486098305.961 | -752273031209.438 | -192656.878 | -0.006 | 1039.534 | 
| -44603829715.677 | -1144710547173.752 | 181320581150.102 | -748358.410 | 0.520 | -8843.760 | 
| -65447569721.593 | -21998832249.501 | -4890178401.786 | 516528569.623 | -2906778181.172 | 4596771665.378 | 
| 7135793510.161 | -56513716919.321 | -148483243505.268 | -369952172.866 | -4129148359.835 | -4143034907.594 | 
| 127735520927.379 | 127735519759.209 | 207528187960.872 | 0.000 | 63303274.284 | -0.000 | 
| -87354116558.506 | 621684755712.299 | -481511297572.248 | -57677.318 | 10218.645 | -61985221093.962 | 
| 46472112259.734 | 1144873682694.852 | -181530757186.102 | 710543.924 | -0.133 | 2004.211 | 
| -7054416457.009 | 231265167036.611 | 751733412400.398 | 159616.211 | 0.003 | -944.004 | 
| 47734779428.725 | 12721030357.013 | -10534963279.128 | -5791437516.571 | 326154063.942 | -1426439429.378 | 
| -13954580836.949 | 60053359425.405 | 94091886462.900 | 4121826698.339 | -495324240.181 | 2589671431.591 | 
| -127735520927.379 | -127735519759.209 | -207528187960.872 | 0.002 | 63303274.285 | 0.002 | 
| 174950630535.291 | -10593820283.715 | 288569802003.548 | -5717976007.328 | 80362844.078 | -45072080843.197 | 
| 717372479075.020 | 235116362892.590 | 1228235983822.600 | 187440650100.180 | -118416217823.170 | 794429320.296 | 
| -8282012837407.601 | -8282012616432.101 | -21488498430015.000 | 0.155 | 0.084 | -0.307 | 
| -8281753929224.100 | -8281753929345.100 | -21487826309404.996 | 0.239 | -0.073 | -15.029 | 
| -8282175072740.900 | -8282175071243.201 | -21488919435408.000 | 421437785.449 | -0.071 | -15.042 | 
| -8282175064138.399 | -8282175079845.398 | -21488919435408.000 | -0.094 | 421437783.719 | -409.848 | 
| -8282175073638.001 | -8282175073626.899 | -21488919439675.000 | 0.126 | 0.211 | 440706.675 | 
| 8282337543289.200 | 8282337294863.501 | 21489340446036.000 | 0.163 | -0.035 | -0.316 | 
| 8282337306492.601 | 8282337531658.501 | 21489340446034.004 | -0.186 | -0.151 | 0.782 | 
| 8282596209419.601 | 8282596209450.500 | 21490012547819.000 | -0.158 | 0.003 | 4.537 | 
| 8282175071989.699 | 8282175071993.999 | 21488919435408.000 | 421437785.250 | -0.079 | 0.135 | 
| 8282175071906.600 | 8282175072076.600 | 21488919435408.000 | -0.062 | 421437783.941 | 0.086 | 
| 8282175073651.900 | 8282175073612.601 | 21488919439675.000 | -0.414 | -0.192 | 3107182.243 | 
| -104711831531.950 | -107267956276.950 | -275042572836.710 | -4694576248.825 | -2155614897.167 | 6516.308 | 
| -100343625279.210 | -102794738034.120 | -263570596141.770 | 1769.765 | 0.042 | 0.047 | 
| 6555203355.780 | 7171208569.321 | 17836431924.184 | -2953601709.982 | -2036257080.140 | 44727574.297 | 
| -42937435154.826 | -42384017133.558 | -110690963919.700 | 315335871.381 | 14730.451 | -7377484.839 | 
| -103027112111.300 | -105543371887.660 | -270618726471.850 | -383257926.196 | 144379483.880 | 377214.000 | 
| 0.007 | 0.017 | 0.031 | 0.225 | -0.117 | -0.004 | 
| 100448881880.180 | 102902564742.010 | 263847017432.740 | -0.003 | -0.002 | 0.146 | 
| 100450121777.330 | 102903895680.610 | 263850353065.240 | 504.872 | 0.903 | 1.348 | 
| -4987663654.868 | -4883197920.614 | -12871001102.568 | 4486965533.168 | 1099520278.561 | 184773344.006 | 
| 42934267511.708 | 42501164147.116 | 110837802542.440 | -103630270.513 | -27480.924 | 7683497.024 | 
| 23.119 | -3.782 | -19.129 | -1958.506 | 170885162.965 | -1.731 | 
| 105062587395.480 | 109280727116.520 | 278112865562.180 | -46444067764.591 | -20402848251.428 | -2769098719.299 | 
| -9987697338.419 | -10231702369.127 | -26234552380.194 | 13.419 | 0.000 | -8.598 | 
| 0.050 | 0.017 | 0.087 | 0.000 | 0.000 | -0.002 | 
| 126132228.993 | 171487580.800 | 386096603.177 | -24806621.386 | 65145605.892 | -10096209.955 | 
| 704915593.323 | 17689226194.254 | 23625325104.451 | -8058446.904 | 23.780 | -6154.313 | 
| -10039737160.287 | -10284982414.113 | -26371177546.699 | 29.216 | 138450059.273 | -1.372 | 
| -0.004 | -0.001 | -0.006 | -0.000 | 0.000 | 0.001 | 
| 10091713760.028 | 10338198765.919 | 26507638513.230 | 60.766 | 0.000 | 83.440 | 
| 10092954768.579 | 10339530276.351 | 26510976299.326 | 15.542 | 0.002 | -17.826 | 
| -665981774.635 | -736845125.075 | -1835276965.724 | 335302064.152 | 269752336.919 | 14671022.786 | 
| -704879879.716 | -17688979474.657 | -23624963430.705 | -6536949.080 | 32.963 | 6177.712 | 
| 10039737445.948 | 10284982156.577 | 26371177565.538 | -13.146 | 138450059.807 | -0.140 | 
| 10223060643.498 | 10100444976.502 | 26369602812.665 | 114.502 | -198.137 | -106173034.129 | 
| 32946776018.000 | 10982414833.000 | 125001560309.994 | 37051269361.601 | 0.117 | 0.259 | 
| 10982453950.998 | 32946737007.000 | 125001560611.993 | -37051137193.794 | 19.655 | 5.972 | 
| 124999149346.999 | 124999149505.000 | 711371105656.998 | -266.489 | -70.993 | -21.062 | 
| 37051244068.000 | -37052139958.000 | -2542152.996 | 125001665067.309 | -82.438 | -24.469 | 
| -672223.999 | -223803.999 | -2542545.995 | -752206.247 | 125000912585.416 | 37051467721.410 | 
| -59073.001 | -19832.001 | -223903.002 | -65822.863 | 37051467633.420 | 10982239692.581 | 
| 32947129611.999 | 10982532110.999 | 125002896428.995 | 37051665767.854 | 78.819 | 23.287 | 
| 10982493100.000 | 32947169040.000 | 125002897611.999 | -37051798459.350 | 3.816 | 1.184 | 
| 125004225971.001 | 125004225871.001 | 711400024541.999 | 168.646 | 47.856 | 13.955 | 
| 37051691398.000 | -37050795575.999 | 2541957.007 | 125000160294.481 | 2.391 | 0.631 | 
| 672230.999 | 223806.000 | 2542571.001 | 752213.444 | 125000912602.244 | 37051467726.369 | 
| 59080.001 | 19825.999 | 223905.990 | 65842.980 | 37051467822.071 | 10982239748.349 | 
| 32945184316.500 | 10981886241.800 | 124995543870.200 | 37049486040.638 | 1.276 | 0.365 | 
| 10982278194.800 | 32944792343.400 | 124995543812.800 | -37048159958.947 | 0.261 | 0.039 | 
| 124976304458.800 | 124976304474.800 | 711240966551.701 | -26.919 | -3.242 | -0.958 | 
| 37049230817.100 | -37058191090.300 | -25425397.801 | 125008438468.038 | -6.977 | -2.071 | 
| -6723340.200 | -2236941.100 | -25425424.900 | -7525771.878 | 125000912703.924 | 37051467756.542 | 
| -590689.700 | -197626.000 | -2236910.000 | -659339.621 | 37051467738.912 | 10982239723.229 | 
| 32948721905.500 | 10983061035.300 | 125008915497.000 | 37053449523.467 | 10.454 | 3.091 | 
| 10982669079.300 | 32949113857.400 | 125008915484.700 | -37054775575.105 | 1.392 | 0.417 | 
| 125027071739.400 | 125027071731.900 | 711530168570.999 | 12.604 | 6.698 | 1.978 | 
| 37053704709.900 | -37044744433.900 | 25425414.200 | 124993386982.222 | 2.682 | 0.796 | 
| 6723339.400 | 2236940.800 | 25425422.000 | 7525770.978 | 125000912706.106 | 37051467757.193 | 
| 590690.700 | 197625.300 | 2236910.499 | 659342.596 | 37051467751.835 | 10982239727.021 | 
| 32929265127.570 | 10976599603.420 | 124935371145.500 | 37031650356.993 | -0.972 | -0.288 | 
| 10980519286.450 | 32925345448.460 | 124935371134.440 | -37018389389.644 | -0.267 | -0.079 | 
| 124747851332.460 | 124747851332.320 | 709939557907.150 | 0.239 | -0.774 | -0.232 | 
| 37029098328.680 | -37118701394.369 | -254254538.580 | 125076170792.664 | -0.164 | -0.050 | 
| -67233470.590 | -22369491.570 | -254254672.200 | -75257698.790 | 125000913098.597 | 37051467873.421 | 
| -5906980.310 | -1976315.050 | -22369489.330 | -6593445.363 | 37051467762.040 | 10982239730.106 | 
| 32964641112.973 | 10988347667.650 | 125069088058.780 | 37071285130.953 | 0.061 | 0.019 | 
| 10984427987.500 | 32968560800.929 | 125069088058.700 | -37084546147.989 | 0.417 | 0.126 | 
| 125255524254.362 | 125255524253.408 | 712831579429.723 | 1.587 | 1.304 | 0.387 | 
| 37073837306.513 | -36984234459.650 | 254254772.500 | 124925655396.936 | 0.927 | 0.275 | 
| 67233467.030 | 22369489.050 | 254254654.950 | 75257697.065 | 125000913100.053 | 37051467873.856 | 
| 5906980.500 | 1976315.080 | 22369489.970 | 6593445.635 | 37051467762.813 | 10982239730.336 | 
| 6.091 | 6.091 | 6.091 | 0.000 | 0.000 | 0.000 | 
| 6.091 | 6.091 | 6.091 | 0.000 | 0.000 | 0.000 | 
| 6.091 | 6.091 | 6.091 | 0.000 | 0.000 | 0.000 | 
| 0.000 | 0.000 | 0.000 | 6.091 | 0.000 | 0.000 | 
| 0.000 | 0.000 | 0.000 | 0.000 | 6.091 | 0.000 | 
| 0.000 | 0.000 | 0.000 | 0.000 | 0.000 | 6.091 | 
| 6.091 | 6.091 | 6.091 | -0.000 | -0.000 | 0.000 | 
| 6.091 | 6.091 | 6.091 | -0.000 | -0.000 | 0.000 | 
| 6.091 | 6.091 | 6.091 | -0.000 | -0.000 | 0.000 | 
| -0.000 | -0.000 | -0.000 | 6.091 | -0.000 | -0.000 | 
| -0.000 | -0.000 | -0.000 | -0.000 | 6.091 | -0.000 | 
| -0.000 | -0.000 | -0.000 | -0.000 | -0.000 | 6.091 | 
| 6.091 | 6.091 | 6.091 | 0.000 | 0.000 | 0.000 | 
| 6.091 | 6.091 | 6.091 | 0.000 | 0.000 | 0.000 | 
| 6.091 | 6.091 | 6.091 | 0.000 | 0.000 | 0.000 | 
| 0.000 | 0.000 | 0.000 | 6.091 | 0.000 | 0.000 | 
| 0.000 | 0.000 | 0.000 | 0.000 | 6.091 | 0.000 | 
| 0.000 | 0.000 | 0.000 | 0.000 | 0.000 | 6.091 | 
| 6.091 | 6.091 | 6.091 | -0.000 | -0.000 | -0.000 | 
| 6.091 | 6.091 | 6.091 | -0.000 | -0.000 | -0.000 | 
| 6.091 | 6.091 | 6.091 | -0.000 | -0.000 | 0.000 | 
| -0.000 | -0.000 | -0.000 | 6.091 | -0.000 | -0.000 | 
| -0.000 | -0.000 | -0.000 | -0.000 | 6.091 | -0.000 | 
| -0.000 | -0.000 | -0.000 | -0.000 | -0.000 | 6.091 | 
| 6.091 | 6.091 | 6.091 | 0.000 | 0.000 | -0.000 | 
| 6.091 | 6.091 | 6.091 | 0.000 | 0.000 | -0.000 | 
| 6.091 | 6.091 | 6.091 | 0.000 | 0.000 | -0.000 | 
| 0.000 | -0.000 | -0.000 | 2.042 | 0.000 | 0.000 | 
| -0.000 | 0.000 | -0.000 | 0.000 | 2.042 | 0.000 | 
| -0.000 | -0.000 | 0.000 | 0.000 | 0.000 | 2.042 | 
| 6.091 | 6.091 | 6.091 | -0.000 | -0.000 | -0.000 | 
| 6.091 | 6.091 | 6.091 | -0.000 | -0.000 | -0.000 | 
| 6.091 | 6.091 | 6.091 | -0.000 | -0.000 | 0.000 | 
| -0.000 | 0.000 | 0.000 | 2.042 | -0.000 | -0.000 | 
| 0.000 | -0.000 | 0.000 | -0.000 | 2.042 | -0.000 | 
| 0.000 | 0.000 | -0.000 | -0.000 | -0.000 | 2.042 | 
| -18764586430.680 | -18765297297.395 | -18763655114.526 | 466599380.327 | -174374684.426 | -207278577.889 | 
| -433055359.756 | -433441673.588 | -433097706.944 | 88830868.588 | -53522801.684 | -8614669.750 | 
| 1003145663.936 | 1006508325.955 | 1006366817.472 | -64293449.275 | -68659495.356 | -144136395.765 | 
| -0.299 | -0.296 | -0.296 | 0.296 | -0.022 | 0.022 | 
| -0.751 | -0.758 | -0.751 | -0.007 | 0.751 | 0.007 | 
| -0.629 | -0.629 | -0.636 | 0.014 | -0.014 | 0.629 | 
| -10196418548.389 | -10196310143.200 | -10200019550.346 | 91468860.654 | 1143758292.660 | 21195625.697 | 
| 215966150.507 | 216315551.303 | 216328760.152 | 184160.581 | 26577273.592 | -15455275.267 | 
| -21929999734.704 | -22009076459.129 | -21969638319.915 | 90873548.081 | -2012952842.085 | 1792595375.212 | 
| 0.034 | 0.034 | 0.034 | 0.034 | 0.008 | 0.008 | 
| 0.252 | 0.255 | 0.252 | 0.052 | 0.252 | 0.052 | 
| 1.081 | 1.081 | 1.091 | -0.032 | -0.032 | 1.081 | 
| 3404031733.541 | 3405640128.680 | 3410831174.017 | 165447111.209 | 59050694.046 | -133523022.226 | 
| 273372534.107 | 271599867.124 | 272844593.161 | 37783507.577 | 80496395.702 | 24531680.568 | 
| -13858358.313 | -13912254.582 | -13866551.836 | -905907.695 | 1768463.609 | -379459.535 | 
| 0.017 | 0.017 | 0.017 | -0.017 | 0.004 | -0.004 | 
| -0.012 | -0.012 | -0.012 | -0.001 | 0.012 | 0.001 | 
| -0.002 | -0.002 | -0.002 | -0.001 | 0.001 | 0.002 | 
| 53426884.115 | 53355771.378 | 53429703.217 | -1139998.379 | 3879267.170 | -1271631.453 | 
| -61116504.412 | -61118627.077 | -61137169.299 | -70280.912 | 58799.444 | 1459891.438 | 
| -23900648.208 | -23872488.787 | -23917989.321 | -113290.329 | 826863.010 | -301139.197 | 
| 0.002 | 0.002 | 0.002 | 0.002 | -0.002 | -0.002 | 
| 0.014 | 0.014 | 0.014 | -0.002 | 0.014 | -0.002 | 
| 0.052 | 0.052 | 0.052 | -0.001 | -0.001 | 0.052 | 
| -9354050.960 | -9476556.837 | -9407967.930 | 454810.408 | -534661.572 | 3331827.933 | 
| -15641792.777 | -15642883.850 | -15641896.101 | 77643.504 | -17355.849 | -59406.601 | 
| 13356090.095 | 13499135.502 | 13367768.512 | 2921980.664 | 327305.849 | 1497519.728 | 
| -0.003 | -0.003 | -0.003 | 0.003 | 0.000 | -0.000 | 
| -0.003 | -0.003 | -0.003 | 0.000 | 0.003 | -0.000 | 
| -0.010 | -0.010 | -0.010 | 0.000 | -0.000 | 0.010 | 
| 644949008.105 | 645037401.491 | 644832331.540 | 3167394.045 | -5456961.684 | -614106.354 | 
| -101985.819 | -95641.989 | -91496.037 | -4727.123 | -217691.592 | -75098.162 | 
| -16558667.827 | -16626860.828 | -16672988.277 | 5135425.701 | -2075690.048 | -3677387.188 | 
| 0.003 | 0.003 | 0.003 | 0.003 | -0.000 | -0.000 | 
| -0.004 | -0.004 | -0.004 | -0.000 | -0.004 | -0.000 | 
| 0.003 | 0.003 | 0.003 | -0.000 | -0.000 | 0.003 | 
| -5560055630371.535 | -7359258721159.334 | -7348459770043.634 | -6770502866.977 | 248950082976.870 | 318918149294.300 | 
| -7106391153800.733 | -5179580703146.034 | -7330529997653.234 | 273894536587.170 | -88820247840.757 | 306278427488.260 | 
| -9559680718912.535 | -9526169523481.436 | -7145903270178.034 | 31652156589.960 | 417338854847.970 | 222204670957.980 | 
| 32010518258943.469 | 100941940088105.484 | 100941938756615.469 | -14119228582895.998 | 2631083.782 | 3217115.201 | 
| 100941899863415.469 | 32010647124259.465 | 100941898542305.469 | 2056132.279 | -14119200436478.000 | 1597408.908 | 
| 100941927417285.469 | 100941926037985.469 | 32010558993655.465 | 5869363.641 | 4831674.981 | -14119219690237.998 | 
| 7941907226329.034 | 10478068609826.535 | 9272612510883.936 | 144924110260.040 | 220581517725.310 | -47778043602.339 | 
| 9241615664648.336 | 8362284807239.034 | 9579386761205.535 | 154742616905.410 | 424561317823.970 | -177299388708.520 | 
| 10104654103614.535 | 10394938195419.535 | 8309371832026.335 | -76251171587.154 | -76619705636.720 | -28159537295.544 | 
| -32009853999202.465 | -100942147094615.453 | -100942146079385.453 | -14119373916663.002 | -4084517.105 | 5859874.034 | 
| -100942147608465.469 | -32009852298828.465 | -100942146608535.469 | -2308447.208 | -14119374299281.000 | 2670906.556 | 
| -100942083894975.453 | -100942082875715.469 | -32010056408937.465 | 1776056.344 | -1408573.292 | -14119329725868.000 | 
| -517015680640.813 | -1184830165237.854 | -1097964803274.354 | -40274520591.306 | 26487175343.288 | 24523209504.614 | 
| -1123804626002.054 | -880078038220.524 | -1119717459356.754 | -5581482778.255 | -13355355935.537 | 5604804704.931 | 
| -1213211217548.553 | -1132649398078.153 | -747317377852.523 | -9761662243.162 | -4505505031.764 | -47418688226.624 | 
| 3202111754248.547 | 10093154417402.547 | 10093154134107.547 | -1411527143593.500 | 36250.469 | 42808.087 | 
| 10093155041139.547 | 3202109754072.947 | 10093154757858.547 | 21280.561 | -1411527580262.000 | 20813.028 | 
| 10093156448962.547 | 10093156165650.545 | 3202105239760.147 | 48407.262 | 42087.196 | -1411528565763.100 | 
| 816389566362.383 | 1003210820348.954 | 1059387242059.053 | 507109114.641 | -8610351164.880 | 16831464737.706 | 
| 1165723383897.454 | 891118178183.144 | 1057658966798.253 | -8775764157.112 | -34929827519.818 | -34647747986.174 | 
| 987637573631.524 | 941751185318.674 | 759895019445.344 | -38657666667.421 | -37145116483.084 | 9746058713.454 | 
| -3202116560193.547 | -10093152919200.547 | -10093152635727.547 | -1411526094579.600 | -28171.767 | 40766.149 | 
| -10093153595589.547 | -3202114391271.646 | -10093153312132.547 | -29302.522 | -1411526568069.700 | 41414.622 | 
| -10093153722456.549 | -10093153438991.549 | -3202113984423.147 | -12212.030 | 34209.166 | -1411526656899.500 | 
| -82923241529.803 | -99485238591.973 | -102909476172.005 | 1690306040.867 | 63671222.814 | -4086015688.737 | 
| -102424075352.015 | -79712750654.352 | -108500858122.305 | -2827972068.882 | 4067720252.631 | -3252913133.615 | 
| -105014302540.805 | -105943639028.915 | -77641824103.867 | -2571173194.771 | -3001535812.935 | 3309072451.655 | 
| 319942714507.285 | 1008690622233.855 | 1008690339544.855 | -141046842740.460 | 460.736 | 524.277 | 
| 1008690623499.455 | 319942710452.915 | 1008690340810.355 | 584.652 | -141046843625.930 | 661.448 | 
| 1008690619006.655 | 1008690336317.655 | 319942724845.165 | 894.855 | 879.431 | -141046840482.760 | 
| 71148748179.595 | 117341655269.365 | 111668030801.575 | 2496281560.677 | 2443772675.253 | 2222007781.759 | 
| 91694467491.681 | 53512489872.583 | 91258698018.912 | -595459738.068 | 157019758.369 | -3300991790.967 | 
| 115685878388.995 | 111576200524.575 | 69445397528.323 | 3442465186.637 | 1353628077.329 | -1987930725.304 | 
| -319942709727.865 | -1008690623726.255 | -1008690341036.955 | -141046843784.440 | -420.229 | 600.773 | 
| -1008690625859.255 | -319942702894.685 | -1008690343170.055 | 67.630 | -141046845276.790 | 9.878 | 
| -1008690637871.555 | -1008690355182.255 | -319942664413.725 | 428.146 | -291.240 | -141046853680.870 | 
| 446.157 | 435.632 | 435.632 | 0.000 | 0.000 | 0.000 | 
| 435.632 | 446.157 | 435.632 | 0.000 | 0.000 | 0.000 | 
| 435.632 | 435.632 | 446.157 | 0.000 | 0.000 | 0.000 | 
| 0.001 | 0.001 | 0.001 | 438.714 | 0.000 | 0.000 | 
| 0.001 | 0.001 | 0.001 | 0.000 | 438.714 | 0.000 | 
| 0.001 | 0.001 | 0.001 | 0.000 | 0.000 | 438.714 | 
| 446.155 | 435.630 | 435.630 | -0.000 | -0.000 | -0.000 | 
| 435.630 | 446.155 | 435.630 | -0.000 | -0.000 | -0.000 | 
| 435.630 | 435.630 | 446.155 | -0.000 | -0.000 | -0.000 | 
| -0.001 | -0.001 | -0.001 | 438.714 | -0.000 | -0.000 | 
| -0.001 | -0.001 | -0.001 | -0.000 | 438.714 | 0.000 | 
| -0.001 | -0.001 | -0.001 | -0.000 | -0.000 | 438.714 | 
| 446.157 | 435.632 | 435.632 | 0.000 | 0.000 | 0.000 | 
| 435.632 | 446.157 | 435.632 | 0.000 | 0.000 | 0.000 | 
| 435.632 | 435.632 | 446.157 | 0.000 | 0.000 | 0.000 | 
| 0.001 | 0.001 | 0.001 | 432.607 | 0.000 | 0.000 | 
| 0.001 | 0.001 | 0.001 | 0.000 | 432.607 | 0.000 | 
| 0.001 | 0.001 | 0.001 | 0.000 | 0.000 | 432.607 | 
| 446.155 | 435.630 | 435.630 | -0.000 | -0.000 | -0.000 | 
| 435.630 | 446.155 | 435.630 | -0.000 | -0.000 | -0.000 | 
| 435.630 | 435.630 | 446.155 | -0.000 | -0.000 | -0.000 | 
| -0.001 | -0.001 | -0.001 | 432.607 | -0.000 | -0.000 | 
| -0.001 | -0.001 | -0.001 | -0.000 | 432.607 | -0.000 | 
| -0.001 | -0.001 | -0.001 | -0.000 | -0.000 | 432.607 | 
| 446.159 | 435.635 | 435.635 | 0.000 | 0.000 | 0.000 | 
| 435.635 | 446.159 | 435.635 | 0.000 | 0.000 | 0.000 | 
| 435.635 | 435.635 | 446.159 | 0.000 | 0.000 | 0.000 | 
| 0.003 | 0.002 | 0.003 | 432.607 | 0.000 | 0.000 | 
| 0.002 | 0.003 | 0.003 | 0.000 | 432.607 | 0.000 | 
| 0.002 | 0.003 | 0.003 | 0.000 | 0.000 | 432.607 | 
| 446.154 | 435.627 | 435.627 | -0.000 | -0.000 | -0.000 | 
| 435.627 | 446.154 | 435.627 | -0.000 | -0.000 | -0.000 | 
| 435.627 | 435.627 | 446.154 | -0.000 | -0.000 | -0.000 | 
| -0.003 | -0.002 | -0.003 | 432.607 | -0.000 | -0.000 | 
| -0.002 | -0.003 | -0.003 | -0.000 | 432.607 | -0.000 | 
| -0.002 | -0.003 | -0.003 | -0.000 | -0.000 | 432.607 | 
| -21836953130648.777 | -21836926337631.773 | -21836926337631.773 | -0.041 | 0.128 | 0.151 | 
| -21836926337631.773 | -21836953130648.777 | -21836926337630.773 | 0.072 | 0.054 | 0.117 | 
| -21836926337631.773 | -21836926337630.773 | -21836953130647.777 | 0.143 | 0.166 | 0.090 | 
| -1594961861500.277 | -1592949622382.677 | -1592949612407.877 | 492621532045.000 | 8922.595 | -9349.869 | 
| -1592977276239.077 | -1594989302880.377 | -1592977266261.277 | 6245.544 | 492649242351.810 | -5998.504 | 
| -1592984847437.077 | -1592984837462.077 | -1594996815908.777 | -52138.921 | 52281.269 | 492656829007.530 | 
| 21837138367271.777 | 21837165161995.777 | 21837165161995.777 | 0.348 | -0.156 | 0.019 | 
| 21837165161995.777 | 21837138367271.777 | 21837165161995.777 | 0.049 | 0.151 | -0.022 | 
| 21837165161995.777 | 21837165161996.777 | 21837138367271.777 | 0.097 | -0.112 | -0.108 | 
| 1595117622382.577 | 1593106589203.778 | 1593106579241.177 | 492778819351.310 | -95336.338 | -95415.461 | 
| 1593108126472.177 | 1595119147844.077 | 1593108116505.977 | 80407.049 | 492780359760.750 | 80512.175 | 
| 1593104771273.077 | 1593104761309.477 | 1595115818426.377 | 35623.435 | 35668.827 | 492776997716.030 | 
| -2183611928063.178 | -2183585142720.678 | -2183585142720.578 | -0.029 | 0.010 | 0.003 | 
| -2183585142720.678 | -2183611928063.178 | -2183585142720.578 | -0.026 | 0.005 | 0.004 | 
| -2183585142720.678 | -2183585142720.678 | -2183611928063.078 | -0.037 | 0.000 | -0.007 | 
| -159363608098.318 | -159161221943.848 | -159161212116.788 | 49128121174.788 | 568.507 | -575.976 | 
| -159161154892.208 | -159363541561.898 | -159161145065.168 | 126.632 | 49128053986.511 | -122.009 | 
| -159161158447.248 | -159161148620.208 | -159363545089.618 | -339.489 | 339.999 | 49128057548.792 | 
| 2183797164689.478 | 2183823967089.178 | 2183823967089.078 | -0.003 | -0.001 | -0.002 | 
| 2183823967089.178 | 2183797164689.578 | 2183823967089.078 | -0.014 | 0.001 | -0.003 | 
| 2183823967089.178 | 2183823967089.078 | 2183797164689.478 | -0.006 | -0.002 | 0.006 | 
| 159362689925.638 | 159160296661.358 | 159160286834.478 | 49127194006.694 | -1010.318 | -1010.883 | 
| 159160359457.658 | 159362752239.418 | 159160349630.758 | 1089.845 | 49127256930.969 | 1093.901 | 
| 159160280223.678 | 159160270396.798 | 159362673614.258 | 899.353 | 902.789 | 49127177535.517 | 
| -218277551127.998 | -218250842542.358 | -218250842542.368 | -0.005 | -0.002 | -0.001 | 
| -218250842542.368 | -218277551127.998 | -218250842542.368 | -0.002 | 0.002 | -0.002 | 
| -218250842542.368 | -218250842542.368 | -218277551128.008 | -0.003 | -0.001 | -0.002 | 
| -15957876800.996 | -15937669344.611 | -15937659462.242 | 4934384452.109 | 3.125 | -3.179 | 
| -15937666404.006 | -15957873882.995 | -15937656521.643 | -5.785 | 4934381505.509 | 5.815 | 
| -15937666135.957 | -15937656253.596 | -15957873617.007 | -13.914 | 13.927 | 4934381236.913 | 
| 218462787753.728 | 218489666910.958 | 218489666910.968 | 0.004 | -0.007 | -0.002 | 
| 218489666910.958 | 218462787753.728 | 218489666910.968 | 0.005 | -0.001 | -0.002 | 
| 218489666910.968 | 218489666910.958 | 218462787753.738 | 0.001 | -0.002 | -0.000 | 
| 15957876083.024 | 15937668621.077 | 15937658738.710 | 4934383727.100 | -13.378 | -13.396 | 
| 15937668354.788 | 15957875818.782 | 15937658472.421 | 13.045 | 4934383460.268 | 13.032 | 
| 15937667219.334 | 15937657336.970 | 15957874692.055 | 10.043 | 10.022 | 4934382322.499 | 
| 6.520 | -32.623 | -32.623 | -0.000 | -0.000 | 0.000 | 
| -32.623 | 6.520 | -32.623 | 0.000 | -0.000 | 0.000 | 
| -32.623 | -32.623 | 6.520 | 0.000 | -0.000 | 0.000 | 
| 0.000 | 0.000 | 0.000 | 24.268 | -0.000 | 0.000 | 
| 0.000 | 0.000 | 0.000 | -0.000 | 24.268 | 0.000 | 
| 0.000 | 0.000 | 0.000 | -0.000 | 0.000 | 24.268 | 
| 6.520 | -32.623 | -32.623 | 0.000 | 0.000 | -0.000 | 
| -32.623 | 6.520 | -32.623 | 0.000 | 0.000 | -0.000 | 
| -32.623 | -32.623 | 6.520 | 0.000 | 0.000 | -0.000 | 
| -0.000 | -0.000 | -0.000 | 24.268 | -0.000 | -0.000 | 
| -0.000 | -0.000 | -0.000 | 0.000 | 24.268 | -0.000 | 
| -0.000 | -0.000 | -0.000 | 0.000 | 0.000 | 24.268 | 
| 6.520 | -32.623 | -32.623 | -0.000 | -0.000 | 0.000 | 
| -32.623 | 6.520 | -32.623 | -0.000 | -0.000 | -0.000 | 
| -32.623 | -32.623 | 6.520 | -0.000 | -0.000 | 0.000 | 
| 0.000 | 0.000 | 0.000 | 24.268 | 0.000 | 0.000 | 
| 0.000 | 0.000 | 0.000 | -0.000 | 24.268 | 0.000 | 
| 0.000 | 0.000 | 0.000 | -0.000 | 0.000 | 24.268 | 
| 6.520 | -32.623 | -32.623 | 0.000 | 0.000 | -0.000 | 
| -32.623 | 6.520 | -32.623 | 0.000 | 0.000 | -0.000 | 
| -32.623 | -32.623 | 6.520 | 0.000 | 0.000 | -0.000 | 
| -0.000 | -0.000 | -0.000 | 24.268 | 0.000 | -0.000 | 
| -0.000 | -0.000 | -0.000 | 0.000 | 24.268 | -0.000 | 
| -0.000 | -0.000 | -0.000 | 0.000 | -0.000 | 24.268 | 
| 6.520 | -32.623 | -32.623 | 0.000 | -0.000 | 0.000 | 
| -32.623 | 6.520 | -32.623 | -0.000 | -0.000 | 0.000 | 
| -32.623 | -32.623 | 6.520 | -0.000 | -0.000 | 0.000 | 
| 0.000 | 0.000 | 0.000 | 21.333 | -0.000 | 0.000 | 
| 0.000 | 0.000 | 0.000 | -0.000 | 21.333 | 0.000 | 
| 0.000 | 0.000 | 0.000 | -0.000 | -0.000 | 21.333 | 
| 6.520 | -32.623 | -32.623 | 0.000 | 0.000 | -0.000 | 
| -32.623 | 6.520 | -32.623 | -0.000 | 0.000 | -0.000 | 
| -32.623 | -32.623 | 6.520 | -0.000 | -0.000 | -0.000 | 
| -0.000 | -0.000 | -0.000 | 21.333 | 0.000 | -0.000 | 
| -0.000 | -0.000 | -0.000 | 0.000 | 21.333 | -0.000 | 
| -0.000 | -0.000 | -0.000 | 0.000 | 0.000 | 21.333 | 
| -405463239586.342 | -392982362616.722 | -446474137509.352 | 13353610181.011 | 423819898.490 | -5028322371.937 | 
| -506697451193.722 | -416665165443.162 | -447921938874.042 | 5928100904.509 | 3377477406.794 | 993683047.775 | 
| -318082044549.332 | -249506618198.282 | -437319962748.132 | -1774838479.935 | 562954834.470 | -13869522503.897 | 
| 671756878913.298 | 655346496269.368 | 660046940708.988 | -10109389810.270 | 18730856.867 | -770163063.229 | 
| 52514479329.693 | 69410708141.545 | 60982604441.568 | 986570914.666 | -210663766.463 | 1089628715.751 | 
| 121174037231.328 | 159057367343.788 | 134014019289.718 | 4113054380.627 | 3040760176.485 | 8358379370.983 | 
| -155966887445.828 | -268829523300.328 | -248396062298.688 | 6824574479.223 | -5444732529.467 | 5593046.421 | 
| 245737898917.392 | 283079158854.202 | 340207048307.832 | -263905322.646 | 2445980126.916 | -5205659620.857 | 
| 471432663126.452 | 522059325833.042 | 498925383324.132 | 5922168605.078 | -411572501.892 | -7214375352.894 | 
| -102129550416.798 | -61704015110.898 | -32680704386.954 | 1591663481.094 | 112942674.939 | -242233663.586 | 
| -43953929160.772 | -70963610017.892 | -33339102617.266 | -2116224896.353 | -2391157265.003 | 2149039957.875 | 
| -53318568993.285 | 36095290146.681 | -16877849602.314 | -610082585.432 | -451593916.861 | 4388331336.093 | 
| -44335626179.843 | -47979854858.443 | -56497241882.857 | -116470638.885 | 70009335.409 | 523306861.652 | 
| -297518909.955 | -417299135.878 | 89864048.417 | -21852865.391 | -17175018.659 | 12843081.562 | 
| 1402591992.518 | 932531574.140 | 1714161943.400 | -1198489.061 | -209600532.115 | -10394149.089 | 
| 4138238828.268 | 563554136.547 | 2964613886.908 | 123353864.160 | -3501885.596 | -8593157.702 | 
| 1752857387.798 | 3369576365.085 | 849436774.327 | 155139338.480 | 34199088.618 | 148953595.726 | 
| 36209063289.492 | 34896200243.413 | 21629826774.405 | -166245466.453 | -107398951.537 | 509272292.935 | 
| -10582643180.483 | -10740585702.579 | -8618152847.033 | -342531476.804 | 193038438.033 | 502627824.443 | 
| 1194644183.816 | 927855415.863 | 1510147264.312 | -4706869.539 | -9302901.660 | -9474005.550 | 
| 1635256778.474 | -94142770.936 | 3986518070.962 | 72982194.986 | 66539352.979 | -38858373.290 | 
| -2537720025.364 | -256117474.485 | -3567250760.112 | 380970840.702 | -152095089.150 | 148767839.605 | 
| -35340147379.002 | -31562316052.539 | -40308590016.662 | -200491299.063 | 1679949763.814 | 141818079.480 | 
| -7266962596.766 | -289145376.253 | -5582118001.262 | 89135561.432 | -94934737.162 | 29906505.830 | 
| 1138741030.603 | 1261022570.040 | 726384367.847 | 3275717.655 | -95335182.410 | 35213984.047 | 
| -1371313615.373 | -1948070290.511 | -3656824805.160 | -48684747.864 | 46011588.291 | -2012642.679 | 
| -5810539539.230 | -3966805680.712 | -3694603989.352 | -125788617.234 | -69625142.512 | 137856808.884 | 
| 105351202429.571 | 105360050684.311 | 105360050033.281 | -401739084.501 | 2.628 | 2.041 | 
| 105360050793.571 | 105351202483.561 | 105360050116.151 | 4.648 | -401739135.857 | 0.681 | 
| 105360050859.081 | 105360050207.521 | 105351202519.701 | 4.545 | -0.036 | -401739175.945 | 
| -2213061533.622 | -2740650932.351 | -2983767571.670 | -60599016.826 | 45369010.915 | 26987188.593 | 
| -229116408.952 | -156897714.031 | -84194525.489 | -6790147.075 | 6872888.598 | -4441834.501 | 
| -23259521.645 | 46230793.528 | 148684729.608 | 1832562.221 | 1340452.547 | 1913620.093 | 
| -105351216562.131 | -105360065038.381 | -105360064456.191 | -401748260.202 | -1.509 | -5.378 | 
| -105360065086.101 | -105351216560.111 | -105360064478.441 | -1.704 | -401748274.718 | -6.497 | 
| -105360065075.761 | -105360064496.151 | -105351216526.581 | -1.212 | -5.524 | -401748269.220 | 
| 53814379797433.602 | 53308284857306.602 | 52909458615452.602 | 57456757631.005 | 755370118295.560 | 558667527857.540 | 
| 52635772147244.594 | 53226282635142.602 | 52006235569349.602 | 810862334311.870 | 6163509364.998 | 728002924450.340 | 
| 51971431370005.586 | 52295160034045.602 | 52908040281815.602 | 461835850009.440 | 735512205305.760 | 113298800240.450 | 
| 53996385072648.594 | 53244032325071.594 | 52886198777812.594 | 635282880981.620 | 181756194166.000 | 353862298459.050 | 
| 52151193344645.602 | 53049727718960.594 | 52202856771200.594 | -78038137476.371 | 483513455919.530 | 146182065943.920 | 
| 53580523275347.609 | 53530236734656.602 | 54442685829574.602 | 250760897178.230 | 391904248843.470 | 596985192236.750 | 
| -50845709135434.586 | -52342055730326.609 | -52169065749145.602 | -257762816170.860 | -42647799277.400 | -250261203341.540 | 
| -52842768358336.594 | -51334626215412.609 | -52519740253213.602 | -75780955885.781 | -291175838696.030 | -110085032959.760 | 
| -52735407994003.602 | -52622472897631.602 | -51584799810752.594 | -121111237286.810 | -15952866058.679 | -502845887149.240 | 
| -52981271386493.602 | -52405617951322.594 | -52538334247564.602 | -486253904483.700 | -333785308432.840 | -235688810915.830 | 
| -52102836445942.602 | -52408887999971.594 | -51730429010874.594 | -259578775770.410 | -342267506639.480 | -138551414660.560 | 
| -53290516661932.594 | -52714904769229.609 | -53578517582396.602 | -289886043539.630 | -231824581723.830 | -127769705190.780 | 
| 5231470227332.160 | 5230311687421.761 | 5221427864704.860 | 19481435675.711 | 39024941580.945 | 44055866456.389 | 
| 5283181658967.961 | 5297414897072.661 | 5288019562197.860 | 36544017027.301 | 36055947661.761 | 27059593695.616 | 
| 5325958849765.961 | 5280551639033.461 | 5225463703726.360 | 19596448480.723 | 72206718548.131 | 31900176468.691 | 
| 5301571679698.561 | 5242395666959.460 | 5171552505175.160 | 39079468818.881 | 50389111646.048 | 32742445321.944 | 
| 5147596153600.460 | 5211026997256.560 | 5151282120437.460 | 12192230784.497 | 30984738809.786 | 19123836193.324 | 
| 5217096533416.561 | 5230693284820.159 | 5230474920237.960 | 27120936192.437 | 37370211963.934 | 13067735444.684 | 
| -5399996319728.960 | -5273175312013.359 | -5259309908071.260 | -46257874308.190 | -20152500931.331 | -5646691918.031 | 
| -5266070657011.460 | -5414689444384.860 | -5249720647931.960 | -15750063020.797 | -56525235008.974 | 5555463056.295 | 
| -5201638239149.961 | -5208907816811.760 | -5349925129937.761 | 3465246891.894 | 14466824125.501 | -70683952349.835 | 
| -5270384808837.960 | -5227660409215.560 | -5232335543834.660 | -30700474396.758 | -26635744082.969 | -33190621840.162 | 
| -5184928398610.360 | -5227918165239.761 | -5256093625675.560 | -32905215931.755 | -29654945537.777 | -20297462329.366 | 
| -5256911628525.360 | -5289498500500.060 | -5315281673379.960 | -14745930126.491 | -29706189783.963 | -32669185250.774 | 
| 950513111655.666 | 949050234774.076 | 949050234774.096 | -0.002 | -0.009 | -0.007 | 
| 949050234774.066 | 950513111655.666 | 949050234774.086 | -0.009 | -0.001 | -0.005 | 
| 531382740299.786 | 530077298694.446 | 525201536969.536 | 5275559121.459 | 3600163795.320 | 4657765874.344 | 
| 523983027854.596 | 528771279258.806 | 520984083856.546 | 2704779786.480 | 3392232811.787 | 1228324732.098 | 
| 526781091121.916 | 529154145122.916 | 518391152026.586 | 3610362688.836 | 916126270.298 | 5312588353.018 | 
| 948979481071.226 | 948979480475.686 | 948980051257.416 | -0.002 | 0.000 | 68855458.107 | 
| -524056617483.086 | -543260692951.706 | -537291916682.646 | -1114436762.644 | -6925378904.971 | -6301786911.828 | 
| -539952582089.776 | -523077530806.256 | -536037314769.956 | -4300336677.240 | -1831319496.126 | -3964683988.539 | 
| -541604182059.956 | -538133766898.356 | -516424387682.166 | -4209326445.588 | -3835936075.851 | -483061833.316 | 
| -527167218397.026 | -516205271290.386 | -513894539834.356 | -1991930173.015 | -1232833819.309 | -4334354487.267 | 
| -539094159179.806 | -545144671411.516 | -536212360197.446 | -4346712935.544 | -2782142001.590 | -4311230752.548 | 
| -948979481071.246 | -948979480475.686 | -948980051257.416 | 0.001 | -0.003 | 68855458.109 | 
| 110258894668471.891 | 110259215709361.859 | 110259215709361.859 | -0.972 | -0.391 | -0.403 | 
| 110259215709361.859 | 110258894668481.875 | 110259215709361.859 | -0.297 | -0.254 | 0.296 | 
| 110259215709381.875 | 110259215709381.875 | 110258894668481.875 | 1.055 | 0.292 | 0.586 | 
| 110257866370641.875 | 110257866366311.859 | 110257866366331.875 | 1347137873.591 | -0.550 | -0.086 | 
| 110257866366311.859 | 110257866370641.875 | 110257866366331.875 | -1.312 | 1347137872.881 | -0.301 | 
| 110257866366311.859 | 110257866366341.859 | 110257866370651.859 | -0.277 | 0.080 | 1347137875.954 | 
| -110256838059191.859 | -110256517023321.844 | -110256517023321.844 | -0.235 | 0.760 | 0.235 | 
| -110256517023321.844 | -110256838059201.875 | -110256517023321.844 | -3.663 | 1.747 | -0.030 | 
| -110256517023321.844 | -110256517023321.844 | -110256838059201.875 | 1.081 | 0.711 | 1.073 | 
| -110257866370651.859 | -110257866366311.859 | -110257866366341.859 | 1347137874.494 | -0.498 | -0.377 | 
| -110257866366311.859 | -110257866370651.859 | -110257866366341.859 | 0.181 | 1347137874.383 | -0.112 | 
| -110257866366311.859 | -110257866366341.859 | -110257866370651.859 | 0.252 | -0.228 | 1347137875.455 | 
| 11026814829106.188 | 11027135892599.188 | 11027135892599.188 | 0.008 | 0.114 | 0.038 | 
| 11027135892599.188 | 11026814829106.188 | 11027135892599.188 | 0.127 | 0.032 | 0.094 | 
| 11027135892599.188 | 11027135892599.188 | 11026814829106.188 | 0.116 | 0.122 | 0.079 | 
| 11025786592609.189 | 11025786549171.189 | 11025786549457.188 | 1347137873.824 | -0.036 | 0.013 | 
| 11025786549171.189 | 11025786592609.189 | 11025786549457.188 | -0.101 | 1347137873.787 | 0.068 | 
| 11025786549171.189 | 11025786549456.188 | 11025786592610.186 | -0.085 | -0.056 | 1347137873.951 | 
| -11024758219811.188 | -11024437206552.188 | -11024437206552.188 | 0.121 | 0.155 | 0.056 | 
| -11024437206552.188 | -11024758219812.188 | -11024437206553.188 | 0.263 | 0.176 | 0.001 | 
| -11024437206553.188 | -11024437206553.188 | -11024758219811.188 | 0.036 | -0.002 | -0.002 | 
| -11025786592609.189 | -11025786549171.189 | -11025786549457.188 | 1347137873.622 | 0.002 | 0.072 | 
| -11025786549171.189 | -11025786592609.189 | -11025786549457.188 | 0.061 | 1347137873.788 | 0.005 | 
| -11025786549171.189 | -11025786549456.188 | -11025786592610.186 | 0.064 | 0.033 | 1347137873.896 | 
| 1103605837837.819 | 1103927127383.419 | 1103927127383.619 | -0.015 | -0.013 | -0.007 | 
| 1103927127383.419 | 1103605837837.819 | 1103927127383.619 | -0.012 | -0.019 | -0.010 | 
| 1103927127383.619 | 1103927127383.519 | 1103605837837.819 | -0.016 | -0.013 | -0.009 | 
| 1102578214698.619 | 1102577780316.419 | 1102577783171.119 | 1347137875.409 | -0.020 | -0.011 | 
| 1102577780316.419 | 1102578214698.619 | 1102577783171.119 | -0.030 | 1347137875.406 | 0.002 | 
| 1102577780316.419 | 1102577783171.119 | 1102578214698.619 | -0.014 | -0.007 | 1347137875.427 | 
| -1101549228541.419 | -1101228441338.519 | -1101228441338.519 | 0.019 | 0.010 | 0.009 | 
| -1101228441338.519 | -1101549228541.419 | -1101228441338.519 | 0.006 | 0.020 | 0.006 | 
| -1101228441338.619 | -1101228441338.619 | -1101549228541.419 | 0.012 | 0.012 | -0.001 | 
| -1102578214698.519 | -1102577780316.419 | -1102577783171.119 | 1347137875.411 | 0.012 | 0.010 | 
| -1102577780316.319 | -1102578214698.519 | -1102577783171.119 | 0.014 | 1347137875.433 | 0.014 | 
| -1102577780316.419 | -1102577783171.119 | -1102578214698.619 | 0.013 | 0.005 | 1347137875.422 | 
| 1256.825 | 639.021 | 639.021 | -0.000 | 0.000 | 0.000 | 
| 639.021 | 1256.824 | 639.021 | -0.000 | 0.000 | 0.000 | 
| 639.021 | 639.021 | 1256.824 | -0.000 | 0.000 | 0.000 | 
| 0.000 | 0.000 | 0.000 | 632.384 | 0.000 | 0.000 | 
| 0.000 | 0.000 | 0.000 | -0.000 | 632.384 | 0.000 | 
| 0.000 | 0.000 | -0.000 | 0.000 | 0.000 | 632.384 | 
| 1256.824 | 639.021 | 639.021 | 0.000 | -0.000 | -0.000 | 
| 639.021 | 1256.824 | 639.021 | 0.000 | -0.000 | -0.000 | 
| 639.021 | 639.021 | 1256.824 | 0.000 | -0.000 | -0.000 | 
| -0.000 | -0.000 | 0.000 | 632.384 | -0.000 | -0.000 | 
| -0.000 | -0.000 | -0.000 | 0.000 | 632.384 | -0.000 | 
| -0.000 | -0.000 | 0.000 | 0.000 | -0.000 | 632.384 | 
| 1256.825 | 639.022 | 639.022 | -0.000 | 0.000 | 0.000 | 
| 639.022 | 1256.825 | 639.022 | 0.000 | 0.000 | 0.000 | 
| 639.022 | 639.022 | 1256.825 | -0.000 | 0.000 | 0.000 | 
| -0.000 | 0.000 | 0.000 | 632.384 | 0.000 | 0.000 | 
| 0.000 | -0.000 | 0.000 | -0.000 | 632.384 | 0.000 | 
| 0.000 | 0.000 | -0.000 | -0.000 | 0.000 | 632.384 | 
| 1256.824 | 639.020 | 639.020 | 0.000 | -0.000 | -0.000 | 
| 639.020 | 1256.824 | 639.020 | 0.000 | -0.000 | -0.000 | 
| 639.020 | 639.020 | 1256.824 | 0.000 | -0.000 | -0.000 | 
| 0.000 | -0.000 | -0.000 | 632.384 | -0.000 | -0.000 | 
| -0.000 | 0.000 | -0.000 | 0.000 | 632.384 | -0.000 | 
| -0.000 | -0.000 | 0.000 | 0.000 | -0.000 | 632.384 | 
| 1256.832 | 639.026 | 639.026 | -0.000 | 0.000 | 0.000 | 
| 639.026 | 1256.832 | 639.026 | -0.000 | 0.000 | 0.000 | 
| 639.026 | 639.026 | 1256.832 | -0.000 | 0.000 | 0.000 | 
| -0.000 | 0.003 | 0.004 | 632.384 | 0.000 | 0.000 | 
| 0.003 | -0.000 | 0.004 | -0.000 | 632.384 | 0.000 | 
| 0.003 | 0.004 | -0.000 | 0.000 | 0.000 | 632.384 | 
| 1256.816 | 639.016 | 639.016 | 0.000 | -0.000 | -0.000 | 
| 639.016 | 1256.816 | 639.016 | 0.000 | -0.000 | -0.000 | 
| 639.016 | 639.016 | 1256.816 | 0.000 | -0.000 | -0.000 | 
| 0.000 | -0.003 | -0.004 | 632.384 | -0.000 | -0.000 | 
| -0.003 | 0.000 | -0.004 | 0.000 | 632.384 | -0.000 | 
| -0.003 | -0.004 | 0.000 | 0.000 | -0.000 | 632.384 | 
| -29577548563355.652 | -29577383892025.648 | -29577383892025.648 | 0.001 | -0.002 | -0.002 | 
| -29577383892025.648 | -29577548563355.652 | -29577383892025.648 | 0.034 | -0.037 | -0.030 | 
| -29577383892025.648 | -29577383892025.648 | -29577548563355.652 | -0.007 | -0.030 | -0.062 | 
| -29577218330861.648 | -29577218329626.648 | -29577218329627.648 | -164970795.907 | -0.015 | 0.009 | 
| -29577218329626.648 | -29577218330861.648 | -29577218329627.648 | 0.023 | -164970795.900 | -0.020 | 
| -29577218329626.648 | -29577218329628.652 | -29577218330860.652 | -0.025 | -0.046 | -164970795.822 | 
| 29576888088546.652 | 29577052767237.652 | 29577052767236.652 | -0.028 | 0.090 | 0.061 | 
| 29577052767237.652 | 29576888088546.652 | 29577052767236.652 | 0.058 | 0.030 | 0.015 | 
| 29577052767237.652 | 29577052767237.652 | 29576888088546.652 | -0.023 | -0.045 | -0.034 | 
| 29577218330861.648 | 29577218329625.652 | 29577218329627.648 | -164970795.960 | -0.044 | 0.021 | 
| 29577218329626.648 | 29577218330861.648 | 29577218329628.652 | 0.036 | -164970795.945 | -0.003 | 
| 29577218329625.652 | 29577218329628.652 | 29577218330860.652 | -0.001 | 0.005 | -164970795.878 | 
| -2958052013316.265 | -2957887375109.366 | -2957887375109.366 | -0.004 | 0.002 | 0.004 | 
| -2957887375109.366 | -2958052013316.265 | -2957887375109.366 | 0.003 | -0.004 | 0.003 | 
| -2957887375109.366 | -2957887375109.366 | -2958052013316.166 | 0.004 | 0.004 | -0.003 | 
| -2957721825016.965 | -2957721812666.565 | -2957721812691.265 | -164970796.042 | -0.002 | -0.003 | 
| -2957721812666.565 | -2957721825016.965 | -2957721812691.265 | -0.002 | -164970796.040 | -0.005 | 
| -2957721812666.565 | -2957721812691.265 | -2957721825016.965 | 0.001 | -0.017 | -164970796.039 | 
| 2957391538511.066 | 2957556250323.065 | 2957556250322.965 | -0.006 | -0.001 | -0.002 | 
| 2957556250322.965 | 2957391538511.066 | 2957556250322.965 | -0.001 | 0.004 | -0.000 | 
| 2957556250322.965 | 2957556250323.065 | 2957391538511.066 | 0.001 | -0.000 | -0.002 | 
| 2957721825016.965 | 2957721812666.565 | 2957721812691.265 | -164970796.056 | 0.003 | 0.006 | 
| 2957721812666.565 | 2957721825016.965 | 2957721812691.265 | 0.005 | -164970796.050 | 0.001 | 
| 2957721812666.565 | 2957721812691.265 | 2957721825016.965 | -0.000 | 0.005 | -164970796.053 | 
| -296101848179.297 | -295937541194.557 | -295937541194.557 | 0.001 | -0.000 | 0.000 | 
| -295937541194.557 | -296101848179.297 | -295937541194.557 | -0.000 | 0.001 | 0.000 | 
| -295937541194.557 | -295937541194.557 | -296101848179.297 | 0.000 | 0.000 | 0.001 | 
| -295772101809.917 | -295771978305.967 | -295771978553.567 | -164970796.295 | -0.000 | 0.000 | 
| -295771978305.967 | -295772101809.917 | -295771978553.567 | 0.001 | -164970796.294 | -0.000 | 
| -295771978305.967 | -295771978553.567 | -295772101809.906 | 0.001 | -0.001 | -164970796.293 | 
| 295441373374.017 | 295606416408.967 | 295606416408.967 | 0.000 | 0.001 | 0.000 | 
| 295606416408.967 | 295441373374.017 | 295606416408.967 | 0.001 | 0.001 | 0.000 | 
| 295606416408.967 | 295606416408.967 | 295441373374.007 | -0.000 | -0.000 | 0.000 | 
| 295772101809.906 | 295771978305.956 | 295771978553.557 | -164970796.296 | 0.000 | 0.000 | 
| 295771978305.956 | 295772101809.906 | 295771978553.557 | 0.000 | -164970796.295 | -0.001 | 
| 295771978305.956 | 295771978553.557 | 295772101809.906 | 0.001 | -0.001 | -164970796.295 | 
| -7.833 | -40.092 | -40.092 | -0.000 | 0.000 | 0.000 | 
| -40.092 | -7.833 | -40.092 | -0.000 | 0.000 | 0.000 | 
| -40.092 | -40.092 | -7.833 | -0.000 | 0.000 | 0.000 | 
| -0.000 | 0.000 | 0.000 | 21.400 | 0.000 | 0.000 | 
| 0.000 | 0.000 | 0.000 | -0.000 | 21.400 | 0.000 | 
| -0.000 | 0.000 | 0.000 | -0.000 | -0.000 | 21.400 | 
| -7.833 | -40.092 | -40.092 | 0.000 | -0.000 | -0.000 | 
| -40.092 | -7.833 | -40.092 | 0.000 | -0.000 | -0.000 | 
| -40.092 | -40.092 | -7.833 | 0.000 | 0.000 | -0.000 | 
| 0.000 | -0.000 | -0.000 | 21.400 | 0.000 | -0.000 | 
| -0.000 | -0.000 | -0.000 | 0.000 | 21.400 | -0.000 | 
| -0.000 | -0.000 | -0.000 | 0.000 | -0.000 | 21.400 | 
| -23471929139.332 | -23546572700.733 | -23546572700.733 | -0.005 | -0.000 | -0.002 | 
| -40.092 | -7.833 | -40.092 | -0.000 | -0.000 | 0.000 | 
| -40.092 | -40.092 | -7.833 | -0.000 | 0.000 | 0.000 | 
| -0.000 | 0.000 | 0.000 | 21.400 | 0.000 | 0.000 | 
| 0.000 | -0.000 | 0.000 | -0.000 | 21.400 | 0.000 | 
| 0.000 | 0.000 | -0.000 | -0.000 | 0.000 | 21.400 | 
| -7.833 | -40.092 | -40.092 | 0.000 | -0.000 | 0.000 | 
| -40.092 | -7.833 | -40.092 | 0.000 | -0.000 | -0.000 | 
| -40.092 | -40.092 | -7.833 | 0.000 | 0.000 | -0.000 | 
| 0.000 | -0.000 | -0.000 | 21.400 | 0.000 | -0.000 | 
| -0.000 | 0.000 | -0.000 | 0.000 | 21.400 | -0.000 | 
| -0.000 | -0.000 | 0.000 | 0.000 | -0.000 | 21.400 | 
| -7.833 | -40.092 | -40.092 | -0.000 | 0.000 | 0.000 | 
| -40.092 | -7.833 | -40.092 | -0.000 | 0.000 | -0.000 | 
| -3585467321.750 | -3439117416.926 | -3583837075.014 | -306964249.756 | -309729595.698 | -314632516.881 | 
| -0.000 | 0.000 | 0.000 | 21.400 | -0.000 | 0.000 | 
| -1462624323.504 | 1680353013.250 | 601764958.423 | -1648593434.852 | -837155048.308 | -2844704676.513 | 
| 0.000 | 0.000 | -0.000 | -0.000 | 0.000 | 21.400 | 
| 2511488758.190 | 2436801107.039 | 2436801107.039 | 0.001 | 0.000 | 0.000 | 
| -11322940768.124 | -8720913789.483 | -13429811293.775 | 4404077926.295 | 3913047711.559 | 5231823159.687 | 
| -40.092 | -40.092 | -7.833 | -0.000 | -0.000 | -0.000 | 
| 3932734743.228 | 1668052007.482 | 3635458985.899 | 570657281.001 | 1497844921.785 | 1178817689.517 | 
| 197073444.093 | 2951455099.197 | 476967221.354 | 3116752628.583 | 706297755.021 | 248520545.265 | 
| -105654855009.996 | -105654855055.066 | -105654909428.226 | -0.000 | 0.000 | 30017259.775 | 
| 223009059160.871 | 223008133085.931 | 223008133085.931 | -0.003 | 0.001 | 0.001 | 
| 223008133085.921 | 223009059160.861 | 223008133085.931 | 0.001 | -0.003 | -0.002 | 
| 223008133085.921 | 223008133085.921 | 223009059160.861 | -0.003 | -0.003 | -0.003 | 
| 223007200391.911 | 223007200354.511 | 223007200354.521 | 928332.621 | -0.002 | -0.003 | 
| 223007200354.511 | 223007200391.911 | 223007200354.521 | -0.002 | 928332.620 | -0.000 | 
| 223007200354.511 | 223007200354.521 | 223007200391.911 | -0.002 | -0.001 | 928332.619 | 
| -223005341473.371 | -223006267623.141 | -223006267623.141 | 0.004 | 0.003 | 0.002 | 
| -223006267623.141 | -223005341473.361 | -223006267623.141 | 0.003 | 0.004 | 0.002 | 
| -223006267623.141 | -223006267623.141 | -223005341473.361 | 0.003 | 0.002 | 0.003 | 
| -223007200391.911 | -223007200354.511 | -223007200354.521 | 928332.620 | 0.003 | 0.002 | 
| -223007200354.511 | -223007200391.911 | -223007200354.521 | 0.002 | 928332.620 | 0.000 | 
| -223007200354.511 | -223007200354.521 | -223007200391.911 | 0.001 | 0.001 | 928332.620 | 
| 22302578134.882 | 22301652396.739 | 22301652396.739 | -0.000 | -0.000 | 0.000 | 
| 22301652396.738 | 22302578134.882 | 22301652396.739 | 0.000 | -0.000 | -0.000 | 
| 22301652396.738 | 22301652396.738 | 22302578134.881 | -0.000 | -0.000 | -0.000 | 
| 22300720039.146 | 22300719665.075 | 22300719665.216 | 928332.616 | -0.000 | -0.000 | 
| 22300719665.076 | 22300720039.147 | 22300719665.216 | -0.000 | 928332.616 | 0.000 | 
| 22300719665.076 | 22300719665.216 | 22300720039.146 | -0.000 | 0.000 | 928332.616 | 
| -22298860447.408 | -22299786933.971 | -22299786933.971 | 0.000 | -0.000 | -0.000 | 
| -22299786933.970 | -22298860447.407 | -22299786933.971 | -0.000 | 0.000 | 0.000 | 
| -22299786933.970 | -22299786933.970 | -22298860447.407 | 0.000 | 0.000 | 0.000 | 
| -22300720039.146 | -22300719665.075 | -22300719665.216 | 928332.616 | 0.000 | 0.000 | 
| -22300719665.076 | -22300720039.146 | -22300719665.216 | 0.000 | 928332.616 | 0.000 | 
| -22300719665.076 | -22300719665.216 | -22300720039.146 | 0.000 | 0.000 | 928332.616 | 
| 2231923367.184 | 2231000996.923 | 2231000996.923 | -0.000 | 0.000 | 0.000 | 
| 2231000996.923 | 2231923367.184 | 2231000996.923 | 0.000 | -0.000 | -0.000 | 
| 2231000996.923 | 2231000996.923 | 2231923367.184 | -0.000 | -0.000 | -0.000 | 
| 2230072003.454 | 2230068262.752 | 2230068264.145 | 928332.619 | -0.000 | -0.000 | 
| 2230068262.752 | 2230072003.454 | 2230068264.145 | -0.000 | 928332.619 | -0.000 | 
| 2230068262.752 | 2230068264.145 | 2230072003.454 | -0.000 | -0.000 | 928332.619 | 
| -2228205679.697 | -2229135534.163 | -2229135534.163 | 0.000 | 0.000 | 0.000 | 
| -2229135534.163 | -2228205679.697 | -2229135534.163 | 0.000 | 0.000 | 0.000 | 
| -2229135534.163 | -2229135534.163 | -2228205679.697 | 0.000 | 0.000 | 0.000 | 
| -2230072003.454 | -2230068262.752 | -2230068264.145 | 928332.619 | 0.000 | 0.000 | 
| -2230068262.752 | -2230072003.454 | -2230068264.145 | 0.000 | 928332.619 | 0.000 | 
| -2230068262.752 | -2230068264.145 | -2230072003.454 | 0.000 | 0.000 | 928332.619 | 
| 102.075 | 42.749 | 42.749 | 0.000 | 0.000 | 0.000 | 
| 42.749 | 102.075 | 42.749 | 0.000 | 0.000 | 0.000 | 
| 42.749 | 42.749 | 102.075 | 0.000 | 0.000 | 0.000 | 
| 0.000 | 0.000 | -0.000 | 67.794 | 0.000 | -0.000 | 
| -0.000 | 0.000 | -0.000 | 0.000 | 67.794 | 0.000 | 
| 0.000 | 0.000 | -0.000 | 0.000 | 0.000 | 67.794 | 
| 102.075 | 42.749 | 42.749 | -0.000 | -0.000 | -0.000 | 
| 42.749 | 102.075 | 42.749 | -0.000 | -0.000 | -0.000 | 
| 42.749 | 42.749 | 102.075 | -0.000 | -0.000 | -0.000 | 
| -0.000 | -0.000 | 0.000 | 67.794 | -0.000 | -0.000 | 
| -0.000 | -0.000 | 0.000 | -0.000 | 67.794 | 0.000 | 
| 0.000 | -0.000 | 0.000 | -0.000 | -0.000 | 67.794 | 
| 102.075 | 42.749 | 42.749 | 0.000 | -0.000 | -0.000 | 
| 42.749 | 102.075 | 42.749 | 0.000 | 0.000 | -0.000 | 
| 42.749 | 42.749 | 102.075 | 0.000 | 0.000 | 0.000 | 
| -0.000 | 0.000 | 0.000 | 67.794 | 0.000 | 0.000 | 
| 0.000 | -0.000 | 0.000 | 0.000 | 67.794 | 0.000 | 
| 0.000 | 0.000 | -0.000 | 0.000 | 0.000 | 67.794 | 
| 102.075 | 42.749 | 42.749 | -0.000 | -0.000 | 0.000 | 
| 42.749 | 102.075 | 42.749 | -0.000 | -0.000 | -0.000 | 
| 42.749 | 42.749 | 102.075 | -0.000 | -0.000 | -0.000 | 
| 0.000 | -0.000 | -0.000 | 67.794 | -0.000 | -0.000 | 
| -0.000 | 0.000 | -0.000 | -0.000 | 67.794 | -0.000 | 
| -0.000 | -0.000 | 0.000 | -0.000 | -0.000 | 67.794 | 
| 102.075 | 42.750 | 42.750 | 0.000 | 0.000 | 0.000 | 
| 42.750 | 102.075 | 42.750 | 0.000 | 0.000 | 0.000 | 
| 42.750 | 42.750 | 102.075 | 0.000 | 0.000 | 0.000 | 
| -0.000 | 0.000 | 0.000 | 67.794 | 0.000 | 0.000 | 
| 0.000 | -0.000 | 0.000 | 0.000 | 67.794 | 0.000 | 
| 0.000 | 0.000 | -0.000 | 0.000 | 0.000 | 67.794 | 
| 102.074 | 42.749 | 42.749 | -0.000 | -0.000 | -0.000 | 
| 42.749 | 102.074 | 42.749 | -0.000 | -0.000 | 0.000 | 
| 42.749 | 42.749 | 102.074 | -0.000 | -0.000 | -0.000 | 
| 0.000 | -0.000 | -0.000 | 67.794 | -0.000 | 0.000 | 
| -0.000 | 0.000 | -0.000 | -0.000 | 67.794 | -0.000 | 
| -0.000 | -0.000 | 0.000 | -0.000 | -0.000 | 67.794 | 
| 14.919 | 7.459 | 7.459 | -0.000 | 0.000 | 0.000 | 
| 7.459 | 14.919 | 7.459 | 0.000 | -0.000 | 0.000 | 
| 7.459 | 7.459 | 14.919 | 0.000 | 0.000 | -0.000 | 
| -0.000 | 0.000 | 0.000 | 7.459 | 0.000 | 0.000 | 
| 0.000 | -0.000 | 0.000 | 0.000 | 7.459 | -0.000 | 
| 0.000 | 0.000 | -0.000 | -0.000 | -0.000 | 7.459 | 
| 14.919 | 7.459 | 7.459 | 0.000 | 0.000 | 0.000 | 
| 7.459 | 14.919 | 7.459 | 0.000 | 0.000 | -0.000 | 
| 7.459 | 7.459 | 14.919 | -0.000 | -0.000 | 0.000 | 
| 0.000 | -0.000 | -0.000 | 7.459 | -0.000 | -0.000 | 
| -0.000 | 0.000 | -0.000 | -0.000 | 7.459 | 0.000 | 
| -0.000 | -0.000 | 0.000 | 0.000 | 0.000 | 7.459 | 
| 14.919 | 7.459 | 7.459 | 0.000 | -0.000 | -0.000 | 
| 7.459 | 14.919 | 7.459 | -0.000 | -0.000 | 0.000 | 
| 7.459 | 7.459 | 14.919 | 0.000 | 0.000 | -0.000 | 
| -0.000 | 0.000 | 0.000 | 7.459 | 0.000 | 0.000 | 
| 0.000 | -0.000 | 0.000 | 0.000 | 7.459 | -0.000 | 
| 0.000 | 0.000 | -0.000 | 0.000 | -0.000 | 7.459 | 
| 14.919 | 7.459 | 7.459 | 0.000 | 0.000 | 0.000 | 
| 7.459 | 14.919 | 7.459 | 0.000 | 0.000 | -0.000 | 
| 7.459 | 7.459 | 14.919 | -0.000 | -0.000 | 0.000 | 
| 0.000 | -0.000 | -0.000 | 7.459 | -0.000 | -0.000 | 
| -0.000 | 0.000 | -0.000 | -0.000 | 7.459 | 0.000 | 
| -0.000 | -0.000 | 0.000 | -0.000 | 0.000 | 7.459 | 
| 14.919 | 7.459 | 7.459 | -0.000 | -0.000 | -0.000 | 
| 7.459 | 14.919 | 7.459 | -0.000 | -0.000 | 0.000 | 
| 7.459 | 7.459 | 14.919 | 0.000 | 0.000 | -0.000 | 
| -0.000 | 0.000 | 0.000 | 7.459 | 0.000 | 0.000 | 
| 0.000 | -0.000 | 0.000 | 0.000 | 7.459 | -0.000 | 
| 0.000 | 0.000 | -0.000 | -0.000 | -0.000 | 7.459 | 
| 14.919 | 7.459 | 7.459 | 0.000 | 0.000 | 0.000 | 
| 7.459 | 14.919 | 7.459 | 0.000 | 0.000 | -0.000 | 
| 7.459 | 7.459 | 14.919 | -0.000 | -0.000 | 0.000 | 
| 0.000 | -0.000 | -0.000 | 7.459 | -0.000 | 0.000 | 
| -0.000 | 0.000 | -0.000 | -0.000 | 7.459 | 0.000 | 
| -0.000 | -0.000 | 0.000 | 0.000 | 0.000 | 7.459 | 
| -14941333324591.998 | -14941529076349.002 | -14941529076349.998 | -0.181 | -0.147 | -0.122 | 
| -14941529076349.002 | -14941333324591.998 | -14941529076349.002 | -0.154 | -0.204 | -0.172 | 
| -14941529076349.002 | -14941529076349.002 | -14941333324591.998 | -0.009 | 0.006 | -0.059 | 
| -14941724379863.998 | -14941724377642.000 | -14941724377639.002 | 195600120.855 | -0.169 | -0.185 | 
| -14941724377642.000 | -14941724379863.998 | -14941724377637.998 | -0.020 | 195600120.848 | -0.019 | 
| -14941724377642.000 | -14941724377639.002 | -14941724379863.998 | -0.138 | -0.051 | 195600120.884 | 
| 14942115426243.000 | 14941919678924.002 | 14941919678924.002 | -0.114 | 0.169 | 0.148 | 
| 14941919678923.000 | 14942115426243.000 | 14941919678924.002 | 0.299 | -0.021 | -0.002 | 
| 14941919678923.000 | 14941919678923.000 | 14942115426243.000 | -0.142 | -0.160 | 0.055 | 
| 14941724379863.998 | 14941724377642.000 | 14941724377639.002 | 195600120.923 | 0.080 | 0.108 | 
| 14941724377642.000 | 14941724379863.998 | 14941724377639.002 | 0.055 | 195600121.011 | 0.087 | 
| 14941724377642.000 | 14941724377639.002 | 14941724379863.998 | 0.053 | 0.097 | 195600121.065 | 
| -1493781342732.700 | -1493977114446.200 | -1493977114446.200 | 0.003 | -0.005 | -0.003 | 
| -1493977114446.300 | -1493781342732.700 | -1493977114446.300 | -0.003 | -0.021 | -0.023 | 
| -1493977114446.200 | -1493977114446.200 | -1493781342732.700 | 0.009 | 0.009 | -0.006 | 
| -1494172437996.000 | -1494172415791.700 | -1494172415762.200 | 195600121.159 | 0.001 | 0.003 | 
| -1494172415791.700 | -1494172437996.000 | -1494172415762.200 | -0.003 | 195600121.159 | 0.003 | 
| -1494172415791.700 | -1494172415762.200 | -1494172437995.900 | -0.016 | -0.012 | 195600121.166 | 
| 1494563444383.000 | 1494367717019.700 | 1494367717019.700 | 0.005 | 0.010 | 0.008 | 
| 1494367717019.700 | 1494563444383.000 | 1494367717019.700 | 0.010 | 0.005 | 0.006 | 
| 1494367717019.700 | 1494367717019.700 | 1494563444383.000 | 0.004 | 0.004 | 0.006 | 
| 1494172437995.800 | 1494172415791.700 | 1494172415762.100 | 195600121.160 | 0.003 | 0.014 | 
| 1494172415791.600 | 1494172437995.800 | 1494172415762.100 | -0.003 | 195600121.137 | 0.010 | 
| 1494172415791.700 | 1494172415762.100 | 1494172437995.900 | 0.009 | 0.003 | 195600121.177 | 
| -149025748693.190 | -149221719980.580 | -149221719980.580 | -0.000 | -0.004 | -0.004 | 
| -149221719980.580 | -149025748693.190 | -149221719980.580 | -0.004 | -0.000 | -0.000 | 
| -149221719980.570 | -149221719980.570 | -149025748693.180 | 0.000 | 0.000 | 0.000 | 
| -149417243896.340 | -149417021853.770 | -149417021560.420 | 195600120.884 | -0.002 | -0.003 | 
| -149417021853.770 | -149417243896.340 | -149417021560.420 | -0.002 | 195600120.885 | -0.001 | 
| -149417021853.760 | -149417021560.420 | -149417243896.330 | -0.001 | -0.001 | 195600120.885 | 
| 149807850342.190 | 149612322554.240 | 149612322554.240 | 0.001 | -0.006 | -0.006 | 
| 149612322554.240 | 149807850342.190 | 149612322554.240 | -0.005 | -0.000 | -0.001 | 
| 149612322554.250 | 149612322554.250 | 149807850342.210 | 0.003 | 0.003 | 0.003 | 
| 149417243896.340 | 149417021853.760 | 149417021560.420 | 195600120.887 | 0.002 | 0.002 | 
| 149417021853.770 | 149417243896.340 | 149417021560.420 | 0.002 | 195600120.887 | 0.001 | 
| 149417021853.760 | 149417021560.420 | 149417243896.330 | 0.001 | 0.001 | 195600120.887 | 
| 119115078060445.812 | 119024152860115.812 | 137014011129561.688 | 2108500.149 | 2843082.364 | -104876.855 | 
| 119024154618975.812 | 119115074597045.812 | 137014004898361.703 | 2301735.028 | 2350095.531 | -107822.727 | 
| 11231136489563.809 | 11139432775459.807 | -4377499994001.491 | 684493270152.270 | 389601807768.680 | -236313714502.160 | 
| 20059796218389.809 | 10913248484715.807 | -1763070676069.091 | 2258495416013.500 | 733498636536.530 | -1212663397.933 | 
| 1120877445725.808 | 23086054042532.809 | -1545430623304.891 | 64961370351.998 | 9883342372478.100 | -14930941495.909 | 
| 12608032353720.809 | 11773704757622.807 | -3952664715279.991 | -452519556143.750 | 222634780723.110 | 181669084117.840 | 
| -119024229220315.812 | -119119219718645.797 | -137018403617091.703 | -1849365.125 | -1846095.732 | 211351.537 | 
| -119119222328845.812 | -119024227859635.797 | -137018408327901.688 | -1507233.625 | -2197077.645 | 213009.787 | 
| -8696193856085.906 | -8707199451220.206 | 17774316924483.293 | -1457002959.199 | -40300871427.919 | 463203068622.840 | 
| -23399374899631.805 | 5539982792979.592 | 3461764888313.391 | 14374462629981.998 | -9791798982.131 | 11279751968.183 | 
| -9216738001621.707 | -19117274598199.812 | 2807695715227.292 | -787255671593.040 | 2917783870232.000 | 36167459706.767 | 
| -11059953373400.805 | -8854261511487.408 | 5797393001384.189 | -11790083847.519 | -63340459881.032 | -592751152103.820 | 
| 11902879776850.582 | 11905871172996.582 | 13688273870550.172 | 11329.366 | 31988.788 | -160.943 | 
| 11905871141520.582 | 11902879838040.582 | 13688273981038.172 | 29223.661 | 17210.707 | -162.197 | 
| 1430719187283.481 | 1434463172940.581 | -787706961324.449 | 25041657763.050 | 23869838812.699 | -46555611633.277 | 
| 2724844000778.581 | -576383487558.149 | 457201239305.791 | 1307568180443.900 | -3997133394.868 | 96745491.409 | 
| -608646246622.919 | 2641667949105.781 | 360645333462.951 | 30997954931.378 | 1290421042693.600 | -6856624326.887 | 
| 1253581874363.181 | 1050171958619.181 | -481139352046.809 | 27573984394.604 | 4663082640.680 | -3205560705.433 | 
| -11907131260496.584 | -11904732708765.580 | -13688540074444.172 | -12422.927 | 1434.535 | -11.500 | 
| -11904732681335.582 | -11907131274604.582 | -13688540024908.170 | 16.292 | -16659.750 | -8.300 | 
| -1543431787812.981 | -1543437649009.381 | 665536559872.609 | -197732159251.760 | -196644368882.900 | 37975055249.904 | 
| -2310351420949.581 | 888083020437.539 | 388584037012.119 | 1503867278977.500 | -5378245479.735 | 2096017382.501 | 
| -1054827117378.381 | -2359010562209.881 | -121035321017.681 | 5280577944.736 | 550046428871.860 | 2924390872.002 | 
| -1316722577834.581 | -1334623339800.081 | 1019165083649.229 | -20187023831.173 | 18212112826.243 | -10015759645.166 | 
| 1188894374553.658 | 1190309634998.658 | 1368745154151.117 | 133.537 | 105.939 | -0.151 | 
| 1190309634614.958 | 1188894375301.658 | 1368745155501.017 | 74.971 | 176.685 | -0.150 | 
| 113286650758.938 | 113506622605.078 | -114468742283.053 | 10867037313.606 | 10862365124.726 | -4301009034.870 | 
| 277918832831.278 | 14778350692.970 | 41888680429.112 | 90692498580.661 | -2066831675.869 | 410639933.406 | 
| 25489441192.262 | 270423216524.408 | 38960655827.565 | -940483729.116 | 89268643458.817 | -813395003.735 | 
| 228265695307.568 | 100121349054.068 | 28028159624.039 | -2316880256.459 | -2535726961.395 | -1925090638.393 | 
| -1191576101084.958 | -1190723895706.758 | -1368968845155.817 | -138.441 | -155.637 | 0.157 | 
| -1190723895163.458 | -1191576101362.458 | -1368968844174.017 | -140.012 | -174.367 | 0.164 | 
| -108825141633.888 | -102674119761.078 | 48289720318.916 | 3827330624.193 | 6777267149.657 | 5697991836.598 | 
| -289120018133.758 | 182555731674.562 | -54466510347.574 | 198935611123.880 | 476385849.933 | 67460269.155 | 
| 5821024571.375 | -273965228393.128 | -39793795269.701 | -997974358.492 | 96629208290.619 | -245386781.091 | 
| -224721854632.248 | -69657150019.081 | 12847459568.662 | 2853138303.786 | -547902285.806 | -1641018984.292 | 
| 52.008 | -5.734 | -8.150 | 0.000 | -0.000 | 0.000 | 
| -5.734 | 52.008 | -8.150 | 0.000 | 0.000 | 0.000 | 
| -7.603 | -7.603 | 54.094 | -0.000 | 0.000 | 0.000 | 
| 0.000 | 0.000 | 0.000 | 29.634 | -0.000 | 0.000 | 
| 0.000 | 0.000 | 0.000 | 0.000 | 29.634 | 0.000 | 
| 0.000 | 0.000 | 0.000 | 0.000 | 0.000 | 47.084 | 
| 52.007 | -5.734 | -8.150 | 0.000 | 0.000 | -0.000 | 
| -5.734 | 52.007 | -8.150 | -0.000 | -0.000 | -0.000 | 
| -7.603 | -7.603 | 54.094 | -0.000 | 0.000 | -0.000 | 
| -0.000 | -0.000 | -0.000 | 29.634 | 0.000 | -0.000 | 
| -0.000 | -0.000 | -0.000 | 0.000 | 29.634 | -0.000 | 
| -0.000 | -0.000 | -0.000 | -0.000 | -0.000 | 47.084 | 
| 52.008 | -5.734 | -8.150 | -0.000 | -0.000 | 0.000 | 
| -5.734 | 52.008 | -8.150 | -0.000 | -0.000 | -0.000 | 
| -7.603 | -7.603 | 54.094 | 0.000 | 0.000 | -0.000 | 
| 0.000 | 0.000 | -0.000 | 29.634 | 0.000 | -0.000 | 
| 0.000 | 0.000 | -0.000 | 0.000 | 29.634 | -0.000 | 
| 0.000 | 0.000 | -0.000 | 0.000 | 0.000 | 47.084 | 
| 52.008 | -5.734 | -8.150 | 0.000 | 0.000 | -0.000 | 
| -5.734 | 52.008 | -8.150 | -0.000 | -0.000 | -0.000 | 
| -7.603 | -7.603 | 54.094 | -0.000 | -0.000 | -0.000 | 
| -0.000 | -0.000 | 0.000 | 29.634 | 0.000 | -0.000 | 
| -0.000 | -0.000 | 0.000 | -0.000 | 29.634 | -0.000 | 
| -0.000 | -0.000 | 0.000 | -0.000 | 0.000 | 47.084 | 
| 52.008 | -5.734 | -8.150 | 0.000 | -0.000 | 0.000 | 
| -5.734 | 52.008 | -8.150 | -0.000 | -0.000 | 0.000 | 
| -7.603 | -7.603 | 54.094 | 0.000 | 0.000 | 0.000 | 
| -0.000 | 0.000 | -0.000 | 29.634 | -0.000 | 0.000 | 
| 0.000 | -0.000 | -0.000 | -0.000 | 29.634 | -0.000 | 
| 0.000 | 0.000 | -0.000 | 0.000 | -0.000 | 47.084 | 
| 52.008 | -5.734 | -8.150 | -0.000 | 0.000 | -0.000 | 
| -5.734 | 52.008 | -8.150 | -0.000 | -0.000 | 0.000 | 
| -7.603 | -7.603 | 54.094 | 0.000 | -0.000 | -0.000 | 
| 0.000 | -0.000 | 0.000 | 29.634 | -0.000 | -0.000 | 
| -0.000 | 0.000 | 0.000 | -0.000 | 29.634 | 0.000 | 
| -0.000 | -0.000 | 0.000 | -0.000 | 0.000 | 47.084 | 
| -23243747022832.215 | 11052122542943.783 | -4301267587126.145 | -2420.685 | -146.403 | 211.439 | 
| 11052122658004.785 | -23243747024013.211 | -4301267559359.045 | 19.539 | 36755.749 | 218.848 | 
| 928020960429.815 | 894180679969.526 | 1342473386861.755 | -56396381641.564 | 373465533054.000 | -337130952445.890 | 
| -18338484430397.215 | -40180904637815.211 | 8451349547212.055 | -13120966868836.998 | -676472922910.570 | -680078999654.290 | 
| -42614739228236.219 | -19485647545828.215 | 7596250143505.655 | -1193761241636.000 | -13581025516298.002 | -1386439386990.600 | 
| 5264367251321.985 | 4778573602457.686 | 4248045749948.254 | -36432085180.639 | 223829400365.460 | -505990966577.630 | 
| -11049799876322.785 | 23244647226836.211 | 4302212912247.945 | 433.311 | 85509.940 | -175.568 | 
| 23244647224885.211 | -11049799686100.785 | 4302212958151.445 | 76178.125 | 227.313 | -173.328 | 
| -96259017838.420 | -210777706238.555 | -67748494982.462 | -185573694484.320 | 89882656191.100 | -39958946551.132 | 
| 16739517513011.215 | 37612261411387.211 | -9174350593669.055 | -12499390238021.000 | 159022938273.500 | -134965116375.530 | 
| 38883598975900.211 | 17438508262610.213 | -9519743474881.455 | 90019015499.983 | -12336567169344.998 | -136393873332.080 | 
| -2510112180758.286 | -3719449979135.585 | -2185696331942.355 | 6199837947.350 | -158335491392.710 | -145831368384.690 | 
| -2324126586945.722 | 1105931791612.279 | -429761409388.095 | 836.577 | -0.061 | 0.117 | 
| 1105931793464.479 | -2324126586964.822 | -429761408941.075 | -1.234 | 353.549 | 0.110 | 
| 537995760527.249 | 528317808957.058 | -305985749809.015 | 3892643950.487 | 1775112760.161 | 52126944996.420 | 
| -4281371891887.222 | -6466260850313.321 | 1187209265279.776 | -3728158528793.800 | -16.974 | -467.729 | 
| -6466246552324.122 | -4281379639507.222 | 1187210086199.276 | -39.029 | -3728158142010.601 | -618.603 | 
| -62026992139.429 | 98509031977.163 | 132776313750.696 | 30221564225.326 | 5283975964.469 | -15425364355.358 | 
| -1103612981892.378 | 2325026851513.721 | 430705829168.205 | 1.941 | 784.297 | -0.185 | 
| 2325026851496.421 | -1103612980200.779 | 430705829576.435 | 1078.179 | 0.593 | -0.179 | 
| -91689315367.321 | -89525607547.011 | -125167443746.216 | -2622875130.210 | 17208627490.997 | -9257343461.487 | 
| 4281501384026.021 | 6466013218570.521 | -1187223757575.475 | -3728153993353.000 | 1754.868 | -1176.394 | 
| 6466001850374.922 | 4281507427682.222 | -1187224415351.876 | 1716.906 | -3728153742660.100 | -1067.123 | 
| -122725788275.719 | -205532799629.509 | 24714348592.523 | -3532888863.012 | -10822454508.370 | -97628673934.238 | 
| -90255206505.762 | 242830784194.878 | 88992774716.402 | -81208164.727 | 66765190.162 | -3548636978.134 | 
| 307079892150.048 | -23972260338.660 | 171607694628.248 | -147952051.044 | 413699.215 | -2887280132.887 | 
| 11333693885.685 | 4249998693.823 | 17032765766.518 | 1964470743.880 | -477858079.229 | -1257142538.557 | 
| -427353530574.122 | -646380049017.452 | 118709072995.378 | -372463538273.430 | -1.454 | -1.019 | 
| -646380081750.982 | -427353513316.352 | 118709071091.978 | -1.399 | -372463538914.220 | -0.721 | 
| -99551525764.897 | -99551526061.078 | -208957500812.612 | -0.000 | -0.000 | -168940624.567 | 
| -108999449251.418 | 233065080337.902 | 43554180951.960 | 0.006 | 8.825 | 0.001 | 
| 233065080337.582 | -108999449219.908 | 43554180959.558 | 12.516 | 0.006 | -0.001 | 
| -51518823953.044 | -50384082698.115 | 27679947107.702 | 548228228.336 | 598615610.407 | -5961943245.235 | 
| 427353677298.742 | 646379760081.272 | -118709090025.938 | -372463535417.490 | -2.446 | 2.104 | 
| 646379768595.532 | 427353672945.432 | -118709089524.518 | -2.517 | -372463535517.830 | 2.672 | 
| 141843827596.362 | -150580579588.728 | 14776386694.828 | -14146246.454 | 26687713.293 | 4313991903.939 | 
| -95615805934347.719 | -95619262736961.703 | 86752373405173.172 | -9.806 | -14.100 | 35.206 | 
| -95624196817163.703 | -95620808348459.688 | 86749598822807.188 | 21.737 | 17.291 | 42.876 | 
| -95620964298295.703 | -95620964297917.703 | 86749398763077.188 | 12.909 | 15.343 | 41.852 | 
| -95620792158951.719 | -95620793867572.703 | 86751112172046.172 | 14160489178.190 | 15.595 | 37.775 | 
| -95620799208668.703 | -95620797498975.703 | 86751109189560.172 | 9.277 | 14160527622.249 | 306.176 | 
| -95620996754044.703 | -95620995398346.703 | 86750998946003.188 | 7.151 | 5.803 | 1712207059.795 | 
| 95626140765133.703 | 95622746350212.719 | -86749632425773.172 | 5.339 | 10.266 | -58.633 | 
| 95617739000332.719 | 95621202015248.719 | -86752409657791.172 | -20.022 | -16.571 | -51.967 | 
| 95620930443498.703 | 95620930443131.719 | -86752653381193.188 | -16.154 | -17.999 | -34.029 | 
| 95620792182956.703 | 95620793891692.719 | -86751112158608.188 | 14160489316.203 | -19.856 | -47.795 | 
| 95620799202700.719 | 95620797492982.703 | -86751109192905.188 | -6.106 | 14160527599.681 | -243.482 | 
| 95620996763133.719 | 95620995407456.703 | -86750998940921.188 | -13.558 | -15.960 | 1712206773.703 | 
| -9557491480896.971 | -9560884489583.572 | 8676166939882.919 | 0.292 | 0.408 | 4.158 | 
| -9565174157341.971 | -9562310011165.871 | 8673623465784.719 | 2.080 | 1.758 | 3.345 | 
| -9562111625149.771 | -9562111625112.371 | 8673474482245.217 | -1.836 | 1.741 | 3.443 | 
| -9560547311761.471 | -9560566109489.371 | 8675959660006.319 | 14065744382.939 | 1.589 | 5.092 | 
| -9560619348426.170 | -9560600625421.373 | 8675929908726.619 | 1.071 | 14069566863.958 | 5.642 | 
| -9562493137870.973 | -9562484777193.773 | 8674882353919.618 | 1.441 | 0.961 | 1506829145.904 | 
| 9567213510056.473 | 9564284943111.174 | -8673620267919.020 | 0.342 | 0.469 | -4.387 | 
| 9559351021527.672 | 9562843033238.072 | -8676218229142.918 | -2.393 | -1.727 | -4.552 | 
| 9562077695700.473 | 9562077695661.971 | -8676729142075.118 | 0.044 | -1.833 | -5.176 | 
| 9560547311172.670 | 9560566108919.170 | -8675959660329.519 | 14065744344.106 | -1.784 | -4.188 | 
| 9560619348545.770 | 9560600625541.369 | -8675929908660.018 | -0.140 | 14069566845.261 | 2.988 | 
| 9562493138537.771 | 9562484777861.373 | -8674882353547.019 | -1.377 | -1.168 | 1506829044.369 | 
| -952327485831.987 | -953081911593.427 | 868907112197.592 | 0.091 | 0.034 | 0.021 | 
| -954564116115.807 | -953172074080.737 | 868257695611.212 | 0.093 | 0.260 | -0.055 | 
| -956225707337.317 | -956225707333.467 | 865874876720.182 | 0.270 | 0.150 | 0.408 | 
| -954115582070.107 | -955942666018.847 | 868169055834.062 | 717275401.618 | -0.009 | 9.923 | 
| -956121111922.927 | -956902750919.347 | 867340900868.662 | 0.179 | 1973401676.817 | -382.621 | 
| -954899114678.637 | -954757071424.277 | 868280716419.752 | 0.121 | 0.441 | -351717908.450 | 
| 956977434177.297 | 955662523568.807 | -868005339774.742 | 0.249 | 0.021 | 0.032 | 
| 955635900808.027 | 955465582345.057 | -868434334051.662 | -0.149 | -0.054 | 0.199 | 
| 956191796061.017 | 956191796057.337 | -869129526228.002 | 0.165 | -0.173 | -0.467 | 
| 954115580453.087 | 955942664376.347 | -868169056743.542 | 717276460.059 | -0.026 | -9.802 | 
| 956121110920.017 | 956902749695.747 | -867340901490.322 | -0.079 | 1973402109.303 | -134.001 | 
| 954899115154.147 | 954757071919.947 | -868280716148.732 | -0.083 | 0.104 | -351717878.125 | 
| 1853.915 | 4112.481 | 4112.482 | -0.000 | 0.000 | -0.000 | 
| 4112.482 | 1853.915 | 4112.482 | -0.000 | -0.000 | -0.000 | 
| 4112.482 | 4112.482 | 1853.916 | -0.000 | 0.000 | -0.000 | 
| 0.002 | 0.000 | 0.001 | 2443.127 | 0.000 | -0.000 | 
| 0.002 | 0.000 | 0.001 | 0.000 | 2443.127 | -0.000 | 
| 0.001 | 0.000 | 0.000 | 0.000 | -0.000 | 2443.128 | 
| 1853.913 | 4112.480 | 4112.480 | -0.000 | -0.000 | 0.000 | 
| 4112.479 | 1853.914 | 4112.480 | -0.000 | -0.000 | 0.000 | 
| 4112.479 | 4112.481 | 1853.913 | -0.000 | -0.000 | -0.000 | 
| -0.001 | -0.000 | -0.001 | 2443.128 | -0.000 | 0.000 | 
| -0.001 | -0.000 | -0.001 | -0.000 | 2443.128 | 0.000 | 
| -0.001 | -0.000 | -0.000 | -0.000 | 0.000 | 2443.128 | 
| 1853.913 | 4112.482 | 4112.482 | 0.000 | -0.000 | -0.000 | 
| 4112.482 | 1853.913 | 4112.482 | -0.000 | 0.000 | -0.000 | 
| 4112.482 | 4112.482 | 1853.913 | -0.000 | 0.000 | 0.000 | 
| -0.000 | 0.000 | 0.001 | 2443.128 | 0.000 | -0.000 | 
| 0.000 | -0.000 | 0.001 | 0.000 | 2443.128 | -0.000 | 
| 0.000 | 0.001 | -0.000 | 0.000 | 0.000 | 2443.128 | 
| 1853.914 | 4112.479 | 4112.479 | -0.000 | 0.000 | -0.000 | 
| 4112.479 | 1853.915 | 4112.479 | 0.000 | 0.000 | -0.000 | 
| 4112.479 | 4112.479 | 1853.914 | 0.000 | -0.000 | 0.000 | 
| -0.000 | -0.000 | -0.001 | 2443.128 | 0.000 | -0.000 | 
| -0.001 | 0.000 | -0.001 | -0.000 | 2443.128 | 0.000 | 
| -0.001 | -0.001 | 0.000 | 0.000 | -0.000 | 2443.128 | 
| 1853.906 | 4112.494 | 4112.494 | -0.000 | -0.000 | -0.000 | 
| 4112.494 | 1853.906 | 4112.494 | 0.000 | 0.000 | -0.000 | 
| 4112.494 | 4112.494 | 1853.906 | -0.000 | -0.000 | 0.000 | 
| -0.002 | 0.004 | 0.010 | 2443.128 | -0.000 | 0.000 | 
| 0.004 | -0.002 | 0.010 | -0.000 | 2443.128 | -0.000 | 
| 0.004 | 0.010 | -0.002 | -0.000 | -0.000 | 2443.128 | 
| 1853.921 | 4112.467 | 4112.467 | 0.000 | -0.000 | 0.000 | 
| 4112.467 | 1853.921 | 4112.467 | 0.000 | -0.000 | 0.000 | 
| 4112.467 | 4112.467 | 1853.921 | 0.000 | -0.000 | 0.000 | 
| 0.002 | -0.004 | -0.010 | 2443.128 | -0.000 | 0.000 | 
| -0.004 | 0.002 | -0.010 | 0.000 | 2443.128 | 0.000 | 
| -0.004 | -0.010 | 0.002 | 0.000 | -0.000 | 2443.128 | 
| 954.438 | 512.865 | 512.865 | 0.000 | 0.000 | -0.000 | 
| 512.865 | 954.438 | 512.865 | 0.000 | 0.000 | -0.000 | 
| 512.865 | 512.865 | 954.438 | 0.000 | -0.000 | -0.000 | 
| -0.000 | 0.000 | 0.000 | 470.169 | 0.000 | -0.000 | 
| -0.000 | -0.000 | 0.000 | -0.000 | 470.169 | -0.000 | 
| -0.000 | 0.000 | 0.000 | 0.000 | 0.000 | 470.169 | 
| 954.438 | 512.865 | 512.865 | -0.000 | -0.000 | 0.000 | 
| 512.865 | 954.438 | 512.865 | 0.000 | -0.000 | 0.000 | 
| 512.865 | 512.865 | 954.438 | 0.000 | -0.000 | 0.000 | 
| 0.000 | -0.000 | -0.000 | 470.169 | -0.000 | 0.000 | 
| -0.000 | 0.000 | -0.000 | -0.000 | 470.169 | 0.000 | 
| -0.000 | -0.000 | -0.000 | -0.000 | -0.000 | 470.169 | 
| 954.439 | 512.865 | 512.865 | -0.000 | 0.000 | -0.000 | 
| 512.865 | 954.439 | 512.865 | -0.000 | 0.000 | -0.000 | 
| 512.865 | 512.865 | 954.439 | 0.000 | 0.000 | 0.000 | 
| -0.000 | 0.000 | 0.000 | 470.169 | 0.000 | -0.000 | 
| 0.000 | -0.000 | 0.000 | 0.000 | 470.169 | -0.000 | 
| 0.000 | 0.000 | -0.000 | 0.000 | 0.000 | 470.169 | 
| 954.438 | 512.865 | 512.865 | 0.000 | -0.000 | 0.000 | 
| 512.865 | 954.438 | 512.865 | -0.000 | -0.000 | 0.000 | 
| 512.865 | 512.865 | 954.438 | -0.000 | -0.000 | 0.000 | 
| 0.000 | -0.000 | -0.000 | 470.169 | -0.000 | 0.000 | 
| -0.000 | 0.000 | -0.000 | -0.000 | 470.169 | 0.000 | 
| -0.000 | -0.000 | 0.000 | -0.000 | -0.000 | 470.169 | 
| 954.441 | 512.868 | 512.868 | 0.000 | 0.000 | -0.000 | 
| 512.868 | 954.441 | 512.868 | -0.000 | 0.000 | -0.000 | 
| 512.868 | 512.868 | 954.441 | -0.000 | 0.000 | 0.000 | 
| -0.000 | 0.001 | 0.002 | 470.169 | 0.000 | -0.000 | 
| 0.001 | -0.000 | 0.002 | 0.000 | 470.169 | -0.000 | 
| 0.001 | 0.002 | -0.000 | -0.000 | 0.000 | 470.169 | 
| 954.435 | 512.863 | 512.863 | -0.000 | -0.000 | 0.000 | 
| 512.863 | 954.435 | 512.863 | 0.000 | -0.000 | 0.000 | 
| 512.863 | 512.863 | 954.435 | -0.000 | -0.000 | 0.000 | 
| 0.000 | -0.001 | -0.002 | 470.169 | -0.000 | 0.000 | 
| -0.001 | 0.000 | -0.002 | -0.000 | 470.169 | 0.000 | 
| -0.001 | -0.002 | 0.000 | 0.000 | -0.000 | 470.169 | 
| 18574489913544.020 | 18574829479971.020 | 18574829479972.020 | -0.182 | -0.130 | -0.107 | 
| 18574829479971.020 | 18574489913544.020 | 18574829479972.020 | -0.066 | -0.193 | -0.081 | 
| 18574829479971.020 | 18574829479971.020 | 18574489913544.020 | -0.202 | -0.163 | -0.222 | 
| 6859970694843.822 | 7703401475331.021 | 6053987915191.622 | 485390782549.960 | 43982104605.136 | -53949168044.114 | 
| 7769062642131.923 | 6906668704868.522 | 6086336209400.924 | 42797951007.184 | 499799963691.880 | -42473609942.490 | 
| 7730270908760.521 | 6053192156190.722 | 6864055057768.122 | 41666567727.086 | -32948772136.751 | 497860015772.760 | 
| -18575847073020.020 | -18575507502381.020 | -18575507502381.020 | 0.253 | 0.307 | 0.236 | 
| -18575507502381.020 | -18575847073020.020 | -18575507502381.020 | 0.212 | 0.271 | 0.169 | 
| -18575507502381.020 | -18575507502381.020 | -18575847073020.020 | 0.194 | 0.262 | 0.237 | 
| -18575168489087.023 | -18575168491186.020 | -18575168491183.023 | -339382753.649 | 0.290 | 0.244 | 
| -18575168491187.016 | -18575168489087.023 | -18575168491182.020 | 0.272 | -339382753.693 | 0.093 | 
| -18575168491186.020 | -18575168491183.023 | -18575168489086.020 | 0.309 | 0.075 | -339382753.710 | 
| 1856838311146.802 | 1857177858624.102 | 1857177858624.102 | 0.001 | -0.023 | -0.026 | 
| 1857177858624.102 | 1856838311146.802 | 1857177858624.102 | -0.018 | -0.012 | -0.024 | 
| 1857177858624.102 | 1857177858624.202 | 1856838311146.802 | -0.019 | -0.020 | -0.010 | 
| -26425283921.725 | -32472319637.193 | 15488179275.403 | 36970846258.487 | -14680492575.929 | -21108640215.232 | 
| 117787010861.452 | 141600635134.502 | 108425652911.882 | 38822003197.486 | 37866714740.327 | -3512204385.715 | 
| 92674157968.443 | 83668864063.915 | 100887882173.142 | -3633382265.409 | -29325736127.651 | -13120392638.367 | 
| -253878658001.572 | -251258694202.082 | -302042489553.052 | -24535343995.334 | 7455212748.633 | 8950614939.252 | 
| -104157078670.202 | -113858587824.542 | -60728708739.824 | 28817867247.302 | -200986988.928 | -20719480480.305 | 
| -177750243255.752 | -137323315196.442 | -173033580972.622 | -17523104873.142 | 2894011835.452 | -11855397922.569 | 
| -92724958519.030 | -54967886057.711 | -41133690418.897 | -4579690527.320 | 20272738471.871 | 44861158242.093 | 
| -247812153549.392 | -258489600721.742 | -249212312452.992 | -6487468501.730 | -14304624686.547 | 35699277089.392 | 
| -111537619490.132 | -84543559552.811 | -158523661477.922 | 59717323350.528 | -18922147825.527 | -29240169870.233 | 
| 15892089197.362 | 21737657695.679 | 24398605467.621 | -2786663502.672 | -164790609.177 | 1459580119.243 | 
| 30526267110.075 | 23983189158.474 | 24150980671.559 | -2798753652.663 | 4841668550.566 | 362610257.165 | 
| 32798561349.227 | 30294526582.786 | 25787790127.961 | -935165231.999 | -2970040054.693 | 433292407.900 | 
| 13776969217.412 | 11598262503.292 | 14436552394.183 | -2851967635.104 | -7646121711.830 | -1169957378.428 | 
| 9022001738.238 | 7228080929.807 | 5860430248.279 | -6639194379.335 | -5589528330.194 | -3423580379.073 | 
| 9228764293.442 | 2507478099.046 | 7941014341.340 | -676232771.807 | -1848844455.307 | -5258382954.663 | 
| -186430684456.140 | -186090905330.510 | -186090905330.510 | 0.001 | 0.003 | 0.003 | 
| -186090905330.510 | -186430684456.140 | -186090905330.510 | 0.003 | 0.002 | 0.001 | 
| -186090905330.510 | -186090905330.510 | -186430684456.140 | 0.002 | 0.002 | 0.002 | 
| -185751685060.440 | -185751895140.870 | -185751894631.890 | -339382753.884 | 0.002 | 0.002 | 
| -23415484742.755 | -19368226355.961 | -22109796604.659 | 1768022203.822 | -4251400132.243 | 1661017378.524 | 
| -8463457866.974 | -15275542399.675 | -10879992228.534 | 2205970585.761 | 1677428591.030 | 175014262.136 | 
| 3321710249909.308 | 3038492219695.308 | 3270374796828.708 | -187889749031.830 | 438836088127.440 | -374538997386.000 | 
| 3988349774841.308 | 3657498514679.608 | 3627328589209.208 | 195821063589.530 | -104280691948.990 | 232476645498.960 | 
| 3013842971918.708 | 3378824476161.208 | 3403256997289.408 | 182891463135.150 | 221886673454.050 | -406725258822.510 | 
| 21794220144900.410 | 21794220147000.402 | 21794220146994.410 | -358745803.596 | 0.057 | 0.002 | 
| 21794220147000.402 | 21794220144901.406 | 21794220146994.410 | 0.025 | -358745803.598 | 0.248 | 
| 21794220147000.402 | 21794220146994.410 | 21794220144901.406 | -0.051 | 0.218 | -358745803.534 | 
| -21794937422741.406 | -21794578456863.406 | -21794578456863.406 | 0.164 | 0.049 | -0.027 | 
| -21794578456863.406 | -21794937422741.406 | -21794578456863.406 | 0.040 | 0.147 | -0.079 | 
| -21794578456863.406 | -21794578456864.406 | -21794937422741.406 | -0.049 | -0.034 | 0.014 | 
| -21794220144900.410 | -21794220147000.402 | -21794220146993.406 | -358745803.916 | -0.091 | 0.002 | 
| -21794220147000.402 | -21794220144900.410 | -21794220146993.406 | -0.037 | -358745803.890 | 0.228 | 
| -21794220147000.402 | -21794220146993.406 | -21794220144900.410 | 0.034 | 0.304 | -358745803.921 | 
| 178330999502.021 | 310275850112.561 | 328976525298.901 | -4240101382.913 | 21447491374.825 | 28428425993.506 | 
| 438512279608.831 | 271239432267.181 | 440387821320.851 | -30615038526.422 | -30095573719.581 | -39362289646.234 | 
| 450183378399.021 | 464995535762.471 | 352567922378.771 | 12939174059.547 | 15097735910.410 | -3268879161.214 | 
| 2179422014508.041 | 2179422035518.141 | 2179422035464.441 | -358745804.054 | 0.001 | -0.005 | 
| 2179422035518.141 | 2179422014508.041 | 2179422035464.441 | -0.002 | -358745804.055 | -0.003 | 
| 2179422035518.141 | 2179422035464.441 | 2179422014508.141 | -0.007 | -0.008 | -358745804.051 | 
| -198484312484.611 | -165823406629.771 | -197072235886.571 | -35440950785.046 | -30886616578.286 | -9824194574.484 | 
| -432575235754.111 | -429380307950.361 | -438541950142.811 | 44417126641.360 | 20649268099.350 | -7900033726.970 | 
| -455354374649.651 | -429374092104.291 | -418009851437.361 | -16154543581.921 | 7345452615.617 | -10134886651.650 | 
| -2179422014508.041 | -2179422035518.141 | -2179422035464.441 | -358745804.037 | -0.008 | -0.009 | 
| -2179422035518.141 | -2179422014508.141 | -2179422035464.441 | -0.000 | -358745804.035 | -0.006 | 
| -2179422035518.141 | -2179422035464.441 | -2179422014508.141 | 0.009 | 0.002 | -358745804.045 | 
| 26438155796.274 | 50154404695.603 | 49868709558.162 | -6259542794.939 | -3867849640.025 | 5128713120.240 | 
| -9559412388.053 | -9973506602.641 | -6559375970.086 | 13447051124.926 | 4379427625.068 | 2495953826.992 | 
| 44122821527.815 | 51534092179.002 | 31328485894.138 | 2263195202.774 | -967781342.331 | 1340877666.892 | 
| 217942201628.244 | 217942411731.574 | 217942411193.554 | -358745804.373 | 0.001 | -0.000 | 
| 217942411731.574 | 217942201628.254 | 217942411193.554 | -0.001 | -358745804.373 | 0.001 | 
| 217942411731.574 | 217942411193.554 | 217942201628.254 | -0.001 | 0.001 | -358745804.373 | 
| -12472046092.374 | -36883978766.678 | -23465749978.784 | 3590571513.554 | 1104052311.876 | -45039194.069 | 
| -42273573854.460 | -31524285900.321 | -42197220869.002 | 3570225613.630 | 2706576050.445 | -1045382063.928 | 
| -23674911925.827 | -27373064947.603 | -8347149691.090 | -3792675146.545 | -107556983.549 | 6615703927.853 | 
| -217942201628.244 | -217942411731.574 | -217942411193.554 | -358745804.373 | -0.001 | -0.001 | 
| -217942411731.574 | -217942201628.244 | -217942411193.554 | 0.000 | -358745804.373 | 0.001 | 
| -217942411731.574 | -217942411193.544 | -217942201628.244 | 0.001 | 0.002 | -358745804.374 | 
| -45.486 | -21.685 | -21.685 | -0.000 | 0.000 | 0.000 | 
| -21.685 | -45.486 | -21.685 | 0.000 | -0.000 | 0.000 | 
| -21.685 | -21.685 | -45.486 | 0.000 | 0.000 | -0.000 | 
| -0.000 | 0.000 | 0.000 | 15.158 | -0.000 | 0.000 | 
| 0.000 | -0.000 | 0.000 | -0.000 | 15.158 | 0.000 | 
| 0.000 | 0.000 | 0.000 | -0.000 | -0.000 | 15.158 | 
| -45.486 | -21.685 | -21.685 | -0.000 | -0.000 | -0.000 | 
| -21.685 | -45.486 | -21.685 | -0.000 | -0.000 | -0.000 | 
| -21.685 | -21.685 | -45.486 | -0.000 | -0.000 | -0.000 | 
| 0.000 | -0.000 | -0.000 | 15.158 | 0.000 | 0.000 | 
| 0.000 | 0.000 | -0.000 | 0.000 | 15.158 | -0.000 | 
| -0.000 | -0.000 | -0.000 | 0.000 | 0.000 | 15.158 | 
| -45.486 | -21.685 | -21.685 | 0.000 | -0.000 | -0.000 | 
| -21.685 | -45.486 | -21.685 | -0.000 | 0.000 | 0.000 | 
| -21.685 | -21.685 | -45.486 | 0.000 | 0.000 | 0.000 | 
| -0.000 | 0.000 | 0.000 | 15.158 | 0.000 | -0.000 | 
| 0.000 | -0.000 | 0.000 | 0.000 | 15.158 | 0.000 | 
| 0.000 | 0.000 | -0.000 | -0.000 | -0.000 | 15.158 | 
| -45.486 | -21.685 | -21.685 | 0.000 | 0.000 | 0.000 | 
| -21.685 | -45.486 | -21.685 | 0.000 | 0.000 | -0.000 | 
| -21.685 | -21.685 | -45.486 | -0.000 | -0.000 | 0.000 | 
| 0.000 | -0.000 | -0.000 | 15.158 | 0.000 | 0.000 | 
| -0.000 | 0.000 | -0.000 | -0.000 | 15.158 | 0.000 | 
| -0.000 | -0.000 | 0.000 | 0.000 | 0.000 | 15.158 | 
| -45.486 | -21.685 | -21.685 | -0.000 | 0.000 | 0.000 | 
| -21.685 | -45.486 | -21.685 | 0.000 | -0.000 | 0.000 | 
| -21.685 | -21.685 | -45.486 | 0.000 | 0.000 | -0.000 | 
| -0.001 | 0.000 | 0.001 | 15.158 | -0.000 | 0.000 | 
| 0.000 | -0.001 | 0.001 | 0.000 | 15.158 | 0.000 | 
| 0.000 | 0.001 | -0.001 | 0.000 | 0.000 | 15.158 | 
| -45.486 | -21.686 | -21.686 | 0.000 | 0.000 | 0.000 | 
| -21.686 | -45.486 | -21.686 | 0.000 | 0.000 | -0.000 | 
| -21.686 | -21.686 | -45.486 | -0.000 | -0.000 | 0.000 | 
| 0.001 | -0.000 | -0.001 | 15.158 | -0.000 | 0.000 | 
| -0.000 | 0.001 | -0.001 | -0.000 | 15.158 | -0.000 | 
| -0.000 | -0.001 | 0.001 | 0.000 | 0.000 | 15.158 | 
| 1496.921 | 204.681 | 204.681 | -0.000 | 0.000 | 0.000 | 
| 204.681 | 1496.921 | 204.681 | -0.000 | 0.000 | 0.000 | 
| 204.681 | 204.681 | 1496.921 | 0.000 | -0.000 | -0.000 | 
| -0.000 | 0.000 | -0.000 | 118.488 | -0.000 | -0.000 | 
| 0.000 | 0.000 | -0.000 | 0.000 | 118.488 | -0.000 | 
| 0.000 | -0.000 | -0.000 | -0.000 | -0.000 | 118.488 | 
| 1496.921 | 204.681 | 204.681 | 0.000 | 0.000 | 0.000 | 
| 204.681 | 1496.921 | 204.681 | -0.000 | 0.000 | -0.000 | 
| 204.681 | 204.681 | 1496.921 | -0.000 | 0.000 | -0.000 | 
| 0.000 | -0.000 | 0.000 | 118.488 | -0.000 | -0.000 | 
| -0.000 | 0.000 | 0.000 | -0.000 | 118.488 | 0.000 | 
| -0.000 | 0.000 | 0.000 | 0.000 | 0.000 | 118.488 | 
| 1496.922 | 204.681 | 204.681 | 0.000 | 0.000 | -0.000 | 
| 204.681 | 1496.922 | 204.681 | 0.000 | -0.000 | -0.000 | 
| 204.681 | 204.681 | 1496.922 | -0.000 | -0.000 | 0.000 | 
| -0.000 | 0.000 | 0.000 | -57.410 | -0.000 | 0.000 | 
| 0.000 | -0.000 | 0.000 | 0.000 | -57.410 | 0.000 | 
| 0.000 | 0.000 | -0.000 | -0.000 | 0.000 | -57.410 | 
| 1496.920 | 204.681 | 204.681 | -0.000 | -0.000 | 0.000 | 
| 204.681 | 1496.920 | 204.681 | -0.000 | -0.000 | 0.000 | 
| 204.681 | 204.681 | 1496.920 | -0.000 | -0.000 | 0.000 | 
| 0.000 | -0.000 | -0.000 | -57.410 | -0.000 | 0.000 | 
| -0.000 | 0.000 | -0.000 | -0.000 | -57.410 | -0.000 | 
| -0.000 | -0.000 | 0.000 | 0.000 | -0.000 | -57.410 | 
| 1496.938 | 204.679 | 204.679 | -0.000 | -0.000 | -0.000 | 
| 204.679 | 1496.938 | 204.679 | 0.000 | -0.000 | 0.000 | 
| 204.679 | 204.679 | 1496.938 | -0.000 | -0.000 | -0.000 | 
| -0.000 | 0.001 | 0.000 | -57.418 | -0.000 | -0.000 | 
| 0.001 | -0.000 | 0.000 | 0.000 | -57.418 | -0.000 | 
| 0.001 | 0.000 | -0.000 | 0.000 | -0.000 | -57.418 | 
| 1496.924 | 204.673 | 204.673 | 0.000 | -0.000 | 0.000 | 
| 204.673 | 1496.924 | 204.673 | 0.000 | -0.000 | -0.000 | 
| 204.673 | 204.673 | 1496.924 | -0.000 | 0.000 | 0.000 | 
| 0.000 | -0.001 | -0.000 | -57.418 | -0.000 | 0.000 | 
| -0.001 | 0.000 | -0.000 | -0.000 | -57.418 | 0.000 | 
| -0.001 | -0.000 | 0.000 | -0.000 | -0.000 | -57.418 | 
| -2032398638926.821 | -146235848825.071 | 568503524614.489 | 150615420067.550 | 198689449009.780 | -265021476064.530 | 
| 214532021367.539 | -1990913205301.621 | 511829219558.779 | 91501613721.848 | 416163752880.260 | -192079994671.500 | 
| -237913225007.741 | 217861464881.429 | -1787327673254.221 | 251202881341.730 | -81469326919.420 | 58579391110.014 | 
| 6212060751142.180 | 4634300230440.179 | 5075944925477.079 | 1789038902427.700 | 413588851194.810 | 158273852893.020 | 
| 4728916798578.479 | 5774084483348.479 | 4407979783274.979 | 41327993886.380 | 1914690287890.500 | -176544917687.980 | 
| 5371013357878.879 | 5286788737985.979 | 4831659397077.878 | 95825674503.161 | 208817793673.660 | 1053304208574.600 | 
| 19051011574834.020 | 5674271518756.021 | 5220700497511.121 | 186057578487.620 | -1223422449805.000 | 36900943214.180 | 
| 4254885536800.121 | 10268502794212.020 | 4443194358357.422 | -538634412338.590 | -85666657358.419 | -822556469906.940 | 
| 2719824129088.621 | 2402156408548.821 | 10167126053042.020 | -1475564000500.400 | -870493749857.080 | -86381628439.459 | 
| -5267183366837.679 | -3927527791681.380 | -5207141323057.079 | 3533462316124.300 | 186204197297.020 | 308695498107.670 | 
| -4961455442696.778 | -4804732957272.679 | -4418413215380.679 | 268182560322.160 | 2984020606781.800 | 257411726420.730 | 
| -4330429646572.279 | -4660533006762.180 | -5076888715279.379 | 119684418.617 | -41747018049.053 | 2333201052230.000 | 
| -64865935736.311 | 101825741628.798 | 64238077719.378 | -7824059530.520 | -3315766159.832 | 29001622958.350 | 
| 87978705453.361 | -84040495412.163 | 37714338762.396 | -32135912839.986 | -21920749321.082 | -34305767341.142 | 
| 107152730983.078 | 113297442066.108 | -83630331789.414 | 22811257114.949 | -19270515882.101 | -14309190891.603 | 
| 531774310279.558 | 358820425995.228 | 439737645107.038 | 149375434308.430 | 19043114710.217 | 3008925234.712 | 
| 531235524005.648 | 546086344215.308 | 439445313715.478 | -32345517245.014 | 171519085471.280 | -27993005553.986 | 
| 534928014954.938 | 500360144685.248 | 648084598703.128 | 3739277041.370 | -21591196645.623 | 149568435581.650 | 
| 419996925982.492 | 396721461652.782 | 382860322647.112 | -10586155669.956 | -4482583303.845 | 25632035337.124 | 
| 502137706694.292 | 1201822617728.102 | 365543357615.352 | 42781860364.782 | -5378545897.901 | -50907308020.480 | 
| 399008173659.142 | 433415984965.962 | 575522459923.092 | 14379115684.926 | -5524154352.714 | 5950031974.848 | 
| -481235999928.918 | -405075446160.018 | -478172925216.738 | 243451548037.440 | -17547348993.051 | 26447484.121 | 
| -612975611435.948 | -605227104569.178 | -354496254044.138 | 614499293.166 | 133139892691.940 | -11971827643.134 | 
| -489717831541.418 | -510958499524.538 | -480969747981.888 | -16100993237.580 | 3629988758.068 | 213601530107.410 | 
| -76406318858.471 | 61435380309.161 | 61763311046.444 | 345144183.544 | -3991305549.138 | -371557640.140 | 
| 5355164337.218 | -153682070475.780 | -817091103.855 | -3056769229.030 | -1249451047.777 | -80963198.201 | 
| 70239877639.761 | 74666558213.402 | -92982336097.991 | 592506215.103 | 1399881797.950 | -3073269129.627 | 
| 64461462903.452 | 51186716513.872 | 52289048615.900 | 18981937531.874 | 363852758.475 | 315844338.687 | 
| 56546718879.950 | 58540372420.453 | 46748917158.209 | -97865240.764 | 9939331898.971 | -2181208970.051 | 
| 38296999292.217 | 50942791602.278 | 53006260257.437 | 567583593.678 | 1278765199.668 | 18850825779.160 | 
| 99200089887.801 | 25412640773.895 | 38903941776.781 | -534135922.202 | -11996690885.721 | -4873879152.754 | 
| 35483276652.850 | 103893111700.590 | 29998383049.429 | 3788174369.019 | 1311147339.855 | -2122753696.791 | 
| 31412247687.594 | 36514174383.631 | 61416558300.486 | -8396735072.598 | 5414941740.902 | 843993874.775 | 
| -56721801625.281 | -47736280293.000 | -63245423967.846 | 19969109654.885 | 4921355839.048 | -3763183190.433 | 
| -50796200487.110 | -52329609271.587 | -46314329140.867 | 2364268557.557 | 13337926010.082 | 1821855417.044 | 
| -41921036059.935 | -58752473877.591 | -47605966337.385 | -1441294681.819 | 357530355.136 | 13851340622.319 | 
| -44.930 | -46.372 | -46.372 | 0.000 | 0.000 | 0.000 | 
| -46.372 | -44.930 | -46.372 | -0.000 | -0.000 | 0.000 | 
| -46.372 | -46.372 | -44.930 | 0.000 | 0.000 | 0.000 | 
| 0.000 | 0.000 | 0.000 | -32.274 | -0.000 | 0.000 | 
| -0.000 | 0.000 | 0.000 | -0.000 | -32.274 | 0.000 | 
| 0.000 | 0.000 | 0.000 | -0.000 | 0.000 | -32.274 | 
| -55.473 | -41.101 | -41.101 | -0.000 | -0.000 | 0.000 | 
| -41.101 | -55.473 | -41.101 | -0.000 | -0.000 | 0.000 | 
| -41.101 | -41.101 | -55.473 | 0.000 | -0.000 | -0.000 | 
| -0.000 | -0.000 | -0.000 | -32.274 | -0.000 | -0.000 | 
| -0.000 | -0.000 | -0.000 | 0.000 | -32.274 | -0.000 | 
| -0.000 | -0.000 | -0.000 | 0.000 | 0.000 | -32.274 | 
| -44.930 | -46.372 | -46.372 | 0.000 | -0.000 | 0.000 | 
| -46.372 | -44.930 | -46.372 | 0.000 | -0.000 | 0.000 | 
| -46.372 | -46.372 | -44.930 | 0.000 | 0.000 | -0.000 | 
| -0.000 | 0.000 | 0.000 | -32.274 | 0.000 | 0.000 | 
| 0.000 | -0.000 | 0.000 | -0.000 | -32.274 | 0.000 | 
| 0.000 | -0.000 | -0.000 | -0.000 | 0.000 | -32.274 | 
| -44.930 | -46.372 | -46.372 | 0.000 | -0.000 | 0.000 | 
| -46.372 | -44.930 | -46.372 | -0.000 | 0.000 | -0.000 | 
| -46.372 | -46.372 | -44.930 | 0.000 | 0.000 | -0.000 | 
| 0.000 | -0.000 | 0.000 | -32.274 | -0.000 | 0.000 | 
| -0.000 | 0.000 | -0.000 | 0.000 | -32.274 | -0.000 | 
| -0.000 | 0.000 | 0.000 | 0.000 | -0.000 | -32.274 | 
| -44.929 | -46.372 | -46.372 | 0.000 | -0.000 | 0.000 | 
| -46.372 | -44.929 | -46.372 | -0.000 | -0.000 | 0.000 | 
| -46.372 | -46.372 | -44.929 | 0.000 | 0.000 | 0.000 | 
| -0.000 | 0.000 | -0.000 | -32.274 | -0.000 | -0.000 | 
| 0.000 | -0.000 | -0.000 | 0.000 | -32.274 | 0.000 | 
| 0.000 | -0.000 | -0.000 | -0.000 | -0.000 | -32.274 | 
| -55.473 | -41.101 | -41.101 | -0.000 | -0.000 | -0.000 | 
| -41.101 | -55.473 | -41.101 | -0.000 | -0.000 | -0.000 | 
| -41.101 | -41.101 | -55.473 | -0.000 | -0.000 | -0.000 | 
| 0.000 | -0.000 | 0.000 | -32.274 | -0.000 | -0.000 | 
| -0.000 | 0.000 | 0.000 | -0.000 | -32.274 | -0.000 | 
| -0.000 | 0.000 | 0.000 | -0.000 | -0.000 | -32.274 | 
| 101594123.343 | -11.823 | -11.823 | -0.000 | -0.000 | 0.000 | 
| -11.823 | 101594123.343 | -11.823 | 0.000 | -0.000 | 0.000 | 
| -11.823 | -11.823 | 101594123.343 | -0.000 | -0.000 | 0.000 | 
| -60835403.865 | 5979180823.678 | 565098042.391 | -18629.818 | 3.854 | 2.014 | 
| 20787490476.948 | -7383842251.390 | 58827888427.827 | 0.669 | -34578.423 | -0.349 | 
| 643469914.226 | 1926818240.440 | 19285909.652 | -7595.575 | 4461.035 | -86084.878 | 
| -113.507 | -14.885 | -15.001 | 0.000 | 0.000 | 0.000 | 
| -15.001 | -113.507 | -14.885 | 0.000 | -0.000 | -0.000 | 
| -14.885 | -15.001 | -113.507 | 0.000 | 0.000 | 0.000 | 
| -6121779608.118 | -18561221604.596 | -22380859177.884 | -22563.504 | 0.318 | -0.437 | 
| -6688938053.196 | -662055888.654 | -7990312416.140 | -0.372 | -19141.602 | -0.053 | 
| 521932923.896 | 117390694.683 | 820642616.046 | 6.970 | 2.036 | -19705.905 | 
| 101568233.710 | -9.084 | -9.159 | -0.000 | -0.000 | -0.000 | 
| -9.159 | 101568233.710 | -9.084 | -0.000 | -0.000 | 0.000 | 
| -9.084 | -9.159 | 101568233.710 | -0.000 | -0.000 | 0.000 | 
| -16996390.212 | 4400913.468 | 4304727.986 | -4841.273 | -0.055 | 0.005 | 
| -34211.174 | 29164012.046 | 32853.962 | 0.004 | -4729.130 | 0.001 | 
| -15952.907 | 17728.401 | -59089419.912 | -0.017 | 0.018 | -4837.038 | 
| -113.506 | -17.549 | -17.590 | 0.000 | -0.000 | 0.000 | 
| -17.590 | -113.506 | -17.549 | 0.000 | -0.000 | -0.000 | 
| -17.549 | -17.590 | -113.506 | -0.000 | 0.000 | 0.000 | 
| 32169062.495 | 16817.425 | -18775.639 | -4813.431 | 0.011 | 0.013 | 
| -89200157.331 | -1591017.754 | -113067155.426 | 7.861 | -9436.491 | 11.818 | 
| -378720588.317 | -169743352.524 | 1119537.103 | 11.965 | 13.127 | -9347.106 | 
| 101294206.569 | -8.888 | -8.882 | -0.000 | -0.000 | -0.000 | 
| -8.882 | 101294206.569 | -8.888 | -0.000 | 0.000 | -0.000 | 
| -8.888 | -8.882 | 101294206.569 | -0.000 | -0.000 | -0.000 | 
| -882613.838 | -218897.949 | -232763.727 | -822877.375 | -0.000 | -0.000 | 
| -1329040.778 | 930916.240 | -1343006.048 | 0.001 | -2402973.974 | 0.002 | 
| -218852.349 | -232718.134 | -659317.691 | -0.000 | -0.000 | -822787.706 | 
| -113.505 | -17.769 | -17.763 | -0.000 | 0.000 | -0.000 | 
| -17.763 | -113.505 | -17.769 | 0.000 | 0.000 | -0.000 | 
| -17.769 | -17.763 | -113.505 | -0.000 | 0.000 | 0.000 | 
| 1404521.671 | 1324875.577 | 1338880.890 | -2397963.253 | -0.001 | -0.001 | 
| 854263.949 | 126064.096 | 868215.071 | -0.000 | -1797050.904 | -0.000 | 
| 3243115.788 | 1145818.498 | -1012094.654 | -0.209 | -0.017 | -4354018.906 | 
| 622.713 | 682.733 | 682.733 | 0.000 | -0.000 | -0.000 | 
| 682.733 | 622.713 | 682.733 | 0.000 | -0.000 | -0.000 | 
| 682.733 | 682.733 | 622.713 | 0.000 | -0.000 | -0.000 | 
| 0.000 | 0.000 | -0.000 | 622.441 | -0.000 | 0.000 | 
| 0.000 | 0.000 | 0.000 | -0.000 | 622.441 | -0.000 | 
| 0.000 | 0.000 | 0.000 | -0.000 | -0.000 | 622.441 | 
| 622.713 | 682.733 | 682.733 | -0.000 | 0.000 | -0.000 | 
| 682.733 | 622.713 | 682.733 | 0.000 | -0.000 | -0.000 | 
| 682.733 | 682.733 | 622.713 | -0.000 | 0.000 | 0.000 | 
| -0.000 | -0.000 | 0.000 | 622.441 | 0.000 | 0.000 | 
| -0.000 | -0.000 | -0.000 | 0.000 | 622.441 | 0.000 | 
| -0.000 | -0.000 | -0.000 | -0.000 | 0.000 | 622.441 | 
| 622.713 | 682.733 | 682.733 | -0.000 | -0.000 | -0.000 | 
| 682.733 | 622.713 | 682.733 | -0.000 | -0.000 | -0.000 | 
| 682.733 | 682.733 | 622.713 | 0.000 | -0.000 | -0.000 | 
| 0.000 | 0.000 | 0.000 | 622.441 | -0.000 | -0.000 | 
| 0.000 | 0.000 | 0.000 | -0.000 | 622.441 | -0.000 | 
| 0.000 | 0.000 | 0.000 | -0.000 | -0.000 | 622.441 | 
| 622.712 | 682.733 | 682.733 | 0.000 | -0.000 | -0.000 | 
| 682.733 | 622.712 | 682.733 | -0.000 | -0.000 | 0.000 | 
| 682.733 | 682.733 | 622.712 | -0.000 | 0.000 | 0.000 | 
| -0.000 | -0.000 | -0.000 | 622.441 | 0.000 | 0.000 | 
| -0.000 | -0.000 | -0.000 | 0.000 | 622.441 | 0.000 | 
| -0.000 | -0.000 | -0.000 | 0.000 | 0.000 | 622.441 | 
| 622.715 | 682.735 | 682.735 | 0.000 | -0.000 | -0.000 | 
| 682.735 | 622.715 | 682.735 | -0.000 | 0.000 | 0.000 | 
| 682.735 | 682.735 | 622.715 | 0.000 | -0.000 | -0.000 | 
| 0.001 | 0.000 | 0.001 | 622.441 | -0.000 | -0.000 | 
| 0.000 | 0.001 | 0.001 | 0.000 | 622.441 | -0.000 | 
| 0.000 | 0.001 | 0.001 | -0.000 | -0.000 | 622.441 | 
| 622.710 | 682.731 | 682.731 | 0.000 | 0.000 | 0.000 | 
| 682.731 | 622.710 | 682.731 | 0.000 | 0.000 | -0.000 | 
| 682.731 | 682.731 | 622.710 | -0.000 | 0.000 | 0.000 | 
| -0.001 | -0.000 | -0.001 | 622.441 | 0.000 | 0.000 | 
| -0.000 | -0.001 | -0.001 | -0.000 | 622.441 | 0.000 | 
| -0.000 | -0.001 | -0.001 | -0.000 | 0.000 | 622.441 | 
| 134.789 | 141.163 | 141.163 | 0.000 | 0.000 | 0.000 | 
| 141.163 | 134.789 | 141.163 | 0.000 | 0.000 | 0.000 | 
| 141.163 | 141.163 | 134.789 | 0.000 | -0.000 | -0.000 | 
| 0.000 | -0.000 | -0.000 | 82.014 | -0.000 | 0.000 | 
| 0.000 | 0.000 | 0.000 | 0.000 | 82.014 | -0.000 | 
| 0.000 | -0.000 | 0.000 | 0.000 | -0.000 | 82.014 | 
| 134.789 | 141.163 | 141.163 | -0.000 | 0.000 | 0.000 | 
| 141.163 | 134.789 | 141.163 | -0.000 | -0.000 | 0.000 | 
| 141.163 | 141.163 | 134.789 | -0.000 | -0.000 | -0.000 | 
| -0.000 | -0.000 | -0.000 | 82.014 | -0.000 | -0.000 | 
| -0.000 | 0.000 | -0.000 | -0.000 | 82.014 | -0.000 | 
| -0.000 | 0.000 | -0.000 | -0.000 | 0.000 | 82.014 | 
| 134.789 | 141.163 | 141.163 | 0.000 | 0.000 | 0.000 | 
| 141.163 | 134.789 | 141.163 | 0.000 | 0.000 | 0.000 | 
| 141.163 | 141.163 | 134.789 | 0.000 | 0.000 | 0.000 | 
| 0.000 | -0.000 | 0.000 | 82.014 | 0.000 | -0.000 | 
| -0.000 | 0.000 | 0.000 | 0.000 | 82.014 | 0.000 | 
| -0.000 | 0.000 | 0.000 | 0.000 | 0.000 | 82.014 | 
| 134.789 | 141.163 | 141.163 | -0.000 | 0.000 | -0.000 | 
| 141.163 | 134.789 | 141.163 | -0.000 | -0.000 | -0.000 | 
| 141.163 | 141.163 | 134.789 | -0.000 | 0.000 | -0.000 | 
| -0.000 | 0.000 | -0.000 | 82.014 | 0.000 | -0.000 | 
| 0.000 | -0.000 | -0.000 | -0.000 | 82.014 | -0.000 | 
| 0.000 | -0.000 | -0.000 | -0.000 | 0.000 | 82.014 | 
| 134.790 | 141.163 | 141.163 | 0.000 | -0.000 | -0.000 | 
| 141.163 | 134.790 | 141.163 | 0.000 | 0.000 | -0.000 | 
| 141.163 | 141.163 | 134.790 | 0.000 | 0.000 | 0.000 | 
| 0.000 | -0.000 | 0.000 | 82.014 | -0.000 | 0.000 | 
| -0.000 | 0.000 | 0.000 | 0.000 | 82.014 | 0.000 | 
| -0.000 | 0.000 | 0.000 | 0.000 | 0.000 | 82.014 | 
| 134.789 | 141.162 | 141.162 | -0.000 | -0.000 | -0.000 | 
| 141.162 | 134.789 | 141.162 | -0.000 | -0.000 | 0.000 | 
| 141.162 | 141.162 | 134.789 | -0.000 | -0.000 | -0.000 | 
| -0.000 | 0.000 | -0.000 | 82.014 | -0.000 | -0.000 | 
| 0.000 | -0.000 | -0.000 | -0.000 | 82.014 | 0.000 | 
| 0.000 | -0.000 | -0.000 | -0.000 | 0.000 | 82.014 | 
| 26.379 | -56.799 | -56.799 | 0.000 | 0.000 | 0.000 | 
| -56.799 | 26.379 | -56.799 | -0.000 | 0.000 | 0.000 | 
| -56.799 | -56.799 | 26.379 | -0.000 | -0.000 | 0.000 | 
| 0.000 | 0.000 | 0.000 | 47.530 | 0.000 | 0.000 | 
| 0.000 | 0.000 | 0.000 | 0.000 | 47.530 | 0.000 | 
| 0.000 | 0.000 | 0.000 | 0.000 | 0.000 | 47.530 | 
| 26.379 | -56.799 | -56.799 | 0.000 | -0.000 | -0.000 | 
| -56.799 | 26.379 | -56.799 | 0.000 | -0.000 | 0.000 | 
| -56.799 | -56.799 | 26.379 | 0.000 | 0.000 | -0.000 | 
| -0.000 | 0.000 | -0.000 | 47.530 | -0.000 | -0.000 | 
| -0.000 | -0.000 | -0.000 | -0.000 | 47.530 | -0.000 | 
| -0.000 | -0.000 | -0.000 | -0.000 | -0.000 | 47.530 | 
| 26.379 | -56.799 | -56.799 | -0.000 | -0.000 | 0.000 | 
| -56.799 | 26.379 | -56.799 | 0.000 | 0.000 | 0.000 | 
| -56.799 | -56.799 | 26.379 | -0.000 | -0.000 | 0.000 | 
| 0.000 | 0.000 | 0.000 | 47.530 | 0.000 | 0.000 | 
| 0.000 | 0.000 | 0.000 | 0.000 | 47.530 | 0.000 | 
| 0.000 | 0.000 | 0.000 | 0.000 | 0.000 | 47.530 | 
| 26.379 | -56.799 | -56.799 | 0.000 | -0.000 | -0.000 | 
| -56.799 | 26.379 | -56.799 | 0.000 | -0.000 | -0.000 | 
| -56.799 | -56.799 | 26.379 | -0.000 | -0.000 | -0.000 | 
| -0.000 | -0.000 | -0.000 | 47.530 | -0.000 | -0.000 | 
| -0.000 | -0.000 | -0.000 | -0.000 | 47.530 | -0.000 | 
| -0.000 | -0.000 | -0.000 | 0.000 | -0.000 | 47.530 | 
| 26.380 | -56.799 | -56.799 | 0.000 | 0.000 | 0.000 | 
| -56.799 | 26.380 | -56.799 | 0.000 | 0.000 | 0.000 | 
| -56.799 | -56.799 | 26.380 | 0.000 | 0.000 | 0.000 | 
| 0.000 | 0.000 | 0.000 | 47.530 | -0.000 | 0.000 | 
| 0.000 | 0.000 | 0.000 | -0.000 | 47.530 | 0.000 | 
| 0.000 | 0.000 | 0.000 | -0.000 | 0.000 | 47.530 | 
| 26.379 | -56.799 | -56.799 | -0.000 | -0.000 | -0.000 | 
| -56.799 | 26.379 | -56.799 | 0.000 | 0.000 | -0.000 | 
| -56.799 | -56.799 | 26.379 | -0.000 | -0.000 | -0.000 | 
| -0.000 | -0.000 | -0.000 | 47.530 | -0.000 | -0.000 | 
| -0.000 | -0.000 | -0.000 | 0.000 | 47.530 | -0.000 | 
| -0.000 | -0.000 | -0.000 | -0.000 | -0.000 | 47.530 | 
| 5418.243 | 2921.208 | 1741.648 | 0.000 | 0.000 | -0.000 | 
| 2921.205 | 5418.238 | 1741.649 | -0.000 | 0.001 | 0.000 | 
| 1741.897 | 1741.890 | 6616.242 | 0.000 | 0.000 | -0.001 | 
| 0.002 | -0.002 | -0.001 | 58.269 | -0.000 | -0.000 | 
| 0.002 | -0.002 | -0.001 | 0.000 | 58.267 | -0.001 | 
| -0.016 | -0.016 | 0.035 | 0.000 | 0.000 | -57327.691 | 
| 5418.241 | 2921.210 | 1741.648 | 0.000 | -0.000 | 0.001 | 
| 61494.035 | -53154.557 | 1741.613 | 0.000 | 0.000 | 0.000 | 
| 1741.894 | 1741.903 | 6616.247 | 0.000 | -0.000 | 0.002 | 
| -0.002 | 0.005 | -0.000 | 58.269 | -0.000 | 0.000 | 
| -0.001 | 0.002 | 0.002 | 0.000 | 58.268 | 0.001 | 
| 0.014 | 0.018 | -0.035 | -0.000 | 0.000 | -57327.690 | 
| -53124.903 | 61464.025 | 1742.002 | -0.000 | 0.000 | 0.000 | 
| 61531.122 | -53192.000 | 1742.003 | -0.000 | -0.000 | 0.000 | 
| 1741.896 | 1741.896 | 6616.245 | -0.000 | -0.000 | -0.000 | 
| 0.001 | -0.001 | 0.000 | 58.269 | 0.000 | -0.000 | 
| -0.000 | 0.000 | 0.000 | 0.000 | 58.269 | -0.000 | 
| -0.245 | -0.084 | 0.354 | -0.000 | 0.000 | -57327.660 | 
| -53191.000 | 61530.773 | 1741.292 | 0.000 | 0.000 | 0.000 | 
| 61463.669 | -53123.897 | 1741.293 | 0.000 | 0.000 | 0.000 | 
| 1741.894 | 1741.895 | 6616.241 | -0.000 | 0.000 | -0.000 | 
| -0.001 | 0.001 | -0.000 | 58.269 | 0.000 | 0.000 | 
| 0.000 | -0.000 | -0.000 | 0.000 | 58.269 | 0.000 | 
| 0.245 | 0.084 | -0.355 | 0.000 | 0.000 | -57327.660 | 
| -52929.164 | 61265.369 | 1745.157 | 0.000 | -0.000 | -0.000 | 
| 61836.094 | -53499.946 | 1745.232 | -0.000 | -0.000 | -0.000 | 
| 1741.903 | 1741.903 | 6616.269 | 0.000 | -0.000 | -0.000 | 
| -0.001 | -0.002 | 0.003 | 58.269 | -0.000 | -0.000 | 
| -0.002 | -0.001 | 0.003 | -0.000 | 58.269 | -0.000 | 
| -236.875 | 233.581 | 3.539 | -0.000 | 0.000 | -57328.331 | 
| -53489.823 | 61832.570 | 1738.065 | -0.000 | 0.000 | 0.000 | 
| 61261.729 | -52919.039 | 1738.139 | -0.000 | -0.000 | 0.000 | 
| 1741.887 | 1741.887 | 6616.217 | 0.000 | 0.000 | 0.000 | 
| 0.001 | 0.002 | -0.003 | 58.269 | 0.000 | 0.000 | 
| 0.002 | 0.001 | -0.003 | -0.000 | 58.269 | 0.000 | 
| 237.009 | -233.715 | -3.539 | 0.000 | -0.000 | -57328.342 | 
| 33138809657054.770 | 17508181940334.768 | 9326061166227.393 | -508539669986.850 | 500102515931.330 | 1108986007279.000 | 
| 40632186293462.773 | 15175012502992.766 | 11121357566870.090 | -43768616069.055 | 51694349410.569 | 331854977964.120 | 
| 15711478378153.768 | 19689408164641.766 | 8217824177250.992 | -27768792766.410 | 84387609920.639 | 485891885074.750 | 
| 11064939989661.768 | 14995652673411.768 | 10491633212131.092 | 479682219281.730 | 56859704508.415 | -57620685848.680 | 
| 11798590331651.770 | 14070712303855.768 | 9333059377812.492 | -452096564009.740 | 17163584712.529 | 298519773764.070 | 
| 25691841749440.766 | 27182741035782.766 | 11225256650169.094 | -109925276974.330 | 44791388495.172 | -5529690260231.700 | 
| -38710368428564.773 | -16091724653234.768 | -10183563480389.092 | 141394817851.900 | -29032186931.908 | 444452218526.830 | 
| -36847161649583.766 | -19566248506677.766 | -10815225499336.094 | -26140155193.257 | -174485125119.460 | -1064187495913.200 | 
| -9052229960511.168 | -12119725026494.766 | -6998210171247.894 | 107912014332.340 | 37328732296.667 | 504258303563.200 | 
| -14078115208450.768 | -17196928483018.768 | -10917205752090.092 | 45663370140.751 | 31345626492.019 | 157807255680.670 | 
| -12791083441214.770 | -15389489469342.768 | -8588652729661.092 | 147652194011.800 | 275519315417.100 | 263844356330.590 | 
| -23572804599632.766 | -29080095894472.770 | -12297291699036.094 | 109225834840.800 | -93202690366.031 | -4043352563691.900 | 
| -9430316219357.926 | -6436459812421.423 | -12399461461213.793 | 90856672912.779 | -72007640.267 | 383827550.902 | 
| -3046177069031.724 | -2963002604712.423 | -850103425324.611 | 533318678.879 | -13909.856 | -2357452.838 | 
| 103621927896.827 | 170368349699.437 | 209657783851.349 | 6737942337.495 | 123252932.848 | 8361795441.372 | 
| -2062801231685.724 | -622694093669.993 | -842525308614.981 | -4852793550.407 | -37674461187.651 | -17853397474.422 | 
| -1815956885752.323 | -549384272883.793 | -669181989385.311 | 24032011704.986 | 77264155151.579 | 2207910105.559 | 
| -3026783078199.324 | -3026245315139.224 | -947155721219.461 | 3823131.054 | -6533635.530 | -65481562934.933 | 
| 3036655164158.224 | 2956936821163.723 | 837287176931.261 | -553884773.343 | 20827.473 | 3225745.048 | 
| 1909554121655.523 | 633146737019.843 | 677652365722.981 | 17732696112.553 | -72785641935.484 | -16871880149.973 | 
| 419057518448.523 | 142225278915.713 | -13792385004.821 | -13485874508.549 | 6815415819.493 | -45850719098.682 | 
| 1915157331512.224 | 463052613713.043 | 589794145485.251 | -3448172742.621 | 13497107921.314 | 29795859543.982 | 
| 1839556347795.523 | 533161515750.283 | 650529247287.291 | 3236334960.575 | -102958386170.560 | -6681882855.390 | 
| 1029515024918.923 | 1446794095728.724 | 679814957814.311 | 3628105982.764 | -6347897592.501 | -630729427785.830 | 
| 356424375039.798 | 162767021309.828 | 94742747464.821 | -826333862.807 | -3569565120.130 | -1490742720.789 | 
| 360448721478.118 | 123486651498.718 | 108373211199.411 | 1044383864.301 | 58351499.002 | 4555799864.149 | 
| 162321000989.238 | 200618312410.008 | 129817393792.631 | 1166813553.710 | -1193888595.554 | -1441859751.675 | 
| 154599743967.208 | 141254174076.788 | 157849768480.201 | 471815545.270 | -1105694852.782 | -2952576383.859 | 
| 376860265058.658 | 155001749159.748 | 115561671511.321 | 1707620056.782 | 82089168.688 | 2884561206.164 | 
| 240668688041.608 | 273949214721.488 | 104023114876.141 | 2351032947.576 | -4222769431.248 | -45391244231.057 | 
| -392397647132.518 | -141738211870.398 | -109808732528.391 | -997806695.488 | 3050747631.867 | -527721718.874 | 
| -393085494834.888 | -160291885330.398 | -109918673580.891 | -490729043.727 | 2459127800.220 | -7588906211.769 | 
| -130944108257.038 | -163304521169.368 | -78772817040.669 | 279134915.579 | 1777031078.177 | 1376988583.160 | 
| -155176335648.888 | -162891727476.308 | -155977928056.491 | -7215484612.024 | -1345662110.408 | 38217048.786 | 
| -341585482697.768 | -151215976437.668 | -113063719579.931 | -147004160.239 | -171215866.386 | 4512347623.887 | 
| -260941324648.148 | -296611348217.958 | -123836207660.781 | 565407846.577 | -753441162.218 | -57218966204.301 | 
| -10560495306139.711 | -2327793844119.210 | -8022657895658.604 | 180010055362.020 | -67670227896.081 | -257318527191.630 | 
| -41026217496677.711 | -40389478594746.719 | -3589550840518.405 | 1804712302.182 | 63604652.108 | -9520100949.974 | 
| -5843629819373.010 | -5939945375869.109 | -668717842381.625 | 50134786960.304 | -200981607215.210 | 185057132012.750 | 
| -8467167088268.109 | -3307527648175.710 | 1755965094496.295 | -33607589729.970 | 343648533336.710 | 120572882087.170 | 
| -4705302399409.811 | -3640717171906.610 | -4006925791877.805 | -1182243621068.100 | 105898185470.090 | -676695853444.500 | 
| -37488525906511.711 | -72760706980451.719 | -62379198754527.906 | 516710944.769 | 656100689.348 | -3062274745924.500 | 
| 14614290770174.709 | 2479373123874.110 | 4175520358383.104 | -274318059336.160 | 594871535168.370 | 70363488508.384 | 
| 8477551473108.712 | 2086990131999.610 | 7489439187739.704 | 43205711037.709 | 188885399244.700 | 484625771092.390 | 
| 5625609120365.511 | 6756864389945.710 | 3029355045974.705 | -319091345891.570 | 97039865822.777 | -563405410668.370 | 
| 10529471459231.711 | 4629260709443.209 | -3171933076103.795 | 119353323734.330 | 347551425766.150 | 37450624885.458 | 
| 5338245776174.210 | 3845487877491.811 | 4137163559720.905 | 1672615858569.900 | 196869896624.360 | -69069849357.858 | 
| 37488712708244.703 | 72760769516315.703 | 62379698021627.898 | -517035650.380 | 656514920.956 | -3062353270451.000 | 
| 1713136394911.329 | 1676399618194.529 | 6774785008074.711 | -20979.958 | 0.003 | 0.033 | 
| -904497.347 | 69801.034 | -1668470.483 | -0.407 | -0.000 | -0.002 | 
| 162047297944.509 | 143584834567.449 | 159325273104.200 | -8539093956.461 | -16316707492.213 | -45719031629.726 | 
| 1712961635854.829 | 1676227491433.129 | 6774091024220.511 | 383947161.310 | 0.000 | 921.545 | 
| -904621.225 | 87056.660 | -1633290.222 | 15.039 | 40.798 | -11.902 | 
| 1056530787418.629 | 1023726629497.429 | 3762500727038.809 | 5608013954.681 | -10495930761.706 | -2323064393.388 | 
| 904850.483 | -101783.265 | 1603427.344 | 23.220 | 0.000 | 0.001 | 
| -1712790831163.729 | -1676059532140.229 | -6773413304078.111 | -9616.616 | 0.048 | 0.145 | 
| -221835316574.829 | -248901638106.159 | -239759623291.440 | -8335942560.198 | 4505012834.532 | 4199843918.102 | 
| -1712961640068.629 | -1676227492157.629 | -6774091034235.011 | 383954558.779 | 0.030 | -71.895 | 
| 904621.226 | -135777.567 | 1534903.155 | -54.803 | 40.793 | -4.782 | 
| -975084513697.769 | -944842170880.179 | -3514137233186.409 | -2723769069.298 | -35987111555.325 | 3301827312.264 | 
| 171471104941.183 | 167794708964.053 | 678103132397.521 | -56.577 | 0.000 | -0.014 | 
| 13361652843.702 | 20603639533.391 | 49633484607.866 | -322457479.434 | -214675354.776 | 22684243.003 | 
| 9127759312.656 | 5791943685.302 | 17999723443.885 | -1505878909.025 | 738057454.890 | -1991581906.730 | 
| 171295617388.893 | 167622219460.353 | 677406953308.811 | 383950464.608 | 0.002 | -2.743 | 
| -90462.124 | 5322.369 | -170161.305 | 0.048 | 40.807 | -0.016 | 
| 20778668735.867 | 25158518215.660 | 60049490698.664 | -3425326091.227 | -59444425.813 | -4188959825.302 | 
| -4678138951.912 | -12979523285.447 | -13282078611.129 | 53307624.272 | 933655177.680 | 40218447.548 | 
| -171123756878.773 | -167454331893.113 | -676727218611.031 | -8.025 | -0.000 | 0.034 | 
| -16555511206.088 | -18824242619.697 | -9204545970.953 | 674010824.773 | 324930677.972 | -1364229864.329 | 
| -171295530716.873 | -167622204989.053 | -677406748167.201 | 383949618.405 | -0.004 | -0.030 | 
| 90462.124 | -8574.433 | 163594.059 | 0.032 | 40.801 | -0.006 | 
| -168542574674.733 | -170379613930.873 | -677415657491.671 | -7.037 | -9.840 | 1590405709.963 | 
| -75379.756 | 83710.654 | 1752.415 | -0.000 | 0.000 | -0.000 | 
| 83735.323 | -75404.429 | 1752.413 | 0.000 | -0.000 | 0.000 | 
| 1752.841 | 1752.842 | 6615.414 | 0.000 | -0.000 | -0.000 | 
| 0.001 | 0.000 | 0.000 | 54.888 | -0.000 | -0.000 | 
| 0.002 | -0.001 | -0.001 | -0.000 | 54.889 | -0.000 | 
| -0.032 | -0.022 | 0.063 | 0.000 | -0.000 | -79557.480 | 
| -75404.257 | 83735.257 | 1752.279 | -0.000 | -0.000 | 0.000 | 
| 83710.593 | -75379.590 | 1752.280 | 0.000 | -0.000 | 0.000 | 
| 1752.837 | 1752.838 | 6615.407 | -0.000 | 0.000 | -0.000 | 
| -0.002 | -0.001 | 0.003 | 54.888 | 0.000 | 0.000 | 
| -0.003 | 0.001 | 0.002 | 0.000 | 54.889 | 0.000 | 
| 0.031 | 0.022 | -0.066 | -0.000 | 0.000 | -79557.480 | 
| -75269.472 | 83599.860 | 1752.996 | 0.000 | 0.000 | 0.000 | 
| 83846.604 | -75516.215 | 1753.001 | 0.000 | -0.000 | -0.000 | 
| 1752.840 | 1752.840 | 6615.410 | 0.000 | -0.000 | -0.000 | 
| 0.001 | -0.001 | 0.000 | 54.889 | -0.000 | 0.000 | 
| -0.000 | 0.001 | 0.001 | 0.000 | 54.889 | -0.000 | 
| -0.445 | -0.119 | 0.653 | 0.000 | -0.000 | -79557.246 | 
| -75514.494 | 83846.005 | 1751.689 | -0.000 | 0.000 | 0.000 | 
| 83599.267 | -75267.755 | 1751.696 | -0.000 | 0.000 | -0.000 | 
| 1752.838 | 1752.838 | 6615.404 | -0.000 | 0.000 | -0.000 | 
| -0.001 | 0.001 | -0.000 | 54.889 | 0.000 | 0.000 | 
| 0.001 | -0.001 | -0.000 | -0.000 | 54.889 | -0.000 | 
| 0.445 | 0.119 | -0.653 | -0.000 | 0.000 | -79557.246 | 
| -74808.108 | 83133.512 | 1758.774 | 0.000 | -0.000 | 0.000 | 
| 84977.050 | -76651.889 | 1759.087 | 0.000 | -0.000 | -0.000 | 
| 1752.848 | 1752.848 | 6615.433 | -0.000 | -0.000 | 0.000 | 
| 0.258 | -0.260 | 0.003 | 54.889 | -0.000 | -0.000 | 
| -0.259 | 0.257 | 0.003 | -0.000 | 54.889 | -0.000 | 
| -603.313 | 597.664 | 6.527 | 0.000 | -0.000 | -79561.216 | 
| -76634.233 | 84970.971 | 1745.607 | -0.000 | 0.000 | -0.000 | 
| 83127.767 | -74791.273 | 1745.920 | 0.000 | 0.000 | 0.000 | 
| 1752.831 | 1752.831 | 6615.381 | 0.000 | 0.000 | -0.000 | 
| -0.258 | 0.260 | -0.003 | 54.889 | 0.000 | 0.000 | 
| 0.259 | -0.257 | -0.003 | 0.000 | 54.889 | 0.000 | 
| 603.313 | -597.664 | -6.527 | -0.000 | 0.000 | -79561.216 | 
| 951506307794.301 | 951496609108.521 | 95.995 | -0.000 | -0.000 | -0.005 | 
| 951496608824.541 | 951506308078.441 | 95.995 | 0.000 | 0.000 | -0.003 | 
| 951491749731.041 | 951491749730.071 | 230.942 | -0.000 | -0.000 | -0.012 | 
| 951491740119.542 | 951491740118.591 | 0.000 | 37.505 | 0.000 | -0.005 | 
| 951491740119.531 | 951491740118.561 | -0.000 | 0.000 | 37.505 | -0.004 | 
| 951491739976.941 | 951491739691.031 | -0.000 | 0.000 | 0.000 | 4850055.052 | 
| -951477169309.551 | -951486870843.761 | 95.995 | -0.000 | 0.000 | -0.002 | 
| -951486870559.682 | -951477169593.431 | 95.995 | 0.000 | 0.000 | 0.005 | 
| -951491730508.021 | -951491730507.042 | 230.942 | -0.000 | -0.000 | 0.002 | 
| -951491740119.542 | -951491740118.572 | 0.000 | 37.505 | 0.000 | 0.005 | 
| -951491740119.531 | -951491740118.561 | 0.000 | 0.000 | 37.505 | 0.004 | 
| -951491739976.951 | -951491739691.031 | 0.000 | -0.000 | -0.000 | 4850055.052 | 
| 95163727578.081 | 95154041719.620 | 95.995 | 0.000 | -0.000 | -0.001 | 
| 250926301251.400 | 268328892162.290 | 316496844676.664 | 9830448981.422 | -5252606899.608 | 13083187977.171 | 
| 95149183623.457 | 95149183623.361 | 230.942 | 0.000 | -0.000 | 0.000 | 
| 95149174011.953 | 95149174011.858 | 0.000 | 37.505 | -0.000 | -0.000 | 
| 95149174011.953 | 95149174011.856 | 0.000 | 0.000 | 37.505 | -0.000 | 
| 194365224832.460 | -150445228703.860 | 78563822613.361 | 14213236548.456 | 20445029928.195 | 24652170373.945 | 
| -95134589093.185 | -95144303454.746 | 95.995 | -0.000 | -0.000 | 0.001 | 
| -95144300604.626 | -95134591943.306 | 95.995 | -0.000 | -0.000 | -0.000 | 
| -95149164400.452 | -95149164400.356 | 230.942 | -0.000 | -0.000 | 0.000 | 
| -95149174011.954 | -95149174011.856 | -0.000 | 37.505 | 0.000 | 0.001 | 
| -95149174011.955 | -95149174011.856 | -0.000 | 0.000 | 37.505 | 0.000 | 
| -151956612263.650 | -99029846260.391 | -368785242133.594 | -86685957.427 | -21027802381.632 | 34337816536.186 | 
| 1865273005.387 | -40926208178.097 | -53899307235.095 | 1332933224.927 | 1810214948.181 | 2688844154.956 | 
| -23382440427.560 | -23880559508.516 | -12999225144.331 | -692507279.522 | 1356101996.940 | -399854743.235 | 
| 9514927012.708 | 9514927012.698 | 230.942 | 0.000 | 0.000 | -0.000 | 
| 9514917401.195 | 9514917401.186 | 0.000 | 37.505 | -0.000 | -0.000 | 
| 9514917401.195 | 9514917401.186 | 0.000 | 0.000 | 37.505 | -0.000 | 
| 9514903139.843 | 9514874646.258 | -0.000 | 0.000 | -0.000 | 4850055.110 | 
| -9500191395.487 | -9510034022.019 | 95.994 | -0.000 | 0.000 | 0.000 | 
| -13839999968.301 | 19800115127.218 | 28228188454.864 | -4407235033.424 | -3695015348.160 | 7380687780.209 | 
| -9514907789.703 | -9514907789.693 | 230.942 | -0.000 | -0.000 | 0.000 | 
| -9514917401.195 | -9514917401.186 | -0.000 | 37.505 | 0.000 | 0.000 | 
| -9514917401.196 | -9514917401.186 | -0.000 | -0.000 | 37.505 | 0.000 | 
| -3227802144.982 | 6014832518.265 | -34214186777.964 | -738499512.043 | -2851237643.704 | 1364906381.404 | 
| 78977792.856 | 79062510.872 | 78878120.412 | 234527.537 | -2826057.443 | -72514.092 | 
| -57196191708.197 | -57191278833.493 | -57182095275.858 | -374905728.254 | 824697586.223 | 704768337.533 | 
| 494698982630.848 | 494908164678.018 | 492520936358.388 | -53213765981.663 | -77927765550.058 | -278719512849.830 | 
| -26574413957.294 | -26574222835.252 | -26574946393.707 | 538335039.318 | 31287808.780 | 171625139.749 | 
| 52601718546.029 | 53146873361.768 | 52628103112.631 | 23048006378.713 | -30074252638.818 | 18632861587.755 | 
| 23054849.030 | 23055109.113 | 23306263.896 | -53001.443 | -49645.905 | -10330765.122 | 
| -3821542827653.418 | -3821542751227.118 | -3821542751227.118 | -18.351 | -14.881 | -15.005 | 
| -3821542751227.019 | -3821542827653.318 | -3821542751227.019 | -14.655 | -18.449 | -14.933 | 
| -3821542751227.019 | -3821542751227.118 | -3821542827653.418 | -14.651 | -14.808 | -18.406 | 
| 33522321.514 | 34416220.601 | 34416220.632 | -1550201.656 | 16.066 | 8.755 | 
| 34416213.290 | 33522314.424 | 34416213.321 | 16.907 | -1550194.344 | 7.741 | 
| 34416189.946 | 34416189.977 | 33522291.787 | 14.971 | 9.550 | -1550171.000 | 
| -94600613.868 | -94531009.304 | -94670336.977 | -7315161.467 | 1404879.687 | -2483585.455 | 
| 916522700.440 | 916524272.886 | 916635245.754 | -5309759.358 | -10354267.943 | 14357173.354 | 
| 17523694014.096 | 17510826281.676 | 17507015624.507 | 740563107.415 | -857410463.008 | -537411174.153 | 
| -3352232.997 | -3441621.328 | -3441621.359 | -155013.528 | -0.351 | -0.346 | 
| -3441621.102 | -3352232.777 | -3441621.133 | -0.218 | -155013.302 | -0.213 | 
| -3441621.426 | -3441621.457 | -3352233.091 | -0.268 | -0.262 | -155013.625 | 
| -382228122138.202 | -382228045697.172 | -382228045697.172 | -2.437 | -1.504 | -1.517 | 
| -382228045697.172 | -382228122138.202 | -382228045697.182 | -1.487 | -2.619 | -1.514 | 
| -382228045697.162 | -382228045697.172 | -382228122138.202 | -1.486 | -1.500 | -2.656 | 
| 3352230.960 | 3441619.228 | 3441619.259 | -155011.427 | 0.266 | -0.145 | 
| 3441619.975 | 3352231.684 | 3441620.006 | 0.017 | -155012.174 | 0.101 | 
| 3441619.797 | 3441619.828 | 3352231.512 | 0.159 | -0.041 | -155011.996 | 
| 1496352.011 | 1495798.045 | 1497837.037 | 93381.317 | -497348.215 | 258623.030 | 
| 9734612.963 | 9741673.668 | 9742984.541 | 46481.959 | 569758.575 | 414601.891 | 
| 115037.549 | 115236.529 | 115004.069 | 1011.293 | 486.326 | -2673.629 | 
| -335222.164 | -344159.358 | -344159.389 | -15492.672 | -0.008 | -0.007 | 
| -344159.362 | -335222.168 | -344159.393 | -0.011 | -15492.676 | -0.011 | 
| -344159.353 | -344159.384 | -335222.159 | -0.004 | -0.004 | -15492.667 | 
| -119731.137 | -119522.263 | -119440.189 | -8133.493 | 3693.683 | 3273.477 | 
| -10561808.357 | -10520081.178 | -10634534.833 | 11697149.160 | -4903956.511 | 21631082.905 | 
| -255580373.346 | -255579808.354 | -255554187.186 | 2458215.071 | 532661.277 | -313061.174 | 
| 335222.190 | 344159.385 | 344159.416 | -15492.699 | 0.010 | -0.009 | 
| 344159.459 | 335222.262 | 344159.490 | 0.016 | -15492.773 | -0.015 | 
| 344159.453 | 344159.484 | 335222.256 | -0.004 | 0.005 | -15492.767 | 
| 62518677.545 | 62518661.845 | 62518661.845 | -39.544 | -44.933 | -43.150 | 
| 62518661.831 | 62518677.532 | 62518661.831 | -46.230 | -39.572 | -43.483 | 
| 62518661.857 | 62518661.857 | 62518677.557 | -43.998 | -44.846 | -38.596 | 
| -16641966.622 | -17751839.706 | -17751839.286 | 21008973.102 | -2.065 | -3.131 | 
| -17757559.689 | -16647442.884 | -17757559.269 | -3.714 | 21014693.085 | -1.506 | 
| -17752214.539 | -17752214.120 | -16642325.484 | -1.878 | -3.388 | 21009347.936 | 
| 0.779 | -16.172 | -16.172 | -0.000 | 0.000 | -0.000 | 
| -16.172 | 0.779 | -16.172 | -0.000 | 0.000 | -0.000 | 
| -16.172 | -16.172 | 0.779 | 0.000 | 0.000 | -0.000 | 
| 16648714.237 | 17758887.623 | 17758887.203 | 21016021.019 | -1.081 | -1.666 | 
| 17754471.047 | 16644485.845 | 17754470.627 | 0.551 | 21011604.443 | -0.047 | 
| 17753638.788 | 17753638.368 | 16643689.047 | -0.321 | -0.851 | 21010772.184 | 
| 62515880.825 | 62515876.377 | 62515876.377 | 0.179 | 0.120 | 0.100 | 
| 62515876.372 | 62515880.820 | 62515876.372 | 0.128 | 0.190 | 0.077 | 
| 62515876.380 | 62515876.380 | 62515880.828 | 0.150 | 0.109 | 0.200 | 
| -1667555.143 | -1778692.623 | -1778692.203 | 2104414.830 | 0.025 | -0.082 | 
| -1778698.430 | -1667560.702 | -1778698.009 | 0.008 | 2104420.636 | -0.065 | 
| -1778694.102 | -1778693.681 | -1667556.558 | -0.104 | 0.046 | 2104416.308 | 
| 0.779 | -16.172 | -16.172 | -0.000 | 0.000 | -0.000 | 
| -16.172 | 0.779 | -16.172 | 0.000 | 0.000 | -0.000 | 
| -16.172 | -16.172 | 0.779 | 0.000 | 0.000 | -0.000 | 
| 1667538.707 | 1778675.456 | 1778675.035 | 2104397.663 | -0.063 | -0.063 | 
| 1778670.170 | 1667533.646 | 1778669.749 | 0.015 | 2104392.377 | 0.015 | 
| 1778632.395 | 1778631.975 | 1667497.481 | -0.056 | -0.055 | 2104354.602 | 
| 62459865.894 | 62459973.862 | 62459973.862 | 0.009 | -0.009 | -0.007 | 
| 62459973.862 | 62459865.893 | 62459973.862 | -0.005 | 0.006 | -0.004 | 
| 62459973.864 | 62459973.864 | 62459865.895 | -0.007 | -0.008 | 0.004 | 
| -166775.014 | -177890.333 | -177889.912 | 210471.421 | 0.001 | -0.001 | 
| -177890.169 | -166774.856 | -177889.748 | 0.004 | 210471.257 | -0.004 | 
| -177889.865 | -177889.444 | -166774.565 | 0.005 | -0.006 | 210470.953 | 
| 0.779 | -16.172 | -16.172 | -0.000 | 0.000 | -0.000 | 
| -16.172 | 0.779 | -16.172 | -0.000 | 0.000 | -0.000 | 
| -16.172 | -16.172 | 0.779 | -0.000 | -0.000 | -0.000 | 
| 166774.797 | 177890.107 | 177889.686 | 210471.195 | 0.014 | 0.014 | 
| 177889.285 | 166774.010 | 177888.865 | 0.014 | 210470.373 | 0.014 | 
| 177889.367 | 177888.946 | 166774.089 | 0.015 | 0.015 | 210470.455 | 
| -3200733906565.268 | -13124297317534.867 | 20233335281204.949 | 103027846902.600 | 277466061492.440 | 73572308.237 | 
| -5.620 | 220.782 | 31190144467815.949 | -0.112 | -0.052 | -0.000 | 
| 33.843 | 33.843 | 31191304151937.949 | -0.316 | -0.051 | 0.000 | 
| 23061805439.627 | -952434008895.939 | 10540710107736.951 | -3881779373564.500 | 587557090096.480 | -74769878.412 | 
| -2413598512260.769 | 926470123240.171 | 4837326186420.452 | 74721565907.281 | -7176091056484.300 | -235245138.528 | 
| 0.000 | 0.000 | 31190144155876.953 | 0.386 | -0.313 | 28.806 | 
| 220.749 | -5.588 | -31190143843937.957 | 0.482 | 0.050 | 0.000 | 
| -5.633 | 220.794 | -31190143843937.957 | -0.073 | 0.111 | 0.000 | 
| 33.843 | 33.843 | -31188984107624.957 | -0.152 | 0.438 | 0.000 | 
| -219230818966.221 | 3173897509659.068 | -5168565598715.252 | -6940962708677.200 | 42122298320.217 | 94169709.266 | 
| 36285100828.299 | -733020298689.801 | -10826297134001.951 | -202755320501.430 | -7530614624929.800 | -48872531.867 | 
| -0.000 | -0.000 | -31190144155876.953 | -0.250 | -0.061 | 28.806 | 
| 220.798 | -5.636 | 3119014727526.695 | -0.015 | 0.020 | -0.000 | 
| -5.636 | 220.798 | 3119014727526.795 | -0.047 | 0.051 | -0.000 | 
| 33.843 | 33.843 | 3120174176775.196 | -0.055 | -0.006 | -0.000 | 
| -2059447357.752 | 41573816571.285 | 1015549440863.395 | -843364088385.850 | 411123030.777 | -104123.594 | 
| -19105629441.283 | 10223815688.660 | 717188122728.615 | 4310681499.863 | -805035085091.060 | -8022077.730 | 
| -0.000 | -0.000 | 3119014415587.696 | 0.001 | -0.012 | 28.806 | 
| -496767584235.233 | -614585432955.163 | -999593136348.145 | 16080434248.916 | 13621146318.021 | 11668727.417 | 
| 304046234512.207 | 1041076837899.687 | -760437402142.765 | -460309126.836 | -19978957656.102 | -835462.784 | 
| 33.843 | 33.843 | -3117854132479.396 | -0.058 | 0.024 | 0.000 | 
| -21973485668.964 | -24387550233.808 | -708280215304.395 | -690569063451.070 | 9279223761.949 | 13923948.211 | 
| 197424149596.297 | -4603540934.830 | -924673656992.215 | -263346.691 | -1273132233061.300 | -781136.713 | 
| 0.000 | 0.000 | -3119014415587.696 | -0.033 | -0.009 | 28.806 | 
| -41900657946.343 | 228402080398.531 | 270651985626.850 | 3805444965.103 | -1195212328.105 | -6920.831 | 
| 57990167903.920 | 51016174344.950 | 87000987991.204 | -390310943.282 | -566936054.486 | -937253.947 | 
| 33.843 | 33.843 | 313058854103.660 | 0.002 | 0.002 | -0.000 | 
| 19061774916.004 | -47117327354.441 | 84211706791.143 | -62467612684.188 | 3266590679.908 | -254162.963 | 
| -84358750457.510 | -4676585745.413 | 70513170530.691 | -2092812267.301 | -43630424294.847 | 835736.305 | 
| -0.000 | -0.000 | 311901441558.770 | 0.002 | 0.000 | 28.806 | 
| 220.794 | -5.634 | -311901129620.020 | 0.001 | -0.001 | 0.000 | 
| 33562952835.040 | -228381195209.641 | -286587327140.130 | -2304717122.567 | -1757608731.649 | -201763.390 | 
| 33.843 | 33.843 | -310738809806.370 | 0.001 | 0.002 | 0.000 | 
| -2688873701.577 | -559057030.066 | -106196915304.290 | -56974625562.240 | 387976042.784 | 369242.608 | 
| 263328068112.069 | -12947562806.110 | -93845000695.425 | -2079047683.892 | -55056725853.651 | 54327.336 | 
| 0.000 | 0.000 | -311901441558.770 | -0.003 | -0.001 | 28.806 | 
| 538.568 | -39.448 | -20.472 | -0.000 | -0.000 | 0.000 | 
| -39.448 | 538.568 | -20.472 | 0.000 | 0.000 | -0.000 | 
| 7.124 | 7.124 | 326.746 | 0.000 | 0.000 | -0.000 | 
| 0.000 | 0.000 | -0.000 | -30.133 | 0.000 | -0.000 | 
| -0.000 | 0.000 | -0.000 | 0.000 | -30.133 | -0.000 | 
| 0.000 | 0.000 | 0.000 | -0.000 | -0.000 | 20.358 | 
| 538.568 | -39.448 | -20.471 | -0.000 | -0.000 | 0.000 | 
| -39.448 | 538.568 | -20.472 | -0.000 | -0.000 | 0.000 | 
| 7.124 | 7.124 | 326.746 | -0.000 | -0.000 | -0.000 | 
| -0.000 | -0.000 | 0.000 | -30.133 | -0.000 | -0.000 | 
| -0.000 | -0.000 | -0.000 | -0.000 | -30.133 | -0.000 | 
| -0.000 | -0.000 | -0.000 | -0.000 | 0.000 | 20.358 | 
| 538.568 | -39.448 | -20.472 | -0.000 | -0.000 | -0.000 | 
| -39.448 | 538.568 | -20.472 | -0.000 | -0.000 | 0.000 | 
| 7.124 | 7.124 | 326.747 | -0.000 | 0.000 | -0.000 | 
| -0.000 | 0.000 | -0.000 | -30.133 | 0.000 | 0.000 | 
| 0.000 | 0.000 | -0.000 | 0.000 | -30.133 | 0.000 | 
| 0.000 | -0.000 | 0.000 | -0.000 | 0.000 | 20.358 | 
| 538.567 | -39.448 | -20.472 | -0.000 | -0.000 | 0.000 | 
| -39.448 | 538.567 | -20.472 | 0.000 | -0.000 | 0.000 | 
| 7.124 | 7.124 | 326.746 | -0.000 | 0.000 | -0.000 | 
| 0.000 | -0.000 | 0.000 | -30.133 | -0.000 | -0.000 | 
| -0.000 | -0.000 | 0.000 | -0.000 | -30.133 | 0.000 | 
| -0.000 | 0.000 | -0.000 | 0.000 | -0.000 | 20.358 | 
| -962.577 | 1461.692 | -20.465 | 0.000 | 0.000 | -0.000 | 
| 1461.692 | -962.577 | -20.465 | 0.000 | -0.000 | -0.000 | 
| 7.124 | 7.124 | 326.749 | 0.000 | 0.000 | -0.000 | 
| -0.000 | 0.000 | -0.000 | -30.133 | -0.000 | 0.000 | 
| 0.000 | -0.000 | -0.000 | 0.000 | -30.133 | -0.000 | 
| -0.000 | -0.000 | 0.000 | 0.000 | -0.000 | 20.358 | 
| 538.564 | -39.448 | -20.472 | -0.000 | -0.000 | -0.000 | 
| -39.448 | 538.564 | -20.472 | -0.000 | 0.000 | -0.000 | 
| 7.124 | 7.124 | 326.744 | 0.000 | 0.000 | 0.000 | 
| 0.000 | -0.000 | 0.000 | -30.133 | 0.000 | 0.000 | 
| -0.000 | 0.000 | 0.000 | -0.000 | -30.133 | 0.000 | 
| 0.000 | 0.000 | -0.000 | -0.000 | 0.000 | 20.358 | 
| 12.021 | -61.620 | 2.390 | -0.000 | -0.000 | 0.000 | 
| -61.620 | 12.021 | 2.390 | -0.000 | -0.000 | 0.000 | 
| 2.796 | 2.796 | -247.201 | 0.000 | -0.000 | 0.000 | 
| 0.000 | -0.000 | 0.000 | 20.242 | -0.000 | 0.000 | 
| 0.000 | -0.000 | 0.000 | -0.000 | 20.242 | 0.000 | 
| 0.000 | -0.000 | 0.000 | -0.000 | -0.000 | 17.067 | 
| 9.716 | -59.314 | 2.390 | 0.000 | -0.000 | -0.000 | 
| -59.315 | 9.716 | 2.390 | 0.000 | 0.000 | -0.000 | 
| 2.796 | 2.796 | -247.201 | 0.000 | 0.000 | -0.000 | 
| -0.000 | -0.000 | -0.000 | 20.242 | 0.000 | -0.000 | 
| -0.000 | 0.000 | -0.000 | -0.000 | 20.242 | -0.000 | 
| -0.000 | -0.000 | -0.000 | 0.000 | 0.000 | 17.067 | 
| 12.021 | -61.620 | 2.390 | -0.000 | -0.000 | 0.000 | 
| -61.620 | 12.021 | 2.390 | -0.000 | -0.000 | 0.000 | 
| 2.796 | 2.796 | -247.201 | -0.000 | -0.000 | 0.000 | 
| 0.000 | 0.000 | 0.000 | 20.242 | -0.000 | 0.000 | 
| 0.000 | -0.000 | 0.000 | -0.000 | 20.242 | 0.000 | 
| 0.000 | -0.000 | 0.000 | -0.000 | -0.000 | 17.067 | 
| 9.716 | -59.315 | 2.390 | 0.000 | 0.000 | -0.000 | 
| -59.315 | 9.716 | 2.390 | 0.000 | 0.000 | -0.000 | 
| 2.796 | 2.796 | -247.201 | 0.000 | 0.000 | -0.000 | 
| -0.000 | -0.000 | -0.000 | 20.242 | 0.000 | -0.000 | 
| -0.000 | 0.000 | -0.000 | 0.000 | 20.242 | -0.000 | 
| -0.000 | 0.000 | -0.000 | 0.000 | 0.000 | 17.067 | 
| 12.022 | -61.620 | 2.390 | -0.000 | -0.000 | 0.000 | 
| -61.620 | 12.022 | 2.390 | 0.000 | -0.000 | 0.000 | 
| 2.795 | 2.795 | -247.198 | 0.000 | -0.000 | -0.000 | 
| -0.000 | 0.000 | 0.000 | 20.242 | -0.000 | 0.000 | 
| 0.000 | -0.000 | 0.000 | 0.000 | 20.242 | 0.000 | 
| 0.000 | 0.000 | -0.000 | -0.000 | -0.000 | 17.067 | 
| 9.716 | -59.315 | 2.389 | 0.000 | 0.000 | -0.000 | 
| -59.315 | 9.716 | 2.389 | -0.000 | 0.000 | -0.000 | 
| 2.796 | 2.796 | -247.204 | -0.000 | 0.000 | -0.000 | 
| 0.000 | -0.000 | -0.000 | 20.242 | 0.000 | -0.000 | 
| -0.000 | 0.000 | -0.000 | 0.000 | 20.242 | -0.000 | 
| -0.000 | -0.000 | 0.000 | -0.000 | 0.000 | 17.067 | 
| 36156814709.926 | 36138470630.064 | 2570.918 | -0.000 | 0.000 | -118.369 | 
| 36138470750.018 | 36156814810.179 | 2570.918 | 0.000 | 0.000 | -32.671 | 
| -9167479.976 | -9167489.885 | 4203.316 | -0.000 | 0.000 | -1.195 | 
| -19.934 | -29.843 | 0.000 | 1579.819 | 0.000 | 8.416 | 
| -29.843 | -29.843 | 0.000 | 0.000 | 1579.819 | -0.230 | 
| 1086430.087 | 1087160.188 | 0.000 | -0.000 | 0.000 | 36155722599.908 | 
| 36154641249.980 | 36136295739.875 | 2570.918 | 0.000 | 0.000 | -68.480 | 
| 36136295800.027 | 36154641319.808 | 2570.918 | -0.000 | -0.000 | 43.743 | 
| -9167490.002 | -9167490.118 | 4203.316 | 0.000 | -0.000 | 2.332 | 
| 40.101 | 39.752 | -0.000 | 1579.819 | -0.000 | 3.210 | 
| 69.944 | 69.828 | -0.000 | -0.000 | 1579.819 | 27.631 | 
| -1086350.001 | -1087070.193 | -0.000 | 0.000 | -0.000 | 36155722685.804 | 
| 36166597670.994 | 36148260106.028 | 2570.919 | 0.000 | 0.000 | 0.584 | 
| 36148260104.011 | 36166597666.016 | 2570.919 | -0.000 | 0.000 | -0.460 | 
| -9167486.003 | -9167487.985 | 4203.317 | -0.000 | -0.000 | -0.053 | 
| -5.001 | -5.992 | 0.001 | 1579.819 | 0.000 | -0.609 | 
| -5.001 | -5.992 | 0.001 | -0.000 | 1579.819 | -1.102 | 
| 10865798.004 | 10873029.012 | 0.000 | -0.000 | 0.000 | 36155722592.234 | 
| 36144858836.983 | 36126506817.986 | 2570.918 | 0.000 | 0.000 | -3.812 | 
| 36126506815.993 | 36144858836.983 | 2570.918 | 0.000 | 0.000 | 1.087 | 
| -9167485.991 | -9167485.001 | 4203.315 | 0.000 | 0.000 | 0.164 | 
| 2.984 | 2.984 | -0.001 | 1579.819 | -0.000 | 0.234 | 
| 2.984 | 2.984 | -0.001 | 0.000 | 1579.819 | 0.350 | 
| -10865792.012 | -10873021.015 | -0.000 | -0.000 | 0.000 | 36155722597.143 | 
| 36264422333.001 | 36246150040.301 | 2570.923 | -0.000 | 0.000 | -0.235 | 
| 36246150040.801 | 36264422333.301 | 2570.923 | -0.000 | 0.000 | -0.201 | 
| -9167495.101 | -9167495.299 | 4203.327 | -0.000 | -0.000 | -0.039 | 
| -0.100 | -0.199 | 0.006 | 1579.819 | 0.000 | 0.072 | 
| -0.500 | -0.599 | 0.006 | -0.000 | 1579.819 | -0.236 | 
| 108658018.000 | 108730320.202 | 0.003 | 0.000 | 0.000 | 36155722481.288 | 
| 36047033985.798 | 36028617125.398 | 2570.913 | -0.000 | -0.000 | 0.120 | 
| 36028617125.700 | 36047033986.199 | 2570.913 | 0.000 | -0.000 | 0.225 | 
| -9167476.999 | -9167476.900 | 4203.305 | 0.000 | -0.000 | 0.017 | 
| 0.199 | 0.398 | -0.006 | 1579.819 | -0.000 | 0.011 | 
| 0.401 | 0.398 | -0.006 | 0.000 | 1579.819 | 0.064 | 
| -108658017.600 | -108730319.802 | -0.003 | 0.000 | -0.000 | 36155722481.858 | 
| 4016.522 | 716.804 | 666.393 | -0.000 | 0.000 | -0.000 | 
| 716.804 | 4016.522 | 666.393 | -0.000 | 0.000 | -0.000 | 
| 666.393 | 666.393 | 675.070 | -0.000 | 0.000 | -0.000 | 
| 0.000 | 0.000 | 0.000 | 606.754 | 0.000 | -0.000 | 
| 0.000 | 0.000 | 0.000 | -0.000 | 606.754 | -0.000 | 
| -0.000 | 0.000 | 0.000 | -0.000 | 0.000 | 655.949 | 
| 4016.520 | 716.804 | 666.393 | 0.000 | -0.000 | 0.000 | 
| 716.804 | 4016.520 | 666.393 | 0.000 | -0.000 | 0.000 | 
| 666.393 | 666.393 | 675.070 | 0.000 | -0.000 | 0.000 | 
| -0.000 | -0.000 | -0.000 | 606.754 | -0.000 | 0.000 | 
| -0.000 | -0.000 | -0.000 | 0.000 | 606.753 | 0.000 | 
| 0.000 | -0.000 | -0.000 | 0.000 | -0.000 | 655.949 | 
| 4016.530 | 716.804 | 666.393 | -0.000 | 0.000 | -0.000 | 
| 716.804 | 4016.530 | 666.393 | 0.000 | 0.000 | -0.000 | 
| 666.393 | 666.393 | 675.071 | -0.000 | 0.000 | -0.000 | 
| 0.000 | 0.000 | 0.000 | 606.754 | 0.000 | -0.000 | 
| 0.000 | 0.000 | 0.000 | -0.000 | 606.754 | -0.000 | 
| 0.000 | -0.000 | 0.000 | -0.000 | 0.000 | 655.949 | 
| 4016.512 | 716.804 | 666.393 | 0.000 | -0.000 | 0.000 | 
| 716.804 | 4016.512 | 666.393 | -0.000 | 0.000 | 0.000 | 
| 666.393 | 666.393 | 675.070 | -0.000 | -0.000 | 0.000 | 
| -0.000 | -0.000 | -0.000 | 606.754 | -0.000 | 0.000 | 
| -0.000 | -0.000 | -0.000 | 0.000 | 606.754 | 0.000 | 
| -0.000 | 0.000 | -0.000 | 0.000 | -0.000 | 655.949 | 
| 4016.612 | 716.806 | 666.395 | -0.000 | 0.000 | -0.000 | 
| 716.806 | 4016.612 | 666.395 | -0.000 | 0.000 | -0.000 | 
| 666.395 | 666.395 | 675.073 | -0.000 | 0.000 | -0.000 | 
| 0.001 | 0.000 | 0.001 | 606.754 | 0.000 | -0.000 | 
| 0.000 | 0.001 | 0.001 | -0.000 | 606.754 | -0.000 | 
| 0.000 | -0.000 | 0.001 | -0.000 | 0.000 | 655.949 | 
| 4016.430 | 716.802 | 666.391 | 0.000 | -0.000 | 0.000 | 
| 716.802 | 4016.430 | 666.391 | 0.000 | -0.000 | 0.000 | 
| 666.391 | 666.391 | 675.068 | 0.000 | -0.000 | 0.000 | 
| -0.001 | -0.000 | -0.001 | 606.754 | -0.000 | 0.000 | 
| -0.000 | -0.001 | -0.001 | 0.000 | 606.754 | 0.000 | 
| -0.000 | 0.000 | -0.001 | -0.000 | -0.000 | 655.949 | 
| 67.036 | -76.986 | -33.094 | 0.000 | 0.000 | -0.000 | 
| -76.986 | 67.036 | -33.094 | -0.000 | 0.000 | 0.000 | 
| -32.579 | -32.579 | -21.389 | -0.000 | 0.000 | 0.000 | 
| 0.000 | 0.000 | 0.000 | -15.567 | 0.000 | 0.000 | 
| 0.000 | 0.000 | 0.000 | 0.000 | -15.567 | 0.000 | 
| 0.000 | 0.000 | 0.000 | -0.000 | 0.000 | -30.274 | 
| 67.036 | -76.986 | -33.094 | 0.000 | -0.000 | -0.000 | 
| -76.986 | 67.036 | -33.094 | 0.000 | -0.000 | -0.000 | 
| -32.579 | -32.579 | -21.389 | 0.000 | 0.000 | -0.000 | 
| -0.000 | -0.000 | -0.000 | -15.567 | -0.000 | -0.000 | 
| -0.000 | -0.000 | -0.000 | 0.000 | -15.567 | -0.000 | 
| -0.000 | -0.000 | -0.000 | -0.000 | -0.000 | -30.274 | 
| 67.036 | -76.986 | -33.094 | -0.000 | 0.000 | -0.000 | 
| -76.986 | 67.036 | -33.094 | 0.000 | 0.000 | 0.000 | 
| -32.579 | -32.579 | -21.389 | -0.000 | 0.000 | 0.000 | 
| 0.000 | 0.000 | -0.000 | -15.567 | 0.000 | 0.000 | 
| 0.000 | 0.000 | -0.000 | -0.000 | -15.567 | 0.000 | 
| 0.000 | 0.000 | -0.000 | 0.000 | 0.000 | -30.274 | 
| 67.036 | -76.986 | -33.094 | 0.000 | -0.000 | -0.000 | 
| -76.986 | 67.036 | -33.094 | -0.000 | -0.000 | -0.000 | 
| -32.579 | -32.579 | -21.389 | 0.000 | -0.000 | -0.000 | 
| -0.000 | -0.000 | 0.000 | -15.567 | -0.000 | -0.000 | 
| -0.000 | -0.000 | 0.000 | 0.000 | -15.567 | 0.000 | 
| -0.000 | -0.000 | 0.000 | 0.000 | -0.000 | -30.274 | 
| 67.038 | -76.986 | -33.095 | 0.000 | 0.000 | 0.000 | 
| -76.986 | 67.038 | -33.095 | -0.000 | 0.000 | 0.000 | 
| -32.578 | -32.578 | -21.390 | -0.000 | -0.000 | -0.000 | 
| 0.000 | 0.000 | -0.000 | -15.567 | 0.000 | 0.000 | 
| 0.000 | 0.000 | -0.000 | 0.000 | -15.567 | 0.000 | 
| 0.000 | 0.000 | -0.000 | 0.000 | 0.000 | -30.274 | 
| 67.035 | -76.986 | -33.093 | 0.000 | -0.000 | -0.000 | 
| -76.986 | 67.035 | -33.093 | -0.000 | -0.000 | -0.000 | 
| -32.580 | -32.580 | -21.388 | 0.000 | -0.000 | -0.000 | 
| -0.000 | -0.000 | 0.000 | -15.567 | -0.000 | 0.000 | 
| -0.000 | -0.000 | 0.000 | -0.000 | -15.567 | -0.000 | 
| -0.000 | -0.000 | 0.000 | -0.000 | -0.000 | -30.274 | 
| 23.814 | -106.343 | -59.082 | -0.000 | -0.000 | 0.000 | 
| -106.343 | 23.814 | -59.082 | 0.000 | 0.000 | 0.000 | 
| -60.319 | -60.319 | -89.449 | -0.000 | -0.000 | 0.000 | 
| 0.000 | -0.000 | 0.000 | -57.319 | -0.000 | 0.000 | 
| -0.000 | 0.000 | 0.000 | -0.000 | -57.319 | 0.000 | 
| -0.000 | -0.000 | 0.000 | -0.000 | 0.000 | -49.780 | 
| 23.814 | -106.343 | -59.082 | -0.000 | 0.000 | -0.000 | 
| -106.343 | 23.814 | -59.082 | 0.000 | -0.000 | -0.000 | 
| -60.319 | -60.319 | -89.449 | 0.000 | 0.000 | -0.000 | 
| -0.000 | 0.000 | -0.000 | -57.319 | -0.000 | -0.000 | 
| -0.000 | -0.000 | -0.000 | 0.000 | -57.319 | -0.000 | 
| 0.000 | 0.000 | 0.000 | 0.000 | 0.000 | -49.780 | 
| 23.814 | -106.343 | -59.082 | -0.000 | -0.000 | 0.000 | 
| -106.343 | 23.814 | -59.082 | -0.000 | 0.000 | 0.000 | 
| -60.319 | -60.319 | -89.449 | -0.000 | -0.000 | 0.000 | 
| 0.000 | 0.000 | -0.000 | -57.319 | -0.000 | 0.000 | 
| 0.000 | 0.000 | -0.000 | -0.000 | -57.319 | 0.000 | 
| 0.000 | 0.000 | -0.000 | -0.000 | -0.000 | -49.780 | 
| 23.814 | -106.343 | -59.082 | 0.000 | 0.000 | -0.000 | 
| -106.343 | 23.814 | -59.082 | -0.000 | 0.000 | -0.000 | 
| -60.319 | -60.319 | -89.449 | 0.000 | 0.000 | -0.000 | 
| -0.000 | -0.000 | 0.000 | -57.319 | 0.000 | -0.000 | 
| -0.000 | -0.000 | 0.000 | 0.000 | -57.319 | -0.000 | 
| -0.000 | -0.000 | 0.000 | 0.000 | -0.000 | -49.780 | 
| 23.815 | -106.343 | -59.082 | -0.000 | -0.000 | -0.000 | 
| -106.343 | 23.815 | -59.082 | -0.000 | -0.000 | 0.000 | 
| -60.318 | -60.318 | -89.449 | 0.000 | 0.000 | 0.000 | 
| 0.000 | 0.000 | -0.000 | -57.319 | -0.000 | 0.000 | 
| 0.000 | 0.000 | -0.000 | -0.000 | -57.319 | 0.000 | 
| 0.000 | 0.000 | -0.000 | 0.000 | -0.000 | -49.780 | 
| 23.813 | -106.343 | -59.082 | 0.000 | 0.000 | -0.000 | 
| -106.343 | 23.813 | -59.082 | 0.000 | 0.000 | -0.000 | 
| -60.319 | -60.319 | -89.449 | 0.000 | 0.000 | -0.000 | 
| -0.000 | -0.000 | 0.000 | -57.319 | 0.000 | -0.000 | 
| -0.000 | -0.000 | 0.000 | 0.000 | -57.319 | -0.000 | 
| -0.000 | -0.000 | 0.000 | -0.000 | 0.000 | -49.780 | 
| -1820.770 | -494.615 | 1087.381 | -578.838 | 0.000 | 0.000 | 
| -494.615 | -1820.770 | 1087.381 | 578.838 | 0.000 | -0.000 | 
| 1026.419 | 1026.419 | 1080.513 | -0.000 | 0.000 | -0.000 | 
| -578.839 | 578.837 | 0.000 | 786.018 | 0.000 | -0.000 | 
| -0.001 | -0.002 | 0.000 | -0.000 | 786.019 | -578.838 | 
| 0.000 | 0.000 | 0.000 | -0.000 | -578.838 | -663.078 | 
| -1820.768 | -494.613 | 1087.381 | -578.838 | -0.000 | 0.000 | 
| -494.612 | -1820.767 | 1087.382 | 578.838 | -0.000 | 0.000 | 
| 1026.422 | 1026.422 | 1080.513 | 0.000 | -0.000 | 0.000 | 
| -578.838 | 578.838 | -0.000 | 786.019 | -0.000 | 0.000 | 
| 0.001 | 0.002 | -0.000 | 0.000 | 786.018 | -578.838 | 
| -0.000 | -0.000 | -0.000 | 0.000 | -578.838 | -663.077 | 
| -1820.770 | -494.614 | 1087.382 | -578.838 | 0.000 | -0.000 | 
| -494.614 | -1820.769 | 1087.382 | 578.838 | 0.000 | -0.000 | 
| 1026.421 | 1026.421 | 1080.513 | -0.000 | 0.000 | 0.000 | 
| -578.838 | 578.838 | 0.000 | 786.019 | 0.000 | -0.000 | 
| -0.000 | -0.000 | 0.000 | -0.000 | 786.018 | -578.838 | 
| 0.000 | -0.000 | 0.000 | -0.000 | -578.838 | -663.078 | 
| -1820.767 | -494.613 | 1087.381 | -578.838 | -0.000 | 0.000 | 
| -494.613 | -1820.768 | 1087.381 | 578.838 | -0.000 | 0.000 | 
| 1026.420 | 1026.420 | 1080.513 | 0.000 | -0.000 | 0.000 | 
| -578.838 | 578.838 | -0.000 | 786.018 | -0.000 | 0.000 | 
| 0.000 | 0.000 | -0.000 | 0.000 | 786.018 | -578.838 | 
| -0.000 | 0.000 | -0.000 | 0.000 | -578.838 | -663.077 | 
| -1820.779 | -494.614 | 1087.386 | -578.840 | 0.000 | -0.000 | 
| -494.618 | -1820.775 | 1087.386 | 578.841 | 0.000 | -0.000 | 
| 1026.424 | 1026.424 | 1080.515 | -0.000 | 0.000 | -0.000 | 
| -578.837 | 578.839 | 0.002 | 786.020 | 0.000 | -0.000 | 
| 0.001 | 0.001 | 0.002 | -0.002 | 786.018 | -578.838 | 
| 0.001 | -0.003 | 0.001 | -0.001 | -578.838 | -663.077 | 
| -1820.758 | -494.613 | 1087.378 | -578.835 | -0.000 | 0.000 | 
| -494.609 | -1820.762 | 1087.378 | 578.835 | -0.000 | 0.000 | 
| 1026.418 | 1026.418 | 1080.512 | 0.000 | -0.000 | 0.000 | 
| -578.838 | 578.837 | -0.002 | 786.017 | -0.000 | 0.000 | 
| -0.001 | -0.001 | -0.002 | 0.002 | 786.018 | -578.838 | 
| -0.001 | 0.003 | -0.001 | 0.001 | -578.838 | -663.077 | 
| 1642.059 | -1135.955 | -1135.954 | -0.000 | -0.000 | 0.000 | 
| -1135.954 | 1642.057 | -1135.954 | 0.000 | -0.000 | -0.000 | 
| -1135.954 | -1135.955 | 1642.058 | -0.000 | -0.000 | -0.000 | 
| 0.001 | 0.000 | 0.001 | -1663.355 | -0.000 | -0.000 | 
| 0.001 | 0.000 | 0.000 | 0.000 | -1663.355 | -0.000 | 
| 0.001 | 0.000 | 0.000 | 0.000 | -0.000 | -1663.355 | 
| 1642.057 | -1135.954 | -1135.955 | 0.000 | 0.000 | 0.000 | 
| -1135.955 | 1642.058 | -1135.955 | 0.000 | 0.000 | -0.000 | 
| -1135.955 | -1135.954 | 1642.057 | -0.000 | -0.000 | 0.000 | 
| -0.000 | 0.001 | -0.000 | -1663.354 | 0.000 | 0.000 | 
| -0.001 | -0.000 | -0.000 | -0.000 | -1663.355 | 0.000 | 
| -0.001 | -0.000 | -0.000 | 0.000 | 0.000 | -1663.355 | 
| 1642.060 | -1135.955 | -1135.955 | -0.000 | 0.000 | 0.000 | 
| -1135.954 | 1642.059 | -1135.955 | 0.000 | -0.000 | -0.000 | 
| -1135.955 | -1135.955 | 1642.060 | 0.000 | 0.000 | -0.000 | 
| 0.000 | -0.000 | -0.001 | -1663.355 | -0.000 | -0.000 | 
| -0.000 | 0.000 | -0.001 | 0.000 | -1663.355 | -0.000 | 
| 0.000 | -0.001 | 0.000 | -0.000 | -0.000 | -1663.355 | 
| 1642.056 | -1135.954 | -1135.954 | 0.000 | 0.000 | 0.000 | 
| -1135.954 | 1642.056 | -1135.954 | 0.000 | 0.000 | 0.000 | 
| -1135.954 | -1135.954 | 1642.056 | 0.000 | 0.000 | 0.000 | 
| -0.000 | 0.000 | 0.001 | -1663.355 | 0.000 | -0.000 | 
| -0.000 | -0.000 | 0.001 | -0.000 | -1663.355 | 0.000 | 
| 0.000 | 0.001 | -0.000 | -0.000 | 0.000 | -1663.355 | 
| 1642.077 | -1135.959 | -1135.959 | -0.000 | -0.000 | -0.000 | 
| -1135.959 | 1642.077 | -1135.959 | -0.000 | -0.000 | -0.000 | 
| -1135.959 | -1135.959 | 1642.077 | -0.000 | -0.000 | -0.000 | 
| 0.001 | -0.001 | -0.006 | -1663.355 | -0.000 | -0.000 | 
| -0.001 | 0.001 | -0.006 | -0.000 | -1663.355 | -0.000 | 
| -0.001 | -0.006 | 0.001 | -0.000 | -0.000 | -1663.355 | 
| 1642.038 | -1135.949 | -1135.949 | -0.000 | 0.000 | 0.000 | 
| -1135.949 | 1642.038 | -1135.949 | 0.000 | 0.000 | 0.000 | 
| -1135.949 | -1135.949 | 1642.038 | 0.000 | 0.000 | 0.000 | 
| -0.001 | 0.001 | 0.006 | -1663.355 | 0.000 | 0.000 | 
| 0.001 | -0.001 | 0.006 | 0.000 | -1663.355 | 0.000 | 
| 0.001 | 0.006 | -0.001 | -0.000 | 0.000 | -1663.355 | 
| 910.542 | -1.633 | -1.633 | -0.000 | -0.000 | -0.000 | 
| -1.633 | 910.542 | -1.633 | -0.000 | -0.000 | 0.000 | 
| -1.633 | -1.633 | 910.542 | -0.000 | 0.000 | -0.000 | 
| 0.000 | -0.000 | -0.000 | 19.065 | -0.000 | -0.000 | 
| 0.000 | 0.000 | -0.000 | -0.000 | 19.065 | -0.000 | 
| -0.000 | -0.000 | 0.000 | -0.000 | -0.000 | 19.065 | 
| 910.542 | -1.633 | -1.633 | 0.000 | -0.000 | 0.000 | 
| -1.633 | 910.542 | -1.633 | 0.000 | 0.000 | 0.000 | 
| -1.633 | -1.633 | 910.542 | 0.000 | 0.000 | 0.000 | 
| -0.000 | 0.000 | 0.000 | 19.065 | 0.000 | -0.000 | 
| -0.000 | -0.000 | 0.000 | 0.000 | 19.065 | 0.000 | 
| 0.000 | 0.000 | -0.000 | 0.000 | 0.000 | 19.065 | 
| 910.543 | -1.633 | -1.633 | -0.000 | 0.000 | 0.000 | 
| -1.633 | 910.543 | -1.633 | 0.000 | -0.000 | -0.000 | 
| -1.633 | -1.633 | 910.543 | -0.000 | -0.000 | -0.000 | 
| -0.000 | -0.000 | -0.000 | 19.065 | 0.000 | -0.000 | 
| -0.000 | -0.000 | -0.000 | -0.000 | 19.065 | -0.000 | 
| -0.000 | -0.000 | -0.000 | -0.000 | -0.000 | 19.065 | 
| 910.541 | -1.633 | -1.633 | 0.000 | -0.000 | 0.000 | 
| -1.633 | 910.541 | -1.633 | -0.000 | 0.000 | -0.000 | 
| -1.633 | -1.633 | 910.541 | -0.000 | -0.000 | 0.000 | 
| 0.000 | 0.000 | 0.000 | 19.065 | 0.000 | 0.000 | 
| 0.000 | 0.000 | 0.000 | 0.000 | 19.065 | 0.000 | 
| 0.000 | 0.000 | 0.000 | 0.000 | 0.000 | 19.065 | 
| 910.549 | -1.633 | -1.633 | 0.000 | -0.000 | -0.000 | 
| -1.633 | 910.549 | -1.633 | -0.000 | -0.000 | -0.000 | 
| -1.633 | -1.633 | 910.549 | -0.000 | -0.000 | 0.000 | 
| -0.000 | -0.000 | -0.000 | 19.065 | -0.000 | -0.000 | 
| -0.000 | -0.000 | -0.000 | -0.000 | 19.065 | -0.000 | 
| -0.000 | -0.000 | -0.000 | -0.000 | -0.000 | 19.065 | 
| 910.536 | -1.633 | -1.633 | -0.000 | 0.000 | 0.000 | 
| -1.633 | 910.536 | -1.633 | 0.000 | -0.000 | 0.000 | 
| -1.633 | -1.633 | 910.536 | 0.000 | 0.000 | -0.000 | 
| 0.000 | 0.000 | 0.000 | 19.065 | -0.000 | 0.000 | 
| 0.000 | 0.000 | 0.000 | 0.000 | 19.065 | 0.000 | 
| 0.000 | 0.000 | 0.000 | 0.000 | 0.000 | 19.065 | 
| 188.514 | -11.591 | -11.591 | 0.000 | 0.000 | 0.000 | 
| -11.591 | 188.514 | -11.591 | 0.000 | 0.000 | 0.000 | 
| -11.591 | -11.591 | 188.514 | 0.000 | 0.000 | 0.000 | 
| -0.000 | 0.000 | 0.000 | 28.439 | 0.000 | 0.000 | 
| -0.000 | -0.000 | 0.000 | 0.000 | 28.439 | 0.000 | 
| 0.000 | 0.000 | 0.000 | 0.000 | 0.000 | 28.439 | 
| 188.514 | -11.591 | -11.591 | -0.000 | -0.000 | -0.000 | 
| -11.591 | 188.514 | -11.591 | -0.000 | -0.000 | 0.000 | 
| -11.591 | -11.591 | 188.514 | -0.000 | -0.000 | -0.000 | 
| -0.000 | -0.000 | -0.000 | 28.439 | -0.000 | -0.000 | 
| -0.000 | -0.000 | -0.000 | -0.000 | 28.439 | -0.000 | 
| -0.000 | -0.000 | -0.000 | -0.000 | -0.000 | 28.439 | 
| 188.514 | -11.591 | -11.591 | 0.000 | 0.000 | 0.000 | 
| -11.591 | 188.514 | -11.591 | 0.000 | 0.000 | 0.000 | 
| -11.591 | -11.591 | 188.514 | 0.000 | 0.000 | 0.000 | 
| -0.000 | -0.000 | -0.000 | 28.439 | 0.000 | 0.000 | 
| -0.000 | -0.000 | -0.000 | 0.000 | 28.439 | 0.000 | 
| -0.000 | -0.000 | 0.000 | 0.000 | 0.000 | 28.439 | 
| 188.514 | -11.591 | -11.591 | -0.000 | -0.000 | -0.000 | 
| -11.591 | 188.514 | -11.591 | -0.000 | -0.000 | -0.000 | 
| -11.591 | -11.591 | 188.514 | -0.000 | -0.000 | -0.000 | 
| 0.000 | 0.000 | 0.000 | 28.439 | -0.000 | -0.000 | 
| 0.000 | 0.000 | 0.000 | -0.000 | 28.439 | -0.000 | 
| 0.000 | 0.000 | -0.000 | -0.000 | -0.000 | 28.439 | 
| 188.515 | -11.591 | -11.591 | 0.000 | 0.000 | 0.000 | 
| -11.591 | 188.515 | -11.591 | 0.000 | 0.000 | 0.000 | 
| -11.591 | -11.591 | 188.515 | 0.000 | 0.000 | 0.000 | 
| -0.000 | -0.000 | -0.000 | 28.439 | 0.000 | 0.000 | 
| -0.000 | -0.000 | -0.000 | 0.000 | 28.439 | 0.000 | 
| -0.000 | -0.000 | -0.000 | 0.000 | 0.000 | 28.439 | 
| 188.514 | -11.591 | -11.591 | -0.000 | -0.000 | -0.000 | 
| -11.591 | 188.514 | -11.591 | -0.000 | -0.000 | -0.000 | 
| -11.591 | -11.591 | 188.514 | -0.000 | -0.000 | -0.000 | 
| 0.000 | 0.000 | 0.000 | 28.439 | -0.000 | -0.000 | 
| 0.000 | 0.000 | 0.000 | -0.000 | 28.439 | -0.000 | 
| 0.000 | 0.000 | 0.000 | -0.000 | -0.000 | 28.439 | 
| 25.258 | -44.327 | -44.327 | -0.000 | -0.000 | -0.000 | 
| -44.327 | 25.258 | -44.327 | -0.000 | -0.000 | -0.000 | 
| -44.327 | -44.327 | 25.258 | -0.000 | -0.000 | -0.000 | 
| 0.000 | 0.000 | 0.000 | 19.846 | -0.000 | -0.000 | 
| 0.000 | 0.000 | 0.000 | -0.000 | 19.846 | -0.000 | 
| 0.000 | 0.000 | 0.000 | 0.000 | -0.000 | 19.846 | 
| 25.258 | -44.326 | -44.326 | 0.000 | 0.000 | 0.000 | 
| -44.326 | 25.258 | -44.326 | 0.000 | 0.000 | 0.000 | 
| -44.326 | -44.326 | 25.258 | 0.000 | 0.000 | 0.000 | 
| -0.000 | -0.000 | -0.000 | 19.846 | -0.000 | -0.000 | 
| -0.000 | -0.000 | -0.000 | -0.000 | 19.846 | 0.000 | 
| -0.000 | -0.000 | -0.000 | -0.000 | 0.000 | 19.846 | 
| 25.258 | -44.327 | -44.327 | -0.000 | -0.000 | 0.000 | 
| -44.327 | 25.258 | -44.327 | -0.000 | -0.000 | -0.000 | 
| -44.327 | -44.327 | 25.258 | -0.000 | -0.000 | -0.000 | 
| 0.000 | -0.000 | 0.000 | 19.846 | -0.000 | -0.000 | 
| -0.000 | 0.000 | 0.000 | -0.000 | 19.846 | -0.000 | 
| -0.000 | 0.000 | 0.000 | 0.000 | -0.000 | 19.846 | 
| 25.258 | -44.327 | -44.327 | 0.000 | 0.000 | 0.000 | 
| -44.327 | 25.258 | -44.327 | 0.000 | 0.000 | -0.000 | 
| -44.327 | -44.327 | 25.258 | 0.000 | 0.000 | 0.000 | 
| -0.000 | -0.000 | -0.000 | 19.846 | 0.000 | 0.000 | 
| 0.000 | -0.000 | -0.000 | 0.000 | 19.846 | 0.000 | 
| 0.000 | -0.000 | -0.000 | -0.000 | 0.000 | 19.846 | 
| 25.259 | -44.327 | -44.327 | -0.000 | -0.000 | -0.000 | 
| -44.327 | 25.259 | -44.327 | -0.000 | -0.000 | -0.000 | 
| -44.327 | -44.327 | 25.259 | -0.000 | -0.000 | -0.000 | 
| 0.000 | -0.000 | 0.000 | 19.846 | -0.000 | -0.000 | 
| -0.000 | 0.000 | 0.000 | -0.000 | 19.846 | -0.000 | 
| -0.000 | 0.000 | 0.000 | -0.000 | -0.000 | 19.846 | 
| 25.257 | -44.326 | -44.326 | 0.000 | 0.000 | 0.000 | 
| -44.326 | 25.257 | -44.326 | 0.000 | 0.000 | 0.000 | 
| -44.326 | -44.326 | 25.257 | 0.000 | 0.000 | -0.000 | 
| -0.000 | 0.000 | -0.000 | 19.846 | 0.000 | 0.000 | 
| 0.000 | -0.000 | -0.000 | 0.000 | 19.846 | 0.000 | 
| 0.000 | -0.000 | -0.000 | 0.000 | 0.000 | 19.846 | 
| 6278019420921.725 | 5145103348206.689 | 1729593741986.138 | -493842240934.860 | -2431686190889.045 | 5396282637.388 | 
| 5823167943319.925 | 2050943563986.090 | -248138308245.462 | 100990872980.470 | -2054607867874.846 | -49023204412.218 | 
| 7653820170972.225 | 2547548409904.390 | 2435025049236.738 | 191248488484.210 | -2564048806803.846 | -31614090266.662 | 
| 34581945114881.922 | 8280513333508.891 | 10915650143782.838 | 2448943635.190 | -10374780102115.246 | 213664969594.870 | 
| 4721613359816.126 | 1693057537018.990 | -1139763499849.162 | 94274120838.093 | -3229541546552.645 | -10248446361.794 | 
| 7033286531124.625 | 4621097071400.189 | 3734928519026.338 | -198061043959.120 | -3712217097434.045 | 8677263420.724 | 
| -5702020007662.726 | -5046977925476.590 | -76011886041.575 | -47754821999.334 | 2449701969466.246 | 21631353490.278 | 
| -38581882382615.930 | -9788919421854.891 | -12706368494524.836 | -5613600840.206 | 8853937846345.246 | -636168365.830 | 
| 1357545528155.675 | 1465327221234.810 | -40220571666678.844 | -27720905.305 | -39229809745154.758 | 124134734.460 | 
| -10427731947436.924 | -4412169317902.190 | -4624336494485.539 | -18164810134.706 | 4228703500552.245 | 17521219.647 | 
| -13457263103891.926 | -2042831989392.590 | -45013177273123.836 | 31.750 | -10454577314272.754 | 138.550 | 
| -8717649299422.723 | -3483660506388.690 | -4058937338081.438 | -240495509350.210 | 2527646627470.646 | -24341418773.307 | 
| 485579544899.573 | 400005029524.119 | 123430482899.254 | -3380191750.355 | -325572908576.565 | -256566104.648 | 
| 1562800499209.392 | 177159114619.589 | 4576479949407.784 | -10.310 | -514266688589.055 | 612.698 | 
| 547374103515.083 | 261797640149.199 | 28009956918.122 | 9705170504.428 | -377805770868.665 | -1332699025.134 | 
| 721748962852.743 | 401935434800.859 | 269731565685.934 | 6559677526.309 | -390571220708.905 | 871815986.985 | 
| 423876233055.613 | 306884340853.979 | -286577439472.136 | 10747519723.913 | -228881541117.235 | -565525725.568 | 
| 626586571916.223 | 363371075374.549 | 339221700637.064 | 30777469536.082 | -186988373283.955 | 511852967.374 | 
| -800515542105.143 | -492462610645.289 | 48485505578.892 | 14022860010.886 | 222456021294.255 | 977570618.674 | 
| -1295648668983.992 | -185340828224.499 | -4480033240425.185 | 0.636 | -858368526121.585 | 2.595 | 
| -1271602457801.492 | -174885048012.109 | -4470163038274.284 | -0.198 | -910240136223.735 | -0.884 | 
| -1114363343942.492 | -490100235379.339 | -439540384792.684 | 15980334585.417 | 537174266933.505 | -1043002698.560 | 
| -500104536073.253 | -543644799065.639 | -74668542455.413 | -42375155379.215 | 239250091977.555 | -823167026.138 | 
| -915048424374.462 | -401275340717.859 | -141410820527.554 | 24003974646.013 | 436546166947.195 | -1197775381.923 | 
| 432301009719.599 | 139256146577.023 | 579908468998.648 | -0.449 | 190064286279.228 | -1.512 | 
| 96418517301.581 | 42830643534.337 | 55031150431.640 | 642341046.518 | -49117460523.002 | -83478715.118 | 
| 41101640068.225 | 32755611820.050 | 17374080040.420 | 1548034234.721 | -1554196469.151 | -179422841.443 | 
| 73817106567.059 | 40127444504.971 | 1270778926.577 | 1231253574.514 | -19230099524.571 | 56081505.147 | 
| 301510665596.479 | 55691985072.154 | 83562448961.034 | 93123222.215 | -107681179241.592 | 39278370.206 | 
| 77461563368.220 | 51861427719.458 | -19366775487.130 | -2129583842.181 | -39207229638.548 | -36053124.065 | 
| -57140306418.287 | -36020159112.873 | -27866552889.124 | -499437722.838 | 37491626594.215 | -259651092.043 | 
| -125629046734.799 | -17009577930.165 | -446228211529.578 | -0.037 | -97818076535.651 | -0.167 | 
| -126552683161.419 | -17132260344.167 | -447487099471.738 | -0.011 | -99753442943.482 | -0.065 | 
| -53093916203.888 | -45868348863.754 | 21204951777.631 | 195685101.451 | 52942902543.411 | -2670705.216 | 
| -31150756472.062 | -26503108796.804 | -6734684366.336 | -1774267542.180 | 15742367764.903 | 39699826.835 | 
| -60533149615.221 | -51835263169.246 | -1141127773.106 | -449815108.711 | 31140432009.835 | -175966458.579 | 
| 611.104 | 217.715 | 143.732 | 48.882 | 0.000 | 0.000 | 
| 205.542 | 596.715 | 91.791 | -46.045 | 0.000 | 0.000 | 
| 33.844 | 33.844 | 126.473 | 0.000 | -0.000 | 0.000 | 
| 48.882 | -48.882 | -0.000 | 126.339 | 0.000 | 0.000 | 
| -0.000 | 0.000 | 0.000 | 0.000 | 126.339 | 48.882 | 
| -3.395 | -3.395 | -13.649 | -0.000 | 46.428 | 195.736 | 
| 611.104 | 217.715 | 143.732 | 48.882 | 0.000 | -0.000 | 
| 217.715 | 611.104 | 143.732 | -48.882 | -0.000 | -0.000 | 
| 80.569 | 80.569 | 301.321 | -0.000 | 0.000 | -0.000 | 
| 50.418 | -39.334 | 22.278 | 116.074 | 0.000 | -0.000 | 
| 0.000 | -0.000 | 0.000 | -0.000 | 126.339 | 48.882 | 
| 3.395 | 3.395 | 13.649 | 0.000 | 46.428 | 195.736 | 
| 593.401 | 203.624 | 82.188 | 44.255 | -0.000 | 0.000 | 
| 203.624 | 593.400 | 82.188 | -44.255 | 0.000 | 0.000 | 
| 31.797 | 31.797 | 118.753 | 0.000 | 0.000 | 0.000 | 
| 26.916 | -32.254 | -10.731 | 76.895 | -0.000 | 0.000 | 
| -0.000 | 0.000 | 0.000 | 0.000 | 126.339 | 48.882 | 
| -0.000 | 0.000 | 0.000 | 0.000 | 48.882 | 196.694 | 
| 611.104 | 217.715 | 143.732 | 48.882 | 0.000 | -0.000 | 
| 202.015 | 590.977 | 74.617 | -43.211 | 0.000 | -0.000 | 
| 30.377 | 30.377 | 113.388 | -0.000 | 0.000 | -0.000 | 
| 48.882 | -48.882 | -0.000 | 126.339 | 0.000 | -0.000 | 
| 0.000 | -0.000 | -0.000 | -0.000 | 126.339 | 48.882 | 
| 0.000 | -0.000 | -0.000 | -0.000 | 48.882 | 196.694 | 
| 611.108 | 217.716 | 143.732 | 48.882 | 0.000 | 0.000 | 
| 202.964 | 592.410 | 79.078 | -43.831 | 0.000 | 0.000 | 
| 0.087 | 0.087 | 0.324 | 0.000 | -0.000 | 0.000 | 
| 27.760 | -28.337 | -1.159 | 72.959 | -0.000 | 0.000 | 
| 0.000 | 0.000 | 0.001 | 0.000 | 126.339 | 48.882 | 
| -0.000 | 0.001 | 0.000 | 0.000 | 48.882 | 196.694 | 
| 572.917 | 190.100 | 18.737 | 35.330 | -0.000 | -0.000 | 
| 217.714 | 611.101 | 143.731 | -48.882 | -0.000 | -0.000 | 
| 88.068 | 88.068 | 329.197 | -0.000 | 0.000 | -0.000 | 
| 28.337 | -27.760 | 1.159 | 72.959 | 0.000 | -0.000 | 
| -0.000 | -0.000 | -0.001 | -0.000 | 126.339 | 48.882 | 
| 0.000 | -0.001 | -0.000 | -0.000 | 48.882 | 196.694 | 
| 52645583506272.469 | 52639054331983.477 | -75424027.610 | 21030078.169 | 0.458 | 1.329 | 
| 52639050337297.477 | 52645604308608.484 | -41106828.885 | -56387239.566 | 1.740 | 0.333 | 
| 52635821792125.484 | 52635821793062.484 | -2293861.197 | 4.652 | -0.099 | -0.805 | 
| 52635850499064.484 | 52635791839736.477 | -2689274.223 | 83820109.139 | -1.548 | -1.778 | 
| 52635818047030.477 | 52635818047906.484 | -15437850.656 | 93.856 | 1458006.224 | 510184.646 | 
| 52635804483811.477 | 52635804459147.477 | -70771660.931 | 153.035 | 64891925.144 | 3279999417.399 | 
| -52626026521138.484 | -52632575950383.484 | 19918765.934 | 49605530.194 | 0.493 | 3.886 | 
| -52632552332653.477 | -52626022953901.477 | 75424410.336 | -21030573.532 | -2.569 | -0.326 | 
| -52635817514063.477 | -52635817515001.469 | 15464673.423 | -6.317 | -1.562 | 0.212 | 
| -52635824043107.477 | -52635821178230.477 | -3196225.883 | -4095009.340 | 0.674 | 1.206 | 
| -52635818047842.484 | -52635818048717.477 | 15434538.756 | -93.812 | 1457965.012 | 510172.807 | 
| -52635804483507.477 | -52635804458847.484 | 70772878.317 | -154.240 | 64891922.343 | 3279999418.191 | 
| 5273357949017.348 | 5266835971734.948 | -390313.679 | 12384812.418 | 0.002 | -0.355 | 
| 5266840506423.348 | 5273353725744.849 | 245554.754 | 857654.291 | 0.014 | -0.147 | 
| 5263581046318.849 | 5263581046412.548 | -6790117.462 | 0.172 | 0.332 | 0.050 | 
| 5263587098938.849 | 5263579514640.948 | 4589899.151 | 10837385.339 | 0.124 | 0.062 | 
| 5204596459851.049 | 5186732627449.748 | -274655045870.260 | 25529133266.376 | -44448325221.551 | -15551079360.135 | 
| 5263581827271.947 | 5263581572996.549 | -928208.641 | -14.807 | -683098.469 | 3257053564.000 | 
| -5253806655928.348 | -5260321594059.448 | 6758751.307 | -1317870.450 | 0.028 | 0.003 | 
| -5260324239245.049 | -5253808229928.647 | -1855835.369 | -940928.107 | 0.244 | 0.088 | 
| -5263579993505.448 | -5263579993599.448 | 6790454.042 | 0.102 | -0.095 | -0.103 | 
| -5263581476280.447 | -5263582945063.348 | -113831.843 | 2098608.886 | -0.252 | 0.025 | 
| -5188573025201.448 | -5197996933194.948 | 284323752415.060 | 13467761669.168 | 23505808428.214 | 8223842756.429 | 
| -5263581993892.448 | -5263581739629.348 | 247782.295 | 30.544 | -1293215.716 | 3256840073.450 | 
| 536117159605.675 | 529615202689.885 | -112169.488 | 175958.434 | 0.016 | 0.039 | 
| 529612686511.505 | 536119746117.155 | 31436.626 | -188269.245 | -0.009 | -0.001 | 
| 522039362515.505 | 522044270624.835 | -17494489979.377 | -6810305.146 | -4535017.284 | -1581556.216 | 
| 526358385003.785 | 526358153943.795 | 209053.854 | 330166.636 | -0.037 | -0.020 | 
| 526358222153.725 | 526358222153.915 | 15819.976 | 13.257 | 7313.306 | 2562.669 | 
| 526356949373.505 | 526354405557.595 | 51960.485 | 85.035 | 362814.926 | 3257419553.714 | 
| -516571231225.525 | -523098451566.505 | 373152.093 | -166122.616 | -0.055 | -0.013 | 
| -523095981139.595 | -516573830037.175 | 111018.927 | 130664.368 | -0.011 | -0.022 | 
| -526357525593.275 | -526357525602.595 | 679163.390 | -0.083 | -0.022 | 0.007 | 
| -526358176525.305 | -526358281768.205 | -44376.328 | 150358.513 | -0.008 | 0.007 | 
| -526358222158.285 | -526358222158.505 | -15838.849 | -13.271 | 7303.642 | 2559.314 | 
| -526356949373.315 | -526354405557.325 | -51959.791 | -85.066 | 362826.471 | 3257419557.780 | 
| 4869235030167.796 | -31331661745764.363 | 17419755323404.283 | -4.497 | -0.644 | 5.677 | 
| 4864643883843.896 | -31330231800706.359 | 17417015222610.279 | 245.793 | -0.354 | 11.940 | 
| 4867414300912.796 | -31331631863506.363 | 17421585925264.281 | -9.040 | -0.744 | -0.450 | 
| 4864326532625.296 | -31331970733998.367 | 17416667694285.281 | 2845601.839 | -0.391 | 0.662 | 
| 4864330398946.195 | -31331962053487.363 | 17416671929563.283 | -31.119 | 3939962104.124 | 9.463 | 
| 4864325444919.296 | -31331973158304.363 | 17416666503580.283 | 2.766 | -0.428 | -2452723.612 | 
| -4859418773668.496 | 31332277946094.367 | -17413580876001.279 | -11.177 | 0.231 | -1.056 | 
| -4864010289184.596 | 31333707028910.363 | -17416321378614.283 | 22.655 | 0.000 | 0.069 | 
| -4861286807559.896 | 31332202392766.367 | -17411802061251.281 | 78.556 | 0.819 | -4.984 | 
| -4864326555322.097 | 31331970683413.359 | -17416667719130.281 | 5145457.550 | 0.451 | -1.305 | 
| -4864325172481.996 | 31331973702123.363 | -17416666208103.283 | 22.114 | 3939962105.581 | -1.739 | 
| -4864324773605.796 | 31331974654513.363 | -17416665768688.281 | -0.243 | -0.685 | -3912081.396 | 
| 491342753031.240 | -3132883929381.937 | 1744756162366.029 | -1.814 | -0.097 | 0.806 | 
| 486746808972.930 | -3131464498506.336 | 1742010799252.228 | -18.892 | -0.065 | -0.147 | 
| 489521732458.310 | -3132854676841.736 | 1746586459211.028 | 2.743 | 0.181 | -0.550 | 
| 486432554739.520 | -3133197292702.736 | 1741666661499.028 | -422296.079 | 0.050 | 0.388 | 
| 486432722151.570 | -3133196286128.637 | 1741666872509.528 | 0.031 | 3939962098.865 | 0.373 | 
| 486432589012.330 | -3133197216695.336 | 1741666699094.828 | -0.391 | -0.047 | -1662759.449 | 
| -481521610959.460 | 3133511018530.937 | -1738576366641.928 | -0.591 | 0.055 | 0.789 | 
| -486119388243.150 | 3134925966061.736 | -1741323713919.329 | -5.676 | -0.037 | 0.024 | 
| -483354260317.480 | 3133514310530.336 | -1736758829088.229 | -60.367 | -0.062 | 2.120 | 
| -486433754456.010 | 3133194618798.736 | -1741667974839.828 | -1183676.395 | 0.059 | 0.540 | 
| -486433089075.490 | 3133195468336.136 | -1741667274184.628 | 1.044 | 3939962098.820 | 1.081 | 
| -486432342891.110 | 3133197765246.037 | -1741666429663.628 | -0.310 | 0.101 | 577236.070 | 
| 53550940015.617 | -313006119206.704 | 177253514471.893 | -0.074 | -0.005 | 0.071 | 
| 48959219172.350 | -311575496396.604 | 174512671834.453 | 4.605 | 0.001 | 0.148 | 
| 51730136367.004 | -312976188871.994 | 179084186771.873 | 0.937 | 0.006 | 0.101 | 
| 48643247152.175 | -313319744987.584 | 174166656278.763 | 75837.598 | -0.001 | -0.037 | 
| 48640408683.983 | -313319736800.304 | 174163826409.773 | 0.106 | 3939962102.342 | 0.012 | 
| 48643245972.591 | -313319751402.024 | 174166655756.983 | 0.003 | -0.002 | 582847.993 | 
| -43730233391.986 | 313632238655.534 | -171074194907.943 | -0.323 | -0.018 | 0.089 | 
| -48332515010.548 | 315035347086.154 | -173826371053.453 | -6.151 | -0.004 | -0.102 | 
| -45551083338.483 | 313661632838.744 | -169243880863.693 | -0.157 | -0.005 | -0.121 | 
| -48643222616.254 | 313319799672.694 | -174166629419.093 | 78006.034 | 0.005 | -0.018 | 
| -48640408611.248 | 313319736962.394 | -174163826330.153 | -0.238 | 3939962102.356 | 0.099 | 
| -48643255392.789 | 313319730406.504 | -174166666069.323 | -0.074 | -0.001 | 633888.578 | 
| 1422.626 | 420.103 | 420.103 | -0.000 | 0.000 | 0.000 | 
| 420.103 | 1422.626 | 420.103 | 0.000 | 0.000 | -0.000 | 
| 420.103 | 420.103 | 1422.626 | -0.000 | 0.000 | -0.000 | 
| 0.000 | -0.000 | -0.000 | 339.966 | -0.000 | -0.000 | 
| -0.000 | 0.000 | -0.000 | -0.000 | 339.966 | -0.000 | 
| 0.000 | -0.000 | 0.000 | 0.000 | 0.000 | 339.966 | 
| 1422.626 | 420.103 | 420.103 | -0.000 | -0.000 | 0.000 | 
| 420.103 | 1422.626 | 420.103 | -0.000 | -0.000 | 0.000 | 
| 420.103 | 420.103 | 1422.626 | -0.000 | -0.000 | 0.000 | 
| 0.000 | -0.000 | -0.000 | 339.966 | 0.000 | 0.000 | 
| 0.000 | -0.000 | -0.000 | 0.000 | 339.966 | 0.000 | 
| 0.000 | -0.000 | 0.000 | -0.000 | -0.000 | 339.966 | 
| 1236.886 | 472.156 | 472.156 | -0.000 | 0.000 | 0.000 | 
| 472.156 | 1236.886 | 472.156 | 0.000 | 0.000 | 0.000 | 
| 472.156 | 472.156 | 1236.886 | 0.000 | 0.000 | 0.000 | 
| 0.000 | 0.000 | 0.000 | 339.966 | 0.000 | 0.000 | 
| 0.000 | 0.000 | 0.000 | -0.000 | 339.966 | -0.000 | 
| 0.000 | 0.000 | 0.000 | 0.000 | 0.000 | 339.966 | 
| 1422.625 | 420.103 | 420.103 | 0.000 | -0.000 | 0.000 | 
| 420.103 | 1422.625 | 420.103 | 0.000 | -0.000 | 0.000 | 
| 420.103 | 420.103 | 1422.625 | 0.000 | -0.000 | -0.000 | 
| -0.000 | -0.000 | -0.000 | 339.966 | -0.000 | -0.000 | 
| -0.000 | -0.000 | -0.000 | -0.000 | 339.966 | 0.000 | 
| -0.000 | -0.000 | -0.000 | -0.000 | -0.000 | 339.966 | 
| 1180.576 | 449.003 | 449.003 | 0.000 | 0.000 | 0.000 | 
| 449.003 | 1180.576 | 449.003 | -0.000 | 0.000 | -0.000 | 
| 449.003 | 449.003 | 1180.576 | 0.000 | 0.000 | 0.000 | 
| 0.001 | 0.000 | 0.000 | 237.135 | 0.000 | -0.000 | 
| 0.000 | 0.001 | 0.000 | -0.000 | 237.135 | 0.000 | 
| 0.000 | 0.000 | 0.001 | -0.000 | 0.000 | 237.135 | 
| 1181.303 | 448.794 | 448.794 | -0.000 | -0.000 | 0.000 | 
| 448.794 | 1181.303 | 448.794 | -0.000 | 0.000 | 0.000 | 
| 472.149 | 472.149 | 1236.894 | -0.000 | -0.000 | -0.000 | 
| -0.001 | -0.000 | -0.000 | 237.135 | 0.000 | -0.000 | 
| -0.000 | -0.001 | -0.000 | 0.000 | 237.135 | -0.000 | 
| -0.000 | -0.000 | -0.001 | -0.000 | -0.000 | 237.135 | 
| -31083801993011.383 | -31084913254040.383 | -31084913253862.387 | -2.080 | -58.890 | -28.481 | 
| -31088502398877.379 | -31087442044286.383 | -31088502398875.383 | -41.234 | 119.291 | -11.245 | 
| -31078457591594.383 | -31078457591752.379 | -31077440519138.383 | -142.279 | -63.478 | -9.360 | 
| 10932255394053.617 | 9490795559098.820 | 8337387525433.920 | 13025080192.260 | 3945482508.568 | -550251179.163 | 
| 10019288375610.619 | 11294261698842.619 | 8841517632767.121 | 716555385.253 | -2852714446.535 | 9190026276.314 | 
| 8990095893748.318 | 9867282762723.119 | 11379298040894.619 | -22900457188.977 | 37235715823.223 | -16343701399.285 | 
| -10890747699191.617 | -8318471911910.420 | -10308332418178.619 | 5183998342.738 | -57973889600.819 | -34937482535.653 | 
| -9256628835972.318 | -10565415745201.619 | -9251739587156.219 | 33901601140.136 | 1229261135.466 | -9461307733.345 | 
| -10503626578167.619 | -8433842174297.318 | -10959407283523.619 | 1917732316.878 | 9314230045.688 | -34294678149.066 | 
| -11669032181254.617 | -10979093565130.621 | -8369290269019.019 | -2487292615.755 | -35794959448.244 | -12114913579.473 | 
| -9185081348257.018 | -11260868355223.619 | -9331281913682.018 | -14710206539.731 | -10513220062.635 | -35985057764.067 | 
| -8782425514066.618 | -10498889158065.619 | -11566974690224.619 | 16090099876.834 | -27948982403.980 | -730504873.728 | 
| -129302131736.058 | 129931561660.732 | 129931578064.152 | 50129.656 | -78601.334 | -107496.779 | 
| 122816854895.822 | -130062214341.748 | 122816855311.422 | -183512.713 | -149467.081 | -117775.086 | 
| 124996086718.972 | 124996070778.102 | -129828582863.768 | -177856.867 | -74768.826 | 104390.927 | 
| -3108842845436.538 | -3108629678635.739 | -3108629678597.038 | 430160595.823 | -10.206 | 32.315 | 
| -3108551724167.638 | -3108696755243.639 | -3108551724187.938 | -23.433 | 43528668.126 | 33.141 | 
| -3108630939947.738 | -3108630939985.539 | -3108738197322.738 | 14.984 | -25.667 | -56160922.394 | 
| 3109726862117.139 | 3109225688905.439 | 3109225688917.439 | 3.154 | 4.408 | 7.171 | 
| 3109219654687.838 | 3111211214008.339 | 3109219654685.838 | 11.289 | -2.254 | 4.874 | 
| 3109247737084.939 | 3109247737136.638 | 3111516412820.438 | -140.058 | -12.841 | -44.772 | 
| 3108850610903.238 | 3108632674821.938 | 3108632674758.239 | 483731869.063 | 24.241 | 47.131 | 
| 3108406655696.239 | 3108582633280.139 | 3108406655719.039 | 14.340 | 64218860.936 | 42.093 | 
| 3108814846881.938 | 3108814846712.438 | 3109069878252.438 | 1.132 | 17.638 | 667305102.344 | 
| 43023947999.504 | -55684328311.560 | -55684324715.153 | -274736.238 | 4025446.347 | 5471300.605 | 
| -55359848969.991 | 42967338188.523 | -55359846692.999 | -143970.894 | 1637218.329 | -89744.440 | 
| -55028009622.739 | -55027973960.831 | 43152347962.898 | 8954905.506 | 3798462.704 | -852349.485 | 
| -14896849240.451 | -13659439403.987 | -13659443034.399 | 3024431322.745 | -153.653 | -185.456 | 
| -8403332731.069 | -11166012881.196 | -8403331149.046 | -222.720 | 2821634609.552 | -231.660 | 
| -11894311008.936 | -11894308285.355 | -13285730338.587 | -1285.960 | -1137.002 | 3356092790.757 | 
| 312190913417.664 | 311301881806.104 | 311301881805.824 | 2.296 | 0.733 | -0.888 | 
| 311301530685.874 | 312190521796.604 | 311301530685.824 | 0.361 | -0.460 | 2.378 | 
| 311301993716.514 | 311301993716.744 | 312191038251.934 | 2.441 | 0.821 | 2.618 | 
| 11301487615.059 | 9274829797.393 | 9274827578.233 | 3100311996.164 | 653.115 | -397.913 | 
| 12453621708.672 | 13839868752.514 | 12453619267.850 | 655.150 | 3339247437.778 | -388.356 | 
| 13014281284.283 | 13014279086.195 | 14419395688.994 | 279.201 | -164.022 | 3305917448.753 | 
| 1072.208 | 690.529 | 690.529 | 0.000 | 0.000 | -0.000 | 
| 690.530 | 1072.208 | 690.529 | 0.000 | -0.000 | -0.000 | 
| 690.530 | 690.529 | 1072.208 | 0.000 | -0.000 | 0.000 | 
| 0.000 | -0.000 | -0.000 | 371.829 | -0.000 | -0.000 | 
| 0.000 | -0.000 | 0.000 | 0.000 | 371.829 | -0.000 | 
| 0.000 | 0.000 | -0.000 | 0.000 | -0.000 | 371.829 | 
| 550.769 | 358.711 | 358.711 | -0.000 | -0.000 | -0.000 | 
| 358.711 | 550.769 | 358.711 | -0.000 | -0.000 | -0.000 | 
| 358.711 | 358.711 | 550.769 | -0.000 | -0.000 | 0.000 | 
| -0.000 | 0.000 | -0.000 | 371.829 | 0.000 | 0.000 | 
| -0.000 | 0.000 | -0.000 | -0.000 | 371.829 | 0.000 | 
| -0.000 | -0.000 | 0.000 | -0.000 | 0.000 | 371.829 | 
| 893.796 | 472.031 | 472.031 | 0.000 | -0.000 | -0.000 | 
| 472.031 | 893.796 | 472.031 | 0.000 | -0.000 | 0.000 | 
| 472.031 | 472.031 | 893.796 | 0.000 | -0.000 | -0.000 | 
| 0.000 | 0.000 | 0.000 | 371.829 | -0.000 | -0.000 | 
| 0.000 | 0.000 | 0.000 | 0.000 | 371.829 | -0.000 | 
| 0.000 | 0.000 | 0.000 | 0.000 | -0.000 | 371.829 | 
| 846.011 | 453.964 | 453.964 | -0.000 | -0.000 | -0.000 | 
| 453.964 | 846.011 | 453.964 | -0.000 | -0.000 | -0.000 | 
| 453.964 | 453.964 | 846.011 | -0.000 | -0.000 | 0.000 | 
| -0.000 | -0.000 | -0.000 | 371.829 | 0.000 | 0.000 | 
| -0.000 | -0.000 | -0.000 | -0.000 | 371.829 | 0.000 | 
| -0.000 | -0.000 | -0.000 | -0.000 | 0.000 | 371.829 | 
| 875.013 | 472.620 | 472.620 | 0.000 | 0.000 | 0.000 | 
| 472.620 | 875.013 | 472.620 | 0.000 | 0.000 | -0.000 | 
| 465.423 | 465.423 | 896.785 | 0.000 | -0.000 | -0.000 | 
| 0.000 | 0.001 | 0.001 | 371.829 | -0.000 | -0.000 | 
| 0.001 | 0.000 | 0.001 | 0.000 | 371.829 | -0.000 | 
| 0.001 | 0.001 | 0.000 | 0.000 | -0.000 | 371.829 | 
| 895.110 | 465.145 | 465.145 | -0.000 | 0.000 | 0.000 | 
| 465.145 | 895.110 | 465.145 | -0.000 | 0.000 | 0.000 | 
| 465.145 | 465.145 | 895.110 | -0.000 | 0.000 | 0.000 | 
| -0.000 | -0.001 | -0.001 | 371.829 | 0.000 | 0.000 | 
| -0.001 | -0.000 | -0.001 | -0.000 | 371.829 | 0.000 | 
| -0.001 | -0.001 | -0.000 | -0.000 | 0.000 | 371.829 | 
| -10547325415827.693 | -10546276922188.693 | -10546276922187.693 | -5.726 | -5.481 | 12.564 | 
| -10546272202004.695 | -10547304802926.693 | -10546272202004.695 | 0.857 | -2.367 | -1.026 | 
| -10546369242286.693 | -10546369242290.695 | -10547046853360.693 | 2.233 | -15.272 | -9.493 | 
| -16017354098683.693 | -18419913490000.691 | -18419915540595.691 | -16251651782122.000 | 2670795.395 | -4046279.005 | 
| -10547128668172.695 | -10547128693789.695 | -10547128668157.693 | -8.884 | -389156449.231 | 2.399 | 
| -18633936902598.691 | -18633962822580.691 | -16152412381956.695 | 16326534.571 | -15857446.127 | -16156372571689.000 | 
| 10547367776529.695 | 10547352489564.693 | 10547352489573.693 | 1.728 | -5.873 | 1.465 | 
| 10547352489452.693 | 10547367776494.693 | 10547352489447.693 | 4.217 | -1.855 | 0.412 | 
| 10547352489541.693 | 10547352489534.695 | 10547367776465.693 | 4.129 | -4.490 | 2.811 | 
| 16483722853439.693 | 18242611110215.691 | 18242603156047.691 | -16672393772954.000 | -30938951.899 | -31892914.812 | 
| 18366056892297.688 | 16580982472279.691 | 18366153134400.695 | 8405230.561 | -16552034866169.000 | 8536373.396 | 
| 18096195876369.691 | 18096201584044.691 | 16240212325364.693 | 276722.431 | 100475.611 | -16652886535945.002 | 
| -1054920416125.169 | -1053972098061.870 | -1053972098047.370 | -4.368 | 20.330 | -21.626 | 
| -1053976369777.769 | -1054902921989.670 | -1053976369780.969 | 0.446 | -0.161 | 0.954 | 
| -1053977200318.969 | -1053977200203.069 | -1054920759387.970 | -1.980 | 7.512 | -52.305 | 
| -1968688055384.969 | -1179385535140.969 | -1179442044868.070 | 1860135248048.100 | 150204.994 | -71428.104 | 
| -1039128851118.869 | -1591691623089.870 | -1039125755077.269 | -27644.966 | -1451376100325.300 | 19164.010 | 
| -1084869513607.069 | -1084884608936.669 | -1494048432372.369 | -11570.230 | 28934.034 | -1642712656296.300 | 
| 1054491153667.569 | 1055428288264.869 | 1055428288264.269 | 0.024 | -0.095 | -0.077 | 
| 1055431883212.370 | 1054495312625.969 | 1055431883212.070 | 0.069 | 0.128 | -0.041 | 
| 1055431883562.870 | 1055431883563.069 | 1054495312291.270 | -0.099 | 0.071 | 0.013 | 
| 1054704504280.769 | 1054703719822.569 | 1054703719885.169 | -541148191.182 | 0.104 | 0.097 | 
| 1064409578703.969 | 1506678963004.770 | 1064410337769.969 | 48042.896 | -1436789363952.100 | 53895.814 | 
| 1054691634509.169 | 1054691634571.670 | 1054692393692.669 | 0.679 | 0.520 | -532767684.573 | 
| -105692254895.287 | -104734598323.657 | -104734598313.177 | -0.019 | 0.008 | -0.041 | 
| -104735223925.057 | -105692512400.007 | -104735223975.627 | -153.124 | -274.589 | -43.279 | 
| -104726555964.037 | -104726555962.857 | -105706715235.057 | 0.008 | 0.002 | 0.032 | 
| -231637860053.707 | -119385825185.857 | -119363113143.997 | -117954847223.050 | -47888.843 | -48130.946 | 
| -122795059539.207 | -222507057429.167 | -122452998025.477 | -2805.997 | -114553803920.450 | -9303.380 | 
| -129500967082.947 | -128850835543.147 | -218149918586.877 | -186402.867 | -208839.501 | -111882294067.610 | 
| 83198372226.265 | 135407995303.517 | 135407997124.017 | -49.340 | -21.609 | 15.926 | 
| 103225137884.717 | 117209216031.267 | 103225488848.987 | -30.414 | 948.547 | 338.705 | 
| 106193994710.177 | 106193994711.677 | 105266119900.497 | -0.002 | 0.001 | -0.022 | 
| 217645228038.207 | 129503957199.867 | 129125062320.737 | -111209223795.300 | -148572.935 | 36629.265 | 
| 119295248746.217 | 231082646443.997 | 119262398873.497 | 8035.742 | -117834754367.690 | -8257.382 | 
| 123699083178.557 | 123495634773.797 | 223016843632.297 | -407806.898 | 437044.354 | -113732430407.810 | 
| -29119715307853.074 | 1107734953669.458 | -71074602078846.203 | -2.303 | -1.947 | 0.030 | 
| -29121002972846.066 | 1107977598446.158 | -71077582470442.203 | 1.813 | 2.719 | -0.001 | 
| -29117920482258.070 | 1107858115603.958 | -71070080133654.203 | 3.430 | -0.245 | -0.001 | 
| -29121002894260.070 | 1107930494517.858 | -71077492302573.203 | 992568.073 | -0.060 | 0.009 | 
| -29121002616161.070 | 1107816978234.158 | -71077603478845.203 | -22.769 | 3075716172.049 | 0.041 | 
| -29121002471067.066 | 1107748794828.358 | -71077670311521.203 | -18.390 | -0.357 | -7765568.503 | 
| 29122289658213.074 | -1107776280281.258 | 71080725149007.188 | 12.549 | 0.445 | 0.010 | 
| 29121001902701.074 | -1107491175280.958 | 71077786272793.203 | 0.861 | -0.224 | -0.001 | 
| 29124084301111.074 | -1107600677179.858 | 71085298309198.203 | 4.347 | -1.707 | 0.015 | 
| 29121002894262.070 | -1107930494056.258 | 71077492303033.203 | 992519.404 | -0.342 | -0.009 | 
| 29121002616160.074 | -1107816978076.958 | 71077603479000.203 | 22.735 | 3075716172.357 | -0.064 | 
| 29121002471066.070 | -1107748794324.458 | 71077670312016.203 | 15.926 | -0.936 | -7765568.496 | 
| -2910813073436.708 | 110772264958.746 | -7104687676275.820 | 0.881 | -0.050 | -0.000 | 
| -2912100820091.007 | 111033813857.006 | -7107649180473.520 | 1.206 | -0.051 | -0.000 | 
| -2909017959304.307 | 110888566609.706 | -7100171727455.021 | -0.629 | 0.121 | 0.001 | 
| -2912100240055.407 | 110771779153.276 | -7107770068842.620 | 701843.294 | -0.115 | 0.001 | 
| -2912100125166.707 | 110781697833.256 | -7107760010824.820 | -1.824 | 3075716166.768 | 0.013 | 
| -2912100251000.507 | 110777063410.856 | -7107764894559.921 | -1.081 | 0.062 | -7760527.021 | 
| 2913387327058.907 | -110772037140.106 | 7110851456792.520 | 0.293 | -0.031 | -0.000 | 
| 2912099686138.408 | -110519983256.046 | 7107879832226.720 | -1.987 | -0.253 | 0.000 | 
| 2915181833062.707 | -110654720158.516 | 7115366790366.819 | -5.586 | 0.123 | 0.001 | 
| 2912100240055.507 | -110771779168.936 | 7107770068827.420 | 701844.667 | 0.016 | -0.001 | 
| 2912100125166.607 | -110781697813.346 | 7107760010844.421 | 2.181 | 3075716166.654 | 0.001 | 
| 2912100251000.607 | -110777063410.626 | 7107764894560.120 | 1.186 | 0.009 | -7760527.029 | 
| -289922491420.961 | 11077046998.421 | -707693980454.532 | -0.133 | -0.002 | 0.000 | 
| -291210581809.771 | 11324591146.493 | -710665515698.282 | -0.228 | 0.009 | -0.000 | 
| -288124648244.921 | 11192023771.626 | -703172084158.542 | 0.076 | -0.004 | -0.000 | 
| -291210025530.851 | 11077177652.542 | -710777010784.592 | 703991.873 | 0.001 | 0.000 | 
| -291208645903.731 | 11077259161.000 | -710773522711.152 | -0.025 | 3075716163.126 | 0.000 | 
| -293268210218.861 | 5971816281.469 | -707914813600.002 | -28464.360 | 152.078 | 818596566.852 | 
| 292496747748.561 | -11077979804.094 | 713856623917.052 | -0.285 | -0.007 | -0.000 | 
| 291209443910.711 | -10809086414.258 | 710897824630.952 | -0.034 | 0.005 | 0.000 | 
| 294288522241.601 | -10958264538.045 | 718367062907.512 | 0.147 | -0.010 | -0.000 | 
| 291210025527.351 | -11077176146.828 | 710777012259.712 | 701376.679 | -0.003 | -0.000 | 
| 291208645903.761 | -11077259164.730 | 710773522707.552 | 0.041 | 3075716163.093 | 0.001 | 
| 293539876255.731 | -5796820402.476 | 707383338674.482 | 2569.726 | 13.722 | 442604951.346 | 
| 6927605751232.738 | 24988336048816.527 | -5565705242032.227 | 18909390235.546 | -7537850671.094 | -138399135923.250 | 
| 7848140779611.340 | 27901288794760.523 | -5661674620191.928 | 68677591151.164 | 3077354307.547 | -100696104135.890 | 
| 7452219630347.540 | 26604998717634.523 | -5511897118497.326 | 9191628907.857 | -17476635534.801 | -167405321529.880 | 
| 7394925148976.938 | 26502570013507.523 | -5529639009086.227 | 52102051904.636 | -2717687085.508 | -119743460081.040 | 
| 7360655755144.640 | 26391475922521.523 | -5550786950655.428 | 33477437912.899 | -15161595318.915 | -146772424936.310 | 
| 21380292239355.941 | 66239140541977.516 | -2889573020677.827 | 558.530 | -0.061 | -46497313.403 | 
| -7681411158658.740 | -27344133670167.527 | 5698654036360.928 | -69699596437.129 | -9015742299.084 | 35329090329.833 | 
| -7372035274593.839 | -26391414474911.523 | 5537354900564.228 | -13525334687.811 | 17418209298.194 | 63751656226.212 | 
| -7635134090482.139 | -27046060055532.523 | 5494550670198.728 | -36339923147.502 | -66821702.736 | 51104759920.410 | 
| -7615504924909.238 | -27172689391893.523 | 5604804714234.327 | -497764933.976 | -13459661521.350 | -42147790951.686 | 
| -7680338155625.840 | -27387961880450.523 | 5619203376856.728 | -1697729577.071 | -12372922654.037 | 143103191990.440 | 
| -7795077321024.540 | -27674522986049.527 | 5591428204162.828 | -3449519404.844 | -9194624737.531 | 129718195493.950 | 
| 712240647643.614 | 2559273506739.953 | -552137351127.463 | 2761633397.480 | -766410385.327 | -21160958779.161 | 
| 702496960195.804 | 2522902219896.753 | -551195582230.373 | 929259068.748 | -326236410.244 | -3905976766.278 | 
| 755431280692.264 | 2692385325478.353 | -548915480854.943 | 2535932970.013 | 53867473.452 | -19916726617.457 | 
| 2138028934347.394 | 6623914408064.353 | -288957138906.993 | 467264937.040 | -0.000 | 0.013 | 
| 760784556682.194 | 2718836126077.853 | -550392616765.113 | 3270508793.682 | -129706915.424 | -23265054873.462 | 
| 744861406835.224 | 2667163966107.752 | -555806803213.593 | 2648603299.056 | -339338109.035 | 5759084985.615 | 
| -756857294244.214 | -2693754746959.652 | 552291498738.123 | -3422767831.723 | 697062912.697 | 10999967696.757 | 
| -745702807687.594 | -2655088541482.853 | 552693261687.263 | -1623790772.913 | 921600372.457 | 8547512937.762 | 
| -769772664537.724 | -2730269231329.353 | 551879662689.513 | -2615922532.854 | 336204511.441 | 22639430440.860 | 
| -770095939832.254 | -2738243655108.952 | 561578544067.043 | -2138780969.186 | -420286657.838 | 10405447316.923 | 
| -753692814019.494 | -2696000212913.453 | 553054372257.803 | -4640837226.018 | -120971833.531 | -284321281.587 | 
| -721829565251.934 | -2598176280956.353 | 567515884935.863 | -860302836.293 | 346963604.445 | 11824742256.546 | 
| 76240120477.479 | 271613321801.595 | -54563108816.081 | 304565755.336 | -113527887.721 | -1061267206.145 | 
| 213863218432.869 | 662361196163.465 | -28460571977.578 | -17.001 | 0.000 | 0.000 | 
| 79035958506.879 | 278129628990.515 | -53471447127.377 | 446146247.545 | -103796414.978 | 468041337.275 | 
| 71176370584.894 | 256165730453.245 | -55339333158.250 | 848192235.036 | -86867458.560 | 1218059976.380 | 
| 71340681780.623 | 257609122886.405 | -57346241471.219 | 395640643.466 | 310299185.142 | -574802815.466 | 
| 70516408757.943 | 253650185232.545 | -56907632563.494 | -22375851.644 | 9674848.128 | -706062001.284 | 
| -72200956226.160 | -260267964707.115 | 56137843971.563 | -170367884.506 | 126123067.389 | 1219435240.510 | 
| -75020310591.528 | -267888822405.515 | 56562477836.402 | -191318001.069 | -72899989.373 | -398185145.133 | 
| -73079705268.297 | -262222320580.205 | 57259719385.002 | -297784358.153 | 88974067.636 | 1223813138.684 | 
| -73878095337.326 | -264363045519.435 | 55618455075.074 | 70023811.563 | 158535986.254 | 597540972.533 | 
| -79251974800.478 | -282018590326.225 | 56089714733.817 | 11007265.152 | 191820848.985 | 1810570878.422 | 
| -76849533237.785 | -273645478819.445 | 55108325427.157 | -209232893.046 | 241218335.729 | 573578882.883 | 
| 759003482305.067 | 1863422166951.177 | 5012573266981.104 | 1705537908238.300 | 82040052737.219 | -27946560465.169 | 
| 379774257349.787 | 309271217268.807 | 5368016557.443 | 1119491212.583 | 141.729 | -7273636.336 | 
| -8043914059907.924 | -8043914059916.622 | 34243820088.103 | 0.005 | -0.000 | 0.233 | 
| -8043938434870.322 | -8043938435152.223 | 34231092834.739 | 24455768.108 | -0.006 | 0.266 | 
| -8043938435144.022 | -8043938434878.624 | 34231092834.763 | 0.007 | 24455767.989 | -0.129 | 
| 2964893954921.278 | -2552886636601.023 | 17560133655490.705 | 5112412791.952 | -66521179632.213 | -2785554457316.200 | 
| -19649281321224.078 | -6101546020091.777 | -25947254862808.707 | 3261290078378.400 | 58633025151.381 | -30222588758.048 | 
| -4286272944777.277 | -3185127017147.378 | -10175537052143.703 | -1035008978917.800 | 76506651690.194 | -11006347436.019 | 
| 8043962811413.322 | 8043962811421.822 | -34218368421.329 | 0.016 | 0.002 | -0.191 | 
| 8043938434871.724 | 8043938435150.823 | -34231092834.729 | 24455768.110 | -0.010 | -0.236 | 
| 8043938435144.022 | 8043938434878.624 | -34231092834.769 | -0.010 | 24455767.995 | -1.228 | 
| -19626464805010.074 | -15146771509646.078 | -50250153312008.703 | -29238650662.709 | 61914561439.515 | 4107600748602.600 | 
| 161072013423.628 | 333776076559.568 | 529359510073.581 | 174213275647.340 | -5159812343.448 | 11401693711.072 | 
| 881303752307.988 | 371749583497.148 | 1703535707543.970 | 91044512509.827 | -8653850105.126 | -2825425488.207 | 
| -804369476997.122 | -804369476997.982 | 3435840129.392 | 0.000 | 0.000 | 0.021 | 
| -804393844842.702 | -804393847584.782 | 3423100097.957 | 24455768.077 | -0.000 | 0.021 | 
| 475716894287.698 | 739255178467.368 | 1770932627950.070 | 1272541844.685 | 171403738.836 | -53987690.362 | 
| 1959280912008.307 | 1435491296967.508 | 5075507728220.970 | 376978602.660 | 770217687.411 | 443449454600.730 | 
| -1005191640008.508 | -1220971290705.708 | -1872866795332.470 | -196901992680.560 | 337706264.587 | -16521410821.144 | 
| 1357844712121.192 | 232756764522.172 | 1244985467386.230 | 96983284806.315 | 279016062.378 | 228565387.412 | 
| 804418228502.312 | 804418228503.172 | -3410388462.880 | -0.001 | -0.000 | -0.022 | 
| 804393844842.762 | 804393847584.712 | -3423100097.957 | 24455768.078 | -0.000 | -0.024 | 
| -255659807254.148 | -168187342288.618 | -501716719706.741 | -35082057751.227 | 14991669144.070 | -5583369547.718 | 
| -1959404194937.907 | -1437039288915.108 | -5075439601224.570 | -376816222.206 | 769766464.231 | 443280938624.440 | 
| 38100486115.578 | 87604005376.019 | 35452119369.494 | 33395922618.615 | -3229093511.923 | -1862180210.278 | 
| 115032530972.671 | 72597568502.764 | 131144954426.807 | -4282030699.861 | -2222859749.545 | 2784892623.095 | 
| -80415101359.124 | -80415101359.210 | 355085969.899 | -0.000 | -0.000 | 0.002 | 
| -27311697426.969 | -33112932906.764 | 148787310179.317 | -119893117.486 | -1021611.259 | 7131533.036 | 
| 76285023968.039 | 107461082534.231 | 174734758179.427 | 3312803841.054 | -179865650.719 | 532687193.193 | 
| -245690559916.789 | -133288765581.079 | -230548992767.173 | 44915048.157 | -976394.364 | -250681869143.750 | 
| -80683258199.726 | -105648578354.011 | -147935527540.587 | -3205338605.920 | 741724781.774 | 1683414366.286 | 
| -38247448576.551 | -27210801267.944 | -365701801986.407 | -1441.846 | -0.002 | 1615.018 | 
| 80463852864.059 | 80463852864.144 | -329634302.943 | -0.000 | -0.000 | -0.003 | 
| -47583803613.055 | -58539791948.757 | -61747779895.799 | 2192373419.147 | 1847380914.056 | -346436773.390 | 
| -77433587651.917 | -109766718955.901 | -182156839985.977 | -3256246947.402 | 1490962407.559 | 283196037.599 | 
| 245704416562.489 | 133326457249.089 | 230680410585.553 | 4115935.879 | 140153.245 | -250691849681.460 | 
| 1196.214 | 429.025 | 353.391 | 39.252 | -0.000 | 0.000 | 
| 429.025 | 1196.213 | 353.391 | -39.252 | -0.000 | 0.000 | 
| 354.891 | 354.891 | 1271.977 | 0.000 | -0.000 | 0.000 | 
| 39.252 | -39.252 | -0.000 | 299.787 | -0.000 | 0.000 | 
| 0.000 | -0.000 | -0.000 | 0.000 | 299.787 | 39.252 | 
| 0.000 | 0.000 | -0.000 | 0.000 | 39.252 | 383.594 | 
| 1185.784 | 436.421 | 356.054 | 39.126 | 0.000 | -0.000 | 
| 429.025 | 1196.213 | 353.391 | -39.252 | 0.000 | -0.000 | 
| 353.390 | 353.391 | 1274.612 | 0.000 | 0.000 | -0.000 | 
| 37.635 | -40.621 | 2.622 | 299.785 | 0.000 | -0.000 | 
| -0.000 | -0.000 | 0.000 | -0.000 | 299.787 | 39.252 | 
| -0.000 | 0.000 | 0.000 | -0.000 | 39.252 | 383.594 | 
| 1196.214 | 429.025 | 353.391 | 39.252 | 0.000 | 0.000 | 
| 469.444 | 1156.085 | 353.136 | -38.683 | 0.000 | 0.000 | 
| 353.548 | 353.548 | 1274.337 | 0.000 | 0.000 | 0.000 | 
| 39.252 | -39.252 | 0.000 | 299.787 | 0.000 | 0.000 | 
| 0.000 | 0.000 | 0.000 | 0.000 | 299.787 | 39.252 | 
| 0.000 | 0.000 | -0.000 | 0.000 | 39.252 | 383.594 | 
| 1196.213 | 429.025 | 353.391 | 39.252 | 0.000 | -0.000 | 
| 429.025 | 1196.213 | 353.391 | -39.252 | 0.000 | -0.000 | 
| 353.390 | 353.390 | 1274.611 | 0.000 | 0.000 | -0.000 | 
| 38.534 | -38.832 | 0.262 | 299.779 | -0.000 | -0.000 | 
| -0.000 | -0.000 | -0.000 | -0.000 | 299.787 | 39.252 | 
| -0.000 | -0.000 | -0.000 | -0.000 | 39.252 | 383.594 | 
| 1196.221 | 429.026 | 353.392 | 39.252 | -0.000 | 0.000 | 
| 468.920 | 1156.424 | 353.307 | -38.689 | -0.000 | 0.000 | 
| 353.415 | 353.415 | 1274.579 | 0.000 | 0.000 | 0.000 | 
| 39.252 | -39.252 | 0.001 | 299.787 | 0.000 | 0.000 | 
| 0.000 | 0.000 | 0.001 | 0.000 | 299.787 | 39.252 | 
| 0.067 | 0.069 | -0.118 | 0.000 | 38.695 | 344.153 | 
| 1196.206 | 429.024 | 353.390 | 39.252 | 0.000 | -0.000 | 
| 429.023 | 1196.207 | 353.390 | -39.252 | 0.000 | -0.000 | 
| 353.381 | 353.381 | 1274.619 | 0.000 | 0.000 | -0.000 | 
| 39.109 | -39.140 | 0.025 | 299.786 | 0.000 | -0.000 | 
| -0.000 | -0.000 | -0.001 | -0.000 | 299.787 | 39.252 | 
| -0.067 | -0.069 | 0.118 | -0.000 | 38.695 | 344.153 | 
| -3946561438987.074 | 4504252488049.125 | 4486744002591.726 | 4095746126.418 | -6848667168.535 | -1391398547.739 | 
| 5129664659044.226 | -645206914747.404 | 5070088646418.426 | -1684851441.433 | -143063050360.040 | 18087559031.151 | 
| -10269982850501.975 | -10269963826783.975 | -26487200462482.973 | 12139971.996 | 15252983.701 | 86445783.738 | 
| 545484729197.286 | 545484991673.086 | 545484991674.416 | -7505379.453 | 0.843 | 0.843 | 
| 545463799770.046 | 545463548880.406 | 545463799769.406 | 0.889 | -7680925.701 | 4.443 | 
| 545484166114.146 | 545484166113.156 | 545483911972.246 | 1.440 | 0.837 | -7958337.718 | 
| -1706163819895.226 | -364454866867.256 | -393655310046.096 | 7078650987.821 | 48160506534.766 | -55565083770.774 | 
| 3289162789887.074 | 1332362479143.974 | 3251733271608.274 | 27672205877.813 | -14670408606.530 | 59842833.001 | 
| 1519589932157.174 | 1610422506732.574 | -432718522841.496 | -43449646135.168 | 31271827728.244 | -77804312821.035 | 
| -545466985283.106 | -545467234300.726 | -545467234300.556 | -8369871.200 | -2.174 | -3.856 | 
| -7715400882250.725 | -7715437893416.826 | -7715400881103.125 | 515.610 | -60495131250.960 | 80.811 | 
| -545477990762.526 | -545477990763.406 | -545477736462.236 | -0.211 | 0.675 | -7781947.824 | 
| 645941029478.223 | 1541215954568.603 | 1541215949908.603 | -142135.376 | -77401.883 | 58146.271 | 
| 610697886079.583 | 151249309656.453 | 611820082666.883 | 413311029.098 | 934568436.418 | -955615681.455 | 
| -231187465246.177 | -231187343526.037 | 64428281729.813 | 741731.732 | -404854.399 | -1279.496 | 
| 54545886622.350 | 54548270540.793 | 54548270523.128 | -8221267.361 | -0.080 | -0.163 | 
| 54547112347.342 | 54544803650.450 | 54547112330.835 | -0.234 | -8191809.395 | -0.498 | 
| 54547136277.984 | 54547136260.174 | 54544734756.970 | -0.019 | 0.074 | -8235958.164 | 
| 30249780263.021 | 278843556691.747 | 274385506459.347 | -4722225712.502 | -305182448.526 | -1058432220.359 | 
| -1125607174622.403 | -2129694447785.003 | -1125607166897.603 | 198896.262 | -160073.388 | 203980.169 | 
| 355535732663.347 | 358456647897.767 | -5811008937.607 | -899181563.191 | 197979028.821 | 5755732944.457 | 
| -54545505999.895 | -54547931336.406 | -54547931318.622 | -8397923.641 | 0.518 | 2.287 | 
| -54547108123.278 | -54544814905.910 | -54547108106.987 | 0.063 | -8120891.668 | -0.074 | 
| -54548746286.475 | -54548746268.800 | -54546324524.722 | -0.086 | 0.108 | -7936907.275 | 
| -263454955388.750 | -103051830766.890 | -103051830766.010 | 691.907 | -30.133 | 60.112 | 
| 23696700481.347 | 6329884168.775 | 23494419787.917 | -465794912.134 | 718344878.577 | -567360773.856 | 
| 154189998325.830 | 154190003643.120 | 65979908175.698 | 970022.151 | -1130177.656 | -7769.917 | 
| 47327916362.715 | -16446881013.624 | -18882983413.035 | 221952958.818 | 147879.507 | 2147387.703 | 
| -29316232055.684 | -6862485740.175 | -31479231405.584 | 120007392.193 | -485040607.821 | -100356872.869 | 
| -56222313507.023 | -56274082444.903 | 87780449508.124 | 2373.030 | 1570.981 | -403681426.144 | 
| 1279293502.134 | 24643668240.158 | 25113740523.656 | 117233345.269 | -63333514.510 | -146582036.536 | 
| 27915254547.717 | -12068628825.218 | 27565307483.571 | 8851807.356 | -355576998.437 | -33565213.476 | 
| 62003590412.663 | 62003590848.279 | -87794136507.208 | -21.625 | 28.956 | 1083.652 | 
| 5127888771.827 | 36980952270.077 | 39004821957.186 | 1032001304.325 | 68732837.510 | -21910026.591 | 
| 920868516.307 | -4514304436.773 | 1140293596.202 | 132661588.601 | 558778982.366 | -271781428.093 | 
| 32759374949.839 | 37753477157.206 | -23528931.725 | 32177121.078 | -130537826.961 | 486683535.212 | 
Phonon band structures and crystal properties estimated from quasi-harmonic approximation (QHA) calculations are displayed for select crystals. The calculations were performed using phonopy and LAMMPS. For the phonon calculations, 3x3 supercells of the potential-specific relaxed crystals were used. The QHA calculations were based on 11 strain states ranging from -0.05 to 0.05.
The calculation method used is available as the iprPy phonon calculation method.
Notes and Disclaimers:
Version Information:












































































































































Static free surface formation energies are displayed for select crystals. The values displayed here are obtained by taking a perfect periodic bulk crystal, slicing along a crystallographic plane, and using force minimization to statically relax the surfaces. The free surface formation energy is computed by comparing the energy of the defect system to the bulk system and dividing by the total surface area created by the cut.
The calculation method used is available as the iprPy surface_energy_static calculation method.
Notes and Disclaimers:
Version Information:
| Surface | γfs (mJ/m2) | 
|---|---|
| (111) | 1613.64 | 
| (322) | 1760.36 | 
| (332) | 1762.42 | 
| (211) | 1834.44 | 
| (100) | 1836.36 | 
| (221) | 1836.76 | 
| (311) | 1864.07 | 
| (331) | 1886.27 | 
| (321) | 1909.63 | 
| (110) | 1938.50 | 
| (310) | 1971.88 | 
| (320) | 1983.18 | 
| (210) | 1983.81 | 
| Surface | γfs (mJ/m2) | 
|---|---|
| (332) | -21849.31 | 
| (322) | -18512.78 | 
| (331) | -17427.68 | 
| (321) | -16401.77 | 
| (311) | -14074.27 | 
| (221) | -12356.23 | 
| (310) | -10568.26 | 
| (211) | -9542.63 | 
| (111) | -6628.18 | 
| (320) | -6194.35 | 
| (210) | -3243.12 | 
| (110) | -1709.57 | 
| (100) | 849.62 | 
Stacking fault energy plots and maps are displayed for select crystals. The values are computed by
The calculation method used is available as the iprPy stacking_fault_map_2D calculation method.
Notes and Disclaimers:
Version Information:
| E_usf a/2 [0 -1 1] | 822.43 | 
| τ_ideal a/2 [0 -1 1] | 13.71 | 




| E_isf | 37.15 | 
| E_usf a/2 [0 -1 1] | 191.48 | 
| τ_ideal a/2 [0 -1 1] | 3.97 | 




Static point defect formation energies, Ef, and elastic dipole tensors, pij, are displayed for select crystals. Relaxed defect configurations are obtained by taking a 12x12x12 supercell of a perfect periodic bulk crystal, inserting the point defect, and using force minimization to statically relax the atomic positions while keeping the system dimensions constant. Ef is computed by comparing the energy of the defect system to the same number of atoms in a perfect bulk crystal. pij is estimated as the difference in the system's global pressure with and without the defect multiplied by the system's volume.
Simple structural comparisons of the unrelaxed and relaxed defect configurations are used to help determine if the defect structure has relaxed to a different configuration. Relaxed structures that are identified as no longer consistent with the ideal defect definition are excluded from the table below. The only exception to this is if the lowest energy interstitial configuration does not coincide with a known ideal defect, its energies and pressure tensor are included under the listing "relaxed interstitial". The full list of calculation results including the transformed structures and the structural comparison values is included in the csv file available from the "Download raw data" link.
The calculation method used is available as the iprPy point_defect_static calculation method.
Notes and Disclaimers:
| Point Defect | Ef (eV) | p11 (eV) | p22 (eV) | p33 (eV) | p12 (eV) | p13 (eV) | p23 (eV) | 
|---|---|---|---|---|---|---|---|
| vacancy | 6.175 | -4.389 | -4.389 | -4.389 | -0.000 | 0.000 | -0.000 | 
| 1nn divacancy | 11.575 | -8.113 | -8.543 | -8.543 | 0.000 | -0.000 | 0.737 | 
| 2nn divacancy | 12.321 | -8.869 | -8.869 | -9.095 | 0.000 | 0.000 | 0.000 | 
| 100 dumbbell | 20.321 | 114.501 | 114.501 | 118.275 | 0.000 | 0.000 | -0.000 | 
| crowdion interstitial | 23.695 | 112.927 | 112.927 | 143.969 | 80.537 | 0.000 | 0.000 | 
| tetrahedral interstitial | 24.321 | 120.328 | 120.328 | 120.328 | 0.000 | -0.000 | 0.000 | 
| 111 dumbbell | 24.614 | 110.457 | 110.457 | 110.457 | 49.434 | 49.434 | 49.434 | 
Plots of the atomic structure of dislocation cores are shown here. The dislocations were constructed using dislocation monopole configurations in which a straight dislocation is created in the center of the system using anisotropic elasticity and the elastic constants computed above. A cylindrical region centered around the dislocation is allowed to relax while the remaining atoms are held fixed. The relaxation consists of 1 million NVT steps at 10 K followed by an energy/force minimization. The final plots show the atomic configuration near the center of the monopole system, and display differential displacement arrows and Nye tensor color maps that are both taken with respect to the Burgers vector direction.
These plots show a wide range of final structures, some corresponding to expected dislocation structures and others not. While the characterizations are dislocation-type dependent, some general classification guidelines are listed here.
The calculation method used is available as the iprPy dislocation_monopole calculation method.
Links are provided above the images allowing for users to download the final defect configuration and a corresponding defect-free configuration if they wish to further analyze the structures or use them for subsequent simulations.
Notes and Disclaimers:
Version Information:
Plots of lattice and elastic constants are shown as a function of temperature. The 0K points were taken from the Crystal Structure Predictions and the Elastic Constants Predictions sections above for the unique crystal structures relaxed with the "dynamic" method. Starting from the 0 K relaxed crystal unit cells, supercell systems are created by replicating all three dimensions by the same multiplier to achieve at least 4000 atoms. The systems are then relaxed at 50 K and zero pressure using 1 million NPT steps. Lattice constants are estimated by averaging the measured box dimensions. Temperatures are iteratively increased by 50 K, with each subsequent relaxation calculation starting from the final atomic configuration at the previous temperature and relaxing for another 1 million steps.
The elastic constants are calculated using the deformation–fluctuation hybrid method. Starting from the final atomic configurations of the dynamic relaxations, the system is allowed to evolve at constant volume with a Langevin thermostat. The Born matrix is computed during this run by evaluating how the atomic forces would vary due to applied linear strain fields. The elastic constants can then be estimated using the averaged Born matrix values and the averaged stresses on the system.
The calculation methods used are available as the iprPy relax_dynamic and elastic_constants_dynamic calculation methods.
Clicking on the image of a plot will open an interactive version of it in a new tab. The underlying data for the plots can be downloaded by clicking on the links above each plot.
Notes and Disclaimers:
Version Information:
Plots of radial distribution functions at different temperatures and the temperature-dependent diffusion and viscosity are shown here for elemental liquids. Melt phases are constructed by starting with a 10x10x10 fcc super cell and relaxing with 50,000 NPT steps at zero pressure and a high melting temperature (3000 K for most potentials and elements). Following the melt, liquid structures are relaxed by running NPT for 10,000 steps over which the temperature is dropped by 50 K, then 50,000 NPT at the target temperature to estimate the equilibrium volume, followed by 20,000 NVT steps at the averaged equilibrium volume and target temperature. Structures from the NVT run are sampled to compute the radial distribution function of the liquid at the corresponding temperature.
The final relaxed configurations at each temperature explored are used as the initial configurations for the diffusion and viscosity calculations. For diffusion, the system is integrated for 100 runs of 2,000 NVT steps during which both the mean squared displacement (MSD) and the velocity auto correlation function (VACF) are computed. From these simulations, three estimates of diffusion are computed: one from the MSD of the full 200,000 step run, one in which the MSD is reset for each short run and then averaged, and one from the VACF computed for each short run and averaged. For viscosity, the Green-Kubo method is used which is evaluated during a 1 million step NVT run.
The calculation methods used are available as the iprPy relax_liquid_redo, diffusion_liquid, and viscosity_green_kubo calculation methods.
Clicking on the image of a plot will open an interactive version of it in a new tab. The underlying data for the plots can be downloaded by clicking on the links above each plot.
Notes and Disclaimers:
Version Information:
Plots of internal energy, Gibbs free energy, entropy, heat capacity and volume are shown here as a function of temperature for various crystal structures and liquid phases. The included crystal structures correspond to those in the Solid Structures vs. Temperature section, and the liquid phases to those in the Liquid Properties section. Internal energy and volume are taken from the associated structure relaxations mentioned in those previous sections. Constant pressure heat capacity is estimated using 3-point numerical derivatives of enthalpy versus temperature. Note that since all simulations done here are at 0 pressure, internal energy and enthalpy are equivalent.
The Gibbs energies of the phases are estimated using thermodynamic integration between the interatomic potential in question and a simpler model with known Gibbs free energy values. For solids, the reference model is an Einstein solid, while for liquids it is the Uhlenbeck-Ford potential. Besides a short run at the start of the solid calculations to estimate Einstein model spring constants, the two calculations proceed similarly. Starting with the final relaxation configurations, the systems are stabilized for 25,000 steps. Then, over the next 50,000 steps the potential is swapped out for the reference potential. The system is then stabilized for another 25,000 steps with the reference model before a reverse swap of 50,000 steps is performed. The simulation ends with one final 25,000 step stabilization period. From the simulation, the irreversible work of transformation is estimated and used to compute the absolute Gibbs free energy of the target phase and potential relative to the reference potential. Entropy is estimated as the difference in enthalpy and Gibbs free energy and divided by temperature.
The calculation methods used are available as the iprPy relax_dynamic, relax_liquid_redo, free_energy, and free_energy_liquid calculation methods.
Clicking on the image of a plot will open an interactive version of it in a new tab. The underlying data for the plots can be downloaded by clicking on the links above each plot.
Notes and Disclaimers:
Version Information:
            
            





