Plots of the potential energy vs interatomic spacing, r, are shown below for all diatom sets associated with the interatomic potential. This calculation provides insights into the functional form of the potential's two-body interactions. A system consisting of only two atoms is created, and the potential energy is evaluated for the atoms separated by 0.02 Å <= r <= 6.0> Å in intervals of 0.02 Å. Two plots are shown: one for the "standard" interaction distance range, and one for small values of r. The small r plot is useful for determining whether the potential is suitable for radiation studies.
The calculation method used is available as the iprPy diatom_scan calculation method.
Clicking on the image of a plot will open an interactive version of it in a new tab. The underlying data for the plots can be downloaded by clicking on the links above each plot.
Notes and Disclaimers:
Version Information:
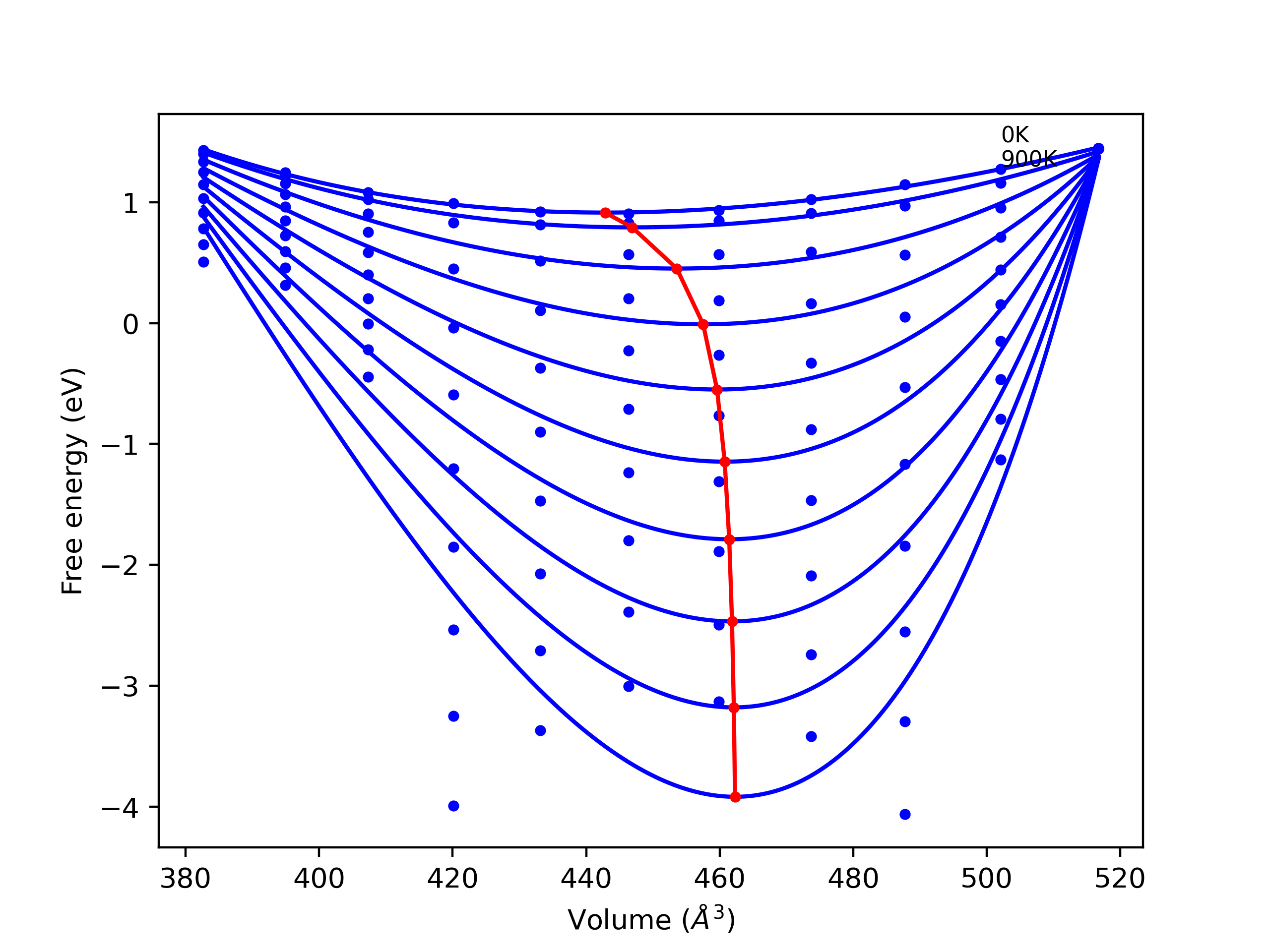
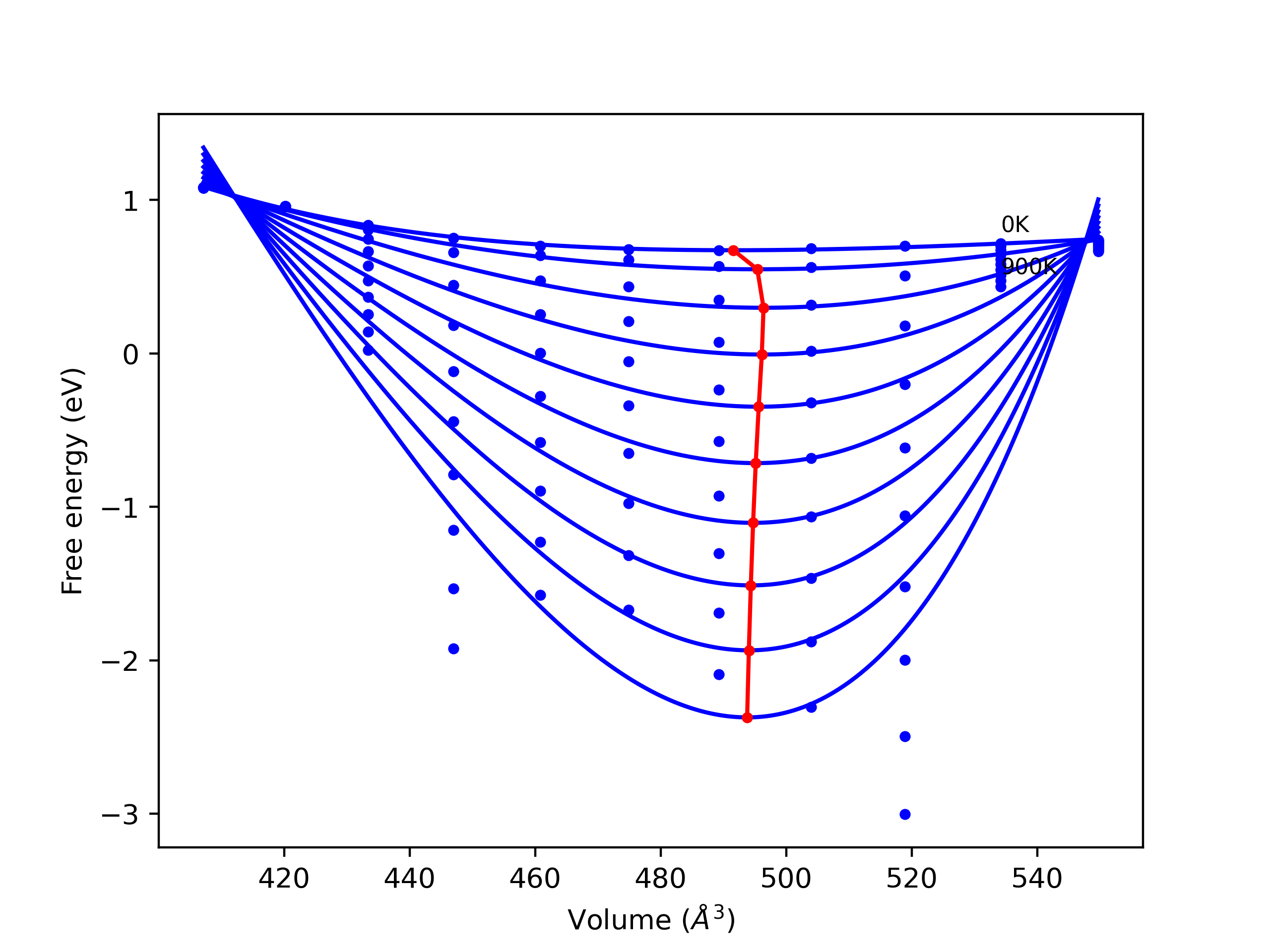
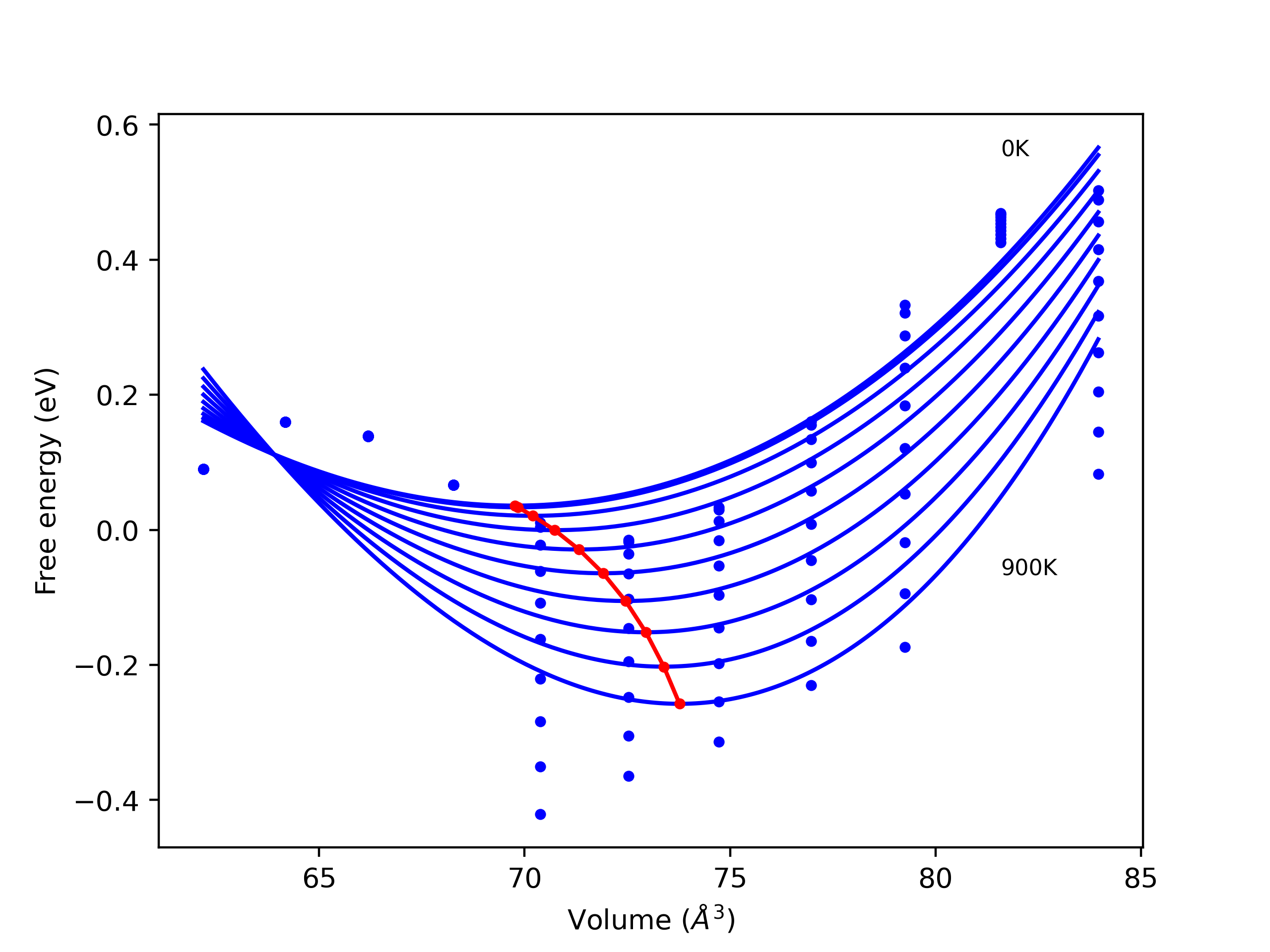
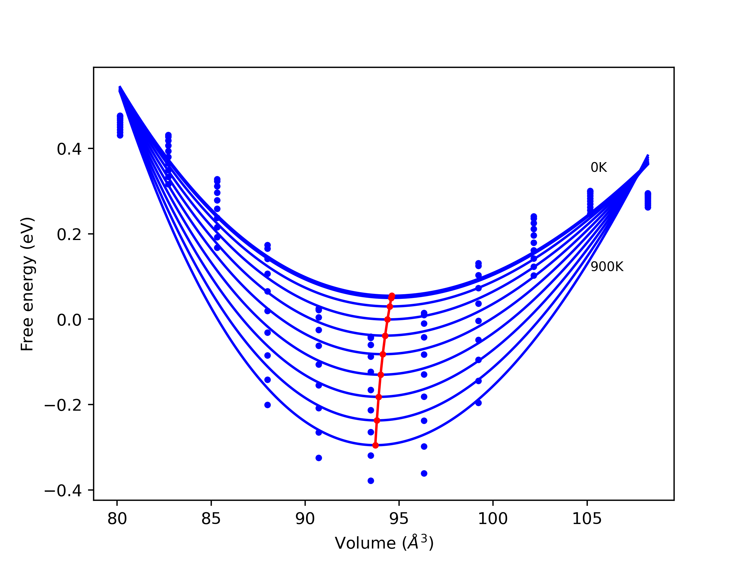
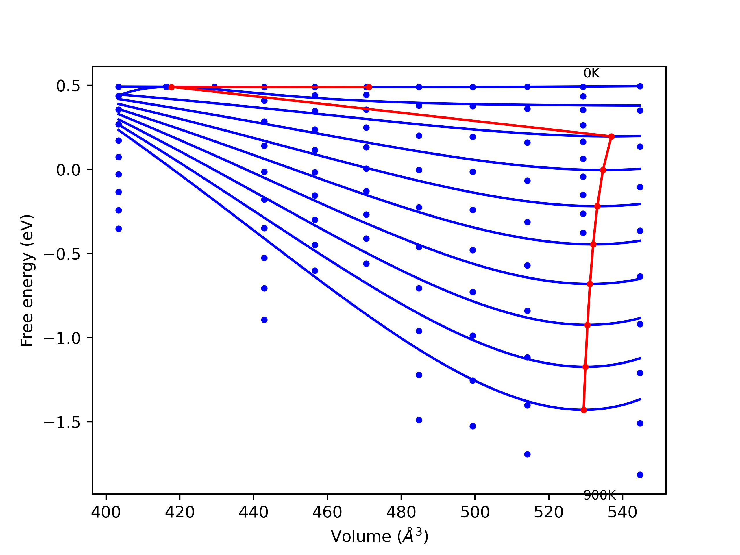
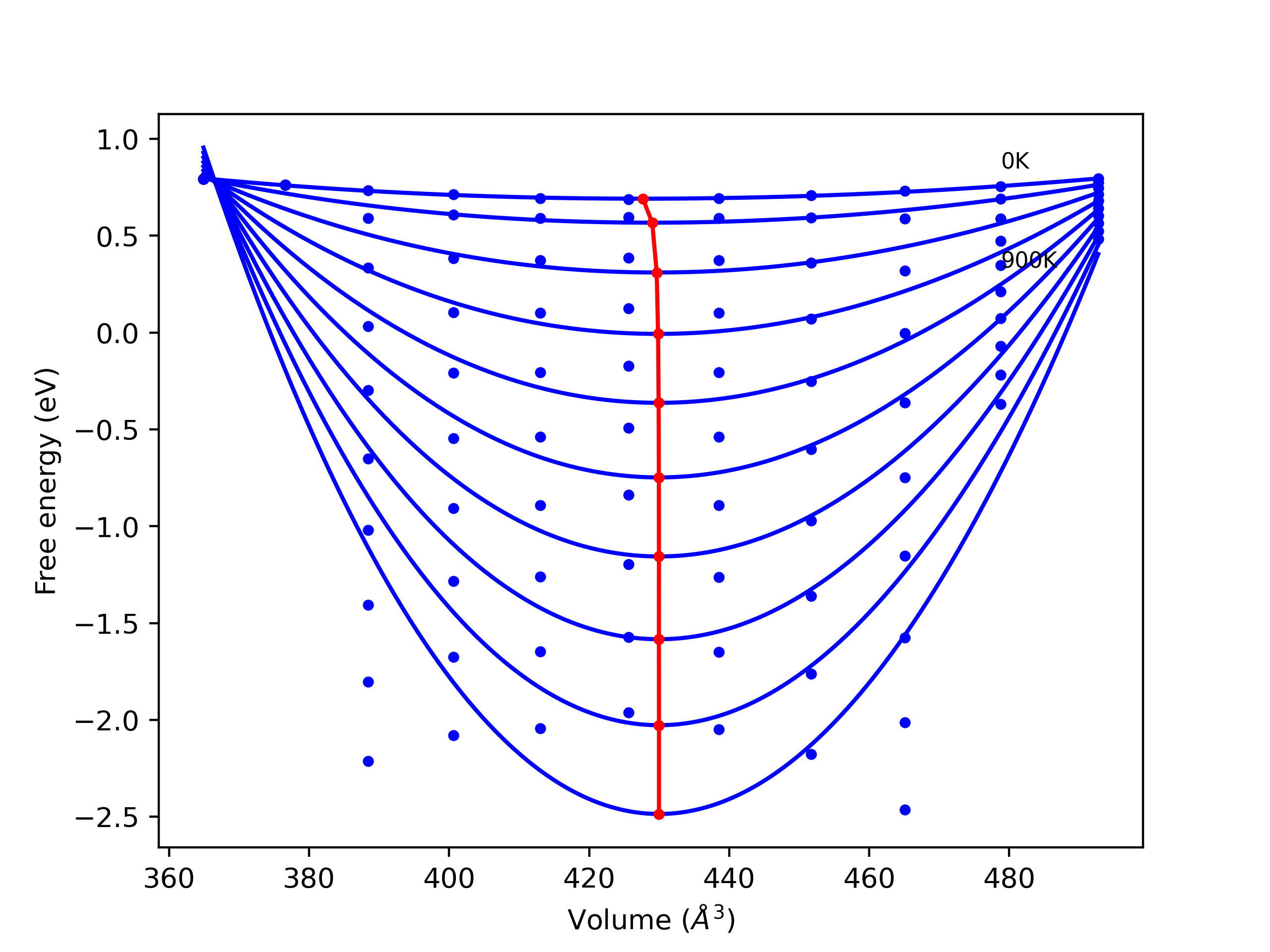
Plots of potential energy vs interatomic spacing, r, are shown below for a number of crystal structures. The structures are generated based on the ideal atomic positions and b/a and c/a lattice parameter ratios for a given crystal prototype. The size of the system is then uniformly scaled, and the energy calculated without relaxing the system. To obtain these plots, values of r are evaluated every 0.02 Å up to 6 Å.
The calculation method used is available as the iprPy E_vs_r_scan calculation method.
Clicking on the image of a plot will open an interactive version of it in a new tab. The underlying data for the plots can be downloaded by clicking on the links above each plot.
Notes and Disclaimers:
Version Information:
Computed lattice constants and cohesive/potential energies are displayed for a variety of crystal structures. The values displayed here are obtained using the following process.
The calculation methods used are implemented into iprPy as the following calculation styles
Notes and Disclaimers:
Version Information:
Download raw data (including filtered results)
Reference structure matches:
A1--Cu--fcc = mp-8637, oqmd-676152, oqmd-1214544
A15--beta-W = oqmd-1214989, oqmd-1280332
A2--W--bcc = mp-129, oqmd-676469, oqmd-1215167
A3'--alpha-La--double-hcp = mp-1066523, oqmd-1215435
A3--Mg--hcp = oqmd-1215345
A4--C--dc = oqmd-1215524
A5--beta-Sn = oqmd-1215613
A6--In--bct = oqmd-1215702
| prototype | method | Ecoh (eV/atom) | Epot (eV/atom) | a0 (Å) | b0 (Å) | c0 (Å) | α (degrees) | β (degrees) | γ (degrees) |
|---|---|---|---|---|---|---|---|---|---|
| A2--W--bcc | dynamic | -6.8972 | -6.9294 | 3.1474 | 3.1474 | 3.1474 | 90.0 | 90.0 | 90.0 |
| oqmd-1214811 | dynamic | -6.7154 | -6.7476 | 9.7192 | 9.7192 | 9.7192 | 90.0 | 90.0 | 90.0 |
| oqmd-1215256 | static | -6.7066 | -6.7388 | 2.6856 | 5.2167 | 4.5226 | 90.0 | 90.0 | 90.0 |
| A15--beta-W | dynamic | -6.7001 | -6.7322 | 5.0052 | 5.0052 | 5.0052 | 90.0 | 90.0 | 90.0 |
| oqmd-1215256 | box | -6.6973 | -6.7294 | 2.6816 | 5.2855 | 4.5178 | 90.0 | 90.0 | 90.0 |
| oqmd-1214811 | box | -6.674 | -6.7061 | 9.7133 | 9.7133 | 9.7133 | 90.0 | 90.0 | 90.0 |
| oqmd-1214900 | dynamic | -6.6722 | -6.7043 | 6.8874 | 6.8874 | 6.8874 | 90.0 | 90.0 | 90.0 |
| oqmd-1214900 | box | -6.6566 | -6.6888 | 6.8752 | 6.8752 | 6.8752 | 90.0 | 90.0 | 90.0 |
| A3--Mg--hcp | box | -6.6499 | -6.6821 | 2.9226 | 2.9226 | 4.4907 | 90.0 | 90.0 | 120.0 |
| A6--In--bct | static | -6.639 | -6.6712 | 2.6551 | 2.6551 | 4.4721 | 90.0 | 90.0 | 90.0 |
| oqmd-1216061 | box | -6.6221 | -6.6542 | 2.9298 | 2.9298 | 20.021 | 90.0 | 90.0 | 120.0 |
| mp-1181019 | box | -6.6151 | -6.6473 | 5.2008 | 4.9822 | 10.0927 | 90.0 | 103.2 | 90.0 |
| A3'--alpha-La--double-hcp | box | -6.6076 | -6.6398 | 2.9215 | 2.9215 | 8.93 | 90.0 | 90.0 | 120.0 |
| A1--Cu--fcc | static | -6.5625 | -6.5947 | 4.014 | 4.014 | 4.014 | 90.0 | 90.0 | 90.0 |
| mp-1180307 | box | -6.5172 | -6.5494 | 9.818 | 3.024 | 9.7127 | 90.0 | 113.5 | 90.0 |
| mp-1190217 | static | -6.449 | -6.4811 | 7.6706 | 2.6694 | 13.459 | 90.0 | 101.1 | 90.0 |
| mp-1190217 | box | -6.4392 | -6.4714 | 7.6743 | 2.6744 | 13.4613 | 90.0 | 101.1 | 90.0 |
| oqmd-1215078 | box | -6.4085 | -6.4407 | 4.4764 | 9.5577 | 3.0024 | 90.0 | 90.0 | 90.0 |
| A5--beta-Sn | dynamic | -6.1466 | -6.1787 | 4.8536 | 4.8536 | 2.7039 | 90.0 | 90.0 | 90.0 |
| mp-1056004 | dynamic | -6.1117 | -6.1439 | 2.7035 | 2.7035 | 2.4861 | 90.0 | 90.0 | 120.0 |
| oqmd-1214722 | box | -5.8185 | -5.8506 | 4.3168 | 7.9899 | 4.3161 | 90.0 | 90.0 | 90.0 |
| Ah--alpha-Po--sc | static | -5.7204 | -5.7526 | 2.5644 | 2.5644 | 2.5644 | 90.0 | 90.0 | 90.0 |
| oqmd-1215969 | static | -5.5285 | -5.5607 | 4.3279 | 4.3279 | 4.5146 | 90.0 | 90.0 | 120.0 |
| A7--alpha-As | box | -5.4959 | -5.528 | 3.4961 | 3.4961 | 10.2256 | 90.0 | 90.0 | 120.0 |
| A4--C--dc | static | -4.8649 | -4.8971 | 5.4746 | 5.4746 | 5.4746 | 90.0 | 90.0 | 90.0 |
| A6--In--bct | box | -4.0251 | -4.0572 | 5.7948 | 5.7948 | 2.1258 | 90.0 | 90.0 | 90.0 |
| A1--Cu--fcc | dynamic | -0.4352 | -0.4674 | 6.3491 | 6.3491 | 6.3491 | 90.0 | 90.0 | 90.0 |
| A3--Mg--hcp | dynamic | -0.4352 | -0.4674 | 4.4895 | 4.4895 | 7.3313 | 90.0 | 90.0 | 120.0 |
| A3'--alpha-La--double-hcp | dynamic | -0.4352 | -0.4674 | 4.4895 | 4.4895 | 14.6626 | 90.0 | 90.0 | 120.0 |
| A2--W--bcc | dynamic | -0.3463 | -0.3785 | 5.2619 | 5.2619 | 5.2619 | 90.0 | 90.0 | 90.0 |
| A5--beta-Sn | dynamic | -0.2849 | -0.317 | 8.6469 | 8.6469 | 4.4653 | 90.0 | 90.0 | 90.0 |
| A1--Cu--fcc | dynamic | -0.2205 | -0.2526 | 7.6456 | 7.6456 | 7.6456 | 90.0 | 90.0 | 90.0 |
| A3--Mg--hcp | dynamic | -0.2205 | -0.2526 | 5.4062 | 5.4062 | 8.8283 | 90.0 | 90.0 | 120.0 |
| A3'--alpha-La--double-hcp | dynamic | -0.2205 | -0.2526 | 5.4062 | 5.4062 | 17.6567 | 90.0 | 90.0 | 120.0 |
| Ah--alpha-Po--sc | dynamic | -0.2176 | -0.2497 | 4.4896 | 4.4896 | 4.4896 | 90.0 | 90.0 | 90.0 |
| A15--beta-W | static | -0.1995 | -0.2317 | 8.7424 | 8.7424 | 8.7424 | 90.0 | 90.0 | 90.0 |
| A7--alpha-As | static | -0.1639 | -0.1961 | 6.848 | 6.848 | 17.4427 | 90.0 | 90.0 | 120.0 |
| A7--alpha-As | static | -0.1639 | -0.1961 | 6.8481 | 6.8481 | 17.4425 | 90.0 | 90.0 | 120.0 |
| A7--alpha-As | dynamic | -0.1639 | -0.1961 | 6.685 | 6.685 | 18.2372 | 90.0 | 90.0 | 120.0 |
| A2--W--bcc | dynamic | -0.147 | -0.1791 | 6.2426 | 6.2426 | 6.2426 | 90.0 | 90.0 | 90.0 |
| A4--C--dc | dynamic | -0.145 | -0.1772 | 10.3683 | 10.3683 | 10.3683 | 90.0 | 90.0 | 90.0 |
| A5--beta-Sn | dynamic | -0.1102 | -0.1424 | 10.4691 | 10.4691 | 5.4062 | 90.0 | 90.0 | 90.0 |
| Ah--alpha-Po--sc | dynamic | -0.1102 | -0.1424 | 5.4062 | 5.4062 | 5.4062 | 90.0 | 90.0 | 90.0 |
| A7--alpha-As | dynamic | -0.1088 | -0.1409 | 7.0058 | 7.0058 | 22.2979 | 90.0 | 90.0 | 120.0 |
| A4--C--dc | dynamic | -0.0735 | -0.1057 | 12.4852 | 12.4852 | 12.4852 | 90.0 | 90.0 | 90.0 |
| A7--alpha-As | dynamic | -0.0551 | -0.0873 | 8.521 | 8.521 | 18.3878 | 90.0 | 90.0 | 120.0 |
| A7--alpha-As | static | -0.0551 | -0.0873 | 8.0777 | 8.0777 | 22.4233 | 90.0 | 90.0 | 120.0 |
| A15--beta-W | dynamic | -0.0214 | -0.0536 | 11.0523 | 11.0523 | 11.0523 | 90.0 | 90.0 | 90.0 |
Download raw data (including filtered results)
Reference structure matches:
| prototype | method | Ecoh (eV/atom) | Epot (eV/atom) | a0 (Å) | b0 (Å) | c0 (Å) | α (degrees) | β (degrees) | γ (degrees) |
|---|---|---|---|---|---|---|---|---|---|
| C1--CaF2--fluorite | static | -4.8203 | -4.8418 | 6.2595 | 6.2595 | 6.2595 | 90.0 | 90.0 | 90.0 |
| oqmd-1233863 | box | -4.1122 | -4.1336 | 6.5813 | 6.5813 | 3.2486 | 90.0 | 90.0 | 90.0 |
| oqmd-1240542 | static | -3.1807 | -3.2021 | 11.2981 | 11.2981 | 11.2981 | 90.0 | 90.0 | 90.0 |
| C1--CaF2--fluorite | dynamic | -1.2768 | -1.2983 | 9.0902 | 9.0902 | 9.0902 | 90.0 | 90.0 | 90.0 |
| C1--CaF2--fluorite | dynamic | -0.0992 | -0.1207 | 10.7722 | 10.7722 | 10.7722 | 90.0 | 90.0 | 90.0 |
Download raw data (including filtered results)
Reference structure matches:
| prototype | method | Ecoh (eV/atom) | Epot (eV/atom) | a0 (Å) | b0 (Å) | c0 (Å) | α (degrees) | β (degrees) | γ (degrees) |
|---|---|---|---|---|---|---|---|---|---|
| oqmd-427941 | static | -4.2667 | -4.2796 | 6.5274 | 6.5274 | 19.3878 | 90.0 | 90.0 | 120.0 |
Download raw data (including filtered results)
Reference structure matches:
| prototype | method | Ecoh (eV/atom) | Epot (eV/atom) | a0 (Å) | b0 (Å) | c0 (Å) | α (degrees) | β (degrees) | γ (degrees) |
|---|---|---|---|---|---|---|---|---|---|
| L2_1--AlCu2Mn--heusler | static | -2.1483 | -2.1644 | 6.5646 | 6.5646 | 6.5646 | 90.0 | 90.0 | 90.0 |
| L2_1--AlCu2Mn--heusler | static | -1.9239 | -1.94 | 7.1721 | 7.1721 | 7.1721 | 90.0 | 90.0 | 90.0 |
| L2_1--AlCu2Mn--heusler | static | -0.8506 | -0.8667 | 9.1324 | 9.1324 | 9.1324 | 90.0 | 90.0 | 90.0 |
| L2_1--AlCu2Mn--heusler | box | 0.0825 | 0.0665 | 10.542 | 10.542 | 10.542 | 90.0 | 90.0 | 90.0 |
| L2_1--AlCu2Mn--heusler | dynamic | 0.2321 | 0.2161 | 12.8425 | 12.8425 | 12.8425 | 90.0 | 90.0 | 90.0 |
Download raw data (including filtered results)
Reference structure matches:
| prototype | method | Ecoh (eV/atom) | Epot (eV/atom) | a0 (Å) | b0 (Å) | c0 (Å) | α (degrees) | β (degrees) | γ (degrees) |
|---|---|---|---|---|---|---|---|---|---|
| C1--CaF2--fluorite | dynamic | -1.4691 | -1.4905 | 6.3691 | 6.3691 | 6.3691 | 90.0 | 90.0 | 90.0 |
| C1--CaF2--fluorite | static | -0.8222 | -0.8437 | 7.3457 | 7.3457 | 7.3457 | 90.0 | 90.0 | 90.0 |
| C1--CaF2--fluorite | dynamic | -0.2103 | -0.2318 | 8.9311 | 8.9311 | 8.9311 | 90.0 | 90.0 | 90.0 |
| C1--CaF2--fluorite | dynamic | -0.0436 | -0.065 | 10.7346 | 10.7346 | 10.7346 | 90.0 | 90.0 | 90.0 |
| C1--CaF2--fluorite | dynamic | 0.1076 | 0.0862 | 12.3785 | 12.3785 | 12.3785 | 90.0 | 90.0 | 90.0 |
Download raw data (including filtered results)
Reference structure matches:
D0_3--BiF3 = oqmd-313964
L1_2--AuCu3 = oqmd-344809
| prototype | method | Ecoh (eV/atom) | Epot (eV/atom) | a0 (Å) | b0 (Å) | c0 (Å) | α (degrees) | β (degrees) | γ (degrees) |
|---|---|---|---|---|---|---|---|---|---|
| D0_3--BiF3 | dynamic | -6.0998 | -6.124 | 6.4582 | 6.4582 | 6.4582 | 90.0 | 90.0 | 90.0 |
| oqmd-320323 | box | -5.9128 | -5.937 | 5.9395 | 5.9395 | 4.6435 | 90.0 | 90.0 | 120.0 |
| L1_2--AuCu3 | static | -5.8614 | -5.8855 | 4.1648 | 4.1648 | 4.1648 | 90.0 | 90.0 | 90.0 |
| A15--Cr3Si | dynamic | -5.8592 | -5.8833 | 5.0262 | 5.0262 | 5.0262 | 90.0 | 90.0 | 90.0 |
| A15--Cr3Si | static | -0.0817 | -0.1058 | 8.3621 | 8.3621 | 8.3621 | 90.0 | 90.0 | 90.0 |
| D0_3--BiF3 | dynamic | -0.0723 | -0.0964 | 10.7707 | 10.7707 | 10.7707 | 90.0 | 90.0 | 90.0 |
| A15--Cr3Si | dynamic | -0.0294 | -0.0536 | 10.8951 | 10.8951 | 10.8951 | 90.0 | 90.0 | 90.0 |
| D0_3--BiF3 | static | 0.1508 | 0.1267 | 12.6199 | 12.6199 | 12.6199 | 90.0 | 90.0 | 90.0 |
| L1_2--AuCu3 | static | 0.2273 | 0.2032 | 7.718 | 7.718 | 7.718 | 90.0 | 90.0 | 90.0 |
Download raw data (including filtered results)
Reference structure matches:
| prototype | method | Ecoh (eV/atom) | Epot (eV/atom) | a0 (Å) | b0 (Å) | c0 (Å) | α (degrees) | β (degrees) | γ (degrees) |
|---|---|---|---|---|---|---|---|---|---|
| D0_3--BiF3 | dynamic | -3.0829 | -3.107 | 6.5427 | 6.5427 | 6.5427 | 90.0 | 90.0 | 90.0 |
| L1_2--AuCu3 | dynamic | -3.0732 | -3.0973 | 4.3616 | 4.3616 | 4.3616 | 90.0 | 90.0 | 90.0 |
| A15--Cr3Si | static | -3.0306 | -3.0547 | 5.2482 | 5.2482 | 5.2482 | 90.0 | 90.0 | 90.0 |
| L1_2--AuCu3 | static | -0.2211 | -0.2452 | 6.2316 | 6.2316 | 6.2316 | 90.0 | 90.0 | 90.0 |
| D0_3--BiF3 | static | -0.1029 | -0.127 | 10.4507 | 10.4507 | 10.4507 | 90.0 | 90.0 | 90.0 |
| A15--Cr3Si | static | -0.0622 | -0.0864 | 8.7285 | 8.7285 | 8.7285 | 90.0 | 90.0 | 90.0 |
| A15--Cr3Si | dynamic | -0.0235 | -0.0476 | 10.9766 | 10.9766 | 10.9766 | 90.0 | 90.0 | 90.0 |
| D0_3--BiF3 | dynamic | 0.0082 | -0.0159 | 12.4416 | 12.4416 | 12.4416 | 90.0 | 90.0 | 90.0 |
| L1_2--AuCu3 | dynamic | 0.0121 | -0.0121 | 7.6159 | 7.6159 | 7.6159 | 90.0 | 90.0 | 90.0 |
| A15--Cr3Si | static | 0.1433 | 0.1192 | 10.0993 | 10.0993 | 10.0993 | 90.0 | 90.0 | 90.0 |
Download raw data (including filtered results)
Reference structure matches:
B1--NaCl--rock-salt = oqmd-1106610
B2--CsCl = oqmd-307425, oqmd-338967
B3--ZnS--cubic-zinc-blende = oqmd-1223406
| prototype | method | Ecoh (eV/atom) | Epot (eV/atom) | a0 (Å) | b0 (Å) | c0 (Å) | α (degrees) | β (degrees) | γ (degrees) |
|---|---|---|---|---|---|---|---|---|---|
| B2--CsCl | static | -5.3554 | -5.3714 | 3.3041 | 3.3041 | 3.3041 | 90.0 | 90.0 | 90.0 |
| mp-1178856 | dynamic | -5.2847 | -5.3008 | 5.5824 | 2.7109 | 9.3182 | 90.0 | 90.7 | 90.0 |
| oqmd-1221212 | box | -5.2755 | -5.2916 | 4.8114 | 3.1528 | 4.8407 | 90.0 | 90.0 | 90.0 |
| mp-1079710 | dynamic | -5.2604 | -5.2765 | 5.5543 | 2.6996 | 11.1078 | 90.0 | 119.8 | 90.0 |
| L1_0--AuCu | static | -5.2495 | -5.2655 | 3.1483 | 3.1483 | 3.8214 | 90.0 | 90.0 | 90.0 |
| oqmd-1230377 | dynamic | -5.2097 | -5.2258 | 2.9554 | 2.9554 | 5.0295 | 90.0 | 90.0 | 120.0 |
| oqmd-328509 | dynamic | -5.2023 | -5.2184 | 2.9897 | 2.9897 | 14.6854 | 90.0 | 90.0 | 120.0 |
| mp-1178856 | box | -5.1933 | -5.2094 | 5.512 | 2.7394 | 9.4404 | 90.0 | 91.7 | 90.0 |
| mp-1079710 | box | -4.7205 | -4.7366 | 5.4298 | 2.763 | 10.0099 | 90.0 | 90.0 | 90.0 |
| B1--NaCl--rock-salt | dynamic | -4.6383 | -4.6544 | 5.523 | 5.523 | 5.523 | 90.0 | 90.0 | 90.0 |
| B1--NaCl--rock-salt | dynamic | -4.5248 | -4.5409 | 5.1547 | 5.1547 | 5.1547 | 90.0 | 90.0 | 90.0 |
| B3--ZnS--cubic-zinc-blende | static | -3.5243 | -3.5404 | 5.8864 | 5.8864 | 5.8864 | 90.0 | 90.0 | 90.0 |
| B1--NaCl--rock-salt | dynamic | -1.6295 | -1.6456 | 7.8817 | 7.8817 | 7.8817 | 90.0 | 90.0 | 90.0 |
| B2--CsCl | box | -1.6208 | -1.6369 | 4.5772 | 4.5772 | 4.5772 | 90.0 | 90.0 | 90.0 |
| B4--ZnS--wurtzite | box | -1.017 | -1.033 | 5.9402 | 5.9402 | 9.7186 | 90.0 | 90.0 | 120.0 |
| B3--ZnS--cubic-zinc-blende | static | -1.0169 | -1.033 | 8.403 | 8.403 | 8.403 | 90.0 | 90.0 | 90.0 |
| B4--ZnS--wurtzite | dynamic | -0.8556 | -0.8717 | 6.4787 | 6.4787 | 10.5882 | 90.0 | 90.0 | 120.0 |
| B3--ZnS--cubic-zinc-blende | dynamic | -0.8556 | -0.8717 | 9.1647 | 9.1647 | 9.1647 | 90.0 | 90.0 | 90.0 |
| B1--NaCl--rock-salt | dynamic | -0.0295 | -0.0456 | 9.3161 | 9.3161 | 9.3161 | 90.0 | 90.0 | 90.0 |
| B4--ZnS--wurtzite | dynamic | -0.0197 | -0.0358 | 7.6045 | 7.6045 | 12.428 | 90.0 | 90.0 | 120.0 |
| B3--ZnS--cubic-zinc-blende | dynamic | -0.0197 | -0.0358 | 10.7573 | 10.7573 | 10.7573 | 90.0 | 90.0 | 90.0 |
| B2--CsCl | dynamic | -0.014 | -0.0301 | 5.433 | 5.433 | 5.433 | 90.0 | 90.0 | 90.0 |
| L1_0--AuCu | dynamic | 0.0764 | 0.0603 | 6.0001 | 6.0001 | 6.9929 | 90.0 | 90.0 | 90.0 |
| B2--CsCl | dynamic | 0.1167 | 0.1006 | 6.3511 | 6.3511 | 6.3511 | 90.0 | 90.0 | 90.0 |
| B1--NaCl--rock-salt | dynamic | 0.2216 | 0.2055 | 11.0955 | 11.0955 | 11.0955 | 90.0 | 90.0 | 90.0 |
| L1_0--AuCu | box | 0.2712 | 0.2551 | 5.4276 | 5.4276 | 7.8887 | 90.0 | 90.0 | 90.0 |
Download raw data (including filtered results)
Reference structure matches:
| prototype | method | Ecoh (eV/atom) | Epot (eV/atom) | a0 (Å) | b0 (Å) | c0 (Å) | α (degrees) | β (degrees) | γ (degrees) |
|---|---|---|---|---|---|---|---|---|---|
| mp-30789 | static | -4.8698 | -4.8805 | 3.3608 | 3.3608 | 9.8586 | 90.0 | 90.0 | 90.0 |
| mp-30789 | box | -4.8427 | -4.8534 | 3.3578 | 3.3578 | 9.972 | 90.0 | 90.0 | 90.0 |
| oqmd-17717 | box | -4.842 | -4.8527 | 3.3579 | 3.3579 | 9.9756 | 90.0 | 90.0 | 90.0 |
| C1--CaF2--fluorite | static | -4.0836 | -4.0944 | 6.5341 | 6.5341 | 6.5341 | 90.0 | 90.0 | 90.0 |
| oqmd-1240541 | dynamic | -2.923 | -2.9337 | 11.4511 | 11.4511 | 11.4511 | 90.0 | 90.0 | 90.0 |
| C1--CaF2--fluorite | dynamic | -0.9868 | -0.9975 | 9.259 | 9.259 | 9.259 | 90.0 | 90.0 | 90.0 |
| C1--CaF2--fluorite | dynamic | 0.0778 | 0.0671 | 12.7023 | 12.7023 | 12.7023 | 90.0 | 90.0 | 90.0 |
| C1--CaF2--fluorite | dynamic | 0.1296 | 0.1189 | 10.8953 | 10.8953 | 10.8953 | 90.0 | 90.0 | 90.0 |
Download raw data (including filtered results)
Reference structure matches:
| prototype | method | Ecoh (eV/atom) | Epot (eV/atom) | a0 (Å) | b0 (Å) | c0 (Å) | α (degrees) | β (degrees) | γ (degrees) |
|---|---|---|---|---|---|---|---|---|---|
| L2_1--AlCu2Mn--heusler | static | -2.0833 | -2.0914 | 6.8044 | 6.8044 | 6.8044 | 90.0 | 90.0 | 90.0 |
| L2_1--AlCu2Mn--heusler | static | -0.2154 | -0.2234 | 9.3743 | 9.3743 | 9.3743 | 90.0 | 90.0 | 90.0 |
| L2_1--AlCu2Mn--heusler | box | 0.1503 | 0.1422 | 10.9896 | 10.9896 | 10.9896 | 90.0 | 90.0 | 90.0 |
| L2_1--AlCu2Mn--heusler | static | 0.3808 | 0.3728 | 12.0874 | 12.0874 | 12.0874 | 90.0 | 90.0 | 90.0 |
Download raw data (including filtered results)
Reference structure matches:
D0_3--BiF3 = oqmd-309781
L1_2--AuCu3 = oqmd-348992
| prototype | method | Ecoh (eV/atom) | Epot (eV/atom) | a0 (Å) | b0 (Å) | c0 (Å) | α (degrees) | β (degrees) | γ (degrees) |
|---|---|---|---|---|---|---|---|---|---|
| D0_3--BiF3 | static | -4.7013 | -4.7094 | 6.7348 | 6.7348 | 6.7348 | 90.0 | 90.0 | 90.0 |
| oqmd-299239 | dynamic | -4.6447 | -4.6527 | 3.9168 | 3.9168 | 10.0806 | 90.0 | 90.0 | 90.0 |
| A15--Cr3Si | dynamic | -4.6412 | -4.6493 | 5.3825 | 5.3825 | 5.3825 | 90.0 | 90.0 | 90.0 |
| L1_2--AuCu3 | static | -4.4867 | -4.4947 | 4.2096 | 4.2096 | 4.2096 | 90.0 | 90.0 | 90.0 |
| L1_2--AuCu3 | dynamic | -4.0781 | -4.0862 | 4.7136 | 4.7136 | 4.7136 | 90.0 | 90.0 | 90.0 |
| A15--Cr3Si | static | -3.7005 | -3.7086 | 6.2272 | 6.2272 | 6.2272 | 90.0 | 90.0 | 90.0 |
| L1_2--AuCu3 | static | -2.4519 | -2.4599 | 5.6185 | 5.6185 | 5.6185 | 90.0 | 90.0 | 90.0 |
| D0_3--BiF3 | static | -1.9363 | -1.9444 | 9.1637 | 9.1637 | 9.1637 | 90.0 | 90.0 | 90.0 |
| L1_2--AuCu3 | dynamic | -0.383 | -0.3911 | 7.7612 | 7.7612 | 7.7612 | 90.0 | 90.0 | 90.0 |
| A15--Cr3Si | static | -0.244 | -0.2521 | 9.8035 | 9.8035 | 9.8035 | 90.0 | 90.0 | 90.0 |
| A15--Cr3Si | dynamic | -0.1158 | -0.1238 | 8.996 | 8.996 | 8.996 | 90.0 | 90.0 | 90.0 |
| L1_2--AuCu3 | dynamic | 0.022 | 0.014 | 6.6085 | 6.6085 | 6.6085 | 90.0 | 90.0 | 90.0 |
| D0_3--BiF3 | dynamic | 0.2091 | 0.201 | 12.7293 | 12.7293 | 12.7293 | 90.0 | 90.0 | 90.0 |
| D0_3--BiF3 | static | 0.3257 | 0.3176 | 11.3003 | 11.3003 | 11.3003 | 90.0 | 90.0 | 90.0 |
Download raw data (including filtered results)
Reference structure matches:
| prototype | method | Ecoh (eV/atom) | Epot (eV/atom) | a0 (Å) | b0 (Å) | c0 (Å) | α (degrees) | β (degrees) | γ (degrees) |
|---|---|---|---|---|---|---|---|---|---|
| L2_1--AlCu2Mn--heusler | dynamic | 0.1043 | 0.0962 | 12.3834 | 12.3834 | 12.3834 | 90.0 | 90.0 | 90.0 |
| L2_1--AlCu2Mn--heusler | static | 0.1489 | 0.1409 | 11.0215 | 11.0215 | 11.0215 | 90.0 | 90.0 | 90.0 |
| L2_1--AlCu2Mn--heusler | static | 0.1786 | 0.1706 | 7.4167 | 7.4167 | 7.4167 | 90.0 | 90.0 | 90.0 |
| L2_1--AlCu2Mn--heusler | box | 0.1791 | 0.171 | 8.1968 | 8.1968 | 8.1968 | 90.0 | 90.0 | 90.0 |
| L2_1--AlCu2Mn--heusler | static | 0.2782 | 0.2701 | 9.9756 | 9.9756 | 9.9756 | 90.0 | 90.0 | 90.0 |
| L2_1--AlCu2Mn--heusler | static | 0.4429 | 0.4348 | 6.8279 | 6.8279 | 6.8279 | 90.0 | 90.0 | 90.0 |
Download raw data (including filtered results)
Reference structure matches:
| prototype | method | Ecoh (eV/atom) | Epot (eV/atom) | a0 (Å) | b0 (Å) | c0 (Å) | α (degrees) | β (degrees) | γ (degrees) |
|---|---|---|---|---|---|---|---|---|---|
| L1_0--AuCu | static | -0.4669 | -0.483 | 3.5725 | 3.5725 | 4.5044 | 90.0 | 90.0 | 90.0 |
| L1_0--AuCu | box | -0.4634 | -0.4795 | 3.5459 | 3.5459 | 4.6806 | 90.0 | 90.0 | 90.0 |
| B2--CsCl | dynamic | -0.4624 | -0.4785 | 3.7888 | 3.7888 | 3.7888 | 90.0 | 90.0 | 90.0 |
| B1--NaCl--rock-salt | dynamic | -0.2261 | -0.2422 | 7.6315 | 7.6315 | 7.6315 | 90.0 | 90.0 | 90.0 |
| B2--CsCl | dynamic | -0.2096 | -0.2257 | 4.4722 | 4.4722 | 4.4722 | 90.0 | 90.0 | 90.0 |
| L1_0--AuCu | static | -0.1772 | -0.1933 | 4.5038 | 4.5038 | 5.4103 | 90.0 | 90.0 | 90.0 |
| B3--ZnS--cubic-zinc-blende | dynamic | -0.1517 | -0.1677 | 7.7184 | 7.7184 | 7.7184 | 90.0 | 90.0 | 90.0 |
| B4--ZnS--wurtzite | dynamic | -0.1298 | -0.1459 | 5.4761 | 5.4761 | 8.8277 | 90.0 | 90.0 | 120.0 |
| B4--ZnS--wurtzite | box | -0.1285 | -0.1446 | 5.4628 | 5.4628 | 8.8613 | 90.0 | 90.0 | 120.0 |
| B1--NaCl--rock-salt | static | -0.1259 | -0.142 | 7.067 | 7.067 | 7.067 | 90.0 | 90.0 | 90.0 |
| B4--ZnS--wurtzite | static | -0.0518 | -0.0679 | 6.1915 | 6.1915 | 10.1107 | 90.0 | 90.0 | 120.0 |
| B3--ZnS--cubic-zinc-blende | static | -0.0518 | -0.0679 | 8.7561 | 8.7561 | 8.7561 | 90.0 | 90.0 | 90.0 |
| B4--ZnS--wurtzite | dynamic | -0.0472 | -0.0632 | 6.8965 | 6.8965 | 11.2709 | 90.0 | 90.0 | 120.0 |
| B3--ZnS--cubic-zinc-blende | dynamic | -0.0472 | -0.0632 | 9.7557 | 9.7557 | 9.7557 | 90.0 | 90.0 | 90.0 |
| B1--NaCl--rock-salt | dynamic | -0.0413 | -0.0574 | 8.678 | 8.678 | 8.678 | 90.0 | 90.0 | 90.0 |
| B2--CsCl | dynamic | -0.016 | -0.032 | 5.316 | 5.316 | 5.316 | 90.0 | 90.0 | 90.0 |
| B1--NaCl--rock-salt | dynamic | -0.0096 | -0.0257 | 6.4668 | 6.4668 | 6.4668 | 90.0 | 90.0 | 90.0 |
| B3--ZnS--cubic-zinc-blende | dynamic | 0.0805 | 0.0644 | 12.3365 | 12.3365 | 12.3365 | 90.0 | 90.0 | 90.0 |
| B4--ZnS--wurtzite | dynamic | 0.0805 | 0.0644 | 8.7209 | 8.7209 | 14.2526 | 90.0 | 90.0 | 120.0 |
| L1_0--AuCu | dynamic | 0.1043 | 0.0882 | 5.3842 | 5.3842 | 7.5314 | 90.0 | 90.0 | 90.0 |
| B4--ZnS--wurtzite | box | 0.1155 | 0.0995 | 4.5496 | 4.5496 | 7.3088 | 90.0 | 90.0 | 120.0 |
| B1--NaCl--rock-salt | dynamic | 0.1172 | 0.1011 | 10.6744 | 10.6744 | 10.6744 | 90.0 | 90.0 | 90.0 |
| B2--CsCl | dynamic | 0.1502 | 0.1342 | 6.1789 | 6.1789 | 6.1789 | 90.0 | 90.0 | 90.0 |
| B3--ZnS--cubic-zinc-blende | static | 0.1612 | 0.1451 | 6.4026 | 6.4026 | 6.4026 | 90.0 | 90.0 | 90.0 |
| B1--NaCl--rock-salt | static | 0.1827 | 0.1666 | 5.5474 | 5.5474 | 5.5474 | 90.0 | 90.0 | 90.0 |
| B2--CsCl | static | 0.1962 | 0.1801 | 3.3608 | 3.3608 | 3.3608 | 90.0 | 90.0 | 90.0 |
Download raw data (including filtered results)
Reference structure matches:
| prototype | method | Ecoh (eV/atom) | Epot (eV/atom) | a0 (Å) | b0 (Å) | c0 (Å) | α (degrees) | β (degrees) | γ (degrees) |
|---|---|---|---|---|---|---|---|---|---|
| C1--CaF2--fluorite | static | -0.0744 | -0.0851 | 9.2934 | 9.2934 | 9.2934 | 90.0 | 90.0 | 90.0 |
| C1--CaF2--fluorite | dynamic | -0.0437 | -0.0544 | 7.9181 | 7.9181 | 7.9181 | 90.0 | 90.0 | 90.0 |
| C1--CaF2--fluorite | dynamic | 0.0999 | 0.0891 | 12.3299 | 12.3299 | 12.3299 | 90.0 | 90.0 | 90.0 |
Download raw data (including filtered results)
Reference structure matches:
| prototype | method | Ecoh (eV/atom) | Epot (eV/atom) | a0 (Å) | b0 (Å) | c0 (Å) | α (degrees) | β (degrees) | γ (degrees) |
|---|---|---|---|---|---|---|---|---|---|
| A15--Cr3Si | dynamic | -0.0484 | -0.0564 | 7.6423 | 7.6423 | 7.6423 | 90.0 | 90.0 | 90.0 |
| L1_2--AuCu3 | dynamic | -0.0313 | -0.0394 | 6.1162 | 6.1162 | 6.1162 | 90.0 | 90.0 | 90.0 |
| A15--Cr3Si | static | -0.0094 | -0.0175 | 11.0739 | 11.0739 | 11.0739 | 90.0 | 90.0 | 90.0 |
| L1_2--AuCu3 | static | 0.0077 | -0.0003 | 5.6147 | 5.6147 | 5.6147 | 90.0 | 90.0 | 90.0 |
| D0_3--BiF3 | static | 0.0122 | 0.0042 | 9.5135 | 9.5135 | 9.5135 | 90.0 | 90.0 | 90.0 |
| D0_3--BiF3 | dynamic | 0.0659 | 0.0579 | 12.3846 | 12.3846 | 12.3846 | 90.0 | 90.0 | 90.0 |
| D0_3--BiF3 | dynamic | 0.0695 | 0.0615 | 10.6778 | 10.6778 | 10.6778 | 90.0 | 90.0 | 90.0 |
| L1_2--AuCu3 | dynamic | 0.1041 | 0.0961 | 7.6149 | 7.6149 | 7.6149 | 90.0 | 90.0 | 90.0 |
| A15--Cr3Si | static | 0.1072 | 0.0991 | 9.8006 | 9.8006 | 9.8006 | 90.0 | 90.0 | 90.0 |
Download raw data (including filtered results)
Reference structure matches:
A1--Cu--fcc = mp-1008669, oqmd-22309, oqmd-1214582
A15--beta-W = oqmd-1215027
A2--W--bcc = mp-108, oqmd-8391, oqmd-1215205
A3'--alpha-La--double-hcp = oqmd-1215473
A3--Mg--hcp = oqmd-1215383
A4--C--dc = oqmd-1215562
A5--beta-Sn = oqmd-1215651
A6--In--bct = oqmd-1215740
Ah--alpha-Po--sc = mp-1056699, oqmd-1215829, oqmd-1215918
| prototype | method | Ecoh (eV/atom) | Epot (eV/atom) | a0 (Å) | b0 (Å) | c0 (Å) | α (degrees) | β (degrees) | γ (degrees) |
|---|---|---|---|---|---|---|---|---|---|
| oqmd-1214760 | dynamic | -4.1909 | -4.1909 | 4.9044 | 10.748 | 3.2205 | 90.0 | 90.0 | 90.0 |
| oqmd-675537 | dynamic | -4.1846 | -4.1846 | 2.8426 | 5.7141 | 4.8909 | 90.0 | 90.0 | 90.0 |
| oqmd-686734 | box | -4.1846 | -4.1846 | 2.8406 | 5.7161 | 4.891 | 90.0 | 90.0 | 90.0 |
| oqmd-1215294 | box | -4.1846 | -4.1846 | 2.8459 | 5.7111 | 4.891 | 90.0 | 90.0 | 90.0 |
| mp-44 | box | -4.1842 | -4.1842 | 2.8517 | 5.7078 | 4.8919 | 90.0 | 90.0 | 90.0 |
| A5--beta-Sn | dynamic | -4.1558 | -4.1558 | 5.0765 | 5.0765 | 2.9609 | 90.0 | 90.0 | 90.0 |
| A2--W--bcc | static | -4.1475 | -4.1475 | 3.5552 | 3.5552 | 3.5552 | 90.0 | 90.0 | 90.0 |
| A6--In--bct | dynamic | -4.1413 | -4.1413 | 2.7609 | 2.7609 | 5.1391 | 90.0 | 90.0 | 90.0 |
| A7--alpha-As | static | -4.133 | -4.133 | 5.0481 | 5.0481 | 5.7666 | 90.0 | 90.0 | 120.0 |
| mp-1076920 | dynamic | -4.1285 | -4.1285 | 2.9307 | 2.9307 | 2.5159 | 90.0 | 90.0 | 120.0 |
| mp-1077335 | static | -4.0812 | -4.0812 | 7.8866 | 7.417 | 5.8528 | 90.0 | 130.3 | 90.0 |
| oqmd-1215116 | dynamic | -4.0503 | -4.0503 | 2.7588 | 2.7588 | 10.7398 | 90.0 | 90.0 | 90.0 |
| A3--Mg--hcp | dynamic | -4.0333 | -4.0333 | 3.4546 | 3.4546 | 4.9126 | 90.0 | 90.0 | 120.0 |
| oqmd-1214849 | static | -4.0041 | -4.0041 | 10.6712 | 10.6712 | 10.6712 | 90.0 | 90.0 | 90.0 |
| oqmd-1214849 | box | -3.9915 | -3.9915 | 10.6112 | 10.6112 | 10.6112 | 90.0 | 90.0 | 90.0 |
| mp-1178958 | box | -3.9799 | -3.9799 | 6.4789 | 5.0392 | 5.0975 | 90.0 | 90.0 | 90.0 |
| A15--beta-W | dynamic | -3.9713 | -3.9713 | 5.3955 | 5.3955 | 5.3955 | 90.0 | 90.0 | 90.0 |
| oqmd-8009 | box | -3.9498 | -3.9498 | 10.3258 | 10.3258 | 5.5855 | 90.0 | 90.0 | 90.0 |
| mp-93 | box | -3.9484 | -3.9484 | 10.3132 | 10.3132 | 5.5827 | 90.0 | 90.0 | 90.0 |
| oqmd-2472 | box | -3.9353 | -3.9353 | 10.4151 | 10.4151 | 5.6307 | 90.0 | 90.0 | 90.0 |
| mp-43 | box | -3.9345 | -3.9345 | 10.411 | 10.411 | 5.6242 | 90.0 | 90.0 | 90.0 |
| A3'--alpha-La--double-hcp | dynamic | -3.9088 | -3.9088 | 3.4616 | 3.4616 | 9.7377 | 90.0 | 90.0 | 120.0 |
| oqmd-1214938 | box | -3.908 | -3.908 | 7.5126 | 7.5126 | 7.5126 | 90.0 | 90.0 | 90.0 |
| A1--Cu--fcc | dynamic | -3.8779 | -3.8779 | 4.7997 | 4.7997 | 4.7997 | 90.0 | 90.0 | 90.0 |
| mp-1200324 | box | -3.8762 | -3.8762 | 24.3918 | 5.5366 | 4.976 | 90.0 | 90.0 | 90.0 |
| A3--Mg--hcp | box | -3.8521 | -3.8521 | 2.9295 | 2.9295 | 5.0837 | 90.0 | 90.0 | 120.0 |
| mp-1197206 | box | -3.847 | -3.847 | 24.2257 | 5.6209 | 5.1927 | 90.0 | 90.0 | 90.0 |
| Ah--alpha-Po--sc | dynamic | -3.8204 | -3.8204 | 2.7567 | 2.7567 | 2.7567 | 90.0 | 90.0 | 90.0 |
| A3'--alpha-La--double-hcp | box | -3.8138 | -3.8138 | 2.914 | 2.914 | 10.2407 | 90.0 | 90.0 | 120.0 |
| A1--Cu--fcc | static | -3.7712 | -3.7712 | 4.2149 | 4.2149 | 4.2149 | 90.0 | 90.0 | 90.0 |
| A6--In--bct | dynamic | -3.5659 | -3.5659 | 3.2694 | 3.2694 | 6.0381 | 90.0 | 90.0 | 90.0 |
| A15--beta-W | static | -3.4063 | -3.4063 | 6.3697 | 6.3697 | 6.3697 | 90.0 | 90.0 | 90.0 |
| A1--Cu--fcc | box | -3.3891 | -3.3891 | 4.4989 | 4.4989 | 4.4989 | 90.0 | 90.0 | 90.0 |
| oqmd-47874 | box | -2.8067 | -2.8067 | 10.0767 | 10.0767 | 8.539 | 90.0 | 90.0 | 90.0 |
| A1--Cu--fcc | static | -2.7379 | -2.7379 | 5.5601 | 5.5601 | 5.5601 | 90.0 | 90.0 | 90.0 |
| A3--Mg--hcp | box | -2.7379 | -2.7379 | 3.9316 | 3.9316 | 6.4202 | 90.0 | 90.0 | 120.0 |
| A3'--alpha-La--double-hcp | box | -2.7379 | -2.7379 | 3.9316 | 3.9316 | 12.8404 | 90.0 | 90.0 | 120.0 |
| A4--C--dc | static | -2.4265 | -2.4265 | 5.9838 | 5.9838 | 5.9838 | 90.0 | 90.0 | 90.0 |
| A1--Cu--fcc | dynamic | -2.2463 | -2.2463 | 7.7471 | 7.7471 | 7.7471 | 90.0 | 90.0 | 90.0 |
| A3'--alpha-La--double-hcp | dynamic | -2.2463 | -2.2463 | 5.478 | 5.478 | 17.8912 | 90.0 | 90.0 | 120.0 |
| A3--Mg--hcp | dynamic | -2.2463 | -2.2463 | 5.478 | 5.478 | 8.9456 | 90.0 | 90.0 | 120.0 |
| A2--W--bcc | static | -2.158 | -2.158 | 4.5307 | 4.5307 | 4.5307 | 90.0 | 90.0 | 90.0 |
| Ah--alpha-Po--sc | dynamic | -2.1435 | -2.1435 | 3.3249 | 3.3249 | 3.3249 | 90.0 | 90.0 | 90.0 |
| A5--beta-Sn | box | -1.6213 | -1.6213 | 8.0396 | 8.0396 | 3.1878 | 90.0 | 90.0 | 90.0 |
| A5--beta-Sn | static | -1.4241 | -1.4241 | 7.8561 | 7.8561 | 3.8804 | 90.0 | 90.0 | 90.0 |
| A4--C--dc | dynamic | -1.2916 | -1.2916 | 9.1319 | 9.1319 | 9.1319 | 90.0 | 90.0 | 90.0 |
| A4--C--dc | static | -1.2675 | -1.2675 | 8.5144 | 8.5144 | 8.5144 | 90.0 | 90.0 | 90.0 |
| A4--C--dc | box | -1.2155 | -1.2155 | 7.1636 | 7.1636 | 7.1636 | 90.0 | 90.0 | 90.0 |
| Ah--alpha-Po--sc | dynamic | -1.0728 | -1.0728 | 4.1101 | 4.1101 | 4.1101 | 90.0 | 90.0 | 90.0 |
| A7--alpha-As | dynamic | -1.0348 | -1.0348 | 6.0458 | 6.0458 | 14.8058 | 90.0 | 90.0 | 120.0 |
| A15--beta-W | dynamic | -0.8036 | -0.8036 | 9.0585 | 9.0585 | 9.0585 | 90.0 | 90.0 | 90.0 |
| A15--beta-W | static | -0.2311 | -0.2311 | 9.8208 | 9.8208 | 9.8208 | 90.0 | 90.0 | 90.0 |
| A2--W--bcc | dynamic | -0.1155 | -0.1155 | 6.3432 | 6.3432 | 6.3432 | 90.0 | 90.0 | 90.0 |
| A7--alpha-As | static | 0.0003 | 0.0003 | 6.6375 | 6.6375 | 22.048 | 90.0 | 90.0 | 120.0 |
| A7--alpha-As | dynamic | 0.0003 | 0.0003 | 7.1114 | 7.1114 | 20.0103 | 90.0 | 90.0 | 120.0 |
| A4--C--dc | dynamic | 0.0328 | 0.0328 | 10.8107 | 10.8107 | 10.8107 | 90.0 | 90.0 | 90.0 |
| Ah--alpha-Po--sc | dynamic | 0.0495 | 0.0495 | 4.6812 | 4.6812 | 4.6812 | 90.0 | 90.0 | 90.0 |
| A2--W--bcc | dynamic | 0.0537 | 0.0537 | 5.7182 | 5.7182 | 5.7182 | 90.0 | 90.0 | 90.0 |
| A3'--alpha-La--double-hcp | dynamic | 0.1004 | 0.1004 | 4.681 | 4.681 | 15.2882 | 90.0 | 90.0 | 120.0 |
| A3--Mg--hcp | dynamic | 0.1004 | 0.1004 | 4.681 | 4.681 | 7.6441 | 90.0 | 90.0 | 120.0 |
| A1--Cu--fcc | dynamic | 0.1004 | 0.1004 | 6.62 | 6.62 | 6.62 | 90.0 | 90.0 | 90.0 |
| A7--alpha-As | box | 0.1182 | 0.1182 | 5.9872 | 5.9872 | 21.4971 | 90.0 | 90.0 | 120.0 |
| A15--beta-W | box | 0.1403 | 0.1403 | 10.7981 | 10.7981 | 10.7981 | 90.0 | 90.0 | 90.0 |
| A6--In--bct | box | 0.1689 | 0.1689 | 4.5035 | 4.5035 | 6.8622 | 90.0 | 90.0 | 90.0 |
| A5--beta-Sn | static | 0.258 | 0.258 | 9.0312 | 9.0312 | 5.2489 | 90.0 | 90.0 | 90.0 |
| Ah--alpha-Po--sc | dynamic | 0.2735 | 0.2735 | 5.5269 | 5.5269 | 5.5269 | 90.0 | 90.0 | 90.0 |
| A5--beta-Sn | dynamic | 0.2735 | 0.2735 | 10.7028 | 10.7028 | 5.5269 | 90.0 | 90.0 | 90.0 |
| A5--beta-Sn | box | 0.3987 | 0.3987 | 9.7436 | 9.7436 | 8.034 | 90.0 | 90.0 | 90.0 |
| A2--W--bcc | dynamic | 0.5747 | 0.5747 | 5.2054 | 5.2054 | 5.2054 | 90.0 | 90.0 | 90.0 |
Download raw data (including filtered results)
Reference structure matches:
| prototype | method | Ecoh (eV/atom) | Epot (eV/atom) | a0 (Å) | b0 (Å) | c0 (Å) | α (degrees) | β (degrees) | γ (degrees) |
|---|---|---|---|---|---|---|---|---|---|
| C1--CaF2--fluorite | dynamic | -0.4526 | -0.4526 | 6.7158 | 6.7158 | 6.7158 | 90.0 | 90.0 | 90.0 |
| C1--CaF2--fluorite | static | 0.0458 | 0.0458 | 8.1513 | 8.1513 | 8.1513 | 90.0 | 90.0 | 90.0 |
| C1--CaF2--fluorite | box | 0.1492 | 0.1492 | 11.1392 | 11.1392 | 11.1392 | 90.0 | 90.0 | 90.0 |
| C1--CaF2--fluorite | box | 0.2737 | 0.2737 | 11.9699 | 11.9699 | 11.9699 | 90.0 | 90.0 | 90.0 |
Download raw data (including filtered results)
Reference structure matches:
| prototype | method | Ecoh (eV/atom) | Epot (eV/atom) | a0 (Å) | b0 (Å) | c0 (Å) | α (degrees) | β (degrees) | γ (degrees) |
|---|---|---|---|---|---|---|---|---|---|
| L1_2--AuCu3 | static | -1.39 | -1.39 | 4.3204 | 4.3204 | 4.3204 | 90.0 | 90.0 | 90.0 |
| A15--Cr3Si | static | -1.31 | -1.31 | 6.3578 | 6.3578 | 6.3578 | 90.0 | 90.0 | 90.0 |
| A15--Cr3Si | static | -1.2654 | -1.2654 | 5.4249 | 5.4249 | 5.4249 | 90.0 | 90.0 | 90.0 |
| L1_2--AuCu3 | static | -1.1869 | -1.1869 | 4.7891 | 4.7891 | 4.7891 | 90.0 | 90.0 | 90.0 |
| D0_3--BiF3 | static | -1.1294 | -1.1294 | 7.1995 | 7.1995 | 7.1995 | 90.0 | 90.0 | 90.0 |
| D0_3--BiF3 | box | -1.0596 | -1.0596 | 6.855 | 6.855 | 6.855 | 90.0 | 90.0 | 90.0 |
| D0_3--BiF3 | static | -0.7619 | -0.7619 | 8.2606 | 8.2606 | 8.2606 | 90.0 | 90.0 | 90.0 |
| L1_2--AuCu3 | static | -0.6527 | -0.6527 | 5.7546 | 5.7546 | 5.7546 | 90.0 | 90.0 | 90.0 |
| D0_3--BiF3 | static | -0.4888 | -0.4888 | 9.3218 | 9.3218 | 9.3218 | 90.0 | 90.0 | 90.0 |
| A15--Cr3Si | box | -0.2801 | -0.2801 | 8.9191 | 8.9191 | 8.9191 | 90.0 | 90.0 | 90.0 |
| A15--Cr3Si | dynamic | -0.1171 | -0.1171 | 7.7091 | 7.7091 | 7.7091 | 90.0 | 90.0 | 90.0 |
| L1_2--AuCu3 | dynamic | 0.2859 | 0.2859 | 6.6479 | 6.6479 | 6.6479 | 90.0 | 90.0 | 90.0 |
| D0_3--BiF3 | box | 0.3401 | 0.3401 | 10.9085 | 10.9085 | 10.9085 | 90.0 | 90.0 | 90.0 |
| D0_3--BiF3 | box | 0.3671 | 0.3671 | 12.0399 | 12.0399 | 12.0399 | 90.0 | 90.0 | 90.0 |
Download raw data (including filtered results)
Reference structure matches:
| prototype | method | Ecoh (eV/atom) | Epot (eV/atom) | a0 (Å) | b0 (Å) | c0 (Å) | α (degrees) | β (degrees) | γ (degrees) |
|---|---|---|---|---|---|---|---|---|---|
| B4--ZnS--wurtzite | dynamic | 0.0296 | 0.0296 | 8.7052 | 8.7052 | 14.2269 | 90.0 | 90.0 | 120.0 |
| B3--ZnS--cubic-zinc-blende | dynamic | 0.0296 | 0.0296 | 12.3142 | 12.3142 | 12.3142 | 90.0 | 90.0 | 90.0 |
| B2--CsCl | dynamic | 0.0383 | 0.0383 | 5.5446 | 5.5446 | 5.5446 | 90.0 | 90.0 | 90.0 |
| B1--NaCl--rock-salt | static | 0.1661 | 0.1661 | 9.8051 | 9.8051 | 9.8051 | 90.0 | 90.0 | 90.0 |
| B1--NaCl--rock-salt | static | 0.1787 | 0.1787 | 10.3393 | 10.3393 | 10.3393 | 90.0 | 90.0 | 90.0 |
| B3--ZnS--cubic-zinc-blende | dynamic | 0.187 | 0.187 | 10.1014 | 10.1014 | 10.1014 | 90.0 | 90.0 | 90.0 |
| B4--ZnS--wurtzite | dynamic | 0.187 | 0.187 | 7.1409 | 7.1409 | 11.6703 | 90.0 | 90.0 | 120.0 |
| B1--NaCl--rock-salt | box | 0.1899 | 0.1899 | 7.8331 | 7.8331 | 7.8331 | 90.0 | 90.0 | 90.0 |
| B4--ZnS--wurtzite | dynamic | 0.2406 | 0.2406 | 6.3323 | 6.3323 | 11.0783 | 90.0 | 90.0 | 120.0 |
| L1_0--AuCu | static | 0.2569 | 0.2569 | 5.3668 | 5.3668 | 6.1363 | 90.0 | 90.0 | 90.0 |
| B1--NaCl--rock-salt | dynamic | 0.2678 | 0.2678 | 8.634 | 8.634 | 8.634 | 90.0 | 90.0 | 90.0 |
| B1--NaCl--rock-salt | static | 0.3024 | 0.3024 | 5.9767 | 5.9767 | 5.9767 | 90.0 | 90.0 | 90.0 |
| L1_0--AuCu | box | 0.3318 | 0.3318 | 4.9612 | 4.9612 | 6.6278 | 90.0 | 90.0 | 90.0 |
| L1_0--AuCu | box | 0.3952 | 0.3952 | 4.642 | 4.642 | 5.975 | 90.0 | 90.0 | 90.0 |
| L1_0--AuCu | dynamic | 0.4443 | 0.4443 | 3.2527 | 3.2527 | 4.0398 | 90.0 | 90.0 | 90.0 |
| B2--CsCl | static | 0.5472 | 0.5472 | 6.067 | 6.067 | 6.067 | 90.0 | 90.0 | 90.0 |
| B4--ZnS--wurtzite | static | 0.5678 | 0.5678 | 6.0246 | 6.0246 | 9.8272 | 90.0 | 90.0 | 120.0 |
| B4--ZnS--wurtzite | static | 0.5678 | 0.5678 | 6.0244 | 6.0244 | 9.8273 | 90.0 | 90.0 | 120.0 |
| B3--ZnS--cubic-zinc-blende | box | 0.5683 | 0.5683 | 8.5162 | 8.5162 | 8.5162 | 90.0 | 90.0 | 90.0 |
| B4--ZnS--wurtzite | box | 0.5689 | 0.5689 | 6.0199 | 6.0199 | 9.851 | 90.0 | 90.0 | 120.0 |
| B4--ZnS--wurtzite | static | 0.5808 | 0.5808 | 5.5465 | 5.5465 | 9.018 | 90.0 | 90.0 | 120.0 |
| B4--ZnS--wurtzite | box | 0.5879 | 0.5879 | 5.5421 | 5.5421 | 9.0136 | 90.0 | 90.0 | 120.0 |
| B3--ZnS--cubic-zinc-blende | dynamic | 0.6331 | 0.6331 | 6.6632 | 6.6632 | 6.6632 | 90.0 | 90.0 | 90.0 |
| B2--CsCl | static | 0.6422 | 0.6422 | 4.0505 | 4.0505 | 4.0505 | 90.0 | 90.0 | 90.0 |
| B4--ZnS--wurtzite | dynamic | 0.6537 | 0.6537 | 4.673 | 4.673 | 7.9864 | 90.0 | 90.0 | 120.0 |
| B3--ZnS--cubic-zinc-blende | static | 0.6559 | 0.6559 | 7.835 | 7.835 | 7.835 | 90.0 | 90.0 | 90.0 |
| B4--ZnS--wurtzite | box | 0.6793 | 0.6793 | 4.7063 | 4.7063 | 7.7781 | 90.0 | 90.0 | 120.0 |
| B2--CsCl | static | 0.6887 | 0.6887 | 3.7124 | 3.7124 | 3.7124 | 90.0 | 90.0 | 90.0 |
| B2--CsCl | box | 0.786 | 0.786 | 3.4179 | 3.4179 | 3.4179 | 90.0 | 90.0 | 90.0 |
Download raw data (including filtered results)
Reference structure matches:
| prototype | method | Ecoh (eV/atom) | Epot (eV/atom) | a0 (Å) | b0 (Å) | c0 (Å) | α (degrees) | β (degrees) | γ (degrees) |
|---|---|---|---|---|---|---|---|---|---|
| C1--CaF2--fluorite | dynamic | 0.031 | 0.031 | 12.3537 | 12.3537 | 12.3537 | 90.0 | 90.0 | 90.0 |
| C1--CaF2--fluorite | box | 0.1611 | 0.1611 | 11.0555 | 11.0555 | 11.0555 | 90.0 | 90.0 | 90.0 |
| C1--CaF2--fluorite | box | 0.2231 | 0.2231 | 10.0432 | 10.0432 | 10.0432 | 90.0 | 90.0 | 90.0 |
| C1--CaF2--fluorite | static | 0.8126 | 0.8126 | 8.5172 | 8.5172 | 8.5172 | 90.0 | 90.0 | 90.0 |
| C1--CaF2--fluorite | dynamic | 1.1367 | 1.1367 | 7.4511 | 7.4511 | 7.4511 | 90.0 | 90.0 | 90.0 |
| C1--CaF2--fluorite | dynamic | 1.3991 | 1.3991 | 6.7877 | 6.7877 | 6.7877 | 90.0 | 90.0 | 90.0 |
Download raw data (including filtered results)
Reference structure matches:
| prototype | method | Ecoh (eV/atom) | Epot (eV/atom) | a0 (Å) | b0 (Å) | c0 (Å) | α (degrees) | β (degrees) | γ (degrees) |
|---|---|---|---|---|---|---|---|---|---|
| A15--Cr3Si | static | -0.0094 | -0.0094 | 11.0839 | 11.0839 | 11.0839 | 90.0 | 90.0 | 90.0 |
| A15--Cr3Si | dynamic | -0.0094 | -0.0094 | 11.0838 | 11.0838 | 11.0838 | 90.0 | 90.0 | 90.0 |
| D0_3--BiF3 | dynamic | 0.1402 | 0.1402 | 12.3503 | 12.3503 | 12.3503 | 90.0 | 90.0 | 90.0 |
| L1_2--AuCu3 | dynamic | 0.1576 | 0.1576 | 6.7598 | 6.7598 | 6.7598 | 90.0 | 90.0 | 90.0 |
| A15--Cr3Si | dynamic | 0.2074 | 0.2074 | 8.5542 | 8.5542 | 8.5542 | 90.0 | 90.0 | 90.0 |
| A15--Cr3Si | dynamic | 0.2681 | 0.2681 | 7.8101 | 7.8101 | 7.8101 | 90.0 | 90.0 | 90.0 |
| L1_2--AuCu3 | dynamic | 0.2831 | 0.2831 | 6.2191 | 6.2191 | 6.2191 | 90.0 | 90.0 | 90.0 |
| D0_3--BiF3 | box | 0.2837 | 0.2837 | 9.9946 | 9.9946 | 9.9946 | 90.0 | 90.0 | 90.0 |
| L1_2--AuCu3 | dynamic | 0.4842 | 0.4842 | 7.5252 | 7.5252 | 7.5252 | 90.0 | 90.0 | 90.0 |
Download raw data (including filtered results)
Reference structure matches:
A1--Cu--fcc = oqmd-676233
A15--beta-W = oqmd-1215030
A2--W--bcc = mp-979285, oqmd-1215208
A3'--alpha-La--double-hcp = mp-1187761, oqmd-1215476
A3--Mg--hcp = mp-570510, oqmd-675519
A4--C--dc = oqmd-1215565
A5--beta-Sn = oqmd-1215654
A6--In--bct = oqmd-1215743
| prototype | method | Ecoh (eV/atom) | Epot (eV/atom) | a0 (Å) | b0 (Å) | c0 (Å) | α (degrees) | β (degrees) | γ (degrees) |
|---|---|---|---|---|---|---|---|---|---|
| oqmd-1214763 | static | -0.0356 | -0.0356 | 7.547 | 14.3696 | 7.8642 | 90.0 | 90.0 | 90.0 |
| oqmd-1214763 | dynamic | -0.0356 | -0.0356 | 7.5317 | 14.4235 | 7.836 | 90.0 | 90.0 | 90.0 |
| Ah--alpha-Po--sc | dynamic | -0.0346 | -0.0346 | 4.7279 | 4.7279 | 4.7279 | 90.0 | 90.0 | 90.0 |
| A4--C--dc | dynamic | -0.0279 | -0.0279 | 10.9934 | 10.9934 | 10.9934 | 90.0 | 90.0 | 90.0 |
| A7--alpha-As | static | -0.0269 | -0.0269 | 7.5429 | 7.5429 | 14.8312 | 90.0 | 90.0 | 120.0 |
| A7--alpha-As | dynamic | -0.0269 | -0.0269 | 6.8299 | 6.8299 | 18.6762 | 90.0 | 90.0 | 120.0 |
| A5--beta-Sn | dynamic | -0.0265 | -0.0265 | 9.0825 | 9.0825 | 5.5591 | 90.0 | 90.0 | 90.0 |
| A7--alpha-As | static | -0.0225 | -0.0225 | 6.7434 | 6.7434 | 22.7407 | 90.0 | 90.0 | 120.0 |
| A7--alpha-As | dynamic | -0.0225 | -0.0225 | 6.8474 | 6.8474 | 23.7483 | 90.0 | 90.0 | 120.0 |
| A6--In--bct | static | -0.0211 | -0.0211 | 5.3464 | 5.3464 | 9.7981 | 90.0 | 90.0 | 90.0 |
| A5--beta-Sn | static | -0.021 | -0.021 | 10.2351 | 10.2351 | 6.1881 | 90.0 | 90.0 | 90.0 |
| A6--In--bct | dynamic | -0.021 | -0.021 | 5.3462 | 5.3462 | 10.7057 | 90.0 | 90.0 | 90.0 |
| A5--beta-Sn | dynamic | -0.021 | -0.021 | 10.1218 | 10.1218 | 6.8927 | 90.0 | 90.0 | 90.0 |
| A4--C--dc | dynamic | -0.021 | -0.021 | 12.3466 | 12.3466 | 12.3466 | 90.0 | 90.0 | 90.0 |
| A7--alpha-As | dynamic | -0.0185 | -0.0185 | 7.6879 | 7.6879 | 23.9477 | 90.0 | 90.0 | 120.0 |
| A7--alpha-As | static | -0.0185 | -0.0185 | 7.9369 | 7.9369 | 22.0503 | 90.0 | 90.0 | 120.0 |
| Ah--alpha-Po--sc | dynamic | -0.0175 | -0.0175 | 5.3719 | 5.3719 | 5.3719 | 90.0 | 90.0 | 90.0 |
| A5--beta-Sn | dynamic | -0.0175 | -0.0175 | 10.4026 | 10.4026 | 5.3719 | 90.0 | 90.0 | 90.0 |
| oqmd-1215297 | dynamic | -0.0123 | -0.0123 | 4.6776 | 8.1019 | 7.2971 | 90.0 | 90.0 | 90.0 |
| A6--In--bct | static | -0.0099 | -0.0099 | 4.3715 | 4.3715 | 7.0413 | 90.0 | 90.0 | 90.0 |
| A3--Mg--hcp | dynamic | -0.0096 | -0.0096 | 4.6632 | 4.6632 | 7.6149 | 90.0 | 90.0 | 120.0 |
| A3'--alpha-La--double-hcp | dynamic | -0.0096 | -0.0096 | 4.6632 | 4.6632 | 15.2299 | 90.0 | 90.0 | 120.0 |
| oqmd-1216102 | dynamic | -0.0096 | -0.0096 | 4.6632 | 4.6632 | 34.2672 | 90.0 | 90.0 | 120.0 |
| A1--Cu--fcc | dynamic | -0.0096 | -0.0096 | 6.5947 | 6.5947 | 6.5947 | 90.0 | 90.0 | 90.0 |
| A15--beta-W | dynamic | -0.0095 | -0.0095 | 11.0553 | 11.0553 | 11.0553 | 90.0 | 90.0 | 90.0 |
| oqmd-1214674 | dynamic | -0.006 | -0.006 | 4.6965 | 4.6965 | 10.2818 | 90.0 | 90.0 | 120.0 |
| A3'--alpha-La--double-hcp | static | -0.006 | -0.006 | 4.6965 | 4.6965 | 13.7091 | 90.0 | 90.0 | 120.0 |
| A6--In--bct | box | -0.0055 | -0.0055 | 4.502 | 4.502 | 6.8366 | 90.0 | 90.0 | 90.0 |
| Ah--alpha-Po--sc | static | -0.0034 | -0.0034 | 5.8103 | 5.8103 | 5.8103 | 90.0 | 90.0 | 90.0 |
| A5--beta-Sn | dynamic | -0.0003 | -0.0003 | 8.3277 | 8.3277 | 4.6694 | 90.0 | 90.0 | 90.0 |
| A2--W--bcc | dynamic | 0.0018 | 0.0018 | 6.2134 | 6.2134 | 6.2134 | 90.0 | 90.0 | 90.0 |
| A6--In--bct | box | 0.002 | 0.002 | 6.0318 | 6.0318 | 8.9543 | 90.0 | 90.0 | 90.0 |
| A5--beta-Sn | static | 0.0035 | 0.0035 | 8.5061 | 8.5061 | 4.3925 | 90.0 | 90.0 | 90.0 |
| A2--W--bcc | static | 0.0051 | 0.0051 | 6.8575 | 6.8575 | 6.8575 | 90.0 | 90.0 | 90.0 |
| oqmd-1215832 | dynamic | 0.0204 | 0.0204 | 5.3789 | 5.3789 | 9.0019 | 90.0 | 90.0 | 120.0 |
| A15--beta-W | dynamic | 0.0266 | 0.0266 | 7.7763 | 7.7763 | 7.7763 | 90.0 | 90.0 | 90.0 |
| oqmd-1214852 | static | 0.0348 | 0.0348 | 15.478 | 15.478 | 15.478 | 90.0 | 90.0 | 90.0 |
| oqmd-1215921 | box | 0.0393 | 0.0393 | 6.4803 | 6.4803 | 6.4229 | 90.0 | 90.0 | 120.0 |
| A2--W--bcc | static | 0.0401 | 0.0401 | 4.894 | 4.894 | 4.894 | 90.0 | 90.0 | 90.0 |
| A15--beta-W | static | 0.0433 | 0.0433 | 10.0561 | 10.0561 | 10.0561 | 90.0 | 90.0 | 90.0 |
| oqmd-1214852 | box | 0.0452 | 0.0452 | 15.3952 | 15.3952 | 15.3952 | 90.0 | 90.0 | 90.0 |
| oqmd-1215297 | box | 0.0823 | 0.0823 | 4.074 | 9.3561 | 8.4101 | 90.0 | 90.0 | 90.0 |
| A2--W--bcc | dynamic | 0.0825 | 0.0825 | 5.3647 | 5.3647 | 5.3647 | 90.0 | 90.0 | 90.0 |
| oqmd-1215119 | box | 0.087 | 0.087 | 5.7125 | 14.345 | 6.198 | 90.0 | 90.0 | 90.0 |
| A1--Cu--fcc | dynamic | 0.1074 | 0.1074 | 7.6192 | 7.6192 | 7.6192 | 90.0 | 90.0 | 90.0 |
| A3'--alpha-La--double-hcp | dynamic | 0.1074 | 0.1074 | 5.3876 | 5.3876 | 17.5958 | 90.0 | 90.0 | 120.0 |
| A3--Mg--hcp | dynamic | 0.1074 | 0.1074 | 5.3876 | 5.3876 | 8.7979 | 90.0 | 90.0 | 120.0 |
| oqmd-1216010 | dynamic | 0.1077 | 0.1077 | 6.6718 | 6.6718 | 7.7215 | 90.0 | 90.0 | 120.0 |
| A2--W--bcc | box | 0.1146 | 0.1146 | 5.1811 | 5.1811 | 5.1811 | 90.0 | 90.0 | 90.0 |
| A15--beta-W | dynamic | 0.1156 | 0.1156 | 8.5743 | 8.5743 | 8.5743 | 90.0 | 90.0 | 90.0 |
| A5--beta-Sn | box | 0.1431 | 0.1431 | 7.2092 | 7.2092 | 4.2067 | 90.0 | 90.0 | 90.0 |
| Ah--alpha-Po--sc | dynamic | 0.1433 | 0.1433 | 3.8413 | 3.8413 | 3.8413 | 90.0 | 90.0 | 90.0 |
Static elastic constants are displayed for the unique structures identified in Crystal Structure Predictions above. The values displayed here are obtained by measuring the change in virial stresses due to applying small strains to the relaxed crystals. The initial structure and the strained states are all relaxed using force minimization.
The calculation method used is available as the iprPy elastic_constants_static calculation method.
Notes and Disclaimers:
Version Information:
| -20.590 | 152.946 | 152.946 | 0.000 | 0.000 | -0.000 |
| 152.946 | -20.590 | 152.946 | -0.000 | 0.000 | -0.000 |
| 152.946 | 152.946 | -20.590 | 0.000 | 0.000 | -0.000 |
| 0.000 | 0.000 | 0.000 | -10.180 | 0.000 | -0.000 |
| 0.000 | 0.000 | 0.000 | -0.000 | -10.180 | -0.000 |
| 0.000 | 0.000 | 0.000 | 0.000 | -0.000 | -10.180 |
| -20.590 | 152.946 | 152.946 | -0.000 | -0.000 | 0.000 |
| 152.946 | -20.590 | 152.946 | 0.000 | 0.000 | 0.000 |
| 152.946 | 152.946 | -20.590 | -0.000 | -0.000 | 0.000 |
| -0.000 | -0.000 | -0.000 | -10.180 | -0.000 | 0.000 |
| -0.000 | -0.000 | -0.000 | -0.000 | -10.180 | 0.000 |
| -0.000 | -0.000 | -0.000 | -0.000 | -0.000 | -10.180 |
| -20.590 | 152.946 | 152.946 | 0.000 | 0.000 | -0.000 |
| 152.946 | -20.590 | 152.946 | 0.000 | 0.000 | 0.000 |
| 152.946 | 152.946 | -20.590 | 0.000 | 0.000 | -0.000 |
| 0.000 | 0.000 | 0.000 | -10.180 | -0.000 | -0.000 |
| 0.000 | 0.000 | 0.000 | 0.000 | -10.180 | -0.000 |
| 0.000 | 0.000 | 0.000 | -0.000 | 0.000 | -10.180 |
| -20.590 | 152.946 | 152.946 | -0.000 | -0.000 | 0.000 |
| 152.946 | -20.590 | 152.946 | -0.000 | -0.000 | 0.000 |
| 152.946 | 152.946 | -20.590 | -0.000 | -0.000 | 0.000 |
| -0.000 | -0.000 | -0.000 | -10.180 | -0.000 | 0.000 |
| -0.000 | -0.000 | -0.000 | -0.000 | -10.180 | 0.000 |
| -0.000 | -0.000 | -0.000 | -0.000 | 0.000 | -10.180 |
| -20.587 | 152.946 | 152.946 | 0.000 | 0.000 | -0.000 |
| 152.946 | -20.587 | 152.946 | 0.000 | -0.000 | -0.000 |
| 152.946 | 152.946 | -20.587 | 0.000 | -0.000 | -0.000 |
| 0.000 | 0.001 | 0.001 | -10.180 | 0.000 | -0.000 |
| 0.001 | 0.000 | 0.001 | 0.000 | -10.180 | -0.000 |
| 0.001 | 0.001 | 0.000 | 0.000 | -0.000 | -10.180 |
| -20.593 | 152.945 | 152.945 | 0.000 | -0.000 | 0.000 |
| 152.945 | -20.593 | 152.945 | -0.000 | -0.000 | 0.000 |
| 152.945 | 152.945 | -20.593 | -0.000 | 0.000 | 0.000 |
| -0.000 | -0.001 | -0.001 | -10.180 | 0.000 | 0.000 |
| -0.001 | -0.000 | -0.001 | -0.000 | -10.180 | -0.000 |
| -0.001 | -0.001 | -0.000 | 0.000 | 0.000 | -10.180 |
| 117.224 | 58.574 | 58.574 | -0.000 | -0.000 | -0.000 |
| 58.574 | 117.224 | 58.574 | -0.000 | -0.000 | -0.000 |
| 58.574 | 58.574 | 117.224 | -0.000 | -0.000 | -0.000 |
| -0.000 | 0.000 | 0.000 | 58.650 | -0.000 | -0.000 |
| 0.000 | -0.000 | 0.000 | -0.000 | 58.650 | 0.000 |
| 0.000 | 0.000 | -0.000 | -0.000 | 0.000 | 58.650 |
| 117.224 | 58.574 | 58.574 | 0.000 | 0.000 | 0.000 |
| 58.574 | 117.224 | 58.574 | 0.000 | 0.000 | 0.000 |
| 58.574 | 58.574 | 117.224 | 0.000 | 0.000 | 0.000 |
| 0.000 | -0.000 | -0.000 | 58.650 | 0.000 | 0.000 |
| -0.000 | 0.000 | -0.000 | 0.000 | 58.650 | -0.000 |
| -0.000 | -0.000 | 0.000 | 0.000 | -0.000 | 58.650 |
| 117.224 | 58.574 | 58.574 | -0.000 | -0.000 | -0.000 |
| 58.574 | 117.224 | 58.574 | -0.000 | -0.000 | -0.000 |
| 58.574 | 58.574 | 117.224 | -0.000 | -0.000 | -0.000 |
| -0.000 | 0.000 | 0.000 | 58.650 | -0.000 | -0.000 |
| 0.000 | -0.000 | 0.000 | -0.000 | 58.650 | -0.000 |
| 0.000 | 0.000 | -0.000 | -0.000 | -0.000 | 58.650 |
| 117.224 | 58.574 | 58.574 | 0.000 | 0.000 | 0.000 |
| 58.574 | 117.224 | 58.574 | 0.000 | 0.000 | 0.000 |
| 58.574 | 58.574 | 117.224 | 0.000 | 0.000 | 0.000 |
| 0.000 | -0.000 | -0.000 | 58.650 | 0.000 | 0.000 |
| -0.000 | 0.000 | -0.000 | 0.000 | 58.650 | -0.000 |
| -0.000 | -0.000 | 0.000 | 0.000 | -0.000 | 58.650 |
| 117.225 | 58.575 | 58.575 | -0.000 | -0.000 | -0.000 |
| 58.575 | 117.225 | 58.575 | -0.000 | -0.000 | -0.000 |
| 58.575 | 58.575 | 117.225 | -0.000 | -0.000 | -0.000 |
| -0.000 | 0.000 | 0.001 | 58.650 | -0.000 | -0.000 |
| 0.000 | -0.000 | 0.001 | -0.000 | 58.650 | 0.000 |
| 0.000 | 0.001 | -0.000 | -0.000 | 0.000 | 58.650 |
| 117.223 | 58.574 | 58.574 | 0.000 | 0.000 | 0.000 |
| 58.574 | 117.223 | 58.574 | 0.000 | 0.000 | 0.000 |
| 58.574 | 58.574 | 117.223 | 0.000 | 0.000 | 0.000 |
| 0.000 | -0.000 | -0.001 | 58.650 | 0.000 | 0.000 |
| -0.000 | 0.000 | -0.001 | 0.000 | 58.650 | -0.000 |
| -0.000 | -0.001 | 0.000 | 0.000 | -0.000 | 58.650 |
| 47.713 | 23.829 | 23.829 | 0.000 | 0.000 | 0.000 |
| 23.829 | 47.713 | 23.829 | 0.000 | 0.000 | 0.000 |
| 23.829 | 23.829 | 47.713 | 0.000 | 0.000 | 0.000 |
| 0.000 | 0.000 | 0.000 | 23.885 | 0.000 | 0.000 |
| 0.000 | 0.000 | 0.000 | 0.000 | 23.885 | 0.000 |
| 0.000 | 0.000 | -0.000 | 0.000 | 0.000 | 23.885 |
| 47.713 | 23.829 | 23.829 | -0.000 | -0.000 | -0.000 |
| 23.829 | 47.713 | 23.829 | 0.000 | -0.000 | -0.000 |
| 23.829 | 23.829 | 47.713 | -0.000 | -0.000 | -0.000 |
| -0.000 | -0.000 | -0.000 | 23.885 | -0.000 | -0.000 |
| -0.000 | 0.000 | -0.000 | 0.000 | 23.885 | -0.000 |
| -0.000 | -0.000 | 0.000 | -0.000 | -0.000 | 23.885 |
| 47.714 | 23.829 | 23.829 | 0.000 | 0.000 | 0.000 |
| 23.829 | 47.714 | 23.829 | 0.000 | 0.000 | 0.000 |
| 23.829 | 23.829 | 47.714 | 0.000 | 0.000 | 0.000 |
| -0.000 | 0.000 | 0.000 | 23.885 | 0.000 | 0.000 |
| 0.000 | -0.000 | 0.000 | -0.000 | 23.885 | 0.000 |
| 0.000 | 0.000 | -0.000 | 0.000 | 0.000 | 23.885 |
| 47.713 | 23.828 | 23.828 | -0.000 | 0.000 | 0.000 |
| 23.828 | 47.713 | 23.828 | -0.000 | -0.000 | -0.000 |
| 23.828 | 23.828 | 47.713 | -0.000 | -0.000 | -0.000 |
| 0.000 | -0.000 | -0.000 | 23.885 | -0.000 | -0.000 |
| -0.000 | 0.000 | -0.000 | 0.000 | 23.885 | -0.000 |
| -0.000 | -0.000 | 0.000 | -0.000 | -0.000 | 23.885 |
| 47.714 | 23.829 | 23.829 | 0.000 | 0.000 | 0.000 |
| 23.829 | 47.714 | 23.829 | 0.000 | 0.000 | 0.000 |
| 23.829 | 23.829 | 47.714 | 0.000 | 0.000 | 0.000 |
| -0.000 | 0.000 | 0.000 | 23.885 | 0.000 | 0.000 |
| 0.000 | -0.000 | 0.000 | -0.000 | 23.885 | 0.000 |
| 0.000 | 0.000 | -0.000 | 0.000 | 0.000 | 23.885 |
| 47.713 | 23.828 | 23.828 | 0.000 | -0.000 | -0.000 |
| 23.828 | 47.713 | 23.828 | -0.000 | -0.000 | -0.000 |
| 23.828 | 23.828 | 47.713 | 0.000 | -0.000 | -0.000 |
| 0.000 | -0.000 | -0.000 | 23.885 | -0.000 | -0.000 |
| -0.000 | 0.000 | -0.000 | -0.000 | 23.885 | -0.000 |
| -0.000 | -0.000 | 0.000 | 0.000 | -0.000 | 23.885 |
| 323.476 | 188.949 | 188.949 | -0.000 | -0.000 | 0.000 |
| 188.949 | 323.476 | 188.949 | -0.000 | -0.000 | -0.000 |
| 188.949 | 188.949 | 323.476 | 0.000 | 0.000 | 0.000 |
| -0.000 | 0.000 | 0.000 | 22.031 | -0.000 | -0.000 |
| 0.000 | -0.000 | 0.000 | 0.000 | 22.031 | 0.000 |
| 0.000 | 0.000 | -0.000 | 0.000 | -0.000 | 22.031 |
| 322.479 | 189.448 | 189.448 | -0.000 | 0.000 | -0.000 |
| 189.448 | 322.479 | 189.448 | -0.000 | 0.000 | -0.000 |
| 189.448 | 189.448 | 322.479 | -0.000 | 0.000 | 0.000 |
| 0.000 | -0.000 | -0.000 | 22.031 | 0.000 | -0.000 |
| -0.000 | -0.000 | -0.000 | 0.000 | 22.031 | 0.000 |
| -0.000 | -0.000 | 0.000 | -0.000 | 0.000 | 22.031 |
| 322.480 | 189.448 | 189.448 | 0.000 | -0.000 | 0.000 |
| 189.448 | 322.480 | 189.448 | 0.000 | 0.000 | 0.000 |
| 189.448 | 189.448 | 322.480 | 0.000 | -0.000 | 0.000 |
| -0.000 | 0.000 | 0.000 | 22.031 | -0.000 | 0.000 |
| 0.000 | -0.000 | 0.000 | 0.000 | 22.031 | -0.000 |
| 0.000 | 0.000 | -0.000 | 0.000 | -0.000 | 22.031 |
| 322.479 | 189.447 | 189.447 | -0.000 | -0.000 | -0.000 |
| 189.447 | 322.479 | 189.447 | 0.000 | 0.000 | -0.000 |
| 189.447 | 189.447 | 322.479 | 0.000 | 0.000 | -0.000 |
| 0.000 | -0.000 | -0.000 | 22.031 | -0.000 | 0.000 |
| -0.000 | 0.000 | -0.000 | -0.000 | 22.031 | 0.000 |
| -0.000 | -0.000 | 0.000 | -0.000 | 0.000 | 22.031 |
| 322.483 | 189.448 | 189.448 | 0.000 | -0.000 | 0.000 |
| 189.448 | 322.483 | 189.448 | 0.000 | 0.000 | 0.000 |
| 189.448 | 189.448 | 322.483 | -0.000 | -0.000 | 0.000 |
| -0.000 | 0.001 | 0.001 | 22.031 | -0.000 | 0.000 |
| 0.001 | -0.000 | 0.001 | 0.000 | 22.031 | -0.000 |
| 0.001 | 0.001 | -0.000 | 0.000 | -0.000 | 22.031 |
| 322.476 | 189.447 | 189.447 | -0.000 | 0.000 | -0.000 |
| 189.447 | 322.476 | 189.447 | 0.000 | 0.000 | 0.000 |
| 189.447 | 189.447 | 322.476 | -0.000 | -0.000 | -0.000 |
| 0.000 | -0.001 | -0.001 | 22.031 | 0.000 | 0.000 |
| -0.001 | 0.000 | -0.001 | -0.000 | 22.031 | 0.000 |
| -0.001 | -0.001 | 0.000 | 0.000 | 0.000 | 22.031 |
| 13.392 | 20.942 | 20.942 | -0.000 | 0.000 | -0.000 |
| 20.942 | 13.392 | 20.942 | -0.000 | 0.000 | 0.000 |
| 20.942 | 20.942 | 13.392 | 0.000 | -0.000 | -0.000 |
| 0.000 | -0.000 | -0.000 | 4.841 | 0.000 | 0.000 |
| -0.000 | 0.000 | -0.000 | -0.000 | 4.841 | -0.000 |
| -0.000 | -0.000 | 0.000 | -0.000 | 0.000 | 4.841 |
| 13.392 | 20.942 | 20.942 | 0.000 | -0.000 | 0.000 |
| 20.942 | 13.392 | 20.942 | 0.000 | -0.000 | 0.000 |
| 20.942 | 20.942 | 13.392 | -0.000 | -0.000 | 0.000 |
| -0.000 | 0.000 | 0.000 | 4.841 | -0.000 | 0.000 |
| 0.000 | -0.000 | 0.000 | -0.000 | 4.841 | 0.000 |
| 0.000 | 0.000 | -0.000 | 0.000 | -0.000 | 4.841 |
| 13.392 | 20.942 | 20.942 | -0.000 | 0.000 | -0.000 |
| 20.942 | 13.392 | 20.942 | -0.000 | 0.000 | -0.000 |
| 20.942 | 20.942 | 13.392 | -0.000 | 0.000 | -0.000 |
| 0.000 | -0.000 | -0.000 | 4.841 | 0.000 | -0.000 |
| -0.000 | 0.000 | -0.000 | 0.000 | 4.841 | -0.000 |
| -0.000 | -0.000 | 0.000 | -0.000 | 0.000 | 4.841 |
| 13.392 | 20.942 | 20.942 | 0.000 | -0.000 | 0.000 |
| 20.942 | 13.392 | 20.942 | -0.000 | -0.000 | 0.000 |
| 20.942 | 20.942 | 13.392 | 0.000 | -0.000 | 0.000 |
| -0.000 | 0.000 | 0.000 | 4.841 | -0.000 | -0.000 |
| 0.000 | -0.000 | 0.000 | -0.000 | 4.841 | 0.000 |
| 0.000 | 0.000 | -0.000 | 0.000 | -0.000 | 4.841 |
| 13.392 | 20.942 | 20.942 | -0.000 | 0.000 | 0.000 |
| 20.942 | 13.392 | 20.942 | 0.000 | 0.000 | 0.000 |
| 20.942 | 20.942 | 13.392 | -0.000 | 0.000 | -0.000 |
| 0.000 | -0.000 | -0.000 | 4.841 | 0.000 | 0.000 |
| -0.000 | 0.000 | -0.000 | 0.000 | 4.841 | -0.000 |
| -0.000 | -0.000 | 0.000 | -0.000 | 0.000 | 4.841 |
| 13.393 | 20.942 | 20.942 | -0.000 | -0.000 | 0.000 |
| 20.942 | 13.393 | 20.942 | 0.000 | 0.000 | 0.000 |
| 20.942 | 20.942 | 13.393 | 0.000 | 0.000 | -0.000 |
| -0.000 | 0.000 | 0.000 | 4.841 | -0.000 | 0.000 |
| 0.000 | -0.000 | 0.000 | -0.000 | 4.841 | 0.000 |
| 0.000 | 0.000 | -0.000 | 0.000 | -0.000 | 4.841 |
| 33.953 | 9.747 | 9.747 | 0.000 | -0.000 | -0.000 |
| 9.747 | 33.953 | 9.747 | 0.000 | -0.000 | -0.000 |
| 9.747 | 9.747 | 33.953 | 0.000 | -0.000 | -0.000 |
| -0.000 | 0.000 | -0.000 | 0.230 | -0.000 | -0.000 |
| 0.000 | -0.000 | 0.000 | -0.000 | 0.230 | -0.000 |
| 0.000 | 0.000 | -0.000 | -0.000 | -0.000 | 0.230 |
| 33.953 | 9.747 | 9.747 | -0.000 | 0.000 | 0.000 |
| 9.747 | 33.953 | 9.747 | 0.000 | 0.000 | 0.000 |
| 9.747 | 9.747 | 33.953 | 0.000 | 0.000 | 0.000 |
| 0.000 | -0.000 | 0.000 | 0.230 | 0.000 | 0.000 |
| -0.000 | 0.000 | -0.000 | 0.000 | 0.230 | 0.000 |
| -0.000 | 0.000 | 0.000 | 0.000 | 0.000 | 0.230 |
| 33.953 | 9.747 | 9.747 | 0.000 | -0.000 | -0.000 |
| 9.747 | 33.953 | 9.747 | 0.000 | -0.000 | -0.000 |
| 9.747 | 9.747 | 33.953 | -0.000 | -0.000 | -0.000 |
| -0.000 | 0.000 | 0.000 | 0.230 | -0.000 | -0.000 |
| 0.000 | -0.000 | 0.000 | -0.000 | 0.230 | -0.000 |
| 0.000 | 0.000 | -0.000 | -0.000 | -0.000 | 0.230 |
| 33.953 | 9.747 | 9.747 | -0.000 | 0.000 | 0.000 |
| 9.747 | 33.953 | 9.747 | 0.000 | 0.000 | 0.000 |
| 9.747 | 9.747 | 33.953 | 0.000 | 0.000 | 0.000 |
| 0.000 | -0.000 | -0.000 | 0.230 | 0.000 | 0.000 |
| -0.000 | 0.000 | -0.000 | 0.000 | 0.230 | 0.000 |
| -0.000 | -0.000 | 0.000 | 0.000 | 0.000 | 0.230 |
| 33.952 | 9.747 | 9.747 | 0.000 | -0.000 | -0.000 |
| 9.747 | 33.952 | 9.747 | -0.000 | -0.000 | -0.000 |
| 9.747 | 9.747 | 33.952 | 0.000 | -0.000 | -0.000 |
| -0.000 | 0.000 | 0.000 | 0.230 | -0.000 | -0.000 |
| 0.000 | -0.000 | 0.000 | -0.000 | 0.230 | -0.000 |
| 0.000 | 0.000 | -0.000 | -0.000 | -0.000 | 0.230 |
| 33.953 | 9.747 | 9.747 | -0.000 | 0.000 | 0.000 |
| 9.747 | 33.953 | 9.747 | -0.000 | 0.000 | 0.000 |
| 9.747 | 9.747 | 33.953 | -0.000 | 0.000 | 0.000 |
| 0.000 | -0.000 | -0.000 | 0.230 | 0.000 | 0.000 |
| -0.000 | 0.000 | -0.000 | 0.000 | 0.230 | 0.000 |
| -0.000 | -0.000 | 0.000 | 0.000 | 0.000 | 0.230 |
| 568.396 | 230.625 | 230.625 | -0.000 | 0.000 | -0.000 |
| 230.625 | 568.396 | 230.625 | -0.000 | 0.000 | 0.000 |
| 230.625 | 230.625 | 568.396 | -0.000 | 0.000 | 0.000 |
| -0.000 | -0.000 | -0.000 | 169.442 | 0.000 | 0.000 |
| -0.000 | -0.000 | -0.000 | -0.000 | 169.442 | 0.000 |
| -0.000 | -0.000 | -0.000 | -0.000 | 0.000 | 169.442 |
| 568.396 | 230.625 | 230.625 | 0.000 | -0.000 | -0.000 |
| 230.625 | 568.396 | 230.625 | 0.000 | -0.000 | -0.000 |
| 230.625 | 230.625 | 568.396 | 0.000 | -0.000 | -0.000 |
| 0.000 | 0.000 | 0.000 | 169.442 | -0.000 | 0.000 |
| 0.000 | 0.000 | 0.000 | 0.000 | 169.442 | 0.000 |
| 0.000 | 0.000 | 0.000 | 0.000 | -0.000 | 169.442 |
| 568.396 | 230.625 | 230.625 | -0.000 | 0.000 | 0.000 |
| 230.625 | 568.396 | 230.625 | -0.000 | 0.000 | 0.000 |
| 230.625 | 230.625 | 568.396 | -0.000 | 0.000 | 0.000 |
| -0.000 | -0.000 | -0.000 | 169.442 | 0.000 | 0.000 |
| -0.000 | -0.000 | -0.000 | -0.000 | 169.442 | 0.000 |
| -0.000 | -0.000 | -0.000 | 0.000 | 0.000 | 169.442 |
| 568.396 | 230.625 | 230.625 | 0.000 | -0.000 | -0.000 |
| 230.625 | 568.396 | 230.625 | 0.000 | -0.000 | -0.000 |
| 230.625 | 230.625 | 568.396 | 0.000 | -0.000 | -0.000 |
| 0.000 | 0.000 | 0.000 | 169.442 | -0.000 | 0.000 |
| 0.000 | 0.000 | 0.000 | -0.000 | 169.442 | -0.000 |
| 0.000 | 0.000 | 0.000 | 0.000 | -0.000 | 169.442 |
| 568.397 | 230.625 | 230.625 | -0.000 | 0.000 | 0.000 |
| 230.625 | 568.397 | 230.625 | 0.000 | 0.000 | 0.000 |
| 230.625 | 230.625 | 568.397 | -0.000 | 0.000 | 0.000 |
| -0.000 | -0.000 | -0.000 | 169.442 | 0.000 | -0.000 |
| -0.000 | -0.000 | -0.000 | -0.000 | 169.442 | 0.000 |
| -0.000 | -0.000 | -0.000 | -0.000 | 0.000 | 169.442 |
| 568.395 | 230.625 | 230.625 | 0.000 | -0.000 | 0.000 |
| 230.625 | 568.395 | 230.625 | 0.000 | -0.000 | 0.000 |
| 230.625 | 230.625 | 568.395 | 0.000 | -0.000 | -0.000 |
| 0.000 | 0.000 | 0.000 | 169.442 | -0.000 | 0.000 |
| 0.000 | 0.000 | 0.000 | -0.000 | 169.442 | -0.000 |
| 0.000 | 0.000 | 0.000 | 0.000 | -0.000 | 169.442 |
| 49.607 | 27.193 | 27.193 | -0.000 | -0.000 | 0.000 |
| 27.193 | 49.607 | 27.193 | -0.000 | -0.000 | -0.000 |
| 27.193 | 27.193 | 49.607 | -0.000 | -0.000 | -0.000 |
| 0.000 | 0.000 | 0.000 | 27.608 | -0.000 | 0.000 |
| 0.000 | 0.000 | 0.000 | -0.000 | 27.608 | 0.000 |
| 0.000 | 0.000 | 0.000 | 0.000 | -0.000 | 27.608 |
| 49.607 | 27.193 | 27.193 | 0.000 | 0.000 | 0.000 |
| 27.193 | 49.607 | 27.193 | 0.000 | 0.000 | -0.000 |
| 27.193 | 27.193 | 49.607 | 0.000 | 0.000 | 0.000 |
| -0.000 | -0.000 | -0.000 | 27.608 | 0.000 | -0.000 |
| -0.000 | -0.000 | -0.000 | 0.000 | 27.608 | -0.000 |
| -0.000 | -0.000 | -0.000 | -0.000 | 0.000 | 27.608 |
| 49.607 | 27.193 | 27.193 | -0.000 | -0.000 | 0.000 |
| 27.193 | 49.607 | 27.193 | -0.000 | -0.000 | -0.000 |
| 27.193 | 27.193 | 49.607 | -0.000 | -0.000 | -0.000 |
| 0.000 | 0.000 | 0.000 | 27.608 | -0.000 | -0.000 |
| 0.000 | 0.000 | 0.000 | -0.000 | 27.608 | 0.000 |
| 0.000 | 0.000 | 0.000 | -0.000 | -0.000 | 27.608 |
| 49.607 | 27.193 | 27.193 | 0.000 | 0.000 | 0.000 |
| 27.193 | 49.607 | 27.193 | 0.000 | 0.000 | -0.000 |
| 27.193 | 27.193 | 49.607 | 0.000 | 0.000 | -0.000 |
| -0.000 | -0.000 | -0.000 | 27.608 | 0.000 | 0.000 |
| -0.000 | -0.000 | -0.000 | 0.000 | 27.608 | -0.000 |
| -0.000 | -0.000 | -0.000 | 0.000 | 0.000 | 27.608 |
| 49.605 | 27.193 | 27.193 | -0.000 | -0.000 | 0.000 |
| 27.193 | 49.605 | 27.193 | -0.000 | -0.000 | 0.000 |
| 27.193 | 27.193 | 49.605 | -0.000 | -0.000 | 0.000 |
| 0.000 | 0.000 | 0.000 | 27.608 | -0.000 | -0.000 |
| 0.000 | 0.000 | 0.000 | -0.000 | 27.608 | 0.000 |
| 0.000 | 0.000 | 0.000 | -0.000 | -0.000 | 27.608 |
| 49.609 | 27.192 | 27.192 | 0.000 | 0.000 | 0.000 |
| 27.192 | 49.609 | 27.192 | 0.000 | 0.000 | -0.000 |
| 27.192 | 27.192 | 49.609 | 0.000 | 0.000 | -0.000 |
| -0.000 | -0.000 | -0.000 | 27.608 | 0.000 | -0.000 |
| -0.000 | -0.000 | -0.000 | 0.000 | 27.608 | -0.000 |
| -0.000 | -0.000 | -0.000 | 0.000 | 0.000 | 27.608 |
| 19.483 | 19.483 | 19.483 | -0.000 | 0.000 | 0.000 |
| 19.483 | 19.483 | 19.483 | 0.000 | -0.000 | 0.000 |
| 19.483 | 19.483 | 19.483 | -0.000 | -0.000 | 0.000 |
| 0.000 | 0.000 | 0.000 | 19.504 | -0.000 | -0.000 |
| 0.000 | 0.000 | 0.000 | -0.000 | 19.504 | -0.000 |
| 0.000 | 0.000 | 0.000 | -0.000 | 0.000 | 19.504 |
| 19.482 | 19.482 | 19.482 | 0.000 | -0.000 | 0.000 |
| 19.482 | 19.482 | 19.482 | -0.000 | 0.000 | 0.000 |
| 19.482 | 19.482 | 19.482 | 0.000 | 0.000 | 0.000 |
| -0.000 | -0.000 | -0.000 | 19.504 | 0.000 | -0.000 |
| -0.000 | -0.000 | -0.000 | 0.000 | 19.504 | -0.000 |
| -0.000 | -0.000 | -0.000 | 0.000 | 0.000 | 19.504 |
| 19.483 | 19.483 | 19.483 | -0.000 | -0.000 | -0.000 |
| 19.483 | 19.483 | 19.483 | -0.000 | -0.000 | -0.000 |
| 19.483 | 19.483 | 19.483 | -0.000 | -0.000 | 0.000 |
| 0.000 | 0.000 | 0.000 | 19.504 | -0.000 | -0.000 |
| 0.000 | 0.000 | 0.000 | -0.000 | 19.504 | -0.000 |
| 0.000 | 0.000 | 0.000 | -0.000 | 0.000 | 19.504 |
| 19.482 | 19.482 | 19.482 | 0.000 | -0.000 | 0.000 |
| 19.482 | 19.482 | 19.482 | -0.000 | 0.000 | 0.000 |
| 19.482 | 19.482 | 19.482 | 0.000 | 0.000 | 0.000 |
| -0.000 | -0.000 | -0.000 | 19.504 | 0.000 | -0.000 |
| -0.000 | -0.000 | -0.000 | 0.000 | 19.504 | -0.000 |
| -0.000 | -0.000 | -0.000 | 0.000 | -0.000 | 19.504 |
| 19.483 | 19.483 | 19.483 | -0.000 | 0.000 | -0.000 |
| 19.483 | 19.483 | 19.483 | 0.000 | -0.000 | -0.000 |
| 19.483 | 19.483 | 19.483 | -0.000 | -0.000 | 0.000 |
| 0.000 | 0.000 | 0.000 | 19.504 | -0.000 | -0.000 |
| 0.000 | 0.000 | 0.000 | -0.000 | 19.504 | -0.000 |
| 0.000 | 0.000 | 0.000 | -0.000 | -0.000 | 19.504 |
| 19.482 | 19.482 | 19.482 | 0.000 | 0.000 | 0.000 |
| 19.482 | 19.482 | 19.482 | 0.000 | 0.000 | 0.000 |
| 19.482 | 19.482 | 19.482 | 0.000 | 0.000 | -0.000 |
| -0.000 | -0.000 | -0.000 | 19.504 | 0.000 | 0.000 |
| -0.000 | -0.000 | -0.000 | 0.000 | 19.504 | 0.000 |
| -0.000 | -0.000 | -0.000 | 0.000 | 0.000 | 19.504 |
| 94.553 | 106.127 | 90.468 | 0.000 | 0.000 | -0.000 |
| 226.294 | -25.615 | 90.468 | 0.000 | 0.000 | -0.000 |
| 90.468 | 90.468 | 244.575 | -0.000 | 0.000 | -0.000 |
| -0.000 | 0.000 | 0.000 | -26.136 | -0.000 | -0.000 |
| -0.000 | 0.000 | 0.000 | 0.000 | -26.136 | -0.000 |
| -0.000 | 0.000 | 0.000 | 0.000 | 0.000 | -125.955 |
| -25.615 | 226.294 | 90.468 | 0.000 | -0.000 | -0.000 |
| 106.127 | 94.553 | 90.468 | -0.000 | -0.000 | 0.000 |
| 90.468 | 90.468 | 244.575 | -0.000 | 0.000 | -0.000 |
| 0.000 | -0.000 | -0.000 | -26.136 | 0.000 | -0.000 |
| 0.000 | -0.000 | -0.000 | 0.000 | -26.136 | 0.000 |
| 0.000 | -0.000 | -0.000 | 0.000 | -0.000 | -125.955 |
| -205709856.545 | -40199471.964 | -86500405.974 | -13147.825 | 29076.351 | 1370318.655 |
| 106.127 | 94.553 | 90.468 | 0.000 | 0.000 | -0.000 |
| 90.468 | 90.468 | 244.575 | 0.000 | 0.000 | -0.000 |
| 0.000 | 0.000 | 0.000 | -26.136 | 0.000 | -0.000 |
| 0.000 | 0.000 | 0.000 | -0.000 | -26.136 | -0.000 |
| -93218087.455 | 15896145.850 | -20749754.787 | 0.000 | -0.000 | -94495676.275 |
| -70453065.549 | 147775388.710 | 20749928.751 | 0.000 | 0.000 | -0.000 |
| 106.127 | 94.553 | 90.468 | -0.000 | -0.000 | 0.000 |
| 90.468 | 90.468 | 244.575 | -0.000 | -0.000 | 0.000 |
| -0.000 | -0.000 | -0.000 | -26.136 | -0.000 | 0.000 |
| -0.000 | -0.000 | -0.000 | -0.000 | -26.136 | 0.000 |
| 93218101.067 | -15896141.967 | 20749763.527 | -0.000 | 0.000 | -94495682.797 |
| -5886917.513 | 1160813.519 | 576695.787 | 0.000 | 0.000 | -0.002 |
| 7045463.838 | -14777250.315 | -2074827.520 | 0.000 | 0.000 | 0.000 |
| 90.469 | 90.469 | 244.576 | 0.000 | 0.000 | -0.000 |
| 0.000 | 0.000 | 0.000 | -26.136 | 0.000 | -0.000 |
| 0.000 | 0.000 | 0.000 | 0.000 | -26.136 | -0.000 |
| -9321779.638 | 1589618.663 | -2074987.966 | 0.000 | -0.000 | -9449523.033 |
| 94.555 | 106.126 | 90.467 | -0.000 | -0.000 | -0.000 |
| 5887214.636 | -1160475.398 | -576379.589 | -0.000 | -0.000 | 0.001 |
| 90.467 | 90.467 | 244.575 | 0.000 | -0.000 | -0.000 |
| -0.000 | -0.000 | -0.000 | -26.136 | -0.000 | 0.000 |
| -0.000 | -0.000 | -0.000 | 0.000 | -26.136 | -0.000 |
| 9321779.638 | -1589618.663 | 2074987.966 | -0.000 | 0.000 | -9449523.033 |
| 141.662 | 53.687 | 39.024 | 0.000 | 0.000 | -0.000 |
| 53.687 | 141.662 | 39.024 | 0.000 | 0.000 | -0.000 |
| 39.024 | 39.024 | 156.324 | 0.000 | 0.000 | 0.000 |
| 0.000 | 0.000 | 0.000 | 39.100 | 0.000 | 0.000 |
| 0.000 | 0.000 | 0.000 | 0.000 | 39.100 | 0.000 |
| 0.000 | 0.000 | 0.000 | 0.000 | 0.000 | 43.987 |
| 141.662 | 53.687 | 39.024 | -0.000 | -0.000 | 0.000 |
| 53.687 | 141.662 | 39.024 | -0.000 | -0.000 | 0.000 |
| 39.024 | 39.024 | 156.324 | -0.000 | -0.000 | -0.000 |
| -0.000 | -0.000 | -0.000 | 39.100 | -0.000 | -0.000 |
| -0.000 | -0.000 | -0.000 | -0.000 | 39.100 | 0.000 |
| -0.000 | -0.000 | 0.000 | -0.000 | -0.000 | 43.987 |
| 146.549 | 48.799 | 39.024 | 0.000 | 0.000 | 0.000 |
| 53.687 | 141.662 | 39.024 | 0.000 | 0.000 | -0.000 |
| 39.024 | 39.024 | 156.324 | 0.000 | 0.000 | 0.000 |
| 0.000 | 0.000 | 0.000 | 39.100 | 0.000 | 0.000 |
| 0.000 | 0.000 | 0.000 | 0.000 | 39.100 | 0.000 |
| 0.000 | 0.000 | -0.000 | 0.000 | 0.000 | 43.987 |
| 141.661 | 53.687 | 39.024 | -0.000 | -0.000 | 0.000 |
| 53.687 | 141.661 | 39.024 | -0.000 | -0.000 | 0.000 |
| 39.024 | 39.024 | 156.324 | -0.000 | -0.000 | -0.000 |
| -0.000 | -0.000 | -0.000 | 39.100 | -0.000 | -0.000 |
| -0.000 | -0.000 | -0.000 | -0.000 | 39.100 | -0.000 |
| -0.000 | -0.000 | 0.000 | -0.000 | -0.000 | 43.987 |
| 141.664 | 53.687 | 39.024 | 0.000 | 0.000 | -0.000 |
| 53.687 | 141.663 | 39.024 | 0.000 | 0.000 | -0.000 |
| 39.025 | 39.025 | 156.326 | -0.000 | 0.000 | 0.000 |
| 0.000 | 0.000 | 0.000 | 39.100 | 0.000 | -0.000 |
| 0.000 | 0.000 | 0.000 | 0.000 | 39.100 | -0.000 |
| 0.000 | 0.001 | -0.000 | 0.000 | 0.000 | 43.987 |
| 141.659 | 53.686 | 39.024 | -0.000 | -0.000 | 0.000 |
| 53.686 | 141.660 | 39.024 | -0.000 | -0.000 | 0.000 |
| 39.024 | 39.024 | 156.322 | -0.000 | -0.000 | -0.000 |
| -0.000 | -0.000 | -0.000 | 39.100 | -0.000 | 0.000 |
| -0.000 | -0.000 | -0.000 | -0.000 | 39.100 | 0.000 |
| -0.000 | -0.001 | 0.000 | -0.000 | -0.000 | 43.987 |
| 57.666 | 21.838 | 15.867 | -0.000 | -0.000 | 0.000 |
| 21.838 | 57.666 | 15.867 | -0.000 | 0.000 | 0.000 |
| 15.867 | 15.867 | 63.637 | -0.000 | 0.000 | 0.000 |
| 0.000 | -0.000 | 0.000 | 15.923 | 0.000 | 0.000 |
| 0.000 | -0.000 | 0.000 | -0.000 | 15.923 | -0.000 |
| 0.000 | 0.000 | 0.000 | -0.000 | -0.000 | 17.914 |
| 57.666 | 21.838 | 15.867 | 0.000 | 0.000 | -0.000 |
| 21.838 | 57.666 | 15.867 | 0.000 | -0.000 | -0.000 |
| 15.867 | 15.867 | 63.637 | 0.000 | -0.000 | -0.000 |
| -0.000 | 0.000 | -0.000 | 15.923 | -0.000 | -0.000 |
| -0.000 | 0.000 | -0.000 | 0.000 | 15.923 | -0.000 |
| -0.000 | -0.000 | -0.000 | 0.000 | 0.000 | 17.914 |
| 57.666 | 21.838 | 15.867 | -0.000 | 0.000 | 0.000 |
| 21.838 | 57.666 | 15.867 | -0.000 | 0.000 | 0.000 |
| 15.867 | 15.867 | 63.637 | -0.000 | 0.000 | 0.000 |
| 0.000 | -0.000 | 0.000 | 15.923 | 0.000 | 0.000 |
| -0.000 | 0.000 | 0.000 | -0.000 | 15.923 | 0.000 |
| -0.000 | 0.000 | -0.000 | -0.000 | -0.000 | 17.914 |
| 57.666 | 21.838 | 15.867 | 0.000 | -0.000 | -0.000 |
| 21.838 | 57.666 | 15.867 | 0.000 | -0.000 | -0.000 |
| 15.867 | 15.867 | 63.637 | 0.000 | -0.000 | -0.000 |
| -0.000 | 0.000 | -0.000 | 15.923 | -0.000 | -0.000 |
| 0.000 | -0.000 | -0.000 | 0.000 | 15.923 | -0.000 |
| 0.000 | -0.000 | 0.000 | 0.000 | 0.000 | 17.914 |
| 57.666 | 21.838 | 15.867 | -0.000 | 0.000 | 0.000 |
| 21.838 | 57.666 | 15.867 | -0.000 | 0.000 | 0.000 |
| 15.867 | 15.867 | 63.637 | -0.000 | 0.000 | 0.000 |
| 0.000 | -0.000 | 0.000 | 15.923 | 0.000 | 0.000 |
| -0.000 | 0.000 | 0.000 | -0.000 | 15.923 | 0.000 |
| -0.000 | 0.000 | -0.000 | -0.000 | -0.000 | 17.914 |
| 57.665 | 21.838 | 15.867 | 0.000 | 0.000 | -0.000 |
| 21.838 | 57.665 | 15.867 | 0.000 | -0.000 | -0.000 |
| 15.867 | 15.867 | 63.637 | 0.000 | -0.000 | -0.000 |
| -0.000 | 0.000 | -0.000 | 15.923 | -0.000 | -0.000 |
| 0.000 | -0.000 | -0.000 | 0.000 | 15.923 | -0.000 |
| 0.000 | -0.000 | 0.000 | 0.000 | 0.000 | 17.914 |
| -162.107 | 343.211 | 81.879 | 0.000 | -0.000 | -0.000 |
| 94.826 | 86.278 | 81.879 | 0.000 | -0.000 | 0.000 |
| 81.879 | 81.879 | 406.653 | 0.000 | -0.000 | -0.000 |
| 0.000 | -0.000 | -0.000 | -8.092 | -0.000 | -0.000 |
| 0.000 | -0.000 | -0.000 | 0.000 | -8.092 | -0.000 |
| 0.000 | -0.000 | -0.000 | 0.000 | -0.000 | -252.659 |
| -162.107 | 343.211 | 81.879 | -0.000 | 0.000 | 0.000 |
| 94.826 | 86.278 | 81.879 | -0.000 | 0.000 | -0.000 |
| 81.879 | 81.879 | 406.653 | -0.000 | 0.000 | 0.000 |
| -0.000 | 0.000 | 0.000 | -8.092 | 0.000 | 0.000 |
| -0.000 | 0.000 | 0.000 | -0.000 | -8.092 | -0.000 |
| -0.000 | 0.000 | 0.000 | -0.000 | 0.000 | -252.659 |
| 86.277 | 94.826 | 81.879 | 0.000 | -0.000 | 0.000 |
| 94.826 | 86.278 | 81.879 | 0.000 | -0.000 | 0.000 |
| 81.879 | 81.879 | 406.653 | 0.000 | -0.000 | 0.000 |
| 0.000 | -0.000 | -0.000 | -8.092 | -0.000 | 0.000 |
| -0.000 | 0.000 | -0.000 | 0.000 | -8.092 | 0.000 |
| -0.000 | -0.000 | 0.000 | 0.000 | -0.000 | -4.274 |
| 86.279 | 94.826 | 81.879 | -0.000 | 0.000 | -0.000 |
| 94.826 | 86.278 | 81.879 | -0.000 | 0.000 | 0.000 |
| 81.879 | 81.879 | 406.652 | -0.000 | 0.000 | -0.000 |
| -0.000 | 0.000 | 0.000 | -8.092 | 0.000 | -0.000 |
| 0.000 | -0.000 | 0.000 | -0.000 | -8.092 | 0.000 |
| 0.000 | 0.000 | -0.000 | -0.000 | 0.000 | -4.274 |
| -6286764.717 | 401355.019 | -2478495.215 | -0.000 | -0.000 | -0.001 |
| 6393337.089 | -11853011.686 | -3269709.486 | 0.000 | -0.000 | 0.000 |
| 81.878 | 81.878 | 406.653 | 0.000 | -0.000 | 0.000 |
| 0.000 | -0.000 | -0.000 | -8.092 | -0.000 | 0.000 |
| -0.000 | 0.000 | -0.000 | 0.000 | -8.092 | -0.000 |
| -13913632.769 | -15695221.384 | -11771065.860 | 0.000 | -0.000 | -1229619.894 |
| -6393054.694 | 11853038.394 | 3269903.431 | -0.000 | -0.000 | -0.000 |
| 6287034.313 | -401060.839 | 2478775.357 | 0.000 | -0.000 | 0.002 |
| 81.879 | 81.879 | 406.652 | -0.000 | 0.000 | 0.000 |
| -0.000 | 0.000 | 0.000 | -8.092 | 0.000 | -0.000 |
| 0.000 | -0.000 | 0.000 | -0.000 | -8.092 | -0.000 |
| 14706215.647 | 14768980.562 | 11973812.834 | 0.000 | -0.000 | -1283346.008 |
| 141.662 | 53.687 | 39.024 | 0.000 | 0.000 | 0.000 |
| 53.687 | 141.662 | 39.024 | 0.000 | 0.000 | 0.000 |
| 39.024 | 39.024 | 156.324 | 0.000 | 0.000 | 0.000 |
| 0.000 | 0.000 | 0.000 | 39.100 | 0.000 | 0.000 |
| 0.000 | 0.000 | 0.000 | 0.000 | 39.100 | 0.000 |
| -0.000 | 0.000 | 0.000 | 0.000 | 0.000 | 43.987 |
| 141.662 | 53.687 | 39.024 | -0.000 | -0.000 | -0.000 |
| 53.687 | 141.662 | 39.024 | -0.000 | -0.000 | -0.000 |
| 39.024 | 39.024 | 156.324 | -0.000 | -0.000 | -0.000 |
| -0.000 | -0.000 | -0.000 | 39.100 | -0.000 | -0.000 |
| -0.000 | -0.000 | -0.000 | 0.000 | 39.100 | -0.000 |
| 0.000 | -0.000 | -0.000 | -0.000 | -0.000 | 43.987 |
| 141.662 | 53.687 | 39.024 | 0.000 | 0.000 | 0.000 |
| 53.687 | 141.662 | 39.024 | 0.000 | 0.000 | 0.000 |
| 39.024 | 39.024 | 156.324 | 0.000 | 0.000 | 0.000 |
| 0.000 | 0.000 | 0.000 | 39.100 | 0.000 | 0.000 |
| 0.000 | 0.000 | 0.000 | 0.000 | 39.100 | 0.000 |
| 0.000 | 0.000 | -0.000 | 0.000 | 0.000 | 43.987 |
| 141.661 | 53.687 | 39.024 | -0.000 | -0.000 | -0.000 |
| 53.687 | 141.661 | 39.024 | -0.000 | -0.000 | -0.000 |
| 39.024 | 39.024 | 156.324 | -0.000 | -0.000 | -0.000 |
| -0.000 | -0.000 | -0.000 | 39.100 | -0.000 | -0.000 |
| -0.000 | -0.000 | -0.000 | -0.000 | 39.100 | -0.000 |
| -0.000 | -0.000 | 0.000 | -0.000 | -0.000 | 43.987 |
| 141.664 | 53.687 | 39.024 | 0.000 | 0.000 | 0.000 |
| 53.687 | 141.663 | 39.024 | 0.000 | 0.000 | 0.000 |
| 39.025 | 39.025 | 156.326 | 0.000 | 0.000 | 0.000 |
| 0.000 | 0.000 | 0.000 | 39.100 | 0.000 | 0.000 |
| 0.000 | 0.000 | 0.000 | 0.000 | 39.100 | 0.000 |
| 0.000 | 0.001 | -0.000 | 0.000 | 0.000 | 43.987 |
| 141.659 | 53.686 | 39.024 | -0.000 | -0.000 | -0.000 |
| 53.686 | 141.660 | 39.024 | -0.000 | -0.000 | -0.000 |
| 39.024 | 39.024 | 156.322 | -0.000 | -0.000 | -0.000 |
| -0.000 | -0.000 | -0.000 | 39.100 | -0.000 | -0.000 |
| -0.000 | -0.000 | -0.000 | -0.000 | 39.100 | -0.000 |
| -0.000 | -0.001 | 0.000 | -0.000 | -0.000 | 43.987 |
| 57.666 | 21.838 | 15.867 | 0.000 | -0.000 | 0.000 |
| 21.838 | 57.666 | 15.867 | 0.000 | -0.000 | 0.000 |
| 15.867 | 15.867 | 63.637 | 0.000 | 0.000 | 0.000 |
| -0.000 | 0.000 | 0.000 | 15.923 | 0.000 | 0.000 |
| -0.000 | 0.000 | 0.000 | 0.000 | 15.923 | 0.000 |
| -0.000 | 0.000 | -0.000 | 0.000 | -0.000 | 17.914 |
| 57.666 | 21.838 | 15.867 | -0.000 | -0.000 | -0.000 |
| 21.838 | 57.666 | 15.867 | -0.000 | 0.000 | -0.000 |
| 15.867 | 15.867 | 63.637 | -0.000 | -0.000 | -0.000 |
| 0.000 | -0.000 | -0.000 | 15.923 | -0.000 | -0.000 |
| 0.000 | -0.000 | -0.000 | -0.000 | 15.923 | 0.000 |
| 0.000 | -0.000 | 0.000 | -0.000 | -0.000 | 17.914 |
| 57.666 | 21.838 | 15.867 | 0.000 | -0.000 | 0.000 |
| 21.838 | 57.666 | 15.867 | 0.000 | -0.000 | 0.000 |
| 15.867 | 15.867 | 63.637 | 0.000 | 0.000 | 0.000 |
| 0.000 | -0.000 | 0.000 | 15.923 | 0.000 | 0.000 |
| -0.000 | 0.000 | 0.000 | 0.000 | 15.923 | 0.000 |
| -0.000 | 0.000 | -0.000 | 0.000 | 0.000 | 17.914 |
| 57.666 | 21.838 | 15.867 | -0.000 | -0.000 | -0.000 |
| 21.838 | 57.666 | 15.867 | -0.000 | 0.000 | -0.000 |
| 15.867 | 15.867 | 63.637 | -0.000 | -0.000 | -0.000 |
| -0.000 | 0.000 | -0.000 | 15.923 | -0.000 | -0.000 |
| 0.000 | -0.000 | -0.000 | -0.000 | 15.923 | -0.000 |
| 0.000 | -0.000 | 0.000 | -0.000 | 0.000 | 17.914 |
| 57.666 | 21.838 | 15.867 | 0.000 | 0.000 | 0.000 |
| 21.838 | 57.666 | 15.867 | 0.000 | -0.000 | 0.000 |
| 15.867 | 15.867 | 63.637 | 0.000 | 0.000 | 0.000 |
| 0.000 | -0.000 | 0.000 | 15.923 | -0.000 | 0.000 |
| -0.000 | 0.000 | 0.000 | 0.000 | 15.923 | 0.000 |
| -0.000 | 0.000 | -0.000 | 0.000 | -0.000 | 17.914 |
| 57.665 | 21.838 | 15.867 | -0.000 | 0.000 | -0.000 |
| 21.838 | 57.665 | 15.867 | -0.000 | 0.000 | -0.000 |
| 15.867 | 15.867 | 63.637 | -0.000 | -0.000 | -0.000 |
| -0.000 | 0.000 | -0.000 | 15.923 | 0.000 | -0.000 |
| 0.000 | -0.000 | -0.000 | -0.000 | 15.923 | -0.000 |
| 0.000 | -0.000 | 0.000 | -0.000 | -0.000 | 17.914 |
| 334.749 | 266.105 | 266.105 | -0.000 | -0.000 | -0.000 |
| 266.105 | 334.749 | 266.105 | -0.000 | -0.000 | -0.000 |
| 266.105 | 266.105 | 334.749 | -0.000 | 0.000 | -0.000 |
| 0.000 | 0.000 | -0.000 | 50.522 | -0.000 | -0.000 |
| 0.000 | 0.000 | -0.000 | -0.000 | 50.522 | -0.000 |
| 0.000 | 0.000 | -0.000 | -0.000 | -0.000 | 50.522 |
| 334.749 | 266.105 | 266.105 | 0.000 | 0.000 | 0.000 |
| 266.105 | 334.749 | 266.105 | 0.000 | 0.000 | 0.000 |
| 266.105 | 266.105 | 334.749 | 0.000 | 0.000 | 0.000 |
| -0.000 | -0.000 | 0.000 | 50.522 | 0.000 | 0.000 |
| -0.000 | -0.000 | 0.000 | 0.000 | 50.522 | 0.000 |
| -0.000 | -0.000 | 0.000 | 0.000 | 0.000 | 50.522 |
| 334.749 | 266.105 | 266.105 | 0.000 | 0.000 | -0.000 |
| 266.105 | 334.749 | 266.105 | 0.000 | -0.000 | -0.000 |
| 266.105 | 266.105 | 334.749 | 0.000 | -0.000 | -0.000 |
| 0.000 | 0.000 | 0.000 | 11.512 | -0.000 | -0.000 |
| 0.000 | 0.000 | 0.000 | -0.000 | 11.512 | -0.000 |
| 0.000 | 0.000 | 0.000 | -0.000 | -0.000 | 11.512 |
| 334.749 | 266.105 | 266.105 | -0.000 | -0.000 | 0.000 |
| 266.105 | 334.749 | 266.105 | 0.000 | 0.000 | 0.000 |
| 266.105 | 266.105 | 334.749 | -0.000 | 0.000 | 0.000 |
| -0.000 | -0.000 | -0.000 | 11.512 | 0.000 | 0.000 |
| -0.000 | -0.000 | -0.000 | 0.000 | 11.512 | 0.000 |
| -0.000 | -0.000 | -0.000 | 0.000 | 0.000 | 11.512 |
| 334.748 | 266.104 | 266.104 | -0.000 | -0.000 | -0.000 |
| 266.104 | 334.748 | 266.104 | -0.000 | -0.000 | -0.000 |
| 266.104 | 266.104 | 334.748 | 0.000 | 0.000 | -0.000 |
| 0.000 | 0.000 | 0.000 | 11.512 | 0.000 | -0.000 |
| 0.000 | 0.000 | 0.000 | 0.000 | 11.512 | -0.000 |
| 0.000 | 0.000 | 0.000 | -0.000 | -0.000 | 11.512 |
| 334.750 | 266.106 | 266.106 | 0.000 | 0.000 | 0.000 |
| 266.106 | 334.750 | 266.106 | 0.000 | 0.000 | 0.000 |
| 266.106 | 266.106 | 334.750 | 0.000 | -0.000 | 0.000 |
| -0.000 | -0.000 | -0.000 | 11.512 | 0.000 | 0.000 |
| -0.000 | -0.000 | -0.000 | 0.000 | 11.512 | 0.000 |
| -0.000 | -0.000 | -0.000 | -0.000 | -0.000 | 11.512 |
| 12.013 | 12.013 | 12.013 | -0.000 | 0.000 | 0.000 |
| 12.013 | 12.013 | 12.013 | 0.000 | -0.000 | 0.000 |
| 12.013 | 12.013 | 12.013 | 0.000 | 0.000 | -0.000 |
| -0.000 | -0.000 | -0.000 | -0.000 | -0.000 | 0.000 |
| -0.000 | -0.000 | -0.000 | -0.000 | -0.000 | 0.000 |
| -0.000 | -0.000 | -0.000 | -0.000 | 0.000 | -0.000 |
| 12.013 | 12.013 | 12.013 | 0.000 | -0.000 | 0.000 |
| 12.013 | 12.013 | 12.013 | -0.000 | 0.000 | 0.000 |
| 12.013 | 12.013 | 12.013 | 0.000 | 0.000 | 0.000 |
| 0.000 | 0.000 | 0.000 | -0.000 | 0.000 | -0.000 |
| 0.000 | 0.000 | 0.000 | 0.000 | -0.000 | -0.000 |
| 0.000 | 0.000 | 0.000 | 0.000 | -0.000 | -0.000 |
| 12.013 | 12.013 | 12.013 | -0.000 | -0.000 | -0.000 |
| 12.013 | 12.013 | 12.013 | -0.000 | -0.000 | -0.000 |
| 12.013 | 12.013 | 12.013 | -0.000 | -0.000 | -0.000 |
| -0.000 | -0.000 | -0.000 | -0.000 | -0.000 | -0.000 |
| -0.000 | -0.000 | -0.000 | -0.000 | -0.000 | -0.000 |
| -0.000 | -0.000 | -0.000 | -0.000 | 0.000 | -0.000 |
| 12.013 | 12.013 | 12.013 | 0.000 | -0.000 | 0.000 |
| 12.013 | 12.013 | 12.013 | -0.000 | 0.000 | 0.000 |
| 12.013 | 12.013 | 12.013 | 0.000 | 0.000 | 0.000 |
| 0.000 | 0.000 | 0.000 | 0.000 | 0.000 | -0.000 |
| 0.000 | 0.000 | 0.000 | 0.000 | 0.000 | -0.000 |
| 0.000 | 0.000 | 0.000 | 0.000 | -0.000 | 0.000 |
| 12.013 | 12.013 | 12.013 | -0.000 | 0.000 | 0.000 |
| 12.013 | 12.013 | 12.013 | 0.000 | -0.000 | 0.000 |
| 12.013 | 12.013 | 12.013 | 0.000 | 0.000 | -0.000 |
| -0.000 | -0.000 | -0.000 | -0.000 | -0.000 | 0.000 |
| -0.000 | -0.000 | -0.000 | -0.000 | -0.000 | 0.000 |
| -0.000 | -0.000 | -0.000 | -0.000 | 0.000 | -0.000 |
| 12.013 | 12.013 | 12.013 | 0.000 | 0.000 | 0.000 |
| 12.013 | 12.013 | 12.013 | 0.000 | 0.000 | 0.000 |
| 12.013 | 12.013 | 12.013 | 0.000 | 0.000 | 0.000 |
| 0.000 | 0.000 | 0.000 | -0.000 | 0.000 | -0.000 |
| 0.000 | 0.000 | 0.000 | 0.000 | -0.000 | -0.000 |
| 0.000 | 0.000 | 0.000 | 0.000 | -0.000 | -0.000 |
| 4.874 | 4.874 | 4.874 | -0.000 | -0.000 | -0.000 |
| 4.874 | 4.874 | 4.874 | -0.000 | -0.000 | -0.000 |
| 4.874 | 4.874 | 4.874 | -0.000 | -0.000 | -0.000 |
| -0.000 | -0.000 | -0.000 | -0.000 | -0.000 | -0.000 |
| -0.000 | -0.000 | -0.000 | -0.000 | -0.000 | -0.000 |
| -0.000 | -0.000 | -0.000 | -0.000 | -0.000 | -0.000 |
| 4.874 | 4.874 | 4.874 | 0.000 | 0.000 | 0.000 |
| 4.874 | 4.874 | 4.874 | 0.000 | 0.000 | 0.000 |
| 4.874 | 4.874 | 4.874 | 0.000 | 0.000 | 0.000 |
| 0.000 | 0.000 | 0.000 | 0.000 | 0.000 | 0.000 |
| 0.000 | 0.000 | 0.000 | 0.000 | 0.000 | 0.000 |
| 0.000 | 0.000 | 0.000 | 0.000 | 0.000 | 0.000 |
| 4.874 | 4.874 | 4.874 | -0.000 | -0.000 | -0.000 |
| 4.874 | 4.874 | 4.874 | -0.000 | -0.000 | -0.000 |
| 4.874 | 4.874 | 4.874 | -0.000 | -0.000 | -0.000 |
| -0.000 | -0.000 | -0.000 | -0.000 | -0.000 | -0.000 |
| -0.000 | -0.000 | -0.000 | -0.000 | -0.000 | -0.000 |
| -0.000 | -0.000 | -0.000 | -0.000 | -0.000 | -0.000 |
| 4.874 | 4.874 | 4.874 | 0.000 | 0.000 | 0.000 |
| 4.874 | 4.874 | 4.874 | 0.000 | 0.000 | 0.000 |
| 4.874 | 4.874 | 4.874 | 0.000 | 0.000 | 0.000 |
| 0.000 | 0.000 | 0.000 | 0.000 | 0.000 | 0.000 |
| 0.000 | 0.000 | 0.000 | 0.000 | 0.000 | 0.000 |
| 0.000 | 0.000 | 0.000 | 0.000 | 0.000 | 0.000 |
| 4.874 | 4.874 | 4.874 | -0.000 | -0.000 | -0.000 |
| 4.874 | 4.874 | 4.874 | -0.000 | -0.000 | -0.000 |
| 4.874 | 4.874 | 4.874 | -0.000 | -0.000 | -0.000 |
| -0.000 | -0.000 | -0.000 | -0.000 | -0.000 | -0.000 |
| -0.000 | -0.000 | -0.000 | -0.000 | -0.000 | -0.000 |
| -0.000 | -0.000 | -0.000 | -0.000 | -0.000 | -0.000 |
| 4.874 | 4.874 | 4.874 | 0.000 | 0.000 | 0.000 |
| 4.874 | 4.874 | 4.874 | 0.000 | 0.000 | 0.000 |
| 4.874 | 4.874 | 4.874 | 0.000 | 0.000 | 0.000 |
| 0.000 | 0.000 | 0.000 | 0.000 | 0.000 | 0.000 |
| 0.000 | 0.000 | 0.000 | 0.000 | 0.000 | 0.000 |
| 0.000 | 0.000 | 0.000 | 0.000 | 0.000 | 0.000 |
| 538.470 | 275.772 | 227.151 | -0.000 | -0.000 | -0.000 |
| 275.772 | 538.470 | 227.151 | -0.000 | -0.000 | 0.000 |
| 227.151 | 227.151 | 399.678 | -0.000 | -0.000 | -0.000 |
| -0.000 | 0.000 | 0.000 | 63.947 | -0.000 | 0.000 |
| -0.000 | -0.000 | 0.000 | -0.000 | 63.947 | -0.000 |
| -0.000 | -0.000 | 0.000 | -0.000 | -0.000 | 0.159 |
| 538.893 | 275.349 | 227.151 | 0.000 | 0.000 | 0.000 |
| 275.349 | 538.893 | 227.151 | 0.000 | 0.000 | 0.000 |
| 227.151 | 227.151 | 399.679 | -0.000 | 0.000 | 0.000 |
| -0.000 | -0.000 | -0.000 | 63.947 | 0.000 | 0.000 |
| 0.000 | -0.000 | -0.000 | 0.000 | 63.947 | 0.000 |
| 0.000 | 0.000 | -0.000 | 0.000 | 0.000 | 0.159 |
| 538.470 | 275.772 | 227.151 | -0.000 | -0.000 | -0.000 |
| 275.772 | 538.470 | 227.151 | -0.000 | -0.000 | -0.000 |
| 227.151 | 227.151 | 399.678 | -0.000 | -0.000 | -0.000 |
| -0.000 | -0.000 | -0.000 | 63.947 | -0.000 | 0.000 |
| -0.000 | -0.000 | -0.000 | -0.000 | 63.947 | -0.000 |
| -0.000 | -0.000 | -0.000 | -0.000 | -0.000 | 0.159 |
| 538.471 | 275.772 | 227.151 | 0.000 | -0.000 | 0.000 |
| 275.772 | 538.471 | 227.151 | 0.000 | 0.000 | 0.000 |
| 227.151 | 227.151 | 399.679 | 0.000 | 0.000 | 0.000 |
| 0.000 | 0.000 | 0.000 | 63.947 | 0.000 | -0.000 |
| 0.000 | 0.000 | 0.000 | 0.000 | 63.947 | 0.000 |
| 0.000 | 0.000 | 0.000 | 0.000 | 0.000 | 0.159 |
| 538.466 | 275.769 | 227.149 | -0.000 | -0.000 | -0.000 |
| 275.769 | 538.466 | 227.149 | -0.000 | 0.000 | -0.000 |
| 227.150 | 227.150 | 399.678 | -0.000 | -0.000 | -0.000 |
| -0.000 | -0.000 | -0.000 | 63.947 | -0.000 | 0.000 |
| -0.000 | -0.000 | -0.000 | -0.000 | 63.947 | -0.000 |
| -0.000 | -0.001 | -0.000 | -0.000 | -0.000 | 0.159 |
| 538.475 | 275.775 | 227.153 | 0.000 | 0.000 | 0.000 |
| 275.775 | 538.475 | 227.153 | 0.000 | 0.000 | 0.000 |
| 227.152 | 227.152 | 399.679 | 0.000 | 0.000 | 0.000 |
| 0.000 | 0.000 | 0.000 | 63.947 | 0.000 | -0.000 |
| 0.000 | 0.000 | 0.000 | 0.000 | 63.947 | 0.000 |
| 0.000 | 0.001 | 0.000 | 0.000 | 0.000 | 0.159 |
| 87.128 | 0.008 | 16.766 | -0.000 | 0.000 | 0.000 |
| 0.008 | 87.128 | 16.766 | 0.000 | -0.000 | 0.000 |
| 16.766 | 16.766 | 91.150 | -0.000 | -0.000 | 0.000 |
| 0.000 | -0.000 | -0.000 | 16.793 | 0.000 | 0.000 |
| -0.000 | -0.000 | -0.000 | 0.000 | 16.793 | 0.000 |
| -0.000 | -0.000 | -0.000 | -0.000 | 0.000 | 0.000 |
| 87.128 | 0.008 | 16.766 | 0.000 | -0.000 | -0.000 |
| 0.008 | 87.128 | 16.766 | -0.000 | -0.000 | -0.000 |
| 16.766 | 16.766 | 91.150 | 0.000 | -0.000 | -0.000 |
| -0.000 | 0.000 | 0.000 | 16.793 | -0.000 | -0.000 |
| 0.000 | -0.000 | 0.000 | -0.000 | 16.793 | -0.000 |
| 0.000 | 0.000 | 0.000 | -0.000 | -0.000 | -0.000 |
| 87.128 | 0.008 | 16.766 | -0.000 | 0.000 | 0.000 |
| 0.008 | 87.128 | 16.766 | 0.000 | 0.000 | 0.000 |
| 16.766 | 16.766 | 91.150 | -0.000 | -0.000 | 0.000 |
| -0.000 | -0.000 | 0.000 | 16.793 | 0.000 | -0.000 |
| -0.000 | -0.000 | 0.000 | 0.000 | 16.793 | 0.000 |
| -0.000 | -0.000 | -0.000 | 0.000 | 0.000 | 0.000 |
| 87.128 | 0.008 | 16.766 | 0.000 | 0.000 | -0.000 |
| 0.008 | 87.128 | 16.766 | 0.000 | 0.000 | -0.000 |
| 16.766 | 16.766 | 91.150 | -0.000 | 0.000 | -0.000 |
| 0.000 | 0.000 | -0.000 | 16.793 | -0.000 | -0.000 |
| 0.000 | 0.000 | -0.000 | 0.000 | 16.793 | -0.000 |
| -0.000 | 0.000 | 0.000 | -0.000 | -0.000 | -0.000 |
| 87.127 | 0.008 | 16.766 | -0.000 | -0.000 | 0.000 |
| 0.008 | 87.127 | 16.766 | -0.000 | 0.000 | 0.000 |
| 16.766 | 16.766 | 91.149 | -0.000 | 0.000 | 0.000 |
| -0.000 | -0.000 | 0.000 | 16.793 | 0.000 | 0.000 |
| -0.000 | -0.000 | 0.000 | -0.000 | 16.793 | 0.000 |
| -0.000 | -0.000 | -0.000 | -0.000 | 0.000 | 0.000 |
| 87.129 | 0.008 | 16.766 | 0.000 | -0.000 | -0.000 |
| 0.008 | 87.129 | 16.766 | -0.000 | 0.000 | -0.000 |
| 16.766 | 16.766 | 91.151 | -0.000 | -0.000 | -0.000 |
| 0.000 | 0.000 | -0.000 | 16.793 | -0.000 | 0.000 |
| 0.000 | 0.000 | -0.000 | -0.000 | 16.793 | -0.000 |
| 0.000 | 0.000 | 0.000 | 0.000 | -0.000 | -0.000 |
| 22.637 | 9.018 | 2.101 | 0.000 | 0.000 | -0.000 |
| 9.018 | 22.637 | 2.101 | 0.000 | 0.000 | -0.000 |
| 2.101 | 2.101 | 36.305 | 0.000 | 0.000 | -0.000 |
| 0.000 | 0.000 | -0.000 | -0.000 | 0.000 | -0.000 |
| 0.000 | 0.000 | -0.000 | 0.000 | -0.000 | -0.000 |
| -0.000 | 0.000 | -0.000 | 0.000 | -0.000 | -0.000 |
| 22.637 | 9.018 | 2.101 | -0.000 | 0.000 | -0.000 |
| 9.018 | 22.637 | 2.101 | 0.000 | -0.000 | -0.000 |
| 2.101 | 2.101 | 36.305 | -0.000 | -0.000 | 0.000 |
| -0.000 | -0.000 | 0.000 | -0.000 | -0.000 | -0.000 |
| -0.000 | -0.000 | 0.000 | -0.000 | -0.000 | -0.000 |
| -0.000 | -0.000 | 0.000 | -0.000 | 0.000 | -0.000 |
| 16.369 | 15.286 | 2.101 | -0.000 | 0.000 | 0.000 |
| 15.286 | 16.369 | 2.101 | 0.000 | -0.000 | -0.000 |
| 2.101 | 2.101 | 36.305 | 0.000 | 0.000 | -0.000 |
| -0.000 | -0.000 | -0.000 | 0.000 | 0.000 | -0.000 |
| -0.000 | -0.000 | -0.000 | 0.000 | -0.000 | -0.000 |
| -0.000 | -0.000 | -0.000 | 0.000 | -0.000 | 0.000 |
| 17.087 | 14.568 | 2.101 | -0.000 | 0.000 | -0.000 |
| 15.286 | 16.369 | 2.101 | 0.000 | 0.000 | 0.000 |
| 2.101 | 2.101 | 36.305 | -0.000 | -0.000 | 0.000 |
| 0.000 | 0.000 | 0.000 | -0.000 | -0.000 | -0.000 |
| 0.000 | 0.000 | 0.000 | -0.000 | -0.000 | -0.000 |
| 0.000 | 0.000 | 0.000 | -0.000 | -0.000 | 0.000 |
| 15.928 | 15.728 | 2.101 | -0.000 | -0.000 | 0.000 |
| 15.785 | 15.870 | 2.101 | 0.000 | 0.000 | 0.000 |
| 2.101 | 2.101 | 36.305 | 0.000 | 0.000 | 0.000 |
| -0.000 | -0.000 | -0.000 | -0.000 | 0.000 | -0.000 |
| -0.000 | -0.000 | -0.000 | 0.000 | -0.000 | -0.000 |
| 0.000 | -0.000 | -0.000 | 0.000 | -0.000 | 0.000 |
| 15.871 | 15.784 | 2.101 | -0.000 | -0.000 | 0.000 |
| 15.784 | 15.871 | 2.101 | -0.000 | -0.000 | 0.000 |
| 2.101 | 2.101 | 36.305 | -0.000 | -0.000 | -0.000 |
| 0.000 | 0.000 | 0.000 | -0.000 | -0.000 | -0.000 |
| 0.000 | 0.000 | 0.000 | -0.000 | -0.000 | -0.000 |
| -0.000 | 0.000 | 0.000 | -0.000 | 0.000 | 0.000 |
| 282.718 | 142.979 | 115.109 | 0.000 | 0.000 | -0.000 |
| 142.979 | 282.718 | 115.109 | -0.000 | 0.000 | -0.000 |
| 115.109 | 115.109 | 391.656 | 0.000 | -0.000 | -0.000 |
| -0.000 | -0.000 | -0.000 | 26.843 | -0.000 | -0.000 |
| -0.000 | -0.000 | -0.000 | -0.000 | 26.843 | -0.000 |
| -0.000 | 0.000 | -0.000 | -0.000 | 0.000 | -9.986 |
| 282.718 | 142.979 | 115.109 | -0.000 | -0.000 | 0.000 |
| 142.979 | 282.718 | 115.109 | 0.000 | 0.000 | -0.000 |
| 115.109 | 115.109 | 391.657 | 0.000 | -0.000 | 0.000 |
| 0.000 | 0.000 | 0.000 | 26.843 | 0.000 | -0.000 |
| 0.000 | 0.000 | 0.000 | 0.000 | 26.843 | 0.000 |
| 0.000 | -0.000 | 0.000 | 0.000 | -0.000 | -9.986 |
| 282.718 | 142.979 | 115.109 | -0.000 | -0.000 | -0.000 |
| 142.979 | 282.718 | 115.109 | -0.000 | -0.000 | -0.000 |
| 115.109 | 115.109 | 391.656 | -0.000 | -0.000 | -0.000 |
| 0.000 | -0.000 | -0.000 | 26.843 | -0.000 | -0.000 |
| -0.000 | 0.000 | -0.000 | -0.000 | 26.843 | -0.000 |
| 0.000 | 0.000 | -0.000 | -0.000 | -0.000 | -9.986 |
| 282.718 | 142.979 | 115.109 | 0.000 | 0.000 | 0.000 |
| 142.979 | 282.718 | 115.109 | 0.000 | 0.000 | -0.000 |
| 115.109 | 115.109 | 391.657 | -0.000 | -0.000 | 0.000 |
| -0.000 | 0.000 | 0.000 | 26.843 | 0.000 | -0.000 |
| 0.000 | -0.000 | 0.000 | 0.000 | 26.843 | 0.000 |
| -0.000 | -0.000 | 0.000 | 0.000 | 0.000 | -9.986 |
| 282.720 | 142.980 | 115.110 | 0.000 | -0.000 | -0.000 |
| 142.980 | 282.720 | 115.110 | -0.000 | -0.000 | -0.000 |
| 115.109 | 115.109 | 391.655 | -0.000 | -0.000 | -0.000 |
| 0.000 | -0.000 | -0.001 | 26.843 | -0.000 | 0.000 |
| -0.000 | 0.000 | -0.001 | -0.000 | 26.843 | -0.000 |
| 0.000 | 0.000 | -0.000 | -0.000 | -0.000 | -9.986 |
| 282.717 | 142.977 | 115.109 | 0.000 | 0.000 | 0.000 |
| 142.977 | 282.717 | 115.109 | 0.000 | 0.000 | -0.000 |
| 115.109 | 115.109 | 391.658 | 0.000 | 0.000 | 0.000 |
| -0.000 | 0.000 | 0.001 | 26.843 | 0.000 | 0.000 |
| 0.000 | -0.000 | 0.001 | 0.000 | 26.843 | 0.000 |
| -0.000 | -0.000 | 0.000 | 0.000 | -0.000 | -9.986 |
| -108.303 | 0.736 | -13.532 | 0.000 | -0.000 | 0.000 |
| 0.736 | -108.303 | -13.532 | 0.000 | -0.000 | 0.000 |
| -13.532 | -13.532 | 359.613 | 0.000 | 0.000 | 0.000 |
| -0.000 | 0.000 | -0.000 | -1.359 | -0.000 | 0.000 |
| 0.000 | -0.000 | -0.000 | 0.000 | -1.359 | 0.000 |
| -0.000 | -0.000 | -0.000 | 0.000 | -0.000 | 0.488 |
| -108.303 | 0.736 | -13.532 | -0.000 | 0.000 | -0.000 |
| 0.736 | -108.303 | -13.532 | -0.000 | 0.000 | -0.000 |
| -13.532 | -13.532 | 359.613 | -0.000 | 0.000 | -0.000 |
| 0.000 | -0.000 | 0.000 | -1.359 | 0.000 | 0.000 |
| -0.000 | 0.000 | 0.000 | -0.000 | -1.359 | -0.000 |
| 0.000 | 0.000 | 0.000 | -0.000 | -0.000 | 0.488 |
| -108.303 | 0.736 | -13.532 | 0.000 | -0.000 | 0.000 |
| 0.736 | -108.303 | -13.532 | 0.000 | 0.000 | 0.000 |
| -13.532 | -13.532 | 359.613 | 0.000 | 0.000 | 0.000 |
| -0.000 | 0.000 | -0.000 | -1.359 | -0.000 | 0.000 |
| 0.000 | -0.000 | -0.000 | -0.000 | -1.359 | 0.000 |
| -0.000 | -0.000 | 0.000 | 0.000 | -0.000 | 0.488 |
| -108.303 | 0.736 | -13.532 | -0.000 | -0.000 | -0.000 |
| 0.736 | -108.303 | -13.532 | -0.000 | 0.000 | -0.000 |
| -13.532 | -13.532 | 359.613 | -0.000 | 0.000 | -0.000 |
| 0.000 | -0.000 | 0.000 | -1.359 | 0.000 | -0.000 |
| -0.000 | 0.000 | 0.000 | -0.000 | -1.359 | -0.000 |
| 0.000 | 0.000 | -0.000 | -0.000 | -0.000 | 0.488 |
| -108.304 | 0.735 | -13.533 | 0.000 | 0.000 | 0.000 |
| 0.735 | -108.304 | -13.533 | 0.000 | -0.000 | 0.000 |
| -13.532 | -13.532 | 359.609 | 0.000 | -0.000 | 0.000 |
| -0.000 | 0.000 | -0.000 | -1.359 | -0.000 | -0.000 |
| 0.000 | -0.000 | -0.000 | 0.000 | -1.359 | 0.000 |
| -0.001 | -0.001 | 0.000 | 0.000 | 0.000 | 0.488 |
| -108.303 | 0.736 | -13.532 | -0.000 | 0.000 | -0.000 |
| 0.736 | -108.303 | -13.532 | 0.000 | 0.000 | -0.000 |
| -13.532 | -13.532 | 359.616 | -0.000 | 0.000 | -0.000 |
| 0.000 | -0.000 | 0.000 | -1.359 | -0.000 | -0.000 |
| -0.000 | 0.000 | 0.000 | -0.000 | -1.359 | -0.000 |
| 0.001 | 0.001 | -0.000 | -0.000 | -0.000 | 0.488 |
| 53.560 | 81.478 | 155.345 | -16.819 | 0.000 | 0.000 |
| 81.478 | 53.560 | 155.345 | 16.819 | 0.000 | 0.000 |
| 140.932 | 140.933 | -21.546 | 0.000 | 0.000 | 0.000 |
| -16.819 | 16.819 | -0.001 | 3.647 | 0.000 | 0.000 |
| -0.000 | 0.000 | -0.001 | 0.000 | 3.647 | -16.819 |
| -0.000 | 0.000 | -0.000 | -0.000 | -16.819 | -13.959 |
| 53.560 | 81.478 | 155.346 | -16.819 | -0.000 | -0.000 |
| 81.478 | 53.560 | 155.346 | 16.819 | -0.000 | -0.000 |
| 140.934 | 140.934 | -21.541 | 0.000 | -0.000 | -0.000 |
| -16.819 | 16.819 | 0.001 | 3.647 | -0.000 | -0.000 |
| 0.000 | -0.000 | 0.001 | -0.000 | 3.647 | -16.819 |
| 0.000 | -0.000 | 0.000 | 0.000 | -16.819 | -13.959 |
| 53.559 | 81.478 | 155.343 | -16.819 | 0.000 | 0.000 |
| 81.478 | 53.559 | 155.343 | 16.819 | 0.000 | 0.000 |
| 140.927 | 140.927 | -21.571 | 0.000 | 0.000 | 0.000 |
| -16.820 | 16.817 | -0.006 | 3.647 | 0.000 | 0.000 |
| -0.002 | -0.001 | -0.006 | 0.000 | 3.647 | -16.819 |
| -0.000 | -0.000 | -0.001 | -0.000 | -16.819 | -13.959 |
| 53.561 | 81.478 | 155.348 | -16.819 | -0.000 | -0.000 |
| 81.478 | 53.561 | 155.348 | 16.819 | -0.000 | -0.000 |
| 140.939 | 140.939 | -21.517 | -0.000 | -0.000 | -0.000 |
| -16.819 | 16.821 | 0.006 | 3.647 | -0.000 | -0.000 |
| 0.002 | 0.001 | 0.006 | -0.000 | 3.647 | -16.819 |
| 0.000 | 0.000 | 0.001 | 0.000 | -16.819 | -13.959 |
| 53.551 | 81.477 | 155.324 | -16.820 | 0.000 | 0.000 |
| 81.475 | 53.553 | 155.324 | 16.820 | 0.000 | 0.000 |
| 140.870 | 140.870 | -21.814 | 0.000 | 0.000 | 0.000 |
| -16.827 | 16.797 | -0.063 | 3.647 | 0.000 | 0.000 |
| -0.022 | -0.007 | -0.063 | 0.000 | 3.647 | -16.819 |
| -0.000 | -0.003 | -0.007 | -0.000 | -16.819 | -13.959 |
| 53.569 | 81.479 | 155.368 | -16.819 | -0.000 | -0.000 |
| 81.481 | 53.567 | 155.368 | 16.819 | -0.000 | -0.000 |
| 140.996 | 140.996 | -21.273 | -0.000 | -0.000 | -0.000 |
| -16.812 | 16.841 | 0.063 | 3.647 | -0.000 | -0.000 |
| 0.022 | 0.007 | 0.063 | -0.000 | 3.647 | -16.819 |
| 0.000 | 0.003 | 0.007 | 0.000 | -16.819 | -13.959 |
| 0.746 | 0.746 | 0.513 | 0.000 | -0.000 | 0.000 |
| 0.746 | 0.746 | 0.513 | -0.000 | -0.000 | 0.000 |
| 0.746 | 0.746 | 0.513 | 0.000 | 0.000 | -0.000 |
| 0.535 | 0.497 | 0.355 | -0.022 | 0.000 | -0.000 |
| 0.516 | 0.516 | 0.355 | 0.000 | -0.022 | 0.019 |
| 0.517 | 0.517 | 0.355 | -0.000 | 0.026 | -0.022 |
| -0.746 | -0.746 | -0.513 | -0.000 | -0.000 | 0.000 |
| -0.746 | -0.746 | -0.513 | 0.000 | 0.000 | -0.000 |
| -0.746 | -0.746 | -0.513 | -0.000 | -0.000 | 0.000 |
| -0.497 | -0.535 | -0.355 | -0.022 | -0.000 | 0.000 |
| -0.516 | -0.516 | -0.355 | -0.000 | -0.022 | 0.019 |
| -0.517 | -0.517 | -0.355 | 0.000 | 0.026 | -0.022 |
| 0.075 | 0.075 | 0.051 | 0.000 | -0.000 | 0.000 |
| 0.075 | 0.075 | 0.051 | -0.000 | -0.000 | 0.000 |
| 0.075 | 0.075 | 0.051 | 0.000 | 0.000 | -0.000 |
| 0.051 | 0.051 | 0.035 | -0.000 | 0.000 | -0.000 |
| 0.051 | 0.051 | 0.035 | 0.000 | -0.000 | 0.000 |
| 0.051 | 0.051 | 0.035 | 0.000 | 0.000 | -0.000 |
| -0.075 | -0.075 | -0.051 | -0.000 | -0.000 | 0.000 |
| -0.075 | -0.075 | -0.051 | 0.000 | 0.000 | -0.000 |
| -0.075 | -0.075 | -0.051 | -0.000 | -0.000 | 0.000 |
| -0.051 | -0.051 | -0.035 | -0.000 | -0.000 | 0.000 |
| -0.051 | -0.051 | -0.035 | -0.000 | -0.000 | 0.000 |
| -0.051 | -0.051 | -0.035 | -0.000 | 0.000 | -0.000 |
| 0.007 | 0.007 | 0.005 | 0.000 | -0.000 | 0.000 |
| 0.007 | 0.007 | 0.005 | -0.000 | -0.000 | 0.000 |
| 0.007 | 0.007 | 0.005 | 0.000 | 0.000 | -0.000 |
| 0.005 | 0.005 | 0.004 | -0.000 | 0.000 | -0.000 |
| 0.005 | 0.005 | 0.004 | 0.000 | -0.000 | 0.000 |
| 0.005 | 0.005 | 0.004 | 0.000 | 0.000 | -0.000 |
| -0.007 | -0.007 | -0.005 | -0.000 | 0.000 | -0.000 |
| -0.007 | -0.007 | -0.005 | 0.000 | 0.000 | -0.000 |
| -0.007 | -0.007 | -0.005 | -0.000 | -0.000 | 0.000 |
| -0.005 | -0.005 | -0.004 | 0.000 | -0.000 | 0.000 |
| -0.005 | -0.005 | -0.004 | -0.000 | -0.000 | 0.000 |
| -0.005 | -0.005 | -0.004 | -0.000 | 0.000 | -0.000 |
| 351.116 | 263.436 | 263.436 | -0.000 | 0.000 | 0.000 |
| 263.436 | 351.116 | 263.436 | -0.000 | 0.000 | 0.000 |
| 263.436 | 263.436 | 351.116 | -0.000 | 0.000 | 0.000 |
| 0.000 | -0.000 | 0.000 | 12.080 | 0.000 | 0.000 |
| 0.000 | -0.000 | -0.000 | -0.000 | 12.080 | 0.000 |
| -0.000 | -0.000 | 0.000 | 0.000 | 0.000 | 12.080 |
| 351.116 | 263.436 | 263.436 | 0.000 | -0.000 | -0.000 |
| 263.436 | 351.116 | 263.436 | -0.000 | -0.000 | -0.000 |
| 263.436 | 263.436 | 351.116 | -0.000 | -0.000 | -0.000 |
| -0.000 | 0.000 | 0.000 | 12.080 | -0.000 | 0.000 |
| 0.000 | 0.000 | -0.000 | 0.000 | 12.080 | -0.000 |
| 0.000 | 0.000 | -0.000 | 0.000 | -0.000 | 12.080 |
| 351.117 | 263.436 | 263.436 | -0.000 | -0.000 | -0.000 |
| 263.436 | 351.117 | 263.436 | -0.000 | 0.000 | 0.000 |
| 263.436 | 263.436 | 351.117 | -0.000 | 0.000 | 0.000 |
| -0.000 | -0.000 | -0.000 | 12.080 | -0.000 | -0.000 |
| -0.000 | -0.000 | -0.000 | -0.000 | 12.080 | 0.000 |
| -0.000 | -0.000 | -0.000 | -0.000 | 0.000 | 12.080 |
| 351.115 | 263.436 | 263.436 | 0.000 | -0.000 | -0.000 |
| 263.436 | 351.115 | 263.436 | 0.000 | -0.000 | -0.000 |
| 263.436 | 263.436 | 351.115 | 0.000 | 0.000 | -0.000 |
| 0.000 | 0.000 | 0.000 | 12.080 | 0.000 | -0.000 |
| 0.000 | 0.000 | 0.000 | 0.000 | 12.080 | -0.000 |
| 0.000 | 0.000 | 0.000 | 0.000 | -0.000 | 12.080 |
| 351.124 | 263.438 | 263.438 | 0.000 | -0.000 | -0.000 |
| 263.438 | 351.124 | 263.438 | -0.000 | 0.000 | -0.000 |
| 263.438 | 263.438 | 351.124 | -0.000 | -0.000 | 0.000 |
| -0.000 | -0.000 | -0.000 | 12.080 | 0.000 | 0.000 |
| -0.000 | -0.000 | -0.000 | -0.000 | 12.080 | 0.000 |
| -0.000 | -0.000 | -0.000 | -0.000 | 0.000 | 12.080 |
| 351.107 | 263.434 | 263.434 | 0.000 | -0.000 | -0.000 |
| 263.434 | 351.107 | 263.434 | -0.000 | -0.000 | -0.000 |
| 263.434 | 263.434 | 351.107 | 0.000 | -0.000 | -0.000 |
| 0.000 | 0.000 | 0.000 | 12.080 | -0.000 | -0.000 |
| 0.000 | 0.000 | 0.000 | 0.000 | 12.080 | -0.000 |
| 0.000 | 0.000 | 0.000 | 0.000 | 0.000 | 12.080 |
| 83.179 | -0.008 | -0.008 | 0.000 | -0.000 | -0.000 |
| -0.008 | 83.179 | -0.008 | -0.000 | 0.000 | -0.000 |
| -0.008 | -0.008 | 83.179 | -0.000 | -0.000 | 0.000 |
| -0.000 | -0.000 | -0.000 | -0.000 | -0.000 | -0.000 |
| -0.000 | -0.000 | -0.000 | 0.000 | -0.000 | -0.000 |
| -0.000 | -0.000 | -0.000 | 0.000 | -0.000 | -0.000 |
| 83.179 | -0.008 | -0.008 | -0.000 | -0.000 | -0.000 |
| -0.008 | 83.179 | -0.008 | -0.000 | -0.000 | 0.000 |
| -0.008 | -0.008 | 83.179 | -0.000 | 0.000 | -0.000 |
| 0.000 | 0.000 | 0.000 | -0.000 | 0.000 | 0.000 |
| 0.000 | 0.000 | 0.000 | -0.000 | -0.000 | 0.000 |
| 0.000 | 0.000 | 0.000 | -0.000 | 0.000 | -0.000 |
| 83.179 | -0.008 | -0.008 | 0.000 | 0.000 | -0.000 |
| -0.008 | 83.179 | -0.008 | 0.000 | -0.000 | 0.000 |
| -0.008 | -0.008 | 83.179 | 0.000 | 0.000 | -0.000 |
| -0.000 | 0.000 | -0.000 | 0.000 | -0.000 | -0.000 |
| 0.000 | -0.000 | -0.000 | -0.000 | 0.000 | -0.000 |
| 0.000 | -0.000 | -0.000 | 0.000 | -0.000 | 0.000 |
| 83.178 | -0.008 | -0.008 | -0.000 | -0.000 | 0.000 |
| -0.008 | 83.178 | -0.008 | -0.000 | -0.000 | 0.000 |
| -0.008 | -0.008 | 83.178 | -0.000 | 0.000 | -0.000 |
| 0.000 | -0.000 | 0.000 | 0.000 | 0.000 | 0.000 |
| -0.000 | 0.000 | 0.000 | 0.000 | 0.000 | 0.000 |
| -0.000 | 0.000 | 0.000 | -0.000 | 0.000 | 0.000 |
| 83.180 | -0.008 | -0.008 | 0.000 | 0.000 | 0.000 |
| -0.008 | 83.180 | -0.008 | 0.000 | 0.000 | 0.000 |
| -0.008 | -0.008 | 83.180 | 0.000 | 0.000 | 0.000 |
| 0.000 | 0.000 | -0.000 | 0.000 | -0.000 | -0.000 |
| 0.000 | 0.000 | -0.000 | -0.000 | 0.000 | -0.000 |
| 0.000 | -0.000 | 0.000 | 0.000 | -0.000 | 0.000 |
| 83.177 | -0.008 | -0.008 | -0.000 | -0.000 | -0.000 |
| -0.008 | 83.177 | -0.008 | 0.000 | -0.000 | -0.000 |
| -0.008 | -0.008 | 83.177 | -0.000 | -0.000 | -0.000 |
| -0.000 | -0.000 | 0.000 | 0.000 | 0.000 | 0.000 |
| -0.000 | -0.000 | 0.000 | 0.000 | 0.000 | 0.000 |
| -0.000 | 0.000 | -0.000 | -0.000 | 0.000 | 0.000 |
| 33.774 | -0.009 | -0.009 | -0.000 | 0.000 | 0.000 |
| -0.009 | 33.774 | -0.009 | 0.000 | -0.000 | -0.000 |
| -0.009 | -0.009 | 33.774 | -0.000 | -0.000 | -0.000 |
| 0.000 | 0.000 | -0.000 | 0.000 | 0.000 | 0.000 |
| 0.000 | 0.000 | -0.000 | 0.000 | 0.000 | 0.000 |
| 0.000 | -0.000 | 0.000 | 0.000 | 0.000 | 0.000 |
| 33.774 | -0.009 | -0.009 | 0.000 | 0.000 | 0.000 |
| -0.009 | 33.774 | -0.009 | 0.000 | 0.000 | -0.000 |
| -0.009 | -0.009 | 33.774 | -0.000 | 0.000 | -0.000 |
| -0.000 | -0.000 | -0.000 | 0.000 | -0.000 | -0.000 |
| -0.000 | -0.000 | -0.000 | -0.000 | 0.000 | -0.000 |
| -0.000 | 0.000 | -0.000 | -0.000 | -0.000 | 0.000 |
| 33.774 | -0.009 | -0.009 | 0.000 | -0.000 | -0.000 |
| -0.009 | 33.774 | -0.009 | -0.000 | -0.000 | 0.000 |
| -0.009 | -0.009 | 33.774 | 0.000 | 0.000 | 0.000 |
| 0.000 | 0.000 | -0.000 | 0.000 | 0.000 | 0.000 |
| 0.000 | 0.000 | -0.000 | -0.000 | 0.000 | 0.000 |
| 0.000 | -0.000 | 0.000 | 0.000 | 0.000 | 0.000 |
| 33.774 | -0.009 | -0.009 | -0.000 | -0.000 | -0.000 |
| -0.009 | 33.774 | -0.009 | -0.000 | -0.000 | -0.000 |
| -0.009 | -0.009 | 33.774 | -0.000 | -0.000 | -0.000 |
| -0.000 | -0.000 | 0.000 | 0.000 | -0.000 | -0.000 |
| -0.000 | -0.000 | 0.000 | 0.000 | 0.000 | -0.000 |
| -0.000 | 0.000 | -0.000 | -0.000 | -0.000 | 0.000 |
| 33.775 | -0.009 | -0.009 | 0.000 | 0.000 | 0.000 |
| -0.009 | 33.775 | -0.009 | 0.000 | 0.000 | -0.000 |
| -0.009 | -0.009 | 33.775 | -0.000 | 0.000 | 0.000 |
| 0.000 | 0.000 | -0.000 | 0.000 | 0.000 | 0.000 |
| 0.000 | 0.000 | -0.000 | 0.000 | 0.000 | 0.000 |
| 0.000 | -0.000 | 0.000 | 0.000 | 0.000 | 0.000 |
| 33.774 | -0.009 | -0.009 | -0.000 | -0.000 | -0.000 |
| -0.009 | 33.774 | -0.009 | -0.000 | -0.000 | 0.000 |
| -0.009 | -0.009 | 33.774 | 0.000 | 0.000 | 0.000 |
| -0.000 | -0.000 | 0.000 | 0.000 | -0.000 | -0.000 |
| -0.000 | -0.000 | 0.000 | -0.000 | 0.000 | -0.000 |
| -0.000 | 0.000 | -0.000 | -0.000 | -0.000 | 0.000 |
| 463.906 | 244.165 | 278.966 | 0.000 | 0.000 | 0.000 |
| 244.165 | 463.906 | 278.966 | -0.000 | 0.000 | 0.000 |
| 278.966 | 278.966 | 612.636 | -0.000 | 0.000 | 0.000 |
| -0.000 | -0.000 | 0.000 | 48.390 | 0.000 | 0.000 |
| -0.000 | -0.000 | 0.000 | -0.000 | 48.390 | 0.000 |
| 0.000 | -0.000 | 0.000 | -0.000 | 0.000 | 109.871 |
| 463.906 | 244.165 | 278.966 | -0.000 | -0.000 | -0.000 |
| 244.165 | 463.906 | 278.966 | 0.000 | -0.000 | 0.000 |
| 278.966 | 278.966 | 612.636 | 0.000 | 0.000 | -0.000 |
| 0.000 | 0.000 | -0.000 | 48.390 | -0.000 | 0.000 |
| -0.000 | -0.000 | -0.000 | 0.000 | 48.390 | -0.000 |
| -0.000 | -0.000 | -0.000 | 0.000 | -0.000 | 109.871 |
| 463.906 | 244.165 | 278.966 | -0.000 | 0.000 | 0.000 |
| 244.165 | 463.906 | 278.966 | 0.000 | 0.000 | -0.000 |
| 278.966 | 278.966 | 612.637 | 0.000 | 0.000 | 0.000 |
| -0.000 | -0.000 | 0.000 | 48.390 | 0.000 | -0.000 |
| -0.000 | -0.000 | 0.000 | -0.000 | 48.390 | 0.000 |
| 0.000 | -0.000 | 0.000 | 0.000 | 0.000 | 109.871 |
| 463.906 | 244.165 | 278.966 | -0.000 | -0.000 | -0.000 |
| 244.165 | 463.906 | 278.966 | -0.000 | -0.000 | -0.000 |
| 278.966 | 278.966 | 612.635 | 0.000 | -0.000 | -0.000 |
| 0.000 | 0.000 | -0.000 | 48.390 | -0.000 | -0.000 |
| 0.000 | 0.000 | -0.000 | 0.000 | 48.390 | -0.000 |
| -0.000 | 0.000 | -0.000 | -0.000 | -0.000 | 109.871 |
| 463.906 | 244.166 | 278.966 | -0.000 | 0.000 | 0.000 |
| 244.165 | 463.907 | 278.966 | 0.000 | 0.000 | 0.000 |
| 278.967 | 278.967 | 612.644 | -0.000 | 0.000 | 0.000 |
| -0.000 | -0.000 | 0.001 | 48.390 | -0.000 | 0.000 |
| -0.000 | -0.000 | 0.001 | -0.000 | 48.390 | 0.000 |
| 0.000 | -0.001 | 0.000 | -0.000 | 0.000 | 109.871 |
| 463.906 | 244.164 | 278.966 | 0.000 | -0.000 | 0.000 |
| 244.165 | 463.905 | 278.966 | 0.000 | -0.000 | -0.000 |
| 278.965 | 278.965 | 612.628 | 0.000 | -0.000 | -0.000 |
| 0.000 | 0.000 | -0.001 | 48.390 | 0.000 | -0.000 |
| 0.000 | 0.000 | -0.001 | 0.000 | 48.390 | -0.000 |
| -0.000 | 0.001 | -0.000 | 0.000 | -0.000 | 109.871 |
| -1163.877 | 1598.873 | 1730.738 | -0.000 | -880.368 | -0.000 |
| 170.567 | 376.569 | 167.091 | 0.000 | -2.711 | -0.000 |
| -2146.480 | 1539.539 | 3444.664 | -0.000 | -1230.040 | -0.000 |
| -1519.175 | 1423.455 | 1532.709 | 83.837 | -902.719 | -17.594 |
| -2361.048 | 1378.782 | 3131.414 | -0.000 | -1152.834 | -0.000 |
| -3264.788 | 1061.742 | 4442.110 | -29.645 | -572.571 | 28.315 |
| 2689.870 | -1201.918 | -2941.245 | 0.000 | 1244.172 | 0.000 |
| 170.567 | 376.569 | 167.091 | 0.000 | -2.711 | -0.000 |
| 3544.082 | -1474.616 | -4607.793 | 0.000 | 358.255 | 0.000 |
| 1519.175 | -1423.455 | -1532.709 | 83.837 | 902.719 | -17.594 |
| 2333.054 | -1388.275 | -3148.031 | 0.000 | 1301.665 | 0.000 |
| 3264.788 | -1061.742 | -4442.110 | -29.645 | 572.571 | 28.315 |
| 107.884 | 320.072 | 512.568 | -0.000 | -105.925 | -0.000 |
| 170.567 | 376.570 | 167.091 | -0.000 | -2.711 | -0.000 |
| -135.839 | 324.179 | 803.518 | 0.000 | -42.734 | -0.000 |
| -234.734 | 138.362 | 314.017 | 79.935 | -122.741 | -25.564 |
| -248.732 | 133.620 | 305.856 | -0.000 | -48.124 | -0.000 |
| -234.937 | 138.424 | 314.344 | -24.504 | -122.835 | 42.847 |
| 665.691 | 78.213 | -242.713 | 0.000 | 74.053 | 0.000 |
| 170.567 | 376.569 | 167.091 | -0.000 | -2.711 | 0.000 |
| 546.645 | -5.174 | -148.355 | 0.000 | 37.362 | 0.000 |
| 234.734 | -138.362 | -314.017 | 79.935 | 122.741 | -25.564 |
| 136.909 | -146.198 | -152.678 | 0.000 | 172.297 | 0.000 |
| 234.937 | -138.424 | -314.344 | -24.504 | 122.835 | 42.847 |
| 339.086 | 190.137 | 213.680 | -0.000 | 12.912 | -0.000 |
| 155.960 | 363.245 | 186.776 | -0.000 | -14.353 | -0.000 |
| 180.475 | 172.468 | 346.443 | -0.000 | -7.320 | -0.000 |
| -23.715 | 13.905 | 31.795 | 79.842 | -12.385 | -25.750 |
| -15.278 | -3.787 | 5.696 | -0.000 | 92.028 | -0.000 |
| -25.492 | 14.445 | 34.652 | -26.017 | -13.210 | 38.661 |
| 373.219 | 169.413 | 151.411 | 0.000 | 19.758 | 0.000 |
| 215.426 | 341.651 | 115.421 | -0.000 | 6.130 | 0.000 |
| 222.702 | 142.348 | 271.223 | 0.000 | 7.424 | 0.000 |
| 23.715 | -13.905 | -31.795 | 79.842 | 12.385 | -25.750 |
| 14.340 | -13.339 | -50.279 | -0.000 | 79.108 | 0.000 |
| 25.492 | -14.445 | -34.652 | -26.017 | 13.210 | 38.661 |
| 403.049 | 165.197 | 196.796 | -0.000 | -45.503 | 0.000 |
| 275.199 | 317.135 | 291.189 | -0.000 | 48.298 | -0.000 |
| 291.401 | 240.953 | 385.537 | -0.000 | -8.051 | -0.000 |
| 38.908 | -290.896 | 40.750 | 21.307 | 189.835 | -30.292 |
| -67.604 | -5.617 | -43.653 | -0.000 | 60.807 | 0.000 |
| 0.000 | 0.000 | 0.000 | -9.903 | 0.000 | 58.666 |
| 403.049 | 165.197 | 196.796 | -0.000 | -45.503 | 0.000 |
| 177.806 | 272.302 | 177.629 | -0.000 | -1.703 | 0.000 |
| 101.732 | 84.166 | 154.446 | -0.000 | -74.224 | -0.000 |
| -38.908 | 290.896 | -40.750 | 21.307 | -189.835 | -30.292 |
| -67.604 | -5.617 | -43.653 | 0.000 | 60.807 | 0.000 |
| -0.000 | -0.000 | -0.000 | -9.903 | -0.000 | 58.666 |
| 393.561 | 179.739 | 198.610 | -0.000 | -53.021 | 0.000 |
| 191.664 | 238.488 | 187.890 | -0.000 | 23.560 | -0.000 |
| 204.984 | 169.902 | 279.386 | 0.000 | -37.757 | 0.000 |
| 0.000 | 0.000 | 0.000 | 55.823 | -0.000 | -13.817 |
| -64.860 | 18.930 | -29.698 | 0.000 | 50.259 | 0.000 |
| 0.000 | 0.000 | 0.000 | -9.903 | -0.000 | 58.666 |
| 403.048 | 165.197 | 196.796 | -0.000 | -45.503 | -0.000 |
| 169.323 | 228.945 | 161.950 | 0.000 | 11.756 | -0.000 |
| 206.037 | 165.333 | 292.826 | -0.000 | -43.653 | 0.000 |
| -0.000 | -0.000 | -0.000 | 55.823 | 0.000 | -13.817 |
| -67.604 | -5.617 | -43.653 | 0.000 | 60.807 | 0.000 |
| -0.000 | -0.000 | -0.000 | -9.903 | 0.000 | 58.666 |
| 366.289 | 177.957 | 177.755 | -0.000 | -66.427 | 0.000 |
| 185.039 | 164.149 | 169.706 | -0.000 | 52.349 | 0.000 |
| 191.709 | 164.040 | 267.080 | 0.000 | -41.612 | 0.000 |
| 0.000 | 0.000 | 0.000 | 55.823 | -0.000 | -13.817 |
| -67.603 | -5.617 | -43.653 | 0.000 | 60.806 | 0.000 |
| 0.000 | 0.000 | 0.000 | -9.903 | -0.000 | 58.666 |
| 403.045 | 165.196 | 196.794 | 0.000 | -45.503 | -0.000 |
| 122.078 | -29.185 | 135.363 | 0.000 | 154.936 | -0.000 |
| 196.819 | 161.793 | 272.479 | 0.000 | -42.171 | 0.000 |
| -1.045 | -0.863 | -1.274 | 40.526 | -0.364 | -15.782 |
| -67.604 | -5.617 | -43.654 | 0.000 | 60.807 | -0.000 |
| -0.000 | -0.000 | -0.000 | -9.903 | 0.000 | 58.666 |
| 274.688 | 1095.494 | 1214.074 | 0.000 | -2538.558 | 0.000 |
| 165.525 | 369.384 | 160.016 | 0.000 | -4.850 | 0.000 |
| -292.333 | 707.464 | 1148.642 | 0.000 | -2259.923 | 0.000 |
| -454.359 | 579.848 | 771.508 | -5.892 | -2257.470 | -6.938 |
| -451.296 | 578.960 | 768.001 | -0.000 | -2182.041 | 0.000 |
| 106.829 | 545.266 | 426.430 | -6.495 | -912.099 | 69.407 |
| 803.147 | -347.001 | -579.141 | -0.000 | 2410.945 | -0.000 |
| 45.125 | -191.207 | -280.705 | -0.000 | 907.481 | -0.000 |
| 616.330 | -451.970 | -394.132 | 0.000 | 2254.339 | -0.000 |
| 454.359 | -579.848 | -771.508 | -5.892 | 2257.470 | -6.938 |
| -2.504 | -4.793 | -6.575 | 0.000 | 107.344 | -0.000 |
| -106.829 | -545.266 | -426.430 | -6.495 | 912.099 | 69.407 |
| 374.143 | 206.699 | 219.310 | 0.000 | -76.069 | 0.000 |
| 92.634 | 396.994 | 204.867 | 0.000 | -224.461 | 0.000 |
| 143.400 | 199.787 | 482.165 | 0.000 | -237.921 | 0.000 |
| 10.743 | 54.832 | 42.882 | 36.547 | -91.720 | -6.440 |
| 10.003 | 52.671 | 37.799 | -0.000 | 3.906 | 0.000 |
| 10.685 | 54.537 | 42.651 | -6.495 | -91.228 | 69.407 |
| 353.804 | 98.130 | 134.698 | 0.000 | 106.849 | -0.000 |
| 165.525 | 369.384 | 160.016 | -0.000 | -4.850 | -0.000 |
| 207.166 | 70.210 | 300.774 | -0.000 | 221.366 | -0.000 |
| -10.743 | -54.832 | -42.882 | 36.547 | 91.720 | -6.440 |
| -11.463 | -56.588 | -47.621 | -0.000 | 187.023 | -0.000 |
| -10.685 | -54.537 | -42.651 | -6.495 | 91.228 | 69.407 |
| 348.391 | 152.730 | 182.174 | 0.000 | -2.665 | 0.000 |
| 165.526 | 369.384 | 160.017 | -0.000 | -4.849 | 0.000 |
| 192.719 | 159.702 | 422.107 | -0.000 | -6.574 | 0.000 |
| -4.403 | 4.301 | 7.875 | -16.338 | -26.092 | -8.178 |
| -1.279 | 5.087 | 4.370 | -0.000 | 51.725 | 0.000 |
| 0.001 | 0.000 | 0.000 | -6.306 | -0.000 | 70.592 |
| 354.510 | 140.424 | 166.040 | -0.000 | 46.557 | -0.000 |
| 151.304 | 348.686 | 141.610 | -0.000 | 5.338 | -0.000 |
| 171.431 | 129.431 | 380.149 | -0.000 | 13.875 | -0.000 |
| 4.403 | -4.301 | -7.875 | -16.338 | 26.092 | -8.178 |
| 8.932 | -6.450 | -11.479 | 0.000 | 97.618 | -0.000 |
| -0.001 | -0.000 | -0.000 | -6.306 | 0.000 | 70.592 |
| 215.060 | 153.226 | 111.401 | 0.000 | 0.000 | -0.000 |
| 137.598 | 285.655 | 137.551 | 0.000 | 0.000 | -0.000 |
| 113.317 | 168.453 | 216.716 | 0.000 | -0.000 | -0.000 |
| 0.000 | 0.000 | 0.000 | 54.848 | 0.000 | -0.000 |
| 0.514 | 4.062 | 0.518 | 0.000 | 88.732 | -0.000 |
| 1.580 | 12.490 | 1.591 | 0.000 | 0.000 | -60.403 |
| 214.026 | 145.054 | 110.360 | -0.000 | -0.000 | -0.000 |
| 156.332 | 433.697 | 156.415 | 0.000 | -0.000 | 0.000 |
| 113.317 | 168.453 | 216.716 | 0.000 | -0.000 | 0.000 |
| -0.000 | -0.000 | -0.000 | 54.848 | -0.000 | 0.000 |
| -0.514 | -4.062 | -0.518 | -0.000 | 88.732 | 0.000 |
| -1.580 | -12.490 | -1.591 | -0.000 | -0.000 | -60.403 |
| 216.979 | 168.386 | 113.333 | 0.000 | 0.000 | -0.000 |
| 137.133 | 281.977 | 137.083 | 0.000 | 0.000 | 0.000 |
| 110.916 | 149.478 | 214.298 | 0.000 | 0.000 | -0.000 |
| 0.000 | 0.000 | -0.000 | 54.848 | 0.000 | -0.000 |
| 0.051 | 0.406 | 0.052 | 0.000 | 88.732 | -0.000 |
| 0.159 | 1.258 | 0.160 | 0.000 | 0.000 | -61.114 |
| 214.491 | 148.727 | 110.828 | -0.000 | -0.000 | 0.000 |
| 137.029 | 281.161 | 136.979 | -0.000 | -0.000 | 0.000 |
| 113.317 | 168.453 | 216.716 | -0.000 | -0.000 | 0.000 |
| -0.000 | -0.000 | 0.000 | 54.848 | -0.000 | 0.000 |
| -0.051 | -0.406 | -0.052 | -0.000 | 88.732 | 0.000 |
| -0.159 | -1.258 | -0.160 | -0.000 | -0.000 | -61.114 |
| 214.548 | 149.176 | 110.886 | 0.000 | 0.000 | -0.000 |
| 137.087 | 281.616 | 137.037 | 0.000 | 0.000 | -0.000 |
| 113.318 | 168.454 | 216.716 | -0.000 | 0.000 | -0.000 |
| 0.000 | 0.000 | -0.000 | 54.848 | 0.000 | -0.000 |
| 0.006 | 0.041 | 0.006 | 0.000 | 88.732 | -0.000 |
| 0.016 | 0.125 | 0.016 | 0.000 | 0.000 | -61.121 |
| 214.537 | 149.094 | 110.874 | -0.000 | -0.000 | 0.000 |
| 137.077 | 281.536 | 137.026 | -0.000 | -0.000 | 0.000 |
| 110.858 | 149.028 | 214.241 | -0.000 | -0.000 | 0.000 |
| -0.000 | -0.000 | 0.000 | 54.848 | -0.000 | 0.000 |
| -0.006 | -0.041 | -0.006 | -0.000 | 88.732 | 0.000 |
| -0.016 | -0.125 | -0.016 | -0.000 | -0.000 | -61.121 |
| -28.967 | -230.251 | -230.251 | 0.000 | -0.000 | 0.000 |
| -230.251 | -28.967 | -230.251 | 0.000 | -0.000 | 0.000 |
| -230.251 | -230.251 | -28.967 | 0.000 | -0.000 | 0.000 |
| -462.859 | -462.859 | -462.859 | 97.125 | -0.000 | 0.000 |
| -462.859 | -462.859 | -462.859 | 0.000 | 97.125 | 0.000 |
| -462.859 | -462.859 | -462.859 | 0.000 | -0.000 | 97.125 |
| 899.981 | 698.701 | 698.701 | -0.000 | 0.000 | -0.000 |
| 698.701 | 899.981 | 698.701 | -0.000 | 0.000 | -0.000 |
| 698.701 | 698.701 | 899.981 | -0.000 | 0.000 | -0.000 |
| 462.859 | 462.859 | 462.859 | 97.125 | 0.000 | -0.000 |
| 462.859 | 462.859 | 462.859 | -0.000 | 97.125 | -0.000 |
| 462.859 | 462.859 | 462.859 | -0.000 | 0.000 | 97.125 |
| 403.056 | 206.462 | 206.462 | 0.000 | -0.000 | 0.000 |
| 206.462 | 403.056 | 206.462 | 0.000 | -0.000 | 0.000 |
| 206.462 | 206.462 | 403.056 | 0.000 | -0.000 | 0.000 |
| -27.983 | -27.983 | -27.983 | 95.235 | -0.000 | 0.000 |
| -27.983 | -27.983 | -27.983 | 0.000 | 95.235 | 0.000 |
| -27.983 | -27.983 | -27.983 | 0.000 | -0.000 | 95.235 |
| 449.390 | 234.067 | 234.067 | -0.000 | 0.000 | -0.000 |
| 234.067 | 449.390 | 234.067 | -0.000 | 0.000 | -0.000 |
| 234.067 | 234.067 | 449.390 | -0.000 | 0.000 | -0.000 |
| 27.983 | 27.983 | 27.983 | 95.235 | 0.000 | -0.000 |
| 27.983 | 27.983 | 27.983 | -0.000 | 95.235 | -0.000 |
| 27.983 | 27.983 | 27.983 | -0.000 | 0.000 | 95.235 |
| 433.018 | 233.243 | 233.243 | 0.000 | -0.000 | 0.000 |
| 233.243 | 433.018 | 233.243 | 0.000 | -0.000 | 0.000 |
| 233.243 | 233.243 | 433.018 | 0.000 | -0.000 | 0.000 |
| 0.000 | 0.000 | 0.000 | 107.639 | -0.000 | 0.000 |
| 0.000 | 0.000 | 0.000 | -0.000 | 107.639 | 0.000 |
| 0.000 | 0.000 | 0.000 | 0.000 | -0.000 | 107.639 |
| 441.898 | 236.734 | 236.734 | -0.000 | 0.000 | -0.000 |
| 236.734 | 441.898 | 236.734 | -0.000 | 0.000 | -0.000 |
| 236.734 | 236.734 | 441.898 | -0.000 | 0.000 | -0.000 |
| -0.000 | -0.000 | -0.000 | 107.639 | 0.000 | -0.000 |
| -0.000 | -0.000 | -0.000 | -0.000 | 107.639 | -0.000 |
| -0.000 | -0.000 | -0.000 | -0.000 | 0.000 | 107.639 |
| 443.655 | 230.761 | 230.761 | 0.000 | 0.000 | -0.000 |
| 230.761 | 443.655 | 230.761 | 0.000 | 0.000 | 0.000 |
| 230.761 | 230.761 | 443.655 | 0.000 | 0.000 | 0.000 |
| 1.522 | 1.522 | 1.522 | 91.950 | 0.000 | 0.000 |
| 1.522 | 1.522 | 1.522 | 0.000 | 91.950 | 0.000 |
| 1.522 | 1.522 | 1.522 | -0.000 | 0.000 | 91.950 |
| 425.350 | 231.439 | 231.439 | -0.000 | 0.000 | -0.000 |
| 231.439 | 425.350 | 231.439 | -0.000 | -0.000 | 0.000 |
| 231.439 | 231.439 | 425.350 | -0.000 | -0.000 | -0.000 |
| -1.522 | -1.522 | -1.522 | 91.950 | 0.000 | 0.000 |
| -1.522 | -1.522 | -1.522 | -0.000 | 91.950 | -0.000 |
| -1.522 | -1.522 | -1.522 | -0.000 | 0.000 | 91.950 |
| 443.655 | 230.761 | 230.761 | 0.000 | -0.000 | 0.000 |
| 230.761 | 443.655 | 230.761 | 0.000 | -0.000 | 0.000 |
| 230.761 | 230.761 | 443.655 | 0.000 | -0.000 | 0.000 |
| 0.099 | 0.099 | 0.099 | 97.234 | 0.000 | 0.000 |
| 0.099 | 0.099 | 0.099 | 0.000 | 97.234 | 0.000 |
| 0.099 | 0.099 | 0.099 | 0.000 | 0.000 | 97.234 |
| 443.655 | 230.761 | 230.761 | 0.000 | 0.000 | -0.000 |
| 230.761 | 443.655 | 230.761 | 0.000 | 0.000 | 0.000 |
| 230.761 | 230.761 | 443.655 | 0.000 | -0.000 | 0.000 |
| -0.099 | -0.099 | -0.099 | 97.234 | -0.000 | -0.000 |
| -0.099 | -0.099 | -0.099 | 0.000 | 97.234 | 0.000 |
| -0.099 | -0.099 | -0.099 | -0.000 | 0.000 | 97.234 |
| 443.658 | 230.762 | 230.762 | 0.000 | -0.000 | 0.000 |
| 230.762 | 443.658 | 230.762 | -0.000 | 0.000 | 0.000 |
| 230.762 | 230.762 | 443.658 | 0.000 | 0.000 | 0.000 |
| 0.001 | 0.001 | 0.001 | 95.193 | -0.000 | 0.000 |
| 0.001 | 0.001 | 0.001 | 0.000 | 95.193 | 0.000 |
| 0.001 | 0.001 | 0.001 | 0.000 | 0.000 | 95.193 |
| 443.652 | 230.760 | 230.760 | 0.000 | -0.000 | 0.000 |
| 230.760 | 443.652 | 230.760 | 0.000 | -0.000 | -0.000 |
| 230.760 | 230.760 | 443.652 | 0.000 | 0.000 | -0.000 |
| -0.001 | -0.001 | -0.001 | 95.193 | 0.000 | 0.000 |
| -0.001 | -0.001 | -0.001 | -0.000 | 95.193 | 0.000 |
| -0.001 | -0.001 | -0.001 | -0.000 | 0.000 | 95.193 |
| 291.114 | 175.794 | 175.794 | 0.000 | 0.000 | 0.000 |
| 175.794 | 291.114 | 175.794 | 0.000 | 0.000 | 0.000 |
| 175.794 | 175.794 | 291.114 | 0.000 | 0.000 | 0.000 |
| -0.209 | -0.209 | -0.209 | 55.932 | 0.000 | -0.000 |
| -0.209 | -0.209 | -0.209 | 0.000 | 55.932 | -0.000 |
| -0.209 | -0.209 | -0.209 | 0.000 | 0.000 | 55.932 |
| 291.114 | 175.794 | 175.794 | -0.000 | -0.000 | -0.000 |
| 175.794 | 291.114 | 175.794 | -0.000 | -0.000 | 0.000 |
| 175.794 | 175.794 | 291.114 | -0.000 | -0.000 | 0.000 |
| 0.209 | 0.209 | 0.209 | 55.932 | -0.000 | -0.000 |
| 0.209 | 0.209 | 0.209 | -0.000 | 55.931 | -0.000 |
| 0.209 | 0.209 | 0.209 | 0.000 | 0.000 | 55.932 |
| 291.114 | 175.794 | 175.794 | 0.000 | -0.000 | -0.000 |
| 175.794 | 291.114 | 175.794 | 0.000 | -0.000 | -0.000 |
| 175.794 | 175.794 | 291.114 | 0.000 | 0.000 | -0.000 |
| -0.021 | -0.021 | -0.021 | 55.927 | 0.000 | -0.000 |
| -0.021 | -0.021 | -0.021 | 0.000 | 55.927 | 0.000 |
| -0.021 | -0.021 | -0.021 | 0.000 | 0.000 | 55.927 |
| 280.892 | 174.426 | 174.426 | -0.000 | -0.000 | 0.000 |
| 174.426 | 280.892 | 174.426 | -0.000 | -0.000 | -0.000 |
| 174.426 | 174.426 | 280.892 | -0.000 | -0.000 | 0.000 |
| 0.021 | 0.021 | 0.021 | 55.927 | -0.000 | -0.000 |
| 0.021 | 0.021 | 0.021 | -0.000 | 55.927 | -0.000 |
| 0.021 | 0.021 | 0.021 | -0.000 | -0.000 | 55.927 |
| 280.888 | 174.404 | 174.404 | 0.000 | -0.000 | 0.000 |
| 174.404 | 280.888 | 174.404 | 0.000 | 0.000 | 0.000 |
| 174.404 | 174.404 | 280.888 | 0.000 | 0.000 | 0.000 |
| -0.001 | -0.001 | -0.001 | 46.520 | 0.000 | 0.000 |
| -0.001 | -0.001 | -0.001 | 0.000 | 46.520 | -0.000 |
| -0.001 | -0.001 | -0.001 | 0.000 | -0.000 | 46.520 |
| 291.112 | 175.794 | 175.794 | -0.000 | -0.000 | -0.000 |
| 175.794 | 291.112 | 175.794 | -0.000 | -0.000 | 0.000 |
| 175.794 | 175.794 | 291.112 | -0.000 | 0.000 | 0.000 |
| 0.001 | 0.001 | 0.001 | 46.520 | -0.000 | -0.000 |
| 0.001 | 0.001 | 0.001 | -0.000 | 46.520 | -0.000 |
| 0.001 | 0.001 | 0.001 | -0.000 | -0.000 | 46.520 |
| 286.426 | 172.521 | 172.521 | 0.000 | 0.000 | 0.000 |
| 172.521 | 286.426 | 172.521 | -0.000 | 0.000 | 0.000 |
| 172.521 | 172.521 | 286.426 | -0.000 | 0.000 | 0.000 |
| -0.658 | -0.658 | -0.658 | 48.916 | -0.000 | 0.000 |
| -0.658 | -0.658 | -0.658 | 0.000 | 48.916 | 0.000 |
| -0.658 | -0.658 | -0.658 | -0.000 | -0.000 | 48.916 |
| 286.426 | 172.521 | 172.521 | 0.000 | -0.000 | -0.000 |
| 172.521 | 286.426 | 172.521 | 0.000 | -0.000 | 0.000 |
| 172.521 | 172.521 | 286.426 | -0.000 | -0.000 | -0.000 |
| 0.658 | 0.658 | 0.658 | 48.916 | 0.000 | 0.000 |
| 0.658 | 0.658 | 0.658 | -0.000 | 48.916 | -0.000 |
| 0.658 | 0.658 | 0.658 | 0.000 | -0.000 | 48.916 |
| 275.789 | 171.537 | 171.537 | 0.000 | 0.000 | 0.000 |
| 171.537 | 275.789 | 171.537 | 0.000 | 0.000 | 0.000 |
| 171.537 | 171.537 | 275.789 | 0.000 | 0.000 | 0.000 |
| -0.093 | -0.093 | -0.093 | 48.433 | -0.000 | 0.000 |
| -0.093 | -0.093 | -0.093 | -0.000 | 48.433 | 0.000 |
| -0.093 | -0.093 | -0.093 | -0.000 | 0.000 | 48.433 |
| 276.069 | 171.187 | 171.187 | -0.000 | -0.000 | 0.000 |
| 171.187 | 276.069 | 171.187 | -0.000 | -0.000 | -0.000 |
| 171.187 | 171.187 | 276.069 | -0.000 | -0.000 | -0.000 |
| 0.093 | 0.093 | 0.093 | 48.433 | 0.000 | -0.000 |
| 0.093 | 0.093 | 0.093 | 0.000 | 48.433 | -0.000 |
| 0.093 | 0.093 | 0.093 | 0.000 | 0.000 | 48.433 |
| 286.427 | 172.522 | 172.522 | -0.000 | 0.000 | -0.000 |
| 172.522 | 286.427 | 172.522 | -0.000 | 0.000 | 0.000 |
| 172.522 | 172.522 | 286.427 | -0.000 | 0.000 | 0.000 |
| 0.019 | 0.019 | 0.019 | 55.758 | 0.000 | 0.000 |
| 0.019 | 0.019 | 0.019 | 0.000 | 55.758 | 0.000 |
| 0.019 | 0.019 | 0.019 | 0.000 | 0.000 | 55.758 |
| 275.953 | 171.339 | 171.339 | -0.000 | -0.000 | -0.000 |
| 171.339 | 275.953 | 171.339 | -0.000 | -0.000 | -0.000 |
| 171.339 | 171.339 | 275.953 | -0.000 | -0.000 | -0.000 |
| -0.019 | -0.019 | -0.019 | 55.758 | -0.000 | 0.000 |
| -0.019 | -0.019 | -0.019 | -0.000 | 55.758 | -0.000 |
| -0.019 | -0.019 | -0.019 | -0.000 | -0.000 | 55.758 |
| 550.267 | 228.283 | 215.754 | -0.000 | -0.000 | -0.000 |
| 226.007 | 435.923 | 159.939 | 0.000 | -0.000 | -0.000 |
| 218.022 | 163.611 | 416.465 | -0.000 | -0.000 | -0.000 |
| -0.113 | 1.228 | -1.325 | -109.323 | -0.000 | -0.000 |
| -0.000 | 0.000 | -0.000 | 0.000 | 119.127 | -0.000 |
| -0.000 | 0.000 | 0.000 | 0.000 | -0.000 | 97.605 |
| 550.454 | 226.245 | 217.952 | 0.000 | 0.000 | 0.000 |
| 225.694 | 439.333 | 156.262 | 0.000 | 0.000 | 0.000 |
| 218.244 | 161.186 | 419.079 | 0.000 | -0.000 | 0.000 |
| 0.113 | -1.228 | 1.325 | -109.323 | 0.000 | 0.000 |
| 0.000 | -0.000 | 0.000 | -0.000 | 119.127 | 0.000 |
| 0.000 | -0.000 | -0.000 | -0.000 | 0.000 | 97.605 |
| 550.453 | 226.245 | 217.953 | -0.000 | -0.000 | -0.000 |
| 225.695 | 439.333 | 156.262 | 0.000 | -0.000 | -0.000 |
| 218.587 | 157.447 | 423.113 | 0.000 | -0.000 | 0.000 |
| 0.000 | 0.000 | 0.000 | 29.492 | -0.000 | -0.000 |
| -0.000 | 0.000 | -0.000 | -0.000 | 119.127 | -0.000 |
| -0.000 | 0.000 | 0.000 | 0.000 | -0.000 | 97.605 |
| 550.454 | 226.244 | 217.952 | 0.000 | 0.000 | 0.000 |
| 225.694 | 439.332 | 156.262 | -0.000 | 0.000 | 0.000 |
| 218.587 | 157.447 | 423.112 | -0.000 | 0.000 | 0.000 |
| -0.000 | -0.000 | -0.000 | 29.492 | 0.000 | 0.000 |
| 0.000 | -0.000 | 0.000 | 0.000 | 119.127 | 0.000 |
| 0.000 | -0.000 | -0.000 | 0.000 | 0.000 | 97.605 |
| 550.452 | 226.245 | 217.953 | 0.000 | -0.000 | -0.000 |
| 225.696 | 439.338 | 156.265 | 0.000 | -0.000 | -0.000 |
| 218.588 | 157.449 | 423.117 | 0.000 | -0.000 | -0.000 |
| -0.008 | 0.088 | -0.089 | -109.779 | -0.000 | -0.000 |
| -0.001 | 0.000 | -0.000 | 0.000 | 119.127 | -0.000 |
| -0.000 | 0.001 | 0.000 | -0.000 | -0.000 | 97.605 |
| 550.418 | 226.640 | 217.525 | 0.000 | 0.000 | 0.000 |
| 225.692 | 439.327 | 156.260 | 0.000 | 0.000 | 0.000 |
| 218.586 | 157.445 | 423.107 | -0.000 | 0.000 | 0.000 |
| 0.008 | -0.088 | 0.089 | -109.779 | 0.000 | 0.000 |
| 0.001 | -0.000 | 0.000 | -0.000 | 119.127 | -0.000 |
| 0.000 | -0.001 | -0.000 | 0.000 | 0.000 | 97.605 |
| 267.908 | 110.108 | 147.865 | 0.000 | 0.000 | 0.000 |
| 92.288 | 277.929 | 136.483 | -0.000 | 0.000 | 0.000 |
| 142.424 | 134.520 | 484.833 | -0.000 | -0.000 | 0.000 |
| -0.000 | -0.000 | -0.000 | 82.710 | 0.000 | 0.000 |
| -0.000 | -0.000 | -0.000 | -0.000 | 42.611 | 0.000 |
| -0.000 | -0.002 | -0.000 | -0.000 | -0.000 | -112.746 |
| 263.769 | 89.852 | 141.951 | 0.000 | 0.000 | -0.000 |
| 92.288 | 277.930 | 136.483 | 0.000 | 0.000 | -0.000 |
| 142.424 | 134.520 | 484.833 | 0.000 | 0.000 | -0.000 |
| 0.000 | 0.000 | 0.000 | 82.710 | -0.000 | -0.000 |
| 0.000 | 0.000 | 0.000 | -0.000 | 42.611 | 0.000 |
| 0.000 | 0.002 | 0.000 | 0.000 | 0.000 | -112.746 |
| 267.909 | 110.108 | 147.865 | 0.000 | 0.000 | 0.000 |
| 112.544 | 377.059 | 165.426 | 0.000 | 0.000 | 0.000 |
| 148.338 | 163.463 | 493.283 | 0.000 | -0.000 | 0.000 |
| 0.000 | -0.000 | -0.000 | 93.181 | 0.000 | 0.000 |
| 0.000 | 0.000 | -0.000 | 0.000 | 42.611 | 0.000 |
| 0.001 | 0.000 | 0.000 | -0.000 | 0.000 | -112.746 |
| 263.768 | 89.851 | 141.950 | 0.000 | 0.000 | -0.000 |
| 92.287 | 277.929 | 136.483 | 0.000 | 0.000 | -0.000 |
| 148.338 | 163.463 | 493.283 | -0.000 | -0.000 | -0.000 |
| -0.000 | 0.000 | 0.000 | 93.181 | 0.000 | -0.000 |
| -0.000 | -0.000 | 0.000 | 0.000 | 42.611 | 0.000 |
| -0.001 | -0.000 | -0.000 | 0.000 | -0.000 | -112.746 |
| 267.913 | 110.109 | 147.866 | 0.000 | 0.000 | 0.000 |
| 92.290 | 277.932 | 136.485 | -0.000 | -0.000 | 0.000 |
| 148.338 | 163.463 | 493.284 | 0.000 | -0.000 | 0.000 |
| 0.000 | -0.000 | -0.000 | 82.710 | -0.000 | 0.000 |
| 0.001 | 0.001 | 0.000 | -0.000 | 42.611 | 0.000 |
| 0.013 | 0.006 | 0.003 | -0.000 | -0.000 | -112.746 |
| 267.903 | 110.106 | 147.863 | -0.000 | 0.000 | -0.000 |
| 92.285 | 277.926 | 136.481 | 0.000 | 0.000 | -0.000 |
| 142.423 | 134.519 | 484.831 | 0.000 | -0.000 | -0.000 |
| -0.000 | 0.000 | 0.000 | 82.710 | 0.000 | -0.000 |
| -0.001 | -0.001 | -0.000 | 0.000 | 42.611 | 0.000 |
| -0.013 | -0.006 | -0.003 | 0.000 | -0.000 | -112.746 |
| 293.941 | 116.147 | 163.348 | -0.000 | -0.000 | 0.000 |
| 116.148 | 320.986 | 180.529 | 0.000 | -0.000 | 0.000 |
| 163.348 | 180.528 | 513.403 | 0.000 | 0.000 | 0.000 |
| -0.400 | -5.617 | -1.073 | 91.969 | -0.000 | -0.000 |
| 0.000 | 0.000 | 0.000 | 0.000 | 52.385 | 0.000 |
| -2.860 | -40.175 | -7.676 | -0.000 | -0.000 | -16.024 |
| 294.697 | 126.766 | 165.376 | 0.000 | -0.000 | -0.000 |
| 116.148 | 320.986 | 180.529 | 0.000 | 0.000 | -0.000 |
| 163.528 | 183.065 | 513.888 | 0.000 | -0.000 | -0.000 |
| 0.400 | 5.617 | 1.073 | 91.969 | -0.000 | -0.000 |
| -0.000 | -0.000 | -0.000 | -0.000 | 52.385 | 0.000 |
| 2.860 | 40.175 | 7.676 | 0.000 | 0.000 | -16.024 |
| 293.490 | 109.805 | 162.136 | -0.000 | -0.000 | 0.000 |
| 116.148 | 320.986 | 180.529 | -0.000 | 0.000 | 0.000 |
| 162.321 | 166.104 | 510.647 | -0.000 | -0.000 | 0.000 |
| -0.036 | -0.507 | -0.097 | 92.698 | -0.000 | 0.000 |
| -0.110 | -1.542 | -0.295 | -0.000 | 52.385 | 0.000 |
| -0.447 | -6.289 | -1.201 | -0.000 | -0.000 | -38.831 |
| 293.708 | 112.889 | 162.725 | 0.000 | -0.000 | -0.000 |
| 111.458 | 255.104 | 167.941 | 0.000 | 0.000 | -0.000 |
| 163.348 | 180.528 | 513.403 | 0.000 | -0.000 | -0.000 |
| 0.036 | 0.507 | 0.097 | 92.698 | 0.000 | 0.000 |
| 0.110 | 1.542 | 0.295 | 0.000 | 52.385 | 0.000 |
| 0.447 | 6.289 | 1.201 | 0.000 | 0.000 | -38.831 |
| 293.595 | 111.194 | 162.402 | -0.000 | -0.000 | 0.000 |
| 111.337 | 253.408 | 167.619 | -0.000 | 0.000 | 0.000 |
| 162.420 | 167.493 | 510.914 | -0.000 | -0.000 | 0.000 |
| -0.003 | -0.051 | -0.009 | 92.705 | -0.000 | -0.000 |
| -0.010 | -0.154 | -0.029 | -0.000 | 52.385 | 0.000 |
| -0.003 | -0.151 | -0.027 | 0.000 | 0.000 | -39.277 |
| 293.604 | 111.500 | 162.458 | 0.000 | 0.000 | -0.000 |
| 111.358 | 253.717 | 167.675 | 0.000 | 0.000 | -0.000 |
| 163.347 | 180.528 | 513.402 | -0.000 | 0.000 | -0.000 |
| 0.003 | 0.051 | 0.009 | 92.705 | -0.000 | -0.000 |
| 0.010 | 0.154 | 0.029 | 0.000 | 52.385 | -0.000 |
| 0.003 | 0.151 | 0.027 | -0.000 | 0.000 | -39.277 |
| 301.686 | 207.223 | 88.774 | -0.000 | 0.000 | 0.000 |
| 207.223 | 301.686 | 88.774 | -0.000 | 0.000 | 0.000 |
| 88.774 | 88.774 | 405.824 | -0.000 | 0.000 | 0.000 |
| -0.000 | 0.000 | 0.000 | -68.614 | 0.000 | 0.000 |
| 0.000 | 0.000 | 0.000 | -0.000 | -68.614 | 0.000 |
| 0.000 | 0.000 | 0.000 | -0.000 | 0.000 | 47.232 |
| 301.686 | 207.223 | 88.774 | -0.000 | 0.000 | -0.000 |
| 207.223 | 301.686 | 88.774 | 0.000 | -0.000 | -0.000 |
| 88.774 | 88.774 | 405.824 | 0.000 | -0.000 | -0.000 |
| 0.000 | -0.000 | -0.000 | -68.614 | -0.000 | -0.000 |
| -0.000 | -0.000 | -0.000 | 0.000 | -68.614 | -0.000 |
| -0.000 | -0.000 | -0.000 | 0.000 | -0.000 | 47.232 |
| 72.729 | 436.181 | 88.774 | -0.000 | 0.000 | 0.000 |
| 207.223 | 301.686 | 88.774 | -0.000 | 0.000 | 0.000 |
| 88.774 | 88.774 | 405.825 | -0.000 | 0.000 | 0.000 |
| 0.000 | 0.000 | 0.000 | -68.614 | 0.000 | 0.000 |
| 0.000 | 0.000 | 0.000 | -0.000 | -68.614 | 0.000 |
| -180278453.445 | -164734996.532 | -192804124.149 | 9056.270 | 66320.979 | 5745110.115 |
| 72.729 | 436.181 | 88.773 | 0.000 | -0.000 | -0.000 |
| 160858559.236 | 188836388.491 | 215155595.186 | -48745.902 | 16712.023 | 3787141.915 |
| 88.774 | 88.774 | 405.823 | 0.000 | 0.000 | -0.000 |
| -0.000 | -0.000 | -0.000 | -68.614 | -0.000 | -0.000 |
| -0.000 | -0.000 | -0.000 | 0.000 | -68.614 | -0.000 |
| 176433230.302 | 175934077.455 | 195143501.028 | -17019.764 | 56297.391 | 5600343.561 |
| -16561396.443 | -19021087.638 | -22169544.806 | 4784.566 | -3434.105 | 68168.406 |
| 207.223 | 301.687 | 88.775 | -0.000 | 0.000 | 0.000 |
| 88.776 | 88.776 | 405.833 | -0.000 | 0.000 | 0.000 |
| 0.000 | 0.001 | 0.001 | -68.614 | 0.000 | 0.000 |
| 0.002 | -0.001 | 0.001 | -0.000 | -68.614 | 0.000 |
| 0.000 | -0.000 | 0.000 | -0.000 | 0.000 | 47.232 |
| -9524167.378 | -9305041.701 | -4040153.304 | -0.000 | -0.000 | -0.008 |
| 207.223 | 301.686 | 88.772 | 0.000 | -0.000 | -0.000 |
| 88.772 | 88.772 | 405.815 | 0.000 | -0.000 | -0.000 |
| -0.000 | -0.001 | -0.001 | -68.614 | -0.000 | -0.000 |
| -0.002 | 0.001 | -0.001 | 0.000 | -68.614 | 0.000 |
| -0.000 | 0.000 | -0.000 | 0.000 | -0.000 | 47.232 |
| -48.905 | 268.644 | 133.988 | 49.120 | 0.000 | 0.000 |
| 108.696 | 119.929 | 92.241 | -17.331 | 0.000 | -0.000 |
| 92.037 | 92.037 | 303.769 | 0.000 | -0.000 | -0.000 |
| 17.331 | -17.331 | 0.000 | -13.394 | -0.000 | -0.000 |
| 0.000 | 0.000 | -0.002 | 0.000 | -19.542 | 49.120 |
| -0.000 | -0.000 | 0.000 | -0.000 | 17.331 | 5.617 |
| -48.905 | 268.644 | 133.992 | 49.120 | 0.000 | -0.000 |
| 108.696 | 119.929 | 92.241 | -17.331 | 0.000 | -0.000 |
| 92.037 | 92.037 | 303.769 | -0.000 | -0.000 | -0.000 |
| 49.120 | -49.121 | 0.002 | -19.542 | -0.000 | -0.000 |
| -0.000 | -0.000 | 0.002 | -0.000 | -19.542 | 49.120 |
| 0.000 | 0.000 | -0.000 | 0.000 | 17.331 | 5.617 |
| -51270096.137 | 15726632.381 | 9952949.774 | 29620680.492 | -0.004 | 0.006 |
| 108.696 | 119.929 | 92.241 | -17.331 | -0.000 | 0.000 |
| 99.009 | 99.009 | 238.267 | 0.000 | 0.000 | 0.000 |
| 17.331 | -17.331 | -0.000 | -13.394 | -0.000 | -0.000 |
| -0.000 | 0.000 | -0.000 | -0.000 | -19.542 | 49.120 |
| -0.000 | -0.000 | 0.000 | -0.000 | 17.331 | 5.617 |
| 119.929 | 108.696 | 92.241 | 17.331 | -0.000 | -0.000 |
| 125345249.131 | 128531564.586 | 53533471.614 | -6240097.212 | -20076943.007 | 3681152.255 |
| 92.037 | 92.037 | 303.769 | -0.000 | 0.000 | 0.000 |
| 49.120 | -49.120 | 0.000 | -19.542 | -0.000 | -0.000 |
| 0.000 | -0.000 | 0.000 | 0.000 | -19.542 | 49.120 |
| 0.000 | 0.000 | -0.000 | 0.000 | 17.331 | 5.617 |
| -5126860.543 | 1572768.326 | 995368.478 | 2962105.374 | -0.000 | 0.000 |
| 131.730 | 95.909 | 96.874 | -21.880 | 0.000 | -0.000 |
| 99.010 | 99.010 | 238.267 | 0.000 | -0.000 | -0.000 |
| 5963106.346 | -8969743.357 | 792336.366 | -3797247.946 | 0.000 | -0.000 |
| -5236518.785 | 2229882.635 | 792336.122 | 1898632.253 | -3288516.354 | 6466115.334 |
| -5236490.415 | 2229886.210 | 792334.739 | 1898656.478 | 3288588.006 | -6466053.780 |
| -5962906.085 | 8969819.637 | -792211.374 | 3797322.886 | 0.000 | -0.000 |
| 108.696 | 119.930 | 92.241 | -17.332 | 0.000 | 0.000 |
| 99.009 | 99.009 | 238.264 | -0.000 | 0.000 | -0.000 |
| 12560013.107 | 12860700.558 | 5370850.476 | -625758.574 | -2036073.199 | 371889.447 |
| 5236517.842 | -2229882.441 | -792336.016 | -1898631.272 | -3288516.218 | 6466114.478 |
| 5236490.415 | -2229886.211 | -792334.741 | -1898656.480 | 3288588.005 | -6466053.780 |
| 251.910 | 193.969 | 193.969 | 0.000 | 0.000 | -0.000 |
| 193.969 | 251.910 | 193.969 | -0.000 | 0.000 | -0.000 |
| 193.969 | 193.969 | 251.910 | 0.000 | 0.000 | -0.000 |
| -0.000 | -0.000 | 0.000 | 16.732 | 0.000 | -0.000 |
| -0.000 | -0.000 | -0.000 | -0.000 | 16.732 | -0.000 |
| -0.000 | -0.000 | -0.000 | -0.000 | 0.000 | 16.732 |
| 251.910 | 193.969 | 193.969 | -0.000 | -0.000 | 0.000 |
| 193.969 | 251.910 | 193.969 | 0.000 | -0.000 | 0.000 |
| 193.969 | 193.969 | 251.910 | 0.000 | -0.000 | 0.000 |
| 0.000 | 0.000 | 0.000 | 16.732 | 0.000 | 0.000 |
| 0.000 | 0.000 | 0.000 | 0.000 | 16.732 | 0.000 |
| 0.000 | 0.000 | 0.000 | 0.000 | -0.000 | 16.732 |
| 251.910 | 193.969 | 193.969 | -0.000 | 0.000 | -0.000 |
| 193.969 | 251.910 | 193.969 | 0.000 | 0.000 | 0.000 |
| 193.969 | 193.969 | 251.910 | 0.000 | 0.000 | -0.000 |
| 0.000 | -0.000 | -0.000 | 9.925 | 0.000 | 0.000 |
| -0.000 | 0.000 | -0.000 | -0.000 | 9.925 | -0.000 |
| -0.000 | -0.000 | 0.000 | -0.000 | 0.000 | 9.925 |
| 251.910 | 193.969 | 193.969 | 0.000 | -0.000 | 0.000 |
| 193.969 | 251.910 | 193.969 | 0.000 | -0.000 | 0.000 |
| 193.969 | 193.969 | 251.910 | 0.000 | -0.000 | 0.000 |
| -0.000 | 0.000 | 0.000 | 9.925 | -0.000 | 0.000 |
| 0.000 | -0.000 | 0.000 | 0.000 | 9.925 | 0.000 |
| 0.000 | 0.000 | -0.000 | 0.000 | -0.000 | 9.925 |
| 251.910 | 193.969 | 193.969 | 0.000 | 0.000 | -0.000 |
| 193.969 | 251.910 | 193.969 | -0.000 | 0.000 | -0.000 |
| 193.969 | 193.969 | 251.910 | -0.000 | 0.000 | -0.000 |
| 0.000 | 0.000 | 0.000 | 16.732 | 0.000 | 0.000 |
| 0.000 | 0.000 | 0.000 | -0.000 | 16.732 | -0.000 |
| 0.000 | 0.000 | 0.000 | -0.000 | 0.000 | 16.732 |
| 251.909 | 193.969 | 193.969 | 0.000 | -0.000 | 0.000 |
| 193.969 | 251.909 | 193.969 | 0.000 | -0.000 | 0.000 |
| 193.969 | 193.969 | 251.909 | -0.000 | -0.000 | 0.000 |
| -0.000 | -0.000 | -0.000 | 16.732 | -0.000 | 0.000 |
| -0.000 | -0.000 | -0.000 | 0.000 | 16.732 | 0.000 |
| -0.000 | -0.000 | -0.000 | 0.000 | -0.000 | 16.732 |
| 67.886 | 18.428 | 18.428 | 0.000 | 0.000 | 0.000 |
| 18.428 | 67.886 | 18.428 | -0.000 | -0.000 | 0.000 |
| 18.428 | 18.428 | 67.886 | 0.000 | 0.000 | 0.000 |
| -0.000 | -0.000 | 0.000 | 12.052 | -0.000 | 0.000 |
| -0.000 | -0.000 | 0.000 | 0.000 | 12.052 | 0.000 |
| -0.000 | -0.000 | -0.000 | 0.000 | -0.000 | 12.052 |
| 67.886 | 18.428 | 18.428 | -0.000 | -0.000 | 0.000 |
| 18.428 | 67.886 | 18.428 | -0.000 | 0.000 | -0.000 |
| 18.428 | 18.428 | 67.886 | -0.000 | -0.000 | 0.000 |
| 0.000 | 0.000 | 0.000 | 12.052 | 0.000 | 0.000 |
| 0.000 | 0.000 | -0.000 | -0.000 | 12.052 | -0.000 |
| 0.000 | 0.000 | 0.000 | -0.000 | 0.000 | 12.052 |
| 67.886 | 18.428 | 18.428 | 0.000 | -0.000 | 0.000 |
| 18.428 | 67.886 | 18.428 | 0.000 | -0.000 | 0.000 |
| 18.428 | 18.428 | 67.886 | 0.000 | -0.000 | -0.000 |
| -0.000 | -0.000 | -0.000 | 12.052 | -0.000 | -0.000 |
| -0.000 | -0.000 | -0.000 | 0.000 | 12.052 | -0.000 |
| -0.000 | -0.000 | -0.000 | 0.000 | -0.000 | 12.052 |
| 67.886 | 18.428 | 18.428 | 0.000 | -0.000 | 0.000 |
| 18.428 | 67.886 | 18.428 | -0.000 | 0.000 | 0.000 |
| 18.428 | 18.428 | 67.886 | -0.000 | 0.000 | 0.000 |
| 0.000 | 0.000 | 0.000 | 12.052 | 0.000 | -0.000 |
| 0.000 | 0.000 | 0.000 | -0.000 | 12.052 | -0.000 |
| 0.000 | 0.000 | 0.000 | -0.000 | 0.000 | 12.052 |
| 67.886 | 18.428 | 18.428 | 0.000 | -0.000 | -0.000 |
| 18.428 | 67.886 | 18.428 | 0.000 | -0.000 | 0.000 |
| 18.428 | 18.428 | 67.886 | 0.000 | -0.000 | -0.000 |
| -0.000 | -0.000 | -0.000 | 12.052 | -0.000 | 0.000 |
| -0.000 | -0.000 | -0.000 | 0.000 | 12.052 | 0.000 |
| -0.000 | -0.000 | -0.000 | 0.000 | -0.000 | 12.052 |
| 67.885 | 18.429 | 18.429 | -0.000 | 0.000 | 0.000 |
| 18.429 | 67.885 | 18.429 | -0.000 | -0.000 | -0.000 |
| 18.429 | 18.429 | 67.885 | -0.000 | -0.000 | 0.000 |
| 0.000 | 0.000 | 0.000 | 12.052 | 0.000 | -0.000 |
| 0.000 | 0.000 | 0.000 | -0.000 | 12.052 | -0.000 |
| 0.000 | 0.000 | 0.000 | -0.000 | 0.000 | 12.052 |
| 69.529 | 33.619 | 33.619 | -0.000 | -0.000 | 0.000 |
| 33.619 | 69.529 | 33.619 | 0.000 | -0.000 | -0.000 |
| 33.619 | 33.619 | 69.529 | 0.000 | -0.000 | 0.000 |
| -0.000 | -0.000 | -0.000 | 17.313 | 0.000 | 0.000 |
| -0.000 | -0.000 | -0.000 | 0.000 | 17.313 | 0.000 |
| -0.000 | -0.000 | 0.000 | 0.000 | -0.000 | 17.313 |
| 69.529 | 33.619 | 33.619 | -0.000 | -0.000 | -0.000 |
| 33.619 | 69.529 | 33.619 | -0.000 | 0.000 | 0.000 |
| 33.619 | 33.619 | 69.529 | -0.000 | 0.000 | -0.000 |
| -0.000 | 0.000 | 0.000 | 17.313 | -0.000 | -0.000 |
| 0.000 | -0.000 | 0.000 | -0.000 | 17.313 | 0.000 |
| 0.000 | 0.000 | -0.000 | -0.000 | 0.000 | 17.313 |
| 69.529 | 33.619 | 33.619 | -0.000 | 0.000 | 0.000 |
| 33.619 | 69.529 | 33.619 | 0.000 | -0.000 | -0.000 |
| 33.619 | 33.619 | 69.529 | -0.000 | -0.000 | 0.000 |
| -0.000 | -0.000 | -0.000 | 17.313 | -0.000 | 0.000 |
| -0.000 | -0.000 | -0.000 | 0.000 | 17.313 | 0.000 |
| -0.000 | -0.000 | -0.000 | -0.000 | 0.000 | 17.313 |
| 69.529 | 33.619 | 33.619 | -0.000 | 0.000 | -0.000 |
| 33.619 | 69.529 | 33.619 | -0.000 | -0.000 | 0.000 |
| 33.619 | 33.619 | 69.529 | -0.000 | 0.000 | -0.000 |
| 0.000 | 0.000 | 0.000 | 17.313 | 0.000 | -0.000 |
| 0.000 | 0.000 | 0.000 | -0.000 | 17.313 | -0.000 |
| 0.000 | 0.000 | 0.000 | 0.000 | 0.000 | 17.313 |
| 69.529 | 33.619 | 33.619 | 0.000 | 0.000 | 0.000 |
| 33.619 | 69.529 | 33.619 | 0.000 | -0.000 | -0.000 |
| 33.619 | 33.619 | 69.529 | 0.000 | 0.000 | 0.000 |
| -0.000 | -0.000 | -0.000 | 17.313 | -0.000 | -0.000 |
| -0.000 | -0.000 | -0.000 | 0.000 | 17.313 | 0.000 |
| -0.000 | -0.000 | -0.000 | 0.000 | 0.000 | 17.313 |
| 69.529 | 33.619 | 33.619 | -0.000 | 0.000 | -0.000 |
| 33.619 | 69.529 | 33.619 | -0.000 | 0.000 | -0.000 |
| 33.619 | 33.619 | 69.529 | -0.000 | 0.000 | -0.000 |
| 0.000 | 0.000 | 0.000 | 17.313 | 0.000 | -0.000 |
| 0.000 | 0.000 | 0.000 | 0.000 | 17.313 | -0.000 |
| 0.000 | 0.000 | 0.000 | 0.000 | -0.000 | 17.313 |
| 225.100 | 202.157 | 175.825 | 0.000 | -0.000 | -0.000 |
| 202.157 | 225.100 | 175.825 | -0.000 | 0.000 | 0.000 |
| 187.673 | 187.673 | 226.207 | 0.000 | -0.000 | 0.000 |
| 0.000 | -0.000 | 0.000 | 9.774 | 0.000 | -0.000 |
| -0.000 | -0.000 | 0.000 | 0.000 | 9.774 | -0.000 |
| 0.000 | -0.000 | 0.000 | -0.000 | 0.000 | 76.344 |
| 863224167.628 | 1014075751.252 | 399933957.221 | -320408.987 | -2276076.617 | -12463750.459 |
| 1002701855.243 | 834481996.612 | 490014714.051 | 4565190.903 | 5405051.600 | -19821391.414 |
| 187.673 | 187.673 | 226.207 | -0.000 | -0.000 | 0.000 |
| -0.000 | 0.000 | -0.000 | 9.774 | 0.000 | 0.000 |
| 0.000 | 0.000 | -0.000 | 0.000 | 9.774 | 0.000 |
| 0.000 | 0.000 | -0.000 | 0.000 | 0.000 | 76.344 |
| 225.099 | 202.157 | 175.825 | -0.000 | 0.000 | 0.000 |
| 202.157 | 225.099 | 175.825 | -0.000 | -0.000 | -0.000 |
| 187.673 | 187.673 | 226.207 | -0.000 | 0.000 | -0.000 |
| -0.000 | -0.000 | -0.000 | 9.774 | -0.000 | -0.000 |
| -0.000 | -0.000 | -0.000 | -0.000 | 9.774 | -0.000 |
| -0.000 | -0.000 | -0.000 | -0.000 | 0.000 | 76.344 |
| 245.101 | 210.781 | 173.132 | 0.000 | 0.000 | 0.000 |
| 210.781 | 245.101 | 173.132 | 0.000 | 0.000 | 0.000 |
| 187.673 | 187.673 | 226.207 | -0.000 | -0.000 | 0.000 |
| 0.000 | 0.000 | 0.000 | 9.774 | 0.000 | 0.000 |
| 0.000 | 0.000 | 0.000 | 0.000 | 9.774 | 0.000 |
| 0.000 | 0.000 | 0.000 | 0.000 | 0.000 | 76.344 |
| -9535653.179 | -8872044.283 | -3737409.842 | -27040.051 | 56563.492 | 152737.444 |
| -1242725.742 | -5698574.622 | -2613893.269 | -0.000 | 0.000 | 0.001 |
| 185.878 | 185.878 | 226.543 | 0.000 | 0.000 | -0.000 |
| 0.000 | -0.002 | -0.001 | 9.767 | 0.000 | 0.000 |
| -0.002 | 0.000 | -0.001 | 0.000 | 9.767 | 0.000 |
| -0.001 | -0.001 | -0.000 | 0.000 | -0.000 | 74.975 |
| 9101163.349 | 10215056.429 | 4389789.921 | 31299.286 | 94105.123 | 120486.553 |
| 9737142.421 | 8690970.371 | 3243500.261 | 25351.469 | -26713.926 | -92943.769 |
| 185.881 | 185.881 | 226.546 | 0.000 | 0.000 | 0.000 |
| -0.000 | 0.002 | 0.001 | 9.767 | -0.000 | -0.000 |
| 0.002 | -0.000 | 0.001 | -0.000 | 9.767 | -0.000 |
| 0.001 | 0.001 | 0.000 | 0.000 | 0.000 | 74.975 |
| 66.372 | 60.328 | 60.328 | -0.000 | 0.000 | -0.000 |
| 60.328 | 66.372 | 60.328 | -0.000 | -0.000 | 0.000 |
| 60.328 | 60.328 | 66.372 | -0.000 | -0.000 | -0.000 |
| 0.000 | -0.000 | -0.000 | 4.228 | -0.000 | 0.000 |
| -0.000 | -0.000 | -0.000 | -0.000 | 4.228 | 0.000 |
| -0.000 | -0.000 | -0.000 | 0.000 | 0.000 | 4.228 |
| 66.372 | 60.328 | 60.328 | 0.000 | 0.000 | -0.000 |
| 60.328 | 66.372 | 60.328 | 0.000 | 0.000 | -0.000 |
| 60.328 | 60.328 | 66.372 | 0.000 | -0.000 | 0.000 |
| -0.000 | 0.000 | 0.000 | 4.228 | -0.000 | 0.000 |
| 0.000 | 0.000 | 0.000 | 0.000 | 4.228 | 0.000 |
| 0.000 | 0.000 | 0.000 | 0.000 | 0.000 | 4.228 |
| 66.372 | 60.328 | 60.328 | -0.000 | -0.000 | -0.000 |
| 60.328 | 66.372 | 60.328 | -0.000 | -0.000 | -0.000 |
| 60.328 | 60.328 | 66.372 | -0.000 | -0.000 | -0.000 |
| -0.000 | -0.000 | -0.000 | 39.561 | 0.000 | 0.000 |
| -0.000 | -0.000 | -0.000 | 0.000 | 39.561 | 0.000 |
| -0.000 | -0.000 | -0.000 | 0.000 | 0.000 | 39.561 |
| 66.373 | 60.328 | 60.328 | -0.000 | -0.000 | 0.000 |
| 60.328 | 66.373 | 60.328 | 0.000 | -0.000 | 0.000 |
| 60.328 | 60.328 | 66.373 | 0.000 | -0.000 | -0.000 |
| 0.000 | 0.000 | 0.000 | 39.561 | -0.000 | -0.000 |
| 0.000 | 0.000 | 0.000 | -0.000 | 39.561 | -0.000 |
| 0.000 | 0.000 | 0.000 | -0.000 | -0.000 | 39.561 |
| 66.372 | 60.328 | 60.328 | -0.000 | 0.000 | 0.000 |
| 60.328 | 66.372 | 60.328 | -0.000 | -0.000 | 0.000 |
| 60.328 | 60.328 | 66.372 | -0.000 | 0.000 | -0.000 |
| -0.000 | -0.000 | -0.000 | 4.228 | 0.000 | 0.000 |
| -0.000 | -0.000 | -0.000 | -0.000 | 4.228 | 0.000 |
| -0.000 | -0.000 | -0.000 | 0.000 | 0.000 | 4.228 |
| 66.373 | 60.328 | 60.328 | 0.000 | -0.000 | 0.000 |
| 60.328 | 66.373 | 60.328 | 0.000 | -0.000 | 0.000 |
| 60.328 | 60.328 | 66.373 | 0.000 | -0.000 | 0.000 |
| 0.000 | 0.000 | 0.000 | 4.228 | -0.000 | -0.000 |
| 0.000 | 0.000 | 0.000 | 0.000 | 4.228 | -0.000 |
| 0.000 | 0.000 | 0.000 | 0.000 | 0.000 | 4.228 |
| 381.641 | 266.837 | 266.837 | 0.000 | -0.000 | -0.000 |
| 266.837 | 381.641 | 266.837 | 0.000 | 0.000 | -0.000 |
| 266.837 | 266.837 | 381.641 | 0.000 | -0.000 | -0.000 |
| 0.000 | 0.000 | 0.000 | 3.464 | -0.000 | -0.000 |
| 0.000 | 0.000 | -0.000 | -0.000 | 3.464 | -0.000 |
| 0.000 | 0.000 | 0.000 | 0.000 | -0.000 | 3.464 |
| 381.640 | 266.837 | 266.837 | 0.000 | -0.000 | 0.000 |
| 266.837 | 381.640 | 266.837 | -0.000 | -0.000 | 0.000 |
| 266.837 | 266.837 | 381.640 | 0.000 | -0.000 | 0.000 |
| -0.000 | -0.000 | -0.000 | 3.464 | 0.000 | 0.000 |
| -0.000 | -0.000 | -0.000 | -0.000 | 3.464 | 0.000 |
| -0.000 | -0.000 | -0.000 | 0.000 | 0.000 | 3.464 |
| 381.641 | 266.837 | 266.837 | -0.000 | -0.000 | 0.000 |
| 266.837 | 381.641 | 266.837 | -0.000 | -0.000 | -0.000 |
| 266.837 | 266.837 | 381.641 | -0.000 | 0.000 | -0.000 |
| 0.000 | 0.000 | 0.000 | 3.464 | -0.000 | -0.000 |
| 0.000 | 0.000 | 0.000 | 0.000 | 3.464 | -0.000 |
| 0.000 | 0.000 | 0.000 | -0.000 | -0.000 | 3.464 |
| 381.640 | 266.837 | 266.837 | -0.000 | 0.000 | 0.000 |
| 266.837 | 381.640 | 266.837 | -0.000 | 0.000 | 0.000 |
| 266.837 | 266.837 | 381.640 | 0.000 | 0.000 | 0.000 |
| -0.000 | -0.000 | -0.000 | 3.464 | 0.000 | 0.000 |
| -0.000 | -0.000 | -0.000 | 0.000 | 3.464 | 0.000 |
| -0.000 | -0.000 | -0.000 | -0.000 | 0.000 | 3.464 |
| 381.642 | 266.838 | 266.838 | 0.000 | 0.000 | -0.000 |
| 266.838 | 381.642 | 266.838 | 0.000 | 0.000 | -0.000 |
| 266.838 | 266.838 | 381.642 | -0.000 | -0.000 | -0.000 |
| 0.001 | 0.001 | 0.000 | 3.464 | -0.000 | 0.000 |
| 0.001 | 0.001 | 0.000 | -0.000 | 3.464 | -0.000 |
| 0.001 | 0.000 | 0.001 | -0.000 | -0.000 | 3.464 |
| 381.638 | 266.837 | 266.837 | 0.000 | 0.000 | 0.000 |
| 266.837 | 381.638 | 266.837 | -0.000 | -0.000 | -0.000 |
| 266.837 | 266.837 | 381.638 | 0.000 | -0.000 | 0.000 |
| -0.001 | -0.001 | -0.000 | 3.464 | 0.000 | 0.000 |
| -0.001 | -0.001 | -0.000 | 0.000 | 3.464 | 0.000 |
| -0.001 | -0.000 | -0.001 | 0.000 | 0.000 | 3.464 |
| 126.408 | 50.192 | 50.192 | 0.000 | 0.000 | -0.000 |
| 50.192 | 126.408 | 50.192 | 0.000 | 0.000 | -0.000 |
| 50.192 | 50.192 | 126.408 | 0.000 | 0.000 | -0.000 |
| 0.000 | 0.000 | -0.000 | 34.285 | 0.000 | -0.000 |
| 0.000 | 0.000 | -0.000 | 0.000 | 34.285 | -0.000 |
| -0.000 | -0.000 | 0.000 | 0.000 | 0.000 | 34.285 |
| 126.409 | 50.192 | 50.192 | -0.000 | -0.000 | 0.000 |
| 50.192 | 126.409 | 50.192 | -0.000 | -0.000 | 0.000 |
| 50.192 | 50.192 | 126.409 | -0.000 | -0.000 | 0.000 |
| -0.000 | 0.000 | -0.000 | 34.285 | -0.000 | -0.000 |
| 0.000 | -0.000 | -0.000 | -0.000 | 34.285 | 0.000 |
| 0.000 | 0.000 | -0.000 | -0.000 | -0.000 | 34.285 |
| 126.408 | 50.192 | 50.192 | 0.000 | 0.000 | -0.000 |
| 50.192 | 126.408 | 50.192 | 0.000 | 0.000 | -0.000 |
| 50.192 | 50.192 | 126.408 | 0.000 | 0.000 | -0.000 |
| -0.000 | -0.000 | -0.000 | 34.285 | 0.000 | -0.000 |
| -0.000 | -0.000 | -0.000 | 0.000 | 34.285 | -0.000 |
| -0.000 | -0.000 | -0.000 | 0.000 | 0.000 | 34.285 |
| 126.409 | 50.192 | 50.192 | -0.000 | -0.000 | 0.000 |
| 50.192 | 126.409 | 50.192 | -0.000 | -0.000 | 0.000 |
| 50.192 | 50.192 | 126.409 | -0.000 | -0.000 | 0.000 |
| 0.000 | 0.000 | 0.000 | 34.285 | -0.000 | -0.000 |
| 0.000 | 0.000 | 0.000 | -0.000 | 34.285 | 0.000 |
| 0.000 | 0.000 | 0.000 | -0.000 | -0.000 | 34.285 |
| 126.401 | 50.192 | 50.192 | 0.000 | 0.000 | -0.000 |
| 50.192 | 126.401 | 50.192 | 0.000 | 0.000 | 0.000 |
| 50.192 | 50.192 | 126.401 | 0.000 | 0.000 | -0.000 |
| -0.000 | -0.001 | -0.001 | 34.314 | 0.000 | -0.000 |
| -0.001 | -0.000 | -0.001 | 0.000 | 34.314 | 0.000 |
| -0.001 | -0.001 | -0.000 | 0.000 | 0.000 | 34.314 |
| 126.416 | 50.193 | 50.193 | -0.000 | -0.000 | 0.000 |
| 50.193 | 126.416 | 50.193 | -0.000 | -0.000 | 0.000 |
| 50.193 | 50.193 | 126.416 | -0.000 | -0.000 | 0.000 |
| 0.000 | 0.001 | 0.001 | 34.314 | -0.000 | 0.000 |
| 0.001 | 0.000 | 0.001 | -0.000 | 34.314 | 0.000 |
| 0.001 | 0.001 | 0.000 | -0.000 | -0.000 | 34.314 |
| 28.456 | 29.223 | 29.223 | 0.000 | 0.000 | -0.000 |
| 29.223 | 28.456 | 29.223 | 0.000 | 0.000 | 0.000 |
| 29.223 | 29.223 | 28.456 | 0.000 | 0.000 | 0.000 |
| 0.000 | -0.000 | -0.000 | 14.266 | 0.000 | 0.000 |
| -0.000 | 0.000 | -0.000 | 0.000 | 14.266 | 0.000 |
| -0.000 | -0.000 | 0.000 | 0.000 | 0.000 | 14.266 |
| 28.456 | 29.223 | 29.223 | -0.000 | -0.000 | 0.000 |
| 29.223 | 28.456 | 29.223 | -0.000 | -0.000 | 0.000 |
| 29.223 | 29.223 | 28.456 | -0.000 | -0.000 | 0.000 |
| -0.000 | 0.000 | 0.000 | 14.266 | -0.000 | -0.000 |
| 0.000 | -0.000 | 0.000 | -0.000 | 14.266 | -0.000 |
| 0.000 | 0.000 | -0.000 | -0.000 | -0.000 | 14.266 |
| 28.456 | 29.223 | 29.223 | 0.000 | -0.000 | 0.000 |
| 29.223 | 28.456 | 29.223 | -0.000 | 0.000 | -0.000 |
| 29.223 | 29.223 | 28.456 | 0.000 | 0.000 | -0.000 |
| 0.000 | -0.000 | -0.000 | 14.266 | 0.000 | 0.000 |
| -0.000 | 0.000 | -0.000 | 0.000 | 14.266 | 0.000 |
| -0.000 | -0.000 | 0.000 | 0.000 | 0.000 | 14.266 |
| 28.456 | 29.223 | 29.223 | -0.000 | -0.000 | 0.000 |
| 29.223 | 28.456 | 29.223 | -0.000 | -0.000 | -0.000 |
| 29.223 | 29.223 | 28.456 | -0.000 | -0.000 | 0.000 |
| -0.000 | 0.000 | 0.000 | 14.266 | -0.000 | 0.000 |
| 0.000 | -0.000 | 0.000 | -0.000 | 14.266 | -0.000 |
| 0.000 | 0.000 | -0.000 | -0.000 | -0.000 | 14.266 |
| 28.455 | 29.222 | 29.222 | 0.000 | 0.000 | -0.000 |
| 29.222 | 28.455 | 29.222 | 0.000 | 0.000 | -0.000 |
| 29.222 | 29.222 | 28.455 | 0.000 | 0.000 | -0.000 |
| 0.000 | -0.000 | -0.000 | 14.266 | 0.000 | 0.000 |
| -0.000 | 0.000 | -0.000 | 0.000 | 14.266 | -0.000 |
| -0.000 | -0.000 | 0.000 | 0.000 | 0.000 | 14.266 |
| 28.457 | 29.223 | 29.223 | -0.000 | -0.000 | 0.000 |
| 29.223 | 28.457 | 29.223 | -0.000 | -0.000 | 0.000 |
| 29.223 | 29.223 | 28.457 | -0.000 | -0.000 | -0.000 |
| -0.000 | 0.000 | 0.000 | 14.266 | -0.000 | 0.000 |
| 0.000 | -0.000 | 0.000 | -0.000 | 14.266 | 0.000 |
| 0.000 | 0.000 | -0.000 | -0.000 | -0.000 | 14.266 |
| 25.588 | 0.768 | 0.768 | 0.000 | 0.000 | 0.000 |
| 0.768 | 25.588 | 0.768 | 0.000 | 0.000 | -0.000 |
| 0.768 | 0.768 | 25.588 | -0.000 | -0.000 | -0.000 |
| -0.000 | -0.000 | -0.000 | -66.580 | -0.000 | 0.000 |
| -0.000 | -0.000 | -0.000 | 0.000 | -66.580 | 0.000 |
| -0.000 | -0.000 | -0.000 | 0.000 | -0.000 | -66.580 |
| 25.588 | 0.768 | 0.768 | -0.000 | -0.000 | -0.000 |
| 0.768 | 25.588 | 0.768 | -0.000 | -0.000 | -0.000 |
| 0.768 | 0.768 | 25.588 | -0.000 | -0.000 | 0.000 |
| 0.000 | 0.000 | 0.000 | -66.580 | 0.000 | -0.000 |
| 0.000 | 0.000 | 0.000 | 0.000 | -66.580 | 0.000 |
| 0.000 | 0.000 | 0.000 | -0.000 | -0.000 | -66.580 |
| 25.588 | 0.768 | 0.768 | 0.000 | 0.000 | -0.000 |
| 0.768 | 25.588 | 0.768 | 0.000 | 0.000 | 0.000 |
| 0.768 | 0.768 | 25.588 | 0.000 | -0.000 | 0.000 |
| -0.000 | -0.000 | -0.000 | -5.768 | 0.000 | 0.000 |
| -0.000 | -0.000 | -0.000 | 0.000 | -5.768 | 0.000 |
| -0.000 | -0.000 | -0.000 | 0.000 | -0.000 | -5.768 |
| 25.588 | 0.768 | 0.768 | -0.000 | -0.000 | -0.000 |
| 0.768 | 25.588 | 0.768 | -0.000 | -0.000 | 0.000 |
| 0.768 | 0.768 | 25.588 | -0.000 | -0.000 | -0.000 |
| 0.000 | 0.000 | 0.000 | -5.768 | -0.000 | -0.000 |
| 0.000 | 0.000 | 0.000 | -0.000 | -5.768 | -0.000 |
| 0.000 | 0.000 | 0.000 | -0.000 | -0.000 | -5.768 |
| 25.586 | 0.767 | 0.767 | 0.000 | 0.000 | -0.000 |
| 0.767 | 25.586 | 0.767 | 0.000 | 0.000 | -0.000 |
| 0.767 | 0.767 | 25.586 | -0.000 | -0.000 | 0.000 |
| -0.015 | -0.006 | -0.006 | -68.109 | 0.000 | -0.000 |
| -0.006 | -0.015 | -0.006 | 0.000 | -68.109 | 0.000 |
| -0.006 | -0.006 | -0.015 | -0.000 | -0.000 | -68.109 |
| 25.590 | 0.768 | 0.768 | -0.000 | -0.000 | 0.000 |
| 0.768 | 25.590 | 0.768 | -0.000 | -0.000 | 0.000 |
| 0.768 | 0.768 | 25.590 | -0.000 | -0.000 | -0.000 |
| 0.015 | 0.006 | 0.006 | -68.109 | 0.000 | 0.000 |
| 0.006 | 0.015 | 0.006 | -0.000 | -68.109 | -0.000 |
| 0.006 | 0.006 | 0.015 | 0.000 | 0.000 | -68.109 |
| 3.824 | 3.824 | 3.824 | -0.000 | -0.000 | -0.000 |
| 3.824 | 3.824 | 3.824 | -0.000 | -0.000 | -0.000 |
| 3.824 | 3.824 | 3.824 | -0.000 | -0.000 | -0.000 |
| 0.000 | 0.000 | 0.000 | 1.444 | -0.000 | -0.000 |
| 0.000 | 0.000 | 0.000 | 0.000 | 4.738 | -0.000 |
| 0.000 | 0.000 | 0.000 | -0.000 | 0.000 | 4.738 |
| 3.824 | 3.824 | 3.824 | 0.000 | 0.000 | 0.000 |
| 3.824 | 3.824 | 3.824 | 0.000 | 0.000 | 0.000 |
| 3.824 | 3.824 | 3.824 | 0.000 | 0.000 | -0.000 |
| -0.000 | -0.000 | -0.000 | 1.444 | 0.000 | -0.000 |
| -0.000 | -0.000 | -0.000 | 0.000 | 4.738 | 0.000 |
| -0.000 | -0.000 | -0.000 | -0.000 | 0.000 | 4.738 |
| 3.824 | 3.824 | 3.824 | -0.000 | -0.000 | 0.000 |
| 3.824 | 3.824 | 3.824 | -0.000 | -0.000 | -0.000 |
| 3.824 | 3.824 | 3.824 | -0.000 | -0.000 | 0.000 |
| 0.000 | 0.000 | 0.000 | 1.444 | -0.000 | -0.000 |
| 0.000 | 0.000 | 0.000 | -0.000 | 1.444 | -0.000 |
| 0.000 | 0.000 | 0.000 | -0.000 | 0.000 | 1.444 |
| 3.824 | 3.824 | 3.824 | 0.000 | 0.000 | 0.000 |
| 3.824 | 3.824 | 3.824 | 0.000 | 0.000 | 0.000 |
| 3.824 | 3.824 | 3.824 | 0.000 | 0.000 | 0.000 |
| -0.000 | -0.000 | -0.000 | 1.444 | 0.000 | -0.000 |
| -0.000 | -0.000 | -0.000 | 0.000 | 1.444 | -0.000 |
| -0.000 | -0.000 | -0.000 | 0.000 | 0.000 | 1.444 |
| 3.824 | 3.824 | 3.824 | -0.000 | -0.000 | -0.000 |
| 3.824 | 3.824 | 3.824 | -0.000 | -0.000 | -0.000 |
| 3.824 | 3.824 | 3.824 | -0.000 | -0.000 | 0.000 |
| 0.000 | 0.000 | 0.000 | 0.416 | -0.000 | -0.000 |
| 0.000 | 0.000 | 0.000 | -0.000 | 0.416 | -0.000 |
| 0.000 | 0.000 | 0.000 | -0.000 | -0.000 | 0.416 |
| 3.824 | 3.824 | 3.824 | 0.000 | 0.000 | -0.000 |
| 3.824 | 3.824 | 3.824 | 0.000 | 0.000 | -0.000 |
| 3.824 | 3.824 | 3.824 | 0.000 | 0.000 | -0.000 |
| -0.000 | -0.000 | -0.000 | 0.416 | 0.000 | -0.000 |
| -0.000 | -0.000 | -0.000 | 0.000 | 0.416 | -0.000 |
| -0.000 | -0.000 | -0.000 | 0.000 | -0.000 | 0.416 |
| 354.556 | 199.821 | 199.821 | 0.000 | -0.000 | -0.000 |
| 199.821 | 354.556 | 199.821 | 0.000 | -0.000 | -0.000 |
| 199.821 | 199.821 | 354.556 | 0.000 | 0.000 | -0.000 |
| 0.000 | 0.000 | 0.000 | 102.743 | -0.000 | -0.000 |
| 0.000 | 0.000 | 0.000 | 0.000 | 102.743 | 0.000 |
| 0.000 | 0.000 | 0.000 | 0.000 | -0.000 | 102.743 |
| 354.556 | 199.821 | 199.821 | -0.000 | 0.000 | 0.000 |
| 199.821 | 354.556 | 199.821 | -0.000 | 0.000 | 0.000 |
| 199.821 | 199.821 | 354.556 | -0.000 | 0.000 | 0.000 |
| -0.000 | -0.000 | -0.000 | 102.743 | 0.000 | -0.000 |
| -0.000 | -0.000 | -0.000 | -0.000 | 102.743 | 0.000 |
| -0.000 | -0.000 | -0.000 | -0.000 | 0.000 | 102.743 |
| 354.556 | 199.821 | 199.821 | 0.000 | -0.000 | -0.000 |
| 199.821 | 354.556 | 199.821 | 0.000 | 0.000 | -0.000 |
| 199.821 | 199.821 | 354.556 | -0.000 | -0.000 | 0.000 |
| -0.000 | -0.000 | 0.000 | 102.743 | -0.000 | -0.000 |
| -0.000 | -0.000 | 0.000 | 0.000 | 102.743 | -0.000 |
| -0.000 | 0.000 | 0.000 | 0.000 | -0.000 | 102.743 |
| 354.556 | 199.821 | 199.821 | -0.000 | 0.000 | 0.000 |
| 199.821 | 354.556 | 199.821 | -0.000 | 0.000 | 0.000 |
| 199.821 | 199.821 | 354.556 | -0.000 | 0.000 | -0.000 |
| 0.000 | 0.000 | -0.000 | 102.743 | 0.000 | 0.000 |
| 0.000 | 0.000 | -0.000 | -0.000 | 102.743 | 0.000 |
| 0.000 | -0.000 | -0.000 | -0.000 | 0.000 | 102.743 |
| 354.554 | 199.821 | 199.821 | 0.000 | -0.000 | 0.000 |
| 199.821 | 354.554 | 199.821 | 0.000 | -0.000 | -0.000 |
| 199.821 | 199.821 | 354.554 | 0.000 | -0.000 | -0.000 |
| -0.000 | -0.000 | 0.000 | 102.743 | -0.000 | 0.000 |
| -0.000 | -0.000 | 0.000 | 0.000 | 102.743 | -0.000 |
| -0.000 | 0.000 | -0.000 | 0.000 | -0.000 | 102.743 |
| 354.558 | 199.821 | 199.821 | -0.000 | 0.000 | -0.000 |
| 199.821 | 354.558 | 199.821 | -0.000 | 0.000 | 0.000 |
| 199.821 | 199.821 | 354.558 | -0.000 | 0.000 | 0.000 |
| 0.000 | 0.000 | -0.000 | 102.743 | 0.000 | 0.000 |
| 0.000 | 0.000 | -0.000 | -0.000 | 102.743 | 0.000 |
| 0.000 | -0.000 | 0.000 | -0.000 | 0.000 | 102.743 |
| 128.043 | 37.641 | 37.641 | 0.000 | -0.000 | -0.000 |
| 37.641 | 128.043 | 37.641 | 0.000 | -0.000 | -0.000 |
| 37.641 | 37.641 | 128.043 | -0.000 | 0.000 | -0.000 |
| 0.000 | -0.000 | -0.000 | 37.177 | 0.000 | -0.000 |
| -0.000 | 0.000 | -0.000 | 0.000 | 37.177 | -0.000 |
| 0.000 | -0.000 | 0.000 | 0.000 | 0.000 | 37.177 |
| 128.043 | 37.641 | 37.641 | -0.000 | -0.000 | 0.000 |
| 37.641 | 128.043 | 37.641 | -0.000 | 0.000 | -0.000 |
| 37.641 | 37.641 | 128.043 | -0.000 | 0.000 | 0.000 |
| -0.000 | -0.000 | 0.000 | 37.177 | -0.000 | 0.000 |
| -0.000 | -0.000 | 0.000 | -0.000 | 37.177 | 0.000 |
| 0.000 | -0.000 | -0.000 | -0.000 | 0.000 | 37.177 |
| 128.044 | 37.641 | 37.641 | 0.000 | 0.000 | 0.000 |
| 37.641 | 128.044 | 37.641 | 0.000 | -0.000 | -0.000 |
| 37.641 | 37.641 | 128.044 | 0.000 | -0.000 | -0.000 |
| -0.000 | -0.000 | -0.000 | 35.277 | -0.000 | -0.000 |
| -0.000 | -0.000 | -0.000 | 0.000 | 35.277 | -0.000 |
| -0.000 | -0.000 | -0.000 | 0.000 | -0.000 | 35.277 |
| 128.043 | 37.641 | 37.641 | -0.000 | 0.000 | 0.000 |
| 37.641 | 128.043 | 37.641 | -0.000 | 0.000 | 0.000 |
| 37.641 | 37.641 | 128.043 | -0.000 | -0.000 | 0.000 |
| 0.000 | 0.000 | 0.000 | 35.277 | 0.000 | 0.000 |
| 0.000 | 0.000 | 0.000 | -0.000 | 35.277 | 0.000 |
| 0.000 | 0.000 | 0.000 | -0.000 | 0.000 | 35.277 |
| 128.045 | 37.640 | 37.640 | 0.000 | -0.000 | -0.000 |
| 37.640 | 128.045 | 37.640 | 0.000 | -0.000 | -0.000 |
| 37.640 | 37.640 | 128.045 | 0.000 | -0.000 | -0.000 |
| -0.000 | -0.001 | -0.001 | 35.277 | 0.000 | -0.000 |
| -0.001 | -0.000 | -0.001 | 0.000 | 35.277 | -0.000 |
| -0.001 | -0.001 | -0.000 | 0.000 | -0.000 | 35.277 |
| 128.042 | 37.641 | 37.641 | -0.000 | 0.000 | 0.000 |
| 37.641 | 128.042 | 37.641 | -0.000 | 0.000 | 0.000 |
| 37.641 | 37.641 | 128.042 | -0.000 | -0.000 | 0.000 |
| 0.000 | 0.001 | 0.001 | 35.277 | -0.000 | 0.000 |
| 0.001 | 0.000 | 0.001 | -0.000 | 35.277 | 0.000 |
| 0.001 | 0.001 | 0.000 | -0.000 | 0.000 | 35.277 |
| 73.482 | 2.275 | 2.275 | -0.000 | -0.000 | 0.000 |
| 2.275 | 73.482 | 2.275 | -0.000 | -0.000 | 0.000 |
| 2.275 | 2.275 | 73.482 | -0.000 | -0.000 | 0.000 |
| 0.000 | -0.000 | -0.000 | 3.143 | 0.000 | 0.000 |
| -0.000 | 0.000 | -0.000 | 0.000 | 3.143 | -0.000 |
| -0.000 | -0.000 | -0.000 | -0.000 | -0.000 | 3.143 |
| 73.482 | 2.275 | 2.275 | 0.000 | 0.000 | -0.000 |
| 2.275 | 73.482 | 2.275 | 0.000 | -0.000 | 0.000 |
| 2.275 | 2.275 | 73.482 | 0.000 | -0.000 | -0.000 |
| -0.000 | -0.000 | 0.000 | 3.143 | 0.000 | 0.000 |
| -0.000 | -0.000 | 0.000 | 0.000 | 3.143 | -0.000 |
| -0.000 | 0.000 | -0.000 | 0.000 | 0.000 | 3.143 |
| 73.482 | 2.275 | 2.275 | -0.000 | -0.000 | 0.000 |
| 2.275 | 73.482 | 2.275 | -0.000 | -0.000 | -0.000 |
| 2.275 | 2.275 | 73.482 | -0.000 | -0.000 | -0.000 |
| 0.000 | 0.000 | -0.000 | 3.143 | -0.000 | -0.000 |
| 0.000 | 0.000 | -0.000 | -0.000 | 3.143 | -0.000 |
| 0.000 | -0.000 | 0.000 | -0.000 | -0.000 | 3.143 |
| 73.483 | 2.275 | 2.275 | 0.000 | 0.000 | -0.000 |
| 2.275 | 73.483 | 2.275 | 0.000 | 0.000 | 0.000 |
| 2.275 | 2.275 | 73.483 | 0.000 | 0.000 | 0.000 |
| -0.000 | -0.000 | 0.000 | 3.143 | 0.000 | -0.000 |
| -0.000 | -0.000 | 0.000 | 0.000 | 3.143 | -0.000 |
| -0.000 | 0.000 | -0.000 | 0.000 | 0.000 | 3.143 |
| 73.481 | 2.275 | 2.275 | -0.000 | -0.000 | -0.000 |
| 2.275 | 73.481 | 2.275 | -0.000 | -0.000 | -0.000 |
| 2.275 | 2.275 | 73.481 | -0.000 | -0.000 | -0.000 |
| 0.000 | 0.000 | -0.000 | 3.143 | -0.000 | -0.000 |
| 0.000 | 0.000 | -0.000 | -0.000 | 3.143 | 0.000 |
| 0.000 | -0.000 | 0.000 | -0.000 | -0.000 | 3.143 |
| 73.484 | 2.275 | 2.275 | 0.000 | 0.000 | 0.000 |
| 2.275 | 73.484 | 2.275 | 0.000 | -0.000 | -0.000 |
| 2.275 | 2.275 | 73.484 | 0.000 | 0.000 | -0.000 |
| -0.000 | -0.000 | 0.000 | 3.143 | 0.000 | -0.000 |
| -0.000 | -0.000 | 0.000 | 0.000 | 3.143 | -0.000 |
| -0.000 | 0.000 | -0.000 | 0.000 | 0.000 | 3.143 |
| 38.589 | 1.920 | 1.920 | 0.000 | 0.000 | 0.000 |
| 1.920 | 38.589 | 1.920 | 0.000 | -0.000 | 0.000 |
| 1.920 | 1.920 | 38.589 | 0.000 | 0.000 | 0.000 |
| -0.000 | -0.000 | 0.000 | 1.761 | 0.000 | 0.000 |
| -0.000 | -0.000 | 0.000 | 0.000 | 1.761 | 0.000 |
| -0.000 | -0.000 | 0.000 | 0.000 | 0.000 | 1.761 |
| 38.589 | 1.920 | 1.920 | -0.000 | -0.000 | -0.000 |
| 1.920 | 38.589 | 1.920 | -0.000 | 0.000 | -0.000 |
| 1.920 | 1.920 | 38.589 | -0.000 | -0.000 | -0.000 |
| 0.000 | 0.000 | -0.000 | 1.761 | -0.000 | -0.000 |
| 0.000 | 0.000 | -0.000 | -0.000 | 1.761 | -0.000 |
| 0.000 | 0.000 | -0.000 | -0.000 | -0.000 | 1.761 |
| 38.589 | 1.920 | 1.920 | 0.000 | 0.000 | 0.000 |
| 1.920 | 38.589 | 1.920 | 0.000 | 0.000 | 0.000 |
| 1.920 | 1.920 | 38.589 | 0.000 | 0.000 | 0.000 |
| -0.000 | -0.000 | -0.000 | 1.761 | -0.000 | 0.000 |
| -0.000 | -0.000 | -0.000 | 0.000 | 1.761 | 0.000 |
| -0.000 | -0.000 | -0.000 | 0.000 | 0.000 | 1.761 |
| 38.589 | 1.920 | 1.920 | -0.000 | -0.000 | -0.000 |
| 1.920 | 38.589 | 1.920 | -0.000 | -0.000 | -0.000 |
| 1.920 | 1.920 | 38.589 | -0.000 | -0.000 | -0.000 |
| 0.000 | 0.000 | 0.000 | 1.761 | -0.000 | -0.000 |
| 0.000 | 0.000 | 0.000 | -0.000 | 1.761 | -0.000 |
| 0.000 | 0.000 | 0.000 | -0.000 | -0.000 | 1.761 |
| 38.589 | 1.920 | 1.920 | 0.000 | -0.000 | 0.000 |
| 1.920 | 38.589 | 1.920 | 0.000 | 0.000 | 0.000 |
| 1.920 | 1.920 | 38.589 | 0.000 | -0.000 | 0.000 |
| -0.000 | -0.000 | -0.000 | 1.761 | 0.000 | 0.000 |
| -0.000 | -0.000 | -0.000 | 0.000 | 1.761 | 0.000 |
| -0.000 | -0.000 | -0.000 | 0.000 | 0.000 | 1.761 |
| 38.589 | 1.920 | 1.920 | -0.000 | -0.000 | -0.000 |
| 1.920 | 38.589 | 1.920 | -0.000 | -0.000 | -0.000 |
| 1.920 | 1.920 | 38.589 | -0.000 | -0.000 | -0.000 |
| 0.000 | 0.000 | 0.000 | 1.761 | -0.000 | -0.000 |
| 0.000 | 0.000 | 0.000 | -0.000 | 1.761 | -0.000 |
| 0.000 | 0.000 | 0.000 | -0.000 | -0.000 | 1.761 |
| 38.744 | 3.772 | 3.772 | -0.000 | -0.000 | -0.000 |
| 3.772 | 38.744 | 3.772 | -0.000 | -0.000 | 0.000 |
| 3.772 | 3.772 | 38.744 | -0.000 | -0.000 | -0.000 |
| -0.000 | 0.000 | -0.000 | 3.371 | -0.000 | -0.000 |
| 0.000 | -0.000 | -0.000 | -0.000 | 3.371 | -0.000 |
| 0.000 | -0.000 | -0.000 | -0.000 | -0.000 | 3.371 |
| 38.744 | 3.772 | 3.772 | 0.000 | 0.000 | 0.000 |
| 3.772 | 38.744 | 3.772 | 0.000 | 0.000 | 0.000 |
| 3.772 | 3.772 | 38.744 | 0.000 | 0.000 | -0.000 |
| 0.000 | -0.000 | 0.000 | 3.371 | 0.000 | 0.000 |
| -0.000 | 0.000 | 0.000 | 0.000 | 3.371 | 0.000 |
| -0.000 | 0.000 | 0.000 | 0.000 | 0.000 | 3.371 |
| 38.744 | 3.772 | 3.772 | -0.000 | -0.000 | -0.000 |
| 3.772 | 38.744 | 3.772 | -0.000 | -0.000 | 0.000 |
| 3.772 | 3.772 | 38.744 | -0.000 | -0.000 | -0.000 |
| 0.000 | 0.000 | 0.000 | 3.371 | -0.000 | -0.000 |
| 0.000 | 0.000 | 0.000 | -0.000 | 3.371 | -0.000 |
| 0.000 | 0.000 | 0.000 | -0.000 | -0.000 | 3.371 |
| 38.744 | 3.772 | 3.772 | 0.000 | 0.000 | 0.000 |
| 3.772 | 38.744 | 3.772 | 0.000 | 0.000 | 0.000 |
| 3.772 | 3.772 | 38.744 | 0.000 | 0.000 | 0.000 |
| -0.000 | -0.000 | -0.000 | 3.371 | 0.000 | 0.000 |
| -0.000 | -0.000 | -0.000 | 0.000 | 3.371 | 0.000 |
| -0.000 | -0.000 | -0.000 | 0.000 | 0.000 | 3.371 |
| 38.743 | 3.772 | 3.772 | -0.000 | -0.000 | -0.000 |
| 3.772 | 38.743 | 3.772 | -0.000 | -0.000 | -0.000 |
| 3.772 | 3.772 | 38.743 | 0.000 | -0.000 | -0.000 |
| 0.000 | 0.000 | 0.000 | 3.371 | -0.000 | -0.000 |
| 0.000 | 0.000 | 0.000 | -0.000 | 3.371 | -0.000 |
| 0.000 | 0.000 | 0.000 | -0.000 | -0.000 | 3.371 |
| 38.746 | 3.772 | 3.772 | 0.000 | 0.000 | 0.000 |
| 3.772 | 38.746 | 3.772 | 0.000 | 0.000 | 0.000 |
| 3.772 | 3.772 | 38.746 | 0.000 | 0.000 | 0.000 |
| -0.000 | -0.000 | -0.000 | 3.371 | 0.000 | 0.000 |
| -0.000 | -0.000 | -0.000 | 0.000 | 3.371 | 0.000 |
| -0.000 | -0.000 | -0.000 | 0.000 | 0.000 | 3.371 |
| 704.669 | 264.386 | 264.386 | 0.000 | 0.000 | -0.000 |
| 264.386 | 704.669 | 264.386 | 0.000 | 0.000 | 0.000 |
| 264.386 | 264.386 | 704.669 | -0.000 | 0.000 | 0.000 |
| 0.000 | -0.000 | -0.000 | 109.285 | 0.000 | 0.000 |
| -0.000 | -0.000 | -0.000 | 0.000 | 109.285 | 0.000 |
| -0.000 | -0.000 | 0.000 | 0.000 | 0.000 | 109.285 |
| 704.669 | 264.386 | 264.386 | -0.000 | -0.000 | -0.000 |
| 264.386 | 704.669 | 264.386 | -0.000 | -0.000 | -0.000 |
| 264.386 | 264.386 | 704.669 | -0.000 | -0.000 | -0.000 |
| -0.000 | -0.000 | 0.000 | 109.285 | -0.000 | -0.000 |
| 0.000 | 0.000 | 0.000 | -0.000 | 109.285 | -0.000 |
| 0.000 | 0.000 | -0.000 | 0.000 | -0.000 | 109.285 |
| 704.201 | 264.620 | 264.620 | -0.000 | 0.000 | 0.000 |
| 264.620 | 704.201 | 264.620 | -0.000 | 0.000 | 0.000 |
| 264.620 | 264.620 | 704.201 | -0.000 | 0.000 | 0.000 |
| -0.000 | -0.000 | -0.000 | 111.131 | 0.000 | 0.000 |
| -0.000 | -0.000 | -0.000 | -0.000 | 111.131 | 0.000 |
| -0.000 | -0.000 | -0.000 | 0.000 | 0.000 | 111.131 |
| 704.669 | 264.386 | 264.386 | -0.000 | -0.000 | -0.000 |
| 264.386 | 704.669 | 264.386 | 0.000 | -0.000 | -0.000 |
| 264.386 | 264.386 | 704.669 | 0.000 | -0.000 | -0.000 |
| 0.000 | 0.000 | 0.000 | 111.131 | -0.000 | -0.000 |
| 0.000 | 0.000 | 0.000 | -0.000 | 111.131 | -0.000 |
| 0.000 | 0.000 | 0.000 | 0.000 | -0.000 | 111.131 |
| 704.672 | 264.387 | 264.387 | -0.000 | 0.000 | 0.000 |
| 264.387 | 704.672 | 264.387 | -0.000 | 0.000 | 0.000 |
| 264.387 | 264.387 | 704.672 | 0.000 | 0.000 | 0.000 |
| -0.000 | -0.000 | -0.000 | 109.285 | 0.000 | 0.000 |
| -0.000 | -0.000 | -0.000 | 0.000 | 109.285 | 0.000 |
| -0.000 | -0.000 | -0.000 | 0.000 | 0.000 | 109.285 |
| 704.667 | 264.384 | 264.384 | 0.000 | -0.000 | -0.000 |
| 264.384 | 704.667 | 264.384 | -0.000 | -0.000 | -0.000 |
| 264.384 | 264.384 | 704.667 | 0.000 | -0.000 | -0.000 |
| 0.000 | 0.000 | 0.000 | 109.285 | -0.000 | -0.000 |
| 0.000 | 0.000 | 0.000 | -0.000 | 109.285 | -0.000 |
| 0.000 | 0.000 | 0.000 | 0.000 | -0.000 | 109.285 |
| 23327855.443 | -13559611.820 | -19600613.876 | -897839.200 | 412110.604 | -858636.395 |
| -23664289.820 | 22514497.227 | -16306483.113 | -615468.173 | -294441.353 | 42743.188 |
| -14791676.162 | -21377140.937 | 25588587.920 | 335783.483 | -310405.664 | -1120963.509 |
| 0.000 | -0.000 | -0.000 | -335.461 | -0.000 | -0.000 |
| -0.000 | 0.000 | -0.000 | -0.000 | -335.461 | 0.000 |
| -0.000 | -0.000 | 0.000 | -0.000 | -0.000 | -335.461 |
| -9400917.424 | -12500288.181 | -10559476.665 | -1534882.788 | 52602.737 | 474399.706 |
| -6681006.474 | -5767205.334 | -10606466.999 | -694631.390 | -2279149.630 | 3348.611 |
| -10763065.856 | -7582001.683 | -7719629.113 | -175760.748 | 210443.473 | -2002170.366 |
| -0.000 | 0.000 | 0.000 | -335.461 | 0.000 | 0.000 |
| 0.000 | -0.000 | 0.000 | 0.000 | -335.461 | 0.000 |
| 0.000 | 0.000 | -0.000 | 0.000 | 0.000 | -335.461 |
| 2466889.915 | -1704080.669 | -2306913.188 | -42878.972 | 13706.756 | 41172.033 |
| -1846460.534 | 2854064.100 | -1254482.105 | 25224.248 | -30691.468 | 1344.616 |
| -1407068.448 | -2018299.840 | 2488729.243 | 47465.554 | -3732.151 | -42082.964 |
| -0.009 | 0.003 | 0.004 | -343.699 | -0.000 | -0.000 |
| 0.003 | -0.009 | 0.004 | -0.000 | -343.699 | -0.000 |
| 0.003 | 0.004 | -0.009 | -0.000 | 0.000 | -343.699 |
| -798541.858 | -2035540.208 | -1040511.230 | -85482.182 | -25776.321 | 3795.447 |
| -951808.901 | -747146.972 | -1805994.909 | -73295.111 | -117503.332 | 13981.585 |
| -1991206.837 | -1219221.003 | -1114304.698 | -15124.192 | -6691.330 | -142477.752 |
| 0.009 | -0.003 | -0.004 | -343.699 | -0.000 | 0.000 |
| -0.003 | 0.009 | -0.004 | 0.000 | -343.699 | 0.000 |
| -0.003 | -0.004 | 0.009 | 0.000 | 0.000 | -343.699 |
| 256253.545 | -138541.278 | -207961.293 | -16920.333 | -3062.313 | -6184.275 |
| -216770.031 | 239601.468 | -170675.537 | 5866.545 | -14366.027 | -901.927 |
| -170772.614 | -209911.913 | 232405.642 | -2980.818 | 11251.126 | -14723.920 |
| 49096.946 | -434848.720 | -305062.917 | 6357.056 | 1299.560 | -1834.396 |
| -697607.352 | -90131.195 | -115104.583 | -2819.668 | 15090.028 | -2283.039 |
| -370872.909 | -299860.832 | 106719.491 | -176.980 | 1825.225 | 14879.695 |
| -57350.455 | -179588.711 | -70025.067 | -6735.382 | 679.341 | -6728.846 |
| -48461.028 | -34086.565 | -144545.780 | 1443.234 | -14697.800 | 1417.023 |
| -176515.622 | -77078.193 | -72128.922 | 176.759 | -5959.284 | -6068.424 |
| 69336.575 | 605439.703 | 79209.023 | 21588.177 | 3934.426 | 2751.045 |
| 626459.873 | 23019.123 | 90078.846 | 2591.195 | -3351.601 | -110.180 |
| 630468.212 | 116134.169 | 91753.697 | 1990.394 | -1098.039 | 27867.731 |
| 26.984 | 5.598 | 5.598 | -0.000 | -0.000 | -0.000 |
| 5.598 | 26.984 | 5.598 | -0.000 | -0.000 | -0.000 |
| 5.598 | 5.598 | 26.984 | -0.000 | -0.000 | -0.000 |
| 0.000 | -0.000 | -0.000 | 0.094 | 0.000 | 0.000 |
| -0.000 | 0.000 | -0.000 | 0.000 | 0.094 | -0.000 |
| -0.000 | -0.000 | 0.000 | 0.000 | 0.000 | 0.094 |
| 26.984 | 5.598 | 5.598 | 0.000 | 0.000 | 0.000 |
| 5.598 | 26.984 | 5.598 | 0.000 | 0.000 | 0.000 |
| 5.598 | 5.598 | 26.984 | 0.000 | 0.000 | 0.000 |
| -0.000 | 0.000 | 0.000 | 0.094 | 0.000 | 0.000 |
| 0.000 | -0.000 | 0.000 | -0.000 | 0.094 | -0.000 |
| 0.000 | 0.000 | -0.000 | -0.000 | -0.000 | 0.094 |
| 26.984 | 5.598 | 5.598 | -0.000 | -0.000 | -0.000 |
| 5.598 | 26.984 | 5.598 | -0.000 | -0.000 | -0.000 |
| 5.598 | 5.598 | 26.984 | -0.000 | -0.000 | -0.000 |
| 0.000 | -0.000 | -0.000 | 0.094 | 0.000 | 0.000 |
| -0.000 | 0.000 | -0.000 | -0.000 | 0.094 | -0.000 |
| -0.000 | -0.000 | 0.000 | 0.000 | -0.000 | 0.094 |
| 26.984 | 5.598 | 5.598 | 0.000 | 0.000 | 0.000 |
| 5.598 | 26.984 | 5.598 | 0.000 | 0.000 | 0.000 |
| 5.598 | 5.598 | 26.984 | 0.000 | 0.000 | 0.000 |
| -0.000 | 0.000 | 0.000 | 0.094 | -0.000 | 0.000 |
| 0.000 | -0.000 | 0.000 | 0.000 | 0.094 | 0.000 |
| 0.000 | 0.000 | -0.000 | -0.000 | 0.000 | 0.094 |
| 26.985 | 5.598 | 5.598 | -0.000 | -0.000 | -0.000 |
| 5.598 | 26.985 | 5.598 | -0.000 | -0.000 | -0.000 |
| 5.598 | 5.598 | 26.985 | -0.000 | -0.000 | -0.000 |
| 0.000 | -0.000 | -0.000 | 0.094 | 0.000 | 0.000 |
| -0.000 | 0.000 | -0.000 | 0.000 | 0.094 | -0.000 |
| -0.000 | -0.000 | 0.000 | 0.000 | 0.000 | 0.094 |
| 26.984 | 5.598 | 5.598 | 0.000 | 0.000 | 0.000 |
| 5.598 | 26.984 | 5.598 | -0.000 | 0.000 | 0.000 |
| 5.598 | 5.598 | 26.984 | -0.000 | 0.000 | 0.000 |
| -0.000 | 0.000 | 0.000 | 0.094 | -0.000 | 0.000 |
| 0.000 | -0.000 | 0.000 | 0.000 | 0.094 | 0.000 |
| 0.000 | 0.000 | -0.000 | -0.000 | 0.000 | 0.094 |
| 405.649 | 249.886 | 249.887 | 0.000 | 0.000 | -0.000 |
| 249.887 | 405.649 | 249.887 | 0.000 | 0.000 | -0.000 |
| 249.887 | 249.886 | 405.649 | 0.000 | -0.000 | 0.000 |
| 0.000 | -0.000 | 0.000 | 92.818 | 0.000 | -0.000 |
| -0.000 | -0.000 | 0.000 | 0.000 | 92.818 | -0.000 |
| 0.000 | -0.000 | 0.000 | 0.000 | 0.000 | 92.818 |
| 405.649 | 249.887 | 249.886 | -0.000 | -0.000 | 0.000 |
| 249.886 | 405.649 | 249.886 | -0.000 | -0.000 | 0.000 |
| 249.886 | 249.887 | 405.649 | -0.000 | -0.000 | 0.000 |
| -0.000 | 0.000 | -0.000 | 92.818 | -0.000 | 0.000 |
| -0.000 | 0.000 | -0.000 | -0.000 | 92.818 | 0.000 |
| -0.000 | 0.000 | -0.000 | -0.000 | -0.000 | 92.818 |
| 405.649 | 249.887 | 249.887 | 0.000 | 0.000 | -0.000 |
| 249.887 | 405.649 | 249.887 | 0.000 | 0.000 | -0.000 |
| 249.887 | 249.887 | 405.649 | 0.000 | 0.000 | -0.000 |
| 0.000 | -0.000 | 0.000 | 95.528 | 0.000 | -0.000 |
| -0.000 | 0.000 | 0.000 | 0.000 | 95.528 | -0.000 |
| -0.000 | 0.000 | 0.000 | 0.000 | 0.000 | 95.528 |
| 405.649 | 249.886 | 249.886 | -0.000 | -0.000 | 0.000 |
| 249.886 | 405.649 | 249.886 | -0.000 | -0.000 | 0.000 |
| 249.886 | 249.886 | 405.649 | -0.000 | -0.000 | 0.000 |
| -0.000 | 0.000 | -0.000 | 95.528 | -0.000 | 0.000 |
| 0.000 | -0.000 | -0.000 | -0.000 | 95.528 | 0.000 |
| 0.000 | -0.000 | -0.000 | -0.000 | -0.000 | 95.528 |
| 405.649 | 249.888 | 249.888 | 0.000 | 0.000 | -0.000 |
| 249.888 | 405.649 | 249.888 | 0.000 | 0.000 | -0.000 |
| 249.888 | 249.888 | 405.649 | 0.000 | 0.000 | -0.000 |
| 0.000 | -0.000 | 0.000 | 95.528 | 0.000 | -0.000 |
| -0.000 | 0.000 | 0.000 | 0.000 | 95.528 | -0.000 |
| -0.000 | 0.000 | 0.000 | 0.000 | 0.000 | 95.528 |
| 405.649 | 249.885 | 249.885 | -0.000 | -0.000 | 0.000 |
| 249.885 | 405.649 | 249.885 | -0.000 | -0.000 | 0.000 |
| 249.885 | 249.885 | 405.649 | -0.000 | -0.000 | 0.000 |
| -0.000 | 0.000 | -0.000 | 95.528 | -0.000 | 0.000 |
| 0.000 | -0.000 | -0.000 | -0.000 | 95.528 | 0.000 |
| 0.000 | -0.000 | -0.000 | -0.000 | -0.000 | 95.528 |
| 84.130 | 28.413 | 28.413 | -0.000 | -0.000 | 0.000 |
| 28.413 | 84.130 | 28.413 | -0.000 | -0.000 | 0.000 |
| 28.413 | 28.413 | 84.130 | -0.000 | 0.000 | 0.000 |
| 0.000 | -0.000 | -0.000 | 14.763 | 0.000 | 0.000 |
| -0.000 | 0.000 | -0.000 | -0.000 | 14.763 | 0.000 |
| -0.000 | -0.000 | -0.000 | -0.000 | -0.000 | 14.763 |
| 84.130 | 28.413 | 28.413 | 0.000 | 0.000 | -0.000 |
| 28.413 | 84.130 | 28.413 | 0.000 | 0.000 | -0.000 |
| 28.413 | 28.413 | 84.130 | 0.000 | 0.000 | -0.000 |
| -0.000 | 0.000 | 0.000 | 14.763 | -0.000 | -0.000 |
| 0.000 | -0.000 | 0.000 | 0.000 | 14.763 | -0.000 |
| 0.000 | 0.000 | 0.000 | 0.000 | 0.000 | 14.763 |
| 84.130 | 28.413 | 28.413 | -0.000 | -0.000 | 0.000 |
| 28.413 | 84.130 | 28.413 | -0.000 | 0.000 | 0.000 |
| 28.413 | 28.413 | 84.130 | -0.000 | -0.000 | 0.000 |
| 0.000 | -0.000 | -0.000 | 14.763 | -0.000 | 0.000 |
| -0.000 | 0.000 | -0.000 | -0.000 | 14.763 | 0.000 |
| -0.000 | -0.000 | 0.000 | -0.000 | 0.000 | 14.763 |
| 84.130 | 28.413 | 28.413 | 0.000 | 0.000 | -0.000 |
| 28.413 | 84.130 | 28.413 | 0.000 | 0.000 | -0.000 |
| 28.413 | 28.413 | 84.130 | 0.000 | -0.000 | -0.000 |
| -0.000 | 0.000 | 0.000 | 14.763 | 0.000 | -0.000 |
| 0.000 | -0.000 | 0.000 | 0.000 | 14.763 | -0.000 |
| 0.000 | 0.000 | -0.000 | -0.000 | -0.000 | 14.763 |
| 84.129 | 28.412 | 28.412 | -0.000 | -0.000 | 0.000 |
| 28.412 | 84.129 | 28.412 | -0.000 | -0.000 | 0.000 |
| 28.412 | 28.412 | 84.129 | 0.000 | 0.000 | 0.000 |
| 0.000 | -0.000 | -0.000 | 14.763 | 0.000 | 0.000 |
| -0.000 | 0.000 | -0.000 | -0.000 | 14.763 | 0.000 |
| -0.000 | -0.000 | 0.000 | -0.000 | -0.000 | 14.763 |
| 84.131 | 28.413 | 28.413 | 0.000 | 0.000 | -0.000 |
| 28.413 | 84.131 | 28.413 | 0.000 | 0.000 | -0.000 |
| 28.413 | 28.413 | 84.131 | 0.000 | 0.000 | -0.000 |
| -0.000 | 0.000 | 0.000 | 14.763 | 0.000 | -0.000 |
| 0.000 | -0.000 | 0.000 | 0.000 | 14.763 | -0.000 |
| 0.000 | 0.000 | -0.000 | 0.000 | -0.000 | 14.763 |
| 5.808 | 5.808 | 5.808 | -0.000 | -0.000 | -0.000 |
| 5.808 | 5.808 | 5.808 | -0.000 | -0.000 | -0.000 |
| 5.808 | 5.808 | 5.808 | -0.000 | -0.000 | 0.000 |
| -0.000 | -0.000 | -0.000 | -0.068 | -0.000 | 0.000 |
| -0.000 | -0.000 | -0.000 | -0.000 | -0.068 | 0.000 |
| -0.000 | -0.000 | -0.000 | -0.000 | -0.000 | -0.068 |
| 5.808 | 5.808 | 5.808 | 0.000 | -0.000 | -0.000 |
| 5.808 | 5.808 | 5.808 | -0.000 | 0.000 | -0.000 |
| 5.808 | 5.808 | 5.808 | 0.000 | 0.000 | 0.000 |
| 0.000 | 0.000 | 0.000 | -0.068 | 0.000 | -0.000 |
| 0.000 | 0.000 | 0.000 | 0.000 | -0.068 | 0.000 |
| 0.000 | 0.000 | 0.000 | 0.000 | 0.000 | -0.068 |
| 5.808 | 5.808 | 5.808 | -0.000 | -0.000 | -0.000 |
| 5.808 | 5.808 | 5.808 | -0.000 | -0.000 | -0.000 |
| 5.808 | 5.808 | 5.808 | -0.000 | -0.000 | 0.000 |
| 0.000 | 0.000 | 0.000 | 5.808 | 0.000 | 0.000 |
| 0.000 | 0.000 | 0.000 | 0.000 | 5.808 | 0.000 |
| 0.000 | 0.000 | 0.000 | -0.000 | -0.000 | 5.808 |
| 5.808 | 5.808 | 5.808 | 0.000 | -0.000 | -0.000 |
| 5.808 | 5.808 | 5.808 | -0.000 | 0.000 | -0.000 |
| 5.808 | 5.808 | 5.808 | 0.000 | 0.000 | -0.000 |
| -0.000 | -0.000 | -0.000 | 5.808 | -0.000 | -0.000 |
| -0.000 | -0.000 | -0.000 | -0.000 | 5.808 | 0.000 |
| -0.000 | -0.000 | -0.000 | -0.000 | 0.000 | 5.808 |
| 5.808 | 5.808 | 5.808 | -0.000 | -0.000 | 0.000 |
| 5.808 | 5.808 | 5.808 | -0.000 | -0.000 | 0.000 |
| 5.808 | 5.808 | 5.808 | -0.000 | -0.000 | -0.000 |
| 0.000 | 0.000 | 0.000 | -0.567 | -0.000 | 0.000 |
| 0.000 | 0.000 | 0.000 | -0.000 | -0.567 | 0.000 |
| 0.000 | 0.000 | 0.000 | -0.000 | -0.000 | -0.567 |
| 5.808 | 5.808 | 5.808 | 0.000 | 0.000 | 0.000 |
| 5.808 | 5.808 | 5.808 | 0.000 | 0.000 | 0.000 |
| 5.808 | 5.808 | 5.808 | 0.000 | 0.000 | -0.000 |
| -0.000 | -0.000 | -0.000 | -0.567 | 0.000 | -0.000 |
| -0.000 | -0.000 | -0.000 | 0.000 | -0.567 | -0.000 |
| -0.000 | -0.000 | -0.000 | 0.000 | 0.000 | -0.567 |
| 95.119 | 172.238 | 172.238 | 0.000 | -0.000 | 0.000 |
| 172.238 | 95.119 | 172.238 | 0.000 | -0.000 | 0.000 |
| 172.238 | 172.238 | 95.119 | -0.000 | -0.000 | 0.000 |
| -0.000 | -0.000 | -0.000 | 33.181 | -0.000 | 0.000 |
| -0.000 | -0.000 | -0.000 | -0.000 | 33.181 | 0.000 |
| -0.000 | -0.000 | -0.000 | -0.000 | 0.000 | 33.181 |
| 95.119 | 172.238 | 172.238 | 0.000 | 0.000 | -0.000 |
| 172.238 | 95.119 | 172.238 | 0.000 | 0.000 | -0.000 |
| 172.238 | 172.238 | 95.119 | 0.000 | 0.000 | -0.000 |
| 0.000 | 0.000 | 0.000 | 33.181 | 0.000 | -0.000 |
| 0.000 | 0.000 | 0.000 | -0.000 | 33.181 | 0.000 |
| 0.000 | 0.000 | 0.000 | 0.000 | 0.000 | 33.181 |
| 95.119 | 172.238 | 172.238 | -0.000 | -0.000 | 0.000 |
| 172.238 | 95.119 | 172.238 | -0.000 | -0.000 | -0.000 |
| 172.238 | 172.238 | 95.119 | -0.000 | -0.000 | 0.000 |
| -0.000 | -0.000 | -0.000 | 33.181 | -0.000 | -0.000 |
| -0.000 | -0.000 | -0.000 | -0.000 | 33.181 | 0.000 |
| -0.000 | -0.000 | -0.000 | -0.000 | -0.000 | 33.181 |
| 95.119 | 172.238 | 172.238 | 0.000 | -0.000 | 0.000 |
| 172.238 | 95.119 | 172.238 | -0.000 | 0.000 | 0.000 |
| 172.238 | 172.238 | 95.119 | 0.000 | 0.000 | -0.000 |
| 0.000 | 0.000 | 0.000 | 33.181 | 0.000 | 0.000 |
| 0.000 | 0.000 | 0.000 | 0.000 | 33.181 | -0.000 |
| 0.000 | 0.000 | 0.000 | 0.000 | 0.000 | 33.181 |
| 95.116 | 172.237 | 172.237 | -0.000 | -0.000 | 0.000 |
| 172.237 | 95.116 | 172.237 | -0.000 | 0.000 | -0.000 |
| 172.237 | 172.237 | 95.116 | -0.000 | -0.000 | -0.000 |
| -0.000 | -0.001 | -0.001 | 33.181 | 0.000 | 0.000 |
| -0.001 | -0.000 | -0.001 | 0.000 | 33.181 | 0.000 |
| -0.001 | -0.001 | -0.000 | -0.000 | -0.000 | 33.181 |
| 95.121 | 172.238 | 172.238 | 0.000 | 0.000 | 0.000 |
| 172.238 | 95.121 | 172.238 | 0.000 | 0.000 | -0.000 |
| 172.238 | 172.238 | 95.121 | 0.000 | 0.000 | 0.000 |
| 0.000 | 0.001 | 0.001 | 33.181 | -0.000 | -0.000 |
| 0.001 | 0.000 | 0.001 | -0.000 | 33.181 | -0.000 |
| 0.001 | 0.001 | 0.000 | 0.000 | 0.000 | 33.181 |
| 9.640 | 4.843 | 4.843 | 0.000 | -0.000 | -0.000 |
| 4.843 | 9.640 | 4.843 | -0.000 | -0.000 | 0.000 |
| 4.843 | 4.843 | 9.640 | -0.000 | -0.000 | -0.000 |
| 0.000 | 0.000 | 0.000 | 4.834 | 0.000 | -0.000 |
| 0.000 | 0.000 | 0.000 | 0.000 | 4.834 | 0.000 |
| 0.000 | 0.000 | -0.000 | 0.000 | 0.000 | 4.834 |
| 9.640 | 4.843 | 4.843 | -0.000 | -0.000 | -0.000 |
| 4.843 | 9.640 | 4.843 | -0.000 | -0.000 | 0.000 |
| 4.843 | 4.843 | 9.640 | -0.000 | -0.000 | 0.000 |
| -0.000 | -0.000 | -0.000 | 4.834 | -0.000 | 0.000 |
| -0.000 | -0.000 | -0.000 | -0.000 | 4.834 | -0.000 |
| -0.000 | -0.000 | -0.000 | -0.000 | -0.000 | 4.834 |
| 9.640 | 4.843 | 4.843 | 0.000 | -0.000 | -0.000 |
| 4.843 | 9.640 | 4.843 | -0.000 | 0.000 | -0.000 |
| 4.843 | 4.843 | 9.640 | 0.000 | -0.000 | -0.000 |
| 0.000 | 0.000 | 0.000 | 4.834 | 0.000 | -0.000 |
| 0.000 | -0.000 | 0.000 | 0.000 | 4.834 | -0.000 |
| 0.000 | 0.000 | 0.000 | 0.000 | 0.000 | 4.834 |
| 9.640 | 4.843 | 4.843 | -0.000 | 0.000 | 0.000 |
| 4.843 | 9.640 | 4.843 | -0.000 | 0.000 | -0.000 |
| 4.843 | 4.843 | 9.640 | -0.000 | 0.000 | -0.000 |
| -0.000 | -0.000 | -0.000 | 4.834 | -0.000 | -0.000 |
| -0.000 | 0.000 | -0.000 | -0.000 | 4.834 | 0.000 |
| -0.000 | -0.000 | -0.000 | -0.000 | -0.000 | 4.834 |
| 9.640 | 4.843 | 4.843 | 0.000 | -0.000 | -0.000 |
| 4.843 | 9.640 | 4.843 | 0.000 | 0.000 | 0.000 |
| 4.843 | 4.843 | 9.640 | 0.000 | 0.000 | -0.000 |
| 0.000 | 0.000 | 0.000 | 4.834 | 0.000 | -0.000 |
| 0.000 | 0.000 | 0.000 | 0.000 | 4.834 | 0.000 |
| 0.000 | 0.000 | 0.000 | 0.000 | -0.000 | 4.834 |
| 9.640 | 4.843 | 4.843 | -0.000 | -0.000 | -0.000 |
| 4.843 | 9.640 | 4.843 | -0.000 | -0.000 | -0.000 |
| 4.843 | 4.843 | 9.640 | 0.000 | 0.000 | 0.000 |
| -0.000 | -0.000 | -0.000 | 4.834 | 0.000 | -0.000 |
| -0.000 | -0.000 | -0.000 | 0.000 | 4.834 | -0.000 |
| -0.000 | -0.000 | -0.000 | -0.000 | -0.000 | 4.834 |
| 197.295 | 157.841 | 166.457 | -0.000 | 0.000 | -0.000 |
| 157.841 | 197.295 | 166.457 | 0.000 | 0.000 | -0.000 |
| 259.563 | 259.563 | 405.709 | 0.000 | -0.000 | 0.000 |
| -0.000 | -0.000 | -0.000 | 12.199 | -0.000 | -0.000 |
| -0.000 | -0.000 | -0.000 | -0.000 | 12.199 | -0.000 |
| -0.000 | -0.000 | -0.000 | -0.000 | -0.000 | 19.727 |
| -70.896 | 236.446 | 147.412 | 0.000 | -0.000 | -0.000 |
| 157.841 | 197.295 | 166.457 | -0.000 | 0.000 | 0.000 |
| 73.312 | 73.312 | 368.289 | 0.000 | -0.000 | -0.000 |
| 0.000 | 0.000 | 0.000 | 12.199 | 0.000 | 0.000 |
| 0.000 | 0.000 | 0.000 | 0.000 | 12.199 | -0.000 |
| 0.000 | 0.000 | 0.000 | 0.000 | 0.000 | 19.727 |
| 191.662 | 184.049 | 168.524 | -0.000 | 0.000 | 0.000 |
| 398.933 | -13.404 | 169.509 | -0.000 | 0.000 | 0.000 |
| 166.670 | 166.670 | 387.046 | 0.000 | -0.000 | -0.000 |
| 9.313 | 9.313 | 1.871 | 12.199 | 0.000 | 0.000 |
| -0.000 | -0.000 | -0.000 | 0.000 | 12.199 | -0.000 |
| 11.166 | 11.166 | 2.243 | -0.000 | -0.000 | 4.598 |
| 170.591 | 160.324 | 164.024 | -0.000 | 0.000 | -0.000 |
| 157.841 | 197.295 | 166.457 | 0.000 | 0.000 | 0.000 |
| 166.670 | 166.670 | 387.046 | 0.000 | -0.000 | 0.000 |
| -9.313 | -9.313 | -1.871 | 12.199 | 0.000 | -0.000 |
| 0.000 | 0.000 | 0.000 | -0.000 | 12.199 | -0.000 |
| -11.166 | -11.166 | -2.243 | -0.000 | 0.000 | 4.598 |
| -5265161.632 | -2059647.332 | -1264493.686 | 0.000 | 0.000 | 0.134 |
| 3834712.015 | -8775211.328 | -3666700.280 | 0.000 | -0.000 | 0.057 |
| 167.368 | 167.368 | 387.185 | -0.000 | -0.000 | -0.000 |
| 0.931 | 0.931 | 0.186 | 12.199 | -0.000 | 0.000 |
| 0.931 | 0.931 | 0.186 | 0.000 | 12.199 | 0.000 |
| 0.643 | 0.642 | 0.129 | -0.000 | -0.000 | 11.013 |
| 197.297 | 157.841 | 166.457 | 0.000 | 0.000 | 0.000 |
| 157.842 | 197.297 | 166.457 | 0.000 | 0.000 | -0.000 |
| 166.671 | 166.671 | 387.047 | -0.000 | -0.000 | 0.000 |
| -0.931 | -0.931 | -0.186 | 12.199 | -0.000 | -0.000 |
| -0.931 | -0.931 | -0.186 | -0.000 | 12.199 | 0.000 |
| -0.643 | -0.642 | -0.129 | 0.000 | 0.000 | 11.013 |
| 387.099 | 177.820 | 177.820 | -0.000 | 0.000 | -0.000 |
| 177.820 | 387.099 | 177.820 | -0.000 | 0.000 | -0.000 |
| 177.820 | 177.820 | 387.099 | -0.000 | 0.000 | -0.000 |
| 0.000 | 0.000 | 0.000 | 75.367 | -0.000 | 0.000 |
| 0.000 | 0.000 | 0.000 | -0.000 | 75.367 | -0.000 |
| 0.000 | 0.000 | -0.000 | 0.000 | 0.000 | 75.367 |
| 387.099 | 177.820 | 177.820 | 0.000 | -0.000 | 0.000 |
| 177.820 | 387.099 | 177.820 | 0.000 | -0.000 | 0.000 |
| 177.820 | 177.820 | 387.099 | 0.000 | -0.000 | -0.000 |
| -0.000 | -0.000 | -0.000 | 75.367 | 0.000 | 0.000 |
| -0.000 | 0.000 | -0.000 | 0.000 | 75.367 | 0.000 |
| -0.000 | -0.000 | 0.000 | 0.000 | -0.000 | 75.367 |
| 387.099 | 177.820 | 177.820 | -0.000 | 0.000 | -0.000 |
| 177.820 | 387.099 | 177.820 | -0.000 | 0.000 | -0.000 |
| 177.820 | 177.820 | 387.099 | -0.000 | 0.000 | 0.000 |
| 0.000 | 0.000 | 0.000 | 75.367 | 0.000 | -0.000 |
| 0.000 | 0.000 | 0.000 | -0.000 | 75.367 | -0.000 |
| 0.000 | 0.000 | 0.000 | -0.000 | 0.000 | 75.367 |
| 387.099 | 177.820 | 177.820 | 0.000 | -0.000 | 0.000 |
| 177.820 | 387.099 | 177.820 | 0.000 | -0.000 | 0.000 |
| 177.820 | 177.820 | 387.099 | 0.000 | -0.000 | 0.000 |
| -0.000 | -0.000 | -0.000 | 75.367 | -0.000 | 0.000 |
| -0.000 | -0.000 | -0.000 | 0.000 | 75.367 | 0.000 |
| -0.000 | -0.000 | -0.000 | 0.000 | -0.000 | 75.367 |
| 387.101 | 177.821 | 177.821 | -0.000 | 0.000 | -0.000 |
| 177.821 | 387.101 | 177.821 | -0.000 | 0.000 | -0.000 |
| 177.821 | 177.821 | 387.101 | -0.000 | 0.000 | -0.000 |
| 0.000 | 0.001 | 0.001 | 78.993 | 0.000 | -0.000 |
| 0.001 | 0.000 | 0.001 | -0.000 | 78.993 | -0.000 |
| 0.001 | 0.001 | 0.000 | -0.000 | 0.000 | 78.993 |
| 387.097 | 177.819 | 177.819 | 0.000 | -0.000 | 0.000 |
| 177.819 | 387.097 | 177.819 | 0.000 | -0.000 | 0.000 |
| 177.819 | 177.819 | 387.097 | -0.000 | -0.000 | 0.000 |
| -0.000 | -0.001 | -0.001 | 78.993 | -0.000 | 0.000 |
| -0.001 | -0.000 | -0.001 | 0.000 | 78.993 | 0.000 |
| -0.001 | -0.001 | -0.000 | 0.000 | -0.000 | 78.993 |
| 21.554 | 21.321 | 21.321 | 0.000 | -0.000 | 0.000 |
| 21.321 | 21.554 | 21.321 | 0.000 | 0.000 | 0.000 |
| 21.321 | 21.321 | 21.554 | 0.000 | -0.000 | 0.000 |
| 0.000 | 0.000 | 0.000 | 9.024 | -0.000 | 0.000 |
| 0.000 | 0.000 | 0.000 | -0.000 | 9.024 | 0.000 |
| 0.000 | 0.000 | 0.000 | 0.000 | 0.000 | 9.024 |
| 21.554 | 21.321 | 21.321 | -0.000 | -0.000 | -0.000 |
| 21.321 | 21.554 | 21.321 | -0.000 | -0.000 | -0.000 |
| 21.321 | 21.321 | 21.554 | -0.000 | -0.000 | -0.000 |
| -0.000 | -0.000 | -0.000 | 9.024 | 0.000 | -0.000 |
| -0.000 | -0.000 | -0.000 | -0.000 | 9.024 | -0.000 |
| -0.000 | -0.000 | -0.000 | -0.000 | -0.000 | 9.024 |
| 21.554 | 21.321 | 21.321 | 0.000 | -0.000 | 0.000 |
| 21.321 | 21.554 | 21.321 | 0.000 | 0.000 | 0.000 |
| 21.321 | 21.321 | 21.554 | 0.000 | 0.000 | 0.000 |
| 0.000 | 0.000 | 0.000 | 9.024 | -0.000 | 0.000 |
| 0.000 | 0.000 | 0.000 | -0.000 | 9.024 | 0.000 |
| 0.000 | 0.000 | 0.000 | -0.000 | 0.000 | 9.024 |
| 21.554 | 21.321 | 21.321 | -0.000 | 0.000 | -0.000 |
| 21.321 | 21.554 | 21.321 | -0.000 | -0.000 | -0.000 |
| 21.321 | 21.321 | 21.554 | -0.000 | 0.000 | -0.000 |
| -0.000 | -0.000 | -0.000 | 9.024 | 0.000 | -0.000 |
| -0.000 | -0.000 | -0.000 | -0.000 | 9.024 | -0.000 |
| -0.000 | -0.000 | -0.000 | 0.000 | -0.000 | 9.024 |
| 21.554 | 21.321 | 21.321 | 0.000 | -0.000 | 0.000 |
| 21.321 | 21.554 | 21.321 | 0.000 | -0.000 | 0.000 |
| 21.321 | 21.321 | 21.554 | 0.000 | -0.000 | 0.000 |
| 0.000 | 0.000 | 0.000 | 9.024 | -0.000 | 0.000 |
| 0.000 | 0.000 | 0.000 | -0.000 | 9.024 | 0.000 |
| 0.000 | 0.000 | 0.000 | -0.000 | -0.000 | 9.024 |
| 21.554 | 21.321 | 21.321 | -0.000 | 0.000 | -0.000 |
| 21.321 | 21.554 | 21.321 | -0.000 | -0.000 | -0.000 |
| 21.321 | 21.321 | 21.554 | -0.000 | -0.000 | -0.000 |
| -0.000 | -0.000 | -0.000 | 9.024 | 0.000 | -0.000 |
| -0.000 | -0.000 | -0.000 | -0.000 | 9.024 | -0.000 |
| -0.000 | -0.000 | -0.000 | 0.000 | -0.000 | 9.024 |
| 6.518 | 10.762 | 10.762 | 0.000 | -0.000 | 0.000 |
| 10.762 | 6.518 | 10.762 | 0.000 | -0.000 | 0.000 |
| 10.762 | 10.762 | 6.518 | 0.000 | -0.000 | 0.000 |
| -0.000 | 0.000 | 0.000 | -0.519 | 0.000 | -0.000 |
| 0.000 | -0.000 | 0.000 | 0.000 | -0.519 | -0.000 |
| 0.000 | 0.000 | -0.000 | -0.000 | 0.000 | -0.519 |
| 4399394.630 | 1874318.855 | 983296.764 | -208697.800 | 101597.820 | 144229.534 |
| 1406397.723 | 4607359.506 | 2030893.977 | -16019.386 | -27494.166 | 173478.059 |
| 2452545.609 | 1557094.010 | 4021189.133 | 208382.112 | 63221.246 | 133153.692 |
| 0.000 | -0.000 | -0.000 | -0.519 | -0.000 | 0.000 |
| -0.000 | 0.000 | -0.000 | -0.000 | -0.519 | 0.000 |
| -0.000 | -0.000 | 0.000 | -0.000 | -0.000 | -0.519 |
| -538060.742 | -153631.100 | 30827.635 | -11795.325 | 3764.324 | -23279.248 |
| -20442.129 | -340010.393 | 99.332 | 1430.525 | 1310.772 | -7265.933 |
| -14743.569 | -25443.534 | -445682.808 | -3978.621 | 13830.198 | -8848.135 |
| -0.000 | 0.000 | 0.000 | -0.519 | 0.000 | -0.000 |
| 0.000 | -0.000 | 0.000 | -0.000 | -0.519 | -0.000 |
| 0.000 | 0.000 | -0.000 | 0.000 | 0.000 | -0.519 |
| 516110.158 | 267779.444 | 158554.841 | 6723.921 | 17946.363 | 18470.330 |
| 220684.702 | 515987.902 | 112669.111 | 2966.784 | -10481.173 | 8807.726 |
| 145916.690 | 304848.918 | 536263.420 | 3134.161 | 13229.930 | -8512.646 |
| 0.000 | -0.000 | -0.000 | -0.519 | -0.000 | 0.000 |
| -0.000 | 0.000 | -0.000 | -0.000 | -0.519 | 0.000 |
| -0.000 | -0.000 | 0.000 | -0.000 | -0.000 | -0.519 |
| -53573.269 | -11523.885 | -4440.766 | -502.487 | -700.111 | -2645.458 |
| 8329.147 | -46726.747 | -3390.187 | 527.375 | 312.296 | 791.975 |
| -4612.123 | 2107.948 | -50063.601 | -1179.988 | 66.836 | -841.871 |
| -0.000 | 0.000 | 0.000 | -0.519 | 0.000 | -0.000 |
| 0.000 | -0.000 | 0.000 | 0.000 | -0.519 | -0.000 |
| 0.000 | 0.000 | -0.000 | 0.000 | 0.000 | -0.519 |
| 44765.854 | 17964.373 | 15965.643 | 2014.795 | 959.630 | -1602.072 |
| 23479.629 | 43348.945 | 19922.690 | 1329.102 | -291.651 | -1806.459 |
| 21694.452 | 21490.475 | 44141.838 | -219.863 | -375.513 | -73.171 |
| 0.000 | -0.000 | -0.000 | -0.519 | -0.000 | 0.000 |
| -0.000 | 0.000 | -0.000 | -0.000 | -0.519 | 0.000 |
| -0.000 | -0.000 | 0.000 | -0.000 | -0.000 | -0.519 |
| 16.702 | 2.851 | 2.851 | -0.000 | 0.000 | 0.000 |
| 2.851 | 16.702 | 2.851 | -0.000 | 0.000 | -0.000 |
| 2.851 | 2.851 | 16.702 | 0.000 | -0.000 | 0.000 |
| 0.000 | -0.000 | -0.000 | 0.763 | 0.000 | 0.000 |
| 0.000 | -0.000 | 0.000 | 0.000 | 0.763 | 0.000 |
| 0.000 | -0.000 | 0.000 | -0.000 | 0.000 | 0.763 |
| 16.702 | 2.851 | 2.851 | 0.000 | -0.000 | -0.000 |
| 2.851 | 16.702 | 2.851 | 0.000 | -0.000 | -0.000 |
| 2.851 | 2.851 | 16.702 | 0.000 | 0.000 | -0.000 |
| -0.000 | 0.000 | 0.000 | 0.763 | -0.000 | 0.000 |
| 0.000 | -0.000 | -0.000 | 0.000 | 0.763 | -0.000 |
| -0.000 | 0.000 | -0.000 | 0.000 | -0.000 | 0.763 |
| 16.702 | 2.851 | 2.851 | -0.000 | 0.000 | 0.000 |
| 2.851 | 16.702 | 2.851 | -0.000 | 0.000 | 0.000 |
| 2.851 | 2.851 | 16.702 | -0.000 | 0.000 | 0.000 |
| -0.000 | 0.000 | 0.000 | 0.314 | 0.000 | 0.000 |
| 0.000 | -0.000 | 0.000 | -0.000 | 0.314 | -0.000 |
| 0.000 | 0.000 | -0.000 | -0.000 | 0.000 | 0.314 |
| 16.702 | 2.851 | 2.851 | 0.000 | -0.000 | -0.000 |
| 2.851 | 16.702 | 2.851 | 0.000 | -0.000 | 0.000 |
| 2.851 | 2.851 | 16.702 | 0.000 | -0.000 | -0.000 |
| 0.000 | -0.000 | -0.000 | 0.314 | -0.000 | -0.000 |
| -0.000 | 0.000 | -0.000 | 0.000 | 0.314 | 0.000 |
| -0.000 | -0.000 | 0.000 | 0.000 | -0.000 | 0.314 |
| 16.702 | 2.851 | 2.851 | -0.000 | 0.000 | 0.000 |
| 2.851 | 16.702 | 2.851 | -0.000 | 0.000 | 0.000 |
| 2.851 | 2.851 | 16.702 | -0.000 | -0.000 | 0.000 |
| -0.000 | 0.000 | 0.000 | 0.174 | 0.000 | 0.000 |
| 0.000 | -0.000 | 0.000 | -0.000 | 0.174 | 0.000 |
| -0.000 | -0.000 | 0.000 | -0.000 | 0.000 | 0.202 |
| 16.702 | 2.851 | 2.851 | 0.000 | 0.000 | -0.000 |
| 2.851 | 16.702 | 2.851 | 0.000 | -0.000 | -0.000 |
| 2.851 | 2.851 | 16.702 | 0.000 | -0.000 | -0.000 |
| 0.000 | -0.000 | -0.000 | 0.174 | -0.000 | 0.000 |
| -0.000 | 0.000 | -0.000 | 0.000 | 0.174 | -0.000 |
| 0.000 | 0.000 | -0.000 | 0.000 | -0.000 | 0.202 |
| 399.133 | 197.968 | 197.968 | -0.000 | 0.000 | 0.000 |
| 197.968 | 399.133 | 197.968 | 0.000 | -0.000 | 0.000 |
| 197.968 | 197.968 | 399.133 | 0.000 | -0.000 | 0.000 |
| 0.000 | 0.000 | 0.000 | 69.801 | -0.000 | 0.000 |
| 0.000 | 0.000 | 0.000 | -0.000 | 69.801 | 0.000 |
| 0.000 | 0.000 | 0.000 | -0.000 | -0.000 | 69.801 |
| 399.133 | 197.968 | 197.968 | -0.000 | 0.000 | -0.000 |
| 197.968 | 399.133 | 197.968 | -0.000 | 0.000 | -0.000 |
| 197.968 | 197.968 | 399.133 | 0.000 | 0.000 | -0.000 |
| -0.000 | -0.000 | -0.000 | 69.801 | 0.000 | -0.000 |
| -0.000 | -0.000 | -0.000 | 0.000 | 69.801 | -0.000 |
| -0.000 | -0.000 | -0.000 | 0.000 | 0.000 | 69.801 |
| 399.134 | 197.968 | 197.968 | -0.000 | -0.000 | 0.000 |
| 197.968 | 399.134 | 197.968 | 0.000 | -0.000 | 0.000 |
| 197.968 | 197.968 | 399.134 | 0.000 | -0.000 | 0.000 |
| 0.000 | 0.000 | 0.000 | 55.330 | -0.000 | 0.000 |
| 0.000 | 0.000 | 0.000 | -0.000 | 55.330 | 0.000 |
| 0.000 | 0.000 | 0.000 | -0.000 | -0.000 | 55.330 |
| 399.133 | 197.968 | 197.968 | 0.000 | 0.000 | 0.000 |
| 197.968 | 399.133 | 197.968 | 0.000 | 0.000 | 0.000 |
| 197.968 | 197.968 | 399.133 | 0.000 | 0.000 | -0.000 |
| -0.000 | -0.000 | -0.000 | 55.330 | 0.000 | -0.000 |
| -0.000 | -0.000 | -0.000 | 0.000 | 55.330 | -0.000 |
| -0.000 | -0.000 | -0.000 | 0.000 | 0.000 | 55.330 |
| 399.135 | 197.968 | 197.968 | 0.000 | 0.000 | 0.000 |
| 197.968 | 399.135 | 197.968 | -0.000 | -0.000 | 0.000 |
| 197.968 | 197.968 | 399.135 | -0.000 | -0.000 | 0.000 |
| 0.001 | 0.001 | 0.001 | 55.330 | -0.000 | 0.000 |
| 0.001 | 0.001 | 0.001 | -0.000 | 55.330 | -0.000 |
| 0.001 | 0.001 | 0.001 | -0.000 | -0.000 | 55.330 |
| 399.131 | 197.968 | 197.968 | -0.000 | 0.000 | -0.000 |
| 197.968 | 399.131 | 197.968 | 0.000 | -0.000 | -0.000 |
| 197.968 | 197.968 | 399.131 | 0.000 | 0.000 | -0.000 |
| -0.001 | -0.001 | -0.001 | 55.330 | 0.000 | -0.000 |
| -0.001 | -0.001 | -0.001 | 0.000 | 55.330 | -0.000 |
| -0.001 | -0.001 | -0.001 | 0.000 | 0.000 | 55.330 |
| 5.734 | 10.092 | 10.092 | -0.000 | -0.000 | 0.000 |
| 10.092 | 5.734 | 10.092 | -0.000 | -0.000 | 0.000 |
| 10.092 | 10.092 | 5.734 | -0.000 | -0.000 | 0.000 |
| -0.000 | -0.000 | -0.000 | -58.020 | -0.000 | 0.000 |
| -0.000 | -0.000 | -0.000 | -0.000 | -58.020 | 0.000 |
| -0.000 | -0.000 | -0.000 | -0.000 | -0.000 | -58.020 |
| 5.734 | 10.092 | 10.092 | 0.000 | 0.000 | -0.000 |
| 10.092 | 5.734 | 10.092 | 0.000 | 0.000 | -0.000 |
| 10.092 | 10.092 | 5.734 | 0.000 | 0.000 | -0.000 |
| 0.000 | 0.000 | 0.000 | -58.020 | 0.000 | -0.000 |
| 0.000 | 0.000 | 0.000 | 0.000 | -58.020 | -0.000 |
| 0.000 | 0.000 | 0.000 | 0.000 | 0.000 | -58.020 |
| 5.734 | 10.092 | 10.092 | -0.000 | -0.000 | 0.000 |
| 10.092 | 5.734 | 10.092 | -0.000 | -0.000 | 0.000 |
| 10.092 | 10.092 | 5.734 | -0.000 | -0.000 | 0.000 |
| -0.001 | -0.000 | -0.000 | -68.144 | -0.000 | 0.000 |
| -0.000 | -0.001 | -0.000 | -0.000 | -68.144 | 0.000 |
| -0.000 | -0.000 | -0.001 | -0.000 | -0.000 | -68.144 |
| 5.734 | 10.092 | 10.092 | 0.000 | 0.000 | -0.000 |
| 10.092 | 5.734 | 10.092 | 0.000 | 0.000 | -0.000 |
| 10.092 | 10.092 | 5.734 | 0.000 | -0.000 | -0.000 |
| 0.001 | 0.000 | 0.000 | -68.144 | 0.000 | -0.000 |
| 0.000 | 0.001 | 0.000 | 0.000 | -68.144 | -0.000 |
| 0.000 | 0.000 | 0.001 | 0.000 | 0.000 | -68.144 |
| 5.732 | 10.092 | 10.092 | -0.000 | -0.000 | 0.000 |
| 10.092 | 5.732 | 10.092 | 0.000 | 0.000 | 0.000 |
| 10.092 | 10.092 | 5.732 | 0.000 | -0.000 | 0.000 |
| -0.009 | -0.000 | -0.000 | -58.020 | -0.000 | 0.000 |
| -0.000 | -0.009 | -0.000 | -0.000 | -58.020 | 0.000 |
| -0.000 | -0.000 | -0.009 | -0.000 | -0.000 | -58.020 |
| 5.735 | 10.092 | 10.092 | 0.000 | 0.000 | -0.000 |
| 10.092 | 5.735 | 10.092 | 0.000 | 0.000 | -0.000 |
| 10.092 | 10.092 | 5.735 | 0.000 | 0.000 | -0.000 |
| 0.009 | 0.000 | 0.000 | -58.020 | 0.000 | -0.000 |
| 0.000 | 0.009 | 0.000 | 0.000 | -58.020 | -0.000 |
| 0.000 | 0.000 | 0.009 | 0.000 | 0.000 | -58.020 |
| 13.058 | 13.058 | 13.058 | -0.000 | 0.000 | 0.000 |
| 13.058 | 13.058 | 13.058 | 0.000 | -0.000 | 0.000 |
| 13.058 | 13.058 | 13.058 | -0.000 | -0.000 | 0.000 |
| 0.000 | 0.000 | 0.000 | 9.382 | 0.000 | 0.000 |
| 0.000 | 0.000 | 0.000 | 0.000 | 9.382 | 0.000 |
| 0.000 | 0.000 | 0.000 | 0.000 | 0.000 | 9.382 |
| 13.058 | 13.058 | 13.058 | 0.000 | 0.000 | -0.000 |
| 13.058 | 13.058 | 13.058 | 0.000 | 0.000 | -0.000 |
| 13.058 | 13.058 | 13.058 | 0.000 | 0.000 | -0.000 |
| -0.000 | -0.000 | -0.000 | 9.382 | -0.000 | -0.000 |
| -0.000 | -0.000 | -0.000 | -0.000 | 9.382 | -0.000 |
| -0.000 | -0.000 | -0.000 | -0.000 | -0.000 | 9.382 |
| 13.058 | 13.058 | 13.058 | -0.000 | -0.000 | 0.000 |
| 13.058 | 13.058 | 13.058 | -0.000 | -0.000 | 0.000 |
| 13.058 | 13.058 | 13.058 | -0.000 | -0.000 | 0.000 |
| 0.000 | 0.000 | 0.000 | 9.382 | 0.000 | 0.000 |
| 0.000 | 0.000 | 0.000 | 0.000 | 9.382 | 0.000 |
| 0.000 | 0.000 | 0.000 | 0.000 | 0.000 | 9.382 |
| 13.058 | 13.058 | 13.058 | 0.000 | -0.000 | -0.000 |
| 13.058 | 13.058 | 13.058 | -0.000 | 0.000 | -0.000 |
| 13.058 | 13.058 | 13.058 | 0.000 | 0.000 | -0.000 |
| -0.000 | -0.000 | -0.000 | 9.382 | -0.000 | -0.000 |
| -0.000 | -0.000 | -0.000 | -0.000 | 9.382 | -0.000 |
| -0.000 | -0.000 | -0.000 | -0.000 | -0.000 | 9.382 |
| 13.058 | 13.058 | 13.058 | -0.000 | 0.000 | 0.000 |
| 13.058 | 13.058 | 13.058 | 0.000 | -0.000 | 0.000 |
| 13.058 | 13.058 | 13.058 | -0.000 | -0.000 | 0.000 |
| 0.000 | 0.000 | 0.000 | 9.382 | 0.000 | 0.000 |
| 0.000 | 0.000 | 0.000 | 0.000 | 9.382 | 0.000 |
| 0.000 | 0.000 | 0.000 | 0.000 | 0.000 | 9.382 |
| 13.058 | 13.058 | 13.058 | 0.000 | 0.000 | -0.000 |
| 13.058 | 13.058 | 13.058 | -0.000 | 0.000 | -0.000 |
| 13.058 | 13.058 | 13.058 | 0.000 | 0.000 | -0.000 |
| -0.000 | -0.000 | -0.000 | 9.382 | -0.000 | -0.000 |
| -0.000 | -0.000 | -0.000 | -0.000 | 9.382 | -0.000 |
| -0.000 | -0.000 | -0.000 | -0.000 | -0.000 | 9.382 |
| 443.430 | 209.445 | 209.445 | -0.000 | -0.000 | -0.000 |
| 209.445 | 443.430 | 209.445 | -0.000 | -0.000 | -0.000 |
| 209.445 | 209.445 | 443.430 | -0.000 | -0.000 | 0.000 |
| -0.000 | -0.000 | -0.000 | 190.106 | -0.000 | 0.000 |
| -0.000 | -0.000 | -0.000 | -0.000 | 190.106 | 0.000 |
| -0.000 | -0.000 | -0.000 | -0.000 | -0.000 | 190.106 |
| 443.430 | 209.445 | 209.445 | 0.000 | -0.000 | -0.000 |
| 209.445 | 443.430 | 209.445 | 0.000 | 0.000 | 0.000 |
| 209.445 | 209.445 | 443.430 | 0.000 | 0.000 | 0.000 |
| 0.000 | 0.000 | 0.000 | 190.106 | 0.000 | 0.000 |
| 0.000 | 0.000 | 0.000 | 0.000 | 190.106 | 0.000 |
| 0.000 | 0.000 | 0.000 | 0.000 | 0.000 | 190.106 |
| 443.430 | 209.444 | 209.444 | -0.000 | 0.000 | 0.000 |
| 209.444 | 443.430 | 209.444 | 0.000 | -0.000 | -0.000 |
| 209.444 | 209.444 | 443.430 | -0.000 | -0.000 | 0.000 |
| -0.000 | -0.000 | -0.000 | 190.106 | -0.000 | 0.000 |
| -0.000 | -0.000 | -0.000 | -0.000 | 190.106 | 0.000 |
| -0.000 | -0.000 | -0.000 | -0.000 | -0.000 | 190.106 |
| 443.430 | 209.445 | 209.445 | 0.000 | -0.000 | 0.000 |
| 209.445 | 443.430 | 209.445 | 0.000 | -0.000 | 0.000 |
| 209.445 | 209.445 | 443.430 | 0.000 | 0.000 | -0.000 |
| 0.000 | 0.000 | 0.000 | 190.106 | 0.000 | 0.000 |
| 0.000 | 0.000 | 0.000 | 0.000 | 190.106 | -0.000 |
| 0.000 | 0.000 | 0.000 | 0.000 | 0.000 | 190.106 |
| 443.426 | 209.443 | 209.443 | -0.000 | -0.000 | 0.000 |
| 209.443 | 443.426 | 209.443 | -0.000 | -0.000 | -0.000 |
| 209.443 | 209.443 | 443.426 | -0.000 | -0.000 | -0.000 |
| -0.000 | -0.001 | -0.001 | 190.106 | -0.000 | 0.000 |
| -0.001 | -0.000 | -0.001 | -0.000 | 190.106 | 0.000 |
| -0.001 | -0.001 | -0.000 | -0.000 | -0.000 | 190.106 |
| 443.434 | 209.446 | 209.446 | 0.000 | 0.000 | -0.000 |
| 209.446 | 443.434 | 209.446 | 0.000 | 0.000 | -0.000 |
| 209.446 | 209.446 | 443.434 | 0.000 | 0.000 | 0.000 |
| 0.000 | 0.001 | 0.001 | 190.106 | 0.000 | 0.000 |
| 0.001 | 0.000 | 0.001 | 0.000 | 190.106 | 0.000 |
| 0.001 | 0.001 | 0.000 | 0.000 | 0.000 | 190.106 |
| 21.488 | 11.541 | 11.541 | -0.000 | -0.000 | 0.000 |
| 11.541 | 21.488 | 11.541 | -0.000 | -0.000 | -0.000 |
| 11.541 | 11.541 | 21.488 | -0.000 | -0.000 | -0.000 |
| -0.000 | -0.000 | -0.000 | 10.661 | -0.000 | 0.000 |
| -0.000 | -0.000 | -0.000 | -0.000 | 10.661 | -0.000 |
| -0.000 | -0.000 | 0.000 | -0.000 | 0.000 | 10.661 |
| 21.488 | 11.541 | 11.541 | 0.000 | 0.000 | 0.000 |
| 11.541 | 21.488 | 11.541 | 0.000 | 0.000 | -0.000 |
| 11.541 | 11.541 | 21.488 | 0.000 | 0.000 | 0.000 |
| 0.000 | 0.000 | -0.000 | 10.661 | 0.000 | -0.000 |
| 0.000 | 0.000 | -0.000 | -0.000 | 10.661 | 0.000 |
| 0.000 | 0.000 | -0.000 | 0.000 | -0.000 | 10.661 |
| 21.488 | 11.541 | 11.541 | -0.000 | -0.000 | -0.000 |
| 11.541 | 21.488 | 11.541 | -0.000 | 0.000 | -0.000 |
| 11.541 | 11.541 | 21.488 | -0.000 | -0.000 | 0.000 |
| -0.000 | -0.000 | -0.000 | 10.661 | -0.000 | -0.000 |
| -0.000 | -0.000 | -0.000 | -0.000 | 10.661 | -0.000 |
| -0.000 | -0.000 | -0.000 | -0.000 | -0.000 | 10.661 |
| 21.488 | 11.541 | 11.541 | 0.000 | 0.000 | 0.000 |
| 11.541 | 21.488 | 11.541 | 0.000 | 0.000 | -0.000 |
| 11.541 | 11.541 | 21.488 | 0.000 | 0.000 | -0.000 |
| 0.000 | 0.000 | 0.000 | 10.661 | 0.000 | -0.000 |
| 0.000 | 0.000 | 0.000 | 0.000 | 10.661 | -0.000 |
| 0.000 | 0.000 | 0.000 | 0.000 | 0.000 | 10.661 |
| 21.488 | 11.541 | 11.541 | -0.000 | -0.000 | -0.000 |
| 11.541 | 21.488 | 11.541 | -0.000 | -0.000 | 0.000 |
| 11.541 | 11.541 | 21.488 | -0.000 | -0.000 | 0.000 |
| -0.000 | -0.000 | -0.000 | 10.661 | -0.000 | -0.000 |
| -0.000 | -0.000 | -0.000 | 0.000 | 10.661 | -0.000 |
| -0.000 | -0.000 | -0.000 | -0.000 | -0.000 | 10.661 |
| 21.488 | 11.542 | 11.542 | 0.000 | 0.000 | 0.000 |
| 11.542 | 21.488 | 11.542 | 0.000 | 0.000 | 0.000 |
| 11.542 | 11.542 | 21.488 | 0.000 | 0.000 | 0.000 |
| 0.000 | 0.000 | 0.000 | 10.661 | 0.000 | -0.000 |
| 0.000 | 0.000 | 0.000 | -0.000 | 10.661 | 0.000 |
| 0.000 | 0.000 | 0.000 | 0.000 | 0.000 | 10.661 |
| 31.196 | 15.506 | 15.506 | -0.000 | -0.000 | -0.000 |
| 15.506 | 31.196 | 15.506 | 0.000 | -0.000 | -0.000 |
| 15.506 | 15.506 | 31.196 | -0.000 | -0.000 | -0.000 |
| -0.000 | 0.000 | 0.000 | 15.736 | -0.000 | -0.000 |
| 0.000 | -0.000 | 0.000 | -0.000 | 15.736 | 0.000 |
| 0.000 | 0.000 | -0.000 | -0.000 | 0.000 | 15.736 |
| 31.196 | 15.506 | 15.506 | 0.000 | -0.000 | -0.000 |
| 15.506 | 31.196 | 15.506 | -0.000 | 0.000 | 0.000 |
| 15.506 | 15.506 | 31.196 | 0.000 | 0.000 | 0.000 |
| 0.000 | -0.000 | -0.000 | 15.736 | 0.000 | 0.000 |
| -0.000 | 0.000 | -0.000 | 0.000 | 15.736 | -0.000 |
| -0.000 | -0.000 | 0.000 | 0.000 | -0.000 | 15.736 |
| 31.196 | 15.506 | 15.506 | -0.000 | -0.000 | -0.000 |
| 15.506 | 31.196 | 15.506 | -0.000 | -0.000 | -0.000 |
| 15.506 | 15.506 | 31.196 | -0.000 | -0.000 | -0.000 |
| -0.000 | 0.000 | 0.000 | 15.736 | -0.000 | -0.000 |
| 0.000 | -0.000 | 0.000 | -0.000 | 15.736 | 0.000 |
| 0.000 | 0.000 | -0.000 | -0.000 | 0.000 | 15.736 |
| 31.196 | 15.506 | 15.506 | 0.000 | 0.000 | 0.000 |
| 15.506 | 31.196 | 15.506 | 0.000 | 0.000 | 0.000 |
| 15.506 | 15.506 | 31.196 | 0.000 | 0.000 | 0.000 |
| 0.000 | -0.000 | -0.000 | 15.736 | 0.000 | 0.000 |
| -0.000 | 0.000 | -0.000 | 0.000 | 15.736 | 0.000 |
| -0.000 | -0.000 | 0.000 | 0.000 | -0.000 | 15.736 |
| 31.197 | 15.506 | 15.506 | -0.000 | 0.000 | 0.000 |
| 15.506 | 31.197 | 15.506 | -0.000 | -0.000 | -0.000 |
| 15.506 | 15.506 | 31.197 | -0.000 | -0.000 | -0.000 |
| -0.000 | 0.000 | 0.000 | 15.736 | -0.000 | -0.000 |
| 0.000 | -0.000 | 0.000 | -0.000 | 15.736 | 0.000 |
| 0.000 | 0.000 | -0.000 | -0.000 | 0.000 | 15.736 |
| 31.196 | 15.506 | 15.506 | 0.000 | -0.000 | -0.000 |
| 15.506 | 31.196 | 15.506 | 0.000 | 0.000 | 0.000 |
| 15.506 | 15.506 | 31.196 | 0.000 | 0.000 | 0.000 |
| 0.000 | -0.000 | -0.000 | 15.736 | 0.000 | 0.000 |
| -0.000 | 0.000 | -0.000 | 0.000 | 15.736 | 0.000 |
| -0.000 | -0.000 | 0.000 | 0.000 | 0.000 | 15.736 |
| 1252.125 | 294.543 | 294.543 | 0.000 | 0.000 | 0.000 |
| 294.543 | 1252.125 | 294.543 | 0.000 | 0.000 | 0.000 |
| 294.543 | 294.543 | 1252.125 | 0.000 | 0.000 | 0.000 |
| -0.000 | 0.000 | -0.000 | 209.018 | 0.000 | 0.000 |
| -0.000 | 0.000 | -0.000 | 0.000 | 209.018 | 0.000 |
| -0.000 | 0.000 | -0.000 | 0.000 | 0.000 | 209.018 |
| 1252.125 | 294.543 | 294.543 | -0.000 | -0.000 | -0.000 |
| 294.543 | 1252.125 | 294.543 | -0.000 | -0.000 | -0.000 |
| 294.543 | 294.543 | 1252.125 | -0.000 | 0.000 | -0.000 |
| 0.000 | -0.000 | 0.000 | 209.018 | -0.000 | -0.000 |
| 0.000 | -0.000 | 0.000 | -0.000 | 209.018 | -0.000 |
| 0.000 | -0.000 | 0.000 | -0.000 | -0.000 | 209.018 |
| 1252.126 | 294.543 | 294.543 | 0.000 | 0.000 | 0.000 |
| 294.543 | 1252.126 | 294.543 | 0.000 | 0.000 | 0.000 |
| 294.543 | 294.543 | 1252.126 | 0.000 | -0.000 | 0.000 |
| 0.000 | 0.000 | -0.000 | 209.018 | -0.000 | 0.000 |
| 0.000 | 0.000 | -0.000 | 0.000 | 209.018 | 0.000 |
| 0.000 | 0.000 | 0.000 | 0.000 | 0.000 | 209.018 |
| 1252.125 | 294.543 | 294.543 | -0.000 | -0.000 | -0.000 |
| 294.543 | 1252.125 | 294.543 | -0.000 | -0.000 | -0.000 |
| 294.543 | 294.543 | 1252.125 | -0.000 | -0.000 | -0.000 |
| -0.000 | -0.000 | 0.000 | 209.018 | 0.000 | -0.000 |
| -0.000 | -0.000 | 0.000 | -0.000 | 209.018 | -0.000 |
| -0.000 | -0.000 | -0.000 | -0.000 | -0.000 | 209.018 |
| 1252.128 | 294.545 | 294.545 | 0.000 | 0.000 | 0.000 |
| 294.545 | 1252.128 | 294.545 | 0.000 | 0.000 | 0.000 |
| 294.545 | 294.545 | 1252.128 | 0.000 | 0.000 | 0.000 |
| 0.001 | 0.000 | -0.000 | 209.018 | 0.000 | 0.000 |
| 0.000 | 0.001 | -0.000 | 0.000 | 209.018 | 0.000 |
| 0.000 | -0.000 | 0.001 | 0.000 | 0.000 | 209.018 |
| 1252.123 | 294.541 | 294.541 | -0.000 | -0.000 | -0.000 |
| 294.541 | 1252.123 | 294.541 | -0.000 | -0.000 | -0.000 |
| 294.541 | 294.541 | 1252.123 | -0.000 | -0.000 | -0.000 |
| -0.001 | -0.000 | 0.000 | 209.018 | -0.000 | -0.000 |
| -0.000 | -0.001 | 0.000 | -0.000 | 209.018 | -0.000 |
| -0.000 | 0.000 | -0.001 | -0.000 | -0.000 | 209.018 |
| 1293.680 | 445.219 | 445.219 | 0.000 | -0.000 | 0.000 |
| 445.219 | 1293.680 | 445.219 | 0.000 | -0.000 | -0.000 |
| 445.219 | 445.219 | 1293.680 | 0.000 | -0.000 | 0.000 |
| 0.000 | -0.000 | -0.000 | 211.673 | -0.000 | -0.000 |
| -0.000 | 0.000 | -0.000 | 0.000 | 211.673 | 0.000 |
| -0.000 | -0.000 | 0.000 | 0.000 | -0.000 | 211.673 |
| 1293.680 | 445.219 | 445.219 | -0.000 | 0.000 | 0.000 |
| 445.219 | 1293.680 | 445.219 | -0.000 | 0.000 | 0.000 |
| 445.219 | 445.219 | 1293.680 | -0.000 | 0.000 | 0.000 |
| -0.000 | 0.000 | 0.000 | 211.673 | 0.000 | 0.000 |
| 0.000 | -0.000 | 0.000 | -0.000 | 211.673 | -0.000 |
| 0.000 | 0.000 | -0.000 | -0.000 | 0.000 | 211.673 |
| 1293.678 | 445.219 | 445.219 | 0.000 | -0.000 | 0.000 |
| 445.219 | 1293.678 | 445.219 | 0.000 | -0.000 | 0.000 |
| 445.219 | 445.219 | 1293.678 | 0.000 | -0.000 | -0.000 |
| 0.000 | -0.000 | -0.000 | 211.673 | -0.000 | 0.000 |
| -0.000 | 0.000 | -0.000 | 0.000 | 211.673 | -0.000 |
| -0.000 | -0.000 | 0.000 | 0.000 | -0.000 | 211.673 |
| 1293.682 | 445.219 | 445.219 | -0.000 | 0.000 | -0.000 |
| 445.219 | 1293.682 | 445.219 | -0.000 | 0.000 | -0.000 |
| 445.219 | 445.219 | 1293.682 | -0.000 | 0.000 | -0.000 |
| -0.000 | 0.000 | 0.000 | 211.673 | 0.000 | 0.000 |
| 0.000 | -0.000 | 0.000 | -0.000 | 211.673 | -0.000 |
| 0.000 | 0.000 | -0.000 | 0.000 | 0.000 | 211.673 |
| 1293.663 | 445.220 | 445.220 | 0.000 | -0.000 | 0.000 |
| 445.220 | 1293.663 | 445.220 | 0.000 | -0.000 | -0.000 |
| 445.220 | 445.220 | 1293.663 | 0.000 | -0.000 | 0.000 |
| 0.000 | -0.004 | -0.004 | 211.673 | -0.000 | -0.000 |
| -0.004 | 0.000 | -0.004 | 0.000 | 211.673 | 0.000 |
| -0.004 | -0.004 | 0.000 | 0.000 | -0.000 | 211.673 |
| 1293.697 | 445.219 | 445.219 | 0.000 | 0.000 | -0.000 |
| 445.219 | 1293.697 | 445.219 | -0.000 | 0.000 | 0.000 |
| 445.219 | 445.219 | 1293.697 | 0.000 | 0.000 | 0.000 |
| -0.000 | 0.004 | 0.004 | 211.673 | 0.000 | -0.000 |
| 0.004 | -0.000 | 0.004 | -0.000 | 211.673 | -0.000 |
| 0.004 | 0.004 | -0.000 | -0.000 | 0.000 | 211.673 |
| 670.922 | 244.197 | 244.197 | 0.000 | 0.000 | 0.000 |
| 244.197 | 670.922 | 244.197 | 0.000 | 0.000 | 0.000 |
| 244.197 | 244.197 | 670.922 | -0.000 | 0.000 | 0.000 |
| 0.000 | -0.000 | 0.000 | 245.136 | 0.000 | 0.000 |
| 0.000 | 0.000 | 0.000 | 0.000 | 245.136 | 0.000 |
| 0.000 | 0.000 | 0.000 | 0.000 | 0.000 | 245.136 |
| 670.922 | 244.197 | 244.196 | -0.000 | -0.000 | -0.000 |
| 244.197 | 670.922 | 244.196 | -0.000 | -0.000 | -0.000 |
| 244.197 | 244.197 | 670.922 | -0.000 | -0.000 | -0.000 |
| 0.000 | 0.000 | -0.000 | 245.136 | -0.000 | -0.000 |
| 0.000 | 0.000 | -0.000 | -0.000 | 245.136 | -0.000 |
| -0.000 | -0.000 | -0.000 | -0.000 | -0.000 | 245.136 |
| 670.922 | 244.197 | 244.197 | 0.000 | 0.000 | 0.000 |
| 244.197 | 670.922 | 244.197 | 0.000 | 0.000 | 0.000 |
| 244.197 | 244.197 | 670.922 | 0.000 | 0.000 | 0.000 |
| 0.000 | 0.000 | 0.000 | 245.136 | 0.000 | 0.000 |
| 0.000 | 0.000 | 0.000 | 0.000 | 245.136 | 0.000 |
| 0.000 | 0.000 | 0.000 | 0.000 | 0.000 | 245.136 |
| 670.923 | 244.196 | 244.196 | -0.000 | -0.000 | -0.000 |
| 244.196 | 670.923 | 244.196 | -0.000 | -0.000 | -0.000 |
| 244.196 | 244.196 | 670.923 | 0.000 | -0.000 | -0.000 |
| -0.000 | 0.000 | -0.000 | 245.136 | -0.000 | -0.000 |
| 0.000 | -0.000 | -0.000 | -0.000 | 245.136 | -0.000 |
| -0.000 | -0.000 | -0.000 | 0.000 | -0.000 | 245.136 |
| 670.917 | 244.198 | 244.198 | 0.000 | 0.000 | 0.000 |
| 244.198 | 670.917 | 244.198 | 0.000 | -0.000 | 0.000 |
| 244.198 | 244.198 | 670.917 | 0.000 | 0.000 | 0.000 |
| 0.000 | -0.000 | 0.000 | 245.136 | 0.000 | 0.000 |
| -0.000 | 0.000 | 0.000 | 0.000 | 245.136 | 0.000 |
| -0.000 | 0.000 | 0.000 | 0.000 | 0.000 | 245.136 |
| 670.928 | 244.195 | 244.195 | -0.000 | -0.000 | -0.000 |
| 244.195 | 670.928 | 244.195 | -0.000 | -0.000 | -0.000 |
| 244.195 | 244.195 | 670.928 | -0.000 | -0.000 | -0.000 |
| -0.000 | 0.000 | -0.000 | 245.136 | -0.000 | -0.000 |
| 0.000 | -0.000 | -0.000 | -0.000 | 245.136 | -0.000 |
| 0.000 | -0.000 | -0.000 | -0.000 | -0.000 | 245.136 |
| 106.328 | -0.012 | -0.012 | -0.000 | -0.000 | -0.000 |
| -0.012 | 106.328 | -0.012 | -0.000 | -0.000 | 0.000 |
| -0.012 | -0.012 | 106.328 | 0.000 | 0.000 | -0.000 |
| 0.000 | 0.000 | -0.000 | -0.000 | 0.000 | 0.000 |
| 0.000 | 0.000 | -0.000 | -0.000 | -0.000 | 0.000 |
| 0.000 | -0.000 | 0.000 | -0.000 | 0.000 | -0.000 |
| 106.328 | -0.012 | -0.012 | -0.000 | -0.000 | 0.000 |
| -0.012 | 106.328 | -0.012 | -0.000 | -0.000 | 0.000 |
| -0.012 | -0.012 | 106.328 | 0.000 | 0.000 | -0.000 |
| -0.000 | 0.000 | 0.000 | -0.000 | -0.000 | -0.000 |
| 0.000 | -0.000 | 0.000 | 0.000 | -0.000 | -0.000 |
| 0.000 | 0.000 | -0.000 | 0.000 | -0.000 | -0.000 |
| 106.328 | -0.012 | -0.012 | -0.000 | 0.000 | 0.000 |
| -0.012 | 106.328 | -0.012 | 0.000 | -0.000 | 0.000 |
| -0.012 | -0.012 | 106.328 | 0.000 | 0.000 | -0.000 |
| 0.000 | -0.000 | -0.000 | 0.000 | 0.000 | 0.000 |
| -0.000 | 0.000 | -0.000 | 0.000 | 0.000 | 0.000 |
| -0.000 | -0.000 | 0.000 | -0.000 | 0.000 | 0.000 |
| 106.329 | -0.012 | -0.012 | -0.000 | -0.000 | -0.000 |
| -0.012 | 106.329 | -0.012 | -0.000 | 0.000 | 0.000 |
| -0.012 | -0.012 | 106.329 | 0.000 | 0.000 | 0.000 |
| -0.000 | -0.000 | 0.000 | 0.000 | -0.000 | -0.000 |
| -0.000 | -0.000 | 0.000 | -0.000 | 0.000 | -0.000 |
| -0.000 | 0.000 | -0.000 | 0.000 | -0.000 | 0.000 |
| 106.325 | -0.012 | -0.012 | -0.000 | 0.000 | 0.000 |
| -0.012 | 106.325 | -0.012 | -0.000 | -0.000 | -0.000 |
| -0.012 | -0.012 | 106.325 | -0.000 | -0.000 | -0.000 |
| 0.000 | 0.000 | -0.000 | 0.000 | 0.000 | -0.000 |
| 0.000 | 0.000 | -0.000 | 0.000 | 0.000 | 0.000 |
| 0.000 | -0.000 | 0.000 | -0.000 | 0.000 | 0.000 |
| 106.332 | -0.012 | -0.012 | -0.000 | -0.000 | 0.000 |
| -0.012 | 106.332 | -0.012 | -0.000 | 0.000 | 0.000 |
| -0.012 | -0.012 | 106.332 | -0.000 | -0.000 | 0.000 |
| -0.000 | -0.000 | 0.000 | 0.000 | 0.000 | 0.000 |
| -0.000 | -0.000 | 0.000 | 0.000 | 0.000 | -0.000 |
| -0.000 | 0.000 | -0.000 | 0.000 | -0.000 | 0.000 |
| 24.582 | -1.971 | -1.971 | -0.000 | 0.000 | 0.000 |
| -1.971 | 24.582 | -1.971 | 0.000 | -0.000 | -0.000 |
| -1.971 | -1.971 | 24.582 | 0.000 | 0.000 | -0.000 |
| 0.000 | -0.000 | 0.000 | 0.000 | 0.000 | -0.000 |
| -0.000 | 0.000 | 0.000 | 0.000 | 0.000 | -0.000 |
| -0.000 | 0.000 | 0.000 | -0.000 | -0.000 | 0.000 |
| 24.582 | -1.971 | -1.971 | -0.000 | 0.000 | 0.000 |
| -1.971 | 24.582 | -1.971 | -0.000 | 0.000 | -0.000 |
| -1.971 | -1.971 | 24.582 | -0.000 | -0.000 | 0.000 |
| -0.000 | 0.000 | -0.000 | 0.000 | -0.000 | 0.000 |
| 0.000 | -0.000 | -0.000 | -0.000 | 0.000 | 0.000 |
| 0.000 | -0.000 | -0.000 | -0.000 | 0.000 | 0.000 |
| 24.582 | -1.971 | -1.971 | 0.000 | -0.000 | -0.000 |
| -1.971 | 24.582 | -1.971 | -0.000 | 0.000 | -0.000 |
| -1.971 | -1.971 | 24.582 | 0.000 | 0.000 | 0.000 |
| 0.000 | 0.000 | -0.000 | 0.000 | 0.000 | -0.000 |
| 0.000 | 0.000 | -0.000 | -0.000 | 0.000 | -0.000 |
| 0.000 | -0.000 | 0.000 | 0.000 | -0.000 | 0.000 |
| 24.582 | -1.971 | -1.971 | -0.000 | -0.000 | -0.000 |
| -1.971 | 24.582 | -1.971 | 0.000 | -0.000 | -0.000 |
| -1.971 | -1.971 | 24.582 | -0.000 | -0.000 | -0.000 |
| -0.000 | -0.000 | 0.000 | 0.000 | -0.000 | 0.000 |
| -0.000 | -0.000 | 0.000 | -0.000 | 0.000 | 0.000 |
| -0.000 | 0.000 | -0.000 | -0.000 | 0.000 | 0.000 |
| 24.582 | -1.971 | -1.971 | 0.000 | 0.000 | 0.000 |
| -1.971 | 24.582 | -1.971 | 0.000 | 0.000 | -0.000 |
| -1.971 | -1.971 | 24.582 | -0.000 | -0.000 | 0.000 |
| 0.000 | 0.000 | -0.000 | 0.000 | 0.000 | -0.000 |
| 0.000 | 0.000 | -0.000 | -0.000 | 0.000 | -0.000 |
| 0.000 | -0.000 | 0.000 | -0.000 | 0.000 | 0.000 |
| 24.582 | -1.971 | -1.971 | -0.000 | -0.000 | -0.000 |
| -1.971 | 24.582 | -1.971 | -0.000 | -0.000 | -0.000 |
| -1.971 | -1.971 | 24.582 | -0.000 | -0.000 | -0.000 |
| -0.000 | -0.000 | 0.000 | 0.000 | 0.000 | -0.000 |
| -0.000 | -0.000 | 0.000 | 0.000 | 0.000 | 0.000 |
| -0.000 | 0.000 | -0.000 | 0.000 | 0.000 | 0.000 |
| 394.677 | 291.068 | 291.068 | -0.000 | -0.000 | 0.000 |
| 291.068 | 394.677 | 291.068 | 0.000 | -0.000 | 0.000 |
| 291.068 | 291.068 | 394.677 | 0.000 | 0.000 | 0.000 |
| 0.000 | 0.000 | 0.000 | 47.294 | 0.000 | 0.000 |
| 0.000 | 0.000 | 0.000 | 0.000 | 47.294 | 0.000 |
| 0.000 | 0.000 | 0.000 | 0.000 | 0.000 | 47.294 |
| 394.677 | 291.068 | 291.068 | 0.000 | -0.000 | -0.000 |
| 291.068 | 394.677 | 291.068 | 0.000 | -0.000 | -0.000 |
| 291.068 | 291.068 | 394.677 | -0.000 | -0.000 | -0.000 |
| -0.000 | -0.000 | -0.000 | 47.294 | -0.000 | 0.000 |
| -0.000 | -0.000 | 0.000 | -0.000 | 47.294 | -0.000 |
| -0.000 | -0.000 | -0.000 | 0.000 | -0.000 | 47.294 |
| 394.678 | 291.068 | 291.068 | 0.000 | 0.000 | 0.000 |
| 291.068 | 394.678 | 291.068 | 0.000 | 0.000 | 0.000 |
| 291.068 | 291.068 | 394.678 | 0.000 | 0.000 | 0.000 |
| 0.000 | -0.000 | -0.000 | 47.294 | 0.000 | -0.000 |
| -0.000 | 0.000 | -0.000 | -0.000 | 47.294 | 0.000 |
| -0.000 | -0.000 | 0.000 | 0.000 | 0.000 | 47.294 |
| 394.677 | 291.068 | 291.068 | -0.000 | -0.000 | -0.000 |
| 291.068 | 394.677 | 291.068 | 0.000 | -0.000 | -0.000 |
| 291.068 | 291.068 | 394.677 | -0.000 | -0.000 | 0.000 |
| -0.000 | 0.000 | 0.000 | 47.294 | 0.000 | -0.000 |
| 0.000 | -0.000 | 0.000 | -0.000 | 47.294 | -0.000 |
| 0.000 | 0.000 | -0.000 | 0.000 | -0.000 | 47.294 |
| 394.679 | 291.068 | 291.068 | 0.000 | 0.000 | -0.000 |
| 291.068 | 394.679 | 291.068 | 0.000 | 0.000 | -0.000 |
| 291.068 | 291.068 | 394.679 | 0.000 | 0.000 | -0.000 |
| 0.000 | -0.000 | -0.000 | 47.294 | 0.000 | -0.000 |
| -0.000 | 0.000 | -0.000 | 0.000 | 47.294 | 0.000 |
| -0.000 | -0.000 | 0.000 | -0.000 | 0.000 | 47.294 |
| 394.675 | 291.068 | 291.068 | 0.000 | -0.000 | 0.000 |
| 291.068 | 394.675 | 291.068 | 0.000 | -0.000 | 0.000 |
| 291.068 | 291.068 | 394.675 | -0.000 | -0.000 | -0.000 |
| -0.000 | 0.000 | 0.000 | 47.294 | -0.000 | -0.000 |
| 0.000 | -0.000 | 0.000 | -0.000 | 47.294 | -0.000 |
| 0.000 | 0.000 | -0.000 | 0.000 | -0.000 | 47.294 |
| 38.293 | 47.101 | 47.101 | -0.000 | 0.000 | -0.000 |
| 47.101 | 38.293 | 47.101 | 0.000 | 0.000 | -0.000 |
| 47.101 | 47.101 | 38.293 | -0.000 | 0.000 | -0.000 |
| -0.000 | -0.000 | -0.000 | 42.399 | 0.000 | -0.000 |
| -0.000 | -0.000 | -0.000 | -0.000 | 42.399 | -0.000 |
| -0.000 | -0.000 | -0.000 | -0.000 | 0.000 | 42.399 |
| 38.293 | 47.101 | 47.101 | -0.000 | -0.000 | 0.000 |
| 47.101 | 38.293 | 47.101 | -0.000 | -0.000 | 0.000 |
| 47.101 | 47.101 | 38.293 | -0.000 | -0.000 | 0.000 |
| 0.000 | 0.000 | 0.000 | 42.399 | -0.000 | -0.000 |
| 0.000 | 0.000 | 0.000 | -0.000 | 42.399 | 0.000 |
| 0.000 | 0.000 | 0.000 | 0.000 | 0.000 | 42.399 |
| 38.293 | 47.101 | 47.101 | -0.000 | -0.000 | -0.000 |
| 47.101 | 38.293 | 47.101 | -0.000 | 0.000 | 0.000 |
| 47.101 | 47.101 | 38.293 | 0.000 | 0.000 | -0.000 |
| -0.000 | -0.000 | -0.000 | 42.399 | 0.000 | -0.000 |
| -0.000 | -0.000 | -0.000 | 0.000 | 42.399 | -0.000 |
| -0.000 | -0.000 | -0.000 | 0.000 | 0.000 | 42.399 |
| 38.294 | 47.101 | 47.101 | 0.000 | -0.000 | 0.000 |
| 47.101 | 38.294 | 47.101 | -0.000 | -0.000 | 0.000 |
| 47.101 | 47.101 | 38.294 | 0.000 | -0.000 | 0.000 |
| 0.000 | 0.000 | 0.000 | 42.399 | -0.000 | 0.000 |
| 0.000 | 0.000 | 0.000 | -0.000 | 42.399 | 0.000 |
| 0.000 | 0.000 | 0.000 | -0.000 | -0.000 | 42.399 |
| 38.288 | 47.100 | 47.100 | 0.000 | 0.000 | -0.000 |
| 47.100 | 38.288 | 47.100 | -0.000 | 0.000 | -0.000 |
| 47.100 | 47.100 | 38.288 | 0.000 | 0.000 | -0.000 |
| -0.001 | -0.001 | -0.001 | 42.399 | 0.000 | 0.000 |
| -0.001 | -0.001 | -0.001 | -0.000 | 42.399 | -0.000 |
| -0.001 | -0.001 | -0.001 | -0.000 | 0.000 | 42.399 |
| 38.299 | 47.101 | 47.101 | 0.000 | -0.000 | -0.000 |
| 47.101 | 38.299 | 47.101 | 0.000 | -0.000 | -0.000 |
| 47.101 | 47.101 | 38.299 | 0.000 | -0.000 | 0.000 |
| 0.001 | 0.001 | 0.001 | 42.399 | -0.000 | 0.000 |
| 0.001 | 0.001 | 0.001 | -0.000 | 42.399 | 0.000 |
| 0.001 | 0.001 | 0.001 | -0.000 | -0.000 | 42.399 |
| 193.999 | 96.119 | 96.119 | -0.000 | 0.000 | -0.000 |
| 96.119 | 193.999 | 96.119 | 0.000 | 0.000 | -0.000 |
| 96.119 | 96.119 | 193.999 | -0.000 | -0.000 | -0.000 |
| 0.000 | 0.000 | 0.000 | 101.246 | -0.000 | -0.000 |
| 0.000 | 0.000 | 0.000 | -0.000 | 101.246 | -0.000 |
| 0.000 | 0.000 | 0.000 | 0.000 | 0.000 | 101.246 |
| 193.999 | 96.119 | 96.119 | 0.000 | -0.000 | 0.000 |
| 96.119 | 193.999 | 96.119 | 0.000 | 0.000 | 0.000 |
| 96.119 | 96.119 | 193.999 | 0.000 | 0.000 | 0.000 |
| -0.000 | -0.000 | -0.000 | 101.246 | 0.000 | 0.000 |
| -0.000 | -0.000 | -0.000 | 0.000 | 101.246 | 0.000 |
| -0.000 | -0.000 | -0.000 | 0.000 | 0.000 | 101.246 |
| 193.999 | 96.119 | 96.119 | -0.000 | 0.000 | -0.000 |
| 96.119 | 193.999 | 96.119 | -0.000 | -0.000 | -0.000 |
| 96.119 | 96.119 | 193.999 | -0.000 | -0.000 | -0.000 |
| 0.000 | 0.000 | 0.000 | 101.246 | -0.000 | -0.000 |
| 0.000 | 0.000 | 0.000 | -0.000 | 101.246 | -0.000 |
| 0.000 | 0.000 | 0.000 | -0.000 | -0.000 | 101.246 |
| 193.999 | 96.119 | 96.119 | 0.000 | 0.000 | 0.000 |
| 96.119 | 193.999 | 96.119 | 0.000 | 0.000 | 0.000 |
| 96.119 | 96.119 | 193.999 | 0.000 | 0.000 | 0.000 |
| -0.000 | -0.000 | -0.000 | 101.246 | 0.000 | 0.000 |
| -0.000 | -0.000 | -0.000 | 0.000 | 101.246 | 0.000 |
| -0.000 | -0.000 | -0.000 | 0.000 | -0.000 | 101.246 |
| 193.998 | 96.119 | 96.119 | -0.000 | -0.000 | -0.000 |
| 96.119 | 193.998 | 96.119 | -0.000 | 0.000 | -0.000 |
| 96.119 | 96.119 | 193.998 | -0.000 | 0.000 | -0.000 |
| 0.001 | 0.001 | 0.001 | 101.246 | -0.000 | -0.000 |
| 0.001 | 0.001 | 0.001 | -0.000 | 101.246 | -0.000 |
| 0.001 | 0.001 | 0.001 | -0.000 | 0.000 | 101.246 |
| 194.000 | 96.118 | 96.118 | 0.000 | 0.000 | 0.000 |
| 96.118 | 194.000 | 96.118 | 0.000 | -0.000 | 0.000 |
| 96.118 | 96.118 | 194.000 | 0.000 | 0.000 | 0.000 |
| -0.001 | -0.001 | -0.001 | 101.246 | 0.000 | 0.000 |
| -0.001 | -0.001 | -0.001 | 0.000 | 101.246 | 0.000 |
| -0.001 | -0.001 | -0.001 | 0.000 | -0.000 | 101.246 |
| 35.294 | 35.294 | 35.294 | -0.000 | 0.000 | -0.000 |
| 35.294 | 35.294 | 35.294 | 0.000 | -0.000 | -0.000 |
| 35.294 | 35.294 | 35.294 | -0.000 | -0.000 | -0.000 |
| -0.000 | -0.000 | -0.000 | 36.120 | -0.000 | -0.000 |
| -0.000 | -0.000 | -0.000 | -0.000 | 36.120 | -0.000 |
| -0.000 | -0.000 | -0.000 | -0.000 | 0.000 | 36.120 |
| 35.294 | 35.294 | 35.294 | 0.000 | 0.000 | 0.000 |
| 35.294 | 35.294 | 35.294 | 0.000 | 0.000 | 0.000 |
| 35.294 | 35.294 | 35.294 | 0.000 | 0.000 | 0.000 |
| 0.000 | 0.000 | 0.000 | 36.120 | 0.000 | 0.000 |
| 0.000 | 0.000 | 0.000 | 0.000 | 36.120 | 0.000 |
| 0.000 | 0.000 | 0.000 | 0.000 | -0.000 | 36.120 |
| 35.294 | 35.294 | 35.294 | -0.000 | -0.000 | -0.000 |
| 35.294 | 35.294 | 35.294 | -0.000 | -0.000 | -0.000 |
| 35.294 | 35.294 | 35.294 | -0.000 | -0.000 | -0.000 |
| -0.000 | -0.000 | -0.000 | 36.120 | -0.000 | -0.000 |
| -0.000 | -0.000 | -0.000 | -0.000 | 36.120 | -0.000 |
| -0.000 | -0.000 | -0.000 | -0.000 | 0.000 | 36.120 |
| 35.294 | 35.294 | 35.294 | 0.000 | -0.000 | 0.000 |
| 35.294 | 35.294 | 35.294 | -0.000 | 0.000 | 0.000 |
| 35.294 | 35.294 | 35.294 | 0.000 | 0.000 | 0.000 |
| 0.000 | 0.000 | 0.000 | 36.120 | 0.000 | 0.000 |
| 0.000 | 0.000 | 0.000 | 0.000 | 36.120 | 0.000 |
| 0.000 | 0.000 | 0.000 | 0.000 | -0.000 | 36.120 |
| 35.294 | 35.294 | 35.294 | -0.000 | -0.000 | -0.000 |
| 35.294 | 35.294 | 35.294 | -0.000 | -0.000 | -0.000 |
| 35.294 | 35.294 | 35.294 | -0.000 | -0.000 | -0.000 |
| -0.000 | -0.000 | -0.000 | 36.120 | -0.000 | -0.000 |
| -0.000 | -0.000 | -0.000 | -0.000 | 36.120 | -0.000 |
| -0.000 | -0.000 | -0.000 | 0.000 | 0.000 | 36.120 |
| 35.295 | 35.294 | 35.294 | 0.000 | 0.000 | 0.000 |
| 35.294 | 35.295 | 35.294 | 0.000 | 0.000 | 0.000 |
| 35.294 | 35.294 | 35.295 | 0.000 | 0.000 | 0.000 |
| 0.000 | 0.000 | 0.000 | 36.120 | 0.000 | 0.000 |
| 0.000 | 0.000 | 0.000 | 0.000 | 36.120 | 0.000 |
| 0.000 | 0.000 | 0.000 | -0.000 | 0.000 | 36.120 |
| 125.129 | 218.850 | 218.850 | -0.000 | -0.000 | -0.000 |
| 218.850 | 125.129 | 218.850 | -0.000 | -0.000 | -0.000 |
| 218.850 | 218.850 | 125.129 | -0.000 | -0.000 | -0.000 |
| 0.000 | 0.000 | 0.000 | -161.642 | -0.000 | -0.000 |
| -0.000 | 0.000 | 0.000 | -0.000 | -161.642 | -0.000 |
| -0.000 | 0.000 | 0.000 | -0.000 | 0.000 | -161.642 |
| 125.129 | 218.850 | 218.850 | 0.000 | 0.000 | 0.000 |
| 218.850 | 125.129 | 218.850 | 0.000 | 0.000 | 0.000 |
| 218.850 | 218.850 | 125.129 | 0.000 | 0.000 | 0.000 |
| -0.000 | -0.000 | -0.000 | -161.642 | 0.000 | 0.000 |
| 0.000 | -0.000 | -0.000 | 0.000 | -161.642 | 0.000 |
| 0.000 | -0.000 | -0.000 | 0.000 | 0.000 | -161.642 |
| 125.129 | 218.850 | 218.850 | -0.000 | -0.000 | -0.000 |
| 218.850 | 125.129 | 218.850 | -0.000 | -0.000 | -0.000 |
| 218.850 | 218.850 | 125.129 | -0.000 | -0.000 | -0.000 |
| 0.000 | 0.000 | 0.000 | -161.642 | 0.000 | -0.000 |
| 0.000 | 0.000 | 0.000 | -0.000 | -161.642 | -0.000 |
| 0.000 | 0.000 | 0.000 | -0.000 | -0.000 | -161.642 |
| 125.129 | 218.850 | 218.850 | 0.000 | -0.000 | 0.000 |
| 218.850 | 125.129 | 218.850 | 0.000 | -0.000 | 0.000 |
| 218.850 | 218.850 | 125.129 | 0.000 | 0.000 | 0.000 |
| -0.000 | -0.000 | -0.000 | -161.642 | 0.000 | 0.000 |
| -0.000 | -0.000 | -0.000 | 0.000 | -161.642 | 0.000 |
| -0.000 | -0.000 | -0.000 | 0.000 | 0.000 | -161.642 |
| 125.131 | 218.851 | 218.851 | -0.000 | -0.000 | -0.000 |
| 218.851 | 125.131 | 218.851 | -0.000 | 0.000 | -0.000 |
| 218.851 | 218.851 | 125.131 | -0.000 | -0.000 | -0.000 |
| 0.001 | 0.001 | 0.000 | -161.642 | -0.000 | -0.000 |
| 0.001 | 0.001 | 0.000 | -0.000 | -161.642 | -0.000 |
| 0.001 | 0.000 | 0.001 | -0.000 | -0.000 | -161.642 |
| 125.128 | 218.849 | 218.849 | 0.000 | -0.000 | 0.000 |
| 218.849 | 125.128 | 218.849 | 0.000 | 0.000 | 0.000 |
| 218.849 | 218.849 | 125.128 | 0.000 | -0.000 | 0.000 |
| -0.001 | -0.001 | -0.000 | -161.642 | -0.000 | 0.000 |
| -0.001 | -0.001 | -0.000 | 0.000 | -161.642 | 0.000 |
| -0.001 | -0.000 | -0.001 | 0.000 | 0.000 | -161.642 |
| 98.004 | 33.451 | 33.451 | 0.000 | 0.000 | 0.000 |
| 33.451 | 98.004 | 33.451 | 0.000 | 0.000 | 0.000 |
| 33.451 | 33.451 | 98.004 | 0.000 | 0.000 | 0.000 |
| 1216422.210 | -9060000.350 | -3616954.821 | -37763989.242 | 3114424.652 | 3097129.749 |
| -2396482.138 | 2999288.815 | 958965.286 | 3958767.000 | -33761309.939 | 4847151.296 |
| 1904545.742 | -1927821.450 | 5450068.372 | 4652438.905 | 149063.305 | -34370241.484 |
| 98.004 | 33.451 | 33.451 | -0.000 | -0.000 | -0.000 |
| 33.451 | 98.004 | 33.451 | -0.000 | 0.000 | -0.000 |
| 33.451 | 33.451 | 98.004 | -0.000 | -0.000 | -0.000 |
| -11214794.214 | -15834478.129 | -7453920.325 | -26825526.223 | -2222934.304 | -4870871.442 |
| -14425335.401 | -11574445.442 | -3006840.895 | -376078.288 | -29709812.982 | -3707100.882 |
| -4180000.163 | -759611.701 | -9887547.162 | -549256.615 | -7489505.923 | -28886402.682 |
| 98.004 | 33.451 | 33.451 | 0.000 | 0.000 | 0.000 |
| 33.451 | 98.004 | 33.451 | 0.000 | 0.000 | 0.000 |
| 33.451 | 33.451 | 98.004 | 0.000 | 0.000 | 0.000 |
| 1136798.486 | 1590669.334 | 908472.778 | -3635651.741 | -503596.555 | -552305.078 |
| 2474667.296 | 1614632.063 | 1650781.689 | -733792.806 | -3455438.073 | -631192.753 |
| 733723.306 | 11252.884 | 313734.355 | -290403.771 | -618614.507 | -3928336.969 |
| 98.004 | 33.451 | 33.451 | -0.000 | -0.000 | -0.000 |
| 33.451 | 98.004 | 33.451 | -0.000 | -0.000 | -0.000 |
| 33.451 | 33.451 | 98.004 | -0.000 | -0.000 | -0.000 |
| -1193872.024 | 514572.951 | -1595051.480 | -4079347.954 | 377025.267 | -674291.741 |
| -1289400.021 | -2434944.344 | -2634953.035 | 173793.519 | -3966899.780 | -383605.121 |
| -938821.583 | -2228786.140 | -1731912.608 | 204942.088 | -349139.732 | -4348923.157 |
| 98.003 | 33.451 | 33.451 | 0.000 | 0.000 | 0.000 |
| 33.451 | 98.003 | 33.451 | 0.000 | 0.000 | 0.000 |
| 33.451 | 33.451 | 98.003 | 0.000 | 0.000 | 0.000 |
| 460851.170 | -179186.520 | -179190.344 | -1911786.914 | 0.000 | 0.000 |
| -179186.520 | 460851.170 | -179190.344 | 0.000 | -1911786.914 | 0.000 |
| -179186.520 | -179190.344 | 460851.170 | 0.000 | 0.000 | -1911786.914 |
| 98.006 | 33.452 | 33.452 | -0.000 | -0.000 | -0.000 |
| 33.452 | 98.006 | 33.452 | -0.000 | -0.000 | -0.000 |
| 33.452 | 33.452 | 98.006 | -0.000 | -0.000 | -0.000 |
| -460851.170 | 179186.520 | 179190.344 | -1911786.914 | 0.000 | -0.000 |
| -246817.167 | -144532.226 | -43075.806 | -51089.228 | -353000.279 | -59481.167 |
| -303071.841 | -162893.861 | -236341.933 | -41697.190 | -19977.718 | -392351.617 |
| 20.871 | 20.871 | 20.871 | 0.000 | 0.000 | 0.000 |
| 20.871 | 20.871 | 20.871 | 0.000 | 0.000 | 0.000 |
| 20.871 | 20.871 | 20.871 | 0.000 | 0.000 | 0.000 |
| -0.000 | -0.000 | -0.000 | 0.000 | 0.000 | 0.000 |
| -0.000 | -0.000 | -0.000 | 0.000 | 0.000 | 0.000 |
| -0.000 | -0.000 | -0.000 | 0.000 | 0.000 | 0.000 |
| 20.871 | 20.871 | 20.871 | -0.000 | -0.000 | -0.000 |
| 20.871 | 20.871 | 20.871 | -0.000 | -0.000 | -0.000 |
| 20.871 | 20.871 | 20.871 | -0.000 | -0.000 | -0.000 |
| 0.000 | 0.000 | 0.000 | -0.000 | -0.000 | -0.000 |
| 0.000 | 0.000 | 0.000 | -0.000 | -0.000 | -0.000 |
| 0.000 | 0.000 | 0.000 | -0.000 | -0.000 | -0.000 |
| 20.871 | 20.871 | 20.871 | 0.000 | 0.000 | 0.000 |
| 20.871 | 20.871 | 20.871 | 0.000 | 0.000 | 0.000 |
| 20.871 | 20.871 | 20.871 | 0.000 | 0.000 | 0.000 |
| -0.000 | -0.000 | -0.000 | 0.000 | 0.000 | 0.000 |
| -0.000 | -0.000 | -0.000 | 0.000 | 0.000 | 0.000 |
| -0.000 | -0.000 | -0.000 | 0.000 | 0.000 | 0.000 |
| 20.871 | 20.871 | 20.871 | -0.000 | -0.000 | -0.000 |
| 20.871 | 20.871 | 20.871 | -0.000 | -0.000 | -0.000 |
| 20.871 | 20.871 | 20.871 | -0.000 | -0.000 | -0.000 |
| 0.000 | 0.000 | 0.000 | -0.000 | -0.000 | -0.000 |
| 0.000 | 0.000 | 0.000 | -0.000 | -0.000 | -0.000 |
| 0.000 | 0.000 | 0.000 | -0.000 | -0.000 | -0.000 |
| 20.871 | 20.871 | 20.871 | 0.000 | 0.000 | 0.000 |
| 20.871 | 20.871 | 20.871 | 0.000 | 0.000 | 0.000 |
| 20.871 | 20.871 | 20.871 | 0.000 | 0.000 | 0.000 |
| -0.000 | -0.000 | -0.000 | 0.000 | 0.000 | 0.000 |
| -0.000 | -0.000 | -0.000 | 0.000 | 0.000 | 0.000 |
| -0.000 | -0.000 | -0.000 | 0.000 | 0.000 | 0.000 |
| 20.871 | 20.871 | 20.871 | -0.000 | -0.000 | -0.000 |
| 20.871 | 20.871 | 20.871 | -0.000 | -0.000 | -0.000 |
| 20.871 | 20.871 | 20.871 | -0.000 | -0.000 | -0.000 |
| 0.000 | 0.000 | 0.000 | 0.000 | -0.000 | -0.000 |
| 0.000 | 0.000 | 0.000 | -0.000 | 0.000 | -0.000 |
| 0.000 | 0.000 | 0.000 | -0.000 | -0.000 | 0.000 |
| 15.392 | 15.392 | 15.392 | -0.000 | -0.000 | -0.000 |
| 15.392 | 15.392 | 15.392 | -0.000 | -0.000 | -0.000 |
| 15.392 | 15.392 | 15.392 | -0.000 | -0.000 | -0.000 |
| -0.000 | -0.000 | -0.000 | -0.000 | -0.000 | -0.000 |
| -0.000 | -0.000 | -0.000 | -0.000 | -0.000 | -0.000 |
| -0.000 | -0.000 | -0.000 | -0.000 | -0.000 | -0.000 |
| 15.392 | 15.392 | 15.392 | 0.000 | 0.000 | 0.000 |
| 15.392 | 15.392 | 15.392 | 0.000 | 0.000 | 0.000 |
| 15.392 | 15.392 | 15.392 | 0.000 | 0.000 | 0.000 |
| 0.000 | 0.000 | 0.000 | 0.000 | 0.000 | 0.000 |
| 0.000 | 0.000 | 0.000 | 0.000 | 0.000 | 0.000 |
| 0.000 | 0.000 | 0.000 | 0.000 | 0.000 | 0.000 |
| 15.392 | 15.392 | 15.392 | -0.000 | -0.000 | -0.000 |
| 15.392 | 15.392 | 15.392 | -0.000 | -0.000 | -0.000 |
| 15.392 | 15.392 | 15.392 | -0.000 | -0.000 | -0.000 |
| -0.000 | -0.000 | -0.000 | -0.000 | -0.000 | -0.000 |
| -0.000 | -0.000 | -0.000 | -0.000 | -0.000 | -0.000 |
| -0.000 | -0.000 | -0.000 | -0.000 | -0.000 | -0.000 |
| 15.392 | 15.392 | 15.392 | 0.000 | 0.000 | 0.000 |
| 15.392 | 15.392 | 15.392 | 0.000 | 0.000 | 0.000 |
| 15.392 | 15.392 | 15.392 | 0.000 | 0.000 | 0.000 |
| 0.000 | 0.000 | 0.000 | 0.000 | 0.000 | 0.000 |
| 0.000 | 0.000 | 0.000 | 0.000 | 0.000 | 0.000 |
| 0.000 | 0.000 | 0.000 | 0.000 | 0.000 | 0.000 |
| 15.392 | 15.392 | 15.392 | -0.000 | -0.000 | -0.000 |
| 15.392 | 15.392 | 15.392 | -0.000 | -0.000 | -0.000 |
| 15.392 | 15.392 | 15.392 | -0.000 | -0.000 | -0.000 |
| -0.000 | -0.000 | -0.000 | -0.000 | -0.000 | -0.000 |
| -0.000 | -0.000 | -0.000 | -0.000 | -0.000 | -0.000 |
| -0.000 | -0.000 | -0.000 | -0.000 | -0.000 | -0.000 |
| 15.392 | 15.392 | 15.392 | 0.000 | 0.000 | 0.000 |
| 15.392 | 15.392 | 15.392 | 0.000 | 0.000 | 0.000 |
| 15.392 | 15.392 | 15.392 | 0.000 | 0.000 | 0.000 |
| 0.000 | 0.000 | 0.000 | 0.000 | 0.000 | 0.000 |
| 0.000 | 0.000 | 0.000 | 0.000 | 0.000 | 0.000 |
| 0.000 | 0.000 | 0.000 | 0.000 | 0.000 | 0.000 |
| 176.716 | 162.177 | 264.940 | -0.000 | 0.000 | 0.000 |
| 162.177 | 176.716 | 264.940 | 0.000 | -0.000 | 0.000 |
| 264.940 | 264.940 | 934.557 | -0.000 | 0.000 | 0.000 |
| -0.000 | -0.000 | -0.000 | 27.454 | -0.000 | 0.000 |
| -0.000 | -0.000 | -0.000 | -0.000 | 27.454 | 0.000 |
| -0.000 | -0.000 | -0.000 | -0.000 | -0.000 | -29.898 |
| 176.716 | 162.177 | 264.940 | 0.000 | 0.000 | -0.000 |
| 162.177 | 176.716 | 264.940 | 0.000 | 0.000 | -0.000 |
| 264.940 | 264.940 | 934.558 | -0.000 | -0.000 | -0.000 |
| 0.000 | 0.000 | 0.000 | 27.454 | 0.000 | 0.000 |
| 0.000 | 0.000 | 0.000 | 0.000 | 27.454 | 0.000 |
| 0.000 | 0.000 | 0.000 | 0.000 | 0.000 | -29.898 |
| 176.717 | 162.177 | 264.940 | -0.000 | 0.000 | 0.000 |
| 162.177 | 176.717 | 264.940 | -0.000 | -0.000 | 0.000 |
| 264.940 | 264.940 | 934.555 | -0.000 | -0.000 | 0.000 |
| -0.000 | -0.000 | -0.000 | 27.454 | -0.000 | 0.000 |
| -0.000 | -0.000 | -0.000 | -0.000 | 27.454 | -0.000 |
| -0.000 | -0.000 | -0.000 | -0.000 | -0.000 | -29.898 |
| 176.716 | 162.177 | 264.940 | -0.000 | -0.000 | 0.000 |
| 162.177 | 176.716 | 264.940 | 0.000 | -0.000 | 0.000 |
| 264.940 | 264.940 | 934.560 | -0.000 | 0.000 | 0.000 |
| 0.000 | 0.000 | 0.000 | 27.454 | 0.000 | 0.000 |
| 0.000 | 0.000 | 0.000 | 0.000 | 27.454 | -0.000 |
| 0.000 | 0.000 | 0.000 | 0.000 | -0.000 | -29.898 |
| 176.718 | 162.177 | 264.940 | 0.000 | -0.000 | -0.000 |
| 162.177 | 176.718 | 264.940 | -0.000 | 0.000 | 0.000 |
| 264.939 | 264.939 | 934.534 | -0.000 | -0.000 | 0.000 |
| -0.000 | -0.000 | -0.002 | 27.454 | 0.000 | -0.000 |
| -0.000 | -0.000 | -0.002 | -0.000 | 27.454 | 0.000 |
| -0.000 | -0.000 | -0.000 | -0.000 | -0.000 | -29.898 |
| 176.715 | 162.178 | 264.940 | 0.000 | -0.000 | -0.000 |
| 162.178 | 176.715 | 264.940 | 0.000 | 0.000 | -0.000 |
| 264.941 | 264.941 | 934.581 | 0.000 | -0.000 | 0.000 |
| 0.000 | 0.000 | 0.002 | 27.454 | -0.000 | -0.000 |
| 0.000 | 0.000 | 0.002 | 0.000 | 27.454 | -0.000 |
| 0.000 | 0.000 | 0.000 | 0.000 | 0.000 | -29.898 |
| -10.209 | 17.032 | 37.913 | 0.000 | -0.000 | -0.000 |
| 17.032 | -10.209 | 37.913 | -0.000 | 0.000 | -0.000 |
| 37.913 | 37.913 | 81.765 | 0.000 | 0.000 | 0.000 |
| -0.000 | -0.000 | -0.000 | 39.990 | 0.000 | -0.000 |
| -0.000 | -0.000 | -0.000 | 0.000 | 39.990 | -0.000 |
| -0.000 | -0.000 | -0.000 | 0.000 | -0.000 | 18.931 |
| -10.209 | 17.032 | 37.913 | -0.000 | -0.000 | 0.000 |
| 17.032 | -10.209 | 37.913 | -0.000 | -0.000 | 0.000 |
| 37.913 | 37.913 | 81.765 | 0.000 | 0.000 | 0.000 |
| 0.000 | 0.000 | 0.000 | 39.990 | 0.000 | 0.000 |
| 0.000 | 0.000 | 0.000 | 0.000 | 39.990 | 0.000 |
| 0.000 | 0.000 | 0.000 | -0.000 | 0.000 | 18.931 |
| -10.209 | 17.032 | 37.913 | -0.000 | -0.000 | -0.000 |
| 17.032 | -10.209 | 37.913 | -0.000 | -0.000 | -0.000 |
| 37.913 | 37.913 | 81.764 | -0.000 | -0.000 | 0.000 |
| -0.000 | -0.000 | -0.000 | 39.990 | 0.000 | -0.000 |
| -0.000 | -0.000 | -0.000 | 0.000 | 39.990 | 0.000 |
| -0.000 | -0.000 | -0.000 | 0.000 | -0.000 | 18.931 |
| -10.209 | 17.032 | 37.913 | 0.000 | 0.000 | 0.000 |
| 17.032 | -10.209 | 37.913 | -0.000 | -0.000 | 0.000 |
| 37.913 | 37.913 | 81.765 | 0.000 | 0.000 | 0.000 |
| 0.000 | 0.000 | 0.000 | 39.990 | -0.000 | 0.000 |
| 0.000 | 0.000 | 0.000 | 0.000 | 39.990 | 0.000 |
| 0.000 | 0.000 | 0.000 | -0.000 | 0.000 | 18.931 |
| -10.209 | 17.032 | 37.913 | -0.000 | 0.000 | -0.000 |
| 17.032 | -10.209 | 37.913 | 0.000 | 0.000 | -0.000 |
| 37.913 | 37.913 | 81.764 | 0.000 | 0.000 | -0.000 |
| -0.000 | -0.000 | -0.000 | 39.990 | 0.000 | 0.000 |
| -0.000 | -0.000 | -0.000 | 0.000 | 39.990 | -0.000 |
| -0.000 | -0.000 | -0.000 | 0.000 | -0.000 | 18.931 |
| -10.208 | 17.032 | 37.913 | -0.000 | 0.000 | 0.000 |
| 17.032 | -10.208 | 37.913 | 0.000 | -0.000 | 0.000 |
| 37.913 | 37.913 | 81.765 | -0.000 | -0.000 | 0.000 |
| 0.000 | 0.000 | 0.000 | 39.990 | 0.000 | 0.000 |
| 0.000 | 0.000 | 0.000 | 0.000 | 39.990 | 0.000 |
| 0.000 | 0.000 | 0.000 | -0.000 | 0.000 | 18.931 |
| 344.899 | 249.130 | 199.606 | -0.000 | -25.760 | -0.000 |
| 247.830 | 244.946 | 171.522 | -0.000 | -46.071 | -0.000 |
| 230.873 | 204.013 | 437.706 | 0.000 | 2.568 | -0.000 |
| 0.856 | -0.944 | -22.051 | 18.693 | 7.920 | -27.796 |
| -25.838 | -50.560 | -26.305 | -0.000 | 138.262 | -0.000 |
| 0.857 | -0.942 | -22.049 | -30.483 | 7.919 | 60.341 |
| 343.273 | 251.182 | 243.917 | 0.000 | -41.703 | 0.000 |
| 246.228 | 247.076 | 215.968 | 0.000 | -62.072 | 0.000 |
| 228.261 | 204.441 | 480.258 | 0.000 | -12.459 | 0.000 |
| 2.127 | 3.778 | 23.659 | 7.317 | -9.309 | -21.493 |
| -32.805 | -53.782 | 15.341 | 0.000 | 124.841 | 0.000 |
| -0.857 | 0.942 | 22.049 | -30.483 | -7.919 | 60.341 |
| 344.185 | 250.095 | 219.621 | -0.000 | -32.966 | -0.000 |
| 247.071 | 245.858 | 191.498 | -0.000 | -53.250 | -0.000 |
| 229.659 | 204.432 | 457.006 | 0.000 | -4.247 | -0.000 |
| -0.022 | -0.300 | 0.524 | 18.973 | -0.175 | -20.166 |
| -27.921 | -50.114 | -5.551 | 0.000 | 131.155 | -0.000 |
| 0.256 | 0.211 | -1.363 | -27.489 | 0.432 | 60.524 |
| 343.957 | 250.258 | 224.110 | 0.000 | -34.563 | 0.000 |
| 246.900 | 246.049 | 195.908 | 0.000 | -54.833 | 0.000 |
| 229.217 | 204.085 | 461.012 | -0.000 | -5.599 | 0.000 |
| 0.256 | 0.420 | 2.393 | 18.559 | -0.952 | -27.723 |
| -29.232 | -51.457 | -1.510 | 0.000 | 130.047 | 0.000 |
| -0.092 | 0.145 | 2.337 | -29.820 | -0.841 | 60.377 |
| 344.093 | 250.189 | 221.632 | -0.000 | -33.685 | -0.000 |
| 246.993 | 245.943 | 193.486 | -0.000 | -53.963 | -0.000 |
| 229.234 | 204.259 | 459.509 | -0.000 | -5.055 | -0.000 |
| 0.007 | -0.011 | -0.220 | 18.693 | 0.079 | -27.796 |
| -28.424 | -51.372 | -5.364 | -0.000 | 131.252 | -0.000 |
| 0.007 | -0.011 | -0.221 | -30.479 | 0.080 | 60.341 |
| 344.096 | 250.204 | 222.052 | 0.000 | -33.840 | 0.000 |
| 246.936 | 245.955 | 194.123 | 0.000 | -54.182 | 0.000 |
| 229.200 | 204.313 | 459.962 | 0.000 | -5.215 | 0.000 |
| -0.007 | 0.011 | 0.220 | 18.693 | -0.079 | -27.796 |
| -28.434 | -51.346 | -4.918 | 0.000 | 131.091 | 0.000 |
| -0.007 | 0.011 | 0.221 | -30.479 | -0.080 | 60.341 |
| 671.545 | 729.635 | 572.088 | 0.000 | -224.347 | -0.000 |
| 527.741 | 868.086 | 617.774 | -0.000 | -181.441 | -0.000 |
| 627.028 | 855.688 | 785.629 | -0.000 | -86.982 | -0.000 |
| -0.000 | 0.000 | -0.000 | 90.095 | -0.000 | 25.000 |
| 15.590 | 42.205 | 83.098 | 0.000 | 89.643 | -0.000 |
| 343.795 | 557.319 | 373.576 | 25.391 | -245.724 | 20.609 |
| 345.485 | 188.182 | 226.933 | -0.000 | 19.890 | 0.000 |
| 190.620 | 328.244 | 248.558 | 0.000 | 43.005 | 0.000 |
| -211.981 | -384.423 | -83.234 | 0.000 | 246.725 | -0.000 |
| -0.000 | -0.000 | -0.000 | 90.095 | 0.000 | 25.000 |
| -402.332 | -558.390 | -347.911 | 0.000 | 224.343 | 0.000 |
| -343.795 | -557.319 | -373.576 | 25.391 | 245.724 | 20.609 |
| 345.485 | 188.182 | 226.933 | 0.000 | 19.890 | -0.000 |
| 190.620 | 328.244 | 248.558 | -0.000 | 43.005 | -0.000 |
| 229.864 | 267.748 | 376.066 | -0.000 | 68.021 | -0.000 |
| 31.941 | 51.780 | 34.708 | 62.386 | -22.830 | 24.621 |
| 38.547 | 92.687 | 103.075 | 0.000 | 49.114 | -0.000 |
| -0.000 | -0.000 | 0.000 | 25.800 | -0.000 | 45.989 |
| 345.485 | 188.182 | 226.932 | -0.000 | 19.890 | 0.000 |
| 148.387 | 255.075 | 204.710 | 0.000 | 84.860 | 0.000 |
| 184.634 | 197.702 | 322.603 | -0.000 | 97.568 | 0.000 |
| -31.941 | -51.780 | -34.708 | 62.386 | 22.830 | 24.621 |
| -12.624 | 18.914 | 44.034 | 0.000 | 69.000 | -0.000 |
| 0.000 | 0.000 | -0.000 | 25.800 | 0.000 | 45.989 |
| 345.484 | 188.183 | 226.934 | 0.000 | 19.889 | -0.000 |
| 175.235 | 299.149 | 236.143 | -0.000 | 61.154 | 0.000 |
| 214.651 | 239.290 | 365.630 | -0.000 | 82.605 | -0.000 |
| 3.994 | 5.874 | 4.144 | 58.038 | -1.540 | 33.073 |
| 17.855 | 71.645 | 89.551 | -0.000 | 44.842 | -0.000 |
| 1.327 | 2.152 | 1.443 | 25.642 | -0.949 | 36.189 |
| 345.487 | 188.181 | 226.931 | -0.000 | 19.890 | 0.000 |
| 176.977 | 302.798 | 235.179 | 0.000 | 61.013 | 0.000 |
| 206.189 | 227.074 | 357.002 | 0.000 | 85.604 | 0.000 |
| -3.994 | -5.874 | -4.144 | 58.038 | 1.540 | 33.073 |
| 13.941 | 61.059 | 83.721 | -0.000 | 50.914 | 0.000 |
| -1.327 | -2.152 | -1.443 | 25.642 | 0.949 | 36.189 |
| 530.107 | 314.120 | 297.101 | -0.000 | 0.000 | -0.000 |
| 314.120 | 461.255 | 200.794 | -0.000 | -0.000 | -0.000 |
| 297.101 | 200.794 | 473.588 | -0.000 | -0.000 | -0.000 |
| -0.000 | -0.000 | -0.000 | 61.785 | 0.000 | -0.000 |
| 0.461 | -97.850 | -40.157 | 0.000 | 76.479 | -0.000 |
| -0.000 | -0.000 | -0.000 | -0.000 | 0.000 | 110.544 |
| 530.107 | 314.120 | 297.101 | 0.000 | 0.000 | 0.000 |
| 314.120 | 461.255 | 200.794 | 0.000 | -0.000 | 0.000 |
| 286.458 | 269.921 | 484.115 | 0.000 | 0.000 | 0.000 |
| 0.000 | 0.000 | 0.000 | 61.785 | 0.000 | 0.000 |
| -0.461 | 97.850 | 40.157 | -0.000 | 76.479 | 0.000 |
| 0.000 | 0.000 | 0.000 | 0.000 | -0.000 | 110.544 |
| 530.108 | 314.120 | 297.101 | 0.000 | 0.000 | -0.000 |
| 314.120 | 461.255 | 200.794 | -0.000 | -0.000 | -0.000 |
| 286.403 | 160.822 | 438.333 | 0.000 | 0.000 | -0.000 |
| 0.005 | -5.028 | -2.065 | 27.814 | 0.000 | -0.000 |
| 0.008 | -7.310 | -3.003 | -0.000 | 78.942 | -0.000 |
| 0.008 | -7.350 | -3.019 | -0.000 | 0.000 | 102.138 |
| 530.107 | 314.120 | 297.100 | 0.000 | -0.000 | 0.000 |
| 329.287 | 430.987 | 186.772 | 0.000 | -0.000 | 0.000 |
| 281.654 | 190.116 | 451.568 | 0.000 | -0.000 | 0.000 |
| -0.005 | 5.028 | 2.065 | 27.814 | -0.000 | 0.000 |
| -0.008 | 7.310 | 3.003 | 0.000 | 78.942 | 0.000 |
| -0.008 | 7.350 | 3.019 | -0.000 | -0.000 | 102.138 |
| 501.988 | 323.090 | 287.954 | -0.000 | 0.000 | -0.000 |
| 321.660 | 414.476 | 173.654 | -0.000 | 0.000 | -0.000 |
| 297.102 | 200.795 | 473.586 | 0.000 | 0.000 | -0.000 |
| 0.007 | -1.119 | -0.459 | 28.181 | 0.000 | -0.000 |
| 0.007 | -1.305 | -0.536 | -0.000 | 69.209 | -0.000 |
| -0.000 | -0.001 | -0.000 | -0.000 | 0.000 | 110.544 |
| 482.931 | 323.484 | 279.882 | 0.000 | 0.000 | 0.000 |
| 330.662 | 421.617 | 182.778 | 0.000 | -0.000 | 0.000 |
| 281.187 | 183.111 | 448.154 | 0.000 | -0.000 | 0.000 |
| -0.007 | 1.119 | 0.459 | 28.181 | 0.000 | 0.000 |
| -0.007 | 1.305 | 0.536 | 0.000 | 69.209 | 0.000 |
| 0.000 | 0.001 | 0.000 | 0.000 | -0.000 | 110.544 |
| 377.610 | 202.613 | 224.215 | 0.000 | 0.000 | 0.000 |
| 158.208 | 276.091 | 180.003 | -0.000 | 0.000 | 0.000 |
| 226.472 | 197.763 | 369.553 | 0.000 | -0.000 | -0.000 |
| 5.404 | 8.414 | -3.828 | 59.275 | -0.000 | 0.000 |
| 5.256 | 8.183 | -3.723 | 0.000 | 128.016 | 0.000 |
| -0.000 | 0.000 | -0.000 | 0.000 | -0.000 | 49.941 |
| 320.763 | 136.752 | 221.139 | -0.000 | -0.000 | -0.000 |
| 194.995 | 315.631 | 187.888 | -0.000 | -0.000 | -0.000 |
| 213.766 | 181.657 | 371.517 | -0.000 | -0.000 | -0.000 |
| -5.404 | -8.414 | 3.828 | 59.275 | 0.000 | -0.000 |
| -5.256 | -8.183 | 3.723 | -0.000 | 128.016 | -0.000 |
| 0.000 | -0.000 | -0.000 | 0.000 | -0.000 | 49.941 |
| 377.610 | 202.613 | 224.215 | 0.000 | 0.000 | -0.000 |
| 148.451 | 263.655 | 181.641 | 0.000 | 0.000 | 0.000 |
| 221.836 | 193.148 | 367.855 | 0.000 | 0.000 | -0.000 |
| 1.984 | 2.464 | -0.209 | 56.074 | -0.000 | 0.000 |
| 0.604 | 0.940 | -0.428 | -0.000 | 127.281 | 0.000 |
| -0.000 | 0.000 | -0.000 | 0.000 | -0.000 | 49.941 |
| 377.610 | 202.612 | 224.214 | -0.000 | 0.000 | -0.000 |
| 145.352 | 259.781 | 182.017 | 0.000 | 0.000 | -0.000 |
| 221.126 | 192.004 | 368.434 | -0.000 | -0.000 | -0.000 |
| -1.984 | -2.464 | 0.209 | 56.074 | -0.000 | -0.000 |
| -0.604 | -0.940 | 0.428 | -0.000 | 127.281 | -0.000 |
| 0.000 | -0.000 | 0.000 | -0.000 | -0.000 | 49.941 |
| 334.009 | 153.310 | 219.536 | 0.000 | 0.000 | 0.000 |
| 145.644 | 259.582 | 183.058 | -0.000 | -0.000 | 0.000 |
| 221.925 | 193.102 | 368.148 | -0.000 | 0.000 | 0.000 |
| 0.203 | 0.250 | -0.018 | 56.022 | -0.000 | 0.000 |
| -0.000 | 0.000 | -0.000 | -0.000 | 132.955 | 0.000 |
| -0.000 | 0.000 | -0.000 | 0.000 | 0.000 | 49.941 |
| 335.485 | 155.580 | 218.547 | -0.000 | 0.000 | -0.000 |
| 146.771 | 261.557 | 181.843 | -0.000 | 0.000 | 0.000 |
| 226.470 | 197.761 | 369.551 | 0.000 | -0.000 | -0.000 |
| -0.203 | -0.250 | 0.018 | 56.022 | 0.000 | -0.000 |
| 0.000 | -0.000 | 0.000 | 0.000 | 132.955 | -0.000 |
| 0.000 | -0.000 | 0.000 | 0.000 | -0.000 | 49.941 |
| 364.475 | 264.516 | 306.529 | 0.000 | 0.000 | -0.000 |
| 266.111 | 362.881 | 306.529 | -0.000 | 0.000 | -0.000 |
| 306.529 | 306.529 | 585.251 | -0.000 | -0.000 | 0.000 |
| 0.000 | 0.000 | 0.000 | 67.748 | 0.000 | 0.000 |
| 0.000 | 0.000 | 0.000 | -0.000 | 67.748 | -0.000 |
| -0.000 | -0.000 | 0.000 | 0.000 | 0.000 | 49.980 |
| 364.475 | 264.516 | 306.529 | -0.000 | 0.000 | 0.000 |
| 266.111 | 362.881 | 306.529 | -0.000 | -0.000 | 0.000 |
| 306.529 | 306.529 | 585.251 | 0.000 | -0.000 | 0.000 |
| -0.000 | -0.000 | -0.000 | 67.748 | -0.000 | -0.000 |
| -0.000 | -0.000 | -0.000 | -0.000 | 67.748 | 0.000 |
| 0.000 | 0.000 | -0.000 | 0.000 | -0.000 | 49.980 |
| 362.880 | 266.111 | 306.529 | 0.000 | 0.000 | -0.000 |
| 266.111 | 362.880 | 306.529 | -0.000 | 0.000 | -0.000 |
| 306.529 | 306.529 | 585.250 | -0.000 | 0.000 | 0.000 |
| 0.000 | 0.000 | -0.000 | 67.748 | 0.000 | 0.000 |
| 0.000 | 0.000 | -0.000 | -0.000 | 67.748 | -0.000 |
| -0.000 | -0.000 | 0.000 | 0.000 | 0.000 | 48.385 |
| 364.476 | 264.516 | 306.529 | -0.000 | -0.000 | -0.000 |
| 266.111 | 362.881 | 306.529 | -0.000 | -0.000 | 0.000 |
| 306.529 | 306.529 | 585.251 | 0.000 | -0.000 | 0.000 |
| -0.000 | -0.000 | 0.000 | 67.748 | -0.000 | 0.000 |
| -0.000 | -0.000 | 0.000 | -0.000 | 67.748 | 0.000 |
| 0.000 | 0.000 | -0.000 | 0.000 | -0.000 | 48.385 |
| 364.473 | 264.516 | 306.530 | 0.000 | 0.000 | 0.000 |
| 266.111 | 362.878 | 306.530 | -0.000 | 0.000 | -0.000 |
| 306.530 | 306.530 | 585.249 | 0.000 | -0.000 | -0.000 |
| 0.000 | 0.000 | -0.000 | 67.748 | 0.000 | -0.000 |
| 0.000 | 0.000 | -0.000 | -0.000 | 67.748 | -0.000 |
| -0.001 | -0.001 | 0.000 | -0.000 | 0.000 | 49.980 |
| 364.478 | 264.515 | 306.527 | 0.000 | -0.000 | 0.000 |
| 266.111 | 362.883 | 306.527 | -0.000 | -0.000 | 0.000 |
| 306.527 | 306.527 | 585.252 | 0.000 | -0.000 | -0.000 |
| -0.000 | -0.000 | 0.000 | 67.748 | 0.000 | 0.000 |
| -0.000 | -0.000 | 0.000 | 0.000 | 67.748 | 0.000 |
| 0.001 | 0.001 | -0.000 | -0.000 | -0.000 | 49.980 |
| 198.891 | 153.020 | 153.020 | -0.000 | -0.000 | 0.000 |
| 153.020 | 198.891 | 153.020 | -0.000 | -0.000 | -0.000 |
| 153.020 | 153.020 | 198.891 | -0.000 | -0.000 | 0.000 |
| 0.000 | -0.000 | -0.000 | -26.011 | -0.000 | 0.000 |
| -0.000 | 0.000 | -0.000 | -0.000 | -26.011 | -0.000 |
| -0.000 | -0.000 | 0.000 | -0.000 | -0.000 | -26.011 |
| 198.891 | 153.020 | 153.020 | 0.000 | 0.000 | -0.000 |
| 153.020 | 198.891 | 153.020 | 0.000 | 0.000 | -0.000 |
| 153.020 | 153.020 | 198.891 | 0.000 | 0.000 | -0.000 |
| -0.000 | 0.000 | 0.000 | -26.011 | 0.000 | 0.000 |
| 0.000 | -0.000 | 0.000 | 0.000 | -26.011 | 0.000 |
| 0.000 | -0.000 | -0.000 | 0.000 | 0.000 | -26.011 |
| 198.891 | 153.020 | 153.020 | -0.000 | -0.000 | -0.000 |
| 153.020 | 198.891 | 153.020 | -0.000 | -0.000 | 0.000 |
| 153.020 | 153.020 | 198.891 | -0.000 | -0.000 | -0.000 |
| 0.000 | -0.000 | -0.000 | -66.342 | -0.000 | 0.000 |
| -0.000 | 0.000 | -0.000 | -0.000 | -66.342 | -0.000 |
| -0.000 | -0.000 | 0.000 | -0.000 | -0.000 | -66.342 |
| 198.891 | 153.020 | 153.020 | 0.000 | 0.000 | -0.000 |
| 153.020 | 198.891 | 153.020 | 0.000 | 0.000 | 0.000 |
| 153.020 | 153.020 | 198.891 | 0.000 | 0.000 | -0.000 |
| -0.000 | 0.000 | 0.000 | -66.342 | 0.000 | 0.000 |
| 0.000 | -0.000 | 0.000 | 0.000 | -66.342 | -0.000 |
| 0.000 | 0.000 | -0.000 | 0.000 | 0.000 | -66.342 |
| 198.891 | 153.020 | 153.020 | -0.000 | -0.000 | -0.000 |
| 153.020 | 198.891 | 153.020 | -0.000 | -0.000 | 0.000 |
| 153.020 | 153.020 | 198.891 | -0.000 | -0.000 | -0.000 |
| 0.000 | -0.001 | -0.001 | -66.342 | -0.000 | -0.000 |
| -0.001 | 0.000 | -0.001 | -0.000 | -66.342 | -0.000 |
| -0.001 | -0.001 | 0.000 | -0.000 | -0.000 | -66.342 |
| 198.891 | 153.020 | 153.020 | 0.000 | 0.000 | -0.000 |
| 153.020 | 198.891 | 153.020 | 0.000 | 0.000 | 0.000 |
| 153.020 | 153.020 | 198.891 | 0.000 | 0.000 | 0.000 |
| -0.000 | 0.001 | 0.001 | -66.342 | 0.000 | 0.000 |
| 0.001 | -0.000 | 0.001 | 0.000 | -66.342 | 0.000 |
| 0.001 | 0.001 | -0.000 | 0.000 | 0.000 | -66.342 |
| 142.910 | 46.088 | 46.088 | 0.000 | 0.000 | 0.000 |
| 46.088 | 142.910 | 46.088 | 0.000 | -0.000 | -0.000 |
| 46.088 | 46.088 | 142.910 | 0.000 | -0.000 | 0.000 |
| -0.000 | -0.000 | -0.000 | 30.827 | -0.000 | 0.000 |
| -0.000 | -0.000 | -0.000 | 0.000 | 30.827 | 0.000 |
| -0.000 | -0.000 | -0.000 | 0.000 | 0.000 | 30.827 |
| 142.910 | 46.088 | 46.088 | -0.000 | 0.000 | -0.000 |
| 46.088 | 142.910 | 46.088 | -0.000 | 0.000 | -0.000 |
| 46.088 | 46.088 | 142.910 | -0.000 | 0.000 | -0.000 |
| 0.000 | 0.000 | 0.000 | 30.827 | 0.000 | 0.000 |
| 0.000 | 0.000 | 0.000 | -0.000 | 30.827 | -0.000 |
| 0.000 | 0.000 | 0.000 | -0.000 | -0.000 | 30.827 |
| 142.909 | 46.088 | 46.088 | 0.000 | -0.000 | 0.000 |
| 46.088 | 142.909 | 46.088 | 0.000 | -0.000 | 0.000 |
| 46.088 | 46.088 | 142.909 | 0.000 | -0.000 | -0.000 |
| -0.000 | -0.000 | -0.000 | 30.827 | 0.000 | -0.000 |
| -0.000 | -0.000 | -0.000 | 0.000 | 30.827 | 0.000 |
| -0.000 | -0.000 | -0.000 | 0.000 | 0.000 | 30.827 |
| 142.910 | 46.088 | 46.088 | -0.000 | -0.000 | -0.000 |
| 46.088 | 142.910 | 46.088 | -0.000 | -0.000 | 0.000 |
| 46.088 | 46.088 | 142.910 | -0.000 | -0.000 | -0.000 |
| 0.000 | 0.000 | 0.000 | 30.827 | -0.000 | -0.000 |
| 0.000 | 0.000 | 0.000 | -0.000 | 30.827 | -0.000 |
| 0.000 | 0.000 | 0.000 | -0.000 | -0.000 | 30.827 |
| 142.904 | 46.088 | 46.088 | 0.000 | 0.000 | 0.000 |
| 46.088 | 142.904 | 46.088 | 0.000 | -0.000 | 0.000 |
| 46.088 | 46.088 | 142.904 | -0.000 | 0.000 | 0.000 |
| -0.001 | -0.000 | -0.000 | 30.827 | -0.000 | -0.000 |
| -0.000 | -0.001 | -0.000 | 0.000 | 30.827 | 0.000 |
| -0.000 | -0.000 | -0.001 | -0.000 | 0.000 | 30.827 |
| 142.916 | 46.089 | 46.089 | 0.000 | -0.000 | -0.000 |
| 46.089 | 142.916 | 46.089 | -0.000 | -0.000 | -0.000 |
| 46.089 | 46.089 | 142.916 | 0.000 | -0.000 | -0.000 |
| 0.001 | 0.000 | 0.000 | 30.827 | 0.000 | -0.000 |
| 0.000 | 0.001 | 0.000 | -0.000 | 30.827 | 0.000 |
| 0.000 | 0.000 | 0.001 | -0.000 | -0.000 | 30.827 |
| 107.427 | 44.035 | 44.035 | -0.000 | -0.000 | -0.000 |
| 44.035 | 107.427 | 44.035 | -0.000 | -0.000 | 0.000 |
| 44.035 | 44.035 | 107.427 | -0.000 | -0.000 | 0.000 |
| -0.000 | -0.000 | -0.000 | 26.084 | -0.000 | 0.000 |
| -0.000 | -0.000 | -0.000 | -0.000 | 26.084 | 0.000 |
| -0.000 | -0.000 | -0.000 | -0.000 | -0.000 | 26.084 |
| 107.427 | 44.035 | 44.035 | 0.000 | 0.000 | -0.000 |
| 44.035 | 107.427 | 44.035 | 0.000 | 0.000 | 0.000 |
| 44.035 | 44.035 | 107.427 | 0.000 | 0.000 | 0.000 |
| 0.000 | 0.000 | 0.000 | 26.084 | 0.000 | -0.000 |
| 0.000 | 0.000 | 0.000 | 0.000 | 26.084 | 0.000 |
| 0.000 | 0.000 | 0.000 | -0.000 | 0.000 | 26.084 |
| 107.427 | 44.035 | 44.035 | 0.000 | -0.000 | -0.000 |
| 44.035 | 107.427 | 44.035 | -0.000 | -0.000 | 0.000 |
| 44.035 | 44.035 | 107.427 | -0.000 | -0.000 | 0.000 |
| -0.000 | 0.000 | 0.000 | 26.084 | -0.000 | 0.000 |
| 0.000 | -0.000 | 0.000 | -0.000 | 26.084 | 0.000 |
| 0.000 | 0.000 | -0.000 | -0.000 | -0.000 | 26.084 |
| 107.427 | 44.035 | 44.035 | 0.000 | 0.000 | 0.000 |
| 44.035 | 107.427 | 44.035 | 0.000 | 0.000 | 0.000 |
| 44.035 | 44.035 | 107.427 | 0.000 | 0.000 | -0.000 |
| 0.000 | -0.000 | -0.000 | 26.084 | 0.000 | 0.000 |
| -0.000 | 0.000 | -0.000 | 0.000 | 26.084 | -0.000 |
| -0.000 | -0.000 | 0.000 | 0.000 | 0.000 | 26.084 |
| 107.425 | 44.036 | 44.036 | 0.000 | -0.000 | -0.000 |
| 44.036 | 107.425 | 44.036 | -0.000 | -0.000 | 0.000 |
| 44.036 | 44.036 | 107.425 | 0.000 | -0.000 | 0.000 |
| -0.000 | 0.000 | 0.000 | 26.084 | -0.000 | -0.000 |
| 0.000 | -0.000 | 0.000 | -0.000 | 26.084 | 0.000 |
| 0.000 | 0.000 | -0.000 | -0.000 | -0.000 | 26.084 |
| 107.428 | 44.035 | 44.035 | -0.000 | 0.000 | -0.000 |
| 44.035 | 107.428 | 44.035 | 0.000 | 0.000 | -0.000 |
| 44.035 | 44.035 | 107.428 | 0.000 | 0.000 | -0.000 |
| 0.000 | -0.000 | -0.000 | 26.084 | 0.000 | -0.000 |
| -0.000 | 0.000 | -0.000 | 0.000 | 26.084 | 0.000 |
| -0.000 | -0.000 | 0.000 | 0.000 | 0.000 | 26.084 |
| 17.647 | 17.647 | 17.647 | -0.000 | 0.000 | 0.000 |
| 17.647 | 17.647 | 17.647 | 0.000 | -0.000 | -0.000 |
| 17.647 | 17.647 | 17.647 | -0.000 | -0.000 | -0.000 |
| -0.000 | -0.000 | -0.000 | -0.000 | 0.000 | -0.000 |
| -0.000 | -0.000 | -0.000 | 0.000 | -0.000 | -0.000 |
| -0.000 | -0.000 | -0.000 | 0.000 | 0.000 | -0.000 |
| 17.647 | 17.647 | 17.647 | -0.000 | 0.000 | -0.000 |
| 17.647 | 17.647 | 17.647 | 0.000 | -0.000 | -0.000 |
| 17.647 | 17.647 | 17.647 | -0.000 | -0.000 | -0.000 |
| 0.000 | 0.000 | 0.000 | 0.000 | -0.000 | -0.000 |
| 0.000 | 0.000 | 0.000 | -0.000 | 0.000 | -0.000 |
| 0.000 | 0.000 | 0.000 | -0.000 | 0.000 | 0.000 |
| 17.647 | 17.647 | 17.647 | -0.000 | -0.000 | 0.000 |
| 17.647 | 17.647 | 17.647 | -0.000 | -0.000 | 0.000 |
| 17.647 | 17.647 | 17.647 | -0.000 | -0.000 | -0.000 |
| -0.000 | -0.000 | -0.000 | -0.000 | 0.000 | -0.000 |
| -0.000 | -0.000 | -0.000 | 0.000 | -0.000 | -0.000 |
| -0.000 | -0.000 | -0.000 | 0.000 | 0.000 | -0.000 |
| 17.647 | 17.647 | 17.647 | 0.000 | 0.000 | -0.000 |
| 17.647 | 17.647 | 17.647 | 0.000 | 0.000 | -0.000 |
| 17.647 | 17.647 | 17.647 | 0.000 | 0.000 | 0.000 |
| 0.000 | 0.000 | 0.000 | -0.000 | -0.000 | 0.000 |
| 0.000 | 0.000 | 0.000 | -0.000 | -0.000 | 0.000 |
| 0.000 | 0.000 | 0.000 | -0.000 | -0.000 | -0.000 |
| 17.647 | 17.647 | 17.647 | -0.000 | -0.000 | -0.000 |
| 17.647 | 17.647 | 17.647 | -0.000 | -0.000 | -0.000 |
| 17.647 | 17.647 | 17.647 | -0.000 | -0.000 | 0.000 |
| -0.000 | -0.000 | -0.000 | -0.000 | 0.000 | -0.000 |
| -0.000 | -0.000 | -0.000 | 0.000 | -0.000 | -0.000 |
| -0.000 | -0.000 | -0.000 | 0.000 | 0.000 | -0.000 |
| 17.647 | 17.647 | 17.647 | 0.000 | -0.000 | 0.000 |
| 17.647 | 17.647 | 17.647 | -0.000 | 0.000 | 0.000 |
| 17.647 | 17.647 | 17.647 | 0.000 | 0.000 | -0.000 |
| 0.000 | 0.000 | 0.000 | -0.000 | -0.000 | 0.000 |
| 0.000 | 0.000 | 0.000 | -0.000 | -0.000 | 0.000 |
| 0.000 | 0.000 | 0.000 | -0.000 | -0.000 | -0.000 |
| 357.517 | 204.751 | 205.743 | 0.000 | 0.000 | 0.000 |
| 204.751 | 357.517 | 205.743 | 0.000 | -0.000 | 0.000 |
| 207.542 | 207.542 | 318.548 | 0.000 | -0.000 | 0.000 |
| 0.000 | 0.000 | 0.000 | -4.924 | -0.000 | -0.000 |
| 0.000 | 0.000 | 0.000 | 0.000 | -4.924 | -0.000 |
| 0.000 | 0.000 | 0.000 | 0.000 | -0.000 | 116.860 |
| 357.517 | 204.751 | 205.743 | -0.000 | 0.000 | 0.000 |
| 204.751 | 357.517 | 205.743 | -0.000 | 0.000 | 0.000 |
| 206.894 | 206.894 | 317.868 | -0.000 | -0.000 | -0.000 |
| -0.000 | -0.000 | -0.000 | -4.924 | 0.000 | -0.000 |
| -0.000 | -0.000 | -0.000 | -0.000 | -4.924 | 0.000 |
| -0.000 | -0.000 | -0.000 | -0.000 | -0.000 | 116.860 |
| 357.517 | 204.751 | 205.743 | 0.000 | -0.000 | 0.000 |
| 204.751 | 357.517 | 205.743 | 0.000 | -0.000 | -0.000 |
| 207.542 | 207.542 | 318.548 | 0.000 | -0.000 | -0.000 |
| 0.000 | -0.001 | -0.000 | -4.924 | 0.000 | 0.000 |
| -0.001 | 0.000 | -0.000 | 0.000 | -4.924 | -0.000 |
| 0.000 | 0.000 | 0.000 | 0.000 | -0.000 | 116.860 |
| 357.517 | 204.750 | 205.743 | -0.000 | 0.000 | 0.000 |
| 204.750 | 357.517 | 205.743 | -0.000 | -0.000 | 0.000 |
| 207.542 | 207.542 | 318.548 | -0.000 | 0.000 | 0.000 |
| -0.000 | 0.001 | 0.000 | -4.924 | 0.000 | 0.000 |
| 0.001 | -0.000 | 0.000 | -0.000 | -4.924 | -0.000 |
| -0.000 | -0.000 | -0.000 | -0.000 | 0.000 | 116.860 |
| 358.135 | 205.369 | 206.391 | 0.000 | -0.000 | -0.000 |
| 205.369 | 358.135 | 206.391 | 0.000 | -0.000 | -0.000 |
| 206.894 | 206.894 | 317.865 | 0.000 | -0.000 | -0.000 |
| 0.003 | -0.007 | -0.001 | -4.924 | -0.000 | -0.000 |
| -0.007 | 0.003 | -0.001 | -0.000 | -4.924 | -0.000 |
| 0.001 | 0.001 | 0.000 | 0.000 | -0.000 | 116.860 |
| 358.134 | 205.367 | 206.391 | -0.000 | 0.000 | -0.000 |
| 205.367 | 358.134 | 206.391 | -0.000 | 0.000 | 0.000 |
| 206.894 | 206.894 | 317.870 | -0.000 | 0.000 | 0.000 |
| -0.003 | 0.007 | 0.001 | -4.924 | 0.000 | 0.000 |
| 0.007 | -0.003 | 0.001 | -0.000 | -4.924 | 0.000 |
| -0.001 | -0.001 | -0.000 | -0.000 | 0.000 | 116.860 |
| 359.349 | 213.398 | 202.866 | -0.000 | 0.000 | 0.000 |
| 213.398 | 359.349 | 202.866 | -0.000 | 0.000 | 0.000 |
| 202.974 | 202.974 | 268.168 | 0.000 | -0.000 | 0.000 |
| -0.000 | 0.000 | -0.000 | 105.202 | -0.000 | 0.000 |
| -0.000 | 0.000 | 0.000 | 0.000 | 105.202 | 0.000 |
| -0.000 | 0.000 | 0.000 | 0.000 | 0.000 | 117.592 |
| 357.862 | 211.910 | 201.595 | -0.000 | -0.000 | -0.000 |
| 211.910 | 357.862 | 201.595 | 0.000 | -0.000 | -0.000 |
| 203.044 | 203.044 | 268.228 | -0.000 | -0.000 | -0.000 |
| 0.000 | 0.000 | 0.000 | 105.202 | 0.000 | 0.000 |
| 0.000 | -0.000 | 0.000 | -0.000 | 105.202 | -0.000 |
| 0.000 | -0.000 | 0.000 | -0.000 | 0.000 | 117.592 |
| 358.680 | 212.728 | 202.294 | 0.000 | 0.000 | 0.000 |
| 212.728 | 358.680 | 202.294 | 0.000 | -0.000 | 0.000 |
| 203.044 | 203.044 | 268.227 | 0.000 | 0.000 | 0.000 |
| -0.000 | -0.000 | -0.000 | 105.202 | -0.000 | -0.000 |
| -0.000 | -0.000 | -0.000 | 0.000 | 105.202 | 0.000 |
| 0.074 | 0.074 | 0.064 | -0.000 | 0.000 | 117.592 |
| 359.557 | 213.605 | 203.044 | 0.000 | -0.000 | -0.000 |
| 213.605 | 359.557 | 203.044 | 0.000 | 0.000 | -0.000 |
| 203.044 | 203.044 | 268.228 | 0.000 | -0.000 | -0.000 |
| 0.000 | 0.000 | 0.000 | 105.202 | -0.000 | -0.000 |
| 0.000 | 0.000 | 0.000 | -0.000 | 105.202 | -0.000 |
| -0.074 | -0.074 | -0.064 | 0.000 | -0.000 | 117.592 |
| 358.612 | 212.662 | 202.237 | 0.000 | -0.000 | 0.000 |
| 212.662 | 358.612 | 202.237 | 0.000 | 0.000 | 0.000 |
| 203.044 | 203.044 | 268.225 | -0.000 | 0.000 | 0.000 |
| 0.065 | 0.057 | 0.053 | -39.340 | 0.000 | 0.000 |
| 0.057 | 0.065 | 0.053 | 0.000 | -39.340 | 0.000 |
| 0.007 | 0.007 | 0.006 | 0.000 | 0.000 | 117.592 |
| 359.557 | 213.604 | 203.044 | 0.000 | -0.000 | -0.000 |
| 213.604 | 359.557 | 203.044 | -0.000 | 0.000 | -0.000 |
| 203.044 | 203.044 | 268.230 | -0.000 | 0.000 | -0.000 |
| -0.006 | 0.002 | -0.003 | -39.344 | 0.000 | -0.000 |
| 0.002 | -0.006 | -0.003 | 0.000 | -39.344 | -0.000 |
| -0.007 | -0.007 | -0.006 | -0.000 | 0.000 | 117.592 |
| 72.739 | 50.321 | 50.321 | 0.000 | 0.000 | -0.000 |
| 50.321 | 72.739 | 50.321 | 0.000 | 0.000 | -0.000 |
| 50.321 | 50.321 | 72.739 | 0.000 | 0.000 | -0.000 |
| -0.000 | -0.000 | 0.000 | 14.703 | 0.000 | 0.000 |
| -0.000 | 0.000 | -0.000 | 0.000 | 14.703 | 0.000 |
| -0.000 | -0.000 | -0.000 | 0.000 | 0.000 | 14.703 |
| 72.739 | 50.321 | 50.321 | -0.000 | -0.000 | 0.000 |
| 50.321 | 72.739 | 50.321 | -0.000 | -0.000 | 0.000 |
| 50.321 | 50.321 | 72.739 | -0.000 | -0.000 | 0.000 |
| 0.000 | 0.000 | 0.000 | 14.703 | -0.000 | -0.000 |
| 0.000 | 0.000 | -0.000 | -0.000 | 14.703 | 0.000 |
| 0.000 | -0.000 | 0.000 | -0.000 | -0.000 | 14.703 |
| 72.739 | 50.321 | 50.321 | 0.000 | 0.000 | -0.000 |
| 50.321 | 72.739 | 50.321 | 0.000 | 0.000 | -0.000 |
| 50.321 | 50.321 | 72.739 | 0.000 | 0.000 | -0.000 |
| -0.000 | -0.000 | -0.000 | 14.703 | 0.000 | 0.000 |
| -0.000 | -0.000 | -0.000 | 0.000 | 14.703 | 0.000 |
| -0.000 | -0.000 | -0.000 | 0.000 | 0.000 | 14.703 |
| 72.739 | 50.321 | 50.321 | -0.000 | -0.000 | 0.000 |
| 50.321 | 72.739 | 50.321 | -0.000 | 0.000 | 0.000 |
| 50.321 | 50.321 | 72.739 | -0.000 | -0.000 | 0.000 |
| 0.000 | 0.000 | 0.000 | 14.703 | -0.000 | -0.000 |
| 0.000 | 0.000 | 0.000 | -0.000 | 14.703 | 0.000 |
| 0.000 | 0.000 | 0.000 | -0.000 | -0.000 | 14.703 |
| 72.739 | 50.321 | 50.321 | 0.000 | 0.000 | 0.000 |
| 50.321 | 72.739 | 50.321 | 0.000 | 0.000 | -0.000 |
| 50.321 | 50.321 | 72.739 | 0.000 | 0.000 | -0.000 |
| -0.000 | -0.000 | -0.000 | 37.589 | 0.000 | -0.000 |
| -0.000 | -0.000 | -0.000 | 0.000 | 37.589 | -0.000 |
| -0.000 | -0.000 | -0.000 | 0.000 | 0.000 | 37.589 |
| 72.740 | 50.321 | 50.321 | -0.000 | -0.000 | 0.000 |
| 50.321 | 72.740 | 50.321 | -0.000 | -0.000 | 0.000 |
| 50.321 | 50.321 | 72.740 | -0.000 | -0.000 | 0.000 |
| 0.000 | 0.000 | 0.000 | 37.589 | -0.000 | 0.000 |
| 0.000 | 0.000 | 0.000 | -0.000 | 37.589 | 0.000 |
| 0.000 | 0.000 | 0.000 | -0.000 | -0.000 | 37.589 |
| 357.496 | 204.243 | 205.879 | -0.000 | 0.000 | 0.000 |
| 204.243 | 357.496 | 205.879 | -0.000 | 0.000 | 0.000 |
| 207.067 | 207.067 | 320.212 | -0.000 | 0.000 | 0.000 |
| 0.000 | 0.000 | 0.000 | 120.656 | 0.000 | 0.000 |
| 0.000 | 0.000 | 0.000 | -0.000 | 120.656 | 0.000 |
| 0.000 | 0.000 | 0.000 | -0.000 | 0.000 | 116.704 |
| 357.495 | 204.243 | 205.879 | 0.000 | -0.000 | -0.000 |
| 204.243 | 357.495 | 205.879 | 0.000 | 0.000 | -0.000 |
| 207.694 | 207.694 | 320.867 | 0.000 | -0.000 | -0.000 |
| -0.000 | -0.000 | -0.000 | 120.656 | -0.000 | -0.000 |
| -0.000 | -0.000 | -0.000 | 0.000 | 120.656 | -0.000 |
| -0.000 | -0.000 | -0.000 | 0.000 | -0.000 | 116.704 |
| 357.496 | 204.243 | 205.879 | -0.000 | 0.000 | 0.000 |
| 204.243 | 357.496 | 205.879 | -0.000 | 0.000 | 0.000 |
| 207.694 | 207.694 | 320.867 | -0.000 | 0.000 | 0.000 |
| 0.000 | -0.001 | 0.000 | -3.368 | 0.000 | 0.000 |
| -0.001 | 0.000 | 0.000 | -0.000 | -3.368 | 0.000 |
| 0.000 | 0.000 | 0.000 | -0.000 | 0.000 | 116.704 |
| 358.095 | 204.843 | 206.506 | 0.000 | -0.000 | -0.000 |
| 204.843 | 358.095 | 206.506 | 0.000 | -0.000 | -0.000 |
| 207.067 | 207.067 | 320.212 | 0.000 | -0.000 | -0.000 |
| -0.000 | 0.001 | -0.000 | -3.368 | -0.000 | -0.000 |
| 0.001 | -0.000 | -0.000 | 0.000 | -3.368 | -0.000 |
| -0.000 | -0.000 | -0.000 | 0.000 | -0.000 | 116.704 |
| 357.496 | 204.244 | 205.879 | -0.000 | 0.000 | 0.000 |
| 204.244 | 357.496 | 205.879 | -0.000 | 0.000 | 0.000 |
| 207.694 | 207.694 | 320.864 | -0.000 | 0.000 | 0.000 |
| 0.001 | -0.008 | -0.002 | -3.368 | 0.000 | 0.000 |
| -0.008 | 0.001 | -0.002 | -0.000 | -3.368 | 0.000 |
| 0.001 | 0.001 | 0.000 | -0.000 | 0.000 | 116.704 |
| 357.495 | 204.242 | 205.879 | -0.000 | -0.000 | -0.000 |
| 204.242 | 357.495 | 205.879 | 0.000 | -0.000 | -0.000 |
| 207.694 | 207.694 | 320.870 | 0.000 | -0.000 | -0.000 |
| -0.001 | 0.008 | 0.002 | -3.368 | -0.000 | -0.000 |
| 0.008 | -0.001 | 0.002 | 0.000 | -3.368 | -0.000 |
| -0.001 | -0.001 | -0.000 | 0.000 | -0.000 | 116.704 |
| 144.228 | 164.284 | 164.284 | -0.000 | -0.000 | -0.000 |
| 164.284 | 144.228 | 164.284 | -0.000 | -0.000 | -0.000 |
| 164.284 | 164.284 | 144.228 | -0.000 | -0.000 | -0.000 |
| -0.000 | -0.000 | 0.000 | 114.006 | -0.000 | -0.000 |
| -0.000 | -0.000 | 0.000 | -0.000 | 114.006 | -0.000 |
| -0.000 | -0.000 | 0.000 | 0.000 | -0.000 | 114.006 |
| 144.228 | 164.284 | 164.284 | 0.000 | 0.000 | 0.000 |
| 164.284 | 144.228 | 164.284 | 0.000 | 0.000 | 0.000 |
| 164.284 | 164.284 | 144.228 | 0.000 | 0.000 | 0.000 |
| 0.000 | 0.000 | -0.000 | 114.006 | 0.000 | 0.000 |
| 0.000 | 0.000 | -0.000 | 0.000 | 114.006 | 0.000 |
| 0.000 | 0.000 | -0.000 | -0.000 | 0.000 | 114.006 |
| 144.228 | 164.284 | 164.284 | -0.000 | -0.000 | -0.000 |
| 164.284 | 144.228 | 164.284 | -0.000 | -0.000 | -0.000 |
| 164.284 | 164.284 | 144.228 | -0.000 | -0.000 | -0.000 |
| -0.000 | 0.000 | 0.000 | 114.006 | -0.000 | -0.000 |
| 0.000 | -0.000 | 0.000 | -0.000 | 114.006 | -0.000 |
| 0.000 | 0.000 | -0.000 | 0.000 | -0.000 | 114.006 |
| 144.228 | 164.284 | 164.284 | 0.000 | 0.000 | 0.000 |
| 164.284 | 144.228 | 164.284 | 0.000 | 0.000 | 0.000 |
| 164.284 | 164.284 | 144.228 | 0.000 | 0.000 | 0.000 |
| 0.000 | -0.000 | -0.000 | 114.006 | 0.000 | 0.000 |
| -0.000 | 0.000 | -0.000 | 0.000 | 114.006 | 0.000 |
| -0.000 | -0.000 | 0.000 | -0.000 | 0.000 | 114.006 |
| 144.231 | 164.284 | 164.284 | -0.000 | -0.000 | -0.000 |
| 164.284 | 144.231 | 164.284 | -0.000 | -0.000 | -0.000 |
| 164.284 | 164.284 | 144.231 | -0.000 | -0.000 | -0.000 |
| -0.001 | 0.000 | 0.000 | 114.006 | -0.000 | -0.000 |
| 0.000 | -0.001 | 0.000 | -0.000 | 114.006 | -0.000 |
| 0.000 | 0.000 | -0.001 | -0.000 | -0.000 | 114.006 |
| 144.225 | 164.284 | 164.284 | 0.000 | 0.000 | 0.000 |
| 164.284 | 144.225 | 164.284 | -0.000 | 0.000 | 0.000 |
| 164.284 | 164.284 | 144.225 | -0.000 | 0.000 | 0.000 |
| 0.001 | -0.000 | -0.000 | 114.006 | 0.000 | 0.000 |
| -0.000 | 0.001 | -0.000 | 0.000 | 114.006 | 0.000 |
| -0.000 | -0.000 | 0.001 | 0.000 | 0.000 | 114.006 |
| 298.802 | 47.174 | 47.174 | -0.000 | -0.000 | 0.000 |
| 47.174 | 298.802 | 47.174 | -0.000 | -0.000 | 0.000 |
| 47.174 | 47.174 | 298.802 | -0.000 | -0.000 | 0.000 |
| -0.000 | -0.000 | -0.000 | -7.944 | -0.000 | 0.000 |
| -0.000 | -0.000 | -0.000 | -0.000 | -7.944 | 0.000 |
| -0.000 | -0.000 | -0.000 | -0.000 | -0.000 | -7.944 |
| 298.802 | 47.174 | 47.174 | 0.000 | 0.000 | -0.000 |
| 47.174 | 298.802 | 47.174 | 0.000 | 0.000 | -0.000 |
| 47.174 | 47.174 | 298.802 | 0.000 | 0.000 | -0.000 |
| 0.000 | 0.000 | 0.000 | -7.944 | 0.000 | -0.000 |
| 0.000 | 0.000 | 0.000 | 0.000 | -7.944 | -0.000 |
| 0.000 | 0.000 | 0.000 | 0.000 | 0.000 | -7.944 |
| 298.801 | 47.174 | 47.174 | -0.000 | -0.000 | 0.000 |
| 47.174 | 298.801 | 47.174 | -0.000 | -0.000 | 0.000 |
| 47.174 | 47.174 | 298.801 | -0.000 | -0.000 | 0.000 |
| -0.000 | -0.000 | -0.000 | 42.988 | -0.000 | 0.000 |
| -0.000 | -0.000 | -0.000 | -0.000 | 42.988 | 0.000 |
| -0.000 | -0.000 | -0.000 | -0.000 | -0.000 | 42.988 |
| 298.803 | 47.174 | 47.174 | 0.000 | 0.000 | -0.000 |
| 47.174 | 298.803 | 47.174 | 0.000 | 0.000 | -0.000 |
| 47.174 | 47.174 | 298.803 | 0.000 | 0.000 | -0.000 |
| 0.000 | 0.000 | 0.000 | 42.988 | 0.000 | -0.000 |
| 0.000 | 0.000 | 0.000 | 0.000 | 42.988 | -0.000 |
| 0.000 | 0.000 | 0.000 | 0.000 | 0.000 | 42.988 |
| 298.795 | 47.173 | 47.173 | -0.000 | -0.000 | -0.000 |
| 47.173 | 298.795 | 47.173 | -0.000 | -0.000 | 0.000 |
| 47.173 | 47.173 | 298.795 | -0.000 | -0.000 | 0.000 |
| -0.001 | -0.000 | -0.000 | -7.944 | -0.000 | 0.000 |
| -0.000 | -0.001 | -0.000 | -0.000 | -7.944 | 0.000 |
| -0.000 | -0.000 | -0.001 | -0.000 | -0.000 | -7.944 |
| 298.809 | 47.174 | 47.174 | 0.000 | 0.000 | -0.000 |
| 47.174 | 298.809 | 47.174 | 0.000 | 0.000 | -0.000 |
| 47.174 | 47.174 | 298.809 | 0.000 | 0.000 | 0.000 |
| 0.001 | 0.000 | 0.000 | -7.944 | 0.000 | -0.000 |
| 0.000 | 0.001 | 0.000 | 0.000 | -7.944 | -0.000 |
| 0.000 | 0.000 | 0.001 | 0.000 | 0.000 | -7.944 |
| 157.112 | 18.485 | 18.485 | 0.000 | 0.000 | -0.000 |
| 18.485 | 157.112 | 18.485 | 0.000 | 0.000 | -0.000 |
| 18.485 | 18.485 | 157.112 | 0.000 | -0.000 | -0.000 |
| 0.000 | 0.000 | 0.000 | 19.948 | -0.000 | 0.000 |
| 0.000 | 0.000 | 0.000 | 0.000 | 19.948 | 0.000 |
| 0.000 | 0.000 | 0.000 | -0.000 | -0.000 | 19.948 |
| 157.112 | 18.485 | 18.485 | -0.000 | 0.000 | 0.000 |
| 18.485 | 157.112 | 18.485 | 0.000 | -0.000 | 0.000 |
| 18.485 | 18.485 | 157.112 | -0.000 | -0.000 | 0.000 |
| -0.000 | -0.000 | -0.000 | 19.948 | 0.000 | 0.000 |
| -0.000 | -0.000 | -0.000 | 0.000 | 19.948 | 0.000 |
| -0.000 | -0.000 | -0.000 | 0.000 | 0.000 | 19.948 |
| 157.111 | 18.485 | 18.485 | 0.000 | -0.000 | -0.000 |
| 18.485 | 157.111 | 18.485 | -0.000 | -0.000 | -0.000 |
| 18.485 | 18.485 | 157.111 | 0.000 | -0.000 | -0.000 |
| 0.000 | 0.000 | 0.000 | 19.948 | 0.000 | -0.000 |
| 0.000 | 0.000 | 0.000 | -0.000 | 19.948 | -0.000 |
| 0.000 | 0.000 | 0.000 | -0.000 | -0.000 | 19.948 |
| 157.112 | 18.485 | 18.485 | -0.000 | -0.000 | 0.000 |
| 18.485 | 157.112 | 18.485 | -0.000 | -0.000 | -0.000 |
| 18.485 | 18.485 | 157.112 | -0.000 | -0.000 | 0.000 |
| -0.000 | -0.000 | -0.000 | 19.948 | 0.000 | -0.000 |
| -0.000 | -0.000 | -0.000 | 0.000 | 19.948 | 0.000 |
| -0.000 | -0.000 | -0.000 | -0.000 | 0.000 | 19.948 |
| 157.110 | 18.485 | 18.485 | 0.000 | -0.000 | -0.000 |
| 18.485 | 157.110 | 18.485 | -0.000 | 0.000 | -0.000 |
| 18.485 | 18.485 | 157.110 | 0.000 | 0.000 | -0.000 |
| 0.000 | 0.000 | 0.000 | 19.948 | -0.000 | -0.000 |
| 0.000 | 0.000 | 0.000 | 0.000 | 19.948 | -0.000 |
| 0.000 | 0.000 | 0.000 | -0.000 | -0.000 | 19.948 |
| 157.114 | 18.484 | 18.484 | 0.000 | 0.000 | 0.000 |
| 18.484 | 157.114 | 18.484 | -0.000 | 0.000 | 0.000 |
| 18.484 | 18.484 | 157.114 | -0.000 | 0.000 | 0.000 |
| -0.000 | -0.000 | -0.000 | 19.948 | 0.000 | -0.000 |
| -0.000 | -0.000 | -0.000 | 0.000 | 19.948 | -0.000 |
| -0.000 | -0.000 | -0.000 | 0.000 | 0.000 | 19.948 |
| 62.406 | 1.732 | 1.732 | -0.000 | -0.000 | -0.000 |
| 1.732 | 62.406 | 1.732 | -0.000 | -0.000 | 0.000 |
| 1.732 | 1.732 | 62.406 | -0.000 | -0.000 | -0.000 |
| -0.000 | -0.000 | -0.000 | -1.769 | -0.000 | -0.000 |
| -0.000 | -0.000 | -0.000 | -0.000 | -1.769 | -0.000 |
| -0.000 | -0.000 | -0.000 | -0.000 | -0.000 | -1.769 |
| 62.406 | 1.732 | 1.732 | 0.000 | 0.000 | 0.000 |
| 1.732 | 62.406 | 1.732 | 0.000 | 0.000 | 0.000 |
| 1.732 | 1.732 | 62.406 | -0.000 | -0.000 | 0.000 |
| 0.000 | 0.000 | 0.000 | -1.769 | 0.000 | 0.000 |
| 0.000 | 0.000 | 0.000 | 0.000 | -1.769 | 0.000 |
| 0.000 | 0.000 | 0.000 | 0.000 | 0.000 | -1.769 |
| 62.406 | 1.732 | 1.732 | -0.000 | 0.000 | -0.000 |
| 1.732 | 62.406 | 1.732 | -0.000 | 0.000 | -0.000 |
| 1.732 | 1.732 | 62.406 | -0.000 | 0.000 | -0.000 |
| -0.000 | -0.000 | -0.000 | -1.934 | 0.000 | -0.000 |
| -0.000 | -0.000 | -0.000 | -0.000 | -1.934 | -0.000 |
| -0.000 | -0.000 | -0.000 | -0.000 | -0.000 | -1.934 |
| 62.406 | 1.732 | 1.732 | 0.000 | 0.000 | 0.000 |
| 1.732 | 62.406 | 1.732 | 0.000 | 0.000 | 0.000 |
| 1.732 | 1.732 | 62.406 | 0.000 | 0.000 | 0.000 |
| 0.000 | 0.000 | 0.000 | -1.934 | 0.000 | 0.000 |
| 0.000 | 0.000 | 0.000 | 0.000 | -1.934 | 0.000 |
| 0.000 | 0.000 | 0.000 | 0.000 | 0.000 | -1.934 |
| 62.408 | 1.732 | 1.732 | -0.000 | -0.000 | -0.000 |
| 1.732 | 62.408 | 1.732 | -0.000 | 0.000 | -0.000 |
| 1.732 | 1.732 | 62.408 | -0.000 | 0.000 | -0.000 |
| -0.000 | -0.000 | -0.000 | -1.934 | 0.000 | -0.000 |
| -0.000 | -0.000 | -0.000 | -0.000 | -1.934 | -0.000 |
| -0.000 | -0.000 | -0.000 | -0.000 | -0.000 | -1.934 |
| 62.404 | 1.732 | 1.732 | 0.000 | 0.000 | 0.000 |
| 1.732 | 62.404 | 1.732 | 0.000 | 0.000 | 0.000 |
| 1.732 | 1.732 | 62.404 | 0.000 | 0.000 | 0.000 |
| 0.000 | 0.000 | 0.000 | -1.934 | -0.000 | 0.000 |
| 0.000 | 0.000 | 0.000 | 0.000 | -1.934 | 0.000 |
| 0.000 | 0.000 | 0.000 | 0.000 | 0.000 | -1.934 |
| 699.410 | 367.514 | 367.514 | -0.000 | 0.000 | -0.000 |
| 367.514 | 699.410 | 367.514 | -0.000 | 0.000 | 0.000 |
| 367.514 | 367.514 | 699.410 | -0.000 | 0.000 | -0.000 |
| -0.000 | -0.000 | -0.000 | 140.942 | 0.000 | -0.000 |
| -0.000 | -0.000 | -0.000 | -0.000 | 140.942 | -0.000 |
| -0.000 | -0.000 | -0.000 | 0.000 | 0.000 | 140.942 |
| 699.410 | 367.514 | 367.514 | 0.000 | 0.000 | 0.000 |
| 367.514 | 699.410 | 367.514 | 0.000 | -0.000 | 0.000 |
| 367.514 | 367.514 | 699.410 | 0.000 | -0.000 | -0.000 |
| 0.000 | 0.000 | 0.000 | 140.942 | -0.000 | -0.000 |
| 0.000 | 0.000 | 0.000 | 0.000 | 140.942 | -0.000 |
| 0.000 | 0.000 | 0.000 | -0.000 | -0.000 | 140.942 |
| 702.797 | 365.820 | 365.820 | -0.000 | 0.000 | 0.000 |
| 365.820 | 702.797 | 365.820 | -0.000 | 0.000 | -0.000 |
| 365.820 | 365.820 | 702.797 | -0.000 | 0.000 | 0.000 |
| -0.000 | -0.000 | -0.000 | 140.942 | 0.000 | 0.000 |
| -0.000 | -0.000 | -0.000 | -0.000 | 140.942 | -0.000 |
| -0.000 | -0.000 | -0.000 | -0.000 | 0.000 | 140.942 |
| 702.799 | 365.820 | 365.820 | 0.000 | 0.000 | 0.000 |
| 365.820 | 702.799 | 365.820 | 0.000 | -0.000 | -0.000 |
| 365.820 | 365.820 | 702.799 | 0.000 | -0.000 | 0.000 |
| 0.000 | 0.000 | 0.000 | 140.942 | -0.000 | 0.000 |
| 0.000 | 0.000 | 0.000 | -0.000 | 140.942 | 0.000 |
| 0.000 | 0.000 | 0.000 | 0.000 | -0.000 | 140.942 |
| 699.399 | 367.512 | 367.512 | -0.000 | 0.000 | 0.000 |
| 367.512 | 699.399 | 367.512 | -0.000 | 0.000 | -0.000 |
| 367.512 | 367.512 | 699.399 | -0.000 | 0.000 | 0.000 |
| -0.000 | -0.002 | -0.002 | 137.761 | 0.000 | 0.000 |
| -0.002 | -0.000 | -0.002 | -0.000 | 137.761 | 0.000 |
| -0.002 | -0.002 | -0.000 | -0.000 | 0.000 | 137.761 |
| 699.421 | 367.516 | 367.516 | 0.000 | -0.000 | -0.000 |
| 367.516 | 699.421 | 367.516 | 0.000 | -0.000 | 0.000 |
| 367.516 | 367.516 | 699.421 | 0.000 | 0.000 | -0.000 |
| 0.000 | 0.002 | 0.002 | 137.761 | -0.000 | -0.000 |
| 0.002 | 0.000 | 0.002 | -0.000 | 137.761 | -0.000 |
| 0.002 | 0.002 | 0.000 | 0.000 | -0.000 | 137.761 |
| 43.761 | 160.685 | 160.685 | 0.000 | -0.000 | 0.000 |
| 160.685 | 43.761 | 160.685 | 0.000 | -0.000 | 0.000 |
| 160.685 | 160.685 | 43.761 | 0.000 | 0.000 | 0.000 |
| -0.000 | -0.000 | -0.000 | 24.304 | 0.000 | 0.000 |
| -0.000 | -0.000 | -0.000 | -0.000 | 24.304 | 0.000 |
| -0.000 | -0.000 | -0.000 | -0.000 | -0.000 | 24.304 |
| 43.761 | 160.685 | 160.685 | -0.000 | 0.000 | -0.000 |
| 160.685 | 43.761 | 160.685 | -0.000 | 0.000 | -0.000 |
| 160.685 | 160.685 | 43.761 | -0.000 | -0.000 | -0.000 |
| 0.000 | 0.000 | 0.000 | 24.304 | -0.000 | -0.000 |
| 0.000 | 0.000 | 0.000 | 0.000 | 24.304 | -0.000 |
| 0.000 | 0.000 | 0.000 | 0.000 | 0.000 | 24.304 |
| -93972011.883 | -105491931.188 | -101724859.912 | 580778.319 | 1160333.603 | 303750.425 |
| -101272114.153 | -94570847.745 | -105409693.103 | 164446.221 | 254910.130 | -376510.107 |
| -104955871.756 | -100875714.254 | -92494949.019 | 1144502.386 | -101291.007 | -231880.103 |
| -0.001 | -0.001 | -0.001 | -41.824 | -0.000 | 0.000 |
| -0.001 | -0.001 | -0.001 | -0.000 | -41.824 | 0.000 |
| -0.001 | -0.001 | -0.001 | 0.000 | -0.000 | -41.824 |
| 113.671 | 125.731 | 125.731 | 0.000 | -0.000 | -0.000 |
| 125.731 | 113.671 | 125.731 | 0.000 | -0.000 | -0.000 |
| 125.731 | 125.731 | 113.671 | 0.000 | -0.000 | -0.000 |
| 0.001 | 0.001 | 0.001 | -41.824 | 0.000 | -0.000 |
| 0.001 | 0.001 | 0.001 | 0.000 | -41.824 | -0.000 |
| 0.001 | 0.001 | 0.001 | -0.000 | 0.000 | -41.824 |
| -9193647.351 | -10344014.759 | -9992522.576 | -46774.429 | 169826.612 | -123581.380 |
| -9849371.541 | -8942541.151 | -10075493.835 | -50031.735 | -76765.813 | 211303.216 |
| -10523582.048 | -10419520.548 | -9292759.991 | -60363.002 | 94332.263 | 32904.727 |
| -0.022 | -0.025 | -0.025 | -104.078 | -0.000 | 0.000 |
| -0.025 | -0.022 | -0.025 | -0.000 | -104.078 | 0.000 |
| -0.025 | -0.025 | -0.022 | -0.000 | -0.000 | -104.078 |
| 10081510.121 | 9415783.922 | 9686518.547 | -9566.419 | 16574.567 | 49877.196 |
| 9537642.551 | 9872745.119 | 9393553.237 | 82324.929 | 13507.902 | -2412.225 |
| 9237838.654 | 9357808.076 | 9923235.351 | -70524.474 | 39863.006 | 24689.245 |
| 0.022 | 0.025 | 0.025 | -104.078 | 0.000 | -0.000 |
| 0.025 | 0.022 | 0.025 | 0.000 | -104.078 | -0.000 |
| 0.025 | 0.025 | 0.022 | -0.000 | 0.000 | -104.078 |
| 418.909 | 84.913 | 84.913 | -0.000 | 0.000 | 0.000 |
| 84.913 | 418.909 | 84.913 | 0.000 | 0.000 | -0.000 |
| 84.913 | 84.913 | 418.909 | 0.000 | 0.000 | -0.000 |
| -0.000 | -0.000 | -0.000 | 94.924 | 0.000 | -0.000 |
| -0.000 | -0.000 | -0.000 | 0.000 | 94.924 | -0.000 |
| -0.000 | -0.000 | -0.000 | -0.000 | 0.000 | 94.924 |
| 418.909 | 84.913 | 84.913 | -0.000 | -0.000 | 0.000 |
| 84.913 | 418.909 | 84.913 | 0.000 | -0.000 | -0.000 |
| 84.913 | 84.913 | 418.909 | -0.000 | -0.000 | 0.000 |
| 0.000 | 0.000 | 0.000 | 94.924 | -0.000 | 0.000 |
| 0.000 | 0.000 | 0.000 | -0.000 | 94.924 | 0.000 |
| 0.000 | 0.000 | 0.000 | 0.000 | -0.000 | 94.924 |
| 418.910 | 84.913 | 84.913 | 0.000 | 0.000 | 0.000 |
| 84.913 | 418.910 | 84.913 | -0.000 | 0.000 | 0.000 |
| 84.913 | 84.913 | 418.910 | 0.000 | 0.000 | 0.000 |
| -0.000 | -0.000 | -0.000 | 94.924 | 0.000 | 0.000 |
| -0.000 | -0.000 | -0.000 | 0.000 | 94.924 | -0.000 |
| -0.000 | -0.000 | -0.000 | 0.000 | 0.000 | 94.924 |
| 418.909 | 84.913 | 84.913 | 0.000 | -0.000 | -0.000 |
| 84.913 | 418.909 | 84.913 | -0.000 | -0.000 | 0.000 |
| 84.913 | 84.913 | 418.909 | 0.000 | 0.000 | -0.000 |
| 0.000 | 0.000 | 0.000 | 94.924 | -0.000 | 0.000 |
| 0.000 | 0.000 | 0.000 | -0.000 | 94.924 | 0.000 |
| 0.000 | 0.000 | 0.000 | -0.000 | -0.000 | 94.924 |
| 418.914 | 84.913 | 84.913 | 0.000 | 0.000 | 0.000 |
| 84.913 | 418.914 | 84.913 | -0.000 | 0.000 | 0.000 |
| 84.913 | 84.913 | 418.914 | 0.000 | 0.000 | 0.000 |
| -0.000 | -0.000 | -0.000 | 94.924 | 0.000 | 0.000 |
| -0.000 | -0.000 | -0.000 | 0.000 | 94.924 | -0.000 |
| -0.000 | -0.000 | -0.000 | -0.000 | 0.000 | 94.924 |
| 418.905 | 84.913 | 84.913 | -0.000 | -0.000 | -0.000 |
| 84.913 | 418.905 | 84.913 | 0.000 | -0.000 | -0.000 |
| 84.913 | 84.913 | 418.905 | -0.000 | -0.000 | -0.000 |
| 0.000 | 0.000 | 0.000 | 94.924 | -0.000 | -0.000 |
| 0.000 | 0.000 | 0.000 | -0.000 | 94.924 | -0.000 |
| 0.000 | 0.000 | 0.000 | 0.000 | -0.000 | 94.924 |
| 246.533 | 100.135 | 100.135 | 0.000 | -0.000 | 0.000 |
| 100.135 | 246.533 | 100.135 | 0.000 | -0.000 | 0.000 |
| 100.135 | 100.135 | 246.533 | 0.000 | -0.000 | -0.000 |
| 0.000 | 0.000 | 0.000 | 97.854 | -0.000 | -0.000 |
| 0.000 | 0.000 | 0.000 | 0.000 | 97.854 | 0.000 |
| 0.000 | 0.000 | 0.000 | 0.000 | -0.000 | 97.854 |
| 246.533 | 100.135 | 100.135 | -0.000 | 0.000 | 0.000 |
| 100.135 | 246.533 | 100.135 | -0.000 | 0.000 | 0.000 |
| 100.135 | 100.135 | 246.533 | -0.000 | 0.000 | -0.000 |
| -0.000 | -0.000 | -0.000 | 97.854 | -0.000 | -0.000 |
| -0.000 | -0.000 | -0.000 | -0.000 | 97.854 | -0.000 |
| -0.000 | -0.000 | -0.000 | -0.000 | 0.000 | 97.854 |
| 246.532 | 100.135 | 100.135 | 0.000 | -0.000 | 0.000 |
| 100.135 | 246.532 | 100.135 | 0.000 | -0.000 | 0.000 |
| 100.135 | 100.135 | 246.532 | 0.000 | -0.000 | 0.000 |
| 0.000 | 0.000 | 0.000 | 97.854 | 0.000 | 0.000 |
| 0.000 | 0.000 | 0.000 | 0.000 | 97.854 | 0.000 |
| 0.000 | 0.000 | 0.000 | 0.000 | -0.000 | 97.854 |
| 246.533 | 100.135 | 100.135 | -0.000 | 0.000 | -0.000 |
| 100.135 | 246.533 | 100.135 | -0.000 | 0.000 | 0.000 |
| 100.135 | 100.135 | 246.533 | -0.000 | 0.000 | -0.000 |
| -0.000 | -0.000 | -0.000 | 97.854 | 0.000 | 0.000 |
| -0.000 | -0.000 | -0.000 | -0.000 | 97.854 | 0.000 |
| -0.000 | -0.000 | -0.000 | -0.000 | 0.000 | 97.854 |
| 246.532 | 100.136 | 100.136 | 0.000 | -0.000 | 0.000 |
| 100.136 | 246.532 | 100.136 | -0.000 | -0.000 | 0.000 |
| 100.136 | 100.136 | 246.532 | 0.000 | -0.000 | 0.000 |
| 0.000 | 0.000 | 0.000 | 97.854 | -0.000 | 0.000 |
| 0.000 | 0.000 | 0.000 | 0.000 | 97.854 | 0.000 |
| 0.000 | 0.000 | 0.000 | -0.000 | -0.000 | 97.854 |
| 246.533 | 100.134 | 100.134 | 0.000 | 0.000 | 0.000 |
| 100.134 | 246.533 | 100.134 | 0.000 | 0.000 | -0.000 |
| 100.134 | 100.134 | 246.533 | -0.000 | 0.000 | 0.000 |
| -0.000 | -0.000 | -0.000 | 97.854 | 0.000 | -0.000 |
| -0.000 | -0.000 | -0.000 | -0.000 | 97.854 | -0.000 |
| -0.000 | -0.000 | -0.000 | 0.000 | 0.000 | 97.854 |
| 271.709 | 138.032 | 138.032 | 0.000 | -0.000 | -0.000 |
| 138.032 | 271.709 | 138.032 | 0.000 | -0.000 | -0.000 |
| 138.032 | 138.032 | 271.709 | 0.000 | -0.000 | -0.000 |
| -0.000 | 0.000 | -0.000 | 64.668 | -0.000 | -0.000 |
| -0.000 | 0.000 | -0.000 | 0.000 | 64.668 | -0.000 |
| -0.000 | 0.000 | -0.000 | 0.000 | -0.000 | 64.668 |
| 271.709 | 138.032 | 138.032 | -0.000 | 0.000 | 0.000 |
| 138.032 | 271.709 | 138.032 | -0.000 | 0.000 | 0.000 |
| 138.032 | 138.032 | 271.709 | -0.000 | 0.000 | 0.000 |
| 0.000 | -0.000 | 0.000 | 64.668 | 0.000 | 0.000 |
| 0.000 | -0.000 | 0.000 | -0.000 | 64.668 | 0.000 |
| 0.000 | -0.000 | 0.000 | -0.000 | 0.000 | 64.668 |
| 271.709 | 138.032 | 138.032 | 0.000 | -0.000 | -0.000 |
| 138.032 | 271.709 | 138.032 | 0.000 | -0.000 | -0.000 |
| 138.032 | 138.032 | 271.709 | 0.000 | -0.000 | -0.000 |
| 0.000 | 0.000 | 0.000 | 64.826 | -0.000 | -0.000 |
| 0.000 | 0.000 | 0.000 | 0.000 | 64.826 | -0.000 |
| 0.000 | 0.000 | 0.000 | 0.000 | -0.000 | 64.826 |
| 271.709 | 138.032 | 138.032 | -0.000 | 0.000 | 0.000 |
| 138.032 | 271.709 | 138.032 | -0.000 | 0.000 | 0.000 |
| 138.032 | 138.032 | 271.709 | -0.000 | 0.000 | 0.000 |
| -0.000 | -0.000 | -0.000 | 64.826 | 0.000 | 0.000 |
| -0.000 | -0.000 | -0.000 | -0.000 | 64.826 | 0.000 |
| -0.000 | -0.000 | -0.000 | -0.000 | 0.000 | 64.826 |
| 271.708 | 138.033 | 138.033 | 0.000 | -0.000 | -0.000 |
| 138.033 | 271.708 | 138.033 | 0.000 | -0.000 | -0.000 |
| 138.033 | 138.033 | 271.708 | 0.000 | -0.000 | -0.000 |
| 0.000 | 0.000 | 0.001 | 64.668 | -0.000 | -0.000 |
| 0.000 | 0.000 | 0.001 | 0.000 | 64.668 | -0.000 |
| 0.000 | 0.001 | 0.000 | 0.000 | -0.000 | 64.668 |
| 271.710 | 138.031 | 138.031 | -0.000 | 0.000 | 0.000 |
| 138.031 | 271.710 | 138.031 | -0.000 | 0.000 | 0.000 |
| 138.031 | 138.031 | 271.710 | -0.000 | 0.000 | 0.000 |
| -0.000 | -0.000 | -0.001 | 64.668 | 0.000 | 0.000 |
| -0.000 | -0.000 | -0.001 | -0.000 | 64.668 | 0.000 |
| -0.000 | -0.001 | -0.000 | -0.000 | 0.000 | 64.668 |
| 67.625 | 104.649 | 104.649 | -0.000 | -0.000 | 0.000 |
| 104.649 | 67.625 | 104.649 | -0.000 | -0.000 | 0.000 |
| 104.649 | 104.649 | 67.625 | 0.000 | 0.000 | 0.000 |
| -0.000 | -0.000 | -0.000 | 96.726 | -0.000 | 0.000 |
| -0.000 | -0.000 | -0.000 | -0.000 | 96.726 | 0.000 |
| -0.000 | -0.000 | -0.000 | -0.000 | 0.000 | 96.726 |
| 67.625 | 104.649 | 104.649 | 0.000 | 0.000 | -0.000 |
| 104.649 | 67.625 | 104.649 | 0.000 | 0.000 | -0.000 |
| 104.649 | 104.649 | 67.625 | 0.000 | 0.000 | -0.000 |
| 0.000 | 0.000 | 0.000 | 96.726 | 0.000 | -0.000 |
| 0.000 | 0.000 | 0.000 | 0.000 | 96.726 | -0.000 |
| 0.000 | 0.000 | 0.000 | 0.000 | -0.000 | 96.726 |
| 67.624 | 104.648 | 104.648 | -0.000 | -0.000 | 0.000 |
| 104.648 | 67.624 | 104.648 | -0.000 | -0.000 | 0.000 |
| 104.648 | 104.648 | 67.624 | 0.000 | 0.000 | 0.000 |
| -0.000 | -0.000 | -0.000 | 65.902 | -0.000 | 0.000 |
| -0.000 | -0.000 | -0.000 | 0.000 | 65.902 | 0.000 |
| -0.000 | -0.000 | -0.000 | 0.000 | 0.000 | 65.902 |
| 67.626 | 104.649 | 104.649 | 0.000 | 0.000 | -0.000 |
| 104.649 | 67.626 | 104.649 | 0.000 | 0.000 | -0.000 |
| 104.649 | 104.649 | 67.626 | 0.000 | 0.000 | -0.000 |
| 0.000 | 0.000 | 0.000 | 65.902 | 0.000 | -0.000 |
| 0.000 | 0.000 | 0.000 | -0.000 | 65.902 | -0.000 |
| 0.000 | 0.000 | 0.000 | 0.000 | 0.000 | 65.902 |
| 67.617 | 104.648 | 104.648 | -0.000 | -0.000 | 0.000 |
| 104.648 | 67.617 | 104.648 | -0.000 | -0.000 | 0.000 |
| 104.648 | 104.648 | 67.617 | 0.000 | 0.000 | 0.000 |
| -0.003 | -0.001 | -0.001 | 65.902 | 0.000 | 0.000 |
| -0.001 | -0.003 | -0.001 | 0.000 | 65.902 | 0.000 |
| -0.001 | -0.001 | -0.003 | 0.000 | 0.000 | 65.902 |
| 67.632 | 104.649 | 104.649 | 0.000 | 0.000 | -0.000 |
| 104.649 | 67.632 | 104.649 | 0.000 | 0.000 | -0.000 |
| 104.649 | 104.649 | 67.632 | 0.000 | 0.000 | -0.000 |
| 0.003 | 0.001 | 0.001 | 65.902 | -0.000 | -0.000 |
| 0.001 | 0.003 | 0.001 | -0.000 | 65.902 | -0.000 |
| 0.001 | 0.001 | 0.003 | -0.000 | 0.000 | 65.902 |
| 172.569 | -16.524 | -16.524 | -0.000 | -0.000 | 0.000 |
| -16.524 | 172.569 | -16.524 | -0.000 | 0.000 | 0.000 |
| -16.524 | -16.524 | 172.569 | 0.000 | 0.000 | 0.000 |
| -0.000 | -0.000 | 0.000 | 21.692 | 0.000 | 0.000 |
| -0.000 | -0.000 | 0.000 | -0.000 | 21.692 | 0.000 |
| -0.000 | -0.000 | 0.000 | -0.000 | 0.000 | 21.692 |
| 172.569 | -16.524 | -16.524 | 0.000 | -0.000 | -0.000 |
| -16.524 | 172.569 | -16.524 | 0.000 | 0.000 | -0.000 |
| -16.524 | -16.524 | 172.569 | 0.000 | -0.000 | -0.000 |
| 0.000 | 0.000 | -0.000 | 21.692 | -0.000 | -0.000 |
| 0.000 | 0.000 | -0.000 | 0.000 | 21.692 | -0.000 |
| 0.000 | 0.000 | -0.000 | 0.000 | -0.000 | 21.692 |
| 172.569 | -16.524 | -16.524 | -0.000 | -0.000 | 0.000 |
| -16.524 | 172.569 | -16.524 | -0.000 | 0.000 | 0.000 |
| -16.524 | -16.524 | 172.569 | -0.000 | 0.000 | 0.000 |
| -0.000 | -0.000 | -0.000 | 21.692 | -0.000 | 0.000 |
| -0.000 | -0.000 | -0.000 | -0.000 | 21.692 | 0.000 |
| -0.000 | -0.000 | -0.000 | -0.000 | -0.000 | 21.692 |
| 172.569 | -16.524 | -16.524 | 0.000 | -0.000 | -0.000 |
| -16.524 | 172.569 | -16.524 | 0.000 | 0.000 | -0.000 |
| -16.524 | -16.524 | 172.569 | 0.000 | -0.000 | -0.000 |
| 0.000 | 0.000 | 0.000 | 21.692 | 0.000 | -0.000 |
| 0.000 | 0.000 | 0.000 | 0.000 | 21.692 | -0.000 |
| 0.000 | 0.000 | 0.000 | 0.000 | 0.000 | 21.692 |
| 172.567 | -16.525 | -16.525 | -0.000 | -0.000 | 0.000 |
| -16.525 | 172.567 | -16.525 | -0.000 | -0.000 | 0.000 |
| -16.525 | -16.525 | 172.567 | 0.000 | 0.000 | 0.000 |
| -0.001 | -0.001 | -0.001 | 21.692 | -0.000 | 0.000 |
| -0.001 | -0.001 | -0.001 | -0.000 | 21.692 | 0.000 |
| -0.001 | -0.001 | -0.001 | -0.000 | -0.000 | 21.692 |
| 172.570 | -16.523 | -16.523 | 0.000 | 0.000 | -0.000 |
| -16.523 | 172.570 | -16.523 | 0.000 | 0.000 | -0.000 |
| -16.523 | -16.523 | 172.570 | 0.000 | -0.000 | -0.000 |
| 0.001 | 0.001 | 0.001 | 21.692 | 0.000 | -0.000 |
| 0.001 | 0.001 | 0.001 | 0.000 | 21.692 | -0.000 |
| 0.001 | 0.001 | 0.001 | 0.000 | 0.000 | 21.692 |
| 39.652 | 39.652 | 39.652 | 0.000 | 0.000 | 0.000 |
| 39.652 | 39.652 | 39.652 | 0.000 | 0.000 | 0.000 |
| 39.652 | 39.652 | 39.652 | 0.000 | 0.000 | -0.000 |
| -0.000 | -0.000 | -0.000 | 39.935 | 0.000 | 0.000 |
| -0.000 | -0.000 | -0.000 | 0.000 | 39.935 | 0.000 |
| -0.000 | -0.000 | -0.000 | 0.000 | -0.000 | 39.935 |
| 39.652 | 39.652 | 39.652 | -0.000 | 0.000 | 0.000 |
| 39.652 | 39.652 | 39.652 | 0.000 | -0.000 | 0.000 |
| 39.652 | 39.652 | 39.652 | -0.000 | -0.000 | -0.000 |
| 0.000 | 0.000 | 0.000 | 39.935 | -0.000 | -0.000 |
| 0.000 | 0.000 | 0.000 | -0.000 | 39.935 | -0.000 |
| 0.000 | 0.000 | 0.000 | -0.000 | 0.000 | 39.935 |
| 39.652 | 39.652 | 39.652 | 0.000 | 0.000 | 0.000 |
| 39.652 | 39.652 | 39.652 | 0.000 | 0.000 | 0.000 |
| 39.652 | 39.652 | 39.652 | 0.000 | 0.000 | -0.000 |
| -0.000 | -0.000 | -0.000 | 39.935 | 0.000 | -0.000 |
| -0.000 | -0.000 | -0.000 | 0.000 | 39.935 | -0.000 |
| -0.000 | -0.000 | -0.000 | 0.000 | -0.000 | 39.935 |
| 39.652 | 39.652 | 39.652 | -0.000 | 0.000 | 0.000 |
| 39.652 | 39.652 | 39.652 | 0.000 | -0.000 | 0.000 |
| 39.652 | 39.652 | 39.652 | -0.000 | -0.000 | -0.000 |
| 0.000 | 0.000 | 0.000 | 39.935 | -0.000 | -0.000 |
| 0.000 | 0.000 | 0.000 | -0.000 | 39.935 | -0.000 |
| 0.000 | 0.000 | 0.000 | -0.000 | 0.000 | 39.935 |
| 39.652 | 39.652 | 39.652 | 0.000 | 0.000 | 0.000 |
| 39.652 | 39.652 | 39.652 | 0.000 | 0.000 | 0.000 |
| 39.652 | 39.652 | 39.652 | 0.000 | 0.000 | 0.000 |
| -0.000 | -0.000 | -0.000 | 39.935 | 0.000 | 0.000 |
| -0.000 | -0.000 | -0.000 | 0.000 | 39.935 | 0.000 |
| -0.000 | -0.000 | -0.000 | -0.000 | -0.000 | 39.935 |
| 39.653 | 39.652 | 39.652 | -0.000 | -0.000 | -0.000 |
| 39.652 | 39.653 | 39.652 | -0.000 | -0.000 | -0.000 |
| 39.652 | 39.652 | 39.653 | -0.000 | -0.000 | -0.000 |
| 0.000 | 0.000 | 0.000 | 39.935 | -0.000 | 0.000 |
| 0.000 | 0.000 | 0.000 | -0.000 | 39.935 | 0.000 |
| 0.000 | 0.000 | 0.000 | 0.000 | 0.000 | 39.935 |
| 173.552 | 310.506 | 310.506 | 0.000 | 0.000 | -0.000 |
| 310.506 | 173.552 | 310.506 | -0.000 | 0.000 | -0.000 |
| 310.506 | 310.506 | 173.552 | 0.000 | -0.000 | 0.000 |
| 0.000 | 0.000 | 0.000 | 20.414 | 0.000 | -0.000 |
| 0.000 | 0.000 | 0.000 | -0.000 | 20.414 | -0.000 |
| 0.000 | 0.000 | 0.000 | 0.000 | -0.000 | 20.414 |
| 173.552 | 310.506 | 310.506 | 0.000 | 0.000 | -0.000 |
| 310.506 | 173.552 | 310.506 | 0.000 | 0.000 | 0.000 |
| 310.506 | 310.506 | 173.552 | -0.000 | -0.000 | -0.000 |
| -0.000 | -0.000 | -0.000 | 20.414 | -0.000 | 0.000 |
| -0.000 | -0.000 | -0.000 | 0.000 | 20.414 | 0.000 |
| -0.000 | -0.000 | -0.000 | -0.000 | 0.000 | 20.414 |
| 173.552 | 310.506 | 310.506 | -0.000 | -0.000 | -0.000 |
| 310.506 | 173.552 | 310.506 | 0.000 | -0.000 | -0.000 |
| 310.506 | 310.506 | 173.552 | 0.000 | -0.000 | -0.000 |
| 0.000 | 0.000 | 0.000 | 20.414 | 0.000 | -0.000 |
| 0.000 | 0.000 | 0.000 | -0.000 | 20.414 | -0.000 |
| 0.000 | 0.000 | 0.000 | 0.000 | -0.000 | 20.414 |
| 173.552 | 310.506 | 310.506 | -0.000 | 0.000 | 0.000 |
| 310.506 | 173.552 | 310.506 | -0.000 | 0.000 | 0.000 |
| 310.506 | 310.506 | 173.552 | -0.000 | -0.000 | 0.000 |
| -0.000 | -0.000 | -0.000 | 20.414 | -0.000 | -0.000 |
| -0.000 | -0.000 | -0.000 | 0.000 | 20.414 | 0.000 |
| -0.000 | -0.000 | -0.000 | -0.000 | 0.000 | 20.414 |
| 173.555 | 310.506 | 310.506 | -0.000 | -0.000 | 0.000 |
| 310.506 | 173.555 | 310.506 | -0.000 | -0.000 | -0.000 |
| 310.506 | 310.506 | 173.555 | 0.000 | 0.000 | -0.000 |
| 0.000 | 0.000 | 0.000 | 20.414 | 0.000 | 0.000 |
| 0.000 | 0.000 | 0.000 | -0.000 | 20.414 | -0.000 |
| 0.000 | 0.000 | 0.000 | -0.000 | -0.000 | 20.414 |
| 173.549 | 310.505 | 310.505 | 0.000 | -0.000 | 0.000 |
| 310.505 | 173.549 | 310.505 | -0.000 | 0.000 | 0.000 |
| 310.505 | 310.505 | 173.549 | -0.000 | -0.000 | 0.000 |
| -0.000 | -0.000 | -0.000 | 20.414 | -0.000 | 0.000 |
| -0.000 | -0.000 | -0.000 | -0.000 | 20.414 | -0.000 |
| -0.000 | -0.000 | -0.000 | -0.000 | -0.000 | 20.414 |
| 354.193 | 55.620 | 55.620 | -0.000 | -0.000 | -0.000 |
| 55.620 | 354.193 | 55.620 | 0.000 | -0.000 | -0.000 |
| 55.620 | 55.620 | 354.193 | 0.000 | 0.000 | -0.000 |
| -0.000 | -0.000 | -0.000 | 4.974 | 0.000 | -0.000 |
| -0.000 | -0.000 | -0.000 | -0.000 | 4.974 | -0.000 |
| -0.000 | -0.000 | -0.000 | -0.000 | -0.000 | 4.974 |
| 354.193 | 55.620 | 55.620 | 0.000 | 0.000 | 0.000 |
| 55.620 | 354.193 | 55.620 | 0.000 | 0.000 | 0.000 |
| 55.620 | 55.620 | 354.193 | -0.000 | -0.000 | 0.000 |
| 0.000 | 0.000 | 0.000 | 4.974 | 0.000 | -0.000 |
| 0.000 | 0.000 | 0.000 | 0.000 | 4.974 | 0.000 |
| 0.000 | 0.000 | 0.000 | 0.000 | -0.000 | 4.974 |
| 354.192 | 55.619 | 55.619 | -0.000 | -0.000 | 0.000 |
| 55.619 | 354.192 | 55.619 | -0.000 | -0.000 | -0.000 |
| 55.619 | 55.619 | 354.192 | -0.000 | -0.000 | -0.000 |
| -0.000 | -0.000 | -0.000 | 4.974 | -0.000 | 0.000 |
| -0.000 | -0.000 | -0.000 | -0.000 | 4.974 | -0.000 |
| -0.000 | -0.000 | -0.000 | 0.000 | 0.000 | 4.974 |
| 354.193 | 55.620 | 55.620 | 0.000 | 0.000 | 0.000 |
| 55.620 | 354.193 | 55.620 | -0.000 | 0.000 | 0.000 |
| 55.620 | 55.620 | 354.193 | 0.000 | 0.000 | 0.000 |
| 0.000 | 0.000 | 0.000 | 4.974 | 0.000 | 0.000 |
| 0.000 | 0.000 | 0.000 | 0.000 | 4.974 | 0.000 |
| 0.000 | 0.000 | 0.000 | -0.000 | 0.000 | 4.974 |
| 354.190 | 55.617 | 55.617 | -0.000 | 0.000 | -0.000 |
| 55.617 | 354.190 | 55.617 | 0.000 | 0.000 | -0.000 |
| 55.617 | 55.617 | 354.190 | 0.000 | 0.000 | -0.000 |
| -0.001 | -0.002 | -0.002 | 4.974 | 0.000 | -0.000 |
| -0.002 | -0.001 | -0.002 | -0.000 | 4.974 | -0.000 |
| -0.002 | -0.002 | -0.001 | -0.000 | 0.000 | 4.974 |
| 354.195 | 55.622 | 55.622 | 0.000 | 0.000 | -0.000 |
| 55.622 | 354.195 | 55.622 | 0.000 | 0.000 | 0.000 |
| 55.622 | 55.622 | 354.195 | -0.000 | -0.000 | 0.000 |
| 0.001 | 0.002 | 0.002 | 4.974 | -0.000 | -0.000 |
| 0.002 | 0.001 | 0.002 | 0.000 | 4.974 | 0.000 |
| 0.002 | 0.002 | 0.001 | 0.000 | 0.000 | 4.974 |
| 124.287 | 109.708 | 109.708 | -0.000 | -0.000 | -0.000 |
| 109.708 | 124.287 | 109.708 | -0.000 | -0.000 | -0.000 |
| 109.708 | 109.708 | 124.287 | -0.000 | 0.000 | -0.000 |
| -0.000 | -0.000 | -0.000 | 100.902 | -0.000 | -0.000 |
| -0.000 | -0.000 | -0.000 | -0.000 | 100.902 | -0.000 |
| -0.000 | -0.000 | -0.000 | -0.000 | -0.000 | 100.902 |
| 124.287 | 109.708 | 109.708 | 0.000 | 0.000 | 0.000 |
| 109.708 | 124.287 | 109.708 | 0.000 | 0.000 | 0.000 |
| 109.708 | 109.708 | 124.287 | 0.000 | 0.000 | 0.000 |
| 0.000 | 0.000 | 0.000 | 100.902 | 0.000 | 0.000 |
| 0.000 | 0.000 | 0.000 | 0.000 | 100.902 | 0.000 |
| 0.000 | 0.000 | 0.000 | 0.000 | 0.000 | 100.902 |
| 124.287 | 109.708 | 109.708 | -0.000 | -0.000 | -0.000 |
| 109.708 | 124.287 | 109.708 | -0.000 | -0.000 | -0.000 |
| 109.708 | 109.708 | 124.287 | -0.000 | -0.000 | -0.000 |
| 0.000 | -0.000 | -0.000 | 100.902 | -0.000 | -0.000 |
| -0.000 | 0.000 | -0.000 | -0.000 | 100.902 | -0.000 |
| -0.000 | -0.000 | 0.000 | -0.000 | -0.000 | 100.902 |
| 124.287 | 109.708 | 109.708 | 0.000 | 0.000 | 0.000 |
| 109.708 | 124.287 | 109.708 | 0.000 | 0.000 | 0.000 |
| 109.708 | 109.708 | 124.287 | 0.000 | 0.000 | 0.000 |
| -0.000 | 0.000 | 0.000 | 100.902 | 0.000 | 0.000 |
| 0.000 | -0.000 | 0.000 | 0.000 | 100.902 | 0.000 |
| 0.000 | 0.000 | -0.000 | 0.000 | 0.000 | 100.902 |
| 124.284 | 109.707 | 109.707 | -0.000 | -0.000 | -0.000 |
| 109.707 | 124.284 | 109.707 | -0.000 | -0.000 | -0.000 |
| 109.707 | 109.707 | 124.284 | -0.000 | -0.000 | -0.000 |
| 0.000 | -0.001 | -0.001 | 100.902 | -0.000 | -0.000 |
| -0.001 | 0.000 | -0.001 | -0.000 | 100.902 | -0.000 |
| -0.001 | -0.001 | 0.000 | -0.000 | -0.000 | 100.902 |
| 124.290 | 109.709 | 109.709 | 0.000 | 0.000 | 0.000 |
| 109.709 | 124.290 | 109.709 | 0.000 | 0.000 | 0.000 |
| 109.709 | 109.709 | 124.290 | 0.000 | 0.000 | 0.000 |
| -0.000 | 0.001 | 0.001 | 100.902 | 0.000 | 0.000 |
| 0.001 | -0.000 | 0.001 | 0.000 | 100.902 | 0.000 |
| 0.001 | 0.001 | -0.000 | 0.000 | 0.000 | 100.902 |
| 235.512 | 117.756 | 117.756 | -0.000 | -0.000 | -0.000 |
| 117.756 | 235.512 | 117.756 | -0.000 | -0.000 | -0.000 |
| 117.756 | 117.756 | 235.512 | -0.000 | -0.000 | -0.000 |
| -0.000 | -0.000 | -0.000 | 117.691 | -0.000 | -0.000 |
| -0.000 | -0.000 | -0.000 | -0.000 | 117.691 | -0.000 |
| -0.000 | -0.000 | -0.000 | -0.000 | -0.000 | 117.691 |
| 235.512 | 117.756 | 117.756 | 0.000 | 0.000 | 0.000 |
| 117.756 | 235.512 | 117.756 | 0.000 | 0.000 | 0.000 |
| 117.756 | 117.756 | 235.512 | 0.000 | 0.000 | 0.000 |
| 0.000 | 0.000 | 0.000 | 117.691 | 0.000 | 0.000 |
| 0.000 | 0.000 | 0.000 | 0.000 | 117.691 | 0.000 |
| 0.000 | 0.000 | 0.000 | 0.000 | 0.000 | 117.691 |
| 235.512 | 117.755 | 117.755 | -0.000 | -0.000 | -0.000 |
| 117.755 | 235.512 | 117.755 | -0.000 | -0.000 | -0.000 |
| 117.755 | 117.755 | 235.512 | -0.000 | -0.000 | -0.000 |
| -0.000 | -0.000 | -0.000 | 117.691 | -0.000 | -0.000 |
| -0.000 | -0.000 | -0.000 | -0.000 | 117.691 | -0.000 |
| -0.000 | -0.000 | -0.000 | -0.000 | -0.000 | 117.691 |
| 235.512 | 117.756 | 117.756 | 0.000 | 0.000 | 0.000 |
| 117.756 | 235.512 | 117.756 | 0.000 | 0.000 | 0.000 |
| 117.756 | 117.756 | 235.512 | 0.000 | 0.000 | 0.000 |
| 0.000 | 0.000 | 0.000 | 117.691 | 0.000 | 0.000 |
| 0.000 | 0.000 | 0.000 | 0.000 | 117.691 | 0.000 |
| 0.000 | 0.000 | 0.000 | 0.000 | 0.000 | 117.691 |
| 235.508 | 117.754 | 117.754 | -0.000 | -0.000 | -0.000 |
| 117.754 | 235.508 | 117.754 | -0.000 | -0.000 | -0.000 |
| 117.754 | 117.754 | 235.508 | -0.000 | -0.000 | -0.000 |
| -0.000 | -0.002 | -0.002 | 117.691 | -0.000 | -0.000 |
| -0.002 | -0.000 | -0.002 | -0.000 | 117.691 | -0.000 |
| -0.002 | -0.002 | -0.000 | -0.000 | -0.000 | 117.691 |
| 235.516 | 117.757 | 117.757 | 0.000 | 0.000 | 0.000 |
| 117.757 | 235.516 | 117.757 | 0.000 | 0.000 | 0.000 |
| 117.757 | 117.757 | 235.516 | 0.000 | 0.000 | 0.000 |
| 0.000 | 0.002 | 0.002 | 117.691 | 0.000 | 0.000 |
| 0.002 | 0.000 | 0.002 | 0.000 | 117.691 | 0.000 |
| 0.002 | 0.002 | 0.000 | 0.000 | 0.000 | 117.691 |
| 203.364 | 101.235 | 101.235 | 0.000 | 0.000 | 0.000 |
| 101.235 | 203.364 | 101.235 | -0.000 | 0.000 | 0.000 |
| 101.235 | 101.235 | 203.364 | 0.000 | 0.000 | 0.000 |
| -0.000 | -0.000 | -0.000 | 102.285 | 0.000 | 0.000 |
| -0.000 | -0.000 | -0.000 | 0.000 | 102.285 | -0.000 |
| -0.000 | -0.000 | 0.000 | 0.000 | -0.000 | 102.285 |
| 203.364 | 101.235 | 101.235 | -0.000 | -0.000 | -0.000 |
| 101.235 | 203.364 | 101.235 | -0.000 | -0.000 | -0.000 |
| 101.235 | 101.235 | 203.364 | -0.000 | -0.000 | -0.000 |
| 0.000 | 0.000 | 0.000 | 102.285 | -0.000 | -0.000 |
| 0.000 | -0.000 | 0.000 | -0.000 | 102.285 | 0.000 |
| 0.000 | 0.000 | -0.000 | -0.000 | 0.000 | 102.285 |
| 203.364 | 101.235 | 101.235 | 0.000 | 0.000 | 0.000 |
| 101.235 | 203.364 | 101.235 | 0.000 | 0.000 | 0.000 |
| 101.235 | 101.235 | 203.364 | 0.000 | 0.000 | 0.000 |
| -0.000 | -0.000 | -0.000 | 102.285 | 0.000 | 0.000 |
| -0.000 | -0.000 | -0.000 | 0.000 | 102.285 | -0.000 |
| -0.000 | -0.000 | -0.000 | 0.000 | -0.000 | 102.285 |
| 203.364 | 101.235 | 101.235 | -0.000 | -0.000 | -0.000 |
| 101.235 | 203.364 | 101.235 | -0.000 | -0.000 | -0.000 |
| 101.235 | 101.235 | 203.364 | -0.000 | -0.000 | -0.000 |
| 0.000 | 0.000 | 0.000 | 102.285 | -0.000 | -0.000 |
| 0.000 | 0.000 | 0.000 | -0.000 | 102.285 | 0.000 |
| 0.000 | 0.000 | 0.000 | 0.000 | 0.000 | 102.285 |
| 203.363 | 101.235 | 101.235 | 0.000 | -0.000 | -0.000 |
| 101.235 | 203.363 | 101.235 | -0.000 | 0.000 | 0.000 |
| 101.235 | 101.235 | 203.363 | 0.000 | 0.000 | 0.000 |
| -0.000 | -0.001 | -0.001 | 102.285 | 0.000 | 0.000 |
| -0.001 | -0.000 | -0.001 | 0.000 | 102.285 | -0.000 |
| -0.001 | -0.001 | -0.000 | 0.000 | -0.000 | 102.285 |
| 203.365 | 101.235 | 101.235 | -0.000 | -0.000 | -0.000 |
| 101.235 | 203.365 | 101.235 | -0.000 | -0.000 | -0.000 |
| 101.235 | 101.235 | 203.365 | -0.000 | -0.000 | -0.000 |
| 0.000 | 0.001 | 0.001 | 102.285 | -0.000 | -0.000 |
| 0.001 | 0.000 | 0.001 | -0.000 | 102.285 | 0.000 |
| 0.001 | 0.001 | 0.000 | -0.000 | 0.000 | 102.285 |
| 683.594 | 274.835 | 142.599 | -0.000 | -0.000 | -0.000 |
| 274.835 | 683.594 | 142.599 | -0.000 | -0.000 | -0.000 |
| 142.599 | 142.599 | 369.541 | 0.000 | -0.000 | 0.000 |
| 0.000 | 0.000 | -0.000 | 59.824 | 0.000 | 0.000 |
| 0.000 | 0.000 | -0.000 | 0.000 | 59.824 | -0.000 |
| 0.001 | 0.001 | -0.000 | 0.000 | -0.000 | 77.624 |
| 683.642 | 274.769 | 142.599 | 0.000 | 0.000 | -0.000 |
| 274.769 | 683.642 | 142.599 | -0.000 | 0.000 | 0.000 |
| 142.599 | 142.599 | 369.541 | -0.000 | 0.000 | -0.000 |
| -0.000 | -0.000 | 0.000 | 59.824 | -0.000 | -0.000 |
| -0.000 | -0.000 | 0.000 | 0.000 | 59.824 | -0.000 |
| -0.001 | -0.001 | 0.000 | -0.000 | -0.000 | 77.624 |
| 683.729 | 274.781 | 142.600 | -0.000 | -0.000 | -0.000 |
| 274.781 | 683.729 | 142.600 | -0.000 | -0.000 | -0.000 |
| 142.600 | 142.600 | 369.540 | 0.000 | -0.000 | 0.000 |
| -0.000 | -0.000 | -0.000 | 59.929 | -0.000 | -0.000 |
| -0.000 | -0.000 | -0.000 | -0.000 | 59.929 | 0.000 |
| 0.010 | 0.010 | -0.000 | 0.000 | -0.000 | 77.624 |
| 683.507 | 274.824 | 142.599 | 0.000 | -0.000 | -0.000 |
| 274.824 | 683.507 | 142.599 | 0.000 | 0.000 | -0.000 |
| 142.599 | 142.599 | 369.541 | -0.000 | 0.000 | -0.000 |
| 0.000 | 0.000 | 0.000 | 59.929 | 0.000 | -0.000 |
| 0.000 | 0.000 | 0.000 | 0.000 | 59.929 | -0.000 |
| -0.010 | -0.010 | 0.000 | -0.000 | -0.000 | 77.624 |
| 684.439 | 274.871 | 142.601 | -0.000 | -0.000 | 0.000 |
| 274.871 | 684.439 | 142.601 | 0.000 | -0.000 | 0.000 |
| 142.601 | 142.601 | 369.538 | 0.000 | 0.000 | 0.000 |
| -0.000 | -0.001 | -0.001 | 59.929 | -0.000 | -0.000 |
| -0.001 | -0.000 | -0.001 | -0.000 | 59.929 | 0.000 |
| 0.097 | 0.097 | -0.000 | -0.000 | 0.000 | 77.624 |
| 682.860 | 274.670 | 142.598 | 0.000 | 0.000 | -0.000 |
| 274.670 | 682.860 | 142.598 | 0.000 | 0.000 | 0.000 |
| 142.598 | 142.598 | 369.543 | -0.000 | 0.000 | -0.000 |
| 0.000 | 0.001 | 0.001 | 59.929 | 0.000 | 0.000 |
| 0.001 | 0.000 | 0.001 | -0.000 | 59.929 | 0.000 |
| -0.097 | -0.097 | 0.000 | -0.000 | -0.000 | 77.624 |
| 14.248 | 150.248 | 150.248 | 0.000 | -0.000 | -0.000 |
| 150.248 | 14.248 | 150.248 | -0.000 | -0.000 | -0.000 |
| 150.248 | 150.248 | 14.248 | -0.000 | -0.000 | -0.000 |
| 0.000 | 0.000 | -0.000 | -88.509 | -0.000 | -0.000 |
| 0.000 | 0.000 | -0.000 | 0.000 | -88.509 | -0.000 |
| 0.000 | 0.000 | -0.000 | -0.000 | 0.000 | -88.509 |
| 14.248 | 150.248 | 150.248 | 0.000 | -0.000 | 0.000 |
| 150.248 | 14.248 | 150.248 | -0.000 | 0.000 | 0.000 |
| 150.248 | 150.248 | 14.248 | -0.000 | 0.000 | 0.000 |
| -0.000 | -0.000 | 0.000 | -88.509 | 0.000 | 0.000 |
| -0.000 | -0.000 | 0.000 | 0.000 | -88.509 | 0.000 |
| -0.000 | -0.000 | 0.000 | 0.000 | -0.000 | -88.509 |
| 14.249 | 150.248 | 150.248 | 0.000 | 0.000 | -0.000 |
| 150.248 | 14.249 | 150.248 | 0.000 | 0.000 | -0.000 |
| 150.248 | 150.248 | 14.249 | -0.000 | -0.000 | -0.000 |
| 0.000 | 0.000 | 0.000 | -88.509 | 0.000 | -0.000 |
| 0.000 | 0.000 | 0.000 | 0.000 | -88.509 | -0.000 |
| 0.000 | 0.000 | 0.000 | -0.000 | 0.000 | -88.509 |
| 14.246 | 150.247 | 150.247 | 0.000 | -0.000 | 0.000 |
| 150.247 | 14.246 | 150.247 | 0.000 | -0.000 | 0.000 |
| 150.247 | 150.247 | 14.246 | 0.000 | 0.000 | 0.000 |
| -0.000 | -0.000 | -0.000 | -88.509 | -0.000 | 0.000 |
| -0.000 | -0.000 | -0.000 | -0.000 | -88.509 | 0.000 |
| -0.000 | -0.000 | -0.000 | 0.000 | -0.000 | -88.509 |
| 14.259 | 150.250 | 150.250 | 0.000 | 0.000 | -0.000 |
| 150.250 | 14.259 | 150.250 | -0.000 | 0.000 | -0.000 |
| 150.250 | 150.250 | 14.259 | 0.000 | 0.000 | -0.000 |
| 0.004 | 0.003 | 0.003 | -88.509 | 0.000 | -0.000 |
| 0.003 | 0.004 | 0.003 | 0.000 | -88.509 | -0.000 |
| 0.003 | 0.003 | 0.004 | -0.000 | -0.000 | -88.509 |
| 14.236 | 150.245 | 150.245 | 0.000 | -0.000 | 0.000 |
| 150.245 | 14.236 | 150.245 | -0.000 | -0.000 | 0.000 |
| 150.245 | 150.245 | 14.236 | -0.000 | -0.000 | 0.000 |
| -0.004 | -0.003 | -0.003 | -88.509 | -0.000 | 0.000 |
| -0.003 | -0.004 | -0.003 | -0.000 | -88.509 | 0.000 |
| -0.003 | -0.003 | -0.004 | 0.000 | -0.000 | -88.509 |
| 226.114 | 113.516 | 113.516 | -0.000 | -0.000 | 0.000 |
| 113.516 | 226.114 | 113.516 | -0.000 | -0.000 | 0.000 |
| 113.516 | 113.516 | 226.114 | -0.000 | -0.000 | 0.000 |
| -0.000 | -0.000 | -0.000 | 106.227 | -0.000 | 0.000 |
| -0.000 | -0.000 | -0.000 | -0.000 | 106.227 | 0.000 |
| -0.000 | -0.000 | -0.000 | 0.000 | -0.000 | 106.227 |
| 226.114 | 113.516 | 113.516 | 0.000 | 0.000 | -0.000 |
| 113.516 | 226.114 | 113.516 | 0.000 | 0.000 | -0.000 |
| 113.516 | 113.516 | 226.114 | 0.000 | 0.000 | -0.000 |
| 0.000 | 0.000 | 0.000 | 106.227 | 0.000 | -0.000 |
| 0.000 | 0.000 | 0.000 | 0.000 | 106.227 | -0.000 |
| 0.000 | 0.000 | 0.000 | 0.000 | 0.000 | 106.227 |
| 226.114 | 113.516 | 113.516 | -0.000 | -0.000 | 0.000 |
| 113.516 | 226.114 | 113.516 | -0.000 | 0.000 | 0.000 |
| 113.516 | 113.516 | 226.114 | -0.000 | 0.000 | 0.000 |
| 0.000 | -0.000 | -0.000 | 106.227 | -0.000 | 0.000 |
| -0.000 | 0.000 | -0.000 | -0.000 | 106.227 | 0.000 |
| -0.000 | -0.000 | 0.000 | -0.000 | -0.000 | 106.227 |
| 226.114 | 113.516 | 113.516 | 0.000 | 0.000 | -0.000 |
| 113.516 | 226.114 | 113.516 | 0.000 | 0.000 | -0.000 |
| 113.516 | 113.516 | 226.114 | 0.000 | 0.000 | -0.000 |
| -0.000 | 0.000 | 0.000 | 106.227 | 0.000 | -0.000 |
| 0.000 | -0.000 | 0.000 | 0.000 | 106.227 | -0.000 |
| 0.000 | 0.000 | -0.000 | -0.000 | 0.000 | 106.227 |
| 226.113 | 113.516 | 113.516 | -0.000 | -0.000 | 0.000 |
| 113.516 | 226.113 | 113.516 | -0.000 | -0.000 | 0.000 |
| 113.516 | 113.516 | 226.113 | -0.000 | -0.000 | 0.000 |
| 0.000 | -0.000 | -0.000 | 104.290 | -0.000 | 0.000 |
| -0.000 | 0.000 | -0.000 | 0.000 | 104.290 | 0.000 |
| -0.000 | -0.000 | 0.000 | -0.000 | -0.000 | 104.290 |
| 226.114 | 113.516 | 113.516 | 0.000 | 0.000 | -0.000 |
| 113.516 | 226.114 | 113.516 | 0.000 | 0.000 | -0.000 |
| 113.516 | 113.516 | 226.114 | -0.000 | 0.000 | -0.000 |
| -0.000 | 0.000 | 0.000 | 104.290 | -0.000 | -0.000 |
| 0.000 | -0.000 | 0.000 | -0.000 | 104.290 | -0.000 |
| 0.000 | 0.000 | -0.000 | -0.000 | 0.000 | 104.290 |
| 177.411 | -14.534 | -14.534 | 0.000 | 0.000 | 0.000 |
| -14.534 | 177.411 | -14.534 | 0.000 | 0.000 | 0.000 |
| -14.534 | -14.534 | 177.411 | -0.000 | 0.000 | 0.000 |
| -0.000 | -0.000 | -0.000 | -99.211 | -0.000 | 0.000 |
| -0.000 | -0.000 | -0.000 | -0.000 | -99.211 | 0.000 |
| -0.000 | -0.000 | -0.000 | -0.000 | -0.000 | -99.211 |
| 177.411 | -14.534 | -14.534 | -0.000 | -0.000 | -0.000 |
| -14.534 | 177.411 | -14.534 | -0.000 | -0.000 | 0.000 |
| -14.534 | -14.534 | 177.411 | 0.000 | -0.000 | -0.000 |
| 0.000 | 0.000 | 0.000 | -99.211 | 0.000 | -0.000 |
| 0.000 | 0.000 | 0.000 | 0.000 | -99.211 | -0.000 |
| 0.000 | 0.000 | 0.000 | 0.000 | 0.000 | -99.211 |
| 177.411 | -14.534 | -14.534 | 0.000 | 0.000 | 0.000 |
| -14.534 | 177.411 | -14.534 | 0.000 | 0.000 | -0.000 |
| -14.534 | -14.534 | 177.411 | -0.000 | 0.000 | 0.000 |
| 0.000 | -0.000 | -0.000 | -19.213 | 0.000 | 0.000 |
| -0.000 | 0.000 | -0.000 | -0.000 | -19.213 | 0.000 |
| -0.000 | -0.000 | 0.000 | -0.000 | -0.000 | -19.213 |
| 177.411 | -14.534 | -14.534 | -0.000 | -0.000 | -0.000 |
| -14.534 | 177.411 | -14.534 | 0.000 | -0.000 | 0.000 |
| -14.534 | -14.534 | 177.411 | 0.000 | 0.000 | -0.000 |
| -0.000 | 0.000 | 0.000 | -19.213 | -0.000 | -0.000 |
| 0.000 | -0.000 | 0.000 | 0.000 | -19.213 | -0.000 |
| 0.000 | 0.000 | -0.000 | 0.000 | 0.000 | -19.213 |
| 177.412 | -14.536 | -14.536 | 0.000 | 0.000 | 0.000 |
| -14.536 | 177.412 | -14.536 | 0.000 | 0.000 | 0.000 |
| -14.536 | -14.536 | 177.412 | -0.000 | -0.000 | 0.000 |
| 3441572.110 | 3304293.723 | 3180809.997 | -33719.490 | -1103.029 | -56359.119 |
| 3469836.695 | 3512325.093 | 3277198.450 | 36221.635 | -19536.535 | -20237.923 |
| 3481277.067 | 3271271.021 | 3505779.509 | -8255.791 | 2770.131 | -68410.398 |
| 177.410 | -14.532 | -14.532 | -0.000 | -0.000 | -0.000 |
| -14.532 | 177.410 | -14.532 | -0.000 | -0.000 | -0.000 |
| -14.532 | -14.532 | 177.410 | 0.000 | -0.000 | -0.000 |
| -3436458.438 | -3553032.179 | -3304800.111 | -46529.973 | 3443.188 | -13135.670 |
| -3518137.317 | -3394477.888 | -3221928.853 | 49858.723 | -98719.595 | 10127.545 |
| -3538420.480 | -3259121.605 | -3466140.562 | -10519.690 | 5809.478 | -57617.915 |
| 32.296 | 71.891 | 71.891 | 0.000 | -0.000 | 0.000 |
| 71.891 | 32.296 | 71.891 | 0.000 | -0.000 | 0.000 |
| 71.891 | 71.891 | 32.296 | 0.000 | -0.000 | 0.000 |
| 0.000 | 0.000 | 0.000 | 19.637 | -0.000 | 0.000 |
| 0.000 | 0.000 | 0.000 | -0.000 | 19.637 | 0.000 |
| 0.000 | 0.000 | 0.000 | -0.000 | -0.000 | 19.637 |
| 32.296 | 71.891 | 71.891 | -0.000 | 0.000 | -0.000 |
| 71.891 | 32.296 | 71.891 | -0.000 | 0.000 | -0.000 |
| 71.891 | 71.891 | 32.296 | -0.000 | 0.000 | -0.000 |
| -0.000 | -0.000 | -0.000 | 19.637 | 0.000 | -0.000 |
| -0.000 | -0.000 | -0.000 | 0.000 | 19.637 | -0.000 |
| -0.000 | -0.000 | -0.000 | -0.000 | 0.000 | 19.637 |
| 32.296 | 71.891 | 71.891 | 0.000 | -0.000 | 0.000 |
| 71.891 | 32.296 | 71.891 | 0.000 | 0.000 | 0.000 |
| 71.891 | 71.891 | 32.296 | 0.000 | 0.000 | 0.000 |
| 0.000 | 0.000 | 0.000 | 19.637 | -0.000 | 0.000 |
| 0.000 | 0.000 | 0.000 | 0.000 | 19.637 | 0.000 |
| 0.000 | 0.000 | 0.000 | -0.000 | -0.000 | 19.637 |
| 32.296 | 71.891 | 71.891 | -0.000 | -0.000 | -0.000 |
| 71.891 | 32.296 | 71.891 | -0.000 | 0.000 | -0.000 |
| 71.891 | 71.891 | 32.296 | -0.000 | 0.000 | -0.000 |
| -0.000 | -0.000 | -0.000 | 19.637 | 0.000 | -0.000 |
| -0.000 | -0.000 | -0.000 | 0.000 | 19.637 | -0.000 |
| -0.000 | -0.000 | -0.000 | 0.000 | 0.000 | 19.637 |
| 32.296 | 71.891 | 71.891 | 0.000 | 0.000 | 0.000 |
| 71.891 | 32.296 | 71.891 | 0.000 | 0.000 | 0.000 |
| 71.891 | 71.891 | 32.296 | -0.000 | -0.000 | 0.000 |
| 0.000 | 0.000 | 0.000 | 19.637 | -0.000 | 0.000 |
| 0.000 | 0.000 | 0.000 | 0.000 | 19.637 | 0.000 |
| 0.000 | 0.000 | 0.000 | -0.000 | -0.000 | 19.637 |
| 32.297 | 71.891 | 71.891 | -0.000 | 0.000 | -0.000 |
| 71.891 | 32.297 | 71.891 | 0.000 | 0.000 | -0.000 |
| 71.891 | 71.891 | 32.297 | -0.000 | -0.000 | -0.000 |
| -0.000 | -0.000 | -0.000 | 19.637 | 0.000 | -0.000 |
| -0.000 | -0.000 | -0.000 | 0.000 | 19.637 | -0.000 |
| -0.000 | -0.000 | -0.000 | -0.000 | 0.000 | 19.637 |
| 92.591 | 26.574 | 26.574 | -0.000 | -0.000 | 0.000 |
| 26.574 | 92.591 | 26.574 | -0.000 | -0.000 | 0.000 |
| 26.574 | 26.574 | 92.591 | -0.000 | -0.000 | 0.000 |
| 0.000 | -0.000 | -0.000 | -7.560 | -0.000 | 0.000 |
| -0.000 | 0.000 | -0.000 | -0.000 | -7.560 | 0.000 |
| -0.000 | -0.000 | 0.000 | -0.000 | -0.000 | -7.560 |
| 92.591 | 26.574 | 26.574 | 0.000 | 0.000 | -0.000 |
| 26.574 | 92.591 | 26.574 | 0.000 | 0.000 | -0.000 |
| 26.574 | 26.574 | 92.591 | 0.000 | 0.000 | -0.000 |
| -0.000 | 0.000 | 0.000 | -7.560 | 0.000 | -0.000 |
| 0.000 | -0.000 | 0.000 | 0.000 | -7.560 | -0.000 |
| 0.000 | 0.000 | -0.000 | 0.000 | 0.000 | -7.560 |
| 92.591 | 26.574 | 26.574 | -0.000 | -0.000 | 0.000 |
| 26.574 | 92.591 | 26.574 | -0.000 | -0.000 | 0.000 |
| 26.574 | 26.574 | 92.591 | 0.000 | -0.000 | 0.000 |
| 0.000 | -0.000 | -0.000 | -7.560 | -0.000 | 0.000 |
| -0.000 | 0.000 | -0.000 | -0.000 | -7.560 | 0.000 |
| -0.000 | -0.000 | 0.000 | -0.000 | -0.000 | -7.560 |
| 92.591 | 26.574 | 26.574 | 0.000 | 0.000 | -0.000 |
| 26.574 | 92.591 | 26.574 | 0.000 | 0.000 | -0.000 |
| 26.574 | 26.574 | 92.591 | -0.000 | -0.000 | -0.000 |
| -0.000 | 0.000 | 0.000 | -7.560 | 0.000 | -0.000 |
| 0.000 | -0.000 | 0.000 | 0.000 | -7.560 | -0.000 |
| 0.000 | 0.000 | -0.000 | 0.000 | 0.000 | -7.560 |
| 92.590 | 26.574 | 26.574 | -0.000 | -0.000 | 0.000 |
| 26.574 | 92.590 | 26.574 | -0.000 | -0.000 | 0.000 |
| 26.574 | 26.574 | 92.590 | -0.000 | -0.000 | 0.000 |
| 0.000 | -0.000 | -0.000 | -7.560 | -0.000 | 0.000 |
| -0.000 | 0.000 | -0.000 | -0.000 | -7.560 | 0.000 |
| -0.000 | -0.000 | 0.000 | -0.000 | -0.000 | -7.560 |
| 92.592 | 26.575 | 26.575 | 0.000 | 0.000 | -0.000 |
| 26.575 | 92.592 | 26.575 | 0.000 | 0.000 | -0.000 |
| 26.575 | 26.575 | 92.592 | 0.000 | 0.000 | -0.000 |
| -0.000 | 0.000 | 0.000 | -7.560 | 0.000 | -0.000 |
| 0.000 | -0.000 | 0.000 | 0.000 | -7.560 | -0.000 |
| 0.000 | 0.000 | -0.000 | 0.000 | 0.000 | -7.560 |
| 99.730 | 18.128 | 18.128 | -0.000 | -0.000 | 0.000 |
| 18.128 | 99.730 | 18.128 | -0.000 | -0.000 | 0.000 |
| 18.128 | 18.128 | 99.730 | -0.000 | -0.000 | 0.000 |
| 0.000 | 0.000 | 0.000 | 18.026 | -0.000 | 0.000 |
| 0.000 | 0.000 | 0.000 | -0.000 | 18.026 | 0.000 |
| 0.000 | 0.000 | 0.000 | -0.000 | -0.000 | 18.026 |
| 99.728 | 18.128 | 18.128 | 0.000 | 0.000 | -0.000 |
| 18.128 | 99.728 | 18.128 | 0.000 | 0.000 | -0.000 |
| 18.128 | 18.128 | 99.728 | 0.000 | 0.000 | -0.000 |
| -0.000 | -0.000 | -0.000 | 18.026 | -0.000 | -0.000 |
| -0.000 | -0.000 | -0.000 | 0.000 | 18.026 | -0.000 |
| -0.000 | -0.000 | -0.000 | -0.000 | -0.000 | 18.026 |
| 99.738 | 18.128 | 18.128 | -0.000 | 0.000 | 0.000 |
| 18.128 | 99.738 | 18.128 | 0.000 | 0.000 | 0.000 |
| 18.128 | 18.128 | 99.738 | 0.000 | 0.000 | 0.000 |
| 0.000 | 0.000 | 0.000 | 18.026 | -0.000 | 0.000 |
| 0.000 | 0.000 | 0.000 | -0.000 | 18.026 | 0.000 |
| 0.000 | 0.000 | 0.000 | -0.000 | 0.000 | 18.026 |
| 99.720 | 18.128 | 18.128 | -0.000 | 0.000 | -0.000 |
| 18.128 | 99.720 | 18.128 | 0.000 | 0.000 | 0.000 |
| 18.128 | 18.128 | 99.720 | 0.000 | 0.000 | -0.000 |
| -0.000 | -0.000 | -0.000 | 18.026 | -0.000 | -0.000 |
| -0.000 | -0.000 | -0.000 | 0.000 | 18.026 | -0.000 |
| -0.000 | -0.000 | -0.000 | 0.000 | 0.000 | 18.026 |
| 99.818 | 18.128 | 18.128 | -0.000 | -0.000 | 0.000 |
| 18.128 | 99.818 | 18.128 | -0.000 | -0.000 | 0.000 |
| 18.128 | 18.128 | 99.818 | -0.000 | -0.000 | 0.000 |
| 0.000 | 0.000 | 0.000 | 18.026 | -0.000 | 0.000 |
| 0.000 | 0.000 | 0.000 | 0.000 | 18.026 | 0.000 |
| 0.000 | 0.000 | 0.000 | -0.000 | 0.000 | 18.026 |
| 99.640 | 18.128 | 18.128 | -0.000 | 0.000 | -0.000 |
| 18.128 | 99.640 | 18.128 | -0.000 | 0.000 | -0.000 |
| 18.128 | 18.128 | 99.640 | -0.000 | -0.000 | -0.000 |
| -0.000 | -0.000 | -0.000 | 18.026 | 0.000 | -0.000 |
| -0.000 | -0.000 | -0.000 | 0.000 | 18.026 | -0.000 |
| -0.000 | -0.000 | -0.000 | 0.000 | 0.000 | 18.026 |
| 273.492 | 183.777 | 183.777 | -0.000 | 0.000 | 0.000 |
| 183.777 | 273.492 | 183.777 | -0.000 | 0.000 | 0.000 |
| 183.777 | 183.777 | 273.492 | 0.000 | 0.000 | 0.000 |
| -0.000 | 0.000 | 0.000 | -12.998 | 0.000 | -0.000 |
| 0.000 | 0.000 | 0.000 | 0.000 | -12.998 | -0.000 |
| 0.000 | 0.000 | -0.000 | 0.000 | 0.000 | -12.998 |
| 273.492 | 183.777 | 183.777 | -0.000 | -0.000 | -0.000 |
| 183.777 | 273.492 | 183.777 | 0.000 | -0.000 | 0.000 |
| 183.777 | 183.777 | 273.492 | 0.000 | -0.000 | 0.000 |
| 0.000 | -0.000 | -0.000 | -12.998 | -0.000 | -0.000 |
| -0.000 | -0.000 | -0.000 | -0.000 | -12.998 | -0.000 |
| -0.000 | -0.000 | 0.000 | -0.000 | -0.000 | -12.998 |
| 273.492 | 183.777 | 183.777 | 0.000 | 0.000 | 0.000 |
| 183.777 | 273.492 | 183.777 | 0.000 | 0.000 | 0.000 |
| 183.777 | 183.777 | 273.492 | 0.000 | 0.000 | 0.000 |
| 0.000 | 0.000 | 0.000 | -12.998 | 0.000 | 0.000 |
| 0.000 | 0.000 | 0.000 | 0.000 | -12.998 | -0.000 |
| 0.000 | 0.000 | 0.000 | -0.000 | 0.000 | -12.998 |
| 273.491 | 183.777 | 183.777 | 0.000 | -0.000 | 0.000 |
| 183.777 | 273.491 | 183.777 | -0.000 | -0.000 | 0.000 |
| 183.777 | 183.777 | 273.491 | 0.000 | 0.000 | 0.000 |
| -0.000 | -0.000 | -0.000 | -12.998 | -0.000 | -0.000 |
| -0.000 | -0.000 | -0.000 | -0.000 | -12.998 | -0.000 |
| -0.000 | -0.000 | -0.000 | 0.000 | -0.000 | -12.998 |
| 273.492 | 183.778 | 183.778 | 0.000 | 0.000 | -0.000 |
| 183.778 | 273.492 | 183.778 | 0.000 | 0.000 | 0.000 |
| 183.778 | 183.778 | 273.492 | 0.000 | 0.000 | 0.000 |
| 0.000 | 0.001 | 0.000 | -12.998 | 0.000 | -0.000 |
| 0.001 | 0.000 | 0.000 | 0.000 | -12.998 | 0.000 |
| 0.001 | 0.000 | 0.000 | 0.000 | 0.000 | -12.998 |
| 273.491 | 183.777 | 183.777 | -0.000 | -0.000 | -0.000 |
| 183.777 | 273.491 | 183.777 | -0.000 | -0.000 | -0.000 |
| 183.777 | 183.777 | 273.491 | -0.000 | -0.000 | -0.000 |
| -0.000 | -0.001 | -0.000 | -12.998 | -0.000 | -0.000 |
| -0.001 | -0.000 | -0.000 | -0.000 | -12.998 | -0.000 |
| -0.001 | -0.000 | -0.000 | -0.000 | -0.000 | -12.998 |
| 92.700 | 9.584 | 9.584 | -0.000 | -0.000 | -0.000 |
| 9.584 | 92.700 | 9.584 | -0.000 | 0.000 | -0.000 |
| 9.584 | 9.584 | 92.700 | -0.000 | -0.000 | -0.000 |
| 0.000 | 0.000 | -0.000 | 8.691 | -0.000 | -0.000 |
| 0.000 | 0.000 | -0.000 | -0.000 | 8.691 | -0.000 |
| 0.000 | 0.000 | -0.000 | -0.000 | -0.000 | 8.691 |
| 92.700 | 9.584 | 9.584 | 0.000 | 0.000 | 0.000 |
| 9.584 | 92.700 | 9.584 | 0.000 | -0.000 | 0.000 |
| 9.584 | 9.584 | 92.700 | 0.000 | 0.000 | 0.000 |
| -0.000 | -0.000 | -0.000 | 8.691 | 0.000 | 0.000 |
| -0.000 | -0.000 | -0.000 | 0.000 | 8.691 | 0.000 |
| -0.000 | -0.000 | 0.000 | 0.000 | 0.000 | 8.691 |
| 92.700 | 9.584 | 9.584 | -0.000 | -0.000 | -0.000 |
| 9.584 | 92.700 | 9.584 | -0.000 | -0.000 | -0.000 |
| 9.584 | 9.584 | 92.700 | -0.000 | -0.000 | -0.000 |
| 0.000 | 0.000 | 0.000 | 8.691 | -0.000 | -0.000 |
| 0.000 | 0.000 | 0.000 | -0.000 | 8.691 | -0.000 |
| 0.000 | 0.000 | 0.000 | -0.000 | -0.000 | 8.691 |
| 92.700 | 9.584 | 9.584 | -0.000 | 0.000 | 0.000 |
| 9.584 | 92.700 | 9.584 | 0.000 | -0.000 | 0.000 |
| 9.584 | 9.584 | 92.700 | 0.000 | 0.000 | 0.000 |
| -0.000 | -0.000 | -0.000 | 8.691 | 0.000 | 0.000 |
| -0.000 | -0.000 | -0.000 | 0.000 | 8.691 | 0.000 |
| -0.000 | -0.000 | -0.000 | 0.000 | 0.000 | 8.691 |
| 92.701 | 9.585 | 9.585 | -0.000 | -0.000 | -0.000 |
| 9.585 | 92.701 | 9.585 | -0.000 | -0.000 | -0.000 |
| 9.585 | 9.585 | 92.701 | -0.000 | -0.000 | -0.000 |
| 0.000 | 0.001 | 0.001 | 8.691 | 0.000 | -0.000 |
| 0.001 | 0.000 | 0.001 | -0.000 | 8.691 | -0.000 |
| 0.001 | 0.001 | 0.000 | -0.000 | -0.000 | 8.691 |
| 92.699 | 9.584 | 9.584 | 0.000 | 0.000 | 0.000 |
| 9.584 | 92.699 | 9.584 | 0.000 | 0.000 | 0.000 |
| 9.584 | 9.584 | 92.699 | -0.000 | 0.000 | 0.000 |
| -0.000 | -0.001 | -0.001 | 8.691 | -0.000 | 0.000 |
| -0.001 | -0.000 | -0.001 | 0.000 | 8.691 | 0.000 |
| -0.001 | -0.001 | -0.000 | 0.000 | 0.000 | 8.691 |
| 10.873 | 12.278 | 12.278 | 0.000 | 0.000 | 0.000 |
| 12.278 | 10.873 | 12.278 | 0.000 | 0.000 | 0.000 |
| 12.278 | 12.278 | 10.873 | 0.000 | 0.000 | -0.000 |
| 0.000 | 0.000 | 0.000 | 14.057 | 0.000 | 0.000 |
| 0.000 | 0.000 | 0.000 | -0.000 | 14.057 | 0.000 |
| 0.000 | 0.000 | 0.000 | 0.000 | -0.000 | 14.057 |
| 10.873 | 12.278 | 12.278 | -0.000 | 0.000 | -0.000 |
| 12.278 | 10.873 | 12.278 | 0.000 | -0.000 | -0.000 |
| 12.278 | 12.278 | 10.873 | -0.000 | 0.000 | -0.000 |
| -0.000 | -0.000 | -0.000 | 14.057 | 0.000 | -0.000 |
| -0.000 | -0.000 | -0.000 | -0.000 | 14.057 | -0.000 |
| -0.000 | -0.000 | -0.000 | -0.000 | 0.000 | 14.057 |
| 10.873 | 12.278 | 12.278 | -0.000 | -0.000 | 0.000 |
| 12.278 | 10.873 | 12.278 | -0.000 | -0.000 | -0.000 |
| 12.278 | 12.278 | 10.873 | 0.000 | -0.000 | 0.000 |
| 0.000 | 0.000 | 0.000 | 14.057 | 0.000 | 0.000 |
| 0.000 | 0.000 | 0.000 | -0.000 | 14.057 | 0.000 |
| 0.000 | 0.000 | 0.000 | 0.000 | -0.000 | 14.057 |
| 10.873 | 12.278 | 12.278 | 0.000 | -0.000 | -0.000 |
| 12.278 | 10.873 | 12.278 | -0.000 | 0.000 | -0.000 |
| 12.278 | 12.278 | 10.873 | 0.000 | 0.000 | -0.000 |
| -0.000 | -0.000 | -0.000 | 14.057 | -0.000 | -0.000 |
| -0.000 | -0.000 | -0.000 | -0.000 | 14.057 | -0.000 |
| -0.000 | -0.000 | -0.000 | 0.000 | -0.000 | 14.057 |
| 10.874 | 12.278 | 12.278 | 0.000 | 0.000 | 0.000 |
| 12.278 | 10.874 | 12.278 | -0.000 | 0.000 | 0.000 |
| 12.278 | 12.278 | 10.874 | -0.000 | -0.000 | -0.000 |
| 0.000 | 0.000 | 0.000 | 14.057 | 0.000 | -0.000 |
| 0.000 | 0.000 | 0.000 | -0.000 | 14.057 | 0.000 |
| 0.000 | 0.000 | 0.000 | 0.000 | 0.000 | 14.057 |
| 10.873 | 12.277 | 12.277 | -0.000 | -0.000 | 0.000 |
| 12.277 | 10.873 | 12.277 | 0.000 | -0.000 | 0.000 |
| 12.277 | 12.277 | 10.873 | -0.000 | -0.000 | -0.000 |
| -0.000 | -0.000 | -0.000 | 14.057 | -0.000 | 0.000 |
| -0.000 | -0.000 | -0.000 | -0.000 | 14.057 | -0.000 |
| -0.000 | -0.000 | -0.000 | -0.000 | -0.000 | 14.057 |
| 66.612 | 27.896 | 27.896 | -0.000 | -0.000 | -0.000 |
| 27.896 | 66.612 | 27.896 | -0.000 | -0.000 | -0.000 |
| 27.896 | 27.896 | 66.612 | -0.000 | -0.000 | -0.000 |
| -0.000 | -0.000 | 0.000 | 23.905 | -0.000 | -0.000 |
| -0.000 | -0.000 | 0.000 | -0.000 | 23.905 | -0.000 |
| -0.000 | 0.000 | -0.000 | -0.000 | -0.000 | 23.905 |
| 66.612 | 27.896 | 27.896 | 0.000 | 0.000 | 0.000 |
| 27.896 | 66.612 | 27.896 | 0.000 | 0.000 | 0.000 |
| 27.896 | 27.896 | 66.612 | 0.000 | 0.000 | 0.000 |
| 0.000 | 0.000 | -0.000 | 23.905 | 0.000 | 0.000 |
| 0.000 | 0.000 | -0.000 | 0.000 | 23.905 | 0.000 |
| 0.000 | -0.000 | 0.000 | 0.000 | 0.000 | 23.905 |
| 66.612 | 27.896 | 27.896 | -0.000 | -0.000 | -0.000 |
| 27.896 | 66.612 | 27.896 | -0.000 | -0.000 | -0.000 |
| 27.896 | 27.896 | 66.612 | -0.000 | -0.000 | -0.000 |
| -0.000 | 0.000 | 0.000 | 23.905 | -0.000 | -0.000 |
| 0.000 | -0.000 | 0.000 | -0.000 | 23.905 | -0.000 |
| 0.000 | 0.000 | -0.000 | -0.000 | -0.000 | 23.905 |
| 66.612 | 27.896 | 27.896 | 0.000 | 0.000 | 0.000 |
| 27.896 | 66.612 | 27.896 | 0.000 | 0.000 | 0.000 |
| 27.896 | 27.896 | 66.612 | 0.000 | 0.000 | 0.000 |
| 0.000 | -0.000 | -0.000 | 23.905 | 0.000 | 0.000 |
| -0.000 | 0.000 | -0.000 | 0.000 | 23.905 | 0.000 |
| -0.000 | -0.000 | 0.000 | 0.000 | 0.000 | 23.905 |
| 66.611 | 27.896 | 27.896 | -0.000 | -0.000 | -0.000 |
| 27.896 | 66.611 | 27.896 | -0.000 | -0.000 | -0.000 |
| 27.896 | 27.896 | 66.611 | -0.000 | -0.000 | -0.000 |
| -0.000 | 0.000 | 0.000 | 23.905 | -0.000 | -0.000 |
| 0.000 | -0.000 | 0.000 | -0.000 | 23.905 | -0.000 |
| 0.000 | 0.000 | -0.000 | -0.000 | -0.000 | 23.905 |
| 66.612 | 27.896 | 27.896 | 0.000 | 0.000 | 0.000 |
| 27.896 | 66.612 | 27.896 | 0.000 | 0.000 | 0.000 |
| 27.896 | 27.896 | 66.612 | 0.000 | 0.000 | 0.000 |
| 0.000 | -0.000 | -0.000 | 23.905 | 0.000 | 0.000 |
| -0.000 | 0.000 | -0.000 | 0.000 | 23.905 | 0.000 |
| -0.000 | -0.000 | 0.000 | 0.000 | 0.000 | 23.905 |
| 61.031 | 20.641 | 20.641 | 0.000 | 0.000 | -0.000 |
| 20.641 | 61.031 | 20.641 | 0.000 | 0.000 | 0.000 |
| 20.641 | 20.641 | 61.031 | 0.000 | 0.000 | 0.000 |
| 0.000 | -0.000 | -0.000 | 18.180 | 0.000 | 0.000 |
| -0.000 | 0.000 | -0.000 | 0.000 | 18.180 | 0.000 |
| -0.000 | -0.000 | 0.000 | 0.000 | 0.000 | 18.180 |
| 61.031 | 20.641 | 20.641 | -0.000 | -0.000 | -0.000 |
| 20.641 | 61.031 | 20.641 | -0.000 | -0.000 | -0.000 |
| 20.641 | 20.641 | 61.031 | -0.000 | -0.000 | -0.000 |
| -0.000 | 0.000 | 0.000 | 18.180 | -0.000 | -0.000 |
| 0.000 | -0.000 | 0.000 | -0.000 | 18.180 | -0.000 |
| 0.000 | 0.000 | -0.000 | -0.000 | -0.000 | 18.180 |
| 61.031 | 20.640 | 20.640 | 0.000 | 0.000 | 0.000 |
| 20.640 | 61.031 | 20.640 | 0.000 | 0.000 | 0.000 |
| 20.640 | 20.640 | 61.031 | -0.000 | 0.000 | 0.000 |
| 0.000 | -0.000 | -0.000 | 18.180 | 0.000 | 0.000 |
| -0.000 | 0.000 | -0.000 | 0.000 | 18.180 | 0.000 |
| -0.000 | -0.000 | 0.000 | 0.000 | 0.000 | 18.180 |
| 61.031 | 20.641 | 20.641 | -0.000 | -0.000 | -0.000 |
| 20.641 | 61.031 | 20.641 | -0.000 | -0.000 | -0.000 |
| 20.641 | 20.641 | 61.031 | -0.000 | -0.000 | -0.000 |
| -0.000 | 0.000 | 0.000 | 18.180 | -0.000 | -0.000 |
| 0.000 | -0.000 | 0.000 | -0.000 | 18.180 | -0.000 |
| 0.000 | 0.000 | -0.000 | -0.000 | 0.000 | 18.180 |
| 61.031 | 20.640 | 20.640 | 0.000 | 0.000 | 0.000 |
| 20.640 | 61.031 | 20.640 | 0.000 | 0.000 | 0.000 |
| 20.640 | 20.640 | 61.031 | 0.000 | 0.000 | 0.000 |
| 0.000 | -0.000 | -0.000 | 18.180 | 0.000 | 0.000 |
| -0.000 | 0.000 | -0.000 | 0.000 | 18.180 | 0.000 |
| -0.000 | -0.000 | 0.000 | 0.000 | 0.000 | 18.180 |
| 61.031 | 20.641 | 20.641 | 0.000 | -0.000 | -0.000 |
| 20.641 | 61.031 | 20.641 | -0.000 | 0.000 | -0.000 |
| 20.641 | 20.641 | 61.031 | -0.000 | 0.000 | -0.000 |
| -0.000 | 0.000 | 0.000 | 18.180 | -0.000 | -0.000 |
| 0.000 | -0.000 | 0.000 | -0.000 | 18.180 | -0.000 |
| 0.000 | 0.000 | -0.000 | -0.000 | -0.000 | 18.180 |
| 12.462 | 0.030 | 0.030 | -0.000 | -0.000 | -0.000 |
| 0.030 | 12.462 | 0.030 | -0.000 | -0.000 | -0.000 |
| 0.030 | 0.030 | 12.462 | -0.000 | -0.000 | -0.000 |
| -0.000 | 0.000 | -0.000 | 0.000 | 0.000 | 0.000 |
| 0.000 | -0.000 | -0.000 | -0.000 | 0.000 | 0.000 |
| 0.000 | -0.000 | -0.000 | -0.000 | 0.000 | 0.000 |
| 12.462 | 0.030 | 0.030 | 0.000 | 0.000 | 0.000 |
| 0.030 | 12.462 | 0.030 | 0.000 | 0.000 | -0.000 |
| 0.030 | 0.030 | 12.462 | -0.000 | -0.000 | 0.000 |
| 0.000 | -0.000 | 0.000 | 0.000 | -0.000 | -0.000 |
| -0.000 | 0.000 | 0.000 | 0.000 | 0.000 | -0.000 |
| -0.000 | 0.000 | 0.000 | 0.000 | -0.000 | 0.000 |
| 12.462 | 0.030 | 0.030 | 0.000 | -0.000 | -0.000 |
| 0.030 | 12.462 | 0.030 | -0.000 | 0.000 | 0.000 |
| 0.030 | 0.030 | 12.462 | 0.000 | 0.000 | 0.000 |
| -0.000 | 0.000 | -0.000 | 0.000 | 0.000 | 0.000 |
| 0.000 | -0.000 | -0.000 | -0.000 | 0.000 | 0.000 |
| 0.000 | -0.000 | -0.000 | -0.000 | 0.000 | 0.000 |
| 12.462 | 0.030 | 0.030 | 0.000 | 0.000 | -0.000 |
| 0.030 | 12.462 | 0.030 | 0.000 | -0.000 | 0.000 |
| 0.030 | 0.030 | 12.462 | 0.000 | 0.000 | 0.000 |
| 0.000 | -0.000 | 0.000 | 0.000 | -0.000 | -0.000 |
| -0.000 | 0.000 | 0.000 | 0.000 | 0.000 | -0.000 |
| -0.000 | 0.000 | 0.000 | 0.000 | -0.000 | 0.000 |
| 12.462 | 0.030 | 0.030 | 0.000 | -0.000 | -0.000 |
| 0.030 | 12.462 | 0.030 | -0.000 | 0.000 | 0.000 |
| 0.030 | 0.030 | 12.462 | 0.000 | 0.000 | 0.000 |
| -0.000 | -0.000 | -0.000 | 0.000 | -0.000 | 0.000 |
| -0.000 | -0.000 | -0.000 | -0.000 | 0.000 | 0.000 |
| -0.000 | -0.000 | -0.000 | -0.000 | 0.000 | 0.000 |
| 12.463 | 0.030 | 0.030 | -0.000 | 0.000 | 0.000 |
| 0.030 | 12.463 | 0.030 | 0.000 | -0.000 | 0.000 |
| 0.030 | 0.030 | 12.463 | 0.000 | 0.000 | -0.000 |
| 0.000 | 0.000 | 0.000 | 0.000 | 0.000 | -0.000 |
| 0.000 | 0.000 | 0.000 | 0.000 | 0.000 | 0.000 |
| 0.000 | 0.000 | 0.000 | 0.000 | -0.000 | 0.000 |
| 146.199 | 156.174 | 156.174 | 0.000 | 0.000 | -0.000 |
| 156.174 | 146.199 | 156.174 | 0.000 | 0.000 | -0.000 |
| 156.174 | 156.174 | 146.199 | -0.000 | 0.000 | -0.000 |
| 0.000 | 0.000 | 0.000 | -39.719 | -0.000 | 0.000 |
| 0.000 | 0.000 | 0.000 | -0.000 | -39.719 | -0.000 |
| 0.000 | 0.000 | 0.000 | -0.000 | -0.000 | -39.719 |
| 146.199 | 156.174 | 156.174 | 0.000 | 0.000 | 0.000 |
| 156.174 | 146.199 | 156.174 | 0.000 | 0.000 | -0.000 |
| 156.174 | 156.174 | 146.199 | 0.000 | -0.000 | 0.000 |
| -0.000 | -0.000 | -0.000 | -39.719 | 0.000 | 0.000 |
| -0.000 | -0.000 | -0.000 | 0.000 | -39.719 | 0.000 |
| -0.000 | -0.000 | -0.000 | 0.000 | 0.000 | -39.719 |
| 146.200 | 156.175 | 156.175 | -0.000 | 0.000 | -0.000 |
| 156.175 | 146.200 | 156.175 | -0.000 | -0.000 | -0.000 |
| 156.175 | 156.175 | 146.200 | -0.000 | -0.000 | -0.000 |
| 0.000 | 0.000 | 0.000 | -39.719 | 0.000 | 0.000 |
| 0.000 | 0.000 | 0.000 | -0.000 | -39.719 | -0.000 |
| 0.000 | 0.000 | 0.000 | -0.000 | -0.000 | -39.719 |
| 146.198 | 156.174 | 156.174 | 0.000 | 0.000 | 0.000 |
| 156.174 | 146.198 | 156.174 | 0.000 | 0.000 | 0.000 |
| 156.174 | 156.174 | 146.198 | 0.000 | 0.000 | 0.000 |
| -0.000 | -0.000 | -0.000 | -39.719 | 0.000 | -0.000 |
| -0.000 | -0.000 | -0.000 | 0.000 | -39.719 | 0.000 |
| -0.000 | -0.000 | -0.000 | 0.000 | 0.000 | -39.719 |
| 146.211 | 156.177 | 156.177 | -0.000 | -0.000 | -0.000 |
| 156.177 | 146.211 | 156.177 | -0.000 | 0.000 | -0.000 |
| 156.177 | 156.177 | 146.211 | -0.000 | -0.000 | -0.000 |
| 0.001 | 0.001 | 0.001 | -39.719 | -0.000 | -0.000 |
| 0.001 | 0.001 | 0.001 | -0.000 | -39.719 | -0.000 |
| 0.001 | 0.001 | 0.001 | -0.000 | -0.000 | -39.719 |
| 146.188 | 156.172 | 156.172 | 0.000 | 0.000 | 0.000 |
| 156.172 | 146.188 | 156.172 | 0.000 | -0.000 | 0.000 |
| 156.172 | 156.172 | 146.188 | -0.000 | 0.000 | 0.000 |
| -0.001 | -0.001 | -0.001 | -39.719 | 0.000 | 0.000 |
| -0.001 | -0.001 | -0.001 | 0.000 | -39.719 | 0.000 |
| -0.001 | -0.001 | -0.001 | 0.000 | 0.000 | -39.719 |
| 154.902 | 87.639 | 87.639 | -0.000 | -0.000 | -0.000 |
| 87.639 | 154.902 | 87.639 | -0.000 | 0.000 | -0.000 |
| 87.639 | 87.639 | 154.902 | -0.000 | 0.000 | -0.000 |
| -0.000 | 0.000 | 0.000 | 80.242 | 0.000 | -0.000 |
| -0.000 | -0.000 | -0.000 | -0.000 | 80.242 | -0.000 |
| -0.000 | 0.000 | -0.000 | -0.000 | -0.000 | 80.242 |
| 154.902 | 87.639 | 87.639 | 0.000 | -0.000 | 0.000 |
| 87.639 | 154.902 | 87.639 | 0.000 | 0.000 | 0.000 |
| 87.639 | 87.639 | 154.902 | -0.000 | -0.000 | 0.000 |
| 0.000 | -0.000 | -0.000 | 80.242 | -0.000 | 0.000 |
| 0.000 | 0.000 | 0.000 | 0.000 | 80.242 | 0.000 |
| 0.000 | -0.000 | 0.000 | 0.000 | 0.000 | 80.242 |
| 154.902 | 87.639 | 87.639 | -0.000 | -0.000 | -0.000 |
| 87.639 | 154.902 | 87.639 | -0.000 | 0.000 | -0.000 |
| 87.639 | 87.639 | 154.902 | 0.000 | -0.000 | -0.000 |
| -0.000 | -0.000 | 0.000 | 80.242 | -0.000 | -0.000 |
| -0.000 | -0.000 | 0.000 | -0.000 | 80.242 | -0.000 |
| -0.000 | 0.000 | -0.000 | -0.000 | -0.000 | 80.242 |
| 154.902 | 87.639 | 87.639 | 0.000 | -0.000 | 0.000 |
| 87.639 | 154.902 | 87.639 | 0.000 | 0.000 | 0.000 |
| 87.639 | 87.639 | 154.902 | 0.000 | -0.000 | 0.000 |
| 0.000 | 0.000 | -0.000 | 80.242 | 0.000 | 0.000 |
| 0.000 | 0.000 | -0.000 | 0.000 | 80.242 | 0.000 |
| 0.000 | -0.000 | 0.000 | 0.000 | 0.000 | 80.242 |
| 154.902 | 87.639 | 87.639 | -0.000 | 0.000 | -0.000 |
| 87.639 | 154.902 | 87.639 | -0.000 | -0.000 | -0.000 |
| 87.639 | 87.639 | 154.902 | -0.000 | -0.000 | -0.000 |
| -0.000 | -0.000 | 0.000 | 80.242 | -0.000 | -0.000 |
| -0.000 | -0.000 | 0.000 | -0.000 | 80.242 | -0.000 |
| -0.000 | 0.000 | -0.000 | -0.000 | -0.000 | 80.242 |
| 154.901 | 87.639 | 87.639 | 0.000 | 0.000 | 0.000 |
| 87.639 | 154.901 | 87.639 | 0.000 | -0.000 | 0.000 |
| 87.639 | 87.639 | 154.901 | 0.000 | 0.000 | 0.000 |
| 0.000 | 0.000 | -0.000 | 80.242 | 0.000 | 0.000 |
| 0.000 | 0.000 | -0.000 | 0.000 | 80.242 | -0.000 |
| 0.000 | -0.000 | 0.000 | 0.000 | 0.000 | 80.242 |
| 75.827 | 2.797 | 2.797 | 0.000 | 0.000 | 0.000 |
| 2.797 | 75.827 | 2.797 | -0.000 | 0.000 | -0.000 |
| 2.797 | 2.797 | 75.827 | -0.000 | 0.000 | 0.000 |
| 0.000 | 0.000 | 0.000 | 5.988 | 0.000 | 0.000 |
| 0.000 | 0.000 | 0.000 | 0.000 | 5.988 | 0.000 |
| 0.000 | 0.000 | 0.000 | -0.000 | 0.000 | 5.988 |
| 75.827 | 2.797 | 2.797 | 0.000 | -0.000 | -0.000 |
| 2.797 | 75.827 | 2.797 | -0.000 | -0.000 | 0.000 |
| 2.797 | 2.797 | 75.827 | -0.000 | -0.000 | -0.000 |
| -0.000 | -0.000 | -0.000 | 5.988 | -0.000 | -0.000 |
| -0.000 | -0.000 | -0.000 | -0.000 | 5.988 | -0.000 |
| -0.000 | -0.000 | -0.000 | -0.000 | -0.000 | 5.988 |
| 75.827 | 2.797 | 2.797 | 0.000 | 0.000 | 0.000 |
| 2.797 | 75.827 | 2.797 | -0.000 | 0.000 | -0.000 |
| 2.797 | 2.797 | 75.827 | 0.000 | 0.000 | 0.000 |
| 0.000 | 0.000 | 0.000 | 5.988 | 0.000 | -0.000 |
| 0.000 | 0.000 | 0.000 | 0.000 | 5.988 | 0.000 |
| 0.000 | 0.000 | 0.000 | -0.000 | 0.000 | 5.988 |
| 75.827 | 2.797 | 2.797 | 0.000 | -0.000 | -0.000 |
| 2.797 | 75.827 | 2.797 | -0.000 | -0.000 | -0.000 |
| 2.797 | 2.797 | 75.827 | -0.000 | -0.000 | -0.000 |
| -0.000 | -0.000 | -0.000 | 5.988 | -0.000 | 0.000 |
| -0.000 | -0.000 | -0.000 | 0.000 | 5.988 | -0.000 |
| -0.000 | -0.000 | -0.000 | -0.000 | -0.000 | 5.988 |
| 75.826 | 2.798 | 2.798 | -0.000 | 0.000 | 0.000 |
| 2.798 | 75.826 | 2.798 | -0.000 | 0.000 | 0.000 |
| 2.798 | 2.798 | 75.826 | -0.000 | -0.000 | 0.000 |
| 0.000 | 0.000 | 0.000 | 5.988 | 0.000 | 0.000 |
| 0.000 | 0.000 | 0.000 | 0.000 | 5.988 | 0.000 |
| 0.000 | 0.000 | 0.000 | -0.000 | 0.000 | 5.988 |
| 75.828 | 2.797 | 2.797 | 0.000 | -0.000 | -0.000 |
| 2.797 | 75.828 | 2.797 | 0.000 | 0.000 | 0.000 |
| 2.797 | 2.797 | 75.828 | -0.000 | -0.000 | -0.000 |
| -0.000 | -0.000 | -0.000 | 5.988 | -0.000 | 0.000 |
| -0.000 | -0.000 | -0.000 | -0.000 | 5.988 | -0.000 |
| -0.000 | -0.000 | -0.000 | -0.000 | -0.000 | 5.988 |
| 39.295 | -0.016 | -0.016 | 0.000 | 0.000 | -0.000 |
| -0.016 | 39.295 | -0.016 | -0.000 | -0.000 | -0.000 |
| -0.016 | -0.016 | 39.295 | -0.000 | 0.000 | -0.000 |
| -0.000 | -0.000 | -0.000 | 0.214 | -0.000 | -0.000 |
| -0.000 | -0.000 | -0.000 | -0.000 | 0.214 | -0.000 |
| -0.000 | -0.000 | -0.000 | -0.000 | -0.000 | 0.214 |
| 39.295 | -0.016 | -0.016 | 0.000 | -0.000 | 0.000 |
| -0.016 | 39.295 | -0.016 | 0.000 | 0.000 | 0.000 |
| -0.016 | -0.016 | 39.295 | 0.000 | -0.000 | 0.000 |
| 0.000 | 0.000 | 0.000 | 0.214 | 0.000 | 0.000 |
| 0.000 | 0.000 | 0.000 | 0.000 | 0.214 | 0.000 |
| 0.000 | 0.000 | 0.000 | 0.000 | 0.000 | 0.214 |
| 39.295 | -0.016 | -0.016 | -0.000 | -0.000 | -0.000 |
| -0.016 | 39.295 | -0.016 | -0.000 | -0.000 | -0.000 |
| -0.016 | -0.016 | 39.295 | -0.000 | -0.000 | -0.000 |
| -0.000 | -0.000 | -0.000 | 0.214 | 0.000 | -0.000 |
| -0.000 | -0.000 | -0.000 | -0.000 | 0.214 | -0.000 |
| -0.000 | -0.000 | -0.000 | -0.000 | -0.000 | 0.214 |
| 39.295 | -0.016 | -0.016 | 0.000 | 0.000 | 0.000 |
| -0.016 | 39.295 | -0.016 | 0.000 | 0.000 | 0.000 |
| -0.016 | -0.016 | 39.295 | 0.000 | 0.000 | 0.000 |
| 0.000 | 0.000 | 0.000 | 0.214 | -0.000 | -0.000 |
| 0.000 | 0.000 | 0.000 | 0.000 | 0.214 | 0.000 |
| 0.000 | 0.000 | 0.000 | 0.000 | 0.000 | 0.214 |
| 39.294 | -0.016 | -0.016 | -0.000 | -0.000 | -0.000 |
| -0.016 | 39.294 | -0.016 | -0.000 | -0.000 | -0.000 |
| -0.016 | -0.016 | 39.294 | -0.000 | 0.000 | -0.000 |
| -0.000 | -0.000 | -0.000 | 0.214 | -0.000 | -0.000 |
| -0.000 | -0.000 | -0.000 | -0.000 | 0.214 | -0.000 |
| -0.000 | -0.000 | -0.000 | -0.000 | -0.000 | 0.214 |
| 39.297 | -0.016 | -0.016 | 0.000 | 0.000 | 0.000 |
| -0.016 | 39.297 | -0.016 | 0.000 | 0.000 | 0.000 |
| -0.016 | -0.016 | 39.297 | -0.000 | 0.000 | 0.000 |
| 0.000 | 0.000 | 0.000 | 0.214 | 0.000 | 0.000 |
| 0.000 | 0.000 | 0.000 | 0.000 | 0.214 | 0.000 |
| 0.000 | 0.000 | 0.000 | 0.000 | 0.000 | 0.214 |
| 37.758 | 6.042 | 6.042 | 0.000 | 0.000 | -0.000 |
| 6.042 | 37.758 | 6.042 | 0.000 | 0.000 | -0.000 |
| 6.042 | 6.042 | 37.758 | 0.000 | 0.000 | -0.000 |
| 0.000 | 0.000 | 0.000 | 6.020 | 0.000 | 0.000 |
| 0.000 | 0.000 | 0.000 | 0.000 | 6.020 | 0.000 |
| 0.000 | 0.000 | 0.000 | 0.000 | 0.000 | 6.020 |
| 37.758 | 6.042 | 6.042 | -0.000 | -0.000 | 0.000 |
| 6.042 | 37.758 | 6.042 | -0.000 | -0.000 | 0.000 |
| 6.042 | 6.042 | 37.758 | -0.000 | -0.000 | -0.000 |
| -0.000 | -0.000 | -0.000 | 6.020 | -0.000 | -0.000 |
| -0.000 | -0.000 | -0.000 | -0.000 | 6.020 | -0.000 |
| -0.000 | -0.000 | -0.000 | -0.000 | -0.000 | 6.020 |
| 37.758 | 6.042 | 6.042 | 0.000 | 0.000 | 0.000 |
| 6.042 | 37.758 | 6.042 | 0.000 | 0.000 | 0.000 |
| 6.042 | 6.042 | 37.758 | 0.000 | 0.000 | -0.000 |
| 0.000 | 0.000 | 0.000 | 6.020 | 0.000 | -0.000 |
| 0.000 | 0.000 | 0.000 | 0.000 | 6.020 | -0.000 |
| 0.000 | 0.000 | 0.000 | 0.000 | 0.000 | 6.020 |
| 37.758 | 6.042 | 6.042 | -0.000 | -0.000 | 0.000 |
| 6.042 | 37.758 | 6.042 | -0.000 | -0.000 | -0.000 |
| 6.042 | 6.042 | 37.758 | -0.000 | -0.000 | 0.000 |
| -0.000 | -0.000 | -0.000 | 6.020 | -0.000 | 0.000 |
| -0.000 | -0.000 | -0.000 | -0.000 | 6.020 | 0.000 |
| -0.000 | -0.000 | -0.000 | -0.000 | -0.000 | 6.020 |
| 37.757 | 6.042 | 6.042 | 0.000 | 0.000 | -0.000 |
| 6.042 | 37.757 | 6.042 | 0.000 | 0.000 | -0.000 |
| 6.042 | 6.042 | 37.757 | 0.000 | 0.000 | 0.000 |
| 0.000 | 0.000 | 0.000 | 6.020 | -0.000 | -0.000 |
| 0.000 | 0.000 | 0.000 | 0.000 | 6.020 | -0.000 |
| 0.000 | 0.000 | 0.000 | 0.000 | 0.000 | 6.020 |
| 37.759 | 6.042 | 6.042 | -0.000 | -0.000 | 0.000 |
| 6.042 | 37.759 | 6.042 | -0.000 | -0.000 | 0.000 |
| 6.042 | 6.042 | 37.759 | -0.000 | -0.000 | 0.000 |
| -0.000 | -0.000 | -0.000 | 6.020 | -0.000 | 0.000 |
| -0.000 | -0.000 | -0.000 | -0.000 | 6.020 | 0.000 |
| -0.000 | -0.000 | -0.000 | -0.000 | -0.000 | 6.020 |
| 136.527 | 56.061 | 56.061 | -0.000 | -0.000 | -0.000 |
| 56.061 | 136.527 | 56.061 | -0.000 | -0.000 | -0.000 |
| 56.061 | 56.061 | 136.527 | -0.000 | -0.000 | -0.000 |
| 638146132.392 | 615829989.734 | 607046595.150 | -32429239.904 | 2317002.689 | -59843.937 |
| 576041929.155 | 581166784.229 | 576041936.479 | -15.733 | 366201587.578 | 14.353 |
| 611639995.932 | 608481988.530 | 641783746.498 | 797087.845 | 2875229.194 | -32966348.073 |
| 136.527 | 56.061 | 56.061 | 0.000 | 0.000 | 0.000 |
| 56.061 | 136.527 | 56.061 | 0.000 | 0.000 | 0.000 |
| 56.061 | 56.061 | 136.527 | 0.000 | 0.000 | 0.000 |
| -581166784.228 | -576041929.159 | -576041936.483 | 366201587.584 | -28.772 | -28.901 |
| -576041929.143 | -581166784.230 | -576041936.467 | -28.524 | 366201587.564 | -28.624 |
| -608555301.588 | -615035719.070 | -652605479.833 | 2177665.845 | -3808866.165 | -21464785.650 |
| 136.527 | 56.061 | 56.061 | -0.000 | -0.000 | -0.000 |
| 56.061 | 136.527 | 56.061 | -0.000 | -0.000 | -0.000 |
| 56.061 | 56.061 | 136.527 | -0.000 | -0.000 | -0.000 |
| 62319888.988 | 59696224.367 | 60573714.045 | -3601610.542 | -352503.562 | -619601.638 |
| 60473393.452 | 62875729.072 | 60812943.949 | 242477.679 | -3262334.896 | 255216.418 |
| 61121402.022 | 60851359.200 | 64790996.280 | 310727.786 | -2212.529 | -3319790.973 |
| 136.527 | 56.061 | 56.061 | -0.000 | 0.000 | 0.000 |
| 56.061 | 136.527 | 56.061 | 0.000 | -0.000 | 0.000 |
| 56.061 | 56.061 | 136.527 | 0.000 | 0.000 | -0.000 |
| -64347817.543 | -60967382.225 | -60619558.471 | -2504192.681 | 12012.486 | 31528.014 |
| -59461873.379 | -63567540.298 | -60426493.665 | 91586.224 | -2420580.659 | 436866.998 |
| -59496949.294 | -60400894.974 | -64328282.407 | -281044.814 | -463308.873 | -2326289.115 |
| 136.525 | 56.061 | 56.061 | 0.000 | -0.000 | -0.000 |
| 56.061 | 136.525 | 56.061 | -0.000 | 0.000 | -0.000 |
| 56.061 | 56.061 | 136.525 | -0.000 | -0.000 | 0.000 |
| 5811699.116 | 5760448.587 | 5760455.911 | 3662043.460 | 0.001 | 0.002 |
| 5760448.587 | 5811699.116 | 5760455.911 | 0.001 | 3662043.460 | 0.002 |
| 5760448.587 | 5760455.911 | 5811699.116 | 0.001 | 0.002 | 3662043.460 |
| 136.528 | 56.061 | 56.061 | 0.000 | 0.000 | 0.000 |
| 56.061 | 136.528 | 56.061 | 0.000 | 0.000 | 0.000 |
| 56.061 | 56.061 | 136.528 | 0.000 | 0.000 | 0.000 |
| -5811699.116 | -5760448.587 | -5760455.911 | 3662043.460 | -0.001 | -0.002 |
| -5760448.587 | -5811699.116 | -5760455.911 | -0.001 | 3662043.460 | -0.002 |
| -5760448.587 | -5760455.911 | -5811699.116 | -0.001 | -0.002 | 3662043.460 |
| 44.358 | 24.921 | 24.921 | -0.000 | -0.000 | -0.000 |
| 24.921 | 44.358 | 24.921 | -0.000 | 0.000 | 0.000 |
| 24.921 | 24.921 | 44.358 | -0.000 | -0.000 | 0.000 |
| -0.000 | 0.000 | 0.000 | 18.329 | 0.000 | 0.000 |
| -0.000 | -0.000 | 0.000 | -0.000 | 18.329 | -0.000 |
| -0.000 | 0.000 | 0.000 | -0.000 | -0.000 | 18.329 |
| 44.358 | 24.921 | 24.921 | 0.000 | -0.000 | 0.000 |
| 24.921 | 44.358 | 24.921 | 0.000 | 0.000 | 0.000 |
| 24.921 | 24.921 | 44.358 | 0.000 | -0.000 | 0.000 |
| 0.000 | -0.000 | -0.000 | 18.329 | 0.000 | 0.000 |
| 0.000 | 0.000 | -0.000 | 0.000 | 18.329 | 0.000 |
| 0.000 | -0.000 | -0.000 | 0.000 | 0.000 | 18.329 |
| 44.358 | 24.922 | 24.922 | -0.000 | -0.000 | -0.000 |
| 24.922 | 44.358 | 24.922 | -0.000 | -0.000 | 0.000 |
| 24.922 | 24.922 | 44.358 | -0.000 | 0.000 | -0.000 |
| -0.000 | 0.000 | 0.000 | 18.329 | -0.000 | -0.000 |
| 0.000 | -0.000 | 0.000 | -0.000 | 18.329 | -0.000 |
| 0.000 | 0.000 | -0.000 | -0.000 | -0.000 | 18.329 |
| 44.358 | 24.921 | 24.921 | 0.000 | 0.000 | 0.000 |
| 24.921 | 44.358 | 24.921 | 0.000 | 0.000 | 0.000 |
| 24.921 | 24.921 | 44.358 | 0.000 | 0.000 | 0.000 |
| 0.000 | -0.000 | -0.000 | 18.329 | 0.000 | 0.000 |
| -0.000 | 0.000 | -0.000 | 0.000 | 18.329 | 0.000 |
| -0.000 | -0.000 | 0.000 | 0.000 | 0.000 | 18.329 |
| 44.358 | 24.922 | 24.922 | 0.000 | -0.000 | -0.000 |
| 24.922 | 44.358 | 24.922 | -0.000 | 0.000 | -0.000 |
| 24.922 | 24.922 | 44.358 | 0.000 | -0.000 | -0.000 |
| -0.000 | 0.000 | 0.000 | 18.329 | -0.000 | -0.000 |
| 0.000 | -0.000 | 0.000 | -0.000 | 18.329 | -0.000 |
| 0.000 | 0.000 | -0.000 | -0.000 | -0.000 | 18.329 |
| 44.358 | 24.921 | 24.921 | 0.000 | 0.000 | 0.000 |
| 24.921 | 44.358 | 24.921 | 0.000 | 0.000 | 0.000 |
| 24.921 | 24.921 | 44.358 | 0.000 | 0.000 | 0.000 |
| 0.000 | -0.000 | -0.000 | 18.329 | 0.000 | -0.000 |
| -0.000 | 0.000 | -0.000 | 0.000 | 18.329 | 0.000 |
| -0.000 | -0.000 | 0.000 | 0.000 | 0.000 | 18.329 |
| 100.182 | 50.881 | 50.881 | 0.000 | 0.000 | 0.000 |
| 50.881 | 100.182 | 50.881 | 0.000 | 0.000 | 0.000 |
| 50.881 | 50.881 | 100.182 | 0.000 | 0.000 | 0.000 |
| 0.000 | 0.000 | 0.000 | 49.659 | -0.000 | -0.000 |
| 0.000 | 0.000 | 0.000 | -0.000 | 49.659 | -0.000 |
| 0.000 | 0.000 | 0.000 | -0.000 | -0.000 | 49.659 |
| 100.181 | 50.880 | 50.880 | -0.000 | -0.000 | -0.000 |
| 50.880 | 100.181 | 50.880 | -0.000 | -0.000 | -0.000 |
| 50.880 | 50.880 | 100.181 | -0.000 | -0.000 | -0.000 |
| 0.000 | -0.000 | -0.000 | 49.659 | 0.000 | 0.000 |
| -0.000 | -0.000 | -0.000 | 0.000 | 49.659 | 0.000 |
| -0.000 | -0.000 | -0.000 | 0.000 | 0.000 | 49.659 |
| 100.187 | 50.883 | 50.883 | 0.000 | 0.000 | 0.000 |
| 50.883 | 100.187 | 50.883 | 0.000 | 0.000 | 0.000 |
| 50.883 | 50.883 | 100.187 | 0.000 | 0.000 | 0.000 |
| -0.000 | 0.003 | 0.003 | 51.145 | -0.000 | 0.000 |
| 0.003 | -0.000 | 0.003 | -0.000 | 51.145 | 0.000 |
| 0.003 | 0.003 | -0.000 | -0.000 | 0.000 | 51.145 |
| 100.177 | 50.878 | 50.878 | -0.000 | -0.000 | -0.000 |
| 50.878 | 100.177 | 50.878 | -0.000 | -0.000 | -0.000 |
| 50.878 | 50.878 | 100.177 | -0.000 | -0.000 | -0.000 |
| 0.000 | -0.003 | -0.003 | 51.145 | -0.000 | 0.000 |
| -0.003 | 0.000 | -0.003 | -0.000 | 51.145 | -0.000 |
| -0.003 | -0.003 | 0.000 | -0.000 | -0.000 | 51.145 |
| 100.232 | 50.906 | 50.906 | 0.000 | 0.000 | 0.000 |
| 50.906 | 100.232 | 50.906 | 0.000 | 0.000 | 0.000 |
| 50.906 | 50.906 | 100.232 | 0.000 | 0.000 | 0.000 |
| -0.000 | 0.025 | 0.025 | 49.659 | -0.000 | -0.000 |
| 0.025 | -0.000 | 0.025 | -0.000 | 49.659 | -0.000 |
| 0.025 | 0.025 | -0.000 | -0.000 | -0.000 | 49.659 |
| 100.131 | 50.855 | 50.855 | -0.000 | -0.000 | -0.000 |
| 50.855 | 100.131 | 50.855 | -0.000 | -0.000 | -0.000 |
| 50.855 | 50.855 | 100.131 | -0.000 | -0.000 | -0.000 |
| 0.000 | -0.025 | -0.025 | 49.659 | 0.000 | 0.000 |
| -0.025 | 0.000 | -0.025 | 0.000 | 49.659 | 0.000 |
| -0.025 | -0.025 | 0.000 | 0.000 | 0.000 | 49.659 |
| 4.733 | 4.733 | 4.733 | -0.000 | -0.000 | -0.000 |
| 4.733 | 4.733 | 4.733 | -0.000 | -0.000 | -0.000 |
| 4.733 | 4.733 | 4.733 | -0.000 | -0.000 | -0.000 |
| -0.000 | -0.000 | -0.000 | -0.000 | -0.000 | -0.000 |
| -0.000 | -0.000 | -0.000 | -0.000 | -0.000 | -0.000 |
| -0.000 | -0.000 | -0.000 | -0.000 | -0.000 | -0.000 |
| 4.733 | 4.733 | 4.733 | 0.000 | 0.000 | 0.000 |
| 4.733 | 4.733 | 4.733 | 0.000 | 0.000 | 0.000 |
| 4.733 | 4.733 | 4.733 | 0.000 | 0.000 | 0.000 |
| 0.000 | 0.000 | 0.000 | 0.000 | 0.000 | 0.000 |
| 0.000 | 0.000 | 0.000 | 0.000 | 0.000 | 0.000 |
| 0.000 | 0.000 | 0.000 | 0.000 | 0.000 | 0.000 |
| 4.733 | 4.733 | 4.733 | -0.000 | -0.000 | -0.000 |
| 4.733 | 4.733 | 4.733 | -0.000 | -0.000 | -0.000 |
| 4.733 | 4.733 | 4.733 | -0.000 | -0.000 | -0.000 |
| -0.000 | -0.000 | -0.000 | -0.000 | -0.000 | -0.000 |
| -0.000 | -0.000 | -0.000 | -0.000 | -0.000 | -0.000 |
| -0.000 | -0.000 | -0.000 | -0.000 | -0.000 | -0.000 |
| 4.733 | 4.733 | 4.733 | 0.000 | 0.000 | 0.000 |
| 4.733 | 4.733 | 4.733 | 0.000 | 0.000 | 0.000 |
| 4.733 | 4.733 | 4.733 | 0.000 | 0.000 | 0.000 |
| 0.000 | 0.000 | 0.000 | 0.000 | 0.000 | 0.000 |
| 0.000 | 0.000 | 0.000 | 0.000 | 0.000 | 0.000 |
| 0.000 | 0.000 | 0.000 | 0.000 | 0.000 | 0.000 |
| 4.733 | 4.733 | 4.733 | -0.000 | -0.000 | -0.000 |
| 4.733 | 4.733 | 4.733 | -0.000 | -0.000 | -0.000 |
| 4.733 | 4.733 | 4.733 | -0.000 | -0.000 | -0.000 |
| -0.000 | -0.000 | -0.000 | -0.000 | -0.000 | -0.000 |
| -0.000 | -0.000 | -0.000 | -0.000 | -0.000 | -0.000 |
| -0.000 | -0.000 | -0.000 | -0.000 | -0.000 | -0.000 |
| 4.733 | 4.733 | 4.733 | 0.000 | 0.000 | 0.000 |
| 4.733 | 4.733 | 4.733 | 0.000 | 0.000 | 0.000 |
| 4.733 | 4.733 | 4.733 | 0.000 | 0.000 | 0.000 |
| 0.000 | 0.000 | 0.000 | 0.000 | 0.000 | 0.000 |
| 0.000 | 0.000 | 0.000 | 0.000 | 0.000 | 0.000 |
| 0.000 | 0.000 | 0.000 | 0.000 | 0.000 | 0.000 |
| 2.060 | 2.060 | 2.060 | 0.000 | 0.000 | -0.000 |
| 2.060 | 2.060 | 2.060 | 0.000 | 0.000 | -0.000 |
| 2.060 | 2.060 | 2.060 | 0.000 | 0.000 | -0.000 |
| -0.000 | -0.000 | -0.000 | 0.000 | 0.000 | 0.000 |
| -0.000 | -0.000 | -0.000 | 0.000 | 0.000 | 0.000 |
| -0.000 | -0.000 | -0.000 | 0.000 | 0.000 | 0.000 |
| 2.060 | 2.060 | 2.060 | 0.000 | -0.000 | -0.000 |
| 2.060 | 2.060 | 2.060 | -0.000 | 0.000 | -0.000 |
| 2.060 | 2.060 | 2.060 | -0.000 | -0.000 | -0.000 |
| 0.000 | 0.000 | 0.000 | -0.000 | -0.000 | -0.000 |
| 0.000 | 0.000 | 0.000 | -0.000 | -0.000 | -0.000 |
| 0.000 | 0.000 | 0.000 | -0.000 | -0.000 | -0.000 |
| 2.060 | 2.060 | 2.060 | 0.000 | 0.000 | 0.000 |
| 2.060 | 2.060 | 2.060 | 0.000 | 0.000 | 0.000 |
| 2.060 | 2.060 | 2.060 | 0.000 | 0.000 | 0.000 |
| -0.000 | -0.000 | -0.000 | 0.000 | 0.000 | 0.000 |
| -0.000 | -0.000 | -0.000 | 0.000 | 0.000 | 0.000 |
| -0.000 | -0.000 | -0.000 | 0.000 | 0.000 | 0.000 |
| 2.060 | 2.060 | 2.060 | -0.000 | -0.000 | -0.000 |
| 2.060 | 2.060 | 2.060 | -0.000 | -0.000 | -0.000 |
| 2.060 | 2.060 | 2.060 | -0.000 | -0.000 | -0.000 |
| 0.000 | 0.000 | 0.000 | -0.000 | -0.000 | -0.000 |
| 0.000 | 0.000 | 0.000 | -0.000 | -0.000 | -0.000 |
| 0.000 | 0.000 | 0.000 | -0.000 | -0.000 | -0.000 |
| 2.060 | 2.060 | 2.060 | 0.000 | 0.000 | 0.000 |
| 2.060 | 2.060 | 2.060 | 0.000 | 0.000 | 0.000 |
| 2.060 | 2.060 | 2.060 | 0.000 | 0.000 | 0.000 |
| -0.000 | -0.000 | -0.000 | 0.000 | 0.000 | 0.000 |
| -0.000 | -0.000 | -0.000 | 0.000 | 0.000 | 0.000 |
| -0.000 | -0.000 | -0.000 | 0.000 | 0.000 | 0.000 |
| 2.060 | 2.060 | 2.060 | -0.000 | -0.000 | 0.000 |
| 2.060 | 2.060 | 2.060 | -0.000 | -0.000 | 0.000 |
| 2.060 | 2.060 | 2.060 | -0.000 | -0.000 | -0.000 |
| 0.000 | 0.000 | 0.000 | -0.000 | -0.000 | -0.000 |
| 0.000 | 0.000 | 0.000 | -0.000 | -0.000 | -0.000 |
| 0.000 | 0.000 | 0.000 | -0.000 | -0.000 | -0.000 |
| 240.847 | 53.299 | 49.780 | -0.000 | 0.000 | -0.000 |
| 53.299 | 240.847 | 49.780 | -0.000 | 0.000 | -0.000 |
| 49.780 | 49.780 | -66.633 | -0.000 | 0.000 | 0.000 |
| 0.000 | 0.000 | 0.000 | 47.309 | 0.000 | -0.000 |
| 0.000 | 0.000 | 0.000 | -0.000 | 47.309 | -0.000 |
| 0.000 | 0.000 | 0.000 | 0.000 | 0.000 | 52.022 |
| 240.847 | 53.299 | 49.780 | -0.000 | -0.000 | 0.000 |
| 53.299 | 240.847 | 49.780 | -0.000 | -0.000 | -0.000 |
| 49.780 | 49.780 | -66.633 | 0.000 | -0.000 | -0.000 |
| -0.000 | -0.000 | -0.000 | 47.309 | -0.000 | 0.000 |
| -0.000 | -0.000 | -0.000 | 0.000 | 47.309 | -0.000 |
| -0.000 | -0.000 | -0.000 | -0.000 | -0.000 | 52.022 |
| 240.847 | 53.300 | 49.780 | -0.000 | 0.000 | -0.000 |
| 53.300 | 240.847 | 49.780 | -0.000 | -0.000 | -0.000 |
| 49.780 | 49.780 | -66.632 | 0.000 | 0.000 | -0.000 |
| 0.000 | 0.000 | 0.000 | 47.309 | 0.000 | 0.000 |
| 0.000 | 0.000 | 0.000 | 0.000 | 47.309 | 0.000 |
| 0.000 | 0.000 | 0.000 | -0.000 | 0.000 | 52.022 |
| 240.846 | 53.299 | 49.780 | 0.000 | 0.000 | -0.000 |
| 53.299 | 240.846 | 49.780 | -0.000 | -0.000 | -0.000 |
| 49.780 | 49.780 | -66.633 | 0.000 | -0.000 | 0.000 |
| -0.000 | -0.000 | -0.000 | 47.309 | -0.000 | -0.000 |
| -0.000 | -0.000 | -0.000 | 0.000 | 47.309 | 0.000 |
| -0.000 | -0.000 | -0.000 | 0.000 | 0.000 | 52.022 |
| 240.850 | 53.300 | 49.781 | 0.000 | 0.000 | -0.000 |
| 53.300 | 240.850 | 49.781 | -0.000 | 0.000 | -0.000 |
| 49.781 | 49.781 | -66.630 | 0.000 | 0.000 | 0.000 |
| 0.000 | 0.001 | 0.001 | 47.309 | 0.000 | 0.000 |
| 0.001 | 0.000 | 0.001 | -0.000 | 47.309 | 0.000 |
| 0.001 | 0.001 | 0.000 | 0.000 | 0.000 | 52.022 |
| 240.843 | 53.299 | 49.779 | -0.000 | -0.000 | -0.000 |
| 53.299 | 240.843 | 49.779 | -0.000 | -0.000 | -0.000 |
| 49.779 | 49.779 | -66.636 | -0.000 | 0.000 | 0.000 |
| -0.000 | -0.001 | -0.001 | 47.309 | -0.000 | -0.000 |
| -0.001 | -0.000 | -0.001 | 0.000 | 47.309 | 0.000 |
| -0.001 | -0.001 | -0.000 | -0.000 | 0.000 | 52.022 |
| 260.629 | 50.395 | 67.718 | -0.000 | 0.000 | -0.000 |
| 50.395 | 260.629 | 67.718 | -0.000 | 0.000 | -0.000 |
| 67.718 | 67.718 | 105.937 | -0.000 | 0.000 | -0.000 |
| 0.000 | 0.000 | 0.000 | 65.508 | 0.000 | -0.000 |
| 0.000 | 0.000 | 0.000 | -0.000 | 65.508 | -0.000 |
| 0.000 | 0.000 | 0.000 | -0.000 | 0.000 | 48.977 |
| 260.629 | 50.395 | 67.718 | -0.000 | -0.000 | 0.000 |
| 50.395 | 260.629 | 67.718 | 0.000 | -0.000 | 0.000 |
| 67.718 | 67.718 | 105.937 | 0.000 | -0.000 | 0.000 |
| -0.000 | -0.000 | -0.000 | 65.508 | -0.000 | 0.000 |
| -0.000 | -0.000 | -0.000 | 0.000 | 65.508 | 0.000 |
| -0.000 | -0.000 | -0.000 | 0.000 | -0.000 | 48.977 |
| 260.629 | 50.395 | 67.719 | -0.000 | 0.000 | 0.000 |
| 50.395 | 260.629 | 67.719 | -0.000 | 0.000 | -0.000 |
| 67.719 | 67.719 | 105.937 | -0.000 | 0.000 | -0.000 |
| 0.000 | 0.000 | 0.000 | 65.508 | 0.000 | -0.000 |
| 0.000 | 0.000 | 0.000 | -0.000 | 65.508 | 0.000 |
| 0.000 | 0.000 | 0.000 | -0.000 | 0.000 | 48.977 |
| 260.628 | 50.394 | 67.718 | 0.000 | -0.000 | 0.000 |
| 50.394 | 260.628 | 67.718 | 0.000 | -0.000 | 0.000 |
| 67.718 | 67.718 | 105.936 | 0.000 | -0.000 | -0.000 |
| -0.000 | -0.000 | -0.000 | 65.508 | -0.000 | -0.000 |
| -0.000 | -0.000 | -0.000 | 0.000 | 65.508 | -0.000 |
| -0.000 | -0.000 | -0.000 | 0.000 | 0.000 | 48.977 |
| 260.633 | 50.395 | 67.720 | -0.000 | 0.000 | -0.000 |
| 50.395 | 260.633 | 67.720 | -0.000 | 0.000 | 0.000 |
| 67.719 | 67.719 | 105.939 | -0.000 | 0.000 | -0.000 |
| 0.000 | 0.001 | 0.001 | 65.508 | 0.000 | 0.000 |
| 0.001 | 0.000 | 0.001 | -0.000 | 65.508 | -0.000 |
| 0.001 | 0.001 | 0.000 | -0.000 | 0.000 | 48.977 |
| 260.625 | 50.394 | 67.717 | 0.000 | -0.000 | 0.000 |
| 50.394 | 260.625 | 67.717 | 0.000 | -0.000 | 0.000 |
| 67.718 | 67.718 | 105.934 | 0.000 | -0.000 | 0.000 |
| -0.000 | -0.001 | -0.001 | 65.508 | -0.000 | 0.000 |
| -0.001 | -0.000 | -0.001 | 0.000 | 65.508 | 0.000 |
| -0.001 | -0.001 | -0.000 | 0.000 | -0.000 | 48.977 |
| 58.450 | 5.821 | 5.647 | -0.000 | -0.000 | -0.000 |
| 5.821 | 58.450 | 5.647 | 0.000 | -0.000 | -0.000 |
| 5.647 | 5.647 | 63.908 | -0.000 | -0.000 | -0.000 |
| -0.000 | -0.000 | -0.000 | 1.346 | -0.000 | -0.000 |
| -0.000 | -0.000 | -0.000 | -0.000 | 1.346 | -0.000 |
| -0.000 | -0.000 | -0.000 | -0.000 | -0.000 | 0.933 |
| 58.450 | 5.821 | 5.647 | -0.000 | 0.000 | 0.000 |
| 5.821 | 58.450 | 5.647 | 0.000 | 0.000 | 0.000 |
| 5.647 | 5.647 | 63.908 | 0.000 | 0.000 | 0.000 |
| 0.000 | 0.000 | 0.000 | 1.346 | 0.000 | 0.000 |
| 0.000 | 0.000 | 0.000 | -0.000 | 1.346 | 0.000 |
| 0.000 | 0.000 | 0.000 | 0.000 | 0.000 | 0.933 |
| 58.450 | 5.821 | 5.647 | 0.000 | -0.000 | -0.000 |
| 5.821 | 58.450 | 5.647 | 0.000 | -0.000 | -0.000 |
| 5.647 | 5.647 | 63.908 | -0.000 | -0.000 | -0.000 |
| -0.000 | -0.000 | -0.000 | 1.346 | -0.000 | -0.000 |
| -0.000 | -0.000 | -0.000 | -0.000 | 1.346 | -0.000 |
| -0.000 | -0.000 | -0.000 | -0.000 | -0.000 | 0.933 |
| 58.450 | 5.821 | 5.647 | -0.000 | 0.000 | 0.000 |
| 5.821 | 58.450 | 5.647 | -0.000 | -0.000 | 0.000 |
| 5.647 | 5.647 | 63.908 | -0.000 | -0.000 | 0.000 |
| 0.000 | 0.000 | 0.000 | 1.346 | 0.000 | 0.000 |
| 0.000 | 0.000 | 0.000 | 0.000 | 1.346 | 0.000 |
| 0.000 | 0.000 | 0.000 | -0.000 | 0.000 | 0.933 |
| 58.450 | 5.821 | 5.647 | -0.000 | 0.000 | -0.000 |
| 5.821 | 58.450 | 5.647 | -0.000 | -0.000 | -0.000 |
| 5.647 | 5.647 | 63.908 | -0.000 | -0.000 | -0.000 |
| -0.000 | -0.000 | -0.000 | 1.346 | -0.000 | -0.000 |
| -0.000 | -0.000 | -0.000 | -0.000 | 1.346 | -0.000 |
| -0.000 | -0.000 | -0.000 | -0.000 | 0.000 | 0.933 |
| 58.449 | 5.821 | 5.647 | 0.000 | -0.000 | 0.000 |
| 5.821 | 58.449 | 5.647 | -0.000 | 0.000 | 0.000 |
| 5.647 | 5.647 | 63.907 | 0.000 | 0.000 | 0.000 |
| 0.000 | 0.000 | 0.000 | 1.346 | 0.000 | 0.000 |
| 0.000 | 0.000 | 0.000 | 0.000 | 1.346 | 0.000 |
| 0.000 | 0.000 | 0.000 | -0.000 | 0.000 | 0.933 |
| 27.547 | 4.727 | 9.779 | -0.000 | -0.000 | -0.000 |
| 4.727 | 27.547 | 9.779 | -0.000 | -0.000 | -0.000 |
| 9.779 | 9.779 | 19.378 | -0.000 | -0.000 | 0.000 |
| 0.000 | 0.000 | 0.000 | 9.089 | -0.000 | -0.000 |
| 0.000 | 0.000 | 0.000 | -0.000 | 9.089 | -0.000 |
| -0.000 | 0.000 | 0.000 | -0.000 | -0.000 | 4.645 |
| 27.547 | 4.727 | 9.779 | 0.000 | -0.000 | 0.000 |
| 4.727 | 27.547 | 9.779 | -0.000 | 0.000 | 0.000 |
| 9.779 | 9.779 | 19.378 | 0.000 | 0.000 | 0.000 |
| -0.000 | -0.000 | -0.000 | 9.089 | 0.000 | 0.000 |
| -0.000 | -0.000 | -0.000 | 0.000 | 9.089 | 0.000 |
| 0.000 | -0.000 | -0.000 | 0.000 | -0.000 | 4.645 |
| 27.547 | 4.727 | 9.779 | -0.000 | -0.000 | -0.000 |
| 4.727 | 27.547 | 9.779 | -0.000 | -0.000 | -0.000 |
| 9.779 | 9.779 | 19.379 | -0.000 | -0.000 | 0.000 |
| 0.000 | 0.000 | 0.000 | 9.089 | -0.000 | -0.000 |
| 0.000 | 0.000 | 0.000 | -0.000 | 9.089 | -0.000 |
| 0.000 | 0.000 | 0.000 | -0.000 | 0.000 | 4.645 |
| 27.547 | 4.727 | 9.779 | 0.000 | 0.000 | 0.000 |
| 4.727 | 27.547 | 9.779 | 0.000 | 0.000 | 0.000 |
| 9.779 | 9.779 | 19.378 | 0.000 | 0.000 | 0.000 |
| -0.000 | -0.000 | -0.000 | 9.089 | 0.000 | 0.000 |
| -0.000 | -0.000 | -0.000 | 0.000 | 9.089 | 0.000 |
| -0.000 | -0.000 | -0.000 | 0.000 | -0.000 | 4.645 |
| 27.547 | 4.727 | 9.779 | -0.000 | -0.000 | -0.000 |
| 4.727 | 27.547 | 9.779 | -0.000 | -0.000 | -0.000 |
| 9.779 | 9.779 | 19.379 | -0.000 | -0.000 | -0.000 |
| 0.000 | 0.000 | 0.000 | 9.089 | -0.000 | -0.000 |
| 0.000 | 0.000 | 0.000 | -0.000 | 9.089 | -0.000 |
| 0.000 | 0.000 | 0.000 | -0.000 | 0.000 | 4.645 |
| 27.547 | 4.727 | 9.779 | 0.000 | 0.000 | 0.000 |
| 4.727 | 27.547 | 9.779 | 0.000 | 0.000 | 0.000 |
| 9.779 | 9.779 | 19.378 | 0.000 | 0.000 | 0.000 |
| -0.000 | -0.000 | -0.000 | 9.089 | 0.000 | 0.000 |
| -0.000 | -0.000 | -0.000 | 0.000 | 9.089 | 0.000 |
| -0.000 | -0.000 | -0.000 | 0.000 | -0.000 | 4.645 |
| 43.332 | 17.071 | 17.071 | -0.000 | 0.000 | 0.000 |
| 17.071 | 43.332 | 17.071 | -0.000 | -0.000 | 0.000 |
| 17.071 | 17.071 | 43.332 | -0.000 | 0.000 | 0.000 |
| 0.000 | 0.000 | 0.000 | 14.328 | -0.000 | 0.000 |
| 0.000 | 0.000 | 0.000 | -0.000 | 14.328 | 0.000 |
| 0.000 | 0.000 | 0.000 | -0.000 | -0.000 | 14.328 |
| 43.332 | 17.071 | 17.071 | 0.000 | 0.000 | -0.000 |
| 17.071 | 43.332 | 17.071 | 0.000 | 0.000 | -0.000 |
| 17.071 | 17.071 | 43.332 | -0.000 | 0.000 | -0.000 |
| -0.000 | -0.000 | -0.000 | 14.328 | 0.000 | -0.000 |
| -0.000 | -0.000 | -0.000 | 0.000 | 14.328 | -0.000 |
| -0.000 | -0.000 | -0.000 | 0.000 | 0.000 | 14.328 |
| 43.332 | 17.071 | 17.071 | -0.000 | 0.000 | 0.000 |
| 17.071 | 43.332 | 17.071 | -0.000 | 0.000 | 0.000 |
| 17.071 | 17.071 | 43.332 | -0.000 | 0.000 | 0.000 |
| 0.000 | 0.000 | 0.000 | 14.328 | -0.000 | 0.000 |
| 0.000 | 0.000 | 0.000 | -0.000 | 14.328 | 0.000 |
| 0.000 | 0.000 | 0.000 | -0.000 | -0.000 | 14.328 |
| 43.332 | 17.071 | 17.071 | 0.000 | -0.000 | -0.000 |
| 17.071 | 43.332 | 17.071 | 0.000 | -0.000 | -0.000 |
| 17.071 | 17.071 | 43.332 | 0.000 | -0.000 | -0.000 |
| -0.000 | -0.000 | -0.000 | 14.328 | 0.000 | -0.000 |
| -0.000 | -0.000 | -0.000 | 0.000 | 14.328 | -0.000 |
| -0.000 | -0.000 | -0.000 | 0.000 | 0.000 | 14.328 |
| 43.333 | 17.071 | 17.071 | -0.000 | -0.000 | 0.000 |
| 17.071 | 43.333 | 17.071 | -0.000 | 0.000 | 0.000 |
| 17.071 | 17.071 | 43.333 | -0.000 | -0.000 | 0.000 |
| 0.000 | 0.000 | 0.000 | 14.328 | -0.000 | 0.000 |
| 0.000 | 0.000 | 0.000 | -0.000 | 14.328 | 0.000 |
| 0.000 | 0.000 | 0.000 | 0.000 | -0.000 | 14.328 |
| 43.332 | 17.071 | 17.071 | 0.000 | -0.000 | -0.000 |
| 17.071 | 43.332 | 17.071 | 0.000 | 0.000 | -0.000 |
| 17.071 | 17.071 | 43.332 | -0.000 | -0.000 | -0.000 |
| -0.000 | -0.000 | -0.000 | 14.328 | 0.000 | -0.000 |
| -0.000 | -0.000 | -0.000 | 0.000 | 14.328 | -0.000 |
| -0.000 | -0.000 | -0.000 | 0.000 | 0.000 | 14.328 |
| 7.114 | -2.238 | -2.238 | -0.000 | -0.000 | -0.000 |
| -2.238 | 7.114 | -2.238 | -0.000 | -0.000 | -0.000 |
| -2.238 | -2.238 | 7.114 | -0.000 | -0.000 | -0.000 |
| 0.000 | 0.000 | 0.000 | -7.382 | 0.000 | 0.000 |
| 0.000 | 0.000 | 0.000 | -0.000 | -7.382 | -0.000 |
| 0.000 | 0.000 | 0.000 | -0.000 | -0.000 | -7.382 |
| 7.114 | -2.238 | -2.238 | 0.000 | -0.000 | 0.000 |
| -2.238 | 7.114 | -2.238 | 0.000 | 0.000 | -0.000 |
| -2.238 | -2.238 | 7.114 | 0.000 | -0.000 | 0.000 |
| -0.000 | -0.000 | -0.000 | -7.382 | -0.000 | 0.000 |
| -0.000 | -0.000 | -0.000 | 0.000 | -7.382 | 0.000 |
| -0.000 | -0.000 | -0.000 | 0.000 | 0.000 | -7.382 |
| 7.114 | -2.238 | -2.238 | -0.000 | -0.000 | -0.000 |
| -2.238 | 7.114 | -2.238 | -0.000 | -0.000 | 0.000 |
| -2.238 | -2.238 | 7.114 | 0.000 | -0.000 | 0.000 |
| 0.000 | 0.000 | 0.000 | -7.382 | -0.000 | 0.000 |
| 0.000 | 0.000 | 0.000 | -0.000 | -7.382 | -0.000 |
| 0.000 | 0.000 | 0.000 | -0.000 | -0.000 | -7.382 |
| 7.115 | -2.238 | -2.238 | 0.000 | -0.000 | 0.000 |
| -2.238 | 7.115 | -2.238 | 0.000 | 0.000 | 0.000 |
| -2.238 | -2.238 | 7.115 | 0.000 | 0.000 | -0.000 |
| -0.000 | -0.000 | -0.000 | -7.382 | 0.000 | 0.000 |
| -0.000 | -0.000 | -0.000 | 0.000 | -7.382 | 0.000 |
| -0.000 | -0.000 | -0.000 | 0.000 | 0.000 | -7.382 |
| 7.114 | -2.238 | -2.238 | -0.000 | 0.000 | 0.000 |
| -2.238 | 7.114 | -2.238 | -0.000 | -0.000 | -0.000 |
| -2.238 | -2.238 | 7.114 | -0.000 | -0.000 | 0.000 |
| 151949.999 | 152622.361 | 151987.208 | -1123.474 | -871.827 | -769.529 |
| 152539.670 | 151868.509 | 151904.746 | -807.336 | -1090.940 | -786.172 |
| 151614.237 | 151088.775 | 151168.036 | -1136.854 | -898.844 | -1137.721 |
| 7.115 | -2.238 | -2.238 | 0.000 | 0.000 | -0.000 |
| -2.238 | 7.115 | -2.238 | 0.000 | 0.000 | -0.000 |
| -2.238 | -2.238 | 7.115 | 0.000 | 0.000 | 0.000 |
| -151114.830 | -151358.589 | -151298.566 | 943.562 | 667.038 | 1123.392 |
| -151185.202 | -151085.416 | -151183.894 | 631.289 | 997.548 | 1112.222 |
| -151333.241 | -151383.864 | -151217.649 | 859.567 | 1032.528 | 895.112 |
| 8.893 | 3.148 | 3.148 | -0.000 | -0.000 | -0.000 |
| 3.148 | 8.893 | 3.148 | -0.000 | -0.000 | -0.000 |
| 3.148 | 3.148 | 8.893 | 0.000 | 0.000 | -0.000 |
| -0.000 | -0.000 | -0.000 | 2.010 | 0.000 | -0.000 |
| -0.000 | -0.000 | -0.000 | -0.000 | 2.010 | -0.000 |
| -0.000 | -0.000 | -0.000 | -0.000 | 0.000 | 2.010 |
| 8.893 | 3.148 | 3.148 | 0.000 | 0.000 | 0.000 |
| 3.148 | 8.893 | 3.148 | 0.000 | 0.000 | 0.000 |
| 3.148 | 3.148 | 8.893 | -0.000 | -0.000 | 0.000 |
| 0.000 | 0.000 | 0.000 | 2.010 | -0.000 | 0.000 |
| 0.000 | 0.000 | 0.000 | -0.000 | 2.010 | 0.000 |
| 0.000 | 0.000 | 0.000 | -0.000 | -0.000 | 2.010 |
| 8.893 | 3.148 | 3.148 | -0.000 | -0.000 | -0.000 |
| 3.148 | 8.893 | 3.148 | -0.000 | -0.000 | 0.000 |
| 3.148 | 3.148 | 8.893 | 0.000 | 0.000 | -0.000 |
| -0.000 | -0.000 | -0.000 | 2.010 | 0.000 | -0.000 |
| -0.000 | -0.000 | -0.000 | -0.000 | 2.010 | -0.000 |
| -0.000 | -0.000 | -0.000 | 0.000 | 0.000 | 2.010 |
| 8.893 | 3.148 | 3.148 | 0.000 | 0.000 | 0.000 |
| 3.148 | 8.893 | 3.148 | 0.000 | 0.000 | -0.000 |
| 3.148 | 3.148 | 8.893 | 0.000 | -0.000 | 0.000 |
| 0.000 | 0.000 | 0.000 | 2.010 | -0.000 | 0.000 |
| 0.000 | 0.000 | 0.000 | -0.000 | 2.010 | 0.000 |
| 0.000 | 0.000 | 0.000 | 0.000 | -0.000 | 2.010 |
| 8.892 | 3.148 | 3.148 | -0.000 | -0.000 | -0.000 |
| 3.148 | 8.892 | 3.148 | -0.000 | -0.000 | 0.000 |
| 3.148 | 3.148 | 8.892 | -0.000 | 0.000 | -0.000 |
| -0.000 | -0.000 | -0.000 | 2.010 | 0.000 | -0.000 |
| -0.000 | -0.000 | -0.000 | -0.000 | 2.010 | -0.000 |
| -0.000 | -0.000 | -0.000 | 0.000 | 0.000 | 2.010 |
| 8.893 | 3.148 | 3.148 | 0.000 | 0.000 | 0.000 |
| 3.148 | 8.893 | 3.148 | 0.000 | 0.000 | 0.000 |
| 3.148 | 3.148 | 8.893 | -0.000 | -0.000 | 0.000 |
| 0.000 | 0.000 | 0.000 | 2.010 | -0.000 | -0.000 |
| 0.000 | 0.000 | 0.000 | -0.000 | 2.010 | 0.000 |
| 0.000 | 0.000 | 0.000 | -0.000 | -0.000 | 2.010 |
| 66.466 | 18.302 | 18.302 | -0.000 | 0.000 | -0.000 |
| 18.302 | 66.466 | 18.302 | 0.000 | 0.000 | 0.000 |
| 18.302 | 18.302 | 66.466 | 0.000 | -0.000 | -0.000 |
| -0.000 | -0.000 | -0.000 | 14.843 | 0.000 | 0.000 |
| -0.000 | -0.000 | -0.000 | 0.000 | 14.843 | 0.000 |
| -0.000 | -0.000 | -0.000 | -0.000 | -0.000 | 14.843 |
| 66.466 | 18.302 | 18.302 | -0.000 | -0.000 | -0.000 |
| 18.302 | 66.466 | 18.302 | -0.000 | 0.000 | -0.000 |
| 18.302 | 18.302 | 66.466 | 0.000 | -0.000 | -0.000 |
| 0.000 | 0.000 | 0.000 | 14.843 | -0.000 | -0.000 |
| 0.000 | 0.000 | 0.000 | 0.000 | 14.843 | -0.000 |
| 0.000 | 0.000 | 0.000 | 0.000 | 0.000 | 14.843 |
| 66.466 | 18.302 | 18.302 | 0.000 | 0.000 | 0.000 |
| 18.302 | 66.466 | 18.302 | 0.000 | -0.000 | 0.000 |
| 18.302 | 18.302 | 66.466 | -0.000 | 0.000 | 0.000 |
| -0.000 | -0.000 | -0.000 | 14.843 | 0.000 | -0.000 |
| -0.000 | -0.000 | -0.000 | -0.000 | 14.843 | 0.000 |
| -0.000 | -0.000 | -0.000 | 0.000 | -0.000 | 14.843 |
| 66.466 | 18.302 | 18.302 | -0.000 | -0.000 | -0.000 |
| 18.302 | 66.466 | 18.302 | 0.000 | 0.000 | -0.000 |
| 18.302 | 18.302 | 66.466 | -0.000 | 0.000 | -0.000 |
| 0.000 | 0.000 | 0.000 | 14.843 | -0.000 | 0.000 |
| 0.000 | 0.000 | 0.000 | -0.000 | 14.843 | -0.000 |
| 0.000 | 0.000 | 0.000 | 0.000 | -0.000 | 14.843 |
| 66.466 | 18.302 | 18.302 | -0.000 | 0.000 | 0.000 |
| 18.302 | 66.466 | 18.302 | -0.000 | -0.000 | 0.000 |
| 18.302 | 18.302 | 66.466 | -0.000 | -0.000 | 0.000 |
| -0.000 | -0.000 | -0.000 | 14.843 | 0.000 | 0.000 |
| -0.000 | -0.000 | -0.000 | 0.000 | 14.843 | -0.000 |
| -0.000 | -0.000 | -0.000 | 0.000 | 0.000 | 14.843 |
| 66.466 | 18.302 | 18.302 | -0.000 | 0.000 | -0.000 |
| 18.302 | 66.466 | 18.302 | 0.000 | -0.000 | -0.000 |
| 18.302 | 18.302 | 66.466 | 0.000 | 0.000 | -0.000 |
| 0.000 | 0.000 | 0.000 | 14.843 | 0.000 | -0.000 |
| 0.000 | 0.000 | 0.000 | 0.000 | 14.843 | -0.000 |
| 0.000 | 0.000 | 0.000 | 0.000 | 0.000 | 14.843 |
| 1.848 | 1.996 | 1.996 | -0.000 | -0.000 | -0.000 |
| 1.996 | 1.848 | 1.996 | 0.000 | 0.000 | -0.000 |
| 1.996 | 1.996 | 1.848 | 0.000 | 0.000 | -0.000 |
| -0.000 | -0.000 | -0.000 | -2.949 | 0.000 | -0.000 |
| -0.000 | -0.000 | -0.000 | -0.000 | -2.949 | -0.000 |
| -0.000 | -0.000 | -0.000 | 0.000 | -0.000 | -2.949 |
| 0.032 | 2.903 | 2.903 | -0.000 | -0.000 | 0.000 |
| 2.903 | 0.032 | 2.903 | -0.000 | -0.000 | 0.000 |
| 2.903 | 2.903 | 0.032 | -0.000 | -0.000 | 0.000 |
| 0.000 | 0.000 | 0.000 | -2.949 | -0.000 | 0.000 |
| 0.000 | 0.000 | 0.000 | -0.000 | -2.949 | 0.000 |
| 0.000 | 0.000 | 0.000 | 0.000 | -0.000 | -2.949 |
| 45336.531 | -211881.968 | -180930.562 | -20516.741 | -8456.942 | -1481.564 |
| -227264.822 | 61028.831 | -215990.648 | 2323.537 | 16520.975 | 1654.605 |
| -191206.609 | -198698.817 | 48142.040 | 1108.837 | 1458.042 | -17054.144 |
| -720024.780 | -67621.351 | -9546.094 | 95435.679 | 2370.903 | -7295.659 |
| -53819.541 | -660805.420 | -49561.260 | -9544.749 | 92010.675 | 20039.678 |
| -76646.477 | -29146.603 | -663009.989 | 5741.031 | -1503.504 | 96983.787 |
| 317695.610 | 186995.105 | 188882.247 | 2959.872 | 88.749 | -297.235 |
| 225506.340 | 343033.672 | 207181.949 | 8929.642 | 9187.290 | 7170.466 |
| 170815.388 | 206574.300 | 319639.910 | 1238.046 | 2423.091 | 15493.464 |
| 731870.994 | 52924.886 | 71589.606 | 79314.957 | 1781.659 | 10974.694 |
| 25377.030 | 648867.776 | 71333.140 | 5265.517 | 80868.801 | -6608.758 |
| 51710.354 | 68906.776 | 698185.399 | -531.138 | -10540.838 | 74456.340 |
| 5448.565 | -22221.037 | -25577.431 | -2216.117 | 299.796 | -255.297 |
| -20141.918 | 5924.658 | -21075.048 | 330.510 | 79.489 | 198.202 |
| -22334.895 | -19188.905 | 4680.112 | -1028.591 | -685.133 | -739.024 |
| -25648.437 | -23530.177 | -27250.694 | 2717.347 | 482.175 | 981.255 |
| -21398.251 | -36248.789 | -22673.693 | 234.060 | 4881.070 | -501.243 |
| -25937.714 | -25879.506 | -29460.492 | 87.102 | 669.085 | 1585.169 |
| 32717.283 | 17681.674 | 22309.441 | 1725.568 | 200.397 | 654.454 |
| 23045.725 | 32581.765 | 19438.844 | -1708.308 | 1202.990 | -1464.322 |
| 21913.219 | 22012.601 | 36340.881 | -89.750 | 360.410 | 181.994 |
| 25407.553 | 27160.842 | 23446.824 | -1786.282 | -295.160 | -400.054 |
| 25961.786 | 26277.503 | 27851.410 | 374.409 | 1966.887 | 856.440 |
| 27293.639 | 28031.119 | 26225.425 | -266.889 | -860.688 | -770.534 |
| 5.616 | 1.319 | 1.319 | -0.000 | -0.000 | -0.000 |
| 1.319 | 5.616 | 1.319 | -0.000 | 0.000 | -0.000 |
| 1.319 | 1.319 | 5.616 | -0.000 | -0.000 | 0.000 |
| 0.000 | 0.000 | 0.000 | 0.839 | -0.000 | -0.000 |
| 0.000 | 0.000 | 0.000 | -0.000 | 0.839 | 0.000 |
| 0.000 | 0.000 | 0.000 | -0.000 | 0.000 | 0.839 |
| 5.616 | 1.319 | 1.319 | 0.000 | 0.000 | 0.000 |
| 1.319 | 5.616 | 1.319 | 0.000 | 0.000 | 0.000 |
| 1.319 | 1.319 | 5.616 | 0.000 | 0.000 | -0.000 |
| -0.000 | -0.000 | -0.000 | 0.839 | 0.000 | -0.000 |
| -0.000 | -0.000 | -0.000 | 0.000 | 0.839 | -0.000 |
| -0.000 | -0.000 | -0.000 | 0.000 | -0.000 | 0.839 |
| 4.729 | 1.762 | 1.762 | 0.000 | -0.000 | -0.000 |
| 1.762 | 4.729 | 1.762 | -0.000 | 0.000 | 0.000 |
| 1.762 | 1.762 | 4.729 | -0.000 | -0.000 | 0.000 |
| 0.000 | 0.000 | 0.000 | 0.839 | 0.000 | -0.000 |
| 0.000 | 0.000 | 0.000 | -0.000 | 0.839 | -0.000 |
| 0.000 | 0.000 | 0.000 | -0.000 | 0.000 | 0.839 |
| 5.616 | 1.319 | 1.319 | 0.000 | 0.000 | -0.000 |
| 1.319 | 5.616 | 1.319 | 0.000 | -0.000 | -0.000 |
| 1.319 | 1.319 | 5.616 | 0.000 | -0.000 | -0.000 |
| -0.000 | -0.000 | -0.000 | 0.839 | -0.000 | -0.000 |
| -0.000 | -0.000 | -0.000 | 0.000 | 0.839 | -0.000 |
| -0.000 | -0.000 | -0.000 | 0.000 | -0.000 | 0.839 |
| 3.411 | 2.422 | 2.422 | -0.000 | -0.000 | -0.000 |
| 2.422 | 3.411 | 2.422 | -0.000 | -0.000 | 0.000 |
| 2.422 | 2.422 | 3.411 | -0.000 | 0.000 | -0.000 |
| 0.000 | -0.000 | -0.000 | 0.341 | 0.000 | 0.000 |
| -0.000 | 0.000 | -0.000 | -0.000 | 0.341 | 0.000 |
| -0.000 | -0.000 | 0.000 | -0.000 | 0.000 | 0.341 |
| 3.411 | 2.421 | 2.421 | 0.000 | 0.000 | 0.000 |
| 2.421 | 3.411 | 2.421 | 0.000 | -0.000 | -0.000 |
| 2.421 | 2.421 | 3.411 | 0.000 | -0.000 | -0.000 |
| -0.000 | 0.000 | 0.000 | 0.341 | 0.000 | -0.000 |
| 0.000 | -0.000 | 0.000 | 0.000 | 0.341 | -0.000 |
| 0.000 | 0.000 | -0.000 | 0.000 | 0.000 | 0.341 |
| 23.657 | 1.837 | 1.837 | -0.000 | 0.000 | 0.000 |
| 1.837 | 23.657 | 1.837 | 0.000 | -0.000 | 0.000 |
| 1.837 | 1.837 | 23.657 | 0.000 | 0.000 | -0.000 |
| -0.000 | -0.000 | -0.000 | -7.113 | -0.000 | -0.000 |
| -0.000 | -0.000 | -0.000 | -0.000 | -7.113 | 0.000 |
| -0.000 | -0.000 | -0.000 | 0.000 | 0.000 | -7.113 |
| 23.657 | 1.837 | 1.837 | -0.000 | -0.000 | 0.000 |
| 1.837 | 23.657 | 1.837 | -0.000 | -0.000 | 0.000 |
| 1.837 | 1.837 | 23.657 | -0.000 | -0.000 | -0.000 |
| 0.000 | 0.000 | 0.000 | -7.113 | -0.000 | 0.000 |
| 0.000 | 0.000 | 0.000 | 0.000 | -7.113 | -0.000 |
| 0.000 | 0.000 | 0.000 | -0.000 | 0.000 | -7.113 |
| 23.657 | 1.837 | 1.837 | 0.000 | 0.000 | 0.000 |
| 1.837 | 23.657 | 1.837 | 0.000 | 0.000 | 0.000 |
| 1.837 | 1.837 | 23.657 | 0.000 | 0.000 | 0.000 |
| -0.000 | -0.000 | -0.000 | -4.692 | 0.000 | -0.000 |
| -0.000 | -0.000 | -0.000 | 0.000 | -4.692 | -0.000 |
| -0.000 | -0.000 | -0.000 | 0.000 | 0.000 | -4.692 |
| 23.657 | 1.837 | 1.837 | 0.000 | -0.000 | -0.000 |
| 1.837 | 23.657 | 1.837 | -0.000 | -0.000 | -0.000 |
| 1.837 | 1.837 | 23.657 | -0.000 | -0.000 | -0.000 |
| 0.000 | 0.000 | 0.000 | -4.692 | -0.000 | 0.000 |
| 0.000 | 0.000 | 0.000 | -0.000 | -4.692 | 0.000 |
| 0.000 | 0.000 | 0.000 | -0.000 | -0.000 | -4.692 |
| 23.657 | 1.837 | 1.837 | -0.000 | 0.000 | 0.000 |
| 1.837 | 23.657 | 1.837 | -0.000 | 0.000 | 0.000 |
| 1.837 | 1.837 | 23.657 | -0.000 | -0.000 | 0.000 |
| -0.000 | -0.000 | -0.000 | -7.881 | 0.000 | 0.000 |
| -0.000 | -0.000 | -0.000 | -0.000 | -7.113 | -0.000 |
| -0.000 | -0.000 | -0.000 | 0.000 | 0.000 | -7.113 |
| 23.657 | 1.837 | 1.837 | -0.000 | -0.000 | 0.000 |
| 1.837 | 23.657 | 1.837 | -0.000 | -0.000 | -0.000 |
| 1.837 | 1.837 | 23.657 | 0.000 | 0.000 | -0.000 |
| 0.000 | 0.000 | 0.000 | -7.113 | -0.000 | 0.000 |
| 0.000 | 0.000 | 0.000 | -0.000 | -7.113 | 0.000 |
| 0.000 | 0.000 | 0.000 | 0.000 | 0.000 | -7.113 |
| 39.802 | 4.098 | 4.098 | 0.000 | -0.000 | -0.000 |
| 4.098 | 39.802 | 4.098 | 0.000 | 0.000 | 0.000 |
| 4.098 | 4.098 | 39.802 | 0.000 | 0.000 | -0.000 |
| -0.000 | -0.000 | -0.000 | 3.825 | 0.000 | 0.000 |
| -0.000 | -0.000 | -0.000 | 0.000 | 3.825 | 0.000 |
| -0.000 | -0.000 | -0.000 | 0.000 | 0.000 | 3.825 |
| 39.802 | 4.098 | 4.098 | -0.000 | -0.000 | -0.000 |
| 4.098 | 39.802 | 4.098 | -0.000 | -0.000 | -0.000 |
| 4.098 | 4.098 | 39.802 | -0.000 | -0.000 | -0.000 |
| 0.000 | 0.000 | 0.000 | 3.825 | -0.000 | 0.000 |
| 0.000 | 0.000 | 0.000 | -0.000 | 3.825 | -0.000 |
| 0.000 | 0.000 | 0.000 | -0.000 | -0.000 | 3.825 |
| 39.802 | 4.098 | 4.098 | 0.000 | 0.000 | 0.000 |
| 4.098 | 39.802 | 4.098 | 0.000 | 0.000 | 0.000 |
| 4.098 | 4.098 | 39.802 | 0.000 | 0.000 | 0.000 |
| -0.000 | -0.000 | -0.000 | 3.825 | 0.000 | 0.000 |
| -0.000 | -0.000 | -0.000 | 0.000 | 3.825 | 0.000 |
| -0.000 | -0.000 | -0.000 | 0.000 | 0.000 | 3.825 |
| 39.802 | 4.098 | 4.098 | -0.000 | 0.000 | -0.000 |
| 4.098 | 39.802 | 4.098 | -0.000 | -0.000 | -0.000 |
| 4.098 | 4.098 | 39.802 | -0.000 | -0.000 | -0.000 |
| 0.000 | 0.000 | 0.000 | 3.825 | 0.000 | 0.000 |
| 0.000 | 0.000 | 0.000 | 0.000 | 3.825 | 0.000 |
| 0.000 | 0.000 | 0.000 | -0.000 | -0.000 | 3.825 |
| 39.801 | 4.098 | 4.098 | 0.000 | 0.000 | 0.000 |
| 4.098 | 39.801 | 4.098 | 0.000 | 0.000 | 0.000 |
| 4.098 | 4.098 | 39.801 | 0.000 | 0.000 | 0.000 |
| -0.000 | -0.000 | -0.000 | 3.825 | 0.000 | 0.000 |
| -0.000 | -0.000 | -0.000 | 0.000 | 3.825 | -0.000 |
| -0.000 | -0.000 | -0.000 | 0.000 | 0.000 | 3.825 |
| 39.803 | 4.099 | 4.099 | -0.000 | -0.000 | -0.000 |
| 4.099 | 39.803 | 4.099 | -0.000 | -0.000 | -0.000 |
| 4.099 | 4.099 | 39.803 | -0.000 | -0.000 | -0.000 |
| 0.000 | 0.000 | 0.000 | 3.825 | -0.000 | -0.000 |
| 0.000 | 0.000 | 0.000 | -0.000 | 3.825 | -0.000 |
| 0.000 | 0.000 | 0.000 | -0.000 | -0.000 | 3.825 |
| 26.426 | 6.587 | 6.587 | -0.000 | -0.000 | -0.000 |
| 6.587 | 26.426 | 6.587 | -0.000 | -0.000 | -0.000 |
| 6.587 | 6.587 | 26.426 | -0.000 | -0.000 | -0.000 |
| 0.000 | 0.000 | 0.000 | 6.228 | -0.000 | 0.000 |
| 0.000 | 0.000 | 0.000 | -0.000 | 6.228 | -0.000 |
| 0.000 | 0.000 | 0.000 | -0.000 | -0.000 | 6.228 |
| 26.425 | 6.587 | 6.587 | 0.000 | 0.000 | 0.000 |
| 6.587 | 26.425 | 6.587 | 0.000 | 0.000 | 0.000 |
| 6.587 | 6.587 | 26.425 | 0.000 | 0.000 | 0.000 |
| -0.000 | -0.000 | -0.000 | 6.228 | 0.000 | 0.000 |
| -0.000 | -0.000 | -0.000 | 0.000 | 6.228 | 0.000 |
| -0.000 | -0.000 | -0.000 | 0.000 | 0.000 | 6.228 |
| 26.428 | 6.587 | 6.587 | -0.000 | 0.000 | -0.000 |
| 6.587 | 26.428 | 6.587 | 0.000 | -0.000 | -0.000 |
| 6.587 | 6.587 | 26.428 | -0.000 | -0.000 | -0.000 |
| 0.000 | 0.000 | 0.000 | 6.228 | -0.000 | -0.000 |
| 0.000 | 0.000 | 0.000 | 0.000 | 6.228 | -0.000 |
| 0.000 | 0.000 | 0.000 | -0.000 | -0.000 | 6.228 |
| 26.423 | 6.587 | 6.587 | 0.000 | 0.000 | -0.000 |
| 6.587 | 26.423 | 6.587 | 0.000 | 0.000 | 0.000 |
| 6.587 | 6.587 | 26.423 | 0.000 | 0.000 | 0.000 |
| -0.000 | -0.000 | -0.000 | 6.228 | 0.000 | 0.000 |
| -0.000 | -0.000 | -0.000 | 0.000 | 6.228 | 0.000 |
| -0.000 | -0.000 | -0.000 | 0.000 | 0.000 | 6.228 |
| 26.453 | 6.587 | 6.587 | -0.000 | 0.000 | -0.000 |
| 6.587 | 26.453 | 6.587 | 0.000 | -0.000 | -0.000 |
| 6.587 | 6.587 | 26.453 | -0.000 | -0.000 | -0.000 |
| 0.000 | 0.000 | 0.000 | 6.228 | -0.000 | -0.000 |
| 0.000 | 0.000 | 0.000 | -0.000 | 6.228 | -0.000 |
| 0.000 | 0.000 | 0.000 | -0.000 | -0.000 | 6.228 |
| 26.397 | 6.586 | 6.586 | 0.000 | 0.000 | 0.000 |
| 6.586 | 26.397 | 6.586 | 0.000 | 0.000 | 0.000 |
| 6.586 | 6.586 | 26.397 | 0.000 | 0.000 | 0.000 |
| -0.000 | -0.000 | -0.000 | 6.228 | 0.000 | 0.000 |
| -0.000 | -0.000 | -0.000 | 0.000 | 6.228 | 0.000 |
| -0.000 | -0.000 | -0.000 | 0.000 | 0.000 | 6.228 |
| 45.709 | 29.628 | 29.628 | -0.000 | -0.000 | -0.000 |
| 29.628 | 45.709 | 29.628 | -0.000 | -0.000 | 0.000 |
| 29.628 | 29.628 | 45.709 | -0.000 | -0.000 | -0.000 |
| 0.000 | 0.000 | 0.000 | 1.346 | -0.000 | -0.000 |
| 0.000 | 0.000 | 0.000 | -0.000 | 1.346 | 0.000 |
| 0.000 | 0.000 | 0.000 | -0.000 | -0.000 | 1.346 |
| 45.709 | 29.628 | 29.628 | 0.000 | 0.000 | -0.000 |
| 29.628 | 45.709 | 29.628 | 0.000 | 0.000 | 0.000 |
| 29.628 | 29.628 | 45.709 | 0.000 | 0.000 | -0.000 |
| -0.000 | -0.000 | -0.000 | 1.346 | 0.000 | 0.000 |
| -0.000 | -0.000 | -0.000 | 0.000 | 1.346 | -0.000 |
| -0.000 | -0.000 | -0.000 | 0.000 | 0.000 | 1.346 |
| 45.709 | 29.628 | 29.628 | -0.000 | -0.000 | 0.000 |
| 29.628 | 45.709 | 29.628 | -0.000 | -0.000 | 0.000 |
| 29.628 | 29.628 | 45.709 | -0.000 | -0.000 | 0.000 |
| 0.000 | 0.000 | 0.000 | 1.346 | -0.000 | 0.000 |
| 0.000 | 0.000 | 0.000 | -0.000 | 1.346 | -0.000 |
| 0.000 | 0.000 | 0.000 | -0.000 | -0.000 | 1.346 |
| 45.709 | 29.628 | 29.628 | 0.000 | 0.000 | 0.000 |
| 29.628 | 45.709 | 29.628 | 0.000 | 0.000 | 0.000 |
| 29.628 | 29.628 | 45.709 | -0.000 | 0.000 | -0.000 |
| -0.000 | -0.000 | -0.000 | 1.346 | 0.000 | -0.000 |
| -0.000 | -0.000 | -0.000 | 0.000 | 1.346 | 0.000 |
| -0.000 | -0.000 | -0.000 | 0.000 | 0.000 | 1.346 |
| 45.710 | 29.628 | 29.628 | -0.000 | -0.000 | -0.000 |
| 29.628 | 45.710 | 29.628 | -0.000 | 0.000 | -0.000 |
| 29.628 | 29.628 | 45.710 | -0.000 | -0.000 | 0.000 |
| 0.000 | 0.000 | 0.000 | 1.346 | -0.000 | 0.000 |
| 0.000 | 0.000 | 0.000 | -0.000 | 1.346 | 0.000 |
| 0.000 | 0.000 | 0.000 | 0.000 | 0.000 | 1.346 |
| 45.709 | 29.628 | 29.628 | 0.000 | 0.000 | -0.000 |
| 29.628 | 45.709 | 29.628 | 0.000 | 0.000 | -0.000 |
| 29.628 | 29.628 | 45.709 | 0.000 | 0.000 | -0.000 |
| -0.000 | -0.000 | -0.000 | 1.346 | 0.000 | -0.000 |
| -0.000 | -0.000 | -0.000 | 0.000 | 1.346 | 0.000 |
| -0.000 | -0.000 | -0.000 | 0.000 | 0.000 | 1.346 |
| 52.425 | 11.138 | 11.138 | 0.000 | -0.000 | 0.000 |
| 11.138 | 52.425 | 11.138 | 0.000 | 0.000 | -0.000 |
| 11.138 | 11.138 | 52.425 | 0.000 | 0.000 | 0.000 |
| 0.000 | 0.000 | 0.000 | 11.633 | 0.000 | -0.000 |
| 0.000 | 0.000 | 0.000 | 0.000 | 11.633 | 0.000 |
| 0.000 | 0.000 | -0.000 | 0.000 | 0.000 | 11.633 |
| 52.425 | 11.138 | 11.138 | 0.000 | -0.000 | 0.000 |
| 11.138 | 52.425 | 11.138 | -0.000 | -0.000 | -0.000 |
| 11.138 | 11.138 | 52.425 | 0.000 | 0.000 | -0.000 |
| -0.000 | -0.000 | -0.000 | 11.633 | -0.000 | 0.000 |
| -0.000 | -0.000 | -0.000 | -0.000 | 11.633 | -0.000 |
| -0.000 | -0.000 | 0.000 | -0.000 | -0.000 | 11.633 |
| 52.425 | 11.138 | 11.138 | 0.000 | 0.000 | -0.000 |
| 11.138 | 52.425 | 11.138 | 0.000 | 0.000 | -0.000 |
| 11.138 | 11.138 | 52.425 | 0.000 | 0.000 | -0.000 |
| 0.000 | 0.000 | 0.000 | 11.633 | -0.000 | 0.000 |
| 0.000 | 0.000 | 0.000 | -0.000 | 11.633 | 0.000 |
| 0.000 | 0.000 | 0.000 | 0.000 | 0.000 | 11.633 |
| 52.425 | 11.138 | 11.138 | 0.000 | -0.000 | -0.000 |
| 11.138 | 52.425 | 11.138 | -0.000 | -0.000 | -0.000 |
| 11.138 | 11.138 | 52.425 | 0.000 | 0.000 | -0.000 |
| -0.000 | -0.000 | -0.000 | 11.633 | -0.000 | -0.000 |
| -0.000 | -0.000 | -0.000 | -0.000 | 11.633 | -0.000 |
| -0.000 | -0.000 | -0.000 | 0.000 | -0.000 | 11.633 |
| 52.423 | 11.138 | 11.138 | -0.000 | -0.000 | 0.000 |
| 11.138 | 52.423 | 11.138 | -0.000 | 0.000 | -0.000 |
| 11.138 | 11.138 | 52.423 | -0.000 | 0.000 | 0.000 |
| 0.000 | 0.000 | 0.000 | 11.633 | 0.000 | 0.000 |
| 0.000 | 0.000 | 0.000 | 0.000 | 11.633 | -0.000 |
| 0.000 | 0.000 | 0.000 | -0.000 | 0.000 | 11.633 |
| 52.426 | 11.138 | 11.138 | 0.000 | -0.000 | 0.000 |
| 11.138 | 52.426 | 11.138 | -0.000 | -0.000 | 0.000 |
| 11.138 | 11.138 | 52.426 | 0.000 | 0.000 | 0.000 |
| -0.000 | -0.000 | -0.000 | 11.633 | -0.000 | 0.000 |
| -0.000 | -0.000 | -0.000 | -0.000 | 11.633 | -0.000 |
| -0.000 | -0.000 | -0.000 | 0.000 | -0.000 | 11.633 |
| 18.603 | 9.378 | 9.378 | -0.000 | -0.000 | -0.000 |
| 9.378 | 18.603 | 9.378 | -0.000 | -0.000 | -0.000 |
| 9.378 | 9.378 | 18.603 | -0.000 | -0.000 | -0.000 |
| 0.000 | 0.000 | 0.000 | 9.057 | -0.000 | -0.000 |
| 0.000 | 0.000 | 0.000 | -0.000 | 9.057 | 0.000 |
| 0.000 | 0.000 | 0.000 | -0.000 | 0.000 | 9.057 |
| 18.603 | 9.378 | 9.378 | 0.000 | 0.000 | 0.000 |
| 9.378 | 18.603 | 9.378 | 0.000 | 0.000 | 0.000 |
| 9.378 | 9.378 | 18.603 | 0.000 | 0.000 | 0.000 |
| -0.000 | -0.000 | -0.000 | 9.057 | 0.000 | 0.000 |
| -0.000 | -0.000 | -0.000 | 0.000 | 9.057 | -0.000 |
| -0.000 | -0.000 | -0.000 | 0.000 | 0.000 | 9.057 |
| 18.603 | 9.378 | 9.378 | -0.000 | -0.000 | -0.000 |
| 9.378 | 18.603 | 9.378 | -0.000 | -0.000 | -0.000 |
| 9.378 | 9.378 | 18.603 | -0.000 | -0.000 | -0.000 |
| 0.000 | 0.000 | 0.000 | 9.057 | -0.000 | -0.000 |
| 0.000 | 0.000 | 0.000 | -0.000 | 9.057 | -0.000 |
| 0.000 | 0.000 | 0.000 | -0.000 | -0.000 | 9.057 |
| 18.603 | 9.378 | 9.378 | 0.000 | 0.000 | 0.000 |
| 9.378 | 18.603 | 9.378 | 0.000 | 0.000 | 0.000 |
| 9.378 | 9.378 | 18.603 | 0.000 | 0.000 | 0.000 |
| -0.000 | -0.000 | -0.000 | 9.057 | 0.000 | 0.000 |
| -0.000 | -0.000 | -0.000 | 0.000 | 9.057 | -0.000 |
| -0.000 | -0.000 | -0.000 | 0.000 | -0.000 | 9.057 |
| 18.604 | 9.378 | 9.378 | -0.000 | -0.000 | -0.000 |
| 9.378 | 18.604 | 9.378 | -0.000 | -0.000 | -0.000 |
| 9.378 | 9.378 | 18.604 | -0.000 | -0.000 | -0.000 |
| 0.000 | 0.000 | 0.000 | 9.057 | -0.000 | -0.000 |
| 0.000 | 0.000 | 0.000 | -0.000 | 9.057 | -0.000 |
| 0.000 | 0.000 | 0.000 | -0.000 | -0.000 | 9.057 |
| 18.603 | 9.378 | 9.378 | 0.000 | 0.000 | 0.000 |
| 9.378 | 18.603 | 9.378 | 0.000 | 0.000 | 0.000 |
| 9.378 | 9.378 | 18.603 | 0.000 | 0.000 | 0.000 |
| -0.000 | -0.000 | -0.000 | 9.057 | 0.000 | 0.000 |
| -0.000 | -0.000 | -0.000 | 0.000 | 9.057 | 0.000 |
| -0.000 | -0.000 | -0.000 | 0.000 | 0.000 | 9.057 |
| 156.985 | 351.247 | 351.247 | -0.000 | -0.000 | -0.000 |
| 351.247 | 156.985 | 351.247 | 0.000 | -0.000 | -0.000 |
| 351.247 | 351.247 | 156.985 | -0.000 | -0.000 | -0.000 |
| -0.000 | 0.000 | 0.000 | 3.443 | -0.000 | -0.000 |
| -0.000 | -0.000 | 0.000 | -0.000 | 3.443 | -0.000 |
| -0.000 | 0.000 | -0.000 | -0.000 | -0.000 | 3.443 |
| 156.985 | 351.247 | 351.247 | 0.000 | 0.000 | 0.000 |
| 351.247 | 156.985 | 351.247 | 0.000 | 0.000 | 0.000 |
| 351.247 | 351.247 | 156.985 | 0.000 | 0.000 | 0.000 |
| 0.000 | -0.000 | -0.000 | 3.443 | 0.000 | -0.000 |
| 0.000 | 0.000 | 0.000 | 0.000 | 3.443 | 0.000 |
| 0.000 | -0.000 | 0.000 | 0.000 | 0.000 | 3.443 |
| 156.985 | 351.247 | 351.247 | -0.000 | -0.000 | -0.000 |
| 351.247 | 156.985 | 351.247 | -0.000 | -0.000 | -0.000 |
| 351.247 | 351.247 | 156.985 | -0.000 | -0.000 | -0.000 |
| -0.000 | 0.000 | 0.000 | 3.443 | -0.000 | -0.000 |
| 0.000 | -0.000 | 0.000 | -0.000 | 3.443 | -0.000 |
| 0.000 | 0.000 | -0.000 | -0.000 | -0.000 | 3.443 |
| 156.985 | 351.247 | 351.247 | 0.000 | 0.000 | 0.000 |
| 351.247 | 156.985 | 351.247 | 0.000 | 0.000 | 0.000 |
| 351.247 | 351.247 | 156.985 | -0.000 | 0.000 | 0.000 |
| 0.000 | -0.000 | -0.000 | 3.443 | 0.000 | 0.000 |
| -0.000 | 0.000 | -0.000 | -0.000 | 3.443 | 0.000 |
| -0.000 | -0.000 | 0.000 | 0.000 | 0.000 | 3.443 |
| 156.988 | 351.246 | 351.246 | -0.000 | -0.000 | -0.000 |
| 351.246 | 156.988 | 351.246 | -0.000 | -0.000 | -0.000 |
| 351.246 | 351.246 | 156.988 | 0.000 | -0.000 | -0.000 |
| -0.000 | 0.001 | 0.001 | 3.443 | -0.000 | -0.000 |
| 0.001 | -0.000 | 0.001 | -0.000 | 3.443 | -0.000 |
| 0.001 | 0.001 | -0.000 | -0.000 | -0.000 | 3.443 |
| 156.982 | 351.248 | 351.248 | 0.000 | 0.000 | 0.000 |
| 351.248 | 156.982 | 351.248 | 0.000 | 0.000 | 0.000 |
| 351.248 | 351.248 | 156.982 | 0.000 | 0.000 | -0.000 |
| 0.000 | -0.001 | -0.001 | 3.443 | 0.000 | 0.000 |
| -0.001 | 0.000 | -0.001 | 0.000 | 3.443 | 0.000 |
| -0.001 | -0.001 | 0.000 | 0.000 | 0.000 | 3.443 |
| -943.375 | -180.813 | -180.813 | 0.000 | 0.000 | -0.000 |
| -180.813 | -943.375 | -180.813 | -0.000 | 0.000 | -0.000 |
| -180.813 | -180.813 | -943.375 | 0.000 | 0.000 | -0.000 |
| 0.000 | 0.000 | 0.000 | -232.607 | 0.000 | -0.000 |
| 0.000 | 0.000 | -0.000 | -0.000 | -232.607 | -0.000 |
| 0.000 | 0.000 | -0.000 | -0.000 | 0.000 | -232.607 |
| -943.375 | -180.813 | -180.813 | 0.000 | -0.000 | 0.000 |
| -180.813 | -943.375 | -180.813 | 0.000 | -0.000 | 0.000 |
| -180.813 | -180.813 | -943.375 | -0.000 | -0.000 | 0.000 |
| -0.000 | -0.000 | 0.000 | -232.607 | -0.000 | 0.000 |
| -0.000 | -0.000 | 0.000 | 0.000 | -232.607 | 0.000 |
| -0.000 | -0.000 | 0.000 | 0.000 | -0.000 | -232.607 |
| -943.376 | -180.813 | -180.813 | -0.000 | 0.000 | -0.000 |
| -180.813 | -943.376 | -180.813 | -0.000 | 0.000 | -0.000 |
| -180.813 | -180.813 | -943.376 | -0.000 | 0.000 | -0.000 |
| 0.000 | 0.000 | 0.000 | -232.607 | 0.000 | -0.000 |
| 0.000 | 0.000 | 0.000 | -0.000 | -232.607 | -0.000 |
| 0.000 | 0.000 | 0.000 | -0.000 | 0.000 | -232.607 |
| -943.374 | -180.813 | -180.813 | 0.000 | -0.000 | 0.000 |
| -180.813 | -943.374 | -180.813 | -0.000 | -0.000 | 0.000 |
| -180.813 | -180.813 | -943.374 | 0.000 | -0.000 | 0.000 |
| -0.000 | -0.000 | -0.000 | -232.607 | -0.000 | 0.000 |
| -0.000 | -0.000 | -0.000 | 0.000 | -232.607 | 0.000 |
| -0.000 | -0.000 | -0.000 | 0.000 | -0.000 | -232.607 |
| -943.383 | -180.811 | -180.811 | -0.000 | 0.000 | -0.000 |
| -180.811 | -943.383 | -180.811 | -0.000 | 0.000 | -0.000 |
| -180.811 | -180.811 | -943.383 | 0.000 | 0.000 | 0.000 |
| 0.000 | 0.001 | 0.001 | -232.607 | 0.000 | -0.000 |
| 0.001 | 0.000 | 0.001 | -0.000 | -232.607 | -0.000 |
| 0.001 | 0.001 | 0.000 | 0.000 | 0.000 | -232.607 |
| -943.367 | -180.815 | -180.815 | 0.000 | -0.000 | 0.000 |
| -180.815 | -943.367 | -180.815 | 0.000 | -0.000 | 0.000 |
| -180.815 | -180.815 | -943.367 | -0.000 | -0.000 | 0.000 |
| -0.000 | -0.001 | -0.001 | -232.607 | -0.000 | 0.000 |
| -0.001 | -0.000 | -0.001 | 0.000 | -232.607 | 0.000 |
| -0.001 | -0.001 | -0.000 | -0.000 | -0.000 | -232.607 |
| 579.194 | 259.079 | 259.079 | -0.000 | -0.000 | -0.000 |
| 259.079 | 579.194 | 259.079 | 0.000 | -0.000 | -0.000 |
| 259.079 | 259.079 | 579.194 | 0.000 | 0.000 | -0.000 |
| -0.000 | -0.000 | -0.000 | 220.723 | 0.000 | -0.000 |
| -0.000 | -0.000 | -0.000 | 0.000 | 220.723 | -0.000 |
| -0.000 | -0.000 | -0.000 | 0.000 | 0.000 | 220.723 |
| 579.194 | 259.079 | 259.079 | -0.000 | -0.000 | 0.000 |
| 259.079 | 579.194 | 259.079 | -0.000 | -0.000 | 0.000 |
| 259.079 | 259.079 | 579.194 | -0.000 | -0.000 | 0.000 |
| 0.000 | 0.000 | 0.000 | 220.723 | -0.000 | 0.000 |
| 0.000 | 0.000 | 0.000 | -0.000 | 220.723 | 0.000 |
| 0.000 | 0.000 | 0.000 | -0.000 | -0.000 | 220.723 |
| 579.194 | 259.079 | 259.079 | 0.000 | 0.000 | -0.000 |
| 259.079 | 579.194 | 259.079 | 0.000 | 0.000 | -0.000 |
| 259.079 | 259.079 | 579.194 | -0.000 | 0.000 | -0.000 |
| -0.000 | -0.000 | -0.000 | 220.723 | 0.000 | -0.000 |
| -0.000 | -0.000 | -0.000 | 0.000 | 220.723 | -0.000 |
| -0.000 | -0.000 | -0.000 | 0.000 | 0.000 | 220.723 |
| 579.194 | 259.079 | 259.079 | 0.000 | -0.000 | 0.000 |
| 259.079 | 579.194 | 259.079 | -0.000 | -0.000 | 0.000 |
| 259.079 | 259.079 | 579.194 | -0.000 | -0.000 | 0.000 |
| 0.000 | 0.000 | 0.000 | 220.723 | -0.000 | 0.000 |
| 0.000 | 0.000 | 0.000 | -0.000 | 220.723 | 0.000 |
| 0.000 | 0.000 | 0.000 | -0.000 | -0.000 | 220.723 |
| 579.197 | 259.079 | 259.079 | -0.000 | -0.000 | -0.000 |
| 259.079 | 579.197 | 259.079 | 0.000 | 0.000 | -0.000 |
| 259.079 | 259.079 | 579.197 | -0.000 | 0.000 | -0.000 |
| -0.001 | -0.002 | -0.002 | 220.723 | -0.000 | -0.000 |
| -0.002 | -0.001 | -0.002 | 0.000 | 220.723 | -0.000 |
| -0.002 | -0.002 | -0.001 | -0.000 | 0.000 | 220.723 |
| 579.192 | 259.079 | 259.079 | -0.000 | 0.000 | 0.000 |
| 259.079 | 579.192 | 259.079 | -0.000 | 0.000 | 0.000 |
| 259.079 | 259.079 | 579.192 | -0.000 | -0.000 | 0.000 |
| 0.001 | 0.002 | 0.002 | 220.723 | 0.000 | 0.000 |
| 0.002 | 0.001 | 0.002 | -0.000 | 220.723 | 0.000 |
| 0.002 | 0.002 | 0.001 | -0.000 | -0.000 | 220.723 |
| 124.956 | 129.567 | 129.567 | -0.000 | -0.000 | -0.000 |
| 129.567 | 124.956 | 129.567 | -0.000 | -0.000 | -0.000 |
| 129.567 | 129.567 | 124.956 | -0.000 | -0.000 | -0.000 |
| 0.000 | -0.000 | -0.000 | 89.136 | -0.000 | -0.000 |
| -0.000 | 0.000 | -0.000 | -0.000 | 89.136 | -0.000 |
| -0.000 | -0.000 | -0.000 | -0.000 | 0.000 | 89.136 |
| 124.956 | 129.567 | 129.567 | 0.000 | 0.000 | 0.000 |
| 129.567 | 124.956 | 129.567 | 0.000 | 0.000 | 0.000 |
| 129.567 | 129.567 | 124.956 | 0.000 | 0.000 | 0.000 |
| -0.000 | 0.000 | 0.000 | 89.136 | -0.000 | 0.000 |
| 0.000 | 0.000 | 0.000 | 0.000 | 89.136 | 0.000 |
| 0.000 | 0.000 | 0.000 | 0.000 | 0.000 | 89.136 |
| 124.956 | 129.567 | 129.567 | -0.000 | 0.000 | -0.000 |
| 129.567 | 124.956 | 129.567 | 0.000 | -0.000 | -0.000 |
| 129.567 | 129.567 | 124.956 | 0.000 | -0.000 | -0.000 |
| 0.000 | -0.000 | -0.000 | 89.136 | -0.000 | -0.000 |
| -0.000 | 0.000 | -0.000 | -0.000 | 89.136 | -0.000 |
| -0.000 | -0.000 | 0.000 | -0.000 | -0.000 | 89.136 |
| 124.956 | 129.567 | 129.567 | 0.000 | 0.000 | 0.000 |
| 129.567 | 124.956 | 129.567 | 0.000 | 0.000 | 0.000 |
| 129.567 | 129.567 | 124.956 | 0.000 | -0.000 | 0.000 |
| -0.000 | 0.000 | 0.000 | 89.136 | 0.000 | 0.000 |
| 0.000 | -0.000 | 0.000 | 0.000 | 89.136 | 0.000 |
| 0.000 | 0.000 | -0.000 | 0.000 | 0.000 | 89.136 |
| 124.953 | 129.566 | 129.566 | -0.000 | -0.000 | -0.000 |
| 129.566 | 124.953 | 129.566 | -0.000 | -0.000 | -0.000 |
| 129.566 | 129.566 | 124.953 | -0.000 | 0.000 | -0.000 |
| 0.000 | -0.001 | -0.001 | 89.136 | -0.000 | -0.000 |
| -0.001 | 0.000 | -0.001 | -0.000 | 89.136 | -0.000 |
| -0.001 | -0.001 | 0.000 | -0.000 | -0.000 | 89.136 |
| 124.959 | 129.567 | 129.567 | 0.000 | 0.000 | 0.000 |
| 129.567 | 124.959 | 129.567 | 0.000 | 0.000 | 0.000 |
| 129.567 | 129.567 | 124.959 | 0.000 | 0.000 | 0.000 |
| -0.000 | 0.001 | 0.001 | 89.136 | 0.000 | 0.000 |
| 0.001 | -0.000 | 0.001 | 0.000 | 89.136 | 0.000 |
| 0.001 | 0.001 | -0.000 | 0.000 | 0.000 | 89.136 |
| 312.859 | 156.467 | 156.467 | 0.000 | -0.000 | -0.000 |
| 156.467 | 312.859 | 156.467 | -0.000 | -0.000 | 0.000 |
| 156.467 | 156.467 | 312.859 | 0.000 | 0.000 | -0.000 |
| -0.000 | -0.000 | -0.000 | 156.391 | -0.000 | -0.000 |
| -0.000 | -0.000 | -0.000 | 0.000 | 156.391 | 0.000 |
| -0.000 | -0.000 | -0.000 | 0.000 | 0.000 | 156.391 |
| 312.859 | 156.467 | 156.467 | 0.000 | -0.000 | -0.000 |
| 156.467 | 312.859 | 156.467 | -0.000 | 0.000 | 0.000 |
| 156.467 | 156.467 | 312.859 | 0.000 | 0.000 | 0.000 |
| 0.000 | 0.000 | 0.000 | 156.391 | 0.000 | 0.000 |
| 0.000 | 0.000 | 0.000 | 0.000 | 156.391 | -0.000 |
| 0.000 | 0.000 | 0.000 | 0.000 | -0.000 | 156.391 |
| 312.858 | 156.467 | 156.467 | 0.000 | 0.000 | 0.000 |
| 156.467 | 312.858 | 156.467 | 0.000 | -0.000 | 0.000 |
| 156.467 | 156.467 | 312.858 | 0.000 | 0.000 | -0.000 |
| -0.000 | -0.000 | -0.000 | 156.391 | -0.000 | -0.000 |
| -0.000 | -0.000 | -0.000 | -0.000 | 156.391 | 0.000 |
| -0.000 | -0.000 | -0.000 | 0.000 | 0.000 | 156.391 |
| 312.859 | 156.468 | 156.468 | 0.000 | 0.000 | 0.000 |
| 156.468 | 312.859 | 156.468 | 0.000 | 0.000 | 0.000 |
| 156.468 | 156.468 | 312.859 | -0.000 | 0.000 | 0.000 |
| 0.000 | 0.000 | 0.000 | 156.391 | -0.000 | -0.000 |
| 0.000 | 0.000 | 0.000 | -0.000 | 156.391 | -0.000 |
| 0.000 | 0.000 | 0.000 | -0.000 | -0.000 | 156.391 |
| 312.854 | 156.466 | 156.466 | 0.000 | -0.000 | -0.000 |
| 156.466 | 312.854 | 156.466 | 0.000 | -0.000 | -0.000 |
| 156.466 | 156.466 | 312.854 | -0.000 | -0.000 | -0.000 |
| -0.000 | -0.002 | -0.002 | 156.391 | -0.000 | -0.000 |
| -0.002 | -0.000 | -0.002 | -0.000 | 156.391 | 0.000 |
| -0.002 | -0.002 | -0.000 | -0.000 | 0.000 | 156.391 |
| 312.863 | 156.469 | 156.469 | 0.000 | 0.000 | 0.000 |
| 156.469 | 312.863 | 156.469 | 0.000 | 0.000 | 0.000 |
| 156.469 | 156.469 | 312.863 | -0.000 | 0.000 | 0.000 |
| 0.000 | 0.002 | 0.002 | 156.391 | 0.000 | 0.000 |
| 0.002 | 0.000 | 0.002 | 0.000 | 156.391 | -0.000 |
| 0.002 | 0.002 | 0.000 | -0.000 | -0.000 | 156.391 |
| 581.837 | 290.587 | 290.587 | 0.000 | 0.000 | 0.000 |
| 290.587 | 581.837 | 290.587 | 0.000 | 0.000 | 0.000 |
| 290.587 | 290.587 | 581.837 | 0.000 | 0.000 | 0.000 |
| -0.000 | -0.000 | -0.000 | 291.249 | 0.000 | 0.000 |
| -0.000 | 0.000 | -0.000 | 0.000 | 291.249 | -0.000 |
| -0.000 | -0.000 | 0.000 | 0.000 | -0.000 | 291.249 |
| 581.837 | 290.588 | 290.588 | -0.000 | -0.000 | -0.000 |
| 290.588 | 581.837 | 290.588 | -0.000 | -0.000 | -0.000 |
| 290.588 | 290.588 | 581.837 | -0.000 | -0.000 | -0.000 |
| 0.000 | 0.000 | 0.000 | 291.249 | -0.000 | -0.000 |
| 0.000 | -0.000 | 0.000 | -0.000 | 291.249 | -0.000 |
| 0.000 | 0.000 | -0.000 | -0.000 | -0.000 | 291.249 |
| 581.836 | 290.587 | 290.587 | 0.000 | 0.000 | 0.000 |
| 290.587 | 581.836 | 290.587 | -0.000 | 0.000 | 0.000 |
| 290.587 | 290.587 | 581.836 | 0.000 | 0.000 | 0.000 |
| -0.000 | -0.000 | -0.000 | 291.249 | 0.000 | 0.000 |
| -0.000 | -0.000 | -0.000 | 0.000 | 291.249 | -0.000 |
| -0.000 | -0.000 | -0.000 | 0.000 | -0.000 | 291.249 |
| 581.837 | 290.588 | 290.588 | -0.000 | 0.000 | 0.000 |
| 290.588 | 581.837 | 290.588 | 0.000 | -0.000 | 0.000 |
| 290.588 | 290.588 | 581.837 | -0.000 | -0.000 | -0.000 |
| 0.000 | 0.000 | 0.000 | 291.249 | -0.000 | -0.000 |
| 0.000 | 0.000 | 0.000 | -0.000 | 291.249 | 0.000 |
| 0.000 | 0.000 | 0.000 | -0.000 | 0.000 | 291.249 |
| 581.831 | 290.585 | 290.585 | 0.000 | 0.000 | 0.000 |
| 290.585 | 581.831 | 290.585 | 0.000 | 0.000 | 0.000 |
| 290.585 | 290.585 | 581.831 | 0.000 | 0.000 | 0.000 |
| -0.000 | -0.003 | -0.003 | 291.249 | 0.000 | 0.000 |
| -0.003 | -0.000 | -0.003 | 0.000 | 291.249 | -0.000 |
| -0.003 | -0.003 | -0.000 | 0.000 | -0.000 | 291.249 |
| 581.842 | 290.590 | 290.590 | -0.000 | -0.000 | -0.000 |
| 290.590 | 581.842 | 290.590 | -0.000 | -0.000 | -0.000 |
| 290.590 | 290.590 | 581.842 | -0.000 | -0.000 | -0.000 |
| 0.000 | 0.003 | 0.003 | 291.249 | -0.000 | -0.000 |
| 0.003 | 0.000 | 0.003 | -0.000 | 291.249 | 0.000 |
| 0.003 | 0.003 | 0.000 | -0.000 | 0.000 | 291.249 |
| 350.062 | 307.260 | 307.260 | 0.000 | -0.000 | -0.000 |
| 307.260 | 350.062 | 307.260 | 0.000 | -0.000 | -0.000 |
| 307.260 | 307.260 | 350.062 | 0.000 | 0.000 | -0.000 |
| 0.000 | -0.000 | 0.000 | 38.574 | 0.000 | -0.000 |
| -0.000 | -0.000 | 0.000 | 0.000 | 38.574 | -0.000 |
| -0.000 | -0.000 | 0.000 | 0.000 | 0.000 | 38.574 |
| 347.649 | 308.466 | 308.466 | -0.000 | -0.000 | 0.000 |
| 308.466 | 347.649 | 308.466 | -0.000 | -0.000 | 0.000 |
| 308.466 | 308.466 | 347.649 | -0.000 | -0.000 | 0.000 |
| -0.000 | 0.000 | -0.000 | 38.574 | -0.000 | -0.000 |
| 0.000 | -0.000 | -0.000 | -0.000 | 38.574 | 0.000 |
| 0.000 | 0.000 | 0.000 | -0.000 | -0.000 | 38.574 |
| 350.063 | 307.260 | 307.260 | 0.000 | -0.000 | 0.000 |
| 307.260 | 350.063 | 307.260 | 0.000 | 0.000 | -0.000 |
| 307.260 | 307.260 | 350.063 | 0.000 | 0.000 | 0.000 |
| 0.000 | 0.000 | 0.000 | 42.531 | -0.000 | -0.000 |
| 0.000 | 0.000 | 0.000 | 0.000 | 42.531 | -0.000 |
| 0.000 | 0.000 | 0.000 | 0.000 | -0.000 | 42.531 |
| 350.062 | 307.259 | 307.259 | -0.000 | 0.000 | -0.000 |
| 307.259 | 350.062 | 307.259 | -0.000 | 0.000 | 0.000 |
| 307.259 | 307.259 | 350.062 | 0.000 | 0.000 | -0.000 |
| -0.000 | -0.000 | -0.000 | 42.531 | 0.000 | 0.000 |
| -0.000 | -0.000 | -0.000 | -0.000 | 42.531 | 0.000 |
| -0.000 | -0.000 | -0.000 | -0.000 | -0.000 | 42.531 |
| 347.651 | 308.468 | 308.468 | 0.000 | -0.000 | 0.000 |
| 308.468 | 347.651 | 308.468 | 0.000 | 0.000 | -0.000 |
| 308.468 | 308.468 | 347.651 | 0.000 | -0.000 | -0.000 |
| 0.000 | -0.000 | 0.000 | 38.574 | 0.000 | -0.000 |
| -0.000 | 0.000 | 0.000 | 0.000 | 38.574 | -0.000 |
| -0.000 | 0.000 | 0.000 | 0.000 | 0.000 | 38.574 |
| 347.648 | 308.465 | 308.465 | -0.000 | -0.000 | -0.000 |
| 308.465 | 347.648 | 308.465 | -0.000 | -0.000 | 0.000 |
| 308.465 | 308.465 | 347.648 | -0.000 | -0.000 | 0.000 |
| -0.000 | 0.000 | -0.000 | 38.574 | -0.000 | -0.000 |
| 0.000 | -0.000 | -0.000 | 0.000 | 38.574 | 0.000 |
| 0.000 | -0.000 | -0.000 | -0.000 | -0.000 | 38.574 |
| 118.707 | 111.856 | 111.856 | 0.000 | -0.000 | -0.000 |
| 111.856 | 118.707 | 111.856 | -0.000 | -0.000 | 0.000 |
| 111.856 | 111.856 | 118.707 | 0.000 | -0.000 | -0.000 |
| -0.000 | -0.000 | -0.000 | 56.408 | -0.000 | -0.000 |
| -0.000 | -0.000 | -0.000 | -0.000 | 56.408 | -0.000 |
| -0.000 | 0.000 | -0.000 | -0.000 | -0.000 | 56.408 |
| 118.707 | 111.856 | 111.856 | -0.000 | 0.000 | 0.000 |
| 111.856 | 118.707 | 111.856 | 0.000 | 0.000 | -0.000 |
| 111.856 | 111.856 | 118.707 | -0.000 | 0.000 | 0.000 |
| 0.000 | 0.000 | 0.000 | 56.408 | 0.000 | 0.000 |
| 0.000 | 0.000 | 0.000 | 0.000 | 56.408 | -0.000 |
| 0.000 | -0.000 | 0.000 | 0.000 | 0.000 | 56.408 |
| 118.707 | 111.856 | 111.856 | -0.000 | -0.000 | -0.000 |
| 111.856 | 118.707 | 111.856 | -0.000 | -0.000 | -0.000 |
| 111.856 | 111.856 | 118.707 | 0.000 | -0.000 | 0.000 |
| -0.000 | -0.000 | -0.000 | 61.534 | -0.000 | 0.000 |
| -0.000 | -0.000 | -0.000 | -0.000 | 61.534 | 0.000 |
| -0.000 | -0.000 | -0.000 | 0.000 | -0.000 | 61.534 |
| 118.707 | 111.856 | 111.856 | 0.000 | 0.000 | 0.000 |
| 111.856 | 118.707 | 111.856 | -0.000 | 0.000 | -0.000 |
| 111.856 | 111.856 | 118.707 | -0.000 | 0.000 | -0.000 |
| 0.000 | 0.000 | 0.000 | 61.534 | 0.000 | -0.000 |
| 0.000 | 0.000 | 0.000 | 0.000 | 61.534 | -0.000 |
| 0.000 | 0.000 | 0.000 | -0.000 | 0.000 | 61.534 |
| 123.124 | 109.648 | 109.648 | -0.000 | -0.000 | 0.000 |
| 109.648 | 123.124 | 109.648 | -0.000 | -0.000 | 0.000 |
| 109.648 | 109.648 | 123.124 | 0.000 | -0.000 | 0.000 |
| -0.000 | -0.000 | -0.000 | 56.408 | -0.000 | 0.000 |
| -0.000 | -0.000 | -0.000 | 0.000 | 56.408 | 0.000 |
| -0.000 | -0.000 | -0.000 | 0.000 | -0.000 | 56.408 |
| 118.706 | 111.855 | 111.855 | -0.000 | 0.000 | 0.000 |
| 111.855 | 118.706 | 111.855 | -0.000 | 0.000 | 0.000 |
| 111.855 | 111.855 | 118.706 | -0.000 | 0.000 | -0.000 |
| 0.000 | 0.000 | 0.000 | 56.408 | 0.000 | 0.000 |
| 0.000 | 0.000 | 0.000 | -0.000 | 56.408 | 0.000 |
| 0.000 | 0.000 | 0.000 | -0.000 | 0.000 | 56.408 |
| 638.473 | 184.394 | 184.394 | 0.000 | 0.000 | 0.000 |
| 184.394 | 638.473 | 184.394 | 0.000 | 0.000 | -0.000 |
| 184.394 | 184.394 | 638.473 | 0.000 | 0.000 | 0.000 |
| -0.000 | 0.000 | 0.000 | 181.255 | -0.000 | -0.000 |
| 0.000 | -0.000 | 0.000 | 0.000 | 181.255 | 0.000 |
| 0.000 | 0.000 | -0.000 | 0.000 | 0.000 | 181.255 |
| 638.473 | 184.394 | 184.394 | -0.000 | -0.000 | -0.000 |
| 184.394 | 638.473 | 184.394 | -0.000 | -0.000 | -0.000 |
| 184.394 | 184.394 | 638.473 | -0.000 | 0.000 | -0.000 |
| 0.000 | -0.000 | -0.000 | 181.255 | 0.000 | -0.000 |
| -0.000 | 0.000 | -0.000 | -0.000 | 181.255 | -0.000 |
| -0.000 | -0.000 | 0.000 | -0.000 | -0.000 | 181.255 |
| 638.474 | 184.394 | 184.394 | 0.000 | 0.000 | 0.000 |
| 184.394 | 638.474 | 184.394 | 0.000 | 0.000 | 0.000 |
| 184.394 | 184.394 | 638.474 | 0.000 | -0.000 | -0.000 |
| -0.000 | 0.000 | 0.000 | 181.255 | 0.000 | 0.000 |
| 0.000 | -0.000 | 0.000 | 0.000 | 181.255 | 0.000 |
| 0.000 | 0.000 | -0.000 | 0.000 | 0.000 | 181.255 |
| 638.472 | 184.394 | 184.394 | -0.000 | -0.000 | -0.000 |
| 184.394 | 638.472 | 184.394 | -0.000 | -0.000 | -0.000 |
| 184.394 | 184.394 | 638.472 | -0.000 | -0.000 | 0.000 |
| 0.000 | -0.000 | -0.000 | 181.255 | -0.000 | 0.000 |
| -0.000 | 0.000 | -0.000 | -0.000 | 181.255 | -0.000 |
| -0.000 | -0.000 | 0.000 | -0.000 | -0.000 | 181.255 |
| 638.483 | 184.394 | 184.394 | 0.000 | 0.000 | -0.000 |
| 184.394 | 638.483 | 184.394 | 0.000 | 0.000 | 0.000 |
| 184.394 | 184.394 | 638.483 | 0.000 | 0.000 | -0.000 |
| -0.001 | 0.000 | 0.000 | 181.255 | 0.000 | 0.000 |
| 0.000 | -0.001 | 0.000 | 0.000 | 181.255 | 0.000 |
| 0.000 | 0.000 | -0.001 | 0.000 | 0.000 | 181.255 |
| 638.463 | 184.393 | 184.393 | -0.000 | -0.000 | -0.000 |
| 184.393 | 638.463 | 184.393 | -0.000 | -0.000 | 0.000 |
| 184.393 | 184.393 | 638.463 | -0.000 | -0.000 | -0.000 |
| 0.001 | -0.000 | -0.000 | 181.255 | -0.000 | 0.000 |
| -0.000 | 0.001 | -0.000 | -0.000 | 181.255 | -0.000 |
| -0.000 | -0.000 | 0.001 | -0.000 | 0.000 | 181.255 |
| 20.268 | 130.623 | 130.623 | 0.000 | 0.000 | 0.000 |
| 130.623 | 20.268 | 130.623 | 0.000 | -0.000 | 0.000 |
| 130.623 | 130.623 | 20.268 | 0.000 | -0.000 | 0.000 |
| 0.000 | -0.000 | -0.000 | -10.783 | -0.000 | -0.000 |
| -0.000 | 0.000 | -0.000 | -0.000 | -10.783 | -0.000 |
| -0.000 | -0.000 | 0.000 | -0.000 | -0.000 | -10.783 |
| 20.268 | 130.623 | 130.623 | 0.000 | -0.000 | 0.000 |
| 130.623 | 20.268 | 130.623 | -0.000 | 0.000 | 0.000 |
| 130.623 | 130.623 | 20.268 | 0.000 | 0.000 | -0.000 |
| -0.000 | 0.000 | 0.000 | -10.783 | 0.000 | 0.000 |
| 0.000 | -0.000 | 0.000 | 0.000 | -10.783 | 0.000 |
| 0.000 | 0.000 | -0.000 | 0.000 | 0.000 | -10.783 |
| 20.268 | 130.623 | 130.623 | -0.000 | 0.000 | 0.000 |
| 130.623 | 20.268 | 130.623 | 0.000 | -0.000 | -0.000 |
| 130.623 | 130.623 | 20.268 | 0.000 | -0.000 | -0.000 |
| 0.000 | -0.000 | -0.000 | -10.783 | -0.000 | -0.000 |
| -0.000 | 0.000 | -0.000 | -0.000 | -10.783 | -0.000 |
| -0.000 | -0.000 | 0.000 | -0.000 | -0.000 | -10.783 |
| 20.269 | 130.623 | 130.623 | -0.000 | 0.000 | 0.000 |
| 130.623 | 20.269 | 130.623 | 0.000 | 0.000 | 0.000 |
| 130.623 | 130.623 | 20.269 | 0.000 | 0.000 | -0.000 |
| -0.000 | 0.000 | 0.000 | -10.783 | 0.000 | 0.000 |
| 0.000 | -0.000 | 0.000 | 0.000 | -10.783 | 0.000 |
| 0.000 | 0.000 | -0.000 | 0.000 | 0.000 | -10.783 |
| 20.264 | 130.623 | 130.623 | -0.000 | -0.000 | -0.000 |
| 130.623 | 20.264 | 130.623 | -0.000 | -0.000 | -0.000 |
| 130.623 | 130.623 | 20.264 | -0.000 | -0.000 | -0.000 |
| 0.000 | -0.000 | -0.000 | -10.783 | -0.000 | -0.000 |
| -0.000 | 0.000 | -0.000 | -0.000 | -10.783 | -0.000 |
| -0.000 | -0.000 | 0.000 | -0.000 | -0.000 | -10.783 |
| 20.273 | 130.623 | 130.623 | -0.000 | 0.000 | 0.000 |
| 130.623 | 20.273 | 130.623 | 0.000 | 0.000 | -0.000 |
| 130.623 | 130.623 | 20.273 | 0.000 | 0.000 | -0.000 |
| -0.000 | 0.000 | 0.000 | -10.783 | 0.000 | 0.000 |
| 0.000 | -0.000 | 0.000 | 0.000 | -10.783 | 0.000 |
| 0.000 | 0.000 | -0.000 | 0.000 | 0.000 | -10.783 |
| 45212201.785 | 112866471.489 | 114901627.254 | 22432.126 | -539341.435 | 89547.293 |
| 112776369.495 | 43353214.271 | 113094674.089 | -591617.483 | 434395.727 | 577478.902 |
| 113632242.346 | 111665602.787 | 42657823.086 | 15389.566 | 56970.373 | -116763.282 |
| 0.000 | -0.000 | -0.000 | -0.057 | -0.000 | -0.000 |
| -0.000 | 0.000 | -0.000 | -0.000 | -0.057 | -0.000 |
| -0.000 | -0.000 | 0.000 | -0.000 | -0.000 | -0.057 |
| 71.107 | 19.138 | 19.138 | 0.000 | 0.000 | 0.000 |
| -54671539.082 | -190668945.818 | -59023208.594 | 531768.392 | -55441.584 | 84271.481 |
| 19.138 | 19.138 | 71.107 | 0.000 | 0.000 | 0.000 |
| -0.000 | 0.000 | 0.000 | -0.057 | 0.000 | -0.000 |
| 0.000 | -0.000 | 0.000 | 0.000 | -0.057 | -0.000 |
| 0.000 | 0.000 | -0.000 | 0.000 | 0.000 | -0.057 |
| 4447626.650 | 11486860.991 | 11524341.461 | -27337.538 | -19414.289 | -3151.092 |
| 11072418.718 | 4354933.540 | 10936864.010 | -41430.118 | -37670.096 | 28098.330 |
| 11038602.128 | 11284295.763 | 4469800.255 | 11856.265 | 1653.550 | -13770.074 |
| 0.000 | -0.000 | -0.000 | -0.057 | -0.000 | -0.000 |
| -0.000 | 0.000 | -0.000 | -0.000 | -0.057 | -0.000 |
| -0.000 | -0.000 | 0.000 | -0.000 | -0.000 | -0.057 |
| -18910494.253 | -5231771.589 | -5584438.561 | 1684.412 | -2009.261 | -14277.881 |
| -5558559.894 | -19080172.313 | -5069158.488 | -26001.101 | 16643.795 | 21576.314 |
| -5423202.641 | -5428576.718 | -18786056.791 | 19694.728 | 45195.546 | 18343.372 |
| -0.000 | 0.000 | 0.000 | -0.057 | 0.000 | 0.000 |
| 0.000 | -0.000 | 0.000 | 0.000 | -0.057 | 0.000 |
| 0.000 | 0.000 | -0.000 | 0.000 | 0.000 | -0.057 |
| 436235.283 | 1117081.929 | 1111323.958 | -496.066 | 439.454 | -5935.968 |
| 1105260.734 | 424014.322 | 1094671.025 | -108.514 | -5816.633 | 1314.375 |
| 1143199.827 | 1109472.257 | 431061.513 | 1421.345 | -679.416 | 3604.888 |
| 0.000 | -0.000 | -0.000 | -0.057 | -0.000 | -0.000 |
| -0.000 | 0.000 | -0.000 | -0.000 | -0.057 | -0.000 |
| -0.000 | -0.000 | 0.000 | -0.000 | -0.000 | -0.057 |
| -1891067.857 | -537703.805 | -557719.251 | 1604.430 | 3275.474 | -4878.542 |
| -512437.924 | -1889950.200 | -519677.672 | -596.807 | -6915.713 | 5314.562 |
| -531493.568 | -538490.981 | -1866996.295 | -4503.030 | -6364.697 | 829.613 |
| -0.000 | 0.000 | 0.000 | -0.057 | 0.000 | 0.000 |
| 0.000 | -0.000 | 0.000 | 0.000 | -0.057 | 0.000 |
| 0.000 | 0.000 | -0.000 | 0.000 | 0.000 | -0.057 |
| 236.637 | 51.565 | 51.565 | -0.000 | 0.000 | 0.000 |
| 51.565 | 236.637 | 51.565 | -0.000 | 0.000 | 0.000 |
| 51.565 | 51.565 | 236.637 | -0.000 | -0.000 | 0.000 |
| 0.000 | -0.000 | -0.000 | 51.545 | 0.000 | 0.000 |
| -0.000 | 0.000 | -0.000 | 0.000 | 51.545 | 0.000 |
| -0.000 | -0.000 | 0.000 | 0.000 | 0.000 | 51.545 |
| 236.637 | 51.565 | 51.565 | -0.000 | -0.000 | -0.000 |
| 51.565 | 236.637 | 51.565 | -0.000 | -0.000 | -0.000 |
| 51.565 | 51.565 | 236.637 | -0.000 | -0.000 | -0.000 |
| -0.000 | 0.000 | 0.000 | 51.545 | -0.000 | 0.000 |
| 0.000 | -0.000 | 0.000 | -0.000 | 51.545 | -0.000 |
| 0.000 | 0.000 | -0.000 | -0.000 | -0.000 | 51.545 |
| 236.637 | 51.565 | 51.565 | 0.000 | 0.000 | 0.000 |
| 51.565 | 236.637 | 51.565 | 0.000 | 0.000 | 0.000 |
| 51.565 | 51.565 | 236.637 | -0.000 | 0.000 | 0.000 |
| 0.000 | -0.000 | -0.000 | 51.545 | 0.000 | 0.000 |
| -0.000 | 0.000 | -0.000 | 0.000 | 51.545 | 0.000 |
| -0.000 | -0.000 | 0.000 | -0.000 | 0.000 | 51.545 |
| 236.638 | 51.565 | 51.565 | -0.000 | -0.000 | -0.000 |
| 51.565 | 236.638 | 51.565 | -0.000 | -0.000 | -0.000 |
| 51.565 | 51.565 | 236.638 | -0.000 | -0.000 | -0.000 |
| -0.000 | 0.000 | 0.000 | 51.545 | -0.000 | -0.000 |
| 0.000 | -0.000 | 0.000 | -0.000 | 51.545 | -0.000 |
| 0.000 | 0.000 | -0.000 | -0.000 | -0.000 | 51.545 |
| 236.633 | 51.565 | 51.565 | 0.000 | 0.000 | 0.000 |
| 51.565 | 236.633 | 51.565 | 0.000 | 0.000 | -0.000 |
| 51.565 | 51.565 | 236.633 | -0.000 | 0.000 | 0.000 |
| 0.000 | -0.001 | -0.001 | 51.545 | 0.000 | 0.000 |
| -0.001 | 0.000 | -0.001 | 0.000 | 51.545 | 0.000 |
| -0.001 | -0.001 | 0.000 | 0.000 | 0.000 | 51.545 |
| 236.641 | 51.566 | 51.566 | -0.000 | -0.000 | -0.000 |
| 51.566 | 236.641 | 51.566 | 0.000 | -0.000 | -0.000 |
| 51.566 | 51.566 | 236.641 | -0.000 | -0.000 | 0.000 |
| -0.000 | 0.001 | 0.001 | 51.545 | -0.000 | -0.000 |
| 0.001 | -0.000 | 0.001 | -0.000 | 51.545 | -0.000 |
| 0.001 | 0.001 | -0.000 | 0.000 | 0.000 | 51.545 |
| -82.070 | 102.417 | 102.417 | 0.000 | 0.000 | -0.000 |
| 102.417 | -82.070 | 102.417 | 0.000 | 0.000 | -0.000 |
| 102.417 | 102.417 | -82.070 | 0.000 | 0.000 | -0.000 |
| -0.000 | -0.000 | -0.000 | 78.895 | 0.000 | 0.000 |
| -0.000 | -0.000 | -0.000 | 0.000 | 78.895 | -0.000 |
| -0.000 | -0.000 | -0.000 | 0.000 | 0.000 | 78.895 |
| -82.070 | 102.417 | 102.417 | -0.000 | -0.000 | 0.000 |
| 102.417 | -82.070 | 102.417 | -0.000 | -0.000 | 0.000 |
| 102.417 | 102.417 | -82.070 | -0.000 | -0.000 | 0.000 |
| 0.000 | 0.000 | 0.000 | 78.895 | -0.000 | -0.000 |
| 0.000 | 0.000 | 0.000 | 0.000 | 78.895 | 0.000 |
| 0.000 | 0.000 | 0.000 | -0.000 | -0.000 | 78.895 |
| -82.071 | 102.417 | 102.417 | 0.000 | 0.000 | -0.000 |
| 102.417 | -82.071 | 102.417 | 0.000 | 0.000 | -0.000 |
| 102.417 | 102.417 | -82.071 | 0.000 | -0.000 | -0.000 |
| -0.000 | -0.000 | -0.000 | 78.895 | 0.000 | -0.000 |
| -0.000 | -0.000 | -0.000 | 0.000 | 78.895 | -0.000 |
| -0.000 | -0.000 | -0.000 | 0.000 | 0.000 | 78.895 |
| -82.070 | 102.417 | 102.417 | -0.000 | -0.000 | 0.000 |
| 102.417 | -82.070 | 102.417 | -0.000 | -0.000 | -0.000 |
| 102.417 | 102.417 | -82.070 | -0.000 | -0.000 | -0.000 |
| 0.000 | 0.000 | 0.000 | 78.895 | -0.000 | 0.000 |
| 0.000 | 0.000 | 0.000 | -0.000 | 78.895 | -0.000 |
| 0.000 | 0.000 | 0.000 | -0.000 | -0.000 | 78.895 |
| -82.078 | 102.417 | 102.417 | 0.000 | -0.000 | -0.000 |
| 102.417 | -82.078 | 102.417 | 0.000 | 0.000 | 0.000 |
| 102.417 | 102.417 | -82.078 | 0.000 | 0.000 | -0.000 |
| -0.001 | -0.001 | -0.000 | 78.895 | -0.000 | -0.000 |
| -0.001 | -0.001 | -0.000 | 0.000 | 78.895 | -0.000 |
| -0.001 | -0.000 | -0.001 | 0.000 | -0.000 | 78.895 |
| -82.063 | 102.418 | 102.418 | -0.000 | -0.000 | 0.000 |
| 102.418 | -82.063 | 102.418 | -0.000 | -0.000 | -0.000 |
| 102.418 | 102.418 | -82.063 | -0.000 | -0.000 | 0.000 |
| 0.001 | 0.001 | 0.000 | 78.895 | -0.000 | 0.000 |
| 0.001 | 0.001 | 0.000 | -0.000 | 78.895 | 0.000 |
| 0.001 | 0.000 | 0.001 | -0.000 | -0.000 | 78.895 |
| 73.095 | 72.508 | 72.508 | -0.000 | -0.000 | -0.000 |
| 72.508 | 73.095 | 72.508 | -0.000 | -0.000 | -0.000 |
| 72.508 | 72.508 | 73.095 | -0.000 | -0.000 | -0.000 |
| 0.000 | 0.000 | 0.000 | 76.081 | -0.000 | -0.000 |
| 0.000 | 0.000 | 0.000 | -0.000 | 76.081 | -0.000 |
| 0.000 | 0.000 | 0.000 | -0.000 | -0.000 | 76.081 |
| 73.095 | 72.508 | 72.508 | 0.000 | -0.000 | 0.000 |
| 72.508 | 73.095 | 72.508 | 0.000 | 0.000 | 0.000 |
| 72.508 | 72.508 | 73.095 | 0.000 | 0.000 | 0.000 |
| -0.000 | -0.000 | -0.000 | 76.081 | 0.000 | 0.000 |
| -0.000 | -0.000 | -0.000 | 0.000 | 76.081 | -0.000 |
| -0.000 | -0.000 | -0.000 | 0.000 | 0.000 | 76.081 |
| 73.095 | 72.508 | 72.508 | -0.000 | -0.000 | -0.000 |
| 72.508 | 73.095 | 72.508 | -0.000 | -0.000 | 0.000 |
| 72.508 | 72.508 | 73.095 | -0.000 | -0.000 | 0.000 |
| 0.000 | 0.000 | 0.000 | 76.081 | -0.000 | -0.000 |
| 0.000 | 0.000 | 0.000 | -0.000 | 76.081 | -0.000 |
| 0.000 | 0.000 | 0.000 | -0.000 | -0.000 | 76.081 |
| 73.095 | 72.508 | 72.508 | 0.000 | 0.000 | 0.000 |
| 72.508 | 73.095 | 72.508 | 0.000 | 0.000 | 0.000 |
| 72.508 | 72.508 | 73.095 | 0.000 | 0.000 | -0.000 |
| -0.000 | -0.000 | -0.000 | 76.081 | 0.000 | 0.000 |
| -0.000 | -0.000 | -0.000 | 0.000 | 76.081 | -0.000 |
| -0.000 | -0.000 | -0.000 | 0.000 | -0.000 | 76.081 |
| 73.095 | 72.509 | 72.509 | -0.000 | -0.000 | -0.000 |
| 72.509 | 73.095 | 72.509 | -0.000 | -0.000 | -0.000 |
| 72.509 | 72.509 | 73.095 | -0.000 | -0.000 | 0.000 |
| 0.001 | 0.000 | 0.001 | 76.081 | -0.000 | 0.000 |
| 0.000 | 0.001 | 0.001 | -0.000 | 76.081 | -0.000 |
| 0.000 | 0.001 | 0.001 | -0.000 | -0.000 | 76.081 |
| 73.095 | 72.508 | 72.508 | 0.000 | 0.000 | 0.000 |
| 72.508 | 73.095 | 72.508 | 0.000 | 0.000 | 0.000 |
| 72.508 | 72.508 | 73.095 | 0.000 | 0.000 | 0.000 |
| -0.001 | -0.000 | -0.001 | 76.081 | 0.000 | 0.000 |
| -0.000 | -0.001 | -0.001 | 0.000 | 76.081 | 0.000 |
| -0.000 | -0.001 | -0.001 | 0.000 | 0.000 | 76.081 |
| 493.234 | 134.495 | 134.495 | 0.000 | 0.000 | 0.000 |
| 134.495 | 493.234 | 134.495 | 0.000 | 0.000 | 0.000 |
| 134.495 | 134.495 | 493.234 | 0.000 | 0.000 | -0.000 |
| 0.000 | -0.000 | 0.000 | 134.677 | -0.000 | 0.000 |
| -0.000 | 0.000 | 0.000 | -0.000 | 134.677 | 0.000 |
| -0.000 | 0.000 | 0.000 | 0.000 | 0.000 | 134.677 |
| 493.234 | 134.495 | 134.495 | -0.000 | -0.000 | -0.000 |
| 134.495 | 493.234 | 134.495 | 0.000 | 0.000 | -0.000 |
| 134.495 | 134.495 | 493.234 | 0.000 | -0.000 | -0.000 |
| -0.000 | 0.000 | -0.000 | 134.677 | -0.000 | -0.000 |
| 0.000 | -0.000 | -0.000 | -0.000 | 134.677 | -0.000 |
| 0.000 | -0.000 | -0.000 | -0.000 | -0.000 | 134.677 |
| 493.234 | 134.495 | 134.495 | 0.000 | 0.000 | 0.000 |
| 134.495 | 493.234 | 134.495 | 0.000 | 0.000 | 0.000 |
| 134.495 | 134.495 | 493.234 | 0.000 | 0.000 | 0.000 |
| 0.000 | 0.000 | 0.000 | 134.677 | -0.000 | 0.000 |
| 0.000 | 0.000 | 0.000 | -0.000 | 134.677 | 0.000 |
| 0.000 | 0.000 | 0.000 | 0.000 | 0.000 | 134.677 |
| 493.234 | 134.495 | 134.495 | -0.000 | -0.000 | -0.000 |
| 134.495 | 493.234 | 134.495 | -0.000 | -0.000 | 0.000 |
| 134.495 | 134.495 | 493.234 | -0.000 | -0.000 | 0.000 |
| -0.000 | -0.000 | -0.000 | 134.677 | 0.000 | 0.000 |
| -0.000 | -0.000 | -0.000 | 0.000 | 134.677 | -0.000 |
| -0.000 | -0.000 | -0.000 | -0.000 | -0.000 | 134.677 |
| 493.234 | 134.496 | 134.496 | -0.000 | -0.000 | 0.000 |
| 134.496 | 493.234 | 134.496 | -0.000 | -0.000 | -0.000 |
| 134.496 | 134.496 | 493.234 | -0.000 | -0.000 | 0.000 |
| 0.001 | 0.000 | 0.000 | 134.677 | -0.000 | -0.000 |
| 0.000 | 0.001 | 0.000 | -0.000 | 134.677 | -0.000 |
| 0.000 | 0.000 | 0.001 | 0.000 | 0.000 | 134.677 |
| 493.234 | 134.494 | 134.494 | 0.000 | 0.000 | -0.000 |
| 134.494 | 493.234 | 134.494 | 0.000 | 0.000 | -0.000 |
| 134.494 | 134.494 | 493.234 | -0.000 | -0.000 | -0.000 |
| -0.001 | -0.000 | -0.000 | 134.677 | 0.000 | -0.000 |
| -0.000 | -0.001 | -0.000 | 0.000 | 134.677 | -0.000 |
| -0.000 | -0.000 | -0.001 | -0.000 | -0.000 | 134.677 |
| 93.504 | 93.504 | 93.504 | 0.000 | 0.000 | 0.000 |
| 93.504 | 93.504 | 93.504 | 0.000 | 0.000 | 0.000 |
| 93.504 | 93.504 | 93.504 | 0.000 | 0.000 | -0.000 |
| -0.000 | -0.000 | -0.000 | 94.816 | 0.000 | 0.000 |
| -0.000 | -0.000 | -0.000 | 0.000 | 94.816 | 0.000 |
| -0.000 | -0.000 | -0.000 | 0.000 | -0.000 | 94.816 |
| 93.504 | 93.504 | 93.504 | -0.000 | 0.000 | -0.000 |
| 93.504 | 93.504 | 93.504 | 0.000 | -0.000 | -0.000 |
| 93.504 | 93.504 | 93.504 | -0.000 | -0.000 | -0.000 |
| 0.000 | 0.000 | 0.000 | 94.816 | -0.000 | 0.000 |
| 0.000 | 0.000 | 0.000 | -0.000 | 94.816 | 0.000 |
| 0.000 | 0.000 | 0.000 | -0.000 | -0.000 | 94.816 |
| 93.504 | 93.504 | 93.504 | 0.000 | 0.000 | -0.000 |
| 93.504 | 93.504 | 93.504 | 0.000 | 0.000 | -0.000 |
| 93.504 | 93.504 | 93.504 | 0.000 | 0.000 | -0.000 |
| -0.000 | -0.000 | -0.000 | 94.816 | 0.000 | -0.000 |
| -0.000 | -0.000 | -0.000 | 0.000 | 94.816 | -0.000 |
| -0.000 | -0.000 | -0.000 | 0.000 | -0.000 | 94.816 |
| 93.504 | 93.504 | 93.504 | -0.000 | 0.000 | 0.000 |
| 93.504 | 93.504 | 93.504 | 0.000 | -0.000 | 0.000 |
| 93.504 | 93.504 | 93.504 | -0.000 | -0.000 | 0.000 |
| 0.000 | 0.000 | 0.000 | 94.816 | -0.000 | -0.000 |
| 0.000 | 0.000 | 0.000 | -0.000 | 94.816 | -0.000 |
| 0.000 | 0.000 | 0.000 | -0.000 | -0.000 | 94.816 |
| 93.504 | 93.504 | 93.504 | 0.000 | -0.000 | -0.000 |
| 93.504 | 93.504 | 93.504 | -0.000 | 0.000 | -0.000 |
| 93.504 | 93.504 | 93.504 | 0.000 | 0.000 | 0.000 |
| -0.001 | -0.001 | -0.001 | 94.816 | 0.000 | -0.000 |
| -0.001 | -0.001 | -0.001 | 0.000 | 94.816 | -0.000 |
| -0.001 | -0.001 | -0.001 | -0.000 | -0.000 | 94.816 |
| 93.505 | 93.505 | 93.505 | -0.000 | 0.000 | 0.000 |
| 93.505 | 93.505 | 93.505 | 0.000 | -0.000 | 0.000 |
| 93.505 | 93.505 | 93.505 | -0.000 | -0.000 | 0.000 |
| 0.001 | 0.001 | 0.001 | 94.816 | -0.000 | 0.000 |
| 0.001 | 0.001 | 0.001 | -0.000 | 94.816 | 0.000 |
| 0.001 | 0.001 | 0.001 | -0.000 | 0.000 | 94.816 |
| 411226617.712 | 415265536.026 | -84003131.897 | -2123107.385 | -9080413.161 | 25760.386 |
| 299.198 | 298.354 | 214.934 | -0.000 | -0.000 | 0.000 |
| 214.917 | 214.917 | 287.483 | -0.000 | -0.000 | 0.000 |
| 0.000 | -0.000 | 0.000 | -36.548 | -0.000 | 0.000 |
| 0.000 | -0.000 | -0.000 | -0.000 | -36.548 | 0.000 |
| 1258565519.881 | 1680205719.138 | 1216405473.216 | 355387.337 | 135634.943 | -375297923.015 |
| 298.354 | 299.198 | 214.934 | 0.000 | 0.000 | -0.000 |
| 440.878 | 156.674 | 214.934 | 0.000 | 0.000 | -0.000 |
| 214.917 | 214.917 | 287.483 | 0.000 | 0.000 | -0.000 |
| -0.000 | 0.000 | -0.000 | -36.548 | 0.000 | -0.000 |
| -0.000 | 0.000 | -0.000 | 0.000 | -36.548 | -0.000 |
| -1163419097.383 | -1496217105.971 | -1002507630.175 | -3020047.520 | -4933767.433 | -299490008.111 |
| 156.675 | 440.879 | 214.934 | -0.000 | -0.000 | 0.000 |
| 146886137.632 | 109067523.678 | 30050032.518 | -306516.427 | 247105.753 | -3169336.016 |
| 214.917 | 214.917 | 287.483 | -0.000 | -0.000 | 0.000 |
| 0.000 | 0.000 | 0.000 | -36.548 | -0.000 | 0.000 |
| 0.000 | -0.000 | 0.000 | -0.000 | -36.548 | 0.000 |
| 0.001 | 0.000 | 0.000 | -0.000 | -0.000 | -142.102 |
| 298.354 | 299.198 | 214.933 | 0.000 | 0.000 | -0.000 |
| -38876291.502 | -40259052.966 | 24814599.769 | -3253061.972 | 477360.801 | -911417.992 |
| 214.917 | 214.917 | 287.483 | 0.000 | 0.000 | -0.000 |
| -0.000 | -0.000 | -0.000 | -36.548 | 0.000 | -0.000 |
| -0.000 | 0.000 | -0.000 | 0.000 | -36.548 | -0.000 |
| -0.001 | -0.000 | -0.000 | 0.000 | 0.000 | -142.102 |
| 4112764.190 | 4191407.105 | -677896.982 | -4679.467 | 7602.574 | -4095.791 |
| 19053579.045 | 10377533.896 | 9425521.857 | 14041.150 | -17023.035 | 232337.094 |
| 214.919 | 214.919 | 287.484 | -0.000 | -0.000 | 0.000 |
| 0.000 | 0.002 | 0.001 | -36.548 | -0.000 | 0.000 |
| 0.001 | 0.000 | 0.001 | 0.000 | -36.548 | 0.000 |
| 0.001 | 0.001 | 0.001 | -0.000 | -0.000 | -0.422 |
| -16544704.695 | -9660862.773 | -6851099.606 | -9391.699 | 154276.296 | 112739.539 |
| -5465710.303 | -18443428.289 | -137547.756 | -0.000 | 0.000 | -0.000 |
| 214.916 | 214.916 | 287.481 | 0.000 | 0.000 | -0.000 |
| -0.000 | -0.002 | -0.001 | -36.548 | 0.000 | -0.000 |
| -0.001 | -0.000 | -0.001 | 0.000 | -36.548 | -0.000 |
| -0.001 | -0.001 | -0.001 | 0.000 | 0.000 | -0.422 |
| 675.759 | 248.702 | 183.944 | 0.000 | 0.000 | -0.000 |
| 239.544 | 684.917 | 183.944 | 0.000 | -0.000 | -0.000 |
| 183.944 | 183.944 | 290.822 | 0.000 | 0.000 | -0.000 |
| -0.000 | -0.000 | 0.000 | 193.267 | 0.000 | -0.000 |
| -0.000 | 0.000 | 0.000 | 0.000 | 193.267 | -0.000 |
| 0.000 | -0.000 | -0.000 | 0.000 | -0.000 | 222.686 |
| 684.917 | 239.544 | 183.944 | -0.000 | -0.000 | -0.000 |
| 239.544 | 684.917 | 183.944 | -0.000 | 0.000 | 0.000 |
| 183.944 | 183.944 | 290.822 | -0.000 | 0.000 | -0.000 |
| 0.000 | 0.000 | -0.000 | 193.267 | -0.000 | -0.000 |
| 0.000 | 0.000 | -0.000 | -0.000 | 193.267 | -0.000 |
| -0.000 | 0.000 | 0.000 | -0.000 | 0.000 | 222.686 |
| 675.760 | 248.702 | 183.944 | 0.000 | 0.000 | 0.000 |
| 248.702 | 675.760 | 183.944 | 0.000 | 0.000 | -0.000 |
| 183.944 | 183.944 | 290.822 | 0.000 | 0.000 | -0.000 |
| -0.000 | -0.000 | -0.000 | 193.267 | 0.000 | -0.000 |
| -0.000 | -0.000 | -0.000 | 0.000 | 193.267 | -0.000 |
| 0.000 | -0.000 | -0.000 | 0.000 | 0.000 | 222.686 |
| 675.759 | 248.701 | 183.945 | -0.000 | 0.000 | 0.000 |
| 248.701 | 675.759 | 183.945 | -0.000 | -0.000 | -0.000 |
| 183.945 | 183.945 | 290.822 | -0.000 | -0.000 | 0.000 |
| 0.000 | 0.000 | 0.000 | 193.267 | -0.000 | 0.000 |
| 0.000 | 0.000 | 0.000 | -0.000 | 193.267 | 0.000 |
| -0.000 | 0.000 | 0.000 | -0.000 | -0.000 | 222.686 |
| 675.762 | 248.703 | 183.942 | 0.000 | -0.000 | -0.000 |
| 239.545 | 684.920 | 183.942 | -0.000 | 0.000 | -0.000 |
| 183.944 | 183.944 | 290.823 | 0.000 | -0.000 | -0.000 |
| -0.001 | -0.003 | -0.002 | 193.267 | -0.000 | 0.000 |
| -0.003 | -0.001 | -0.002 | 0.000 | 193.267 | -0.000 |
| 0.000 | -0.000 | -0.001 | 0.000 | -0.000 | 222.686 |
| 684.914 | 239.542 | 183.947 | -0.000 | 0.000 | 0.000 |
| 248.700 | 675.756 | 183.947 | -0.000 | 0.000 | 0.000 |
| 183.945 | 183.945 | 290.821 | -0.000 | -0.000 | -0.000 |
| 0.001 | 0.003 | 0.002 | 193.267 | 0.000 | 0.000 |
| 0.003 | 0.001 | 0.002 | -0.000 | 193.267 | 0.000 |
| -0.000 | 0.000 | 0.001 | -0.000 | -0.000 | 222.686 |
| 150.448 | 165.035 | 68.606 | 0.000 | -0.000 | 0.000 |
| 165.035 | 150.448 | 68.606 | 0.000 | -0.000 | -0.000 |
| 68.606 | 68.606 | 246.877 | -0.000 | 0.000 | -0.000 |
| -0.000 | -0.000 | -0.000 | 28.175 | -0.000 | -0.000 |
| -0.000 | -0.000 | -0.000 | -0.000 | 28.175 | 0.000 |
| -0.000 | -0.000 | -0.000 | 0.000 | -0.000 | -7.293 |
| 150.448 | 165.035 | 68.606 | -0.000 | 0.000 | -0.000 |
| 99.087 | 216.397 | 68.606 | 0.000 | 0.000 | 0.000 |
| 68.606 | 68.606 | 246.877 | -0.000 | 0.000 | -0.000 |
| 0.000 | 0.000 | 0.000 | 28.175 | 0.000 | -0.000 |
| 0.000 | 0.000 | 0.000 | 0.000 | 28.175 | 0.000 |
| 0.000 | 0.000 | 0.000 | -0.000 | 0.000 | -7.293 |
| 150.448 | 165.035 | 68.606 | -0.000 | -0.000 | -0.000 |
| 99.086 | 216.397 | 68.606 | -0.000 | -0.000 | -0.000 |
| 68.606 | 68.606 | 246.877 | 0.000 | -0.000 | -0.000 |
| -0.000 | -0.000 | -0.000 | 28.175 | 0.000 | 0.000 |
| -0.000 | -0.000 | -0.000 | -0.000 | 28.175 | -0.000 |
| -0.000 | -0.000 | -0.000 | 0.000 | -0.000 | -7.293 |
| 150.449 | 165.035 | 68.606 | 0.000 | -0.000 | -0.000 |
| 99.087 | 216.397 | 68.606 | 0.000 | 0.000 | -0.000 |
| 68.606 | 68.606 | 246.878 | -0.000 | -0.000 | 0.000 |
| 0.000 | 0.000 | 0.000 | 28.175 | -0.000 | 0.000 |
| 0.000 | 0.000 | 0.000 | 0.000 | 28.175 | -0.000 |
| 0.000 | 0.000 | 0.000 | -0.000 | 0.000 | -7.293 |
| 150.441 | 165.036 | 68.604 | -0.000 | -0.000 | 0.000 |
| 165.037 | 150.441 | 68.604 | 0.000 | -0.000 | -0.000 |
| 68.606 | 68.606 | 246.875 | 0.000 | -0.000 | -0.000 |
| -0.000 | -0.001 | -0.001 | 28.175 | -0.000 | 0.000 |
| -0.001 | -0.000 | -0.001 | -0.000 | 28.175 | 0.000 |
| -0.002 | -0.002 | -0.002 | 0.000 | -0.000 | -7.293 |
| 150.455 | 165.035 | 68.609 | -0.000 | 0.000 | 0.000 |
| 165.034 | 150.456 | 68.609 | 0.000 | 0.000 | -0.000 |
| 68.607 | 68.607 | 246.880 | -0.000 | 0.000 | -0.000 |
| 0.000 | 0.001 | 0.001 | 28.175 | 0.000 | 0.000 |
| 0.001 | 0.000 | 0.001 | -0.000 | 28.175 | 0.000 |
| 0.002 | 0.002 | 0.002 | -0.000 | 0.000 | -7.293 |
| 378.022 | 143.435 | 104.337 | 0.000 | -0.000 | -0.000 |
| 143.435 | 378.022 | 104.337 | -0.000 | -0.000 | -0.000 |
| 104.337 | 104.337 | 417.120 | 0.000 | -0.000 | -0.000 |
| -0.000 | -0.000 | -0.000 | 104.261 | -0.000 | -0.000 |
| -0.000 | -0.000 | -0.000 | 0.000 | 104.261 | -0.000 |
| -0.000 | -0.000 | -0.000 | -0.000 | -0.000 | 117.294 |
| 378.022 | 143.435 | 104.337 | -0.000 | 0.000 | 0.000 |
| 143.435 | 378.022 | 104.337 | 0.000 | 0.000 | 0.000 |
| 104.337 | 104.337 | 417.120 | -0.000 | 0.000 | 0.000 |
| 0.000 | 0.000 | 0.000 | 104.261 | 0.000 | 0.000 |
| 0.000 | 0.000 | 0.000 | -0.000 | 104.261 | -0.000 |
| 0.000 | 0.000 | 0.000 | 0.000 | 0.000 | 117.294 |
| 378.021 | 143.435 | 104.337 | 0.000 | -0.000 | -0.000 |
| 143.435 | 378.021 | 104.337 | 0.000 | -0.000 | -0.000 |
| 104.337 | 104.337 | 417.119 | 0.000 | -0.000 | -0.000 |
| -0.000 | -0.000 | -0.000 | 104.261 | -0.000 | -0.000 |
| -0.000 | -0.000 | -0.000 | -0.000 | 104.261 | 0.000 |
| -0.000 | -0.000 | -0.000 | -0.000 | -0.000 | 117.294 |
| 378.023 | 143.435 | 104.337 | -0.000 | 0.000 | 0.000 |
| 143.435 | 378.023 | 104.337 | 0.000 | 0.000 | 0.000 |
| 104.337 | 104.337 | 417.120 | -0.000 | 0.000 | 0.000 |
| 0.000 | 0.000 | 0.000 | 104.261 | 0.000 | 0.000 |
| 0.000 | 0.000 | 0.000 | 0.000 | 104.261 | 0.000 |
| 0.000 | 0.000 | 0.000 | 0.000 | 0.000 | 117.294 |
| 378.013 | 143.434 | 104.337 | -0.000 | -0.000 | -0.000 |
| 143.432 | 378.015 | 104.337 | 0.000 | -0.000 | -0.000 |
| 104.335 | 104.335 | 417.112 | 0.000 | -0.000 | -0.000 |
| -0.000 | -0.001 | -0.002 | 104.261 | -0.000 | -0.000 |
| -0.001 | -0.000 | -0.002 | 0.000 | 104.261 | -0.000 |
| -0.001 | -0.002 | -0.000 | -0.000 | -0.000 | 117.294 |
| 378.031 | 143.435 | 104.337 | -0.000 | 0.000 | 0.000 |
| 143.437 | 378.029 | 104.337 | -0.000 | 0.000 | 0.000 |
| 104.339 | 104.339 | 417.127 | -0.000 | 0.000 | 0.000 |
| 0.000 | 0.001 | 0.002 | 104.261 | 0.000 | 0.000 |
| 0.001 | 0.000 | 0.002 | -0.000 | 104.261 | 0.000 |
| 0.001 | 0.002 | 0.000 | -0.000 | 0.000 | 117.294 |
| 703.190 | 266.317 | 193.504 | 0.000 | -0.000 | 0.000 |
| 266.317 | 703.190 | 193.504 | 0.000 | 0.000 | 0.000 |
| 193.504 | 193.504 | 776.003 | 0.000 | 0.000 | 0.000 |
| -0.000 | -0.000 | -0.000 | 194.166 | 0.000 | 0.000 |
| -0.000 | 0.000 | -0.000 | -0.000 | 194.166 | -0.000 |
| -0.000 | -0.000 | -0.000 | 0.000 | 0.000 | 218.437 |
| 703.191 | 266.317 | 193.504 | -0.000 | -0.000 | -0.000 |
| 266.317 | 703.190 | 193.504 | -0.000 | -0.000 | -0.000 |
| 193.505 | 193.505 | 776.003 | 0.000 | -0.000 | -0.000 |
| 0.000 | 0.000 | 0.000 | 194.166 | -0.000 | -0.000 |
| 0.000 | -0.000 | 0.000 | 0.000 | 194.166 | -0.000 |
| 0.000 | 0.000 | 0.000 | -0.000 | -0.000 | 218.437 |
| 703.189 | 266.317 | 193.504 | 0.000 | 0.000 | 0.000 |
| 266.316 | 703.189 | 193.504 | 0.000 | 0.000 | 0.000 |
| 193.504 | 193.504 | 776.002 | -0.000 | 0.000 | 0.000 |
| -0.000 | -0.000 | -0.000 | 194.166 | 0.000 | 0.000 |
| -0.000 | -0.000 | -0.000 | 0.000 | 194.166 | 0.000 |
| -0.000 | -0.000 | -0.000 | 0.000 | 0.000 | 218.437 |
| 703.192 | 266.317 | 193.505 | -0.000 | -0.000 | -0.000 |
| 266.317 | 703.191 | 193.505 | -0.000 | -0.000 | -0.000 |
| 193.505 | 193.505 | 776.004 | 0.000 | -0.000 | -0.000 |
| 0.000 | 0.000 | 0.000 | 194.166 | 0.000 | -0.000 |
| 0.000 | 0.000 | 0.000 | -0.000 | 194.166 | 0.000 |
| 0.000 | 0.000 | 0.000 | -0.000 | -0.000 | 218.437 |
| 703.179 | 266.316 | 193.504 | 0.000 | 0.000 | 0.000 |
| 266.314 | 703.181 | 193.504 | 0.000 | 0.000 | 0.000 |
| 193.503 | 193.503 | 775.993 | 0.000 | 0.000 | 0.000 |
| -0.001 | -0.001 | -0.003 | 194.166 | 0.000 | 0.000 |
| -0.001 | -0.001 | -0.003 | 0.000 | 194.166 | 0.000 |
| -0.001 | -0.003 | -0.000 | -0.000 | 0.000 | 218.437 |
| 703.202 | 266.317 | 193.505 | 0.000 | -0.000 | -0.000 |
| 266.320 | 703.199 | 193.505 | -0.000 | -0.000 | -0.000 |
| 193.506 | 193.506 | 776.012 | -0.000 | -0.000 | -0.000 |
| 0.001 | 0.001 | 0.003 | 194.166 | -0.000 | -0.000 |
| 0.001 | 0.001 | 0.003 | -0.000 | 194.166 | -0.000 |
| 0.001 | 0.003 | 0.000 | -0.000 | -0.000 | 218.437 |
| -20.763 | 471.855 | 64.885 | -0.000 | 0.000 | 0.000 |
| 229.479 | 221.613 | 64.884 | -0.000 | -0.000 | 0.000 |
| 64.884 | 64.884 | 312.977 | 0.000 | 0.000 | 0.000 |
| 0.000 | -0.000 | 0.000 | -14.305 | -0.000 | 0.000 |
| 0.000 | -0.000 | 0.000 | -0.000 | -14.305 | 0.000 |
| 1365959612.101 | 1750617522.089 | 230602383.389 | 1303528.606 | -3786636.033 | -346407899.715 |
| 221.613 | 229.478 | 64.884 | 0.000 | 0.000 | -0.000 |
| 229.478 | 221.613 | 64.884 | 0.000 | -0.000 | -0.000 |
| 64.884 | 64.884 | 312.977 | 0.000 | 0.000 | -0.000 |
| -0.000 | 0.000 | -0.000 | -14.305 | -0.000 | -0.000 |
| -0.000 | 0.000 | -0.000 | -0.000 | -14.305 | -0.000 |
| -1338294307.762 | -1746113454.809 | -234073638.541 | 3250665.123 | -7113317.665 | -356061303.742 |
| 221.614 | 229.479 | 64.885 | -0.000 | -0.000 | 0.000 |
| 129786221.833 | 95919130.332 | 82042728.020 | 523776.213 | -3151551.471 | 1266364.700 |
| 64.885 | 64.885 | 312.978 | 0.000 | -0.000 | 0.000 |
| 0.000 | 0.000 | 0.000 | -14.305 | -0.000 | 0.000 |
| 0.000 | 0.000 | 0.000 | -0.000 | -14.305 | 0.000 |
| 0.000 | 0.000 | 0.000 | -0.000 | 0.000 | -3.933 |
| 221.613 | 229.478 | 64.884 | 0.000 | -0.000 | -0.000 |
| -40441484.027 | -169566006.477 | 60019452.698 | -0.000 | 0.000 | -0.011 |
| 64.884 | 64.884 | 312.977 | 0.000 | 0.000 | -0.000 |
| -0.000 | -0.000 | -0.000 | -14.305 | 0.000 | -0.000 |
| -0.000 | -0.000 | -0.000 | 0.000 | -14.305 | -0.000 |
| -0.000 | -0.000 | -0.000 | 0.000 | 0.000 | -3.933 |
| 4044271.836 | 16956775.707 | -6001920.409 | -0.000 | 0.000 | 0.000 |
| 17245013.015 | 8733670.253 | 8378460.571 | -0.000 | 0.000 | 0.000 |
| 64.886 | 64.886 | 312.982 | 0.000 | 0.000 | 0.000 |
| 0.001 | 0.001 | 0.002 | -14.305 | -0.000 | 0.000 |
| 0.001 | 0.001 | 0.002 | -0.000 | -14.305 | 0.000 |
| 13728541.144 | 7272219.963 | -6001955.733 | -0.005 | 0.008 | -5591236.861 |
| -14089510.127 | -8923617.223 | -8307925.757 | 64193.807 | 341597.558 | 472676.735 |
| -4044017.376 | -16956451.598 | 6001995.995 | 0.000 | -0.000 | -0.000 |
| 64.883 | 64.883 | 312.973 | 0.000 | 0.000 | -0.000 |
| -0.001 | -0.001 | -0.002 | -14.305 | -0.000 | -0.000 |
| -0.001 | -0.001 | -0.002 | 0.000 | -14.305 | -0.000 |
| -13728542.020 | -7272219.706 | 6001955.595 | -0.004 | -0.007 | -5591237.168 |
| 669.437 | 243.682 | 253.848 | -0.000 | -0.000 | -0.000 |
| 243.682 | 669.437 | 253.848 | -0.000 | 0.000 | -0.000 |
| 253.848 | 253.848 | 537.404 | 0.000 | 0.000 | 0.000 |
| 0.000 | -0.000 | -0.000 | 266.849 | -0.000 | -0.000 |
| -0.000 | -0.000 | -0.000 | -0.000 | 266.849 | -0.000 |
| -0.000 | -0.000 | -0.000 | 0.000 | 0.000 | 212.878 |
| 675.363 | 237.756 | 253.848 | 0.000 | -0.000 | 0.000 |
| 243.682 | 669.437 | 253.848 | 0.000 | -0.000 | 0.000 |
| 253.848 | 253.848 | 537.404 | 0.000 | 0.000 | 0.000 |
| -0.000 | 0.000 | 0.000 | 266.849 | 0.000 | 0.000 |
| 0.000 | 0.000 | 0.000 | 0.000 | 266.849 | 0.000 |
| 0.000 | 0.000 | 0.000 | 0.000 | -0.000 | 212.878 |
| 669.437 | 243.682 | 253.848 | 0.000 | -0.000 | -0.000 |
| 243.682 | 669.437 | 253.848 | -0.000 | 0.000 | -0.000 |
| 253.848 | 253.848 | 537.405 | -0.000 | -0.000 | -0.000 |
| -0.000 | -0.000 | 0.000 | 266.849 | -0.000 | -0.000 |
| -0.000 | -0.000 | 0.000 | -0.000 | 266.849 | -0.000 |
| -0.000 | -0.000 | -0.000 | 0.000 | -0.000 | 212.878 |
| 669.437 | 243.682 | 253.848 | 0.000 | -0.000 | 0.000 |
| 237.756 | 675.363 | 253.848 | 0.000 | 0.000 | -0.000 |
| 253.848 | 253.848 | 537.403 | 0.000 | 0.000 | -0.000 |
| 0.000 | 0.000 | -0.000 | 266.849 | 0.000 | 0.000 |
| 0.000 | 0.000 | -0.000 | 0.000 | 266.849 | 0.000 |
| 0.000 | 0.000 | 0.000 | 0.000 | -0.000 | 212.878 |
| 669.437 | 243.682 | 253.847 | -0.000 | 0.000 | -0.000 |
| 243.683 | 669.436 | 253.847 | 0.000 | 0.000 | -0.000 |
| 253.850 | 253.850 | 537.412 | -0.000 | -0.000 | -0.000 |
| -0.000 | -0.001 | 0.001 | 266.849 | -0.000 | -0.000 |
| -0.001 | -0.000 | 0.001 | -0.000 | 266.849 | -0.000 |
| -0.001 | -0.000 | -0.001 | -0.000 | 0.000 | 212.878 |
| 669.437 | 243.681 | 253.849 | 0.000 | -0.000 | 0.000 |
| 243.680 | 669.438 | 253.849 | -0.000 | -0.000 | 0.000 |
| 253.846 | 253.846 | 537.397 | 0.000 | -0.000 | 0.000 |
| 0.000 | 0.001 | -0.001 | 266.849 | 0.000 | 0.000 |
| 0.001 | 0.000 | -0.001 | 0.000 | 266.849 | 0.000 |
| 0.001 | 0.000 | 0.001 | 0.000 | -0.000 | 212.878 |
| 216.397 | 99.087 | 68.606 | -0.000 | -0.000 | 0.000 |
| 165.035 | 150.448 | 68.606 | -0.000 | 0.000 | 0.000 |
| 68.606 | 68.606 | 246.877 | -0.000 | 0.000 | 0.000 |
| -0.000 | -0.000 | -0.000 | 28.175 | 0.000 | 0.000 |
| -0.000 | -0.000 | -0.000 | -0.000 | 28.175 | -0.000 |
| -0.000 | -0.000 | -0.000 | -0.000 | -0.000 | -7.293 |
| 150.448 | 165.035 | 68.606 | 0.000 | -0.000 | -0.000 |
| 165.035 | 150.448 | 68.606 | 0.000 | 0.000 | 0.000 |
| 68.606 | 68.606 | 246.877 | 0.000 | 0.000 | -0.000 |
| -0.000 | 0.000 | 0.000 | 28.175 | -0.000 | 0.000 |
| 0.000 | 0.000 | 0.000 | -0.000 | 28.175 | -0.000 |
| 0.000 | 0.000 | 0.000 | 0.000 | 0.000 | -7.293 |
| 216.397 | 99.087 | 68.606 | -0.000 | -0.000 | -0.000 |
| 165.035 | 150.448 | 68.606 | -0.000 | 0.000 | -0.000 |
| 68.606 | 68.606 | 246.877 | -0.000 | 0.000 | -0.000 |
| -0.000 | -0.000 | -0.000 | 28.175 | -0.000 | -0.000 |
| -0.000 | -0.000 | -0.000 | -0.000 | 28.175 | -0.000 |
| -0.000 | -0.000 | -0.000 | -0.000 | 0.000 | 58.655 |
| 216.397 | 99.087 | 68.606 | 0.000 | -0.000 | 0.000 |
| 165.035 | 150.449 | 68.606 | 0.000 | 0.000 | -0.000 |
| 68.606 | 68.606 | 246.878 | -0.000 | 0.000 | -0.000 |
| 0.000 | 0.000 | 0.000 | 28.175 | -0.000 | -0.000 |
| 0.000 | 0.000 | 0.000 | 0.000 | 28.175 | -0.000 |
| 0.000 | 0.000 | 0.000 | 0.000 | -0.000 | 58.655 |
| 150.441 | 165.037 | 68.604 | -0.000 | -0.000 | 0.000 |
| 165.036 | 150.442 | 68.604 | -0.000 | -0.000 | 0.000 |
| 68.606 | 68.606 | 246.875 | -0.000 | -0.000 | 0.000 |
| -0.000 | -0.000 | -0.001 | 28.175 | 0.000 | -0.000 |
| -0.000 | -0.000 | -0.001 | 0.000 | 28.175 | 0.000 |
| -0.002 | -0.002 | -0.002 | -0.000 | -0.000 | -7.293 |
| 150.456 | 165.034 | 68.609 | 0.000 | -0.000 | 0.000 |
| 165.035 | 150.455 | 68.609 | 0.000 | 0.000 | -0.000 |
| 68.607 | 68.607 | 246.880 | 0.000 | 0.000 | -0.000 |
| 0.000 | 0.000 | 0.001 | 28.175 | 0.000 | -0.000 |
| 0.000 | 0.000 | 0.001 | 0.000 | 28.175 | -0.000 |
| 0.002 | 0.002 | 0.002 | 0.000 | -0.000 | -7.293 |
| 378.022 | 143.435 | 104.337 | 0.000 | -0.000 | 0.000 |
| 143.435 | 378.022 | 104.337 | 0.000 | -0.000 | 0.000 |
| 104.337 | 104.337 | 417.120 | -0.000 | -0.000 | 0.000 |
| -0.000 | -0.000 | -0.000 | 104.261 | -0.000 | 0.000 |
| -0.000 | -0.000 | -0.000 | -0.000 | 104.261 | 0.000 |
| -0.000 | -0.000 | -0.000 | 0.000 | -0.000 | 117.294 |
| 378.022 | 143.435 | 104.337 | -0.000 | 0.000 | -0.000 |
| 143.435 | 378.022 | 104.337 | -0.000 | 0.000 | -0.000 |
| 104.337 | 104.337 | 417.120 | 0.000 | 0.000 | -0.000 |
| 0.000 | 0.000 | 0.000 | 104.261 | 0.000 | -0.000 |
| 0.000 | 0.000 | 0.000 | 0.000 | 104.261 | -0.000 |
| 0.000 | 0.000 | 0.000 | -0.000 | 0.000 | 117.294 |
| 378.021 | 143.435 | 104.337 | 0.000 | -0.000 | 0.000 |
| 143.435 | 378.021 | 104.337 | 0.000 | -0.000 | 0.000 |
| 104.337 | 104.337 | 417.119 | -0.000 | -0.000 | 0.000 |
| -0.000 | -0.000 | -0.000 | 104.261 | -0.000 | 0.000 |
| -0.000 | -0.000 | -0.000 | 0.000 | 104.261 | 0.000 |
| -0.000 | -0.000 | -0.000 | 0.000 | -0.000 | 117.294 |
| 378.023 | 143.435 | 104.337 | 0.000 | 0.000 | -0.000 |
| 143.435 | 378.023 | 104.337 | -0.000 | 0.000 | -0.000 |
| 104.337 | 104.337 | 417.120 | 0.000 | 0.000 | -0.000 |
| 0.000 | 0.000 | 0.000 | 104.261 | 0.000 | -0.000 |
| 0.000 | 0.000 | 0.000 | 0.000 | 104.261 | 0.000 |
| 0.000 | 0.000 | 0.000 | -0.000 | 0.000 | 117.294 |
| 378.013 | 143.434 | 104.337 | 0.000 | -0.000 | 0.000 |
| 143.432 | 378.015 | 104.337 | 0.000 | -0.000 | 0.000 |
| 104.335 | 104.335 | 417.112 | -0.000 | -0.000 | 0.000 |
| -0.000 | -0.001 | -0.002 | 104.261 | -0.000 | 0.000 |
| -0.001 | -0.000 | -0.002 | 0.000 | 104.261 | 0.000 |
| -0.001 | -0.002 | -0.000 | 0.000 | -0.000 | 117.294 |
| 378.031 | 143.435 | 104.337 | -0.000 | 0.000 | -0.000 |
| 143.437 | 378.029 | 104.337 | -0.000 | 0.000 | -0.000 |
| 104.339 | 104.339 | 417.127 | 0.000 | 0.000 | -0.000 |
| 0.000 | 0.001 | 0.002 | 104.261 | 0.000 | -0.000 |
| 0.001 | 0.000 | 0.002 | -0.000 | 104.261 | -0.000 |
| 0.001 | 0.002 | 0.000 | -0.000 | 0.000 | 117.294 |
| 703.190 | 266.317 | 193.504 | -0.000 | 0.000 | 0.000 |
| 266.317 | 703.190 | 193.504 | -0.000 | -0.000 | 0.000 |
| 193.504 | 193.504 | 776.003 | -0.000 | 0.000 | 0.000 |
| -0.000 | -0.000 | -0.000 | 194.166 | 0.000 | 0.000 |
| -0.000 | -0.000 | -0.000 | -0.000 | 194.166 | 0.000 |
| -0.000 | -0.000 | 0.000 | 0.000 | 0.000 | 218.437 |
| 703.191 | 266.317 | 193.504 | -0.000 | 0.000 | -0.000 |
| 266.317 | 703.190 | 193.504 | -0.000 | 0.000 | -0.000 |
| 193.505 | 193.505 | 776.003 | -0.000 | -0.000 | -0.000 |
| 0.000 | 0.000 | 0.000 | 194.166 | -0.000 | -0.000 |
| 0.000 | 0.000 | 0.000 | 0.000 | 194.166 | -0.000 |
| 0.000 | 0.000 | -0.000 | -0.000 | -0.000 | 218.437 |
| 703.189 | 266.317 | 193.504 | 0.000 | 0.000 | 0.000 |
| 266.316 | 703.190 | 193.504 | -0.000 | -0.000 | 0.000 |
| 193.504 | 193.504 | 776.002 | -0.000 | 0.000 | 0.000 |
| -0.000 | -0.000 | -0.000 | 194.166 | -0.000 | 0.000 |
| -0.000 | -0.000 | -0.000 | -0.000 | 194.166 | 0.000 |
| -0.000 | -0.000 | -0.000 | -0.000 | 0.000 | 218.437 |
| 703.192 | 266.317 | 193.505 | -0.000 | 0.000 | -0.000 |
| 266.317 | 703.191 | 193.505 | -0.000 | 0.000 | -0.000 |
| 193.505 | 193.505 | 776.004 | 0.000 | 0.000 | -0.000 |
| 0.000 | 0.000 | 0.000 | 194.166 | 0.000 | -0.000 |
| 0.000 | 0.000 | 0.000 | 0.000 | 194.166 | -0.000 |
| 0.000 | 0.000 | 0.000 | 0.000 | -0.000 | 218.437 |
| 703.178 | 266.317 | 193.504 | -0.000 | -0.000 | 0.000 |
| 266.313 | 703.182 | 193.504 | 0.000 | -0.000 | 0.000 |
| 193.503 | 193.503 | 775.993 | -0.000 | 0.000 | 0.000 |
| -0.000 | -0.001 | -0.003 | 194.166 | -0.000 | -0.000 |
| -0.001 | -0.000 | -0.003 | -0.000 | 194.166 | -0.000 |
| -0.001 | -0.003 | -0.000 | 0.000 | 0.000 | 218.437 |
| 703.203 | 266.317 | 193.505 | -0.000 | -0.000 | -0.000 |
| 266.320 | 703.199 | 193.505 | -0.000 | 0.000 | -0.000 |
| 193.506 | 193.506 | 776.012 | 0.000 | -0.000 | -0.000 |
| 0.000 | 0.001 | 0.003 | 194.166 | 0.000 | 0.000 |
| 0.001 | 0.000 | 0.003 | 0.000 | 194.166 | -0.000 |
| 0.001 | 0.003 | 0.000 | -0.000 | -0.000 | 218.437 |
| 132.295 | 348.642 | 348.642 | -0.000 | -0.000 | -0.000 |
| 348.642 | 132.295 | 348.642 | -0.000 | 0.000 | -0.000 |
| 348.642 | 348.642 | 132.295 | -0.000 | -0.000 | -0.000 |
| 0.000 | -0.000 | 0.000 | -17.437 | -0.000 | 0.000 |
| 0.000 | -0.000 | 0.000 | -0.000 | -17.437 | 0.000 |
| 0.000 | -0.000 | 0.000 | 0.000 | 0.000 | -17.437 |
| 132.295 | 348.642 | 348.642 | 0.000 | 0.000 | 0.000 |
| 348.642 | 132.295 | 348.642 | 0.000 | 0.000 | 0.000 |
| 348.642 | 348.642 | 132.295 | 0.000 | 0.000 | 0.000 |
| 0.000 | 0.000 | -0.000 | -17.437 | -0.000 | -0.000 |
| -0.000 | 0.000 | -0.000 | -0.000 | -17.437 | -0.000 |
| -0.000 | 0.000 | -0.000 | -0.000 | -0.000 | -17.437 |
| 132.295 | 348.642 | 348.642 | -0.000 | -0.000 | -0.000 |
| 348.642 | 132.295 | 348.642 | -0.000 | 0.000 | -0.000 |
| 348.642 | 348.642 | 132.295 | -0.000 | -0.000 | -0.000 |
| -0.000 | 0.000 | -0.000 | -113.725 | -0.000 | -0.000 |
| 0.000 | -0.000 | -0.000 | -0.000 | -113.725 | -0.000 |
| 0.000 | -0.000 | -0.000 | 0.000 | -0.000 | -113.725 |
| 132.296 | 348.642 | 348.642 | 0.000 | -0.000 | 0.000 |
| 348.642 | 132.296 | 348.642 | 0.000 | 0.000 | 0.000 |
| 348.642 | 348.642 | 132.296 | 0.000 | 0.000 | 0.000 |
| 0.000 | -0.000 | 0.000 | -113.725 | 0.000 | -0.000 |
| -0.000 | 0.000 | 0.000 | 0.000 | -113.725 | 0.000 |
| -0.000 | 0.000 | 0.000 | 0.000 | 0.000 | -113.725 |
| 132.293 | 348.641 | 348.641 | -0.000 | -0.000 | -0.000 |
| 348.641 | 132.293 | 348.641 | -0.000 | -0.000 | -0.000 |
| 348.641 | 348.641 | 132.293 | -0.000 | -0.000 | 0.000 |
| -0.000 | 0.000 | -0.000 | -113.725 | -0.000 | -0.000 |
| 0.000 | -0.000 | -0.000 | -0.000 | -113.725 | -0.000 |
| 0.000 | -0.000 | -0.000 | -0.000 | -0.000 | -113.725 |
| 132.298 | 348.642 | 348.642 | 0.000 | -0.000 | 0.000 |
| 348.642 | 132.298 | 348.642 | 0.000 | 0.000 | 0.000 |
| 348.642 | 348.642 | 132.298 | 0.000 | 0.000 | 0.000 |
| 0.000 | -0.000 | 0.000 | -113.725 | 0.000 | 0.000 |
| -0.000 | 0.000 | 0.000 | 0.000 | -113.725 | 0.000 |
| -0.000 | 0.000 | 0.000 | -0.000 | 0.000 | -113.725 |
| 502.532 | 73.376 | 73.376 | -0.000 | -0.000 | -0.000 |
| 73.376 | 502.532 | 73.376 | -0.000 | -0.000 | -0.000 |
| 73.376 | 73.376 | 502.532 | -0.000 | -0.000 | -0.000 |
| -0.000 | -0.000 | -0.000 | -66.323 | -0.000 | -0.000 |
| -0.000 | -0.000 | -0.000 | -0.000 | -66.323 | -0.000 |
| -0.000 | -0.000 | -0.000 | -0.000 | -0.000 | -66.323 |
| 502.533 | 73.376 | 73.376 | 0.000 | 0.000 | 0.000 |
| 73.376 | 502.533 | 73.376 | 0.000 | -0.000 | 0.000 |
| 73.376 | 73.376 | 502.533 | 0.000 | 0.000 | -0.000 |
| 0.000 | 0.000 | 0.000 | -66.323 | 0.000 | 0.000 |
| -0.000 | 0.000 | 0.000 | 0.000 | -66.323 | 0.000 |
| 0.000 | 0.000 | 0.000 | 0.000 | 0.000 | -66.323 |
| 502.531 | 73.375 | 73.375 | -0.000 | -0.000 | -0.000 |
| 73.375 | 502.531 | 73.375 | -0.000 | -0.000 | -0.000 |
| 73.375 | 73.375 | 502.531 | -0.000 | -0.000 | -0.000 |
| -0.000 | -0.000 | -0.000 | -66.323 | -0.000 | 0.000 |
| -0.000 | -0.000 | -0.000 | -0.000 | -66.323 | -0.000 |
| -0.000 | -0.000 | -0.000 | -0.000 | -0.000 | -66.323 |
| 502.534 | 73.376 | 73.376 | 0.000 | 0.000 | 0.000 |
| 73.376 | 502.534 | 73.376 | 0.000 | 0.000 | 0.000 |
| 73.376 | 73.376 | 502.534 | 0.000 | 0.000 | -0.000 |
| 0.000 | 0.000 | 0.000 | -66.323 | 0.000 | 0.000 |
| 0.000 | 0.000 | 0.000 | 0.000 | -66.323 | 0.000 |
| 0.000 | 0.000 | 0.000 | 0.000 | 0.000 | -66.323 |
| 502.520 | 73.373 | 73.373 | -0.000 | -0.000 | -0.000 |
| 73.373 | 502.520 | 73.373 | -0.000 | -0.000 | -0.000 |
| 73.373 | 73.373 | 502.520 | -0.000 | -0.000 | 0.000 |
| -0.002 | -0.002 | -0.002 | -66.323 | -0.000 | -0.000 |
| -0.002 | -0.002 | -0.002 | -0.000 | -66.323 | -0.000 |
| -0.002 | -0.002 | -0.002 | -0.000 | -0.000 | -66.323 |
| 502.545 | 73.378 | 73.378 | 0.000 | 0.000 | 0.000 |
| 73.378 | 502.545 | 73.378 | 0.000 | 0.000 | 0.000 |
| 73.378 | 73.378 | 502.545 | 0.000 | 0.000 | -0.000 |
| 0.002 | 0.002 | 0.002 | -66.323 | 0.000 | 0.000 |
| 0.002 | 0.002 | 0.002 | 0.000 | -66.323 | 0.000 |
| 0.002 | 0.002 | 0.002 | 0.000 | 0.000 | -66.323 |
| 224.246 | 91.354 | 91.354 | 0.000 | 0.000 | 0.000 |
| 91.354 | 224.246 | 91.354 | 0.000 | 0.000 | 0.000 |
| 91.354 | 91.354 | 224.246 | 0.000 | 0.000 | 0.000 |
| -288217193.490 | -316705331.966 | -316705334.178 | -110564229.171 | 0.038 | 0.039 |
| -316705331.967 | -288217193.490 | -316705334.178 | 0.036 | -110564229.171 | 0.036 |
| -316705331.966 | -316705334.178 | -288217193.490 | 0.027 | 0.029 | -110564229.171 |
| 224.246 | 91.354 | 91.354 | -0.000 | -0.000 | -0.000 |
| 91.354 | 224.246 | 91.354 | -0.000 | -0.000 | -0.000 |
| 91.354 | 91.354 | 224.246 | -0.000 | -0.000 | -0.000 |
| 288217193.455 | 316705331.947 | 316705334.159 | -110564229.200 | 0.007 | -0.001 |
| 316705331.946 | 288217193.452 | 316705334.157 | 0.007 | -110564229.202 | -0.001 |
| 316705331.948 | 316705334.159 | 288217193.456 | 0.003 | 0.000 | -110564229.199 |
| 224.246 | 91.354 | 91.354 | 0.000 | 0.000 | 0.000 |
| 91.354 | 224.246 | 91.354 | 0.000 | 0.000 | 0.000 |
| 91.354 | 91.354 | 224.246 | 0.000 | 0.000 | 0.000 |
| -28821717.507 | -31670527.547 | -31670529.758 | -11056313.861 | -0.009 | -0.009 |
| -31670527.547 | -28821717.507 | -31670529.758 | -0.009 | -11056313.861 | -0.009 |
| -31670527.547 | -31670529.758 | -28821717.507 | -0.006 | -0.006 | -11056313.861 |
| 224.246 | 91.354 | 91.354 | -0.000 | -0.000 | -0.000 |
| 91.354 | 224.246 | 91.354 | -0.000 | -0.000 | -0.000 |
| 91.354 | 91.354 | 224.246 | -0.000 | -0.000 | -0.000 |
| 28821717.507 | 31670527.547 | 31670529.758 | -11056313.861 | -0.002 | 0.002 |
| 31670527.547 | 28821717.507 | 31670529.758 | -0.003 | -11056313.861 | 0.003 |
| 31670527.547 | 31670529.758 | 28821717.507 | -0.001 | 0.001 | -11056313.861 |
| 224.250 | 91.356 | 91.356 | 0.000 | 0.000 | 0.000 |
| 91.356 | 224.250 | 91.356 | 0.000 | 0.000 | 0.000 |
| 91.356 | 91.356 | 224.250 | 0.000 | 0.000 | 0.000 |
| -2882169.912 | -3167047.106 | -3167049.317 | -1105522.328 | -0.000 | -0.000 |
| -3167047.106 | -2882169.912 | -3167049.317 | -0.000 | -1105522.328 | -0.000 |
| -3167047.106 | -3167049.317 | -2882169.912 | -0.000 | -0.000 | -1105522.328 |
| 224.242 | 91.352 | 91.352 | -0.000 | -0.000 | -0.000 |
| 91.352 | 224.242 | 91.352 | -0.000 | -0.000 | -0.000 |
| 91.352 | 91.352 | 224.242 | -0.000 | -0.000 | -0.000 |
| 2882169.912 | 3167047.106 | 3167049.317 | -1105522.328 | -0.000 | 0.000 |
| 3167047.106 | 2882169.912 | 3167049.317 | -0.000 | -1105522.328 | 0.000 |
| 3167047.106 | 3167049.317 | 2882169.912 | -0.000 | 0.000 | -1105522.328 |
| 40.642 | 40.642 | 40.642 | -0.000 | 0.000 | -0.000 |
| 40.642 | 40.642 | 40.642 | 0.000 | -0.000 | -0.000 |
| 40.642 | 40.642 | 40.642 | 0.000 | 0.000 | -0.000 |
| 0.000 | 0.000 | 0.000 | -0.000 | -0.000 | -0.000 |
| 0.000 | 0.000 | 0.000 | -0.000 | -0.000 | -0.000 |
| 0.000 | 0.000 | 0.000 | -0.000 | -0.000 | -0.000 |
| 40.642 | 40.642 | 40.642 | -0.000 | -0.000 | 0.000 |
| 40.642 | 40.642 | 40.642 | -0.000 | -0.000 | 0.000 |
| 40.642 | 40.642 | 40.642 | -0.000 | -0.000 | 0.000 |
| -0.000 | -0.000 | -0.000 | 0.000 | 0.000 | 0.000 |
| -0.000 | -0.000 | -0.000 | 0.000 | 0.000 | 0.000 |
| -0.000 | -0.000 | -0.000 | 0.000 | 0.000 | 0.000 |
| 40.642 | 40.642 | 40.642 | 0.000 | 0.000 | -0.000 |
| 40.642 | 40.642 | 40.642 | 0.000 | 0.000 | -0.000 |
| 40.642 | 40.642 | 40.642 | 0.000 | 0.000 | 0.000 |
| -0.000 | -0.000 | -0.000 | -0.000 | -0.000 | -0.000 |
| -0.000 | -0.000 | -0.000 | -0.000 | -0.000 | -0.000 |
| -0.000 | -0.000 | -0.000 | -0.000 | -0.000 | -0.000 |
| 40.642 | 40.642 | 40.642 | 0.000 | -0.000 | 0.000 |
| 40.642 | 40.642 | 40.642 | -0.000 | 0.000 | 0.000 |
| 40.642 | 40.642 | 40.642 | -0.000 | -0.000 | 0.000 |
| 0.000 | 0.000 | 0.000 | 0.000 | 0.000 | 0.000 |
| 0.000 | 0.000 | 0.000 | 0.000 | 0.000 | 0.000 |
| 0.000 | 0.000 | 0.000 | 0.000 | 0.000 | 0.000 |
| 40.642 | 40.642 | 40.642 | 0.000 | 0.000 | -0.000 |
| 40.642 | 40.642 | 40.642 | 0.000 | 0.000 | -0.000 |
| 40.642 | 40.642 | 40.642 | 0.000 | 0.000 | 0.000 |
| -0.000 | -0.000 | -0.000 | 0.000 | -0.000 | -0.000 |
| -0.000 | -0.000 | -0.000 | -0.000 | 0.000 | -0.000 |
| -0.000 | -0.000 | -0.000 | -0.000 | -0.000 | 0.000 |
| 40.642 | 40.642 | 40.642 | 0.000 | -0.000 | -0.000 |
| 40.642 | 40.642 | 40.642 | -0.000 | 0.000 | -0.000 |
| 40.642 | 40.642 | 40.642 | -0.000 | -0.000 | 0.000 |
| 0.000 | 0.000 | 0.000 | 0.000 | 0.000 | 0.000 |
| 0.000 | 0.000 | 0.000 | 0.000 | 0.000 | 0.000 |
| 0.000 | 0.000 | 0.000 | 0.000 | 0.000 | 0.000 |
| 32.673 | 32.673 | 32.673 | -0.000 | 0.000 | -0.000 |
| 32.673 | 32.673 | 32.673 | 0.000 | -0.000 | -0.000 |
| 32.673 | 32.673 | 32.673 | 0.000 | 0.000 | -0.000 |
| -0.000 | -0.000 | -0.000 | -0.000 | 0.000 | 0.000 |
| -0.000 | -0.000 | -0.000 | 0.000 | -0.000 | 0.000 |
| -0.000 | -0.000 | -0.000 | 0.000 | 0.000 | -0.000 |
| 32.673 | 32.673 | 32.673 | -0.000 | 0.000 | 0.000 |
| 32.673 | 32.673 | 32.673 | 0.000 | -0.000 | 0.000 |
| 32.673 | 32.673 | 32.673 | -0.000 | -0.000 | 0.000 |
| 0.000 | 0.000 | 0.000 | -0.000 | -0.000 | -0.000 |
| 0.000 | 0.000 | 0.000 | -0.000 | -0.000 | -0.000 |
| 0.000 | 0.000 | 0.000 | -0.000 | -0.000 | -0.000 |
| 32.673 | 32.673 | 32.673 | -0.000 | 0.000 | -0.000 |
| 32.673 | 32.673 | 32.673 | 0.000 | -0.000 | -0.000 |
| 32.673 | 32.673 | 32.673 | -0.000 | -0.000 | -0.000 |
| -0.000 | -0.000 | -0.000 | 0.000 | 0.000 | 0.000 |
| -0.000 | -0.000 | -0.000 | 0.000 | 0.000 | 0.000 |
| -0.000 | -0.000 | -0.000 | 0.000 | 0.000 | 0.000 |
| 32.673 | 32.673 | 32.673 | 0.000 | -0.000 | -0.000 |
| 32.673 | 32.673 | 32.673 | -0.000 | 0.000 | -0.000 |
| 32.673 | 32.673 | 32.673 | -0.000 | -0.000 | 0.000 |
| 0.000 | 0.000 | 0.000 | -0.000 | 0.000 | -0.000 |
| 0.000 | 0.000 | 0.000 | 0.000 | -0.000 | -0.000 |
| 0.000 | 0.000 | 0.000 | 0.000 | -0.000 | -0.000 |
| 32.673 | 32.673 | 32.673 | -0.000 | -0.000 | -0.000 |
| 32.673 | 32.673 | 32.673 | -0.000 | -0.000 | -0.000 |
| 32.673 | 32.673 | 32.673 | 0.000 | 0.000 | -0.000 |
| -0.000 | -0.000 | -0.000 | -0.000 | 0.000 | 0.000 |
| -0.000 | -0.000 | -0.000 | 0.000 | -0.000 | 0.000 |
| -0.000 | -0.000 | -0.000 | 0.000 | 0.000 | -0.000 |
| 32.673 | 32.673 | 32.673 | -0.000 | -0.000 | -0.000 |
| 32.673 | 32.673 | 32.673 | -0.000 | -0.000 | -0.000 |
| 32.673 | 32.673 | 32.673 | -0.000 | -0.000 | -0.000 |
| 0.000 | 0.000 | 0.000 | -0.000 | -0.000 | -0.000 |
| 0.000 | 0.000 | 0.000 | -0.000 | -0.000 | -0.000 |
| 0.000 | 0.000 | 0.000 | 0.000 | -0.000 | -0.000 |
| 633.708 | 255.136 | 191.995 | 0.000 | 0.000 | -0.000 |
| 255.136 | 633.708 | 191.995 | 0.000 | 0.000 | -0.000 |
| 191.995 | 191.995 | 654.161 | 0.000 | 0.000 | -0.000 |
| -0.000 | 0.000 | 0.000 | 191.175 | -0.000 | -0.000 |
| 0.000 | -0.000 | 0.000 | -0.000 | 191.175 | -0.000 |
| -0.000 | -0.000 | 0.000 | -0.000 | 0.000 | 249.044 |
| 633.707 | 255.136 | 191.995 | -0.000 | -0.000 | 0.000 |
| 255.136 | 633.708 | 191.995 | -0.000 | -0.000 | 0.000 |
| 191.995 | 191.995 | 654.161 | -0.000 | -0.000 | 0.000 |
| 0.000 | -0.000 | -0.000 | 191.175 | 0.000 | 0.000 |
| -0.000 | 0.000 | -0.000 | -0.000 | 191.175 | 0.000 |
| 0.000 | 0.000 | -0.000 | 0.000 | 0.000 | 249.044 |
| 633.708 | 255.136 | 191.995 | 0.000 | -0.000 | -0.000 |
| 255.136 | 633.708 | 191.995 | 0.000 | 0.000 | -0.000 |
| 191.995 | 191.995 | 654.162 | 0.000 | -0.000 | -0.000 |
| -0.000 | 0.000 | 0.000 | 191.175 | -0.000 | 0.000 |
| 0.000 | -0.000 | 0.000 | 0.000 | 191.175 | -0.000 |
| -0.000 | -0.000 | -0.000 | -0.000 | 0.000 | 249.044 |
| 639.774 | 249.069 | 191.995 | 0.000 | -0.000 | -0.000 |
| 249.069 | 639.774 | 191.995 | 0.000 | -0.000 | 0.000 |
| 191.995 | 191.995 | 654.160 | 0.000 | -0.000 | 0.000 |
| 0.000 | -0.000 | -0.000 | 191.175 | 0.000 | 0.000 |
| -0.000 | 0.000 | -0.000 | 0.000 | 191.175 | 0.000 |
| 0.000 | 0.000 | 0.000 | -0.000 | 0.000 | 249.044 |
| 633.709 | 255.135 | 191.997 | 0.000 | 0.000 | -0.000 |
| 255.135 | 633.709 | 191.997 | 0.000 | -0.000 | -0.000 |
| 191.996 | 191.996 | 654.172 | -0.000 | -0.000 | -0.000 |
| -0.000 | 0.001 | 0.001 | 191.175 | 0.000 | 0.000 |
| 0.001 | -0.000 | 0.001 | 0.000 | 191.175 | -0.000 |
| -0.001 | -0.001 | -0.000 | -0.000 | 0.000 | 249.044 |
| 633.706 | 255.137 | 191.993 | 0.000 | -0.000 | 0.000 |
| 255.137 | 633.706 | 191.993 | -0.000 | 0.000 | 0.000 |
| 191.994 | 191.994 | 654.150 | 0.000 | -0.000 | 0.000 |
| 0.000 | -0.001 | -0.001 | 191.175 | -0.000 | 0.000 |
| -0.001 | 0.000 | -0.001 | 0.000 | 191.175 | 0.000 |
| 0.001 | 0.001 | 0.000 | 0.000 | 0.000 | 249.044 |
| -122.414 | 825.953 | 42.821 | -0.000 | -0.000 | -0.000 |
| 825.953 | -122.414 | 42.821 | -0.000 | -0.000 | -0.000 |
| 42.821 | 42.821 | 52.770 | 0.000 | -0.000 | -0.000 |
| -0.000 | 0.000 | 0.000 | -12.755 | 0.000 | -0.000 |
| 0.000 | -0.000 | 0.000 | 0.000 | -12.755 | -0.000 |
| -0.000 | -0.000 | -0.000 | -0.000 | -0.000 | 139.009 |
| -122.415 | 825.954 | 42.821 | 0.000 | 0.000 | 0.000 |
| 825.954 | -122.415 | 42.821 | 0.000 | 0.000 | -0.000 |
| 42.821 | 42.821 | 52.770 | 0.000 | -0.000 | 0.000 |
| 0.000 | -0.000 | -0.000 | -12.755 | -0.000 | -0.000 |
| -0.000 | 0.000 | -0.000 | 0.000 | -12.755 | 0.000 |
| 0.000 | 0.000 | 0.000 | 0.000 | 0.000 | 139.009 |
| -122.409 | 825.952 | 42.824 | -0.000 | -0.000 | -0.000 |
| 825.952 | -122.409 | 42.824 | -0.000 | -0.000 | -0.000 |
| 42.821 | 42.821 | 52.770 | -0.000 | 0.000 | 0.000 |
| -0.000 | 0.000 | 0.000 | -12.755 | 0.000 | -0.000 |
| 0.000 | -0.000 | 0.000 | -0.000 | -12.755 | -0.000 |
| -0.000 | -0.000 | -0.000 | -0.000 | -0.000 | 139.009 |
| -122.420 | 825.956 | 42.818 | 0.000 | 0.000 | 0.000 |
| 825.956 | -122.420 | 42.818 | 0.000 | 0.000 | 0.000 |
| 42.821 | 42.821 | 52.770 | -0.000 | -0.000 | 0.000 |
| 0.000 | -0.000 | -0.000 | -12.755 | -0.000 | -0.000 |
| -0.000 | 0.000 | -0.000 | 0.000 | -12.755 | 0.000 |
| 0.000 | 0.000 | 0.000 | 0.000 | 0.000 | 139.009 |
| -122.393 | 825.965 | 42.848 | -0.000 | -0.000 | -0.000 |
| 825.965 | -122.393 | 42.848 | -0.000 | -0.000 | 0.000 |
| 42.821 | 42.821 | 52.766 | 0.000 | 0.000 | -0.000 |
| -0.001 | 0.002 | 0.001 | -12.758 | 0.000 | 0.000 |
| 0.002 | -0.001 | 0.001 | -0.000 | -12.758 | -0.000 |
| -0.003 | -0.002 | -0.000 | -0.000 | 0.000 | 139.009 |
| -122.474 | 825.981 | 42.794 | 0.000 | 0.000 | 0.000 |
| 825.981 | -122.474 | 42.794 | 0.000 | 0.000 | 0.000 |
| 42.821 | 42.821 | 52.774 | -0.000 | -0.000 | 0.000 |
| 0.001 | -0.002 | -0.001 | -12.758 | -0.000 | 0.000 |
| -0.002 | 0.001 | -0.001 | 0.000 | -12.758 | 0.000 |
| 0.003 | 0.002 | 0.000 | 0.000 | 0.000 | 139.009 |
| 738.732 | 229.967 | 76.407 | 0.000 | 0.000 | 0.000 |
| 229.967 | 738.732 | 76.407 | -0.000 | -0.000 | 0.000 |
| 76.407 | 76.407 | -52.787 | 0.000 | -0.000 | 0.000 |
| -0.000 | -0.000 | -0.000 | 74.708 | -0.000 | 0.000 |
| -0.000 | -0.000 | -0.000 | 0.000 | 74.708 | 0.000 |
| -0.000 | -0.000 | -0.000 | 0.000 | -0.000 | 210.009 |
| 738.732 | 229.967 | 76.407 | -0.000 | -0.000 | -0.000 |
| 229.967 | 738.732 | 76.407 | -0.000 | 0.000 | 0.000 |
| 76.407 | 76.407 | -52.786 | -0.000 | -0.000 | -0.000 |
| 0.000 | 0.000 | 0.000 | 74.708 | 0.000 | 0.000 |
| 0.000 | 0.000 | 0.000 | -0.000 | 74.708 | -0.000 |
| 0.000 | 0.000 | 0.000 | 0.000 | 0.000 | 210.009 |
| 738.732 | 229.967 | 76.407 | 0.000 | 0.000 | 0.000 |
| 229.967 | 738.732 | 76.407 | 0.000 | -0.000 | 0.000 |
| 76.407 | 76.407 | -52.787 | 0.000 | -0.000 | 0.000 |
| -0.000 | -0.000 | -0.000 | 74.708 | -0.000 | -0.000 |
| -0.000 | -0.000 | -0.000 | 0.000 | 74.708 | 0.000 |
| -0.000 | -0.000 | -0.000 | 0.000 | 0.000 | 210.009 |
| 738.731 | 229.967 | 76.407 | 0.000 | 0.000 | -0.000 |
| 229.967 | 738.731 | 76.407 | 0.000 | 0.000 | -0.000 |
| 76.407 | 76.407 | -52.786 | -0.000 | -0.000 | -0.000 |
| 0.000 | 0.000 | 0.000 | 74.708 | 0.000 | -0.000 |
| 0.000 | 0.000 | 0.000 | -0.000 | 74.708 | -0.000 |
| 0.000 | 0.000 | 0.000 | -0.000 | -0.000 | 210.009 |
| 738.739 | 229.964 | 76.406 | -0.000 | 0.000 | 0.000 |
| 229.964 | 738.739 | 76.406 | 0.000 | -0.000 | 0.000 |
| 76.406 | 76.406 | -52.788 | 0.000 | -0.000 | -0.000 |
| -0.000 | -0.001 | -0.000 | 74.708 | -0.000 | 0.000 |
| -0.001 | -0.000 | -0.000 | 0.000 | 74.708 | 0.000 |
| -0.003 | -0.003 | -0.000 | 0.000 | -0.000 | 210.009 |
| 738.724 | 229.970 | 76.408 | 0.000 | 0.000 | -0.000 |
| 229.970 | 738.724 | 76.408 | 0.000 | -0.000 | -0.000 |
| 76.407 | 76.407 | -52.785 | -0.000 | -0.000 | -0.000 |
| 0.000 | 0.001 | 0.000 | 74.708 | 0.000 | -0.000 |
| 0.001 | 0.000 | 0.000 | -0.000 | 74.708 | -0.000 |
| 0.003 | 0.003 | 0.000 | -0.000 | -0.000 | 210.009 |
| 303.619 | 2.214 | 89.219 | 0.000 | 0.000 | 0.000 |
| 2.214 | 303.619 | 89.219 | 0.000 | 0.000 | 0.000 |
| 89.219 | 89.219 | 77.496 | 0.000 | 0.000 | 0.000 |
| -0.000 | 0.000 | 0.000 | 87.840 | 0.000 | -0.000 |
| 0.000 | -0.000 | 0.000 | 0.000 | 87.840 | 0.000 |
| 0.000 | -0.000 | -0.000 | 0.000 | 0.000 | 0.000 |
| 303.619 | 2.214 | 89.219 | 0.000 | -0.000 | -0.000 |
| 2.214 | 303.619 | 89.219 | -0.000 | -0.000 | -0.000 |
| 89.219 | 89.219 | 77.496 | -0.000 | -0.000 | 0.000 |
| 0.000 | -0.000 | -0.000 | 87.840 | -0.000 | -0.000 |
| -0.000 | 0.000 | -0.000 | -0.000 | 87.840 | -0.000 |
| -0.000 | 0.000 | 0.000 | -0.000 | -0.000 | 0.000 |
| 303.620 | 2.214 | 89.219 | 0.000 | 0.000 | 0.000 |
| 2.214 | 303.620 | 89.219 | 0.000 | 0.000 | 0.000 |
| 89.219 | 89.219 | 77.496 | 0.000 | 0.000 | 0.000 |
| 0.000 | 0.000 | 0.000 | 87.840 | 0.000 | -0.000 |
| 0.000 | 0.000 | 0.000 | 0.000 | 87.840 | -0.000 |
| 0.000 | -0.000 | -0.000 | -0.000 | 0.000 | 0.000 |
| 303.619 | 2.214 | 89.219 | -0.000 | -0.000 | -0.000 |
| 2.214 | 303.619 | 89.219 | 0.000 | -0.000 | -0.000 |
| 89.219 | 89.219 | 77.496 | -0.000 | -0.000 | -0.000 |
| -0.000 | -0.000 | -0.000 | 87.840 | -0.000 | -0.000 |
| -0.000 | -0.000 | -0.000 | -0.000 | 87.840 | -0.000 |
| 0.000 | 0.000 | 0.000 | 0.000 | -0.000 | -0.000 |
| 303.623 | 2.214 | 89.220 | -0.000 | 0.000 | -0.000 |
| 2.214 | 303.623 | 89.220 | 0.000 | 0.000 | -0.000 |
| 89.220 | 89.220 | 77.498 | 0.000 | 0.000 | 0.000 |
| 0.000 | 0.001 | 0.001 | 87.840 | 0.000 | -0.000 |
| 0.001 | 0.000 | 0.001 | 0.000 | 87.840 | -0.000 |
| -0.000 | -0.000 | -0.000 | -0.000 | -0.000 | 0.000 |
| 303.615 | 2.214 | 89.218 | -0.000 | -0.000 | -0.000 |
| 2.214 | 303.615 | 89.218 | 0.000 | -0.000 | -0.000 |
| 89.218 | 89.218 | 77.494 | -0.000 | -0.000 | 0.000 |
| -0.000 | -0.001 | -0.001 | 87.840 | -0.000 | -0.000 |
| -0.001 | -0.000 | -0.001 | -0.000 | 87.840 | -0.000 |
| 0.000 | 0.000 | 0.000 | -0.000 | -0.000 | 0.000 |
| -11.956 | -2.860 | -2.518 | 0.000 | 0.000 | 0.000 |
| -2.860 | -11.956 | -2.518 | 0.000 | -0.000 | -0.000 |
| -2.518 | -2.518 | -0.856 | 0.000 | 0.000 | 0.000 |
| -0.000 | 0.000 | 0.000 | -1.546 | 0.000 | -0.000 |
| 0.000 | -0.000 | 0.000 | 0.000 | -1.546 | 0.000 |
| 0.000 | 0.000 | 0.000 | -0.000 | 0.000 | -0.000 |
| -0.050 | -0.497 | -0.029 | -0.009 | 0.000 | -0.001 |
| 0.077 | 0.008 | 0.004 | -0.003 | -0.003 | 0.001 |
| -2.518 | -2.518 | -0.856 | 0.000 | 0.000 | -0.000 |
| 0.000 | -0.000 | -0.000 | -1.546 | 0.000 | -0.000 |
| -0.000 | 0.000 | -0.000 | -0.000 | -1.546 | 0.000 |
| -0.000 | -0.000 | -0.000 | 0.000 | 0.000 | -0.000 |
| -0.306 | -0.022 | -0.013 | 0.001 | -0.001 | 0.000 |
| -0.011 | -0.036 | -0.006 | 0.001 | 0.000 | -0.000 |
| -2.518 | -2.518 | -0.856 | 0.000 | -0.000 | -0.000 |
| -0.000 | 0.000 | 0.000 | -1.546 | 0.000 | -0.000 |
| 0.000 | -0.000 | 0.000 | 0.000 | -1.546 | 0.000 |
| 0.000 | 0.000 | 0.000 | 0.000 | 0.000 | -0.000 |
| -11.956 | -2.859 | -2.518 | -0.000 | -0.000 | 0.000 |
| -2.859 | -11.956 | -2.518 | -0.000 | 0.000 | -0.000 |
| -2.518 | -2.518 | -0.856 | -0.000 | 0.000 | -0.000 |
| 0.000 | -0.000 | -0.000 | -1.546 | -0.000 | -0.000 |
| -0.000 | 0.000 | -0.000 | -0.000 | -1.546 | 0.000 |
| -0.000 | -0.000 | -0.000 | -0.000 | 0.000 | -0.000 |
| -0.030 | -0.007 | -0.004 | -0.000 | 0.000 | 0.000 |
| -0.007 | -0.037 | -0.004 | 0.000 | 0.000 | 0.000 |
| -2.518 | -2.518 | -0.856 | 0.000 | -0.000 | 0.000 |
| -0.044 | -0.036 | -0.014 | -0.006 | 0.000 | 0.000 |
| 0.037 | 0.045 | 0.015 | 0.000 | 0.006 | 0.000 |
| 0.000 | 0.000 | 0.000 | 0.000 | 0.000 | -0.000 |
| 0.000 | -0.000 | 0.000 | 0.000 | -0.000 | -0.000 |
| 0.020 | 0.003 | 0.002 | -0.000 | -0.000 | -0.000 |
| -2.518 | -2.518 | -0.856 | -0.000 | -0.000 | 0.000 |
| -0.063 | -0.053 | -0.020 | 0.008 | 0.000 | -0.000 |
| -0.052 | -0.063 | -0.020 | 0.000 | 0.008 | -0.000 |
| -0.000 | -0.000 | -0.000 | -0.000 | 0.000 | -0.000 |
| 33.333 | 33.333 | 1.790 | -0.000 | 0.000 | -0.000 |
| 33.333 | 33.333 | 1.790 | 0.000 | 0.000 | 0.000 |
| 1.790 | 1.790 | 78.568 | -0.000 | -0.000 | 0.000 |
| 0.000 | -0.000 | -0.000 | 0.000 | 0.000 | -0.000 |
| 0.000 | -0.000 | -0.000 | 0.000 | -0.000 | -0.000 |
| 0.000 | -0.000 | -0.000 | -0.000 | -0.000 | -0.000 |
| 33.333 | 33.333 | 1.790 | 0.000 | -0.000 | -0.000 |
| 33.333 | 33.333 | 1.790 | 0.000 | -0.000 | -0.000 |
| 1.790 | 1.790 | 78.568 | 0.000 | 0.000 | -0.000 |
| -0.000 | 0.000 | 0.000 | -0.000 | -0.000 | -0.000 |
| -0.000 | 0.000 | 0.000 | -0.000 | -0.000 | -0.000 |
| -0.000 | 0.000 | 0.000 | 0.000 | -0.000 | -0.000 |
| 33.333 | 33.333 | 1.790 | -0.000 | -0.000 | -0.000 |
| 33.333 | 33.333 | 1.790 | -0.000 | 0.000 | -0.000 |
| 1.790 | 1.790 | 78.568 | -0.000 | -0.000 | 0.000 |
| -0.000 | 0.000 | -0.000 | 0.000 | 0.000 | -0.000 |
| 0.000 | -0.000 | -0.000 | 0.000 | 0.000 | -0.000 |
| -0.000 | -0.000 | -0.000 | -0.000 | -0.000 | 0.000 |
| 33.333 | 33.333 | 1.790 | 0.000 | -0.000 | -0.000 |
| 33.333 | 33.333 | 1.790 | -0.000 | -0.000 | -0.000 |
| 1.790 | 1.790 | 78.568 | 0.000 | 0.000 | 0.000 |
| 0.000 | -0.000 | 0.000 | 0.000 | -0.000 | -0.000 |
| -0.000 | 0.000 | 0.000 | -0.000 | 0.000 | -0.000 |
| 0.000 | 0.000 | 0.000 | 0.000 | -0.000 | 0.000 |
| 33.333 | 33.333 | 1.790 | -0.000 | 0.000 | -0.000 |
| 33.333 | 33.333 | 1.790 | 0.000 | 0.000 | -0.000 |
| 1.790 | 1.790 | 78.567 | -0.000 | -0.000 | -0.000 |
| -0.000 | 0.000 | -0.000 | -0.000 | 0.000 | -0.000 |
| 0.000 | -0.000 | -0.000 | 0.000 | -0.000 | -0.000 |
| -0.000 | -0.000 | -0.000 | 0.000 | -0.000 | 0.000 |
| 33.333 | 33.333 | 1.789 | 0.000 | -0.000 | -0.000 |
| 33.333 | 33.333 | 1.789 | -0.000 | -0.000 | -0.000 |
| 1.789 | 1.789 | 78.568 | 0.000 | 0.000 | 0.000 |
| 0.000 | -0.000 | 0.000 | -0.000 | -0.000 | -0.000 |
| -0.000 | 0.000 | 0.000 | -0.000 | -0.000 | -0.000 |
| 0.000 | 0.000 | 0.000 | -0.000 | -0.000 | 0.000 |
| 339.326 | 287.980 | 74.665 | -0.000 | 0.000 | 0.000 |
| 287.980 | 339.326 | 74.665 | 0.000 | 0.000 | 0.000 |
| 74.665 | 74.665 | 462.480 | -0.000 | 0.000 | -0.000 |
| 0.000 | 0.000 | 0.000 | 82.274 | 0.000 | -0.000 |
| -0.000 | 0.000 | 0.000 | -0.000 | 82.274 | 0.000 |
| -0.000 | 0.000 | 0.000 | -0.000 | 0.000 | 128.458 |
| 339.326 | 287.980 | 74.665 | -0.000 | -0.000 | 0.000 |
| 287.980 | 339.326 | 74.665 | 0.000 | -0.000 | -0.000 |
| 74.665 | 74.665 | 462.480 | 0.000 | -0.000 | -0.000 |
| -0.000 | -0.000 | -0.000 | 82.274 | -0.000 | 0.000 |
| 0.000 | -0.000 | -0.000 | 0.000 | 82.274 | -0.000 |
| 0.000 | 0.000 | -0.000 | 0.000 | -0.000 | 128.458 |
| 339.326 | 287.980 | 74.665 | -0.000 | 0.000 | -0.000 |
| 287.980 | 339.326 | 74.665 | 0.000 | 0.000 | -0.000 |
| 74.665 | 74.665 | 462.481 | -0.000 | 0.000 | 0.000 |
| 0.000 | -0.000 | 0.000 | 82.274 | 0.000 | -0.000 |
| -0.000 | 0.000 | 0.000 | -0.000 | 82.274 | -0.000 |
| -0.000 | -0.000 | -0.000 | -0.000 | -0.000 | 128.458 |
| 339.326 | 287.980 | 74.665 | -0.000 | -0.000 | -0.000 |
| 287.980 | 339.326 | 74.665 | 0.000 | 0.000 | -0.000 |
| 74.665 | 74.665 | 462.479 | 0.000 | -0.000 | -0.000 |
| -0.000 | 0.000 | -0.000 | 82.274 | -0.000 | 0.000 |
| 0.000 | -0.000 | -0.000 | 0.000 | 82.274 | -0.000 |
| 0.000 | 0.000 | 0.000 | 0.000 | -0.000 | 128.458 |
| 339.329 | 287.982 | 74.666 | -0.000 | 0.000 | -0.000 |
| 287.982 | 339.329 | 74.666 | -0.000 | 0.000 | 0.000 |
| 74.667 | 74.667 | 462.488 | -0.000 | 0.000 | 0.000 |
| 0.000 | -0.000 | 0.001 | 82.274 | 0.000 | 0.000 |
| -0.000 | 0.000 | 0.001 | -0.000 | 82.274 | -0.000 |
| -0.001 | -0.000 | -0.000 | -0.000 | 0.000 | 128.458 |
| 339.323 | 287.978 | 74.665 | 0.000 | -0.000 | -0.000 |
| 287.978 | 339.323 | 74.665 | 0.000 | -0.000 | -0.000 |
| 74.664 | 74.664 | 462.473 | 0.000 | -0.000 | 0.000 |
| -0.000 | 0.000 | -0.001 | 82.274 | -0.000 | -0.000 |
| 0.000 | -0.000 | -0.001 | 0.000 | 82.274 | -0.000 |
| 0.001 | 0.000 | 0.000 | 0.000 | -0.000 | 128.458 |
| 591.365 | 153.928 | 228.686 | 0.000 | 0.000 | 0.000 |
| 153.928 | 591.365 | 228.686 | 0.000 | 0.000 | 0.000 |
| 228.686 | 228.686 | 352.920 | -0.000 | 0.000 | 0.000 |
| 0.000 | 0.000 | 0.000 | 198.722 | 0.000 | 0.000 |
| 0.000 | 0.000 | 0.000 | -0.000 | 198.722 | 0.000 |
| -0.000 | -0.000 | 0.000 | -0.000 | 0.000 | 140.480 |
| 591.364 | 153.928 | 228.686 | 0.000 | 0.000 | -0.000 |
| 153.928 | 591.364 | 228.686 | 0.000 | 0.000 | -0.000 |
| 228.686 | 228.686 | 352.920 | 0.000 | -0.000 | -0.000 |
| -0.000 | -0.000 | -0.000 | 198.722 | -0.000 | -0.000 |
| -0.000 | -0.000 | -0.000 | -0.000 | 198.722 | -0.000 |
| 0.000 | 0.000 | -0.000 | -0.000 | -0.000 | 140.480 |
| 591.365 | 153.928 | 228.686 | -0.000 | 0.000 | 0.000 |
| 153.928 | 591.365 | 228.686 | 0.000 | 0.000 | 0.000 |
| 228.686 | 228.686 | 352.920 | -0.000 | 0.000 | 0.000 |
| 0.000 | 0.000 | 0.000 | 198.722 | -0.000 | 0.000 |
| 0.000 | 0.000 | 0.000 | -0.000 | 198.722 | 0.000 |
| -0.000 | -0.000 | 0.000 | -0.000 | -0.000 | 140.480 |
| 591.363 | 153.928 | 228.685 | 0.000 | -0.000 | -0.000 |
| 153.928 | 591.363 | 228.685 | 0.000 | 0.000 | -0.000 |
| 228.686 | 228.686 | 352.919 | 0.000 | 0.000 | -0.000 |
| -0.000 | -0.000 | -0.000 | 198.722 | 0.000 | -0.000 |
| -0.000 | -0.000 | -0.000 | 0.000 | 198.722 | -0.000 |
| 0.000 | 0.000 | -0.000 | 0.000 | -0.000 | 140.480 |
| 591.374 | 153.929 | 228.692 | -0.000 | 0.000 | 0.000 |
| 153.929 | 591.374 | 228.692 | -0.000 | -0.000 | 0.000 |
| 228.688 | 228.688 | 352.926 | -0.000 | 0.000 | 0.000 |
| 0.001 | 0.003 | 0.001 | 198.722 | 0.000 | 0.000 |
| 0.003 | 0.001 | 0.001 | 0.000 | 198.722 | 0.000 |
| -0.000 | -0.000 | 0.001 | -0.000 | 0.000 | 140.480 |
| 591.355 | 153.927 | 228.680 | 0.000 | -0.000 | -0.000 |
| 153.927 | 591.355 | 228.680 | -0.000 | 0.000 | -0.000 |
| 228.684 | 228.684 | 352.914 | 0.000 | 0.000 | -0.000 |
| -0.001 | -0.003 | -0.001 | 198.722 | -0.000 | -0.000 |
| -0.003 | -0.001 | -0.001 | -0.000 | 198.722 | -0.000 |
| 0.000 | 0.000 | -0.001 | 0.000 | -0.000 | 140.480 |
| -235.636 | 71.101 | 164.881 | -0.000 | 0.000 | 0.000 |
| 71.101 | -235.636 | 164.881 | 0.000 | -0.000 | 0.000 |
| 164.881 | 164.881 | 382.666 | -0.000 | -0.000 | 0.000 |
| -0.000 | -0.000 | -0.000 | 164.780 | 0.000 | 0.000 |
| -0.000 | -0.000 | -0.000 | 0.000 | 164.780 | 0.000 |
| -0.000 | -0.000 | -0.000 | -0.000 | -0.000 | 70.971 |
| -235.636 | 71.101 | 164.881 | 0.000 | -0.000 | -0.000 |
| 71.101 | -235.636 | 164.881 | -0.000 | 0.000 | -0.000 |
| 164.881 | 164.881 | 382.666 | -0.000 | -0.000 | -0.000 |
| 0.000 | 0.000 | 0.000 | 164.780 | -0.000 | -0.000 |
| 0.000 | 0.000 | 0.000 | -0.000 | 164.780 | -0.000 |
| 0.000 | 0.000 | 0.000 | -0.000 | -0.000 | 70.971 |
| -235.637 | 71.101 | 164.881 | 0.000 | 0.000 | 0.000 |
| 71.101 | -235.637 | 164.881 | 0.000 | 0.000 | 0.000 |
| 164.881 | 164.881 | 382.665 | -0.000 | -0.000 | 0.000 |
| -0.000 | -0.000 | -0.000 | 164.780 | -0.000 | 0.000 |
| -0.000 | -0.000 | -0.000 | -0.000 | 164.780 | 0.000 |
| -0.000 | -0.000 | -0.000 | -0.000 | -0.000 | 70.971 |
| -235.635 | 71.101 | 164.882 | 0.000 | -0.000 | -0.000 |
| 71.101 | -235.635 | 164.882 | -0.000 | 0.000 | -0.000 |
| 164.882 | 164.882 | 382.666 | 0.000 | 0.000 | -0.000 |
| 0.000 | 0.000 | 0.000 | 164.780 | -0.000 | -0.000 |
| 0.000 | 0.000 | 0.000 | -0.000 | 164.780 | -0.000 |
| 0.000 | 0.000 | 0.000 | 0.000 | 0.000 | 70.971 |
| -235.644 | 71.101 | 164.881 | -0.000 | 0.000 | 0.000 |
| 71.101 | -235.644 | 164.881 | 0.000 | -0.000 | 0.000 |
| 164.879 | 164.879 | 382.660 | -0.000 | -0.000 | 0.000 |
| -0.001 | -0.001 | -0.002 | 164.780 | 0.000 | 0.000 |
| -0.001 | -0.001 | -0.002 | 0.000 | 164.780 | 0.000 |
| -0.001 | -0.000 | -0.001 | 0.000 | -0.000 | 70.971 |
| -235.628 | 71.101 | 164.882 | 0.000 | 0.000 | -0.000 |
| 71.101 | -235.628 | 164.882 | 0.000 | 0.000 | -0.000 |
| 164.884 | 164.884 | 382.671 | -0.000 | -0.000 | -0.000 |
| 0.001 | 0.001 | 0.002 | 164.780 | -0.000 | -0.000 |
| 0.001 | 0.001 | 0.002 | -0.000 | 164.780 | -0.000 |
| 0.001 | 0.000 | 0.001 | 0.000 | 0.000 | 70.971 |
| 333.390 | 116.916 | 24.334 | -20.840 | 0.000 | -0.000 |
| 116.916 | 333.390 | 24.334 | 20.840 | -0.000 | -0.000 |
| 2.248 | 2.248 | -0.089 | 0.000 | -0.000 | -0.000 |
| -20.840 | 20.840 | -0.000 | 23.282 | 0.000 | -0.000 |
| -0.000 | 0.000 | -0.000 | 0.000 | 23.282 | -20.840 |
| 0.000 | 0.000 | -0.000 | 0.000 | -20.840 | 108.237 |
| 277.755 | 108.461 | 4.828 | 5.513 | 0.000 | 0.000 |
| 108.461 | 277.755 | 4.828 | -5.513 | 0.000 | 0.000 |
| 2.539 | 2.539 | 0.089 | -0.000 | 0.000 | -0.000 |
| -20.840 | 20.840 | 0.000 | 23.282 | -0.000 | 0.000 |
| 0.000 | -0.000 | 0.000 | -0.000 | 23.282 | -20.840 |
| -0.000 | -0.000 | 0.000 | -0.000 | -20.840 | 108.237 |
| 333.391 | 116.916 | 24.334 | -20.840 | 0.000 | -0.000 |
| 116.916 | 333.391 | 24.334 | 20.840 | 0.000 | -0.000 |
| 26.728 | 26.728 | 14.813 | 0.000 | 0.000 | -0.000 |
| -20.840 | 20.840 | -0.000 | 23.282 | 0.000 | -0.000 |
| -0.000 | -0.000 | -0.000 | 0.000 | 23.282 | -20.840 |
| 0.000 | 0.000 | -0.000 | 0.000 | -20.840 | 108.237 |
| 277.607 | 108.348 | 4.748 | 5.533 | -0.000 | 0.000 |
| 95.609 | 274.773 | 0.008 | -0.001 | 0.000 | 0.000 |
| 2.408 | 2.408 | 0.009 | -0.000 | 0.000 | 0.000 |
| 0.008 | 0.010 | 0.006 | 0.001 | 0.000 | 0.000 |
| 0.000 | 0.000 | 0.000 | -0.000 | 23.282 | -20.840 |
| -0.000 | -0.000 | 0.000 | -0.000 | -20.840 | 108.237 |
| 274.775 | 95.596 | 0.002 | -0.003 | -0.000 | -0.000 |
| 95.598 | 274.776 | 0.003 | 0.005 | -0.000 | -0.000 |
| 2.393 | 2.393 | -0.000 | 0.000 | -0.000 | -0.000 |
| -0.002 | 0.000 | -0.000 | 0.001 | -0.000 | -0.000 |
| -0.001 | -0.001 | -0.000 | -0.000 | 0.000 | -0.000 |
| -0.000 | 0.001 | -0.001 | -0.000 | -0.000 | 89.582 |
| 274.745 | 95.594 | -0.002 | 0.003 | 0.000 | 0.000 |
| 95.593 | 274.744 | -0.003 | -0.005 | 0.000 | 0.000 |
| 2.401 | 2.401 | 0.004 | -0.000 | 0.000 | 0.000 |
| 0.002 | -0.000 | 0.000 | -0.001 | 0.000 | 0.000 |
| 0.001 | 0.001 | 0.000 | 0.000 | 0.000 | -0.000 |
| 0.000 | -0.001 | 0.001 | 0.000 | -0.000 | 89.582 |
| 337.659 | 113.003 | 125.455 | -22.818 | 0.000 | -0.000 |
| 113.003 | 337.659 | 125.455 | 22.818 | -0.000 | -0.000 |
| 125.455 | 125.455 | 323.253 | -0.000 | -0.000 | -0.000 |
| -21.590 | 21.667 | -0.182 | 124.758 | -0.000 | 0.000 |
| 0.038 | 0.038 | -0.182 | 0.000 | 124.758 | -21.628 |
| 0.038 | 0.038 | -0.182 | 0.000 | -21.629 | 108.544 |
| 337.659 | 113.003 | 125.455 | -22.818 | 0.000 | 0.000 |
| 113.003 | 337.659 | 125.455 | 22.818 | 0.000 | 0.000 |
| 125.455 | 125.455 | 323.253 | 0.000 | 0.000 | -0.000 |
| -21.667 | 21.590 | 0.182 | 124.758 | -0.000 | 0.000 |
| -0.038 | -0.038 | 0.182 | -0.000 | 124.758 | -21.628 |
| -0.038 | -0.038 | 0.182 | -0.000 | -21.629 | 108.544 |
| 337.659 | 113.003 | 125.455 | -22.818 | -0.000 | -0.000 |
| 116.279 | 333.368 | 127.870 | 21.629 | 0.000 | -0.000 |
| 127.895 | 127.895 | 311.656 | -0.000 | -0.000 | -0.000 |
| -22.818 | 22.818 | 0.000 | 125.132 | -0.000 | -0.000 |
| -0.000 | -0.000 | 0.000 | 0.000 | 125.132 | -22.818 |
| 0.004 | 0.004 | -0.018 | 0.000 | -21.629 | 108.544 |
| 337.658 | 113.003 | 125.455 | -22.818 | 0.000 | 0.000 |
| 113.003 | 337.658 | 125.455 | 22.819 | 0.000 | 0.000 |
| 125.455 | 125.455 | 323.252 | 0.000 | 0.000 | 0.000 |
| -21.633 | 21.626 | 0.018 | 124.759 | 0.000 | -0.000 |
| 0.000 | 0.000 | -0.000 | -0.000 | 125.132 | -22.818 |
| -0.004 | -0.004 | 0.018 | -0.000 | -21.629 | 108.544 |
| 333.371 | 116.276 | 127.888 | -21.629 | -0.000 | -0.000 |
| 116.278 | 333.369 | 127.888 | 21.628 | -0.000 | -0.000 |
| 127.892 | 127.892 | 311.680 | -0.000 | 0.000 | 0.000 |
| -21.629 | 21.629 | -0.001 | 124.757 | -0.000 | -0.000 |
| -0.000 | -0.000 | 0.001 | 0.001 | 125.132 | -22.818 |
| 0.001 | 0.002 | -0.002 | 0.000 | -21.629 | 108.544 |
| 337.651 | 113.003 | 125.455 | -22.819 | 0.000 | -0.000 |
| 116.357 | 333.361 | 127.680 | 21.618 | 0.000 | 0.000 |
| 127.888 | 127.888 | 311.671 | -0.000 | 0.000 | 0.000 |
| -21.630 | 21.629 | 0.001 | 124.760 | -0.000 | -0.000 |
| 0.000 | 0.000 | -0.001 | -0.001 | 125.132 | -22.818 |
| -0.001 | -0.002 | 0.002 | -0.000 | -21.629 | 108.544 |
| 842.634 | 182.543 | 182.543 | 0.000 | 0.000 | 0.000 |
| 182.543 | 842.634 | 182.543 | 0.000 | 0.000 | -0.000 |
| 182.543 | 182.543 | 842.634 | 0.000 | -0.000 | 0.000 |
| -0.000 | -0.000 | -0.000 | 124.644 | -0.000 | -0.000 |
| -0.000 | -0.000 | -0.000 | 0.000 | 124.644 | 0.000 |
| -0.000 | -0.000 | -0.000 | 0.000 | 0.000 | 124.644 |
| 842.635 | 182.543 | 182.543 | -0.000 | 0.000 | 0.000 |
| 182.543 | 842.635 | 182.543 | 0.000 | -0.000 | 0.000 |
| 182.543 | 182.543 | 842.635 | 0.000 | -0.000 | -0.000 |
| -0.000 | 0.000 | 0.000 | 124.644 | 0.000 | -0.000 |
| 0.000 | 0.000 | 0.000 | -0.000 | 124.644 | -0.000 |
| 0.000 | 0.000 | -0.000 | -0.000 | 0.000 | 124.644 |
| 842.633 | 182.543 | 182.543 | 0.000 | -0.000 | -0.000 |
| 182.543 | 842.633 | 182.543 | -0.000 | -0.000 | -0.000 |
| 182.543 | 182.543 | 842.633 | -0.000 | -0.000 | -0.000 |
| -0.000 | -0.000 | -0.000 | 124.644 | -0.000 | -0.000 |
| -0.000 | -0.000 | -0.000 | 0.000 | 124.644 | 0.000 |
| -0.000 | -0.000 | -0.000 | -0.000 | -0.000 | 124.644 |
| 842.636 | 182.543 | 182.543 | 0.000 | 0.000 | -0.000 |
| 182.543 | 842.636 | 182.543 | 0.000 | 0.000 | 0.000 |
| 182.543 | 182.543 | 842.636 | 0.000 | 0.000 | -0.000 |
| 0.000 | 0.000 | 0.000 | 124.644 | 0.000 | 0.000 |
| 0.000 | 0.000 | 0.000 | -0.000 | 124.644 | -0.000 |
| 0.000 | 0.000 | 0.000 | 0.000 | 0.000 | 124.644 |
| 842.621 | 182.542 | 182.542 | -0.000 | -0.000 | -0.000 |
| 182.542 | 842.621 | 182.542 | -0.000 | 0.000 | -0.000 |
| 182.542 | 182.542 | 842.621 | 0.000 | -0.000 | 0.000 |
| -0.000 | -0.001 | -0.002 | 124.644 | 0.000 | -0.000 |
| -0.001 | -0.000 | -0.002 | -0.000 | 124.644 | -0.000 |
| -0.001 | -0.002 | -0.000 | 0.000 | -0.000 | 124.644 |
| 842.648 | 182.543 | 182.543 | 0.000 | -0.000 | -0.000 |
| 182.543 | 842.648 | 182.543 | 0.000 | -0.000 | 0.000 |
| 182.543 | 182.543 | 842.648 | -0.000 | 0.000 | 0.000 |
| 0.000 | 0.001 | 0.002 | 124.644 | -0.000 | -0.000 |
| 0.001 | 0.000 | 0.002 | 0.000 | 124.644 | 0.000 |
| 0.001 | 0.002 | 0.000 | -0.000 | 0.000 | 124.644 |
| 484.156 | 196.439 | 196.439 | 0.000 | -0.000 | 0.000 |
| 196.439 | 484.156 | 196.439 | 0.000 | -0.000 | 0.000 |
| 196.439 | 196.439 | 484.156 | 0.000 | -0.000 | 0.000 |
| -0.000 | 0.000 | 0.000 | 194.711 | -0.000 | 0.000 |
| 0.000 | -0.000 | 0.000 | -0.000 | 194.711 | 0.000 |
| 0.000 | 0.000 | -0.000 | 0.000 | 0.000 | 194.711 |
| 484.156 | 196.439 | 196.439 | -0.000 | 0.000 | 0.000 |
| 196.439 | 484.156 | 196.439 | 0.000 | 0.000 | -0.000 |
| 196.439 | 196.439 | 484.156 | -0.000 | 0.000 | -0.000 |
| 0.000 | -0.000 | -0.000 | 194.711 | -0.000 | -0.000 |
| -0.000 | 0.000 | -0.000 | -0.000 | 194.711 | -0.000 |
| -0.000 | -0.000 | 0.000 | -0.000 | 0.000 | 194.711 |
| 484.157 | 196.439 | 196.439 | 0.000 | 0.000 | 0.000 |
| 196.439 | 484.157 | 196.439 | 0.000 | 0.000 | 0.000 |
| 196.439 | 196.439 | 484.157 | -0.000 | -0.000 | 0.000 |
| -0.000 | 0.000 | 0.000 | 194.711 | -0.000 | 0.000 |
| 0.000 | -0.000 | 0.000 | 0.000 | 194.711 | 0.000 |
| 0.000 | 0.000 | -0.000 | 0.000 | -0.000 | 194.711 |
| 484.156 | 196.439 | 196.439 | -0.000 | -0.000 | -0.000 |
| 196.439 | 484.156 | 196.439 | -0.000 | -0.000 | -0.000 |
| 196.439 | 196.439 | 484.156 | 0.000 | -0.000 | -0.000 |
| 0.000 | -0.000 | -0.000 | 194.711 | 0.000 | -0.000 |
| -0.000 | 0.000 | -0.000 | -0.000 | 194.711 | -0.000 |
| -0.000 | -0.000 | 0.000 | -0.000 | 0.000 | 194.711 |
| 484.159 | 196.441 | 196.441 | 0.000 | 0.000 | 0.000 |
| 196.441 | 484.159 | 196.441 | 0.000 | 0.000 | 0.000 |
| 196.441 | 196.441 | 484.159 | 0.000 | -0.000 | 0.000 |
| -0.000 | 0.001 | 0.002 | 194.711 | 0.000 | 0.000 |
| 0.001 | -0.000 | 0.002 | 0.000 | 194.711 | 0.000 |
| 0.001 | 0.002 | -0.000 | 0.000 | -0.000 | 194.711 |
| 484.154 | 196.437 | 196.437 | -0.000 | -0.000 | -0.000 |
| 196.437 | 484.154 | 196.437 | -0.000 | -0.000 | -0.000 |
| 196.437 | 196.437 | 484.154 | 0.000 | 0.000 | -0.000 |
| 0.000 | -0.001 | -0.002 | 194.711 | -0.000 | -0.000 |
| -0.001 | 0.000 | -0.002 | -0.000 | 194.711 | -0.000 |
| -0.001 | -0.002 | 0.000 | -0.000 | 0.000 | 194.711 |
| 359.162 | 10.681 | 10.681 | 0.000 | -0.000 | -0.000 |
| 10.681 | 359.162 | 10.681 | 0.000 | 0.000 | -0.000 |
| 10.681 | 10.681 | 359.162 | 0.000 | -0.000 | -0.000 |
| 0.000 | -0.000 | -0.000 | 7.879 | 0.000 | -0.000 |
| -0.000 | 0.000 | -0.000 | 0.000 | 7.879 | -0.000 |
| -0.000 | -0.000 | 0.000 | 0.000 | 0.000 | 7.879 |
| 359.161 | 10.681 | 10.681 | -0.000 | -0.000 | 0.000 |
| 10.681 | 359.161 | 10.681 | -0.000 | 0.000 | 0.000 |
| 10.681 | 10.681 | 359.161 | -0.000 | -0.000 | 0.000 |
| -0.000 | 0.000 | 0.000 | 7.879 | -0.000 | 0.000 |
| 0.000 | -0.000 | 0.000 | -0.000 | 7.879 | 0.000 |
| 0.000 | 0.000 | -0.000 | -0.000 | -0.000 | 7.879 |
| 359.162 | 10.681 | 10.681 | 0.000 | 0.000 | 0.000 |
| 10.681 | 359.162 | 10.681 | 0.000 | -0.000 | 0.000 |
| 10.681 | 10.681 | 359.162 | 0.000 | 0.000 | -0.000 |
| -0.000 | -0.000 | -0.000 | 7.879 | 0.000 | -0.000 |
| -0.000 | -0.000 | -0.000 | 0.000 | 7.879 | -0.000 |
| -0.000 | -0.000 | -0.000 | 0.000 | 0.000 | 7.879 |
| 359.161 | 10.681 | 10.681 | -0.000 | -0.000 | 0.000 |
| 10.681 | 359.161 | 10.681 | -0.000 | -0.000 | 0.000 |
| 10.681 | 10.681 | 359.161 | -0.000 | -0.000 | -0.000 |
| 0.000 | 0.000 | 0.000 | 7.879 | -0.000 | 0.000 |
| 0.000 | 0.000 | 0.000 | -0.000 | 7.879 | 0.000 |
| 0.000 | 0.000 | 0.000 | -0.000 | -0.000 | 7.879 |
| 359.167 | 10.679 | 10.679 | 0.000 | 0.000 | 0.000 |
| 10.679 | 359.167 | 10.679 | 0.000 | 0.000 | 0.000 |
| 10.679 | 10.679 | 359.167 | 0.000 | 0.000 | 0.000 |
| -0.000 | -0.002 | -0.002 | 7.879 | -0.000 | -0.000 |
| -0.002 | -0.000 | -0.002 | 0.000 | 7.879 | -0.000 |
| -0.002 | -0.002 | -0.000 | 0.000 | 0.000 | 7.879 |
| 359.156 | 10.683 | 10.683 | -0.000 | -0.000 | 0.000 |
| 10.683 | 359.156 | 10.683 | -0.000 | -0.000 | 0.000 |
| 10.683 | 10.683 | 359.156 | -0.000 | -0.000 | 0.000 |
| 0.000 | 0.002 | 0.002 | 7.879 | 0.000 | -0.000 |
| 0.002 | 0.000 | 0.002 | -0.000 | 7.879 | 0.000 |
| 0.002 | 0.002 | 0.000 | -0.000 | -0.000 | 7.879 |
| 225.144 | 0.011 | 0.011 | -0.000 | 0.000 | 0.000 |
| 0.011 | 225.144 | 0.011 | 0.000 | -0.000 | -0.000 |
| 0.011 | 0.011 | 225.144 | -0.000 | -0.000 | -0.000 |
| 0.000 | 0.000 | -0.000 | 0.000 | 0.000 | 0.000 |
| 0.000 | 0.000 | -0.000 | -0.000 | 0.000 | 0.000 |
| 0.000 | -0.000 | 0.000 | -0.000 | -0.000 | 0.000 |
| 225.144 | 0.011 | 0.011 | 0.000 | 0.000 | 0.000 |
| 0.011 | 225.144 | 0.011 | 0.000 | 0.000 | 0.000 |
| 0.011 | 0.011 | 225.144 | 0.000 | 0.000 | -0.000 |
| -0.000 | 0.000 | 0.000 | 0.000 | -0.000 | 0.000 |
| 0.000 | -0.000 | 0.000 | 0.000 | 0.000 | -0.000 |
| 0.000 | 0.000 | -0.000 | 0.000 | 0.000 | 0.000 |
| 225.143 | 0.011 | 0.011 | -0.000 | -0.000 | -0.000 |
| 0.011 | 225.143 | 0.011 | -0.000 | -0.000 | -0.000 |
| 0.011 | 0.011 | 225.143 | -0.000 | 0.000 | -0.000 |
| 0.000 | -0.000 | -0.000 | 0.000 | 0.000 | 0.000 |
| -0.000 | 0.000 | -0.000 | 0.000 | 0.000 | 0.000 |
| -0.000 | -0.000 | 0.000 | -0.000 | -0.000 | 0.000 |
| 225.144 | 0.011 | 0.011 | 0.000 | 0.000 | 0.000 |
| 0.011 | 225.144 | 0.011 | 0.000 | 0.000 | 0.000 |
| 0.011 | 0.011 | 225.144 | 0.000 | 0.000 | 0.000 |
| -0.000 | 0.000 | 0.000 | 0.000 | 0.000 | 0.000 |
| 0.000 | -0.000 | 0.000 | -0.000 | 0.000 | 0.000 |
| 0.000 | 0.000 | -0.000 | 0.000 | 0.000 | 0.000 |
| 225.138 | 0.011 | 0.011 | -0.000 | -0.000 | -0.000 |
| 0.011 | 225.138 | 0.011 | -0.000 | -0.000 | 0.000 |
| 0.011 | 0.011 | 225.138 | 0.000 | 0.000 | -0.000 |
| 0.000 | -0.000 | -0.000 | 0.000 | 0.000 | 0.000 |
| -0.000 | 0.000 | -0.000 | 0.000 | 0.000 | 0.000 |
| -0.000 | -0.000 | 0.000 | -0.000 | 0.000 | 0.000 |
| 225.150 | 0.011 | 0.011 | -0.000 | -0.000 | -0.000 |
| 0.011 | 225.150 | 0.011 | -0.000 | 0.000 | 0.000 |
| 0.011 | 0.011 | 225.150 | 0.000 | 0.000 | 0.000 |
| -0.000 | 0.000 | 0.000 | 0.000 | -0.000 | -0.000 |
| 0.000 | -0.000 | 0.000 | -0.000 | 0.000 | -0.000 |
| 0.000 | 0.000 | -0.000 | -0.000 | -0.000 | 0.000 |
| 73.765 | -2.655 | -2.655 | 0.000 | -0.000 | -0.000 |
| -2.655 | 73.765 | -2.655 | -0.000 | 0.000 | 0.000 |
| -2.655 | -2.655 | 73.765 | 0.000 | -0.000 | 0.000 |
| -0.000 | -0.000 | -0.000 | -0.000 | -0.000 | -0.000 |
| -0.000 | -0.000 | -0.000 | -0.000 | -0.000 | -0.000 |
| -0.000 | -0.000 | 0.000 | 0.000 | 0.000 | -0.000 |
| 73.765 | -2.655 | -2.655 | -0.000 | 0.000 | -0.000 |
| -2.655 | 73.765 | -2.655 | 0.000 | -0.000 | -0.000 |
| -2.655 | -2.655 | 73.765 | 0.000 | -0.000 | -0.000 |
| 0.000 | 0.000 | 0.000 | -0.000 | -0.000 | 0.000 |
| 0.000 | 0.000 | 0.000 | -0.000 | -0.000 | 0.000 |
| 0.000 | 0.000 | -0.000 | -0.000 | -0.000 | -0.000 |
| 73.765 | -2.655 | -2.655 | 0.000 | 0.000 | -0.000 |
| -2.655 | 73.765 | -2.655 | 0.000 | 0.000 | -0.000 |
| -2.655 | -2.655 | 73.765 | 0.000 | 0.000 | 0.000 |
| 0.000 | 0.000 | -0.000 | 0.000 | 0.000 | -0.000 |
| 0.000 | 0.000 | -0.000 | 0.000 | 0.000 | -0.000 |
| 0.000 | -0.000 | 0.000 | -0.000 | -0.000 | 0.000 |
| 73.765 | -2.655 | -2.655 | -0.000 | 0.000 | -0.000 |
| -2.655 | 73.765 | -2.655 | 0.000 | -0.000 | 0.000 |
| -2.655 | -2.655 | 73.765 | 0.000 | 0.000 | 0.000 |
| -0.000 | -0.000 | 0.000 | 0.000 | 0.000 | 0.000 |
| -0.000 | -0.000 | 0.000 | -0.000 | 0.000 | 0.000 |
| -0.000 | 0.000 | -0.000 | -0.000 | -0.000 | 0.000 |
| 73.765 | -2.655 | -2.655 | -0.000 | -0.000 | 0.000 |
| -2.655 | 73.765 | -2.655 | -0.000 | -0.000 | 0.000 |
| -2.655 | -2.655 | 73.765 | 0.000 | -0.000 | -0.000 |
| 0.000 | 0.000 | -0.000 | 0.000 | -0.000 | -0.000 |
| 0.000 | 0.000 | -0.000 | -0.000 | 0.000 | -0.000 |
| 0.000 | -0.000 | 0.000 | -0.000 | -0.000 | 0.000 |
| 73.766 | -2.655 | -2.655 | 0.000 | 0.000 | 0.000 |
| -2.655 | 73.766 | -2.655 | 0.000 | 0.000 | 0.000 |
| -2.655 | -2.655 | 73.766 | -0.000 | -0.000 | 0.000 |
| -0.000 | -0.000 | 0.000 | 0.000 | -0.000 | 0.000 |
| -0.000 | -0.000 | 0.000 | -0.000 | 0.000 | -0.000 |
| -0.000 | 0.000 | -0.000 | -0.000 | 0.000 | 0.000 |
| 262.583 | 291.677 | 264.707 | -0.000 | 0.000 | -0.000 |
| 360.464 | 439.779 | 316.464 | 0.000 | 0.000 | 0.000 |
| 183.906 | 214.116 | 441.610 | 0.000 | 0.000 | -0.000 |
| 0.000 | 0.000 | 0.000 | 38.091 | -0.000 | -0.000 |
| 187.365 | 194.949 | 275.422 | -0.000 | 42.543 | -0.000 |
| 188.051 | 195.662 | 276.430 | -0.000 | 0.000 | 72.809 |
| -125.749 | -103.506 | -297.815 | 0.000 | -0.000 | 0.000 |
| -81.249 | 68.476 | -249.589 | 0.000 | -0.000 | 0.000 |
| -190.911 | -176.181 | -109.612 | -0.000 | -0.000 | 0.000 |
| -0.000 | -0.000 | -0.000 | 38.091 | 0.000 | -0.000 |
| -187.365 | -194.949 | -275.422 | 0.000 | 42.543 | 0.000 |
| -188.051 | -195.662 | -276.430 | -0.000 | -0.000 | 72.809 |
| 172.859 | 124.632 | 63.691 | -0.000 | -0.000 | -0.000 |
| 124.707 | 280.834 | 54.666 | -0.000 | 0.000 | -0.000 |
| 15.442 | 37.915 | 193.227 | -0.000 | 0.000 | -0.000 |
| 25.742 | 17.843 | 29.104 | 33.432 | 0.000 | 0.000 |
| 7600305.814 | 740474.781 | 7058225.261 | -0.000 | 39480365.129 | -0.000 |
| 0.000 | 0.000 | 0.000 | 0.000 | 0.000 | 83.296 |
| 18.121 | 70.979 | -63.074 | 0.000 | -0.000 | 0.000 |
| 87.591 | 246.131 | -0.544 | 0.000 | -0.000 | 0.000 |
| 59.698 | 52.686 | 232.900 | -0.000 | -0.000 | 0.000 |
| -25.742 | -17.843 | -29.104 | 33.432 | -0.000 | 0.000 |
| -7600305.822 | -740474.781 | -7058225.212 | 0.000 | 39480365.115 | 0.000 |
| -0.000 | -0.000 | -0.000 | 0.000 | 0.000 | 83.296 |
| 41.584 | 99.714 | -24.529 | -0.000 | 0.000 | -0.000 |
| 101.913 | 263.736 | 27.721 | -0.000 | 0.000 | -0.000 |
| -34.657 | 27.665 | 152.903 | -0.000 | 0.000 | -0.000 |
| 1.316 | 1.369 | 1.933 | 33.532 | 0.000 | -0.000 |
| 760032.194 | 74064.136 | 705938.827 | -0.000 | 3948008.716 | -0.000 |
| 5151349.828 | 2366302.807 | 132003.360 | -0.000 | -0.000 | 61.195 |
| 29.209 | 102.171 | -33.671 | -0.000 | -0.000 | 0.000 |
| 103.303 | 263.604 | 23.039 | -0.000 | -0.000 | 0.000 |
| -40.939 | 24.035 | 146.404 | -0.000 | -0.000 | -0.000 |
| -1.316 | -1.369 | -1.933 | 33.532 | -0.000 | 0.000 |
| -760032.194 | -74064.136 | -705938.827 | 0.000 | 3948008.716 | 0.000 |
| -5305145.162 | -2442793.131 | -174570.613 | 1331.815 | 14667.025 | -36449.583 |
| -1912378.598 | 4685998.329 | -1464272.314 | -999986.753 | -122143.733 | -1069148.967 |
| -2052156.392 | 4763099.710 | -1472623.541 | -1047829.186 | -35063.525 | -1074348.754 |
| -2124587.644 | 4521631.821 | -1391087.376 | -1006855.361 | -149820.708 | -856274.380 |
| -1913981.900 | 4686371.501 | -1465520.177 | -996467.682 | -121726.240 | -1067676.279 |
| -1914501.423 | 4686115.547 | -1466189.480 | -996545.979 | -121636.961 | -1067687.142 |
| -1914379.354 | 4686182.136 | -1466541.728 | -996725.056 | -121211.790 | -1067769.228 |
| 1912989.167 | -4685960.272 | 1464080.724 | 1000214.897 | 122063.813 | 1068625.030 |
| 1911923.727 | -4686132.655 | 1463283.483 | 1000741.501 | 122029.175 | 1068831.211 |
| 2053222.342 | -4763989.228 | 1473351.731 | 1047967.530 | 33368.000 | 1075342.046 |
| 2124613.024 | -4521760.462 | 1391164.407 | 1007014.826 | 149735.497 | 856087.725 |
| 2052758.842 | -4763397.697 | 1473138.488 | 1047768.532 | 34656.437 | 1074601.150 |
| 1985746.073 | -4443891.277 | 1384354.439 | 955799.276 | 238653.648 | 849985.836 |
| -205134.266 | 476437.127 | -147215.079 | -104767.235 | -3431.196 | -107495.027 |
| -233382.818 | 452824.773 | -149528.257 | -89271.510 | -1357.200 | -95794.558 |
| -191183.273 | 468694.686 | -146216.251 | -100023.567 | -12274.135 | -106892.550 |
| -212424.289 | 452146.302 | -139178.465 | -100631.172 | -14963.536 | -85605.207 |
| -198460.762 | 444425.979 | -138317.966 | -95536.097 | -23884.449 | -85019.274 |
| -198564.385 | 444436.028 | -138407.742 | -95571.400 | -23840.602 | -84965.979 |
| 212641.680 | -452107.497 | 139243.245 | 100668.591 | 14952.568 | 85609.585 |
| 205408.447 | -476198.693 | 147368.293 | 104782.045 | 3387.480 | 107510.624 |
| 190547.577 | -467437.720 | 145811.168 | 101255.954 | 13155.497 | 107924.026 |
| 212524.388 | -452121.474 | 139153.099 | 100743.557 | 14960.987 | 85618.912 |
| 198593.291 | -444436.182 | 138430.630 | 95587.387 | 23879.792 | 84972.963 |
| 198591.499 | -444437.336 | 138383.339 | 95583.442 | 23829.085 | 85007.634 |
| -21103.276 | 45259.278 | -13850.376 | -10069.031 | -1501.041 | -8555.432 |
| -20486.727 | 47831.178 | -14681.796 | -10476.976 | -332.125 | -10754.969 |
| -20457.599 | 47680.204 | -14573.318 | -10477.278 | -352.372 | -10742.472 |
| -19148.127 | 46865.149 | -14667.357 | -9937.599 | -1210.316 | -10679.328 |
| -21245.695 | 45216.744 | -13914.840 | -10070.325 | -1446.609 | -8562.064 |
| -19142.437 | 46860.913 | -14658.187 | -9964.646 | -1221.467 | -10650.054 |
| 19189.192 | -46695.798 | 14635.834 | 10132.672 | 1311.681 | 10808.172 |
| 20582.105 | -47453.183 | 14784.812 | 10480.720 | 333.349 | 10751.227 |
| 19914.274 | -44388.974 | 13991.466 | 9556.531 | 2394.988 | 8500.797 |
| 19852.333 | -44441.177 | 13835.416 | 9582.988 | 2392.016 | 8504.155 |
| 19044.756 | -46742.395 | 14563.652 | 10138.441 | 1359.178 | 10808.289 |
| 19145.573 | -46865.580 | 14661.181 | 9966.396 | 1213.843 | 10706.940 |
| -8413352.446 | 6388088.756 | -857841.585 | 267935.639 | -281870.413 | -137774.169 |
| -8351173.535 | 6360268.550 | -784844.186 | 283735.708 | -278135.292 | -191064.758 |
| -8098270.441 | 6604063.375 | -693377.610 | 279642.783 | -250168.057 | -298041.517 |
| -8403399.079 | 6390383.092 | -864815.148 | 268925.039 | -277285.616 | -135261.292 |
| -8097258.353 | 6603904.171 | -693001.431 | 279539.983 | -250161.895 | -298365.488 |
| -8403624.719 | 6390247.055 | -864737.061 | 268657.348 | -277608.071 | -135425.332 |
| 8104566.381 | -6598842.280 | 693806.887 | -280725.796 | 253331.381 | 308049.348 |
| 8147741.759 | -6593697.047 | 714804.152 | -275701.500 | 257259.140 | 321805.373 |
| 8412934.659 | -6389973.806 | 857334.593 | -267204.235 | 282081.699 | 140294.712 |
| 8413238.475 | -6389390.267 | 857289.888 | -267470.031 | 281920.896 | 138503.965 |
| 8351157.861 | -6361453.425 | 785126.154 | -284025.473 | 278535.699 | 188843.551 |
| 8134633.023 | -6595465.667 | 722253.678 | -278441.450 | 252151.612 | 319463.757 |
| -807770.243 | 642555.359 | -77069.934 | 27655.251 | -23424.090 | -41809.568 |
| -840344.573 | 639287.654 | -86437.362 | 26870.410 | -27746.148 | -13407.986 |
| -808017.541 | 656939.142 | -63845.871 | 29231.418 | -25315.065 | -37344.969 |
| -803853.083 | 657249.494 | -61975.567 | 29750.684 | -24887.906 | -36007.657 |
| -841341.108 | 639150.563 | -85757.720 | 26699.710 | -28180.420 | -13793.951 |
| -809229.626 | 660015.731 | -70064.728 | 28173.647 | -24826.983 | -30432.112 |
| 840558.838 | -638965.527 | 86549.504 | -26899.785 | 27729.648 | 13537.833 |
| 813762.878 | -645027.195 | 85407.571 | -26074.759 | 23354.313 | 35996.333 |
| 835248.235 | -635961.771 | 78684.650 | -28403.762 | 27816.287 | 18923.218 |
| 834397.010 | -634703.238 | 79187.850 | -27667.683 | 27513.312 | 18512.362 |
| 841341.534 | -639002.765 | 85722.123 | -26758.253 | 28274.971 | 13876.937 |
| 810180.375 | -660017.459 | 69212.619 | -28083.607 | 25267.413 | 30887.443 |
| -80846.164 | 66049.308 | -6848.973 | 2804.414 | -2529.307 | -3080.344 |
| -83468.756 | 63761.728 | -7776.310 | 2839.738 | -2784.209 | -1880.383 |
| -80828.006 | 66082.562 | -6802.427 | 2820.985 | -2481.450 | -3056.018 |
| -80918.879 | 66010.759 | -7001.092 | 2866.364 | -2483.910 | -3045.942 |
| -81010.650 | 66002.942 | -6916.720 | 2809.449 | -2466.229 | -3091.196 |
| -84136.925 | 63900.561 | -8573.948 | 2675.517 | -2822.640 | -1362.029 |
| 81225.928 | -65939.057 | 7008.569 | -2807.562 | 2528.512 | 3086.245 |
| 84097.088 | -63742.590 | 8729.796 | -2687.150 | 2776.782 | 1360.953 |
| 84116.798 | -63829.113 | 8846.770 | -2686.705 | 2771.013 | 1356.708 |
| 84070.740 | -63741.859 | 8646.407 | -2557.364 | 2787.377 | 1352.571 |
| 84030.934 | -63906.225 | 8648.161 | -2688.361 | 2834.848 | 1347.316 |
| 81448.460 | -64546.978 | 8478.458 | -2577.636 | 2362.780 | 3562.956 |
| -1964.353 | -2046.413 | -893.907 | -0.000 | 0.000 | 0.000 |
| -2046.413 | -1964.353 | -893.907 | 0.000 | 0.000 | -0.000 |
| -3144.980 | -3144.980 | -3235.028 | 0.000 | 0.000 | 0.000 |
| 0.000 | 0.000 | 0.000 | 29.787 | 0.000 | 0.000 |
| 0.000 | -0.000 | 0.000 | -0.000 | 29.787 | -0.000 |
| 0.000 | 0.000 | 0.000 | -0.000 | 0.000 | 52.409 |
| 2318.225 | 2236.184 | 1013.797 | 0.000 | -0.000 | 0.000 |
| 2236.184 | 2318.225 | 1013.797 | 0.000 | -0.000 | -0.000 |
| 87.552 | 87.552 | 285.608 | -0.000 | -0.000 | 0.000 |
| -0.000 | 0.000 | -0.000 | 29.787 | 0.000 | 0.000 |
| -0.000 | 0.000 | -0.000 | 0.000 | 29.787 | -0.000 |
| -0.000 | 0.000 | -0.000 | -0.000 | -0.000 | 52.409 |
| -102.496 | -186.725 | -270.686 | -0.000 | 0.000 | 0.000 |
| -186.725 | -102.496 | -270.686 | 0.000 | 0.000 | 0.000 |
| 87.552 | 87.552 | 285.608 | 0.000 | 0.000 | -0.000 |
| -141.359 | -141.359 | -264.246 | 10.970 | 0.000 | -0.000 |
| -141.359 | -141.359 | -264.246 | -0.000 | 10.970 | -0.000 |
| -322.911 | -322.911 | -327.479 | 0.000 | 0.000 | 40.340 |
| 341.787 | 242.811 | 320.050 | 0.000 | -0.000 | -0.000 |
| 242.811 | 341.787 | 320.050 | -0.000 | -0.000 | -0.000 |
| 215.692 | 215.692 | 476.963 | 0.000 | -0.000 | 0.000 |
| 141.359 | 141.359 | 264.246 | 10.970 | -0.000 | -0.000 |
| 141.359 | 141.359 | 264.246 | 0.000 | 10.970 | 0.000 |
| 322.911 | 322.911 | 327.479 | 0.000 | -0.000 | 40.340 |
| 189.314 | 96.439 | 25.810 | -0.000 | -0.000 | 0.000 |
| 96.439 | 189.314 | 25.810 | -0.000 | 0.000 | 0.000 |
| 33.432 | 33.432 | 163.616 | -0.000 | 0.000 | 0.000 |
| -16.919 | -16.919 | -35.819 | 0.130 | 0.000 | -0.000 |
| -16.919 | -16.919 | -35.819 | 0.000 | 0.130 | -0.000 |
| -22.516 | -22.516 | -12.160 | 0.000 | 0.000 | 36.740 |
| 220.300 | 124.480 | 79.025 | 0.000 | 0.000 | 0.000 |
| 124.480 | 220.300 | 79.025 | 0.000 | -0.000 | -0.000 |
| 73.332 | 73.332 | 212.125 | 0.000 | -0.000 | 0.000 |
| 16.919 | 16.919 | 35.819 | 0.130 | 0.000 | -0.000 |
| 16.919 | 16.919 | 35.819 | 0.000 | 0.130 | 0.000 |
| 22.516 | 22.516 | 12.160 | 0.000 | -0.000 | 36.740 |
| 20401829.846 | 12970125.875 | 28275589.776 | -1483339.554 | 1334790.724 | -4175133.134 |
| 18670306.915 | 12223044.968 | 29143223.759 | -2632277.676 | 2227881.703 | -4370258.564 |
| 19759071.227 | 12071547.750 | 28834236.161 | -2304320.364 | 1683443.380 | -3367873.845 |
| 19428834.812 | 12796789.922 | 28854682.400 | -1564431.188 | 1592204.430 | -3670640.975 |
| 20032576.786 | 12714122.968 | 29255362.162 | -2254606.422 | 1123542.130 | -4198020.411 |
| 20276751.736 | 13377617.583 | 27898640.360 | -1502538.266 | 1245358.911 | -3994692.094 |
| -19881377.256 | -11882219.931 | -28629908.600 | 1658278.648 | -2135581.995 | 3679898.675 |
| -19451291.180 | -11365358.485 | -28003730.950 | 1898192.401 | -1930205.335 | 3577093.834 |
| -19745800.902 | -12367226.753 | -27896426.827 | 1716745.052 | -992726.759 | 4052502.764 |
| -19549072.001 | -12871377.008 | -29149835.136 | 1484836.842 | -1762609.342 | 3378569.556 |
| -19278026.232 | -12648281.543 | -28775294.251 | 1915965.515 | -1685833.955 | 3196765.180 |
| -19431174.647 | -11852542.477 | -28228952.369 | 1566959.328 | -1860061.936 | 3643822.512 |
| 1904700.359 | 1254554.384 | 2691997.207 | -216184.716 | 168323.866 | -237980.958 |
| 2068246.375 | 1367595.106 | 2698635.848 | -246723.660 | 224164.323 | -308020.153 |
| 1855232.214 | 1125835.826 | 2802729.823 | -303606.763 | 231639.571 | -380996.308 |
| 2015360.704 | 1179206.745 | 2715714.664 | -304489.240 | 157746.991 | -254641.293 |
| 1977007.053 | 1150639.715 | 2651343.842 | -236583.625 | 136403.572 | -274691.863 |
| 1942474.363 | 1219374.167 | 2546740.716 | -251534.944 | 119699.495 | -286496.647 |
| -1932400.029 | -1233384.004 | -2868476.243 | 200428.174 | -168350.052 | 280059.997 |
| -1897122.431 | -1178157.516 | -2708705.542 | 184506.389 | -183903.805 | 226905.166 |
| -1925334.330 | -1233527.175 | -2738863.601 | 215487.253 | -155976.958 | 253638.061 |
| -1928458.743 | -1162679.783 | -2581109.495 | 330712.263 | -213715.563 | 281598.039 |
| -1904228.759 | -1169220.398 | -2863716.218 | 165341.429 | -156721.862 | 320200.884 |
| -1965482.015 | -1191015.227 | -2813963.206 | 227180.158 | -98645.261 | 403236.133 |
| 214051.589 | 139630.480 | 272080.446 | -26228.627 | 4743.011 | -28576.677 |
| 200753.091 | 151480.706 | 243561.878 | -43683.538 | 27668.378 | -35510.178 |
| 196554.247 | 129800.876 | 261466.709 | -25344.350 | 14234.390 | -38097.562 |
| 204667.222 | 132681.637 | 254232.633 | -37807.780 | 32014.635 | -27693.664 |
| 193514.939 | 125256.875 | 269198.870 | -27186.870 | 23317.433 | -34564.927 |
| 198913.452 | 127487.871 | 258700.202 | -33818.883 | 20146.740 | -39720.933 |
| -176992.267 | -113222.756 | -273659.518 | 8700.547 | -14683.456 | 17105.293 |
| -191952.674 | -132366.691 | -271585.172 | 41608.293 | -20041.264 | 33295.935 |
| -230059.182 | -149785.119 | -261225.611 | 26621.580 | -39861.391 | 30578.311 |
| -187676.277 | -151986.812 | -249061.970 | 15626.933 | -30662.070 | 48329.894 |
| -193626.407 | -126844.382 | -263622.193 | 23020.013 | -13523.428 | 36299.103 |
| -223425.848 | -154344.304 | -270557.734 | 22627.162 | -5621.511 | 44917.727 |
| 158.856 | 97.334 | 103.816 | 0.000 | 0.000 | -0.000 |
| 85.309 | 301.047 | 100.800 | 0.000 | 0.000 | -0.000 |
| 114.608 | 100.800 | 381.322 | -0.000 | 0.000 | -0.000 |
| -0.001 | 0.000 | -0.000 | 88.985 | 0.000 | -0.000 |
| -0.002 | 0.001 | -0.001 | 0.000 | 96.946 | 0.000 |
| -0.003 | 0.001 | -0.001 | 0.000 | 0.000 | 60.658 |
| 184.471 | 85.309 | 114.608 | -0.000 | -0.000 | 0.000 |
| 97.335 | 295.402 | 105.867 | -0.000 | -0.000 | -0.000 |
| 114.608 | 100.800 | 381.322 | -0.000 | -0.000 | 0.000 |
| 0.001 | -0.000 | 0.000 | 88.985 | -0.000 | -0.000 |
| 0.002 | -0.001 | 0.001 | -0.000 | 96.946 | -0.000 |
| 0.003 | -0.001 | 0.001 | -0.000 | -0.000 | 60.658 |
| 158.858 | 97.333 | 103.817 | 0.000 | 0.000 | 0.000 |
| 97.332 | 295.403 | 105.866 | 0.000 | 0.000 | -0.000 |
| 103.817 | 105.866 | 376.775 | 0.000 | 0.000 | 0.000 |
| -0.000 | 0.000 | 0.000 | 88.985 | 0.000 | 0.000 |
| -0.000 | 0.000 | -0.000 | 0.000 | 96.946 | 0.000 |
| 0.000 | 0.000 | 0.000 | 0.000 | 0.000 | 62.266 |
| 158.858 | 97.332 | 103.817 | -0.000 | -0.000 | -0.000 |
| 85.309 | 301.047 | 100.799 | 0.000 | -0.000 | 0.000 |
| 103.817 | 105.865 | 376.774 | -0.000 | -0.000 | -0.000 |
| 0.000 | -0.000 | -0.000 | 88.985 | -0.000 | 0.000 |
| 0.000 | -0.000 | 0.000 | -0.000 | 96.946 | -0.000 |
| -0.000 | -0.000 | -0.000 | -0.000 | -0.000 | 62.266 |
| 158.860 | 97.334 | 103.818 | 0.000 | 0.000 | -0.000 |
| 97.333 | 295.405 | 105.867 | 0.000 | 0.000 | 0.000 |
| 114.609 | 100.802 | 381.328 | 0.000 | 0.000 | -0.000 |
| 0.000 | 0.001 | 0.002 | 88.985 | 0.000 | 0.000 |
| 0.000 | 0.000 | 0.000 | 0.000 | 96.946 | 0.000 |
| 0.001 | 0.001 | 0.001 | 0.000 | 0.000 | 60.658 |
| 158.857 | 97.331 | 103.815 | -0.000 | -0.000 | -0.000 |
| 97.332 | 295.401 | 105.864 | -0.000 | -0.000 | -0.000 |
| 103.816 | 105.863 | 376.769 | -0.000 | -0.000 | 0.000 |
| -0.000 | -0.001 | -0.002 | 88.985 | -0.000 | -0.000 |
| -0.000 | -0.000 | -0.000 | -0.000 | 96.946 | 0.000 |
| -0.001 | -0.001 | -0.001 | -0.000 | -0.000 | 60.658 |
| 183.964 | 83.445 | 113.133 | 0.000 | -0.000 | -0.000 |
| 24.390 | 322.641 | 73.702 | -0.000 | 0.000 | -0.000 |
| 32.124 | 132.760 | 344.718 | -0.000 | 0.000 | -0.000 |
| -68.687 | 26.495 | -32.340 | 89.171 | -0.000 | -0.000 |
| -68.788 | 26.534 | -32.387 | 0.000 | 96.014 | 0.000 |
| 0.000 | 0.000 | 0.000 | -0.000 | 0.000 | 60.447 |
| 183.964 | 83.445 | 113.133 | -0.000 | -0.000 | 0.000 |
| 161.965 | 269.573 | 138.476 | 0.000 | -0.000 | 0.000 |
| 169.699 | 79.692 | 409.491 | 0.000 | -0.000 | 0.000 |
| 68.687 | -26.495 | 32.340 | 89.171 | -0.000 | 0.000 |
| 68.788 | -26.534 | 32.387 | 0.000 | 96.014 | 0.000 |
| -0.000 | -0.000 | -0.000 | 0.000 | 0.000 | 60.447 |
| 151.297 | 96.047 | 97.752 | -0.000 | -0.000 | -0.000 |
| 83.230 | 299.944 | 101.406 | 0.000 | 0.000 | -0.000 |
| 94.033 | 108.880 | 373.866 | -0.000 | -0.000 | -0.000 |
| -6.879 | 2.654 | -3.239 | 89.269 | -0.000 | -0.000 |
| -6.879 | 2.653 | -3.239 | -0.000 | 96.014 | -0.000 |
| -7.330 | 2.828 | -3.451 | 0.000 | -0.000 | 58.509 |
| 165.055 | 90.740 | 104.230 | 0.000 | -0.000 | 0.000 |
| 100.056 | 293.453 | 109.328 | 0.000 | -0.000 | 0.000 |
| 107.790 | 103.572 | 380.343 | 0.000 | -0.000 | 0.000 |
| 6.879 | -2.654 | 3.239 | 89.269 | -0.000 | 0.000 |
| 6.879 | -2.653 | 3.239 | 0.000 | 96.014 | 0.000 |
| 7.330 | -2.828 | 3.451 | 0.000 | -0.000 | 58.509 |
| 157.490 | 93.660 | 100.669 | -0.000 | -0.000 | -0.000 |
| 92.490 | 296.375 | 105.767 | 0.000 | -0.000 | -0.000 |
| 100.224 | 106.494 | 376.787 | -0.000 | 0.000 | -0.000 |
| -0.687 | 0.267 | -0.322 | 89.269 | -0.000 | -0.000 |
| -0.688 | 0.266 | -0.324 | -0.000 | 96.014 | -0.000 |
| -0.783 | 0.303 | -0.369 | 0.000 | 0.000 | 58.375 |
| 158.862 | 93.126 | 101.314 | 0.000 | -0.000 | 0.000 |
| 93.864 | 295.839 | 106.412 | -0.000 | -0.000 | 0.000 |
| 101.599 | 105.958 | 377.422 | 0.000 | -0.000 | 0.000 |
| 0.687 | -0.267 | 0.322 | 89.269 | -0.000 | -0.000 |
| 0.688 | -0.266 | 0.324 | 0.000 | 96.014 | 0.000 |
| 0.783 | -0.303 | 0.369 | 0.000 | -0.000 | 58.375 |
| 248.188 | 177.256 | 798.678 | -0.000 | -0.000 | -0.000 |
| 177.256 | 248.188 | 798.678 | 0.000 | -0.000 | -0.000 |
| 163.040 | 163.040 | 309.135 | 0.000 | -0.000 | -0.000 |
| 0.000 | 0.000 | 0.000 | 9.066 | -0.000 | -0.000 |
| 0.000 | 0.000 | 0.000 | 0.000 | 9.066 | -0.000 |
| 36.550 | 36.550 | 683.610 | 0.000 | -0.000 | 31.897 |
| 256.436 | 171.206 | 163.046 | 0.000 | -0.000 | 0.000 |
| 171.206 | 256.436 | 163.046 | -0.000 | 0.000 | 0.000 |
| 74.579 | 74.579 | -483.349 | 0.000 | 0.000 | 0.000 |
| -0.000 | -0.000 | -0.000 | 9.066 | -0.000 | 0.000 |
| -0.000 | -0.000 | -0.000 | 0.000 | 9.066 | 0.000 |
| -36.550 | -36.550 | -683.610 | 0.000 | 0.000 | 31.897 |
| 256.436 | 171.206 | 163.046 | 0.000 | -0.000 | -0.000 |
| 171.206 | 256.436 | 163.046 | 0.000 | -0.000 | -0.000 |
| 163.041 | 163.041 | 309.139 | -0.000 | -0.000 | -0.000 |
| 3.868 | 3.868 | 72.341 | 0.057 | 0.000 | -0.000 |
| 3.868 | 3.868 | 72.341 | 0.000 | 0.057 | -0.000 |
| 3.689 | 3.689 | 68.993 | 0.000 | 0.000 | 31.876 |
| 256.436 | 171.205 | 163.046 | 0.000 | 0.000 | 0.000 |
| 171.205 | 256.436 | 163.046 | 0.000 | 0.000 | 0.000 |
| 163.039 | 163.039 | 309.129 | -0.000 | 0.000 | 0.000 |
| -3.868 | -3.868 | -72.341 | 0.057 | -0.000 | 0.000 |
| -3.868 | -3.868 | -72.341 | -0.000 | 0.057 | 0.000 |
| -3.689 | -3.689 | -68.993 | 0.000 | 0.000 | 31.876 |
| 100.022 | 64.619 | -40.964 | -0.000 | -0.000 | -0.000 |
| 64.619 | 100.022 | -40.964 | -0.000 | -0.000 | -0.000 |
| -13.073 | -13.073 | -50.537 | -0.000 | -0.000 | -0.000 |
| 5401424.220 | 5826358.215 | 5016490.717 | -154788.754 | 7126.875 | -36932.034 |
| 5705738.576 | 5326962.229 | 4973266.428 | 11566.375 | -183876.734 | -24342.536 |
| 0.001 | 0.001 | 0.001 | 0.000 | -0.000 | 34.112 |
| 77.475 | 72.424 | -24.253 | 0.000 | 0.000 | 0.000 |
| 72.424 | 77.475 | -24.253 | 0.000 | 0.000 | 0.000 |
| 43.583 | 43.583 | 54.759 | 0.000 | 0.000 | 0.000 |
| -5381765.500 | -5768136.415 | -5055512.005 | -166589.077 | 8795.023 | 16778.578 |
| -5763750.624 | -5372963.129 | -5093760.144 | -19403.827 | -188820.392 | 6647.490 |
| -0.001 | -0.001 | -0.001 | -0.000 | 0.000 | 34.112 |
| 369.801 | 250.321 | 287.469 | 0.000 | -0.000 | -0.000 |
| 229.658 | 562.182 | 269.124 | -0.000 | -0.000 | -0.000 |
| 93.645 | 54.843 | 242.946 | 0.000 | -0.000 | -0.000 |
| 0.000 | -0.000 | -0.000 | 56.515 | -0.000 | -0.000 |
| 174.121 | 175.711 | 222.027 | 0.000 | 85.236 | -0.000 |
| 0.000 | 0.000 | -0.000 | -0.000 | -0.000 | 70.124 |
| 12.634 | -154.269 | -94.546 | 0.000 | 0.000 | 0.000 |
| -120.467 | 206.301 | -173.080 | -0.000 | -0.000 | 0.000 |
| 93.645 | 54.843 | 242.946 | -0.000 | -0.000 | 0.000 |
| -0.000 | 0.000 | 0.000 | 56.515 | 0.000 | 0.000 |
| -174.121 | -175.711 | -222.027 | -0.000 | 85.236 | 0.000 |
| -0.000 | -0.000 | 0.000 | 0.000 | 0.000 | 70.124 |
| 200.817 | 66.767 | 93.645 | -0.000 | -0.000 | -0.000 |
| 66.768 | 401.757 | 54.843 | -0.000 | 0.000 | -0.000 |
| 97.916 | 63.913 | 240.477 | -0.000 | -0.000 | -0.000 |
| 0.000 | -0.000 | -0.000 | 56.515 | -0.000 | -0.000 |
| 17.443 | 17.619 | 22.213 | 0.000 | 87.937 | -0.000 |
| 17.961 | 20.369 | 19.173 | -0.000 | -0.000 | 65.538 |
| 200.816 | 66.767 | 93.645 | 0.000 | 0.000 | 0.000 |
| 66.767 | 401.757 | 54.843 | 0.000 | -0.000 | 0.000 |
| 93.645 | 54.843 | 242.946 | -0.000 | 0.000 | 0.000 |
| -0.000 | 0.000 | 0.000 | 56.515 | 0.000 | 0.000 |
| -17.443 | -17.619 | -22.213 | -0.000 | 87.937 | 0.000 |
| -17.961 | -20.369 | -19.173 | -0.000 | 0.000 | 65.538 |
| 200.821 | 66.768 | 93.647 | -0.000 | 0.000 | -0.000 |
| 55.702 | 384.251 | 51.271 | -0.000 | -0.000 | -0.000 |
| 93.646 | 54.843 | 242.945 | -0.000 | 0.000 | -0.000 |
| 1.744 | 1.761 | 2.220 | 39.296 | -0.000 | -0.000 |
| 0.001 | 0.000 | 0.000 | -0.000 | 93.743 | -0.000 |
| 1.817 | 2.060 | 1.939 | 0.000 | -0.000 | 65.487 |
| 200.811 | 66.767 | 93.644 | 0.000 | 0.000 | 0.000 |
| 52.212 | 380.726 | 46.830 | 0.000 | -0.000 | 0.000 |
| 82.058 | 47.290 | 221.293 | -0.000 | -0.000 | 0.000 |
| -1.744 | -1.761 | -2.220 | 39.296 | 0.000 | 0.000 |
| -0.001 | -0.000 | -0.000 | 0.000 | 93.743 | 0.000 |
| -1.817 | -2.060 | -1.939 | -0.000 | 0.000 | 65.487 |
| 268.755 | 170.535 | 170.535 | 0.000 | 0.000 | -0.000 |
| 170.535 | 268.755 | 170.535 | 0.000 | -0.000 | 0.000 |
| 170.535 | 170.535 | 268.755 | 0.000 | 0.000 | 0.000 |
| -6080.282 | -6080.282 | -6080.282 | 7.592 | -0.000 | 0.000 |
| -6080.282 | -6080.282 | -6080.282 | 0.000 | 7.592 | 0.000 |
| -6080.282 | -6080.282 | -6080.282 | 0.000 | 0.000 | 7.592 |
| 5985.407 | 5945.973 | 5945.973 | 0.000 | -0.000 | 0.000 |
| 5945.973 | 5985.407 | 5945.973 | 0.000 | -0.000 | -0.000 |
| 5945.973 | 5945.973 | 5985.407 | 0.000 | -0.000 | 0.000 |
| 6080.282 | 6080.282 | 6080.282 | 7.592 | 0.000 | 0.000 |
| 6080.282 | 6080.282 | 6080.282 | -0.000 | 7.592 | -0.000 |
| 6080.282 | 6080.282 | 6080.282 | -0.000 | -0.000 | 7.592 |
| -474.562 | -482.339 | -482.339 | -0.000 | 0.000 | 0.000 |
| -482.339 | -474.562 | -482.339 | -0.000 | 0.000 | -0.000 |
| -482.339 | -482.339 | -474.562 | -0.000 | 0.000 | -0.000 |
| -584.263 | -584.263 | -584.263 | 7.513 | 0.000 | -0.000 |
| -584.263 | -584.263 | -584.263 | -0.000 | 7.513 | -0.000 |
| -584.263 | -584.263 | -584.263 | -0.000 | 0.000 | 7.513 |
| 268.755 | 170.535 | 170.535 | 0.000 | -0.000 | 0.000 |
| 170.535 | 268.755 | 170.535 | -0.000 | 0.000 | 0.000 |
| 170.535 | 170.535 | 268.755 | 0.000 | -0.000 | -0.000 |
| 584.263 | 584.263 | 584.263 | 7.513 | 0.000 | 0.000 |
| 584.263 | 584.263 | 584.263 | 0.000 | 7.513 | -0.000 |
| 584.263 | 584.263 | 584.263 | -0.000 | -0.000 | 7.513 |
| 65.299 | 63.392 | 63.392 | -0.000 | 0.000 | -0.000 |
| 63.392 | 65.299 | 63.392 | -0.000 | 0.000 | -0.000 |
| 63.392 | 63.392 | 65.299 | -0.000 | 0.000 | -0.000 |
| -57.101 | -57.101 | -57.101 | 7.148 | 0.000 | -0.000 |
| -57.101 | -57.101 | -57.101 | -0.000 | 7.148 | -0.000 |
| -57.101 | -57.101 | -57.101 | 0.000 | -0.000 | 7.148 |
| 187.342 | 158.159 | 158.159 | 0.000 | 0.000 | 0.000 |
| 158.159 | 187.342 | 158.159 | -0.000 | -0.000 | -0.000 |
| 158.159 | 158.159 | 187.342 | 0.000 | -0.000 | 0.000 |
| 57.101 | 57.101 | 57.101 | 7.148 | 0.000 | 0.000 |
| 57.101 | 57.101 | 57.101 | 0.000 | 7.148 | 0.000 |
| 57.101 | 57.101 | 57.101 | 0.000 | 0.000 | 7.148 |
| 203.320 | 118.657 | 118.657 | -0.000 | 0.000 | -0.000 |
| 118.657 | 203.320 | 118.657 | -0.000 | 0.000 | 0.000 |
| 118.657 | 118.657 | 203.320 | -0.000 | -0.000 | 0.000 |
| -608.005 | -608.005 | -608.005 | -14.160 | 0.000 | 0.000 |
| -608.005 | -608.005 | -608.005 | 0.000 | -14.160 | 0.000 |
| -608.005 | -608.005 | -608.005 | -0.000 | 0.000 | -14.160 |
| 203.320 | 118.657 | 118.657 | 0.000 | -0.000 | 0.000 |
| 118.657 | 203.320 | 118.657 | 0.000 | -0.000 | -0.000 |
| 118.657 | 118.657 | 203.320 | 0.000 | 0.000 | 0.000 |
| 608.005 | 608.005 | 608.005 | -14.160 | -0.000 | -0.000 |
| 608.005 | 608.005 | 608.005 | -0.000 | -14.160 | -0.000 |
| 608.005 | 608.005 | 608.005 | 0.000 | -0.000 | -14.160 |
| 22.962 | 80.127 | 80.127 | -0.000 | 0.000 | 0.000 |
| 80.127 | 22.962 | 80.127 | -0.000 | 0.000 | 0.000 |
| 80.127 | 80.127 | 22.962 | -0.000 | 0.000 | 0.000 |
| -42.627 | -42.627 | -42.627 | -25.125 | -0.000 | 0.000 |
| -42.627 | -42.627 | -42.627 | 0.000 | -25.125 | 0.000 |
| -42.627 | -42.627 | -42.627 | -0.000 | 0.000 | -25.125 |
| 144.787 | 175.780 | 175.780 | -0.000 | 0.000 | -0.000 |
| 175.780 | 144.787 | 175.780 | 0.000 | -0.000 | -0.000 |
| 175.780 | 175.780 | 144.787 | 0.000 | -0.000 | -0.000 |
| 42.627 | 42.627 | 42.627 | -25.125 | -0.000 | -0.000 |
| 42.627 | 42.627 | 42.627 | 0.000 | -25.125 | -0.000 |
| 42.627 | 42.627 | 42.627 | -0.000 | -0.000 | -25.125 |
| 71.205 | 122.751 | 122.751 | -0.000 | 0.000 | 0.000 |
| 122.751 | 71.205 | 122.751 | -0.000 | 0.000 | 0.000 |
| 122.751 | 122.751 | 71.205 | -0.000 | 0.000 | 0.000 |
| -9.853 | -9.856 | -9.856 | -47.647 | 0.000 | 0.000 |
| -9.856 | -9.853 | -9.856 | 0.000 | -47.647 | 0.000 |
| -9.856 | -9.856 | -9.853 | -0.000 | 0.000 | -47.647 |
| 82.532 | 135.839 | 135.839 | 0.000 | -0.000 | 0.000 |
| 135.839 | 82.532 | 135.839 | 0.000 | -0.000 | -0.000 |
| 135.839 | 135.839 | 82.532 | 0.000 | -0.000 | -0.000 |
| 9.853 | 9.856 | 9.856 | -47.647 | 0.000 | -0.000 |
| 9.856 | 9.853 | 9.856 | 0.000 | -47.647 | -0.000 |
| 9.856 | 9.856 | 9.853 | -0.000 | -0.000 | -47.647 |
| 552.153 | 239.157 | 109.489 | -0.000 | 0.000 | 0.000 |
| 239.157 | 552.153 | 109.489 | -0.000 | 0.000 | -0.000 |
| 99.188 | 99.188 | 701.397 | -0.000 | 0.000 | 0.000 |
| 0.000 | -0.000 | -0.000 | 105.070 | 0.000 | 0.000 |
| 0.000 | 0.000 | 0.000 | -0.000 | 105.070 | 0.000 |
| 0.030 | 0.030 | 0.051 | -0.000 | 0.000 | 140.421 |
| 546.019 | 233.023 | 99.107 | 0.000 | 0.000 | -0.000 |
| 233.023 | 546.019 | 99.107 | 0.000 | 0.000 | -0.000 |
| 99.128 | 99.128 | 701.296 | 0.000 | -0.000 | -0.000 |
| -0.000 | 0.000 | 0.000 | 105.070 | -0.000 | 0.000 |
| -0.000 | -0.000 | 0.000 | 0.000 | 105.070 | -0.000 |
| -0.030 | -0.030 | -0.051 | 0.000 | -0.000 | 140.421 |
| 546.052 | 233.056 | 99.163 | -0.000 | 0.000 | -0.000 |
| 233.056 | 546.052 | 99.163 | -0.000 | 0.000 | 0.000 |
| 109.489 | 109.489 | 718.832 | 0.000 | 0.000 | 0.000 |
| 0.000 | -0.000 | -0.000 | 105.070 | 0.000 | -0.000 |
| -0.000 | 0.000 | -0.000 | -0.000 | 105.070 | 0.000 |
| 0.003 | 0.003 | 0.005 | -0.000 | 0.000 | 140.421 |
| 552.153 | 239.156 | 109.489 | 0.000 | -0.000 | -0.000 |
| 239.156 | 552.153 | 109.489 | 0.000 | -0.000 | 0.000 |
| 99.155 | 99.155 | 701.342 | 0.000 | -0.000 | 0.000 |
| -0.000 | 0.000 | 0.000 | 105.070 | -0.000 | -0.000 |
| 0.000 | -0.000 | 0.000 | 0.000 | 105.070 | -0.000 |
| -0.003 | -0.003 | -0.005 | 0.000 | -0.000 | 140.421 |
| 546.046 | 233.055 | 99.159 | -0.000 | 0.000 | 0.000 |
| 233.055 | 546.046 | 99.159 | -0.000 | -0.000 | 0.000 |
| 99.159 | 99.159 | 701.343 | -0.000 | 0.000 | 0.000 |
| 0.001 | 0.001 | 0.001 | 95.390 | 0.000 | -0.000 |
| 0.001 | 0.001 | 0.001 | -0.000 | 95.390 | 0.000 |
| -0.001 | -0.001 | 0.001 | -0.000 | -0.000 | 140.421 |
| 546.053 | 233.052 | 99.158 | 0.000 | -0.000 | -0.000 |
| 233.052 | 546.053 | 99.158 | 0.000 | 0.000 | 0.000 |
| 99.157 | 99.157 | 701.349 | 0.000 | -0.000 | -0.000 |
| -0.001 | -0.001 | -0.001 | 95.390 | 0.000 | -0.000 |
| -0.001 | -0.001 | -0.001 | 0.000 | 95.390 | -0.000 |
| 0.001 | 0.001 | -0.001 | 0.000 | -0.000 | 140.421 |
| 92.075 | 120.914 | 70.818 | 0.000 | -0.000 | 0.000 |
| 27.492 | 322.667 | 75.411 | 0.000 | -0.000 | -0.000 |
| 113.367 | 101.481 | 382.688 | -0.000 | -0.000 | 0.000 |
| -66.462 | 26.668 | -30.691 | 89.208 | -0.000 | 0.000 |
| -66.544 | 26.701 | -30.729 | 0.000 | 96.199 | -0.000 |
| 0.000 | 0.000 | 0.000 | -0.000 | -0.000 | 60.862 |
| 225.162 | 67.512 | 132.277 | -0.000 | 0.000 | 0.000 |
| 160.579 | 269.265 | 136.869 | -0.000 | 0.000 | -0.000 |
| 168.025 | 79.550 | 407.929 | -0.000 | 0.000 | 0.000 |
| 66.462 | -26.668 | 30.691 | 89.208 | 0.000 | -0.000 |
| 66.544 | -26.701 | 30.729 | -0.000 | 96.199 | 0.000 |
| -0.000 | -0.000 | -0.000 | -0.000 | 0.000 | 60.862 |
| 151.964 | 96.883 | 98.475 | 0.000 | 0.000 | 0.000 |
| 83.708 | 300.110 | 101.371 | -0.000 | -0.000 | -0.000 |
| 113.367 | 101.482 | 382.689 | 0.000 | -0.000 | 0.000 |
| -6.654 | 2.670 | -3.073 | 89.286 | -0.000 | 0.000 |
| -6.654 | 2.670 | -3.073 | 0.000 | 96.199 | 0.000 |
| 0.000 | 0.000 | 0.000 | -0.000 | -0.000 | 60.862 |
| 165.273 | 91.542 | 104.620 | -0.000 | 0.000 | -0.000 |
| 100.690 | 293.296 | 109.212 | -0.000 | 0.000 | 0.000 |
| 108.136 | 103.580 | 380.272 | -0.000 | 0.000 | 0.000 |
| 6.654 | -2.670 | 3.073 | 89.286 | 0.000 | 0.000 |
| 6.654 | -2.670 | 3.073 | -0.000 | 96.199 | 0.000 |
| -0.000 | -0.000 | -0.000 | 0.000 | 0.000 | 60.862 |
| 157.954 | 94.481 | 101.242 | 0.000 | -0.000 | -0.000 |
| 93.371 | 296.236 | 105.834 | 0.000 | -0.000 | -0.000 |
| 100.817 | 106.520 | 376.898 | 0.000 | 0.000 | -0.000 |
| -0.264 | 0.107 | -0.120 | 89.282 | -0.000 | -0.000 |
| -0.665 | 0.267 | -0.307 | 0.000 | 96.199 | -0.000 |
| -0.754 | 0.304 | -0.348 | -0.000 | -0.000 | 58.885 |
| 159.283 | 93.944 | 101.854 | -0.000 | 0.000 | -0.000 |
| 94.701 | 295.696 | 106.445 | 0.000 | 0.000 | 0.000 |
| 113.366 | 101.479 | 382.682 | -0.000 | 0.000 | -0.000 |
| 0.264 | -0.107 | 0.120 | 89.282 | 0.000 | -0.000 |
| 0.665 | -0.267 | 0.307 | -0.000 | 96.199 | -0.000 |
| 0.754 | -0.304 | 0.348 | -0.000 | 0.000 | 58.885 |
| 168.655 | 101.189 | 112.032 | -0.265 | -0.133 | -1.903 |
| 117.054 | 164.806 | 122.149 | -0.934 | -0.879 | -0.925 |
| 124.785 | 124.591 | 192.538 | 0.056 | 0.119 | -1.592 |
| 0.000 | -0.000 | 0.000 | 54.566 | 0.000 | -0.000 |
| 7.234 | 7.096 | -4.845 | -0.281 | 10.614 | -0.710 |
| 0.555 | 0.664 | 7.112 | -1.444 | -1.233 | 20.715 |
| 153.978 | 94.877 | 117.819 | 0.281 | 0.196 | 0.497 |
| 90.779 | 156.741 | 116.298 | 0.655 | 0.542 | 0.422 |
| 104.589 | 104.710 | 222.981 | 0.736 | 0.622 | 1.338 |
| -3.788 | -3.661 | 6.092 | -5.326 | 0.629 | 1.047 |
| -5.521 | -5.407 | 3.777 | 0.323 | 8.969 | 0.504 |
| -11.149 | -11.059 | 5.075 | -1.038 | -1.091 | 20.572 |
| 160.617 | 101.862 | 111.769 | -0.069 | -0.056 | -0.148 |
| 100.643 | 160.643 | 113.567 | -0.026 | -0.018 | -0.052 |
| 112.964 | 112.942 | 216.891 | 0.038 | 0.045 | -0.010 |
| 0.589 | 0.572 | -0.174 | 8.821 | -0.022 | -0.008 |
| 0.259 | 0.252 | 0.034 | -0.027 | 9.530 | -0.056 |
| 0.891 | 0.890 | -0.455 | 0.081 | 0.088 | 18.592 |
| 159.278 | 98.728 | 115.716 | 0.013 | 0.005 | 0.038 |
| 98.335 | 158.560 | 115.002 | 0.026 | 0.019 | 0.048 |
| 113.197 | 113.203 | 217.156 | 0.053 | 0.043 | 0.095 |
| -0.397 | -0.382 | 0.267 | 11.746 | 0.000 | 0.050 |
| -0.632 | -0.625 | 0.430 | 0.013 | 9.986 | 0.071 |
| -0.011 | -0.007 | -0.038 | -0.045 | -0.044 | 19.811 |
| 160.077 | 100.036 | 113.872 | -0.001 | -0.000 | -0.002 |
| 100.022 | 160.073 | 113.974 | -0.001 | -0.000 | -0.004 |
| 112.395 | 112.394 | 217.454 | -0.010 | -0.009 | -0.004 |
| 0.055 | 0.054 | -0.053 | 9.207 | -0.002 | -0.006 |
| 0.063 | 0.063 | -0.035 | -0.003 | 9.169 | -0.008 |
| 0.064 | 0.063 | -0.040 | -0.004 | -0.004 | 18.670 |
| 159.965 | 99.952 | 114.016 | 0.004 | 0.003 | 0.005 |
| 99.868 | 159.981 | 114.241 | 0.004 | 0.003 | 0.012 |
| 111.296 | 111.298 | 217.329 | -0.000 | -0.001 | 0.002 |
| -0.034 | -0.032 | 0.039 | 12.225 | -0.001 | 0.000 |
| -0.071 | -0.070 | 0.040 | 0.003 | 9.202 | 0.006 |
| -0.094 | -0.093 | 0.071 | 0.003 | 0.002 | 18.680 |
| 168.310 | 72.806 | 62.822 | 0.000 | -0.000 | 0.000 |
| 72.806 | 168.310 | 62.822 | 0.000 | -0.000 | 0.000 |
| 65.845 | 65.845 | 172.390 | 0.000 | -0.000 | 0.000 |
| 116.795 | 116.795 | -824.821 | 21.241 | 0.000 | 0.000 |
| 116.795 | 116.795 | -824.821 | 0.000 | 21.241 | 0.000 |
| 116.701 | 116.701 | -824.887 | 0.000 | 0.000 | 14.580 |
| -70.669 | -114.750 | 849.677 | -0.000 | -0.000 | -0.000 |
| -114.750 | -70.669 | 849.677 | -0.000 | -0.000 | -0.000 |
| -631.195 | -631.195 | 463.470 | -0.000 | 0.000 | -0.000 |
| -116.795 | -116.795 | 824.821 | 21.241 | -0.000 | -0.000 |
| -116.795 | -116.795 | 824.821 | -0.000 | 21.241 | -0.000 |
| -116.701 | -116.701 | 824.887 | -0.000 | -0.000 | 14.580 |
| 168.310 | 72.806 | 62.822 | 0.000 | -0.000 | 0.000 |
| 72.806 | 168.310 | 62.822 | 0.000 | -0.000 | 0.000 |
| 33.455 | 33.455 | 27.929 | 0.000 | 0.000 | 0.000 |
| -0.000 | -0.000 | -0.000 | 59.818 | -0.000 | -0.000 |
| -0.000 | -0.000 | -0.000 | -0.000 | 59.818 | 0.000 |
| 11.527 | 11.527 | -82.818 | 0.000 | 0.000 | 14.543 |
| -15.412 | -61.483 | 45.107 | -0.000 | -0.000 | -0.000 |
| -61.483 | -15.412 | 45.107 | -0.000 | -0.000 | -0.000 |
| -46.796 | -46.796 | 156.930 | -0.000 | -0.000 | -0.000 |
| 0.000 | 0.000 | 0.000 | 59.818 | -0.000 | 0.000 |
| 0.000 | 0.000 | 0.000 | -0.000 | 59.818 | -0.000 |
| -11.527 | -11.527 | 82.818 | -0.000 | -0.000 | 14.543 |
| 65.636 | 12.285 | 19.050 | 0.000 | -0.000 | 0.000 |
| 12.285 | 65.636 | 19.050 | 0.000 | -0.000 | 0.000 |
| 65.845 | 65.845 | 172.390 | 0.000 | 0.000 | 0.000 |
| 11.535 | 11.535 | -18.638 | 1.498 | 0.000 | 0.000 |
| 11.535 | 11.535 | -18.638 | 0.000 | 1.498 | 0.000 |
| 0.000 | 0.000 | -0.000 | 0.000 | -0.000 | 26.552 |
| 38.378 | -2.331 | 25.308 | -0.000 | -0.000 | -0.000 |
| -2.331 | 38.378 | 25.308 | -0.000 | -0.000 | -0.000 |
| 16.369 | 16.369 | 133.905 | -0.000 | 0.000 | -0.000 |
| -3.787 | -3.787 | 9.811 | 14.998 | -0.000 | -0.000 |
| -3.787 | -3.787 | 9.811 | -0.000 | 14.998 | -0.000 |
| -0.000 | -0.000 | 0.000 | -0.000 | 0.000 | 26.552 |
| 159.629 | 99.213 | 105.084 | -0.000 | 0.000 | -0.000 |
| 99.326 | 294.888 | 105.349 | 0.000 | 0.000 | -0.000 |
| 115.264 | 100.104 | 379.902 | -0.000 | 0.000 | -0.000 |
| 0.000 | 0.000 | 0.000 | 88.557 | 0.000 | -0.000 |
| -0.000 | 0.000 | -0.000 | -0.000 | 97.350 | -0.000 |
| 0.000 | 0.000 | -0.000 | -0.000 | 0.000 | 61.721 |
| 159.629 | 99.213 | 105.084 | 0.000 | -0.000 | 0.000 |
| 99.326 | 294.888 | 105.349 | 0.000 | -0.000 | 0.000 |
| 105.129 | 105.282 | 375.892 | 0.000 | -0.000 | 0.000 |
| 0.000 | -0.000 | -0.000 | 88.557 | -0.000 | 0.000 |
| 0.000 | -0.000 | 0.000 | 0.000 | 97.350 | 0.000 |
| -0.000 | -0.000 | -0.000 | 0.000 | -0.000 | 61.721 |
| 185.242 | 86.128 | 115.219 | -0.000 | 0.000 | -0.000 |
| 99.326 | 294.888 | 105.349 | -0.000 | 0.000 | -0.000 |
| 105.129 | 105.282 | 375.892 | -0.000 | 0.000 | -0.000 |
| 0.000 | 0.000 | 0.000 | 88.557 | 0.000 | -0.000 |
| 0.000 | 0.000 | 0.000 | -0.000 | 97.350 | -0.000 |
| 0.000 | 0.000 | 0.000 | -0.000 | 0.000 | 61.721 |
| 185.241 | 86.128 | 115.218 | 0.000 | -0.000 | 0.000 |
| 86.241 | 301.573 | 100.171 | 0.000 | 0.000 | 0.000 |
| 105.129 | 105.282 | 375.891 | 0.000 | -0.000 | 0.000 |
| -0.000 | -0.000 | -0.000 | 88.557 | -0.000 | 0.000 |
| -0.000 | -0.000 | -0.000 | 0.000 | 97.350 | 0.000 |
| -0.000 | -0.000 | -0.000 | 0.000 | -0.000 | 61.721 |
| 159.631 | 99.215 | 105.085 | -0.000 | 0.000 | -0.000 |
| 99.327 | 294.890 | 105.351 | -0.000 | 0.000 | -0.000 |
| 105.130 | 105.284 | 375.898 | 0.000 | 0.000 | -0.000 |
| 0.000 | 0.001 | 0.002 | 88.557 | -0.000 | -0.000 |
| 0.000 | 0.000 | 0.000 | -0.000 | 97.350 | -0.000 |
| 0.001 | 0.001 | 0.000 | -0.000 | 0.000 | 61.721 |
| 159.627 | 99.212 | 105.082 | 0.000 | -0.000 | 0.000 |
| 99.326 | 294.886 | 105.348 | 0.000 | -0.000 | 0.000 |
| 105.129 | 105.279 | 375.886 | 0.000 | -0.000 | 0.000 |
| -0.000 | -0.001 | -0.002 | 88.557 | -0.000 | 0.000 |
| -0.000 | -0.000 | -0.000 | 0.000 | 97.350 | 0.000 |
| -0.001 | -0.001 | -0.000 | 0.000 | -0.000 | 61.721 |
| 255.742 | 171.321 | 164.798 | 0.000 | 0.000 | -0.000 |
| 171.321 | 255.742 | 164.798 | 0.000 | -0.000 | -0.000 |
| 164.783 | 164.783 | 308.006 | 0.000 | -0.000 | -0.000 |
| 0.000 | -0.000 | -0.000 | 9.235 | -0.000 | -0.000 |
| 0.000 | -0.000 | 0.000 | -0.000 | 9.235 | -0.000 |
| 0.000 | 0.000 | 0.000 | 0.000 | -0.000 | 33.949 |
| -144.420 | -202.974 | -421.100 | -0.000 | 0.000 | 0.000 |
| -202.974 | -144.420 | -421.100 | -0.000 | 0.000 | 0.000 |
| 164.783 | 164.783 | 308.006 | 0.000 | 0.000 | 0.000 |
| -0.000 | 0.000 | -0.000 | 9.235 | 0.000 | 0.000 |
| -0.000 | 0.000 | -0.000 | 0.000 | 9.235 | 0.000 |
| -0.000 | -0.000 | 0.000 | -0.000 | 0.000 | 33.949 |
| 199.935 | 144.477 | 94.439 | 0.000 | -0.000 | -0.000 |
| 144.477 | 199.935 | 94.439 | 0.000 | 0.000 | -0.000 |
| 164.783 | 164.783 | 308.006 | 0.000 | 0.000 | -0.000 |
| 34.142 | 34.142 | 42.610 | -15.865 | -0.000 | -0.000 |
| 34.142 | 34.142 | 42.610 | 0.000 | -15.865 | -0.000 |
| 0.000 | 0.000 | 0.000 | -0.000 | -0.000 | 33.949 |
| 141.113 | 83.398 | 19.551 | -0.000 | 0.000 | 0.000 |
| 83.398 | 141.113 | 19.551 | -0.000 | 0.000 | 0.000 |
| 97.605 | 97.605 | 68.492 | -0.000 | 0.000 | 0.000 |
| -34.142 | -34.142 | -42.610 | -15.865 | 0.000 | 0.000 |
| -34.142 | -34.142 | -42.610 | -0.000 | -15.865 | 0.000 |
| -0.000 | -0.000 | -0.000 | -0.000 | 0.000 | 33.949 |
| 88.392 | 79.338 | -25.498 | 0.000 | -0.000 | -0.000 |
| 79.338 | 88.392 | -25.498 | 0.000 | -0.000 | -0.000 |
| 38.972 | 38.972 | 43.418 | 0.000 | -0.000 | -0.000 |
| 5373502.312 | 5746851.796 | 5263555.982 | -249501.051 | 6953.301 | -2452.644 |
| 5813661.497 | 5399667.614 | 5135875.510 | -15162.080 | -200430.100 | 10793.552 |
| 0.001 | 0.001 | 0.000 | 0.000 | 0.000 | 33.949 |
| 47.910 | 59.770 | -40.614 | -0.000 | 0.000 | 0.000 |
| 59.770 | 47.910 | -40.614 | -0.000 | 0.000 | 0.000 |
| 118.805 | 118.805 | 144.860 | -0.000 | 0.000 | 0.000 |
| -5369945.499 | -5740046.487 | -5221953.348 | -245894.676 | 25210.490 | 25225.185 |
| -5851768.000 | -5383536.653 | -5227824.544 | -20930.732 | -183808.555 | 3706.516 |
| -0.001 | -0.001 | -0.000 | -0.000 | 0.000 | 33.949 |
| 533.986 | 299.069 | 299.069 | 0.000 | 0.000 | 0.000 |
| 299.069 | 533.986 | 299.069 | 0.000 | -0.000 | 0.000 |
| 299.069 | 299.069 | 533.986 | 0.000 | 0.000 | 0.000 |
| 0.000 | -0.000 | 0.000 | 216.579 | 0.000 | 0.000 |
| 0.000 | -0.000 | 0.000 | 0.000 | 216.579 | 0.000 |
| 0.000 | -0.000 | -0.000 | 0.000 | 0.000 | 216.579 |
| 533.986 | 299.069 | 299.069 | -0.000 | -0.000 | -0.000 |
| 299.069 | 533.986 | 299.069 | -0.000 | -0.000 | -0.000 |
| 299.069 | 299.069 | 533.986 | -0.000 | -0.000 | -0.000 |
| -0.000 | 0.000 | -0.000 | 216.579 | -0.000 | -0.000 |
| -0.000 | 0.000 | -0.000 | -0.000 | 216.579 | -0.000 |
| -0.000 | 0.000 | 0.000 | -0.000 | -0.000 | 216.579 |
| 533.986 | 299.069 | 299.069 | 0.000 | 0.000 | 0.000 |
| 299.069 | 533.986 | 299.069 | 0.000 | 0.000 | 0.000 |
| 299.069 | 299.069 | 533.986 | 0.000 | 0.000 | -0.000 |
| -0.000 | 0.000 | 0.000 | 216.579 | -0.000 | -0.000 |
| 0.000 | -0.000 | 0.000 | 0.000 | 216.579 | 0.000 |
| 0.000 | 0.000 | -0.000 | 0.000 | 0.000 | 216.579 |
| 533.985 | 299.069 | 299.069 | -0.000 | -0.000 | -0.000 |
| 299.069 | 533.985 | 299.069 | -0.000 | -0.000 | -0.000 |
| 299.069 | 299.069 | 533.985 | -0.000 | -0.000 | -0.000 |
| 0.000 | -0.000 | -0.000 | 216.579 | 0.000 | -0.000 |
| -0.000 | 0.000 | -0.000 | -0.000 | 216.579 | -0.000 |
| -0.000 | -0.000 | 0.000 | -0.000 | -0.000 | 216.579 |
| 533.992 | 299.071 | 299.071 | 0.000 | -0.000 | 0.000 |
| 299.071 | 533.992 | 299.071 | 0.000 | 0.000 | 0.000 |
| 299.071 | 299.071 | 533.992 | 0.000 | 0.000 | 0.000 |
| -0.001 | 0.001 | 0.001 | 216.579 | 0.000 | -0.000 |
| 0.001 | -0.001 | 0.001 | 0.000 | 216.579 | 0.000 |
| 0.001 | 0.001 | -0.001 | 0.000 | 0.000 | 216.579 |
| 533.980 | 299.068 | 299.068 | -0.000 | -0.000 | -0.000 |
| 299.068 | 533.980 | 299.068 | 0.000 | -0.000 | -0.000 |
| 299.068 | 299.068 | 533.980 | -0.000 | -0.000 | -0.000 |
| 0.001 | -0.001 | -0.001 | 216.579 | -0.000 | -0.000 |
| -0.001 | 0.001 | -0.001 | -0.000 | 216.579 | -0.000 |
| -0.001 | -0.001 | 0.001 | -0.000 | -0.000 | 216.579 |
| 391.669 | -36.150 | -36.150 | -0.000 | 0.000 | 0.000 |
| -36.150 | 391.669 | -36.150 | 0.000 | -0.000 | 0.000 |
| -36.150 | -36.150 | 391.669 | 0.000 | 0.000 | -0.000 |
| 0.000 | 0.000 | -0.000 | -38.988 | 0.000 | 0.000 |
| 0.000 | 0.000 | -0.000 | 0.000 | -38.988 | 0.000 |
| 0.000 | 0.000 | -0.000 | 0.000 | 0.000 | -38.988 |
| 391.669 | -36.150 | -36.150 | -0.000 | -0.000 | -0.000 |
| -36.150 | 391.669 | -36.150 | -0.000 | -0.000 | -0.000 |
| -36.150 | -36.150 | 391.669 | 0.000 | -0.000 | -0.000 |
| -0.000 | 0.000 | 0.000 | -38.988 | -0.000 | 0.000 |
| -0.000 | -0.000 | 0.000 | -0.000 | -38.988 | -0.000 |
| -0.000 | -0.000 | 0.000 | -0.000 | -0.000 | -38.988 |
| 391.670 | -36.150 | -36.150 | 0.000 | 0.000 | 0.000 |
| -36.150 | 391.670 | -36.150 | 0.000 | 0.000 | 0.000 |
| -36.150 | -36.150 | 391.670 | -0.000 | 0.000 | -0.000 |
| -0.000 | 0.000 | -0.000 | -38.988 | 0.000 | 0.000 |
| 0.000 | -0.000 | -0.000 | 0.000 | -38.988 | 0.000 |
| 0.000 | -0.000 | -0.000 | -0.000 | 0.000 | -38.988 |
| 391.668 | -36.150 | -36.150 | -0.000 | -0.000 | 0.000 |
| -36.150 | 391.668 | -36.150 | -0.000 | 0.000 | 0.000 |
| -36.150 | -36.150 | 391.668 | -0.000 | -0.000 | 0.000 |
| 0.000 | -0.000 | 0.000 | -38.988 | -0.000 | 0.000 |
| -0.000 | 0.000 | 0.000 | -0.000 | -38.988 | -0.000 |
| -0.000 | 0.000 | 0.000 | 0.000 | -0.000 | -38.988 |
| 391.678 | -36.150 | -36.150 | 0.000 | 0.000 | -0.000 |
| -36.150 | 391.678 | -36.150 | 0.000 | 0.000 | -0.000 |
| -36.150 | -36.150 | 391.678 | 0.000 | 0.000 | 0.000 |
| -0.000 | 0.000 | -0.000 | -38.988 | -0.000 | 0.000 |
| 0.000 | -0.000 | -0.000 | 0.000 | -38.988 | 0.000 |
| 0.000 | -0.000 | -0.000 | 0.000 | 0.000 | -38.988 |
| 391.660 | -36.150 | -36.150 | 0.000 | 0.000 | 0.000 |
| -36.150 | 391.660 | -36.150 | -0.000 | 0.000 | 0.000 |
| -36.150 | -36.150 | 391.660 | 0.000 | 0.000 | -0.000 |
| 0.000 | -0.000 | 0.000 | -38.988 | 0.000 | 0.000 |
| -0.000 | 0.000 | 0.000 | 0.000 | -38.988 | -0.000 |
| -0.000 | 0.000 | 0.000 | -0.000 | -0.000 | -38.988 |
| 145.165 | 7.705 | 7.705 | 0.000 | -0.000 | 0.000 |
| 7.705 | 145.165 | 7.705 | 0.000 | 0.000 | 0.000 |
| 7.705 | 7.705 | 145.165 | 0.000 | -0.000 | 0.000 |
| -0.000 | 0.000 | -0.000 | -0.372 | -0.000 | -0.000 |
| 0.000 | -0.000 | -0.000 | 0.000 | -0.372 | 0.000 |
| 0.000 | 0.000 | -0.000 | 0.000 | -0.000 | -0.372 |
| 145.165 | 7.705 | 7.705 | 0.000 | 0.000 | -0.000 |
| 7.705 | 145.165 | 7.705 | -0.000 | 0.000 | -0.000 |
| 7.705 | 7.705 | 145.165 | 0.000 | 0.000 | -0.000 |
| 0.000 | 0.000 | 0.000 | -0.372 | 0.000 | -0.000 |
| 0.000 | 0.000 | 0.000 | 0.000 | -0.372 | -0.000 |
| 0.000 | -0.000 | 0.000 | -0.000 | 0.000 | -0.372 |
| 145.165 | 7.705 | 7.705 | 0.000 | -0.000 | 0.000 |
| 7.705 | 145.165 | 7.705 | 0.000 | -0.000 | 0.000 |
| 7.705 | 7.705 | 145.165 | -0.000 | -0.000 | 0.000 |
| -0.000 | -0.000 | -0.000 | -0.372 | 0.000 | 0.000 |
| -0.000 | -0.000 | -0.000 | 0.000 | -0.372 | 0.000 |
| -0.000 | -0.000 | -0.000 | 0.000 | 0.000 | -0.372 |
| 145.165 | 7.705 | 7.705 | 0.000 | 0.000 | -0.000 |
| 7.705 | 145.165 | 7.705 | 0.000 | 0.000 | -0.000 |
| 7.705 | 7.705 | 145.165 | 0.000 | 0.000 | -0.000 |
| 0.000 | 0.000 | 0.000 | -0.372 | -0.000 | 0.000 |
| 0.000 | 0.000 | 0.000 | -0.000 | -0.372 | -0.000 |
| 0.000 | 0.000 | 0.000 | -0.000 | -0.000 | -0.372 |
| 145.166 | 7.705 | 7.705 | -0.000 | -0.000 | 0.000 |
| 7.705 | 145.166 | 7.705 | -0.000 | -0.000 | 0.000 |
| 7.705 | 7.705 | 145.166 | -0.000 | -0.000 | 0.000 |
| -0.000 | -0.000 | -0.000 | -0.372 | -0.000 | -0.000 |
| -0.000 | -0.000 | -0.000 | 0.000 | -0.372 | 0.000 |
| -0.000 | -0.000 | -0.000 | 0.000 | -0.000 | -0.372 |
| 145.164 | 7.705 | 7.705 | 0.000 | 0.000 | -0.000 |
| 7.705 | 145.164 | 7.705 | -0.000 | 0.000 | -0.000 |
| 7.705 | 7.705 | 145.164 | -0.000 | -0.000 | -0.000 |
| 0.000 | 0.000 | 0.000 | -0.372 | 0.000 | -0.000 |
| 0.000 | 0.000 | 0.000 | -0.000 | -0.372 | 0.000 |
| 0.000 | 0.000 | 0.000 | -0.000 | 0.000 | -0.372 |
| 150.972 | 4.033 | 4.033 | -0.000 | 0.000 | -0.000 |
| 4.033 | 150.972 | 4.033 | -0.000 | 0.000 | -0.000 |
| 4.033 | 4.033 | 150.972 | 0.000 | 0.000 | -0.000 |
| 0.000 | 0.000 | 0.000 | -4.356 | 0.000 | -0.000 |
| 0.000 | 0.000 | 0.000 | -0.000 | -4.356 | -0.000 |
| 0.000 | -0.000 | 0.000 | 0.000 | -0.000 | -4.356 |
| 150.972 | 4.033 | 4.033 | 0.000 | 0.000 | 0.000 |
| 4.033 | 150.972 | 4.033 | 0.000 | -0.000 | 0.000 |
| 4.033 | 4.033 | 150.972 | -0.000 | 0.000 | 0.000 |
| -0.000 | -0.000 | -0.000 | -4.356 | -0.000 | 0.000 |
| -0.000 | -0.000 | -0.000 | -0.000 | -4.356 | 0.000 |
| -0.000 | 0.000 | -0.000 | 0.000 | -0.000 | -4.356 |
| 150.972 | 4.033 | 4.033 | 0.000 | 0.000 | -0.000 |
| 4.033 | 150.972 | 4.033 | -0.000 | 0.000 | -0.000 |
| 4.033 | 4.033 | 150.972 | -0.000 | 0.000 | -0.000 |
| -0.000 | -0.000 | -0.000 | -4.356 | 0.000 | -0.000 |
| -0.000 | -0.000 | -0.000 | -0.000 | -4.356 | -0.000 |
| -0.000 | -0.000 | -0.000 | 0.000 | 0.000 | -4.356 |
| 150.971 | 4.033 | 4.033 | -0.000 | -0.000 | 0.000 |
| 4.033 | 150.971 | 4.033 | -0.000 | -0.000 | 0.000 |
| 4.033 | 4.033 | 150.971 | -0.000 | -0.000 | 0.000 |
| 0.000 | 0.000 | 0.000 | -4.356 | -0.000 | 0.000 |
| 0.000 | 0.000 | 0.000 | 0.000 | -4.356 | 0.000 |
| 0.000 | 0.000 | 0.000 | -0.000 | -0.000 | -4.356 |
| 150.976 | 4.032 | 4.032 | -0.000 | -0.000 | -0.000 |
| 4.032 | 150.976 | 4.032 | 0.000 | 0.000 | -0.000 |
| 4.032 | 4.032 | 150.976 | -0.000 | -0.000 | -0.000 |
| -0.000 | -0.000 | -0.000 | -4.356 | -0.000 | -0.000 |
| -0.000 | -0.000 | -0.000 | -0.000 | -4.356 | -0.000 |
| -0.000 | -0.000 | -0.000 | 0.000 | -0.000 | -4.356 |
| 150.968 | 4.033 | 4.033 | 0.000 | -0.000 | 0.000 |
| 4.033 | 150.968 | 4.033 | 0.000 | 0.000 | 0.000 |
| 4.033 | 4.033 | 150.968 | -0.000 | -0.000 | 0.000 |
| 0.000 | 0.000 | 0.000 | -4.356 | 0.000 | -0.000 |
| 0.000 | 0.000 | 0.000 | 0.000 | -4.356 | 0.000 |
| 0.000 | 0.000 | 0.000 | -0.000 | -0.000 | -4.356 |
| 234.959 | 275.337 | 275.337 | 0.000 | 0.000 | 0.000 |
| 275.337 | 234.959 | 275.337 | 0.000 | 0.000 | 0.000 |
| 275.337 | 275.337 | 234.959 | -0.000 | -0.000 | 0.000 |
| -0.000 | 0.000 | 0.000 | 61.056 | -0.000 | 0.000 |
| 0.000 | 0.000 | 0.000 | 0.000 | 61.056 | 0.000 |
| 0.000 | 0.000 | -0.000 | 0.000 | -0.000 | 61.056 |
| 234.959 | 275.337 | 275.337 | -0.000 | -0.000 | -0.000 |
| 275.337 | 234.959 | 275.337 | -0.000 | 0.000 | -0.000 |
| 275.337 | 275.337 | 234.959 | 0.000 | 0.000 | -0.000 |
| 0.000 | -0.000 | -0.000 | 61.056 | -0.000 | -0.000 |
| -0.000 | 0.000 | -0.000 | -0.000 | 61.056 | -0.000 |
| -0.000 | -0.000 | 0.000 | -0.000 | 0.000 | 61.056 |
| 234.962 | 275.338 | 275.338 | 0.000 | 0.000 | 0.000 |
| 275.338 | 234.962 | 275.338 | 0.000 | 0.000 | 0.000 |
| 275.338 | 275.338 | 234.962 | 0.000 | -0.000 | 0.000 |
| -0.000 | 0.000 | 0.000 | 48.918 | 0.000 | 0.000 |
| 0.000 | -0.000 | 0.000 | 0.000 | 48.918 | 0.000 |
| 0.000 | 0.000 | -0.000 | 0.000 | 0.000 | 48.918 |
| 355.018 | 215.307 | 215.307 | 0.000 | 0.000 | -0.000 |
| 215.307 | 355.018 | 215.307 | 0.000 | -0.000 | -0.000 |
| 215.307 | 215.307 | 355.018 | -0.000 | 0.000 | -0.000 |
| 0.000 | -0.000 | -0.000 | 48.918 | -0.000 | -0.000 |
| -0.000 | 0.000 | -0.000 | -0.000 | 48.918 | -0.000 |
| -0.000 | -0.000 | 0.000 | -0.000 | -0.000 | 48.918 |
| 234.983 | 275.347 | 275.347 | 0.000 | -0.000 | 0.000 |
| 275.347 | 234.983 | 275.347 | 0.000 | 0.000 | 0.000 |
| 275.347 | 275.347 | 234.983 | 0.000 | 0.000 | 0.000 |
| -0.000 | 0.001 | 0.001 | 48.918 | -0.000 | 0.000 |
| 0.001 | -0.000 | 0.001 | -0.000 | 48.918 | 0.000 |
| 0.001 | 0.001 | -0.000 | -0.000 | 0.000 | 48.918 |
| 234.935 | 275.327 | 275.327 | -0.000 | -0.000 | -0.000 |
| 275.327 | 234.935 | 275.327 | -0.000 | -0.000 | -0.000 |
| 275.327 | 275.327 | 234.935 | -0.000 | 0.000 | -0.000 |
| 0.000 | -0.001 | -0.001 | 48.918 | 0.000 | -0.000 |
| -0.001 | 0.000 | -0.001 | -0.000 | 48.918 | -0.000 |
| -0.001 | -0.001 | 0.000 | -0.000 | -0.000 | 48.918 |
| 318.770 | 196.948 | 196.948 | 0.000 | -0.000 | 0.000 |
| 196.948 | 318.770 | 196.948 | 0.000 | -0.000 | 0.000 |
| 196.948 | 196.948 | 318.770 | 0.000 | 0.000 | 0.000 |
| -0.000 | -0.000 | -0.000 | 131.232 | 0.000 | 0.000 |
| -0.000 | -0.000 | -0.000 | -0.000 | 131.232 | 0.000 |
| -0.000 | -0.000 | -0.000 | 0.000 | -0.000 | 131.232 |
| 308.507 | 202.079 | 202.079 | -0.000 | -0.000 | -0.000 |
| 202.079 | 308.507 | 202.079 | -0.000 | -0.000 | -0.000 |
| 202.079 | 202.079 | 308.507 | -0.000 | -0.000 | -0.000 |
| 0.000 | 0.000 | 0.000 | 131.232 | 0.000 | -0.000 |
| 0.000 | 0.000 | 0.000 | 0.000 | 131.232 | -0.000 |
| 0.000 | 0.000 | 0.000 | 0.000 | 0.000 | 131.232 |
| 318.770 | 196.948 | 196.948 | 0.000 | -0.000 | 0.000 |
| 196.948 | 318.770 | 196.948 | 0.000 | 0.000 | 0.000 |
| 196.948 | 196.948 | 318.770 | 0.000 | -0.000 | 0.000 |
| -0.000 | -0.000 | -0.000 | 131.232 | 0.000 | 0.000 |
| -0.000 | -0.000 | -0.000 | 0.000 | 131.232 | 0.000 |
| -0.000 | -0.000 | -0.000 | 0.000 | 0.000 | 131.232 |
| 308.508 | 202.079 | 202.079 | -0.000 | 0.000 | 0.000 |
| 202.079 | 308.508 | 202.079 | -0.000 | -0.000 | 0.000 |
| 202.079 | 202.079 | 308.508 | -0.000 | -0.000 | 0.000 |
| 0.000 | 0.000 | 0.000 | 131.232 | -0.000 | -0.000 |
| 0.000 | 0.000 | 0.000 | -0.000 | 131.232 | -0.000 |
| 0.000 | 0.000 | 0.000 | -0.000 | -0.000 | 131.232 |
| 308.505 | 202.079 | 202.079 | 0.000 | -0.000 | 0.000 |
| 202.079 | 308.505 | 202.079 | -0.000 | -0.000 | 0.000 |
| 202.079 | 202.079 | 308.505 | 0.000 | 0.000 | 0.000 |
| -0.001 | -0.001 | -0.001 | 131.232 | -0.000 | 0.000 |
| -0.001 | -0.001 | -0.001 | 0.000 | 131.232 | -0.000 |
| -0.001 | -0.001 | -0.001 | 0.000 | 0.000 | 131.232 |
| 308.509 | 202.078 | 202.078 | 0.000 | -0.000 | -0.000 |
| 202.078 | 308.509 | 202.078 | -0.000 | -0.000 | -0.000 |
| 202.078 | 202.078 | 308.509 | -0.000 | -0.000 | -0.000 |
| 0.001 | 0.001 | 0.001 | 131.232 | 0.000 | -0.000 |
| 0.001 | 0.001 | 0.001 | 0.000 | 131.232 | -0.000 |
| 0.001 | 0.001 | 0.001 | -0.000 | -0.000 | 131.232 |
| 346.900 | 131.240 | 131.240 | -0.000 | 0.000 | -0.000 |
| 131.240 | 346.900 | 131.240 | -0.000 | -0.000 | -0.000 |
| 131.240 | 131.240 | 346.900 | -0.000 | -0.000 | -0.000 |
| 0.000 | 0.000 | 0.000 | 134.520 | -0.000 | -0.000 |
| 0.000 | 0.000 | 0.000 | -0.000 | 134.520 | -0.000 |
| 0.000 | 0.000 | 0.000 | -0.000 | 0.000 | 134.520 |
| 346.900 | 131.240 | 131.240 | 0.000 | -0.000 | 0.000 |
| 131.240 | 346.900 | 131.240 | -0.000 | 0.000 | 0.000 |
| 131.240 | 131.240 | 346.900 | 0.000 | -0.000 | 0.000 |
| -0.000 | -0.000 | -0.000 | 134.520 | 0.000 | 0.000 |
| -0.000 | -0.000 | -0.000 | 0.000 | 134.520 | 0.000 |
| -0.000 | -0.000 | -0.000 | 0.000 | 0.000 | 134.520 |
| 346.900 | 131.240 | 131.240 | -0.000 | -0.000 | -0.000 |
| 131.240 | 346.900 | 131.240 | 0.000 | -0.000 | -0.000 |
| 131.240 | 131.240 | 346.900 | -0.000 | -0.000 | -0.000 |
| 0.000 | 0.000 | 0.000 | 134.520 | -0.000 | -0.000 |
| 0.000 | 0.000 | 0.000 | -0.000 | 134.520 | -0.000 |
| 0.000 | 0.000 | 0.000 | -0.000 | -0.000 | 134.520 |
| 346.900 | 131.240 | 131.240 | 0.000 | 0.000 | 0.000 |
| 131.240 | 346.900 | 131.240 | 0.000 | 0.000 | 0.000 |
| 131.240 | 131.240 | 346.900 | 0.000 | 0.000 | 0.000 |
| -0.000 | -0.000 | -0.000 | 134.520 | 0.000 | 0.000 |
| -0.000 | -0.000 | -0.000 | 0.000 | 134.520 | 0.000 |
| -0.000 | -0.000 | -0.000 | 0.000 | 0.000 | 134.520 |
| 346.902 | 131.241 | 131.241 | -0.000 | -0.000 | -0.000 |
| 131.241 | 346.902 | 131.241 | -0.000 | -0.000 | -0.000 |
| 131.241 | 131.241 | 346.902 | -0.000 | -0.000 | -0.000 |
| 0.000 | 0.001 | 0.001 | 134.520 | 0.000 | 0.000 |
| 0.001 | 0.000 | 0.001 | -0.000 | 134.520 | -0.000 |
| 0.001 | 0.001 | 0.000 | -0.000 | 0.000 | 134.520 |
| 346.895 | 131.239 | 131.239 | -0.000 | 0.000 | 0.000 |
| 131.239 | 346.895 | 131.239 | -0.000 | 0.000 | 0.000 |
| 131.239 | 131.239 | 346.895 | 0.000 | -0.000 | 0.000 |
| -0.000 | -0.001 | -0.001 | 134.520 | -0.000 | 0.000 |
| -0.001 | -0.000 | -0.001 | 0.000 | 134.520 | 0.000 |
| -0.001 | -0.001 | -0.000 | 0.000 | 0.000 | 134.520 |
| 456.811 | 157.308 | 157.308 | -0.000 | -0.000 | -0.000 |
| 157.308 | 456.811 | 157.308 | -0.000 | 0.000 | 0.000 |
| 157.308 | 157.308 | 456.811 | -0.000 | 0.000 | 0.000 |
| 0.000 | -0.000 | -0.000 | 0.665 | -0.000 | 0.000 |
| -0.000 | -0.000 | -0.000 | -0.000 | 0.665 | -0.000 |
| -0.000 | -0.000 | 0.000 | -0.000 | 0.000 | 0.665 |
| 456.812 | 157.308 | 157.308 | 0.000 | -0.000 | -0.000 |
| 157.308 | 456.812 | 157.308 | 0.000 | 0.000 | -0.000 |
| 157.308 | 157.308 | 456.812 | 0.000 | -0.000 | -0.000 |
| -0.000 | 0.000 | 0.000 | 0.665 | -0.000 | -0.000 |
| 0.000 | 0.000 | 0.000 | 0.000 | 0.665 | 0.000 |
| 0.000 | 0.000 | -0.000 | 0.000 | 0.000 | 0.665 |
| 456.811 | 157.308 | 157.308 | -0.000 | 0.000 | -0.000 |
| 157.308 | 456.811 | 157.308 | 0.000 | -0.000 | -0.000 |
| 157.308 | 157.308 | 456.811 | 0.000 | 0.000 | 0.000 |
| -0.000 | -0.000 | -0.000 | 0.665 | -0.000 | 0.000 |
| -0.000 | -0.000 | -0.000 | -0.000 | 0.665 | 0.000 |
| -0.000 | -0.000 | -0.000 | -0.000 | 0.000 | 0.665 |
| 456.812 | 157.308 | 157.308 | 0.000 | -0.000 | 0.000 |
| 157.308 | 456.812 | 157.308 | -0.000 | -0.000 | -0.000 |
| 157.308 | 157.308 | 456.812 | 0.000 | -0.000 | -0.000 |
| 0.000 | 0.000 | 0.000 | 0.665 | 0.000 | 0.000 |
| 0.000 | 0.000 | 0.000 | 0.000 | 0.665 | -0.000 |
| 0.000 | 0.000 | 0.000 | 0.000 | -0.000 | 0.665 |
| 456.808 | 157.307 | 157.307 | -0.000 | 0.000 | -0.000 |
| 157.307 | 456.808 | 157.307 | -0.000 | 0.000 | 0.000 |
| 157.307 | 157.307 | 456.808 | 0.000 | -0.000 | 0.000 |
| -0.000 | -0.001 | -0.001 | 0.665 | -0.000 | 0.000 |
| -0.001 | -0.000 | -0.001 | -0.000 | 0.665 | -0.000 |
| -0.001 | -0.001 | -0.000 | -0.000 | 0.000 | 0.665 |
| 456.815 | 157.308 | 157.308 | 0.000 | 0.000 | 0.000 |
| 157.308 | 456.815 | 157.308 | 0.000 | -0.000 | -0.000 |
| 157.308 | 157.308 | 456.815 | -0.000 | -0.000 | -0.000 |
| 0.000 | 0.001 | 0.001 | 0.665 | 0.000 | 0.000 |
| 0.001 | 0.000 | 0.001 | 0.000 | 0.665 | -0.000 |
| 0.001 | 0.001 | 0.000 | 0.000 | -0.000 | 0.665 |
| -84.246 | 110.859 | 110.859 | -0.000 | 0.000 | -0.000 |
| 110.859 | -84.246 | 110.859 | -0.000 | -0.000 | -0.000 |
| 110.859 | 110.859 | -84.246 | -0.000 | -0.000 | -0.000 |
| -0.000 | 0.000 | 0.000 | 59.700 | -0.000 | -0.000 |
| 0.000 | 0.000 | -0.000 | -0.000 | 59.700 | -0.000 |
| 0.000 | 0.000 | -0.000 | -0.000 | -0.000 | 59.700 |
| -84.246 | 110.859 | 110.859 | -0.000 | -0.000 | 0.000 |
| 110.859 | -84.246 | 110.859 | -0.000 | -0.000 | 0.000 |
| 110.859 | 110.859 | -84.246 | 0.000 | 0.000 | 0.000 |
| 0.000 | -0.000 | 0.000 | 59.700 | 0.000 | 0.000 |
| -0.000 | -0.000 | 0.000 | 0.000 | 59.700 | 0.000 |
| -0.000 | -0.000 | 0.000 | 0.000 | 0.000 | 59.700 |
| -84.245 | 110.859 | 110.859 | -0.000 | 0.000 | -0.000 |
| 110.859 | -84.245 | 110.859 | 0.000 | -0.000 | -0.000 |
| 110.859 | 110.859 | -84.245 | -0.000 | -0.000 | -0.000 |
| 0.000 | 0.000 | 0.000 | -61.535 | -0.000 | -0.000 |
| 0.000 | 0.000 | 0.000 | -0.000 | -61.535 | -0.000 |
| 0.000 | 0.000 | 0.000 | -0.000 | 0.000 | -61.535 |
| -84.247 | 110.859 | 110.859 | -0.000 | 0.000 | 0.000 |
| 110.859 | -84.247 | 110.859 | -0.000 | 0.000 | 0.000 |
| 110.859 | 110.859 | -84.247 | -0.000 | -0.000 | 0.000 |
| -0.000 | -0.000 | -0.000 | -61.535 | 0.000 | 0.000 |
| -0.000 | -0.000 | -0.000 | -0.000 | -61.535 | 0.000 |
| -0.000 | -0.000 | -0.000 | -0.000 | 0.000 | -61.535 |
| -84.237 | 110.861 | 110.861 | -0.000 | -0.000 | -0.000 |
| 110.861 | -84.237 | 110.861 | 0.000 | -0.000 | -0.000 |
| 110.861 | 110.861 | -84.237 | -0.000 | -0.000 | -0.000 |
| 0.001 | 0.001 | 0.001 | -61.535 | -0.000 | -0.000 |
| 0.001 | 0.001 | 0.001 | -0.000 | -61.535 | -0.000 |
| 0.001 | 0.001 | 0.001 | 0.000 | -0.000 | -61.535 |
| -84.255 | 110.858 | 110.858 | -0.000 | 0.000 | 0.000 |
| 110.858 | -84.255 | 110.858 | 0.000 | 0.000 | 0.000 |
| 110.858 | 110.858 | -84.255 | 0.000 | 0.000 | 0.000 |
| -0.001 | -0.001 | -0.001 | -61.535 | 0.000 | 0.000 |
| -0.001 | -0.001 | -0.001 | -0.000 | -61.535 | 0.000 |
| -0.001 | -0.001 | -0.001 | -0.000 | -0.000 | -61.535 |
| 490.564 | 184.289 | 184.289 | 0.000 | -0.000 | -0.000 |
| 184.289 | 490.564 | 184.289 | 0.000 | -0.000 | -0.000 |
| 184.289 | 184.289 | 490.564 | 0.000 | 0.000 | -0.000 |
| -0.000 | -0.000 | -0.000 | 172.990 | -0.000 | -0.000 |
| -0.000 | -0.000 | -0.000 | 0.000 | 172.990 | -0.000 |
| -0.000 | -0.000 | -0.000 | 0.000 | 0.000 | 172.990 |
| 490.564 | 184.289 | 184.289 | -0.000 | -0.000 | 0.000 |
| 184.289 | 490.564 | 184.289 | -0.000 | -0.000 | 0.000 |
| 184.289 | 184.289 | 490.564 | -0.000 | -0.000 | 0.000 |
| 0.000 | 0.000 | 0.000 | 172.990 | -0.000 | 0.000 |
| 0.000 | 0.000 | 0.000 | -0.000 | 172.990 | 0.000 |
| 0.000 | 0.000 | 0.000 | -0.000 | -0.000 | 172.990 |
| 490.562 | 184.289 | 184.289 | 0.000 | -0.000 | -0.000 |
| 184.289 | 490.562 | 184.289 | 0.000 | 0.000 | -0.000 |
| 184.289 | 184.289 | 490.562 | 0.000 | 0.000 | -0.000 |
| 0.002 | -0.004 | -0.004 | -841.576 | 0.000 | -0.000 |
| -0.004 | 0.002 | -0.004 | 0.000 | -841.576 | -0.000 |
| -0.004 | -0.004 | 0.002 | 0.000 | 0.000 | -841.576 |
| 490.565 | 184.289 | 184.289 | -0.000 | -0.000 | 0.000 |
| 184.289 | 490.565 | 184.289 | -0.000 | 0.000 | 0.000 |
| 184.289 | 184.289 | 490.565 | -0.000 | -0.000 | 0.000 |
| -0.002 | 0.004 | 0.004 | -841.576 | -0.000 | 0.000 |
| 0.004 | -0.002 | 0.004 | -0.000 | -841.576 | 0.000 |
| 0.004 | 0.004 | -0.002 | -0.000 | -0.000 | -841.576 |
| 490.549 | 184.286 | 184.286 | 0.000 | 0.000 | -0.000 |
| 184.286 | 490.549 | 184.286 | 0.000 | 0.000 | -0.000 |
| 184.286 | 184.286 | 490.549 | 0.000 | -0.000 | -0.000 |
| 6556074.184 | 6501819.987 | 6098929.538 | 166908.148 | -88204.495 | 13563.459 |
| 6214407.571 | 6163458.976 | 5556495.128 | -663.779 | 141113.395 | 24710.894 |
| 6379017.751 | 5988088.631 | 6461099.849 | 4734.386 | 50502.376 | 93109.183 |
| 490.578 | 184.292 | 184.292 | -0.000 | -0.000 | 0.000 |
| 184.292 | 490.578 | 184.292 | -0.000 | -0.000 | 0.000 |
| 184.292 | 184.292 | 490.578 | -0.000 | 0.000 | 0.000 |
| -6204088.547 | -6222992.869 | -5840542.387 | 115837.399 | 44817.533 | -68104.634 |
| 2.426 | -1.435 | 2.443 | 0.000 | -8203.742 | 0.001 |
| -6216367.936 | -5902532.909 | -6313447.642 | 25874.086 | -33180.942 | -44840.716 |
| 179.120 | -18.407 | -18.407 | 0.000 | 0.000 | 0.000 |
| -18.407 | 179.120 | -18.407 | 0.000 | 0.000 | 0.000 |
| -18.407 | -18.407 | 179.120 | 0.000 | -0.000 | 0.000 |
| 0.000 | -0.000 | -0.000 | -34.921 | 0.000 | 0.000 |
| -0.000 | 0.000 | -0.000 | 0.000 | -34.921 | 0.000 |
| -0.000 | -0.000 | 0.000 | 0.000 | 0.000 | -34.921 |
| 179.120 | -18.407 | -18.407 | 0.000 | 0.000 | -0.000 |
| -18.407 | 179.120 | -18.407 | -0.000 | 0.000 | -0.000 |
| -18.407 | -18.407 | 179.120 | 0.000 | 0.000 | -0.000 |
| -0.000 | -0.000 | 0.000 | -34.921 | -0.000 | -0.000 |
| 0.000 | -0.000 | 0.000 | -0.000 | -34.921 | -0.000 |
| 0.000 | 0.000 | -0.000 | -0.000 | -0.000 | -34.921 |
| 179.120 | -18.407 | -18.407 | -0.000 | -0.000 | 0.000 |
| -18.407 | 179.120 | -18.407 | -0.000 | -0.000 | 0.000 |
| -18.407 | -18.407 | 179.120 | -0.000 | -0.000 | 0.000 |
| 0.000 | -0.000 | -0.000 | -34.921 | 0.000 | 0.000 |
| -0.000 | 0.000 | -0.000 | 0.000 | -34.921 | 0.000 |
| -0.000 | -0.000 | 0.000 | 0.000 | 0.000 | -34.921 |
| 179.120 | -18.407 | -18.407 | 0.000 | 0.000 | -0.000 |
| -18.407 | 179.120 | -18.407 | 0.000 | 0.000 | -0.000 |
| -18.407 | -18.407 | 179.120 | 0.000 | 0.000 | -0.000 |
| -0.000 | 0.000 | 0.000 | -34.921 | -0.000 | -0.000 |
| 0.000 | -0.000 | 0.000 | -0.000 | -34.921 | -0.000 |
| 0.000 | 0.000 | -0.000 | -0.000 | -0.000 | -34.921 |
| 179.120 | -18.408 | -18.408 | 0.000 | 0.000 | 0.000 |
| -18.408 | 179.120 | -18.408 | 0.000 | 0.000 | 0.000 |
| -18.408 | -18.408 | 179.120 | 0.000 | 0.000 | 0.000 |
| 0.001 | -0.001 | -0.001 | -34.921 | 0.000 | 0.000 |
| -0.001 | 0.001 | -0.001 | 0.000 | -34.921 | 0.000 |
| -0.001 | -0.001 | 0.001 | 0.000 | 0.000 | -34.921 |
| 179.120 | -18.406 | -18.406 | -0.000 | 0.000 | -0.000 |
| -18.406 | 179.120 | -18.406 | -0.000 | -0.000 | -0.000 |
| -18.406 | -18.406 | 179.120 | -0.000 | 0.000 | -0.000 |
| -0.001 | 0.001 | 0.001 | -34.921 | -0.000 | -0.000 |
| 0.001 | -0.001 | 0.001 | -0.000 | -34.921 | -0.000 |
| 0.001 | 0.001 | -0.001 | -0.000 | -0.000 | -34.921 |
| 225.300 | 81.684 | 81.684 | -0.000 | -0.000 | 0.000 |
| 81.684 | 225.300 | 81.684 | -0.000 | -0.000 | 0.000 |
| 81.684 | 81.684 | 225.300 | -0.000 | -0.000 | 0.000 |
| -0.000 | -0.000 | -0.000 | -21.716 | -0.000 | -0.000 |
| -0.000 | -0.000 | -0.000 | -0.000 | -21.716 | 0.000 |
| -0.000 | -0.000 | -0.000 | -0.000 | -0.000 | -21.716 |
| 225.300 | 81.684 | 81.684 | 0.000 | 0.000 | -0.000 |
| 81.684 | 225.300 | 81.684 | 0.000 | 0.000 | -0.000 |
| 81.684 | 81.684 | 225.300 | 0.000 | 0.000 | -0.000 |
| 0.000 | 0.000 | 0.000 | -21.716 | 0.000 | 0.000 |
| 0.000 | 0.000 | 0.000 | 0.000 | -21.716 | 0.000 |
| 0.000 | 0.000 | 0.000 | 0.000 | 0.000 | -21.716 |
| 225.299 | 81.684 | 81.684 | -0.000 | -0.000 | 0.000 |
| 81.684 | 225.299 | 81.684 | -0.000 | -0.000 | 0.000 |
| 81.684 | 81.684 | 225.299 | -0.000 | -0.000 | 0.000 |
| -0.000 | -0.000 | -0.000 | -21.716 | -0.000 | 0.000 |
| -0.000 | -0.000 | -0.000 | -0.000 | -21.716 | 0.000 |
| -0.000 | -0.000 | -0.000 | -0.000 | -0.000 | -21.716 |
| 225.300 | 81.684 | 81.684 | 0.000 | 0.000 | -0.000 |
| 81.684 | 225.300 | 81.684 | 0.000 | 0.000 | -0.000 |
| 81.684 | 81.684 | 225.300 | 0.000 | 0.000 | -0.000 |
| 0.000 | 0.000 | 0.000 | -21.716 | 0.000 | -0.000 |
| 0.000 | 0.000 | 0.000 | 0.000 | -21.716 | 0.000 |
| 0.000 | 0.000 | 0.000 | 0.000 | 0.000 | -21.716 |
| 225.293 | 81.684 | 81.684 | -0.000 | -0.000 | 0.000 |
| 81.684 | 225.293 | 81.684 | -0.000 | -0.000 | 0.000 |
| 81.684 | 81.684 | 225.293 | -0.000 | -0.000 | 0.000 |
| -0.002 | -0.000 | -0.000 | -21.716 | -0.000 | -0.000 |
| -0.000 | -0.002 | -0.000 | -0.000 | -21.716 | 0.000 |
| -0.000 | -0.000 | -0.002 | -0.000 | -0.000 | -21.716 |
| 225.306 | 81.685 | 81.685 | 0.000 | 0.000 | -0.000 |
| 81.685 | 225.306 | 81.685 | 0.000 | 0.000 | 0.000 |
| 81.685 | 81.685 | 225.306 | 0.000 | 0.000 | 0.000 |
| 0.002 | 0.000 | 0.000 | -21.716 | 0.000 | 0.000 |
| 0.000 | 0.002 | 0.000 | 0.000 | -21.716 | 0.000 |
| 0.000 | 0.000 | 0.002 | 0.000 | 0.000 | -21.716 |
| 106.492 | 55.733 | 55.733 | 0.000 | 0.000 | -0.000 |
| 55.733 | 106.492 | 55.733 | -0.000 | 0.000 | 0.000 |
| 55.733 | 55.733 | 106.492 | 0.000 | 0.000 | -0.000 |
| -0.000 | 0.000 | 0.000 | -12.438 | 0.000 | 0.000 |
| 0.000 | -0.000 | 0.000 | 0.000 | -12.438 | -0.000 |
| 0.000 | 0.000 | -0.000 | 0.000 | 0.000 | -12.438 |
| 106.492 | 55.733 | 55.733 | -0.000 | -0.000 | -0.000 |
| 55.733 | 106.492 | 55.733 | -0.000 | -0.000 | 0.000 |
| 55.733 | 55.733 | 106.492 | -0.000 | -0.000 | 0.000 |
| 0.000 | -0.000 | -0.000 | -12.438 | -0.000 | 0.000 |
| -0.000 | 0.000 | -0.000 | -0.000 | -12.438 | 0.000 |
| -0.000 | -0.000 | 0.000 | -0.000 | -0.000 | -12.438 |
| 106.492 | 55.733 | 55.733 | -0.000 | 0.000 | 0.000 |
| 55.733 | 106.492 | 55.733 | -0.000 | -0.000 | 0.000 |
| 55.733 | 55.733 | 106.492 | -0.000 | 0.000 | -0.000 |
| -0.000 | 0.000 | 0.000 | -12.438 | 0.000 | 0.000 |
| 0.000 | -0.000 | 0.000 | 0.000 | -12.438 | -0.000 |
| 0.000 | 0.000 | -0.000 | 0.000 | 0.000 | -12.438 |
| 106.492 | 55.733 | 55.733 | -0.000 | -0.000 | 0.000 |
| 55.733 | 106.492 | 55.733 | -0.000 | -0.000 | -0.000 |
| 55.733 | 55.733 | 106.492 | 0.000 | 0.000 | 0.000 |
| 0.000 | -0.000 | -0.000 | -12.438 | -0.000 | -0.000 |
| -0.000 | 0.000 | -0.000 | -0.000 | -12.438 | 0.000 |
| -0.000 | -0.000 | 0.000 | -0.000 | -0.000 | -12.438 |
| 106.492 | 55.733 | 55.733 | 0.000 | -0.000 | -0.000 |
| 55.733 | 106.492 | 55.733 | -0.000 | 0.000 | -0.000 |
| 55.733 | 55.733 | 106.492 | 0.000 | 0.000 | -0.000 |
| -0.001 | 0.000 | 0.000 | -12.438 | 0.000 | 0.000 |
| 0.000 | -0.001 | 0.000 | 0.000 | -12.438 | -0.000 |
| 0.000 | 0.000 | -0.001 | -0.000 | 0.000 | -12.438 |
| 106.492 | 55.733 | 55.733 | -0.000 | 0.000 | 0.000 |
| 55.733 | 106.492 | 55.733 | -0.000 | -0.000 | 0.000 |
| 55.733 | 55.733 | 106.492 | 0.000 | 0.000 | 0.000 |
| 0.001 | -0.000 | -0.000 | -12.438 | -0.000 | 0.000 |
| -0.000 | 0.001 | -0.000 | -0.000 | -12.438 | 0.000 |
| -0.000 | -0.000 | 0.001 | 0.000 | 0.000 | -12.438 |
| 160.421 | 7.200 | 7.200 | 0.000 | 0.000 | 0.000 |
| 7.200 | 160.421 | 7.200 | 0.000 | 0.000 | 0.000 |
| 7.200 | 7.200 | 160.421 | 0.000 | 0.000 | -0.000 |
| -0.000 | -0.000 | 0.000 | 0.196 | 0.000 | -0.000 |
| -0.000 | -0.000 | 0.000 | -0.000 | 0.196 | 0.000 |
| 0.000 | -0.000 | 0.000 | 0.000 | 0.000 | 0.196 |
| 160.421 | 7.200 | 7.200 | -0.000 | -0.000 | 0.000 |
| 7.200 | 160.421 | 7.200 | -0.000 | -0.000 | 0.000 |
| 7.200 | 7.200 | 160.421 | -0.000 | -0.000 | -0.000 |
| 0.000 | -0.000 | -0.000 | 0.196 | 0.000 | 0.000 |
| -0.000 | 0.000 | -0.000 | 0.000 | 0.196 | -0.000 |
| -0.000 | 0.000 | -0.000 | -0.000 | -0.000 | 0.196 |
| 160.422 | 7.200 | 7.200 | 0.000 | -0.000 | 0.000 |
| 7.200 | 160.422 | 7.200 | 0.000 | 0.000 | -0.000 |
| 7.200 | 7.200 | 160.422 | -0.000 | -0.000 | 0.000 |
| 5428703.071 | 13278602.287 | 12700881.114 | -6495015.521 | 27850.686 | -7972.849 |
| 13602885.863 | 5644066.235 | 12592412.322 | -43051.906 | -6664462.117 | 17647.771 |
| 13867064.055 | 12880020.121 | 5539350.055 | 5734.286 | 36260.865 | -6424054.783 |
| 160.421 | 7.200 | 7.200 | -0.000 | -0.000 | -0.000 |
| 7.200 | 160.421 | 7.200 | -0.000 | -0.000 | 0.000 |
| 7.200 | 7.200 | 160.421 | -0.000 | -0.000 | -0.000 |
| -5377892.661 | -14114646.284 | -12717000.424 | -6803678.249 | -11953.430 | 19828.153 |
| -13750971.666 | -4944595.835 | -12827701.967 | 6195.511 | -6905179.558 | 18939.143 |
| -13649012.645 | -12592512.737 | -5010440.337 | -8042.974 | 20002.616 | -6884231.714 |
| 160.426 | 7.199 | 7.199 | 0.000 | 0.000 | 0.000 |
| 7.199 | 160.426 | 7.199 | 0.000 | 0.000 | 0.000 |
| 7.199 | 7.199 | 160.426 | -0.000 | 0.000 | 0.000 |
| 442806.340 | 1290806.982 | 1213711.739 | -678248.484 | -3155.680 | -707.954 |
| 1324490.312 | 458779.246 | 1230485.192 | -690.560 | -676638.185 | 1585.921 |
| 1352295.412 | 1258768.280 | 484653.090 | 6078.120 | 7141.086 | -674390.483 |
| 160.416 | 7.200 | 7.200 | -0.000 | -0.000 | 0.000 |
| 7.200 | 160.416 | 7.200 | -0.000 | -0.000 | 0.000 |
| 7.200 | 7.200 | 160.416 | -0.000 | -0.000 | 0.000 |
| -408756.717 | -1269866.156 | -1182411.953 | -713309.449 | 1972.098 | -7609.158 |
| -1263042.241 | -406034.306 | -1171892.992 | 2324.859 | -710468.166 | -7755.025 |
| -1239717.632 | -1171400.716 | -408405.008 | -401.435 | 959.002 | -706235.813 |
| 230.335 | 477.847 | 477.847 | 0.000 | 0.000 | -0.000 |
| 477.847 | 230.335 | 477.847 | 0.000 | 0.000 | -0.000 |
| 477.847 | 477.847 | 230.335 | 0.000 | 0.000 | -0.000 |
| -0.000 | -0.000 | -0.000 | 169.779 | -0.000 | 0.000 |
| 0.000 | -0.000 | -0.000 | -0.000 | 169.779 | -0.000 |
| 0.000 | 0.000 | -0.000 | 0.000 | 0.000 | 169.779 |
| 230.335 | 477.847 | 477.847 | 0.000 | -0.000 | -0.000 |
| 477.847 | 230.335 | 477.847 | -0.000 | -0.000 | 0.000 |
| 477.847 | 477.847 | 230.335 | -0.000 | -0.000 | 0.000 |
| 0.000 | -0.000 | -0.000 | 169.779 | -0.000 | 0.000 |
| -0.000 | 0.000 | -0.000 | 0.000 | 169.779 | 0.000 |
| -0.000 | -0.000 | 0.000 | -0.000 | -0.000 | 169.779 |
| 230.335 | 477.847 | 477.847 | 0.000 | 0.000 | -0.000 |
| 477.847 | 230.335 | 477.847 | 0.000 | 0.000 | 0.000 |
| 477.847 | 477.847 | 230.335 | 0.000 | 0.000 | -0.000 |
| -0.000 | 0.000 | 0.000 | 169.779 | 0.000 | -0.000 |
| 0.000 | -0.000 | 0.000 | 0.000 | 169.779 | -0.000 |
| 0.000 | 0.000 | -0.000 | 0.000 | 0.000 | 169.779 |
| 230.335 | 477.846 | 477.846 | -0.000 | -0.000 | 0.000 |
| 477.846 | 230.335 | 477.846 | -0.000 | -0.000 | 0.000 |
| 477.846 | 477.846 | 230.335 | -0.000 | -0.000 | -0.000 |
| 0.000 | -0.000 | -0.000 | 169.779 | -0.000 | -0.000 |
| -0.000 | 0.000 | -0.000 | -0.000 | 169.779 | 0.000 |
| -0.000 | -0.000 | 0.000 | -0.000 | -0.000 | 169.779 |
| 230.338 | 477.849 | 477.849 | 0.000 | 0.000 | -0.000 |
| 477.849 | 230.338 | 477.849 | 0.000 | 0.000 | -0.000 |
| 477.849 | 477.849 | 230.338 | 0.000 | 0.000 | -0.000 |
| -0.000 | 0.000 | 0.001 | 169.779 | 0.000 | -0.000 |
| 0.000 | -0.000 | 0.001 | 0.000 | 169.779 | -0.000 |
| 0.000 | 0.001 | -0.000 | 0.000 | 0.000 | 169.779 |
| 230.332 | 477.845 | 477.845 | 0.000 | -0.000 | -0.000 |
| 477.845 | 230.332 | 477.845 | -0.000 | -0.000 | -0.000 |
| 477.845 | 477.845 | 230.332 | -0.000 | -0.000 | -0.000 |
| 0.000 | -0.000 | -0.001 | 169.779 | -0.000 | -0.000 |
| -0.000 | 0.000 | -0.001 | 0.000 | 169.779 | 0.000 |
| -0.000 | -0.001 | 0.000 | -0.000 | -0.000 | 169.779 |
| 307.845 | 71.839 | 71.839 | 0.000 | -0.000 | 0.000 |
| 71.839 | 307.845 | 71.839 | 0.000 | -0.000 | 0.000 |
| 71.839 | 71.839 | 307.845 | -0.000 | -0.000 | 0.000 |
| -0.000 | -0.000 | -0.000 | 68.884 | -0.000 | 0.000 |
| -0.000 | -0.000 | -0.000 | -0.000 | 68.884 | 0.000 |
| -0.000 | -0.000 | 0.000 | -0.000 | -0.000 | 68.884 |
| 307.845 | 71.839 | 71.839 | 0.000 | 0.000 | -0.000 |
| 71.839 | 307.845 | 71.839 | 0.000 | 0.000 | -0.000 |
| 71.839 | 71.839 | 307.845 | 0.000 | 0.000 | -0.000 |
| 0.000 | 0.000 | 0.000 | 68.884 | 0.000 | 0.000 |
| 0.000 | 0.000 | 0.000 | 0.000 | 68.884 | 0.000 |
| 0.000 | 0.000 | 0.000 | 0.000 | 0.000 | 68.884 |
| 307.845 | 71.839 | 71.839 | -0.000 | -0.000 | -0.000 |
| 71.839 | 307.845 | 71.839 | -0.000 | -0.000 | 0.000 |
| 71.839 | 71.839 | 307.845 | -0.000 | -0.000 | -0.000 |
| -0.000 | -0.000 | -0.000 | 68.884 | -0.000 | 0.000 |
| -0.000 | -0.000 | -0.000 | -0.000 | 68.884 | -0.000 |
| -0.000 | -0.000 | -0.000 | -0.000 | -0.000 | 68.884 |
| 307.845 | 71.840 | 71.840 | 0.000 | 0.000 | -0.000 |
| 71.840 | 307.845 | 71.840 | 0.000 | 0.000 | -0.000 |
| 71.840 | 71.840 | 307.845 | 0.000 | 0.000 | -0.000 |
| 0.000 | 0.000 | 0.000 | 68.884 | 0.000 | -0.000 |
| 0.000 | 0.000 | 0.000 | 0.000 | 68.884 | -0.000 |
| 0.000 | 0.000 | 0.000 | 0.000 | 0.000 | 68.884 |
| 307.845 | 71.837 | 71.837 | -0.000 | -0.000 | 0.000 |
| 71.837 | 307.845 | 71.837 | -0.000 | -0.000 | 0.000 |
| 71.837 | 71.837 | 307.845 | -0.000 | -0.000 | 0.000 |
| -0.001 | -0.002 | -0.002 | 68.884 | -0.000 | 0.000 |
| -0.002 | -0.001 | -0.002 | -0.000 | 68.884 | 0.000 |
| -0.002 | -0.002 | -0.001 | -0.000 | -0.000 | 68.884 |
| 307.845 | 71.841 | 71.841 | 0.000 | 0.000 | -0.000 |
| 71.841 | 307.845 | 71.841 | 0.000 | 0.000 | -0.000 |
| 71.841 | 71.841 | 307.845 | 0.000 | 0.000 | 0.000 |
| 0.001 | 0.002 | 0.002 | 68.884 | 0.000 | -0.000 |
| 0.002 | 0.001 | 0.002 | 0.000 | 68.884 | -0.000 |
| 0.002 | 0.002 | 0.001 | 0.000 | 0.000 | 68.884 |
| 160.907 | 102.829 | 102.829 | -0.000 | 0.000 | 0.000 |
| 102.829 | 160.907 | 102.829 | -0.000 | -0.000 | 0.000 |
| 102.829 | 102.829 | 160.907 | -0.000 | -0.000 | -0.000 |
| -0.000 | 0.000 | 0.000 | 105.225 | 0.000 | -0.000 |
| 0.000 | -0.000 | 0.000 | -0.000 | 105.225 | -0.000 |
| 0.000 | 0.000 | -0.000 | -0.000 | 0.000 | 105.225 |
| 160.907 | 102.829 | 102.829 | 0.000 | -0.000 | -0.000 |
| 102.829 | 160.907 | 102.829 | 0.000 | 0.000 | 0.000 |
| 102.829 | 102.829 | 160.907 | 0.000 | -0.000 | 0.000 |
| 0.000 | -0.000 | -0.000 | 105.225 | -0.000 | 0.000 |
| -0.000 | 0.000 | -0.000 | 0.000 | 105.225 | -0.000 |
| -0.000 | -0.000 | 0.000 | -0.000 | -0.000 | 105.225 |
| 160.907 | 102.829 | 102.829 | 0.000 | 0.000 | 0.000 |
| 102.829 | 160.907 | 102.829 | -0.000 | 0.000 | -0.000 |
| 102.829 | 102.829 | 160.907 | -0.000 | 0.000 | -0.000 |
| -0.000 | 0.000 | 0.000 | 105.225 | -0.000 | 0.000 |
| 0.000 | -0.000 | 0.000 | -0.000 | 105.225 | -0.000 |
| 0.000 | 0.000 | -0.000 | -0.000 | 0.000 | 105.225 |
| 160.907 | 102.829 | 102.829 | -0.000 | -0.000 | 0.000 |
| 102.829 | 160.907 | 102.829 | -0.000 | -0.000 | -0.000 |
| 102.829 | 102.829 | 160.907 | -0.000 | -0.000 | 0.000 |
| 0.000 | -0.000 | -0.000 | 105.225 | -0.000 | 0.000 |
| -0.000 | 0.000 | -0.000 | 0.000 | 105.225 | -0.000 |
| -0.000 | -0.000 | 0.000 | -0.000 | -0.000 | 105.225 |
| 160.908 | 102.830 | 102.830 | -0.000 | 0.000 | -0.000 |
| 102.830 | 160.908 | 102.830 | 0.000 | 0.000 | 0.000 |
| 102.830 | 102.830 | 160.908 | -0.000 | 0.000 | -0.000 |
| -0.000 | 0.001 | 0.001 | 105.225 | 0.000 | -0.000 |
| 0.001 | -0.000 | 0.001 | -0.000 | 105.225 | 0.000 |
| 0.001 | 0.001 | -0.000 | -0.000 | 0.000 | 105.225 |
| 160.906 | 102.828 | 102.828 | 0.000 | -0.000 | 0.000 |
| 102.828 | 160.906 | 102.828 | 0.000 | -0.000 | 0.000 |
| 102.828 | 102.828 | 160.906 | -0.000 | -0.000 | -0.000 |
| 0.000 | -0.001 | -0.001 | 105.225 | -0.000 | -0.000 |
| -0.001 | 0.000 | -0.001 | 0.000 | 105.225 | -0.000 |
| -0.001 | -0.001 | 0.000 | 0.000 | -0.000 | 105.225 |
| 208.121 | 104.079 | 104.079 | 0.000 | 0.000 | -0.000 |
| 104.079 | 208.121 | 104.079 | 0.000 | 0.000 | 0.000 |
| 104.079 | 104.079 | 208.121 | 0.000 | 0.000 | 0.000 |
| -0.000 | 0.000 | 0.000 | 104.041 | -0.000 | -0.000 |
| 0.000 | -0.000 | 0.000 | -0.000 | 104.041 | -0.000 |
| 0.000 | 0.000 | -0.000 | -0.000 | -0.000 | 104.041 |
| 208.121 | 104.079 | 104.079 | -0.000 | -0.000 | 0.000 |
| 104.079 | 208.121 | 104.079 | -0.000 | 0.000 | 0.000 |
| 104.079 | 104.079 | 208.121 | -0.000 | 0.000 | -0.000 |
| 0.000 | -0.000 | -0.000 | 104.041 | 0.000 | -0.000 |
| -0.000 | 0.000 | -0.000 | -0.000 | 104.041 | 0.000 |
| -0.000 | -0.000 | 0.000 | 0.000 | -0.000 | 104.041 |
| 208.121 | 104.079 | 104.079 | 0.000 | -0.000 | 0.000 |
| 104.079 | 208.121 | 104.079 | -0.000 | 0.000 | -0.000 |
| 104.079 | 104.079 | 208.121 | 0.000 | -0.000 | 0.000 |
| -0.000 | 0.000 | 0.000 | 104.041 | 0.000 | -0.000 |
| 0.000 | -0.000 | 0.000 | 0.000 | 104.041 | -0.000 |
| 0.000 | 0.000 | -0.000 | 0.000 | -0.000 | 104.041 |
| 208.121 | 104.078 | 104.078 | -0.000 | 0.000 | 0.000 |
| 104.078 | 208.121 | 104.078 | -0.000 | 0.000 | 0.000 |
| 104.078 | 104.078 | 208.121 | -0.000 | 0.000 | 0.000 |
| 0.000 | -0.000 | -0.000 | 104.041 | -0.000 | -0.000 |
| -0.000 | 0.000 | -0.000 | -0.000 | 104.041 | 0.000 |
| -0.000 | -0.000 | 0.000 | -0.000 | -0.000 | 104.041 |
| 208.122 | 104.079 | 104.079 | 0.000 | -0.000 | -0.000 |
| 104.079 | 208.122 | 104.079 | -0.000 | 0.000 | -0.000 |
| 104.079 | 104.079 | 208.122 | 0.000 | -0.000 | -0.000 |
| -0.000 | 0.001 | 0.001 | 104.041 | 0.000 | 0.000 |
| 0.001 | -0.000 | 0.001 | 0.000 | 104.041 | -0.000 |
| 0.001 | 0.001 | -0.000 | 0.000 | -0.000 | 104.041 |
| 208.120 | 104.078 | 104.078 | -0.000 | 0.000 | 0.000 |
| 104.078 | 208.120 | 104.078 | 0.000 | -0.000 | -0.000 |
| 104.078 | 104.078 | 208.120 | 0.000 | 0.000 | 0.000 |
| 0.000 | -0.001 | -0.001 | 104.041 | 0.000 | 0.000 |
| -0.001 | 0.000 | -0.001 | -0.000 | 104.041 | -0.000 |
| -0.001 | -0.001 | 0.000 | 0.000 | 0.000 | 104.041 |
| 540.995 | 135.643 | 135.643 | -0.000 | -0.000 | -0.000 |
| 135.643 | 540.995 | 135.643 | -0.000 | 0.000 | 0.000 |
| 135.643 | 135.643 | 540.995 | 0.000 | -0.000 | 0.000 |
| -0.000 | 0.000 | -0.000 | -55.225 | 0.000 | 0.000 |
| 0.000 | -0.000 | -0.000 | -0.000 | -55.225 | 0.000 |
| 0.000 | -0.000 | -0.000 | -0.000 | -0.000 | -55.225 |
| 540.995 | 135.643 | 135.643 | -0.000 | 0.000 | -0.000 |
| 135.643 | 540.995 | 135.643 | 0.000 | -0.000 | -0.000 |
| 135.643 | 135.643 | 540.995 | 0.000 | 0.000 | 0.000 |
| 0.000 | -0.000 | 0.000 | -55.225 | -0.000 | -0.000 |
| -0.000 | -0.000 | -0.000 | 0.000 | -55.225 | -0.000 |
| -0.000 | 0.000 | 0.000 | -0.000 | 0.000 | -55.225 |
| 540.995 | 135.643 | 135.643 | -0.000 | 0.000 | -0.000 |
| 135.643 | 540.995 | 135.643 | -0.000 | 0.000 | 0.000 |
| 135.643 | 135.643 | 540.995 | 0.000 | 0.000 | 0.000 |
| -0.000 | 0.000 | 0.000 | -55.225 | -0.000 | 0.000 |
| 0.000 | -0.000 | 0.000 | 0.000 | -55.225 | 0.000 |
| 0.000 | 0.000 | -0.000 | -0.000 | -0.000 | -55.225 |
| 540.995 | 135.643 | 135.643 | 0.000 | 0.000 | -0.000 |
| 135.643 | 540.995 | 135.643 | 0.000 | 0.000 | 0.000 |
| 135.643 | 135.643 | 540.995 | 0.000 | 0.000 | -0.000 |
| 0.000 | -0.000 | -0.000 | -55.225 | 0.000 | -0.000 |
| -0.000 | 0.000 | -0.000 | -0.000 | -55.225 | -0.000 |
| -0.000 | -0.000 | 0.000 | 0.000 | 0.000 | -55.225 |
| 540.993 | 135.643 | 135.643 | -0.000 | -0.000 | 0.000 |
| 135.643 | 540.993 | 135.643 | -0.000 | -0.000 | 0.000 |
| 135.643 | 135.643 | 540.993 | 0.000 | 0.000 | 0.000 |
| -0.001 | 0.001 | 0.001 | -55.225 | -0.000 | 0.000 |
| 0.001 | -0.001 | 0.001 | -0.000 | -55.225 | 0.000 |
| 0.001 | 0.001 | -0.001 | -0.000 | -0.000 | -55.225 |
| 540.997 | 135.643 | 135.643 | -0.000 | -0.000 | 0.000 |
| 135.643 | 540.997 | 135.643 | -0.000 | -0.000 | -0.000 |
| 135.643 | 135.643 | 540.997 | -0.000 | -0.000 | -0.000 |
| 0.001 | -0.001 | -0.001 | -55.225 | 0.000 | -0.000 |
| -0.001 | 0.001 | -0.001 | -0.000 | -55.225 | -0.000 |
| -0.001 | -0.001 | 0.001 | 0.000 | 0.000 | -55.225 |
| 551.607 | 292.758 | 292.758 | -0.000 | 0.000 | -0.000 |
| 292.757 | 551.607 | 292.758 | -0.000 | -0.000 | -0.000 |
| 292.757 | 292.758 | 551.607 | -0.000 | -0.000 | -0.000 |
| -0.000 | -0.000 | -0.000 | 298.731 | 0.000 | -0.000 |
| -0.000 | -0.000 | -0.000 | 0.000 | 298.731 | -0.000 |
| -0.000 | -0.000 | -0.000 | 0.000 | -0.000 | 298.731 |
| 551.607 | 292.758 | 292.758 | -0.000 | 0.000 | 0.000 |
| 292.758 | 551.607 | 292.758 | 0.000 | 0.000 | 0.000 |
| 292.758 | 292.758 | 551.607 | 0.000 | 0.000 | 0.000 |
| 0.000 | 0.000 | 0.000 | 298.731 | -0.000 | 0.000 |
| 0.000 | 0.000 | 0.000 | -0.000 | 298.731 | 0.000 |
| 0.000 | 0.000 | 0.000 | -0.000 | 0.000 | 298.731 |
| 551.606 | 292.758 | 292.758 | 0.000 | 0.000 | -0.000 |
| 292.758 | 551.606 | 292.758 | 0.000 | -0.000 | -0.000 |
| 292.758 | 292.758 | 551.606 | -0.000 | 0.000 | -0.000 |
| 0.000 | -0.000 | -0.000 | 298.731 | 0.000 | -0.000 |
| -0.000 | 0.000 | -0.000 | 0.000 | 298.731 | -0.000 |
| -0.000 | -0.000 | 0.000 | 0.000 | 0.000 | 298.731 |
| 551.607 | 292.758 | 292.758 | -0.000 | 0.000 | 0.000 |
| 292.758 | 551.607 | 292.758 | 0.000 | -0.000 | 0.000 |
| 292.758 | 292.758 | 551.607 | 0.000 | 0.000 | 0.000 |
| -0.000 | 0.000 | 0.000 | 298.731 | -0.000 | 0.000 |
| 0.000 | -0.000 | 0.000 | 0.000 | 298.731 | 0.000 |
| 0.000 | 0.000 | -0.000 | 0.000 | 0.000 | 298.731 |
| 551.603 | 292.757 | 292.757 | -0.000 | -0.000 | -0.000 |
| 292.757 | 551.603 | 292.757 | -0.000 | 0.000 | -0.000 |
| 292.757 | 292.757 | 551.603 | -0.000 | -0.000 | -0.000 |
| 0.000 | -0.001 | -0.001 | 298.731 | 0.000 | -0.000 |
| -0.001 | 0.000 | -0.001 | 0.000 | 298.731 | -0.000 |
| -0.001 | -0.001 | 0.000 | 0.000 | -0.000 | 298.731 |
| 551.610 | 292.758 | 292.758 | -0.000 | 0.000 | 0.000 |
| 292.758 | 551.610 | 292.758 | 0.000 | 0.000 | 0.000 |
| 292.758 | 292.758 | 551.610 | -0.000 | 0.000 | 0.000 |
| -0.000 | 0.001 | 0.001 | 298.731 | -0.000 | 0.000 |
| 0.001 | -0.000 | 0.001 | 0.000 | 298.731 | 0.000 |
| 0.001 | 0.001 | -0.000 | -0.000 | -0.000 | 298.731 |
| 193.344 | 5.415 | 5.415 | 0.000 | 0.000 | 0.000 |
| 5.415 | 193.344 | 5.415 | 0.000 | 0.000 | 0.000 |
| 5.415 | 5.415 | 193.344 | 0.000 | 0.000 | -0.000 |
| 0.000 | 0.000 | 0.000 | 8.389 | 0.000 | 0.000 |
| 0.000 | -0.000 | 0.000 | 0.000 | 8.389 | -0.000 |
| 0.000 | 0.000 | 0.000 | 0.000 | 0.000 | 8.389 |
| 193.343 | 5.415 | 5.415 | -0.000 | -0.000 | 0.000 |
| 5.415 | 193.343 | 5.415 | -0.000 | -0.000 | 0.000 |
| 5.415 | 5.415 | 193.343 | -0.000 | -0.000 | 0.000 |
| -0.000 | -0.000 | -0.000 | 8.389 | -0.000 | 0.000 |
| -0.000 | 0.000 | -0.000 | -0.000 | 8.389 | 0.000 |
| -0.000 | -0.000 | -0.000 | -0.000 | -0.000 | 8.389 |
| 193.344 | 5.416 | 5.416 | 0.000 | 0.000 | -0.000 |
| 5.416 | 193.344 | 5.416 | -0.000 | 0.000 | -0.000 |
| 5.416 | 5.416 | 193.344 | 0.000 | 0.000 | -0.000 |
| 0.000 | 0.000 | 0.000 | 8.389 | 0.000 | 0.000 |
| 0.000 | 0.000 | 0.000 | 0.000 | 8.389 | -0.000 |
| 0.000 | 0.000 | 0.000 | 0.000 | 0.000 | 8.389 |
| 193.343 | 5.415 | 5.415 | -0.000 | -0.000 | 0.000 |
| 5.415 | 193.343 | 5.415 | -0.000 | -0.000 | 0.000 |
| 5.415 | 5.415 | 193.343 | -0.000 | -0.000 | 0.000 |
| -0.000 | -0.000 | -0.000 | 8.389 | -0.000 | 0.000 |
| -0.000 | -0.000 | -0.000 | -0.000 | 8.389 | 0.000 |
| -0.000 | -0.000 | -0.000 | -0.000 | -0.000 | 8.389 |
| 193.349 | 5.417 | 5.417 | 0.000 | 0.000 | -0.000 |
| 5.417 | 193.349 | 5.417 | 0.000 | 0.000 | 0.000 |
| 5.417 | 5.417 | 193.349 | 0.000 | 0.000 | -0.000 |
| 0.000 | 0.001 | 0.001 | 8.389 | 0.000 | 0.000 |
| 0.001 | 0.000 | 0.001 | 0.000 | 8.389 | -0.000 |
| 0.001 | 0.001 | 0.000 | 0.000 | 0.000 | 8.389 |
| 193.338 | 5.414 | 5.414 | -0.000 | -0.000 | 0.000 |
| 5.414 | 193.338 | 5.414 | -0.000 | -0.000 | -0.000 |
| 5.414 | 5.414 | 193.338 | -0.000 | -0.000 | 0.000 |
| -0.000 | -0.001 | -0.001 | 8.389 | -0.000 | 0.000 |
| -0.001 | -0.000 | -0.001 | -0.000 | 8.389 | 0.000 |
| -0.001 | -0.001 | -0.000 | -0.000 | -0.000 | 8.389 |
| -1.951 | 22.760 | 22.760 | -0.000 | 0.000 | 0.000 |
| 22.760 | -1.951 | 22.760 | 0.000 | 0.000 | -0.000 |
| 22.760 | 22.760 | -1.951 | -0.000 | -0.000 | 0.000 |
| -0.000 | -0.000 | -0.000 | -0.000 | -0.000 | 0.000 |
| -0.000 | -0.000 | -0.000 | -0.000 | -0.000 | 0.000 |
| -0.000 | -0.000 | -0.000 | -0.000 | -0.000 | -0.000 |
| -1.951 | 22.760 | 22.760 | 0.000 | -0.000 | -0.000 |
| 22.760 | -1.951 | 22.760 | -0.000 | 0.000 | -0.000 |
| 22.760 | 22.760 | -1.951 | -0.000 | -0.000 | 0.000 |
| 0.000 | 0.000 | 0.000 | -0.000 | 0.000 | 0.000 |
| 0.000 | 0.000 | 0.000 | 0.000 | -0.000 | 0.000 |
| 0.000 | 0.000 | 0.000 | 0.000 | 0.000 | -0.000 |
| -1.951 | 22.760 | 22.760 | 0.000 | -0.000 | -0.000 |
| 22.760 | -1.951 | 22.760 | -0.000 | -0.000 | -0.000 |
| 22.760 | 22.760 | -1.951 | -0.000 | -0.000 | -0.000 |
| -0.000 | -0.000 | 0.000 | -0.000 | -0.000 | 0.000 |
| -0.000 | -0.000 | 0.000 | -0.000 | -0.000 | 0.000 |
| -0.000 | 0.000 | -0.000 | -0.000 | -0.000 | -0.000 |
| -1.951 | 22.760 | 22.760 | 0.000 | 0.000 | 0.000 |
| 22.760 | -1.951 | 22.760 | 0.000 | 0.000 | 0.000 |
| 22.760 | 22.760 | -1.951 | -0.000 | -0.000 | 0.000 |
| 0.000 | 0.000 | -0.000 | -0.000 | 0.000 | -0.000 |
| 0.000 | 0.000 | -0.000 | 0.000 | -0.000 | 0.000 |
| 0.000 | -0.000 | 0.000 | 0.000 | 0.000 | -0.000 |
| -1.949 | 22.761 | 22.761 | -0.000 | -0.000 | -0.000 |
| 22.761 | -1.949 | 22.761 | -0.000 | -0.000 | 0.000 |
| 22.761 | 22.761 | -1.949 | -0.000 | -0.000 | -0.000 |
| -0.000 | -0.000 | 0.000 | -0.000 | -0.000 | 0.000 |
| -0.000 | -0.000 | 0.000 | -0.000 | -0.000 | 0.000 |
| -0.000 | 0.000 | -0.000 | -0.000 | -0.000 | -0.000 |
| -1.952 | 22.760 | 22.760 | 0.000 | 0.000 | -0.000 |
| 22.760 | -1.952 | 22.760 | -0.000 | 0.000 | 0.000 |
| 22.760 | 22.760 | -1.952 | -0.000 | -0.000 | -0.000 |
| 0.000 | 0.000 | -0.000 | -0.000 | 0.000 | 0.000 |
| 0.000 | 0.000 | -0.000 | 0.000 | -0.000 | 0.000 |
| 0.000 | -0.000 | 0.000 | -0.000 | 0.000 | -0.000 |
| -2.405 | 6.843 | 6.843 | -0.000 | -0.000 | 0.000 |
| 6.843 | -2.405 | 6.843 | -0.000 | -0.000 | -0.000 |
| 6.843 | 6.843 | -2.405 | 0.000 | 0.000 | -0.000 |
| -0.000 | -0.000 | -0.000 | -0.000 | -0.000 | -0.000 |
| -0.000 | -0.000 | -0.000 | -0.000 | -0.000 | -0.000 |
| -0.000 | -0.000 | -0.000 | -0.000 | -0.000 | -0.000 |
| -2.405 | 6.843 | 6.843 | 0.000 | 0.000 | -0.000 |
| 6.843 | -2.405 | 6.843 | 0.000 | 0.000 | 0.000 |
| 6.843 | 6.843 | -2.405 | 0.000 | 0.000 | 0.000 |
| 0.000 | 0.000 | 0.000 | -0.000 | 0.000 | 0.000 |
| 0.000 | 0.000 | 0.000 | 0.000 | -0.000 | -0.000 |
| 0.000 | 0.000 | 0.000 | -0.000 | -0.000 | -0.000 |
| -2.405 | 6.843 | 6.843 | 0.000 | 0.000 | -0.000 |
| 6.843 | -2.405 | 6.843 | 0.000 | 0.000 | 0.000 |
| 6.843 | 6.843 | -2.405 | 0.000 | -0.000 | 0.000 |
| -0.000 | -0.000 | 0.000 | -0.000 | -0.000 | 0.000 |
| -0.000 | -0.000 | 0.000 | -0.000 | -0.000 | -0.000 |
| -0.000 | 0.000 | -0.000 | -0.000 | -0.000 | -0.000 |
| -2.405 | 6.843 | 6.843 | -0.000 | 0.000 | 0.000 |
| 6.843 | -2.405 | 6.843 | 0.000 | -0.000 | 0.000 |
| 6.843 | 6.843 | -2.405 | 0.000 | 0.000 | -0.000 |
| 0.000 | 0.000 | -0.000 | -0.000 | -0.000 | 0.000 |
| 0.000 | 0.000 | -0.000 | -0.000 | -0.000 | 0.000 |
| 0.000 | -0.000 | 0.000 | 0.000 | 0.000 | -0.000 |
| -2.405 | 6.843 | 6.843 | 0.000 | 0.000 | 0.000 |
| 6.843 | -2.405 | 6.843 | -0.000 | 0.000 | 0.000 |
| 6.843 | 6.843 | -2.405 | -0.000 | -0.000 | -0.000 |
| -0.000 | -0.000 | 0.000 | -0.000 | -0.000 | 0.000 |
| -0.000 | -0.000 | 0.000 | -0.000 | -0.000 | -0.000 |
| -0.000 | 0.000 | -0.000 | 0.000 | 0.000 | -0.000 |
| -2.404 | 6.843 | 6.843 | -0.000 | 0.000 | 0.000 |
| 6.843 | -2.404 | 6.843 | -0.000 | 0.000 | 0.000 |
| 6.843 | 6.843 | -2.404 | -0.000 | -0.000 | -0.000 |
| 0.000 | 0.000 | -0.000 | -0.000 | -0.000 | -0.000 |
| 0.000 | 0.000 | -0.000 | -0.000 | -0.000 | -0.000 |
| 0.000 | -0.000 | 0.000 | -0.000 | 0.000 | -0.000 |
| 217.436 | 304.052 | 304.052 | -0.000 | 0.000 | -0.000 |
| 304.052 | 217.436 | 304.052 | 0.000 | -0.000 | -0.000 |
| 304.052 | 304.052 | 217.436 | -0.000 | -0.000 | 0.000 |
| 0.000 | 0.000 | 0.000 | 207.253 | -0.000 | 0.000 |
| 0.000 | 0.000 | 0.000 | 0.000 | 207.253 | -0.000 |
| 0.000 | 0.000 | 0.000 | -0.000 | 0.000 | 207.253 |
| 217.436 | 304.052 | 304.052 | -0.000 | 0.000 | -0.000 |
| 304.052 | 217.436 | 304.052 | 0.000 | 0.000 | -0.000 |
| 304.052 | 304.052 | 217.436 | 0.000 | 0.000 | 0.000 |
| -0.000 | -0.000 | -0.000 | 207.253 | 0.000 | 0.000 |
| -0.000 | -0.000 | -0.000 | -0.000 | 207.253 | 0.000 |
| -0.000 | -0.000 | -0.000 | -0.000 | 0.000 | 207.253 |
| 217.437 | 304.052 | 304.052 | 0.000 | -0.000 | -0.000 |
| 304.052 | 217.437 | 304.052 | 0.000 | -0.000 | 0.000 |
| 304.052 | 304.052 | 217.437 | 0.000 | -0.000 | -0.000 |
| 0.000 | 0.000 | 0.000 | 207.253 | -0.000 | -0.000 |
| 0.000 | 0.000 | 0.000 | -0.000 | 207.253 | -0.000 |
| 0.000 | 0.000 | 0.000 | -0.000 | -0.000 | 207.253 |
| 217.435 | 304.052 | 304.052 | 0.000 | 0.000 | -0.000 |
| 304.052 | 217.435 | 304.052 | -0.000 | 0.000 | -0.000 |
| 304.052 | 304.052 | 217.435 | -0.000 | 0.000 | -0.000 |
| -0.000 | -0.000 | -0.000 | 207.253 | 0.000 | 0.000 |
| -0.000 | -0.000 | -0.000 | -0.000 | 207.253 | -0.000 |
| -0.000 | -0.000 | -0.000 | -0.000 | 0.000 | 207.253 |
| 217.450 | 304.054 | 304.054 | 0.000 | -0.000 | -0.000 |
| 304.054 | 217.450 | 304.054 | 0.000 | -0.000 | 0.000 |
| 304.054 | 304.054 | 217.450 | -0.000 | -0.000 | 0.000 |
| 0.000 | 0.002 | 0.003 | 207.253 | -0.000 | 0.000 |
| 0.002 | 0.000 | 0.003 | -0.000 | 207.253 | 0.000 |
| 0.002 | 0.003 | 0.000 | 0.000 | -0.000 | 207.253 |
| 217.422 | 304.050 | 304.050 | -0.000 | 0.000 | 0.000 |
| 304.050 | 217.422 | 304.050 | 0.000 | 0.000 | -0.000 |
| 304.050 | 304.050 | 217.422 | 0.000 | 0.000 | 0.000 |
| -0.000 | -0.002 | -0.003 | 207.253 | 0.000 | 0.000 |
| -0.002 | -0.000 | -0.003 | -0.000 | 207.253 | 0.000 |
| -0.002 | -0.003 | -0.000 | -0.000 | 0.000 | 207.253 |
| 287.820 | 123.599 | 123.599 | 0.000 | 0.000 | -0.000 |
| 123.599 | 287.820 | 123.599 | 0.000 | 0.000 | -0.000 |
| 123.599 | 123.599 | 287.820 | 0.000 | 0.000 | 0.000 |
| 0.000 | -0.000 | 0.000 | 131.094 | 0.000 | 0.000 |
| -0.000 | 0.000 | 0.000 | 0.000 | 131.094 | -0.000 |
| -0.000 | 0.000 | 0.000 | 0.000 | 0.000 | 131.094 |
| 287.820 | 123.599 | 123.599 | -0.000 | 0.000 | -0.000 |
| 123.599 | 287.820 | 123.599 | -0.000 | -0.000 | 0.000 |
| 123.599 | 123.599 | 287.820 | -0.000 | -0.000 | -0.000 |
| -0.000 | -0.000 | -0.000 | 131.094 | -0.000 | 0.000 |
| -0.000 | -0.000 | -0.000 | -0.000 | 131.094 | -0.000 |
| 0.000 | -0.000 | -0.000 | -0.000 | -0.000 | 131.094 |
| 287.820 | 123.599 | 123.599 | 0.000 | 0.000 | 0.000 |
| 123.599 | 287.820 | 123.599 | 0.000 | 0.000 | 0.000 |
| 123.599 | 123.599 | 287.820 | 0.000 | 0.000 | 0.000 |
| -0.000 | -0.000 | -0.000 | 131.094 | 0.000 | -0.000 |
| -0.000 | -0.000 | -0.000 | 0.000 | 131.094 | 0.000 |
| -0.000 | -0.000 | -0.000 | 0.000 | 0.000 | 131.094 |
| 287.821 | 123.599 | 123.599 | -0.000 | -0.000 | -0.000 |
| 123.599 | 287.821 | 123.599 | -0.000 | -0.000 | -0.000 |
| 123.599 | 123.599 | 287.821 | -0.000 | -0.000 | 0.000 |
| 0.000 | 0.000 | 0.000 | 131.094 | -0.000 | -0.000 |
| 0.000 | 0.000 | 0.000 | -0.000 | 131.094 | -0.000 |
| 0.000 | 0.000 | 0.000 | -0.000 | -0.000 | 131.094 |
| 287.812 | 123.598 | 123.598 | 0.000 | 0.000 | 0.000 |
| 123.598 | 287.812 | 123.598 | 0.000 | 0.000 | -0.000 |
| 123.598 | 123.598 | 287.812 | 0.000 | 0.000 | 0.000 |
| -0.000 | -0.001 | -0.000 | 131.094 | 0.000 | 0.000 |
| -0.001 | -0.000 | -0.000 | 0.000 | 131.094 | 0.000 |
| -0.001 | -0.000 | -0.000 | 0.000 | 0.000 | 131.094 |
| 287.828 | 123.600 | 123.600 | -0.000 | -0.000 | -0.000 |
| 123.600 | 287.828 | 123.600 | -0.000 | -0.000 | -0.000 |
| 123.600 | 123.600 | 287.828 | -0.000 | -0.000 | 0.000 |
| 0.000 | 0.001 | 0.000 | 131.094 | -0.000 | 0.000 |
| 0.001 | 0.000 | 0.000 | -0.000 | 131.094 | 0.000 |
| 0.001 | 0.000 | 0.000 | -0.000 | -0.000 | 131.094 |
| 382.106 | -43.056 | -43.056 | 0.000 | 0.000 | 0.000 |
| -43.056 | 382.106 | -43.056 | 0.000 | 0.000 | -0.000 |
| -43.056 | -43.056 | 382.106 | -0.000 | -0.000 | 0.000 |
| 0.000 | 0.000 | 0.000 | -43.204 | -0.000 | -0.000 |
| 0.000 | 0.000 | 0.000 | 0.000 | -43.204 | 0.000 |
| 0.000 | 0.000 | 0.000 | 0.000 | 0.000 | -43.204 |
| 382.106 | -43.056 | -43.056 | 0.000 | -0.000 | 0.000 |
| -43.056 | 382.106 | -43.056 | -0.000 | 0.000 | 0.000 |
| -43.056 | -43.056 | 382.106 | 0.000 | 0.000 | 0.000 |
| -0.000 | -0.000 | -0.000 | -43.204 | 0.000 | 0.000 |
| -0.000 | -0.000 | -0.000 | 0.000 | -43.204 | 0.000 |
| -0.000 | -0.000 | -0.000 | 0.000 | 0.000 | -43.204 |
| 382.105 | -43.056 | -43.056 | 0.000 | 0.000 | 0.000 |
| -43.056 | 382.105 | -43.056 | 0.000 | -0.000 | -0.000 |
| -43.056 | -43.056 | 382.105 | -0.000 | 0.000 | -0.000 |
| -0.000 | -0.000 | -0.000 | -43.204 | -0.000 | 0.000 |
| -0.000 | -0.000 | -0.000 | 0.000 | -43.204 | -0.000 |
| -0.000 | -0.000 | -0.000 | 0.000 | 0.000 | -43.204 |
| 382.106 | -43.056 | -43.056 | 0.000 | -0.000 | -0.000 |
| -43.056 | 382.106 | -43.056 | -0.000 | -0.000 | 0.000 |
| -43.056 | -43.056 | 382.106 | 0.000 | 0.000 | 0.000 |
| 0.000 | 0.000 | 0.000 | -43.204 | -0.000 | 0.000 |
| 0.000 | 0.000 | 0.000 | -0.000 | -43.204 | -0.000 |
| 0.000 | 0.000 | 0.000 | -0.000 | -0.000 | -43.204 |
| 382.102 | -43.056 | -43.056 | 0.000 | -0.000 | -0.000 |
| -43.056 | 382.102 | -43.056 | 0.000 | -0.000 | -0.000 |
| -43.056 | -43.056 | 382.102 | -0.000 | -0.000 | -0.000 |
| -0.000 | -0.000 | -0.000 | -43.204 | -0.000 | -0.000 |
| -0.000 | -0.000 | -0.000 | -0.000 | -43.204 | -0.000 |
| -0.000 | -0.000 | -0.000 | 0.000 | 0.000 | -43.204 |
| 382.110 | -43.056 | -43.056 | -0.000 | -0.000 | -0.000 |
| -43.056 | 382.110 | -43.056 | -0.000 | -0.000 | 0.000 |
| -43.056 | -43.056 | 382.110 | 0.000 | 0.000 | 0.000 |
| 0.000 | 0.000 | 0.000 | -43.204 | 0.000 | 0.000 |
| 0.000 | 0.000 | 0.000 | 0.000 | -43.204 | 0.000 |
| 0.000 | 0.000 | 0.000 | -0.000 | -0.000 | -43.204 |
| 282.207 | 76.678 | 76.678 | -0.000 | -0.000 | -0.000 |
| 76.678 | 282.207 | 76.678 | -0.000 | 0.000 | -0.000 |
| 76.678 | 76.678 | 282.207 | 0.000 | 0.000 | 0.000 |
| 0.000 | 0.000 | 0.000 | 8.512 | 0.000 | -0.000 |
| 0.000 | 0.000 | 0.000 | 0.000 | 8.512 | -0.000 |
| 0.000 | 0.000 | 0.000 | 0.000 | 0.000 | 8.512 |
| 282.207 | 76.678 | 76.678 | -0.000 | -0.000 | 0.000 |
| 76.678 | 282.207 | 76.678 | -0.000 | -0.000 | 0.000 |
| 76.678 | 76.678 | 282.207 | 0.000 | -0.000 | 0.000 |
| -0.000 | -0.000 | -0.000 | 8.512 | -0.000 | 0.000 |
| -0.000 | -0.000 | -0.000 | 0.000 | 8.512 | 0.000 |
| -0.000 | -0.000 | -0.000 | -0.000 | -0.000 | 8.512 |
| 282.207 | 76.678 | 76.678 | 0.000 | 0.000 | -0.000 |
| 76.678 | 282.207 | 76.678 | 0.000 | 0.000 | -0.000 |
| 76.678 | 76.678 | 282.207 | 0.000 | 0.000 | -0.000 |
| -0.000 | -0.000 | -0.000 | 8.512 | 0.000 | -0.000 |
| -0.000 | -0.000 | -0.000 | 0.000 | 8.512 | -0.000 |
| -0.000 | -0.000 | -0.000 | 0.000 | 0.000 | 8.512 |
| 282.208 | 76.679 | 76.679 | -0.000 | -0.000 | 0.000 |
| 76.679 | 282.208 | 76.679 | -0.000 | -0.000 | -0.000 |
| 76.679 | 76.679 | 282.208 | 0.000 | -0.000 | 0.000 |
| 0.000 | 0.000 | 0.000 | 8.512 | -0.000 | 0.000 |
| 0.000 | 0.000 | 0.000 | -0.000 | 8.512 | 0.000 |
| 0.000 | 0.000 | 0.000 | -0.000 | -0.000 | 8.512 |
| 282.204 | 76.678 | 76.678 | 0.000 | 0.000 | 0.000 |
| 76.678 | 282.204 | 76.678 | 0.000 | 0.000 | -0.000 |
| 76.678 | 76.678 | 282.204 | -0.000 | -0.000 | 0.000 |
| -0.000 | -0.000 | -0.000 | 8.512 | 0.000 | -0.000 |
| -0.000 | -0.000 | -0.000 | -0.000 | 8.512 | -0.000 |
| -0.000 | -0.000 | -0.000 | 0.000 | 0.000 | 8.512 |
| 282.211 | 76.679 | 76.679 | 0.000 | 0.000 | -0.000 |
| 76.679 | 282.211 | 76.679 | 0.000 | -0.000 | 0.000 |
| 76.679 | 76.679 | 282.211 | 0.000 | -0.000 | 0.000 |
| 0.000 | 0.000 | 0.000 | 8.512 | -0.000 | 0.000 |
| 0.000 | 0.000 | 0.000 | -0.000 | 8.512 | 0.000 |
| 0.000 | 0.000 | 0.000 | -0.000 | -0.000 | 8.512 |
| 150.505 | -1.675 | -1.675 | 0.000 | 0.000 | -0.000 |
| -1.675 | 150.505 | -1.675 | 0.000 | 0.000 | -0.000 |
| -1.675 | -1.675 | 150.505 | 0.000 | 0.000 | 0.000 |
| -0.000 | -0.000 | -0.000 | -4.346 | 0.000 | 0.000 |
| -0.000 | -0.000 | -0.000 | 0.000 | -4.346 | -0.000 |
| -0.000 | -0.000 | -0.000 | 0.000 | 0.000 | -4.346 |
| 150.505 | -1.675 | -1.675 | -0.000 | 0.000 | 0.000 |
| -1.675 | 150.505 | -1.675 | -0.000 | 0.000 | 0.000 |
| -1.675 | -1.675 | 150.505 | -0.000 | 0.000 | 0.000 |
| 0.000 | 0.000 | 0.000 | -4.346 | -0.000 | 0.000 |
| 0.000 | 0.000 | 0.000 | -0.000 | -4.346 | 0.000 |
| 0.000 | 0.000 | 0.000 | -0.000 | 0.000 | -4.346 |
| 150.505 | -1.675 | -1.675 | 0.000 | -0.000 | -0.000 |
| -1.675 | 150.505 | -1.675 | 0.000 | -0.000 | -0.000 |
| -1.675 | -1.675 | 150.505 | 0.000 | 0.000 | -0.000 |
| -0.000 | -0.000 | -0.000 | -4.346 | -0.000 | -0.000 |
| -0.000 | -0.000 | -0.000 | 0.000 | -4.346 | -0.000 |
| -0.000 | -0.000 | -0.000 | 0.000 | -0.000 | -4.346 |
| 150.505 | -1.675 | -1.675 | -0.000 | 0.000 | 0.000 |
| -1.675 | 150.505 | -1.675 | -0.000 | 0.000 | 0.000 |
| -1.675 | -1.675 | 150.505 | 0.000 | 0.000 | -0.000 |
| 0.000 | 0.000 | 0.000 | -4.346 | 0.000 | -0.000 |
| 0.000 | 0.000 | 0.000 | -0.000 | -4.346 | 0.000 |
| 0.000 | 0.000 | 0.000 | -0.000 | -0.000 | -4.346 |
| 150.505 | -1.675 | -1.675 | 0.000 | -0.000 | -0.000 |
| -1.675 | 150.505 | -1.675 | 0.000 | 0.000 | -0.000 |
| -1.675 | -1.675 | 150.505 | 0.000 | -0.000 | -0.000 |
| -0.000 | -0.000 | -0.000 | -4.346 | -0.000 | -0.000 |
| -0.000 | -0.000 | -0.000 | 0.000 | -4.346 | -0.000 |
| -0.000 | -0.000 | -0.000 | 0.000 | -0.000 | -4.346 |
| 150.505 | -1.675 | -1.675 | -0.000 | 0.000 | 0.000 |
| -1.675 | 150.505 | -1.675 | -0.000 | 0.000 | 0.000 |
| -1.675 | -1.675 | 150.505 | -0.000 | 0.000 | 0.000 |
| 0.000 | 0.000 | 0.000 | -4.346 | -0.000 | -0.000 |
| 0.000 | 0.000 | 0.000 | -0.000 | -4.346 | 0.000 |
| 0.000 | 0.000 | 0.000 | -0.000 | 0.000 | -4.346 |
| 472.104 | 250.024 | 250.024 | -0.000 | -0.000 | -0.000 |
| 250.024 | 472.104 | 250.024 | -0.000 | -0.000 | -0.000 |
| 250.024 | 250.024 | 472.104 | -0.000 | 0.000 | -0.000 |
| 0.000 | 0.000 | 0.000 | 188.767 | -0.000 | -0.000 |
| 0.000 | -0.000 | 0.000 | -0.000 | 188.767 | -0.000 |
| 0.000 | 0.000 | -0.000 | -0.000 | -0.000 | 188.767 |
| 472.104 | 250.024 | 250.024 | 0.000 | 0.000 | 0.000 |
| 250.024 | 472.104 | 250.024 | 0.000 | 0.000 | 0.000 |
| 250.024 | 250.024 | 472.104 | 0.000 | 0.000 | 0.000 |
| -0.000 | -0.000 | -0.000 | 188.767 | 0.000 | 0.000 |
| -0.000 | 0.000 | -0.000 | 0.000 | 188.767 | 0.000 |
| -0.000 | -0.000 | 0.000 | 0.000 | 0.000 | 188.767 |
| 472.104 | 250.024 | 250.024 | -0.000 | -0.000 | -0.000 |
| 250.024 | 472.104 | 250.024 | -0.000 | -0.000 | -0.000 |
| 250.024 | 250.024 | 472.104 | -0.000 | -0.000 | -0.000 |
| 0.000 | 0.000 | 0.000 | 188.767 | -0.000 | -0.000 |
| 0.000 | 0.000 | 0.000 | -0.000 | 188.767 | -0.000 |
| 0.000 | 0.000 | 0.000 | -0.000 | -0.000 | 188.767 |
| 472.103 | 250.024 | 250.024 | 0.000 | 0.000 | 0.000 |
| 250.024 | 472.103 | 250.024 | 0.000 | 0.000 | 0.000 |
| 250.024 | 250.024 | 472.103 | 0.000 | 0.000 | 0.000 |
| -0.000 | -0.000 | -0.000 | 188.767 | 0.000 | 0.000 |
| -0.000 | -0.000 | -0.000 | 0.000 | 188.767 | 0.000 |
| -0.000 | -0.000 | -0.000 | 0.000 | 0.000 | 188.767 |
| 472.108 | 250.025 | 250.025 | -0.000 | -0.000 | -0.000 |
| 250.025 | 472.108 | 250.025 | -0.000 | -0.000 | -0.000 |
| 250.025 | 250.025 | 472.108 | -0.000 | -0.000 | -0.000 |
| 0.000 | 0.001 | 0.002 | 188.767 | -0.000 | -0.000 |
| 0.001 | 0.000 | 0.002 | -0.000 | 188.767 | -0.000 |
| 0.001 | 0.002 | 0.000 | -0.000 | -0.000 | 188.767 |
| 472.100 | 250.022 | 250.022 | 0.000 | 0.000 | 0.000 |
| 250.022 | 472.100 | 250.022 | 0.000 | 0.000 | 0.000 |
| 250.022 | 250.022 | 472.100 | 0.000 | 0.000 | 0.000 |
| -0.000 | -0.001 | -0.002 | 188.767 | 0.000 | 0.000 |
| -0.001 | -0.000 | -0.002 | 0.000 | 188.767 | 0.000 |
| -0.001 | -0.002 | -0.000 | 0.000 | 0.000 | 188.767 |
| 264.808 | 133.954 | 133.954 | -0.000 | -0.000 | -0.000 |
| 133.954 | 264.808 | 133.954 | -0.000 | 0.000 | -0.000 |
| 133.954 | 133.954 | 264.808 | -0.000 | 0.000 | 0.000 |
| -0.000 | -0.000 | -0.000 | 122.271 | 0.000 | 0.000 |
| -0.000 | -0.000 | -0.000 | -0.000 | 122.271 | -0.000 |
| -0.000 | -0.000 | -0.000 | -0.000 | 0.000 | 122.271 |
| 264.808 | 133.954 | 133.954 | 0.000 | -0.000 | 0.000 |
| 133.954 | 264.808 | 133.954 | 0.000 | -0.000 | -0.000 |
| 133.954 | 133.954 | 264.808 | -0.000 | -0.000 | -0.000 |
| -0.000 | 0.000 | 0.000 | 122.271 | 0.000 | 0.000 |
| 0.000 | 0.000 | 0.000 | 0.000 | 122.271 | -0.000 |
| 0.000 | 0.000 | 0.000 | 0.000 | -0.000 | 122.271 |
| 264.808 | 133.954 | 133.954 | -0.000 | 0.000 | 0.000 |
| 133.954 | 264.808 | 133.954 | -0.000 | 0.000 | 0.000 |
| 133.954 | 133.954 | 264.808 | 0.000 | 0.000 | 0.000 |
| 0.000 | -0.000 | -0.000 | 122.271 | 0.000 | 0.000 |
| -0.000 | 0.000 | -0.000 | -0.000 | 122.271 | 0.000 |
| -0.000 | -0.000 | 0.000 | -0.000 | 0.000 | 122.271 |
| 264.808 | 133.954 | 133.954 | -0.000 | -0.000 | -0.000 |
| 133.954 | 264.808 | 133.954 | 0.000 | -0.000 | -0.000 |
| 133.954 | 133.954 | 264.808 | 0.000 | -0.000 | -0.000 |
| -0.000 | 0.000 | 0.000 | 122.271 | 0.000 | -0.000 |
| 0.000 | -0.000 | 0.000 | 0.000 | 122.271 | 0.000 |
| 0.000 | 0.000 | -0.000 | 0.000 | -0.000 | 122.271 |
| 264.808 | 133.954 | 133.954 | 0.000 | 0.000 | 0.000 |
| 133.954 | 264.808 | 133.954 | -0.000 | 0.000 | 0.000 |
| 133.954 | 133.954 | 264.808 | -0.000 | 0.000 | 0.000 |
| 0.000 | -0.000 | -0.000 | 119.075 | -0.000 | 0.000 |
| -0.000 | 0.000 | -0.000 | -0.000 | 119.075 | -0.000 |
| -0.000 | -0.000 | 0.000 | -0.000 | -0.000 | 119.075 |
| 264.809 | 133.954 | 133.954 | 0.000 | 0.000 | -0.000 |
| 133.954 | 264.809 | 133.954 | 0.000 | -0.000 | -0.000 |
| 133.954 | 133.954 | 264.809 | 0.000 | -0.000 | -0.000 |
| -0.000 | 0.000 | 0.000 | 119.075 | 0.000 | 0.000 |
| 0.000 | -0.000 | 0.000 | 0.000 | 119.075 | -0.000 |
| 0.000 | 0.000 | -0.000 | 0.000 | -0.000 | 119.075 |
| 136.943 | 66.155 | 66.155 | -0.000 | -0.000 | -0.000 |
| 66.155 | 136.943 | 66.155 | 0.000 | -0.000 | 0.000 |
| 66.155 | 66.155 | 136.943 | 0.000 | -0.000 | -0.000 |
| 113798575.656 | 48858614.895 | 48858614.067 | -41359149.831 | 0.135 | -0.322 |
| 48858614.895 | 113798575.656 | 48858614.067 | 0.134 | -41359149.832 | -0.322 |
| 48858614.895 | 48858614.068 | 113798575.656 | 0.121 | -0.297 | -41359149.832 |
| 136.943 | 66.155 | 66.155 | -0.000 | 0.000 | -0.000 |
| 66.155 | 136.943 | 66.155 | 0.000 | 0.000 | 0.000 |
| 66.155 | 66.155 | 136.943 | 0.000 | 0.000 | 0.000 |
| -113798575.651 | -48858614.890 | -48858614.063 | -41359149.807 | 0.610 | 0.579 |
| -48858614.890 | -113798575.651 | -48858614.063 | 0.610 | -41359149.807 | 0.580 |
| -48858614.890 | -48858614.063 | -113798575.652 | 0.603 | 0.563 | -41359149.808 |
| 136.943 | 66.155 | 66.155 | 0.000 | -0.000 | -0.000 |
| 66.155 | 136.943 | 66.155 | -0.000 | -0.000 | -0.000 |
| 66.155 | 66.155 | 136.943 | 0.000 | -0.000 | -0.000 |
| 11379841.694 | 4885864.479 | 4885863.652 | -4135843.672 | 0.001 | -0.002 |
| 4885864.479 | 11379841.694 | 4885863.652 | 0.001 | -4135843.672 | -0.002 |
| 4885864.479 | 4885863.652 | 11379841.694 | 0.000 | -0.002 | -4135843.672 |
| 136.943 | 66.155 | 66.155 | 0.000 | 0.000 | 0.000 |
| 66.155 | 136.943 | 66.155 | 0.000 | 0.000 | -0.000 |
| 66.155 | 66.155 | 136.943 | -0.000 | 0.000 | -0.000 |
| -11379841.694 | -4885864.479 | -4885863.652 | -4135843.671 | 0.005 | 0.006 |
| -4885864.479 | -11379841.694 | -4885863.652 | 0.005 | -4135843.671 | 0.006 |
| -4885864.479 | -4885863.652 | -11379841.694 | 0.005 | 0.005 | -4135843.671 |
| 136.945 | 66.156 | 66.156 | 0.000 | -0.000 | -0.000 |
| 66.156 | 136.945 | 66.156 | -0.000 | -0.000 | -0.000 |
| 66.156 | 66.156 | 136.945 | 0.000 | -0.000 | -0.000 |
| 1137968.297 | 488589.438 | 488588.611 | -413513.052 | 0.000 | -0.000 |
| 488589.438 | 1137968.297 | 488588.611 | 0.000 | -413513.052 | -0.000 |
| 488589.438 | 488588.611 | 1137968.297 | 0.000 | -0.000 | -413513.052 |
| 136.941 | 66.154 | 66.154 | -0.000 | 0.000 | 0.000 |
| 66.154 | 136.941 | 66.154 | 0.000 | -0.000 | 0.000 |
| 66.154 | 66.154 | 136.941 | 0.000 | 0.000 | -0.000 |
| -1137968.297 | -488589.438 | -488588.611 | -413513.052 | 0.000 | 0.000 |
| -488589.438 | -1137968.297 | -488588.611 | 0.000 | -413513.052 | 0.000 |
| -488589.438 | -488588.611 | -1137968.297 | 0.000 | 0.000 | -413513.052 |
| 12.702 | 12.702 | 12.702 | -0.000 | 0.000 | 0.000 |
| 12.702 | 12.702 | 12.702 | 0.000 | -0.000 | 0.000 |
| 12.702 | 12.702 | 12.702 | 0.000 | 0.000 | -0.000 |
| 0.000 | 0.000 | 0.000 | -0.000 | 0.000 | 0.000 |
| 0.000 | 0.000 | 0.000 | 0.000 | -0.000 | 0.000 |
| 0.000 | 0.000 | 0.000 | 0.000 | 0.000 | 0.000 |
| 12.702 | 12.702 | 12.702 | -0.000 | 0.000 | -0.000 |
| 12.702 | 12.702 | 12.702 | 0.000 | -0.000 | -0.000 |
| 12.702 | 12.702 | 12.702 | -0.000 | -0.000 | -0.000 |
| -0.000 | -0.000 | -0.000 | -0.000 | -0.000 | -0.000 |
| -0.000 | -0.000 | -0.000 | -0.000 | -0.000 | -0.000 |
| -0.000 | -0.000 | -0.000 | -0.000 | -0.000 | -0.000 |
| 12.702 | 12.702 | 12.702 | -0.000 | -0.000 | 0.000 |
| 12.702 | 12.702 | 12.702 | -0.000 | -0.000 | 0.000 |
| 12.702 | 12.702 | 12.702 | 0.000 | 0.000 | -0.000 |
| -0.000 | -0.000 | -0.000 | 0.000 | 0.000 | 0.000 |
| -0.000 | -0.000 | -0.000 | 0.000 | 0.000 | 0.000 |
| -0.000 | -0.000 | -0.000 | 0.000 | 0.000 | 0.000 |
| 12.702 | 12.702 | 12.702 | 0.000 | -0.000 | -0.000 |
| 12.702 | 12.702 | 12.702 | -0.000 | 0.000 | -0.000 |
| 12.702 | 12.702 | 12.702 | -0.000 | -0.000 | -0.000 |
| 0.000 | 0.000 | 0.000 | -0.000 | -0.000 | -0.000 |
| 0.000 | 0.000 | 0.000 | -0.000 | -0.000 | -0.000 |
| 0.000 | 0.000 | 0.000 | -0.000 | -0.000 | -0.000 |
| 12.702 | 12.702 | 12.702 | -0.000 | -0.000 | 0.000 |
| 12.702 | 12.702 | 12.702 | -0.000 | -0.000 | 0.000 |
| 12.702 | 12.702 | 12.702 | 0.000 | 0.000 | -0.000 |
| -0.000 | -0.000 | -0.000 | -0.000 | 0.000 | 0.000 |
| -0.000 | -0.000 | -0.000 | 0.000 | -0.000 | 0.000 |
| -0.000 | -0.000 | -0.000 | 0.000 | 0.000 | -0.000 |
| 12.702 | 12.702 | 12.702 | 0.000 | -0.000 | -0.000 |
| 12.702 | 12.702 | 12.702 | -0.000 | 0.000 | -0.000 |
| 12.702 | 12.702 | 12.702 | -0.000 | -0.000 | -0.000 |
| 0.000 | 0.000 | 0.000 | -0.000 | -0.000 | -0.000 |
| 0.000 | 0.000 | 0.000 | -0.000 | -0.000 | -0.000 |
| 0.000 | 0.000 | 0.000 | -0.000 | -0.000 | -0.000 |
| 7.131 | 7.131 | 7.131 | 0.000 | 0.000 | 0.000 |
| 7.131 | 7.131 | 7.131 | 0.000 | 0.000 | 0.000 |
| 7.131 | 7.131 | 7.131 | 0.000 | 0.000 | 0.000 |
| -0.000 | -0.000 | -0.000 | 0.000 | 0.000 | 0.000 |
| -0.000 | -0.000 | -0.000 | 0.000 | 0.000 | 0.000 |
| -0.000 | -0.000 | -0.000 | 0.000 | 0.000 | 0.000 |
| 7.131 | 7.131 | 7.131 | -0.000 | -0.000 | -0.000 |
| 7.131 | 7.131 | 7.131 | -0.000 | -0.000 | -0.000 |
| 7.131 | 7.131 | 7.131 | -0.000 | -0.000 | -0.000 |
| 0.000 | 0.000 | 0.000 | -0.000 | -0.000 | -0.000 |
| 0.000 | 0.000 | 0.000 | -0.000 | -0.000 | -0.000 |
| 0.000 | 0.000 | 0.000 | -0.000 | -0.000 | -0.000 |
| 7.131 | 7.131 | 7.131 | 0.000 | 0.000 | 0.000 |
| 7.131 | 7.131 | 7.131 | 0.000 | 0.000 | 0.000 |
| 7.131 | 7.131 | 7.131 | 0.000 | 0.000 | 0.000 |
| -0.000 | -0.000 | -0.000 | 0.000 | 0.000 | 0.000 |
| -0.000 | -0.000 | -0.000 | 0.000 | 0.000 | 0.000 |
| -0.000 | -0.000 | -0.000 | 0.000 | 0.000 | 0.000 |
| 7.131 | 7.131 | 7.131 | -0.000 | -0.000 | -0.000 |
| 7.131 | 7.131 | 7.131 | -0.000 | -0.000 | -0.000 |
| 7.131 | 7.131 | 7.131 | -0.000 | -0.000 | -0.000 |
| 0.000 | 0.000 | 0.000 | -0.000 | -0.000 | -0.000 |
| 0.000 | 0.000 | 0.000 | -0.000 | -0.000 | -0.000 |
| 0.000 | 0.000 | 0.000 | -0.000 | -0.000 | -0.000 |
| 7.131 | 7.131 | 7.131 | 0.000 | 0.000 | 0.000 |
| 7.131 | 7.131 | 7.131 | 0.000 | 0.000 | 0.000 |
| 7.131 | 7.131 | 7.131 | 0.000 | 0.000 | 0.000 |
| -0.000 | -0.000 | -0.000 | 0.000 | 0.000 | 0.000 |
| -0.000 | -0.000 | -0.000 | 0.000 | 0.000 | 0.000 |
| -0.000 | -0.000 | -0.000 | 0.000 | 0.000 | 0.000 |
| 7.131 | 7.131 | 7.131 | -0.000 | -0.000 | -0.000 |
| 7.131 | 7.131 | 7.131 | -0.000 | -0.000 | -0.000 |
| 7.131 | 7.131 | 7.131 | -0.000 | -0.000 | -0.000 |
| 0.000 | 0.000 | 0.000 | -0.000 | -0.000 | -0.000 |
| 0.000 | 0.000 | 0.000 | -0.000 | -0.000 | -0.000 |
| 0.000 | 0.000 | 0.000 | -0.000 | -0.000 | -0.000 |
| 603.904 | 227.552 | 270.566 | 0.000 | -0.000 | 0.000 |
| 227.552 | 603.904 | 270.566 | 0.000 | -0.000 | 0.000 |
| 270.566 | 270.566 | 717.575 | -0.000 | -0.000 | 0.000 |
| 0.000 | 0.000 | 0.000 | 207.465 | -0.000 | 0.000 |
| 0.000 | 0.000 | 0.000 | -0.000 | 207.465 | 0.000 |
| -0.000 | -0.000 | 0.000 | 0.000 | 0.000 | 186.243 |
| 603.904 | 227.552 | 270.566 | 0.000 | -0.000 | -0.000 |
| 227.552 | 603.904 | 270.566 | -0.000 | 0.000 | -0.000 |
| 270.566 | 270.566 | 717.576 | 0.000 | 0.000 | 0.000 |
| -0.000 | -0.000 | -0.000 | 207.465 | 0.000 | -0.000 |
| -0.000 | -0.000 | -0.000 | 0.000 | 207.465 | -0.000 |
| 0.000 | 0.000 | -0.000 | -0.000 | 0.000 | 186.243 |
| 603.905 | 227.552 | 270.566 | 0.000 | -0.000 | 0.000 |
| 227.552 | 603.905 | 270.566 | -0.000 | -0.000 | 0.000 |
| 270.566 | 270.566 | 717.575 | -0.000 | -0.000 | 0.000 |
| 0.000 | 0.000 | 0.000 | 207.465 | -0.000 | 0.000 |
| 0.000 | 0.000 | 0.000 | -0.000 | 207.465 | -0.000 |
| -0.000 | -0.000 | 0.000 | 0.000 | -0.000 | 186.243 |
| 603.904 | 227.552 | 270.566 | 0.000 | 0.000 | -0.000 |
| 227.552 | 603.904 | 270.566 | 0.000 | 0.000 | -0.000 |
| 270.566 | 270.566 | 717.576 | -0.000 | 0.000 | -0.000 |
| -0.000 | -0.000 | -0.000 | 207.465 | 0.000 | 0.000 |
| -0.000 | -0.000 | -0.000 | 0.000 | 207.465 | -0.000 |
| 0.000 | 0.000 | -0.000 | 0.000 | 0.000 | 186.243 |
| 603.912 | 227.552 | 270.569 | 0.000 | -0.000 | 0.000 |
| 227.552 | 603.912 | 270.569 | 0.000 | -0.000 | 0.000 |
| 270.567 | 270.567 | 717.571 | -0.000 | -0.000 | 0.000 |
| 0.001 | 0.002 | 0.002 | 207.465 | -0.000 | 0.000 |
| 0.002 | 0.001 | 0.002 | 0.000 | 207.465 | 0.000 |
| -0.000 | -0.000 | 0.001 | -0.000 | -0.000 | 186.243 |
| 603.897 | 227.551 | 270.563 | 0.000 | 0.000 | -0.000 |
| 227.551 | 603.897 | 270.563 | -0.000 | 0.000 | -0.000 |
| 270.565 | 270.565 | 717.580 | -0.000 | 0.000 | 0.000 |
| -0.001 | -0.002 | -0.002 | 207.465 | 0.000 | -0.000 |
| -0.002 | -0.001 | -0.002 | -0.000 | 207.465 | -0.000 |
| 0.000 | 0.000 | -0.001 | 0.000 | 0.000 | 186.243 |
| 106.545 | 1.346 | -7.451 | -0.000 | -0.000 | 0.000 |
| 1.346 | 106.545 | -7.451 | -0.000 | -0.000 | 0.000 |
| -7.451 | -7.451 | 210.300 | -0.000 | -0.000 | -0.000 |
| 0.000 | 0.000 | 0.000 | -17.643 | -0.000 | 0.000 |
| 0.000 | 0.000 | 0.000 | -0.000 | -17.643 | 0.000 |
| 0.000 | 0.000 | 0.000 | -0.000 | -0.000 | -10.649 |
| 106.545 | 1.346 | -7.451 | 0.000 | 0.000 | -0.000 |
| 1.346 | 106.545 | -7.451 | 0.000 | 0.000 | -0.000 |
| -7.451 | -7.451 | 210.300 | 0.000 | 0.000 | 0.000 |
| -0.000 | -0.000 | -0.000 | -17.643 | 0.000 | 0.000 |
| -0.000 | -0.000 | -0.000 | 0.000 | -17.643 | -0.000 |
| -0.000 | -0.000 | -0.000 | 0.000 | 0.000 | -10.649 |
| 106.545 | 1.346 | -7.451 | -0.000 | -0.000 | -0.000 |
| 1.346 | 106.545 | -7.451 | -0.000 | -0.000 | -0.000 |
| -7.451 | -7.451 | 210.300 | 0.000 | 0.000 | -0.000 |
| 0.000 | 0.000 | 0.000 | -17.643 | -0.000 | -0.000 |
| 0.000 | 0.000 | 0.000 | -0.000 | -17.643 | -0.000 |
| 0.000 | 0.000 | 0.000 | -0.000 | -0.000 | -10.649 |
| 106.546 | 1.346 | -7.451 | 0.000 | 0.000 | -0.000 |
| 1.346 | 106.546 | -7.451 | 0.000 | 0.000 | 0.000 |
| -7.451 | -7.451 | 210.300 | 0.000 | 0.000 | 0.000 |
| -0.000 | -0.000 | -0.000 | -17.643 | 0.000 | 0.000 |
| -0.000 | -0.000 | -0.000 | 0.000 | -17.643 | 0.000 |
| -0.000 | -0.000 | -0.000 | 0.000 | 0.000 | -10.649 |
| 106.541 | 1.347 | -7.450 | -0.000 | -0.000 | -0.000 |
| 1.347 | 106.541 | -7.450 | -0.000 | -0.000 | -0.000 |
| -7.449 | -7.449 | 210.296 | -0.000 | -0.000 | 0.000 |
| 0.001 | 0.001 | 0.001 | -17.643 | -0.000 | -0.000 |
| 0.001 | 0.001 | 0.001 | -0.000 | -17.643 | 0.000 |
| 0.001 | 0.000 | 0.001 | -0.000 | -0.000 | -10.649 |
| 106.549 | 1.345 | -7.452 | 0.000 | 0.000 | -0.000 |
| 1.345 | 106.549 | -7.452 | 0.000 | 0.000 | 0.000 |
| -7.453 | -7.453 | 210.304 | 0.000 | 0.000 | 0.000 |
| -0.001 | -0.001 | -0.001 | -17.643 | 0.000 | 0.000 |
| -0.001 | -0.001 | -0.001 | 0.000 | -17.643 | 0.000 |
| -0.001 | -0.000 | -0.001 | 0.000 | 0.000 | -10.649 |
| 23.660 | 26.895 | 88.566 | 0.000 | 0.000 | -0.000 |
| 26.895 | 23.660 | 88.566 | 0.000 | 0.000 | -0.000 |
| 88.566 | 88.566 | 156.729 | -0.000 | -0.000 | 0.000 |
| 0.000 | 0.000 | 0.000 | 7.601 | -0.000 | -0.000 |
| 0.000 | 0.000 | 0.000 | -0.000 | 7.601 | 0.000 |
| 0.000 | 0.000 | 0.000 | -0.000 | 0.000 | 4.259 |
| 23.660 | 26.895 | 88.566 | 0.000 | 0.000 | -0.000 |
| 26.895 | 23.660 | 88.566 | 0.000 | 0.000 | -0.000 |
| 88.566 | 88.566 | 156.729 | 0.000 | 0.000 | -0.000 |
| -0.000 | -0.000 | -0.000 | 7.601 | 0.000 | 0.000 |
| -0.000 | -0.000 | -0.000 | 0.000 | 7.601 | -0.000 |
| 0.000 | 0.000 | -0.000 | -0.000 | 0.000 | 4.259 |
| 23.660 | 26.895 | 88.566 | -0.000 | 0.000 | 0.000 |
| 26.895 | 23.660 | 88.566 | 0.000 | -0.000 | -0.000 |
| 88.566 | 88.566 | 156.729 | -0.000 | -0.000 | -0.000 |
| 0.000 | 0.000 | 0.000 | 7.601 | -0.000 | -0.000 |
| 0.000 | 0.000 | 0.000 | -0.000 | 7.601 | 0.000 |
| 0.000 | 0.000 | 0.000 | 0.000 | -0.000 | 4.259 |
| 23.661 | 26.895 | 88.566 | 0.000 | 0.000 | -0.000 |
| 26.895 | 23.661 | 88.566 | 0.000 | 0.000 | -0.000 |
| 88.566 | 88.566 | 156.730 | -0.000 | 0.000 | -0.000 |
| -0.000 | -0.000 | -0.000 | 7.601 | 0.000 | 0.000 |
| -0.000 | -0.000 | -0.000 | 0.000 | 7.601 | 0.000 |
| -0.000 | -0.000 | -0.000 | 0.000 | 0.000 | 4.259 |
| 23.659 | 26.894 | 88.566 | 0.000 | -0.000 | 0.000 |
| 26.894 | 23.659 | 88.566 | -0.000 | -0.000 | -0.000 |
| 88.565 | 88.565 | 156.727 | -0.000 | -0.000 | 0.000 |
| 0.000 | 0.000 | 0.000 | 7.601 | -0.000 | -0.000 |
| 0.000 | 0.000 | 0.000 | -0.000 | 7.601 | -0.000 |
| 0.000 | 0.000 | 0.000 | -0.000 | 0.000 | 4.259 |
| 23.662 | 26.895 | 88.567 | 0.000 | 0.000 | -0.000 |
| 26.895 | 23.662 | 88.567 | 0.000 | 0.000 | 0.000 |
| 88.567 | 88.567 | 156.731 | -0.000 | -0.000 | 0.000 |
| -0.000 | -0.000 | -0.000 | 7.601 | 0.000 | 0.000 |
| -0.000 | -0.000 | -0.000 | 0.000 | 7.601 | -0.000 |
| -0.000 | -0.000 | -0.000 | 0.000 | 0.000 | 4.259 |
| 102.452 | 53.071 | 61.822 | -0.000 | 0.000 | 0.000 |
| 53.071 | 102.452 | 61.822 | 0.000 | -0.000 | 0.000 |
| 61.822 | 61.822 | 196.802 | -0.000 | -0.000 | -0.000 |
| 0.000 | 0.000 | 0.000 | -19.689 | -0.000 | 0.000 |
| 0.000 | 0.000 | 0.000 | -0.000 | -19.689 | 0.000 |
| 0.000 | 0.000 | 0.000 | -0.000 | -0.000 | -15.060 |
| 102.452 | 53.071 | 61.822 | -0.000 | 0.000 | -0.000 |
| 53.071 | 102.452 | 61.822 | -0.000 | -0.000 | -0.000 |
| 61.822 | 61.822 | 196.802 | -0.000 | 0.000 | 0.000 |
| -0.000 | -0.000 | -0.000 | -19.689 | 0.000 | -0.000 |
| -0.000 | -0.000 | -0.000 | 0.000 | -19.689 | -0.000 |
| -0.000 | -0.000 | -0.000 | 0.000 | 0.000 | -15.060 |
| 102.452 | 53.071 | 61.822 | 0.000 | 0.000 | 0.000 |
| 53.071 | 102.452 | 61.822 | 0.000 | -0.000 | 0.000 |
| 61.822 | 61.822 | 196.801 | -0.000 | -0.000 | 0.000 |
| 0.000 | 0.000 | 0.000 | -19.689 | -0.000 | -0.000 |
| 0.000 | 0.000 | 0.000 | -0.000 | -19.689 | 0.000 |
| 0.000 | 0.000 | 0.000 | -0.000 | -0.000 | -15.060 |
| 102.452 | 53.071 | 61.822 | 0.000 | 0.000 | -0.000 |
| 53.071 | 102.452 | 61.822 | 0.000 | 0.000 | 0.000 |
| 61.822 | 61.822 | 196.803 | -0.000 | 0.000 | -0.000 |
| -0.000 | -0.000 | -0.000 | -19.689 | 0.000 | 0.000 |
| -0.000 | -0.000 | -0.000 | 0.000 | -19.689 | -0.000 |
| -0.000 | -0.000 | -0.000 | -0.000 | 0.000 | -15.060 |
| 102.450 | 53.071 | 61.822 | -0.000 | 0.000 | 0.000 |
| 53.071 | 102.450 | 61.822 | -0.000 | -0.000 | 0.000 |
| 61.822 | 61.822 | 196.792 | -0.000 | 0.000 | -0.000 |
| 0.001 | 0.001 | 0.001 | -19.689 | -0.000 | -0.000 |
| 0.001 | 0.001 | 0.001 | -0.000 | -19.689 | 0.000 |
| 0.000 | 0.000 | 0.001 | 0.000 | -0.000 | -15.060 |
| 102.454 | 53.070 | 61.822 | -0.000 | 0.000 | -0.000 |
| 53.070 | 102.454 | 61.822 | -0.000 | -0.000 | -0.000 |
| 61.822 | 61.822 | 196.813 | -0.000 | 0.000 | -0.000 |
| -0.001 | -0.001 | -0.001 | -19.689 | 0.000 | -0.000 |
| -0.001 | -0.001 | -0.001 | 0.000 | -19.689 | -0.000 |
| -0.000 | -0.000 | -0.001 | -0.000 | 0.000 | -15.060 |
| 307.595 | 216.935 | 216.935 | -0.000 | 0.000 | -0.000 |
| 216.935 | 307.595 | 216.935 | -0.000 | 0.000 | 0.000 |
| 216.935 | 216.935 | 307.595 | 0.000 | 0.000 | 0.000 |
| 0.000 | 0.000 | 0.000 | 34.922 | 0.000 | 0.000 |
| 0.000 | 0.000 | 0.000 | 0.000 | 34.922 | 0.000 |
| 0.000 | 0.000 | 0.000 | -0.000 | -0.000 | 34.922 |
| 307.595 | 216.935 | 216.935 | 0.000 | -0.000 | -0.000 |
| 216.935 | 307.595 | 216.935 | 0.000 | 0.000 | -0.000 |
| 216.935 | 216.935 | 307.595 | -0.000 | -0.000 | 0.000 |
| -0.000 | -0.000 | -0.000 | 34.922 | -0.000 | -0.000 |
| -0.000 | -0.000 | -0.000 | -0.000 | 34.922 | -0.000 |
| -0.000 | -0.000 | -0.000 | 0.000 | -0.000 | 34.922 |
| 307.596 | 216.935 | 216.935 | -0.000 | -0.000 | -0.000 |
| 216.935 | 307.596 | 216.935 | 0.000 | 0.000 | -0.000 |
| 216.935 | 216.935 | 307.596 | 0.000 | 0.000 | 0.000 |
| 0.000 | 0.000 | 0.000 | 34.922 | 0.000 | 0.000 |
| 0.000 | 0.000 | 0.000 | -0.000 | 34.922 | 0.000 |
| 0.000 | 0.000 | 0.000 | 0.000 | 0.000 | 34.922 |
| 307.594 | 216.935 | 216.935 | -0.000 | -0.000 | -0.000 |
| 216.935 | 307.594 | 216.935 | -0.000 | -0.000 | -0.000 |
| 216.935 | 216.935 | 307.594 | 0.000 | -0.000 | -0.000 |
| -0.000 | -0.000 | -0.000 | 34.922 | -0.000 | 0.000 |
| -0.000 | -0.000 | -0.000 | 0.000 | 34.922 | -0.000 |
| -0.000 | -0.000 | -0.000 | -0.000 | 0.000 | 34.922 |
| 307.604 | 216.937 | 216.937 | 0.000 | 0.000 | 0.000 |
| 216.937 | 307.604 | 216.937 | -0.000 | -0.000 | 0.000 |
| 216.937 | 216.937 | 307.604 | -0.000 | 0.000 | -0.000 |
| 0.002 | 0.002 | 0.002 | 34.922 | 0.000 | -0.000 |
| 0.002 | 0.002 | 0.002 | 0.000 | 34.922 | 0.000 |
| 0.002 | 0.002 | 0.002 | -0.000 | 0.000 | 34.922 |
| 307.586 | 216.933 | 216.933 | 0.000 | 0.000 | -0.000 |
| 216.933 | 307.586 | 216.933 | -0.000 | -0.000 | 0.000 |
| 216.933 | 216.933 | 307.586 | -0.000 | -0.000 | -0.000 |
| -0.002 | -0.002 | -0.002 | 34.922 | -0.000 | -0.000 |
| -0.002 | -0.002 | -0.002 | -0.000 | 34.922 | -0.000 |
| -0.002 | -0.002 | -0.002 | -0.000 | 0.000 | 34.922 |
| 409.855 | 94.193 | 94.193 | 0.000 | 0.000 | -0.000 |
| 94.193 | 409.855 | 94.193 | 0.000 | -0.000 | 0.000 |
| 94.193 | 94.193 | 409.855 | 0.000 | 0.000 | 0.000 |
| -0.000 | -0.000 | -0.000 | 90.991 | 0.000 | 0.000 |
| -0.000 | -0.000 | -0.000 | 0.000 | 90.991 | 0.000 |
| -0.000 | -0.000 | -0.000 | 0.000 | 0.000 | 90.991 |
| 409.855 | 94.193 | 94.193 | -0.000 | -0.000 | 0.000 |
| 94.193 | 409.855 | 94.193 | -0.000 | -0.000 | 0.000 |
| 94.193 | 94.193 | 409.855 | 0.000 | -0.000 | 0.000 |
| 0.000 | 0.000 | 0.000 | 90.991 | -0.000 | 0.000 |
| 0.000 | 0.000 | 0.000 | 0.000 | 90.991 | 0.000 |
| 0.000 | 0.000 | 0.000 | -0.000 | -0.000 | 90.991 |
| 409.854 | 94.193 | 94.193 | 0.000 | 0.000 | 0.000 |
| 94.193 | 409.854 | 94.193 | 0.000 | 0.000 | -0.000 |
| 94.193 | 94.193 | 409.854 | 0.000 | 0.000 | -0.000 |
| -0.000 | -0.000 | -0.000 | 90.991 | 0.000 | 0.000 |
| -0.000 | -0.000 | -0.000 | 0.000 | 90.991 | -0.000 |
| -0.000 | -0.000 | -0.000 | 0.000 | 0.000 | 90.991 |
| 409.855 | 94.193 | 94.193 | -0.000 | -0.000 | 0.000 |
| 94.193 | 409.855 | 94.193 | -0.000 | -0.000 | 0.000 |
| 94.193 | 94.193 | 409.855 | -0.000 | -0.000 | 0.000 |
| 0.000 | 0.000 | 0.000 | 90.991 | -0.000 | 0.000 |
| 0.000 | 0.000 | 0.000 | 0.000 | 90.991 | 0.000 |
| 0.000 | 0.000 | 0.000 | -0.000 | -0.000 | 90.991 |
| 409.849 | 94.192 | 94.192 | 0.000 | 0.000 | 0.000 |
| 94.192 | 409.849 | 94.192 | 0.000 | 0.000 | -0.000 |
| 94.192 | 94.192 | 409.849 | 0.000 | 0.000 | 0.000 |
| -0.000 | -0.001 | -0.001 | 89.187 | 0.000 | -0.000 |
| -0.001 | -0.000 | -0.001 | 0.000 | 89.187 | -0.000 |
| -0.001 | -0.001 | -0.000 | 0.000 | 0.000 | 89.187 |
| 409.860 | 94.193 | 94.193 | -0.000 | -0.000 | 0.000 |
| 94.193 | 409.860 | 94.193 | -0.000 | -0.000 | -0.000 |
| 94.193 | 94.193 | 409.860 | -0.000 | -0.000 | 0.000 |
| 0.000 | 0.001 | 0.001 | 89.187 | -0.000 | 0.000 |
| 0.001 | 0.000 | 0.001 | -0.000 | 89.187 | -0.000 |
| 0.001 | 0.001 | 0.000 | -0.000 | -0.000 | 89.187 |
| 124.130 | 53.044 | 53.044 | 0.000 | 0.000 | 0.000 |
| 53.044 | 124.130 | 53.044 | 0.000 | 0.000 | 0.000 |
| 53.044 | 53.044 | 124.130 | 0.000 | 0.000 | 0.000 |
| -0.000 | 0.000 | 0.000 | 47.152 | 0.000 | 0.000 |
| 0.000 | -0.000 | 0.000 | 0.000 | 47.152 | 0.000 |
| 0.000 | 0.000 | 0.000 | 0.000 | 0.000 | 47.152 |
| 124.130 | 53.044 | 53.044 | 0.000 | 0.000 | 0.000 |
| 53.044 | 124.130 | 53.044 | 0.000 | 0.000 | -0.000 |
| 53.044 | 53.044 | 124.130 | -0.000 | -0.000 | 0.000 |
| 0.000 | -0.000 | -0.000 | 47.152 | -0.000 | -0.000 |
| -0.000 | 0.000 | -0.000 | 0.000 | 47.152 | -0.000 |
| -0.000 | -0.000 | -0.000 | -0.000 | -0.000 | 47.152 |
| 124.130 | 53.044 | 53.044 | -0.000 | 0.000 | 0.000 |
| 53.044 | 124.130 | 53.044 | 0.000 | 0.000 | 0.000 |
| 53.044 | 53.044 | 124.130 | 0.000 | 0.000 | 0.000 |
| 0.000 | 0.000 | 0.000 | 47.152 | 0.000 | 0.000 |
| 0.000 | 0.000 | 0.000 | 0.000 | 47.152 | -0.000 |
| 0.000 | 0.000 | 0.000 | 0.000 | 0.000 | 47.152 |
| 124.130 | 53.044 | 53.044 | 0.000 | -0.000 | -0.000 |
| 53.044 | 124.130 | 53.044 | 0.000 | 0.000 | -0.000 |
| 53.044 | 53.044 | 124.130 | 0.000 | 0.000 | -0.000 |
| -0.000 | -0.000 | -0.000 | 47.152 | -0.000 | -0.000 |
| -0.000 | -0.000 | -0.000 | -0.000 | 47.152 | -0.000 |
| -0.000 | -0.000 | -0.000 | -0.000 | -0.000 | 47.152 |
| 124.132 | 53.045 | 53.045 | -0.000 | 0.000 | 0.000 |
| 53.045 | 124.132 | 53.045 | 0.000 | -0.000 | 0.000 |
| 53.045 | 53.045 | 124.132 | -0.000 | -0.000 | 0.000 |
| -0.001 | 0.003 | 0.003 | 6.949 | 0.000 | 0.000 |
| 0.003 | -0.001 | 0.003 | 0.000 | 6.949 | 0.000 |
| 0.003 | 0.003 | -0.001 | 0.000 | 0.000 | 6.950 |
| 124.128 | 53.043 | 53.043 | 0.000 | -0.000 | 0.000 |
| 53.043 | 124.128 | 53.043 | -0.000 | -0.000 | -0.000 |
| 53.043 | 53.043 | 124.128 | -0.000 | -0.000 | -0.000 |
| 0.001 | -0.003 | -0.003 | 6.982 | -0.000 | -0.000 |
| -0.003 | 0.001 | -0.003 | 0.000 | 6.984 | -0.000 |
| -0.003 | -0.003 | 0.001 | -0.000 | -0.000 | 6.984 |
| 62.590 | 65.364 | 65.364 | -0.000 | 0.000 | 0.000 |
| 65.364 | 62.590 | 65.364 | -0.000 | -0.000 | 0.000 |
| 65.364 | 65.364 | 62.590 | -0.000 | -0.000 | -0.000 |
| 0.000 | 0.000 | 0.000 | -2.873 | -0.000 | -0.000 |
| 0.000 | 0.000 | 0.000 | -0.000 | -2.873 | -0.000 |
| 0.000 | 0.000 | 0.000 | -0.000 | -0.000 | -2.873 |
| 62.590 | 65.364 | 65.364 | 0.000 | -0.000 | -0.000 |
| 65.364 | 62.590 | 65.364 | -0.000 | 0.000 | 0.000 |
| 65.364 | 65.364 | 62.590 | 0.000 | 0.000 | 0.000 |
| -0.000 | -0.000 | -0.000 | -2.873 | 0.000 | -0.000 |
| -0.000 | -0.000 | -0.000 | 0.000 | -2.873 | -0.000 |
| -0.000 | -0.000 | -0.000 | 0.000 | 0.000 | -2.873 |
| 62.590 | 65.364 | 65.364 | -0.000 | -0.000 | 0.000 |
| 65.364 | 62.590 | 65.364 | -0.000 | -0.000 | -0.000 |
| 65.364 | 65.364 | 62.590 | -0.000 | -0.000 | -0.000 |
| 0.000 | 0.000 | 0.000 | -2.873 | -0.000 | 0.000 |
| 0.000 | 0.000 | 0.000 | -0.000 | -2.873 | -0.000 |
| 0.000 | 0.000 | 0.000 | -0.000 | -0.000 | -2.873 |
| 62.590 | 65.364 | 65.364 | 0.000 | -0.000 | 0.000 |
| 65.364 | 62.590 | 65.364 | -0.000 | 0.000 | 0.000 |
| 65.364 | 65.364 | 62.590 | 0.000 | 0.000 | 0.000 |
| -0.000 | -0.000 | -0.000 | -2.873 | 0.000 | 0.000 |
| -0.000 | -0.000 | -0.000 | 0.000 | -2.873 | 0.000 |
| -0.000 | -0.000 | -0.000 | 0.000 | 0.000 | -2.873 |
| 62.591 | 65.365 | 65.365 | -0.000 | 0.000 | -0.000 |
| 65.365 | 62.591 | 65.365 | 0.000 | -0.000 | -0.000 |
| 65.365 | 65.365 | 62.591 | 0.000 | -0.000 | -0.000 |
| 0.000 | 0.000 | 0.000 | -2.873 | -0.000 | -0.000 |
| 0.000 | 0.000 | 0.000 | -0.000 | -2.873 | -0.000 |
| 0.000 | 0.000 | 0.000 | -0.000 | -0.000 | -2.873 |
| 62.590 | 65.364 | 65.364 | 0.000 | -0.000 | 0.000 |
| 65.364 | 62.590 | 65.364 | -0.000 | 0.000 | 0.000 |
| 65.364 | 65.364 | 62.590 | 0.000 | 0.000 | -0.000 |
| -0.000 | -0.000 | -0.000 | -2.873 | 0.000 | 0.000 |
| -0.000 | -0.000 | -0.000 | 0.000 | -2.873 | 0.000 |
| -0.000 | -0.000 | -0.000 | 0.000 | 0.000 | -2.873 |
| 21.584 | 22.000 | 22.000 | -0.000 | -0.000 | -0.000 |
| 22.000 | 21.584 | 22.000 | -0.000 | -0.000 | -0.000 |
| 22.000 | 22.000 | 21.584 | 0.000 | 0.000 | 0.000 |
| 0.000 | -0.000 | -0.000 | -0.195 | 0.000 | -0.000 |
| -0.000 | 0.000 | -0.000 | 0.000 | -0.195 | 0.000 |
| -0.000 | -0.000 | 0.000 | -0.000 | -0.000 | -0.195 |
| 21.584 | 22.000 | 22.000 | -0.000 | -0.000 | 0.000 |
| 22.000 | 21.584 | 22.000 | -0.000 | -0.000 | 0.000 |
| 22.000 | 22.000 | 21.584 | -0.000 | -0.000 | -0.000 |
| -0.000 | 0.000 | 0.000 | -0.195 | -0.000 | -0.000 |
| 0.000 | -0.000 | 0.000 | -0.000 | -0.195 | 0.000 |
| 0.000 | 0.000 | -0.000 | -0.000 | 0.000 | -0.195 |
| 21.584 | 22.000 | 22.000 | 0.000 | 0.000 | -0.000 |
| 22.000 | 21.584 | 22.000 | 0.000 | 0.000 | -0.000 |
| 22.000 | 22.000 | 21.584 | 0.000 | 0.000 | -0.000 |
| 0.000 | -0.000 | -0.000 | -0.195 | 0.000 | -0.000 |
| -0.000 | 0.000 | -0.000 | 0.000 | -0.195 | -0.000 |
| -0.000 | -0.000 | 0.000 | 0.000 | -0.000 | -0.195 |
| 21.584 | 22.000 | 22.000 | 0.000 | -0.000 | 0.000 |
| 22.000 | 21.584 | 22.000 | -0.000 | 0.000 | 0.000 |
| 22.000 | 22.000 | 21.584 | 0.000 | 0.000 | 0.000 |
| -0.000 | 0.000 | 0.000 | -0.195 | -0.000 | 0.000 |
| 0.000 | -0.000 | 0.000 | -0.000 | -0.195 | 0.000 |
| 0.000 | 0.000 | -0.000 | 0.000 | 0.000 | -0.195 |
| 21.584 | 22.000 | 22.000 | 0.000 | -0.000 | -0.000 |
| 22.000 | 21.584 | 22.000 | -0.000 | 0.000 | -0.000 |
| 22.000 | 22.000 | 21.584 | -0.000 | -0.000 | -0.000 |
| 0.000 | -0.000 | -0.000 | -0.195 | -0.000 | -0.000 |
| -0.000 | 0.000 | -0.000 | 0.000 | -0.195 | -0.000 |
| -0.000 | -0.000 | 0.000 | -0.000 | -0.000 | -0.195 |
| 21.584 | 22.000 | 22.000 | 0.000 | -0.000 | -0.000 |
| 22.000 | 21.584 | 22.000 | 0.000 | 0.000 | 0.000 |
| 22.000 | 22.000 | 21.584 | 0.000 | 0.000 | -0.000 |
| -0.000 | 0.000 | 0.000 | -0.195 | -0.000 | 0.000 |
| 0.000 | -0.000 | 0.000 | -0.000 | -0.195 | 0.000 |
| 0.000 | 0.000 | -0.000 | 0.000 | 0.000 | -0.195 |
| 69.016 | 11.905 | 11.905 | 0.000 | 0.000 | 0.000 |
| 11.905 | 69.016 | 11.905 | 0.000 | 0.000 | 0.000 |
| 11.905 | 11.905 | 69.016 | 0.000 | 0.000 | 0.000 |
| 0.000 | 0.000 | -0.000 | 9.445 | 0.000 | -0.000 |
| 0.000 | 0.000 | -0.000 | 0.000 | 9.445 | 0.000 |
| 0.000 | 0.000 | -0.000 | 0.000 | 0.000 | 9.445 |
| 69.016 | 11.905 | 11.905 | 0.000 | -0.000 | -0.000 |
| 11.905 | 69.016 | 11.905 | -0.000 | -0.000 | 0.000 |
| 11.905 | 11.905 | 69.016 | -0.000 | -0.000 | 0.000 |
| -0.000 | -0.000 | 0.000 | 9.445 | -0.000 | 0.000 |
| -0.000 | -0.000 | 0.000 | -0.000 | 9.445 | -0.000 |
| -0.000 | -0.000 | 0.000 | -0.000 | -0.000 | 9.445 |
| 69.016 | 11.905 | 11.905 | 0.000 | 0.000 | 0.000 |
| 11.905 | 69.016 | 11.905 | 0.000 | 0.000 | -0.000 |
| 11.905 | 11.905 | 69.016 | 0.000 | 0.000 | 0.000 |
| 0.000 | 0.000 | 0.000 | 9.445 | 0.000 | 0.000 |
| 0.000 | 0.000 | 0.000 | 0.000 | 9.445 | -0.000 |
| 0.000 | 0.000 | 0.000 | 0.000 | 0.000 | 9.445 |
| 69.016 | 11.905 | 11.905 | -0.000 | -0.000 | -0.000 |
| 11.905 | 69.016 | 11.905 | -0.000 | -0.000 | 0.000 |
| 11.905 | 11.905 | 69.016 | -0.000 | -0.000 | 0.000 |
| -0.000 | -0.000 | -0.000 | 9.445 | -0.000 | -0.000 |
| -0.000 | -0.000 | -0.000 | -0.000 | 9.445 | 0.000 |
| -0.000 | -0.000 | -0.000 | -0.000 | -0.000 | 9.445 |
| 69.015 | 11.905 | 11.905 | 0.000 | 0.000 | -0.000 |
| 11.905 | 69.015 | 11.905 | 0.000 | 0.000 | -0.000 |
| 11.905 | 11.905 | 69.015 | 0.000 | 0.000 | 0.000 |
| 0.000 | 0.000 | 0.000 | 9.445 | 0.000 | 0.000 |
| 0.000 | 0.000 | 0.000 | 0.000 | 9.445 | 0.000 |
| 0.000 | 0.000 | 0.000 | 0.000 | 0.000 | 9.445 |
| 69.017 | 11.905 | 11.905 | -0.000 | -0.000 | -0.000 |
| 11.905 | 69.017 | 11.905 | -0.000 | -0.000 | -0.000 |
| 11.905 | 11.905 | 69.017 | -0.000 | -0.000 | 0.000 |
| -0.000 | -0.000 | -0.000 | 9.445 | -0.000 | 0.000 |
| -0.000 | -0.000 | -0.000 | -0.000 | 9.445 | -0.000 |
| -0.000 | -0.000 | -0.000 | -0.000 | -0.000 | 9.445 |
| 141.705 | 83.396 | 83.396 | 0.000 | 0.000 | -0.000 |
| 83.396 | 141.705 | 83.396 | -0.000 | -0.000 | -0.000 |
| 83.396 | 83.396 | 141.705 | 0.000 | -0.000 | -0.000 |
| 0.000 | -0.000 | -0.000 | 9.453 | -0.000 | -0.000 |
| 0.000 | 0.000 | 0.000 | -0.000 | 9.453 | -0.000 |
| 0.000 | -0.000 | 0.000 | 0.000 | -0.000 | 9.453 |
| 141.705 | 83.396 | 83.396 | -0.000 | 0.000 | -0.000 |
| 83.396 | 141.705 | 83.396 | -0.000 | 0.000 | -0.000 |
| 83.396 | 83.396 | 141.705 | -0.000 | 0.000 | 0.000 |
| -0.000 | 0.000 | 0.000 | 9.453 | 0.000 | -0.000 |
| -0.000 | -0.000 | -0.000 | 0.000 | 9.453 | 0.000 |
| 0.000 | 0.000 | -0.000 | 0.000 | 0.000 | 9.453 |
| 141.705 | 83.396 | 83.396 | 0.000 | -0.000 | 0.000 |
| 83.396 | 141.705 | 83.396 | 0.000 | -0.000 | -0.000 |
| 83.396 | 83.396 | 141.705 | 0.000 | -0.000 | -0.000 |
| 0.000 | -0.000 | -0.000 | 9.453 | -0.000 | -0.000 |
| -0.000 | 0.000 | -0.000 | 0.000 | 9.453 | -0.000 |
| -0.000 | -0.000 | 0.000 | -0.000 | -0.000 | 9.453 |
| 141.705 | 83.396 | 83.396 | 0.000 | 0.000 | -0.000 |
| 83.396 | 141.705 | 83.396 | -0.000 | 0.000 | 0.000 |
| 83.396 | 83.396 | 141.705 | -0.000 | 0.000 | 0.000 |
| -0.000 | 0.000 | 0.000 | 9.453 | 0.000 | -0.000 |
| 0.000 | -0.000 | 0.000 | -0.000 | 9.453 | 0.000 |
| 0.000 | 0.000 | -0.000 | -0.000 | 0.000 | 9.453 |
| 141.707 | 83.397 | 83.397 | -0.000 | -0.000 | -0.000 |
| 83.397 | 141.707 | 83.397 | -0.000 | -0.000 | -0.000 |
| 83.397 | 83.397 | 141.707 | -0.000 | -0.000 | 0.000 |
| 0.000 | -0.000 | -0.000 | 9.453 | -0.000 | -0.000 |
| -0.000 | 0.000 | -0.000 | 0.000 | 9.453 | -0.000 |
| -0.000 | -0.000 | 0.000 | 0.000 | -0.000 | 9.453 |
| 141.703 | 83.396 | 83.396 | -0.000 | -0.000 | -0.000 |
| 83.396 | 141.703 | 83.396 | -0.000 | 0.000 | 0.000 |
| 83.396 | 83.396 | 141.703 | -0.000 | 0.000 | -0.000 |
| -0.000 | 0.000 | 0.000 | 9.453 | 0.000 | 0.000 |
| 0.000 | -0.000 | 0.000 | -0.000 | 9.453 | 0.000 |
| 0.000 | 0.000 | -0.000 | 0.000 | 0.000 | 9.453 |
| 65.449 | 24.850 | 24.850 | -0.000 | 0.000 | -0.000 |
| 24.850 | 65.449 | 24.850 | -0.000 | 0.000 | -0.000 |
| 24.850 | 24.850 | 65.449 | -0.000 | -0.000 | -0.000 |
| -0.000 | -0.000 | -0.000 | -0.080 | -0.000 | -0.000 |
| -0.000 | -0.000 | -0.000 | -0.000 | -0.080 | -0.000 |
| -0.000 | -0.000 | -0.000 | -0.000 | -0.000 | -0.080 |
| 65.449 | 24.850 | 24.850 | 0.000 | -0.000 | 0.000 |
| 24.850 | 65.449 | 24.850 | 0.000 | -0.000 | 0.000 |
| 24.850 | 24.850 | 65.449 | -0.000 | 0.000 | 0.000 |
| 0.000 | 0.000 | 0.000 | -0.080 | 0.000 | 0.000 |
| 0.000 | 0.000 | 0.000 | 0.000 | -0.080 | 0.000 |
| 0.000 | 0.000 | 0.000 | 0.000 | 0.000 | -0.080 |
| 65.449 | 24.850 | 24.850 | -0.000 | -0.000 | -0.000 |
| 24.850 | 65.449 | 24.850 | -0.000 | -0.000 | -0.000 |
| 24.850 | 24.850 | 65.449 | 0.000 | -0.000 | -0.000 |
| -0.000 | -0.000 | -0.000 | -0.080 | -0.000 | -0.000 |
| -0.000 | -0.000 | -0.000 | -0.000 | -0.080 | -0.000 |
| -0.000 | -0.000 | -0.000 | -0.000 | -0.000 | -0.080 |
| 65.449 | 24.850 | 24.850 | 0.000 | 0.000 | 0.000 |
| 24.850 | 65.449 | 24.850 | -0.000 | 0.000 | 0.000 |
| 24.850 | 24.850 | 65.449 | 0.000 | 0.000 | 0.000 |
| 0.000 | 0.000 | 0.000 | -0.080 | 0.000 | 0.000 |
| 0.000 | 0.000 | 0.000 | 0.000 | -0.080 | 0.000 |
| 0.000 | 0.000 | 0.000 | 0.000 | 0.000 | -0.080 |
| 65.449 | 24.850 | 24.850 | -0.000 | -0.000 | -0.000 |
| 24.850 | 65.449 | 24.850 | -0.000 | -0.000 | 0.000 |
| 24.850 | 24.850 | 65.449 | -0.000 | -0.000 | -0.000 |
| -0.000 | -0.001 | -0.001 | -0.080 | -0.000 | -0.000 |
| -0.001 | -0.000 | -0.001 | -0.000 | -0.080 | -0.000 |
| -0.001 | -0.001 | -0.000 | -0.000 | -0.000 | -0.080 |
| 65.449 | 24.850 | 24.850 | 0.000 | -0.000 | 0.000 |
| 24.850 | 65.449 | 24.850 | 0.000 | 0.000 | 0.000 |
| 24.850 | 24.850 | 65.449 | 0.000 | 0.000 | 0.000 |
| 0.000 | 0.001 | 0.001 | -0.080 | -0.000 | 0.000 |
| 0.001 | 0.000 | 0.001 | 0.000 | -0.080 | 0.000 |
| 0.001 | 0.001 | 0.000 | 0.000 | 0.000 | -0.080 |
| -43002.742 | -18861.960 | -10761.426 | -1928.792 | 0.000 | 0.000 |
| -153488.542 | -43004.443 | -142784.704 | 0.000 | -11187.164 | 0.000 |
| -20887.323 | -18138.789 | -43002.749 | 0.001 | 0.000 | -3761.166 |
| -2.421 | -28511.290 | -37190.874 | 4795.497 | 0.000 | 0.000 |
| -35888.950 | -2.421 | -28366.642 | 0.000 | 4216.893 | 0.000 |
| -28511.290 | -37190.874 | -2.421 | 0.000 | 0.000 | 4795.497 |
| 115963.397 | 41886.829 | 40777.717 | -0.000 | 2314.620 | -3375.433 |
| 44346.257 | 125221.255 | 40633.013 | -3954.083 | -0.000 | 2893.270 |
| 40922.403 | 45985.911 | 132936.044 | 1735.972 | -4339.853 | -0.000 |
| 2.421 | 31404.430 | 41530.611 | 7688.628 | -0.000 | -0.000 |
| 41482.394 | 2.421 | 31211.552 | -0.000 | 7592.203 | -0.000 |
| 31404.430 | 41530.611 | 2.421 | -0.000 | -0.000 | 7688.628 |
| -4327.702 | -4183.500 | -3807.414 | -1176.593 | 0.000 | -0.000 |
| -3788.123 | -4327.704 | -4106.350 | -0.000 | -1080.151 | 0.000 |
| -17.201 | -740.451 | -4328.014 | 0.000 | 0.000 | 57.858 |
| -8.725 | 70.097 | 70.097 | -2197.179 | 0.000 | 0.000 |
| 70.097 | -8.725 | 70.097 | 0.000 | -2197.179 | 0.000 |
| 70.097 | 70.097 | -8.725 | 0.000 | 0.000 | -2197.179 |
| -1269.411 | 2442.321 | 2567.716 | -0.000 | 67.509 | -260.388 |
| 2572.536 | -1115.106 | 2476.075 | -212.167 | -0.000 | 0.001 |
| 2172.255 | 2288.003 | -3468.124 | 86.798 | -48.219 | -0.000 |
| 8.725 | -70.097 | -70.097 | -2197.179 | -0.000 | -0.000 |
| -70.097 | 8.725 | -70.097 | -0.000 | -2197.179 | -0.000 |
| -70.097 | -70.097 | 8.725 | -0.000 | -0.000 | -2197.179 |
| -460.554 | 220.664 | 220.664 | 0.000 | 0.000 | 0.000 |
| 220.664 | -460.554 | 220.664 | 0.000 | 0.000 | 0.000 |
| 220.664 | 220.664 | -460.554 | 0.000 | 0.000 | 0.000 |
| -0.192 | 6.690 | 6.690 | -220.058 | 0.000 | 0.000 |
| 6.690 | -0.192 | 6.690 | 0.000 | -220.058 | 0.000 |
| 6.690 | 6.690 | -0.192 | 0.000 | 0.000 | -220.058 |
| -68.965 | 194.636 | 281.920 | -0.000 | 9.644 | 8.680 |
| 281.920 | -68.965 | 194.636 | 8.680 | -0.000 | 9.644 |
| 194.636 | 281.920 | -68.965 | 9.644 | 8.680 | -0.000 |
| 0.192 | -6.690 | -6.690 | -220.058 | -0.000 | -0.000 |
| -6.690 | 0.192 | -6.690 | -0.000 | -220.058 | -0.000 |
| -6.690 | -6.690 | 0.192 | -0.000 | -0.000 | -220.058 |
| -33.986 | -20114.418 | -18233.954 | -1446.511 | -0.000 | 0.000 |
| -18233.954 | -33.986 | -20114.418 | -0.000 | -1446.511 | -0.000 |
| -20162.635 | -18426.822 | -33.986 | -0.000 | -0.000 | -1542.945 |
| -1542945.087 | -675038.682 | -675038.674 | 385736.107 | -0.000 | 0.000 |
| -675038.682 | -1542945.087 | -675038.674 | 0.000 | 385736.107 | -0.000 |
| -675038.682 | -675038.674 | -1542945.087 | -0.000 | 0.000 | 385736.107 |
| 1928681.354 | 1928681.351 | 1928681.351 | 0.000 | -0.000 | -0.000 |
| 1928681.351 | 1928681.354 | 1928681.351 | -0.000 | -0.000 | -0.000 |
| 1928681.351 | 1928681.351 | 1928681.354 | 0.000 | -0.000 | -0.000 |
| 1542945.087 | 675038.682 | 675038.674 | 385736.107 | 0.000 | -0.000 |
| 675038.682 | 1542945.087 | 675038.674 | -0.000 | 385736.107 | 0.000 |
| 675038.682 | 675038.674 | 1542945.087 | 0.000 | 0.000 | 385736.107 |
| -14235.672 | -1764.534 | -1841.682 | 0.000 | -221.798 | -376.093 |
| -1841.682 | -14235.672 | -1764.534 | -376.093 | -0.000 | -221.798 |
| -1764.534 | -1841.682 | -14235.672 | -221.798 | -376.093 | 0.000 |
| -0.025 | -48217.054 | -48217.062 | -38573.620 | -0.000 | 0.000 |
| -48217.054 | -0.025 | -48217.062 | -0.000 | -38573.620 | 0.000 |
| -48217.054 | -48217.062 | -0.025 | -0.000 | -0.000 | -38573.620 |
| 192868.132 | 192868.128 | 192868.128 | 0.000 | -0.000 | -0.000 |
| 192868.128 | 192868.132 | 192868.128 | 0.000 | -0.000 | -0.000 |
| 192868.128 | 192868.128 | 192868.132 | 0.000 | -0.000 | -0.000 |
| 0.025 | 48217.054 | 48217.062 | -38573.620 | 0.000 | -0.000 |
| 48217.054 | 0.025 | 48217.062 | 0.000 | -38573.620 | -0.000 |
| 48217.054 | 48217.062 | 0.025 | 0.000 | 0.000 | -38573.620 |
| -33.851 | -7.944 | -7.944 | -0.000 | -0.000 | -0.000 |
| -7.944 | -33.851 | -7.944 | -0.000 | -0.000 | 0.000 |
| -7.944 | -7.944 | -33.851 | -0.000 | -0.000 | -0.000 |
| 0.001 | -4821.700 | -4821.708 | -3857.371 | -0.000 | -0.000 |
| -4821.700 | 0.001 | -4821.708 | -0.000 | -3857.371 | -0.000 |
| -4821.700 | -4821.708 | 0.001 | -0.000 | -0.000 | -3857.371 |
| 19286.810 | 19286.806 | 19286.806 | 0.000 | -0.000 | -0.000 |
| 19286.806 | 19286.810 | 19286.806 | 0.000 | -0.000 | -0.000 |
| 19286.806 | 19286.806 | 19286.810 | 0.000 | -0.000 | -0.000 |
| -0.001 | 4821.700 | 4821.708 | -3857.371 | 0.000 | 0.000 |
| 4821.700 | -0.001 | 4821.708 | 0.000 | -3857.371 | 0.000 |
| 4821.700 | 4821.708 | -0.001 | 0.000 | 0.000 | -3857.371 |
| 60.134 | 120.908 | 120.908 | -0.000 | -0.000 | 0.000 |
| 120.908 | 60.134 | 120.908 | -0.000 | -0.000 | 0.000 |
| 120.908 | 120.908 | 60.134 | -0.000 | -0.000 | 0.000 |
| 0.000 | 0.000 | -0.000 | 21.466 | 0.000 | 0.000 |
| -0.000 | 0.000 | -0.000 | -0.000 | 21.466 | 0.000 |
| -0.000 | 0.000 | -0.000 | -0.000 | 0.000 | 21.466 |
| 60.134 | 120.908 | 120.908 | 0.000 | 0.000 | -0.000 |
| 120.908 | 60.134 | 120.908 | 0.000 | -0.000 | -0.000 |
| 120.908 | 120.908 | 60.134 | 0.000 | -0.000 | -0.000 |
| -0.000 | -0.000 | 0.000 | 21.466 | -0.000 | -0.000 |
| -0.000 | -0.000 | 0.000 | 0.000 | 21.466 | -0.000 |
| 0.000 | -0.000 | 0.000 | 0.000 | -0.000 | 21.466 |
| 60.134 | 120.908 | 120.908 | -0.000 | -0.000 | 0.000 |
| 120.908 | 60.134 | 120.908 | -0.000 | 0.000 | 0.000 |
| 120.908 | 120.908 | 60.134 | -0.000 | -0.000 | 0.000 |
| 0.000 | 0.000 | 0.000 | 21.466 | 0.000 | 0.000 |
| 0.000 | 0.000 | 0.000 | -0.000 | 21.466 | 0.000 |
| 0.000 | 0.000 | 0.000 | -0.000 | -0.000 | 21.466 |
| 60.134 | 120.908 | 120.908 | 0.000 | 0.000 | -0.000 |
| 120.908 | 60.134 | 120.908 | 0.000 | 0.000 | -0.000 |
| 120.908 | 120.908 | 60.134 | 0.000 | -0.000 | -0.000 |
| -0.000 | -0.000 | -0.000 | 21.466 | -0.000 | -0.000 |
| -0.000 | -0.000 | -0.000 | 0.000 | 21.466 | -0.000 |
| -0.000 | -0.000 | -0.000 | 0.000 | -0.000 | 21.466 |
| 60.134 | 120.908 | 120.908 | -0.000 | 0.000 | 0.000 |
| 120.908 | 60.134 | 120.908 | -0.000 | 0.000 | 0.000 |
| 120.908 | 120.908 | 60.134 | -0.000 | 0.000 | 0.000 |
| 0.000 | 0.000 | 0.000 | 21.466 | -0.000 | 0.000 |
| 0.000 | 0.000 | 0.000 | -0.000 | 21.466 | 0.000 |
| 0.000 | 0.000 | 0.000 | -0.000 | 0.000 | 21.466 |
| 60.134 | 120.907 | 120.907 | 0.000 | -0.000 | -0.000 |
| 120.907 | 60.134 | 120.907 | 0.000 | -0.000 | -0.000 |
| 120.907 | 120.907 | 60.134 | 0.000 | -0.000 | -0.000 |
| -0.000 | -0.000 | -0.000 | 21.466 | -0.000 | -0.000 |
| -0.000 | -0.000 | -0.000 | 0.000 | 21.466 | -0.000 |
| -0.000 | -0.000 | -0.000 | 0.000 | -0.000 | 21.466 |
| 115.402 | 20.076 | 20.076 | 0.000 | 0.000 | -0.000 |
| 20.076 | 115.402 | 20.076 | 0.000 | 0.000 | -0.000 |
| 20.076 | 20.076 | 115.402 | -0.000 | -0.000 | -0.000 |
| 0.000 | 0.000 | 0.000 | 19.705 | 0.000 | 0.000 |
| 0.000 | 0.000 | 0.000 | 0.000 | 19.705 | -0.000 |
| 0.000 | 0.000 | 0.000 | 0.000 | 0.000 | 19.705 |
| 115.402 | 20.076 | 20.076 | -0.000 | -0.000 | 0.000 |
| 20.076 | 115.402 | 20.076 | -0.000 | -0.000 | 0.000 |
| 20.076 | 20.076 | 115.402 | -0.000 | -0.000 | 0.000 |
| -0.000 | -0.000 | -0.000 | 19.705 | -0.000 | 0.000 |
| -0.000 | -0.000 | -0.000 | -0.000 | 19.705 | 0.000 |
| -0.000 | -0.000 | -0.000 | -0.000 | -0.000 | 19.705 |
| 115.402 | 20.076 | 20.076 | 0.000 | 0.000 | -0.000 |
| 20.076 | 115.402 | 20.076 | 0.000 | 0.000 | -0.000 |
| 20.076 | 20.076 | 115.402 | 0.000 | 0.000 | -0.000 |
| 0.000 | 0.000 | 0.000 | 19.705 | 0.000 | -0.000 |
| 0.000 | 0.000 | 0.000 | 0.000 | 19.705 | -0.000 |
| 0.000 | 0.000 | 0.000 | 0.000 | 0.000 | 19.705 |
| 115.402 | 20.076 | 20.076 | -0.000 | -0.000 | 0.000 |
| 20.076 | 115.402 | 20.076 | -0.000 | -0.000 | -0.000 |
| 20.076 | 20.076 | 115.402 | -0.000 | -0.000 | 0.000 |
| -0.000 | -0.000 | -0.000 | 19.705 | -0.000 | 0.000 |
| -0.000 | -0.000 | -0.000 | -0.000 | 19.705 | 0.000 |
| -0.000 | -0.000 | -0.000 | -0.000 | -0.000 | 19.705 |
| 115.401 | 20.076 | 20.076 | 0.000 | 0.000 | 0.000 |
| 20.076 | 115.401 | 20.076 | 0.000 | 0.000 | -0.000 |
| 20.076 | 20.076 | 115.401 | 0.000 | 0.000 | -0.000 |
| 0.000 | 0.000 | 0.000 | 19.705 | 0.000 | -0.000 |
| 0.000 | 0.000 | 0.000 | 0.000 | 19.705 | -0.000 |
| 0.000 | 0.000 | 0.000 | 0.000 | 0.000 | 19.705 |
| 115.402 | 20.075 | 20.075 | -0.000 | -0.000 | 0.000 |
| 20.075 | 115.402 | 20.075 | -0.000 | -0.000 | 0.000 |
| 20.075 | 20.075 | 115.402 | -0.000 | -0.000 | 0.000 |
| -0.000 | -0.000 | -0.000 | 19.705 | -0.000 | 0.000 |
| -0.000 | -0.000 | -0.000 | -0.000 | 19.705 | 0.000 |
| -0.000 | -0.000 | -0.000 | -0.000 | -0.000 | 19.705 |
| 61.054 | 37.099 | 37.099 | 0.000 | 0.000 | -0.000 |
| 37.099 | 61.054 | 37.099 | -0.000 | -0.000 | -0.000 |
| 37.099 | 37.099 | 61.054 | -0.000 | 0.000 | 0.000 |
| -0.000 | 0.000 | 0.000 | 18.915 | -0.000 | 0.000 |
| 0.000 | -0.000 | 0.000 | 0.000 | 18.915 | -0.000 |
| 0.000 | 0.000 | 0.000 | -0.000 | 0.000 | 18.915 |
| 61.054 | 37.099 | 37.099 | -0.000 | -0.000 | -0.000 |
| 37.099 | 61.054 | 37.099 | -0.000 | 0.000 | -0.000 |
| 37.099 | 37.099 | 61.054 | 0.000 | -0.000 | 0.000 |
| 0.000 | -0.000 | -0.000 | 18.915 | 0.000 | 0.000 |
| -0.000 | 0.000 | -0.000 | 0.000 | 18.915 | -0.000 |
| -0.000 | -0.000 | -0.000 | 0.000 | -0.000 | 18.915 |
| 61.054 | 37.099 | 37.099 | -0.000 | -0.000 | 0.000 |
| 37.099 | 61.054 | 37.099 | 0.000 | -0.000 | -0.000 |
| 37.099 | 37.099 | 61.054 | -0.000 | -0.000 | 0.000 |
| 0.000 | 0.000 | 0.000 | 18.915 | 0.000 | -0.000 |
| 0.000 | 0.000 | 0.000 | -0.000 | 18.915 | -0.000 |
| 0.000 | 0.000 | 0.000 | -0.000 | -0.000 | 18.915 |
| 61.054 | 37.099 | 37.099 | -0.000 | 0.000 | -0.000 |
| 37.099 | 61.054 | 37.099 | -0.000 | -0.000 | -0.000 |
| 37.099 | 37.099 | 61.054 | 0.000 | 0.000 | 0.000 |
| -0.000 | -0.000 | -0.000 | 18.915 | -0.000 | 0.000 |
| -0.000 | -0.000 | -0.000 | -0.000 | 18.915 | 0.000 |
| -0.000 | -0.000 | -0.000 | 0.000 | -0.000 | 18.915 |
| 61.056 | 37.100 | 37.100 | 0.000 | -0.000 | 0.000 |
| 37.100 | 61.056 | 37.100 | 0.000 | 0.000 | 0.000 |
| 37.100 | 37.100 | 61.056 | -0.000 | -0.000 | -0.000 |
| 0.000 | 0.001 | 0.001 | 18.915 | -0.000 | -0.000 |
| 0.001 | 0.000 | 0.001 | -0.000 | 18.915 | -0.000 |
| 0.001 | 0.001 | 0.000 | -0.000 | 0.000 | 18.915 |
| 61.053 | 37.098 | 37.098 | -0.000 | 0.000 | -0.000 |
| 37.098 | 61.053 | 37.098 | -0.000 | 0.000 | 0.000 |
| 37.098 | 37.098 | 61.053 | -0.000 | -0.000 | -0.000 |
| -0.000 | -0.001 | -0.001 | 18.915 | 0.000 | 0.000 |
| -0.001 | -0.000 | -0.001 | 0.000 | 18.915 | 0.000 |
| -0.001 | -0.001 | -0.000 | 0.000 | -0.000 | 18.915 |
| 65.038 | 42.086 | 42.086 | -0.000 | -0.000 | -0.000 |
| 42.086 | 65.038 | 42.086 | -0.000 | -0.000 | -0.000 |
| 42.086 | 42.086 | 65.038 | -0.000 | -0.000 | -0.000 |
| -0.000 | 0.000 | 0.000 | 14.169 | -0.000 | -0.000 |
| 0.000 | -0.000 | 0.000 | -0.000 | 14.169 | -0.000 |
| 0.000 | 0.000 | -0.000 | -0.000 | -0.000 | 14.169 |
| 65.038 | 42.086 | 42.086 | 0.000 | -0.000 | 0.000 |
| 42.086 | 65.038 | 42.086 | 0.000 | 0.000 | 0.000 |
| 42.086 | 42.086 | 65.038 | 0.000 | 0.000 | 0.000 |
| 0.000 | -0.000 | -0.000 | 14.169 | 0.000 | 0.000 |
| 0.000 | 0.000 | -0.000 | 0.000 | 14.169 | 0.000 |
| 0.000 | -0.000 | 0.000 | 0.000 | 0.000 | 14.169 |
| 65.038 | 42.086 | 42.086 | -0.000 | -0.000 | -0.000 |
| 42.086 | 65.038 | 42.086 | -0.000 | 0.000 | -0.000 |
| 42.086 | 42.086 | 65.038 | 0.000 | 0.000 | -0.000 |
| -0.000 | 0.000 | 0.000 | 14.169 | 0.000 | -0.000 |
| 0.000 | -0.000 | 0.000 | -0.000 | 14.169 | -0.000 |
| 0.000 | 0.000 | -0.000 | -0.000 | -0.000 | 14.169 |
| 65.038 | 42.086 | 42.086 | 0.000 | 0.000 | 0.000 |
| 42.086 | 65.038 | 42.086 | 0.000 | 0.000 | 0.000 |
| 42.086 | 42.086 | 65.038 | 0.000 | 0.000 | 0.000 |
| 0.000 | -0.000 | -0.000 | 14.169 | 0.000 | -0.000 |
| -0.000 | 0.000 | -0.000 | 0.000 | 14.169 | 0.000 |
| -0.000 | -0.000 | 0.000 | 0.000 | 0.000 | 14.169 |
| 65.038 | 42.086 | 42.086 | -0.000 | -0.000 | -0.000 |
| 42.086 | 65.038 | 42.086 | -0.000 | -0.000 | -0.000 |
| 42.086 | 42.086 | 65.038 | -0.000 | -0.000 | -0.000 |
| -0.000 | 0.000 | 0.000 | 14.169 | -0.000 | -0.000 |
| 0.000 | -0.000 | 0.000 | -0.000 | 14.169 | -0.000 |
| 0.000 | 0.000 | -0.000 | -0.000 | -0.000 | 14.169 |
| 65.039 | 42.087 | 42.087 | 0.000 | 0.000 | 0.000 |
| 42.087 | 65.039 | 42.087 | 0.000 | 0.000 | 0.000 |
| 42.087 | 42.087 | 65.039 | 0.000 | 0.000 | 0.000 |
| 0.000 | -0.000 | -0.000 | 14.169 | 0.000 | 0.000 |
| -0.000 | 0.000 | -0.000 | 0.000 | 14.169 | 0.000 |
| -0.000 | -0.000 | 0.000 | 0.000 | 0.000 | 14.169 |
| 69.472 | 30.437 | 30.437 | -0.000 | -0.000 | -0.000 |
| 30.437 | 69.472 | 30.437 | -0.000 | 0.000 | -0.000 |
| 30.437 | 30.437 | 69.472 | 0.000 | 0.000 | 0.000 |
| -0.000 | -0.000 | -0.000 | 32.766 | -0.000 | -0.000 |
| -0.000 | -0.000 | -0.000 | -0.000 | 32.766 | -0.000 |
| -0.000 | -0.000 | -0.000 | -0.000 | -0.000 | 32.766 |
| 69.472 | 30.437 | 30.437 | 0.000 | 0.000 | 0.000 |
| 30.437 | 69.472 | 30.437 | 0.000 | 0.000 | 0.000 |
| 30.437 | 30.437 | 69.472 | 0.000 | 0.000 | 0.000 |
| 0.000 | 0.000 | 0.000 | 32.766 | 0.000 | 0.000 |
| 0.000 | 0.000 | 0.000 | 0.000 | 32.766 | 0.000 |
| 0.000 | 0.000 | 0.000 | 0.000 | 0.000 | 32.766 |
| 69.472 | 30.437 | 30.437 | -0.000 | -0.000 | -0.000 |
| 30.437 | 69.472 | 30.437 | -0.000 | -0.000 | -0.000 |
| 30.437 | 30.437 | 69.472 | 0.000 | 0.000 | -0.000 |
| -0.000 | -0.000 | -0.000 | 32.766 | -0.000 | -0.000 |
| -0.000 | -0.000 | -0.000 | -0.000 | 32.766 | -0.000 |
| -0.000 | -0.000 | -0.000 | -0.000 | -0.000 | 32.766 |
| 69.472 | 30.437 | 30.437 | 0.000 | 0.000 | 0.000 |
| 30.437 | 69.472 | 30.437 | 0.000 | 0.000 | 0.000 |
| 30.437 | 30.437 | 69.472 | 0.000 | 0.000 | -0.000 |
| 0.000 | 0.000 | 0.000 | 32.766 | 0.000 | 0.000 |
| 0.000 | 0.000 | 0.000 | 0.000 | 32.766 | 0.000 |
| 0.000 | 0.000 | 0.000 | 0.000 | 0.000 | 32.766 |
| 69.471 | 30.437 | 30.437 | -0.000 | -0.000 | -0.000 |
| 30.437 | 69.471 | 30.437 | -0.000 | -0.000 | 0.000 |
| 30.437 | 30.437 | 69.471 | -0.000 | 0.000 | -0.000 |
| -0.000 | -0.001 | -0.001 | 32.766 | -0.000 | -0.000 |
| -0.001 | -0.000 | -0.001 | -0.000 | 32.766 | 0.000 |
| -0.001 | -0.001 | -0.000 | -0.000 | -0.000 | 32.766 |
| 69.473 | 30.438 | 30.438 | 0.000 | 0.000 | 0.000 |
| 30.438 | 69.473 | 30.438 | 0.000 | 0.000 | 0.000 |
| 30.438 | 30.438 | 69.473 | 0.000 | 0.000 | 0.000 |
| 0.000 | 0.001 | 0.001 | 32.766 | -0.000 | -0.000 |
| 0.001 | 0.000 | 0.001 | 0.000 | 32.766 | 0.000 |
| 0.001 | 0.001 | 0.000 | 0.000 | 0.000 | 32.766 |
| 26.074 | 14.209 | 14.209 | -0.000 | -0.000 | -0.000 |
| 14.209 | 26.074 | 14.209 | -0.000 | -0.000 | -0.000 |
| 14.209 | 14.209 | 26.074 | -0.000 | -0.000 | -0.000 |
| -0.000 | -0.000 | -0.000 | 11.865 | -0.000 | -0.000 |
| -0.000 | -0.000 | -0.000 | -0.000 | 11.865 | 0.000 |
| -0.000 | -0.000 | -0.000 | -0.000 | 0.000 | 11.865 |
| 26.074 | 14.209 | 14.209 | 0.000 | -0.000 | -0.000 |
| 14.209 | 26.074 | 14.209 | -0.000 | 0.000 | 0.000 |
| 14.209 | 14.209 | 26.074 | 0.000 | 0.000 | 0.000 |
| 0.000 | 0.000 | 0.000 | 11.865 | 0.000 | 0.000 |
| 0.000 | 0.000 | 0.000 | 0.000 | 11.865 | -0.000 |
| 0.000 | 0.000 | 0.000 | 0.000 | -0.000 | 11.865 |
| 26.074 | 14.209 | 14.209 | -0.000 | -0.000 | -0.000 |
| 14.209 | 26.074 | 14.209 | -0.000 | -0.000 | -0.000 |
| 14.209 | 14.209 | 26.074 | -0.000 | -0.000 | -0.000 |
| -0.000 | -0.000 | -0.000 | 11.865 | -0.000 | -0.000 |
| -0.000 | -0.000 | -0.000 | -0.000 | 11.865 | 0.000 |
| -0.000 | -0.000 | -0.000 | -0.000 | 0.000 | 11.865 |
| 26.074 | 14.209 | 14.209 | 0.000 | 0.000 | 0.000 |
| 14.209 | 26.074 | 14.209 | 0.000 | 0.000 | 0.000 |
| 14.209 | 14.209 | 26.074 | 0.000 | 0.000 | 0.000 |
| 0.000 | 0.000 | 0.000 | 11.865 | 0.000 | 0.000 |
| 0.000 | 0.000 | 0.000 | 0.000 | 11.865 | -0.000 |
| 0.000 | 0.000 | 0.000 | 0.000 | -0.000 | 11.865 |
| 26.074 | 14.208 | 14.208 | -0.000 | -0.000 | -0.000 |
| 14.208 | 26.074 | 14.208 | -0.000 | -0.000 | -0.000 |
| 14.208 | 14.208 | 26.074 | -0.000 | -0.000 | -0.000 |
| -0.000 | -0.000 | -0.000 | 11.865 | -0.000 | -0.000 |
| -0.000 | -0.000 | -0.000 | -0.000 | 11.865 | 0.000 |
| -0.000 | -0.000 | -0.000 | -0.000 | 0.000 | 11.865 |
| 26.075 | 14.209 | 14.209 | 0.000 | 0.000 | 0.000 |
| 14.209 | 26.075 | 14.209 | 0.000 | 0.000 | 0.000 |
| 14.209 | 14.209 | 26.075 | 0.000 | 0.000 | 0.000 |
| 0.000 | 0.000 | 0.000 | 11.865 | 0.000 | 0.000 |
| 0.000 | 0.000 | 0.000 | 0.000 | 11.865 | -0.000 |
| 0.000 | 0.000 | 0.000 | 0.000 | -0.000 | 11.865 |
| 40.518 | 20.267 | 20.267 | -0.000 | 0.000 | 0.000 |
| 20.267 | 40.518 | 20.267 | 0.000 | -0.000 | -0.000 |
| 20.267 | 20.267 | 40.518 | -0.000 | -0.000 | -0.000 |
| -0.000 | 0.000 | 0.000 | 20.251 | -0.000 | -0.000 |
| 0.000 | -0.000 | 0.000 | -0.000 | 20.251 | 0.000 |
| 0.000 | 0.000 | -0.000 | -0.000 | 0.000 | 20.251 |
| 40.518 | 20.267 | 20.267 | 0.000 | 0.000 | 0.000 |
| 20.267 | 40.518 | 20.267 | -0.000 | 0.000 | -0.000 |
| 20.267 | 20.267 | 40.518 | -0.000 | -0.000 | 0.000 |
| 0.000 | -0.000 | -0.000 | 20.251 | 0.000 | 0.000 |
| -0.000 | 0.000 | -0.000 | 0.000 | 20.251 | -0.000 |
| -0.000 | -0.000 | 0.000 | 0.000 | -0.000 | 20.251 |
| 40.518 | 20.267 | 20.267 | -0.000 | 0.000 | 0.000 |
| 20.267 | 40.518 | 20.267 | 0.000 | -0.000 | 0.000 |
| 20.267 | 20.267 | 40.518 | 0.000 | 0.000 | -0.000 |
| -0.000 | 0.000 | 0.000 | 20.251 | 0.000 | -0.000 |
| 0.000 | -0.000 | 0.000 | 0.000 | 20.251 | 0.000 |
| 0.000 | 0.000 | -0.000 | 0.000 | 0.000 | 20.251 |
| 40.518 | 20.267 | 20.267 | 0.000 | 0.000 | 0.000 |
| 20.267 | 40.518 | 20.267 | 0.000 | 0.000 | 0.000 |
| 20.267 | 20.267 | 40.518 | 0.000 | 0.000 | 0.000 |
| 0.000 | -0.000 | -0.000 | 20.251 | -0.000 | 0.000 |
| -0.000 | 0.000 | -0.000 | -0.000 | 20.251 | -0.000 |
| -0.000 | -0.000 | 0.000 | -0.000 | -0.000 | 20.251 |
| 40.518 | 20.267 | 20.267 | -0.000 | 0.000 | 0.000 |
| 20.267 | 40.518 | 20.267 | 0.000 | -0.000 | -0.000 |
| 20.267 | 20.267 | 40.518 | -0.000 | -0.000 | -0.000 |
| -0.000 | 0.000 | 0.000 | 20.251 | 0.000 | -0.000 |
| 0.000 | -0.000 | 0.000 | 0.000 | 20.251 | 0.000 |
| 0.000 | 0.000 | -0.000 | -0.000 | 0.000 | 20.251 |
| 40.517 | 20.267 | 20.267 | 0.000 | -0.000 | -0.000 |
| 20.267 | 40.517 | 20.267 | -0.000 | 0.000 | 0.000 |
| 20.267 | 20.267 | 40.517 | 0.000 | 0.000 | 0.000 |
| 0.000 | -0.000 | -0.000 | 20.251 | 0.000 | 0.000 |
| -0.000 | 0.000 | -0.000 | 0.000 | 20.251 | -0.000 |
| -0.000 | -0.000 | 0.000 | 0.000 | -0.000 | 20.251 |
| 40.930 | 22.696 | 22.696 | -0.000 | 0.000 | -0.000 |
| 22.696 | 40.930 | 22.696 | 0.000 | -0.000 | -0.000 |
| 22.696 | 22.696 | 40.930 | -0.000 | 0.000 | -0.000 |
| -0.000 | 0.000 | 0.000 | 6.614 | 0.000 | -0.000 |
| 0.000 | -0.000 | 0.000 | -0.000 | 6.614 | -0.000 |
| 0.000 | 0.000 | -0.000 | -0.000 | 0.000 | 6.614 |
| 40.930 | 22.696 | 22.696 | 0.000 | -0.000 | 0.000 |
| 22.696 | 40.930 | 22.696 | 0.000 | -0.000 | 0.000 |
| 22.696 | 22.696 | 40.930 | 0.000 | 0.000 | 0.000 |
| 0.000 | -0.000 | -0.000 | 6.614 | -0.000 | 0.000 |
| -0.000 | 0.000 | -0.000 | -0.000 | 6.614 | 0.000 |
| -0.000 | -0.000 | -0.000 | -0.000 | 0.000 | 6.614 |
| 40.930 | 22.696 | 22.696 | -0.000 | -0.000 | -0.000 |
| 22.696 | 40.930 | 22.696 | -0.000 | 0.000 | -0.000 |
| 22.696 | 22.696 | 40.930 | 0.000 | 0.000 | -0.000 |
| -0.000 | 0.000 | 0.000 | 6.614 | 0.000 | -0.000 |
| 0.000 | -0.000 | 0.000 | 0.000 | 6.614 | -0.000 |
| 0.000 | 0.000 | -0.000 | -0.000 | 0.000 | 6.614 |
| 40.930 | 22.696 | 22.696 | 0.000 | -0.000 | 0.000 |
| 22.696 | 40.930 | 22.696 | 0.000 | -0.000 | 0.000 |
| 22.696 | 22.696 | 40.930 | 0.000 | -0.000 | 0.000 |
| 0.000 | -0.000 | -0.000 | 6.614 | -0.000 | 0.000 |
| -0.000 | 0.000 | -0.000 | 0.000 | 6.614 | 0.000 |
| -0.000 | -0.000 | 0.000 | -0.000 | 0.000 | 6.614 |
| 40.931 | 22.696 | 22.696 | 0.000 | 0.000 | -0.000 |
| 22.696 | 40.931 | 22.696 | -0.000 | 0.000 | -0.000 |
| 22.696 | 22.696 | 40.931 | -0.000 | 0.000 | -0.000 |
| -0.000 | 0.000 | 0.000 | 6.614 | 0.000 | -0.000 |
| 0.000 | -0.000 | 0.000 | 0.000 | 6.614 | -0.000 |
| 0.000 | 0.000 | -0.000 | -0.000 | 0.000 | 6.614 |
| 40.930 | 22.696 | 22.696 | 0.000 | 0.000 | 0.000 |
| 22.696 | 40.930 | 22.696 | 0.000 | -0.000 | 0.000 |
| 22.696 | 22.696 | 40.930 | -0.000 | -0.000 | 0.000 |
| 0.000 | -0.000 | -0.000 | 6.614 | -0.000 | 0.000 |
| -0.000 | 0.000 | -0.000 | -0.000 | 6.614 | 0.000 |
| -0.000 | -0.000 | 0.000 | 0.000 | -0.000 | 6.614 |
| 39.732 | 8.412 | 8.412 | 0.000 | -0.000 | -0.000 |
| 8.412 | 39.732 | 8.412 | 0.000 | 0.000 | 0.000 |
| 8.412 | 8.412 | 39.732 | -0.000 | -0.000 | 0.000 |
| -0.000 | -0.000 | -0.000 | 5.257 | -0.000 | -0.000 |
| -0.000 | -0.000 | -0.000 | 0.000 | 5.257 | 0.000 |
| -0.000 | -0.000 | -0.000 | -0.000 | -0.000 | 5.257 |
| 39.732 | 8.412 | 8.412 | 0.000 | 0.000 | -0.000 |
| 8.412 | 39.732 | 8.412 | -0.000 | 0.000 | -0.000 |
| 8.412 | 8.412 | 39.732 | -0.000 | 0.000 | 0.000 |
| 0.000 | 0.000 | 0.000 | 5.257 | 0.000 | -0.000 |
| 0.000 | 0.000 | 0.000 | 0.000 | 5.257 | -0.000 |
| 0.000 | 0.000 | 0.000 | 0.000 | 0.000 | 5.257 |
| 39.732 | 8.412 | 8.412 | 0.000 | -0.000 | 0.000 |
| 8.412 | 39.732 | 8.412 | -0.000 | 0.000 | -0.000 |
| 8.412 | 8.412 | 39.732 | 0.000 | 0.000 | 0.000 |
| -0.000 | -0.000 | -0.000 | 5.257 | -0.000 | 0.000 |
| -0.000 | -0.000 | -0.000 | -0.000 | 5.257 | -0.000 |
| -0.000 | -0.000 | -0.000 | -0.000 | -0.000 | 5.257 |
| 39.732 | 8.412 | 8.412 | -0.000 | 0.000 | 0.000 |
| 8.412 | 39.732 | 8.412 | 0.000 | 0.000 | -0.000 |
| 8.412 | 8.412 | 39.732 | -0.000 | 0.000 | -0.000 |
| 0.000 | 0.000 | 0.000 | 5.257 | -0.000 | -0.000 |
| 0.000 | 0.000 | 0.000 | 0.000 | 5.257 | 0.000 |
| 0.000 | 0.000 | 0.000 | 0.000 | 0.000 | 5.257 |
| 39.732 | 8.412 | 8.412 | 0.000 | -0.000 | 0.000 |
| 8.412 | 39.732 | 8.412 | 0.000 | 0.000 | 0.000 |
| 8.412 | 8.412 | 39.732 | -0.000 | -0.000 | 0.000 |
| -0.000 | -0.000 | -0.000 | 5.257 | -0.000 | 0.000 |
| -0.000 | -0.000 | -0.000 | -0.000 | 5.257 | 0.000 |
| -0.000 | -0.000 | -0.000 | -0.000 | -0.000 | 5.257 |
| 39.732 | 8.413 | 8.413 | 0.000 | -0.000 | 0.000 |
| 8.413 | 39.732 | 8.413 | -0.000 | 0.000 | 0.000 |
| 8.413 | 8.413 | 39.732 | 0.000 | 0.000 | 0.000 |
| 0.000 | 0.000 | 0.000 | 5.257 | 0.000 | 0.000 |
| 0.000 | 0.000 | 0.000 | 0.000 | 5.257 | 0.000 |
| 0.000 | 0.000 | 0.000 | 0.000 | 0.000 | 5.257 |
| 4.956 | 7.093 | 7.093 | -0.000 | -0.000 | -0.000 |
| 7.093 | 4.956 | 7.093 | -0.000 | -0.000 | -0.000 |
| 7.093 | 7.093 | 4.956 | -0.000 | -0.000 | -0.000 |
| -0.000 | 0.000 | 0.000 | -2.247 | -0.000 | -0.000 |
| 0.000 | -0.000 | 0.000 | -0.000 | -2.247 | -0.000 |
| 0.000 | 0.000 | -0.000 | -0.000 | -0.000 | -2.247 |
| 4.956 | 7.093 | 7.093 | 0.000 | 0.000 | 0.000 |
| 7.093 | 4.956 | 7.093 | 0.000 | 0.000 | 0.000 |
| 7.093 | 7.093 | 4.956 | 0.000 | 0.000 | 0.000 |
| 0.000 | -0.000 | -0.000 | -2.247 | 0.000 | 0.000 |
| -0.000 | 0.000 | -0.000 | 0.000 | -2.247 | 0.000 |
| -0.000 | -0.000 | 0.000 | 0.000 | 0.000 | -2.247 |
| 769624.372 | 785333.534 | 782032.548 | 9604.272 | 1214.297 | 4486.234 |
| 766672.566 | 746796.074 | 762658.236 | -12501.543 | 4148.399 | -7040.757 |
| 758338.122 | 727836.742 | 725131.175 | -1042.128 | 2714.087 | 2078.968 |
| -0.000 | 0.000 | 0.000 | -2.247 | -0.000 | -0.000 |
| 0.000 | -0.000 | 0.000 | -0.000 | -2.247 | -0.000 |
| 0.000 | 0.000 | -0.000 | -0.000 | -0.000 | -2.247 |
| -734958.287 | -772216.265 | -778612.633 | 3956.876 | 6165.109 | 15268.606 |
| -784009.084 | -755418.092 | -753465.940 | 5310.628 | -5027.567 | -5349.824 |
| -805784.535 | -796406.454 | -773430.413 | -2884.645 | 4160.565 | 1634.784 |
| 0.000 | -0.000 | -0.000 | -2.247 | 0.000 | 0.000 |
| -0.000 | 0.000 | -0.000 | 0.000 | -2.247 | 0.000 |
| -0.000 | -0.000 | 0.000 | 0.000 | 0.000 | -2.247 |
| 72341.083 | 74169.141 | 75164.520 | 1745.999 | -1731.001 | -351.914 |
| 74545.413 | 70367.777 | 75592.031 | 426.319 | 1367.111 | -1619.210 |
| 77034.995 | 75854.317 | 75438.276 | 211.894 | 1242.470 | 1415.682 |
| -0.000 | 0.000 | 0.000 | -2.247 | -0.000 | -0.000 |
| 0.000 | -0.000 | 0.000 | -0.000 | -2.247 | -0.000 |
| 0.000 | 0.000 | -0.000 | -0.000 | -0.000 | -2.247 |
| -74740.614 | -79435.042 | -80198.778 | -303.682 | 498.189 | -617.751 |
| -79992.928 | -76855.855 | -79467.974 | -174.543 | -1367.541 | -669.555 |
| -77362.864 | -78957.905 | -75173.514 | 1471.130 | 1082.918 | 362.938 |
| 0.000 | -0.000 | -0.000 | -2.247 | 0.000 | 0.000 |
| -0.000 | 0.000 | -0.000 | 0.000 | -2.247 | 0.000 |
| -0.000 | -0.000 | 0.000 | 0.000 | 0.000 | -2.247 |
| 6.858 | 2.287 | 2.287 | 0.000 | -0.000 | -0.000 |
| 2.287 | 6.858 | 2.287 | -0.000 | 0.000 | -0.000 |
| 2.287 | 2.287 | 6.858 | -0.000 | 0.000 | 0.000 |
| -0.000 | -0.000 | -0.000 | 0.906 | 0.000 | -0.000 |
| -0.000 | -0.000 | -0.000 | 0.000 | 0.906 | 0.000 |
| -0.000 | -0.000 | -0.000 | -0.000 | 0.000 | 0.906 |
| 6.858 | 2.287 | 2.287 | 0.000 | 0.000 | -0.000 |
| 2.287 | 6.858 | 2.287 | -0.000 | -0.000 | 0.000 |
| 2.287 | 2.287 | 6.858 | 0.000 | -0.000 | -0.000 |
| 0.000 | 0.000 | 0.000 | 0.906 | -0.000 | -0.000 |
| 0.000 | 0.000 | 0.000 | 0.000 | 0.906 | -0.000 |
| 0.000 | 0.000 | 0.000 | 0.000 | -0.000 | 0.906 |
| 5.632 | 2.900 | 2.900 | -0.000 | -0.000 | 0.000 |
| 2.900 | 5.632 | 2.900 | -0.000 | -0.000 | -0.000 |
| 2.900 | 2.900 | 5.632 | -0.000 | -0.000 | -0.000 |
| -0.000 | -0.000 | -0.000 | 0.906 | 0.000 | 0.000 |
| -0.000 | -0.000 | -0.000 | -0.000 | 0.906 | 0.000 |
| -0.000 | -0.000 | -0.000 | -0.000 | 0.000 | 0.906 |
| 7.782 | 1.825 | 1.825 | -0.000 | -0.000 | -0.000 |
| 1.825 | 7.782 | 1.825 | -0.000 | 0.000 | -0.000 |
| 1.825 | 1.825 | 7.782 | -0.000 | 0.000 | -0.000 |
| 0.000 | 0.000 | 0.000 | 0.906 | -0.000 | 0.000 |
| 0.000 | 0.000 | 0.000 | 0.000 | 0.906 | -0.000 |
| 0.000 | 0.000 | 0.000 | 0.000 | -0.000 | 0.906 |
| 4.231 | 3.601 | 3.601 | -0.000 | -0.000 | -0.000 |
| 3.601 | 4.231 | 3.601 | 0.000 | -0.000 | 0.000 |
| 3.601 | 3.601 | 4.231 | -0.000 | -0.000 | -0.000 |
| -0.000 | -0.000 | -0.000 | 0.064 | -0.000 | -0.000 |
| -0.000 | -0.000 | -0.000 | -0.000 | 0.064 | 0.000 |
| -0.000 | -0.000 | -0.000 | -0.000 | -0.000 | 0.064 |
| 4.403 | 3.515 | 3.515 | 0.000 | 0.000 | 0.000 |
| 3.515 | 4.403 | 3.515 | -0.000 | 0.000 | 0.000 |
| 3.515 | 3.515 | 4.403 | 0.000 | 0.000 | 0.000 |
| 0.000 | 0.000 | 0.000 | 0.064 | 0.000 | -0.000 |
| 0.000 | 0.000 | 0.000 | 0.000 | 0.064 | 0.000 |
| 0.000 | 0.000 | 0.000 | 0.000 | 0.000 | 0.064 |
| 14.468 | 18.652 | 18.652 | -0.000 | 0.000 | 0.000 |
| 18.652 | 14.468 | 18.652 | -0.000 | -0.000 | -0.000 |
| 18.652 | 18.652 | 14.468 | -0.000 | 0.000 | 0.000 |
| -0.000 | -0.000 | -0.000 | 12.380 | -0.000 | 0.000 |
| -0.000 | -0.000 | -0.000 | -0.000 | 12.380 | 0.000 |
| -0.000 | -0.000 | -0.000 | -0.000 | -0.000 | 12.380 |
| 14.468 | 18.652 | 18.652 | 0.000 | 0.000 | -0.000 |
| 18.652 | 14.468 | 18.652 | 0.000 | 0.000 | -0.000 |
| 18.652 | 18.652 | 14.468 | 0.000 | 0.000 | 0.000 |
| 0.000 | 0.000 | 0.000 | 12.380 | -0.000 | -0.000 |
| 0.000 | 0.000 | 0.000 | 0.000 | 12.380 | 0.000 |
| 0.000 | 0.000 | 0.000 | 0.000 | 0.000 | 12.380 |
| 14.468 | 18.652 | 18.652 | -0.000 | -0.000 | 0.000 |
| 18.652 | 14.468 | 18.652 | -0.000 | -0.000 | 0.000 |
| 18.652 | 18.652 | 14.468 | -0.000 | -0.000 | 0.000 |
| -0.000 | -0.000 | -0.000 | 12.380 | -0.000 | 0.000 |
| -0.000 | -0.000 | -0.000 | -0.000 | 12.380 | -0.000 |
| -0.000 | -0.000 | -0.000 | -0.000 | -0.000 | 12.380 |
| 14.468 | 18.652 | 18.652 | 0.000 | 0.000 | -0.000 |
| 18.652 | 14.468 | 18.652 | 0.000 | 0.000 | -0.000 |
| 18.652 | 18.652 | 14.468 | 0.000 | 0.000 | -0.000 |
| 0.000 | 0.000 | 0.000 | 12.380 | 0.000 | -0.000 |
| 0.000 | 0.000 | 0.000 | 0.000 | 12.380 | -0.000 |
| 0.000 | 0.000 | 0.000 | 0.000 | 0.000 | 12.380 |
| 14.468 | 18.652 | 18.652 | -0.000 | -0.000 | 0.000 |
| 18.652 | 14.468 | 18.652 | -0.000 | -0.000 | 0.000 |
| 18.652 | 18.652 | 14.468 | 0.000 | 0.000 | 0.000 |
| -0.000 | -0.000 | -0.000 | 12.380 | 0.000 | 0.000 |
| -0.000 | -0.000 | -0.000 | -0.000 | 12.380 | 0.000 |
| -0.000 | -0.000 | -0.000 | -0.000 | -0.000 | 12.380 |
| 14.467 | 18.653 | 18.653 | 0.000 | 0.000 | -0.000 |
| 18.653 | 14.467 | 18.653 | 0.000 | 0.000 | -0.000 |
| 18.653 | 18.653 | 14.467 | 0.000 | 0.000 | 0.000 |
| 0.000 | 0.000 | 0.000 | 12.380 | -0.000 | -0.000 |
| 0.000 | 0.000 | 0.000 | 0.000 | 12.380 | -0.000 |
| 0.000 | 0.000 | 0.000 | 0.000 | 0.000 | 12.380 |
| 73.913 | 9.846 | 9.846 | 0.000 | 0.000 | -0.000 |
| 9.846 | 73.913 | 9.846 | 0.000 | 0.000 | -0.000 |
| 9.846 | 9.846 | 73.913 | 0.000 | 0.000 | -0.000 |
| -0.000 | -0.000 | -0.000 | 9.464 | 0.000 | -0.000 |
| -0.000 | -0.000 | -0.000 | 0.000 | 9.464 | -0.000 |
| -0.000 | -0.000 | -0.000 | 0.000 | 0.000 | 9.464 |
| 73.913 | 9.846 | 9.846 | -0.000 | -0.000 | 0.000 |
| 9.846 | 73.913 | 9.846 | -0.000 | -0.000 | 0.000 |
| 9.846 | 9.846 | 73.913 | -0.000 | -0.000 | 0.000 |
| 0.000 | 0.000 | 0.000 | 9.464 | -0.000 | 0.000 |
| 0.000 | 0.000 | 0.000 | -0.000 | 9.464 | -0.000 |
| 0.000 | 0.000 | 0.000 | -0.000 | -0.000 | 9.464 |
| 73.913 | 9.846 | 9.846 | 0.000 | 0.000 | -0.000 |
| 9.846 | 73.913 | 9.846 | 0.000 | 0.000 | -0.000 |
| 9.846 | 9.846 | 73.913 | 0.000 | 0.000 | -0.000 |
| -0.000 | -0.000 | -0.000 | 9.464 | 0.000 | -0.000 |
| -0.000 | -0.000 | -0.000 | 0.000 | 9.464 | -0.000 |
| -0.000 | -0.000 | -0.000 | 0.000 | 0.000 | 9.464 |
| 73.913 | 9.846 | 9.846 | -0.000 | -0.000 | 0.000 |
| 9.846 | 73.913 | 9.846 | -0.000 | -0.000 | 0.000 |
| 9.846 | 9.846 | 73.913 | -0.000 | -0.000 | 0.000 |
| 0.000 | 0.000 | 0.000 | 9.464 | -0.000 | 0.000 |
| 0.000 | 0.000 | 0.000 | -0.000 | 9.464 | 0.000 |
| 0.000 | 0.000 | 0.000 | -0.000 | -0.000 | 9.464 |
| 73.914 | 9.846 | 9.846 | 0.000 | 0.000 | -0.000 |
| 9.846 | 73.914 | 9.846 | 0.000 | 0.000 | -0.000 |
| 9.846 | 9.846 | 73.914 | 0.000 | 0.000 | -0.000 |
| -0.000 | -0.000 | -0.000 | 9.464 | 0.000 | -0.000 |
| -0.000 | -0.000 | -0.000 | 0.000 | 9.464 | 0.000 |
| -0.000 | -0.000 | -0.000 | 0.000 | 0.000 | 9.464 |
| 73.912 | 9.846 | 9.846 | -0.000 | -0.000 | 0.000 |
| 9.846 | 73.912 | 9.846 | -0.000 | -0.000 | 0.000 |
| 9.846 | 9.846 | 73.912 | -0.000 | -0.000 | 0.000 |
| 0.000 | 0.000 | 0.000 | 9.464 | -0.000 | 0.000 |
| 0.000 | 0.000 | 0.000 | -0.000 | 9.464 | 0.000 |
| 0.000 | 0.000 | 0.000 | -0.000 | -0.000 | 9.464 |
| 7.727 | 7.727 | 7.727 | 0.000 | 0.000 | -0.000 |
| 7.727 | 7.727 | 7.727 | 0.000 | 0.000 | -0.000 |
| 7.727 | 7.727 | 7.727 | 0.000 | 0.000 | -0.000 |
| 0.000 | 0.000 | 0.000 | 7.703 | 0.000 | -0.000 |
| 0.000 | 0.000 | 0.000 | 0.000 | 7.703 | -0.000 |
| 0.000 | 0.000 | 0.000 | 0.000 | 0.000 | 7.703 |
| 7.726 | 7.726 | 7.726 | -0.000 | -0.000 | 0.000 |
| 7.726 | 7.726 | 7.726 | -0.000 | -0.000 | 0.000 |
| 7.726 | 7.726 | 7.726 | -0.000 | -0.000 | 0.000 |
| -0.000 | -0.000 | -0.000 | 7.703 | -0.000 | 0.000 |
| -0.000 | -0.000 | -0.000 | -0.000 | 7.703 | 0.000 |
| -0.000 | -0.000 | -0.000 | -0.000 | -0.000 | 7.703 |
| 7.727 | 7.727 | 7.727 | 0.000 | 0.000 | -0.000 |
| 7.727 | 7.727 | 7.727 | 0.000 | 0.000 | -0.000 |
| 7.727 | 7.727 | 7.727 | 0.000 | 0.000 | -0.000 |
| 0.000 | 0.000 | 0.000 | 7.703 | 0.000 | -0.000 |
| 0.000 | 0.000 | 0.000 | 0.000 | 7.703 | -0.000 |
| 0.000 | 0.000 | 0.000 | 0.000 | 0.000 | 7.703 |
| 7.726 | 7.726 | 7.726 | -0.000 | -0.000 | 0.000 |
| 7.726 | 7.726 | 7.726 | -0.000 | -0.000 | 0.000 |
| 7.726 | 7.726 | 7.726 | -0.000 | -0.000 | -0.000 |
| -0.000 | -0.000 | -0.000 | 7.703 | -0.000 | 0.000 |
| -0.000 | -0.000 | -0.000 | 0.000 | 7.703 | 0.000 |
| -0.000 | -0.000 | -0.000 | -0.000 | -0.000 | 7.703 |
| 7.727 | 7.727 | 7.727 | 0.000 | 0.000 | -0.000 |
| 7.727 | 7.727 | 7.727 | 0.000 | 0.000 | -0.000 |
| 7.727 | 7.727 | 7.727 | 0.000 | 0.000 | 0.000 |
| 0.000 | 0.000 | 0.000 | 7.703 | 0.000 | -0.000 |
| 0.000 | 0.000 | 0.000 | 0.000 | 7.703 | -0.000 |
| 0.000 | 0.000 | 0.000 | 0.000 | 0.000 | 7.703 |
| 7.726 | 7.726 | 7.726 | -0.000 | -0.000 | 0.000 |
| 7.726 | 7.726 | 7.726 | -0.000 | -0.000 | 0.000 |
| 7.726 | 7.726 | 7.726 | -0.000 | -0.000 | 0.000 |
| -0.000 | -0.000 | -0.000 | 7.703 | -0.000 | 0.000 |
| -0.000 | -0.000 | -0.000 | -0.000 | 7.703 | 0.000 |
| -0.000 | -0.000 | -0.000 | -0.000 | -0.000 | 7.703 |
| 2.626 | 2.626 | 2.626 | -0.000 | -0.000 | -0.000 |
| 2.626 | 2.626 | 2.626 | -0.000 | -0.000 | -0.000 |
| 2.626 | 2.626 | 2.626 | 0.000 | 0.000 | -0.000 |
| 0.000 | 0.000 | 0.000 | -5.287 | 0.000 | -0.000 |
| 0.000 | 0.000 | 0.000 | 0.000 | -5.287 | -0.000 |
| 0.000 | 0.000 | 0.000 | 0.000 | -0.000 | -5.287 |
| 2.626 | 2.626 | 2.626 | -0.000 | 0.000 | 0.000 |
| 2.626 | 2.626 | 2.626 | 0.000 | -0.000 | 0.000 |
| 2.626 | 2.626 | 2.626 | -0.000 | -0.000 | 0.000 |
| -0.000 | -0.000 | -0.000 | -5.287 | -0.000 | 0.000 |
| -0.000 | -0.000 | -0.000 | -0.000 | -5.287 | 0.000 |
| -0.000 | -0.000 | -0.000 | 0.000 | 0.000 | -5.287 |
| 2.626 | 2.626 | 2.626 | -0.000 | -0.000 | -0.000 |
| 2.626 | 2.626 | 2.626 | -0.000 | -0.000 | -0.000 |
| 2.626 | 2.626 | 2.626 | -0.000 | -0.000 | -0.000 |
| 0.000 | 0.000 | 0.000 | -5.287 | 0.000 | -0.000 |
| 0.000 | 0.000 | 0.000 | 0.000 | -5.287 | -0.000 |
| 0.000 | 0.000 | 0.000 | 0.000 | 0.000 | -5.287 |
| 2.626 | 2.626 | 2.626 | -0.000 | -0.000 | 0.000 |
| 2.626 | 2.626 | 2.626 | -0.000 | -0.000 | 0.000 |
| 2.626 | 2.626 | 2.626 | -0.000 | -0.000 | 0.000 |
| -0.000 | -0.000 | -0.000 | -5.287 | -0.000 | 0.000 |
| -0.000 | -0.000 | -0.000 | -0.000 | -5.287 | 0.000 |
| -0.000 | -0.000 | -0.000 | -0.000 | -0.000 | -5.287 |
| 2.626 | 2.626 | 2.626 | -0.000 | -0.000 | -0.000 |
| 2.626 | 2.626 | 2.626 | -0.000 | -0.000 | -0.000 |
| 2.626 | 2.626 | 2.626 | -0.000 | -0.000 | -0.000 |
| 0.000 | 0.000 | 0.000 | -5.287 | -0.000 | -0.000 |
| 0.000 | 0.000 | 0.000 | -0.000 | -5.287 | -0.000 |
| 0.000 | 0.000 | 0.000 | -0.000 | 0.000 | -5.287 |
| 2.625 | 2.625 | 2.625 | 0.000 | 0.000 | 0.000 |
| 2.625 | 2.625 | 2.625 | 0.000 | 0.000 | 0.000 |
| 2.625 | 2.625 | 2.625 | 0.000 | 0.000 | 0.000 |
| -0.000 | -0.000 | -0.000 | -5.287 | 0.000 | 0.000 |
| -0.000 | -0.000 | -0.000 | 0.000 | -5.287 | 0.000 |
| -0.000 | -0.000 | -0.000 | 0.000 | 0.000 | -5.287 |
| 31.524 | 12.714 | 10.254 | 0.000 | 0.000 | 0.000 |
| 12.714 | 31.524 | 10.254 | 0.000 | -0.000 | -0.000 |
| 10.254 | 10.254 | 33.984 | 0.000 | 0.000 | 0.000 |
| -0.000 | -0.000 | -0.000 | 7.910 | 0.000 | 0.000 |
| -0.000 | -0.000 | -0.000 | 0.000 | 7.910 | 0.000 |
| -0.000 | -0.000 | -0.000 | 0.000 | -0.000 | 9.405 |
| 32.007 | 12.231 | 10.254 | -0.000 | -0.000 | -0.000 |
| 12.231 | 32.007 | 10.254 | -0.000 | -0.000 | 0.000 |
| 10.254 | 10.254 | 33.984 | -0.000 | -0.000 | -0.000 |
| 0.000 | 0.000 | 0.000 | 7.910 | -0.000 | -0.000 |
| 0.000 | 0.000 | 0.000 | -0.000 | 7.910 | -0.000 |
| 0.000 | 0.000 | 0.000 | 0.000 | 0.000 | 9.405 |
| 32.007 | 12.231 | 10.254 | 0.000 | 0.000 | -0.000 |
| 12.714 | 31.524 | 10.254 | 0.000 | -0.000 | -0.000 |
| 10.254 | 10.254 | 33.984 | 0.000 | 0.000 | 0.000 |
| -0.000 | -0.000 | -0.000 | 7.910 | 0.000 | -0.000 |
| -0.000 | -0.000 | -0.000 | 0.000 | 7.910 | 0.000 |
| -0.000 | -0.000 | -0.000 | 0.000 | -0.000 | 9.888 |
| 31.524 | 12.714 | 10.254 | -0.000 | -0.000 | -0.000 |
| 12.231 | 32.007 | 10.254 | -0.000 | -0.000 | 0.000 |
| 10.254 | 10.254 | 33.984 | -0.000 | -0.000 | -0.000 |
| 0.000 | 0.000 | 0.000 | 7.910 | -0.000 | 0.000 |
| 0.000 | 0.000 | 0.000 | -0.000 | 7.910 | 0.000 |
| 0.000 | 0.000 | 0.000 | -0.000 | 0.000 | 9.888 |
| 31.523 | 12.714 | 10.254 | 0.000 | 0.000 | 0.000 |
| 12.961 | 31.276 | 10.254 | 0.000 | 0.000 | 0.000 |
| 10.253 | 10.253 | 33.984 | 0.000 | 0.000 | 0.000 |
| -0.000 | -0.000 | -0.000 | 7.910 | 0.000 | -0.000 |
| -0.000 | -0.000 | -0.000 | 0.000 | 7.910 | 0.000 |
| -0.000 | -0.000 | -0.000 | 0.000 | -0.000 | 8.908 |
| 31.525 | 12.714 | 10.254 | -0.000 | 0.000 | -0.000 |
| 12.961 | 31.277 | 10.254 | -0.000 | -0.000 | -0.000 |
| 10.254 | 10.254 | 33.985 | -0.000 | -0.000 | -0.000 |
| 0.000 | 0.000 | 0.000 | 7.910 | -0.000 | 0.000 |
| 0.000 | 0.000 | 0.000 | -0.000 | 7.910 | -0.000 |
| 0.000 | 0.000 | 0.000 | -0.000 | 0.000 | 8.917 |
| 49.018 | 18.517 | 13.517 | -0.000 | -0.000 | -0.000 |
| 18.517 | 49.018 | 13.517 | -0.000 | -0.000 | -0.000 |
| 13.517 | 13.517 | 54.018 | -0.000 | 0.000 | -0.000 |
| 0.000 | 0.000 | 0.000 | 13.500 | 0.000 | -0.000 |
| 0.000 | 0.000 | 0.000 | -0.000 | 13.500 | -0.000 |
| 0.000 | 0.000 | -0.000 | -0.000 | -0.000 | 15.250 |
| 49.018 | 18.517 | 13.517 | 0.000 | 0.000 | 0.000 |
| 16.892 | 50.643 | 13.517 | 0.000 | -0.000 | 0.000 |
| 13.517 | 13.517 | 54.018 | 0.000 | -0.000 | 0.000 |
| -0.000 | -0.000 | -0.000 | 13.500 | -0.000 | 0.000 |
| -0.000 | -0.000 | -0.000 | 0.000 | 13.500 | -0.000 |
| -0.000 | -0.000 | 0.000 | 0.000 | 0.000 | 15.250 |
| 49.018 | 18.517 | 13.517 | -0.000 | 0.000 | -0.000 |
| 18.517 | 49.018 | 13.517 | -0.000 | -0.000 | -0.000 |
| 13.517 | 13.517 | 54.018 | -0.000 | 0.000 | -0.000 |
| 0.000 | 0.000 | 0.000 | 13.500 | -0.000 | -0.000 |
| 0.000 | 0.000 | 0.000 | -0.000 | 13.500 | -0.000 |
| 0.000 | 0.000 | 0.000 | -0.000 | -0.000 | 16.876 |
| 50.643 | 16.892 | 13.517 | 0.000 | 0.000 | 0.000 |
| 16.892 | 50.643 | 13.517 | 0.000 | -0.000 | 0.000 |
| 13.517 | 13.517 | 54.018 | 0.000 | -0.000 | 0.000 |
| -0.000 | -0.000 | -0.000 | 13.500 | 0.000 | 0.000 |
| -0.000 | -0.000 | -0.000 | 0.000 | 13.500 | -0.000 |
| -0.000 | -0.000 | -0.000 | 0.000 | -0.000 | 16.876 |
| 50.644 | 16.892 | 13.517 | -0.000 | 0.000 | -0.000 |
| 18.517 | 49.019 | 13.517 | -0.000 | -0.000 | -0.000 |
| 13.517 | 13.517 | 54.019 | -0.000 | 0.000 | -0.000 |
| 0.000 | 0.000 | 0.000 | 13.500 | -0.000 | -0.000 |
| 0.000 | 0.000 | 0.000 | -0.000 | 13.500 | -0.000 |
| 0.000 | 0.000 | -0.000 | -0.000 | -0.000 | 15.250 |
| 48.957 | 18.577 | 13.517 | 0.000 | 0.000 | 0.000 |
| 18.577 | 48.957 | 13.517 | 0.000 | 0.000 | 0.000 |
| 13.517 | 13.517 | 54.018 | 0.000 | -0.000 | 0.000 |
| -0.000 | -0.000 | -0.000 | 13.500 | 0.000 | 0.000 |
| -0.000 | -0.000 | -0.000 | 0.000 | 13.500 | -0.000 |
| -0.000 | -0.000 | 0.000 | 0.000 | 0.000 | 15.250 |
| 32.007 | 12.231 | 10.254 | -0.000 | 0.000 | -0.000 |
| 12.231 | 32.007 | 10.254 | -0.000 | -0.000 | -0.000 |
| 10.254 | 10.254 | 33.984 | -0.000 | -0.000 | 0.000 |
| -0.000 | -0.000 | -0.000 | 7.910 | -0.000 | 0.000 |
| -0.000 | -0.000 | -0.000 | -0.000 | 7.910 | -0.000 |
| -0.000 | -0.000 | -0.000 | -0.000 | -0.000 | 9.888 |
| 31.041 | 13.197 | 10.254 | 0.000 | 0.000 | -0.000 |
| 12.231 | 32.007 | 10.254 | 0.000 | 0.000 | 0.000 |
| 10.254 | 10.254 | 33.984 | 0.000 | 0.000 | -0.000 |
| 0.000 | 0.000 | 0.000 | 7.910 | 0.000 | -0.000 |
| 0.000 | 0.000 | 0.000 | 0.000 | 7.910 | -0.000 |
| 0.000 | 0.000 | 0.000 | 0.000 | -0.000 | 9.888 |
| 32.007 | 12.231 | 10.254 | -0.000 | 0.000 | -0.000 |
| 13.197 | 31.041 | 10.254 | -0.000 | -0.000 | 0.000 |
| 10.254 | 10.254 | 33.984 | -0.000 | -0.000 | 0.000 |
| -0.000 | -0.000 | -0.000 | 7.910 | -0.000 | 0.000 |
| -0.000 | -0.000 | -0.000 | -0.000 | 7.910 | 0.000 |
| -0.000 | -0.000 | -0.000 | -0.000 | -0.000 | 8.922 |
| 31.041 | 13.197 | 10.254 | 0.000 | -0.000 | -0.000 |
| 12.231 | 32.007 | 10.254 | 0.000 | 0.000 | 0.000 |
| 10.254 | 10.254 | 33.984 | 0.000 | 0.000 | -0.000 |
| 0.000 | 0.000 | 0.000 | 7.910 | 0.000 | -0.000 |
| 0.000 | 0.000 | 0.000 | 0.000 | 7.910 | -0.000 |
| 0.000 | 0.000 | 0.000 | 0.000 | -0.000 | 8.922 |
| 31.018 | 13.219 | 10.254 | -0.000 | -0.000 | 0.000 |
| 13.197 | 31.040 | 10.254 | -0.000 | -0.000 | 0.000 |
| 10.253 | 10.253 | 33.984 | -0.000 | -0.000 | 0.000 |
| -0.000 | -0.000 | -0.000 | 7.910 | -0.000 | -0.000 |
| -0.000 | -0.000 | -0.000 | -0.000 | 7.910 | 0.000 |
| -0.000 | -0.000 | -0.000 | -0.000 | 0.000 | 8.900 |
| 31.019 | 13.219 | 10.254 | 0.000 | -0.000 | -0.000 |
| 13.197 | 31.042 | 10.254 | 0.000 | 0.000 | -0.000 |
| 10.254 | 10.254 | 33.985 | 0.000 | 0.000 | -0.000 |
| 0.000 | 0.000 | 0.000 | 7.910 | 0.000 | 0.000 |
| 0.000 | 0.000 | 0.000 | 0.000 | 7.910 | -0.000 |
| 0.000 | 0.000 | 0.000 | 0.000 | -0.000 | 8.900 |
| 48.956 | 18.580 | 13.517 | 0.000 | -0.000 | -0.000 |
| 18.580 | 48.956 | 13.517 | -0.000 | 0.000 | -0.000 |
| 13.517 | 13.517 | 54.018 | 0.000 | 0.000 | -0.000 |
| 0.000 | 0.000 | 0.000 | 13.500 | 0.000 | -0.000 |
| 0.000 | 0.000 | 0.000 | -0.000 | 13.500 | -0.000 |
| 0.000 | 0.000 | 0.000 | -0.000 | -0.000 | 15.188 |
| 48.956 | 18.580 | 13.517 | 0.000 | -0.000 | 0.000 |
| 18.580 | 48.956 | 13.517 | 0.000 | 0.000 | 0.000 |
| 13.517 | 13.517 | 54.018 | 0.000 | -0.000 | 0.000 |
| -0.000 | -0.000 | -0.000 | 13.500 | -0.000 | 0.000 |
| -0.000 | -0.000 | -0.000 | 0.000 | 13.500 | -0.000 |
| -0.000 | -0.000 | -0.000 | 0.000 | 0.000 | 15.188 |
| 48.956 | 18.580 | 13.517 | -0.000 | 0.000 | -0.000 |
| 18.580 | 48.956 | 13.517 | -0.000 | -0.000 | -0.000 |
| 13.517 | 13.517 | 54.018 | -0.000 | 0.000 | -0.000 |
| 0.000 | 0.000 | 0.000 | 13.500 | 0.000 | 0.000 |
| 0.000 | 0.000 | 0.000 | -0.000 | 13.500 | -0.000 |
| 0.000 | 0.000 | -0.000 | -0.000 | -0.000 | 15.188 |
| 48.956 | 18.579 | 13.517 | 0.000 | -0.000 | 0.000 |
| 18.579 | 48.956 | 13.517 | 0.000 | 0.000 | 0.000 |
| 13.517 | 13.517 | 54.018 | -0.000 | -0.000 | 0.000 |
| -0.000 | -0.000 | -0.000 | 13.500 | -0.000 | -0.000 |
| -0.000 | -0.000 | -0.000 | 0.000 | 13.500 | -0.000 |
| -0.000 | -0.000 | 0.000 | 0.000 | 0.000 | 15.188 |
| 48.956 | 18.580 | 13.517 | -0.000 | 0.000 | -0.000 |
| 18.580 | 48.956 | 13.517 | -0.000 | -0.000 | -0.000 |
| 13.517 | 13.517 | 54.019 | -0.000 | 0.000 | -0.000 |
| 0.000 | 0.000 | 0.000 | 13.500 | -0.000 | -0.000 |
| 0.000 | 0.000 | 0.000 | 0.000 | 13.500 | -0.000 |
| 0.000 | 0.000 | -0.000 | -0.000 | -0.000 | 15.188 |
| 48.955 | 18.579 | 13.517 | 0.000 | 0.000 | -0.000 |
| 18.579 | 48.955 | 13.517 | 0.000 | 0.000 | 0.000 |
| 13.517 | 13.517 | 54.018 | 0.000 | -0.000 | 0.000 |
| -0.000 | -0.000 | -0.000 | 13.500 | 0.000 | 0.000 |
| -0.000 | -0.000 | -0.000 | 0.000 | 13.500 | 0.000 |
| -0.000 | -0.000 | 0.000 | 0.000 | 0.000 | 15.188 |
| 1.356 | 1.356 | 1.356 | -0.000 | -0.000 | -0.000 |
| 1.356 | 1.356 | 1.356 | -0.000 | -0.000 | -0.000 |
| 1.356 | 1.356 | 1.356 | -0.000 | -0.000 | -0.000 |
| -0.000 | -0.000 | -0.000 | 0.413 | -0.000 | -0.000 |
| -0.000 | -0.000 | -0.000 | -0.000 | 0.413 | -0.000 |
| -0.000 | -0.000 | -0.000 | -0.000 | -0.000 | 0.413 |
| 1.356 | 1.356 | 1.356 | 0.000 | 0.000 | 0.000 |
| 1.356 | 1.356 | 1.356 | 0.000 | 0.000 | 0.000 |
| 1.356 | 1.356 | 1.356 | 0.000 | 0.000 | 0.000 |
| 0.000 | 0.000 | 0.000 | 0.413 | 0.000 | 0.000 |
| 0.000 | 0.000 | 0.000 | 0.000 | 0.413 | 0.000 |
| 0.000 | 0.000 | 0.000 | 0.000 | 0.000 | 0.413 |
| 1.356 | 1.356 | 1.356 | -0.000 | -0.000 | -0.000 |
| 1.356 | 1.356 | 1.356 | -0.000 | -0.000 | -0.000 |
| 1.356 | 1.356 | 1.356 | -0.000 | -0.000 | -0.000 |
| 0.000 | 0.000 | 0.000 | 1.189 | 0.000 | -0.000 |
| 0.000 | 0.000 | 0.000 | 0.000 | 1.189 | -0.000 |
| 0.000 | 0.000 | 0.000 | 0.000 | -0.000 | 1.189 |
| 1.356 | 1.356 | 1.356 | 0.000 | 0.000 | 0.000 |
| 1.356 | 1.356 | 1.356 | 0.000 | 0.000 | 0.000 |
| 1.356 | 1.356 | 1.356 | 0.000 | 0.000 | 0.000 |
| -0.000 | -0.000 | -0.000 | 1.189 | 0.000 | 0.000 |
| -0.000 | -0.000 | -0.000 | 0.000 | 1.189 | 0.000 |
| -0.000 | -0.000 | -0.000 | 0.000 | 0.000 | 1.189 |
| 1.356 | 1.356 | 1.356 | -0.000 | -0.000 | -0.000 |
| 1.356 | 1.356 | 1.356 | -0.000 | -0.000 | -0.000 |
| 1.356 | 1.356 | 1.356 | -0.000 | -0.000 | -0.000 |
| -0.000 | -0.000 | -0.000 | 0.050 | -0.000 | -0.000 |
| -0.000 | -0.000 | -0.000 | -0.000 | 0.050 | -0.000 |
| -0.000 | -0.000 | -0.000 | -0.000 | -0.000 | 0.050 |
| 1.356 | 1.356 | 1.356 | -0.000 | 0.000 | 0.000 |
| 1.356 | 1.356 | 1.356 | 0.000 | -0.000 | 0.000 |
| 1.356 | 1.356 | 1.356 | 0.000 | 0.000 | -0.000 |
| 0.000 | 0.000 | 0.000 | 0.050 | 0.000 | 0.000 |
| 0.000 | 0.000 | 0.000 | 0.000 | 0.050 | 0.000 |
| 0.000 | 0.000 | 0.000 | 0.000 | 0.000 | 0.050 |
| 0.577 | 0.577 | 0.577 | 0.000 | -0.000 | -0.000 |
| 0.577 | 0.577 | 0.577 | -0.000 | 0.000 | -0.000 |
| 0.577 | 0.577 | 0.577 | -0.000 | -0.000 | 0.000 |
| -0.000 | -0.000 | -0.000 | 0.548 | -0.000 | -0.000 |
| -0.000 | -0.000 | -0.000 | -0.000 | 0.548 | -0.000 |
| -0.000 | -0.000 | -0.000 | -0.000 | -0.000 | 0.548 |
| 0.577 | 0.577 | 0.577 | -0.000 | 0.000 | 0.000 |
| 0.577 | 0.577 | 0.577 | 0.000 | -0.000 | 0.000 |
| 0.577 | 0.577 | 0.577 | 0.000 | 0.000 | -0.000 |
| 0.000 | 0.000 | 0.000 | 0.548 | 0.000 | 0.000 |
| 0.000 | 0.000 | 0.000 | 0.000 | 0.548 | 0.000 |
| 0.000 | 0.000 | 0.000 | 0.000 | 0.000 | 0.548 |
| 0.577 | 0.577 | 0.577 | 0.000 | -0.000 | -0.000 |
| 0.577 | 0.577 | 0.577 | -0.000 | 0.000 | -0.000 |
| 0.577 | 0.577 | 0.577 | -0.000 | -0.000 | 0.000 |
| -0.000 | -0.000 | -0.000 | 0.363 | -0.000 | -0.000 |
| -0.000 | -0.000 | -0.000 | -0.000 | 0.363 | -0.000 |
| -0.000 | -0.000 | -0.000 | -0.000 | -0.000 | 0.363 |
| 0.577 | 0.577 | 0.577 | 0.000 | 0.000 | 0.000 |
| 0.577 | 0.577 | 0.577 | 0.000 | 0.000 | 0.000 |
| 0.577 | 0.577 | 0.577 | 0.000 | 0.000 | 0.000 |
| 0.000 | 0.000 | 0.000 | 0.363 | 0.000 | 0.000 |
| 0.000 | 0.000 | 0.000 | 0.000 | 0.363 | 0.000 |
| 0.000 | 0.000 | 0.000 | 0.000 | 0.000 | 0.363 |
| 0.577 | 0.577 | 0.577 | -0.000 | -0.000 | -0.000 |
| 0.577 | 0.577 | 0.577 | -0.000 | -0.000 | -0.000 |
| 0.577 | 0.577 | 0.577 | -0.000 | -0.000 | 0.000 |
| -0.000 | -0.000 | -0.000 | 0.046 | 0.000 | 0.000 |
| -0.000 | -0.000 | -0.000 | 0.000 | 0.046 | 0.000 |
| -0.000 | -0.000 | -0.000 | 0.000 | 0.000 | 0.046 |
| 0.577 | 0.577 | 0.577 | -0.000 | 0.000 | 0.000 |
| 0.577 | 0.577 | 0.577 | 0.000 | -0.000 | 0.000 |
| 0.577 | 0.577 | 0.577 | 0.000 | 0.000 | -0.000 |
| 0.000 | 0.000 | 0.000 | 0.046 | -0.000 | -0.000 |
| 0.000 | 0.000 | 0.000 | -0.000 | 0.046 | -0.000 |
| 0.000 | 0.000 | 0.000 | -0.000 | -0.000 | 0.046 |
| 72.586 | 34.441 | 24.801 | -0.000 | 0.000 | 0.000 |
| 34.441 | 72.586 | 24.801 | -0.000 | 0.000 | -0.000 |
| 24.800 | 24.800 | 36.386 | -0.000 | -0.000 | 0.000 |
| 0.000 | 0.000 | 0.000 | 7.971 | 0.000 | 0.000 |
| 0.000 | 0.000 | 0.000 | -0.000 | 7.971 | 0.000 |
| 0.000 | 0.000 | 0.000 | -0.000 | 0.000 | 1.322 |
| 72.586 | 34.441 | 24.800 | 0.000 | -0.000 | -0.000 |
| 34.441 | 72.586 | 24.800 | 0.000 | -0.000 | 0.000 |
| 24.800 | 24.800 | 36.386 | 0.000 | 0.000 | 0.000 |
| -0.000 | -0.000 | -0.000 | 7.971 | -0.000 | -0.000 |
| -0.000 | -0.000 | -0.000 | 0.000 | 7.971 | -0.000 |
| -0.000 | -0.000 | -0.000 | 0.000 | -0.000 | 1.322 |
| 72.586 | 34.441 | 24.801 | -0.000 | 0.000 | 0.000 |
| 34.441 | 72.586 | 24.801 | -0.000 | 0.000 | -0.000 |
| 24.800 | 24.800 | 36.386 | -0.000 | 0.000 | 0.000 |
| 0.000 | 0.000 | 0.000 | 7.971 | 0.000 | -0.000 |
| 0.000 | 0.000 | 0.000 | -0.000 | 7.971 | 0.000 |
| 0.000 | 0.000 | 0.000 | -0.000 | 0.000 | 1.322 |
| 72.586 | 34.441 | 24.800 | 0.000 | -0.000 | -0.000 |
| 34.441 | 72.586 | 24.800 | 0.000 | -0.000 | -0.000 |
| 24.800 | 24.800 | 36.386 | 0.000 | -0.000 | -0.000 |
| -0.000 | -0.000 | -0.000 | 7.971 | -0.000 | -0.000 |
| -0.000 | -0.000 | -0.000 | 0.000 | 7.971 | 0.000 |
| -0.000 | -0.000 | -0.000 | 0.000 | -0.000 | 1.322 |
| 72.586 | 34.441 | 24.801 | -0.000 | 0.000 | 0.000 |
| 34.441 | 72.586 | 24.801 | -0.000 | 0.000 | 0.000 |
| 24.800 | 24.800 | 36.385 | -0.000 | 0.000 | 0.000 |
| 0.000 | 0.000 | 0.000 | 7.971 | 0.000 | 0.000 |
| 0.000 | 0.000 | 0.000 | -0.000 | 7.971 | 0.000 |
| 0.000 | 0.000 | 0.000 | -0.000 | 0.000 | 1.322 |
| 72.586 | 34.440 | 24.800 | 0.000 | -0.000 | -0.000 |
| 34.440 | 72.586 | 24.800 | 0.000 | -0.000 | -0.000 |
| 24.801 | 24.801 | 36.387 | 0.000 | -0.000 | -0.000 |
| -0.000 | -0.000 | -0.000 | 7.971 | -0.000 | 0.000 |
| -0.000 | -0.000 | -0.000 | 0.000 | 7.971 | 0.000 |
| -0.000 | -0.000 | -0.000 | 0.000 | -0.000 | 1.322 |
| 17.512 | 2.417 | 5.068 | 0.000 | -0.000 | -0.000 |
| 2.417 | 17.512 | 5.068 | 0.000 | 0.000 | -0.000 |
| 5.068 | 5.068 | 23.133 | 0.000 | 0.000 | -0.000 |
| -0.000 | 0.000 | 0.000 | 3.221 | 0.000 | -0.000 |
| 0.000 | -0.000 | 0.000 | 0.000 | 3.221 | -0.000 |
| -0.000 | -0.000 | -0.000 | 0.000 | 0.000 | 0.000 |
| 17.512 | 2.417 | 5.068 | -0.000 | -0.000 | 0.000 |
| 2.417 | 17.512 | 5.068 | -0.000 | -0.000 | 0.000 |
| 5.068 | 5.068 | 23.133 | 0.000 | -0.000 | 0.000 |
| 0.000 | -0.000 | -0.000 | 3.221 | -0.000 | -0.000 |
| -0.000 | 0.000 | -0.000 | -0.000 | 3.221 | 0.000 |
| 0.000 | 0.000 | 0.000 | -0.000 | -0.000 | 0.000 |
| 17.512 | 2.417 | 5.068 | 0.000 | 0.000 | 0.000 |
| 2.417 | 17.512 | 5.068 | 0.000 | -0.000 | 0.000 |
| 5.068 | 5.068 | 23.133 | 0.000 | 0.000 | -0.000 |
| -0.000 | 0.000 | 0.000 | 3.221 | 0.000 | 0.000 |
| 0.000 | -0.000 | 0.000 | 0.000 | 3.221 | -0.000 |
| -0.000 | -0.000 | -0.000 | 0.000 | -0.000 | 0.000 |
| 17.512 | 2.417 | 5.068 | -0.000 | -0.000 | 0.000 |
| 2.417 | 17.512 | 5.068 | -0.000 | -0.000 | 0.000 |
| 5.068 | 5.068 | 23.133 | -0.000 | 0.000 | 0.000 |
| 0.000 | -0.000 | -0.000 | 3.221 | -0.000 | 0.000 |
| -0.000 | 0.000 | -0.000 | -0.000 | 3.221 | 0.000 |
| 0.000 | 0.000 | 0.000 | -0.000 | 0.000 | 0.000 |
| 17.513 | 2.417 | 5.068 | 0.000 | -0.000 | -0.000 |
| 2.417 | 17.513 | 5.068 | -0.000 | 0.000 | -0.000 |
| 5.068 | 5.068 | 23.132 | 0.000 | 0.000 | -0.000 |
| -0.000 | 0.000 | 0.000 | 3.221 | 0.000 | 0.000 |
| 0.000 | -0.000 | 0.000 | 0.000 | 3.221 | -0.000 |
| -0.000 | -0.000 | -0.000 | 0.000 | 0.000 | -0.000 |
| 17.502 | 2.427 | 5.068 | -0.000 | -0.000 | 0.000 |
| 2.427 | 17.502 | 5.068 | -0.000 | -0.000 | 0.000 |
| 5.068 | 5.068 | 23.133 | -0.000 | -0.000 | 0.000 |
| 0.000 | -0.000 | -0.000 | 3.221 | -0.000 | 0.000 |
| -0.000 | 0.000 | -0.000 | -0.000 | 3.221 | 0.000 |
| 0.000 | 0.000 | 0.000 | -0.000 | -0.000 | 0.000 |
| 16.696 | 2.417 | 9.116 | 0.000 | -0.000 | -0.000 |
| 2.417 | 16.696 | 9.116 | -0.000 | -0.000 | -0.000 |
| 9.116 | 9.116 | 12.177 | -0.000 | 0.000 | -0.000 |
| -0.000 | 0.000 | -0.000 | 6.952 | -0.000 | -0.000 |
| 0.000 | -0.000 | -0.000 | -0.000 | 6.952 | -0.000 |
| -0.000 | -0.000 | -0.000 | -0.000 | 0.000 | -0.000 |
| 16.696 | 2.417 | 9.116 | 0.000 | -0.000 | 0.000 |
| 2.417 | 16.696 | 9.116 | -0.000 | 0.000 | 0.000 |
| 9.116 | 9.116 | 12.177 | -0.000 | -0.000 | 0.000 |
| 0.000 | -0.000 | 0.000 | 6.952 | 0.000 | 0.000 |
| -0.000 | 0.000 | 0.000 | 0.000 | 6.952 | 0.000 |
| 0.000 | 0.000 | 0.000 | -0.000 | -0.000 | 0.000 |
| 16.696 | 2.417 | 9.116 | 0.000 | -0.000 | -0.000 |
| 2.417 | 16.696 | 9.116 | 0.000 | -0.000 | -0.000 |
| 9.116 | 9.116 | 12.177 | -0.000 | 0.000 | -0.000 |
| -0.000 | 0.000 | -0.000 | 6.952 | 0.000 | -0.000 |
| 0.000 | -0.000 | -0.000 | -0.000 | 6.952 | -0.000 |
| -0.000 | -0.000 | -0.000 | -0.000 | 0.000 | -0.000 |
| 16.696 | 2.417 | 9.116 | -0.000 | -0.000 | 0.000 |
| 2.417 | 16.696 | 9.116 | -0.000 | 0.000 | 0.000 |
| 9.116 | 9.116 | 12.177 | 0.000 | -0.000 | 0.000 |
| 0.000 | -0.000 | 0.000 | 6.952 | -0.000 | 0.000 |
| -0.000 | 0.000 | 0.000 | 0.000 | 6.952 | 0.000 |
| 0.000 | 0.000 | 0.000 | 0.000 | 0.000 | 0.000 |
| 16.697 | 2.417 | 9.116 | 0.000 | -0.000 | -0.000 |
| 2.417 | 16.697 | 9.116 | -0.000 | 0.000 | -0.000 |
| 9.116 | 9.116 | 12.177 | -0.000 | -0.000 | -0.000 |
| -0.000 | 0.000 | -0.000 | 6.952 | -0.000 | -0.000 |
| 0.000 | -0.000 | -0.000 | -0.000 | 6.952 | -0.000 |
| -0.000 | -0.000 | -0.000 | -0.000 | -0.000 | -0.000 |
| 16.696 | 2.417 | 9.116 | -0.000 | 0.000 | 0.000 |
| 2.417 | 16.696 | 9.116 | 0.000 | 0.000 | 0.000 |
| 9.116 | 9.116 | 12.177 | 0.000 | 0.000 | 0.000 |
| 0.000 | -0.000 | 0.000 | 6.952 | 0.000 | 0.000 |
| -0.000 | 0.000 | 0.000 | 0.000 | 6.952 | 0.000 |
| 0.000 | 0.000 | 0.000 | -0.000 | 0.000 | 0.000 |
| 2.569 | 0.210 | 0.322 | -0.000 | -0.000 | 0.000 |
| 0.210 | 2.569 | 0.322 | -0.000 | -0.000 | 0.000 |
| 0.322 | 0.322 | 0.075 | 0.000 | 0.000 | 0.000 |
| 0.000 | -0.000 | 0.000 | 0.167 | -0.000 | -0.000 |
| 0.000 | 0.000 | 0.000 | -0.000 | 0.167 | 0.000 |
| 0.000 | -0.000 | -0.000 | -0.000 | 0.000 | -0.000 |
| 2.569 | 0.210 | 0.322 | 0.000 | 0.000 | -0.000 |
| 0.210 | 2.569 | 0.322 | -0.000 | 0.000 | 0.000 |
| 0.322 | 0.322 | 0.075 | 0.000 | 0.000 | -0.000 |
| -0.000 | 0.000 | -0.000 | 0.167 | 0.000 | -0.000 |
| -0.000 | -0.000 | -0.000 | 0.000 | 0.167 | 0.000 |
| 0.000 | 0.000 | 0.000 | 0.000 | 0.000 | -0.000 |
| 2.445 | 0.334 | 0.322 | -0.000 | -0.000 | -0.000 |
| 0.334 | 2.445 | 0.322 | -0.000 | -0.000 | -0.000 |
| 0.322 | 0.322 | 0.075 | -0.000 | -0.000 | 0.000 |
| 0.000 | -0.000 | -0.000 | 0.306 | 0.000 | -0.000 |
| -0.000 | 0.000 | -0.000 | 0.000 | 0.306 | -0.000 |
| -0.000 | -0.000 | -0.000 | -0.000 | 0.000 | 0.000 |
| 2.708 | 0.071 | 0.322 | -0.000 | -0.000 | 0.000 |
| 0.071 | 2.708 | 0.322 | -0.000 | -0.000 | -0.000 |
| 0.322 | 0.322 | 0.075 | 0.000 | 0.000 | 0.000 |
| -0.000 | 0.000 | 0.000 | 0.306 | -0.000 | -0.000 |
| 0.000 | -0.000 | 0.000 | -0.000 | 0.306 | -0.000 |
| 0.000 | 0.000 | 0.000 | 0.000 | -0.000 | 0.000 |
| 1.777 | 1.001 | 0.322 | -0.000 | -0.000 | 0.000 |
| 1.001 | 1.777 | 0.322 | -0.000 | -0.000 | -0.000 |
| 0.322 | 0.322 | 0.075 | 0.000 | -0.000 | -0.000 |
| -0.000 | -0.000 | -0.000 | 0.015 | 0.000 | 0.000 |
| -0.000 | -0.000 | -0.000 | 0.000 | 0.015 | -0.000 |
| -0.000 | -0.000 | -0.000 | -0.000 | -0.000 | 0.000 |
| 1.931 | 0.848 | 0.322 | 0.000 | 0.000 | 0.000 |
| 0.848 | 1.931 | 0.322 | 0.000 | 0.000 | -0.000 |
| 0.322 | 0.322 | 0.075 | 0.000 | 0.000 | -0.000 |
| 0.000 | 0.000 | 0.000 | 0.015 | -0.000 | 0.000 |
| 0.000 | 0.000 | 0.000 | -0.000 | 0.015 | -0.000 |
| 0.000 | 0.000 | 0.000 | 0.000 | 0.000 | 0.000 |
| 2.959 | 0.208 | 0.321 | -0.000 | -0.000 | -0.000 |
| 0.081 | 3.086 | 0.321 | -0.000 | -0.000 | 0.000 |
| 0.321 | 0.321 | 19.926 | -0.000 | -0.000 | 0.000 |
| 0.000 | -0.000 | -0.000 | 0.275 | -0.000 | 0.000 |
| -0.000 | -0.000 | -0.000 | 0.000 | 0.275 | -0.000 |
| 0.000 | -0.000 | -0.000 | -0.000 | -0.000 | -0.000 |
| 2.959 | 0.208 | 0.321 | 0.000 | 0.000 | -0.000 |
| 0.208 | 2.959 | 0.321 | 0.000 | 0.000 | 0.000 |
| 0.321 | 0.321 | 19.926 | 0.000 | 0.000 | 0.000 |
| -0.000 | 0.000 | 0.000 | 0.275 | 0.000 | 0.000 |
| 0.000 | 0.000 | 0.000 | -0.000 | 0.275 | -0.000 |
| -0.000 | 0.000 | 0.000 | 0.000 | 0.000 | -0.000 |
| 3.086 | 0.081 | 0.321 | 0.000 | -0.000 | 0.000 |
| 0.081 | 3.086 | 0.321 | -0.000 | -0.000 | -0.000 |
| 0.321 | 0.321 | 19.929 | -0.000 | -0.000 | 0.000 |
| 0.000 | -0.000 | -0.000 | 0.275 | 0.000 | -0.000 |
| -0.000 | 0.000 | -0.000 | 0.000 | 0.275 | -0.000 |
| -0.000 | -0.000 | -0.000 | -0.000 | -0.000 | 0.000 |
| 2.959 | 0.208 | 0.321 | 0.000 | 0.000 | 0.000 |
| 0.208 | 2.959 | 0.321 | 0.000 | 0.000 | -0.000 |
| 0.321 | 0.321 | 19.923 | 0.000 | 0.000 | 0.000 |
| -0.000 | 0.000 | 0.000 | 0.275 | -0.000 | 0.000 |
| 0.000 | -0.000 | 0.000 | -0.000 | 0.275 | -0.000 |
| 0.000 | 0.000 | 0.000 | 0.000 | 0.000 | 0.000 |
| 1.981 | 1.186 | 0.321 | -0.000 | -0.000 | 0.000 |
| 1.186 | 1.981 | 0.321 | -0.000 | -0.000 | 0.000 |
| 0.321 | 0.321 | 19.953 | -0.000 | -0.000 | 0.000 |
| -0.000 | -0.000 | -0.000 | 0.042 | -0.000 | -0.000 |
| -0.000 | -0.000 | -0.000 | -0.000 | 0.042 | 0.000 |
| -0.000 | -0.000 | -0.000 | -0.000 | -0.000 | 0.000 |
| 2.102 | 1.065 | 0.321 | 0.000 | 0.000 | 0.000 |
| 1.065 | 2.102 | 0.321 | 0.000 | 0.000 | -0.000 |
| 0.321 | 0.321 | 19.899 | 0.000 | 0.000 | -0.000 |
| 0.000 | 0.000 | 0.000 | 0.042 | 0.000 | -0.000 |
| 0.000 | 0.000 | 0.000 | 0.000 | 0.042 | 0.000 |
| 0.000 | 0.000 | 0.000 | 0.000 | 0.000 | 0.000 |
| 6.889 | 0.506 | 0.518 | 0.000 | 0.000 | -0.000 |
| 0.506 | 6.889 | 0.518 | 0.000 | 0.000 | 0.000 |
| 0.518 | 0.518 | 8.460 | 0.000 | 0.000 | -0.000 |
| -0.000 | 0.000 | 0.000 | 0.490 | 0.000 | -0.000 |
| 0.000 | -0.000 | 0.000 | 0.000 | 0.490 | 0.000 |
| 0.000 | -0.000 | -0.000 | 0.000 | 0.000 | 0.000 |
| 7.372 | 0.024 | 0.518 | -0.000 | -0.000 | 0.000 |
| 0.024 | 7.372 | 0.518 | -0.000 | -0.000 | -0.000 |
| 0.518 | 0.518 | 8.460 | -0.000 | -0.000 | 0.000 |
| 0.000 | -0.000 | -0.000 | 0.490 | -0.000 | -0.000 |
| -0.000 | 0.000 | -0.000 | -0.000 | 0.490 | 0.000 |
| -0.000 | 0.000 | 0.000 | -0.000 | -0.000 | 0.000 |
| 6.889 | 0.506 | 0.518 | 0.000 | 0.000 | -0.000 |
| 0.506 | 6.889 | 0.518 | 0.000 | 0.000 | -0.000 |
| 0.518 | 0.518 | 8.460 | 0.000 | 0.000 | -0.000 |
| -0.000 | 0.000 | -0.000 | 0.490 | 0.000 | -0.000 |
| 0.000 | -0.000 | -0.000 | 0.000 | 0.490 | 0.000 |
| -0.000 | -0.000 | -0.000 | 0.000 | 0.000 | 0.000 |
| 6.889 | 0.506 | 0.518 | -0.000 | -0.000 | 0.000 |
| 0.506 | 6.889 | 0.518 | -0.000 | -0.000 | -0.000 |
| 0.518 | 0.518 | 8.460 | -0.000 | -0.000 | 0.000 |
| 0.000 | -0.000 | 0.000 | 0.490 | -0.000 | -0.000 |
| -0.000 | 0.000 | 0.000 | -0.000 | 0.490 | 0.000 |
| 0.000 | 0.000 | 0.000 | -0.000 | -0.000 | 0.000 |
| 4.209 | 3.187 | 0.518 | 0.000 | 0.000 | -0.000 |
| 3.187 | 4.209 | 0.518 | 0.000 | 0.000 | 0.000 |
| 0.518 | 0.518 | 8.460 | 0.000 | 0.000 | 0.000 |
| -0.000 | -0.000 | -0.000 | 0.007 | 0.000 | 0.000 |
| -0.000 | -0.000 | -0.000 | 0.000 | 0.007 | 0.000 |
| -0.000 | -0.000 | -0.000 | 0.000 | 0.000 | 0.000 |
| 4.596 | 2.800 | 0.518 | -0.000 | -0.000 | -0.000 |
| 2.800 | 4.596 | 0.518 | -0.000 | -0.000 | 0.000 |
| 0.518 | 0.518 | 8.460 | -0.000 | -0.000 | 0.000 |
| 0.000 | 0.000 | 0.000 | 0.007 | -0.000 | 0.000 |
| 0.000 | 0.000 | 0.000 | -0.000 | 0.007 | 0.000 |
| 0.000 | 0.000 | 0.000 | -0.000 | -0.000 | 0.000 |
| 61.991 | 54.654 | 18.293 | -0.000 | -0.000 | -0.000 |
| 54.654 | 61.991 | 18.293 | -0.000 | -0.000 | -0.000 |
| 18.293 | 18.293 | 39.551 | -0.000 | -0.000 | -0.000 |
| -0.000 | -0.000 | -0.000 | 13.824 | -0.000 | -0.000 |
| -0.000 | -0.000 | -0.000 | -0.000 | 13.824 | -0.000 |
| -0.000 | -0.000 | -0.000 | -0.000 | -0.000 | 49.237 |
| 61.991 | 54.654 | 18.293 | 0.000 | 0.000 | 0.000 |
| 54.654 | 61.991 | 18.293 | 0.000 | 0.000 | 0.000 |
| 18.293 | 18.293 | 39.551 | 0.000 | 0.000 | 0.000 |
| 0.000 | 0.000 | 0.000 | 13.824 | 0.000 | 0.000 |
| 0.000 | 0.000 | 0.000 | 0.000 | 13.824 | 0.000 |
| 0.000 | 0.000 | 0.000 | 0.000 | 0.000 | 49.237 |
| 61.991 | 54.653 | 18.293 | -0.000 | -0.000 | -0.000 |
| 54.653 | 61.991 | 18.293 | 0.000 | -0.000 | -0.000 |
| 18.293 | 18.293 | 39.551 | -0.000 | -0.000 | -0.000 |
| -0.000 | -0.000 | -0.000 | 13.824 | -0.000 | -0.000 |
| -0.000 | -0.000 | -0.000 | -0.000 | 13.824 | -0.000 |
| -0.000 | -0.000 | -0.000 | -0.000 | -0.000 | 49.237 |
| 61.992 | 54.654 | 18.293 | 0.000 | 0.000 | 0.000 |
| 54.654 | 61.992 | 18.293 | 0.000 | 0.000 | 0.000 |
| 18.293 | 18.293 | 39.552 | 0.000 | 0.000 | 0.000 |
| 0.000 | 0.000 | 0.000 | 13.824 | 0.000 | 0.000 |
| 0.000 | 0.000 | 0.000 | 0.000 | 13.824 | 0.000 |
| 0.000 | 0.000 | 0.000 | 0.000 | 0.000 | 49.237 |
| 61.988 | 54.649 | 18.293 | -0.000 | -0.000 | -0.000 |
| 54.649 | 61.988 | 18.293 | -0.000 | -0.000 | -0.000 |
| 18.293 | 18.293 | 39.551 | -0.000 | -0.000 | -0.000 |
| -0.000 | -0.000 | -0.000 | 13.824 | -0.000 | -0.000 |
| -0.000 | -0.000 | -0.000 | -0.000 | 13.824 | -0.000 |
| -0.004 | -0.004 | -0.000 | -0.000 | -0.000 | 49.237 |
| 61.995 | 54.658 | 18.293 | 0.000 | 0.000 | 0.000 |
| 54.658 | 61.995 | 18.293 | 0.000 | 0.000 | 0.000 |
| 18.293 | 18.293 | 39.552 | 0.000 | 0.000 | 0.000 |
| 0.000 | 0.000 | 0.000 | 13.824 | 0.000 | 0.000 |
| 0.000 | 0.000 | 0.000 | 0.000 | 13.824 | 0.000 |
| 0.004 | 0.004 | 0.000 | 0.000 | 0.000 | 49.237 |
| -14.092 | 9.938 | 16.442 | -0.000 | -0.000 | 0.000 |
| 9.938 | -14.092 | 16.442 | -0.000 | -0.000 | 0.000 |
| 16.442 | 16.442 | 32.612 | -0.000 | -0.000 | 0.000 |
| -0.000 | -0.000 | -0.000 | 12.875 | -0.000 | 0.000 |
| -0.000 | -0.000 | -0.000 | -0.000 | 12.875 | 0.000 |
| -0.000 | -0.000 | -0.000 | -0.000 | -0.000 | 5.583 |
| -14.092 | 9.938 | 16.442 | 0.000 | 0.000 | 0.000 |
| 9.938 | -14.092 | 16.442 | 0.000 | 0.000 | -0.000 |
| 16.442 | 16.442 | 32.612 | 0.000 | 0.000 | -0.000 |
| 0.000 | 0.000 | 0.000 | 12.875 | -0.000 | -0.000 |
| 0.000 | 0.000 | 0.000 | -0.000 | 12.875 | -0.000 |
| 0.000 | 0.000 | 0.000 | -0.000 | 0.000 | 5.583 |
| -14.092 | 9.938 | 16.442 | -0.000 | 0.000 | -0.000 |
| 9.938 | -14.092 | 16.442 | 0.000 | -0.000 | -0.000 |
| 16.442 | 16.442 | 32.612 | -0.000 | -0.000 | -0.000 |
| -0.000 | -0.000 | -0.000 | 12.875 | 0.000 | 0.000 |
| -0.000 | -0.000 | -0.000 | 0.000 | 12.875 | 0.000 |
| -0.000 | -0.000 | -0.000 | -0.000 | -0.000 | 5.583 |
| -14.092 | 9.938 | 16.442 | 0.000 | 0.000 | -0.000 |
| 9.938 | -14.092 | 16.442 | 0.000 | 0.000 | -0.000 |
| 16.442 | 16.442 | 32.612 | 0.000 | 0.000 | -0.000 |
| 0.000 | 0.000 | 0.000 | 12.875 | -0.000 | -0.000 |
| 0.000 | 0.000 | 0.000 | -0.000 | 12.875 | -0.000 |
| 0.000 | 0.000 | 0.000 | 0.000 | -0.000 | 5.583 |
| -14.093 | 9.938 | 16.442 | 0.000 | 0.000 | 0.000 |
| 9.938 | -14.093 | 16.442 | 0.000 | 0.000 | 0.000 |
| 16.442 | 16.442 | 32.611 | -0.000 | 0.000 | 0.000 |
| -0.000 | -0.000 | -0.000 | 12.875 | 0.000 | 0.000 |
| -0.000 | -0.000 | -0.000 | 0.000 | 12.875 | 0.000 |
| -0.000 | -0.000 | -0.000 | -0.000 | 0.000 | 5.583 |
| -14.092 | 9.938 | 16.442 | -0.000 | -0.000 | -0.000 |
| 9.938 | -14.092 | 16.442 | -0.000 | -0.000 | -0.000 |
| 16.442 | 16.442 | 32.612 | -0.000 | -0.000 | -0.000 |
| 0.000 | 0.000 | 0.000 | 12.875 | -0.000 | -0.000 |
| 0.000 | 0.000 | 0.000 | -0.000 | 12.875 | -0.000 |
| 0.000 | 0.000 | 0.000 | 0.000 | 0.000 | 5.583 |
| 3.891 | 0.102 | 0.000 | 0.000 | 0.000 | -0.000 |
| 0.102 | 3.891 | 0.000 | 0.000 | 0.000 | 0.000 |
| -0.000 | -0.000 | 0.000 | 0.000 | 0.000 | 0.000 |
| 0.000 | 0.000 | 0.000 | 0.000 | 0.000 | -0.000 |
| 0.000 | 0.000 | 0.000 | 0.000 | 0.000 | -0.000 |
| -0.000 | -0.000 | 0.000 | 0.000 | 0.000 | 0.000 |
| 3.891 | 0.102 | -0.000 | -0.000 | -0.000 | 0.000 |
| 0.102 | 3.891 | -0.000 | -0.000 | -0.000 | -0.000 |
| -0.000 | -0.000 | -0.000 | -0.000 | -0.000 | 0.000 |
| 0.000 | -0.000 | -0.000 | -0.000 | -0.000 | 0.000 |
| 0.000 | 0.000 | -0.000 | -0.000 | -0.000 | 0.000 |
| 0.000 | 0.000 | -0.000 | -0.000 | -0.000 | 0.000 |
| 3.891 | 0.102 | 0.000 | 0.000 | 0.000 | 0.000 |
| 0.102 | 3.891 | 0.000 | 0.000 | 0.000 | 0.000 |
| -0.000 | -0.000 | 0.000 | 0.000 | 0.000 | 0.000 |
| -0.000 | -0.000 | 0.000 | 0.000 | 0.000 | -0.000 |
| -0.000 | -0.000 | 0.000 | 0.000 | 0.000 | -0.000 |
| -0.000 | -0.000 | 0.000 | 0.000 | 0.000 | 0.000 |
| 3.891 | 0.102 | -0.000 | -0.000 | -0.000 | 0.000 |
| 0.102 | 3.891 | -0.000 | -0.000 | -0.000 | -0.000 |
| -0.000 | -0.000 | -0.000 | -0.000 | -0.000 | 0.000 |
| 0.000 | 0.000 | -0.000 | -0.000 | -0.000 | 0.000 |
| 0.000 | 0.000 | -0.000 | -0.000 | -0.000 | 0.000 |
| 0.000 | 0.000 | -0.000 | -0.000 | -0.000 | 0.000 |
| 3.891 | 0.102 | 0.000 | 0.000 | 0.000 | 0.000 |
| 0.102 | 3.891 | 0.000 | 0.000 | 0.000 | -0.000 |
| -0.000 | -0.000 | 0.000 | 0.000 | 0.000 | 0.000 |
| -0.000 | -0.000 | 0.000 | 0.000 | 0.000 | -0.000 |
| -0.000 | -0.000 | 0.000 | 0.000 | 0.000 | -0.000 |
| -0.000 | -0.000 | 0.000 | 0.000 | 0.000 | 0.000 |
| 3.891 | 0.102 | -0.000 | -0.000 | -0.000 | -0.000 |
| 0.102 | 3.891 | -0.000 | -0.000 | -0.000 | -0.000 |
| -0.000 | -0.000 | -0.000 | -0.000 | -0.000 | 0.000 |
| 0.000 | 0.000 | -0.000 | -0.000 | -0.000 | 0.000 |
| 0.000 | 0.000 | -0.000 | -0.000 | -0.000 | 0.000 |
| 0.000 | 0.000 | -0.000 | -0.000 | -0.000 | 0.000 |
| 7.524 | 3.370 | 10.848 | -0.000 | -0.000 | -0.000 |
| 3.370 | 7.524 | 10.848 | -0.000 | -0.000 | -0.000 |
| 10.849 | 10.849 | 36.107 | -0.000 | -0.000 | -0.000 |
| 0.000 | 0.000 | 0.000 | 10.724 | -0.000 | -0.000 |
| 0.000 | 0.000 | 0.000 | -0.000 | 10.724 | -0.000 |
| 0.000 | 0.000 | 0.000 | -0.000 | 0.000 | 3.193 |
| 7.524 | 3.370 | 10.848 | -0.000 | 0.000 | 0.000 |
| 3.370 | 7.524 | 10.848 | 0.000 | -0.000 | 0.000 |
| 10.848 | 10.848 | 36.106 | -0.000 | -0.000 | 0.000 |
| -0.000 | -0.000 | -0.000 | 10.724 | 0.000 | 0.000 |
| -0.000 | -0.000 | -0.000 | 0.000 | 10.724 | 0.000 |
| -0.000 | -0.000 | -0.000 | -0.000 | -0.000 | 3.193 |
| 7.524 | 3.370 | 10.849 | -0.000 | 0.000 | -0.000 |
| 3.370 | 7.524 | 10.849 | 0.000 | -0.000 | -0.000 |
| 10.849 | 10.849 | 36.110 | -0.000 | -0.000 | -0.000 |
| 0.000 | 0.000 | 0.001 | 10.724 | -0.000 | -0.000 |
| 0.000 | 0.000 | 0.001 | -0.000 | 10.724 | -0.000 |
| 0.000 | 0.000 | 0.000 | 0.000 | -0.000 | 3.193 |
| 7.524 | 3.370 | 10.848 | 0.000 | 0.000 | 0.000 |
| 3.370 | 7.524 | 10.848 | 0.000 | 0.000 | 0.000 |
| 10.848 | 10.848 | 36.103 | 0.000 | 0.000 | 0.000 |
| -0.000 | -0.000 | -0.001 | 10.724 | 0.000 | 0.000 |
| -0.000 | -0.000 | -0.001 | 0.000 | 10.724 | 0.000 |
| -0.000 | -0.000 | -0.000 | 0.000 | 0.000 | 3.193 |
| 7.525 | 3.371 | 10.851 | -0.000 | -0.000 | -0.000 |
| 3.371 | 7.525 | 10.851 | -0.000 | -0.000 | -0.000 |
| 10.858 | 10.858 | 36.137 | 0.000 | 0.000 | -0.000 |
| 0.003 | 0.003 | 0.009 | 10.724 | -0.000 | -0.000 |
| 0.003 | 0.003 | 0.009 | -0.000 | 10.724 | -0.000 |
| 0.001 | 0.001 | 0.003 | 0.000 | 0.000 | 3.193 |
| 7.523 | 3.369 | 10.846 | -0.000 | 0.000 | 0.000 |
| 3.369 | 7.523 | 10.846 | 0.000 | -0.000 | 0.000 |
| 10.839 | 10.839 | 36.075 | 0.000 | 0.000 | 0.000 |
| -0.003 | -0.003 | -0.009 | 10.724 | 0.000 | 0.000 |
| -0.003 | -0.003 | -0.009 | 0.000 | 10.724 | 0.000 |
| -0.001 | -0.001 | -0.003 | 0.000 | -0.000 | 3.193 |
| -7.424 | 3.713 | 6.068 | -0.000 | -0.000 | -0.000 |
| 3.713 | -7.424 | 6.068 | -0.000 | -0.000 | -0.000 |
| 6.068 | 6.068 | 12.961 | -0.000 | -0.000 | 0.000 |
| -0.000 | -0.000 | -0.000 | 5.863 | -0.000 | -0.000 |
| -0.000 | -0.000 | -0.000 | -0.000 | 5.863 | 0.000 |
| -0.000 | -0.000 | -0.000 | -0.000 | -0.000 | 2.660 |
| -7.424 | 3.713 | 6.068 | 0.000 | 0.000 | 0.000 |
| 3.713 | -7.424 | 6.068 | 0.000 | 0.000 | 0.000 |
| 6.068 | 6.068 | 12.961 | 0.000 | 0.000 | 0.000 |
| 0.000 | 0.000 | 0.000 | 5.863 | 0.000 | -0.000 |
| 0.000 | 0.000 | 0.000 | 0.000 | 5.863 | -0.000 |
| 0.000 | 0.000 | 0.000 | 0.000 | 0.000 | 2.660 |
| -7.424 | 3.713 | 6.068 | -0.000 | -0.000 | 0.000 |
| 3.713 | -7.424 | 6.068 | -0.000 | -0.000 | 0.000 |
| 6.068 | 6.068 | 12.960 | -0.000 | -0.000 | 0.000 |
| -0.000 | -0.000 | -0.000 | 5.863 | -0.000 | -0.000 |
| -0.000 | -0.000 | -0.000 | -0.000 | 5.863 | -0.000 |
| -0.000 | -0.000 | -0.000 | -0.000 | -0.000 | 2.660 |
| -7.424 | 3.714 | 6.068 | 0.000 | 0.000 | -0.000 |
| 3.714 | -7.424 | 6.068 | 0.000 | 0.000 | -0.000 |
| 6.068 | 6.068 | 12.961 | 0.000 | 0.000 | -0.000 |
| 0.000 | 0.000 | 0.000 | 5.863 | 0.000 | 0.000 |
| 0.000 | 0.000 | 0.000 | 0.000 | 5.863 | 0.000 |
| 0.000 | 0.000 | 0.000 | 0.000 | 0.000 | 2.660 |
| -7.425 | 3.713 | 6.067 | -0.000 | -0.000 | -0.000 |
| 3.713 | -7.425 | 6.067 | -0.000 | -0.000 | 0.000 |
| 6.066 | 6.066 | 12.957 | -0.000 | -0.000 | -0.000 |
| -0.001 | -0.001 | -0.002 | 5.863 | -0.000 | -0.000 |
| -0.001 | -0.001 | -0.002 | -0.000 | 5.863 | -0.000 |
| -0.000 | -0.000 | -0.001 | -0.000 | -0.000 | 2.660 |
| -7.423 | 3.714 | 6.069 | 0.000 | 0.000 | -0.000 |
| 3.714 | -7.423 | 6.069 | 0.000 | 0.000 | -0.000 |
| 6.070 | 6.070 | 12.964 | 0.000 | 0.000 | 0.000 |
| 0.001 | 0.001 | 0.002 | 5.863 | 0.000 | 0.000 |
| 0.001 | 0.001 | 0.002 | 0.000 | 5.863 | 0.000 |
| 0.000 | 0.000 | 0.001 | 0.000 | 0.000 | 2.660 |
| 88.887 | 29.991 | 29.991 | -0.000 | -0.000 | -0.000 |
| 29.991 | 88.887 | 29.991 | -0.000 | -0.000 | -0.000 |
| 29.991 | 29.991 | 88.887 | -0.000 | -0.000 | -0.000 |
| -0.000 | 0.000 | 0.000 | 11.293 | -0.000 | -0.000 |
| 0.000 | -0.000 | 0.000 | -0.000 | 11.293 | -0.000 |
| 0.000 | 0.000 | -0.000 | -0.000 | -0.000 | 11.293 |
| 88.887 | 29.991 | 29.991 | 0.000 | -0.000 | -0.000 |
| 29.991 | 88.887 | 29.991 | -0.000 | 0.000 | -0.000 |
| 29.991 | 29.991 | 88.887 | 0.000 | 0.000 | 0.000 |
| 0.000 | -0.000 | -0.000 | 11.293 | -0.000 | 0.000 |
| -0.000 | 0.000 | -0.000 | 0.000 | 11.293 | -0.000 |
| -0.000 | -0.000 | 0.000 | -0.000 | -0.000 | 11.293 |
| 88.887 | 29.991 | 29.991 | -0.000 | 0.000 | 0.000 |
| 29.991 | 88.887 | 29.991 | 0.000 | -0.000 | -0.000 |
| 29.991 | 29.991 | 88.887 | -0.000 | -0.000 | -0.000 |
| -0.000 | 0.000 | 0.000 | 11.293 | 0.000 | -0.000 |
| 0.000 | -0.000 | 0.000 | -0.000 | 11.293 | -0.000 |
| 0.000 | 0.000 | -0.000 | -0.000 | 0.000 | 11.293 |
| 88.887 | 29.991 | 29.991 | 0.000 | 0.000 | 0.000 |
| 29.991 | 88.887 | 29.991 | 0.000 | 0.000 | -0.000 |
| 29.991 | 29.991 | 88.887 | 0.000 | 0.000 | 0.000 |
| 0.000 | -0.000 | -0.000 | 11.293 | 0.000 | 0.000 |
| -0.000 | 0.000 | -0.000 | 0.000 | 11.293 | 0.000 |
| -0.000 | -0.000 | 0.000 | 0.000 | 0.000 | 11.293 |
| 88.887 | 29.991 | 29.991 | -0.000 | 0.000 | -0.000 |
| 29.991 | 88.887 | 29.991 | -0.000 | -0.000 | 0.000 |
| 29.991 | 29.991 | 88.887 | -0.000 | -0.000 | 0.000 |
| -0.000 | 0.000 | 0.000 | 11.293 | 0.000 | -0.000 |
| 0.000 | -0.000 | 0.000 | -0.000 | 11.293 | 0.000 |
| 0.000 | 0.000 | -0.000 | -0.000 | 0.000 | 11.293 |
| 88.887 | 29.991 | 29.991 | 0.000 | 0.000 | 0.000 |
| 29.991 | 88.887 | 29.991 | 0.000 | 0.000 | 0.000 |
| 29.991 | 29.991 | 88.887 | 0.000 | 0.000 | 0.000 |
| 0.000 | -0.000 | -0.000 | 11.293 | 0.000 | 0.000 |
| -0.000 | 0.000 | -0.000 | 0.000 | 11.293 | 0.000 |
| -0.000 | -0.000 | 0.000 | 0.000 | -0.000 | 11.293 |
| 12.700 | 0.590 | 0.590 | 0.000 | -0.000 | -0.000 |
| 0.590 | 12.700 | 0.590 | -0.000 | 0.000 | -0.000 |
| 0.590 | 0.590 | 12.700 | -0.000 | -0.000 | 0.000 |
| 0.000 | -0.000 | -0.000 | 0.000 | -0.000 | 0.000 |
| -0.000 | 0.000 | -0.000 | -0.000 | 0.000 | 0.000 |
| -0.000 | -0.000 | 0.000 | 0.000 | -0.000 | 0.000 |
| 12.700 | 0.590 | 0.590 | -0.000 | -0.000 | -0.000 |
| 0.590 | 12.700 | 0.590 | -0.000 | -0.000 | 0.000 |
| 0.590 | 0.590 | 12.700 | 0.000 | -0.000 | -0.000 |
| -0.000 | 0.000 | 0.000 | 0.000 | 0.000 | -0.000 |
| 0.000 | -0.000 | 0.000 | -0.000 | 0.000 | -0.000 |
| 0.000 | 0.000 | -0.000 | -0.000 | 0.000 | 0.000 |
| 12.700 | 0.590 | 0.590 | -0.000 | 0.000 | 0.000 |
| 0.590 | 12.700 | 0.590 | 0.000 | -0.000 | 0.000 |
| 0.590 | 0.590 | 12.700 | 0.000 | 0.000 | 0.000 |
| -0.000 | -0.000 | -0.000 | 0.000 | 0.000 | 0.000 |
| -0.000 | -0.000 | -0.000 | 0.000 | 0.000 | 0.000 |
| -0.000 | -0.000 | -0.000 | 0.000 | 0.000 | 0.000 |
| 12.700 | 0.590 | 0.590 | 0.000 | -0.000 | -0.000 |
| 0.590 | 12.700 | 0.590 | -0.000 | 0.000 | 0.000 |
| 0.590 | 0.590 | 12.700 | 0.000 | -0.000 | -0.000 |
| 0.000 | 0.000 | 0.000 | 0.000 | -0.000 | -0.000 |
| 0.000 | 0.000 | 0.000 | 0.000 | 0.000 | -0.000 |
| 0.000 | 0.000 | 0.000 | -0.000 | -0.000 | 0.000 |
| 12.700 | 0.590 | 0.590 | 0.000 | 0.000 | 0.000 |
| 0.590 | 12.700 | 0.590 | 0.000 | 0.000 | -0.000 |
| 0.590 | 0.590 | 12.700 | -0.000 | 0.000 | -0.000 |
| -0.000 | -0.000 | -0.000 | 0.000 | 0.000 | 0.000 |
| -0.000 | -0.000 | -0.000 | 0.000 | 0.000 | -0.000 |
| -0.000 | -0.000 | -0.000 | 0.000 | -0.000 | 0.000 |
| 12.700 | 0.590 | 0.590 | 0.000 | -0.000 | -0.000 |
| 0.590 | 12.700 | 0.590 | -0.000 | 0.000 | 0.000 |
| 0.590 | 0.590 | 12.700 | 0.000 | 0.000 | 0.000 |
| 0.000 | 0.000 | 0.000 | 0.000 | 0.000 | -0.000 |
| 0.000 | 0.000 | 0.000 | 0.000 | 0.000 | -0.000 |
| 0.000 | 0.000 | 0.000 | -0.000 | 0.000 | 0.000 |
| 7.864 | 0.025 | 0.025 | -0.000 | -0.000 | -0.000 |
| 0.025 | 7.864 | 0.025 | -0.000 | -0.000 | -0.000 |
| 0.025 | 0.025 | 7.864 | -0.000 | -0.000 | 0.000 |
| 0.000 | -0.000 | 0.000 | -0.000 | 0.000 | 0.000 |
| -0.000 | -0.000 | -0.000 | -0.000 | -0.000 | -0.000 |
| -0.000 | -0.000 | -0.000 | -0.000 | -0.000 | -0.000 |
| 7.864 | 0.025 | 0.025 | 0.000 | -0.000 | -0.000 |
| 0.025 | 7.864 | 0.025 | 0.000 | -0.000 | -0.000 |
| 0.025 | 0.025 | 7.864 | -0.000 | -0.000 | 0.000 |
| -0.000 | -0.000 | -0.000 | -0.000 | -0.000 | 0.000 |
| -0.000 | 0.000 | 0.000 | 0.000 | -0.000 | 0.000 |
| -0.000 | 0.000 | 0.000 | 0.000 | -0.000 | -0.000 |
| 7.864 | 0.025 | 0.025 | -0.000 | 0.000 | 0.000 |
| 0.025 | 7.864 | 0.025 | -0.000 | -0.000 | 0.000 |
| 0.025 | 0.025 | 7.864 | 0.000 | 0.000 | 0.000 |
| -0.000 | -0.000 | -0.000 | 0.000 | 0.000 | -0.000 |
| -0.000 | -0.000 | -0.000 | -0.000 | 0.000 | -0.000 |
| -0.000 | -0.000 | -0.000 | -0.000 | -0.000 | 0.000 |
| 7.864 | 0.025 | 0.025 | 0.000 | 0.000 | 0.000 |
| 0.025 | 7.864 | 0.025 | 0.000 | 0.000 | -0.000 |
| 0.025 | 0.025 | 7.864 | -0.000 | -0.000 | -0.000 |
| 0.000 | 0.000 | 0.000 | 0.000 | -0.000 | -0.000 |
| 0.000 | 0.000 | 0.000 | 0.000 | 0.000 | 0.000 |
| 0.000 | 0.000 | 0.000 | 0.000 | -0.000 | 0.000 |
| 7.864 | 0.025 | 0.025 | -0.000 | 0.000 | 0.000 |
| 0.025 | 7.864 | 0.025 | 0.000 | -0.000 | -0.000 |
| 0.025 | 0.025 | 7.864 | -0.000 | -0.000 | -0.000 |
| -0.000 | -0.000 | -0.000 | 0.000 | 0.000 | -0.000 |
| -0.000 | -0.000 | -0.000 | -0.000 | 0.000 | -0.000 |
| -0.000 | -0.000 | -0.000 | -0.000 | -0.000 | 0.000 |
| 7.863 | 0.025 | 0.025 | 0.000 | -0.000 | -0.000 |
| 0.025 | 7.863 | 0.025 | 0.000 | 0.000 | 0.000 |
| 0.025 | 0.025 | 7.863 | 0.000 | 0.000 | 0.000 |
| 0.000 | 0.000 | 0.000 | 0.000 | 0.000 | 0.000 |
| 0.000 | 0.000 | 0.000 | -0.000 | 0.000 | 0.000 |
| 0.000 | 0.000 | 0.000 | 0.000 | -0.000 | 0.000 |
| -1.091 | 2.584 | 2.584 | -0.000 | -0.000 | -0.000 |
| 2.584 | -1.091 | 2.584 | 0.000 | -0.000 | -0.000 |
| 2.584 | 2.584 | -1.091 | -0.000 | -0.000 | -0.000 |
| -0.000 | 0.000 | -0.000 | 0.000 | 0.000 | 0.000 |
| 0.000 | -0.000 | -0.000 | 0.000 | 0.000 | 0.000 |
| 0.000 | -0.000 | -0.000 | 0.000 | 0.000 | 0.000 |
| -1.091 | 2.584 | 2.584 | 0.000 | -0.000 | -0.000 |
| 2.584 | -1.091 | 2.584 | 0.000 | 0.000 | -0.000 |
| 2.584 | 2.584 | -1.091 | -0.000 | -0.000 | 0.000 |
| -0.000 | -0.000 | -0.000 | 0.000 | -0.000 | -0.000 |
| -0.000 | -0.000 | -0.000 | -0.000 | 0.000 | -0.000 |
| -0.000 | -0.000 | -0.000 | -0.000 | 0.000 | 0.000 |
| -1.091 | 2.584 | 2.584 | 0.000 | 0.000 | -0.000 |
| 2.584 | -1.091 | 2.584 | 0.000 | 0.000 | -0.000 |
| 2.584 | 2.584 | -1.091 | -0.000 | -0.000 | 0.000 |
| -0.000 | -0.000 | 0.000 | -0.000 | 0.000 | 0.000 |
| -0.000 | -0.000 | 0.000 | -0.000 | -0.000 | 0.000 |
| -0.000 | 0.000 | -0.000 | -0.000 | 0.000 | -0.000 |
| -1.091 | 2.584 | 2.584 | -0.000 | 0.000 | 0.000 |
| 2.584 | -1.091 | 2.584 | 0.000 | -0.000 | -0.000 |
| 2.584 | 2.584 | -1.091 | -0.000 | 0.000 | -0.000 |
| 0.000 | 0.000 | -0.000 | -0.000 | -0.000 | 0.000 |
| 0.000 | 0.000 | -0.000 | -0.000 | -0.000 | -0.000 |
| 0.000 | -0.000 | 0.000 | 0.000 | -0.000 | -0.000 |
| -1.091 | 2.584 | 2.584 | 0.000 | -0.000 | 0.000 |
| 2.584 | -1.091 | 2.584 | 0.000 | 0.000 | 0.000 |
| 2.584 | 2.584 | -1.091 | 0.000 | 0.000 | 0.000 |
| -0.000 | -0.000 | 0.000 | -0.000 | 0.000 | -0.000 |
| -0.000 | -0.000 | 0.000 | 0.000 | -0.000 | 0.000 |
| -0.000 | 0.000 | -0.000 | -0.000 | 0.000 | -0.000 |
| -1.091 | 2.584 | 2.584 | 0.000 | -0.000 | -0.000 |
| 2.584 | -1.091 | 2.584 | 0.000 | 0.000 | -0.000 |
| 2.584 | 2.584 | -1.091 | 0.000 | -0.000 | 0.000 |
| 0.000 | 0.000 | -0.000 | -0.000 | -0.000 | 0.000 |
| 0.000 | 0.000 | -0.000 | -0.000 | -0.000 | -0.000 |
| 0.000 | -0.000 | 0.000 | 0.000 | -0.000 | -0.000 |
| 23.316 | 3.185 | 3.986 | 0.094 | 0.137 | -0.185 |
| 5.852 | 22.840 | 7.760 | -0.904 | -0.023 | 0.053 |
| 4.854 | 8.131 | 6.475 | -0.721 | 0.107 | -0.191 |
| 20.384 | 9.120 | -2.945 | -4.029 | 0.955 | -1.721 |
| 0.195 | 0.143 | -0.001 | -0.095 | 1.377 | -1.732 |
| 0.345 | 0.262 | 0.034 | -0.160 | -1.670 | 3.586 |
| 20.181 | 1.250 | 4.022 | 1.395 | -0.076 | 0.174 |
| -20.534 | 8.659 | 11.516 | 6.944 | -1.579 | 2.750 |
| -18.642 | -1.995 | 10.774 | 6.403 | -1.595 | 2.774 |
| -0.583 | -1.246 | -0.575 | 3.725 | -0.095 | 0.137 |
| -17.505 | -7.613 | 3.224 | 5.215 | -1.382 | 1.202 |
| -0.161 | -0.201 | -0.059 | 0.122 | -1.725 | 3.636 |
| 22.577 | 2.901 | 3.678 | 0.494 | 0.021 | -0.012 |
| 2.929 | 18.486 | 6.773 | -0.414 | -0.005 | 0.024 |
| 3.307 | 7.429 | 6.734 | -0.249 | 0.019 | -0.036 |
| -0.281 | -0.257 | 0.011 | 3.066 | 0.005 | -0.023 |
| 0.263 | 0.189 | 0.002 | -0.134 | 0.356 | -0.693 |
| 0.108 | 0.087 | 0.010 | -0.050 | -0.672 | 1.640 |
| 21.892 | 2.557 | 3.870 | 0.785 | -0.045 | 0.101 |
| 1.620 | 18.147 | 7.144 | 0.199 | -0.016 | 0.044 |
| 2.059 | 6.957 | 6.985 | 0.151 | -0.002 | -0.003 |
| 0.450 | 0.026 | -0.122 | 2.521 | -0.028 | 0.025 |
| -0.048 | -0.055 | -0.016 | 0.028 | 0.765 | -0.979 |
| -0.246 | -0.105 | 0.056 | 0.088 | -0.674 | 2.172 |
| 22.144 | 2.655 | 3.712 | 0.655 | -0.011 | 0.047 |
| 1.852 | 18.342 | 7.171 | 0.078 | -0.002 | 0.021 |
| 3.127 | 7.370 | 6.779 | -0.207 | -0.000 | -0.005 |
| 0.690 | 0.100 | -0.188 | 2.465 | -0.010 | -0.005 |
| 0.010 | 0.005 | -0.008 | -0.018 | 0.338 | -0.661 |
| 0.121 | 0.051 | -0.010 | -0.015 | -0.638 | 2.107 |
| 21.993 | 2.585 | 3.739 | 0.704 | -0.020 | 0.057 |
| 1.740 | 18.286 | 7.189 | 0.117 | -0.008 | 0.029 |
| 3.040 | 7.318 | 6.786 | -0.173 | -0.005 | 0.003 |
| 0.647 | 0.083 | -0.180 | 2.477 | -0.014 | 0.003 |
| -0.069 | -0.033 | 0.001 | 0.004 | 0.323 | -0.641 |
| -0.004 | -0.008 | 0.007 | 0.023 | -0.651 | 2.130 |
| 22.593 | 7.689 | 5.069 | 2.644 | 0.000 | 0.000 |
| 7.689 | 22.593 | 5.069 | -2.644 | -0.000 | -0.000 |
| 5.069 | 5.069 | 7.879 | -0.000 | -0.000 | -0.000 |
| 2.644 | -2.644 | 0.000 | 4.580 | -0.000 | -0.000 |
| 0.000 | 0.000 | 0.000 | 0.000 | 4.580 | 2.644 |
| 0.000 | 0.000 | -0.000 | 0.000 | 2.644 | 7.452 |
| 22.592 | 7.689 | 5.069 | 2.644 | 0.000 | 0.000 |
| 7.689 | 22.592 | 5.069 | -2.644 | 0.000 | 0.000 |
| 5.069 | 5.069 | 7.879 | -0.000 | 0.000 | 0.000 |
| 2.644 | -2.644 | -0.000 | 4.580 | 0.000 | 0.000 |
| -0.000 | -0.000 | -0.000 | -0.000 | 4.580 | 2.644 |
| -0.000 | -0.000 | 0.000 | -0.000 | 2.644 | 7.452 |
| 22.597 | 7.690 | 5.069 | 2.644 | 0.000 | -0.000 |
| 7.690 | 22.596 | 5.069 | -2.644 | -0.000 | -0.000 |
| 5.069 | 5.069 | 7.879 | 0.000 | -0.000 | -0.000 |
| 2.644 | -2.644 | 0.000 | 4.580 | -0.000 | -0.000 |
| 0.000 | 0.000 | 0.000 | 0.000 | 4.580 | 2.644 |
| 0.000 | 0.001 | -0.000 | 0.000 | 2.644 | 7.452 |
| 22.588 | 7.689 | 5.069 | 2.644 | 0.000 | -0.000 |
| 7.688 | 22.589 | 5.069 | -2.644 | 0.000 | 0.000 |
| 5.069 | 5.069 | 7.879 | -0.000 | 0.000 | 0.000 |
| 2.644 | -2.644 | -0.000 | 4.580 | 0.000 | 0.000 |
| -0.000 | -0.000 | -0.000 | -0.000 | 4.580 | 2.644 |
| -0.000 | -0.001 | 0.000 | -0.000 | 2.644 | 7.452 |
| 22.637 | 7.693 | 5.069 | 2.644 | 0.000 | -0.000 |
| 7.701 | 22.629 | 5.069 | -2.644 | -0.000 | -0.000 |
| 5.069 | 5.069 | 7.879 | -0.000 | -0.000 | -0.000 |
| 2.644 | -2.644 | 0.000 | 4.580 | -0.000 | -0.000 |
| 0.000 | 0.000 | 0.000 | 0.000 | 4.580 | 2.644 |
| 0.004 | 0.012 | -0.000 | 0.000 | 2.644 | 7.452 |
| 22.549 | 7.685 | 5.069 | 2.644 | 0.000 | 0.000 |
| 7.677 | 22.557 | 5.069 | -2.644 | 0.000 | 0.000 |
| 5.069 | 5.069 | 7.879 | -0.000 | 0.000 | 0.000 |
| 2.644 | -2.644 | -0.000 | 4.580 | 0.000 | 0.000 |
| -0.000 | -0.000 | -0.000 | -0.000 | 4.580 | 2.644 |
| -0.004 | -0.012 | 0.000 | -0.000 | 2.644 | 7.452 |
| 5.990 | 2.352 | 4.858 | 2.776 | -0.000 | -0.000 |
| 2.352 | 5.990 | 4.858 | -2.776 | -0.000 | -0.000 |
| 4.858 | 4.858 | 5.659 | -0.000 | -0.000 | -0.000 |
| 2.776 | -2.776 | 0.000 | 4.237 | -0.000 | -0.000 |
| 0.000 | 0.000 | 0.000 | 0.000 | 4.237 | 2.776 |
| 0.000 | 0.000 | 0.000 | 0.000 | 2.776 | 1.819 |
| 5.990 | 2.352 | 4.858 | 2.776 | 0.000 | 0.000 |
| 2.352 | 5.990 | 4.858 | -2.776 | 0.000 | 0.000 |
| 4.858 | 4.858 | 5.659 | 0.000 | 0.000 | 0.000 |
| 2.776 | -2.776 | -0.000 | 4.237 | 0.000 | 0.000 |
| -0.000 | -0.000 | -0.000 | -0.000 | 4.237 | 2.776 |
| -0.000 | -0.000 | -0.000 | -0.000 | 2.776 | 1.819 |
| 5.990 | 2.352 | 4.858 | 2.776 | 0.000 | -0.000 |
| 2.352 | 5.990 | 4.858 | -2.776 | -0.000 | -0.000 |
| 4.858 | 4.858 | 5.659 | -0.000 | -0.000 | -0.000 |
| 2.776 | -2.776 | 0.000 | 4.237 | -0.000 | -0.000 |
| 0.000 | 0.000 | 0.000 | 0.000 | 4.237 | 2.776 |
| 0.000 | 0.000 | 0.000 | 0.000 | 2.776 | 1.819 |
| 5.990 | 2.352 | 4.858 | 2.776 | 0.000 | 0.000 |
| 2.352 | 5.990 | 4.858 | -2.776 | 0.000 | 0.000 |
| 4.858 | 4.858 | 5.659 | -0.000 | 0.000 | 0.000 |
| 2.776 | -2.776 | -0.000 | 4.237 | 0.000 | 0.000 |
| -0.000 | -0.000 | -0.000 | -0.000 | 4.237 | 2.776 |
| -0.000 | -0.000 | -0.000 | -0.000 | 2.776 | 1.819 |
| 5.990 | 2.352 | 4.858 | 2.776 | -0.000 | -0.000 |
| 2.352 | 5.991 | 4.858 | -2.776 | -0.000 | -0.000 |
| 4.858 | 4.858 | 5.659 | 0.000 | -0.000 | -0.000 |
| 2.776 | -2.776 | 0.000 | 4.237 | -0.000 | -0.000 |
| 0.000 | 0.000 | 0.000 | 0.000 | 4.237 | 2.776 |
| 0.000 | 0.000 | 0.000 | 0.000 | 2.776 | 1.819 |
| 5.990 | 2.352 | 4.858 | 2.776 | 0.000 | 0.000 |
| 2.352 | 5.990 | 4.858 | -2.776 | -0.000 | 0.000 |
| 4.858 | 4.858 | 5.659 | 0.000 | 0.000 | 0.000 |
| 2.776 | -2.776 | -0.000 | 4.237 | 0.000 | 0.000 |
| -0.000 | -0.000 | -0.000 | -0.000 | 4.237 | 2.776 |
| -0.000 | -0.000 | -0.000 | -0.000 | 2.776 | 1.819 |
| 39.673 | 17.183 | 10.917 | 0.963 | -0.000 | -0.000 |
| 17.183 | 39.673 | 10.917 | -0.963 | -0.000 | 0.000 |
| 10.917 | 10.917 | 19.896 | -0.000 | -0.000 | 0.000 |
| 0.963 | -0.963 | 0.000 | 2.434 | -0.000 | 0.000 |
| 0.000 | 0.000 | 0.000 | 0.000 | 2.434 | 0.963 |
| 0.000 | 0.000 | -0.000 | 0.000 | 0.963 | 11.245 |
| 39.673 | 17.183 | 10.917 | 0.963 | 0.000 | 0.000 |
| 17.183 | 39.673 | 10.917 | -0.963 | 0.000 | 0.000 |
| 10.917 | 10.917 | 19.896 | -0.000 | 0.000 | -0.000 |
| 0.963 | -0.963 | -0.000 | 2.434 | 0.000 | -0.000 |
| -0.000 | -0.000 | -0.000 | -0.000 | 2.434 | 0.963 |
| -0.000 | -0.000 | 0.000 | -0.000 | 0.963 | 11.245 |
| 39.673 | 17.183 | 10.917 | 0.963 | 0.000 | 0.000 |
| 17.183 | 39.673 | 10.917 | -0.963 | -0.000 | 0.000 |
| 10.917 | 10.917 | 19.896 | -0.000 | -0.000 | 0.000 |
| 0.963 | -0.963 | 0.000 | 2.434 | -0.000 | 0.000 |
| 0.000 | 0.000 | 0.000 | 0.000 | 2.434 | 0.963 |
| -0.000 | 0.000 | -0.000 | 0.000 | 0.963 | 11.245 |
| 39.673 | 17.183 | 10.917 | 0.963 | 0.000 | 0.000 |
| 17.183 | 39.673 | 10.917 | -0.963 | -0.000 | 0.000 |
| 10.917 | 10.917 | 19.896 | 0.000 | 0.000 | -0.000 |
| 0.963 | -0.963 | -0.000 | 2.434 | -0.000 | -0.000 |
| -0.000 | -0.000 | -0.000 | -0.000 | 2.434 | 0.963 |
| 0.000 | -0.000 | 0.000 | -0.000 | 0.963 | 11.245 |
| 39.674 | 17.183 | 10.917 | 0.963 | -0.000 | -0.000 |
| 17.183 | 39.673 | 10.917 | -0.963 | 0.000 | 0.000 |
| 10.917 | 10.917 | 19.896 | -0.000 | 0.000 | 0.000 |
| 0.963 | -0.963 | 0.000 | 2.434 | -0.000 | 0.000 |
| 0.000 | 0.000 | 0.000 | 0.000 | 2.434 | 0.963 |
| -0.000 | 0.000 | -0.000 | 0.000 | 0.963 | 11.245 |
| 39.673 | 17.183 | 10.917 | 0.963 | 0.000 | 0.000 |
| 17.183 | 39.673 | 10.917 | -0.963 | 0.000 | -0.000 |
| 10.917 | 10.917 | 19.896 | 0.000 | 0.000 | -0.000 |
| 0.963 | -0.963 | -0.000 | 2.434 | 0.000 | -0.000 |
| -0.000 | -0.000 | -0.000 | -0.000 | 2.434 | 0.963 |
| 0.000 | -0.000 | 0.000 | -0.000 | 0.963 | 11.245 |
| 9.071 | 4.762 | 1.198 | 0.000 | 0.000 | -0.000 |
| 5.388 | 8.828 | 6.015 | 0.000 | 0.000 | 0.000 |
| 1.411 | 5.350 | 6.162 | 0.000 | 0.000 | 0.000 |
| -0.000 | 0.000 | -0.000 | 0.325 | 0.000 | 0.000 |
| -0.000 | 0.000 | -0.000 | 0.000 | 3.105 | -0.000 |
| -0.000 | 0.000 | -0.000 | 0.000 | -0.000 | 0.000 |
| 9.071 | 4.762 | 1.198 | -0.000 | 0.000 | 0.000 |
| 5.388 | 8.828 | 6.015 | -0.000 | -0.000 | -0.000 |
| 1.411 | 5.350 | 6.162 | -0.000 | -0.000 | -0.000 |
| 0.000 | -0.000 | 0.000 | 0.325 | -0.000 | -0.000 |
| 0.000 | -0.000 | 0.000 | -0.000 | 3.105 | -0.000 |
| 0.000 | -0.000 | 0.000 | -0.000 | 0.000 | -0.000 |
| 9.071 | 4.762 | 1.198 | 0.000 | 0.000 | -0.000 |
| 3.562 | 9.693 | 4.283 | 0.000 | 0.000 | -0.000 |
| 1.411 | 5.350 | 6.162 | 0.000 | 0.000 | -0.000 |
| -0.000 | 0.000 | -0.000 | 0.325 | 0.000 | 0.000 |
| 0.000 | 0.000 | -0.000 | 0.000 | 3.105 | -0.000 |
| -0.000 | 0.000 | -0.000 | 0.000 | -0.000 | 0.000 |
| 8.487 | 5.318 | 0.793 | -0.000 | -0.000 | -0.000 |
| 5.329 | 8.699 | 5.877 | -0.000 | -0.000 | -0.000 |
| 1.411 | 5.350 | 6.162 | -0.000 | -0.000 | -0.000 |
| 0.000 | -0.000 | 0.000 | 0.325 | -0.000 | 0.000 |
| -0.000 | -0.000 | 0.000 | -0.000 | 3.105 | -0.000 |
| 0.000 | -0.000 | 0.000 | -0.000 | -0.000 | 0.000 |
| 8.435 | 5.369 | 0.756 | 0.000 | 0.000 | 0.000 |
| 5.369 | 8.680 | 5.914 | 0.000 | -0.000 | 0.000 |
| 0.756 | 5.913 | 5.676 | 0.000 | -0.000 | 0.000 |
| 0.000 | -0.000 | -0.000 | 0.324 | 0.000 | 0.000 |
| 0.000 | 0.000 | -0.000 | 0.000 | 3.105 | 0.000 |
| -0.000 | -0.000 | -0.000 | 0.000 | -0.000 | 0.000 |
| 8.435 | 5.369 | 0.756 | -0.000 | 0.000 | -0.000 |
| 3.562 | 9.693 | 4.283 | -0.000 | -0.000 | 0.000 |
| 0.848 | 5.834 | 5.745 | -0.000 | -0.000 | -0.000 |
| -0.000 | 0.000 | 0.000 | 0.324 | -0.000 | 0.000 |
| -0.000 | -0.000 | 0.000 | -0.000 | 3.105 | 0.000 |
| 0.000 | 0.000 | 0.000 | -0.000 | -0.000 | -0.000 |
| 32.284 | 10.888 | 10.888 | 0.000 | 0.000 | 0.000 |
| 10.888 | 32.284 | 10.888 | -0.000 | 0.000 | 0.000 |
| 10.888 | 10.888 | 32.284 | 0.000 | 0.000 | 0.000 |
| 0.176 | 0.176 | 0.176 | 3.373 | 0.000 | 0.000 |
| 0.176 | 0.176 | 0.176 | 0.000 | 3.373 | -0.000 |
| 0.176 | 0.176 | 0.176 | 0.000 | 0.000 | 3.373 |
| 32.095 | 10.770 | 10.770 | -0.000 | -0.000 | -0.000 |
| 10.770 | 32.095 | 10.770 | -0.000 | -0.000 | 0.000 |
| 10.770 | 10.770 | 32.095 | -0.000 | -0.000 | -0.000 |
| -0.176 | -0.176 | -0.176 | 3.373 | -0.000 | 0.000 |
| -0.176 | -0.176 | -0.176 | -0.000 | 3.373 | -0.000 |
| -0.176 | -0.176 | -0.176 | 0.000 | -0.000 | 3.373 |
| 32.053 | 11.084 | 11.084 | 0.000 | 0.000 | -0.000 |
| 11.084 | 32.053 | 11.084 | 0.000 | 0.000 | -0.000 |
| 11.084 | 11.084 | 32.053 | -0.000 | 0.000 | 0.000 |
| 0.007 | 0.007 | 0.007 | 3.176 | 0.000 | 0.000 |
| 0.007 | 0.007 | 0.007 | -0.000 | 3.176 | 0.000 |
| 0.007 | 0.007 | 0.007 | 0.000 | 0.000 | 3.176 |
| 32.041 | 11.070 | 11.070 | 0.000 | -0.000 | -0.000 |
| 11.070 | 32.041 | 11.070 | -0.000 | -0.000 | -0.000 |
| 11.070 | 11.070 | 32.041 | -0.000 | -0.000 | -0.000 |
| -0.007 | -0.007 | -0.007 | 3.176 | -0.000 | -0.000 |
| -0.007 | -0.007 | -0.007 | -0.000 | 3.176 | -0.000 |
| -0.007 | -0.007 | -0.007 | -0.000 | -0.000 | 3.176 |
| 32.047 | 11.084 | 11.084 | -0.000 | 0.000 | 0.000 |
| 11.084 | 32.047 | 11.084 | 0.000 | 0.000 | 0.000 |
| 11.084 | 11.084 | 32.047 | 0.000 | 0.000 | 0.000 |
| 0.001 | 0.001 | 0.001 | 3.175 | 0.000 | 0.000 |
| 0.001 | 0.001 | 0.001 | 0.000 | 3.175 | 0.000 |
| 0.001 | 0.001 | 0.001 | -0.000 | 0.000 | 3.175 |
| 32.046 | 11.083 | 11.083 | -0.000 | -0.000 | 0.000 |
| 11.083 | 32.046 | 11.083 | 0.000 | -0.000 | 0.000 |
| 11.083 | 11.083 | 32.046 | 0.000 | -0.000 | 0.000 |
| -0.001 | -0.001 | -0.001 | 3.175 | -0.000 | -0.000 |
| -0.001 | -0.001 | -0.001 | -0.000 | 3.175 | -0.000 |
| -0.001 | -0.001 | -0.001 | -0.000 | -0.000 | 3.175 |
| -0.007 | 1.139 | 8.340 | 0.000 | -0.000 | -0.000 |
| 1.350 | 0.343 | -0.074 | 0.000 | -0.000 | -0.000 |
| 9.344 | 0.722 | 4.162 | 0.000 | -0.000 | -0.000 |
| 0.000 | 0.000 | 0.000 | -4.419 | 0.000 | 0.000 |
| 0.384 | -0.104 | -0.684 | 0.000 | 2.047 | -0.000 |
| 0.000 | 0.000 | 0.000 | -0.000 | -0.000 | -8.247 |
| -0.771 | 1.346 | 9.703 | -0.000 | 0.000 | 0.000 |
| 0.578 | 0.553 | 1.304 | -0.000 | 0.000 | 0.000 |
| 8.580 | 0.930 | 5.525 | -0.000 | 0.000 | 0.000 |
| -0.000 | -0.000 | -0.000 | -4.419 | -0.000 | -0.000 |
| -0.384 | 0.104 | 0.684 | -0.000 | 2.047 | 0.000 |
| -0.000 | -0.000 | -0.000 | 0.000 | -0.000 | -8.247 |
| -0.350 | 1.232 | 8.952 | 0.000 | 0.000 | -0.000 |
| 1.005 | 0.437 | 0.541 | 0.000 | -0.000 | -0.000 |
| 9.000 | 0.816 | 4.776 | 0.000 | -0.000 | -0.000 |
| -4763874.135 | -7730390.628 | -5026154.233 | -142228.085 | -37567.245 | -14602.956 |
| 0.038 | -0.010 | -0.068 | 0.000 | 2.047 | -0.000 |
| -0.000 | -0.000 | 0.000 | -0.000 | 0.000 | -8.247 |
| -0.426 | 1.253 | 9.088 | -0.000 | 0.000 | 0.000 |
| 0.929 | 0.457 | 0.677 | -0.000 | 0.000 | 0.000 |
| 8.924 | 0.836 | 4.912 | -0.000 | 0.000 | 0.000 |
| 4742163.014 | 7649366.251 | 4921190.878 | -81984.409 | 19563.796 | 37297.827 |
| -0.038 | 0.010 | 0.068 | -0.000 | 2.047 | 0.000 |
| 0.000 | 0.000 | -0.000 | 0.000 | 0.000 | -8.247 |
| -0.385 | 1.241 | 9.013 | 0.000 | -0.000 | -0.000 |
| 0.971 | 0.446 | 0.603 | 0.000 | -0.000 | -0.000 |
| 8.966 | 0.825 | 4.838 | 0.000 | -0.000 | -0.000 |
| -470524.159 | -763641.683 | -501474.008 | -12155.298 | -4761.323 | 1619.024 |
| 0.004 | -0.001 | -0.007 | 0.000 | 2.047 | -0.000 |
| -372803.372 | -714265.952 | -362408.887 | 10237.764 | 2777.139 | -129391.048 |
| -0.392 | 1.243 | 9.027 | -0.000 | 0.000 | 0.000 |
| 0.963 | 0.448 | 0.616 | -0.000 | -0.000 | 0.000 |
| 8.958 | 0.827 | 4.851 | -0.000 | -0.000 | 0.000 |
| 473310.659 | 774871.162 | 513130.099 | -12070.776 | 7158.847 | 272.466 |
| -0.004 | 0.001 | 0.007 | -0.000 | 2.047 | 0.000 |
| 384203.108 | 719954.969 | 375513.571 | -1348.485 | 1486.199 | -118366.582 |
| -10.908 | 1.789 | 53.805 | 0.000 | -0.000 | 0.000 |
| 1.860 | -66.966 | 30.751 | 0.000 | -0.000 | 0.000 |
| 53.832 | 30.708 | 101.338 | 0.000 | -0.000 | 0.000 |
| 0.001 | -0.000 | 0.000 | 28.338 | -0.000 | -0.000 |
| 0.002 | 0.000 | 0.002 | 0.000 | 65.245 | 0.000 |
| 0.001 | -0.000 | 0.001 | 0.000 | -0.000 | -6.085 |
| -10.913 | 1.789 | 53.802 | -0.000 | 0.000 | -0.000 |
| 1.855 | -66.966 | 30.748 | -0.000 | -0.000 | -0.000 |
| 53.828 | 30.708 | 101.334 | -0.000 | 0.000 | -0.000 |
| -0.001 | 0.000 | -0.000 | 28.338 | 0.000 | -0.000 |
| -0.002 | -0.000 | -0.002 | -0.000 | 65.245 | 0.000 |
| -0.001 | 0.000 | -0.001 | -0.000 | -0.000 | -6.085 |
| -10.910 | 1.789 | 53.804 | 0.000 | -0.000 | 0.000 |
| 1.858 | -66.966 | 30.750 | 0.000 | -0.000 | 0.000 |
| 53.831 | 30.709 | 101.337 | 0.000 | -0.000 | 0.000 |
| 0.000 | 0.000 | 0.000 | 28.338 | 0.000 | 0.000 |
| 0.001 | 0.000 | 0.001 | 0.000 | 65.245 | 0.000 |
| 0.000 | 0.000 | 0.000 | 0.000 | -0.000 | -6.085 |
| -10.911 | 1.789 | 53.803 | -0.000 | 0.000 | -0.000 |
| 1.857 | -66.966 | 30.750 | -0.000 | 0.000 | -0.000 |
| 53.830 | 30.708 | 101.335 | -0.000 | 0.000 | -0.000 |
| -0.000 | -0.000 | -0.000 | 28.338 | 0.000 | -0.000 |
| -0.001 | -0.000 | -0.001 | -0.000 | 65.245 | -0.000 |
| -0.000 | -0.000 | -0.000 | -0.000 | 0.000 | -6.085 |
| -10.910 | 1.790 | 53.806 | 0.000 | 0.000 | 0.000 |
| 1.858 | -66.965 | 30.750 | 0.000 | -0.000 | 0.000 |
| 53.834 | 30.710 | 101.341 | 0.000 | -0.000 | 0.000 |
| 0.001 | 0.000 | 0.001 | 28.338 | -0.000 | -0.000 |
| 0.006 | 0.002 | 0.008 | 0.000 | 65.245 | 0.000 |
| -0.000 | 0.000 | 0.000 | 0.000 | -0.000 | -6.085 |
| -10.911 | 1.788 | 53.801 | -0.000 | 0.000 | -0.000 |
| 1.857 | -66.967 | 30.749 | -0.000 | 0.000 | -0.000 |
| 53.826 | 30.707 | 101.331 | -0.000 | 0.000 | -0.000 |
| -0.001 | -0.000 | -0.001 | 28.338 | -0.000 | -0.000 |
| -0.006 | -0.002 | -0.008 | -0.000 | 65.245 | -0.000 |
| 0.000 | -0.000 | -0.000 | -0.000 | 0.000 | -6.085 |
| 11.996 | 5.074 | -1.527 | 9.345 | 0.000 | 0.000 |
| 5.074 | 11.996 | -1.527 | -9.345 | 0.000 | 0.000 |
| -1.530 | -1.530 | -17.397 | 0.000 | 0.000 | 0.000 |
| 9.345 | -9.345 | 0.000 | -1.726 | 0.000 | 0.000 |
| 0.000 | 0.000 | 0.000 | 0.000 | -1.726 | 9.345 |
| 0.000 | 0.000 | 0.000 | 0.000 | 9.345 | 3.461 |
| 11.996 | 5.074 | -1.527 | 9.345 | -0.000 | -0.000 |
| 5.074 | 11.996 | -1.527 | -9.345 | -0.000 | -0.000 |
| -1.530 | -1.530 | -17.397 | 0.000 | -0.000 | -0.000 |
| 9.345 | -9.345 | -0.000 | -1.726 | -0.000 | -0.000 |
| -0.000 | -0.000 | -0.000 | -0.000 | -1.726 | 9.345 |
| -0.000 | -0.000 | -0.000 | -0.000 | 9.345 | 3.461 |
| 11.996 | 5.074 | -1.527 | 9.345 | 0.000 | 0.000 |
| 5.074 | 11.996 | -1.527 | -9.345 | 0.000 | 0.000 |
| -1.530 | -1.530 | -17.397 | 0.000 | 0.000 | 0.000 |
| 9.345 | -9.345 | 0.000 | -1.726 | 0.000 | 0.000 |
| 0.000 | 0.000 | 0.000 | 0.000 | -1.726 | 9.345 |
| 0.000 | 0.000 | 0.000 | 0.000 | 9.345 | 3.461 |
| 11.995 | 5.074 | -1.527 | 9.345 | -0.000 | -0.000 |
| 5.074 | 11.995 | -1.527 | -9.345 | -0.000 | -0.000 |
| -1.530 | -1.530 | -17.397 | 0.000 | -0.000 | -0.000 |
| 9.345 | -9.345 | -0.000 | -1.726 | -0.000 | -0.000 |
| -0.000 | -0.000 | -0.000 | -0.000 | -1.726 | 9.345 |
| -0.000 | -0.000 | -0.000 | -0.000 | 9.345 | 3.461 |
| 11.996 | 5.074 | -1.526 | 9.345 | 0.000 | 0.000 |
| 5.074 | 11.996 | -1.526 | -9.345 | 0.000 | 0.000 |
| -1.530 | -1.530 | -17.397 | -0.000 | 0.000 | 0.000 |
| 9.345 | -9.345 | 0.000 | -1.726 | 0.000 | 0.000 |
| 0.000 | 0.000 | 0.000 | 0.000 | -1.726 | 9.345 |
| 0.000 | 0.000 | 0.000 | 0.000 | 9.345 | 3.461 |
| 11.995 | 5.074 | -1.527 | 9.345 | -0.000 | -0.000 |
| 5.074 | 11.995 | -1.527 | -9.345 | -0.000 | -0.000 |
| -1.530 | -1.530 | -17.398 | 0.000 | -0.000 | -0.000 |
| 9.345 | -9.346 | -0.000 | -1.726 | -0.000 | -0.000 |
| -0.000 | -0.000 | -0.000 | -0.000 | -1.726 | 9.345 |
| -0.000 | -0.000 | -0.000 | -0.000 | 9.345 | 3.461 |
Phonon band structures and crystal properties estimated from quasi-harmonic approximation (QHA) calculations are displayed for select crystals. The calculations were performed using phonopy and LAMMPS. For the phonon calculations, 3x3 supercells of the potential-specific relaxed crystals were used. The QHA calculations were based on 11 strain states ranging from -0.05 to 0.05.
The calculation method used is available as the iprPy phonon calculation method.
Notes and Disclaimers:
Version Information:




























































































































































































































































































































































































































































































































































Static free surface formation energies are displayed for select crystals. The values displayed here are obtained by taking a perfect periodic bulk crystal, slicing along a crystallographic plane, and using force minimization to statically relax the surfaces. The free surface formation energy is computed by comparing the energy of the defect system to the bulk system and dividing by the total surface area created by the cut.
The calculation method used is available as the iprPy surface_energy_static calculation method.
Notes and Disclaimers:
Version Information:
| Surface | γfs (mJ/m2) |
|---|---|
| (111) | 34.89 |
| (332) | 38.65 |
| (322) | 39.09 |
| (100) | 40.29 |
| (221) | 40.29 |
| (211) | 41.12 |
| (331) | 41.59 |
| (311) | 42.52 |
| (110) | 42.73 |
| (321) | 43.07 |
| (310) | 44.59 |
| (320) | 44.70 |
| (210) | 45.04 |
| Surface | γfs (mJ/m2) |
|---|---|
| (211) 2 | 2606.21 |
| (210) | 2618.30 |
| (100) | 2627.27 |
| (332) 2 | 2688.68 |
| (321) 2 | 2691.46 |
| (311) | 2699.41 |
| (221) | 2703.55 |
| (322) | 2725.67 |
| (321) 1 | 2729.19 |
| (320) | 2730.63 |
| (111) | 2731.00 |
| (331) | 2736.16 |
| (310) | 2754.35 |
| (332) 1 | 2766.18 |
| (211) 1 | 2784.64 |
| (110) | 2852.54 |
| Surface | γfs (mJ/m2) |
|---|---|
| (322) | -61.00 |
| (332) 2 | -60.64 |
| (332) 1 | -53.72 |
| (221) | -41.75 |
| (321) 1 | -40.40 |
| (111) | -40.07 |
| (321) 2 | -38.47 |
| (211) 1 | -35.37 |
| (211) 2 | -34.60 |
| (331) | -34.07 |
| (311) | -32.18 |
| (320) | -5.06 |
| (210) | -2.83 |
| (310) | -0.62 |
| (110) | 0.08 |
| (100) | 0.93 |
| Surface | γfs (mJ/m2) |
|---|---|
| (110) | 2823.67 |
| (320) | 3055.47 |
| (321) | 3114.88 |
| (331) | 3120.37 |
| (100) | 3135.20 |
| (210) | 3140.96 |
| (211) | 3149.61 |
| (310) | 3185.77 |
| (221) | 3206.99 |
| (311) | 3236.20 |
| (322) | 3252.37 |
| (332) | 3262.69 |
| (111) | 3305.39 |
| Surface | γfs (mJ/m2) |
|---|---|
| (320) | -661.43 |
| (110) | 76.13 |
| (331) | 84.97 |
| (221) | 87.82 |
| (322) | 88.74 |
| (332) | 89.62 |
| (100) | 90.53 |
| (111) | 91.40 |
| Surface | γfs (mJ/m2) |
|---|---|
| (110) | 21.37 |
| (321) | 24.23 |
| (331) | 24.26 |
| (211) | 24.67 |
| (320) | 25.14 |
| (221) | 25.18 |
| (322) | 25.65 |
| (332) | 25.77 |
| (111) | 26.17 |
| (210) | 27.03 |
| (311) | 27.33 |
| (310) | 28.67 |
| (100) | 30.22 |
| Surface | γfs (mJ/m2) |
|---|---|
| (111) 2 | 12.48 |
| (331) 2 | 14.88 |
| (110) | 15.29 |
| (321) | 17.33 |
| (211) | 17.65 |
| (320) | 17.99 |
| (332) | 18.44 |
| (210) | 19.34 |
| (311) 1 | 19.55 |
| (311) 2 | 19.55 |
| (310) | 20.51 |
| (322) | 20.97 |
| (100) | 21.62 |
| (221) | 21.62 |
| (331) 1 | 24.80 |
| (111) 1 | 37.44 |
| Surface | γfs (mJ/m2) |
|---|---|
| (111) 2 | 4.36 |
| (331) 2 | 5.20 |
| (110) | 5.34 |
| (321) | 6.06 |
| (211) | 6.17 |
| (320) | 6.29 |
| (332) | 6.44 |
| (210) | 6.76 |
| (311) 1 | 6.83 |
| (311) 2 | 6.83 |
| (310) | 7.17 |
| (322) | 7.33 |
| (100) | 7.55 |
| (221) | 7.55 |
| (331) 1 | 8.66 |
| (111) 1 | 13.08 |
| Surface | γfs (mJ/m2) |
|---|---|
| (211) 2 | -30796.83 |
| (211) 1 | -29591.79 |
| (111) | -13422.58 |
| (201) | -10286.94 |
| (100) | 1833.77 |
| (101) 1 | 2217.88 |
| (110) | 2222.60 |
| (112) | 2305.91 |
| (001) | 2444.37 |
| (101) 2 | 2749.40 |
| Surface | γfs (mJ/m2) |
|---|---|
| (100) | 43.70 |
| (101) 1 | 60.66 |
| (110) | 62.51 |
| (201) | 63.15 |
| (112) | 63.97 |
| (211) 2 | 64.60 |
| (111) | 67.06 |
| (001) | 68.31 |
| (211) 1 | 74.10 |
| (101) 2 | 87.27 |
| Surface | γfs (mJ/m2) |
|---|---|
| (100) | 10.40 |
| (101) 1 | 14.32 |
| (110) | 14.71 |
| (201) | 14.95 |
| (112) | 15.14 |
| (001) | 16.12 |
| (111) | 17.35 |
| (211) 2 | 17.58 |
| (211) 1 | 17.58 |
| (101) 2 | 23.86 |
| Surface | γfs (mJ/m2) |
|---|---|
| (100) | 10.07 |
| (310) | 12.74 |
| (210) | 13.51 |
| (320) | 13.97 |
| (110) | 14.24 |
| (311) | 15.18 |
| (321) | 16.15 |
| (331) | 16.17 |
| (211) | 16.45 |
| (221) | 16.79 |
| (322) | 17.10 |
| (332) | 17.18 |
| (111) | 17.45 |
| Surface | γfs (mJ/m2) |
|---|---|
| (310) | 904.83 |
| (111) | 1008.98 |
| (332) | 1160.46 |
| (322) | 1175.43 |
| (221) | 1232.13 |
| (211) | 1262.06 |
| (331) | 1294.04 |
| (100) | 1310.52 |
| (311) | 1359.71 |
| (321) | 1362.85 |
| (110) | 1395.08 |
| (320) | 1472.53 |
| (210) | 1500.07 |
| Surface | γfs (mJ/m2) |
|---|---|
| (210) | -27.88 |
| (320) | -27.67 |
| (310) | -27.61 |
| (321) | -26.69 |
| (110) | -26.47 |
| (311) | -26.35 |
| (331) | -25.79 |
| (211) | -25.50 |
| (221) | -25.00 |
| (100) | -24.98 |
| (322) | -24.26 |
| (332) | -24.00 |
| (111) | -21.69 |
| Surface | γfs (mJ/m2) |
|---|---|
| (111) | 1101.68 |
| (100) | 1138.86 |
| (332) | 1167.40 |
| (322) | 1173.24 |
| (110) | 1173.53 |
| (221) | 1189.16 |
| (311) | 1191.18 |
| (211) | 1195.87 |
| (331) | 1199.13 |
| (210) | 1204.99 |
| (320) | 1207.57 |
| (310) | 1212.15 |
| (321) | 1213.38 |
| Surface | γfs (mJ/m2) |
|---|---|
| (332) | -79088.55 |
| (331) | -72653.83 |
| (322) | -70386.51 |
| (321) | -64206.25 |
| (311) | -58955.62 |
| (320) | -58921.85 |
| (310) | -52899.33 |
| (221) | -48552.16 |
| (211) | -42186.73 |
| (210) | -36633.67 |
| (111) | -30339.75 |
| (110) | -23098.33 |
| (100) | -1918.57 |
| Surface | γfs (mJ/m2) |
|---|---|
| (332) | -35215.49 |
| (320) | -30744.17 |
| (331) | -30480.06 |
| (321) | -23063.00 |
| (322) | -22408.72 |
| (310) | -22336.20 |
| (311) | -21706.73 |
| (221) | -18969.47 |
| (211) | -17384.64 |
| (111) | -10468.32 |
| (100) | -2932.11 |
| (210) | 254.03 |
| (110) | 255.98 |
| Surface | γfs (mJ/m2) |
|---|---|
| (100) | 188.15 |
| (310) | 215.82 |
| (111) | 219.61 |
| (110) | 221.05 |
| (210) | 222.02 |
| (320) | 223.82 |
| (311) | 224.65 |
| (322) | 228.34 |
| (332) | 228.52 |
| (211) | 229.36 |
| (331) | 230.51 |
| (221) | 230.73 |
| (321) | 233.29 |
| Surface | γfs (mJ/m2) |
|---|---|
| (0001) | 1101.68 |
| (1012) 2 | 1132.27 |
| (1011) 1 | 1157.52 |
| (2021) 1 | 1163.29 |
| (1120) | 1173.43 |
| (2021) 2 | 1189.45 |
| (2241) | 1193.56 |
| (1010) | 1202.24 |
| (2132) 2 | 1204.54 |
| (2131) 1 | 1205.89 |
| (1121) | 1206.61 |
| (2130) | 1211.71 |
| (2112) | 1212.36 |
| (2132) 1 | 1218.62 |
| (2131) 2 | 1222.14 |
| (1012) 1 | 1234.71 |
| (1011) 2 | 1243.31 |
| Surface | γfs (mJ/m2) |
|---|---|
| (2131) 2 | 842.48 |
| (1121) | 919.79 |
| (2132) 2 | 1000.07 |
| (2241) | 1068.53 |
| (0001) | 1087.29 |
| (2132) 1 | 1143.20 |
| (2131) 1 | 1177.15 |
| (1011) 2 | 1180.79 |
| (1010) 1 | 1211.98 |
| (2021) 1 | 1237.40 |
| (2112) | 1333.58 |
| (1012) 2 | 1339.09 |
| (1012) 1 | 1380.53 |
| (2130) 1 | 1423.55 |
| (1120) | 1468.75 |
| (2021) 2 | 1570.57 |
| (2130) 2 | 1728.67 |
| (1011) 1 | 1732.63 |
| (1010) 2 | 1904.08 |
| Surface | γfs (mJ/m2) |
|---|---|
| (111) 2 | 131.20 |
| (331) 2 | 156.37 |
| (110) | 160.65 |
| (321) | 184.15 |
| (211) | 188.55 |
| (320) | 191.10 |
| (332) | 198.41 |
| (210) | 206.53 |
| (311) 1 | 209.99 |
| (311) 2 | 210.02 |
| (310) | 220.24 |
| (322) | 227.51 |
| (221) | 234.47 |
| (100) | 234.66 |
| (331) 1 | 270.61 |
| (111) 1 | 418.68 |
| Surface | γfs (mJ/m2) |
|---|---|
| (100) | 872.07 |
| (110) | 924.53 |
| (101) 1 | 946.65 |
| (211) 2 | 994.93 |
| (112) | 1041.54 |
| (201) | 1073.54 |
| (111) | 1081.79 |
| (211) 1 | 1126.28 |
| (001) | 1359.76 |
| (101) 2 | 1407.59 |
| Surface | γfs (mJ/m2) |
|---|---|
| (110) | 832.39 |
| (101) | 853.53 |
| (001) | 923.56 |
| (211) | 959.93 |
| (201) | 978.77 |
| (111) | 1049.20 |
| (100) | 1075.37 |
| (112) | 1094.03 |
| Surface | γfs (mJ/m2) |
|---|---|
| (112) | -9522.17 |
| (211) | -5478.71 |
| (111) | -2695.41 |
| (101) | 929.38 |
| (201) | 1027.96 |
| (100) | 1074.35 |
| (001) | 1116.87 |
| (110) | 1144.23 |
| Surface | γfs (mJ/m2) |
|---|---|
| (0001) 1 | 0.64 |
| (1011) 1 | 162.39 |
| (2112) 1 | 191.19 |
| (1012) 1 | 193.59 |
| (2131) 1 | 198.48 |
| (1121) 1 | 202.36 |
| (2241) 1 | 205.48 |
| (1120) | 206.57 |
| (2132) 1 | 215.52 |
| (2241) 2 | 222.76 |
| (2112) 2 | 223.35 |
| (2130) | 224.80 |
| (2021) 1 | 231.07 |
| (1121) 2 | 236.39 |
| (1010) | 237.00 |
| (2132) 2 | 237.53 |
| (1012) 2 | 242.64 |
| (2021) 2 | 260.66 |
| (2131) 2 | 266.25 |
| (1011) 2 | 332.37 |
| (0001) 2 | 509.56 |
| Surface | γfs (mJ/m2) |
|---|---|
| (100) | 445.01 |
| (310) | 597.69 |
| (111) | 640.18 |
| (311) | 643.91 |
| (210) | 656.53 |
| (332) | 685.95 |
| (322) | 690.07 |
| (320) | 696.49 |
| (211) | 700.70 |
| (221) | 701.72 |
| (331) | 717.27 |
| (321) | 731.23 |
| (110) | 735.45 |
| Surface | γfs (mJ/m2) |
|---|---|
| (332) | -47052.87 |
| (331) | -43719.26 |
| (322) | -40759.75 |
| (321) | -37785.15 |
| (320) | -35367.94 |
| (311) | -31571.90 |
| (221) | -30711.88 |
| (310) | -30121.74 |
| (211) | -24602.41 |
| (210) | -21931.51 |
| (111) | -17118.17 |
| (100) | 82.99 |
| (110) | 160.58 |
| Surface | γfs (mJ/m2) |
|---|---|
| (221) | -18.94 |
| (331) | -18.85 |
| (211) | -18.85 |
| (322) | -18.81 |
| (332) | -18.81 |
| (321) | -18.80 |
| (311) | -18.32 |
| (310) | -18.30 |
| (320) | -18.17 |
| (111) | -18.06 |
| (210) | -18.00 |
| (110) | -17.81 |
| (100) | -17.51 |
| Surface | γfs (mJ/m2) |
|---|---|
| (321) | -62.07 |
| (310) | -61.99 |
| (320) | -61.75 |
| (210) | -61.62 |
| (331) | -61.36 |
| (211) | -61.19 |
| (311) | -60.93 |
| (221) | -60.85 |
| (322) | -60.04 |
| (110) | -60.02 |
| (332) | -59.75 |
| (100) | -58.27 |
| (111) | -56.39 |
| Surface | γfs (mJ/m2) |
|---|---|
| (331) | -41.45 |
| (111) | -39.68 |
| (322) | -39.25 |
| (321) 2 | -37.82 |
| (332) 1 | -37.40 |
| (211) 1 | -36.86 |
| (221) | -35.36 |
| (332) 2 | -34.81 |
| (311) | -34.30 |
| (321) 1 | -32.12 |
| (211) 2 | -30.31 |
| (110) | -29.35 |
| (310) | -29.23 |
| (320) | -28.63 |
| (210) | -24.31 |
| (100) | -22.64 |
| Surface | γfs (mJ/m2) |
|---|---|
| (321) | -11.95 |
| (221) | -11.77 |
| (331) | -11.77 |
| (211) | -11.72 |
| (332) | -11.65 |
| (322) | -11.65 |
| (311) | -11.51 |
| (320) | -11.50 |
| (210) | -11.38 |
| (110) | -11.31 |
| (111) | -11.16 |
| (310) | -11.03 |
| Surface | γfs (mJ/m2) |
|---|---|
| (1011) 1 | -19.92 |
| (1012) 2 | -19.43 |
| (2131) 1 | -19.23 |
| (2132) 2 | -18.90 |
| (2130) 1 | -18.75 |
| (2021) 1 | -18.71 |
| (2021) 2 | -18.58 |
| (2132) 1 | -18.57 |
| (2131) 2 | -18.51 |
| (1121) | -18.42 |
| (2241) | -18.41 |
| (2112) | -18.32 |
| (1010) 1 | -18.32 |
| (0001) | -18.06 |
| (2130) 2 | -18.02 |
| (1010) 2 | -18.00 |
| (1012) 1 | -17.99 |
| (1011) 2 | -17.97 |
| (1120) | -17.96 |
| Surface | γfs (mJ/m2) |
|---|---|
| (111) 2 | 0.63 |
| (331) 2 | 0.75 |
| (110) | 0.76 |
| (321) | 0.99 |
| (320) | 1.03 |
| (211) | 1.07 |
| (210) | 1.17 |
| (332) | 1.20 |
| (311) 1 | 1.25 |
| (311) 2 | 1.26 |
| (310) | 1.31 |
| (322) | 1.47 |
| (221) | 1.50 |
| (100) | 1.55 |
| (331) 1 | 1.82 |
| (111) 1 | 3.33 |
| Surface | γfs (mJ/m2) |
|---|---|
| (211) 2 | -300.03 |
| (111) | -128.76 |
| (112) | -113.78 |
| (101) 1 | -15.34 |
| (101) 2 | -14.29 |
| (211) 1 | -13.90 |
| (110) | -9.38 |
| (100) | -8.93 |
| (001) | -5.43 |
| Surface | γfs (mJ/m2) |
|---|---|
| (101) 1 | -0.87 |
| (112) | -0.68 |
| (201) | -0.27 |
| (001) | -0.23 |
| (111) | -0.05 |
| (211) 1 | 0.29 |
| (100) | 0.45 |
| (110) | 1.41 |
| (101) 2 | 2.86 |
| Surface | γfs (mJ/m2) |
|---|---|
| (101) 1 | 0.67 |
| (112) | 0.72 |
| (201) | 0.96 |
| (001) | 1.15 |
| (100) | 1.18 |
| (111) | 1.40 |
| (211) 2 | 1.70 |
| (211) 1 | 1.71 |
| (110) | 2.39 |
| (101) 2 | 3.55 |
| Surface | γfs (mJ/m2) |
|---|---|
| (100) | -1.96 |
| (112) | -1.94 |
| (101) 1 | -1.82 |
| (201) | -1.79 |
| (001) | -1.64 |
| (211) 1 | -1.50 |
| (110) | -1.41 |
| (111) | -1.36 |
| (211) 2 | -0.85 |
| (101) 2 | 0.14 |
| Surface | γfs (mJ/m2) |
|---|---|
| (001) | 0.00 |
| (101) | 1.31 |
| (201) | 1.42 |
| (100) | 1.47 |
| (112) | 2.38 |
| (211) | 2.41 |
| (111) | 2.75 |
| (110) | 2.92 |
| Surface | γfs (mJ/m2) |
|---|---|
| (100) | 1.93 |
| (310) | 2.77 |
| (210) | 3.07 |
| (320) | 3.28 |
| (110) | 3.52 |
| (311) | 3.80 |
| (321) | 4.16 |
| (331) | 4.27 |
| (211) | 4.38 |
| (221) | 4.59 |
| (322) | 4.77 |
| (332) | 4.84 |
| (111) | 5.15 |
| Surface | γfs (mJ/m2) |
|---|---|
| (100) | -1.90 |
| (310) | -1.81 |
| (210) | -1.72 |
| (320) | -1.60 |
| (110) | -1.37 |
| (311) | -1.29 |
| (321) | -1.16 |
| (331) | -1.01 |
| (211) | -0.97 |
| (221) | -0.81 |
| (322) | -0.69 |
| (332) | -0.62 |
| (111) | -0.27 |
Stacking fault energy plots and maps are displayed for select crystals. The values are computed by
The calculation method used is available as the iprPy stacking_fault_map_2D calculation method.
Notes and Disclaimers:
Version Information:
| E_usf a/2 [0 -1 1] | 108.13 |
| τ_ideal a/2 [0 -1 1] | 97.35 |




| E_isf | 0.00 |
| E_usf a/2 [0 -1 1] | 175.43 |
| τ_ideal a/2 [0 -1 1] | 193.44 |




| E_usf a/2 [-1 1 -1] | 1438.20 |
| τ_ideal a/2 [-1 1 -1] | 13.00 |




| E_usf a/2 [-1 -1 1] | 1566.57 |
| τ_ideal a/2 [-1 -1 1] | 15.78 |




| E_usf a/2 [-1 -1 1] | 1563.91 |
| τ_ideal a/2 [-1 -1 1] | 15.64 |




| E_usf a/2 [0 -1 1] | 731.99 |
| τ_ideal a/2 [0 -1 1] | 119.80 |




| E_isf | -242.45 |
| E_usf a/2 [0 -1 1] | 383.04 |
| τ_ideal a/2 [0 -1 1] | 53.54 |




| E_usf a/2 [0 -1 1] | 1420.78 |
| τ_ideal a/2 [0 -1 1] | 27.43 |




| E_isf | 0.00 |
| E_usf a/2 [0 -1 1] | 929.38 |
| τ_ideal a/2 [0 -1 1] | 18.26 |




| E_usf a/2 [-1 -1 1] | 166.10 |
| τ_ideal a/2 [-1 -1 1] | 13.83 |




| E_isf | 391.19 |
| E_usf a/3 [-2 1 1 0] | 1240.46 |
| τ_ideal a/3 [-2 1 1 0] | 12.18 |




| E_usf a/3 [-1 2 -1 0] | 329.73 |
| τ_ideal a/3 [-1 2 -1 0] | 10.31 |




| E_usf a/3 [-1 2 -1 0] | 1741.42 |
| τ_ideal a/3 [-1 2 -1 0] | 234.06 |




| E_usf a/3 [-1 2 -1 0] | 317.72 |
| E_usf a/3 [-2 1 1 3] | 2099.39 |
| τ_ideal a/3 [-1 2 -1 0] | 10.69 |
| τ_ideal a/3 [-2 1 1 3] | 40.19 |





| E_usf a/3 [-1 2 -1 0] | 887.26 |
| E_usf a/3 [-2 1 1 3] | 841.27 |
| τ_ideal a/3 [-1 2 -1 0] | 11.01 |
| τ_ideal a/3 [-2 1 1 3] | 23.17 |





| E_usf a/3 [-2 1 1 3] | 1204.82 |
| τ_ideal a/3 [-2 1 1 3] | 22.66 |




| E_usf a/2 [0 -1 1] | 26.87 |
| τ_ideal a/2 [0 -1 1] | 2.88 |




| E_isf | 0.00 |
| E_usf a/2 [0 -1 1] | 38.63 |
| τ_ideal a/2 [0 -1 1] | 1.26 |




| E_isf | -0.00 |
| E_usf a/3 [-2 1 1 0] | 45.49 |
| τ_ideal a/3 [-2 1 1 0] | 1.63 |




| E_usf a/3 [-1 2 -1 0] | 50.84 |
| τ_ideal a/3 [-1 2 -1 0] | 2.57 |




| E_usf a/3 [-1 2 -1 0] | 33.27 |
| τ_ideal a/3 [-1 2 -1 0] | 2.01 |




| E_usf a/3 [-1 2 -1 0] | 98.28 |
| E_usf a/3 [-2 1 1 3] | 51.59 |
| τ_ideal a/3 [-1 2 -1 0] | 6.63 |
| τ_ideal a/3 [-2 1 1 3] | 5.86 |





| E_usf a/3 [-1 2 -1 0] | 35.01 |
| E_usf a/3 [-2 1 1 3] | 36.34 |
| τ_ideal a/3 [-1 2 -1 0] | 2.02 |
| τ_ideal a/3 [-2 1 1 3] | 1.59 |





Static point defect formation energies, Ef, and elastic dipole tensors, pij, are displayed for select crystals. Relaxed defect configurations are obtained by taking a 12x12x12 supercell of a perfect periodic bulk crystal, inserting the point defect, and using force minimization to statically relax the atomic positions while keeping the system dimensions constant. Ef is computed by comparing the energy of the defect system to the same number of atoms in a perfect bulk crystal. pij is estimated as the difference in the system's global pressure with and without the defect multiplied by the system's volume.
Simple structural comparisons of the unrelaxed and relaxed defect configurations are used to help determine if the defect structure has relaxed to a different configuration. Relaxed structures that are identified as no longer consistent with the ideal defect definition are excluded from the table below. The only exception to this is if the lowest energy interstitial configuration does not coincide with a known ideal defect, its energies and pressure tensor are included under the listing "relaxed interstitial". The full list of calculation results including the transformed structures and the structural comparison values is included in the csv file available from the "Download raw data" link.
The calculation method used is available as the iprPy point_defect_static calculation method.
Notes and Disclaimers:
| Point Defect | Ef (eV) | p11 (eV) | p22 (eV) | p33 (eV) | p12 (eV) | p13 (eV) | p23 (eV) |
|---|---|---|---|---|---|---|---|
| relaxed interstitial | -45.684 | -10.389 | -10.389 | -9.487 | 0.000 | -0.000 | -0.000 |
| octahedral interstitial | -23.115 | -10.697 | -10.697 | -10.697 | -0.000 | -0.000 | -0.000 |
| vacancy | 0.220 | 0.000 | 0.000 | 0.000 | -0.000 | -0.000 | -0.000 |
| 1nn divacancy | 0.404 | 0.001 | 0.001 | 0.001 | -0.000 | -0.000 | -0.000 |
| 2nn divacancy | 0.441 | 0.001 | 0.001 | 0.001 | -0.000 | -0.000 | -0.000 |
| Point Defect | Ef (eV) | p11 (eV) | p22 (eV) | p33 (eV) | p12 (eV) | p13 (eV) | p23 (eV) |
|---|---|---|---|---|---|---|---|
| vacancy | 2.609 | -6.063 | -6.063 | -6.063 | -0.000 | 0.000 | 0.000 |
| 2nn divacancy | 5.126 | -11.862 | -11.862 | -13.124 | -0.000 | 0.000 | 0.000 |
| 1nn divacancy | 5.234 | -10.855 | -10.855 | -10.855 | 0.533 | 0.533 | 0.533 |
| 111 dumbbell | 6.448 | 33.604 | 33.604 | 33.604 | 8.385 | 8.385 | 8.385 |
| crowdion interstitial | 6.536 | 32.036 | 32.036 | 32.036 | 7.397 | 7.397 | 7.397 |
| 110 dumbbell | 6.684 | 35.366 | 34.158 | 34.158 | -0.000 | -0.000 | 8.823 |
| tetrahedral interstitial | 7.185 | 37.557 | 33.676 | 37.557 | 0.000 | 0.000 | -0.000 |
| 100 dumbbell | 7.420 | 31.523 | 31.523 | 41.609 | -0.000 | -0.000 | 0.000 |
| octahedral interstitial | 7.732 | 35.912 | 32.646 | 32.646 | -0.000 | 0.000 | 0.000 |
| Point Defect | Ef (eV) | p11 (eV) | p22 (eV) | p33 (eV) | p12 (eV) | p13 (eV) | p23 (eV) |
|---|---|---|---|---|---|---|---|
| 111 dumbbell | -17.385 | -1.854 | -1.854 | -1.854 | -0.325 | -0.325 | -0.325 |
| tetrahedral interstitial | -15.691 | -8.005 | -5.876 | -8.005 | 0.000 | 0.000 | -0.000 |
| vacancy | 0.297 | -0.229 | -0.229 | -0.229 | 0.000 | -0.000 | 0.000 |
| 1nn divacancy | 0.555 | -0.518 | -0.518 | -0.518 | -0.264 | -0.264 | -0.264 |
| 2nn divacancy | 0.569 | -1.141 | -1.141 | 1.298 | -0.000 | 0.000 | -0.000 |
| Point Defect | Ef (eV) | p11 (eV) | p22 (eV) | p33 (eV) | p12 (eV) | p13 (eV) | p23 (eV) |
|---|---|---|---|---|---|---|---|
| 110 dumbbell | -21.251 | -2.127 | -2.425 | -2.425 | 0.000 | 0.000 | 2.725 |
| 100 dumbbell | -17.344 | -1.259 | -1.259 | -1.258 | -0.000 | -0.000 | 0.000 |
| 111 dumbbell | -17.026 | -2.397 | -2.397 | -2.397 | 0.361 | 0.361 | 0.361 |
| crowdion interstitial | -10.266 | -1.998 | -1.998 | -1.998 | 0.229 | 0.229 | 0.229 |
| vacancy | 0.147 | 0.000 | 0.000 | 0.000 | -0.000 | 0.000 | 0.000 |
| 1nn divacancy | 0.257 | 0.000 | 0.000 | 0.000 | 0.000 | 0.000 | 0.000 |
| 2nn divacancy | 0.294 | 0.000 | 0.000 | 0.000 | -0.000 | 0.000 | 0.000 |
| Point Defect | Ef (eV) | p11 (eV) | p22 (eV) | p33 (eV) | p12 (eV) | p13 (eV) | p23 (eV) |
|---|---|---|---|---|---|---|---|
| tetragonal interstitial | -0.280 | -0.000 | -0.000 | -0.000 | 0.000 | 0.000 | 0.000 |
| vacancy | 0.145 | 0.000 | 0.000 | 0.000 | 0.000 | 0.000 | 0.000 |
| 1nn divacancy | 0.218 | 0.000 | 0.000 | 0.000 | -0.000 | -0.000 | -0.000 |
| Point Defect | Ef (eV) | p11 (eV) | p22 (eV) | p33 (eV) | p12 (eV) | p13 (eV) | p23 (eV) |
|---|---|---|---|---|---|---|---|
| 100 dumbbell | -8.762 | -6.260 | -6.260 | -6.261 | -0.000 | 0.000 | 0.000 |
| tetragonal interstitial | -0.073 | -0.000 | -0.000 | -0.000 | 0.000 | 0.000 | 0.000 |
| vacancy | 0.073 | 0.000 | 0.000 | 0.000 | 0.000 | 0.000 | 0.000 |
| 1nn divacancy | 0.110 | 0.000 | 0.000 | 0.000 | -0.000 | -0.000 | -0.000 |
| Point Defect | Ef (eV) | p11 (eV) | p22 (eV) | p33 (eV) | p12 (eV) | p13 (eV) | p23 (eV) |
|---|---|---|---|---|---|---|---|
| 111 dumbbell | 0.140 | -8.752 | -8.752 | -8.752 | 4.842 | 4.842 | 4.842 |
| 100 dumbbell | 0.482 | -5.202 | -5.202 | -11.154 | -0.000 | -0.000 | -0.000 |
| octahedral interstitial | 0.497 | -2.538 | -2.538 | -2.538 | -0.000 | -0.000 | -0.000 |
| tetrahedral interstitial | 0.620 | -8.501 | -8.501 | -8.501 | 0.000 | 0.000 | 0.000 |
| vacancy | 2.747 | 2.727 | 2.727 | 2.727 | 0.000 | -0.000 | -0.000 |
| 1nn divacancy | 4.990 | 5.526 | 3.969 | 3.969 | -0.000 | -0.000 | -0.379 |
| 2nn divacancy | 5.608 | 5.525 | 5.525 | 3.851 | -0.000 | -0.000 | -0.000 |
| Point Defect | Ef (eV) | p11 (eV) | p22 (eV) | p33 (eV) | p12 (eV) | p13 (eV) | p23 (eV) |
|---|---|---|---|---|---|---|---|
| 111 dumbbell | -12.415 | -37.754 | -37.754 | -37.754 | 8.880 | 8.880 | 8.880 |
| 100 dumbbell | -10.906 | -19.933 | -19.933 | -12.474 | 0.000 | 0.000 | -0.000 |
| 110 dumbbell | -8.986 | -20.935 | -13.405 | -13.405 | -0.000 | -0.000 | 3.630 |
| tetrahedral interstitial | -7.416 | -10.359 | -10.359 | -10.359 | 0.000 | 0.000 | 0.000 |
| crowdion interstitial | -6.198 | -2.254 | -2.254 | -8.543 | 4.857 | -0.000 | -0.000 |
| octahedral interstitial | -4.961 | 0.726 | 0.726 | 0.726 | -0.000 | -0.000 | -0.000 |
| 2nn divacancy | -0.206 | 0.030 | 0.030 | 0.029 | -0.000 | -0.000 | -0.000 |
| 1nn divacancy | -0.189 | 0.026 | 0.027 | 0.027 | 0.000 | 0.000 | -0.000 |
| vacancy | -0.103 | 0.015 | 0.015 | 0.015 | 0.000 | -0.000 | -0.000 |
| Point Defect | Ef (eV) | p11 (eV) | p22 (eV) | p33 (eV) | p12 (eV) | p13 (eV) | p23 (eV) |
|---|---|---|---|---|---|---|---|
| octahedral interstitial | 8.447 | -21.125 | -21.125 | -21.125 | -0.000 | -0.000 | -0.000 |
| vacancy | 8.798 | 3.230 | 3.230 | 3.230 | -0.000 | -0.000 | -0.000 |
| 1nn divacancy | 15.562 | 5.626 | 5.902 | 5.902 | -0.000 | -0.000 | -0.061 |
| 111 dumbbell | 16.918 | 25.938 | 25.938 | 25.938 | -1.548 | -1.548 | -1.548 |
| 2nn divacancy | 17.028 | 6.617 | 6.617 | 6.227 | -0.000 | -0.000 | -0.000 |
| Point Defect | Ef (eV) | p11 (eV) | p22 (eV) | p33 (eV) | p12 (eV) | p13 (eV) | p23 (eV) |
|---|---|---|---|---|---|---|---|
| relaxed interstitial | -11617.893 | -3555.316 | -3611.081 | -3473.658 | 123.540 | 0.789 | 67.660 |
| vacancy | -0.140 | 8.487 | 8.487 | 8.487 | 0.000 | 0.000 | 0.000 |
| Point Defect | Ef (eV) | p11 (eV) | p22 (eV) | p33 (eV) | p12 (eV) | p13 (eV) | p23 (eV) |
|---|---|---|---|---|---|---|---|
| 111 dumbbell | -5.502 | 10.218 | 10.218 | 10.218 | -5.101 | -5.101 | -5.101 |
| crowdion interstitial | -5.106 | -2.564 | -2.564 | -2.564 | -8.180 | -8.180 | -8.180 |
| 110 dumbbell | -3.674 | -27.467 | -27.755 | -27.755 | -0.000 | -0.000 | 0.887 |
| octahedral interstitial | -2.217 | -41.952 | -43.673 | -43.673 | -0.000 | 0.000 | -0.000 |
| tetrahedral interstitial | -0.965 | -24.238 | -24.213 | -24.238 | 0.000 | -0.000 | -0.000 |
| 100 dumbbell | 1.895 | -24.968 | -24.968 | -24.236 | -0.000 | 0.000 | -0.000 |
| vacancy | 1.930 | 2.355 | 2.355 | 2.355 | -0.000 | -0.000 | -0.000 |
| 1nn divacancy | 3.377 | 4.514 | 4.514 | 4.514 | 0.135 | 0.135 | 0.135 |
| 2nn divacancy | 3.498 | -1.405 | -1.405 | -1.405 | -0.000 | -0.000 | 0.000 |
| Point Defect | Ef (eV) | p11 (eV) | p22 (eV) | p33 (eV) | p12 (eV) | p13 (eV) | p23 (eV) |
|---|---|---|---|---|---|---|---|
| vacancy | 2.664 | 2.737 | 2.737 | -1.519 | -0.000 | 0.000 | -0.000 |
| Point Defect | Ef (eV) | p11 (eV) | p22 (eV) | p33 (eV) | p12 (eV) | p13 (eV) | p23 (eV) |
|---|---|---|---|---|---|---|---|
| relaxed interstitial | -43.666 | -1445.442 | -1445.502 | -1447.011 | 1.152 | -0.749 | -0.743 |
| tetragonal interstitial | -0.885 | 0.000 | 0.000 | 0.000 | -0.000 | 0.000 | 0.000 |
| vacancy | 1.183 | -0.000 | -0.000 | -0.000 | -0.000 | 0.000 | -0.000 |
| 1nn divacancy | 1.774 | 0.000 | 0.000 | 0.000 | 0.000 | 0.000 | 0.000 |
| Point Defect | Ef (eV) | p11 (eV) | p22 (eV) | p33 (eV) | p12 (eV) | p13 (eV) | p23 (eV) |
|---|---|---|---|---|---|---|---|
| 2nn divacancy | -0.221 | 1.261 | 1.261 | 1.198 | -0.000 | -0.000 | -0.000 |
| 1nn divacancy | -0.202 | 1.079 | 1.132 | 1.132 | -0.000 | 0.000 | -0.011 |
| vacancy | -0.116 | 0.628 | 0.628 | 0.628 | 0.000 | 0.000 | 0.000 |
| octahedral interstitial | 0.552 | 1.150 | 1.150 | 1.150 | -0.000 | -0.000 | -0.000 |
| tetrahedral interstitial | 0.730 | 0.133 | 0.133 | 0.133 | -0.000 | -0.000 | -0.000 |
| Point Defect | Ef (eV) | p11 (eV) | p22 (eV) | p33 (eV) | p12 (eV) | p13 (eV) | p23 (eV) |
|---|---|---|---|---|---|---|---|
| 111 dumbbell | -1.193 | -3.619 | -3.619 | -3.619 | -0.384 | -0.384 | -0.384 |
| 2nn divacancy | -0.843 | -0.224 | -0.224 | -0.211 | 0.000 | 0.000 | 0.000 |
| 1nn divacancy | -0.771 | -0.191 | -0.200 | -0.200 | 0.000 | 0.000 | 0.002 |
| tetrahedral interstitial | -0.604 | -2.262 | -2.262 | -2.262 | 0.000 | 0.000 | 0.000 |
| crowdion interstitial | -0.591 | 2.545 | 2.545 | -1.895 | -0.757 | 0.000 | 0.000 |
| vacancy | -0.436 | -0.110 | -0.110 | -0.110 | -0.000 | -0.000 | -0.000 |
| 100 dumbbell | -0.379 | 1.105 | 1.105 | -0.097 | 0.000 | 0.000 | 0.000 |
| octahedral interstitial | 0.056 | 0.549 | 0.549 | 0.549 | 0.000 | 0.000 | 0.000 |
| Point Defect | Ef (eV) | p11 (eV) | p22 (eV) | p33 (eV) | p12 (eV) | p13 (eV) | p23 (eV) |
|---|---|---|---|---|---|---|---|
| 2nn divacancy | -0.172 | -0.116 | -0.116 | -0.116 | -0.000 | -0.000 | -0.000 |
| 1nn divacancy | -0.167 | -0.126 | -0.126 | -0.126 | -0.003 | -0.003 | -0.003 |
| octahedral interstitial | -0.163 | 0.844 | 0.937 | 0.937 | -0.000 | -0.000 | -0.000 |
| vacancy | -0.095 | -0.066 | -0.066 | -0.066 | -0.000 | -0.000 | -0.000 |
| 100 dumbbell | -0.013 | 1.611 | 1.611 | 1.725 | 0.000 | -0.000 | -0.000 |
| crowdion interstitial | 0.203 | 2.570 | 2.570 | 2.570 | -0.065 | -0.065 | -0.065 |
| 111 dumbbell | 0.273 | 2.391 | 2.391 | 2.391 | 0.125 | 0.125 | 0.125 |
| Point Defect | Ef (eV) | p11 (eV) | p22 (eV) | p33 (eV) | p12 (eV) | p13 (eV) | p23 (eV) |
|---|---|---|---|---|---|---|---|
| vacancy | -0.116 | 0.626 | 0.626 | 0.625 | 0.000 | -0.000 | 0.000 |
| relaxed interstitial | 0.510 | 1.534 | 1.534 | 3.518 | 0.000 | -0.000 | 0.000 |
| 0001 dumbbell | 0.728 | -6.129 | -6.129 | -2.144 | 0.000 | -0.000 | 0.000 |
| Point Defect | Ef (eV) | p11 (eV) | p22 (eV) | p33 (eV) | p12 (eV) | p13 (eV) | p23 (eV) |
|---|---|---|---|---|---|---|---|
| bond centered interstitial | -0.020 | -0.473 | -0.473 | -0.473 | 0.000 | 0.000 | 0.000 |
| 100 dumbbell | -0.010 | 0.275 | 0.275 | 0.275 | 0.000 | 0.000 | 0.000 |
| tetragonal interstitial | 0.001 | 0.041 | 0.041 | 0.041 | -0.000 | -0.000 | -0.000 |
| vacancy | 0.010 | -0.019 | -0.019 | -0.019 | 0.000 | 0.000 | 0.000 |
| 1nn divacancy | 0.016 | -0.027 | -0.027 | -0.027 | -0.000 | -0.000 | -0.000 |
Plots of the atomic structure of dislocation cores are shown here. The dislocations were constructed using dislocation monopole configurations in which a straight dislocation is created in the center of the system using anisotropic elasticity and the elastic constants computed above. A cylindrical region centered around the dislocation is allowed to relax while the remaining atoms are held fixed. The relaxation consists of 1 million NVT steps at 10 K followed by an energy/force minimization. The final plots show the atomic configuration near the center of the monopole system, and display differential displacement arrows and Nye tensor color maps that are both taken with respect to the Burgers vector direction.
These plots show a wide range of final structures, some corresponding to expected dislocation structures and others not. While the characterizations are dislocation-type dependent, some general classification guidelines are listed here.
The calculation method used is available as the iprPy dislocation_monopole calculation method.
Links are provided above the images allowing for users to download the final defect configuration and a corresponding defect-free configuration if they wish to further analyze the structures or use them for subsequent simulations.
Notes and Disclaimers:
Version Information:
Plots of lattice and elastic constants are shown as a function of temperature. The 0K points were taken from the Crystal Structure Predictions and the Elastic Constants Predictions sections above for the unique crystal structures relaxed with the "dynamic" method. Starting from the 0 K relaxed crystal unit cells, supercell systems are created by replicating all three dimensions by the same multiplier to achieve at least 4000 atoms. The systems are then relaxed at 50 K and zero pressure using 1 million NPT steps. Lattice constants are estimated by averaging the measured box dimensions. Temperatures are iteratively increased by 50 K, with each subsequent relaxation calculation starting from the final atomic configuration at the previous temperature and relaxing for another 1 million steps.
The elastic constants are calculated using the deformation–fluctuation hybrid method. Starting from the final atomic configurations of the dynamic relaxations, the system is allowed to evolve at constant volume with a Langevin thermostat. The Born matrix is computed during this run by evaluating how the atomic forces would vary due to applied linear strain fields. The elastic constants can then be estimated using the averaged Born matrix values and the averaged stresses on the system.
The calculation methods used are available as the iprPy relax_dynamic and elastic_constants_dynamic calculation methods.
Clicking on the image of a plot will open an interactive version of it in a new tab. The underlying data for the plots can be downloaded by clicking on the links above each plot.
Notes and Disclaimers:
Version Information:
Plots of radial distribution functions at different temperatures and the temperature-dependent diffusion and viscosity are shown here for elemental liquids. Melt phases are constructed by starting with a 10x10x10 fcc super cell and relaxing with 50,000 NPT steps at zero pressure and a high melting temperature (3000 K for most potentials and elements). Following the melt, liquid structures are relaxed by running NPT for 10,000 steps over which the temperature is dropped by 50 K, then 50,000 NPT at the target temperature to estimate the equilibrium volume, followed by 20,000 NVT steps at the averaged equilibrium volume and target temperature. Structures from the NVT run are sampled to compute the radial distribution function of the liquid at the corresponding temperature.
The final relaxed configurations at each temperature explored are used as the initial configurations for the diffusion and viscosity calculations. For diffusion, the system is integrated for 100 runs of 2,000 NVT steps during which both the mean squared displacement (MSD) and the velocity auto correlation function (VACF) are computed. From these simulations, three estimates of diffusion are computed: one from the MSD of the full 200,000 step run, one in which the MSD is reset for each short run and then averaged, and one from the VACF computed for each short run and averaged. For viscosity, the Green-Kubo method is used which is evaluated during a 1 million step NVT run.
The calculation methods used are available as the iprPy relax_liquid_redo, diffusion_liquid, and viscosity_green_kubo calculation methods.
Clicking on the image of a plot will open an interactive version of it in a new tab. The underlying data for the plots can be downloaded by clicking on the links above each plot.
Notes and Disclaimers:
Version Information:
Estimated melting temperatures are tabulated below. The melting temperature is computed here using a two-phase solid-liquid atomic configuration. The two-phase configuration is created by starting with a crystalline system in which the c box vector is roughly twice the length of the other two box vectors. Based on some input temperature Tinit, an NPH plus a Berensen thermostat simulation is performed for 10,000 steps in which half the system is subjected to a temperature of 1.25*Tinit and the other half to a temperature of 0.5*Tinit. This is then followed by 10,000 steps during which the temperature of the two regions are both scaled to Tinit. The system is then ran for 200,000 NPH steps to equilibrate the system. For the second half of the final NPH run, the average temperature of the system is calculated and the polyhedral template matching algorithm is used to estimate the number of solid and liquid atoms for a number of configuration snapshots. If the averaged fraction of solid atoms is found to be between 0.25-0.75, then the averaged temperature provides an estimate of the melting temperature.
This calculation is iteratively performed where the Tinit value is adjusted up or down if the fraction of solid atoms is outside the range 0.25-0.75. Iterations are repeated until 10 calculations are performed that produce solid fractions in the target range, or 30 total calculations are performed.
The calculation method used is available as the iprPy melting_temperature calculation method.
Notes and Disclaimers:
Version Information:
| prototype | Tmelt | stderr |
|---|---|---|
| A2--W--bcc | 2796.29 | 1.41 |
Plots of internal energy, Gibbs free energy, entropy, heat capacity and volume are shown here as a function of temperature for various crystal structures and liquid phases. The included crystal structures correspond to those in the Solid Structures vs. Temperature section, and the liquid phases to those in the Liquid Properties section. Internal energy and volume are taken from the associated structure relaxations mentioned in those previous sections. Constant pressure heat capacity is estimated using 3-point numerical derivatives of enthalpy versus temperature. Note that since all simulations done here are at 0 pressure, internal energy and enthalpy are equivalent.
The Gibbs energies of the phases are estimated using thermodynamic integration between the interatomic potential in question and a simpler model with known Gibbs free energy values. For solids, the reference model is an Einstein solid, while for liquids it is the Uhlenbeck-Ford potential. Besides a short run at the start of the solid calculations to estimate Einstein model spring constants, the two calculations proceed similarly. Starting with the final relaxation configurations, the systems are stabilized for 25,000 steps. Then, over the next 50,000 steps the potential is swapped out for the reference potential. The system is then stabilized for another 25,000 steps with the reference model before a reverse swap of 50,000 steps is performed. The simulation ends with one final 25,000 step stabilization period. From the simulation, the irreversible work of transformation is estimated and used to compute the absolute Gibbs free energy of the target phase and potential relative to the reference potential. Entropy is estimated as the difference in enthalpy and Gibbs free energy and divided by temperature.
The calculation methods used are available as the iprPy relax_dynamic, relax_liquid_redo, free_energy, and free_energy_liquid calculation methods.
Clicking on the image of a plot will open an interactive version of it in a new tab. The underlying data for the plots can be downloaded by clicking on the links above each plot.
Notes and Disclaimers:
Version Information:






