Plots of the potential energy vs interatomic spacing, r, are shown below for all diatom sets associated with the interatomic potential. This calculation provides insights into the functional form of the potential's two-body interactions. A system consisting of only two atoms is created, and the potential energy is evaluated for the atoms separated by 0.02 Å <= r <= 6.0> Å in intervals of 0.02 Å. Two plots are shown: one for the "standard" interaction distance range, and one for small values of r. The small r plot is useful for determining whether the potential is suitable for radiation studies.
The calculation method used is available as the iprPy diatom_scan calculation method.
Clicking on the image of a plot will open an interactive version of it in a new tab. The underlying data for the plots can be downloaded by clicking on the links above each plot.
Notes and Disclaimers:
Version Information:
Plots of potential energy vs interatomic spacing, r, are shown below for a number of crystal structures. The structures are generated based on the ideal atomic positions and b/a and c/a lattice parameter ratios for a given crystal prototype. The size of the system is then uniformly scaled, and the energy calculated without relaxing the system. To obtain these plots, values of r are evaluated every 0.02 Å up to 6 Å.
The calculation method used is available as the iprPy E_vs_r_scan calculation method.
Clicking on the image of a plot will open an interactive version of it in a new tab. The underlying data for the plots can be downloaded by clicking on the links above each plot.
Notes and Disclaimers:
Version Information:
Computed lattice constants and cohesive/potential energies are displayed for a variety of crystal structures. The values displayed here are obtained using the following process.
The calculation methods used are implemented into iprPy as the following calculation styles
Notes and Disclaimers:
Version Information:
Download raw data (including filtered results)
Reference structure matches:
A1--Cu--fcc = mp-134, oqmd-8100, oqmd-1214503
A15--beta-W = oqmd-1214948, oqmd-1280406
A2--W--bcc = mp-998860, oqmd-1215126
A3'--alpha-La--double-hcp = mp-1183144, oqmd-1215394
A3--Mg--hcp = oqmd-1215215, oqmd-1215304
A4--C--dc = oqmd-1215483
A5--beta-Sn = oqmd-1215572
A6--In--bct = oqmd-1215661
| prototype | method | Ecoh (eV/atom) | Epot (eV/atom) | a0 (Å) | b0 (Å) | c0 (Å) | α (degrees) | β (degrees) | γ (degrees) |
|---|---|---|---|---|---|---|---|---|---|
| A1--Cu--fcc | dynamic | -3.36 | -3.36 | 4.05 | 4.05 | 4.05 | 90.0 | 90.0 | 90.0 |
| A15--beta-W | dynamic | -3.3469 | -3.3469 | 5.1467 | 5.1467 | 5.1467 | 90.0 | 90.0 | 90.0 |
| A3'--alpha-La--double-hcp | dynamic | -3.3439 | -3.3439 | 2.8458 | 2.8458 | 9.5344 | 90.0 | 90.0 | 120.0 |
| oqmd-1216017 | dynamic | -3.3395 | -3.3395 | 2.8376 | 2.8376 | 21.6845 | 90.0 | 90.0 | 120.0 |
| A3--Mg--hcp | dynamic | -3.3322 | -3.3322 | 2.8191 | 2.8191 | 4.9445 | 90.0 | 90.0 | 120.0 |
| oqmd-1214770 | dynamic | -3.3221 | -3.3221 | 10.0139 | 10.0139 | 10.0139 | 90.0 | 90.0 | 90.0 |
| oqmd-1214859 | dynamic | -3.3209 | -3.3209 | 7.019 | 7.019 | 7.019 | 90.0 | 90.0 | 90.0 |
| oqmd-1214770 | box | -3.3197 | -3.3197 | 10.0175 | 10.0175 | 10.0175 | 90.0 | 90.0 | 90.0 |
| oqmd-1214859 | box | -3.3168 | -3.3168 | 7.0154 | 7.0154 | 7.0154 | 90.0 | 90.0 | 90.0 |
| mp-1244953 | dynamic | -3.2854 | -3.2854 | 11.4383 | 12.2939 | 12.5884 | 91.1 | 93.4 | 101.1 |
| mp-1245307 | dynamic | -3.2848 | -3.2848 | 11.9151 | 12.0824 | 12.1136 | 92.5 | 94.8 | 90.4 |
| mp-1245129 | dynamic | -3.2814 | -3.2814 | 11.5881 | 12.0857 | 12.6067 | 98.9 | 92.2 | 92.7 |
| mp-1245152 | dynamic | -3.2807 | -3.2807 | 11.7047 | 11.8705 | 12.5247 | 93.4 | 92.2 | 93.1 |
| mp-1245129 | static | -3.2765 | -3.2765 | 11.6723 | 11.9384 | 12.5891 | 97.4 | 91.9 | 92.3 |
| mp-1245067 | dynamic | -3.2705 | -3.2705 | 11.715 | 11.9646 | 12.6366 | 94.4 | 96.3 | 93.3 |
| mp-1245307 | static | -3.2671 | -3.2671 | 11.8385 | 12.0809 | 12.2178 | 90.2 | 93.2 | 92.5 |
| mp-1245152 | static | -3.2669 | -3.2669 | 11.4622 | 12.2902 | 12.4128 | 90.9 | 92.6 | 95.0 |
| mp-1245067 | static | -3.2568 | -3.2568 | 11.8051 | 12.1887 | 12.4342 | 93.6 | 98.7 | 92.6 |
| A2--W--bcc | static | -3.2545 | -3.2545 | 3.2354 | 3.2354 | 3.2354 | 90.0 | 90.0 | 90.0 |
| mp-1245129 | box | -3.2541 | -3.2541 | 11.7117 | 12.1208 | 12.4372 | 94.0 | 92.8 | 95.9 |
| mp-1244953 | box | -3.2472 | -3.2472 | 12.0478 | 12.0627 | 12.2688 | 86.7 | 80.5 | 87.3 |
| mp-1245152 | box | -3.2433 | -3.2433 | 11.9169 | 12.126 | 12.2354 | 92.2 | 91.7 | 96.3 |
| mp-1245307 | box | -3.2418 | -3.2418 | 11.9452 | 12.1653 | 12.1829 | 90.8 | 93.7 | 92.6 |
| mp-1245067 | box | -3.2304 | -3.2304 | 11.9648 | 12.269 | 12.2729 | 92.6 | 93.9 | 97.6 |
| oqmd-1215037 | box | -3.204 | -3.204 | 2.7991 | 4.9898 | 10.8154 | 90.0 | 90.0 | 90.0 |
| oqmd-1214681 | box | -3.0389 | -3.0389 | 4.3086 | 8.3969 | 4.4766 | 90.0 | 90.0 | 90.0 |
| A5--beta-Sn | static | -3.0359 | -3.0359 | 5.3506 | 5.3506 | 2.7773 | 90.0 | 90.0 | 90.0 |
| Ah--alpha-Po--sc | static | -2.9614 | -2.9614 | 2.7407 | 2.7407 | 2.7407 | 90.0 | 90.0 | 90.0 |
| mp-1239196 | static | -2.8144 | -2.8144 | 3.7409 | 3.7409 | 13.4205 | 90.0 | 90.0 | 90.0 |
| mp-1239196 | box | -2.8028 | -2.8028 | 3.7959 | 3.7959 | 13.3387 | 90.0 | 90.0 | 90.0 |
| A4--C--dc | static | -2.4691 | -2.4691 | 6.0465 | 6.0465 | 6.0465 | 90.0 | 90.0 | 90.0 |
Download raw data (including filtered results)
Reference structure matches:
| prototype | method | Ecoh (eV/atom) | Epot (eV/atom) | a0 (Å) | b0 (Å) | c0 (Å) | α (degrees) | β (degrees) | γ (degrees) |
|---|---|---|---|---|---|---|---|---|---|
| mp-30751 | static | -3.74 | -3.74 | 12.5649 | 14.5643 | 8.0143 | 90.0 | 90.0 | 90.0 |
| mp-1198336 | static | -3.74 | -3.74 | 8.0142 | 12.5649 | 14.5645 | 90.0 | 90.0 | 90.0 |
| oqmd-684912 | static | -3.74 | -3.74 | 8.0148 | 12.5657 | 14.5621 | 90.0 | 90.0 | 90.0 |
| mp-30751 | box | -3.7151 | -3.7151 | 12.5235 | 14.4247 | 8.1804 | 90.0 | 90.0 | 90.0 |
| mp-1198336 | box | -3.7134 | -3.7134 | 8.1911 | 12.5179 | 14.4091 | 90.0 | 90.0 | 90.0 |
| oqmd-684912 | box | -3.674 | -3.674 | 8.1583 | 12.6496 | 14.5173 | 90.0 | 90.0 | 90.0 |
Download raw data (including filtered results)
Reference structure matches:
| prototype | method | Ecoh (eV/atom) | Epot (eV/atom) | a0 (Å) | b0 (Å) | c0 (Å) | α (degrees) | β (degrees) | γ (degrees) |
|---|---|---|---|---|---|---|---|---|---|
| mp-1229050 | dynamic | -3.9471 | -3.9471 | 12.6968 | 3.8616 | 15.1144 | 90.0 | 103.9 | 90.0 |
| mp-1229050 | static | -3.9469 | -3.9469 | 12.7163 | 3.8508 | 15.1578 | 90.0 | 103.9 | 90.0 |
| mp-1229050 | box | -3.9041 | -3.9041 | 12.3691 | 4.0328 | 15.0759 | 90.0 | 106.5 | 90.0 |
Download raw data (including filtered results)
Reference structure matches:
| prototype | method | Ecoh (eV/atom) | Epot (eV/atom) | a0 (Å) | b0 (Å) | c0 (Å) | α (degrees) | β (degrees) | γ (degrees) |
|---|---|---|---|---|---|---|---|---|---|
| mp-1215090 | static | -3.7445 | -3.7445 | 15.1139 | 7.9772 | 12.5889 | 90.0 | 108.4 | 90.0 |
| mp-1215090 | box | -3.7124 | -3.7124 | 15.053 | 8.1398 | 12.5371 | 90.0 | 107.8 | 90.0 |
Download raw data (including filtered results)
Reference structure matches:
| prototype | method | Ecoh (eV/atom) | Epot (eV/atom) | a0 (Å) | b0 (Å) | c0 (Å) | α (degrees) | β (degrees) | γ (degrees) |
|---|---|---|---|---|---|---|---|---|---|
| C1--CaF2--fluorite | dynamic | -3.8744 | -3.8744 | 5.6277 | 5.6277 | 5.6277 | 90.0 | 90.0 | 90.0 |
| oqmd-1231465 | static | -3.6437 | -3.6437 | 5.8452 | 5.8452 | 2.6928 | 90.0 | 90.0 | 90.0 |
| oqmd-1231465 | box | -3.6437 | -3.6437 | 5.8431 | 5.8431 | 2.6957 | 90.0 | 90.0 | 90.0 |
| oqmd-1238125 | static | -1.4939 | -1.4939 | 10.3221 | 10.3221 | 10.3221 | 90.0 | 90.0 | 90.0 |
Download raw data (including filtered results)
Reference structure matches:
| prototype | method | Ecoh (eV/atom) | Epot (eV/atom) | a0 (Å) | b0 (Å) | c0 (Å) | α (degrees) | β (degrees) | γ (degrees) |
|---|---|---|---|---|---|---|---|---|---|
| oqmd-425542 | box | -4.0256 | -4.0256 | 5.9343 | 5.9343 | 12.5401 | 90.0 | 90.0 | 120.0 |
Download raw data (including filtered results)
Reference structure matches:
L2_1--AlCu2Mn--heusler = oqmd-510001
| prototype | method | Ecoh (eV/atom) | Epot (eV/atom) | a0 (Å) | b0 (Å) | c0 (Å) | α (degrees) | β (degrees) | γ (degrees) |
|---|---|---|---|---|---|---|---|---|---|
| mp-1228913 | dynamic | -4.5531 | -4.5531 | 2.833 | 2.833 | 5.7717 | 90.0 | 90.0 | 90.0 |
| mp-1228913 | box | -4.553 | -4.553 | 2.8322 | 2.8322 | 5.7746 | 90.0 | 90.0 | 90.0 |
| L2_1--AlCu2Mn--heusler | dynamic | -4.5291 | -4.5291 | 5.6949 | 5.6949 | 5.6949 | 90.0 | 90.0 | 90.0 |
Download raw data (including filtered results)
Reference structure matches:
| prototype | method | Ecoh (eV/atom) | Epot (eV/atom) | a0 (Å) | b0 (Å) | c0 (Å) | α (degrees) | β (degrees) | γ (degrees) |
|---|---|---|---|---|---|---|---|---|---|
| C1--CaF2--fluorite | dynamic | -3.9147 | -3.9147 | 5.6383 | 5.6383 | 5.6383 | 90.0 | 90.0 | 90.0 |
| oqmd-1231494 | static | -3.6184 | -3.6184 | 5.8853 | 5.8853 | 2.6303 | 90.0 | 90.0 | 90.0 |
| oqmd-1231494 | box | -3.6043 | -3.6043 | 5.8621 | 5.8621 | 2.6813 | 90.0 | 90.0 | 90.0 |
| oqmd-1239581 | static | -2.2039 | -2.2039 | 10.8689 | 10.8689 | 10.8689 | 90.0 | 90.0 | 90.0 |
Download raw data (including filtered results)
Reference structure matches:
| prototype | method | Ecoh (eV/atom) | Epot (eV/atom) | a0 (Å) | b0 (Å) | c0 (Å) | α (degrees) | β (degrees) | γ (degrees) |
|---|---|---|---|---|---|---|---|---|---|
| mp-1229048 | dynamic | -4.5259 | -4.5259 | 2.8606 | 2.8606 | 13.6737 | 90.0 | 90.0 | 90.0 |
| mp-1229048 | box | -4.5246 | -4.5246 | 2.8578 | 2.8578 | 13.7094 | 90.0 | 90.0 | 90.0 |
| oqmd-425572 | box | -4.0265 | -4.0265 | 6.0679 | 6.0679 | 11.9452 | 90.0 | 90.0 | 120.0 |
Download raw data (including filtered results)
Reference structure matches:
D0_3--BiF3 = oqmd-310854
L1_2--AuCu3 = oqmd-349288
| prototype | method | Ecoh (eV/atom) | Epot (eV/atom) | a0 (Å) | b0 (Å) | c0 (Å) | α (degrees) | β (degrees) | γ (degrees) |
|---|---|---|---|---|---|---|---|---|---|
| oqmd-324802 | static | -3.7421 | -3.7421 | 5.5969 | 5.5969 | 4.0333 | 90.0 | 90.0 | 120.0 |
| oqmd-324802 | box | -3.7346 | -3.7346 | 5.5479 | 5.5479 | 4.0825 | 90.0 | 90.0 | 120.0 |
| D0_3--BiF3 | dynamic | -3.6699 | -3.6699 | 5.8931 | 5.8931 | 5.8931 | 90.0 | 90.0 | 90.0 |
| L1_2--AuCu3 | static | -3.6166 | -3.6166 | 3.8598 | 3.8598 | 3.8598 | 90.0 | 90.0 | 90.0 |
| A15--Cr3Si | dynamic | -3.499 | -3.499 | 4.5962 | 4.5962 | 4.5962 | 90.0 | 90.0 | 90.0 |
Download raw data (including filtered results)
Reference structure matches:
D0_3--BiF3 = oqmd-308055
L1_2--AuCu3 = oqmd-344444
| prototype | method | Ecoh (eV/atom) | Epot (eV/atom) | a0 (Å) | b0 (Å) | c0 (Å) | α (degrees) | β (degrees) | γ (degrees) |
|---|---|---|---|---|---|---|---|---|---|
| oqmd-319958 | dynamic | -3.8977 | -3.8977 | 5.3962 | 5.3962 | 4.3077 | 90.0 | 90.0 | 120.0 |
| oqmd-319958 | box | -3.8966 | -3.8966 | 5.3861 | 5.3861 | 4.3225 | 90.0 | 90.0 | 120.0 |
| L1_2--AuCu3 | dynamic | -3.8931 | -3.8931 | 3.8015 | 3.8015 | 3.8015 | 90.0 | 90.0 | 90.0 |
| oqmd-297529 | dynamic | -3.89 | -3.89 | 3.7973 | 3.7973 | 7.5992 | 90.0 | 90.0 | 90.0 |
| oqmd-10517 | dynamic | -3.8752 | -3.8752 | 6.2355 | 7.765 | 4.9097 | 90.0 | 90.0 | 90.0 |
| oqmd-10517 | static | -3.8752 | -3.8752 | 6.2356 | 7.7649 | 4.9097 | 90.0 | 90.0 | 90.0 |
| mp-622209 | static | -3.8752 | -3.8752 | 6.2357 | 7.7649 | 4.9097 | 90.0 | 90.0 | 90.0 |
| oqmd-10517 | box | -3.8668 | -3.8668 | 6.4974 | 7.5734 | 4.8338 | 90.0 | 90.0 | 90.0 |
| mp-622209 | box | -3.8657 | -3.8657 | 6.5247 | 7.5559 | 4.8226 | 90.0 | 90.0 | 90.0 |
| A15--Cr3Si | dynamic | -3.8388 | -3.8388 | 4.8404 | 4.8404 | 4.8404 | 90.0 | 90.0 | 90.0 |
| D0_3--BiF3 | static | -3.836 | -3.836 | 5.9891 | 5.9891 | 5.9891 | 90.0 | 90.0 | 90.0 |
Download raw data (including filtered results)
Reference structure matches:
| prototype | method | Ecoh (eV/atom) | Epot (eV/atom) | a0 (Å) | b0 (Å) | c0 (Å) | α (degrees) | β (degrees) | γ (degrees) |
|---|---|---|---|---|---|---|---|---|---|
| oqmd-18699 | dynamic | -4.1589 | -4.1589 | 3.9788 | 3.9788 | 4.8982 | 90.0 | 90.0 | 120.0 |
| oqmd-18699 | box | -4.1586 | -4.1586 | 3.9793 | 3.9793 | 4.8975 | 90.0 | 90.0 | 120.0 |
| mp-1057 | box | -4.1581 | -4.1581 | 3.9803 | 3.9803 | 4.8976 | 90.0 | 90.0 | 120.0 |
Download raw data (including filtered results)
Reference structure matches:
| prototype | method | Ecoh (eV/atom) | Epot (eV/atom) | a0 (Å) | b0 (Å) | c0 (Å) | α (degrees) | β (degrees) | γ (degrees) |
|---|---|---|---|---|---|---|---|---|---|
| mp-16514 | dynamic | -4.5821 | -4.5821 | 6.2753 | 7.538 | 3.7784 | 90.0 | 90.0 | 90.0 |
| mp-16514 | static | -4.5821 | -4.5821 | 6.2752 | 7.5381 | 3.7785 | 90.0 | 90.0 | 90.0 |
| mp-16514 | box | -4.5802 | -4.5802 | 6.2511 | 7.5391 | 3.79 | 90.0 | 90.0 | 90.0 |
| oqmd-10518 | box | -4.5801 | -4.5801 | 6.2464 | 7.5402 | 3.7918 | 90.0 | 90.0 | 90.0 |
Download raw data (including filtered results)
Reference structure matches:
| prototype | method | Ecoh (eV/atom) | Epot (eV/atom) | a0 (Å) | b0 (Å) | c0 (Å) | α (degrees) | β (degrees) | γ (degrees) |
|---|---|---|---|---|---|---|---|---|---|
| mp-1228713 | dynamic | -4.522 | -4.522 | 3.5371 | 3.5371 | 17.3694 | 90.0 | 90.0 | 90.0 |
| mp-1228713 | box | -4.5189 | -4.5189 | 3.5407 | 3.5407 | 17.2983 | 90.0 | 90.0 | 90.0 |
Download raw data (including filtered results)
Reference structure matches:
| prototype | method | Ecoh (eV/atom) | Epot (eV/atom) | a0 (Å) | b0 (Å) | c0 (Å) | α (degrees) | β (degrees) | γ (degrees) |
|---|---|---|---|---|---|---|---|---|---|
| mp-16515 | dynamic | -4.2658 | -4.2658 | 11.2751 | 11.2751 | 11.2751 | 90.0 | 90.0 | 90.0 |
| mp-16515 | box | -4.2655 | -4.2655 | 11.2772 | 11.2772 | 11.2772 | 90.0 | 90.0 | 90.0 |
| oqmd-10519 | box | -4.2654 | -4.2654 | 11.2758 | 11.2758 | 11.2758 | 90.0 | 90.0 | 90.0 |
Download raw data (including filtered results)
Reference structure matches:
| prototype | method | Ecoh (eV/atom) | Epot (eV/atom) | a0 (Å) | b0 (Å) | c0 (Å) | α (degrees) | β (degrees) | γ (degrees) |
|---|---|---|---|---|---|---|---|---|---|
| mp-196 | static | -3.8354 | -3.8354 | 7.7362 | 7.7362 | 7.2694 | 90.0 | 90.0 | 120.0 |
| oqmd-5772 | box | -3.8086 | -3.8086 | 7.8101 | 7.8101 | 7.2419 | 90.0 | 90.0 | 120.0 |
| oqmd-19163 | box | -3.8076 | -3.8076 | 7.823 | 7.823 | 7.2257 | 90.0 | 90.0 | 120.0 |
| mp-196 | box | -3.8072 | -3.8072 | 7.8283 | 7.8283 | 7.2178 | 90.0 | 90.0 | 120.0 |
Download raw data (including filtered results)
Reference structure matches:
| prototype | method | Ecoh (eV/atom) | Epot (eV/atom) | a0 (Å) | b0 (Å) | c0 (Å) | α (degrees) | β (degrees) | γ (degrees) |
|---|---|---|---|---|---|---|---|---|---|
| mp-16488 | dynamic | -3.6592 | -3.6592 | 6.1818 | 6.3406 | 8.5951 | 90.0 | 98.0 | 90.0 |
| mp-16488 | box | -3.6484 | -3.6484 | 6.2551 | 6.2879 | 8.5687 | 90.0 | 98.1 | 90.0 |
| oqmd-10412 | box | -3.6472 | -3.6472 | 6.2582 | 6.2852 | 8.5694 | 90.0 | 98.1 | 90.0 |
Download raw data (including filtered results)
Reference structure matches:
| prototype | method | Ecoh (eV/atom) | Epot (eV/atom) | a0 (Å) | b0 (Å) | c0 (Å) | α (degrees) | β (degrees) | γ (degrees) |
|---|---|---|---|---|---|---|---|---|---|
| mp-1228742 | static | -3.804 | -3.804 | 7.8815 | 11.621 | 15.2345 | 90.0 | 90.0 | 90.0 |
| mp-1228742 | box | -3.7844 | -3.7844 | 7.7369 | 11.9056 | 15.2273 | 90.0 | 90.0 | 90.0 |
Download raw data (including filtered results)
Reference structure matches:
B1--NaCl--rock-salt = oqmd-1105041
B2--CsCl = mp-284, oqmd-10411, oqmd-305856, oqmd-1217513
B3--ZnS--cubic-zinc-blende = oqmd-1218299
L1_0--AuCu = oqmd-337398
| prototype | method | Ecoh (eV/atom) | Epot (eV/atom) | a0 (Å) | b0 (Å) | c0 (Å) | α (degrees) | β (degrees) | γ (degrees) |
|---|---|---|---|---|---|---|---|---|---|
| B2--CsCl | dynamic | -4.5149 | -4.5149 | 2.7968 | 2.7968 | 2.7968 | 90.0 | 90.0 | 90.0 |
| B1--NaCl--rock-salt | static | -4.2799 | -4.2799 | 4.5847 | 4.5847 | 4.5847 | 90.0 | 90.0 | 90.0 |
| oqmd-1224493 | box | -3.8183 | -3.8183 | 3.9831 | 3.9831 | 4.5562 | 90.0 | 90.0 | 120.0 |
| B4--ZnS--wurtzite | box | -3.2239 | -3.2239 | 3.6647 | 3.6647 | 5.9569 | 90.0 | 90.0 | 120.0 |
| B3--ZnS--cubic-zinc-blende | static | -3.1675 | -3.1675 | 5.2009 | 5.2009 | 5.2009 | 90.0 | 90.0 | 90.0 |
Download raw data (including filtered results)
Reference structure matches:
| prototype | method | Ecoh (eV/atom) | Epot (eV/atom) | a0 (Å) | b0 (Å) | c0 (Å) | α (degrees) | β (degrees) | γ (degrees) |
|---|---|---|---|---|---|---|---|---|---|
| C1--CaF2--fluorite | static | -4.15 | -4.15 | 5.3549 | 5.3549 | 5.3549 | 90.0 | 90.0 | 90.0 |
| oqmd-1238124 | static | -1.0439 | -1.0439 | 10.4218 | 10.4218 | 10.4218 | 90.0 | 90.0 | 90.0 |
Download raw data (including filtered results)
Reference structure matches:
L2_1--AlCu2Mn--heusler = mp-1214804, oqmd-411811
| prototype | method | Ecoh (eV/atom) | Epot (eV/atom) | a0 (Å) | b0 (Å) | c0 (Å) | α (degrees) | β (degrees) | γ (degrees) |
|---|---|---|---|---|---|---|---|---|---|
| mp-1214822 | dynamic | -4.5125 | -4.5125 | 3.8097 | 3.8097 | 6.1798 | 90.0 | 90.0 | 90.0 |
| L2_1--AlCu2Mn--heusler | static | -4.4981 | -4.4981 | 5.7033 | 5.7033 | 5.7033 | 90.0 | 90.0 | 90.0 |
| L2_1--AlCu2Mn--heusler | box | -4.4938 | -4.4938 | 5.5789 | 5.5789 | 5.5789 | 90.0 | 90.0 | 90.0 |
Download raw data (including filtered results)
Reference structure matches:
D0_3--BiF3 = oqmd-314260
L1_2--AuCu3 = mp-1018101, oqmd-345882
| prototype | method | Ecoh (eV/atom) | Epot (eV/atom) | a0 (Å) | b0 (Å) | c0 (Å) | α (degrees) | β (degrees) | γ (degrees) |
|---|---|---|---|---|---|---|---|---|---|
| mp-1080667 | dynamic | -4.5094 | -4.5094 | 4.8529 | 4.8529 | 3.9696 | 90.0 | 90.0 | 120.0 |
| oqmd-321396 | box | -4.4968 | -4.4968 | 4.8518 | 4.8518 | 3.9853 | 90.0 | 90.0 | 120.0 |
| mp-1080667 | box | -4.4914 | -4.4914 | 4.8546 | 4.8546 | 3.9888 | 90.0 | 90.0 | 120.0 |
| oqmd-303718 | dynamic | -4.4669 | -4.4669 | 3.3728 | 3.3728 | 6.8007 | 90.0 | 90.0 | 90.0 |
| L1_2--AuCu3 | dynamic | -4.4342 | -4.4342 | 3.3965 | 3.3965 | 3.3965 | 90.0 | 90.0 | 90.0 |
| D0_3--BiF3 | static | -4.3853 | -4.3853 | 5.5718 | 5.5718 | 5.5718 | 90.0 | 90.0 | 90.0 |
| A15--Cr3Si | static | -4.2286 | -4.2286 | 4.4249 | 4.4249 | 4.4249 | 90.0 | 90.0 | 90.0 |
| A15--Cr3Si | static | -0.0172 | -0.0172 | 11.6459 | 11.6459 | 11.6459 | 90.0 | 90.0 | 90.0 |
Download raw data (including filtered results)
Reference structure matches:
| prototype | method | Ecoh (eV/atom) | Epot (eV/atom) | a0 (Å) | b0 (Å) | c0 (Å) | α (degrees) | β (degrees) | γ (degrees) |
|---|---|---|---|---|---|---|---|---|---|
| mp-1228933 | dynamic | -4.4239 | -4.4239 | 2.5511 | 2.5511 | 29.3885 | 90.0 | 90.0 | 120.0 |
Download raw data (including filtered results)
Reference structure matches:
| prototype | method | Ecoh (eV/atom) | Epot (eV/atom) | a0 (Å) | b0 (Å) | c0 (Å) | α (degrees) | β (degrees) | γ (degrees) |
|---|---|---|---|---|---|---|---|---|---|
| oqmd-941101 | dynamic | -4.2329 | -4.2329 | 5.2722 | 5.2722 | 5.2722 | 90.0 | 90.0 | 90.0 |
| oqmd-859244 | dynamic | -4.033 | -4.033 | 5.4226 | 5.4226 | 5.4226 | 90.0 | 90.0 | 90.0 |
| oqmd-959934 | static | -3.7833 | -3.7833 | 5.4496 | 5.4496 | 5.4496 | 90.0 | 90.0 | 90.0 |
Download raw data (including filtered results)
Reference structure matches:
L2_1--AlCu2Mn--heusler = oqmd-528836
| prototype | method | Ecoh (eV/atom) | Epot (eV/atom) | a0 (Å) | b0 (Å) | c0 (Å) | α (degrees) | β (degrees) | γ (degrees) |
|---|---|---|---|---|---|---|---|---|---|
| L2_1--AlCu2Mn--heusler | static | -4.3183 | -4.3183 | 5.7381 | 5.7381 | 5.7381 | 90.0 | 90.0 | 90.0 |
| L2_1--AlCu2Mn--heusler | static | -4.3105 | -4.3105 | 5.5298 | 5.5298 | 5.5298 | 90.0 | 90.0 | 90.0 |
| L2_1--AlCu2Mn--heusler | box | -4.3094 | -4.3094 | 5.589 | 5.589 | 5.589 | 90.0 | 90.0 | 90.0 |
Download raw data (including filtered results)
Reference structure matches:
| prototype | method | Ecoh (eV/atom) | Epot (eV/atom) | a0 (Å) | b0 (Å) | c0 (Å) | α (degrees) | β (degrees) | γ (degrees) |
|---|---|---|---|---|---|---|---|---|---|
| mp-1228972 | dynamic | -4.5929 | -4.5929 | 3.5577 | 3.5577 | 7.1939 | 90.0 | 90.0 | 90.0 |
| mp-1228972 | box | -4.5736 | -4.5736 | 3.5633 | 3.5633 | 7.1782 | 90.0 | 90.0 | 90.0 |
Download raw data (including filtered results)
Reference structure matches:
B1--NaCl--rock-salt = oqmd-1103673
B2--CsCl = mp-1487, oqmd-10516, oqmd-94913, oqmd-94919, oqmd-304487
B3--ZnS--cubic-zinc-blende = oqmd-1218328
L1_0--AuCu = oqmd-336029
| prototype | method | Ecoh (eV/atom) | Epot (eV/atom) | a0 (Å) | b0 (Å) | c0 (Å) | α (degrees) | β (degrees) | γ (degrees) |
|---|---|---|---|---|---|---|---|---|---|
| B2--CsCl | dynamic | -4.5109 | -4.5109 | 2.832 | 2.832 | 2.832 | 90.0 | 90.0 | 90.0 |
| oqmd-1217542 | box | -4.5108 | -4.5108 | 4.0053 | 2.8317 | 4.0054 | 90.0 | 90.0 | 90.0 |
| oqmd-1228008 | dynamic | -4.3105 | -4.3105 | 2.6727 | 2.6727 | 3.9078 | 90.0 | 90.0 | 120.0 |
| oqmd-325571 | dynamic | -4.291 | -4.291 | 2.6767 | 2.6767 | 11.8332 | 90.0 | 90.0 | 120.0 |
| B1--NaCl--rock-salt | static | -3.9387 | -3.9387 | 4.7535 | 4.7535 | 4.7535 | 90.0 | 90.0 | 90.0 |
| oqmd-1224522 | static | -3.61 | -3.61 | 3.9522 | 3.9522 | 4.6397 | 90.0 | 90.0 | 120.0 |
| B3--ZnS--cubic-zinc-blende | static | -3.2481 | -3.2481 | 5.3052 | 5.3052 | 5.3052 | 90.0 | 90.0 | 90.0 |
| B4--ZnS--wurtzite | box | -3.229 | -3.229 | 3.7345 | 3.7345 | 6.0704 | 90.0 | 90.0 | 120.0 |
Download raw data (including filtered results)
Reference structure matches:
| prototype | method | Ecoh (eV/atom) | Epot (eV/atom) | a0 (Å) | b0 (Å) | c0 (Å) | α (degrees) | β (degrees) | γ (degrees) |
|---|---|---|---|---|---|---|---|---|---|
| mp-1025044 | dynamic | -4.5942 | -4.5942 | 3.945 | 3.945 | 4.8324 | 90.0 | 90.0 | 120.0 |
| mp-1025044 | box | -4.5937 | -4.5937 | 3.9459 | 3.9459 | 4.8322 | 90.0 | 90.0 | 120.0 |
| C1--CaF2--fluorite | dynamic | -4.1393 | -4.1393 | 5.4214 | 5.4214 | 5.4214 | 90.0 | 90.0 | 90.0 |
| oqmd-1239580 | static | -2.1827 | -2.1827 | 10.9783 | 10.9783 | 10.9783 | 90.0 | 90.0 | 90.0 |
Download raw data (including filtered results)
Reference structure matches:
D0_3--BiF3 = mp-672232, oqmd-27902, oqmd-309416
L1_2--AuCu3 = mp-2593, oqmd-17890, oqmd-343083
| prototype | method | Ecoh (eV/atom) | Epot (eV/atom) | a0 (Å) | b0 (Å) | c0 (Å) | α (degrees) | β (degrees) | γ (degrees) |
|---|---|---|---|---|---|---|---|---|---|
| L1_2--AuCu3 | dynamic | -4.6315 | -4.6315 | 3.5332 | 3.5332 | 3.5332 | 90.0 | 90.0 | 90.0 |
| mp-1183232 | dynamic | -4.6279 | -4.6279 | 4.9907 | 4.9907 | 4.0638 | 90.0 | 90.0 | 120.0 |
| oqmd-298875 | dynamic | -4.625 | -4.625 | 3.6063 | 3.6063 | 6.6924 | 90.0 | 90.0 | 90.0 |
| oqmd-298875 | box | -4.6243 | -4.6243 | 3.5694 | 3.5694 | 6.8756 | 90.0 | 90.0 | 90.0 |
| oqmd-318597 | box | -4.6237 | -4.6237 | 4.9927 | 4.9927 | 4.0662 | 90.0 | 90.0 | 120.0 |
| mp-1183232 | box | -4.6221 | -4.6221 | 4.9934 | 4.9934 | 4.0666 | 90.0 | 90.0 | 120.0 |
| D0_3--BiF3 | dynamic | -4.5988 | -4.5988 | 5.5425 | 5.5425 | 5.5425 | 90.0 | 90.0 | 90.0 |
| A15--Cr3Si | dynamic | -4.5532 | -4.5532 | 4.4363 | 4.4363 | 4.4363 | 90.0 | 90.0 | 90.0 |
| A15--Cr3Si | dynamic | -0.0 | -0.0 | 11.28 | 11.28 | 11.28 | 90.0 | 90.0 | 90.0 |
| A15--Cr3Si | dynamic | -0.0 | -0.0 | 11.36 | 11.36 | 11.36 | 90.0 | 90.0 | 90.0 |
Download raw data (including filtered results)
Reference structure matches:
A1--Cu--fcc = mp-102, oqmd-592136, oqmd-594128, oqmd-1214517
A15--beta-W = oqmd-1214962, oqmd-1280314
A2--W--bcc = oqmd-1215140, oqmd-1215853
A3'--alpha-La--double-hcp = mp-1183710, oqmd-1215408
A3--Mg--hcp = mp-54, oqmd-592630, oqmd-637416, oqmd-1215318
A4--C--dc = oqmd-1215497
A5--beta-Sn = oqmd-1215586
A6--In--bct = oqmd-1215675
| prototype | method | Ecoh (eV/atom) | Epot (eV/atom) | a0 (Å) | b0 (Å) | c0 (Å) | α (degrees) | β (degrees) | γ (degrees) |
|---|---|---|---|---|---|---|---|---|---|
| A3--Mg--hcp | dynamic | -4.391 | -4.391 | 2.5187 | 2.5187 | 4.0557 | 90.0 | 90.0 | 120.0 |
| oqmd-1215229 | box | -4.3907 | -4.3907 | 2.5132 | 4.3718 | 4.0563 | 90.0 | 90.0 | 90.0 |
| oqmd-1216031 | dynamic | -4.3886 | -4.3886 | 2.5195 | 2.5195 | 18.3382 | 90.0 | 90.0 | 120.0 |
| A3'--alpha-La--double-hcp | dynamic | -4.3874 | -4.3874 | 2.5199 | 2.5199 | 8.1696 | 90.0 | 90.0 | 120.0 |
| A1--Cu--fcc | dynamic | -4.3849 | -4.3849 | 3.5642 | 3.5642 | 3.5642 | 90.0 | 90.0 | 90.0 |
| A2--W--bcc | static | -4.3273 | -4.3273 | 2.815 | 2.815 | 2.815 | 90.0 | 90.0 | 90.0 |
| oqmd-1214873 | dynamic | -4.294 | -4.294 | 6.1276 | 6.1276 | 6.1276 | 90.0 | 90.0 | 90.0 |
| oqmd-1214873 | box | -4.2925 | -4.2925 | 6.1258 | 6.1258 | 6.1258 | 90.0 | 90.0 | 90.0 |
| mp-669382 | static | -4.2784 | -4.2784 | 7.9274 | 7.9274 | 9.731 | 90.0 | 90.0 | 120.0 |
| oqmd-1214784 | dynamic | -4.2741 | -4.2741 | 8.7681 | 8.7681 | 8.7681 | 90.0 | 90.0 | 90.0 |
| oqmd-594127 | box | -4.2721 | -4.2721 | 7.988 | 7.988 | 9.6136 | 90.0 | 90.0 | 120.0 |
| mp-669382 | box | -4.2712 | -4.2712 | 7.9455 | 7.9455 | 9.7032 | 90.0 | 90.0 | 120.0 |
| oqmd-1214784 | box | -4.2524 | -4.2524 | 8.78 | 8.78 | 8.78 | 90.0 | 90.0 | 90.0 |
| A15--beta-W | static | -4.2271 | -4.2271 | 4.5481 | 4.5481 | 4.5481 | 90.0 | 90.0 | 90.0 |
| oqmd-631034 | static | -4.207 | -4.207 | 8.5055 | 8.5055 | 4.6153 | 90.0 | 90.0 | 90.0 |
| mp-1193227 | box | -4.1956 | -4.1956 | 8.5077 | 8.5077 | 4.6117 | 90.0 | 90.0 | 90.0 |
| oqmd-631034 | box | -4.1952 | -4.1952 | 8.511 | 8.511 | 4.6096 | 90.0 | 90.0 | 90.0 |
| oqmd-1215051 | box | -4.166 | -4.166 | 4.1982 | 9.0541 | 2.5434 | 90.0 | 90.0 | 90.0 |
| mp-1072089 | static | -4.1175 | -4.1175 | 6.6372 | 6.6372 | 6.6372 | 90.0 | 90.0 | 90.0 |
| oqmd-1214695 | box | -4.0727 | -4.0727 | 2.4381 | 2.4381 | 8.3967 | 90.0 | 90.0 | 90.0 |
| A5--beta-Sn | box | -3.9331 | -3.9331 | 4.6208 | 4.6208 | 2.4063 | 90.0 | 90.0 | 90.0 |
| Ah--alpha-Po--sc | static | -3.7608 | -3.7608 | 2.3711 | 2.3711 | 2.3711 | 90.0 | 90.0 | 90.0 |
| oqmd-1215942 | box | -3.2533 | -3.2533 | 4.015 | 4.015 | 4.4896 | 90.0 | 90.0 | 120.0 |
| A7--alpha-As | box | -3.2201 | -3.2201 | 3.208 | 3.208 | 10.3761 | 90.0 | 90.0 | 120.0 |
| A4--C--dc | static | -2.7275 | -2.7275 | 5.3436 | 5.3436 | 5.3436 | 90.0 | 90.0 | 90.0 |
| A6--In--bct | dynamic | -0.0228 | -0.0228 | 5.9363 | 5.9363 | 15.1751 | 90.0 | 90.0 | 90.0 |
| A4--C--dc | box | -0.0228 | -0.0228 | 13.7092 | 13.7092 | 13.7092 | 90.0 | 90.0 | 90.0 |
| A15--beta-W | static | -0.0172 | -0.0172 | 11.6459 | 11.6459 | 11.6459 | 90.0 | 90.0 | 90.0 |
Download raw data (including filtered results)
Reference structure matches:
| prototype | method | Ecoh (eV/atom) | Epot (eV/atom) | a0 (Å) | b0 (Å) | c0 (Å) | α (degrees) | β (degrees) | γ (degrees) |
|---|---|---|---|---|---|---|---|---|---|
| C1--CaF2--fluorite | dynamic | -3.7598 | -3.7598 | 5.4159 | 5.4159 | 5.4159 | 90.0 | 90.0 | 90.0 |
Download raw data (including filtered results)
Reference structure matches:
D0_3--BiF3 = oqmd-308248
L1_2--AuCu3 = mp-1008349, oqmd-344812
| prototype | method | Ecoh (eV/atom) | Epot (eV/atom) | a0 (Å) | b0 (Å) | c0 (Å) | α (degrees) | β (degrees) | γ (degrees) |
|---|---|---|---|---|---|---|---|---|---|
| mp-1226559 | static | -4.5839 | -4.5839 | 2.4615 | 2.4615 | 8.367 | 90.0 | 90.0 | 120.0 |
| mp-1226559 | box | -4.5633 | -4.5633 | 2.4607 | 2.4607 | 8.3291 | 90.0 | 90.0 | 120.0 |
| oqmd-297717 | dynamic | -4.4526 | -4.4526 | 3.6354 | 3.6354 | 7.1294 | 90.0 | 90.0 | 90.0 |
| mp-1183837 | dynamic | -4.4196 | -4.4196 | 5.1023 | 5.1023 | 4.0412 | 90.0 | 90.0 | 120.0 |
| mp-1183837 | box | -4.4196 | -4.4196 | 5.1027 | 5.1027 | 4.0412 | 90.0 | 90.0 | 120.0 |
| oqmd-320326 | box | -4.4196 | -4.4196 | 5.1019 | 5.1019 | 4.0413 | 90.0 | 90.0 | 120.0 |
| L1_2--AuCu3 | dynamic | -4.4179 | -4.4179 | 3.6216 | 3.6216 | 3.6216 | 90.0 | 90.0 | 90.0 |
| D0_3--BiF3 | static | -4.3216 | -4.3216 | 5.7818 | 5.7818 | 5.7818 | 90.0 | 90.0 | 90.0 |
| A15--Cr3Si | static | -4.2432 | -4.2432 | 4.4429 | 4.4429 | 4.4429 | 90.0 | 90.0 | 90.0 |
| A15--Cr3Si | static | -4.2296 | -4.2296 | 4.6379 | 4.6379 | 4.6379 | 90.0 | 90.0 | 90.0 |
| A15--Cr3Si | static | -0.0172 | -0.0172 | 11.6459 | 11.6459 | 11.6459 | 90.0 | 90.0 | 90.0 |
Download raw data (including filtered results)
Reference structure matches:
B1--NaCl--rock-salt = oqmd-1103760
B2--CsCl = mp-1006883, oqmd-304574
B3--ZnS--cubic-zinc-blende = oqmd-1219291
L1_0--AuCu = oqmd-336116
| prototype | method | Ecoh (eV/atom) | Epot (eV/atom) | a0 (Å) | b0 (Å) | c0 (Å) | α (degrees) | β (degrees) | γ (degrees) |
|---|---|---|---|---|---|---|---|---|---|
| oqmd-1228970 | static | -4.4644 | -4.4644 | 2.4398 | 2.4398 | 4.3795 | 90.0 | 90.0 | 120.0 |
| mp-1226063 | static | -4.4522 | -4.4522 | 2.4491 | 4.1085 | 4.4264 | 90.0 | 90.0 | 90.0 |
| oqmd-1219805 | dynamic | -4.4441 | -4.4441 | 4.0578 | 2.4767 | 4.5086 | 90.0 | 90.0 | 90.0 |
| oqmd-1219805 | box | -4.4409 | -4.4409 | 4.0582 | 2.4813 | 4.5168 | 90.0 | 90.0 | 90.0 |
| L1_0--AuCu | dynamic | -4.4367 | -4.4367 | 2.5706 | 2.5706 | 3.6255 | 90.0 | 90.0 | 90.0 |
| B2--CsCl | static | -4.2684 | -4.2684 | 2.9224 | 2.9224 | 2.9224 | 90.0 | 90.0 | 90.0 |
| B2--CsCl | dynamic | -4.219 | -4.219 | 2.7455 | 2.7455 | 2.7455 | 90.0 | 90.0 | 90.0 |
| B2--CsCl | box | -4.2072 | -4.2072 | 2.7951 | 2.7951 | 2.7951 | 90.0 | 90.0 | 90.0 |
| B1--NaCl--rock-salt | static | -3.7743 | -3.7743 | 4.9131 | 4.9131 | 4.9131 | 90.0 | 90.0 | 90.0 |
| B4--ZnS--wurtzite | box | -2.8475 | -2.8475 | 3.8001 | 3.8001 | 6.1913 | 90.0 | 90.0 | 120.0 |
| B3--ZnS--cubic-zinc-blende | static | -2.815 | -2.815 | 5.3679 | 5.3679 | 5.3679 | 90.0 | 90.0 | 90.0 |
Download raw data (including filtered results)
Reference structure matches:
| prototype | method | Ecoh (eV/atom) | Epot (eV/atom) | a0 (Å) | b0 (Å) | c0 (Å) | α (degrees) | β (degrees) | γ (degrees) |
|---|---|---|---|---|---|---|---|---|---|
| C1--CaF2--fluorite | dynamic | -3.763 | -3.763 | 5.4301 | 5.4301 | 5.4301 | 90.0 | 90.0 | 90.0 |
Download raw data (including filtered results)
Reference structure matches:
D0_3--BiF3 = oqmd-309784
L1_2--AuCu3 = mp-1183751, oqmd-343276
| prototype | method | Ecoh (eV/atom) | Epot (eV/atom) | a0 (Å) | b0 (Å) | c0 (Å) | α (degrees) | β (degrees) | γ (degrees) |
|---|---|---|---|---|---|---|---|---|---|
| oqmd-299242 | dynamic | -4.4706 | -4.4706 | 3.6247 | 3.6247 | 7.0918 | 90.0 | 90.0 | 90.0 |
| A15--Cr3Si | dynamic | -4.4335 | -4.4335 | 4.3776 | 4.3776 | 4.3776 | 90.0 | 90.0 | 90.0 |
| L1_2--AuCu3 | dynamic | -4.4311 | -4.4311 | 3.6092 | 3.6092 | 3.6092 | 90.0 | 90.0 | 90.0 |
| mp-1183785 | dynamic | -4.4223 | -4.4223 | 5.0606 | 5.0606 | 4.0692 | 90.0 | 90.0 | 120.0 |
| mp-1183785 | box | -4.4208 | -4.4208 | 5.0601 | 5.0601 | 4.0718 | 90.0 | 90.0 | 120.0 |
| oqmd-318790 | box | -4.4194 | -4.4194 | 5.0603 | 5.0603 | 4.073 | 90.0 | 90.0 | 120.0 |
| D0_3--BiF3 | static | -4.3248 | -4.3248 | 5.7615 | 5.7615 | 5.7615 | 90.0 | 90.0 | 90.0 |
Download raw data (including filtered results)
Reference structure matches:
A1--Cu--fcc = mp-23, oqmd-676148, oqmd-1214550
A15--beta-W = oqmd-1214995, oqmd-1280360
A2--W--bcc = mp-1008728, oqmd-22516, oqmd-1215173
A3'--alpha-La--double-hcp = oqmd-1215441
A3--Mg--hcp = mp-10257, oqmd-677944, oqmd-1215351
A4--C--dc = oqmd-1215530
A5--beta-Sn = oqmd-1215619
A6--In--bct = oqmd-1215708
| prototype | method | Ecoh (eV/atom) | Epot (eV/atom) | a0 (Å) | b0 (Å) | c0 (Å) | α (degrees) | β (degrees) | γ (degrees) |
|---|---|---|---|---|---|---|---|---|---|
| A1--Cu--fcc | dynamic | -4.45 | -4.45 | 3.52 | 3.52 | 3.52 | 90.0 | 90.0 | 90.0 |
| A3'--alpha-La--double-hcp | dynamic | -4.4387 | -4.4387 | 2.4854 | 2.4854 | 8.1645 | 90.0 | 90.0 | 120.0 |
| oqmd-1216067 | dynamic | -4.4351 | -4.4351 | 2.4842 | 2.4842 | 18.4035 | 90.0 | 90.0 | 120.0 |
| oqmd-1216067 | static | -4.4351 | -4.4351 | 2.4843 | 2.4843 | 18.4039 | 90.0 | 90.0 | 120.0 |
| A3--Mg--hcp | dynamic | -4.4279 | -4.4279 | 2.4819 | 2.4819 | 4.1048 | 90.0 | 90.0 | 120.0 |
| oqmd-1215262 | box | -4.4273 | -4.4273 | 2.4737 | 4.3127 | 4.1049 | 90.0 | 90.0 | 90.0 |
| A15--beta-W | dynamic | -4.4193 | -4.4193 | 4.4342 | 4.4342 | 4.4342 | 90.0 | 90.0 | 90.0 |
| oqmd-1214906 | dynamic | -4.3975 | -4.3975 | 6.0662 | 6.0662 | 6.0662 | 90.0 | 90.0 | 90.0 |
| oqmd-1214906 | box | -4.3971 | -4.3971 | 6.0632 | 6.0632 | 6.0632 | 90.0 | 90.0 | 90.0 |
| oqmd-1214817 | dynamic | -4.3852 | -4.3852 | 8.626 | 8.626 | 8.626 | 90.0 | 90.0 | 90.0 |
| oqmd-1214817 | box | -4.3835 | -4.3835 | 8.6317 | 8.6317 | 8.6317 | 90.0 | 90.0 | 90.0 |
| A2--W--bcc | box | -4.3827 | -4.3827 | 2.7687 | 2.7687 | 2.7687 | 90.0 | 90.0 | 90.0 |
| oqmd-1215084 | box | -4.1378 | -4.1378 | 2.5103 | 4.2328 | 9.1147 | 90.0 | 90.0 | 90.0 |
| oqmd-1214728 | static | -4.0884 | -4.0884 | 2.4636 | 2.4636 | 8.1674 | 90.0 | 90.0 | 90.0 |
| oqmd-1214728 | box | -4.0883 | -4.0883 | 2.4659 | 2.4659 | 8.1654 | 90.0 | 90.0 | 90.0 |
| A5--beta-Sn | static | -3.8645 | -3.8645 | 4.6612 | 4.6612 | 2.4242 | 90.0 | 90.0 | 90.0 |
| mp-1014111 | static | -3.8631 | -3.8631 | 2.4596 | 2.4596 | 13.7996 | 90.0 | 90.0 | 120.0 |
| mp-1014111 | dynamic | -3.8631 | -3.8631 | 2.4596 | 2.4596 | 13.6791 | 90.0 | 90.0 | 120.0 |
| mp-1014111 | box | -3.8631 | -3.8631 | 2.4596 | 2.4596 | 13.7998 | 90.0 | 90.0 | 120.0 |
| Ah--alpha-Po--sc | static | -3.7264 | -3.7264 | 2.3965 | 2.3965 | 2.3965 | 90.0 | 90.0 | 90.0 |
| A7--alpha-As | box | -3.4485 | -3.4485 | 3.216 | 3.216 | 9.4817 | 90.0 | 90.0 | 120.0 |
| A4--C--dc | static | -3.0336 | -3.0336 | 5.2221 | 5.2221 | 5.2221 | 90.0 | 90.0 | 90.0 |
| A1--Cu--fcc | box | -0.0 | -0.0 | 7.3502 | 7.3502 | 7.3502 | 90.0 | 90.0 | 90.0 |
| A2--W--bcc | box | -0.0 | -0.0 | 6.0014 | 6.0014 | 6.0014 | 90.0 | 90.0 | 90.0 |
| A4--C--dc | box | -0.0 | -0.0 | 12.0028 | 12.0028 | 12.0028 | 90.0 | 90.0 | 90.0 |
| A1--Cu--fcc | dynamic | -0.0 | -0.0 | 7.3539 | 7.3539 | 7.3539 | 90.0 | 90.0 | 90.0 |
| A3'--alpha-La--double-hcp | dynamic | -0.0 | -0.0 | 5.2 | 5.2 | 16.9831 | 90.0 | 90.0 | 120.0 |
| A3--Mg--hcp | dynamic | -0.0 | -0.0 | 5.2 | 5.2 | 8.4916 | 90.0 | 90.0 | 120.0 |
| A2--W--bcc | dynamic | -0.0 | -0.0 | 6.0044 | 6.0044 | 6.0044 | 90.0 | 90.0 | 90.0 |
| Ah--alpha-Po--sc | dynamic | -0.0 | -0.0 | 5.2 | 5.2 | 5.2 | 90.0 | 90.0 | 90.0 |
| A6--In--bct | dynamic | -0.0 | -0.0 | 5.2 | 5.2 | 7.8 | 90.0 | 90.0 | 90.0 |
| A5--beta-Sn | dynamic | -0.0 | -0.0 | 10.0277 | 10.0277 | 5.5153 | 90.0 | 90.0 | 90.0 |
| A4--C--dc | dynamic | -0.0 | -0.0 | 12.0089 | 12.0089 | 12.0089 | 90.0 | 90.0 | 90.0 |
| A7--alpha-As | dynamic | -0.0 | -0.0 | 7.7689 | 7.7689 | 21.5741 | 90.0 | 90.0 | 120.0 |
| A15--beta-W | dynamic | -0.0 | -0.0 | 10.4 | 10.4 | 10.4 | 90.0 | 90.0 | 90.0 |
| A3--Mg--hcp | box | -0.0 | -0.0 | 5.2397 | 5.2397 | 8.5564 | 90.0 | 90.0 | 120.0 |
| A3'--alpha-La--double-hcp | box | -0.0 | -0.0 | 5.2397 | 5.2397 | 17.1127 | 90.0 | 90.0 | 120.0 |
| A1--Cu--fcc | box | -0.0 | -0.0 | 7.41 | 7.41 | 7.41 | 90.0 | 90.0 | 90.0 |
| A1--Cu--fcc | dynamic | -0.0 | -0.0 | 7.4105 | 7.4105 | 7.4105 | 90.0 | 90.0 | 90.0 |
| A3'--alpha-La--double-hcp | dynamic | -0.0 | -0.0 | 5.24 | 5.24 | 17.1138 | 90.0 | 90.0 | 120.0 |
| A3--Mg--hcp | dynamic | -0.0 | -0.0 | 5.24 | 5.24 | 8.5569 | 90.0 | 90.0 | 120.0 |
| A2--W--bcc | box | -0.0 | -0.0 | 6.0503 | 6.0503 | 6.0503 | 90.0 | 90.0 | 90.0 |
| A2--W--bcc | dynamic | -0.0 | -0.0 | 6.0506 | 6.0506 | 6.0506 | 90.0 | 90.0 | 90.0 |
| Ah--alpha-Po--sc | dynamic | -0.0 | -0.0 | 5.24 | 5.24 | 5.24 | 90.0 | 90.0 | 90.0 |
| A4--C--dc | box | -0.0 | -0.0 | 12.1005 | 12.1005 | 12.1005 | 90.0 | 90.0 | 90.0 |
| A5--beta-Sn | dynamic | -0.0 | -0.0 | 10.1049 | 10.1049 | 5.5577 | 90.0 | 90.0 | 90.0 |
| A6--In--bct | dynamic | -0.0 | -0.0 | 5.24 | 5.24 | 7.86 | 90.0 | 90.0 | 90.0 |
| A4--C--dc | dynamic | -0.0 | -0.0 | 12.1013 | 12.1013 | 12.1013 | 90.0 | 90.0 | 90.0 |
| A7--alpha-As | dynamic | -0.0 | -0.0 | 7.8286 | 7.8286 | 21.7401 | 90.0 | 90.0 | 120.0 |
| A15--beta-W | dynamic | -0.0 | -0.0 | 10.48 | 10.48 | 10.48 | 90.0 | 90.0 | 90.0 |
| A3--Mg--hcp | box | -0.0 | -0.0 | 5.2798 | 5.2798 | 8.6219 | 90.0 | 90.0 | 120.0 |
| A1--Cu--fcc | box | -0.0 | -0.0 | 7.4668 | 7.4668 | 7.4668 | 90.0 | 90.0 | 90.0 |
| A3'--alpha-La--double-hcp | box | -0.0 | -0.0 | 5.2798 | 5.2798 | 17.2439 | 90.0 | 90.0 | 120.0 |
| A1--Cu--fcc | dynamic | -0.0 | -0.0 | 7.467 | 7.467 | 7.467 | 90.0 | 90.0 | 90.0 |
| A3'--alpha-La--double-hcp | dynamic | -0.0 | -0.0 | 5.28 | 5.28 | 17.2444 | 90.0 | 90.0 | 120.0 |
| A3--Mg--hcp | dynamic | -0.0 | -0.0 | 5.28 | 5.28 | 8.6222 | 90.0 | 90.0 | 120.0 |
| A2--W--bcc | box | -0.0 | -0.0 | 6.0966 | 6.0966 | 6.0966 | 90.0 | 90.0 | 90.0 |
| A2--W--bcc | dynamic | -0.0 | -0.0 | 6.0968 | 6.0968 | 6.0968 | 90.0 | 90.0 | 90.0 |
| Ah--alpha-Po--sc | dynamic | -0.0 | -0.0 | 5.28 | 5.28 | 5.28 | 90.0 | 90.0 | 90.0 |
| A4--C--dc | box | -0.0 | -0.0 | 12.1933 | 12.1933 | 12.1933 | 90.0 | 90.0 | 90.0 |
| A6--In--bct | dynamic | -0.0 | -0.0 | 5.28 | 5.28 | 7.92 | 90.0 | 90.0 | 90.0 |
| A4--C--dc | dynamic | -0.0 | -0.0 | 12.1936 | 12.1936 | 12.1936 | 90.0 | 90.0 | 90.0 |
| A5--beta-Sn | dynamic | -0.0 | -0.0 | 10.182 | 10.182 | 5.6001 | 90.0 | 90.0 | 90.0 |
| A7--alpha-As | dynamic | -0.0 | -0.0 | 7.8884 | 7.8884 | 21.906 | 90.0 | 90.0 | 120.0 |
| A15--beta-W | dynamic | -0.0 | -0.0 | 10.56 | 10.56 | 10.56 | 90.0 | 90.0 | 90.0 |
| A3'--alpha-La--double-hcp | box | -0.0 | -0.0 | 5.3201 | 5.3201 | 17.3752 | 90.0 | 90.0 | 120.0 |
| A3--Mg--hcp | box | -0.0 | -0.0 | 5.3201 | 5.3201 | 8.6876 | 90.0 | 90.0 | 120.0 |
| A1--Cu--fcc | box | -0.0 | -0.0 | 7.5237 | 7.5237 | 7.5237 | 90.0 | 90.0 | 90.0 |
| A3--Mg--hcp | dynamic | -0.0 | -0.0 | 5.32 | 5.32 | 8.6875 | 90.0 | 90.0 | 120.0 |
| A3'--alpha-La--double-hcp | dynamic | -0.0 | -0.0 | 5.32 | 5.32 | 17.375 | 90.0 | 90.0 | 120.0 |
| A1--Cu--fcc | dynamic | -0.0 | -0.0 | 7.5236 | 7.5236 | 7.5236 | 90.0 | 90.0 | 90.0 |
| A2--W--bcc | box | -0.0 | -0.0 | 6.1431 | 6.1431 | 6.1431 | 90.0 | 90.0 | 90.0 |
| A2--W--bcc | dynamic | -0.0 | -0.0 | 6.143 | 6.143 | 6.143 | 90.0 | 90.0 | 90.0 |
| Ah--alpha-Po--sc | dynamic | -0.0 | -0.0 | 5.32 | 5.32 | 5.32 | 90.0 | 90.0 | 90.0 |
| A4--C--dc | box | -0.0 | -0.0 | 12.2861 | 12.2861 | 12.2861 | 90.0 | 90.0 | 90.0 |
| A4--C--dc | dynamic | -0.0 | -0.0 | 12.286 | 12.286 | 12.286 | 90.0 | 90.0 | 90.0 |
| A6--In--bct | dynamic | -0.0 | -0.0 | 5.32 | 5.32 | 7.98 | 90.0 | 90.0 | 90.0 |
| A5--beta-Sn | dynamic | -0.0 | -0.0 | 10.2591 | 10.2591 | 5.6425 | 90.0 | 90.0 | 90.0 |
| A7--alpha-As | dynamic | -0.0 | -0.0 | 7.9481 | 7.9481 | 22.072 | 90.0 | 90.0 | 120.0 |
| A15--beta-W | dynamic | -0.0 | -0.0 | 10.64 | 10.64 | 10.64 | 90.0 | 90.0 | 90.0 |
| A3--Mg--hcp | box | -0.0 | -0.0 | 5.3603 | 5.3603 | 8.7533 | 90.0 | 90.0 | 120.0 |
| A3'--alpha-La--double-hcp | box | -0.0 | -0.0 | 5.3603 | 5.3603 | 17.5066 | 90.0 | 90.0 | 120.0 |
| A1--Cu--fcc | box | -0.0 | -0.0 | 7.5806 | 7.5806 | 7.5806 | 90.0 | 90.0 | 90.0 |
| A2--W--bcc | box | -0.0 | -0.0 | 6.1895 | 6.1895 | 6.1895 | 90.0 | 90.0 | 90.0 |
| A3'--alpha-La--double-hcp | dynamic | -0.0 | -0.0 | 5.36 | 5.36 | 17.5057 | 90.0 | 90.0 | 120.0 |
| A3--Mg--hcp | dynamic | -0.0 | -0.0 | 5.36 | 5.36 | 8.7528 | 90.0 | 90.0 | 120.0 |
| A1--Cu--fcc | dynamic | -0.0 | -0.0 | 7.5802 | 7.5802 | 7.5802 | 90.0 | 90.0 | 90.0 |
| A4--C--dc | box | -0.0 | -0.0 | 12.3791 | 12.3791 | 12.3791 | 90.0 | 90.0 | 90.0 |
| A2--W--bcc | dynamic | -0.0 | -0.0 | 6.1892 | 6.1892 | 6.1892 | 90.0 | 90.0 | 90.0 |
| Ah--alpha-Po--sc | dynamic | -0.0 | -0.0 | 5.36 | 5.36 | 5.36 | 90.0 | 90.0 | 90.0 |
| A4--C--dc | dynamic | -0.0 | -0.0 | 12.3784 | 12.3784 | 12.3784 | 90.0 | 90.0 | 90.0 |
| A6--In--bct | dynamic | -0.0 | -0.0 | 5.36 | 5.36 | 8.04 | 90.0 | 90.0 | 90.0 |
| A5--beta-Sn | dynamic | -0.0 | -0.0 | 10.3363 | 10.3363 | 5.685 | 90.0 | 90.0 | 90.0 |
| A7--alpha-As | dynamic | -0.0 | -0.0 | 8.0079 | 8.0079 | 22.2379 | 90.0 | 90.0 | 120.0 |
| A15--beta-W | dynamic | -0.0 | -0.0 | 10.72 | 10.72 | 10.72 | 90.0 | 90.0 | 90.0 |
| A1--Cu--fcc | dynamic | -0.0 | -0.0 | 7.665 | 7.665 | 7.665 | 90.0 | 90.0 | 90.0 |
| A3'--alpha-La--double-hcp | dynamic | -0.0 | -0.0 | 5.42 | 5.42 | 17.7016 | 90.0 | 90.0 | 120.0 |
| A3--Mg--hcp | dynamic | -0.0 | -0.0 | 5.42 | 5.42 | 8.8508 | 90.0 | 90.0 | 120.0 |
| A2--W--bcc | dynamic | -0.0 | -0.0 | 6.2585 | 6.2585 | 6.2585 | 90.0 | 90.0 | 90.0 |
| Ah--alpha-Po--sc | dynamic | -0.0 | -0.0 | 5.42 | 5.42 | 5.42 | 90.0 | 90.0 | 90.0 |
| A6--In--bct | dynamic | -0.0 | -0.0 | 5.42 | 5.42 | 8.13 | 90.0 | 90.0 | 90.0 |
| A5--beta-Sn | dynamic | -0.0 | -0.0 | 10.452 | 10.452 | 5.7486 | 90.0 | 90.0 | 90.0 |
| A4--C--dc | dynamic | -0.0 | -0.0 | 12.517 | 12.517 | 12.517 | 90.0 | 90.0 | 90.0 |
| A7--alpha-As | dynamic | -0.0 | -0.0 | 8.0975 | 8.0975 | 22.4869 | 90.0 | 90.0 | 120.0 |
| A15--beta-W | dynamic | -0.0 | -0.0 | 10.84 | 10.84 | 10.84 | 90.0 | 90.0 | 90.0 |
| A1--Cu--fcc | dynamic | -0.0 | -0.0 | 7.7216 | 7.7216 | 7.7216 | 90.0 | 90.0 | 90.0 |
| A3'--alpha-La--double-hcp | dynamic | -0.0 | -0.0 | 5.46 | 5.46 | 17.8323 | 90.0 | 90.0 | 120.0 |
| A3--Mg--hcp | dynamic | -0.0 | -0.0 | 5.46 | 5.46 | 8.9161 | 90.0 | 90.0 | 120.0 |
| A2--W--bcc | dynamic | -0.0 | -0.0 | 6.3047 | 6.3047 | 6.3047 | 90.0 | 90.0 | 90.0 |
| Ah--alpha-Po--sc | dynamic | -0.0 | -0.0 | 5.46 | 5.46 | 5.46 | 90.0 | 90.0 | 90.0 |
| A6--In--bct | dynamic | -0.0 | -0.0 | 5.46 | 5.46 | 8.19 | 90.0 | 90.0 | 90.0 |
| A5--beta-Sn | dynamic | -0.0 | -0.0 | 10.5291 | 10.5291 | 5.791 | 90.0 | 90.0 | 90.0 |
| A4--C--dc | dynamic | -0.0 | -0.0 | 12.6093 | 12.6093 | 12.6093 | 90.0 | 90.0 | 90.0 |
| A7--alpha-As | dynamic | -0.0 | -0.0 | 8.1573 | 8.1573 | 22.6528 | 90.0 | 90.0 | 120.0 |
| A15--beta-W | dynamic | -0.0 | -0.0 | 10.92 | 10.92 | 10.92 | 90.0 | 90.0 | 90.0 |
| A1--Cu--fcc | dynamic | -0.0 | -0.0 | 7.7782 | 7.7782 | 7.7782 | 90.0 | 90.0 | 90.0 |
| A3'--alpha-La--double-hcp | dynamic | -0.0 | -0.0 | 5.5 | 5.5 | 17.9629 | 90.0 | 90.0 | 120.0 |
| A3--Mg--hcp | dynamic | -0.0 | -0.0 | 5.5 | 5.5 | 8.9815 | 90.0 | 90.0 | 120.0 |
| A2--W--bcc | dynamic | -0.0 | -0.0 | 6.3509 | 6.3509 | 6.3509 | 90.0 | 90.0 | 90.0 |
| Ah--alpha-Po--sc | dynamic | -0.0 | -0.0 | 5.5 | 5.5 | 5.5 | 90.0 | 90.0 | 90.0 |
| A5--beta-Sn | dynamic | -0.0 | -0.0 | 10.6063 | 10.6063 | 5.8334 | 90.0 | 90.0 | 90.0 |
| A6--In--bct | dynamic | -0.0 | -0.0 | 5.5 | 5.5 | 8.25 | 90.0 | 90.0 | 90.0 |
| A4--C--dc | dynamic | -0.0 | -0.0 | 12.7017 | 12.7017 | 12.7017 | 90.0 | 90.0 | 90.0 |
| A7--alpha-As | dynamic | -0.0 | -0.0 | 8.2171 | 8.2171 | 22.8188 | 90.0 | 90.0 | 120.0 |
| A15--beta-W | dynamic | -0.0 | -0.0 | 11.0 | 11.0 | 11.0 | 90.0 | 90.0 | 90.0 |
| A3'--alpha-La--double-hcp | dynamic | -0.0 | -0.0 | 5.54 | 5.54 | 18.0936 | 90.0 | 90.0 | 120.0 |
| A3--Mg--hcp | dynamic | -0.0 | -0.0 | 5.54 | 5.54 | 9.0468 | 90.0 | 90.0 | 120.0 |
| A1--Cu--fcc | dynamic | -0.0 | -0.0 | 7.8347 | 7.8347 | 7.8347 | 90.0 | 90.0 | 90.0 |
| A2--W--bcc | dynamic | -0.0 | -0.0 | 6.397 | 6.397 | 6.397 | 90.0 | 90.0 | 90.0 |
| Ah--alpha-Po--sc | dynamic | -0.0 | -0.0 | 5.54 | 5.54 | 5.54 | 90.0 | 90.0 | 90.0 |
| A5--beta-Sn | dynamic | -0.0 | -0.0 | 10.6834 | 10.6834 | 5.8759 | 90.0 | 90.0 | 90.0 |
| A4--C--dc | dynamic | -0.0 | -0.0 | 12.7941 | 12.7941 | 12.7941 | 90.0 | 90.0 | 90.0 |
| A6--In--bct | dynamic | -0.0 | -0.0 | 5.54 | 5.54 | 8.31 | 90.0 | 90.0 | 90.0 |
| A7--alpha-As | dynamic | -0.0 | -0.0 | 8.2768 | 8.2768 | 22.9847 | 90.0 | 90.0 | 120.0 |
| A15--beta-W | dynamic | -0.0 | -0.0 | 11.08 | 11.08 | 11.08 | 90.0 | 90.0 | 90.0 |
| A1--Cu--fcc | box | -0.0 | -0.0 | 7.8915 | 7.8915 | 7.8915 | 90.0 | 90.0 | 90.0 |
| A3--Mg--hcp | box | -0.0 | -0.0 | 5.5801 | 5.5801 | 9.1123 | 90.0 | 90.0 | 120.0 |
| A3'--alpha-La--double-hcp | box | -0.0 | -0.0 | 5.5801 | 5.5801 | 18.2247 | 90.0 | 90.0 | 120.0 |
| A3'--alpha-La--double-hcp | dynamic | -0.0 | -0.0 | 5.58 | 5.58 | 18.2242 | 90.0 | 90.0 | 120.0 |
| A3--Mg--hcp | dynamic | -0.0 | -0.0 | 5.58 | 5.58 | 9.1121 | 90.0 | 90.0 | 120.0 |
| A1--Cu--fcc | dynamic | -0.0 | -0.0 | 7.8913 | 7.8913 | 7.8913 | 90.0 | 90.0 | 90.0 |
| A2--W--bcc | box | -0.0 | -0.0 | 6.4434 | 6.4434 | 6.4434 | 90.0 | 90.0 | 90.0 |
| A2--W--bcc | dynamic | -0.0 | -0.0 | 6.4432 | 6.4432 | 6.4432 | 90.0 | 90.0 | 90.0 |
| Ah--alpha-Po--sc | dynamic | -0.0 | -0.0 | 5.58 | 5.58 | 5.58 | 90.0 | 90.0 | 90.0 |
| A4--C--dc | box | -0.0 | -0.0 | 12.8868 | 12.8868 | 12.8868 | 90.0 | 90.0 | 90.0 |
| A4--C--dc | dynamic | -0.0 | -0.0 | 12.8865 | 12.8865 | 12.8865 | 90.0 | 90.0 | 90.0 |
| A5--beta-Sn | dynamic | -0.0 | -0.0 | 10.7605 | 10.7605 | 5.9183 | 90.0 | 90.0 | 90.0 |
| A6--In--bct | dynamic | -0.0 | -0.0 | 5.58 | 5.58 | 8.37 | 90.0 | 90.0 | 90.0 |
| A7--alpha-As | dynamic | -0.0 | -0.0 | 8.3366 | 8.3366 | 23.1507 | 90.0 | 90.0 | 120.0 |
| A15--beta-W | dynamic | -0.0 | -0.0 | 11.16 | 11.16 | 11.16 | 90.0 | 90.0 | 90.0 |
| A1--Cu--fcc | box | -0.0 | -0.0 | 7.9764 | 7.9764 | 7.9764 | 90.0 | 90.0 | 90.0 |
| A1--Cu--fcc | dynamic | -0.0 | -0.0 | 7.9762 | 7.9762 | 7.9762 | 90.0 | 90.0 | 90.0 |
| A3--Mg--hcp | dynamic | -0.0 | -0.0 | 5.64 | 5.64 | 9.2101 | 90.0 | 90.0 | 120.0 |
| A3'--alpha-La--double-hcp | dynamic | -0.0 | -0.0 | 5.64 | 5.64 | 18.4202 | 90.0 | 90.0 | 120.0 |
| A2--W--bcc | dynamic | -0.0 | -0.0 | 6.5125 | 6.5125 | 6.5125 | 90.0 | 90.0 | 90.0 |
| Ah--alpha-Po--sc | dynamic | -0.0 | -0.0 | 5.64 | 5.64 | 5.64 | 90.0 | 90.0 | 90.0 |
| A6--In--bct | dynamic | -0.0 | -0.0 | 5.64 | 5.64 | 8.46 | 90.0 | 90.0 | 90.0 |
| A4--C--dc | dynamic | -0.0 | -0.0 | 13.025 | 13.025 | 13.025 | 90.0 | 90.0 | 90.0 |
| A5--beta-Sn | dynamic | -0.0 | -0.0 | 10.8762 | 10.8762 | 5.9819 | 90.0 | 90.0 | 90.0 |
| A7--alpha-As | dynamic | -0.0 | -0.0 | 8.4262 | 8.4262 | 23.3996 | 90.0 | 90.0 | 120.0 |
| A15--beta-W | dynamic | -0.0 | -0.0 | 11.28 | 11.28 | 11.28 | 90.0 | 90.0 | 90.0 |
| A2--W--bcc | box | -0.0 | -0.0 | 6.5216 | 6.5216 | 6.5216 | 90.0 | 90.0 | 90.0 |
| A4--C--dc | box | -0.0 | -0.0 | 13.0627 | 13.0627 | 13.0627 | 90.0 | 90.0 | 90.0 |
| A1--Cu--fcc | box | -0.0 | -0.0 | 8.0321 | 8.0321 | 8.0321 | 90.0 | 90.0 | 90.0 |
| A3'--alpha-La--double-hcp | box | -0.0 | -0.0 | 5.6795 | 5.6795 | 18.5493 | 90.0 | 90.0 | 120.0 |
| A3--Mg--hcp | box | -0.0 | -0.0 | 5.6795 | 5.6795 | 9.2747 | 90.0 | 90.0 | 120.0 |
| A2--W--bcc | box | -0.0 | -0.0 | 6.5582 | 6.5582 | 6.5582 | 90.0 | 90.0 | 90.0 |
| A1--Cu--fcc | dynamic | -0.0 | -0.0 | 8.0327 | 8.0327 | 8.0327 | 90.0 | 90.0 | 90.0 |
| A3'--alpha-La--double-hcp | dynamic | -0.0 | -0.0 | 5.68 | 5.68 | 18.5508 | 90.0 | 90.0 | 120.0 |
| A3--Mg--hcp | dynamic | -0.0 | -0.0 | 5.68 | 5.68 | 9.2754 | 90.0 | 90.0 | 120.0 |
| A4--C--dc | box | -0.0 | -0.0 | 13.1164 | 13.1164 | 13.1164 | 90.0 | 90.0 | 90.0 |
| A2--W--bcc | dynamic | -0.0 | -0.0 | 6.5587 | 6.5587 | 6.5587 | 90.0 | 90.0 | 90.0 |
| Ah--alpha-Po--sc | dynamic | -0.0 | -0.0 | 5.68 | 5.68 | 5.68 | 90.0 | 90.0 | 90.0 |
| A6--In--bct | dynamic | -0.0 | -0.0 | 5.68 | 5.68 | 8.52 | 90.0 | 90.0 | 90.0 |
| A5--beta-Sn | dynamic | -0.0 | -0.0 | 10.9534 | 10.9534 | 6.0244 | 90.0 | 90.0 | 90.0 |
| A4--C--dc | dynamic | -0.0 | -0.0 | 13.1174 | 13.1174 | 13.1174 | 90.0 | 90.0 | 90.0 |
| A7--alpha-As | dynamic | -0.0 | -0.0 | 8.486 | 8.486 | 23.5656 | 90.0 | 90.0 | 120.0 |
| A15--beta-W | dynamic | -0.0 | -0.0 | 11.36 | 11.36 | 11.36 | 90.0 | 90.0 | 90.0 |
| A15--beta-W | box | 0.0 | 0.0 | 10.9214 | 10.9214 | 10.9214 | 90.0 | 90.0 | 90.0 |
| A4--C--dc | box | 0.0 | 0.0 | 12.611 | 12.611 | 12.611 | 90.0 | 90.0 | 90.0 |
| A5--beta-Sn | box | 0.0 | 0.0 | 10.5302 | 10.5302 | 5.7939 | 90.0 | 90.0 | 90.0 |
| Ah--alpha-Po--sc | box | 0.0 | 0.0 | 5.4607 | 5.4607 | 5.4607 | 90.0 | 90.0 | 90.0 |
| A2--W--bcc | box | 0.0 | 0.0 | 6.3055 | 6.3055 | 6.3055 | 90.0 | 90.0 | 90.0 |
| A1--Cu--fcc | box | 0.0 | 0.0 | 7.7226 | 7.7226 | 7.7226 | 90.0 | 90.0 | 90.0 |
| A15--beta-W | box | 0.0 | 0.0 | 10.8413 | 10.8413 | 10.8413 | 90.0 | 90.0 | 90.0 |
| A4--C--dc | box | 0.0 | 0.0 | 12.5184 | 12.5184 | 12.5184 | 90.0 | 90.0 | 90.0 |
| A5--beta-Sn | box | 0.0 | 0.0 | 10.453 | 10.453 | 5.7512 | 90.0 | 90.0 | 90.0 |
| A2--W--bcc | box | 0.0 | 0.0 | 6.2592 | 6.2592 | 6.2592 | 90.0 | 90.0 | 90.0 |
| A3--Mg--hcp | box | 0.0 | 0.0 | 5.4206 | 5.4206 | 8.8519 | 90.0 | 90.0 | 120.0 |
| A3'--alpha-La--double-hcp | box | 0.0 | 0.0 | 5.4206 | 5.4206 | 17.7038 | 90.0 | 90.0 | 120.0 |
| A1--Cu--fcc | box | 0.0 | 0.0 | 7.666 | 7.666 | 7.666 | 90.0 | 90.0 | 90.0 |
| A3'--alpha-La--double-hcp | box | 0.0 | 0.0 | 5.1969 | 5.1969 | 16.9757 | 90.0 | 90.0 | 120.0 |
| A3--Mg--hcp | box | 0.0 | 0.0 | 5.1969 | 5.1969 | 8.4879 | 90.0 | 90.0 | 120.0 |
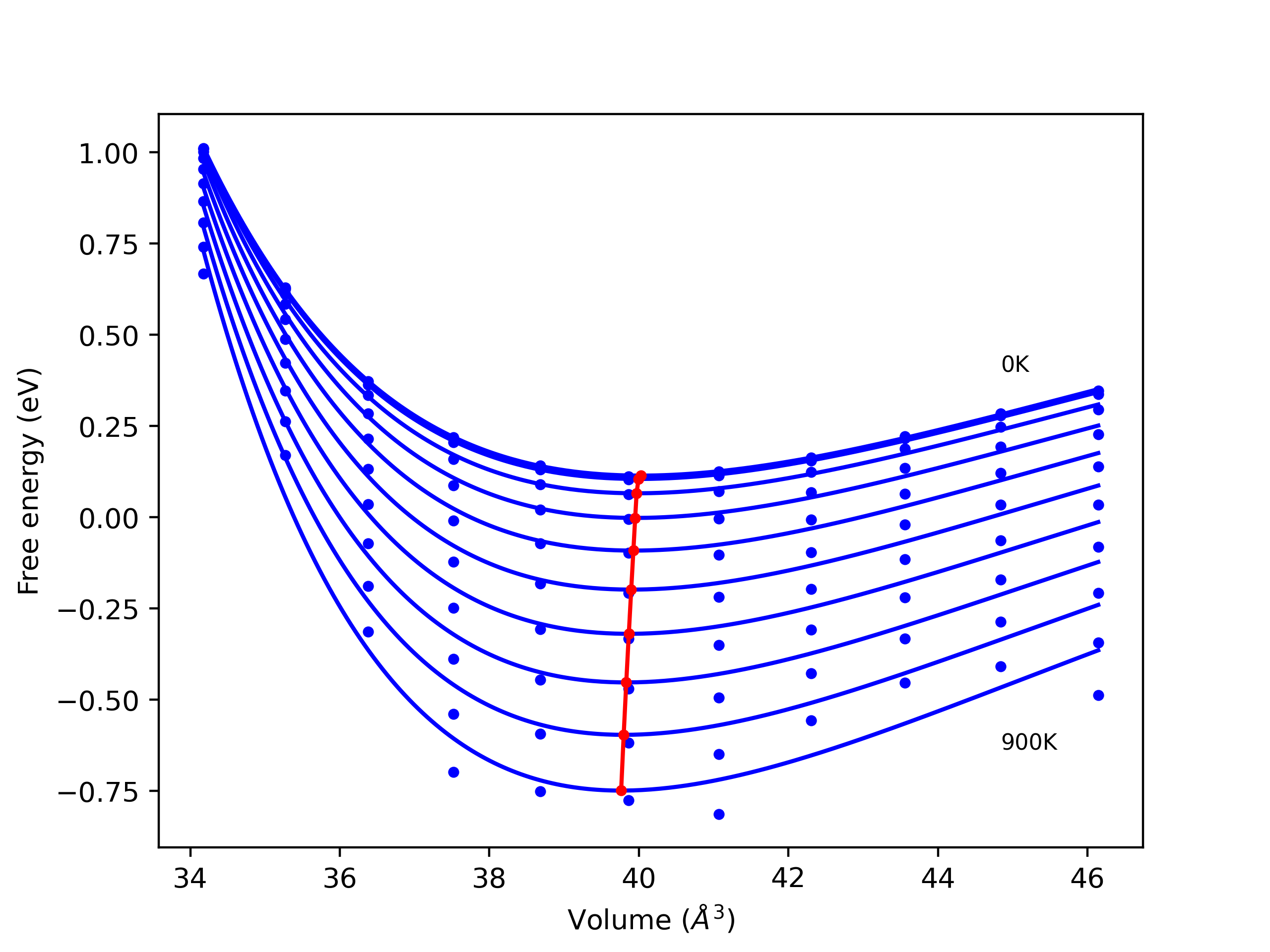
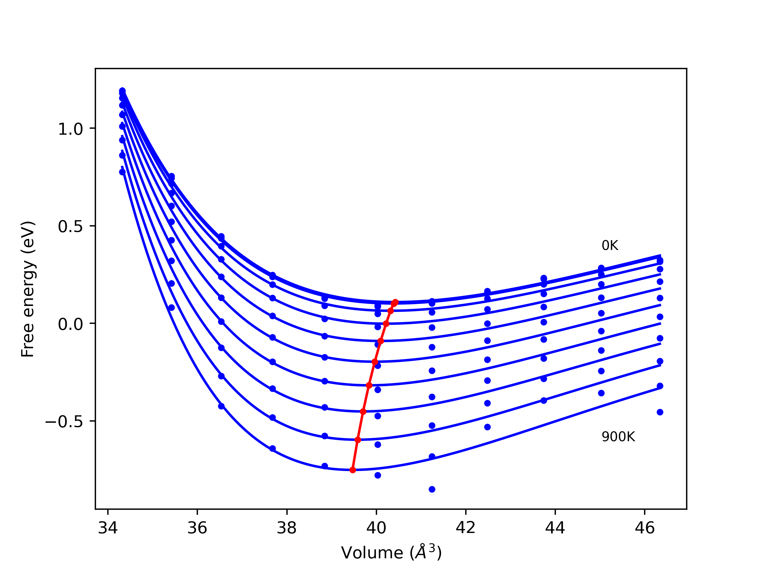
Static elastic constants are displayed for the unique structures identified in Crystal Structure Predictions above. The values displayed here are obtained by measuring the change in virial stresses due to applying small strains to the relaxed crystals. The initial structure and the strained states are all relaxed using force minimization.
The calculation method used is available as the iprPy elastic_constants_static calculation method.
Notes and Disclaimers:
Version Information:
| 113.782 | 61.539 | 61.539 | 0.000 | -0.000 | -0.000 |
| 61.539 | 113.782 | 61.539 | 0.000 | -0.000 | -0.000 |
| 61.539 | 61.539 | 113.782 | 0.000 | -0.000 | 0.000 |
| 0.000 | -0.000 | 0.000 | 31.596 | -0.000 | -0.000 |
| 0.000 | -0.000 | 0.000 | 0.000 | 31.596 | -0.000 |
| -0.000 | 0.000 | 0.000 | -0.000 | -0.000 | 31.596 |
| 113.782 | 61.539 | 61.539 | -0.000 | 0.000 | 0.000 |
| 61.539 | 113.782 | 61.539 | -0.000 | 0.000 | 0.000 |
| 61.539 | 61.539 | 113.782 | -0.000 | 0.000 | 0.000 |
| -0.000 | 0.000 | 0.000 | 31.596 | 0.000 | 0.000 |
| 0.000 | 0.000 | -0.000 | -0.000 | 31.596 | 0.000 |
| -0.000 | -0.000 | 0.000 | 0.000 | 0.000 | 31.596 |
| 113.782 | 61.539 | 61.539 | 0.000 | -0.000 | -0.000 |
| 61.539 | 113.782 | 61.539 | -0.000 | -0.000 | -0.000 |
| 61.539 | 61.539 | 113.782 | 0.000 | -0.000 | -0.000 |
| 0.000 | -0.000 | 0.000 | 31.596 | -0.000 | -0.000 |
| -0.000 | 0.000 | 0.000 | 0.000 | 31.596 | -0.000 |
| -0.000 | 0.000 | 0.000 | 0.000 | -0.000 | 31.596 |
| 113.782 | 61.539 | 61.539 | -0.000 | 0.000 | 0.000 |
| 61.539 | 113.782 | 61.539 | -0.000 | 0.000 | 0.000 |
| 61.539 | 61.539 | 113.782 | -0.000 | 0.000 | 0.000 |
| -0.000 | 0.000 | -0.000 | 31.596 | 0.000 | 0.000 |
| 0.000 | -0.000 | -0.000 | -0.000 | 31.596 | 0.000 |
| 0.000 | -0.000 | -0.000 | -0.000 | 0.000 | 31.596 |
| 113.782 | 61.539 | 61.539 | 0.000 | -0.000 | -0.000 |
| 61.539 | 113.782 | 61.539 | 0.000 | -0.000 | -0.000 |
| 61.539 | 61.539 | 113.782 | 0.000 | -0.000 | -0.000 |
| 0.000 | -0.000 | 0.000 | 31.596 | -0.000 | -0.000 |
| -0.000 | 0.000 | 0.000 | 0.000 | 31.596 | -0.000 |
| -0.000 | 0.000 | 0.000 | 0.000 | -0.000 | 31.596 |
| 113.782 | 61.539 | 61.539 | -0.000 | 0.000 | 0.000 |
| 61.539 | 113.782 | 61.539 | -0.000 | 0.000 | 0.000 |
| 61.539 | 61.539 | 113.782 | -0.000 | 0.000 | -0.000 |
| -0.000 | 0.000 | -0.000 | 31.596 | 0.000 | 0.000 |
| 0.000 | -0.000 | -0.000 | -0.000 | 31.596 | 0.000 |
| 0.000 | -0.000 | -0.000 | -0.000 | 0.000 | 31.596 |
| 206.375 | 83.952 | 83.952 | -0.000 | -0.000 | -0.000 |
| 83.952 | 206.375 | 83.952 | -0.000 | 0.000 | -0.000 |
| 83.952 | 83.952 | 206.375 | -0.000 | -0.000 | -0.000 |
| -0.000 | 0.000 | 0.000 | 47.095 | -0.000 | -0.000 |
| -0.000 | 0.000 | 0.000 | -0.000 | 47.095 | -0.000 |
| -0.000 | 0.000 | 0.000 | -0.000 | -0.000 | 47.095 |
| 206.375 | 83.952 | 83.952 | 0.000 | 0.000 | 0.000 |
| 83.952 | 206.375 | 83.952 | 0.000 | 0.000 | 0.000 |
| 83.952 | 83.952 | 206.375 | 0.000 | 0.000 | 0.000 |
| 0.000 | 0.000 | -0.000 | 47.095 | 0.000 | 0.000 |
| 0.000 | -0.000 | 0.000 | 0.000 | 47.095 | 0.000 |
| 0.000 | -0.000 | -0.000 | 0.000 | 0.000 | 47.095 |
| 206.713 | 83.783 | 83.783 | -0.000 | -0.000 | -0.000 |
| 83.783 | 206.713 | 83.783 | -0.000 | -0.000 | -0.000 |
| 83.783 | 83.783 | 206.713 | -0.000 | 0.000 | -0.000 |
| 0.000 | -0.000 | -0.000 | 47.095 | -0.000 | -0.000 |
| -0.000 | 0.000 | -0.000 | -0.000 | 47.095 | -0.000 |
| -0.000 | -0.000 | 0.000 | -0.000 | -0.000 | 47.095 |
| 206.375 | 83.952 | 83.952 | 0.000 | 0.000 | 0.000 |
| 83.952 | 206.375 | 83.952 | 0.000 | 0.000 | 0.000 |
| 83.952 | 83.952 | 206.375 | 0.000 | 0.000 | 0.000 |
| -0.000 | 0.000 | 0.000 | 47.095 | 0.000 | 0.000 |
| 0.000 | -0.000 | 0.000 | 0.000 | 47.095 | 0.000 |
| 0.000 | 0.000 | -0.000 | 0.000 | 0.000 | 47.095 |
| 206.375 | 83.952 | 83.952 | -0.000 | -0.000 | -0.000 |
| 83.952 | 206.375 | 83.952 | -0.000 | -0.000 | -0.000 |
| 83.952 | 83.952 | 206.375 | 0.000 | 0.000 | -0.000 |
| 0.000 | -0.000 | -0.000 | 43.066 | -0.000 | -0.000 |
| -0.000 | 0.000 | -0.000 | -0.000 | 43.066 | -0.000 |
| -0.000 | -0.000 | 0.000 | -0.000 | -0.000 | 43.066 |
| 206.713 | 83.783 | 83.783 | 0.000 | -0.000 | 0.000 |
| 83.783 | 206.713 | 83.783 | 0.000 | 0.000 | 0.000 |
| 83.783 | 83.783 | 206.713 | 0.000 | 0.000 | 0.000 |
| -0.000 | 0.000 | 0.000 | 43.066 | 0.000 | 0.000 |
| 0.000 | -0.000 | 0.000 | -0.000 | 43.066 | 0.000 |
| 0.000 | 0.000 | -0.000 | 0.000 | 0.000 | 43.066 |
| 6.596 | 63.792 | 63.792 | 0.000 | -0.000 | -0.000 |
| 63.792 | 6.596 | 63.792 | 0.000 | -0.000 | -0.000 |
| 63.792 | 63.792 | 6.596 | 0.000 | -0.000 | -0.000 |
| 0.000 | 0.000 | 0.000 | 23.332 | -0.000 | -0.000 |
| -0.000 | 0.000 | 0.000 | -0.000 | 23.332 | -0.000 |
| -0.000 | 0.000 | 0.000 | -0.000 | -0.000 | 23.332 |
| 6.596 | 63.792 | 63.792 | 0.000 | 0.000 | 0.000 |
| 63.792 | 6.596 | 63.792 | 0.000 | 0.000 | 0.000 |
| 63.792 | 63.792 | 6.596 | 0.000 | 0.000 | 0.000 |
| -0.000 | -0.000 | -0.000 | 23.332 | 0.000 | -0.000 |
| 0.000 | -0.000 | 0.000 | 0.000 | 23.332 | 0.000 |
| -0.000 | -0.000 | -0.000 | 0.000 | 0.000 | 23.332 |
| 6.596 | 63.792 | 63.792 | -0.000 | -0.000 | -0.000 |
| 63.792 | 6.596 | 63.792 | 0.000 | -0.000 | -0.000 |
| 63.792 | 63.792 | 6.596 | -0.000 | -0.000 | -0.000 |
| -0.000 | -0.000 | -0.000 | 23.332 | -0.000 | 0.000 |
| -0.000 | -0.000 | -0.000 | -0.000 | 23.332 | -0.000 |
| -0.000 | -0.000 | -0.000 | -0.000 | -0.000 | 23.332 |
| 6.596 | 63.792 | 63.792 | 0.000 | 0.000 | 0.000 |
| 63.792 | 6.596 | 63.792 | 0.000 | 0.000 | 0.000 |
| 63.792 | 63.792 | 6.596 | 0.000 | 0.000 | 0.000 |
| 0.000 | 0.000 | 0.000 | 23.332 | 0.000 | 0.000 |
| 0.000 | 0.000 | 0.000 | 0.000 | 23.332 | 0.000 |
| 0.000 | 0.000 | 0.000 | -0.000 | 0.000 | 23.332 |
| 6.596 | 63.792 | 63.792 | 0.000 | -0.000 | -0.000 |
| 63.792 | 6.596 | 63.792 | -0.000 | -0.000 | -0.000 |
| 63.792 | 63.792 | 6.596 | 0.000 | -0.000 | -0.000 |
| -0.000 | -0.000 | -0.000 | 23.332 | -0.000 | -0.000 |
| -0.000 | -0.000 | -0.000 | 0.000 | 23.332 | -0.000 |
| -0.000 | -0.000 | -0.000 | -0.000 | -0.000 | 23.332 |
| 6.596 | 63.792 | 63.792 | 0.000 | 0.000 | 0.000 |
| 63.792 | 6.596 | 63.792 | 0.000 | 0.000 | 0.000 |
| 63.792 | 63.792 | 6.596 | 0.000 | 0.000 | 0.000 |
| 0.000 | 0.000 | 0.000 | 23.332 | 0.000 | 0.000 |
| 0.000 | 0.000 | 0.000 | 0.000 | 23.332 | -0.000 |
| 0.000 | 0.000 | 0.000 | 0.000 | 0.000 | 23.332 |
| 117.217 | 58.522 | 52.124 | -0.000 | 0.000 | 0.000 |
| 58.056 | 117.683 | 52.124 | 0.000 | 0.000 | 0.000 |
| 52.124 | 52.124 | 92.889 | 0.000 | 0.000 | 0.000 |
| 0.000 | 0.000 | 0.000 | 20.421 | 0.000 | 0.000 |
| -0.000 | 0.000 | 0.000 | 0.000 | 20.421 | 0.000 |
| -0.000 | 0.000 | 0.000 | -0.000 | 0.000 | 29.347 |
| 117.217 | 58.522 | 52.124 | -0.000 | -0.000 | -0.000 |
| 58.522 | 117.217 | 52.124 | 0.000 | -0.000 | -0.000 |
| 52.124 | 52.124 | 92.889 | -0.000 | -0.000 | -0.000 |
| -0.000 | -0.000 | -0.000 | 20.421 | -0.000 | -0.000 |
| 0.000 | -0.000 | -0.000 | 0.000 | 20.421 | -0.000 |
| 0.000 | -0.000 | -0.000 | -0.000 | -0.000 | 29.347 |
| 117.217 | 58.522 | 52.124 | 0.000 | 0.000 | 0.000 |
| 58.056 | 117.683 | 52.124 | 0.000 | 0.000 | 0.000 |
| 52.124 | 52.124 | 92.889 | 0.000 | 0.000 | 0.000 |
| 0.000 | 0.000 | 0.000 | 20.421 | 0.000 | 0.000 |
| 0.000 | 0.000 | 0.000 | 0.000 | 20.421 | 0.000 |
| 0.000 | 0.000 | 0.000 | 0.000 | 0.000 | 29.814 |
| 117.217 | 58.522 | 52.124 | 0.000 | -0.000 | -0.000 |
| 58.056 | 117.683 | 52.124 | -0.000 | -0.000 | -0.000 |
| 52.124 | 52.124 | 92.889 | 0.000 | -0.000 | -0.000 |
| -0.000 | -0.000 | -0.000 | 20.421 | -0.000 | -0.000 |
| -0.000 | -0.000 | -0.000 | 0.000 | 20.421 | -0.000 |
| -0.000 | -0.000 | -0.000 | -0.000 | -0.000 | 29.814 |
| 117.684 | 58.056 | 52.124 | 0.000 | 0.000 | 0.000 |
| 58.522 | 117.218 | 52.124 | 0.000 | 0.000 | 0.000 |
| 52.124 | 52.124 | 92.889 | -0.000 | 0.000 | 0.000 |
| 0.000 | 0.000 | 0.000 | 20.421 | 0.000 | 0.000 |
| 0.000 | 0.000 | 0.000 | 0.000 | 20.421 | 0.000 |
| 0.000 | 0.000 | 0.000 | 0.000 | 0.000 | 29.347 |
| 117.683 | 58.056 | 52.124 | -0.000 | -0.000 | -0.000 |
| 58.056 | 117.683 | 52.124 | -0.000 | -0.000 | -0.000 |
| 52.124 | 52.124 | 92.889 | -0.000 | -0.000 | -0.000 |
| -0.000 | -0.000 | -0.000 | 20.421 | -0.000 | -0.000 |
| -0.000 | -0.000 | -0.000 | -0.000 | 20.421 | -0.000 |
| -0.000 | -0.000 | -0.000 | -0.000 | -0.000 | 29.347 |
| 116.050 | 55.539 | 45.278 | 0.000 | -0.000 | -0.000 |
| 55.446 | 116.144 | 45.278 | 0.000 | 0.000 | -0.000 |
| 45.278 | 45.278 | 69.922 | 0.000 | 0.000 | 0.000 |
| 0.000 | 0.000 | 0.000 | 11.181 | -0.000 | 0.000 |
| 0.000 | 0.000 | 0.000 | -0.000 | 11.181 | 0.000 |
| 0.000 | -0.000 | 0.000 | 0.000 | -0.000 | 30.256 |
| 116.144 | 55.446 | 45.278 | -0.000 | -0.000 | -0.000 |
| 55.539 | 116.050 | 45.278 | -0.000 | -0.000 | 0.000 |
| 45.278 | 45.278 | 69.922 | -0.000 | 0.000 | -0.000 |
| -0.000 | -0.000 | -0.000 | 11.181 | 0.000 | -0.000 |
| -0.000 | -0.000 | -0.000 | -0.000 | 11.181 | -0.000 |
| -0.000 | -0.000 | -0.000 | -0.000 | 0.000 | 30.255 |
| 116.051 | 55.539 | 45.278 | 0.000 | -0.000 | -0.000 |
| 55.539 | 116.051 | 45.278 | 0.000 | -0.000 | -0.000 |
| 45.278 | 45.278 | 69.922 | 0.000 | 0.000 | 0.000 |
| 0.000 | 0.000 | -0.000 | 11.181 | 0.000 | 0.000 |
| 0.000 | 0.000 | -0.000 | 0.000 | 11.181 | -0.000 |
| 0.000 | 0.000 | 0.000 | 0.000 | -0.000 | 30.256 |
| 116.144 | 55.446 | 45.278 | -0.000 | -0.000 | 0.000 |
| 55.446 | 116.144 | 45.278 | -0.000 | 0.000 | -0.000 |
| 45.278 | 45.278 | 69.922 | -0.000 | -0.000 | -0.000 |
| -0.000 | -0.000 | 0.000 | 11.181 | -0.000 | 0.000 |
| -0.000 | -0.000 | 0.000 | -0.000 | 11.181 | -0.000 |
| -0.000 | -0.000 | -0.000 | -0.000 | 0.000 | 30.256 |
| 116.051 | 55.540 | 45.278 | -0.000 | 0.000 | 0.000 |
| 55.540 | 116.051 | 45.278 | 0.000 | -0.000 | 0.000 |
| 45.278 | 45.278 | 69.922 | 0.000 | 0.000 | 0.000 |
| 0.000 | 0.000 | -0.000 | 11.181 | 0.000 | 0.000 |
| 0.000 | 0.000 | -0.000 | 0.000 | 11.181 | -0.000 |
| 0.000 | 0.000 | -0.000 | 0.000 | 0.000 | 30.349 |
| 116.050 | 55.539 | 45.278 | -0.000 | 0.000 | -0.000 |
| 55.539 | 116.050 | 45.278 | 0.000 | 0.000 | 0.000 |
| 45.278 | 45.278 | 69.923 | -0.000 | -0.000 | -0.000 |
| -0.000 | -0.000 | 0.000 | 11.181 | -0.000 | -0.000 |
| -0.000 | -0.000 | 0.000 | -0.000 | 11.181 | 0.000 |
| -0.000 | -0.000 | 0.000 | -0.000 | 0.000 | 30.349 |
| 29.621 | 34.952 | 34.952 | 0.000 | 0.000 | 0.000 |
| 34.953 | 29.621 | 34.953 | 0.000 | 0.000 | 0.000 |
| 34.953 | 34.952 | 29.621 | 0.000 | 0.000 | 0.000 |
| 0.000 | 0.000 | 0.000 | 33.534 | 0.000 | 0.000 |
| 0.000 | -0.000 | 0.000 | 0.000 | 33.534 | 0.000 |
| 0.000 | -0.000 | 0.000 | 0.000 | 0.000 | 33.534 |
| 29.621 | 34.953 | 34.952 | -0.000 | -0.000 | -0.000 |
| 34.952 | 29.621 | 34.952 | -0.000 | -0.000 | -0.000 |
| 34.952 | 34.953 | 29.621 | -0.000 | -0.000 | -0.000 |
| -0.000 | 0.000 | -0.000 | 33.534 | -0.000 | -0.000 |
| -0.000 | 0.000 | -0.000 | -0.000 | 33.534 | -0.000 |
| -0.000 | 0.000 | -0.000 | -0.000 | -0.000 | 33.534 |
| 29.621 | 34.953 | 34.953 | 0.000 | 0.000 | 0.000 |
| 34.953 | 29.621 | 34.953 | 0.000 | 0.000 | 0.000 |
| 34.953 | 34.953 | 29.621 | 0.000 | 0.000 | 0.000 |
| 0.000 | 0.000 | 0.000 | -16.340 | 0.000 | 0.000 |
| 0.000 | 0.000 | 0.000 | 0.000 | -16.340 | 0.000 |
| 0.000 | 0.000 | 0.000 | 0.000 | 0.000 | -16.340 |
| 29.621 | 34.952 | 34.952 | -0.000 | -0.000 | -0.000 |
| 34.952 | 29.621 | 34.952 | -0.000 | -0.000 | -0.000 |
| 34.952 | 34.952 | 29.621 | -0.000 | -0.000 | -0.000 |
| -0.000 | -0.000 | -0.000 | -16.340 | -0.000 | -0.000 |
| -0.000 | -0.000 | -0.000 | -0.000 | -16.340 | -0.000 |
| -0.000 | -0.000 | -0.000 | -0.000 | -0.000 | -16.340 |
| 29.622 | 34.953 | 34.953 | 0.000 | 0.000 | 0.000 |
| 34.953 | 29.622 | 34.953 | 0.000 | 0.000 | 0.000 |
| 34.953 | 34.953 | 29.622 | 0.000 | 0.000 | 0.000 |
| 0.000 | 0.000 | 0.000 | -16.340 | 0.000 | 0.000 |
| 0.000 | 0.000 | 0.000 | 0.000 | -16.340 | 0.000 |
| 0.000 | 0.000 | 0.000 | 0.000 | 0.000 | -16.340 |
| 29.621 | 34.952 | 34.952 | -0.000 | -0.000 | -0.000 |
| 34.952 | 29.621 | 34.952 | -0.000 | -0.000 | -0.000 |
| 34.952 | 34.952 | 29.621 | -0.000 | -0.000 | -0.000 |
| -0.000 | -0.000 | -0.000 | -16.340 | -0.000 | -0.000 |
| -0.000 | -0.000 | -0.000 | -0.000 | -16.340 | -0.000 |
| -0.000 | -0.000 | -0.000 | -0.000 | 0.000 | -16.340 |
| 36.194 | 124.653 | 14.286 | 0.000 | 0.000 | -0.000 |
| 124.653 | 36.194 | 14.286 | 0.000 | 0.000 | -0.000 |
| 14.286 | 14.286 | 61.281 | 0.000 | -0.000 | -0.000 |
| -0.000 | 0.000 | -0.000 | -17.233 | -0.000 | 0.000 |
| 0.000 | -0.000 | -0.000 | 0.000 | -17.233 | -0.000 |
| -0.000 | -0.000 | -0.000 | 0.000 | -0.000 | 6.516 |
| 136.139 | 24.708 | 14.286 | 0.000 | 0.000 | 0.000 |
| 24.708 | 136.139 | 14.286 | -0.000 | 0.000 | 0.000 |
| 14.286 | 14.286 | 61.281 | -0.000 | 0.000 | 0.000 |
| 0.000 | -0.000 | 0.000 | -17.233 | 0.000 | 0.000 |
| -0.000 | 0.000 | 0.000 | 0.000 | -17.233 | 0.000 |
| 0.000 | 0.000 | 0.000 | -0.000 | 0.000 | 6.516 |
| 36.194 | 124.653 | 14.286 | 0.000 | -0.000 | -0.000 |
| 124.653 | 36.194 | 14.286 | 0.000 | 0.000 | -0.000 |
| 14.286 | 14.286 | 61.281 | 0.000 | -0.000 | -0.000 |
| -0.000 | 0.000 | -0.000 | -17.233 | -0.000 | -0.000 |
| 0.000 | -0.000 | -0.000 | -0.000 | -17.233 | -0.000 |
| 0.000 | 0.000 | -0.000 | 0.000 | 0.000 | 6.516 |
| 136.139 | 24.708 | 14.286 | -0.000 | 0.000 | 0.000 |
| 24.708 | 136.139 | 14.286 | 0.000 | 0.000 | 0.000 |
| 14.286 | 14.286 | 61.281 | -0.000 | -0.000 | 0.000 |
| 0.000 | -0.000 | 0.000 | -17.233 | 0.000 | 0.000 |
| -0.000 | 0.000 | 0.000 | -0.000 | -17.233 | 0.000 |
| -0.000 | -0.000 | 0.000 | -0.000 | 0.000 | 6.516 |
| -2369.273 | 2530.261 | 14.226 | 0.000 | 0.000 | -0.000 |
| 2530.282 | -2369.294 | 14.226 | 0.000 | 0.000 | -0.000 |
| 14.286 | 14.286 | 61.282 | -0.000 | 0.000 | -0.000 |
| -0.000 | 0.000 | -0.000 | -17.233 | -0.000 | 0.000 |
| 0.000 | -0.000 | -0.000 | 0.000 | -17.233 | -0.000 |
| 0.000 | 0.000 | -0.000 | 0.000 | 0.000 | 6.516 |
| -2370.205 | 2530.910 | 14.347 | -0.000 | -0.000 | 0.000 |
| 2530.932 | -2370.228 | 14.347 | -0.000 | -0.000 | 0.000 |
| 14.286 | 14.286 | 61.281 | 0.000 | 0.000 | 0.000 |
| 0.000 | -0.000 | 0.000 | -17.233 | 0.000 | 0.000 |
| -0.000 | 0.000 | 0.000 | -0.000 | -17.233 | 0.000 |
| -0.000 | -0.000 | 0.000 | -0.000 | -0.000 | 6.516 |
| 108.675 | 1.441 | 1.441 | 0.000 | -0.000 | -0.000 |
| 1.441 | 108.675 | 1.441 | -0.000 | -0.000 | -0.000 |
| 1.441 | 1.441 | 108.675 | -0.000 | -0.000 | -0.000 |
| 0.000 | -0.000 | 0.000 | -8.537 | 0.000 | -0.000 |
| 0.000 | 0.000 | 0.000 | 0.000 | -8.537 | -0.000 |
| 0.000 | -0.000 | 0.000 | 0.000 | -0.000 | -8.537 |
| 108.675 | 1.441 | 1.441 | -0.000 | -0.000 | -0.000 |
| 1.441 | 108.675 | 1.441 | -0.000 | -0.000 | 0.000 |
| 1.441 | 1.441 | 108.675 | 0.000 | 0.000 | -0.000 |
| -0.000 | 0.000 | -0.000 | -8.537 | -0.000 | -0.000 |
| 0.000 | -0.000 | -0.000 | -0.000 | -8.537 | -0.000 |
| 0.000 | 0.000 | -0.000 | -0.000 | 0.000 | -8.537 |
| 108.675 | 1.441 | 1.441 | 0.000 | -0.000 | -0.000 |
| 1.441 | 108.675 | 1.441 | -0.000 | 0.000 | -0.000 |
| 1.441 | 1.441 | 108.675 | 0.000 | -0.000 | 0.000 |
| 0.000 | 0.000 | -0.000 | -8.537 | -0.000 | -0.000 |
| 0.000 | 0.000 | -0.000 | -0.000 | -8.537 | -0.000 |
| 0.000 | -0.000 | 0.000 | 0.000 | -0.000 | -8.537 |
| 108.675 | 1.441 | 1.441 | -0.000 | 0.000 | 0.000 |
| 1.441 | 108.675 | 1.441 | -0.000 | -0.000 | -0.000 |
| 1.441 | 1.441 | 108.675 | -0.000 | -0.000 | -0.000 |
| -0.000 | -0.000 | 0.000 | -8.537 | 0.000 | 0.000 |
| -0.000 | -0.000 | 0.000 | 0.000 | -8.537 | 0.000 |
| -0.000 | 0.000 | -0.000 | -0.000 | 0.000 | -8.537 |
| 108.676 | 1.441 | 1.441 | -0.000 | 0.000 | 0.000 |
| 1.441 | 108.676 | 1.441 | 0.000 | 0.000 | 0.000 |
| 1.441 | 1.441 | 108.676 | 0.000 | 0.000 | 0.000 |
| 0.000 | 0.000 | -0.000 | -8.537 | 0.000 | -0.000 |
| 0.000 | 0.000 | -0.000 | 0.000 | -8.537 | 0.000 |
| 0.000 | -0.000 | 0.000 | 0.000 | 0.000 | -8.537 |
| 108.674 | 1.441 | 1.441 | 0.000 | 0.000 | 0.000 |
| 1.441 | 108.674 | 1.441 | 0.000 | 0.000 | 0.000 |
| 1.441 | 1.441 | 108.674 | -0.000 | 0.000 | 0.000 |
| -0.000 | -0.000 | 0.000 | -8.537 | -0.000 | -0.000 |
| -0.000 | -0.000 | 0.000 | -0.000 | -8.537 | 0.000 |
| -0.000 | 0.000 | -0.000 | -0.000 | 0.000 | -8.537 |
| 51.793 | 39.155 | 36.705 | -0.000 | 0.000 | -0.000 |
| 39.155 | 51.793 | 36.705 | -0.000 | 0.000 | -0.000 |
| 35.489 | 35.489 | 97.763 | -0.000 | -0.000 | -0.000 |
| 0.000 | 0.000 | 0.000 | 21.278 | -0.000 | -0.000 |
| 0.000 | 0.000 | 0.000 | -0.000 | 21.278 | -0.000 |
| 0.000 | 0.000 | 0.000 | -0.000 | -0.000 | 35.365 |
| 51.793 | 39.155 | 36.705 | 0.000 | 0.000 | 0.000 |
| 39.155 | 51.793 | 36.705 | -0.000 | -0.000 | 0.000 |
| 35.489 | 35.489 | 97.763 | 0.000 | 0.000 | 0.000 |
| -0.000 | -0.000 | -0.000 | 21.278 | 0.000 | 0.000 |
| -0.000 | -0.000 | -0.000 | 0.000 | 21.278 | 0.000 |
| -0.000 | -0.000 | -0.000 | 0.000 | -0.000 | 35.365 |
| 51.793 | 39.155 | 36.705 | -0.000 | 0.000 | -0.000 |
| 39.155 | 51.793 | 36.705 | -0.000 | 0.000 | -0.000 |
| 36.163 | 36.163 | 97.835 | -0.000 | -0.000 | -0.000 |
| 0.000 | -0.000 | 0.000 | 21.278 | -0.000 | -0.000 |
| -0.000 | 0.000 | 0.000 | -0.000 | 21.278 | -0.000 |
| 0.000 | 0.000 | 0.000 | -0.000 | -0.000 | 35.365 |
| 51.793 | 39.155 | 36.705 | 0.000 | 0.000 | 0.000 |
| 39.155 | 51.793 | 36.705 | 0.000 | 0.000 | 0.000 |
| 36.163 | 36.163 | 97.835 | 0.000 | -0.000 | 0.000 |
| -0.000 | 0.000 | -0.000 | 21.278 | 0.000 | 0.000 |
| 0.000 | -0.000 | -0.000 | 0.000 | 21.278 | 0.000 |
| -0.000 | -0.000 | -0.000 | -0.000 | 0.000 | 35.365 |
| 28.296 | 50.176 | 36.032 | -0.000 | 0.000 | -0.000 |
| 50.176 | 28.296 | 36.032 | -0.000 | -0.000 | -0.000 |
| 36.163 | 36.163 | 97.836 | -0.000 | 0.000 | -0.000 |
| 0.000 | -0.000 | -0.000 | 5.360 | -0.000 | -0.000 |
| -0.000 | 0.000 | -0.000 | -0.000 | 5.360 | -0.000 |
| 0.000 | 0.000 | 0.000 | -0.000 | -0.000 | 35.365 |
| 28.296 | 50.176 | 36.032 | -0.000 | -0.000 | 0.000 |
| 50.176 | 28.296 | 36.032 | 0.000 | -0.000 | 0.000 |
| 36.163 | 36.163 | 97.835 | 0.000 | 0.000 | 0.000 |
| -0.000 | 0.000 | 0.000 | 5.360 | -0.000 | 0.000 |
| 0.000 | -0.000 | 0.000 | 0.000 | 5.360 | 0.000 |
| -0.000 | -0.000 | -0.000 | 0.000 | -0.000 | 35.365 |
| -314.531 | 887.023 | 596.631 | -305.860 | -163.842 | -57.315 |
| 57.027 | 122.471 | 53.445 | -3.191 | -0.256 | 1.269 |
| -3956.463 | 6163.933 | 4041.028 | -1306.982 | -2170.794 | -349.154 |
| -0.533 | -0.587 | -1.289 | 28.713 | 0.701 | -0.267 |
| -1.587 | -0.460 | -0.267 | 0.701 | 30.877 | -0.699 |
| -3070.277 | 5262.204 | 3342.883 | -1507.902 | -1686.003 | -474.406 |
| 6570.951 | -7295.522 | -5584.145 | 961.616 | 2988.909 | -155.839 |
| 66.923 | -81.752 | 28.146 | 120.753 | -17.589 | 71.128 |
| 57.532 | 55.259 | 110.516 | -1.289 | -0.267 | 0.585 |
| 397.715 | -824.552 | -537.589 | 316.951 | 162.473 | 55.389 |
| 4016.662 | -6103.739 | -3976.707 | 1299.860 | 2179.498 | 347.764 |
| 1831.606 | -2995.293 | -2026.311 | 1107.791 | 760.206 | 302.328 |
| -236.594 | 595.536 | 386.598 | -160.346 | -164.900 | -48.690 |
| 21.980 | 176.298 | 109.579 | -32.230 | -15.969 | -4.165 |
| -252.633 | 581.937 | 397.301 | -157.018 | -162.885 | -48.638 |
| -0.533 | -0.587 | -1.289 | 28.713 | 0.701 | -0.267 |
| -303.737 | 527.128 | 339.557 | -151.069 | -164.180 | -51.776 |
| -2.563 | 23.043 | 4.954 | -13.160 | -1.036 | 19.853 |
| 112.284 | 24.404 | 43.441 | 15.072 | -1.609 | 5.184 |
| 145.112 | -40.941 | -32.692 | 52.921 | 33.859 | 19.695 |
| 538.166 | -640.726 | -429.398 | 117.980 | 263.238 | 49.733 |
| -0.533 | -0.587 | -1.289 | 28.713 | 0.701 | -0.267 |
| -0.462 | -19.927 | -2.618 | 12.954 | 25.421 | 6.095 |
| -0.175 | 1.279 | 0.438 | -0.063 | -2.247 | 30.851 |
| 6.021 | 151.382 | 117.774 | -19.645 | -33.542 | 1.379 |
| 58.234 | 117.554 | 54.467 | -4.340 | 0.179 | 0.663 |
| 59.070 | 57.978 | 104.178 | -2.850 | 0.161 | 0.205 |
| -49.705 | 67.010 | 37.205 | -4.751 | -22.854 | -4.758 |
| -1.402 | 1.847 | 0.263 | -0.703 | 27.207 | -1.602 |
| -0.175 | 1.279 | 0.438 | -0.063 | -2.247 | 30.851 |
| 82.414 | 42.524 | 44.628 | 3.494 | 8.538 | 1.377 |
| 57.027 | 122.470 | 53.445 | -3.191 | -0.256 | 1.269 |
| 71.214 | 47.312 | 64.115 | 0.956 | 4.621 | 2.242 |
| -0.533 | -0.587 | -1.289 | 28.713 | 0.701 | -0.267 |
| -1.587 | -0.460 | -0.267 | 0.701 | 30.877 | -0.699 |
| -0.175 | 1.279 | 0.438 | -0.063 | -2.247 | 30.851 |
| -12.741 | 65.870 | 247.944 | 50.288 | -53.937 | -35.308 |
| 58.363 | 119.588 | 57.307 | -4.418 | 0.268 | -2.873 |
| -18.697 | 122.284 | 320.513 | 103.944 | 24.125 | 148.103 |
| 0.429 | 0.195 | 1.404 | 29.437 | -0.370 | 0.182 |
| 0.834 | 0.210 | -1.532 | -0.370 | 29.107 | 0.430 |
| -15.310 | -86.716 | 75.011 | 208.432 | 293.865 | 470.552 |
| 98.545 | 100.749 | -111.009 | -204.360 | -177.378 | -270.059 |
| 184.623 | 104.761 | -129.549 | -53.362 | 52.341 | 27.966 |
| 58.336 | 57.535 | 122.987 | 1.404 | -1.532 | -0.261 |
| 125.846 | -6.006 | -187.178 | -24.060 | 51.072 | 30.764 |
| 80.745 | -62.441 | -214.453 | -104.215 | -6.775 | -147.726 |
| -2.218 | -2.877 | -0.022 | 0.240 | -4.146 | 29.576 |
| 99.970 | 60.262 | 78.761 | 5.669 | -7.354 | -7.563 |
| 46.884 | 111.623 | 77.246 | 1.177 | -4.602 | -5.948 |
| 58.336 | 57.535 | 122.987 | 1.404 | -1.532 | -0.261 |
| -11.886 | 0.845 | 19.610 | 30.479 | -5.868 | -3.148 |
| -11.693 | 1.080 | 17.499 | 4.248 | 18.956 | -2.579 |
| -15.226 | -2.331 | 18.646 | 4.974 | -8.447 | 21.564 |
| 121.686 | 58.612 | 58.536 | 0.469 | -2.749 | -4.271 |
| 58.363 | 119.588 | 57.307 | -4.418 | 0.268 | -2.873 |
| 69.017 | 53.294 | 85.653 | -10.063 | -3.258 | -14.849 |
| 0.429 | 0.195 | 1.404 | 29.437 | -0.370 | 0.182 |
| 0.834 | 0.210 | -1.532 | -0.370 | 29.107 | 0.430 |
| -2.218 | -2.877 | -0.022 | 0.240 | -4.146 | 29.576 |
| 102.186 | 62.571 | 62.920 | 2.247 | -1.146 | -3.474 |
| 58.133 | 110.766 | 60.451 | -3.241 | 0.044 | -3.187 |
| 60.280 | 60.140 | 109.120 | 1.294 | -0.514 | 1.403 |
| 0.485 | 0.637 | 2.328 | 22.377 | -0.231 | 0.847 |
| -0.456 | 0.519 | 0.627 | -0.199 | 23.639 | 0.187 |
| -2.218 | -2.877 | -0.022 | 0.240 | -4.146 | 29.576 |
| 121.686 | 58.611 | 58.535 | 0.469 | -2.749 | -4.271 |
| 58.363 | 119.587 | 57.306 | -4.418 | 0.268 | -2.873 |
| 60.613 | 60.201 | 102.941 | -1.635 | -1.845 | -2.162 |
| 2.010 | -0.576 | -1.812 | 20.373 | -0.740 | -2.032 |
| 2.110 | 0.410 | -3.209 | -1.241 | 24.326 | 0.824 |
| -2.218 | -2.877 | -0.022 | 0.240 | -4.146 | 29.576 |
| 121.268 | 58.309 | 62.285 | -1.089 | 5.295 | 2.435 |
| 58.413 | 118.774 | 60.364 | -2.072 | 0.249 | -1.136 |
| 166.620 | -370.883 | 462.371 | 171.735 | -16.914 | -143.686 |
| -1.079 | -3.072 | 0.355 | 31.325 | 0.714 | 0.194 |
| 216.231 | -832.624 | 728.237 | -365.984 | 370.418 | -351.572 |
| 0.880 | -1.135 | 0.811 | 0.211 | 0.128 | 29.692 |
| 9.879 | 491.385 | -279.200 | -172.812 | 20.898 | 146.651 |
| -150.794 | 920.115 | -669.210 | 363.861 | -351.907 | 347.247 |
| -248.738 | 558.104 | -263.327 | -56.611 | -179.028 | 198.091 |
| -1.079 | -3.072 | 0.355 | 31.325 | 0.714 | 0.194 |
| -101.462 | 432.121 | -344.760 | -170.976 | 44.366 | 143.475 |
| 0.880 | -1.135 | 0.811 | 0.211 | 0.128 | 29.692 |
| 121.268 | 58.309 | 62.285 | -1.089 | 5.295 | 2.435 |
| 69.902 | 68.125 | 95.385 | 14.766 | -1.226 | -15.846 |
| 62.298 | 60.144 | 126.794 | 0.355 | -0.976 | 0.836 |
| 9.256 | -46.503 | 34.356 | 44.359 | -0.723 | -14.379 |
| 32.534 | -49.341 | 35.376 | 6.228 | 40.428 | -21.378 |
| 32.509 | -51.123 | 38.070 | 5.706 | 16.976 | -1.575 |
| 66.387 | 147.381 | -5.301 | 36.086 | -31.640 | 36.373 |
| -3.781 | 409.396 | -105.751 | 171.464 | -43.146 | 104.248 |
| 54.298 | 103.978 | 84.414 | -17.247 | 0.507 | 15.502 |
| -11.171 | 39.854 | -34.378 | 10.011 | 2.445 | 14.570 |
| 0.131 | 0.232 | -0.976 | 0.714 | 33.445 | -1.225 |
| 0.880 | -1.135 | 0.811 | 0.211 | 0.128 | 29.692 |
| 112.880 | 55.227 | 68.022 | 0.780 | 4.891 | 0.420 |
| 60.769 | 106.698 | 64.582 | -0.648 | 0.197 | -2.872 |
| 65.693 | 56.360 | 121.899 | 1.695 | -1.247 | -0.462 |
| 2.770 | -7.896 | 2.825 | 21.316 | 2.541 | -1.928 |
| 4.158 | -4.578 | 1.907 | 1.206 | 24.501 | -3.622 |
| 3.104 | -9.971 | 8.045 | -3.524 | 2.126 | 9.416 |
| 121.268 | 58.308 | 62.285 | -1.089 | 5.295 | 2.435 |
| 59.113 | 105.466 | 57.649 | -2.723 | -1.373 | 0.505 |
| 65.946 | 69.278 | 92.836 | 1.368 | -6.338 | 4.363 |
| -2.000 | 1.083 | -3.517 | 25.444 | 1.022 | 1.573 |
| -2.121 | 5.260 | -5.443 | 0.125 | 21.042 | 0.287 |
| 0.880 | -1.135 | 0.811 | 0.211 | 0.128 | 29.692 |
| 339.049 | -57.025 | 157.391 | 54.775 | -85.832 | 40.158 |
| 106.077 | 196.080 | -52.587 | 45.106 | 36.800 | 0.859 |
| 54.865 | 54.736 | 112.243 | -1.820 | 1.083 | 1.675 |
| -0.065 | 1.382 | -1.820 | 29.696 | 1.707 | 1.390 |
| 51.153 | 86.788 | -107.625 | 44.456 | 60.525 | 1.483 |
| 1.377 | -0.354 | 1.448 | 1.721 | 1.862 | 31.058 |
| -4.542 | 27.860 | 126.387 | 11.894 | -32.850 | 19.935 |
| 55.226 | 121.004 | 53.973 | 2.853 | 1.363 | -0.335 |
| 54.865 | 54.736 | 112.243 | -1.820 | 1.083 | 1.675 |
| -49.425 | -84.934 | 108.025 | -18.513 | -34.086 | 0.554 |
| 2.071 | 1.032 | 1.083 | 1.707 | 30.133 | 0.190 |
| -302.512 | 328.146 | -427.471 | -284.435 | 358.389 | 77.533 |
| 110.782 | 61.462 | 51.054 | -0.196 | 7.960 | 2.206 |
| 67.757 | 104.367 | 50.686 | 0.738 | 4.932 | -1.790 |
| 54.865 | 54.736 | 112.243 | -1.820 | 1.083 | 1.675 |
| 10.915 | 4.034 | -8.460 | 18.453 | 5.637 | 0.998 |
| 6.866 | 9.200 | -9.363 | 6.051 | 28.230 | 0.425 |
| 5.835 | 8.251 | -9.673 | 6.339 | 5.267 | 26.380 |
| 115.199 | 56.513 | 55.730 | 0.193 | 4.863 | 5.975 |
| 55.226 | 121.004 | 53.973 | 2.853 | 1.363 | -0.335 |
| 51.336 | 48.726 | 113.010 | -5.406 | -2.036 | 1.342 |
| -5.139 | -7.346 | 9.762 | 19.908 | -1.799 | 1.611 |
| 2.071 | 1.032 | 1.083 | 1.707 | 30.133 | 0.190 |
| -4.011 | -8.999 | 12.174 | -2.201 | -1.911 | 26.154 |
| 106.989 | 59.074 | 56.073 | 0.513 | 4.680 | 4.847 |
| 55.226 | 121.005 | 53.973 | 2.853 | 1.363 | -0.335 |
| 54.866 | 54.737 | 112.243 | -1.820 | 1.083 | 1.675 |
| 1.500 | 1.267 | -2.301 | 19.728 | 2.291 | 2.416 |
| 2.449 | 1.449 | 0.449 | 2.228 | 24.758 | 0.325 |
| 1.377 | -0.354 | 1.448 | 1.721 | 1.862 | 31.058 |
| 115.199 | 56.513 | 55.729 | 0.193 | 4.863 | 5.975 |
| 56.371 | 108.711 | 57.827 | 1.964 | 0.527 | -0.330 |
| 54.865 | 54.736 | 112.243 | -1.820 | 1.083 | 1.675 |
| -0.736 | 0.371 | -0.002 | 23.638 | 1.415 | 1.722 |
| 2.071 | 1.032 | 1.083 | 1.707 | 30.133 | 0.190 |
| 0.387 | -1.271 | 2.380 | 1.635 | 1.300 | 26.115 |
| 112.938 | 57.625 | 56.173 | -1.386 | 3.427 | 4.097 |
| 56.139 | 115.797 | 56.855 | 5.166 | 0.956 | 0.879 |
| 23.997 | 110.623 | -184.131 | 2.099 | -16.949 | 68.737 |
| -33.222 | 54.527 | -295.620 | 27.151 | -17.614 | 70.094 |
| -123.080 | 185.921 | -524.723 | -41.870 | -26.752 | 37.747 |
| -125.316 | 186.631 | -524.268 | -39.990 | -47.643 | 60.279 |
| 224.094 | -125.876 | 582.892 | 41.010 | 51.476 | -36.486 |
| 184.311 | -85.950 | 584.755 | 46.428 | 47.653 | -38.279 |
| 55.299 | 57.280 | 118.161 | -0.415 | 0.321 | 0.368 |
| -1.552 | 2.856 | -0.415 | 29.913 | 0.158 | 1.439 |
| 34.839 | -50.585 | 295.697 | -2.631 | 41.773 | -70.397 |
| 33.203 | -50.386 | 295.241 | -0.932 | 17.372 | -43.321 |
| 42.481 | 87.593 | 1.521 | -17.098 | -15.360 | 26.804 |
| 56.139 | 115.797 | 56.855 | 5.166 | 0.956 | 0.879 |
| 44.475 | 78.634 | 51.135 | -4.375 | -4.158 | 4.767 |
| -1.552 | 2.856 | -0.415 | 29.913 | 0.158 | 1.439 |
| 2.122 | 1.008 | 0.321 | 0.158 | 28.345 | -1.639 |
| -2.190 | 6.450 | -29.486 | 1.802 | -1.843 | 31.976 |
| 112.938 | 57.625 | 56.173 | -1.386 | 3.427 | 4.097 |
| 56.139 | 115.797 | 56.855 | 5.166 | 0.956 | 0.879 |
| 55.299 | 57.279 | 118.161 | -0.415 | 0.321 | 0.368 |
| 2.170 | -2.308 | 29.104 | 24.423 | 1.599 | -5.212 |
| 2.122 | 1.008 | 0.321 | 0.158 | 28.345 | -1.639 |
| 0.911 | 0.846 | 0.194 | 1.387 | 0.521 | 29.231 |
| 71.689 | 62.869 | 52.285 | 0.039 | 0.227 | 4.717 |
| 56.293 | 100.863 | 54.493 | 4.542 | 0.216 | 2.096 |
| 55.902 | 59.624 | 107.441 | -0.358 | 0.349 | 0.988 |
| -1.357 | 3.395 | -3.477 | 24.446 | -0.343 | 2.353 |
| 2.354 | 1.616 | -2.531 | -0.131 | 23.979 | -1.245 |
| 0.701 | 1.845 | -3.038 | 1.589 | -0.314 | 25.600 |
| 112.937 | 57.625 | 56.173 | -1.386 | 3.427 | 4.097 |
| 57.419 | 106.315 | 61.876 | 4.701 | 1.196 | 0.606 |
| 55.299 | 57.279 | 118.160 | -0.415 | 0.321 | 0.368 |
| -1.552 | 2.856 | -0.415 | 29.913 | 0.158 | 1.439 |
| 4.858 | -0.950 | 5.569 | 0.021 | 21.045 | -2.609 |
| 0.911 | 0.846 | 0.194 | 1.387 | 0.521 | 29.231 |
| 125.443 | 61.656 | 59.966 | -0.418 | -0.589 | 0.117 |
| -294.869 | 169.034 | 315.884 | 158.832 | 170.459 | 168.575 |
| -295.720 | 119.055 | 365.165 | 152.784 | 166.721 | 167.300 |
| -358.072 | 55.663 | 250.614 | 182.670 | 169.098 | 168.581 |
| -484.050 | 100.798 | 335.118 | 391.172 | -23.488 | 165.002 |
| -1.473 | 0.868 | -0.135 | 1.535 | 3.969 | 32.633 |
| 125.443 | 61.656 | 59.966 | -0.418 | -0.589 | 0.117 |
| 611.036 | 915.548 | -1177.815 | -1325.892 | 470.699 | -215.074 |
| 419.501 | 9.643 | -138.227 | -154.777 | -170.883 | -166.772 |
| 602.324 | 477.858 | -946.331 | -983.299 | 269.532 | -428.877 |
| 481.980 | -97.299 | -335.254 | -390.123 | 56.947 | -166.404 |
| 560.039 | 151.745 | -596.202 | -552.466 | 116.395 | -283.419 |
| 125.443 | 61.656 | 59.966 | -0.418 | -0.589 | 0.117 |
| 11.700 | 16.447 | 192.630 | 138.504 | -45.750 | 24.115 |
| 15.405 | 75.722 | 135.750 | 37.845 | -4.088 | 17.025 |
| -48.640 | 10.820 | 32.405 | 60.768 | -3.459 | 18.759 |
| -37.412 | 7.126 | 23.223 | 15.814 | 41.980 | 16.171 |
| -1.473 | 0.868 | -0.135 | 1.535 | 3.969 | 32.633 |
| 154.003 | 54.247 | 29.995 | -39.462 | 3.712 | -17.254 |
| 98.515 | 108.854 | 39.008 | -10.332 | -15.228 | -15.169 |
| 118.615 | 149.612 | -26.374 | -134.573 | 49.432 | -18.175 |
| 35.303 | -4.514 | -26.257 | 13.500 | -16.586 | -15.160 |
| 60.026 | 49.190 | -92.407 | -100.682 | 41.347 | -44.373 |
| -1.473 | 0.868 | -0.135 | 1.535 | 3.969 | 32.633 |
| 102.687 | 64.900 | 66.417 | 3.294 | -0.715 | 0.940 |
| 60.794 | 90.434 | 80.043 | 18.112 | -3.277 | 4.459 |
| 57.666 | 65.289 | 107.294 | 4.605 | 0.180 | 3.847 |
| -0.486 | 1.082 | -0.997 | 34.247 | 0.205 | 1.508 |
| -5.264 | 2.236 | 0.655 | 2.015 | 26.303 | 1.151 |
| -5.399 | 2.161 | 2.565 | 3.244 | 4.607 | 28.471 |
| 125.443 | 61.655 | 59.965 | -0.418 | -0.589 | 0.117 |
| 61.509 | 122.005 | 63.367 | 5.922 | 1.383 | 0.890 |
| 60.059 | 63.505 | 121.559 | -0.997 | -2.525 | 0.227 |
| 3.157 | 0.401 | -3.633 | 27.185 | -1.409 | -0.143 |
| 2.016 | 1.079 | -4.562 | -1.156 | 23.656 | -2.244 |
| 2.348 | 11.689 | -10.128 | -10.541 | 4.994 | 15.499 |
| 116.643 | 132.637 | -2.032 | -34.794 | -8.956 | 79.483 |
| 60.858 | 187.512 | -1.131 | -33.357 | -11.459 | 74.500 |
| 57.293 | 57.476 | 115.838 | -1.484 | -1.525 | 2.040 |
| -0.006 | 0.213 | -1.484 | 30.283 | 2.014 | 0.563 |
| 5.274 | 76.004 | -60.591 | -32.850 | 15.655 | 77.965 |
| 2.558 | 72.820 | -57.563 | -33.897 | -10.052 | 104.224 |
| 118.101 | 56.323 | 57.224 | 0.034 | 2.561 | 2.369 |
| 56.875 | 118.401 | 57.384 | 1.317 | 0.436 | -3.242 |
| 138.628 | -84.515 | 199.126 | 12.195 | 99.516 | -296.475 |
| -0.006 | 0.213 | -1.484 | 30.283 | 2.014 | 0.563 |
| 83.374 | -144.670 | 98.166 | 15.045 | 121.617 | -297.118 |
| -0.928 | -3.252 | 1.921 | 0.661 | 1.384 | 29.597 |
| 41.777 | 76.487 | 50.859 | 1.572 | -26.131 | 77.398 |
| 56.875 | 118.401 | 57.384 | 1.317 | 0.436 | -3.242 |
| 49.238 | 74.271 | 90.423 | -2.764 | -10.673 | 31.134 |
| -0.006 | 0.213 | -1.484 | 30.283 | 2.014 | 0.563 |
| 1.472 | 0.339 | -1.525 | 2.014 | 30.498 | 0.084 |
| -0.771 | 4.415 | -4.040 | -2.816 | 0.321 | 34.361 |
| 112.498 | 42.740 | 67.073 | 0.933 | 12.943 | -28.903 |
| 56.875 | 118.401 | 57.384 | 1.317 | 0.436 | -3.242 |
| 57.293 | 57.476 | 115.838 | -1.484 | -1.525 | 2.040 |
| -0.006 | 0.213 | -1.484 | 30.283 | 2.014 | 0.563 |
| 1.472 | 0.339 | -1.525 | 2.014 | 30.498 | 0.084 |
| -1.513 | -10.792 | 7.860 | 4.093 | 2.627 | 18.803 |
| 86.036 | 55.489 | 55.423 | -0.854 | -1.538 | 9.769 |
| 50.032 | 81.969 | 62.852 | 3.566 | -5.206 | 6.441 |
| 56.548 | 61.178 | 99.883 | -1.536 | -1.686 | 4.334 |
| -0.006 | 0.213 | -1.483 | 30.283 | 2.014 | 0.563 |
| 1.618 | 0.766 | -1.713 | 1.307 | 26.864 | 1.147 |
| -0.928 | -3.252 | 1.921 | 0.661 | 1.384 | 29.597 |
| 112.670 | 55.835 | 58.082 | 0.095 | 2.693 | 0.995 |
| 56.875 | 118.400 | 57.384 | 1.317 | 0.436 | -3.242 |
| 57.293 | 57.475 | 115.837 | -1.484 | -1.525 | 2.040 |
| -0.006 | 0.213 | -1.484 | 30.283 | 2.014 | 0.563 |
| 2.918 | -1.742 | 0.267 | 1.586 | 22.641 | -2.299 |
| -1.198 | -3.972 | 2.526 | 0.995 | 1.601 | 25.540 |
| -14.664 | -183.023 | -172.974 | 387.250 | 310.186 | 279.014 |
| 117.361 | 13.041 | -172.103 | -4.076 | 63.088 | 14.764 |
| 59.731 | 59.880 | 124.458 | 1.212 | 2.162 | 0.006 |
| 0.647 | 0.604 | 1.212 | 30.605 | -0.149 | 0.429 |
| 0.375 | 0.367 | 2.162 | -0.149 | 30.539 | 0.817 |
| -48.922 | -121.418 | -246.161 | 169.778 | 183.504 | 173.933 |
| 120.032 | 59.577 | 59.814 | 0.647 | 1.558 | -0.731 |
| 59.595 | 120.845 | 59.921 | 1.620 | 0.361 | -0.821 |
| 59.731 | 59.880 | 124.458 | 1.212 | 2.162 | 0.006 |
| 0.647 | 0.604 | 1.212 | 30.605 | -0.149 | 0.429 |
| 0.375 | 0.367 | 2.162 | -0.149 | 30.539 | 0.817 |
| 46.913 | 120.234 | 248.051 | -169.286 | -180.632 | -136.488 |
| 117.937 | 51.085 | 37.328 | 0.180 | 8.124 | 0.837 |
| 57.092 | 88.348 | 37.963 | 18.705 | 18.552 | 14.944 |
| 59.731 | 59.880 | 124.458 | 1.212 | 2.162 | 0.006 |
| 0.647 | 0.604 | 1.212 | 30.605 | -0.149 | 0.429 |
| 6.468 | -9.355 | -21.178 | -0.463 | 32.104 | 2.437 |
| 4.536 | -10.709 | -22.857 | -0.284 | 7.977 | 27.098 |
| 105.988 | 73.927 | 87.242 | -16.034 | -15.810 | -16.215 |
| 55.416 | 122.215 | 84.782 | 2.102 | -5.703 | -2.378 |
| 67.303 | 74.786 | 128.796 | -16.498 | -16.166 | -14.707 |
| -4.918 | 10.660 | 24.406 | 26.066 | -6.180 | -1.292 |
| 0.375 | 0.367 | 2.162 | -0.149 | 30.539 | 0.817 |
| -1.165 | -0.823 | 0.078 | 0.423 | 1.831 | 30.471 |
| 96.364 | 58.010 | 61.965 | 4.685 | 5.321 | 1.627 |
| 61.669 | 111.063 | 59.024 | 1.480 | 1.208 | -0.657 |
| 61.244 | 60.358 | 113.653 | 0.901 | 2.776 | 0.526 |
| 1.292 | -0.290 | -1.349 | 25.523 | 0.714 | 0.429 |
| 0.647 | -3.034 | 0.737 | 3.713 | 19.752 | 3.606 |
| -0.519 | -1.799 | -1.894 | 0.220 | 2.364 | 25.694 |
| 111.658 | 62.062 | 63.133 | 0.801 | 1.218 | -0.884 |
| 60.543 | 112.858 | 63.926 | 1.594 | -0.086 | -0.981 |
| 60.144 | 62.560 | 117.825 | 0.997 | 1.466 | 0.230 |
| 4.920 | 4.538 | 3.904 | 9.075 | -3.358 | -2.638 |
| 0.375 | 0.367 | 2.161 | -0.149 | 30.539 | 0.817 |
| 1.273 | 2.309 | 3.570 | -4.957 | -1.610 | 11.969 |
| 53.475 | -43.947 | 55.329 | -2.916 | -69.015 | 22.783 |
| 24.414 | -40.553 | -60.131 | 50.129 | -59.563 | 98.349 |
| 56.064 | 56.445 | 118.227 | 0.660 | -2.761 | 0.027 |
| -278.720 | -423.348 | -335.161 | 462.582 | -238.076 | 1055.480 |
| -35.896 | -141.957 | -119.490 | 49.188 | -38.340 | 98.821 |
| -60.963 | -99.011 | -1.740 | -4.370 | -65.628 | 50.063 |
| 121.298 | 56.607 | 55.790 | 1.645 | -1.292 | 0.276 |
| 56.834 | 116.645 | 56.617 | 1.290 | -0.489 | 1.649 |
| 56.064 | 56.445 | 118.227 | 0.660 | -2.761 | 0.027 |
| 286.175 | 422.383 | 334.627 | -454.902 | 237.140 | -1063.969 |
| -3.078 | -0.371 | -2.761 | 0.260 | 29.939 | 1.295 |
| 31.561 | 141.404 | 116.652 | -49.719 | 59.617 | -74.751 |
| 107.159 | 46.493 | 56.631 | 0.668 | -8.304 | 2.295 |
| 54.036 | 85.604 | 45.355 | 6.173 | -7.672 | 10.866 |
| 51.047 | 46.707 | 111.151 | 0.988 | -9.187 | 2.024 |
| -2.415 | -13.689 | -9.723 | 25.673 | -5.417 | 8.975 |
| -9.002 | -10.877 | -2.549 | 0.105 | 18.436 | 3.652 |
| -1.237 | 1.644 | -0.009 | -0.237 | 1.821 | 30.945 |
| 107.643 | 70.994 | 69.105 | -3.680 | 3.864 | -9.908 |
| 62.758 | 118.914 | 57.141 | 1.748 | 5.806 | -0.807 |
| 56.064 | 56.445 | 118.227 | 0.660 | -2.761 | 0.027 |
| 6.699 | 10.314 | 1.531 | 26.192 | 7.269 | -2.559 |
| 0.304 | 12.221 | 9.459 | -4.547 | 25.069 | -8.117 |
| -1.237 | 1.644 | -0.009 | -0.237 | 1.821 | 30.945 |
| 111.937 | 55.456 | 56.826 | 0.985 | -2.303 | 0.247 |
| 57.059 | 86.651 | 56.109 | 1.794 | -4.483 | 3.815 |
| 57.322 | 54.688 | 92.433 | 3.232 | -4.048 | 2.754 |
| 0.078 | -0.803 | 1.396 | 25.598 | -0.188 | -0.045 |
| -3.078 | -0.371 | -2.760 | 0.260 | 29.939 | 1.295 |
| -1.237 | 1.644 | -0.009 | -0.237 | 1.821 | 30.945 |
| 121.297 | 56.607 | 55.790 | 1.645 | -1.292 | 0.276 |
| 57.677 | 100.547 | 58.296 | 0.767 | -1.411 | 0.122 |
| 57.960 | 58.269 | 104.409 | 1.390 | -1.710 | -1.720 |
| 1.227 | 1.735 | 3.285 | 19.494 | 0.885 | -1.804 |
| -2.389 | 0.219 | -2.357 | 0.568 | 25.488 | 1.136 |
| -0.694 | 2.537 | -0.301 | -0.359 | 2.550 | 26.749 |
| 61.925 | 66.726 | -3.085 | -0.000 | -0.000 | -0.000 |
| 57.069 | 168.142 | 36.813 | -0.000 | -0.000 | -0.000 |
| -1.124 | 49.070 | 48.870 | -0.000 | -0.000 | -0.000 |
| -0.049 | 0.049 | -0.037 | -20.205 | -0.000 | -0.000 |
| 0.831 | -0.833 | 0.629 | -0.000 | 11.580 | 0.000 |
| -0.055 | 0.055 | -0.042 | -0.000 | -0.000 | -17.284 |
| 61.380 | 67.273 | -3.498 | 0.000 | 0.000 | 0.000 |
| 56.524 | 168.689 | 36.400 | 0.000 | 0.000 | 0.000 |
| -1.658 | 49.606 | 48.466 | 0.000 | 0.000 | 0.000 |
| 0.049 | -0.049 | 0.037 | -20.204 | 0.000 | 0.000 |
| -0.831 | 0.833 | -0.629 | 0.000 | 11.580 | -0.000 |
| 0.055 | -0.055 | 0.042 | 0.000 | -0.000 | -17.284 |
| 62.260 | 66.390 | -2.832 | -0.000 | -0.000 | -0.000 |
| 56.247 | 168.966 | 36.190 | -0.000 | -0.000 | -0.000 |
| -0.614 | 48.558 | 49.256 | -0.000 | -0.000 | -0.000 |
| -0.003 | 0.003 | -0.002 | -17.332 | -0.000 | -0.000 |
| 0.083 | -0.083 | 0.063 | -0.000 | 11.580 | 0.000 |
| -0.004 | 0.004 | -0.003 | -0.000 | -0.000 | -15.081 |
| 62.204 | 66.447 | -2.874 | 0.000 | -0.000 | 0.000 |
| 56.191 | 169.023 | 36.148 | 0.000 | 0.000 | 0.000 |
| -0.670 | 48.615 | 49.214 | 0.000 | 0.000 | 0.000 |
| 0.003 | -0.003 | 0.002 | -17.332 | 0.000 | 0.000 |
| -0.083 | 0.083 | -0.063 | 0.000 | 11.580 | -0.000 |
| 0.004 | -0.004 | 0.003 | 0.000 | 0.000 | -15.081 |
| 62.241 | 66.410 | -2.846 | -0.000 | -0.000 | -0.000 |
| 56.216 | 168.998 | 36.167 | -0.000 | -0.000 | -0.000 |
| -0.631 | 48.576 | 49.244 | -0.000 | -0.000 | -0.000 |
| -0.000 | 0.000 | 0.000 | -17.303 | -0.000 | -0.000 |
| 0.008 | -0.008 | 0.006 | -0.000 | 11.580 | 0.000 |
| -0.000 | 0.000 | -0.000 | -0.000 | -0.000 | -15.059 |
| 62.235 | 66.415 | -2.851 | 0.000 | 0.000 | 0.000 |
| 56.210 | 169.003 | 36.162 | 0.000 | 0.000 | 0.000 |
| -0.637 | 48.581 | 49.238 | 0.000 | 0.000 | 0.000 |
| 0.000 | -0.000 | -0.000 | -17.303 | 0.000 | 0.000 |
| -0.008 | 0.008 | -0.006 | 0.000 | 11.580 | -0.000 |
| 0.000 | -0.000 | 0.000 | 0.000 | 0.000 | -15.059 |
| 234.982 | 186.005 | 186.005 | 0.000 | 0.000 | 0.000 |
| 186.005 | 234.982 | 186.005 | -0.000 | 0.000 | 0.000 |
| 186.005 | 186.005 | 234.982 | 0.000 | 0.000 | 0.000 |
| 53.388 | 53.388 | 53.388 | 24.319 | 0.000 | 0.000 |
| 53.388 | 53.388 | 53.388 | 0.000 | 24.319 | 0.000 |
| 53.388 | 53.388 | 53.388 | 0.000 | -0.000 | 24.319 |
| 5.827 | -51.007 | -51.007 | -0.000 | 0.000 | -0.000 |
| -51.007 | 5.827 | -51.007 | 0.000 | -0.000 | -0.000 |
| -51.007 | -51.007 | 5.827 | 0.000 | -0.000 | -0.000 |
| -53.388 | -53.388 | -53.388 | 24.319 | -0.000 | -0.000 |
| -53.388 | -53.388 | -53.388 | -0.000 | 24.319 | -0.000 |
| -53.388 | -53.388 | -53.388 | 0.000 | -0.000 | 24.319 |
| 131.708 | 73.962 | 73.962 | 0.000 | -0.000 | 0.000 |
| 73.962 | 131.708 | 73.962 | 0.000 | -0.000 | 0.000 |
| 73.962 | 73.962 | 131.708 | 0.000 | 0.000 | 0.000 |
| -0.000 | -0.000 | -0.000 | 32.677 | 0.000 | 0.000 |
| -0.000 | -0.000 | -0.000 | 0.000 | 32.677 | 0.000 |
| -0.000 | -0.000 | -0.000 | 0.000 | -0.000 | 32.677 |
| 137.081 | 67.925 | 67.925 | 0.000 | -0.000 | -0.000 |
| 67.925 | 137.081 | 67.925 | 0.000 | 0.000 | -0.000 |
| 67.925 | 67.925 | 137.081 | 0.000 | 0.000 | -0.000 |
| 0.000 | 0.000 | 0.000 | 32.677 | 0.000 | -0.000 |
| 0.000 | 0.000 | 0.000 | -0.000 | 32.677 | -0.000 |
| 0.000 | 0.000 | 0.000 | 0.000 | 0.000 | 32.677 |
| 124.240 | 68.401 | 68.401 | 0.000 | -0.000 | 0.000 |
| 68.401 | 124.240 | 68.401 | -0.000 | -0.000 | 0.000 |
| 68.401 | 68.401 | 124.240 | -0.000 | -0.000 | 0.000 |
| 1.167 | 1.167 | 1.167 | 22.580 | 0.000 | 0.000 |
| 1.167 | 1.167 | 1.167 | 0.000 | 22.580 | 0.000 |
| 1.167 | 1.167 | 1.167 | 0.000 | -0.000 | 22.580 |
| 137.081 | 67.925 | 67.925 | -0.000 | 0.000 | -0.000 |
| 67.925 | 137.081 | 67.925 | -0.000 | -0.000 | -0.000 |
| 67.925 | 67.925 | 137.081 | 0.000 | -0.000 | -0.000 |
| -1.167 | -1.167 | -1.167 | 22.580 | -0.000 | -0.000 |
| -1.167 | -1.167 | -1.167 | 0.000 | 22.580 | -0.000 |
| -1.167 | -1.167 | -1.167 | 0.000 | 0.000 | 22.580 |
| 136.875 | 67.767 | 67.767 | -0.000 | 0.000 | 0.000 |
| 67.767 | 136.875 | 67.767 | -0.000 | -0.000 | 0.000 |
| 67.767 | 67.767 | 136.875 | -0.000 | -0.000 | 0.000 |
| 1.773 | 1.773 | 1.773 | 22.577 | -0.000 | 0.000 |
| 1.773 | 1.773 | 1.773 | -0.000 | 22.577 | 0.000 |
| 1.773 | 1.773 | 1.773 | -0.000 | -0.000 | 22.577 |
| 136.875 | 67.767 | 67.767 | 0.000 | 0.000 | -0.000 |
| 67.767 | 136.875 | 67.767 | 0.000 | -0.000 | -0.000 |
| 67.767 | 67.767 | 136.875 | 0.000 | -0.000 | -0.000 |
| -1.773 | -1.773 | -1.773 | 22.577 | -0.000 | -0.000 |
| -1.773 | -1.773 | -1.773 | 0.000 | 22.577 | -0.000 |
| -1.773 | -1.773 | -1.773 | 0.000 | -0.000 | 22.577 |
| 125.044 | 70.133 | 70.133 | -0.000 | 0.000 | 0.000 |
| 70.133 | 125.044 | 70.133 | -0.000 | -0.000 | 0.000 |
| 70.133 | 70.133 | 125.044 | -0.000 | 0.000 | 0.000 |
| -0.000 | -0.000 | -0.000 | 32.731 | 0.000 | 0.000 |
| -0.000 | -0.000 | -0.000 | -0.000 | 32.731 | 0.000 |
| -0.000 | -0.000 | -0.000 | -0.000 | -0.000 | 32.731 |
| 124.761 | 70.101 | 70.101 | 0.000 | -0.000 | -0.000 |
| 70.101 | 124.761 | 70.101 | 0.000 | -0.000 | -0.000 |
| 70.101 | 70.101 | 124.761 | -0.000 | 0.000 | -0.000 |
| 0.000 | 0.000 | 0.000 | 32.731 | -0.000 | -0.000 |
| 0.000 | 0.000 | 0.000 | 0.000 | 32.731 | -0.000 |
| 0.000 | 0.000 | 0.000 | 0.000 | -0.000 | 32.731 |
| 136.875 | 67.767 | 67.767 | -0.000 | -0.000 | 0.000 |
| 67.767 | 136.875 | 67.767 | -0.000 | 0.000 | 0.000 |
| 67.767 | 67.767 | 136.875 | -0.000 | -0.000 | 0.000 |
| -0.000 | -0.000 | -0.000 | 32.731 | -0.000 | 0.000 |
| -0.000 | -0.000 | -0.000 | -0.000 | 32.731 | 0.000 |
| -0.000 | -0.000 | -0.000 | 0.000 | -0.000 | 32.731 |
| 122.796 | 66.955 | 66.955 | 0.000 | 0.000 | -0.000 |
| 66.955 | 122.796 | 66.955 | 0.000 | -0.000 | -0.000 |
| 66.955 | 66.955 | 122.796 | 0.000 | 0.000 | -0.000 |
| 0.000 | 0.000 | 0.000 | 32.731 | -0.000 | -0.000 |
| 0.000 | 0.000 | 0.000 | 0.000 | 32.731 | -0.000 |
| 0.000 | 0.000 | 0.000 | 0.000 | 0.000 | 32.731 |
| 112.832 | 62.540 | 62.540 | -0.000 | -0.000 | -0.000 |
| 62.540 | 112.832 | 62.540 | 0.000 | -0.000 | 0.000 |
| 62.540 | 62.540 | 112.832 | -0.000 | 0.000 | 0.000 |
| -0.000 | -0.000 | -0.000 | 32.725 | -0.000 | 0.000 |
| 0.000 | 0.000 | 0.000 | 0.000 | 32.725 | -0.000 |
| -0.000 | -0.000 | 0.000 | 0.000 | 0.000 | 32.725 |
| 115.123 | 72.524 | 72.524 | 0.000 | 0.000 | 0.000 |
| 72.524 | 115.123 | 72.524 | 0.000 | 0.000 | 0.000 |
| 72.524 | 72.524 | 115.123 | 0.000 | 0.000 | 0.000 |
| 49.454 | 49.454 | 49.454 | -9.660 | 0.000 | 0.000 |
| 49.454 | 49.454 | 49.454 | 0.000 | -9.660 | 0.000 |
| 49.454 | 49.454 | 49.454 | 0.000 | 0.000 | -9.660 |
| 70.764 | 49.094 | 49.094 | -0.000 | -0.000 | -0.000 |
| 49.094 | 70.764 | 49.094 | -0.000 | -0.000 | -0.000 |
| 49.094 | 49.094 | 70.764 | -0.000 | -0.000 | -0.000 |
| -0.000 | -0.000 | 0.000 | 32.725 | 0.000 | -0.000 |
| -0.000 | -0.000 | 0.000 | 0.000 | 32.725 | 0.000 |
| -0.000 | 0.000 | -0.000 | 0.000 | -0.000 | 32.725 |
| 108.174 | 70.256 | 70.256 | -0.000 | -0.000 | -0.000 |
| 70.256 | 108.174 | 70.256 | -0.000 | -0.000 | -0.000 |
| 70.256 | 70.256 | 108.174 | -0.000 | -0.000 | -0.000 |
| 0.000 | 0.000 | -0.000 | 32.725 | 0.000 | 0.000 |
| 0.000 | 0.000 | -0.000 | 0.000 | 32.725 | 0.000 |
| 0.000 | -0.000 | 0.000 | 0.000 | 0.000 | 32.725 |
| 104.380 | 60.466 | 60.466 | -0.000 | -0.000 | -0.000 |
| 60.466 | 104.380 | 60.466 | -0.000 | -0.000 | -0.000 |
| 60.466 | 60.466 | 104.380 | -0.000 | -0.000 | -0.000 |
| -0.145 | -0.145 | -0.145 | 20.336 | -0.000 | -0.000 |
| -0.145 | -0.145 | -0.145 | -0.000 | 20.336 | -0.000 |
| -0.145 | -0.145 | -0.145 | -0.000 | -0.000 | 20.336 |
| 104.946 | 60.753 | 60.753 | 0.000 | 0.000 | 0.000 |
| 60.753 | 104.946 | 60.753 | 0.000 | 0.000 | 0.000 |
| 60.753 | 60.753 | 104.946 | 0.000 | 0.000 | 0.000 |
| 0.145 | 0.145 | 0.145 | 20.336 | 0.000 | 0.000 |
| 0.145 | 0.145 | 0.145 | 0.000 | 20.336 | 0.000 |
| 0.145 | 0.145 | 0.145 | 0.000 | 0.000 | 20.336 |
| -941.342 | -980.515 | -980.515 | 0.000 | 0.000 | -0.000 |
| -980.515 | -941.342 | -980.515 | 0.000 | -0.000 | 0.000 |
| -980.515 | -980.515 | -941.342 | 0.000 | -0.000 | 0.000 |
| -1044.178 | -1044.178 | -1044.178 | 10.104 | 0.000 | 0.000 |
| -1044.178 | -1044.178 | -1044.178 | 0.000 | 10.104 | 0.000 |
| -1044.178 | -1044.178 | -1044.178 | 0.000 | 0.000 | 10.104 |
| 1146.086 | 1108.362 | 1108.362 | 0.000 | 0.000 | 0.000 |
| 1108.362 | 1146.086 | 1108.362 | 0.000 | 0.000 | 0.000 |
| 1108.362 | 1108.362 | 1146.086 | 0.000 | 0.000 | 0.000 |
| 1044.178 | 1044.178 | 1044.178 | 10.104 | -0.000 | -0.000 |
| 1044.178 | 1044.178 | 1044.178 | -0.000 | 10.104 | -0.000 |
| 1044.178 | 1044.178 | 1044.178 | -0.000 | -0.000 | 10.104 |
| -1.623 | -40.798 | -40.798 | -0.000 | 0.000 | 0.000 |
| -40.798 | -1.623 | -40.798 | 0.000 | -0.000 | 0.000 |
| -40.798 | -40.798 | -1.623 | 0.000 | 0.000 | -0.000 |
| -104.424 | -104.424 | -104.424 | 17.614 | -0.000 | -0.000 |
| -104.424 | -104.424 | -104.424 | -0.000 | 17.614 | -0.000 |
| -104.424 | -104.424 | -104.424 | -0.000 | -0.000 | 17.614 |
| 206.284 | 168.559 | 168.559 | 0.000 | 0.000 | 0.000 |
| 168.559 | 206.284 | 168.559 | 0.000 | 0.000 | 0.000 |
| 168.559 | 168.559 | 206.284 | 0.000 | 0.000 | 0.000 |
| 104.424 | 104.424 | 104.424 | 17.614 | 0.000 | 0.000 |
| 104.424 | 104.424 | 104.424 | 0.000 | 17.614 | 0.000 |
| 104.424 | 104.424 | 104.424 | 0.000 | 0.000 | 17.614 |
| 91.684 | 53.829 | 53.829 | -0.000 | -0.000 | -0.000 |
| 53.829 | 91.684 | 53.829 | -0.000 | -0.000 | -0.000 |
| 53.829 | 53.829 | 91.684 | -0.000 | -0.000 | -0.000 |
| -9.742 | -9.743 | -9.743 | 10.956 | 0.000 | -0.000 |
| -9.743 | -9.742 | -9.743 | 0.000 | 10.956 | 0.000 |
| -9.743 | -9.743 | -9.742 | 0.000 | -0.000 | 10.956 |
| 115.451 | 73.037 | 73.037 | 0.000 | 0.000 | 0.000 |
| 73.037 | 115.451 | 73.037 | 0.000 | 0.000 | 0.000 |
| 73.037 | 73.037 | 115.451 | 0.000 | 0.000 | 0.000 |
| 9.742 | 9.743 | 9.743 | 10.956 | -0.000 | -0.000 |
| 9.743 | 9.742 | 9.743 | -0.000 | 10.956 | -0.000 |
| 9.743 | 9.743 | 9.742 | -0.000 | -0.000 | 10.956 |
| 109.017 | 47.840 | 36.705 | 0.000 | 0.000 | 0.000 |
| 625.795 | 41.403 | 551.718 | -0.000 | 0.000 | 0.000 |
| 36.954 | 27.092 | 107.810 | -0.000 | 0.000 | -0.000 |
| 576.297 | -47.797 | 523.285 | -0.052 | 0.000 | 0.000 |
| 576.291 | -47.796 | 523.279 | -0.000 | -16.113 | 0.000 |
| 576.291 | -47.796 | 523.279 | -0.000 | 0.000 | 28.077 |
| 109.017 | 47.840 | 36.705 | 0.000 | -0.000 | -0.000 |
| -526.786 | 136.996 | -494.839 | -0.000 | -0.000 | 0.000 |
| 36.954 | 27.092 | 107.810 | -0.000 | -0.000 | -0.000 |
| -576.297 | 47.797 | -523.285 | -0.052 | -0.000 | 0.000 |
| -576.291 | 47.796 | -523.279 | 0.000 | -16.113 | -0.000 |
| -576.291 | 47.796 | -523.279 | 0.000 | -0.000 | 28.077 |
| 157.770 | 43.796 | 80.973 | -0.000 | 0.000 | 0.000 |
| 107.134 | 84.420 | 80.767 | -0.000 | 0.000 | 0.000 |
| 86.524 | 22.981 | 152.820 | -0.000 | 0.000 | 0.000 |
| 57.726 | -4.788 | 52.416 | -3.093 | 0.000 | -0.000 |
| -0.000 | -0.000 | -0.000 | -0.000 | 15.885 | 0.000 |
| -0.000 | -0.000 | -0.000 | 0.000 | 0.000 | 28.077 |
| 42.512 | 53.356 | -23.683 | 0.000 | -0.000 | -0.000 |
| -8.124 | 93.979 | -23.888 | 0.000 | -0.000 | -0.000 |
| -28.734 | 32.540 | 48.164 | 0.000 | -0.000 | -0.000 |
| -57.726 | 4.788 | -52.416 | -3.093 | -0.000 | 0.000 |
| 0.000 | 0.000 | 0.000 | 0.000 | 15.885 | -0.000 |
| 0.000 | 0.000 | 0.000 | -0.000 | -0.000 | 28.077 |
| 109.018 | 47.840 | 36.705 | 0.000 | 0.000 | 0.000 |
| 55.268 | 88.721 | 33.672 | 0.000 | 0.000 | 0.000 |
| 34.658 | 27.283 | 105.725 | -0.000 | 0.000 | -0.000 |
| -0.000 | -0.000 | -0.000 | 0.348 | 0.000 | 0.000 |
| 5.763 | -0.478 | 5.232 | 0.000 | -16.113 | -0.000 |
| 5.763 | -0.478 | 5.233 | -0.000 | 0.000 | 28.077 |
| 94.377 | 49.054 | 23.412 | -0.000 | -0.000 | 0.000 |
| 43.742 | 89.678 | 23.207 | 0.000 | -0.000 | -0.000 |
| 23.132 | 28.239 | 95.259 | 0.000 | -0.000 | 0.000 |
| 0.000 | 0.000 | 0.000 | 0.348 | -0.000 | -0.000 |
| -5.763 | 0.478 | -5.232 | -0.000 | -16.113 | -0.000 |
| -5.763 | 0.478 | -5.233 | 0.000 | -0.000 | 28.077 |
| 116.305 | 56.768 | 48.060 | 1.698 | 0.000 | -0.000 |
| 57.162 | 116.845 | 49.460 | -1.853 | 0.000 | 0.000 |
| 49.460 | 49.460 | 81.525 | -0.000 | 0.000 | 0.000 |
| 1.161 | -1.971 | -1.214 | 16.354 | 0.000 | 0.000 |
| 0.000 | -0.000 | -0.000 | -0.000 | 16.963 | 1.853 |
| 0.000 | -0.000 | -0.000 | -0.000 | 1.853 | 29.842 |
| 116.845 | 57.162 | 49.460 | 1.853 | -0.000 | -0.000 |
| 57.162 | 116.845 | 49.460 | -1.853 | -0.000 | -0.000 |
| 49.460 | 49.460 | 81.525 | 0.000 | 0.000 | 0.000 |
| 1.971 | -1.161 | 1.214 | 16.354 | -0.000 | -0.000 |
| -0.000 | 0.000 | 0.000 | 0.000 | 16.963 | 1.853 |
| -0.000 | 0.000 | 0.000 | 0.000 | 1.853 | 29.842 |
| 116.845 | 57.162 | 49.460 | 1.853 | 0.000 | 0.000 |
| 56.942 | 116.463 | 48.558 | -1.681 | -0.000 | -0.000 |
| 48.738 | 48.738 | 79.362 | -0.000 | 0.000 | 0.000 |
| 1.168 | -1.209 | -0.062 | 15.552 | 0.000 | -0.000 |
| -0.092 | -0.092 | -0.276 | -0.000 | 15.580 | 1.202 |
| 0.000 | 0.000 | -0.000 | 0.000 | 1.853 | 29.842 |
| 116.491 | 56.980 | 48.657 | 1.671 | -0.000 | -0.000 |
| 57.162 | 116.845 | 49.460 | -1.853 | 0.000 | -0.000 |
| 48.779 | 48.779 | 79.485 | 0.000 | -0.000 | 0.000 |
| 1.294 | -1.110 | 0.276 | 15.580 | -0.000 | 0.000 |
| 0.092 | 0.092 | 0.276 | 0.000 | 15.580 | 1.202 |
| -0.000 | -0.000 | -0.000 | -0.000 | 1.853 | 29.842 |
| 116.845 | 57.162 | 49.460 | 1.853 | 0.000 | -0.000 |
| 57.162 | 116.845 | 49.460 | -1.853 | -0.000 | 0.000 |
| 49.460 | 49.460 | 81.525 | -0.000 | 0.000 | 0.000 |
| 1.853 | -1.853 | 0.000 | 16.963 | 0.000 | 0.000 |
| 0.000 | 0.000 | 0.000 | -0.000 | 16.963 | 1.853 |
| 0.000 | 0.000 | 0.000 | 0.000 | 1.853 | 29.842 |
| 116.844 | 57.162 | 49.460 | 1.853 | -0.000 | -0.000 |
| 57.162 | 116.844 | 49.460 | -1.853 | -0.000 | -0.000 |
| 48.761 | 48.761 | 79.430 | 0.000 | -0.000 | 0.000 |
| 1.853 | -1.853 | -0.000 | 16.963 | -0.000 | -0.000 |
| -0.000 | -0.000 | -0.000 | 0.000 | 16.963 | 1.853 |
| -0.000 | -0.000 | -0.000 | -0.000 | 1.853 | 29.842 |
| 170.660 | 65.499 | 78.928 | 0.000 | -0.000 | 0.000 |
| -371.849 | 1780.139 | -571.483 | 0.000 | 0.000 | -0.000 |
| -354.312 | 1684.655 | -452.311 | -0.000 | 0.000 | 0.000 |
| -434.703 | 1613.115 | -643.106 | 42.802 | 0.000 | 0.000 |
| -434.703 | 1613.116 | -643.106 | 0.000 | 47.741 | -0.000 |
| -704.632 | 2034.747 | -1118.462 | 0.000 | 0.000 | 26.112 |
| 170.660 | 65.499 | 78.928 | -0.000 | -0.000 | 0.000 |
| 63.905 | 179.517 | 72.188 | -0.000 | -0.000 | 0.000 |
| 515.096 | -1541.583 | 833.906 | -0.000 | -0.000 | -0.000 |
| 434.703 | -1613.115 | 643.106 | 42.802 | -0.000 | 0.000 |
| 434.703 | -1613.116 | 643.106 | -0.000 | 47.741 | -0.000 |
| 704.632 | -2034.747 | 1118.462 | -0.000 | -0.000 | 26.112 |
| -145.523 | 215.970 | -110.204 | 0.000 | 0.000 | -0.000 |
| 19.412 | 328.209 | 7.355 | -0.000 | 0.000 | -0.000 |
| -180.140 | 200.211 | -64.923 | 0.000 | -0.000 | -0.000 |
| -501.277 | 104.412 | -131.936 | 34.673 | 0.000 | -0.000 |
| -43.477 | 161.337 | -64.321 | 0.000 | 47.739 | -0.000 |
| -268.947 | 146.418 | -198.628 | -0.000 | 0.000 | 10.370 |
| 392.377 | -76.897 | 286.712 | 0.000 | -0.000 | 0.000 |
| 106.362 | 5.600 | 135.987 | -0.000 | -0.000 | -0.000 |
| 155.207 | -138.738 | 276.192 | 0.000 | -0.000 | -0.000 |
| 501.277 | -104.412 | 131.936 | 34.673 | -0.000 | 0.000 |
| 43.477 | -161.337 | 64.321 | -0.000 | 47.739 | 0.000 |
| 268.947 | -146.418 | 198.628 | 0.000 | -0.000 | 10.370 |
| 100.272 | 83.555 | 69.570 | 0.000 | 0.000 | -0.000 |
| 57.639 | 177.813 | 53.101 | 0.000 | 0.000 | 0.000 |
| 51.088 | 66.281 | 118.850 | 0.000 | 0.000 | -0.000 |
| 0.000 | 0.000 | 0.000 | 49.547 | 0.000 | -0.000 |
| -6.977 | 20.204 | -11.068 | 0.000 | 35.761 | 0.000 |
| -4.416 | 16.388 | -6.533 | 0.000 | 0.000 | 37.077 |
| 164.179 | 48.117 | 88.936 | -0.000 | -0.000 | 0.000 |
| 71.508 | 139.472 | 76.395 | -0.000 | -0.000 | -0.000 |
| 91.842 | 44.338 | 174.237 | -0.000 | -0.000 | 0.000 |
| -0.000 | -0.000 | -0.000 | 49.547 | -0.000 | 0.000 |
| 6.977 | -20.204 | 11.068 | -0.000 | 35.761 | 0.000 |
| 4.416 | -16.388 | 6.533 | -0.000 | -0.000 | 37.077 |
| 497.983 | -80.478 | -357.429 | 0.000 | 0.000 | -0.000 |
| 406.691 | 14.744 | -371.736 | -0.000 | 0.000 | -0.000 |
| 426.738 | -73.812 | -260.140 | -0.000 | 0.000 | -0.000 |
| 0.000 | 0.000 | 0.000 | 49.376 | 0.000 | 0.000 |
| 1180.245 | -838.883 | -1098.109 | 0.000 | 27.347 | -0.000 |
| 238.823 | -869.336 | -812.502 | 0.000 | 0.000 | 22.954 |
| 170.528 | 65.425 | 79.156 | -0.000 | -0.000 | -0.000 |
| -173.607 | 1023.726 | 875.799 | -0.000 | -0.000 | 0.000 |
| 77.641 | 71.445 | 206.019 | -0.000 | 0.000 | -0.000 |
| -0.000 | -0.000 | -0.000 | 49.376 | -0.000 | -0.000 |
| -1180.245 | 838.883 | 1098.109 | -0.000 | 27.347 | 0.000 |
| -238.823 | 869.336 | 812.502 | 0.000 | -0.000 | 22.954 |
| 188.703 | 49.455 | 40.204 | -0.000 | 0.000 | -0.000 |
| 89.110 | 67.853 | -17.918 | 0.000 | 0.000 | -0.000 |
| 77.641 | 71.445 | 206.019 | 0.000 | 0.000 | 0.000 |
| 117.942 | -83.834 | -109.758 | 33.348 | 0.000 | -0.000 |
| 34.352 | -14.441 | -44.182 | -0.000 | 44.375 | -0.000 |
| 0.000 | 0.000 | 0.000 | 0.000 | 0.000 | 42.340 |
| 170.528 | 65.425 | 79.156 | -0.000 | -0.000 | -0.000 |
| 64.050 | 178.527 | 71.585 | -0.000 | -0.000 | -0.000 |
| 77.641 | 71.445 | 206.019 | -0.000 | -0.000 | -0.000 |
| -117.942 | 83.834 | 109.758 | 33.348 | -0.000 | 0.000 |
| -34.352 | 14.441 | 44.182 | 0.000 | 44.375 | 0.000 |
| -0.000 | -0.000 | -0.000 | 0.000 | -0.000 | 42.340 |
| 156.408 | 62.362 | 80.492 | 0.000 | 0.000 | -0.000 |
| 64.050 | 178.527 | 71.585 | 0.000 | 0.000 | 0.000 |
| 77.641 | 71.445 | 206.020 | -0.000 | 0.000 | 0.000 |
| 0.000 | 0.000 | 0.000 | 49.376 | 0.000 | 0.000 |
| 3.472 | -1.460 | -4.466 | 0.000 | 44.250 | -0.000 |
| 12.024 | -8.152 | -10.877 | -0.000 | 0.000 | 14.619 |
| 135.966 | 75.462 | 97.866 | 0.000 | -0.000 | 0.000 |
| 60.169 | 164.202 | 74.452 | -0.000 | -0.000 | 0.000 |
| 77.641 | 71.444 | 206.018 | -0.000 | -0.000 | 0.000 |
| -0.000 | -0.000 | -0.000 | 49.376 | 0.000 | 0.000 |
| -3.472 | 1.460 | 4.466 | 0.000 | 44.250 | 0.000 |
| -12.024 | 8.152 | 10.877 | 0.000 | -0.000 | 14.619 |
| 1061.440 | 609.067 | -1333.571 | 0.000 | 0.000 | -0.000 |
| 334.450 | 1123.520 | -1769.264 | 0.000 | -0.000 | -0.000 |
| 359.599 | 1044.951 | -1741.624 | 0.000 | -0.000 | -0.000 |
| 264.391 | 1023.426 | -1789.207 | 6.540 | 0.000 | -0.000 |
| 0.000 | 0.000 | 0.000 | 0.000 | 54.275 | -0.000 |
| -894.189 | -3041.809 | -2600.298 | 0.000 | -0.000 | 6.284 |
| -752.720 | -481.891 | 1496.839 | -0.000 | 0.000 | 0.000 |
| -843.972 | -394.228 | 1481.970 | 0.000 | 0.000 | 0.000 |
| 889.475 | -17.196 | 1200.626 | -0.000 | -0.000 | 0.000 |
| -264.391 | -1023.426 | 1789.207 | 6.540 | 0.000 | 0.000 |
| 0.000 | -0.000 | -0.000 | -0.000 | 54.275 | 0.000 |
| 894.189 | 3041.809 | 2600.298 | -0.000 | -0.000 | 6.284 |
| 79.444 | -241.886 | -194.331 | 0.000 | -0.000 | -0.000 |
| -9.573 | 108.555 | -96.581 | 0.000 | -0.000 | -0.000 |
| -202.901 | -121.831 | 113.005 | 0.000 | -0.000 | -0.000 |
| 26.497 | 102.308 | -178.843 | 6.576 | 0.000 | -0.000 |
| -137.222 | -304.513 | -304.136 | 0.000 | 48.787 | -0.000 |
| -79.974 | 3.483 | -114.229 | 0.000 | -0.000 | -16.120 |
| 63.654 | 9.034 | 223.169 | -0.000 | -0.000 | 0.000 |
| 64.157 | 165.172 | 68.633 | -0.000 | -0.000 | 0.000 |
| 76.670 | 68.145 | 197.146 | -0.000 | -0.000 | 0.000 |
| -26.497 | -102.308 | 178.843 | 6.576 | -0.000 | 0.000 |
| 137.222 | 304.513 | 304.136 | -0.000 | 48.787 | 0.000 |
| 79.974 | -3.483 | 114.229 | -0.000 | -0.000 | -16.120 |
| 165.127 | 64.703 | 77.705 | 0.000 | -0.000 | -0.000 |
| 64.157 | 165.172 | 68.634 | 0.000 | 0.000 | -0.000 |
| 68.002 | 20.577 | 104.284 | 0.000 | -0.000 | -0.000 |
| -9.571 | -17.484 | -12.073 | 30.447 | -0.000 | -0.000 |
| -7.613 | -0.033 | -10.518 | 0.000 | 9.307 | -0.000 |
| -7.804 | -23.847 | -25.165 | 0.000 | 0.000 | 0.799 |
| 132.350 | 80.567 | 87.779 | -0.000 | -0.000 | 0.000 |
| 65.479 | 102.933 | 47.434 | -0.000 | 0.000 | 0.000 |
| 96.387 | 80.189 | 172.451 | -0.000 | 0.000 | 0.000 |
| 9.571 | 17.484 | 12.073 | 30.447 | 0.000 | 0.000 |
| 7.613 | 0.033 | 10.518 | -0.000 | 9.307 | 0.000 |
| 7.804 | 23.847 | 25.165 | -0.000 | 0.000 | 0.799 |
| -15599170.010 | 791187.281 | 7639928.027 | -1393327.289 | 1747684.991 | -273452.195 |
| -15599260.892 | 791272.876 | 7639949.556 | -1393316.848 | 1747656.281 | -273442.381 |
| -15599273.003 | 791201.128 | 7640023.250 | -1393307.129 | 1747674.973 | -273446.592 |
| -15599323.022 | 791099.939 | 7639918.192 | -1393255.586 | 1747658.411 | -273446.813 |
| -15599349.987 | 791109.461 | 7639932.633 | -1393311.844 | 1747678.982 | -273451.414 |
| -15599319.031 | 791101.748 | 7639883.256 | -1393314.305 | 1747662.040 | -273392.715 |
| 15599442.596 | -791018.318 | -7639837.686 | 1393268.590 | -1747640.104 | 273409.621 |
| 15599351.187 | -790931.503 | -7639815.503 | 1393278.276 | -1747669.668 | 273417.951 |
| 15599335.564 | -791001.847 | -7639739.300 | 1393287.659 | -1747651.411 | 273411.993 |
| 15599283.951 | -791102.581 | -7639843.812 | 1393339.083 | -1747668.033 | 273411.101 |
| 15599261.796 | -791095.191 | -7639830.837 | 1393283.582 | -1747647.158 | 273408.883 |
| 15599288.079 | -791100.791 | -7639878.821 | 1393280.220 | -1747664.483 | 273465.261 |
| -1559807.059 | 79201.363 | 764034.367 | -139362.890 | 174787.253 | -27370.986 |
| -1559889.679 | 79283.181 | 764054.417 | -139350.550 | 174759.165 | -27357.212 |
| -1559904.932 | 79212.874 | 764130.030 | -139341.006 | 174777.580 | -27362.647 |
| -1559949.363 | 79109.204 | 764025.613 | -139288.021 | 174761.113 | -27360.607 |
| -1559987.901 | 79124.156 | 764041.196 | -139347.114 | 174781.178 | -27370.773 |
| -1559945.987 | 79111.249 | 763990.951 | -139346.799 | 174764.716 | -27306.790 |
| 1560064.722 | -79023.390 | -763939.938 | 139300.203 | -174744.304 | 27318.957 |
| 1559979.235 | -78940.543 | -763917.938 | 139311.874 | -174773.218 | 27331.019 |
| 1559962.215 | -79010.151 | -763841.093 | 139320.829 | -174755.319 | 27324.269 |
| 1559911.042 | -79110.929 | -763950.313 | 139371.535 | -174771.572 | 27325.114 |
| 1559888.615 | -79103.793 | -763932.973 | 139316.856 | -174750.856 | 27321.414 |
| 1559914.752 | -79109.127 | -763985.029 | 139312.789 | -174767.839 | 27379.073 |
| -155907.815 | 8001.042 | 76466.286 | -13970.742 | 17489.951 | -2786.230 |
| -155969.517 | 8085.561 | 76476.329 | -13956.098 | 17465.791 | -2759.687 |
| -155974.321 | 8015.924 | 76544.125 | -13945.004 | 17487.259 | -2758.494 |
| -156016.197 | 7912.122 | 76437.050 | -13892.196 | 17471.449 | -2753.860 |
| -156067.469 | 7929.988 | 76459.016 | -13953.655 | 17490.444 | -2772.341 |
| -156011.369 | 7913.307 | 76402.198 | -13950.609 | 17474.869 | -2699.476 |
| 156158.639 | -7838.340 | -76369.826 | 13910.168 | -17449.622 | 2729.482 |
| 156048.126 | -7743.084 | -76338.045 | 13916.106 | -17481.142 | 2727.706 |
| 156026.365 | -7811.355 | -76256.307 | 13923.552 | -17464.968 | 2717.786 |
| 155976.873 | -7913.306 | -76361.862 | 13975.471 | -17481.685 | 2718.067 |
| 155963.567 | -7910.148 | -76352.707 | 13922.288 | -17459.723 | 2720.857 |
| 155977.512 | -7909.798 | -76395.462 | 13915.995 | -17478.197 | 2770.267 |
| -150.389 | -105.853 | 492.432 | -0.000 | -205.998 | -0.000 |
| -287.653 | -53.769 | 511.647 | -0.000 | -239.017 | -0.000 |
| 86.586 | 95.797 | 194.604 | -0.000 | -6.639 | -0.000 |
| -140.139 | -603.968 | 604.352 | 59.630 | -365.762 | -4.171 |
| -126.100 | -611.336 | 592.723 | -0.000 | -320.261 | -0.000 |
| -140.139 | -603.965 | 604.350 | -4.172 | -365.761 | 65.148 |
| 368.153 | 701.977 | -532.219 | -0.000 | 390.966 | 0.000 |
| 102.203 | 158.040 | 95.799 | 0.000 | -8.636 | 0.000 |
| 467.842 | 300.361 | -239.332 | 0.000 | 220.363 | 0.000 |
| 140.139 | 603.968 | -604.352 | 59.630 | 365.762 | -4.171 |
| 17.707 | -8.636 | -6.639 | 0.000 | 54.269 | 0.000 |
| 140.139 | 603.965 | -604.350 | -4.172 | 365.761 | 65.148 |
| 197.154 | 76.591 | 120.379 | -0.000 | 1.540 | -0.000 |
| 59.476 | 128.527 | 139.549 | -0.000 | -31.583 | -0.000 |
| 86.586 | 95.797 | 194.604 | -0.000 | -6.639 | -0.000 |
| -14.020 | -60.392 | 60.435 | 59.630 | -36.576 | -4.171 |
| 0.038 | -67.739 | 48.792 | 0.000 | 8.953 | -0.000 |
| -14.024 | -60.368 | 60.417 | -4.173 | -36.564 | 65.151 |
| 273.479 | 116.989 | 37.565 | 0.000 | 47.394 | 0.000 |
| 136.707 | 169.258 | 56.813 | 0.000 | 14.504 | 0.000 |
| 86.586 | 95.797 | 194.604 | -0.000 | -6.639 | 0.000 |
| 14.020 | 60.392 | -60.435 | 59.630 | 36.576 | -4.171 |
| 17.707 | -8.636 | -6.639 | 0.000 | 54.269 | 0.000 |
| 14.024 | 60.368 | -60.417 | -4.173 | 36.564 | 65.151 |
| 234.357 | 95.124 | 83.886 | -0.000 | 22.923 | -0.000 |
| 102.203 | 158.040 | 95.799 | -0.000 | -8.636 | -0.000 |
| 72.254 | 93.242 | 165.646 | 0.000 | -16.165 | -0.000 |
| -3.922 | -2.061 | 4.204 | 62.392 | -2.344 | -6.437 |
| 12.792 | -13.233 | -5.552 | 0.000 | 42.316 | -0.000 |
| -3.960 | -2.080 | 4.244 | -6.426 | -2.366 | 68.626 |
| 237.962 | 98.458 | 75.207 | 0.000 | 26.280 | 0.000 |
| 101.293 | 151.263 | 93.601 | -0.000 | -3.982 | 0.000 |
| 85.953 | 99.816 | 169.514 | 0.000 | -7.829 | 0.000 |
| 3.922 | 2.061 | -4.204 | 62.392 | 2.344 | -6.437 |
| 17.707 | -8.636 | -6.638 | 0.000 | 54.269 | 0.000 |
| 3.960 | 2.080 | -4.244 | -6.426 | 2.366 | 68.626 |
| -788.235 | 9612.142 | 3728.094 | -0.000 | -3393.183 | -0.000 |
| 73.819 | 167.838 | 67.443 | -0.000 | 1.428 | 0.000 |
| 73.371 | 66.272 | 179.931 | -0.000 | -2.472 | 0.000 |
| 0.000 | 0.000 | 0.000 | 43.597 | 0.000 | 2.737 |
| -84.165 | 858.683 | 1650.521 | 0.000 | -1422.695 | -0.000 |
| 0.000 | 0.000 | 0.000 | 2.145 | -0.000 | 50.633 |
| 556.650 | -9595.787 | -3979.069 | 0.000 | 3678.136 | 0.000 |
| 73.819 | 167.838 | 67.443 | 0.000 | 1.428 | -0.000 |
| 154.660 | -791.078 | -1484.421 | 0.000 | 1462.498 | 0.000 |
| -0.000 | -0.000 | -0.000 | 43.597 | -0.000 | 2.737 |
| 1708.155 | -8522.077 | -2189.556 | 0.000 | 2313.114 | 0.000 |
| -0.000 | -0.000 | -0.000 | 2.145 | -0.000 | 50.633 |
| 188.430 | 552.886 | 283.983 | -0.000 | -211.238 | -0.000 |
| -85.524 | 1088.107 | 434.786 | -0.000 | -281.659 | -0.000 |
| 110.581 | 523.546 | 364.375 | -0.000 | -225.624 | -0.000 |
| 0.000 | 0.000 | 0.000 | 43.597 | 0.000 | 2.737 |
| -240.977 | 952.358 | 363.044 | -0.000 | -263.495 | -0.000 |
| -171.037 | 852.145 | 217.929 | 4.942 | -228.092 | 8.409 |
| 311.135 | -765.777 | -160.831 | 0.000 | 235.642 | 0.000 |
| 321.490 | -831.942 | -302.768 | 0.000 | 296.626 | 0.000 |
| 229.748 | -782.519 | -70.918 | 0.000 | 219.297 | 0.000 |
| -0.000 | -0.000 | -0.000 | 43.597 | -0.000 | 2.737 |
| -45.084 | -458.952 | -228.069 | 0.000 | 245.574 | 0.000 |
| 171.037 | -852.145 | -217.929 | 4.942 | 228.092 | 8.409 |
| 147.082 | 137.735 | 86.008 | -0.000 | -15.320 | -0.000 |
| 61.801 | 209.910 | 106.551 | 0.000 | -28.959 | -0.000 |
| 71.060 | 109.707 | 169.208 | -0.000 | -29.633 | -0.000 |
| -0.836 | 8.700 | 16.781 | 37.486 | -14.874 | 2.785 |
| -2.642 | 10.073 | 13.726 | -0.000 | 28.304 | -0.000 |
| -23.496 | 94.396 | 37.166 | 6.637 | -29.554 | 10.918 |
| 158.901 | 5.174 | 36.613 | 0.000 | 29.772 | 0.000 |
| 73.818 | 167.837 | 67.442 | -0.000 | 1.428 | -0.000 |
| 62.179 | 22.177 | 125.479 | 0.000 | 11.519 | 0.000 |
| 0.836 | -8.700 | -16.781 | 37.486 | 14.874 | 2.785 |
| 12.135 | -94.260 | -44.352 | 0.000 | 61.932 | 0.000 |
| 23.496 | -94.396 | -37.166 | 6.637 | 29.554 | 10.918 |
| 187.315 | 87.607 | 87.607 | 0.000 | -0.000 | -0.000 |
| 87.607 | 187.315 | 87.607 | 0.000 | -0.000 | 0.000 |
| 87.607 | 87.607 | 187.315 | -0.000 | -0.000 | 0.000 |
| 0.000 | 0.000 | -0.000 | 65.657 | -0.000 | 0.000 |
| -0.000 | 0.000 | -0.000 | -0.000 | 65.657 | 0.000 |
| 0.000 | 0.000 | 0.000 | 0.000 | 0.000 | 65.657 |
| 187.315 | 87.607 | 87.607 | -0.000 | 0.000 | -0.000 |
| 87.607 | 187.315 | 87.607 | -0.000 | -0.000 | -0.000 |
| 87.607 | 87.607 | 187.315 | -0.000 | 0.000 | -0.000 |
| -0.000 | 0.000 | 0.000 | 65.657 | 0.000 | -0.000 |
| 0.000 | -0.000 | 0.000 | -0.000 | 65.657 | -0.000 |
| 0.000 | -0.000 | -0.000 | -0.000 | 0.000 | 65.657 |
| 187.315 | 87.607 | 87.607 | 0.000 | -0.000 | 0.000 |
| 87.607 | 187.315 | 87.607 | 0.000 | -0.000 | 0.000 |
| 87.607 | 87.607 | 187.315 | 0.000 | -0.000 | 0.000 |
| 0.000 | -0.000 | -0.000 | 65.657 | 0.000 | 0.000 |
| -0.000 | 0.000 | -0.000 | 0.000 | 65.657 | 0.000 |
| -0.000 | -0.000 | 0.000 | 0.000 | -0.000 | 65.657 |
| 187.315 | 87.607 | 87.607 | -0.000 | 0.000 | -0.000 |
| 87.607 | 187.315 | 87.607 | 0.000 | -0.000 | -0.000 |
| 87.607 | 87.607 | 187.315 | -0.000 | 0.000 | -0.000 |
| -0.000 | 0.000 | 0.000 | 65.657 | 0.000 | 0.000 |
| 0.000 | -0.000 | 0.000 | -0.000 | 65.657 | -0.000 |
| 0.000 | 0.000 | -0.000 | -0.000 | 0.000 | 65.657 |
| 187.315 | 87.607 | 87.607 | 0.000 | -0.000 | -0.000 |
| 87.607 | 187.315 | 87.607 | 0.000 | -0.000 | -0.000 |
| 87.607 | 87.607 | 187.315 | 0.000 | -0.000 | 0.000 |
| 0.000 | -0.000 | -0.000 | 65.657 | -0.000 | 0.000 |
| -0.000 | 0.000 | -0.000 | 0.000 | 65.657 | 0.000 |
| -0.000 | -0.000 | 0.000 | 0.000 | -0.000 | 65.657 |
| 187.316 | 87.607 | 87.607 | -0.000 | 0.000 | -0.000 |
| 87.607 | 187.316 | 87.607 | -0.000 | 0.000 | 0.000 |
| 87.607 | 87.607 | 187.316 | -0.000 | 0.000 | -0.000 |
| -0.000 | 0.000 | 0.000 | 65.657 | 0.000 | -0.000 |
| 0.000 | -0.000 | 0.000 | -0.000 | 65.657 | -0.000 |
| 0.000 | 0.000 | -0.000 | -0.000 | -0.000 | 65.657 |
| 353.558 | 294.936 | 108.476 | 0.000 | 0.000 | -0.000 |
| 294.936 | 353.558 | 108.476 | 0.000 | -0.000 | -0.000 |
| 146.883 | 146.883 | 143.276 | 0.000 | -0.000 | -0.000 |
| 2.276 | 2.276 | -2.034 | -41.157 | -0.000 | -0.000 |
| 2.276 | 2.276 | -2.034 | 0.000 | -41.157 | -0.000 |
| 2.233 | 2.233 | -1.995 | 0.000 | -0.000 | 205.826 |
| 310.916 | 252.345 | 146.556 | -0.000 | 0.000 | 0.000 |
| 252.345 | 310.916 | 146.556 | -0.000 | 0.000 | 0.000 |
| 142.331 | 142.331 | 147.344 | -0.000 | 0.000 | 0.000 |
| -2.276 | -2.276 | 2.034 | -41.157 | 0.000 | 0.000 |
| -2.276 | -2.276 | 2.034 | -0.000 | -41.157 | 0.000 |
| -2.233 | -2.233 | 1.995 | -0.000 | 0.000 | 205.826 |
| 353.558 | 294.936 | 108.476 | 0.000 | -0.000 | -0.000 |
| 294.936 | 353.558 | 108.476 | 0.000 | -0.000 | -0.000 |
| 108.582 | 108.582 | 177.501 | 0.000 | -0.000 | -0.000 |
| 1.440 | 1.440 | -1.287 | -41.113 | -0.000 | -0.000 |
| 1.440 | 1.440 | -1.287 | 0.000 | -41.113 | -0.000 |
| 0.000 | 0.000 | 0.000 | 0.000 | -0.000 | 242.535 |
| 312.212 | 255.147 | 144.725 | -0.000 | 0.000 | -0.000 |
| 255.147 | 312.212 | 144.725 | -0.000 | 0.000 | -0.000 |
| 144.380 | 144.380 | 145.513 | -0.000 | 0.000 | 0.000 |
| -1.440 | -1.440 | 1.287 | -41.113 | 0.000 | 0.000 |
| -1.440 | -1.440 | 1.287 | -0.000 | -41.113 | 0.000 |
| -0.000 | -0.000 | -0.000 | -0.000 | 0.000 | 242.535 |
| 313.210 | 254.639 | 144.508 | 0.000 | -0.000 | -0.000 |
| 254.639 | 313.210 | 144.508 | 0.000 | -0.000 | -0.000 |
| 144.627 | 144.627 | 145.293 | 0.000 | -0.000 | -0.000 |
| 0.144 | 0.144 | -0.129 | -41.156 | -0.000 | -0.000 |
| 0.144 | 0.144 | -0.129 | 0.000 | -41.156 | -0.000 |
| 0.022 | 0.023 | -0.019 | 0.000 | -0.000 | 205.828 |
| 313.172 | 254.599 | 144.540 | -0.000 | 0.000 | 0.000 |
| 254.599 | 313.172 | 144.540 | -0.000 | 0.000 | 0.000 |
| 144.587 | 144.587 | 145.326 | -0.000 | 0.000 | 0.000 |
| -0.144 | -0.144 | 0.129 | -41.156 | 0.000 | 0.000 |
| -0.144 | -0.144 | 0.129 | -0.000 | -41.156 | 0.000 |
| -0.022 | -0.023 | 0.019 | -0.000 | 0.000 | 205.828 |
| 314.122 | 254.850 | 144.093 | -0.000 | -0.000 | 0.000 |
| 254.850 | 314.122 | 144.093 | -0.000 | -0.000 | -0.000 |
| 108.261 | 108.261 | 177.881 | -0.000 | -0.000 | 0.000 |
| 0.000 | 0.000 | -0.000 | -41.554 | -0.000 | -0.000 |
| 0.000 | 0.000 | -0.000 | -0.000 | -41.554 | -0.000 |
| 0.000 | 0.000 | -0.000 | 0.000 | -0.000 | 206.122 |
| 354.164 | 294.841 | 108.260 | 0.000 | 0.000 | -0.000 |
| 294.841 | 354.164 | 108.260 | 0.000 | 0.000 | -0.000 |
| 144.072 | 144.072 | 145.814 | 0.000 | 0.000 | 0.000 |
| -0.000 | -0.000 | 0.000 | -41.554 | 0.000 | 0.000 |
| -0.000 | -0.000 | 0.000 | 0.000 | -41.554 | 0.000 |
| -0.000 | -0.000 | 0.000 | 0.000 | 0.000 | 206.122 |
| 354.164 | 294.841 | 108.260 | 0.000 | -0.000 | -0.000 |
| 294.841 | 354.164 | 108.260 | -0.000 | -0.000 | 0.000 |
| 144.071 | 144.071 | 145.815 | -0.000 | -0.000 | 0.000 |
| 0.000 | 0.000 | -0.000 | -41.554 | -0.000 | -0.000 |
| 0.000 | 0.000 | -0.000 | -0.000 | -41.554 | -0.000 |
| -0.000 | 0.000 | 0.000 | -0.000 | -0.000 | 206.122 |
| 313.377 | 255.599 | 144.091 | 0.000 | 0.000 | -0.000 |
| 255.599 | 313.377 | 144.091 | 0.000 | 0.000 | -0.000 |
| 144.072 | 144.072 | 145.814 | 0.000 | 0.000 | -0.000 |
| -0.000 | -0.000 | 0.000 | -41.554 | 0.000 | 0.000 |
| -0.000 | -0.000 | 0.000 | 0.000 | -41.554 | 0.000 |
| 0.000 | -0.000 | -0.000 | 0.000 | 0.000 | 206.122 |
| 314.178 | 254.907 | 144.044 | -0.000 | -0.000 | 0.000 |
| 254.907 | 314.178 | 144.044 | -0.000 | -0.000 | 0.000 |
| 144.069 | 144.069 | 145.818 | -0.000 | -0.000 | 0.000 |
| 0.000 | 0.000 | -0.001 | -41.554 | -0.000 | -0.000 |
| 0.000 | 0.000 | -0.001 | -0.000 | -41.554 | -0.000 |
| -0.000 | 0.000 | 0.001 | -0.000 | -0.000 | 206.122 |
| 313.381 | 255.601 | 144.087 | 0.000 | 0.000 | -0.000 |
| 255.601 | 313.381 | 144.087 | 0.000 | 0.000 | -0.000 |
| 144.026 | 144.026 | 145.854 | 0.000 | 0.000 | -0.000 |
| -0.000 | -0.000 | 0.001 | -41.554 | 0.000 | 0.000 |
| -0.000 | -0.000 | 0.001 | 0.000 | -41.554 | 0.000 |
| 0.000 | -0.000 | -0.001 | 0.000 | 0.000 | 206.122 |
| 72.478 | 91.744 | 91.744 | -0.000 | -0.000 | -0.000 |
| 91.744 | 72.478 | 91.744 | -0.000 | -0.000 | -0.000 |
| 91.744 | 91.744 | 72.478 | -0.000 | -0.000 | -0.000 |
| -0.000 | 0.000 | -0.000 | -22.641 | -0.000 | -0.000 |
| -0.000 | -0.000 | -0.000 | -0.000 | -22.641 | -0.000 |
| -0.000 | 0.000 | -0.000 | -0.000 | -0.000 | -22.641 |
| 72.478 | 91.744 | 91.744 | 0.000 | 0.000 | 0.000 |
| 91.744 | 72.478 | 91.744 | 0.000 | 0.000 | 0.000 |
| 91.744 | 91.744 | 72.478 | 0.000 | 0.000 | 0.000 |
| 0.000 | 0.000 | 0.000 | -22.641 | 0.000 | 0.000 |
| 0.000 | 0.000 | 0.000 | 0.000 | -22.641 | 0.000 |
| 0.000 | 0.000 | 0.000 | 0.000 | 0.000 | -22.641 |
| 72.478 | 91.744 | 91.744 | -0.000 | -0.000 | -0.000 |
| 91.744 | 72.478 | 91.744 | -0.000 | -0.000 | -0.000 |
| 91.744 | 91.744 | 72.478 | -0.000 | -0.000 | -0.000 |
| 0.000 | 0.000 | 0.000 | 78.387 | -0.000 | 0.000 |
| 0.000 | 0.000 | 0.000 | -0.000 | 78.387 | 0.000 |
| 0.000 | 0.000 | 0.000 | -0.000 | -0.000 | 78.387 |
| 72.478 | 91.744 | 91.744 | 0.000 | 0.000 | 0.000 |
| 91.744 | 72.478 | 91.744 | 0.000 | 0.000 | 0.000 |
| 91.744 | 91.744 | 72.478 | 0.000 | 0.000 | 0.000 |
| -0.000 | -0.000 | -0.000 | 78.387 | -0.000 | -0.000 |
| -0.000 | -0.000 | -0.000 | -0.000 | 78.387 | -0.000 |
| -0.000 | -0.000 | -0.000 | 0.000 | 0.000 | 78.387 |
| 72.479 | 91.745 | 91.745 | -0.000 | -0.000 | -0.000 |
| 91.745 | 72.479 | 91.745 | -0.000 | -0.000 | -0.000 |
| 91.745 | 91.745 | 72.479 | -0.000 | -0.000 | -0.000 |
| -0.000 | -0.000 | -0.000 | -22.641 | -0.000 | -0.000 |
| -0.000 | -0.000 | -0.000 | -0.000 | -22.641 | -0.000 |
| -0.000 | -0.000 | -0.000 | -0.000 | -0.000 | -22.641 |
| 72.477 | 91.743 | 91.743 | 0.000 | 0.000 | 0.000 |
| 91.743 | 72.477 | 91.743 | 0.000 | 0.000 | 0.000 |
| 91.743 | 91.743 | 72.477 | 0.000 | 0.000 | 0.000 |
| 0.000 | 0.000 | 0.000 | -22.641 | 0.000 | 0.000 |
| 0.000 | 0.000 | 0.000 | 0.000 | -22.641 | 0.000 |
| 0.000 | 0.000 | 0.000 | 0.000 | 0.000 | -22.641 |
| 332.668 | 156.577 | 117.166 | -16.203 | 0.000 | -0.000 |
| 156.577 | 332.668 | 117.166 | 16.203 | 0.000 | -0.000 |
| 115.490 | 115.490 | 314.738 | 0.000 | 0.000 | -0.000 |
| -16.203 | 16.203 | 0.000 | 49.656 | 0.000 | -0.000 |
| -11.572 | -11.572 | 77.279 | 0.000 | 22.572 | -23.361 |
| -20.762 | -20.762 | 71.879 | -0.000 | -17.016 | -50.781 |
| 332.668 | 156.577 | 117.166 | -16.203 | 0.000 | 0.000 |
| 156.577 | 332.668 | 117.166 | 16.203 | -0.000 | 0.000 |
| 115.490 | 115.490 | 314.738 | 0.000 | -0.000 | 0.000 |
| -16.203 | 16.203 | -0.000 | 49.656 | -0.000 | 0.000 |
| 11.572 | 11.572 | -77.279 | 0.000 | 22.572 | -23.361 |
| 20.762 | 20.762 | -71.879 | 0.000 | -17.016 | -50.781 |
| 332.668 | 156.577 | 117.166 | -16.203 | 0.000 | -0.000 |
| 156.577 | 332.668 | 117.166 | 16.203 | 0.000 | -0.000 |
| 120.650 | 120.650 | 266.832 | -0.000 | -0.000 | -0.000 |
| -16.203 | 16.203 | 0.000 | 49.656 | 0.000 | -0.000 |
| -1.528 | -1.528 | 3.118 | -0.000 | -31.893 | -12.889 |
| 0.000 | 0.000 | 0.000 | -0.000 | -16.203 | 88.045 |
| 243.798 | 243.836 | 117.400 | -22.769 | -0.000 | 0.000 |
| 314.984 | 166.756 | 120.041 | 16.398 | -0.000 | 0.000 |
| 115.490 | 115.490 | 314.738 | -0.000 | -0.000 | 0.000 |
| -16.203 | 16.203 | -0.000 | 49.656 | -0.000 | 0.000 |
| 1.528 | 1.528 | -3.118 | 0.000 | -31.893 | -12.889 |
| -0.000 | -0.000 | -0.000 | 0.000 | -16.203 | 88.045 |
| 242.291 | 242.998 | 125.230 | -22.794 | 0.000 | -0.000 |
| 156.579 | 332.673 | 117.166 | 16.204 | 0.000 | -0.000 |
| 121.466 | 121.466 | 261.318 | -0.000 | 0.000 | -0.000 |
| -16.203 | 16.204 | 0.000 | 49.656 | 0.000 | -0.000 |
| -0.297 | -0.297 | 1.981 | -0.000 | -19.800 | -34.559 |
| -0.105 | -0.106 | 0.706 | -0.000 | -22.742 | 0.343 |
| 242.447 | 243.257 | 123.808 | -22.798 | -0.000 | 0.000 |
| 8561063.450 | 7943241.964 | 11033053.408 | 236035.004 | 71616.844 | -176572.105 |
| 115.490 | 115.490 | 314.737 | -0.000 | -0.000 | 0.000 |
| -16.203 | 16.203 | -0.000 | 49.656 | -0.000 | 0.000 |
| 0.297 | 0.297 | -1.981 | 0.000 | -19.800 | -34.559 |
| 0.105 | 0.106 | -0.706 | 0.000 | -22.742 | 0.343 |
| 239.199 | 115.780 | 115.780 | -0.000 | -0.000 | 0.000 |
| 115.780 | 239.199 | 115.780 | -0.000 | -0.000 | 0.000 |
| 115.780 | 115.780 | 239.199 | -0.000 | 0.000 | 0.000 |
| 0.000 | 0.000 | 0.000 | 113.167 | -0.000 | 0.000 |
| 0.000 | 0.000 | 0.000 | -0.000 | 113.167 | 0.000 |
| 0.000 | 0.000 | 0.000 | -0.000 | -0.000 | 113.167 |
| 239.199 | 115.780 | 115.780 | 0.000 | 0.000 | -0.000 |
| 115.780 | 239.199 | 115.780 | 0.000 | 0.000 | -0.000 |
| 115.780 | 115.780 | 239.199 | 0.000 | 0.000 | -0.000 |
| -0.000 | -0.000 | -0.000 | 113.167 | 0.000 | -0.000 |
| -0.000 | -0.000 | -0.000 | 0.000 | 113.167 | -0.000 |
| -0.000 | -0.000 | -0.000 | 0.000 | 0.000 | 113.167 |
| 239.199 | 115.780 | 115.780 | -0.000 | -0.000 | 0.000 |
| 115.780 | 239.199 | 115.780 | -0.000 | -0.000 | 0.000 |
| 115.780 | 115.780 | 239.199 | -0.000 | -0.000 | 0.000 |
| 0.000 | 0.000 | 0.000 | 113.167 | -0.000 | 0.000 |
| 0.000 | 0.000 | 0.000 | -0.000 | 113.167 | 0.000 |
| 0.000 | 0.000 | 0.000 | -0.000 | -0.000 | 113.167 |
| 239.199 | 115.780 | 115.780 | 0.000 | 0.000 | -0.000 |
| 115.780 | 239.199 | 115.780 | 0.000 | 0.000 | -0.000 |
| 115.780 | 115.780 | 239.199 | 0.000 | -0.000 | -0.000 |
| -0.000 | -0.000 | -0.000 | 113.167 | 0.000 | -0.000 |
| -0.000 | -0.000 | -0.000 | 0.000 | 113.167 | -0.000 |
| -0.000 | -0.000 | -0.000 | 0.000 | 0.000 | 113.167 |
| 239.199 | 115.780 | 115.780 | -0.000 | -0.000 | 0.000 |
| 115.780 | 239.199 | 115.780 | -0.000 | -0.000 | 0.000 |
| 115.780 | 115.780 | 239.199 | -0.000 | -0.000 | 0.000 |
| 0.000 | 0.000 | 0.000 | 113.167 | 0.000 | 0.000 |
| 0.000 | 0.000 | 0.000 | 0.000 | 113.167 | 0.000 |
| 0.000 | 0.000 | 0.000 | -0.000 | -0.000 | 113.167 |
| 239.199 | 115.780 | 115.780 | 0.000 | 0.000 | -0.000 |
| 115.780 | 239.199 | 115.780 | 0.000 | 0.000 | -0.000 |
| 115.780 | 115.780 | 239.199 | 0.000 | 0.000 | -0.000 |
| -0.000 | -0.000 | -0.000 | 113.167 | 0.000 | -0.000 |
| -0.000 | -0.000 | -0.000 | 0.000 | 113.167 | -0.000 |
| -0.000 | -0.000 | -0.000 | 0.000 | 0.000 | 113.167 |
| 226.351 | 132.748 | 126.162 | 0.000 | -0.000 | -0.000 |
| 132.748 | 226.351 | 126.162 | -0.000 | -0.000 | -0.000 |
| 125.658 | 125.658 | 250.376 | 0.000 | 0.000 | -0.000 |
| 0.000 | 0.000 | 0.000 | 111.183 | -0.000 | -0.000 |
| 0.000 | 0.000 | 0.000 | 0.000 | 111.183 | -0.000 |
| 0.000 | 0.000 | 0.000 | 0.000 | -0.000 | 114.503 |
| 226.351 | 132.748 | 126.162 | -0.000 | 0.000 | 0.000 |
| 132.748 | 226.351 | 126.162 | 0.000 | -0.000 | 0.000 |
| 126.448 | 126.448 | 249.553 | -0.000 | 0.000 | 0.000 |
| -0.000 | -0.000 | -0.000 | 111.183 | 0.000 | 0.000 |
| -0.000 | -0.000 | -0.000 | -0.000 | 111.183 | 0.000 |
| -0.000 | -0.000 | -0.000 | -0.000 | -0.000 | 114.503 |
| 226.351 | 132.748 | 126.162 | 0.000 | -0.000 | -0.000 |
| 132.748 | 226.351 | 126.162 | -0.000 | -0.000 | -0.000 |
| 126.448 | 126.448 | 249.553 | 0.000 | -0.000 | -0.000 |
| 0.000 | 0.000 | 0.000 | 111.183 | -0.000 | -0.000 |
| 0.000 | 0.000 | 0.000 | -0.000 | 111.183 | -0.000 |
| 0.000 | 0.000 | 0.000 | 0.000 | -0.000 | 114.503 |
| 226.351 | 132.748 | 126.162 | -0.000 | -0.000 | 0.000 |
| 132.748 | 226.351 | 126.162 | -0.000 | 0.000 | 0.000 |
| 126.448 | 126.448 | 249.553 | -0.000 | 0.000 | 0.000 |
| -0.000 | -0.000 | -0.000 | 111.183 | 0.000 | 0.000 |
| -0.000 | -0.000 | -0.000 | 0.000 | 111.183 | 0.000 |
| -0.000 | -0.000 | -0.000 | -0.000 | 0.000 | 114.503 |
| 226.352 | 132.749 | 126.162 | 0.000 | -0.000 | -0.000 |
| 132.749 | 226.352 | 126.162 | -0.000 | 0.000 | -0.000 |
| 126.448 | 126.448 | 249.552 | 0.000 | 0.000 | -0.000 |
| 0.000 | 0.000 | 0.000 | 109.589 | -0.000 | -0.000 |
| 0.000 | 0.000 | 0.000 | 0.000 | 109.589 | -0.000 |
| 0.000 | 0.000 | 0.000 | 0.000 | -0.000 | 114.503 |
| 226.350 | 132.748 | 126.162 | 0.000 | 0.000 | 0.000 |
| 132.748 | 226.350 | 126.162 | 0.000 | 0.000 | 0.000 |
| 126.447 | 126.447 | 249.553 | -0.000 | -0.000 | 0.000 |
| -0.000 | -0.000 | -0.000 | 109.589 | 0.000 | 0.000 |
| -0.000 | -0.000 | -0.000 | -0.000 | 109.589 | 0.000 |
| -0.000 | -0.000 | -0.000 | -0.000 | 0.000 | 114.503 |
| 226.860 | 133.742 | 125.286 | -0.000 | -0.000 | 0.000 |
| 133.742 | 226.860 | 125.286 | -0.000 | -0.000 | 0.000 |
| 126.060 | 126.060 | 248.257 | 0.000 | 0.000 | 0.000 |
| -0.000 | -0.000 | 0.000 | 110.751 | -0.000 | 0.000 |
| -0.000 | 0.000 | 0.000 | 0.000 | 110.751 | 0.000 |
| -0.000 | 0.000 | 0.000 | 0.000 | -0.000 | 115.008 |
| 226.093 | 132.974 | 126.060 | -0.000 | 0.000 | -0.000 |
| 132.974 | 226.093 | 126.060 | -0.000 | -0.000 | -0.000 |
| 126.060 | 126.060 | 248.257 | -0.000 | 0.000 | -0.000 |
| 0.000 | 0.000 | -0.000 | 110.751 | 0.000 | 0.000 |
| 0.000 | -0.000 | -0.000 | -0.000 | 110.751 | -0.000 |
| 0.000 | -0.000 | -0.000 | -0.000 | 0.000 | 115.008 |
| 226.093 | 132.974 | 126.060 | 0.000 | 0.000 | 0.000 |
| 132.974 | 226.093 | 126.060 | 0.000 | -0.000 | 0.000 |
| 125.286 | 125.286 | 249.038 | -0.000 | -0.000 | 0.000 |
| 0.000 | 0.000 | 0.000 | 109.135 | -0.000 | 0.000 |
| 0.000 | 0.000 | 0.000 | 0.000 | 109.135 | 0.000 |
| 0.000 | 0.000 | 0.000 | 0.000 | 0.000 | 115.008 |
| 226.093 | 132.974 | 126.060 | -0.000 | -0.000 | -0.000 |
| 132.974 | 226.093 | 126.060 | -0.000 | -0.000 | -0.000 |
| 126.060 | 126.060 | 248.257 | -0.000 | 0.000 | -0.000 |
| -0.000 | -0.000 | -0.000 | 109.135 | 0.000 | -0.000 |
| -0.000 | -0.000 | -0.000 | -0.000 | 109.135 | -0.000 |
| -0.000 | -0.000 | -0.000 | -0.000 | 0.000 | 115.008 |
| 226.094 | 132.975 | 126.060 | -0.000 | -0.000 | 0.000 |
| 132.975 | 226.094 | 126.060 | 0.000 | 0.000 | 0.000 |
| 126.060 | 126.060 | 248.257 | 0.000 | 0.000 | 0.000 |
| 0.000 | 0.000 | 0.000 | 109.135 | 0.000 | 0.000 |
| 0.000 | 0.000 | 0.000 | -0.000 | 109.135 | 0.000 |
| 0.000 | 0.000 | 0.000 | -0.000 | -0.000 | 115.008 |
| 226.092 | 132.974 | 126.060 | -0.000 | -0.000 | -0.000 |
| 132.974 | 226.092 | 126.060 | -0.000 | -0.000 | -0.000 |
| 125.286 | 125.286 | 249.037 | 0.000 | 0.000 | -0.000 |
| -0.000 | -0.000 | -0.000 | 109.135 | -0.000 | -0.000 |
| -0.000 | -0.000 | -0.000 | -0.000 | 109.135 | -0.000 |
| -0.000 | -0.000 | -0.000 | 0.000 | 0.000 | 115.008 |
| 140.540 | 83.900 | 83.900 | 0.000 | 0.000 | -0.000 |
| 83.900 | 140.540 | 83.900 | 0.000 | 0.000 | -0.000 |
| 83.900 | 83.900 | 140.540 | 0.000 | 0.000 | 0.000 |
| 0.000 | -0.000 | 0.000 | 65.893 | 0.000 | 0.000 |
| 0.000 | 0.000 | 0.000 | 0.000 | 65.893 | 0.000 |
| 0.000 | 0.000 | 0.000 | 0.000 | -0.000 | 65.893 |
| 140.540 | 83.900 | 83.900 | -0.000 | -0.000 | -0.000 |
| 83.900 | 140.540 | 83.900 | -0.000 | -0.000 | -0.000 |
| 83.900 | 83.900 | 140.540 | -0.000 | -0.000 | 0.000 |
| -0.000 | -0.000 | -0.000 | 65.893 | -0.000 | -0.000 |
| -0.000 | -0.000 | -0.000 | -0.000 | 65.893 | -0.000 |
| -0.000 | -0.000 | -0.000 | -0.000 | -0.000 | 65.893 |
| 140.540 | 83.900 | 83.900 | -0.000 | 0.000 | -0.000 |
| 83.900 | 140.540 | 83.900 | 0.000 | 0.000 | 0.000 |
| 83.900 | 83.900 | 140.540 | 0.000 | 0.000 | -0.000 |
| 0.000 | -0.000 | 0.000 | 65.893 | 0.000 | 0.000 |
| -0.000 | 0.000 | 0.000 | 0.000 | 65.893 | -0.000 |
| -0.000 | 0.000 | 0.000 | 0.000 | -0.000 | 65.893 |
| 140.539 | 83.900 | 83.900 | -0.000 | -0.000 | -0.000 |
| 83.900 | 140.540 | 83.900 | -0.000 | 0.000 | -0.000 |
| 83.900 | 83.900 | 140.540 | -0.000 | -0.000 | 0.000 |
| -0.000 | 0.000 | -0.000 | 65.893 | -0.000 | -0.000 |
| 0.000 | -0.000 | -0.000 | -0.000 | 65.893 | -0.000 |
| 0.000 | -0.000 | -0.000 | -0.000 | 0.000 | 65.893 |
| 140.540 | 83.900 | 83.900 | 0.000 | 0.000 | -0.000 |
| 83.900 | 140.540 | 83.900 | 0.000 | 0.000 | -0.000 |
| 83.900 | 83.900 | 140.540 | 0.000 | -0.000 | -0.000 |
| 0.000 | -0.000 | 0.000 | 65.893 | 0.000 | 0.000 |
| -0.000 | 0.000 | 0.000 | 0.000 | 65.893 | 0.000 |
| -0.000 | 0.000 | 0.000 | 0.000 | 0.000 | 65.893 |
| 140.539 | 83.900 | 83.900 | -0.000 | -0.000 | 0.000 |
| 83.900 | 140.539 | 83.900 | -0.000 | -0.000 | -0.000 |
| 83.900 | 83.900 | 140.539 | 0.000 | 0.000 | 0.000 |
| -0.000 | 0.000 | -0.000 | 65.893 | -0.000 | -0.000 |
| 0.000 | -0.000 | -0.000 | -0.000 | 65.893 | 0.000 |
| 0.000 | -0.000 | -0.000 | -0.000 | 0.000 | 65.893 |
| 133.559 | 125.416 | 56.069 | -0.000 | -0.000 | -0.000 |
| 125.416 | 133.559 | 56.069 | -0.000 | 0.000 | -0.000 |
| 58.813 | 58.813 | 160.747 | -0.000 | -0.000 | -0.000 |
| -0.122 | -0.122 | -18.612 | -60.001 | 0.000 | -0.000 |
| -0.122 | -0.122 | -18.612 | -0.000 | -60.001 | -0.000 |
| -0.000 | 0.000 | 0.000 | -0.000 | 0.000 | 90.430 |
| 129.803 | 129.365 | 70.740 | 0.000 | -0.000 | 0.000 |
| 129.365 | 129.803 | 70.740 | 0.000 | -0.000 | 0.000 |
| 58.861 | 58.861 | 168.046 | 0.000 | -0.000 | 0.000 |
| 0.122 | 0.122 | 18.612 | -60.001 | 0.000 | 0.000 |
| 0.122 | 0.122 | 18.612 | 0.000 | -60.001 | 0.000 |
| 0.000 | -0.000 | -0.000 | 0.000 | -0.000 | 90.430 |
| 133.559 | 125.416 | 56.069 | -0.000 | -0.000 | -0.000 |
| 125.416 | 133.559 | 56.069 | -0.000 | -0.000 | -0.000 |
| 58.834 | 58.834 | 164.032 | -0.000 | -0.000 | -0.000 |
| 0.000 | 0.000 | 0.000 | 36.633 | 0.000 | -0.000 |
| 0.000 | 0.000 | 0.000 | -0.000 | 36.633 | -0.000 |
| -0.002 | -0.002 | -0.350 | -0.000 | 0.000 | 89.766 |
| 123.070 | 135.924 | 57.550 | 0.000 | 0.000 | 0.000 |
| 135.924 | 123.070 | 57.550 | 0.000 | 0.000 | 0.000 |
| 58.839 | 58.839 | 164.761 | 0.000 | -0.000 | 0.000 |
| -0.000 | -0.000 | -0.000 | 36.633 | -0.000 | 0.000 |
| -0.000 | -0.000 | -0.000 | 0.000 | 36.633 | 0.000 |
| 0.002 | 0.002 | 0.350 | 0.000 | 0.000 | 89.766 |
| -6828713.842 | -6828824.238 | 3449979.620 | 0.000 | 0.000 | 0.000 |
| -6828824.237 | -6828713.843 | 3449979.620 | 0.000 | -0.000 | -0.000 |
| 58.837 | 58.837 | 164.361 | -0.000 | 0.000 | -0.000 |
| 0.000 | -0.000 | -0.036 | -68.311 | -0.000 | -0.000 |
| -0.000 | 0.000 | -0.036 | -0.000 | -68.311 | -0.000 |
| -0.000 | 0.000 | -0.035 | -0.000 | -0.000 | 89.766 |
| 123.045 | 135.899 | 53.700 | 0.000 | 0.000 | -0.000 |
| 135.899 | 123.045 | 53.700 | 0.000 | 0.000 | -0.000 |
| 59.075 | 59.075 | 200.789 | 0.000 | -0.000 | 0.000 |
| -0.000 | 0.000 | 0.036 | -68.311 | 0.000 | 0.000 |
| 0.000 | -0.000 | 0.036 | 0.000 | -68.311 | 0.000 |
| 0.000 | -0.000 | 0.035 | 0.000 | 0.000 | 89.766 |
| 143.642 | 129.821 | 60.558 | 0.000 | 0.000 | 0.000 |
| 129.821 | 143.642 | 60.558 | 0.000 | 0.000 | 0.000 |
| 60.558 | 60.558 | 238.797 | 0.000 | 0.000 | -0.000 |
| -0.002 | -0.002 | -0.061 | -66.354 | 0.000 | 0.000 |
| -0.002 | -0.002 | -0.061 | 0.000 | -66.354 | 0.000 |
| -0.000 | -0.000 | -0.010 | 0.000 | 0.000 | 93.563 |
| 132.483 | 139.905 | 45.631 | 0.000 | -0.000 | -0.000 |
| 139.905 | 132.483 | 45.631 | 0.000 | 0.000 | -0.000 |
| 60.558 | 60.558 | 238.797 | -0.000 | -0.000 | -0.000 |
| 0.002 | 0.002 | 0.061 | -66.354 | -0.000 | -0.000 |
| 0.002 | 0.002 | 0.061 | -0.000 | -66.354 | -0.000 |
| 0.000 | 0.000 | 0.010 | -0.000 | -0.000 | 93.563 |
| 132.478 | 139.900 | 45.487 | -0.000 | 0.000 | 0.000 |
| 139.900 | 132.478 | 45.487 | -0.000 | 0.000 | -0.000 |
| 60.558 | 60.558 | 238.797 | -0.000 | -0.000 | 0.000 |
| -0.000 | -0.000 | -0.006 | -66.354 | 0.000 | -0.000 |
| -0.000 | -0.000 | -0.006 | 0.000 | -66.354 | 0.000 |
| -0.000 | -0.000 | -0.001 | 0.000 | 0.000 | 93.563 |
| 143.642 | 129.821 | 60.558 | 0.000 | -0.000 | 0.000 |
| 129.821 | 143.642 | 60.558 | -0.000 | -0.000 | -0.000 |
| 60.558 | 60.558 | 238.797 | 0.000 | 0.000 | -0.000 |
| 0.000 | 0.000 | 0.006 | -66.354 | -0.000 | -0.000 |
| 0.000 | 0.000 | 0.006 | -0.000 | -66.354 | -0.000 |
| 0.000 | 0.000 | 0.001 | -0.000 | -0.000 | 93.563 |
| 143.643 | 129.821 | 60.559 | 0.000 | -0.000 | 0.000 |
| 129.821 | 143.643 | 60.559 | -0.000 | 0.000 | -0.000 |
| 60.558 | 60.558 | 238.798 | -0.000 | -0.000 | 0.000 |
| 0.000 | 0.000 | -0.001 | -66.354 | 0.000 | 0.000 |
| 0.000 | 0.000 | -0.001 | 0.000 | -66.354 | 0.000 |
| 0.000 | 0.000 | 0.000 | 0.000 | -0.000 | 93.965 |
| 2936127.533 | 2338424.350 | 1010465.837 | 0.000 | 0.000 | -0.000 |
| 7205346.288 | 7146778.355 | 7060892.228 | 20093.478 | -130234.827 | 67626.611 |
| 59.304 | 59.304 | 203.970 | 0.000 | 0.000 | -0.000 |
| -0.000 | -0.000 | 0.001 | -66.354 | -0.000 | -0.000 |
| -0.000 | -0.000 | 0.001 | -0.000 | -66.354 | -0.000 |
| -0.000 | -0.000 | -0.000 | 0.000 | -0.000 | 93.965 |
| 3.924 | 9.765 | 9.765 | -0.000 | -0.000 | -0.000 |
| 9.765 | 3.924 | 9.765 | -0.000 | -0.000 | -0.000 |
| 9.765 | 9.765 | 3.924 | -0.000 | -0.000 | -0.000 |
| 0.000 | 0.000 | 0.000 | -7.205 | -0.000 | -0.000 |
| 0.000 | 0.000 | 0.000 | -0.000 | -7.205 | -0.000 |
| 0.000 | 0.000 | 0.000 | -0.000 | -0.000 | -7.205 |
| 3.924 | 9.765 | 9.765 | 0.000 | 0.000 | 0.000 |
| 9.765 | 3.924 | 9.765 | 0.000 | 0.000 | 0.000 |
| 9.765 | 9.765 | 3.924 | 0.000 | 0.000 | 0.000 |
| -0.000 | 0.000 | -0.000 | -7.205 | 0.000 | 0.000 |
| -0.000 | -0.000 | -0.000 | 0.000 | -7.205 | 0.000 |
| -0.000 | 0.000 | -0.000 | 0.000 | 0.000 | -7.205 |
| 3.924 | 9.765 | 9.765 | -0.000 | -0.000 | -0.000 |
| 9.765 | 3.924 | 9.765 | -0.000 | -0.000 | -0.000 |
| 9.765 | 9.765 | 3.924 | -0.000 | -0.000 | -0.000 |
| 0.000 | -0.000 | 0.000 | 6.654 | 0.000 | 0.000 |
| -0.000 | 0.000 | 0.000 | 0.000 | 6.654 | 0.000 |
| -0.000 | 0.000 | 0.000 | 0.000 | 0.000 | 6.654 |
| 3.924 | 9.765 | 9.765 | 0.000 | 0.000 | 0.000 |
| 9.765 | 3.924 | 9.765 | 0.000 | 0.000 | 0.000 |
| 9.765 | 9.765 | 3.924 | 0.000 | 0.000 | 0.000 |
| -0.000 | 0.000 | -0.000 | 6.654 | -0.000 | -0.000 |
| 0.000 | -0.000 | -0.000 | -0.000 | 6.654 | -0.000 |
| 0.000 | -0.000 | -0.000 | -0.000 | -0.000 | 6.654 |
| 3.924 | 9.765 | 9.765 | -0.000 | -0.000 | -0.000 |
| 9.765 | 3.924 | 9.765 | -0.000 | -0.000 | -0.000 |
| 9.765 | 9.765 | 3.924 | -0.000 | -0.000 | -0.000 |
| -0.000 | -0.000 | -0.000 | -7.205 | -0.000 | -0.000 |
| -0.000 | -0.000 | -0.000 | -0.000 | -7.205 | -0.000 |
| -0.000 | -0.000 | -0.000 | -0.000 | -0.000 | -7.205 |
| 3.924 | 9.765 | 9.765 | 0.000 | 0.000 | 0.000 |
| 9.765 | 3.924 | 9.765 | 0.000 | 0.000 | 0.000 |
| 9.765 | 9.765 | 3.924 | 0.000 | 0.000 | 0.000 |
| 0.000 | 0.000 | 0.000 | -7.205 | 0.000 | 0.000 |
| 0.000 | 0.000 | 0.000 | 0.000 | -7.205 | 0.000 |
| 0.000 | 0.000 | 0.000 | 0.000 | 0.000 | -7.205 |
| 168.954 | 158.533 | 151.650 | -0.000 | -0.000 | -0.000 |
| 158.533 | 168.954 | 151.650 | -0.000 | -0.000 | -0.000 |
| 152.994 | 152.994 | 243.803 | -0.000 | -0.000 | -0.000 |
| 2.130 | 2.130 | 0.845 | 121.459 | -0.000 | -0.000 |
| 2.130 | 2.130 | 0.845 | -0.000 | 121.459 | -0.000 |
| 0.000 | 0.000 | -0.000 | 0.000 | -0.000 | 126.217 |
| 167.063 | 156.642 | 150.921 | 0.000 | 0.000 | 0.000 |
| 156.642 | 167.063 | 150.921 | 0.000 | 0.000 | 0.000 |
| 148.716 | 148.716 | 242.107 | 0.000 | 0.000 | 0.000 |
| -2.130 | -2.130 | -0.845 | 121.459 | 0.000 | 0.000 |
| -2.130 | -2.130 | -0.845 | 0.000 | 121.459 | 0.000 |
| -0.000 | -0.000 | 0.000 | 0.000 | 0.000 | 126.217 |
| 167.063 | 156.642 | 150.921 | -0.000 | -0.000 | -0.000 |
| 156.642 | 167.063 | 150.921 | -0.000 | -0.000 | -0.000 |
| 150.687 | 150.687 | 242.102 | -0.000 | -0.000 | -0.000 |
| 0.000 | -0.000 | 0.000 | 121.723 | -0.000 | -0.000 |
| -0.000 | 0.000 | 0.000 | -0.000 | 121.723 | -0.000 |
| 0.000 | 0.000 | 0.000 | 0.000 | -0.000 | 126.217 |
| 167.063 | 156.642 | 150.921 | 0.000 | 0.000 | 0.000 |
| 156.642 | 167.063 | 150.921 | 0.000 | 0.000 | 0.000 |
| 150.298 | 150.298 | 241.970 | -0.000 | 0.000 | 0.000 |
| -0.000 | 0.000 | -0.000 | 121.723 | 0.000 | 0.000 |
| 0.000 | -0.000 | -0.000 | -0.000 | 121.723 | 0.000 |
| -0.000 | -0.000 | -0.000 | -0.000 | 0.000 | 126.217 |
| 166.810 | 156.388 | 150.796 | -0.000 | -0.000 | -0.000 |
| 156.388 | 166.810 | 150.796 | 0.000 | -0.000 | -0.000 |
| 150.788 | 150.788 | 242.472 | -0.000 | -0.000 | -0.000 |
| 0.024 | 0.023 | 0.009 | 121.434 | -0.000 | 0.000 |
| 0.023 | 0.024 | 0.009 | -0.000 | 121.434 | -0.000 |
| 0.021 | 0.022 | 0.009 | -0.000 | -0.000 | 126.217 |
| 166.772 | 156.351 | 150.782 | 0.000 | 0.000 | 0.000 |
| 156.351 | 166.772 | 150.782 | 0.000 | 0.000 | 0.000 |
| 150.717 | 150.717 | 242.490 | 0.000 | 0.000 | 0.000 |
| -0.024 | -0.023 | -0.009 | 121.434 | 0.000 | 0.000 |
| -0.023 | -0.024 | -0.009 | 0.000 | 121.434 | 0.000 |
| -0.021 | -0.022 | -0.009 | 0.000 | 0.000 | 126.217 |
| 225.638 | 215.567 | 157.964 | -0.000 | -0.000 | 0.000 |
| 215.567 | 225.638 | 157.964 | 0.000 | -0.000 | 0.000 |
| 150.897 | 150.897 | 245.058 | 0.000 | 0.000 | -0.000 |
| 59.214 | 59.214 | 7.195 | 121.345 | 0.000 | -0.000 |
| 59.214 | 59.214 | 7.195 | 0.000 | 121.345 | -0.000 |
| 0.000 | 0.000 | -0.000 | -0.000 | 0.000 | 126.205 |
| 166.696 | 156.625 | 150.897 | 0.000 | -0.000 | -0.000 |
| 156.625 | 166.696 | 150.897 | -0.000 | 0.000 | -0.000 |
| 91.394 | 91.394 | 237.289 | 0.000 | -0.000 | 0.000 |
| -59.214 | -59.214 | -7.195 | 121.345 | 0.000 | 0.000 |
| -59.214 | -59.214 | -7.195 | -0.000 | 121.345 | 0.000 |
| 0.000 | -0.000 | 0.000 | 0.000 | -0.000 | 126.205 |
| 172.346 | 162.275 | 151.490 | -0.000 | 0.000 | -0.000 |
| 162.275 | 172.346 | 151.490 | 0.000 | -0.000 | -0.000 |
| 158.999 | 158.999 | 252.515 | -0.000 | 0.000 | -0.000 |
| 0.000 | -0.000 | 0.000 | 121.628 | 0.000 | -0.000 |
| -0.000 | 0.000 | 0.000 | -0.000 | 121.628 | 0.000 |
| 8.594 | 8.594 | 8.934 | -0.000 | 0.000 | 126.205 |
| 160.503 | 150.432 | 150.050 | -0.000 | -0.000 | 0.000 |
| 150.432 | 160.503 | 150.050 | -0.000 | -0.000 | 0.000 |
| 144.673 | 144.673 | 243.748 | -0.000 | -0.000 | 0.000 |
| -0.000 | 0.000 | -0.000 | 121.628 | -0.000 | -0.000 |
| 0.000 | -0.000 | -0.000 | -0.000 | 121.628 | 0.000 |
| -8.594 | -8.594 | -8.934 | 0.000 | -0.000 | 126.205 |
| 167.021 | 156.949 | 150.846 | 0.000 | 0.000 | -0.000 |
| 156.949 | 167.021 | 150.846 | 0.000 | 0.000 | -0.000 |
| 151.320 | 151.320 | 244.624 | 0.000 | -0.000 | -0.000 |
| 0.594 | 0.594 | 0.072 | 121.344 | -0.000 | 0.000 |
| 0.594 | 0.594 | 0.072 | 0.000 | 121.344 | -0.000 |
| 0.000 | 0.000 | 0.000 | 0.000 | -0.000 | 126.205 |
| 166.696 | 156.625 | 150.897 | 0.000 | 0.000 | 0.000 |
| 156.625 | 166.696 | 150.897 | 0.000 | 0.000 | 0.000 |
| 150.897 | 150.897 | 245.056 | -0.000 | -0.000 | -0.000 |
| -0.594 | -0.594 | -0.072 | 121.344 | 0.000 | 0.000 |
| -0.594 | -0.594 | -0.072 | -0.000 | 121.344 | 0.000 |
| -0.000 | -0.000 | -0.000 | -0.000 | -0.000 | 126.205 |
| 194.533 | 84.866 | 51.245 | -5.977 | 0.000 | 0.000 |
| 84.866 | 194.533 | 51.245 | 5.977 | 0.000 | -0.000 |
| 85.871 | 85.871 | 460.111 | -0.000 | 0.000 | 0.000 |
| -5.977 | 5.977 | 0.000 | 24.157 | 0.000 | -0.000 |
| 29.494 | 29.494 | 251.529 | 0.000 | 3.186 | -11.797 |
| -0.000 | 0.000 | -0.000 | -0.000 | -5.977 | 54.833 |
| 127.713 | 82.758 | -189.635 | -11.702 | -0.000 | 0.000 |
| 84.866 | 194.533 | 51.245 | 5.977 | -0.000 | -0.000 |
| 50.912 | 50.912 | 249.396 | -0.000 | -0.000 | 0.000 |
| -5.977 | 5.977 | -0.000 | 24.157 | -0.000 | 0.000 |
| -29.494 | -29.494 | -251.529 | -0.000 | 3.186 | -11.797 |
| 0.000 | -0.000 | 0.000 | 0.000 | -5.977 | 54.833 |
| 194.533 | 84.866 | 51.245 | -5.977 | 0.000 | -0.000 |
| 84.866 | 194.533 | 51.245 | 5.977 | 0.000 | 0.000 |
| 63.798 | 63.798 | 238.225 | -0.000 | 0.000 | -0.000 |
| -9.506 | 16.758 | 30.923 | -1.624 | 0.000 | -0.000 |
| 3.626 | 3.626 | 30.923 | -0.000 | -1.624 | -13.132 |
| 3.813 | 3.813 | 32.515 | 0.000 | -13.500 | 12.317 |
| 71.160 | 200.016 | 32.767 | -4.177 | -0.000 | 0.000 |
| 200.016 | 71.160 | 32.767 | 4.177 | -0.000 | 0.000 |
| 50.912 | 50.912 | 249.395 | -0.000 | -0.000 | -0.000 |
| -5.977 | 5.977 | -0.000 | 24.157 | -0.000 | 0.000 |
| -3.626 | -3.626 | -30.923 | 0.000 | -1.624 | -13.132 |
| -3.813 | -3.813 | -32.515 | -0.000 | -13.500 | 12.317 |
| 66.981 | 178.895 | 99.187 | 5.275 | 0.000 | 0.000 |
| 858.827 | -615.473 | 113.619 | -56.233 | 0.000 | 0.000 |
| 64.487 | 64.487 | 189.088 | -0.000 | 0.000 | 0.000 |
| -5.977 | 5.978 | 0.000 | 24.157 | 0.000 | -0.000 |
| 0.000 | 0.000 | 0.000 | 0.000 | 24.157 | -5.977 |
| 0.000 | 0.000 | 0.000 | 0.000 | -5.977 | 54.833 |
| -3143.282 | 3471.807 | -32.356 | -667.171 | -0.000 | 0.000 |
| 131.600 | 127.644 | 58.437 | 16.030 | -0.000 | 0.000 |
| 61.826 | 61.826 | 187.823 | 0.000 | -0.000 | 0.000 |
| -5.977 | 5.977 | -0.000 | 24.157 | -0.000 | 0.000 |
| -0.000 | -0.000 | -0.000 | -0.000 | 24.157 | -5.977 |
| -0.000 | -0.000 | -0.000 | -0.000 | -5.977 | 54.833 |
| 229.190 | 26.499 | 26.499 | 0.000 | -0.000 | 0.000 |
| 26.499 | 229.190 | 26.499 | 0.000 | -0.000 | -0.000 |
| 26.499 | 26.499 | 229.190 | 0.000 | -0.000 | -0.000 |
| 0.000 | 0.000 | 0.000 | 44.757 | -0.000 | 0.000 |
| 0.000 | 0.000 | 0.000 | 0.000 | 44.757 | 0.000 |
| 0.000 | 0.000 | 0.000 | 0.000 | -0.000 | 44.757 |
| 229.190 | 26.499 | 26.499 | -0.000 | 0.000 | 0.000 |
| 26.499 | 229.190 | 26.499 | -0.000 | 0.000 | 0.000 |
| 26.499 | 26.499 | 229.190 | -0.000 | 0.000 | -0.000 |
| -0.000 | -0.000 | -0.000 | 44.757 | 0.000 | 0.000 |
| -0.000 | -0.000 | -0.000 | -0.000 | 44.757 | 0.000 |
| -0.000 | -0.000 | -0.000 | -0.000 | 0.000 | 44.757 |
| 229.589 | 26.300 | 26.300 | 0.000 | -0.000 | 0.000 |
| 26.300 | 229.589 | 26.300 | 0.000 | -0.000 | -0.000 |
| 26.300 | 26.300 | 229.589 | 0.000 | -0.000 | -0.000 |
| -0.000 | 0.000 | 0.000 | 48.638 | -0.000 | -0.000 |
| 0.000 | -0.000 | 0.000 | 0.000 | 48.638 | 0.000 |
| 0.000 | 0.000 | -0.000 | 0.000 | -0.000 | 48.638 |
| 229.589 | 26.300 | 26.300 | -0.000 | 0.000 | -0.000 |
| 26.300 | 229.589 | 26.300 | -0.000 | 0.000 | -0.000 |
| 26.300 | 26.300 | 229.589 | -0.000 | 0.000 | -0.000 |
| 0.000 | -0.000 | -0.000 | 48.638 | 0.000 | -0.000 |
| -0.000 | 0.000 | -0.000 | -0.000 | 48.638 | -0.000 |
| -0.000 | -0.000 | 0.000 | -0.000 | 0.000 | 48.638 |
| 229.590 | 26.300 | 26.300 | 0.000 | -0.000 | 0.000 |
| 26.300 | 229.590 | 26.300 | 0.000 | -0.000 | -0.000 |
| 26.300 | 26.300 | 229.590 | 0.000 | -0.000 | 0.000 |
| -0.000 | 0.000 | 0.000 | 48.638 | -0.000 | 0.000 |
| 0.000 | -0.000 | 0.000 | 0.000 | 48.638 | 0.000 |
| 0.000 | 0.000 | -0.000 | 0.000 | -0.000 | 48.638 |
| 229.189 | 26.499 | 26.499 | -0.000 | 0.000 | 0.000 |
| 26.499 | 229.189 | 26.499 | -0.000 | 0.000 | -0.000 |
| 26.499 | 26.499 | 229.189 | -0.000 | 0.000 | -0.000 |
| 0.000 | -0.000 | -0.000 | 48.638 | 0.000 | -0.000 |
| -0.000 | 0.000 | -0.000 | -0.000 | 48.638 | 0.000 |
| -0.000 | -0.000 | 0.000 | -0.000 | 0.000 | 48.638 |
| 218.257 | 109.520 | 109.520 | -0.000 | -0.000 | -0.000 |
| 109.520 | 218.257 | 109.520 | -0.000 | -0.000 | -0.000 |
| 109.520 | 109.520 | 218.257 | -0.000 | 0.000 | 0.000 |
| 0.000 | 0.000 | 0.000 | 91.993 | -0.000 | 0.000 |
| 0.000 | 0.000 | 0.000 | -0.000 | 91.993 | 0.000 |
| 0.000 | 0.000 | 0.000 | -0.000 | 0.000 | 91.993 |
| 218.257 | 109.520 | 109.520 | 0.000 | 0.000 | -0.000 |
| 109.520 | 218.257 | 109.520 | 0.000 | 0.000 | -0.000 |
| 109.520 | 109.520 | 218.257 | 0.000 | 0.000 | 0.000 |
| -0.000 | -0.000 | -0.000 | 91.993 | 0.000 | 0.000 |
| -0.000 | -0.000 | -0.000 | 0.000 | 91.993 | -0.000 |
| -0.000 | -0.000 | -0.000 | 0.000 | -0.000 | 91.993 |
| 218.257 | 109.520 | 109.520 | -0.000 | 0.000 | 0.000 |
| 109.520 | 218.257 | 109.520 | -0.000 | -0.000 | 0.000 |
| 109.520 | 109.520 | 218.257 | -0.000 | -0.000 | 0.000 |
| 0.000 | 0.000 | 0.000 | 91.993 | 0.000 | -0.000 |
| 0.000 | 0.000 | 0.000 | -0.000 | 91.993 | 0.000 |
| 0.000 | 0.000 | 0.000 | -0.000 | 0.000 | 91.993 |
| 218.257 | 109.520 | 109.520 | 0.000 | -0.000 | -0.000 |
| 109.520 | 218.257 | 109.520 | 0.000 | 0.000 | -0.000 |
| 109.520 | 109.520 | 218.257 | 0.000 | 0.000 | -0.000 |
| -0.000 | -0.000 | -0.000 | 91.993 | -0.000 | -0.000 |
| -0.000 | -0.000 | -0.000 | 0.000 | 91.993 | 0.000 |
| -0.000 | -0.000 | -0.000 | 0.000 | -0.000 | 91.993 |
| 218.257 | 109.520 | 109.520 | -0.000 | -0.000 | -0.000 |
| 109.520 | 218.257 | 109.520 | 0.000 | 0.000 | -0.000 |
| 109.520 | 109.520 | 218.257 | -0.000 | -0.000 | 0.000 |
| 0.000 | 0.000 | 0.000 | 91.993 | 0.000 | -0.000 |
| 0.000 | 0.000 | 0.000 | -0.000 | 91.993 | 0.000 |
| 0.000 | 0.000 | 0.000 | -0.000 | 0.000 | 91.993 |
| 218.257 | 109.520 | 109.520 | 0.000 | 0.000 | 0.000 |
| 109.520 | 218.257 | 109.520 | 0.000 | 0.000 | 0.000 |
| 109.520 | 109.520 | 218.257 | 0.000 | -0.000 | -0.000 |
| -0.000 | -0.000 | -0.000 | 91.993 | -0.000 | -0.000 |
| -0.000 | -0.000 | -0.000 | 0.000 | 91.993 | -0.000 |
| -0.000 | -0.000 | -0.000 | -0.000 | -0.000 | 91.993 |
| 99.125 | 67.680 | 67.680 | -0.000 | -0.000 | -0.000 |
| 67.680 | 99.125 | 67.680 | -0.000 | -0.000 | -0.000 |
| 67.680 | 67.680 | 99.125 | -0.000 | -0.000 | -0.000 |
| 0.000 | 0.000 | -0.000 | 52.304 | -0.000 | 0.000 |
| 0.000 | 0.000 | 0.000 | -0.000 | 52.304 | -0.000 |
| 0.000 | 0.000 | 0.000 | -0.000 | -0.000 | 52.304 |
| 99.125 | 67.680 | 67.680 | 0.000 | 0.000 | -0.000 |
| 67.680 | 99.125 | 67.680 | 0.000 | 0.000 | 0.000 |
| 67.680 | 67.680 | 99.125 | 0.000 | 0.000 | 0.000 |
| -0.000 | -0.000 | -0.000 | 52.304 | 0.000 | -0.000 |
| -0.000 | -0.000 | 0.000 | -0.000 | 52.304 | -0.000 |
| -0.000 | -0.000 | -0.000 | 0.000 | 0.000 | 52.304 |
| 99.125 | 67.680 | 67.680 | -0.000 | -0.000 | 0.000 |
| 67.680 | 99.125 | 67.680 | -0.000 | -0.000 | 0.000 |
| 67.680 | 67.680 | 99.125 | -0.000 | -0.000 | -0.000 |
| -0.000 | 0.000 | 0.000 | 52.304 | -0.000 | 0.000 |
| 0.000 | -0.000 | 0.000 | -0.000 | 52.304 | -0.000 |
| 0.000 | 0.000 | -0.000 | -0.000 | -0.000 | 52.304 |
| 99.125 | 67.680 | 67.680 | 0.000 | 0.000 | -0.000 |
| 67.680 | 99.125 | 67.680 | 0.000 | 0.000 | 0.000 |
| 67.680 | 67.680 | 99.125 | 0.000 | 0.000 | 0.000 |
| 0.000 | -0.000 | -0.000 | 52.304 | 0.000 | -0.000 |
| -0.000 | 0.000 | -0.000 | 0.000 | 52.304 | 0.000 |
| -0.000 | -0.000 | 0.000 | 0.000 | 0.000 | 52.304 |
| 99.125 | 67.681 | 67.681 | -0.000 | -0.000 | -0.000 |
| 67.681 | 99.125 | 67.681 | -0.000 | -0.000 | 0.000 |
| 67.681 | 67.681 | 99.125 | -0.000 | -0.000 | 0.000 |
| -0.000 | 0.000 | 0.000 | 52.304 | -0.000 | -0.000 |
| 0.000 | -0.000 | 0.000 | -0.000 | 52.304 | 0.000 |
| 0.000 | 0.000 | -0.000 | -0.000 | -0.000 | 52.304 |
| 99.125 | 67.680 | 67.680 | 0.000 | 0.000 | 0.000 |
| 67.680 | 99.125 | 67.680 | 0.000 | 0.000 | 0.000 |
| 67.680 | 67.680 | 99.125 | 0.000 | 0.000 | -0.000 |
| 0.000 | -0.000 | -0.000 | 52.304 | 0.000 | -0.000 |
| -0.000 | 0.000 | -0.000 | 0.000 | 52.304 | -0.000 |
| -0.000 | -0.000 | 0.000 | 0.000 | 0.000 | 52.304 |
| 202.045 | 81.167 | 86.817 | -0.000 | 14.158 | -0.000 |
| 81.105 | 222.455 | 101.945 | -0.000 | 0.134 | -0.000 |
| 148.493 | 158.208 | 202.049 | -0.028 | -15.337 | 0.013 |
| 54.670 | 58.000 | 31.625 | 69.882 | -12.065 | 1.134 |
| 48.116 | 59.937 | 28.356 | -0.028 | 36.168 | 0.013 |
| 54.684 | 58.015 | 31.633 | 1.093 | -12.068 | 48.962 |
| 202.045 | 81.167 | 86.817 | -0.000 | 14.158 | 0.000 |
| 7.959 | 84.105 | 26.785 | 0.019 | 15.711 | -0.009 |
| 26.094 | 2.753 | 106.497 | 0.000 | 14.493 | -0.000 |
| -54.671 | -58.001 | -31.625 | 69.938 | 12.065 | 1.108 |
| -80.452 | -123.762 | -80.046 | 0.019 | 56.285 | -0.009 |
| -0.000 | -0.000 | 0.000 | 0.261 | -0.000 | 52.687 |
| 202.045 | 81.167 | 86.817 | 0.000 | 14.158 | -0.000 |
| 81.105 | 222.455 | 101.945 | 0.000 | 0.134 | -0.000 |
| 105.557 | 110.171 | 167.449 | 0.000 | -6.582 | -0.000 |
| 7.134 | 9.531 | 5.466 | 70.948 | -1.866 | -0.410 |
| -0.886 | 7.869 | -0.081 | -0.003 | 46.780 | 0.001 |
| 5.526 | 5.863 | 3.197 | 1.127 | -1.220 | 48.911 |
| 202.045 | 81.167 | 86.817 | -0.000 | 14.158 | 0.000 |
| 81.105 | 222.455 | 101.945 | 0.000 | 0.134 | 0.000 |
| 90.878 | 89.687 | 155.311 | -0.000 | -2.650 | 0.000 |
| -7.520 | -12.423 | -7.408 | 68.754 | 1.547 | -0.767 |
| -12.094 | -3.979 | -6.517 | 0.003 | 49.359 | -0.001 |
| -6.626 | -12.341 | -7.322 | -1.590 | -0.140 | 43.247 |
| 202.046 | 81.167 | 86.817 | -0.000 | 14.158 | -0.000 |
| 84.069 | 208.653 | 100.415 | 0.000 | 1.017 | -0.000 |
| 87.864 | 101.937 | 184.113 | 0.000 | -2.383 | -0.000 |
| 0.414 | 0.440 | 0.240 | 70.849 | -0.091 | 0.913 |
| -4.514 | 3.137 | -3.162 | -0.000 | 45.393 | 0.000 |
| -0.000 | 0.000 | -0.000 | 0.261 | 0.000 | 52.687 |
| 202.044 | 81.167 | 86.816 | -0.000 | 14.158 | 0.000 |
| 82.127 | 206.992 | 99.031 | -0.000 | 1.426 | 0.000 |
| 87.864 | 101.937 | 184.113 | -0.000 | -2.383 | -0.000 |
| -0.414 | -0.440 | -0.240 | 70.849 | 0.091 | 0.913 |
| -6.576 | -1.126 | -7.146 | 0.000 | 41.049 | -0.000 |
| 0.000 | -0.000 | 0.000 | 0.261 | -0.000 | 52.687 |
| -21.498 | -484.453 | 394.107 | 0.000 | 9.065 | 0.000 |
| -107.660 | -342.931 | 404.064 | 0.000 | -6.811 | 0.000 |
| -3139.647 | -7186.838 | 5229.925 | -0.000 | -1.869 | 0.000 |
| -715.213 | -1532.094 | 637.238 | 64.863 | 221.267 | 2.256 |
| -181.245 | -552.826 | 306.674 | -0.000 | 39.671 | 0.000 |
| -176.406 | -554.937 | 309.930 | 3.143 | -8.306 | 38.304 |
| 182.312 | 71.204 | 82.567 | 0.000 | 11.391 | -0.000 |
| 68.983 | 222.348 | 91.438 | -0.000 | 2.054 | -0.000 |
| 82.326 | 91.473 | 165.298 | -0.000 | -1.949 | -0.000 |
| 715.213 | 1532.094 | -637.238 | 64.863 | -221.267 | 2.256 |
| -15.922 | 2.179 | -1.949 | -0.000 | 58.485 | -0.000 |
| 176.406 | 554.937 | -309.930 | 3.143 | 8.306 | 38.304 |
| 182.312 | 71.204 | 82.567 | -0.000 | 11.391 | 0.000 |
| -111.484 | -217.197 | 300.935 | 0.000 | 27.576 | 0.000 |
| 66.465 | 38.072 | 180.044 | 0.000 | -3.820 | 0.000 |
| -17.639 | -55.490 | 30.991 | 66.145 | -0.831 | 3.268 |
| -22.567 | -53.413 | 27.763 | 0.000 | 47.219 | 0.000 |
| -17.653 | -55.532 | 31.014 | 3.143 | -0.831 | 38.300 |
| 182.312 | 71.204 | 82.567 | 0.000 | 11.391 | -0.000 |
| 86.396 | 267.782 | 63.064 | 0.000 | 2.340 | -0.000 |
| 101.862 | 149.381 | 117.699 | -0.000 | -2.166 | -0.000 |
| 17.639 | 55.490 | -30.991 | 66.145 | 0.831 | 3.268 |
| 12.920 | 57.631 | -34.277 | 0.000 | 48.704 | -0.000 |
| 17.653 | 55.532 | -31.014 | 3.143 | 0.831 | 38.300 |
| 182.313 | 71.204 | 82.567 | -0.000 | 11.390 | 0.000 |
| 17.953 | 109.435 | 165.394 | -0.000 | -3.432 | 0.000 |
| 82.284 | 87.150 | 149.688 | 0.000 | -3.294 | 0.000 |
| -0.000 | 0.000 | 0.000 | 69.192 | -0.000 | 2.586 |
| -15.922 | 2.179 | -1.948 | 0.000 | 58.485 | 0.000 |
| -6.748 | -14.470 | 6.026 | 2.157 | 2.082 | 32.037 |
| 182.311 | 71.204 | 82.566 | -0.000 | 11.391 | -0.000 |
| 68.983 | 222.347 | 91.437 | 0.000 | 2.054 | -0.000 |
| 82.326 | 91.472 | 165.298 | -0.000 | -1.949 | -0.000 |
| 0.000 | -0.000 | -0.000 | 69.192 | 0.000 | 2.586 |
| -1.824 | 7.739 | -6.548 | 0.000 | 46.901 | -0.000 |
| 6.748 | 14.470 | -6.026 | 2.157 | -2.082 | 32.037 |
| 184.391 | 112.963 | 1.124 | 0.000 | 0.000 | 0.000 |
| 112.963 | 184.391 | 1.124 | -0.000 | 0.000 | 0.000 |
| 93.897 | 93.897 | 280.785 | -0.000 | -0.000 | -0.000 |
| 0.000 | -0.000 | 0.000 | 82.771 | 0.000 | 0.000 |
| -0.000 | -0.000 | 0.000 | -0.000 | 82.771 | 0.000 |
| 48.401 | 48.401 | -96.842 | 0.000 | 0.000 | 35.728 |
| 148.925 | 57.726 | 91.864 | 0.000 | 0.000 | 0.000 |
| 57.726 | 148.925 | 91.864 | 0.000 | -0.000 | -0.000 |
| 93.897 | 93.897 | 280.784 | 0.000 | -0.000 | -0.000 |
| 0.000 | 0.000 | 0.000 | 82.771 | -0.000 | -0.000 |
| 0.000 | 0.000 | -0.000 | 0.000 | 82.771 | -0.000 |
| -48.401 | -48.401 | 96.842 | -0.000 | -0.000 | 35.728 |
| 123.209 | 94.353 | 80.948 | -0.000 | -0.000 | 0.000 |
| 57.726 | 148.925 | 91.864 | -0.000 | 0.000 | 0.000 |
| 93.897 | 93.897 | 280.785 | 0.000 | -0.000 | -0.000 |
| -0.000 | -0.000 | 0.000 | 82.771 | 0.000 | 0.000 |
| -0.000 | -0.000 | 0.000 | -0.000 | 82.771 | -0.000 |
| 4.790 | 4.790 | -9.583 | 0.000 | 0.000 | 5.960 |
| 101.413 | 89.493 | 107.617 | -0.000 | -0.000 | -0.000 |
| 57.726 | 148.925 | 91.864 | 0.000 | -0.000 | -0.000 |
| 95.270 | 95.270 | 278.036 | 0.000 | -0.000 | 0.000 |
| 0.000 | 0.000 | -0.000 | 82.771 | -0.000 | -0.000 |
| 0.000 | 0.000 | -0.000 | 0.000 | 82.771 | -0.000 |
| -4.790 | -4.790 | 9.583 | -0.000 | -0.000 | 5.960 |
| 148.926 | 57.726 | 91.864 | -0.000 | -0.000 | 0.000 |
| 94.770 | 106.688 | 97.060 | 0.000 | 0.000 | 0.000 |
| 93.897 | 93.897 | 280.785 | -0.000 | 0.000 | 0.000 |
| 0.479 | 0.479 | -0.959 | 61.080 | 0.000 | 0.000 |
| -0.000 | -0.000 | 0.000 | -0.000 | 82.771 | -0.000 |
| 1.897 | 1.897 | -3.796 | -0.000 | -0.000 | 6.901 |
| 148.928 | 57.726 | 91.864 | 0.000 | -0.000 | -0.000 |
| 93.808 | 105.729 | 98.981 | -0.000 | -0.000 | -0.000 |
| 99.583 | 99.583 | 269.405 | -0.000 | -0.000 | 0.000 |
| -0.479 | -0.479 | 0.959 | 61.080 | 0.000 | -0.000 |
| 0.000 | 0.000 | -0.000 | 0.000 | 82.771 | -0.000 |
| -1.897 | -1.897 | 3.796 | 0.000 | -0.000 | 6.901 |
| 182.476 | 55.649 | 55.649 | 0.000 | 0.000 | 0.000 |
| 55.649 | 182.476 | 55.649 | 0.000 | 0.000 | -0.000 |
| 55.649 | 55.649 | 182.476 | -0.000 | -0.000 | 0.000 |
| -0.000 | -0.000 | -0.000 | 21.095 | -0.000 | -0.000 |
| -0.000 | -0.000 | -0.000 | -0.000 | 21.095 | -0.000 |
| -0.000 | -0.000 | 0.000 | -0.000 | -0.000 | 21.095 |
| 182.476 | 55.649 | 55.649 | -0.000 | -0.000 | -0.000 |
| 55.649 | 182.476 | 55.649 | -0.000 | -0.000 | 0.000 |
| 55.649 | 55.649 | 182.476 | 0.000 | 0.000 | -0.000 |
| 0.000 | 0.000 | 0.000 | 21.095 | 0.000 | 0.000 |
| 0.000 | 0.000 | 0.000 | 0.000 | 21.095 | 0.000 |
| 0.000 | 0.000 | 0.000 | 0.000 | 0.000 | 21.095 |
| 182.485 | 55.645 | 55.645 | 0.000 | 0.000 | 0.000 |
| 55.645 | 182.485 | 55.645 | 0.000 | 0.000 | -0.000 |
| 55.645 | 55.645 | 182.485 | -0.000 | -0.000 | 0.000 |
| -0.000 | -0.000 | -0.000 | 21.607 | -0.000 | -0.000 |
| -0.000 | -0.000 | -0.000 | -0.000 | 21.607 | 0.000 |
| -0.000 | -0.000 | -0.000 | -0.000 | 0.000 | 21.607 |
| 182.485 | 55.645 | 55.645 | -0.000 | -0.000 | 0.000 |
| 55.645 | 182.485 | 55.645 | -0.000 | -0.000 | 0.000 |
| 55.645 | 55.645 | 182.485 | 0.000 | 0.000 | -0.000 |
| 0.000 | 0.000 | 0.000 | 21.607 | 0.000 | -0.000 |
| 0.000 | 0.000 | 0.000 | 0.000 | 21.607 | -0.000 |
| 0.000 | 0.000 | 0.000 | 0.000 | -0.000 | 21.607 |
| 182.484 | 55.645 | 55.645 | -0.000 | 0.000 | -0.000 |
| 55.645 | 182.484 | 55.645 | -0.000 | 0.000 | -0.000 |
| 55.645 | 55.645 | 182.484 | -0.000 | 0.000 | 0.000 |
| -0.000 | -0.000 | -0.000 | 21.607 | 0.000 | -0.000 |
| -0.000 | -0.000 | -0.000 | -0.000 | 21.607 | 0.000 |
| -0.000 | -0.000 | -0.000 | -0.000 | 0.000 | 21.607 |
| 182.485 | 55.645 | 55.645 | 0.000 | -0.000 | -0.000 |
| 55.645 | 182.485 | 55.645 | -0.000 | -0.000 | 0.000 |
| 55.645 | 55.645 | 182.485 | -0.000 | -0.000 | 0.000 |
| 0.000 | 0.000 | 0.000 | 21.607 | -0.000 | -0.000 |
| 0.000 | 0.000 | 0.000 | -0.000 | 21.607 | -0.000 |
| 0.000 | 0.000 | 0.000 | 0.000 | -0.000 | 21.607 |
| 132.039 | 115.678 | 115.678 | 0.000 | 0.000 | -0.000 |
| 115.678 | 132.039 | 115.678 | -0.000 | 0.000 | -0.000 |
| 115.678 | 115.678 | 132.039 | 0.000 | 0.000 | -0.000 |
| -0.000 | 0.000 | 0.000 | 76.876 | -0.000 | -0.000 |
| -0.000 | 0.000 | 0.000 | 0.000 | 76.876 | -0.000 |
| -0.000 | 0.000 | 0.000 | 0.000 | -0.000 | 76.876 |
| 132.039 | 115.678 | 115.678 | 0.000 | 0.000 | 0.000 |
| 115.678 | 132.039 | 115.678 | 0.000 | 0.000 | 0.000 |
| 115.678 | 115.678 | 132.039 | -0.000 | -0.000 | 0.000 |
| 0.000 | -0.000 | -0.000 | 76.876 | 0.000 | 0.000 |
| 0.000 | -0.000 | -0.000 | -0.000 | 76.876 | 0.000 |
| 0.000 | -0.000 | -0.000 | -0.000 | 0.000 | 76.876 |
| 132.039 | 115.678 | 115.678 | -0.000 | -0.000 | -0.000 |
| 115.678 | 132.039 | 115.678 | -0.000 | -0.000 | -0.000 |
| 115.678 | 115.678 | 132.039 | 0.000 | 0.000 | -0.000 |
| 0.000 | -0.000 | 0.000 | 90.026 | 0.000 | -0.000 |
| -0.000 | 0.000 | 0.000 | -0.000 | 90.026 | -0.000 |
| -0.000 | 0.000 | 0.000 | -0.000 | -0.000 | 90.026 |
| 132.039 | 115.678 | 115.678 | -0.000 | -0.000 | 0.000 |
| 115.678 | 132.039 | 115.678 | 0.000 | 0.000 | 0.000 |
| 115.678 | 115.678 | 132.039 | 0.000 | 0.000 | 0.000 |
| -0.000 | 0.000 | -0.000 | 90.026 | -0.000 | 0.000 |
| 0.000 | -0.000 | -0.000 | 0.000 | 90.026 | 0.000 |
| 0.000 | -0.000 | -0.000 | 0.000 | 0.000 | 90.026 |
| 132.040 | 115.678 | 115.678 | 0.000 | -0.000 | -0.000 |
| 115.678 | 132.040 | 115.678 | -0.000 | -0.000 | -0.000 |
| 115.678 | 115.678 | 132.040 | 0.000 | -0.000 | -0.000 |
| 0.000 | -0.000 | 0.000 | 90.026 | -0.000 | -0.000 |
| -0.000 | 0.000 | 0.000 | -0.000 | 90.026 | -0.000 |
| -0.000 | 0.000 | 0.000 | -0.000 | -0.000 | 90.026 |
| 132.038 | 115.677 | 115.677 | 0.000 | 0.000 | 0.000 |
| 115.677 | 132.038 | 115.677 | 0.000 | 0.000 | 0.000 |
| 115.677 | 115.677 | 132.038 | -0.000 | 0.000 | 0.000 |
| -0.000 | 0.000 | -0.000 | 90.026 | 0.000 | 0.000 |
| 0.000 | -0.000 | -0.000 | 0.000 | 90.026 | 0.000 |
| 0.000 | -0.000 | -0.000 | 0.000 | 0.000 | 90.026 |
| 219.406 | 108.182 | 108.182 | -0.000 | 0.000 | 0.000 |
| 108.182 | 219.406 | 108.182 | 0.000 | -0.000 | 0.000 |
| 108.182 | 108.182 | 219.406 | -0.000 | -0.000 | 0.000 |
| -0.000 | -0.000 | -0.000 | 80.859 | -0.000 | 0.000 |
| -0.000 | -0.000 | -0.000 | -0.000 | 80.859 | 0.000 |
| -0.000 | -0.000 | -0.000 | -0.000 | 0.000 | 80.859 |
| 219.406 | 108.182 | 108.182 | -0.000 | 0.000 | -0.000 |
| 108.182 | 219.406 | 108.182 | 0.000 | 0.000 | -0.000 |
| 108.182 | 108.182 | 219.406 | -0.000 | -0.000 | -0.000 |
| 0.000 | 0.000 | 0.000 | 80.859 | 0.000 | -0.000 |
| -0.000 | 0.000 | 0.000 | -0.000 | 80.859 | -0.000 |
| -0.000 | 0.000 | 0.000 | 0.000 | 0.000 | 80.859 |
| 219.406 | 108.182 | 108.182 | -0.000 | 0.000 | 0.000 |
| 108.182 | 219.406 | 108.182 | -0.000 | 0.000 | 0.000 |
| 108.182 | 108.182 | 219.406 | -0.000 | 0.000 | 0.000 |
| -0.000 | 0.000 | 0.000 | 80.859 | -0.000 | 0.000 |
| 0.000 | -0.000 | 0.000 | -0.000 | 80.859 | 0.000 |
| 0.000 | 0.000 | -0.000 | -0.000 | 0.000 | 80.859 |
| 219.405 | 108.182 | 108.182 | -0.000 | -0.000 | -0.000 |
| 108.182 | 219.405 | 108.182 | 0.000 | -0.000 | -0.000 |
| 108.182 | 108.182 | 219.405 | 0.000 | 0.000 | -0.000 |
| 0.000 | -0.000 | -0.000 | 80.859 | 0.000 | -0.000 |
| -0.000 | 0.000 | -0.000 | 0.000 | 80.859 | -0.000 |
| -0.000 | -0.000 | 0.000 | 0.000 | -0.000 | 80.859 |
| 219.407 | 108.182 | 108.182 | -0.000 | 0.000 | 0.000 |
| 108.182 | 219.407 | 108.182 | -0.000 | 0.000 | 0.000 |
| 108.182 | 108.182 | 219.407 | -0.000 | 0.000 | 0.000 |
| -0.000 | 0.000 | 0.000 | 80.859 | -0.000 | 0.000 |
| 0.000 | -0.000 | 0.000 | -0.000 | 80.859 | 0.000 |
| 0.000 | 0.000 | -0.000 | -0.000 | 0.000 | 80.859 |
| 219.404 | 108.181 | 108.181 | 0.000 | -0.000 | -0.000 |
| 108.181 | 219.404 | 108.181 | 0.000 | 0.000 | -0.000 |
| 108.181 | 108.181 | 219.404 | 0.000 | -0.000 | -0.000 |
| 0.000 | -0.000 | -0.000 | 80.859 | 0.000 | -0.000 |
| -0.000 | 0.000 | -0.000 | 0.000 | 80.859 | -0.000 |
| -0.000 | -0.000 | 0.000 | 0.000 | -0.000 | 80.859 |
| 973.745 | 302.080 | -269.635 | -0.000 | 0.000 | -0.000 |
| 1035.476 | 379.490 | -324.104 | -0.000 | 0.000 | -0.000 |
| 89.232 | 92.130 | 222.884 | 0.000 | 0.000 | -0.000 |
| 941.736 | 208.001 | -418.947 | 49.522 | 0.000 | -0.000 |
| 0.000 | -0.000 | 0.000 | -0.000 | 52.718 | -0.000 |
| 893.584 | 223.418 | -276.714 | 0.000 | -0.000 | 71.533 |
| 158.198 | 93.249 | 89.232 | 0.000 | 0.000 | 0.000 |
| -781.986 | -43.370 | 348.956 | -0.000 | 0.000 | -0.000 |
| -797.257 | -114.428 | 601.524 | 0.000 | -0.000 | 0.000 |
| -941.736 | -208.001 | 418.947 | 49.522 | -0.000 | 0.000 |
| -0.000 | 0.000 | -0.000 | 0.000 | 52.718 | 0.000 |
| -893.584 | -223.418 | 276.714 | -0.000 | 0.000 | 71.533 |
| 133.290 | 109.716 | 103.331 | -0.000 | 0.000 | -0.000 |
| 93.249 | 177.117 | 92.130 | -0.000 | -0.000 | -0.000 |
| 192.977 | 113.701 | 175.882 | 0.000 | -0.000 | -0.000 |
| 91.686 | 20.251 | -40.788 | 49.723 | 0.000 | -0.000 |
| -0.000 | -0.000 | -0.000 | -0.000 | 52.718 | -0.000 |
| 84.919 | 18.756 | -37.778 | -0.000 | 0.000 | 21.859 |
| 158.198 | 93.249 | 89.232 | 0.000 | -0.000 | 0.000 |
| 1.112 | 151.111 | 136.009 | 0.000 | -0.000 | 0.000 |
| 57.301 | 74.993 | 222.345 | 0.000 | -0.000 | 0.000 |
| -91.686 | -20.251 | 40.788 | 49.723 | -0.000 | 0.000 |
| 0.000 | 0.000 | 0.000 | 0.000 | 52.718 | 0.000 |
| -84.919 | -18.756 | 37.778 | 0.000 | -0.000 | 21.859 |
| 115.465 | 97.815 | 103.890 | 0.000 | -0.000 | -0.000 |
| 104.935 | 176.474 | 89.738 | -0.000 | -0.000 | -0.000 |
| 89.232 | 92.130 | 222.884 | -0.000 | 0.000 | -0.000 |
| 3.807 | 0.841 | -1.694 | 54.063 | 0.000 | -0.000 |
| -0.000 | -0.000 | -0.000 | -0.000 | 52.718 | -0.000 |
| 0.000 | 0.000 | -0.000 | -0.000 | 0.000 | 52.659 |
| 158.197 | 93.249 | 89.232 | 0.000 | 0.000 | 0.000 |
| 93.248 | 177.118 | 92.130 | 0.000 | -0.000 | 0.000 |
| 98.724 | 90.760 | 210.982 | 0.000 | 0.000 | 0.000 |
| -3.807 | -0.841 | 1.694 | 54.063 | -0.000 | 0.000 |
| 0.000 | 0.000 | 0.000 | -0.000 | 52.718 | 0.000 |
| -0.000 | -0.000 | 0.000 | 0.000 | -0.000 | 52.659 |
| 178.559 | 139.400 | 76.879 | -0.000 | -0.000 | -0.000 |
| 83.978 | 130.137 | 76.103 | 0.000 | 0.000 | -0.000 |
| 163.240 | 121.292 | 166.205 | -0.000 | -0.000 | -0.000 |
| 49.783 | 49.954 | 1.638 | 36.795 | -0.000 | -0.000 |
| 32.054 | 52.302 | -20.041 | -0.000 | 42.781 | -0.000 |
| 0.000 | -0.000 | -0.000 | 0.000 | 0.000 | 45.047 |
| 162.448 | 84.533 | 86.179 | -0.000 | -0.000 | 0.000 |
| 43.779 | 70.732 | 65.879 | 0.000 | 0.000 | 0.000 |
| 64.460 | 22.627 | 204.211 | 0.000 | 0.000 | 0.000 |
| -49.783 | -49.954 | -1.638 | 36.795 | 0.000 | 0.000 |
| -32.054 | -52.302 | 20.041 | 0.000 | 42.781 | 0.000 |
| 0.000 | 0.000 | -0.000 | -0.000 | -0.000 | 45.047 |
| 162.448 | 84.533 | 86.179 | 0.000 | 0.000 | 0.000 |
| 96.580 | 128.294 | 71.269 | -0.000 | -0.000 | -0.000 |
| 100.547 | 80.515 | 181.572 | -0.000 | -0.000 | -0.000 |
| 4.462 | 5.004 | -0.405 | 37.645 | -0.000 | -0.000 |
| -0.000 | -0.000 | -0.000 | -0.000 | 50.834 | -0.000 |
| 3.332 | 5.437 | -2.083 | -0.000 | -0.000 | 40.825 |
| 140.872 | 81.568 | 100.541 | 0.000 | 0.000 | 0.000 |
| 94.508 | 111.557 | 65.192 | -0.000 | 0.000 | 0.000 |
| 85.832 | 76.311 | 192.291 | -0.000 | -0.000 | 0.000 |
| -4.462 | -5.004 | 0.405 | 37.645 | 0.000 | 0.000 |
| 0.000 | 0.000 | 0.000 | -0.000 | 50.834 | -0.000 |
| -3.332 | -5.437 | 2.083 | 0.000 | 0.000 | 40.825 |
| 135.140 | 89.996 | 104.606 | -0.000 | -0.000 | -0.000 |
| 93.786 | 123.504 | 71.240 | -0.000 | -0.000 | -0.000 |
| 85.833 | 76.311 | 192.291 | 0.000 | 0.000 | 0.000 |
| -0.000 | -0.000 | -0.000 | 41.553 | 0.000 | -0.000 |
| 0.372 | 0.445 | -0.063 | -0.000 | 35.289 | -0.000 |
| -0.000 | -0.000 | -0.000 | 0.000 | 0.000 | 45.047 |
| 162.448 | 84.532 | 86.179 | -0.000 | -0.000 | -0.000 |
| 83.978 | 130.136 | 76.103 | -0.000 | -0.000 | -0.000 |
| 110.339 | 71.166 | 170.177 | -0.000 | -0.000 | 0.000 |
| 0.000 | 0.000 | 0.000 | 41.553 | -0.000 | 0.000 |
| -0.372 | -0.445 | 0.063 | 0.000 | 35.289 | 0.000 |
| 0.000 | 0.000 | 0.000 | -0.000 | -0.000 | 45.047 |
| 158.229 | 93.261 | 89.232 | 0.000 | 0.000 | 0.000 |
| 93.260 | 177.154 | 92.138 | 0.000 | 0.000 | 0.000 |
| -1166.700 | 289.356 | -410.020 | 0.000 | -0.001 | 0.000 |
| -0.000 | -0.000 | -0.000 | 57.153 | 0.000 | 0.000 |
| -0.000 | -0.000 | -0.000 | 0.000 | 52.718 | 0.000 |
| -1326.081 | 196.361 | -596.783 | 0.000 | -0.001 | 19.141 |
| 158.229 | 93.261 | 89.232 | -0.000 | -0.000 | -0.000 |
| 2142.281 | -36.741 | 380.976 | -0.000 | 0.001 | -0.000 |
| 2150.640 | -118.044 | 498.909 | -0.000 | 0.001 | -0.000 |
| 0.000 | 0.000 | 0.000 | 57.153 | -0.000 | -0.000 |
| 0.000 | -0.000 | -0.000 | -0.000 | 52.717 | -0.000 |
| 1326.081 | -196.361 | 596.783 | -0.000 | 0.001 | 19.141 |
| -98.812 | 113.566 | 88.729 | 0.000 | -0.000 | 0.000 |
| 93.260 | 177.154 | 92.138 | 0.000 | 0.000 | 0.000 |
| 24.554 | 111.706 | 133.636 | 0.000 | -0.000 | 0.000 |
| -180.363 | 18.619 | -40.189 | 56.353 | 0.000 | 0.000 |
| -0.000 | -0.000 | -0.000 | 0.000 | 52.718 | 0.000 |
| -125.759 | 18.622 | -56.596 | 0.000 | -0.000 | 20.873 |
| 164.367 | 79.134 | 177.727 | -0.000 | 0.000 | -0.000 |
| 93.260 | 177.154 | 92.138 | -0.000 | -0.000 | -0.000 |
| 89.233 | 92.138 | 222.899 | -0.000 | -0.000 | -0.000 |
| 180.363 | -18.619 | 40.189 | 56.353 | -0.000 | -0.000 |
| 0.000 | 0.000 | 0.000 | -0.000 | 52.718 | -0.000 |
| 125.759 | -18.622 | 56.596 | -0.000 | 0.000 | 20.873 |
| 101.485 | 94.344 | 111.171 | 0.000 | -0.000 | 0.000 |
| 86.154 | 175.171 | 90.227 | -0.000 | -0.000 | 0.000 |
| 106.385 | 93.836 | 205.105 | 0.000 | -0.000 | 0.000 |
| -17.932 | 1.967 | -4.104 | 54.513 | -0.000 | 0.000 |
| -0.000 | -0.000 | -0.000 | 0.000 | 52.718 | 0.000 |
| -15.167 | 1.673 | -3.923 | 0.000 | 0.000 | 42.191 |
| 158.228 | 93.260 | 89.232 | -0.000 | -0.000 | -0.000 |
| 101.733 | 172.627 | 97.339 | -0.000 | 0.000 | -0.000 |
| 114.183 | 92.351 | 210.602 | -0.000 | 0.000 | -0.000 |
| 17.932 | -1.967 | 4.104 | 54.513 | 0.000 | -0.000 |
| 4.717 | -0.698 | 2.123 | -0.000 | 27.487 | -0.000 |
| 15.167 | -1.673 | 3.923 | 0.000 | -0.000 | 42.191 |
| 163.037 | 84.570 | 86.170 | -0.000 | 0.000 | 0.000 |
| -1197.858 | 985.652 | 540.594 | -0.000 | -0.000 | -0.000 |
| 85.730 | 75.946 | 191.582 | -0.000 | 0.000 | -0.000 |
| -1289.208 | 861.522 | 469.013 | 37.900 | -0.000 | -0.000 |
| -1479.708 | 595.414 | 868.536 | -0.000 | 38.715 | -0.000 |
| -1289.209 | 861.525 | 469.015 | -0.000 | -0.000 | 36.410 |
| 163.037 | 84.570 | 86.170 | 0.000 | -0.000 | -0.000 |
| 1246.041 | -588.193 | -269.924 | 0.000 | 0.000 | 0.000 |
| 1398.551 | -789.848 | -296.665 | 0.000 | 0.000 | 0.000 |
| 1289.208 | -861.522 | -469.013 | 37.900 | 0.000 | 0.000 |
| 1479.708 | -595.414 | -868.536 | 0.000 | 38.715 | 0.000 |
| 1289.209 | -861.525 | -469.015 | 0.000 | 0.000 | 36.410 |
| 163.037 | 84.570 | 86.170 | -0.000 | 0.000 | -0.000 |
| -37.598 | 210.298 | 118.518 | -0.000 | -0.000 | -0.000 |
| -19.855 | 157.893 | 219.453 | 0.000 | -0.000 | -0.000 |
| -0.000 | -0.000 | -0.000 | 41.185 | 0.000 | -0.000 |
| -128.892 | 86.124 | 46.879 | -0.000 | 34.155 | -0.000 |
| -147.825 | 59.737 | 86.506 | -0.000 | -0.000 | 39.859 |
| 234.568 | 20.931 | 81.526 | 0.000 | 0.000 | 0.000 |
| 220.311 | 37.959 | 24.626 | -0.000 | 0.000 | 0.000 |
| 229.301 | 12.063 | 96.617 | 0.000 | 0.000 | 0.000 |
| 0.000 | 0.000 | 0.000 | 41.185 | -0.000 | -0.000 |
| 128.892 | -86.124 | -46.879 | 0.000 | 34.155 | 0.000 |
| 147.825 | -59.737 | -86.506 | 0.000 | 0.000 | 39.859 |
| 113.589 | 97.373 | 115.775 | -0.000 | -0.000 | -0.000 |
| 78.434 | 132.725 | 76.346 | -0.000 | -0.000 | -0.000 |
| 93.111 | 80.639 | 179.029 | 0.000 | 0.000 | -0.000 |
| -13.073 | 5.446 | 7.761 | 38.318 | -0.000 | -0.000 |
| -10.520 | 6.482 | 3.117 | -0.000 | 30.627 | -0.000 |
| -0.000 | -0.000 | -0.000 | -0.000 | 0.000 | 45.162 |
| 136.546 | 84.594 | 107.814 | 0.000 | 0.000 | 0.000 |
| 105.719 | 115.379 | 64.367 | -0.000 | -0.000 | 0.000 |
| 122.453 | 62.588 | 167.222 | -0.000 | 0.000 | 0.000 |
| 13.073 | -5.446 | -7.761 | 38.318 | 0.000 | 0.000 |
| 10.520 | -6.482 | -3.117 | 0.000 | 30.627 | 0.000 |
| 0.000 | 0.000 | 0.000 | 0.000 | -0.000 | 45.162 |
| 209.982 | 123.634 | 109.185 | -0.000 | 0.000 | -0.000 |
| 123.634 | 209.982 | 109.185 | 0.000 | 0.000 | -0.000 |
| 109.185 | 109.185 | 224.833 | -0.000 | -0.000 | -0.000 |
| 0.000 | 0.000 | 0.000 | 81.556 | -0.000 | -0.000 |
| 0.000 | 0.000 | 0.000 | -0.000 | 81.556 | -0.000 |
| 0.000 | 0.000 | 0.000 | 0.000 | 0.000 | 82.877 |
| 222.877 | 110.739 | 109.185 | -0.000 | -0.000 | 0.000 |
| 110.739 | 222.877 | 109.185 | -0.000 | -0.000 | 0.000 |
| 109.185 | 109.185 | 224.833 | 0.000 | -0.000 | 0.000 |
| -0.000 | -0.000 | -0.000 | 81.556 | -0.000 | 0.000 |
| -0.000 | -0.000 | -0.000 | 0.000 | 81.556 | 0.000 |
| -0.000 | -0.000 | -0.000 | -0.000 | -0.000 | 82.877 |
| 222.877 | 110.739 | 109.185 | -0.000 | -0.000 | -0.000 |
| 110.739 | 222.877 | 109.185 | -0.000 | 0.000 | -0.000 |
| 109.185 | 109.185 | 224.833 | -0.000 | 0.000 | -0.000 |
| -0.000 | 0.000 | 0.000 | 81.556 | 0.000 | -0.000 |
| 0.000 | -0.000 | 0.000 | -0.000 | 81.556 | -0.000 |
| 0.000 | 0.000 | -0.000 | 0.000 | 0.000 | 82.877 |
| 209.982 | 123.633 | 109.185 | 0.000 | -0.000 | 0.000 |
| 123.633 | 209.982 | 109.185 | 0.000 | -0.000 | 0.000 |
| 109.185 | 109.185 | 224.833 | 0.000 | -0.000 | 0.000 |
| 0.000 | -0.000 | -0.000 | 81.556 | 0.000 | 0.000 |
| -0.000 | 0.000 | -0.000 | 0.000 | 81.556 | 0.000 |
| -0.000 | -0.000 | 0.000 | -0.000 | -0.000 | 82.877 |
| 222.879 | 110.740 | 109.186 | -0.000 | 0.000 | -0.000 |
| 110.740 | 222.879 | 109.186 | 0.000 | 0.000 | -0.000 |
| 109.186 | 109.186 | 224.835 | 0.000 | 0.000 | -0.000 |
| -0.000 | 0.001 | 0.001 | 81.556 | 0.000 | -0.000 |
| 0.001 | -0.000 | 0.001 | -0.000 | 81.556 | -0.000 |
| 0.000 | 0.000 | -0.000 | -0.000 | 0.000 | 82.877 |
| 209.981 | 123.633 | 109.184 | 0.000 | 0.000 | 0.000 |
| 123.633 | 209.981 | 109.184 | 0.000 | -0.000 | 0.000 |
| 109.184 | 109.184 | 224.831 | 0.000 | -0.000 | 0.000 |
| 0.000 | -0.001 | -0.001 | 81.556 | -0.000 | 0.000 |
| -0.001 | 0.000 | -0.001 | 0.000 | 81.556 | 0.000 |
| -0.000 | -0.000 | 0.000 | 0.000 | -0.000 | 82.877 |
| 230.804 | 96.321 | 76.000 | -0.000 | 0.000 | -0.000 |
| 112.756 | 204.237 | 80.467 | -0.000 | 0.000 | -0.000 |
| 76.634 | 76.634 | 187.401 | -0.000 | 0.000 | -0.000 |
| 0.000 | 0.000 | 0.000 | 49.004 | 0.000 | -0.000 |
| 0.000 | 0.000 | 0.000 | -0.000 | 49.004 | 0.000 |
| 0.388 | 0.388 | -0.342 | -0.000 | 0.000 | 46.469 |
| 215.703 | 95.016 | 83.232 | 0.000 | 0.000 | 0.000 |
| 96.321 | 230.804 | 76.000 | 0.000 | 0.000 | 0.000 |
| 81.134 | 81.134 | 183.434 | 0.000 | 0.000 | 0.000 |
| -0.000 | -0.000 | -0.000 | 49.004 | -0.000 | 0.000 |
| -0.000 | -0.000 | -0.000 | 0.000 | 49.004 | 0.000 |
| -0.388 | -0.388 | 0.342 | 0.000 | -0.000 | 46.469 |
| 215.686 | 95.146 | 83.183 | -0.000 | 0.000 | -0.000 |
| 96.321 | 230.805 | 76.000 | -0.000 | 0.000 | -0.000 |
| 76.634 | 76.634 | 187.401 | 0.000 | -0.000 | -0.000 |
| 0.000 | 0.000 | 0.000 | 49.004 | 0.000 | -0.000 |
| 0.000 | 0.000 | 0.000 | -0.000 | 49.004 | -0.000 |
| 0.039 | 0.039 | -0.034 | -0.000 | 0.000 | 46.447 |
| 230.804 | 96.321 | 76.000 | 0.000 | -0.000 | -0.000 |
| 96.321 | 230.804 | 76.000 | 0.000 | -0.000 | 0.000 |
| 81.209 | 81.209 | 183.368 | 0.000 | 0.000 | 0.000 |
| -0.000 | -0.000 | -0.000 | 49.004 | -0.000 | 0.000 |
| -0.000 | -0.000 | -0.000 | 0.000 | 49.004 | 0.000 |
| -0.039 | -0.039 | 0.034 | 0.000 | -0.000 | 46.447 |
| 215.688 | 95.135 | 83.187 | -0.000 | 0.000 | -0.000 |
| 96.321 | 230.805 | 76.000 | -0.000 | 0.000 | -0.000 |
| 81.218 | 81.218 | 183.360 | -0.000 | 0.000 | 0.000 |
| 0.000 | 0.000 | 0.000 | 49.004 | 0.000 | -0.000 |
| 0.000 | 0.000 | 0.000 | -0.000 | 49.004 | 0.000 |
| -0.001 | -0.001 | 0.001 | -0.000 | 0.000 | 45.677 |
| 230.803 | 96.320 | 76.000 | 0.000 | -0.000 | -0.000 |
| 112.671 | 204.150 | 80.541 | 0.000 | -0.000 | 0.000 |
| 76.634 | 76.634 | 187.400 | 0.000 | -0.000 | 0.000 |
| -0.000 | -0.000 | -0.000 | 49.004 | 0.000 | 0.000 |
| -0.000 | -0.000 | -0.000 | 0.000 | 49.004 | -0.000 |
| 0.001 | 0.001 | -0.001 | 0.000 | -0.000 | 45.677 |
| 225.307 | 94.211 | 76.539 | -0.000 | 0.000 | 0.000 |
| 112.286 | 196.979 | 80.886 | -0.000 | 0.000 | 0.000 |
| 76.538 | 76.538 | 188.349 | -0.000 | -0.000 | 0.000 |
| 2.800 | 2.800 | -2.375 | 37.708 | 0.000 | 0.000 |
| 2.800 | 2.800 | -2.375 | -0.000 | 37.708 | -0.000 |
| -0.000 | -0.000 | 0.000 | -0.000 | 0.000 | 65.548 |
| 208.985 | 92.229 | 84.300 | 0.000 | 0.000 | -0.000 |
| 94.211 | 225.307 | 76.539 | 0.000 | -0.000 | -0.000 |
| 80.863 | 80.863 | 184.681 | 0.000 | -0.000 | 0.000 |
| -2.800 | -2.800 | 2.375 | 37.708 | -0.000 | -0.000 |
| -2.800 | -2.800 | 2.375 | 0.000 | 37.708 | -0.000 |
| -0.000 | -0.000 | -0.000 | 0.000 | -0.000 | 65.548 |
| 196.547 | 111.854 | 81.252 | -0.000 | -0.000 | 0.000 |
| 94.211 | 225.307 | 76.539 | -0.000 | 0.000 | -0.000 |
| 76.538 | 76.538 | 188.349 | -0.000 | 0.000 | 0.000 |
| 0.000 | 0.000 | 0.000 | 49.039 | 0.000 | -0.000 |
| 0.000 | 0.000 | 0.000 | -0.000 | 49.039 | 0.000 |
| 0.000 | 0.000 | 0.000 | -0.000 | 0.000 | 65.548 |
| 225.306 | 94.211 | 76.539 | 0.000 | -0.000 | 0.000 |
| 92.809 | 208.941 | 84.072 | 0.000 | 0.000 | -0.000 |
| 76.538 | 76.538 | 188.348 | 0.000 | -0.000 | -0.000 |
| -0.000 | -0.000 | -0.000 | 49.039 | -0.000 | -0.000 |
| -0.000 | -0.000 | -0.000 | 0.000 | 49.039 | -0.000 |
| -0.000 | -0.000 | -0.000 | 0.000 | -0.000 | 65.548 |
| 208.933 | 92.883 | 84.046 | -0.000 | -0.000 | -0.000 |
| 94.212 | 225.308 | 76.539 | -0.000 | 0.000 | 0.000 |
| 81.343 | 81.343 | 184.275 | -0.000 | 0.000 | 0.000 |
| 0.000 | 0.000 | 0.000 | 49.039 | 0.000 | 0.000 |
| 0.000 | 0.000 | 0.000 | -0.000 | 49.039 | 0.000 |
| 0.000 | 0.000 | 0.000 | -0.000 | 0.000 | 65.548 |
| 225.305 | 94.211 | 76.538 | 0.000 | -0.000 | -0.000 |
| 94.211 | 225.305 | 76.538 | 0.000 | -0.000 | -0.000 |
| 76.538 | 76.538 | 188.348 | -0.000 | -0.000 | -0.000 |
| -0.000 | -0.000 | -0.000 | 49.039 | -0.000 | -0.000 |
| -0.000 | -0.000 | -0.000 | 0.000 | 49.039 | -0.000 |
| -0.000 | -0.000 | -0.000 | 0.000 | -0.000 | 65.548 |
| -1469.659 | -1580.334 | -803.844 | 15.570 | 0.000 | 0.000 |
| -1580.334 | -1469.659 | -803.844 | -15.570 | -0.000 | -0.000 |
| -1237.479 | -1237.479 | -627.994 | -0.000 | -0.000 | 0.000 |
| -1300.205 | -1322.419 | -857.010 | 46.329 | -0.000 | -0.000 |
| -1683.326 | -1683.326 | -878.051 | 0.000 | 48.732 | 15.567 |
| -1311.331 | -1311.331 | -857.019 | -0.000 | 10.777 | 46.750 |
| 1896.983 | 1786.342 | 952.262 | 15.564 | 0.000 | 0.000 |
| 1786.342 | 1896.983 | 952.262 | -15.564 | -0.000 | -0.000 |
| 1385.146 | 1385.146 | 1086.026 | 0.000 | 0.000 | 0.000 |
| 1322.419 | 1300.205 | 857.010 | 46.329 | -0.000 | 0.000 |
| 1683.326 | 1683.326 | 878.051 | -0.000 | 48.732 | 15.567 |
| 1311.331 | 1311.331 | 857.019 | 0.000 | 10.777 | 46.750 |
| 72.809 | -19.257 | -11.790 | 11.107 | -0.000 | 0.000 |
| -19.052 | 72.581 | -11.795 | -10.330 | 0.000 | -0.000 |
| -94.456 | -94.456 | 141.296 | -0.000 | -0.000 | -0.000 |
| -120.025 | -142.238 | -85.702 | 46.328 | 0.000 | 0.000 |
| -168.346 | -168.346 | -87.812 | -0.000 | 48.732 | 15.567 |
| 0.000 | -0.000 | 0.000 | 0.000 | 19.675 | 67.713 |
| 381.947 | 271.475 | 162.040 | 15.536 | 0.000 | 0.000 |
| 271.475 | 381.947 | 162.040 | -15.536 | 0.000 | -0.000 |
| 242.217 | 242.217 | 316.910 | -0.000 | -0.000 | -0.000 |
| 19.675 | -19.675 | -0.000 | 50.884 | 0.000 | -0.000 |
| 168.346 | 168.346 | 87.812 | 0.000 | 48.732 | 15.567 |
| -0.000 | 0.000 | -0.000 | -0.000 | 19.675 | 67.713 |
| 196.851 | 85.257 | 65.187 | 15.722 | 0.000 | -0.000 |
| 98.884 | 190.871 | 65.371 | -11.083 | 0.000 | 0.000 |
| 74.805 | 74.805 | 229.515 | -0.000 | 0.000 | 0.000 |
| -2.034 | -24.194 | -8.579 | 46.314 | -0.000 | -0.000 |
| 0.000 | 0.000 | 0.000 | -0.000 | 50.884 | 19.675 |
| 0.000 | -0.000 | 0.000 | 0.000 | 19.675 | 67.713 |
| 229.476 | 121.638 | 83.219 | 15.099 | -0.000 | 0.000 |
| 121.639 | 229.476 | 83.220 | -15.099 | 0.000 | 0.000 |
| 90.720 | 90.720 | 237.888 | 0.000 | 0.000 | 0.000 |
| 19.675 | -19.675 | -0.000 | 50.884 | 0.000 | 0.000 |
| -0.000 | -0.000 | -0.000 | 0.000 | 50.884 | 19.675 |
| -0.000 | 0.000 | -0.000 | -0.000 | 19.675 | 67.713 |
| 228.145 | 92.569 | 75.057 | -19.731 | -0.000 | 0.000 |
| -748.967 | -656.791 | -294.449 | 11.155 | -0.000 | 0.000 |
| -789.117 | -789.117 | -145.100 | 0.000 | 0.000 | 0.000 |
| -879.922 | -846.549 | -374.020 | 49.470 | -0.000 | 0.000 |
| 0.000 | -0.000 | -0.000 | 0.000 | 51.066 | -19.731 |
| -861.069 | -861.069 | -368.538 | 0.000 | -11.155 | 46.088 |
| 1066.052 | 972.468 | 442.624 | -10.822 | 0.000 | -0.000 |
| 92.569 | 228.145 | 75.057 | 19.731 | 0.000 | 0.000 |
| 937.349 | 937.349 | 602.937 | -0.000 | 0.000 | -0.000 |
| -19.731 | 19.731 | -0.000 | 51.066 | -0.000 | 0.000 |
| -0.000 | 0.000 | 0.000 | 0.000 | 51.066 | -19.731 |
| 861.069 | 861.069 | 368.538 | -0.000 | -11.155 | 46.088 |
| 228.145 | 92.569 | 75.057 | -19.731 | 0.000 | -0.000 |
| 92.569 | 228.145 | 75.057 | 19.731 | -0.000 | 0.000 |
| -12.209 | -12.209 | 191.516 | 0.000 | -0.000 | 0.000 |
| -96.978 | -75.219 | -36.828 | 46.357 | -0.000 | 0.000 |
| 0.000 | 0.000 | 0.000 | 0.000 | 51.066 | -19.731 |
| -86.099 | -86.099 | -36.827 | 0.000 | -10.533 | 46.188 |
| 228.145 | 92.569 | 75.057 | -19.731 | -0.000 | 0.000 |
| 186.049 | 303.230 | 111.560 | 16.682 | 0.000 | -0.000 |
| 75.057 | 75.057 | 229.355 | 0.000 | 0.000 | 0.000 |
| 75.219 | 96.978 | 36.828 | 46.357 | 0.000 | -0.000 |
| -0.000 | -0.000 | -0.000 | -0.000 | 51.066 | -19.731 |
| 86.099 | 86.099 | 36.827 | -0.000 | -10.533 | 46.188 |
| 206.613 | 90.833 | 70.000 | -16.450 | -0.000 | 0.000 |
| 90.832 | 206.614 | 70.001 | 16.450 | -0.000 | 0.000 |
| 75.057 | 75.057 | 229.356 | -0.000 | -0.000 | 0.000 |
| -18.966 | 1.750 | -3.678 | 46.077 | -0.000 | 0.000 |
| 0.000 | 0.000 | 0.000 | 0.000 | 51.066 | -19.731 |
| -9.640 | -9.641 | -4.177 | -0.000 | -16.331 | 57.531 |
| 224.910 | 111.213 | 78.378 | -16.104 | 0.000 | -0.000 |
| 111.213 | 224.910 | 78.378 | 16.104 | -0.000 | -0.000 |
| 75.057 | 75.057 | 229.354 | -0.000 | -0.000 | -0.000 |
| -1.750 | 18.966 | 3.678 | 46.078 | 0.000 | -0.000 |
| -0.000 | -0.000 | -0.000 | -0.000 | 51.066 | -19.731 |
| 9.640 | 9.641 | 4.177 | 0.000 | -16.331 | 57.531 |
| 227.988 | 92.471 | 74.985 | 19.701 | 0.000 | 0.000 |
| 111.749 | 203.138 | 73.575 | -10.841 | 0.000 | -0.000 |
| 72.802 | 72.802 | 228.471 | -0.000 | 0.000 | -0.000 |
| 19.701 | -19.701 | 0.000 | 50.973 | 0.000 | -0.000 |
| -2.132 | -2.132 | -1.064 | 0.000 | 47.454 | 12.985 |
| -1.857 | -1.857 | -0.927 | 0.000 | 13.851 | 50.113 |
| 227.988 | 92.471 | 74.985 | 19.701 | -0.000 | -0.000 |
| 92.471 | 227.988 | 74.985 | -19.701 | -0.000 | 0.000 |
| 74.943 | 74.943 | 229.503 | -0.000 | -0.000 | -0.000 |
| 19.701 | -19.701 | 0.000 | 50.973 | -0.000 | -0.000 |
| 2.132 | 2.132 | 1.064 | -0.000 | 47.454 | 12.985 |
| 1.857 | 1.857 | 0.927 | -0.000 | 13.851 | 50.113 |
| 227.988 | 92.471 | 74.986 | 19.701 | 0.000 | -0.000 |
| 103.948 | 209.022 | 73.323 | -14.655 | 0.000 | -0.000 |
| 74.943 | 74.943 | 229.503 | 0.000 | 0.000 | -0.000 |
| 10.234 | -10.409 | -0.056 | 45.977 | 0.000 | 0.000 |
| -0.301 | -0.301 | -0.150 | -0.000 | 46.013 | 10.235 |
| -0.038 | -0.038 | -0.034 | -0.000 | 10.360 | 45.855 |
| 208.922 | 104.535 | 73.449 | 14.541 | -0.000 | -0.000 |
| 92.471 | 227.988 | 74.985 | -19.701 | -0.000 | 0.000 |
| 74.943 | 74.943 | 229.503 | -0.000 | 0.000 | 0.000 |
| 10.535 | -9.934 | 0.150 | 46.013 | 0.000 | 0.000 |
| 0.301 | 0.301 | 0.150 | 0.000 | 46.013 | 10.235 |
| 0.038 | 0.038 | 0.034 | 0.000 | 10.360 | 45.855 |
| 204.222 | 112.811 | 74.210 | 10.756 | 0.000 | -0.000 |
| 104.209 | 208.978 | 73.379 | -14.604 | 0.000 | -0.000 |
| 73.936 | 73.936 | 229.036 | -0.000 | 0.000 | -0.000 |
| 19.701 | -19.701 | 0.000 | 50.973 | 0.000 | -0.000 |
| -0.030 | -0.030 | -0.015 | -0.000 | 45.986 | 10.182 |
| -0.019 | -0.019 | -0.010 | 0.000 | 13.630 | 49.444 |
| 227.987 | 92.471 | 74.985 | 19.701 | -0.000 | -0.000 |
| 104.267 | 208.967 | 73.391 | -14.593 | -0.000 | -0.000 |
| 73.983 | 73.983 | 229.013 | 0.000 | 0.000 | 0.000 |
| 10.212 | -10.152 | 0.015 | 45.985 | -0.000 | -0.000 |
| 0.030 | 0.030 | 0.015 | 0.000 | 45.986 | 10.182 |
| 0.019 | 0.019 | 0.010 | -0.000 | 13.630 | 49.444 |
| 167.662 | 172.986 | 183.458 | -0.000 | 0.000 | -0.000 |
| 184.494 | 322.505 | 120.542 | -0.000 | 0.000 | -0.000 |
| 173.960 | 121.267 | 327.545 | 0.000 | 0.000 | -0.000 |
| -10.286 | -4.767 | 3.825 | 81.981 | 0.000 | -0.000 |
| -12.503 | -7.166 | 6.110 | -0.000 | 130.673 | -0.000 |
| -13.118 | -7.704 | 6.608 | -0.000 | 0.000 | 139.586 |
| 186.663 | 184.629 | 173.370 | 0.000 | -0.000 | 0.000 |
| 192.489 | 325.965 | 117.831 | 0.000 | -0.000 | 0.000 |
| 173.960 | 121.267 | 327.545 | 0.000 | -0.000 | 0.000 |
| 10.286 | 4.767 | -3.825 | 81.981 | -0.000 | 0.000 |
| 12.503 | 7.166 | -6.110 | 0.000 | 130.673 | 0.000 |
| 13.118 | 7.704 | -6.608 | 0.000 | -0.000 | 139.586 |
| 181.316 | 181.983 | 175.538 | -0.000 | 0.000 | -0.000 |
| 184.494 | 322.505 | 120.542 | -0.000 | 0.000 | -0.000 |
| 173.960 | 121.267 | 327.545 | -0.000 | 0.000 | -0.000 |
| -1.308 | -0.768 | 0.659 | 81.981 | 0.000 | -0.000 |
| -1.413 | -0.655 | 0.525 | -0.000 | 131.480 | -0.000 |
| -0.000 | 0.000 | 0.000 | -0.000 | 0.000 | 141.100 |
| 183.291 | 182.885 | 174.817 | 0.000 | -0.000 | 0.000 |
| 184.494 | 322.505 | 120.542 | 0.000 | -0.000 | 0.000 |
| 177.631 | 123.317 | 325.809 | 0.000 | -0.000 | 0.000 |
| 1.308 | 0.768 | -0.659 | 81.981 | -0.000 | 0.000 |
| 1.413 | 0.655 | -0.525 | 0.000 | 131.480 | 0.000 |
| 0.000 | -0.000 | -0.000 | 0.000 | -0.000 | 141.100 |
| 182.212 | 182.396 | 175.207 | -0.000 | 0.000 | -0.000 |
| 184.495 | 322.506 | 120.543 | -0.000 | 0.000 | -0.000 |
| 173.961 | 121.268 | 327.546 | -0.000 | 0.000 | -0.000 |
| -0.107 | -0.049 | 0.041 | 81.981 | 0.000 | -0.000 |
| -0.159 | -0.073 | 0.059 | -0.000 | 131.322 | -0.000 |
| -0.000 | 0.000 | 0.000 | 0.000 | 0.000 | 141.100 |
| 186.664 | 184.629 | 173.370 | 0.000 | -0.000 | 0.000 |
| 184.493 | 322.504 | 120.541 | 0.000 | -0.000 | 0.000 |
| 173.959 | 121.266 | 327.544 | -0.000 | -0.000 | 0.000 |
| 0.107 | 0.049 | -0.041 | 81.981 | -0.000 | 0.000 |
| 0.159 | 0.073 | -0.059 | 0.000 | 131.322 | 0.000 |
| 0.000 | -0.000 | -0.000 | 0.000 | -0.000 | 141.100 |
| 188.080 | 178.510 | 179.761 | 0.000 | 0.000 | -0.000 |
| 183.308 | 323.230 | 125.974 | 0.000 | -0.000 | -0.000 |
| 175.799 | 125.974 | 329.894 | 0.000 | -0.000 | -0.000 |
| -0.008 | -0.004 | 0.003 | 86.727 | -0.000 | 0.000 |
| -0.008 | -0.004 | 0.003 | 0.000 | 133.021 | 0.000 |
| -0.005 | -0.002 | 0.002 | 0.000 | -0.000 | 139.289 |
| 188.098 | 178.521 | 179.752 | -0.000 | 0.000 | -0.000 |
| 183.308 | 323.230 | 125.974 | -0.000 | -0.000 | -0.000 |
| 179.061 | 127.728 | 328.457 | -0.000 | 0.000 | -0.000 |
| 0.008 | 0.004 | -0.003 | 86.727 | 0.000 | 0.000 |
| 0.008 | 0.004 | -0.003 | -0.000 | 133.021 | 0.000 |
| 0.005 | 0.002 | -0.002 | -0.000 | 0.000 | 139.289 |
| 188.088 | 178.515 | 179.757 | 0.000 | 0.000 | -0.000 |
| 179.442 | 321.175 | 127.657 | 0.000 | -0.000 | 0.000 |
| 179.055 | 127.725 | 328.459 | 0.000 | -0.000 | -0.000 |
| -0.001 | -0.000 | 0.000 | 86.727 | -0.000 | -0.000 |
| -0.001 | -0.000 | 0.000 | 0.000 | 133.021 | -0.000 |
| -0.000 | 0.000 | 0.000 | 0.000 | -0.000 | 140.627 |
| 190.435 | 180.692 | 177.916 | -0.000 | 0.000 | -0.000 |
| 179.443 | 321.175 | 127.656 | -0.000 | -0.000 | -0.000 |
| 175.799 | 125.974 | 329.894 | -0.000 | 0.000 | 0.000 |
| 0.001 | 0.000 | -0.000 | 86.727 | 0.000 | 0.000 |
| 0.001 | 0.000 | -0.000 | -0.000 | 133.021 | 0.000 |
| 0.000 | -0.000 | -0.000 | -0.000 | 0.000 | 140.627 |
| 196.092 | 183.308 | 175.799 | 0.000 | -0.000 | 0.000 |
| 178.516 | 320.002 | 128.662 | 0.000 | 0.000 | 0.000 |
| 179.056 | 127.726 | 328.460 | 0.000 | -0.000 | 0.000 |
| -0.000 | 0.000 | 0.001 | 86.727 | -0.000 | -0.000 |
| -0.000 | 0.000 | 0.000 | 0.000 | 134.370 | 0.000 |
| -0.000 | 0.000 | 0.000 | 0.000 | -0.000 | 139.289 |
| 188.090 | 178.515 | 179.756 | -0.000 | 0.000 | 0.000 |
| 179.441 | 321.174 | 127.656 | -0.000 | -0.000 | -0.000 |
| 179.055 | 127.725 | 328.458 | -0.000 | 0.000 | -0.000 |
| 0.000 | -0.000 | -0.001 | 86.727 | 0.000 | -0.000 |
| 0.000 | -0.000 | -0.000 | -0.000 | 134.370 | -0.000 |
| 0.000 | -0.000 | -0.000 | -0.000 | 0.000 | 139.289 |
| 187.512 | 184.515 | 173.598 | 0.000 | 0.000 | 0.000 |
| 181.086 | 320.663 | 122.705 | 0.000 | 0.000 | 0.000 |
| 174.134 | 121.718 | 327.805 | 0.000 | 0.000 | 0.000 |
| 0.000 | -0.000 | 0.000 | 82.434 | 0.000 | 0.000 |
| 0.000 | -0.000 | 0.000 | 0.000 | 132.928 | 0.000 |
| -0.054 | -0.023 | 0.017 | 0.000 | 0.000 | 139.724 |
| 183.089 | 182.303 | 175.419 | -0.000 | -0.000 | -0.000 |
| 181.101 | 320.642 | 122.729 | -0.000 | -0.000 | -0.000 |
| 177.217 | 123.578 | 326.203 | -0.000 | -0.000 | -0.000 |
| -0.000 | 0.000 | -0.000 | 82.434 | -0.000 | -0.000 |
| -0.000 | 0.000 | -0.000 | -0.000 | 132.928 | -0.000 |
| 0.054 | 0.023 | -0.017 | -0.000 | -0.000 | 139.724 |
| 183.041 | 182.285 | 175.432 | 0.000 | 0.000 | 0.000 |
| 181.094 | 320.655 | 122.715 | 0.000 | 0.000 | 0.000 |
| 177.220 | 123.601 | 326.179 | 0.000 | 0.000 | 0.000 |
| -0.008 | -0.003 | 0.003 | 82.434 | 0.000 | 0.000 |
| -0.000 | 0.000 | 0.000 | 0.000 | 132.928 | 0.000 |
| -0.005 | -0.002 | 0.002 | 0.000 | 0.000 | 139.724 |
| 187.512 | 184.515 | 173.598 | -0.000 | -0.000 | -0.000 |
| 184.395 | 322.586 | 121.063 | -0.000 | -0.000 | -0.000 |
| 174.134 | 121.718 | 327.804 | -0.000 | -0.000 | -0.000 |
| 0.008 | 0.003 | -0.003 | 82.434 | -0.000 | -0.000 |
| 0.000 | -0.000 | -0.000 | -0.000 | 132.928 | -0.000 |
| 0.005 | 0.002 | -0.002 | -0.000 | -0.000 | 139.724 |
| 183.045 | 182.287 | 175.431 | 0.000 | 0.000 | 0.000 |
| 184.396 | 322.586 | 121.064 | 0.000 | 0.000 | 0.000 |
| 174.134 | 121.719 | 327.806 | 0.000 | 0.000 | 0.000 |
| -0.000 | 0.000 | 0.001 | 82.434 | 0.000 | 0.000 |
| -0.001 | -0.000 | 0.001 | 0.000 | 131.476 | 0.000 |
| -0.001 | 0.000 | 0.000 | 0.000 | 0.000 | 139.724 |
| 183.047 | 182.286 | 175.431 | -0.000 | -0.000 | -0.000 |
| 184.395 | 322.585 | 121.062 | -0.000 | -0.000 | -0.000 |
| 174.133 | 121.717 | 327.803 | -0.000 | -0.000 | -0.000 |
| 0.000 | -0.000 | -0.001 | 82.434 | -0.000 | -0.000 |
| 0.001 | 0.000 | -0.001 | -0.000 | 131.476 | -0.000 |
| 0.001 | -0.000 | -0.000 | -0.000 | -0.000 | 139.724 |
| 221.668 | 149.065 | 152.130 | -0.000 | 0.000 | -0.000 |
| 149.065 | 221.668 | 152.130 | -0.000 | 0.000 | -0.000 |
| 152.130 | 152.130 | 209.441 | -0.000 | 0.000 | -0.000 |
| -53.124 | -53.124 | -311.066 | 118.373 | 0.000 | -0.000 |
| -53.124 | -53.124 | -311.066 | 0.000 | 118.373 | -0.000 |
| -0.000 | 0.000 | 0.000 | 0.000 | 0.000 | 117.672 |
| 221.668 | 149.065 | 152.130 | -0.000 | 0.000 | 0.000 |
| 149.065 | 221.668 | 152.129 | 0.000 | -0.000 | 0.000 |
| 152.130 | 152.130 | 209.441 | 0.000 | -0.000 | 0.000 |
| 53.124 | 53.124 | 311.066 | 118.373 | -0.000 | 0.000 |
| 53.124 | 53.124 | 311.066 | -0.000 | 118.373 | 0.000 |
| -0.000 | -0.000 | -0.000 | 0.000 | -0.000 | 117.672 |
| 221.668 | 149.066 | 152.130 | 0.000 | 0.000 | -0.000 |
| 149.066 | 221.668 | 152.130 | 0.000 | 0.000 | -0.000 |
| 152.130 | 152.130 | 209.441 | 0.000 | 0.000 | -0.000 |
| -5.312 | -5.312 | -31.103 | 118.373 | 0.000 | -0.000 |
| -5.312 | -5.312 | -31.103 | 0.000 | 118.373 | -0.000 |
| -5.892 | -5.892 | -33.163 | 0.000 | 0.000 | 117.672 |
| 221.669 | 149.065 | 152.129 | -0.000 | -0.000 | 0.000 |
| 149.065 | 221.669 | 152.129 | 0.000 | -0.000 | 0.000 |
| 155.121 | 155.121 | 235.186 | 0.000 | -0.000 | 0.000 |
| 5.312 | 5.312 | 31.103 | 118.373 | -0.000 | 0.000 |
| 5.312 | 5.312 | 31.103 | -0.000 | 118.373 | 0.000 |
| 5.892 | 5.892 | 33.163 | 0.000 | -0.000 | 117.672 |
| 217.109 | 150.059 | 145.807 | -0.000 | 0.000 | -0.000 |
| 150.059 | 217.109 | 145.807 | 0.000 | 0.000 | -0.000 |
| 149.299 | 149.299 | 199.578 | -0.000 | 0.000 | -0.000 |
| -0.527 | -0.527 | -3.087 | 118.394 | 0.000 | -0.000 |
| -0.527 | -0.527 | -3.087 | 0.000 | 118.394 | -0.000 |
| -0.531 | -0.531 | -3.111 | 0.000 | 0.000 | 117.672 |
| 215.956 | 152.087 | 151.654 | -0.000 | -0.000 | 0.000 |
| 152.087 | 215.956 | 151.654 | 0.000 | -0.000 | 0.000 |
| 146.628 | 146.628 | 199.344 | 0.000 | -0.000 | 0.000 |
| 0.527 | 0.527 | 3.087 | 118.394 | -0.000 | 0.000 |
| 0.527 | 0.527 | 3.087 | -0.000 | 118.394 | 0.000 |
| 0.531 | 0.531 | 3.111 | -0.000 | -0.000 | 117.672 |
| 227.162 | 149.645 | 154.237 | -0.000 | -0.000 | 0.000 |
| 149.645 | 227.162 | 154.237 | -0.000 | -0.000 | -0.000 |
| 153.967 | 153.967 | 202.650 | -0.000 | -0.000 | 0.000 |
| -0.000 | 0.000 | 0.000 | 122.155 | -0.000 | 0.000 |
| -0.000 | 0.000 | 0.000 | -0.000 | 122.155 | 0.000 |
| -0.000 | 0.000 | 0.000 | -0.000 | -0.000 | 117.660 |
| 227.162 | 149.645 | 154.237 | 0.000 | 0.000 | -0.000 |
| 149.645 | 227.162 | 154.237 | 0.000 | 0.000 | -0.000 |
| 153.967 | 153.967 | 202.650 | 0.000 | 0.000 | -0.000 |
| 0.000 | -0.000 | -0.000 | 122.155 | 0.000 | -0.000 |
| 0.000 | -0.000 | -0.000 | 0.000 | 122.155 | -0.000 |
| 0.000 | -0.000 | -0.000 | 0.000 | 0.000 | 117.660 |
| 227.162 | 149.645 | 154.237 | -0.000 | -0.000 | 0.000 |
| 149.645 | 227.162 | 154.237 | -0.000 | -0.000 | 0.000 |
| 150.424 | 150.424 | 207.347 | -0.000 | -0.000 | 0.000 |
| 0.000 | -0.000 | 0.000 | 122.155 | -0.000 | 0.000 |
| -0.000 | 0.000 | 0.000 | -0.000 | 122.155 | -0.000 |
| -0.000 | 0.000 | 0.000 | -0.000 | -0.000 | 117.660 |
| 227.162 | 149.645 | 154.237 | 0.000 | 0.000 | -0.000 |
| 149.645 | 227.162 | 154.237 | 0.000 | 0.000 | -0.000 |
| 167.200 | 167.200 | 179.393 | 0.000 | 0.000 | -0.000 |
| -0.000 | 0.000 | -0.000 | 122.155 | 0.000 | 0.000 |
| 0.000 | -0.000 | -0.000 | 0.000 | 122.155 | -0.000 |
| 0.000 | -0.000 | -0.000 | 0.000 | 0.000 | 117.660 |
| 227.161 | 149.645 | 154.237 | -0.000 | -0.000 | 0.000 |
| 149.645 | 227.161 | 154.237 | -0.000 | -0.000 | 0.000 |
| 153.968 | 153.968 | 202.649 | -0.000 | -0.000 | 0.000 |
| 0.000 | -0.000 | 0.000 | 122.155 | -0.000 | 0.000 |
| -0.000 | 0.000 | 0.000 | -0.000 | 122.155 | 0.000 |
| -0.000 | 0.000 | 0.000 | -0.000 | -0.000 | 117.660 |
| 223.565 | 151.428 | 151.319 | 0.000 | 0.000 | 0.000 |
| 151.428 | 223.565 | 151.319 | 0.000 | 0.000 | -0.000 |
| 152.364 | 152.364 | 193.791 | 0.000 | 0.000 | -0.000 |
| -0.000 | 0.000 | -0.000 | 122.155 | 0.000 | -0.000 |
| 0.000 | -0.000 | -0.000 | 0.000 | 122.155 | -0.000 |
| 0.000 | -0.000 | -0.000 | 0.000 | 0.000 | 117.660 |
| 192.470 | 117.437 | 117.437 | -0.000 | -0.000 | -0.000 |
| 117.437 | 192.470 | 117.437 | -0.000 | -0.000 | -0.000 |
| 117.437 | 117.437 | 192.470 | -0.000 | -0.000 | -0.000 |
| -221.813 | -221.813 | -221.813 | 79.246 | -0.000 | -0.000 |
| -221.813 | -221.813 | -221.813 | 0.000 | 79.246 | -0.000 |
| -221.813 | -221.813 | -221.813 | -0.000 | -0.000 | 79.246 |
| 402.963 | 338.990 | 338.990 | 0.000 | 0.000 | -0.000 |
| 338.990 | 402.963 | 338.990 | 0.000 | 0.000 | 0.000 |
| 338.990 | 338.990 | 402.963 | 0.000 | 0.000 | 0.000 |
| 221.813 | 221.813 | 221.813 | 79.246 | 0.000 | 0.000 |
| 221.813 | 221.813 | 221.813 | -0.000 | 79.246 | 0.000 |
| 221.813 | 221.813 | 221.813 | -0.000 | 0.000 | 79.246 |
| 159.081 | 95.012 | 95.012 | -0.000 | -0.000 | -0.000 |
| 95.012 | 159.081 | 95.012 | 0.000 | -0.000 | -0.000 |
| 95.012 | 95.012 | 159.081 | -0.000 | -0.000 | -0.000 |
| 0.000 | 0.000 | 0.000 | 89.606 | -0.000 | 0.000 |
| 0.000 | 0.000 | 0.000 | -0.000 | 89.606 | -0.000 |
| 0.000 | 0.000 | 0.000 | -0.000 | -0.000 | 89.606 |
| 171.388 | 102.209 | 102.209 | 0.000 | 0.000 | 0.000 |
| 102.209 | 171.388 | 102.209 | -0.000 | 0.000 | 0.000 |
| 102.209 | 102.209 | 171.388 | 0.000 | 0.000 | 0.000 |
| -0.000 | -0.000 | -0.000 | 89.606 | 0.000 | 0.000 |
| -0.000 | -0.000 | -0.000 | 0.000 | 89.606 | 0.000 |
| -0.000 | -0.000 | -0.000 | 0.000 | 0.000 | 89.606 |
| 192.471 | 117.438 | 117.438 | -0.000 | -0.000 | -0.000 |
| 117.438 | 192.471 | 117.438 | -0.000 | -0.000 | -0.000 |
| 117.438 | 117.438 | 192.471 | 0.000 | -0.000 | -0.000 |
| -2.218 | -2.218 | -2.218 | 79.245 | -0.000 | -0.000 |
| -2.218 | -2.218 | -2.218 | -0.000 | 79.245 | -0.000 |
| -2.218 | -2.218 | -2.218 | -0.000 | -0.000 | 79.245 |
| 192.469 | 117.437 | 117.437 | 0.000 | 0.000 | 0.000 |
| 117.437 | 192.469 | 117.437 | -0.000 | -0.000 | -0.000 |
| 117.437 | 117.437 | 192.469 | -0.000 | 0.000 | -0.000 |
| 2.218 | 2.218 | 2.218 | 79.245 | 0.000 | 0.000 |
| 2.218 | 2.218 | 2.218 | 0.000 | 79.245 | 0.000 |
| 2.218 | 2.218 | 2.218 | 0.000 | 0.000 | 79.245 |
| 192.209 | 117.276 | 117.276 | -0.000 | 0.000 | -0.000 |
| 117.276 | 192.209 | 117.276 | -0.000 | 0.000 | 0.000 |
| 117.276 | 117.276 | 192.209 | -0.000 | 0.000 | 0.000 |
| 0.905 | 0.905 | 0.905 | 79.668 | 0.000 | -0.000 |
| 0.905 | 0.905 | 0.905 | -0.000 | 79.668 | 0.000 |
| 0.905 | 0.905 | 0.905 | -0.000 | 0.000 | 79.668 |
| 187.542 | 116.760 | 116.760 | 0.000 | -0.000 | 0.000 |
| 116.760 | 187.542 | 116.760 | 0.000 | -0.000 | 0.000 |
| 116.760 | 116.760 | 187.542 | 0.000 | -0.000 | 0.000 |
| -0.905 | -0.905 | -0.905 | 79.668 | -0.000 | -0.000 |
| -0.905 | -0.905 | -0.905 | 0.000 | 79.668 | -0.000 |
| -0.905 | -0.905 | -0.905 | 0.000 | -0.000 | 79.668 |
| 192.209 | 117.277 | 117.277 | -0.000 | 0.000 | -0.000 |
| 117.277 | 192.209 | 117.277 | -0.000 | 0.000 | 0.000 |
| 117.277 | 117.277 | 192.209 | -0.000 | 0.000 | 0.000 |
| 0.095 | 0.095 | 0.095 | 79.170 | 0.000 | 0.000 |
| 0.095 | 0.095 | 0.095 | -0.000 | 79.170 | 0.000 |
| 0.095 | 0.095 | 0.095 | -0.000 | 0.000 | 79.170 |
| 192.209 | 117.276 | 117.276 | 0.000 | -0.000 | 0.000 |
| 117.276 | 192.209 | 117.276 | 0.000 | 0.000 | 0.000 |
| 117.276 | 117.276 | 192.209 | 0.000 | -0.000 | -0.000 |
| -0.095 | -0.095 | -0.095 | 79.170 | -0.000 | 0.000 |
| -0.095 | -0.095 | -0.095 | 0.000 | 79.170 | -0.000 |
| -0.095 | -0.095 | -0.095 | 0.000 | -0.000 | 79.170 |
| 187.889 | 117.120 | 117.120 | -0.000 | 0.000 | -0.000 |
| 117.120 | 187.889 | 117.120 | -0.000 | 0.000 | -0.000 |
| 117.120 | 117.120 | 187.889 | -0.000 | 0.000 | 0.000 |
| 0.010 | 0.010 | 0.010 | 79.164 | 0.000 | -0.000 |
| 0.010 | 0.010 | 0.010 | -0.000 | 79.164 | 0.000 |
| 0.010 | 0.010 | 0.010 | -0.000 | 0.000 | 79.164 |
| 187.883 | 117.113 | 117.113 | 0.000 | -0.000 | 0.000 |
| 117.113 | 187.883 | 117.113 | 0.000 | -0.000 | -0.000 |
| 117.113 | 117.113 | 187.883 | 0.000 | -0.000 | 0.000 |
| -0.010 | -0.010 | -0.010 | 79.164 | -0.000 | -0.000 |
| -0.010 | -0.010 | -0.010 | 0.000 | 79.164 | -0.000 |
| -0.010 | -0.010 | -0.010 | 0.000 | -0.000 | 79.164 |
| 177.351 | 106.149 | 106.149 | 0.000 | 0.000 | -0.000 |
| 106.149 | 177.351 | 106.149 | 0.000 | 0.000 | -0.000 |
| 106.149 | 106.149 | 177.351 | 0.000 | 0.000 | 0.000 |
| 0.000 | -0.000 | 0.000 | 89.544 | 0.000 | -0.000 |
| -0.000 | 0.000 | 0.000 | 0.000 | 89.544 | -0.000 |
| -0.000 | 0.000 | 0.000 | 0.000 | 0.000 | 89.544 |
| 198.134 | 128.947 | 128.947 | -0.000 | -0.000 | 0.000 |
| 128.947 | 198.134 | 128.947 | -0.000 | -0.000 | 0.000 |
| 128.947 | 128.947 | 198.134 | 0.000 | -0.000 | 0.000 |
| -0.000 | 0.000 | -0.000 | 89.544 | -0.000 | 0.000 |
| 0.000 | -0.000 | -0.000 | -0.000 | 89.544 | 0.000 |
| 0.000 | -0.000 | -0.000 | -0.000 | -0.000 | 89.544 |
| 186.257 | 116.693 | 116.693 | 0.000 | 0.000 | -0.000 |
| 116.693 | 186.257 | 116.693 | 0.000 | 0.000 | -0.000 |
| 116.693 | 116.693 | 186.257 | 0.000 | -0.000 | -0.000 |
| -2.336 | -2.336 | -2.336 | 82.088 | 0.000 | -0.000 |
| -2.336 | -2.336 | -2.336 | -0.000 | 82.088 | -0.000 |
| -2.336 | -2.336 | -2.336 | 0.000 | 0.000 | 82.088 |
| 192.261 | 117.309 | 117.309 | -0.000 | -0.000 | 0.000 |
| 117.309 | 192.261 | 117.309 | -0.000 | -0.000 | 0.000 |
| 117.309 | 117.309 | 192.261 | -0.000 | -0.000 | 0.000 |
| 2.336 | 2.336 | 2.336 | 82.088 | -0.000 | 0.000 |
| 2.336 | 2.336 | 2.336 | -0.000 | 82.088 | 0.000 |
| 2.336 | 2.336 | 2.336 | 0.000 | -0.000 | 82.088 |
| 187.847 | 117.029 | 117.029 | 0.000 | 0.000 | 0.000 |
| 117.029 | 187.847 | 117.029 | 0.000 | 0.000 | -0.000 |
| 117.029 | 117.029 | 187.847 | 0.000 | 0.000 | -0.000 |
| 0.000 | 0.000 | 0.000 | 89.544 | 0.000 | -0.000 |
| 0.000 | 0.000 | 0.000 | 0.000 | 89.544 | -0.000 |
| 0.000 | 0.000 | 0.000 | 0.000 | 0.000 | 89.544 |
| 192.260 | 117.309 | 117.309 | -0.000 | -0.000 | 0.000 |
| 117.309 | 192.260 | 117.309 | -0.000 | -0.000 | 0.000 |
| 117.309 | 117.309 | 192.260 | -0.000 | -0.000 | -0.000 |
| -0.000 | -0.000 | -0.000 | 89.544 | -0.000 | 0.000 |
| -0.000 | -0.000 | -0.000 | -0.000 | 89.544 | 0.000 |
| -0.000 | -0.000 | -0.000 | 0.000 | -0.000 | 89.544 |
| 119.012 | 42.136 | 63.664 | 0.000 | -0.000 | 0.000 |
| 1051.003 | 1121.900 | -1098.915 | -0.000 | 0.000 | 0.000 |
| 1077.739 | 1077.742 | -960.365 | -0.000 | -0.000 | -0.000 |
| 1008.661 | 1008.656 | -1164.810 | 57.161 | -0.000 | 0.000 |
| 1011.172 | 1011.175 | -1090.209 | -0.000 | 53.144 | -0.000 |
| 0.000 | 0.000 | 0.000 | -0.000 | -0.000 | 38.438 |
| 119.012 | 42.136 | 63.664 | -0.000 | 0.000 | -0.000 |
| 42.136 | 119.012 | 63.664 | 0.000 | -0.000 | -0.000 |
| 63.188 | 63.188 | 137.997 | 0.000 | 0.000 | -0.000 |
| -1008.661 | -1008.656 | 1164.810 | 57.161 | -0.000 | -0.000 |
| -1011.172 | -1011.175 | 1090.209 | 0.000 | 53.144 | 0.000 |
| -0.000 | -0.000 | -0.000 | 0.000 | 0.000 | 38.438 |
| 199.240 | 159.605 | -48.342 | 0.000 | -0.000 | 0.000 |
| 159.605 | 199.240 | -48.342 | -0.000 | -0.000 | 0.000 |
| 172.433 | 172.434 | 8.614 | -0.000 | 0.000 | -0.000 |
| 101.042 | 101.042 | -108.939 | 53.148 | -0.000 | -0.000 |
| 100.933 | 100.933 | -116.438 | -0.000 | 57.097 | 0.000 |
| 0.000 | 0.000 | 0.000 | 0.000 | 0.000 | 38.438 |
| -23.543 | -22.376 | 175.054 | 0.000 | -0.000 | 0.000 |
| 42.136 | 119.012 | 63.664 | 0.000 | 0.000 | -0.000 |
| 63.188 | 63.188 | 137.997 | 0.000 | -0.000 | -0.000 |
| -101.042 | -101.042 | 108.939 | 53.148 | 0.000 | 0.000 |
| -100.933 | -100.933 | 116.437 | 0.000 | 57.097 | -0.000 |
| -0.000 | -0.000 | -0.000 | 0.000 | -0.000 | 38.438 |
| 97.459 | 72.802 | 58.594 | -0.000 | -0.000 | -0.000 |
| 72.803 | 97.459 | 58.593 | -0.000 | -0.000 | -0.000 |
| 63.188 | 63.188 | 137.998 | -0.000 | -0.000 | 0.000 |
| 9.459 | 9.458 | -10.198 | 53.561 | -0.000 | -0.000 |
| 9.458 | 9.459 | -10.198 | -0.000 | 53.561 | -0.000 |
| 0.000 | 0.000 | 0.000 | 0.000 | 0.000 | 38.438 |
| 80.361 | 61.190 | 74.054 | 0.000 | 0.000 | 0.000 |
| 1875523.386 | -3232731.334 | -588792.501 | -0.000 | 0.000 | 0.432 |
| 57.476 | 57.476 | 140.393 | 0.000 | 0.000 | 0.000 |
| -9.459 | -9.458 | 10.198 | 53.561 | -0.000 | 0.000 |
| -9.458 | -9.459 | 10.198 | 0.000 | 53.561 | 0.000 |
| -0.000 | -0.000 | -0.000 | -0.000 | 0.000 | 38.438 |
| 0.294 | 5.845 | 295.111 | -0.000 | 0.000 | 0.000 |
| 42.236 | 119.218 | 63.948 | 0.000 | 0.000 | 0.000 |
| 63.408 | 63.408 | 139.228 | 0.000 | 0.000 | 0.000 |
| -77.861 | -77.860 | 441.217 | 55.283 | -0.000 | -0.000 |
| -74.344 | -74.346 | 227.905 | -0.000 | 53.080 | 0.000 |
| 0.000 | 0.000 | 0.000 | -0.000 | -0.000 | 38.491 |
| 119.218 | 42.236 | 63.948 | 0.000 | 0.000 | -0.000 |
| 42.236 | 119.218 | 63.948 | 0.000 | 0.000 | -0.000 |
| 63.408 | 63.408 | 139.228 | 0.000 | 0.000 | -0.000 |
| 77.861 | 77.860 | -441.217 | 55.283 | 0.000 | 0.000 |
| 74.344 | 74.346 | -227.905 | 0.000 | 53.080 | -0.000 |
| -0.000 | -0.000 | -0.000 | 0.000 | -0.000 | 38.491 |
| 67.985 | 72.281 | 89.633 | -0.000 | -0.000 | 0.000 |
| 42.236 | 119.218 | 63.948 | 0.000 | 0.000 | 0.000 |
| 63.408 | 63.408 | 139.228 | -0.000 | -0.000 | 0.000 |
| 0.000 | 0.000 | 0.000 | 59.724 | -0.000 | 0.000 |
| 0.000 | 0.000 | 0.000 | 0.000 | 59.724 | 0.000 |
| -7.323 | -7.323 | 22.449 | 0.000 | 0.000 | -2.165 |
| 100.181 | 70.640 | 24.547 | -0.000 | 0.000 | -0.000 |
| 42.236 | 119.218 | 63.948 | -0.000 | 0.000 | -0.000 |
| 73.284 | 73.284 | 90.602 | -0.000 | 0.000 | 0.000 |
| -0.000 | -0.000 | -0.000 | 59.724 | -0.000 | -0.000 |
| -0.000 | -0.000 | -0.000 | 0.000 | 59.724 | -0.000 |
| 7.323 | 7.323 | -22.449 | -0.000 | 0.000 | -2.165 |
| 75.697 | 74.759 | 72.720 | 0.000 | -0.000 | 0.000 |
| 42.236 | 119.218 | 63.948 | -0.000 | 0.000 | 0.000 |
| 65.187 | 65.187 | 139.258 | -0.000 | -0.000 | 0.000 |
| -0.650 | -0.650 | 1.994 | 53.911 | -0.000 | 0.000 |
| 0.000 | 0.000 | 0.000 | -0.000 | 59.724 | 0.000 |
| -0.439 | -0.439 | 1.346 | -0.000 | 0.000 | 14.107 |
| 119.218 | 42.236 | 63.948 | 0.000 | -0.000 | -0.000 |
| 81.523 | 72.158 | 62.129 | -0.000 | -0.000 | -0.000 |
| 63.408 | 63.408 | 139.227 | 0.000 | 0.000 | -0.000 |
| 0.650 | 0.650 | -1.994 | 53.911 | -0.000 | -0.000 |
| -0.000 | -0.000 | -0.000 | 0.000 | 59.724 | -0.000 |
| 0.439 | 0.439 | -1.346 | 0.000 | -0.000 | 14.107 |
| -144.890 | -185.316 | 1680.488 | -0.000 | 0.000 | -0.000 |
| -185.320 | -144.885 | 1680.488 | -0.000 | -0.000 | -0.000 |
| 246.757 | 246.755 | 1648.879 | -0.000 | -0.000 | 0.000 |
| -243.945 | -243.941 | 1616.205 | 56.638 | -0.000 | -0.000 |
| -243.961 | -243.957 | 1616.308 | 0.000 | 56.637 | -0.000 |
| 180.230 | 180.228 | 1517.586 | 0.000 | -0.000 | 13.936 |
| 342.984 | 302.581 | -1551.922 | -0.000 | 0.000 | 0.000 |
| 302.585 | 342.979 | -1551.922 | 0.000 | 0.000 | 0.000 |
| 308.432 | 308.428 | -1482.871 | -0.000 | 0.000 | 0.000 |
| 243.945 | 243.941 | -1616.205 | 56.638 | 0.000 | 0.000 |
| 243.961 | 243.957 | -1616.308 | -0.000 | 56.637 | 0.000 |
| -180.230 | -180.228 | -1517.586 | -0.000 | 0.000 | 13.936 |
| 118.907 | 41.854 | 63.328 | 0.000 | 0.000 | -0.000 |
| 80.047 | 108.010 | 218.463 | 0.000 | 0.000 | 0.000 |
| 40.098 | 40.098 | 294.966 | -0.000 | -0.000 | -0.000 |
| -24.396 | -24.395 | 161.629 | 56.637 | 0.000 | -0.000 |
| -24.396 | -24.395 | 161.629 | 0.000 | 56.637 | -0.000 |
| -24.394 | -24.394 | 161.619 | 0.000 | 0.000 | 20.207 |
| 72.065 | 44.396 | -85.795 | 0.000 | 0.000 | -0.000 |
| 83.104 | 123.355 | -97.345 | -0.000 | -0.000 | 0.000 |
| 62.970 | 62.970 | 136.296 | 0.000 | 0.000 | -0.000 |
| 24.396 | 24.395 | -161.629 | 56.637 | 0.000 | 0.000 |
| 24.396 | 24.395 | -161.629 | -0.000 | 56.637 | 0.000 |
| 24.394 | 24.394 | -161.619 | -0.000 | -0.000 | 20.207 |
| 2895604.306 | 1009358.000 | 1472052.418 | 10661.371 | 357.221 | -19671.706 |
| 65.747 | 89.186 | 84.274 | 0.000 | 0.000 | 0.000 |
| 62.120 | 62.121 | 149.620 | 0.000 | 0.000 | -0.000 |
| -2.452 | -2.452 | 16.245 | 56.621 | -0.000 | -0.000 |
| 0.000 | 0.000 | 0.000 | -0.000 | 59.808 | 0.000 |
| 1.153 | 1.153 | 18.239 | 0.000 | 0.000 | 10.800 |
| 118.906 | 41.854 | 63.328 | -0.000 | -0.000 | -0.000 |
| 90.861 | 48.109 | 54.455 | 0.000 | 0.000 | 0.000 |
| 62.969 | 62.969 | 136.295 | -0.000 | -0.000 | 0.000 |
| 2.452 | 2.452 | -16.245 | 56.621 | 0.000 | 0.000 |
| -0.000 | -0.000 | -0.000 | -0.000 | 59.808 | 0.000 |
| -1.153 | -1.153 | -18.239 | 0.000 | 0.000 | 10.800 |
| 150.943 | 81.912 | 81.032 | -0.000 | 1.301 | 0.000 |
| 80.869 | 169.020 | 82.425 | -0.000 | -1.070 | 0.000 |
| 80.916 | 82.831 | 159.102 | -0.000 | -4.678 | 0.000 |
| -503.844 | 664.589 | -312.252 | 40.324 | -505.222 | -0.360 |
| -5.514 | -1.005 | -4.678 | -0.000 | 48.897 | 0.000 |
| -32.554 | 899.905 | -1175.496 | 6.015 | -557.457 | 30.338 |
| 150.943 | 81.912 | 81.032 | 0.000 | 1.301 | -0.000 |
| 80.869 | 169.020 | 82.425 | 0.000 | -1.070 | -0.000 |
| 585.373 | -731.479 | 1392.656 | 0.000 | 541.943 | 0.000 |
| 503.844 | -664.589 | 312.252 | 40.324 | 505.222 | -0.360 |
| -5.514 | -1.005 | -4.678 | 0.000 | 48.897 | -0.000 |
| 32.554 | -899.905 | 1175.496 | 6.015 | 557.457 | 30.338 |
| 150.943 | 81.912 | 81.032 | -0.000 | 1.301 | 0.000 |
| 80.869 | 169.020 | 82.425 | -0.000 | -1.070 | 0.000 |
| 74.405 | 156.532 | 18.649 | -0.000 | -64.393 | -0.000 |
| -50.494 | 79.927 | -125.331 | 28.956 | -54.869 | 2.965 |
| -5.514 | -1.005 | -4.678 | -0.000 | 48.897 | -0.000 |
| 0.000 | 0.000 | 0.000 | -0.329 | -0.000 | 44.345 |
| 195.955 | 18.719 | 111.494 | 0.000 | 51.357 | 0.000 |
| 135.043 | 84.525 | 107.181 | 0.000 | 46.795 | 0.000 |
| 80.916 | 82.831 | 159.102 | 0.000 | -4.678 | 0.000 |
| 50.494 | -79.927 | 125.331 | 28.956 | 54.869 | 2.965 |
| -5.514 | -1.005 | -4.678 | 0.000 | 48.897 | -0.000 |
| -0.000 | -0.000 | -0.000 | -0.329 | 0.000 | 44.345 |
| 140.938 | 91.642 | 77.161 | -0.000 | -4.264 | -0.000 |
| 80.869 | 169.020 | 82.425 | 0.000 | -1.070 | 0.000 |
| 77.646 | 76.656 | 125.208 | -0.000 | -14.298 | -0.000 |
| -5.241 | 6.913 | -3.248 | 39.908 | -5.255 | -0.364 |
| -7.411 | 3.997 | -19.649 | -0.000 | 38.295 | -0.000 |
| -5.070 | 6.688 | -3.142 | -0.426 | -5.084 | 37.593 |
| 146.527 | 79.339 | 91.314 | 0.000 | 6.337 | 0.000 |
| 91.395 | 131.834 | 81.637 | 0.000 | -1.117 | 0.000 |
| 80.916 | 82.831 | 159.102 | 0.000 | -4.678 | -0.000 |
| 5.241 | -6.913 | 3.248 | 39.908 | 5.255 | -0.364 |
| -4.489 | -15.531 | 1.013 | 0.000 | 51.931 | 0.000 |
| 5.070 | -6.688 | 3.142 | -0.426 | 5.084 | 37.593 |
| 168.599 | 102.328 | 83.030 | 0.000 | -0.000 | 0.000 |
| 104.528 | 179.065 | 76.315 | 0.000 | -0.000 | 0.000 |
| 83.802 | 74.887 | 185.433 | 0.000 | -0.000 | 0.000 |
| -0.000 | 0.000 | 0.000 | 48.125 | -0.000 | -0.000 |
| 0.000 | 0.000 | 0.000 | 0.000 | 54.976 | -0.000 |
| -0.000 | 0.000 | 0.000 | 0.000 | -0.000 | 74.120 |
| 168.599 | 102.328 | 83.030 | -0.000 | 0.000 | -0.000 |
| 104.528 | 179.065 | 76.315 | -0.000 | 0.000 | -0.000 |
| 83.802 | 74.887 | 185.433 | -0.000 | 0.000 | -0.000 |
| -0.000 | -0.000 | -0.000 | 48.125 | 0.000 | -0.000 |
| -0.000 | -0.000 | -0.000 | -0.000 | 54.976 | 0.000 |
| -0.000 | -0.000 | -0.000 | -0.000 | 0.000 | 74.120 |
| 168.599 | 102.329 | 83.030 | 0.000 | -0.000 | 0.000 |
| 104.528 | 179.066 | 76.315 | 0.000 | -0.000 | 0.000 |
| 83.802 | 74.887 | 185.434 | 0.000 | 0.000 | -0.000 |
| 0.000 | 0.000 | 0.000 | 48.125 | -0.000 | -0.000 |
| 0.000 | 0.000 | 0.000 | 0.000 | 54.976 | 0.000 |
| 0.000 | 0.000 | -0.000 | 0.000 | -0.000 | 74.120 |
| 168.599 | 102.328 | 83.030 | -0.000 | 0.000 | 0.000 |
| 104.528 | 179.065 | 76.315 | -0.000 | 0.000 | -0.000 |
| 83.802 | 74.887 | 185.433 | -0.000 | 0.000 | -0.000 |
| -0.000 | -0.000 | -0.000 | 48.125 | 0.000 | -0.000 |
| -0.000 | -0.000 | -0.000 | -0.000 | 54.976 | -0.000 |
| -0.000 | -0.000 | 0.000 | -0.000 | 0.000 | 74.120 |
| 153.928 | 100.415 | 85.138 | 0.000 | -0.005 | -0.000 |
| 103.103 | 165.504 | 79.483 | 0.000 | -0.008 | -0.000 |
| 78.485 | 75.705 | 155.122 | 0.000 | -0.004 | -0.000 |
| -13.060 | -7.619 | 4.175 | 1.984 | -0.003 | 0.000 |
| -11.001 | -4.555 | 3.374 | 0.000 | 42.632 | 0.000 |
| -10.868 | -4.510 | 3.320 | 0.000 | -0.002 | 57.966 |
| 168.599 | 102.328 | 83.030 | -0.000 | 0.000 | -0.000 |
| 109.562 | 149.544 | 76.837 | -0.000 | 0.004 | 0.000 |
| 84.458 | 77.420 | 172.933 | -0.000 | 0.008 | 0.000 |
| 13.060 | 7.619 | -4.175 | 1.984 | 0.003 | -0.000 |
| 11.002 | 4.556 | -3.374 | -0.000 | 42.636 | -0.000 |
| 10.868 | 4.510 | -3.320 | -0.000 | 0.002 | 57.966 |
| 718.123 | -27.282 | -27.282 | 0.000 | 0.000 | -0.000 |
| -27.282 | 718.123 | -27.282 | 0.000 | 0.000 | -0.000 |
| -27.282 | -27.282 | 718.123 | 0.000 | 0.000 | 0.000 |
| -0.000 | 0.000 | -0.000 | 27.722 | -0.000 | -0.000 |
| -0.000 | 0.000 | -0.000 | 0.000 | 27.722 | 0.000 |
| -0.000 | -0.000 | -0.000 | 0.000 | 0.000 | 27.722 |
| 718.123 | -27.282 | -27.282 | -0.000 | 0.000 | -0.000 |
| -27.282 | 718.123 | -27.282 | -0.000 | -0.000 | 0.000 |
| -27.282 | -27.282 | 718.123 | -0.000 | -0.000 | -0.000 |
| 0.000 | -0.000 | 0.000 | 27.722 | 0.000 | 0.000 |
| 0.000 | -0.000 | 0.000 | -0.000 | 27.722 | -0.000 |
| 0.000 | 0.000 | 0.000 | -0.000 | -0.000 | 27.722 |
| 718.124 | -27.283 | -27.283 | 0.000 | -0.000 | 0.000 |
| -27.283 | 718.124 | -27.283 | -0.000 | 0.000 | -0.000 |
| -27.283 | -27.283 | 718.124 | 0.000 | 0.000 | -0.000 |
| -0.000 | -0.000 | -0.000 | 27.722 | 0.000 | 0.000 |
| -0.000 | 0.000 | -0.000 | 0.000 | 27.722 | 0.000 |
| -0.000 | -0.000 | -0.000 | 0.000 | -0.000 | 27.722 |
| 718.122 | -27.282 | -27.282 | -0.000 | -0.000 | -0.000 |
| -27.282 | 718.122 | -27.282 | -0.000 | -0.000 | -0.000 |
| -27.282 | -27.282 | 718.122 | -0.000 | -0.000 | 0.000 |
| 0.000 | 0.000 | 0.000 | 27.722 | 0.000 | 0.000 |
| 0.000 | -0.000 | 0.000 | -0.000 | 27.722 | -0.000 |
| 0.000 | 0.000 | 0.000 | -0.000 | -0.000 | 27.722 |
| 718.134 | -27.283 | -27.283 | 0.000 | -0.000 | -0.000 |
| -27.283 | 718.134 | -27.283 | 0.000 | 0.000 | 0.000 |
| -27.283 | -27.283 | 718.134 | 0.000 | 0.000 | 0.000 |
| -0.000 | -0.000 | -0.000 | 27.722 | 0.000 | -0.000 |
| -0.000 | -0.000 | -0.000 | 0.000 | 27.722 | 0.000 |
| -0.000 | -0.000 | -0.000 | -0.000 | -0.000 | 27.722 |
| 718.111 | -27.282 | -27.282 | 0.000 | -0.000 | -0.000 |
| -27.282 | 718.111 | -27.282 | -0.000 | 0.000 | -0.000 |
| -27.282 | -27.282 | 718.111 | 0.000 | 0.000 | -0.000 |
| 0.000 | 0.000 | 0.000 | 27.722 | -0.000 | -0.000 |
| 0.000 | 0.000 | 0.000 | -0.000 | 27.722 | -0.000 |
| 0.000 | 0.000 | 0.000 | -0.000 | 0.000 | 27.722 |
| 254.807 | 104.778 | 104.778 | -0.000 | 0.000 | 0.000 |
| 104.778 | 254.807 | 104.778 | 0.000 | 0.000 | 0.000 |
| 104.778 | 104.778 | 254.807 | 0.000 | 0.000 | 0.000 |
| 0.000 | -0.000 | -0.000 | 130.953 | 0.000 | 0.000 |
| -0.000 | 0.000 | -0.000 | 0.000 | 130.953 | 0.000 |
| -0.000 | -0.000 | 0.000 | 0.000 | 0.000 | 130.953 |
| 254.807 | 104.778 | 104.778 | 0.000 | 0.000 | -0.000 |
| 104.778 | 254.807 | 104.778 | -0.000 | -0.000 | -0.000 |
| 104.778 | 104.778 | 254.807 | -0.000 | -0.000 | -0.000 |
| -0.000 | 0.000 | 0.000 | 130.953 | -0.000 | -0.000 |
| 0.000 | -0.000 | 0.000 | -0.000 | 130.953 | -0.000 |
| 0.000 | 0.000 | -0.000 | -0.000 | -0.000 | 130.953 |
| 254.807 | 104.778 | 104.778 | 0.000 | 0.000 | 0.000 |
| 104.778 | 254.807 | 104.778 | -0.000 | 0.000 | 0.000 |
| 104.778 | 104.778 | 254.807 | -0.000 | 0.000 | 0.000 |
| 0.000 | -0.000 | 0.000 | 130.953 | -0.000 | -0.000 |
| -0.000 | 0.000 | 0.000 | 0.000 | 130.953 | 0.000 |
| -0.000 | 0.000 | 0.000 | -0.000 | 0.000 | 130.953 |
| 254.807 | 104.778 | 104.778 | 0.000 | -0.000 | -0.000 |
| 104.778 | 254.807 | 104.778 | 0.000 | 0.000 | 0.000 |
| 104.778 | 104.778 | 254.807 | -0.000 | -0.000 | -0.000 |
| -0.000 | 0.000 | -0.000 | 130.953 | -0.000 | -0.000 |
| 0.000 | -0.000 | -0.000 | -0.000 | 130.953 | -0.000 |
| 0.000 | -0.000 | -0.000 | 0.000 | -0.000 | 130.953 |
| 254.808 | 104.779 | 104.779 | -0.000 | 0.000 | 0.000 |
| 104.779 | 254.808 | 104.779 | 0.000 | 0.000 | 0.000 |
| 104.779 | 104.779 | 254.808 | 0.000 | 0.000 | -0.000 |
| 0.000 | -0.000 | 0.000 | 130.953 | 0.000 | 0.000 |
| -0.000 | 0.000 | 0.000 | 0.000 | 130.953 | 0.000 |
| -0.000 | 0.000 | 0.000 | -0.000 | 0.000 | 130.953 |
| 254.806 | 104.778 | 104.778 | -0.000 | -0.000 | -0.000 |
| 104.778 | 254.806 | 104.778 | -0.000 | -0.000 | -0.000 |
| 104.778 | 104.778 | 254.806 | -0.000 | -0.000 | 0.000 |
| -0.000 | 0.000 | -0.000 | 130.953 | -0.000 | -0.000 |
| 0.000 | -0.000 | -0.000 | 0.000 | 130.953 | -0.000 |
| 0.000 | -0.000 | -0.000 | 0.000 | -0.000 | 130.953 |
| 130.952 | 206.761 | 206.761 | 0.000 | 0.000 | 0.000 |
| 206.761 | 130.952 | 206.761 | 0.000 | 0.000 | 0.000 |
| 206.761 | 206.761 | 130.952 | 0.000 | 0.000 | 0.000 |
| 0.000 | 0.000 | -0.000 | -71.236 | 0.000 | 0.000 |
| 0.000 | -0.000 | -0.000 | 0.000 | -71.236 | 0.000 |
| 0.000 | 0.000 | -0.000 | 0.000 | 0.000 | -71.236 |
| 130.952 | 206.761 | 206.761 | -0.000 | -0.000 | -0.000 |
| 206.761 | 130.952 | 206.761 | -0.000 | -0.000 | -0.000 |
| 206.761 | 206.761 | 130.952 | -0.000 | -0.000 | -0.000 |
| -0.000 | 0.000 | 0.000 | -71.236 | -0.000 | -0.000 |
| -0.000 | -0.000 | 0.000 | -0.000 | -71.236 | -0.000 |
| -0.000 | -0.000 | 0.000 | -0.000 | -0.000 | -71.236 |
| 130.952 | 206.762 | 206.762 | 0.000 | 0.000 | 0.000 |
| 206.762 | 130.952 | 206.762 | 0.000 | 0.000 | 0.000 |
| 206.762 | 206.762 | 130.952 | 0.000 | 0.000 | 0.000 |
| -0.000 | -0.000 | -0.000 | -71.236 | 0.000 | 0.000 |
| -0.000 | -0.000 | -0.000 | 0.000 | -71.236 | 0.000 |
| -0.000 | -0.000 | -0.000 | 0.000 | 0.000 | -71.236 |
| 130.951 | 206.761 | 206.761 | -0.000 | -0.000 | -0.000 |
| 206.761 | 130.951 | 206.761 | -0.000 | -0.000 | -0.000 |
| 206.761 | 206.761 | 130.951 | -0.000 | -0.000 | -0.000 |
| 0.000 | 0.000 | 0.000 | -71.236 | -0.000 | -0.000 |
| 0.000 | 0.000 | 0.000 | -0.000 | -71.236 | -0.000 |
| 0.000 | 0.000 | 0.000 | -0.000 | -0.000 | -71.236 |
| 130.954 | 206.764 | 206.764 | 0.000 | 0.000 | 0.000 |
| 206.764 | 130.954 | 206.764 | 0.000 | 0.000 | 0.000 |
| 206.764 | 206.764 | 130.954 | 0.000 | 0.000 | 0.000 |
| -0.000 | -0.000 | -0.000 | -71.235 | 0.000 | 0.000 |
| -0.000 | -0.000 | -0.000 | 0.000 | -71.235 | 0.000 |
| -0.000 | -0.000 | -0.000 | 0.000 | 0.000 | -71.235 |
| 130.949 | 206.759 | 206.759 | -0.000 | -0.000 | -0.000 |
| 206.759 | 130.949 | 206.759 | -0.000 | -0.000 | -0.000 |
| 206.759 | 206.759 | 130.949 | -0.000 | -0.000 | -0.000 |
| 0.000 | 0.000 | 0.000 | -71.235 | -0.000 | -0.000 |
| 0.000 | 0.000 | 0.000 | -0.000 | -71.235 | -0.000 |
| 0.000 | 0.000 | 0.000 | -0.000 | -0.000 | -71.235 |
| 181.737 | 202.576 | 44.717 | -0.000 | -0.000 | 0.000 |
| 202.576 | 181.737 | 44.717 | -0.000 | -0.000 | 0.000 |
| 44.717 | 44.717 | 813.660 | -0.000 | -0.000 | 0.000 |
| -0.000 | 0.000 | 0.000 | 17.469 | 0.000 | 0.000 |
| -0.000 | 0.000 | 0.000 | 0.000 | 17.469 | 0.000 |
| 0.000 | -0.000 | 0.000 | 0.000 | 0.000 | 85.425 |
| 277.581 | 106.732 | 44.717 | -0.000 | -0.000 | -0.000 |
| 106.732 | 277.581 | 44.717 | -0.000 | -0.000 | -0.000 |
| 44.717 | 44.717 | 813.660 | -0.000 | -0.000 | -0.000 |
| 0.000 | -0.000 | 0.000 | 17.468 | 0.000 | -0.000 |
| 0.000 | -0.000 | 0.000 | -0.000 | 17.468 | -0.000 |
| -0.000 | 0.000 | -0.000 | -0.000 | -0.000 | 85.425 |
| 277.581 | 106.732 | 44.717 | 0.000 | 0.000 | 0.000 |
| 203.542 | 180.771 | 44.717 | 0.000 | -0.000 | 0.000 |
| 44.717 | 44.717 | 813.662 | -0.000 | -0.000 | 0.000 |
| 0.000 | 0.000 | -0.000 | 17.468 | 0.000 | 0.000 |
| 0.000 | 0.000 | -0.000 | 0.000 | 17.468 | 0.000 |
| 0.000 | -0.000 | 0.000 | 0.000 | 0.000 | 85.425 |
| 181.736 | 202.577 | 44.717 | 0.000 | 0.000 | -0.000 |
| 106.732 | 277.581 | 44.717 | -0.000 | -0.000 | -0.000 |
| 44.717 | 44.717 | 813.658 | -0.000 | -0.000 | -0.000 |
| -0.000 | -0.000 | 0.000 | 17.468 | -0.000 | -0.000 |
| -0.000 | -0.000 | 0.000 | -0.000 | 17.468 | -0.000 |
| -0.000 | 0.000 | -0.000 | -0.000 | -0.000 | 85.425 |
| 181.742 | 202.572 | 44.717 | -0.000 | -0.000 | 0.000 |
| 106.732 | 277.582 | 44.717 | 0.000 | 0.000 | 0.000 |
| 44.717 | 44.717 | 813.680 | 0.000 | -0.000 | 0.000 |
| 0.000 | 0.000 | -0.000 | 17.468 | 0.000 | 0.000 |
| 0.000 | 0.000 | -0.000 | 0.000 | 17.468 | 0.000 |
| 0.002 | -0.002 | -0.000 | -0.000 | -0.000 | -11.385 |
| 277.580 | 106.731 | 44.717 | -0.000 | -0.000 | -0.000 |
| 202.570 | 181.742 | 44.717 | 0.000 | 0.000 | -0.000 |
| 44.717 | 44.717 | 813.640 | -0.000 | -0.000 | -0.000 |
| -0.000 | -0.000 | 0.000 | 17.468 | -0.000 | -0.000 |
| -0.000 | -0.000 | 0.000 | 0.000 | 17.468 | -0.000 |
| -0.002 | 0.002 | 0.000 | 0.000 | 0.000 | -11.385 |
| 123.358 | 109.879 | 109.879 | 0.000 | -0.000 | -0.000 |
| 109.879 | 123.358 | 109.879 | -0.000 | 0.000 | -0.000 |
| 109.879 | 109.879 | 123.358 | -0.000 | -0.000 | 0.000 |
| 0.000 | -0.000 | 0.000 | 71.658 | -0.000 | -0.000 |
| -0.000 | -0.000 | 0.000 | -0.000 | 71.658 | -0.000 |
| -0.000 | -0.000 | 0.000 | -0.000 | -0.000 | 71.658 |
| 123.358 | 109.879 | 109.879 | -0.000 | 0.000 | 0.000 |
| 109.879 | 123.358 | 109.879 | -0.000 | 0.000 | 0.000 |
| 109.879 | 109.879 | 123.358 | 0.000 | 0.000 | -0.000 |
| -0.000 | 0.000 | -0.000 | 71.658 | 0.000 | 0.000 |
| -0.000 | 0.000 | 0.000 | 0.000 | 71.658 | 0.000 |
| 0.000 | 0.000 | -0.000 | -0.000 | 0.000 | 71.658 |
| 123.358 | 109.879 | 109.879 | -0.000 | -0.000 | 0.000 |
| 109.879 | 123.358 | 109.879 | 0.000 | -0.000 | -0.000 |
| 109.879 | 109.879 | 123.358 | -0.000 | -0.000 | -0.000 |
| 0.000 | -0.000 | -0.000 | 71.658 | -0.000 | -0.000 |
| -0.000 | 0.000 | -0.000 | -0.000 | 71.658 | -0.000 |
| -0.000 | -0.000 | 0.000 | -0.000 | -0.000 | 71.658 |
| 123.358 | 109.879 | 109.879 | 0.000 | 0.000 | -0.000 |
| 109.879 | 123.358 | 109.879 | 0.000 | 0.000 | 0.000 |
| 109.879 | 109.879 | 123.358 | 0.000 | 0.000 | 0.000 |
| -0.000 | 0.000 | 0.000 | 71.658 | 0.000 | 0.000 |
| 0.000 | -0.000 | 0.000 | 0.000 | 71.658 | 0.000 |
| 0.000 | 0.000 | -0.000 | 0.000 | 0.000 | 71.658 |
| 123.358 | 109.879 | 109.879 | -0.000 | -0.000 | 0.000 |
| 109.879 | 123.358 | 109.879 | -0.000 | -0.000 | 0.000 |
| 109.879 | 109.879 | 123.358 | 0.000 | -0.000 | -0.000 |
| 0.000 | -0.000 | -0.000 | 71.658 | -0.000 | -0.000 |
| -0.000 | 0.000 | -0.000 | 0.000 | 71.658 | -0.000 |
| -0.000 | -0.000 | 0.000 | 0.000 | -0.000 | 71.658 |
| 123.358 | 109.878 | 109.878 | 0.000 | 0.000 | -0.000 |
| 109.878 | 123.358 | 109.878 | 0.000 | 0.000 | 0.000 |
| 109.878 | 109.878 | 123.358 | 0.000 | 0.000 | 0.000 |
| -0.000 | 0.000 | 0.000 | 71.658 | 0.000 | 0.000 |
| 0.000 | -0.000 | 0.000 | -0.000 | 71.658 | 0.000 |
| 0.000 | 0.000 | -0.000 | -0.000 | 0.000 | 71.658 |
| 29.884 | 42.933 | 42.933 | -0.000 | -0.000 | -0.000 |
| 42.933 | 29.884 | 42.933 | -0.000 | -0.000 | -0.000 |
| 42.933 | 42.933 | 29.884 | -0.000 | -0.000 | -0.000 |
| 0.000 | 0.000 | 0.000 | 39.386 | 0.000 | 0.000 |
| 0.000 | 0.000 | 0.000 | 0.000 | 39.386 | 0.000 |
| -0.000 | 0.000 | 0.000 | 0.000 | 0.000 | 39.386 |
| 29.884 | 42.933 | 42.933 | 0.000 | 0.000 | 0.000 |
| 42.933 | 29.884 | 42.933 | 0.000 | 0.000 | 0.000 |
| 42.933 | 42.933 | 29.884 | 0.000 | 0.000 | 0.000 |
| 0.000 | -0.000 | -0.000 | 39.386 | -0.000 | -0.000 |
| -0.000 | -0.000 | -0.000 | -0.000 | 39.386 | -0.000 |
| -0.000 | -0.000 | -0.000 | -0.000 | -0.000 | 39.386 |
| 29.884 | 42.933 | 42.933 | -0.000 | -0.000 | -0.000 |
| 42.933 | 29.884 | 42.933 | -0.000 | -0.000 | -0.000 |
| 42.933 | 42.933 | 29.884 | -0.000 | -0.000 | -0.000 |
| -0.000 | -0.000 | -0.000 | -17.665 | -0.000 | -0.000 |
| -0.000 | -0.000 | -0.000 | -0.000 | -17.665 | -0.000 |
| -0.000 | -0.000 | -0.000 | -0.000 | -0.000 | -17.665 |
| 29.884 | 42.933 | 42.933 | 0.000 | 0.000 | 0.000 |
| 42.933 | 29.884 | 42.933 | 0.000 | 0.000 | 0.000 |
| 42.933 | 42.933 | 29.884 | 0.000 | 0.000 | 0.000 |
| 0.000 | 0.000 | 0.000 | -17.665 | 0.000 | 0.000 |
| 0.000 | 0.000 | 0.000 | 0.000 | -17.665 | 0.000 |
| 0.000 | 0.000 | 0.000 | 0.000 | 0.000 | -17.665 |
| 29.885 | 42.934 | 42.934 | -0.000 | -0.000 | -0.000 |
| 42.934 | 29.885 | 42.934 | -0.000 | -0.000 | -0.000 |
| 42.934 | 42.934 | 29.885 | -0.000 | -0.000 | -0.000 |
| -0.000 | -0.000 | -0.000 | -17.665 | -0.000 | -0.000 |
| -0.000 | -0.000 | -0.000 | -0.000 | -17.665 | -0.000 |
| -0.000 | -0.000 | -0.000 | -0.000 | -0.000 | -17.665 |
| 29.883 | 42.933 | 42.933 | 0.000 | 0.000 | 0.000 |
| 42.933 | 29.883 | 42.933 | 0.000 | 0.000 | 0.000 |
| 42.933 | 42.933 | 29.883 | 0.000 | 0.000 | -0.000 |
| 0.000 | 0.000 | 0.000 | -17.665 | 0.000 | 0.000 |
| 0.000 | 0.000 | 0.000 | 0.000 | -17.665 | 0.000 |
| 0.000 | 0.000 | 0.000 | 0.000 | 0.000 | -17.665 |
| -81.876 | -5.388 | -5.388 | 0.000 | -0.000 | -0.000 |
| -5.388 | -81.876 | -5.388 | 0.000 | -0.000 | -0.000 |
| -5.388 | -5.388 | -81.876 | 0.000 | 0.000 | -0.000 |
| 0.000 | 0.000 | -0.000 | -47.620 | -0.000 | -0.000 |
| 0.000 | 0.000 | -0.000 | 0.000 | -47.620 | -0.000 |
| 0.000 | 0.000 | -0.000 | 0.000 | -0.000 | -47.620 |
| -81.876 | -5.388 | -5.387 | 0.000 | 0.000 | 0.000 |
| -5.388 | -81.876 | -5.387 | -0.000 | 0.000 | 0.000 |
| -5.388 | -5.388 | -81.876 | -0.000 | 0.000 | 0.000 |
| -0.000 | -0.000 | 0.000 | -47.620 | 0.000 | 0.000 |
| -0.000 | -0.000 | 0.000 | -0.000 | -47.620 | 0.000 |
| -0.000 | -0.000 | 0.000 | -0.000 | 0.000 | -47.620 |
| -81.876 | -5.387 | -5.387 | -0.000 | -0.000 | -0.000 |
| -5.387 | -81.876 | -5.387 | 0.000 | -0.000 | -0.000 |
| -5.387 | -5.387 | -81.876 | 0.000 | -0.000 | -0.000 |
| 0.000 | 0.000 | 0.000 | -47.620 | -0.000 | -0.000 |
| 0.000 | 0.000 | 0.000 | -0.000 | -47.620 | -0.000 |
| 0.000 | 0.000 | 0.000 | 0.000 | -0.000 | -47.620 |
| -81.877 | -5.388 | -5.388 | -0.000 | 0.000 | 0.000 |
| -5.388 | -81.877 | -5.388 | -0.000 | 0.000 | 0.000 |
| -5.388 | -5.388 | -81.877 | -0.000 | 0.000 | 0.000 |
| -0.000 | -0.000 | -0.000 | -47.620 | 0.000 | 0.000 |
| -0.000 | -0.000 | -0.000 | -0.000 | -47.620 | 0.000 |
| -0.000 | -0.000 | -0.000 | -0.000 | 0.000 | -47.620 |
| -81.873 | -5.386 | -5.386 | 0.000 | -0.000 | -0.000 |
| -5.386 | -81.873 | -5.386 | 0.000 | -0.000 | -0.000 |
| -5.386 | -5.386 | -81.873 | 0.000 | -0.000 | -0.000 |
| 0.001 | 0.002 | 0.002 | -46.657 | -0.000 | -0.000 |
| 0.002 | 0.001 | 0.002 | 0.000 | -46.657 | -0.000 |
| 0.002 | 0.002 | 0.001 | 0.000 | -0.000 | -46.657 |
| -81.880 | -5.389 | -5.389 | -0.000 | 0.000 | 0.000 |
| -5.389 | -81.880 | -5.389 | -0.000 | 0.000 | 0.000 |
| -5.389 | -5.389 | -81.880 | -0.000 | 0.000 | 0.000 |
| -0.001 | -0.002 | -0.002 | -46.657 | 0.000 | 0.000 |
| -0.002 | -0.001 | -0.002 | -0.000 | -46.657 | 0.000 |
| -0.002 | -0.002 | -0.001 | -0.000 | 0.000 | -46.657 |
| 112.904 | 101.699 | 101.699 | 0.000 | 0.000 | -0.000 |
| 101.699 | 112.904 | 101.699 | -0.000 | 0.000 | 0.000 |
| 101.699 | 101.699 | 112.904 | 0.000 | 0.000 | 0.000 |
| -0.000 | -0.000 | -0.000 | 55.776 | -0.000 | -0.000 |
| -0.000 | -0.000 | -0.000 | -0.000 | 55.776 | -0.000 |
| -0.000 | -0.000 | -0.000 | -0.000 | 0.000 | 55.776 |
| 112.905 | 101.699 | 101.699 | 0.000 | 0.000 | 0.000 |
| 101.699 | 112.905 | 101.699 | 0.000 | -0.000 | 0.000 |
| 101.699 | 101.699 | 112.905 | 0.000 | -0.000 | 0.000 |
| 0.000 | 0.000 | 0.000 | 55.776 | 0.000 | 0.000 |
| 0.000 | -0.000 | 0.000 | 0.000 | 55.776 | 0.000 |
| 0.000 | 0.000 | 0.000 | 0.000 | -0.000 | 55.776 |
| 112.904 | 101.698 | 101.698 | -0.000 | 0.000 | -0.000 |
| 101.698 | 112.904 | 101.698 | 0.000 | -0.000 | 0.000 |
| 101.698 | 101.698 | 112.904 | -0.000 | -0.000 | -0.000 |
| -0.000 | -0.000 | -0.000 | 62.804 | 0.000 | -0.000 |
| -0.000 | -0.000 | -0.000 | -0.000 | 62.804 | -0.000 |
| -0.000 | -0.000 | -0.000 | -0.000 | 0.000 | 62.804 |
| 112.905 | 101.699 | 101.699 | 0.000 | 0.000 | 0.000 |
| 101.699 | 112.905 | 101.699 | -0.000 | -0.000 | 0.000 |
| 101.699 | 101.699 | 112.905 | 0.000 | -0.000 | -0.000 |
| 0.000 | 0.000 | 0.000 | 62.804 | -0.000 | 0.000 |
| 0.000 | 0.000 | 0.000 | 0.000 | 62.804 | 0.000 |
| 0.000 | 0.000 | 0.000 | 0.000 | -0.000 | 62.804 |
| 112.901 | 101.697 | 101.697 | -0.000 | 0.000 | -0.000 |
| 101.697 | 112.901 | 101.697 | -0.000 | -0.000 | -0.000 |
| 101.697 | 101.697 | 112.901 | -0.000 | 0.000 | -0.000 |
| -0.000 | -0.002 | -0.002 | 62.804 | 0.000 | -0.000 |
| -0.002 | -0.000 | -0.002 | -0.000 | 62.804 | -0.000 |
| -0.002 | -0.002 | -0.000 | 0.000 | 0.000 | 62.804 |
| 112.908 | 101.700 | 101.700 | -0.000 | -0.000 | -0.000 |
| 101.700 | 112.908 | 101.700 | 0.000 | -0.000 | -0.000 |
| 101.700 | 101.700 | 112.908 | 0.000 | -0.000 | 0.000 |
| 0.000 | 0.002 | 0.002 | 62.804 | -0.000 | 0.000 |
| 0.002 | 0.000 | 0.002 | 0.000 | 62.804 | 0.000 |
| 0.002 | 0.002 | 0.000 | 0.000 | -0.000 | 62.804 |
| 457.013 | 91.314 | 207.126 | -0.000 | 0.000 | -0.000 |
| 91.314 | 457.013 | 207.126 | 0.000 | 0.000 | -0.000 |
| 207.126 | 207.126 | 294.369 | -0.000 | 0.000 | -0.000 |
| 0.000 | 0.000 | 0.000 | 143.275 | 0.000 | -0.000 |
| 0.000 | 0.000 | 0.000 | -0.000 | 143.275 | -0.000 |
| 0.000 | 0.000 | -0.000 | 0.000 | 0.000 | 56.685 |
| 432.083 | 116.244 | 207.126 | 0.000 | -0.000 | -0.000 |
| 116.244 | 432.083 | 207.126 | -0.000 | -0.000 | -0.000 |
| 207.126 | 207.126 | 294.369 | 0.000 | -0.000 | 0.000 |
| -0.000 | -0.000 | -0.000 | 143.275 | 0.000 | 0.000 |
| -0.000 | -0.000 | -0.000 | 0.000 | 143.275 | 0.000 |
| -0.000 | -0.000 | 0.000 | -0.000 | -0.000 | 56.685 |
| 432.083 | 116.244 | 207.126 | -0.000 | 0.000 | -0.000 |
| 116.244 | 432.083 | 207.126 | -0.000 | 0.000 | -0.000 |
| 207.126 | 207.126 | 294.369 | -0.000 | 0.000 | -0.000 |
| -0.000 | 0.000 | 0.000 | 164.188 | 0.000 | -0.000 |
| 0.000 | -0.000 | 0.000 | 0.000 | 164.188 | -0.000 |
| 0.000 | 0.000 | -0.000 | -0.000 | 0.000 | 56.685 |
| 432.083 | 116.244 | 207.125 | -0.000 | -0.000 | -0.000 |
| 116.244 | 432.083 | 207.125 | -0.000 | -0.000 | 0.000 |
| 207.125 | 207.125 | 294.369 | 0.000 | -0.000 | 0.000 |
| 0.000 | -0.000 | -0.000 | 164.188 | -0.000 | 0.000 |
| -0.000 | 0.000 | -0.000 | 0.000 | 164.188 | 0.000 |
| -0.000 | -0.000 | 0.000 | 0.000 | -0.000 | 56.685 |
| 432.085 | 116.245 | 207.127 | -0.000 | 0.000 | -0.000 |
| 116.245 | 432.085 | 207.127 | -0.000 | 0.000 | -0.000 |
| 207.126 | 207.126 | 294.369 | -0.000 | 0.000 | -0.000 |
| -0.000 | 0.000 | 0.000 | 143.275 | 0.000 | -0.000 |
| 0.000 | -0.000 | 0.000 | -0.000 | 143.275 | -0.000 |
| 0.000 | 0.000 | -0.000 | 0.000 | 0.000 | 56.685 |
| 432.082 | 116.244 | 207.125 | -0.000 | -0.000 | 0.000 |
| 116.244 | 432.082 | 207.125 | 0.000 | -0.000 | -0.000 |
| 207.125 | 207.125 | 294.369 | -0.000 | -0.000 | 0.000 |
| 0.000 | -0.000 | -0.000 | 143.275 | -0.000 | 0.000 |
| -0.000 | 0.000 | -0.000 | 0.000 | 143.275 | 0.000 |
| -0.000 | -0.000 | 0.000 | 0.000 | -0.000 | 56.685 |
| 570.927 | 21.648 | 21.648 | -0.000 | 0.000 | -0.000 |
| 21.648 | 570.927 | 21.648 | -0.000 | 0.000 | 0.000 |
| 21.648 | 21.648 | 570.927 | 0.000 | -0.000 | 0.000 |
| 0.000 | -0.000 | 0.000 | 19.970 | -0.000 | 0.000 |
| 0.000 | -0.000 | 0.000 | 0.000 | 19.970 | 0.000 |
| -0.000 | -0.000 | 0.000 | -0.000 | 0.000 | 19.970 |
| 570.972 | 21.626 | 21.626 | 0.000 | -0.000 | -0.000 |
| 21.626 | 570.972 | 21.626 | 0.000 | -0.000 | 0.000 |
| 21.626 | 21.626 | 570.972 | -0.000 | 0.000 | 0.000 |
| -0.000 | -0.000 | 0.000 | 19.970 | 0.000 | -0.000 |
| -0.000 | 0.000 | -0.000 | 0.000 | 19.970 | -0.000 |
| 0.000 | 0.000 | -0.000 | -0.000 | -0.000 | 19.970 |
| 570.973 | 21.626 | 21.626 | 0.000 | -0.000 | 0.000 |
| 21.626 | 570.973 | 21.626 | 0.000 | 0.000 | 0.000 |
| 21.626 | 21.626 | 570.973 | -0.000 | 0.000 | -0.000 |
| -0.000 | -0.000 | -0.000 | 19.970 | -0.000 | 0.000 |
| -0.000 | -0.000 | -0.000 | -0.000 | 19.970 | 0.000 |
| -0.000 | -0.000 | -0.000 | -0.000 | -0.000 | 19.970 |
| 570.972 | 21.626 | 21.626 | -0.000 | -0.000 | 0.000 |
| 21.626 | 570.972 | 21.626 | -0.000 | -0.000 | -0.000 |
| 21.626 | 21.626 | 570.972 | 0.000 | -0.000 | -0.000 |
| 0.000 | 0.000 | 0.000 | 19.970 | 0.000 | 0.000 |
| 0.000 | 0.000 | 0.000 | 0.000 | 19.970 | -0.000 |
| 0.000 | 0.000 | 0.000 | 0.000 | -0.000 | 19.970 |
| 570.976 | 21.626 | 21.626 | 0.000 | 0.000 | 0.000 |
| 21.626 | 570.976 | 21.626 | 0.000 | -0.000 | 0.000 |
| 21.626 | 21.626 | 570.976 | -0.000 | -0.000 | 0.000 |
| -0.000 | -0.000 | -0.000 | 23.447 | 0.000 | -0.000 |
| -0.000 | -0.000 | -0.000 | -0.000 | 23.447 | -0.000 |
| -0.000 | -0.000 | -0.000 | 0.000 | 0.000 | 23.447 |
| 570.969 | 21.626 | 21.626 | -0.000 | -0.000 | -0.000 |
| 21.626 | 570.969 | 21.626 | -0.000 | -0.000 | -0.000 |
| 21.626 | 21.626 | 570.969 | -0.000 | -0.000 | 0.000 |
| 0.000 | 0.000 | 0.000 | 23.447 | -0.000 | 0.000 |
| 0.000 | 0.000 | 0.000 | 0.000 | 23.447 | -0.000 |
| 0.000 | 0.000 | 0.000 | -0.000 | -0.000 | 23.447 |
| 2.260 | -0.000 | -0.000 | 0.000 | 0.000 | -0.000 |
| -0.000 | 2.260 | -0.000 | 0.000 | 0.000 | 0.000 |
| 0.000 | 0.000 | 2.260 | -0.000 | -0.000 | 0.000 |
| -0.000 | -0.000 | -0.000 | 0.000 | 0.000 | -0.000 |
| -0.000 | -0.000 | -0.000 | 0.000 | 0.000 | -0.000 |
| -0.000 | -0.000 | -0.000 | 0.000 | -0.000 | 0.000 |
| 2.260 | 0.000 | 0.000 | -0.000 | 0.000 | 0.000 |
| 0.000 | 2.260 | 0.000 | 0.000 | -0.000 | -0.000 |
| 0.000 | 0.000 | 2.260 | -0.000 | -0.000 | 0.000 |
| 0.000 | 0.000 | 0.000 | 0.000 | -0.000 | 0.000 |
| 0.000 | 0.000 | 0.000 | -0.000 | 0.000 | 0.000 |
| 0.000 | 0.000 | 0.000 | -0.000 | -0.000 | 0.000 |
| 2.260 | -0.000 | -0.000 | 0.000 | 0.000 | -0.000 |
| -0.000 | 2.260 | -0.000 | -0.000 | 0.000 | 0.000 |
| -0.000 | -0.000 | 2.260 | 0.000 | -0.000 | -0.000 |
| -0.000 | -0.000 | -0.000 | 0.000 | 0.000 | -0.000 |
| -0.000 | 0.000 | -0.000 | 0.000 | 0.000 | -0.000 |
| -0.000 | -0.000 | -0.000 | 0.000 | 0.000 | 0.000 |
| 2.260 | 0.000 | 0.000 | -0.000 | 0.000 | -0.000 |
| 0.000 | 2.260 | 0.000 | -0.000 | -0.000 | 0.000 |
| -0.000 | -0.000 | 2.260 | -0.000 | -0.000 | -0.000 |
| 0.000 | 0.000 | 0.000 | 0.000 | -0.000 | 0.000 |
| 0.000 | -0.000 | 0.000 | -0.000 | 0.000 | 0.000 |
| 0.000 | 0.000 | 0.000 | -0.000 | 0.000 | 0.000 |
| 2.260 | -0.000 | -0.000 | 0.000 | 0.000 | -0.000 |
| -0.000 | 2.260 | -0.000 | 0.000 | 0.000 | -0.000 |
| 0.000 | 0.000 | 2.260 | -0.000 | -0.000 | 0.000 |
| -0.000 | -0.000 | -0.000 | 0.000 | 0.000 | -0.000 |
| -0.000 | 0.000 | -0.000 | -0.000 | 0.000 | -0.000 |
| -0.000 | -0.000 | -0.000 | 0.000 | -0.000 | 0.000 |
| 2.261 | 0.000 | 0.000 | -0.000 | -0.000 | 0.000 |
| 0.000 | 2.261 | 0.000 | -0.000 | -0.000 | -0.000 |
| 0.000 | 0.000 | 2.261 | -0.000 | -0.000 | 0.000 |
| -0.000 | 0.000 | 0.000 | 0.000 | -0.000 | 0.000 |
| 0.000 | -0.000 | 0.000 | 0.000 | 0.000 | 0.000 |
| 0.000 | 0.000 | 0.000 | -0.000 | 0.000 | 0.000 |
| 165.787 | 171.973 | 171.973 | -0.000 | -0.000 | 0.000 |
| 171.973 | 165.787 | 171.973 | -0.000 | -0.000 | 0.000 |
| 171.973 | 171.973 | 165.787 | -0.000 | -0.000 | 0.000 |
| 0.000 | -0.000 | -0.000 | 169.302 | -0.000 | 0.000 |
| 0.000 | -0.000 | -0.000 | -0.000 | 169.302 | 0.000 |
| 0.000 | -0.000 | -0.000 | 0.000 | -0.000 | 169.302 |
| 165.787 | 171.973 | 171.973 | 0.000 | 0.000 | -0.000 |
| 171.973 | 165.787 | 171.973 | 0.000 | 0.000 | -0.000 |
| 171.973 | 171.973 | 165.787 | 0.000 | 0.000 | -0.000 |
| -0.000 | 0.000 | 0.000 | 169.302 | 0.000 | -0.000 |
| -0.000 | 0.000 | 0.000 | 0.000 | 169.302 | -0.000 |
| -0.000 | 0.000 | 0.000 | 0.000 | 0.000 | 169.302 |
| 165.787 | 171.973 | 171.973 | -0.000 | -0.000 | 0.000 |
| 171.973 | 165.787 | 171.973 | -0.000 | -0.000 | 0.000 |
| 171.973 | 171.973 | 165.787 | -0.000 | -0.000 | 0.000 |
| 0.000 | -0.000 | 0.000 | 169.302 | -0.000 | 0.000 |
| -0.000 | 0.000 | 0.000 | 0.000 | 169.302 | 0.000 |
| -0.000 | 0.000 | 0.000 | -0.000 | -0.000 | 169.302 |
| 165.787 | 171.973 | 171.973 | 0.000 | 0.000 | -0.000 |
| 171.973 | 165.787 | 171.973 | 0.000 | 0.000 | -0.000 |
| 171.973 | 171.973 | 165.787 | 0.000 | 0.000 | -0.000 |
| -0.000 | 0.000 | -0.000 | 169.302 | 0.000 | -0.000 |
| 0.000 | -0.000 | -0.000 | 0.000 | 169.302 | -0.000 |
| 0.000 | -0.000 | -0.000 | 0.000 | 0.000 | 169.302 |
| 165.788 | 171.974 | 171.974 | -0.000 | -0.000 | -0.000 |
| 171.974 | 165.788 | 171.974 | -0.000 | -0.000 | 0.000 |
| 171.974 | 171.974 | 165.788 | -0.000 | -0.000 | -0.000 |
| 0.000 | -0.000 | 0.000 | 169.302 | -0.000 | 0.000 |
| -0.000 | 0.000 | 0.000 | 0.000 | 169.302 | 0.000 |
| -0.000 | 0.000 | 0.000 | 0.000 | -0.000 | 169.302 |
| 165.787 | 171.973 | 171.973 | 0.000 | 0.000 | -0.000 |
| 171.973 | 165.787 | 171.973 | 0.000 | 0.000 | -0.000 |
| 171.973 | 171.973 | 165.787 | 0.000 | 0.000 | 0.000 |
| -0.000 | 0.000 | -0.000 | 169.302 | 0.000 | -0.000 |
| 0.000 | -0.000 | -0.000 | 0.000 | 169.302 | -0.000 |
| 0.000 | -0.000 | -0.000 | 0.000 | 0.000 | 169.302 |
| 313.257 | 140.124 | 140.124 | -0.000 | 0.000 | 0.000 |
| 140.124 | 313.257 | 140.124 | 0.000 | 0.000 | 0.000 |
| 140.124 | 140.124 | 313.257 | 0.000 | -0.000 | 0.000 |
| 0.000 | 0.000 | 0.000 | 255.799 | 0.000 | -0.000 |
| 0.000 | 0.000 | 0.000 | -0.000 | 255.799 | 0.000 |
| 0.000 | 0.000 | 0.000 | -0.000 | -0.000 | 255.799 |
| 313.257 | 140.124 | 140.124 | -0.000 | 0.000 | -0.000 |
| 140.124 | 313.257 | 140.124 | -0.000 | 0.000 | -0.000 |
| 140.124 | 140.124 | 313.257 | -0.000 | -0.000 | 0.000 |
| -0.000 | -0.000 | -0.000 | 255.799 | -0.000 | -0.000 |
| -0.000 | -0.000 | -0.000 | 0.000 | 255.799 | -0.000 |
| -0.000 | -0.000 | -0.000 | -0.000 | 0.000 | 255.799 |
| 313.258 | 140.124 | 140.124 | 0.000 | 0.000 | 0.000 |
| 140.124 | 313.258 | 140.124 | 0.000 | 0.000 | -0.000 |
| 140.124 | 140.124 | 313.258 | -0.000 | -0.000 | -0.000 |
| -0.000 | 0.000 | 0.000 | 255.799 | 0.000 | 0.000 |
| 0.000 | -0.000 | 0.000 | 0.000 | 255.799 | 0.000 |
| 0.000 | 0.000 | -0.000 | 0.000 | -0.000 | 255.799 |
| 313.257 | 140.124 | 140.124 | 0.000 | 0.000 | -0.000 |
| 140.124 | 313.257 | 140.124 | 0.000 | -0.000 | 0.000 |
| 140.124 | 140.124 | 313.257 | 0.000 | -0.000 | -0.000 |
| 0.000 | -0.000 | -0.000 | 255.799 | -0.000 | -0.000 |
| -0.000 | 0.000 | -0.000 | -0.000 | 255.799 | 0.000 |
| -0.000 | -0.000 | 0.000 | -0.000 | -0.000 | 255.799 |
| 313.261 | 140.125 | 140.125 | -0.000 | -0.000 | -0.000 |
| 140.125 | 313.261 | 140.125 | -0.000 | -0.000 | -0.000 |
| 140.125 | 140.125 | 313.261 | 0.000 | 0.000 | -0.000 |
| -0.000 | 0.001 | 0.001 | 255.799 | 0.000 | 0.000 |
| 0.001 | -0.000 | 0.001 | -0.000 | 255.799 | 0.000 |
| 0.001 | 0.001 | -0.000 | 0.000 | -0.000 | 255.799 |
| 313.253 | 140.123 | 140.123 | -0.000 | -0.000 | 0.000 |
| 140.123 | 313.253 | 140.123 | -0.000 | 0.000 | -0.000 |
| 140.123 | 140.123 | 313.253 | 0.000 | 0.000 | -0.000 |
| 0.000 | -0.001 | -0.001 | 255.799 | -0.000 | 0.000 |
| -0.001 | 0.000 | -0.001 | -0.000 | 255.799 | -0.000 |
| -0.001 | -0.001 | 0.000 | -0.000 | -0.000 | 255.799 |
| 378.155 | 75.030 | 20.857 | 0.000 | 0.000 | 0.000 |
| 75.030 | 378.155 | 20.857 | 0.000 | 0.000 | 0.000 |
| 20.857 | 20.857 | 404.935 | 0.000 | -0.000 | 0.000 |
| -0.000 | 0.000 | 0.000 | 90.792 | 0.000 | -0.000 |
| -0.000 | 0.000 | 0.000 | 0.000 | 90.792 | 0.000 |
| -0.000 | 0.000 | -0.000 | 0.000 | 0.000 | 151.563 |
| 378.155 | 75.030 | 20.857 | -0.000 | -0.000 | -0.000 |
| -2595.979 | -2310.266 | 2834.622 | -0.000 | -0.000 | -0.000 |
| -2650.768 | -2650.768 | 3210.205 | -0.000 | -0.000 | -0.000 |
| -0.000 | 0.000 | -0.000 | 90.792 | -0.000 | 0.000 |
| -0.000 | -0.000 | -0.000 | -0.000 | 90.792 | -0.000 |
| -0.000 | -0.000 | 0.000 | -0.000 | -0.000 | 151.563 |
| 633.469 | 347.769 | -256.377 | 0.000 | 0.000 | -0.000 |
| 347.633 | 633.342 | -256.238 | 0.000 | 0.000 | -0.000 |
| 20.857 | 20.857 | 404.935 | 0.000 | 0.000 | 0.000 |
| 0.000 | 0.000 | 0.000 | 90.792 | 0.000 | -0.000 |
| 0.000 | 0.000 | 0.000 | 0.000 | 90.792 | -0.000 |
| 267.656 | 267.656 | -281.045 | 0.000 | 0.000 | 142.855 |
| 97.886 | -187.814 | 305.998 | -0.000 | -0.000 | 0.000 |
| 75.029 | 378.154 | 20.857 | -0.000 | -0.000 | 0.000 |
| 20.857 | 20.857 | 404.935 | -0.000 | -0.000 | -0.000 |
| -0.000 | -0.000 | -0.000 | 90.792 | -0.000 | -0.000 |
| -0.000 | -0.000 | -0.000 | -0.000 | 90.792 | -0.000 |
| -267.656 | -267.656 | 281.045 | -0.000 | -0.000 | 142.855 |
| 378.160 | 75.030 | 20.857 | 0.000 | 0.000 | -0.000 |
| 146.536 | 352.643 | -3.287 | 0.000 | 0.000 | 0.000 |
| 51.564 | 51.564 | 372.694 | 0.000 | 0.000 | 0.000 |
| 26.993 | 26.993 | -28.342 | 88.584 | 0.000 | 0.000 |
| 0.000 | 0.000 | 0.000 | 0.000 | 90.792 | 0.000 |
| 27.733 | 27.734 | -29.120 | 0.000 | -0.000 | 142.540 |
| 337.805 | 52.592 | 53.818 | -0.000 | 0.000 | 0.000 |
| 92.916 | 299.238 | 52.896 | -0.000 | -0.000 | 0.000 |
| -1.958 | -1.958 | 428.889 | -0.000 | -0.000 | -0.000 |
| -26.993 | -26.993 | 28.342 | 88.584 | -0.000 | -0.000 |
| -0.000 | -0.000 | -0.000 | -0.000 | 90.792 | 0.000 |
| -27.733 | -27.734 | 29.120 | -0.000 | 0.000 | 142.540 |
| 375.285 | 76.986 | 17.817 | 0.000 | 0.000 | -0.000 |
| 229.806 | 434.851 | -95.779 | 0.000 | 0.000 | -0.000 |
| 19.475 | 19.475 | 395.667 | 0.000 | 0.000 | -0.000 |
| 0.000 | -0.000 | 0.000 | 87.073 | 0.000 | -0.000 |
| 0.000 | -0.000 | 0.000 | 0.000 | 87.073 | -0.000 |
| 0.000 | 0.000 | -0.000 | 0.000 | 0.000 | 149.149 |
| 375.285 | 76.986 | 17.817 | -0.000 | -0.000 | 0.000 |
| 76.986 | 375.285 | 17.817 | -0.000 | -0.000 | 0.000 |
| 19.475 | 19.475 | 395.667 | -0.000 | -0.000 | 0.000 |
| -0.000 | -0.000 | -0.000 | 87.073 | -0.000 | 0.000 |
| -0.000 | 0.000 | -0.000 | -0.000 | 87.073 | 0.000 |
| -0.000 | -0.000 | 0.000 | -0.000 | -0.000 | 149.149 |
| 375.285 | 76.986 | 17.817 | 0.000 | 0.000 | -0.000 |
| 76.986 | 375.285 | 17.817 | 0.000 | 0.000 | -0.000 |
| 34.225 | 34.225 | 379.889 | 0.000 | 0.000 | -0.000 |
| 0.000 | 0.000 | 0.000 | 87.073 | 0.000 | -0.000 |
| 11.501 | 11.501 | -12.303 | 0.000 | 84.845 | -0.000 |
| 12.979 | 12.979 | -13.884 | 0.000 | 0.000 | 139.592 |
| 375.284 | 76.986 | 17.817 | -0.000 | -0.000 | 0.000 |
| 76.986 | 375.284 | 17.817 | -0.000 | -0.000 | 0.000 |
| 12.279 | 12.279 | 403.365 | -0.000 | -0.000 | 0.000 |
| -0.000 | -0.000 | -0.000 | 87.073 | -0.000 | 0.000 |
| -11.501 | -11.501 | 12.303 | -0.000 | 84.845 | 0.000 |
| -12.979 | -12.979 | 13.884 | -0.000 | -0.000 | 139.592 |
| 326.509 | 121.479 | 20.110 | 0.000 | 0.000 | -0.000 |
| 76.987 | 375.288 | 17.817 | 0.000 | 0.000 | -0.000 |
| 24.349 | 24.349 | 390.455 | 0.000 | 0.000 | -0.000 |
| 0.000 | 0.000 | 0.001 | 87.073 | 0.000 | -0.000 |
| 3.368 | 3.368 | -3.602 | 0.000 | 80.548 | -0.000 |
| 4.861 | 4.862 | -5.200 | 0.000 | 0.000 | 113.356 |
| 351.708 | 83.389 | 27.000 | -0.000 | -0.000 | 0.000 |
| 76.985 | 375.281 | 17.817 | -0.000 | -0.000 | 0.000 |
| 22.154 | 22.154 | 392.799 | -0.000 | -0.000 | 0.000 |
| -0.000 | -0.000 | -0.001 | 87.073 | -0.000 | 0.000 |
| -3.368 | -3.368 | 3.602 | -0.000 | 80.548 | 0.000 |
| -4.861 | -4.862 | 5.200 | -0.000 | -0.000 | 113.356 |
| 356.847 | 131.884 | 125.358 | -0.000 | 0.000 | 0.000 |
| 131.884 | 356.847 | 125.358 | -0.000 | -0.000 | 0.000 |
| 125.358 | 125.358 | 315.247 | -0.000 | -0.000 | 0.000 |
| -0.000 | 0.000 | 0.000 | 244.350 | -0.000 | 0.000 |
| 0.000 | 0.000 | 0.000 | -0.000 | 244.350 | 0.000 |
| 0.000 | 0.000 | -0.000 | -0.000 | -0.000 | 261.688 |
| 344.718 | 144.013 | 125.358 | -0.000 | 0.000 | -0.000 |
| 144.013 | 344.718 | 125.358 | -0.000 | 0.000 | -0.000 |
| 125.358 | 125.358 | 315.246 | 0.000 | 0.000 | -0.000 |
| -0.000 | -0.000 | -0.000 | 244.350 | -0.000 | -0.000 |
| -0.000 | -0.000 | -0.000 | 0.000 | 244.350 | -0.000 |
| -0.000 | -0.000 | 0.000 | 0.000 | 0.000 | 261.688 |
| 344.718 | 144.014 | 125.358 | 0.000 | 0.000 | 0.000 |
| 144.014 | 344.718 | 125.358 | 0.000 | 0.000 | 0.000 |
| 125.358 | 125.358 | 315.247 | -0.000 | -0.000 | 0.000 |
| -0.000 | 0.000 | 0.000 | 250.103 | 0.000 | 0.000 |
| 0.000 | -0.000 | 0.000 | -0.000 | 250.103 | 0.000 |
| 0.000 | 0.000 | -0.000 | -0.000 | -0.000 | 261.688 |
| 356.847 | 131.884 | 125.358 | -0.000 | -0.000 | -0.000 |
| 131.884 | 356.847 | 125.358 | -0.000 | 0.000 | -0.000 |
| 125.358 | 125.358 | 315.246 | 0.000 | 0.000 | -0.000 |
| 0.000 | -0.000 | -0.000 | 250.103 | 0.000 | -0.000 |
| -0.000 | 0.000 | -0.000 | 0.000 | 250.103 | -0.000 |
| -0.000 | -0.000 | 0.000 | 0.000 | 0.000 | 261.688 |
| 344.721 | 144.015 | 125.359 | 0.000 | 0.000 | 0.000 |
| 144.015 | 344.721 | 125.359 | 0.000 | 0.000 | 0.000 |
| 125.359 | 125.359 | 315.250 | -0.000 | -0.000 | 0.000 |
| -0.000 | 0.001 | 0.001 | 244.350 | -0.000 | 0.000 |
| 0.001 | -0.000 | 0.001 | -0.000 | 244.350 | 0.000 |
| 0.001 | 0.001 | -0.000 | -0.000 | 0.000 | 261.688 |
| 356.844 | 131.883 | 125.357 | 0.000 | 0.000 | -0.000 |
| 131.883 | 356.844 | 125.357 | 0.000 | 0.000 | -0.000 |
| 125.357 | 125.357 | 315.243 | 0.000 | 0.000 | -0.000 |
| 0.000 | -0.001 | -0.001 | 244.350 | 0.000 | -0.000 |
| -0.001 | 0.000 | -0.001 | 0.000 | 244.350 | -0.000 |
| -0.001 | -0.001 | 0.000 | -0.000 | 0.000 | 261.688 |
| 329.643 | 121.021 | 21.064 | -0.000 | 0.000 | 0.000 |
| 77.570 | 379.875 | 17.466 | -0.000 | 0.000 | 0.000 |
| 19.040 | 19.040 | 397.640 | -0.000 | 0.000 | 0.000 |
| -0.000 | 0.000 | -0.000 | 87.939 | 0.000 | 0.000 |
| 0.000 | 0.000 | -0.000 | -0.000 | 87.939 | 0.000 |
| 0.000 | 0.000 | -0.000 | -0.000 | 0.000 | 151.153 |
| 379.874 | 77.570 | 17.466 | 0.000 | -0.000 | -0.000 |
| 87.877 | 353.240 | 26.129 | 0.000 | -0.000 | -0.000 |
| 22.857 | 22.857 | 393.590 | 0.000 | -0.000 | -0.000 |
| 0.000 | -0.000 | 0.000 | 87.939 | -0.000 | -0.000 |
| 0.000 | -0.000 | 0.000 | 0.000 | 87.939 | -0.000 |
| -0.000 | -0.000 | 0.000 | 0.000 | -0.000 | 151.152 |
| 353.241 | 87.877 | 26.129 | -0.000 | 0.000 | 0.000 |
| 77.570 | 379.875 | 17.466 | -0.000 | 0.000 | 0.000 |
| 22.857 | 22.857 | 393.590 | -0.000 | 0.000 | 0.000 |
| 0.000 | 0.000 | 0.000 | 87.939 | 0.000 | 0.000 |
| 0.000 | 0.000 | 0.000 | -0.000 | 78.171 | 0.000 |
| 0.000 | 0.000 | 0.000 | -0.000 | 0.000 | 151.152 |
| 379.874 | 77.570 | 17.466 | 0.000 | -0.000 | -0.000 |
| 77.570 | 379.874 | 17.466 | 0.000 | -0.000 | -0.000 |
| 19.040 | 19.040 | 397.639 | 0.000 | -0.000 | -0.000 |
| -0.000 | -0.000 | -0.000 | 87.939 | -0.000 | -0.000 |
| -0.000 | -0.000 | -0.000 | 0.000 | 78.171 | -0.000 |
| -0.000 | -0.000 | -0.000 | 0.000 | -0.000 | 151.152 |
| 353.244 | 87.877 | 26.129 | -0.000 | 0.000 | 0.000 |
| 87.878 | 353.243 | 26.129 | -0.000 | 0.000 | 0.000 |
| 19.040 | 19.040 | 397.641 | -0.000 | 0.000 | 0.000 |
| 0.000 | 0.000 | 0.000 | 87.939 | 0.000 | 0.000 |
| 0.000 | 0.000 | 0.000 | -0.000 | 87.939 | 0.000 |
| 0.000 | 0.001 | 0.000 | -0.000 | 0.000 | 151.152 |
| 329.639 | 121.021 | 21.064 | 0.000 | -0.000 | -0.000 |
| 87.877 | 353.237 | 26.129 | 0.000 | -0.000 | -0.000 |
| 19.040 | 19.040 | 397.638 | 0.000 | -0.000 | -0.000 |
| -0.000 | -0.000 | -0.000 | 87.939 | -0.000 | -0.000 |
| -0.000 | -0.000 | -0.000 | 0.000 | 87.939 | -0.000 |
| -0.000 | -0.001 | -0.000 | 0.000 | -0.000 | 151.152 |
| 1221.992 | 1087.829 | -12493.214 | -66.583 | 0.000 | 0.000 |
| 1086.530 | 1221.241 | -12492.809 | 66.435 | 0.000 | 0.000 |
| 1092.230 | 1092.230 | -12234.119 | 0.000 | 0.000 | -0.000 |
| -2182.702 | -2050.864 | -16080.080 | 81.815 | 0.000 | -0.000 |
| 997.039 | 997.039 | -12588.421 | -0.000 | 80.644 | -66.435 |
| 997.040 | 997.040 | -12588.421 | -0.000 | -66.435 | 67.355 |
| -772.839 | -907.550 | 12684.032 | -66.435 | -0.000 | 0.000 |
| -907.550 | -772.839 | 12684.032 | 66.435 | 0.000 | -0.000 |
| 2213.681 | 2213.681 | 16437.570 | -0.000 | 0.000 | 0.000 |
| -1063.393 | -930.130 | 12590.533 | 80.425 | -0.000 | 0.000 |
| -997.039 | -997.039 | 12588.421 | 0.000 | 80.644 | -66.434 |
| -997.040 | -997.040 | 12588.421 | 0.000 | -66.435 | 67.356 |
| 323.891 | 189.179 | -1163.249 | -66.435 | 0.000 | 0.000 |
| -121.464 | 15.521 | -1509.473 | 65.919 | -0.000 | -0.000 |
| -114.556 | -114.556 | -1248.842 | -0.000 | 0.000 | 0.000 |
| 31.852 | 167.205 | -1260.173 | 79.266 | 0.000 | -0.000 |
| 99.708 | 99.708 | -1258.839 | -0.000 | 80.644 | -66.435 |
| 99.711 | 99.711 | -1258.836 | -0.000 | -66.435 | 67.355 |
| 438.836 | 301.853 | 1706.250 | -65.919 | 0.000 | 0.000 |
| -9.933 | 124.777 | 1356.638 | 66.435 | -0.000 | 0.000 |
| -4.063 | -4.063 | 1615.144 | 0.000 | -0.000 | -0.000 |
| -166.142 | -33.273 | 1258.839 | 80.644 | -0.000 | -0.000 |
| -99.708 | -99.708 | 1258.839 | 0.000 | 80.644 | -66.434 |
| -99.711 | -99.711 | 1258.836 | 0.000 | -66.435 | 67.355 |
| 234.245 | 99.538 | -30.207 | -66.436 | 0.000 | -0.000 |
| 99.537 | 234.243 | -30.209 | 66.436 | 0.000 | -0.000 |
| 75.943 | 75.943 | 198.113 | -0.000 | 0.000 | -0.000 |
| -56.425 | 76.445 | -125.850 | 80.643 | -0.000 | 0.000 |
| 10.010 | 10.010 | -125.850 | -0.000 | 80.642 | -66.435 |
| 9.998 | 9.999 | -125.793 | -0.000 | -68.627 | 63.398 |
| 248.339 | 111.366 | 259.262 | -65.921 | -0.000 | 0.000 |
| 83.499 | 210.314 | 221.749 | 68.578 | -0.000 | 0.000 |
| 118.251 | 118.251 | 519.951 | 0.000 | 0.000 | -0.000 |
| -76.445 | 56.425 | 125.850 | 80.642 | -0.000 | -0.000 |
| -10.010 | -10.010 | 125.850 | 0.000 | 80.642 | -66.435 |
| -9.998 | -9.999 | 125.793 | 0.000 | -68.627 | 63.398 |
| 613.409 | 243.096 | 243.096 | -0.000 | -0.000 | 0.000 |
| 243.096 | 613.409 | 243.096 | -0.000 | -0.000 | 0.000 |
| 243.096 | 243.096 | 613.409 | -0.000 | -0.000 | 0.000 |
| 0.000 | 0.000 | -0.000 | 137.684 | -0.000 | 0.000 |
| -0.000 | 0.000 | -0.000 | -0.000 | 137.684 | 0.000 |
| 0.000 | 0.000 | -0.000 | -0.000 | -0.000 | 137.685 |
| 613.409 | 243.096 | 243.096 | 0.000 | 0.000 | 0.000 |
| 243.096 | 613.409 | 243.096 | 0.000 | 0.000 | -0.000 |
| 243.096 | 243.096 | 613.409 | 0.000 | 0.000 | -0.000 |
| -0.000 | -0.000 | 0.000 | 137.685 | 0.000 | -0.000 |
| 0.000 | -0.000 | 0.000 | 0.000 | 137.685 | -0.000 |
| 0.000 | -0.000 | -0.000 | -0.000 | 0.000 | 137.684 |
| 613.409 | 243.096 | 243.096 | -0.000 | -0.000 | 0.000 |
| 243.096 | 613.409 | 243.096 | -0.000 | -0.000 | 0.000 |
| 243.096 | 243.096 | 613.409 | 0.000 | -0.000 | 0.000 |
| 0.000 | 0.000 | 0.000 | 205.659 | -0.000 | -0.000 |
| 0.000 | 0.000 | 0.000 | -0.000 | 205.659 | 0.000 |
| 0.000 | 0.000 | 0.000 | 0.000 | -0.000 | 205.659 |
| 613.409 | 243.096 | 243.096 | -0.000 | -0.000 | -0.000 |
| 243.096 | 613.409 | 243.096 | 0.000 | 0.000 | -0.000 |
| 243.096 | 243.096 | 613.409 | 0.000 | 0.000 | -0.000 |
| -0.000 | -0.000 | -0.000 | 205.659 | 0.000 | -0.000 |
| -0.000 | -0.000 | -0.000 | 0.000 | 205.659 | -0.000 |
| -0.000 | -0.000 | -0.000 | 0.000 | 0.000 | 205.659 |
| 613.409 | 243.098 | 243.098 | -0.000 | -0.000 | 0.000 |
| 243.098 | 613.409 | 243.098 | -0.000 | -0.000 | -0.000 |
| 243.098 | 243.098 | 613.409 | -0.000 | -0.000 | 0.000 |
| 0.000 | -0.000 | -0.000 | 137.685 | -0.000 | 0.000 |
| -0.000 | 0.000 | -0.000 | -0.000 | 137.685 | 0.000 |
| -0.000 | -0.000 | 0.000 | 0.000 | -0.000 | 137.685 |
| 613.408 | 243.095 | 243.095 | 0.000 | 0.000 | 0.000 |
| 243.095 | 613.408 | 243.095 | 0.000 | 0.000 | -0.000 |
| 243.095 | 243.095 | 613.408 | 0.000 | -0.000 | -0.000 |
| -0.000 | 0.000 | 0.000 | 137.685 | 0.000 | -0.000 |
| 0.000 | -0.000 | 0.000 | -0.000 | 137.685 | -0.000 |
| 0.000 | 0.000 | -0.000 | -0.000 | 0.000 | 137.685 |
| 159.934 | 187.974 | 187.974 | -0.000 | -0.000 | -0.000 |
| 187.974 | 159.934 | 187.974 | -0.000 | -0.000 | -0.000 |
| 187.974 | 187.974 | 159.934 | -0.000 | -0.000 | -0.000 |
| 0.000 | 0.000 | -0.000 | -8.850 | -0.000 | -0.000 |
| 0.000 | 0.000 | -0.000 | -0.000 | -8.850 | -0.000 |
| 0.000 | 0.000 | -0.000 | -0.000 | -0.000 | -8.850 |
| 159.934 | 187.974 | 187.974 | 0.000 | 0.000 | 0.000 |
| 187.974 | 159.934 | 187.974 | 0.000 | 0.000 | 0.000 |
| 187.974 | 187.974 | 159.934 | 0.000 | 0.000 | 0.000 |
| -0.000 | -0.000 | 0.000 | -8.850 | 0.000 | 0.000 |
| -0.000 | -0.000 | 0.000 | 0.000 | -8.850 | 0.000 |
| -0.000 | -0.000 | 0.000 | 0.000 | 0.000 | -8.850 |
| 159.934 | 187.974 | 187.974 | -0.000 | -0.000 | -0.000 |
| 187.974 | 159.934 | 187.974 | -0.000 | -0.000 | -0.000 |
| 187.974 | 187.974 | 159.934 | -0.000 | -0.000 | -0.000 |
| -0.000 | 0.000 | 0.000 | 49.290 | -0.000 | -0.000 |
| 0.000 | -0.000 | 0.000 | -0.000 | 49.290 | -0.000 |
| 0.000 | 0.000 | -0.000 | -0.000 | -0.000 | 49.290 |
| 159.934 | 187.974 | 187.974 | 0.000 | 0.000 | 0.000 |
| 187.974 | 159.934 | 187.974 | 0.000 | 0.000 | 0.000 |
| 187.974 | 187.974 | 159.934 | 0.000 | 0.000 | 0.000 |
| 0.000 | -0.000 | -0.000 | 49.290 | 0.000 | 0.000 |
| -0.000 | 0.000 | -0.000 | 0.000 | 49.290 | 0.000 |
| -0.000 | -0.000 | 0.000 | 0.000 | 0.000 | 49.290 |
| 159.934 | 187.975 | 187.975 | -0.000 | -0.000 | -0.000 |
| 187.975 | 159.934 | 187.975 | -0.000 | -0.000 | -0.000 |
| 187.975 | 187.975 | 159.934 | -0.000 | -0.000 | -0.000 |
| -0.000 | 0.000 | 0.000 | 49.290 | -0.000 | -0.000 |
| 0.000 | -0.000 | 0.000 | -0.000 | 49.290 | -0.000 |
| 0.000 | 0.000 | -0.000 | -0.000 | -0.000 | 49.290 |
| 159.933 | 187.973 | 187.973 | 0.000 | 0.000 | 0.000 |
| 187.973 | 159.933 | 187.973 | 0.000 | 0.000 | 0.000 |
| 187.973 | 187.973 | 159.933 | 0.000 | 0.000 | 0.000 |
| 0.000 | -0.000 | -0.000 | 49.290 | 0.000 | 0.000 |
| -0.000 | 0.000 | -0.000 | 0.000 | 49.290 | 0.000 |
| -0.000 | -0.000 | 0.000 | 0.000 | 0.000 | 49.290 |
| 70.534 | 132.486 | 132.486 | 0.000 | -0.000 | 0.000 |
| 132.486 | 70.534 | 132.486 | 0.000 | -0.000 | 0.000 |
| 132.486 | 132.486 | 70.534 | -0.000 | -0.000 | 0.000 |
| 0.000 | 0.000 | 0.000 | 108.266 | -0.000 | 0.000 |
| 0.000 | 0.000 | 0.000 | -0.000 | 108.266 | 0.000 |
| 0.000 | 0.000 | 0.000 | -0.000 | -0.000 | 108.266 |
| 70.534 | 132.486 | 132.486 | 0.000 | 0.000 | -0.000 |
| 132.486 | 70.534 | 132.486 | 0.000 | 0.000 | -0.000 |
| 132.486 | 132.486 | 70.534 | 0.000 | 0.000 | -0.000 |
| -0.000 | -0.000 | -0.000 | 108.266 | 0.000 | -0.000 |
| -0.000 | -0.000 | -0.000 | 0.000 | 108.266 | -0.000 |
| -0.000 | -0.000 | -0.000 | -0.000 | 0.000 | 108.266 |
| 70.535 | 132.487 | 132.487 | -0.000 | -0.000 | 0.000 |
| 132.487 | 70.535 | 132.487 | 0.000 | -0.000 | 0.000 |
| 132.487 | 132.487 | 70.535 | 0.000 | -0.000 | 0.000 |
| 0.000 | 0.000 | 0.000 | 108.266 | -0.000 | 0.000 |
| 0.000 | 0.000 | 0.000 | -0.000 | 108.266 | 0.000 |
| 0.000 | 0.000 | 0.000 | 0.000 | -0.000 | 108.266 |
| 70.533 | 132.486 | 132.486 | 0.000 | 0.000 | -0.000 |
| 132.486 | 70.533 | 132.486 | -0.000 | 0.000 | -0.000 |
| 132.486 | 132.486 | 70.533 | 0.000 | 0.000 | -0.000 |
| -0.000 | -0.000 | -0.000 | 108.266 | 0.000 | -0.000 |
| -0.000 | -0.000 | -0.000 | 0.000 | 108.266 | -0.000 |
| -0.000 | -0.000 | -0.000 | -0.000 | 0.000 | 108.266 |
| 70.542 | 132.491 | 132.491 | -0.000 | -0.000 | 0.000 |
| 132.491 | 70.542 | 132.491 | -0.000 | -0.000 | -0.000 |
| 132.491 | 132.491 | 70.542 | -0.000 | -0.000 | 0.000 |
| 0.001 | 0.004 | 0.004 | 108.266 | -0.000 | 0.000 |
| 0.004 | 0.001 | 0.004 | -0.000 | 108.266 | 0.000 |
| 0.004 | 0.004 | 0.001 | -0.000 | -0.000 | 108.266 |
| 70.526 | 132.482 | 132.482 | 0.000 | 0.000 | -0.000 |
| 132.482 | 70.526 | 132.482 | 0.000 | 0.000 | -0.000 |
| 132.482 | 132.482 | 70.526 | -0.000 | 0.000 | -0.000 |
| -0.001 | -0.004 | -0.004 | 108.266 | 0.000 | -0.000 |
| -0.004 | -0.001 | -0.004 | 0.000 | 108.266 | 0.000 |
| -0.004 | -0.004 | -0.001 | 0.000 | 0.000 | 108.266 |
| -187.520 | -22.828 | -22.828 | -0.000 | -0.000 | -0.000 |
| -22.828 | -187.520 | -22.828 | -0.000 | -0.000 | -0.000 |
| -22.828 | -22.828 | -187.520 | -0.000 | -0.000 | -0.000 |
| 0.000 | 0.000 | 0.000 | -42.815 | -0.000 | -0.000 |
| 0.000 | 0.000 | 0.000 | -0.000 | -42.815 | 0.000 |
| 0.000 | 0.000 | 0.000 | -0.000 | -0.000 | -42.815 |
| -187.520 | -22.828 | -22.828 | -0.000 | -0.000 | 0.000 |
| -22.828 | -187.520 | -22.828 | -0.000 | -0.000 | 0.000 |
| -22.828 | -22.828 | -187.520 | 0.000 | 0.000 | 0.000 |
| -0.000 | -0.000 | -0.000 | -42.815 | 0.000 | -0.000 |
| -0.000 | -0.000 | -0.000 | 0.000 | -42.815 | 0.000 |
| -0.000 | -0.000 | 0.000 | 0.000 | 0.000 | -42.815 |
| -187.520 | -22.828 | -22.828 | 0.000 | -0.000 | -0.000 |
| -22.828 | -187.520 | -22.828 | 0.000 | 0.000 | -0.000 |
| -22.828 | -22.828 | -187.520 | -0.000 | 0.000 | 0.000 |
| 0.000 | 0.000 | 0.000 | -47.485 | -0.000 | -0.000 |
| 0.000 | 0.000 | 0.000 | -0.000 | -47.485 | -0.000 |
| 0.000 | 0.000 | 0.000 | -0.000 | -0.000 | -47.485 |
| -187.520 | -22.828 | -22.828 | -0.000 | -0.000 | 0.000 |
| -22.828 | -187.520 | -22.828 | -0.000 | -0.000 | -0.000 |
| -22.828 | -22.828 | -187.520 | 0.000 | 0.000 | -0.000 |
| -0.000 | -0.000 | -0.000 | -47.485 | 0.000 | 0.000 |
| -0.000 | -0.000 | -0.000 | 0.000 | -47.485 | -0.000 |
| -0.000 | -0.000 | -0.000 | 0.000 | 0.000 | -47.485 |
| -187.517 | -22.827 | -22.827 | 0.000 | 0.000 | -0.000 |
| -22.827 | -187.517 | -22.827 | 0.000 | -0.000 | -0.000 |
| -22.827 | -22.827 | -187.517 | -0.000 | -0.000 | -0.000 |
| 0.001 | 0.001 | 0.001 | -42.815 | -0.000 | -0.000 |
| 0.001 | 0.001 | 0.001 | -0.000 | -42.815 | -0.000 |
| 0.001 | 0.001 | 0.001 | -0.000 | -0.000 | -42.815 |
| -187.523 | -22.829 | -22.829 | 0.000 | 0.000 | 0.000 |
| -22.829 | -187.523 | -22.829 | 0.000 | 0.000 | 0.000 |
| -22.829 | -22.829 | -187.523 | 0.000 | 0.000 | 0.000 |
| -0.001 | -0.001 | -0.001 | -42.815 | 0.000 | 0.000 |
| -0.001 | -0.001 | -0.001 | 0.000 | -42.815 | 0.000 |
| -0.001 | -0.001 | -0.001 | 0.000 | 0.000 | -42.815 |
| 71.749 | 138.542 | 138.542 | 0.000 | 0.000 | 0.000 |
| 138.542 | 71.749 | 138.542 | 0.000 | 0.000 | 0.000 |
| 138.542 | 138.542 | 71.749 | 0.000 | 0.000 | 0.000 |
| -0.000 | 0.000 | 0.000 | 116.015 | 0.000 | 0.000 |
| -0.000 | 0.000 | 0.000 | 0.000 | 116.015 | 0.000 |
| -0.000 | 0.000 | 0.000 | 0.000 | 0.000 | 116.015 |
| 71.749 | 138.542 | 138.542 | -0.000 | -0.000 | -0.000 |
| 138.542 | 71.749 | 138.542 | -0.000 | -0.000 | -0.000 |
| 138.542 | 138.542 | 71.749 | -0.000 | -0.000 | -0.000 |
| 0.000 | -0.000 | -0.000 | 116.015 | 0.000 | -0.000 |
| 0.000 | -0.000 | -0.000 | -0.000 | 116.015 | -0.000 |
| 0.000 | -0.000 | -0.000 | -0.000 | -0.000 | 116.015 |
| 71.749 | 138.542 | 138.542 | 0.000 | 0.000 | 0.000 |
| 138.542 | 71.749 | 138.542 | -0.000 | 0.000 | 0.000 |
| 138.542 | 138.542 | 71.749 | 0.000 | 0.000 | 0.000 |
| -0.000 | -0.000 | -0.000 | 118.476 | -0.000 | 0.000 |
| -0.000 | -0.000 | -0.000 | 0.000 | 118.476 | 0.000 |
| -0.000 | -0.000 | -0.000 | -0.000 | -0.000 | 118.476 |
| 71.749 | 138.542 | 138.542 | -0.000 | 0.000 | -0.000 |
| 138.542 | 71.749 | 138.542 | 0.000 | 0.000 | -0.000 |
| 138.542 | 138.542 | 71.749 | 0.000 | 0.000 | -0.000 |
| 0.000 | 0.000 | 0.000 | 118.476 | 0.000 | -0.000 |
| 0.000 | 0.000 | 0.000 | -0.000 | 118.476 | -0.000 |
| 0.000 | 0.000 | 0.000 | 0.000 | 0.000 | 118.476 |
| 71.747 | 138.541 | 138.541 | 0.000 | -0.000 | 0.000 |
| 138.541 | 71.747 | 138.541 | 0.000 | 0.000 | 0.000 |
| 138.541 | 138.541 | 71.747 | 0.000 | 0.000 | 0.000 |
| -0.000 | -0.001 | -0.001 | 118.476 | -0.000 | 0.000 |
| -0.001 | -0.000 | -0.001 | -0.000 | 118.476 | 0.000 |
| -0.001 | -0.001 | -0.000 | -0.000 | -0.000 | 118.476 |
| 71.750 | 138.542 | 138.542 | -0.000 | 0.000 | 0.000 |
| 138.542 | 71.750 | 138.542 | -0.000 | -0.000 | -0.000 |
| 138.542 | 138.542 | 71.750 | -0.000 | -0.000 | -0.000 |
| 0.000 | 0.001 | 0.001 | 118.476 | -0.000 | -0.000 |
| 0.001 | 0.000 | 0.001 | 0.000 | 118.476 | -0.000 |
| 0.001 | 0.001 | 0.000 | 0.000 | 0.000 | 118.476 |
| 278.908 | 161.038 | 165.569 | -0.000 | -0.000 | -0.000 |
| 161.038 | 278.908 | 165.569 | -0.000 | -0.000 | 0.000 |
| 165.581 | 165.581 | 317.787 | -0.000 | -0.000 | -0.000 |
| -0.000 | -0.000 | -0.000 | 125.158 | -0.000 | -0.000 |
| -0.000 | -0.000 | -0.000 | -0.000 | 125.158 | -0.000 |
| -0.000 | -0.000 | -0.000 | -0.000 | -0.000 | 121.868 |
| 278.909 | 161.039 | 165.570 | 0.000 | 0.000 | 0.000 |
| 161.039 | 278.909 | 165.570 | 0.000 | 0.000 | 0.000 |
| 165.809 | 165.809 | 317.898 | 0.000 | 0.000 | 0.000 |
| 0.000 | 0.000 | 0.000 | 125.158 | 0.000 | 0.000 |
| 0.000 | 0.000 | 0.000 | 0.000 | 125.158 | 0.000 |
| 0.000 | 0.000 | 0.000 | 0.000 | 0.000 | 121.868 |
| 278.909 | 161.039 | 165.570 | -0.000 | -0.000 | 0.000 |
| 161.039 | 278.909 | 165.570 | -0.000 | -0.000 | -0.000 |
| 165.582 | 165.582 | 317.787 | -0.000 | -0.000 | -0.000 |
| -0.000 | -0.000 | 0.000 | 126.369 | -0.000 | -0.000 |
| -0.000 | -0.000 | 0.000 | -0.000 | 126.369 | -0.000 |
| -0.000 | -0.000 | -0.000 | -0.000 | -0.000 | 121.868 |
| 278.909 | 161.039 | 165.570 | 0.000 | 0.000 | 0.000 |
| 161.039 | 278.909 | 165.570 | 0.000 | 0.000 | 0.000 |
| 165.809 | 165.809 | 317.898 | 0.000 | 0.000 | 0.000 |
| 0.000 | 0.000 | -0.000 | 126.369 | 0.000 | 0.000 |
| 0.000 | 0.000 | -0.000 | 0.000 | 126.369 | 0.000 |
| 0.000 | 0.000 | 0.000 | 0.000 | 0.000 | 121.868 |
| 278.906 | 161.091 | 165.582 | -0.000 | -0.000 | -0.000 |
| 161.091 | 278.906 | 165.582 | -0.000 | -0.000 | 0.000 |
| 165.582 | 165.582 | 317.787 | -0.000 | -0.000 | -0.000 |
| -0.000 | -0.000 | 0.000 | 125.158 | -0.000 | 0.000 |
| -0.000 | -0.000 | 0.000 | -0.000 | 125.158 | -0.000 |
| 0.000 | 0.000 | -0.000 | -0.000 | -0.000 | 121.868 |
| 280.313 | 160.616 | 165.808 | 0.000 | 0.000 | 0.000 |
| 160.616 | 280.313 | 165.808 | 0.000 | 0.000 | 0.000 |
| 165.808 | 165.808 | 317.898 | 0.000 | 0.000 | 0.000 |
| 0.000 | 0.000 | -0.000 | 125.158 | 0.000 | 0.000 |
| 0.000 | 0.000 | -0.000 | -0.000 | 125.158 | 0.000 |
| -0.000 | -0.000 | 0.000 | 0.000 | 0.000 | 121.868 |
| 284.027 | 158.743 | 166.008 | 0.000 | -0.000 | 0.000 |
| 158.743 | 284.027 | 166.008 | 0.000 | 0.000 | 0.000 |
| 165.266 | 165.266 | 312.268 | 0.000 | 0.000 | 0.000 |
| -0.066 | -0.066 | -0.025 | 125.148 | 0.000 | 0.000 |
| -0.066 | -0.066 | -0.025 | 0.000 | 125.148 | 0.000 |
| -0.000 | 0.000 | -0.000 | -0.000 | 0.000 | 120.860 |
| 282.693 | 159.269 | 165.857 | 0.000 | -0.000 | -0.000 |
| 159.269 | 282.693 | 165.857 | -0.000 | 0.000 | -0.000 |
| 165.509 | 165.509 | 312.359 | -0.000 | -0.000 | -0.000 |
| 0.066 | 0.066 | 0.025 | 125.148 | -0.000 | -0.000 |
| 0.066 | 0.066 | 0.025 | -0.000 | 125.148 | -0.000 |
| 0.000 | -0.000 | -0.000 | -0.000 | -0.000 | 120.860 |
| 282.617 | 159.181 | 165.826 | 0.000 | -0.000 | 0.000 |
| 159.181 | 282.617 | 165.826 | -0.000 | 0.000 | 0.000 |
| 165.332 | 165.332 | 312.293 | -0.000 | -0.000 | 0.000 |
| -0.010 | -0.010 | -0.004 | 124.755 | 0.000 | 0.000 |
| -0.010 | -0.010 | -0.004 | -0.000 | 124.755 | 0.000 |
| -0.007 | -0.007 | -0.003 | 0.000 | 0.000 | 120.860 |
| 282.631 | 159.197 | 165.832 | -0.000 | 0.000 | -0.000 |
| 159.197 | 282.631 | 165.832 | -0.000 | -0.000 | -0.000 |
| 165.509 | 165.509 | 312.359 | -0.000 | -0.000 | -0.000 |
| 0.010 | 0.010 | 0.004 | 124.755 | -0.000 | -0.000 |
| 0.010 | 0.010 | 0.004 | -0.000 | 124.755 | -0.000 |
| 0.007 | 0.007 | 0.003 | -0.000 | -0.000 | 120.860 |
| 282.623 | 159.189 | 165.829 | -0.000 | -0.000 | 0.000 |
| 159.189 | 282.623 | 165.829 | 0.000 | -0.000 | 0.000 |
| 165.510 | 165.510 | 312.359 | 0.000 | 0.000 | 0.000 |
| -0.001 | -0.001 | -0.000 | 124.755 | 0.000 | 0.000 |
| -0.001 | -0.001 | -0.000 | 0.000 | 124.755 | 0.000 |
| -0.001 | -0.001 | -0.000 | 0.000 | 0.000 | 120.860 |
| 282.624 | 159.240 | 165.838 | 0.000 | -0.000 | -0.000 |
| 159.240 | 282.624 | 165.838 | -0.000 | -0.000 | -0.000 |
| 165.339 | 165.339 | 312.296 | -0.000 | -0.000 | -0.000 |
| 0.001 | 0.001 | 0.000 | 124.755 | -0.000 | -0.000 |
| 0.001 | 0.001 | 0.000 | -0.000 | 124.755 | -0.000 |
| 0.001 | 0.001 | 0.000 | -0.000 | -0.000 | 120.860 |
| 374.735 | 61.740 | 61.740 | -0.000 | 0.000 | -0.000 |
| 61.740 | 374.735 | 61.740 | -0.000 | 0.000 | 0.000 |
| 61.740 | 61.740 | 374.735 | -0.000 | -0.000 | 0.000 |
| -0.000 | 0.000 | 0.000 | 10.074 | -0.000 | 0.000 |
| -0.000 | 0.000 | 0.000 | -0.000 | 10.074 | -0.000 |
| -0.000 | 0.000 | 0.000 | -0.000 | 0.000 | 10.074 |
| 374.735 | 61.740 | 61.740 | 0.000 | -0.000 | 0.000 |
| 61.740 | 374.735 | 61.740 | 0.000 | 0.000 | -0.000 |
| 61.740 | 61.740 | 374.735 | 0.000 | -0.000 | 0.000 |
| 0.000 | -0.000 | -0.000 | 10.074 | -0.000 | 0.000 |
| 0.000 | -0.000 | 0.000 | 0.000 | 10.074 | 0.000 |
| 0.000 | -0.000 | -0.000 | 0.000 | 0.000 | 10.074 |
| 374.735 | 61.740 | 61.740 | -0.000 | -0.000 | 0.000 |
| 61.740 | 374.735 | 61.740 | -0.000 | -0.000 | -0.000 |
| 61.740 | 61.740 | 374.735 | -0.000 | -0.000 | 0.000 |
| -0.000 | 0.000 | 0.000 | 10.074 | -0.000 | 0.000 |
| 0.000 | -0.000 | 0.000 | -0.000 | 10.074 | -0.000 |
| 0.000 | 0.000 | -0.000 | -0.000 | 0.000 | 10.074 |
| 374.734 | 61.740 | 61.740 | 0.000 | 0.000 | 0.000 |
| 61.740 | 374.734 | 61.740 | 0.000 | 0.000 | -0.000 |
| 61.740 | 61.740 | 374.734 | 0.000 | -0.000 | 0.000 |
| 0.000 | -0.000 | -0.000 | 10.074 | 0.000 | 0.000 |
| -0.000 | 0.000 | -0.000 | 0.000 | 10.074 | -0.000 |
| -0.000 | -0.000 | 0.000 | 0.000 | -0.000 | 10.074 |
| 374.739 | 61.740 | 61.740 | -0.000 | -0.000 | 0.000 |
| 61.740 | 374.739 | 61.740 | -0.000 | -0.000 | -0.000 |
| 61.740 | 61.740 | 374.739 | -0.000 | -0.000 | -0.000 |
| -0.000 | 0.000 | 0.000 | 10.074 | 0.000 | -0.000 |
| 0.000 | -0.000 | 0.000 | -0.000 | 10.074 | -0.000 |
| 0.000 | 0.000 | -0.000 | -0.000 | 0.000 | 10.074 |
| 374.731 | 61.739 | 61.739 | 0.000 | -0.000 | -0.000 |
| 61.739 | 374.731 | 61.739 | 0.000 | -0.000 | -0.000 |
| 61.739 | 61.739 | 374.731 | -0.000 | -0.000 | 0.000 |
| 0.000 | -0.000 | -0.000 | 10.074 | -0.000 | 0.000 |
| -0.000 | 0.000 | -0.000 | 0.000 | 10.074 | 0.000 |
| -0.000 | -0.000 | 0.000 | 0.000 | -0.000 | 10.074 |
| 190.815 | 142.861 | 142.861 | 0.000 | -0.000 | 0.000 |
| 142.861 | 190.815 | 142.861 | 0.000 | -0.000 | -0.000 |
| 142.861 | 142.861 | 190.815 | -0.000 | -0.000 | 0.000 |
| 0.000 | 0.000 | 0.000 | 121.476 | -0.000 | -0.000 |
| 0.000 | 0.000 | 0.000 | -0.000 | 121.476 | -0.000 |
| 0.000 | 0.000 | 0.000 | -0.000 | -0.000 | 121.476 |
| 190.815 | 142.861 | 142.861 | -0.000 | -0.000 | 0.000 |
| 142.861 | 190.815 | 142.861 | -0.000 | -0.000 | 0.000 |
| 142.861 | 142.861 | 190.815 | 0.000 | 0.000 | 0.000 |
| -0.000 | -0.000 | -0.000 | 121.476 | 0.000 | 0.000 |
| -0.000 | -0.000 | -0.000 | 0.000 | 121.476 | -0.000 |
| -0.000 | -0.000 | -0.000 | 0.000 | 0.000 | 121.476 |
| 190.816 | 142.861 | 142.861 | -0.000 | -0.000 | -0.000 |
| 142.861 | 190.816 | 142.861 | -0.000 | -0.000 | -0.000 |
| 142.861 | 142.861 | 190.816 | -0.000 | -0.000 | -0.000 |
| 0.000 | 0.000 | 0.000 | 121.476 | -0.000 | -0.000 |
| 0.000 | 0.000 | 0.000 | -0.000 | 121.476 | -0.000 |
| 0.000 | 0.000 | 0.000 | -0.000 | -0.000 | 121.476 |
| 190.815 | 142.861 | 142.861 | 0.000 | 0.000 | -0.000 |
| 142.861 | 190.815 | 142.861 | 0.000 | 0.000 | 0.000 |
| 142.861 | 142.861 | 190.815 | 0.000 | 0.000 | -0.000 |
| -0.000 | -0.000 | -0.000 | 121.476 | 0.000 | 0.000 |
| -0.000 | -0.000 | -0.000 | 0.000 | 121.476 | 0.000 |
| -0.000 | -0.000 | -0.000 | 0.000 | 0.000 | 121.476 |
| 190.817 | 142.861 | 142.861 | 0.000 | -0.000 | -0.000 |
| 142.861 | 190.817 | 142.861 | -0.000 | -0.000 | -0.000 |
| 142.861 | 142.861 | 190.817 | -0.000 | -0.000 | -0.000 |
| 0.000 | 0.000 | 0.000 | 121.476 | -0.000 | -0.000 |
| 0.000 | 0.000 | 0.000 | -0.000 | 121.476 | -0.000 |
| 0.000 | 0.000 | 0.000 | 0.000 | 0.000 | 121.476 |
| 190.814 | 142.860 | 142.860 | 0.000 | -0.000 | 0.000 |
| 142.860 | 190.814 | 142.860 | -0.000 | 0.000 | 0.000 |
| 142.860 | 142.860 | 190.814 | 0.000 | 0.000 | 0.000 |
| -0.000 | -0.000 | -0.000 | 121.476 | 0.000 | -0.000 |
| -0.000 | -0.000 | -0.000 | 0.000 | 121.476 | 0.000 |
| -0.000 | -0.000 | -0.000 | -0.000 | -0.000 | 121.476 |
| 24.384 | 53.342 | 53.342 | 0.000 | 0.000 | 0.000 |
| 53.342 | 24.384 | 53.342 | 0.000 | 0.000 | 0.000 |
| 53.342 | 53.342 | 24.384 | 0.000 | 0.000 | 0.000 |
| -0.000 | 0.000 | -0.000 | -25.599 | 0.000 | 0.000 |
| -0.000 | 0.000 | -0.000 | 0.000 | -25.599 | 0.000 |
| -0.000 | 0.000 | -0.000 | 0.000 | 0.000 | -25.599 |
| 24.384 | 53.342 | 53.342 | -0.000 | -0.000 | -0.000 |
| 53.342 | 24.384 | 53.342 | -0.000 | -0.000 | -0.000 |
| 53.342 | 53.342 | 24.384 | -0.000 | -0.000 | -0.000 |
| 0.000 | -0.000 | -0.000 | -25.599 | -0.000 | -0.000 |
| 0.000 | -0.000 | 0.000 | -0.000 | -25.599 | -0.000 |
| 0.000 | -0.000 | 0.000 | -0.000 | -0.000 | -25.599 |
| 24.384 | 53.342 | 53.342 | 0.000 | 0.000 | 0.000 |
| 53.342 | 24.384 | 53.342 | 0.000 | 0.000 | 0.000 |
| 53.342 | 53.342 | 24.384 | 0.000 | 0.000 | 0.000 |
| 0.000 | -0.000 | 0.000 | 38.694 | -0.000 | -0.000 |
| -0.000 | 0.000 | 0.000 | -0.000 | 38.694 | -0.000 |
| -0.000 | 0.000 | 0.000 | -0.000 | -0.000 | 38.694 |
| 24.384 | 53.342 | 53.342 | -0.000 | -0.000 | -0.000 |
| 53.342 | 24.384 | 53.342 | -0.000 | -0.000 | -0.000 |
| 53.342 | 53.342 | 24.384 | -0.000 | -0.000 | -0.000 |
| -0.000 | 0.000 | -0.000 | 38.694 | 0.000 | -0.000 |
| 0.000 | -0.000 | -0.000 | 0.000 | 38.694 | 0.000 |
| 0.000 | -0.000 | -0.000 | 0.000 | 0.000 | 38.694 |
| 24.384 | 53.342 | 53.342 | 0.000 | 0.000 | 0.000 |
| 53.342 | 24.384 | 53.342 | 0.000 | 0.000 | 0.000 |
| 53.342 | 53.342 | 24.384 | 0.000 | 0.000 | 0.000 |
| -0.000 | -0.000 | -0.000 | -25.599 | 0.000 | 0.000 |
| -0.000 | -0.000 | -0.000 | 0.000 | -25.599 | 0.000 |
| -0.000 | -0.000 | -0.000 | 0.000 | 0.000 | -25.599 |
| 24.384 | 53.341 | 53.341 | -0.000 | -0.000 | -0.000 |
| 53.341 | 24.384 | 53.341 | -0.000 | -0.000 | -0.000 |
| 53.341 | 53.341 | 24.384 | -0.000 | -0.000 | -0.000 |
| 0.000 | 0.000 | 0.000 | -25.599 | -0.000 | -0.000 |
| 0.000 | 0.000 | 0.000 | -0.000 | -25.599 | -0.000 |
| 0.000 | 0.000 | 0.000 | -0.000 | -0.000 | -25.599 |
| 288.177 | 142.858 | 45.256 | 0.000 | -0.000 | -0.000 |
| 142.853 | 191.081 | 142.812 | 0.000 | -0.000 | -0.000 |
| 45.265 | 142.826 | 288.102 | 0.000 | -0.000 | -0.000 |
| -0.000 | 0.000 | -0.000 | 121.445 | -0.000 | -0.000 |
| -0.000 | 0.000 | -0.000 | 0.000 | 23.885 | -0.000 |
| -0.000 | 0.000 | -0.000 | 0.000 | -0.000 | 121.464 |
| 288.177 | 142.858 | 45.256 | -0.000 | 0.000 | 0.000 |
| 142.853 | 191.081 | 142.813 | -0.000 | 0.000 | 0.000 |
| 45.265 | 142.826 | 288.102 | -0.000 | 0.000 | 0.000 |
| 0.000 | -0.000 | 0.000 | 121.445 | 0.000 | 0.000 |
| 0.000 | -0.000 | 0.000 | -0.000 | 23.885 | 0.000 |
| 0.000 | -0.000 | 0.000 | -0.000 | 0.000 | 121.464 |
| 288.177 | 142.858 | 45.256 | 0.000 | -0.000 | -0.000 |
| 142.853 | 191.081 | 142.812 | 0.000 | -0.000 | -0.000 |
| 45.265 | 142.826 | 288.102 | 0.000 | -0.000 | -0.000 |
| -0.000 | 0.000 | 0.000 | 121.445 | -0.000 | -0.000 |
| 0.000 | 0.000 | 0.000 | 0.000 | 23.885 | -0.000 |
| 0.000 | 0.000 | 0.000 | 0.000 | -0.000 | 121.464 |
| 288.177 | 142.858 | 45.256 | -0.000 | 0.000 | 0.000 |
| 142.853 | 191.081 | 142.812 | -0.000 | 0.000 | 0.000 |
| 45.265 | 142.826 | 288.102 | -0.000 | 0.000 | 0.000 |
| 0.000 | -0.000 | -0.000 | 121.445 | 0.000 | 0.000 |
| -0.000 | -0.000 | -0.000 | -0.000 | 23.885 | 0.000 |
| -0.000 | -0.000 | -0.000 | -0.000 | 0.000 | 121.464 |
| 288.179 | 142.859 | 45.257 | 0.000 | -0.000 | -0.000 |
| 142.854 | 191.083 | 142.813 | 0.000 | -0.000 | -0.000 |
| 45.265 | 142.826 | 288.104 | 0.000 | -0.000 | -0.000 |
| 0.000 | 0.000 | 0.001 | 121.445 | 0.000 | -0.000 |
| 0.000 | 0.000 | 0.000 | -0.000 | 23.885 | -0.000 |
| 0.000 | 0.000 | 0.000 | 0.000 | -0.000 | 121.464 |
| 288.175 | 142.857 | 45.256 | -0.000 | 0.000 | 0.000 |
| 142.853 | 191.079 | 142.812 | -0.000 | 0.000 | 0.000 |
| 45.265 | 142.825 | 288.100 | -0.000 | 0.000 | 0.000 |
| -0.000 | -0.000 | -0.001 | 121.445 | 0.000 | 0.000 |
| -0.000 | -0.000 | -0.000 | -0.000 | 23.885 | 0.000 |
| -0.000 | -0.000 | -0.000 | -0.000 | 0.000 | 121.464 |
| 101.047 | 134.461 | 4.449 | 0.000 | 0.000 | 0.000 |
| 67.159 | 168.349 | 4.450 | 0.000 | 0.000 | -0.000 |
| 4.450 | 4.450 | 279.329 | -0.000 | 0.000 | 0.000 |
| 0.000 | -0.000 | 0.000 | -15.448 | -0.000 | -0.000 |
| 0.000 | -0.000 | -0.000 | -0.000 | -15.448 | 0.000 |
| -0.000 | -0.000 | -0.000 | 0.000 | 0.000 | -16.707 |
| 168.349 | 67.159 | 4.449 | -0.000 | 0.000 | 0.000 |
| 67.159 | 168.349 | 4.449 | -0.000 | -0.000 | -0.000 |
| 4.450 | 4.450 | 279.329 | 0.000 | 0.000 | 0.000 |
| 0.000 | 0.000 | 0.000 | -15.448 | 0.000 | -0.000 |
| -0.000 | 0.000 | 0.000 | 0.000 | -15.448 | -0.000 |
| -0.000 | 0.000 | 0.000 | -0.000 | -0.000 | -16.707 |
| 168.349 | 67.159 | 4.450 | 0.000 | 0.000 | 0.000 |
| 67.159 | 168.349 | 4.450 | 0.000 | 0.000 | 0.000 |
| 4.450 | 4.450 | 279.329 | -0.000 | 0.000 | -0.000 |
| 0.000 | 0.000 | -0.000 | -15.448 | -0.000 | 0.000 |
| 0.000 | 0.000 | -0.000 | 0.000 | -15.448 | 0.000 |
| 0.000 | -0.000 | 0.000 | 0.000 | 0.000 | 50.595 |
| 99.393 | 136.115 | 4.449 | 0.000 | 0.000 | -0.000 |
| 67.159 | 168.349 | 4.449 | -0.000 | -0.000 | -0.000 |
| 4.450 | 4.450 | 279.329 | 0.000 | 0.000 | -0.000 |
| -0.000 | -0.000 | 0.000 | -15.448 | 0.000 | -0.000 |
| -0.000 | -0.000 | 0.000 | -0.000 | -15.448 | -0.000 |
| -0.000 | 0.000 | -0.000 | -0.000 | -0.000 | 50.595 |
| -11583015.661 | -11102174.774 | -11366553.163 | 50830.137 | 42176.515 | -33633.762 |
| 134.462 | 101.048 | 4.450 | 0.000 | 0.000 | 0.000 |
| 4.450 | 4.450 | 279.329 | -0.000 | 0.000 | 0.000 |
| 0.000 | 0.000 | -0.000 | -15.448 | 0.000 | 0.000 |
| 0.000 | 0.000 | -0.000 | -0.000 | -15.448 | 0.000 |
| 0.000 | -0.000 | 0.000 | 0.000 | -0.000 | -16.707 |
| 99.401 | 136.107 | 4.449 | 0.000 | 0.000 | 0.000 |
| 11719088.981 | 11060875.886 | 11401619.256 | 4698.138 | -28261.070 | 13534.910 |
| 4.450 | 4.450 | 279.329 | 0.000 | 0.000 | -0.000 |
| -0.000 | -0.000 | 0.000 | -15.448 | -0.000 | -0.000 |
| -0.000 | -0.000 | 0.000 | 0.000 | -15.448 | -0.000 |
| -0.000 | 0.000 | -0.000 | -0.000 | -0.000 | -16.707 |
| 265.687 | 138.937 | 111.033 | 0.000 | 0.000 | -0.000 |
| 117.766 | 286.858 | 111.033 | 0.000 | 0.000 | -0.000 |
| 111.033 | 111.033 | 300.065 | 0.000 | 0.000 | 0.000 |
| 0.000 | -0.000 | 0.000 | 82.549 | 0.000 | 0.000 |
| 0.000 | -0.000 | 0.000 | -0.000 | 82.549 | 0.000 |
| -0.000 | -0.000 | -0.000 | 0.000 | 0.000 | 63.375 |
| 265.687 | 138.937 | 111.033 | -0.000 | -0.000 | -0.000 |
| 117.766 | 286.858 | 111.033 | 0.000 | 0.000 | 0.000 |
| 111.033 | 111.033 | 300.065 | -0.000 | -0.000 | -0.000 |
| -0.000 | 0.000 | -0.000 | 82.549 | -0.000 | 0.000 |
| -0.000 | 0.000 | -0.000 | -0.000 | 82.549 | -0.000 |
| -0.000 | 0.000 | 0.000 | -0.000 | -0.000 | 63.375 |
| 286.858 | 117.766 | 111.033 | -0.000 | -0.000 | -0.000 |
| 138.937 | 265.687 | 111.033 | 0.000 | 0.000 | 0.000 |
| 111.033 | 111.033 | 300.065 | 0.000 | 0.000 | -0.000 |
| 0.000 | 0.000 | 0.000 | 82.549 | 0.000 | 0.000 |
| 0.000 | 0.000 | 0.000 | -0.000 | 82.549 | 0.000 |
| -0.000 | 0.000 | -0.000 | 0.000 | 0.000 | 63.375 |
| 265.686 | 138.937 | 111.033 | -0.000 | -0.000 | 0.000 |
| 138.937 | 265.687 | 111.033 | -0.000 | -0.000 | -0.000 |
| 111.033 | 111.033 | 300.065 | -0.000 | -0.000 | -0.000 |
| -0.000 | -0.000 | -0.000 | 82.549 | -0.000 | -0.000 |
| -0.000 | -0.000 | -0.000 | 0.000 | 82.549 | 0.000 |
| 0.000 | -0.000 | 0.000 | -0.000 | -0.000 | 63.375 |
| 265.688 | 138.938 | 111.034 | 0.000 | 0.000 | 0.000 |
| 117.767 | 286.859 | 111.034 | -0.000 | -0.000 | -0.000 |
| 111.034 | 111.034 | 300.066 | 0.000 | 0.000 | 0.000 |
| 0.000 | 0.000 | 0.000 | 82.549 | 0.000 | -0.000 |
| 0.000 | 0.000 | 0.000 | 0.000 | 82.549 | 0.000 |
| 0.000 | 0.000 | 0.000 | -0.000 | 0.000 | 84.546 |
| 265.685 | 138.937 | 111.033 | -0.000 | -0.000 | 0.000 |
| 138.936 | 265.686 | 111.033 | -0.000 | -0.000 | -0.000 |
| 111.033 | 111.033 | 300.064 | 0.000 | -0.000 | -0.000 |
| -0.000 | -0.000 | -0.000 | 82.549 | -0.000 | 0.000 |
| -0.000 | -0.000 | -0.000 | -0.000 | 82.549 | -0.000 |
| -0.000 | -0.000 | -0.000 | 0.000 | -0.000 | 84.546 |
| 255.904 | 107.471 | 87.491 | -36.283 | -0.000 | -0.000 |
| 107.471 | 255.904 | 87.491 | 36.283 | -0.000 | 0.000 |
| 87.491 | 87.491 | 274.675 | 0.000 | -0.000 | -0.000 |
| -36.283 | 36.283 | 0.000 | 57.746 | 0.000 | 0.000 |
| 0.000 | -0.000 | -0.000 | 0.000 | 57.746 | -36.283 |
| 0.000 | 0.000 | -0.000 | 0.000 | -36.283 | 74.217 |
| 255.904 | 107.471 | 87.491 | -36.283 | 0.000 | 0.000 |
| 107.471 | 255.904 | 87.491 | 36.283 | 0.000 | -0.000 |
| 87.491 | 87.491 | 274.675 | -0.000 | -0.000 | 0.000 |
| -36.283 | 36.283 | 0.000 | 57.746 | 0.000 | 0.000 |
| 0.000 | 0.000 | -0.000 | -0.000 | 57.746 | -36.283 |
| -0.000 | -0.000 | 0.000 | 0.000 | -36.283 | 74.217 |
| 255.904 | 107.471 | 87.491 | -36.283 | -0.000 | -0.000 |
| 107.471 | 255.904 | 87.491 | 36.283 | -0.000 | -0.000 |
| 87.491 | 87.491 | 274.675 | 0.000 | -0.000 | -0.000 |
| -36.283 | 36.283 | 0.000 | 57.746 | -0.000 | 0.000 |
| -0.000 | 0.000 | 0.000 | -0.000 | 57.746 | -36.283 |
| -0.000 | 0.000 | -0.000 | -0.000 | -36.283 | 74.217 |
| 255.904 | 107.471 | 87.491 | -36.283 | -0.000 | 0.000 |
| 107.471 | 255.904 | 87.491 | 36.283 | 0.000 | -0.000 |
| 87.491 | 87.491 | 274.675 | -0.000 | 0.000 | -0.000 |
| -36.283 | 36.283 | -0.000 | 57.746 | 0.000 | 0.000 |
| 0.000 | -0.000 | -0.000 | 0.000 | 57.746 | -36.283 |
| 0.000 | -0.000 | 0.000 | 0.000 | -36.283 | 74.217 |
| 255.905 | 107.471 | 87.491 | -36.284 | -0.000 | -0.000 |
| 107.471 | 255.905 | 87.491 | 36.284 | -0.000 | 0.000 |
| 87.492 | 87.492 | 274.676 | 0.000 | -0.000 | -0.000 |
| -36.283 | 36.283 | 0.000 | 57.746 | 0.000 | 0.000 |
| -0.000 | 0.000 | 0.000 | -0.000 | 57.746 | -36.283 |
| -0.000 | 0.000 | -0.000 | -0.000 | -36.283 | 74.217 |
| 255.902 | 107.470 | 87.491 | -36.283 | 0.000 | 0.000 |
| 107.470 | 255.903 | 87.491 | 36.283 | 0.000 | -0.000 |
| 87.491 | 87.491 | 274.674 | -0.000 | 0.000 | -0.000 |
| -36.283 | 36.283 | -0.000 | 57.746 | 0.000 | -0.000 |
| 0.000 | -0.000 | -0.000 | 0.000 | 57.746 | -36.283 |
| 0.000 | -0.000 | 0.000 | 0.000 | -36.283 | 74.217 |
| 158.286 | 101.763 | 101.763 | 0.000 | 0.000 | -0.000 |
| 101.763 | 158.286 | 101.763 | -0.000 | -0.000 | -0.000 |
| 101.763 | 101.763 | 158.286 | 0.000 | 0.000 | -0.000 |
| 0.000 | -0.000 | -0.000 | 83.634 | 0.000 | -0.000 |
| -0.000 | 0.000 | 0.000 | 0.000 | 83.634 | 0.000 |
| -0.000 | -0.000 | -0.000 | 0.000 | 0.000 | 83.634 |
| 158.286 | 101.763 | 101.763 | -0.000 | -0.000 | 0.000 |
| 101.763 | 158.286 | 101.763 | -0.000 | -0.000 | 0.000 |
| 101.763 | 101.763 | 158.286 | 0.000 | 0.000 | 0.000 |
| -0.000 | -0.000 | 0.000 | 83.634 | -0.000 | -0.000 |
| -0.000 | -0.000 | 0.000 | -0.000 | 83.634 | 0.000 |
| -0.000 | 0.000 | 0.000 | -0.000 | -0.000 | 83.634 |
| 158.286 | 101.763 | 101.763 | 0.000 | 0.000 | -0.000 |
| 101.763 | 158.286 | 101.763 | -0.000 | -0.000 | 0.000 |
| 101.763 | 101.763 | 158.286 | 0.000 | 0.000 | -0.000 |
| 0.000 | -0.000 | 0.000 | 83.634 | 0.000 | 0.000 |
| -0.000 | 0.000 | 0.000 | 0.000 | 83.634 | -0.000 |
| -0.000 | 0.000 | 0.000 | 0.000 | 0.000 | 83.634 |
| 158.286 | 101.763 | 101.763 | -0.000 | 0.000 | -0.000 |
| 101.763 | 158.286 | 101.763 | -0.000 | 0.000 | -0.000 |
| 101.763 | 101.763 | 158.286 | -0.000 | -0.000 | -0.000 |
| -0.000 | 0.000 | -0.000 | 83.634 | -0.000 | 0.000 |
| 0.000 | -0.000 | -0.000 | -0.000 | 83.634 | 0.000 |
| 0.000 | -0.000 | -0.000 | -0.000 | -0.000 | 83.634 |
| 158.287 | 101.763 | 101.763 | 0.000 | 0.000 | -0.000 |
| 101.763 | 158.287 | 101.763 | 0.000 | 0.000 | -0.000 |
| 101.763 | 101.763 | 158.287 | 0.000 | 0.000 | -0.000 |
| 0.000 | -0.000 | -0.000 | 25.203 | 0.000 | 0.000 |
| -0.000 | 0.000 | -0.000 | 0.000 | 25.203 | -0.000 |
| -0.000 | -0.000 | 0.000 | 0.000 | 0.000 | 25.203 |
| 158.285 | 101.763 | 101.763 | -0.000 | -0.000 | -0.000 |
| 101.763 | 158.285 | 101.763 | -0.000 | 0.000 | -0.000 |
| 101.763 | 101.763 | 158.285 | -0.000 | -0.000 | 0.000 |
| -0.000 | 0.000 | 0.000 | 25.203 | -0.000 | -0.000 |
| 0.000 | -0.000 | 0.000 | -0.000 | 25.203 | 0.000 |
| 0.000 | 0.000 | -0.000 | -0.000 | -0.000 | 25.203 |
| 336.760 | 141.107 | 97.166 | -49.133 | -0.000 | 0.000 |
| -151.965 | 40.181 | 338.983 | 49.858 | -0.000 | -0.000 |
| -196.776 | -196.776 | 605.610 | -0.000 | -0.000 | -0.000 |
| -344.117 | -244.402 | 241.589 | 52.164 | 0.000 | -0.000 |
| 0.000 | -0.000 | -0.000 | -0.000 | 52.808 | -49.133 |
| -294.256 | -294.256 | 241.586 | -0.000 | -49.858 | 96.073 |
| 336.760 | 141.107 | 97.166 | -49.133 | -0.000 | 0.000 |
| 141.107 | 336.760 | 97.166 | 49.133 | 0.000 | 0.000 |
| 97.168 | 97.168 | 365.836 | 0.000 | -0.000 | 0.000 |
| -49.133 | 49.133 | 0.000 | 52.808 | -0.000 | 0.000 |
| -0.000 | 0.000 | 0.000 | 0.000 | 52.808 | -49.133 |
| 294.256 | 294.256 | -241.586 | 0.000 | -49.858 | 96.073 |
| 305.002 | 112.856 | 121.564 | -49.858 | -0.000 | 0.000 |
| 117.025 | 303.505 | 132.304 | 52.476 | -0.000 | -0.000 |
| 97.168 | 97.168 | 365.836 | 0.000 | -0.000 | 0.000 |
| -79.292 | 20.424 | 24.166 | 52.164 | 0.000 | 0.000 |
| -29.434 | -29.434 | 24.166 | 0.000 | 52.164 | -49.858 |
| -29.435 | -29.435 | 24.166 | -0.000 | -49.858 | 96.073 |
| 336.760 | 141.107 | 97.166 | -49.133 | -0.000 | -0.000 |
| 171.727 | 363.871 | 73.231 | 49.858 | 0.000 | -0.000 |
| 97.168 | 97.168 | 365.835 | 0.000 | 0.000 | 0.000 |
| -49.133 | 49.133 | 0.000 | 52.808 | 0.000 | 0.000 |
| 29.434 | 29.434 | -24.166 | -0.000 | 52.164 | -49.858 |
| 29.435 | 29.435 | -24.166 | 0.000 | -49.858 | 96.073 |
| 331.386 | 139.305 | 99.873 | -49.871 | -0.000 | -0.000 |
| 139.304 | 331.386 | 99.873 | 49.871 | 0.000 | -0.000 |
| 97.168 | 97.168 | 365.837 | 0.000 | 0.000 | -0.000 |
| -52.906 | 46.851 | 2.485 | 52.146 | 0.000 | -0.000 |
| -3.027 | -3.027 | 2.485 | 0.000 | 52.146 | -49.879 |
| -2.825 | -2.825 | 3.133 | -0.000 | -51.522 | 94.281 |
| 336.759 | 141.106 | 97.166 | -49.133 | 0.000 | 0.000 |
| 145.419 | 337.396 | 94.886 | 49.892 | 0.000 | 0.000 |
| 99.280 | 99.280 | 352.635 | 0.000 | -0.000 | 0.000 |
| -46.851 | 52.906 | -2.485 | 52.146 | 0.000 | -0.000 |
| 3.027 | 3.027 | -2.485 | -0.000 | 52.146 | -49.879 |
| 2.825 | 2.825 | -3.133 | 0.000 | -51.522 | 94.281 |
| 336.078 | 140.680 | 96.915 | -49.042 | -0.000 | -0.000 |
| 140.680 | 336.078 | 96.915 | 49.042 | 0.000 | 0.000 |
| 96.749 | 96.749 | 366.053 | -0.000 | 0.000 | 0.000 |
| -51.659 | 50.698 | 1.265 | 50.620 | 0.000 | 0.000 |
| 0.000 | -0.000 | -0.000 | -0.000 | 52.513 | -49.042 |
| -0.229 | -0.229 | 0.603 | -0.000 | -50.060 | 95.249 |
| 333.040 | 142.546 | 96.645 | -50.060 | -0.000 | -0.000 |
| 142.546 | 333.040 | 96.645 | 50.061 | -0.000 | -0.000 |
| 96.749 | 96.749 | 366.053 | 0.000 | -0.000 | -0.000 |
| -51.452 | 51.535 | -1.350 | 50.103 | 0.000 | -0.000 |
| -0.000 | -0.000 | 0.000 | 0.000 | 52.513 | -49.042 |
| 0.229 | 0.229 | -0.603 | 0.000 | -50.060 | 95.249 |
| 333.103 | 142.140 | 97.271 | -49.963 | 0.000 | 0.000 |
| 143.411 | 332.014 | 96.688 | 51.425 | 0.000 | 0.000 |
| 96.749 | 96.749 | 366.053 | -0.000 | 0.000 | 0.000 |
| -49.042 | 49.042 | 0.000 | 52.513 | 0.000 | 0.000 |
| 0.000 | 0.000 | 0.000 | 0.000 | 52.513 | -49.042 |
| -0.023 | -0.023 | 0.060 | -0.000 | -50.050 | 95.271 |
| 333.102 | 142.203 | 97.165 | -49.976 | -0.000 | -0.000 |
| 143.566 | 332.019 | 96.436 | 51.440 | 0.000 | -0.000 |
| 96.749 | 96.749 | 366.052 | 0.000 | 0.000 | -0.000 |
| -51.404 | 51.410 | -0.130 | 50.183 | -0.000 | -0.000 |
| -0.000 | -0.000 | -0.000 | -0.000 | 52.513 | -49.042 |
| 0.023 | 0.023 | -0.060 | 0.000 | -50.050 | 95.271 |
| 336.080 | 140.680 | 96.915 | -49.043 | 0.000 | 0.000 |
| 140.680 | 336.080 | 96.915 | 49.043 | -0.000 | 0.000 |
| 97.535 | 97.535 | 360.261 | -0.000 | 0.000 | 0.000 |
| -49.042 | 49.043 | 0.000 | 52.513 | 0.000 | 0.000 |
| -0.005 | -0.006 | 0.015 | 0.000 | 50.253 | -51.593 |
| 0.000 | 0.000 | 0.000 | -0.000 | -49.042 | 97.699 |
| 333.102 | 142.173 | 97.213 | -49.970 | -0.000 | -0.000 |
| 142.174 | 333.101 | 97.213 | 49.970 | 0.000 | -0.000 |
| 96.749 | 96.749 | 366.051 | 0.000 | 0.000 | 0.000 |
| -49.043 | 49.042 | -0.000 | 52.513 | -0.000 | -0.000 |
| 0.005 | 0.006 | -0.015 | -0.000 | 50.253 | -51.593 |
| -0.000 | -0.000 | -0.000 | 0.000 | -49.042 | 97.699 |
| 6.628 | 9.226 | 9.226 | -0.000 | -0.000 | -0.000 |
| 9.226 | 6.628 | 9.226 | -0.000 | -0.000 | -0.000 |
| 9.226 | 9.226 | 6.628 | -0.000 | -0.000 | -0.000 |
| -0.000 | 0.000 | 0.000 | -3.893 | -0.000 | -0.000 |
| -0.000 | 0.000 | -0.000 | -0.000 | -3.893 | -0.000 |
| -0.000 | 0.000 | 0.000 | -0.000 | -0.000 | -3.893 |
| 6.628 | 9.226 | 9.226 | -0.000 | 0.000 | 0.000 |
| 9.226 | 6.628 | 9.226 | 0.000 | 0.000 | 0.000 |
| 9.226 | 9.226 | 6.628 | 0.000 | 0.000 | 0.000 |
| 0.000 | -0.000 | 0.000 | -3.893 | 0.000 | 0.000 |
| 0.000 | -0.000 | -0.000 | 0.000 | -3.893 | 0.000 |
| 0.000 | -0.000 | 0.000 | 0.000 | 0.000 | -3.893 |
| 6.628 | 9.226 | 9.226 | -0.000 | -0.000 | -0.000 |
| 9.226 | 6.628 | 9.226 | -0.000 | -0.000 | -0.000 |
| 9.226 | 9.226 | 6.628 | -0.000 | -0.000 | -0.000 |
| -0.000 | -0.000 | -0.000 | -3.893 | -0.000 | -0.000 |
| -0.000 | -0.000 | -0.000 | -0.000 | -3.893 | -0.000 |
| -0.000 | -0.000 | -0.000 | -0.000 | -0.000 | -3.893 |
| 6.628 | 9.226 | 9.226 | 0.000 | 0.000 | 0.000 |
| 9.226 | 6.628 | 9.226 | 0.000 | 0.000 | 0.000 |
| 9.226 | 9.226 | 6.628 | 0.000 | 0.000 | 0.000 |
| 0.000 | 0.000 | 0.000 | -3.893 | 0.000 | 0.000 |
| 0.000 | 0.000 | 0.000 | 0.000 | -3.893 | 0.000 |
| 0.000 | 0.000 | 0.000 | 0.000 | 0.000 | -3.893 |
| 6.628 | 9.226 | 9.226 | -0.000 | -0.000 | -0.000 |
| 9.226 | 6.628 | 9.226 | -0.000 | -0.000 | -0.000 |
| 9.226 | 9.226 | 6.628 | -0.000 | -0.000 | -0.000 |
| 0.000 | -0.000 | -0.000 | 8.225 | -0.000 | -0.000 |
| -0.000 | 0.000 | -0.000 | 0.000 | 8.225 | -0.000 |
| -0.000 | -0.000 | 0.000 | 0.000 | -0.000 | 8.225 |
| 6.628 | 9.226 | 9.226 | 0.000 | 0.000 | 0.000 |
| 9.226 | 6.628 | 9.226 | 0.000 | 0.000 | 0.000 |
| 9.226 | 9.226 | 6.628 | 0.000 | 0.000 | 0.000 |
| -0.000 | 0.000 | 0.000 | 8.225 | 0.000 | 0.000 |
| 0.000 | -0.000 | 0.000 | -0.000 | 8.225 | 0.000 |
| 0.000 | 0.000 | -0.000 | -0.000 | 0.000 | 8.225 |
| 349.749 | 105.664 | 105.664 | 0.000 | 0.000 | 0.000 |
| 105.664 | 349.749 | 105.664 | -0.000 | -0.000 | 0.000 |
| 105.664 | 105.664 | 349.749 | 0.000 | -0.000 | -0.000 |
| 0.000 | -0.000 | -0.000 | 54.163 | 0.000 | -0.000 |
| -0.000 | -0.000 | -0.000 | -0.000 | 54.163 | -0.000 |
| -0.000 | -0.000 | 0.000 | -0.000 | -0.000 | 54.163 |
| 349.749 | 105.664 | 105.664 | 0.000 | 0.000 | 0.000 |
| 105.664 | 349.749 | 105.664 | 0.000 | -0.000 | -0.000 |
| 105.664 | 105.664 | 349.749 | 0.000 | 0.000 | 0.000 |
| -0.000 | 0.000 | 0.000 | 54.163 | -0.000 | 0.000 |
| 0.000 | 0.000 | 0.000 | 0.000 | 54.163 | 0.000 |
| 0.000 | 0.000 | 0.000 | 0.000 | 0.000 | 54.163 |
| 346.042 | 107.517 | 107.517 | -0.000 | -0.000 | -0.000 |
| 107.517 | 346.042 | 107.517 | -0.000 | 0.000 | -0.000 |
| 107.517 | 107.517 | 346.042 | -0.000 | -0.000 | 0.000 |
| 0.000 | -0.000 | -0.000 | 54.163 | 0.000 | 0.000 |
| -0.000 | 0.000 | -0.000 | -0.000 | 54.163 | -0.000 |
| -0.000 | -0.000 | 0.000 | -0.000 | -0.000 | 54.163 |
| 346.042 | 107.517 | 107.517 | 0.000 | 0.000 | -0.000 |
| 107.517 | 346.042 | 107.517 | 0.000 | -0.000 | -0.000 |
| 107.517 | 107.517 | 346.042 | 0.000 | -0.000 | 0.000 |
| -0.000 | 0.000 | 0.000 | 54.163 | 0.000 | 0.000 |
| 0.000 | -0.000 | 0.000 | 0.000 | 54.163 | 0.000 |
| 0.000 | 0.000 | -0.000 | 0.000 | 0.000 | 54.163 |
| 349.750 | 105.664 | 105.664 | -0.000 | -0.000 | -0.000 |
| 105.664 | 349.750 | 105.664 | -0.000 | 0.000 | -0.000 |
| 105.664 | 105.664 | 349.750 | -0.000 | -0.000 | 0.000 |
| 0.000 | -0.000 | -0.000 | 54.163 | -0.000 | 0.000 |
| -0.000 | 0.000 | -0.000 | -0.000 | 54.163 | -0.000 |
| -0.000 | -0.000 | 0.000 | -0.000 | -0.000 | 54.163 |
| 346.041 | 107.517 | 107.517 | 0.000 | 0.000 | 0.000 |
| 107.517 | 346.041 | 107.517 | 0.000 | -0.000 | 0.000 |
| 107.517 | 107.517 | 346.041 | 0.000 | -0.000 | 0.000 |
| -0.000 | 0.000 | 0.000 | 54.163 | -0.000 | 0.000 |
| 0.000 | -0.000 | 0.000 | 0.000 | 54.163 | 0.000 |
| 0.000 | 0.000 | -0.000 | 0.000 | -0.000 | 54.163 |
| -0.000 | -0.000 | -0.000 | -0.000 | -0.000 | -0.000 |
| -0.000 | -0.000 | -0.000 | -0.000 | 0.000 | -0.000 |
| -0.000 | -0.000 | -0.000 | -0.000 | 0.000 | -0.000 |
| 0.000 | -0.000 | 0.000 | 0.000 | 0.000 | 0.000 |
| -0.000 | 0.000 | 0.000 | 0.000 | 0.000 | -0.000 |
| -0.000 | 0.000 | 0.000 | 0.000 | -0.000 | 0.000 |
| -0.000 | -0.000 | -0.000 | -0.000 | 0.000 | 0.000 |
| -0.000 | -0.000 | -0.000 | 0.000 | 0.000 | -0.000 |
| -0.000 | -0.000 | -0.000 | -0.000 | 0.000 | -0.000 |
| -0.000 | 0.000 | -0.000 | 0.000 | -0.000 | -0.000 |
| 0.000 | -0.000 | -0.000 | -0.000 | 0.000 | -0.000 |
| 0.000 | -0.000 | -0.000 | -0.000 | -0.000 | 0.000 |
| -0.000 | -0.000 | -0.000 | -0.000 | 0.000 | -0.000 |
| -0.000 | -0.000 | -0.000 | -0.000 | 0.000 | 0.000 |
| -0.000 | -0.000 | -0.000 | 0.000 | -0.000 | -0.000 |
| 0.000 | -0.000 | 0.000 | 0.000 | -0.000 | 0.000 |
| -0.000 | 0.000 | 0.000 | -0.000 | 0.000 | -0.000 |
| -0.000 | 0.000 | 0.000 | 0.000 | -0.000 | 0.000 |
| -0.000 | -0.000 | -0.000 | -0.000 | 0.000 | 0.000 |
| -0.000 | -0.000 | -0.000 | 0.000 | 0.000 | -0.000 |
| -0.000 | -0.000 | -0.000 | -0.000 | 0.000 | -0.000 |
| -0.000 | 0.000 | -0.000 | 0.000 | 0.000 | -0.000 |
| 0.000 | -0.000 | -0.000 | 0.000 | 0.000 | 0.000 |
| 0.000 | -0.000 | -0.000 | -0.000 | -0.000 | 0.000 |
| -0.000 | -0.000 | -0.000 | -0.000 | -0.000 | 0.000 |
| -0.000 | -0.000 | -0.000 | -0.000 | 0.000 | -0.000 |
| -0.000 | -0.000 | -0.000 | 0.000 | -0.000 | -0.000 |
| 0.000 | -0.000 | 0.000 | 0.000 | 0.000 | -0.000 |
| -0.000 | 0.000 | 0.000 | 0.000 | 0.000 | 0.000 |
| -0.000 | 0.000 | 0.000 | 0.000 | -0.000 | 0.000 |
| -0.000 | -0.000 | -0.000 | -0.000 | -0.000 | 0.000 |
| -0.000 | -0.000 | -0.000 | 0.000 | 0.000 | -0.000 |
| -0.000 | -0.000 | -0.000 | -0.000 | 0.000 | -0.000 |
| -0.000 | 0.000 | -0.000 | 0.000 | -0.000 | -0.000 |
| 0.000 | -0.000 | -0.000 | -0.000 | 0.000 | -0.000 |
| 0.000 | -0.000 | -0.000 | -0.000 | -0.000 | 0.000 |
| 0.000 | -0.000 | -0.000 | -0.000 | 0.000 | 0.000 |
| -0.000 | 0.000 | -0.000 | -0.000 | -0.000 | 0.000 |
| -0.000 | -0.000 | 0.000 | -0.000 | 0.000 | -0.000 |
| 0.000 | 0.000 | 0.000 | 0.000 | 0.000 | 0.000 |
| 0.000 | 0.000 | 0.000 | 0.000 | 0.000 | 0.000 |
| 0.000 | 0.000 | 0.000 | 0.000 | 0.000 | 0.000 |
| 0.000 | -0.000 | -0.000 | -0.000 | -0.000 | -0.000 |
| -0.000 | 0.000 | -0.000 | 0.000 | -0.000 | -0.000 |
| -0.000 | -0.000 | 0.000 | -0.000 | -0.000 | -0.000 |
| -0.000 | -0.000 | -0.000 | 0.000 | -0.000 | -0.000 |
| -0.000 | -0.000 | -0.000 | -0.000 | 0.000 | -0.000 |
| -0.000 | -0.000 | -0.000 | -0.000 | -0.000 | 0.000 |
| 0.000 | -0.000 | -0.000 | -0.000 | 0.000 | 0.000 |
| -0.000 | 0.000 | -0.000 | 0.000 | -0.000 | 0.000 |
| -0.000 | -0.000 | 0.000 | 0.000 | 0.000 | -0.000 |
| 0.000 | 0.000 | -0.000 | 0.000 | 0.000 | 0.000 |
| 0.000 | 0.000 | -0.000 | 0.000 | 0.000 | 0.000 |
| 0.000 | -0.000 | 0.000 | 0.000 | 0.000 | 0.000 |
| 0.000 | -0.000 | -0.000 | -0.000 | -0.000 | -0.000 |
| -0.000 | 0.000 | -0.000 | -0.000 | -0.000 | -0.000 |
| -0.000 | -0.000 | 0.000 | -0.000 | -0.000 | -0.000 |
| -0.000 | -0.000 | 0.000 | 0.000 | -0.000 | -0.000 |
| -0.000 | -0.000 | 0.000 | -0.000 | 0.000 | -0.000 |
| -0.000 | 0.000 | -0.000 | -0.000 | -0.000 | 0.000 |
| 0.000 | -0.000 | -0.000 | -0.000 | 0.000 | 0.000 |
| -0.000 | 0.000 | -0.000 | 0.000 | -0.000 | 0.000 |
| -0.000 | -0.000 | 0.000 | 0.000 | 0.000 | -0.000 |
| 0.000 | -0.000 | -0.000 | 0.000 | 0.000 | 0.000 |
| -0.000 | 0.000 | -0.000 | 0.000 | 0.000 | 0.000 |
| -0.000 | -0.000 | 0.000 | 0.000 | 0.000 | 0.000 |
| 0.000 | -0.000 | -0.000 | -0.000 | -0.000 | -0.000 |
| -0.000 | 0.000 | -0.000 | -0.000 | -0.000 | -0.000 |
| -0.000 | -0.000 | 0.000 | -0.000 | 0.000 | -0.000 |
| -0.000 | 0.000 | 0.000 | 0.000 | -0.000 | -0.000 |
| 0.000 | -0.000 | 0.000 | -0.000 | 0.000 | -0.000 |
| 0.000 | 0.000 | -0.000 | -0.000 | -0.000 | 0.000 |
| 197.345 | 180.708 | 180.708 | -0.000 | -0.000 | -0.000 |
| 180.708 | 197.345 | 180.708 | -0.000 | 0.000 | -0.000 |
| 180.708 | 180.708 | 197.345 | -0.000 | 0.000 | -0.000 |
| -0.000 | -0.000 | 0.000 | 139.496 | -0.000 | -0.000 |
| -0.000 | -0.000 | 0.000 | -0.000 | 139.496 | -0.000 |
| -0.000 | -0.000 | 0.000 | -0.000 | -0.000 | 139.496 |
| 197.345 | 180.708 | 180.708 | 0.000 | 0.000 | 0.000 |
| 180.708 | 197.345 | 180.708 | 0.000 | 0.000 | 0.000 |
| 180.708 | 180.708 | 197.345 | 0.000 | 0.000 | 0.000 |
| 0.000 | 0.000 | 0.000 | 139.496 | 0.000 | 0.000 |
| 0.000 | 0.000 | 0.000 | 0.000 | 139.496 | 0.000 |
| 0.000 | 0.000 | -0.000 | 0.000 | 0.000 | 139.496 |
| 197.345 | 180.708 | 180.708 | -0.000 | -0.000 | -0.000 |
| 180.708 | 197.345 | 180.708 | -0.000 | -0.000 | -0.000 |
| 180.708 | 180.708 | 197.345 | -0.000 | -0.000 | -0.000 |
| 0.000 | -0.000 | 0.000 | 139.496 | 0.000 | -0.000 |
| -0.000 | 0.000 | 0.000 | -0.000 | 139.496 | -0.000 |
| -0.000 | 0.000 | 0.000 | -0.000 | -0.000 | 139.496 |
| 197.345 | 180.708 | 180.708 | 0.000 | 0.000 | 0.000 |
| 180.708 | 197.345 | 180.708 | 0.000 | 0.000 | 0.000 |
| 180.708 | 180.708 | 197.345 | 0.000 | 0.000 | 0.000 |
| -0.000 | 0.000 | -0.000 | 139.496 | -0.000 | 0.000 |
| 0.000 | -0.000 | -0.000 | 0.000 | 139.496 | 0.000 |
| 0.000 | -0.000 | -0.000 | 0.000 | 0.000 | 139.496 |
| 197.346 | 180.709 | 180.709 | -0.000 | -0.000 | -0.000 |
| 180.709 | 197.346 | 180.709 | -0.000 | -0.000 | -0.000 |
| 180.709 | 180.709 | 197.346 | -0.000 | -0.000 | -0.000 |
| 0.000 | -0.000 | 0.000 | 139.496 | -0.000 | -0.000 |
| -0.000 | 0.000 | 0.000 | -0.000 | 139.496 | -0.000 |
| -0.000 | 0.000 | 0.000 | -0.000 | -0.000 | 139.496 |
| 197.343 | 180.708 | 180.708 | 0.000 | 0.000 | 0.000 |
| 180.708 | 197.343 | 180.708 | 0.000 | 0.000 | 0.000 |
| 180.708 | 180.708 | 197.343 | 0.000 | 0.000 | 0.000 |
| -0.000 | 0.000 | -0.000 | 139.496 | 0.000 | 0.000 |
| 0.000 | -0.000 | -0.000 | 0.000 | 139.496 | 0.000 |
| 0.000 | -0.000 | -0.000 | 0.000 | 0.000 | 139.496 |
| 238.177 | 166.416 | 166.416 | 0.000 | -0.000 | 0.000 |
| 166.416 | 238.177 | 166.416 | 0.000 | -0.000 | 0.000 |
| 166.416 | 166.416 | 238.177 | 0.000 | -0.000 | 0.000 |
| -0.000 | -0.000 | 0.000 | 130.179 | -0.000 | 0.000 |
| 0.000 | -0.000 | 0.000 | 0.000 | 130.179 | 0.000 |
| -0.000 | 0.000 | -0.000 | 0.000 | -0.000 | 130.179 |
| 238.177 | 166.416 | 166.416 | -0.000 | 0.000 | -0.000 |
| 166.416 | 238.177 | 166.416 | -0.000 | 0.000 | -0.000 |
| 166.416 | 166.416 | 238.177 | -0.000 | 0.000 | -0.000 |
| 0.000 | 0.000 | -0.000 | 130.179 | 0.000 | -0.000 |
| -0.000 | 0.000 | 0.000 | -0.000 | 130.179 | -0.000 |
| -0.000 | -0.000 | 0.000 | -0.000 | 0.000 | 130.179 |
| 238.177 | 166.416 | 166.416 | 0.000 | -0.000 | 0.000 |
| 166.416 | 238.177 | 166.416 | 0.000 | -0.000 | 0.000 |
| 166.416 | 166.416 | 238.177 | 0.000 | 0.000 | 0.000 |
| 0.000 | -0.000 | 0.000 | 130.179 | -0.000 | 0.000 |
| -0.000 | 0.000 | 0.000 | 0.000 | 130.179 | 0.000 |
| -0.000 | 0.000 | 0.000 | 0.000 | -0.000 | 130.179 |
| 238.177 | 166.416 | 166.416 | 0.000 | 0.000 | -0.000 |
| 166.416 | 238.177 | 166.416 | -0.000 | 0.000 | -0.000 |
| 166.416 | 166.416 | 238.177 | -0.000 | 0.000 | -0.000 |
| -0.000 | 0.000 | -0.000 | 130.179 | 0.000 | -0.000 |
| 0.000 | -0.000 | -0.000 | -0.000 | 130.179 | -0.000 |
| 0.000 | -0.000 | -0.000 | -0.000 | 0.000 | 130.179 |
| 238.175 | 166.416 | 166.416 | 0.000 | -0.000 | 0.000 |
| 166.416 | 238.175 | 166.416 | 0.000 | -0.000 | 0.000 |
| 166.416 | 166.416 | 238.175 | 0.000 | -0.000 | 0.000 |
| 0.000 | -0.000 | 0.000 | 130.179 | -0.000 | 0.000 |
| -0.000 | 0.000 | 0.000 | 0.000 | 130.179 | 0.000 |
| -0.000 | 0.000 | 0.000 | 0.000 | -0.000 | 130.179 |
| 238.179 | 166.415 | 166.415 | -0.000 | 0.000 | -0.000 |
| 166.415 | 238.179 | 166.415 | -0.000 | 0.000 | -0.000 |
| 166.415 | 166.415 | 238.179 | -0.000 | 0.000 | -0.000 |
| -0.000 | 0.000 | -0.000 | 130.179 | 0.000 | -0.000 |
| 0.000 | -0.000 | -0.000 | -0.000 | 130.179 | -0.000 |
| 0.000 | -0.000 | -0.000 | -0.000 | 0.000 | 130.179 |
| 367.100 | 180.695 | 162.577 | -0.000 | 0.000 | 0.000 |
| 206.359 | 341.397 | 162.543 | -0.000 | 0.000 | 0.000 |
| 97.537 | 97.537 | 300.446 | 0.000 | 0.000 | 0.000 |
| 36.343 | 36.343 | 65.224 | 60.661 | 0.000 | 0.000 |
| 36.343 | 36.343 | 65.224 | -0.000 | 60.661 | 0.000 |
| -0.000 | -0.000 | 0.000 | 0.000 | 0.000 | 100.483 |
| 294.376 | 107.971 | 32.063 | 0.000 | 0.000 | -0.000 |
| 137.174 | 338.139 | 97.537 | -0.000 | -0.000 | -0.000 |
| 60.977 | 60.977 | 234.833 | 0.000 | -0.000 | -0.000 |
| -36.343 | -36.343 | -65.224 | 60.661 | -0.000 | -0.000 |
| -36.343 | -36.343 | -65.224 | 0.000 | 60.661 | -0.000 |
| 0.000 | -0.000 | -0.000 | -0.000 | -0.000 | 100.483 |
| 334.170 | 148.555 | 104.187 | -0.000 | 0.000 | -0.000 |
| 137.174 | 338.140 | 97.537 | 0.000 | 0.000 | 0.000 |
| 97.537 | 97.537 | 300.446 | -0.000 | 0.000 | 0.000 |
| -0.000 | -0.000 | 0.000 | 60.843 | 0.000 | 0.000 |
| 3.639 | 3.639 | 6.531 | -0.000 | 60.660 | 0.000 |
| -0.000 | 0.000 | -0.000 | 0.000 | 0.000 | 100.483 |
| 338.139 | 137.174 | 97.537 | 0.000 | -0.000 | -0.000 |
| 140.864 | 326.577 | 90.473 | 0.000 | 0.000 | -0.000 |
| 97.537 | 97.537 | 300.446 | 0.000 | -0.000 | 0.000 |
| 0.000 | 0.000 | -0.000 | 60.843 | -0.000 | -0.000 |
| -3.639 | -3.639 | -6.531 | 0.000 | 60.660 | -0.000 |
| 0.000 | -0.000 | 0.000 | -0.000 | -0.000 | 100.483 |
| 312.068 | 165.041 | 99.148 | 0.000 | 0.000 | 0.000 |
| 137.174 | 338.140 | 97.537 | 0.000 | 0.000 | -0.000 |
| 97.538 | 97.538 | 300.447 | -0.000 | 0.000 | 0.000 |
| 0.409 | 0.408 | 0.733 | 60.638 | 0.000 | 0.000 |
| -0.000 | -0.000 | 0.000 | -0.000 | 60.843 | 0.000 |
| 0.363 | 0.364 | 0.652 | -0.000 | 0.000 | 67.511 |
| 304.692 | 169.653 | 96.668 | 0.000 | -0.000 | -0.000 |
| 137.173 | 338.139 | 97.537 | -0.000 | -0.000 | -0.000 |
| 96.956 | 96.956 | 299.402 | 0.000 | -0.000 | -0.000 |
| -0.409 | -0.408 | -0.733 | 60.638 | -0.000 | -0.000 |
| 0.000 | 0.000 | -0.000 | 0.000 | 60.843 | -0.000 |
| -0.363 | -0.364 | -0.652 | 0.000 | -0.000 | 67.511 |
| 158.277 | 21.915 | -168.302 | -0.000 | 0.000 | -0.000 |
| -3.261 | 183.445 | -168.309 | -0.000 | 0.000 | -0.000 |
| -50.236 | -50.236 | 33.544 | -0.000 | -0.000 | -0.000 |
| -0.000 | -0.000 | -0.000 | 60.792 | 0.000 | -0.000 |
| -0.000 | 0.000 | -0.000 | 0.000 | 60.792 | -0.000 |
| -0.000 | 0.000 | -0.000 | 0.000 | 0.000 | 100.506 |
| 477.183 | 290.477 | 361.531 | 0.000 | -0.000 | 0.000 |
| 136.576 | 337.587 | 96.827 | -0.000 | -0.000 | 0.000 |
| 96.845 | 96.845 | 298.846 | -0.000 | 0.000 | 0.000 |
| -0.000 | 0.000 | 0.000 | 60.792 | -0.000 | 0.000 |
| 0.000 | -0.000 | 0.000 | -0.000 | 60.792 | 0.000 |
| 0.000 | -0.000 | 0.000 | -0.000 | -0.000 | 100.506 |
| 337.587 | 136.576 | 96.827 | 0.000 | 0.000 | -0.000 |
| 136.576 | 337.587 | 96.827 | 0.000 | 0.000 | -0.000 |
| 96.845 | 96.845 | 298.846 | 0.000 | 0.000 | -0.000 |
| -0.000 | -0.000 | 0.000 | 60.792 | 0.000 | -0.000 |
| -14.686 | -14.686 | -26.491 | -0.000 | 59.995 | -0.000 |
| -14.732 | -14.732 | -26.573 | -0.000 | 0.000 | 93.331 |
| 337.587 | 136.576 | 96.827 | -0.000 | -0.000 | 0.000 |
| 158.362 | 345.024 | 123.185 | 0.000 | -0.000 | 0.000 |
| 96.845 | 96.845 | 298.846 | -0.000 | -0.000 | 0.000 |
| 0.000 | 0.000 | -0.000 | 60.792 | -0.000 | 0.000 |
| 14.686 | 14.686 | 26.491 | 0.000 | 59.995 | 0.000 |
| 14.732 | 14.732 | 26.573 | 0.000 | 0.000 | 93.331 |
| 337.587 | 136.576 | 96.828 | 0.000 | 0.000 | -0.000 |
| 143.509 | 326.695 | 93.257 | -0.000 | 0.000 | -0.000 |
| 95.160 | 95.160 | 295.807 | -0.000 | 0.000 | -0.000 |
| -0.000 | -0.000 | 0.000 | 60.792 | 0.000 | -0.000 |
| -0.000 | -0.000 | 0.000 | 0.000 | 60.792 | -0.000 |
| -0.000 | 0.000 | -0.000 | 0.000 | 0.000 | 100.506 |
| 329.853 | 147.902 | 100.069 | 0.000 | -0.000 | 0.000 |
| 170.247 | 306.612 | 99.260 | -0.000 | -0.000 | 0.000 |
| 98.097 | 98.097 | 301.104 | 0.000 | -0.000 | 0.000 |
| 0.000 | 0.000 | -0.000 | 60.792 | -0.000 | 0.000 |
| 0.000 | 0.000 | -0.000 | -0.000 | 60.792 | 0.000 |
| 0.000 | -0.000 | 0.000 | -0.000 | -0.000 | 100.506 |
| 272.987 | 162.954 | 159.254 | 0.000 | 0.000 | -0.000 |
| 162.954 | 272.987 | 159.254 | 0.000 | 0.000 | 0.000 |
| 159.254 | 159.254 | 59.012 | 0.000 | 0.000 | -0.000 |
| 0.000 | -0.000 | 0.000 | 122.602 | 0.000 | -0.000 |
| -0.000 | 0.000 | 0.000 | 0.000 | 122.602 | 0.000 |
| -0.000 | 0.000 | 0.000 | 0.000 | 0.000 | 125.084 |
| 272.987 | 162.954 | 159.254 | -0.000 | -0.000 | -0.000 |
| 162.954 | 272.987 | 159.254 | -0.000 | -0.000 | 0.000 |
| 159.254 | 159.254 | 59.012 | 0.000 | -0.000 | -0.000 |
| 0.000 | -0.000 | 0.000 | 122.602 | 0.000 | -0.000 |
| -0.000 | -0.000 | 0.000 | 0.000 | 122.602 | -0.000 |
| 0.000 | -0.000 | -0.000 | -0.000 | -0.000 | 125.084 |
| 273.516 | 162.425 | 159.254 | 0.000 | 0.000 | -0.000 |
| 162.425 | 273.516 | 159.254 | 0.000 | 0.000 | 0.000 |
| 159.254 | 159.254 | 59.012 | 0.000 | 0.000 | -0.000 |
| 0.000 | 0.000 | 0.000 | 122.602 | 0.000 | -0.000 |
| 0.000 | 0.000 | 0.000 | 0.000 | 122.602 | 0.000 |
| 0.000 | 0.000 | -0.000 | 0.000 | 0.000 | 125.084 |
| 273.516 | 162.425 | 159.253 | 0.000 | -0.000 | 0.000 |
| 162.425 | 273.516 | 159.253 | -0.000 | -0.000 | 0.000 |
| 159.253 | 159.253 | 59.012 | -0.000 | -0.000 | -0.000 |
| -0.000 | -0.000 | -0.000 | 122.602 | -0.000 | -0.000 |
| -0.000 | -0.000 | -0.000 | -0.000 | 122.602 | -0.000 |
| -0.000 | -0.000 | 0.000 | -0.000 | -0.000 | 125.084 |
| 273.515 | 162.426 | 159.254 | -0.000 | 0.000 | 0.000 |
| 162.426 | 273.515 | 159.254 | 0.000 | 0.000 | -0.000 |
| 159.254 | 159.254 | 59.012 | 0.000 | 0.000 | -0.000 |
| 0.000 | 0.000 | 0.000 | 122.602 | 0.000 | -0.000 |
| 0.000 | 0.000 | 0.000 | 0.000 | 122.602 | 0.000 |
| 0.000 | 0.000 | -0.000 | 0.000 | 0.000 | 125.084 |
| 273.516 | 162.425 | 159.253 | -0.000 | -0.000 | 0.000 |
| 162.425 | 273.516 | 159.253 | -0.000 | -0.000 | -0.000 |
| 159.253 | 159.253 | 59.012 | 0.000 | -0.000 | -0.000 |
| -0.000 | -0.000 | -0.000 | 122.602 | -0.000 | -0.000 |
| -0.000 | -0.000 | -0.000 | -0.000 | 122.602 | -0.000 |
| -0.000 | -0.000 | 0.000 | -0.000 | -0.000 | 125.084 |
| 293.877 | 154.816 | 181.090 | -0.000 | 0.000 | -0.000 |
| 154.816 | 293.877 | 181.090 | 0.000 | -0.000 | -0.000 |
| 181.090 | 181.090 | 237.803 | -0.000 | 0.000 | -0.000 |
| -0.000 | 0.000 | 0.000 | 142.999 | -0.000 | -0.000 |
| -0.000 | 0.000 | 0.000 | -0.000 | 142.999 | -0.000 |
| -0.000 | 0.000 | -0.000 | 0.000 | -0.000 | 116.760 |
| 293.877 | 154.816 | 181.090 | -0.000 | 0.000 | 0.000 |
| 154.816 | 293.877 | 181.090 | 0.000 | 0.000 | 0.000 |
| 181.090 | 181.090 | 237.802 | -0.000 | 0.000 | -0.000 |
| 0.000 | -0.000 | -0.000 | 142.999 | 0.000 | -0.000 |
| 0.000 | -0.000 | -0.000 | 0.000 | 142.999 | 0.000 |
| 0.000 | -0.000 | 0.000 | 0.000 | 0.000 | 116.760 |
| 293.877 | 154.816 | 181.090 | 0.000 | -0.000 | -0.000 |
| 154.816 | 293.877 | 181.090 | -0.000 | -0.000 | -0.000 |
| 181.090 | 181.090 | 237.803 | -0.000 | -0.000 | -0.000 |
| 0.000 | 0.000 | 0.000 | 142.498 | -0.000 | 0.000 |
| 0.000 | 0.000 | 0.000 | -0.000 | 142.498 | -0.000 |
| 0.000 | 0.000 | -0.000 | 0.000 | -0.000 | 116.760 |
| 292.969 | 155.724 | 181.090 | 0.000 | 0.000 | 0.000 |
| 155.724 | 292.969 | 181.090 | 0.000 | 0.000 | 0.000 |
| 181.090 | 181.090 | 237.802 | 0.000 | 0.000 | 0.000 |
| -0.000 | -0.000 | -0.000 | 142.498 | 0.000 | 0.000 |
| -0.000 | -0.000 | -0.000 | 0.000 | 142.498 | 0.000 |
| -0.000 | -0.000 | 0.000 | 0.000 | 0.000 | 116.760 |
| 292.969 | 155.725 | 181.090 | 0.000 | -0.000 | -0.000 |
| 155.725 | 292.969 | 181.090 | -0.000 | 0.000 | -0.000 |
| 181.091 | 181.091 | 237.807 | -0.000 | -0.000 | -0.000 |
| 0.000 | 0.000 | 0.001 | 142.498 | -0.000 | 0.000 |
| 0.000 | 0.000 | 0.001 | -0.000 | 142.498 | -0.000 |
| 0.000 | 0.000 | -0.000 | 0.000 | -0.000 | 116.760 |
| 293.876 | 154.815 | 181.089 | 0.000 | 0.000 | 0.000 |
| 154.815 | 293.876 | 181.089 | 0.000 | 0.000 | 0.000 |
| 181.089 | 181.089 | 237.798 | -0.000 | -0.000 | 0.000 |
| -0.000 | -0.000 | -0.001 | 142.498 | 0.000 | 0.000 |
| -0.000 | -0.000 | -0.001 | 0.000 | 142.498 | 0.000 |
| -0.000 | -0.000 | 0.000 | -0.000 | 0.000 | 116.760 |
| 306.859 | 165.856 | 95.666 | 0.000 | -0.000 | -0.000 |
| 168.426 | 305.132 | 96.429 | 0.000 | -0.000 | -0.000 |
| 96.669 | 96.669 | 298.482 | 0.000 | 0.000 | -0.000 |
| -0.049 | -0.049 | -0.089 | 60.016 | 0.000 | -0.000 |
| -0.049 | -0.049 | -0.089 | 0.000 | 60.016 | -0.000 |
| 0.000 | 0.000 | 0.000 | -0.000 | 0.000 | 100.514 |
| 337.421 | 136.394 | 96.662 | 0.000 | 0.000 | 0.000 |
| 168.450 | 305.155 | 96.471 | -0.000 | 0.000 | 0.000 |
| 96.669 | 96.669 | 298.482 | -0.000 | -0.000 | 0.000 |
| 0.049 | 0.049 | 0.089 | 60.016 | -0.000 | 0.000 |
| 0.049 | 0.049 | 0.089 | -0.000 | 60.016 | 0.000 |
| 0.000 | 0.000 | -0.000 | 0.000 | -0.000 | 100.514 |
| 306.603 | 166.190 | 95.737 | 0.000 | 0.000 | -0.000 |
| 166.190 | 306.603 | 95.737 | -0.000 | 0.000 | -0.000 |
| 96.669 | 96.669 | 298.482 | 0.000 | 0.000 | -0.000 |
| -0.005 | -0.005 | -0.009 | 60.000 | 0.000 | -0.000 |
| -0.005 | -0.005 | -0.009 | -0.000 | 60.000 | -0.000 |
| -0.005 | -0.005 | -0.009 | 0.000 | 0.000 | 68.426 |
| 337.421 | 136.394 | 96.662 | -0.000 | -0.000 | 0.000 |
| 136.394 | 337.421 | 96.662 | -0.000 | -0.000 | 0.000 |
| 96.455 | 96.455 | 298.094 | -0.000 | -0.000 | 0.000 |
| 0.005 | 0.005 | 0.009 | 60.000 | -0.000 | 0.000 |
| 0.005 | 0.005 | 0.009 | 0.000 | 60.000 | 0.000 |
| 0.005 | 0.005 | 0.009 | 0.000 | -0.000 | 68.426 |
| 337.422 | 136.395 | 96.662 | -0.000 | 0.000 | -0.000 |
| 166.223 | 306.577 | 95.744 | -0.000 | 0.000 | -0.000 |
| 96.669 | 96.669 | 298.483 | 0.000 | 0.000 | -0.000 |
| -0.000 | -0.001 | -0.001 | 60.000 | 0.000 | -0.000 |
| -0.000 | -0.000 | 0.000 | -0.000 | 60.796 | -0.000 |
| -0.000 | 0.000 | -0.000 | -0.000 | 0.000 | 100.514 |
| 337.421 | 136.394 | 96.662 | -0.000 | -0.000 | 0.000 |
| 166.228 | 306.574 | 95.745 | 0.000 | -0.000 | 0.000 |
| 96.669 | 96.669 | 298.481 | -0.000 | 0.000 | 0.000 |
| 0.000 | 0.001 | 0.001 | 60.000 | -0.000 | 0.000 |
| 0.000 | 0.000 | -0.000 | 0.000 | 60.796 | 0.000 |
| 0.000 | -0.000 | 0.000 | 0.000 | -0.000 | 100.514 |
| 275.781 | 158.989 | 158.989 | 0.000 | -0.000 | 0.000 |
| 158.989 | 275.781 | 158.989 | 0.000 | 0.000 | -0.000 |
| 158.989 | 158.989 | 275.781 | -0.000 | -0.000 | -0.000 |
| 0.000 | 0.000 | 0.000 | 108.249 | -0.000 | 0.000 |
| 0.000 | -0.000 | 0.000 | -0.000 | 108.249 | -0.000 |
| 0.000 | 0.000 | -0.000 | 0.000 | 0.000 | 108.249 |
| 275.781 | 158.989 | 158.989 | -0.000 | -0.000 | -0.000 |
| 158.989 | 275.781 | 158.989 | 0.000 | -0.000 | 0.000 |
| 158.989 | 158.989 | 275.781 | -0.000 | -0.000 | 0.000 |
| -0.000 | -0.000 | -0.000 | 108.249 | 0.000 | -0.000 |
| -0.000 | -0.000 | -0.000 | -0.000 | 108.249 | 0.000 |
| -0.000 | -0.000 | 0.000 | -0.000 | -0.000 | 108.249 |
| 275.781 | 158.989 | 158.989 | 0.000 | 0.000 | 0.000 |
| 158.989 | 275.781 | 158.989 | 0.000 | 0.000 | -0.000 |
| 158.989 | 158.989 | 275.781 | 0.000 | 0.000 | -0.000 |
| -0.000 | 0.000 | 0.000 | 108.249 | -0.000 | -0.000 |
| 0.000 | -0.000 | 0.000 | -0.000 | 108.249 | -0.000 |
| 0.000 | 0.000 | -0.000 | 0.000 | 0.000 | 108.249 |
| 275.781 | 158.989 | 158.989 | -0.000 | -0.000 | 0.000 |
| 158.989 | 275.781 | 158.989 | -0.000 | -0.000 | 0.000 |
| 158.989 | 158.989 | 275.781 | -0.000 | -0.000 | -0.000 |
| 0.000 | -0.000 | -0.000 | 108.249 | -0.000 | 0.000 |
| -0.000 | 0.000 | -0.000 | 0.000 | 108.249 | 0.000 |
| -0.000 | -0.000 | 0.000 | 0.000 | -0.000 | 108.249 |
| 275.782 | 158.990 | 158.990 | 0.000 | 0.000 | -0.000 |
| 158.990 | 275.782 | 158.990 | 0.000 | 0.000 | -0.000 |
| 158.990 | 158.990 | 275.782 | 0.000 | 0.000 | -0.000 |
| -0.000 | 0.000 | 0.001 | 108.249 | 0.000 | -0.000 |
| 0.000 | -0.000 | 0.001 | 0.000 | 108.249 | -0.000 |
| 0.000 | 0.001 | -0.000 | -0.000 | 0.000 | 108.249 |
| 275.781 | 158.989 | 158.989 | -0.000 | -0.000 | 0.000 |
| 158.989 | 275.781 | 158.989 | 0.000 | -0.000 | 0.000 |
| 158.989 | 158.989 | 275.781 | -0.000 | -0.000 | 0.000 |
| 0.000 | -0.000 | -0.001 | 108.249 | 0.000 | 0.000 |
| -0.000 | 0.000 | -0.001 | -0.000 | 108.249 | 0.000 |
| -0.000 | -0.001 | 0.000 | -0.000 | -0.000 | 108.249 |
| 418.074 | 77.188 | 77.188 | 0.000 | 0.000 | -0.000 |
| 77.188 | 418.074 | 77.188 | -0.000 | -0.000 | 0.000 |
| 77.188 | 77.188 | 418.074 | 0.000 | 0.000 | 0.000 |
| -0.000 | -0.000 | 0.000 | 17.599 | 0.000 | 0.000 |
| -0.000 | 0.000 | 0.000 | 0.000 | 17.599 | 0.000 |
| -0.000 | -0.000 | 0.000 | 0.000 | -0.000 | 17.599 |
| 420.108 | 76.171 | 76.171 | -0.000 | 0.000 | -0.000 |
| 76.171 | 420.108 | 76.171 | -0.000 | -0.000 | 0.000 |
| 76.171 | 76.171 | 420.108 | -0.000 | 0.000 | -0.000 |
| 0.000 | -0.000 | -0.000 | 17.599 | 0.000 | 0.000 |
| 0.000 | -0.000 | -0.000 | -0.000 | 17.599 | 0.000 |
| 0.000 | 0.000 | -0.000 | -0.000 | 0.000 | 17.599 |
| 420.108 | 76.171 | 76.171 | 0.000 | -0.000 | -0.000 |
| 76.171 | 420.108 | 76.171 | 0.000 | 0.000 | -0.000 |
| 76.171 | 76.171 | 420.108 | 0.000 | -0.000 | 0.000 |
| -0.000 | 0.000 | 0.000 | 17.599 | 0.000 | -0.000 |
| 0.000 | -0.000 | 0.000 | 0.000 | 17.599 | -0.000 |
| 0.000 | 0.000 | 0.000 | 0.000 | -0.000 | 17.599 |
| 418.074 | 77.188 | 77.188 | -0.000 | 0.000 | -0.000 |
| 77.188 | 418.074 | 77.188 | -0.000 | 0.000 | 0.000 |
| 77.188 | 77.188 | 418.074 | -0.000 | -0.000 | -0.000 |
| 0.000 | -0.000 | -0.000 | 17.599 | -0.000 | -0.000 |
| -0.000 | -0.000 | -0.000 | -0.000 | 17.599 | -0.000 |
| -0.000 | -0.000 | -0.000 | -0.000 | 0.000 | 17.599 |
| 420.111 | 76.171 | 76.171 | 0.000 | 0.000 | -0.000 |
| 76.171 | 420.111 | 76.171 | 0.000 | -0.000 | -0.000 |
| 76.171 | 76.171 | 420.111 | 0.000 | -0.000 | 0.000 |
| 0.000 | -0.000 | -0.000 | -55.545 | -0.000 | -0.000 |
| -0.000 | 0.000 | -0.000 | 0.000 | -55.545 | -0.000 |
| -0.000 | -0.000 | 0.000 | 0.000 | -0.000 | -55.545 |
| 418.071 | 77.188 | 77.188 | -0.000 | 0.000 | 0.000 |
| 77.188 | 418.071 | 77.188 | -0.000 | 0.000 | 0.000 |
| 77.188 | 77.188 | 418.071 | -0.000 | 0.000 | 0.000 |
| -0.000 | 0.000 | 0.000 | -55.545 | 0.000 | -0.000 |
| 0.000 | -0.000 | 0.000 | -0.000 | -55.545 | 0.000 |
| 0.000 | 0.000 | -0.000 | -0.000 | 0.000 | -55.545 |
| 2.260 | -0.000 | -0.000 | 0.000 | 0.000 | -0.000 |
| 0.000 | 2.260 | 0.000 | 0.000 | 0.000 | -0.000 |
| 0.000 | 0.000 | 2.260 | -0.000 | 0.000 | 0.000 |
| -0.000 | -0.000 | -0.000 | 0.000 | 0.000 | -0.000 |
| -0.000 | -0.000 | -0.000 | 0.000 | 0.000 | -0.000 |
| -0.000 | -0.000 | -0.000 | 0.000 | -0.000 | 0.000 |
| 2.260 | 0.000 | 0.000 | -0.000 | 0.000 | 0.000 |
| 0.000 | 2.260 | 0.000 | -0.000 | -0.000 | 0.000 |
| 0.000 | 0.000 | 2.260 | 0.000 | -0.000 | 0.000 |
| 0.000 | 0.000 | 0.000 | 0.000 | -0.000 | 0.000 |
| 0.000 | 0.000 | 0.000 | -0.000 | 0.000 | 0.000 |
| 0.000 | 0.000 | 0.000 | -0.000 | -0.000 | 0.000 |
| 2.260 | -0.000 | -0.000 | 0.000 | -0.000 | -0.000 |
| -0.000 | 2.260 | -0.000 | 0.000 | 0.000 | -0.000 |
| -0.000 | -0.000 | 2.260 | 0.000 | -0.000 | -0.000 |
| -0.000 | -0.000 | -0.000 | 0.000 | -0.000 | -0.000 |
| -0.000 | 0.000 | -0.000 | 0.000 | 0.000 | -0.000 |
| -0.000 | -0.000 | -0.000 | 0.000 | 0.000 | 0.000 |
| 2.260 | 0.000 | 0.000 | -0.000 | 0.000 | 0.000 |
| 0.000 | 2.260 | 0.000 | -0.000 | -0.000 | -0.000 |
| -0.000 | -0.000 | 2.260 | 0.000 | 0.000 | -0.000 |
| 0.000 | 0.000 | 0.000 | 0.000 | 0.000 | 0.000 |
| 0.000 | -0.000 | 0.000 | -0.000 | 0.000 | 0.000 |
| 0.000 | 0.000 | 0.000 | -0.000 | 0.000 | 0.000 |
| 2.260 | -0.000 | -0.000 | 0.000 | -0.000 | -0.000 |
| -0.000 | 2.260 | -0.000 | 0.000 | 0.000 | -0.000 |
| 0.000 | 0.000 | 2.260 | -0.000 | -0.000 | 0.000 |
| -0.000 | -0.000 | -0.000 | 0.000 | 0.000 | -0.000 |
| -0.000 | 0.000 | -0.000 | -0.000 | 0.000 | -0.000 |
| -0.000 | -0.000 | -0.000 | 0.000 | -0.000 | 0.000 |
| 2.261 | 0.000 | 0.000 | -0.000 | -0.000 | 0.000 |
| 0.000 | 2.261 | 0.000 | -0.000 | -0.000 | -0.000 |
| 0.000 | 0.000 | 2.261 | 0.000 | -0.000 | 0.000 |
| -0.000 | 0.000 | 0.000 | 0.000 | 0.000 | 0.000 |
| 0.000 | 0.000 | 0.000 | 0.000 | 0.000 | 0.000 |
| 0.000 | 0.000 | 0.000 | -0.000 | 0.000 | 0.000 |
| 179.703 | 190.052 | 190.052 | -0.000 | -0.000 | 0.000 |
| 190.052 | 179.703 | 190.052 | -0.000 | 0.000 | 0.000 |
| 190.052 | 190.052 | 179.703 | -0.000 | 0.000 | 0.000 |
| 0.000 | 0.000 | 0.000 | 174.056 | 0.000 | 0.000 |
| 0.000 | 0.000 | 0.000 | -0.000 | 174.056 | 0.000 |
| 0.000 | 0.000 | 0.000 | -0.000 | 0.000 | 174.056 |
| 179.703 | 190.052 | 190.052 | 0.000 | -0.000 | -0.000 |
| 190.052 | 179.703 | 190.052 | 0.000 | -0.000 | -0.000 |
| 190.052 | 190.052 | 179.703 | 0.000 | -0.000 | -0.000 |
| -0.000 | -0.000 | -0.000 | 174.056 | 0.000 | -0.000 |
| -0.000 | -0.000 | -0.000 | 0.000 | 174.056 | -0.000 |
| -0.000 | -0.000 | -0.000 | -0.000 | -0.000 | 174.056 |
| 179.703 | 190.052 | 190.052 | -0.000 | 0.000 | 0.000 |
| 190.052 | 179.703 | 190.052 | -0.000 | 0.000 | 0.000 |
| 190.052 | 190.052 | 179.703 | -0.000 | -0.000 | 0.000 |
| 0.000 | 0.000 | 0.000 | 174.056 | 0.000 | 0.000 |
| 0.000 | 0.000 | 0.000 | 0.000 | 174.056 | 0.000 |
| 0.000 | 0.000 | 0.000 | -0.000 | 0.000 | 174.056 |
| 179.703 | 190.051 | 190.051 | 0.000 | 0.000 | -0.000 |
| 190.051 | 179.703 | 190.051 | 0.000 | 0.000 | -0.000 |
| 190.051 | 190.051 | 179.703 | 0.000 | -0.000 | -0.000 |
| -0.000 | -0.000 | -0.000 | 174.056 | 0.000 | -0.000 |
| -0.000 | -0.000 | -0.000 | 0.000 | 174.056 | -0.000 |
| -0.000 | -0.000 | -0.000 | 0.000 | -0.000 | 174.056 |
| 179.704 | 190.052 | 190.052 | -0.000 | 0.000 | 0.000 |
| 190.052 | 179.704 | 190.052 | -0.000 | 0.000 | 0.000 |
| 190.052 | 190.052 | 179.704 | 0.000 | 0.000 | 0.000 |
| 0.001 | 0.000 | 0.001 | 174.056 | 0.000 | 0.000 |
| 0.000 | 0.001 | 0.001 | -0.000 | 174.056 | 0.000 |
| 0.000 | 0.001 | 0.001 | -0.000 | 0.000 | 174.056 |
| 179.703 | 190.051 | 190.051 | 0.000 | -0.000 | -0.000 |
| 190.051 | 179.703 | 190.051 | 0.000 | -0.000 | -0.000 |
| 190.051 | 190.051 | 179.703 | 0.000 | 0.000 | -0.000 |
| -0.001 | -0.000 | -0.001 | 174.056 | -0.000 | -0.000 |
| -0.000 | -0.001 | -0.001 | 0.000 | 174.056 | -0.000 |
| -0.000 | -0.001 | -0.001 | 0.000 | -0.000 | 174.056 |
| 323.737 | 134.906 | 120.523 | -0.000 | -0.000 | -0.000 |
| 146.325 | 312.318 | 120.523 | -0.000 | -0.000 | -0.000 |
| 120.523 | 120.523 | 343.699 | -0.000 | -0.000 | -0.000 |
| -0.000 | 0.000 | 0.000 | 82.544 | 0.000 | -0.000 |
| -0.000 | -0.000 | 0.000 | -0.000 | 82.544 | -0.000 |
| -0.000 | 0.000 | 0.000 | -0.000 | -0.000 | 94.415 |
| 312.318 | 146.325 | 120.523 | 0.000 | 0.000 | 0.000 |
| 134.906 | 323.737 | 120.523 | 0.000 | -0.000 | 0.000 |
| 120.523 | 120.523 | 343.699 | 0.000 | -0.000 | 0.000 |
| -0.000 | 0.000 | -0.000 | 82.544 | 0.000 | 0.000 |
| 0.000 | -0.000 | -0.000 | 0.000 | 82.544 | 0.000 |
| 0.000 | -0.000 | -0.000 | 0.000 | 0.000 | 94.415 |
| 323.737 | 134.906 | 120.523 | -0.000 | 0.000 | -0.000 |
| 146.325 | 312.319 | 120.523 | -0.000 | -0.000 | 0.000 |
| 120.523 | 120.523 | 343.699 | -0.000 | -0.000 | -0.000 |
| 0.000 | -0.000 | 0.000 | 82.544 | -0.000 | -0.000 |
| -0.000 | 0.000 | 0.000 | -0.000 | 82.544 | -0.000 |
| -0.000 | 0.000 | 0.000 | -0.000 | -0.000 | 94.415 |
| 323.737 | 134.906 | 120.523 | 0.000 | -0.000 | 0.000 |
| 146.325 | 312.318 | 120.523 | 0.000 | 0.000 | 0.000 |
| 120.523 | 120.523 | 343.699 | 0.000 | 0.000 | 0.000 |
| -0.000 | 0.000 | -0.000 | 82.544 | 0.000 | -0.000 |
| 0.000 | -0.000 | -0.000 | 0.000 | 82.544 | 0.000 |
| 0.000 | -0.000 | -0.000 | 0.000 | 0.000 | 94.415 |
| 312.320 | 146.325 | 120.523 | -0.000 | -0.000 | -0.000 |
| 134.907 | 323.738 | 120.523 | -0.000 | -0.000 | -0.000 |
| 120.524 | 120.524 | 343.701 | -0.000 | -0.000 | 0.000 |
| 0.000 | -0.000 | 0.000 | 82.544 | -0.000 | 0.000 |
| -0.000 | 0.000 | 0.000 | -0.000 | 82.544 | -0.000 |
| -0.000 | 0.000 | 0.000 | -0.000 | -0.000 | 94.415 |
| 312.317 | 146.325 | 120.524 | 0.000 | 0.000 | 0.000 |
| 134.906 | 323.736 | 120.523 | 0.000 | 0.000 | 0.000 |
| 120.523 | 120.523 | 343.696 | 0.000 | 0.000 | 0.000 |
| -0.000 | 0.000 | -0.000 | 82.544 | 0.000 | -0.000 |
| 0.000 | -0.000 | -0.000 | 0.000 | 82.544 | 0.000 |
| 0.000 | -0.000 | -0.000 | 0.000 | 0.000 | 94.415 |
| 309.822 | 145.600 | 119.303 | 0.000 | 0.000 | 0.000 |
| 129.521 | 325.901 | 119.303 | 0.000 | 0.000 | 0.000 |
| 119.303 | 119.303 | 357.189 | 0.000 | 0.000 | 0.000 |
| 0.000 | 0.000 | 0.000 | 92.337 | 0.000 | 0.000 |
| 0.000 | 0.000 | 0.000 | 0.000 | 92.337 | 0.000 |
| 0.000 | 0.000 | 0.000 | 0.000 | 0.000 | 82.111 |
| 309.822 | 145.600 | 119.303 | -0.000 | -0.000 | -0.000 |
| 145.600 | 309.822 | 119.303 | -0.000 | -0.000 | -0.000 |
| 119.303 | 119.303 | 357.189 | -0.000 | -0.000 | -0.000 |
| -0.000 | -0.000 | -0.000 | 92.337 | -0.000 | 0.000 |
| -0.000 | -0.000 | -0.000 | -0.000 | 92.337 | -0.000 |
| -0.000 | -0.000 | -0.000 | -0.000 | -0.000 | 82.111 |
| 309.830 | 145.601 | 119.307 | 0.000 | 0.000 | 0.000 |
| 145.599 | 309.830 | 119.306 | 0.000 | 0.000 | 0.000 |
| 119.306 | 119.306 | 357.192 | -0.000 | 0.000 | 0.000 |
| 0.001 | 0.002 | 0.001 | 92.338 | 0.000 | 0.000 |
| 0.002 | 0.000 | 0.001 | -0.000 | 92.339 | 0.000 |
| 0.001 | 0.000 | 0.001 | 0.000 | 0.000 | 98.190 |
| 309.822 | 145.599 | 119.303 | -0.000 | -0.000 | -0.000 |
| 145.600 | 309.822 | 119.303 | -0.000 | -0.000 | -0.000 |
| 119.303 | 119.303 | 357.189 | -0.000 | -0.000 | -0.000 |
| -0.001 | -0.002 | -0.001 | 92.338 | -0.000 | -0.000 |
| -0.002 | -0.000 | -0.001 | -0.000 | 92.339 | -0.000 |
| -0.001 | -0.000 | -0.001 | -0.000 | -0.000 | 98.190 |
| 325.909 | 129.524 | 119.307 | -0.000 | 0.000 | 0.000 |
| 145.600 | 309.832 | 119.307 | 0.000 | 0.000 | 0.000 |
| 119.308 | 119.308 | 357.195 | -0.000 | 0.000 | 0.000 |
| 0.001 | 0.003 | 0.002 | 92.339 | 0.000 | 0.000 |
| 0.003 | 0.001 | 0.002 | 0.000 | 92.339 | 0.000 |
| 0.002 | 0.001 | 0.001 | 0.000 | 0.000 | 98.191 |
| 309.820 | 145.598 | 119.303 | -0.000 | -0.000 | -0.000 |
| 145.600 | 309.821 | 119.303 | -0.000 | -0.000 | -0.000 |
| 119.303 | 119.303 | 357.187 | -0.000 | -0.000 | -0.000 |
| -0.001 | -0.003 | -0.002 | 92.339 | -0.000 | -0.000 |
| -0.003 | -0.001 | -0.002 | -0.000 | 92.339 | 0.000 |
| -0.002 | -0.001 | -0.001 | -0.000 | -0.000 | 98.191 |
| 62.655 | 110.554 | 110.554 | 0.000 | -0.000 | -0.000 |
| 110.554 | 62.655 | 110.554 | -0.000 | 0.000 | 0.000 |
| 110.554 | 110.554 | 62.655 | -0.000 | -0.000 | -0.000 |
| -0.000 | -0.000 | -0.000 | 99.111 | -0.000 | -0.000 |
| -0.000 | -0.000 | -0.000 | -0.000 | 99.111 | -0.000 |
| -0.000 | -0.000 | -0.000 | -0.000 | -0.000 | 99.111 |
| 62.655 | 110.554 | 110.554 | 0.000 | 0.000 | 0.000 |
| 110.554 | 62.655 | 110.554 | 0.000 | -0.000 | 0.000 |
| 110.554 | 110.554 | 62.655 | 0.000 | 0.000 | 0.000 |
| 0.000 | 0.000 | 0.000 | 99.111 | 0.000 | 0.000 |
| 0.000 | 0.000 | 0.000 | 0.000 | 99.111 | 0.000 |
| 0.000 | 0.000 | 0.000 | 0.000 | 0.000 | 99.111 |
| 62.655 | 110.554 | 110.554 | 0.000 | 0.000 | -0.000 |
| 110.554 | 62.655 | 110.554 | -0.000 | 0.000 | 0.000 |
| 110.554 | 110.554 | 62.655 | -0.000 | -0.000 | -0.000 |
| -0.000 | -0.000 | -0.000 | -44.122 | 0.000 | -0.000 |
| -0.000 | -0.000 | -0.000 | -0.000 | -44.122 | -0.000 |
| -0.000 | -0.000 | -0.000 | -0.000 | -0.000 | -44.122 |
| 62.655 | 110.554 | 110.554 | 0.000 | 0.000 | 0.000 |
| 110.554 | 62.655 | 110.554 | 0.000 | 0.000 | 0.000 |
| 110.554 | 110.554 | 62.655 | 0.000 | 0.000 | 0.000 |
| 0.000 | 0.000 | 0.000 | -44.122 | -0.000 | 0.000 |
| 0.000 | 0.000 | 0.000 | 0.000 | -44.122 | 0.000 |
| 0.000 | 0.000 | 0.000 | 0.000 | 0.000 | -44.122 |
| 62.655 | 110.554 | 110.554 | -0.000 | 0.000 | -0.000 |
| 110.554 | 62.655 | 110.554 | -0.000 | -0.000 | -0.000 |
| 110.554 | 110.554 | 62.655 | -0.000 | -0.000 | -0.000 |
| -0.000 | -0.000 | -0.000 | -44.123 | -0.000 | -0.000 |
| -0.000 | -0.000 | -0.000 | -0.000 | -44.123 | -0.000 |
| -0.000 | -0.000 | -0.000 | -0.000 | -0.000 | -44.123 |
| 62.655 | 110.554 | 110.554 | 0.000 | 0.000 | 0.000 |
| 110.554 | 62.655 | 110.554 | 0.000 | 0.000 | 0.000 |
| 110.554 | 110.554 | 62.655 | 0.000 | -0.000 | 0.000 |
| 0.000 | 0.000 | 0.000 | -44.123 | -0.000 | 0.000 |
| 0.000 | 0.000 | 0.000 | 0.000 | -44.123 | 0.000 |
| 0.000 | 0.000 | 0.000 | 0.000 | 0.000 | -44.123 |
| 1.239 | 1.239 | 1.239 | -0.000 | -0.000 | -0.000 |
| 1.239 | 1.239 | 1.239 | -0.000 | -0.000 | -0.000 |
| 1.239 | 1.239 | 1.239 | -0.000 | -0.000 | -0.000 |
| 0.000 | 0.000 | 0.000 | -0.020 | -0.000 | -0.000 |
| 0.000 | 0.000 | 0.000 | -0.000 | -0.020 | -0.000 |
| 0.000 | 0.000 | 0.000 | -0.000 | -0.000 | -0.020 |
| 1.239 | 1.239 | 1.239 | 0.000 | 0.000 | 0.000 |
| 1.239 | 1.239 | 1.239 | 0.000 | 0.000 | 0.000 |
| 1.239 | 1.239 | 1.239 | 0.000 | 0.000 | 0.000 |
| -0.000 | -0.000 | -0.000 | -0.020 | 0.000 | 0.000 |
| -0.000 | -0.000 | -0.000 | 0.000 | -0.020 | 0.000 |
| -0.000 | -0.000 | -0.000 | 0.000 | 0.000 | -0.020 |
| 1.239 | 1.239 | 1.239 | -0.000 | -0.000 | -0.000 |
| 1.239 | 1.239 | 1.239 | -0.000 | -0.000 | -0.000 |
| 1.239 | 1.239 | 1.239 | -0.000 | -0.000 | -0.000 |
| 0.000 | 0.000 | 0.000 | -0.020 | -0.000 | -0.000 |
| 0.000 | 0.000 | 0.000 | -0.000 | -0.020 | -0.000 |
| 0.000 | 0.000 | 0.000 | -0.000 | -0.000 | -0.020 |
| 1.239 | 1.239 | 1.239 | 0.000 | 0.000 | 0.000 |
| 1.239 | 1.239 | 1.239 | 0.000 | 0.000 | 0.000 |
| 1.239 | 1.239 | 1.239 | 0.000 | 0.000 | 0.000 |
| -0.000 | -0.000 | -0.000 | -0.020 | 0.000 | 0.000 |
| -0.000 | -0.000 | -0.000 | 0.000 | -0.020 | 0.000 |
| -0.000 | -0.000 | -0.000 | 0.000 | 0.000 | -0.020 |
| 1.239 | 1.239 | 1.239 | -0.000 | -0.000 | -0.000 |
| 1.239 | 1.239 | 1.239 | -0.000 | -0.000 | -0.000 |
| 1.239 | 1.239 | 1.239 | -0.000 | -0.000 | -0.000 |
| 0.000 | 0.000 | 0.000 | -0.020 | -0.000 | -0.000 |
| 0.000 | 0.000 | 0.000 | -0.000 | -0.020 | -0.000 |
| 0.000 | 0.000 | 0.000 | -0.000 | -0.000 | -0.020 |
| 1.239 | 1.239 | 1.239 | 0.000 | 0.000 | 0.000 |
| 1.239 | 1.239 | 1.239 | 0.000 | 0.000 | 0.000 |
| 1.239 | 1.239 | 1.239 | 0.000 | 0.000 | 0.000 |
| -0.000 | -0.000 | -0.000 | -0.020 | 0.000 | 0.000 |
| -0.000 | -0.000 | -0.000 | 0.000 | -0.020 | 0.000 |
| -0.000 | -0.000 | -0.000 | 0.000 | 0.000 | -0.020 |
| -374.144 | 933.952 | 96.487 | 0.000 | 0.000 | -0.000 |
| 933.952 | -374.144 | 96.487 | 0.000 | 0.000 | 0.000 |
| 96.487 | 96.487 | 469.627 | -0.000 | 0.000 | -0.000 |
| 0.000 | 0.000 | 0.000 | -35.552 | -0.000 | 0.000 |
| 0.000 | 0.000 | 0.000 | -0.000 | -35.552 | -0.000 |
| 0.000 | -0.000 | 0.000 | -0.000 | -0.000 | -42.496 |
| 478.050 | 81.758 | 96.487 | 0.000 | 0.000 | 0.000 |
| 81.758 | 478.050 | 96.487 | 0.000 | 0.000 | 0.000 |
| 96.487 | 96.487 | 469.627 | 0.000 | 0.000 | 0.000 |
| -0.000 | -0.000 | -0.000 | -35.552 | 0.000 | 0.000 |
| -0.000 | -0.000 | 0.000 | 0.000 | -35.552 | 0.000 |
| -0.000 | 0.000 | -0.000 | 0.000 | 0.000 | -42.496 |
| -374.145 | 933.953 | 96.487 | 0.000 | 0.000 | 0.000 |
| 933.953 | -374.145 | 96.487 | 0.000 | -0.000 | 0.000 |
| 96.487 | 96.487 | 469.628 | -0.000 | -0.000 | -0.000 |
| -0.000 | 0.000 | -0.000 | -35.552 | 0.000 | -0.000 |
| 0.000 | -0.000 | -0.000 | -0.000 | -35.552 | 0.000 |
| 0.000 | -0.000 | -0.000 | -0.000 | -0.000 | -42.496 |
| 478.050 | 81.758 | 96.487 | 0.000 | 0.000 | 0.000 |
| 81.758 | 478.050 | 96.487 | -0.000 | 0.000 | 0.000 |
| 96.487 | 96.487 | 469.627 | 0.000 | -0.000 | 0.000 |
| 0.000 | -0.000 | 0.000 | -35.552 | -0.000 | -0.000 |
| -0.000 | 0.000 | 0.000 | 0.000 | -35.552 | 0.000 |
| -0.000 | 0.000 | 0.000 | 0.000 | -0.000 | -42.496 |
| -530.539 | 1090.345 | 96.487 | -0.000 | -0.000 | 0.000 |
| 1090.345 | -530.539 | 96.487 | -0.000 | -0.000 | -0.000 |
| 96.487 | 96.487 | 469.631 | -0.000 | -0.000 | -0.000 |
| -0.000 | 0.000 | -0.000 | -35.552 | -0.000 | 0.000 |
| 0.000 | -0.000 | -0.000 | -0.000 | -35.552 | -0.000 |
| -0.000 | 0.000 | -0.000 | 0.000 | -0.000 | -42.496 |
| -530.521 | 1090.331 | 96.487 | 0.000 | 0.000 | 0.000 |
| 1090.331 | -530.521 | 96.487 | 0.000 | 0.000 | 0.000 |
| 96.487 | 96.487 | 469.624 | 0.000 | 0.000 | 0.000 |
| 0.000 | -0.000 | 0.000 | -35.552 | -0.000 | 0.000 |
| -0.000 | 0.000 | 0.000 | 0.000 | -35.552 | 0.000 |
| 0.000 | -0.000 | 0.000 | -0.000 | -0.000 | -42.496 |
| 3.304 | 3.411 | 0.000 | 0.000 | 0.000 | -0.000 |
| 3.411 | 3.304 | 0.000 | 0.000 | 0.000 | -0.000 |
| 0.000 | 0.000 | 0.000 | 0.000 | 0.000 | -0.000 |
| 0.000 | 0.000 | 0.000 | 0.000 | 0.000 | 0.000 |
| 0.000 | 0.000 | 0.000 | 0.000 | 0.000 | 0.000 |
| 0.000 | 0.000 | 0.000 | 0.000 | 0.000 | 0.000 |
| 3.304 | 3.411 | -0.000 | -0.000 | -0.000 | 0.000 |
| 3.411 | 3.304 | -0.000 | -0.000 | -0.000 | -0.000 |
| -0.000 | -0.000 | -0.000 | -0.000 | -0.000 | 0.000 |
| -0.000 | -0.000 | -0.000 | -0.000 | -0.000 | 0.000 |
| -0.000 | -0.000 | -0.000 | -0.000 | -0.000 | -0.000 |
| 0.000 | 0.000 | -0.000 | -0.000 | -0.000 | 0.000 |
| 3.304 | 3.410 | 0.000 | 0.000 | 0.000 | -0.000 |
| 3.410 | 3.304 | 0.000 | 0.000 | 0.000 | 0.000 |
| 0.000 | 0.000 | 0.000 | 0.000 | 0.000 | -0.000 |
| 0.000 | 0.000 | 0.000 | 0.000 | 0.000 | 0.000 |
| 0.000 | 0.000 | 0.000 | 0.000 | 0.000 | 0.000 |
| -0.000 | -0.000 | 0.000 | 0.000 | 0.000 | 0.000 |
| 3.304 | 3.411 | -0.000 | -0.000 | -0.000 | -0.000 |
| 3.411 | 3.304 | -0.000 | -0.000 | -0.000 | -0.000 |
| -0.000 | -0.000 | -0.000 | -0.000 | -0.000 | 0.000 |
| 0.000 | 0.000 | -0.000 | -0.000 | -0.000 | 0.000 |
| 0.000 | 0.000 | -0.000 | -0.000 | -0.000 | -0.000 |
| 0.000 | 0.000 | -0.000 | -0.000 | -0.000 | 0.000 |
| 3.304 | 3.410 | 0.000 | 0.000 | 0.000 | -0.000 |
| 3.410 | 3.304 | 0.000 | 0.000 | 0.000 | -0.000 |
| 0.000 | 0.000 | 0.000 | 0.000 | 0.000 | -0.000 |
| 0.000 | 0.000 | 0.000 | 0.000 | 0.000 | -0.000 |
| 0.000 | 0.000 | 0.000 | 0.000 | 0.000 | 0.000 |
| -0.000 | -0.000 | 0.000 | 0.000 | 0.000 | 0.000 |
| 3.305 | 3.411 | -0.000 | -0.000 | -0.000 | -0.000 |
| 3.411 | 3.305 | -0.000 | -0.000 | -0.000 | 0.000 |
| -0.000 | -0.000 | -0.000 | -0.000 | -0.000 | 0.000 |
| -0.000 | -0.000 | -0.000 | -0.000 | -0.000 | -0.000 |
| -0.000 | -0.000 | -0.000 | -0.000 | -0.000 | 0.000 |
| 0.000 | 0.000 | -0.000 | -0.000 | -0.000 | 0.000 |
| 27.343 | 10.355 | 67.162 | -37.639 | -0.000 | -0.000 |
| 10.355 | 27.343 | 67.162 | 37.638 | -0.000 | 0.000 |
| 58.519 | 58.520 | 86.321 | -0.000 | -0.000 | 0.000 |
| -37.638 | 37.639 | 0.000 | 59.787 | -0.000 | 0.000 |
| 0.000 | 0.000 | 0.000 | -0.000 | 59.787 | -37.638 |
| 0.000 | 0.000 | 0.000 | 0.000 | -37.639 | 8.494 |
| 27.343 | 10.355 | 67.162 | -37.639 | 0.000 | -0.000 |
| 10.355 | 27.342 | 67.162 | 37.639 | 0.000 | -0.000 |
| 58.519 | 58.519 | 86.321 | 0.000 | 0.000 | -0.000 |
| -37.639 | 37.638 | -0.000 | 59.787 | 0.000 | -0.000 |
| 0.000 | -0.000 | -0.000 | 0.000 | 59.787 | -37.639 |
| 0.000 | -0.000 | -0.000 | 0.000 | -37.638 | 8.494 |
| 27.343 | 10.355 | 67.162 | -37.639 | -0.000 | 0.000 |
| 10.355 | 27.343 | 67.162 | 37.639 | -0.000 | 0.000 |
| 58.519 | 58.519 | 86.321 | -0.000 | -0.000 | 0.000 |
| -37.638 | 37.639 | 0.000 | 59.787 | -0.000 | 0.000 |
| 0.000 | 0.000 | 0.000 | -0.000 | 59.787 | -37.638 |
| 0.000 | 0.000 | 0.000 | -0.000 | -37.639 | 8.494 |
| 27.343 | 10.355 | 67.162 | -37.638 | 0.000 | -0.000 |
| 10.355 | 27.343 | 67.162 | 37.638 | 0.000 | 0.000 |
| 58.519 | 58.519 | 86.321 | 0.000 | 0.000 | -0.000 |
| -37.638 | 37.638 | -0.000 | 59.787 | 0.000 | -0.000 |
| -0.000 | -0.000 | -0.000 | 0.000 | 59.787 | -37.638 |
| 0.000 | -0.000 | -0.000 | 0.000 | -37.638 | 8.494 |
| 27.343 | 10.355 | 67.162 | -37.639 | -0.000 | 0.000 |
| 10.355 | 27.343 | 67.162 | 37.639 | -0.000 | 0.000 |
| 58.520 | 58.520 | 86.321 | -0.000 | -0.000 | 0.000 |
| -37.638 | 37.639 | 0.000 | 59.787 | -0.000 | 0.000 |
| 0.000 | 0.000 | 0.000 | -0.000 | 59.787 | -37.638 |
| 0.000 | 0.000 | 0.000 | -0.000 | -37.638 | 8.494 |
| 27.342 | 10.355 | 67.161 | -37.638 | 0.000 | -0.000 |
| 10.355 | 27.342 | 67.161 | 37.638 | 0.000 | -0.000 |
| 58.519 | 58.519 | 86.320 | -0.000 | 0.000 | -0.000 |
| -37.639 | 37.638 | -0.000 | 59.787 | 0.000 | -0.000 |
| -0.000 | -0.000 | -0.000 | 0.000 | 59.787 | -37.638 |
| -0.000 | -0.000 | -0.000 | 0.000 | -37.638 | 8.494 |
| 557.435 | 70.977 | 70.977 | 0.000 | 0.000 | -0.000 |
| 70.977 | 557.435 | 70.977 | 0.000 | 0.000 | -0.000 |
| 70.977 | 70.977 | 557.435 | 0.000 | 0.000 | -0.000 |
| -0.000 | 0.000 | -0.000 | -38.605 | -0.000 | 0.000 |
| -0.000 | 0.000 | -0.000 | -0.000 | -38.605 | -0.000 |
| 0.000 | -0.000 | -0.000 | -0.000 | 0.000 | -38.605 |
| 557.435 | 70.977 | 70.977 | -0.000 | -0.000 | 0.000 |
| 70.977 | 557.435 | 70.977 | -0.000 | -0.000 | 0.000 |
| 70.977 | 70.977 | 557.435 | -0.000 | -0.000 | 0.000 |
| 0.000 | -0.000 | 0.000 | -38.605 | 0.000 | 0.000 |
| 0.000 | -0.000 | 0.000 | 0.000 | -38.605 | 0.000 |
| -0.000 | 0.000 | -0.000 | -0.000 | -0.000 | -38.605 |
| 557.435 | 70.977 | 70.977 | 0.000 | 0.000 | 0.000 |
| 70.977 | 557.435 | 70.977 | 0.000 | -0.000 | -0.000 |
| 70.977 | 70.977 | 557.435 | -0.000 | 0.000 | -0.000 |
| 0.000 | 0.000 | -0.000 | -38.605 | 0.000 | -0.000 |
| 0.000 | 0.000 | -0.000 | 0.000 | -38.605 | -0.000 |
| 0.000 | -0.000 | 0.000 | -0.000 | 0.000 | -38.605 |
| 557.435 | 70.977 | 70.977 | 0.000 | -0.000 | 0.000 |
| 70.977 | 557.435 | 70.977 | 0.000 | 0.000 | -0.000 |
| 70.977 | 70.977 | 557.435 | -0.000 | -0.000 | 0.000 |
| -0.000 | -0.000 | 0.000 | -38.605 | -0.000 | 0.000 |
| -0.000 | -0.000 | 0.000 | -0.000 | -38.605 | 0.000 |
| -0.000 | 0.000 | -0.000 | 0.000 | -0.000 | -38.605 |
| 557.440 | 70.977 | 70.977 | 0.000 | 0.000 | 0.000 |
| 70.977 | 557.440 | 70.977 | -0.000 | 0.000 | 0.000 |
| 70.977 | 70.977 | 557.440 | 0.000 | 0.000 | -0.000 |
| 0.000 | 0.000 | -0.000 | -38.605 | -0.000 | -0.000 |
| 0.000 | 0.000 | -0.000 | -0.000 | -38.605 | -0.000 |
| 0.000 | -0.000 | 0.000 | 0.000 | 0.000 | -38.605 |
| 557.431 | 70.976 | 70.976 | 0.000 | -0.000 | 0.000 |
| 70.976 | 557.431 | 70.976 | -0.000 | 0.000 | -0.000 |
| 70.976 | 70.976 | 557.431 | 0.000 | 0.000 | 0.000 |
| -0.000 | -0.000 | 0.000 | -38.605 | 0.000 | -0.000 |
| -0.000 | -0.000 | 0.000 | 0.000 | -38.605 | 0.000 |
| -0.000 | 0.000 | -0.000 | 0.000 | -0.000 | -38.605 |
| 259.711 | 167.342 | 167.342 | -0.000 | 0.000 | -0.000 |
| 167.342 | 259.711 | 167.342 | -0.000 | 0.000 | -0.000 |
| 167.342 | 167.342 | 259.711 | -0.000 | -0.000 | -0.000 |
| 0.000 | -0.000 | 0.000 | 101.901 | -0.000 | -0.000 |
| 0.000 | -0.000 | 0.000 | -0.000 | 101.901 | -0.000 |
| 0.000 | -0.000 | -0.000 | -0.000 | -0.000 | 101.901 |
| 259.711 | 167.342 | 167.342 | 0.000 | -0.000 | 0.000 |
| 167.342 | 259.711 | 167.342 | 0.000 | 0.000 | 0.000 |
| 167.342 | 167.342 | 259.711 | 0.000 | -0.000 | 0.000 |
| 0.000 | 0.000 | -0.000 | 101.901 | -0.000 | 0.000 |
| -0.000 | 0.000 | -0.000 | 0.000 | 101.901 | 0.000 |
| -0.000 | 0.000 | 0.000 | 0.000 | -0.000 | 101.901 |
| 259.711 | 167.342 | 167.342 | -0.000 | -0.000 | -0.000 |
| 167.342 | 259.711 | 167.342 | -0.000 | 0.000 | -0.000 |
| 167.342 | 167.342 | 259.711 | -0.000 | 0.000 | -0.000 |
| -0.000 | 0.000 | 0.000 | 104.074 | -0.000 | -0.000 |
| 0.000 | -0.000 | 0.000 | -0.000 | 104.074 | -0.000 |
| 0.000 | 0.000 | -0.000 | -0.000 | 0.000 | 104.074 |
| 259.711 | 167.342 | 167.342 | 0.000 | -0.000 | 0.000 |
| 167.342 | 259.711 | 167.342 | 0.000 | -0.000 | 0.000 |
| 167.342 | 167.342 | 259.711 | 0.000 | -0.000 | 0.000 |
| 0.000 | -0.000 | -0.000 | 104.074 | 0.000 | 0.000 |
| -0.000 | 0.000 | -0.000 | 0.000 | 104.074 | 0.000 |
| -0.000 | -0.000 | 0.000 | 0.000 | -0.000 | 104.074 |
| 259.712 | 167.343 | 167.343 | -0.000 | 0.000 | -0.000 |
| 167.343 | 259.712 | 167.343 | -0.000 | 0.000 | -0.000 |
| 167.343 | 167.343 | 259.712 | -0.000 | 0.000 | -0.000 |
| -0.000 | 0.000 | 0.000 | 104.074 | -0.000 | -0.000 |
| 0.000 | -0.000 | 0.000 | -0.000 | 104.074 | -0.000 |
| 0.000 | 0.000 | -0.000 | -0.000 | -0.000 | 104.074 |
| 259.710 | 167.342 | 167.342 | 0.000 | -0.000 | 0.000 |
| 167.342 | 259.710 | 167.342 | 0.000 | 0.000 | 0.000 |
| 167.342 | 167.342 | 259.710 | 0.000 | -0.000 | 0.000 |
| 0.000 | -0.000 | -0.000 | 104.074 | -0.000 | 0.000 |
| -0.000 | 0.000 | -0.000 | 0.000 | 104.074 | 0.000 |
| -0.000 | -0.000 | 0.000 | 0.000 | 0.000 | 104.074 |
| 365.356 | 132.836 | 105.821 | -0.000 | -0.000 | -0.000 |
| 132.836 | 365.356 | 105.821 | -0.000 | 0.000 | -0.000 |
| 82.905 | 82.905 | 520.340 | 0.000 | -0.000 | -0.001 |
| 197.170 | 197.170 | 3104.815 | -46.614 | -0.000 | -0.015 |
| 197.170 | 197.170 | 3104.815 | 0.000 | -46.614 | -0.015 |
| 0.000 | 0.000 | -0.000 | 0.000 | -0.000 | 73.374 |
| 295.075 | 164.686 | -300.512 | 0.000 | 0.000 | -0.000 |
| 164.686 | 295.075 | -300.512 | -0.000 | 0.000 | -0.000 |
| 105.221 | 105.221 | 401.974 | 0.000 | 0.000 | 0.000 |
| -197.170 | -197.170 | -3104.815 | -46.614 | -0.000 | 0.015 |
| -197.170 | -197.170 | -3104.815 | -0.000 | -46.614 | 0.015 |
| -0.000 | -0.000 | 0.000 | 0.000 | 0.000 | 73.374 |
| 365.356 | 132.836 | 105.821 | -0.000 | -0.000 | -0.000 |
| 132.836 | 365.356 | 105.821 | 0.000 | -0.000 | -0.000 |
| 105.221 | 105.221 | 401.974 | 0.000 | -0.000 | -0.000 |
| 0.000 | 0.000 | 0.000 | 44.451 | -0.000 | -0.000 |
| 0.000 | 0.000 | 0.000 | -0.000 | 44.451 | -0.000 |
| -2.602 | -2.602 | 12.744 | -0.000 | -0.000 | 44.945 |
| 365.356 | 132.836 | 105.821 | 0.000 | 0.000 | 0.000 |
| 132.836 | 365.356 | 105.821 | 0.000 | 0.000 | 0.000 |
| 107.057 | 107.057 | 354.038 | 0.000 | 0.000 | -0.000 |
| -0.000 | -0.000 | -0.000 | 44.451 | 0.000 | 0.000 |
| -0.000 | -0.000 | -0.000 | 0.000 | 44.451 | 0.000 |
| 2.602 | 2.602 | -12.744 | -0.000 | -0.000 | 44.946 |
| 299.896 | 190.489 | 114.218 | -0.000 | -0.000 | 0.000 |
| 190.489 | 299.896 | 114.218 | -0.000 | -0.000 | 0.000 |
| 105.221 | 105.221 | 401.977 | -0.000 | -0.000 | -0.000 |
| 5.994 | 5.994 | 9.044 | -2.160 | 0.000 | -0.000 |
| 5.994 | 5.994 | 9.044 | -0.000 | -2.160 | -0.000 |
| 0.404 | 0.404 | 10.308 | -0.000 | -0.000 | 15.169 |
| 327.800 | 163.362 | 108.824 | -0.000 | 0.000 | 0.000 |
| 163.362 | 327.800 | 108.824 | -0.000 | -0.000 | 0.000 |
| 109.260 | 109.260 | 391.577 | 0.000 | 0.000 | 0.000 |
| -5.994 | -5.994 | -9.044 | -2.160 | -0.000 | 0.000 |
| -5.994 | -5.994 | -9.044 | 0.000 | -2.160 | 0.000 |
| -0.404 | -0.404 | -10.308 | 0.000 | 0.000 | 15.169 |
| 319.706 | 132.150 | 110.354 | 0.000 | 0.000 | -0.000 |
| 143.359 | 308.497 | 110.354 | 0.000 | 0.000 | -0.000 |
| 111.912 | 111.912 | 327.006 | -0.000 | -0.000 | -0.000 |
| 0.000 | -0.000 | 0.000 | 85.107 | 0.000 | -0.000 |
| -0.002 | -0.002 | -0.005 | 0.000 | 85.107 | -0.000 |
| -0.002 | -0.002 | -0.005 | -0.000 | 0.000 | 93.778 |
| 308.501 | 143.362 | 110.364 | 0.000 | -0.000 | 0.000 |
| 132.154 | 319.709 | 110.364 | 0.000 | -0.000 | 0.000 |
| 111.914 | 111.914 | 327.010 | 0.000 | -0.000 | 0.000 |
| 0.002 | 0.002 | 0.005 | 85.107 | -0.000 | 0.000 |
| 0.002 | 0.002 | 0.005 | -0.000 | 85.107 | -0.000 |
| 0.002 | 0.002 | 0.005 | 0.000 | -0.000 | 93.778 |
| 308.499 | 143.360 | 110.358 | 0.000 | 0.000 | -0.000 |
| 129.269 | 322.591 | 110.359 | -0.000 | 0.000 | -0.000 |
| 111.912 | 111.912 | 327.006 | -0.000 | 0.000 | -0.000 |
| -0.000 | -0.000 | -0.000 | 85.107 | -0.000 | -0.000 |
| 0.000 | 0.000 | 0.000 | -0.000 | 85.107 | 0.000 |
| 0.000 | 0.000 | 0.000 | -0.000 | 0.000 | 96.661 |
| 319.702 | 132.157 | 110.359 | -0.000 | 0.000 | 0.000 |
| 132.157 | 319.702 | 110.359 | 0.000 | 0.000 | 0.000 |
| 111.912 | 111.912 | 327.006 | 0.000 | -0.000 | 0.000 |
| 0.000 | 0.000 | 0.000 | 85.107 | 0.000 | 0.000 |
| -0.000 | -0.000 | -0.000 | 0.000 | 85.107 | 0.000 |
| -0.000 | -0.000 | -0.000 | 0.000 | 0.000 | 96.661 |
| 322.593 | 129.269 | 110.359 | 0.000 | 0.000 | -0.000 |
| 129.269 | 322.592 | 110.359 | -0.000 | 0.000 | -0.000 |
| 111.912 | 111.912 | 327.007 | -0.000 | -0.000 | -0.000 |
| 0.000 | -0.000 | 0.000 | 85.107 | 0.000 | -0.000 |
| -0.000 | 0.000 | 0.000 | 0.000 | 85.107 | -0.000 |
| 0.000 | 0.001 | -0.000 | 0.000 | -0.000 | 93.272 |
| 308.497 | 143.360 | 110.359 | 0.000 | -0.000 | 0.000 |
| 129.268 | 322.589 | 110.359 | -0.000 | -0.000 | 0.000 |
| 111.911 | 111.911 | 327.004 | 0.000 | -0.000 | 0.000 |
| 0.000 | -0.000 | -0.000 | 85.107 | 0.000 | 0.000 |
| 0.000 | -0.000 | -0.000 | -0.000 | 85.107 | -0.000 |
| -0.000 | -0.001 | 0.000 | -0.000 | -0.000 | 93.272 |
| -223.135 | -366.872 | 1327.648 | -0.000 | -0.000 | -0.000 |
| -366.871 | -223.135 | 1327.648 | -0.000 | -0.000 | -0.000 |
| -436.729 | -436.730 | 1597.817 | -0.000 | 0.000 | -0.000 |
| -532.446 | -532.446 | 1230.765 | 48.572 | -0.000 | -0.000 |
| -532.446 | -532.446 | 1230.765 | -0.000 | 48.572 | -0.000 |
| 0.000 | 0.000 | -0.000 | -0.000 | -0.000 | 101.602 |
| 841.756 | 698.016 | -1133.876 | 0.000 | 0.000 | 0.000 |
| 698.016 | 841.757 | -1133.876 | 0.000 | -0.000 | 0.000 |
| 628.163 | 628.164 | -863.714 | 0.000 | -0.000 | 0.000 |
| 532.446 | 532.446 | -1230.765 | 48.572 | 0.000 | 0.000 |
| 532.446 | 532.446 | -1230.765 | 0.000 | 48.572 | 0.000 |
| -0.000 | -0.000 | 0.000 | 0.000 | 0.000 | 101.602 |
| -25.272 | 36.665 | 556.811 | -0.000 | 0.000 | -0.000 |
| 112.343 | 256.073 | 219.937 | -0.000 | -0.000 | -0.000 |
| 93.175 | 93.175 | 375.113 | -0.000 | -0.000 | -0.000 |
| -53.247 | -53.247 | 123.082 | 48.571 | -0.000 | -0.000 |
| -0.000 | -0.000 | -0.000 | 0.000 | 54.313 | 0.000 |
| -53.233 | -53.233 | 123.050 | -0.000 | -0.000 | 71.876 |
| 482.203 | 225.803 | -111.849 | 0.000 | 0.000 | 0.000 |
| 218.789 | 362.561 | -26.165 | 0.000 | 0.000 | 0.000 |
| 148.967 | 148.967 | 243.962 | 0.000 | -0.000 | 0.000 |
| 53.247 | 53.247 | -123.082 | 48.571 | 0.000 | 0.000 |
| 0.000 | 0.000 | 0.000 | 0.000 | 54.313 | 0.000 |
| 53.233 | 53.233 | -123.050 | 0.000 | 0.000 | 71.876 |
| 339.957 | 136.752 | 94.324 | -0.000 | -0.000 | 0.000 |
| 159.891 | 304.581 | 108.914 | -0.000 | -0.000 | -0.000 |
| 93.176 | 93.176 | 375.115 | -0.000 | -0.000 | -0.000 |
| -5.350 | -5.350 | 12.366 | 48.544 | -0.000 | -0.000 |
| -5.350 | -5.350 | 12.366 | -0.000 | 48.544 | -0.000 |
| 0.000 | 0.000 | 0.000 | 0.000 | -0.000 | 101.602 |
| 315.237 | 170.124 | 84.762 | 0.000 | -0.000 | 0.000 |
| 170.124 | 315.237 | 84.762 | 0.000 | 0.000 | 0.000 |
| 119.193 | 119.193 | 309.432 | 0.000 | 0.000 | 0.000 |
| 5.350 | 5.350 | -12.366 | 48.544 | 0.000 | 0.000 |
| 5.350 | 5.350 | -12.366 | 0.000 | 48.544 | 0.000 |
| -0.000 | -0.000 | -0.000 | 0.000 | 0.000 | 101.602 |
| 445.884 | 93.769 | 153.321 | -0.000 | -0.000 | 0.000 |
| 93.769 | 445.884 | 153.321 | -0.000 | 0.000 | 0.000 |
| 150.971 | 150.971 | 436.053 | -0.000 | 0.000 | 0.000 |
| 0.000 | 0.000 | -0.000 | 42.067 | 0.000 | 0.000 |
| 0.000 | 0.000 | -0.000 | 0.000 | 42.067 | 0.000 |
| -0.003 | -0.003 | 0.003 | -0.000 | 0.000 | -2.572 |
| 445.889 | 93.774 | 153.314 | 0.000 | -0.000 | -0.000 |
| 93.774 | 445.889 | 153.314 | 0.000 | 0.000 | -0.000 |
| 150.976 | 150.976 | 436.046 | 0.000 | -0.000 | -0.000 |
| -0.000 | -0.000 | 0.000 | 42.067 | -0.000 | -0.000 |
| -0.000 | -0.000 | -0.000 | 0.000 | 42.067 | -0.000 |
| 0.003 | 0.003 | -0.003 | 0.000 | 0.000 | -2.572 |
| 445.886 | 93.771 | 153.318 | -0.000 | 0.000 | 0.000 |
| 93.771 | 445.886 | 153.318 | -0.000 | 0.000 | 0.000 |
| 150.974 | 150.974 | 436.050 | 0.000 | 0.000 | 0.000 |
| -0.002 | -0.002 | 0.003 | -63.053 | -0.000 | 0.000 |
| -0.002 | -0.002 | 0.003 | 0.000 | -63.053 | 0.000 |
| -0.000 | -0.000 | 0.000 | -0.000 | 0.000 | -2.572 |
| 445.886 | 93.772 | 153.317 | 0.000 | -0.000 | -0.000 |
| 93.772 | 445.886 | 153.317 | 0.000 | -0.000 | -0.000 |
| 150.974 | 150.974 | 436.049 | 0.000 | -0.000 | -0.000 |
| 0.002 | 0.002 | -0.003 | -63.053 | 0.000 | -0.000 |
| 0.002 | 0.002 | -0.003 | 0.000 | -63.053 | -0.000 |
| 0.000 | 0.000 | -0.000 | 0.000 | -0.000 | -2.572 |
| 445.889 | 93.772 | 153.318 | -0.000 | -0.000 | 0.000 |
| 93.772 | 445.889 | 153.318 | -0.000 | -0.000 | 0.000 |
| 150.975 | 150.975 | 436.052 | -0.000 | -0.000 | 0.000 |
| -0.001 | -0.001 | 0.000 | -63.053 | -0.000 | 0.000 |
| -0.001 | -0.001 | 0.000 | -0.000 | -63.053 | 0.000 |
| -0.000 | -0.000 | 0.000 | -0.000 | 0.000 | -2.572 |
| 445.883 | 93.771 | 153.317 | -0.000 | 0.000 | -0.000 |
| 93.771 | 445.883 | 153.317 | 0.000 | -0.000 | -0.000 |
| 150.973 | 150.973 | 436.048 | 0.000 | -0.000 | -0.000 |
| 0.001 | 0.001 | -0.000 | -63.053 | 0.000 | -0.000 |
| 0.001 | 0.001 | -0.000 | 0.000 | -63.053 | -0.000 |
| 0.000 | 0.000 | -0.000 | 0.000 | -0.000 | -2.572 |
| -100.579 | -256.288 | -256.288 | 0.000 | 0.000 | 0.000 |
| -256.288 | -100.579 | -256.288 | 0.000 | 0.000 | 0.000 |
| -256.288 | -256.288 | -100.579 | 0.000 | 0.000 | 0.000 |
| -394.872 | -394.872 | -394.872 | 23.671 | 0.000 | 0.000 |
| -394.872 | -394.872 | -394.872 | 0.000 | 23.671 | 0.000 |
| -394.872 | -394.872 | -394.872 | 0.000 | 0.000 | 23.671 |
| 1343.020 | 1201.863 | 1201.863 | -0.000 | -0.000 | -0.000 |
| 1201.863 | 1343.020 | 1201.863 | -0.000 | -0.000 | -0.000 |
| 1201.863 | 1201.863 | 1343.020 | -0.000 | -0.000 | -0.000 |
| 394.872 | 394.872 | 394.872 | 23.671 | -0.000 | -0.000 |
| 394.872 | 394.872 | 394.872 | -0.000 | 23.671 | -0.000 |
| 394.872 | 394.872 | 394.872 | -0.000 | -0.000 | 23.671 |
| 84.704 | -41.254 | -41.254 | 0.000 | 0.000 | 0.000 |
| -41.254 | 84.704 | -41.254 | 0.000 | 0.000 | 0.000 |
| -41.254 | -41.254 | 84.704 | 0.000 | 0.000 | 0.000 |
| -0.000 | 0.000 | 0.000 | 62.144 | 0.000 | -0.000 |
| 0.000 | -0.000 | 0.000 | 0.000 | 62.144 | 0.000 |
| 0.000 | 0.000 | -0.000 | 0.000 | 0.000 | 62.144 |
| 477.188 | 324.685 | 324.685 | -0.000 | -0.000 | -0.000 |
| 324.685 | 477.188 | 324.685 | -0.000 | -0.000 | -0.000 |
| 324.685 | 324.685 | 477.188 | -0.000 | -0.000 | -0.000 |
| 0.000 | -0.000 | -0.000 | 62.144 | -0.000 | 0.000 |
| -0.000 | 0.000 | -0.000 | -0.000 | 62.144 | 0.000 |
| -0.000 | -0.000 | 0.000 | -0.000 | -0.000 | 62.144 |
| 261.644 | 126.164 | 126.164 | 0.000 | 0.000 | 0.000 |
| 126.164 | 261.644 | 126.164 | 0.000 | 0.000 | 0.000 |
| 126.164 | 126.164 | 261.644 | 0.000 | 0.000 | 0.000 |
| -18.908 | -18.908 | -18.908 | 18.345 | 0.000 | 0.000 |
| -18.908 | -18.908 | -18.908 | 0.000 | 18.345 | 0.000 |
| -18.908 | -18.908 | -18.908 | 0.000 | 0.000 | 18.345 |
| 307.854 | 157.510 | 157.510 | -0.000 | -0.000 | -0.000 |
| 157.510 | 307.854 | 157.510 | -0.000 | -0.000 | -0.000 |
| 157.510 | 157.510 | 307.854 | -0.000 | -0.000 | -0.000 |
| 18.908 | 18.908 | 18.908 | 18.345 | -0.000 | -0.000 |
| 18.908 | 18.908 | 18.908 | -0.000 | 18.345 | -0.000 |
| 18.908 | 18.908 | 18.908 | -0.000 | -0.000 | 18.345 |
| 263.258 | 111.631 | 111.631 | -0.000 | 0.000 | 0.000 |
| 111.631 | 263.258 | 111.631 | 0.000 | 0.000 | 0.000 |
| 111.631 | 111.631 | 263.258 | -0.000 | 0.000 | 0.000 |
| -24.379 | -24.379 | -24.379 | 33.036 | 0.000 | 0.000 |
| -24.379 | -24.379 | -24.379 | -0.000 | 33.036 | 0.000 |
| -24.379 | -24.379 | -24.379 | -0.000 | 0.000 | 33.036 |
| 331.264 | 116.223 | 116.223 | -0.000 | -0.000 | -0.000 |
| 116.223 | 331.264 | 116.223 | 0.000 | -0.000 | -0.000 |
| 116.223 | 116.223 | 331.264 | 0.000 | -0.000 | -0.000 |
| 24.379 | 24.379 | 24.379 | 33.036 | -0.000 | -0.000 |
| 24.379 | 24.379 | 24.379 | 0.000 | 33.036 | -0.000 |
| 24.379 | 24.379 | 24.379 | 0.000 | -0.000 | 33.036 |
| 331.264 | 116.223 | 116.223 | -0.000 | 0.000 | 0.000 |
| 116.223 | 331.264 | 116.223 | -0.000 | 0.000 | 0.000 |
| 116.223 | 116.223 | 331.264 | -0.000 | 0.000 | 0.000 |
| -0.000 | 0.000 | 0.000 | 60.705 | -0.000 | 0.000 |
| 0.000 | -0.000 | 0.000 | 0.000 | 60.705 | 0.000 |
| 0.000 | 0.000 | 0.000 | -0.000 | 0.000 | 60.705 |
| 331.264 | 116.223 | 116.223 | 0.000 | -0.000 | -0.000 |
| 116.223 | 331.264 | 116.223 | 0.000 | 0.000 | -0.000 |
| 116.223 | 116.223 | 331.264 | 0.000 | 0.000 | -0.000 |
| 0.000 | -0.000 | -0.000 | 60.705 | -0.000 | -0.000 |
| -0.000 | 0.000 | -0.000 | 0.000 | 60.705 | -0.000 |
| -0.000 | -0.000 | -0.000 | 0.000 | -0.000 | 60.705 |
| 295.687 | 133.422 | 133.422 | -0.000 | -0.000 | 0.000 |
| 133.422 | 295.687 | 133.422 | -0.000 | 0.000 | 0.000 |
| 133.422 | 133.422 | 295.687 | 0.000 | 0.000 | 0.000 |
| -0.288 | -0.288 | -0.288 | 27.484 | 0.000 | -0.000 |
| -0.288 | -0.288 | -0.288 | -0.000 | 27.484 | 0.000 |
| -0.288 | -0.288 | -0.288 | -0.000 | 0.000 | 27.484 |
| 331.262 | 116.223 | 116.223 | 0.000 | -0.000 | -0.000 |
| 116.223 | 331.262 | 116.223 | -0.000 | -0.000 | -0.000 |
| 116.223 | 116.223 | 331.262 | -0.000 | -0.000 | -0.000 |
| 0.288 | 0.288 | 0.288 | 27.484 | -0.000 | -0.000 |
| 0.288 | 0.288 | 0.288 | 0.000 | 27.484 | -0.000 |
| 0.288 | 0.288 | 0.288 | 0.000 | -0.000 | 27.484 |
| 287.595 | 144.735 | 144.735 | 0.000 | -0.000 | 0.000 |
| 144.735 | 287.595 | 144.735 | -0.000 | -0.000 | 0.000 |
| 144.735 | 144.735 | 287.595 | 0.000 | -0.000 | 0.000 |
| 0.000 | 0.000 | 0.000 | 104.327 | -0.000 | 0.000 |
| 0.000 | 0.000 | 0.000 | 0.000 | 104.327 | 0.000 |
| 0.000 | 0.000 | 0.000 | -0.000 | -0.000 | 104.327 |
| 287.595 | 144.735 | 144.735 | -0.000 | 0.000 | -0.000 |
| 144.735 | 287.595 | 144.735 | -0.000 | 0.000 | -0.000 |
| 144.735 | 144.735 | 287.595 | -0.000 | 0.000 | -0.000 |
| 0.000 | -0.000 | -0.000 | 104.327 | 0.000 | -0.000 |
| -0.000 | -0.000 | -0.000 | 0.000 | 104.327 | 0.000 |
| -0.000 | -0.000 | -0.000 | -0.000 | -0.000 | 104.327 |
| 272.510 | 151.667 | 151.667 | 0.000 | -0.000 | 0.000 |
| 155.714 | 260.205 | 155.713 | 0.000 | -0.000 | 0.000 |
| 151.668 | 151.667 | 272.510 | 0.000 | -0.000 | 0.000 |
| -0.057 | -0.058 | -0.058 | 67.959 | -0.000 | 0.000 |
| -0.057 | -0.058 | -0.058 | 0.000 | 67.959 | 0.000 |
| -0.057 | -0.058 | -0.058 | 0.000 | -0.000 | 67.959 |
| 272.651 | 151.743 | 151.743 | -0.000 | 0.000 | -0.000 |
| 151.743 | 272.651 | 151.744 | -0.000 | 0.000 | -0.000 |
| 151.743 | 151.744 | 272.651 | -0.000 | 0.000 | -0.000 |
| 0.057 | 0.058 | 0.058 | 67.959 | 0.000 | -0.000 |
| 0.057 | 0.058 | 0.058 | -0.000 | 67.959 | -0.000 |
| 0.057 | 0.058 | 0.058 | -0.000 | 0.000 | 67.959 |
| 272.578 | 151.701 | 151.701 | 0.000 | -0.000 | 0.000 |
| 151.701 | 272.578 | 151.701 | 0.000 | -0.000 | 0.000 |
| 151.701 | 151.701 | 272.578 | 0.000 | -0.000 | 0.000 |
| -0.006 | -0.006 | -0.005 | 67.960 | -0.000 | 0.000 |
| -0.005 | -0.006 | -0.005 | 0.000 | 67.960 | 0.000 |
| -0.005 | -0.005 | -0.006 | 0.000 | -0.000 | 67.960 |
| 259.928 | 156.030 | 156.030 | -0.000 | 0.000 | -0.000 |
| 156.030 | 259.928 | 156.030 | -0.000 | 0.000 | -0.000 |
| 156.030 | 156.030 | 259.928 | -0.000 | 0.000 | -0.000 |
| 0.006 | 0.006 | 0.005 | 67.960 | 0.000 | -0.000 |
| 0.005 | 0.006 | 0.005 | -0.000 | 67.960 | -0.000 |
| 0.005 | 0.005 | 0.006 | -0.000 | 0.000 | 67.960 |
| 271.240 | 151.052 | 151.053 | -0.000 | 0.000 | 0.000 |
| 151.053 | 271.240 | 151.053 | -0.000 | 0.000 | 0.000 |
| 151.053 | 151.052 | 271.240 | -0.000 | 0.000 | 0.000 |
| -0.020 | -0.020 | -0.019 | 67.555 | 0.000 | 0.000 |
| -0.020 | -0.020 | -0.019 | -0.000 | 67.555 | 0.000 |
| -0.020 | -0.020 | -0.019 | -0.000 | 0.000 | 67.555 |
| 271.287 | 151.079 | 151.078 | 0.000 | -0.000 | -0.000 |
| 151.079 | 271.287 | 151.079 | 0.000 | -0.000 | -0.000 |
| 151.079 | 151.079 | 271.287 | 0.000 | -0.000 | -0.000 |
| 0.020 | 0.020 | 0.019 | 67.555 | -0.000 | -0.000 |
| 0.020 | 0.020 | 0.019 | 0.000 | 67.555 | -0.000 |
| 0.020 | 0.020 | 0.019 | 0.000 | -0.000 | 67.555 |
| 271.262 | 151.064 | 151.064 | -0.000 | 0.000 | 0.000 |
| 151.064 | 271.262 | 151.064 | -0.000 | 0.000 | 0.000 |
| 151.064 | 151.064 | 271.262 | -0.000 | 0.000 | 0.000 |
| -0.002 | -0.002 | -0.002 | 67.555 | 0.000 | 0.000 |
| -0.002 | -0.002 | -0.002 | -0.000 | 67.555 | 0.000 |
| -0.002 | -0.002 | -0.002 | -0.000 | 0.000 | 67.555 |
| 258.654 | 155.367 | 155.367 | 0.000 | -0.000 | -0.000 |
| 155.367 | 258.654 | 155.367 | 0.000 | -0.000 | -0.000 |
| 155.367 | 155.367 | 258.654 | 0.000 | -0.000 | -0.000 |
| 0.002 | 0.002 | 0.002 | 67.555 | -0.000 | -0.000 |
| 0.002 | 0.002 | 0.002 | 0.000 | 67.555 | -0.000 |
| 0.002 | 0.002 | 0.002 | 0.000 | -0.000 | 67.555 |
| 258.667 | 155.359 | 155.359 | -0.000 | 0.000 | 0.000 |
| 155.359 | 258.667 | 155.359 | -0.000 | 0.000 | 0.000 |
| 155.359 | 155.359 | 258.667 | -0.000 | 0.000 | 0.000 |
| 0.000 | 0.001 | 0.001 | 67.555 | 0.000 | 0.000 |
| 0.001 | 0.000 | 0.001 | -0.000 | 67.555 | 0.000 |
| 0.001 | 0.001 | 0.000 | -0.000 | 0.000 | 67.555 |
| 258.659 | 155.358 | 155.358 | 0.000 | -0.000 | -0.000 |
| 155.358 | 258.659 | 155.358 | 0.000 | -0.000 | -0.000 |
| 155.358 | 155.358 | 258.659 | 0.000 | -0.000 | -0.000 |
| -0.000 | -0.001 | -0.001 | 67.555 | -0.000 | -0.000 |
| -0.001 | -0.000 | -0.001 | 0.000 | 67.555 | -0.000 |
| -0.001 | -0.001 | -0.000 | 0.000 | -0.000 | 67.555 |
| 367.676 | 23.291 | 254.098 | 0.000 | 0.000 | -0.000 |
| 46.343 | 419.037 | 200.045 | -0.000 | 0.000 | -0.000 |
| 195.433 | 135.893 | 307.516 | 0.000 | 0.000 | -0.000 |
| -0.183 | -24.638 | 63.051 | 34.261 | 0.000 | -0.000 |
| 0.000 | -0.000 | 0.000 | 0.000 | 122.686 | -0.000 |
| -0.171 | -23.022 | 58.916 | -0.000 | 0.000 | -35.758 |
| 368.020 | 69.591 | 135.612 | -0.000 | -0.000 | 0.000 |
| 46.688 | 465.586 | 80.921 | 0.000 | -0.000 | 0.000 |
| 195.646 | 164.551 | 234.177 | -0.000 | -0.000 | 0.000 |
| 0.183 | 24.638 | -63.051 | 34.261 | -0.000 | 0.000 |
| -0.000 | 0.000 | -0.000 | -0.000 | 122.686 | 0.000 |
| 0.171 | 23.022 | -58.916 | 0.000 | -0.000 | -35.758 |
| 367.849 | 46.579 | 194.500 | 0.000 | 0.000 | -0.000 |
| 46.498 | 439.973 | 146.468 | 0.000 | 0.000 | -0.000 |
| 195.458 | 139.238 | 298.956 | 0.000 | 0.000 | -0.000 |
| -0.017 | -2.303 | 5.893 | -79.773 | 0.000 | -0.000 |
| 0.000 | -0.000 | 0.000 | 0.000 | 122.686 | -0.000 |
| -0.018 | -2.396 | 6.132 | -0.000 | 0.000 | -35.533 |
| 367.849 | 46.579 | 194.500 | -0.000 | -0.000 | 0.000 |
| 46.532 | 444.591 | 134.650 | 0.000 | -0.000 | 0.000 |
| 195.433 | 135.893 | 307.516 | 0.000 | -0.000 | 0.000 |
| 0.017 | 2.303 | -5.893 | -79.773 | -0.000 | -0.000 |
| -0.000 | 0.000 | -0.000 | -0.000 | 122.686 | 0.000 |
| 0.018 | 2.396 | -6.132 | 0.000 | -0.000 | -35.533 |
| 367.851 | 46.579 | 194.501 | 0.000 | 0.000 | -0.000 |
| 46.514 | 442.060 | 141.133 | 0.000 | 0.000 | -0.000 |
| 195.473 | 141.294 | 293.698 | 0.000 | 0.000 | -0.000 |
| -0.002 | -0.230 | 0.586 | -79.769 | 0.000 | -0.000 |
| 0.001 | -0.000 | 0.000 | 0.000 | 122.686 | -0.000 |
| 3445930.636 | -14865438.675 | -5662249.252 | -0.000 | 0.000 | -6718443.260 |
| 367.847 | 46.580 | 194.499 | -0.000 | -0.000 | 0.000 |
| 46.517 | 442.516 | 139.953 | -0.000 | -0.000 | 0.000 |
| 195.476 | 141.754 | 292.516 | -0.000 | -0.000 | 0.000 |
| 0.002 | 0.230 | -0.586 | -79.769 | -0.000 | -0.000 |
| -0.001 | 0.000 | -0.000 | -0.000 | 122.686 | 0.000 |
| -3445930.636 | 14865438.675 | 5662249.252 | 0.000 | -0.000 | -6718443.260 |
| 316.764 | 142.846 | 118.313 | -0.000 | 0.000 | 0.000 |
| 143.567 | 308.042 | 119.946 | -0.000 | -0.000 | 0.000 |
| 118.719 | 119.632 | 356.713 | -0.000 | 0.000 | 0.000 |
| -0.000 | 0.000 | 0.000 | 92.861 | -0.000 | 0.000 |
| 0.000 | 0.000 | 0.000 | -0.000 | 91.603 | 0.000 |
| -0.000 | 0.000 | 0.000 | -0.000 | 0.000 | 80.099 |
| 316.764 | 142.846 | 118.313 | 0.000 | -0.000 | -0.000 |
| 127.940 | 323.192 | 119.735 | 0.000 | 0.000 | -0.000 |
| 118.719 | 119.632 | 356.713 | 0.000 | -0.000 | -0.000 |
| -0.000 | 0.000 | -0.000 | 92.861 | 0.000 | -0.000 |
| -0.000 | -0.000 | -0.000 | 0.000 | 91.603 | -0.000 |
| 0.000 | -0.000 | -0.000 | 0.000 | -0.000 | 80.099 |
| 316.764 | 142.846 | 118.313 | -0.000 | 0.000 | 0.000 |
| 143.567 | 308.042 | 119.946 | -0.000 | 0.000 | 0.000 |
| 118.719 | 119.632 | 356.713 | -0.000 | -0.000 | 0.000 |
| 0.000 | -0.000 | 0.000 | 92.861 | 0.000 | 0.000 |
| 0.000 | 0.000 | 0.000 | -0.000 | 91.603 | 0.000 |
| -0.000 | 0.000 | -0.000 | -0.000 | 0.000 | 80.099 |
| 316.764 | 142.846 | 118.313 | 0.000 | -0.000 | -0.000 |
| 143.567 | 308.042 | 119.946 | 0.000 | 0.000 | -0.000 |
| 118.719 | 119.632 | 356.713 | 0.000 | 0.000 | -0.000 |
| -0.000 | 0.000 | -0.000 | 92.861 | 0.000 | -0.000 |
| -0.000 | -0.000 | -0.000 | 0.000 | 91.603 | -0.000 |
| 0.000 | -0.000 | 0.000 | 0.000 | -0.000 | 80.099 |
| 316.766 | 142.846 | 118.313 | -0.000 | -0.000 | 0.000 |
| 143.567 | 308.043 | 119.946 | -0.000 | 0.000 | 0.000 |
| 118.720 | 119.633 | 356.715 | -0.000 | 0.000 | 0.000 |
| 0.000 | -0.000 | 0.001 | 92.861 | 0.000 | 0.000 |
| 0.000 | 0.000 | 0.001 | -0.000 | 91.603 | 0.000 |
| -0.000 | 0.000 | -0.000 | -0.000 | 0.000 | 80.099 |
| 316.762 | 142.846 | 118.313 | 0.000 | 0.000 | -0.000 |
| 143.566 | 308.041 | 119.947 | 0.000 | -0.000 | -0.000 |
| 118.718 | 119.632 | 356.711 | 0.000 | 0.000 | -0.000 |
| -0.000 | 0.000 | -0.001 | 92.861 | -0.000 | -0.000 |
| -0.000 | -0.000 | -0.001 | 0.000 | 91.603 | -0.000 |
| 0.000 | -0.000 | 0.000 | 0.000 | 0.000 | 80.099 |
| -493023321.157 | -529751294.409 | -308680009.057 | 4776583.983 | -836012.940 | 1188246.064 |
| 121.943 | 317.672 | -0.302 | 0.000 | -0.000 | 0.000 |
| -0.302 | -0.302 | 446.663 | 0.000 | 0.000 | 0.000 |
| -0.000 | 0.000 | 0.000 | -29.087 | -0.000 | 0.000 |
| -0.000 | 0.000 | -0.000 | -0.000 | -29.087 | 0.000 |
| -0.000 | 0.000 | -0.000 | -0.000 | -0.000 | -51.854 |
| 317.672 | 121.943 | -0.302 | 0.000 | 0.000 | -0.000 |
| 121.943 | 317.672 | -0.302 | 0.000 | 0.000 | -0.000 |
| -0.302 | -0.302 | 446.662 | -0.000 | 0.000 | -0.000 |
| 0.000 | -0.000 | -0.000 | -29.087 | 0.000 | -0.000 |
| 0.000 | -0.000 | 0.000 | 0.000 | -29.087 | -0.000 |
| 0.000 | -0.000 | 0.000 | 0.000 | 0.000 | -51.854 |
| 167.955 | 271.660 | -0.302 | -0.000 | -0.000 | 0.000 |
| 271.663 | 167.952 | -0.302 | -0.000 | -0.000 | 0.000 |
| -0.302 | -0.302 | 446.663 | -0.000 | -0.000 | 0.000 |
| -0.000 | 0.000 | -0.000 | -29.087 | -0.000 | 0.000 |
| 0.000 | 0.000 | -0.000 | -0.000 | -29.087 | 0.000 |
| -0.000 | -0.000 | -0.000 | -0.000 | -0.000 | -51.854 |
| 167.952 | 271.663 | -0.302 | 0.000 | 0.000 | 0.000 |
| 121.943 | 317.672 | -0.302 | -0.000 | 0.000 | -0.000 |
| -0.302 | -0.302 | 446.662 | -0.000 | -0.000 | -0.000 |
| 0.000 | -0.000 | 0.000 | -29.087 | 0.000 | -0.000 |
| -0.000 | -0.000 | 0.000 | 0.000 | -29.087 | -0.000 |
| 0.000 | 0.000 | 0.000 | 0.000 | 0.000 | -51.854 |
| -7122263.830 | -7276118.198 | -5746499.044 | 79943.141 | -4014.179 | -18029.980 |
| -5345997.842 | -6572365.942 | -8282409.215 | 35184.599 | 23478.712 | 4968.622 |
| -0.302 | -0.302 | 446.666 | -0.000 | 0.000 | 0.000 |
| 0.000 | 0.000 | -0.000 | -29.087 | -0.000 | 0.000 |
| 0.000 | 0.000 | -0.000 | 0.000 | -29.087 | 0.000 |
| -6283823.871 | -6649618.790 | -6097670.752 | -30678.192 | -5822.165 | -213720.358 |
| 5719227.336 | 6919115.291 | 8653402.022 | 4552.347 | 27894.794 | -38981.473 |
| 121.942 | 317.670 | -0.302 | 0.000 | 0.000 | -0.000 |
| -0.302 | -0.302 | 446.659 | 0.000 | 0.000 | -0.000 |
| -0.000 | -0.000 | 0.000 | -29.087 | 0.000 | -0.000 |
| -0.000 | -0.000 | 0.000 | -0.000 | -29.087 | -0.000 |
| 5319183.309 | 6035619.462 | 5819830.404 | 8590.110 | -2572.092 | -76082.267 |
| 324.285 | 130.406 | 93.386 | -0.000 | 0.000 | 0.000 |
| 130.406 | 324.285 | 93.386 | -0.000 | 0.000 | 0.000 |
| 88.985 | 88.985 | 415.627 | -0.000 | 0.000 | 0.000 |
| 0.000 | 0.000 | 0.000 | 49.638 | 0.000 | 0.000 |
| 0.000 | 0.000 | 0.000 | -0.000 | 49.638 | -0.000 |
| 0.000 | 0.000 | 0.000 | -0.000 | -0.000 | 96.939 |
| 324.285 | 130.406 | 93.386 | -0.000 | 0.000 | -0.000 |
| 130.406 | 324.285 | 93.386 | -0.000 | -0.000 | -0.000 |
| 1319.584 | 1319.584 | -1853.236 | 0.000 | 0.000 | -0.000 |
| -0.000 | -0.000 | -0.000 | 49.638 | -0.000 | -0.000 |
| -0.000 | -0.000 | -0.000 | 0.000 | 49.638 | -0.000 |
| -0.000 | -0.000 | -0.000 | 0.000 | 0.000 | 96.939 |
| 324.285 | 130.406 | 93.386 | -0.000 | 0.000 | 0.000 |
| 130.406 | 324.285 | 93.386 | -0.000 | 0.000 | 0.000 |
| 88.985 | 88.985 | 415.627 | -0.000 | 0.000 | 0.000 |
| 0.000 | 0.000 | 0.000 | 49.638 | 0.000 | 0.000 |
| 0.000 | 0.000 | 0.000 | 0.000 | 49.638 | 0.000 |
| -523.176 | -523.175 | 990.592 | -0.000 | 0.000 | 27.553 |
| 291.532 | 206.266 | 48.313 | 0.000 | -0.000 | -0.000 |
| 778.371 | 963.365 | -1104.509 | 0.000 | -0.000 | -0.000 |
| 88.985 | 88.985 | 415.627 | -0.000 | -0.000 | -0.000 |
| -0.000 | -0.000 | -0.000 | 49.638 | 0.000 | -0.000 |
| -0.000 | -0.000 | -0.000 | 0.000 | 49.638 | -0.000 |
| 523.176 | 523.175 | -990.592 | 0.000 | -0.000 | 27.553 |
| 211.261 | 134.559 | 200.224 | 0.000 | 0.000 | 0.000 |
| 130.406 | 324.287 | 93.386 | -0.000 | 0.000 | 0.000 |
| 90.342 | 90.342 | 409.905 | -0.000 | 0.000 | 0.000 |
| 0.000 | 0.000 | 0.000 | 49.638 | 0.000 | 0.000 |
| -37.085 | -37.085 | 69.789 | -0.000 | -4.134 | 0.000 |
| 0.000 | 0.000 | 0.000 | 0.000 | 0.000 | 96.939 |
| 324.283 | 130.406 | 93.386 | -0.000 | -0.000 | -0.000 |
| 130.406 | 324.283 | 93.386 | 0.000 | -0.000 | -0.000 |
| 95.877 | 95.877 | 397.410 | 0.000 | -0.000 | -0.000 |
| -0.000 | -0.000 | -0.000 | 49.638 | -0.000 | -0.000 |
| -0.000 | -0.000 | -0.000 | -0.000 | 49.638 | -0.000 |
| -0.000 | -0.000 | -0.000 | 0.000 | -0.000 | 96.939 |
| 343.517 | 138.345 | -37.787 | -0.000 | 0.000 | 0.071 |
| 138.345 | 343.517 | -37.787 | 0.000 | 0.000 | 0.071 |
| 100.134 | 100.134 | 251.577 | -0.000 | -0.000 | 0.071 |
| -7.141 | -7.140 | -145.560 | 42.211 | -0.000 | 0.071 |
| -7.140 | -7.140 | -145.560 | 0.000 | 42.211 | 0.071 |
| -0.000 | 0.000 | 0.000 | 0.000 | 0.000 | 73.568 |
| 357.801 | 152.629 | 253.390 | -0.000 | 0.000 | -0.071 |
| 152.629 | 357.801 | 253.390 | -0.000 | 0.000 | -0.071 |
| -2.301 | -2.301 | 896.375 | -0.000 | -0.000 | -0.068 |
| 7.141 | 7.140 | 145.560 | 42.211 | 0.000 | -0.071 |
| 7.141 | 7.140 | 145.560 | -0.000 | 42.211 | -0.071 |
| -0.000 | -0.000 | 0.000 | -0.000 | 0.000 | 73.568 |
| 366.153 | 133.128 | 105.917 | 0.000 | -0.000 | -0.000 |
| 133.128 | 366.153 | 105.917 | 0.000 | -0.000 | -0.000 |
| 106.570 | 106.570 | 382.555 | 0.000 | -0.000 | 0.007 |
| 11.079 | 11.079 | -50.245 | 39.404 | -0.000 | 0.007 |
| 11.079 | 11.079 | -50.245 | 0.000 | 39.404 | 0.007 |
| -0.715 | -0.715 | -14.569 | 0.000 | -0.000 | 58.837 |
| 351.330 | 146.239 | 122.407 | -0.000 | 0.000 | -0.007 |
| 146.239 | 351.330 | 122.407 | 0.000 | 0.000 | -0.007 |
| 97.073 | 97.073 | 445.212 | 0.000 | -0.000 | -0.007 |
| -11.079 | -11.079 | 50.245 | 39.404 | -0.000 | -0.007 |
| -11.079 | -11.079 | 50.245 | 0.000 | 39.404 | -0.007 |
| 0.715 | 0.715 | 14.569 | -0.000 | -0.000 | 58.823 |
| 273.634 | 217.034 | 107.176 | 0.000 | 0.000 | 0.000 |
| 233.420 | 261.333 | 104.485 | -0.000 | -0.000 | 0.001 |
| 109.269 | 109.269 | 389.899 | 0.000 | -0.000 | 0.001 |
| -0.073 | -0.073 | -1.487 | 42.161 | -0.000 | 0.001 |
| -0.073 | -0.073 | -1.487 | 0.000 | 42.161 | 0.001 |
| 0.522 | 0.522 | -3.012 | 0.000 | -0.000 | 24.484 |
| 272.795 | 216.855 | 111.100 | -0.000 | 0.000 | -0.000 |
| 216.855 | 272.795 | 111.100 | -0.000 | 0.000 | -0.000 |
| 107.413 | 107.413 | 396.034 | -0.000 | -0.000 | 0.003 |
| 0.073 | 0.073 | 1.487 | 42.161 | 0.000 | -0.001 |
| 0.073 | 0.073 | 1.487 | -0.000 | 42.161 | -0.001 |
| -0.522 | -0.522 | 3.012 | -0.000 | 0.000 | 24.483 |
| 396.537 | 297.156 | 297.156 | 0.000 | 0.000 | 0.000 |
| 297.156 | 396.537 | 297.156 | 0.000 | 0.000 | -0.000 |
| 297.156 | 297.156 | 396.537 | 0.000 | 0.000 | -0.000 |
| -0.000 | 0.000 | 0.000 | 272.085 | 0.000 | -0.000 |
| -0.000 | 0.000 | -0.000 | 0.000 | 272.085 | -0.000 |
| -0.000 | 0.000 | 0.000 | 0.000 | 0.000 | 272.085 |
| 396.537 | 297.156 | 297.156 | -0.000 | -0.000 | 0.000 |
| 297.156 | 396.537 | 297.156 | -0.000 | -0.000 | 0.000 |
| 297.156 | 297.156 | 396.537 | -0.000 | -0.000 | 0.000 |
| 0.000 | -0.000 | 0.000 | 272.085 | -0.000 | 0.000 |
| 0.000 | -0.000 | 0.000 | -0.000 | 272.085 | 0.000 |
| 0.000 | -0.000 | -0.000 | -0.000 | -0.000 | 272.085 |
| 396.537 | 297.156 | 297.156 | 0.000 | 0.000 | -0.000 |
| 297.156 | 396.537 | 297.156 | 0.000 | 0.000 | -0.000 |
| 297.156 | 297.156 | 396.537 | 0.000 | 0.000 | -0.000 |
| 0.000 | -0.000 | 0.000 | 272.085 | 0.000 | -0.000 |
| -0.000 | 0.000 | 0.000 | -0.000 | 272.085 | -0.000 |
| -0.000 | 0.000 | 0.000 | 0.000 | 0.000 | 272.085 |
| 396.537 | 297.155 | 297.155 | -0.000 | -0.000 | 0.000 |
| 297.155 | 396.537 | 297.155 | -0.000 | -0.000 | 0.000 |
| 297.155 | 297.155 | 396.537 | -0.000 | -0.000 | 0.000 |
| -0.000 | 0.000 | -0.000 | 272.085 | -0.000 | 0.000 |
| 0.000 | -0.000 | -0.000 | -0.000 | 272.085 | 0.000 |
| 0.000 | -0.000 | -0.000 | -0.000 | -0.000 | 272.085 |
| 396.537 | 297.156 | 297.156 | 0.000 | 0.000 | -0.000 |
| 297.156 | 396.537 | 297.156 | 0.000 | 0.000 | -0.000 |
| 297.156 | 297.156 | 396.537 | -0.000 | 0.000 | -0.000 |
| 0.000 | -0.000 | -0.000 | 89.985 | 0.000 | -0.000 |
| -0.000 | 0.000 | -0.000 | 0.000 | 89.985 | -0.000 |
| -0.000 | -0.000 | 0.000 | 0.000 | 0.000 | 89.985 |
| 396.536 | 297.155 | 297.155 | -0.000 | -0.000 | 0.000 |
| 297.155 | 396.536 | 297.155 | -0.000 | -0.000 | 0.000 |
| 297.155 | 297.155 | 396.536 | -0.000 | -0.000 | 0.000 |
| -0.000 | 0.000 | 0.000 | 89.985 | -0.000 | -0.000 |
| 0.000 | -0.000 | 0.000 | -0.000 | 89.985 | 0.000 |
| 0.000 | 0.000 | -0.000 | -0.000 | -0.000 | 89.985 |
| 774.964 | 145.046 | 145.046 | -0.000 | 0.000 | -0.000 |
| 145.046 | 774.964 | 145.046 | -0.000 | 0.000 | -0.000 |
| 145.046 | 145.046 | 774.964 | -0.000 | -0.000 | -0.000 |
| 0.000 | 0.000 | 0.000 | 105.734 | -0.000 | -0.000 |
| 0.000 | 0.000 | 0.000 | -0.000 | 105.734 | -0.000 |
| 0.000 | 0.000 | 0.000 | 0.000 | 0.000 | 105.734 |
| 771.287 | 146.885 | 146.885 | 0.000 | 0.000 | 0.000 |
| 146.885 | 771.287 | 146.885 | 0.000 | -0.000 | 0.000 |
| 146.885 | 146.885 | 771.287 | 0.000 | -0.000 | 0.000 |
| -0.000 | -0.000 | -0.000 | 105.734 | -0.000 | 0.000 |
| -0.000 | -0.000 | -0.000 | -0.000 | 105.734 | 0.000 |
| -0.000 | -0.000 | -0.000 | -0.000 | -0.000 | 105.734 |
| 771.289 | 146.885 | 146.885 | 0.000 | 0.000 | -0.000 |
| 146.885 | 771.289 | 146.885 | -0.000 | 0.000 | -0.000 |
| 146.885 | 146.885 | 771.289 | -0.000 | -0.000 | -0.000 |
| 0.000 | 0.000 | 0.000 | 8.596 | 0.000 | -0.000 |
| 0.000 | 0.000 | 0.000 | -0.000 | 8.596 | -0.000 |
| 0.000 | 0.000 | 0.000 | -0.000 | 0.000 | 8.596 |
| 774.962 | 145.046 | 145.046 | 0.000 | -0.000 | 0.000 |
| 145.046 | 774.962 | 145.046 | 0.000 | -0.000 | 0.000 |
| 145.046 | 145.046 | 774.962 | 0.000 | 0.000 | 0.000 |
| -0.000 | -0.000 | -0.000 | 8.596 | -0.000 | 0.000 |
| -0.000 | -0.000 | -0.000 | -0.000 | 8.596 | 0.000 |
| -0.000 | -0.000 | -0.000 | 0.000 | -0.000 | 8.596 |
| 771.304 | 146.889 | 146.889 | 0.000 | 0.000 | -0.000 |
| 146.889 | 771.304 | 146.889 | -0.000 | 0.000 | -0.000 |
| 146.889 | 146.889 | 771.304 | 0.000 | 0.000 | -0.000 |
| 0.002 | 0.004 | 0.004 | 105.734 | 0.000 | -0.000 |
| 0.004 | 0.002 | 0.004 | 0.000 | 105.734 | -0.000 |
| 0.004 | 0.004 | 0.002 | -0.000 | 0.000 | 105.734 |
| 774.947 | 145.042 | 145.042 | 0.000 | -0.000 | 0.000 |
| 145.042 | 774.947 | 145.042 | -0.000 | -0.000 | 0.000 |
| 145.042 | 145.042 | 774.947 | -0.000 | -0.000 | 0.000 |
| -0.002 | -0.004 | -0.004 | 105.734 | -0.000 | 0.000 |
| -0.004 | -0.002 | -0.004 | -0.000 | 105.734 | 0.000 |
| -0.004 | -0.004 | -0.002 | 0.000 | -0.000 | 105.734 |
| 275.141 | 51.149 | 51.149 | -0.000 | 0.000 | -0.000 |
| 51.149 | 275.141 | 51.149 | -0.000 | 0.000 | -0.000 |
| 51.149 | 51.149 | 275.141 | -0.000 | 0.000 | -0.000 |
| -0.000 | -0.000 | -0.000 | -53.736 | 0.000 | 0.000 |
| -0.000 | -0.000 | -0.000 | 0.000 | -53.736 | -0.000 |
| -0.000 | -0.000 | -0.000 | 0.000 | 0.000 | -53.736 |
| 275.141 | 51.149 | 51.149 | -0.000 | -0.000 | 0.000 |
| 51.149 | 275.141 | 51.149 | -0.000 | -0.000 | 0.000 |
| 51.149 | 51.149 | 275.141 | 0.000 | -0.000 | -0.000 |
| 0.000 | 0.000 | 0.000 | -53.736 | -0.000 | 0.000 |
| 0.000 | 0.000 | 0.000 | -0.000 | -53.736 | 0.000 |
| 0.000 | 0.000 | 0.000 | -0.000 | -0.000 | -53.736 |
| 275.140 | 51.149 | 51.149 | -0.000 | 0.000 | 0.000 |
| 51.149 | 275.140 | 51.149 | 0.000 | 0.000 | -0.000 |
| 51.149 | 51.149 | 275.140 | -0.000 | 0.000 | 0.000 |
| -0.000 | -0.000 | -0.000 | -53.736 | 0.000 | 0.000 |
| -0.000 | -0.000 | -0.000 | -0.000 | -53.736 | -0.000 |
| -0.000 | -0.000 | -0.000 | 0.000 | 0.000 | -53.736 |
| 275.141 | 51.149 | 51.149 | 0.000 | -0.000 | 0.000 |
| 51.149 | 275.141 | 51.149 | 0.000 | -0.000 | 0.000 |
| 51.149 | 51.149 | 275.141 | -0.000 | -0.000 | -0.000 |
| 0.000 | 0.000 | 0.000 | -53.736 | -0.000 | 0.000 |
| 0.000 | 0.000 | 0.000 | -0.000 | -53.736 | 0.000 |
| 0.000 | 0.000 | 0.000 | -0.000 | -0.000 | -53.736 |
| 275.137 | 51.148 | 51.148 | -0.000 | 0.000 | 0.000 |
| 51.148 | 275.137 | 51.148 | -0.000 | 0.000 | -0.000 |
| 51.148 | 51.148 | 275.137 | -0.000 | 0.000 | -0.000 |
| -0.001 | -0.000 | -0.001 | -53.736 | 0.000 | 0.000 |
| -0.000 | -0.001 | -0.001 | -0.000 | -53.736 | 0.000 |
| -0.000 | -0.001 | -0.001 | -0.000 | 0.000 | -53.736 |
| 276.755 | 50.345 | 50.345 | -0.000 | -0.000 | 0.000 |
| 50.345 | 276.755 | 50.345 | -0.000 | -0.000 | -0.000 |
| 50.345 | 50.345 | 276.755 | -0.000 | -0.000 | 0.000 |
| 0.001 | 0.000 | 0.001 | -53.736 | -0.000 | 0.000 |
| 0.000 | 0.001 | 0.001 | -0.000 | -53.736 | 0.000 |
| 0.000 | 0.001 | 0.001 | 0.000 | -0.000 | -53.736 |
| 2.260 | -0.000 | -0.000 | 0.000 | 0.000 | -0.000 |
| -0.000 | 2.260 | -0.000 | 0.000 | 0.000 | 0.000 |
| 0.000 | 0.000 | 2.260 | -0.000 | -0.000 | 0.000 |
| -0.000 | -0.000 | -0.000 | 0.000 | 0.000 | -0.000 |
| -0.000 | -0.000 | -0.000 | 0.000 | 0.000 | -0.000 |
| -0.000 | -0.000 | -0.000 | 0.000 | -0.000 | 0.000 |
| 2.260 | 0.000 | 0.000 | -0.000 | 0.000 | 0.000 |
| 0.000 | 2.260 | 0.000 | 0.000 | -0.000 | -0.000 |
| 0.000 | 0.000 | 2.260 | -0.000 | -0.000 | 0.000 |
| 0.000 | 0.000 | 0.000 | 0.000 | -0.000 | 0.000 |
| 0.000 | 0.000 | 0.000 | -0.000 | 0.000 | 0.000 |
| 0.000 | 0.000 | 0.000 | -0.000 | -0.000 | 0.000 |
| 2.260 | -0.000 | -0.000 | 0.000 | 0.000 | -0.000 |
| -0.000 | 2.260 | -0.000 | -0.000 | 0.000 | 0.000 |
| -0.000 | -0.000 | 2.260 | 0.000 | -0.000 | -0.000 |
| -0.000 | -0.000 | -0.000 | 0.000 | 0.000 | -0.000 |
| -0.000 | 0.000 | -0.000 | 0.000 | 0.000 | -0.000 |
| -0.000 | -0.000 | -0.000 | 0.000 | 0.000 | 0.000 |
| 2.260 | 0.000 | 0.000 | -0.000 | 0.000 | -0.000 |
| 0.000 | 2.260 | 0.000 | -0.000 | -0.000 | 0.000 |
| -0.000 | -0.000 | 2.260 | -0.000 | -0.000 | -0.000 |
| 0.000 | 0.000 | 0.000 | 0.000 | -0.000 | 0.000 |
| 0.000 | -0.000 | 0.000 | -0.000 | 0.000 | 0.000 |
| 0.000 | 0.000 | 0.000 | -0.000 | 0.000 | 0.000 |
| 2.260 | -0.000 | -0.000 | 0.000 | 0.000 | -0.000 |
| -0.000 | 2.260 | -0.000 | 0.000 | 0.000 | -0.000 |
| 0.000 | 0.000 | 2.260 | -0.000 | -0.000 | 0.000 |
| -0.000 | -0.000 | -0.000 | 0.000 | 0.000 | -0.000 |
| -0.000 | 0.000 | -0.000 | -0.000 | 0.000 | -0.000 |
| -0.000 | -0.000 | -0.000 | 0.000 | -0.000 | 0.000 |
| 2.261 | 0.000 | 0.000 | -0.000 | -0.000 | 0.000 |
| 0.000 | 2.261 | 0.000 | -0.000 | -0.000 | -0.000 |
| 0.000 | 0.000 | 2.261 | -0.000 | -0.000 | 0.000 |
| -0.000 | 0.000 | 0.000 | 0.000 | -0.000 | 0.000 |
| 0.000 | -0.000 | 0.000 | 0.000 | 0.000 | 0.000 |
| 0.000 | 0.000 | 0.000 | -0.000 | 0.000 | 0.000 |
| 163.077 | 160.358 | 160.358 | 0.000 | 0.000 | 0.000 |
| 160.358 | 163.077 | 160.358 | -0.000 | 0.000 | -0.000 |
| 160.358 | 160.358 | 163.077 | 0.000 | -0.000 | 0.000 |
| 0.000 | 0.000 | -0.000 | 114.578 | 0.000 | -0.000 |
| 0.000 | 0.000 | -0.000 | 0.000 | 114.578 | -0.000 |
| -0.000 | 0.000 | -0.000 | 0.000 | 0.000 | 114.578 |
| 163.077 | 160.358 | 160.358 | -0.000 | -0.000 | 0.000 |
| 160.358 | 163.077 | 160.358 | -0.000 | -0.000 | 0.000 |
| 160.358 | 160.358 | 163.077 | -0.000 | -0.000 | 0.000 |
| 0.000 | -0.000 | 0.000 | 114.578 | -0.000 | 0.000 |
| 0.000 | -0.000 | 0.000 | -0.000 | 114.578 | 0.000 |
| 0.000 | -0.000 | 0.000 | -0.000 | -0.000 | 114.578 |
| 163.077 | 160.358 | 160.358 | 0.000 | 0.000 | 0.000 |
| 160.358 | 163.077 | 160.358 | 0.000 | -0.000 | 0.000 |
| 160.358 | 160.358 | 163.077 | 0.000 | 0.000 | -0.000 |
| 0.000 | 0.000 | 0.000 | 114.607 | 0.000 | 0.000 |
| 0.000 | 0.000 | 0.000 | 0.000 | 114.607 | -0.000 |
| 0.000 | 0.000 | 0.000 | 0.000 | 0.000 | 114.607 |
| 163.077 | 160.358 | 160.358 | -0.000 | 0.000 | 0.000 |
| 160.358 | 163.077 | 160.358 | -0.000 | 0.000 | 0.000 |
| 160.358 | 160.358 | 163.077 | -0.000 | -0.000 | 0.000 |
| -0.000 | -0.000 | -0.000 | 114.607 | 0.000 | 0.000 |
| -0.000 | -0.000 | -0.000 | -0.000 | 114.607 | 0.000 |
| -0.000 | -0.000 | -0.000 | -0.000 | -0.000 | 114.607 |
| 163.077 | 160.359 | 160.359 | 0.000 | 0.000 | -0.000 |
| 160.359 | 163.077 | 160.359 | 0.000 | 0.000 | 0.000 |
| 160.359 | 160.359 | 163.077 | 0.000 | -0.000 | -0.000 |
| 0.000 | 0.000 | 0.000 | 114.578 | -0.000 | 0.000 |
| 0.000 | 0.000 | 0.000 | 0.000 | 114.578 | -0.000 |
| 0.000 | 0.000 | 0.000 | 0.000 | 0.000 | 114.578 |
| 163.076 | 160.358 | 160.358 | -0.000 | 0.000 | -0.000 |
| 160.358 | 163.076 | 160.358 | -0.000 | -0.000 | 0.000 |
| 160.358 | 160.358 | 163.076 | -0.000 | 0.000 | 0.000 |
| -0.000 | -0.000 | -0.000 | 114.578 | 0.000 | 0.000 |
| -0.000 | -0.000 | -0.000 | -0.000 | 114.578 | 0.000 |
| -0.000 | -0.000 | -0.000 | -0.000 | -0.000 | 114.578 |
| 372.370 | 176.647 | 176.647 | 0.000 | 0.000 | -0.000 |
| 176.647 | 372.370 | 176.647 | 0.000 | 0.000 | -0.000 |
| 176.647 | 176.647 | 372.370 | 0.000 | 0.000 | -0.000 |
| -0.000 | -0.000 | -0.000 | 107.145 | 0.000 | -0.000 |
| -0.000 | -0.000 | -0.000 | 0.000 | 107.145 | -0.000 |
| -0.000 | -0.000 | -0.000 | 0.000 | 0.000 | 107.145 |
| 372.370 | 176.647 | 176.647 | -0.000 | -0.000 | 0.000 |
| 176.647 | 372.370 | 176.647 | -0.000 | -0.000 | 0.000 |
| 176.647 | 176.647 | 372.370 | -0.000 | -0.000 | 0.000 |
| 0.000 | 0.000 | 0.000 | 107.145 | -0.000 | 0.000 |
| 0.000 | 0.000 | 0.000 | -0.000 | 107.145 | 0.000 |
| 0.000 | 0.000 | 0.000 | -0.000 | -0.000 | 107.145 |
| 372.370 | 176.647 | 176.647 | 0.000 | 0.000 | -0.000 |
| 176.647 | 372.370 | 176.647 | 0.000 | 0.000 | -0.000 |
| 176.647 | 176.647 | 372.370 | -0.000 | 0.000 | -0.000 |
| -0.000 | -0.000 | 0.000 | 107.145 | 0.000 | -0.000 |
| -0.000 | -0.000 | 0.000 | 0.000 | 107.145 | -0.000 |
| -0.000 | 0.000 | -0.000 | 0.000 | 0.000 | 107.145 |
| 372.370 | 176.647 | 176.647 | -0.000 | -0.000 | 0.000 |
| 176.647 | 372.370 | 176.647 | -0.000 | -0.000 | 0.000 |
| 176.647 | 176.647 | 372.370 | -0.000 | -0.000 | 0.000 |
| 0.000 | 0.000 | -0.000 | 107.145 | -0.000 | 0.000 |
| 0.000 | 0.000 | -0.000 | -0.000 | 107.145 | 0.000 |
| 0.000 | -0.000 | 0.000 | -0.000 | -0.000 | 107.145 |
| 372.368 | 176.648 | 176.648 | 0.000 | -0.000 | -0.000 |
| 176.648 | 372.368 | 176.648 | 0.000 | 0.000 | -0.000 |
| 176.648 | 176.648 | 372.368 | 0.000 | 0.000 | -0.000 |
| -0.000 | -0.000 | 0.000 | 107.145 | -0.000 | -0.000 |
| -0.000 | -0.000 | 0.000 | 0.000 | 107.145 | -0.000 |
| -0.000 | 0.000 | -0.000 | 0.000 | 0.000 | 107.145 |
| 372.372 | 176.647 | 176.647 | -0.000 | -0.000 | 0.000 |
| 176.647 | 372.372 | 176.647 | -0.000 | -0.000 | 0.000 |
| 176.647 | 176.647 | 372.372 | -0.000 | -0.000 | 0.000 |
| 0.000 | 0.000 | -0.000 | 107.145 | -0.000 | 0.000 |
| 0.000 | 0.000 | -0.000 | -0.000 | 107.145 | 0.000 |
| 0.000 | -0.000 | 0.000 | -0.000 | -0.000 | 107.145 |
| 381.259 | 177.007 | 163.961 | -0.000 | -0.000 | -0.000 |
| 171.377 | 391.812 | 165.137 | 0.000 | -0.000 | 0.000 |
| 165.185 | 165.185 | 362.326 | -0.000 | -0.000 | -0.000 |
| 0.000 | 0.000 | 0.000 | 113.793 | -0.000 | 0.000 |
| 0.000 | 0.000 | 0.000 | -0.000 | 113.173 | 0.000 |
| -0.000 | 0.000 | 0.000 | -0.000 | -0.000 | 98.517 |
| 391.812 | 171.377 | 165.137 | 0.000 | 0.000 | 0.000 |
| 177.007 | 381.259 | 163.961 | 0.000 | 0.000 | -0.000 |
| 164.601 | 164.601 | 362.047 | 0.000 | 0.000 | 0.000 |
| -0.000 | -0.000 | -0.000 | 113.793 | 0.000 | 0.000 |
| -0.000 | -0.000 | -0.000 | 0.000 | 113.173 | -0.000 |
| 0.000 | -0.000 | -0.000 | 0.000 | 0.000 | 98.517 |
| 391.812 | 171.377 | 165.137 | -0.000 | -0.000 | -0.000 |
| 171.377 | 391.812 | 165.137 | 0.000 | -0.000 | -0.000 |
| 164.601 | 164.601 | 362.047 | 0.000 | 0.000 | -0.000 |
| 0.000 | 0.000 | 0.000 | 113.173 | -0.000 | -0.000 |
| 0.000 | 0.000 | 0.000 | -0.000 | 113.793 | -0.000 |
| 0.000 | 0.000 | 0.000 | -0.000 | -0.000 | 98.517 |
| 391.812 | 171.377 | 165.137 | 0.000 | 0.000 | 0.000 |
| 171.377 | 391.812 | 165.137 | -0.000 | -0.000 | -0.000 |
| 165.185 | 165.185 | 362.326 | 0.000 | 0.000 | 0.000 |
| -0.000 | -0.000 | -0.000 | 113.173 | 0.000 | 0.000 |
| -0.000 | -0.000 | -0.000 | 0.000 | 113.793 | 0.000 |
| -0.000 | -0.000 | -0.000 | 0.000 | 0.000 | 98.517 |
| 381.261 | 177.008 | 163.963 | -0.000 | -0.000 | 0.000 |
| 182.977 | 377.828 | 164.569 | -0.000 | -0.000 | -0.000 |
| 164.603 | 164.603 | 362.044 | -0.000 | -0.000 | 0.000 |
| 0.001 | 0.002 | 0.002 | 113.173 | -0.000 | -0.000 |
| 0.002 | 0.001 | 0.002 | -0.000 | 113.793 | -0.000 |
| 0.000 | 0.000 | 0.001 | 0.000 | -0.000 | 110.218 |
| 391.809 | 171.376 | 165.135 | -0.000 | 0.000 | -0.000 |
| 182.800 | 377.853 | 164.530 | -0.000 | 0.000 | -0.000 |
| 165.182 | 165.182 | 362.329 | -0.000 | 0.000 | 0.000 |
| -0.001 | -0.002 | -0.002 | 113.173 | 0.000 | 0.000 |
| -0.002 | -0.001 | -0.002 | 0.000 | 113.793 | 0.000 |
| -0.000 | -0.000 | -0.001 | -0.000 | 0.000 | 110.218 |
| 313.829 | 236.396 | 190.982 | 0.000 | -0.000 | -0.000 |
| 264.505 | 281.059 | 185.157 | 0.000 | -0.000 | 0.000 |
| 183.767 | 183.767 | 528.941 | 0.000 | -0.000 | -0.000 |
| 0.000 | 0.000 | 0.000 | 50.093 | -0.000 | 0.000 |
| 0.000 | 0.000 | 0.000 | 0.000 | 50.093 | -0.000 |
| 0.000 | 0.000 | 0.000 | 0.000 | -0.000 | 59.054 |
| 376.134 | 181.659 | 200.439 | -0.000 | 0.000 | -0.000 |
| 189.553 | 345.668 | 172.231 | -0.000 | 0.000 | 0.000 |
| 183.767 | 183.767 | 528.941 | -0.000 | 0.000 | 0.000 |
| -0.000 | -0.000 | -0.000 | 50.093 | 0.000 | -0.000 |
| -0.000 | -0.000 | -0.000 | -0.000 | 50.093 | 0.000 |
| -0.000 | -0.000 | -0.000 | -0.000 | 0.000 | 59.054 |
| 376.135 | 181.659 | 200.439 | 0.000 | -0.000 | 0.000 |
| 181.659 | 376.135 | 200.439 | 0.000 | -0.000 | 0.000 |
| 199.050 | 199.050 | 567.136 | 0.000 | -0.000 | -0.000 |
| 0.000 | 0.000 | 0.000 | 50.093 | -0.000 | 0.000 |
| 0.000 | 0.000 | 0.000 | 0.000 | 119.746 | -0.000 |
| 0.001 | 0.000 | 0.001 | 0.000 | -0.000 | 8.277 |
| 376.134 | 181.659 | 200.439 | -0.000 | 0.000 | 0.000 |
| 189.553 | 345.667 | 172.231 | -0.000 | 0.000 | -0.000 |
| 183.767 | 183.767 | 528.941 | -0.000 | 0.000 | 0.000 |
| -0.000 | -0.000 | -0.000 | 50.093 | 0.000 | 0.000 |
| -0.000 | -0.000 | -0.000 | -0.000 | 119.746 | 0.000 |
| -0.001 | -0.000 | -0.001 | -0.000 | 0.000 | 8.277 |
| 345.674 | 189.554 | 172.234 | 0.000 | -0.000 | -0.000 |
| 189.554 | 345.675 | 172.234 | 0.000 | -0.000 | -0.000 |
| 183.771 | 183.771 | 528.948 | 0.000 | -0.000 | -0.000 |
| 0.001 | 0.002 | 0.002 | 50.093 | -0.000 | 0.000 |
| 0.002 | 0.001 | 0.002 | 0.000 | 50.093 | -0.000 |
| 0.009 | 0.002 | 0.006 | 0.000 | -0.000 | 8.277 |
| 345.662 | 189.551 | 172.228 | -0.000 | 0.000 | -0.000 |
| 189.552 | 345.661 | 172.229 | -0.000 | 0.000 | -0.000 |
| 183.765 | 183.765 | 528.936 | -0.000 | 0.000 | -0.000 |
| -0.001 | -0.002 | -0.002 | 50.093 | 0.000 | 0.000 |
| -0.002 | -0.001 | -0.002 | -0.000 | 50.093 | 0.000 |
| -0.009 | -0.002 | -0.006 | -0.000 | 0.000 | 8.277 |
| 353.527 | 172.453 | 175.164 | -0.000 | 0.000 | -0.000 |
| 266.367 | 254.031 | 168.269 | -0.000 | 0.000 | -0.000 |
| 159.695 | 159.695 | 483.159 | -0.000 | -0.000 | -0.000 |
| 0.010 | 0.010 | 0.025 | 23.861 | -0.000 | -0.000 |
| 0.010 | 0.010 | 0.025 | -0.000 | 23.861 | -0.000 |
| -0.036 | -0.036 | -0.090 | -0.000 | -0.000 | -101.780 |
| 254.029 | 266.361 | 168.259 | 0.000 | 0.000 | 0.000 |
| 172.453 | 353.527 | 175.164 | 0.000 | -0.000 | 0.000 |
| 159.692 | 159.692 | 483.152 | 0.000 | -0.000 | 0.000 |
| -0.010 | -0.010 | -0.025 | 23.861 | -0.000 | 0.000 |
| -0.010 | -0.010 | -0.025 | 0.000 | 23.861 | 0.000 |
| 0.036 | 0.036 | 0.090 | 0.000 | -0.000 | -101.780 |
| 318.115 | 182.362 | 143.655 | 0.000 | 0.000 | -0.000 |
| 172.453 | 353.527 | 175.165 | -0.000 | 0.000 | -0.000 |
| 159.694 | 159.694 | 483.156 | -0.000 | -0.000 | -0.000 |
| 0.001 | 0.001 | 0.003 | 23.861 | -0.000 | -0.000 |
| 0.000 | 0.000 | 0.000 | 0.000 | 98.337 | -0.000 |
| 0.000 | 0.000 | 0.000 | -0.000 | 0.000 | 90.537 |
| 353.526 | 172.452 | 175.164 | 0.000 | -0.000 | 0.000 |
| 182.361 | 318.114 | 143.654 | 0.000 | 0.000 | 0.000 |
| 175.164 | 175.164 | 521.385 | 0.000 | -0.000 | 0.000 |
| -0.001 | -0.001 | -0.003 | 23.861 | -0.000 | 0.000 |
| -0.000 | -0.000 | -0.000 | 0.000 | 98.337 | 0.000 |
| -0.000 | -0.000 | -0.000 | 0.000 | 0.000 | 90.537 |
| 353.531 | 172.454 | 175.167 | -0.000 | -0.000 | -0.000 |
| 172.454 | 353.531 | 175.167 | -0.000 | 0.000 | -0.000 |
| 159.696 | 159.696 | 483.160 | -0.000 | -0.000 | 0.000 |
| 0.001 | 0.002 | 0.002 | 23.861 | 0.000 | -0.000 |
| 0.002 | 0.001 | 0.002 | -0.000 | 23.861 | -0.000 |
| 0.003 | 0.001 | 0.002 | -0.000 | -0.000 | 36.145 |
| 154.950 | 358.476 | 159.672 | 0.000 | -0.000 | 0.000 |
| 172.451 | 353.522 | 175.162 | 0.000 | 0.000 | 0.000 |
| 175.162 | 175.162 | 521.380 | 0.000 | 0.000 | 0.000 |
| -0.001 | -0.002 | -0.002 | 23.861 | -0.000 | 0.000 |
| -0.002 | -0.001 | -0.002 | -0.000 | 23.861 | 0.000 |
| -0.003 | -0.001 | -0.002 | 0.000 | -0.000 | 36.145 |
| 391.926 | 160.879 | 173.250 | -0.000 | -0.000 | -0.000 |
| 160.879 | 391.926 | 173.250 | -0.000 | -0.000 | -0.000 |
| 173.250 | 173.250 | 307.097 | 0.000 | -0.000 | -0.000 |
| 0.000 | 0.000 | -0.000 | 107.955 | -0.000 | -0.000 |
| 0.000 | -0.000 | -0.000 | 0.000 | 107.955 | -0.000 |
| -0.000 | 0.000 | -0.000 | -0.000 | -0.000 | 98.187 |
| 391.926 | 160.879 | 173.250 | 0.000 | 0.000 | 0.000 |
| 160.879 | 391.926 | 173.250 | 0.000 | 0.000 | 0.000 |
| 173.250 | 173.250 | 307.097 | 0.000 | 0.000 | 0.000 |
| -0.000 | -0.000 | 0.000 | 107.955 | 0.000 | 0.000 |
| 0.000 | 0.000 | 0.000 | 0.000 | 107.955 | 0.000 |
| -0.000 | -0.000 | 0.000 | -0.000 | 0.000 | 98.187 |
| 391.926 | 160.879 | 173.250 | -0.000 | -0.000 | -0.000 |
| 160.879 | 391.926 | 173.250 | -0.000 | -0.000 | -0.000 |
| 173.250 | 173.250 | 307.097 | -0.000 | -0.000 | -0.000 |
| -0.000 | -0.000 | -0.000 | 107.955 | -0.000 | -0.000 |
| -0.000 | -0.000 | -0.000 | -0.000 | 107.955 | -0.000 |
| -0.000 | -0.000 | -0.000 | -0.000 | -0.000 | 98.187 |
| 391.926 | 160.879 | 173.250 | 0.000 | 0.000 | 0.000 |
| 160.879 | 391.926 | 173.250 | 0.000 | 0.000 | 0.000 |
| 173.250 | 173.250 | 307.097 | -0.000 | 0.000 | 0.000 |
| 0.000 | 0.000 | 0.000 | 107.955 | 0.000 | 0.000 |
| 0.000 | 0.000 | 0.000 | 0.000 | 107.955 | 0.000 |
| 0.000 | 0.000 | 0.000 | -0.000 | 0.000 | 98.187 |
| 391.923 | 160.879 | 173.250 | 0.000 | -0.000 | -0.000 |
| 160.879 | 391.923 | 173.250 | -0.000 | -0.000 | -0.000 |
| 173.250 | 173.250 | 307.096 | -0.000 | -0.000 | -0.000 |
| -0.000 | -0.000 | -0.000 | 107.955 | -0.000 | -0.000 |
| -0.000 | -0.000 | -0.000 | -0.000 | 107.955 | -0.000 |
| -0.000 | -0.000 | -0.000 | -0.000 | -0.000 | 98.187 |
| 391.929 | 160.879 | 173.250 | -0.000 | 0.000 | 0.000 |
| 160.879 | 391.929 | 173.250 | -0.000 | -0.000 | 0.000 |
| 173.250 | 173.250 | 307.098 | -0.000 | 0.000 | 0.000 |
| 0.000 | 0.000 | 0.000 | 107.955 | 0.000 | 0.000 |
| 0.000 | 0.000 | 0.000 | 0.000 | 107.955 | 0.000 |
| 0.000 | 0.000 | 0.000 | 0.000 | 0.000 | 98.187 |
| 388.835 | 180.527 | 166.484 | 0.000 | 0.000 | -0.000 |
| 171.246 | 391.548 | 164.906 | 0.000 | 0.000 | -0.000 |
| 167.760 | 167.760 | 362.658 | -0.000 | -0.000 | -0.000 |
| 0.000 | 0.000 | 0.000 | 113.583 | 0.000 | -0.000 |
| 3.473 | 3.473 | 1.669 | 0.000 | 113.322 | -0.000 |
| 0.000 | -0.000 | 0.000 | 0.000 | 0.000 | 110.151 |
| 381.691 | 170.537 | 162.367 | -0.000 | -0.000 | 0.000 |
| 171.246 | 391.548 | 164.906 | -0.000 | -0.000 | 0.000 |
| 164.927 | 164.927 | 361.297 | -0.000 | -0.000 | 0.000 |
| -0.000 | -0.000 | -0.000 | 113.583 | -0.000 | 0.000 |
| -3.473 | -3.473 | -1.669 | 0.000 | 113.322 | 0.000 |
| -0.000 | -0.000 | -0.000 | -0.000 | -0.000 | 110.151 |
| 391.548 | 171.246 | 164.906 | 0.000 | 0.000 | -0.000 |
| 171.246 | 391.548 | 164.906 | 0.000 | 0.000 | -0.000 |
| 164.683 | 164.683 | 361.179 | 0.000 | 0.000 | -0.000 |
| 0.599 | 0.599 | 0.288 | 113.134 | 0.000 | 0.000 |
| 0.599 | 0.599 | 0.288 | 0.000 | 113.134 | -0.000 |
| 0.000 | 0.000 | 0.000 | 0.000 | 0.000 | 110.151 |
| 381.621 | 175.615 | 163.570 | -0.000 | -0.000 | 0.000 |
| 175.615 | 381.621 | 163.570 | -0.000 | -0.000 | -0.000 |
| 164.927 | 164.927 | 361.297 | -0.000 | -0.000 | 0.000 |
| -0.599 | -0.599 | -0.288 | 113.134 | -0.000 | 0.000 |
| -0.599 | -0.599 | -0.288 | -0.000 | 113.134 | 0.000 |
| -0.000 | -0.000 | -0.000 | -0.000 | -0.000 | 110.151 |
| 391.550 | 171.246 | 164.908 | 0.000 | 0.000 | -0.000 |
| 171.246 | 391.550 | 164.908 | 0.000 | 0.000 | -0.000 |
| 164.377 | 164.377 | 361.029 | -0.000 | 0.000 | -0.000 |
| 0.001 | 0.002 | 0.002 | 113.583 | 0.000 | -0.000 |
| 0.036 | 0.035 | 0.019 | 0.000 | 112.958 | -0.000 |
| 0.099 | 0.100 | 0.048 | 0.000 | 0.000 | 98.479 |
| 381.074 | 176.734 | 163.706 | -0.000 | -0.000 | 0.000 |
| 171.245 | 391.546 | 164.904 | -0.000 | -0.000 | 0.000 |
| 164.304 | 164.304 | 361.001 | 0.000 | 0.000 | 0.000 |
| -0.001 | -0.002 | -0.002 | 113.583 | -0.000 | 0.000 |
| -0.036 | -0.035 | -0.019 | -0.000 | 112.958 | 0.000 |
| -0.099 | -0.100 | -0.048 | -0.000 | -0.000 | 98.479 |
| 377.260 | 182.441 | 163.952 | 0.000 | 0.000 | -0.000 |
| 171.071 | 391.158 | 164.561 | -0.000 | 0.000 | -0.000 |
| 163.973 | 163.973 | 360.125 | -0.000 | -0.000 | -0.000 |
| 0.002 | 0.002 | 0.001 | 112.643 | -0.000 | -0.000 |
| 0.000 | -0.000 | 0.000 | 0.000 | 113.271 | -0.000 |
| 0.000 | -0.000 | 0.000 | -0.000 | 0.000 | 110.044 |
| 391.158 | 171.071 | 164.561 | -0.000 | -0.000 | 0.000 |
| 176.683 | 380.637 | 163.377 | -0.000 | 0.000 | 0.000 |
| 164.561 | 164.561 | 360.408 | 0.000 | 0.000 | 0.000 |
| -0.002 | -0.002 | -0.001 | 112.643 | -0.000 | 0.000 |
| -0.000 | -0.000 | -0.000 | -0.000 | 113.271 | 0.000 |
| -0.000 | -0.000 | -0.000 | 0.000 | -0.000 | 110.044 |
| 391.159 | 171.071 | 164.562 | 0.000 | 0.000 | -0.000 |
| 176.686 | 380.635 | 163.378 | 0.000 | -0.000 | -0.000 |
| 163.973 | 163.973 | 360.124 | 0.000 | -0.000 | -0.000 |
| 0.000 | 0.000 | 0.000 | 112.643 | 0.000 | -0.000 |
| 0.000 | 0.000 | 0.000 | 0.000 | 112.643 | -0.000 |
| 0.000 | 0.000 | 0.000 | 0.000 | -0.000 | 110.044 |
| 391.158 | 171.071 | 164.561 | 0.000 | 0.000 | 0.000 |
| 182.617 | 377.230 | 163.987 | -0.000 | 0.000 | 0.000 |
| 163.972 | 163.972 | 360.125 | 0.000 | 0.000 | 0.000 |
| -0.000 | -0.000 | -0.000 | 112.643 | -0.000 | 0.000 |
| -0.000 | -0.000 | -0.000 | -0.000 | 112.643 | 0.000 |
| -0.000 | -0.000 | -0.000 | -0.000 | 0.000 | 110.044 |
| 391.161 | 171.072 | 164.564 | 0.000 | 0.000 | -0.000 |
| 171.072 | 391.161 | 164.564 | 0.000 | -0.000 | -0.000 |
| 164.564 | 164.564 | 360.406 | 0.000 | -0.000 | -0.000 |
| 0.001 | 0.002 | 0.002 | 112.643 | -0.000 | -0.000 |
| 0.002 | 0.001 | 0.002 | -0.000 | 113.271 | -0.000 |
| 0.000 | 0.000 | 0.001 | 0.000 | -0.000 | 110.044 |
| 391.156 | 171.070 | 164.559 | 0.000 | -0.000 | 0.000 |
| 171.070 | 391.156 | 164.559 | -0.000 | 0.000 | 0.000 |
| 164.559 | 164.559 | 360.411 | -0.000 | -0.000 | 0.000 |
| -0.001 | -0.002 | -0.002 | 112.643 | 0.000 | 0.000 |
| -0.002 | -0.001 | -0.002 | -0.000 | 113.271 | 0.000 |
| -0.000 | -0.000 | -0.001 | -0.000 | 0.000 | 110.044 |
| 299.881 | 30.751 | 30.751 | -0.000 | -0.000 | -0.000 |
| 30.751 | 299.881 | 30.751 | 0.000 | 0.000 | 0.000 |
| 30.751 | 30.751 | 299.881 | 0.000 | 0.000 | 0.000 |
| -0.000 | 0.000 | 0.000 | -27.801 | -0.000 | 0.000 |
| 0.000 | 0.000 | 0.000 | 0.000 | -27.801 | 0.000 |
| -0.000 | -0.000 | 0.000 | 0.000 | 0.000 | -27.801 |
| 299.881 | 30.751 | 30.751 | 0.000 | 0.000 | 0.000 |
| 30.751 | 299.881 | 30.751 | 0.000 | -0.000 | -0.000 |
| 30.751 | 30.751 | 299.881 | -0.000 | -0.000 | -0.000 |
| 0.000 | -0.000 | -0.000 | -27.801 | 0.000 | 0.000 |
| 0.000 | -0.000 | -0.000 | 0.000 | -27.801 | 0.000 |
| -0.000 | -0.000 | -0.000 | -0.000 | -0.000 | -27.801 |
| 299.881 | 30.751 | 30.751 | -0.000 | 0.000 | 0.000 |
| 30.751 | 299.881 | 30.751 | -0.000 | 0.000 | 0.000 |
| 30.751 | 30.751 | 299.881 | -0.000 | -0.000 | -0.000 |
| -0.000 | -0.000 | -0.000 | -27.801 | -0.000 | -0.000 |
| -0.000 | -0.000 | -0.000 | 0.000 | -27.801 | -0.000 |
| -0.000 | -0.000 | 0.000 | -0.000 | 0.000 | -27.801 |
| 299.880 | 30.751 | 30.751 | 0.000 | -0.000 | 0.000 |
| 30.751 | 299.880 | 30.751 | 0.000 | 0.000 | 0.000 |
| 30.751 | 30.751 | 299.880 | 0.000 | -0.000 | -0.000 |
| 0.000 | 0.000 | 0.000 | -27.801 | 0.000 | 0.000 |
| 0.000 | 0.000 | 0.000 | -0.000 | -27.801 | -0.000 |
| 0.000 | 0.000 | -0.000 | 0.000 | -0.000 | -27.801 |
| 299.882 | 30.751 | 30.751 | -0.000 | 0.000 | -0.000 |
| 30.751 | 299.882 | 30.751 | 0.000 | 0.000 | 0.000 |
| 30.751 | 30.751 | 299.882 | -0.000 | 0.000 | 0.000 |
| -0.000 | -0.000 | -0.000 | -27.801 | 0.000 | 0.000 |
| -0.000 | -0.000 | -0.000 | 0.000 | -27.801 | -0.000 |
| -0.000 | -0.000 | -0.000 | -0.000 | 0.000 | -27.801 |
| 299.880 | 30.751 | 30.751 | 0.000 | -0.000 | -0.000 |
| 30.751 | 299.880 | 30.751 | 0.000 | 0.000 | -0.000 |
| 30.751 | 30.751 | 299.880 | -0.000 | -0.000 | 0.000 |
| 0.000 | 0.000 | 0.000 | -27.801 | -0.000 | 0.000 |
| 0.000 | 0.000 | 0.000 | -0.000 | -27.801 | 0.000 |
| 0.000 | 0.000 | 0.000 | 0.000 | -0.000 | -27.801 |
| 478.432 | 357.229 | 357.229 | -0.000 | 0.000 | 0.000 |
| 357.229 | 478.432 | 357.229 | 0.000 | 0.000 | 0.000 |
| 357.229 | 357.229 | 478.432 | -0.000 | -0.000 | 0.000 |
| 0.000 | 0.000 | 0.000 | 310.012 | 0.000 | 0.000 |
| 0.000 | 0.000 | 0.000 | -0.000 | 310.012 | 0.000 |
| 0.000 | 0.000 | 0.000 | 0.000 | 0.000 | 310.012 |
| 478.432 | 357.229 | 357.229 | 0.000 | -0.000 | -0.000 |
| 357.229 | 478.432 | 357.229 | 0.000 | -0.000 | -0.000 |
| 357.229 | 357.229 | 478.432 | 0.000 | -0.000 | -0.000 |
| -0.000 | -0.000 | -0.000 | 310.012 | -0.000 | -0.000 |
| -0.000 | -0.000 | -0.000 | 0.000 | 310.012 | -0.000 |
| -0.000 | -0.000 | -0.000 | -0.000 | -0.000 | 310.012 |
| 478.433 | 357.229 | 357.229 | -0.000 | 0.000 | 0.000 |
| 357.229 | 478.433 | 357.229 | -0.000 | 0.000 | 0.000 |
| 357.229 | 357.229 | 478.433 | -0.000 | -0.000 | 0.000 |
| 0.000 | 0.001 | 0.001 | 310.012 | 0.000 | 0.000 |
| 0.001 | 0.000 | 0.001 | -0.000 | 310.012 | 0.000 |
| 0.001 | 0.001 | 0.000 | 0.000 | 0.000 | 310.012 |
| 478.431 | 357.228 | 357.228 | 0.000 | -0.000 | -0.000 |
| 357.228 | 478.431 | 357.228 | 0.000 | 0.000 | -0.000 |
| 357.228 | 357.228 | 478.431 | 0.000 | -0.000 | -0.000 |
| -0.000 | -0.001 | -0.001 | 310.012 | -0.000 | -0.000 |
| -0.001 | -0.000 | -0.001 | 0.000 | 310.012 | -0.000 |
| -0.001 | -0.001 | -0.000 | 0.000 | -0.000 | 310.012 |
| 478.445 | 357.236 | 357.236 | -0.000 | 0.000 | 0.000 |
| 357.236 | 478.445 | 357.236 | 0.000 | 0.000 | 0.000 |
| 357.236 | 357.236 | 478.445 | -0.000 | -0.000 | 0.000 |
| 0.002 | 0.007 | 0.007 | 310.012 | 0.000 | 0.000 |
| 0.007 | 0.002 | 0.007 | -0.000 | 310.012 | 0.000 |
| 0.007 | 0.007 | 0.002 | 0.000 | 0.000 | 310.012 |
| 478.419 | 357.221 | 357.221 | 0.000 | -0.000 | -0.000 |
| 357.221 | 478.419 | 357.221 | 0.000 | -0.000 | -0.000 |
| 357.221 | 357.221 | 478.419 | 0.000 | -0.000 | -0.000 |
| -0.002 | -0.007 | -0.007 | 310.012 | 0.000 | -0.000 |
| -0.007 | -0.002 | -0.007 | 0.000 | 310.012 | -0.000 |
| -0.007 | -0.007 | -0.002 | -0.000 | -0.000 | 310.012 |
| -463.823 | -213.124 | -213.124 | -0.000 | -0.000 | 0.000 |
| -213.124 | -463.823 | -213.124 | 0.000 | -0.000 | 0.000 |
| -213.124 | -213.124 | -463.823 | -0.000 | -0.000 | 0.000 |
| 0.000 | 0.000 | 0.000 | -255.739 | 0.000 | -0.000 |
| 0.000 | 0.000 | 0.000 | -0.000 | -255.740 | 0.000 |
| 0.000 | 0.000 | 0.000 | -0.000 | -0.000 | -255.739 |
| -463.824 | -213.124 | -213.124 | 0.000 | -0.000 | -0.000 |
| -213.124 | -463.824 | -213.124 | -0.000 | -0.000 | 0.000 |
| -213.124 | -213.124 | -463.823 | 0.000 | 0.000 | 0.000 |
| -0.000 | -0.000 | -0.000 | -255.740 | 0.000 | -0.000 |
| -0.000 | -0.000 | -0.000 | -0.000 | -255.739 | -0.000 |
| -0.000 | -0.000 | -0.000 | -0.000 | 0.000 | -255.739 |
| -463.823 | -213.124 | -213.124 | -0.000 | -0.000 | -0.000 |
| -213.124 | -463.823 | -213.124 | -0.000 | -0.000 | 0.000 |
| -213.124 | -213.124 | -463.823 | 0.000 | -0.000 | -0.000 |
| 0.000 | 0.000 | 0.000 | -255.739 | 0.000 | 0.000 |
| 0.000 | 0.000 | 0.000 | 0.000 | -255.739 | -0.000 |
| 0.000 | 0.000 | 0.000 | -0.000 | -0.000 | -255.739 |
| -463.824 | -213.124 | -213.124 | -0.000 | 0.000 | 0.000 |
| -213.124 | -463.824 | -213.124 | 0.000 | 0.000 | -0.000 |
| -213.124 | -213.124 | -463.824 | 0.000 | -0.000 | -0.000 |
| -0.000 | -0.000 | -0.000 | -255.739 | -0.000 | 0.000 |
| -0.000 | -0.000 | -0.000 | 0.000 | -255.739 | 0.000 |
| -0.000 | -0.000 | -0.000 | -0.000 | 0.000 | -255.739 |
| -463.819 | -213.123 | -213.123 | 0.000 | -0.000 | 0.000 |
| -213.123 | -463.819 | -213.123 | 0.000 | -0.000 | -0.000 |
| -213.123 | -213.123 | -463.819 | 0.000 | -0.000 | -0.000 |
| 0.001 | 0.002 | 0.002 | -255.739 | 0.000 | 0.000 |
| 0.002 | 0.001 | 0.002 | 0.000 | -255.739 | 0.000 |
| 0.002 | 0.002 | 0.001 | 0.000 | -0.000 | -255.739 |
| -463.827 | -213.126 | -213.126 | -0.000 | 0.000 | -0.000 |
| -213.126 | -463.827 | -213.126 | -0.000 | -0.000 | 0.000 |
| -213.126 | -213.126 | -463.827 | -0.000 | 0.000 | -0.000 |
| -0.001 | -0.002 | -0.002 | -255.739 | -0.000 | -0.000 |
| -0.002 | -0.001 | -0.002 | -0.000 | -255.739 | 0.000 |
| -0.002 | -0.002 | -0.001 | -0.000 | 0.000 | -255.739 |
| 129.630 | 148.137 | 148.137 | 0.000 | 0.000 | -0.000 |
| 148.137 | 129.630 | 148.137 | 0.000 | -0.000 | -0.000 |
| 148.137 | 148.137 | 129.630 | -0.000 | -0.000 | -0.000 |
| -0.000 | 0.000 | 0.000 | 114.251 | 0.000 | -0.000 |
| -0.000 | 0.000 | 0.000 | 0.000 | 114.251 | -0.000 |
| -0.000 | 0.000 | -0.000 | -0.000 | -0.000 | 114.251 |
| 129.630 | 148.137 | 148.137 | 0.000 | -0.000 | 0.000 |
| 148.137 | 129.630 | 148.137 | 0.000 | 0.000 | 0.000 |
| 148.137 | 148.137 | 129.630 | 0.000 | 0.000 | 0.000 |
| 0.000 | 0.000 | 0.000 | 114.251 | -0.000 | 0.000 |
| 0.000 | 0.000 | 0.000 | 0.000 | 114.251 | 0.000 |
| 0.000 | -0.000 | 0.000 | 0.000 | 0.000 | 114.251 |
| 129.630 | 148.137 | 148.137 | 0.000 | 0.000 | -0.000 |
| 148.137 | 129.630 | 148.137 | -0.000 | 0.000 | -0.000 |
| 148.137 | 148.137 | 129.630 | -0.000 | -0.000 | -0.000 |
| 0.000 | -0.000 | 0.000 | 114.251 | -0.000 | -0.000 |
| -0.000 | 0.000 | 0.000 | -0.000 | 114.251 | -0.000 |
| -0.000 | 0.000 | 0.000 | -0.000 | 0.000 | 114.251 |
| 129.630 | 148.137 | 148.137 | 0.000 | -0.000 | 0.000 |
| 148.137 | 129.630 | 148.137 | 0.000 | 0.000 | 0.000 |
| 148.137 | 148.137 | 129.630 | 0.000 | 0.000 | 0.000 |
| -0.000 | 0.000 | -0.000 | 114.251 | 0.000 | 0.000 |
| 0.000 | -0.000 | -0.000 | 0.000 | 114.251 | 0.000 |
| 0.000 | -0.000 | -0.000 | 0.000 | 0.000 | 114.251 |
| 129.631 | 148.137 | 148.137 | -0.000 | -0.000 | -0.000 |
| 148.137 | 129.631 | 148.137 | 0.000 | 0.000 | -0.000 |
| 148.137 | 148.137 | 129.631 | -0.000 | 0.000 | -0.000 |
| 0.000 | -0.000 | 0.000 | 114.251 | -0.000 | -0.000 |
| -0.000 | 0.000 | 0.000 | 0.000 | 114.251 | -0.000 |
| -0.000 | 0.000 | 0.000 | -0.000 | 0.000 | 114.251 |
| 129.629 | 148.136 | 148.136 | 0.000 | -0.000 | 0.000 |
| 148.136 | 129.629 | 148.136 | -0.000 | -0.000 | 0.000 |
| 148.136 | 148.136 | 129.629 | -0.000 | 0.000 | 0.000 |
| -0.000 | 0.000 | -0.000 | 114.251 | 0.000 | 0.000 |
| 0.000 | -0.000 | -0.000 | 0.000 | 114.251 | 0.000 |
| 0.000 | -0.000 | -0.000 | 0.000 | -0.000 | 114.251 |
| 150.988 | 141.354 | 141.354 | 0.000 | 0.000 | 0.000 |
| 141.354 | 150.988 | 141.354 | 0.000 | 0.000 | 0.000 |
| 141.354 | 141.354 | 150.988 | 0.000 | 0.000 | 0.000 |
| 0.000 | -0.000 | -0.000 | 128.601 | -0.000 | -0.000 |
| 0.000 | -0.000 | -0.000 | -0.000 | 128.601 | 0.000 |
| -0.000 | -0.000 | -0.000 | -0.000 | -0.000 | 128.601 |
| 150.988 | 141.354 | 141.354 | -0.000 | -0.000 | -0.000 |
| 141.354 | 150.988 | 141.354 | -0.000 | -0.000 | -0.000 |
| 141.354 | 141.354 | 150.988 | -0.000 | -0.000 | -0.000 |
| -0.000 | 0.000 | 0.000 | 128.601 | -0.000 | -0.000 |
| 0.000 | 0.000 | 0.000 | -0.000 | 128.601 | -0.000 |
| -0.000 | 0.000 | -0.000 | -0.000 | 0.000 | 128.601 |
| 150.988 | 141.354 | 141.354 | 0.000 | 0.000 | 0.000 |
| 141.354 | 150.988 | 141.354 | 0.000 | 0.000 | 0.000 |
| 141.354 | 141.354 | 150.988 | 0.000 | 0.000 | 0.000 |
| -0.000 | -0.000 | -0.000 | 128.601 | -0.000 | 0.000 |
| -0.000 | -0.000 | -0.000 | -0.000 | 128.601 | 0.000 |
| -0.000 | -0.000 | -0.000 | -0.000 | -0.000 | 128.601 |
| 150.988 | 141.354 | 141.354 | -0.000 | -0.000 | -0.000 |
| 141.354 | 150.988 | 141.354 | -0.000 | -0.000 | -0.000 |
| 141.354 | 141.354 | 150.988 | -0.000 | -0.000 | -0.000 |
| 0.000 | 0.000 | 0.000 | 128.601 | 0.000 | -0.000 |
| 0.000 | 0.000 | 0.000 | 0.000 | 128.601 | -0.000 |
| 0.000 | 0.000 | 0.000 | 0.000 | 0.000 | 128.601 |
| 150.988 | 141.354 | 141.354 | 0.000 | 0.000 | 0.000 |
| 141.354 | 150.988 | 141.354 | 0.000 | 0.000 | 0.000 |
| 141.354 | 141.354 | 150.988 | 0.000 | 0.000 | 0.000 |
| -0.000 | -0.000 | -0.000 | 1.485 | 0.000 | 0.000 |
| -0.000 | -0.000 | -0.000 | 0.000 | 1.485 | 0.000 |
| -0.000 | -0.000 | -0.000 | 0.000 | 0.000 | 1.485 |
| 150.989 | 141.354 | 141.354 | -0.000 | -0.000 | -0.000 |
| 141.354 | 150.989 | 141.354 | -0.000 | -0.000 | -0.000 |
| 141.354 | 141.354 | 150.989 | -0.000 | -0.000 | -0.000 |
| 0.000 | 0.000 | 0.000 | 1.485 | -0.000 | -0.000 |
| 0.000 | 0.000 | 0.000 | -0.000 | 1.485 | -0.000 |
| 0.000 | 0.000 | 0.000 | -0.000 | -0.000 | 1.485 |
| 331.881 | 170.270 | 188.323 | -0.000 | 0.000 | 0.000 |
| 170.270 | 331.881 | 188.323 | -0.000 | 0.000 | 0.000 |
| 188.323 | 188.323 | 500.901 | -0.000 | -0.000 | 0.000 |
| 0.000 | -0.000 | -0.000 | 133.765 | 0.000 | -0.000 |
| -0.000 | -0.000 | -0.000 | -0.000 | 133.765 | 0.000 |
| -0.000 | -0.000 | -0.000 | -0.000 | -0.000 | 120.233 |
| 331.881 | 170.270 | 188.323 | 0.000 | 0.000 | 0.000 |
| 170.270 | 331.881 | 188.323 | 0.000 | 0.000 | 0.000 |
| 188.323 | 188.323 | 500.901 | 0.000 | 0.000 | 0.000 |
| 0.000 | 0.000 | 0.000 | 133.765 | -0.000 | -0.000 |
| 0.000 | 0.000 | 0.000 | -0.000 | 133.765 | 0.000 |
| 0.000 | 0.000 | 0.000 | 0.000 | 0.000 | 120.233 |
| 331.881 | 170.270 | 188.323 | -0.000 | -0.000 | 0.000 |
| 170.270 | 331.881 | 188.323 | -0.000 | -0.000 | 0.000 |
| 188.323 | 188.323 | 500.900 | -0.000 | -0.000 | -0.000 |
| -0.000 | -0.000 | -0.000 | 133.765 | -0.000 | 0.000 |
| -0.000 | -0.000 | -0.000 | -0.000 | 133.765 | 0.000 |
| -0.000 | -0.000 | -0.000 | -0.000 | -0.000 | 120.233 |
| 331.881 | 170.270 | 188.323 | 0.000 | 0.000 | -0.000 |
| 170.270 | 331.881 | 188.323 | 0.000 | -0.000 | -0.000 |
| 188.323 | 188.323 | 500.901 | 0.000 | 0.000 | 0.000 |
| 0.000 | 0.000 | 0.000 | 133.765 | -0.000 | 0.000 |
| 0.000 | 0.000 | 0.000 | 0.000 | 133.765 | -0.000 |
| 0.000 | 0.000 | 0.000 | 0.000 | 0.000 | 120.233 |
| 331.881 | 170.270 | 188.323 | -0.000 | -0.000 | 0.000 |
| 170.270 | 331.881 | 188.323 | -0.000 | -0.000 | -0.000 |
| 188.324 | 188.324 | 500.896 | 0.000 | -0.000 | 0.000 |
| -0.000 | -0.000 | -0.000 | 133.765 | -0.000 | 0.000 |
| -0.000 | -0.000 | -0.000 | 0.000 | 133.765 | 0.000 |
| -0.001 | -0.001 | -0.000 | -0.000 | -0.000 | 120.233 |
| 331.880 | 170.271 | 188.323 | 0.000 | 0.000 | -0.000 |
| 170.271 | 331.880 | 188.323 | 0.000 | 0.000 | 0.000 |
| 188.323 | 188.323 | 500.905 | -0.000 | 0.000 | -0.000 |
| 0.000 | 0.000 | 0.000 | 133.765 | 0.000 | -0.000 |
| 0.000 | 0.000 | 0.000 | 0.000 | 133.765 | -0.000 |
| 0.001 | 0.001 | 0.000 | 0.000 | 0.000 | 120.233 |
| 787.963 | 388.975 | 238.200 | -0.000 | -0.000 | 0.000 |
| 388.975 | 703.282 | 112.697 | -0.000 | -0.000 | 0.000 |
| 238.200 | 112.697 | 435.764 | -0.000 | -0.000 | 0.000 |
| 0.000 | -0.000 | -0.000 | 46.414 | -0.000 | -0.000 |
| -0.000 | -0.000 | 0.000 | -0.000 | 171.466 | 0.000 |
| 0.000 | -0.000 | 0.000 | -0.000 | -0.000 | 339.240 |
| 787.963 | 388.975 | 238.200 | 0.000 | 0.000 | 0.000 |
| 388.975 | 703.282 | 112.697 | 0.000 | 0.000 | -0.000 |
| 238.200 | 112.697 | 435.764 | -0.000 | 0.000 | -0.000 |
| -0.000 | 0.000 | 0.000 | 46.414 | 0.000 | -0.000 |
| 0.000 | 0.000 | 0.000 | 0.000 | 171.466 | -0.000 |
| -0.000 | -0.000 | 0.000 | 0.000 | 0.000 | 339.240 |
| 787.963 | 388.975 | 238.200 | -0.000 | -0.000 | 0.000 |
| 388.975 | 703.282 | 112.697 | -0.000 | -0.000 | 0.000 |
| 238.200 | 112.697 | 435.764 | -0.000 | -0.000 | 0.000 |
| 0.000 | 0.000 | 0.000 | 46.414 | -0.000 | -0.000 |
| -0.000 | 0.000 | 0.000 | -0.000 | 171.466 | 0.000 |
| 0.000 | 0.000 | 0.000 | -0.000 | -0.000 | 339.240 |
| 787.963 | 388.975 | 238.200 | 0.000 | 0.000 | -0.000 |
| 388.974 | 703.281 | 112.697 | 0.000 | 0.000 | -0.000 |
| 238.200 | 112.697 | 435.764 | 0.000 | 0.000 | -0.000 |
| -0.000 | -0.000 | -0.000 | 46.414 | 0.000 | -0.000 |
| 0.000 | -0.000 | -0.000 | 0.000 | 171.466 | -0.000 |
| -0.000 | -0.000 | -0.000 | 0.000 | 0.000 | 339.240 |
| 787.963 | 388.977 | 238.200 | -0.000 | -0.000 | 0.000 |
| 388.978 | 703.286 | 112.698 | -0.000 | -0.000 | 0.000 |
| 238.200 | 112.697 | 435.765 | -0.000 | -0.000 | 0.000 |
| 0.000 | 0.001 | 0.000 | 46.414 | -0.000 | 0.000 |
| -0.000 | 0.000 | 0.000 | -0.000 | 171.466 | 0.000 |
| 0.001 | 0.003 | 0.000 | -0.000 | -0.000 | 339.240 |
| 787.963 | 388.973 | 238.199 | 0.000 | 0.000 | -0.000 |
| 388.972 | 703.278 | 112.696 | 0.000 | 0.000 | -0.000 |
| 238.199 | 112.697 | 435.763 | -0.000 | 0.000 | -0.000 |
| -0.000 | -0.001 | -0.000 | 46.414 | 0.000 | -0.000 |
| 0.000 | -0.000 | -0.000 | 0.000 | 171.466 | -0.000 |
| -0.001 | -0.003 | -0.000 | 0.000 | 0.000 | 339.240 |
| 528.927 | 238.646 | 224.288 | -0.000 | 0.000 | 0.000 |
| 236.716 | 461.211 | 183.267 | -0.000 | 0.000 | 0.000 |
| 235.577 | 207.956 | 626.353 | -0.000 | -0.000 | 0.000 |
| 0.000 | 0.000 | -0.000 | 151.025 | -0.000 | 0.000 |
| 0.000 | 0.000 | -0.000 | -0.000 | 186.593 | 0.000 |
| 0.000 | 0.000 | -0.000 | -0.000 | 0.000 | 199.475 |
| 528.927 | 238.646 | 224.288 | -0.000 | -0.000 | -0.000 |
| 236.716 | 461.211 | 183.267 | -0.000 | -0.000 | -0.000 |
| 235.577 | 207.956 | 626.353 | -0.000 | 0.000 | -0.000 |
| -0.000 | -0.000 | 0.000 | 151.025 | 0.000 | -0.000 |
| -0.000 | -0.000 | 0.000 | -0.000 | 186.593 | -0.000 |
| -0.000 | -0.000 | 0.000 | 0.000 | -0.000 | 199.475 |
| 528.168 | 236.161 | 221.265 | 0.000 | -0.000 | 0.000 |
| 236.716 | 461.212 | 183.267 | 0.000 | 0.000 | 0.000 |
| 235.577 | 207.956 | 626.353 | 0.000 | -0.000 | 0.000 |
| 0.000 | -0.000 | -0.000 | 120.767 | -0.000 | 0.000 |
| 0.000 | 0.000 | -0.000 | 0.000 | 185.983 | 0.000 |
| 0.000 | 0.000 | 0.000 | -0.000 | 0.000 | 199.475 |
| 528.168 | 236.161 | 221.264 | -0.000 | -0.000 | -0.000 |
| 236.161 | 460.972 | 182.508 | -0.000 | -0.000 | 0.000 |
| 221.264 | 182.508 | 589.044 | -0.000 | -0.000 | -0.000 |
| -0.000 | 0.000 | 0.000 | 120.767 | 0.000 | 0.000 |
| -0.000 | -0.000 | 0.000 | -0.000 | 185.983 | -0.000 |
| -0.000 | -0.000 | -0.000 | 0.000 | -0.000 | 199.475 |
| 528.926 | 238.648 | 224.289 | 0.000 | 0.000 | 0.000 |
| 236.163 | 460.975 | 182.509 | -0.000 | -0.000 | 0.000 |
| 221.265 | 182.509 | 589.044 | 0.000 | 0.000 | 0.000 |
| 0.000 | 0.000 | 0.000 | 120.906 | 0.000 | 0.000 |
| 0.001 | 0.001 | -0.000 | 0.000 | 186.593 | 0.000 |
| 0.002 | 0.002 | 0.001 | 0.000 | 0.000 | 199.475 |
| 528.929 | 238.643 | 224.286 | -0.000 | -0.000 | -0.000 |
| 236.159 | 460.969 | 182.507 | -0.000 | -0.000 | -0.000 |
| 221.067 | 183.122 | 589.419 | -0.000 | -0.000 | -0.000 |
| -0.000 | -0.000 | -0.000 | 120.906 | -0.000 | -0.000 |
| -0.001 | -0.001 | 0.000 | 0.000 | 186.593 | -0.000 |
| -0.002 | -0.002 | -0.001 | -0.000 | -0.000 | 199.475 |
| 518.074 | 233.674 | 229.358 | 0.000 | -0.000 | -0.000 |
| 233.982 | 465.009 | 202.304 | -0.000 | -0.000 | -0.000 |
| 214.336 | 177.297 | 587.386 | 0.000 | -0.000 | -0.000 |
| 0.001 | -0.000 | 0.000 | 120.347 | -0.000 | -0.000 |
| 0.000 | 0.000 | 0.000 | 0.000 | 186.490 | -0.000 |
| 0.000 | -0.000 | 0.000 | 0.000 | -0.000 | 190.501 |
| 512.513 | 226.109 | 216.607 | -0.000 | 0.000 | 0.000 |
| 233.982 | 465.009 | 202.304 | -0.000 | 0.000 | 0.000 |
| 214.336 | 177.298 | 587.387 | -0.000 | 0.000 | 0.000 |
| -0.001 | 0.000 | -0.000 | 120.347 | 0.000 | -0.000 |
| -0.000 | -0.000 | -0.000 | -0.000 | 186.490 | 0.000 |
| -0.000 | 0.000 | -0.000 | -0.000 | 0.000 | 190.501 |
| 511.846 | 223.994 | 213.955 | 0.000 | -0.000 | -0.000 |
| 224.302 | 448.006 | 176.541 | 0.000 | 0.000 | -0.000 |
| 229.905 | 202.542 | 626.866 | 0.000 | 0.000 | -0.000 |
| -0.000 | 0.000 | -0.000 | 120.227 | 0.000 | -0.000 |
| 0.000 | 0.000 | -0.000 | 0.000 | 186.490 | -0.000 |
| 0.000 | 0.000 | 0.000 | 0.000 | -0.000 | 190.501 |
| 512.513 | 226.108 | 216.606 | -0.000 | 0.000 | 0.000 |
| 224.831 | 448.232 | 177.295 | -0.000 | 0.000 | 0.000 |
| 214.502 | 176.779 | 587.075 | -0.000 | 0.000 | 0.000 |
| 0.000 | -0.000 | 0.000 | 120.227 | -0.000 | 0.000 |
| -0.000 | -0.000 | 0.000 | -0.000 | 186.490 | 0.000 |
| -0.000 | -0.000 | -0.000 | -0.000 | 0.000 | 190.501 |
| 511.845 | 223.997 | 213.957 | 0.000 | 0.000 | -0.000 |
| 224.834 | 448.235 | 177.296 | 0.000 | -0.000 | -0.000 |
| 214.503 | 176.780 | 587.075 | 0.000 | -0.000 | -0.000 |
| 0.000 | 0.000 | -0.000 | 120.227 | 0.000 | -0.000 |
| 0.001 | 0.001 | -0.000 | 0.000 | 183.689 | -0.000 |
| 0.002 | 0.002 | 0.001 | -0.000 | -0.000 | 190.501 |
| 511.848 | 223.991 | 213.953 | 0.000 | 0.000 | 0.000 |
| 224.300 | 448.003 | 176.540 | -0.000 | 0.000 | 0.000 |
| 214.501 | 176.778 | 587.075 | -0.000 | -0.000 | 0.000 |
| -0.000 | -0.000 | 0.000 | 120.227 | -0.000 | 0.000 |
| -0.001 | -0.001 | 0.000 | -0.000 | 183.689 | 0.000 |
| -0.002 | -0.002 | -0.001 | 0.000 | 0.000 | 190.501 |
| 243.345 | 114.572 | 71.975 | -0.000 | -0.000 | 0.000 |
| 114.572 | 243.345 | 71.975 | 0.000 | -0.000 | -0.000 |
| 71.975 | 71.975 | 356.344 | 0.000 | -0.000 | 0.000 |
| 0.000 | 0.000 | 0.000 | 7.248 | -0.000 | 0.000 |
| 0.000 | 0.000 | -0.000 | -0.000 | 7.248 | 0.000 |
| 0.000 | 0.000 | -0.000 | 0.000 | -0.000 | 64.386 |
| 243.345 | 114.572 | 71.975 | 0.000 | 0.000 | -0.000 |
| 114.572 | 243.345 | 71.975 | 0.000 | 0.000 | -0.000 |
| 71.975 | 71.975 | 356.344 | 0.000 | 0.000 | 0.000 |
| -0.000 | -0.000 | 0.000 | 7.248 | 0.000 | -0.000 |
| -0.000 | -0.000 | 0.000 | 0.000 | 7.248 | -0.000 |
| -0.000 | -0.000 | 0.000 | -0.000 | 0.000 | 64.386 |
| 243.346 | 114.572 | 71.975 | -0.000 | -0.000 | -0.000 |
| 114.572 | 243.346 | 71.975 | 0.000 | -0.000 | 0.000 |
| 71.975 | 71.975 | 356.344 | -0.000 | -0.000 | -0.000 |
| 0.000 | 0.000 | 0.000 | 7.248 | -0.000 | 0.000 |
| 0.000 | 0.000 | 0.000 | -0.000 | 7.248 | 0.000 |
| 0.002 | 0.001 | 0.000 | -0.000 | -0.000 | -13.624 |
| 120.935 | 236.976 | 71.974 | 0.000 | 0.000 | -0.000 |
| 114.571 | 243.344 | 71.975 | 0.000 | 0.000 | 0.000 |
| 71.975 | 71.975 | 356.344 | 0.000 | 0.000 | 0.000 |
| -0.000 | -0.000 | -0.000 | 7.248 | 0.000 | -0.000 |
| -0.000 | -0.000 | -0.000 | 0.000 | 7.248 | -0.000 |
| -0.002 | -0.001 | -0.000 | 0.000 | 0.000 | -13.624 |
| 243.354 | 114.575 | 71.977 | 0.000 | -0.000 | 0.000 |
| 192.576 | 165.374 | 71.981 | -0.000 | -0.000 | -0.000 |
| 71.976 | 71.976 | 356.345 | -0.000 | -0.000 | 0.000 |
| -0.001 | 0.003 | 0.000 | 7.248 | -0.000 | -0.000 |
| 0.003 | -0.001 | 0.000 | -0.000 | 7.248 | 0.000 |
| 0.046 | -0.001 | 0.009 | -0.000 | -0.000 | -58.020 |
| 204.323 | 153.573 | 71.972 | 0.000 | 0.000 | -0.000 |
| 153.580 | 204.316 | 71.972 | 0.000 | 0.000 | -0.000 |
| 71.974 | 71.974 | 356.343 | 0.000 | 0.000 | 0.000 |
| 0.001 | -0.003 | -0.000 | 7.248 | 0.000 | -0.000 |
| -0.003 | 0.001 | -0.000 | 0.000 | 7.248 | -0.000 |
| -0.046 | 0.001 | -0.009 | 0.000 | 0.000 | -58.020 |
| 415.736 | 291.899 | 291.899 | -0.000 | -0.000 | 0.000 |
| 291.899 | 415.736 | 291.899 | -0.000 | -0.000 | 0.000 |
| 291.899 | 291.899 | 415.736 | -0.000 | -0.000 | 0.000 |
| 0.000 | 0.000 | 0.000 | 263.673 | -0.000 | 0.000 |
| -0.000 | 0.000 | 0.000 | -0.000 | 263.673 | 0.000 |
| -0.000 | 0.000 | 0.000 | -0.000 | -0.000 | 263.673 |
| 415.736 | 291.899 | 291.899 | 0.000 | 0.000 | -0.000 |
| 291.899 | 415.736 | 291.899 | 0.000 | 0.000 | -0.000 |
| 291.899 | 291.899 | 415.736 | 0.000 | 0.000 | -0.000 |
| 0.000 | -0.000 | -0.000 | 263.673 | 0.000 | -0.000 |
| 0.000 | -0.000 | -0.000 | 0.000 | 263.673 | -0.000 |
| 0.000 | -0.000 | -0.000 | 0.000 | 0.000 | 263.673 |
| 415.736 | 291.899 | 291.900 | -0.000 | -0.000 | 0.000 |
| 291.899 | 415.736 | 291.900 | -0.000 | -0.000 | 0.000 |
| 291.900 | 291.900 | 415.736 | -0.000 | -0.000 | 0.000 |
| 0.000 | 0.000 | 0.000 | 263.673 | -0.000 | 0.000 |
| 0.000 | 0.000 | 0.000 | -0.000 | 263.673 | 0.000 |
| 0.000 | 0.000 | 0.000 | -0.000 | -0.000 | 263.673 |
| 415.736 | 291.899 | 291.899 | 0.000 | 0.000 | -0.000 |
| 291.899 | 415.736 | 291.899 | 0.000 | 0.000 | -0.000 |
| 291.899 | 291.899 | 415.736 | 0.000 | 0.000 | -0.000 |
| -0.000 | -0.000 | -0.000 | 263.673 | -0.000 | -0.000 |
| -0.000 | -0.000 | -0.000 | 0.000 | 263.673 | -0.000 |
| -0.000 | -0.000 | -0.000 | 0.000 | 0.000 | 263.673 |
| 415.737 | 291.900 | 291.900 | -0.000 | -0.000 | -0.000 |
| 291.900 | 415.737 | 291.900 | -0.000 | -0.000 | -0.000 |
| 291.900 | 291.900 | 415.737 | -0.000 | -0.000 | 0.000 |
| 0.000 | -0.000 | 0.000 | 95.675 | -0.000 | 0.000 |
| -0.000 | 0.000 | 0.000 | -0.000 | 95.675 | 0.000 |
| -0.000 | 0.000 | 0.000 | -0.000 | -0.000 | 95.675 |
| 415.735 | 291.898 | 291.898 | 0.000 | 0.000 | -0.000 |
| 291.898 | 415.735 | 291.898 | 0.000 | 0.000 | 0.000 |
| 291.898 | 291.898 | 415.735 | 0.000 | 0.000 | -0.000 |
| -0.000 | 0.000 | -0.000 | 95.675 | 0.000 | -0.000 |
| 0.000 | -0.000 | -0.000 | 0.000 | 95.675 | -0.000 |
| 0.000 | -0.000 | -0.000 | 0.000 | 0.000 | 95.675 |
| 889.478 | 319.280 | 319.280 | -0.000 | 0.000 | -0.000 |
| 319.280 | 889.478 | 319.280 | 0.000 | 0.000 | 0.000 |
| 319.280 | 319.280 | 889.478 | -0.000 | 0.000 | -0.000 |
| -0.000 | -0.000 | -0.000 | 209.432 | 0.000 | -0.000 |
| -0.000 | -0.000 | -0.000 | -0.000 | 209.432 | -0.000 |
| -0.000 | -0.000 | -0.000 | -0.000 | 0.000 | 209.432 |
| 865.717 | 331.160 | 331.160 | -0.000 | -0.000 | 0.000 |
| 331.160 | 865.717 | 331.160 | 0.000 | -0.000 | 0.000 |
| 331.160 | 331.160 | 865.717 | -0.000 | -0.000 | 0.000 |
| 0.000 | 0.000 | 0.000 | 209.432 | -0.000 | 0.000 |
| 0.000 | 0.000 | 0.000 | 0.000 | 209.432 | 0.000 |
| 0.000 | 0.000 | -0.000 | -0.000 | -0.000 | 209.432 |
| 865.717 | 331.160 | 331.160 | -0.000 | -0.000 | -0.000 |
| 331.160 | 865.717 | 331.160 | -0.000 | 0.000 | -0.000 |
| 331.160 | 331.160 | 865.717 | -0.000 | 0.000 | -0.000 |
| -0.000 | -0.000 | -0.000 | 209.432 | 0.000 | -0.000 |
| -0.000 | -0.000 | -0.000 | 0.000 | 209.432 | -0.000 |
| -0.000 | -0.000 | -0.000 | 0.000 | 0.000 | 209.432 |
| 889.478 | 319.280 | 319.280 | -0.000 | -0.000 | -0.000 |
| 319.280 | 889.478 | 319.280 | -0.000 | -0.000 | 0.000 |
| 319.280 | 319.280 | 889.478 | -0.000 | -0.000 | -0.000 |
| 0.000 | 0.000 | 0.000 | 209.432 | -0.000 | 0.000 |
| 0.000 | 0.000 | 0.000 | -0.000 | 209.432 | 0.000 |
| 0.000 | 0.000 | 0.000 | -0.000 | -0.000 | 209.432 |
| 865.718 | 331.161 | 331.161 | 0.000 | 0.000 | -0.000 |
| 331.161 | 865.718 | 331.161 | -0.000 | 0.000 | -0.000 |
| 331.161 | 331.161 | 865.718 | -0.000 | 0.000 | 0.000 |
| -0.000 | -0.000 | -0.000 | 278.049 | 0.000 | -0.000 |
| -0.000 | -0.000 | -0.000 | 0.000 | 278.049 | -0.000 |
| -0.000 | -0.000 | -0.000 | -0.000 | 0.000 | 278.049 |
| 865.716 | 331.160 | 331.160 | -0.000 | -0.000 | 0.000 |
| 331.160 | 865.716 | 331.160 | -0.000 | -0.000 | 0.000 |
| 331.160 | 331.160 | 865.716 | -0.000 | 0.000 | 0.000 |
| 0.000 | 0.000 | 0.000 | 278.049 | -0.000 | 0.000 |
| 0.000 | 0.000 | 0.000 | -0.000 | 278.049 | 0.000 |
| 0.000 | 0.000 | 0.000 | -0.000 | -0.000 | 278.049 |
| 125.810 | 144.686 | 144.686 | -0.000 | 0.000 | -0.000 |
| 144.686 | 125.810 | 144.686 | -0.000 | 0.000 | -0.000 |
| 144.686 | 144.686 | 125.810 | 0.000 | 0.000 | -0.000 |
| 0.000 | -0.000 | -0.000 | 116.022 | 0.000 | 0.000 |
| -0.000 | -0.000 | -0.000 | 0.000 | 116.022 | -0.000 |
| -0.000 | -0.000 | -0.000 | -0.000 | 0.000 | 116.022 |
| 125.810 | 144.686 | 144.686 | 0.000 | -0.000 | 0.000 |
| 144.686 | 125.810 | 144.686 | 0.000 | -0.000 | 0.000 |
| 144.686 | 144.686 | 125.810 | 0.000 | -0.000 | 0.000 |
| -0.000 | 0.000 | -0.000 | 116.022 | -0.000 | 0.000 |
| 0.000 | 0.000 | 0.000 | -0.000 | 116.022 | 0.000 |
| 0.000 | 0.000 | 0.000 | 0.000 | -0.000 | 116.022 |
| 125.810 | 144.685 | 144.685 | 0.000 | 0.000 | -0.000 |
| 144.685 | 125.810 | 144.685 | -0.000 | 0.000 | -0.000 |
| 144.685 | 144.685 | 125.810 | 0.000 | -0.000 | -0.000 |
| 0.000 | -0.000 | -0.000 | 114.903 | 0.000 | -0.000 |
| -0.000 | 0.000 | -0.000 | -0.000 | 114.903 | -0.000 |
| -0.000 | -0.000 | -0.000 | -0.000 | 0.000 | 114.903 |
| 125.810 | 144.686 | 144.686 | -0.000 | 0.000 | 0.000 |
| 144.686 | 125.810 | 144.686 | -0.000 | -0.000 | 0.000 |
| 144.686 | 144.686 | 125.810 | -0.000 | -0.000 | 0.000 |
| -0.000 | 0.000 | 0.000 | 114.903 | -0.000 | 0.000 |
| 0.000 | -0.000 | 0.000 | 0.000 | 114.903 | 0.000 |
| 0.000 | 0.000 | 0.000 | 0.000 | -0.000 | 114.903 |
| 125.810 | 144.685 | 144.685 | -0.000 | 0.000 | -0.000 |
| 144.685 | 125.810 | 144.685 | 0.000 | 0.000 | -0.000 |
| 144.685 | 144.685 | 125.810 | 0.000 | 0.000 | 0.000 |
| -0.000 | -0.001 | -0.000 | 116.022 | 0.000 | -0.000 |
| -0.001 | -0.000 | -0.000 | 0.000 | 116.022 | -0.000 |
| -0.001 | -0.000 | -0.000 | -0.000 | 0.000 | 116.022 |
| 125.810 | 144.686 | 144.686 | -0.000 | 0.000 | 0.000 |
| 144.686 | 125.810 | 144.686 | -0.000 | -0.000 | 0.000 |
| 144.686 | 144.686 | 125.810 | 0.000 | -0.000 | 0.000 |
| 0.000 | 0.001 | 0.000 | 116.022 | -0.000 | 0.000 |
| 0.001 | 0.000 | 0.000 | -0.000 | 116.022 | 0.000 |
| 0.001 | 0.000 | 0.000 | 0.000 | -0.000 | 116.022 |
| 328.476 | 149.222 | 149.222 | 0.000 | -0.000 | -0.000 |
| 149.222 | 328.476 | 149.222 | 0.000 | -0.000 | -0.000 |
| 149.222 | 149.222 | 328.476 | 0.000 | 0.000 | -0.000 |
| -0.000 | -0.000 | -0.000 | 112.301 | -0.000 | -0.000 |
| -0.000 | -0.000 | -0.000 | -0.000 | 112.301 | -0.000 |
| -0.000 | -0.000 | -0.000 | -0.000 | -0.000 | 112.301 |
| 328.476 | 149.222 | 149.222 | 0.000 | 0.000 | 0.000 |
| 149.222 | 328.476 | 149.222 | -0.000 | 0.000 | 0.000 |
| 149.222 | 149.222 | 328.476 | 0.000 | 0.000 | 0.000 |
| 0.000 | 0.000 | 0.000 | 112.301 | 0.000 | 0.000 |
| 0.000 | 0.000 | 0.000 | -0.000 | 112.301 | 0.000 |
| 0.000 | 0.000 | 0.000 | -0.000 | 0.000 | 112.301 |
| 328.476 | 149.222 | 149.222 | 0.000 | -0.000 | -0.000 |
| 149.222 | 328.476 | 149.222 | 0.000 | -0.000 | -0.000 |
| 149.222 | 149.222 | 328.476 | 0.000 | -0.000 | -0.000 |
| -0.000 | 0.000 | 0.000 | 112.301 | -0.000 | -0.000 |
| 0.000 | -0.000 | 0.000 | -0.000 | 112.301 | -0.000 |
| 0.000 | 0.000 | -0.000 | 0.000 | -0.000 | 112.301 |
| 328.476 | 149.222 | 149.222 | 0.000 | 0.000 | 0.000 |
| 149.222 | 328.476 | 149.222 | -0.000 | 0.000 | 0.000 |
| 149.222 | 149.222 | 328.476 | -0.000 | 0.000 | 0.000 |
| 0.000 | -0.000 | -0.000 | 112.301 | 0.000 | 0.000 |
| -0.000 | 0.000 | -0.000 | 0.000 | 112.301 | 0.000 |
| -0.000 | -0.000 | 0.000 | -0.000 | 0.000 | 112.301 |
| 328.474 | 149.222 | 149.222 | 0.000 | -0.000 | -0.000 |
| 149.222 | 328.474 | 149.222 | -0.000 | -0.000 | -0.000 |
| 149.222 | 149.222 | 328.474 | 0.000 | 0.000 | -0.000 |
| -0.000 | 0.000 | 0.000 | 112.301 | -0.000 | -0.000 |
| 0.000 | -0.000 | 0.000 | 0.000 | 112.301 | -0.000 |
| 0.000 | 0.000 | -0.000 | -0.000 | -0.000 | 112.301 |
| 328.478 | 149.221 | 149.221 | -0.000 | 0.000 | 0.000 |
| 149.221 | 328.478 | 149.221 | -0.000 | 0.000 | 0.000 |
| 149.221 | 149.221 | 328.478 | -0.000 | 0.000 | 0.000 |
| 0.000 | -0.000 | -0.000 | 112.301 | 0.000 | 0.000 |
| -0.000 | 0.000 | -0.000 | -0.000 | 112.301 | 0.000 |
| -0.000 | -0.000 | 0.000 | -0.000 | 0.000 | 112.301 |
| 373.557 | 149.040 | 130.157 | 0.000 | 0.000 | -0.000 |
| 149.040 | 373.557 | 130.157 | -0.000 | 0.000 | -0.000 |
| 130.472 | 130.472 | 382.149 | 0.000 | 0.000 | -0.000 |
| 0.000 | 0.000 | 0.000 | 98.986 | 0.000 | -0.000 |
| 0.000 | -0.000 | 0.000 | 0.000 | 98.986 | -0.000 |
| -0.047 | -0.047 | 0.135 | 0.000 | 0.000 | 98.213 |
| 359.474 | 163.059 | 130.247 | -0.000 | -0.000 | 0.000 |
| 149.040 | 373.557 | 130.157 | -0.000 | -0.000 | 0.000 |
| 130.544 | 130.544 | 381.944 | -0.000 | -0.000 | 0.000 |
| -0.000 | 0.000 | -0.000 | 98.986 | -0.000 | 0.000 |
| -0.000 | 0.000 | -0.000 | -0.000 | 98.986 | 0.000 |
| 0.047 | 0.047 | -0.135 | -0.000 | -0.000 | 98.213 |
| 360.248 | 161.901 | 130.794 | 0.000 | 0.000 | -0.000 |
| 163.001 | 359.445 | 130.372 | 0.000 | -0.000 | -0.000 |
| 130.505 | 130.505 | 382.057 | 0.000 | 0.000 | -0.000 |
| 0.000 | 0.000 | 0.000 | 98.986 | 0.000 | -0.000 |
| 0.000 | 0.000 | 0.000 | 0.000 | 98.986 | -0.000 |
| 0.000 | 0.000 | 0.000 | -0.000 | 0.000 | 112.258 |
| 373.556 | 149.040 | 130.157 | 0.000 | -0.000 | 0.000 |
| 149.040 | 373.556 | 130.157 | -0.000 | -0.000 | 0.000 |
| 130.511 | 130.511 | 382.036 | 0.000 | -0.000 | 0.000 |
| -0.000 | -0.000 | -0.000 | 98.986 | -0.000 | 0.000 |
| -0.000 | -0.000 | -0.000 | -0.000 | 98.986 | 0.000 |
| -0.000 | -0.000 | -0.000 | 0.000 | -0.000 | 112.258 |
| 373.559 | 149.041 | 130.159 | -0.000 | -0.000 | -0.000 |
| 163.006 | 359.449 | 130.364 | 0.000 | 0.000 | -0.000 |
| 130.342 | 130.342 | 382.528 | 0.000 | 0.000 | -0.000 |
| -0.000 | 0.000 | 0.005 | 98.274 | 0.000 | -0.000 |
| 0.002 | 0.001 | 0.002 | 0.000 | 98.986 | -0.000 |
| 0.000 | 0.000 | 0.001 | -0.000 | 0.000 | 112.258 |
| 359.445 | 163.005 | 130.359 | -0.000 | -0.000 | 0.000 |
| 149.040 | 373.554 | 130.155 | -0.000 | -0.000 | 0.000 |
| 130.506 | 130.506 | 382.043 | -0.000 | -0.000 | 0.000 |
| 0.000 | -0.000 | -0.005 | 98.274 | -0.000 | 0.000 |
| -0.002 | -0.001 | -0.002 | -0.000 | 98.986 | 0.000 |
| -0.000 | -0.000 | -0.001 | 0.000 | -0.000 | 112.258 |
| 343.583 | 129.273 | 140.226 | -0.000 | -0.000 | -0.000 |
| 129.273 | 343.583 | 140.226 | -0.000 | -0.000 | -0.000 |
| 140.226 | 140.226 | 258.122 | -0.000 | -0.000 | -0.000 |
| -0.000 | -0.000 | -0.000 | 105.570 | -0.000 | -0.000 |
| -0.000 | -0.000 | -0.000 | -0.000 | 105.570 | -0.000 |
| -0.000 | -0.000 | -0.000 | -0.000 | -0.000 | 95.325 |
| 341.862 | 130.993 | 140.226 | 0.000 | 0.000 | 0.000 |
| 130.993 | 341.862 | 140.226 | 0.000 | 0.000 | 0.000 |
| 140.226 | 140.226 | 258.122 | 0.000 | 0.000 | -0.000 |
| 0.000 | 0.000 | -0.000 | 105.570 | 0.000 | -0.000 |
| 0.000 | 0.000 | 0.000 | -0.000 | 105.570 | 0.000 |
| 0.000 | 0.000 | 0.000 | 0.000 | 0.000 | 95.325 |
| 343.582 | 129.273 | 140.226 | -0.000 | -0.000 | -0.000 |
| 129.273 | 343.582 | 140.226 | 0.000 | -0.000 | 0.000 |
| 140.226 | 140.226 | 258.122 | -0.000 | -0.000 | -0.000 |
| -0.000 | -0.000 | -0.000 | 104.361 | -0.000 | 0.000 |
| -0.000 | -0.000 | -0.000 | -0.000 | 104.361 | -0.000 |
| -0.000 | -0.000 | -0.000 | -0.000 | -0.000 | 95.325 |
| 341.863 | 130.993 | 140.226 | 0.000 | 0.000 | 0.000 |
| 130.993 | 341.863 | 140.226 | 0.000 | 0.000 | 0.000 |
| 140.226 | 140.226 | 258.122 | 0.000 | 0.000 | -0.000 |
| 0.000 | 0.000 | 0.000 | 104.361 | 0.000 | 0.000 |
| 0.000 | 0.000 | 0.000 | 0.000 | 104.361 | 0.000 |
| 0.000 | 0.000 | 0.000 | -0.000 | 0.000 | 95.325 |
| 341.860 | 130.993 | 140.226 | -0.000 | -0.000 | -0.000 |
| 130.993 | 341.860 | 140.226 | 0.000 | -0.000 | -0.000 |
| 140.226 | 140.226 | 258.121 | -0.000 | 0.000 | -0.000 |
| -0.001 | -0.000 | -0.000 | 104.361 | -0.000 | -0.000 |
| -0.000 | -0.001 | -0.000 | -0.000 | 104.361 | -0.000 |
| -0.001 | -0.000 | -0.001 | -0.000 | -0.000 | 95.325 |
| 341.865 | 130.993 | 140.226 | 0.000 | 0.000 | 0.000 |
| 130.993 | 341.865 | 140.226 | 0.000 | 0.000 | 0.000 |
| 140.226 | 140.226 | 258.124 | 0.000 | 0.000 | 0.000 |
| 0.001 | 0.000 | 0.000 | 104.361 | 0.000 | -0.000 |
| 0.000 | 0.001 | 0.000 | 0.000 | 104.361 | 0.000 |
| 0.001 | 0.000 | 0.001 | 0.000 | 0.000 | 95.325 |
| 371.972 | 148.390 | 128.271 | -0.000 | -0.000 | 0.000 |
| 148.390 | 371.972 | 128.271 | -0.000 | -0.000 | 0.000 |
| -69.430 | -69.430 | 930.416 | -0.000 | -0.000 | 0.000 |
| -198.129 | -198.129 | 550.362 | 97.184 | -0.000 | 0.000 |
| -198.129 | -198.129 | 550.362 | -0.000 | 97.184 | 0.000 |
| -198.130 | -198.130 | 550.364 | -0.000 | -0.000 | 108.142 |
| 566.392 | 350.107 | -421.922 | 0.000 | 0.000 | -0.000 |
| 350.107 | 566.392 | -421.922 | 0.000 | 0.000 | -0.000 |
| 326.832 | 326.832 | -170.320 | 0.000 | 0.000 | -0.000 |
| 198.129 | 198.129 | -550.362 | 97.184 | 0.000 | -0.000 |
| 198.129 | 198.129 | -550.362 | 0.000 | 97.184 | -0.000 |
| 198.130 | 198.130 | -550.364 | -0.000 | 0.000 | 108.142 |
| 338.188 | 142.426 | 183.478 | -0.000 | 0.000 | 0.000 |
| 148.391 | 371.972 | 128.271 | -0.000 | -0.000 | 0.000 |
| 128.528 | 128.528 | 380.528 | 0.000 | -0.000 | 0.000 |
| 0.000 | 0.000 | 0.000 | 97.417 | -0.000 | 0.000 |
| -19.813 | -19.813 | 55.038 | -0.000 | 97.184 | 0.000 |
| 0.000 | 0.000 | 0.000 | -0.000 | -0.000 | 111.791 |
| 371.971 | 148.390 | 128.271 | 0.000 | 0.000 | -0.000 |
| 148.390 | 371.971 | 128.271 | 0.000 | 0.000 | -0.000 |
| 128.528 | 128.528 | 380.527 | 0.000 | 0.000 | -0.000 |
| -0.000 | -0.000 | -0.000 | 97.417 | -0.000 | -0.000 |
| 19.813 | 19.813 | -55.038 | 0.000 | 97.184 | -0.000 |
| -0.000 | -0.000 | -0.000 | -0.000 | 0.000 | 111.791 |
| 366.063 | 150.059 | 134.166 | 0.000 | -0.000 | 0.000 |
| 148.391 | 371.974 | 128.273 | -0.000 | -0.000 | 0.000 |
| 128.531 | 128.531 | 380.531 | 0.000 | 0.000 | 0.000 |
| -1.981 | -1.980 | 5.506 | 96.714 | -0.000 | 0.000 |
| -1.984 | -1.985 | 5.519 | -0.000 | 97.184 | 0.000 |
| -2.062 | -2.062 | 5.730 | -0.000 | -0.000 | 107.992 |
| 370.165 | 154.201 | 122.702 | 0.000 | 0.000 | -0.000 |
| 148.390 | 371.969 | 128.269 | 0.000 | 0.000 | -0.000 |
| 128.525 | 128.525 | 380.525 | 0.000 | 0.000 | -0.000 |
| 1.981 | 1.980 | -5.506 | 96.714 | 0.000 | -0.000 |
| 1.984 | 1.985 | -5.519 | 0.000 | 97.184 | -0.000 |
| 2.062 | 2.062 | -5.730 | 0.000 | 0.000 | 107.992 |
| 362.063 | 162.894 | 133.403 | -0.000 | 0.000 | 0.000 |
| 162.894 | 362.063 | 133.403 | 0.000 | 0.000 | 0.000 |
| 132.972 | 132.972 | 383.655 | -0.000 | -0.000 | 0.000 |
| -0.000 | 0.000 | 0.000 | 100.434 | -0.000 | 0.000 |
| 0.000 | 0.000 | 0.000 | -0.000 | 101.154 | 0.000 |
| 0.000 | 0.000 | 0.000 | -0.000 | -0.000 | 112.879 |
| 362.063 | 162.894 | 133.402 | 0.000 | -0.000 | -0.000 |
| 163.892 | 361.335 | 133.008 | 0.000 | -0.000 | -0.000 |
| 132.972 | 132.972 | 383.655 | -0.000 | -0.000 | -0.000 |
| 0.000 | -0.000 | -0.000 | 100.434 | -0.000 | -0.000 |
| -0.000 | -0.000 | -0.000 | 0.000 | 101.154 | -0.000 |
| -0.000 | -0.000 | -0.000 | 0.000 | -0.000 | 112.878 |
| 375.561 | 149.804 | 132.806 | -0.000 | 0.000 | 0.000 |
| 162.894 | 362.063 | 133.403 | -0.000 | 0.000 | 0.000 |
| 132.806 | 132.806 | 384.142 | -0.000 | -0.000 | 0.000 |
| 0.000 | 0.000 | 0.000 | 101.154 | -0.000 | 0.000 |
| 0.000 | 0.000 | 0.000 | -0.000 | 100.434 | 0.000 |
| 0.000 | 0.000 | 0.000 | -0.000 | 0.000 | 98.704 |
| 375.561 | 149.804 | 132.806 | 0.000 | -0.000 | -0.000 |
| 162.894 | 362.062 | 133.402 | 0.000 | 0.000 | -0.000 |
| 132.806 | 132.806 | 384.142 | 0.000 | 0.000 | -0.000 |
| -0.000 | -0.000 | -0.000 | 101.154 | 0.000 | -0.000 |
| -0.000 | -0.000 | -0.000 | -0.000 | 100.434 | -0.000 |
| -0.000 | -0.000 | -0.000 | 0.000 | 0.000 | 98.704 |
| 375.564 | 149.805 | 132.808 | -0.000 | -0.000 | 0.000 |
| 149.805 | 375.564 | 132.808 | -0.000 | -0.000 | 0.000 |
| 132.975 | 132.975 | 383.657 | -0.000 | 0.000 | 0.000 |
| 0.001 | 0.002 | 0.002 | 101.154 | -0.000 | 0.000 |
| 0.002 | 0.001 | 0.002 | -0.000 | 101.154 | -0.000 |
| 0.000 | 0.000 | 0.001 | -0.000 | -0.000 | 112.879 |
| 362.061 | 162.893 | 133.401 | 0.000 | -0.000 | -0.000 |
| 163.891 | 361.333 | 133.006 | 0.000 | -0.000 | -0.000 |
| 132.803 | 132.803 | 384.140 | 0.000 | 0.000 | -0.000 |
| -0.001 | -0.002 | -0.002 | 101.154 | 0.000 | -0.000 |
| -0.002 | -0.001 | -0.002 | -0.000 | 101.154 | -0.000 |
| -0.000 | -0.000 | -0.001 | 0.000 | 0.000 | 112.879 |
| 241.342 | 150.824 | 150.824 | -0.000 | 0.000 | 0.000 |
| 150.824 | 241.342 | 150.824 | -0.000 | -0.000 | 0.000 |
| 150.824 | 150.824 | 241.342 | -0.000 | -0.000 | 0.000 |
| -0.000 | -0.000 | -0.000 | 127.344 | -0.000 | 0.000 |
| 0.000 | -0.000 | 0.000 | -0.000 | 127.344 | 0.000 |
| 0.000 | -0.000 | -0.000 | 0.000 | -0.000 | 127.344 |
| 241.342 | 150.824 | 150.824 | 0.000 | 0.000 | -0.000 |
| 150.824 | 241.342 | 150.824 | 0.000 | -0.000 | -0.000 |
| 150.824 | 150.824 | 241.342 | 0.000 | 0.000 | -0.000 |
| 0.000 | 0.000 | 0.000 | 127.344 | 0.000 | -0.000 |
| -0.000 | 0.000 | -0.000 | 0.000 | 127.344 | -0.000 |
| -0.000 | 0.000 | 0.000 | 0.000 | 0.000 | 127.344 |
| 241.342 | 150.824 | 150.824 | 0.000 | -0.000 | 0.000 |
| 150.824 | 241.342 | 150.824 | -0.000 | -0.000 | -0.000 |
| 150.824 | 150.824 | 241.342 | -0.000 | -0.000 | 0.000 |
| 0.000 | 0.000 | 0.000 | 127.344 | -0.000 | 0.000 |
| 0.000 | 0.000 | 0.000 | -0.000 | 127.344 | 0.000 |
| 0.000 | 0.000 | 0.000 | -0.000 | -0.000 | 127.344 |
| 241.342 | 150.824 | 150.824 | 0.000 | 0.000 | -0.000 |
| 150.824 | 241.342 | 150.824 | 0.000 | 0.000 | -0.000 |
| 150.824 | 150.824 | 241.342 | 0.000 | 0.000 | -0.000 |
| -0.000 | -0.000 | -0.000 | 127.344 | 0.000 | -0.000 |
| -0.000 | -0.000 | -0.000 | 0.000 | 127.344 | -0.000 |
| -0.000 | -0.000 | -0.000 | 0.000 | 0.000 | 127.344 |
| 241.342 | 150.825 | 150.825 | -0.000 | 0.000 | 0.000 |
| 150.825 | 241.342 | 150.825 | -0.000 | 0.000 | 0.000 |
| 150.825 | 150.825 | 241.342 | -0.000 | -0.000 | 0.000 |
| 0.000 | 0.000 | 0.000 | 127.344 | -0.000 | 0.000 |
| 0.000 | 0.000 | 0.000 | -0.000 | 127.344 | 0.000 |
| 0.000 | 0.000 | 0.000 | -0.000 | -0.000 | 127.344 |
| 241.341 | 150.824 | 150.824 | 0.000 | 0.000 | 0.000 |
| 150.824 | 241.341 | 150.824 | 0.000 | 0.000 | 0.000 |
| 150.824 | 150.824 | 241.341 | 0.000 | 0.000 | -0.000 |
| -0.000 | -0.000 | -0.000 | 127.344 | 0.000 | -0.000 |
| -0.000 | -0.000 | -0.000 | 0.000 | 127.344 | -0.000 |
| -0.000 | -0.000 | -0.000 | 0.000 | 0.000 | 127.344 |
| 0.000 | 0.000 | 0.000 | -0.000 | -0.000 | -0.000 |
| 0.000 | 0.000 | 0.000 | -0.000 | -0.000 | -0.000 |
| 0.000 | 0.000 | 0.000 | -0.000 | -0.000 | -0.000 |
| -0.000 | 0.000 | 0.000 | 0.000 | 0.000 | -0.000 |
| 0.000 | -0.000 | 0.000 | -0.000 | 0.000 | 0.000 |
| 0.000 | 0.000 | -0.000 | 0.000 | 0.000 | 0.000 |
| 0.000 | 0.000 | 0.000 | -0.000 | 0.000 | 0.000 |
| 0.000 | 0.000 | 0.000 | 0.000 | 0.000 | 0.000 |
| 0.000 | 0.000 | 0.000 | 0.000 | 0.000 | 0.000 |
| 0.000 | -0.000 | -0.000 | 0.000 | -0.000 | -0.000 |
| -0.000 | 0.000 | -0.000 | -0.000 | 0.000 | -0.000 |
| -0.000 | -0.000 | 0.000 | 0.000 | -0.000 | 0.000 |
| 0.000 | 0.000 | 0.000 | -0.000 | -0.000 | -0.000 |
| 0.000 | 0.000 | 0.000 | -0.000 | -0.000 | 0.000 |
| 0.000 | 0.000 | 0.000 | 0.000 | 0.000 | 0.000 |
| -0.000 | 0.000 | 0.000 | 0.000 | -0.000 | -0.000 |
| 0.000 | -0.000 | 0.000 | -0.000 | 0.000 | -0.000 |
| 0.000 | 0.000 | -0.000 | -0.000 | -0.000 | 0.000 |
| 0.000 | 0.000 | 0.000 | 0.000 | 0.000 | 0.000 |
| 0.000 | 0.000 | 0.000 | 0.000 | 0.000 | -0.000 |
| 0.000 | 0.000 | 0.000 | 0.000 | 0.000 | -0.000 |
| 0.000 | -0.000 | -0.000 | 0.000 | 0.000 | -0.000 |
| -0.000 | 0.000 | -0.000 | 0.000 | 0.000 | -0.000 |
| -0.000 | -0.000 | 0.000 | 0.000 | -0.000 | 0.000 |
| 0.000 | 0.000 | 0.000 | -0.000 | -0.000 | -0.000 |
| 0.000 | 0.000 | 0.000 | -0.000 | 0.000 | 0.000 |
| 0.000 | 0.000 | 0.000 | 0.000 | 0.000 | -0.000 |
| -0.000 | 0.000 | 0.000 | 0.000 | 0.000 | -0.000 |
| 0.000 | -0.000 | 0.000 | 0.000 | 0.000 | 0.000 |
| 0.000 | 0.000 | -0.000 | 0.000 | 0.000 | 0.000 |
| 0.000 | 0.000 | 0.000 | 0.000 | -0.000 | -0.000 |
| 0.000 | 0.000 | 0.000 | -0.000 | 0.000 | 0.000 |
| 0.000 | 0.000 | 0.000 | 0.000 | 0.000 | 0.000 |
| 0.000 | -0.000 | -0.000 | 0.000 | -0.000 | -0.000 |
| -0.000 | 0.000 | -0.000 | -0.000 | 0.000 | 0.000 |
| -0.000 | -0.000 | 0.000 | -0.000 | 0.000 | 0.000 |
| 0.000 | 0.000 | 0.000 | 0.000 | 0.000 | 0.000 |
| 0.000 | 0.000 | 0.000 | 0.000 | 0.000 | -0.000 |
| 0.000 | 0.000 | 0.000 | 0.000 | 0.000 | -0.000 |
| -0.000 | 0.000 | 0.000 | 0.000 | 0.000 | -0.000 |
| 0.000 | 0.000 | 0.000 | 0.000 | 0.000 | -0.000 |
| 0.000 | 0.000 | -0.000 | 0.000 | 0.000 | 0.000 |
| 0.000 | 0.000 | 0.000 | 0.000 | 0.000 | -0.000 |
| 0.000 | 0.000 | 0.000 | -0.000 | 0.000 | -0.000 |
| 0.000 | 0.000 | 0.000 | -0.000 | -0.000 | -0.000 |
| 0.000 | -0.000 | -0.000 | 0.000 | -0.000 | -0.000 |
| -0.000 | -0.000 | -0.000 | -0.000 | 0.000 | 0.000 |
| -0.000 | -0.000 | 0.000 | -0.000 | -0.000 | 0.000 |
| 0.000 | 0.000 | 0.000 | 0.000 | 0.000 | 0.000 |
| 0.000 | 0.000 | 0.000 | 0.000 | 0.000 | 0.000 |
| 0.000 | 0.000 | 0.000 | 0.000 | 0.000 | 0.000 |
| -0.000 | 0.000 | 0.000 | 0.000 | 0.000 | -0.000 |
| 0.000 | -0.000 | 0.000 | 0.000 | 0.000 | -0.000 |
| 0.000 | 0.000 | -0.000 | 0.000 | 0.000 | 0.000 |
| 0.000 | 0.000 | 0.000 | -0.000 | -0.000 | 0.000 |
| 0.000 | 0.000 | 0.000 | -0.000 | -0.000 | 0.000 |
| 0.000 | 0.000 | 0.000 | -0.000 | -0.000 | -0.000 |
| 0.000 | -0.000 | -0.000 | 0.000 | -0.000 | -0.000 |
| -0.000 | 0.000 | -0.000 | -0.000 | 0.000 | 0.000 |
| -0.000 | -0.000 | 0.000 | -0.000 | -0.000 | 0.000 |
| 0.000 | 0.000 | 0.000 | 0.000 | 0.000 | 0.000 |
| 0.000 | 0.000 | 0.000 | 0.000 | -0.000 | -0.000 |
| 0.000 | 0.000 | 0.000 | -0.000 | -0.000 | -0.000 |
| -0.000 | 0.000 | 0.000 | 0.000 | 0.000 | 0.000 |
| 0.000 | -0.000 | 0.000 | 0.000 | 0.000 | 0.000 |
| 0.000 | 0.000 | -0.000 | 0.000 | 0.000 | 0.000 |
| 0.000 | 0.000 | 0.000 | 0.000 | -0.000 | -0.000 |
| 0.000 | 0.000 | 0.000 | -0.000 | 0.000 | 0.000 |
| 0.000 | 0.000 | 0.000 | -0.000 | -0.000 | -0.000 |
| 0.000 | -0.000 | -0.000 | 0.000 | -0.000 | -0.000 |
| -0.000 | 0.000 | -0.000 | -0.000 | 0.000 | 0.000 |
| -0.000 | -0.000 | 0.000 | -0.000 | -0.000 | 0.000 |
| 0.000 | 0.000 | 0.000 | 0.000 | 0.000 | 0.000 |
| 0.000 | 0.000 | 0.000 | 0.000 | -0.000 | 0.000 |
| 0.000 | 0.000 | 0.000 | -0.000 | -0.000 | 0.000 |
| -0.000 | 0.000 | 0.000 | 0.000 | 0.000 | 0.000 |
| 0.000 | -0.000 | 0.000 | 0.000 | 0.000 | 0.000 |
| 0.000 | 0.000 | -0.000 | 0.000 | 0.000 | 0.000 |
| 0.000 | 0.000 | 0.000 | 0.000 | -0.000 | -0.000 |
| 0.000 | 0.000 | 0.000 | -0.000 | 0.000 | -0.000 |
| 0.000 | 0.000 | 0.000 | 0.000 | 0.000 | 0.000 |
| 0.000 | -0.000 | -0.000 | 0.000 | -0.000 | 0.000 |
| -0.000 | 0.000 | -0.000 | -0.000 | 0.000 | 0.000 |
| -0.000 | -0.000 | 0.000 | -0.000 | 0.000 | 0.000 |
| 0.000 | 0.000 | 0.000 | 0.000 | 0.000 | 0.000 |
| 0.000 | 0.000 | 0.000 | 0.000 | 0.000 | -0.000 |
| 0.000 | 0.000 | 0.000 | -0.000 | -0.000 | -0.000 |
| -0.000 | 0.000 | 0.000 | 0.000 | -0.000 | -0.000 |
| 0.000 | -0.000 | 0.000 | -0.000 | 0.000 | 0.000 |
| 0.000 | 0.000 | -0.000 | 0.000 | 0.000 | 0.000 |
| 0.000 | 0.000 | 0.000 | -0.000 | -0.000 | 0.000 |
| 0.000 | 0.000 | 0.000 | 0.000 | -0.000 | 0.000 |
| 0.000 | 0.000 | 0.000 | 0.000 | -0.000 | 0.000 |
| 0.000 | -0.000 | -0.000 | 0.000 | -0.000 | -0.000 |
| -0.000 | 0.000 | -0.000 | 0.000 | 0.000 | -0.000 |
| -0.000 | -0.000 | 0.000 | -0.000 | -0.000 | 0.000 |
| 0.000 | 0.000 | 0.000 | -0.000 | 0.000 | 0.000 |
| 0.000 | 0.000 | 0.000 | 0.000 | -0.000 | 0.000 |
| 0.000 | 0.000 | 0.000 | 0.000 | 0.000 | 0.000 |
| -0.000 | 0.000 | 0.000 | 0.000 | 0.000 | -0.000 |
| 0.000 | -0.000 | 0.000 | 0.000 | 0.000 | 0.000 |
| 0.000 | 0.000 | -0.000 | 0.000 | 0.000 | 0.000 |
| 0.000 | 0.000 | 0.000 | 0.000 | -0.000 | -0.000 |
| 0.000 | 0.000 | 0.000 | -0.000 | 0.000 | -0.000 |
| 0.000 | 0.000 | 0.000 | -0.000 | 0.000 | 0.000 |
| 0.000 | -0.000 | -0.000 | 0.000 | 0.000 | 0.000 |
| -0.000 | 0.000 | -0.000 | 0.000 | 0.000 | 0.000 |
| -0.000 | -0.000 | 0.000 | -0.000 | 0.000 | 0.000 |
| 0.000 | 0.000 | 0.000 | -0.000 | 0.000 | -0.000 |
| 0.000 | 0.000 | 0.000 | 0.000 | 0.000 | 0.000 |
| 0.000 | 0.000 | 0.000 | -0.000 | 0.000 | 0.000 |
| -0.000 | 0.000 | 0.000 | 0.000 | 0.000 | 0.000 |
| 0.000 | -0.000 | 0.000 | -0.000 | 0.000 | 0.000 |
| 0.000 | 0.000 | -0.000 | -0.000 | 0.000 | 0.000 |
| 0.000 | 0.000 | 0.000 | 0.000 | -0.000 | 0.000 |
| 0.000 | 0.000 | 0.000 | 0.000 | -0.000 | 0.000 |
| 0.000 | 0.000 | 0.000 | -0.000 | -0.000 | -0.000 |
| 0.000 | -0.000 | -0.000 | 0.000 | -0.000 | 0.000 |
| -0.000 | 0.000 | -0.000 | 0.000 | 0.000 | 0.000 |
| -0.000 | -0.000 | 0.000 | 0.000 | 0.000 | 0.000 |
| 0.000 | 0.000 | 0.000 | 0.000 | 0.000 | -0.000 |
| 0.000 | 0.000 | 0.000 | -0.000 | 0.000 | 0.000 |
| 0.000 | 0.000 | 0.000 | -0.000 | 0.000 | 0.000 |
| -0.000 | 0.000 | 0.000 | 0.000 | -0.000 | 0.000 |
| 0.000 | -0.000 | 0.000 | -0.000 | 0.000 | -0.000 |
| 0.000 | 0.000 | -0.000 | -0.000 | -0.000 | 0.000 |
| 0.000 | 0.000 | 0.000 | 0.000 | -0.000 | -0.000 |
| 0.000 | 0.000 | 0.000 | -0.000 | 0.000 | -0.000 |
| 0.000 | 0.000 | 0.000 | 0.000 | 0.000 | -0.000 |
| 0.000 | -0.000 | -0.000 | 0.000 | 0.000 | 0.000 |
| -0.000 | 0.000 | -0.000 | 0.000 | 0.000 | 0.000 |
| -0.000 | -0.000 | 0.000 | 0.000 | -0.000 | 0.000 |
| 0.000 | 0.000 | 0.000 | -0.000 | 0.000 | 0.000 |
| 0.000 | 0.000 | 0.000 | 0.000 | 0.000 | -0.000 |
| 0.000 | 0.000 | 0.000 | -0.000 | 0.000 | -0.000 |
| -0.000 | 0.000 | 0.000 | 0.000 | 0.000 | -0.000 |
| 0.000 | -0.000 | 0.000 | -0.000 | 0.000 | 0.000 |
| 0.000 | 0.000 | -0.000 | -0.000 | 0.000 | 0.000 |
| 0.000 | 0.000 | 0.000 | 0.000 | -0.000 | -0.000 |
| 0.000 | 0.000 | 0.000 | 0.000 | -0.000 | -0.000 |
| 0.000 | 0.000 | 0.000 | -0.000 | -0.000 | 0.000 |
| 0.000 | -0.000 | -0.000 | 0.000 | -0.000 | 0.000 |
| -0.000 | 0.000 | -0.000 | 0.000 | 0.000 | 0.000 |
| -0.000 | -0.000 | 0.000 | 0.000 | 0.000 | 0.000 |
| 0.000 | 0.000 | 0.000 | 0.000 | -0.000 | -0.000 |
| 0.000 | 0.000 | 0.000 | -0.000 | -0.000 | 0.000 |
| 0.000 | 0.000 | 0.000 | 0.000 | -0.000 | 0.000 |
| -0.000 | 0.000 | 0.000 | 0.000 | 0.000 | 0.000 |
| 0.000 | -0.000 | 0.000 | -0.000 | 0.000 | 0.000 |
| 0.000 | 0.000 | -0.000 | -0.000 | 0.000 | 0.000 |
| 0.000 | 0.000 | 0.000 | 0.000 | -0.000 | -0.000 |
| 0.000 | 0.000 | 0.000 | -0.000 | 0.000 | 0.000 |
| 0.000 | 0.000 | 0.000 | -0.000 | 0.000 | -0.000 |
| 0.000 | -0.000 | -0.000 | 0.000 | -0.000 | -0.000 |
| -0.000 | 0.000 | -0.000 | -0.000 | 0.000 | 0.000 |
| -0.000 | -0.000 | 0.000 | -0.000 | 0.000 | 0.000 |
| 0.000 | 0.000 | 0.000 | -0.000 | 0.000 | 0.000 |
| 0.000 | 0.000 | 0.000 | 0.000 | -0.000 | 0.000 |
| 0.000 | 0.000 | 0.000 | -0.000 | 0.000 | 0.000 |
| -0.000 | 0.000 | 0.000 | 0.000 | -0.000 | 0.000 |
| 0.000 | -0.000 | 0.000 | -0.000 | 0.000 | 0.000 |
| 0.000 | 0.000 | -0.000 | 0.000 | 0.000 | 0.000 |
| 0.000 | 0.000 | 0.000 | 0.000 | -0.000 | -0.000 |
| 0.000 | 0.000 | 0.000 | -0.000 | 0.000 | -0.000 |
| 0.000 | 0.000 | 0.000 | 0.000 | 0.000 | -0.000 |
| 0.000 | -0.000 | -0.000 | 0.000 | 0.000 | 0.000 |
| -0.000 | 0.000 | -0.000 | -0.000 | 0.000 | 0.000 |
| -0.000 | -0.000 | 0.000 | -0.000 | 0.000 | 0.000 |
| 0.000 | 0.000 | 0.000 | 0.000 | -0.000 | -0.000 |
| 0.000 | 0.000 | 0.000 | -0.000 | -0.000 | 0.000 |
| 0.000 | 0.000 | 0.000 | -0.000 | -0.000 | 0.000 |
| -0.000 | 0.000 | 0.000 | 0.000 | -0.000 | 0.000 |
| 0.000 | -0.000 | 0.000 | -0.000 | 0.000 | -0.000 |
| 0.000 | 0.000 | -0.000 | -0.000 | -0.000 | 0.000 |
| 0.000 | 0.000 | 0.000 | -0.000 | 0.000 | 0.000 |
| 0.000 | 0.000 | 0.000 | 0.000 | 0.000 | 0.000 |
| 0.000 | 0.000 | 0.000 | -0.000 | -0.000 | -0.000 |
| 0.000 | -0.000 | -0.000 | 0.000 | 0.000 | 0.000 |
| -0.000 | 0.000 | -0.000 | 0.000 | 0.000 | -0.000 |
| -0.000 | -0.000 | 0.000 | 0.000 | -0.000 | 0.000 |
| 0.000 | 0.000 | 0.000 | -0.000 | 0.000 | 0.000 |
| 0.000 | 0.000 | 0.000 | 0.000 | 0.000 | 0.000 |
| 0.000 | 0.000 | 0.000 | -0.000 | -0.000 | -0.000 |
| -0.000 | 0.000 | 0.000 | 0.000 | -0.000 | -0.000 |
| 0.000 | -0.000 | 0.000 | -0.000 | 0.000 | 0.000 |
| 0.000 | 0.000 | -0.000 | -0.000 | 0.000 | 0.000 |
| 0.000 | 0.000 | 0.000 | -0.000 | -0.000 | -0.000 |
| 0.000 | 0.000 | 0.000 | 0.000 | -0.000 | -0.000 |
| 0.000 | 0.000 | 0.000 | 0.000 | 0.000 | 0.000 |
| 0.000 | -0.000 | -0.000 | 0.000 | -0.000 | -0.000 |
| -0.000 | 0.000 | -0.000 | -0.000 | 0.000 | -0.000 |
| -0.000 | -0.000 | 0.000 | 0.000 | -0.000 | 0.000 |
| 0.000 | 0.000 | 0.000 | -0.000 | -0.000 | 0.000 |
| 0.000 | 0.000 | 0.000 | -0.000 | -0.000 | 0.000 |
| 0.000 | 0.000 | 0.000 | 0.000 | 0.000 | -0.000 |
| -0.000 | 0.000 | 0.000 | 0.000 | -0.000 | -0.000 |
| 0.000 | -0.000 | 0.000 | -0.000 | 0.000 | -0.000 |
| 0.000 | 0.000 | -0.000 | -0.000 | -0.000 | 0.000 |
| 0.000 | 0.000 | 0.000 | 0.000 | 0.000 | -0.000 |
| 0.000 | 0.000 | 0.000 | 0.000 | 0.000 | -0.000 |
| 0.000 | 0.000 | 0.000 | 0.000 | -0.000 | 0.000 |
| 0.000 | -0.000 | -0.000 | 0.000 | 0.000 | 0.000 |
| -0.000 | 0.000 | -0.000 | 0.000 | 0.000 | -0.000 |
| -0.000 | -0.000 | 0.000 | 0.000 | -0.000 | 0.000 |
| 0.000 | 0.000 | 0.000 | -0.000 | -0.000 | -0.000 |
| 0.000 | 0.000 | 0.000 | -0.000 | -0.000 | 0.000 |
| 0.000 | 0.000 | 0.000 | -0.000 | 0.000 | -0.000 |
| -0.000 | 0.000 | 0.000 | 0.000 | -0.000 | -0.000 |
| 0.000 | -0.000 | 0.000 | -0.000 | 0.000 | -0.000 |
| 0.000 | 0.000 | -0.000 | -0.000 | -0.000 | 0.000 |
| 0.000 | 0.000 | 0.000 | 0.000 | 0.000 | -0.000 |
| 0.000 | 0.000 | 0.000 | 0.000 | 0.000 | -0.000 |
| 0.000 | 0.000 | 0.000 | 0.000 | 0.000 | 0.000 |
| 0.000 | -0.000 | -0.000 | 0.000 | 0.000 | 0.000 |
| -0.000 | 0.000 | -0.000 | 0.000 | 0.000 | -0.000 |
| -0.000 | -0.000 | 0.000 | 0.000 | -0.000 | 0.000 |
| 0.000 | 0.000 | 0.000 | -0.000 | 0.000 | -0.000 |
| 0.000 | 0.000 | 0.000 | -0.000 | -0.000 | 0.000 |
| 0.000 | 0.000 | 0.000 | -0.000 | 0.000 | 0.000 |
| -0.000 | 0.000 | 0.000 | 0.000 | -0.000 | -0.000 |
| 0.000 | -0.000 | 0.000 | -0.000 | 0.000 | 0.000 |
| 0.000 | 0.000 | -0.000 | -0.000 | 0.000 | 0.000 |
| 0.000 | 0.000 | 0.000 | -0.000 | -0.000 | -0.000 |
| 0.000 | 0.000 | 0.000 | 0.000 | -0.000 | 0.000 |
| 0.000 | 0.000 | 0.000 | 0.000 | -0.000 | 0.000 |
| 0.000 | -0.000 | -0.000 | 0.000 | 0.000 | -0.000 |
| -0.000 | 0.000 | -0.000 | 0.000 | 0.000 | 0.000 |
| -0.000 | -0.000 | 0.000 | 0.000 | 0.000 | 0.000 |
| 0.000 | 0.000 | 0.000 | -0.000 | -0.000 | -0.000 |
| 0.000 | 0.000 | 0.000 | -0.000 | -0.000 | -0.000 |
| 0.000 | 0.000 | 0.000 | 0.000 | 0.000 | 0.000 |
| -0.000 | 0.000 | 0.000 | 0.000 | 0.000 | -0.000 |
| 0.000 | -0.000 | 0.000 | -0.000 | 0.000 | -0.000 |
| 0.000 | 0.000 | -0.000 | 0.000 | -0.000 | 0.000 |
| 0.000 | 0.000 | 0.000 | 0.000 | 0.000 | -0.000 |
| 0.000 | 0.000 | 0.000 | 0.000 | 0.000 | -0.000 |
| 0.000 | 0.000 | 0.000 | 0.000 | 0.000 | 0.000 |
| 0.000 | -0.000 | -0.000 | 0.000 | -0.000 | -0.000 |
| -0.000 | 0.000 | -0.000 | 0.000 | 0.000 | -0.000 |
| -0.000 | -0.000 | 0.000 | -0.000 | -0.000 | 0.000 |
| 0.000 | 0.000 | 0.000 | -0.000 | 0.000 | 0.000 |
| 0.000 | 0.000 | 0.000 | -0.000 | 0.000 | -0.000 |
| 0.000 | 0.000 | 0.000 | 0.000 | 0.000 | -0.000 |
| -0.000 | 0.000 | 0.000 | 0.000 | 0.000 | 0.000 |
| 0.000 | -0.000 | 0.000 | -0.000 | 0.000 | 0.000 |
| 0.000 | 0.000 | -0.000 | -0.000 | 0.000 | 0.000 |
| 0.000 | 0.000 | 0.000 | -0.000 | 0.000 | -0.000 |
| 0.000 | 0.000 | 0.000 | 0.000 | -0.000 | -0.000 |
| 0.000 | 0.000 | 0.000 | 0.000 | -0.000 | 0.000 |
| 0.000 | -0.000 | -0.000 | 0.000 | -0.000 | 0.000 |
| -0.000 | 0.000 | -0.000 | 0.000 | 0.000 | 0.000 |
| -0.000 | -0.000 | 0.000 | 0.000 | 0.000 | 0.000 |
| 0.000 | 0.000 | 0.000 | 0.000 | -0.000 | -0.000 |
| 0.000 | 0.000 | 0.000 | -0.000 | 0.000 | 0.000 |
| 0.000 | 0.000 | 0.000 | 0.000 | 0.000 | 0.000 |
| -0.000 | 0.000 | 0.000 | 0.000 | 0.000 | -0.000 |
| 0.000 | -0.000 | 0.000 | -0.000 | 0.000 | -0.000 |
| 0.000 | 0.000 | -0.000 | -0.000 | -0.000 | 0.000 |
| 0.000 | 0.000 | 0.000 | -0.000 | -0.000 | -0.000 |
| 0.000 | 0.000 | 0.000 | -0.000 | -0.000 | -0.000 |
| 0.000 | 0.000 | 0.000 | -0.000 | -0.000 | -0.000 |
| 0.000 | -0.000 | -0.000 | 0.000 | 0.000 | -0.000 |
| -0.000 | 0.000 | -0.000 | 0.000 | 0.000 | -0.000 |
| -0.000 | -0.000 | 0.000 | 0.000 | -0.000 | 0.000 |
| 0.000 | 0.000 | 0.000 | -0.000 | -0.000 | -0.000 |
| 0.000 | 0.000 | 0.000 | -0.000 | -0.000 | -0.000 |
| 0.000 | 0.000 | 0.000 | -0.000 | 0.000 | 0.000 |
| -0.000 | 0.000 | 0.000 | 0.000 | 0.000 | -0.000 |
| 0.000 | -0.000 | 0.000 | 0.000 | 0.000 | -0.000 |
| 0.000 | 0.000 | -0.000 | -0.000 | -0.000 | 0.000 |
| 0.000 | 0.000 | 0.000 | -0.000 | -0.000 | -0.000 |
| 0.000 | 0.000 | 0.000 | -0.000 | 0.000 | -0.000 |
| 0.000 | 0.000 | 0.000 | 0.000 | -0.000 | -0.000 |
| 0.000 | -0.000 | -0.000 | 0.000 | -0.000 | 0.000 |
| -0.000 | 0.000 | -0.000 | -0.000 | 0.000 | 0.000 |
| -0.000 | -0.000 | 0.000 | 0.000 | 0.000 | 0.000 |
| 0.000 | 0.000 | 0.000 | 0.000 | -0.000 | 0.000 |
| 0.000 | 0.000 | 0.000 | 0.000 | -0.000 | -0.000 |
| 0.000 | 0.000 | 0.000 | 0.000 | 0.000 | 0.000 |
| -0.000 | 0.000 | 0.000 | 0.000 | 0.000 | -0.000 |
| 0.000 | -0.000 | 0.000 | 0.000 | 0.000 | 0.000 |
| 0.000 | 0.000 | -0.000 | -0.000 | 0.000 | 0.000 |
| 0.000 | 0.000 | 0.000 | -0.000 | 0.000 | -0.000 |
| 0.000 | 0.000 | 0.000 | 0.000 | 0.000 | -0.000 |
| 0.000 | 0.000 | 0.000 | 0.000 | -0.000 | -0.000 |
| 0.000 | -0.000 | -0.000 | 0.000 | -0.000 | -0.000 |
| -0.000 | 0.000 | -0.000 | -0.000 | 0.000 | 0.000 |
| -0.000 | -0.000 | 0.000 | 0.000 | 0.000 | 0.000 |
| 0.000 | 0.000 | 0.000 | 0.000 | 0.000 | -0.000 |
| 0.000 | 0.000 | 0.000 | -0.000 | 0.000 | -0.000 |
| 0.000 | 0.000 | 0.000 | -0.000 | -0.000 | -0.000 |
| -0.000 | -0.000 | -0.000 | 0.000 | -0.000 | 0.000 |
| -0.000 | -0.000 | -0.000 | -0.000 | 0.000 | -0.000 |
| -0.000 | -0.000 | -0.000 | 0.000 | -0.000 | 0.000 |
| 0.000 | 0.000 | 0.000 | 0.000 | 0.000 | -0.000 |
| 0.000 | 0.000 | 0.000 | 0.000 | -0.000 | -0.000 |
| 0.000 | 0.000 | 0.000 | 0.000 | 0.000 | 0.000 |
| 0.000 | 0.000 | 0.000 | 0.000 | 0.000 | -0.000 |
| 0.000 | 0.000 | 0.000 | 0.000 | 0.000 | -0.000 |
| 0.000 | 0.000 | 0.000 | -0.000 | -0.000 | 0.000 |
| 0.000 | 0.000 | 0.000 | 0.000 | -0.000 | 0.000 |
| 0.000 | 0.000 | 0.000 | -0.000 | 0.000 | 0.000 |
| 0.000 | 0.000 | 0.000 | -0.000 | -0.000 | -0.000 |
| -0.000 | -0.000 | -0.000 | 0.000 | -0.000 | 0.000 |
| -0.000 | -0.000 | -0.000 | 0.000 | 0.000 | 0.000 |
| -0.000 | -0.000 | -0.000 | 0.000 | 0.000 | 0.000 |
| 0.000 | 0.000 | 0.000 | -0.000 | 0.000 | -0.000 |
| 0.000 | 0.000 | 0.000 | 0.000 | -0.000 | -0.000 |
| 0.000 | 0.000 | 0.000 | 0.000 | -0.000 | -0.000 |
| 0.000 | 0.000 | 0.000 | 0.000 | 0.000 | -0.000 |
| 0.000 | 0.000 | 0.000 | 0.000 | 0.000 | 0.000 |
| 0.000 | 0.000 | 0.000 | 0.000 | 0.000 | 0.000 |
| 0.000 | 0.000 | 0.000 | -0.000 | -0.000 | 0.000 |
| 0.000 | 0.000 | 0.000 | 0.000 | -0.000 | 0.000 |
| 0.000 | 0.000 | 0.000 | 0.000 | -0.000 | 0.000 |
| -0.000 | -0.000 | -0.000 | 0.000 | -0.000 | 0.000 |
| -0.000 | -0.000 | -0.000 | -0.000 | 0.000 | 0.000 |
| -0.000 | -0.000 | -0.000 | -0.000 | 0.000 | 0.000 |
| 0.000 | 0.000 | 0.000 | -0.000 | 0.000 | -0.000 |
| 0.000 | 0.000 | 0.000 | 0.000 | 0.000 | -0.000 |
| 0.000 | 0.000 | 0.000 | 0.000 | -0.000 | -0.000 |
| 0.000 | 0.000 | 0.000 | 0.000 | 0.000 | 0.000 |
| 0.000 | 0.000 | 0.000 | 0.000 | 0.000 | 0.000 |
| 0.000 | 0.000 | 0.000 | 0.000 | 0.000 | 0.000 |
| 0.000 | 0.000 | 0.000 | 0.000 | 0.000 | 0.000 |
| 0.000 | 0.000 | 0.000 | 0.000 | -0.000 | -0.000 |
| 0.000 | 0.000 | 0.000 | 0.000 | 0.000 | 0.000 |
| -0.000 | 0.000 | 0.000 | 0.000 | -0.000 | 0.000 |
| 0.000 | -0.000 | 0.000 | -0.000 | 0.000 | 0.000 |
| 0.000 | 0.000 | -0.000 | 0.000 | 0.000 | 0.000 |
| 0.000 | 0.000 | 0.000 | -0.000 | 0.000 | 0.000 |
| 0.000 | 0.000 | 0.000 | 0.000 | 0.000 | 0.000 |
| 0.000 | 0.000 | 0.000 | -0.000 | -0.000 | -0.000 |
| 0.000 | -0.000 | -0.000 | 0.000 | 0.000 | -0.000 |
| -0.000 | 0.000 | -0.000 | 0.000 | 0.000 | -0.000 |
| -0.000 | -0.000 | 0.000 | -0.000 | -0.000 | 0.000 |
| 0.000 | 0.000 | 0.000 | -0.000 | 0.000 | 0.000 |
| 0.000 | 0.000 | 0.000 | -0.000 | 0.000 | 0.000 |
| 0.000 | 0.000 | 0.000 | 0.000 | 0.000 | -0.000 |
| -0.000 | 0.000 | 0.000 | 0.000 | -0.000 | -0.000 |
| 0.000 | -0.000 | 0.000 | -0.000 | 0.000 | -0.000 |
| 0.000 | 0.000 | -0.000 | 0.000 | -0.000 | 0.000 |
| 0.000 | 0.000 | 0.000 | 0.000 | -0.000 | 0.000 |
| 0.000 | 0.000 | 0.000 | -0.000 | -0.000 | -0.000 |
| 0.000 | 0.000 | 0.000 | -0.000 | -0.000 | 0.000 |
| 0.000 | -0.000 | -0.000 | 0.000 | 0.000 | 0.000 |
| -0.000 | 0.000 | -0.000 | 0.000 | 0.000 | -0.000 |
| -0.000 | -0.000 | 0.000 | 0.000 | -0.000 | 0.000 |
| 0.000 | 0.000 | 0.000 | -0.000 | 0.000 | -0.000 |
| 0.000 | 0.000 | 0.000 | 0.000 | 0.000 | -0.000 |
| 0.000 | 0.000 | 0.000 | -0.000 | -0.000 | -0.000 |
| -0.000 | 0.000 | 0.000 | 0.000 | 0.000 | 0.000 |
| 0.000 | -0.000 | 0.000 | 0.000 | 0.000 | 0.000 |
| 0.000 | 0.000 | -0.000 | -0.000 | 0.000 | 0.000 |
| 0.000 | 0.000 | 0.000 | -0.000 | -0.000 | 0.000 |
| 0.000 | 0.000 | 0.000 | 0.000 | -0.000 | 0.000 |
| 0.000 | 0.000 | 0.000 | 0.000 | 0.000 | -0.000 |
| 0.000 | -0.000 | -0.000 | 0.000 | 0.000 | -0.000 |
| -0.000 | 0.000 | -0.000 | 0.000 | 0.000 | -0.000 |
| -0.000 | -0.000 | 0.000 | 0.000 | -0.000 | 0.000 |
| -0.000 | -0.000 | -0.000 | -0.000 | 0.000 | 0.000 |
| -0.000 | -0.000 | -0.000 | -0.000 | 0.000 | -0.000 |
| -0.000 | -0.000 | -0.000 | -0.000 | 0.000 | 0.000 |
| 0.000 | -0.000 | -0.000 | -0.000 | -0.000 | -0.000 |
| -0.000 | 0.000 | -0.000 | -0.000 | -0.000 | 0.000 |
| -0.000 | -0.000 | 0.000 | 0.000 | 0.000 | -0.000 |
| -0.000 | -0.000 | -0.000 | 0.000 | -0.000 | 0.000 |
| -0.000 | -0.000 | -0.000 | 0.000 | 0.000 | 0.000 |
| -0.000 | -0.000 | -0.000 | -0.000 | -0.000 | 0.000 |
| -0.000 | 0.000 | 0.000 | -0.000 | -0.000 | 0.000 |
| 0.000 | -0.000 | 0.000 | -0.000 | -0.000 | 0.000 |
| 0.000 | 0.000 | -0.000 | 0.000 | -0.000 | -0.000 |
| -0.000 | -0.000 | -0.000 | -0.000 | 0.000 | -0.000 |
| -0.000 | -0.000 | -0.000 | -0.000 | -0.000 | -0.000 |
| -0.000 | -0.000 | -0.000 | 0.000 | 0.000 | 0.000 |
| 0.000 | -0.000 | -0.000 | -0.000 | 0.000 | -0.000 |
| -0.000 | 0.000 | -0.000 | 0.000 | -0.000 | 0.000 |
| -0.000 | -0.000 | 0.000 | 0.000 | 0.000 | -0.000 |
| -0.000 | -0.000 | -0.000 | -0.000 | -0.000 | 0.000 |
| -0.000 | -0.000 | -0.000 | -0.000 | -0.000 | 0.000 |
| -0.000 | -0.000 | -0.000 | -0.000 | -0.000 | 0.000 |
| -0.000 | 0.000 | 0.000 | -0.000 | -0.000 | 0.000 |
| 0.000 | -0.000 | 0.000 | -0.000 | -0.000 | 0.000 |
| 0.000 | 0.000 | -0.000 | -0.000 | 0.000 | -0.000 |
| -0.000 | -0.000 | -0.000 | 0.000 | 0.000 | -0.000 |
| -0.000 | -0.000 | -0.000 | 0.000 | -0.000 | -0.000 |
| -0.000 | -0.000 | -0.000 | -0.000 | 0.000 | 0.000 |
| 0.000 | -0.000 | -0.000 | -0.000 | -0.000 | -0.000 |
| -0.000 | 0.000 | -0.000 | -0.000 | -0.000 | -0.000 |
| -0.000 | -0.000 | 0.000 | 0.000 | -0.000 | -0.000 |
| -0.000 | -0.000 | -0.000 | -0.000 | -0.000 | 0.000 |
| -0.000 | -0.000 | -0.000 | 0.000 | -0.000 | 0.000 |
| -0.000 | -0.000 | -0.000 | 0.000 | -0.000 | 0.000 |
| -0.000 | 0.000 | 0.000 | -0.000 | -0.000 | 0.000 |
| 0.000 | -0.000 | 0.000 | 0.000 | -0.000 | -0.000 |
| 0.000 | 0.000 | -0.000 | 0.000 | -0.000 | -0.000 |
| -0.000 | -0.000 | -0.000 | 0.000 | 0.000 | 0.000 |
| -0.000 | -0.000 | -0.000 | 0.000 | -0.000 | 0.000 |
| -0.000 | -0.000 | -0.000 | 0.000 | 0.000 | -0.000 |
| 0.000 | -0.000 | -0.000 | -0.000 | -0.000 | -0.000 |
| -0.000 | 0.000 | -0.000 | 0.000 | -0.000 | 0.000 |
| -0.000 | -0.000 | 0.000 | 0.000 | 0.000 | -0.000 |
| -0.000 | -0.000 | -0.000 | 0.000 | -0.000 | 0.000 |
| -0.000 | -0.000 | -0.000 | -0.000 | 0.000 | 0.000 |
| -0.000 | -0.000 | -0.000 | 0.000 | -0.000 | 0.000 |
| 0.000 | 0.000 | 0.000 | -0.000 | 0.000 | -0.000 |
| 0.000 | 0.000 | 0.000 | 0.000 | -0.000 | 0.000 |
| 0.000 | 0.000 | 0.000 | 0.000 | 0.000 | -0.000 |
| -0.000 | -0.000 | -0.000 | 0.000 | 0.000 | 0.000 |
| -0.000 | -0.000 | -0.000 | 0.000 | 0.000 | 0.000 |
| -0.000 | -0.000 | -0.000 | 0.000 | 0.000 | 0.000 |
| 0.000 | -0.000 | -0.000 | -0.000 | 0.000 | 0.000 |
| -0.000 | 0.000 | -0.000 | 0.000 | -0.000 | 0.000 |
| -0.000 | -0.000 | 0.000 | -0.000 | 0.000 | -0.000 |
| -0.000 | -0.000 | -0.000 | -0.000 | -0.000 | -0.000 |
| -0.000 | -0.000 | -0.000 | -0.000 | -0.000 | -0.000 |
| -0.000 | -0.000 | -0.000 | -0.000 | -0.000 | -0.000 |
| -0.000 | 0.000 | 0.000 | -0.000 | -0.000 | 0.000 |
| 0.000 | -0.000 | 0.000 | -0.000 | -0.000 | 0.000 |
| 0.000 | 0.000 | -0.000 | 0.000 | 0.000 | -0.000 |
| -0.000 | -0.000 | -0.000 | -0.000 | -0.000 | -0.000 |
| -0.000 | -0.000 | -0.000 | -0.000 | -0.000 | 0.000 |
| -0.000 | -0.000 | -0.000 | -0.000 | 0.000 | 0.000 |
| 0.000 | -0.000 | -0.000 | -0.000 | -0.000 | -0.000 |
| -0.000 | 0.000 | -0.000 | 0.000 | -0.000 | 0.000 |
| -0.000 | -0.000 | 0.000 | 0.000 | 0.000 | -0.000 |
| -0.000 | -0.000 | -0.000 | 0.000 | 0.000 | 0.000 |
| -0.000 | -0.000 | -0.000 | 0.000 | 0.000 | -0.000 |
| -0.000 | -0.000 | -0.000 | 0.000 | -0.000 | -0.000 |
| -0.000 | 0.000 | 0.000 | -0.000 | -0.000 | 0.000 |
| 0.000 | -0.000 | 0.000 | 0.000 | -0.000 | 0.000 |
| 0.000 | 0.000 | -0.000 | -0.000 | 0.000 | -0.000 |
| 0.000 | 0.000 | 0.000 | -0.000 | -0.000 | -0.000 |
| 0.000 | 0.000 | 0.000 | -0.000 | -0.000 | 0.000 |
| 0.000 | 0.000 | 0.000 | 0.000 | -0.000 | -0.000 |
| -0.000 | 0.000 | 0.000 | 0.000 | -0.000 | 0.000 |
| 0.000 | -0.000 | 0.000 | -0.000 | 0.000 | -0.000 |
| 0.000 | 0.000 | -0.000 | 0.000 | -0.000 | 0.000 |
| 0.000 | 0.000 | 0.000 | 0.000 | 0.000 | 0.000 |
| 0.000 | 0.000 | 0.000 | 0.000 | 0.000 | -0.000 |
| 0.000 | 0.000 | 0.000 | 0.000 | 0.000 | -0.000 |
| 0.000 | -0.000 | -0.000 | 0.000 | 0.000 | 0.000 |
| -0.000 | 0.000 | -0.000 | 0.000 | 0.000 | -0.000 |
| -0.000 | -0.000 | 0.000 | -0.000 | 0.000 | 0.000 |
| 0.000 | 0.000 | 0.000 | -0.000 | -0.000 | -0.000 |
| 0.000 | 0.000 | 0.000 | 0.000 | -0.000 | 0.000 |
| 0.000 | 0.000 | 0.000 | -0.000 | -0.000 | 0.000 |
| -0.000 | 0.000 | 0.000 | 0.000 | -0.000 | 0.000 |
| 0.000 | -0.000 | 0.000 | 0.000 | 0.000 | -0.000 |
| 0.000 | 0.000 | -0.000 | -0.000 | -0.000 | 0.000 |
| 0.000 | 0.000 | 0.000 | 0.000 | 0.000 | -0.000 |
| 0.000 | 0.000 | 0.000 | -0.000 | 0.000 | -0.000 |
| 0.000 | 0.000 | 0.000 | 0.000 | 0.000 | 0.000 |
| 0.000 | -0.000 | -0.000 | 0.000 | 0.000 | 0.000 |
| -0.000 | 0.000 | -0.000 | 0.000 | 0.000 | -0.000 |
| -0.000 | -0.000 | 0.000 | 0.000 | -0.000 | 0.000 |
| 0.000 | 0.000 | 0.000 | -0.000 | -0.000 | 0.000 |
| 0.000 | 0.000 | 0.000 | -0.000 | -0.000 | 0.000 |
| 0.000 | 0.000 | 0.000 | -0.000 | -0.000 | 0.000 |
| -0.000 | 0.000 | 0.000 | 0.000 | -0.000 | -0.000 |
| 0.000 | -0.000 | 0.000 | -0.000 | 0.000 | -0.000 |
| 0.000 | 0.000 | -0.000 | -0.000 | -0.000 | 0.000 |
| 0.000 | 0.000 | 0.000 | -0.000 | 0.000 | -0.000 |
| 0.000 | 0.000 | 0.000 | 0.000 | -0.000 | -0.000 |
| 0.000 | 0.000 | 0.000 | 0.000 | 0.000 | 0.000 |
| 0.000 | -0.000 | -0.000 | 0.000 | 0.000 | -0.000 |
| -0.000 | 0.000 | -0.000 | -0.000 | 0.000 | -0.000 |
| -0.000 | -0.000 | 0.000 | -0.000 | -0.000 | 0.000 |
| -0.000 | -0.000 | -0.000 | 0.000 | -0.000 | 0.000 |
| -0.000 | -0.000 | -0.000 | -0.000 | -0.000 | 0.000 |
| -0.000 | -0.000 | -0.000 | -0.000 | -0.000 | 0.000 |
| 0.000 | -0.000 | -0.000 | -0.000 | -0.000 | 0.000 |
| -0.000 | 0.000 | -0.000 | -0.000 | -0.000 | 0.000 |
| -0.000 | -0.000 | 0.000 | -0.000 | 0.000 | -0.000 |
| -0.000 | -0.000 | -0.000 | -0.000 | -0.000 | 0.000 |
| -0.000 | -0.000 | -0.000 | -0.000 | 0.000 | -0.000 |
| -0.000 | -0.000 | -0.000 | 0.000 | 0.000 | -0.000 |
| -0.000 | 0.000 | 0.000 | -0.000 | 0.000 | 0.000 |
| 0.000 | -0.000 | 0.000 | -0.000 | -0.000 | -0.000 |
| 0.000 | 0.000 | -0.000 | 0.000 | -0.000 | -0.000 |
| -0.000 | -0.000 | -0.000 | 0.000 | 0.000 | 0.000 |
| -0.000 | -0.000 | -0.000 | 0.000 | 0.000 | -0.000 |
| -0.000 | -0.000 | -0.000 | -0.000 | -0.000 | 0.000 |
| 0.000 | -0.000 | -0.000 | -0.000 | -0.000 | 0.000 |
| -0.000 | 0.000 | -0.000 | -0.000 | -0.000 | 0.000 |
| -0.000 | -0.000 | 0.000 | -0.000 | 0.000 | -0.000 |
| -0.000 | -0.000 | -0.000 | -0.000 | -0.000 | -0.000 |
| -0.000 | -0.000 | -0.000 | -0.000 | 0.000 | -0.000 |
| -0.000 | -0.000 | -0.000 | 0.000 | 0.000 | -0.000 |
| -0.000 | 0.000 | 0.000 | -0.000 | 0.000 | -0.000 |
| 0.000 | -0.000 | 0.000 | 0.000 | -0.000 | -0.000 |
| 0.000 | 0.000 | -0.000 | 0.000 | -0.000 | -0.000 |
| -0.000 | -0.000 | -0.000 | 0.000 | 0.000 | -0.000 |
| -0.000 | -0.000 | -0.000 | -0.000 | 0.000 | 0.000 |
| -0.000 | -0.000 | -0.000 | 0.000 | 0.000 | -0.000 |
| 0.000 | -0.000 | -0.000 | -0.000 | -0.000 | 0.000 |
| -0.000 | 0.000 | -0.000 | 0.000 | -0.000 | 0.000 |
| -0.000 | -0.000 | 0.000 | 0.000 | 0.000 | -0.000 |
| -0.000 | -0.000 | -0.000 | -0.000 | -0.000 | -0.000 |
| -0.000 | -0.000 | -0.000 | 0.000 | -0.000 | -0.000 |
| -0.000 | -0.000 | -0.000 | -0.000 | 0.000 | -0.000 |
| -0.000 | 0.000 | 0.000 | -0.000 | 0.000 | 0.000 |
| 0.000 | -0.000 | 0.000 | -0.000 | -0.000 | 0.000 |
| 0.000 | 0.000 | -0.000 | 0.000 | 0.000 | -0.000 |
| 0.000 | 0.000 | 0.000 | 0.000 | 0.000 | 0.000 |
| 0.000 | 0.000 | 0.000 | -0.000 | 0.000 | 0.000 |
| 0.000 | 0.000 | 0.000 | 0.000 | 0.000 | 0.000 |
| -0.000 | 0.000 | 0.000 | 0.000 | 0.000 | 0.000 |
| 0.000 | -0.000 | 0.000 | 0.000 | 0.000 | -0.000 |
| 0.000 | 0.000 | -0.000 | 0.000 | 0.000 | 0.000 |
| 0.000 | 0.000 | 0.000 | -0.000 | -0.000 | -0.000 |
| 0.000 | 0.000 | 0.000 | -0.000 | -0.000 | -0.000 |
| 0.000 | 0.000 | 0.000 | -0.000 | -0.000 | -0.000 |
| 0.000 | -0.000 | -0.000 | 0.000 | -0.000 | 0.000 |
| -0.000 | 0.000 | -0.000 | -0.000 | 0.000 | -0.000 |
| -0.000 | -0.000 | 0.000 | -0.000 | -0.000 | 0.000 |
| 0.000 | 0.000 | 0.000 | 0.000 | 0.000 | 0.000 |
| 0.000 | 0.000 | 0.000 | 0.000 | 0.000 | 0.000 |
| 0.000 | 0.000 | 0.000 | 0.000 | 0.000 | 0.000 |
| -0.000 | 0.000 | 0.000 | 0.000 | 0.000 | 0.000 |
| 0.000 | -0.000 | 0.000 | 0.000 | 0.000 | -0.000 |
| 0.000 | 0.000 | -0.000 | 0.000 | -0.000 | 0.000 |
| 0.000 | 0.000 | 0.000 | -0.000 | -0.000 | -0.000 |
| 0.000 | 0.000 | 0.000 | -0.000 | -0.000 | -0.000 |
| 0.000 | 0.000 | 0.000 | -0.000 | -0.000 | -0.000 |
| 0.000 | -0.000 | -0.000 | 0.000 | -0.000 | -0.000 |
| -0.000 | 0.000 | -0.000 | -0.000 | 0.000 | -0.000 |
| -0.000 | -0.000 | 0.000 | -0.000 | -0.000 | 0.000 |
| 0.000 | 0.000 | 0.000 | 0.000 | 0.000 | -0.000 |
| 0.000 | 0.000 | 0.000 | 0.000 | 0.000 | -0.000 |
| 0.000 | 0.000 | 0.000 | 0.000 | 0.000 | 0.000 |
| -0.000 | 0.000 | 0.000 | 0.000 | 0.000 | 0.000 |
| 0.000 | -0.000 | 0.000 | 0.000 | 0.000 | -0.000 |
| 0.000 | 0.000 | -0.000 | 0.000 | -0.000 | 0.000 |
| 0.000 | 0.000 | 0.000 | -0.000 | -0.000 | -0.000 |
| 0.000 | 0.000 | 0.000 | -0.000 | -0.000 | 0.000 |
| 0.000 | 0.000 | 0.000 | -0.000 | -0.000 | -0.000 |
| 0.000 | -0.000 | -0.000 | 0.000 | -0.000 | -0.000 |
| -0.000 | 0.000 | -0.000 | 0.000 | 0.000 | -0.000 |
| -0.000 | -0.000 | 0.000 | -0.000 | -0.000 | 0.000 |
| 0.000 | 0.000 | 0.000 | -0.000 | -0.000 | -0.000 |
| 0.000 | 0.000 | 0.000 | -0.000 | 0.000 | -0.000 |
| 0.000 | 0.000 | 0.000 | -0.000 | 0.000 | 0.000 |
| -0.000 | 0.000 | 0.000 | 0.000 | -0.000 | 0.000 |
| 0.000 | -0.000 | 0.000 | -0.000 | 0.000 | -0.000 |
| 0.000 | 0.000 | -0.000 | -0.000 | -0.000 | 0.000 |
| 0.000 | 0.000 | 0.000 | -0.000 | 0.000 | 0.000 |
| 0.000 | 0.000 | 0.000 | 0.000 | 0.000 | 0.000 |
| 0.000 | 0.000 | 0.000 | -0.000 | -0.000 | -0.000 |
| 0.000 | -0.000 | -0.000 | 0.000 | 0.000 | -0.000 |
| -0.000 | 0.000 | -0.000 | 0.000 | 0.000 | -0.000 |
| -0.000 | -0.000 | 0.000 | -0.000 | -0.000 | 0.000 |
| 0.000 | 0.000 | 0.000 | -0.000 | -0.000 | -0.000 |
| 0.000 | 0.000 | 0.000 | -0.000 | -0.000 | -0.000 |
| 0.000 | 0.000 | 0.000 | -0.000 | 0.000 | -0.000 |
| -0.000 | 0.000 | 0.000 | 0.000 | 0.000 | 0.000 |
| 0.000 | -0.000 | 0.000 | -0.000 | 0.000 | 0.000 |
| 0.000 | 0.000 | -0.000 | -0.000 | 0.000 | 0.000 |
| 0.000 | 0.000 | 0.000 | 0.000 | 0.000 | 0.000 |
| 0.000 | 0.000 | 0.000 | 0.000 | -0.000 | 0.000 |
| 0.000 | 0.000 | 0.000 | 0.000 | -0.000 | -0.000 |
| 0.000 | -0.000 | -0.000 | 0.000 | 0.000 | -0.000 |
| -0.000 | 0.000 | -0.000 | 0.000 | 0.000 | 0.000 |
| -0.000 | -0.000 | 0.000 | 0.000 | 0.000 | 0.000 |
| 0.000 | 0.000 | 0.000 | -0.000 | -0.000 | -0.000 |
| 0.000 | 0.000 | 0.000 | -0.000 | -0.000 | -0.000 |
| 0.000 | 0.000 | 0.000 | 0.000 | 0.000 | 0.000 |
| -0.000 | 0.000 | 0.000 | 0.000 | 0.000 | -0.000 |
| 0.000 | -0.000 | 0.000 | 0.000 | 0.000 | 0.000 |
| 0.000 | 0.000 | -0.000 | -0.000 | 0.000 | 0.000 |
| 0.000 | 0.000 | 0.000 | -0.000 | -0.000 | 0.000 |
| 0.000 | 0.000 | 0.000 | -0.000 | -0.000 | 0.000 |
| 0.000 | 0.000 | 0.000 | 0.000 | -0.000 | -0.000 |
| 0.000 | -0.000 | -0.000 | 0.000 | -0.000 | 0.000 |
| -0.000 | 0.000 | -0.000 | 0.000 | 0.000 | 0.000 |
| -0.000 | -0.000 | 0.000 | 0.000 | 0.000 | 0.000 |
| 0.000 | 0.000 | 0.000 | 0.000 | 0.000 | -0.000 |
| 0.000 | 0.000 | 0.000 | 0.000 | 0.000 | 0.000 |
| 0.000 | 0.000 | 0.000 | -0.000 | 0.000 | 0.000 |
| -0.000 | 0.000 | 0.000 | 0.000 | 0.000 | 0.000 |
| 0.000 | -0.000 | 0.000 | 0.000 | 0.000 | -0.000 |
| 0.000 | 0.000 | -0.000 | -0.000 | -0.000 | 0.000 |
| 0.000 | 0.000 | 0.000 | -0.000 | -0.000 | -0.000 |
| 0.000 | 0.000 | 0.000 | -0.000 | -0.000 | -0.000 |
| 0.000 | 0.000 | 0.000 | 0.000 | 0.000 | -0.000 |
| 0.000 | -0.000 | -0.000 | 0.000 | -0.000 | -0.000 |
| -0.000 | 0.000 | -0.000 | -0.000 | 0.000 | -0.000 |
| -0.000 | -0.000 | 0.000 | -0.000 | -0.000 | 0.000 |
| 0.000 | 0.000 | 0.000 | -0.000 | 0.000 | 0.000 |
| 0.000 | 0.000 | 0.000 | 0.000 | -0.000 | 0.000 |
| 0.000 | 0.000 | 0.000 | 0.000 | 0.000 | 0.000 |
| -0.000 | 0.000 | 0.000 | 0.000 | 0.000 | 0.000 |
| 0.000 | -0.000 | 0.000 | 0.000 | 0.000 | 0.000 |
| 0.000 | 0.000 | -0.000 | 0.000 | 0.000 | 0.000 |
| 0.000 | 0.000 | 0.000 | -0.000 | -0.000 | -0.000 |
| 0.000 | 0.000 | 0.000 | 0.000 | -0.000 | -0.000 |
| 0.000 | 0.000 | 0.000 | 0.000 | 0.000 | -0.000 |
| 0.000 | -0.000 | -0.000 | 0.000 | -0.000 | 0.000 |
| -0.000 | 0.000 | -0.000 | -0.000 | 0.000 | 0.000 |
| -0.000 | -0.000 | 0.000 | -0.000 | 0.000 | 0.000 |
| 0.000 | 0.000 | 0.000 | 0.000 | -0.000 | 0.000 |
| 0.000 | 0.000 | 0.000 | -0.000 | 0.000 | 0.000 |
| 0.000 | 0.000 | 0.000 | -0.000 | -0.000 | -0.000 |
| -0.000 | 0.000 | 0.000 | 0.000 | -0.000 | -0.000 |
| 0.000 | -0.000 | 0.000 | -0.000 | 0.000 | -0.000 |
| 0.000 | 0.000 | -0.000 | 0.000 | -0.000 | 0.000 |
| 0.000 | 0.000 | 0.000 | 0.000 | 0.000 | -0.000 |
| 0.000 | 0.000 | 0.000 | 0.000 | 0.000 | -0.000 |
| 0.000 | 0.000 | 0.000 | 0.000 | -0.000 | -0.000 |
| 0.000 | -0.000 | -0.000 | 0.000 | -0.000 | -0.000 |
| -0.000 | 0.000 | -0.000 | 0.000 | 0.000 | -0.000 |
| -0.000 | -0.000 | 0.000 | -0.000 | -0.000 | 0.000 |
| 0.000 | 0.000 | 0.000 | -0.000 | 0.000 | 0.000 |
| 0.000 | 0.000 | 0.000 | 0.000 | -0.000 | 0.000 |
| 0.000 | 0.000 | 0.000 | 0.000 | 0.000 | 0.000 |
| -0.000 | 0.000 | 0.000 | 0.000 | -0.000 | -0.000 |
| 0.000 | -0.000 | 0.000 | -0.000 | 0.000 | -0.000 |
| 0.000 | 0.000 | -0.000 | 0.000 | -0.000 | 0.000 |
| 0.000 | 0.000 | 0.000 | -0.000 | 0.000 | 0.000 |
| 0.000 | 0.000 | 0.000 | 0.000 | 0.000 | 0.000 |
| 0.000 | 0.000 | 0.000 | -0.000 | -0.000 | -0.000 |
| 0.000 | -0.000 | -0.000 | 0.000 | -0.000 | 0.000 |
| -0.000 | 0.000 | -0.000 | -0.000 | 0.000 | -0.000 |
| -0.000 | -0.000 | 0.000 | -0.000 | -0.000 | 0.000 |
| 0.000 | 0.000 | 0.000 | 0.000 | -0.000 | -0.000 |
| 0.000 | 0.000 | 0.000 | -0.000 | 0.000 | -0.000 |
| 0.000 | 0.000 | 0.000 | -0.000 | -0.000 | -0.000 |
| -0.000 | 0.000 | 0.000 | 0.000 | -0.000 | 0.000 |
| 0.000 | -0.000 | 0.000 | -0.000 | 0.000 | 0.000 |
| 0.000 | 0.000 | -0.000 | 0.000 | 0.000 | 0.000 |
| 0.000 | 0.000 | 0.000 | -0.000 | -0.000 | -0.000 |
| 0.000 | 0.000 | 0.000 | -0.000 | -0.000 | -0.000 |
| 0.000 | 0.000 | 0.000 | -0.000 | -0.000 | 0.000 |
| 0.000 | -0.000 | -0.000 | 0.000 | 0.000 | 0.000 |
| -0.000 | 0.000 | -0.000 | -0.000 | 0.000 | -0.000 |
| -0.000 | -0.000 | 0.000 | -0.000 | -0.000 | 0.000 |
| 0.000 | 0.000 | 0.000 | -0.000 | 0.000 | -0.000 |
| 0.000 | 0.000 | 0.000 | -0.000 | 0.000 | -0.000 |
| 0.000 | 0.000 | 0.000 | -0.000 | -0.000 | -0.000 |
| -0.000 | 0.000 | 0.000 | 0.000 | 0.000 | -0.000 |
| 0.000 | -0.000 | 0.000 | 0.000 | 0.000 | -0.000 |
| 0.000 | 0.000 | -0.000 | 0.000 | -0.000 | 0.000 |
| 0.000 | 0.000 | 0.000 | 0.000 | -0.000 | -0.000 |
| 0.000 | 0.000 | 0.000 | -0.000 | 0.000 | -0.000 |
| 0.000 | 0.000 | 0.000 | 0.000 | 0.000 | -0.000 |
| 0.000 | -0.000 | -0.000 | 0.000 | -0.000 | 0.000 |
| -0.000 | 0.000 | -0.000 | -0.000 | 0.000 | -0.000 |
| -0.000 | -0.000 | 0.000 | -0.000 | -0.000 | 0.000 |
| -0.000 | -0.000 | -0.000 | -0.000 | -0.000 | 0.000 |
| -0.000 | -0.000 | -0.000 | -0.000 | -0.000 | 0.000 |
| -0.000 | -0.000 | -0.000 | 0.000 | -0.000 | -0.000 |
| 0.000 | 0.000 | 0.000 | -0.000 | 0.000 | 0.000 |
| 0.000 | 0.000 | 0.000 | 0.000 | -0.000 | 0.000 |
| 0.000 | 0.000 | 0.000 | 0.000 | -0.000 | -0.000 |
| -0.000 | -0.000 | -0.000 | 0.000 | 0.000 | -0.000 |
| -0.000 | -0.000 | -0.000 | -0.000 | 0.000 | -0.000 |
| -0.000 | -0.000 | -0.000 | -0.000 | -0.000 | 0.000 |
| -0.000 | -0.000 | -0.000 | -0.000 | -0.000 | -0.000 |
| -0.000 | -0.000 | -0.000 | -0.000 | -0.000 | -0.000 |
| -0.000 | -0.000 | -0.000 | -0.000 | 0.000 | -0.000 |
| -0.000 | -0.000 | -0.000 | -0.000 | 0.000 | 0.000 |
| -0.000 | -0.000 | -0.000 | 0.000 | -0.000 | 0.000 |
| -0.000 | -0.000 | -0.000 | 0.000 | -0.000 | -0.000 |
| 0.000 | 0.000 | 0.000 | -0.000 | -0.000 | 0.000 |
| 0.000 | 0.000 | 0.000 | 0.000 | -0.000 | 0.000 |
| 0.000 | 0.000 | 0.000 | -0.000 | -0.000 | -0.000 |
| -0.000 | -0.000 | -0.000 | 0.000 | 0.000 | -0.000 |
| -0.000 | -0.000 | -0.000 | -0.000 | 0.000 | -0.000 |
| -0.000 | -0.000 | -0.000 | -0.000 | 0.000 | -0.000 |
| -0.000 | -0.000 | -0.000 | -0.000 | 0.000 | -0.000 |
| -0.000 | -0.000 | -0.000 | 0.000 | -0.000 | -0.000 |
| -0.000 | -0.000 | -0.000 | 0.000 | 0.000 | -0.000 |
| -0.000 | -0.000 | -0.000 | 0.000 | 0.000 | 0.000 |
| -0.000 | -0.000 | -0.000 | 0.000 | 0.000 | 0.000 |
| -0.000 | -0.000 | -0.000 | 0.000 | -0.000 | 0.000 |
| 0.000 | 0.000 | 0.000 | -0.000 | -0.000 | 0.000 |
| 0.000 | 0.000 | 0.000 | 0.000 | -0.000 | 0.000 |
| 0.000 | 0.000 | 0.000 | 0.000 | -0.000 | -0.000 |
| -0.000 | -0.000 | -0.000 | 0.000 | 0.000 | -0.000 |
| -0.000 | -0.000 | -0.000 | 0.000 | 0.000 | -0.000 |
| -0.000 | -0.000 | -0.000 | 0.000 | 0.000 | 0.000 |
| -0.000 | -0.000 | -0.000 | -0.000 | 0.000 | -0.000 |
| -0.000 | -0.000 | -0.000 | -0.000 | -0.000 | -0.000 |
| -0.000 | -0.000 | -0.000 | -0.000 | 0.000 | -0.000 |
| -0.000 | -0.000 | -0.000 | -0.000 | -0.000 | -0.000 |
| -0.000 | -0.000 | -0.000 | -0.000 | -0.000 | -0.000 |
| -0.000 | -0.000 | -0.000 | -0.000 | -0.000 | -0.000 |
| 0.000 | 0.000 | 0.000 | -0.000 | -0.000 | 0.000 |
| 0.000 | 0.000 | 0.000 | -0.000 | -0.000 | -0.000 |
| 0.000 | 0.000 | 0.000 | -0.000 | -0.000 | -0.000 |
| -0.000 | -0.000 | -0.000 | 0.000 | 0.000 | -0.000 |
| -0.000 | -0.000 | -0.000 | 0.000 | 0.000 | -0.000 |
| -0.000 | -0.000 | -0.000 | 0.000 | 0.000 | -0.000 |
| -0.000 | -0.000 | -0.000 | -0.000 | 0.000 | -0.000 |
| -0.000 | -0.000 | -0.000 | 0.000 | -0.000 | -0.000 |
| -0.000 | -0.000 | -0.000 | 0.000 | -0.000 | -0.000 |
| -0.000 | -0.000 | -0.000 | -0.000 | -0.000 | -0.000 |
| -0.000 | -0.000 | -0.000 | -0.000 | -0.000 | 0.000 |
| -0.000 | -0.000 | -0.000 | -0.000 | -0.000 | -0.000 |
| 0.000 | 0.000 | 0.000 | -0.000 | -0.000 | 0.000 |
| 0.000 | 0.000 | 0.000 | -0.000 | -0.000 | -0.000 |
| 0.000 | 0.000 | 0.000 | -0.000 | -0.000 | -0.000 |
| -0.000 | -0.000 | -0.000 | 0.000 | 0.000 | 0.000 |
| -0.000 | -0.000 | -0.000 | 0.000 | 0.000 | 0.000 |
| -0.000 | -0.000 | -0.000 | 0.000 | 0.000 | 0.000 |
| -0.000 | -0.000 | -0.000 | -0.000 | 0.000 | -0.000 |
| -0.000 | -0.000 | -0.000 | 0.000 | -0.000 | -0.000 |
| -0.000 | -0.000 | -0.000 | 0.000 | -0.000 | -0.000 |
| -0.000 | -0.000 | -0.000 | -0.000 | -0.000 | -0.000 |
| -0.000 | -0.000 | -0.000 | -0.000 | -0.000 | -0.000 |
| -0.000 | -0.000 | -0.000 | -0.000 | -0.000 | -0.000 |
| 0.000 | 0.000 | 0.000 | -0.000 | -0.000 | 0.000 |
| 0.000 | 0.000 | 0.000 | -0.000 | -0.000 | 0.000 |
| 0.000 | 0.000 | 0.000 | 0.000 | 0.000 | -0.000 |
| -0.000 | -0.000 | -0.000 | 0.000 | 0.000 | 0.000 |
| -0.000 | -0.000 | -0.000 | 0.000 | 0.000 | 0.000 |
| -0.000 | -0.000 | -0.000 | 0.000 | 0.000 | 0.000 |
| -0.000 | -0.000 | -0.000 | -0.000 | 0.000 | -0.000 |
| -0.000 | -0.000 | -0.000 | 0.000 | -0.000 | 0.000 |
| -0.000 | -0.000 | -0.000 | -0.000 | 0.000 | -0.000 |
| 0.000 | 0.000 | 0.000 | -0.000 | -0.000 | 0.000 |
| 0.000 | 0.000 | 0.000 | 0.000 | 0.000 | 0.000 |
| 0.000 | 0.000 | 0.000 | 0.000 | 0.000 | 0.000 |
| -0.000 | 0.000 | 0.000 | 0.000 | -0.000 | -0.000 |
| 0.000 | -0.000 | 0.000 | -0.000 | 0.000 | -0.000 |
| 0.000 | 0.000 | -0.000 | 0.000 | -0.000 | 0.000 |
| 0.000 | 0.000 | 0.000 | 0.000 | -0.000 | -0.000 |
| 0.000 | 0.000 | 0.000 | -0.000 | -0.000 | -0.000 |
| 0.000 | 0.000 | 0.000 | 0.000 | -0.000 | -0.000 |
| -0.000 | -0.000 | -0.000 | 0.000 | 0.000 | -0.000 |
| -0.000 | -0.000 | -0.000 | 0.000 | 0.000 | -0.000 |
| -0.000 | -0.000 | -0.000 | -0.000 | -0.000 | 0.000 |
| 0.000 | 0.000 | 0.000 | -0.000 | -0.000 | -0.000 |
| 0.000 | 0.000 | 0.000 | -0.000 | -0.000 | 0.000 |
| 0.000 | 0.000 | 0.000 | 0.000 | -0.000 | -0.000 |
| -0.000 | 0.000 | 0.000 | 0.000 | -0.000 | 0.000 |
| 0.000 | -0.000 | 0.000 | -0.000 | 0.000 | -0.000 |
| 0.000 | 0.000 | -0.000 | -0.000 | -0.000 | 0.000 |
| 0.000 | 0.000 | 0.000 | -0.000 | -0.000 | 0.000 |
| 0.000 | 0.000 | 0.000 | 0.000 | 0.000 | -0.000 |
| 0.000 | 0.000 | 0.000 | 0.000 | 0.000 | 0.000 |
| 0.000 | -0.000 | -0.000 | 0.000 | 0.000 | 0.000 |
| -0.000 | 0.000 | -0.000 | 0.000 | 0.000 | 0.000 |
| -0.000 | -0.000 | 0.000 | -0.000 | 0.000 | 0.000 |
| 0.000 | 0.000 | 0.000 | -0.000 | 0.000 | 0.000 |
| 0.000 | 0.000 | 0.000 | 0.000 | -0.000 | 0.000 |
| 0.000 | 0.000 | 0.000 | -0.000 | 0.000 | -0.000 |
| -0.000 | 0.000 | 0.000 | 0.000 | -0.000 | 0.000 |
| 0.000 | -0.000 | 0.000 | -0.000 | 0.000 | 0.000 |
| 0.000 | 0.000 | -0.000 | -0.000 | 0.000 | 0.000 |
| 0.000 | 0.000 | 0.000 | 0.000 | -0.000 | 0.000 |
| 0.000 | 0.000 | 0.000 | -0.000 | 0.000 | -0.000 |
| 0.000 | 0.000 | 0.000 | -0.000 | 0.000 | 0.000 |
| 0.000 | -0.000 | -0.000 | 0.000 | -0.000 | -0.000 |
| -0.000 | 0.000 | -0.000 | 0.000 | 0.000 | -0.000 |
| -0.000 | -0.000 | 0.000 | 0.000 | -0.000 | 0.000 |
| 0.000 | 0.000 | 0.000 | 0.000 | 0.000 | -0.000 |
| 0.000 | 0.000 | 0.000 | -0.000 | 0.000 | -0.000 |
| 0.000 | 0.000 | 0.000 | 0.000 | 0.000 | -0.000 |
| -0.000 | 0.000 | 0.000 | 0.000 | -0.000 | 0.000 |
| 0.000 | -0.000 | 0.000 | -0.000 | 0.000 | 0.000 |
| 0.000 | 0.000 | -0.000 | 0.000 | 0.000 | 0.000 |
| 0.000 | 0.000 | 0.000 | -0.000 | -0.000 | 0.000 |
| 0.000 | 0.000 | 0.000 | 0.000 | -0.000 | 0.000 |
| 0.000 | 0.000 | 0.000 | 0.000 | -0.000 | -0.000 |
| 0.000 | -0.000 | -0.000 | 0.000 | -0.000 | 0.000 |
| -0.000 | 0.000 | -0.000 | -0.000 | 0.000 | -0.000 |
| -0.000 | -0.000 | 0.000 | -0.000 | -0.000 | 0.000 |
| 0.000 | 0.000 | 0.000 | 0.000 | 0.000 | -0.000 |
| 0.000 | 0.000 | 0.000 | 0.000 | 0.000 | -0.000 |
| 0.000 | 0.000 | 0.000 | 0.000 | 0.000 | 0.000 |
| -0.000 | 0.000 | 0.000 | 0.000 | 0.000 | -0.000 |
| 0.000 | -0.000 | 0.000 | -0.000 | 0.000 | 0.000 |
| 0.000 | 0.000 | -0.000 | -0.000 | 0.000 | 0.000 |
| 0.000 | 0.000 | 0.000 | -0.000 | -0.000 | -0.000 |
| 0.000 | 0.000 | 0.000 | -0.000 | -0.000 | 0.000 |
| 0.000 | 0.000 | 0.000 | -0.000 | -0.000 | -0.000 |
| 0.000 | -0.000 | -0.000 | 0.000 | -0.000 | 0.000 |
| -0.000 | 0.000 | -0.000 | 0.000 | 0.000 | 0.000 |
| -0.000 | -0.000 | 0.000 | 0.000 | -0.000 | 0.000 |
| 0.000 | 0.000 | 0.000 | 0.000 | 0.000 | -0.000 |
| 0.000 | 0.000 | 0.000 | -0.000 | 0.000 | 0.000 |
| 0.000 | 0.000 | 0.000 | -0.000 | -0.000 | -0.000 |
| -0.000 | 0.000 | 0.000 | 0.000 | -0.000 | -0.000 |
| 0.000 | -0.000 | 0.000 | 0.000 | 0.000 | 0.000 |
| 0.000 | 0.000 | -0.000 | 0.000 | 0.000 | 0.000 |
| 0.000 | 0.000 | 0.000 | -0.000 | -0.000 | 0.000 |
| 0.000 | 0.000 | 0.000 | 0.000 | -0.000 | 0.000 |
| 0.000 | 0.000 | 0.000 | -0.000 | -0.000 | -0.000 |
| 0.000 | -0.000 | -0.000 | 0.000 | -0.000 | 0.000 |
| -0.000 | 0.000 | -0.000 | -0.000 | 0.000 | 0.000 |
| -0.000 | -0.000 | 0.000 | -0.000 | 0.000 | 0.000 |
| 382.371 | 118.700 | 118.700 | 0.000 | 0.000 | 0.000 |
| 118.700 | 382.371 | 118.700 | 0.000 | 0.000 | -0.000 |
| 118.700 | 118.700 | 382.371 | 0.000 | 0.000 | 0.000 |
| -0.000 | 0.000 | -0.000 | 93.256 | 0.000 | -0.000 |
| -0.000 | 0.000 | -0.000 | 0.000 | 93.256 | -0.000 |
| -0.000 | 0.000 | -0.000 | 0.000 | 0.000 | 93.256 |
| 385.956 | 116.908 | 116.908 | -0.000 | -0.000 | 0.000 |
| 116.908 | 385.956 | 116.908 | -0.000 | -0.000 | 0.000 |
| 116.908 | 116.908 | 385.956 | 0.000 | -0.000 | 0.000 |
| 0.000 | -0.000 | 0.000 | 93.256 | -0.000 | 0.000 |
| 0.000 | -0.000 | 0.000 | -0.000 | 93.256 | 0.000 |
| 0.000 | -0.000 | 0.000 | -0.000 | -0.000 | 93.256 |
| 385.956 | 116.908 | 116.908 | 0.000 | 0.000 | -0.000 |
| 116.908 | 385.956 | 116.908 | 0.000 | 0.000 | -0.000 |
| 116.908 | 116.908 | 385.956 | 0.000 | 0.000 | 0.000 |
| 0.000 | 0.000 | 0.000 | 93.256 | 0.000 | 0.000 |
| -0.000 | 0.000 | 0.000 | 0.000 | 93.256 | -0.000 |
| -0.000 | 0.000 | 0.000 | 0.000 | 0.000 | 93.256 |
| 385.956 | 116.908 | 116.908 | 0.000 | -0.000 | -0.000 |
| 116.908 | 385.956 | 116.908 | -0.000 | -0.000 | -0.000 |
| 116.908 | 116.908 | 385.956 | -0.000 | -0.000 | -0.000 |
| -0.000 | -0.000 | -0.000 | 93.256 | -0.000 | 0.000 |
| 0.000 | -0.000 | -0.000 | -0.000 | 93.256 | 0.000 |
| 0.000 | -0.000 | -0.000 | -0.000 | -0.000 | 93.256 |
| 382.372 | 118.701 | 118.701 | 0.000 | 0.000 | 0.000 |
| 118.701 | 382.372 | 118.701 | 0.000 | 0.000 | 0.000 |
| 118.701 | 118.701 | 382.372 | 0.000 | 0.000 | 0.000 |
| 0.000 | 0.000 | 0.000 | 93.256 | 0.000 | 0.000 |
| 0.000 | 0.000 | 0.000 | 0.000 | 93.256 | -0.000 |
| 0.000 | 0.000 | 0.000 | 0.000 | 0.000 | 93.256 |
| 385.955 | 116.908 | 116.908 | -0.000 | 0.000 | 0.000 |
| 116.908 | 385.955 | 116.908 | -0.000 | -0.000 | -0.000 |
| 116.908 | 116.908 | 385.955 | -0.000 | -0.000 | 0.000 |
| -0.000 | -0.000 | -0.000 | 93.256 | -0.000 | -0.000 |
| 0.000 | -0.000 | -0.000 | -0.000 | 93.256 | 0.000 |
| -0.000 | -0.000 | -0.000 | -0.000 | -0.000 | 93.256 |
| 0.000 | -0.000 | -0.000 | 0.000 | 0.000 | -0.000 |
| -0.000 | 0.000 | -0.000 | -0.000 | -0.000 | -0.000 |
| -0.000 | -0.000 | 0.000 | 0.000 | 0.000 | 0.000 |
| 0.000 | -0.000 | -0.000 | 0.000 | 0.000 | -0.000 |
| -0.000 | 0.000 | -0.000 | 0.000 | 0.000 | -0.000 |
| -0.000 | -0.000 | 0.000 | 0.000 | 0.000 | 0.000 |
| 0.000 | -0.000 | -0.000 | 0.000 | -0.000 | 0.000 |
| -0.000 | 0.000 | -0.000 | 0.000 | -0.000 | 0.000 |
| -0.000 | -0.000 | 0.000 | -0.000 | 0.000 | 0.000 |
| -0.000 | 0.000 | 0.000 | 0.000 | -0.000 | 0.000 |
| 0.000 | -0.000 | 0.000 | -0.000 | 0.000 | 0.000 |
| 0.000 | 0.000 | -0.000 | -0.000 | -0.000 | 0.000 |
| 0.000 | -0.000 | -0.000 | 0.000 | 0.000 | -0.000 |
| -0.000 | 0.000 | -0.000 | -0.000 | -0.000 | -0.000 |
| -0.000 | -0.000 | 0.000 | 0.000 | -0.000 | 0.000 |
| 0.000 | -0.000 | -0.000 | 0.000 | 0.000 | -0.000 |
| -0.000 | 0.000 | -0.000 | -0.000 | 0.000 | -0.000 |
| -0.000 | -0.000 | 0.000 | 0.000 | 0.000 | 0.000 |
| 0.000 | -0.000 | -0.000 | 0.000 | -0.000 | 0.000 |
| -0.000 | 0.000 | -0.000 | 0.000 | -0.000 | 0.000 |
| -0.000 | -0.000 | 0.000 | 0.000 | 0.000 | 0.000 |
| -0.000 | 0.000 | 0.000 | 0.000 | -0.000 | 0.000 |
| 0.000 | -0.000 | 0.000 | 0.000 | 0.000 | 0.000 |
| 0.000 | 0.000 | -0.000 | -0.000 | -0.000 | 0.000 |
| 0.000 | -0.000 | -0.000 | 0.000 | 0.000 | -0.000 |
| -0.000 | 0.000 | -0.000 | -0.000 | -0.000 | -0.000 |
| -0.000 | -0.000 | 0.000 | -0.000 | 0.000 | 0.000 |
| 0.000 | -0.000 | -0.000 | 0.000 | 0.000 | 0.000 |
| -0.000 | 0.000 | -0.000 | 0.000 | 0.000 | -0.000 |
| -0.000 | -0.000 | 0.000 | 0.000 | 0.000 | 0.000 |
| 0.000 | -0.000 | -0.000 | 0.000 | -0.000 | 0.000 |
| -0.000 | 0.000 | -0.000 | 0.000 | -0.000 | 0.000 |
| -0.000 | -0.000 | 0.000 | 0.000 | -0.000 | 0.000 |
| -0.000 | 0.000 | 0.000 | 0.000 | -0.000 | 0.000 |
| 0.000 | -0.000 | 0.000 | -0.000 | 0.000 | 0.000 |
| 0.000 | 0.000 | -0.000 | -0.000 | -0.000 | 0.000 |
| 0.000 | -0.000 | -0.000 | -0.000 | 0.000 | 0.000 |
| -0.000 | 0.000 | -0.000 | 0.000 | 0.000 | -0.000 |
| -0.000 | -0.000 | 0.000 | -0.000 | -0.000 | 0.000 |
| 0.000 | 0.000 | -0.000 | 0.000 | -0.000 | -0.000 |
| 0.000 | 0.000 | -0.000 | 0.000 | 0.000 | 0.000 |
| 0.000 | -0.000 | 0.000 | 0.000 | -0.000 | 0.000 |
| 0.000 | -0.000 | -0.000 | -0.000 | 0.000 | -0.000 |
| -0.000 | 0.000 | -0.000 | -0.000 | 0.000 | -0.000 |
| -0.000 | -0.000 | 0.000 | -0.000 | 0.000 | 0.000 |
| -0.000 | -0.000 | 0.000 | 0.000 | 0.000 | -0.000 |
| -0.000 | -0.000 | 0.000 | -0.000 | 0.000 | -0.000 |
| -0.000 | 0.000 | -0.000 | -0.000 | 0.000 | 0.000 |
| 0.000 | -0.000 | -0.000 | -0.000 | -0.000 | 0.000 |
| -0.000 | 0.000 | -0.000 | -0.000 | 0.000 | 0.000 |
| -0.000 | -0.000 | 0.000 | 0.000 | -0.000 | 0.000 |
| 0.000 | 0.000 | -0.000 | 0.000 | -0.000 | 0.000 |
| 0.000 | 0.000 | -0.000 | 0.000 | 0.000 | 0.000 |
| 0.000 | -0.000 | 0.000 | 0.000 | -0.000 | 0.000 |
| 0.000 | -0.000 | -0.000 | -0.000 | 0.000 | -0.000 |
| -0.000 | 0.000 | -0.000 | -0.000 | 0.000 | -0.000 |
| -0.000 | -0.000 | 0.000 | -0.000 | 0.000 | 0.000 |
| -0.000 | -0.000 | 0.000 | 0.000 | 0.000 | 0.000 |
| -0.000 | -0.000 | 0.000 | -0.000 | 0.000 | -0.000 |
| -0.000 | 0.000 | -0.000 | -0.000 | 0.000 | 0.000 |
| 0.000 | -0.000 | -0.000 | -0.000 | -0.000 | 0.000 |
| -0.000 | 0.000 | -0.000 | 0.000 | 0.000 | 0.000 |
| -0.000 | -0.000 | 0.000 | 0.000 | -0.000 | 0.000 |
| 0.000 | -0.000 | -0.000 | 0.000 | -0.000 | 0.000 |
| 0.000 | 0.000 | -0.000 | 0.000 | 0.000 | 0.000 |
| -0.000 | -0.000 | 0.000 | 0.000 | -0.000 | 0.000 |
| 0.000 | -0.000 | -0.000 | -0.000 | 0.000 | -0.000 |
| -0.000 | 0.000 | -0.000 | -0.000 | 0.000 | -0.000 |
| -0.000 | -0.000 | 0.000 | -0.000 | 0.000 | 0.000 |
| -0.000 | 0.000 | 0.000 | 0.000 | 0.000 | -0.000 |
| -0.000 | -0.000 | 0.000 | -0.000 | 0.000 | -0.000 |
| 0.000 | 0.000 | -0.000 | -0.000 | 0.000 | 0.000 |
| 0.000 | -0.000 | -0.000 | -0.000 | 0.000 | -0.000 |
| -0.000 | 0.000 | -0.000 | -0.000 | 0.000 | -0.000 |
| -0.000 | -0.000 | 0.000 | -0.000 | -0.000 | -0.000 |
| 0.000 | 0.000 | -0.000 | 0.000 | 0.000 | 0.000 |
| 0.000 | 0.000 | -0.000 | 0.000 | 0.000 | -0.000 |
| 0.000 | -0.000 | 0.000 | 0.000 | 0.000 | 0.000 |
| 0.000 | -0.000 | -0.000 | -0.000 | -0.000 | 0.000 |
| -0.000 | 0.000 | -0.000 | -0.000 | 0.000 | 0.000 |
| -0.000 | -0.000 | 0.000 | 0.000 | 0.000 | -0.000 |
| -0.000 | -0.000 | 0.000 | 0.000 | -0.000 | -0.000 |
| -0.000 | -0.000 | 0.000 | -0.000 | 0.000 | 0.000 |
| -0.000 | 0.000 | -0.000 | -0.000 | 0.000 | 0.000 |
| 0.000 | -0.000 | -0.000 | -0.000 | 0.000 | 0.000 |
| -0.000 | 0.000 | -0.000 | 0.000 | 0.000 | -0.000 |
| -0.000 | -0.000 | 0.000 | -0.000 | -0.000 | -0.000 |
| 0.000 | 0.000 | -0.000 | 0.000 | -0.000 | 0.000 |
| 0.000 | 0.000 | -0.000 | 0.000 | 0.000 | -0.000 |
| 0.000 | -0.000 | 0.000 | 0.000 | 0.000 | 0.000 |
| 0.000 | -0.000 | -0.000 | -0.000 | 0.000 | 0.000 |
| -0.000 | 0.000 | -0.000 | 0.000 | 0.000 | -0.000 |
| -0.000 | -0.000 | 0.000 | -0.000 | -0.000 | -0.000 |
| -0.000 | 0.000 | 0.000 | 0.000 | 0.000 | -0.000 |
| 0.000 | -0.000 | 0.000 | -0.000 | 0.000 | 0.000 |
| 0.000 | 0.000 | -0.000 | -0.000 | -0.000 | 0.000 |
| 0.000 | -0.000 | -0.000 | -0.000 | 0.000 | -0.000 |
| -0.000 | 0.000 | -0.000 | -0.000 | 0.000 | -0.000 |
| -0.000 | -0.000 | 0.000 | -0.000 | 0.000 | -0.000 |
| 0.000 | -0.000 | -0.000 | 0.000 | 0.000 | -0.000 |
| -0.000 | 0.000 | -0.000 | -0.000 | 0.000 | -0.000 |
| -0.000 | -0.000 | 0.000 | 0.000 | 0.000 | 0.000 |
| 0.000 | -0.000 | -0.000 | -0.000 | -0.000 | 0.000 |
| -0.000 | 0.000 | -0.000 | -0.000 | 0.000 | 0.000 |
| -0.000 | -0.000 | 0.000 | 0.000 | 0.000 | -0.000 |
| -0.000 | 0.000 | 0.000 | 0.000 | -0.000 | -0.000 |
| 0.000 | -0.000 | 0.000 | 0.000 | 0.000 | 0.000 |
| 0.000 | 0.000 | -0.000 | -0.000 | -0.000 | 0.000 |
| 0.000 | 0.000 | 0.000 | -0.000 | -0.000 | -0.000 |
| 0.000 | 0.000 | 0.000 | -0.000 | 0.000 | 0.000 |
| 0.000 | 0.000 | 0.000 | 0.000 | -0.000 | -0.000 |
| 0.000 | -0.000 | -0.000 | -0.000 | -0.000 | 0.000 |
| -0.000 | 0.000 | -0.000 | 0.000 | -0.000 | -0.000 |
| -0.000 | -0.000 | 0.000 | 0.000 | -0.000 | -0.000 |
| 0.000 | 0.000 | 0.000 | -0.000 | 0.000 | 0.000 |
| 0.000 | 0.000 | 0.000 | 0.000 | 0.000 | -0.000 |
| 0.000 | 0.000 | 0.000 | -0.000 | 0.000 | -0.000 |
| -0.000 | 0.000 | 0.000 | -0.000 | 0.000 | -0.000 |
| 0.000 | -0.000 | 0.000 | -0.000 | -0.000 | 0.000 |
| 0.000 | 0.000 | -0.000 | -0.000 | 0.000 | -0.000 |
| 0.000 | 0.000 | 0.000 | -0.000 | -0.000 | -0.000 |
| 0.000 | 0.000 | 0.000 | -0.000 | 0.000 | -0.000 |
| 0.000 | 0.000 | 0.000 | 0.000 | -0.000 | -0.000 |
| 0.000 | -0.000 | -0.000 | -0.000 | -0.000 | 0.000 |
| -0.000 | 0.000 | -0.000 | 0.000 | -0.000 | -0.000 |
| -0.000 | -0.000 | 0.000 | 0.000 | -0.000 | -0.000 |
| 0.000 | 0.000 | 0.000 | -0.000 | 0.000 | 0.000 |
| 0.000 | 0.000 | 0.000 | -0.000 | 0.000 | 0.000 |
| 0.000 | 0.000 | 0.000 | 0.000 | 0.000 | -0.000 |
| -0.000 | 0.000 | 0.000 | -0.000 | 0.000 | -0.000 |
| 0.000 | -0.000 | 0.000 | -0.000 | -0.000 | 0.000 |
| 0.000 | 0.000 | -0.000 | -0.000 | 0.000 | -0.000 |
| 0.000 | 0.000 | 0.000 | -0.000 | -0.000 | 0.000 |
| 0.000 | 0.000 | 0.000 | -0.000 | 0.000 | 0.000 |
| 0.000 | 0.000 | 0.000 | 0.000 | -0.000 | -0.000 |
| 0.000 | -0.000 | -0.000 | -0.000 | -0.000 | 0.000 |
| -0.000 | 0.000 | -0.000 | 0.000 | -0.000 | -0.000 |
| -0.000 | -0.000 | 0.000 | 0.000 | -0.000 | -0.000 |
| 0.000 | 0.000 | 0.000 | -0.000 | 0.000 | 0.000 |
| 0.000 | 0.000 | 0.000 | -0.000 | 0.000 | 0.000 |
| 0.000 | 0.000 | 0.000 | -0.000 | 0.000 | -0.000 |
| -0.000 | 0.000 | 0.000 | -0.000 | 0.000 | -0.000 |
| 0.000 | -0.000 | 0.000 | -0.000 | -0.000 | -0.000 |
| 0.000 | 0.000 | -0.000 | -0.000 | 0.000 | -0.000 |
| 0.000 | 0.000 | 0.000 | 0.000 | 0.000 | -0.000 |
| 0.000 | 0.000 | 0.000 | 0.000 | -0.000 | -0.000 |
| 0.000 | 0.000 | 0.000 | -0.000 | 0.000 | 0.000 |
| 0.000 | -0.000 | -0.000 | -0.000 | 0.000 | -0.000 |
| -0.000 | 0.000 | -0.000 | 0.000 | -0.000 | -0.000 |
| -0.000 | -0.000 | 0.000 | 0.000 | -0.000 | -0.000 |
| 0.000 | 0.000 | 0.000 | 0.000 | -0.000 | 0.000 |
| 0.000 | 0.000 | 0.000 | 0.000 | -0.000 | -0.000 |
| 0.000 | 0.000 | 0.000 | -0.000 | 0.000 | 0.000 |
| -0.000 | 0.000 | 0.000 | -0.000 | -0.000 | -0.000 |
| 0.000 | -0.000 | 0.000 | -0.000 | -0.000 | -0.000 |
| 0.000 | 0.000 | -0.000 | -0.000 | -0.000 | -0.000 |
| 0.000 | 0.000 | 0.000 | 0.000 | 0.000 | -0.000 |
| 0.000 | 0.000 | 0.000 | -0.000 | -0.000 | 0.000 |
| 0.000 | 0.000 | 0.000 | 0.000 | 0.000 | 0.000 |
| 0.000 | -0.000 | -0.000 | -0.000 | -0.000 | -0.000 |
| -0.000 | 0.000 | -0.000 | 0.000 | -0.000 | 0.000 |
| -0.000 | -0.000 | 0.000 | 0.000 | 0.000 | -0.000 |
| 0.000 | 0.000 | 0.000 | 0.000 | -0.000 | 0.000 |
| 0.000 | 0.000 | 0.000 | 0.000 | -0.000 | 0.000 |
| 0.000 | 0.000 | 0.000 | -0.000 | 0.000 | 0.000 |
| -0.000 | 0.000 | 0.000 | -0.000 | 0.000 | -0.000 |
| 0.000 | -0.000 | 0.000 | -0.000 | -0.000 | 0.000 |
| 0.000 | 0.000 | -0.000 | -0.000 | -0.000 | -0.000 |
| 0.000 | 0.000 | 0.000 | 0.000 | 0.000 | -0.000 |
| 0.000 | 0.000 | 0.000 | -0.000 | -0.000 | 0.000 |
| 0.000 | 0.000 | 0.000 | 0.000 | -0.000 | 0.000 |
| 0.000 | 0.000 | -0.000 | -0.000 | 0.000 | -0.000 |
| 0.000 | 0.000 | -0.000 | -0.000 | -0.000 | 0.000 |
| 0.000 | -0.000 | 0.000 | 0.000 | 0.000 | -0.000 |
| 0.000 | 0.000 | 0.000 | 0.000 | -0.000 | 0.000 |
| 0.000 | 0.000 | 0.000 | 0.000 | -0.000 | 0.000 |
| 0.000 | 0.000 | 0.000 | 0.000 | -0.000 | 0.000 |
| -0.000 | -0.000 | 0.000 | -0.000 | -0.000 | 0.000 |
| -0.000 | -0.000 | 0.000 | 0.000 | -0.000 | -0.000 |
| -0.000 | 0.000 | -0.000 | -0.000 | -0.000 | -0.000 |
| -0.000 | -0.000 | -0.000 | 0.000 | 0.000 | -0.000 |
| -0.000 | -0.000 | -0.000 | 0.000 | -0.000 | -0.000 |
| -0.000 | -0.000 | -0.000 | -0.000 | 0.000 | 0.000 |
| 0.000 | 0.000 | 0.000 | 0.000 | 0.000 | -0.000 |
| 0.000 | 0.000 | 0.000 | 0.000 | 0.000 | -0.000 |
| 0.000 | 0.000 | 0.000 | 0.000 | -0.000 | 0.000 |
| -0.000 | -0.000 | -0.000 | 0.000 | -0.000 | -0.000 |
| -0.000 | -0.000 | -0.000 | -0.000 | -0.000 | 0.000 |
| -0.000 | -0.000 | -0.000 | 0.000 | 0.000 | 0.000 |
| -0.000 | -0.000 | -0.000 | 0.000 | -0.000 | 0.000 |
| -0.000 | -0.000 | -0.000 | -0.000 | 0.000 | 0.000 |
| -0.000 | -0.000 | -0.000 | -0.000 | -0.000 | 0.000 |
| -0.000 | -0.000 | -0.000 | 0.000 | 0.000 | -0.000 |
| -0.000 | -0.000 | -0.000 | 0.000 | -0.000 | -0.000 |
| -0.000 | -0.000 | -0.000 | -0.000 | -0.000 | 0.000 |
| 0.000 | 0.000 | 0.000 | 0.000 | 0.000 | -0.000 |
| 0.000 | 0.000 | 0.000 | -0.000 | 0.000 | 0.000 |
| 0.000 | 0.000 | 0.000 | 0.000 | -0.000 | 0.000 |
| -0.000 | -0.000 | -0.000 | 0.000 | -0.000 | 0.000 |
| -0.000 | -0.000 | -0.000 | -0.000 | -0.000 | 0.000 |
| -0.000 | -0.000 | -0.000 | 0.000 | 0.000 | 0.000 |
| -0.000 | -0.000 | -0.000 | 0.000 | -0.000 | 0.000 |
| -0.000 | -0.000 | -0.000 | 0.000 | 0.000 | -0.000 |
| -0.000 | -0.000 | -0.000 | -0.000 | -0.000 | 0.000 |
| -0.000 | -0.000 | -0.000 | 0.000 | -0.000 | 0.000 |
| -0.000 | -0.000 | -0.000 | -0.000 | -0.000 | -0.000 |
| -0.000 | -0.000 | -0.000 | -0.000 | -0.000 | 0.000 |
| 0.000 | -0.000 | 0.000 | 0.000 | -0.000 | -0.000 |
| -0.000 | 0.000 | 0.000 | 0.000 | 0.000 | -0.000 |
| -0.000 | 0.000 | 0.000 | 0.000 | -0.000 | 0.000 |
| -0.000 | -0.000 | -0.000 | 0.000 | -0.000 | -0.000 |
| -0.000 | -0.000 | -0.000 | -0.000 | -0.000 | 0.000 |
| -0.000 | -0.000 | -0.000 | 0.000 | -0.000 | 0.000 |
| -0.000 | 0.000 | -0.000 | 0.000 | 0.000 | 0.000 |
| 0.000 | -0.000 | -0.000 | -0.000 | 0.000 | 0.000 |
| 0.000 | -0.000 | -0.000 | -0.000 | -0.000 | 0.000 |
| -0.000 | -0.000 | -0.000 | 0.000 | -0.000 | -0.000 |
| -0.000 | -0.000 | -0.000 | -0.000 | -0.000 | 0.000 |
| -0.000 | -0.000 | -0.000 | -0.000 | 0.000 | 0.000 |
| 0.000 | -0.000 | 0.000 | 0.000 | 0.000 | -0.000 |
| -0.000 | 0.000 | 0.000 | -0.000 | 0.000 | -0.000 |
| -0.000 | 0.000 | 0.000 | 0.000 | 0.000 | 0.000 |
| -0.000 | -0.000 | -0.000 | 0.000 | -0.000 | 0.000 |
| -0.000 | -0.000 | -0.000 | 0.000 | -0.000 | -0.000 |
| -0.000 | -0.000 | -0.000 | 0.000 | 0.000 | 0.000 |
| -0.000 | 0.000 | -0.000 | 0.000 | -0.000 | 0.000 |
| 0.000 | -0.000 | -0.000 | 0.000 | 0.000 | 0.000 |
| 0.000 | -0.000 | -0.000 | -0.000 | -0.000 | 0.000 |
| -0.000 | -0.000 | -0.000 | 0.000 | -0.000 | -0.000 |
| -0.000 | -0.000 | -0.000 | -0.000 | -0.000 | 0.000 |
| -0.000 | -0.000 | -0.000 | 0.000 | -0.000 | 0.000 |
| 0.000 | -0.000 | 0.000 | -0.000 | 0.000 | 0.000 |
| -0.000 | 0.000 | 0.000 | 0.000 | -0.000 | -0.000 |
| -0.000 | 0.000 | 0.000 | 0.000 | -0.000 | -0.000 |
| -0.000 | -0.000 | -0.000 | 0.000 | -0.000 | 0.000 |
| -0.000 | -0.000 | -0.000 | 0.000 | -0.000 | 0.000 |
| -0.000 | -0.000 | -0.000 | 0.000 | 0.000 | 0.000 |
| -0.000 | 0.000 | -0.000 | -0.000 | -0.000 | 0.000 |
| 0.000 | -0.000 | -0.000 | -0.000 | -0.000 | 0.000 |
| 0.000 | -0.000 | -0.000 | -0.000 | -0.000 | -0.000 |
| -0.000 | -0.000 | -0.000 | 0.000 | 0.000 | -0.000 |
| -0.000 | -0.000 | -0.000 | -0.000 | -0.000 | -0.000 |
| -0.000 | -0.000 | -0.000 | -0.000 | -0.000 | 0.000 |
| 0.000 | -0.000 | 0.000 | -0.000 | 0.000 | 0.000 |
| -0.000 | 0.000 | 0.000 | 0.000 | -0.000 | -0.000 |
| -0.000 | 0.000 | 0.000 | 0.000 | 0.000 | -0.000 |
| -0.000 | -0.000 | -0.000 | 0.000 | 0.000 | 0.000 |
| -0.000 | -0.000 | -0.000 | 0.000 | -0.000 | -0.000 |
| -0.000 | -0.000 | -0.000 | -0.000 | -0.000 | 0.000 |
| -0.000 | 0.000 | -0.000 | -0.000 | -0.000 | 0.000 |
| 0.000 | -0.000 | -0.000 | -0.000 | -0.000 | 0.000 |
| 0.000 | -0.000 | -0.000 | -0.000 | 0.000 | -0.000 |
| 0.000 | -0.000 | -0.000 | -0.000 | -0.000 | -0.000 |
| -0.000 | 0.000 | -0.000 | -0.000 | -0.000 | 0.000 |
| -0.000 | -0.000 | 0.000 | 0.000 | -0.000 | -0.000 |
| -0.000 | 0.000 | -0.000 | 0.000 | 0.000 | -0.000 |
| 0.000 | -0.000 | -0.000 | -0.000 | 0.000 | -0.000 |
| 0.000 | -0.000 | -0.000 | -0.000 | -0.000 | 0.000 |
| 0.000 | -0.000 | -0.000 | 0.000 | 0.000 | 0.000 |
| -0.000 | 0.000 | -0.000 | 0.000 | 0.000 | -0.000 |
| -0.000 | -0.000 | 0.000 | -0.000 | 0.000 | 0.000 |
| 0.000 | -0.000 | 0.000 | 0.000 | -0.000 | 0.000 |
| -0.000 | 0.000 | 0.000 | 0.000 | 0.000 | 0.000 |
| -0.000 | 0.000 | 0.000 | 0.000 | 0.000 | 0.000 |
| 0.000 | -0.000 | -0.000 | -0.000 | -0.000 | -0.000 |
| -0.000 | 0.000 | -0.000 | -0.000 | -0.000 | 0.000 |
| -0.000 | -0.000 | 0.000 | 0.000 | -0.000 | -0.000 |
| -0.000 | 0.000 | -0.000 | 0.000 | -0.000 | -0.000 |
| 0.000 | -0.000 | -0.000 | 0.000 | 0.000 | -0.000 |
| 0.000 | -0.000 | -0.000 | -0.000 | -0.000 | 0.000 |
| 0.000 | -0.000 | -0.000 | 0.000 | 0.000 | 0.000 |
| -0.000 | 0.000 | -0.000 | 0.000 | 0.000 | 0.000 |
| -0.000 | -0.000 | 0.000 | 0.000 | -0.000 | 0.000 |
| 0.000 | -0.000 | 0.000 | 0.000 | 0.000 | 0.000 |
| -0.000 | 0.000 | 0.000 | -0.000 | 0.000 | 0.000 |
| -0.000 | 0.000 | 0.000 | 0.000 | 0.000 | 0.000 |
| 0.000 | -0.000 | -0.000 | -0.000 | -0.000 | 0.000 |
| -0.000 | 0.000 | -0.000 | 0.000 | -0.000 | 0.000 |
| -0.000 | -0.000 | 0.000 | 0.000 | 0.000 | -0.000 |
| -0.000 | -0.000 | -0.000 | 0.000 | -0.000 | -0.000 |
| -0.000 | -0.000 | -0.000 | 0.000 | 0.000 | 0.000 |
| -0.000 | -0.000 | -0.000 | -0.000 | -0.000 | 0.000 |
| 0.000 | -0.000 | -0.000 | 0.000 | 0.000 | 0.000 |
| -0.000 | 0.000 | -0.000 | 0.000 | 0.000 | -0.000 |
| -0.000 | -0.000 | 0.000 | -0.000 | 0.000 | 0.000 |
| 0.000 | 0.000 | 0.000 | 0.000 | 0.000 | 0.000 |
| 0.000 | 0.000 | 0.000 | -0.000 | 0.000 | 0.000 |
| 0.000 | 0.000 | 0.000 | 0.000 | 0.000 | 0.000 |
| -0.000 | -0.000 | -0.000 | -0.000 | 0.000 | 0.000 |
| -0.000 | -0.000 | -0.000 | 0.000 | -0.000 | -0.000 |
| -0.000 | -0.000 | -0.000 | -0.000 | -0.000 | -0.000 |
| 0.000 | 0.000 | 0.000 | 0.000 | -0.000 | 0.000 |
| 0.000 | 0.000 | 0.000 | 0.000 | 0.000 | 0.000 |
| 0.000 | 0.000 | 0.000 | 0.000 | -0.000 | 0.000 |
| -0.000 | -0.000 | -0.000 | -0.000 | 0.000 | -0.000 |
| -0.000 | -0.000 | -0.000 | -0.000 | -0.000 | 0.000 |
| -0.000 | -0.000 | -0.000 | 0.000 | -0.000 | -0.000 |
| -0.000 | -0.000 | -0.000 | 0.000 | 0.000 | -0.000 |
| -0.000 | -0.000 | -0.000 | -0.000 | 0.000 | -0.000 |
| -0.000 | -0.000 | -0.000 | -0.000 | -0.000 | 0.000 |
| -0.000 | -0.000 | -0.000 | -0.000 | -0.000 | 0.000 |
| -0.000 | -0.000 | -0.000 | 0.000 | -0.000 | -0.000 |
| -0.000 | -0.000 | -0.000 | 0.000 | -0.000 | -0.000 |
| 0.000 | 0.000 | 0.000 | 0.000 | 0.000 | 0.000 |
| 0.000 | 0.000 | 0.000 | 0.000 | 0.000 | 0.000 |
| 0.000 | 0.000 | 0.000 | 0.000 | 0.000 | 0.000 |
| -0.000 | -0.000 | -0.000 | -0.000 | 0.000 | -0.000 |
| -0.000 | -0.000 | -0.000 | -0.000 | -0.000 | 0.000 |
| -0.000 | -0.000 | -0.000 | 0.000 | 0.000 | -0.000 |
| -0.000 | -0.000 | -0.000 | 0.000 | -0.000 | 0.000 |
| -0.000 | -0.000 | -0.000 | -0.000 | 0.000 | -0.000 |
| -0.000 | -0.000 | -0.000 | -0.000 | -0.000 | 0.000 |
| -0.000 | -0.000 | -0.000 | -0.000 | -0.000 | 0.000 |
| -0.000 | -0.000 | -0.000 | 0.000 | -0.000 | -0.000 |
| -0.000 | -0.000 | -0.000 | -0.000 | 0.000 | -0.000 |
| 0.000 | 0.000 | 0.000 | 0.000 | -0.000 | 0.000 |
| 0.000 | 0.000 | 0.000 | 0.000 | 0.000 | 0.000 |
| 0.000 | 0.000 | 0.000 | 0.000 | 0.000 | 0.000 |
| -0.000 | -0.000 | -0.000 | -0.000 | -0.000 | -0.000 |
| -0.000 | -0.000 | -0.000 | -0.000 | -0.000 | -0.000 |
| -0.000 | -0.000 | -0.000 | -0.000 | 0.000 | -0.000 |
| -0.000 | -0.000 | -0.000 | 0.000 | 0.000 | -0.000 |
| -0.000 | -0.000 | -0.000 | -0.000 | 0.000 | -0.000 |
| -0.000 | -0.000 | -0.000 | -0.000 | 0.000 | 0.000 |
| 0.000 | -0.000 | -0.000 | 0.000 | 0.000 | 0.000 |
| -0.000 | 0.000 | -0.000 | 0.000 | 0.000 | -0.000 |
| -0.000 | -0.000 | 0.000 | -0.000 | -0.000 | 0.000 |
| 0.000 | 0.000 | 0.000 | 0.000 | 0.000 | -0.000 |
| 0.000 | 0.000 | 0.000 | 0.000 | 0.000 | 0.000 |
| 0.000 | 0.000 | 0.000 | 0.000 | 0.000 | 0.000 |
| 0.000 | -0.000 | -0.000 | 0.000 | -0.000 | -0.000 |
| -0.000 | 0.000 | -0.000 | 0.000 | 0.000 | 0.000 |
| -0.000 | -0.000 | 0.000 | 0.000 | 0.000 | 0.000 |
| -0.000 | 0.000 | -0.000 | 0.000 | -0.000 | -0.000 |
| -0.000 | -0.000 | -0.000 | -0.000 | 0.000 | 0.000 |
| 0.000 | -0.000 | -0.000 | -0.000 | -0.000 | 0.000 |
| 0.000 | -0.000 | -0.000 | 0.000 | 0.000 | -0.000 |
| -0.000 | 0.000 | -0.000 | 0.000 | 0.000 | -0.000 |
| -0.000 | -0.000 | 0.000 | 0.000 | -0.000 | 0.000 |
| 0.000 | 0.000 | -0.000 | 0.000 | 0.000 | 0.000 |
| 0.000 | 0.000 | -0.000 | 0.000 | 0.000 | 0.000 |
| 0.000 | -0.000 | 0.000 | 0.000 | 0.000 | 0.000 |
| 0.000 | -0.000 | -0.000 | 0.000 | -0.000 | -0.000 |
| -0.000 | 0.000 | -0.000 | -0.000 | 0.000 | 0.000 |
| -0.000 | -0.000 | 0.000 | 0.000 | 0.000 | 0.000 |
| -0.000 | 0.000 | 0.000 | 0.000 | -0.000 | 0.000 |
| -0.000 | -0.000 | 0.000 | -0.000 | 0.000 | -0.000 |
| 0.000 | 0.000 | -0.000 | -0.000 | -0.000 | 0.000 |
| 0.000 | -0.000 | -0.000 | 0.000 | 0.000 | -0.000 |
| -0.000 | 0.000 | -0.000 | 0.000 | 0.000 | -0.000 |
| -0.000 | -0.000 | 0.000 | -0.000 | -0.000 | 0.000 |
| 0.000 | 0.000 | -0.000 | 0.000 | 0.000 | -0.000 |
| 0.000 | 0.000 | -0.000 | 0.000 | 0.000 | -0.000 |
| 0.000 | -0.000 | 0.000 | 0.000 | 0.000 | 0.000 |
| 0.000 | -0.000 | -0.000 | 0.000 | -0.000 | -0.000 |
| -0.000 | 0.000 | -0.000 | -0.000 | 0.000 | 0.000 |
| -0.000 | -0.000 | 0.000 | 0.000 | 0.000 | 0.000 |
| -0.000 | 0.000 | 0.000 | 0.000 | -0.000 | -0.000 |
| 0.000 | -0.000 | 0.000 | -0.000 | 0.000 | 0.000 |
| 0.000 | 0.000 | -0.000 | -0.000 | 0.000 | 0.000 |
| 0.000 | 0.000 | 0.000 | 0.000 | 0.000 | -0.000 |
| 0.000 | 0.000 | 0.000 | -0.000 | -0.000 | 0.000 |
| 0.000 | 0.000 | 0.000 | -0.000 | 0.000 | 0.000 |
| 0.000 | -0.000 | -0.000 | -0.000 | -0.000 | -0.000 |
| -0.000 | 0.000 | -0.000 | -0.000 | -0.000 | -0.000 |
| -0.000 | -0.000 | 0.000 | 0.000 | 0.000 | -0.000 |
| 0.000 | 0.000 | 0.000 | 0.000 | -0.000 | 0.000 |
| 0.000 | 0.000 | 0.000 | 0.000 | -0.000 | 0.000 |
| 0.000 | 0.000 | 0.000 | 0.000 | -0.000 | 0.000 |
| -0.000 | 0.000 | 0.000 | -0.000 | 0.000 | 0.000 |
| 0.000 | -0.000 | 0.000 | 0.000 | -0.000 | 0.000 |
| 0.000 | 0.000 | -0.000 | -0.000 | -0.000 | -0.000 |
| 0.000 | 0.000 | 0.000 | 0.000 | 0.000 | -0.000 |
| 0.000 | 0.000 | 0.000 | -0.000 | -0.000 | -0.000 |
| 0.000 | 0.000 | 0.000 | 0.000 | 0.000 | 0.000 |
| 0.000 | -0.000 | -0.000 | -0.000 | 0.000 | -0.000 |
| -0.000 | 0.000 | -0.000 | -0.000 | -0.000 | -0.000 |
| -0.000 | -0.000 | 0.000 | 0.000 | 0.000 | -0.000 |
| 0.000 | 0.000 | 0.000 | 0.000 | -0.000 | 0.000 |
| 0.000 | 0.000 | 0.000 | 0.000 | -0.000 | 0.000 |
| 0.000 | 0.000 | 0.000 | -0.000 | -0.000 | 0.000 |
| -0.000 | 0.000 | 0.000 | -0.000 | -0.000 | 0.000 |
| 0.000 | -0.000 | 0.000 | 0.000 | -0.000 | 0.000 |
| 0.000 | 0.000 | -0.000 | -0.000 | -0.000 | -0.000 |
| 0.000 | 0.000 | 0.000 | 0.000 | 0.000 | -0.000 |
| 0.000 | 0.000 | 0.000 | -0.000 | -0.000 | -0.000 |
| 0.000 | 0.000 | 0.000 | -0.000 | 0.000 | 0.000 |
| 0.000 | -0.000 | -0.000 | -0.000 | 0.000 | -0.000 |
| -0.000 | 0.000 | -0.000 | -0.000 | -0.000 | -0.000 |
| -0.000 | -0.000 | 0.000 | 0.000 | 0.000 | -0.000 |
| 0.000 | 0.000 | 0.000 | 0.000 | -0.000 | 0.000 |
| 0.000 | 0.000 | 0.000 | -0.000 | -0.000 | 0.000 |
| 0.000 | 0.000 | 0.000 | 0.000 | -0.000 | 0.000 |
| -0.000 | 0.000 | 0.000 | -0.000 | -0.000 | 0.000 |
| 0.000 | -0.000 | 0.000 | 0.000 | -0.000 | 0.000 |
| 0.000 | 0.000 | -0.000 | -0.000 | -0.000 | -0.000 |
| 0.000 | 0.000 | 0.000 | -0.000 | -0.000 | 0.000 |
| 0.000 | 0.000 | 0.000 | 0.000 | 0.000 | -0.000 |
| 0.000 | 0.000 | 0.000 | -0.000 | -0.000 | 0.000 |
| -0.000 | 0.000 | -0.000 | -0.000 | 0.000 | 0.000 |
| 0.000 | -0.000 | -0.000 | -0.000 | -0.000 | 0.000 |
| 0.000 | -0.000 | -0.000 | -0.000 | 0.000 | -0.000 |
| 0.000 | 0.000 | 0.000 | 0.000 | -0.000 | 0.000 |
| 0.000 | 0.000 | 0.000 | 0.000 | -0.000 | -0.000 |
| 0.000 | 0.000 | 0.000 | -0.000 | 0.000 | -0.000 |
| 0.000 | -0.000 | 0.000 | -0.000 | -0.000 | -0.000 |
| -0.000 | 0.000 | 0.000 | 0.000 | -0.000 | -0.000 |
| -0.000 | 0.000 | 0.000 | 0.000 | -0.000 | -0.000 |
| 0.000 | 0.000 | 0.000 | -0.000 | 0.000 | -0.000 |
| 0.000 | 0.000 | 0.000 | -0.000 | 0.000 | 0.000 |
| 0.000 | 0.000 | 0.000 | 0.000 | -0.000 | 0.000 |
| -0.000 | 0.000 | -0.000 | -0.000 | -0.000 | -0.000 |
| 0.000 | -0.000 | -0.000 | 0.000 | -0.000 | -0.000 |
| 0.000 | -0.000 | -0.000 | -0.000 | 0.000 | -0.000 |
| 0.000 | 0.000 | 0.000 | 0.000 | -0.000 | -0.000 |
| 0.000 | 0.000 | 0.000 | 0.000 | -0.000 | 0.000 |
| 0.000 | 0.000 | 0.000 | 0.000 | 0.000 | -0.000 |
| 0.000 | -0.000 | 0.000 | -0.000 | 0.000 | -0.000 |
| -0.000 | 0.000 | 0.000 | -0.000 | -0.000 | 0.000 |
| -0.000 | 0.000 | 0.000 | 0.000 | -0.000 | -0.000 |
| 0.000 | 0.000 | 0.000 | -0.000 | 0.000 | 0.000 |
| 0.000 | 0.000 | 0.000 | 0.000 | 0.000 | 0.000 |
| 0.000 | 0.000 | 0.000 | -0.000 | -0.000 | 0.000 |
| -0.000 | 0.000 | -0.000 | -0.000 | -0.000 | 0.000 |
| 0.000 | -0.000 | -0.000 | 0.000 | -0.000 | -0.000 |
| 0.000 | -0.000 | -0.000 | -0.000 | 0.000 | -0.000 |
| 0.000 | 0.000 | 0.000 | 0.000 | -0.000 | -0.000 |
| 0.000 | 0.000 | 0.000 | -0.000 | -0.000 | -0.000 |
| 0.000 | 0.000 | 0.000 | 0.000 | -0.000 | -0.000 |
| 0.000 | -0.000 | 0.000 | -0.000 | 0.000 | -0.000 |
| -0.000 | 0.000 | 0.000 | -0.000 | -0.000 | -0.000 |
| -0.000 | 0.000 | 0.000 | 0.000 | -0.000 | -0.000 |
| -0.000 | -0.000 | -0.000 | -0.000 | -0.000 | -0.000 |
| -0.000 | -0.000 | -0.000 | -0.000 | 0.000 | -0.000 |
| -0.000 | -0.000 | -0.000 | -0.000 | 0.000 | -0.000 |
| 0.000 | -0.000 | 0.000 | 0.000 | 0.000 | 0.000 |
| -0.000 | 0.000 | 0.000 | 0.000 | 0.000 | -0.000 |
| -0.000 | 0.000 | 0.000 | 0.000 | -0.000 | 0.000 |
| -0.000 | -0.000 | -0.000 | -0.000 | 0.000 | 0.000 |
| -0.000 | -0.000 | -0.000 | 0.000 | 0.000 | -0.000 |
| -0.000 | -0.000 | -0.000 | -0.000 | 0.000 | -0.000 |
| -0.000 | 0.000 | -0.000 | 0.000 | -0.000 | -0.000 |
| 0.000 | -0.000 | -0.000 | -0.000 | 0.000 | -0.000 |
| 0.000 | -0.000 | -0.000 | -0.000 | -0.000 | 0.000 |
| -0.000 | -0.000 | -0.000 | -0.000 | 0.000 | -0.000 |
| -0.000 | -0.000 | -0.000 | -0.000 | 0.000 | 0.000 |
| -0.000 | -0.000 | -0.000 | 0.000 | -0.000 | -0.000 |
| 0.000 | -0.000 | 0.000 | 0.000 | -0.000 | 0.000 |
| -0.000 | 0.000 | 0.000 | -0.000 | 0.000 | -0.000 |
| -0.000 | 0.000 | 0.000 | 0.000 | -0.000 | 0.000 |
| -0.000 | -0.000 | -0.000 | -0.000 | 0.000 | 0.000 |
| -0.000 | -0.000 | -0.000 | 0.000 | 0.000 | -0.000 |
| -0.000 | -0.000 | -0.000 | -0.000 | 0.000 | -0.000 |
| -0.000 | 0.000 | -0.000 | 0.000 | 0.000 | -0.000 |
| 0.000 | -0.000 | -0.000 | 0.000 | 0.000 | 0.000 |
| 0.000 | -0.000 | -0.000 | -0.000 | -0.000 | 0.000 |
| -0.000 | -0.000 | -0.000 | -0.000 | -0.000 | 0.000 |
| -0.000 | -0.000 | -0.000 | -0.000 | 0.000 | -0.000 |
| -0.000 | -0.000 | -0.000 | 0.000 | -0.000 | -0.000 |
| 0.000 | -0.000 | 0.000 | 0.000 | 0.000 | -0.000 |
| -0.000 | 0.000 | 0.000 | 0.000 | 0.000 | 0.000 |
| -0.000 | 0.000 | 0.000 | 0.000 | -0.000 | 0.000 |
| -0.000 | -0.000 | -0.000 | -0.000 | -0.000 | 0.000 |
| -0.000 | -0.000 | -0.000 | 0.000 | 0.000 | -0.000 |
| -0.000 | -0.000 | -0.000 | -0.000 | 0.000 | -0.000 |
| -0.000 | 0.000 | -0.000 | 0.000 | -0.000 | -0.000 |
| 0.000 | -0.000 | -0.000 | -0.000 | 0.000 | -0.000 |
| 0.000 | -0.000 | -0.000 | -0.000 | -0.000 | 0.000 |
| 0.000 | -0.000 | -0.000 | -0.000 | 0.000 | 0.000 |
| -0.000 | 0.000 | -0.000 | -0.000 | -0.000 | 0.000 |
| -0.000 | -0.000 | 0.000 | -0.000 | 0.000 | -0.000 |
| 0.000 | 0.000 | 0.000 | 0.000 | 0.000 | 0.000 |
| 0.000 | 0.000 | 0.000 | 0.000 | 0.000 | 0.000 |
| 0.000 | 0.000 | 0.000 | 0.000 | 0.000 | 0.000 |
| 0.000 | -0.000 | -0.000 | -0.000 | -0.000 | -0.000 |
| -0.000 | 0.000 | -0.000 | 0.000 | -0.000 | -0.000 |
| -0.000 | -0.000 | 0.000 | -0.000 | -0.000 | -0.000 |
| -0.000 | -0.000 | -0.000 | 0.000 | -0.000 | -0.000 |
| -0.000 | -0.000 | -0.000 | -0.000 | 0.000 | -0.000 |
| -0.000 | -0.000 | -0.000 | -0.000 | -0.000 | 0.000 |
| 0.000 | -0.000 | -0.000 | -0.000 | 0.000 | 0.000 |
| -0.000 | 0.000 | -0.000 | 0.000 | -0.000 | 0.000 |
| -0.000 | -0.000 | 0.000 | 0.000 | 0.000 | -0.000 |
| 0.000 | 0.000 | -0.000 | 0.000 | 0.000 | 0.000 |
| 0.000 | 0.000 | -0.000 | 0.000 | 0.000 | 0.000 |
| 0.000 | -0.000 | 0.000 | 0.000 | 0.000 | 0.000 |
| 0.000 | -0.000 | -0.000 | -0.000 | -0.000 | -0.000 |
| -0.000 | 0.000 | -0.000 | -0.000 | -0.000 | -0.000 |
| -0.000 | -0.000 | 0.000 | -0.000 | -0.000 | -0.000 |
| -0.000 | -0.000 | 0.000 | 0.000 | -0.000 | -0.000 |
| -0.000 | -0.000 | 0.000 | -0.000 | 0.000 | -0.000 |
| -0.000 | 0.000 | -0.000 | -0.000 | -0.000 | 0.000 |
| 0.000 | -0.000 | -0.000 | -0.000 | 0.000 | 0.000 |
| -0.000 | 0.000 | -0.000 | 0.000 | -0.000 | 0.000 |
| -0.000 | -0.000 | 0.000 | 0.000 | 0.000 | -0.000 |
| 0.000 | -0.000 | -0.000 | 0.000 | 0.000 | 0.000 |
| -0.000 | 0.000 | -0.000 | 0.000 | 0.000 | 0.000 |
| -0.000 | -0.000 | 0.000 | 0.000 | 0.000 | 0.000 |
| 0.000 | -0.000 | -0.000 | -0.000 | -0.000 | -0.000 |
| -0.000 | 0.000 | -0.000 | -0.000 | -0.000 | -0.000 |
| -0.000 | -0.000 | 0.000 | -0.000 | 0.000 | -0.000 |
| -0.000 | 0.000 | 0.000 | 0.000 | -0.000 | -0.000 |
| 0.000 | -0.000 | 0.000 | -0.000 | 0.000 | -0.000 |
| 0.000 | 0.000 | -0.000 | -0.000 | -0.000 | 0.000 |
| 141.657 | 152.341 | 152.341 | -0.000 | 0.000 | -0.000 |
| 152.341 | 141.657 | 152.341 | -0.000 | -0.000 | -0.000 |
| 152.341 | 152.341 | 141.657 | -0.000 | 0.000 | -0.000 |
| 0.000 | 0.000 | 0.000 | 127.206 | 0.000 | -0.000 |
| 0.000 | 0.000 | -0.000 | -0.000 | 127.206 | -0.000 |
| 0.000 | 0.000 | 0.000 | -0.000 | 0.000 | 127.206 |
| 141.657 | 152.341 | 152.341 | 0.000 | 0.000 | 0.000 |
| 152.341 | 141.657 | 152.341 | 0.000 | -0.000 | 0.000 |
| 152.341 | 152.341 | 141.657 | 0.000 | 0.000 | 0.000 |
| -0.000 | -0.000 | -0.000 | 127.206 | -0.000 | -0.000 |
| -0.000 | -0.000 | -0.000 | 0.000 | 127.206 | 0.000 |
| -0.000 | -0.000 | -0.000 | 0.000 | 0.000 | 127.206 |
| 141.657 | 152.341 | 152.341 | -0.000 | -0.000 | -0.000 |
| 152.341 | 141.657 | 152.341 | 0.000 | -0.000 | -0.000 |
| 152.341 | 152.341 | 141.657 | 0.000 | 0.000 | -0.000 |
| 0.000 | -0.000 | 0.000 | 127.206 | 0.000 | -0.000 |
| -0.000 | 0.000 | 0.000 | -0.000 | 127.206 | -0.000 |
| -0.000 | 0.000 | 0.000 | -0.000 | -0.000 | 127.206 |
| 141.657 | 152.341 | 152.341 | 0.000 | -0.000 | 0.000 |
| 152.341 | 141.657 | 152.341 | 0.000 | -0.000 | 0.000 |
| 152.341 | 152.341 | 141.657 | -0.000 | -0.000 | 0.000 |
| -0.000 | 0.000 | -0.000 | 127.206 | -0.000 | -0.000 |
| 0.000 | -0.000 | -0.000 | 0.000 | 127.206 | 0.000 |
| 0.000 | -0.000 | -0.000 | 0.000 | 0.000 | 127.206 |
| 141.658 | 152.341 | 152.341 | 0.000 | -0.000 | -0.000 |
| 152.341 | 141.658 | 152.341 | -0.000 | -0.000 | -0.000 |
| 152.341 | 152.341 | 141.658 | 0.000 | -0.000 | -0.000 |
| 0.000 | -0.000 | 0.000 | 127.206 | -0.000 | -0.000 |
| -0.000 | 0.000 | 0.000 | -0.000 | 127.206 | -0.000 |
| -0.000 | 0.000 | 0.000 | -0.000 | -0.000 | 127.206 |
| 141.656 | 152.340 | 152.340 | 0.000 | -0.000 | 0.000 |
| 152.340 | 141.656 | 152.340 | -0.000 | -0.000 | 0.000 |
| 152.340 | 152.340 | 141.656 | -0.000 | 0.000 | 0.000 |
| -0.000 | 0.000 | -0.000 | 127.206 | 0.000 | -0.000 |
| 0.000 | -0.000 | -0.000 | -0.000 | 127.206 | 0.000 |
| 0.000 | -0.000 | -0.000 | 0.000 | 0.000 | 127.206 |
| 0.000 | 0.000 | 0.000 | 0.000 | 0.000 | 0.000 |
| 0.000 | 0.000 | 0.000 | 0.000 | 0.000 | 0.000 |
| 0.000 | 0.000 | 0.000 | 0.000 | 0.000 | 0.000 |
| 0.000 | 0.000 | 0.000 | 0.000 | 0.000 | 0.000 |
| 0.000 | 0.000 | 0.000 | 0.000 | 0.000 | 0.000 |
| 0.000 | 0.000 | 0.000 | 0.000 | 0.000 | 0.000 |
| 0.000 | 0.000 | 0.000 | 0.000 | 0.000 | 0.000 |
| 0.000 | 0.000 | 0.000 | 0.000 | 0.000 | 0.000 |
| 0.000 | 0.000 | 0.000 | 0.000 | 0.000 | 0.000 |
| -0.000 | -0.000 | -0.000 | 0.000 | -0.000 | 0.000 |
| -0.000 | -0.000 | -0.000 | -0.000 | 0.000 | 0.000 |
| -0.000 | -0.000 | -0.000 | -0.000 | 0.000 | 0.000 |
| 0.000 | 0.000 | 0.000 | -0.000 | -0.000 | -0.000 |
| 0.000 | 0.000 | 0.000 | -0.000 | -0.000 | -0.000 |
| 0.000 | 0.000 | 0.000 | -0.000 | -0.000 | -0.000 |
| 0.000 | 0.000 | 0.000 | 0.000 | 0.000 | -0.000 |
| 0.000 | 0.000 | 0.000 | 0.000 | 0.000 | -0.000 |
| 0.000 | 0.000 | 0.000 | -0.000 | 0.000 | 0.000 |
| 0.000 | 0.000 | 0.000 | -0.000 | -0.000 | -0.000 |
| 0.000 | 0.000 | 0.000 | -0.000 | -0.000 | -0.000 |
| 0.000 | 0.000 | 0.000 | -0.000 | -0.000 | -0.000 |
| -0.000 | -0.000 | -0.000 | 0.000 | -0.000 | -0.000 |
| -0.000 | -0.000 | -0.000 | -0.000 | 0.000 | -0.000 |
| -0.000 | -0.000 | -0.000 | -0.000 | -0.000 | 0.000 |
| 0.000 | 0.000 | 0.000 | -0.000 | 0.000 | 0.000 |
| 0.000 | 0.000 | 0.000 | 0.000 | -0.000 | 0.000 |
| 0.000 | 0.000 | 0.000 | 0.000 | 0.000 | 0.000 |
| 0.000 | 0.000 | 0.000 | 0.000 | 0.000 | 0.000 |
| 0.000 | 0.000 | 0.000 | 0.000 | 0.000 | 0.000 |
| 0.000 | 0.000 | 0.000 | 0.000 | 0.000 | 0.000 |
| 0.000 | 0.000 | 0.000 | -0.000 | -0.000 | -0.000 |
| 0.000 | 0.000 | 0.000 | -0.000 | -0.000 | -0.000 |
| 0.000 | 0.000 | 0.000 | -0.000 | -0.000 | -0.000 |
| -0.000 | -0.000 | -0.000 | 0.000 | 0.000 | -0.000 |
| -0.000 | -0.000 | -0.000 | 0.000 | 0.000 | -0.000 |
| -0.000 | -0.000 | -0.000 | 0.000 | -0.000 | 0.000 |
| 0.000 | 0.000 | 0.000 | 0.000 | 0.000 | 0.000 |
| 0.000 | 0.000 | 0.000 | 0.000 | 0.000 | 0.000 |
| 0.000 | 0.000 | 0.000 | 0.000 | 0.000 | 0.000 |
| 0.000 | 0.000 | 0.000 | 0.000 | 0.000 | 0.000 |
| 0.000 | 0.000 | 0.000 | 0.000 | 0.000 | 0.000 |
| 0.000 | 0.000 | 0.000 | 0.000 | 0.000 | 0.000 |
| 0.000 | 0.000 | 0.000 | -0.000 | -0.000 | -0.000 |
| 0.000 | 0.000 | 0.000 | -0.000 | -0.000 | -0.000 |
| 0.000 | 0.000 | 0.000 | -0.000 | -0.000 | -0.000 |
| -0.000 | -0.000 | -0.000 | 0.000 | -0.000 | -0.000 |
| -0.000 | -0.000 | -0.000 | -0.000 | 0.000 | -0.000 |
| -0.000 | -0.000 | -0.000 | -0.000 | -0.000 | 0.000 |
| 0.000 | 0.000 | 0.000 | 0.000 | 0.000 | 0.000 |
| 0.000 | 0.000 | 0.000 | 0.000 | 0.000 | 0.000 |
| 0.000 | 0.000 | 0.000 | 0.000 | 0.000 | 0.000 |
| 0.000 | 0.000 | 0.000 | 0.000 | 0.000 | 0.000 |
| 0.000 | 0.000 | 0.000 | 0.000 | 0.000 | 0.000 |
| 0.000 | 0.000 | 0.000 | 0.000 | 0.000 | 0.000 |
| 0.000 | 0.000 | 0.000 | -0.000 | -0.000 | -0.000 |
| 0.000 | 0.000 | 0.000 | -0.000 | -0.000 | -0.000 |
| 0.000 | 0.000 | 0.000 | -0.000 | 0.000 | -0.000 |
| -0.000 | -0.000 | -0.000 | 0.000 | -0.000 | -0.000 |
| -0.000 | -0.000 | -0.000 | -0.000 | 0.000 | -0.000 |
| -0.000 | -0.000 | -0.000 | -0.000 | -0.000 | 0.000 |
| 0.000 | 0.000 | 0.000 | 0.000 | 0.000 | 0.000 |
| 0.000 | 0.000 | 0.000 | 0.000 | 0.000 | 0.000 |
| 0.000 | 0.000 | 0.000 | 0.000 | 0.000 | 0.000 |
| 0.000 | 0.000 | 0.000 | 0.000 | 0.000 | 0.000 |
| 0.000 | 0.000 | 0.000 | 0.000 | 0.000 | 0.000 |
| 0.000 | 0.000 | 0.000 | 0.000 | 0.000 | 0.000 |
| 0.000 | 0.000 | 0.000 | 0.000 | -0.000 | -0.000 |
| 0.000 | 0.000 | 0.000 | -0.000 | 0.000 | -0.000 |
| 0.000 | 0.000 | 0.000 | -0.000 | -0.000 | -0.000 |
| -0.000 | -0.000 | -0.000 | 0.000 | -0.000 | -0.000 |
| -0.000 | -0.000 | -0.000 | -0.000 | 0.000 | -0.000 |
| -0.000 | -0.000 | -0.000 | -0.000 | -0.000 | 0.000 |
| 0.000 | 0.000 | 0.000 | 0.000 | 0.000 | 0.000 |
| 0.000 | 0.000 | 0.000 | 0.000 | 0.000 | 0.000 |
| 0.000 | 0.000 | 0.000 | 0.000 | 0.000 | 0.000 |
| 0.000 | 0.000 | 0.000 | 0.000 | 0.000 | -0.000 |
| 0.000 | 0.000 | 0.000 | 0.000 | 0.000 | -0.000 |
| 0.000 | 0.000 | 0.000 | 0.000 | 0.000 | 0.000 |
| 0.000 | 0.000 | 0.000 | -0.000 | -0.000 | 0.000 |
| 0.000 | 0.000 | 0.000 | -0.000 | -0.000 | 0.000 |
| 0.000 | 0.000 | 0.000 | -0.000 | -0.000 | 0.000 |
| -0.000 | -0.000 | -0.000 | 0.000 | -0.000 | 0.000 |
| -0.000 | -0.000 | -0.000 | -0.000 | 0.000 | 0.000 |
| -0.000 | -0.000 | -0.000 | -0.000 | 0.000 | 0.000 |
| 0.000 | 0.000 | 0.000 | 0.000 | -0.000 | 0.000 |
| 0.000 | 0.000 | 0.000 | -0.000 | 0.000 | 0.000 |
| 0.000 | 0.000 | 0.000 | 0.000 | 0.000 | -0.000 |
| 0.000 | 0.000 | 0.000 | 0.000 | 0.000 | -0.000 |
| 0.000 | 0.000 | 0.000 | 0.000 | 0.000 | -0.000 |
| 0.000 | 0.000 | 0.000 | 0.000 | 0.000 | 0.000 |
| 0.000 | 0.000 | 0.000 | -0.000 | -0.000 | -0.000 |
| 0.000 | 0.000 | 0.000 | -0.000 | -0.000 | -0.000 |
| 0.000 | 0.000 | 0.000 | -0.000 | -0.000 | -0.000 |
| -0.000 | -0.000 | -0.000 | 0.000 | -0.000 | -0.000 |
| -0.000 | -0.000 | -0.000 | -0.000 | 0.000 | -0.000 |
| -0.000 | -0.000 | -0.000 | -0.000 | -0.000 | 0.000 |
| 0.000 | 0.000 | 0.000 | 0.000 | 0.000 | 0.000 |
| 0.000 | 0.000 | 0.000 | 0.000 | 0.000 | 0.000 |
| 0.000 | 0.000 | 0.000 | 0.000 | 0.000 | -0.000 |
| 0.000 | 0.000 | 0.000 | 0.000 | 0.000 | -0.000 |
| 0.000 | 0.000 | 0.000 | 0.000 | 0.000 | -0.000 |
| 0.000 | 0.000 | 0.000 | 0.000 | 0.000 | 0.000 |
| 0.000 | 0.000 | 0.000 | -0.000 | -0.000 | -0.000 |
| 0.000 | 0.000 | 0.000 | -0.000 | -0.000 | -0.000 |
| 0.000 | 0.000 | 0.000 | -0.000 | -0.000 | -0.000 |
| -0.000 | -0.000 | -0.000 | 0.000 | -0.000 | 0.000 |
| -0.000 | -0.000 | -0.000 | -0.000 | 0.000 | 0.000 |
| -0.000 | -0.000 | -0.000 | -0.000 | -0.000 | 0.000 |
| 0.000 | 0.000 | 0.000 | -0.000 | -0.000 | -0.000 |
| 0.000 | 0.000 | 0.000 | -0.000 | -0.000 | -0.000 |
| 0.000 | 0.000 | 0.000 | -0.000 | -0.000 | -0.000 |
| 0.000 | 0.000 | 0.000 | 0.000 | -0.000 | -0.000 |
| 0.000 | 0.000 | 0.000 | -0.000 | 0.000 | -0.000 |
| 0.000 | 0.000 | 0.000 | -0.000 | -0.000 | 0.000 |
| 0.000 | 0.000 | 0.000 | 0.000 | 0.000 | 0.000 |
| 0.000 | 0.000 | 0.000 | 0.000 | 0.000 | 0.000 |
| 0.000 | 0.000 | 0.000 | 0.000 | 0.000 | 0.000 |
| -0.000 | -0.000 | -0.000 | 0.000 | 0.000 | 0.000 |
| -0.000 | -0.000 | -0.000 | 0.000 | 0.000 | 0.000 |
| -0.000 | -0.000 | -0.000 | 0.000 | 0.000 | 0.000 |
| 0.000 | 0.000 | 0.000 | -0.000 | 0.000 | 0.000 |
| 0.000 | 0.000 | 0.000 | 0.000 | -0.000 | 0.000 |
| 0.000 | 0.000 | 0.000 | 0.000 | 0.000 | -0.000 |
| 0.000 | 0.000 | 0.000 | 0.000 | -0.000 | 0.000 |
| 0.000 | 0.000 | 0.000 | -0.000 | 0.000 | 0.000 |
| 0.000 | 0.000 | 0.000 | -0.000 | -0.000 | 0.000 |
| 0.000 | 0.000 | 0.000 | 0.000 | 0.000 | -0.000 |
| 0.000 | 0.000 | 0.000 | 0.000 | 0.000 | -0.000 |
| 0.000 | 0.000 | 0.000 | 0.000 | 0.000 | -0.000 |
| -0.000 | -0.000 | -0.000 | 0.000 | 0.000 | -0.000 |
| -0.000 | -0.000 | -0.000 | 0.000 | 0.000 | -0.000 |
| -0.000 | -0.000 | -0.000 | 0.000 | -0.000 | 0.000 |
| 0.000 | 0.000 | 0.000 | -0.000 | -0.000 | -0.000 |
| 0.000 | 0.000 | 0.000 | -0.000 | -0.000 | -0.000 |
| 0.000 | 0.000 | 0.000 | -0.000 | -0.000 | -0.000 |
| 0.000 | 0.000 | 0.000 | 0.000 | -0.000 | 0.000 |
| 0.000 | 0.000 | 0.000 | -0.000 | 0.000 | 0.000 |
| 0.000 | 0.000 | 0.000 | -0.000 | 0.000 | 0.000 |
| 0.000 | 0.000 | 0.000 | 0.000 | 0.000 | 0.000 |
| 0.000 | 0.000 | 0.000 | 0.000 | 0.000 | 0.000 |
| 0.000 | 0.000 | 0.000 | 0.000 | 0.000 | 0.000 |
| -0.000 | -0.000 | -0.000 | 0.000 | 0.000 | 0.000 |
| -0.000 | -0.000 | -0.000 | 0.000 | 0.000 | 0.000 |
| -0.000 | -0.000 | -0.000 | 0.000 | 0.000 | 0.000 |
| 0.000 | 0.000 | 0.000 | -0.000 | -0.000 | -0.000 |
| 0.000 | 0.000 | 0.000 | -0.000 | -0.000 | -0.000 |
| 0.000 | 0.000 | 0.000 | -0.000 | -0.000 | -0.000 |
| 0.000 | 0.000 | 0.000 | 0.000 | -0.000 | -0.000 |
| 0.000 | 0.000 | 0.000 | -0.000 | 0.000 | -0.000 |
| 0.000 | 0.000 | 0.000 | -0.000 | -0.000 | 0.000 |
| 0.000 | 0.000 | 0.000 | 0.000 | 0.000 | 0.000 |
| 0.000 | 0.000 | 0.000 | 0.000 | 0.000 | 0.000 |
| 0.000 | 0.000 | 0.000 | 0.000 | 0.000 | 0.000 |
| -0.000 | -0.000 | -0.000 | 0.000 | 0.000 | 0.000 |
| -0.000 | -0.000 | -0.000 | 0.000 | 0.000 | 0.000 |
| -0.000 | -0.000 | -0.000 | -0.000 | -0.000 | 0.000 |
| 0.000 | 0.000 | 0.000 | -0.000 | 0.000 | -0.000 |
| 0.000 | 0.000 | 0.000 | 0.000 | -0.000 | -0.000 |
| 0.000 | 0.000 | 0.000 | 0.000 | 0.000 | 0.000 |
| 0.000 | 0.000 | 0.000 | 0.000 | -0.000 | -0.000 |
| 0.000 | 0.000 | 0.000 | -0.000 | 0.000 | -0.000 |
| 0.000 | 0.000 | 0.000 | -0.000 | -0.000 | 0.000 |
| 0.000 | 0.000 | 0.000 | -0.000 | -0.000 | 0.000 |
| 0.000 | 0.000 | 0.000 | -0.000 | -0.000 | 0.000 |
| 0.000 | 0.000 | 0.000 | -0.000 | -0.000 | 0.000 |
| -0.000 | -0.000 | -0.000 | 0.000 | -0.000 | 0.000 |
| -0.000 | -0.000 | -0.000 | -0.000 | 0.000 | 0.000 |
| -0.000 | -0.000 | -0.000 | -0.000 | -0.000 | 0.000 |
| 0.000 | 0.000 | 0.000 | -0.000 | -0.000 | -0.000 |
| 0.000 | 0.000 | 0.000 | -0.000 | -0.000 | -0.000 |
| 0.000 | 0.000 | 0.000 | -0.000 | -0.000 | -0.000 |
| 0.000 | 0.000 | 0.000 | 0.000 | -0.000 | -0.000 |
| 0.000 | 0.000 | 0.000 | -0.000 | 0.000 | -0.000 |
| 0.000 | 0.000 | 0.000 | 0.000 | -0.000 | 0.000 |
| 0.000 | 0.000 | 0.000 | 0.000 | -0.000 | 0.000 |
| 0.000 | 0.000 | 0.000 | -0.000 | 0.000 | 0.000 |
| 0.000 | 0.000 | 0.000 | -0.000 | -0.000 | 0.000 |
| -0.000 | -0.000 | -0.000 | 0.000 | 0.000 | 0.000 |
| -0.000 | -0.000 | -0.000 | 0.000 | 0.000 | 0.000 |
| -0.000 | -0.000 | -0.000 | 0.000 | 0.000 | 0.000 |
| 0.000 | 0.000 | 0.000 | -0.000 | -0.000 | -0.000 |
| 0.000 | 0.000 | 0.000 | -0.000 | -0.000 | -0.000 |
| 0.000 | 0.000 | 0.000 | -0.000 | -0.000 | -0.000 |
| 0.000 | 0.000 | 0.000 | 0.000 | -0.000 | -0.000 |
| 0.000 | 0.000 | 0.000 | -0.000 | 0.000 | -0.000 |
| 0.000 | 0.000 | 0.000 | -0.000 | -0.000 | 0.000 |
| 0.000 | 0.000 | 0.000 | 0.000 | 0.000 | 0.000 |
| 0.000 | 0.000 | 0.000 | 0.000 | 0.000 | 0.000 |
| 0.000 | 0.000 | 0.000 | 0.000 | 0.000 | -0.000 |
| -0.000 | -0.000 | -0.000 | 0.000 | 0.000 | -0.000 |
| -0.000 | -0.000 | -0.000 | 0.000 | 0.000 | -0.000 |
| -0.000 | -0.000 | -0.000 | 0.000 | 0.000 | 0.000 |
| 0.000 | 0.000 | 0.000 | -0.000 | -0.000 | -0.000 |
| 0.000 | 0.000 | 0.000 | -0.000 | -0.000 | -0.000 |
| 0.000 | 0.000 | 0.000 | -0.000 | -0.000 | -0.000 |
| 0.000 | 0.000 | 0.000 | 0.000 | -0.000 | 0.000 |
| 0.000 | 0.000 | 0.000 | -0.000 | 0.000 | 0.000 |
| 0.000 | 0.000 | 0.000 | 0.000 | 0.000 | 0.000 |
| 0.000 | 0.000 | 0.000 | -0.000 | 0.000 | 0.000 |
| 0.000 | 0.000 | 0.000 | 0.000 | -0.000 | 0.000 |
| 0.000 | 0.000 | 0.000 | -0.000 | -0.000 | -0.000 |
| -0.000 | -0.000 | -0.000 | 0.000 | -0.000 | 0.000 |
| -0.000 | -0.000 | -0.000 | -0.000 | 0.000 | 0.000 |
| -0.000 | -0.000 | -0.000 | 0.000 | 0.000 | 0.000 |
| 0.000 | 0.000 | 0.000 | 0.000 | -0.000 | -0.000 |
| 0.000 | 0.000 | 0.000 | -0.000 | 0.000 | -0.000 |
| 0.000 | 0.000 | 0.000 | -0.000 | -0.000 | 0.000 |
| 0.000 | 0.000 | 0.000 | 0.000 | -0.000 | -0.000 |
| 0.000 | 0.000 | 0.000 | -0.000 | 0.000 | -0.000 |
| 0.000 | 0.000 | 0.000 | -0.000 | -0.000 | 0.000 |
| 0.000 | 0.000 | 0.000 | 0.000 | 0.000 | 0.000 |
| 0.000 | 0.000 | 0.000 | 0.000 | 0.000 | 0.000 |
| 0.000 | 0.000 | 0.000 | 0.000 | 0.000 | 0.000 |
| -0.000 | -0.000 | -0.000 | 0.000 | 0.000 | 0.000 |
| -0.000 | -0.000 | -0.000 | 0.000 | 0.000 | 0.000 |
| -0.000 | -0.000 | -0.000 | 0.000 | -0.000 | 0.000 |
| 0.000 | 0.000 | 0.000 | -0.000 | -0.000 | -0.000 |
| 0.000 | 0.000 | 0.000 | -0.000 | -0.000 | -0.000 |
| 0.000 | 0.000 | 0.000 | -0.000 | -0.000 | -0.000 |
| 0.000 | 0.000 | 0.000 | 0.000 | -0.000 | -0.000 |
| 0.000 | 0.000 | 0.000 | -0.000 | 0.000 | -0.000 |
| 0.000 | 0.000 | 0.000 | -0.000 | 0.000 | 0.000 |
| 0.000 | 0.000 | 0.000 | 0.000 | 0.000 | 0.000 |
| 0.000 | 0.000 | 0.000 | 0.000 | 0.000 | 0.000 |
| 0.000 | 0.000 | 0.000 | 0.000 | 0.000 | 0.000 |
| -0.000 | -0.000 | -0.000 | 0.000 | 0.000 | 0.000 |
| -0.000 | -0.000 | -0.000 | 0.000 | 0.000 | 0.000 |
| -0.000 | -0.000 | -0.000 | 0.000 | 0.000 | 0.000 |
| 0.000 | 0.000 | 0.000 | -0.000 | -0.000 | -0.000 |
| 0.000 | 0.000 | 0.000 | -0.000 | -0.000 | -0.000 |
| 0.000 | 0.000 | 0.000 | -0.000 | -0.000 | -0.000 |
| 0.000 | 0.000 | 0.000 | 0.000 | 0.000 | -0.000 |
| 0.000 | 0.000 | 0.000 | 0.000 | 0.000 | -0.000 |
| 0.000 | 0.000 | 0.000 | -0.000 | -0.000 | 0.000 |
| 0.000 | 0.000 | 0.000 | 0.000 | 0.000 | 0.000 |
| 0.000 | 0.000 | 0.000 | 0.000 | 0.000 | 0.000 |
| 0.000 | 0.000 | 0.000 | 0.000 | 0.000 | 0.000 |
| -0.000 | -0.000 | -0.000 | 0.000 | 0.000 | 0.000 |
| -0.000 | -0.000 | -0.000 | 0.000 | 0.000 | 0.000 |
| -0.000 | -0.000 | -0.000 | 0.000 | 0.000 | 0.000 |
| 0.000 | 0.000 | 0.000 | 0.000 | 0.000 | 0.000 |
| 0.000 | 0.000 | 0.000 | 0.000 | 0.000 | 0.000 |
| 0.000 | 0.000 | 0.000 | 0.000 | 0.000 | 0.000 |
| 0.000 | 0.000 | 0.000 | 0.000 | 0.000 | 0.000 |
| 0.000 | 0.000 | 0.000 | 0.000 | 0.000 | 0.000 |
| 0.000 | 0.000 | 0.000 | 0.000 | -0.000 | 0.000 |
| 0.000 | 0.000 | 0.000 | 0.000 | 0.000 | -0.000 |
| 0.000 | 0.000 | 0.000 | 0.000 | 0.000 | -0.000 |
| 0.000 | 0.000 | 0.000 | 0.000 | 0.000 | 0.000 |
| -0.000 | -0.000 | -0.000 | 0.000 | -0.000 | 0.000 |
| -0.000 | -0.000 | -0.000 | -0.000 | 0.000 | 0.000 |
| -0.000 | -0.000 | -0.000 | -0.000 | 0.000 | 0.000 |
| 0.000 | 0.000 | 0.000 | -0.000 | -0.000 | 0.000 |
| 0.000 | 0.000 | 0.000 | -0.000 | -0.000 | 0.000 |
| 0.000 | 0.000 | 0.000 | -0.000 | -0.000 | -0.000 |
| 0.000 | 0.000 | 0.000 | 0.000 | 0.000 | 0.000 |
| 0.000 | 0.000 | 0.000 | 0.000 | 0.000 | 0.000 |
| 0.000 | 0.000 | 0.000 | 0.000 | 0.000 | 0.000 |
| 0.000 | 0.000 | 0.000 | 0.000 | 0.000 | 0.000 |
| 0.000 | 0.000 | 0.000 | 0.000 | 0.000 | 0.000 |
| 0.000 | 0.000 | 0.000 | 0.000 | 0.000 | 0.000 |
| -0.000 | -0.000 | -0.000 | 0.000 | 0.000 | 0.000 |
| -0.000 | -0.000 | -0.000 | 0.000 | 0.000 | 0.000 |
| -0.000 | -0.000 | -0.000 | 0.000 | 0.000 | 0.000 |
| 0.000 | 0.000 | 0.000 | -0.000 | 0.000 | 0.000 |
| 0.000 | 0.000 | 0.000 | 0.000 | -0.000 | 0.000 |
| 0.000 | 0.000 | 0.000 | 0.000 | 0.000 | -0.000 |
| 0.000 | 0.000 | 0.000 | 0.000 | -0.000 | 0.000 |
| 0.000 | 0.000 | 0.000 | -0.000 | 0.000 | 0.000 |
| 0.000 | 0.000 | 0.000 | 0.000 | -0.000 | 0.000 |
| 0.000 | 0.000 | 0.000 | 0.000 | 0.000 | 0.000 |
| 0.000 | 0.000 | 0.000 | 0.000 | 0.000 | 0.000 |
| 0.000 | 0.000 | 0.000 | 0.000 | 0.000 | -0.000 |
| -0.000 | -0.000 | -0.000 | 0.000 | 0.000 | -0.000 |
| -0.000 | -0.000 | -0.000 | 0.000 | 0.000 | -0.000 |
| -0.000 | -0.000 | -0.000 | 0.000 | -0.000 | 0.000 |
| 0.000 | 0.000 | 0.000 | -0.000 | -0.000 | 0.000 |
| 0.000 | 0.000 | 0.000 | -0.000 | -0.000 | 0.000 |
| 0.000 | 0.000 | 0.000 | 0.000 | 0.000 | -0.000 |
| 0.000 | 0.000 | 0.000 | 0.000 | -0.000 | 0.000 |
| 0.000 | 0.000 | 0.000 | -0.000 | 0.000 | 0.000 |
| 0.000 | 0.000 | 0.000 | -0.000 | -0.000 | 0.000 |
| 0.000 | 0.000 | 0.000 | 0.000 | 0.000 | -0.000 |
| 0.000 | 0.000 | 0.000 | 0.000 | 0.000 | -0.000 |
| 0.000 | 0.000 | 0.000 | -0.000 | -0.000 | 0.000 |
| -0.000 | -0.000 | -0.000 | 0.000 | 0.000 | 0.000 |
| -0.000 | -0.000 | -0.000 | 0.000 | 0.000 | 0.000 |
| -0.000 | -0.000 | -0.000 | -0.000 | -0.000 | 0.000 |
| 0.000 | 0.000 | 0.000 | 0.000 | -0.000 | 0.000 |
| 0.000 | 0.000 | 0.000 | -0.000 | 0.000 | 0.000 |
| 0.000 | 0.000 | 0.000 | -0.000 | -0.000 | 0.000 |
| -0.000 | -0.000 | -0.000 | 0.000 | 0.000 | 0.000 |
| -0.000 | -0.000 | -0.000 | 0.000 | 0.000 | 0.000 |
| -0.000 | -0.000 | -0.000 | -0.000 | 0.000 | 0.000 |
| 0.000 | 0.000 | 0.000 | 0.000 | -0.000 | -0.000 |
| 0.000 | 0.000 | 0.000 | -0.000 | 0.000 | -0.000 |
| 0.000 | 0.000 | 0.000 | -0.000 | -0.000 | -0.000 |
| 0.000 | 0.000 | 0.000 | 0.000 | 0.000 | -0.000 |
| 0.000 | 0.000 | 0.000 | 0.000 | 0.000 | -0.000 |
| 0.000 | 0.000 | 0.000 | -0.000 | -0.000 | 0.000 |
| 0.000 | 0.000 | 0.000 | 0.000 | 0.000 | 0.000 |
| 0.000 | 0.000 | 0.000 | 0.000 | 0.000 | 0.000 |
| 0.000 | 0.000 | 0.000 | 0.000 | 0.000 | 0.000 |
| -0.000 | -0.000 | -0.000 | 0.000 | 0.000 | 0.000 |
| -0.000 | -0.000 | -0.000 | 0.000 | 0.000 | 0.000 |
| -0.000 | -0.000 | -0.000 | -0.000 | 0.000 | 0.000 |
| 0.000 | 0.000 | 0.000 | -0.000 | -0.000 | -0.000 |
| 0.000 | 0.000 | 0.000 | -0.000 | -0.000 | -0.000 |
| 0.000 | 0.000 | 0.000 | -0.000 | -0.000 | -0.000 |
| 0.000 | 0.000 | 0.000 | 0.000 | -0.000 | -0.000 |
| 0.000 | 0.000 | 0.000 | -0.000 | 0.000 | -0.000 |
| 0.000 | 0.000 | 0.000 | -0.000 | 0.000 | 0.000 |
| 0.000 | 0.000 | 0.000 | -0.000 | 0.000 | 0.000 |
| 0.000 | 0.000 | 0.000 | 0.000 | 0.000 | 0.000 |
| 0.000 | 0.000 | 0.000 | 0.000 | 0.000 | 0.000 |
| -0.000 | -0.000 | -0.000 | 0.000 | 0.000 | 0.000 |
| -0.000 | -0.000 | -0.000 | 0.000 | 0.000 | 0.000 |
| -0.000 | -0.000 | -0.000 | 0.000 | 0.000 | 0.000 |
| 0.000 | 0.000 | 0.000 | -0.000 | -0.000 | -0.000 |
| 0.000 | 0.000 | 0.000 | -0.000 | -0.000 | -0.000 |
| 0.000 | 0.000 | 0.000 | -0.000 | -0.000 | -0.000 |
| 0.000 | 0.000 | 0.000 | 0.000 | 0.000 | -0.000 |
| 0.000 | 0.000 | 0.000 | 0.000 | 0.000 | -0.000 |
| 0.000 | 0.000 | 0.000 | 0.000 | -0.000 | 0.000 |
| 0.000 | 0.000 | 0.000 | -0.000 | 0.000 | 0.000 |
| 0.000 | 0.000 | 0.000 | 0.000 | -0.000 | 0.000 |
| 0.000 | 0.000 | 0.000 | 0.000 | 0.000 | -0.000 |
| 0.000 | 0.000 | 0.000 | 0.000 | -0.000 | 0.000 |
| 0.000 | 0.000 | 0.000 | -0.000 | 0.000 | 0.000 |
| 0.000 | 0.000 | 0.000 | -0.000 | 0.000 | 0.000 |
| 0.000 | 0.000 | 0.000 | 0.000 | 0.000 | 0.000 |
| 0.000 | 0.000 | 0.000 | 0.000 | 0.000 | 0.000 |
| 0.000 | 0.000 | 0.000 | 0.000 | 0.000 | 0.000 |
| -0.000 | -0.000 | -0.000 | 0.000 | -0.000 | -0.000 |
| -0.000 | -0.000 | -0.000 | -0.000 | 0.000 | -0.000 |
| -0.000 | -0.000 | -0.000 | -0.000 | -0.000 | 0.000 |
| 0.000 | 0.000 | 0.000 | 0.000 | -0.000 | -0.000 |
| 0.000 | 0.000 | 0.000 | -0.000 | 0.000 | -0.000 |
| 0.000 | 0.000 | 0.000 | 0.000 | 0.000 | -0.000 |
| 0.000 | 0.000 | 0.000 | 0.000 | 0.000 | 0.000 |
| 0.000 | 0.000 | 0.000 | 0.000 | 0.000 | 0.000 |
| 0.000 | 0.000 | 0.000 | 0.000 | -0.000 | 0.000 |
| 0.000 | 0.000 | 0.000 | 0.000 | 0.000 | 0.000 |
| 0.000 | 0.000 | 0.000 | 0.000 | 0.000 | 0.000 |
| 0.000 | 0.000 | 0.000 | -0.000 | -0.000 | 0.000 |
| -0.000 | -0.000 | -0.000 | 0.000 | -0.000 | 0.000 |
| -0.000 | -0.000 | -0.000 | -0.000 | 0.000 | 0.000 |
| -0.000 | -0.000 | -0.000 | 0.000 | -0.000 | 0.000 |
| 0.000 | 0.000 | 0.000 | 0.000 | 0.000 | 0.000 |
| 0.000 | 0.000 | 0.000 | 0.000 | 0.000 | 0.000 |
| 0.000 | 0.000 | 0.000 | 0.000 | 0.000 | -0.000 |
| 0.000 | 0.000 | 0.000 | 0.000 | 0.000 | 0.000 |
| 0.000 | 0.000 | 0.000 | 0.000 | 0.000 | 0.000 |
| 0.000 | 0.000 | 0.000 | 0.000 | 0.000 | 0.000 |
| 0.000 | 0.000 | 0.000 | 0.000 | 0.000 | 0.000 |
| 0.000 | 0.000 | 0.000 | 0.000 | 0.000 | 0.000 |
| 0.000 | 0.000 | 0.000 | 0.000 | 0.000 | 0.000 |
| -0.000 | -0.000 | -0.000 | 0.000 | -0.000 | 0.000 |
| -0.000 | -0.000 | -0.000 | -0.000 | 0.000 | 0.000 |
| -0.000 | -0.000 | -0.000 | -0.000 | -0.000 | 0.000 |
| -0.000 | -0.000 | -0.000 | -0.000 | -0.000 | -0.000 |
| -0.000 | -0.000 | -0.000 | 0.000 | -0.000 | -0.000 |
| -0.000 | -0.000 | -0.000 | -0.000 | -0.000 | -0.000 |
| -0.000 | -0.000 | -0.000 | -0.000 | 0.000 | 0.000 |
| -0.000 | -0.000 | -0.000 | 0.000 | -0.000 | 0.000 |
| -0.000 | -0.000 | -0.000 | 0.000 | 0.000 | -0.000 |
| -0.000 | -0.000 | -0.000 | -0.000 | 0.000 | 0.000 |
| -0.000 | -0.000 | -0.000 | 0.000 | -0.000 | 0.000 |
| -0.000 | -0.000 | -0.000 | 0.000 | 0.000 | -0.000 |
| 0.000 | 0.000 | 0.000 | -0.000 | -0.000 | 0.000 |
| 0.000 | 0.000 | 0.000 | -0.000 | -0.000 | 0.000 |
| 0.000 | 0.000 | 0.000 | -0.000 | 0.000 | -0.000 |
| -0.000 | -0.000 | -0.000 | -0.000 | -0.000 | -0.000 |
| -0.000 | -0.000 | -0.000 | -0.000 | -0.000 | -0.000 |
| -0.000 | -0.000 | -0.000 | -0.000 | -0.000 | -0.000 |
| -0.000 | -0.000 | -0.000 | -0.000 | -0.000 | -0.000 |
| -0.000 | -0.000 | -0.000 | -0.000 | -0.000 | -0.000 |
| -0.000 | -0.000 | -0.000 | 0.000 | -0.000 | -0.000 |
| -0.000 | -0.000 | -0.000 | -0.000 | -0.000 | 0.000 |
| -0.000 | -0.000 | -0.000 | -0.000 | -0.000 | 0.000 |
| -0.000 | -0.000 | -0.000 | -0.000 | 0.000 | -0.000 |
| 0.000 | 0.000 | 0.000 | -0.000 | -0.000 | 0.000 |
| 0.000 | 0.000 | 0.000 | -0.000 | -0.000 | 0.000 |
| 0.000 | 0.000 | 0.000 | -0.000 | 0.000 | -0.000 |
| -0.000 | -0.000 | -0.000 | 0.000 | -0.000 | -0.000 |
| -0.000 | -0.000 | -0.000 | 0.000 | -0.000 | -0.000 |
| -0.000 | -0.000 | -0.000 | -0.000 | -0.000 | -0.000 |
| -0.000 | -0.000 | -0.000 | -0.000 | -0.000 | -0.000 |
| -0.000 | -0.000 | -0.000 | -0.000 | -0.000 | -0.000 |
| -0.000 | -0.000 | -0.000 | -0.000 | 0.000 | -0.000 |
| -0.000 | -0.000 | -0.000 | 0.000 | 0.000 | 0.000 |
| -0.000 | -0.000 | -0.000 | 0.000 | 0.000 | 0.000 |
| -0.000 | -0.000 | -0.000 | 0.000 | 0.000 | 0.000 |
| 0.000 | 0.000 | 0.000 | -0.000 | 0.000 | 0.000 |
| 0.000 | 0.000 | 0.000 | 0.000 | -0.000 | 0.000 |
| 0.000 | 0.000 | 0.000 | 0.000 | 0.000 | -0.000 |
| -0.000 | -0.000 | -0.000 | -0.000 | -0.000 | 0.000 |
| -0.000 | -0.000 | -0.000 | -0.000 | -0.000 | 0.000 |
| -0.000 | -0.000 | -0.000 | -0.000 | -0.000 | -0.000 |
| -0.000 | -0.000 | -0.000 | -0.000 | -0.000 | 0.000 |
| -0.000 | -0.000 | -0.000 | -0.000 | -0.000 | 0.000 |
| -0.000 | -0.000 | -0.000 | -0.000 | -0.000 | -0.000 |
| -0.000 | -0.000 | -0.000 | 0.000 | 0.000 | -0.000 |
| -0.000 | -0.000 | -0.000 | 0.000 | 0.000 | -0.000 |
| -0.000 | -0.000 | -0.000 | 0.000 | 0.000 | 0.000 |
| 0.000 | 0.000 | 0.000 | -0.000 | 0.000 | -0.000 |
| 0.000 | 0.000 | 0.000 | 0.000 | -0.000 | -0.000 |
| 0.000 | 0.000 | 0.000 | 0.000 | -0.000 | -0.000 |
| -0.000 | -0.000 | -0.000 | -0.000 | 0.000 | 0.000 |
| -0.000 | -0.000 | -0.000 | 0.000 | -0.000 | 0.000 |
| -0.000 | -0.000 | -0.000 | -0.000 | -0.000 | -0.000 |
| -0.000 | -0.000 | -0.000 | -0.000 | 0.000 | 0.000 |
| -0.000 | -0.000 | -0.000 | 0.000 | -0.000 | 0.000 |
| -0.000 | -0.000 | -0.000 | -0.000 | 0.000 | -0.000 |
| -0.000 | -0.000 | -0.000 | 0.000 | 0.000 | 0.000 |
| -0.000 | -0.000 | -0.000 | 0.000 | 0.000 | 0.000 |
| -0.000 | -0.000 | -0.000 | 0.000 | 0.000 | 0.000 |
| 0.000 | 0.000 | 0.000 | -0.000 | 0.000 | 0.000 |
| 0.000 | 0.000 | 0.000 | 0.000 | -0.000 | 0.000 |
| 0.000 | 0.000 | 0.000 | 0.000 | 0.000 | -0.000 |
| -0.000 | -0.000 | -0.000 | -0.000 | -0.000 | -0.000 |
| -0.000 | -0.000 | -0.000 | -0.000 | -0.000 | -0.000 |
| -0.000 | -0.000 | -0.000 | -0.000 | -0.000 | -0.000 |
| -0.000 | -0.000 | -0.000 | -0.000 | -0.000 | 0.000 |
| -0.000 | -0.000 | -0.000 | -0.000 | -0.000 | 0.000 |
| -0.000 | -0.000 | -0.000 | -0.000 | -0.000 | -0.000 |
| -0.000 | -0.000 | -0.000 | 0.000 | 0.000 | -0.000 |
| -0.000 | -0.000 | -0.000 | 0.000 | 0.000 | -0.000 |
| -0.000 | -0.000 | -0.000 | 0.000 | 0.000 | 0.000 |
| 0.000 | 0.000 | 0.000 | -0.000 | 0.000 | 0.000 |
| 0.000 | 0.000 | 0.000 | 0.000 | -0.000 | 0.000 |
| 0.000 | 0.000 | 0.000 | 0.000 | 0.000 | -0.000 |
| 0.000 | 0.000 | 0.000 | -0.000 | 0.000 | -0.000 |
| 0.000 | 0.000 | 0.000 | 0.000 | -0.000 | -0.000 |
| 0.000 | 0.000 | 0.000 | 0.000 | -0.000 | -0.000 |
| 0.000 | 0.000 | 0.000 | 0.000 | -0.000 | -0.000 |
| 0.000 | 0.000 | 0.000 | -0.000 | 0.000 | -0.000 |
| 0.000 | 0.000 | 0.000 | -0.000 | 0.000 | 0.000 |
| 0.000 | 0.000 | 0.000 | -0.000 | 0.000 | 0.000 |
| 0.000 | 0.000 | 0.000 | 0.000 | -0.000 | 0.000 |
| 0.000 | 0.000 | 0.000 | 0.000 | 0.000 | 0.000 |
| -0.000 | -0.000 | -0.000 | 0.000 | -0.000 | 0.000 |
| -0.000 | -0.000 | -0.000 | -0.000 | 0.000 | 0.000 |
| -0.000 | -0.000 | -0.000 | 0.000 | 0.000 | 0.000 |
| 0.000 | 0.000 | 0.000 | 0.000 | 0.000 | -0.000 |
| 0.000 | 0.000 | 0.000 | -0.000 | 0.000 | -0.000 |
| 0.000 | 0.000 | 0.000 | -0.000 | -0.000 | -0.000 |
| 0.000 | 0.000 | 0.000 | 0.000 | -0.000 | -0.000 |
| 0.000 | 0.000 | 0.000 | -0.000 | 0.000 | -0.000 |
| 0.000 | 0.000 | 0.000 | -0.000 | 0.000 | 0.000 |
| 0.000 | 0.000 | 0.000 | 0.000 | -0.000 | 0.000 |
| 0.000 | 0.000 | 0.000 | -0.000 | 0.000 | 0.000 |
| 0.000 | 0.000 | 0.000 | -0.000 | -0.000 | -0.000 |
| -0.000 | -0.000 | -0.000 | 0.000 | -0.000 | 0.000 |
| -0.000 | -0.000 | -0.000 | -0.000 | 0.000 | 0.000 |
| -0.000 | -0.000 | -0.000 | -0.000 | 0.000 | 0.000 |
| 0.000 | 0.000 | 0.000 | -0.000 | -0.000 | -0.000 |
| 0.000 | 0.000 | 0.000 | -0.000 | -0.000 | -0.000 |
| 0.000 | 0.000 | 0.000 | -0.000 | -0.000 | -0.000 |
| 0.000 | 0.000 | 0.000 | 0.000 | 0.000 | -0.000 |
| 0.000 | 0.000 | 0.000 | 0.000 | 0.000 | -0.000 |
| 0.000 | 0.000 | 0.000 | 0.000 | 0.000 | 0.000 |
| 0.000 | 0.000 | 0.000 | 0.000 | 0.000 | 0.000 |
| 0.000 | 0.000 | 0.000 | 0.000 | 0.000 | 0.000 |
| 0.000 | 0.000 | 0.000 | 0.000 | 0.000 | 0.000 |
| -0.000 | -0.000 | -0.000 | 0.000 | -0.000 | 0.000 |
| -0.000 | -0.000 | -0.000 | -0.000 | 0.000 | 0.000 |
| -0.000 | -0.000 | -0.000 | 0.000 | 0.000 | 0.000 |
| -0.000 | -0.000 | -0.000 | -0.000 | -0.000 | -0.000 |
| -0.000 | -0.000 | -0.000 | -0.000 | -0.000 | -0.000 |
| -0.000 | -0.000 | -0.000 | -0.000 | -0.000 | -0.000 |
| -0.000 | -0.000 | -0.000 | -0.000 | -0.000 | -0.000 |
| -0.000 | -0.000 | -0.000 | -0.000 | -0.000 | -0.000 |
| -0.000 | -0.000 | -0.000 | -0.000 | -0.000 | -0.000 |
| -0.000 | -0.000 | -0.000 | 0.000 | 0.000 | 0.000 |
| -0.000 | -0.000 | -0.000 | 0.000 | 0.000 | 0.000 |
| -0.000 | -0.000 | -0.000 | -0.000 | -0.000 | 0.000 |
| 0.000 | 0.000 | 0.000 | -0.000 | 0.000 | 0.000 |
| 0.000 | 0.000 | 0.000 | 0.000 | -0.000 | 0.000 |
| 0.000 | 0.000 | 0.000 | 0.000 | 0.000 | -0.000 |
| -0.000 | -0.000 | -0.000 | -0.000 | -0.000 | -0.000 |
| -0.000 | -0.000 | -0.000 | -0.000 | -0.000 | -0.000 |
| -0.000 | -0.000 | -0.000 | -0.000 | -0.000 | -0.000 |
| -0.000 | -0.000 | -0.000 | -0.000 | -0.000 | -0.000 |
| -0.000 | -0.000 | -0.000 | -0.000 | -0.000 | -0.000 |
| -0.000 | -0.000 | -0.000 | -0.000 | -0.000 | -0.000 |
| -0.000 | -0.000 | -0.000 | 0.000 | 0.000 | 0.000 |
| -0.000 | -0.000 | -0.000 | 0.000 | 0.000 | 0.000 |
| -0.000 | -0.000 | -0.000 | 0.000 | 0.000 | 0.000 |
| 0.000 | 0.000 | 0.000 | -0.000 | 0.000 | 0.000 |
| 0.000 | 0.000 | 0.000 | 0.000 | -0.000 | 0.000 |
| 0.000 | 0.000 | 0.000 | 0.000 | 0.000 | -0.000 |
| 0.000 | 0.000 | 0.000 | 0.000 | -0.000 | -0.000 |
| 0.000 | 0.000 | 0.000 | -0.000 | 0.000 | -0.000 |
| 0.000 | 0.000 | 0.000 | 0.000 | 0.000 | 0.000 |
| 0.000 | 0.000 | 0.000 | 0.000 | -0.000 | -0.000 |
| 0.000 | 0.000 | 0.000 | -0.000 | 0.000 | -0.000 |
| 0.000 | 0.000 | 0.000 | -0.000 | 0.000 | 0.000 |
| 0.000 | 0.000 | 0.000 | 0.000 | 0.000 | 0.000 |
| 0.000 | 0.000 | 0.000 | 0.000 | 0.000 | 0.000 |
| 0.000 | 0.000 | 0.000 | 0.000 | 0.000 | 0.000 |
| -0.000 | -0.000 | -0.000 | 0.000 | 0.000 | 0.000 |
| -0.000 | -0.000 | -0.000 | 0.000 | 0.000 | 0.000 |
| -0.000 | -0.000 | -0.000 | 0.000 | 0.000 | 0.000 |
| 0.000 | 0.000 | 0.000 | 0.000 | -0.000 | -0.000 |
| 0.000 | 0.000 | 0.000 | -0.000 | 0.000 | -0.000 |
| 0.000 | 0.000 | 0.000 | -0.000 | -0.000 | 0.000 |
| 0.000 | 0.000 | 0.000 | 0.000 | -0.000 | -0.000 |
| 0.000 | 0.000 | 0.000 | -0.000 | 0.000 | -0.000 |
| 0.000 | 0.000 | 0.000 | 0.000 | -0.000 | 0.000 |
| 0.000 | 0.000 | 0.000 | 0.000 | 0.000 | -0.000 |
| 0.000 | 0.000 | 0.000 | 0.000 | 0.000 | -0.000 |
| 0.000 | 0.000 | 0.000 | -0.000 | -0.000 | 0.000 |
| -0.000 | -0.000 | -0.000 | 0.000 | -0.000 | 0.000 |
| -0.000 | -0.000 | -0.000 | -0.000 | 0.000 | 0.000 |
| -0.000 | -0.000 | -0.000 | 0.000 | -0.000 | 0.000 |
| 0.000 | 0.000 | 0.000 | 0.000 | -0.000 | 0.000 |
| 0.000 | 0.000 | 0.000 | -0.000 | 0.000 | 0.000 |
| 0.000 | 0.000 | 0.000 | 0.000 | 0.000 | 0.000 |
| 0.000 | 0.000 | 0.000 | 0.000 | 0.000 | 0.000 |
| 0.000 | 0.000 | 0.000 | 0.000 | 0.000 | 0.000 |
| 0.000 | 0.000 | 0.000 | 0.000 | 0.000 | 0.000 |
| 0.000 | 0.000 | 0.000 | -0.000 | -0.000 | -0.000 |
| 0.000 | 0.000 | 0.000 | -0.000 | -0.000 | -0.000 |
| 0.000 | 0.000 | 0.000 | -0.000 | -0.000 | -0.000 |
| -0.000 | -0.000 | -0.000 | 0.000 | 0.000 | -0.000 |
| -0.000 | -0.000 | -0.000 | 0.000 | 0.000 | -0.000 |
| -0.000 | -0.000 | -0.000 | 0.000 | -0.000 | 0.000 |
| 0.000 | 0.000 | 0.000 | -0.000 | 0.000 | -0.000 |
| 0.000 | 0.000 | 0.000 | 0.000 | -0.000 | -0.000 |
| 0.000 | 0.000 | 0.000 | 0.000 | 0.000 | -0.000 |
| 0.000 | 0.000 | 0.000 | 0.000 | 0.000 | -0.000 |
| 0.000 | 0.000 | 0.000 | 0.000 | 0.000 | -0.000 |
| 0.000 | 0.000 | 0.000 | 0.000 | -0.000 | 0.000 |
| 0.000 | 0.000 | 0.000 | -0.000 | -0.000 | -0.000 |
| 0.000 | 0.000 | 0.000 | -0.000 | -0.000 | -0.000 |
| 0.000 | 0.000 | 0.000 | -0.000 | -0.000 | -0.000 |
| -0.000 | -0.000 | -0.000 | 0.000 | -0.000 | -0.000 |
| -0.000 | -0.000 | -0.000 | -0.000 | 0.000 | -0.000 |
| -0.000 | -0.000 | -0.000 | -0.000 | -0.000 | 0.000 |
| 0.000 | 0.000 | 0.000 | 0.000 | -0.000 | -0.000 |
| 0.000 | 0.000 | 0.000 | -0.000 | 0.000 | -0.000 |
| 0.000 | 0.000 | 0.000 | 0.000 | 0.000 | -0.000 |
| 0.000 | 0.000 | 0.000 | 0.000 | 0.000 | -0.000 |
| 0.000 | 0.000 | 0.000 | 0.000 | 0.000 | -0.000 |
| 0.000 | 0.000 | 0.000 | 0.000 | -0.000 | 0.000 |
| 0.000 | 0.000 | 0.000 | -0.000 | -0.000 | 0.000 |
| 0.000 | 0.000 | 0.000 | -0.000 | -0.000 | 0.000 |
| 0.000 | 0.000 | 0.000 | -0.000 | -0.000 | 0.000 |
| -0.000 | -0.000 | -0.000 | 0.000 | -0.000 | 0.000 |
| -0.000 | -0.000 | -0.000 | -0.000 | 0.000 | 0.000 |
| -0.000 | -0.000 | -0.000 | -0.000 | -0.000 | 0.000 |
| 0.000 | 0.000 | 0.000 | 0.000 | 0.000 | 0.000 |
| 0.000 | 0.000 | 0.000 | 0.000 | 0.000 | 0.000 |
| 0.000 | 0.000 | 0.000 | 0.000 | 0.000 | 0.000 |
| 0.000 | 0.000 | 0.000 | 0.000 | 0.000 | 0.000 |
| 0.000 | 0.000 | 0.000 | 0.000 | 0.000 | 0.000 |
| 0.000 | 0.000 | 0.000 | -0.000 | 0.000 | 0.000 |
| 0.000 | 0.000 | 0.000 | -0.000 | -0.000 | -0.000 |
| 0.000 | 0.000 | 0.000 | -0.000 | -0.000 | -0.000 |
| 0.000 | 0.000 | 0.000 | -0.000 | -0.000 | 0.000 |
| -0.000 | -0.000 | -0.000 | 0.000 | -0.000 | 0.000 |
| -0.000 | -0.000 | -0.000 | -0.000 | 0.000 | 0.000 |
| -0.000 | -0.000 | -0.000 | -0.000 | -0.000 | 0.000 |
| 0.000 | 0.000 | 0.000 | -0.000 | -0.000 | 0.000 |
| 0.000 | 0.000 | 0.000 | -0.000 | -0.000 | 0.000 |
| 0.000 | 0.000 | 0.000 | 0.000 | 0.000 | -0.000 |
| 0.000 | 0.000 | 0.000 | 0.000 | -0.000 | -0.000 |
| 0.000 | 0.000 | 0.000 | -0.000 | 0.000 | -0.000 |
| 0.000 | 0.000 | 0.000 | -0.000 | -0.000 | 0.000 |
| 0.000 | 0.000 | 0.000 | 0.000 | 0.000 | 0.000 |
| 0.000 | 0.000 | 0.000 | 0.000 | 0.000 | 0.000 |
| 0.000 | 0.000 | 0.000 | 0.000 | 0.000 | 0.000 |
| -0.000 | -0.000 | -0.000 | 0.000 | 0.000 | 0.000 |
| -0.000 | -0.000 | -0.000 | 0.000 | 0.000 | 0.000 |
| -0.000 | -0.000 | -0.000 | 0.000 | 0.000 | 0.000 |
| 0.000 | 0.000 | 0.000 | -0.000 | -0.000 | -0.000 |
| 0.000 | 0.000 | 0.000 | -0.000 | -0.000 | -0.000 |
| 0.000 | 0.000 | 0.000 | -0.000 | -0.000 | -0.000 |
| 0.000 | 0.000 | 0.000 | 0.000 | -0.000 | -0.000 |
| 0.000 | 0.000 | 0.000 | -0.000 | 0.000 | -0.000 |
| 0.000 | 0.000 | 0.000 | -0.000 | -0.000 | 0.000 |
| 0.000 | 0.000 | 0.000 | 0.000 | 0.000 | 0.000 |
| 0.000 | 0.000 | 0.000 | 0.000 | 0.000 | 0.000 |
| 0.000 | 0.000 | 0.000 | 0.000 | 0.000 | 0.000 |
| -0.000 | -0.000 | -0.000 | 0.000 | 0.000 | 0.000 |
| -0.000 | -0.000 | -0.000 | 0.000 | 0.000 | 0.000 |
| -0.000 | -0.000 | -0.000 | 0.000 | -0.000 | 0.000 |
| 0.000 | 0.000 | 0.000 | -0.000 | -0.000 | -0.000 |
| 0.000 | 0.000 | 0.000 | -0.000 | -0.000 | -0.000 |
| 0.000 | 0.000 | 0.000 | -0.000 | -0.000 | -0.000 |
| 0.000 | 0.000 | 0.000 | 0.000 | -0.000 | -0.000 |
| 0.000 | 0.000 | 0.000 | -0.000 | 0.000 | -0.000 |
| 0.000 | 0.000 | 0.000 | -0.000 | -0.000 | 0.000 |
| 0.000 | 0.000 | 0.000 | 0.000 | 0.000 | 0.000 |
| 0.000 | 0.000 | 0.000 | 0.000 | 0.000 | 0.000 |
| 0.000 | 0.000 | 0.000 | 0.000 | 0.000 | 0.000 |
| -0.000 | -0.000 | -0.000 | 0.000 | 0.000 | 0.000 |
| -0.000 | -0.000 | -0.000 | 0.000 | 0.000 | 0.000 |
| -0.000 | -0.000 | -0.000 | 0.000 | -0.000 | 0.000 |
| 0.000 | 0.000 | 0.000 | -0.000 | -0.000 | -0.000 |
| 0.000 | 0.000 | 0.000 | -0.000 | -0.000 | -0.000 |
| 0.000 | 0.000 | 0.000 | -0.000 | -0.000 | -0.000 |
| 0.000 | 0.000 | 0.000 | 0.000 | -0.000 | -0.000 |
| 0.000 | 0.000 | 0.000 | -0.000 | 0.000 | -0.000 |
| 0.000 | 0.000 | 0.000 | -0.000 | -0.000 | 0.000 |
| 0.000 | 0.000 | 0.000 | 0.000 | 0.000 | -0.000 |
| 0.000 | 0.000 | 0.000 | 0.000 | 0.000 | -0.000 |
| 0.000 | 0.000 | 0.000 | 0.000 | 0.000 | 0.000 |
| -0.000 | -0.000 | -0.000 | 0.000 | 0.000 | 0.000 |
| -0.000 | -0.000 | -0.000 | 0.000 | 0.000 | 0.000 |
| -0.000 | -0.000 | -0.000 | 0.000 | 0.000 | 0.000 |
| 0.000 | 0.000 | 0.000 | -0.000 | -0.000 | 0.000 |
| 0.000 | 0.000 | 0.000 | -0.000 | -0.000 | 0.000 |
| 0.000 | 0.000 | 0.000 | -0.000 | -0.000 | 0.000 |
| 0.000 | 0.000 | 0.000 | 0.000 | -0.000 | -0.000 |
| 0.000 | 0.000 | 0.000 | -0.000 | 0.000 | -0.000 |
| 0.000 | 0.000 | 0.000 | -0.000 | -0.000 | 0.000 |
| 0.000 | 0.000 | 0.000 | -0.000 | -0.000 | -0.000 |
| 0.000 | 0.000 | 0.000 | -0.000 | -0.000 | -0.000 |
| 0.000 | 0.000 | 0.000 | -0.000 | -0.000 | -0.000 |
| -0.000 | -0.000 | -0.000 | 0.000 | 0.000 | -0.000 |
| -0.000 | -0.000 | -0.000 | 0.000 | 0.000 | -0.000 |
| -0.000 | -0.000 | -0.000 | -0.000 | -0.000 | 0.000 |
| 0.000 | 0.000 | 0.000 | -0.000 | -0.000 | 0.000 |
| 0.000 | 0.000 | 0.000 | -0.000 | -0.000 | 0.000 |
| 0.000 | 0.000 | 0.000 | -0.000 | -0.000 | -0.000 |
| 0.000 | 0.000 | 0.000 | 0.000 | -0.000 | -0.000 |
| 0.000 | 0.000 | 0.000 | -0.000 | 0.000 | -0.000 |
| 0.000 | 0.000 | 0.000 | -0.000 | -0.000 | 0.000 |
| 0.000 | 0.000 | 0.000 | 0.000 | 0.000 | 0.000 |
| 0.000 | 0.000 | 0.000 | 0.000 | 0.000 | 0.000 |
| 0.000 | 0.000 | 0.000 | 0.000 | 0.000 | 0.000 |
| -0.000 | -0.000 | -0.000 | 0.000 | 0.000 | 0.000 |
| -0.000 | -0.000 | -0.000 | 0.000 | 0.000 | 0.000 |
| -0.000 | -0.000 | -0.000 | 0.000 | 0.000 | 0.000 |
| -0.000 | -0.000 | -0.000 | 0.000 | 0.000 | -0.000 |
| -0.000 | -0.000 | -0.000 | 0.000 | 0.000 | -0.000 |
| -0.000 | -0.000 | -0.000 | 0.000 | 0.000 | -0.000 |
| 0.000 | 0.000 | 0.000 | -0.000 | 0.000 | -0.000 |
| 0.000 | 0.000 | 0.000 | 0.000 | -0.000 | -0.000 |
| 0.000 | 0.000 | 0.000 | 0.000 | 0.000 | -0.000 |
| -0.000 | -0.000 | -0.000 | -0.000 | -0.000 | -0.000 |
| -0.000 | -0.000 | -0.000 | -0.000 | -0.000 | -0.000 |
| -0.000 | -0.000 | -0.000 | -0.000 | -0.000 | -0.000 |
| -0.000 | -0.000 | -0.000 | -0.000 | -0.000 | -0.000 |
| -0.000 | -0.000 | -0.000 | -0.000 | -0.000 | -0.000 |
| -0.000 | -0.000 | -0.000 | -0.000 | -0.000 | -0.000 |
| -0.000 | -0.000 | -0.000 | 0.000 | 0.000 | -0.000 |
| -0.000 | -0.000 | -0.000 | 0.000 | 0.000 | -0.000 |
| -0.000 | -0.000 | -0.000 | 0.000 | 0.000 | -0.000 |
| 0.000 | 0.000 | 0.000 | -0.000 | 0.000 | 0.000 |
| 0.000 | 0.000 | 0.000 | 0.000 | -0.000 | 0.000 |
| 0.000 | 0.000 | 0.000 | 0.000 | 0.000 | -0.000 |
| -0.000 | -0.000 | -0.000 | -0.000 | -0.000 | -0.000 |
| -0.000 | -0.000 | -0.000 | -0.000 | -0.000 | -0.000 |
| -0.000 | -0.000 | -0.000 | -0.000 | -0.000 | 0.000 |
| -0.000 | -0.000 | -0.000 | -0.000 | -0.000 | -0.000 |
| -0.000 | -0.000 | -0.000 | -0.000 | -0.000 | -0.000 |
| -0.000 | -0.000 | -0.000 | -0.000 | -0.000 | -0.000 |
| -0.000 | -0.000 | -0.000 | 0.000 | 0.000 | 0.000 |
| -0.000 | -0.000 | -0.000 | 0.000 | 0.000 | 0.000 |
| -0.000 | -0.000 | -0.000 | 0.000 | 0.000 | -0.000 |
| 0.000 | 0.000 | 0.000 | -0.000 | 0.000 | -0.000 |
| 0.000 | 0.000 | 0.000 | 0.000 | -0.000 | -0.000 |
| 0.000 | 0.000 | 0.000 | 0.000 | 0.000 | -0.000 |
| -0.000 | -0.000 | -0.000 | -0.000 | -0.000 | 0.000 |
| -0.000 | -0.000 | -0.000 | -0.000 | -0.000 | 0.000 |
| -0.000 | -0.000 | -0.000 | -0.000 | -0.000 | 0.000 |
| -0.000 | -0.000 | -0.000 | -0.000 | -0.000 | 0.000 |
| -0.000 | -0.000 | -0.000 | -0.000 | -0.000 | 0.000 |
| -0.000 | -0.000 | -0.000 | -0.000 | -0.000 | -0.000 |
| 0.000 | 0.000 | 0.000 | -0.000 | -0.000 | 0.000 |
| 0.000 | 0.000 | 0.000 | -0.000 | -0.000 | 0.000 |
| 0.000 | 0.000 | 0.000 | -0.000 | -0.000 | -0.000 |
| 0.000 | 0.000 | 0.000 | 0.000 | 0.000 | 0.000 |
| 0.000 | 0.000 | 0.000 | 0.000 | 0.000 | 0.000 |
| 0.000 | 0.000 | 0.000 | 0.000 | -0.000 | 0.000 |
| 0.000 | 0.000 | 0.000 | 0.000 | 0.000 | -0.000 |
| 0.000 | 0.000 | 0.000 | 0.000 | 0.000 | -0.000 |
| 0.000 | 0.000 | 0.000 | 0.000 | 0.000 | 0.000 |
| -0.000 | -0.000 | -0.000 | 0.000 | 0.000 | 0.000 |
| -0.000 | -0.000 | -0.000 | 0.000 | 0.000 | 0.000 |
| -0.000 | -0.000 | -0.000 | -0.000 | -0.000 | 0.000 |
| 0.000 | 0.000 | 0.000 | -0.000 | -0.000 | 0.000 |
| 0.000 | 0.000 | 0.000 | -0.000 | -0.000 | 0.000 |
| 0.000 | 0.000 | 0.000 | 0.000 | 0.000 | -0.000 |
| 0.000 | 0.000 | 0.000 | 0.000 | -0.000 | 0.000 |
| 0.000 | 0.000 | 0.000 | -0.000 | 0.000 | 0.000 |
| 0.000 | 0.000 | 0.000 | -0.000 | -0.000 | 0.000 |
| 0.000 | 0.000 | 0.000 | 0.000 | 0.000 | 0.000 |
| 0.000 | 0.000 | 0.000 | 0.000 | 0.000 | 0.000 |
| 0.000 | 0.000 | 0.000 | 0.000 | 0.000 | -0.000 |
| -0.000 | -0.000 | -0.000 | 0.000 | 0.000 | 0.000 |
| -0.000 | -0.000 | -0.000 | 0.000 | 0.000 | 0.000 |
| -0.000 | -0.000 | -0.000 | 0.000 | 0.000 | 0.000 |
| 0.000 | 0.000 | 0.000 | -0.000 | 0.000 | -0.000 |
| 0.000 | 0.000 | 0.000 | 0.000 | -0.000 | -0.000 |
| 0.000 | 0.000 | 0.000 | -0.000 | -0.000 | -0.000 |
| 0.000 | 0.000 | 0.000 | 0.000 | 0.000 | -0.000 |
| 0.000 | 0.000 | 0.000 | 0.000 | 0.000 | -0.000 |
| 0.000 | 0.000 | 0.000 | 0.000 | -0.000 | 0.000 |
| 0.000 | 0.000 | 0.000 | -0.000 | 0.000 | -0.000 |
| 0.000 | 0.000 | 0.000 | 0.000 | -0.000 | -0.000 |
| 0.000 | 0.000 | 0.000 | 0.000 | 0.000 | -0.000 |
| -0.000 | -0.000 | -0.000 | 0.000 | -0.000 | -0.000 |
| -0.000 | -0.000 | -0.000 | -0.000 | 0.000 | -0.000 |
| -0.000 | -0.000 | -0.000 | 0.000 | -0.000 | 0.000 |
| 0.000 | 0.000 | 0.000 | 0.000 | 0.000 | 0.000 |
| 0.000 | 0.000 | 0.000 | 0.000 | 0.000 | 0.000 |
| 0.000 | 0.000 | 0.000 | 0.000 | 0.000 | 0.000 |
| 0.000 | 0.000 | 0.000 | 0.000 | -0.000 | -0.000 |
| 0.000 | 0.000 | 0.000 | -0.000 | 0.000 | -0.000 |
| 0.000 | 0.000 | 0.000 | 0.000 | -0.000 | 0.000 |
| 0.000 | 0.000 | 0.000 | 0.000 | 0.000 | 0.000 |
| 0.000 | 0.000 | 0.000 | 0.000 | 0.000 | 0.000 |
| 0.000 | 0.000 | 0.000 | -0.000 | -0.000 | 0.000 |
| -0.000 | -0.000 | -0.000 | 0.000 | 0.000 | 0.000 |
| -0.000 | -0.000 | -0.000 | 0.000 | 0.000 | 0.000 |
| -0.000 | -0.000 | -0.000 | 0.000 | 0.000 | 0.000 |
| 0.000 | 0.000 | 0.000 | -0.000 | 0.000 | 0.000 |
| 0.000 | 0.000 | 0.000 | 0.000 | -0.000 | 0.000 |
| 0.000 | 0.000 | 0.000 | -0.000 | -0.000 | -0.000 |
| 0.000 | 0.000 | 0.000 | 0.000 | -0.000 | -0.000 |
| 0.000 | 0.000 | 0.000 | -0.000 | 0.000 | -0.000 |
| 0.000 | 0.000 | 0.000 | -0.000 | -0.000 | 0.000 |
| 0.000 | 0.000 | 0.000 | 0.000 | 0.000 | -0.000 |
| 0.000 | 0.000 | 0.000 | 0.000 | 0.000 | -0.000 |
| 0.000 | 0.000 | 0.000 | 0.000 | 0.000 | 0.000 |
| -0.000 | -0.000 | -0.000 | 0.000 | 0.000 | -0.000 |
| -0.000 | -0.000 | -0.000 | 0.000 | 0.000 | -0.000 |
| -0.000 | -0.000 | -0.000 | 0.000 | -0.000 | 0.000 |
| 0.000 | 0.000 | 0.000 | 0.000 | -0.000 | -0.000 |
| 0.000 | 0.000 | 0.000 | -0.000 | 0.000 | -0.000 |
| 0.000 | 0.000 | 0.000 | -0.000 | -0.000 | 0.000 |
| 0.000 | 0.000 | 0.000 | 0.000 | 0.000 | 0.000 |
| 0.000 | 0.000 | 0.000 | 0.000 | 0.000 | 0.000 |
| 0.000 | 0.000 | 0.000 | -0.000 | -0.000 | 0.000 |
| 0.000 | 0.000 | 0.000 | 0.000 | -0.000 | 0.000 |
| 0.000 | 0.000 | 0.000 | -0.000 | 0.000 | 0.000 |
| 0.000 | 0.000 | 0.000 | 0.000 | 0.000 | 0.000 |
| -0.000 | -0.000 | -0.000 | 0.000 | 0.000 | 0.000 |
| -0.000 | -0.000 | -0.000 | 0.000 | 0.000 | 0.000 |
| -0.000 | -0.000 | -0.000 | 0.000 | -0.000 | 0.000 |
| 0.000 | 0.000 | 0.000 | -0.000 | 0.000 | -0.000 |
| 0.000 | 0.000 | 0.000 | 0.000 | -0.000 | -0.000 |
| 0.000 | 0.000 | 0.000 | 0.000 | 0.000 | -0.000 |
| 0.000 | 0.000 | 0.000 | 0.000 | 0.000 | -0.000 |
| 0.000 | 0.000 | 0.000 | 0.000 | 0.000 | -0.000 |
| 0.000 | 0.000 | 0.000 | 0.000 | -0.000 | 0.000 |
| 0.000 | 0.000 | 0.000 | -0.000 | -0.000 | 0.000 |
| 0.000 | 0.000 | 0.000 | 0.000 | -0.000 | 0.000 |
| 0.000 | 0.000 | 0.000 | 0.000 | 0.000 | 0.000 |
| -0.000 | -0.000 | -0.000 | 0.000 | 0.000 | 0.000 |
| -0.000 | -0.000 | -0.000 | 0.000 | 0.000 | 0.000 |
| -0.000 | -0.000 | -0.000 | 0.000 | -0.000 | 0.000 |
| 0.000 | 0.000 | 0.000 | -0.000 | -0.000 | -0.000 |
| 0.000 | 0.000 | 0.000 | -0.000 | -0.000 | -0.000 |
| 0.000 | 0.000 | 0.000 | -0.000 | -0.000 | -0.000 |
| 0.000 | 0.000 | 0.000 | 0.000 | -0.000 | -0.000 |
| 0.000 | 0.000 | 0.000 | -0.000 | 0.000 | -0.000 |
| 0.000 | 0.000 | 0.000 | -0.000 | -0.000 | 0.000 |
| 0.000 | 0.000 | 0.000 | 0.000 | 0.000 | 0.000 |
| 0.000 | 0.000 | 0.000 | 0.000 | 0.000 | 0.000 |
| 0.000 | 0.000 | 0.000 | 0.000 | 0.000 | 0.000 |
| -0.000 | -0.000 | -0.000 | 0.000 | 0.000 | 0.000 |
| -0.000 | -0.000 | -0.000 | 0.000 | 0.000 | 0.000 |
| -0.000 | -0.000 | -0.000 | 0.000 | 0.000 | 0.000 |
| 0.000 | 0.000 | 0.000 | -0.000 | -0.000 | -0.000 |
| 0.000 | 0.000 | 0.000 | -0.000 | -0.000 | -0.000 |
| 0.000 | 0.000 | 0.000 | -0.000 | -0.000 | -0.000 |
| 0.000 | 0.000 | 0.000 | 0.000 | -0.000 | -0.000 |
| 0.000 | 0.000 | 0.000 | -0.000 | 0.000 | -0.000 |
| 0.000 | 0.000 | 0.000 | -0.000 | -0.000 | 0.000 |
| 0.000 | 0.000 | 0.000 | 0.000 | 0.000 | -0.000 |
| 0.000 | 0.000 | 0.000 | 0.000 | 0.000 | -0.000 |
| 0.000 | 0.000 | 0.000 | 0.000 | 0.000 | 0.000 |
| -0.000 | -0.000 | -0.000 | 0.000 | 0.000 | 0.000 |
| -0.000 | -0.000 | -0.000 | 0.000 | 0.000 | 0.000 |
| -0.000 | -0.000 | -0.000 | 0.000 | -0.000 | 0.000 |
| 300.786 | 145.160 | 83.807 | -0.000 | -0.000 | -0.000 |
| 123.144 | 322.802 | 83.807 | 0.000 | -0.000 | -0.000 |
| 83.807 | 83.807 | 303.450 | 0.000 | -0.000 | 0.000 |
| 0.000 | -0.000 | -0.000 | 60.513 | -0.000 | -0.000 |
| 0.000 | 0.000 | -0.000 | -0.000 | 60.513 | -0.000 |
| 0.000 | -0.000 | -0.000 | -0.000 | -0.000 | 77.813 |
| 322.802 | 123.144 | 83.807 | -0.000 | 0.000 | 0.000 |
| 123.144 | 322.802 | 83.807 | -0.000 | 0.000 | -0.000 |
| 83.807 | 83.807 | 303.450 | 0.000 | -0.000 | -0.000 |
| -0.000 | 0.000 | 0.000 | 60.513 | -0.000 | -0.000 |
| -0.000 | -0.000 | 0.000 | 0.000 | 60.513 | 0.000 |
| -0.000 | -0.000 | 0.000 | 0.000 | 0.000 | 77.813 |
| 322.802 | 123.144 | 83.807 | 0.000 | -0.000 | -0.000 |
| 145.160 | 300.786 | 83.807 | 0.000 | -0.000 | -0.000 |
| 83.807 | 83.807 | 303.450 | -0.000 | 0.000 | 0.000 |
| 0.000 | -0.000 | 0.000 | 60.513 | -0.000 | -0.000 |
| -0.000 | 0.000 | 0.000 | -0.000 | 60.513 | 0.000 |
| -0.000 | 0.000 | -0.000 | -0.000 | -0.000 | 77.813 |
| 322.802 | 123.144 | 83.807 | -0.000 | 0.000 | 0.000 |
| 123.144 | 322.802 | 83.807 | -0.000 | 0.000 | -0.000 |
| 83.807 | 83.807 | 303.450 | 0.000 | 0.000 | -0.000 |
| -0.000 | 0.000 | -0.000 | 60.513 | 0.000 | -0.000 |
| 0.000 | -0.000 | -0.000 | 0.000 | 60.513 | 0.000 |
| 0.000 | -0.000 | 0.000 | 0.000 | 0.000 | 77.813 |
| 300.792 | 145.161 | 83.807 | -0.000 | -0.000 | -0.000 |
| 123.146 | 322.808 | 83.807 | -0.000 | 0.000 | -0.000 |
| 83.807 | 83.807 | 303.451 | -0.000 | -0.000 | -0.000 |
| 0.000 | -0.000 | 0.000 | 60.513 | -0.000 | -0.000 |
| -0.000 | 0.000 | 0.000 | 0.000 | 60.513 | -0.000 |
| 0.000 | 0.001 | 0.000 | 0.000 | -0.000 | 99.829 |
| 300.785 | 145.160 | 83.807 | -0.000 | 0.000 | 0.000 |
| 145.160 | 300.785 | 83.807 | 0.000 | 0.000 | 0.000 |
| 83.807 | 83.807 | 303.449 | 0.000 | 0.000 | 0.000 |
| -0.000 | 0.000 | -0.000 | 60.513 | 0.000 | 0.000 |
| 0.000 | -0.000 | -0.000 | 0.000 | 60.513 | 0.000 |
| -0.000 | -0.001 | -0.000 | -0.000 | 0.000 | 99.829 |
| 0.000 | 0.000 | 0.000 | 0.000 | -0.000 | -0.000 |
| 0.000 | 0.000 | 0.000 | -0.000 | 0.000 | 0.000 |
| 0.000 | 0.000 | 0.000 | 0.000 | 0.000 | 0.000 |
| 0.000 | 0.000 | 0.000 | 0.000 | 0.000 | -0.000 |
| 0.000 | 0.000 | 0.000 | 0.000 | 0.000 | 0.000 |
| -0.000 | -0.000 | 0.000 | 0.000 | -0.000 | 0.000 |
| 0.000 | 0.000 | 0.000 | 0.000 | 0.000 | -0.000 |
| 0.000 | 0.000 | 0.000 | 0.000 | -0.000 | -0.000 |
| 0.000 | 0.000 | 0.000 | -0.000 | -0.000 | -0.000 |
| -0.000 | -0.000 | -0.000 | 0.000 | -0.000 | -0.000 |
| -0.000 | -0.000 | -0.000 | -0.000 | 0.000 | 0.000 |
| 0.000 | 0.000 | -0.000 | -0.000 | 0.000 | 0.000 |
| 0.000 | 0.000 | 0.000 | 0.000 | -0.000 | 0.000 |
| 0.000 | 0.000 | 0.000 | -0.000 | -0.000 | 0.000 |
| 0.000 | 0.000 | 0.000 | -0.000 | -0.000 | -0.000 |
| 0.000 | 0.000 | 0.000 | 0.000 | -0.000 | 0.000 |
| 0.000 | 0.000 | 0.000 | 0.000 | 0.000 | 0.000 |
| -0.000 | -0.000 | 0.000 | -0.000 | -0.000 | 0.000 |
| 0.000 | 0.000 | 0.000 | -0.000 | 0.000 | -0.000 |
| 0.000 | 0.000 | 0.000 | -0.000 | -0.000 | 0.000 |
| 0.000 | 0.000 | 0.000 | -0.000 | -0.000 | 0.000 |
| -0.000 | -0.000 | -0.000 | 0.000 | -0.000 | -0.000 |
| -0.000 | -0.000 | -0.000 | -0.000 | 0.000 | 0.000 |
| 0.000 | 0.000 | -0.000 | 0.000 | 0.000 | 0.000 |
| 0.000 | 0.000 | 0.000 | 0.000 | -0.000 | -0.000 |
| 0.000 | 0.000 | 0.000 | -0.000 | 0.000 | -0.000 |
| 0.000 | 0.000 | 0.000 | 0.000 | 0.000 | -0.000 |
| 0.000 | 0.000 | 0.000 | 0.000 | -0.000 | 0.000 |
| 0.000 | 0.000 | 0.000 | -0.000 | 0.000 | -0.000 |
| -0.000 | -0.000 | 0.000 | 0.000 | 0.000 | 0.000 |
| 0.000 | 0.000 | 0.000 | 0.000 | -0.000 | -0.000 |
| 0.000 | 0.000 | 0.000 | -0.000 | -0.000 | 0.000 |
| 0.000 | 0.000 | 0.000 | -0.000 | -0.000 | -0.000 |
| -0.000 | -0.000 | -0.000 | 0.000 | -0.000 | 0.000 |
| -0.000 | -0.000 | -0.000 | 0.000 | 0.000 | -0.000 |
| 0.000 | 0.000 | -0.000 | -0.000 | 0.000 | 0.000 |
| 0.000 | 0.000 | 0.000 | 0.000 | 0.000 | -0.000 |
| 0.000 | 0.000 | 0.000 | -0.000 | 0.000 | -0.000 |
| 0.000 | 0.000 | 0.000 | 0.000 | -0.000 | -0.000 |
| 0.000 | 0.000 | 0.000 | 0.000 | 0.000 | -0.000 |
| 0.000 | 0.000 | 0.000 | 0.000 | 0.000 | -0.000 |
| 0.000 | 0.000 | 0.000 | 0.000 | 0.000 | 0.000 |
| 0.000 | 0.000 | 0.000 | -0.000 | 0.000 | 0.000 |
| 0.000 | 0.000 | 0.000 | -0.000 | -0.000 | -0.000 |
| 0.000 | 0.000 | 0.000 | -0.000 | -0.000 | 0.000 |
| -0.000 | -0.000 | -0.000 | 0.000 | -0.000 | 0.000 |
| -0.000 | -0.000 | -0.000 | -0.000 | 0.000 | -0.000 |
| -0.000 | -0.000 | -0.000 | -0.000 | 0.000 | 0.000 |
| 0.000 | 0.000 | 0.000 | 0.000 | 0.000 | -0.000 |
| 0.000 | 0.000 | 0.000 | 0.000 | 0.000 | -0.000 |
| 0.000 | 0.000 | 0.000 | -0.000 | 0.000 | -0.000 |
| 0.000 | 0.000 | 0.000 | 0.000 | 0.000 | -0.000 |
| 0.000 | 0.000 | 0.000 | 0.000 | 0.000 | -0.000 |
| 0.000 | 0.000 | 0.000 | 0.000 | 0.000 | 0.000 |
| 0.000 | 0.000 | 0.000 | 0.000 | -0.000 | -0.000 |
| 0.000 | 0.000 | 0.000 | 0.000 | -0.000 | 0.000 |
| 0.000 | 0.000 | 0.000 | -0.000 | -0.000 | 0.000 |
| -0.000 | -0.000 | -0.000 | 0.000 | -0.000 | 0.000 |
| -0.000 | -0.000 | -0.000 | -0.000 | 0.000 | 0.000 |
| -0.000 | -0.000 | -0.000 | -0.000 | -0.000 | 0.000 |
| 0.000 | 0.000 | 0.000 | 0.000 | 0.000 | -0.000 |
| 0.000 | 0.000 | 0.000 | -0.000 | 0.000 | -0.000 |
| 0.000 | 0.000 | 0.000 | -0.000 | -0.000 | -0.000 |
| 0.000 | 0.000 | 0.000 | 0.000 | 0.000 | -0.000 |
| 0.000 | 0.000 | 0.000 | 0.000 | 0.000 | 0.000 |
| 0.000 | 0.000 | 0.000 | 0.000 | 0.000 | 0.000 |
| 0.000 | 0.000 | 0.000 | 0.000 | 0.000 | 0.000 |
| 0.000 | 0.000 | 0.000 | -0.000 | -0.000 | 0.000 |
| 0.000 | 0.000 | 0.000 | -0.000 | -0.000 | 0.000 |
| -0.000 | -0.000 | -0.000 | 0.000 | -0.000 | 0.000 |
| -0.000 | -0.000 | -0.000 | -0.000 | 0.000 | 0.000 |
| -0.000 | -0.000 | -0.000 | -0.000 | 0.000 | 0.000 |
| 0.000 | 0.000 | 0.000 | -0.000 | 0.000 | 0.000 |
| 0.000 | 0.000 | 0.000 | 0.000 | -0.000 | -0.000 |
| 0.000 | 0.000 | 0.000 | -0.000 | -0.000 | 0.000 |
| 0.000 | 0.000 | 0.000 | 0.000 | -0.000 | -0.000 |
| 0.000 | 0.000 | 0.000 | -0.000 | 0.000 | 0.000 |
| 0.000 | 0.000 | 0.000 | -0.000 | 0.000 | 0.000 |
| 0.000 | 0.000 | 0.000 | -0.000 | -0.000 | -0.000 |
| 0.000 | 0.000 | 0.000 | 0.000 | 0.000 | 0.000 |
| 0.000 | 0.000 | 0.000 | 0.000 | 0.000 | 0.000 |
| -0.000 | -0.000 | -0.000 | 0.000 | 0.000 | 0.000 |
| -0.000 | -0.000 | -0.000 | 0.000 | 0.000 | 0.000 |
| -0.000 | -0.000 | -0.000 | 0.000 | -0.000 | 0.000 |
| 0.000 | 0.000 | 0.000 | -0.000 | -0.000 | 0.000 |
| 0.000 | 0.000 | 0.000 | -0.000 | -0.000 | -0.000 |
| 0.000 | 0.000 | 0.000 | 0.000 | -0.000 | -0.000 |
| 0.000 | 0.000 | 0.000 | 0.000 | -0.000 | -0.000 |
| 0.000 | 0.000 | 0.000 | -0.000 | 0.000 | 0.000 |
| 0.000 | 0.000 | 0.000 | 0.000 | 0.000 | 0.000 |
| 0.000 | 0.000 | 0.000 | -0.000 | 0.000 | 0.000 |
| 0.000 | 0.000 | 0.000 | 0.000 | 0.000 | 0.000 |
| 0.000 | 0.000 | 0.000 | -0.000 | 0.000 | -0.000 |
| -0.000 | -0.000 | -0.000 | 0.000 | 0.000 | 0.000 |
| -0.000 | -0.000 | -0.000 | -0.000 | 0.000 | 0.000 |
| -0.000 | -0.000 | -0.000 | -0.000 | -0.000 | 0.000 |
| 0.000 | 0.000 | 0.000 | 0.000 | 0.000 | 0.000 |
| 0.000 | 0.000 | 0.000 | -0.000 | -0.000 | -0.000 |
| 0.000 | 0.000 | 0.000 | -0.000 | -0.000 | -0.000 |
| 0.000 | 0.000 | 0.000 | 0.000 | -0.000 | 0.000 |
| 0.000 | 0.000 | 0.000 | -0.000 | 0.000 | 0.000 |
| 0.000 | 0.000 | 0.000 | 0.000 | 0.000 | 0.000 |
| 0.000 | 0.000 | 0.000 | 0.000 | 0.000 | 0.000 |
| 0.000 | 0.000 | 0.000 | 0.000 | 0.000 | 0.000 |
| 0.000 | 0.000 | 0.000 | -0.000 | 0.000 | -0.000 |
| -0.000 | -0.000 | -0.000 | 0.000 | -0.000 | 0.000 |
| -0.000 | -0.000 | -0.000 | -0.000 | 0.000 | 0.000 |
| -0.000 | -0.000 | -0.000 | -0.000 | -0.000 | 0.000 |
| 0.000 | 0.000 | 0.000 | 0.000 | -0.000 | -0.000 |
| 0.000 | 0.000 | 0.000 | -0.000 | 0.000 | 0.000 |
| 0.000 | 0.000 | 0.000 | -0.000 | 0.000 | -0.000 |
| 0.000 | 0.000 | 0.000 | 0.000 | 0.000 | 0.000 |
| 0.000 | 0.000 | 0.000 | 0.000 | 0.000 | -0.000 |
| 0.000 | 0.000 | 0.000 | 0.000 | -0.000 | 0.000 |
| 0.000 | 0.000 | 0.000 | -0.000 | 0.000 | 0.000 |
| 0.000 | 0.000 | 0.000 | -0.000 | -0.000 | -0.000 |
| 0.000 | 0.000 | 0.000 | 0.000 | -0.000 | -0.000 |
| -0.000 | -0.000 | -0.000 | 0.000 | -0.000 | -0.000 |
| -0.000 | -0.000 | -0.000 | -0.000 | 0.000 | -0.000 |
| -0.000 | -0.000 | -0.000 | -0.000 | -0.000 | 0.000 |
| 0.000 | 0.000 | 0.000 | 0.000 | 0.000 | 0.000 |
| 0.000 | 0.000 | 0.000 | -0.000 | 0.000 | -0.000 |
| 0.000 | 0.000 | 0.000 | -0.000 | -0.000 | 0.000 |
| 0.000 | 0.000 | 0.000 | 0.000 | -0.000 | -0.000 |
| 0.000 | 0.000 | 0.000 | 0.000 | 0.000 | 0.000 |
| 0.000 | 0.000 | 0.000 | -0.000 | 0.000 | 0.000 |
| 0.000 | 0.000 | 0.000 | -0.000 | -0.000 | -0.000 |
| 0.000 | 0.000 | 0.000 | -0.000 | -0.000 | -0.000 |
| 0.000 | 0.000 | 0.000 | -0.000 | -0.000 | 0.000 |
| -0.000 | -0.000 | -0.000 | 0.000 | 0.000 | 0.000 |
| -0.000 | -0.000 | -0.000 | -0.000 | 0.000 | 0.000 |
| -0.000 | -0.000 | -0.000 | -0.000 | -0.000 | 0.000 |
| 0.000 | 0.000 | 0.000 | 0.000 | -0.000 | 0.000 |
| 0.000 | 0.000 | 0.000 | -0.000 | -0.000 | -0.000 |
| 0.000 | 0.000 | 0.000 | 0.000 | 0.000 | -0.000 |
| 0.000 | 0.000 | 0.000 | 0.000 | 0.000 | 0.000 |
| 0.000 | 0.000 | 0.000 | 0.000 | 0.000 | 0.000 |
| 0.000 | 0.000 | 0.000 | 0.000 | 0.000 | 0.000 |
| 0.000 | 0.000 | 0.000 | -0.000 | -0.000 | -0.000 |
| 0.000 | 0.000 | 0.000 | -0.000 | -0.000 | 0.000 |
| 0.000 | 0.000 | 0.000 | 0.000 | -0.000 | 0.000 |
| -0.000 | -0.000 | -0.000 | 0.000 | 0.000 | -0.000 |
| -0.000 | -0.000 | -0.000 | -0.000 | 0.000 | 0.000 |
| -0.000 | -0.000 | -0.000 | -0.000 | 0.000 | 0.000 |
| 0.000 | 0.000 | 0.000 | -0.000 | -0.000 | -0.000 |
| 0.000 | 0.000 | 0.000 | 0.000 | -0.000 | 0.000 |
| 0.000 | 0.000 | 0.000 | 0.000 | -0.000 | -0.000 |
| 0.000 | 0.000 | 0.000 | 0.000 | -0.000 | -0.000 |
| 0.000 | 0.000 | 0.000 | -0.000 | 0.000 | -0.000 |
| 0.000 | 0.000 | 0.000 | -0.000 | -0.000 | 0.000 |
| 0.000 | 0.000 | 0.000 | 0.000 | 0.000 | 0.000 |
| 0.000 | 0.000 | 0.000 | 0.000 | 0.000 | -0.000 |
| 0.000 | 0.000 | 0.000 | 0.000 | 0.000 | -0.000 |
| -0.000 | -0.000 | -0.000 | 0.000 | -0.000 | 0.000 |
| -0.000 | -0.000 | -0.000 | 0.000 | 0.000 | -0.000 |
| -0.000 | -0.000 | -0.000 | -0.000 | 0.000 | 0.000 |
| 0.000 | 0.000 | 0.000 | -0.000 | -0.000 | 0.000 |
| 0.000 | 0.000 | 0.000 | -0.000 | -0.000 | -0.000 |
| 0.000 | 0.000 | 0.000 | -0.000 | -0.000 | 0.000 |
| 0.000 | 0.000 | 0.000 | 0.000 | -0.000 | 0.000 |
| 0.000 | 0.000 | 0.000 | -0.000 | 0.000 | -0.000 |
| 0.000 | 0.000 | 0.000 | 0.000 | -0.000 | 0.000 |
| 0.000 | 0.000 | 0.000 | 0.000 | 0.000 | 0.000 |
| 0.000 | 0.000 | 0.000 | 0.000 | 0.000 | -0.000 |
| 0.000 | 0.000 | 0.000 | 0.000 | 0.000 | 0.000 |
| -0.000 | -0.000 | -0.000 | 0.000 | 0.000 | 0.000 |
| -0.000 | -0.000 | -0.000 | 0.000 | 0.000 | -0.000 |
| -0.000 | -0.000 | -0.000 | -0.000 | 0.000 | 0.000 |
| 0.000 | 0.000 | 0.000 | -0.000 | -0.000 | -0.000 |
| 0.000 | 0.000 | 0.000 | 0.000 | -0.000 | 0.000 |
| 0.000 | 0.000 | 0.000 | -0.000 | -0.000 | -0.000 |
| 0.000 | 0.000 | 0.000 | 0.000 | -0.000 | 0.000 |
| 0.000 | 0.000 | 0.000 | -0.000 | 0.000 | 0.000 |
| 0.000 | 0.000 | 0.000 | 0.000 | -0.000 | 0.000 |
| 0.000 | 0.000 | 0.000 | -0.000 | 0.000 | -0.000 |
| 0.000 | 0.000 | 0.000 | 0.000 | 0.000 | -0.000 |
| 0.000 | 0.000 | 0.000 | -0.000 | 0.000 | -0.000 |
| -0.000 | -0.000 | -0.000 | 0.000 | -0.000 | -0.000 |
| -0.000 | -0.000 | -0.000 | 0.000 | 0.000 | -0.000 |
| -0.000 | -0.000 | -0.000 | -0.000 | -0.000 | 0.000 |
| 0.000 | 0.000 | 0.000 | 0.000 | -0.000 | -0.000 |
| 0.000 | 0.000 | 0.000 | 0.000 | 0.000 | -0.000 |
| 0.000 | 0.000 | 0.000 | 0.000 | -0.000 | -0.000 |
| 0.000 | 0.000 | 0.000 | 0.000 | -0.000 | -0.000 |
| 0.000 | 0.000 | 0.000 | 0.000 | 0.000 | -0.000 |
| 0.000 | 0.000 | 0.000 | 0.000 | 0.000 | 0.000 |
| 0.000 | 0.000 | 0.000 | -0.000 | -0.000 | -0.000 |
| 0.000 | 0.000 | 0.000 | -0.000 | -0.000 | 0.000 |
| 0.000 | 0.000 | 0.000 | -0.000 | 0.000 | -0.000 |
| -0.000 | -0.000 | -0.000 | 0.000 | 0.000 | 0.000 |
| -0.000 | -0.000 | -0.000 | -0.000 | 0.000 | -0.000 |
| -0.000 | -0.000 | -0.000 | -0.000 | 0.000 | 0.000 |
| 0.000 | 0.000 | 0.000 | 0.000 | -0.000 | -0.000 |
| 0.000 | 0.000 | 0.000 | -0.000 | -0.000 | -0.000 |
| 0.000 | 0.000 | 0.000 | 0.000 | 0.000 | -0.000 |
| 0.000 | 0.000 | 0.000 | 0.000 | -0.000 | -0.000 |
| 0.000 | 0.000 | 0.000 | -0.000 | 0.000 | 0.000 |
| 0.000 | 0.000 | 0.000 | 0.000 | 0.000 | 0.000 |
| 0.000 | 0.000 | 0.000 | -0.000 | 0.000 | 0.000 |
| 0.000 | 0.000 | 0.000 | 0.000 | 0.000 | 0.000 |
| 0.000 | 0.000 | 0.000 | 0.000 | -0.000 | -0.000 |
| -0.000 | -0.000 | -0.000 | 0.000 | 0.000 | -0.000 |
| -0.000 | -0.000 | -0.000 | 0.000 | 0.000 | 0.000 |
| -0.000 | -0.000 | -0.000 | -0.000 | -0.000 | 0.000 |
| 0.000 | 0.000 | 0.000 | 0.000 | 0.000 | -0.000 |
| 0.000 | 0.000 | 0.000 | -0.000 | -0.000 | 0.000 |
| 0.000 | 0.000 | 0.000 | 0.000 | 0.000 | 0.000 |
| 0.000 | 0.000 | 0.000 | 0.000 | 0.000 | -0.000 |
| 0.000 | 0.000 | 0.000 | 0.000 | 0.000 | 0.000 |
| 0.000 | 0.000 | 0.000 | 0.000 | 0.000 | 0.000 |
| 0.000 | 0.000 | 0.000 | 0.000 | 0.000 | 0.000 |
| 0.000 | 0.000 | 0.000 | -0.000 | 0.000 | 0.000 |
| 0.000 | 0.000 | 0.000 | -0.000 | -0.000 | 0.000 |
| -0.000 | -0.000 | -0.000 | 0.000 | 0.000 | 0.000 |
| -0.000 | -0.000 | -0.000 | 0.000 | 0.000 | 0.000 |
| -0.000 | -0.000 | -0.000 | -0.000 | 0.000 | 0.000 |
| 0.000 | 0.000 | 0.000 | -0.000 | 0.000 | -0.000 |
| 0.000 | 0.000 | 0.000 | -0.000 | 0.000 | -0.000 |
| 0.000 | 0.000 | 0.000 | -0.000 | 0.000 | -0.000 |
| 0.000 | 0.000 | 0.000 | 0.000 | 0.000 | -0.000 |
| 0.000 | 0.000 | 0.000 | -0.000 | 0.000 | -0.000 |
| 0.000 | 0.000 | 0.000 | -0.000 | 0.000 | 0.000 |
| 0.000 | 0.000 | 0.000 | 0.000 | -0.000 | 0.000 |
| 0.000 | 0.000 | 0.000 | 0.000 | -0.000 | -0.000 |
| 0.000 | 0.000 | 0.000 | 0.000 | -0.000 | 0.000 |
| -0.000 | -0.000 | -0.000 | 0.000 | -0.000 | 0.000 |
| -0.000 | -0.000 | -0.000 | 0.000 | 0.000 | -0.000 |
| -0.000 | -0.000 | -0.000 | 0.000 | -0.000 | 0.000 |
| 0.000 | 0.000 | 0.000 | -0.000 | 0.000 | 0.000 |
| 0.000 | 0.000 | 0.000 | 0.000 | 0.000 | 0.000 |
| 0.000 | 0.000 | 0.000 | -0.000 | -0.000 | -0.000 |
| 0.000 | 0.000 | 0.000 | 0.000 | 0.000 | -0.000 |
| 0.000 | 0.000 | 0.000 | -0.000 | 0.000 | -0.000 |
| 0.000 | 0.000 | 0.000 | -0.000 | 0.000 | 0.000 |
| 0.000 | 0.000 | 0.000 | 0.000 | -0.000 | -0.000 |
| 0.000 | 0.000 | 0.000 | 0.000 | -0.000 | -0.000 |
| 0.000 | 0.000 | 0.000 | 0.000 | -0.000 | 0.000 |
| -0.000 | -0.000 | -0.000 | 0.000 | -0.000 | -0.000 |
| -0.000 | -0.000 | -0.000 | -0.000 | 0.000 | 0.000 |
| -0.000 | -0.000 | -0.000 | 0.000 | 0.000 | 0.000 |
| 0.000 | 0.000 | 0.000 | 0.000 | 0.000 | 0.000 |
| 0.000 | 0.000 | 0.000 | -0.000 | 0.000 | 0.000 |
| 0.000 | 0.000 | 0.000 | 0.000 | 0.000 | -0.000 |
| 0.000 | 0.000 | 0.000 | 0.000 | 0.000 | -0.000 |
| 0.000 | 0.000 | 0.000 | -0.000 | 0.000 | -0.000 |
| 0.000 | 0.000 | 0.000 | -0.000 | 0.000 | 0.000 |
| 0.000 | 0.000 | 0.000 | 0.000 | -0.000 | 0.000 |
| 0.000 | 0.000 | 0.000 | -0.000 | -0.000 | 0.000 |
| 0.000 | 0.000 | 0.000 | 0.000 | -0.000 | -0.000 |
| -0.000 | -0.000 | -0.000 | 0.000 | -0.000 | 0.000 |
| -0.000 | -0.000 | -0.000 | 0.000 | 0.000 | 0.000 |
| -0.000 | -0.000 | -0.000 | -0.000 | 0.000 | 0.000 |
| 0.000 | 0.000 | 0.000 | -0.000 | -0.000 | 0.000 |
| 0.000 | 0.000 | 0.000 | -0.000 | -0.000 | 0.000 |
| 0.000 | 0.000 | 0.000 | -0.000 | -0.000 | 0.000 |
| 0.000 | 0.000 | 0.000 | 0.000 | -0.000 | 0.000 |
| 0.000 | 0.000 | 0.000 | 0.000 | 0.000 | -0.000 |
| 0.000 | 0.000 | 0.000 | 0.000 | -0.000 | 0.000 |
| 0.000 | 0.000 | 0.000 | -0.000 | 0.000 | -0.000 |
| 0.000 | 0.000 | 0.000 | 0.000 | 0.000 | -0.000 |
| 0.000 | 0.000 | 0.000 | 0.000 | 0.000 | -0.000 |
| -0.000 | -0.000 | -0.000 | 0.000 | 0.000 | -0.000 |
| -0.000 | -0.000 | -0.000 | -0.000 | 0.000 | -0.000 |
| -0.000 | -0.000 | -0.000 | -0.000 | 0.000 | 0.000 |
| 0.000 | 0.000 | 0.000 | -0.000 | -0.000 | 0.000 |
| 0.000 | 0.000 | 0.000 | -0.000 | -0.000 | 0.000 |
| 0.000 | 0.000 | 0.000 | -0.000 | -0.000 | 0.000 |
| 0.000 | 0.000 | 0.000 | 0.000 | 0.000 | 0.000 |
| 0.000 | 0.000 | 0.000 | -0.000 | 0.000 | -0.000 |
| 0.000 | 0.000 | 0.000 | 0.000 | 0.000 | 0.000 |
| 0.000 | 0.000 | 0.000 | -0.000 | 0.000 | -0.000 |
| 0.000 | 0.000 | 0.000 | 0.000 | 0.000 | 0.000 |
| 0.000 | 0.000 | 0.000 | -0.000 | 0.000 | -0.000 |
| -0.000 | -0.000 | -0.000 | 0.000 | 0.000 | -0.000 |
| -0.000 | -0.000 | -0.000 | 0.000 | 0.000 | -0.000 |
| -0.000 | -0.000 | -0.000 | -0.000 | 0.000 | 0.000 |
| 0.000 | 0.000 | 0.000 | -0.000 | -0.000 | 0.000 |
| 0.000 | 0.000 | 0.000 | -0.000 | -0.000 | 0.000 |
| 0.000 | 0.000 | 0.000 | -0.000 | -0.000 | -0.000 |
| 0.000 | 0.000 | 0.000 | 0.000 | -0.000 | 0.000 |
| 0.000 | 0.000 | 0.000 | -0.000 | 0.000 | -0.000 |
| 0.000 | 0.000 | 0.000 | -0.000 | 0.000 | 0.000 |
| 0.000 | 0.000 | 0.000 | 0.000 | 0.000 | -0.000 |
| 0.000 | 0.000 | 0.000 | -0.000 | 0.000 | -0.000 |
| 0.000 | 0.000 | 0.000 | 0.000 | 0.000 | -0.000 |
| -0.000 | -0.000 | -0.000 | 0.000 | -0.000 | -0.000 |
| -0.000 | -0.000 | -0.000 | 0.000 | 0.000 | -0.000 |
| -0.000 | -0.000 | -0.000 | 0.000 | 0.000 | 0.000 |
| 0.000 | 0.000 | 0.000 | 0.000 | -0.000 | -0.000 |
| 0.000 | 0.000 | 0.000 | 0.000 | 0.000 | -0.000 |
| 0.000 | 0.000 | 0.000 | 0.000 | 0.000 | 0.000 |
| -0.000 | -0.000 | -0.000 | 0.000 | -0.000 | -0.000 |
| -0.000 | -0.000 | -0.000 | 0.000 | 0.000 | -0.000 |
| -0.000 | -0.000 | -0.000 | 0.000 | 0.000 | 0.000 |
| 0.000 | 0.000 | 0.000 | -0.000 | -0.000 | 0.000 |
| 0.000 | 0.000 | 0.000 | -0.000 | -0.000 | 0.000 |
| 0.000 | 0.000 | 0.000 | -0.000 | -0.000 | -0.000 |
| 0.000 | 0.000 | 0.000 | 0.000 | 0.000 | 0.000 |
| 0.000 | 0.000 | 0.000 | -0.000 | 0.000 | -0.000 |
| 0.000 | 0.000 | 0.000 | -0.000 | -0.000 | 0.000 |
| 0.000 | 0.000 | 0.000 | -0.000 | 0.000 | -0.000 |
| 0.000 | 0.000 | 0.000 | 0.000 | 0.000 | -0.000 |
| 0.000 | 0.000 | 0.000 | 0.000 | 0.000 | 0.000 |
| -0.000 | -0.000 | -0.000 | 0.000 | -0.000 | -0.000 |
| -0.000 | -0.000 | -0.000 | 0.000 | 0.000 | -0.000 |
| -0.000 | -0.000 | -0.000 | 0.000 | 0.000 | 0.000 |
| 0.000 | 0.000 | 0.000 | -0.000 | -0.000 | 0.000 |
| 0.000 | 0.000 | 0.000 | -0.000 | 0.000 | -0.000 |
| 0.000 | 0.000 | 0.000 | -0.000 | -0.000 | 0.000 |
| 0.000 | 0.000 | 0.000 | 0.000 | -0.000 | 0.000 |
| 0.000 | 0.000 | 0.000 | -0.000 | 0.000 | 0.000 |
| 0.000 | 0.000 | 0.000 | -0.000 | 0.000 | 0.000 |
| 0.000 | 0.000 | 0.000 | 0.000 | 0.000 | -0.000 |
| 0.000 | 0.000 | 0.000 | -0.000 | -0.000 | 0.000 |
| 0.000 | 0.000 | 0.000 | 0.000 | 0.000 | -0.000 |
| -0.000 | -0.000 | -0.000 | 0.000 | -0.000 | -0.000 |
| -0.000 | -0.000 | -0.000 | 0.000 | 0.000 | -0.000 |
| -0.000 | -0.000 | -0.000 | 0.000 | 0.000 | 0.000 |
| 0.000 | 0.000 | 0.000 | 0.000 | -0.000 | 0.000 |
| 0.000 | 0.000 | 0.000 | -0.000 | 0.000 | 0.000 |
| 0.000 | 0.000 | 0.000 | -0.000 | 0.000 | -0.000 |
| 0.000 | 0.000 | 0.000 | 0.000 | 0.000 | 0.000 |
| 0.000 | 0.000 | 0.000 | -0.000 | 0.000 | 0.000 |
| 0.000 | 0.000 | 0.000 | -0.000 | 0.000 | 0.000 |
| 0.000 | 0.000 | 0.000 | -0.000 | -0.000 | -0.000 |
| 0.000 | 0.000 | 0.000 | -0.000 | -0.000 | 0.000 |
| 0.000 | 0.000 | 0.000 | -0.000 | -0.000 | 0.000 |
| 0.000 | 0.000 | 0.000 | 0.000 | 0.000 | -0.000 |
| 0.000 | 0.000 | 0.000 | -0.000 | 0.000 | -0.000 |
| 0.000 | 0.000 | 0.000 | 0.000 | 0.000 | 0.000 |
| 0.000 | 0.000 | 0.000 | 0.000 | -0.000 | -0.000 |
| 0.000 | 0.000 | 0.000 | 0.000 | -0.000 | -0.000 |
| 0.000 | 0.000 | 0.000 | 0.000 | -0.000 | 0.000 |
| -0.000 | -0.000 | -0.000 | 0.000 | -0.000 | 0.000 |
| -0.000 | -0.000 | -0.000 | 0.000 | 0.000 | -0.000 |
| -0.000 | -0.000 | -0.000 | -0.000 | -0.000 | 0.000 |
| 0.000 | 0.000 | 0.000 | -0.000 | 0.000 | 0.000 |
| 0.000 | 0.000 | 0.000 | -0.000 | -0.000 | -0.000 |
| 0.000 | 0.000 | 0.000 | 0.000 | 0.000 | 0.000 |
| 0.000 | 0.000 | 0.000 | 0.000 | -0.000 | 0.000 |
| 0.000 | 0.000 | 0.000 | -0.000 | 0.000 | 0.000 |
| 0.000 | 0.000 | 0.000 | -0.000 | 0.000 | 0.000 |
| 0.000 | 0.000 | 0.000 | 0.000 | 0.000 | 0.000 |
| 0.000 | 0.000 | 0.000 | -0.000 | -0.000 | -0.000 |
| 0.000 | 0.000 | 0.000 | 0.000 | -0.000 | 0.000 |
| -0.000 | -0.000 | -0.000 | 0.000 | -0.000 | 0.000 |
| -0.000 | -0.000 | -0.000 | 0.000 | 0.000 | 0.000 |
| -0.000 | -0.000 | -0.000 | 0.000 | 0.000 | 0.000 |
| 0.000 | 0.000 | 0.000 | 0.000 | 0.000 | 0.000 |
| 0.000 | 0.000 | 0.000 | -0.000 | 0.000 | -0.000 |
| 0.000 | 0.000 | 0.000 | -0.000 | 0.000 | 0.000 |
| 0.000 | 0.000 | 0.000 | 0.000 | 0.000 | -0.000 |
| 0.000 | 0.000 | 0.000 | -0.000 | 0.000 | 0.000 |
| 0.000 | 0.000 | 0.000 | -0.000 | 0.000 | 0.000 |
| 0.000 | 0.000 | 0.000 | 0.000 | 0.000 | -0.000 |
| 0.000 | 0.000 | 0.000 | 0.000 | -0.000 | 0.000 |
| 0.000 | 0.000 | 0.000 | -0.000 | 0.000 | 0.000 |
| -0.000 | -0.000 | -0.000 | 0.000 | 0.000 | 0.000 |
| -0.000 | -0.000 | -0.000 | 0.000 | 0.000 | 0.000 |
| -0.000 | -0.000 | -0.000 | 0.000 | 0.000 | 0.000 |
| -0.000 | -0.000 | -0.000 | -0.000 | -0.000 | 0.000 |
| -0.000 | -0.000 | -0.000 | 0.000 | -0.000 | 0.000 |
| -0.000 | -0.000 | -0.000 | 0.000 | -0.000 | -0.000 |
| -0.000 | -0.000 | -0.000 | -0.000 | 0.000 | 0.000 |
| -0.000 | -0.000 | -0.000 | 0.000 | -0.000 | -0.000 |
| -0.000 | -0.000 | -0.000 | 0.000 | -0.000 | -0.000 |
| -0.000 | -0.000 | -0.000 | 0.000 | -0.000 | -0.000 |
| -0.000 | -0.000 | -0.000 | -0.000 | -0.000 | -0.000 |
| -0.000 | -0.000 | -0.000 | -0.000 | 0.000 | 0.000 |
| 0.000 | 0.000 | 0.000 | -0.000 | -0.000 | -0.000 |
| 0.000 | 0.000 | 0.000 | 0.000 | -0.000 | 0.000 |
| 0.000 | 0.000 | 0.000 | -0.000 | -0.000 | -0.000 |
| -0.000 | -0.000 | -0.000 | -0.000 | -0.000 | 0.000 |
| -0.000 | -0.000 | -0.000 | 0.000 | -0.000 | -0.000 |
| -0.000 | -0.000 | -0.000 | 0.000 | 0.000 | -0.000 |
| -0.000 | -0.000 | -0.000 | -0.000 | -0.000 | 0.000 |
| -0.000 | -0.000 | -0.000 | 0.000 | -0.000 | 0.000 |
| -0.000 | -0.000 | -0.000 | 0.000 | 0.000 | -0.000 |
| -0.000 | -0.000 | -0.000 | -0.000 | 0.000 | -0.000 |
| -0.000 | -0.000 | -0.000 | -0.000 | -0.000 | -0.000 |
| -0.000 | -0.000 | -0.000 | -0.000 | -0.000 | 0.000 |
| 0.000 | 0.000 | 0.000 | -0.000 | -0.000 | -0.000 |
| 0.000 | 0.000 | 0.000 | -0.000 | -0.000 | 0.000 |
| 0.000 | 0.000 | 0.000 | -0.000 | 0.000 | -0.000 |
| -0.000 | -0.000 | -0.000 | 0.000 | -0.000 | 0.000 |
| -0.000 | -0.000 | -0.000 | 0.000 | 0.000 | -0.000 |
| -0.000 | -0.000 | -0.000 | 0.000 | -0.000 | 0.000 |
| -0.000 | -0.000 | -0.000 | -0.000 | -0.000 | 0.000 |
| -0.000 | -0.000 | -0.000 | 0.000 | -0.000 | -0.000 |
| -0.000 | -0.000 | -0.000 | -0.000 | 0.000 | -0.000 |
| -0.000 | -0.000 | -0.000 | 0.000 | 0.000 | -0.000 |
| -0.000 | -0.000 | -0.000 | -0.000 | 0.000 | 0.000 |
| -0.000 | -0.000 | -0.000 | -0.000 | 0.000 | -0.000 |
| 0.000 | 0.000 | 0.000 | -0.000 | -0.000 | -0.000 |
| 0.000 | 0.000 | 0.000 | -0.000 | -0.000 | 0.000 |
| 0.000 | 0.000 | 0.000 | 0.000 | -0.000 | -0.000 |
| -0.000 | -0.000 | -0.000 | 0.000 | 0.000 | 0.000 |
| -0.000 | -0.000 | -0.000 | 0.000 | 0.000 | -0.000 |
| -0.000 | -0.000 | -0.000 | -0.000 | 0.000 | 0.000 |
| -0.000 | -0.000 | -0.000 | -0.000 | 0.000 | -0.000 |
| -0.000 | -0.000 | -0.000 | 0.000 | -0.000 | 0.000 |
| -0.000 | -0.000 | -0.000 | -0.000 | 0.000 | -0.000 |
| -0.000 | -0.000 | -0.000 | -0.000 | 0.000 | 0.000 |
| -0.000 | -0.000 | -0.000 | 0.000 | -0.000 | 0.000 |
| -0.000 | -0.000 | -0.000 | 0.000 | -0.000 | 0.000 |
| 0.000 | 0.000 | 0.000 | -0.000 | -0.000 | -0.000 |
| 0.000 | 0.000 | 0.000 | -0.000 | -0.000 | -0.000 |
| 0.000 | 0.000 | 0.000 | -0.000 | 0.000 | -0.000 |
| -0.000 | -0.000 | -0.000 | 0.000 | 0.000 | 0.000 |
| -0.000 | -0.000 | -0.000 | 0.000 | 0.000 | 0.000 |
| -0.000 | -0.000 | -0.000 | -0.000 | 0.000 | 0.000 |
| -0.000 | -0.000 | -0.000 | -0.000 | 0.000 | 0.000 |
| -0.000 | -0.000 | -0.000 | 0.000 | -0.000 | -0.000 |
| -0.000 | -0.000 | -0.000 | 0.000 | -0.000 | -0.000 |
| -0.000 | -0.000 | -0.000 | -0.000 | 0.000 | 0.000 |
| -0.000 | -0.000 | -0.000 | -0.000 | -0.000 | -0.000 |
| -0.000 | -0.000 | -0.000 | 0.000 | -0.000 | 0.000 |
| 0.000 | 0.000 | 0.000 | -0.000 | -0.000 | 0.000 |
| 0.000 | 0.000 | 0.000 | -0.000 | -0.000 | 0.000 |
| 0.000 | 0.000 | 0.000 | -0.000 | -0.000 | -0.000 |
| -0.000 | -0.000 | -0.000 | 0.000 | -0.000 | -0.000 |
| -0.000 | -0.000 | -0.000 | -0.000 | 0.000 | -0.000 |
| -0.000 | -0.000 | -0.000 | 0.000 | 0.000 | 0.000 |
| -0.000 | -0.000 | -0.000 | -0.000 | 0.000 | -0.000 |
| -0.000 | -0.000 | -0.000 | 0.000 | -0.000 | -0.000 |
| -0.000 | -0.000 | -0.000 | 0.000 | -0.000 | -0.000 |
| -0.000 | -0.000 | -0.000 | -0.000 | -0.000 | -0.000 |
| -0.000 | -0.000 | -0.000 | 0.000 | -0.000 | 0.000 |
| -0.000 | -0.000 | -0.000 | 0.000 | -0.000 | 0.000 |
| 0.000 | 0.000 | 0.000 | -0.000 | -0.000 | 0.000 |
| 0.000 | 0.000 | 0.000 | -0.000 | -0.000 | 0.000 |
| 0.000 | 0.000 | 0.000 | -0.000 | -0.000 | -0.000 |
| 0.000 | 0.000 | 0.000 | 0.000 | 0.000 | -0.000 |
| 0.000 | 0.000 | 0.000 | -0.000 | -0.000 | -0.000 |
| 0.000 | 0.000 | 0.000 | -0.000 | 0.000 | -0.000 |
| 0.000 | 0.000 | 0.000 | 0.000 | 0.000 | -0.000 |
| 0.000 | 0.000 | 0.000 | 0.000 | 0.000 | -0.000 |
| 0.000 | 0.000 | 0.000 | 0.000 | 0.000 | 0.000 |
| 0.000 | 0.000 | 0.000 | 0.000 | 0.000 | -0.000 |
| 0.000 | 0.000 | 0.000 | -0.000 | 0.000 | -0.000 |
| 0.000 | 0.000 | 0.000 | 0.000 | -0.000 | 0.000 |
| -0.000 | -0.000 | -0.000 | 0.000 | 0.000 | 0.000 |
| -0.000 | -0.000 | -0.000 | -0.000 | 0.000 | -0.000 |
| -0.000 | -0.000 | -0.000 | -0.000 | -0.000 | 0.000 |
| 0.000 | 0.000 | 0.000 | 0.000 | -0.000 | -0.000 |
| 0.000 | 0.000 | 0.000 | 0.000 | -0.000 | -0.000 |
| 0.000 | 0.000 | 0.000 | -0.000 | -0.000 | -0.000 |
| 0.000 | 0.000 | 0.000 | 0.000 | 0.000 | 0.000 |
| 0.000 | 0.000 | 0.000 | 0.000 | 0.000 | -0.000 |
| 0.000 | 0.000 | 0.000 | 0.000 | -0.000 | 0.000 |
| 0.000 | 0.000 | 0.000 | -0.000 | -0.000 | 0.000 |
| 0.000 | 0.000 | 0.000 | 0.000 | -0.000 | -0.000 |
| 0.000 | 0.000 | 0.000 | 0.000 | 0.000 | -0.000 |
| -0.000 | -0.000 | -0.000 | 0.000 | -0.000 | -0.000 |
| -0.000 | -0.000 | -0.000 | -0.000 | 0.000 | -0.000 |
| -0.000 | -0.000 | -0.000 | -0.000 | -0.000 | 0.000 |
| 0.000 | 0.000 | 0.000 | -0.000 | -0.000 | 0.000 |
| 0.000 | 0.000 | 0.000 | 0.000 | -0.000 | 0.000 |
| 0.000 | 0.000 | 0.000 | 0.000 | -0.000 | 0.000 |
| 0.000 | 0.000 | 0.000 | 0.000 | 0.000 | 0.000 |
| 0.000 | 0.000 | 0.000 | -0.000 | 0.000 | -0.000 |
| 0.000 | 0.000 | 0.000 | 0.000 | -0.000 | 0.000 |
| 0.000 | 0.000 | 0.000 | -0.000 | -0.000 | -0.000 |
| 0.000 | 0.000 | 0.000 | 0.000 | -0.000 | 0.000 |
| 0.000 | 0.000 | 0.000 | 0.000 | 0.000 | 0.000 |
| -0.000 | -0.000 | -0.000 | 0.000 | 0.000 | 0.000 |
| -0.000 | -0.000 | -0.000 | 0.000 | 0.000 | -0.000 |
| -0.000 | -0.000 | -0.000 | -0.000 | -0.000 | 0.000 |
| 0.000 | 0.000 | 0.000 | -0.000 | -0.000 | -0.000 |
| 0.000 | 0.000 | 0.000 | -0.000 | -0.000 | 0.000 |
| 0.000 | 0.000 | 0.000 | -0.000 | -0.000 | -0.000 |
| 0.000 | 0.000 | 0.000 | 0.000 | 0.000 | -0.000 |
| 0.000 | 0.000 | 0.000 | -0.000 | 0.000 | 0.000 |
| 0.000 | 0.000 | 0.000 | -0.000 | -0.000 | 0.000 |
| 0.000 | 0.000 | 0.000 | 0.000 | 0.000 | 0.000 |
| 0.000 | 0.000 | 0.000 | 0.000 | 0.000 | -0.000 |
| 0.000 | 0.000 | 0.000 | 0.000 | -0.000 | 0.000 |
| -0.000 | -0.000 | -0.000 | 0.000 | -0.000 | 0.000 |
| -0.000 | -0.000 | -0.000 | 0.000 | 0.000 | 0.000 |
| -0.000 | -0.000 | -0.000 | 0.000 | 0.000 | 0.000 |
| 0.000 | 0.000 | 0.000 | -0.000 | 0.000 | 0.000 |
| 0.000 | 0.000 | 0.000 | -0.000 | 0.000 | -0.000 |
| 0.000 | 0.000 | 0.000 | -0.000 | 0.000 | -0.000 |
| 0.000 | 0.000 | 0.000 | 0.000 | 0.000 | -0.000 |
| 0.000 | 0.000 | 0.000 | -0.000 | 0.000 | 0.000 |
| 0.000 | 0.000 | 0.000 | -0.000 | -0.000 | 0.000 |
| 0.000 | 0.000 | 0.000 | 0.000 | 0.000 | 0.000 |
| 0.000 | 0.000 | 0.000 | 0.000 | -0.000 | -0.000 |
| 0.000 | 0.000 | 0.000 | 0.000 | -0.000 | -0.000 |
| -0.000 | -0.000 | -0.000 | 0.000 | 0.000 | 0.000 |
| -0.000 | -0.000 | -0.000 | 0.000 | 0.000 | 0.000 |
| -0.000 | -0.000 | -0.000 | 0.000 | -0.000 | 0.000 |
| 0.000 | 0.000 | 0.000 | -0.000 | -0.000 | -0.000 |
| 0.000 | 0.000 | 0.000 | -0.000 | -0.000 | -0.000 |
| 0.000 | 0.000 | 0.000 | -0.000 | -0.000 | -0.000 |
| 0.000 | 0.000 | 0.000 | 0.000 | -0.000 | -0.000 |
| 0.000 | 0.000 | 0.000 | -0.000 | 0.000 | -0.000 |
| 0.000 | 0.000 | 0.000 | -0.000 | -0.000 | 0.000 |
| 0.000 | 0.000 | 0.000 | -0.000 | -0.000 | 0.000 |
| 0.000 | 0.000 | 0.000 | 0.000 | 0.000 | -0.000 |
| 0.000 | 0.000 | 0.000 | 0.000 | 0.000 | 0.000 |
| -0.000 | -0.000 | -0.000 | 0.000 | 0.000 | -0.000 |
| -0.000 | -0.000 | -0.000 | 0.000 | 0.000 | -0.000 |
| -0.000 | -0.000 | -0.000 | 0.000 | -0.000 | 0.000 |
| 0.000 | 0.000 | 0.000 | 0.000 | -0.000 | -0.000 |
| 0.000 | 0.000 | 0.000 | 0.000 | 0.000 | 0.000 |
| 0.000 | 0.000 | 0.000 | 0.000 | 0.000 | 0.000 |
| 0.000 | 0.000 | 0.000 | 0.000 | 0.000 | -0.000 |
| 0.000 | 0.000 | 0.000 | 0.000 | 0.000 | -0.000 |
| 0.000 | 0.000 | 0.000 | 0.000 | -0.000 | 0.000 |
| 0.000 | 0.000 | 0.000 | -0.000 | -0.000 | 0.000 |
| 0.000 | 0.000 | 0.000 | 0.000 | -0.000 | -0.000 |
| 0.000 | 0.000 | 0.000 | -0.000 | -0.000 | -0.000 |
| -0.000 | -0.000 | -0.000 | 0.000 | -0.000 | 0.000 |
| -0.000 | -0.000 | -0.000 | -0.000 | 0.000 | 0.000 |
| -0.000 | -0.000 | -0.000 | -0.000 | -0.000 | 0.000 |
| 0.000 | 0.000 | 0.000 | -0.000 | -0.000 | -0.000 |
| 0.000 | 0.000 | 0.000 | -0.000 | 0.000 | 0.000 |
| 0.000 | 0.000 | 0.000 | 0.000 | 0.000 | -0.000 |
| 0.000 | 0.000 | 0.000 | 0.000 | -0.000 | -0.000 |
| 0.000 | 0.000 | 0.000 | 0.000 | 0.000 | -0.000 |
| 0.000 | 0.000 | 0.000 | -0.000 | 0.000 | 0.000 |
| 0.000 | 0.000 | 0.000 | -0.000 | -0.000 | 0.000 |
| 0.000 | 0.000 | 0.000 | -0.000 | -0.000 | 0.000 |
| 0.000 | 0.000 | 0.000 | -0.000 | -0.000 | -0.000 |
| -0.000 | -0.000 | -0.000 | 0.000 | -0.000 | 0.000 |
| -0.000 | -0.000 | -0.000 | 0.000 | 0.000 | 0.000 |
| -0.000 | -0.000 | -0.000 | 0.000 | 0.000 | 0.000 |
| 0.000 | 0.000 | 0.000 | 0.000 | 0.000 | -0.000 |
| 0.000 | 0.000 | 0.000 | -0.000 | 0.000 | -0.000 |
| 0.000 | 0.000 | 0.000 | -0.000 | 0.000 | -0.000 |
| 0.000 | 0.000 | 0.000 | 0.000 | 0.000 | -0.000 |
| 0.000 | 0.000 | 0.000 | -0.000 | 0.000 | -0.000 |
| 0.000 | 0.000 | 0.000 | -0.000 | 0.000 | 0.000 |
| 0.000 | 0.000 | 0.000 | -0.000 | -0.000 | 0.000 |
| 0.000 | 0.000 | 0.000 | 0.000 | -0.000 | 0.000 |
| 0.000 | 0.000 | 0.000 | 0.000 | -0.000 | -0.000 |
| -0.000 | -0.000 | -0.000 | 0.000 | -0.000 | 0.000 |
| -0.000 | -0.000 | -0.000 | 0.000 | 0.000 | -0.000 |
| -0.000 | -0.000 | -0.000 | 0.000 | 0.000 | 0.000 |
| 0.000 | 0.000 | 0.000 | -0.000 | -0.000 | -0.000 |
| 0.000 | 0.000 | 0.000 | 0.000 | -0.000 | 0.000 |
| 0.000 | 0.000 | 0.000 | 0.000 | -0.000 | 0.000 |
| 0.000 | 0.000 | 0.000 | 0.000 | -0.000 | 0.000 |
| 0.000 | 0.000 | 0.000 | 0.000 | 0.000 | 0.000 |
| 0.000 | 0.000 | 0.000 | 0.000 | 0.000 | 0.000 |
| 0.000 | 0.000 | 0.000 | -0.000 | 0.000 | -0.000 |
| 0.000 | 0.000 | 0.000 | -0.000 | 0.000 | 0.000 |
| 0.000 | 0.000 | 0.000 | -0.000 | 0.000 | -0.000 |
| -0.000 | -0.000 | -0.000 | 0.000 | 0.000 | -0.000 |
| -0.000 | -0.000 | -0.000 | -0.000 | 0.000 | 0.000 |
| -0.000 | -0.000 | -0.000 | -0.000 | 0.000 | 0.000 |
| 0.000 | 0.000 | 0.000 | 0.000 | 0.000 | -0.000 |
| 0.000 | 0.000 | 0.000 | -0.000 | -0.000 | -0.000 |
| 0.000 | 0.000 | 0.000 | 0.000 | -0.000 | 0.000 |
| 0.000 | 0.000 | 0.000 | 0.000 | -0.000 | 0.000 |
| 0.000 | 0.000 | 0.000 | 0.000 | 0.000 | 0.000 |
| 0.000 | 0.000 | 0.000 | 0.000 | -0.000 | 0.000 |
| 0.000 | 0.000 | 0.000 | -0.000 | 0.000 | 0.000 |
| 0.000 | 0.000 | 0.000 | -0.000 | 0.000 | -0.000 |
| 0.000 | 0.000 | 0.000 | -0.000 | 0.000 | -0.000 |
| -0.000 | -0.000 | -0.000 | 0.000 | -0.000 | -0.000 |
| -0.000 | -0.000 | -0.000 | -0.000 | 0.000 | -0.000 |
| -0.000 | -0.000 | -0.000 | -0.000 | -0.000 | 0.000 |
| 0.000 | 0.000 | 0.000 | 0.000 | -0.000 | 0.000 |
| 0.000 | 0.000 | 0.000 | 0.000 | -0.000 | -0.000 |
| 0.000 | 0.000 | 0.000 | -0.000 | -0.000 | 0.000 |
| 0.000 | 0.000 | 0.000 | 0.000 | -0.000 | -0.000 |
| 0.000 | 0.000 | 0.000 | 0.000 | 0.000 | -0.000 |
| 0.000 | 0.000 | 0.000 | 0.000 | 0.000 | 0.000 |
| 0.000 | 0.000 | 0.000 | -0.000 | 0.000 | -0.000 |
| 0.000 | 0.000 | 0.000 | -0.000 | 0.000 | 0.000 |
| 0.000 | 0.000 | 0.000 | -0.000 | 0.000 | 0.000 |
| -0.000 | -0.000 | -0.000 | 0.000 | 0.000 | -0.000 |
| -0.000 | -0.000 | -0.000 | -0.000 | 0.000 | -0.000 |
| -0.000 | -0.000 | -0.000 | -0.000 | 0.000 | 0.000 |
| 0.000 | 0.000 | 0.000 | -0.000 | 0.000 | -0.000 |
| 0.000 | 0.000 | 0.000 | 0.000 | -0.000 | 0.000 |
| 0.000 | 0.000 | 0.000 | -0.000 | -0.000 | 0.000 |
| 0.000 | 0.000 | 0.000 | 0.000 | -0.000 | 0.000 |
| 0.000 | 0.000 | 0.000 | 0.000 | 0.000 | -0.000 |
| 0.000 | 0.000 | 0.000 | 0.000 | -0.000 | 0.000 |
| 0.000 | 0.000 | 0.000 | 0.000 | -0.000 | 0.000 |
| 0.000 | 0.000 | 0.000 | 0.000 | -0.000 | 0.000 |
| 0.000 | 0.000 | 0.000 | -0.000 | -0.000 | -0.000 |
| -0.000 | -0.000 | -0.000 | 0.000 | 0.000 | -0.000 |
| -0.000 | -0.000 | -0.000 | -0.000 | 0.000 | 0.000 |
| -0.000 | -0.000 | -0.000 | -0.000 | -0.000 | 0.000 |
| 0.000 | 0.000 | 0.000 | -0.000 | -0.000 | -0.000 |
| 0.000 | 0.000 | 0.000 | 0.000 | -0.000 | -0.000 |
| 0.000 | 0.000 | 0.000 | 0.000 | 0.000 | 0.000 |
| 0.000 | 0.000 | 0.000 | 0.000 | -0.000 | 0.000 |
| 0.000 | 0.000 | 0.000 | -0.000 | 0.000 | -0.000 |
| 0.000 | 0.000 | 0.000 | 0.000 | 0.000 | 0.000 |
| 0.000 | 0.000 | 0.000 | 0.000 | -0.000 | -0.000 |
| 0.000 | 0.000 | 0.000 | -0.000 | 0.000 | 0.000 |
| 0.000 | 0.000 | 0.000 | -0.000 | 0.000 | -0.000 |
| -0.000 | -0.000 | -0.000 | 0.000 | -0.000 | -0.000 |
| -0.000 | -0.000 | -0.000 | 0.000 | 0.000 | -0.000 |
| -0.000 | -0.000 | -0.000 | -0.000 | 0.000 | 0.000 |
| 0.000 | 0.000 | 0.000 | -0.000 | -0.000 | -0.000 |
| 0.000 | 0.000 | 0.000 | 0.000 | 0.000 | -0.000 |
| 0.000 | 0.000 | 0.000 | 0.000 | -0.000 | -0.000 |
| 0.000 | 0.000 | 0.000 | 0.000 | -0.000 | 0.000 |
| 0.000 | 0.000 | 0.000 | 0.000 | 0.000 | 0.000 |
| 0.000 | 0.000 | 0.000 | 0.000 | -0.000 | 0.000 |
| 0.000 | 0.000 | 0.000 | -0.000 | -0.000 | 0.000 |
| 0.000 | 0.000 | 0.000 | -0.000 | -0.000 | 0.000 |
| 0.000 | 0.000 | 0.000 | -0.000 | -0.000 | -0.000 |
| -0.000 | -0.000 | -0.000 | 0.000 | -0.000 | 0.000 |
| -0.000 | -0.000 | -0.000 | -0.000 | 0.000 | 0.000 |
| -0.000 | -0.000 | -0.000 | -0.000 | -0.000 | 0.000 |
| -0.000 | -0.000 | -0.000 | 0.000 | 0.000 | -0.000 |
| -0.000 | -0.000 | -0.000 | 0.000 | 0.000 | -0.000 |
| -0.000 | -0.000 | -0.000 | 0.000 | -0.000 | -0.000 |
| 0.000 | 0.000 | 0.000 | -0.000 | 0.000 | -0.000 |
| 0.000 | 0.000 | 0.000 | 0.000 | -0.000 | 0.000 |
| 0.000 | 0.000 | 0.000 | 0.000 | -0.000 | -0.000 |
| -0.000 | -0.000 | -0.000 | 0.000 | -0.000 | 0.000 |
| -0.000 | -0.000 | -0.000 | -0.000 | 0.000 | 0.000 |
| -0.000 | -0.000 | -0.000 | -0.000 | 0.000 | 0.000 |
| -0.000 | -0.000 | -0.000 | -0.000 | 0.000 | 0.000 |
| -0.000 | -0.000 | -0.000 | 0.000 | -0.000 | -0.000 |
| -0.000 | -0.000 | -0.000 | 0.000 | 0.000 | -0.000 |
| -0.000 | -0.000 | -0.000 | 0.000 | -0.000 | -0.000 |
| -0.000 | -0.000 | -0.000 | 0.000 | 0.000 | -0.000 |
| -0.000 | -0.000 | -0.000 | 0.000 | -0.000 | -0.000 |
| 0.000 | 0.000 | 0.000 | -0.000 | 0.000 | -0.000 |
| 0.000 | 0.000 | 0.000 | 0.000 | -0.000 | 0.000 |
| 0.000 | 0.000 | 0.000 | 0.000 | 0.000 | -0.000 |
| -0.000 | -0.000 | -0.000 | 0.000 | 0.000 | 0.000 |
| -0.000 | -0.000 | -0.000 | -0.000 | 0.000 | 0.000 |
| -0.000 | -0.000 | -0.000 | 0.000 | 0.000 | 0.000 |
| -0.000 | -0.000 | -0.000 | -0.000 | 0.000 | 0.000 |
| -0.000 | -0.000 | -0.000 | -0.000 | -0.000 | 0.000 |
| -0.000 | -0.000 | -0.000 | -0.000 | 0.000 | -0.000 |
| -0.000 | -0.000 | -0.000 | 0.000 | 0.000 | -0.000 |
| -0.000 | -0.000 | -0.000 | -0.000 | -0.000 | -0.000 |
| -0.000 | -0.000 | -0.000 | 0.000 | -0.000 | -0.000 |
| 0.000 | 0.000 | 0.000 | -0.000 | 0.000 | -0.000 |
| 0.000 | 0.000 | 0.000 | 0.000 | -0.000 | 0.000 |
| 0.000 | 0.000 | 0.000 | 0.000 | 0.000 | -0.000 |
| -0.000 | -0.000 | -0.000 | 0.000 | -0.000 | 0.000 |
| -0.000 | -0.000 | -0.000 | -0.000 | -0.000 | 0.000 |
| -0.000 | -0.000 | -0.000 | -0.000 | -0.000 | 0.000 |
| -0.000 | -0.000 | -0.000 | -0.000 | 0.000 | 0.000 |
| -0.000 | -0.000 | -0.000 | -0.000 | -0.000 | 0.000 |
| -0.000 | -0.000 | -0.000 | -0.000 | 0.000 | -0.000 |
| 0.000 | 0.000 | 0.000 | -0.000 | -0.000 | 0.000 |
| 0.000 | 0.000 | 0.000 | 0.000 | -0.000 | -0.000 |
| 0.000 | 0.000 | 0.000 | 0.000 | -0.000 | 0.000 |
| 0.000 | 0.000 | 0.000 | 0.000 | -0.000 | 0.000 |
| 0.000 | 0.000 | 0.000 | 0.000 | 0.000 | -0.000 |
| 0.000 | 0.000 | 0.000 | 0.000 | 0.000 | 0.000 |
| 0.000 | 0.000 | 0.000 | 0.000 | -0.000 | 0.000 |
| 0.000 | 0.000 | 0.000 | -0.000 | 0.000 | -0.000 |
| 0.000 | 0.000 | 0.000 | -0.000 | 0.000 | 0.000 |
| -0.000 | -0.000 | -0.000 | 0.000 | 0.000 | -0.000 |
| -0.000 | -0.000 | -0.000 | -0.000 | 0.000 | -0.000 |
| -0.000 | -0.000 | -0.000 | -0.000 | 0.000 | 0.000 |
| 0.000 | 0.000 | 0.000 | 0.000 | -0.000 | 0.000 |
| 0.000 | 0.000 | 0.000 | 0.000 | -0.000 | 0.000 |
| 0.000 | 0.000 | 0.000 | 0.000 | -0.000 | -0.000 |
| 0.000 | 0.000 | 0.000 | 0.000 | -0.000 | 0.000 |
| 0.000 | 0.000 | 0.000 | 0.000 | 0.000 | 0.000 |
| 0.000 | 0.000 | 0.000 | 0.000 | -0.000 | 0.000 |
| 0.000 | 0.000 | 0.000 | -0.000 | 0.000 | -0.000 |
| 0.000 | 0.000 | 0.000 | -0.000 | 0.000 | -0.000 |
| 0.000 | 0.000 | 0.000 | -0.000 | 0.000 | -0.000 |
| -0.000 | -0.000 | -0.000 | 0.000 | -0.000 | -0.000 |
| -0.000 | -0.000 | -0.000 | -0.000 | 0.000 | 0.000 |
| -0.000 | -0.000 | -0.000 | -0.000 | -0.000 | 0.000 |
| 0.000 | 0.000 | 0.000 | 0.000 | -0.000 | 0.000 |
| 0.000 | 0.000 | 0.000 | -0.000 | -0.000 | 0.000 |
| 0.000 | 0.000 | 0.000 | 0.000 | 0.000 | 0.000 |
| 0.000 | 0.000 | 0.000 | 0.000 | 0.000 | 0.000 |
| 0.000 | 0.000 | 0.000 | 0.000 | 0.000 | -0.000 |
| 0.000 | 0.000 | 0.000 | 0.000 | 0.000 | 0.000 |
| 0.000 | 0.000 | 0.000 | 0.000 | -0.000 | 0.000 |
| 0.000 | 0.000 | 0.000 | -0.000 | 0.000 | -0.000 |
| 0.000 | 0.000 | 0.000 | -0.000 | 0.000 | -0.000 |
| -0.000 | -0.000 | -0.000 | 0.000 | 0.000 | -0.000 |
| -0.000 | -0.000 | -0.000 | -0.000 | 0.000 | -0.000 |
| -0.000 | -0.000 | -0.000 | -0.000 | 0.000 | 0.000 |
| 0.000 | 0.000 | 0.000 | 0.000 | -0.000 | -0.000 |
| 0.000 | 0.000 | 0.000 | 0.000 | 0.000 | -0.000 |
| 0.000 | 0.000 | 0.000 | 0.000 | 0.000 | -0.000 |
| 0.000 | 0.000 | 0.000 | 0.000 | -0.000 | -0.000 |
| 0.000 | 0.000 | 0.000 | 0.000 | 0.000 | -0.000 |
| 0.000 | 0.000 | 0.000 | 0.000 | -0.000 | 0.000 |
| 0.000 | 0.000 | 0.000 | 0.000 | 0.000 | -0.000 |
| 0.000 | 0.000 | 0.000 | -0.000 | -0.000 | 0.000 |
| 0.000 | 0.000 | 0.000 | -0.000 | -0.000 | 0.000 |
| -0.000 | -0.000 | -0.000 | 0.000 | 0.000 | 0.000 |
| -0.000 | -0.000 | -0.000 | -0.000 | 0.000 | -0.000 |
| -0.000 | -0.000 | -0.000 | -0.000 | 0.000 | 0.000 |
| 0.000 | 0.000 | 0.000 | 0.000 | 0.000 | -0.000 |
| 0.000 | 0.000 | 0.000 | 0.000 | -0.000 | -0.000 |
| 0.000 | 0.000 | 0.000 | 0.000 | -0.000 | -0.000 |
| 0.000 | 0.000 | 0.000 | 0.000 | 0.000 | -0.000 |
| 0.000 | 0.000 | 0.000 | 0.000 | 0.000 | -0.000 |
| 0.000 | 0.000 | 0.000 | 0.000 | 0.000 | 0.000 |
| 0.000 | 0.000 | 0.000 | -0.000 | 0.000 | 0.000 |
| 0.000 | 0.000 | 0.000 | -0.000 | 0.000 | 0.000 |
| 0.000 | 0.000 | 0.000 | -0.000 | -0.000 | 0.000 |
| -0.000 | -0.000 | -0.000 | 0.000 | 0.000 | 0.000 |
| -0.000 | -0.000 | -0.000 | -0.000 | 0.000 | 0.000 |
| -0.000 | -0.000 | -0.000 | -0.000 | -0.000 | 0.000 |
| 0.000 | 0.000 | 0.000 | 0.000 | -0.000 | -0.000 |
| 0.000 | 0.000 | 0.000 | 0.000 | -0.000 | -0.000 |
| 0.000 | 0.000 | 0.000 | -0.000 | 0.000 | 0.000 |
| 0.000 | 0.000 | 0.000 | 0.000 | -0.000 | -0.000 |
| 0.000 | 0.000 | 0.000 | 0.000 | 0.000 | -0.000 |
| 0.000 | 0.000 | 0.000 | 0.000 | 0.000 | 0.000 |
| 0.000 | 0.000 | 0.000 | 0.000 | 0.000 | 0.000 |
| 0.000 | 0.000 | 0.000 | -0.000 | -0.000 | 0.000 |
| 0.000 | 0.000 | 0.000 | -0.000 | 0.000 | 0.000 |
| -0.000 | -0.000 | -0.000 | 0.000 | 0.000 | 0.000 |
| -0.000 | -0.000 | -0.000 | -0.000 | 0.000 | -0.000 |
| -0.000 | -0.000 | -0.000 | -0.000 | 0.000 | 0.000 |
| 321.328 | 122.498 | 71.685 | 0.000 | 0.000 | -0.000 |
| 145.286 | 298.540 | 71.685 | 0.000 | 0.000 | -0.000 |
| 71.685 | 71.685 | 260.499 | 0.000 | 0.000 | -0.000 |
| -0.000 | -0.000 | 0.000 | 48.626 | 0.000 | -0.000 |
| 0.000 | 0.000 | 0.000 | 0.000 | 48.626 | -0.000 |
| 0.000 | 0.000 | 0.000 | 0.000 | 0.000 | 76.627 |
| 298.540 | 145.286 | 71.685 | -0.000 | -0.000 | 0.000 |
| 122.498 | 321.328 | 71.685 | -0.000 | -0.000 | 0.000 |
| 71.685 | 71.685 | 260.499 | -0.000 | -0.000 | 0.000 |
| -0.000 | -0.000 | -0.000 | 48.626 | -0.000 | 0.000 |
| -0.000 | 0.000 | -0.000 | -0.000 | 48.626 | 0.000 |
| -0.000 | -0.000 | -0.000 | -0.000 | -0.000 | 76.627 |
| 321.328 | 122.498 | 71.685 | 0.000 | 0.000 | -0.000 |
| 145.286 | 298.540 | 71.685 | 0.000 | 0.000 | -0.000 |
| 71.685 | 71.685 | 260.499 | 0.000 | 0.000 | -0.000 |
| 0.000 | -0.000 | 0.000 | 48.626 | 0.000 | -0.000 |
| -0.000 | 0.000 | 0.000 | 0.000 | 48.626 | -0.000 |
| -0.000 | 0.000 | -0.000 | 0.000 | 0.000 | 76.627 |
| 298.539 | 145.286 | 71.685 | -0.000 | -0.000 | 0.000 |
| 122.498 | 321.328 | 71.685 | -0.000 | -0.000 | 0.000 |
| 71.685 | 71.685 | 260.499 | -0.000 | -0.000 | 0.000 |
| -0.000 | 0.000 | -0.000 | 48.626 | -0.000 | 0.000 |
| 0.000 | -0.000 | -0.000 | -0.000 | 48.626 | 0.000 |
| 0.000 | -0.000 | 0.000 | -0.000 | -0.000 | 76.627 |
| 298.541 | 145.286 | 71.685 | 0.000 | 0.000 | -0.000 |
| 145.287 | 298.540 | 71.685 | 0.000 | 0.000 | -0.000 |
| 71.685 | 71.685 | 260.499 | 0.000 | 0.000 | -0.000 |
| 0.000 | -0.000 | 0.000 | 48.626 | 0.000 | -0.000 |
| -0.000 | 0.000 | 0.000 | 0.000 | 48.626 | -0.000 |
| -0.000 | 0.000 | -0.000 | 0.000 | 0.000 | 76.627 |
| 298.539 | 145.286 | 71.685 | -0.000 | -0.000 | 0.000 |
| 145.285 | 298.539 | 71.685 | -0.000 | -0.000 | 0.000 |
| 71.685 | 71.685 | 260.498 | -0.000 | 0.000 | 0.000 |
| -0.000 | 0.000 | -0.000 | 48.626 | -0.000 | 0.000 |
| 0.000 | -0.000 | -0.000 | -0.000 | 48.626 | 0.000 |
| 0.000 | -0.000 | 0.000 | -0.000 | -0.000 | 76.627 |
| 0.000 | 0.000 | 0.000 | 0.000 | 0.000 | 0.000 |
| 0.000 | 0.000 | 0.000 | 0.000 | -0.000 | 0.000 |
| 0.000 | 0.000 | 0.000 | 0.000 | 0.000 | 0.000 |
| 0.000 | 0.000 | 0.000 | 0.000 | -0.000 | -0.000 |
| 0.000 | 0.000 | 0.000 | 0.000 | 0.000 | 0.000 |
| -0.000 | -0.000 | 0.000 | 0.000 | -0.000 | 0.000 |
| 0.000 | 0.000 | 0.000 | -0.000 | -0.000 | 0.000 |
| 0.000 | 0.000 | 0.000 | -0.000 | 0.000 | -0.000 |
| 0.000 | 0.000 | 0.000 | -0.000 | 0.000 | 0.000 |
| -0.000 | -0.000 | -0.000 | 0.000 | 0.000 | -0.000 |
| -0.000 | -0.000 | -0.000 | -0.000 | 0.000 | 0.000 |
| 0.000 | 0.000 | -0.000 | -0.000 | -0.000 | 0.000 |
| 0.000 | 0.000 | 0.000 | -0.000 | -0.000 | 0.000 |
| 0.000 | 0.000 | 0.000 | 0.000 | -0.000 | 0.000 |
| 0.000 | 0.000 | 0.000 | 0.000 | 0.000 | 0.000 |
| 0.000 | 0.000 | 0.000 | 0.000 | -0.000 | -0.000 |
| 0.000 | 0.000 | 0.000 | 0.000 | 0.000 | -0.000 |
| -0.000 | -0.000 | 0.000 | 0.000 | -0.000 | 0.000 |
| 0.000 | 0.000 | 0.000 | -0.000 | -0.000 | 0.000 |
| 0.000 | 0.000 | 0.000 | -0.000 | -0.000 | -0.000 |
| 0.000 | 0.000 | 0.000 | -0.000 | -0.000 | 0.000 |
| -0.000 | -0.000 | -0.000 | 0.000 | -0.000 | -0.000 |
| -0.000 | -0.000 | -0.000 | -0.000 | 0.000 | -0.000 |
| 0.000 | 0.000 | -0.000 | -0.000 | -0.000 | 0.000 |
| 0.000 | 0.000 | 0.000 | -0.000 | 0.000 | 0.000 |
| 0.000 | 0.000 | 0.000 | 0.000 | 0.000 | -0.000 |
| 0.000 | 0.000 | 0.000 | 0.000 | -0.000 | -0.000 |
| 0.000 | 0.000 | 0.000 | 0.000 | -0.000 | -0.000 |
| 0.000 | 0.000 | 0.000 | 0.000 | 0.000 | 0.000 |
| -0.000 | -0.000 | 0.000 | 0.000 | -0.000 | 0.000 |
| 0.000 | 0.000 | 0.000 | -0.000 | -0.000 | -0.000 |
| 0.000 | 0.000 | 0.000 | 0.000 | -0.000 | 0.000 |
| 0.000 | 0.000 | 0.000 | -0.000 | -0.000 | -0.000 |
| -0.000 | -0.000 | -0.000 | 0.000 | -0.000 | -0.000 |
| -0.000 | -0.000 | -0.000 | -0.000 | 0.000 | 0.000 |
| 0.000 | 0.000 | -0.000 | -0.000 | -0.000 | 0.000 |
| 0.000 | 0.000 | 0.000 | -0.000 | 0.000 | 0.000 |
| 0.000 | 0.000 | 0.000 | 0.000 | 0.000 | 0.000 |
| 0.000 | 0.000 | 0.000 | 0.000 | -0.000 | -0.000 |
| 0.000 | 0.000 | 0.000 | 0.000 | -0.000 | 0.000 |
| 0.000 | 0.000 | 0.000 | 0.000 | 0.000 | -0.000 |
| 0.000 | 0.000 | 0.000 | -0.000 | -0.000 | 0.000 |
| 0.000 | 0.000 | 0.000 | 0.000 | 0.000 | -0.000 |
| 0.000 | 0.000 | 0.000 | 0.000 | 0.000 | 0.000 |
| 0.000 | 0.000 | 0.000 | -0.000 | 0.000 | 0.000 |
| -0.000 | -0.000 | -0.000 | 0.000 | -0.000 | 0.000 |
| -0.000 | -0.000 | -0.000 | -0.000 | 0.000 | 0.000 |
| -0.000 | -0.000 | -0.000 | -0.000 | 0.000 | 0.000 |
| 0.000 | 0.000 | 0.000 | 0.000 | 0.000 | -0.000 |
| 0.000 | 0.000 | 0.000 | 0.000 | -0.000 | 0.000 |
| 0.000 | 0.000 | 0.000 | 0.000 | -0.000 | 0.000 |
| 0.000 | 0.000 | 0.000 | 0.000 | 0.000 | -0.000 |
| 0.000 | 0.000 | 0.000 | -0.000 | 0.000 | 0.000 |
| 0.000 | 0.000 | 0.000 | 0.000 | 0.000 | 0.000 |
| 0.000 | 0.000 | 0.000 | -0.000 | -0.000 | -0.000 |
| 0.000 | 0.000 | 0.000 | 0.000 | 0.000 | 0.000 |
| 0.000 | 0.000 | 0.000 | -0.000 | -0.000 | -0.000 |
| -0.000 | -0.000 | -0.000 | 0.000 | -0.000 | 0.000 |
| -0.000 | -0.000 | -0.000 | 0.000 | 0.000 | 0.000 |
| -0.000 | -0.000 | -0.000 | -0.000 | -0.000 | 0.000 |
| 0.000 | 0.000 | 0.000 | -0.000 | 0.000 | -0.000 |
| 0.000 | 0.000 | 0.000 | 0.000 | 0.000 | -0.000 |
| 0.000 | 0.000 | 0.000 | 0.000 | 0.000 | 0.000 |
| 0.000 | 0.000 | 0.000 | 0.000 | -0.000 | 0.000 |
| 0.000 | 0.000 | 0.000 | 0.000 | 0.000 | 0.000 |
| 0.000 | 0.000 | 0.000 | -0.000 | -0.000 | 0.000 |
| 0.000 | 0.000 | 0.000 | -0.000 | 0.000 | -0.000 |
| 0.000 | 0.000 | 0.000 | -0.000 | -0.000 | 0.000 |
| 0.000 | 0.000 | 0.000 | 0.000 | 0.000 | -0.000 |
| -0.000 | -0.000 | -0.000 | 0.000 | 0.000 | -0.000 |
| -0.000 | -0.000 | -0.000 | -0.000 | 0.000 | 0.000 |
| -0.000 | -0.000 | -0.000 | 0.000 | -0.000 | 0.000 |
| 0.000 | 0.000 | 0.000 | -0.000 | 0.000 | 0.000 |
| 0.000 | 0.000 | 0.000 | -0.000 | 0.000 | -0.000 |
| 0.000 | 0.000 | 0.000 | -0.000 | 0.000 | 0.000 |
| 0.000 | 0.000 | 0.000 | 0.000 | 0.000 | -0.000 |
| 0.000 | 0.000 | 0.000 | -0.000 | 0.000 | -0.000 |
| 0.000 | 0.000 | 0.000 | -0.000 | 0.000 | 0.000 |
| 0.000 | 0.000 | 0.000 | 0.000 | -0.000 | -0.000 |
| 0.000 | 0.000 | 0.000 | 0.000 | -0.000 | 0.000 |
| 0.000 | 0.000 | 0.000 | 0.000 | -0.000 | 0.000 |
| -0.000 | -0.000 | -0.000 | 0.000 | 0.000 | 0.000 |
| -0.000 | -0.000 | -0.000 | 0.000 | 0.000 | -0.000 |
| -0.000 | -0.000 | -0.000 | -0.000 | -0.000 | 0.000 |
| 0.000 | 0.000 | 0.000 | -0.000 | 0.000 | 0.000 |
| 0.000 | 0.000 | 0.000 | -0.000 | 0.000 | -0.000 |
| 0.000 | 0.000 | 0.000 | -0.000 | 0.000 | -0.000 |
| 0.000 | 0.000 | 0.000 | 0.000 | 0.000 | -0.000 |
| 0.000 | 0.000 | 0.000 | -0.000 | 0.000 | -0.000 |
| 0.000 | 0.000 | 0.000 | -0.000 | 0.000 | 0.000 |
| 0.000 | 0.000 | 0.000 | 0.000 | -0.000 | -0.000 |
| 0.000 | 0.000 | 0.000 | 0.000 | -0.000 | 0.000 |
| 0.000 | 0.000 | 0.000 | 0.000 | -0.000 | -0.000 |
| -0.000 | -0.000 | -0.000 | 0.000 | 0.000 | 0.000 |
| -0.000 | -0.000 | -0.000 | 0.000 | 0.000 | -0.000 |
| -0.000 | -0.000 | -0.000 | 0.000 | -0.000 | 0.000 |
| 0.000 | 0.000 | 0.000 | -0.000 | 0.000 | 0.000 |
| 0.000 | 0.000 | 0.000 | 0.000 | -0.000 | -0.000 |
| 0.000 | 0.000 | 0.000 | -0.000 | 0.000 | -0.000 |
| 0.000 | 0.000 | 0.000 | 0.000 | -0.000 | -0.000 |
| 0.000 | 0.000 | 0.000 | -0.000 | 0.000 | -0.000 |
| 0.000 | 0.000 | 0.000 | -0.000 | 0.000 | 0.000 |
| 0.000 | 0.000 | 0.000 | 0.000 | 0.000 | 0.000 |
| 0.000 | 0.000 | 0.000 | 0.000 | -0.000 | 0.000 |
| 0.000 | 0.000 | 0.000 | 0.000 | -0.000 | -0.000 |
| -0.000 | -0.000 | -0.000 | 0.000 | -0.000 | 0.000 |
| -0.000 | -0.000 | -0.000 | 0.000 | 0.000 | -0.000 |
| -0.000 | -0.000 | -0.000 | 0.000 | -0.000 | 0.000 |
| 0.000 | 0.000 | 0.000 | 0.000 | -0.000 | 0.000 |
| 0.000 | 0.000 | 0.000 | -0.000 | 0.000 | -0.000 |
| 0.000 | 0.000 | 0.000 | 0.000 | 0.000 | 0.000 |
| 0.000 | 0.000 | 0.000 | 0.000 | 0.000 | -0.000 |
| 0.000 | 0.000 | 0.000 | 0.000 | 0.000 | -0.000 |
| 0.000 | 0.000 | 0.000 | 0.000 | -0.000 | 0.000 |
| 0.000 | 0.000 | 0.000 | -0.000 | 0.000 | -0.000 |
| 0.000 | 0.000 | 0.000 | 0.000 | 0.000 | 0.000 |
| 0.000 | 0.000 | 0.000 | 0.000 | -0.000 | 0.000 |
| -0.000 | -0.000 | -0.000 | 0.000 | 0.000 | 0.000 |
| -0.000 | -0.000 | -0.000 | -0.000 | 0.000 | 0.000 |
| -0.000 | -0.000 | -0.000 | -0.000 | -0.000 | 0.000 |
| 0.000 | 0.000 | 0.000 | 0.000 | -0.000 | -0.000 |
| 0.000 | 0.000 | 0.000 | -0.000 | -0.000 | -0.000 |
| 0.000 | 0.000 | 0.000 | -0.000 | -0.000 | -0.000 |
| 0.000 | 0.000 | 0.000 | 0.000 | -0.000 | -0.000 |
| 0.000 | 0.000 | 0.000 | -0.000 | 0.000 | 0.000 |
| 0.000 | 0.000 | 0.000 | -0.000 | 0.000 | 0.000 |
| 0.000 | 0.000 | 0.000 | -0.000 | -0.000 | 0.000 |
| 0.000 | 0.000 | 0.000 | -0.000 | -0.000 | 0.000 |
| 0.000 | 0.000 | 0.000 | -0.000 | 0.000 | 0.000 |
| -0.000 | -0.000 | -0.000 | 0.000 | 0.000 | 0.000 |
| -0.000 | -0.000 | -0.000 | 0.000 | 0.000 | 0.000 |
| -0.000 | -0.000 | -0.000 | 0.000 | 0.000 | 0.000 |
| 0.000 | 0.000 | 0.000 | 0.000 | -0.000 | -0.000 |
| 0.000 | 0.000 | 0.000 | 0.000 | -0.000 | -0.000 |
| 0.000 | 0.000 | 0.000 | -0.000 | -0.000 | -0.000 |
| 0.000 | 0.000 | 0.000 | 0.000 | -0.000 | -0.000 |
| 0.000 | 0.000 | 0.000 | -0.000 | 0.000 | 0.000 |
| 0.000 | 0.000 | 0.000 | 0.000 | -0.000 | 0.000 |
| 0.000 | 0.000 | 0.000 | -0.000 | 0.000 | -0.000 |
| 0.000 | 0.000 | 0.000 | -0.000 | 0.000 | 0.000 |
| 0.000 | 0.000 | 0.000 | -0.000 | 0.000 | 0.000 |
| -0.000 | -0.000 | -0.000 | 0.000 | 0.000 | 0.000 |
| -0.000 | -0.000 | -0.000 | 0.000 | 0.000 | 0.000 |
| -0.000 | -0.000 | -0.000 | -0.000 | -0.000 | 0.000 |
| 0.000 | 0.000 | 0.000 | -0.000 | -0.000 | -0.000 |
| 0.000 | 0.000 | 0.000 | -0.000 | -0.000 | 0.000 |
| 0.000 | 0.000 | 0.000 | -0.000 | -0.000 | -0.000 |
| 0.000 | 0.000 | 0.000 | 0.000 | -0.000 | -0.000 |
| 0.000 | 0.000 | 0.000 | 0.000 | 0.000 | 0.000 |
| 0.000 | 0.000 | 0.000 | 0.000 | -0.000 | 0.000 |
| 0.000 | 0.000 | 0.000 | 0.000 | 0.000 | -0.000 |
| 0.000 | 0.000 | 0.000 | 0.000 | 0.000 | 0.000 |
| 0.000 | 0.000 | 0.000 | 0.000 | 0.000 | -0.000 |
| -0.000 | -0.000 | -0.000 | 0.000 | 0.000 | 0.000 |
| -0.000 | -0.000 | -0.000 | -0.000 | 0.000 | 0.000 |
| -0.000 | -0.000 | -0.000 | -0.000 | 0.000 | 0.000 |
| 0.000 | 0.000 | 0.000 | 0.000 | -0.000 | 0.000 |
| 0.000 | 0.000 | 0.000 | -0.000 | -0.000 | -0.000 |
| 0.000 | 0.000 | 0.000 | -0.000 | -0.000 | -0.000 |
| 0.000 | 0.000 | 0.000 | 0.000 | -0.000 | -0.000 |
| 0.000 | 0.000 | 0.000 | 0.000 | 0.000 | 0.000 |
| 0.000 | 0.000 | 0.000 | -0.000 | -0.000 | 0.000 |
| 0.000 | 0.000 | 0.000 | 0.000 | 0.000 | -0.000 |
| 0.000 | 0.000 | 0.000 | -0.000 | 0.000 | 0.000 |
| 0.000 | 0.000 | 0.000 | -0.000 | 0.000 | -0.000 |
| -0.000 | -0.000 | -0.000 | 0.000 | 0.000 | 0.000 |
| -0.000 | -0.000 | -0.000 | -0.000 | 0.000 | 0.000 |
| -0.000 | -0.000 | -0.000 | 0.000 | 0.000 | 0.000 |
| 0.000 | 0.000 | 0.000 | -0.000 | -0.000 | 0.000 |
| 0.000 | 0.000 | 0.000 | -0.000 | -0.000 | 0.000 |
| 0.000 | 0.000 | 0.000 | 0.000 | -0.000 | -0.000 |
| 0.000 | 0.000 | 0.000 | 0.000 | -0.000 | 0.000 |
| 0.000 | 0.000 | 0.000 | -0.000 | 0.000 | 0.000 |
| 0.000 | 0.000 | 0.000 | -0.000 | -0.000 | 0.000 |
| 0.000 | 0.000 | 0.000 | -0.000 | 0.000 | -0.000 |
| 0.000 | 0.000 | 0.000 | 0.000 | 0.000 | -0.000 |
| 0.000 | 0.000 | 0.000 | 0.000 | 0.000 | -0.000 |
| -0.000 | -0.000 | -0.000 | 0.000 | -0.000 | 0.000 |
| -0.000 | -0.000 | -0.000 | -0.000 | 0.000 | 0.000 |
| -0.000 | -0.000 | -0.000 | 0.000 | -0.000 | 0.000 |
| 0.000 | 0.000 | 0.000 | 0.000 | -0.000 | -0.000 |
| 0.000 | 0.000 | 0.000 | 0.000 | 0.000 | -0.000 |
| 0.000 | 0.000 | 0.000 | 0.000 | 0.000 | -0.000 |
| 0.000 | 0.000 | 0.000 | 0.000 | -0.000 | -0.000 |
| 0.000 | 0.000 | 0.000 | 0.000 | 0.000 | -0.000 |
| 0.000 | 0.000 | 0.000 | 0.000 | -0.000 | 0.000 |
| 0.000 | 0.000 | 0.000 | 0.000 | 0.000 | 0.000 |
| 0.000 | 0.000 | 0.000 | 0.000 | 0.000 | -0.000 |
| 0.000 | 0.000 | 0.000 | -0.000 | 0.000 | -0.000 |
| -0.000 | -0.000 | -0.000 | 0.000 | -0.000 | 0.000 |
| -0.000 | -0.000 | -0.000 | -0.000 | 0.000 | -0.000 |
| -0.000 | -0.000 | -0.000 | -0.000 | -0.000 | 0.000 |
| 0.000 | 0.000 | 0.000 | -0.000 | 0.000 | 0.000 |
| 0.000 | 0.000 | 0.000 | 0.000 | 0.000 | 0.000 |
| 0.000 | 0.000 | 0.000 | 0.000 | -0.000 | -0.000 |
| 0.000 | 0.000 | 0.000 | 0.000 | -0.000 | 0.000 |
| 0.000 | 0.000 | 0.000 | -0.000 | 0.000 | -0.000 |
| 0.000 | 0.000 | 0.000 | -0.000 | 0.000 | 0.000 |
| 0.000 | 0.000 | 0.000 | 0.000 | 0.000 | 0.000 |
| 0.000 | 0.000 | 0.000 | 0.000 | 0.000 | 0.000 |
| 0.000 | 0.000 | 0.000 | 0.000 | 0.000 | -0.000 |
| -0.000 | -0.000 | -0.000 | 0.000 | 0.000 | -0.000 |
| -0.000 | -0.000 | -0.000 | 0.000 | 0.000 | -0.000 |
| -0.000 | -0.000 | -0.000 | 0.000 | 0.000 | 0.000 |
| 0.000 | 0.000 | 0.000 | 0.000 | 0.000 | -0.000 |
| 0.000 | 0.000 | 0.000 | -0.000 | 0.000 | 0.000 |
| 0.000 | 0.000 | 0.000 | 0.000 | -0.000 | -0.000 |
| 0.000 | 0.000 | 0.000 | 0.000 | -0.000 | 0.000 |
| 0.000 | 0.000 | 0.000 | 0.000 | 0.000 | 0.000 |
| 0.000 | 0.000 | 0.000 | -0.000 | 0.000 | 0.000 |
| 0.000 | 0.000 | 0.000 | -0.000 | -0.000 | 0.000 |
| 0.000 | 0.000 | 0.000 | -0.000 | 0.000 | 0.000 |
| 0.000 | 0.000 | 0.000 | -0.000 | 0.000 | -0.000 |
| -0.000 | -0.000 | -0.000 | 0.000 | -0.000 | 0.000 |
| -0.000 | -0.000 | -0.000 | -0.000 | 0.000 | 0.000 |
| -0.000 | -0.000 | -0.000 | 0.000 | 0.000 | 0.000 |
| 0.000 | 0.000 | 0.000 | -0.000 | 0.000 | -0.000 |
| 0.000 | 0.000 | 0.000 | 0.000 | 0.000 | -0.000 |
| 0.000 | 0.000 | 0.000 | 0.000 | 0.000 | 0.000 |
| 0.000 | 0.000 | 0.000 | 0.000 | 0.000 | -0.000 |
| 0.000 | 0.000 | 0.000 | 0.000 | 0.000 | 0.000 |
| 0.000 | 0.000 | 0.000 | 0.000 | -0.000 | 0.000 |
| 0.000 | 0.000 | 0.000 | 0.000 | -0.000 | 0.000 |
| 0.000 | 0.000 | 0.000 | -0.000 | -0.000 | 0.000 |
| 0.000 | 0.000 | 0.000 | -0.000 | -0.000 | -0.000 |
| -0.000 | -0.000 | -0.000 | 0.000 | -0.000 | -0.000 |
| -0.000 | -0.000 | -0.000 | 0.000 | 0.000 | -0.000 |
| -0.000 | -0.000 | -0.000 | -0.000 | -0.000 | 0.000 |
| 0.000 | 0.000 | 0.000 | 0.000 | 0.000 | 0.000 |
| 0.000 | 0.000 | 0.000 | 0.000 | 0.000 | -0.000 |
| 0.000 | 0.000 | 0.000 | 0.000 | 0.000 | 0.000 |
| 0.000 | 0.000 | 0.000 | 0.000 | 0.000 | -0.000 |
| 0.000 | 0.000 | 0.000 | 0.000 | 0.000 | -0.000 |
| 0.000 | 0.000 | 0.000 | 0.000 | -0.000 | 0.000 |
| 0.000 | 0.000 | 0.000 | -0.000 | -0.000 | -0.000 |
| 0.000 | 0.000 | 0.000 | -0.000 | -0.000 | -0.000 |
| 0.000 | 0.000 | 0.000 | -0.000 | -0.000 | -0.000 |
| -0.000 | -0.000 | -0.000 | 0.000 | -0.000 | -0.000 |
| -0.000 | -0.000 | -0.000 | -0.000 | 0.000 | -0.000 |
| -0.000 | -0.000 | -0.000 | -0.000 | -0.000 | 0.000 |
| 0.000 | 0.000 | 0.000 | 0.000 | 0.000 | 0.000 |
| 0.000 | 0.000 | 0.000 | 0.000 | 0.000 | 0.000 |
| 0.000 | 0.000 | 0.000 | 0.000 | 0.000 | -0.000 |
| 0.000 | 0.000 | 0.000 | 0.000 | -0.000 | 0.000 |
| 0.000 | 0.000 | 0.000 | 0.000 | 0.000 | 0.000 |
| 0.000 | 0.000 | 0.000 | -0.000 | 0.000 | 0.000 |
| 0.000 | 0.000 | 0.000 | -0.000 | -0.000 | -0.000 |
| 0.000 | 0.000 | 0.000 | -0.000 | -0.000 | 0.000 |
| 0.000 | 0.000 | 0.000 | -0.000 | -0.000 | -0.000 |
| -0.000 | -0.000 | -0.000 | 0.000 | -0.000 | -0.000 |
| -0.000 | -0.000 | -0.000 | -0.000 | 0.000 | 0.000 |
| -0.000 | -0.000 | -0.000 | -0.000 | 0.000 | 0.000 |
| 0.000 | 0.000 | 0.000 | -0.000 | 0.000 | 0.000 |
| 0.000 | 0.000 | 0.000 | -0.000 | 0.000 | 0.000 |
| 0.000 | 0.000 | 0.000 | 0.000 | 0.000 | -0.000 |
| 0.000 | 0.000 | 0.000 | 0.000 | 0.000 | 0.000 |
| 0.000 | 0.000 | 0.000 | -0.000 | 0.000 | -0.000 |
| 0.000 | 0.000 | 0.000 | -0.000 | -0.000 | 0.000 |
| 0.000 | 0.000 | 0.000 | -0.000 | 0.000 | -0.000 |
| 0.000 | 0.000 | 0.000 | 0.000 | -0.000 | -0.000 |
| 0.000 | 0.000 | 0.000 | -0.000 | 0.000 | 0.000 |
| -0.000 | -0.000 | -0.000 | 0.000 | 0.000 | -0.000 |
| -0.000 | -0.000 | -0.000 | 0.000 | 0.000 | 0.000 |
| -0.000 | -0.000 | -0.000 | 0.000 | -0.000 | 0.000 |
| 0.000 | 0.000 | 0.000 | 0.000 | -0.000 | 0.000 |
| 0.000 | 0.000 | 0.000 | -0.000 | -0.000 | 0.000 |
| 0.000 | 0.000 | 0.000 | -0.000 | 0.000 | -0.000 |
| 0.000 | 0.000 | 0.000 | 0.000 | 0.000 | 0.000 |
| 0.000 | 0.000 | 0.000 | 0.000 | 0.000 | 0.000 |
| 0.000 | 0.000 | 0.000 | -0.000 | -0.000 | 0.000 |
| 0.000 | 0.000 | 0.000 | 0.000 | -0.000 | -0.000 |
| 0.000 | 0.000 | 0.000 | 0.000 | -0.000 | -0.000 |
| 0.000 | 0.000 | 0.000 | 0.000 | -0.000 | 0.000 |
| -0.000 | -0.000 | -0.000 | 0.000 | -0.000 | -0.000 |
| -0.000 | -0.000 | -0.000 | 0.000 | 0.000 | 0.000 |
| -0.000 | -0.000 | -0.000 | 0.000 | -0.000 | 0.000 |
| 0.000 | 0.000 | 0.000 | 0.000 | -0.000 | -0.000 |
| 0.000 | 0.000 | 0.000 | -0.000 | 0.000 | 0.000 |
| 0.000 | 0.000 | 0.000 | -0.000 | 0.000 | -0.000 |
| 0.000 | 0.000 | 0.000 | 0.000 | -0.000 | 0.000 |
| 0.000 | 0.000 | 0.000 | -0.000 | 0.000 | -0.000 |
| 0.000 | 0.000 | 0.000 | -0.000 | 0.000 | 0.000 |
| 0.000 | 0.000 | 0.000 | 0.000 | 0.000 | -0.000 |
| 0.000 | 0.000 | 0.000 | -0.000 | -0.000 | -0.000 |
| 0.000 | 0.000 | 0.000 | 0.000 | -0.000 | -0.000 |
| -0.000 | -0.000 | -0.000 | 0.000 | -0.000 | 0.000 |
| -0.000 | -0.000 | -0.000 | 0.000 | 0.000 | -0.000 |
| -0.000 | -0.000 | -0.000 | 0.000 | 0.000 | 0.000 |
| 0.000 | 0.000 | 0.000 | -0.000 | -0.000 | -0.000 |
| 0.000 | 0.000 | 0.000 | -0.000 | 0.000 | 0.000 |
| 0.000 | 0.000 | 0.000 | -0.000 | 0.000 | 0.000 |
| -0.000 | -0.000 | -0.000 | 0.000 | -0.000 | -0.000 |
| -0.000 | -0.000 | -0.000 | -0.000 | 0.000 | 0.000 |
| -0.000 | -0.000 | -0.000 | -0.000 | -0.000 | 0.000 |
| 0.000 | 0.000 | 0.000 | 0.000 | 0.000 | 0.000 |
| 0.000 | 0.000 | 0.000 | 0.000 | -0.000 | 0.000 |
| 0.000 | 0.000 | 0.000 | 0.000 | 0.000 | 0.000 |
| 0.000 | 0.000 | 0.000 | 0.000 | -0.000 | -0.000 |
| 0.000 | 0.000 | 0.000 | 0.000 | 0.000 | 0.000 |
| 0.000 | 0.000 | 0.000 | 0.000 | 0.000 | 0.000 |
| 0.000 | 0.000 | 0.000 | -0.000 | -0.000 | -0.000 |
| 0.000 | 0.000 | 0.000 | -0.000 | -0.000 | -0.000 |
| 0.000 | 0.000 | 0.000 | -0.000 | 0.000 | 0.000 |
| -0.000 | -0.000 | -0.000 | 0.000 | -0.000 | 0.000 |
| -0.000 | -0.000 | -0.000 | -0.000 | 0.000 | -0.000 |
| -0.000 | -0.000 | -0.000 | -0.000 | -0.000 | 0.000 |
| 0.000 | 0.000 | 0.000 | 0.000 | 0.000 | 0.000 |
| 0.000 | 0.000 | 0.000 | 0.000 | 0.000 | 0.000 |
| 0.000 | 0.000 | 0.000 | 0.000 | 0.000 | -0.000 |
| 0.000 | 0.000 | 0.000 | 0.000 | -0.000 | -0.000 |
| 0.000 | 0.000 | 0.000 | 0.000 | 0.000 | -0.000 |
| 0.000 | 0.000 | 0.000 | -0.000 | 0.000 | 0.000 |
| 0.000 | 0.000 | 0.000 | -0.000 | -0.000 | 0.000 |
| 0.000 | 0.000 | 0.000 | 0.000 | -0.000 | 0.000 |
| 0.000 | 0.000 | 0.000 | -0.000 | -0.000 | -0.000 |
| -0.000 | -0.000 | -0.000 | 0.000 | -0.000 | 0.000 |
| -0.000 | -0.000 | -0.000 | -0.000 | 0.000 | 0.000 |
| -0.000 | -0.000 | -0.000 | -0.000 | -0.000 | 0.000 |
| 0.000 | 0.000 | 0.000 | -0.000 | -0.000 | 0.000 |
| 0.000 | 0.000 | 0.000 | 0.000 | 0.000 | -0.000 |
| 0.000 | 0.000 | 0.000 | 0.000 | 0.000 | -0.000 |
| 0.000 | 0.000 | 0.000 | 0.000 | 0.000 | -0.000 |
| 0.000 | 0.000 | 0.000 | 0.000 | 0.000 | -0.000 |
| 0.000 | 0.000 | 0.000 | 0.000 | -0.000 | 0.000 |
| 0.000 | 0.000 | 0.000 | -0.000 | -0.000 | -0.000 |
| 0.000 | 0.000 | 0.000 | -0.000 | -0.000 | 0.000 |
| 0.000 | 0.000 | 0.000 | -0.000 | -0.000 | -0.000 |
| 0.000 | 0.000 | 0.000 | 0.000 | 0.000 | -0.000 |
| 0.000 | 0.000 | 0.000 | -0.000 | 0.000 | -0.000 |
| 0.000 | 0.000 | 0.000 | 0.000 | -0.000 | 0.000 |
| 0.000 | 0.000 | 0.000 | 0.000 | -0.000 | -0.000 |
| 0.000 | 0.000 | 0.000 | -0.000 | -0.000 | -0.000 |
| 0.000 | 0.000 | 0.000 | 0.000 | -0.000 | 0.000 |
| -0.000 | -0.000 | -0.000 | 0.000 | -0.000 | 0.000 |
| -0.000 | -0.000 | -0.000 | -0.000 | 0.000 | -0.000 |
| -0.000 | -0.000 | -0.000 | -0.000 | -0.000 | 0.000 |
| 0.000 | 0.000 | 0.000 | -0.000 | 0.000 | 0.000 |
| 0.000 | 0.000 | 0.000 | 0.000 | -0.000 | -0.000 |
| 0.000 | 0.000 | 0.000 | -0.000 | -0.000 | -0.000 |
| 0.000 | 0.000 | 0.000 | 0.000 | -0.000 | -0.000 |
| 0.000 | 0.000 | 0.000 | -0.000 | 0.000 | -0.000 |
| 0.000 | 0.000 | 0.000 | -0.000 | 0.000 | 0.000 |
| 0.000 | 0.000 | 0.000 | 0.000 | 0.000 | 0.000 |
| 0.000 | 0.000 | 0.000 | -0.000 | 0.000 | -0.000 |
| 0.000 | 0.000 | 0.000 | 0.000 | 0.000 | -0.000 |
| -0.000 | -0.000 | -0.000 | 0.000 | 0.000 | 0.000 |
| -0.000 | -0.000 | -0.000 | 0.000 | 0.000 | -0.000 |
| -0.000 | -0.000 | -0.000 | 0.000 | 0.000 | 0.000 |
| 0.000 | 0.000 | 0.000 | -0.000 | 0.000 | -0.000 |
| 0.000 | 0.000 | 0.000 | -0.000 | 0.000 | -0.000 |
| 0.000 | 0.000 | 0.000 | -0.000 | 0.000 | -0.000 |
| 0.000 | 0.000 | 0.000 | 0.000 | -0.000 | -0.000 |
| 0.000 | 0.000 | 0.000 | -0.000 | 0.000 | 0.000 |
| 0.000 | 0.000 | 0.000 | -0.000 | 0.000 | 0.000 |
| 0.000 | 0.000 | 0.000 | 0.000 | 0.000 | 0.000 |
| 0.000 | 0.000 | 0.000 | 0.000 | 0.000 | 0.000 |
| 0.000 | 0.000 | 0.000 | 0.000 | 0.000 | -0.000 |
| -0.000 | -0.000 | -0.000 | 0.000 | -0.000 | 0.000 |
| -0.000 | -0.000 | -0.000 | 0.000 | 0.000 | -0.000 |
| -0.000 | -0.000 | -0.000 | 0.000 | 0.000 | 0.000 |
| -0.000 | -0.000 | -0.000 | 0.000 | -0.000 | 0.000 |
| -0.000 | -0.000 | -0.000 | 0.000 | -0.000 | 0.000 |
| -0.000 | -0.000 | -0.000 | 0.000 | 0.000 | -0.000 |
| -0.000 | -0.000 | -0.000 | -0.000 | 0.000 | 0.000 |
| -0.000 | -0.000 | -0.000 | 0.000 | -0.000 | -0.000 |
| -0.000 | -0.000 | -0.000 | 0.000 | 0.000 | -0.000 |
| -0.000 | -0.000 | -0.000 | 0.000 | -0.000 | 0.000 |
| -0.000 | -0.000 | -0.000 | -0.000 | -0.000 | -0.000 |
| -0.000 | -0.000 | -0.000 | -0.000 | -0.000 | 0.000 |
| 0.000 | 0.000 | 0.000 | -0.000 | -0.000 | -0.000 |
| 0.000 | 0.000 | 0.000 | -0.000 | -0.000 | -0.000 |
| 0.000 | 0.000 | 0.000 | -0.000 | -0.000 | -0.000 |
| -0.000 | -0.000 | -0.000 | -0.000 | -0.000 | 0.000 |
| -0.000 | -0.000 | -0.000 | 0.000 | -0.000 | -0.000 |
| -0.000 | -0.000 | -0.000 | 0.000 | 0.000 | -0.000 |
| -0.000 | -0.000 | -0.000 | -0.000 | -0.000 | 0.000 |
| -0.000 | -0.000 | -0.000 | 0.000 | -0.000 | -0.000 |
| -0.000 | -0.000 | -0.000 | 0.000 | 0.000 | -0.000 |
| -0.000 | -0.000 | -0.000 | 0.000 | -0.000 | 0.000 |
| -0.000 | -0.000 | -0.000 | -0.000 | -0.000 | -0.000 |
| -0.000 | -0.000 | -0.000 | -0.000 | -0.000 | -0.000 |
| 0.000 | 0.000 | 0.000 | -0.000 | -0.000 | -0.000 |
| 0.000 | 0.000 | 0.000 | -0.000 | -0.000 | -0.000 |
| 0.000 | 0.000 | 0.000 | -0.000 | 0.000 | -0.000 |
| -0.000 | -0.000 | -0.000 | -0.000 | 0.000 | 0.000 |
| -0.000 | -0.000 | -0.000 | 0.000 | 0.000 | 0.000 |
| -0.000 | -0.000 | -0.000 | 0.000 | 0.000 | -0.000 |
| -0.000 | -0.000 | -0.000 | -0.000 | 0.000 | 0.000 |
| -0.000 | -0.000 | -0.000 | 0.000 | -0.000 | 0.000 |
| -0.000 | -0.000 | -0.000 | 0.000 | 0.000 | -0.000 |
| -0.000 | -0.000 | -0.000 | 0.000 | -0.000 | -0.000 |
| -0.000 | -0.000 | -0.000 | -0.000 | 0.000 | -0.000 |
| -0.000 | -0.000 | -0.000 | -0.000 | -0.000 | -0.000 |
| 0.000 | 0.000 | 0.000 | -0.000 | -0.000 | 0.000 |
| 0.000 | 0.000 | 0.000 | -0.000 | -0.000 | -0.000 |
| 0.000 | 0.000 | 0.000 | -0.000 | -0.000 | -0.000 |
| -0.000 | -0.000 | -0.000 | 0.000 | 0.000 | 0.000 |
| -0.000 | -0.000 | -0.000 | 0.000 | -0.000 | -0.000 |
| -0.000 | -0.000 | -0.000 | 0.000 | -0.000 | -0.000 |
| -0.000 | -0.000 | -0.000 | -0.000 | 0.000 | -0.000 |
| -0.000 | -0.000 | -0.000 | -0.000 | -0.000 | 0.000 |
| -0.000 | -0.000 | -0.000 | 0.000 | -0.000 | -0.000 |
| -0.000 | -0.000 | -0.000 | -0.000 | 0.000 | 0.000 |
| -0.000 | -0.000 | -0.000 | -0.000 | -0.000 | 0.000 |
| -0.000 | -0.000 | -0.000 | -0.000 | -0.000 | 0.000 |
| 0.000 | 0.000 | 0.000 | -0.000 | -0.000 | 0.000 |
| 0.000 | 0.000 | 0.000 | -0.000 | -0.000 | -0.000 |
| 0.000 | 0.000 | 0.000 | -0.000 | -0.000 | -0.000 |
| -0.000 | -0.000 | -0.000 | 0.000 | 0.000 | -0.000 |
| -0.000 | -0.000 | -0.000 | 0.000 | 0.000 | -0.000 |
| -0.000 | -0.000 | -0.000 | 0.000 | 0.000 | 0.000 |
| -0.000 | -0.000 | -0.000 | -0.000 | 0.000 | -0.000 |
| -0.000 | -0.000 | -0.000 | 0.000 | -0.000 | -0.000 |
| -0.000 | -0.000 | -0.000 | 0.000 | 0.000 | -0.000 |
| -0.000 | -0.000 | -0.000 | -0.000 | 0.000 | 0.000 |
| -0.000 | -0.000 | -0.000 | -0.000 | -0.000 | 0.000 |
| -0.000 | -0.000 | -0.000 | 0.000 | -0.000 | 0.000 |
| 0.000 | 0.000 | 0.000 | -0.000 | -0.000 | 0.000 |
| 0.000 | 0.000 | 0.000 | -0.000 | -0.000 | -0.000 |
| 0.000 | 0.000 | 0.000 | -0.000 | 0.000 | -0.000 |
| -0.000 | -0.000 | -0.000 | 0.000 | -0.000 | -0.000 |
| -0.000 | -0.000 | -0.000 | -0.000 | -0.000 | -0.000 |
| -0.000 | -0.000 | -0.000 | 0.000 | 0.000 | 0.000 |
| -0.000 | -0.000 | -0.000 | -0.000 | 0.000 | -0.000 |
| -0.000 | -0.000 | -0.000 | 0.000 | -0.000 | -0.000 |
| -0.000 | -0.000 | -0.000 | 0.000 | 0.000 | -0.000 |
| -0.000 | -0.000 | -0.000 | -0.000 | -0.000 | 0.000 |
| -0.000 | -0.000 | -0.000 | -0.000 | -0.000 | 0.000 |
| -0.000 | -0.000 | -0.000 | 0.000 | -0.000 | 0.000 |
| 0.000 | 0.000 | 0.000 | -0.000 | 0.000 | 0.000 |
| 0.000 | 0.000 | 0.000 | -0.000 | -0.000 | -0.000 |
| 0.000 | 0.000 | 0.000 | -0.000 | 0.000 | -0.000 |
| 0.000 | 0.000 | 0.000 | -0.000 | 0.000 | -0.000 |
| 0.000 | 0.000 | 0.000 | 0.000 | -0.000 | -0.000 |
| 0.000 | 0.000 | 0.000 | 0.000 | -0.000 | 0.000 |
| 0.000 | 0.000 | 0.000 | 0.000 | -0.000 | -0.000 |
| 0.000 | 0.000 | 0.000 | 0.000 | 0.000 | -0.000 |
| 0.000 | 0.000 | 0.000 | 0.000 | -0.000 | 0.000 |
| 0.000 | 0.000 | 0.000 | 0.000 | -0.000 | -0.000 |
| 0.000 | 0.000 | 0.000 | -0.000 | -0.000 | 0.000 |
| 0.000 | 0.000 | 0.000 | -0.000 | -0.000 | 0.000 |
| -0.000 | -0.000 | -0.000 | 0.000 | 0.000 | 0.000 |
| -0.000 | -0.000 | -0.000 | 0.000 | 0.000 | -0.000 |
| -0.000 | -0.000 | -0.000 | -0.000 | 0.000 | 0.000 |
| 0.000 | 0.000 | 0.000 | -0.000 | -0.000 | -0.000 |
| 0.000 | 0.000 | 0.000 | 0.000 | -0.000 | -0.000 |
| 0.000 | 0.000 | 0.000 | -0.000 | -0.000 | 0.000 |
| 0.000 | 0.000 | 0.000 | 0.000 | -0.000 | -0.000 |
| 0.000 | 0.000 | 0.000 | -0.000 | 0.000 | -0.000 |
| 0.000 | 0.000 | 0.000 | 0.000 | -0.000 | 0.000 |
| 0.000 | 0.000 | 0.000 | 0.000 | 0.000 | -0.000 |
| 0.000 | 0.000 | 0.000 | 0.000 | 0.000 | 0.000 |
| 0.000 | 0.000 | 0.000 | -0.000 | 0.000 | 0.000 |
| -0.000 | -0.000 | -0.000 | 0.000 | 0.000 | 0.000 |
| -0.000 | -0.000 | -0.000 | -0.000 | 0.000 | -0.000 |
| -0.000 | -0.000 | -0.000 | -0.000 | -0.000 | 0.000 |
| 0.000 | 0.000 | 0.000 | -0.000 | -0.000 | -0.000 |
| 0.000 | 0.000 | 0.000 | 0.000 | -0.000 | -0.000 |
| 0.000 | 0.000 | 0.000 | 0.000 | -0.000 | -0.000 |
| 0.000 | 0.000 | 0.000 | 0.000 | -0.000 | 0.000 |
| 0.000 | 0.000 | 0.000 | -0.000 | 0.000 | -0.000 |
| 0.000 | 0.000 | 0.000 | 0.000 | -0.000 | 0.000 |
| 0.000 | 0.000 | 0.000 | -0.000 | -0.000 | -0.000 |
| 0.000 | 0.000 | 0.000 | 0.000 | 0.000 | 0.000 |
| 0.000 | 0.000 | 0.000 | -0.000 | -0.000 | -0.000 |
| -0.000 | -0.000 | -0.000 | 0.000 | -0.000 | 0.000 |
| -0.000 | -0.000 | -0.000 | -0.000 | 0.000 | 0.000 |
| -0.000 | -0.000 | -0.000 | -0.000 | -0.000 | 0.000 |
| 0.000 | 0.000 | 0.000 | -0.000 | -0.000 | -0.000 |
| 0.000 | 0.000 | 0.000 | -0.000 | -0.000 | 0.000 |
| 0.000 | 0.000 | 0.000 | -0.000 | 0.000 | 0.000 |
| 0.000 | 0.000 | 0.000 | 0.000 | 0.000 | 0.000 |
| 0.000 | 0.000 | 0.000 | -0.000 | 0.000 | -0.000 |
| 0.000 | 0.000 | 0.000 | 0.000 | -0.000 | 0.000 |
| 0.000 | 0.000 | 0.000 | 0.000 | -0.000 | 0.000 |
| 0.000 | 0.000 | 0.000 | 0.000 | -0.000 | -0.000 |
| 0.000 | 0.000 | 0.000 | 0.000 | -0.000 | -0.000 |
| -0.000 | -0.000 | -0.000 | 0.000 | -0.000 | -0.000 |
| -0.000 | -0.000 | -0.000 | 0.000 | 0.000 | -0.000 |
| -0.000 | -0.000 | -0.000 | 0.000 | -0.000 | 0.000 |
| 0.000 | 0.000 | 0.000 | -0.000 | -0.000 | 0.000 |
| 0.000 | 0.000 | 0.000 | -0.000 | 0.000 | -0.000 |
| 0.000 | 0.000 | 0.000 | -0.000 | -0.000 | 0.000 |
| 0.000 | 0.000 | 0.000 | 0.000 | 0.000 | 0.000 |
| 0.000 | 0.000 | 0.000 | -0.000 | 0.000 | -0.000 |
| 0.000 | 0.000 | 0.000 | -0.000 | -0.000 | 0.000 |
| 0.000 | 0.000 | 0.000 | 0.000 | 0.000 | 0.000 |
| 0.000 | 0.000 | 0.000 | 0.000 | 0.000 | -0.000 |
| 0.000 | 0.000 | 0.000 | -0.000 | -0.000 | -0.000 |
| -0.000 | -0.000 | -0.000 | 0.000 | 0.000 | -0.000 |
| -0.000 | -0.000 | -0.000 | 0.000 | 0.000 | -0.000 |
| -0.000 | -0.000 | -0.000 | -0.000 | -0.000 | 0.000 |
| 0.000 | 0.000 | 0.000 | 0.000 | -0.000 | -0.000 |
| 0.000 | 0.000 | 0.000 | -0.000 | -0.000 | 0.000 |
| 0.000 | 0.000 | 0.000 | 0.000 | -0.000 | -0.000 |
| 0.000 | 0.000 | 0.000 | 0.000 | -0.000 | 0.000 |
| 0.000 | 0.000 | 0.000 | -0.000 | 0.000 | 0.000 |
| 0.000 | 0.000 | 0.000 | -0.000 | 0.000 | 0.000 |
| 0.000 | 0.000 | 0.000 | 0.000 | -0.000 | -0.000 |
| 0.000 | 0.000 | 0.000 | 0.000 | -0.000 | -0.000 |
| 0.000 | 0.000 | 0.000 | -0.000 | 0.000 | -0.000 |
| -0.000 | -0.000 | -0.000 | 0.000 | -0.000 | -0.000 |
| -0.000 | -0.000 | -0.000 | 0.000 | 0.000 | 0.000 |
| -0.000 | -0.000 | -0.000 | 0.000 | 0.000 | 0.000 |
| 0.000 | 0.000 | 0.000 | 0.000 | 0.000 | -0.000 |
| 0.000 | 0.000 | 0.000 | 0.000 | 0.000 | -0.000 |
| 0.000 | 0.000 | 0.000 | 0.000 | 0.000 | 0.000 |
| 0.000 | 0.000 | 0.000 | 0.000 | 0.000 | -0.000 |
| 0.000 | 0.000 | 0.000 | 0.000 | 0.000 | 0.000 |
| 0.000 | 0.000 | 0.000 | 0.000 | -0.000 | 0.000 |
| 0.000 | 0.000 | 0.000 | -0.000 | -0.000 | 0.000 |
| 0.000 | 0.000 | 0.000 | -0.000 | 0.000 | 0.000 |
| 0.000 | 0.000 | 0.000 | -0.000 | 0.000 | 0.000 |
| -0.000 | -0.000 | -0.000 | 0.000 | -0.000 | 0.000 |
| -0.000 | -0.000 | -0.000 | -0.000 | 0.000 | 0.000 |
| -0.000 | -0.000 | -0.000 | -0.000 | -0.000 | 0.000 |
| 0.000 | 0.000 | 0.000 | -0.000 | 0.000 | -0.000 |
| 0.000 | 0.000 | 0.000 | 0.000 | -0.000 | -0.000 |
| 0.000 | 0.000 | 0.000 | 0.000 | 0.000 | -0.000 |
| 0.000 | 0.000 | 0.000 | 0.000 | -0.000 | -0.000 |
| 0.000 | 0.000 | 0.000 | 0.000 | 0.000 | -0.000 |
| 0.000 | 0.000 | 0.000 | 0.000 | 0.000 | 0.000 |
| 0.000 | 0.000 | 0.000 | 0.000 | -0.000 | 0.000 |
| 0.000 | 0.000 | 0.000 | -0.000 | 0.000 | 0.000 |
| 0.000 | 0.000 | 0.000 | -0.000 | -0.000 | 0.000 |
| -0.000 | -0.000 | -0.000 | 0.000 | 0.000 | 0.000 |
| -0.000 | -0.000 | -0.000 | -0.000 | 0.000 | -0.000 |
| -0.000 | -0.000 | -0.000 | -0.000 | 0.000 | 0.000 |
| 0.000 | 0.000 | 0.000 | -0.000 | -0.000 | -0.000 |
| 0.000 | 0.000 | 0.000 | 0.000 | -0.000 | -0.000 |
| 0.000 | 0.000 | 0.000 | 0.000 | -0.000 | 0.000 |
| 0.000 | 0.000 | 0.000 | 0.000 | 0.000 | -0.000 |
| 0.000 | 0.000 | 0.000 | 0.000 | 0.000 | 0.000 |
| 0.000 | 0.000 | 0.000 | 0.000 | -0.000 | 0.000 |
| 0.000 | 0.000 | 0.000 | -0.000 | 0.000 | 0.000 |
| 0.000 | 0.000 | 0.000 | -0.000 | -0.000 | 0.000 |
| 0.000 | 0.000 | 0.000 | -0.000 | -0.000 | 0.000 |
| -0.000 | -0.000 | -0.000 | 0.000 | -0.000 | 0.000 |
| -0.000 | -0.000 | -0.000 | -0.000 | 0.000 | 0.000 |
| -0.000 | -0.000 | -0.000 | -0.000 | -0.000 | 0.000 |
| 0.000 | 0.000 | 0.000 | 0.000 | 0.000 | -0.000 |
| 0.000 | 0.000 | 0.000 | 0.000 | 0.000 | -0.000 |
| 0.000 | 0.000 | 0.000 | -0.000 | 0.000 | 0.000 |
| 0.000 | 0.000 | 0.000 | 0.000 | 0.000 | -0.000 |
| 0.000 | 0.000 | 0.000 | 0.000 | 0.000 | -0.000 |
| 0.000 | 0.000 | 0.000 | 0.000 | 0.000 | 0.000 |
| 0.000 | 0.000 | 0.000 | -0.000 | -0.000 | 0.000 |
| 0.000 | 0.000 | 0.000 | -0.000 | -0.000 | 0.000 |
| 0.000 | 0.000 | 0.000 | 0.000 | -0.000 | 0.000 |
| -0.000 | -0.000 | -0.000 | 0.000 | -0.000 | 0.000 |
| -0.000 | -0.000 | -0.000 | -0.000 | 0.000 | -0.000 |
| -0.000 | -0.000 | -0.000 | -0.000 | 0.000 | 0.000 |
| 0.000 | 0.000 | 0.000 | -0.000 | 0.000 | -0.000 |
| 0.000 | 0.000 | 0.000 | 0.000 | 0.000 | -0.000 |
| 0.000 | 0.000 | 0.000 | 0.000 | 0.000 | 0.000 |
| 0.000 | 0.000 | 0.000 | 0.000 | 0.000 | -0.000 |
| 0.000 | 0.000 | 0.000 | 0.000 | 0.000 | -0.000 |
| 0.000 | 0.000 | 0.000 | 0.000 | -0.000 | 0.000 |
| 0.000 | 0.000 | 0.000 | -0.000 | -0.000 | -0.000 |
| 0.000 | 0.000 | 0.000 | -0.000 | -0.000 | 0.000 |
| 0.000 | 0.000 | 0.000 | -0.000 | -0.000 | -0.000 |
| -0.000 | -0.000 | -0.000 | 0.000 | -0.000 | 0.000 |
| -0.000 | -0.000 | -0.000 | -0.000 | 0.000 | -0.000 |
| -0.000 | -0.000 | -0.000 | 0.000 | -0.000 | 0.000 |
| 0.000 | 0.000 | 0.000 | -0.000 | 0.000 | 0.000 |
| 0.000 | 0.000 | 0.000 | 0.000 | 0.000 | -0.000 |
| 0.000 | 0.000 | 0.000 | -0.000 | 0.000 | 0.000 |
| 0.000 | 0.000 | 0.000 | 0.000 | 0.000 | -0.000 |
| 0.000 | 0.000 | 0.000 | 0.000 | 0.000 | 0.000 |
| 0.000 | 0.000 | 0.000 | 0.000 | 0.000 | 0.000 |
| 0.000 | 0.000 | 0.000 | -0.000 | -0.000 | 0.000 |
| 0.000 | 0.000 | 0.000 | 0.000 | -0.000 | 0.000 |
| 0.000 | 0.000 | 0.000 | -0.000 | -0.000 | 0.000 |
| -0.000 | -0.000 | -0.000 | 0.000 | -0.000 | 0.000 |
| -0.000 | -0.000 | -0.000 | -0.000 | 0.000 | 0.000 |
| -0.000 | -0.000 | -0.000 | -0.000 | -0.000 | 0.000 |
| 0.000 | 0.000 | 0.000 | 0.000 | -0.000 | -0.000 |
| 0.000 | 0.000 | 0.000 | 0.000 | -0.000 | 0.000 |
| 0.000 | 0.000 | 0.000 | 0.000 | -0.000 | -0.000 |
| 0.000 | 0.000 | 0.000 | 0.000 | -0.000 | 0.000 |
| 0.000 | 0.000 | 0.000 | 0.000 | 0.000 | -0.000 |
| 0.000 | 0.000 | 0.000 | 0.000 | 0.000 | 0.000 |
| 0.000 | 0.000 | 0.000 | -0.000 | -0.000 | -0.000 |
| 0.000 | 0.000 | 0.000 | -0.000 | 0.000 | -0.000 |
| 0.000 | 0.000 | 0.000 | -0.000 | 0.000 | 0.000 |
| -0.000 | -0.000 | -0.000 | 0.000 | 0.000 | -0.000 |
| -0.000 | -0.000 | -0.000 | -0.000 | 0.000 | -0.000 |
| -0.000 | -0.000 | -0.000 | -0.000 | 0.000 | 0.000 |
| 0.000 | 0.000 | 0.000 | 0.000 | -0.000 | 0.000 |
| 0.000 | 0.000 | 0.000 | 0.000 | -0.000 | 0.000 |
| 0.000 | 0.000 | 0.000 | -0.000 | -0.000 | -0.000 |
| 0.000 | 0.000 | 0.000 | 0.000 | -0.000 | 0.000 |
| 0.000 | 0.000 | 0.000 | -0.000 | 0.000 | 0.000 |
| 0.000 | 0.000 | 0.000 | 0.000 | 0.000 | 0.000 |
| 0.000 | 0.000 | 0.000 | 0.000 | 0.000 | -0.000 |
| 0.000 | 0.000 | 0.000 | -0.000 | 0.000 | -0.000 |
| 0.000 | 0.000 | 0.000 | -0.000 | 0.000 | -0.000 |
| -0.000 | -0.000 | -0.000 | 0.000 | 0.000 | -0.000 |
| -0.000 | -0.000 | -0.000 | 0.000 | 0.000 | -0.000 |
| -0.000 | -0.000 | -0.000 | -0.000 | 0.000 | 0.000 |
| 0.000 | 0.000 | 0.000 | 0.000 | -0.000 | -0.000 |
| 0.000 | 0.000 | 0.000 | 0.000 | -0.000 | 0.000 |
| 0.000 | 0.000 | 0.000 | 0.000 | -0.000 | -0.000 |
| 0.000 | 0.000 | 0.000 | 0.000 | -0.000 | 0.000 |
| 0.000 | 0.000 | 0.000 | 0.000 | 0.000 | -0.000 |
| 0.000 | 0.000 | 0.000 | 0.000 | -0.000 | 0.000 |
| 0.000 | 0.000 | 0.000 | -0.000 | 0.000 | -0.000 |
| 0.000 | 0.000 | 0.000 | -0.000 | 0.000 | -0.000 |
| 0.000 | 0.000 | 0.000 | -0.000 | 0.000 | -0.000 |
| -0.000 | -0.000 | -0.000 | 0.000 | -0.000 | -0.000 |
| -0.000 | -0.000 | -0.000 | -0.000 | 0.000 | -0.000 |
| -0.000 | -0.000 | -0.000 | -0.000 | -0.000 | 0.000 |
| -0.000 | -0.000 | -0.000 | 0.000 | -0.000 | 0.000 |
| -0.000 | -0.000 | -0.000 | -0.000 | 0.000 | 0.000 |
| -0.000 | -0.000 | -0.000 | 0.000 | 0.000 | 0.000 |
| 0.000 | 0.000 | 0.000 | -0.000 | 0.000 | 0.000 |
| 0.000 | 0.000 | 0.000 | -0.000 | -0.000 | -0.000 |
| 0.000 | 0.000 | 0.000 | -0.000 | -0.000 | -0.000 |
| -0.000 | -0.000 | -0.000 | 0.000 | -0.000 | -0.000 |
| -0.000 | -0.000 | -0.000 | 0.000 | 0.000 | -0.000 |
| -0.000 | -0.000 | -0.000 | 0.000 | 0.000 | 0.000 |
| -0.000 | -0.000 | -0.000 | -0.000 | -0.000 | -0.000 |
| -0.000 | -0.000 | -0.000 | 0.000 | -0.000 | 0.000 |
| -0.000 | -0.000 | -0.000 | 0.000 | 0.000 | -0.000 |
| -0.000 | -0.000 | -0.000 | -0.000 | 0.000 | 0.000 |
| -0.000 | -0.000 | -0.000 | -0.000 | 0.000 | -0.000 |
| -0.000 | -0.000 | -0.000 | -0.000 | -0.000 | 0.000 |
| 0.000 | 0.000 | 0.000 | -0.000 | 0.000 | 0.000 |
| 0.000 | 0.000 | 0.000 | -0.000 | -0.000 | 0.000 |
| 0.000 | 0.000 | 0.000 | -0.000 | 0.000 | -0.000 |
| -0.000 | -0.000 | -0.000 | 0.000 | 0.000 | -0.000 |
| -0.000 | -0.000 | -0.000 | 0.000 | 0.000 | 0.000 |
| -0.000 | -0.000 | -0.000 | 0.000 | -0.000 | -0.000 |
| -0.000 | -0.000 | -0.000 | -0.000 | 0.000 | 0.000 |
| -0.000 | -0.000 | -0.000 | 0.000 | -0.000 | -0.000 |
| -0.000 | -0.000 | -0.000 | 0.000 | -0.000 | -0.000 |
| -0.000 | -0.000 | -0.000 | 0.000 | 0.000 | -0.000 |
| -0.000 | -0.000 | -0.000 | -0.000 | 0.000 | -0.000 |
| -0.000 | -0.000 | -0.000 | -0.000 | -0.000 | -0.000 |
| 0.000 | 0.000 | 0.000 | -0.000 | -0.000 | -0.000 |
| 0.000 | 0.000 | 0.000 | -0.000 | -0.000 | 0.000 |
| 0.000 | 0.000 | 0.000 | -0.000 | 0.000 | -0.000 |
| -0.000 | -0.000 | -0.000 | 0.000 | -0.000 | -0.000 |
| -0.000 | -0.000 | -0.000 | -0.000 | -0.000 | -0.000 |
| -0.000 | -0.000 | -0.000 | 0.000 | -0.000 | -0.000 |
| -0.000 | -0.000 | -0.000 | -0.000 | -0.000 | 0.000 |
| -0.000 | -0.000 | -0.000 | -0.000 | -0.000 | -0.000 |
| -0.000 | -0.000 | -0.000 | 0.000 | 0.000 | -0.000 |
| 0.000 | 0.000 | 0.000 | -0.000 | -0.000 | -0.000 |
| 0.000 | 0.000 | 0.000 | -0.000 | -0.000 | -0.000 |
| 0.000 | 0.000 | 0.000 | -0.000 | -0.000 | 0.000 |
| 0.000 | 0.000 | 0.000 | 0.000 | -0.000 | -0.000 |
| 0.000 | 0.000 | 0.000 | 0.000 | 0.000 | -0.000 |
| 0.000 | 0.000 | 0.000 | 0.000 | -0.000 | 0.000 |
| 0.000 | 0.000 | 0.000 | -0.000 | 0.000 | 0.000 |
| 0.000 | 0.000 | 0.000 | 0.000 | 0.000 | 0.000 |
| 0.000 | 0.000 | 0.000 | -0.000 | 0.000 | 0.000 |
| -0.000 | -0.000 | -0.000 | 0.000 | 0.000 | 0.000 |
| -0.000 | -0.000 | -0.000 | -0.000 | 0.000 | 0.000 |
| -0.000 | -0.000 | -0.000 | -0.000 | 0.000 | 0.000 |
| 0.000 | 0.000 | 0.000 | 0.000 | -0.000 | 0.000 |
| 0.000 | 0.000 | 0.000 | -0.000 | -0.000 | 0.000 |
| 0.000 | 0.000 | 0.000 | -0.000 | -0.000 | -0.000 |
| 0.000 | 0.000 | 0.000 | 0.000 | -0.000 | -0.000 |
| 0.000 | 0.000 | 0.000 | 0.000 | 0.000 | -0.000 |
| 0.000 | 0.000 | 0.000 | -0.000 | -0.000 | 0.000 |
| 0.000 | 0.000 | 0.000 | -0.000 | 0.000 | 0.000 |
| 0.000 | 0.000 | 0.000 | -0.000 | 0.000 | 0.000 |
| 0.000 | 0.000 | 0.000 | 0.000 | 0.000 | -0.000 |
| -0.000 | -0.000 | -0.000 | 0.000 | 0.000 | 0.000 |
| -0.000 | -0.000 | -0.000 | -0.000 | 0.000 | 0.000 |
| -0.000 | -0.000 | -0.000 | 0.000 | 0.000 | 0.000 |
| 0.000 | 0.000 | 0.000 | -0.000 | -0.000 | -0.000 |
| 0.000 | 0.000 | 0.000 | 0.000 | -0.000 | -0.000 |
| 0.000 | 0.000 | 0.000 | -0.000 | -0.000 | -0.000 |
| 0.000 | 0.000 | 0.000 | 0.000 | -0.000 | -0.000 |
| 0.000 | 0.000 | 0.000 | 0.000 | 0.000 | 0.000 |
| 0.000 | 0.000 | 0.000 | -0.000 | -0.000 | 0.000 |
| 0.000 | 0.000 | 0.000 | -0.000 | 0.000 | 0.000 |
| 0.000 | 0.000 | 0.000 | 0.000 | 0.000 | 0.000 |
| 0.000 | 0.000 | 0.000 | -0.000 | 0.000 | -0.000 |
| -0.000 | -0.000 | -0.000 | 0.000 | -0.000 | 0.000 |
| -0.000 | -0.000 | -0.000 | -0.000 | 0.000 | 0.000 |
| -0.000 | -0.000 | -0.000 | 0.000 | 0.000 | 0.000 |
| 0.000 | 0.000 | 0.000 | -0.000 | 0.000 | -0.000 |
| 0.000 | 0.000 | 0.000 | -0.000 | 0.000 | -0.000 |
| 0.000 | 0.000 | 0.000 | -0.000 | 0.000 | -0.000 |
| 0.000 | 0.000 | 0.000 | 0.000 | 0.000 | -0.000 |
| 0.000 | 0.000 | 0.000 | -0.000 | 0.000 | 0.000 |
| 0.000 | 0.000 | 0.000 | -0.000 | 0.000 | 0.000 |
| 0.000 | 0.000 | 0.000 | 0.000 | -0.000 | 0.000 |
| 0.000 | 0.000 | 0.000 | 0.000 | -0.000 | -0.000 |
| 0.000 | 0.000 | 0.000 | 0.000 | -0.000 | 0.000 |
| -0.000 | -0.000 | -0.000 | 0.000 | -0.000 | -0.000 |
| -0.000 | -0.000 | -0.000 | 0.000 | 0.000 | 0.000 |
| -0.000 | -0.000 | -0.000 | -0.000 | 0.000 | 0.000 |
| 0.000 | 0.000 | 0.000 | 0.000 | 0.000 | 0.000 |
| 0.000 | 0.000 | 0.000 | -0.000 | 0.000 | -0.000 |
| 0.000 | 0.000 | 0.000 | -0.000 | -0.000 | 0.000 |
| 0.000 | 0.000 | 0.000 | 0.000 | 0.000 | 0.000 |
| 0.000 | 0.000 | 0.000 | -0.000 | 0.000 | -0.000 |
| 0.000 | 0.000 | 0.000 | -0.000 | 0.000 | 0.000 |
| 0.000 | 0.000 | 0.000 | -0.000 | 0.000 | 0.000 |
| 0.000 | 0.000 | 0.000 | 0.000 | 0.000 | 0.000 |
| 0.000 | 0.000 | 0.000 | 0.000 | 0.000 | 0.000 |
| -0.000 | -0.000 | -0.000 | 0.000 | 0.000 | 0.000 |
| -0.000 | -0.000 | -0.000 | 0.000 | 0.000 | 0.000 |
| -0.000 | -0.000 | -0.000 | 0.000 | -0.000 | 0.000 |
| 0.000 | 0.000 | 0.000 | 0.000 | 0.000 | -0.000 |
| 0.000 | 0.000 | 0.000 | -0.000 | -0.000 | -0.000 |
| 0.000 | 0.000 | 0.000 | 0.000 | 0.000 | -0.000 |
| 0.000 | 0.000 | 0.000 | 0.000 | 0.000 | -0.000 |
| 0.000 | 0.000 | 0.000 | 0.000 | 0.000 | 0.000 |
| 0.000 | 0.000 | 0.000 | -0.000 | 0.000 | 0.000 |
| 0.000 | 0.000 | 0.000 | 0.000 | 0.000 | 0.000 |
| 0.000 | 0.000 | 0.000 | -0.000 | 0.000 | 0.000 |
| 0.000 | 0.000 | 0.000 | 0.000 | -0.000 | -0.000 |
| -0.000 | -0.000 | -0.000 | 0.000 | -0.000 | 0.000 |
| -0.000 | -0.000 | -0.000 | -0.000 | 0.000 | 0.000 |
| -0.000 | -0.000 | -0.000 | 0.000 | 0.000 | 0.000 |
| 37.163 | 61.603 | 61.603 | -0.000 | -0.000 | 0.000 |
| 61.603 | 37.163 | 61.603 | -0.000 | -0.000 | -0.000 |
| 61.603 | 61.603 | 37.163 | -0.000 | -0.000 | 0.000 |
| -0.000 | 0.000 | -0.000 | -36.852 | -0.000 | 0.000 |
| -0.000 | 0.000 | -0.000 | -0.000 | -36.852 | 0.000 |
| -0.000 | -0.000 | -0.000 | -0.000 | -0.000 | -36.852 |
| 37.163 | 61.603 | 61.603 | 0.000 | 0.000 | -0.000 |
| 61.603 | 37.163 | 61.603 | 0.000 | 0.000 | 0.000 |
| 61.603 | 61.603 | 37.163 | 0.000 | 0.000 | -0.000 |
| 0.000 | -0.000 | 0.000 | -36.852 | 0.000 | -0.000 |
| 0.000 | -0.000 | 0.000 | 0.000 | -36.852 | -0.000 |
| 0.000 | -0.000 | 0.000 | 0.000 | 0.000 | -36.852 |
| 37.163 | 61.603 | 61.603 | -0.000 | -0.000 | 0.000 |
| 61.603 | 37.163 | 61.603 | -0.000 | -0.000 | -0.000 |
| 61.603 | 61.603 | 37.163 | -0.000 | -0.000 | 0.000 |
| -0.000 | 0.000 | -0.000 | -36.852 | -0.000 | 0.000 |
| -0.000 | 0.000 | -0.000 | -0.000 | -36.852 | 0.000 |
| -0.000 | -0.000 | -0.000 | -0.000 | -0.000 | -36.852 |
| 37.163 | 61.603 | 61.603 | 0.000 | 0.000 | -0.000 |
| 61.603 | 37.163 | 61.603 | 0.000 | 0.000 | -0.000 |
| 61.603 | 61.603 | 37.163 | 0.000 | 0.000 | -0.000 |
| 0.000 | -0.000 | 0.000 | -36.852 | 0.000 | -0.000 |
| 0.000 | -0.000 | 0.000 | 0.000 | -36.852 | -0.000 |
| 0.000 | 0.000 | 0.000 | 0.000 | 0.000 | -36.852 |
| 37.163 | 61.603 | 61.603 | -0.000 | -0.000 | 0.000 |
| 61.603 | 37.163 | 61.603 | -0.000 | -0.000 | 0.000 |
| 61.603 | 61.603 | 37.163 | -0.000 | -0.000 | 0.000 |
| 0.000 | 0.000 | -0.000 | -36.852 | 0.000 | 0.000 |
| 0.000 | 0.000 | -0.000 | -0.000 | -36.852 | 0.000 |
| 0.000 | -0.000 | 0.000 | -0.000 | -0.000 | -36.852 |
| 37.163 | 61.603 | 61.603 | 0.000 | 0.000 | -0.000 |
| 61.603 | 37.163 | 61.603 | 0.000 | 0.000 | -0.000 |
| 61.603 | 61.603 | 37.163 | 0.000 | 0.000 | -0.000 |
| -0.000 | -0.000 | 0.000 | -36.852 | 0.000 | -0.000 |
| -0.000 | -0.000 | 0.000 | 0.000 | -36.852 | -0.000 |
| -0.000 | 0.000 | -0.000 | 0.000 | 0.000 | -36.852 |
| 0.000 | 0.000 | 0.000 | -0.000 | 0.000 | 0.000 |
| 0.000 | 0.000 | 0.000 | 0.000 | -0.000 | 0.000 |
| 0.000 | 0.000 | 0.000 | 0.000 | 0.000 | -0.000 |
| 0.000 | 0.000 | 0.000 | 0.000 | -0.000 | 0.000 |
| 0.000 | 0.000 | 0.000 | -0.000 | 0.000 | 0.000 |
| 0.000 | 0.000 | 0.000 | -0.000 | 0.000 | 0.000 |
| 0.000 | 0.000 | 0.000 | 0.000 | -0.000 | -0.000 |
| 0.000 | 0.000 | 0.000 | -0.000 | 0.000 | -0.000 |
| 0.000 | 0.000 | 0.000 | -0.000 | -0.000 | 0.000 |
| -0.000 | -0.000 | -0.000 | 0.000 | -0.000 | -0.000 |
| -0.000 | -0.000 | -0.000 | -0.000 | 0.000 | -0.000 |
| -0.000 | -0.000 | -0.000 | -0.000 | -0.000 | 0.000 |
| 0.000 | 0.000 | 0.000 | 0.000 | 0.000 | 0.000 |
| 0.000 | 0.000 | 0.000 | 0.000 | 0.000 | 0.000 |
| 0.000 | 0.000 | 0.000 | 0.000 | 0.000 | 0.000 |
| 0.000 | 0.000 | 0.000 | 0.000 | 0.000 | 0.000 |
| 0.000 | 0.000 | 0.000 | 0.000 | 0.000 | 0.000 |
| 0.000 | 0.000 | 0.000 | 0.000 | 0.000 | 0.000 |
| 0.000 | 0.000 | 0.000 | 0.000 | -0.000 | -0.000 |
| 0.000 | 0.000 | 0.000 | -0.000 | 0.000 | -0.000 |
| 0.000 | 0.000 | 0.000 | -0.000 | -0.000 | 0.000 |
| -0.000 | -0.000 | -0.000 | 0.000 | -0.000 | -0.000 |
| -0.000 | -0.000 | -0.000 | -0.000 | 0.000 | -0.000 |
| -0.000 | -0.000 | -0.000 | -0.000 | -0.000 | 0.000 |
| 0.000 | 0.000 | 0.000 | 0.000 | 0.000 | 0.000 |
| 0.000 | 0.000 | 0.000 | 0.000 | 0.000 | 0.000 |
| 0.000 | 0.000 | 0.000 | 0.000 | 0.000 | 0.000 |
| 0.000 | 0.000 | 0.000 | 0.000 | 0.000 | 0.000 |
| 0.000 | 0.000 | 0.000 | 0.000 | 0.000 | 0.000 |
| 0.000 | 0.000 | 0.000 | 0.000 | 0.000 | 0.000 |
| 0.000 | 0.000 | 0.000 | 0.000 | -0.000 | -0.000 |
| 0.000 | 0.000 | 0.000 | -0.000 | 0.000 | -0.000 |
| 0.000 | 0.000 | 0.000 | -0.000 | -0.000 | 0.000 |
| -0.000 | -0.000 | -0.000 | 0.000 | -0.000 | -0.000 |
| -0.000 | -0.000 | -0.000 | -0.000 | 0.000 | -0.000 |
| -0.000 | -0.000 | -0.000 | -0.000 | -0.000 | 0.000 |
| 0.000 | 0.000 | 0.000 | 0.000 | -0.000 | -0.000 |
| 0.000 | 0.000 | 0.000 | -0.000 | 0.000 | -0.000 |
| 0.000 | 0.000 | 0.000 | -0.000 | -0.000 | 0.000 |
| 0.000 | 0.000 | 0.000 | 0.000 | -0.000 | -0.000 |
| 0.000 | 0.000 | 0.000 | -0.000 | 0.000 | -0.000 |
| 0.000 | 0.000 | 0.000 | -0.000 | -0.000 | 0.000 |
| 0.000 | 0.000 | 0.000 | -0.000 | 0.000 | 0.000 |
| 0.000 | 0.000 | 0.000 | 0.000 | -0.000 | 0.000 |
| 0.000 | 0.000 | 0.000 | 0.000 | 0.000 | -0.000 |
| -0.000 | -0.000 | -0.000 | 0.000 | -0.000 | 0.000 |
| -0.000 | -0.000 | -0.000 | -0.000 | 0.000 | 0.000 |
| -0.000 | -0.000 | -0.000 | -0.000 | 0.000 | 0.000 |
| 0.000 | 0.000 | 0.000 | -0.000 | -0.000 | -0.000 |
| 0.000 | 0.000 | 0.000 | -0.000 | -0.000 | -0.000 |
| 0.000 | 0.000 | 0.000 | -0.000 | -0.000 | -0.000 |
| 0.000 | 0.000 | 0.000 | 0.000 | -0.000 | -0.000 |
| 0.000 | 0.000 | 0.000 | -0.000 | 0.000 | -0.000 |
| 0.000 | 0.000 | 0.000 | -0.000 | -0.000 | 0.000 |
| 0.000 | 0.000 | 0.000 | 0.000 | 0.000 | 0.000 |
| 0.000 | 0.000 | 0.000 | 0.000 | 0.000 | 0.000 |
| 0.000 | 0.000 | 0.000 | 0.000 | 0.000 | 0.000 |
| -0.000 | -0.000 | -0.000 | 0.000 | -0.000 | 0.000 |
| -0.000 | -0.000 | -0.000 | -0.000 | 0.000 | 0.000 |
| -0.000 | -0.000 | -0.000 | -0.000 | 0.000 | 0.000 |
| 0.000 | 0.000 | 0.000 | 0.000 | -0.000 | -0.000 |
| 0.000 | 0.000 | 0.000 | -0.000 | 0.000 | -0.000 |
| 0.000 | 0.000 | 0.000 | -0.000 | -0.000 | 0.000 |
| 0.000 | 0.000 | 0.000 | 0.000 | -0.000 | -0.000 |
| 0.000 | 0.000 | 0.000 | -0.000 | 0.000 | -0.000 |
| 0.000 | 0.000 | 0.000 | -0.000 | -0.000 | 0.000 |
| 0.000 | 0.000 | 0.000 | 0.000 | 0.000 | 0.000 |
| 0.000 | 0.000 | 0.000 | 0.000 | 0.000 | 0.000 |
| 0.000 | 0.000 | 0.000 | 0.000 | 0.000 | 0.000 |
| -0.000 | -0.000 | -0.000 | 0.000 | -0.000 | 0.000 |
| -0.000 | -0.000 | -0.000 | -0.000 | 0.000 | 0.000 |
| -0.000 | -0.000 | -0.000 | -0.000 | 0.000 | 0.000 |
| 0.000 | 0.000 | 0.000 | -0.000 | -0.000 | -0.000 |
| 0.000 | 0.000 | 0.000 | -0.000 | -0.000 | -0.000 |
| 0.000 | 0.000 | 0.000 | -0.000 | -0.000 | -0.000 |
| 0.000 | 0.000 | 0.000 | 0.000 | -0.000 | -0.000 |
| 0.000 | 0.000 | 0.000 | -0.000 | 0.000 | -0.000 |
| 0.000 | 0.000 | 0.000 | -0.000 | -0.000 | 0.000 |
| 0.000 | 0.000 | 0.000 | -0.000 | 0.000 | 0.000 |
| 0.000 | 0.000 | 0.000 | 0.000 | -0.000 | 0.000 |
| 0.000 | 0.000 | 0.000 | 0.000 | 0.000 | -0.000 |
| -0.000 | -0.000 | -0.000 | 0.000 | 0.000 | 0.000 |
| -0.000 | -0.000 | -0.000 | 0.000 | 0.000 | 0.000 |
| -0.000 | -0.000 | -0.000 | 0.000 | 0.000 | 0.000 |
| 0.000 | 0.000 | 0.000 | -0.000 | -0.000 | -0.000 |
| 0.000 | 0.000 | 0.000 | -0.000 | -0.000 | -0.000 |
| 0.000 | 0.000 | 0.000 | -0.000 | -0.000 | -0.000 |
| 0.000 | 0.000 | 0.000 | 0.000 | 0.000 | -0.000 |
| 0.000 | 0.000 | 0.000 | 0.000 | 0.000 | -0.000 |
| 0.000 | 0.000 | 0.000 | 0.000 | -0.000 | 0.000 |
| 0.000 | 0.000 | 0.000 | 0.000 | 0.000 | 0.000 |
| 0.000 | 0.000 | 0.000 | 0.000 | 0.000 | 0.000 |
| 0.000 | 0.000 | 0.000 | 0.000 | 0.000 | 0.000 |
| -0.000 | -0.000 | -0.000 | 0.000 | 0.000 | 0.000 |
| -0.000 | -0.000 | -0.000 | 0.000 | 0.000 | 0.000 |
| -0.000 | -0.000 | -0.000 | 0.000 | 0.000 | 0.000 |
| 0.000 | 0.000 | 0.000 | 0.000 | -0.000 | -0.000 |
| 0.000 | 0.000 | 0.000 | -0.000 | 0.000 | -0.000 |
| 0.000 | 0.000 | 0.000 | -0.000 | -0.000 | 0.000 |
| 0.000 | 0.000 | 0.000 | 0.000 | 0.000 | -0.000 |
| 0.000 | 0.000 | 0.000 | 0.000 | 0.000 | -0.000 |
| 0.000 | 0.000 | 0.000 | 0.000 | -0.000 | 0.000 |
| 0.000 | 0.000 | 0.000 | -0.000 | 0.000 | 0.000 |
| 0.000 | 0.000 | 0.000 | 0.000 | -0.000 | 0.000 |
| 0.000 | 0.000 | 0.000 | 0.000 | 0.000 | -0.000 |
| -0.000 | -0.000 | -0.000 | 0.000 | 0.000 | 0.000 |
| -0.000 | -0.000 | -0.000 | 0.000 | 0.000 | 0.000 |
| -0.000 | -0.000 | -0.000 | 0.000 | 0.000 | 0.000 |
| 0.000 | 0.000 | 0.000 | 0.000 | -0.000 | -0.000 |
| 0.000 | 0.000 | 0.000 | -0.000 | 0.000 | -0.000 |
| 0.000 | 0.000 | 0.000 | -0.000 | -0.000 | 0.000 |
| 0.000 | 0.000 | 0.000 | 0.000 | -0.000 | -0.000 |
| 0.000 | 0.000 | 0.000 | -0.000 | 0.000 | -0.000 |
| 0.000 | 0.000 | 0.000 | -0.000 | -0.000 | 0.000 |
| 0.000 | 0.000 | 0.000 | -0.000 | 0.000 | 0.000 |
| 0.000 | 0.000 | 0.000 | 0.000 | -0.000 | 0.000 |
| 0.000 | 0.000 | 0.000 | 0.000 | 0.000 | -0.000 |
| -0.000 | -0.000 | -0.000 | 0.000 | -0.000 | 0.000 |
| -0.000 | -0.000 | -0.000 | -0.000 | 0.000 | 0.000 |
| -0.000 | -0.000 | -0.000 | -0.000 | 0.000 | 0.000 |
| 0.000 | 0.000 | 0.000 | -0.000 | -0.000 | -0.000 |
| 0.000 | 0.000 | 0.000 | -0.000 | -0.000 | -0.000 |
| 0.000 | 0.000 | 0.000 | 0.000 | 0.000 | -0.000 |
| 0.000 | 0.000 | 0.000 | 0.000 | 0.000 | -0.000 |
| 0.000 | 0.000 | 0.000 | 0.000 | 0.000 | -0.000 |
| 0.000 | 0.000 | 0.000 | 0.000 | -0.000 | 0.000 |
| 0.000 | 0.000 | 0.000 | -0.000 | 0.000 | 0.000 |
| 0.000 | 0.000 | 0.000 | 0.000 | -0.000 | 0.000 |
| 0.000 | 0.000 | 0.000 | 0.000 | 0.000 | -0.000 |
| -0.000 | -0.000 | -0.000 | 0.000 | 0.000 | 0.000 |
| -0.000 | -0.000 | -0.000 | 0.000 | 0.000 | 0.000 |
| -0.000 | -0.000 | -0.000 | 0.000 | -0.000 | 0.000 |
| 0.000 | 0.000 | 0.000 | -0.000 | -0.000 | -0.000 |
| 0.000 | 0.000 | 0.000 | -0.000 | -0.000 | -0.000 |
| 0.000 | 0.000 | 0.000 | -0.000 | -0.000 | -0.000 |
| 0.000 | 0.000 | 0.000 | 0.000 | 0.000 | -0.000 |
| 0.000 | 0.000 | 0.000 | 0.000 | 0.000 | -0.000 |
| 0.000 | 0.000 | 0.000 | 0.000 | -0.000 | 0.000 |
| 0.000 | 0.000 | 0.000 | 0.000 | -0.000 | 0.000 |
| 0.000 | 0.000 | 0.000 | -0.000 | 0.000 | 0.000 |
| 0.000 | 0.000 | 0.000 | 0.000 | 0.000 | 0.000 |
| -0.000 | -0.000 | -0.000 | 0.000 | -0.000 | 0.000 |
| -0.000 | -0.000 | -0.000 | -0.000 | 0.000 | 0.000 |
| -0.000 | -0.000 | -0.000 | -0.000 | -0.000 | 0.000 |
| 0.000 | 0.000 | 0.000 | -0.000 | -0.000 | -0.000 |
| 0.000 | 0.000 | 0.000 | -0.000 | -0.000 | -0.000 |
| 0.000 | 0.000 | 0.000 | -0.000 | -0.000 | -0.000 |
| 0.000 | 0.000 | 0.000 | 0.000 | 0.000 | -0.000 |
| 0.000 | 0.000 | 0.000 | 0.000 | 0.000 | -0.000 |
| 0.000 | 0.000 | 0.000 | 0.000 | -0.000 | 0.000 |
| 0.000 | 0.000 | 0.000 | 0.000 | 0.000 | 0.000 |
| 0.000 | 0.000 | 0.000 | 0.000 | 0.000 | 0.000 |
| 0.000 | 0.000 | 0.000 | 0.000 | 0.000 | 0.000 |
| -0.000 | -0.000 | -0.000 | 0.000 | -0.000 | 0.000 |
| -0.000 | -0.000 | -0.000 | -0.000 | 0.000 | 0.000 |
| -0.000 | -0.000 | -0.000 | -0.000 | 0.000 | 0.000 |
| 0.000 | 0.000 | 0.000 | -0.000 | -0.000 | -0.000 |
| 0.000 | 0.000 | 0.000 | -0.000 | -0.000 | -0.000 |
| 0.000 | 0.000 | 0.000 | -0.000 | -0.000 | -0.000 |
| 0.000 | 0.000 | 0.000 | 0.000 | 0.000 | -0.000 |
| 0.000 | 0.000 | 0.000 | 0.000 | 0.000 | -0.000 |
| 0.000 | 0.000 | 0.000 | 0.000 | -0.000 | 0.000 |
| 0.000 | 0.000 | 0.000 | -0.000 | 0.000 | 0.000 |
| 0.000 | 0.000 | 0.000 | 0.000 | -0.000 | 0.000 |
| 0.000 | 0.000 | 0.000 | 0.000 | 0.000 | -0.000 |
| -0.000 | -0.000 | -0.000 | 0.000 | -0.000 | 0.000 |
| -0.000 | -0.000 | -0.000 | -0.000 | 0.000 | 0.000 |
| -0.000 | -0.000 | -0.000 | -0.000 | 0.000 | 0.000 |
| 0.000 | 0.000 | 0.000 | -0.000 | -0.000 | -0.000 |
| 0.000 | 0.000 | 0.000 | -0.000 | -0.000 | -0.000 |
| 0.000 | 0.000 | 0.000 | -0.000 | -0.000 | -0.000 |
| 0.000 | 0.000 | 0.000 | 0.000 | 0.000 | -0.000 |
| 0.000 | 0.000 | 0.000 | 0.000 | 0.000 | -0.000 |
| 0.000 | 0.000 | 0.000 | 0.000 | -0.000 | 0.000 |
| 0.000 | 0.000 | 0.000 | 0.000 | 0.000 | 0.000 |
| 0.000 | 0.000 | 0.000 | 0.000 | 0.000 | 0.000 |
| 0.000 | 0.000 | 0.000 | 0.000 | 0.000 | 0.000 |
| -0.000 | -0.000 | -0.000 | 0.000 | -0.000 | 0.000 |
| -0.000 | -0.000 | -0.000 | -0.000 | 0.000 | 0.000 |
| -0.000 | -0.000 | -0.000 | -0.000 | 0.000 | 0.000 |
| 0.000 | 0.000 | 0.000 | -0.000 | -0.000 | -0.000 |
| 0.000 | 0.000 | 0.000 | -0.000 | -0.000 | -0.000 |
| 0.000 | 0.000 | 0.000 | -0.000 | -0.000 | -0.000 |
| 0.000 | 0.000 | 0.000 | 0.000 | -0.000 | -0.000 |
| 0.000 | 0.000 | 0.000 | -0.000 | 0.000 | -0.000 |
| 0.000 | 0.000 | 0.000 | -0.000 | -0.000 | 0.000 |
| 0.000 | 0.000 | 0.000 | 0.000 | 0.000 | 0.000 |
| 0.000 | 0.000 | 0.000 | 0.000 | 0.000 | 0.000 |
| 0.000 | 0.000 | 0.000 | 0.000 | 0.000 | 0.000 |
| -0.000 | -0.000 | -0.000 | 0.000 | 0.000 | 0.000 |
| -0.000 | -0.000 | -0.000 | 0.000 | 0.000 | 0.000 |
| -0.000 | -0.000 | -0.000 | 0.000 | 0.000 | 0.000 |
| 0.000 | 0.000 | 0.000 | -0.000 | -0.000 | -0.000 |
| 0.000 | 0.000 | 0.000 | -0.000 | -0.000 | -0.000 |
| 0.000 | 0.000 | 0.000 | -0.000 | -0.000 | -0.000 |
| 0.000 | 0.000 | 0.000 | 0.000 | -0.000 | -0.000 |
| 0.000 | 0.000 | 0.000 | -0.000 | 0.000 | -0.000 |
| 0.000 | 0.000 | 0.000 | -0.000 | -0.000 | 0.000 |
| 0.000 | 0.000 | 0.000 | 0.000 | 0.000 | 0.000 |
| 0.000 | 0.000 | 0.000 | 0.000 | 0.000 | 0.000 |
| 0.000 | 0.000 | 0.000 | 0.000 | 0.000 | 0.000 |
| -0.000 | -0.000 | -0.000 | 0.000 | 0.000 | 0.000 |
| -0.000 | -0.000 | -0.000 | 0.000 | 0.000 | 0.000 |
| -0.000 | -0.000 | -0.000 | 0.000 | 0.000 | 0.000 |
| 0.000 | 0.000 | 0.000 | -0.000 | -0.000 | -0.000 |
| 0.000 | 0.000 | 0.000 | -0.000 | -0.000 | -0.000 |
| 0.000 | 0.000 | 0.000 | -0.000 | -0.000 | -0.000 |
| 0.000 | 0.000 | 0.000 | 0.000 | -0.000 | -0.000 |
| 0.000 | 0.000 | 0.000 | -0.000 | 0.000 | -0.000 |
| 0.000 | 0.000 | 0.000 | -0.000 | -0.000 | 0.000 |
| 0.000 | 0.000 | 0.000 | 0.000 | 0.000 | 0.000 |
| 0.000 | 0.000 | 0.000 | 0.000 | 0.000 | 0.000 |
| 0.000 | 0.000 | 0.000 | 0.000 | 0.000 | 0.000 |
| -0.000 | -0.000 | -0.000 | 0.000 | 0.000 | 0.000 |
| -0.000 | -0.000 | -0.000 | 0.000 | 0.000 | 0.000 |
| -0.000 | -0.000 | -0.000 | 0.000 | 0.000 | 0.000 |
| 0.000 | 0.000 | 0.000 | -0.000 | -0.000 | -0.000 |
| 0.000 | 0.000 | 0.000 | -0.000 | -0.000 | -0.000 |
| 0.000 | 0.000 | 0.000 | -0.000 | -0.000 | -0.000 |
| 0.000 | 0.000 | 0.000 | 0.000 | 0.000 | -0.000 |
| 0.000 | 0.000 | 0.000 | 0.000 | 0.000 | -0.000 |
| 0.000 | 0.000 | 0.000 | 0.000 | -0.000 | 0.000 |
| 0.000 | 0.000 | 0.000 | 0.000 | 0.000 | 0.000 |
| 0.000 | 0.000 | 0.000 | -0.000 | 0.000 | 0.000 |
| 0.000 | 0.000 | 0.000 | 0.000 | 0.000 | 0.000 |
| -0.000 | -0.000 | -0.000 | 0.000 | 0.000 | 0.000 |
| -0.000 | -0.000 | -0.000 | 0.000 | 0.000 | 0.000 |
| -0.000 | -0.000 | -0.000 | 0.000 | 0.000 | 0.000 |
| 0.000 | 0.000 | 0.000 | -0.000 | -0.000 | -0.000 |
| 0.000 | 0.000 | 0.000 | -0.000 | -0.000 | -0.000 |
| 0.000 | 0.000 | 0.000 | -0.000 | -0.000 | -0.000 |
| 0.000 | 0.000 | 0.000 | 0.000 | -0.000 | -0.000 |
| 0.000 | 0.000 | 0.000 | -0.000 | 0.000 | -0.000 |
| 0.000 | 0.000 | 0.000 | -0.000 | -0.000 | 0.000 |
| 0.000 | 0.000 | 0.000 | -0.000 | 0.000 | 0.000 |
| 0.000 | 0.000 | 0.000 | 0.000 | -0.000 | 0.000 |
| 0.000 | 0.000 | 0.000 | 0.000 | 0.000 | -0.000 |
| -0.000 | -0.000 | -0.000 | 0.000 | -0.000 | 0.000 |
| -0.000 | -0.000 | -0.000 | -0.000 | 0.000 | 0.000 |
| -0.000 | -0.000 | -0.000 | -0.000 | 0.000 | 0.000 |
| 0.000 | 0.000 | 0.000 | -0.000 | 0.000 | 0.000 |
| 0.000 | 0.000 | 0.000 | 0.000 | -0.000 | 0.000 |
| 0.000 | 0.000 | 0.000 | 0.000 | 0.000 | -0.000 |
| 0.000 | 0.000 | 0.000 | 0.000 | -0.000 | -0.000 |
| 0.000 | 0.000 | 0.000 | -0.000 | 0.000 | -0.000 |
| 0.000 | 0.000 | 0.000 | -0.000 | 0.000 | 0.000 |
| 0.000 | 0.000 | 0.000 | 0.000 | 0.000 | 0.000 |
| 0.000 | 0.000 | 0.000 | 0.000 | 0.000 | 0.000 |
| 0.000 | 0.000 | 0.000 | 0.000 | 0.000 | 0.000 |
| -0.000 | -0.000 | -0.000 | 0.000 | -0.000 | 0.000 |
| -0.000 | -0.000 | -0.000 | -0.000 | 0.000 | 0.000 |
| -0.000 | -0.000 | -0.000 | -0.000 | 0.000 | 0.000 |
| 0.000 | 0.000 | 0.000 | 0.000 | 0.000 | 0.000 |
| 0.000 | 0.000 | 0.000 | 0.000 | 0.000 | 0.000 |
| 0.000 | 0.000 | 0.000 | 0.000 | 0.000 | 0.000 |
| 0.000 | 0.000 | 0.000 | 0.000 | 0.000 | 0.000 |
| 0.000 | 0.000 | 0.000 | 0.000 | 0.000 | 0.000 |
| 0.000 | 0.000 | 0.000 | 0.000 | 0.000 | 0.000 |
| 0.000 | 0.000 | 0.000 | -0.000 | -0.000 | -0.000 |
| 0.000 | 0.000 | 0.000 | -0.000 | -0.000 | -0.000 |
| 0.000 | 0.000 | 0.000 | -0.000 | -0.000 | -0.000 |
| -0.000 | -0.000 | -0.000 | 0.000 | 0.000 | -0.000 |
| -0.000 | -0.000 | -0.000 | 0.000 | 0.000 | -0.000 |
| -0.000 | -0.000 | -0.000 | 0.000 | -0.000 | 0.000 |
| 0.000 | 0.000 | 0.000 | 0.000 | 0.000 | 0.000 |
| 0.000 | 0.000 | 0.000 | 0.000 | 0.000 | 0.000 |
| 0.000 | 0.000 | 0.000 | 0.000 | 0.000 | 0.000 |
| 0.000 | 0.000 | 0.000 | 0.000 | 0.000 | 0.000 |
| 0.000 | 0.000 | 0.000 | 0.000 | 0.000 | 0.000 |
| 0.000 | 0.000 | 0.000 | 0.000 | 0.000 | 0.000 |
| 0.000 | 0.000 | 0.000 | -0.000 | -0.000 | -0.000 |
| 0.000 | 0.000 | 0.000 | -0.000 | -0.000 | -0.000 |
| 0.000 | 0.000 | 0.000 | -0.000 | -0.000 | -0.000 |
| -0.000 | -0.000 | -0.000 | 0.000 | 0.000 | -0.000 |
| -0.000 | -0.000 | -0.000 | 0.000 | 0.000 | -0.000 |
| -0.000 | -0.000 | -0.000 | 0.000 | -0.000 | 0.000 |
| 0.000 | 0.000 | 0.000 | -0.000 | 0.000 | 0.000 |
| 0.000 | 0.000 | 0.000 | 0.000 | -0.000 | 0.000 |
| 0.000 | 0.000 | 0.000 | 0.000 | 0.000 | -0.000 |
| 0.000 | 0.000 | 0.000 | 0.000 | 0.000 | 0.000 |
| 0.000 | 0.000 | 0.000 | 0.000 | 0.000 | 0.000 |
| 0.000 | 0.000 | 0.000 | 0.000 | 0.000 | 0.000 |
| 0.000 | 0.000 | 0.000 | -0.000 | -0.000 | -0.000 |
| 0.000 | 0.000 | 0.000 | -0.000 | -0.000 | -0.000 |
| 0.000 | 0.000 | 0.000 | -0.000 | -0.000 | -0.000 |
| -0.000 | -0.000 | -0.000 | 0.000 | 0.000 | -0.000 |
| -0.000 | -0.000 | -0.000 | 0.000 | 0.000 | -0.000 |
| -0.000 | -0.000 | -0.000 | 0.000 | -0.000 | 0.000 |
| 0.000 | 0.000 | 0.000 | -0.000 | 0.000 | 0.000 |
| 0.000 | 0.000 | 0.000 | 0.000 | -0.000 | 0.000 |
| 0.000 | 0.000 | 0.000 | 0.000 | 0.000 | -0.000 |
| -0.000 | -0.000 | -0.000 | 0.000 | 0.000 | 0.000 |
| -0.000 | -0.000 | -0.000 | 0.000 | 0.000 | 0.000 |
| -0.000 | -0.000 | -0.000 | 0.000 | 0.000 | 0.000 |
| 0.000 | 0.000 | 0.000 | -0.000 | -0.000 | -0.000 |
| 0.000 | 0.000 | 0.000 | -0.000 | -0.000 | -0.000 |
| 0.000 | 0.000 | 0.000 | -0.000 | -0.000 | -0.000 |
| 0.000 | 0.000 | 0.000 | 0.000 | 0.000 | -0.000 |
| 0.000 | 0.000 | 0.000 | 0.000 | 0.000 | -0.000 |
| 0.000 | 0.000 | 0.000 | 0.000 | -0.000 | 0.000 |
| 0.000 | 0.000 | 0.000 | -0.000 | 0.000 | 0.000 |
| 0.000 | 0.000 | 0.000 | 0.000 | -0.000 | 0.000 |
| 0.000 | 0.000 | 0.000 | 0.000 | 0.000 | -0.000 |
| -0.000 | -0.000 | -0.000 | 0.000 | 0.000 | 0.000 |
| -0.000 | -0.000 | -0.000 | 0.000 | 0.000 | 0.000 |
| -0.000 | -0.000 | -0.000 | 0.000 | 0.000 | 0.000 |
| 0.000 | 0.000 | 0.000 | -0.000 | -0.000 | -0.000 |
| 0.000 | 0.000 | 0.000 | -0.000 | -0.000 | -0.000 |
| 0.000 | 0.000 | 0.000 | -0.000 | -0.000 | -0.000 |
| 0.000 | 0.000 | 0.000 | 0.000 | -0.000 | -0.000 |
| 0.000 | 0.000 | 0.000 | -0.000 | 0.000 | -0.000 |
| 0.000 | 0.000 | 0.000 | -0.000 | -0.000 | 0.000 |
| 0.000 | 0.000 | 0.000 | 0.000 | 0.000 | 0.000 |
| 0.000 | 0.000 | 0.000 | 0.000 | 0.000 | 0.000 |
| 0.000 | 0.000 | 0.000 | 0.000 | 0.000 | 0.000 |
| -0.000 | -0.000 | -0.000 | 0.000 | 0.000 | 0.000 |
| -0.000 | -0.000 | -0.000 | 0.000 | 0.000 | 0.000 |
| -0.000 | -0.000 | -0.000 | 0.000 | 0.000 | 0.000 |
| 0.000 | 0.000 | 0.000 | -0.000 | -0.000 | -0.000 |
| 0.000 | 0.000 | 0.000 | -0.000 | -0.000 | -0.000 |
| 0.000 | 0.000 | 0.000 | -0.000 | -0.000 | -0.000 |
| 0.000 | 0.000 | 0.000 | 0.000 | -0.000 | -0.000 |
| 0.000 | 0.000 | 0.000 | -0.000 | 0.000 | -0.000 |
| 0.000 | 0.000 | 0.000 | -0.000 | -0.000 | 0.000 |
| 0.000 | 0.000 | 0.000 | -0.000 | -0.000 | 0.000 |
| 0.000 | 0.000 | 0.000 | 0.000 | -0.000 | 0.000 |
| 0.000 | 0.000 | 0.000 | 0.000 | -0.000 | -0.000 |
| 0.000 | 0.000 | 0.000 | 0.000 | 0.000 | 0.000 |
| 0.000 | 0.000 | 0.000 | 0.000 | 0.000 | 0.000 |
| 0.000 | 0.000 | 0.000 | 0.000 | -0.000 | 0.000 |
| 0.000 | 0.000 | 0.000 | -0.000 | 0.000 | -0.000 |
| 0.000 | 0.000 | 0.000 | -0.000 | -0.000 | -0.000 |
| 0.000 | 0.000 | 0.000 | -0.000 | 0.000 | -0.000 |
| -0.000 | -0.000 | -0.000 | 0.000 | 0.000 | -0.000 |
| -0.000 | -0.000 | -0.000 | 0.000 | 0.000 | -0.000 |
| -0.000 | -0.000 | -0.000 | 0.000 | 0.000 | 0.000 |
| 0.000 | 0.000 | 0.000 | 0.000 | -0.000 | 0.000 |
| 0.000 | 0.000 | 0.000 | 0.000 | 0.000 | 0.000 |
| 0.000 | 0.000 | 0.000 | 0.000 | -0.000 | 0.000 |
| 0.000 | 0.000 | 0.000 | 0.000 | 0.000 | 0.000 |
| 0.000 | 0.000 | 0.000 | 0.000 | 0.000 | 0.000 |
| 0.000 | 0.000 | 0.000 | 0.000 | -0.000 | 0.000 |
| 0.000 | 0.000 | 0.000 | -0.000 | 0.000 | -0.000 |
| 0.000 | 0.000 | 0.000 | -0.000 | -0.000 | -0.000 |
| 0.000 | 0.000 | 0.000 | -0.000 | 0.000 | -0.000 |
| -0.000 | -0.000 | -0.000 | 0.000 | 0.000 | -0.000 |
| -0.000 | -0.000 | -0.000 | 0.000 | 0.000 | -0.000 |
| -0.000 | -0.000 | -0.000 | 0.000 | 0.000 | 0.000 |
| 0.000 | 0.000 | 0.000 | -0.000 | -0.000 | 0.000 |
| 0.000 | 0.000 | 0.000 | 0.000 | -0.000 | 0.000 |
| 0.000 | 0.000 | 0.000 | 0.000 | -0.000 | -0.000 |
| 0.000 | 0.000 | 0.000 | 0.000 | 0.000 | 0.000 |
| 0.000 | 0.000 | 0.000 | 0.000 | 0.000 | 0.000 |
| 0.000 | 0.000 | 0.000 | 0.000 | -0.000 | 0.000 |
| 0.000 | 0.000 | 0.000 | -0.000 | 0.000 | -0.000 |
| 0.000 | 0.000 | 0.000 | -0.000 | -0.000 | -0.000 |
| 0.000 | 0.000 | 0.000 | -0.000 | 0.000 | -0.000 |
| -0.000 | -0.000 | -0.000 | 0.000 | 0.000 | -0.000 |
| -0.000 | -0.000 | -0.000 | 0.000 | 0.000 | -0.000 |
| -0.000 | -0.000 | -0.000 | 0.000 | 0.000 | 0.000 |
| -0.000 | -0.000 | -0.000 | -0.000 | 0.000 | 0.000 |
| -0.000 | -0.000 | -0.000 | 0.000 | -0.000 | 0.000 |
| -0.000 | -0.000 | -0.000 | 0.000 | 0.000 | -0.000 |
| -0.000 | -0.000 | -0.000 | -0.000 | -0.000 | 0.000 |
| -0.000 | -0.000 | -0.000 | -0.000 | -0.000 | 0.000 |
| -0.000 | -0.000 | -0.000 | -0.000 | 0.000 | -0.000 |
| -0.000 | -0.000 | -0.000 | -0.000 | -0.000 | -0.000 |
| -0.000 | -0.000 | -0.000 | -0.000 | -0.000 | -0.000 |
| -0.000 | -0.000 | -0.000 | -0.000 | -0.000 | -0.000 |
| 0.000 | 0.000 | 0.000 | -0.000 | -0.000 | -0.000 |
| 0.000 | 0.000 | 0.000 | -0.000 | -0.000 | -0.000 |
| 0.000 | 0.000 | 0.000 | -0.000 | -0.000 | -0.000 |
| -0.000 | -0.000 | -0.000 | 0.000 | 0.000 | 0.000 |
| -0.000 | -0.000 | -0.000 | 0.000 | 0.000 | 0.000 |
| -0.000 | -0.000 | -0.000 | 0.000 | 0.000 | 0.000 |
| -0.000 | -0.000 | -0.000 | -0.000 | 0.000 | 0.000 |
| -0.000 | -0.000 | -0.000 | 0.000 | -0.000 | 0.000 |
| -0.000 | -0.000 | -0.000 | 0.000 | 0.000 | -0.000 |
| -0.000 | -0.000 | -0.000 | -0.000 | -0.000 | -0.000 |
| -0.000 | -0.000 | -0.000 | -0.000 | -0.000 | -0.000 |
| -0.000 | -0.000 | -0.000 | -0.000 | -0.000 | -0.000 |
| 0.000 | 0.000 | 0.000 | -0.000 | 0.000 | -0.000 |
| 0.000 | 0.000 | 0.000 | 0.000 | -0.000 | -0.000 |
| 0.000 | 0.000 | 0.000 | 0.000 | -0.000 | -0.000 |
| -0.000 | -0.000 | -0.000 | 0.000 | 0.000 | 0.000 |
| -0.000 | -0.000 | -0.000 | 0.000 | 0.000 | 0.000 |
| -0.000 | -0.000 | -0.000 | 0.000 | 0.000 | 0.000 |
| -0.000 | -0.000 | -0.000 | -0.000 | -0.000 | 0.000 |
| -0.000 | -0.000 | -0.000 | -0.000 | -0.000 | 0.000 |
| -0.000 | -0.000 | -0.000 | -0.000 | 0.000 | -0.000 |
| -0.000 | -0.000 | -0.000 | 0.000 | -0.000 | -0.000 |
| -0.000 | -0.000 | -0.000 | -0.000 | 0.000 | -0.000 |
| -0.000 | -0.000 | -0.000 | -0.000 | -0.000 | 0.000 |
| 0.000 | 0.000 | 0.000 | -0.000 | -0.000 | -0.000 |
| 0.000 | 0.000 | 0.000 | -0.000 | -0.000 | -0.000 |
| 0.000 | 0.000 | 0.000 | -0.000 | -0.000 | -0.000 |
| -0.000 | -0.000 | -0.000 | -0.000 | -0.000 | -0.000 |
| -0.000 | -0.000 | -0.000 | -0.000 | -0.000 | -0.000 |
| -0.000 | -0.000 | -0.000 | -0.000 | -0.000 | -0.000 |
| -0.000 | -0.000 | -0.000 | -0.000 | 0.000 | -0.000 |
| -0.000 | -0.000 | -0.000 | 0.000 | -0.000 | -0.000 |
| -0.000 | -0.000 | -0.000 | 0.000 | -0.000 | -0.000 |
| -0.000 | -0.000 | -0.000 | 0.000 | 0.000 | 0.000 |
| -0.000 | -0.000 | -0.000 | 0.000 | 0.000 | 0.000 |
| -0.000 | -0.000 | -0.000 | 0.000 | 0.000 | 0.000 |
| 0.000 | 0.000 | 0.000 | -0.000 | 0.000 | 0.000 |
| 0.000 | 0.000 | 0.000 | 0.000 | -0.000 | 0.000 |
| 0.000 | 0.000 | 0.000 | 0.000 | 0.000 | -0.000 |
| -0.000 | -0.000 | -0.000 | -0.000 | -0.000 | -0.000 |
| -0.000 | -0.000 | -0.000 | -0.000 | -0.000 | -0.000 |
| -0.000 | -0.000 | -0.000 | -0.000 | -0.000 | -0.000 |
| -0.000 | -0.000 | -0.000 | -0.000 | -0.000 | -0.000 |
| -0.000 | -0.000 | -0.000 | -0.000 | -0.000 | -0.000 |
| -0.000 | -0.000 | -0.000 | -0.000 | -0.000 | -0.000 |
| -0.000 | -0.000 | -0.000 | 0.000 | 0.000 | 0.000 |
| -0.000 | -0.000 | -0.000 | 0.000 | 0.000 | 0.000 |
| -0.000 | -0.000 | -0.000 | 0.000 | 0.000 | 0.000 |
| 0.000 | 0.000 | 0.000 | -0.000 | 0.000 | 0.000 |
| 0.000 | 0.000 | 0.000 | 0.000 | -0.000 | 0.000 |
| 0.000 | 0.000 | 0.000 | 0.000 | 0.000 | -0.000 |
| -0.000 | -0.000 | -0.000 | -0.000 | -0.000 | -0.000 |
| -0.000 | -0.000 | -0.000 | -0.000 | -0.000 | -0.000 |
| -0.000 | -0.000 | -0.000 | -0.000 | -0.000 | -0.000 |
| -0.000 | -0.000 | -0.000 | -0.000 | -0.000 | -0.000 |
| -0.000 | -0.000 | -0.000 | -0.000 | -0.000 | -0.000 |
| -0.000 | -0.000 | -0.000 | -0.000 | -0.000 | -0.000 |
| -0.000 | -0.000 | -0.000 | 0.000 | 0.000 | 0.000 |
| -0.000 | -0.000 | -0.000 | 0.000 | 0.000 | 0.000 |
| -0.000 | -0.000 | -0.000 | 0.000 | 0.000 | 0.000 |
| 0.000 | 0.000 | 0.000 | -0.000 | 0.000 | 0.000 |
| 0.000 | 0.000 | 0.000 | 0.000 | -0.000 | 0.000 |
| 0.000 | 0.000 | 0.000 | 0.000 | 0.000 | -0.000 |
| 0.000 | 0.000 | 0.000 | 0.000 | 0.000 | 0.000 |
| 0.000 | 0.000 | 0.000 | 0.000 | 0.000 | 0.000 |
| 0.000 | 0.000 | 0.000 | 0.000 | 0.000 | 0.000 |
| 0.000 | 0.000 | 0.000 | 0.000 | 0.000 | 0.000 |
| 0.000 | 0.000 | 0.000 | 0.000 | 0.000 | 0.000 |
| 0.000 | 0.000 | 0.000 | 0.000 | 0.000 | 0.000 |
| 0.000 | 0.000 | 0.000 | -0.000 | -0.000 | -0.000 |
| 0.000 | 0.000 | 0.000 | -0.000 | -0.000 | -0.000 |
| 0.000 | 0.000 | 0.000 | -0.000 | -0.000 | -0.000 |
| -0.000 | -0.000 | -0.000 | 0.000 | -0.000 | -0.000 |
| -0.000 | -0.000 | -0.000 | -0.000 | 0.000 | -0.000 |
| -0.000 | -0.000 | -0.000 | -0.000 | -0.000 | 0.000 |
| 0.000 | 0.000 | 0.000 | -0.000 | 0.000 | 0.000 |
| 0.000 | 0.000 | 0.000 | 0.000 | -0.000 | 0.000 |
| 0.000 | 0.000 | 0.000 | 0.000 | 0.000 | -0.000 |
| 0.000 | 0.000 | 0.000 | 0.000 | 0.000 | 0.000 |
| 0.000 | 0.000 | 0.000 | 0.000 | 0.000 | 0.000 |
| 0.000 | 0.000 | 0.000 | 0.000 | 0.000 | 0.000 |
| 0.000 | 0.000 | 0.000 | -0.000 | -0.000 | -0.000 |
| 0.000 | 0.000 | 0.000 | -0.000 | -0.000 | -0.000 |
| 0.000 | 0.000 | 0.000 | -0.000 | -0.000 | -0.000 |
| -0.000 | -0.000 | -0.000 | 0.000 | -0.000 | -0.000 |
| -0.000 | -0.000 | -0.000 | -0.000 | 0.000 | -0.000 |
| -0.000 | -0.000 | -0.000 | -0.000 | -0.000 | 0.000 |
| 0.000 | 0.000 | 0.000 | 0.000 | 0.000 | 0.000 |
| 0.000 | 0.000 | 0.000 | 0.000 | 0.000 | 0.000 |
| 0.000 | 0.000 | 0.000 | 0.000 | 0.000 | 0.000 |
| 0.000 | 0.000 | 0.000 | 0.000 | -0.000 | 0.000 |
| 0.000 | 0.000 | 0.000 | -0.000 | 0.000 | 0.000 |
| 0.000 | 0.000 | 0.000 | -0.000 | 0.000 | 0.000 |
| 0.000 | 0.000 | 0.000 | 0.000 | -0.000 | -0.000 |
| 0.000 | 0.000 | 0.000 | -0.000 | 0.000 | -0.000 |
| 0.000 | 0.000 | 0.000 | -0.000 | -0.000 | 0.000 |
| -0.000 | -0.000 | -0.000 | 0.000 | -0.000 | -0.000 |
| -0.000 | -0.000 | -0.000 | -0.000 | 0.000 | -0.000 |
| -0.000 | -0.000 | -0.000 | -0.000 | -0.000 | 0.000 |
| -0.000 | -0.000 | -0.000 | -0.000 | 0.000 | 0.000 |
| -0.000 | -0.000 | -0.000 | 0.000 | -0.000 | 0.000 |
| -0.000 | -0.000 | -0.000 | 0.000 | 0.000 | -0.000 |
| -0.000 | -0.000 | -0.000 | -0.000 | 0.000 | 0.000 |
| -0.000 | -0.000 | -0.000 | 0.000 | -0.000 | 0.000 |
| -0.000 | -0.000 | -0.000 | 0.000 | 0.000 | -0.000 |
| -0.000 | -0.000 | -0.000 | 0.000 | -0.000 | 0.000 |
| -0.000 | -0.000 | -0.000 | -0.000 | 0.000 | 0.000 |
| -0.000 | -0.000 | -0.000 | 0.000 | 0.000 | 0.000 |
| 0.000 | 0.000 | 0.000 | -0.000 | 0.000 | -0.000 |
| 0.000 | 0.000 | 0.000 | 0.000 | -0.000 | -0.000 |
| 0.000 | 0.000 | 0.000 | 0.000 | -0.000 | -0.000 |
| -0.000 | -0.000 | -0.000 | -0.000 | 0.000 | -0.000 |
| -0.000 | -0.000 | -0.000 | 0.000 | -0.000 | -0.000 |
| -0.000 | -0.000 | -0.000 | -0.000 | -0.000 | -0.000 |
| -0.000 | -0.000 | -0.000 | -0.000 | -0.000 | -0.000 |
| -0.000 | -0.000 | -0.000 | -0.000 | -0.000 | -0.000 |
| -0.000 | -0.000 | -0.000 | -0.000 | 0.000 | -0.000 |
| -0.000 | -0.000 | -0.000 | 0.000 | -0.000 | -0.000 |
| -0.000 | -0.000 | -0.000 | -0.000 | 0.000 | -0.000 |
| -0.000 | -0.000 | -0.000 | -0.000 | -0.000 | 0.000 |
| 0.000 | 0.000 | 0.000 | -0.000 | 0.000 | 0.000 |
| 0.000 | 0.000 | 0.000 | 0.000 | -0.000 | 0.000 |
| 0.000 | 0.000 | 0.000 | 0.000 | -0.000 | -0.000 |
| -0.000 | -0.000 | -0.000 | 0.000 | -0.000 | -0.000 |
| -0.000 | -0.000 | -0.000 | -0.000 | 0.000 | -0.000 |
| -0.000 | -0.000 | -0.000 | -0.000 | -0.000 | 0.000 |
| -0.000 | -0.000 | -0.000 | -0.000 | -0.000 | -0.000 |
| -0.000 | -0.000 | -0.000 | -0.000 | -0.000 | -0.000 |
| -0.000 | -0.000 | -0.000 | -0.000 | -0.000 | -0.000 |
| -0.000 | -0.000 | -0.000 | 0.000 | -0.000 | -0.000 |
| -0.000 | -0.000 | -0.000 | -0.000 | 0.000 | -0.000 |
| -0.000 | -0.000 | -0.000 | -0.000 | -0.000 | 0.000 |
| 0.000 | 0.000 | 0.000 | -0.000 | -0.000 | -0.000 |
| 0.000 | 0.000 | 0.000 | -0.000 | -0.000 | -0.000 |
| 0.000 | 0.000 | 0.000 | -0.000 | -0.000 | -0.000 |
| 0.000 | 0.000 | 0.000 | -0.000 | -0.000 | -0.000 |
| 0.000 | 0.000 | 0.000 | -0.000 | -0.000 | -0.000 |
| 0.000 | 0.000 | 0.000 | -0.000 | -0.000 | -0.000 |
| 0.000 | 0.000 | 0.000 | 0.000 | -0.000 | -0.000 |
| 0.000 | 0.000 | 0.000 | -0.000 | 0.000 | -0.000 |
| 0.000 | 0.000 | 0.000 | -0.000 | -0.000 | 0.000 |
| 0.000 | 0.000 | 0.000 | 0.000 | 0.000 | 0.000 |
| 0.000 | 0.000 | 0.000 | 0.000 | 0.000 | 0.000 |
| 0.000 | 0.000 | 0.000 | 0.000 | 0.000 | 0.000 |
| -0.000 | -0.000 | -0.000 | 0.000 | 0.000 | 0.000 |
| -0.000 | -0.000 | -0.000 | 0.000 | 0.000 | 0.000 |
| -0.000 | -0.000 | -0.000 | 0.000 | 0.000 | 0.000 |
| 0.000 | 0.000 | 0.000 | -0.000 | -0.000 | -0.000 |
| 0.000 | 0.000 | 0.000 | -0.000 | -0.000 | -0.000 |
| 0.000 | 0.000 | 0.000 | -0.000 | -0.000 | -0.000 |
| 0.000 | 0.000 | 0.000 | 0.000 | -0.000 | -0.000 |
| 0.000 | 0.000 | 0.000 | -0.000 | 0.000 | -0.000 |
| 0.000 | 0.000 | 0.000 | -0.000 | -0.000 | 0.000 |
| 0.000 | 0.000 | 0.000 | 0.000 | 0.000 | 0.000 |
| 0.000 | 0.000 | 0.000 | 0.000 | 0.000 | 0.000 |
| 0.000 | 0.000 | 0.000 | 0.000 | 0.000 | 0.000 |
| -0.000 | -0.000 | -0.000 | 0.000 | 0.000 | 0.000 |
| -0.000 | -0.000 | -0.000 | 0.000 | 0.000 | 0.000 |
| -0.000 | -0.000 | -0.000 | 0.000 | 0.000 | 0.000 |
| 0.000 | 0.000 | 0.000 | -0.000 | -0.000 | -0.000 |
| 0.000 | 0.000 | 0.000 | -0.000 | -0.000 | -0.000 |
| 0.000 | 0.000 | 0.000 | -0.000 | -0.000 | -0.000 |
| 0.000 | 0.000 | 0.000 | 0.000 | -0.000 | -0.000 |
| 0.000 | 0.000 | 0.000 | -0.000 | 0.000 | -0.000 |
| 0.000 | 0.000 | 0.000 | -0.000 | -0.000 | 0.000 |
| 0.000 | 0.000 | 0.000 | 0.000 | 0.000 | 0.000 |
| 0.000 | 0.000 | 0.000 | 0.000 | 0.000 | 0.000 |
| 0.000 | 0.000 | 0.000 | 0.000 | 0.000 | 0.000 |
| -0.000 | -0.000 | -0.000 | 0.000 | 0.000 | 0.000 |
| -0.000 | -0.000 | -0.000 | 0.000 | 0.000 | 0.000 |
| -0.000 | -0.000 | -0.000 | 0.000 | 0.000 | 0.000 |
| 0.000 | 0.000 | 0.000 | 0.000 | -0.000 | -0.000 |
| 0.000 | 0.000 | 0.000 | -0.000 | 0.000 | -0.000 |
| 0.000 | 0.000 | 0.000 | -0.000 | -0.000 | 0.000 |
| 0.000 | 0.000 | 0.000 | 0.000 | -0.000 | -0.000 |
| 0.000 | 0.000 | 0.000 | -0.000 | 0.000 | -0.000 |
| 0.000 | 0.000 | 0.000 | -0.000 | -0.000 | 0.000 |
| 0.000 | 0.000 | 0.000 | -0.000 | 0.000 | 0.000 |
| 0.000 | 0.000 | 0.000 | 0.000 | -0.000 | 0.000 |
| 0.000 | 0.000 | 0.000 | 0.000 | 0.000 | -0.000 |
| -0.000 | -0.000 | -0.000 | 0.000 | 0.000 | 0.000 |
| -0.000 | -0.000 | -0.000 | 0.000 | 0.000 | 0.000 |
| -0.000 | -0.000 | -0.000 | 0.000 | 0.000 | 0.000 |
| 0.000 | 0.000 | 0.000 | 0.000 | -0.000 | -0.000 |
| 0.000 | 0.000 | 0.000 | -0.000 | 0.000 | -0.000 |
| 0.000 | 0.000 | 0.000 | -0.000 | -0.000 | 0.000 |
| 0.000 | 0.000 | 0.000 | 0.000 | -0.000 | -0.000 |
| 0.000 | 0.000 | 0.000 | -0.000 | 0.000 | -0.000 |
| 0.000 | 0.000 | 0.000 | -0.000 | -0.000 | 0.000 |
| 0.000 | 0.000 | 0.000 | -0.000 | 0.000 | 0.000 |
| 0.000 | 0.000 | 0.000 | 0.000 | -0.000 | 0.000 |
| 0.000 | 0.000 | 0.000 | 0.000 | 0.000 | -0.000 |
| -0.000 | -0.000 | -0.000 | 0.000 | 0.000 | 0.000 |
| -0.000 | -0.000 | -0.000 | 0.000 | 0.000 | 0.000 |
| -0.000 | -0.000 | -0.000 | 0.000 | 0.000 | 0.000 |
| 0.000 | 0.000 | 0.000 | 0.000 | -0.000 | -0.000 |
| 0.000 | 0.000 | 0.000 | -0.000 | 0.000 | -0.000 |
| 0.000 | 0.000 | 0.000 | -0.000 | -0.000 | 0.000 |
| 0.000 | 0.000 | 0.000 | 0.000 | -0.000 | -0.000 |
| 0.000 | 0.000 | 0.000 | -0.000 | 0.000 | -0.000 |
| 0.000 | 0.000 | 0.000 | -0.000 | -0.000 | 0.000 |
| 0.000 | 0.000 | 0.000 | 0.000 | 0.000 | 0.000 |
| 0.000 | 0.000 | 0.000 | 0.000 | 0.000 | 0.000 |
| 0.000 | 0.000 | 0.000 | 0.000 | 0.000 | 0.000 |
| -0.000 | -0.000 | -0.000 | 0.000 | 0.000 | 0.000 |
| -0.000 | -0.000 | -0.000 | 0.000 | 0.000 | 0.000 |
| -0.000 | -0.000 | -0.000 | 0.000 | 0.000 | 0.000 |
| 0.000 | 0.000 | 0.000 | 0.000 | 0.000 | 0.000 |
| 0.000 | 0.000 | 0.000 | 0.000 | 0.000 | 0.000 |
| 0.000 | 0.000 | 0.000 | 0.000 | 0.000 | 0.000 |
| 0.000 | 0.000 | 0.000 | 0.000 | 0.000 | 0.000 |
| 0.000 | 0.000 | 0.000 | 0.000 | 0.000 | 0.000 |
| 0.000 | 0.000 | 0.000 | 0.000 | 0.000 | 0.000 |
| 0.000 | 0.000 | 0.000 | 0.000 | 0.000 | 0.000 |
| 0.000 | 0.000 | 0.000 | 0.000 | 0.000 | 0.000 |
| 0.000 | 0.000 | 0.000 | 0.000 | 0.000 | 0.000 |
| -0.000 | -0.000 | -0.000 | 0.000 | 0.000 | -0.000 |
| -0.000 | -0.000 | -0.000 | 0.000 | 0.000 | -0.000 |
| -0.000 | -0.000 | -0.000 | 0.000 | 0.000 | 0.000 |
| 0.000 | 0.000 | 0.000 | -0.000 | 0.000 | 0.000 |
| 0.000 | 0.000 | 0.000 | 0.000 | -0.000 | 0.000 |
| 0.000 | 0.000 | 0.000 | 0.000 | 0.000 | -0.000 |
| 0.000 | 0.000 | 0.000 | 0.000 | 0.000 | 0.000 |
| 0.000 | 0.000 | 0.000 | 0.000 | 0.000 | 0.000 |
| 0.000 | 0.000 | 0.000 | 0.000 | 0.000 | 0.000 |
| 0.000 | 0.000 | 0.000 | -0.000 | -0.000 | -0.000 |
| 0.000 | 0.000 | 0.000 | -0.000 | -0.000 | -0.000 |
| 0.000 | 0.000 | 0.000 | -0.000 | -0.000 | -0.000 |
| -0.000 | -0.000 | -0.000 | 0.000 | -0.000 | -0.000 |
| -0.000 | -0.000 | -0.000 | -0.000 | 0.000 | -0.000 |
| -0.000 | -0.000 | -0.000 | -0.000 | -0.000 | 0.000 |
| 0.000 | 0.000 | 0.000 | 0.000 | 0.000 | 0.000 |
| 0.000 | 0.000 | 0.000 | 0.000 | 0.000 | 0.000 |
| 0.000 | 0.000 | 0.000 | 0.000 | 0.000 | 0.000 |
| 0.000 | 0.000 | 0.000 | 0.000 | 0.000 | 0.000 |
| 0.000 | 0.000 | 0.000 | 0.000 | 0.000 | 0.000 |
| 0.000 | 0.000 | 0.000 | 0.000 | 0.000 | 0.000 |
| 0.000 | 0.000 | 0.000 | -0.000 | 0.000 | -0.000 |
| 0.000 | 0.000 | 0.000 | 0.000 | -0.000 | -0.000 |
| 0.000 | 0.000 | 0.000 | 0.000 | 0.000 | -0.000 |
| -0.000 | -0.000 | -0.000 | 0.000 | 0.000 | 0.000 |
| -0.000 | -0.000 | -0.000 | 0.000 | 0.000 | 0.000 |
| -0.000 | -0.000 | -0.000 | 0.000 | 0.000 | 0.000 |
| 0.000 | 0.000 | 0.000 | 0.000 | -0.000 | -0.000 |
| 0.000 | 0.000 | 0.000 | -0.000 | 0.000 | -0.000 |
| 0.000 | 0.000 | 0.000 | -0.000 | -0.000 | 0.000 |
| 0.000 | 0.000 | 0.000 | 0.000 | 0.000 | -0.000 |
| 0.000 | 0.000 | 0.000 | 0.000 | 0.000 | -0.000 |
| 0.000 | 0.000 | 0.000 | 0.000 | -0.000 | 0.000 |
| 0.000 | 0.000 | 0.000 | 0.000 | 0.000 | 0.000 |
| 0.000 | 0.000 | 0.000 | 0.000 | 0.000 | 0.000 |
| 0.000 | 0.000 | 0.000 | -0.000 | -0.000 | 0.000 |
| -0.000 | -0.000 | -0.000 | 0.000 | 0.000 | 0.000 |
| -0.000 | -0.000 | -0.000 | 0.000 | 0.000 | 0.000 |
| -0.000 | -0.000 | -0.000 | 0.000 | 0.000 | 0.000 |
| 0.000 | 0.000 | 0.000 | 0.000 | -0.000 | -0.000 |
| 0.000 | 0.000 | 0.000 | -0.000 | 0.000 | -0.000 |
| 0.000 | 0.000 | 0.000 | -0.000 | -0.000 | 0.000 |
| 0.000 | 0.000 | 0.000 | 0.000 | 0.000 | -0.000 |
| 0.000 | 0.000 | 0.000 | 0.000 | 0.000 | -0.000 |
| 0.000 | 0.000 | 0.000 | 0.000 | -0.000 | 0.000 |
| 0.000 | 0.000 | 0.000 | -0.000 | 0.000 | 0.000 |
| 0.000 | 0.000 | 0.000 | 0.000 | -0.000 | 0.000 |
| 0.000 | 0.000 | 0.000 | 0.000 | 0.000 | -0.000 |
| -0.000 | -0.000 | -0.000 | 0.000 | 0.000 | 0.000 |
| -0.000 | -0.000 | -0.000 | 0.000 | 0.000 | 0.000 |
| -0.000 | -0.000 | -0.000 | 0.000 | 0.000 | 0.000 |
| 0.000 | 0.000 | 0.000 | -0.000 | -0.000 | -0.000 |
| 0.000 | 0.000 | 0.000 | -0.000 | -0.000 | -0.000 |
| 0.000 | 0.000 | 0.000 | -0.000 | -0.000 | -0.000 |
| 0.000 | 0.000 | 0.000 | 0.000 | -0.000 | -0.000 |
| 0.000 | 0.000 | 0.000 | -0.000 | 0.000 | -0.000 |
| 0.000 | 0.000 | 0.000 | -0.000 | -0.000 | 0.000 |
| 0.000 | 0.000 | 0.000 | 0.000 | 0.000 | 0.000 |
| 0.000 | 0.000 | 0.000 | 0.000 | 0.000 | 0.000 |
| 0.000 | 0.000 | 0.000 | -0.000 | -0.000 | 0.000 |
| -0.000 | -0.000 | -0.000 | 0.000 | 0.000 | 0.000 |
| -0.000 | -0.000 | -0.000 | 0.000 | 0.000 | 0.000 |
| -0.000 | -0.000 | -0.000 | 0.000 | 0.000 | 0.000 |
| -0.000 | -0.000 | -0.000 | 0.000 | 0.000 | 0.000 |
| -0.000 | -0.000 | -0.000 | 0.000 | 0.000 | 0.000 |
| -0.000 | -0.000 | -0.000 | 0.000 | 0.000 | 0.000 |
| 0.000 | 0.000 | 0.000 | -0.000 | -0.000 | 0.000 |
| 0.000 | 0.000 | 0.000 | -0.000 | -0.000 | 0.000 |
| 0.000 | 0.000 | 0.000 | -0.000 | 0.000 | -0.000 |
| -0.000 | -0.000 | -0.000 | -0.000 | -0.000 | -0.000 |
| -0.000 | -0.000 | -0.000 | -0.000 | -0.000 | -0.000 |
| -0.000 | -0.000 | -0.000 | -0.000 | -0.000 | -0.000 |
| -0.000 | -0.000 | -0.000 | -0.000 | -0.000 | -0.000 |
| -0.000 | -0.000 | -0.000 | -0.000 | -0.000 | -0.000 |
| -0.000 | -0.000 | -0.000 | -0.000 | -0.000 | -0.000 |
| -0.000 | -0.000 | -0.000 | 0.000 | 0.000 | 0.000 |
| -0.000 | -0.000 | -0.000 | 0.000 | 0.000 | 0.000 |
| -0.000 | -0.000 | -0.000 | 0.000 | 0.000 | 0.000 |
| 0.000 | 0.000 | 0.000 | -0.000 | 0.000 | 0.000 |
| 0.000 | 0.000 | 0.000 | 0.000 | -0.000 | 0.000 |
| 0.000 | 0.000 | 0.000 | 0.000 | 0.000 | -0.000 |
| -0.000 | -0.000 | -0.000 | 0.000 | -0.000 | -0.000 |
| -0.000 | -0.000 | -0.000 | -0.000 | 0.000 | -0.000 |
| -0.000 | -0.000 | -0.000 | -0.000 | -0.000 | 0.000 |
| -0.000 | -0.000 | -0.000 | -0.000 | -0.000 | -0.000 |
| -0.000 | -0.000 | -0.000 | -0.000 | -0.000 | -0.000 |
| -0.000 | -0.000 | -0.000 | -0.000 | -0.000 | -0.000 |
| 0.000 | 0.000 | 0.000 | 0.000 | -0.000 | -0.000 |
| 0.000 | 0.000 | 0.000 | -0.000 | 0.000 | -0.000 |
| 0.000 | 0.000 | 0.000 | -0.000 | -0.000 | 0.000 |
| 0.000 | 0.000 | 0.000 | 0.000 | 0.000 | -0.000 |
| 0.000 | 0.000 | 0.000 | 0.000 | 0.000 | -0.000 |
| 0.000 | 0.000 | 0.000 | 0.000 | -0.000 | 0.000 |
| 0.000 | 0.000 | 0.000 | 0.000 | 0.000 | 0.000 |
| 0.000 | 0.000 | 0.000 | 0.000 | 0.000 | 0.000 |
| 0.000 | 0.000 | 0.000 | 0.000 | 0.000 | 0.000 |
| -0.000 | -0.000 | -0.000 | 0.000 | 0.000 | 0.000 |
| -0.000 | -0.000 | -0.000 | 0.000 | 0.000 | 0.000 |
| -0.000 | -0.000 | -0.000 | 0.000 | 0.000 | 0.000 |
| 0.000 | 0.000 | 0.000 | -0.000 | -0.000 | -0.000 |
| 0.000 | 0.000 | 0.000 | -0.000 | -0.000 | -0.000 |
| 0.000 | 0.000 | 0.000 | -0.000 | -0.000 | -0.000 |
| 0.000 | 0.000 | 0.000 | 0.000 | 0.000 | -0.000 |
| 0.000 | 0.000 | 0.000 | 0.000 | 0.000 | -0.000 |
| 0.000 | 0.000 | 0.000 | 0.000 | -0.000 | 0.000 |
| 0.000 | 0.000 | 0.000 | 0.000 | 0.000 | 0.000 |
| 0.000 | 0.000 | 0.000 | 0.000 | 0.000 | 0.000 |
| 0.000 | 0.000 | 0.000 | 0.000 | 0.000 | 0.000 |
| -0.000 | -0.000 | -0.000 | 0.000 | 0.000 | 0.000 |
| -0.000 | -0.000 | -0.000 | 0.000 | 0.000 | 0.000 |
| -0.000 | -0.000 | -0.000 | 0.000 | 0.000 | 0.000 |
| 0.000 | 0.000 | 0.000 | -0.000 | -0.000 | -0.000 |
| 0.000 | 0.000 | 0.000 | -0.000 | -0.000 | -0.000 |
| 0.000 | 0.000 | 0.000 | -0.000 | -0.000 | -0.000 |
| 0.000 | 0.000 | 0.000 | 0.000 | 0.000 | -0.000 |
| 0.000 | 0.000 | 0.000 | 0.000 | 0.000 | -0.000 |
| 0.000 | 0.000 | 0.000 | 0.000 | -0.000 | 0.000 |
| 0.000 | 0.000 | 0.000 | 0.000 | 0.000 | 0.000 |
| 0.000 | 0.000 | 0.000 | 0.000 | 0.000 | 0.000 |
| 0.000 | 0.000 | 0.000 | 0.000 | 0.000 | 0.000 |
| -0.000 | -0.000 | -0.000 | 0.000 | 0.000 | 0.000 |
| -0.000 | -0.000 | -0.000 | 0.000 | 0.000 | 0.000 |
| -0.000 | -0.000 | -0.000 | 0.000 | 0.000 | 0.000 |
| 0.000 | 0.000 | 0.000 | 0.000 | 0.000 | 0.000 |
| 0.000 | 0.000 | 0.000 | 0.000 | 0.000 | 0.000 |
| 0.000 | 0.000 | 0.000 | 0.000 | 0.000 | 0.000 |
| 0.000 | 0.000 | 0.000 | 0.000 | 0.000 | 0.000 |
| 0.000 | 0.000 | 0.000 | 0.000 | 0.000 | 0.000 |
| 0.000 | 0.000 | 0.000 | 0.000 | 0.000 | 0.000 |
| 0.000 | 0.000 | 0.000 | -0.000 | -0.000 | -0.000 |
| 0.000 | 0.000 | 0.000 | -0.000 | -0.000 | -0.000 |
| 0.000 | 0.000 | 0.000 | -0.000 | -0.000 | -0.000 |
| -0.000 | -0.000 | -0.000 | 0.000 | 0.000 | -0.000 |
| -0.000 | -0.000 | -0.000 | 0.000 | 0.000 | -0.000 |
| -0.000 | -0.000 | -0.000 | 0.000 | -0.000 | 0.000 |
| 0.000 | 0.000 | 0.000 | -0.000 | 0.000 | 0.000 |
| 0.000 | 0.000 | 0.000 | 0.000 | -0.000 | 0.000 |
| 0.000 | 0.000 | 0.000 | 0.000 | 0.000 | -0.000 |
| 0.000 | 0.000 | 0.000 | 0.000 | 0.000 | 0.000 |
| 0.000 | 0.000 | 0.000 | 0.000 | 0.000 | 0.000 |
| 0.000 | 0.000 | 0.000 | 0.000 | 0.000 | 0.000 |
| 0.000 | 0.000 | 0.000 | 0.000 | -0.000 | -0.000 |
| 0.000 | 0.000 | 0.000 | -0.000 | 0.000 | -0.000 |
| 0.000 | 0.000 | 0.000 | -0.000 | -0.000 | 0.000 |
| -0.000 | -0.000 | -0.000 | 0.000 | 0.000 | -0.000 |
| -0.000 | -0.000 | -0.000 | 0.000 | 0.000 | -0.000 |
| -0.000 | -0.000 | -0.000 | 0.000 | -0.000 | 0.000 |
| 0.000 | 0.000 | 0.000 | 0.000 | 0.000 | 0.000 |
| 0.000 | 0.000 | 0.000 | 0.000 | 0.000 | 0.000 |
| 0.000 | 0.000 | 0.000 | 0.000 | 0.000 | 0.000 |
| 0.000 | 0.000 | 0.000 | 0.000 | 0.000 | 0.000 |
| 0.000 | 0.000 | 0.000 | 0.000 | 0.000 | 0.000 |
| 0.000 | 0.000 | 0.000 | 0.000 | 0.000 | 0.000 |
| 0.000 | 0.000 | 0.000 | -0.000 | -0.000 | -0.000 |
| 0.000 | 0.000 | 0.000 | -0.000 | -0.000 | -0.000 |
| 0.000 | 0.000 | 0.000 | -0.000 | -0.000 | -0.000 |
| -0.000 | -0.000 | -0.000 | 0.000 | 0.000 | -0.000 |
| -0.000 | -0.000 | -0.000 | 0.000 | 0.000 | -0.000 |
| -0.000 | -0.000 | -0.000 | 0.000 | -0.000 | 0.000 |
| 0.000 | 0.000 | 0.000 | 0.000 | -0.000 | -0.000 |
| 0.000 | 0.000 | 0.000 | -0.000 | 0.000 | -0.000 |
| 0.000 | 0.000 | 0.000 | -0.000 | -0.000 | 0.000 |
| 0.000 | 0.000 | 0.000 | 0.000 | 0.000 | -0.000 |
| 0.000 | 0.000 | 0.000 | 0.000 | 0.000 | -0.000 |
| 0.000 | 0.000 | 0.000 | 0.000 | -0.000 | 0.000 |
| 0.000 | 0.000 | 0.000 | -0.000 | 0.000 | 0.000 |
| 0.000 | 0.000 | 0.000 | 0.000 | -0.000 | 0.000 |
| 0.000 | 0.000 | 0.000 | 0.000 | 0.000 | -0.000 |
| -0.000 | -0.000 | -0.000 | 0.000 | 0.000 | 0.000 |
| -0.000 | -0.000 | -0.000 | 0.000 | 0.000 | 0.000 |
| -0.000 | -0.000 | -0.000 | 0.000 | 0.000 | 0.000 |
| 0.000 | 0.000 | 0.000 | -0.000 | -0.000 | -0.000 |
| 0.000 | 0.000 | 0.000 | -0.000 | -0.000 | -0.000 |
| 0.000 | 0.000 | 0.000 | -0.000 | -0.000 | -0.000 |
| 0.000 | 0.000 | 0.000 | 0.000 | -0.000 | -0.000 |
| 0.000 | 0.000 | 0.000 | -0.000 | 0.000 | -0.000 |
| 0.000 | 0.000 | 0.000 | -0.000 | -0.000 | 0.000 |
| 0.000 | 0.000 | 0.000 | 0.000 | 0.000 | 0.000 |
| 0.000 | 0.000 | 0.000 | 0.000 | 0.000 | 0.000 |
| 0.000 | 0.000 | 0.000 | 0.000 | 0.000 | 0.000 |
| -0.000 | -0.000 | -0.000 | 0.000 | -0.000 | 0.000 |
| -0.000 | -0.000 | -0.000 | -0.000 | 0.000 | 0.000 |
| -0.000 | -0.000 | -0.000 | -0.000 | 0.000 | 0.000 |
| 0.000 | 0.000 | 0.000 | 0.000 | -0.000 | -0.000 |
| 0.000 | 0.000 | 0.000 | -0.000 | 0.000 | -0.000 |
| 0.000 | 0.000 | 0.000 | -0.000 | -0.000 | 0.000 |
| 0.000 | 0.000 | 0.000 | 0.000 | -0.000 | -0.000 |
| 0.000 | 0.000 | 0.000 | -0.000 | 0.000 | -0.000 |
| 0.000 | 0.000 | 0.000 | -0.000 | -0.000 | 0.000 |
| 0.000 | 0.000 | 0.000 | -0.000 | 0.000 | 0.000 |
| 0.000 | 0.000 | 0.000 | 0.000 | -0.000 | 0.000 |
| 0.000 | 0.000 | 0.000 | 0.000 | 0.000 | -0.000 |
| -0.000 | -0.000 | -0.000 | 0.000 | 0.000 | 0.000 |
| -0.000 | -0.000 | -0.000 | 0.000 | 0.000 | 0.000 |
| -0.000 | -0.000 | -0.000 | 0.000 | 0.000 | 0.000 |
| 196.223 | 10.285 | 28.440 | 0.000 | -0.000 | -0.000 |
| 10.285 | 196.223 | 28.440 | -0.000 | -0.000 | -0.000 |
| 28.440 | 28.440 | 208.036 | 0.000 | -0.000 | -0.000 |
| -0.000 | 0.000 | -0.000 | -47.198 | -0.000 | -0.000 |
| 0.000 | -0.000 | -0.000 | -0.000 | -47.198 | -0.000 |
| -0.000 | -0.000 | -0.000 | 0.000 | 0.000 | -36.494 |
| 196.223 | 10.285 | 28.440 | 0.000 | 0.000 | 0.000 |
| 10.285 | 196.223 | 28.440 | -0.000 | -0.000 | 0.000 |
| 28.440 | 28.440 | 208.036 | 0.000 | 0.000 | 0.000 |
| 0.000 | -0.000 | 0.000 | -47.198 | 0.000 | 0.000 |
| -0.000 | 0.000 | 0.000 | 0.000 | -47.198 | 0.000 |
| 0.000 | 0.000 | 0.000 | -0.000 | 0.000 | -36.494 |
| 196.223 | 10.285 | 28.440 | 0.000 | -0.000 | -0.000 |
| 10.285 | 196.223 | 28.440 | -0.000 | -0.000 | -0.000 |
| 28.440 | 28.440 | 208.036 | 0.000 | 0.000 | -0.000 |
| -0.000 | 0.000 | -0.000 | -47.198 | -0.000 | -0.000 |
| 0.000 | -0.000 | -0.000 | -0.000 | -47.198 | -0.000 |
| -0.000 | -0.000 | -0.000 | 0.000 | -0.000 | -36.494 |
| 196.223 | 10.285 | 28.440 | 0.000 | 0.000 | 0.000 |
| 10.285 | 196.223 | 28.440 | -0.000 | -0.000 | 0.000 |
| 28.440 | 28.440 | 208.036 | -0.000 | -0.000 | 0.000 |
| 0.000 | -0.000 | 0.000 | -47.198 | 0.000 | 0.000 |
| -0.000 | 0.000 | 0.000 | 0.000 | -47.198 | 0.000 |
| 0.000 | 0.000 | 0.000 | -0.000 | 0.000 | -36.494 |
| -14393950.343 | -14346171.018 | -13862841.997 | 64625.859 | -59124.321 | 101610.173 |
| -15104038.811 | -15146966.804 | -12919163.257 | 131088.946 | 66611.020 | -141778.982 |
| 28.440 | 28.440 | 208.036 | 0.000 | -0.000 | -0.000 |
| -0.000 | 0.000 | -0.000 | -47.198 | -0.000 | -0.000 |
| 0.000 | -0.000 | -0.000 | 0.000 | -47.198 | -0.000 |
| -0.000 | -0.000 | -0.000 | -0.000 | -0.000 | -36.494 |
| 13073542.703 | 13161211.143 | 13152276.242 | -113177.824 | -22672.692 | 100452.569 |
| 12749.959 | -12543.188 | 29.747 | 0.015 | -0.006 | 0.000 |
| 28.441 | 28.441 | 208.036 | -0.000 | 0.000 | 0.000 |
| 0.000 | -0.000 | 0.000 | -47.198 | 0.000 | 0.000 |
| -0.000 | 0.000 | 0.000 | 0.000 | -47.198 | 0.000 |
| 0.000 | 0.000 | 0.000 | 0.000 | -0.000 | -36.494 |
| 0.000 | -0.000 | 0.000 | 0.000 | 0.000 | 0.000 |
| -0.000 | 0.000 | 0.000 | 0.000 | 0.000 | 0.000 |
| 0.000 | 0.000 | 0.000 | 0.000 | -0.000 | -0.000 |
| 0.000 | 0.000 | 0.000 | 0.000 | 0.000 | 0.000 |
| 0.000 | 0.000 | 0.000 | -0.000 | 0.000 | 0.000 |
| 0.000 | -0.000 | -0.000 | -0.000 | -0.000 | 0.000 |
| 0.000 | -0.000 | 0.000 | 0.000 | -0.000 | -0.000 |
| -0.000 | 0.000 | 0.000 | -0.000 | -0.000 | -0.000 |
| 0.000 | 0.000 | 0.000 | -0.000 | -0.000 | -0.000 |
| -0.000 | -0.000 | -0.000 | 0.000 | -0.000 | -0.000 |
| -0.000 | -0.000 | -0.000 | -0.000 | 0.000 | -0.000 |
| -0.000 | 0.000 | 0.000 | 0.000 | -0.000 | 0.000 |
| 0.000 | -0.000 | 0.000 | 0.000 | 0.000 | -0.000 |
| -0.000 | 0.000 | 0.000 | 0.000 | -0.000 | 0.000 |
| 0.000 | 0.000 | 0.000 | 0.000 | 0.000 | 0.000 |
| -0.000 | 0.000 | 0.000 | 0.000 | -0.000 | 0.000 |
| 0.000 | -0.000 | 0.000 | -0.000 | 0.000 | 0.000 |
| 0.000 | -0.000 | -0.000 | 0.000 | -0.000 | 0.000 |
| 0.000 | -0.000 | 0.000 | -0.000 | -0.000 | -0.000 |
| -0.000 | 0.000 | 0.000 | -0.000 | -0.000 | 0.000 |
| 0.000 | 0.000 | 0.000 | -0.000 | -0.000 | 0.000 |
| 0.000 | -0.000 | -0.000 | 0.000 | -0.000 | 0.000 |
| -0.000 | 0.000 | -0.000 | 0.000 | 0.000 | -0.000 |
| -0.000 | 0.000 | 0.000 | -0.000 | -0.000 | 0.000 |
| 0.000 | -0.000 | 0.000 | 0.000 | 0.000 | 0.000 |
| -0.000 | 0.000 | 0.000 | 0.000 | 0.000 | 0.000 |
| 0.000 | 0.000 | 0.000 | -0.000 | 0.000 | 0.000 |
| -0.000 | 0.000 | 0.000 | 0.000 | 0.000 | -0.000 |
| 0.000 | -0.000 | 0.000 | 0.000 | 0.000 | 0.000 |
| -0.000 | -0.000 | -0.000 | -0.000 | 0.000 | 0.000 |
| 0.000 | -0.000 | 0.000 | -0.000 | 0.000 | -0.000 |
| -0.000 | 0.000 | 0.000 | -0.000 | -0.000 | 0.000 |
| 0.000 | 0.000 | 0.000 | 0.000 | -0.000 | -0.000 |
| 0.000 | -0.000 | -0.000 | 0.000 | -0.000 | -0.000 |
| -0.000 | 0.000 | -0.000 | -0.000 | 0.000 | -0.000 |
| 0.000 | 0.000 | 0.000 | 0.000 | 0.000 | 0.000 |
| 0.000 | -0.000 | 0.000 | -0.000 | -0.000 | 0.000 |
| -0.000 | 0.000 | 0.000 | -0.000 | -0.000 | -0.000 |
| 0.000 | 0.000 | 0.000 | -0.000 | 0.000 | 0.000 |
| 0.000 | 0.000 | 0.000 | 0.000 | 0.000 | 0.000 |
| 0.000 | 0.000 | 0.000 | 0.000 | 0.000 | -0.000 |
| 0.000 | -0.000 | -0.000 | -0.000 | 0.000 | 0.000 |
| 0.000 | -0.000 | 0.000 | -0.000 | -0.000 | 0.000 |
| -0.000 | 0.000 | 0.000 | -0.000 | -0.000 | 0.000 |
| 0.000 | 0.000 | 0.000 | 0.000 | -0.000 | -0.000 |
| -0.000 | -0.000 | -0.000 | 0.000 | -0.000 | -0.000 |
| -0.000 | -0.000 | -0.000 | -0.000 | 0.000 | 0.000 |
| -0.000 | 0.000 | 0.000 | 0.000 | -0.000 | 0.000 |
| 0.000 | -0.000 | 0.000 | 0.000 | 0.000 | 0.000 |
| -0.000 | 0.000 | 0.000 | 0.000 | 0.000 | -0.000 |
| 0.000 | 0.000 | 0.000 | 0.000 | -0.000 | 0.000 |
| -0.000 | 0.000 | 0.000 | 0.000 | 0.000 | -0.000 |
| 0.000 | -0.000 | 0.000 | -0.000 | 0.000 | -0.000 |
| 0.000 | -0.000 | -0.000 | -0.000 | -0.000 | 0.000 |
| 0.000 | -0.000 | 0.000 | -0.000 | 0.000 | 0.000 |
| -0.000 | 0.000 | 0.000 | 0.000 | -0.000 | -0.000 |
| 0.000 | 0.000 | 0.000 | 0.000 | -0.000 | -0.000 |
| 0.000 | -0.000 | -0.000 | 0.000 | -0.000 | -0.000 |
| -0.000 | 0.000 | -0.000 | 0.000 | 0.000 | -0.000 |
| -0.000 | 0.000 | 0.000 | 0.000 | 0.000 | 0.000 |
| 0.000 | -0.000 | 0.000 | 0.000 | 0.000 | 0.000 |
| -0.000 | 0.000 | 0.000 | 0.000 | -0.000 | 0.000 |
| 0.000 | 0.000 | 0.000 | -0.000 | 0.000 | 0.000 |
| -0.000 | 0.000 | 0.000 | 0.000 | 0.000 | 0.000 |
| 0.000 | -0.000 | 0.000 | 0.000 | 0.000 | 0.000 |
| -0.000 | -0.000 | -0.000 | -0.000 | -0.000 | 0.000 |
| 0.000 | -0.000 | 0.000 | -0.000 | -0.000 | -0.000 |
| -0.000 | 0.000 | 0.000 | 0.000 | 0.000 | -0.000 |
| 0.000 | 0.000 | 0.000 | -0.000 | -0.000 | -0.000 |
| 0.000 | -0.000 | -0.000 | 0.000 | -0.000 | 0.000 |
| -0.000 | 0.000 | -0.000 | -0.000 | 0.000 | -0.000 |
| 0.000 | 0.000 | 0.000 | 0.000 | 0.000 | 0.000 |
| 0.000 | -0.000 | 0.000 | 0.000 | -0.000 | -0.000 |
| -0.000 | 0.000 | 0.000 | -0.000 | 0.000 | 0.000 |
| 0.000 | 0.000 | 0.000 | -0.000 | -0.000 | 0.000 |
| 0.000 | 0.000 | 0.000 | 0.000 | 0.000 | 0.000 |
| 0.000 | 0.000 | 0.000 | -0.000 | 0.000 | -0.000 |
| -0.000 | -0.000 | -0.000 | -0.000 | 0.000 | 0.000 |
| 0.000 | -0.000 | 0.000 | 0.000 | 0.000 | 0.000 |
| -0.000 | 0.000 | 0.000 | 0.000 | -0.000 | -0.000 |
| 0.000 | 0.000 | 0.000 | 0.000 | 0.000 | -0.000 |
| -0.000 | -0.000 | -0.000 | 0.000 | -0.000 | 0.000 |
| -0.000 | -0.000 | -0.000 | -0.000 | 0.000 | 0.000 |
| -0.000 | 0.000 | 0.000 | 0.000 | 0.000 | 0.000 |
| 0.000 | -0.000 | 0.000 | -0.000 | -0.000 | -0.000 |
| -0.000 | 0.000 | 0.000 | -0.000 | -0.000 | -0.000 |
| 0.000 | 0.000 | 0.000 | 0.000 | -0.000 | 0.000 |
| -0.000 | 0.000 | 0.000 | 0.000 | -0.000 | 0.000 |
| 0.000 | -0.000 | 0.000 | -0.000 | 0.000 | 0.000 |
| -0.000 | -0.000 | -0.000 | -0.000 | -0.000 | 0.000 |
| 0.000 | -0.000 | 0.000 | 0.000 | 0.000 | -0.000 |
| -0.000 | 0.000 | 0.000 | 0.000 | -0.000 | -0.000 |
| 0.000 | 0.000 | 0.000 | -0.000 | 0.000 | -0.000 |
| 0.000 | -0.000 | -0.000 | 0.000 | 0.000 | -0.000 |
| -0.000 | 0.000 | -0.000 | 0.000 | 0.000 | -0.000 |
| 0.000 | 0.000 | 0.000 | 0.000 | 0.000 | 0.000 |
| 0.000 | -0.000 | 0.000 | 0.000 | 0.000 | 0.000 |
| -0.000 | 0.000 | 0.000 | 0.000 | 0.000 | 0.000 |
| 0.000 | 0.000 | 0.000 | -0.000 | -0.000 | 0.000 |
| -0.000 | 0.000 | 0.000 | 0.000 | -0.000 | 0.000 |
| 0.000 | -0.000 | 0.000 | -0.000 | 0.000 | 0.000 |
| -0.000 | -0.000 | -0.000 | -0.000 | -0.000 | 0.000 |
| 0.000 | -0.000 | 0.000 | 0.000 | -0.000 | 0.000 |
| -0.000 | 0.000 | 0.000 | -0.000 | -0.000 | -0.000 |
| 0.000 | 0.000 | 0.000 | 0.000 | 0.000 | -0.000 |
| 0.000 | -0.000 | -0.000 | 0.000 | 0.000 | 0.000 |
| -0.000 | 0.000 | -0.000 | 0.000 | 0.000 | -0.000 |
| 0.000 | 0.000 | 0.000 | 0.000 | -0.000 | 0.000 |
| 0.000 | 0.000 | 0.000 | 0.000 | 0.000 | 0.000 |
| 0.000 | 0.000 | 0.000 | -0.000 | -0.000 | 0.000 |
| 0.000 | 0.000 | 0.000 | -0.000 | 0.000 | -0.000 |
| -0.000 | 0.000 | 0.000 | 0.000 | -0.000 | -0.000 |
| 0.000 | 0.000 | 0.000 | -0.000 | 0.000 | -0.000 |
| -0.000 | -0.000 | -0.000 | -0.000 | -0.000 | -0.000 |
| 0.000 | 0.000 | 0.000 | 0.000 | -0.000 | 0.000 |
| 0.000 | 0.000 | 0.000 | 0.000 | 0.000 | -0.000 |
| 0.000 | 0.000 | 0.000 | -0.000 | -0.000 | 0.000 |
| 0.000 | -0.000 | -0.000 | 0.000 | -0.000 | 0.000 |
| -0.000 | -0.000 | -0.000 | -0.000 | 0.000 | -0.000 |
| 0.000 | 0.000 | 0.000 | 0.000 | -0.000 | -0.000 |
| 0.000 | 0.000 | 0.000 | -0.000 | -0.000 | 0.000 |
| 0.000 | 0.000 | 0.000 | 0.000 | -0.000 | -0.000 |
| 0.000 | 0.000 | 0.000 | -0.000 | 0.000 | 0.000 |
| -0.000 | 0.000 | 0.000 | 0.000 | -0.000 | -0.000 |
| 0.000 | -0.000 | 0.000 | -0.000 | 0.000 | 0.000 |
| -0.000 | -0.000 | -0.000 | -0.000 | -0.000 | -0.000 |
| 0.000 | 0.000 | 0.000 | -0.000 | -0.000 | 0.000 |
| 0.000 | 0.000 | 0.000 | 0.000 | 0.000 | -0.000 |
| 0.000 | 0.000 | 0.000 | 0.000 | -0.000 | 0.000 |
| 0.000 | -0.000 | -0.000 | 0.000 | 0.000 | 0.000 |
| -0.000 | 0.000 | -0.000 | 0.000 | 0.000 | -0.000 |
| 0.000 | 0.000 | 0.000 | 0.000 | -0.000 | -0.000 |
| 0.000 | 0.000 | 0.000 | 0.000 | 0.000 | 0.000 |
| 0.000 | 0.000 | 0.000 | -0.000 | 0.000 | -0.000 |
| 0.000 | 0.000 | 0.000 | -0.000 | 0.000 | -0.000 |
| -0.000 | 0.000 | 0.000 | 0.000 | 0.000 | -0.000 |
| 0.000 | -0.000 | 0.000 | -0.000 | 0.000 | -0.000 |
| -0.000 | -0.000 | -0.000 | -0.000 | 0.000 | -0.000 |
| 0.000 | 0.000 | 0.000 | -0.000 | -0.000 | 0.000 |
| 0.000 | 0.000 | 0.000 | 0.000 | 0.000 | 0.000 |
| 0.000 | 0.000 | 0.000 | -0.000 | 0.000 | -0.000 |
| 0.000 | -0.000 | -0.000 | 0.000 | -0.000 | -0.000 |
| -0.000 | 0.000 | -0.000 | 0.000 | 0.000 | 0.000 |
| 0.000 | 0.000 | 0.000 | 0.000 | -0.000 | -0.000 |
| 0.000 | 0.000 | 0.000 | 0.000 | 0.000 | -0.000 |
| 0.000 | 0.000 | 0.000 | -0.000 | -0.000 | 0.000 |
| 0.000 | 0.000 | 0.000 | -0.000 | 0.000 | 0.000 |
| 0.000 | -0.000 | -0.000 | 0.000 | -0.000 | 0.000 |
| -0.000 | 0.000 | -0.000 | 0.000 | 0.000 | 0.000 |
| 0.000 | -0.000 | -0.000 | 0.000 | -0.000 | -0.000 |
| 0.000 | 0.000 | 0.000 | 0.000 | -0.000 | -0.000 |
| 0.000 | 0.000 | 0.000 | 0.000 | -0.000 | 0.000 |
| 0.000 | 0.000 | 0.000 | 0.000 | -0.000 | 0.000 |
| -0.000 | 0.000 | 0.000 | 0.000 | -0.000 | 0.000 |
| 0.000 | -0.000 | 0.000 | -0.000 | 0.000 | 0.000 |
| 0.000 | 0.000 | 0.000 | -0.000 | -0.000 | -0.000 |
| 0.000 | 0.000 | 0.000 | -0.000 | 0.000 | 0.000 |
| 0.000 | 0.000 | 0.000 | -0.000 | -0.000 | 0.000 |
| 0.000 | 0.000 | 0.000 | -0.000 | 0.000 | -0.000 |
| -0.000 | -0.000 | -0.000 | 0.000 | 0.000 | -0.000 |
| -0.000 | -0.000 | -0.000 | -0.000 | 0.000 | 0.000 |
| -0.000 | -0.000 | -0.000 | 0.000 | 0.000 | -0.000 |
| 0.000 | 0.000 | 0.000 | 0.000 | 0.000 | -0.000 |
| 0.000 | 0.000 | 0.000 | -0.000 | -0.000 | 0.000 |
| 0.000 | 0.000 | 0.000 | -0.000 | 0.000 | -0.000 |
| 0.000 | 0.000 | 0.000 | 0.000 | -0.000 | -0.000 |
| 0.000 | 0.000 | 0.000 | 0.000 | 0.000 | -0.000 |
| -0.000 | 0.000 | 0.000 | -0.000 | -0.000 | -0.000 |
| 0.000 | 0.000 | 0.000 | -0.000 | 0.000 | -0.000 |
| 0.000 | 0.000 | 0.000 | -0.000 | 0.000 | 0.000 |
| 0.000 | 0.000 | 0.000 | -0.000 | -0.000 | -0.000 |
| -0.000 | -0.000 | -0.000 | 0.000 | -0.000 | -0.000 |
| -0.000 | -0.000 | -0.000 | 0.000 | 0.000 | 0.000 |
| 0.000 | -0.000 | -0.000 | 0.000 | 0.000 | -0.000 |
| 0.000 | 0.000 | 0.000 | -0.000 | 0.000 | -0.000 |
| 0.000 | 0.000 | 0.000 | -0.000 | -0.000 | -0.000 |
| 0.000 | 0.000 | 0.000 | 0.000 | -0.000 | 0.000 |
| 0.000 | 0.000 | 0.000 | 0.000 | 0.000 | -0.000 |
| 0.000 | 0.000 | 0.000 | 0.000 | 0.000 | -0.000 |
| -0.000 | 0.000 | 0.000 | -0.000 | 0.000 | -0.000 |
| -0.000 | -0.000 | -0.000 | 0.000 | -0.000 | -0.000 |
| -0.000 | -0.000 | -0.000 | 0.000 | 0.000 | -0.000 |
| -0.000 | -0.000 | -0.000 | -0.000 | -0.000 | -0.000 |
| 0.000 | -0.000 | -0.000 | -0.000 | 0.000 | -0.000 |
| -0.000 | 0.000 | -0.000 | 0.000 | -0.000 | 0.000 |
| 0.000 | 0.000 | 0.000 | -0.000 | 0.000 | 0.000 |
| -0.000 | -0.000 | -0.000 | -0.000 | -0.000 | 0.000 |
| -0.000 | -0.000 | -0.000 | 0.000 | -0.000 | 0.000 |
| -0.000 | -0.000 | -0.000 | 0.000 | -0.000 | -0.000 |
| -0.000 | 0.000 | 0.000 | -0.000 | -0.000 | 0.000 |
| 0.000 | -0.000 | 0.000 | -0.000 | -0.000 | 0.000 |
| -0.000 | -0.000 | -0.000 | 0.000 | -0.000 | 0.000 |
| -0.000 | -0.000 | -0.000 | -0.000 | 0.000 | -0.000 |
| -0.000 | -0.000 | -0.000 | 0.000 | 0.000 | -0.000 |
| -0.000 | -0.000 | -0.000 | -0.000 | 0.000 | -0.000 |
| 0.000 | -0.000 | -0.000 | -0.000 | 0.000 | -0.000 |
| -0.000 | 0.000 | -0.000 | 0.000 | -0.000 | -0.000 |
| 0.000 | 0.000 | 0.000 | -0.000 | -0.000 | 0.000 |
| -0.000 | -0.000 | -0.000 | -0.000 | -0.000 | -0.000 |
| -0.000 | -0.000 | -0.000 | -0.000 | -0.000 | 0.000 |
| -0.000 | -0.000 | -0.000 | 0.000 | -0.000 | 0.000 |
| -0.000 | 0.000 | 0.000 | -0.000 | -0.000 | 0.000 |
| 0.000 | -0.000 | 0.000 | -0.000 | -0.000 | 0.000 |
| -0.000 | -0.000 | -0.000 | 0.000 | 0.000 | 0.000 |
| -0.000 | -0.000 | -0.000 | 0.000 | 0.000 | -0.000 |
| -0.000 | -0.000 | -0.000 | 0.000 | 0.000 | 0.000 |
| -0.000 | -0.000 | -0.000 | 0.000 | 0.000 | -0.000 |
| 0.000 | -0.000 | -0.000 | -0.000 | 0.000 | -0.000 |
| -0.000 | 0.000 | -0.000 | 0.000 | -0.000 | -0.000 |
| -0.000 | 0.000 | 0.000 | 0.000 | 0.000 | 0.000 |
| -0.000 | -0.000 | -0.000 | -0.000 | -0.000 | 0.000 |
| -0.000 | -0.000 | -0.000 | 0.000 | -0.000 | 0.000 |
| -0.000 | -0.000 | -0.000 | 0.000 | -0.000 | 0.000 |
| -0.000 | 0.000 | 0.000 | -0.000 | -0.000 | 0.000 |
| 0.000 | -0.000 | 0.000 | -0.000 | -0.000 | 0.000 |
| 0.000 | -0.000 | -0.000 | -0.000 | 0.000 | 0.000 |
| -0.000 | -0.000 | -0.000 | 0.000 | 0.000 | 0.000 |
| -0.000 | -0.000 | -0.000 | -0.000 | 0.000 | -0.000 |
| -0.000 | -0.000 | -0.000 | 0.000 | 0.000 | -0.000 |
| 0.000 | -0.000 | -0.000 | -0.000 | -0.000 | -0.000 |
| -0.000 | 0.000 | -0.000 | 0.000 | -0.000 | -0.000 |
| 0.000 | 0.000 | 0.000 | -0.000 | 0.000 | 0.000 |
| -0.000 | -0.000 | -0.000 | -0.000 | -0.000 | -0.000 |
| -0.000 | -0.000 | -0.000 | 0.000 | -0.000 | -0.000 |
| -0.000 | -0.000 | -0.000 | 0.000 | -0.000 | 0.000 |
| -0.000 | 0.000 | 0.000 | -0.000 | 0.000 | -0.000 |
| 0.000 | -0.000 | 0.000 | 0.000 | -0.000 | -0.000 |
| -0.000 | -0.000 | -0.000 | 0.000 | 0.000 | 0.000 |
| -0.000 | -0.000 | -0.000 | 0.000 | 0.000 | 0.000 |
| -0.000 | -0.000 | -0.000 | -0.000 | 0.000 | -0.000 |
| -0.000 | -0.000 | -0.000 | 0.000 | 0.000 | 0.000 |
| 0.000 | -0.000 | -0.000 | -0.000 | 0.000 | -0.000 |
| -0.000 | 0.000 | -0.000 | -0.000 | -0.000 | -0.000 |
| 0.000 | 0.000 | 0.000 | -0.000 | 0.000 | -0.000 |
| -0.000 | -0.000 | -0.000 | -0.000 | -0.000 | 0.000 |
| -0.000 | -0.000 | -0.000 | 0.000 | -0.000 | 0.000 |
| -0.000 | -0.000 | -0.000 | 0.000 | -0.000 | 0.000 |
| -0.000 | 0.000 | 0.000 | -0.000 | -0.000 | -0.000 |
| 0.000 | -0.000 | 0.000 | 0.000 | -0.000 | -0.000 |
| -0.000 | -0.000 | -0.000 | 0.000 | 0.000 | -0.000 |
| -0.000 | -0.000 | -0.000 | -0.000 | 0.000 | -0.000 |
| -0.000 | -0.000 | -0.000 | 0.000 | -0.000 | 0.000 |
| -0.000 | -0.000 | -0.000 | -0.000 | 0.000 | 0.000 |
| 0.000 | -0.000 | -0.000 | -0.000 | 0.000 | 0.000 |
| -0.000 | 0.000 | -0.000 | -0.000 | -0.000 | 0.000 |
| 0.000 | 0.000 | 0.000 | 0.000 | -0.000 | -0.000 |
| -0.000 | -0.000 | -0.000 | 0.000 | -0.000 | 0.000 |
| -0.000 | -0.000 | -0.000 | 0.000 | 0.000 | -0.000 |
| -0.000 | -0.000 | -0.000 | 0.000 | -0.000 | 0.000 |
| -0.000 | 0.000 | 0.000 | -0.000 | -0.000 | 0.000 |
| 0.000 | -0.000 | 0.000 | 0.000 | -0.000 | 0.000 |
| 0.000 | -0.000 | -0.000 | -0.000 | -0.000 | -0.000 |
| 0.000 | -0.000 | 0.000 | -0.000 | 0.000 | 0.000 |
| -0.000 | 0.000 | 0.000 | -0.000 | -0.000 | 0.000 |
| 0.000 | 0.000 | 0.000 | -0.000 | -0.000 | 0.000 |
| -0.000 | 0.000 | 0.000 | 0.000 | 0.000 | -0.000 |
| 0.000 | 0.000 | 0.000 | -0.000 | 0.000 | 0.000 |
| -0.000 | -0.000 | -0.000 | -0.000 | 0.000 | 0.000 |
| 0.000 | -0.000 | 0.000 | 0.000 | -0.000 | 0.000 |
| -0.000 | 0.000 | 0.000 | 0.000 | 0.000 | -0.000 |
| 0.000 | 0.000 | 0.000 | 0.000 | 0.000 | 0.000 |
| 0.000 | -0.000 | -0.000 | 0.000 | 0.000 | 0.000 |
| -0.000 | -0.000 | -0.000 | 0.000 | 0.000 | 0.000 |
| 0.000 | 0.000 | 0.000 | 0.000 | 0.000 | 0.000 |
| 0.000 | -0.000 | 0.000 | -0.000 | -0.000 | -0.000 |
| -0.000 | 0.000 | 0.000 | -0.000 | -0.000 | -0.000 |
| 0.000 | 0.000 | 0.000 | 0.000 | 0.000 | -0.000 |
| -0.000 | 0.000 | 0.000 | 0.000 | 0.000 | -0.000 |
| 0.000 | -0.000 | 0.000 | 0.000 | 0.000 | -0.000 |
| 0.000 | -0.000 | -0.000 | -0.000 | -0.000 | 0.000 |
| 0.000 | -0.000 | 0.000 | 0.000 | -0.000 | -0.000 |
| -0.000 | 0.000 | 0.000 | 0.000 | -0.000 | 0.000 |
| 0.000 | 0.000 | 0.000 | 0.000 | -0.000 | -0.000 |
| 0.000 | -0.000 | -0.000 | 0.000 | -0.000 | -0.000 |
| -0.000 | 0.000 | -0.000 | 0.000 | 0.000 | 0.000 |
| 0.000 | 0.000 | 0.000 | 0.000 | -0.000 | 0.000 |
| 0.000 | -0.000 | 0.000 | -0.000 | 0.000 | 0.000 |
| -0.000 | 0.000 | 0.000 | -0.000 | -0.000 | -0.000 |
| 0.000 | 0.000 | 0.000 | -0.000 | -0.000 | 0.000 |
| -0.000 | 0.000 | 0.000 | 0.000 | 0.000 | -0.000 |
| 0.000 | -0.000 | 0.000 | -0.000 | 0.000 | -0.000 |
| -0.000 | -0.000 | -0.000 | -0.000 | 0.000 | 0.000 |
| 0.000 | -0.000 | 0.000 | 0.000 | 0.000 | -0.000 |
| -0.000 | 0.000 | 0.000 | 0.000 | 0.000 | -0.000 |
| 0.000 | 0.000 | 0.000 | 0.000 | 0.000 | 0.000 |
| 0.000 | -0.000 | -0.000 | 0.000 | -0.000 | 0.000 |
| -0.000 | 0.000 | -0.000 | 0.000 | 0.000 | 0.000 |
| 0.000 | 0.000 | 0.000 | 0.000 | 0.000 | 0.000 |
| -0.000 | -0.000 | -0.000 | -0.000 | 0.000 | -0.000 |
| -0.000 | -0.000 | -0.000 | -0.000 | -0.000 | 0.000 |
| -0.000 | -0.000 | -0.000 | -0.000 | 0.000 | -0.000 |
| 0.000 | -0.000 | -0.000 | -0.000 | 0.000 | 0.000 |
| -0.000 | 0.000 | -0.000 | 0.000 | -0.000 | -0.000 |
| 0.000 | 0.000 | 0.000 | -0.000 | 0.000 | 0.000 |
| -0.000 | -0.000 | -0.000 | 0.000 | -0.000 | -0.000 |
| -0.000 | -0.000 | -0.000 | 0.000 | 0.000 | -0.000 |
| -0.000 | -0.000 | -0.000 | 0.000 | -0.000 | 0.000 |
| -0.000 | 0.000 | 0.000 | -0.000 | -0.000 | 0.000 |
| 0.000 | -0.000 | 0.000 | 0.000 | -0.000 | -0.000 |
| -0.000 | -0.000 | -0.000 | 0.000 | 0.000 | 0.000 |
| -0.000 | -0.000 | -0.000 | -0.000 | -0.000 | -0.000 |
| -0.000 | -0.000 | -0.000 | -0.000 | -0.000 | -0.000 |
| -0.000 | -0.000 | -0.000 | 0.000 | 0.000 | -0.000 |
| 0.000 | -0.000 | -0.000 | -0.000 | 0.000 | 0.000 |
| -0.000 | 0.000 | -0.000 | -0.000 | -0.000 | -0.000 |
| 0.000 | 0.000 | 0.000 | -0.000 | -0.000 | 0.000 |
| -0.000 | -0.000 | -0.000 | 0.000 | -0.000 | 0.000 |
| -0.000 | -0.000 | -0.000 | 0.000 | 0.000 | -0.000 |
| -0.000 | -0.000 | -0.000 | 0.000 | -0.000 | 0.000 |
| -0.000 | 0.000 | 0.000 | -0.000 | -0.000 | 0.000 |
| 0.000 | -0.000 | 0.000 | 0.000 | -0.000 | -0.000 |
| -0.000 | -0.000 | -0.000 | 0.000 | -0.000 | 0.000 |
| -0.000 | -0.000 | -0.000 | 0.000 | -0.000 | 0.000 |
| -0.000 | -0.000 | -0.000 | -0.000 | 0.000 | 0.000 |
| -0.000 | -0.000 | -0.000 | -0.000 | 0.000 | 0.000 |
| 0.000 | -0.000 | -0.000 | -0.000 | -0.000 | -0.000 |
| -0.000 | 0.000 | -0.000 | -0.000 | -0.000 | 0.000 |
| 0.000 | 0.000 | 0.000 | 0.000 | 0.000 | 0.000 |
| -0.000 | -0.000 | -0.000 | 0.000 | 0.000 | -0.000 |
| -0.000 | -0.000 | -0.000 | 0.000 | -0.000 | 0.000 |
| -0.000 | -0.000 | -0.000 | 0.000 | -0.000 | -0.000 |
| -0.000 | 0.000 | 0.000 | -0.000 | 0.000 | -0.000 |
| 0.000 | -0.000 | 0.000 | 0.000 | -0.000 | 0.000 |
| -0.000 | -0.000 | -0.000 | -0.000 | 0.000 | 0.000 |
| 0.000 | -0.000 | 0.000 | 0.000 | 0.000 | 0.000 |
| -0.000 | 0.000 | 0.000 | 0.000 | -0.000 | 0.000 |
| 0.000 | 0.000 | 0.000 | -0.000 | -0.000 | -0.000 |
| 0.000 | 0.000 | 0.000 | 0.000 | 0.000 | 0.000 |
| 0.000 | 0.000 | 0.000 | -0.000 | 0.000 | 0.000 |
| -0.000 | -0.000 | -0.000 | 0.000 | 0.000 | 0.000 |
| 0.000 | -0.000 | 0.000 | 0.000 | -0.000 | 0.000 |
| -0.000 | 0.000 | 0.000 | -0.000 | 0.000 | -0.000 |
| 0.000 | 0.000 | 0.000 | 0.000 | 0.000 | 0.000 |
| -0.000 | -0.000 | -0.000 | 0.000 | 0.000 | 0.000 |
| -0.000 | -0.000 | -0.000 | -0.000 | 0.000 | 0.000 |
| -0.000 | 0.000 | 0.000 | -0.000 | 0.000 | 0.000 |
| 0.000 | -0.000 | 0.000 | -0.000 | -0.000 | 0.000 |
| -0.000 | 0.000 | 0.000 | -0.000 | -0.000 | -0.000 |
| 0.000 | 0.000 | 0.000 | 0.000 | -0.000 | -0.000 |
| -0.000 | 0.000 | 0.000 | 0.000 | -0.000 | -0.000 |
| 0.000 | -0.000 | 0.000 | -0.000 | 0.000 | 0.000 |
| 0.000 | -0.000 | -0.000 | -0.000 | 0.000 | 0.000 |
| 0.000 | -0.000 | 0.000 | -0.000 | 0.000 | 0.000 |
| -0.000 | 0.000 | 0.000 | 0.000 | 0.000 | 0.000 |
| 0.000 | 0.000 | 0.000 | 0.000 | -0.000 | 0.000 |
| 0.000 | -0.000 | -0.000 | 0.000 | 0.000 | 0.000 |
| -0.000 | 0.000 | -0.000 | 0.000 | 0.000 | 0.000 |
| 0.000 | 0.000 | 0.000 | 0.000 | 0.000 | 0.000 |
| 0.000 | -0.000 | 0.000 | -0.000 | -0.000 | -0.000 |
| -0.000 | 0.000 | 0.000 | -0.000 | -0.000 | 0.000 |
| 0.000 | 0.000 | 0.000 | -0.000 | 0.000 | -0.000 |
| -0.000 | 0.000 | 0.000 | 0.000 | -0.000 | -0.000 |
| 0.000 | -0.000 | 0.000 | -0.000 | 0.000 | 0.000 |
| -0.000 | -0.000 | -0.000 | -0.000 | -0.000 | 0.000 |
| 0.000 | -0.000 | 0.000 | 0.000 | -0.000 | 0.000 |
| -0.000 | 0.000 | 0.000 | 0.000 | 0.000 | 0.000 |
| 0.000 | 0.000 | 0.000 | -0.000 | -0.000 | 0.000 |
| 0.000 | -0.000 | -0.000 | 0.000 | 0.000 | -0.000 |
| -0.000 | 0.000 | -0.000 | 0.000 | 0.000 | 0.000 |
| 0.000 | 0.000 | 0.000 | 0.000 | -0.000 | 0.000 |
| 0.000 | 0.000 | 0.000 | 0.000 | 0.000 | 0.000 |
| 0.000 | 0.000 | 0.000 | 0.000 | 0.000 | -0.000 |
| 0.000 | 0.000 | 0.000 | 0.000 | 0.000 | 0.000 |
| -0.000 | 0.000 | 0.000 | 0.000 | 0.000 | -0.000 |
| 0.000 | 0.000 | 0.000 | 0.000 | 0.000 | -0.000 |
| -0.000 | 0.000 | -0.000 | 0.000 | 0.000 | -0.000 |
| 0.000 | 0.000 | 0.000 | -0.000 | -0.000 | -0.000 |
| 0.000 | 0.000 | 0.000 | -0.000 | -0.000 | -0.000 |
| 0.000 | 0.000 | 0.000 | -0.000 | -0.000 | 0.000 |
| 0.000 | -0.000 | -0.000 | 0.000 | -0.000 | -0.000 |
| -0.000 | -0.000 | -0.000 | -0.000 | 0.000 | -0.000 |
| 0.000 | -0.000 | 0.000 | -0.000 | 0.000 | -0.000 |
| 0.000 | 0.000 | 0.000 | 0.000 | 0.000 | 0.000 |
| 0.000 | 0.000 | 0.000 | 0.000 | 0.000 | -0.000 |
| 0.000 | 0.000 | 0.000 | 0.000 | 0.000 | 0.000 |
| -0.000 | 0.000 | 0.000 | 0.000 | 0.000 | 0.000 |
| 0.000 | -0.000 | 0.000 | 0.000 | 0.000 | -0.000 |
| -0.000 | -0.000 | -0.000 | 0.000 | 0.000 | -0.000 |
| 0.000 | 0.000 | 0.000 | -0.000 | -0.000 | 0.000 |
| 0.000 | 0.000 | 0.000 | -0.000 | -0.000 | -0.000 |
| 0.000 | 0.000 | 0.000 | -0.000 | -0.000 | -0.000 |
| 0.000 | -0.000 | -0.000 | 0.000 | -0.000 | 0.000 |
| -0.000 | 0.000 | -0.000 | -0.000 | 0.000 | 0.000 |
| 0.000 | 0.000 | 0.000 | -0.000 | 0.000 | -0.000 |
| 0.000 | 0.000 | 0.000 | 0.000 | 0.000 | 0.000 |
| 0.000 | 0.000 | 0.000 | 0.000 | 0.000 | 0.000 |
| 0.000 | 0.000 | 0.000 | 0.000 | 0.000 | 0.000 |
| -0.000 | 0.000 | 0.000 | 0.000 | 0.000 | -0.000 |
| 0.000 | -0.000 | 0.000 | 0.000 | 0.000 | 0.000 |
| -0.000 | -0.000 | -0.000 | 0.000 | -0.000 | -0.000 |
| 0.000 | 0.000 | 0.000 | -0.000 | -0.000 | 0.000 |
| 0.000 | 0.000 | 0.000 | -0.000 | -0.000 | -0.000 |
| 0.000 | 0.000 | 0.000 | -0.000 | -0.000 | -0.000 |
| 0.000 | -0.000 | -0.000 | 0.000 | -0.000 | -0.000 |
| -0.000 | 0.000 | -0.000 | -0.000 | 0.000 | -0.000 |
| 0.000 | 0.000 | 0.000 | -0.000 | -0.000 | -0.000 |
| 0.000 | 0.000 | 0.000 | 0.000 | -0.000 | -0.000 |
| 0.000 | 0.000 | 0.000 | 0.000 | 0.000 | -0.000 |
| 0.000 | 0.000 | 0.000 | 0.000 | 0.000 | 0.000 |
| -0.000 | 0.000 | 0.000 | 0.000 | 0.000 | -0.000 |
| 0.000 | 0.000 | 0.000 | 0.000 | 0.000 | -0.000 |
| -0.000 | -0.000 | -0.000 | 0.000 | 0.000 | -0.000 |
| 0.000 | 0.000 | 0.000 | -0.000 | 0.000 | 0.000 |
| 0.000 | 0.000 | 0.000 | -0.000 | -0.000 | 0.000 |
| 0.000 | 0.000 | 0.000 | 0.000 | -0.000 | 0.000 |
| 0.000 | -0.000 | -0.000 | 0.000 | -0.000 | 0.000 |
| -0.000 | -0.000 | -0.000 | -0.000 | 0.000 | 0.000 |
| 0.000 | 0.000 | 0.000 | -0.000 | 0.000 | -0.000 |
| 0.000 | 0.000 | 0.000 | 0.000 | -0.000 | 0.000 |
| 0.000 | 0.000 | 0.000 | 0.000 | 0.000 | -0.000 |
| 0.000 | 0.000 | 0.000 | 0.000 | -0.000 | -0.000 |
| -0.000 | 0.000 | 0.000 | 0.000 | -0.000 | -0.000 |
| 0.000 | -0.000 | 0.000 | 0.000 | 0.000 | -0.000 |
| -0.000 | -0.000 | -0.000 | 0.000 | -0.000 | -0.000 |
| 0.000 | 0.000 | 0.000 | -0.000 | -0.000 | 0.000 |
| 0.000 | 0.000 | 0.000 | -0.000 | -0.000 | 0.000 |
| 0.000 | 0.000 | 0.000 | -0.000 | 0.000 | -0.000 |
| 0.000 | -0.000 | -0.000 | 0.000 | 0.000 | 0.000 |
| -0.000 | 0.000 | -0.000 | -0.000 | 0.000 | 0.000 |
| 0.000 | 0.000 | 0.000 | -0.000 | 0.000 | -0.000 |
| 0.000 | 0.000 | 0.000 | 0.000 | -0.000 | -0.000 |
| 0.000 | 0.000 | 0.000 | 0.000 | 0.000 | 0.000 |
| 0.000 | 0.000 | 0.000 | 0.000 | 0.000 | -0.000 |
| -0.000 | 0.000 | 0.000 | 0.000 | -0.000 | -0.000 |
| 0.000 | -0.000 | 0.000 | 0.000 | 0.000 | -0.000 |
| -0.000 | -0.000 | -0.000 | 0.000 | -0.000 | -0.000 |
| 0.000 | 0.000 | 0.000 | -0.000 | -0.000 | -0.000 |
| 0.000 | 0.000 | 0.000 | -0.000 | -0.000 | 0.000 |
| 0.000 | 0.000 | 0.000 | -0.000 | -0.000 | 0.000 |
| 0.000 | -0.000 | -0.000 | 0.000 | 0.000 | -0.000 |
| -0.000 | 0.000 | -0.000 | -0.000 | 0.000 | 0.000 |
| 0.000 | 0.000 | 0.000 | -0.000 | -0.000 | -0.000 |
| -0.000 | -0.000 | -0.000 | -0.000 | -0.000 | -0.000 |
| -0.000 | -0.000 | -0.000 | -0.000 | -0.000 | 0.000 |
| -0.000 | -0.000 | -0.000 | -0.000 | 0.000 | -0.000 |
| 0.000 | 0.000 | 0.000 | -0.000 | 0.000 | -0.000 |
| 0.000 | 0.000 | 0.000 | 0.000 | -0.000 | -0.000 |
| 0.000 | 0.000 | 0.000 | -0.000 | 0.000 | 0.000 |
| -0.000 | -0.000 | -0.000 | 0.000 | -0.000 | 0.000 |
| -0.000 | -0.000 | -0.000 | 0.000 | -0.000 | 0.000 |
| -0.000 | -0.000 | -0.000 | -0.000 | -0.000 | -0.000 |
| -0.000 | -0.000 | -0.000 | -0.000 | -0.000 | -0.000 |
| -0.000 | -0.000 | -0.000 | -0.000 | -0.000 | 0.000 |
| -0.000 | -0.000 | -0.000 | -0.000 | 0.000 | 0.000 |
| -0.000 | -0.000 | -0.000 | 0.000 | -0.000 | -0.000 |
| -0.000 | -0.000 | -0.000 | -0.000 | 0.000 | -0.000 |
| -0.000 | -0.000 | -0.000 | -0.000 | -0.000 | 0.000 |
| 0.000 | 0.000 | 0.000 | -0.000 | 0.000 | 0.000 |
| 0.000 | 0.000 | 0.000 | 0.000 | -0.000 | 0.000 |
| 0.000 | 0.000 | 0.000 | -0.000 | -0.000 | 0.000 |
| -0.000 | -0.000 | -0.000 | -0.000 | -0.000 | 0.000 |
| -0.000 | -0.000 | -0.000 | -0.000 | -0.000 | 0.000 |
| -0.000 | -0.000 | -0.000 | 0.000 | 0.000 | -0.000 |
| -0.000 | -0.000 | -0.000 | -0.000 | -0.000 | -0.000 |
| -0.000 | -0.000 | -0.000 | 0.000 | -0.000 | 0.000 |
| -0.000 | -0.000 | -0.000 | -0.000 | -0.000 | 0.000 |
| -0.000 | -0.000 | -0.000 | 0.000 | 0.000 | -0.000 |
| -0.000 | -0.000 | -0.000 | 0.000 | 0.000 | -0.000 |
| -0.000 | -0.000 | -0.000 | 0.000 | -0.000 | -0.000 |
| 0.000 | 0.000 | 0.000 | -0.000 | -0.000 | 0.000 |
| 0.000 | 0.000 | 0.000 | 0.000 | -0.000 | -0.000 |
| -0.000 | 0.000 | 0.000 | 0.000 | 0.000 | 0.000 |
| -0.000 | -0.000 | -0.000 | -0.000 | -0.000 | -0.000 |
| -0.000 | -0.000 | -0.000 | 0.000 | -0.000 | 0.000 |
| -0.000 | -0.000 | -0.000 | -0.000 | -0.000 | 0.000 |
| -0.000 | -0.000 | -0.000 | -0.000 | -0.000 | 0.000 |
| -0.000 | -0.000 | -0.000 | 0.000 | -0.000 | 0.000 |
| 0.000 | -0.000 | -0.000 | -0.000 | 0.000 | 0.000 |
| 0.000 | -0.000 | 0.000 | -0.000 | 0.000 | -0.000 |
| -0.000 | 0.000 | 0.000 | 0.000 | -0.000 | -0.000 |
| 0.000 | 0.000 | 0.000 | -0.000 | -0.000 | -0.000 |
| 0.000 | 0.000 | 0.000 | 0.000 | 0.000 | 0.000 |
| 0.000 | 0.000 | 0.000 | -0.000 | 0.000 | -0.000 |
| -0.000 | -0.000 | -0.000 | -0.000 | 0.000 | 0.000 |
| 0.000 | -0.000 | 0.000 | 0.000 | 0.000 | -0.000 |
| -0.000 | 0.000 | 0.000 | -0.000 | -0.000 | 0.000 |
| 0.000 | 0.000 | 0.000 | -0.000 | -0.000 | -0.000 |
| -0.000 | -0.000 | -0.000 | 0.000 | 0.000 | 0.000 |
| -0.000 | -0.000 | -0.000 | 0.000 | 0.000 | -0.000 |
| -0.000 | 0.000 | 0.000 | 0.000 | -0.000 | 0.000 |
| 0.000 | -0.000 | 0.000 | -0.000 | 0.000 | 0.000 |
| -0.000 | 0.000 | 0.000 | 0.000 | 0.000 | -0.000 |
| 0.000 | 0.000 | 0.000 | 0.000 | -0.000 | -0.000 |
| -0.000 | 0.000 | 0.000 | 0.000 | 0.000 | -0.000 |
| 0.000 | -0.000 | 0.000 | 0.000 | 0.000 | -0.000 |
| -0.000 | -0.000 | -0.000 | 0.000 | -0.000 | 0.000 |
| 0.000 | -0.000 | 0.000 | 0.000 | -0.000 | -0.000 |
| -0.000 | 0.000 | 0.000 | -0.000 | -0.000 | 0.000 |
| 0.000 | 0.000 | 0.000 | 0.000 | 0.000 | 0.000 |
| 0.000 | -0.000 | -0.000 | 0.000 | -0.000 | -0.000 |
| -0.000 | 0.000 | -0.000 | -0.000 | 0.000 | -0.000 |
| 0.000 | 0.000 | 0.000 | -0.000 | 0.000 | 0.000 |
| 0.000 | -0.000 | 0.000 | -0.000 | -0.000 | 0.000 |
| -0.000 | 0.000 | 0.000 | -0.000 | 0.000 | -0.000 |
| 0.000 | 0.000 | 0.000 | 0.000 | 0.000 | 0.000 |
| -0.000 | 0.000 | 0.000 | 0.000 | -0.000 | 0.000 |
| 0.000 | -0.000 | 0.000 | 0.000 | 0.000 | 0.000 |
| -0.000 | -0.000 | -0.000 | 0.000 | -0.000 | 0.000 |
| 0.000 | -0.000 | 0.000 | 0.000 | 0.000 | -0.000 |
| -0.000 | 0.000 | 0.000 | -0.000 | -0.000 | -0.000 |
| 0.000 | 0.000 | 0.000 | -0.000 | 0.000 | 0.000 |
| 0.000 | -0.000 | -0.000 | 0.000 | 0.000 | -0.000 |
| -0.000 | 0.000 | -0.000 | -0.000 | 0.000 | 0.000 |
| 0.000 | 0.000 | 0.000 | -0.000 | -0.000 | 0.000 |
| 0.000 | -0.000 | 0.000 | 0.000 | 0.000 | 0.000 |
| -0.000 | 0.000 | 0.000 | 0.000 | 0.000 | -0.000 |
| -0.000 | -0.000 | 0.000 | 0.000 | 0.000 | 0.000 |
| 0.000 | 0.000 | -0.000 | 0.000 | -0.000 | -0.000 |
| 0.000 | 0.000 | -0.000 | -0.000 | 0.000 | 0.000 |
| 0.000 | -0.000 | -0.000 | 0.000 | 0.000 | 0.000 |
| 0.000 | -0.000 | 0.000 | -0.000 | -0.000 | 0.000 |
| -0.000 | 0.000 | 0.000 | -0.000 | -0.000 | 0.000 |
| -0.000 | -0.000 | 0.000 | -0.000 | -0.000 | 0.000 |
| -0.000 | -0.000 | 0.000 | 0.000 | -0.000 | 0.000 |
| -0.000 | -0.000 | 0.000 | -0.000 | 0.000 | 0.000 |
| -0.000 | 0.000 | 0.000 | -0.000 | -0.000 | 0.000 |
| 0.000 | -0.000 | 0.000 | -0.000 | -0.000 | -0.000 |
| -0.000 | 0.000 | 0.000 | -0.000 | -0.000 | -0.000 |
| -0.000 | -0.000 | 0.000 | -0.000 | -0.000 | 0.000 |
| 0.000 | 0.000 | -0.000 | 0.000 | -0.000 | -0.000 |
| 0.000 | 0.000 | -0.000 | -0.000 | 0.000 | -0.000 |
| 0.000 | -0.000 | -0.000 | 0.000 | 0.000 | 0.000 |
| 0.000 | -0.000 | 0.000 | -0.000 | -0.000 | 0.000 |
| -0.000 | 0.000 | 0.000 | -0.000 | -0.000 | 0.000 |
| -0.000 | -0.000 | 0.000 | -0.000 | -0.000 | 0.000 |
| -0.000 | -0.000 | 0.000 | 0.000 | -0.000 | 0.000 |
| -0.000 | -0.000 | 0.000 | -0.000 | 0.000 | 0.000 |
| -0.000 | 0.000 | 0.000 | -0.000 | -0.000 | 0.000 |
| 0.000 | -0.000 | 0.000 | 0.000 | 0.000 | -0.000 |
| -0.000 | 0.000 | 0.000 | 0.000 | 0.000 | -0.000 |
| -0.000 | -0.000 | 0.000 | 0.000 | 0.000 | 0.000 |
| 0.000 | 0.000 | -0.000 | 0.000 | 0.000 | -0.000 |
| 0.000 | 0.000 | -0.000 | -0.000 | 0.000 | -0.000 |
| -0.000 | -0.000 | -0.000 | 0.000 | 0.000 | 0.000 |
| 0.000 | -0.000 | 0.000 | -0.000 | -0.000 | 0.000 |
| -0.000 | 0.000 | 0.000 | 0.000 | -0.000 | 0.000 |
| -0.000 | -0.000 | 0.000 | 0.000 | -0.000 | 0.000 |
| -0.000 | -0.000 | 0.000 | 0.000 | -0.000 | 0.000 |
| -0.000 | -0.000 | 0.000 | -0.000 | 0.000 | 0.000 |
| 0.000 | 0.000 | 0.000 | -0.000 | -0.000 | 0.000 |
| 0.000 | -0.000 | -0.000 | 0.000 | -0.000 | -0.000 |
| -0.000 | 0.000 | -0.000 | -0.000 | -0.000 | 0.000 |
| -0.000 | -0.000 | -0.000 | 0.000 | 0.000 | -0.000 |
| 0.000 | -0.000 | -0.000 | -0.000 | -0.000 | 0.000 |
| -0.000 | 0.000 | -0.000 | 0.000 | -0.000 | 0.000 |
| -0.000 | -0.000 | -0.000 | 0.000 | -0.000 | 0.000 |
| 0.000 | -0.000 | -0.000 | 0.000 | 0.000 | -0.000 |
| -0.000 | 0.000 | -0.000 | 0.000 | 0.000 | -0.000 |
| -0.000 | -0.000 | -0.000 | -0.000 | -0.000 | -0.000 |
| -0.000 | 0.000 | 0.000 | -0.000 | 0.000 | 0.000 |
| 0.000 | -0.000 | 0.000 | 0.000 | -0.000 | -0.000 |
| 0.000 | 0.000 | 0.000 | -0.000 | -0.000 | 0.000 |
| 0.000 | -0.000 | -0.000 | -0.000 | 0.000 | 0.000 |
| -0.000 | 0.000 | -0.000 | 0.000 | -0.000 | 0.000 |
| -0.000 | -0.000 | -0.000 | 0.000 | 0.000 | -0.000 |
| 0.000 | -0.000 | -0.000 | -0.000 | 0.000 | 0.000 |
| -0.000 | 0.000 | -0.000 | 0.000 | -0.000 | 0.000 |
| -0.000 | -0.000 | -0.000 | -0.000 | -0.000 | 0.000 |
| 0.000 | -0.000 | -0.000 | 0.000 | 0.000 | -0.000 |
| -0.000 | 0.000 | -0.000 | 0.000 | 0.000 | -0.000 |
| -0.000 | -0.000 | -0.000 | 0.000 | 0.000 | -0.000 |
| -0.000 | 0.000 | 0.000 | -0.000 | 0.000 | 0.000 |
| 0.000 | -0.000 | 0.000 | 0.000 | -0.000 | -0.000 |
| 0.000 | 0.000 | 0.000 | 0.000 | -0.000 | 0.000 |
| 0.000 | -0.000 | -0.000 | 0.000 | 0.000 | 0.000 |
| -0.000 | 0.000 | -0.000 | 0.000 | 0.000 | -0.000 |
| -0.000 | -0.000 | -0.000 | 0.000 | -0.000 | -0.000 |
| 0.000 | -0.000 | -0.000 | -0.000 | 0.000 | -0.000 |
| -0.000 | 0.000 | -0.000 | 0.000 | -0.000 | 0.000 |
| -0.000 | -0.000 | -0.000 | -0.000 | -0.000 | 0.000 |
| 0.000 | -0.000 | -0.000 | -0.000 | 0.000 | 0.000 |
| -0.000 | 0.000 | -0.000 | 0.000 | -0.000 | -0.000 |
| -0.000 | -0.000 | -0.000 | -0.000 | -0.000 | -0.000 |
| -0.000 | 0.000 | 0.000 | -0.000 | -0.000 | 0.000 |
| 0.000 | -0.000 | 0.000 | -0.000 | -0.000 | -0.000 |
| 0.000 | 0.000 | 0.000 | 0.000 | -0.000 | 0.000 |
| 0.000 | -0.000 | 0.000 | -0.000 | -0.000 | 0.000 |
| -0.000 | 0.000 | 0.000 | -0.000 | -0.000 | 0.000 |
| -0.000 | -0.000 | 0.000 | -0.000 | -0.000 | -0.000 |
| 0.000 | 0.000 | -0.000 | 0.000 | 0.000 | 0.000 |
| 0.000 | 0.000 | -0.000 | 0.000 | 0.000 | 0.000 |
| 0.000 | -0.000 | -0.000 | 0.000 | 0.000 | 0.000 |
| 0.000 | -0.000 | 0.000 | -0.000 | 0.000 | -0.000 |
| -0.000 | 0.000 | 0.000 | 0.000 | -0.000 | -0.000 |
| -0.000 | -0.000 | 0.000 | -0.000 | -0.000 | -0.000 |
| -0.000 | 0.000 | 0.000 | 0.000 | -0.000 | -0.000 |
| 0.000 | -0.000 | 0.000 | -0.000 | 0.000 | 0.000 |
| -0.000 | 0.000 | 0.000 | -0.000 | -0.000 | 0.000 |
| 0.000 | -0.000 | 0.000 | 0.000 | -0.000 | -0.000 |
| -0.000 | 0.000 | 0.000 | -0.000 | 0.000 | -0.000 |
| -0.000 | -0.000 | 0.000 | 0.000 | 0.000 | -0.000 |
| 0.000 | 0.000 | -0.000 | 0.000 | 0.000 | 0.000 |
| 0.000 | 0.000 | -0.000 | 0.000 | 0.000 | 0.000 |
| 0.000 | -0.000 | -0.000 | 0.000 | 0.000 | 0.000 |
| 0.000 | -0.000 | 0.000 | -0.000 | -0.000 | 0.000 |
| -0.000 | 0.000 | 0.000 | -0.000 | -0.000 | -0.000 |
| -0.000 | -0.000 | 0.000 | 0.000 | 0.000 | -0.000 |
| -0.000 | -0.000 | 0.000 | 0.000 | -0.000 | -0.000 |
| -0.000 | -0.000 | 0.000 | -0.000 | 0.000 | -0.000 |
| 0.000 | 0.000 | 0.000 | -0.000 | 0.000 | 0.000 |
| 0.000 | -0.000 | 0.000 | 0.000 | 0.000 | -0.000 |
| -0.000 | 0.000 | 0.000 | 0.000 | 0.000 | 0.000 |
| -0.000 | -0.000 | 0.000 | 0.000 | 0.000 | -0.000 |
| 0.000 | 0.000 | -0.000 | 0.000 | -0.000 | 0.000 |
| 0.000 | 0.000 | -0.000 | -0.000 | 0.000 | -0.000 |
| -0.000 | -0.000 | -0.000 | -0.000 | 0.000 | 0.000 |
| 0.000 | -0.000 | 0.000 | 0.000 | -0.000 | 0.000 |
| -0.000 | 0.000 | 0.000 | -0.000 | 0.000 | 0.000 |
| -0.000 | -0.000 | 0.000 | 0.000 | 0.000 | -0.000 |
| -0.000 | -0.000 | 0.000 | 0.000 | 0.000 | -0.000 |
| -0.000 | -0.000 | 0.000 | 0.000 | 0.000 | -0.000 |
| 0.000 | 0.000 | 0.000 | 0.000 | 0.000 | 0.000 |
| 0.000 | 0.000 | -0.000 | -0.000 | 0.000 | -0.000 |
| 0.000 | 0.000 | -0.000 | 0.000 | 0.000 | -0.000 |
| 0.000 | 0.000 | -0.000 | 0.000 | 0.000 | 0.000 |
| 0.000 | -0.000 | -0.000 | -0.000 | 0.000 | -0.000 |
| -0.000 | 0.000 | -0.000 | 0.000 | -0.000 | -0.000 |
| -0.000 | 0.000 | -0.000 | 0.000 | -0.000 | -0.000 |
| 0.000 | 0.000 | -0.000 | -0.000 | -0.000 | -0.000 |
| 0.000 | 0.000 | -0.000 | -0.000 | -0.000 | -0.000 |
| 0.000 | 0.000 | -0.000 | -0.000 | -0.000 | 0.000 |
| -0.000 | 0.000 | 0.000 | -0.000 | -0.000 | -0.000 |
| 0.000 | -0.000 | 0.000 | -0.000 | -0.000 | 0.000 |
| 0.000 | -0.000 | 0.000 | -0.000 | -0.000 | -0.000 |
| 0.000 | 0.000 | -0.000 | -0.000 | -0.000 | -0.000 |
| 0.000 | 0.000 | -0.000 | -0.000 | -0.000 | -0.000 |
| 0.000 | 0.000 | -0.000 | 0.000 | 0.000 | 0.000 |
| 0.000 | -0.000 | -0.000 | -0.000 | -0.000 | 0.000 |
| -0.000 | 0.000 | -0.000 | -0.000 | -0.000 | -0.000 |
| -0.000 | -0.000 | -0.000 | 0.000 | 0.000 | -0.000 |
| 0.000 | 0.000 | -0.000 | -0.000 | -0.000 | 0.000 |
| 0.000 | 0.000 | -0.000 | -0.000 | -0.000 | 0.000 |
| 0.000 | 0.000 | -0.000 | 0.000 | 0.000 | 0.000 |
| -0.000 | 0.000 | 0.000 | -0.000 | 0.000 | -0.000 |
| 0.000 | -0.000 | 0.000 | 0.000 | -0.000 | 0.000 |
| 0.000 | 0.000 | 0.000 | 0.000 | 0.000 | -0.000 |
| 0.000 | 0.000 | -0.000 | 0.000 | 0.000 | -0.000 |
| 0.000 | 0.000 | -0.000 | 0.000 | 0.000 | -0.000 |
| 0.000 | 0.000 | -0.000 | 0.000 | 0.000 | 0.000 |
| 0.000 | -0.000 | -0.000 | -0.000 | 0.000 | -0.000 |
| -0.000 | 0.000 | -0.000 | 0.000 | -0.000 | -0.000 |
| -0.000 | -0.000 | -0.000 | 0.000 | 0.000 | -0.000 |
| 0.000 | 0.000 | -0.000 | -0.000 | 0.000 | 0.000 |
| 0.000 | 0.000 | -0.000 | 0.000 | -0.000 | 0.000 |
| 0.000 | 0.000 | -0.000 | 0.000 | -0.000 | 0.000 |
| -0.000 | 0.000 | 0.000 | -0.000 | -0.000 | -0.000 |
| 0.000 | -0.000 | 0.000 | -0.000 | -0.000 | 0.000 |
| 0.000 | 0.000 | 0.000 | -0.000 | 0.000 | -0.000 |
| 0.000 | 0.000 | 0.000 | 0.000 | -0.000 | 0.000 |
| 0.000 | 0.000 | 0.000 | -0.000 | 0.000 | -0.000 |
| 0.000 | 0.000 | 0.000 | 0.000 | 0.000 | -0.000 |
| 0.000 | -0.000 | -0.000 | 0.000 | 0.000 | 0.000 |
| -0.000 | 0.000 | -0.000 | 0.000 | 0.000 | -0.000 |
| 0.000 | -0.000 | -0.000 | 0.000 | 0.000 | -0.000 |
| 0.000 | 0.000 | 0.000 | -0.000 | -0.000 | 0.000 |
| 0.000 | 0.000 | 0.000 | -0.000 | -0.000 | -0.000 |
| 0.000 | 0.000 | 0.000 | -0.000 | -0.000 | -0.000 |
| -0.000 | -0.000 | 0.000 | 0.000 | -0.000 | 0.000 |
| -0.000 | -0.000 | 0.000 | -0.000 | 0.000 | -0.000 |
| 0.000 | 0.000 | 0.000 | -0.000 | -0.000 | -0.000 |
| 0.000 | 0.000 | 0.000 | 0.000 | 0.000 | -0.000 |
| 0.000 | 0.000 | 0.000 | 0.000 | 0.000 | -0.000 |
| 0.000 | 0.000 | 0.000 | 0.000 | 0.000 | -0.000 |
| 0.000 | 0.000 | -0.000 | 0.000 | 0.000 | 0.000 |
| 0.000 | 0.000 | -0.000 | 0.000 | 0.000 | -0.000 |
| 0.000 | -0.000 | -0.000 | 0.000 | 0.000 | -0.000 |
| 0.000 | 0.000 | 0.000 | -0.000 | -0.000 | 0.000 |
| 0.000 | 0.000 | 0.000 | -0.000 | -0.000 | 0.000 |
| 0.000 | 0.000 | 0.000 | -0.000 | -0.000 | -0.000 |
| -0.000 | -0.000 | 0.000 | 0.000 | -0.000 | -0.000 |
| -0.000 | -0.000 | 0.000 | -0.000 | 0.000 | 0.000 |
| 0.000 | 0.000 | 0.000 | -0.000 | -0.000 | -0.000 |
| 0.000 | 0.000 | 0.000 | 0.000 | 0.000 | -0.000 |
| 0.000 | 0.000 | 0.000 | 0.000 | 0.000 | -0.000 |
| 0.000 | 0.000 | 0.000 | 0.000 | 0.000 | -0.000 |
| 0.000 | 0.000 | -0.000 | 0.000 | 0.000 | 0.000 |
| 0.000 | 0.000 | -0.000 | 0.000 | 0.000 | 0.000 |
| 0.000 | -0.000 | -0.000 | 0.000 | 0.000 | -0.000 |
| 0.000 | 0.000 | 0.000 | -0.000 | -0.000 | 0.000 |
| 0.000 | 0.000 | 0.000 | -0.000 | -0.000 | 0.000 |
| 0.000 | 0.000 | 0.000 | -0.000 | -0.000 | -0.000 |
| -0.000 | 0.000 | 0.000 | 0.000 | -0.000 | 0.000 |
| 0.000 | -0.000 | 0.000 | -0.000 | 0.000 | 0.000 |
| -0.000 | 0.000 | 0.000 | -0.000 | -0.000 | -0.000 |
| -0.000 | -0.000 | 0.000 | -0.000 | -0.000 | -0.000 |
| -0.000 | -0.000 | 0.000 | -0.000 | -0.000 | -0.000 |
| -0.000 | -0.000 | 0.000 | -0.000 | -0.000 | 0.000 |
| 0.000 | 0.000 | 0.000 | 0.000 | -0.000 | -0.000 |
| 0.000 | 0.000 | 0.000 | 0.000 | 0.000 | 0.000 |
| 0.000 | 0.000 | 0.000 | -0.000 | -0.000 | 0.000 |
| -0.000 | -0.000 | 0.000 | 0.000 | 0.000 | -0.000 |
| -0.000 | -0.000 | 0.000 | 0.000 | 0.000 | 0.000 |
| -0.000 | -0.000 | 0.000 | 0.000 | 0.000 | 0.000 |
| -0.000 | -0.000 | -0.000 | 0.000 | 0.000 | 0.000 |
| -0.000 | -0.000 | -0.000 | -0.000 | 0.000 | -0.000 |
| -0.000 | -0.000 | -0.000 | -0.000 | 0.000 | 0.000 |
| -0.000 | -0.000 | 0.000 | -0.000 | -0.000 | 0.000 |
| -0.000 | -0.000 | 0.000 | -0.000 | -0.000 | 0.000 |
| -0.000 | -0.000 | 0.000 | -0.000 | -0.000 | 0.000 |
| 0.000 | 0.000 | 0.000 | 0.000 | -0.000 | 0.000 |
| 0.000 | 0.000 | 0.000 | -0.000 | 0.000 | 0.000 |
| 0.000 | 0.000 | 0.000 | 0.000 | -0.000 | 0.000 |
| -0.000 | -0.000 | 0.000 | 0.000 | 0.000 | -0.000 |
| -0.000 | -0.000 | 0.000 | 0.000 | 0.000 | 0.000 |
| -0.000 | -0.000 | 0.000 | -0.000 | -0.000 | 0.000 |
| -0.000 | 0.000 | -0.000 | 0.000 | 0.000 | 0.000 |
| 0.000 | -0.000 | -0.000 | 0.000 | 0.000 | -0.000 |
| 0.000 | -0.000 | -0.000 | 0.000 | 0.000 | 0.000 |
| -0.000 | -0.000 | 0.000 | -0.000 | -0.000 | 0.000 |
| -0.000 | -0.000 | 0.000 | 0.000 | -0.000 | -0.000 |
| -0.000 | -0.000 | 0.000 | 0.000 | 0.000 | 0.000 |
| 0.000 | 0.000 | 0.000 | 0.000 | -0.000 | 0.000 |
| 0.000 | 0.000 | 0.000 | -0.000 | 0.000 | 0.000 |
| -0.000 | 0.000 | 0.000 | -0.000 | -0.000 | 0.000 |
| -0.000 | -0.000 | 0.000 | 0.000 | 0.000 | -0.000 |
| -0.000 | -0.000 | 0.000 | 0.000 | 0.000 | 0.000 |
| -0.000 | -0.000 | 0.000 | -0.000 | 0.000 | 0.000 |
| -0.000 | -0.000 | -0.000 | 0.000 | 0.000 | 0.000 |
| -0.000 | -0.000 | -0.000 | -0.000 | 0.000 | 0.000 |
| 0.000 | -0.000 | -0.000 | -0.000 | 0.000 | 0.000 |
| 0.000 | -0.000 | -0.000 | 0.000 | 0.000 | 0.000 |
| -0.000 | 0.000 | -0.000 | 0.000 | 0.000 | 0.000 |
| -0.000 | -0.000 | -0.000 | 0.000 | 0.000 | -0.000 |
| 0.000 | -0.000 | -0.000 | -0.000 | 0.000 | 0.000 |
| -0.000 | 0.000 | -0.000 | 0.000 | -0.000 | 0.000 |
| -0.000 | -0.000 | -0.000 | 0.000 | -0.000 | 0.000 |
| 0.000 | -0.000 | -0.000 | -0.000 | -0.000 | 0.000 |
| -0.000 | 0.000 | -0.000 | -0.000 | -0.000 | -0.000 |
| -0.000 | -0.000 | -0.000 | -0.000 | -0.000 | -0.000 |
| -0.000 | 0.000 | 0.000 | -0.000 | -0.000 | -0.000 |
| 0.000 | -0.000 | 0.000 | -0.000 | -0.000 | -0.000 |
| 0.000 | 0.000 | 0.000 | -0.000 | -0.000 | 0.000 |
| 0.000 | -0.000 | -0.000 | 0.000 | 0.000 | 0.000 |
| -0.000 | 0.000 | -0.000 | 0.000 | 0.000 | 0.000 |
| -0.000 | -0.000 | -0.000 | 0.000 | 0.000 | -0.000 |
| 0.000 | -0.000 | -0.000 | -0.000 | 0.000 | 0.000 |
| -0.000 | 0.000 | -0.000 | 0.000 | -0.000 | 0.000 |
| -0.000 | -0.000 | -0.000 | 0.000 | 0.000 | 0.000 |
| 0.000 | -0.000 | -0.000 | -0.000 | -0.000 | 0.000 |
| -0.000 | 0.000 | -0.000 | -0.000 | -0.000 | -0.000 |
| -0.000 | -0.000 | -0.000 | -0.000 | -0.000 | -0.000 |
| -0.000 | 0.000 | 0.000 | -0.000 | -0.000 | -0.000 |
| 0.000 | -0.000 | 0.000 | -0.000 | -0.000 | -0.000 |
| 0.000 | 0.000 | 0.000 | -0.000 | -0.000 | 0.000 |
| 0.000 | -0.000 | -0.000 | 0.000 | -0.000 | 0.000 |
| -0.000 | 0.000 | -0.000 | -0.000 | 0.000 | 0.000 |
| -0.000 | -0.000 | -0.000 | 0.000 | 0.000 | -0.000 |
| 0.000 | -0.000 | -0.000 | -0.000 | 0.000 | 0.000 |
| -0.000 | 0.000 | -0.000 | 0.000 | -0.000 | 0.000 |
| -0.000 | -0.000 | -0.000 | 0.000 | 0.000 | 0.000 |
| 0.000 | -0.000 | -0.000 | -0.000 | -0.000 | -0.000 |
| -0.000 | 0.000 | -0.000 | -0.000 | -0.000 | -0.000 |
| -0.000 | -0.000 | -0.000 | -0.000 | -0.000 | -0.000 |
| -0.000 | 0.000 | 0.000 | -0.000 | -0.000 | -0.000 |
| 0.000 | -0.000 | 0.000 | -0.000 | -0.000 | 0.000 |
| 0.000 | 0.000 | 0.000 | -0.000 | -0.000 | 0.000 |
| 0.000 | -0.000 | 0.000 | 0.000 | -0.000 | 0.000 |
| -0.000 | 0.000 | 0.000 | -0.000 | -0.000 | -0.000 |
| -0.000 | -0.000 | 0.000 | -0.000 | -0.000 | 0.000 |
| 0.000 | 0.000 | 0.000 | 0.000 | 0.000 | -0.000 |
| 0.000 | 0.000 | 0.000 | 0.000 | 0.000 | -0.000 |
| 0.000 | -0.000 | 0.000 | 0.000 | 0.000 | 0.000 |
| 0.000 | -0.000 | 0.000 | -0.000 | -0.000 | -0.000 |
| -0.000 | 0.000 | 0.000 | -0.000 | -0.000 | -0.000 |
| -0.000 | -0.000 | 0.000 | -0.000 | -0.000 | 0.000 |
| -0.000 | -0.000 | -0.000 | 0.000 | -0.000 | 0.000 |
| -0.000 | -0.000 | -0.000 | -0.000 | 0.000 | 0.000 |
| -0.000 | 0.000 | -0.000 | -0.000 | -0.000 | 0.000 |
| 0.000 | -0.000 | 0.000 | 0.000 | -0.000 | 0.000 |
| -0.000 | 0.000 | 0.000 | -0.000 | 0.000 | -0.000 |
| -0.000 | -0.000 | 0.000 | 0.000 | 0.000 | 0.000 |
| 0.000 | 0.000 | 0.000 | 0.000 | -0.000 | -0.000 |
| 0.000 | 0.000 | 0.000 | -0.000 | 0.000 | -0.000 |
| 0.000 | -0.000 | 0.000 | 0.000 | -0.000 | 0.000 |
| 0.000 | -0.000 | 0.000 | -0.000 | 0.000 | -0.000 |
| -0.000 | 0.000 | 0.000 | 0.000 | -0.000 | -0.000 |
| -0.000 | -0.000 | 0.000 | -0.000 | -0.000 | 0.000 |
| -0.000 | -0.000 | -0.000 | 0.000 | -0.000 | 0.000 |
| -0.000 | -0.000 | -0.000 | -0.000 | 0.000 | -0.000 |
| -0.000 | 0.000 | -0.000 | -0.000 | -0.000 | 0.000 |
| 0.000 | -0.000 | 0.000 | 0.000 | 0.000 | -0.000 |
| -0.000 | 0.000 | 0.000 | 0.000 | 0.000 | -0.000 |
| -0.000 | -0.000 | 0.000 | 0.000 | 0.000 | 0.000 |
| 0.000 | 0.000 | 0.000 | 0.000 | -0.000 | -0.000 |
| 0.000 | 0.000 | 0.000 | 0.000 | 0.000 | 0.000 |
| 0.000 | -0.000 | 0.000 | 0.000 | 0.000 | 0.000 |
| 0.000 | -0.000 | 0.000 | -0.000 | -0.000 | -0.000 |
| -0.000 | 0.000 | 0.000 | -0.000 | -0.000 | 0.000 |
| -0.000 | -0.000 | 0.000 | -0.000 | -0.000 | 0.000 |
| -0.000 | -0.000 | -0.000 | 0.000 | -0.000 | 0.000 |
| -0.000 | -0.000 | -0.000 | -0.000 | 0.000 | 0.000 |
| 0.000 | 0.000 | -0.000 | -0.000 | 0.000 | 0.000 |
| 0.000 | 0.000 | -0.000 | -0.000 | 0.000 | 0.000 |
| 0.000 | 0.000 | -0.000 | 0.000 | -0.000 | 0.000 |
| 0.000 | 0.000 | -0.000 | 0.000 | 0.000 | -0.000 |
| 0.000 | 0.000 | -0.000 | -0.000 | -0.000 | 0.000 |
| 0.000 | 0.000 | -0.000 | -0.000 | -0.000 | 0.000 |
| 0.000 | -0.000 | -0.000 | -0.000 | -0.000 | -0.000 |
| 0.000 | 0.000 | -0.000 | -0.000 | -0.000 | -0.000 |
| 0.000 | 0.000 | -0.000 | -0.000 | -0.000 | -0.000 |
| 0.000 | 0.000 | -0.000 | -0.000 | -0.000 | -0.000 |
| -0.000 | -0.000 | 0.000 | -0.000 | -0.000 | -0.000 |
| -0.000 | -0.000 | 0.000 | -0.000 | -0.000 | -0.000 |
| -0.000 | 0.000 | 0.000 | -0.000 | -0.000 | -0.000 |
| 0.000 | 0.000 | -0.000 | 0.000 | -0.000 | 0.000 |
| 0.000 | 0.000 | -0.000 | 0.000 | 0.000 | 0.000 |
| 0.000 | 0.000 | -0.000 | 0.000 | 0.000 | -0.000 |
| 0.000 | 0.000 | -0.000 | -0.000 | 0.000 | 0.000 |
| 0.000 | 0.000 | -0.000 | 0.000 | -0.000 | -0.000 |
| 0.000 | -0.000 | -0.000 | 0.000 | 0.000 | -0.000 |
| 0.000 | 0.000 | -0.000 | -0.000 | -0.000 | -0.000 |
| 0.000 | 0.000 | -0.000 | -0.000 | -0.000 | -0.000 |
| 0.000 | 0.000 | -0.000 | -0.000 | -0.000 | -0.000 |
| -0.000 | -0.000 | 0.000 | -0.000 | 0.000 | -0.000 |
| -0.000 | -0.000 | 0.000 | 0.000 | -0.000 | 0.000 |
| -0.000 | 0.000 | 0.000 | -0.000 | -0.000 | -0.000 |
| 0.000 | 0.000 | -0.000 | -0.000 | 0.000 | 0.000 |
| 0.000 | 0.000 | -0.000 | 0.000 | -0.000 | -0.000 |
| 0.000 | 0.000 | -0.000 | 0.000 | 0.000 | -0.000 |
| 0.000 | 0.000 | -0.000 | -0.000 | 0.000 | 0.000 |
| 0.000 | 0.000 | -0.000 | 0.000 | -0.000 | 0.000 |
| 0.000 | -0.000 | -0.000 | -0.000 | 0.000 | -0.000 |
| 0.000 | 0.000 | -0.000 | -0.000 | -0.000 | -0.000 |
| 0.000 | 0.000 | -0.000 | -0.000 | -0.000 | 0.000 |
| 0.000 | 0.000 | -0.000 | -0.000 | -0.000 | -0.000 |
| -0.000 | -0.000 | 0.000 | -0.000 | -0.000 | -0.000 |
| -0.000 | -0.000 | 0.000 | -0.000 | -0.000 | -0.000 |
| -0.000 | 0.000 | 0.000 | -0.000 | 0.000 | -0.000 |
| 0.000 | 0.000 | 0.000 | 0.000 | 0.000 | -0.000 |
| 0.000 | 0.000 | 0.000 | 0.000 | 0.000 | 0.000 |
| 0.000 | 0.000 | 0.000 | 0.000 | 0.000 | -0.000 |
| 0.000 | -0.000 | 0.000 | 0.000 | 0.000 | 0.000 |
| -0.000 | 0.000 | 0.000 | 0.000 | 0.000 | -0.000 |
| -0.000 | 0.000 | 0.000 | 0.000 | 0.000 | -0.000 |
| 0.000 | 0.000 | -0.000 | -0.000 | -0.000 | 0.000 |
| 0.000 | 0.000 | -0.000 | -0.000 | -0.000 | -0.000 |
| 0.000 | 0.000 | -0.000 | -0.000 | -0.000 | -0.000 |
| -0.000 | 0.000 | -0.000 | -0.000 | -0.000 | -0.000 |
| 0.000 | -0.000 | -0.000 | -0.000 | -0.000 | 0.000 |
| 0.000 | -0.000 | -0.000 | -0.000 | -0.000 | -0.000 |
| 0.000 | 0.000 | 0.000 | 0.000 | 0.000 | -0.000 |
| 0.000 | 0.000 | 0.000 | 0.000 | 0.000 | 0.000 |
| 0.000 | 0.000 | 0.000 | 0.000 | 0.000 | -0.000 |
| 0.000 | -0.000 | 0.000 | 0.000 | 0.000 | 0.000 |
| -0.000 | 0.000 | 0.000 | 0.000 | 0.000 | -0.000 |
| -0.000 | -0.000 | 0.000 | 0.000 | 0.000 | -0.000 |
| 0.000 | 0.000 | -0.000 | -0.000 | -0.000 | 0.000 |
| 0.000 | 0.000 | -0.000 | -0.000 | -0.000 | -0.000 |
| 0.000 | 0.000 | -0.000 | -0.000 | -0.000 | -0.000 |
| -0.000 | 0.000 | -0.000 | -0.000 | -0.000 | -0.000 |
| 0.000 | -0.000 | -0.000 | -0.000 | -0.000 | 0.000 |
| 0.000 | 0.000 | -0.000 | -0.000 | -0.000 | -0.000 |
| 0.000 | 0.000 | 0.000 | 0.000 | 0.000 | -0.000 |
| 0.000 | 0.000 | 0.000 | 0.000 | 0.000 | 0.000 |
| 0.000 | 0.000 | 0.000 | 0.000 | 0.000 | -0.000 |
| 0.000 | -0.000 | 0.000 | 0.000 | 0.000 | 0.000 |
| -0.000 | 0.000 | 0.000 | 0.000 | 0.000 | -0.000 |
| -0.000 | -0.000 | 0.000 | 0.000 | 0.000 | -0.000 |
| 0.000 | 0.000 | -0.000 | -0.000 | -0.000 | 0.000 |
| 0.000 | 0.000 | -0.000 | -0.000 | -0.000 | -0.000 |
| 0.000 | 0.000 | -0.000 | -0.000 | -0.000 | -0.000 |
| -0.000 | 0.000 | -0.000 | -0.000 | -0.000 | -0.000 |
| 0.000 | -0.000 | -0.000 | -0.000 | -0.000 | 0.000 |
| -0.000 | 0.000 | -0.000 | -0.000 | -0.000 | -0.000 |
| -0.000 | -0.000 | 0.000 | 0.000 | 0.000 | -0.000 |
| -0.000 | -0.000 | 0.000 | 0.000 | 0.000 | 0.000 |
| -0.000 | -0.000 | 0.000 | 0.000 | 0.000 | 0.000 |
| 0.000 | -0.000 | 0.000 | 0.000 | 0.000 | -0.000 |
| -0.000 | 0.000 | 0.000 | 0.000 | 0.000 | 0.000 |
| 0.000 | 0.000 | 0.000 | 0.000 | 0.000 | 0.000 |
| -0.000 | -0.000 | -0.000 | -0.000 | -0.000 | -0.000 |
| -0.000 | -0.000 | -0.000 | -0.000 | -0.000 | 0.000 |
| -0.000 | -0.000 | -0.000 | -0.000 | -0.000 | 0.000 |
| -0.000 | -0.000 | -0.000 | -0.000 | -0.000 | 0.000 |
| -0.000 | -0.000 | -0.000 | -0.000 | -0.000 | 0.000 |
| 0.000 | -0.000 | -0.000 | -0.000 | -0.000 | 0.000 |
| -0.000 | -0.000 | 0.000 | 0.000 | 0.000 | -0.000 |
| -0.000 | -0.000 | 0.000 | 0.000 | 0.000 | -0.000 |
| -0.000 | -0.000 | 0.000 | 0.000 | 0.000 | 0.000 |
| 0.000 | 0.000 | 0.000 | 0.000 | 0.000 | -0.000 |
| 0.000 | 0.000 | 0.000 | 0.000 | 0.000 | -0.000 |
| -0.000 | 0.000 | 0.000 | 0.000 | 0.000 | 0.000 |
| -0.000 | -0.000 | -0.000 | -0.000 | -0.000 | -0.000 |
| -0.000 | -0.000 | -0.000 | -0.000 | -0.000 | 0.000 |
| -0.000 | -0.000 | -0.000 | -0.000 | -0.000 | 0.000 |
| -0.000 | 0.000 | -0.000 | -0.000 | -0.000 | 0.000 |
| 0.000 | -0.000 | -0.000 | -0.000 | -0.000 | 0.000 |
| 0.000 | -0.000 | -0.000 | -0.000 | -0.000 | 0.000 |
| -0.000 | -0.000 | 0.000 | 0.000 | 0.000 | -0.000 |
| -0.000 | -0.000 | 0.000 | 0.000 | 0.000 | -0.000 |
| -0.000 | -0.000 | 0.000 | 0.000 | 0.000 | 0.000 |
| 0.000 | 0.000 | 0.000 | 0.000 | 0.000 | -0.000 |
| 0.000 | 0.000 | 0.000 | 0.000 | 0.000 | -0.000 |
| -0.000 | 0.000 | 0.000 | 0.000 | 0.000 | 0.000 |
| -0.000 | -0.000 | -0.000 | -0.000 | -0.000 | 0.000 |
| -0.000 | -0.000 | -0.000 | -0.000 | -0.000 | 0.000 |
| -0.000 | -0.000 | -0.000 | -0.000 | -0.000 | 0.000 |
| -0.000 | 0.000 | -0.000 | -0.000 | -0.000 | 0.000 |
| 0.000 | -0.000 | -0.000 | -0.000 | -0.000 | 0.000 |
| 0.000 | -0.000 | -0.000 | -0.000 | -0.000 | 0.000 |
| 0.000 | -0.000 | 0.000 | 0.000 | 0.000 | -0.000 |
| -0.000 | 0.000 | 0.000 | 0.000 | 0.000 | -0.000 |
| -0.000 | -0.000 | 0.000 | 0.000 | 0.000 | 0.000 |
| 0.000 | 0.000 | 0.000 | 0.000 | 0.000 | -0.000 |
| 0.000 | 0.000 | 0.000 | 0.000 | 0.000 | -0.000 |
| 0.000 | 0.000 | 0.000 | 0.000 | 0.000 | 0.000 |
| 0.000 | -0.000 | -0.000 | -0.000 | -0.000 | -0.000 |
| -0.000 | 0.000 | -0.000 | -0.000 | -0.000 | 0.000 |
| -0.000 | -0.000 | -0.000 | -0.000 | -0.000 | 0.000 |
| -0.000 | -0.000 | -0.000 | -0.000 | -0.000 | 0.000 |
| -0.000 | -0.000 | -0.000 | -0.000 | -0.000 | -0.000 |
| -0.000 | -0.000 | -0.000 | -0.000 | -0.000 | 0.000 |
| 0.000 | -0.000 | 0.000 | 0.000 | 0.000 | -0.000 |
| -0.000 | 0.000 | 0.000 | 0.000 | 0.000 | -0.000 |
| -0.000 | -0.000 | 0.000 | 0.000 | 0.000 | 0.000 |
| 0.000 | 0.000 | 0.000 | 0.000 | 0.000 | 0.000 |
| 0.000 | 0.000 | 0.000 | 0.000 | 0.000 | 0.000 |
| 0.000 | -0.000 | 0.000 | 0.000 | 0.000 | 0.000 |
| 0.000 | -0.000 | -0.000 | -0.000 | -0.000 | -0.000 |
| -0.000 | 0.000 | -0.000 | -0.000 | -0.000 | 0.000 |
| -0.000 | -0.000 | -0.000 | -0.000 | -0.000 | 0.000 |
| -0.000 | -0.000 | -0.000 | -0.000 | -0.000 | 0.000 |
| -0.000 | -0.000 | -0.000 | -0.000 | -0.000 | 0.000 |
| -0.000 | 0.000 | -0.000 | -0.000 | -0.000 | 0.000 |
| 0.000 | -0.000 | 0.000 | 0.000 | 0.000 | -0.000 |
| -0.000 | 0.000 | 0.000 | 0.000 | 0.000 | -0.000 |
| -0.000 | -0.000 | 0.000 | 0.000 | 0.000 | 0.000 |
| 0.000 | 0.000 | 0.000 | 0.000 | 0.000 | 0.000 |
| 0.000 | 0.000 | 0.000 | 0.000 | 0.000 | 0.000 |
| -0.000 | -0.000 | 0.000 | 0.000 | 0.000 | 0.000 |
| 0.000 | -0.000 | -0.000 | -0.000 | -0.000 | 0.000 |
| -0.000 | 0.000 | -0.000 | -0.000 | -0.000 | 0.000 |
| -0.000 | -0.000 | -0.000 | -0.000 | -0.000 | 0.000 |
| -0.000 | -0.000 | -0.000 | -0.000 | -0.000 | -0.000 |
| -0.000 | -0.000 | -0.000 | -0.000 | -0.000 | -0.000 |
| 0.000 | 0.000 | -0.000 | -0.000 | -0.000 | 0.000 |
| 0.000 | 0.000 | 0.000 | -0.000 | 0.000 | 0.000 |
| 0.000 | 0.000 | 0.000 | 0.000 | 0.000 | 0.000 |
| 0.000 | 0.000 | 0.000 | -0.000 | 0.000 | 0.000 |
| -0.000 | 0.000 | 0.000 | 0.000 | 0.000 | 0.000 |
| 0.000 | 0.000 | 0.000 | -0.000 | 0.000 | -0.000 |
| 0.000 | 0.000 | 0.000 | -0.000 | -0.000 | 0.000 |
| 0.000 | 0.000 | 0.000 | -0.000 | -0.000 | -0.000 |
| 0.000 | 0.000 | 0.000 | 0.000 | -0.000 | -0.000 |
| 0.000 | 0.000 | 0.000 | -0.000 | -0.000 | 0.000 |
| -0.000 | 0.000 | -0.000 | 0.000 | -0.000 | -0.000 |
| -0.000 | -0.000 | -0.000 | 0.000 | 0.000 | -0.000 |
| -0.000 | -0.000 | -0.000 | 0.000 | -0.000 | 0.000 |
| 0.000 | 0.000 | 0.000 | -0.000 | 0.000 | 0.000 |
| 0.000 | 0.000 | 0.000 | 0.000 | 0.000 | -0.000 |
| 0.000 | 0.000 | 0.000 | -0.000 | 0.000 | 0.000 |
| -0.000 | 0.000 | 0.000 | 0.000 | 0.000 | 0.000 |
| 0.000 | 0.000 | 0.000 | -0.000 | 0.000 | -0.000 |
| 0.000 | 0.000 | 0.000 | -0.000 | -0.000 | 0.000 |
| 0.000 | 0.000 | 0.000 | -0.000 | -0.000 | -0.000 |
| 0.000 | 0.000 | 0.000 | 0.000 | -0.000 | -0.000 |
| 0.000 | 0.000 | 0.000 | 0.000 | -0.000 | -0.000 |
| -0.000 | 0.000 | -0.000 | 0.000 | -0.000 | -0.000 |
| -0.000 | -0.000 | -0.000 | 0.000 | 0.000 | -0.000 |
| -0.000 | -0.000 | -0.000 | 0.000 | -0.000 | 0.000 |
| 0.000 | 0.000 | 0.000 | -0.000 | 0.000 | -0.000 |
| 0.000 | 0.000 | 0.000 | 0.000 | 0.000 | 0.000 |
| 0.000 | 0.000 | 0.000 | -0.000 | 0.000 | 0.000 |
| -0.000 | 0.000 | 0.000 | 0.000 | 0.000 | 0.000 |
| 0.000 | 0.000 | 0.000 | -0.000 | 0.000 | -0.000 |
| 0.000 | 0.000 | 0.000 | -0.000 | -0.000 | 0.000 |
| 0.000 | 0.000 | 0.000 | -0.000 | -0.000 | -0.000 |
| 0.000 | 0.000 | 0.000 | 0.000 | -0.000 | 0.000 |
| 0.000 | 0.000 | 0.000 | -0.000 | -0.000 | -0.000 |
| -0.000 | 0.000 | -0.000 | 0.000 | -0.000 | -0.000 |
| -0.000 | -0.000 | -0.000 | 0.000 | 0.000 | -0.000 |
| -0.000 | -0.000 | -0.000 | 0.000 | -0.000 | 0.000 |
| 0.000 | 0.000 | 0.000 | -0.000 | -0.000 | -0.000 |
| 0.000 | 0.000 | 0.000 | 0.000 | -0.000 | -0.000 |
| 0.000 | 0.000 | 0.000 | -0.000 | -0.000 | -0.000 |
| -0.000 | 0.000 | 0.000 | 0.000 | 0.000 | -0.000 |
| 0.000 | 0.000 | 0.000 | -0.000 | 0.000 | -0.000 |
| 0.000 | 0.000 | 0.000 | -0.000 | -0.000 | 0.000 |
| 0.000 | 0.000 | 0.000 | -0.000 | 0.000 | -0.000 |
| 0.000 | 0.000 | 0.000 | 0.000 | 0.000 | -0.000 |
| 0.000 | 0.000 | 0.000 | 0.000 | 0.000 | 0.000 |
| -0.000 | 0.000 | -0.000 | 0.000 | 0.000 | 0.000 |
| -0.000 | -0.000 | -0.000 | 0.000 | 0.000 | -0.000 |
| -0.000 | -0.000 | -0.000 | 0.000 | -0.000 | 0.000 |
| 0.000 | 0.000 | 0.000 | -0.000 | -0.000 | -0.000 |
| 0.000 | 0.000 | 0.000 | 0.000 | -0.000 | -0.000 |
| 0.000 | 0.000 | 0.000 | -0.000 | -0.000 | -0.000 |
| -0.000 | 0.000 | 0.000 | 0.000 | -0.000 | -0.000 |
| 0.000 | 0.000 | 0.000 | -0.000 | 0.000 | -0.000 |
| 0.000 | 0.000 | 0.000 | -0.000 | -0.000 | 0.000 |
| 0.000 | 0.000 | 0.000 | -0.000 | 0.000 | 0.000 |
| 0.000 | 0.000 | 0.000 | 0.000 | 0.000 | -0.000 |
| 0.000 | 0.000 | 0.000 | 0.000 | 0.000 | 0.000 |
| -0.000 | 0.000 | -0.000 | 0.000 | 0.000 | 0.000 |
| -0.000 | -0.000 | -0.000 | 0.000 | 0.000 | -0.000 |
| -0.000 | -0.000 | -0.000 | 0.000 | -0.000 | 0.000 |
| 0.000 | 0.000 | 0.000 | -0.000 | -0.000 | 0.000 |
| 0.000 | 0.000 | 0.000 | 0.000 | -0.000 | 0.000 |
| 0.000 | 0.000 | 0.000 | -0.000 | -0.000 | -0.000 |
| -0.000 | 0.000 | 0.000 | 0.000 | -0.000 | -0.000 |
| 0.000 | 0.000 | 0.000 | -0.000 | 0.000 | -0.000 |
| 0.000 | 0.000 | 0.000 | -0.000 | -0.000 | 0.000 |
| 0.000 | 0.000 | 0.000 | -0.000 | 0.000 | 0.000 |
| 0.000 | 0.000 | 0.000 | 0.000 | -0.000 | 0.000 |
| 0.000 | 0.000 | 0.000 | 0.000 | -0.000 | 0.000 |
| -0.000 | 0.000 | -0.000 | 0.000 | 0.000 | 0.000 |
| -0.000 | -0.000 | -0.000 | 0.000 | 0.000 | -0.000 |
| -0.000 | -0.000 | -0.000 | 0.000 | -0.000 | 0.000 |
| 0.000 | 0.000 | 0.000 | -0.000 | 0.000 | -0.000 |
| 0.000 | 0.000 | 0.000 | 0.000 | -0.000 | 0.000 |
| 0.000 | 0.000 | 0.000 | 0.000 | 0.000 | 0.000 |
| -0.000 | 0.000 | 0.000 | 0.000 | -0.000 | 0.000 |
| 0.000 | 0.000 | 0.000 | -0.000 | 0.000 | -0.000 |
| 0.000 | 0.000 | 0.000 | -0.000 | -0.000 | 0.000 |
| 0.000 | 0.000 | 0.000 | -0.000 | 0.000 | -0.000 |
| 0.000 | 0.000 | 0.000 | 0.000 | 0.000 | -0.000 |
| 0.000 | 0.000 | 0.000 | 0.000 | -0.000 | -0.000 |
| -0.000 | 0.000 | -0.000 | 0.000 | 0.000 | -0.000 |
| -0.000 | -0.000 | -0.000 | 0.000 | 0.000 | -0.000 |
| -0.000 | -0.000 | -0.000 | 0.000 | -0.000 | 0.000 |
| 0.000 | 0.000 | 0.000 | -0.000 | 0.000 | 0.000 |
| 0.000 | 0.000 | 0.000 | 0.000 | -0.000 | 0.000 |
| 0.000 | 0.000 | 0.000 | 0.000 | -0.000 | 0.000 |
| -0.000 | 0.000 | 0.000 | 0.000 | -0.000 | 0.000 |
| 0.000 | 0.000 | 0.000 | -0.000 | 0.000 | -0.000 |
| 0.000 | 0.000 | 0.000 | -0.000 | -0.000 | 0.000 |
| 0.000 | 0.000 | 0.000 | -0.000 | -0.000 | -0.000 |
| 0.000 | 0.000 | 0.000 | 0.000 | -0.000 | -0.000 |
| 0.000 | 0.000 | 0.000 | 0.000 | 0.000 | -0.000 |
| -0.000 | 0.000 | -0.000 | 0.000 | 0.000 | -0.000 |
| -0.000 | -0.000 | -0.000 | 0.000 | 0.000 | -0.000 |
| -0.000 | -0.000 | -0.000 | 0.000 | -0.000 | 0.000 |
| 0.000 | 0.000 | 0.000 | -0.000 | -0.000 | 0.000 |
| 0.000 | 0.000 | 0.000 | 0.000 | -0.000 | 0.000 |
| 0.000 | 0.000 | 0.000 | -0.000 | -0.000 | 0.000 |
| -0.000 | 0.000 | 0.000 | 0.000 | -0.000 | 0.000 |
| 0.000 | 0.000 | 0.000 | -0.000 | 0.000 | -0.000 |
| 0.000 | 0.000 | 0.000 | -0.000 | -0.000 | 0.000 |
| 0.000 | 0.000 | 0.000 | -0.000 | -0.000 | -0.000 |
| 0.000 | 0.000 | 0.000 | 0.000 | 0.000 | -0.000 |
| 0.000 | 0.000 | 0.000 | 0.000 | 0.000 | -0.000 |
| -0.000 | 0.000 | -0.000 | 0.000 | 0.000 | -0.000 |
| -0.000 | -0.000 | -0.000 | 0.000 | 0.000 | -0.000 |
| -0.000 | -0.000 | -0.000 | 0.000 | -0.000 | 0.000 |
| 0.000 | 0.000 | 0.000 | -0.000 | 0.000 | -0.000 |
| 0.000 | 0.000 | 0.000 | 0.000 | -0.000 | 0.000 |
| 0.000 | 0.000 | 0.000 | -0.000 | -0.000 | 0.000 |
| -0.000 | 0.000 | 0.000 | 0.000 | -0.000 | 0.000 |
| 0.000 | 0.000 | 0.000 | -0.000 | 0.000 | -0.000 |
| 0.000 | 0.000 | 0.000 | -0.000 | -0.000 | 0.000 |
| 0.000 | 0.000 | 0.000 | -0.000 | 0.000 | -0.000 |
| 0.000 | 0.000 | 0.000 | 0.000 | 0.000 | -0.000 |
| 0.000 | 0.000 | 0.000 | 0.000 | -0.000 | 0.000 |
| -0.000 | 0.000 | -0.000 | 0.000 | -0.000 | 0.000 |
| -0.000 | -0.000 | -0.000 | 0.000 | 0.000 | -0.000 |
| -0.000 | -0.000 | -0.000 | 0.000 | -0.000 | 0.000 |
| 0.000 | 0.000 | 0.000 | -0.000 | 0.000 | -0.000 |
| 0.000 | 0.000 | 0.000 | 0.000 | 0.000 | -0.000 |
| 0.000 | 0.000 | 0.000 | -0.000 | -0.000 | 0.000 |
| -0.000 | 0.000 | 0.000 | 0.000 | -0.000 | 0.000 |
| 0.000 | 0.000 | 0.000 | -0.000 | 0.000 | -0.000 |
| 0.000 | 0.000 | 0.000 | -0.000 | -0.000 | 0.000 |
| 0.000 | 0.000 | 0.000 | -0.000 | 0.000 | 0.000 |
| 0.000 | 0.000 | 0.000 | 0.000 | -0.000 | 0.000 |
| 0.000 | 0.000 | 0.000 | 0.000 | 0.000 | -0.000 |
| -0.000 | 0.000 | -0.000 | 0.000 | 0.000 | -0.000 |
| -0.000 | -0.000 | -0.000 | 0.000 | 0.000 | -0.000 |
| -0.000 | -0.000 | -0.000 | 0.000 | -0.000 | 0.000 |
| 0.000 | 0.000 | 0.000 | -0.000 | -0.000 | 0.000 |
| 0.000 | 0.000 | 0.000 | 0.000 | -0.000 | 0.000 |
| 0.000 | 0.000 | 0.000 | -0.000 | -0.000 | 0.000 |
| -0.000 | 0.000 | 0.000 | 0.000 | -0.000 | -0.000 |
| 0.000 | 0.000 | 0.000 | -0.000 | 0.000 | -0.000 |
| 0.000 | 0.000 | 0.000 | -0.000 | -0.000 | 0.000 |
| 0.000 | 0.000 | 0.000 | -0.000 | -0.000 | 0.000 |
| 0.000 | 0.000 | 0.000 | 0.000 | 0.000 | -0.000 |
| 0.000 | 0.000 | 0.000 | 0.000 | 0.000 | -0.000 |
| -0.000 | 0.000 | -0.000 | 0.000 | 0.000 | -0.000 |
| -0.000 | -0.000 | -0.000 | 0.000 | 0.000 | -0.000 |
| -0.000 | -0.000 | -0.000 | 0.000 | -0.000 | 0.000 |
| 0.000 | 0.000 | 0.000 | -0.000 | 0.000 | -0.000 |
| 0.000 | 0.000 | 0.000 | 0.000 | -0.000 | 0.000 |
| 0.000 | 0.000 | 0.000 | 0.000 | -0.000 | 0.000 |
| -0.000 | 0.000 | -0.000 | 0.000 | 0.000 | 0.000 |
| -0.000 | -0.000 | -0.000 | 0.000 | 0.000 | -0.000 |
| -0.000 | -0.000 | -0.000 | 0.000 | -0.000 | 0.000 |
| 0.000 | 0.000 | 0.000 | -0.000 | 0.000 | -0.000 |
| 0.000 | 0.000 | 0.000 | 0.000 | -0.000 | 0.000 |
| 0.000 | 0.000 | 0.000 | 0.000 | 0.000 | 0.000 |
| -0.000 | 0.000 | 0.000 | 0.000 | 0.000 | -0.000 |
| 0.000 | 0.000 | 0.000 | -0.000 | 0.000 | -0.000 |
| 0.000 | 0.000 | 0.000 | -0.000 | -0.000 | 0.000 |
| 0.000 | 0.000 | 0.000 | -0.000 | -0.000 | -0.000 |
| 0.000 | 0.000 | 0.000 | 0.000 | -0.000 | 0.000 |
| 0.000 | 0.000 | 0.000 | -0.000 | -0.000 | -0.000 |
| -0.000 | 0.000 | -0.000 | 0.000 | 0.000 | -0.000 |
| -0.000 | -0.000 | -0.000 | 0.000 | 0.000 | -0.000 |
| -0.000 | -0.000 | -0.000 | 0.000 | -0.000 | 0.000 |
| 0.000 | 0.000 | 0.000 | -0.000 | 0.000 | 0.000 |
| 0.000 | 0.000 | 0.000 | 0.000 | -0.000 | -0.000 |
| 0.000 | 0.000 | 0.000 | 0.000 | 0.000 | -0.000 |
| -0.000 | 0.000 | 0.000 | 0.000 | -0.000 | -0.000 |
| 0.000 | 0.000 | 0.000 | -0.000 | 0.000 | -0.000 |
| 0.000 | 0.000 | 0.000 | -0.000 | -0.000 | 0.000 |
| 0.000 | 0.000 | 0.000 | -0.000 | 0.000 | -0.000 |
| 0.000 | 0.000 | 0.000 | 0.000 | -0.000 | -0.000 |
| 0.000 | 0.000 | 0.000 | 0.000 | -0.000 | 0.000 |
| -0.000 | 0.000 | -0.000 | 0.000 | -0.000 | 0.000 |
| -0.000 | -0.000 | -0.000 | 0.000 | 0.000 | -0.000 |
| -0.000 | -0.000 | -0.000 | 0.000 | -0.000 | 0.000 |
| 0.000 | 0.000 | 0.000 | -0.000 | 0.000 | -0.000 |
| 0.000 | 0.000 | 0.000 | 0.000 | 0.000 | 0.000 |
| 0.000 | 0.000 | 0.000 | 0.000 | 0.000 | -0.000 |
| -0.000 | 0.000 | 0.000 | 0.000 | -0.000 | 0.000 |
| 0.000 | 0.000 | 0.000 | -0.000 | 0.000 | -0.000 |
| 0.000 | 0.000 | 0.000 | -0.000 | -0.000 | 0.000 |
| -0.000 | -0.000 | -0.000 | 0.000 | 0.000 | -0.000 |
| -0.000 | -0.000 | -0.000 | -0.000 | -0.000 | 0.000 |
| -0.000 | -0.000 | -0.000 | 0.000 | 0.000 | 0.000 |
| 0.000 | -0.000 | -0.000 | -0.000 | -0.000 | 0.000 |
| -0.000 | -0.000 | -0.000 | 0.000 | -0.000 | 0.000 |
| -0.000 | -0.000 | -0.000 | 0.000 | 0.000 | -0.000 |
| -0.000 | -0.000 | -0.000 | 0.000 | 0.000 | -0.000 |
| -0.000 | -0.000 | -0.000 | -0.000 | 0.000 | -0.000 |
| -0.000 | -0.000 | -0.000 | -0.000 | 0.000 | -0.000 |
| 0.000 | -0.000 | 0.000 | -0.000 | 0.000 | -0.000 |
| 0.000 | 0.000 | 0.000 | -0.000 | -0.000 | 0.000 |
| 0.000 | 0.000 | 0.000 | -0.000 | 0.000 | -0.000 |
| -0.000 | -0.000 | -0.000 | 0.000 | 0.000 | -0.000 |
| -0.000 | -0.000 | -0.000 | -0.000 | -0.000 | 0.000 |
| -0.000 | -0.000 | -0.000 | -0.000 | -0.000 | 0.000 |
| 0.000 | -0.000 | -0.000 | -0.000 | -0.000 | 0.000 |
| -0.000 | -0.000 | -0.000 | 0.000 | -0.000 | 0.000 |
| -0.000 | -0.000 | -0.000 | 0.000 | 0.000 | -0.000 |
| -0.000 | -0.000 | -0.000 | 0.000 | -0.000 | 0.000 |
| -0.000 | -0.000 | -0.000 | -0.000 | 0.000 | -0.000 |
| -0.000 | -0.000 | -0.000 | -0.000 | 0.000 | -0.000 |
| 0.000 | -0.000 | 0.000 | -0.000 | 0.000 | -0.000 |
| 0.000 | 0.000 | 0.000 | -0.000 | -0.000 | 0.000 |
| 0.000 | 0.000 | 0.000 | -0.000 | 0.000 | -0.000 |
| -0.000 | -0.000 | -0.000 | 0.000 | -0.000 | 0.000 |
| -0.000 | -0.000 | -0.000 | -0.000 | -0.000 | 0.000 |
| -0.000 | -0.000 | -0.000 | 0.000 | 0.000 | 0.000 |
| 0.000 | -0.000 | -0.000 | -0.000 | 0.000 | 0.000 |
| -0.000 | -0.000 | -0.000 | 0.000 | -0.000 | 0.000 |
| -0.000 | -0.000 | -0.000 | 0.000 | 0.000 | -0.000 |
| -0.000 | -0.000 | -0.000 | 0.000 | -0.000 | 0.000 |
| -0.000 | -0.000 | -0.000 | -0.000 | 0.000 | -0.000 |
| -0.000 | -0.000 | -0.000 | -0.000 | -0.000 | -0.000 |
| 0.000 | -0.000 | 0.000 | -0.000 | 0.000 | -0.000 |
| 0.000 | 0.000 | 0.000 | -0.000 | -0.000 | 0.000 |
| 0.000 | 0.000 | 0.000 | -0.000 | 0.000 | -0.000 |
| 0.000 | 0.000 | 0.000 | -0.000 | -0.000 | 0.000 |
| 0.000 | 0.000 | 0.000 | 0.000 | 0.000 | 0.000 |
| 0.000 | 0.000 | 0.000 | 0.000 | -0.000 | 0.000 |
| -0.000 | 0.000 | 0.000 | 0.000 | -0.000 | -0.000 |
| 0.000 | 0.000 | 0.000 | -0.000 | 0.000 | -0.000 |
| 0.000 | 0.000 | 0.000 | -0.000 | -0.000 | 0.000 |
| 0.000 | 0.000 | 0.000 | -0.000 | -0.000 | 0.000 |
| 0.000 | 0.000 | 0.000 | 0.000 | 0.000 | -0.000 |
| 0.000 | 0.000 | 0.000 | -0.000 | -0.000 | 0.000 |
| -0.000 | 0.000 | -0.000 | 0.000 | -0.000 | -0.000 |
| -0.000 | -0.000 | -0.000 | 0.000 | 0.000 | -0.000 |
| -0.000 | -0.000 | -0.000 | 0.000 | -0.000 | 0.000 |
| 0.000 | 0.000 | 0.000 | -0.000 | -0.000 | -0.000 |
| 0.000 | 0.000 | 0.000 | 0.000 | -0.000 | -0.000 |
| 0.000 | 0.000 | 0.000 | 0.000 | -0.000 | 0.000 |
| -0.000 | 0.000 | 0.000 | 0.000 | -0.000 | 0.000 |
| 0.000 | 0.000 | 0.000 | -0.000 | 0.000 | -0.000 |
| 0.000 | 0.000 | 0.000 | -0.000 | -0.000 | 0.000 |
| 0.000 | 0.000 | 0.000 | -0.000 | -0.000 | 0.000 |
| 0.000 | 0.000 | 0.000 | 0.000 | 0.000 | -0.000 |
| 0.000 | 0.000 | 0.000 | 0.000 | -0.000 | 0.000 |
| -0.000 | 0.000 | -0.000 | 0.000 | -0.000 | -0.000 |
| -0.000 | -0.000 | -0.000 | 0.000 | 0.000 | -0.000 |
| -0.000 | -0.000 | -0.000 | 0.000 | -0.000 | 0.000 |
| 0.000 | 0.000 | 0.000 | -0.000 | -0.000 | 0.000 |
| 0.000 | 0.000 | 0.000 | 0.000 | 0.000 | 0.000 |
| 0.000 | 0.000 | 0.000 | -0.000 | 0.000 | 0.000 |
| -0.000 | 0.000 | 0.000 | 0.000 | -0.000 | -0.000 |
| 0.000 | 0.000 | 0.000 | -0.000 | 0.000 | -0.000 |
| 0.000 | 0.000 | 0.000 | -0.000 | -0.000 | 0.000 |
| 0.000 | 0.000 | 0.000 | -0.000 | 0.000 | -0.000 |
| 0.000 | 0.000 | 0.000 | 0.000 | -0.000 | 0.000 |
| 0.000 | 0.000 | 0.000 | -0.000 | 0.000 | -0.000 |
| -0.000 | 0.000 | -0.000 | 0.000 | 0.000 | -0.000 |
| -0.000 | -0.000 | -0.000 | 0.000 | 0.000 | -0.000 |
| -0.000 | -0.000 | -0.000 | 0.000 | -0.000 | 0.000 |
| 0.000 | 0.000 | 0.000 | -0.000 | -0.000 | 0.000 |
| 0.000 | 0.000 | 0.000 | 0.000 | 0.000 | -0.000 |
| 0.000 | 0.000 | 0.000 | -0.000 | -0.000 | 0.000 |
| -0.000 | 0.000 | 0.000 | 0.000 | 0.000 | -0.000 |
| 0.000 | 0.000 | 0.000 | -0.000 | 0.000 | -0.000 |
| 0.000 | 0.000 | 0.000 | -0.000 | -0.000 | 0.000 |
| 0.000 | 0.000 | 0.000 | -0.000 | -0.000 | 0.000 |
| 0.000 | 0.000 | 0.000 | 0.000 | -0.000 | 0.000 |
| 0.000 | 0.000 | 0.000 | -0.000 | -0.000 | 0.000 |
| -0.000 | 0.000 | -0.000 | 0.000 | 0.000 | -0.000 |
| -0.000 | -0.000 | -0.000 | 0.000 | 0.000 | -0.000 |
| -0.000 | -0.000 | -0.000 | 0.000 | -0.000 | 0.000 |
| 0.000 | 0.000 | 0.000 | -0.000 | -0.000 | 0.000 |
| 0.000 | 0.000 | 0.000 | 0.000 | -0.000 | 0.000 |
| 0.000 | 0.000 | 0.000 | -0.000 | -0.000 | 0.000 |
| -0.000 | 0.000 | 0.000 | 0.000 | 0.000 | -0.000 |
| 0.000 | 0.000 | 0.000 | -0.000 | 0.000 | -0.000 |
| 0.000 | 0.000 | 0.000 | -0.000 | -0.000 | 0.000 |
| 0.000 | 0.000 | 0.000 | -0.000 | -0.000 | 0.000 |
| 0.000 | 0.000 | 0.000 | 0.000 | 0.000 | -0.000 |
| 0.000 | 0.000 | 0.000 | -0.000 | -0.000 | 0.000 |
| -0.000 | 0.000 | -0.000 | 0.000 | -0.000 | 0.000 |
| -0.000 | -0.000 | -0.000 | 0.000 | 0.000 | -0.000 |
| -0.000 | -0.000 | -0.000 | 0.000 | -0.000 | 0.000 |
| 0.000 | 0.000 | 0.000 | -0.000 | -0.000 | 0.000 |
| 0.000 | 0.000 | 0.000 | 0.000 | 0.000 | -0.000 |
| 0.000 | 0.000 | 0.000 | -0.000 | -0.000 | 0.000 |
| -0.000 | 0.000 | 0.000 | 0.000 | -0.000 | -0.000 |
| 0.000 | 0.000 | 0.000 | -0.000 | 0.000 | -0.000 |
| 0.000 | 0.000 | 0.000 | -0.000 | -0.000 | 0.000 |
| 0.000 | 0.000 | 0.000 | -0.000 | -0.000 | -0.000 |
| 0.000 | 0.000 | 0.000 | 0.000 | -0.000 | 0.000 |
| 0.000 | 0.000 | 0.000 | -0.000 | -0.000 | 0.000 |
| -0.000 | 0.000 | -0.000 | 0.000 | -0.000 | 0.000 |
| -0.000 | -0.000 | -0.000 | 0.000 | 0.000 | -0.000 |
| -0.000 | -0.000 | -0.000 | 0.000 | -0.000 | 0.000 |
| 0.000 | 0.000 | 0.000 | -0.000 | -0.000 | 0.000 |
| 0.000 | 0.000 | 0.000 | 0.000 | 0.000 | -0.000 |
| 0.000 | 0.000 | 0.000 | -0.000 | -0.000 | 0.000 |
| -0.000 | 0.000 | 0.000 | 0.000 | -0.000 | 0.000 |
| 0.000 | 0.000 | 0.000 | -0.000 | 0.000 | -0.000 |
| 0.000 | 0.000 | 0.000 | -0.000 | -0.000 | 0.000 |
| 0.000 | 0.000 | 0.000 | -0.000 | -0.000 | 0.000 |
| 0.000 | 0.000 | 0.000 | 0.000 | 0.000 | -0.000 |
| 0.000 | 0.000 | 0.000 | 0.000 | -0.000 | 0.000 |
| -0.000 | 0.000 | -0.000 | 0.000 | 0.000 | -0.000 |
| -0.000 | -0.000 | -0.000 | 0.000 | 0.000 | -0.000 |
| -0.000 | -0.000 | -0.000 | 0.000 | -0.000 | 0.000 |
| 0.000 | 0.000 | 0.000 | -0.000 | 0.000 | -0.000 |
| 0.000 | 0.000 | 0.000 | 0.000 | -0.000 | 0.000 |
| 0.000 | 0.000 | 0.000 | -0.000 | -0.000 | 0.000 |
| -0.000 | 0.000 | 0.000 | 0.000 | 0.000 | -0.000 |
| 0.000 | 0.000 | 0.000 | -0.000 | 0.000 | -0.000 |
| 0.000 | 0.000 | 0.000 | -0.000 | -0.000 | 0.000 |
| 0.000 | 0.000 | 0.000 | -0.000 | -0.000 | 0.000 |
| 0.000 | 0.000 | 0.000 | 0.000 | 0.000 | -0.000 |
| 0.000 | 0.000 | 0.000 | 0.000 | 0.000 | -0.000 |
| -0.000 | 0.000 | -0.000 | 0.000 | 0.000 | 0.000 |
| -0.000 | -0.000 | -0.000 | 0.000 | 0.000 | -0.000 |
| -0.000 | -0.000 | -0.000 | 0.000 | -0.000 | 0.000 |
| 0.000 | 0.000 | 0.000 | -0.000 | 0.000 | -0.000 |
| 0.000 | 0.000 | 0.000 | 0.000 | -0.000 | 0.000 |
| 0.000 | 0.000 | 0.000 | -0.000 | -0.000 | 0.000 |
| -0.000 | 0.000 | 0.000 | 0.000 | 0.000 | -0.000 |
| 0.000 | 0.000 | 0.000 | -0.000 | 0.000 | -0.000 |
| 0.000 | 0.000 | 0.000 | -0.000 | -0.000 | 0.000 |
| 0.000 | 0.000 | 0.000 | -0.000 | 0.000 | -0.000 |
| 0.000 | 0.000 | 0.000 | 0.000 | 0.000 | -0.000 |
| 0.000 | 0.000 | 0.000 | 0.000 | 0.000 | -0.000 |
| -0.000 | 0.000 | -0.000 | 0.000 | -0.000 | 0.000 |
| -0.000 | -0.000 | -0.000 | 0.000 | 0.000 | -0.000 |
| -0.000 | -0.000 | -0.000 | 0.000 | -0.000 | 0.000 |
| 0.000 | 0.000 | 0.000 | -0.000 | 0.000 | -0.000 |
| 0.000 | 0.000 | 0.000 | 0.000 | 0.000 | -0.000 |
| 0.000 | 0.000 | 0.000 | -0.000 | 0.000 | -0.000 |
| -0.000 | 0.000 | 0.000 | 0.000 | 0.000 | -0.000 |
| 0.000 | 0.000 | 0.000 | -0.000 | 0.000 | -0.000 |
| 0.000 | 0.000 | 0.000 | -0.000 | -0.000 | 0.000 |
| 0.000 | 0.000 | 0.000 | -0.000 | 0.000 | -0.000 |
| 0.000 | 0.000 | 0.000 | 0.000 | -0.000 | 0.000 |
| 0.000 | 0.000 | 0.000 | 0.000 | -0.000 | 0.000 |
| -0.000 | 0.000 | -0.000 | 0.000 | -0.000 | 0.000 |
| -0.000 | -0.000 | -0.000 | 0.000 | 0.000 | -0.000 |
| -0.000 | -0.000 | -0.000 | 0.000 | -0.000 | 0.000 |
| 0.000 | 0.000 | 0.000 | -0.000 | 0.000 | -0.000 |
| 0.000 | 0.000 | 0.000 | 0.000 | 0.000 | -0.000 |
| 0.000 | 0.000 | 0.000 | -0.000 | 0.000 | -0.000 |
| -0.000 | 0.000 | 0.000 | 0.000 | 0.000 | -0.000 |
| 0.000 | 0.000 | 0.000 | -0.000 | 0.000 | -0.000 |
| 0.000 | 0.000 | 0.000 | -0.000 | -0.000 | 0.000 |
| 0.000 | 0.000 | 0.000 | -0.000 | -0.000 | 0.000 |
| 0.000 | 0.000 | 0.000 | 0.000 | -0.000 | 0.000 |
| 0.000 | 0.000 | 0.000 | 0.000 | -0.000 | 0.000 |
| -0.000 | 0.000 | -0.000 | 0.000 | -0.000 | 0.000 |
| -0.000 | -0.000 | -0.000 | 0.000 | 0.000 | -0.000 |
| -0.000 | -0.000 | -0.000 | 0.000 | -0.000 | 0.000 |
| 0.000 | 0.000 | 0.000 | -0.000 | 0.000 | -0.000 |
| 0.000 | 0.000 | 0.000 | 0.000 | 0.000 | -0.000 |
| 0.000 | 0.000 | 0.000 | -0.000 | 0.000 | -0.000 |
| -0.000 | 0.000 | 0.000 | 0.000 | 0.000 | -0.000 |
| 0.000 | 0.000 | 0.000 | -0.000 | 0.000 | -0.000 |
| 0.000 | 0.000 | 0.000 | -0.000 | -0.000 | 0.000 |
| 0.000 | 0.000 | 0.000 | -0.000 | -0.000 | 0.000 |
| 0.000 | 0.000 | 0.000 | 0.000 | -0.000 | 0.000 |
| 0.000 | 0.000 | 0.000 | -0.000 | -0.000 | 0.000 |
| -0.000 | 0.000 | -0.000 | 0.000 | -0.000 | 0.000 |
| -0.000 | -0.000 | -0.000 | 0.000 | 0.000 | -0.000 |
| -0.000 | -0.000 | -0.000 | 0.000 | -0.000 | 0.000 |
| -0.000 | -0.000 | -0.000 | 0.000 | -0.000 | 0.000 |
| -0.000 | -0.000 | -0.000 | -0.000 | 0.000 | -0.000 |
| -0.000 | -0.000 | -0.000 | -0.000 | -0.000 | -0.000 |
| 0.000 | -0.000 | 0.000 | -0.000 | -0.000 | -0.000 |
| 0.000 | 0.000 | 0.000 | -0.000 | -0.000 | 0.000 |
| 0.000 | 0.000 | 0.000 | -0.000 | 0.000 | -0.000 |
| -0.000 | -0.000 | -0.000 | 0.000 | 0.000 | -0.000 |
| -0.000 | -0.000 | -0.000 | -0.000 | 0.000 | 0.000 |
| -0.000 | -0.000 | -0.000 | 0.000 | 0.000 | -0.000 |
| 0.000 | -0.000 | -0.000 | -0.000 | 0.000 | 0.000 |
| -0.000 | -0.000 | -0.000 | 0.000 | -0.000 | 0.000 |
| -0.000 | -0.000 | -0.000 | 0.000 | 0.000 | -0.000 |
| -0.000 | -0.000 | -0.000 | 0.000 | -0.000 | -0.000 |
| -0.000 | -0.000 | -0.000 | -0.000 | 0.000 | -0.000 |
| -0.000 | -0.000 | -0.000 | 0.000 | -0.000 | 0.000 |
| 0.000 | -0.000 | 0.000 | -0.000 | -0.000 | 0.000 |
| 0.000 | 0.000 | 0.000 | -0.000 | -0.000 | 0.000 |
| 0.000 | 0.000 | 0.000 | -0.000 | 0.000 | -0.000 |
| -0.000 | -0.000 | -0.000 | 0.000 | 0.000 | 0.000 |
| -0.000 | -0.000 | -0.000 | -0.000 | -0.000 | 0.000 |
| -0.000 | -0.000 | -0.000 | 0.000 | 0.000 | 0.000 |
| 0.000 | -0.000 | -0.000 | -0.000 | 0.000 | 0.000 |
| -0.000 | -0.000 | -0.000 | 0.000 | -0.000 | 0.000 |
| -0.000 | -0.000 | -0.000 | 0.000 | 0.000 | -0.000 |
| -0.000 | -0.000 | -0.000 | 0.000 | -0.000 | -0.000 |
| -0.000 | -0.000 | -0.000 | -0.000 | -0.000 | -0.000 |
| -0.000 | -0.000 | -0.000 | 0.000 | -0.000 | -0.000 |
| 0.000 | -0.000 | 0.000 | -0.000 | -0.000 | 0.000 |
| 0.000 | 0.000 | 0.000 | -0.000 | -0.000 | 0.000 |
| 0.000 | 0.000 | 0.000 | -0.000 | 0.000 | -0.000 |
| -0.000 | -0.000 | -0.000 | 0.000 | 0.000 | 0.000 |
| -0.000 | -0.000 | -0.000 | -0.000 | -0.000 | 0.000 |
| -0.000 | -0.000 | -0.000 | -0.000 | 0.000 | 0.000 |
| 0.000 | -0.000 | -0.000 | -0.000 | 0.000 | -0.000 |
| -0.000 | -0.000 | -0.000 | 0.000 | -0.000 | 0.000 |
| -0.000 | -0.000 | -0.000 | 0.000 | 0.000 | -0.000 |
| 0.000 | 0.000 | 0.000 | -0.000 | -0.000 | -0.000 |
| 0.000 | 0.000 | 0.000 | 0.000 | -0.000 | 0.000 |
| 0.000 | 0.000 | 0.000 | 0.000 | -0.000 | 0.000 |
| -0.000 | 0.000 | 0.000 | 0.000 | -0.000 | 0.000 |
| 0.000 | 0.000 | 0.000 | -0.000 | 0.000 | -0.000 |
| 0.000 | 0.000 | 0.000 | -0.000 | -0.000 | 0.000 |
| 0.000 | 0.000 | 0.000 | -0.000 | 0.000 | -0.000 |
| 0.000 | 0.000 | 0.000 | 0.000 | 0.000 | -0.000 |
| 0.000 | 0.000 | 0.000 | 0.000 | 0.000 | 0.000 |
| -0.000 | 0.000 | -0.000 | 0.000 | -0.000 | 0.000 |
| -0.000 | -0.000 | -0.000 | 0.000 | 0.000 | -0.000 |
| -0.000 | -0.000 | -0.000 | 0.000 | -0.000 | 0.000 |
| 0.000 | 0.000 | 0.000 | -0.000 | -0.000 | -0.000 |
| 0.000 | 0.000 | 0.000 | 0.000 | 0.000 | 0.000 |
| 0.000 | 0.000 | 0.000 | 0.000 | -0.000 | 0.000 |
| -0.000 | 0.000 | 0.000 | 0.000 | -0.000 | 0.000 |
| 0.000 | 0.000 | 0.000 | -0.000 | 0.000 | -0.000 |
| 0.000 | 0.000 | 0.000 | -0.000 | -0.000 | 0.000 |
| 0.000 | 0.000 | 0.000 | -0.000 | 0.000 | -0.000 |
| 0.000 | 0.000 | 0.000 | 0.000 | 0.000 | -0.000 |
| 0.000 | 0.000 | 0.000 | -0.000 | 0.000 | -0.000 |
| -0.000 | 0.000 | -0.000 | 0.000 | 0.000 | 0.000 |
| -0.000 | -0.000 | -0.000 | 0.000 | 0.000 | -0.000 |
| -0.000 | -0.000 | -0.000 | 0.000 | -0.000 | 0.000 |
| 0.000 | 0.000 | 0.000 | -0.000 | -0.000 | -0.000 |
| 0.000 | 0.000 | 0.000 | 0.000 | -0.000 | -0.000 |
| 0.000 | 0.000 | 0.000 | 0.000 | -0.000 | 0.000 |
| -0.000 | 0.000 | 0.000 | 0.000 | -0.000 | 0.000 |
| 0.000 | 0.000 | 0.000 | -0.000 | 0.000 | -0.000 |
| 0.000 | 0.000 | 0.000 | -0.000 | -0.000 | 0.000 |
| 0.000 | 0.000 | 0.000 | -0.000 | 0.000 | -0.000 |
| 0.000 | 0.000 | 0.000 | 0.000 | 0.000 | -0.000 |
| 0.000 | 0.000 | 0.000 | -0.000 | 0.000 | 0.000 |
| -0.000 | 0.000 | -0.000 | 0.000 | 0.000 | -0.000 |
| -0.000 | -0.000 | -0.000 | 0.000 | 0.000 | -0.000 |
| -0.000 | -0.000 | -0.000 | 0.000 | -0.000 | 0.000 |
| 223.337 | 23.865 | 23.865 | 0.000 | -0.000 | 0.000 |
| 23.865 | 223.337 | 23.865 | 0.000 | 0.000 | 0.000 |
| 23.865 | 23.865 | 223.337 | 0.000 | 0.000 | -0.000 |
| 0.000 | 0.000 | -0.000 | -27.327 | -0.000 | -0.000 |
| 0.000 | 0.000 | -0.000 | 0.000 | -27.327 | -0.000 |
| 0.000 | -0.000 | 0.000 | 0.000 | -0.000 | -27.327 |
| 223.337 | 23.865 | 23.865 | 0.000 | 0.000 | -0.000 |
| 23.865 | 223.337 | 23.865 | -0.000 | 0.000 | -0.000 |
| 23.865 | 23.865 | 223.337 | 0.000 | 0.000 | 0.000 |
| -0.000 | -0.000 | 0.000 | -27.327 | 0.000 | 0.000 |
| -0.000 | -0.000 | 0.000 | 0.000 | -27.327 | 0.000 |
| -0.000 | 0.000 | -0.000 | -0.000 | 0.000 | -27.327 |
| 223.337 | 23.865 | 23.865 | -0.000 | -0.000 | -0.000 |
| 23.865 | 223.337 | 23.865 | 0.000 | -0.000 | -0.000 |
| 23.865 | 23.865 | 223.337 | -0.000 | -0.000 | -0.000 |
| 0.000 | 0.000 | -0.000 | -27.327 | 0.000 | -0.000 |
| 0.000 | 0.000 | -0.000 | 0.000 | -27.327 | -0.000 |
| 0.000 | -0.000 | 0.000 | -0.000 | -0.000 | -27.327 |
| 223.337 | 23.865 | 23.865 | 0.000 | 0.000 | 0.000 |
| 23.865 | 223.337 | 23.865 | 0.000 | 0.000 | 0.000 |
| 23.865 | 23.865 | 223.337 | 0.000 | 0.000 | 0.000 |
| -0.000 | -0.000 | 0.000 | -27.327 | -0.000 | 0.000 |
| -0.000 | -0.000 | 0.000 | -0.000 | -27.327 | 0.000 |
| -0.000 | 0.000 | -0.000 | -0.000 | 0.000 | -27.327 |
| 223.337 | 23.865 | 23.865 | -0.000 | -0.000 | 0.000 |
| 23.865 | 223.337 | 23.865 | 0.000 | 0.000 | 0.000 |
| 23.865 | 23.865 | 223.337 | 0.000 | -0.000 | -0.000 |
| 0.000 | 0.000 | -0.000 | -27.327 | -0.000 | -0.000 |
| 0.000 | 0.000 | -0.000 | 0.000 | -27.327 | -0.000 |
| 0.000 | -0.000 | 0.000 | -0.000 | -0.000 | -27.327 |
| 223.337 | 23.865 | 23.865 | -0.000 | -0.000 | -0.000 |
| 23.865 | 223.337 | 23.865 | -0.000 | 0.000 | -0.000 |
| 23.865 | 23.865 | 223.337 | -0.000 | -0.000 | 0.000 |
| -0.000 | -0.000 | 0.000 | -27.327 | 0.000 | 0.000 |
| -0.000 | -0.000 | 0.000 | -0.000 | -27.327 | 0.000 |
| -0.000 | 0.000 | -0.000 | 0.000 | 0.000 | -27.327 |
| 0.000 | -0.000 | -0.000 | 0.000 | -0.000 | 0.000 |
| -0.000 | 0.000 | -0.000 | -0.000 | -0.000 | -0.000 |
| -0.000 | -0.000 | 0.000 | -0.000 | 0.000 | -0.000 |
| 0.000 | -0.000 | -0.000 | 0.000 | 0.000 | 0.000 |
| -0.000 | 0.000 | -0.000 | 0.000 | 0.000 | -0.000 |
| -0.000 | -0.000 | 0.000 | 0.000 | -0.000 | 0.000 |
| 0.000 | -0.000 | -0.000 | 0.000 | 0.000 | 0.000 |
| -0.000 | 0.000 | -0.000 | 0.000 | -0.000 | -0.000 |
| -0.000 | -0.000 | 0.000 | 0.000 | -0.000 | -0.000 |
| -0.000 | -0.000 | 0.000 | 0.000 | -0.000 | 0.000 |
| -0.000 | -0.000 | 0.000 | -0.000 | 0.000 | 0.000 |
| -0.000 | 0.000 | -0.000 | -0.000 | 0.000 | 0.000 |
| 0.000 | -0.000 | -0.000 | 0.000 | 0.000 | 0.000 |
| -0.000 | 0.000 | -0.000 | -0.000 | -0.000 | -0.000 |
| -0.000 | -0.000 | 0.000 | -0.000 | -0.000 | -0.000 |
| 0.000 | 0.000 | -0.000 | 0.000 | -0.000 | -0.000 |
| 0.000 | 0.000 | -0.000 | -0.000 | 0.000 | -0.000 |
| 0.000 | -0.000 | 0.000 | 0.000 | -0.000 | 0.000 |
| 0.000 | -0.000 | -0.000 | 0.000 | 0.000 | 0.000 |
| -0.000 | 0.000 | -0.000 | 0.000 | -0.000 | 0.000 |
| -0.000 | -0.000 | 0.000 | 0.000 | -0.000 | -0.000 |
| -0.000 | 0.000 | 0.000 | 0.000 | 0.000 | 0.000 |
| 0.000 | -0.000 | 0.000 | 0.000 | 0.000 | 0.000 |
| 0.000 | 0.000 | -0.000 | -0.000 | 0.000 | 0.000 |
| 0.000 | -0.000 | -0.000 | 0.000 | -0.000 | -0.000 |
| -0.000 | 0.000 | -0.000 | -0.000 | -0.000 | -0.000 |
| -0.000 | -0.000 | 0.000 | -0.000 | -0.000 | -0.000 |
| 0.000 | -0.000 | -0.000 | 0.000 | -0.000 | 0.000 |
| -0.000 | 0.000 | -0.000 | -0.000 | 0.000 | -0.000 |
| -0.000 | -0.000 | 0.000 | 0.000 | 0.000 | 0.000 |
| 0.000 | -0.000 | -0.000 | 0.000 | 0.000 | -0.000 |
| -0.000 | 0.000 | -0.000 | 0.000 | -0.000 | -0.000 |
| -0.000 | -0.000 | 0.000 | 0.000 | -0.000 | -0.000 |
| -0.000 | 0.000 | 0.000 | 0.000 | 0.000 | -0.000 |
| 0.000 | -0.000 | 0.000 | 0.000 | 0.000 | 0.000 |
| 0.000 | 0.000 | -0.000 | -0.000 | 0.000 | 0.000 |
| 0.000 | -0.000 | -0.000 | -0.000 | -0.000 | -0.000 |
| -0.000 | 0.000 | -0.000 | 0.000 | -0.000 | 0.000 |
| -0.000 | -0.000 | 0.000 | 0.000 | 0.000 | -0.000 |
| 0.000 | 0.000 | -0.000 | 0.000 | 0.000 | 0.000 |
| 0.000 | 0.000 | -0.000 | 0.000 | 0.000 | 0.000 |
| 0.000 | -0.000 | 0.000 | 0.000 | 0.000 | 0.000 |
| 0.000 | -0.000 | -0.000 | -0.000 | 0.000 | 0.000 |
| -0.000 | 0.000 | -0.000 | -0.000 | -0.000 | -0.000 |
| -0.000 | -0.000 | 0.000 | -0.000 | -0.000 | -0.000 |
| -0.000 | 0.000 | 0.000 | 0.000 | -0.000 | -0.000 |
| 0.000 | -0.000 | 0.000 | -0.000 | 0.000 | -0.000 |
| 0.000 | 0.000 | -0.000 | -0.000 | -0.000 | 0.000 |
| 0.000 | -0.000 | -0.000 | -0.000 | 0.000 | 0.000 |
| -0.000 | 0.000 | -0.000 | 0.000 | -0.000 | 0.000 |
| -0.000 | -0.000 | 0.000 | 0.000 | 0.000 | -0.000 |
| 0.000 | -0.000 | -0.000 | 0.000 | 0.000 | 0.000 |
| -0.000 | 0.000 | -0.000 | 0.000 | 0.000 | 0.000 |
| -0.000 | -0.000 | 0.000 | 0.000 | 0.000 | 0.000 |
| 0.000 | -0.000 | -0.000 | -0.000 | -0.000 | -0.000 |
| -0.000 | 0.000 | -0.000 | -0.000 | -0.000 | -0.000 |
| -0.000 | -0.000 | 0.000 | -0.000 | -0.000 | -0.000 |
| -0.000 | -0.000 | 0.000 | 0.000 | -0.000 | -0.000 |
| -0.000 | -0.000 | 0.000 | -0.000 | 0.000 | -0.000 |
| -0.000 | 0.000 | -0.000 | -0.000 | -0.000 | 0.000 |
| 0.000 | -0.000 | -0.000 | -0.000 | -0.000 | -0.000 |
| -0.000 | 0.000 | -0.000 | 0.000 | -0.000 | 0.000 |
| -0.000 | -0.000 | 0.000 | 0.000 | 0.000 | -0.000 |
| 0.000 | -0.000 | -0.000 | 0.000 | 0.000 | 0.000 |
| -0.000 | 0.000 | -0.000 | 0.000 | 0.000 | 0.000 |
| -0.000 | -0.000 | 0.000 | 0.000 | -0.000 | 0.000 |
| 0.000 | -0.000 | -0.000 | -0.000 | -0.000 | -0.000 |
| -0.000 | 0.000 | -0.000 | -0.000 | -0.000 | -0.000 |
| -0.000 | -0.000 | 0.000 | -0.000 | -0.000 | -0.000 |
| -0.000 | 0.000 | 0.000 | 0.000 | -0.000 | -0.000 |
| 0.000 | -0.000 | 0.000 | -0.000 | 0.000 | -0.000 |
| 0.000 | 0.000 | -0.000 | -0.000 | 0.000 | 0.000 |
| 0.000 | -0.000 | -0.000 | 0.000 | -0.000 | -0.000 |
| -0.000 | 0.000 | -0.000 | -0.000 | 0.000 | -0.000 |
| -0.000 | -0.000 | 0.000 | -0.000 | -0.000 | 0.000 |
| 0.000 | -0.000 | -0.000 | 0.000 | 0.000 | -0.000 |
| -0.000 | 0.000 | -0.000 | 0.000 | 0.000 | 0.000 |
| -0.000 | -0.000 | 0.000 | 0.000 | 0.000 | 0.000 |
| 0.000 | -0.000 | -0.000 | 0.000 | -0.000 | -0.000 |
| -0.000 | 0.000 | -0.000 | -0.000 | 0.000 | 0.000 |
| -0.000 | -0.000 | 0.000 | 0.000 | 0.000 | 0.000 |
| -0.000 | -0.000 | 0.000 | 0.000 | -0.000 | 0.000 |
| -0.000 | -0.000 | 0.000 | -0.000 | 0.000 | -0.000 |
| -0.000 | 0.000 | -0.000 | -0.000 | -0.000 | 0.000 |
| 0.000 | -0.000 | -0.000 | 0.000 | -0.000 | -0.000 |
| -0.000 | 0.000 | -0.000 | -0.000 | 0.000 | -0.000 |
| -0.000 | -0.000 | 0.000 | -0.000 | -0.000 | 0.000 |
| 0.000 | 0.000 | -0.000 | 0.000 | -0.000 | 0.000 |
| 0.000 | 0.000 | -0.000 | -0.000 | 0.000 | 0.000 |
| 0.000 | -0.000 | 0.000 | 0.000 | 0.000 | 0.000 |
| 0.000 | -0.000 | -0.000 | 0.000 | -0.000 | -0.000 |
| -0.000 | 0.000 | -0.000 | 0.000 | 0.000 | 0.000 |
| -0.000 | -0.000 | 0.000 | 0.000 | 0.000 | 0.000 |
| -0.000 | 0.000 | 0.000 | 0.000 | 0.000 | 0.000 |
| 0.000 | -0.000 | 0.000 | 0.000 | 0.000 | -0.000 |
| 0.000 | 0.000 | -0.000 | -0.000 | -0.000 | 0.000 |
| 0.000 | -0.000 | -0.000 | 0.000 | -0.000 | -0.000 |
| -0.000 | 0.000 | -0.000 | 0.000 | 0.000 | -0.000 |
| -0.000 | -0.000 | 0.000 | -0.000 | -0.000 | 0.000 |
| 0.000 | -0.000 | -0.000 | 0.000 | -0.000 | -0.000 |
| -0.000 | 0.000 | -0.000 | -0.000 | 0.000 | -0.000 |
| -0.000 | -0.000 | 0.000 | 0.000 | -0.000 | 0.000 |
| 0.000 | -0.000 | -0.000 | 0.000 | 0.000 | 0.000 |
| -0.000 | 0.000 | -0.000 | 0.000 | 0.000 | 0.000 |
| -0.000 | -0.000 | 0.000 | 0.000 | 0.000 | 0.000 |
| -0.000 | 0.000 | 0.000 | 0.000 | 0.000 | 0.000 |
| 0.000 | -0.000 | 0.000 | 0.000 | 0.000 | -0.000 |
| 0.000 | 0.000 | -0.000 | -0.000 | -0.000 | 0.000 |
| 0.000 | 0.000 | 0.000 | -0.000 | -0.000 | -0.000 |
| 0.000 | 0.000 | 0.000 | 0.000 | -0.000 | -0.000 |
| 0.000 | 0.000 | 0.000 | 0.000 | -0.000 | -0.000 |
| 0.000 | -0.000 | 0.000 | -0.000 | 0.000 | 0.000 |
| -0.000 | 0.000 | 0.000 | 0.000 | -0.000 | -0.000 |
| -0.000 | 0.000 | 0.000 | 0.000 | -0.000 | -0.000 |
| 0.000 | 0.000 | 0.000 | -0.000 | -0.000 | -0.000 |
| 0.000 | 0.000 | 0.000 | -0.000 | -0.000 | 0.000 |
| 0.000 | 0.000 | 0.000 | 0.000 | 0.000 | -0.000 |
| -0.000 | 0.000 | -0.000 | -0.000 | -0.000 | 0.000 |
| 0.000 | -0.000 | -0.000 | -0.000 | -0.000 | 0.000 |
| 0.000 | -0.000 | -0.000 | -0.000 | 0.000 | -0.000 |
| 0.000 | 0.000 | 0.000 | -0.000 | 0.000 | 0.000 |
| 0.000 | 0.000 | 0.000 | 0.000 | -0.000 | 0.000 |
| 0.000 | 0.000 | 0.000 | 0.000 | 0.000 | -0.000 |
| 0.000 | -0.000 | -0.000 | -0.000 | 0.000 | 0.000 |
| -0.000 | 0.000 | -0.000 | 0.000 | -0.000 | -0.000 |
| -0.000 | -0.000 | 0.000 | 0.000 | -0.000 | -0.000 |
| 0.000 | 0.000 | 0.000 | -0.000 | -0.000 | -0.000 |
| 0.000 | 0.000 | 0.000 | -0.000 | -0.000 | -0.000 |
| 0.000 | 0.000 | 0.000 | -0.000 | -0.000 | -0.000 |
| -0.000 | -0.000 | 0.000 | -0.000 | -0.000 | -0.000 |
| -0.000 | -0.000 | 0.000 | -0.000 | -0.000 | -0.000 |
| -0.000 | 0.000 | -0.000 | -0.000 | -0.000 | -0.000 |
| 0.000 | 0.000 | 0.000 | -0.000 | 0.000 | 0.000 |
| 0.000 | 0.000 | 0.000 | 0.000 | -0.000 | -0.000 |
| 0.000 | 0.000 | 0.000 | -0.000 | -0.000 | -0.000 |
| 0.000 | -0.000 | -0.000 | -0.000 | 0.000 | 0.000 |
| -0.000 | 0.000 | -0.000 | 0.000 | -0.000 | -0.000 |
| -0.000 | -0.000 | 0.000 | 0.000 | -0.000 | -0.000 |
| 0.000 | 0.000 | 0.000 | -0.000 | 0.000 | 0.000 |
| 0.000 | 0.000 | 0.000 | 0.000 | -0.000 | -0.000 |
| 0.000 | 0.000 | 0.000 | -0.000 | -0.000 | -0.000 |
| -0.000 | -0.000 | 0.000 | -0.000 | -0.000 | 0.000 |
| -0.000 | -0.000 | 0.000 | -0.000 | -0.000 | 0.000 |
| -0.000 | 0.000 | -0.000 | -0.000 | 0.000 | -0.000 |
| 0.000 | 0.000 | 0.000 | -0.000 | 0.000 | 0.000 |
| 0.000 | 0.000 | 0.000 | -0.000 | -0.000 | 0.000 |
| 0.000 | 0.000 | 0.000 | -0.000 | 0.000 | -0.000 |
| 0.000 | -0.000 | 0.000 | -0.000 | 0.000 | 0.000 |
| -0.000 | 0.000 | 0.000 | 0.000 | -0.000 | 0.000 |
| -0.000 | 0.000 | 0.000 | 0.000 | 0.000 | -0.000 |
| 0.000 | 0.000 | 0.000 | -0.000 | -0.000 | -0.000 |
| 0.000 | 0.000 | 0.000 | -0.000 | -0.000 | -0.000 |
| 0.000 | 0.000 | 0.000 | 0.000 | -0.000 | -0.000 |
| -0.000 | 0.000 | -0.000 | -0.000 | -0.000 | 0.000 |
| 0.000 | -0.000 | -0.000 | -0.000 | -0.000 | -0.000 |
| 0.000 | -0.000 | -0.000 | -0.000 | -0.000 | -0.000 |
| 0.000 | 0.000 | 0.000 | -0.000 | 0.000 | 0.000 |
| 0.000 | 0.000 | 0.000 | -0.000 | -0.000 | 0.000 |
| 0.000 | 0.000 | 0.000 | -0.000 | -0.000 | -0.000 |
| 0.000 | 0.000 | -0.000 | -0.000 | 0.000 | 0.000 |
| 0.000 | 0.000 | -0.000 | 0.000 | -0.000 | 0.000 |
| 0.000 | -0.000 | 0.000 | 0.000 | 0.000 | -0.000 |
| 0.000 | 0.000 | 0.000 | -0.000 | -0.000 | -0.000 |
| 0.000 | 0.000 | 0.000 | -0.000 | -0.000 | -0.000 |
| 0.000 | 0.000 | 0.000 | 0.000 | -0.000 | -0.000 |
| -0.000 | 0.000 | 0.000 | -0.000 | -0.000 | -0.000 |
| 0.000 | -0.000 | 0.000 | -0.000 | -0.000 | -0.000 |
| 0.000 | 0.000 | -0.000 | -0.000 | -0.000 | -0.000 |
| 0.000 | 0.000 | 0.000 | -0.000 | 0.000 | 0.000 |
| 0.000 | 0.000 | 0.000 | -0.000 | -0.000 | 0.000 |
| 0.000 | 0.000 | 0.000 | -0.000 | -0.000 | -0.000 |
| 0.000 | 0.000 | -0.000 | -0.000 | 0.000 | 0.000 |
| 0.000 | 0.000 | -0.000 | 0.000 | -0.000 | 0.000 |
| 0.000 | -0.000 | 0.000 | 0.000 | 0.000 | -0.000 |
| 0.000 | 0.000 | 0.000 | -0.000 | -0.000 | -0.000 |
| 0.000 | 0.000 | 0.000 | 0.000 | -0.000 | -0.000 |
| 0.000 | 0.000 | 0.000 | -0.000 | -0.000 | -0.000 |
| -0.000 | -0.000 | 0.000 | -0.000 | -0.000 | -0.000 |
| -0.000 | -0.000 | 0.000 | -0.000 | -0.000 | -0.000 |
| -0.000 | 0.000 | -0.000 | -0.000 | -0.000 | -0.000 |
| -0.000 | -0.000 | -0.000 | 0.000 | 0.000 | 0.000 |
| -0.000 | -0.000 | -0.000 | 0.000 | -0.000 | -0.000 |
| -0.000 | -0.000 | -0.000 | 0.000 | -0.000 | -0.000 |
| 0.000 | 0.000 | 0.000 | 0.000 | 0.000 | -0.000 |
| 0.000 | 0.000 | 0.000 | 0.000 | 0.000 | -0.000 |
| 0.000 | 0.000 | 0.000 | 0.000 | -0.000 | 0.000 |
| -0.000 | -0.000 | -0.000 | 0.000 | -0.000 | -0.000 |
| -0.000 | -0.000 | -0.000 | -0.000 | -0.000 | 0.000 |
| -0.000 | -0.000 | -0.000 | -0.000 | 0.000 | -0.000 |
| -0.000 | 0.000 | -0.000 | 0.000 | -0.000 | -0.000 |
| 0.000 | -0.000 | -0.000 | -0.000 | 0.000 | -0.000 |
| 0.000 | -0.000 | -0.000 | -0.000 | -0.000 | 0.000 |
| -0.000 | -0.000 | -0.000 | 0.000 | 0.000 | 0.000 |
| -0.000 | -0.000 | -0.000 | -0.000 | -0.000 | 0.000 |
| -0.000 | -0.000 | -0.000 | 0.000 | 0.000 | -0.000 |
| 0.000 | -0.000 | 0.000 | 0.000 | 0.000 | 0.000 |
| -0.000 | 0.000 | 0.000 | -0.000 | 0.000 | 0.000 |
| -0.000 | 0.000 | 0.000 | 0.000 | 0.000 | 0.000 |
| -0.000 | -0.000 | -0.000 | 0.000 | -0.000 | -0.000 |
| -0.000 | -0.000 | -0.000 | 0.000 | -0.000 | 0.000 |
| -0.000 | -0.000 | -0.000 | 0.000 | 0.000 | -0.000 |
| -0.000 | 0.000 | -0.000 | 0.000 | -0.000 | 0.000 |
| 0.000 | -0.000 | -0.000 | 0.000 | 0.000 | 0.000 |
| 0.000 | -0.000 | -0.000 | -0.000 | 0.000 | 0.000 |
| -0.000 | -0.000 | -0.000 | 0.000 | -0.000 | -0.000 |
| -0.000 | -0.000 | -0.000 | 0.000 | -0.000 | -0.000 |
| -0.000 | -0.000 | -0.000 | 0.000 | 0.000 | -0.000 |
| 0.000 | -0.000 | 0.000 | 0.000 | -0.000 | -0.000 |
| -0.000 | 0.000 | 0.000 | 0.000 | 0.000 | -0.000 |
| -0.000 | 0.000 | 0.000 | 0.000 | -0.000 | 0.000 |
| -0.000 | -0.000 | -0.000 | 0.000 | -0.000 | -0.000 |
| -0.000 | -0.000 | -0.000 | -0.000 | -0.000 | 0.000 |
| -0.000 | -0.000 | -0.000 | -0.000 | -0.000 | -0.000 |
| -0.000 | 0.000 | -0.000 | 0.000 | 0.000 | 0.000 |
| 0.000 | -0.000 | -0.000 | -0.000 | 0.000 | -0.000 |
| 0.000 | -0.000 | -0.000 | -0.000 | -0.000 | 0.000 |
| 0.000 | -0.000 | -0.000 | -0.000 | -0.000 | -0.000 |
| -0.000 | 0.000 | -0.000 | -0.000 | -0.000 | -0.000 |
| -0.000 | -0.000 | 0.000 | -0.000 | -0.000 | -0.000 |
| 0.000 | -0.000 | -0.000 | 0.000 | 0.000 | 0.000 |
| -0.000 | 0.000 | -0.000 | 0.000 | 0.000 | -0.000 |
| -0.000 | -0.000 | 0.000 | 0.000 | -0.000 | 0.000 |
| 0.000 | -0.000 | -0.000 | -0.000 | -0.000 | -0.000 |
| -0.000 | 0.000 | -0.000 | -0.000 | -0.000 | -0.000 |
| -0.000 | -0.000 | 0.000 | -0.000 | -0.000 | -0.000 |
| -0.000 | 0.000 | 0.000 | 0.000 | -0.000 | 0.000 |
| 0.000 | -0.000 | 0.000 | -0.000 | 0.000 | 0.000 |
| 0.000 | 0.000 | -0.000 | -0.000 | 0.000 | 0.000 |
| 0.000 | -0.000 | -0.000 | -0.000 | -0.000 | -0.000 |
| -0.000 | 0.000 | -0.000 | -0.000 | -0.000 | -0.000 |
| -0.000 | -0.000 | 0.000 | 0.000 | 0.000 | -0.000 |
| 0.000 | -0.000 | -0.000 | 0.000 | 0.000 | 0.000 |
| -0.000 | 0.000 | -0.000 | 0.000 | 0.000 | -0.000 |
| -0.000 | -0.000 | 0.000 | 0.000 | -0.000 | 0.000 |
| 0.000 | -0.000 | -0.000 | -0.000 | -0.000 | -0.000 |
| -0.000 | 0.000 | -0.000 | -0.000 | -0.000 | 0.000 |
| -0.000 | -0.000 | 0.000 | 0.000 | 0.000 | -0.000 |
| -0.000 | 0.000 | 0.000 | 0.000 | -0.000 | 0.000 |
| 0.000 | -0.000 | 0.000 | -0.000 | 0.000 | -0.000 |
| 0.000 | 0.000 | -0.000 | -0.000 | 0.000 | 0.000 |
| 0.000 | -0.000 | -0.000 | -0.000 | 0.000 | 0.000 |
| -0.000 | 0.000 | -0.000 | -0.000 | -0.000 | -0.000 |
| -0.000 | -0.000 | 0.000 | 0.000 | 0.000 | -0.000 |
| 0.000 | -0.000 | -0.000 | 0.000 | 0.000 | 0.000 |
| -0.000 | 0.000 | -0.000 | 0.000 | 0.000 | 0.000 |
| -0.000 | -0.000 | 0.000 | 0.000 | 0.000 | 0.000 |
| 0.000 | -0.000 | -0.000 | -0.000 | -0.000 | -0.000 |
| -0.000 | 0.000 | -0.000 | -0.000 | -0.000 | 0.000 |
| -0.000 | -0.000 | 0.000 | -0.000 | -0.000 | -0.000 |
| -0.000 | 0.000 | 0.000 | 0.000 | -0.000 | 0.000 |
| 0.000 | -0.000 | 0.000 | -0.000 | 0.000 | -0.000 |
| 0.000 | 0.000 | -0.000 | -0.000 | 0.000 | 0.000 |
| -0.000 | -0.000 | -0.000 | 0.000 | 0.000 | -0.000 |
| -0.000 | -0.000 | -0.000 | 0.000 | 0.000 | -0.000 |
| -0.000 | -0.000 | -0.000 | -0.000 | -0.000 | 0.000 |
| 0.000 | 0.000 | 0.000 | 0.000 | -0.000 | 0.000 |
| 0.000 | 0.000 | 0.000 | -0.000 | 0.000 | 0.000 |
| 0.000 | 0.000 | 0.000 | 0.000 | -0.000 | 0.000 |
| -0.000 | -0.000 | -0.000 | 0.000 | 0.000 | 0.000 |
| -0.000 | -0.000 | -0.000 | 0.000 | 0.000 | -0.000 |
| -0.000 | -0.000 | -0.000 | -0.000 | -0.000 | 0.000 |
| -0.000 | 0.000 | -0.000 | 0.000 | 0.000 | 0.000 |
| 0.000 | -0.000 | -0.000 | 0.000 | 0.000 | 0.000 |
| 0.000 | -0.000 | -0.000 | -0.000 | 0.000 | 0.000 |
| -0.000 | -0.000 | -0.000 | 0.000 | 0.000 | 0.000 |
| -0.000 | -0.000 | -0.000 | 0.000 | 0.000 | 0.000 |
| -0.000 | -0.000 | -0.000 | 0.000 | 0.000 | 0.000 |
| 0.000 | 0.000 | 0.000 | 0.000 | 0.000 | -0.000 |
| 0.000 | 0.000 | 0.000 | 0.000 | 0.000 | -0.000 |
| 0.000 | 0.000 | 0.000 | 0.000 | -0.000 | 0.000 |
| -0.000 | -0.000 | -0.000 | 0.000 | -0.000 | 0.000 |
| -0.000 | -0.000 | -0.000 | -0.000 | 0.000 | 0.000 |
| -0.000 | -0.000 | -0.000 | 0.000 | 0.000 | 0.000 |
| -0.000 | 0.000 | -0.000 | 0.000 | -0.000 | -0.000 |
| 0.000 | -0.000 | -0.000 | -0.000 | 0.000 | 0.000 |
| 0.000 | -0.000 | -0.000 | -0.000 | 0.000 | 0.000 |
| -0.000 | -0.000 | -0.000 | 0.000 | -0.000 | -0.000 |
| -0.000 | -0.000 | -0.000 | -0.000 | 0.000 | 0.000 |
| -0.000 | -0.000 | -0.000 | -0.000 | -0.000 | 0.000 |
| 0.000 | 0.000 | 0.000 | 0.000 | -0.000 | 0.000 |
| 0.000 | 0.000 | 0.000 | -0.000 | 0.000 | -0.000 |
| 0.000 | 0.000 | 0.000 | 0.000 | 0.000 | 0.000 |
| -0.000 | -0.000 | -0.000 | 0.000 | -0.000 | -0.000 |
| -0.000 | -0.000 | -0.000 | -0.000 | 0.000 | -0.000 |
| -0.000 | -0.000 | -0.000 | -0.000 | -0.000 | 0.000 |
| -0.000 | 0.000 | -0.000 | 0.000 | 0.000 | 0.000 |
| 0.000 | -0.000 | -0.000 | 0.000 | 0.000 | 0.000 |
| 0.000 | -0.000 | -0.000 | -0.000 | -0.000 | 0.000 |
| 0.000 | -0.000 | -0.000 | -0.000 | 0.000 | 0.000 |
| -0.000 | 0.000 | -0.000 | 0.000 | -0.000 | 0.000 |
| -0.000 | -0.000 | 0.000 | 0.000 | 0.000 | -0.000 |
| 0.000 | -0.000 | -0.000 | 0.000 | 0.000 | -0.000 |
| -0.000 | 0.000 | -0.000 | 0.000 | 0.000 | 0.000 |
| -0.000 | -0.000 | 0.000 | 0.000 | 0.000 | 0.000 |
| 0.000 | -0.000 | -0.000 | -0.000 | -0.000 | -0.000 |
| -0.000 | 0.000 | -0.000 | -0.000 | -0.000 | -0.000 |
| -0.000 | -0.000 | 0.000 | -0.000 | -0.000 | -0.000 |
| -0.000 | 0.000 | 0.000 | 0.000 | -0.000 | -0.000 |
| 0.000 | -0.000 | 0.000 | -0.000 | 0.000 | -0.000 |
| 0.000 | 0.000 | -0.000 | -0.000 | -0.000 | 0.000 |
| 0.000 | -0.000 | -0.000 | -0.000 | 0.000 | 0.000 |
| -0.000 | 0.000 | -0.000 | 0.000 | -0.000 | -0.000 |
| -0.000 | -0.000 | 0.000 | 0.000 | 0.000 | -0.000 |
| 0.000 | -0.000 | -0.000 | 0.000 | 0.000 | -0.000 |
| -0.000 | 0.000 | -0.000 | 0.000 | 0.000 | 0.000 |
| -0.000 | -0.000 | 0.000 | 0.000 | 0.000 | 0.000 |
| 0.000 | -0.000 | -0.000 | -0.000 | -0.000 | -0.000 |
| -0.000 | 0.000 | -0.000 | -0.000 | -0.000 | -0.000 |
| -0.000 | -0.000 | 0.000 | -0.000 | -0.000 | -0.000 |
| -0.000 | 0.000 | 0.000 | 0.000 | -0.000 | 0.000 |
| 0.000 | -0.000 | 0.000 | -0.000 | 0.000 | -0.000 |
| 0.000 | 0.000 | -0.000 | -0.000 | -0.000 | 0.000 |
| 0.000 | -0.000 | -0.000 | -0.000 | 0.000 | 0.000 |
| -0.000 | 0.000 | -0.000 | 0.000 | -0.000 | 0.000 |
| -0.000 | -0.000 | 0.000 | 0.000 | 0.000 | -0.000 |
| 0.000 | 0.000 | -0.000 | 0.000 | 0.000 | 0.000 |
| 0.000 | 0.000 | -0.000 | 0.000 | 0.000 | 0.000 |
| 0.000 | -0.000 | 0.000 | 0.000 | 0.000 | 0.000 |
| 0.000 | -0.000 | -0.000 | -0.000 | -0.000 | -0.000 |
| -0.000 | 0.000 | -0.000 | -0.000 | -0.000 | -0.000 |
| -0.000 | -0.000 | 0.000 | -0.000 | -0.000 | -0.000 |
| -0.000 | 0.000 | 0.000 | 0.000 | -0.000 | 0.000 |
| 0.000 | -0.000 | 0.000 | -0.000 | 0.000 | -0.000 |
| 0.000 | 0.000 | -0.000 | -0.000 | -0.000 | 0.000 |
| 0.000 | 0.000 | 0.000 | -0.000 | 0.000 | -0.000 |
| 0.000 | 0.000 | 0.000 | -0.000 | -0.000 | -0.000 |
| 0.000 | 0.000 | 0.000 | 0.000 | 0.000 | 0.000 |
| 0.000 | 0.000 | 0.000 | -0.000 | 0.000 | -0.000 |
| 0.000 | 0.000 | 0.000 | 0.000 | -0.000 | -0.000 |
| 0.000 | 0.000 | 0.000 | 0.000 | -0.000 | -0.000 |
| 0.000 | 0.000 | 0.000 | -0.000 | 0.000 | 0.000 |
| 0.000 | 0.000 | 0.000 | -0.000 | -0.000 | 0.000 |
| 0.000 | 0.000 | 0.000 | -0.000 | -0.000 | 0.000 |
| -0.000 | 0.000 | -0.000 | -0.000 | -0.000 | 0.000 |
| 0.000 | -0.000 | -0.000 | -0.000 | -0.000 | 0.000 |
| 0.000 | -0.000 | -0.000 | -0.000 | 0.000 | -0.000 |
| 0.000 | 0.000 | 0.000 | -0.000 | -0.000 | 0.000 |
| 0.000 | 0.000 | 0.000 | 0.000 | -0.000 | 0.000 |
| 0.000 | 0.000 | 0.000 | 0.000 | 0.000 | 0.000 |
| 0.000 | 0.000 | -0.000 | -0.000 | -0.000 | -0.000 |
| 0.000 | 0.000 | -0.000 | -0.000 | -0.000 | -0.000 |
| 0.000 | -0.000 | 0.000 | 0.000 | -0.000 | -0.000 |
| 0.000 | 0.000 | 0.000 | -0.000 | -0.000 | -0.000 |
| 0.000 | 0.000 | 0.000 | -0.000 | -0.000 | 0.000 |
| 0.000 | 0.000 | 0.000 | -0.000 | 0.000 | 0.000 |
| -0.000 | -0.000 | 0.000 | -0.000 | 0.000 | 0.000 |
| -0.000 | -0.000 | 0.000 | 0.000 | -0.000 | 0.000 |
| -0.000 | 0.000 | -0.000 | -0.000 | 0.000 | -0.000 |
| 0.000 | 0.000 | 0.000 | -0.000 | -0.000 | -0.000 |
| 0.000 | 0.000 | 0.000 | -0.000 | -0.000 | -0.000 |
| 0.000 | 0.000 | 0.000 | -0.000 | -0.000 | 0.000 |
| 0.000 | -0.000 | -0.000 | -0.000 | 0.000 | -0.000 |
| -0.000 | 0.000 | -0.000 | 0.000 | -0.000 | -0.000 |
| -0.000 | -0.000 | 0.000 | 0.000 | -0.000 | -0.000 |
| 0.000 | 0.000 | 0.000 | -0.000 | 0.000 | 0.000 |
| 0.000 | 0.000 | 0.000 | -0.000 | -0.000 | -0.000 |
| 0.000 | 0.000 | 0.000 | -0.000 | -0.000 | 0.000 |
| -0.000 | -0.000 | 0.000 | -0.000 | -0.000 | 0.000 |
| -0.000 | -0.000 | 0.000 | -0.000 | -0.000 | 0.000 |
| -0.000 | 0.000 | -0.000 | -0.000 | 0.000 | -0.000 |
| 0.000 | 0.000 | 0.000 | -0.000 | -0.000 | -0.000 |
| 0.000 | 0.000 | 0.000 | -0.000 | -0.000 | -0.000 |
| 0.000 | 0.000 | 0.000 | 0.000 | 0.000 | -0.000 |
| 0.000 | 0.000 | 0.000 | -0.000 | 0.000 | 0.000 |
| 0.000 | 0.000 | 0.000 | 0.000 | -0.000 | -0.000 |
| 0.000 | 0.000 | 0.000 | 0.000 | -0.000 | -0.000 |
| 0.000 | 0.000 | 0.000 | -0.000 | -0.000 | -0.000 |
| 0.000 | 0.000 | 0.000 | -0.000 | -0.000 | 0.000 |
| 0.000 | 0.000 | 0.000 | -0.000 | -0.000 | -0.000 |
| -0.000 | -0.000 | -0.000 | -0.000 | -0.000 | -0.000 |
| -0.000 | -0.000 | -0.000 | -0.000 | -0.000 | 0.000 |
| -0.000 | -0.000 | -0.000 | -0.000 | 0.000 | -0.000 |
| 0.000 | 0.000 | 0.000 | -0.000 | -0.000 | -0.000 |
| 0.000 | 0.000 | 0.000 | 0.000 | -0.000 | 0.000 |
| 0.000 | 0.000 | 0.000 | 0.000 | 0.000 | -0.000 |
| 0.000 | 0.000 | -0.000 | -0.000 | -0.000 | 0.000 |
| 0.000 | 0.000 | -0.000 | -0.000 | -0.000 | -0.000 |
| 0.000 | -0.000 | 0.000 | 0.000 | -0.000 | -0.000 |
| 0.000 | 0.000 | 0.000 | -0.000 | 0.000 | 0.000 |
| 0.000 | 0.000 | 0.000 | 0.000 | -0.000 | -0.000 |
| 0.000 | 0.000 | 0.000 | -0.000 | -0.000 | -0.000 |
| -0.000 | 0.000 | 0.000 | -0.000 | 0.000 | 0.000 |
| 0.000 | -0.000 | 0.000 | 0.000 | -0.000 | 0.000 |
| 0.000 | 0.000 | -0.000 | -0.000 | 0.000 | -0.000 |
| 0.000 | 0.000 | 0.000 | -0.000 | -0.000 | 0.000 |
| 0.000 | 0.000 | 0.000 | -0.000 | -0.000 | 0.000 |
| 0.000 | 0.000 | 0.000 | 0.000 | 0.000 | -0.000 |
| 0.000 | 0.000 | -0.000 | -0.000 | -0.000 | 0.000 |
| 0.000 | 0.000 | -0.000 | 0.000 | -0.000 | 0.000 |
| 0.000 | -0.000 | 0.000 | 0.000 | 0.000 | -0.000 |
| 0.000 | 0.000 | 0.000 | -0.000 | -0.000 | -0.000 |
| 0.000 | 0.000 | 0.000 | -0.000 | -0.000 | 0.000 |
| 0.000 | 0.000 | 0.000 | -0.000 | -0.000 | -0.000 |
| -0.000 | -0.000 | 0.000 | -0.000 | 0.000 | -0.000 |
| -0.000 | -0.000 | 0.000 | -0.000 | -0.000 | -0.000 |
| -0.000 | 0.000 | -0.000 | -0.000 | -0.000 | -0.000 |
| -0.000 | -0.000 | -0.000 | 0.000 | -0.000 | 0.000 |
| -0.000 | -0.000 | -0.000 | -0.000 | 0.000 | -0.000 |
| -0.000 | -0.000 | -0.000 | -0.000 | -0.000 | 0.000 |
| 0.000 | 0.000 | 0.000 | 0.000 | 0.000 | -0.000 |
| 0.000 | 0.000 | 0.000 | 0.000 | 0.000 | 0.000 |
| 0.000 | 0.000 | 0.000 | 0.000 | 0.000 | 0.000 |
| -0.000 | -0.000 | -0.000 | 0.000 | 0.000 | 0.000 |
| -0.000 | -0.000 | -0.000 | 0.000 | 0.000 | 0.000 |
| -0.000 | -0.000 | -0.000 | 0.000 | 0.000 | 0.000 |
| -0.000 | -0.000 | -0.000 | 0.000 | -0.000 | 0.000 |
| -0.000 | -0.000 | -0.000 | -0.000 | 0.000 | 0.000 |
| -0.000 | -0.000 | -0.000 | -0.000 | 0.000 | 0.000 |
| -0.000 | -0.000 | -0.000 | 0.000 | -0.000 | 0.000 |
| -0.000 | -0.000 | -0.000 | -0.000 | 0.000 | -0.000 |
| -0.000 | -0.000 | -0.000 | -0.000 | -0.000 | 0.000 |
| 0.000 | 0.000 | 0.000 | 0.000 | 0.000 | -0.000 |
| 0.000 | 0.000 | 0.000 | -0.000 | 0.000 | -0.000 |
| 0.000 | 0.000 | 0.000 | 0.000 | -0.000 | 0.000 |
| -0.000 | -0.000 | -0.000 | 0.000 | 0.000 | -0.000 |
| -0.000 | -0.000 | -0.000 | 0.000 | 0.000 | 0.000 |
| -0.000 | -0.000 | -0.000 | 0.000 | 0.000 | 0.000 |
| -0.000 | -0.000 | -0.000 | 0.000 | -0.000 | 0.000 |
| -0.000 | -0.000 | -0.000 | 0.000 | 0.000 | -0.000 |
| -0.000 | -0.000 | -0.000 | -0.000 | 0.000 | 0.000 |
| -0.000 | -0.000 | -0.000 | 0.000 | -0.000 | -0.000 |
| -0.000 | -0.000 | -0.000 | -0.000 | 0.000 | -0.000 |
| -0.000 | -0.000 | -0.000 | -0.000 | -0.000 | 0.000 |
| 0.000 | -0.000 | 0.000 | 0.000 | -0.000 | -0.000 |
| -0.000 | 0.000 | 0.000 | -0.000 | 0.000 | 0.000 |
| -0.000 | 0.000 | 0.000 | 0.000 | 0.000 | 0.000 |
| -0.000 | -0.000 | -0.000 | 0.000 | -0.000 | -0.000 |
| -0.000 | -0.000 | -0.000 | 0.000 | 0.000 | 0.000 |
| -0.000 | -0.000 | -0.000 | 0.000 | 0.000 | 0.000 |
| -0.000 | 0.000 | -0.000 | 0.000 | 0.000 | 0.000 |
| 0.000 | -0.000 | -0.000 | 0.000 | 0.000 | -0.000 |
| 0.000 | -0.000 | -0.000 | -0.000 | -0.000 | 0.000 |
| 0.000 | -0.000 | -0.000 | 0.000 | 0.000 | 0.000 |
| -0.000 | 0.000 | -0.000 | 0.000 | 0.000 | -0.000 |
| -0.000 | -0.000 | 0.000 | -0.000 | -0.000 | 0.000 |
| 0.000 | 0.000 | 0.000 | 0.000 | 0.000 | 0.000 |
| 0.000 | 0.000 | 0.000 | 0.000 | 0.000 | 0.000 |
| 0.000 | 0.000 | 0.000 | 0.000 | 0.000 | 0.000 |
| 0.000 | -0.000 | -0.000 | 0.000 | 0.000 | 0.000 |
| -0.000 | 0.000 | -0.000 | 0.000 | 0.000 | 0.000 |
| -0.000 | -0.000 | 0.000 | 0.000 | 0.000 | 0.000 |
| -0.000 | -0.000 | -0.000 | 0.000 | -0.000 | -0.000 |
| -0.000 | -0.000 | -0.000 | -0.000 | 0.000 | 0.000 |
| -0.000 | -0.000 | -0.000 | -0.000 | 0.000 | 0.000 |
| 0.000 | -0.000 | -0.000 | 0.000 | -0.000 | -0.000 |
| -0.000 | 0.000 | -0.000 | -0.000 | 0.000 | 0.000 |
| -0.000 | -0.000 | 0.000 | -0.000 | 0.000 | 0.000 |
| 0.000 | 0.000 | -0.000 | 0.000 | 0.000 | 0.000 |
| 0.000 | 0.000 | -0.000 | -0.000 | 0.000 | 0.000 |
| 0.000 | -0.000 | 0.000 | 0.000 | 0.000 | 0.000 |
| 0.000 | -0.000 | -0.000 | 0.000 | 0.000 | 0.000 |
| -0.000 | 0.000 | -0.000 | 0.000 | 0.000 | 0.000 |
| -0.000 | -0.000 | 0.000 | 0.000 | 0.000 | 0.000 |
| -0.000 | -0.000 | 0.000 | 0.000 | -0.000 | 0.000 |
| -0.000 | -0.000 | 0.000 | 0.000 | 0.000 | -0.000 |
| -0.000 | 0.000 | -0.000 | -0.000 | -0.000 | 0.000 |
| 0.000 | -0.000 | -0.000 | 0.000 | 0.000 | 0.000 |
| -0.000 | 0.000 | -0.000 | -0.000 | 0.000 | 0.000 |
| -0.000 | -0.000 | 0.000 | -0.000 | -0.000 | 0.000 |
| 0.000 | -0.000 | -0.000 | 0.000 | -0.000 | 0.000 |
| -0.000 | 0.000 | -0.000 | 0.000 | 0.000 | 0.000 |
| -0.000 | -0.000 | 0.000 | 0.000 | 0.000 | 0.000 |
| 0.000 | -0.000 | -0.000 | 0.000 | 0.000 | 0.000 |
| -0.000 | 0.000 | -0.000 | 0.000 | 0.000 | 0.000 |
| -0.000 | -0.000 | 0.000 | 0.000 | -0.000 | 0.000 |
| -0.000 | 0.000 | 0.000 | 0.000 | 0.000 | -0.000 |
| 0.000 | -0.000 | 0.000 | -0.000 | 0.000 | -0.000 |
| 0.000 | 0.000 | -0.000 | -0.000 | -0.000 | 0.000 |
| 76.268 | 13.601 | 3.605 | 0.000 | -0.000 | -0.000 |
| 7.508 | 19.750 | -9.586 | -0.000 | 0.000 | -0.000 |
| 0.517 | 7.116 | 53.388 | -0.000 | 0.000 | -0.000 |
| -0.195 | -0.535 | -0.628 | -0.504 | 0.000 | 0.000 |
| -1.346 | -3.700 | -4.339 | 0.000 | -16.251 | -0.000 |
| -0.524 | -1.441 | -1.689 | 0.000 | 0.000 | 16.332 |
| 72.545 | 4.548 | 2.217 | -0.000 | -0.000 | 0.000 |
| 7.599 | 21.153 | 1.113 | -0.000 | -0.000 | 0.000 |
| -0.504 | -0.993 | 2.227 | -0.000 | -0.000 | 0.000 |
| 0.195 | 0.535 | 0.628 | -0.504 | -0.000 | 0.000 |
| 1.346 | 3.700 | 4.339 | -0.000 | -16.251 | 0.000 |
| 0.524 | 1.441 | 1.689 | -0.000 | -0.000 | 16.332 |
| 71.765 | 2.417 | -0.178 | 0.000 | 0.000 | -0.000 |
| 6.860 | 19.251 | -0.111 | 0.000 | 0.000 | -0.000 |
| -3.156 | -7.592 | -0.111 | 0.000 | 0.000 | -0.000 |
| -0.019 | -0.053 | -0.063 | -0.482 | 0.000 | -0.000 |
| -0.139 | -0.382 | -0.448 | 0.000 | -16.636 | -0.000 |
| 0.000 | 0.000 | 0.000 | 0.000 | 0.000 | 16.332 |
| 71.900 | 2.787 | 0.255 | -0.000 | -0.000 | 0.000 |
| 6.995 | 19.597 | 0.111 | -0.000 | -0.000 | 0.000 |
| 0.517 | 7.116 | 53.388 | 0.000 | -0.000 | 0.000 |
| 0.019 | 0.053 | 0.063 | -0.482 | -0.000 | 0.000 |
| 0.139 | 0.382 | 0.448 | -0.000 | -16.636 | 0.000 |
| -0.000 | -0.000 | -0.000 | -0.000 | -0.000 | 16.332 |
| 71.826 | 2.583 | 0.017 | 0.000 | 0.000 | -0.000 |
| 6.921 | 19.407 | -0.011 | 0.000 | 0.000 | -0.000 |
| -3.095 | -7.437 | -0.012 | 0.000 | 0.000 | 0.000 |
| -0.002 | -0.005 | -0.006 | -0.482 | -0.000 | -0.000 |
| 3279915.205 | 5318098.494 | -0.012 | -0.000 | 0.007 | -0.000 |
| -0.005 | -0.014 | -0.017 | 0.000 | 0.000 | 16.332 |
| 71.839 | 2.620 | 0.060 | -0.000 | -0.000 | 0.000 |
| 6.934 | 19.441 | 0.011 | -0.000 | -0.000 | 0.000 |
| -3.082 | -7.402 | 0.012 | -0.000 | -0.000 | 0.000 |
| 0.002 | 0.005 | 0.006 | -0.482 | 0.000 | 0.000 |
| -3279915.204 | -5318098.494 | 0.012 | 0.000 | 0.007 | 0.000 |
| 0.005 | 0.014 | 0.017 | -0.000 | -0.000 | 16.332 |
| 242.881 | 23.551 | 68.571 | -0.000 | 0.000 | 0.000 |
| 23.551 | 242.881 | 68.571 | -0.000 | 0.000 | 0.000 |
| 72.029 | 72.029 | 226.433 | -0.000 | 0.000 | 0.000 |
| 4.972 | 4.972 | 1.515 | -77.065 | 0.000 | 0.000 |
| 4.972 | 4.972 | 1.515 | -0.000 | -77.065 | 0.000 |
| 4.972 | 4.972 | 1.515 | -0.000 | 0.000 | 11.656 |
| 232.936 | 13.606 | 65.542 | 0.000 | -0.000 | -0.000 |
| 13.606 | 232.936 | 65.542 | 0.000 | -0.000 | -0.000 |
| 62.084 | 62.084 | 223.404 | 0.000 | 0.000 | -0.000 |
| -4.972 | -4.972 | -1.515 | -77.065 | -0.000 | -0.000 |
| -4.972 | -4.972 | -1.515 | 0.000 | -77.065 | -0.000 |
| -4.972 | -4.972 | -1.515 | 0.000 | -0.000 | 11.656 |
| 238.405 | 19.076 | 67.208 | -0.000 | 0.000 | 0.000 |
| 19.076 | 238.405 | 67.208 | -0.000 | 0.000 | 0.000 |
| 67.554 | 67.554 | 225.070 | -0.000 | 0.000 | 0.000 |
| 2.199 | 2.199 | 0.670 | -76.934 | 0.000 | 0.000 |
| 2.199 | 2.199 | 0.670 | -0.000 | -76.934 | 0.000 |
| 0.497 | 0.497 | 0.151 | -0.000 | 0.000 | 11.656 |
| 237.411 | 18.082 | 66.905 | 0.000 | -0.000 | -0.000 |
| 18.082 | 237.411 | 66.905 | 0.000 | -0.000 | -0.000 |
| 66.559 | 66.559 | 224.767 | 0.000 | -0.000 | -0.000 |
| -2.199 | -2.199 | -0.670 | -76.934 | -0.000 | -0.000 |
| -2.199 | -2.199 | -0.670 | 0.000 | -76.934 | -0.000 |
| -0.497 | -0.497 | -0.151 | 0.000 | -0.000 | 11.656 |
| 237.958 | 18.629 | 67.072 | -0.000 | 0.000 | 0.000 |
| 18.629 | 237.958 | 67.072 | -0.000 | 0.000 | 0.000 |
| 67.106 | 67.106 | 224.935 | -0.000 | 0.000 | 0.000 |
| 0.050 | 0.050 | 0.015 | -77.065 | 0.000 | 0.000 |
| 0.050 | 0.050 | 0.015 | -0.000 | -77.065 | 0.000 |
| 0.050 | 0.050 | 0.015 | -0.000 | 0.000 | 11.656 |
| 237.858 | 18.529 | 67.041 | 0.000 | -0.000 | -0.000 |
| 18.529 | 237.858 | 67.041 | 0.000 | 0.000 | -0.000 |
| 75.760 | 75.760 | 227.569 | 0.000 | -0.000 | -0.000 |
| -0.050 | -0.050 | -0.015 | -77.065 | -0.000 | -0.000 |
| -0.050 | -0.050 | -0.015 | 0.000 | -77.065 | -0.000 |
| -0.050 | -0.050 | -0.015 | 0.000 | -0.000 | 11.656 |
| 237.222 | 18.953 | 67.156 | -0.000 | 0.000 | 0.000 |
| 18.953 | 237.222 | 67.156 | 0.000 | -0.000 | 0.000 |
| 67.034 | 67.034 | 224.491 | -0.000 | -0.000 | 0.000 |
| 0.186 | 0.186 | 0.056 | -76.818 | -0.000 | 0.000 |
| 0.186 | 0.186 | 0.056 | -0.000 | -76.818 | 0.000 |
| -0.000 | -0.000 | 0.000 | -0.000 | 0.000 | 12.083 |
| 237.137 | 18.869 | 67.131 | 0.000 | -0.000 | -0.000 |
| 18.869 | 237.137 | 67.131 | 0.000 | -0.000 | -0.000 |
| 66.949 | 66.949 | 224.466 | -0.000 | -0.000 | -0.000 |
| -0.186 | -0.186 | -0.056 | -76.818 | 0.000 | -0.000 |
| -0.186 | -0.186 | -0.056 | 0.000 | -76.818 | -0.000 |
| 0.000 | 0.000 | -0.000 | 0.000 | -0.000 | 12.083 |
| 237.184 | 18.916 | 67.145 | -0.000 | 0.000 | 0.000 |
| 18.916 | 237.184 | 67.145 | -0.000 | 0.000 | 0.000 |
| 75.571 | 75.571 | 227.058 | -0.000 | 0.000 | 0.000 |
| 0.019 | 0.019 | 0.006 | -76.818 | 0.000 | 0.000 |
| 0.019 | 0.019 | 0.006 | -0.000 | -76.818 | 0.000 |
| -0.000 | -0.000 | 0.000 | -0.000 | 0.000 | 12.083 |
| 237.175 | 18.907 | 67.142 | 0.000 | -0.000 | -0.000 |
| 18.907 | 237.175 | 67.142 | 0.000 | -0.000 | -0.000 |
| 66.987 | 66.987 | 224.477 | -0.000 | 0.000 | -0.000 |
| -0.019 | -0.019 | -0.006 | -76.818 | -0.000 | -0.000 |
| -0.019 | -0.019 | -0.006 | 0.000 | -76.818 | -0.000 |
| 0.000 | 0.000 | -0.000 | 0.000 | -0.000 | 12.083 |
| 237.181 | 18.912 | 67.144 | 0.000 | 0.000 | 0.000 |
| 18.912 | 237.181 | 67.144 | -0.000 | 0.000 | 0.000 |
| 66.992 | 66.992 | 224.481 | -0.000 | 0.000 | 0.000 |
| 0.002 | 0.002 | 0.000 | -76.818 | -0.000 | 0.000 |
| 0.002 | 0.002 | 0.000 | -0.000 | -76.818 | 0.000 |
| 0.000 | 0.000 | 0.000 | 0.000 | -0.000 | 12.083 |
| 237.179 | 18.911 | 67.143 | 0.000 | -0.000 | -0.000 |
| 18.911 | 237.179 | 67.143 | -0.000 | 0.000 | -0.000 |
| 66.991 | 66.991 | 224.477 | -0.000 | -0.000 | -0.000 |
| -0.002 | -0.002 | -0.000 | -76.818 | 0.000 | -0.000 |
| -0.002 | -0.002 | -0.000 | -0.000 | -76.818 | -0.000 |
| -0.000 | -0.000 | -0.000 | -0.000 | -0.000 | 12.083 |
| -1942.464 | -2128.094 | -2128.094 | -0.000 | -0.000 | -0.000 |
| -2128.094 | -1942.464 | -2128.094 | 0.000 | 0.000 | -0.000 |
| -2128.094 | -2128.094 | -1942.464 | -0.000 | -0.000 | -0.000 |
| -772.930 | -772.930 | -772.930 | 59.533 | 0.000 | -0.000 |
| -772.930 | -772.930 | -772.930 | -0.000 | 59.533 | -0.000 |
| -772.930 | -772.930 | -772.930 | 0.000 | 0.000 | 59.533 |
| 2527.365 | 2341.721 | 2341.721 | -0.000 | 0.000 | -0.000 |
| 2341.721 | 2527.365 | 2341.721 | -0.000 | -0.000 | 0.000 |
| 2341.721 | 2341.721 | 2527.365 | 0.000 | -0.000 | 0.000 |
| 772.930 | 772.930 | 772.930 | 59.533 | -0.000 | 0.000 |
| 772.930 | 772.930 | 772.930 | -0.000 | 59.533 | 0.000 |
| 772.930 | 772.930 | 772.930 | -0.000 | 0.000 | 59.533 |
| 317.700 | 100.552 | 100.552 | -0.000 | -0.000 | -0.000 |
| 100.552 | 317.700 | 100.552 | -0.000 | -0.000 | -0.000 |
| 100.552 | 100.552 | 317.700 | -0.000 | -0.000 | -0.000 |
| -77.288 | -77.288 | -77.288 | 59.534 | -0.000 | -0.000 |
| -77.288 | -77.288 | -77.288 | -0.000 | 59.534 | -0.000 |
| -77.288 | -77.288 | -77.288 | 0.000 | 0.000 | 59.534 |
| 375.668 | 183.976 | 183.976 | -0.000 | 0.000 | 0.000 |
| 183.976 | 375.668 | 183.976 | 0.000 | 0.000 | -0.000 |
| 183.976 | 183.976 | 375.668 | 0.000 | 0.000 | 0.000 |
| 77.288 | 77.288 | 77.288 | 59.534 | 0.000 | 0.000 |
| 77.288 | 77.288 | 77.288 | 0.000 | 59.534 | 0.000 |
| 77.288 | 77.288 | 77.288 | -0.000 | 0.000 | 59.534 |
| 270.221 | 84.734 | 84.734 | 0.000 | -0.000 | -0.000 |
| 84.734 | 270.221 | 84.734 | 0.000 | -0.000 | 0.000 |
| 84.734 | 84.734 | 270.221 | 0.000 | 0.000 | -0.000 |
| -22.349 | -22.349 | -22.349 | 54.521 | -0.000 | -0.000 |
| -22.349 | -22.349 | -22.349 | -0.000 | 54.521 | 0.000 |
| -22.349 | -22.349 | -22.349 | -0.000 | -0.000 | 54.521 |
| 317.699 | 100.552 | 100.552 | 0.000 | 0.000 | 0.000 |
| 100.552 | 317.699 | 100.552 | -0.000 | 0.000 | 0.000 |
| 100.552 | 100.552 | 317.699 | 0.000 | -0.000 | 0.000 |
| 22.349 | 22.349 | 22.349 | 54.521 | -0.000 | -0.000 |
| 22.349 | 22.349 | 22.349 | -0.000 | 54.521 | 0.000 |
| 22.349 | 22.349 | 22.349 | -0.000 | -0.000 | 54.521 |
| 315.944 | 99.621 | 99.621 | -0.000 | -0.000 | -0.000 |
| 99.621 | 315.944 | 99.621 | -0.000 | -0.000 | 0.000 |
| 99.621 | 99.621 | 315.944 | -0.000 | 0.000 | -0.000 |
| 0.000 | 0.000 | -0.000 | 77.510 | 0.000 | 0.000 |
| -0.000 | 0.000 | -0.000 | 0.000 | 77.510 | -0.000 |
| -0.000 | 0.000 | -0.000 | 0.000 | -0.000 | 77.510 |
| 315.944 | 99.621 | 99.621 | 0.000 | -0.000 | -0.000 |
| 99.621 | 315.944 | 99.621 | 0.000 | 0.000 | -0.000 |
| 99.621 | 99.621 | 315.944 | 0.000 | -0.000 | 0.000 |
| -0.000 | -0.000 | 0.000 | 77.510 | -0.000 | -0.000 |
| 0.000 | -0.000 | 0.000 | 0.000 | 77.510 | -0.000 |
| -0.000 | -0.000 | 0.000 | 0.000 | 0.000 | 77.510 |
| 337.976 | 149.143 | 149.143 | -0.000 | 0.000 | -0.000 |
| 149.143 | 337.976 | 149.143 | -0.000 | -0.000 | -0.000 |
| 149.143 | 149.143 | 337.976 | -0.000 | 0.000 | 0.000 |
| 0.000 | 0.000 | 0.000 | 77.510 | 0.000 | -0.000 |
| -0.000 | 0.000 | 0.000 | 0.000 | 77.510 | -0.000 |
| -0.000 | 0.000 | -0.000 | -0.000 | -0.000 | 77.510 |
| 315.944 | 99.621 | 99.621 | -0.000 | -0.000 | -0.000 |
| 99.621 | 315.944 | 99.621 | 0.000 | 0.000 | -0.000 |
| 99.621 | 99.621 | 315.944 | -0.000 | -0.000 | -0.000 |
| -0.000 | -0.000 | -0.000 | 77.510 | 0.000 | -0.000 |
| 0.000 | -0.000 | -0.000 | 0.000 | 77.510 | -0.000 |
| 0.000 | -0.000 | 0.000 | 0.000 | -0.000 | 77.510 |
| 315.945 | 99.622 | 99.622 | -0.000 | -0.000 | 0.000 |
| 99.622 | 315.945 | 99.622 | -0.000 | -0.000 | 0.000 |
| 99.622 | 99.622 | 315.945 | -0.000 | -0.000 | 0.000 |
| 0.000 | -0.000 | 0.000 | 77.510 | 0.000 | 0.000 |
| -0.000 | 0.000 | 0.000 | 0.000 | 77.510 | -0.000 |
| -0.000 | 0.000 | 0.000 | 0.000 | 0.000 | 77.510 |
| 315.943 | 99.621 | 99.621 | 0.000 | 0.000 | -0.000 |
| 99.621 | 315.943 | 99.621 | 0.000 | 0.000 | -0.000 |
| 99.621 | 99.621 | 315.943 | 0.000 | 0.000 | -0.000 |
| -0.000 | 0.000 | -0.000 | 77.510 | 0.000 | -0.000 |
| 0.000 | -0.000 | -0.000 | 0.000 | 77.510 | 0.000 |
| 0.000 | -0.000 | -0.000 | 0.000 | 0.000 | 77.510 |
| 235.548 | 111.632 | 111.632 | -0.000 | -0.000 | -0.000 |
| 111.632 | 235.548 | 111.632 | -0.000 | -0.000 | -0.000 |
| 111.632 | 111.632 | 235.548 | -0.000 | -0.000 | -0.000 |
| 0.000 | 0.000 | -0.000 | 96.000 | -0.000 | -0.000 |
| 0.000 | 0.000 | -0.000 | 0.000 | 96.000 | 0.000 |
| 0.000 | 0.000 | 0.000 | -0.000 | -0.000 | 96.000 |
| 256.866 | 119.089 | 119.089 | 0.000 | 0.000 | 0.000 |
| 119.089 | 256.866 | 119.089 | 0.000 | 0.000 | -0.000 |
| 119.089 | 119.089 | 256.866 | 0.000 | 0.000 | 0.000 |
| -0.000 | -0.000 | -0.000 | 96.000 | 0.000 | 0.000 |
| -0.000 | 0.000 | -0.000 | 0.000 | 96.000 | -0.000 |
| -0.000 | 0.000 | -0.000 | -0.000 | 0.000 | 96.000 |
| 249.075 | 117.587 | 117.587 | -0.000 | -0.000 | -0.000 |
| 117.587 | 249.075 | 117.587 | -0.000 | -0.000 | -0.000 |
| 117.587 | 117.587 | 249.075 | -0.000 | -0.000 | -0.000 |
| 0.000 | -0.000 | 0.000 | 96.000 | -0.000 | 0.000 |
| -0.000 | 0.000 | 0.000 | -0.000 | 96.000 | -0.000 |
| -0.000 | 0.000 | 0.000 | -0.000 | -0.000 | 96.000 |
| 257.547 | 117.846 | 117.846 | 0.000 | 0.000 | 0.000 |
| 117.846 | 257.547 | 117.846 | 0.000 | 0.000 | 0.000 |
| 117.846 | 117.846 | 257.547 | 0.000 | 0.000 | 0.000 |
| -0.000 | 0.000 | -0.000 | 96.000 | 0.000 | 0.000 |
| 0.000 | -0.000 | -0.000 | -0.000 | 96.000 | 0.000 |
| 0.000 | -0.000 | -0.000 | -0.000 | 0.000 | 96.000 |
| 256.565 | 117.603 | 117.603 | -0.000 | -0.000 | -0.000 |
| 117.603 | 256.565 | 117.603 | -0.000 | -0.000 | -0.000 |
| 117.603 | 117.603 | 256.565 | -0.000 | -0.000 | -0.000 |
| -0.129 | -0.129 | -0.129 | 77.508 | -0.000 | -0.000 |
| -0.129 | -0.129 | -0.129 | -0.000 | 77.508 | -0.000 |
| -0.129 | -0.129 | -0.129 | -0.000 | -0.000 | 77.508 |
| 266.115 | 118.738 | 118.738 | 0.000 | 0.000 | 0.000 |
| 118.738 | 266.115 | 118.738 | 0.000 | 0.000 | 0.000 |
| 118.738 | 118.738 | 266.115 | 0.000 | 0.000 | 0.000 |
| 0.129 | 0.129 | 0.129 | 77.508 | 0.000 | -0.000 |
| 0.129 | 0.129 | 0.129 | 0.000 | 77.508 | 0.000 |
| 0.129 | 0.129 | 0.129 | 0.000 | 0.000 | 77.508 |
| 265.088 | 117.971 | 117.971 | 0.000 | 0.000 | -0.000 |
| 117.971 | 265.088 | 117.971 | 0.000 | 0.000 | -0.000 |
| 117.971 | 117.971 | 265.088 | 0.000 | -0.000 | 0.000 |
| 0.148 | 0.148 | 0.148 | 80.577 | -0.000 | -0.000 |
| 0.148 | 0.148 | 0.148 | -0.000 | 80.577 | -0.000 |
| 0.148 | 0.148 | 0.148 | -0.000 | -0.000 | 80.577 |
| 255.661 | 116.762 | 116.762 | 0.000 | 0.000 | 0.000 |
| 116.762 | 255.661 | 116.762 | 0.000 | 0.000 | 0.000 |
| 116.762 | 116.762 | 255.661 | 0.000 | 0.000 | 0.000 |
| -0.148 | -0.148 | -0.148 | 80.577 | 0.000 | 0.000 |
| -0.148 | -0.148 | -0.148 | 0.000 | 80.577 | 0.000 |
| -0.148 | -0.148 | -0.148 | 0.000 | 0.000 | 80.577 |
| 265.088 | 117.971 | 117.971 | -0.000 | 0.000 | -0.000 |
| 117.971 | 265.088 | 117.971 | -0.000 | 0.000 | -0.000 |
| 117.971 | 117.971 | 265.088 | -0.000 | 0.000 | -0.000 |
| 0.000 | -0.000 | 0.000 | 95.768 | 0.000 | -0.000 |
| -0.000 | 0.000 | 0.000 | 0.000 | 95.768 | -0.000 |
| -0.000 | 0.000 | 0.000 | -0.000 | 0.000 | 95.768 |
| 255.682 | 116.855 | 116.855 | 0.000 | 0.000 | 0.000 |
| 116.855 | 255.682 | 116.855 | 0.000 | 0.000 | 0.000 |
| 116.855 | 116.855 | 255.682 | 0.000 | 0.000 | 0.000 |
| -0.000 | 0.000 | -0.000 | 95.768 | -0.000 | 0.000 |
| 0.000 | -0.000 | -0.000 | 0.000 | 95.768 | 0.000 |
| 0.000 | -0.000 | -0.000 | -0.000 | -0.000 | 95.768 |
| 265.089 | 117.971 | 117.971 | -0.000 | 0.000 | -0.000 |
| 117.971 | 265.089 | 117.971 | 0.000 | 0.000 | -0.000 |
| 117.971 | 117.971 | 265.089 | -0.000 | -0.000 | -0.000 |
| 0.002 | 0.001 | 0.002 | 80.572 | -0.000 | -0.000 |
| 0.001 | 0.002 | 0.002 | -0.000 | 80.572 | -0.000 |
| 0.001 | 0.002 | 0.002 | -0.000 | -0.000 | 80.572 |
| 249.439 | 117.646 | 117.646 | 0.000 | 0.000 | 0.000 |
| 117.646 | 249.439 | 117.646 | 0.000 | 0.000 | 0.000 |
| 117.646 | 117.646 | 249.439 | 0.000 | 0.000 | 0.000 |
| -0.002 | -0.001 | -0.002 | 80.572 | 0.000 | 0.000 |
| -0.001 | -0.002 | -0.002 | 0.000 | 80.572 | 0.000 |
| -0.001 | -0.002 | -0.002 | 0.000 | 0.000 | 80.572 |
| 281.061 | 116.269 | 64.985 | 0.000 | -0.000 | 0.000 |
| 145.694 | 232.205 | 10.231 | 0.000 | -0.000 | 0.000 |
| 67.155 | -13.500 | 174.964 | 0.000 | -0.000 | 0.000 |
| 30.060 | 2.805 | 24.779 | -44.099 | -0.000 | 0.000 |
| 29.874 | 2.788 | 24.625 | 0.000 | -111.629 | 0.000 |
| 29.874 | 2.788 | 24.625 | 0.000 | -0.000 | 88.294 |
| 221.314 | 110.694 | 15.735 | 0.000 | 0.000 | -0.000 |
| 85.947 | 226.630 | -39.019 | -0.000 | -0.000 | -0.000 |
| 67.155 | -13.500 | 174.964 | -0.000 | -0.000 | -0.000 |
| -30.060 | -2.805 | -24.779 | -44.099 | 0.000 | -0.000 |
| -29.874 | -2.788 | -24.625 | -0.000 | -111.629 | -0.000 |
| -29.874 | -2.788 | -24.625 | -0.000 | 0.000 | 88.294 |
| 282.714 | 116.424 | 66.348 | 0.000 | -0.000 | 0.000 |
| 118.762 | 229.692 | -11.969 | 0.000 | -0.000 | 0.000 |
| 67.155 | -13.500 | 174.964 | 0.000 | -0.000 | 0.000 |
| 5.040 | 0.470 | 4.155 | -44.201 | 0.000 | 0.000 |
| -0.000 | -0.000 | -0.000 | -0.000 | 34.681 | 0.000 |
| -0.000 | 0.000 | -0.000 | 0.000 | -0.000 | 88.294 |
| 282.714 | 116.424 | 66.348 | -0.000 | -0.000 | -0.000 |
| 112.833 | 229.139 | -16.856 | -0.000 | -0.000 | -0.000 |
| 67.155 | -13.500 | 174.964 | 0.000 | -0.000 | -0.000 |
| -5.040 | -0.470 | -4.155 | -44.201 | -0.000 | -0.000 |
| 0.000 | 0.000 | 0.000 | -0.000 | 34.681 | -0.000 |
| 0.000 | -0.000 | 0.000 | -0.000 | 0.000 | 88.294 |
| 251.487 | 113.510 | 40.606 | -0.000 | -0.000 | 0.000 |
| 116.119 | 229.445 | -14.148 | 0.000 | 0.000 | 0.000 |
| 41.466 | -15.897 | 153.789 | 0.000 | -0.000 | 0.000 |
| -9993543.934 | -1049148.777 | -20250897.235 | -8738098.690 | -0.000 | 0.000 |
| 1.453 | 0.135 | 1.198 | 0.000 | -111.575 | 0.000 |
| 0.299 | 0.028 | 0.246 | 0.000 | -0.000 | 88.294 |
| 250.888 | 113.454 | 40.114 | -0.000 | 0.000 | -0.000 |
| 115.521 | 229.389 | -14.639 | -0.000 | 0.000 | -0.000 |
| 40.868 | -15.952 | 153.296 | -0.000 | 0.000 | -0.000 |
| 9993543.934 | 1049148.777 | 20250897.235 | -8738098.690 | 0.000 | -0.000 |
| -1.453 | -0.135 | -1.198 | -0.000 | -111.575 | -0.000 |
| -0.299 | -0.028 | -0.246 | 0.000 | 0.000 | 88.294 |
| 302.128 | 142.599 | 69.672 | -0.000 | 0.000 | 0.000 |
| 143.618 | 299.454 | 73.638 | -0.000 | 0.000 | 0.000 |
| 70.210 | 73.145 | 260.467 | -0.000 | 0.000 | 0.000 |
| -0.000 | 0.000 | -0.000 | 49.834 | 0.000 | 0.000 |
| -0.000 | 0.000 | -0.000 | -0.000 | 47.427 | 0.000 |
| -0.000 | 0.000 | -0.000 | -0.000 | -0.000 | 74.903 |
| 302.128 | 142.599 | 69.672 | 0.000 | -0.000 | -0.000 |
| 143.618 | 299.454 | 73.638 | 0.000 | -0.000 | -0.000 |
| 70.210 | 73.145 | 260.467 | 0.000 | -0.000 | -0.000 |
| 0.000 | -0.000 | -0.000 | 49.834 | -0.000 | -0.000 |
| 0.000 | -0.000 | 0.000 | 0.000 | 47.427 | -0.000 |
| 0.000 | -0.000 | 0.000 | 0.000 | -0.000 | 74.903 |
| 302.128 | 142.599 | 69.672 | -0.000 | 0.000 | 0.000 |
| 143.618 | 299.453 | 73.638 | -0.000 | 0.000 | 0.000 |
| 70.204 | 73.151 | 260.467 | -0.000 | 0.000 | 0.000 |
| 0.000 | -0.000 | 0.000 | 49.839 | 0.000 | 0.000 |
| -0.000 | 0.000 | 0.000 | -0.000 | 47.427 | 0.000 |
| -0.000 | 0.000 | -0.000 | -0.000 | 0.000 | 74.902 |
| 302.128 | 142.599 | 69.672 | 0.000 | -0.000 | -0.000 |
| 143.618 | 299.453 | 73.638 | 0.000 | -0.000 | -0.000 |
| 70.204 | 73.151 | 260.467 | 0.000 | -0.000 | -0.000 |
| -0.000 | 0.000 | -0.000 | 49.839 | 0.000 | -0.000 |
| 0.000 | -0.000 | -0.000 | 0.000 | 47.427 | -0.000 |
| 0.000 | -0.000 | 0.000 | 0.000 | -0.000 | 74.902 |
| 302.129 | 142.599 | 69.672 | -0.000 | 0.000 | 0.000 |
| 143.619 | 299.454 | 73.638 | -0.000 | 0.000 | 0.000 |
| 70.204 | 73.151 | 260.468 | -0.000 | 0.000 | 0.000 |
| 0.000 | -0.000 | 0.000 | 49.839 | 0.000 | 0.000 |
| -0.000 | 0.000 | 0.000 | -0.000 | 47.427 | 0.000 |
| -0.000 | 0.000 | -0.000 | -0.000 | 0.000 | 74.902 |
| 302.127 | 142.599 | 69.672 | 0.000 | -0.000 | -0.000 |
| 143.617 | 299.453 | 73.638 | 0.000 | 0.000 | -0.000 |
| 70.204 | 73.151 | 260.467 | 0.000 | -0.000 | -0.000 |
| -0.000 | 0.000 | -0.000 | 49.839 | -0.000 | -0.000 |
| 0.000 | -0.000 | -0.000 | 0.000 | 47.427 | -0.000 |
| 0.000 | -0.000 | 0.000 | 0.000 | -0.000 | 74.902 |
| 322.232 | 122.877 | 79.692 | 13.099 | 0.000 | -0.000 |
| 129.247 | 313.783 | 76.086 | -11.917 | -0.000 | -0.000 |
| 78.871 | 78.871 | 286.014 | 0.000 | 0.000 | -0.000 |
| 11.957 | -12.910 | -1.653 | 56.408 | -0.000 | -0.000 |
| -0.000 | -0.000 | 0.000 | -0.000 | 56.515 | 13.099 |
| -0.000 | 0.000 | 0.000 | 0.000 | 13.099 | 99.677 |
| 312.600 | 134.371 | 82.922 | 11.414 | 0.000 | 0.000 |
| 143.793 | 302.022 | 80.918 | -9.819 | -0.000 | 0.000 |
| 79.692 | 79.692 | 288.862 | -0.000 | -0.000 | 0.000 |
| 12.910 | -11.957 | 1.653 | 56.408 | 0.000 | 0.000 |
| 0.000 | -0.000 | -0.000 | -0.000 | 56.515 | 13.099 |
| 0.000 | 0.000 | -0.000 | 0.000 | 13.099 | 99.677 |
| 301.519 | 143.290 | 79.170 | 9.819 | -0.000 | -0.000 |
| 139.217 | 304.619 | 77.483 | -10.391 | -0.000 | -0.000 |
| 79.283 | 79.283 | 287.444 | -0.000 | -0.000 | -0.000 |
| 11.004 | -11.284 | -0.486 | 56.203 | -0.000 | -0.000 |
| -0.046 | -0.046 | -0.159 | -0.000 | 55.991 | 9.819 |
| 0.000 | 0.000 | 0.000 | 0.000 | 13.099 | 99.677 |
| 322.232 | 122.877 | 79.692 | 13.099 | 0.000 | 0.000 |
| 122.877 | 322.232 | 79.692 | -13.099 | 0.000 | 0.000 |
| 79.375 | 79.375 | 287.761 | -0.000 | -0.000 | 0.000 |
| 9.865 | -9.773 | 0.159 | 55.991 | -0.000 | 0.000 |
| 0.046 | 0.046 | 0.159 | 0.000 | 55.991 | 9.819 |
| -0.000 | -0.000 | -0.000 | -0.000 | 13.099 | 99.677 |
| 322.233 | 122.878 | 79.693 | 13.099 | 0.000 | -0.000 |
| 143.332 | 301.561 | 79.314 | -9.819 | -0.000 | -0.000 |
| 79.692 | 79.692 | 288.863 | 0.000 | 0.000 | -0.000 |
| 9.815 | -9.824 | -0.016 | 55.991 | 0.000 | -0.000 |
| -0.000 | 0.000 | 0.000 | 0.000 | 56.515 | 13.099 |
| -0.024 | -0.023 | -0.082 | -0.000 | 9.820 | 79.119 |
| 301.568 | 143.340 | 79.345 | 9.819 | -0.000 | 0.000 |
| 143.339 | 301.568 | 79.345 | -9.819 | -0.000 | 0.000 |
| 79.333 | 79.333 | 287.617 | -0.000 | 0.000 | 0.000 |
| 13.099 | -13.099 | -0.000 | 56.515 | -0.000 | 0.000 |
| 0.000 | -0.000 | -0.000 | -0.000 | 56.515 | 13.099 |
| 0.024 | 0.023 | 0.082 | 0.000 | 9.820 | 79.119 |
Phonon band structures and crystal properties estimated from quasi-harmonic approximation (QHA) calculations are displayed for select crystals. The calculations were performed using phonopy and LAMMPS. For the phonon calculations, 3x3 supercells of the potential-specific relaxed crystals were used. The QHA calculations were based on 11 strain states ranging from -0.05 to 0.05.
The calculation method used is available as the iprPy phonon calculation method.
Notes and Disclaimers:
Version Information:













































































































































































































































































































































































































































































Static free surface formation energies are displayed for select crystals. The values displayed here are obtained by taking a perfect periodic bulk crystal, slicing along a crystallographic plane, and using force minimization to statically relax the surfaces. The free surface formation energy is computed by comparing the energy of the defect system to the bulk system and dividing by the total surface area created by the cut.
The calculation method used is available as the iprPy surface_energy_static calculation method.
Notes and Disclaimers:
Version Information:
| Surface | γfs (mJ/m2) |
|---|---|
| (111) | 870.52 |
| (100) | 943.59 |
| (332) | 945.76 |
| (322) | 954.70 |
| (221) | 976.78 |
| (211) | 992.48 |
| (331) | 1000.30 |
| (110) | 1006.03 |
| (311) | 1012.24 |
| (321) | 1026.58 |
| (310) | 1036.94 |
| (320) | 1043.01 |
| (210) | 1045.76 |
| Surface | γfs (mJ/m2) |
|---|---|
| (211) 2 | 922.70 |
| (210) | 953.34 |
| (332) 2 | 962.21 |
| (321) 2 | 963.38 |
| (111) | 974.25 |
| (311) | 974.82 |
| (321) 1 | 980.04 |
| (221) | 980.74 |
| (322) | 984.81 |
| (100) | 988.97 |
| (331) | 996.18 |
| (320) | 1004.56 |
| (332) 1 | 1004.73 |
| (310) | 1004.98 |
| (211) 1 | 1021.56 |
| (110) | 1033.75 |
| Surface | γfs (mJ/m2) |
|---|---|
| (0001) | 834.42 |
| (1012) 2 | 900.74 |
| (2021) 1 | 921.17 |
| (1011) 1 | 926.45 |
| (2021) 2 | 979.79 |
| (1120) | 986.03 |
| (2131) 1 | 1004.26 |
| (2241) | 1005.56 |
| (2132) 2 | 1011.17 |
| (2132) 1 | 1018.70 |
| (1010) | 1019.21 |
| (1121) | 1019.76 |
| (2130) | 1027.47 |
| (1012) 1 | 1029.61 |
| (2112) | 1031.64 |
| (1011) 2 | 1040.47 |
| (2131) 2 | 1043.57 |
| Surface | γfs (mJ/m2) |
|---|---|
| (0001) | 821.59 |
| (1010) 1 | 898.88 |
| (1011) 2 | 899.29 |
| (2021) 1 | 920.57 |
| (1012) 1 | 958.25 |
| (1120) | 982.21 |
| (2130) 1 | 984.09 |
| (2112) | 984.64 |
| (1012) 2 | 990.95 |
| (2132) 1 | 1005.64 |
| (2131) 2 | 1009.33 |
| (2132) 2 | 1011.74 |
| (2241) | 1015.37 |
| (2131) 1 | 1022.90 |
| (1121) | 1029.45 |
| (2021) 2 | 1041.91 |
| (2130) 2 | 1065.95 |
| (1010) 2 | 1142.61 |
| (1011) 1 | 1157.98 |
| Surface | γfs (mJ/m2) |
|---|---|
| (111) | 2333.23 |
| (100) | 2470.12 |
| (332) | 2540.52 |
| (322) | 2565.77 |
| (110) | 2603.84 |
| (221) | 2628.74 |
| (311) | 2638.58 |
| (211) | 2658.85 |
| (331) | 2677.38 |
| (210) | 2680.76 |
| (320) | 2702.06 |
| (310) | 2707.19 |
| (321) | 2714.14 |
| Surface | γfs (mJ/m2) |
|---|---|
| (0001) | 2320.46 |
| (1012) 2 | 2418.62 |
| (1011) 1 | 2499.99 |
| (2021) 1 | 2504.02 |
| (1120) | 2586.63 |
| (2021) 2 | 2620.00 |
| (2241) | 2642.03 |
| (2132) 2 | 2671.20 |
| (1010) | 2671.46 |
| (2131) 1 | 2679.99 |
| (1121) | 2682.51 |
| (2112) | 2690.02 |
| (2130) | 2701.92 |
| (2132) 1 | 2714.97 |
| (2131) 2 | 2732.31 |
| (1012) 1 | 2741.73 |
| (1011) 2 | 2805.46 |
| Surface | γfs (mJ/m2) |
|---|---|
| (112) | -3484.17 |
| (211) | -2054.51 |
| (111) | -1492.54 |
| (110) | -830.05 |
| (201) | -764.01 |
| (101) | -710.49 |
| (100) | -494.52 |
| (001) | 0.00 |
| Surface | γfs (mJ/m2) |
|---|---|
| (111) | 1759.10 |
| (332) | 1930.13 |
| (100) | 1936.04 |
| (322) | 1950.52 |
| (221) | 2003.23 |
| (211) | 2040.04 |
| (331) | 2060.43 |
| (110) | 2087.08 |
| (311) | 2096.16 |
| (321) | 2124.99 |
| (310) | 2159.58 |
| (320) | 2173.26 |
| (210) | 2184.83 |
| Surface | γfs (mJ/m2) |
|---|---|
| (111) | 0.00 |
| (332) | 0.00 |
| (322) | 0.00 |
| (100) | 0.00 |
| (221) | 0.00 |
| (211) | 0.00 |
| (331) | 0.00 |
| (311) | 0.00 |
| (321) | 0.00 |
| (310) | 0.00 |
| (320) | 0.00 |
| (210) | 0.00 |
| Surface | γfs (mJ/m2) |
|---|---|
| (111) | 0.00 |
| (332) | 0.00 |
| (322) | 0.00 |
| (100) | 0.00 |
| (221) | 0.00 |
| (211) | 0.00 |
| (331) | 0.00 |
| (311) | 0.00 |
| (110) | 0.00 |
| (321) | 0.00 |
| (310) | 0.00 |
| (320) | 0.00 |
| (210) | 0.00 |
| Surface | γfs (mJ/m2) |
|---|---|
| (111) | 0.00 |
| (332) | 0.00 |
| (322) | 0.00 |
| (221) | 0.00 |
| (100) | 0.00 |
| (211) | 0.00 |
| (331) | 0.00 |
| (311) | 0.00 |
| (110) | 0.00 |
| (321) | 0.00 |
| (310) | 0.00 |
| (320) | 0.00 |
| (210) | 0.00 |
| Surface | γfs (mJ/m2) |
|---|---|
| (111) | 0.00 |
| (332) | 0.00 |
| (322) | 0.00 |
| (100) | 0.00 |
| (221) | 0.00 |
| (211) | 0.00 |
| (331) | 0.00 |
| (110) | 0.00 |
| (321) | 0.00 |
| (310) | 0.00 |
| (320) | 0.00 |
| (210) | 0.00 |
| Surface | γfs (mJ/m2) |
|---|---|
| (111) | 0.00 |
| (332) | 0.00 |
| (322) | 0.00 |
| (100) | 0.00 |
| (221) | 0.00 |
| (211) | 0.00 |
| (331) | 0.00 |
| (311) | 0.00 |
| (110) | 0.00 |
| (321) | 0.00 |
| (310) | 0.00 |
| (320) | 0.00 |
| (210) | 0.00 |
| Surface | γfs (mJ/m2) |
|---|---|
| (332) | 0.00 |
| (322) | 0.00 |
| (221) | 0.00 |
| (100) | 0.00 |
| (211) | 0.00 |
| (331) | 0.00 |
| (311) | 0.00 |
| (110) | 0.00 |
| (321) | 0.00 |
| (310) | 0.00 |
| (320) | 0.00 |
| (210) | 0.00 |
| Surface | γfs (mJ/m2) |
|---|---|
| (111) | 0.00 |
| (332) | 0.00 |
| (322) | 0.00 |
| (221) | 0.00 |
| (100) | 0.00 |
| (211) | 0.00 |
| (331) | 0.00 |
| (311) | 0.00 |
| (110) | 0.00 |
| (321) | 0.00 |
| (310) | 0.00 |
| (320) | 0.00 |
| (210) | 0.00 |
| Surface | γfs (mJ/m2) |
|---|---|
| (111) | 0.00 |
| (332) | 0.00 |
| (322) | 0.00 |
| (100) | 0.00 |
| (221) | 0.00 |
| (211) | 0.00 |
| (331) | 0.00 |
| (311) | 0.00 |
| (110) | 0.00 |
| (321) | 0.00 |
| (310) | 0.00 |
| (320) | 0.00 |
| (210) | 0.00 |
| Surface | γfs (mJ/m2) |
|---|---|
| (111) | 0.00 |
| (332) | 0.00 |
| (322) | 0.00 |
| (221) | 0.00 |
| (100) | 0.00 |
| (211) | 0.00 |
| (331) | 0.00 |
| (311) | 0.00 |
| (110) | 0.00 |
| (321) | 0.00 |
| (310) | 0.00 |
| (320) | 0.00 |
| (210) | 0.00 |
| Surface | γfs (mJ/m2) |
|---|---|
| (111) | 0.00 |
| (332) | 0.00 |
| (322) | 0.00 |
| (221) | 0.00 |
| (100) | 0.00 |
| (211) | 0.00 |
| (331) | 0.00 |
| (311) | 0.00 |
| (110) | 0.00 |
| (321) | 0.00 |
| (310) | 0.00 |
| (320) | 0.00 |
| (210) | 0.00 |
| Surface | γfs (mJ/m2) |
|---|---|
| (111) | 0.00 |
| (332) | 0.00 |
| (322) | 0.00 |
| (221) | 0.00 |
| (211) | 0.00 |
| (331) | 0.00 |
| (311) | 0.00 |
| (110) | 0.00 |
| (321) | 0.00 |
| (310) | 0.00 |
| (320) | 0.00 |
| (210) | 0.00 |
| Surface | γfs (mJ/m2) |
|---|---|
| (111) | 0.00 |
| (332) | 0.00 |
| (322) | 0.00 |
| (221) | 0.00 |
| (100) | 0.00 |
| (211) | 0.00 |
| (331) | 0.00 |
| (311) | 0.00 |
| (110) | 0.00 |
| (321) | 0.00 |
| (310) | 0.00 |
| (320) | 0.00 |
| (210) | 0.00 |
| Surface | γfs (mJ/m2) |
|---|---|
| (211) 2 | 1818.20 |
| (210) | 1888.49 |
| (332) 2 | 1908.46 |
| (321) 2 | 1922.98 |
| (311) | 1937.41 |
| (111) | 1942.56 |
| (321) 1 | 1947.21 |
| (221) | 1953.31 |
| (322) | 1962.12 |
| (100) | 1963.17 |
| (331) | 1988.46 |
| (320) | 2003.20 |
| (310) | 2004.61 |
| (332) 1 | 2011.72 |
| (211) 1 | 2054.00 |
| (110) | 2061.62 |
| Surface | γfs (mJ/m2) |
|---|---|
| (100) | 0.00 |
| (310) | 0.00 |
| (210) | 0.00 |
| (320) | 0.00 |
| (110) | 0.00 |
| (311) | 0.00 |
| (321) 2 | 0.00 |
| (321) 1 | 0.00 |
| (331) | 0.00 |
| (211) 2 | 0.00 |
| (211) 1 | 0.00 |
| (221) | 0.00 |
| (322) | 0.00 |
| (332) 2 | 0.00 |
| (332) 1 | 0.00 |
| (111) | 0.00 |
| Surface | γfs (mJ/m2) |
|---|---|
| (100) | 0.00 |
| (310) | 0.00 |
| (210) | 0.00 |
| (320) | 0.00 |
| (110) | 0.00 |
| (311) | 0.00 |
| (321) 2 | 0.00 |
| (321) 1 | 0.00 |
| (331) | 0.00 |
| (211) 2 | 0.00 |
| (211) 1 | 0.00 |
| (221) | 0.00 |
| (322) | 0.00 |
| (332) 1 | 0.00 |
| (332) 2 | 0.00 |
| (111) | 0.00 |
| Surface | γfs (mJ/m2) |
|---|---|
| (100) | 0.00 |
| (310) | 0.00 |
| (210) | 0.00 |
| (320) | 0.00 |
| (110) | 0.00 |
| (311) | 0.00 |
| (321) 2 | 0.00 |
| (321) 1 | 0.00 |
| (331) | 0.00 |
| (211) 2 | 0.00 |
| (211) 1 | 0.00 |
| (221) | 0.00 |
| (322) | 0.00 |
| (332) 2 | 0.00 |
| (332) 1 | 0.00 |
| (111) | 0.00 |
| Surface | γfs (mJ/m2) |
|---|---|
| (100) | 0.00 |
| (310) | 0.00 |
| (210) | 0.00 |
| (110) | 0.00 |
| (311) | 0.00 |
| (321) 2 | 0.00 |
| (321) 1 | 0.00 |
| (331) | 0.00 |
| (211) 2 | 0.00 |
| (211) 1 | 0.00 |
| (221) | 0.00 |
| (322) | 0.00 |
| (332) 2 | 0.00 |
| (332) 1 | 0.00 |
| (111) | 0.00 |
| Surface | γfs (mJ/m2) |
|---|---|
| (100) | 0.00 |
| (310) | 0.00 |
| (210) | 0.00 |
| (320) | 0.00 |
| (110) | 0.00 |
| (311) | 0.00 |
| (321) 1 | 0.00 |
| (321) 2 | 0.00 |
| (331) | 0.00 |
| (211) 1 | 0.00 |
| (211) 2 | 0.00 |
| (221) | 0.00 |
| (322) | 0.00 |
| (332) 2 | 0.00 |
| (332) 1 | 0.00 |
| (111) | 0.00 |
| Surface | γfs (mJ/m2) |
|---|---|
| (100) | 0.00 |
| (310) | 0.00 |
| (210) | 0.00 |
| (320) | 0.00 |
| (110) | 0.00 |
| (311) | 0.00 |
| (321) 2 | 0.00 |
| (321) 1 | 0.00 |
| (331) | 0.00 |
| (211) 2 | 0.00 |
| (211) 1 | 0.00 |
| (221) | 0.00 |
| (322) | 0.00 |
| (332) 1 | 0.00 |
| (332) 2 | 0.00 |
| (111) | 0.00 |
| Surface | γfs (mJ/m2) |
|---|---|
| (100) | 0.00 |
| (310) | 0.00 |
| (210) | 0.00 |
| (320) | 0.00 |
| (110) | 0.00 |
| (311) | 0.00 |
| (321) 2 | 0.00 |
| (321) 1 | 0.00 |
| (331) | 0.00 |
| (211) 1 | 0.00 |
| (211) 2 | 0.00 |
| (221) | 0.00 |
| (322) | 0.00 |
| (332) 1 | 0.00 |
| (332) 2 | 0.00 |
| (111) | 0.00 |
| Surface | γfs (mJ/m2) |
|---|---|
| (100) | 0.00 |
| (310) | 0.00 |
| (210) | 0.00 |
| (320) | 0.00 |
| (110) | 0.00 |
| (311) | 0.00 |
| (321) 1 | 0.00 |
| (321) 2 | 0.00 |
| (331) | 0.00 |
| (211) 2 | 0.00 |
| (211) 1 | 0.00 |
| (221) | 0.00 |
| (322) | 0.00 |
| (332) 1 | 0.00 |
| (332) 2 | 0.00 |
| (111) | 0.00 |
| Surface | γfs (mJ/m2) |
|---|---|
| (100) | 0.00 |
| (310) | 0.00 |
| (210) | 0.00 |
| (320) | 0.00 |
| (110) | 0.00 |
| (311) | 0.00 |
| (321) 1 | 0.00 |
| (321) 2 | 0.00 |
| (331) | 0.00 |
| (211) 2 | 0.00 |
| (211) 1 | 0.00 |
| (221) | 0.00 |
| (322) | 0.00 |
| (332) 2 | 0.00 |
| (332) 1 | 0.00 |
| (111) | 0.00 |
| Surface | γfs (mJ/m2) |
|---|---|
| (100) | 0.00 |
| (310) | 0.00 |
| (210) | 0.00 |
| (320) | 0.00 |
| (110) | 0.00 |
| (311) | 0.00 |
| (321) 1 | 0.00 |
| (321) 2 | 0.00 |
| (331) | 0.00 |
| (211) 1 | 0.00 |
| (211) 2 | 0.00 |
| (221) | 0.00 |
| (322) | 0.00 |
| (332) 2 | 0.00 |
| (332) 1 | 0.00 |
| (111) | 0.00 |
| Surface | γfs (mJ/m2) |
|---|---|
| (100) | 0.00 |
| (310) | 0.00 |
| (210) | 0.00 |
| (320) | 0.00 |
| (110) | 0.00 |
| (311) | 0.00 |
| (321) 2 | 0.00 |
| (321) 1 | 0.00 |
| (331) | 0.00 |
| (211) 2 | 0.00 |
| (211) 1 | 0.00 |
| (221) | 0.00 |
| (322) | 0.00 |
| (332) 1 | 0.00 |
| (332) 2 | 0.00 |
| (111) | 0.00 |
| Surface | γfs (mJ/m2) |
|---|---|
| (100) | 0.00 |
| (310) | 0.00 |
| (210) | 0.00 |
| (320) | 0.00 |
| (110) | 0.00 |
| (311) | 0.00 |
| (321) 2 | 0.00 |
| (321) 1 | 0.00 |
| (331) | 0.00 |
| (211) 1 | 0.00 |
| (211) 2 | 0.00 |
| (221) | 0.00 |
| (322) | 0.00 |
| (332) 1 | 0.00 |
| (332) 2 | 0.00 |
| (111) | 0.00 |
| Surface | γfs (mJ/m2) |
|---|---|
| (110) | 0.00 |
| (321) | 0.00 |
| (331) | 0.00 |
| (211) | 0.00 |
| (320) | 0.00 |
| (221) | 0.00 |
| (322) | 0.00 |
| (332) | 0.00 |
| (111) | 0.00 |
| (210) | 0.00 |
| (311) | 0.00 |
| (310) | 0.00 |
| (100) | 0.00 |
| Surface | γfs (mJ/m2) |
|---|---|
| (110) | 0.00 |
| (321) | 0.00 |
| (331) | 0.00 |
| (211) | 0.00 |
| (320) | 0.00 |
| (221) | 0.00 |
| (322) | 0.00 |
| (332) | 0.00 |
| (111) | 0.00 |
| (210) | 0.00 |
| (311) | 0.00 |
| (310) | 0.00 |
| (100) | 0.00 |
| Surface | γfs (mJ/m2) |
|---|---|
| (110) | 0.00 |
| (321) | 0.00 |
| (331) | 0.00 |
| (211) | 0.00 |
| (320) | 0.00 |
| (221) | 0.00 |
| (322) | 0.00 |
| (332) | 0.00 |
| (111) | 0.00 |
| (210) | 0.00 |
| (311) | 0.00 |
| (310) | 0.00 |
| (100) | 0.00 |
| Surface | γfs (mJ/m2) |
|---|---|
| (110) | 0.00 |
| (321) | 0.00 |
| (331) | 0.00 |
| (211) | 0.00 |
| (320) | 0.00 |
| (221) | 0.00 |
| (322) | 0.00 |
| (332) | 0.00 |
| (111) | 0.00 |
| (210) | 0.00 |
| (311) | 0.00 |
| (310) | 0.00 |
| (100) | 0.00 |
| Surface | γfs (mJ/m2) |
|---|---|
| (110) | 0.00 |
| (321) | 0.00 |
| (331) | 0.00 |
| (211) | 0.00 |
| (320) | 0.00 |
| (221) | 0.00 |
| (322) | 0.00 |
| (332) | 0.00 |
| (111) | 0.00 |
| (210) | 0.00 |
| (311) | 0.00 |
| (310) | 0.00 |
| (100) | 0.00 |
| Surface | γfs (mJ/m2) |
|---|---|
| (110) | 0.00 |
| (321) | 0.00 |
| (331) | 0.00 |
| (211) | 0.00 |
| (320) | 0.00 |
| (221) | 0.00 |
| (322) | 0.00 |
| (332) | 0.00 |
| (111) | 0.00 |
| (210) | 0.00 |
| (311) | 0.00 |
| (310) | 0.00 |
| (100) | 0.00 |
| Surface | γfs (mJ/m2) |
|---|---|
| (110) | 0.00 |
| (321) | 0.00 |
| (331) | 0.00 |
| (211) | 0.00 |
| (320) | 0.00 |
| (221) | 0.00 |
| (322) | 0.00 |
| (332) | 0.00 |
| (111) | 0.00 |
| (210) | 0.00 |
| (311) | 0.00 |
| (310) | 0.00 |
| (100) | 0.00 |
| Surface | γfs (mJ/m2) |
|---|---|
| (110) | 0.00 |
| (321) | 0.00 |
| (331) | 0.00 |
| (211) | 0.00 |
| (320) | 0.00 |
| (221) | 0.00 |
| (322) | 0.00 |
| (332) | 0.00 |
| (111) | 0.00 |
| (210) | 0.00 |
| (311) | 0.00 |
| (310) | 0.00 |
| (100) | 0.00 |
| Surface | γfs (mJ/m2) |
|---|---|
| (110) | 0.00 |
| (321) | 0.00 |
| (331) | 0.00 |
| (211) | 0.00 |
| (320) | 0.00 |
| (221) | 0.00 |
| (322) | 0.00 |
| (332) | 0.00 |
| (111) | 0.00 |
| (210) | 0.00 |
| (311) | 0.00 |
| (310) | 0.00 |
| (100) | 0.00 |
| Surface | γfs (mJ/m2) |
|---|---|
| (110) | 0.00 |
| (321) | 0.00 |
| (331) | 0.00 |
| (211) | 0.00 |
| (320) | 0.00 |
| (221) | 0.00 |
| (322) | 0.00 |
| (332) | 0.00 |
| (111) | 0.00 |
| (210) | 0.00 |
| (311) | 0.00 |
| (310) | 0.00 |
| (100) | 0.00 |
| Surface | γfs (mJ/m2) |
|---|---|
| (110) | 0.00 |
| (321) | 0.00 |
| (331) | 0.00 |
| (211) | 0.00 |
| (320) | 0.00 |
| (221) | 0.00 |
| (322) | 0.00 |
| (332) | 0.00 |
| (111) | 0.00 |
| (210) | 0.00 |
| (311) | 0.00 |
| (310) | 0.00 |
| (100) | 0.00 |
| Surface | γfs (mJ/m2) |
|---|---|
| (110) | 0.00 |
| (321) | 0.00 |
| (331) | 0.00 |
| (211) | 0.00 |
| (320) | 0.00 |
| (221) | 0.00 |
| (322) | 0.00 |
| (332) | 0.00 |
| (111) | 0.00 |
| (210) | 0.00 |
| (311) | 0.00 |
| (310) | 0.00 |
| (100) | 0.00 |
| Surface | γfs (mJ/m2) |
|---|---|
| (0001) | 1727.42 |
| (1012) 2 | 1857.43 |
| (2021) 1 | 1897.54 |
| (1011) 1 | 1912.47 |
| (2021) 2 | 2030.64 |
| (1120) | 2066.54 |
| (2131) 1 | 2097.36 |
| (2241) | 2108.72 |
| (2132) 2 | 2115.80 |
| (1010) | 2119.00 |
| (2132) 1 | 2127.49 |
| (1121) | 2138.76 |
| (1012) 1 | 2146.75 |
| (2130) | 2152.56 |
| (2112) | 2163.34 |
| (1011) 2 | 2165.66 |
| (2131) 2 | 2190.91 |
| Surface | γfs (mJ/m2) |
|---|---|
| (0001) | 0.00 |
| (1012) 2 | 0.00 |
| (2021) 1 | 0.00 |
| (1011) 1 | 0.00 |
| (2021) 2 | 0.00 |
| (1120) | 0.00 |
| (2131) 1 | 0.00 |
| (1010) | 0.00 |
| (2132) 1 | 0.00 |
| (2132) 2 | 0.00 |
| (2241) | 0.00 |
| (1012) 1 | 0.00 |
| (1121) | 0.00 |
| (2112) | 0.00 |
| (2130) | 0.00 |
| (1011) 2 | 0.00 |
| (2131) 2 | 0.00 |
| Surface | γfs (mJ/m2) |
|---|---|
| (0001) | 0.00 |
| (1012) 2 | 0.00 |
| (2021) 1 | 0.00 |
| (1011) 1 | 0.00 |
| (2021) 2 | 0.00 |
| (1120) | 0.00 |
| (2131) 1 | 0.00 |
| (1010) | 0.00 |
| (2132) 1 | 0.00 |
| (2132) 2 | 0.00 |
| (2241) | 0.00 |
| (1012) 1 | 0.00 |
| (1121) | 0.00 |
| (2112) | 0.00 |
| (2130) | 0.00 |
| (1011) 2 | 0.00 |
| (2131) 2 | 0.00 |
| Surface | γfs (mJ/m2) |
|---|---|
| (0001) | 0.00 |
| (1012) 2 | 0.00 |
| (2021) 1 | 0.00 |
| (1011) 1 | 0.00 |
| (2021) 2 | 0.00 |
| (1120) | 0.00 |
| (2131) 1 | 0.00 |
| (1010) | 0.00 |
| (2132) 1 | 0.00 |
| (2132) 2 | 0.00 |
| (2241) | 0.00 |
| (1012) 1 | 0.00 |
| (1121) | 0.00 |
| (2112) | 0.00 |
| (2130) | 0.00 |
| (1011) 2 | 0.00 |
| (2131) 2 | 0.00 |
| Surface | γfs (mJ/m2) |
|---|---|
| (0001) | 0.00 |
| (1012) 2 | 0.00 |
| (2021) 1 | 0.00 |
| (1011) 1 | 0.00 |
| (2021) 2 | 0.00 |
| (1120) | 0.00 |
| (2131) 1 | 0.00 |
| (1010) | 0.00 |
| (2132) 1 | 0.00 |
| (2132) 2 | 0.00 |
| (2241) | 0.00 |
| (1012) 1 | 0.00 |
| (1121) | 0.00 |
| (2112) | 0.00 |
| (2130) | 0.00 |
| (1011) 2 | 0.00 |
| (2131) 2 | 0.00 |
| Surface | γfs (mJ/m2) |
|---|---|
| (0001) | 0.00 |
| (1012) 2 | 0.00 |
| (2021) 1 | 0.00 |
| (1011) 1 | 0.00 |
| (2021) 2 | 0.00 |
| (1120) | 0.00 |
| (2131) 1 | 0.00 |
| (1010) | 0.00 |
| (2132) 1 | 0.00 |
| (2132) 2 | 0.00 |
| (2241) | 0.00 |
| (1012) 1 | 0.00 |
| (1121) | 0.00 |
| (2112) | 0.00 |
| (2130) | 0.00 |
| (1011) 2 | 0.00 |
| (2131) 2 | 0.00 |
| Surface | γfs (mJ/m2) |
|---|---|
| (0001) | 0.00 |
| (1012) 2 | 0.00 |
| (2021) 1 | 0.00 |
| (1011) 1 | 0.00 |
| (2021) 2 | 0.00 |
| (1120) | 0.00 |
| (2131) 1 | 0.00 |
| (1010) | 0.00 |
| (2132) 2 | 0.00 |
| (2132) 1 | 0.00 |
| (2241) | 0.00 |
| (1012) 1 | 0.00 |
| (1121) | 0.00 |
| (2112) | 0.00 |
| (2130) | 0.00 |
| (1011) 2 | 0.00 |
| (2131) 2 | 0.00 |
| Surface | γfs (mJ/m2) |
|---|---|
| (0001) | 0.00 |
| (1012) 2 | 0.00 |
| (2021) 1 | 0.00 |
| (1011) 1 | 0.00 |
| (2021) 2 | 0.00 |
| (1120) | 0.00 |
| (2131) 1 | 0.00 |
| (1010) | 0.00 |
| (2132) 2 | 0.00 |
| (2132) 1 | 0.00 |
| (2241) | 0.00 |
| (1012) 1 | 0.00 |
| (1121) | 0.00 |
| (2112) | 0.00 |
| (2130) | 0.00 |
| (1011) 2 | 0.00 |
| (2131) 2 | 0.00 |
| Surface | γfs (mJ/m2) |
|---|---|
| (0001) | 0.00 |
| (1012) 2 | 0.00 |
| (2021) 1 | 0.00 |
| (1011) 1 | 0.00 |
| (2021) 2 | 0.00 |
| (1120) | 0.00 |
| (2131) 1 | 0.00 |
| (1010) | 0.00 |
| (2132) 1 | 0.00 |
| (2132) 2 | 0.00 |
| (2241) | 0.00 |
| (1012) 1 | 0.00 |
| (1121) | 0.00 |
| (2112) | 0.00 |
| (2130) | 0.00 |
| (1011) 2 | 0.00 |
| (2131) 2 | 0.00 |
| Surface | γfs (mJ/m2) |
|---|---|
| (0001) | 0.00 |
| (1012) 2 | 0.00 |
| (2021) 1 | 0.00 |
| (1011) 1 | 0.00 |
| (2021) 2 | 0.00 |
| (1120) | 0.00 |
| (2131) 1 | 0.00 |
| (1010) | 0.00 |
| (2132) 1 | 0.00 |
| (2132) 2 | 0.00 |
| (2241) | 0.00 |
| (1012) 1 | 0.00 |
| (1121) | 0.00 |
| (2112) | 0.00 |
| (2130) | 0.00 |
| (1011) 2 | 0.00 |
| (2131) 2 | 0.00 |
| Surface | γfs (mJ/m2) |
|---|---|
| (0001) | 0.00 |
| (1012) 2 | 0.00 |
| (2021) 1 | 0.00 |
| (1011) 1 | 0.00 |
| (2021) 2 | 0.00 |
| (1120) | 0.00 |
| (2131) 1 | 0.00 |
| (1010) | 0.00 |
| (2132) 2 | 0.00 |
| (2132) 1 | 0.00 |
| (2241) | 0.00 |
| (1012) 1 | 0.00 |
| (1121) | 0.00 |
| (2112) | 0.00 |
| (2130) | 0.00 |
| (1011) 2 | 0.00 |
| (2131) 2 | 0.00 |
| Surface | γfs (mJ/m2) |
|---|---|
| (0001) | 0.00 |
| (1012) 2 | 0.00 |
| (2021) 1 | 0.00 |
| (1011) 1 | 0.00 |
| (2021) 2 | 0.00 |
| (1120) | 0.00 |
| (2131) 1 | 0.00 |
| (1010) | 0.00 |
| (2132) 2 | 0.00 |
| (2132) 1 | 0.00 |
| (2241) | 0.00 |
| (1012) 1 | 0.00 |
| (1121) | 0.00 |
| (2112) | 0.00 |
| (2130) | 0.00 |
| (1011) 2 | 0.00 |
| (2131) 2 | 0.00 |
| Surface | γfs (mJ/m2) |
|---|---|
| (0001) | 0.00 |
| (1012) 2 | 0.00 |
| (2021) 1 | 0.00 |
| (1011) 1 | 0.00 |
| (2021) 2 | 0.00 |
| (1120) | 0.00 |
| (2131) 1 | 0.00 |
| (1010) | 0.00 |
| (2132) 2 | 0.00 |
| (2132) 1 | 0.00 |
| (2241) | 0.00 |
| (1012) 1 | 0.00 |
| (1121) | 0.00 |
| (2112) | 0.00 |
| (2130) | 0.00 |
| (1011) 2 | 0.00 |
| (2131) 2 | 0.00 |
| Surface | γfs (mJ/m2) |
|---|---|
| (0001) | 0.00 |
| (1010) 1 | 0.00 |
| (1011) 2 | 0.00 |
| (2021) 1 | 0.00 |
| (2130) 1 | 0.00 |
| (1012) 2 | 0.00 |
| (1012) 1 | 0.00 |
| (2112) | 0.00 |
| (1120) | 0.00 |
| (2132) 1 | 0.00 |
| (2131) 1 | 0.00 |
| (2131) 2 | 0.00 |
| (2241) | 0.00 |
| (1121) | 0.00 |
| (2021) 2 | 0.00 |
| (2130) 2 | 0.00 |
| (1011) 1 | 0.00 |
| (1010) 2 | 0.00 |
| Surface | γfs (mJ/m2) |
|---|---|
| (0001) | 0.00 |
| (1010) 1 | 0.00 |
| (1011) 2 | 0.00 |
| (2021) 1 | 0.00 |
| (2130) 1 | 0.00 |
| (1012) 1 | 0.00 |
| (1012) 2 | 0.00 |
| (2112) | 0.00 |
| (1120) | 0.00 |
| (2132) 1 | 0.00 |
| (2132) 2 | 0.00 |
| (2131) 1 | 0.00 |
| (2131) 2 | 0.00 |
| (2241) | 0.00 |
| (1121) | 0.00 |
| (2021) 2 | 0.00 |
| (2130) 2 | 0.00 |
| (1011) 1 | 0.00 |
| (1010) 2 | 0.00 |
| Surface | γfs (mJ/m2) |
|---|---|
| (0001) | 0.00 |
| (1010) 1 | 0.00 |
| (1011) 2 | 0.00 |
| (2021) 1 | 0.00 |
| (2130) 1 | 0.00 |
| (1012) 2 | 0.00 |
| (1012) 1 | 0.00 |
| (2112) | 0.00 |
| (1120) | 0.00 |
| (2132) 1 | 0.00 |
| (2132) 2 | 0.00 |
| (2131) 2 | 0.00 |
| (2131) 1 | 0.00 |
| (2241) | 0.00 |
| (1121) | 0.00 |
| (2021) 2 | 0.00 |
| (2130) 2 | 0.00 |
| (1011) 1 | 0.00 |
| (1010) 2 | 0.00 |
| Surface | γfs (mJ/m2) |
|---|---|
| (0001) | 0.00 |
| (1010) 1 | 0.00 |
| (1011) 2 | 0.00 |
| (2021) 1 | 0.00 |
| (2130) 1 | 0.00 |
| (1012) 1 | 0.00 |
| (1012) 2 | 0.00 |
| (2112) | 0.00 |
| (1120) | 0.00 |
| (2132) 2 | 0.00 |
| (2132) 1 | 0.00 |
| (2131) 1 | 0.00 |
| (2131) 2 | 0.00 |
| (2241) | 0.00 |
| (1121) | 0.00 |
| (2021) 2 | 0.00 |
| (2130) 2 | 0.00 |
| (1011) 1 | 0.00 |
| (1010) 2 | 0.00 |
| Surface | γfs (mJ/m2) |
|---|---|
| (0001) | 0.00 |
| (1010) 1 | 0.00 |
| (1011) 2 | 0.00 |
| (2021) 1 | 0.00 |
| (2130) 1 | 0.00 |
| (1012) 1 | 0.00 |
| (1012) 2 | 0.00 |
| (2112) | 0.00 |
| (1120) | 0.00 |
| (2132) 1 | 0.00 |
| (2132) 2 | 0.00 |
| (2131) 2 | 0.00 |
| (2131) 1 | 0.00 |
| (2241) | 0.00 |
| (2021) 2 | 0.00 |
| (2130) 2 | 0.00 |
| (1011) 1 | 0.00 |
| (1010) 2 | 0.00 |
| Surface | γfs (mJ/m2) |
|---|---|
| (0001) | 0.00 |
| (1010) 1 | 0.00 |
| (1011) 2 | 0.00 |
| (2021) 1 | 0.00 |
| (2130) 1 | 0.00 |
| (1012) 2 | 0.00 |
| (1012) 1 | 0.00 |
| (2112) | 0.00 |
| (1120) | 0.00 |
| (2132) 1 | 0.00 |
| (2132) 2 | 0.00 |
| (2131) 1 | 0.00 |
| (2131) 2 | 0.00 |
| (2241) | 0.00 |
| (1121) | 0.00 |
| (2021) 2 | 0.00 |
| (2130) 2 | 0.00 |
| (1011) 1 | 0.00 |
| (1010) 2 | 0.00 |
| Surface | γfs (mJ/m2) |
|---|---|
| (0001) | 0.00 |
| (1010) 1 | 0.00 |
| (1011) 2 | 0.00 |
| (2021) 1 | 0.00 |
| (2130) 1 | 0.00 |
| (1012) 2 | 0.00 |
| (1012) 1 | 0.00 |
| (2112) | 0.00 |
| (1120) | 0.00 |
| (2132) 2 | 0.00 |
| (2132) 1 | 0.00 |
| (2131) 2 | 0.00 |
| (2131) 1 | 0.00 |
| (2241) | 0.00 |
| (1121) | 0.00 |
| (2021) 2 | 0.00 |
| (2130) 2 | 0.00 |
| (1011) 1 | 0.00 |
| (1010) 2 | 0.00 |
| Surface | γfs (mJ/m2) |
|---|---|
| (0001) | 0.00 |
| (1010) 1 | 0.00 |
| (1011) 2 | 0.00 |
| (2021) 1 | 0.00 |
| (2130) 1 | 0.00 |
| (1012) 2 | 0.00 |
| (1012) 1 | 0.00 |
| (2112) | 0.00 |
| (1120) | 0.00 |
| (2132) 2 | 0.00 |
| (2132) 1 | 0.00 |
| (2131) 1 | 0.00 |
| (2131) 2 | 0.00 |
| (2241) | 0.00 |
| (1121) | 0.00 |
| (2021) 2 | 0.00 |
| (2130) 2 | 0.00 |
| (1011) 1 | 0.00 |
| (1010) 2 | 0.00 |
| Surface | γfs (mJ/m2) |
|---|---|
| (0001) | 0.00 |
| (1010) 1 | 0.00 |
| (1011) 2 | 0.00 |
| (2021) 1 | 0.00 |
| (2130) 1 | 0.00 |
| (1012) 2 | 0.00 |
| (1012) 1 | 0.00 |
| (2112) | 0.00 |
| (1120) | 0.00 |
| (2132) 2 | 0.00 |
| (2132) 1 | 0.00 |
| (2131) 1 | 0.00 |
| (2131) 2 | 0.00 |
| (2241) | 0.00 |
| (1121) | 0.00 |
| (2021) 2 | 0.00 |
| (2130) 2 | 0.00 |
| (1011) 1 | 0.00 |
| (1010) 2 | 0.00 |
| Surface | γfs (mJ/m2) |
|---|---|
| (0001) | 0.00 |
| (1010) 1 | 0.00 |
| (1011) 2 | 0.00 |
| (2021) 1 | 0.00 |
| (2130) 1 | 0.00 |
| (1012) 1 | 0.00 |
| (1012) 2 | 0.00 |
| (2112) | 0.00 |
| (1120) | 0.00 |
| (2132) 1 | 0.00 |
| (2132) 2 | 0.00 |
| (2131) 1 | 0.00 |
| (2131) 2 | 0.00 |
| (2241) | 0.00 |
| (1121) | 0.00 |
| (2021) 2 | 0.00 |
| (2130) 2 | 0.00 |
| (1011) 1 | 0.00 |
| (1010) 2 | 0.00 |
| Surface | γfs (mJ/m2) |
|---|---|
| (0001) | 0.00 |
| (1010) 1 | 0.00 |
| (1011) 2 | 0.00 |
| (2021) 1 | 0.00 |
| (2130) 1 | 0.00 |
| (1012) 1 | 0.00 |
| (1012) 2 | 0.00 |
| (2112) | 0.00 |
| (1120) | 0.00 |
| (2132) 1 | 0.00 |
| (2132) 2 | 0.00 |
| (2131) 2 | 0.00 |
| (2131) 1 | 0.00 |
| (2241) | 0.00 |
| (1121) | 0.00 |
| (2021) 2 | 0.00 |
| (2130) 2 | 0.00 |
| (1011) 1 | 0.00 |
| (1010) 2 | 0.00 |
| Surface | γfs (mJ/m2) |
|---|---|
| (0001) | 0.00 |
| (1010) 1 | 0.00 |
| (1011) 2 | 0.00 |
| (2021) 1 | 0.00 |
| (2130) 1 | 0.00 |
| (1012) 2 | 0.00 |
| (1012) 1 | 0.00 |
| (2112) | 0.00 |
| (1120) | 0.00 |
| (2132) 1 | 0.00 |
| (2132) 2 | 0.00 |
| (2131) 2 | 0.00 |
| (2131) 1 | 0.00 |
| (2241) | 0.00 |
| (1121) | 0.00 |
| (2021) 2 | 0.00 |
| (2130) 2 | 0.00 |
| (1011) 1 | 0.00 |
| (1010) 2 | 0.00 |
| Surface | γfs (mJ/m2) |
|---|---|
| (111) 2 | 0.00 |
| (331) 2 | 0.00 |
| (110) | 0.00 |
| (321) | 0.00 |
| (211) | 0.00 |
| (320) | 0.00 |
| (332) | 0.00 |
| (210) | 0.00 |
| (311) 2 | 0.00 |
| (311) 1 | 0.00 |
| (310) | 0.00 |
| (322) | 0.00 |
| (221) | 0.00 |
| (100) | 0.00 |
| (331) 1 | 0.00 |
| (111) 1 | 0.00 |
| Surface | γfs (mJ/m2) |
|---|---|
| (111) 2 | 0.00 |
| (331) 2 | 0.00 |
| (110) | 0.00 |
| (321) | 0.00 |
| (211) | 0.00 |
| (320) | 0.00 |
| (332) | 0.00 |
| (210) | 0.00 |
| (311) 2 | 0.00 |
| (311) 1 | 0.00 |
| (310) | 0.00 |
| (322) | 0.00 |
| (100) | 0.00 |
| (221) | 0.00 |
| (331) 1 | 0.00 |
| (111) 1 | 0.00 |
| Surface | γfs (mJ/m2) |
|---|---|
| (111) 2 | 0.00 |
| (331) 2 | 0.00 |
| (110) | 0.00 |
| (321) | 0.00 |
| (211) | 0.00 |
| (320) | 0.00 |
| (332) | 0.00 |
| (210) | 0.00 |
| (311) 2 | 0.00 |
| (311) 1 | 0.00 |
| (310) | 0.00 |
| (322) | 0.00 |
| (221) | 0.00 |
| (100) | 0.00 |
| (331) 1 | 0.00 |
| (111) 1 | 0.00 |
| Surface | γfs (mJ/m2) |
|---|---|
| (111) 2 | 0.00 |
| (331) 2 | 0.00 |
| (110) | 0.00 |
| (321) | 0.00 |
| (211) | 0.00 |
| (320) | 0.00 |
| (332) | 0.00 |
| (210) | 0.00 |
| (311) 1 | 0.00 |
| (311) 2 | 0.00 |
| (310) | 0.00 |
| (322) | 0.00 |
| (100) | 0.00 |
| (221) | 0.00 |
| (331) 1 | 0.00 |
| (111) 1 | 0.00 |
| Surface | γfs (mJ/m2) |
|---|---|
| (111) 2 | 0.00 |
| (331) 2 | 0.00 |
| (110) | 0.00 |
| (321) | 0.00 |
| (211) | 0.00 |
| (320) | 0.00 |
| (332) | 0.00 |
| (210) | 0.00 |
| (311) 2 | 0.00 |
| (311) 1 | 0.00 |
| (310) | 0.00 |
| (322) | 0.00 |
| (221) | 0.00 |
| (100) | 0.00 |
| (331) 1 | 0.00 |
| (111) 1 | 0.00 |
| Surface | γfs (mJ/m2) |
|---|---|
| (111) 2 | 0.00 |
| (331) 2 | 0.00 |
| (110) | 0.00 |
| (321) | 0.00 |
| (211) | 0.00 |
| (320) | 0.00 |
| (332) | 0.00 |
| (210) | 0.00 |
| (311) 2 | 0.00 |
| (311) 1 | 0.00 |
| (310) | 0.00 |
| (322) | 0.00 |
| (221) | 0.00 |
| (100) | 0.00 |
| (331) 1 | 0.00 |
| (111) 1 | 0.00 |
| Surface | γfs (mJ/m2) |
|---|---|
| (111) 2 | 0.00 |
| (331) 2 | 0.00 |
| (110) | 0.00 |
| (321) | 0.00 |
| (211) | 0.00 |
| (320) | 0.00 |
| (332) | 0.00 |
| (210) | 0.00 |
| (311) 1 | 0.00 |
| (311) 2 | 0.00 |
| (310) | 0.00 |
| (322) | 0.00 |
| (100) | 0.00 |
| (221) | 0.00 |
| (331) 1 | 0.00 |
| (111) 1 | 0.00 |
| Surface | γfs (mJ/m2) |
|---|---|
| (111) 2 | 0.00 |
| (331) 2 | 0.00 |
| (110) | 0.00 |
| (321) | 0.00 |
| (211) | 0.00 |
| (320) | 0.00 |
| (332) | 0.00 |
| (210) | 0.00 |
| (311) 2 | 0.00 |
| (311) 1 | 0.00 |
| (310) | 0.00 |
| (322) | 0.00 |
| (100) | 0.00 |
| (221) | 0.00 |
| (331) 1 | 0.00 |
| (111) 1 | 0.00 |
| Surface | γfs (mJ/m2) |
|---|---|
| (111) 2 | 0.00 |
| (331) 2 | 0.00 |
| (110) | 0.00 |
| (321) | 0.00 |
| (211) | 0.00 |
| (320) | 0.00 |
| (332) | 0.00 |
| (210) | 0.00 |
| (311) 2 | 0.00 |
| (311) 1 | 0.00 |
| (310) | 0.00 |
| (322) | 0.00 |
| (221) | 0.00 |
| (100) | 0.00 |
| (331) 1 | 0.00 |
| (111) 1 | 0.00 |
| Surface | γfs (mJ/m2) |
|---|---|
| (111) 2 | 0.00 |
| (331) 2 | 0.00 |
| (110) | 0.00 |
| (321) | 0.00 |
| (211) | 0.00 |
| (320) | 0.00 |
| (332) | 0.00 |
| (210) | 0.00 |
| (311) 2 | 0.00 |
| (311) 1 | 0.00 |
| (310) | 0.00 |
| (322) | 0.00 |
| (100) | 0.00 |
| (221) | 0.00 |
| (331) 1 | 0.00 |
| (111) 1 | 0.00 |
| Surface | γfs (mJ/m2) |
|---|---|
| (111) 2 | 0.00 |
| (331) 2 | 0.00 |
| (110) | 0.00 |
| (321) | 0.00 |
| (211) | 0.00 |
| (320) | 0.00 |
| (332) | 0.00 |
| (210) | 0.00 |
| (311) 2 | 0.00 |
| (311) 1 | 0.00 |
| (310) | 0.00 |
| (322) | 0.00 |
| (221) | 0.00 |
| (100) | 0.00 |
| (331) 1 | 0.00 |
| (111) 1 | 0.00 |
| Surface | γfs (mJ/m2) |
|---|---|
| (111) 2 | 0.00 |
| (331) 2 | 0.00 |
| (110) | 0.00 |
| (321) | 0.00 |
| (211) | 0.00 |
| (320) | 0.00 |
| (332) | 0.00 |
| (210) | 0.00 |
| (311) 2 | 0.00 |
| (311) 1 | 0.00 |
| (310) | 0.00 |
| (322) | 0.00 |
| (221) | 0.00 |
| (100) | 0.00 |
| (331) 1 | 0.00 |
| (111) 1 | 0.00 |
| Surface | γfs (mJ/m2) |
|---|---|
| (101) 1 | 0.00 |
| (112) | 0.00 |
| (001) | 0.00 |
| (201) | 0.00 |
| (111) | 0.00 |
| (100) | 0.00 |
| (211) 1 | 0.00 |
| (211) 2 | 0.00 |
| (110) | 0.00 |
| (101) 2 | 0.00 |
| Surface | γfs (mJ/m2) |
|---|---|
| (101) 1 | 0.00 |
| (112) | 0.00 |
| (001) | 0.00 |
| (201) | 0.00 |
| (111) | 0.00 |
| (100) | 0.00 |
| (211) 1 | 0.00 |
| (211) 2 | 0.00 |
| (110) | 0.00 |
| (101) 2 | 0.00 |
| Surface | γfs (mJ/m2) |
|---|---|
| (101) 1 | 0.00 |
| (112) | 0.00 |
| (001) | 0.00 |
| (201) | 0.00 |
| (111) | 0.00 |
| (100) | 0.00 |
| (211) 2 | 0.00 |
| (211) 1 | 0.00 |
| (110) | 0.00 |
| (101) 2 | 0.00 |
| Surface | γfs (mJ/m2) |
|---|---|
| (101) 1 | 0.00 |
| (112) | 0.00 |
| (001) | 0.00 |
| (201) | 0.00 |
| (111) | 0.00 |
| (100) | 0.00 |
| (211) 1 | 0.00 |
| (211) 2 | 0.00 |
| (110) | 0.00 |
| (101) 2 | 0.00 |
| Surface | γfs (mJ/m2) |
|---|---|
| (101) 1 | 0.00 |
| (112) | 0.00 |
| (001) | 0.00 |
| (201) | 0.00 |
| (111) | 0.00 |
| (100) | 0.00 |
| (211) 1 | 0.00 |
| (211) 2 | 0.00 |
| (110) | 0.00 |
| (101) 2 | 0.00 |
| Surface | γfs (mJ/m2) |
|---|---|
| (101) 1 | 0.00 |
| (112) | 0.00 |
| (001) | 0.00 |
| (201) | 0.00 |
| (111) | 0.00 |
| (100) | 0.00 |
| (211) 2 | 0.00 |
| (211) 1 | 0.00 |
| (110) | 0.00 |
| (101) 2 | 0.00 |
| Surface | γfs (mJ/m2) |
|---|---|
| (101) 1 | 0.00 |
| (112) | 0.00 |
| (001) | 0.00 |
| (201) | 0.00 |
| (111) | 0.00 |
| (100) | 0.00 |
| (211) 2 | 0.00 |
| (211) 1 | 0.00 |
| (110) | 0.00 |
| (101) 2 | 0.00 |
| Surface | γfs (mJ/m2) |
|---|---|
| (101) 1 | 0.00 |
| (112) | 0.00 |
| (001) | 0.00 |
| (201) | 0.00 |
| (111) | 0.00 |
| (100) | 0.00 |
| (211) 1 | 0.00 |
| (211) 2 | 0.00 |
| (110) | 0.00 |
| (101) 2 | 0.00 |
| Surface | γfs (mJ/m2) |
|---|---|
| (101) 1 | 0.00 |
| (112) | 0.00 |
| (001) | 0.00 |
| (201) | 0.00 |
| (111) | 0.00 |
| (100) | 0.00 |
| (211) 1 | 0.00 |
| (211) 2 | 0.00 |
| (110) | 0.00 |
| (101) 2 | 0.00 |
| Surface | γfs (mJ/m2) |
|---|---|
| (101) 1 | 0.00 |
| (112) | 0.00 |
| (001) | 0.00 |
| (201) | 0.00 |
| (111) | 0.00 |
| (100) | 0.00 |
| (211) 2 | 0.00 |
| (211) 1 | 0.00 |
| (110) | 0.00 |
| (101) 2 | 0.00 |
| Surface | γfs (mJ/m2) |
|---|---|
| (101) 1 | 0.00 |
| (112) | 0.00 |
| (001) | 0.00 |
| (201) | 0.00 |
| (111) | 0.00 |
| (100) | 0.00 |
| (211) 2 | 0.00 |
| (211) 1 | 0.00 |
| (110) | 0.00 |
| (101) 2 | 0.00 |
| Surface | γfs (mJ/m2) |
|---|---|
| (101) 1 | 0.00 |
| (112) | 0.00 |
| (001) | 0.00 |
| (201) | 0.00 |
| (111) | 0.00 |
| (100) | 0.00 |
| (211) 2 | 0.00 |
| (211) 1 | 0.00 |
| (110) | 0.00 |
| (101) 2 | 0.00 |
| Surface | γfs (mJ/m2) |
|---|---|
| (001) | 0.00 |
| (101) | 0.00 |
| (201) | 0.00 |
| (100) | 0.00 |
| (112) | 0.00 |
| (111) | 0.00 |
| (211) | 0.00 |
| (110) | 0.00 |
| Surface | γfs (mJ/m2) |
|---|---|
| (001) | 0.00 |
| (101) | 0.00 |
| (201) | 0.00 |
| (100) | 0.00 |
| (112) | 0.00 |
| (111) | 0.00 |
| (211) | 0.00 |
| (110) | 0.00 |
| Surface | γfs (mJ/m2) |
|---|---|
| (001) | 0.00 |
| (101) | 0.00 |
| (201) | 0.00 |
| (100) | 0.00 |
| (112) | 0.00 |
| (111) | 0.00 |
| (211) | 0.00 |
| (110) | 0.00 |
| Surface | γfs (mJ/m2) |
|---|---|
| (001) | 0.00 |
| (101) | 0.00 |
| (201) | 0.00 |
| (100) | 0.00 |
| (112) | 0.00 |
| (111) | 0.00 |
| (211) | 0.00 |
| (110) | 0.00 |
| Surface | γfs (mJ/m2) |
|---|---|
| (001) | 0.00 |
| (101) | 0.00 |
| (201) | 0.00 |
| (100) | 0.00 |
| (112) | 0.00 |
| (111) | 0.00 |
| (211) | 0.00 |
| (110) | 0.00 |
| Surface | γfs (mJ/m2) |
|---|---|
| (001) | 0.00 |
| (101) | 0.00 |
| (201) | 0.00 |
| (100) | 0.00 |
| (112) | 0.00 |
| (111) | 0.00 |
| (211) | 0.00 |
| (110) | 0.00 |
| Surface | γfs (mJ/m2) |
|---|---|
| (001) | 0.00 |
| (101) | 0.00 |
| (201) | 0.00 |
| (100) | 0.00 |
| (112) | 0.00 |
| (111) | 0.00 |
| (211) | 0.00 |
| (110) | 0.00 |
| Surface | γfs (mJ/m2) |
|---|---|
| (001) | 0.00 |
| (101) | 0.00 |
| (201) | 0.00 |
| (100) | 0.00 |
| (112) | 0.00 |
| (111) | 0.00 |
| (211) | 0.00 |
| (110) | 0.00 |
| Surface | γfs (mJ/m2) |
|---|---|
| (001) | 0.00 |
| (101) | 0.00 |
| (201) | 0.00 |
| (100) | 0.00 |
| (112) | 0.00 |
| (111) | 0.00 |
| (211) | 0.00 |
| (110) | 0.00 |
| Surface | γfs (mJ/m2) |
|---|---|
| (001) | 0.00 |
| (101) | 0.00 |
| (201) | 0.00 |
| (100) | 0.00 |
| (112) | 0.00 |
| (111) | 0.00 |
| (211) | 0.00 |
| (110) | 0.00 |
| Surface | γfs (mJ/m2) |
|---|---|
| (001) | 0.00 |
| (101) | 0.00 |
| (201) | 0.00 |
| (100) | 0.00 |
| (112) | 0.00 |
| (111) | 0.00 |
| (211) | 0.00 |
| (110) | 0.00 |
| Surface | γfs (mJ/m2) |
|---|---|
| (001) | 0.00 |
| (101) | 0.00 |
| (201) | 0.00 |
| (100) | 0.00 |
| (112) | 0.00 |
| (111) | 0.00 |
| (211) | 0.00 |
| (110) | 0.00 |
| Surface | γfs (mJ/m2) |
|---|---|
| (0001) 2 | -0.00 |
| (1011) 2 | 0.00 |
| (2112) 2 | 0.00 |
| (2131) 2 | 0.00 |
| (1012) 2 | 0.00 |
| (1121) 2 | 0.00 |
| (2241) 2 | 0.00 |
| (1120) | 0.00 |
| (2132) 2 | 0.00 |
| (2241) 1 | 0.00 |
| (2130) | 0.00 |
| (2112) 1 | 0.00 |
| (2021) 2 | 0.00 |
| (1121) 1 | 0.00 |
| (1010) | 0.00 |
| (2132) 1 | 0.00 |
| (1012) 1 | 0.00 |
| (2021) 1 | 0.00 |
| (2131) 1 | 0.00 |
| (1011) 1 | 0.00 |
| (0001) 1 | 0.00 |
| Surface | γfs (mJ/m2) |
|---|---|
| (0001) 2 | -0.00 |
| (1011) 2 | 0.00 |
| (2112) 2 | 0.00 |
| (2131) 2 | 0.00 |
| (1012) 2 | 0.00 |
| (1121) 2 | 0.00 |
| (2241) 2 | 0.00 |
| (1120) | 0.00 |
| (2132) 2 | 0.00 |
| (2241) 1 | 0.00 |
| (2130) | 0.00 |
| (2112) 1 | 0.00 |
| (2021) 2 | 0.00 |
| (1121) 1 | 0.00 |
| (1010) | 0.00 |
| (2132) 1 | 0.00 |
| (1012) 1 | 0.00 |
| (2021) 1 | 0.00 |
| (2131) 1 | 0.00 |
| (1011) 1 | 0.00 |
| (0001) 1 | 0.00 |
| Surface | γfs (mJ/m2) |
|---|---|
| (0001) 2 | 0.00 |
| (1011) 2 | 0.00 |
| (2112) 2 | 0.00 |
| (2131) 2 | 0.00 |
| (1012) 2 | 0.00 |
| (1121) 2 | 0.00 |
| (2241) 2 | 0.00 |
| (1120) | 0.00 |
| (2132) 2 | 0.00 |
| (2241) 1 | 0.00 |
| (2130) | 0.00 |
| (2112) 1 | 0.00 |
| (2021) 2 | 0.00 |
| (1121) 1 | 0.00 |
| (1010) | 0.00 |
| (2132) 1 | 0.00 |
| (1012) 1 | 0.00 |
| (2021) 1 | 0.00 |
| (2131) 1 | 0.00 |
| (1011) 1 | 0.00 |
| (0001) 1 | 0.00 |
| Surface | γfs (mJ/m2) |
|---|---|
| (0001) 2 | 0.00 |
| (1011) 2 | 0.00 |
| (2112) 2 | 0.00 |
| (2131) 2 | 0.00 |
| (1012) 2 | 0.00 |
| (1121) 2 | 0.00 |
| (2241) 2 | 0.00 |
| (1120) | 0.00 |
| (2132) 2 | 0.00 |
| (2241) 1 | 0.00 |
| (2130) | 0.00 |
| (2112) 1 | 0.00 |
| (2021) 2 | 0.00 |
| (1121) 1 | 0.00 |
| (1010) | 0.00 |
| (2132) 1 | 0.00 |
| (1012) 1 | 0.00 |
| (2021) 1 | 0.00 |
| (2131) 1 | 0.00 |
| (1011) 1 | 0.00 |
| (0001) 1 | 0.00 |
| Surface | γfs (mJ/m2) |
|---|---|
| (0001) 2 | -0.00 |
| (1011) 2 | 0.00 |
| (2112) 2 | 0.00 |
| (2131) 2 | 0.00 |
| (1012) 2 | 0.00 |
| (1121) 2 | 0.00 |
| (2241) 2 | 0.00 |
| (1120) | 0.00 |
| (2132) 2 | 0.00 |
| (2241) 1 | 0.00 |
| (2130) | 0.00 |
| (2112) 1 | 0.00 |
| (2021) 2 | 0.00 |
| (1121) 1 | 0.00 |
| (1010) | 0.00 |
| (2132) 1 | 0.00 |
| (1012) 1 | 0.00 |
| (2021) 1 | 0.00 |
| (2131) 1 | 0.00 |
| (1011) 1 | 0.00 |
| (0001) 1 | 0.00 |
| Surface | γfs (mJ/m2) |
|---|---|
| (0001) 2 | 0.00 |
| (1011) 2 | 0.00 |
| (2112) 2 | 0.00 |
| (2131) 2 | 0.00 |
| (1012) 2 | 0.00 |
| (1121) 2 | 0.00 |
| (2241) 2 | 0.00 |
| (1120) | 0.00 |
| (2132) 2 | 0.00 |
| (2241) 1 | 0.00 |
| (2130) | 0.00 |
| (2112) 1 | 0.00 |
| (2021) 2 | 0.00 |
| (1121) 1 | 0.00 |
| (1010) | 0.00 |
| (2132) 1 | 0.00 |
| (1012) 1 | 0.00 |
| (2021) 1 | 0.00 |
| (2131) 1 | 0.00 |
| (1011) 1 | 0.00 |
| (0001) 1 | 0.00 |
| Surface | γfs (mJ/m2) |
|---|---|
| (0001) 2 | -0.00 |
| (1011) 2 | 0.00 |
| (2112) 2 | 0.00 |
| (2131) 2 | 0.00 |
| (1012) 2 | 0.00 |
| (1121) 2 | 0.00 |
| (2241) 2 | 0.00 |
| (1120) | 0.00 |
| (2132) 2 | 0.00 |
| (2241) 1 | 0.00 |
| (2130) | 0.00 |
| (2112) 1 | 0.00 |
| (2021) 2 | 0.00 |
| (1121) 1 | 0.00 |
| (1010) | 0.00 |
| (2132) 1 | 0.00 |
| (1012) 1 | 0.00 |
| (2021) 1 | 0.00 |
| (2131) 1 | 0.00 |
| (1011) 1 | 0.00 |
| (0001) 1 | 0.00 |
| Surface | γfs (mJ/m2) |
|---|---|
| (0001) 2 | 0.00 |
| (1011) 2 | 0.00 |
| (2112) 2 | 0.00 |
| (2131) 2 | 0.00 |
| (1012) 2 | 0.00 |
| (1121) 2 | 0.00 |
| (2241) 2 | 0.00 |
| (1120) | 0.00 |
| (2132) 2 | 0.00 |
| (2241) 1 | 0.00 |
| (2130) | 0.00 |
| (2112) 1 | 0.00 |
| (2021) 2 | 0.00 |
| (1121) 1 | 0.00 |
| (1010) | 0.00 |
| (2132) 1 | 0.00 |
| (1012) 1 | 0.00 |
| (2021) 1 | 0.00 |
| (2131) 1 | 0.00 |
| (1011) 1 | 0.00 |
| (0001) 1 | 0.00 |
| Surface | γfs (mJ/m2) |
|---|---|
| (0001) 2 | 0.00 |
| (1011) 2 | 0.00 |
| (2112) 2 | 0.00 |
| (2131) 2 | 0.00 |
| (1012) 2 | 0.00 |
| (1121) 2 | 0.00 |
| (2241) 2 | 0.00 |
| (1120) | 0.00 |
| (2132) 2 | 0.00 |
| (2241) 1 | 0.00 |
| (2130) | 0.00 |
| (2112) 1 | 0.00 |
| (2021) 2 | 0.00 |
| (1121) 1 | 0.00 |
| (1010) | 0.00 |
| (2132) 1 | 0.00 |
| (1012) 1 | 0.00 |
| (2021) 1 | 0.00 |
| (2131) 1 | 0.00 |
| (1011) 1 | 0.00 |
| (0001) 1 | 0.00 |
| Surface | γfs (mJ/m2) |
|---|---|
| (0001) 2 | 0.00 |
| (1011) 2 | 0.00 |
| (2112) 2 | 0.00 |
| (2131) 2 | 0.00 |
| (1012) 2 | 0.00 |
| (1121) 2 | 0.00 |
| (2241) 2 | 0.00 |
| (1120) | 0.00 |
| (2132) 2 | 0.00 |
| (2241) 1 | 0.00 |
| (2130) | 0.00 |
| (2112) 1 | 0.00 |
| (2021) 2 | 0.00 |
| (1121) 1 | 0.00 |
| (1010) | 0.00 |
| (2132) 1 | 0.00 |
| (1012) 1 | 0.00 |
| (2021) 1 | 0.00 |
| (2131) 1 | 0.00 |
| (1011) 1 | 0.00 |
| (0001) 1 | 0.00 |
| Surface | γfs (mJ/m2) |
|---|---|
| (0001) 2 | 0.00 |
| (1011) 2 | 0.00 |
| (2112) 2 | 0.00 |
| (2131) 2 | 0.00 |
| (1012) 2 | 0.00 |
| (1121) 2 | 0.00 |
| (2241) 2 | 0.00 |
| (1120) | 0.00 |
| (2132) 2 | 0.00 |
| (2241) 1 | 0.00 |
| (2130) | 0.00 |
| (2112) 1 | 0.00 |
| (2021) 2 | 0.00 |
| (1121) 1 | 0.00 |
| (1010) | 0.00 |
| (2132) 1 | 0.00 |
| (1012) 1 | 0.00 |
| (2021) 1 | 0.00 |
| (2131) 1 | 0.00 |
| (1011) 1 | 0.00 |
| (0001) 1 | 0.00 |
| Surface | γfs (mJ/m2) |
|---|---|
| (0001) 2 | 0.00 |
| (1011) 2 | 0.00 |
| (2112) 2 | 0.00 |
| (2131) 2 | 0.00 |
| (1012) 2 | 0.00 |
| (1121) 2 | 0.00 |
| (2241) 2 | 0.00 |
| (1120) | 0.00 |
| (2132) 2 | 0.00 |
| (2241) 1 | 0.00 |
| (2130) | 0.00 |
| (2112) 1 | 0.00 |
| (2021) 2 | 0.00 |
| (1121) 1 | 0.00 |
| (1010) | 0.00 |
| (2132) 1 | 0.00 |
| (1012) 1 | 0.00 |
| (2021) 1 | 0.00 |
| (2131) 1 | 0.00 |
| (1011) 1 | 0.00 |
| (0001) 1 | 0.00 |
| Surface | γfs (mJ/m2) |
|---|---|
| (100) | 0.00 |
| (310) | 0.00 |
| (210) | 0.00 |
| (320) | 0.00 |
| (110) | 0.00 |
| (311) | 0.00 |
| (321) | 0.00 |
| (331) | 0.00 |
| (211) | 0.00 |
| (221) | 0.00 |
| (322) | 0.00 |
| (332) | 0.00 |
| (111) | 0.00 |
| Surface | γfs (mJ/m2) |
|---|---|
| (100) | 0.00 |
| (310) | 0.00 |
| (210) | 0.00 |
| (320) | 0.00 |
| (110) | 0.00 |
| (311) | 0.00 |
| (321) | 0.00 |
| (331) | 0.00 |
| (211) | 0.00 |
| (221) | 0.00 |
| (322) | 0.00 |
| (332) | 0.00 |
| (111) | 0.00 |
| Surface | γfs (mJ/m2) |
|---|---|
| (100) | 0.00 |
| (310) | 0.00 |
| (210) | 0.00 |
| (320) | 0.00 |
| (110) | 0.00 |
| (311) | 0.00 |
| (321) | 0.00 |
| (331) | 0.00 |
| (211) | 0.00 |
| (221) | 0.00 |
| (322) | 0.00 |
| (332) | 0.00 |
| (111) | 0.00 |
| Surface | γfs (mJ/m2) |
|---|---|
| (100) | 0.00 |
| (310) | 0.00 |
| (210) | 0.00 |
| (320) | 0.00 |
| (110) | 0.00 |
| (311) | 0.00 |
| (321) | 0.00 |
| (331) | 0.00 |
| (211) | 0.00 |
| (221) | 0.00 |
| (322) | 0.00 |
| (332) | 0.00 |
| (111) | 0.00 |
| Surface | γfs (mJ/m2) |
|---|---|
| (100) | 0.00 |
| (310) | 0.00 |
| (210) | 0.00 |
| (320) | 0.00 |
| (110) | 0.00 |
| (311) | 0.00 |
| (321) | 0.00 |
| (331) | 0.00 |
| (211) | 0.00 |
| (221) | 0.00 |
| (322) | 0.00 |
| (332) | 0.00 |
| (111) | 0.00 |
| Surface | γfs (mJ/m2) |
|---|---|
| (100) | 0.00 |
| (310) | 0.00 |
| (210) | 0.00 |
| (320) | 0.00 |
| (110) | 0.00 |
| (311) | 0.00 |
| (321) | 0.00 |
| (331) | 0.00 |
| (211) | 0.00 |
| (221) | 0.00 |
| (322) | 0.00 |
| (332) | 0.00 |
| (111) | 0.00 |
| Surface | γfs (mJ/m2) |
|---|---|
| (100) | 0.00 |
| (310) | 0.00 |
| (210) | 0.00 |
| (320) | 0.00 |
| (311) | 0.00 |
| (321) | 0.00 |
| (331) | 0.00 |
| (211) | 0.00 |
| (221) | 0.00 |
| (322) | 0.00 |
| (332) | 0.00 |
| (111) | 0.00 |
| Surface | γfs (mJ/m2) |
|---|---|
| (100) | 0.00 |
| (310) | 0.00 |
| (210) | 0.00 |
| (320) | 0.00 |
| (110) | 0.00 |
| (311) | 0.00 |
| (321) | 0.00 |
| (331) | 0.00 |
| (211) | 0.00 |
| (221) | 0.00 |
| (322) | 0.00 |
| (332) | 0.00 |
| (111) | 0.00 |
| Surface | γfs (mJ/m2) |
|---|---|
| (100) | 0.00 |
| (310) | 0.00 |
| (210) | 0.00 |
| (320) | 0.00 |
| (110) | 0.00 |
| (311) | 0.00 |
| (321) | 0.00 |
| (331) | 0.00 |
| (211) | 0.00 |
| (221) | 0.00 |
| (322) | 0.00 |
| (332) | 0.00 |
| (111) | 0.00 |
| Surface | γfs (mJ/m2) |
|---|---|
| (100) | 0.00 |
| (310) | 0.00 |
| (210) | 0.00 |
| (320) | 0.00 |
| (110) | 0.00 |
| (311) | 0.00 |
| (321) | 0.00 |
| (331) | 0.00 |
| (211) | 0.00 |
| (221) | 0.00 |
| (322) | 0.00 |
| (332) | 0.00 |
| (111) | 0.00 |
| Surface | γfs (mJ/m2) |
|---|---|
| (100) | 0.00 |
| (310) | 0.00 |
| (210) | 0.00 |
| (320) | 0.00 |
| (110) | 0.00 |
| (311) | 0.00 |
| (321) | 0.00 |
| (331) | 0.00 |
| (211) | 0.00 |
| (221) | 0.00 |
| (322) | 0.00 |
| (332) | 0.00 |
| (111) | 0.00 |
| Surface | γfs (mJ/m2) |
|---|---|
| (100) | 0.00 |
| (310) | 0.00 |
| (210) | 0.00 |
| (320) | 0.00 |
| (110) | 0.00 |
| (311) | 0.00 |
| (321) | 0.00 |
| (331) | 0.00 |
| (211) | 0.00 |
| (221) | 0.00 |
| (322) | 0.00 |
| (332) | 0.00 |
| (111) | 0.00 |
Stacking fault energy plots and maps are displayed for select crystals. The values are computed by
The calculation method used is available as the iprPy stacking_fault_map_2D calculation method.
Notes and Disclaimers:
Version Information:
| E_usf a/2 [0 -1 1] | 391.08 |
| τ_ideal a/2 [0 -1 1] | 5.64 |




| E_isf | 145.48 |
| E_usf a/2 [0 -1 1] | 167.40 |
| τ_ideal a/2 [0 -1 1] | 2.33 |




| E_isf | -104.50 |
| E_usf a/3 [-2 1 1 0] | 46.22 |
| τ_ideal a/3 [-2 1 1 0] | 2.68 |




| E_usf a/3 [-1 2 -1 0] | 419.69 |
| τ_ideal a/3 [-1 2 -1 0] | 4.88 |




| E_usf a/3 [-1 2 -1 0] | 418.35 |
| τ_ideal a/3 [-1 2 -1 0] | 5.70 |




| E_usf a/3 [-1 2 -1 0] | 574.88 |
| E_usf a/3 [-2 1 1 3] | 1617.76 |
| τ_ideal a/3 [-1 2 -1 0] | 6.84 |
| τ_ideal a/3 [-2 1 1 3] | 23.48 |





| E_usf a/3 [-1 2 -1 0] | 280.59 |
| E_usf a/3 [-2 1 1 3] | 503.39 |
| τ_ideal a/3 [-1 2 -1 0] | 3.96 |
| τ_ideal a/3 [-2 1 1 3] | 6.42 |





| E_usf a/3 [-2 1 1 3] | 676.69 |
| τ_ideal a/3 [-2 1 1 3] | 7.65 |




| E_usf a/2 [0 -1 1] | 856.32 |
| τ_ideal a/2 [0 -1 1] | 12.08 |




| E_isf | -32.87 |
| E_usf a/2 [0 -1 1] | 238.14 |
| τ_ideal a/2 [0 -1 1] | 5.90 |




| E_usf a/2 [0 -1 1] | 1253.47 |
| τ_ideal a/2 [0 -1 1] | 18.46 |




| E_isf | 134.64 |
| E_usf a/2 [0 -1 1] | 297.62 |
| τ_ideal a/2 [0 -1 1] | 5.89 |




Static point defect formation energies, Ef, and elastic dipole tensors, pij, are displayed for select crystals. Relaxed defect configurations are obtained by taking a 12x12x12 supercell of a perfect periodic bulk crystal, inserting the point defect, and using force minimization to statically relax the atomic positions while keeping the system dimensions constant. Ef is computed by comparing the energy of the defect system to the same number of atoms in a perfect bulk crystal. pij is estimated as the difference in the system's global pressure with and without the defect multiplied by the system's volume.
Simple structural comparisons of the unrelaxed and relaxed defect configurations are used to help determine if the defect structure has relaxed to a different configuration. Relaxed structures that are identified as no longer consistent with the ideal defect definition are excluded from the table below. The only exception to this is if the lowest energy interstitial configuration does not coincide with a known ideal defect, its energies and pressure tensor are included under the listing "relaxed interstitial". The full list of calculation results including the transformed structures and the structural comparison values is included in the csv file available from the "Download raw data" link.
The calculation method used is available as the iprPy point_defect_static calculation method.
Notes and Disclaimers:
| Point Defect | Ef (eV) | p11 (eV) | p22 (eV) | p33 (eV) | p12 (eV) | p13 (eV) | p23 (eV) |
|---|---|---|---|---|---|---|---|
| vacancy | 0.675 | -4.034 | -4.034 | -4.034 | -0.000 | -0.000 | 0.000 |
| 1nn divacancy | 1.361 | -8.760 | -7.310 | -7.310 | -0.000 | -0.000 | 0.110 |
| 2nn divacancy | 1.378 | -7.914 | -7.914 | -7.867 | 0.000 | -0.000 | 0.000 |
| 100 dumbbell | 2.585 | 14.156 | 14.156 | 14.856 | -0.000 | -0.000 | -0.000 |
| octahedral interstitial | 2.786 | 13.343 | 13.343 | 13.343 | -0.000 | -0.000 | -0.000 |
| crowdion interstitial | 2.899 | 13.197 | 13.197 | 15.915 | 9.796 | -0.000 | -0.000 |
| 110 dumbbell | 2.905 | 16.172 | 13.357 | 13.357 | 0.000 | 0.000 | 9.902 |
| tetrahedral interstitial | 3.089 | 14.428 | 14.428 | 14.428 | -0.000 | -0.000 | -0.000 |
| Point Defect | Ef (eV) | p11 (eV) | p22 (eV) | p33 (eV) | p12 (eV) | p13 (eV) | p23 (eV) |
|---|---|---|---|---|---|---|---|
| vacancy | 0.736 | -3.657 | -3.657 | -4.564 | 0.000 | -0.000 | 0.000 |
| 0001 dumbbell | 1.738 | 5.279 | 5.279 | 12.801 | 0.000 | -0.000 | 0.000 |
| Point Defect | Ef (eV) | p11 (eV) | p22 (eV) | p33 (eV) | p12 (eV) | p13 (eV) | p23 (eV) |
|---|---|---|---|---|---|---|---|
| vacancy | 1.560 | -4.478 | -4.478 | -4.478 | -0.000 | -0.000 | -0.000 |
| 1nn divacancy | 2.919 | -10.593 | -8.874 | -8.874 | -0.000 | -0.000 | -0.060 |
| 2nn divacancy | 3.075 | -9.197 | -9.197 | -9.813 | -0.000 | -0.000 | 0.000 |
| 100 dumbbell | 4.830 | 34.856 | 34.856 | 32.412 | -0.000 | -0.000 | -0.000 |
| octahedral interstitial | 5.020 | 35.252 | 35.252 | 35.252 | -0.000 | -0.000 | -0.000 |
| crowdion interstitial | 5.260 | 32.583 | 32.583 | 39.908 | 19.960 | -0.000 | -0.000 |
| Point Defect | Ef (eV) | p11 (eV) | p22 (eV) | p33 (eV) | p12 (eV) | p13 (eV) | p23 (eV) |
|---|---|---|---|---|---|---|---|
| vacancy | 1.571 | -2.195 | -2.195 | -2.195 | -0.000 | 0.000 | 0.000 |
| 1nn divacancy | 2.975 | -5.711 | -4.150 | -4.150 | 0.000 | 0.000 | 0.237 |
| 2nn divacancy | 3.125 | -4.528 | -4.528 | -4.473 | 0.000 | 0.000 | 0.000 |
| 100 dumbbell | 3.950 | 16.101 | 16.101 | 17.105 | 0.000 | 0.000 | 0.000 |
| 111 dumbbell | 4.217 | 14.076 | 14.076 | 14.076 | 7.020 | 7.020 | 7.020 |
| 110 dumbbell | 4.282 | 18.215 | 13.339 | 13.339 | -0.000 | -0.000 | 11.719 |
| crowdion interstitial | 4.283 | 13.361 | 13.361 | 18.248 | 11.738 | 0.000 | 0.000 |
| octahedral interstitial | 4.309 | 14.318 | 14.318 | 14.318 | 0.000 | 0.000 | 0.000 |
| tetrahedral interstitial | 4.430 | 14.097 | 14.097 | 14.097 | 0.000 | 0.000 | 0.000 |
| Point Defect | Ef (eV) | p11 (eV) | p22 (eV) | p33 (eV) | p12 (eV) | p13 (eV) | p23 (eV) |
|---|---|---|---|---|---|---|---|
| relaxed interstitial | -68.178 | 0.000 | 0.000 | 0.000 | 0.000 | -0.000 | 0.000 |
| 100 dumbbell | -48.477 | -0.000 | -0.000 | -0.000 | -0.000 | -0.000 | -0.000 |
| 111 dumbbell | -35.861 | 0.000 | 0.000 | 0.000 | 0.000 | 0.000 | 0.000 |
| octahedral interstitial | -14.375 | -0.000 | -0.000 | -0.000 | 0.000 | -0.000 | -0.000 |
| tetrahedral interstitial | -7.162 | 0.000 | 0.000 | 0.000 | 0.000 | 0.000 | 0.000 |
| vacancy | 0.000 | 0.000 | 0.000 | 0.000 | -0.000 | 0.000 | 0.000 |
| 1nn divacancy | 0.000 | 0.000 | 0.000 | 0.000 | -0.000 | 0.000 | -0.000 |
| 2nn divacancy | 0.000 | 0.000 | 0.000 | 0.000 | -0.000 | 0.000 | 0.000 |
| Point Defect | Ef (eV) | p11 (eV) | p22 (eV) | p33 (eV) | p12 (eV) | p13 (eV) | p23 (eV) |
|---|---|---|---|---|---|---|---|
| 111 dumbbell | -35.861 | 0.000 | 0.000 | 0.000 | 0.000 | 0.000 | 0.000 |
| octahedral interstitial | -14.375 | -0.000 | -0.000 | -0.000 | -0.000 | -0.000 | -0.000 |
| tetrahedral interstitial | -7.162 | 0.000 | 0.000 | 0.000 | 0.000 | -0.000 | -0.000 |
| vacancy | 0.000 | 0.000 | 0.000 | 0.000 | -0.000 | 0.000 | -0.000 |
| 1nn divacancy | 0.000 | 0.000 | 0.000 | 0.000 | -0.000 | 0.000 | -0.000 |
| 2nn divacancy | 0.000 | 0.000 | 0.000 | 0.000 | -0.000 | 0.000 | -0.000 |
| Point Defect | Ef (eV) | p11 (eV) | p22 (eV) | p33 (eV) | p12 (eV) | p13 (eV) | p23 (eV) |
|---|---|---|---|---|---|---|---|
| 100 dumbbell | -48.477 | -0.000 | -0.000 | -0.000 | -0.000 | -0.000 | -0.000 |
| 111 dumbbell | -35.861 | -0.000 | -0.000 | -0.000 | -0.000 | -0.000 | -0.000 |
| octahedral interstitial | -14.375 | -0.000 | -0.000 | -0.000 | -0.000 | 0.000 | 0.000 |
| tetrahedral interstitial | -7.162 | 0.000 | 0.000 | 0.000 | 0.000 | -0.000 | -0.000 |
| vacancy | 0.000 | 0.000 | 0.000 | 0.000 | 0.000 | 0.000 | 0.000 |
| 1nn divacancy | 0.000 | 0.000 | 0.000 | 0.000 | 0.000 | 0.000 | -0.000 |
| 2nn divacancy | 0.000 | 0.000 | 0.000 | 0.000 | 0.000 | 0.000 | 0.000 |
| Point Defect | Ef (eV) | p11 (eV) | p22 (eV) | p33 (eV) | p12 (eV) | p13 (eV) | p23 (eV) |
|---|---|---|---|---|---|---|---|
| 111 dumbbell | -35.861 | -0.000 | -0.000 | -0.000 | -0.000 | -0.000 | -0.000 |
| crowdion interstitial | -14.486 | -0.000 | -0.000 | 0.000 | -0.000 | -0.000 | -0.000 |
| octahedral interstitial | -14.375 | -0.000 | -0.000 | -0.000 | 0.000 | 0.000 | 0.000 |
| tetrahedral interstitial | -7.162 | 0.000 | 0.000 | 0.000 | 0.000 | -0.000 | -0.000 |
| vacancy | 0.000 | -0.000 | -0.000 | -0.000 | 0.000 | 0.000 | -0.000 |
| 1nn divacancy | 0.000 | -0.000 | -0.000 | -0.000 | 0.000 | 0.000 | 0.000 |
| 2nn divacancy | 0.000 | -0.000 | -0.000 | -0.000 | 0.000 | 0.000 | -0.000 |
| Point Defect | Ef (eV) | p11 (eV) | p22 (eV) | p33 (eV) | p12 (eV) | p13 (eV) | p23 (eV) |
|---|---|---|---|---|---|---|---|
| 111 dumbbell | -35.861 | -0.000 | -0.000 | -0.000 | 0.000 | 0.000 | 0.000 |
| crowdion interstitial | -14.486 | 0.000 | 0.000 | -0.000 | -0.000 | -0.000 | -0.000 |
| octahedral interstitial | -14.375 | -0.000 | -0.000 | -0.000 | 0.000 | 0.000 | 0.000 |
| tetrahedral interstitial | -7.162 | 0.000 | 0.000 | 0.000 | -0.000 | -0.000 | -0.000 |
| vacancy | 0.000 | -0.000 | -0.000 | -0.000 | 0.000 | -0.000 | -0.000 |
| 1nn divacancy | 0.000 | -0.000 | -0.000 | -0.000 | 0.000 | -0.000 | 0.000 |
| 2nn divacancy | 0.000 | -0.000 | -0.000 | -0.000 | 0.000 | -0.000 | -0.000 |
| Point Defect | Ef (eV) | p11 (eV) | p22 (eV) | p33 (eV) | p12 (eV) | p13 (eV) | p23 (eV) |
|---|---|---|---|---|---|---|---|
| 111 dumbbell | -35.861 | 0.000 | 0.000 | 0.000 | 0.000 | 0.000 | 0.000 |
| octahedral interstitial | -14.375 | -0.000 | -0.000 | -0.000 | -0.000 | 0.000 | 0.000 |
| tetrahedral interstitial | -7.162 | 0.000 | 0.000 | 0.000 | -0.000 | -0.000 | -0.000 |
| vacancy | 0.000 | 0.000 | 0.000 | 0.000 | 0.000 | -0.000 | -0.000 |
| 1nn divacancy | 0.000 | 0.000 | 0.000 | 0.000 | 0.000 | -0.000 | -0.000 |
| 2nn divacancy | 0.000 | 0.000 | 0.000 | 0.000 | 0.000 | -0.000 | -0.000 |
| Point Defect | Ef (eV) | p11 (eV) | p22 (eV) | p33 (eV) | p12 (eV) | p13 (eV) | p23 (eV) |
|---|---|---|---|---|---|---|---|
| 111 dumbbell | -35.861 | -0.000 | -0.000 | -0.000 | 0.000 | 0.000 | 0.000 |
| 100 dumbbell | -29.782 | 0.000 | 0.000 | 0.000 | 0.000 | 0.000 | 0.000 |
| octahedral interstitial | -14.375 | -0.000 | -0.000 | -0.000 | 0.000 | 0.000 | 0.000 |
| tetrahedral interstitial | -7.162 | 0.000 | 0.000 | 0.000 | 0.000 | 0.000 | 0.000 |
| vacancy | 0.000 | 0.000 | 0.000 | 0.000 | 0.000 | -0.000 | -0.000 |
| 1nn divacancy | 0.000 | 0.000 | 0.000 | 0.000 | 0.000 | -0.000 | -0.000 |
| 2nn divacancy | 0.000 | 0.000 | 0.000 | 0.000 | 0.000 | -0.000 | -0.000 |
| Point Defect | Ef (eV) | p11 (eV) | p22 (eV) | p33 (eV) | p12 (eV) | p13 (eV) | p23 (eV) |
|---|---|---|---|---|---|---|---|
| 111 dumbbell | -35.861 | 0.000 | 0.000 | 0.000 | 0.000 | 0.000 | 0.000 |
| 110 dumbbell | -30.546 | -0.000 | 0.000 | 0.000 | 0.000 | 0.000 | 0.000 |
| 100 dumbbell | -29.782 | -0.000 | -0.000 | 0.000 | 0.000 | 0.000 | 0.000 |
| octahedral interstitial | -14.375 | -0.000 | -0.000 | -0.000 | -0.000 | -0.000 | -0.000 |
| tetrahedral interstitial | -7.162 | 0.000 | 0.000 | 0.000 | 0.000 | 0.000 | 0.000 |
| vacancy | 0.000 | 0.000 | 0.000 | 0.000 | -0.000 | 0.000 | 0.000 |
| 1nn divacancy | 0.000 | 0.000 | 0.000 | 0.000 | -0.000 | 0.000 | -0.000 |
| 2nn divacancy | 0.000 | 0.000 | 0.000 | 0.000 | -0.000 | 0.000 | 0.000 |
| Point Defect | Ef (eV) | p11 (eV) | p22 (eV) | p33 (eV) | p12 (eV) | p13 (eV) | p23 (eV) |
|---|---|---|---|---|---|---|---|
| 111 dumbbell | -35.861 | 0.000 | 0.000 | 0.000 | 0.000 | 0.000 | 0.000 |
| 110 dumbbell | -30.546 | -0.000 | 0.000 | 0.000 | 0.000 | 0.000 | 0.000 |
| 100 dumbbell | -29.782 | -0.000 | -0.000 | 0.000 | 0.000 | -0.000 | 0.000 |
| octahedral interstitial | -14.375 | -0.000 | -0.000 | -0.000 | 0.000 | -0.000 | -0.000 |
| tetrahedral interstitial | -7.162 | 0.000 | 0.000 | 0.000 | -0.000 | -0.000 | -0.000 |
| vacancy | 0.000 | -0.000 | -0.000 | -0.000 | -0.000 | -0.000 | 0.000 |
| 1nn divacancy | 0.000 | -0.000 | -0.000 | -0.000 | -0.000 | -0.000 | 0.000 |
| 2nn divacancy | 0.000 | -0.000 | -0.000 | -0.000 | -0.000 | -0.000 | 0.000 |
| Point Defect | Ef (eV) | p11 (eV) | p22 (eV) | p33 (eV) | p12 (eV) | p13 (eV) | p23 (eV) |
|---|---|---|---|---|---|---|---|
| 110 dumbbell | -30.546 | -0.000 | -0.000 | -0.000 | -0.000 | -0.000 | -0.000 |
| 100 dumbbell | -24.585 | -0.000 | -0.000 | -0.000 | -0.000 | 0.000 | 0.000 |
| 111 dumbbell | -16.130 | -0.000 | -0.000 | -0.000 | 0.000 | 0.000 | 0.000 |
| octahedral interstitial | -14.375 | -0.000 | -0.000 | -0.000 | 0.000 | 0.000 | 0.000 |
| tetrahedral interstitial | -7.162 | 0.000 | 0.000 | 0.000 | 0.000 | 0.000 | 0.000 |
| vacancy | 0.000 | -0.000 | -0.000 | -0.000 | -0.000 | -0.000 | -0.000 |
| 1nn divacancy | 0.000 | -0.000 | -0.000 | -0.000 | -0.000 | -0.000 | 0.000 |
| 2nn divacancy | 0.000 | -0.000 | -0.000 | -0.000 | -0.000 | -0.000 | -0.000 |
| Point Defect | Ef (eV) | p11 (eV) | p22 (eV) | p33 (eV) | p12 (eV) | p13 (eV) | p23 (eV) |
|---|---|---|---|---|---|---|---|
| 110 dumbbell | -30.546 | 0.000 | 0.000 | 0.000 | -0.000 | -0.000 | -0.000 |
| 100 dumbbell | -24.585 | -0.000 | -0.000 | -0.000 | -0.000 | 0.000 | 0.000 |
| 111 dumbbell | -16.130 | 0.000 | 0.000 | 0.000 | 0.000 | 0.000 | 0.000 |
| octahedral interstitial | -14.375 | -0.000 | -0.000 | -0.000 | 0.000 | 0.000 | 0.000 |
| tetrahedral interstitial | -7.162 | 0.000 | 0.000 | 0.000 | 0.000 | 0.000 | 0.000 |
| vacancy | 0.000 | 0.000 | 0.000 | 0.000 | -0.000 | -0.000 | -0.000 |
| 1nn divacancy | 0.000 | 0.000 | 0.000 | 0.000 | -0.000 | -0.000 | -0.000 |
| 2nn divacancy | 0.000 | 0.000 | 0.000 | 0.000 | -0.000 | -0.000 | -0.000 |
| Point Defect | Ef (eV) | p11 (eV) | p22 (eV) | p33 (eV) | p12 (eV) | p13 (eV) | p23 (eV) |
|---|---|---|---|---|---|---|---|
| 110 dumbbell | -30.546 | -0.000 | -0.000 | -0.000 | 0.000 | 0.000 | -0.000 |
| 100 dumbbell | -24.585 | -0.000 | -0.000 | -0.000 | 0.000 | -0.000 | -0.000 |
| 111 dumbbell | -16.130 | -0.000 | -0.000 | -0.000 | 0.000 | 0.000 | 0.000 |
| octahedral interstitial | -14.375 | -0.000 | -0.000 | -0.000 | 0.000 | 0.000 | 0.000 |
| tetrahedral interstitial | -7.162 | 0.000 | 0.000 | 0.000 | -0.000 | 0.000 | 0.000 |
| vacancy | 0.000 | 0.000 | 0.000 | 0.000 | 0.000 | 0.000 | 0.000 |
| 1nn divacancy | 0.000 | 0.000 | 0.000 | 0.000 | 0.000 | 0.000 | -0.000 |
| 2nn divacancy | 0.000 | 0.000 | 0.000 | 0.000 | 0.000 | 0.000 | 0.000 |
| Point Defect | Ef (eV) | p11 (eV) | p22 (eV) | p33 (eV) | p12 (eV) | p13 (eV) | p23 (eV) |
|---|---|---|---|---|---|---|---|
| tetrahedral interstitial | -54.060 | -0.000 | 0.000 | -0.000 | -0.000 | -0.000 | -0.000 |
| 111 dumbbell | -48.462 | 0.000 | 0.000 | 0.000 | 0.000 | 0.000 | 0.000 |
| 100 dumbbell | -30.546 | -0.000 | -0.000 | 0.000 | 0.000 | 0.000 | -0.000 |
| 110 dumbbell | -29.782 | 0.000 | 0.000 | 0.000 | 0.000 | 0.000 | -0.000 |
| crowdion interstitial | -22.746 | -0.000 | -0.000 | -0.000 | 0.000 | 0.000 | 0.000 |
| octahedral interstitial | -14.375 | -0.000 | -0.000 | -0.000 | -0.000 | -0.000 | -0.000 |
| vacancy | 0.000 | 0.000 | 0.000 | 0.000 | 0.000 | -0.000 | -0.000 |
| 1nn divacancy | 0.000 | 0.000 | 0.000 | 0.000 | -0.000 | -0.000 | -0.000 |
| 2nn divacancy | 0.000 | 0.000 | 0.000 | 0.000 | 0.000 | -0.000 | -0.000 |
| Point Defect | Ef (eV) | p11 (eV) | p22 (eV) | p33 (eV) | p12 (eV) | p13 (eV) | p23 (eV) |
|---|---|---|---|---|---|---|---|
| tetrahedral interstitial | -54.060 | -0.000 | 0.000 | -0.000 | 0.000 | 0.000 | -0.000 |
| 111 dumbbell | -48.462 | 0.000 | 0.000 | 0.000 | 0.000 | 0.000 | 0.000 |
| 100 dumbbell | -30.546 | 0.000 | 0.000 | 0.000 | 0.000 | 0.000 | -0.000 |
| 110 dumbbell | -29.782 | -0.000 | -0.000 | -0.000 | 0.000 | 0.000 | -0.000 |
| crowdion interstitial | -22.746 | 0.000 | 0.000 | 0.000 | 0.000 | 0.000 | 0.000 |
| octahedral interstitial | -14.375 | -0.000 | -0.000 | -0.000 | -0.000 | -0.000 | -0.000 |
| vacancy | 0.000 | 0.000 | 0.000 | 0.000 | -0.000 | -0.000 | -0.000 |
| 1nn divacancy | 0.000 | 0.000 | 0.000 | 0.000 | -0.000 | -0.000 | -0.000 |
| 2nn divacancy | 0.000 | 0.000 | 0.000 | 0.000 | -0.000 | -0.000 | -0.000 |
| Point Defect | Ef (eV) | p11 (eV) | p22 (eV) | p33 (eV) | p12 (eV) | p13 (eV) | p23 (eV) |
|---|---|---|---|---|---|---|---|
| tetrahedral interstitial | -54.060 | 0.000 | -0.000 | 0.000 | 0.000 | -0.000 | 0.000 |
| 111 dumbbell | -48.462 | -0.000 | -0.000 | -0.000 | 0.000 | 0.000 | 0.000 |
| 100 dumbbell | -30.546 | 0.000 | 0.000 | -0.000 | 0.000 | 0.000 | 0.000 |
| 110 dumbbell | -29.782 | 0.000 | -0.000 | -0.000 | 0.000 | 0.000 | -0.000 |
| crowdion interstitial | -22.746 | 0.000 | 0.000 | 0.000 | 0.000 | 0.000 | 0.000 |
| octahedral interstitial | -14.375 | -0.000 | -0.000 | -0.000 | -0.000 | -0.000 | 0.000 |
| vacancy | 0.000 | 0.000 | 0.000 | 0.000 | 0.000 | 0.000 | 0.000 |
| 1nn divacancy | 0.000 | 0.000 | 0.000 | 0.000 | -0.000 | -0.000 | -0.000 |
| 2nn divacancy | 0.000 | 0.000 | 0.000 | 0.000 | 0.000 | 0.000 | 0.000 |
| Point Defect | Ef (eV) | p11 (eV) | p22 (eV) | p33 (eV) | p12 (eV) | p13 (eV) | p23 (eV) |
|---|---|---|---|---|---|---|---|
| 111 dumbbell | -48.462 | 0.000 | 0.000 | 0.000 | 0.000 | 0.000 | 0.000 |
| 100 dumbbell | -30.546 | 0.000 | 0.000 | -0.000 | 0.000 | -0.000 | -0.000 |
| 110 dumbbell | -29.782 | -0.000 | -0.000 | -0.000 | 0.000 | 0.000 | -0.000 |
| crowdion interstitial | -22.746 | -0.000 | -0.000 | -0.000 | -0.000 | -0.000 | -0.000 |
| octahedral interstitial | -14.375 | -0.000 | -0.000 | -0.000 | -0.000 | -0.000 | 0.000 |
| vacancy | 0.000 | -0.000 | -0.000 | -0.000 | -0.000 | -0.000 | -0.000 |
| 1nn divacancy | 0.000 | -0.000 | -0.000 | -0.000 | 0.000 | 0.000 | 0.000 |
| 2nn divacancy | 0.000 | -0.000 | -0.000 | -0.000 | -0.000 | -0.000 | -0.000 |
| Point Defect | Ef (eV) | p11 (eV) | p22 (eV) | p33 (eV) | p12 (eV) | p13 (eV) | p23 (eV) |
|---|---|---|---|---|---|---|---|
| 111 dumbbell | -48.462 | -0.000 | -0.000 | -0.000 | 0.000 | 0.000 | 0.000 |
| 100 dumbbell | -30.546 | -0.000 | -0.000 | -0.000 | -0.000 | 0.000 | -0.000 |
| 110 dumbbell | -29.782 | 0.000 | -0.000 | -0.000 | 0.000 | 0.000 | 0.000 |
| crowdion interstitial | -22.746 | 0.000 | 0.000 | 0.000 | 0.000 | 0.000 | 0.000 |
| octahedral interstitial | -14.375 | -0.000 | -0.000 | -0.000 | -0.000 | 0.000 | 0.000 |
| vacancy | 0.000 | -0.000 | -0.000 | -0.000 | 0.000 | 0.000 | 0.000 |
| 1nn divacancy | 0.000 | -0.000 | -0.000 | -0.000 | 0.000 | 0.000 | 0.000 |
| 2nn divacancy | 0.000 | -0.000 | -0.000 | -0.000 | 0.000 | 0.000 | 0.000 |
| Point Defect | Ef (eV) | p11 (eV) | p22 (eV) | p33 (eV) | p12 (eV) | p13 (eV) | p23 (eV) |
|---|---|---|---|---|---|---|---|
| 111 dumbbell | -48.462 | 0.000 | 0.000 | -0.000 | -0.000 | -0.000 | -0.000 |
| 100 dumbbell | -30.546 | -0.000 | -0.000 | -0.000 | -0.000 | -0.000 | -0.000 |
| 110 dumbbell | -29.782 | 0.000 | -0.000 | -0.000 | 0.000 | 0.000 | -0.000 |
| octahedral interstitial | -14.375 | -0.000 | -0.000 | -0.000 | -0.000 | 0.000 | 0.000 |
| crowdion interstitial | -3.417 | -0.000 | -0.000 | -0.000 | -0.000 | -0.000 | -0.000 |
| vacancy | 0.000 | 0.000 | 0.000 | 0.000 | 0.000 | 0.000 | 0.000 |
| 1nn divacancy | 0.000 | 0.000 | 0.000 | 0.000 | -0.000 | -0.000 | -0.000 |
| 2nn divacancy | 0.000 | 0.000 | 0.000 | 0.000 | 0.000 | 0.000 | 0.000 |
| Point Defect | Ef (eV) | p11 (eV) | p22 (eV) | p33 (eV) | p12 (eV) | p13 (eV) | p23 (eV) |
|---|---|---|---|---|---|---|---|
| 100 dumbbell | -30.546 | 0.000 | 0.000 | 0.000 | -0.000 | 0.000 | 0.000 |
| 110 dumbbell | -29.782 | 0.000 | 0.000 | 0.000 | 0.000 | 0.000 | -0.000 |
| octahedral interstitial | -14.375 | -0.000 | -0.000 | -0.000 | -0.000 | -0.000 | 0.000 |
| 111 dumbbell | -3.746 | -0.000 | -0.000 | -0.000 | -0.000 | -0.000 | -0.000 |
| crowdion interstitial | -3.417 | -0.000 | -0.000 | -0.000 | -0.000 | -0.000 | -0.000 |
| vacancy | 0.000 | 0.000 | 0.000 | 0.000 | 0.000 | 0.000 | 0.000 |
| 1nn divacancy | 0.000 | 0.000 | 0.000 | 0.000 | -0.000 | -0.000 | -0.000 |
| 2nn divacancy | 0.000 | 0.000 | 0.000 | 0.000 | 0.000 | 0.000 | 0.000 |
| Point Defect | Ef (eV) | p11 (eV) | p22 (eV) | p33 (eV) | p12 (eV) | p13 (eV) | p23 (eV) |
|---|---|---|---|---|---|---|---|
| 100 dumbbell | -30.546 | -0.000 | -0.000 | -0.000 | -0.000 | 0.000 | -0.000 |
| 110 dumbbell | -29.782 | -0.000 | -0.000 | -0.000 | -0.000 | -0.000 | -0.000 |
| octahedral interstitial | -14.375 | -0.000 | -0.000 | -0.000 | -0.000 | 0.000 | -0.000 |
| 111 dumbbell | -3.746 | -0.000 | -0.000 | -0.000 | -0.000 | -0.000 | -0.000 |
| crowdion interstitial | -3.417 | -0.000 | -0.000 | -0.000 | -0.000 | -0.000 | -0.000 |
| vacancy | 0.000 | 0.000 | 0.000 | 0.000 | -0.000 | 0.000 | 0.000 |
| 1nn divacancy | 0.000 | 0.000 | 0.000 | 0.000 | -0.000 | -0.000 | -0.000 |
| 2nn divacancy | 0.000 | 0.000 | 0.000 | 0.000 | -0.000 | 0.000 | 0.000 |
| Point Defect | Ef (eV) | p11 (eV) | p22 (eV) | p33 (eV) | p12 (eV) | p13 (eV) | p23 (eV) |
|---|---|---|---|---|---|---|---|
| 100 dumbbell | -30.546 | 0.000 | 0.000 | -0.000 | -0.000 | -0.000 | 0.000 |
| 110 dumbbell | -29.782 | 0.000 | 0.000 | 0.000 | -0.000 | -0.000 | -0.000 |
| octahedral interstitial | -14.375 | -0.000 | -0.000 | -0.000 | 0.000 | 0.000 | 0.000 |
| 111 dumbbell | -3.746 | -0.000 | -0.000 | -0.000 | -0.000 | -0.000 | -0.000 |
| crowdion interstitial | -3.417 | -0.000 | -0.000 | -0.000 | -0.000 | -0.000 | -0.000 |
| vacancy | 0.000 | -0.000 | -0.000 | -0.000 | 0.000 | 0.000 | 0.000 |
| 1nn divacancy | 0.000 | -0.000 | -0.000 | -0.000 | 0.000 | 0.000 | 0.000 |
| 2nn divacancy | 0.000 | -0.000 | -0.000 | -0.000 | 0.000 | 0.000 | 0.000 |
| Point Defect | Ef (eV) | p11 (eV) | p22 (eV) | p33 (eV) | p12 (eV) | p13 (eV) | p23 (eV) |
|---|---|---|---|---|---|---|---|
| 100 dumbbell | -30.546 | 0.000 | 0.000 | -0.000 | -0.000 | 0.000 | -0.000 |
| 110 dumbbell | -29.782 | -0.000 | -0.000 | -0.000 | 0.000 | 0.000 | -0.000 |
| octahedral interstitial | -14.375 | -0.000 | -0.000 | -0.000 | 0.000 | 0.000 | 0.000 |
| 111 dumbbell | -3.746 | -0.000 | -0.000 | -0.000 | -0.000 | -0.000 | -0.000 |
| crowdion interstitial | -3.417 | -0.000 | -0.000 | -0.000 | -0.000 | -0.000 | -0.000 |
| vacancy | 0.000 | -0.000 | -0.000 | -0.000 | 0.000 | 0.000 | 0.000 |
| 1nn divacancy | 0.000 | -0.000 | -0.000 | -0.000 | 0.000 | 0.000 | 0.000 |
| 2nn divacancy | 0.000 | -0.000 | -0.000 | -0.000 | 0.000 | 0.000 | 0.000 |
| Point Defect | Ef (eV) | p11 (eV) | p22 (eV) | p33 (eV) | p12 (eV) | p13 (eV) | p23 (eV) |
|---|---|---|---|---|---|---|---|
| 100 dumbbell | -30.546 | 0.000 | 0.000 | 0.000 | -0.000 | -0.000 | 0.000 |
| 110 dumbbell | -29.782 | -0.000 | -0.000 | -0.000 | 0.000 | 0.000 | -0.000 |
| octahedral interstitial | -14.375 | -0.000 | -0.000 | -0.000 | -0.000 | 0.000 | -0.000 |
| 111 dumbbell | -3.746 | -0.000 | -0.000 | -0.000 | -0.000 | -0.000 | -0.000 |
| crowdion interstitial | -3.417 | -0.000 | -0.000 | -0.000 | -0.000 | -0.000 | -0.000 |
| vacancy | 0.000 | 0.000 | 0.000 | 0.000 | -0.000 | 0.000 | 0.000 |
| 1nn divacancy | 0.000 | 0.000 | 0.000 | 0.000 | -0.000 | -0.000 | -0.000 |
| 2nn divacancy | 0.000 | 0.000 | 0.000 | 0.000 | -0.000 | 0.000 | 0.000 |
| Point Defect | Ef (eV) | p11 (eV) | p22 (eV) | p33 (eV) | p12 (eV) | p13 (eV) | p23 (eV) |
|---|---|---|---|---|---|---|---|
| 100 dumbbell | -30.546 | 0.000 | 0.000 | 0.000 | 0.000 | -0.000 | -0.000 |
| 110 dumbbell | -29.782 | -0.000 | 0.000 | 0.000 | 0.000 | 0.000 | -0.000 |
| octahedral interstitial | -14.375 | -0.000 | -0.000 | -0.000 | 0.000 | 0.000 | 0.000 |
| 111 dumbbell | -3.746 | -0.000 | -0.000 | -0.000 | -0.000 | -0.000 | -0.000 |
| crowdion interstitial | -3.417 | -0.000 | -0.000 | -0.000 | -0.000 | -0.000 | -0.000 |
| vacancy | 0.000 | 0.000 | 0.000 | 0.000 | -0.000 | -0.000 | -0.000 |
| 1nn divacancy | 0.000 | 0.000 | 0.000 | 0.000 | -0.000 | -0.000 | -0.000 |
| 2nn divacancy | 0.000 | 0.000 | 0.000 | 0.000 | -0.000 | -0.000 | -0.000 |
| Point Defect | Ef (eV) | p11 (eV) | p22 (eV) | p33 (eV) | p12 (eV) | p13 (eV) | p23 (eV) |
|---|---|---|---|---|---|---|---|
| relaxed interstitial | -111.567 | -0.000 | -0.000 | 0.000 | 0.000 | -0.000 | 0.000 |
| vacancy | 0.000 | 0.000 | 0.000 | 0.000 | 0.000 | -0.000 | -0.000 |
| Point Defect | Ef (eV) | p11 (eV) | p22 (eV) | p33 (eV) | p12 (eV) | p13 (eV) | p23 (eV) |
|---|---|---|---|---|---|---|---|
| vacancy | 0.000 | 0.000 | 0.000 | 0.000 | 0.000 | -0.000 | 0.000 |
| Point Defect | Ef (eV) | p11 (eV) | p22 (eV) | p33 (eV) | p12 (eV) | p13 (eV) | p23 (eV) |
|---|---|---|---|---|---|---|---|
| 0001 dumbbell | -16.980 | -0.000 | -0.000 | -0.000 | 0.000 | -0.000 | 0.000 |
| vacancy | 0.000 | 0.000 | 0.000 | 0.000 | -0.000 | -0.000 | 0.000 |
| Point Defect | Ef (eV) | p11 (eV) | p22 (eV) | p33 (eV) | p12 (eV) | p13 (eV) | p23 (eV) |
|---|---|---|---|---|---|---|---|
| 0001 dumbbell | -16.980 | -0.000 | -0.000 | -0.000 | 0.000 | 0.000 | 0.000 |
| vacancy | 0.000 | -0.000 | -0.000 | -0.000 | 0.000 | -0.000 | 0.000 |
| Point Defect | Ef (eV) | p11 (eV) | p22 (eV) | p33 (eV) | p12 (eV) | p13 (eV) | p23 (eV) |
|---|---|---|---|---|---|---|---|
| 0001 dumbbell | -16.980 | -0.000 | -0.000 | -0.000 | -0.000 | 0.000 | 0.000 |
| vacancy | 0.000 | -0.000 | -0.000 | -0.000 | -0.000 | 0.000 | -0.000 |
| Point Defect | Ef (eV) | p11 (eV) | p22 (eV) | p33 (eV) | p12 (eV) | p13 (eV) | p23 (eV) |
|---|---|---|---|---|---|---|---|
| 0001 dumbbell | -16.980 | 0.000 | 0.000 | 0.000 | -0.000 | 0.000 | -0.000 |
| vacancy | 0.000 | 0.000 | 0.000 | 0.000 | -0.000 | -0.000 | -0.000 |
| Point Defect | Ef (eV) | p11 (eV) | p22 (eV) | p33 (eV) | p12 (eV) | p13 (eV) | p23 (eV) |
|---|---|---|---|---|---|---|---|
| 0001 dumbbell | -16.980 | 0.000 | 0.000 | -0.000 | 0.000 | -0.000 | -0.000 |
| vacancy | 0.000 | 0.000 | 0.000 | 0.000 | -0.000 | -0.000 | 0.000 |
| Point Defect | Ef (eV) | p11 (eV) | p22 (eV) | p33 (eV) | p12 (eV) | p13 (eV) | p23 (eV) |
|---|---|---|---|---|---|---|---|
| 0001 dumbbell | -16.980 | -0.000 | -0.000 | -0.000 | 0.000 | 0.000 | -0.000 |
| vacancy | 0.000 | 0.000 | 0.000 | 0.000 | 0.000 | 0.000 | 0.000 |
| Point Defect | Ef (eV) | p11 (eV) | p22 (eV) | p33 (eV) | p12 (eV) | p13 (eV) | p23 (eV) |
|---|---|---|---|---|---|---|---|
| 0001 dumbbell | -16.980 | 0.000 | 0.000 | -0.000 | 0.000 | 0.000 | 0.000 |
| vacancy | 0.000 | -0.000 | -0.000 | -0.000 | 0.000 | -0.000 | 0.000 |
| Point Defect | Ef (eV) | p11 (eV) | p22 (eV) | p33 (eV) | p12 (eV) | p13 (eV) | p23 (eV) |
|---|---|---|---|---|---|---|---|
| 0001 dumbbell | -16.980 | 0.000 | 0.000 | 0.000 | 0.000 | 0.000 | -0.000 |
| vacancy | 0.000 | -0.000 | -0.000 | -0.000 | -0.000 | 0.000 | -0.000 |
| Point Defect | Ef (eV) | p11 (eV) | p22 (eV) | p33 (eV) | p12 (eV) | p13 (eV) | p23 (eV) |
|---|---|---|---|---|---|---|---|
| 0001 dumbbell | -16.980 | -0.000 | -0.000 | -0.000 | -0.000 | -0.000 | 0.000 |
| vacancy | 0.000 | 0.000 | 0.000 | 0.000 | -0.000 | 0.000 | 0.000 |
| Point Defect | Ef (eV) | p11 (eV) | p22 (eV) | p33 (eV) | p12 (eV) | p13 (eV) | p23 (eV) |
|---|---|---|---|---|---|---|---|
| 0001 dumbbell | -16.980 | 0.000 | 0.000 | 0.000 | 0.000 | 0.000 | 0.000 |
| vacancy | 0.000 | 0.000 | 0.000 | 0.000 | 0.000 | -0.000 | -0.000 |
| Point Defect | Ef (eV) | p11 (eV) | p22 (eV) | p33 (eV) | p12 (eV) | p13 (eV) | p23 (eV) |
|---|---|---|---|---|---|---|---|
| 100 dumbbell | -14.891 | -0.000 | -0.000 | 0.000 | -0.000 | -0.000 | 0.000 |
| 110 dumbbell | -9.202 | -0.000 | -0.000 | -0.000 | 0.000 | 0.000 | -0.000 |
| bond centered interstitial | -3.417 | -0.000 | -0.000 | -0.000 | -0.000 | -0.000 | -0.000 |
| tetragonal interstitial | -0.000 | -0.000 | -0.000 | -0.000 | -0.000 | -0.000 | -0.000 |
| vacancy | 0.000 | 0.000 | 0.000 | 0.000 | -0.000 | -0.000 | -0.000 |
| 1nn divacancy | 0.000 | 0.000 | 0.000 | 0.000 | -0.000 | -0.000 | -0.000 |
| Point Defect | Ef (eV) | p11 (eV) | p22 (eV) | p33 (eV) | p12 (eV) | p13 (eV) | p23 (eV) |
|---|---|---|---|---|---|---|---|
| relaxed interstitial | -17.603 | 0.000 | 0.000 | 0.000 | -0.000 | 0.000 | 0.000 |
| 100 dumbbell | -14.891 | -0.000 | -0.000 | -0.000 | -0.000 | 0.000 | 0.000 |
| 110 dumbbell | -3.746 | -0.000 | -0.000 | -0.000 | -0.000 | -0.000 | -0.000 |
| bond centered interstitial | -3.417 | -0.000 | -0.000 | -0.000 | -0.000 | -0.000 | -0.000 |
| tetragonal interstitial | -0.000 | -0.000 | -0.000 | -0.000 | 0.000 | 0.000 | 0.000 |
| vacancy | 0.000 | 0.000 | 0.000 | 0.000 | 0.000 | 0.000 | 0.000 |
| 1nn divacancy | 0.000 | 0.000 | 0.000 | 0.000 | -0.000 | -0.000 | -0.000 |
| Point Defect | Ef (eV) | p11 (eV) | p22 (eV) | p33 (eV) | p12 (eV) | p13 (eV) | p23 (eV) |
|---|---|---|---|---|---|---|---|
| 100 dumbbell | -14.891 | 0.000 | 0.000 | -0.000 | 0.000 | -0.000 | -0.000 |
| 110 dumbbell | -3.746 | 0.000 | 0.000 | 0.000 | -0.000 | -0.000 | 0.000 |
| bond centered interstitial | -3.417 | -0.000 | -0.000 | -0.000 | -0.000 | -0.000 | -0.000 |
| tetragonal interstitial | -0.000 | -0.000 | -0.000 | -0.000 | -0.000 | -0.000 | -0.000 |
| vacancy | 0.000 | 0.000 | 0.000 | 0.000 | -0.000 | -0.000 | -0.000 |
| 1nn divacancy | 0.000 | 0.000 | 0.000 | 0.000 | -0.000 | -0.000 | -0.000 |
| Point Defect | Ef (eV) | p11 (eV) | p22 (eV) | p33 (eV) | p12 (eV) | p13 (eV) | p23 (eV) |
|---|---|---|---|---|---|---|---|
| 100 dumbbell | -14.891 | -0.000 | -0.000 | 0.000 | 0.000 | -0.000 | -0.000 |
| 110 dumbbell | -3.746 | -0.000 | -0.000 | -0.000 | 0.000 | 0.000 | -0.000 |
| bond centered interstitial | -3.417 | -0.000 | -0.000 | -0.000 | -0.000 | -0.000 | -0.000 |
| tetragonal interstitial | -0.000 | 0.000 | 0.000 | 0.000 | 0.000 | 0.000 | 0.000 |
| vacancy | 0.000 | -0.000 | -0.000 | -0.000 | 0.000 | 0.000 | 0.000 |
| 1nn divacancy | 0.000 | -0.000 | -0.000 | -0.000 | 0.000 | 0.000 | 0.000 |
| Point Defect | Ef (eV) | p11 (eV) | p22 (eV) | p33 (eV) | p12 (eV) | p13 (eV) | p23 (eV) |
|---|---|---|---|---|---|---|---|
| 100 dumbbell | -14.891 | -0.000 | -0.000 | -0.000 | -0.000 | -0.000 | -0.000 |
| 110 dumbbell | -3.746 | -0.000 | -0.000 | -0.000 | -0.000 | -0.000 | -0.000 |
| bond centered interstitial | -3.417 | 0.000 | 0.000 | 0.000 | 0.000 | 0.000 | 0.000 |
| tetragonal interstitial | -0.000 | 0.000 | 0.000 | 0.000 | -0.000 | -0.000 | -0.000 |
| vacancy | 0.000 | -0.000 | -0.000 | -0.000 | -0.000 | -0.000 | -0.000 |
| 1nn divacancy | 0.000 | -0.000 | -0.000 | -0.000 | 0.000 | 0.000 | 0.000 |
| Point Defect | Ef (eV) | p11 (eV) | p22 (eV) | p33 (eV) | p12 (eV) | p13 (eV) | p23 (eV) |
|---|---|---|---|---|---|---|---|
| 100 dumbbell | -14.891 | -0.000 | -0.000 | -0.000 | 0.000 | -0.000 | -0.000 |
| 110 dumbbell | -3.746 | 0.000 | 0.000 | 0.000 | -0.000 | -0.000 | 0.000 |
| bond centered interstitial | -3.417 | -0.000 | -0.000 | -0.000 | -0.000 | -0.000 | -0.000 |
| hexagonal interstitial | -0.000 | -0.000 | -0.000 | -0.000 | 0.000 | 0.000 | 0.000 |
| tetragonal interstitial | -0.000 | -0.000 | -0.000 | -0.000 | -0.000 | -0.000 | -0.000 |
| vacancy | 0.000 | 0.000 | 0.000 | 0.000 | -0.000 | -0.000 | -0.000 |
| 1nn divacancy | 0.000 | 0.000 | 0.000 | 0.000 | -0.000 | -0.000 | -0.000 |
| Point Defect | Ef (eV) | p11 (eV) | p22 (eV) | p33 (eV) | p12 (eV) | p13 (eV) | p23 (eV) |
|---|---|---|---|---|---|---|---|
| 100 dumbbell | -14.891 | -0.000 | -0.000 | 0.000 | -0.000 | -0.000 | -0.000 |
| 110 dumbbell | -3.746 | 0.000 | 0.000 | 0.000 | -0.000 | -0.000 | 0.000 |
| bond centered interstitial | -3.417 | -0.000 | -0.000 | -0.000 | -0.000 | -0.000 | -0.000 |
| hexagonal interstitial | -0.000 | -0.000 | -0.000 | -0.000 | 0.000 | 0.000 | 0.000 |
| tetragonal interstitial | -0.000 | -0.000 | -0.000 | -0.000 | -0.000 | -0.000 | -0.000 |
| vacancy | 0.000 | 0.000 | 0.000 | 0.000 | -0.000 | -0.000 | -0.000 |
| 1nn divacancy | 0.000 | 0.000 | 0.000 | 0.000 | -0.000 | -0.000 | -0.000 |
| Point Defect | Ef (eV) | p11 (eV) | p22 (eV) | p33 (eV) | p12 (eV) | p13 (eV) | p23 (eV) |
|---|---|---|---|---|---|---|---|
| 100 dumbbell | -14.891 | 0.000 | 0.000 | -0.000 | 0.000 | 0.000 | 0.000 |
| 110 dumbbell | -3.746 | -0.000 | -0.000 | -0.000 | 0.000 | 0.000 | -0.000 |
| bond centered interstitial | -3.417 | -0.000 | -0.000 | -0.000 | -0.000 | -0.000 | -0.000 |
| tetragonal interstitial | -0.000 | -0.000 | -0.000 | -0.000 | 0.000 | 0.000 | 0.000 |
| vacancy | 0.000 | 0.000 | 0.000 | 0.000 | 0.000 | 0.000 | 0.000 |
| 1nn divacancy | 0.000 | 0.000 | 0.000 | 0.000 | -0.000 | -0.000 | -0.000 |
| hexagonal interstitial | 0.000 | -0.000 | -0.000 | -0.000 | 0.000 | 0.000 | 0.000 |
| Point Defect | Ef (eV) | p11 (eV) | p22 (eV) | p33 (eV) | p12 (eV) | p13 (eV) | p23 (eV) |
|---|---|---|---|---|---|---|---|
| 100 dumbbell | -14.891 | -0.000 | -0.000 | 0.000 | 0.000 | -0.000 | -0.000 |
| 110 dumbbell | -3.746 | -0.000 | -0.000 | -0.000 | -0.000 | -0.000 | -0.000 |
| bond centered interstitial | -3.417 | -0.000 | -0.000 | -0.000 | -0.000 | -0.000 | -0.000 |
| tetragonal interstitial | -0.000 | 0.000 | 0.000 | 0.000 | 0.000 | 0.000 | 0.000 |
| vacancy | 0.000 | -0.000 | -0.000 | -0.000 | 0.000 | 0.000 | 0.000 |
| 1nn divacancy | 0.000 | -0.000 | -0.000 | -0.000 | 0.000 | 0.000 | 0.000 |
| hexagonal interstitial | 0.000 | -0.000 | -0.000 | -0.000 | 0.000 | 0.000 | 0.000 |
| Point Defect | Ef (eV) | p11 (eV) | p22 (eV) | p33 (eV) | p12 (eV) | p13 (eV) | p23 (eV) |
|---|---|---|---|---|---|---|---|
| 100 dumbbell | -14.891 | 0.000 | 0.000 | -0.000 | 0.000 | 0.000 | 0.000 |
| 110 dumbbell | -3.746 | -0.000 | -0.000 | -0.000 | -0.000 | -0.000 | -0.000 |
| bond centered interstitial | -3.417 | -0.000 | -0.000 | -0.000 | -0.000 | -0.000 | -0.000 |
| tetragonal interstitial | -0.000 | 0.000 | 0.000 | 0.000 | -0.000 | -0.000 | -0.000 |
| vacancy | 0.000 | -0.000 | -0.000 | -0.000 | -0.000 | -0.000 | -0.000 |
| 1nn divacancy | 0.000 | -0.000 | -0.000 | -0.000 | 0.000 | 0.000 | 0.000 |
| hexagonal interstitial | 0.000 | 0.000 | 0.000 | 0.000 | -0.000 | -0.000 | -0.000 |
| Point Defect | Ef (eV) | p11 (eV) | p22 (eV) | p33 (eV) | p12 (eV) | p13 (eV) | p23 (eV) |
|---|---|---|---|---|---|---|---|
| 110 dumbbell | -3.746 | -0.000 | -0.000 | -0.000 | 0.000 | 0.000 | -0.000 |
| bond centered interstitial | -3.417 | -0.000 | -0.000 | -0.000 | -0.000 | -0.000 | -0.000 |
| tetragonal interstitial | -0.000 | -0.000 | -0.000 | -0.000 | -0.000 | -0.000 | -0.000 |
| vacancy | 0.000 | 0.000 | 0.000 | 0.000 | -0.000 | -0.000 | -0.000 |
| 1nn divacancy | 0.000 | 0.000 | 0.000 | 0.000 | -0.000 | -0.000 | -0.000 |
| hexagonal interstitial | 0.000 | 0.000 | 0.000 | 0.000 | -0.000 | -0.000 | -0.000 |
| Point Defect | Ef (eV) | p11 (eV) | p22 (eV) | p33 (eV) | p12 (eV) | p13 (eV) | p23 (eV) |
|---|---|---|---|---|---|---|---|
| 110 dumbbell | -3.746 | -0.000 | -0.000 | -0.000 | -0.000 | -0.000 | -0.000 |
| bond centered interstitial | -3.417 | -0.000 | -0.000 | -0.000 | -0.000 | -0.000 | -0.000 |
| hexagonal interstitial | -0.000 | 0.000 | 0.000 | 0.000 | -0.000 | -0.000 | -0.000 |
| tetragonal interstitial | -0.000 | -0.000 | -0.000 | -0.000 | 0.000 | 0.000 | 0.000 |
| vacancy | 0.000 | 0.000 | 0.000 | 0.000 | 0.000 | 0.000 | 0.000 |
| 1nn divacancy | 0.000 | 0.000 | 0.000 | 0.000 | -0.000 | -0.000 | -0.000 |
Plots of the atomic structure of dislocation cores are shown here. The dislocations were constructed using dislocation monopole configurations in which a straight dislocation is created in the center of the system using anisotropic elasticity and the elastic constants computed above. A cylindrical region centered around the dislocation is allowed to relax while the remaining atoms are held fixed. The relaxation consists of 1 million NVT steps at 10 K followed by an energy/force minimization. The final plots show the atomic configuration near the center of the monopole system, and display differential displacement arrows and Nye tensor color maps that are both taken with respect to the Burgers vector direction.
These plots show a wide range of final structures, some corresponding to expected dislocation structures and others not. While the characterizations are dislocation-type dependent, some general classification guidelines are listed here.
The calculation method used is available as the iprPy dislocation_monopole calculation method.
Links are provided above the images allowing for users to download the final defect configuration and a corresponding defect-free configuration if they wish to further analyze the structures or use them for subsequent simulations.
Notes and Disclaimers:
Version Information:
Plots of lattice and elastic constants are shown as a function of temperature. The 0K points were taken from the Crystal Structure Predictions and the Elastic Constants Predictions sections above for the unique crystal structures relaxed with the "dynamic" method. Starting from the 0 K relaxed crystal unit cells, supercell systems are created by replicating all three dimensions by the same multiplier to achieve at least 4000 atoms. The systems are then relaxed at 50 K and zero pressure using 1 million NPT steps. Lattice constants are estimated by averaging the measured box dimensions. Temperatures are iteratively increased by 50 K, with each subsequent relaxation calculation starting from the final atomic configuration at the previous temperature and relaxing for another 1 million steps.
The elastic constants are calculated using the deformation–fluctuation hybrid method. Starting from the final atomic configurations of the dynamic relaxations, the system is allowed to evolve at constant volume with a Langevin thermostat. The Born matrix is computed during this run by evaluating how the atomic forces would vary due to applied linear strain fields. The elastic constants can then be estimated using the averaged Born matrix values and the averaged stresses on the system.
The calculation methods used are available as the iprPy relax_dynamic and elastic_constants_dynamic calculation methods.
Clicking on the image of a plot will open an interactive version of it in a new tab. The underlying data for the plots can be downloaded by clicking on the links above each plot.
Notes and Disclaimers:
Version Information:
Plots of radial distribution functions at different temperatures and the temperature-dependent diffusion and viscosity are shown here for elemental liquids. Melt phases are constructed by starting with a 10x10x10 fcc super cell and relaxing with 50,000 NPT steps at zero pressure and a high melting temperature (3000 K for most potentials and elements). Following the melt, liquid structures are relaxed by running NPT for 10,000 steps over which the temperature is dropped by 50 K, then 50,000 NPT at the target temperature to estimate the equilibrium volume, followed by 20,000 NVT steps at the averaged equilibrium volume and target temperature. Structures from the NVT run are sampled to compute the radial distribution function of the liquid at the corresponding temperature.
The final relaxed configurations at each temperature explored are used as the initial configurations for the diffusion and viscosity calculations. For diffusion, the system is integrated for 100 runs of 2,000 NVT steps during which both the mean squared displacement (MSD) and the velocity auto correlation function (VACF) are computed. From these simulations, three estimates of diffusion are computed: one from the MSD of the full 200,000 step run, one in which the MSD is reset for each short run and then averaged, and one from the VACF computed for each short run and averaged. For viscosity, the Green-Kubo method is used which is evaluated during a 1 million step NVT run.
The calculation methods used are available as the iprPy relax_liquid_redo, diffusion_liquid, and viscosity_green_kubo calculation methods.
Clicking on the image of a plot will open an interactive version of it in a new tab. The underlying data for the plots can be downloaded by clicking on the links above each plot.
Notes and Disclaimers:
Version Information:
Estimated melting temperatures are tabulated below. The melting temperature is computed here using a two-phase solid-liquid atomic configuration. The two-phase configuration is created by starting with a crystalline system in which the c box vector is roughly twice the length of the other two box vectors. Based on some input temperature Tinit, an NPH plus a Berensen thermostat simulation is performed for 10,000 steps in which half the system is subjected to a temperature of 1.25*Tinit and the other half to a temperature of 0.5*Tinit. This is then followed by 10,000 steps during which the temperature of the two regions are both scaled to Tinit. The system is then ran for 200,000 NPH steps to equilibrate the system. For the second half of the final NPH run, the average temperature of the system is calculated and the polyhedral template matching algorithm is used to estimate the number of solid and liquid atoms for a number of configuration snapshots. If the averaged fraction of solid atoms is found to be between 0.25-0.75, then the averaged temperature provides an estimate of the melting temperature.
This calculation is iteratively performed where the Tinit value is adjusted up or down if the fraction of solid atoms is outside the range 0.25-0.75. Iterations are repeated until 10 calculations are performed that produce solid fractions in the target range, or 30 total calculations are performed.
The calculation method used is available as the iprPy melting_temperature calculation method.
Notes and Disclaimers:
Version Information:
| prototype | Tmelt | stderr |
|---|---|---|
| A1--Cu--fcc | 1042.21 | 1.36 |
| A3--Mg--hcp | 1021.01 | 4.71 |
| prototype | Tmelt | stderr |
|---|---|---|
| A1--Cu--fcc | 1896.56 | 1.49 |
| prototype | Tmelt | stderr |
|---|---|---|
| A1--Cu--fcc | 1696.26 | 1.83 |
| A3--Mg--hcp | 1678.01 | 2.85 |
Plots of internal energy, Gibbs free energy, entropy, heat capacity and volume are shown here as a function of temperature for various crystal structures and liquid phases. The included crystal structures correspond to those in the Solid Structures vs. Temperature section, and the liquid phases to those in the Liquid Properties section. Internal energy and volume are taken from the associated structure relaxations mentioned in those previous sections. Constant pressure heat capacity is estimated using 3-point numerical derivatives of enthalpy versus temperature. Note that since all simulations done here are at 0 pressure, internal energy and enthalpy are equivalent.
The Gibbs energies of the phases are estimated using thermodynamic integration between the interatomic potential in question and a simpler model with known Gibbs free energy values. For solids, the reference model is an Einstein solid, while for liquids it is the Uhlenbeck-Ford potential. Besides a short run at the start of the solid calculations to estimate Einstein model spring constants, the two calculations proceed similarly. Starting with the final relaxation configurations, the systems are stabilized for 25,000 steps. Then, over the next 50,000 steps the potential is swapped out for the reference potential. The system is then stabilized for another 25,000 steps with the reference model before a reverse swap of 50,000 steps is performed. The simulation ends with one final 25,000 step stabilization period. From the simulation, the irreversible work of transformation is estimated and used to compute the absolute Gibbs free energy of the target phase and potential relative to the reference potential. Entropy is estimated as the difference in enthalpy and Gibbs free energy and divided by temperature.
The calculation methods used are available as the iprPy relax_dynamic, relax_liquid_redo, free_energy, and free_energy_liquid calculation methods.
Clicking on the image of a plot will open an interactive version of it in a new tab. The underlying data for the plots can be downloaded by clicking on the links above each plot.
Notes and Disclaimers:
Version Information:






