Plots of the potential energy vs interatomic spacing, r, are shown below for all diatom sets associated with the interatomic potential. This calculation provides insights into the functional form of the potential's two-body interactions. A system consisting of only two atoms is created, and the potential energy is evaluated for the atoms separated by 0.02 Å <= r <= 6.0> Å in intervals of 0.02 Å. Two plots are shown: one for the "standard" interaction distance range, and one for small values of r. The small r plot is useful for determining whether the potential is suitable for radiation studies.
The calculation method used is available as the iprPy diatom_scan calculation method.
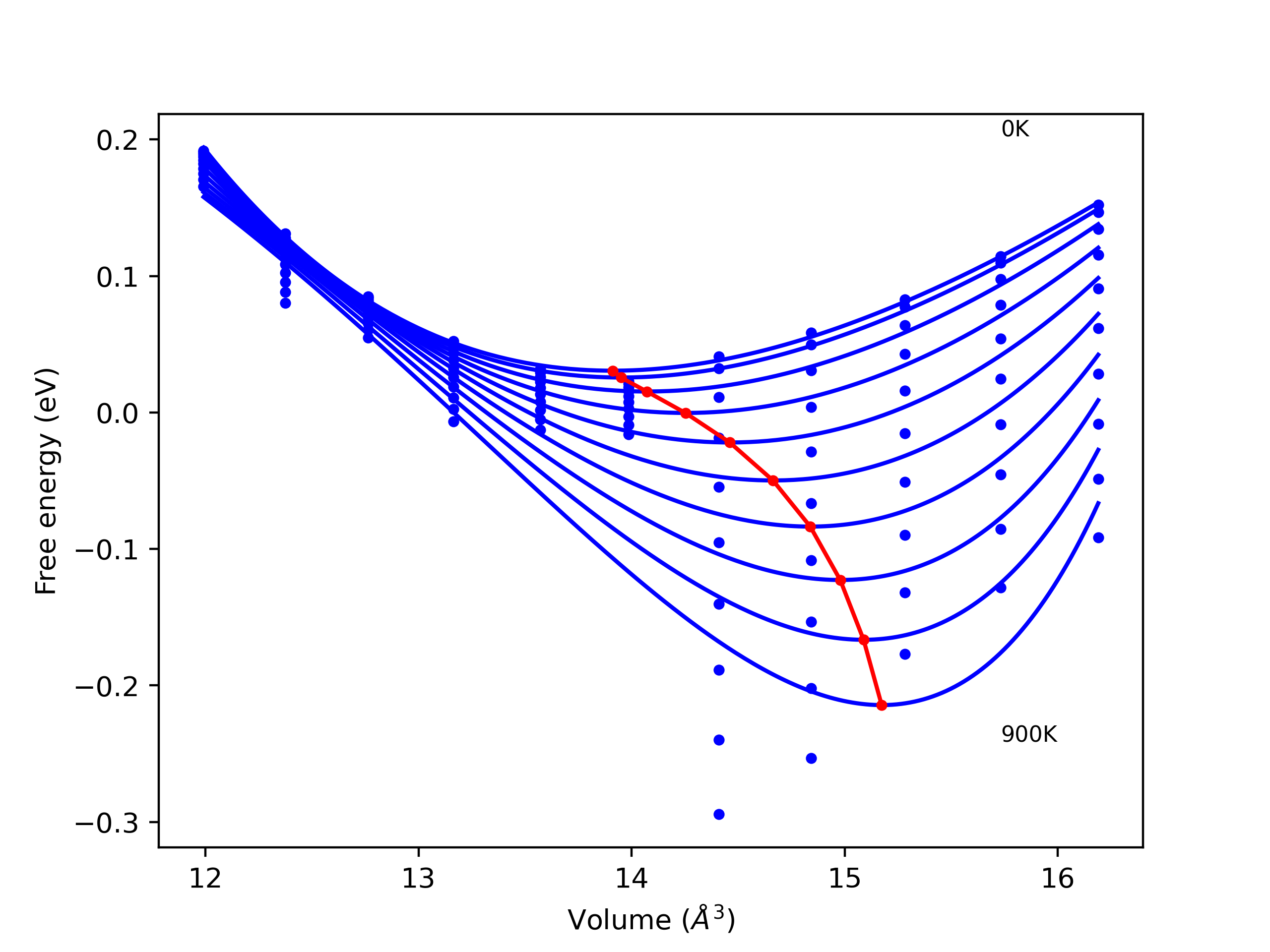
Clicking on the image of a plot will open an interactive version of it in a new tab. The underlying data for the plots can be downloaded by clicking on the links above each plot.
Notes and Disclaimers:
Version Information:
Plots of potential energy vs interatomic spacing, r, are shown below for a number of crystal structures. The structures are generated based on the ideal atomic positions and b/a and c/a lattice parameter ratios for a given crystal prototype. The size of the system is then uniformly scaled, and the energy calculated without relaxing the system. To obtain these plots, values of r are evaluated every 0.02 Å up to 6 Å.
The calculation method used is available as the iprPy E_vs_r_scan calculation method.
Clicking on the image of a plot will open an interactive version of it in a new tab. The underlying data for the plots can be downloaded by clicking on the links above each plot.
Notes and Disclaimers:
Version Information:
Computed lattice constants and cohesive/potential energies are displayed for a variety of crystal structures. The values displayed here are obtained using the following process.
The calculation methods used are implemented into iprPy as the following calculation styles
Notes and Disclaimers:
Version Information:
Download raw data (including filtered results)
Reference structure matches:
A1--Cu--fcc = oqmd-1214512
A15--beta-W = oqmd-1214957
A2--W--bcc = oqmd-1215135
A3'--alpha-La--double-hcp = oqmd-1215403
A3--Mg--hcp = oqmd-1215313
A4--C--dc = mp-66, oqmd-675640
A5--beta-Sn = oqmd-1215581
A6--In--bct = mp-1181996, oqmd-1215670
A7--alpha-As = oqmd-594528
Ah--alpha-Po--sc = mp-998866, oqmd-636457, oqmd-1214601
| prototype | method | Ecoh (eV/atom) | Epot (eV/atom) | a0 (Å) | b0 (Å) | c0 (Å) | α (degrees) | β (degrees) | γ (degrees) | 
|---|---|---|---|---|---|---|---|---|---|
| oqmd-589492 | dynamic | -7.3612 | -7.3612 | 2.5162 | 2.5162 | 53.495 | 90.0 | 90.0 | 120.0 | 
| oqmd-683819 | dynamic | -7.3612 | -7.3612 | 2.5162 | 4.3582 | 6.6661 | 90.0 | 90.0 | 90.0 | 
| mp-569416 | dynamic | -7.3612 | -7.3612 | 2.5162 | 2.5162 | 54.7157 | 90.0 | 90.0 | 120.0 | 
| mp-568806 | static | -7.3612 | -7.3612 | 2.5162 | 2.5162 | 3.6539 | 90.0 | 90.0 | 120.0 | 
| mp-169 | static | -7.3612 | -7.3612 | 4.3582 | 2.5162 | 3.7633 | 90.0 | 111.5 | 90.0 | 
| mp-937760 | dynamic | -7.3612 | -7.3612 | 2.5162 | 4.3582 | 7.1733 | 90.0 | 90.0 | 90.0 | 
| mp-568286 | static | -7.3612 | -7.3612 | 2.5162 | 4.3582 | 7.0358 | 90.0 | 90.0 | 90.0 | 
| oqmd-1214690 | dynamic | -7.3612 | -7.3612 | 2.5162 | 4.3582 | 6.6767 | 90.0 | 90.0 | 90.0 | 
| mp-568363 | dynamic | -7.3612 | -7.3612 | 2.5162 | 4.3582 | 8.1499 | 90.0 | 90.0 | 90.0 | 
| mp-606949 | dynamic | -7.3612 | -7.3612 | 2.5162 | 2.5162 | 29.4919 | 90.0 | 90.0 | 120.0 | 
| mp-569304 | static | -7.3612 | -7.3612 | 2.5162 | 2.5162 | 33.1908 | 90.0 | 90.0 | 120.0 | 
| mp-632329 | dynamic | -7.3612 | -7.3612 | 4.3582 | 2.5162 | 3.5551 | 90.0 | 94.3 | 90.0 | 
| mp-990424 | static | -7.3612 | -7.3612 | 2.5162 | 2.5162 | 24.1319 | 90.0 | 90.0 | 120.0 | 
| oqmd-683819 | static | -7.3612 | -7.3612 | 2.5162 | 4.3582 | 6.6467 | 90.0 | 90.0 | 90.0 | 
| oqmd-683820 | static | -7.3612 | -7.3612 | 2.5162 | 4.3582 | 6.7685 | 90.0 | 90.0 | 90.0 | 
| mp-169 | dynamic | -7.3612 | -7.3612 | 4.3582 | 2.5162 | 3.6179 | 90.0 | 113.0 | 90.0 | 
| oqmd-589493 | static | -7.3612 | -7.3612 | 2.5162 | 2.5162 | 28.9525 | 90.0 | 90.0 | 120.0 | 
| mp-606949 | static | -7.3612 | -7.3612 | 2.5162 | 2.5162 | 29.4916 | 90.0 | 90.0 | 120.0 | 
| mp-569304 | dynamic | -7.3612 | -7.3612 | 2.5162 | 2.5162 | 33.2691 | 90.0 | 90.0 | 120.0 | 
| oqmd-683820 | dynamic | -7.3612 | -7.3612 | 2.5162 | 4.3582 | 6.8163 | 90.0 | 90.0 | 90.0 | 
| mp-1018088 | dynamic | -7.3612 | -7.3612 | 4.1089 | 4.1089 | 4.1089 | 90.0 | 90.0 | 90.0 | 
| mp-1040425 | dynamic | -7.3612 | -7.3612 | 2.5162 | 2.5162 | 19.999 | 90.0 | 90.0 | 120.0 | 
| mp-48 | dynamic | -7.3612 | -7.3612 | 2.5162 | 2.5162 | 7.807 | 90.0 | 90.0 | 120.0 | 
| mp-632329 | static | -7.3612 | -7.3612 | 4.3582 | 2.5162 | 3.7378 | 90.0 | 94.2 | 90.0 | 
| oqmd-589493 | dynamic | -7.3612 | -7.3612 | 2.5162 | 2.5162 | 28.956 | 90.0 | 90.0 | 120.0 | 
| mp-990424 | dynamic | -7.3612 | -7.3612 | 2.5162 | 2.5162 | 24.9356 | 90.0 | 90.0 | 120.0 | 
| A7--alpha-As | dynamic | -7.3612 | -7.3612 | 2.5162 | 2.5162 | 6.7493 | 90.0 | 90.0 | 120.0 | 
| oqmd-589491 | dynamic | -7.3612 | -7.3612 | 2.5162 | 2.5162 | 33.3583 | 90.0 | 90.0 | 120.0 | 
| mp-997182 | dynamic | -7.3612 | -7.3612 | 2.5162 | 2.5162 | 12.0459 | 90.0 | 90.0 | 120.0 | 
| oqmd-590101 | dynamic | -7.3612 | -7.3612 | 2.5162 | 2.5162 | 6.7965 | 90.0 | 90.0 | 120.0 | 
| oqmd-1215937 | dynamic | -7.3612 | -7.3612 | 2.5162 | 2.5162 | 7.3725 | 90.0 | 90.0 | 120.0 | 
| A7--alpha-As | dynamic | -7.3612 | -7.3612 | 2.5162 | 2.5162 | 10.2131 | 90.0 | 90.0 | 120.0 | 
| mp-48 | static | -7.3612 | -7.3612 | 2.5162 | 2.5162 | 7.8031 | 90.0 | 90.0 | 120.0 | 
| mp-1040425 | static | -7.3612 | -7.3612 | 2.5162 | 2.5162 | 19.9983 | 90.0 | 90.0 | 120.0 | 
| mp-990448 | static | -7.3612 | -7.3612 | 2.5162 | 2.5162 | 8.5238 | 90.0 | 90.0 | 120.0 | 
| oqmd-590101 | static | -7.3612 | -7.3612 | 2.5162 | 2.5162 | 6.7959 | 90.0 | 90.0 | 120.0 | 
| oqmd-610551 | static | -7.3612 | -7.3612 | 2.5162 | 2.5162 | 3.5015 | 90.0 | 90.0 | 120.0 | 
| mp-569416 | static | -7.3612 | -7.3612 | 2.5162 | 2.5162 | 54.6871 | 90.0 | 90.0 | 120.0 | 
| oqmd-599491 | dynamic | -7.316 | -7.316 | 2.5174 | 2.5174 | 12.3326 | 90.0 | 90.0 | 120.0 | 
| mp-611426 | dynamic | -7.316 | -7.316 | 2.5174 | 2.5174 | 8.2217 | 90.0 | 90.0 | 120.0 | 
| oqmd-599493 | dynamic | -7.316 | -7.316 | 2.5174 | 2.5174 | 30.8315 | 90.0 | 90.0 | 120.0 | 
| mp-569567 | dynamic | -7.316 | -7.316 | 2.5174 | 2.5174 | 43.1641 | 90.0 | 90.0 | 120.0 | 
| mp-47 | dynamic | -7.316 | -7.316 | 2.5174 | 2.5174 | 4.1109 | 90.0 | 90.0 | 120.0 | 
| oqmd-599492 | dynamic | -7.316 | -7.316 | 2.5174 | 2.5174 | 16.4435 | 90.0 | 90.0 | 120.0 | 
| A4--C--dc | dynamic | -7.316 | -7.316 | 3.5601 | 3.5601 | 3.5601 | 90.0 | 90.0 | 90.0 | 
| oqmd-599489 | box | -7.316 | -7.316 | 2.5165 | 2.5165 | 4.1138 | 90.0 | 90.0 | 120.0 | 
| mp-47 | box | -7.316 | -7.316 | 2.5163 | 2.5163 | 4.1144 | 90.0 | 90.0 | 120.0 | 
| oqmd-599492 | box | -7.3153 | -7.3153 | 2.517 | 2.517 | 16.4499 | 90.0 | 90.0 | 120.0 | 
| mp-616440 | box | -7.3151 | -7.3151 | 2.5172 | 2.5172 | 16.4481 | 90.0 | 90.0 | 120.0 | 
| oqmd-599491 | box | -7.3151 | -7.3151 | 2.5171 | 2.5171 | 12.3373 | 90.0 | 90.0 | 120.0 | 
| mp-569567 | box | -7.315 | -7.315 | 2.5172 | 2.5172 | 43.1752 | 90.0 | 90.0 | 120.0 | 
| mp-611448 | box | -7.3149 | -7.3149 | 2.5172 | 2.5172 | 12.3366 | 90.0 | 90.0 | 120.0 | 
| oqmd-599493 | box | -7.3149 | -7.3149 | 2.5172 | 2.5172 | 30.8403 | 90.0 | 90.0 | 120.0 | 
| mp-569517 | box | -7.3148 | -7.3148 | 2.5171 | 2.5171 | 30.8437 | 90.0 | 90.0 | 120.0 | 
| oqmd-599494 | static | -7.3148 | -7.3148 | 2.5143 | 2.5143 | 43.3599 | 90.0 | 90.0 | 120.0 | 
| mp-611426 | box | -7.3147 | -7.3147 | 2.5169 | 2.5169 | 8.2263 | 90.0 | 90.0 | 120.0 | 
| oqmd-599490 | box | -7.3146 | -7.3146 | 2.5172 | 2.5172 | 8.2247 | 90.0 | 90.0 | 120.0 | 
| mp-1008374 | dynamic | -7.2941 | -7.2941 | 2.5125 | 7.9047 | 2.5278 | 90.0 | 90.0 | 90.0 | 
| mp-1096869 | static | -7.2831 | -7.2831 | 25.9775 | 15.1277 | 2.0 | 90.0 | 92.2 | 90.0 | 
| mp-1008374 | box | -7.2667 | -7.2667 | 2.4175 | 8.2011 | 2.479 | 90.0 | 90.0 | 90.0 | 
| mp-1078845 | dynamic | -7.2274 | -7.2274 | 4.2091 | 8.75 | 2.5185 | 90.0 | 90.0 | 90.0 | 
| mp-1078845 | box | -7.2224 | -7.2224 | 4.2176 | 8.7599 | 2.5165 | 90.0 | 90.0 | 90.0 | 
| oqmd-637443 | dynamic | -7.2204 | -7.2204 | 5.2177 | 5.2177 | 5.2177 | 90.0 | 90.0 | 90.0 | 
| mp-568410 | dynamic | -7.2191 | -7.2191 | 4.7689 | 5.4117 | 4.4031 | 90.0 | 90.0 | 90.0 | 
| oqmd-637443 | box | -7.2164 | -7.2164 | 5.2171 | 5.2171 | 5.2171 | 90.0 | 90.0 | 90.0 | 
| mp-1188817 | box | -7.2138 | -7.2138 | 5.2166 | 5.2166 | 5.2166 | 90.0 | 90.0 | 90.0 | 
| oqmd-610557 | box | -7.1868 | -7.1868 | 4.7685 | 5.2827 | 4.4828 | 90.0 | 90.0 | 90.0 | 
| oqmd-610556 | box | -7.1865 | -7.1865 | 4.7646 | 5.2935 | 4.4827 | 90.0 | 90.0 | 90.0 | 
| mp-568410 | box | -7.1851 | -7.1851 | 4.7596 | 5.3008 | 4.4851 | 90.0 | 90.0 | 90.0 | 
| mp-1008395 | dynamic | -7.1734 | -7.1734 | 4.3884 | 4.3884 | 2.4906 | 90.0 | 90.0 | 90.0 | 
| mp-1008395 | box | -7.1729 | -7.1729 | 4.3774 | 4.3774 | 2.5013 | 90.0 | 90.0 | 90.0 | 
| oqmd-637353 | box | -7.1728 | -7.1728 | 4.3763 | 4.3763 | 2.5024 | 90.0 | 90.0 | 90.0 | 
| oqmd-637130 | dynamic | -7.1551 | -7.1551 | 8.9621 | 2.5521 | 4.1391 | 90.0 | 90.0 | 90.0 | 
| mp-1080826 | dynamic | -7.1524 | -7.1524 | 9.0285 | 2.5551 | 4.1353 | 90.0 | 96.6 | 90.0 | 
| oqmd-637130 | box | -7.1469 | -7.1469 | 8.968 | 2.53 | 4.1789 | 90.0 | 90.0 | 90.0 | 
| mp-1190171 | box | -7.1466 | -7.1466 | 8.9686 | 2.5297 | 4.1798 | 90.0 | 90.0 | 90.0 | 
| oqmd-637352 | box | -7.1441 | -7.1441 | 9.0403 | 2.5349 | 4.171 | 90.0 | 96.4 | 90.0 | 
| mp-1080826 | box | -7.1435 | -7.1435 | 9.0402 | 2.5349 | 4.172 | 90.0 | 96.4 | 90.0 | 
| mp-568028 | dynamic | -7.0668 | -7.0668 | 7.8801 | 13.9951 | 9.6009 | 90.0 | 90.0 | 90.0 | 
| oqmd-614417 | dynamic | -7.0595 | -7.0595 | 9.2756 | 9.2756 | 23.89 | 90.0 | 90.0 | 120.0 | 
| mp-680372 | dynamic | -7.0595 | -7.0595 | 9.2756 | 9.2756 | 25.1696 | 90.0 | 90.0 | 120.0 | 
| mp-680372 | static | -7.0595 | -7.0595 | 9.2741 | 9.2741 | 25.6778 | 90.0 | 90.0 | 120.0 | 
| oqmd-614417 | static | -7.0595 | -7.0595 | 9.2725 | 9.2725 | 24.4837 | 90.0 | 90.0 | 120.0 | 
| mp-568028 | static | -7.0558 | -7.0558 | 8.0772 | 14.1846 | 9.6536 | 90.0 | 90.0 | 90.0 | 
| mp-683919 | dynamic | -7.0445 | -7.0445 | 10.1903 | 17.5252 | 18.287 | 90.0 | 90.0 | 90.0 | 
| oqmd-689315 | dynamic | -7.0445 | -7.0445 | 9.9939 | 17.2981 | 18.287 | 90.0 | 90.0 | 90.0 | 
| mp-683919 | static | -7.0445 | -7.0445 | 10.3486 | 17.6096 | 18.287 | 90.0 | 90.0 | 90.0 | 
| oqmd-689315 | static | -7.0445 | -7.0445 | 10.3228 | 17.5905 | 18.2864 | 90.0 | 90.0 | 90.0 | 
| mp-630227 | dynamic | -7.0323 | -7.0323 | 9.1853 | 9.2469 | 15.6054 | 90.0 | 90.0 | 90.0 | 
| oqmd-595714 | dynamic | -7.0323 | -7.0323 | 9.1853 | 9.2469 | 14.4357 | 90.0 | 90.0 | 90.0 | 
| oqmd-595714 | static | -7.0323 | -7.0323 | 9.1853 | 9.2469 | 14.8498 | 90.0 | 90.0 | 90.0 | 
| mp-630227 | static | -7.0323 | -7.0323 | 9.1853 | 9.2469 | 15.9115 | 90.0 | 90.0 | 90.0 | 
| oqmd-684627 | dynamic | -7.0322 | -7.0322 | 9.2162 | 9.2162 | 15.0442 | 90.0 | 90.0 | 90.0 | 
| oqmd-684627 | static | -7.0322 | -7.0322 | 9.2163 | 9.2163 | 15.4891 | 90.0 | 90.0 | 90.0 | 
| mp-683919 | box | -7.0321 | -7.0321 | 10.3603 | 17.7694 | 18.3597 | 90.0 | 90.0 | 90.0 | 
| oqmd-614417 | box | -7.0237 | -7.0237 | 9.3183 | 9.3183 | 24.5694 | 90.0 | 90.0 | 120.0 | 
| mp-680372 | box | -7.0194 | -7.0194 | 9.3303 | 9.3303 | 25.7534 | 90.0 | 90.0 | 120.0 | 
| oqmd-689315 | box | -7.0114 | -7.0114 | 10.3193 | 17.7383 | 18.404 | 90.0 | 90.0 | 90.0 | 
| oqmd-595714 | box | -7.0081 | -7.0081 | 9.2587 | 9.3209 | 14.7525 | 90.0 | 90.0 | 90.0 | 
| mp-630227 | box | -7.0061 | -7.0061 | 9.25 | 9.3043 | 15.8529 | 90.0 | 90.0 | 90.0 | 
| mp-1147718 | dynamic | -7.0031 | -7.0031 | 10.2743 | 14.7575 | 9.242 | 90.0 | 90.0 | 90.0 | 
| mp-1147718 | static | -7.0031 | -7.0031 | 10.4165 | 14.9761 | 9.2419 | 90.0 | 90.0 | 90.0 | 
| mp-579909 | dynamic | -6.9962 | -6.9962 | 4.8286 | 5.5332 | 6.2879 | 90.0 | 90.0 | 90.0 | 
| mp-624889 | dynamic | -6.9962 | -6.9962 | 4.8286 | 5.5332 | 5.3949 | 90.0 | 90.0 | 90.0 | 
| mp-579909 | static | -6.9962 | -6.9962 | 4.8286 | 5.5332 | 6.5616 | 90.0 | 90.0 | 90.0 | 
| oqmd-610552 | dynamic | -6.9962 | -6.9962 | 4.8286 | 5.5332 | 5.9298 | 90.0 | 90.0 | 90.0 | 
| oqmd-610552 | static | -6.9962 | -6.9962 | 4.8286 | 5.5332 | 6.1608 | 90.0 | 90.0 | 90.0 | 
| mp-624889 | static | -6.9962 | -6.9962 | 4.8286 | 5.5332 | 5.403 | 90.0 | 90.0 | 90.0 | 
| mp-1147718 | box | -6.9843 | -6.9843 | 10.4126 | 14.9595 | 9.3974 | 90.0 | 90.0 | 90.0 | 
| oqmd-684627 | box | -6.9837 | -6.9837 | 9.2792 | 9.2792 | 15.538 | 90.0 | 90.0 | 90.0 | 
| mp-1196583 | dynamic | -6.9746 | -6.9746 | 14.4127 | 14.4127 | 14.4127 | 90.0 | 90.0 | 90.0 | 
| mp-667273 | dynamic | -6.9746 | -6.9746 | 14.4084 | 14.4084 | 14.4084 | 90.0 | 90.0 | 90.0 | 
| oqmd-603085 | static | -6.9746 | -6.9746 | 14.2135 | 14.2135 | 14.2135 | 90.0 | 90.0 | 90.0 | 
| oqmd-677227 | static | -6.9746 | -6.9746 | 14.41 | 14.41 | 14.41 | 90.0 | 90.0 | 90.0 | 
| oqmd-677227 | dynamic | -6.9746 | -6.9746 | 14.0533 | 14.0533 | 14.0533 | 90.0 | 90.0 | 90.0 | 
| oqmd-603085 | dynamic | -6.9746 | -6.9746 | 13.8435 | 13.8435 | 13.8435 | 90.0 | 90.0 | 90.0 | 
| mp-1196583 | static | -6.9746 | -6.9746 | 14.6367 | 14.6367 | 14.6367 | 90.0 | 90.0 | 90.0 | 
| mp-667273 | static | -6.9746 | -6.9746 | 14.6995 | 14.6995 | 14.6995 | 90.0 | 90.0 | 90.0 | 
| mp-1205283 | dynamic | -6.9723 | -6.9723 | 9.8091 | 12.6835 | 9.0692 | 90.0 | 90.0 | 90.0 | 
| oqmd-610552 | box | -6.9688 | -6.9688 | 4.6384 | 5.7249 | 6.3302 | 90.0 | 90.0 | 90.0 | 
| oqmd-603085 | box | -6.9686 | -6.9686 | 14.2144 | 14.2144 | 14.2144 | 90.0 | 90.0 | 90.0 | 
| mp-1196583 | box | -6.9685 | -6.9685 | 14.6379 | 14.6379 | 14.6379 | 90.0 | 90.0 | 90.0 | 
| mp-667273 | box | -6.9671 | -6.9671 | 14.7013 | 14.7013 | 14.7013 | 90.0 | 90.0 | 90.0 | 
| mp-624889 | box | -6.967 | -6.967 | 4.86 | 5.2538 | 5.5907 | 90.0 | 90.0 | 90.0 | 
| mp-579909 | box | -6.965 | -6.965 | 4.6238 | 5.7421 | 6.7524 | 90.0 | 90.0 | 90.0 | 
| mp-568028 | box | -6.9638 | -6.9638 | 8.4291 | 14.1624 | 9.7832 | 90.0 | 90.0 | 90.0 | 
| oqmd-677227 | box | -6.9547 | -6.9547 | 14.4197 | 14.4197 | 14.4197 | 90.0 | 90.0 | 90.0 | 
| mp-24 | dynamic | -6.9233 | -6.9233 | 4.3536 | 4.3536 | 4.3536 | 90.0 | 90.0 | 90.0 | 
| mp-1205283 | static | -6.8873 | -6.8873 | 9.2336 | 13.318 | 9.2211 | 90.0 | 90.0 | 90.0 | 
| oqmd-684315 | dynamic | -6.8532 | -6.8532 | 8.0507 | 14.4247 | 9.6615 | 90.0 | 90.0 | 90.0 | 
| mp-1205283 | box | -6.788 | -6.788 | 10.0289 | 13.4721 | 9.185 | 90.0 | 90.0 | 90.0 | 
| mp-1244964 | dynamic | -6.7695 | -6.7695 | 10.3739 | 10.434 | 10.9382 | 84.0 | 87.2 | 88.0 | 
| mp-24 | box | -6.7604 | -6.7604 | 4.4288 | 4.4288 | 4.4288 | 90.0 | 90.0 | 90.0 | 
| mp-1245190 | dynamic | -6.7038 | -6.7038 | 10.0508 | 10.5675 | 10.672 | 90.8 | 92.7 | 91.0 | 
| oqmd-585286 | dynamic | -6.7026 | -6.7026 | 4.9159 | 4.9159 | 4.9159 | 90.0 | 90.0 | 90.0 | 
| mp-1244964 | static | -6.6995 | -6.6995 | 10.2169 | 10.4796 | 11.1122 | 87.0 | 82.7 | 88.1 | 
| oqmd-585286 | box | -6.6879 | -6.6879 | 4.9236 | 4.9236 | 4.9236 | 90.0 | 90.0 | 90.0 | 
| mp-570002 | box | -6.6877 | -6.6877 | 4.9237 | 4.9237 | 4.9237 | 90.0 | 90.0 | 90.0 | 
| mp-1245190 | static | -6.6249 | -6.6249 | 10.2867 | 10.6323 | 10.6793 | 90.8 | 90.6 | 92.8 | 
| mp-1244913 | dynamic | -6.5717 | -6.5717 | 10.5041 | 10.6991 | 10.7739 | 88.1 | 87.5 | 85.2 | 
| mp-1244913 | static | -6.5701 | -6.5701 | 10.5371 | 10.7507 | 10.8465 | 89.4 | 87.8 | 84.7 | 
| mp-1245190 | box | -6.4863 | -6.4863 | 10.5715 | 10.7055 | 10.7959 | 89.9 | 89.8 | 87.2 | 
| mp-1244964 | box | -6.47 | -6.47 | 10.5416 | 10.6076 | 11.27 | 90.6 | 94.9 | 92.3 | 
| oqmd-684315 | static | -6.3527 | -6.3527 | 10.2282 | 15.1653 | 9.1981 | 90.0 | 90.0 | 90.0 | 
| mp-1095534 | dynamic | -6.3496 | -6.3496 | 9.8462 | 9.8462 | 2.4782 | 90.0 | 90.0 | 90.0 | 
| mp-1244913 | box | -6.3237 | -6.3237 | 10.8409 | 11.1162 | 11.2677 | 90.8 | 95.6 | 92.1 | 
| mp-1095633 | dynamic | -6.3174 | -6.3174 | 6.5741 | 6.5741 | 7.1225 | 90.0 | 90.0 | 90.0 | 
| mp-1095633 | static | -6.3174 | -6.3174 | 6.5711 | 6.5711 | 7.1254 | 90.0 | 90.0 | 90.0 | 
| mp-1205417 | dynamic | -6.1535 | -6.1535 | 12.1112 | 12.1112 | 7.0476 | 90.0 | 90.0 | 90.0 | 
| mp-1205417 | static | -6.1535 | -6.1535 | 12.1345 | 12.1345 | 7.0234 | 90.0 | 90.0 | 90.0 | 
| mp-1095534 | box | -6.1216 | -6.1216 | 10.1386 | 10.1386 | 2.4102 | 90.0 | 90.0 | 90.0 | 
| mp-1095633 | box | -6.0955 | -6.0955 | 6.4261 | 6.4261 | 7.4668 | 90.0 | 90.0 | 90.0 | 
| oqmd-684315 | box | -6.0681 | -6.0681 | 10.7828 | 15.375 | 9.1752 | 90.0 | 90.0 | 90.0 | 
| oqmd-1216026 | static | -6.0497 | -6.0497 | 2.2617 | 2.2617 | 9.1654 | 90.0 | 93.2 | 90.0 | 
| oqmd-1216026 | dynamic | -6.0497 | -6.0497 | 2.2617 | 2.2617 | 9.1652 | 90.0 | 93.1 | 90.0 | 
| mp-1097832 | dynamic | -6.0497 | -6.0497 | 2.2617 | 2.2617 | 9.8799 | 90.0 | 90.0 | 90.0 | 
| A6--In--bct | dynamic | -6.0497 | -6.0497 | 1.5993 | 1.5993 | 3.3009 | 90.0 | 90.0 | 90.0 | 
| A6--In--bct | dynamic | -6.0497 | -6.0497 | 1.5993 | 1.5993 | 6.3803 | 90.0 | 90.0 | 90.0 | 
| mp-1056957 | dynamic | -6.0497 | -6.0497 | 2.2617 | 2.2617 | 6.5533 | 90.0 | 90.0 | 90.0 | 
| A6--In--bct | dynamic | -6.0497 | -6.0497 | 1.5993 | 1.5993 | 6.5525 | 90.0 | 90.0 | 90.0 | 
| A6--In--bct | static | -6.0497 | -6.0497 | 1.5993 | 1.5993 | 3.2992 | 90.0 | 90.0 | 90.0 | 
| mp-1197903 | dynamic | -6.0359 | -6.0359 | 8.019 | 10.6804 | 24.1723 | 100.6 | 96.7 | 98.9 | 
| oqmd-1215224 | static | -6.0215 | -6.0215 | 1.5993 | 3.0683 | 2.0 | 90.0 | 112.1 | 90.0 | 
| mp-1197903 | static | -5.9965 | -5.9965 | 8.2602 | 10.8443 | 23.5873 | 97.5 | 96.9 | 102.4 | 
| mp-1182029 | dynamic | -5.9778 | -5.9778 | 1.3934 | 3.3843 | 3.3621 | 90.0 | 96.6 | 90.0 | 
| oqmd-1215046 | static | -5.9778 | -5.9778 | 1.3934 | 3.4437 | 5.8153 | 89.9 | 88.9 | 89.5 | 
| oqmd-1215046 | dynamic | -5.9778 | -5.9778 | 1.3934 | 3.421 | 5.8141 | 89.9 | 90.0 | 89.5 | 
| mp-1182029 | static | -5.9778 | -5.9778 | 1.3934 | 3.3843 | 3.3709 | 90.0 | 97.8 | 90.0 | 
| oqmd-1215848 | dynamic | -5.9778 | -5.9778 | 3.4043 | 3.4043 | 1.3934 | 90.0 | 90.0 | 120.0 | 
| mp-1196857 | dynamic | -5.9531 | -5.9531 | 9.1322 | 19.3894 | 5.9508 | 90.0 | 90.0 | 90.0 | 
| mp-1182684 | dynamic | -5.934 | -5.934 | 9.529 | 11.0115 | 14.9513 | 90.0 | 90.0 | 90.0 | 
| mp-1182684 | static | -5.934 | -5.934 | 11.3868 | 14.7022 | 16.2286 | 90.0 | 90.0 | 90.0 | 
| mp-1196857 | static | -5.9076 | -5.9076 | 15.7165 | 20.0083 | 2.0 | 90.0 | 90.0 | 90.0 | 
| mp-1205417 | box | -5.8191 | -5.8191 | 12.466 | 12.466 | 7.2264 | 90.0 | 90.0 | 90.0 | 
| mp-1197903 | box | -5.7701 | -5.7701 | 8.15 | 9.6789 | 25.037 | 96.5 | 97.0 | 104.9 | 
| mp-1182684 | box | -5.7697 | -5.7697 | 4.8983 | 11.4178 | 15.8965 | 90.0 | 90.0 | 90.0 | 
| A7--alpha-As | box | -5.5308 | -5.5308 | 2.5755 | 2.5755 | 5.5177 | 90.0 | 90.0 | 120.0 | 
| oqmd-1214779 | dynamic | -5.5098 | -5.5098 | 8.5913 | 8.5913 | 8.5913 | 90.0 | 90.0 | 90.0 | 
| oqmd-1214779 | static | -5.5098 | -5.5098 | 9.1523 | 9.1523 | 9.1523 | 90.0 | 90.0 | 90.0 | 
| mp-1192619 | dynamic | -5.5098 | -5.5098 | 9.1088 | 9.1088 | 9.1088 | 90.0 | 90.0 | 90.0 | 
| mp-1192619 | static | -5.5098 | -5.5098 | 9.5154 | 9.5154 | 9.5154 | 90.0 | 90.0 | 90.0 | 
| mp-1192619 | box | -5.39 | -5.39 | 9.5338 | 9.5338 | 9.5338 | 90.0 | 90.0 | 90.0 | 
| oqmd-1214779 | box | -5.3576 | -5.3576 | 9.1412 | 9.1412 | 9.1412 | 90.0 | 90.0 | 90.0 | 
| Ah--alpha-Po--sc | static | -5.2412 | -5.2412 | 1.7438 | 1.7438 | 1.7438 | 90.0 | 90.0 | 90.0 | 
| A15--beta-W | box | -4.5425 | -4.5425 | 3.3144 | 3.3144 | 3.3144 | 90.0 | 90.0 | 90.0 | 
| A2--W--bcc | box | -4.3382 | -4.3382 | 2.0935 | 2.0935 | 2.0935 | 90.0 | 90.0 | 90.0 | 
| oqmd-1214868 | dynamic | -3.7845 | -3.7845 | 6.794 | 6.794 | 6.794 | 90.0 | 90.0 | 90.0 | 
| oqmd-1214868 | static | -3.7831 | -3.7831 | 7.1836 | 7.1836 | 7.1836 | 90.0 | 90.0 | 90.0 | 
| oqmd-1214868 | box | -3.781 | -3.781 | 7.1791 | 7.1791 | 7.1791 | 90.0 | 90.0 | 90.0 | 
| A3--Mg--hcp | box | -3.6634 | -3.6634 | 1.8633 | 1.8633 | 3.0434 | 90.0 | 90.0 | 120.0 | 
| A3'--alpha-La--double-hcp | box | -3.6629 | -3.6629 | 1.8633 | 1.8633 | 6.0864 | 90.0 | 90.0 | 120.0 | 
| A1--Cu--fcc | box | -3.6624 | -3.6624 | 2.6353 | 2.6353 | 2.6353 | 90.0 | 90.0 | 90.0 | 
| A1--Cu--fcc | dynamic | 0.0 | 0.0 | 3.0645 | 3.0645 | 3.0645 | 90.0 | 90.0 | 90.0 | 
| A2--W--bcc | dynamic | 0.0 | 0.0 | 2.3664 | 2.3664 | 2.3664 | 90.0 | 90.0 | 90.0 | 
| A15--beta-W | box | 0.0 | 0.0 | 4.0 | 4.0 | 4.0 | 90.0 | 90.0 | 90.0 | 
Download raw data (including filtered results)
Reference structure matches:
| prototype | method | Ecoh (eV/atom) | Epot (eV/atom) | a0 (Å) | b0 (Å) | c0 (Å) | α (degrees) | β (degrees) | γ (degrees) | 
|---|---|---|---|---|---|---|---|---|---|
| C1--CaF2--fluorite | dynamic | -4.6972 | -4.6972 | 4.5565 | 4.5565 | 4.5565 | 90.0 | 90.0 | 90.0 | 
| oqmd-1232084 | dynamic | -4.62 | -4.62 | 4.3944 | 4.3944 | 2.3903 | 90.0 | 90.0 | 90.0 | 
| oqmd-1232084 | static | -4.6099 | -4.6099 | 4.4245 | 4.4245 | 2.3955 | 90.0 | 90.0 | 90.0 | 
Download raw data (including filtered results)
Reference structure matches:
| prototype | method | Ecoh (eV/atom) | Epot (eV/atom) | a0 (Å) | b0 (Å) | c0 (Å) | α (degrees) | β (degrees) | γ (degrees) | 
|---|---|---|---|---|---|---|---|---|---|
| oqmd-426162 | dynamic | -5.3129 | -5.3129 | 4.6898 | 4.6898 | 12.4296 | 90.0 | 90.0 | 120.0 | 
| oqmd-426162 | static | -5.2805 | -5.2805 | 4.5743 | 4.5743 | 13.0713 | 90.0 | 90.0 | 120.0 | 
| oqmd-426162 | box | -5.2037 | -5.2037 | 4.7349 | 4.7349 | 12.5312 | 90.0 | 90.0 | 120.0 | 
Download raw data (including filtered results)
Reference structure matches:
| prototype | method | Ecoh (eV/atom) | Epot (eV/atom) | a0 (Å) | b0 (Å) | c0 (Å) | α (degrees) | β (degrees) | γ (degrees) | 
|---|---|---|---|---|---|---|---|---|---|
| oqmd-7999 | static | -5.0474 | -5.0474 | 11.5383 | 4.474 | 4.7934 | 90.0 | 98.8 | 90.0 | 
| mp-2794 | static | -5.0474 | -5.0474 | 11.5376 | 4.4742 | 4.7936 | 90.0 | 98.8 | 90.0 | 
| mp-645339 | static | -5.0474 | -5.0474 | 4.7936 | 4.4739 | 11.7971 | 90.0 | 104.9 | 90.0 | 
| mp-2794 | dynamic | -5.0473 | -5.0473 | 11.5381 | 4.474 | 4.7937 | 90.0 | 98.8 | 90.0 | 
| oqmd-7999 | box | -5.0298 | -5.0298 | 11.479 | 4.4547 | 4.8255 | 90.0 | 97.9 | 90.0 | 
| oqmd-23087 | box | -5.0296 | -5.0296 | 4.4537 | 4.8263 | 11.4809 | 82.1 | 89.6 | 89.9 | 
| mp-2794 | box | -5.0291 | -5.0291 | 11.521 | 4.453 | 4.8194 | 90.0 | 97.9 | 90.0 | 
| mp-645339 | box | -5.0279 | -5.0279 | 4.8355 | 4.4489 | 11.828 | 90.0 | 105.9 | 90.0 | 
Download raw data (including filtered results)
Reference structure matches:
D0_3--BiF3 = oqmd-310918
L1_2--AuCu3 = oqmd-344120
| prototype | method | Ecoh (eV/atom) | Epot (eV/atom) | a0 (Å) | b0 (Å) | c0 (Å) | α (degrees) | β (degrees) | γ (degrees) | 
|---|---|---|---|---|---|---|---|---|---|
| A15--Cr3Si | dynamic | -5.6754 | -5.6754 | 3.4004 | 3.4004 | 3.4004 | 90.0 | 90.0 | 90.0 | 
| L1_2--AuCu3 | box | -5.0505 | -5.0505 | 2.679 | 2.679 | 2.679 | 90.0 | 90.0 | 90.0 | 
| D0_3--BiF3 | static | -4.8104 | -4.8104 | 4.3331 | 4.3331 | 4.3331 | 90.0 | 90.0 | 90.0 | 
Download raw data (including filtered results)
Reference structure matches:
| prototype | method | Ecoh (eV/atom) | Epot (eV/atom) | a0 (Å) | b0 (Å) | c0 (Å) | α (degrees) | β (degrees) | γ (degrees) | 
|---|---|---|---|---|---|---|---|---|---|
| oqmd-42164 | dynamic | -5.0707 | -5.0707 | 4.4584 | 6.6794 | 11.4853 | 90.0 | 90.0 | 90.0 | 
| mp-18257 | dynamic | -5.0616 | -5.0616 | 6.6192 | 6.6192 | 4.4491 | 90.0 | 90.0 | 120.0 | 
| oqmd-42164 | box | -5.0494 | -5.0494 | 4.4493 | 6.6748 | 11.4498 | 90.0 | 90.0 | 90.0 | 
| oqmd-13852 | box | -5.0491 | -5.0491 | 6.6313 | 6.6313 | 4.4483 | 90.0 | 90.0 | 120.0 | 
| mp-18257 | box | -5.0486 | -5.0486 | 6.6325 | 6.6325 | 4.448 | 90.0 | 90.0 | 120.0 | 
| mp-21717 | box | -5.0478 | -5.0478 | 4.4541 | 6.6721 | 11.4519 | 90.0 | 90.0 | 90.0 | 
Download raw data (including filtered results)
Reference structure matches:
| prototype | method | Ecoh (eV/atom) | Epot (eV/atom) | a0 (Å) | b0 (Å) | c0 (Å) | α (degrees) | β (degrees) | γ (degrees) | 
|---|---|---|---|---|---|---|---|---|---|
| oqmd-21378 | dynamic | -4.7838 | -4.7838 | 10.33 | 10.33 | 10.33 | 90.0 | 90.0 | 90.0 | 
| oqmd-21378 | box | -4.7816 | -4.7816 | 10.3289 | 10.3289 | 10.3289 | 90.0 | 90.0 | 90.0 | 
| mp-1192884 | box | -4.7811 | -4.7811 | 10.3298 | 10.3298 | 10.3298 | 90.0 | 90.0 | 90.0 | 
Download raw data (including filtered results)
Reference structure matches:
B1--NaCl--rock-salt = oqmd-1105078, oqmd-1234885
B2--CsCl = oqmd-305893
| prototype | method | Ecoh (eV/atom) | Epot (eV/atom) | a0 (Å) | b0 (Å) | c0 (Å) | α (degrees) | β (degrees) | γ (degrees) | 
|---|---|---|---|---|---|---|---|---|---|
| B2--CsCl | dynamic | -5.646 | -5.646 | 2.3541 | 2.3541 | 2.3541 | 90.0 | 90.0 | 90.0 | 
| B2--CsCl | static | -5.6358 | -5.6358 | 2.3688 | 2.3688 | 2.3688 | 90.0 | 90.0 | 90.0 | 
| L1_0--AuCu | static | -5.6263 | -5.6263 | 2.3292 | 2.3292 | 2.4078 | 90.0 | 90.0 | 90.0 | 
| oqmd-1219433 | static | -5.5973 | -5.5973 | 3.2645 | 3.4781 | 2.3537 | 90.0 | 90.0 | 90.0 | 
| oqmd-1228598 | dynamic | -5.4998 | -5.4998 | 2.5208 | 2.5208 | 2.4458 | 90.0 | 90.0 | 120.0 | 
| B1--NaCl--rock-salt | dynamic | -5.4612 | -5.4612 | 3.7897 | 3.7897 | 3.7897 | 90.0 | 90.0 | 90.0 | 
| oqmd-1225112 | dynamic | -4.8582 | -4.8582 | 2.4905 | 2.4905 | 5.9855 | 90.0 | 90.0 | 120.0 | 
| B3--ZnS--cubic-zinc-blende | static | -4.5507 | -4.5507 | 4.1017 | 4.1017 | 4.1017 | 90.0 | 90.0 | 90.0 | 
| oqmd-1225112 | box | -4.5312 | -4.5312 | 2.9176 | 2.9176 | 4.6883 | 90.0 | 90.0 | 120.0 | 
Download raw data (including filtered results)
Reference structure matches:
| prototype | method | Ecoh (eV/atom) | Epot (eV/atom) | a0 (Å) | b0 (Å) | c0 (Å) | α (degrees) | β (degrees) | γ (degrees) | 
|---|---|---|---|---|---|---|---|---|---|
| mp-1102779 | dynamic | -5.1817 | -5.1817 | 6.2356 | 2.4283 | 6.52 | 90.0 | 90.0 | 90.0 | 
| mp-1871 | dynamic | -5.1429 | -5.1429 | 4.334 | 4.5926 | 2.598 | 90.0 | 90.0 | 90.0 | 
| mp-1102779 | box | -5.136 | -5.136 | 6.2754 | 2.4532 | 6.4663 | 90.0 | 90.0 | 90.0 | 
| oqmd-13851 | box | -5.1304 | -5.1304 | 4.3545 | 4.4985 | 2.6639 | 90.0 | 90.0 | 90.0 | 
| mp-1871 | box | -5.1302 | -5.1302 | 4.351 | 4.5036 | 2.666 | 90.0 | 90.0 | 90.0 | 
| C1--CaF2--fluorite | dynamic | -5.0117 | -5.0117 | 4.7137 | 4.7137 | 4.7137 | 90.0 | 90.0 | 90.0 | 
| oqmd-20513 | static | -3.8342 | -3.8342 | 3.6499 | 3.6499 | 2.6042 | 90.0 | 90.0 | 120.0 | 
Download raw data (including filtered results)
Reference structure matches:
D0_3--BiF3 = oqmd-309092
L1_2--AuCu3 = oqmd-345946
| prototype | method | Ecoh (eV/atom) | Epot (eV/atom) | a0 (Å) | b0 (Å) | c0 (Å) | α (degrees) | β (degrees) | γ (degrees) | 
|---|---|---|---|---|---|---|---|---|---|
| mp-1205444 | dynamic | -4.9515 | -4.9515 | 8.5515 | 2.5117 | 14.2659 | 90.0 | 105.6 | 90.0 | 
| oqmd-3494 | dynamic | -4.9449 | -4.9449 | 4.961 | 6.4727 | 4.4766 | 90.0 | 90.0 | 90.0 | 
| mp-510623 | box | -4.9369 | -4.9369 | 4.9321 | 6.5584 | 4.4579 | 90.0 | 90.0 | 90.0 | 
| mp-13154 | dynamic | -4.9362 | -4.9362 | 4.533 | 4.533 | 4.286 | 90.0 | 90.0 | 120.0 | 
| oqmd-3494 | box | -4.9355 | -4.9355 | 4.9304 | 6.5566 | 4.4635 | 90.0 | 90.0 | 90.0 | 
| oqmd-7808 | box | -4.9272 | -4.9272 | 4.5254 | 4.5254 | 4.2712 | 90.0 | 90.0 | 120.0 | 
| mp-13154 | box | -4.9158 | -4.9158 | 4.5242 | 4.5242 | 4.2646 | 90.0 | 90.0 | 120.0 | 
| mp-613523 | dynamic | -4.8649 | -4.8649 | 4.9262 | 6.9814 | 4.5261 | 90.0 | 90.0 | 90.0 | 
| mp-613523 | box | -4.8595 | -4.8595 | 4.9149 | 7.0075 | 4.5055 | 90.0 | 90.0 | 90.0 | 
| oqmd-41734 | box | -4.8593 | -4.8593 | 4.908 | 7.0039 | 4.5127 | 90.0 | 90.0 | 90.0 | 
| mp-1205444 | box | -4.8438 | -4.8438 | 8.2999 | 2.5489 | 14.2634 | 90.0 | 103.1 | 90.0 | 
| mp-1205436 | dynamic | -4.8231 | -4.8231 | 8.2869 | 8.2869 | 4.1627 | 90.0 | 90.0 | 90.0 | 
| mp-1205436 | box | -4.8166 | -4.8166 | 8.2835 | 8.2835 | 4.1669 | 90.0 | 90.0 | 90.0 | 
| oqmd-321460 | dynamic | -4.2991 | -4.2991 | 4.8054 | 4.8054 | 3.7264 | 90.0 | 90.0 | 120.0 | 
| oqmd-321460 | box | -4.2935 | -4.2935 | 4.7727 | 4.7727 | 3.7704 | 90.0 | 90.0 | 120.0 | 
| L1_2--AuCu3 | dynamic | -4.2531 | -4.2531 | 3.3349 | 3.3349 | 3.3349 | 90.0 | 90.0 | 90.0 | 
| L1_2--AuCu3 | static | -4.2511 | -4.2511 | 3.35 | 3.35 | 3.35 | 90.0 | 90.0 | 90.0 | 
| oqmd-298554 | dynamic | -4.2505 | -4.2505 | 3.3355 | 3.3355 | 6.6558 | 90.0 | 90.0 | 90.0 | 
| A15--Cr3Si | static | -4.1716 | -4.1716 | 4.208 | 4.208 | 4.208 | 90.0 | 90.0 | 90.0 | 
| D0_3--BiF3 | static | -4.1122 | -4.1122 | 5.2414 | 5.2414 | 5.2414 | 90.0 | 90.0 | 90.0 | 
| mp-1188724 | static | -0.9758 | -0.9758 | 14.2615 | 20.5229 | 11.7643 | 90.0 | 90.0 | 90.0 | 
Download raw data (including filtered results)
Reference structure matches:
| prototype | method | Ecoh (eV/atom) | Epot (eV/atom) | a0 (Å) | b0 (Å) | c0 (Å) | α (degrees) | β (degrees) | γ (degrees) | 
|---|---|---|---|---|---|---|---|---|---|
| mp-1078579 | dynamic | -4.8013 | -4.8013 | 5.9665 | 2.5793 | 6.4061 | 90.0 | 101.7 | 90.0 | 
| mp-1078579 | box | -4.7628 | -4.7628 | 5.9205 | 2.572 | 6.4167 | 90.0 | 100.9 | 90.0 | 
| mp-1070333 | dynamic | -4.7287 | -4.7287 | 6.3573 | 6.3573 | 2.4178 | 90.0 | 90.0 | 90.0 | 
| mp-1070333 | static | -4.7199 | -4.7199 | 6.3154 | 6.3154 | 2.428 | 90.0 | 90.0 | 90.0 | 
| mp-1070333 | box | -4.6749 | -4.6749 | 6.2117 | 6.2117 | 2.4664 | 90.0 | 90.0 | 90.0 | 
| mp-1246 | box | -4.3981 | -4.3981 | 3.7613 | 3.7613 | 3.7613 | 90.0 | 90.0 | 90.0 | 
| oqmd-646134 | box | -4.3967 | -4.3967 | 3.7609 | 3.7609 | 3.7609 | 90.0 | 90.0 | 90.0 | 
Download raw data (including filtered results)
Reference structure matches:
A1--Cu--fcc = mp-150, oqmd-7505, oqmd-1214525
A15--beta-W = oqmd-1214970
A2--W--bcc = mp-13, oqmd-8568, oqmd-22514, oqmd-1215148
A3'--alpha-La--double-hcp = oqmd-1215416
A3--Mg--hcp = mp-136, oqmd-30158, oqmd-51781, oqmd-1215326, oqmd-1215391
A4--C--dc = oqmd-1215505
A5--beta-Sn = oqmd-1215594
A6--In--bct = oqmd-1215683
Ah--alpha-Po--sc = mp-568345
| prototype | method | Ecoh (eV/atom) | Epot (eV/atom) | a0 (Å) | b0 (Å) | c0 (Å) | α (degrees) | β (degrees) | γ (degrees) | 
|---|---|---|---|---|---|---|---|---|---|
| A2--W--bcc | dynamic | -4.1787 | -4.1787 | 2.8886 | 2.8886 | 2.8886 | 90.0 | 90.0 | 90.0 | 
| A3--Mg--hcp | dynamic | -4.1545 | -4.1545 | 2.5809 | 2.5809 | 4.2042 | 90.0 | 90.0 | 120.0 | 
| oqmd-1216039 | dynamic | -4.1534 | -4.1534 | 2.5803 | 2.5803 | 18.9299 | 90.0 | 90.0 | 120.0 | 
| oqmd-1216039 | box | -4.1533 | -4.1533 | 2.5803 | 2.5803 | 18.9301 | 90.0 | 90.0 | 120.0 | 
| A3'--alpha-La--double-hcp | dynamic | -4.1528 | -4.1528 | 2.58 | 2.58 | 8.4158 | 90.0 | 90.0 | 120.0 | 
| A1--Cu--fcc | dynamic | -4.1511 | -4.1511 | 3.6473 | 3.6473 | 3.6473 | 90.0 | 90.0 | 90.0 | 
| oqmd-1215237 | box | -4.1262 | -4.1262 | 2.528 | 4.5362 | 4.2415 | 90.0 | 90.0 | 90.0 | 
| oqmd-1214792 | dynamic | -4.0802 | -4.0802 | 8.9154 | 8.9154 | 8.9154 | 90.0 | 90.0 | 90.0 | 
| oqmd-1214792 | box | -4.0767 | -4.0767 | 8.9159 | 8.9159 | 8.9159 | 90.0 | 90.0 | 90.0 | 
| A15--beta-W | dynamic | -4.0643 | -4.0643 | 4.6172 | 4.6172 | 4.6172 | 90.0 | 90.0 | 90.0 | 
| oqmd-1214881 | box | -4.0477 | -4.0477 | 6.2644 | 6.2644 | 6.2644 | 90.0 | 90.0 | 90.0 | 
| mp-1194030 | dynamic | -3.9986 | -3.9986 | 8.7238 | 8.7238 | 4.675 | 90.0 | 90.0 | 90.0 | 
| mp-1194030 | static | -3.9827 | -3.9827 | 8.6478 | 8.6478 | 4.6931 | 90.0 | 90.0 | 90.0 | 
| oqmd-21053 | static | -3.982 | -3.982 | 8.6457 | 8.6457 | 4.6904 | 90.0 | 90.0 | 90.0 | 
| mp-1245108 | dynamic | -3.9754 | -3.9754 | 10.6054 | 10.7584 | 10.9626 | 87.6 | 89.7 | 88.8 | 
| oqmd-21053 | box | -3.9709 | -3.9709 | 8.6288 | 8.6288 | 4.6844 | 90.0 | 90.0 | 90.0 | 
| mp-1194030 | box | -3.9517 | -3.9517 | 8.5844 | 8.5844 | 4.7009 | 90.0 | 90.0 | 90.0 | 
| mp-1245108 | static | -3.9332 | -3.9332 | 10.6066 | 10.6735 | 10.9531 | 92.0 | 90.4 | 91.4 | 
| mp-1245108 | box | -3.9306 | -3.9306 | 10.6075 | 10.6707 | 10.9513 | 92.0 | 90.5 | 91.4 | 
| oqmd-1215059 | static | -3.8943 | -3.8943 | 2.6737 | 4.2049 | 9.2058 | 90.0 | 90.0 | 90.0 | 
| oqmd-1215059 | box | -3.8479 | -3.8479 | 2.6541 | 4.1605 | 9.0613 | 90.0 | 90.0 | 90.0 | 
| A5--beta-Sn | dynamic | -3.5806 | -3.5806 | 4.6447 | 4.6447 | 2.4395 | 90.0 | 90.0 | 90.0 | 
| mp-1096950 | box | -3.4823 | -3.4823 | 2.509 | 2.509 | 2.4824 | 90.0 | 90.0 | 120.0 | 
| Ah--alpha-Po--sc | static | -3.0302 | -3.0302 | 2.4529 | 2.4529 | 2.4529 | 90.0 | 90.0 | 90.0 | 
| oqmd-21731 | box | -3.0301 | -3.0301 | 2.4529 | 2.4529 | 7.3587 | 90.0 | 90.0 | 90.0 | 
| oqmd-1215950 | box | -2.8105 | -2.8105 | 3.8616 | 4.0498 | 3.8694 | 90.0 | 119.8 | 90.0 | 
| A4--C--dc | box | -2.0839 | -2.0839 | 5.6409 | 5.6409 | 5.6409 | 90.0 | 90.0 | 90.0 | 
Static elastic constants are displayed for the unique structures identified in Crystal Structure Predictions above. The values displayed here are obtained by measuring the change in virial stresses due to applying small strains to the relaxed crystals. The initial structure and the strained states are all relaxed using force minimization.
The calculation method used is available as the iprPy elastic_constants_static calculation method.
Notes and Disclaimers:
Version Information:
| 11137.333 | 14805.873 | 14805.872 | -0.000 | 0.000 | -0.000 | 
| 14805.872 | 11137.334 | 14805.873 | -0.000 | -0.000 | -0.001 | 
| 14805.872 | 14805.873 | 11137.333 | -0.000 | 0.000 | -0.000 | 
| -0.000 | 0.001 | -0.000 | -2721.814 | -0.000 | -0.001 | 
| -0.000 | 0.001 | 0.000 | -0.000 | -2721.814 | -0.001 | 
| 0.000 | 0.001 | 0.000 | 0.000 | 0.000 | -2721.814 | 
| 11137.332 | 14805.871 | 14805.872 | 0.000 | 0.000 | -0.000 | 
| 14805.872 | 11137.331 | 14805.872 | -0.000 | -0.000 | -0.000 | 
| 14805.872 | 14805.871 | 11137.332 | 0.000 | 0.000 | 0.000 | 
| -0.000 | -0.001 | -0.000 | -2721.814 | 0.000 | -0.000 | 
| 0.000 | -0.001 | -0.000 | -0.000 | -2721.814 | 0.001 | 
| -0.000 | -0.000 | -0.000 | -0.000 | -0.000 | -2721.813 | 
| 11137.337 | 14805.875 | 14805.875 | -0.000 | -0.000 | -0.000 | 
| 14805.875 | 11137.337 | 14805.875 | -0.000 | 0.000 | -0.000 | 
| 14805.875 | 14805.875 | 11137.337 | -0.000 | -0.000 | 0.000 | 
| 0.002 | 0.001 | 0.001 | -2721.814 | 0.000 | -0.000 | 
| 0.001 | 0.002 | 0.001 | 0.000 | -2721.814 | -0.000 | 
| 0.001 | 0.001 | 0.002 | -0.000 | -0.000 | -2721.814 | 
| 11137.328 | 14805.869 | 14805.869 | -0.000 | 0.000 | 0.000 | 
| 14805.869 | 11137.328 | 14805.869 | -0.000 | -0.000 | 0.000 | 
| 14805.869 | 14805.869 | 11137.328 | 0.000 | -0.000 | 0.000 | 
| -0.002 | -0.001 | -0.001 | -2721.814 | 0.000 | 0.000 | 
| -0.001 | -0.002 | -0.001 | -0.000 | -2721.814 | 0.000 | 
| -0.001 | -0.001 | -0.002 | 0.000 | -0.000 | -2721.814 | 
| 11137.375 | 14805.902 | 14805.902 | -0.000 | -0.000 | 0.000 | 
| 14805.902 | 11137.375 | 14805.902 | -0.000 | -0.000 | 0.000 | 
| 14805.902 | 14805.902 | 11137.375 | -0.000 | -0.000 | -0.000 | 
| 0.020 | 0.010 | 0.006 | -2721.814 | -0.000 | 0.000 | 
| 0.010 | 0.020 | 0.006 | -0.000 | -2721.814 | -0.000 | 
| 0.010 | 0.006 | 0.020 | -0.000 | 0.000 | -2721.814 | 
| 11137.290 | 14805.843 | 14805.843 | 0.000 | -0.000 | 0.000 | 
| 14805.843 | 11137.290 | 14805.843 | 0.000 | 0.000 | 0.000 | 
| 14805.843 | 14805.843 | 11137.290 | -0.000 | -0.000 | 0.000 | 
| -0.020 | -0.010 | -0.006 | -2721.814 | 0.000 | 0.000 | 
| -0.010 | -0.020 | -0.006 | 0.000 | -2721.814 | 0.000 | 
| -0.010 | -0.006 | -0.020 | 0.000 | -0.000 | -2721.814 | 
| 2104.330 | 5257.094 | 5257.094 | -0.000 | -0.000 | -0.000 | 
| 5257.094 | 2104.330 | 5257.094 | 0.000 | -0.000 | 0.000 | 
| 5257.094 | 5257.094 | 2104.331 | 0.000 | -0.000 | -0.000 | 
| 12127769059.631 | 11960229333.899 | 11890314181.053 | -734741449.171 | 95643181.145 | -8106918.070 | 
| 12100334053.062 | 12312837213.363 | 11686378388.830 | 203321723.596 | -667434117.123 | -293533747.987 | 
| 11635420565.948 | 11904928369.732 | 11779028521.153 | -88466809.123 | 108883979.745 | -831980132.367 | 
| 2160.527 | 5228.996 | 5228.995 | -0.001 | -0.000 | -0.000 | 
| 5257.094 | 2104.330 | 5257.094 | -0.000 | 0.001 | 0.000 | 
| 5257.094 | 5257.094 | 2104.330 | -0.000 | 0.000 | -0.000 | 
| -12253548921.303 | -12203846901.270 | -11704974931.245 | -717616929.621 | 294609087.767 | 111348504.851 | 
| -11837908754.527 | -11959639085.870 | -11757019438.535 | 506003868.324 | -620011608.274 | 349192142.948 | 
| -11950748108.706 | -11983208550.846 | -12036794816.122 | 118082742.996 | 218960206.054 | -875671792.317 | 
| 2104.333 | 5257.095 | 5257.095 | 0.000 | 0.000 | 0.000 | 
| 5257.095 | 2104.333 | 5257.095 | 0.000 | -0.000 | 0.000 | 
| 5257.095 | 5257.095 | 2104.333 | 0.000 | -0.000 | -0.000 | 
| 1255694048.631 | 1158812008.513 | 1189672684.082 | -98021797.865 | -3931538.481 | 11897375.990 | 
| 1215585486.775 | 1223321213.548 | 1180845335.133 | 10452005.238 | -80773959.869 | -3479219.371 | 
| 1200490894.002 | 1208581750.342 | 1233786531.193 | -16055203.252 | 26954748.787 | -85211231.180 | 
| 2160.525 | 5228.995 | 5228.995 | -0.000 | -0.000 | -0.000 | 
| 5228.995 | 2160.525 | 5228.995 | -0.000 | -0.000 | -0.000 | 
| 5228.995 | 5228.995 | 2160.524 | -0.000 | -0.000 | 0.000 | 
| -1191688372.015 | -1203189505.708 | -1186335679.035 | -57886298.399 | 40928988.971 | 26157813.303 | 
| -1219852504.478 | -1194835849.867 | -1180752358.423 | 63755502.210 | -77940966.196 | 33605329.341 | 
| -1188695462.653 | -1248904550.446 | -1218784496.923 | 42035854.551 | 36230935.546 | -85342372.630 | 
| 2104.357 | 5257.104 | 5257.104 | 0.000 | 0.000 | 0.000 | 
| 5257.104 | 2104.357 | 5257.104 | 0.000 | 0.000 | 0.000 | 
| 5257.104 | 5257.104 | 2104.357 | 0.000 | 0.000 | -0.000 | 
| 128959368.132 | 120495205.095 | 119531099.257 | -8236374.858 | 707974.719 | 1962462.871 | 
| 123229380.820 | 123724992.448 | 114557334.529 | 1446540.344 | -6781600.274 | -471519.824 | 
| 115865083.972 | 123622360.508 | 124404939.334 | -1722506.505 | 1635688.243 | -8917893.500 | 
| 2104.304 | 5257.084 | 5257.084 | -0.000 | 0.000 | 0.000 | 
| 5257.084 | 2104.304 | 5257.084 | -0.000 | -0.000 | -0.000 | 
| 5257.084 | 5257.084 | 2104.304 | -0.000 | 0.000 | -0.000 | 
| -123415999.910 | -121637998.855 | -119059552.774 | -7209752.028 | 4305695.555 | 4082650.678 | 
| -122742308.476 | -120809159.959 | -118475822.946 | 3684095.960 | -7990531.206 | 4389228.043 | 
| -121398674.207 | -124262035.621 | -121350398.100 | 1825682.287 | 2284479.371 | -6918874.685 | 
| -3037.261 | 0.000 | 0.000 | -0.000 | 0.000 | 0.000 | 
| 0.000 | -3037.261 | 0.000 | -0.000 | -0.000 | -0.000 | 
| 0.000 | 0.000 | -3037.261 | -0.000 | -0.000 | 0.000 | 
| 0.000 | 0.000 | 0.000 | -0.000 | 0.000 | -0.000 | 
| 0.000 | 0.000 | 0.000 | 0.000 | -0.000 | 0.000 | 
| 0.000 | 0.000 | 0.000 | 0.000 | 0.000 | -0.000 | 
| -3037.261 | 0.000 | 0.000 | -0.000 | -0.000 | -0.000 | 
| 0.000 | -3037.261 | 0.000 | -0.000 | -0.000 | 0.000 | 
| 0.000 | 0.000 | -3037.261 | -0.000 | 0.000 | 0.000 | 
| -0.000 | -0.000 | -0.000 | -0.000 | -0.000 | 0.000 | 
| -0.000 | -0.000 | -0.000 | -0.000 | -0.000 | 0.000 | 
| -0.000 | -0.000 | -0.000 | -0.000 | -0.000 | -0.000 | 
| -3037.263 | 0.000 | 0.000 | -0.000 | 0.000 | 0.000 | 
| 0.000 | -3037.263 | 0.000 | 0.000 | -0.000 | -0.000 | 
| 0.000 | 0.000 | -3037.263 | 0.000 | 0.000 | 0.000 | 
| 0.000 | 0.000 | 0.000 | -0.000 | 0.000 | -0.000 | 
| 0.000 | 0.000 | 0.000 | -0.000 | -0.000 | 0.000 | 
| 0.000 | 0.000 | 0.000 | 0.000 | 0.000 | -0.000 | 
| -3037.260 | 0.000 | 0.000 | -0.000 | -0.000 | 0.000 | 
| 0.000 | -3037.260 | 0.000 | -0.000 | -0.000 | 0.000 | 
| 0.000 | 0.000 | -3037.260 | 0.000 | 0.000 | 0.000 | 
| -0.000 | -0.000 | -0.000 | -0.000 | -0.000 | 0.000 | 
| -0.000 | -0.000 | -0.000 | 0.000 | -0.000 | -0.000 | 
| -0.000 | -0.000 | -0.000 | -0.000 | -0.000 | -0.000 | 
| -3037.279 | 0.000 | 0.000 | -0.000 | 0.000 | 0.000 | 
| 0.000 | -3037.279 | 0.000 | 0.000 | -0.000 | -0.000 | 
| 0.000 | 0.000 | -3037.279 | 0.000 | -0.000 | 0.000 | 
| 0.000 | 0.000 | 0.002 | -0.000 | 0.000 | 0.000 | 
| 0.000 | 0.000 | 0.002 | 0.000 | -0.000 | 0.000 | 
| 0.000 | 0.002 | 0.000 | 0.000 | 0.000 | -0.000 | 
| 48.174 | 0.000 | 0.000 | -0.000 | 0.000 | 0.000 | 
| 0.000 | 48.174 | 0.000 | -0.000 | -0.000 | 0.000 | 
| 0.000 | 0.000 | 48.174 | -0.000 | -0.000 | 0.000 | 
| -0.000 | -0.000 | -0.002 | -0.000 | -0.000 | 0.000 | 
| -0.000 | -0.000 | -0.002 | -0.000 | -0.000 | 0.000 | 
| -0.000 | -0.002 | -0.000 | -0.000 | 0.000 | -0.000 | 
| 6499.011 | 6390.567 | 6390.568 | -0.001 | 0.001 | -0.000 | 
| 6390.566 | 6499.011 | 6390.568 | -0.000 | 0.001 | -0.000 | 
| 6390.566 | 6390.566 | 6499.012 | 0.000 | 0.000 | -0.000 | 
| -0.000 | -0.000 | 0.001 | -2627.008 | 0.001 | -0.000 | 
| -0.000 | -0.000 | 0.001 | -0.000 | -2627.008 | 0.000 | 
| -0.000 | -0.000 | 0.001 | 0.000 | 0.001 | -2627.008 | 
| 6499.012 | 6390.567 | 6390.565 | 0.001 | -0.001 | 0.000 | 
| 6390.567 | 6499.012 | 6390.566 | 0.000 | -0.001 | 0.000 | 
| 6390.567 | 6390.567 | 6499.009 | -0.000 | -0.001 | 0.000 | 
| 0.000 | 0.000 | -0.001 | -2627.007 | -0.000 | 0.000 | 
| 0.000 | 0.000 | -0.001 | 0.000 | -2627.009 | -0.000 | 
| 0.000 | 0.000 | -0.002 | -0.000 | -0.001 | -2627.008 | 
| 6499.010 | 6390.566 | 6390.566 | -0.000 | 0.000 | -0.000 | 
| 6390.566 | 6499.010 | 6390.566 | -0.000 | 0.000 | 0.000 | 
| 6390.566 | 6390.566 | 6499.010 | -0.000 | 0.000 | -0.000 | 
| 0.001 | 0.001 | 0.001 | -2627.008 | 0.000 | 0.000 | 
| 0.001 | 0.001 | 0.001 | -0.000 | -2627.008 | 0.000 | 
| 0.001 | 0.000 | 0.001 | -0.000 | 0.000 | -2627.008 | 
| 6499.013 | 6390.567 | 6390.567 | 0.000 | -0.000 | 0.000 | 
| 6390.567 | 6499.013 | 6390.567 | 0.000 | -0.000 | 0.000 | 
| 6390.567 | 6390.567 | 6499.013 | 0.000 | -0.000 | 0.000 | 
| -0.001 | -0.001 | -0.001 | -2627.008 | -0.000 | 0.000 | 
| -0.001 | -0.001 | -0.001 | 0.000 | -2627.008 | 0.000 | 
| -0.001 | -0.000 | -0.001 | 0.000 | -0.000 | -2627.008 | 
| 6498.996 | 6390.562 | 6390.562 | -0.000 | 0.000 | -0.000 | 
| 6390.562 | 6498.996 | 6390.562 | -0.000 | 0.000 | -0.000 | 
| 6390.562 | 6390.562 | 6498.996 | -0.000 | 0.000 | -0.000 | 
| 0.006 | 0.010 | 0.004 | -2627.008 | 0.000 | -0.000 | 
| 0.010 | 0.006 | 0.004 | -0.000 | -2627.008 | 0.000 | 
| 0.010 | 0.004 | 0.006 | -0.000 | 0.000 | -2627.008 | 
| 6499.028 | 6390.571 | 6390.571 | 0.000 | -0.000 | -0.000 | 
| 6390.571 | 6499.028 | 6390.571 | 0.000 | -0.000 | 0.000 | 
| 6390.571 | 6390.571 | 6499.028 | 0.000 | -0.000 | 0.000 | 
| -0.006 | -0.010 | -0.004 | -2627.008 | -0.000 | 0.000 | 
| -0.010 | -0.006 | -0.004 | -0.000 | -2627.008 | -0.000 | 
| -0.010 | -0.004 | -0.006 | 0.000 | -0.000 | -2627.008 | 
| 10275.405 | 15085.245 | 15396.993 | 0.000 | 0.002 | -0.002 | 
| 15085.241 | 10275.404 | 15396.991 | -0.000 | 0.001 | -0.003 | 
| 15396.991 | 15396.991 | 9934.126 | 0.001 | 0.002 | -0.001 | 
| -0.001 | 0.000 | 0.000 | -2215.461 | 0.002 | -0.003 | 
| -0.001 | -0.001 | 0.001 | 0.001 | -2215.461 | -0.001 | 
| -0.000 | -0.001 | 0.000 | -0.000 | 0.001 | -2404.922 | 
| -11445980550.914 | -6114003529.415 | 3255869650.986 | -7346128.966 | 10975686.302 | -607886244.626 | 
| 15085.242 | 10275.402 | 15396.991 | 0.000 | -0.001 | 0.002 | 
| 15396.991 | 15396.991 | 9934.123 | -0.001 | -0.001 | 0.002 | 
| 0.001 | -0.002 | -0.000 | -2215.461 | -0.003 | 0.002 | 
| 0.001 | 0.001 | -0.001 | 0.000 | -2215.464 | 0.002 | 
| 0.001 | 0.000 | -0.001 | -0.000 | -0.003 | -2404.918 | 
| 866897885.662 | 1120514464.092 | 441795026.065 | 1505907.225 | -4740380.856 | -9119718.087 | 
| 1193748685.807 | 586262850.816 | -370062805.638 | 637826.190 | 2133417.696 | 76784825.790 | 
| 15396.995 | 15396.995 | 9934.132 | 0.000 | -0.000 | -0.000 | 
| 0.001 | 0.001 | 0.000 | -2215.461 | 0.000 | -0.000 | 
| 0.001 | 0.001 | -0.000 | -0.000 | -2215.461 | -0.000 | 
| 637647997.393 | 1046369269.371 | -315025401.245 | -1324951.219 | -302834.579 | -168449640.665 | 
| -1138517603.191 | -591153801.340 | 368518959.361 | 739564.358 | 417601.044 | -71695105.121 | 
| -863990570.939 | -1155814708.155 | -421775309.502 | -991979.170 | -4022342.982 | 15869276.121 | 
| 15396.988 | 15396.988 | 9934.117 | -0.000 | -0.000 | 0.000 | 
| -0.001 | -0.001 | 0.000 | -2215.461 | -0.000 | 0.000 | 
| -0.001 | -0.001 | -0.000 | -0.000 | -2215.461 | 0.000 | 
| -708759870.265 | -1060376509.039 | 299773114.807 | 3343357.436 | 1862276.578 | -259708662.217 | 
| 85313729.337 | 115330250.892 | 48621059.878 | 377966.316 | 217885.590 | -2251497.918 | 
| 117507797.096 | 55964236.286 | -40295761.796 | 178236.470 | 71737.831 | 6046120.634 | 
| 15397.025 | 15397.025 | 9934.197 | 0.000 | 0.000 | -0.000 | 
| 0.009 | 0.009 | -0.001 | -2215.461 | 0.000 | -0.000 | 
| 91520151.016 | 107408272.574 | 44435127.497 | -245840.482 | 565515.485 | -2383837.331 | 
| 63985505.707 | 97192438.967 | -35334816.485 | -81633.261 | -188359.404 | -19639741.591 | 
| -118205030.043 | -56341507.931 | 38808897.867 | -39052.576 | 20597.004 | -8048494.810 | 
| -86937518.466 | -116484756.219 | -48358250.275 | -271836.454 | -89020.194 | 1778864.732 | 
| 15396.958 | 15396.958 | 9934.052 | -0.000 | -0.000 | 0.000 | 
| -0.009 | -0.009 | 0.001 | -2215.461 | -0.000 | 0.000 | 
| -91781258.921 | -104314194.328 | -39083962.900 | 129564.948 | 117794.322 | 2517181.969 | 
| -70270483.828 | -105212094.785 | 32472261.170 | 68081.305 | -89154.378 | -24418129.007 | 
| 8630462897.878 | 9985898826.547 | 1491764683.618 | 28738919.263 | -63548198.130 | -51163878.493 | 
| 15068.824 | 10300.912 | 15396.400 | -0.000 | -0.002 | 0.001 | 
| 15396.400 | 15396.399 | 9914.344 | -0.004 | -0.003 | 0.000 | 
| -0.000 | -0.000 | -0.000 | -2300.621 | 0.000 | 0.002 | 
| -0.000 | -0.001 | -0.002 | -0.002 | -2300.625 | 0.002 | 
| -0.001 | -0.001 | -0.001 | 0.000 | -0.003 | -2383.955 | 
| 10300.910 | 15068.822 | 15396.400 | 0.001 | 0.003 | -0.001 | 
| -8612026253.926 | -9793979655.316 | -1171568867.069 | -34145968.104 | 41576684.136 | 105516500.313 | 
| 15396.400 | 15396.400 | 9914.351 | -0.001 | -0.000 | -0.001 | 
| 0.000 | 0.001 | -0.001 | -2300.618 | -0.001 | -0.002 | 
| 0.001 | 0.000 | 0.002 | 0.002 | -2300.626 | -0.002 | 
| 0.001 | 0.003 | 0.001 | -0.000 | 0.003 | -2383.958 | 
| 861426346.783 | 979994179.936 | 147401754.392 | -206896.591 | 1521295.713 | -10139974.296 | 
| 1146082996.318 | 595422614.810 | -367582882.816 | 79058.571 | -471041.998 | 13052995.969 | 
| 15396.403 | 15396.403 | 9914.356 | -0.000 | -0.000 | 0.000 | 
| 0.001 | 0.001 | -0.000 | -2300.624 | 0.000 | 0.000 | 
| 0.001 | 0.001 | -0.000 | 0.000 | -2300.624 | 0.000 | 
| 593806253.767 | 764691875.809 | -389158275.566 | 454020.477 | 5963356.943 | -172967041.113 | 
| -1063363188.822 | -548897546.760 | 384922045.926 | 606212.739 | 4460494.242 | 7662898.856 | 
| -834780221.270 | -966252297.569 | -152443995.700 | -2690226.866 | 3662022.529 | 6135274.774 | 
| 15396.396 | 15396.396 | 9914.341 | 0.000 | -0.000 | -0.000 | 
| -0.001 | -0.001 | 0.000 | -2300.624 | 0.000 | -0.000 | 
| -0.001 | -0.001 | 0.000 | 0.000 | -2300.623 | -0.000 | 
| -748453667.244 | -740556311.785 | 413843648.265 | -5987163.098 | 3059642.078 | -110730402.599 | 
| 85515758.631 | 98669270.226 | 21898052.517 | -175020.406 | -509277.360 | -616478.778 | 
| 109423915.713 | 55819411.639 | -38833553.991 | 142149.445 | 9305.475 | -2038329.517 | 
| 15396.434 | 15396.434 | 9914.421 | -0.000 | -0.000 | 0.000 | 
| 107924142.594 | 69782816.831 | -31484203.152 | 396671.158 | 210793.656 | 6602884.930 | 
| 0.009 | 0.009 | -0.001 | -0.000 | -2300.624 | 0.000 | 
| 57517188.886 | 77486607.704 | -38490280.451 | 266692.764 | -489960.796 | -19355190.200 | 
| -109903432.716 | -53336691.361 | 36677810.664 | 196434.420 | -17923.205 | 336172.635 | 
| -85370971.885 | -98579428.946 | -15291742.917 | 72567.748 | 74506.577 | 940455.674 | 
| 15396.366 | 15396.366 | 9914.277 | 0.000 | 0.000 | -0.000 | 
| -108320212.175 | -71166235.359 | 32100074.940 | 266840.354 | 312875.843 | -6092299.517 | 
| -0.009 | -0.009 | 0.001 | 0.000 | -2300.624 | -0.000 | 
| -68748892.574 | -76383131.256 | 41291619.187 | -312730.536 | -201296.105 | -13726391.040 | 
| 623.865 | 416.968 | 416.966 | -0.000 | 0.000 | 0.003 | 
| 416.968 | 623.865 | 416.966 | -0.000 | 0.000 | 0.003 | 
| 416.968 | 416.968 | 623.865 | -0.000 | 0.000 | -0.000 | 
| -0.000 | -0.001 | -0.000 | 384.005 | 0.000 | 0.001 | 
| -0.000 | 0.001 | -0.001 | 0.000 | 384.005 | 0.002 | 
| 0.000 | 0.000 | 0.000 | 0.000 | 0.000 | 384.007 | 
| 623.865 | 416.969 | 416.969 | 0.000 | -0.000 | -0.001 | 
| 416.968 | 623.866 | 416.969 | -0.000 | -0.000 | -0.001 | 
| 416.968 | 416.968 | 623.867 | 0.000 | -0.000 | -0.003 | 
| -0.000 | -0.000 | 0.001 | 384.005 | -0.000 | -0.003 | 
| -0.000 | -0.000 | 0.001 | 0.000 | 384.004 | -0.002 | 
| 0.000 | -0.000 | -0.000 | -0.000 | -0.001 | 384.003 | 
| 623.866 | 416.968 | 416.968 | 0.000 | 0.000 | 0.000 | 
| 416.968 | 623.866 | 416.968 | 0.000 | 0.000 | 0.000 | 
| 416.968 | 416.968 | 623.866 | 0.000 | 0.000 | 0.000 | 
| 0.000 | 0.000 | -0.000 | 384.005 | 0.000 | 0.000 | 
| -0.000 | 0.000 | -0.000 | -0.000 | 384.005 | 0.000 | 
| -0.000 | -0.000 | -0.000 | 0.000 | 0.000 | 384.005 | 
| 623.866 | 416.967 | 416.967 | -0.000 | -0.000 | -0.000 | 
| 416.967 | 623.866 | 416.968 | -0.000 | -0.000 | -0.000 | 
| 416.967 | 416.967 | 623.866 | 0.000 | 0.000 | 0.000 | 
| -0.000 | 0.000 | 0.000 | 384.005 | -0.000 | -0.000 | 
| 0.000 | -0.000 | 0.000 | 0.000 | 384.005 | -0.000 | 
| 0.000 | 0.000 | -0.000 | -0.000 | -0.000 | 384.005 | 
| 623.866 | 416.969 | 416.969 | -0.000 | 0.000 | 0.000 | 
| 416.969 | 623.866 | 416.969 | 0.000 | 0.000 | 0.000 | 
| 416.969 | 416.969 | 623.866 | -0.000 | -0.000 | 0.000 | 
| 0.000 | -0.001 | 0.000 | 384.005 | 0.000 | -0.000 | 
| -0.001 | 0.000 | 0.000 | -0.000 | 384.005 | 0.000 | 
| -0.001 | 0.000 | 0.000 | -0.000 | 0.000 | 384.005 | 
| 623.865 | 416.966 | 416.966 | -0.000 | 0.000 | -0.000 | 
| 416.966 | 623.865 | 416.966 | 0.000 | -0.000 | -0.000 | 
| 416.966 | 416.966 | 623.865 | 0.000 | 0.000 | -0.000 | 
| -0.000 | 0.001 | -0.000 | 384.005 | -0.000 | 0.000 | 
| 0.001 | -0.000 | -0.000 | 0.000 | 384.005 | -0.000 | 
| 0.001 | -0.000 | -0.000 | -0.000 | -0.000 | 384.005 | 
| 1372.834 | -0.001 | 0.000 | 0.000 | 0.000 | 0.000 | 
| -0.001 | 1372.834 | 0.000 | 0.000 | 0.000 | 0.000 | 
| -0.001 | -0.001 | 0.000 | 0.000 | 0.000 | 0.000 | 
| -0.001 | -0.001 | 0.000 | 0.000 | 0.000 | 0.000 | 
| -0.001 | -0.001 | 0.000 | 0.000 | 0.000 | 0.000 | 
| -0.001 | -0.001 | 0.000 | 0.000 | 0.000 | 94.676 | 
| 1372.836 | 0.001 | -0.000 | -0.000 | -0.000 | -0.000 | 
| 0.001 | 1372.836 | -0.000 | -0.000 | -0.000 | 0.000 | 
| 0.001 | 0.001 | -0.000 | -0.000 | -0.000 | -0.000 | 
| 0.001 | 0.001 | -0.000 | -0.000 | -0.000 | -0.000 | 
| 0.001 | 0.001 | -0.000 | -0.000 | -0.000 | -0.000 | 
| 0.001 | 0.001 | -0.000 | -0.000 | -0.000 | 94.676 | 
| 1372.835 | -0.000 | 0.000 | 0.000 | 0.000 | -0.000 | 
| -0.000 | 1372.835 | 0.000 | 0.000 | 0.000 | 0.000 | 
| -0.000 | -0.000 | 0.000 | 0.000 | 0.000 | 0.000 | 
| -0.000 | -0.000 | 0.000 | 0.000 | 0.000 | 0.000 | 
| -0.000 | -0.000 | 0.000 | 0.000 | 0.000 | 0.000 | 
| -0.000 | -0.000 | 0.000 | 0.000 | 0.000 | 94.676 | 
| 1372.834 | 0.000 | -0.000 | -0.000 | -0.000 | 0.000 | 
| 0.000 | 1372.834 | -0.000 | -0.000 | -0.000 | 0.000 | 
| 0.000 | 0.000 | -0.000 | -0.000 | -0.000 | -0.000 | 
| 0.000 | 0.000 | -0.000 | -0.000 | -0.000 | -0.000 | 
| 0.000 | 0.000 | -0.000 | -0.000 | -0.000 | -0.000 | 
| 0.000 | 0.000 | -0.000 | -0.000 | -0.000 | 94.676 | 
| 1372.841 | -0.000 | 0.000 | 0.000 | 0.000 | -0.000 | 
| -0.000 | 1372.841 | 0.000 | 0.000 | 0.000 | -0.000 | 
| -0.000 | -0.000 | 0.000 | 0.000 | 0.000 | 0.000 | 
| -0.000 | -0.000 | 0.000 | 0.000 | 0.000 | 0.000 | 
| -0.000 | -0.000 | 0.000 | 0.000 | 0.000 | 0.000 | 
| -0.000 | -0.000 | 0.000 | 0.000 | 0.000 | 94.676 | 
| 1372.828 | 0.000 | -0.000 | -0.000 | -0.000 | -0.000 | 
| 0.000 | 1372.828 | -0.000 | -0.000 | -0.000 | -0.000 | 
| 0.000 | 0.000 | -0.000 | -0.000 | -0.000 | -0.000 | 
| 0.000 | 0.000 | -0.000 | -0.000 | -0.000 | -0.000 | 
| 0.000 | 0.000 | -0.000 | -0.000 | -0.000 | -0.000 | 
| 0.000 | 0.000 | -0.000 | -0.000 | -0.000 | 94.676 | 
| 1343.334 | -0.001 | 0.000 | 0.000 | 0.000 | 0.000 | 
| -0.001 | 1343.334 | 0.000 | 0.000 | 0.000 | 0.000 | 
| -0.001 | -0.001 | 0.000 | 0.000 | 0.000 | 0.000 | 
| -0.001 | -0.001 | 0.000 | 0.000 | 0.000 | 0.000 | 
| -0.001 | -0.001 | 0.000 | 0.000 | 0.000 | 0.000 | 
| -0.001 | -0.001 | 0.000 | 0.000 | 0.000 | 92.642 | 
| 1343.336 | 0.001 | -0.000 | -0.000 | -0.000 | -0.000 | 
| 0.001 | 1343.336 | -0.000 | -0.000 | -0.000 | 0.000 | 
| 0.001 | 0.001 | -0.000 | -0.000 | -0.000 | -0.000 | 
| 0.001 | 0.001 | -0.000 | -0.000 | -0.000 | -0.000 | 
| 0.001 | 0.001 | -0.000 | -0.000 | -0.000 | -0.000 | 
| 0.001 | 0.001 | -0.000 | -0.000 | -0.000 | 92.642 | 
| 1343.335 | -0.000 | 0.000 | 0.000 | 0.000 | -0.000 | 
| -0.000 | 1343.335 | 0.000 | 0.000 | 0.000 | 0.000 | 
| -0.000 | -0.000 | 0.000 | 0.000 | 0.000 | 0.000 | 
| -0.000 | -0.000 | 0.000 | 0.000 | 0.000 | 0.000 | 
| -0.000 | -0.000 | 0.000 | 0.000 | 0.000 | 0.000 | 
| -0.000 | -0.000 | 0.000 | 0.000 | 0.000 | 92.641 | 
| 1343.334 | 0.000 | -0.000 | -0.000 | -0.000 | 0.000 | 
| 0.000 | 1343.334 | -0.000 | -0.000 | -0.000 | 0.000 | 
| 0.000 | 0.000 | -0.000 | -0.000 | -0.000 | -0.000 | 
| 0.000 | 0.000 | -0.000 | -0.000 | -0.000 | -0.000 | 
| 0.000 | 0.000 | -0.000 | -0.000 | -0.000 | -0.000 | 
| 0.000 | 0.000 | -0.000 | -0.000 | -0.000 | 92.641 | 
| 1343.341 | -0.000 | 0.000 | 0.000 | 0.000 | -0.000 | 
| -0.000 | 1343.341 | 0.000 | 0.000 | 0.000 | -0.000 | 
| -0.000 | -0.000 | 0.000 | 0.000 | 0.000 | 0.000 | 
| -0.000 | -0.000 | 0.000 | 0.000 | 0.000 | 0.000 | 
| -0.000 | -0.000 | 0.000 | 0.000 | 0.000 | 0.000 | 
| -0.000 | -0.000 | 0.000 | 0.000 | 0.000 | 92.641 | 
| 1343.328 | 0.000 | -0.000 | -0.000 | -0.000 | -0.000 | 
| 0.000 | 1343.328 | -0.000 | -0.000 | -0.000 | -0.000 | 
| 0.000 | 0.000 | -0.000 | -0.000 | -0.000 | -0.000 | 
| 0.000 | 0.000 | -0.000 | -0.000 | -0.000 | -0.000 | 
| 0.000 | 0.000 | -0.000 | -0.000 | -0.000 | 0.000 | 
| 0.000 | 0.000 | -0.000 | -0.000 | -0.000 | 92.641 | 
| 2596.549 | -0.001 | 0.000 | 0.000 | 0.000 | 0.000 | 
| -0.001 | 2596.549 | 0.000 | 0.000 | 0.000 | 0.000 | 
| -0.002 | -0.002 | 0.000 | 0.000 | 0.000 | 0.000 | 
| -0.002 | -0.002 | 0.000 | 0.000 | 0.000 | 0.000 | 
| -0.002 | -0.001 | 0.000 | 0.000 | 0.000 | 0.000 | 
| -0.001 | -0.002 | 0.000 | 0.000 | 0.000 | 179.068 | 
| 2596.552 | 0.001 | -0.000 | -0.000 | -0.000 | -0.000 | 
| 0.001 | 2596.552 | -0.000 | -0.000 | -0.000 | 0.000 | 
| 0.002 | 0.002 | -0.000 | -0.000 | -0.000 | -0.000 | 
| 0.001 | 0.001 | -0.000 | -0.000 | -0.000 | -0.000 | 
| 0.001 | 0.002 | -0.000 | -0.000 | -0.000 | -0.000 | 
| 0.002 | 0.002 | -0.000 | -0.000 | -0.000 | 179.069 | 
| 2596.551 | -0.000 | 0.000 | 0.000 | 0.000 | -0.000 | 
| -0.000 | 2596.551 | 0.000 | 0.000 | 0.000 | 0.000 | 
| -0.000 | -0.000 | 0.000 | 0.000 | 0.000 | 0.000 | 
| -0.000 | -0.000 | 0.000 | 0.000 | 0.000 | 0.000 | 
| -0.000 | -0.000 | 0.000 | 0.000 | 0.000 | 0.000 | 
| -0.000 | -0.000 | 0.000 | 0.000 | 0.000 | 179.067 | 
| 2596.549 | 0.000 | -0.000 | -0.000 | -0.000 | 0.000 | 
| 0.000 | 2596.549 | -0.000 | -0.000 | -0.000 | 0.000 | 
| 0.000 | 0.000 | -0.000 | -0.000 | -0.000 | -0.000 | 
| 0.000 | 0.000 | -0.000 | -0.000 | -0.000 | -0.000 | 
| 0.000 | 0.000 | -0.000 | -0.000 | -0.000 | -0.000 | 
| 0.000 | 0.000 | -0.000 | -0.000 | -0.000 | 179.067 | 
| 2596.563 | -0.000 | 0.000 | 0.000 | 0.000 | -0.000 | 
| -0.000 | 2596.563 | 0.000 | 0.000 | 0.000 | -0.000 | 
| -0.000 | -0.000 | 0.000 | 0.000 | 0.000 | 0.000 | 
| -0.000 | -0.000 | 0.000 | 0.000 | 0.000 | 0.000 | 
| -0.000 | -0.000 | 0.000 | 0.000 | 0.000 | 0.000 | 
| -0.000 | -0.001 | 0.000 | 0.000 | 0.000 | 179.068 | 
| 2596.538 | 0.000 | -0.000 | -0.000 | -0.000 | -0.000 | 
| 0.000 | 2596.538 | -0.000 | -0.000 | -0.000 | -0.000 | 
| 0.000 | 0.000 | -0.000 | -0.000 | -0.000 | -0.000 | 
| 0.000 | 0.000 | -0.000 | -0.000 | -0.000 | -0.000 | 
| 0.000 | 0.000 | -0.000 | -0.000 | -0.000 | -0.000 | 
| 0.000 | 0.001 | -0.000 | -0.000 | -0.000 | 179.068 | 
| 2597.688 | -0.018 | 0.000 | 0.000 | 0.000 | -0.000 | 
| -0.019 | 2597.688 | 0.000 | 0.000 | 0.000 | 0.000 | 
| -0.019 | -0.018 | 0.000 | 0.000 | 0.000 | -0.000 | 
| 0.002 | 0.002 | 0.000 | 0.000 | 0.000 | -0.000 | 
| 0.002 | 0.002 | 0.000 | 0.000 | 0.000 | 0.000 | 
| 0.002 | 0.001 | 0.000 | 0.000 | 0.000 | 179.169 | 
| 2597.683 | -0.022 | -0.000 | -0.000 | -0.000 | 0.000 | 
| -0.022 | 2597.683 | -0.000 | -0.000 | -0.000 | -0.000 | 
| -0.022 | -0.022 | -0.000 | -0.000 | -0.000 | 0.000 | 
| -0.002 | -0.002 | -0.000 | -0.000 | -0.000 | -0.000 | 
| -0.002 | -0.002 | -0.000 | -0.000 | -0.000 | -0.000 | 
| -0.002 | -0.001 | -0.000 | -0.000 | -0.000 | 179.169 | 
| 2597.687 | -0.020 | 0.000 | 0.000 | 0.000 | -0.000 | 
| -0.020 | 2597.687 | 0.000 | 0.000 | 0.000 | 0.000 | 
| -0.020 | -0.020 | 0.000 | 0.000 | 0.000 | -0.000 | 
| 0.000 | 0.000 | 0.000 | 0.000 | 0.000 | -0.000 | 
| 0.000 | 0.000 | 0.000 | 0.000 | 0.000 | -0.000 | 
| 0.000 | 0.000 | 0.000 | 0.000 | 0.000 | 179.171 | 
| 2597.685 | -0.020 | -0.000 | -0.000 | -0.000 | -0.000 | 
| -0.020 | 2597.685 | -0.000 | -0.000 | -0.000 | 0.000 | 
| -0.020 | -0.020 | -0.000 | -0.000 | -0.000 | 0.000 | 
| -0.000 | -0.000 | -0.000 | -0.000 | -0.000 | 0.000 | 
| -0.000 | -0.000 | -0.000 | -0.000 | -0.000 | 0.000 | 
| -0.000 | -0.000 | -0.000 | -0.000 | -0.000 | 179.171 | 
| 2597.698 | -0.020 | 0.000 | 0.000 | 0.000 | -0.000 | 
| -0.020 | 2597.698 | 0.000 | 0.000 | 0.000 | -0.000 | 
| 13381.357 | 13381.357 | 56947.385 | 0.000 | 0.000 | -0.000 | 
| 4218.925 | 4218.908 | 17954.635 | 8703.386 | 0.000 | 0.000 | 
| 4218.908 | 4218.925 | 17954.635 | 0.000 | 8703.386 | -0.000 | 
| 0.000 | -0.001 | 0.000 | 0.000 | 0.000 | 179.171 | 
| 2597.674 | -0.020 | -0.000 | -0.000 | -0.000 | 0.000 | 
| -0.020 | 2597.674 | -0.000 | -0.000 | -0.000 | 0.000 | 
| -0.020 | -0.020 | -0.000 | -0.000 | -0.000 | 0.000 | 
| -4218.925 | -4218.908 | -17954.635 | 8703.386 | -0.000 | 0.000 | 
| -4218.908 | -4218.925 | -17954.635 | -0.000 | 8703.386 | 0.000 | 
| -0.000 | 0.001 | -0.000 | -0.000 | -0.000 | 179.171 | 
| 835.771 | 349.715 | 0.000 | -0.000 | -0.000 | 0.001 | 
| 163.912 | 1021.574 | -0.000 | -0.000 | 0.000 | -0.000 | 
| -0.000 | -0.001 | 0.000 | -0.000 | -0.000 | -0.000 | 
| -0.000 | 0.000 | 0.000 | -0.000 | -0.000 | -0.001 | 
| -0.000 | -0.000 | 0.000 | -0.000 | -0.000 | -0.000 | 
| -0.000 | -0.000 | 0.000 | -0.000 | -0.000 | 243.027 | 
| 835.771 | 349.716 | -0.000 | 0.000 | -0.000 | -0.000 | 
| 349.716 | 835.772 | -0.000 | 0.000 | -0.000 | -0.000 | 
| 0.000 | 0.001 | -0.000 | 0.000 | 0.000 | 0.000 | 
| 0.001 | 0.000 | -0.000 | 0.000 | 0.000 | 0.000 | 
| 0.000 | -0.000 | -0.000 | 0.000 | 0.000 | 0.001 | 
| 0.001 | 0.001 | -0.000 | 0.000 | 0.000 | 243.029 | 
| 835.764 | 349.723 | 0.000 | -0.000 | -0.000 | -0.000 | 
| 349.717 | 835.769 | 0.000 | 0.000 | 0.000 | -0.000 | 
| -0.000 | -0.000 | 0.000 | -0.000 | -0.000 | -0.000 | 
| -0.000 | 0.000 | 0.000 | -0.000 | -0.000 | -0.000 | 
| -0.000 | -0.000 | 0.000 | -0.000 | -0.000 | -0.000 | 
| -0.000 | 0.000 | 0.000 | -0.000 | -0.000 | 243.028 | 
| 835.769 | 349.717 | -0.000 | -0.000 | -0.000 | 0.000 | 
| 349.840 | 835.647 | -0.000 | 0.000 | -0.000 | 0.000 | 
| 0.000 | 0.000 | -0.000 | 0.000 | 0.000 | 0.000 | 
| 0.000 | -0.000 | -0.000 | 0.000 | 0.000 | 0.000 | 
| 0.000 | 0.000 | -0.000 | 0.000 | 0.000 | -0.000 | 
| 0.000 | 0.000 | -0.000 | 0.000 | 0.000 | 243.028 | 
| 835.469 | 350.020 | 0.000 | -0.000 | -0.000 | -0.000 | 
| 349.736 | 835.753 | 0.000 | 0.000 | -0.000 | -0.000 | 
| -0.000 | -0.000 | 0.000 | -0.000 | -0.000 | -0.000 | 
| -0.000 | 0.000 | 0.000 | -0.000 | -0.000 | 0.000 | 
| -0.000 | -0.000 | 0.000 | -0.000 | -0.000 | -0.000 | 
| -0.000 | 0.000 | 0.000 | -0.000 | 0.000 | 243.028 | 
| 835.750 | 349.733 | -0.000 | -0.000 | -0.000 | -0.000 | 
| 349.694 | 835.789 | -0.000 | -0.000 | -0.000 | -0.000 | 
| 0.000 | 0.000 | -0.000 | 0.000 | 0.000 | 0.000 | 
| 0.000 | 0.000 | -0.000 | 0.000 | 0.000 | 0.000 | 
| 0.000 | 0.000 | -0.000 | 0.000 | 0.000 | 0.000 | 
| 0.000 | -0.000 | -0.000 | 0.000 | 0.000 | 243.028 | 
| 1264.702 | 529.194 | 0.000 | 0.000 | 0.000 | 0.001 | 
| 529.197 | 1264.702 | 0.000 | 0.000 | -0.000 | -0.000 | 
| -0.000 | -0.000 | 0.000 | 0.000 | -0.000 | -0.000 | 
| -0.000 | 0.000 | -0.000 | 0.000 | 0.000 | 0.000 | 
| 0.000 | 0.000 | 0.000 | -0.000 | 0.000 | 0.000 | 
| -0.000 | 0.001 | 0.000 | 0.000 | 0.000 | 367.754 | 
| 1264.700 | 529.194 | -0.000 | -0.000 | -0.000 | -0.000 | 
| 529.194 | 1264.701 | -0.000 | -0.000 | 0.000 | 0.000 | 
| -0.000 | -0.000 | 0.000 | -0.000 | 0.000 | -0.000 | 
| 0.000 | -0.000 | 0.000 | 0.000 | 0.000 | -0.000 | 
| -0.000 | 0.000 | 0.000 | -0.000 | -0.000 | -0.001 | 
| -0.000 | -0.001 | -0.000 | -0.000 | -0.000 | 367.754 | 
| 1264.700 | 529.197 | 0.000 | -0.000 | -0.000 | 0.000 | 
| 529.198 | 1264.699 | 0.000 | 0.000 | -0.000 | -0.000 | 
| -0.000 | -0.000 | 0.000 | 0.000 | -0.000 | -0.000 | 
| -0.000 | 0.000 | -0.000 | 0.000 | -0.000 | 0.000 | 
| -0.000 | 0.000 | -0.000 | -0.000 | -0.000 | 0.000 | 
| 0.000 | 0.000 | 0.000 | -0.000 | 0.000 | 367.754 | 
| 1264.699 | 529.197 | -0.000 | -0.000 | 0.000 | -0.000 | 
| 529.191 | 1264.705 | -0.000 | -0.000 | -0.000 | -0.000 | 
| -0.000 | -0.000 | 0.000 | -0.000 | 0.000 | -0.000 | 
| 0.000 | -0.000 | -0.000 | 0.000 | -0.000 | -0.000 | 
| -0.000 | -0.000 | -0.000 | -0.000 | 0.000 | -0.000 | 
| 0.000 | -0.000 | -0.000 | 0.000 | -0.000 | 367.754 | 
| 1264.245 | 529.656 | 0.000 | -0.000 | 0.000 | 0.000 | 
| 529.227 | 1264.675 | 0.000 | 0.000 | 0.000 | 0.000 | 
| -0.000 | -0.000 | 0.000 | 0.000 | 0.000 | -0.000 | 
| 0.000 | 0.000 | -0.000 | 0.000 | -0.000 | 0.000 | 
| -0.000 | 0.000 | 0.000 | 0.000 | 0.000 | 0.000 | 
| -0.001 | 0.000 | 0.000 | -0.000 | 0.000 | 367.754 | 
| 1264.670 | 529.222 | -0.000 | -0.000 | 0.000 | 0.000 | 
| 529.163 | 1264.729 | -0.000 | -0.000 | -0.000 | -0.000 | 
| -0.000 | -0.000 | 0.000 | -0.000 | -0.000 | -0.000 | 
| 0.000 | -0.000 | -0.000 | -0.000 | -0.000 | -0.000 | 
| 0.000 | -0.000 | -0.000 | 0.000 | 0.000 | -0.000 | 
| 0.001 | -0.000 | -0.000 | 0.000 | 0.000 | 367.754 | 
| 707.716 | 296.132 | 0.000 | -0.000 | -0.000 | 0.001 | 
| 296.132 | 707.716 | 0.000 | -0.000 | -0.000 | 0.000 | 
| -0.000 | -0.000 | -0.000 | 0.000 | 0.000 | -0.000 | 
| -0.000 | 0.000 | 0.000 | 0.000 | 0.000 | -0.000 | 
| 0.000 | 0.000 | 0.000 | 0.000 | 0.000 | -0.000 | 
| 0.000 | 0.000 | -0.000 | -0.000 | -0.000 | 205.792 | 
| 707.716 | 296.133 | 0.000 | 0.000 | 0.000 | -0.000 | 
| 296.132 | 707.716 | -0.000 | 0.000 | 0.000 | -0.000 | 
| -0.000 | -0.000 | 0.000 | -0.000 | -0.000 | -0.000 | 
| 0.000 | 0.000 | 0.000 | 0.000 | -0.000 | 0.000 | 
| -0.000 | -0.000 | -0.000 | -0.000 | -0.000 | 0.001 | 
| -0.000 | -0.000 | 0.000 | 0.000 | 0.000 | 205.791 | 
| 707.714 | 296.134 | 0.000 | -0.000 | -0.000 | -0.000 | 
| 296.134 | 707.714 | 0.000 | -0.000 | -0.000 | -0.000 | 
| -0.000 | -0.000 | -0.000 | 0.000 | -0.000 | -0.000 | 
| -0.000 | 0.000 | 0.000 | 0.000 | -0.000 | -0.000 | 
| 0.000 | -0.000 | -0.000 | 0.000 | -0.000 | -0.000 | 
| -0.000 | 0.000 | -0.000 | -0.000 | -0.000 | 205.792 | 
| 707.714 | 296.134 | -0.000 | 0.000 | 0.000 | 0.000 | 
| 296.131 | 707.717 | -0.000 | 0.000 | 0.000 | 0.000 | 
| -0.000 | -0.000 | 0.000 | -0.000 | -0.000 | -0.000 | 
| 0.000 | -0.000 | -0.000 | 0.000 | 0.000 | 0.000 | 
| -0.000 | -0.000 | 0.000 | -0.000 | -0.000 | 0.000 | 
| 0.000 | -0.000 | 0.000 | 0.000 | 0.000 | 205.792 | 
| 707.460 | 296.391 | -0.000 | -0.000 | -0.000 | -0.000 | 
| 296.150 | 707.701 | -0.000 | -0.000 | -0.000 | -0.000 | 
| -0.000 | -0.000 | -0.000 | 0.000 | -0.000 | -0.000 | 
| -0.000 | 0.000 | 0.000 | -0.000 | -0.000 | -0.000 | 
| 0.000 | 0.000 | -0.000 | -0.000 | -0.000 | 0.000 | 
| -0.000 | 0.000 | -0.000 | -0.000 | -0.000 | 205.792 | 
| 707.698 | 296.148 | -0.000 | 0.000 | 0.000 | 0.000 | 
| 296.115 | 707.731 | -0.000 | 0.000 | 0.000 | -0.000 | 
| -0.000 | -0.000 | -0.000 | -0.000 | -0.000 | -0.000 | 
| 0.000 | -0.000 | -0.000 | -0.000 | 0.000 | 0.000 | 
| 0.000 | -0.000 | 0.000 | -0.000 | 0.000 | 0.000 | 
| 0.000 | -0.000 | -0.000 | 0.000 | 0.000 | 205.792 | 
| -1537.538 | -2775.087 | -147440.249 | -53.375 | -0.000 | -0.001 | 
| -3018.756 | -1790.025 | -159684.881 | 52.577 | 0.000 | -0.000 | 
| -3061.232 | -3061.232 | -146773.159 | -0.000 | -0.000 | 0.000 | 
| -3023.958 | -2958.046 | -147628.852 | -62.288 | -0.000 | 0.000 | 
| -3050.286 | -3050.286 | -150554.974 | -0.000 | -58.634 | -53.174 | 
| 0.000 | 0.000 | -0.001 | -0.000 | -62.987 | 671.972 | 
| 4438.594 | 3201.044 | 147527.624 | -53.374 | 0.000 | 0.001 | 
| 3363.721 | 4405.697 | 150730.466 | 35.705 | 0.000 | -0.000 | 
| 2918.274 | 2918.273 | 148361.244 | 0.000 | 0.000 | -0.000 | 
| -62.987 | 62.986 | 0.001 | -56.862 | -0.000 | -0.000 | 
| 3050.286 | 3050.286 | 150554.974 | 0.000 | -58.634 | -53.174 | 
| -0.000 | -0.000 | 0.001 | 0.000 | -62.987 | 671.972 | 
| 962.844 | 102.827 | -14710.196 | -19.265 | -0.000 | -0.000 | 
| 102.913 | 962.996 | -14704.326 | 19.271 | -0.000 | 0.000 | 
| -375.443 | -375.443 | -14208.913 | -0.000 | 0.000 | -0.000 | 
| -329.859 | -281.150 | -15078.976 | -63.842 | -0.000 | -0.000 | 
| 0.000 | -0.000 | -0.001 | -0.000 | -56.862 | -62.987 | 
| 0.000 | 0.000 | -0.000 | -0.000 | -62.987 | 671.972 | 
| 1560.681 | 700.638 | 14797.013 | -19.267 | -0.000 | 0.000 | 
| 700.508 | 1560.595 | 14791.690 | 19.271 | -0.000 | -0.000 | 
| 172.074 | 172.074 | 12815.239 | 0.000 | 0.000 | 0.000 | 
| 253.547 | 343.957 | 14745.706 | -60.074 | -0.000 | 0.000 | 
| 0.000 | -0.000 | 0.001 | 0.000 | -56.862 | -62.987 | 
| -0.000 | -0.000 | 0.000 | 0.000 | -62.987 | 671.972 | 
| 1231.955 | 371.815 | -1430.671 | -19.276 | -0.000 | -0.000 | 
| 371.838 | 1231.884 | -1431.831 | 19.267 | 0.000 | -0.000 | 
| -100.536 | -100.536 | -640.126 | -0.000 | -0.000 | -0.000 | 
| -49.151 | -10.608 | -1474.789 | -64.760 | -0.000 | -0.000 | 
| -30.151 | -30.151 | -1488.186 | -0.000 | -58.614 | -53.287 | 
| -30.807 | -30.806 | -1520.545 | 0.000 | -18.988 | 428.476 | 
| 1291.645 | 431.629 | 1518.822 | -19.265 | 0.000 | -0.000 | 
| 266.389 | 1471.894 | 1889.228 | 50.479 | -0.000 | -0.000 | 
| -41.670 | -41.670 | 2265.337 | 0.000 | -0.000 | 0.000 | 
| -62.987 | 62.987 | 0.006 | -56.862 | 0.000 | 0.000 | 
| -0.000 | 0.000 | 0.006 | 0.000 | -56.862 | -62.987 | 
| 30.807 | 30.806 | 1520.545 | -0.000 | -18.988 | 428.476 | 
| 1462.055 | 1846.355 | 1846.355 | -0.001 | -0.000 | -0.000 | 
| 1846.355 | 1462.055 | 1846.355 | -0.000 | -0.000 | -0.000 | 
| 1846.356 | 1846.355 | 1462.054 | -0.000 | -0.000 | -0.000 | 
| 0.001 | 0.000 | -0.000 | 66.461 | -0.000 | -0.000 | 
| 0.001 | 0.000 | -0.000 | -0.000 | 66.461 | -0.000 | 
| 0.001 | 0.001 | -0.000 | -0.000 | -0.000 | 66.462 | 
| 1462.053 | 1846.354 | 1846.355 | 0.000 | 0.000 | 0.000 | 
| 1846.353 | 1462.054 | 1846.355 | 0.000 | 0.000 | 0.000 | 
| 1846.353 | 1846.354 | 1462.054 | 0.000 | 0.000 | -0.000 | 
| -0.001 | -0.001 | 0.000 | 66.462 | 0.000 | 0.000 | 
| -0.001 | -0.000 | 0.000 | 0.000 | 66.462 | 0.000 | 
| -0.001 | -0.001 | 0.000 | 0.000 | 0.000 | 66.462 | 
| 1462.058 | 1846.352 | 1846.352 | -0.000 | -0.000 | 0.000 | 
| 1846.353 | 1462.058 | 1846.352 | -0.000 | 0.000 | -0.000 | 
| 1846.353 | 1846.352 | 1462.058 | -0.000 | -0.000 | 0.000 | 
| 0.000 | -0.000 | -0.000 | 66.462 | -0.000 | -0.000 | 
| -0.000 | -0.000 | -0.000 | -0.000 | 66.462 | -0.000 | 
| 0.000 | -0.000 | -0.000 | -0.000 | -0.000 | 66.462 | 
| 1462.051 | 1846.356 | 1846.356 | 0.000 | 0.000 | 0.000 | 
| 1846.356 | 1462.051 | 1846.356 | 0.000 | 0.000 | 0.000 | 
| 1846.356 | 1846.356 | 1462.051 | 0.000 | 0.000 | 0.000 | 
| -0.000 | 0.000 | 0.000 | 66.462 | 0.000 | 0.000 | 
| -0.000 | 0.000 | 0.000 | 0.000 | 66.462 | 0.000 | 
| -0.000 | 0.000 | 0.000 | 0.000 | 0.000 | 66.462 | 
| 1462.085 | 1846.335 | 1846.335 | -0.000 | -0.000 | -0.000 | 
| 1846.335 | 1462.085 | 1846.335 | -0.000 | -0.000 | -0.000 | 
| 1846.335 | 1846.335 | 1462.085 | -0.000 | -0.000 | -0.000 | 
| -0.001 | -0.001 | -0.000 | 66.461 | -0.000 | -0.000 | 
| -0.001 | -0.001 | -0.000 | -0.000 | 66.461 | -0.000 | 
| -0.001 | -0.000 | -0.001 | -0.000 | -0.000 | 66.461 | 
| 1462.024 | 1846.374 | 1846.374 | 0.000 | 0.000 | -0.000 | 
| 1846.374 | 1462.024 | 1846.374 | 0.000 | 0.000 | -0.000 | 
| 1846.374 | 1846.374 | 1462.024 | 0.000 | 0.000 | 0.000 | 
| 0.001 | 0.001 | 0.000 | 66.462 | 0.000 | 0.000 | 
| 0.001 | 0.001 | 0.000 | 0.000 | 66.462 | 0.000 | 
| 0.001 | 0.000 | 0.001 | 0.000 | 0.000 | 66.462 | 
| 470.129 | 190.255 | -49.153 | -0.000 | 0.000 | 0.000 | 
| 207.065 | 1082.445 | 336.620 | 0.000 | 0.000 | 0.000 | 
| -51.092 | 317.870 | 1263.646 | 0.001 | 0.000 | 0.000 | 
| 35.631 | -20.508 | -19.027 | 360.540 | 0.000 | 0.000 | 
| 0.000 | 0.000 | -0.000 | -0.001 | 41.380 | 0.000 | 
| 0.000 | 0.000 | -0.000 | -0.001 | 0.000 | 306.666 | 
| 270.378 | 228.741 | 132.046 | -0.002 | -0.000 | -0.000 | 
| 207.065 | 1082.445 | 336.620 | -0.000 | 0.000 | -0.000 | 
| 26.424 | 480.212 | 1020.574 | -0.000 | -0.000 | -0.000 | 
| -35.631 | 20.508 | 19.027 | 360.541 | -0.000 | -0.000 | 
| -0.000 | -0.000 | 0.000 | 0.000 | 41.379 | -0.000 | 
| -0.000 | -0.000 | 0.000 | 0.001 | -0.000 | 306.665 | 
| 305.279 | 210.324 | 111.780 | -0.000 | 0.000 | 0.000 | 
| 268.512 | 887.068 | 459.733 | -0.000 | 0.000 | 0.000 | 
| 46.291 | 474.912 | 1003.987 | -0.000 | 0.000 | 0.000 | 
| 1.656 | -0.972 | -0.866 | 361.068 | 0.000 | 0.000 | 
| -0.000 | -0.000 | -0.000 | 0.000 | 41.379 | 0.000 | 
| 2.956 | -1.780 | -1.502 | -0.000 | 0.000 | 75.170 | 
| 292.038 | 250.450 | 87.176 | 0.000 | -0.000 | -0.000 | 
| 262.590 | 890.339 | 463.030 | 0.000 | -0.000 | -0.000 | 
| 42.529 | 475.797 | 1007.244 | 0.000 | 0.000 | -0.000 | 
| -1.656 | 0.972 | 0.866 | 361.068 | 0.000 | -0.000 | 
| -0.000 | 0.000 | 0.000 | -0.000 | 41.379 | -0.000 | 
| -2.956 | 1.780 | 1.502 | 0.000 | -0.000 | 75.170 | 
| 295.292 | 248.564 | 85.452 | 0.000 | 0.000 | 0.000 | 
| 265.847 | 888.583 | 461.179 | -0.000 | -0.000 | 0.000 | 
| 44.583 | 475.298 | 1005.484 | -0.000 | 0.000 | 0.000 | 
| 0.297 | -0.171 | -0.158 | 358.218 | 0.000 | 0.000 | 
| 0.296 | -0.174 | -0.155 | 0.000 | 41.379 | 0.000 | 
| 0.295 | -0.179 | -0.150 | -0.000 | 0.000 | 75.169 | 
| 294.715 | 248.906 | 85.749 | 0.000 | -0.000 | -0.000 | 
| 220.060 | 900.785 | 499.412 | 0.000 | -0.000 | -0.000 | 
| 83.371 | 442.737 | 994.739 | 0.000 | -0.000 | -0.000 | 
| -0.166 | 0.097 | 0.087 | 361.081 | -0.000 | -0.000 | 
| -0.296 | 0.174 | 0.155 | 0.000 | 41.379 | -0.000 | 
| -0.295 | 0.179 | 0.150 | 0.000 | -0.000 | 75.169 | 
| 783.343 | 131.910 | 369.859 | -0.001 | -0.000 | -0.000 | 
| 131.912 | 783.342 | 369.859 | 0.001 | -0.001 | 0.000 | 
| 308.884 | 308.883 | 855.243 | -0.002 | -0.002 | -0.000 | 
| -1.791 | -1.792 | 3.158 | 192.820 | -0.000 | -0.000 | 
| -1.791 | -1.792 | 3.158 | 0.002 | 192.820 | -0.000 | 
| -2.734 | -2.735 | 4.822 | 0.000 | -0.001 | 91.633 | 
| 1151.266 | 26.980 | 137.990 | -0.001 | 0.002 | 0.000 | 
| 26.979 | 1151.267 | 137.990 | 0.002 | 0.000 | 0.000 | 
| 141.527 | 141.528 | 1150.343 | 0.003 | 0.001 | -0.000 | 
| 1.791 | 1.792 | -3.158 | 192.819 | 0.000 | -0.000 | 
| 1.791 | 1.792 | -3.159 | -0.002 | 192.820 | -0.000 | 
| 2.734 | 2.735 | -4.822 | -0.000 | 0.001 | 91.633 | 
| 760.105 | 226.375 | 307.062 | -0.000 | -0.000 | -0.000 | 
| 226.375 | 760.105 | 307.062 | -0.000 | -0.000 | 0.000 | 
| 141.527 | 141.527 | 1150.344 | -0.000 | 0.000 | -0.000 | 
| -0.179 | -0.179 | 0.316 | 192.814 | 0.000 | 0.000 | 
| -0.179 | -0.179 | 0.316 | 0.000 | 192.814 | 0.000 | 
| -0.000 | -0.000 | 0.000 | -0.000 | -0.000 | 135.330 | 
| 1151.266 | 26.979 | 137.991 | 0.000 | 0.000 | -0.000 | 
| 26.979 | 1151.266 | 137.991 | 0.000 | 0.000 | 0.000 | 
| 310.477 | 310.477 | 852.432 | -0.000 | 0.000 | 0.000 | 
| 0.179 | 0.179 | -0.316 | 192.814 | 0.000 | -0.000 | 
| 0.179 | 0.179 | -0.316 | -0.000 | 192.814 | -0.000 | 
| 0.000 | 0.000 | -0.000 | 0.000 | 0.000 | 135.330 | 
| 760.193 | 226.517 | 306.862 | -0.000 | -0.000 | 0.000 | 
| 226.517 | 760.193 | 306.862 | 0.000 | -0.000 | -0.000 | 
| 310.320 | 310.320 | 852.713 | 0.000 | -0.000 | 0.000 | 
| -0.018 | -0.018 | 0.031 | 192.814 | -0.000 | 0.000 | 
| -0.018 | -0.018 | 0.031 | 0.000 | 192.814 | 0.000 | 
| -0.028 | -0.028 | 0.048 | -0.000 | -0.000 | 91.596 | 
| 760.047 | 226.992 | 306.566 | 0.000 | 0.000 | 0.000 | 
| 226.992 | 760.047 | 306.566 | -0.000 | 0.000 | -0.000 | 
| 310.357 | 310.357 | 852.641 | 0.000 | -0.000 | -0.000 | 
| 0.018 | 0.018 | -0.031 | 192.814 | 0.000 | -0.000 | 
| 0.018 | 0.018 | -0.031 | -0.000 | 192.814 | -0.000 | 
| 0.028 | 0.028 | -0.048 | 0.000 | 0.000 | 91.596 | 
| 173.905 | 27.903 | 0.000 | 0.000 | 0.000 | 0.000 | 
| 27.903 | 173.905 | 0.000 | 0.000 | 0.000 | 0.000 | 
| -0.000 | 0.000 | 0.000 | 0.000 | 0.000 | 0.000 | 
| -0.000 | 0.000 | 0.000 | 0.000 | 0.000 | 0.000 | 
| -0.000 | 0.000 | 0.000 | 0.000 | 0.000 | 0.000 | 
| -0.000 | -0.000 | 0.000 | 0.000 | 0.000 | 41.371 | 
| 173.905 | 27.904 | -0.000 | -0.000 | -0.000 | -0.000 | 
| 59.533 | 142.275 | -0.000 | -0.000 | -0.000 | -0.000 | 
| 0.000 | -0.000 | -0.000 | -0.000 | -0.000 | -0.000 | 
| 0.000 | -0.000 | -0.000 | -0.000 | -0.000 | -0.000 | 
| 0.000 | -0.000 | -0.000 | -0.000 | -0.000 | -0.000 | 
| 0.000 | -0.000 | -0.000 | -0.000 | -0.000 | 41.371 | 
| 142.276 | 59.533 | 0.000 | 0.000 | 0.000 | 0.000 | 
| 59.512 | 142.297 | 0.000 | 0.000 | 0.000 | 0.000 | 
| -0.000 | 0.000 | 0.000 | 0.000 | 0.000 | 0.000 | 
| -0.000 | 0.000 | 0.000 | 0.000 | 0.000 | 0.000 | 
| -0.000 | 0.000 | 0.000 | 0.000 | 0.000 | 0.000 | 
| -0.000 | 0.000 | 0.000 | 0.000 | 0.000 | 41.371 | 
| 173.905 | 27.903 | -0.000 | -0.000 | -0.000 | -0.000 | 
| 59.534 | 142.274 | -0.000 | -0.000 | -0.000 | -0.000 | 
| 0.000 | -0.000 | -0.000 | -0.000 | -0.000 | -0.000 | 
| 0.000 | -0.000 | -0.000 | -0.000 | -0.000 | -0.000 | 
| 0.000 | -0.000 | -0.000 | -0.000 | -0.000 | -0.000 | 
| 0.000 | -0.000 | -0.000 | -0.000 | -0.000 | 41.371 | 
| 142.279 | 59.530 | 0.000 | 0.000 | 0.000 | 0.000 | 
| 59.536 | 142.272 | 0.000 | 0.000 | 0.000 | 0.000 | 
| -0.000 | 0.000 | 0.000 | 0.000 | 0.000 | 0.000 | 
| -0.000 | 0.000 | 0.000 | 0.000 | 0.000 | 0.000 | 
| -0.000 | 0.000 | 0.000 | 0.000 | 0.000 | 0.000 | 
| -0.000 | 0.000 | 0.000 | 0.000 | 0.000 | 41.371 | 
| 142.272 | 59.536 | -0.000 | -0.000 | -0.000 | -0.000 | 
| 59.529 | 142.278 | -0.000 | -0.000 | -0.000 | -0.000 | 
| 0.000 | -0.000 | -0.000 | -0.000 | -0.000 | -0.000 | 
| 0.000 | -0.000 | -0.000 | -0.000 | -0.000 | -0.000 | 
| 0.000 | -0.000 | -0.000 | -0.000 | -0.000 | -0.000 | 
| 0.000 | -0.000 | -0.000 | -0.000 | -0.000 | 41.371 | 
| 762.074 | 577.334 | 0.000 | 0.000 | 0.000 | 0.000 | 
| 577.333 | 762.074 | 0.000 | 0.000 | 0.000 | 0.000 | 
| -0.000 | 0.000 | 0.000 | 0.000 | 0.000 | 0.000 | 
| -0.000 | 0.000 | 0.000 | 0.000 | 0.000 | 0.000 | 
| -0.000 | 0.000 | 0.000 | 0.000 | 0.000 | 0.000 | 
| -0.000 | 0.000 | 0.000 | 0.000 | 0.000 | 669.704 | 
| 762.074 | 577.333 | -0.000 | -0.000 | -0.000 | -0.001 | 
| 577.333 | 762.074 | -0.000 | -0.000 | -0.000 | -0.001 | 
| 0.000 | -0.000 | -0.000 | -0.000 | -0.000 | -0.000 | 
| 0.000 | -0.000 | -0.000 | -0.000 | -0.000 | -0.000 | 
| 0.000 | -0.000 | -0.000 | -0.000 | -0.000 | -0.000 | 
| 0.000 | -0.000 | -0.000 | -0.000 | -0.000 | 669.703 | 
| 762.074 | 577.333 | 0.000 | 0.000 | 0.000 | -0.000 | 
| 577.333 | 762.074 | 0.000 | 0.000 | 0.000 | -0.000 | 
| -0.000 | 0.000 | 0.000 | 0.000 | 0.000 | 0.000 | 
| -0.000 | 0.000 | 0.000 | 0.000 | 0.000 | 0.000 | 
| -0.000 | 0.000 | 0.000 | 0.000 | 0.000 | 0.000 | 
| 0.000 | 0.000 | 0.000 | 0.000 | 0.000 | 669.704 | 
| 762.074 | 577.333 | -0.000 | -0.000 | -0.000 | -0.000 | 
| 577.333 | 762.074 | -0.000 | -0.000 | -0.000 | -0.000 | 
| 0.000 | -0.000 | -0.000 | -0.000 | -0.000 | -0.000 | 
| 0.000 | -0.000 | -0.000 | -0.000 | -0.000 | 0.000 | 
| 0.000 | -0.000 | -0.000 | -0.000 | -0.000 | -0.000 | 
| -0.000 | -0.000 | -0.000 | -0.000 | -0.000 | 669.704 | 
| 762.076 | 577.335 | 0.000 | 0.000 | 0.000 | 0.000 | 
| 577.335 | 762.076 | 0.000 | 0.000 | 0.000 | 0.000 | 
| -0.000 | 0.000 | 0.000 | 0.000 | 0.000 | 0.000 | 
| -0.000 | 0.000 | 0.000 | 0.000 | 0.000 | 0.000 | 
| -0.000 | 0.000 | 0.000 | 0.000 | 0.000 | 0.000 | 
| 0.000 | 0.002 | 0.000 | 0.000 | 0.000 | 669.704 | 
| 762.073 | 577.331 | -0.000 | -0.000 | -0.000 | -0.000 | 
| 577.331 | 762.073 | -0.000 | -0.000 | -0.000 | -0.000 | 
| 0.000 | -0.000 | -0.000 | -0.000 | -0.000 | -0.000 | 
| 0.000 | -0.000 | -0.000 | -0.000 | -0.000 | -0.000 | 
| 0.000 | -0.000 | -0.000 | -0.000 | -0.000 | -0.000 | 
| -0.000 | -0.002 | -0.000 | -0.000 | -0.000 | 669.704 | 
| 1228.661 | 42.253 | 89.272 | 0.003 | 0.001 | 0.000 | 
| 41.631 | 1130.967 | 199.482 | -0.001 | 0.002 | 0.000 | 
| 108.416 | 586.055 | 735.427 | 0.001 | 0.001 | 0.000 | 
| -0.000 | 0.000 | -0.001 | 421.401 | 0.001 | 0.000 | 
| -145.385 | 229.772 | -117.929 | 0.000 | 187.457 | 0.000 | 
| -79.513 | 222.931 | -167.823 | 0.006 | 0.001 | 137.998 | 
| 1228.661 | 42.253 | 89.274 | -0.006 | -0.001 | -0.000 | 
| 41.631 | 1130.967 | 199.483 | 0.001 | 0.001 | -0.000 | 
| 388.419 | 123.496 | 983.899 | 0.001 | -0.001 | -0.000 | 
| 0.000 | -0.001 | 0.002 | 421.400 | -0.001 | 0.000 | 
| 145.385 | -229.772 | 117.929 | -0.000 | 187.454 | -0.000 | 
| 79.513 | -222.931 | 167.823 | -0.006 | -0.001 | 137.998 | 
| 844.754 | 205.485 | 280.600 | 0.000 | 0.000 | -0.000 | 
| 171.734 | 826.732 | 362.926 | 0.000 | 0.000 | 0.000 | 
| 233.883 | 379.334 | 845.648 | 0.000 | 0.000 | 0.000 | 
| -6.714 | 18.823 | -14.170 | 209.089 | 0.000 | 0.000 | 
| -0.000 | 0.000 | -0.000 | 0.000 | 310.656 | 0.000 | 
| -35.106 | 26.885 | 1.903 | -0.000 | 0.000 | 131.439 | 
| 864.041 | 202.465 | 265.094 | -0.000 | -0.000 | -0.000 | 
| 242.299 | 770.960 | 362.398 | -0.000 | -0.000 | -0.000 | 
| 262.959 | 333.209 | 873.163 | -0.001 | -0.000 | -0.000 | 
| 6.714 | -18.823 | 14.170 | 209.089 | -0.000 | -0.000 | 
| 0.000 | -0.000 | 0.000 | -0.000 | 310.656 | -0.000 | 
| 35.106 | -26.885 | -1.903 | 0.000 | -0.000 | 131.439 | 
| 850.437 | 230.706 | 247.996 | 0.000 | 0.000 | 0.000 | 
| 226.656 | 796.754 | 348.699 | 0.000 | 0.000 | 0.000 | 
| 249.444 | 355.223 | 856.756 | -0.000 | 0.000 | 0.000 | 
| -0.670 | 1.878 | -1.415 | 209.526 | 0.000 | 0.000 | 
| -1.322 | 2.693 | -1.727 | 0.000 | 182.050 | 0.000 | 
| -0.768 | 2.153 | -1.621 | 0.000 | 0.000 | 140.375 | 
| 851.678 | 226.661 | 251.340 | 0.000 | -0.000 | -0.000 | 
| 181.288 | 800.708 | 381.686 | -0.000 | -0.000 | -0.000 | 
| 256.860 | 347.859 | 862.874 | 0.000 | -0.000 | -0.000 | 
| 0.670 | -1.878 | 1.415 | 209.526 | -0.000 | -0.000 | 
| 1.322 | -2.693 | 1.727 | -0.000 | 182.050 | -0.000 | 
| 0.768 | -2.153 | 1.621 | -0.000 | -0.000 | 140.375 | 
| 1044.735 | 22.476 | 232.546 | 0.000 | 96.260 | -0.000 | 
| 40.206 | 1127.648 | 231.553 | 0.000 | -153.051 | -0.000 | 
| 214.914 | 231.553 | 962.525 | -0.000 | 152.214 | 0.000 | 
| -1.670 | 3.299 | -1.841 | 261.264 | -0.146 | -41.778 | 
| 17.066 | -67.292 | 98.503 | -0.000 | 216.162 | 0.000 | 
| -0.001 | 0.000 | 0.000 | -152.033 | 0.000 | 230.954 | 
| 733.513 | 192.460 | 324.958 | 0.000 | 52.477 | -0.000 | 
| 200.935 | 828.639 | 335.183 | 0.000 | -65.576 | -0.000 | 
| 214.915 | 231.553 | 962.525 | 0.000 | 152.213 | 0.000 | 
| 1.669 | -3.299 | 1.841 | 261.264 | 0.147 | -41.778 | 
| 20.886 | -75.020 | 102.878 | 0.000 | 218.240 | -0.000 | 
| 0.001 | -0.000 | 0.000 | -152.033 | -0.001 | 230.953 | 
| 731.149 | 195.385 | 323.292 | 0.000 | 51.677 | 0.000 | 
| 195.947 | 831.660 | 334.582 | -0.000 | -71.199 | -0.000 | 
| 307.009 | 343.545 | 755.054 | 0.000 | 102.903 | 0.000 | 
| -0.167 | 0.330 | -0.184 | 261.315 | -0.015 | -41.808 | 
| 18.805 | -70.813 | 100.498 | 0.000 | 217.150 | 0.000 | 
| -0.000 | 0.000 | -0.000 | -152.034 | 0.000 | 230.954 | 
| 746.384 | 190.355 | 335.618 | 0.000 | 37.011 | -0.000 | 
| 183.720 | 836.053 | 352.531 | -0.000 | -68.286 | -0.000 | 
| 307.377 | 342.935 | 755.337 | 0.000 | 102.913 | -0.000 | 
| 0.167 | -0.330 | 0.184 | 261.315 | 0.015 | -41.808 | 
| 52.064 | -153.052 | 152.214 | -0.000 | 381.537 | 0.000 | 
| 0.000 | -0.000 | 0.000 | -152.034 | 0.000 | 230.954 | 
| 729.076 | 185.823 | 328.251 | -0.000 | 44.772 | -0.000 | 
| 196.781 | 831.274 | 335.270 | -0.000 | -69.218 | 0.000 | 
| 318.861 | 335.590 | 750.369 | -0.000 | 91.355 | 0.000 | 
| -0.022 | 0.034 | -0.016 | 258.307 | -0.006 | -50.707 | 
| 18.976 | -71.161 | 100.695 | -0.000 | 217.244 | 0.000 | 
| -0.015 | 0.029 | -0.016 | -54.565 | -0.001 | 131.103 | 
| 729.106 | 185.764 | 328.282 | 0.000 | 44.792 | -0.000 | 
| 198.854 | 831.872 | 333.401 | 0.000 | -66.182 | 0.000 | 
| 315.625 | 334.837 | 749.847 | 0.000 | 95.886 | -0.000 | 
| 0.022 | -0.034 | 0.016 | 258.307 | 0.006 | -50.707 | 
| 21.073 | -65.032 | 90.233 | 0.000 | 214.871 | -0.000 | 
| 0.015 | -0.029 | 0.016 | -54.565 | 0.001 | 131.103 | 
| 760.673 | 498.596 | 117.606 | -0.000 | -534.997 | 0.000 | 
| 213.407 | 996.019 | 293.942 | -0.000 | -507.653 | 0.000 | 
| 207.535 | 240.752 | 951.989 | -0.000 | 145.701 | 0.000 | 
| 12.272 | 184.145 | -32.354 | 264.799 | -433.483 | -45.963 | 
| 51.587 | -154.907 | 145.702 | -0.000 | 383.932 | 0.000 | 
| 30.089 | 143.616 | -12.791 | -76.298 | -441.942 | 156.813 | 
| 709.338 | 2.774 | 341.382 | 0.000 | 462.650 | -0.000 | 
| 174.130 | 670.256 | 322.546 | 0.000 | 373.703 | -0.000 | 
| 232.693 | 158.967 | 885.369 | -0.000 | 647.216 | -0.000 | 
| -12.272 | -184.145 | 32.354 | 264.800 | 433.483 | -45.963 | 
| -114.657 | -280.837 | 315.225 | 0.000 | 703.016 | -0.000 | 
| -30.089 | -143.616 | 12.791 | -76.298 | 441.941 | 156.812 | 
| 727.572 | 207.756 | 313.543 | -0.000 | 9.164 | 0.000 | 
| 195.276 | 826.628 | 328.432 | -0.000 | -117.583 | 0.000 | 
| 308.658 | 367.847 | 738.428 | -0.000 | 62.078 | 0.000 | 
| 4.996 | 16.319 | -6.587 | 262.774 | -45.274 | -52.989 | 
| 51.588 | -154.907 | 145.701 | -0.000 | 383.931 | 0.000 | 
| 7.640 | 16.017 | -15.373 | -38.165 | -35.861 | 108.528 | 
| 721.953 | 183.151 | 315.262 | 0.000 | 91.965 | -0.000 | 
| 180.091 | 781.185 | 369.005 | 0.000 | -29.398 | -0.000 | 
| 312.311 | 321.932 | 755.697 | 0.000 | 131.152 | -0.000 | 
| -4.996 | -16.319 | 6.587 | 262.774 | 45.274 | -52.989 | 
| 18.759 | -77.630 | 89.378 | 0.000 | 261.854 | -0.000 | 
| -7.640 | -16.017 | 15.373 | -38.165 | 35.861 | 108.528 | 
| 723.502 | 198.229 | 312.511 | -0.000 | 46.639 | 0.000 | 
| 196.650 | 809.498 | 329.121 | -0.000 | -73.805 | 0.000 | 
| 309.970 | 341.234 | 755.611 | -0.000 | 86.243 | 0.000 | 
| -0.051 | 1.836 | 0.439 | 265.004 | -4.594 | -46.992 | 
| 22.856 | -70.597 | 94.919 | -0.000 | 216.747 | 0.000 | 
| 0.566 | 1.742 | -0.809 | -46.198 | -4.731 | 123.236 | 
| 721.008 | 191.593 | 315.046 | 0.000 | 49.480 | -0.000 | 
| 194.609 | 805.185 | 330.676 | 0.000 | -69.852 | -0.000 | 
| 310.926 | 337.550 | 755.615 | -0.000 | 93.266 | -0.000 | 
| 0.051 | -1.836 | -0.439 | 265.004 | 4.594 | -46.992 | 
| 22.589 | -74.128 | 94.740 | 0.000 | 225.242 | -0.000 | 
| -0.566 | -1.742 | 0.809 | -46.198 | 4.731 | 123.236 | 
| 1718.325 | 1319.553 | -176.134 | -0.000 | 0.000 | -0.000 | 
| 1319.553 | 1718.325 | -176.134 | -0.001 | 0.000 | -0.000 | 
| 12.799 | 12.799 | 162.044 | -0.001 | 0.000 | -0.000 | 
| 0.000 | -0.000 | 0.000 | 62.941 | 0.000 | -0.000 | 
| 0.000 | 0.000 | 0.000 | -0.001 | 62.941 | -0.000 | 
| 1252.496 | 1252.496 | -237.865 | -0.000 | 0.000 | 22.134 | 
| 594.516 | 12.338 | 144.997 | 0.001 | 0.000 | 0.000 | 
| 12.338 | 594.516 | 144.997 | 0.001 | -0.000 | 0.000 | 
| 12.799 | 12.799 | 162.043 | 0.000 | -0.000 | 0.000 | 
| -0.000 | -0.000 | -0.000 | 62.942 | 0.000 | 0.000 | 
| -0.000 | -0.000 | -0.000 | 0.001 | 62.942 | 0.000 | 
| -1252.496 | -1252.496 | 237.865 | 0.000 | 0.000 | 22.134 | 
| 599.307 | 30.011 | 47.725 | -0.000 | -0.000 | -0.000 | 
| 30.011 | 599.307 | 47.725 | 0.000 | 0.000 | -0.000 | 
| 40.456 | 40.456 | 116.812 | -0.000 | 0.000 | -0.000 | 
| 0.000 | 0.000 | 0.000 | 62.941 | -0.000 | -0.000 | 
| -0.000 | 0.000 | 0.000 | -0.000 | 62.941 | -0.000 | 
| 1.280 | 1.280 | -8.920 | -0.000 | -0.000 | 41.213 | 
| 371.683 | -121.248 | 104.402 | 0.000 | -0.000 | 0.000 | 
| -121.248 | 371.683 | 104.402 | 0.000 | -0.000 | 0.000 | 
| 12.799 | 12.799 | 162.043 | -0.000 | -0.000 | 0.000 | 
| -0.000 | -0.000 | -0.000 | 62.941 | -0.000 | 0.000 | 
| -0.000 | -0.000 | -0.000 | 0.000 | 62.941 | 0.000 | 
| -1.280 | -1.280 | 8.920 | 0.000 | 0.000 | 41.213 | 
| 504.822 | 13.121 | 78.967 | 0.000 | -0.000 | -0.000 | 
| 13.121 | 504.822 | 78.967 | -0.000 | 0.000 | -0.000 | 
| 61.515 | 61.515 | 102.806 | -0.000 | -0.000 | -0.000 | 
| 0.162 | 0.162 | -1.129 | 34.512 | 0.000 | -0.000 | 
| 0.162 | 0.162 | -1.129 | -0.000 | 34.512 | -0.000 | 
| 7.913 | 7.913 | -0.995 | -0.000 | 0.000 | 27.450 | 
| 492.115 | 34.969 | 62.726 | -0.000 | -0.000 | 0.000 | 
| 34.969 | 492.115 | 62.726 | 0.000 | -0.000 | 0.000 | 
| 55.406 | 55.406 | 105.100 | 0.000 | -0.000 | 0.000 | 
| -0.162 | -0.162 | 1.129 | 34.512 | -0.000 | 0.000 | 
| -0.162 | -0.162 | 1.129 | 0.000 | 34.512 | 0.000 | 
| -7.913 | -7.913 | 0.995 | -0.000 | -0.000 | 27.450 | 
| -478.779 | -509.385 | 1849.720 | -0.000 | -0.000 | 0.000 | 
| -509.384 | -478.780 | 1849.719 | -0.000 | 0.000 | 0.000 | 
| -975.881 | -975.882 | 2855.176 | 0.000 | 0.000 | 0.000 | 
| -558.453 | -558.453 | 1705.074 | 80.395 | 0.000 | 0.000 | 
| -558.453 | -558.453 | 1705.074 | -0.000 | 80.396 | 0.000 | 
| -1117.201 | -1117.201 | 2471.363 | 0.000 | 0.000 | 14.386 | 
| 1202.551 | 1171.472 | -2337.161 | 0.000 | -0.000 | -0.000 | 
| 1171.472 | 1202.552 | -2337.161 | -0.000 | -0.000 | -0.000 | 
| 1259.446 | 1259.446 | -2089.498 | 0.000 | -0.000 | -0.000 | 
| 558.453 | 558.453 | -1705.075 | 80.395 | -0.000 | -0.000 | 
| 558.453 | 558.453 | -1705.074 | -0.000 | 80.395 | -0.000 | 
| 1117.201 | 1117.201 | -2471.363 | -0.000 | -0.000 | 14.386 | 
| 34.583 | -4.927 | 297.520 | -0.000 | 0.000 | 0.000 | 
| -4.927 | 34.583 | 297.520 | -0.000 | 0.000 | 0.000 | 
| 96.202 | 96.202 | 518.347 | -0.000 | -0.000 | 0.000 | 
| -55.171 | -55.171 | 168.449 | 81.121 | 0.000 | 0.000 | 
| -55.171 | -55.171 | 168.449 | 0.000 | 81.121 | 0.000 | 
| -111.760 | -111.760 | 247.221 | -0.000 | 0.000 | 30.874 | 
| 141.789 | 169.652 | -79.719 | -0.000 | -0.000 | -0.000 | 
| 169.652 | 141.789 | -79.719 | 0.000 | -0.000 | -0.000 | 
| 181.811 | 181.811 | 248.868 | 0.000 | -0.000 | -0.000 | 
| 55.171 | 55.171 | -168.449 | 81.121 | -0.000 | -0.000 | 
| 55.171 | 55.171 | -168.449 | -0.000 | 81.121 | -0.000 | 
| 111.763 | 111.763 | -247.228 | -0.000 | -0.000 | 30.873 | 
| 72.455 | 42.571 | 161.161 | 0.000 | 0.000 | 0.000 | 
| 42.571 | 72.455 | 161.161 | 0.000 | 0.000 | 0.000 | 
| 130.308 | 130.308 | 408.309 | 0.000 | 0.000 | 0.000 | 
| -11.178 | -11.178 | 24.725 | 55.928 | 0.000 | 0.000 | 
| -11.178 | -11.178 | 24.725 | 0.000 | 55.928 | 0.000 | 
| -11.153 | -11.153 | 24.413 | 0.000 | 0.000 | 30.804 | 
| 101.619 | 69.053 | 96.473 | 0.000 | -0.000 | -0.000 | 
| 69.053 | 101.619 | 96.473 | -0.000 | -0.000 | -0.000 | 
| 152.860 | 152.860 | 358.302 | -0.000 | -0.000 | -0.000 | 
| 11.178 | 11.178 | -24.725 | 55.928 | -0.000 | -0.000 | 
| 11.178 | 11.178 | -24.725 | 0.000 | 55.928 | -0.000 | 
| 11.153 | 11.153 | -24.413 | 0.000 | -0.000 | 30.804 | 
| 493.583 | 373.929 | 0.000 | 0.000 | 0.000 | 0.001 | 
| 373.929 | 493.583 | 0.000 | 0.000 | 0.000 | 0.001 | 
| 0.000 | -0.000 | 0.000 | 0.000 | 0.000 | -0.000 | 
| -0.000 | -0.000 | 0.000 | 0.000 | 0.000 | -0.000 | 
| -0.000 | -0.000 | 0.000 | 0.000 | 0.000 | -0.000 | 
| -0.000 | 0.000 | 0.000 | 0.000 | 0.000 | 433.757 | 
| 493.583 | 373.929 | -0.000 | -0.000 | -0.000 | -0.001 | 
| 373.929 | 493.583 | -0.000 | -0.000 | -0.000 | -0.001 | 
| -0.000 | 0.000 | -0.000 | -0.000 | -0.000 | 0.000 | 
| -0.000 | 0.000 | -0.000 | -0.000 | -0.000 | 0.000 | 
| 0.000 | 0.000 | -0.000 | -0.000 | -0.000 | 0.000 | 
| 0.000 | -0.000 | -0.000 | -0.000 | -0.000 | 433.756 | 
| 493.583 | 373.929 | 0.000 | 0.000 | 0.000 | -0.000 | 
| 373.929 | 493.583 | 0.000 | 0.000 | 0.000 | -0.000 | 
| 0.000 | -0.000 | 0.000 | 0.000 | 0.000 | -0.000 | 
| -0.000 | -0.000 | 0.000 | 0.000 | 0.000 | -0.000 | 
| -0.000 | -0.000 | 0.000 | 0.000 | 0.000 | 0.000 | 
| 0.000 | 0.000 | 0.000 | 0.000 | 0.000 | 433.756 | 
| 493.583 | 373.929 | -0.000 | -0.000 | -0.000 | -0.000 | 
| 373.929 | 493.583 | -0.000 | -0.000 | -0.000 | -0.000 | 
| -0.000 | 0.000 | -0.000 | -0.000 | -0.000 | 0.000 | 
| 0.000 | -0.000 | -0.000 | -0.000 | -0.000 | 0.000 | 
| 0.000 | 0.000 | -0.000 | -0.000 | -0.000 | -0.000 | 
| -0.000 | -0.000 | -0.000 | -0.000 | -0.000 | 433.756 | 
| 493.584 | 373.931 | 0.000 | 0.000 | 0.000 | 0.000 | 
| 373.931 | 493.584 | 0.000 | 0.000 | 0.000 | 0.000 | 
| 0.000 | -0.000 | 0.000 | 0.000 | 0.000 | -0.000 | 
| 0.000 | 0.000 | 0.000 | 0.000 | 0.000 | -0.000 | 
| -0.000 | -0.000 | 0.000 | 0.000 | 0.000 | 0.000 | 
| 0.000 | 0.001 | 0.000 | 0.000 | 0.000 | 433.756 | 
| 493.582 | 373.928 | -0.000 | -0.000 | -0.000 | -0.000 | 
| 373.928 | 493.582 | -0.000 | -0.000 | -0.000 | -0.000 | 
| -0.000 | 0.000 | -0.000 | -0.000 | -0.000 | 0.000 | 
| -0.000 | -0.000 | -0.000 | -0.000 | -0.000 | 0.000 | 
| 0.000 | 0.000 | -0.000 | -0.000 | -0.000 | -0.000 | 
| -0.000 | -0.001 | -0.000 | -0.000 | -0.000 | 433.756 | 
| 247.213 | 133.110 | 155.716 | -0.000 | 0.001 | 0.001 | 
| 80.778 | 105.141 | 76.331 | 0.000 | 0.001 | 0.000 | 
| 103.045 | 103.656 | 468.516 | 0.000 | 0.001 | 0.000 | 
| -0.000 | -0.000 | -0.000 | 177.299 | 0.001 | 0.000 | 
| -0.000 | -0.000 | 0.000 | -0.001 | 176.499 | -0.000 | 
| -0.007 | -0.005 | -0.006 | 0.000 | 0.001 | 28.620 | 
| 107.424 | 81.509 | 78.734 | 0.000 | -0.001 | -0.000 | 
| 96.930 | 399.797 | 103.656 | 0.000 | -0.001 | -0.000 | 
| 103.045 | 103.656 | 468.516 | -0.000 | -0.000 | -0.000 | 
| 0.000 | 0.000 | -0.000 | 177.299 | -0.000 | -0.000 | 
| 0.000 | 0.000 | -0.000 | -0.000 | 176.497 | 0.000 | 
| 0.007 | 0.005 | 0.006 | 0.000 | -0.001 | 28.619 | 
| 107.443 | 81.500 | 78.723 | -0.000 | 0.000 | 0.000 | 
| 80.786 | 105.148 | 76.337 | -0.000 | 0.000 | 0.000 | 
| 103.045 | 103.656 | 468.516 | -0.000 | 0.000 | 0.000 | 
| -0.000 | -0.000 | 0.000 | 83.963 | 0.000 | 0.000 | 
| -0.000 | -0.000 | 0.000 | 0.000 | 176.498 | 0.000 | 
| -0.000 | -0.000 | -0.000 | -0.000 | 0.000 | 37.054 | 
| 43.771 | 15.168 | -0.143 | 0.000 | -0.000 | -0.000 | 
| 35.557 | 65.001 | 37.678 | -0.000 | -0.000 | -0.000 | 
| 154.748 | 156.494 | 299.562 | -0.000 | -0.000 | -0.000 | 
| 0.000 | 0.000 | -0.000 | 83.963 | -0.000 | 0.000 | 
| 0.000 | 0.000 | -0.000 | 0.000 | 176.498 | -0.000 | 
| 0.000 | 0.000 | 0.000 | -0.000 | -0.000 | 37.054 | 
| 64.742 | 35.556 | 37.053 | -0.000 | 0.000 | 0.000 | 
| 35.563 | 65.043 | 37.682 | 0.000 | 0.000 | 0.000 | 
| 90.312 | 89.499 | 170.290 | 0.000 | 0.000 | 0.000 | 
| -0.000 | -0.000 | -0.000 | 40.312 | 0.000 | 0.000 | 
| 0.000 | 0.000 | 0.000 | -0.000 | 176.498 | 0.000 | 
| -0.000 | -0.000 | 0.000 | -0.000 | 0.000 | 32.538 | 
| 43.766 | 15.161 | -0.162 | 0.000 | -0.000 | -0.000 | 
| -36.345 | 25.437 | -11.076 | -0.000 | -0.000 | -0.000 | 
| 90.288 | 89.474 | 170.342 | 0.000 | -0.000 | -0.000 | 
| 0.000 | 0.000 | 0.000 | 40.312 | -0.000 | -0.000 | 
| -0.000 | -0.000 | -0.000 | 0.000 | 176.498 | -0.000 | 
| 0.000 | 0.000 | -0.000 | -0.000 | -0.000 | 32.538 | 
| -1292.190 | 2417.350 | -471.469 | -0.000 | 0.001 | -0.001 | 
| -1380.264 | 2518.577 | -482.040 | 0.000 | 0.001 | 0.000 | 
| 97.411 | 97.845 | 445.511 | -0.000 | 0.001 | -0.000 | 
| 1279.462 | 2835.106 | -2815.853 | 34.987 | 0.002 | -0.001 | 
| -1499.413 | 2316.827 | -638.977 | 0.001 | 34.142 | -0.000 | 
| 956.745 | 3928.547 | -2261.748 | 0.000 | 0.001 | -18.395 | 
| 1702.005 | -2215.776 | 808.362 | 0.000 | -0.001 | 0.000 | 
| 127.863 | -2917.619 | 2579.369 | 0.000 | -0.001 | 0.001 | 
| 1652.671 | -2140.913 | 875.276 | -0.000 | -0.000 | 0.000 | 
| -1279.462 | -2835.106 | 2815.853 | 34.987 | 0.000 | 0.001 | 
| 1499.413 | -2316.826 | 638.977 | -0.000 | 34.142 | 0.000 | 
| -956.744 | -3928.548 | 2261.747 | -0.000 | -0.001 | -18.394 | 
| 77.762 | 356.442 | -260.524 | 0.000 | 0.000 | -0.000 | 
| 72.898 | 403.807 | -181.009 | -0.000 | 0.000 | 0.000 | 
| 97.411 | 97.847 | 445.511 | 0.000 | 0.000 | -0.000 | 
| -6.414 | 302.530 | -249.787 | 39.369 | 0.000 | 0.000 | 
| 100.059 | 385.636 | -225.661 | -0.000 | -9.590 | -0.000 | 
| 123.530 | 283.879 | -279.109 | 0.000 | 0.000 | 13.549 | 
| -136.485 | -420.058 | 200.338 | -0.000 | -0.000 | -0.000 | 
| 82.585 | -190.824 | 319.291 | 0.000 | -0.000 | 0.000 | 
| 75.250 | -245.887 | 404.920 | -0.000 | -0.000 | 0.000 | 
| 6.414 | -302.530 | 249.787 | 39.369 | 0.000 | -0.000 | 
| -100.059 | -385.636 | 225.661 | -0.000 | -9.590 | 0.000 | 
| -123.530 | -283.879 | 279.109 | -0.000 | -0.000 | 13.549 | 
| 70.256 | 65.477 | 15.347 | 0.000 | 0.000 | -0.000 | 
| 37.936 | 91.022 | 3.547 | 0.000 | 0.000 | 0.000 | 
| -6.922 | 10.061 | 81.723 | -0.000 | 0.000 | -0.000 | 
| 0.000 | 0.000 | 0.000 | 169.548 | 0.000 | -0.000 | 
| 22.888 | 44.839 | -12.133 | -0.000 | 30.541 | -0.000 | 
| -3.177 | 26.782 | -19.821 | 0.000 | 0.000 | 28.563 | 
| -3.284 | -61.386 | -17.410 | 0.000 | -0.000 | 0.000 | 
| 2.987 | 1.544 | 20.027 | -0.000 | -0.000 | 0.000 | 
| 77.704 | 44.425 | 168.932 | -0.000 | -0.000 | 0.000 | 
| -0.000 | -0.000 | -0.000 | 169.548 | -0.000 | 0.000 | 
| -22.888 | -44.839 | 12.133 | -0.000 | 30.541 | 0.000 | 
| 3.177 | -26.782 | 19.821 | -0.000 | -0.000 | 28.563 | 
| 1049.601 | 0.000 | 0.000 | 0.000 | 0.000 | 0.000 | 
| -0.000 | 0.000 | 0.000 | 0.000 | 0.000 | 0.000 | 
| -0.000 | 0.000 | 0.000 | 0.000 | 0.000 | 0.000 | 
| -0.000 | 0.000 | 0.000 | 0.000 | 0.000 | 0.000 | 
| 0.000 | 0.000 | 0.000 | 0.000 | 0.000 | 0.000 | 
| -0.000 | 0.000 | 0.000 | 0.000 | 0.000 | 0.000 | 
| 1049.601 | -0.000 | -0.000 | -0.000 | -0.000 | -0.000 | 
| 0.000 | -0.000 | -0.000 | -0.000 | -0.000 | -0.000 | 
| 0.000 | -0.000 | -0.000 | -0.000 | -0.000 | -0.000 | 
| 0.000 | -0.000 | -0.000 | -0.000 | -0.000 | -0.000 | 
| 0.000 | -0.000 | -0.000 | -0.000 | -0.000 | -0.000 | 
| 0.000 | -0.000 | -0.000 | -0.000 | -0.000 | -0.000 | 
| 1049.602 | 0.000 | 0.000 | 0.000 | 0.000 | 0.000 | 
| -0.000 | 0.000 | 0.000 | 0.000 | 0.000 | 0.000 | 
| -0.000 | 0.000 | 0.000 | 0.000 | 0.000 | 0.000 | 
| -0.000 | 0.000 | 0.000 | 0.000 | 0.000 | 0.000 | 
| -0.000 | 0.000 | 0.000 | 0.000 | 0.000 | 0.000 | 
| -0.000 | 0.000 | 0.000 | 0.000 | 0.000 | 0.000 | 
| 1049.601 | -0.000 | -0.000 | -0.000 | -0.000 | -0.000 | 
| 0.000 | -0.000 | -0.000 | -0.000 | -0.000 | -0.000 | 
| 0.000 | -0.000 | -0.000 | -0.000 | -0.000 | -0.000 | 
| 0.000 | -0.000 | -0.000 | -0.000 | -0.000 | -0.000 | 
| -0.000 | -0.000 | -0.000 | -0.000 | -0.000 | -0.000 | 
| 0.000 | -0.000 | -0.000 | -0.000 | -0.000 | -0.000 | 
| 1049.606 | 0.000 | 0.000 | 0.000 | 0.000 | 0.000 | 
| -0.000 | 0.000 | 0.000 | 0.000 | 0.000 | 0.000 | 
| -0.000 | 0.000 | 0.000 | 0.000 | 0.000 | 0.000 | 
| -0.000 | 0.000 | 0.000 | 0.000 | 0.000 | 0.000 | 
| -0.000 | 0.000 | 0.000 | 0.000 | 0.000 | 0.000 | 
| -0.000 | 0.000 | 0.000 | 0.000 | 0.000 | 0.000 | 
| 1049.597 | -0.000 | -0.000 | -0.000 | -0.000 | -0.000 | 
| 0.000 | -0.000 | -0.000 | -0.000 | -0.000 | -0.000 | 
| 0.000 | -0.000 | -0.000 | -0.000 | -0.000 | -0.000 | 
| 0.000 | -0.000 | -0.000 | -0.000 | -0.000 | -0.000 | 
| 0.000 | -0.000 | -0.000 | -0.000 | -0.000 | -0.000 | 
| 0.000 | -0.000 | -0.000 | -0.000 | -0.000 | -0.000 | 
| 2.332 | 31.211 | -17.394 | 0.000 | -14.350 | 0.000 | 
| 3.768 | 109.157 | 32.830 | 0.000 | -13.938 | -0.000 | 
| -5.645 | -53.337 | -164.102 | -0.000 | -5.460 | 0.000 | 
| -3.354 | 44.009 | -96.272 | 10.815 | -10.768 | -0.019 | 
| 1.073 | 28.428 | -30.243 | 0.000 | -4.751 | 0.000 | 
| -4.106 | 54.808 | -210.274 | 0.041 | -4.893 | -3.917 | 
| 3.552 | -5.027 | 50.360 | -0.001 | 11.398 | -0.000 | 
| -10.893 | -141.653 | -1.143 | -0.001 | 6.580 | -0.000 | 
| 18.567 | 40.803 | 290.901 | -0.000 | 13.275 | 0.000 | 
| 15.289 | -14.488 | 267.273 | -7.268 | 11.830 | 0.021 | 
| 1.656 | -34.987 | 39.031 | -0.000 | 25.063 | -0.000 | 
| -2.355 | -42.058 | 86.070 | 0.021 | 9.293 | -1.222 | 
| -0.100 | 3.116 | -5.303 | 0.000 | -1.045 | 0.000 | 
| -0.716 | 3.338 | -19.645 | -0.000 | -1.411 | 0.000 | 
| 0.116 | 2.185 | -6.967 | 0.000 | -0.611 | 0.000 | 
| -0.014 | 5.020 | -9.960 | 3.379 | -0.728 | -0.011 | 
| -0.253 | 4.006 | -8.299 | 0.000 | 2.950 | 0.000 | 
| 0.122 | 5.014 | -9.444 | -0.015 | -0.638 | -1.713 | 
| 0.119 | -12.550 | 9.445 | -0.000 | 1.241 | -0.000 | 
| -1.148 | -3.028 | -6.108 | -0.000 | 1.210 | 0.000 | 
| 4.835 | -28.303 | 130.182 | -0.000 | 1.109 | 0.000 | 
| -0.246 | -3.684 | 6.910 | 1.067 | 0.991 | -0.004 | 
| 0.148 | -2.798 | 20.704 | -0.016 | 2.138 | -0.002 | 
| 0.183 | -1.449 | 2.874 | -0.037 | 1.058 | 2.119 | 
| 0.034 | 0.627 | -1.664 | 0.000 | -0.055 | 0.000 | 
| -0.674 | 2.447 | -10.081 | 0.000 | -0.114 | -0.000 | 
| 0.061 | 0.883 | 0.220 | 0.000 | -0.098 | 0.000 | 
| -0.018 | 0.433 | -1.276 | 1.151 | -0.075 | -0.001 | 
| -0.000 | 0.449 | -1.273 | 0.000 | 0.292 | 0.000 | 
| -0.015 | 0.358 | -0.758 | -0.033 | -0.124 | 0.747 | 
| 0.228 | -1.652 | 3.379 | -0.000 | 0.145 | -0.000 | 
| -0.915 | 3.519 | -8.694 | -0.000 | 0.123 | -0.000 | 
| 0.130 | -0.242 | 3.335 | 0.000 | 0.092 | -0.000 | 
| 0.018 | -0.433 | 1.276 | 1.151 | 0.075 | -0.001 | 
| 0.013 | -0.412 | 1.179 | -0.000 | 0.157 | -0.000 | 
| 0.013 | -0.452 | 1.470 | 0.012 | 0.102 | 0.126 | 
| 145.933 | 24.818 | 44.138 | -1.893 | 5.593 | -18.120 | 
| 28.558 | 58.237 | 23.998 | 2.172 | 1.370 | -10.235 | 
| 50.457 | 26.359 | 244.462 | -21.342 | -14.438 | -11.513 | 
| -1.923 | -1.118 | -21.343 | 29.918 | -14.915 | 4.350 | 
| -0.824 | 3.003 | -14.438 | -14.915 | 62.297 | -2.009 | 
| -33.520 | -10.383 | -13.103 | 2.717 | 4.820 | 38.335 | 
| 145.933 | 24.818 | 44.138 | -1.894 | 5.593 | -18.120 | 
| 28.558 | 58.237 | 23.998 | 2.172 | 1.370 | -10.235 | 
| 50.457 | 26.359 | 244.462 | -21.342 | -14.438 | -11.513 | 
| -1.923 | -1.118 | -21.342 | 29.918 | -14.915 | 4.350 | 
| -0.824 | 3.003 | -14.438 | -14.916 | 62.297 | -2.009 | 
| -33.520 | -10.382 | -13.102 | 2.717 | 4.820 | 38.335 | 
| 145.933 | 24.818 | 44.138 | -1.894 | 5.593 | -18.120 | 
| 28.558 | 58.237 | 23.998 | 2.172 | 1.370 | -10.235 | 
| 50.457 | 26.359 | 244.462 | -21.342 | -14.438 | -11.513 | 
| -1.923 | -1.118 | -21.342 | 29.918 | -14.915 | 4.350 | 
| -0.824 | 3.003 | -14.438 | -14.915 | 62.297 | -2.009 | 
| -33.520 | -10.383 | -13.102 | 2.717 | 4.820 | 38.335 | 
| 145.933 | 24.818 | 44.138 | -1.894 | 5.593 | -18.120 | 
| 28.558 | 58.237 | 23.998 | 2.172 | 1.370 | -10.235 | 
| 50.457 | 26.359 | 244.462 | -21.342 | -14.438 | -11.513 | 
| -1.923 | -1.118 | -21.342 | 29.918 | -14.915 | 4.350 | 
| -0.824 | 3.003 | -14.438 | -14.915 | 62.297 | -2.009 | 
| -33.520 | -10.383 | -13.102 | 2.717 | 4.820 | 38.335 | 
| 145.933 | 24.818 | 44.138 | -1.894 | 5.593 | -18.120 | 
| 28.558 | 58.237 | 23.998 | 2.172 | 1.370 | -10.235 | 
| 50.457 | 26.359 | 244.463 | -21.342 | -14.438 | -11.513 | 
| -1.923 | -1.118 | -21.342 | 29.918 | -14.915 | 4.350 | 
| -0.824 | 3.003 | -14.438 | -14.915 | 62.297 | -2.009 | 
| -33.520 | -10.382 | -13.102 | 2.717 | 4.820 | 38.335 | 
| 145.932 | 24.818 | 44.138 | -1.894 | 5.593 | -18.120 | 
| 28.558 | 58.237 | 23.998 | 2.172 | 1.370 | -10.235 | 
| 50.457 | 26.359 | 244.461 | -21.342 | -14.438 | -11.513 | 
| -1.923 | -1.118 | -21.342 | 29.918 | -14.915 | 4.350 | 
| -0.824 | 3.003 | -14.438 | -14.915 | 62.297 | -2.009 | 
| -33.520 | -10.383 | -13.102 | 2.717 | 4.820 | 38.335 | 
| 823.526 | 139.005 | 139.004 | 0.000 | -0.000 | -0.000 | 
| 139.005 | 823.526 | 139.004 | 0.000 | -0.000 | -0.000 | 
| 139.004 | 139.004 | 823.525 | -0.000 | -0.000 | 0.000 | 
| -0.022 | -0.023 | -0.023 | 136.764 | -0.000 | -0.000 | 
| -0.022 | -0.023 | -0.023 | 0.000 | 136.763 | 0.000 | 
| -0.022 | -0.022 | -0.023 | 0.000 | -0.000 | 136.763 | 
| 823.525 | 139.005 | 139.005 | 0.001 | 0.000 | -0.000 | 
| 139.004 | 823.525 | 139.005 | 0.000 | 0.000 | 0.000 | 
| 139.004 | 139.005 | 823.526 | 0.000 | 0.000 | 0.000 | 
| 0.022 | 0.023 | 0.023 | 136.763 | 0.000 | 0.000 | 
| 0.022 | 0.022 | 0.023 | -0.001 | 136.764 | 0.000 | 
| 0.022 | 0.023 | 0.023 | -0.000 | -0.000 | 136.764 | 
| 587.029 | 257.158 | 257.158 | 0.000 | -0.000 | 0.000 | 
| 257.158 | 587.029 | 257.158 | 0.000 | -0.000 | 0.000 | 
| 257.158 | 257.158 | 587.029 | 0.000 | 0.000 | -0.000 | 
| -0.002 | -0.002 | -0.002 | 136.764 | -0.000 | -0.000 | 
| -0.002 | -0.002 | -0.002 | 0.000 | 136.764 | -0.000 | 
| -0.002 | -0.002 | -0.002 | 0.000 | -0.000 | 136.764 | 
| 587.036 | 257.160 | 257.160 | 0.000 | 0.000 | 0.000 | 
| 257.160 | 587.036 | 257.160 | 0.000 | 0.000 | 0.000 | 
| 257.160 | 257.160 | 587.036 | -0.000 | 0.000 | 0.000 | 
| 0.002 | 0.002 | 0.002 | 136.764 | 0.000 | 0.000 | 
| 0.002 | 0.002 | 0.002 | -0.000 | 136.764 | 0.000 | 
| 0.002 | 0.002 | 0.002 | -0.000 | 0.000 | 136.764 | 
| 587.023 | 257.165 | 257.165 | 0.000 | -0.000 | -0.000 | 
| 257.165 | 587.023 | 257.165 | -0.000 | -0.000 | -0.000 | 
| 257.165 | 257.165 | 587.023 | 0.000 | -0.000 | -0.000 | 
| -0.001 | -0.000 | -0.000 | 129.587 | -0.000 | -0.000 | 
| -0.000 | -0.001 | -0.000 | 0.000 | 129.587 | -0.000 | 
| -0.000 | -0.000 | -0.001 | -0.000 | -0.000 | 129.587 | 
| 587.042 | 257.153 | 257.153 | -0.000 | 0.000 | -0.000 | 
| 257.153 | 587.042 | 257.153 | -0.000 | 0.000 | 0.000 | 
| 257.153 | 257.153 | 587.042 | 0.000 | 0.000 | 0.000 | 
| 0.001 | 0.000 | 0.000 | 129.587 | 0.000 | 0.000 | 
| 0.000 | 0.001 | 0.000 | 0.000 | 129.587 | 0.000 | 
| 0.000 | 0.000 | 0.001 | -0.000 | 0.000 | 129.587 | 
| 592.369 | 309.223 | 893.289 | 0.001 | 0.000 | -0.001 | 
| 505.823 | 424.744 | 854.164 | 0.001 | 0.001 | -0.000 | 
| 480.944 | 340.839 | 1481.870 | 0.001 | 0.000 | 0.001 | 
| 0.001 | 0.000 | 0.000 | 486.946 | 0.000 | 0.004 | 
| 119.845 | 352.737 | 335.591 | 0.001 | 389.617 | -0.000 | 
| 0.001 | -0.001 | -0.000 | 0.001 | 0.000 | 193.177 | 
| 1056.370 | 12.248 | 229.229 | -0.001 | -0.000 | 0.000 | 
| 7.160 | 1105.611 | 269.111 | -0.000 | -0.000 | 0.000 | 
| 255.922 | 561.229 | 93.053 | -0.000 | -0.000 | 0.001 | 
| -0.001 | 0.001 | -0.000 | 486.944 | 0.000 | 0.003 | 
| -119.844 | -352.737 | -335.591 | -0.001 | 389.616 | 0.000 | 
| 0.001 | -0.001 | 0.000 | -0.001 | -0.001 | 193.176 | 
| 743.804 | 169.224 | 386.758 | 0.000 | 0.000 | -0.000 | 
| 183.947 | 794.505 | 389.243 | 0.000 | 0.000 | -0.000 | 
| 329.427 | 366.846 | 733.897 | 0.000 | 0.000 | -0.000 | 
| 14.598 | 10.959 | 36.376 | 268.173 | 0.000 | 0.000 | 
| 9.014 | -4.025 | 20.944 | 0.000 | 219.725 | -0.000 | 
| 8.220 | -3.670 | 19.100 | 0.000 | 0.000 | 98.841 | 
| 718.228 | 208.231 | 316.674 | -0.000 | 0.000 | 0.000 | 
| 189.286 | 785.393 | 297.562 | -0.000 | 0.000 | 0.000 | 
| 230.990 | 275.961 | 897.468 | -0.000 | 0.000 | -0.000 | 
| -14.598 | -10.959 | -36.376 | 268.173 | -0.000 | 0.000 | 
| -9.014 | 4.024 | -20.944 | -0.000 | 219.725 | -0.000 | 
| -8.220 | 3.670 | -19.100 | -0.000 | 0.000 | 98.841 | 
| 733.829 | 185.057 | 328.268 | 0.000 | 0.000 | -0.000 | 
| 191.539 | 798.522 | 345.261 | 0.000 | 0.000 | 0.000 | 
| 315.872 | 372.582 | 703.351 | 0.000 | 0.000 | -0.000 | 
| 1.007 | 0.194 | 2.430 | 276.420 | 0.000 | -0.000 | 
| 1.271 | 1.070 | 3.184 | 0.000 | 236.227 | -0.000 | 
| 3.497 | -2.923 | 9.877 | 0.000 | 0.000 | 111.857 | 
| 728.845 | 182.575 | 320.643 | -0.000 | -0.000 | -0.000 | 
| 188.117 | 798.475 | 341.455 | -0.000 | -0.000 | 0.000 | 
| 312.918 | 375.180 | 679.788 | -0.000 | -0.000 | 0.000 | 
| -1.007 | -0.194 | -2.430 | 276.420 | -0.000 | -0.000 | 
| -1.271 | -1.070 | -3.184 | -0.000 | 236.227 | 0.000 | 
| -3.497 | 2.923 | -9.877 | -0.000 | 0.000 | 111.857 | 
| -876.147 | -829.410 | -829.410 | -0.000 | -0.000 | -0.000 | 
| -829.410 | -876.147 | -829.410 | -0.000 | -0.000 | -0.000 | 
| -829.410 | -829.410 | -876.147 | -0.000 | -0.000 | -0.000 | 
| -2111.262 | -2111.262 | -2111.262 | -136.627 | 0.000 | 0.000 | 
| -2111.262 | -2111.262 | -2111.262 | 0.000 | -136.627 | 0.000 | 
| -147.938 | -147.938 | -147.938 | -0.000 | -0.000 | 42.088 | 
| 1378.847 | 1396.904 | 1396.904 | -0.001 | -0.001 | -0.001 | 
| 1396.904 | 1378.847 | 1396.904 | -0.001 | -0.001 | -0.001 | 
| 1544.989 | 1544.989 | 1853.872 | 0.000 | 0.000 | 0.000 | 
| 2111.262 | 2111.262 | 2111.262 | -136.627 | -0.000 | -0.000 | 
| 2111.265 | 2111.265 | 2111.265 | -0.000 | -136.627 | -0.000 | 
| 2111.262 | 2111.262 | 2111.262 | -0.000 | -0.000 | -136.627 | 
| -186.250 | -187.932 | -187.932 | -0.000 | -0.000 | -0.000 | 
| -187.932 | -186.250 | -187.932 | -0.000 | -0.000 | -0.000 | 
| -51.252 | -51.252 | -89.880 | -0.000 | -0.000 | -0.000 | 
| -15.360 | -15.360 | -15.360 | 39.437 | -0.000 | -0.000 | 
| -15.360 | -15.360 | -15.360 | -0.000 | 39.437 | -0.000 | 
| -15.360 | -15.360 | -15.360 | -0.000 | -0.000 | 39.437 | 
| 140.018 | 136.303 | 136.303 | 0.000 | 0.000 | 0.000 | 
| 130.306 | 143.451 | 130.306 | 0.000 | 0.000 | 0.000 | 
| 130.306 | 130.306 | 143.451 | 0.000 | 0.000 | 0.000 | 
| 15.360 | 15.360 | 15.360 | 39.437 | 0.000 | 0.000 | 
| 15.360 | 15.360 | 15.360 | 0.000 | 39.437 | 0.000 | 
| 15.360 | 15.360 | 15.360 | 0.000 | 0.000 | 39.437 | 
| -7.676 | -19.656 | -19.656 | -0.000 | -0.000 | -0.000 | 
| -19.656 | -7.676 | -19.656 | -0.000 | -0.000 | -0.000 | 
| -19.656 | -19.656 | -7.676 | -0.000 | -0.000 | -0.000 | 
| -9.831 | -9.831 | -9.831 | 5.812 | -0.000 | -0.000 | 
| -9.831 | -9.831 | -9.831 | -0.000 | 5.812 | -0.000 | 
| -9.831 | -9.831 | -9.831 | -0.000 | -0.000 | 5.812 | 
| 17.032 | 6.427 | 6.427 | 0.000 | 0.000 | 0.000 | 
| 9.182 | 16.187 | 9.182 | -0.000 | -0.000 | 0.000 | 
| 9.183 | 9.183 | 16.189 | -0.000 | 0.000 | 0.000 | 
| 9.831 | 9.831 | 9.831 | 5.812 | 0.000 | 0.000 | 
| 9.831 | 9.831 | 9.831 | 0.000 | 5.812 | 0.000 | 
| 9.831 | 9.831 | 9.831 | 0.000 | 0.000 | 5.812 | 
| 30.554 | 60.312 | 40.809 | 0.000 | 25.264 | -0.000 | 
| 59.975 | 166.702 | 59.710 | -0.000 | 1.869 | -0.000 | 
| 40.244 | 99.192 | 208.791 | -0.000 | 29.688 | -0.000 | 
| 0.000 | -0.000 | -0.000 | 105.373 | 0.000 | 10.770 | 
| 5.803 | 3.220 | 27.647 | 0.000 | 14.531 | 0.000 | 
| 0.000 | -0.000 | 0.000 | 10.770 | -0.000 | 61.710 | 
| 2.213 | -0.382 | -3.145 | 0.000 | 5.731 | 0.000 | 
| 29.099 | 71.314 | 98.133 | 0.000 | 16.704 | -0.000 | 
| -10.270 | -31.906 | 68.772 | 0.000 | 10.559 | -0.000 | 
| -0.000 | 0.002 | 0.003 | 0.816 | -0.001 | 1.241 | 
| 16.784 | 1.869 | 58.947 | 0.000 | 47.030 | -0.000 | 
| -0.000 | -0.000 | -0.000 | 10.770 | 0.000 | 61.710 | 
| 13.700 | 28.777 | 46.019 | -0.000 | 12.389 | 0.000 | 
| 29.099 | 71.312 | 98.134 | 0.000 | 16.705 | 0.000 | 
| 9.321 | 13.494 | 120.393 | -0.000 | 22.870 | 0.000 | 
| -0.000 | -0.000 | -0.000 | 30.113 | 0.000 | 3.037 | 
| 11.716 | 14.834 | 34.062 | -0.000 | 19.332 | 0.000 | 
| -0.000 | -0.000 | 0.000 | 10.770 | -0.000 | 61.710 | 
| 1.014 | -1.684 | -2.693 | 0.000 | 3.933 | -0.000 | 
| 3.182 | 9.419 | -15.001 | 0.000 | -2.214 | -0.000 | 
| -1.157 | -4.848 | 7.393 | 0.000 | 2.342 | -0.000 | 
| 0.000 | 0.000 | 0.000 | 5.289 | -0.000 | 5.292 | 
| -0.528 | -9.414 | 0.746 | 0.000 | 7.631 | -0.000 | 
| 0.000 | -0.000 | -0.000 | 10.770 | -0.000 | 61.710 | 
| -0.022 | -0.423 | 0.727 | -0.000 | 0.414 | 0.000 | 
| 0.272 | 1.476 | -7.250 | -0.000 | -1.406 | -0.000 | 
| 0.384 | 1.166 | 2.754 | -0.000 | 0.151 | 0.000 | 
| 0.000 | -0.000 | -0.000 | 0.502 | 0.000 | 1.078 | 
| -1.151 | -3.946 | 3.583 | -0.000 | 1.132 | 0.000 | 
| -0.000 | -0.000 | 0.000 | 6.745 | 0.000 | 4.127 | 
| 0.166 | -0.419 | -1.017 | 0.000 | 0.722 | -0.000 | 
| 0.085 | 0.807 | -6.329 | 0.000 | -1.162 | -0.000 | 
| -0.120 | 0.387 | 0.272 | 0.000 | -0.647 | -0.000 | 
| 0.000 | 0.000 | 0.000 | 1.731 | -0.000 | 2.801 | 
| -1.880 | -7.264 | 3.030 | 0.000 | 2.348 | -0.000 | 
| 0.000 | 0.000 | -0.000 | 6.745 | -0.000 | 4.127 | 
| 77.204 | 50.977 | 50.978 | 0.000 | 0.003 | 0.000 | 
| 50.978 | 77.203 | 50.979 | 0.001 | -0.014 | 0.000 | 
| 50.979 | 50.976 | 77.206 | 0.001 | 0.001 | 0.000 | 
| 0.011 | 0.008 | 0.007 | 68.809 | 0.001 | -0.000 | 
| 0.011 | 0.008 | 0.012 | -0.005 | 68.823 | -0.000 | 
| 0.012 | 0.008 | 0.011 | 0.001 | -0.000 | 68.807 | 
| 246.045 | 134.661 | 134.658 | -0.001 | -0.007 | -0.000 | 
| 91.180 | 402.503 | 91.180 | -0.002 | 0.003 | -0.000 | 
| 134.661 | 134.661 | 246.045 | -0.000 | -0.007 | 0.000 | 
| -0.011 | -0.008 | -0.009 | 68.808 | -0.001 | -0.000 | 
| -0.008 | -0.008 | -0.011 | -0.006 | 68.805 | 0.000 | 
| -0.011 | -0.008 | -0.012 | -0.002 | 0.000 | 68.807 | 
| 77.145 | 50.938 | 50.938 | 0.000 | 0.001 | 0.000 | 
| 50.938 | 77.145 | 50.938 | 0.000 | -0.000 | -0.000 | 
| 50.938 | 50.938 | 77.145 | 0.000 | -0.000 | -0.000 | 
| 0.001 | 0.001 | 0.001 | 68.807 | 0.001 | -0.000 | 
| 0.001 | 0.001 | 0.001 | 0.001 | 68.807 | -0.000 | 
| 0.001 | 0.001 | 0.001 | 0.000 | 0.001 | 68.807 | 
| 246.049 | 134.671 | 134.671 | -0.000 | 0.000 | -0.000 | 
| 134.670 | 246.049 | 134.671 | -0.000 | -0.000 | -0.000 | 
| 134.670 | 134.671 | 246.049 | -0.000 | 0.000 | -0.000 | 
| -0.001 | -0.001 | -0.001 | 68.807 | -0.001 | -0.000 | 
| -0.001 | -0.001 | -0.001 | 0.000 | 68.807 | 0.000 | 
| -0.001 | -0.001 | -0.001 | -0.000 | -0.000 | 68.807 | 
| 29.211 | -33.847 | -33.847 | 0.000 | -0.000 | 0.000 | 
| -33.847 | 29.211 | -33.847 | 0.000 | 0.000 | 0.000 | 
| -33.847 | -33.847 | 29.211 | 0.000 | -0.000 | 0.000 | 
| 0.000 | -0.000 | 0.000 | 68.808 | 0.000 | 0.000 | 
| -0.000 | 0.000 | -0.000 | 0.000 | 68.807 | 0.000 | 
| -0.000 | -0.000 | 0.000 | 0.000 | 0.000 | 68.807 | 
| 35.508 | -21.848 | -21.848 | 0.000 | 0.000 | 0.000 | 
| -21.848 | 35.508 | -21.848 | -0.000 | -0.000 | 0.000 | 
| -21.848 | -21.848 | 35.508 | -0.000 | 0.000 | 0.000 | 
| -0.000 | 0.000 | -0.000 | 68.807 | -0.000 | 0.000 | 
| 0.000 | -0.000 | 0.000 | 0.000 | 68.807 | 0.000 | 
| 0.000 | 0.000 | -0.000 | -0.000 | -0.000 | 68.807 | 
| 194.230 | 188.294 | 188.294 | -0.002 | -0.002 | -0.000 | 
| 188.290 | 194.234 | 188.295 | 0.003 | -0.003 | -0.000 | 
| 188.295 | 188.294 | 194.233 | 0.002 | -0.002 | -0.000 | 
| 50.620 | 50.622 | 50.620 | -191.811 | -0.005 | -0.000 | 
| 50.621 | 50.622 | 50.621 | 0.000 | -191.811 | -0.000 | 
| 50.621 | 50.622 | 50.621 | 0.001 | -0.006 | -191.811 | 
| -1000.881 | -342.178 | -342.177 | -0.002 | -0.003 | 0.000 | 
| -342.177 | -1000.883 | -342.177 | -0.004 | -0.006 | 0.000 | 
| -342.178 | -342.178 | -1000.883 | 0.000 | 0.005 | 0.000 | 
| -50.620 | -50.622 | -50.621 | -191.813 | 0.003 | 0.000 | 
| -50.620 | -50.622 | -50.622 | -0.004 | -191.802 | 0.000 | 
| -50.619 | -50.622 | -50.621 | 0.000 | 0.007 | -191.811 | 
| 211.477 | 134.858 | 134.858 | 0.000 | 0.000 | -0.000 | 
| -132.786 | -172.024 | -132.786 | -0.000 | 0.000 | -0.000 | 
| 134.857 | 134.858 | 211.477 | 0.000 | -0.000 | -0.000 | 
| -0.000 | 0.000 | -0.000 | 145.405 | -0.001 | 0.000 | 
| -0.000 | 0.000 | -0.000 | 0.000 | 145.405 | 0.000 | 
| -0.000 | 0.000 | -0.000 | 0.000 | -0.000 | 145.405 | 
| -28.102 | 39.545 | 39.545 | 0.000 | -0.000 | 0.000 | 
| 39.545 | -28.102 | 39.545 | -0.000 | -0.000 | 0.000 | 
| 39.545 | 39.545 | -28.102 | -0.000 | -0.000 | 0.000 | 
| -0.000 | -0.000 | 0.000 | 145.404 | 0.001 | 0.000 | 
| -0.000 | -0.000 | 0.000 | -0.000 | 145.405 | 0.000 | 
| 0.000 | -0.000 | -0.000 | -0.000 | 0.001 | 145.405 | 
| 48.378 | 13.103 | 13.103 | 0.000 | -0.000 | -0.000 | 
| 13.103 | 48.378 | 13.103 | 0.000 | -0.000 | -0.000 | 
| 13.103 | 13.103 | 48.378 | 0.000 | -0.000 | -0.000 | 
| 0.000 | 0.000 | 0.000 | 145.405 | 0.000 | 0.000 | 
| 0.165 | 0.164 | 0.165 | 0.000 | 31.446 | -0.000 | 
| 0.000 | 0.000 | 0.000 | 0.000 | -0.000 | 145.405 | 
| 24.150 | -35.516 | -35.516 | -0.000 | 0.000 | 0.000 | 
| -35.516 | 24.150 | -35.516 | -0.000 | 0.000 | 0.000 | 
| -35.516 | -35.516 | 24.150 | -0.000 | 0.000 | 0.000 | 
| -0.000 | -0.000 | -0.000 | 145.405 | 0.000 | 0.000 | 
| -0.165 | -0.164 | -0.165 | -0.000 | 31.446 | 0.000 | 
| 0.000 | -0.000 | -0.000 | -0.000 | 0.000 | 145.405 | 
| 352.009 | 233.535 | 233.537 | 0.001 | 0.002 | 0.000 | 
| 233.535 | 352.010 | 233.537 | 0.001 | 0.001 | 0.000 | 
| 233.534 | 233.535 | 352.011 | 0.001 | 0.002 | 0.000 | 
| 111.281 | 111.281 | 111.282 | 58.948 | 0.001 | -0.000 | 
| 111.280 | 111.281 | 111.282 | -0.002 | 58.950 | 0.000 | 
| 111.281 | 111.281 | 111.282 | 0.001 | 0.006 | 58.950 | 
| 128.579 | 11.232 | 11.232 | -0.002 | -0.010 | -0.000 | 
| 11.234 | 128.579 | 11.231 | -0.002 | -0.006 | 0.000 | 
| 11.233 | 11.232 | 128.578 | -0.001 | -0.001 | -0.000 | 
| -111.281 | -111.281 | -111.283 | 58.946 | -0.000 | -0.000 | 
| -111.280 | -111.281 | -111.282 | -0.004 | 58.946 | -0.000 | 
| -111.281 | -111.281 | -111.281 | -0.001 | -0.005 | 58.950 | 
| 222.521 | 127.361 | 127.361 | 0.000 | -0.000 | 0.000 | 
| 127.361 | 222.521 | 127.361 | 0.000 | 0.000 | 0.000 | 
| 127.361 | 127.361 | 222.521 | 0.000 | 0.000 | 0.000 | 
| 11.060 | 11.060 | 11.060 | 59.476 | -0.000 | 0.000 | 
| 11.060 | 11.060 | 11.060 | 0.000 | 59.476 | 0.000 | 
| 11.060 | 11.060 | 11.060 | 0.000 | 0.000 | 59.476 | 
| 223.823 | 112.651 | 112.651 | -0.000 | -0.000 | -0.000 | 
| 112.651 | 223.822 | 112.651 | -0.000 | -0.000 | -0.000 | 
| 112.651 | 112.651 | 223.822 | -0.000 | 0.000 | -0.000 | 
| -11.060 | -11.060 | -11.060 | 59.476 | 0.000 | -0.000 | 
| -11.060 | -11.060 | -11.060 | -0.000 | 59.475 | -0.000 | 
| -11.060 | -11.060 | -11.060 | -0.000 | -0.000 | 59.476 | 
| 92.748 | 59.871 | 59.871 | 0.000 | -0.000 | 0.000 | 
| 59.871 | 92.748 | 59.871 | 0.000 | 0.000 | 0.000 | 
| 59.871 | 59.871 | 92.748 | 0.000 | 0.000 | 0.000 | 
| 7.407 | 7.407 | 7.407 | 29.161 | 0.000 | 0.000 | 
| 7.407 | 7.407 | 7.407 | -0.000 | 29.160 | 0.000 | 
| 7.407 | 7.407 | 7.407 | 0.000 | 0.000 | 29.161 | 
| 12.518 | -43.037 | -43.037 | -0.000 | -0.000 | -0.000 | 
| -43.037 | 12.518 | -43.037 | -0.000 | -0.000 | -0.000 | 
| -43.037 | -43.037 | 12.518 | -0.000 | -0.000 | -0.000 | 
| -7.407 | -7.407 | -7.407 | 29.160 | -0.000 | -0.000 | 
| -7.407 | -7.407 | -7.407 | -0.000 | 29.160 | -0.000 | 
| -7.407 | -7.407 | -7.407 | -0.000 | -0.000 | 29.161 | 
| -30299.129 | 21675.828 | -2284.833 | 0.000 | -0.000 | -0.001 | 
| -30168.188 | 21426.588 | -2274.955 | -0.000 | -0.001 | -0.001 | 
| 431622.637 | 238079.887 | 3216379.746 | 0.010 | 0.344 | -0.550 | 
| -30547.951 | 21366.545 | -2303.600 | 15.264 | -0.001 | -0.000 | 
| -30551.249 | 21368.583 | -2303.849 | -0.000 | -33.004 | 0.000 | 
| -30486.292 | 21343.854 | -2298.949 | 0.000 | -0.000 | 200.370 | 
| 30841.100 | -21053.815 | 2325.710 | -0.000 | 0.001 | 0.001 | 
| 30984.388 | -21226.591 | 2336.519 | 0.000 | 0.001 | 0.001 | 
| 14742.423 | -11789.447 | 1111.405 | -0.072 | 0.000 | 0.362 | 
| 30547.950 | -21366.545 | 2303.600 | 15.264 | 0.001 | 0.000 | 
| 30551.249 | -21368.583 | 2303.849 | -0.000 | -33.003 | 0.000 | 
| 30486.292 | -21343.854 | 2298.949 | 0.000 | 0.001 | 200.370 | 
| -2898.309 | 2384.383 | -218.557 | -0.000 | -0.000 | -0.000 | 
| -2441.184 | 1755.037 | -184.078 | 0.000 | -0.000 | -0.000 | 
| -1665.249 | 115.468 | 247208.494 | 0.042 | 0.294 | 0.143 | 
| -3009.992 | 2120.904 | -226.981 | 14.148 | -0.000 | -0.000 | 
| -3037.849 | 2138.878 | -229.082 | 0.000 | -32.080 | -0.000 | 
| -3070.201 | 1895.793 | -231.519 | 0.000 | -0.000 | -592.467 | 
| 3078.665 | -341.794 | 232.211 | 0.000 | 0.000 | 0.000 | 
| 1488.960 | -3506.329 | 112.262 | 0.000 | 0.000 | 0.000 | 
| 1475.614 | -1177.897 | 111.244 | 0.000 | 0.000 | 0.000 | 
| 3009.992 | -2120.904 | 226.981 | 14.148 | 0.000 | 0.000 | 
| 3037.848 | -2138.877 | 229.082 | 0.000 | -32.080 | 0.000 | 
| 3070.201 | -1895.793 | 231.519 | -0.000 | 0.000 | -592.467 | 
| -196.533 | 438.915 | -14.819 | -0.000 | -0.000 | -0.000 | 
| -269.491 | -61.515 | -20.322 | 0.000 | -0.000 | -0.000 | 
| -385.084 | -351.822 | 19709.688 | 0.037 | -0.085 | -0.158 | 
| -314.553 | 168.577 | -23.720 | -15.596 | -0.000 | -0.000 | 
| -247.673 | 262.288 | -18.676 | 0.000 | -13.538 | -0.000 | 
| -101.876 | 244.954 | -7.679 | -0.000 | -0.000 | 9.959 | 
| 135.628 | -230.698 | 10.225 | 0.000 | 0.000 | 0.000 | 
| 128.485 | -486.320 | 9.688 | 0.000 | 0.000 | 0.000 | 
| 147.572 | -117.798 | 11.125 | 0.000 | 0.000 | 0.000 | 
| 314.553 | -168.577 | 23.720 | -15.596 | 0.000 | 0.000 | 
| 247.673 | -262.288 | 18.676 | -0.000 | -13.538 | 0.000 | 
| 114.401 | -266.236 | 8.623 | -0.000 | 0.000 | 67.493 | 
| -2113.348 | -1075.692 | 895.797 | 355.409 | 510.804 | -1678.760 | 
| -2161.003 | -1167.828 | 709.340 | 339.941 | 497.417 | -1673.445 | 
| -2261.785 | -1162.303 | 834.008 | 311.501 | 420.078 | -1604.086 | 
| -1888.949 | -1048.964 | 1125.043 | 486.658 | 579.973 | -1662.433 | 
| -2020.808 | -1086.292 | 738.252 | 362.592 | 447.293 | -1663.473 | 
| -1982.103 | -1136.342 | 739.634 | 364.243 | 497.398 | -1562.688 | 
| 2273.773 | 1149.929 | -883.762 | -234.476 | -476.952 | 1743.252 | 
| 2124.140 | 1173.443 | -759.998 | -267.501 | -510.042 | 1751.457 | 
| 2184.925 | 1100.514 | -768.278 | -219.349 | -395.355 | 1694.673 | 
| 2111.965 | 1108.857 | -882.489 | -242.186 | -355.703 | 1677.725 | 
| 2080.254 | 1146.436 | -864.226 | -207.156 | -422.880 | 1681.633 | 
| 2056.789 | 1135.876 | -992.189 | -307.152 | -394.468 | 1706.134 | 
| -213.346 | -110.636 | 80.281 | 33.445 | 36.921 | -172.806 | 
| -224.465 | -112.633 | 69.269 | 23.861 | 45.340 | -168.921 | 
| -192.568 | -110.607 | 90.428 | 35.122 | 60.631 | -158.939 | 
| -198.639 | -110.987 | 62.523 | 37.230 | 48.881 | -164.264 | 
| -216.058 | -117.449 | 85.614 | 34.753 | 52.741 | -169.653 | 
| -217.033 | -118.776 | 69.379 | 26.930 | 47.763 | -176.135 | 
| 234.125 | 118.688 | -54.612 | -23.711 | -41.157 | 174.015 | 
| 213.723 | 113.144 | -59.855 | -29.853 | -46.250 | 157.680 | 
| 196.257 | 116.433 | -74.918 | -22.928 | -39.103 | 176.635 | 
| 205.042 | 116.898 | -69.542 | -35.648 | -48.097 | 173.018 | 
| 202.784 | 113.469 | -73.228 | -31.960 | -52.828 | 170.706 | 
| 217.175 | 116.707 | -76.950 | -27.183 | -45.401 | 173.383 | 
| -20.003 | -10.813 | 7.454 | 2.617 | 4.136 | -16.229 | 
| -22.171 | -12.024 | 7.144 | 3.139 | 4.540 | -17.526 | 
| -20.398 | -11.574 | 7.878 | 3.472 | 5.293 | -17.231 | 
| -18.521 | -11.487 | 9.141 | 2.197 | 5.257 | -16.068 | 
| -21.602 | -11.642 | 7.459 | 3.485 | 6.014 | -17.425 | 
| -19.751 | -11.387 | 8.370 | 3.592 | 6.098 | -16.765 | 
| 19.933 | 11.312 | -8.682 | -3.894 | -5.323 | 16.782 | 
| 21.350 | 11.110 | -9.233 | -3.273 | -4.600 | 17.795 | 
| 21.717 | 11.946 | -8.647 | -2.893 | -4.910 | 17.953 | 
| 20.012 | 10.760 | -8.836 | -4.173 | -5.160 | 15.263 | 
| 20.410 | 11.620 | -10.709 | -2.455 | -5.259 | 16.782 | 
| 21.541 | 11.654 | -7.440 | -3.036 | -5.562 | 16.466 | 
| 62.539 | 29.586 | 0.560 | -0.000 | -14.979 | -0.000 | 
| 80.047 | 93.361 | 47.828 | -0.000 | 9.207 | -0.000 | 
| 44.234 | 94.020 | 65.905 | -0.000 | 32.379 | -0.000 | 
| 62.229 | 29.172 | 0.348 | 0.137 | -15.014 | -0.072 | 
| 62.628 | 29.776 | 0.443 | -0.004 | -15.319 | -0.006 | 
| 61.883 | 28.940 | 0.202 | -0.191 | -15.103 | 0.045 | 
| -62.091 | -29.126 | -0.304 | -0.000 | 15.067 | 0.001 | 
| -57.509 | -31.455 | 1.295 | -0.000 | 20.373 | 0.000 | 
| -63.505 | -29.634 | -0.799 | -0.001 | 14.486 | 0.001 | 
| -62.330 | -28.878 | -0.408 | -0.188 | 14.647 | -0.285 | 
| 35.342 | 11.986 | 17.425 | 0.000 | 23.325 | 0.000 | 
| -61.883 | -28.938 | -0.203 | -0.191 | 15.100 | 0.043 | 
| 6.260 | 2.925 | 0.038 | -0.000 | -1.497 | -0.000 | 
| 6.296 | 2.917 | 0.040 | 0.000 | -1.481 | -0.000 | 
| 6.299 | 2.938 | 0.040 | -0.000 | -1.499 | 0.000 | 
| 6.234 | 2.927 | 0.039 | 0.002 | -1.501 | -0.009 | 
| 6.289 | 2.999 | 0.061 | 0.000 | -1.519 | -0.000 | 
| 6.226 | 2.921 | 0.035 | -0.042 | -1.504 | 0.004 | 
| -6.253 | -2.924 | -0.037 | 0.000 | 1.499 | 0.000 | 
| -31.418 | 5.185 | 0.152 | 0.000 | -9.081 | 0.000 | 
| -6.196 | -2.914 | -0.036 | 0.000 | 1.500 | -0.000 | 
| -6.224 | -3.031 | -0.154 | 0.107 | 1.406 | 0.994 | 
| -6.173 | -2.894 | -0.014 | 0.000 | 1.523 | 0.000 | 
| -6.201 | -2.912 | -0.024 | -0.179 | 1.518 | -0.078 | 
| 0.628 | 0.292 | 0.004 | 0.000 | -0.149 | -0.000 | 
| 0.626 | 0.296 | 0.005 | -0.000 | -0.150 | -0.000 | 
| 0.628 | 0.291 | 0.002 | 0.000 | -0.151 | 0.000 | 
| 0.627 | 0.290 | 0.003 | 0.000 | -0.149 | -0.000 | 
| 0.624 | 0.292 | 0.004 | 0.000 | -0.150 | -0.000 | 
| 0.627 | 0.292 | 0.004 | 0.037 | -0.150 | 0.003 | 
| -0.628 | -0.292 | -0.004 | -0.000 | 0.149 | -0.000 | 
| -0.626 | -0.298 | -0.006 | 0.000 | 0.150 | 0.000 | 
| -0.627 | -0.291 | -0.002 | 0.000 | 0.151 | -0.000 | 
| -0.624 | -0.293 | -0.004 | 0.000 | 0.150 | 0.001 | 
| -0.676 | -0.336 | -0.025 | 0.000 | 0.145 | 0.000 | 
| -0.622 | -0.292 | -0.004 | -0.043 | 0.151 | -0.002 | 
| -15.350 | 176.198 | 292.758 | 0.000 | -0.000 | 0.001 | 
| 156.913 | 27.518 | 294.747 | -0.000 | -0.000 | -0.000 | 
| 227.610 | 247.999 | 139.277 | -0.000 | -0.000 | 0.001 | 
| -63.184 | -43.760 | -17.708 | -105.777 | 0.000 | 0.000 | 
| -1008.993 | -816.386 | -638.043 | -0.000 | -514.548 | 0.001 | 
| -0.001 | 0.003 | -0.000 | -0.000 | -0.000 | 181.006 | 
| 130.741 | 253.319 | 313.843 | -0.000 | 0.000 | -0.001 | 
| 263.939 | 150.599 | 308.067 | 0.000 | 0.000 | -0.002 | 
| 119.147 | 129.664 | 606.071 | -0.000 | 0.000 | -0.001 | 
| 63.184 | 43.760 | 17.708 | -105.776 | -0.000 | -0.001 | 
| 1008.992 | 816.386 | 638.043 | 0.000 | -514.548 | -0.001 | 
| -0.000 | -0.001 | -0.000 | 0.000 | 0.000 | 181.004 | 
| 170.754 | 110.144 | 167.115 | -0.000 | -0.000 | 0.000 | 
| 127.729 | 467.981 | 129.663 | -0.000 | 0.000 | 0.000 | 
| 185.848 | 194.403 | 411.415 | 0.000 | -0.000 | -0.000 | 
| -0.000 | 0.000 | 0.000 | 221.332 | -0.000 | -0.000 | 
| -7.594 | -5.916 | -4.112 | 0.000 | 75.585 | -0.000 | 
| -2.259 | -1.565 | -0.633 | 0.000 | -0.000 | 83.226 | 
| 210.213 | 130.240 | 177.820 | 0.000 | 0.000 | -0.000 | 
| 142.543 | 254.019 | 177.791 | 0.000 | 0.000 | -0.000 | 
| 188.696 | 195.951 | 417.100 | 0.000 | -0.000 | 0.000 | 
| 0.000 | -0.000 | -0.000 | 221.332 | 0.000 | 0.000 | 
| 7.594 | 5.916 | 4.112 | -0.000 | 75.585 | 0.000 | 
| 2.260 | 1.565 | 0.633 | -0.000 | 0.000 | 83.226 | 
| 106.470 | 77.740 | 83.579 | 0.000 | -0.000 | 0.000 | 
| 96.093 | 168.484 | 91.428 | 0.000 | -0.000 | 0.000 | 
| 127.056 | 124.781 | 310.779 | -0.000 | -0.000 | 0.000 | 
| -0.211 | -0.146 | -0.059 | 112.174 | -0.000 | 0.000 | 
| -0.226 | -0.156 | -0.063 | 0.000 | 102.661 | 0.000 | 
| -0.221 | -0.153 | -0.062 | -0.000 | 0.000 | 85.508 | 
| 144.011 | 109.295 | 116.562 | 0.000 | -0.000 | -0.000 | 
| 24.166 | 138.841 | 69.119 | -0.000 | 0.000 | -0.000 | 
| 130.545 | 127.863 | 314.266 | 0.000 | -0.000 | -0.000 | 
| 0.211 | 0.146 | 0.059 | 112.174 | 0.000 | -0.000 | 
| 0.226 | 0.156 | 0.063 | 0.000 | 102.661 | 0.000 | 
| 1.022 | 0.808 | 0.589 | -0.000 | -0.000 | 41.689 | 
| 836.637 | 21.977 | -283.217 | 0.020 | -0.009 | -0.001 | 
| 761.936 | 161.082 | -292.059 | 0.020 | -0.009 | -0.001 | 
| -3137.779 | -1987.311 | -4139.744 | 0.061 | -0.027 | -0.006 | 
| 97.023 | -884.243 | -1338.764 | 61.782 | -0.012 | 0.000 | 
| -3059.347 | -1807.511 | -4490.717 | 0.000 | 62.147 | 0.002 | 
| 99.289 | -883.527 | -1333.359 | 0.022 | -0.012 | -56.588 | 
| 3119.079 | 2137.375 | 4287.023 | -0.056 | 0.027 | 0.005 | 
| -402.195 | 516.668 | 398.952 | -0.011 | 0.006 | 0.000 | 
| -350.180 | 364.260 | 582.967 | -0.011 | 0.006 | 0.000 | 
| -119.099 | 105.802 | 1176.527 | 4.746 | 0.011 | 0.001 | 
| -656.023 | 633.102 | 559.495 | -0.000 | 55.779 | 0.001 | 
| -645.121 | 76.595 | 427.073 | -0.020 | 0.009 | 32.010 | 
| -243.267 | -148.621 | -439.151 | 0.002 | -0.002 | 0.001 | 
| -16.538 | 14.458 | -134.042 | 0.002 | -0.001 | 0.000 | 
| -277.235 | -170.513 | -222.049 | 0.009 | -0.006 | -0.000 | 
| -108.445 | -4.785 | -106.668 | 72.689 | -0.001 | -0.000 | 
| 25.833 | -14.498 | -119.449 | 0.002 | 5.136 | -0.000 | 
| 60.861 | -6.728 | -40.640 | 0.002 | -0.001 | 38.451 | 
| 205.593 | 138.049 | 185.036 | -0.001 | 0.001 | 0.000 | 
| -134.188 | 114.016 | 94.392 | -0.002 | 0.000 | 0.000 | 
| 96.180 | 148.990 | 321.154 | -0.002 | 0.001 | 0.000 | 
| 276.751 | 173.956 | 398.047 | -3.215 | 0.002 | 0.000 | 
| -62.447 | 40.474 | 19.205 | -0.002 | 63.717 | 0.000 | 
| -62.342 | 40.532 | 19.065 | -0.002 | 0.001 | 31.069 | 
| 17.425 | -17.080 | 1.414 | -0.000 | 0.000 | -0.000 | 
| 8.779 | 140.165 | 29.149 | 0.000 | -0.000 | -0.000 | 
| 2.091 | 11.667 | 139.554 | 0.002 | -0.001 | 0.000 | 
| 5.116 | -4.837 | -4.574 | 65.685 | -0.000 | -0.000 | 
| -16.319 | -14.678 | -27.257 | 0.000 | 24.327 | -0.000 | 
| 0.486 | -2.631 | -12.426 | 0.000 | -0.000 | 21.155 | 
| 49.754 | 0.569 | 37.385 | -0.000 | 0.000 | 0.000 | 
| 0.245 | 141.039 | 41.176 | -0.000 | 0.000 | 0.000 | 
| 26.093 | 40.060 | 192.692 | -0.000 | 0.000 | 0.000 | 
| 9.693 | 10.250 | 25.542 | 31.886 | 0.000 | 0.000 | 
| -3.077 | 2.717 | 9.470 | -0.000 | 45.530 | 0.000 | 
| -0.484 | 2.623 | 12.432 | -0.000 | 0.000 | 21.155 | 
| 68.442 | 34.808 | 45.506 | 0.000 | -0.000 | -0.000 | 
| 34.807 | 68.441 | 45.506 | 0.000 | 0.000 | -0.000 | 
| 47.410 | 47.410 | 77.389 | 0.000 | -0.000 | 0.000 | 
| 0.116 | 0.116 | -1.225 | 11.834 | -0.000 | 0.000 | 
| 0.116 | 0.116 | -1.225 | 0.000 | 11.834 | 0.000 | 
| 0.258 | 0.257 | -0.445 | 0.000 | -0.000 | 13.060 | 
| 67.916 | 34.359 | 48.123 | -0.000 | -0.000 | -0.000 | 
| 34.359 | 67.916 | 48.123 | -0.000 | -0.000 | 0.000 | 
| 46.690 | 46.690 | 80.064 | -0.000 | 0.000 | 0.000 | 
| -0.116 | -0.116 | 1.225 | 11.834 | 0.000 | -0.000 | 
| -0.116 | -0.116 | 1.225 | -0.000 | 11.834 | -0.000 | 
| -0.258 | -0.257 | 0.445 | -0.000 | 0.000 | 13.060 | 
| 68.180 | 35.623 | 46.414 | 0.000 | 0.000 | 0.000 | 
| 35.623 | 68.180 | 46.414 | 0.000 | -0.000 | 0.000 | 
| 47.084 | 47.084 | 78.597 | 0.000 | -0.000 | -0.000 | 
| 0.025 | 0.025 | -0.133 | 11.782 | 0.000 | -0.000 | 
| 0.025 | 0.025 | -0.133 | 0.000 | 11.782 | 0.000 | 
| 0.026 | 0.026 | -0.044 | 0.000 | 0.000 | 13.071 | 
| 68.125 | 35.589 | 46.683 | -0.000 | -0.000 | -0.000 | 
| 35.589 | 68.125 | 46.683 | -0.000 | 0.000 | 0.000 | 
| 47.013 | 47.013 | 78.864 | -0.000 | 0.000 | 0.000 | 
| -0.025 | -0.025 | 0.133 | 11.782 | -0.000 | -0.000 | 
| -0.025 | -0.025 | 0.133 | -0.000 | 11.782 | -0.000 | 
| -0.026 | -0.026 | 0.044 | -0.000 | -0.000 | 13.071 | 
| 68.154 | 35.613 | 46.535 | 0.000 | -0.000 | -0.000 | 
| 35.613 | 68.154 | 46.535 | 0.000 | -0.000 | -0.000 | 
| 47.148 | 47.148 | 78.711 | 0.000 | 0.000 | 0.000 | 
| 0.005 | 0.006 | -0.019 | 11.781 | 0.000 | 0.000 | 
| 0.006 | 0.005 | -0.019 | 0.000 | 11.781 | -0.000 | 
| 0.007 | 0.007 | -0.021 | 0.000 | 0.000 | 9.339 | 
| 68.150 | 35.608 | 46.560 | -0.000 | 0.000 | 0.000 | 
| 35.608 | 68.150 | 46.560 | -0.000 | 0.000 | -0.000 | 
| 47.142 | 47.142 | 78.740 | -0.000 | 0.000 | 0.000 | 
| -0.005 | -0.006 | 0.019 | 11.781 | 0.000 | -0.000 | 
| -0.006 | -0.005 | 0.019 | -0.000 | 11.781 | 0.000 | 
| 0.000 | 0.000 | 0.004 | -0.000 | -0.000 | 13.792 | 
| 366.170 | 535.279 | 2095.295 | 1041.341 | -4.122 | -153.973 | 
| 349.606 | 555.296 | 2119.473 | 1047.301 | 13.715 | -158.234 | 
| 1109.206 | 301.427 | 2826.099 | -44.662 | 989.197 | -466.143 | 
| 53.279 | -50.901 | 959.773 | 114.400 | 1031.769 | -69.790 | 
| 987.500 | 236.102 | 2488.735 | 14.999 | 1048.668 | -478.454 | 
| 366.258 | -84.346 | 860.905 | -110.329 | 696.998 | -55.196 | 
| -136.870 | 234.891 | -705.364 | 109.360 | -706.487 | 116.398 | 
| -215.208 | 302.604 | -719.244 | 117.911 | -697.129 | 118.044 | 
| -42.366 | -217.245 | -1620.035 | -965.741 | 11.560 | 151.798 | 
| 21.874 | 236.082 | -619.882 | -113.057 | -1002.912 | 78.235 | 
| -347.922 | 98.982 | -855.814 | 98.995 | -636.957 | 103.614 | 
| -192.299 | -385.048 | -1935.719 | -1037.217 | 1.596 | 182.890 | 
| 44.650 | -109.113 | 11.702 | -34.735 | 92.433 | -41.847 | 
| 56.963 | 26.107 | 63.414 | 4.599 | 86.907 | -10.740 | 
| 195.457 | 146.569 | 410.713 | 42.390 | 45.290 | -11.739 | 
| 23.289 | 16.528 | 191.075 | 63.913 | 71.269 | -16.328 | 
| 0.715 | 39.219 | 121.719 | 90.320 | 11.813 | -6.313 | 
| 10.043 | 1.949 | 106.975 | 16.650 | 102.209 | -6.901 | 
| 378.606 | 113.982 | 137.128 | -13.974 | 15.665 | 1.578 | 
| 121.284 | 124.705 | 24.814 | -20.786 | -91.810 | 14.500 | 
| 87.280 | 142.708 | 156.689 | 48.078 | -106.153 | 28.617 | 
| 25.607 | 125.886 | -24.420 | -34.690 | -26.109 | 41.568 | 
| 16.135 | 156.112 | -1.900 | -7.558 | -63.983 | 47.475 | 
| 10.147 | 6.856 | -11.644 | 7.128 | -19.252 | 149.399 | 
| 75.364 | 21.470 | 28.246 | 2.239 | 16.530 | -6.966 | 
| 37.859 | 69.534 | 28.714 | -2.620 | 11.653 | -0.807 | 
| 34.608 | 25.082 | 100.661 | 7.155 | 12.176 | -4.115 | 
| 2.499 | 1.747 | 37.155 | 57.900 | 18.610 | -0.379 | 
| 6.481 | -16.251 | -2.882 | 0.973 | 33.407 | 0.606 | 
| 6.484 | 4.305 | 14.069 | 4.567 | 6.840 | 41.192 | 
| 90.798 | 58.885 | 46.853 | 1.131 | -8.635 | -8.785 | 
| 40.915 | 101.664 | 29.159 | -4.453 | -14.426 | 7.398 | 
| 53.490 | 60.953 | 130.240 | 12.812 | -16.270 | 6.173 | 
| 3.482 | 10.095 | 3.309 | 21.696 | -4.798 | 5.737 | 
| 2.485 | 6.881 | -4.575 | 0.642 | 43.723 | 0.346 | 
| 2.097 | 7.876 | -7.319 | 10.169 | -21.719 | 57.044 | 
| 140.301 | 26.596 | 45.097 | -117.445 | 11.335 | -116.177 | 
| 186.345 | 402.586 | 54.900 | -183.939 | 45.910 | -253.700 | 
| 132.820 | 162.683 | 240.227 | -14.624 | 5.314 | -33.916 | 
| -210.488 | -221.772 | -286.142 | -6.964 | 124.067 | -22.327 | 
| -230.113 | -194.802 | -311.240 | -61.264 | 172.438 | -62.826 | 
| -217.583 | -215.798 | -283.680 | -51.700 | 123.610 | 22.212 | 
| 109.224 | -80.283 | 101.860 | -22.355 | -72.924 | 20.710 | 
| 42.657 | 333.358 | 101.922 | -12.732 | -141.321 | -96.871 | 
| 335.728 | 346.116 | 422.446 | -7.279 | -108.241 | -33.200 | 
| 238.483 | 206.060 | 281.214 | 64.552 | -99.989 | 26.043 | 
| 124.580 | 158.927 | 168.437 | 34.345 | -113.186 | -7.441 | 
| -40.506 | -201.102 | -26.955 | -61.565 | -60.020 | 16.071 | 
| 87.793 | 20.225 | 26.547 | -6.470 | 6.391 | -8.008 | 
| 15.978 | 86.773 | 19.574 | -3.844 | 4.191 | -0.429 | 
| 45.434 | 42.509 | 113.541 | -10.222 | -2.762 | -5.875 | 
| -14.887 | -24.960 | -23.046 | 20.434 | 12.274 | -5.821 | 
| -19.605 | -11.792 | -22.097 | -4.921 | 59.880 | -7.176 | 
| -29.217 | -23.801 | -33.926 | -9.162 | 9.957 | 35.502 | 
| 116.717 | 61.095 | 78.497 | 2.794 | -10.202 | 2.983 | 
| 66.110 | 133.788 | 76.568 | 1.141 | -13.542 | 3.683 | 
| 99.031 | 75.519 | 232.310 | 1.355 | -19.115 | 7.250 | 
| -0.605 | -2.166 | -5.167 | 41.398 | -4.371 | 0.394 | 
| -7.963 | -7.260 | -0.503 | 5.697 | 44.135 | 6.601 | 
| -2.217 | -7.234 | -4.293 | -0.367 | -4.669 | 47.209 | 
| 99.215 | 41.099 | 50.310 | -0.475 | -0.737 | -4.949 | 
| 43.533 | 115.698 | 46.086 | -2.131 | -1.461 | -0.184 | 
| 58.504 | 53.263 | 140.574 | -11.468 | -15.416 | -2.445 | 
| -5.077 | -5.378 | -13.151 | 30.111 | 0.606 | -4.520 | 
| -11.190 | -3.780 | -13.013 | -3.237 | 42.216 | -1.527 | 
| -6.847 | -0.089 | -4.622 | -2.643 | 1.198 | 29.540 | 
| 109.891 | 48.437 | 58.530 | -3.179 | -3.913 | -4.540 | 
| 41.623 | 107.807 | 42.768 | -0.844 | -3.082 | 1.051 | 
| 67.642 | 61.917 | 152.463 | -11.164 | -14.514 | -5.681 | 
| 1.879 | 1.016 | -2.562 | 29.361 | -3.781 | -1.573 | 
| -9.828 | -1.532 | -8.511 | -2.031 | 40.323 | 0.317 | 
| -5.425 | -2.843 | -5.085 | -3.693 | -0.760 | 40.530 | 
| 345.622 | 108.680 | 95.391 | -4.001 | -3.763 | 1.231 | 
| 395.963 | 373.621 | 1030.658 | -400.852 | -370.190 | -215.176 | 
| 266.809 | 152.662 | 170.887 | 256.166 | -61.349 | -611.979 | 
| 260.853 | 42.836 | 904.696 | -322.760 | -373.236 | -230.718 | 
| 100.011 | 17.576 | -364.896 | -389.057 | -427.133 | -289.776 | 
| 262.681 | 50.957 | 888.887 | -403.908 | -375.271 | -142.895 | 
| 51.085 | -354.556 | 242.909 | 142.254 | 114.483 | 340.771 | 
| -118.711 | 307.806 | -761.882 | 407.684 | 371.561 | 250.598 | 
| -138.878 | 101.710 | -591.752 | 417.406 | 365.820 | 223.156 | 
| -362.909 | -167.261 | 319.776 | 521.854 | 358.038 | 272.717 | 
| -103.503 | -463.867 | -397.162 | -2.386 | 241.438 | 538.055 | 
| -383.286 | -176.531 | 322.451 | 492.727 | 357.715 | 305.136 | 
| 183.759 | 155.591 | 138.756 | 31.365 | -9.224 | -54.787 | 
| -99.071 | 74.380 | 21.677 | -97.311 | -48.884 | -6.246 | 
| 147.778 | 143.581 | 374.033 | -24.587 | -39.716 | -34.795 | 
| 20.477 | 5.816 | 9.998 | 42.560 | -9.448 | -57.414 | 
| 22.432 | 3.587 | 84.953 | -44.935 | 42.814 | -20.683 | 
| 16.811 | 12.025 | -9.423 | 24.754 | -5.998 | -25.654 | 
| 56.748 | 42.909 | 89.260 | 42.184 | 41.434 | 16.193 | 
| 109.264 | 447.781 | 102.157 | -4.874 | -3.346 | 21.926 | 
| 90.031 | 128.033 | 225.556 | 52.595 | 31.181 | 15.052 | 
| -4.252 | 8.543 | 15.819 | -3.140 | 2.848 | 59.681 | 
| -12.688 | -48.491 | -40.591 | 1.204 | 54.249 | 59.298 | 
| -21.059 | -43.203 | 23.503 | 16.415 | 17.614 | 102.808 | 
| 109.373 | 70.080 | 73.194 | -3.538 | -4.894 | -10.796 | 
| 36.879 | 119.929 | 46.893 | -13.849 | -10.532 | -1.228 | 
| 134.297 | 154.039 | 265.130 | 5.513 | -7.615 | -8.790 | 
| 1.889 | 5.785 | 0.233 | 36.139 | -0.091 | -4.411 | 
| -2.063 | -1.031 | -4.201 | -0.829 | 57.159 | -2.431 | 
| 2.143 | 14.372 | 7.653 | -0.693 | -1.591 | 52.742 | 
| 92.073 | 53.748 | 63.604 | 7.772 | -4.098 | -4.147 | 
| 75.183 | 178.635 | 93.129 | 5.283 | -2.459 | 5.830 | 
| 66.247 | 64.266 | 139.727 | 9.374 | 0.523 | -0.532 | 
| 7.210 | -2.158 | 7.074 | 39.980 | 2.753 | 1.320 | 
| -2.370 | 2.598 | -5.054 | 3.860 | 34.364 | 8.017 | 
| -4.547 | 3.308 | 1.045 | 2.127 | 4.590 | 52.560 | 
| 374.466 | 83.755 | 73.118 | 2.491 | -4.928 | -11.655 | 
| 153.656 | 328.779 | 33.827 | -18.986 | -7.135 | 8.451 | 
| 130.260 | 216.023 | 274.599 | -8.589 | 22.762 | 98.092 | 
| 30.628 | 127.822 | -59.244 | 69.858 | 29.253 | 54.868 | 
| 26.753 | 131.934 | -60.060 | 24.663 | 71.318 | 57.963 | 
| -16.844 | -1.835 | 1.778 | -6.764 | -2.011 | 127.716 | 
| 374.467 | 83.755 | 73.117 | 2.491 | -4.928 | -11.655 | 
| 82.677 | 325.461 | 82.703 | -3.779 | -3.234 | -1.883 | 
| 53.953 | 3.216 | 163.232 | -3.041 | -51.609 | -94.020 | 
| -74.216 | -266.913 | 124.549 | -9.665 | 22.429 | 79.411 | 
| -46.636 | -103.213 | 65.231 | 12.364 | 56.464 | -17.167 | 
| -54.773 | -97.691 | 78.575 | 7.477 | -7.424 | 52.755 | 
| 236.360 | 128.838 | 106.732 | -0.036 | -3.245 | -5.894 | 
| 91.775 | 186.904 | 107.614 | -11.601 | -4.446 | 7.976 | 
| 112.344 | 117.547 | 254.423 | -13.435 | -9.668 | 4.498 | 
| -2.388 | 0.281 | -1.424 | 52.351 | 5.272 | 1.793 | 
| -3.986 | -3.103 | -17.292 | 1.654 | 68.189 | -1.297 | 
| -1.232 | 14.090 | 7.558 | -8.399 | -0.134 | 54.734 | 
| 220.019 | 91.183 | 87.546 | -4.427 | -12.084 | -16.199 | 
| 34.012 | 71.041 | 66.342 | -4.404 | -4.577 | 0.603 | 
| 90.385 | 99.585 | 211.122 | -5.672 | -17.858 | -7.642 | 
| -9.923 | -21.906 | -10.384 | 55.253 | -1.680 | -15.788 | 
| -11.116 | -20.497 | -3.035 | 3.429 | 64.593 | -3.989 | 
| -16.844 | -1.835 | 1.778 | -6.764 | -2.011 | 127.716 | 
| 154.943 | 62.355 | 69.652 | -1.351 | 1.613 | -1.132 | 
| 58.426 | 119.873 | 72.006 | -6.259 | -3.933 | 1.459 | 
| 78.858 | 82.994 | 169.185 | -10.340 | -9.327 | -2.720 | 
| -4.220 | -7.619 | -8.897 | 42.990 | 0.662 | -4.823 | 
| -3.116 | -4.346 | -8.990 | -0.400 | 42.289 | -4.142 | 
| -3.442 | 4.041 | -1.805 | -6.351 | -3.075 | 44.235 | 
| 147.209 | 53.523 | 66.239 | -4.323 | 0.996 | -1.380 | 
| 56.985 | 115.044 | 72.516 | -6.509 | -3.887 | 1.013 | 
| 70.673 | 76.695 | 156.909 | -8.327 | -9.138 | -1.730 | 
| -2.751 | -11.594 | -8.241 | 36.587 | 1.815 | -6.205 | 
| -0.417 | -4.138 | -8.344 | 2.218 | 34.162 | -4.261 | 
| -4.275 | 0.291 | -2.504 | -5.589 | -3.317 | 43.794 | 
| 383.204 | 100.723 | 103.068 | -3.118 | -13.121 | -24.419 | 
| 98.474 | 417.273 | 131.833 | -23.265 | -4.868 | -9.220 | 
| 99.842 | 131.943 | 532.869 | 23.331 | -26.115 | -14.601 | 
| -3.874 | -21.016 | 23.331 | 177.998 | -20.994 | -6.175 | 
| -13.596 | -4.874 | -26.115 | -20.994 | 150.959 | -6.553 | 
| -18.757 | -9.856 | -15.396 | -6.134 | -6.899 | 148.438 | 
| 383.203 | 100.723 | 103.068 | -3.118 | -13.121 | -24.419 | 
| 97.966 | 396.130 | 131.767 | -22.091 | -4.686 | -12.495 | 
| 99.842 | 131.943 | 532.869 | 23.331 | -26.115 | -14.601 | 
| -3.874 | -21.016 | 23.331 | 177.998 | -20.994 | -6.175 | 
| -13.597 | -4.874 | -26.115 | -20.994 | 150.959 | -6.553 | 
| -18.839 | -13.285 | -15.407 | -5.944 | -6.870 | 147.906 | 
| 383.220 | 101.408 | 103.070 | -3.156 | -13.127 | -24.313 | 
| 327.665 | 645.458 | 3639.922 | 790.286 | -539.706 | -195.007 | 
| 99.842 | 131.943 | 532.869 | 23.331 | -26.115 | -14.601 | 
| -3.915 | -22.721 | 23.326 | 178.093 | -20.979 | -6.439 | 
| -13.596 | -4.874 | -26.115 | -20.994 | 150.959 | -6.553 | 
| -18.763 | -10.120 | -15.397 | -6.119 | -6.897 | 148.397 | 
| 383.211 | 101.065 | 103.069 | -3.137 | -13.124 | -24.366 | 
| 97.490 | 376.289 | 131.706 | -20.989 | -4.515 | -15.569 | 
| 99.842 | 131.943 | 532.869 | 23.331 | -26.115 | -14.601 | 
| -3.965 | -24.796 | 23.319 | 178.208 | -20.962 | -6.761 | 
| -13.605 | -5.216 | -26.116 | -20.975 | 150.962 | -6.606 | 
| -18.840 | -13.327 | -15.407 | -5.941 | -6.869 | 147.900 | 
| 383.220 | 101.382 | 103.070 | -3.155 | -13.127 | -24.317 | 
| 439.078 | 1352.482 | 7521.873 | -2630.549 | 507.067 | 2047.150 | 
| 99.847 | 132.149 | 532.871 | 23.319 | -26.117 | -14.570 | 
| -3.891 | -21.729 | 23.329 | 178.038 | -20.988 | -6.286 | 
| -13.603 | -5.146 | -26.116 | -20.979 | 150.962 | -6.595 | 
| 661.920 | 1009.842 | 4039.783 | -1347.941 | -37.919 | 954.001 | 
| 383.211 | 101.094 | 103.068 | -3.139 | -13.125 | -24.362 | 
| 2379.934 | 2888.239 | -13705.690 | 7522.401 | -2290.840 | -6789.104 | 
| 99.718 | 131.600 | 530.537 | 22.968 | -25.820 | -14.435 | 
| -4.077 | -29.488 | 23.305 | 178.469 | -20.921 | -7.488 | 
| -13.606 | -5.288 | -26.116 | -20.971 | 150.963 | -6.617 | 
| -18.904 | -16.003 | -15.415 | -5.793 | -6.846 | 147.486 | 
| 606.857 | 268.173 | 268.172 | -0.001 | -0.000 | -0.000 | 
| 268.172 | 606.856 | 268.172 | -0.001 | 0.000 | 0.000 | 
| 268.172 | 268.173 | 606.857 | -0.000 | -0.001 | 0.000 | 
| 0.109 | 0.109 | 0.109 | 216.423 | 0.001 | 0.000 | 
| 0.109 | 0.109 | 0.109 | -0.000 | 216.423 | 0.000 | 
| 0.109 | 0.109 | 0.109 | 0.000 | -0.000 | 216.423 | 
| 837.476 | 213.073 | 213.074 | 0.001 | -0.001 | 0.000 | 
| 213.072 | 837.477 | 213.073 | 0.001 | -0.000 | -0.001 | 
| 213.073 | 213.071 | 837.475 | 0.001 | 0.001 | 0.000 | 
| -0.109 | -0.109 | -0.109 | 216.424 | 0.000 | -0.000 | 
| -0.109 | -0.109 | -0.109 | 0.001 | 216.422 | -0.000 | 
| -0.109 | -0.110 | -0.109 | 0.000 | 0.000 | 216.423 | 
| 837.476 | 213.073 | 213.073 | 0.000 | 0.000 | 0.000 | 
| 213.073 | 837.476 | 213.073 | -0.000 | -0.000 | -0.000 | 
| 213.073 | 213.073 | 837.476 | -0.000 | 0.000 | 0.000 | 
| -0.000 | -0.000 | -0.000 | 432.125 | 0.000 | 0.000 | 
| -0.000 | -0.000 | 0.000 | -0.000 | 432.125 | -0.000 | 
| 0.000 | -0.000 | -0.000 | 0.000 | -0.000 | 432.125 | 
| 606.764 | 267.922 | 267.922 | 0.000 | -0.000 | -0.000 | 
| 267.922 | 606.763 | 267.922 | 0.000 | -0.000 | -0.000 | 
| 267.922 | 267.921 | 606.764 | 0.000 | 0.000 | 0.000 | 
| 0.000 | 0.000 | 0.000 | 432.125 | 0.000 | 0.000 | 
| -0.000 | 0.000 | -0.000 | -0.000 | 432.125 | -0.000 | 
| -0.000 | 0.000 | 0.000 | 0.000 | -0.000 | 432.125 | 
| 603.043 | 283.969 | 283.968 | -0.000 | -0.000 | -0.000 | 
| 283.968 | 603.043 | 283.969 | -0.000 | 0.000 | 0.000 | 
| 283.969 | 283.968 | 603.043 | -0.000 | 0.000 | -0.000 | 
| 0.002 | 0.001 | 0.001 | 228.447 | 0.000 | -0.000 | 
| 0.000 | 0.001 | 0.001 | 0.000 | 216.424 | -0.000 | 
| 0.001 | 0.001 | 0.002 | -0.000 | -0.000 | 228.447 | 
| 603.046 | 283.959 | 283.959 | 0.000 | -0.000 | -0.000 | 
| 283.959 | 603.046 | 283.959 | 0.000 | 0.000 | -0.000 | 
| 283.959 | 283.959 | 603.046 | 0.000 | 0.000 | 0.000 | 
| -0.002 | -0.001 | -0.001 | 228.447 | -0.000 | -0.000 | 
| -0.000 | -0.001 | -0.001 | 0.000 | 216.424 | -0.000 | 
| -0.001 | -0.001 | -0.002 | -0.000 | -0.000 | 228.447 | 
| 1162.430 | 238.110 | 57.601 | -0.000 | 0.000 | 0.000 | 
| 381.773 | 841.663 | 233.823 | -0.000 | -0.001 | 0.000 | 
| 230.130 | 230.129 | 998.553 | -0.000 | 0.001 | 0.000 | 
| -0.162 | -0.163 | 0.323 | 197.967 | -0.001 | 0.000 | 
| -0.000 | -0.000 | 0.001 | 0.001 | 284.143 | 0.000 | 
| -0.168 | -0.169 | 0.333 | -0.000 | 0.001 | 227.820 | 
| 841.985 | 382.113 | 233.169 | 0.000 | -0.001 | -0.000 | 
| 382.113 | 841.987 | 233.168 | -0.001 | 0.000 | -0.001 | 
| 230.455 | 230.455 | 997.907 | -0.001 | -0.001 | -0.000 | 
| 0.162 | 0.163 | -0.323 | 197.966 | -0.001 | -0.000 | 
| 0.000 | 0.001 | -0.002 | -0.001 | 284.142 | 0.000 | 
| 0.168 | 0.169 | -0.333 | 0.000 | 0.001 | 227.819 | 
| 1162.430 | 238.118 | 57.602 | -0.000 | -0.000 | 0.000 | 
| 381.912 | 841.843 | 233.512 | 0.000 | -0.000 | 0.000 | 
| 58.486 | 58.486 | 1340.131 | -0.000 | -0.000 | 0.000 | 
| -0.000 | 0.000 | 0.000 | 284.144 | -0.000 | 0.000 | 
| -0.016 | -0.016 | 0.032 | 0.000 | 197.967 | -0.000 | 
| 0.000 | 0.000 | 0.000 | 0.000 | 0.000 | 462.157 | 
| 841.843 | 381.960 | 233.463 | 0.000 | -0.000 | -0.000 | 
| 381.959 | 841.847 | 233.461 | 0.000 | -0.000 | -0.000 | 
| 230.377 | 230.377 | 998.064 | 0.000 | -0.000 | 0.000 | 
| -0.000 | -0.000 | -0.000 | 284.144 | -0.000 | -0.000 | 
| 0.016 | 0.016 | -0.032 | -0.000 | 197.967 | 0.000 | 
| -0.000 | -0.000 | -0.000 | -0.000 | -0.000 | 462.157 | 
| 841.761 | 386.119 | 229.410 | -0.000 | 0.000 | -0.000 | 
| 386.135 | 841.723 | 229.431 | 0.000 | 0.000 | 0.000 | 
| 230.309 | 230.309 | 998.202 | 0.000 | 0.000 | 0.000 | 
| -0.001 | -0.002 | 0.003 | 197.967 | 0.000 | 0.000 | 
| -0.002 | -0.001 | 0.003 | 0.000 | 197.967 | 0.000 | 
| -0.002 | -0.002 | 0.004 | 0.000 | 0.000 | 227.819 | 
| 841.829 | 381.943 | 233.491 | 0.000 | 0.000 | -0.000 | 
| 386.105 | 841.794 | 229.384 | 0.000 | -0.000 | 0.000 | 
| 230.275 | 230.275 | 998.263 | -0.000 | 0.000 | 0.000 | 
| 0.001 | 0.002 | -0.003 | 197.967 | 0.000 | -0.000 | 
| 0.002 | 0.001 | -0.003 | -0.000 | 197.967 | -0.000 | 
| 0.002 | 0.002 | -0.004 | -0.000 | -0.000 | 227.819 | 
| 729.268 | 305.152 | 0.000 | 0.000 | 0.000 | 0.000 | 
| 143.025 | 891.395 | 0.000 | 0.000 | 0.000 | 0.001 | 
| -0.001 | 0.001 | 0.000 | 0.000 | 0.000 | 0.001 | 
| -0.001 | 0.000 | 0.000 | 0.000 | 0.000 | 0.001 | 
| -0.001 | 0.001 | 0.000 | 0.000 | 0.000 | 0.001 | 
| 0.000 | 0.001 | 0.000 | 0.000 | 0.000 | 212.059 | 
| 729.267 | 305.151 | -0.000 | -0.000 | -0.000 | -0.001 | 
| 305.150 | 729.267 | -0.000 | -0.000 | -0.000 | -0.001 | 
| 0.001 | -0.001 | -0.000 | -0.000 | -0.000 | -0.001 | 
| 0.001 | -0.000 | -0.000 | -0.000 | -0.000 | -0.001 | 
| 0.001 | -0.001 | -0.000 | -0.000 | -0.000 | -0.001 | 
| 0.001 | -0.001 | -0.000 | -0.000 | -0.000 | 212.059 | 
| 729.242 | 305.177 | 0.000 | 0.000 | 0.000 | 0.000 | 
| 305.153 | 729.267 | 0.000 | 0.000 | 0.000 | 0.000 | 
| -0.000 | 0.000 | 0.000 | 0.000 | 0.000 | 0.000 | 
| -0.000 | 0.000 | 0.000 | 0.000 | 0.000 | 0.000 | 
| -0.000 | 0.000 | 0.000 | 0.000 | 0.000 | 0.000 | 
| -0.000 | -0.000 | 0.000 | 0.000 | 0.000 | 212.059 | 
| 729.294 | 305.124 | -0.000 | -0.000 | -0.000 | -0.000 | 
| 305.259 | 729.159 | -0.000 | -0.000 | -0.000 | -0.000 | 
| 0.000 | -0.000 | -0.000 | -0.000 | -0.000 | -0.000 | 
| 0.000 | -0.000 | -0.000 | -0.000 | -0.000 | -0.000 | 
| 0.000 | -0.000 | -0.000 | -0.000 | -0.000 | -0.000 | 
| 0.000 | -0.000 | -0.000 | -0.000 | -0.000 | 212.059 | 
| 728.184 | 306.237 | 0.000 | 0.000 | 0.000 | 0.000 | 
| 305.169 | 729.252 | 0.000 | 0.000 | 0.000 | 0.000 | 
| -0.000 | 0.000 | 0.000 | 0.000 | 0.000 | 0.000 | 
| -0.000 | 0.000 | 0.000 | 0.000 | 0.000 | 0.000 | 
| -0.000 | 0.000 | 0.000 | 0.000 | 0.000 | 0.000 | 
| -0.000 | 0.000 | 0.000 | 0.000 | 0.000 | 212.059 | 
| 729.250 | 305.166 | -0.000 | -0.000 | -0.000 | -0.000 | 
| 305.132 | 729.284 | -0.000 | -0.000 | -0.000 | -0.000 | 
| 0.000 | -0.000 | -0.000 | -0.000 | -0.000 | -0.000 | 
| 0.000 | -0.000 | -0.000 | -0.000 | -0.000 | -0.000 | 
| 0.000 | -0.000 | -0.000 | -0.000 | -0.000 | -0.000 | 
| 0.000 | -0.000 | -0.000 | -0.000 | -0.000 | 212.059 | 
| 456.502 | 103.958 | 215.688 | -0.002 | -0.000 | 0.000 | 
| 193.668 | 411.542 | 220.866 | -0.004 | -0.000 | 0.000 | 
| 122.603 | 163.104 | 524.761 | -0.003 | 0.000 | -0.000 | 
| -0.536 | -0.119 | -0.034 | 95.007 | -0.001 | -0.003 | 
| -0.000 | -0.000 | 0.001 | -0.002 | 328.109 | 0.000 | 
| -0.012 | -0.003 | -0.001 | -0.004 | -0.001 | 191.049 | 
| 456.506 | 103.959 | 215.687 | 0.002 | 0.002 | -0.000 | 
| 19.955 | 548.768 | 142.104 | 0.002 | 0.001 | -0.000 | 
| 265.930 | 219.427 | 472.980 | 0.002 | 0.001 | -0.000 | 
| 0.535 | 0.119 | 0.034 | 95.010 | 0.000 | 0.004 | 
| 0.000 | 0.000 | -0.000 | 0.004 | 328.111 | -0.000 | 
| 0.012 | 0.003 | -0.001 | 0.004 | 0.003 | 191.049 | 
| 451.979 | 103.147 | 215.491 | -0.000 | -0.000 | 0.000 | 
| 211.149 | 333.740 | 190.009 | -0.000 | -0.000 | 0.000 | 
| 244.210 | 127.995 | 680.909 | -0.000 | -0.000 | 0.000 | 
| 0.027 | 0.006 | 0.001 | 99.843 | 0.000 | 0.000 | 
| 0.001 | 0.000 | -0.000 | -0.000 | 131.055 | 0.000 | 
| -0.000 | 0.000 | 0.000 | -0.000 | -0.000 | 284.749 | 
| 457.624 | 104.159 | 215.736 | 0.000 | 0.000 | -0.000 | 
| 221.929 | 657.126 | 127.995 | 0.000 | 0.000 | -0.000 | 
| 244.210 | 127.995 | 680.908 | 0.000 | -0.000 | -0.000 | 
| -0.027 | -0.006 | -0.001 | 99.843 | 0.000 | -0.000 | 
| -0.001 | -0.000 | 0.000 | 0.000 | 131.056 | -0.000 | 
| 0.000 | -0.000 | -0.000 | 0.000 | 0.000 | 284.749 | 
| 282.010 | 187.252 | 222.540 | -0.000 | -0.000 | 0.000 | 
| 221.930 | 657.127 | 127.995 | -0.000 | -0.000 | 0.000 | 
| 170.749 | 115.297 | 340.558 | -0.000 | -0.000 | 0.000 | 
| 0.002 | 0.000 | -0.000 | 99.843 | -0.000 | 0.000 | 
| -0.001 | -0.000 | -0.000 | -0.000 | 131.084 | 0.000 | 
| 0.000 | 0.000 | 0.000 | -0.000 | -0.000 | 191.098 | 
| 289.336 | 188.333 | 222.777 | 0.000 | 0.000 | -0.000 | 
| 193.594 | 411.521 | 220.863 | 0.000 | 0.000 | -0.000 | 
| 265.890 | 219.411 | 472.997 | 0.000 | -0.000 | -0.000 | 
| -0.002 | -0.000 | 0.000 | 99.843 | -0.000 | -0.000 | 
| 0.001 | 0.000 | 0.000 | -0.000 | 131.084 | -0.000 | 
| -0.000 | -0.000 | -0.000 | 0.000 | 0.000 | 191.098 | 
| 2210.916 | -587.806 | 201.626 | 0.000 | 0.000 | 0.001 | 
| 2225.066 | -502.583 | 228.233 | -0.000 | -0.000 | 0.000 | 
| 3428.295 | -609.962 | 654.400 | -0.000 | 0.000 | 0.001 | 
| 3258.251 | -775.773 | 187.642 | 134.932 | 0.000 | 0.001 | 
| 0.000 | -0.000 | -0.000 | -0.000 | 213.085 | 0.000 | 
| 2083.563 | -737.208 | 3.762 | -0.000 | 0.000 | 1.216 | 
| -2897.762 | 894.404 | -29.251 | 0.000 | -0.000 | -0.001 | 
| -1947.528 | 969.195 | 221.787 | -0.000 | 0.000 | -0.001 | 
| -1571.587 | 434.387 | 450.114 | 0.000 | -0.000 | -0.001 | 
| -3258.251 | 775.773 | -187.642 | 134.932 | 0.000 | -0.002 | 
| -0.000 | -0.000 | -0.000 | 0.000 | 213.085 | 0.000 | 
| -2083.563 | 737.206 | -3.762 | 0.000 | 0.000 | 1.215 | 
| 551.672 | 49.435 | 212.075 | -0.000 | 0.000 | 0.000 | 
| 334.573 | 197.606 | 212.128 | -0.000 | -0.000 | 0.000 | 
| 391.755 | 151.098 | 290.821 | -0.000 | -0.000 | 0.000 | 
| 190.493 | -67.076 | 0.500 | 25.851 | 0.000 | 0.000 | 
| 333.828 | -79.483 | 19.225 | 0.000 | 139.771 | 0.000 | 
| 217.635 | -47.478 | -25.985 | 0.000 | -0.000 | 29.683 | 
| 21.546 | 165.788 | 111.235 | -0.000 | -0.000 | -0.000 | 
| -209.288 | 480.313 | 151.756 | 0.000 | 0.000 | -0.000 | 
| 3.134 | 284.072 | 297.804 | 0.000 | -0.000 | -0.000 | 
| -190.493 | 67.076 | -0.500 | 25.851 | -0.000 | -0.000 | 
| -333.828 | 79.483 | -19.225 | 0.000 | 139.771 | -0.000 | 
| -217.635 | 47.478 | 25.985 | 0.000 | -0.000 | 29.682 | 
| 256.012 | 135.609 | 174.209 | -0.000 | -0.000 | 0.000 | 
| 107.325 | 203.346 | 57.329 | -0.000 | -0.000 | 0.000 | 
| 120.423 | 67.632 | 277.908 | -0.000 | 0.000 | 0.000 | 
| 27.796 | -6.473 | -0.923 | 93.571 | 0.000 | 0.000 | 
| 43.648 | -10.392 | 2.514 | -0.000 | 117.227 | 0.000 | 
| 22.838 | -5.673 | 1.450 | -0.000 | 0.000 | 41.429 | 
| 214.547 | 148.782 | 170.168 | 0.000 | 0.000 | -0.000 | 
| 91.970 | 242.575 | 89.264 | 0.000 | -0.000 | -0.000 | 
| 113.314 | 124.187 | 320.825 | -0.000 | 0.000 | -0.000 | 
| -27.796 | 6.473 | 0.923 | 93.571 | -0.000 | -0.000 | 
| -43.648 | 10.392 | -2.514 | 0.000 | 117.227 | -0.000 | 
| -22.499 | 5.285 | 1.334 | -0.000 | -0.000 | 49.873 | 
| 866.384 | 139.011 | 0.000 | 0.000 | 0.000 | -0.001 | 
| 139.011 | 866.384 | 0.000 | 0.000 | 0.000 | -0.003 | 
| -0.001 | 0.001 | 0.000 | 0.000 | 0.000 | -0.000 | 
| -0.000 | 0.000 | 0.000 | 0.000 | 0.000 | -0.000 | 
| -0.000 | 0.001 | 0.000 | 0.000 | 0.000 | -0.001 | 
| -0.000 | 0.001 | 0.000 | 0.000 | 0.000 | 363.685 | 
| 708.807 | 296.588 | -0.000 | -0.000 | -0.000 | 0.001 | 
| 139.012 | 866.384 | -0.000 | -0.000 | -0.000 | -0.000 | 
| 0.001 | -0.001 | -0.000 | -0.000 | -0.000 | 0.000 | 
| 0.000 | -0.001 | -0.000 | -0.000 | -0.000 | 0.000 | 
| 0.000 | -0.001 | -0.000 | -0.000 | -0.000 | 0.001 | 
| 0.000 | -0.000 | -0.000 | -0.000 | -0.000 | 363.686 | 
| 708.805 | 296.591 | 0.000 | 0.000 | 0.000 | -0.000 | 
| 296.587 | 708.808 | 0.000 | 0.000 | 0.000 | -0.000 | 
| -0.000 | 0.000 | 0.000 | 0.000 | 0.000 | -0.000 | 
| -0.000 | 0.000 | 0.000 | 0.000 | 0.000 | -0.000 | 
| -0.000 | 0.000 | 0.000 | 0.000 | 0.000 | -0.000 | 
| -0.000 | 0.000 | 0.000 | 0.000 | 0.000 | 206.109 | 
| 708.808 | 296.587 | -0.000 | -0.000 | -0.000 | 0.000 | 
| 296.590 | 708.805 | -0.000 | -0.000 | -0.000 | 0.000 | 
| 0.000 | -0.000 | -0.000 | -0.000 | -0.000 | 0.000 | 
| 0.000 | -0.000 | -0.000 | -0.000 | -0.000 | 0.000 | 
| 0.000 | -0.000 | -0.000 | -0.000 | -0.000 | 0.000 | 
| 0.000 | -0.000 | -0.000 | -0.000 | -0.000 | 206.109 | 
| 708.791 | 296.607 | 0.000 | 0.000 | 0.000 | -0.000 | 
| 296.574 | 708.825 | 0.000 | 0.000 | 0.000 | -0.000 | 
| -0.000 | 0.000 | 0.000 | 0.000 | 0.000 | -0.000 | 
| -0.000 | 0.000 | 0.000 | 0.000 | 0.000 | -0.000 | 
| -0.000 | 0.000 | 0.000 | 0.000 | 0.000 | -0.000 | 
| -0.000 | -0.000 | 0.000 | 0.000 | 0.000 | 206.109 | 
| 708.822 | 296.571 | -0.000 | -0.000 | -0.000 | 0.000 | 
| 296.604 | 708.789 | -0.000 | -0.000 | -0.000 | 0.000 | 
| 0.000 | -0.000 | -0.000 | -0.000 | -0.000 | 0.000 | 
| 0.000 | -0.000 | -0.000 | -0.000 | -0.000 | 0.000 | 
| 0.000 | -0.000 | -0.000 | -0.000 | -0.000 | 0.000 | 
| 0.000 | 0.000 | -0.000 | -0.000 | -0.000 | 206.109 | 
| 853.459 | 136.938 | 0.000 | 0.000 | 0.000 | 0.000 | 
| 136.938 | 853.460 | 0.000 | 0.000 | 0.000 | -0.000 | 
| 0.000 | 0.000 | 0.000 | 0.000 | 0.000 | 0.000 | 
| -0.000 | 0.000 | 0.000 | 0.000 | 0.000 | 0.000 | 
| -0.000 | 0.000 | 0.000 | 0.000 | 0.000 | 0.000 | 
| -0.000 | 0.000 | 0.000 | 0.000 | 0.000 | 358.261 | 
| 853.460 | 136.938 | -0.000 | -0.000 | -0.000 | 0.000 | 
| 292.165 | 698.233 | -0.000 | -0.000 | -0.000 | 0.000 | 
| -0.000 | -0.000 | -0.000 | -0.000 | -0.000 | -0.000 | 
| -0.000 | -0.000 | -0.000 | -0.000 | -0.000 | -0.000 | 
| -0.000 | -0.000 | -0.000 | -0.000 | -0.000 | 0.000 | 
| 0.000 | -0.000 | -0.000 | -0.000 | -0.000 | 358.261 | 
| 698.235 | 292.163 | 0.000 | 0.000 | 0.000 | 0.000 | 
| 292.166 | 698.232 | 0.000 | 0.000 | 0.000 | 0.000 | 
| 0.000 | 0.000 | 0.000 | 0.000 | 0.000 | 0.000 | 
| -0.000 | 0.000 | 0.000 | 0.000 | 0.000 | 0.000 | 
| -0.000 | 0.000 | 0.000 | 0.000 | 0.000 | -0.000 | 
| -0.000 | 0.000 | 0.000 | 0.000 | 0.000 | 203.034 | 
| 698.231 | 292.166 | -0.000 | -0.000 | -0.000 | 0.000 | 
| 292.163 | 698.235 | -0.000 | -0.000 | -0.000 | -0.000 | 
| -0.000 | -0.000 | -0.000 | -0.000 | -0.000 | -0.000 | 
| 0.000 | -0.000 | -0.000 | -0.000 | -0.000 | -0.000 | 
| 0.000 | -0.000 | -0.000 | -0.000 | -0.000 | -0.000 | 
| 0.000 | -0.000 | -0.000 | -0.000 | -0.000 | 203.034 | 
| 698.251 | 292.150 | 0.000 | 0.000 | 0.000 | -0.000 | 
| 292.182 | 698.218 | 0.000 | 0.000 | 0.000 | 0.000 | 
| 0.000 | 0.000 | 0.000 | 0.000 | 0.000 | 0.000 | 
| -0.000 | 0.000 | 0.000 | 0.000 | 0.000 | 0.000 | 
| -0.000 | 0.000 | 0.000 | 0.000 | 0.000 | -0.000 | 
| -0.000 | 0.000 | 0.000 | 0.000 | 0.000 | 203.034 | 
| 698.215 | 292.180 | -0.000 | -0.000 | -0.000 | 0.000 | 
| 292.147 | 698.248 | -0.000 | -0.000 | -0.000 | -0.000 | 
| -0.000 | -0.000 | -0.000 | -0.000 | -0.000 | -0.000 | 
| 0.000 | -0.000 | -0.000 | -0.000 | -0.000 | -0.000 | 
| -0.000 | -0.000 | -0.000 | -0.000 | -0.000 | -0.000 | 
| 0.000 | -0.000 | -0.000 | -0.000 | -0.000 | 203.034 | 
| 853.459 | 136.938 | 0.000 | 0.000 | 0.000 | 0.001 | 
| 136.937 | 853.459 | 0.000 | 0.000 | 0.000 | 0.000 | 
| -0.000 | -0.000 | 0.000 | 0.000 | 0.000 | 0.000 | 
| -0.000 | -0.000 | 0.000 | 0.000 | 0.000 | 0.000 | 
| -0.000 | -0.000 | 0.000 | 0.000 | 0.000 | -0.000 | 
| 0.000 | 0.000 | 0.000 | 0.000 | 0.000 | 358.261 | 
| 698.233 | 292.165 | -0.000 | -0.000 | -0.000 | 0.001 | 
| 136.938 | 853.462 | -0.000 | -0.000 | -0.000 | 0.000 | 
| 0.000 | 0.000 | -0.000 | -0.000 | -0.000 | -0.000 | 
| 0.000 | -0.000 | -0.000 | -0.000 | -0.000 | -0.000 | 
| 0.000 | 0.000 | -0.000 | -0.000 | -0.000 | 0.000 | 
| 0.000 | -0.000 | -0.000 | -0.000 | -0.000 | 358.260 | 
| 698.232 | 292.166 | 0.000 | 0.000 | 0.000 | 0.000 | 
| 292.163 | 698.235 | 0.000 | 0.000 | 0.000 | -0.000 | 
| -0.000 | -0.000 | 0.000 | 0.000 | 0.000 | 0.000 | 
| -0.000 | -0.000 | 0.000 | 0.000 | 0.000 | 0.000 | 
| -0.000 | -0.000 | 0.000 | 0.000 | 0.000 | -0.000 | 
| 0.000 | -0.000 | 0.000 | 0.000 | 0.000 | 203.034 | 
| 698.235 | 292.163 | -0.000 | -0.000 | -0.000 | 0.000 | 
| 292.166 | 698.231 | -0.000 | -0.000 | -0.000 | 0.000 | 
| 0.000 | 0.000 | -0.000 | -0.000 | -0.000 | -0.000 | 
| 0.000 | 0.000 | -0.000 | -0.000 | -0.000 | -0.000 | 
| 0.000 | 0.000 | -0.000 | -0.000 | -0.000 | 0.000 | 
| 0.000 | 0.000 | -0.000 | -0.000 | -0.000 | 203.034 | 
| 698.218 | 292.182 | 0.000 | 0.000 | 0.000 | -0.000 | 
| 292.150 | 698.251 | 0.000 | 0.000 | 0.000 | -0.000 | 
| -0.000 | -0.000 | 0.000 | 0.000 | 0.000 | 0.000 | 
| -0.000 | -0.000 | 0.000 | 0.000 | 0.000 | 0.000 | 
| -0.000 | -0.000 | 0.000 | 0.000 | 0.000 | -0.000 | 
| -0.000 | -0.000 | 0.000 | 0.000 | 0.000 | 203.034 | 
| 698.248 | 292.147 | -0.000 | -0.000 | -0.000 | 0.000 | 
| 292.180 | 698.215 | -0.000 | -0.000 | -0.000 | -0.000 | 
| 0.000 | 0.000 | -0.000 | -0.000 | -0.000 | -0.000 | 
| 0.000 | 0.000 | -0.000 | -0.000 | -0.000 | -0.000 | 
| -0.000 | 0.000 | -0.000 | -0.000 | -0.000 | -0.000 | 
| 0.000 | 0.000 | -0.000 | -0.000 | -0.000 | 203.034 | 
| 822.935 | 247.510 | 169.953 | 0.000 | 0.000 | -0.000 | 
| 410.560 | 222.435 | 15.402 | 0.000 | 0.000 | -0.000 | 
| 165.493 | 30.305 | 1117.288 | 0.000 | 0.000 | 0.000 | 
| 153.870 | -10.677 | -120.044 | 72.906 | 0.000 | 0.000 | 
| 154.283 | -10.177 | -119.811 | -0.000 | 228.665 | 0.000 | 
| 0.000 | 0.000 | -0.000 | 0.000 | 0.000 | 223.509 | 
| 922.897 | 144.652 | 152.594 | -0.000 | -0.000 | -0.000 | 
| 99.803 | 239.355 | 264.048 | -0.000 | -0.000 | -0.000 | 
| 165.493 | 30.305 | 1117.288 | 0.000 | -0.000 | -0.000 | 
| -153.870 | 10.676 | 120.044 | 72.906 | -0.000 | -0.000 | 
| -154.283 | 10.177 | 119.811 | -0.000 | 228.665 | -0.000 | 
| -0.000 | -0.000 | 0.000 | -0.000 | -0.000 | 223.509 | 
| 689.428 | 221.346 | 310.961 | -0.000 | 0.000 | 0.000 | 
| 300.771 | 238.804 | 93.023 | -0.000 | 0.000 | 0.000 | 
| 321.759 | 152.782 | 847.087 | 0.000 | 0.000 | 0.000 | 
| 19.528 | -2.054 | -15.969 | 76.449 | 0.000 | 0.000 | 
| 15.452 | -1.625 | -12.636 | 0.000 | 230.829 | 0.000 | 
| 0.000 | 0.000 | 0.000 | -0.000 | 0.000 | 223.509 | 
| 659.232 | 224.341 | 335.766 | 0.000 | -0.000 | 0.000 | 
| 143.639 | 494.419 | 16.393 | 0.000 | -0.000 | -0.000 | 
| 331.159 | 94.364 | 885.606 | -0.000 | -0.000 | -0.000 | 
| -19.528 | 2.054 | 15.969 | 76.449 | -0.000 | -0.000 | 
| -15.452 | 1.625 | 12.636 | -0.000 | 230.829 | -0.000 | 
| -0.000 | -0.000 | -0.000 | -0.000 | -0.000 | 223.509 | 
| 669.166 | 254.010 | 293.974 | -0.000 | 0.000 | -0.000 | 
| 256.144 | 231.108 | 140.249 | 0.000 | 0.000 | 0.000 | 
| 308.732 | 153.447 | 858.363 | -0.000 | 0.000 | 0.000 | 
| 1.966 | -0.207 | -1.608 | 76.149 | 0.000 | 0.000 | 
| 1.544 | -0.162 | -1.263 | 0.000 | 230.871 | 0.000 | 
| 1.799 | -0.189 | -1.471 | -0.000 | 0.000 | 121.062 | 
| 666.039 | 254.170 | 296.492 | -0.000 | -0.000 | -0.000 | 
| 253.609 | 229.891 | 143.360 | -0.000 | -0.000 | -0.000 | 
| 305.655 | 153.608 | 860.814 | 0.000 | -0.000 | 0.000 | 
| -1.966 | 0.207 | 1.608 | 76.149 | -0.000 | -0.000 | 
| -1.544 | 0.162 | 1.263 | -0.000 | 230.871 | 0.000 | 
| -1.799 | 0.189 | 1.471 | -0.000 | -0.000 | 121.062 | 
| 908.035 | 145.695 | 0.000 | 0.000 | 0.000 | 0.000 | 
| 145.694 | 908.035 | 0.000 | 0.000 | 0.000 | -0.000 | 
| -0.001 | 0.000 | 0.000 | 0.000 | 0.000 | 0.000 | 
| -0.001 | 0.000 | 0.000 | 0.000 | 0.000 | 0.000 | 
| -0.001 | 0.000 | 0.000 | 0.000 | 0.000 | 0.000 | 
| -0.001 | 0.001 | 0.000 | 0.000 | 0.000 | 216.018 | 
| 908.037 | 145.696 | -0.000 | -0.000 | -0.000 | 0.000 | 
| 310.848 | 742.883 | -0.000 | -0.000 | -0.000 | -0.000 | 
| 0.001 | -0.000 | -0.000 | -0.000 | -0.000 | -0.000 | 
| 0.001 | -0.000 | -0.000 | -0.000 | -0.000 | -0.000 | 
| 0.001 | -0.000 | -0.000 | -0.000 | -0.000 | -0.000 | 
| 0.001 | -0.001 | -0.000 | -0.000 | -0.000 | 216.018 | 
| 742.885 | 310.846 | 0.000 | 0.000 | 0.000 | 0.000 | 
| 310.737 | 742.994 | 0.000 | 0.000 | 0.000 | 0.000 | 
| -0.000 | 0.000 | 0.000 | 0.000 | 0.000 | 0.000 | 
| -0.000 | 0.000 | 0.000 | 0.000 | 0.000 | 0.000 | 
| -0.000 | 0.000 | 0.000 | 0.000 | 0.000 | 0.000 | 
| -0.000 | 0.000 | 0.000 | 0.000 | 0.000 | 216.018 | 
| 908.036 | 145.695 | -0.000 | -0.000 | -0.000 | 0.000 | 
| 310.854 | 742.876 | -0.000 | -0.000 | -0.000 | -0.000 | 
| 0.000 | -0.000 | -0.000 | -0.000 | -0.000 | -0.000 | 
| 0.000 | -0.000 | -0.000 | -0.000 | -0.000 | -0.000 | 
| 0.000 | -0.000 | -0.000 | -0.000 | -0.000 | -0.000 | 
| 0.000 | -0.000 | -0.000 | -0.000 | -0.000 | 216.018 | 
| 742.902 | 310.832 | 0.000 | 0.000 | 0.000 | 0.000 | 
| 310.866 | 742.867 | 0.000 | 0.000 | 0.000 | -0.000 | 
| -0.000 | 0.000 | 0.000 | 0.000 | 0.000 | 0.000 | 
| -0.000 | 0.000 | 0.000 | 0.000 | 0.000 | 0.000 | 
| -0.000 | 0.000 | 0.000 | 0.000 | 0.000 | 0.000 | 
| -0.000 | 0.000 | 0.000 | 0.000 | 0.000 | 216.018 | 
| 742.864 | 310.864 | -0.000 | -0.000 | -0.000 | -0.000 | 
| 310.829 | 742.899 | -0.000 | -0.000 | -0.000 | -0.000 | 
| 0.000 | -0.000 | -0.000 | -0.000 | -0.000 | -0.000 | 
| 0.000 | -0.000 | -0.000 | -0.000 | -0.000 | -0.000 | 
| 0.000 | -0.000 | -0.000 | -0.000 | -0.000 | -0.000 | 
| 0.000 | -0.000 | -0.000 | -0.000 | -0.000 | 216.018 | 
| 596.242 | 249.487 | 0.000 | 0.000 | -0.000 | -0.000 | 
| 249.488 | 596.241 | 0.000 | 0.000 | -0.000 | -0.000 | 
| -0.000 | -0.000 | 0.000 | -0.000 | -0.000 | 0.000 | 
| -0.000 | -0.000 | 0.000 | 0.000 | 0.000 | 0.000 | 
| 0.001 | -0.000 | 0.000 | 0.000 | -0.000 | -0.000 | 
| 0.001 | -0.000 | 0.000 | 0.000 | -0.000 | 173.377 | 
| 728.791 | 116.935 | -0.000 | -0.000 | -0.000 | 0.000 | 
| 116.935 | 728.794 | -0.000 | 0.000 | 0.000 | -0.000 | 
| -0.000 | -0.000 | 0.000 | -0.000 | -0.000 | 0.000 | 
| -0.000 | 0.000 | -0.000 | -0.000 | 0.000 | -0.000 | 
| -0.000 | 0.000 | -0.000 | -0.000 | 0.000 | 0.000 | 
| -0.001 | 0.000 | -0.000 | -0.000 | 0.000 | 173.377 | 
| 596.153 | 249.577 | 0.000 | 0.000 | 0.000 | 0.000 | 
| 249.399 | 596.330 | 0.000 | 0.000 | -0.000 | 0.000 | 
| -0.000 | -0.000 | 0.000 | 0.000 | -0.000 | 0.000 | 
| 0.000 | -0.000 | 0.000 | 0.000 | -0.000 | 0.000 | 
| 0.000 | -0.000 | 0.000 | 0.000 | -0.000 | -0.000 | 
| 0.000 | -0.000 | 0.000 | -0.000 | -0.000 | 305.929 | 
| 596.241 | 249.487 | -0.000 | -0.000 | 0.000 | 0.000 | 
| 249.486 | 596.242 | -0.000 | 0.000 | 0.000 | 0.000 | 
| -0.000 | -0.000 | -0.000 | -0.000 | -0.000 | 0.000 | 
| -0.000 | 0.000 | 0.000 | -0.000 | 0.000 | -0.000 | 
| -0.000 | 0.000 | -0.000 | -0.000 | 0.000 | 0.000 | 
| -0.000 | -0.000 | -0.000 | 0.000 | -0.000 | 305.929 | 
| 728.796 | 116.936 | 0.000 | -0.000 | -0.000 | -0.000 | 
| 249.489 | 596.242 | 0.000 | 0.000 | -0.000 | -0.000 | 
| -0.000 | -0.000 | 0.000 | 0.000 | -0.000 | 0.000 | 
| -0.000 | -0.000 | 0.000 | 0.000 | -0.000 | 0.000 | 
| 0.000 | -0.000 | 0.000 | 0.000 | 0.000 | -0.000 | 
| -0.000 | 0.000 | 0.000 | 0.000 | -0.000 | 173.377 | 
| 596.226 | 249.501 | -0.000 | 0.000 | 0.000 | 0.000 | 
| 249.487 | 596.240 | -0.000 | -0.000 | -0.000 | 0.000 | 
| -0.000 | -0.000 | -0.000 | -0.000 | 0.000 | 0.000 | 
| -0.000 | 0.000 | -0.000 | -0.000 | 0.000 | -0.000 | 
| -0.000 | 0.000 | -0.000 | -0.000 | 0.000 | 0.000 | 
| 0.000 | -0.000 | -0.000 | -0.000 | -0.000 | 173.377 | 
| 1161.904 | 237.304 | 57.681 | 50.768 | 0.000 | -0.003 | 
| 437.802 | 1081.868 | -62.665 | -34.876 | 0.000 | -0.003 | 
| 586.291 | 586.289 | 285.108 | 0.000 | 0.000 | -0.002 | 
| 328.581 | 315.015 | -642.991 | 127.634 | 0.000 | -0.004 | 
| 203.897 | 203.897 | -407.410 | 0.000 | 184.428 | 22.844 | 
| -0.000 | -0.001 | -0.000 | -0.000 | 50.767 | 462.297 | 
| 754.642 | 188.445 | 513.373 | 29.784 | -0.000 | 0.004 | 
| 124.057 | 425.025 | 907.008 | -11.596 | -0.000 | 0.002 | 
| 57.848 | 57.848 | 1340.997 | -0.000 | -0.000 | 0.004 | 
| -102.508 | -167.244 | 269.500 | 218.091 | -0.000 | 0.003 | 
| -203.897 | -203.897 | 407.410 | -0.000 | 184.428 | 22.850 | 
| 0.000 | 0.001 | 0.000 | 0.000 | 50.767 | 462.302 | 
| 882.245 | 371.282 | 203.225 | 24.786 | 0.000 | -0.000 | 
| 371.239 | 882.335 | 203.178 | -24.795 | 0.000 | -0.000 | 
| 253.412 | 253.412 | 950.236 | -0.000 | 0.000 | -0.000 | 
| 44.150 | -8.315 | -35.801 | 196.400 | 0.000 | -0.000 | 
| 0.000 | 0.000 | 0.000 | -0.000 | 283.146 | 50.767 | 
| -0.000 | -0.000 | 0.000 | 0.000 | 50.767 | 462.299 | 
| 1161.904 | 237.305 | 57.681 | 50.767 | -0.000 | 0.000 | 
| 237.305 | 1161.904 | 57.681 | -50.767 | -0.000 | 0.000 | 
| 219.076 | 219.076 | 1018.843 | 0.000 | -0.000 | 0.000 | 
| 50.767 | -50.767 | 0.000 | 283.146 | -0.000 | 0.000 | 
| -0.000 | 0.000 | 0.000 | 0.000 | 283.146 | 50.768 | 
| -0.000 | 0.000 | -0.000 | 0.000 | 50.767 | 462.300 | 
| 1161.907 | 237.306 | 57.681 | 50.768 | 0.000 | -0.000 | 
| 348.294 | 880.075 | 228.363 | -26.094 | 0.000 | -0.000 | 
| 231.482 | 231.482 | 994.059 | -0.000 | 0.000 | -0.000 | 
| 50.768 | -50.767 | -0.000 | 283.146 | -0.000 | -0.000 | 
| 1.781 | 1.782 | -3.560 | -0.000 | 197.039 | 26.413 | 
| 1.818 | 1.818 | -3.633 | -0.000 | 25.916 | 264.474 | 
| 876.347 | 344.725 | 235.647 | 26.084 | -0.000 | 0.000 | 
| 345.070 | 875.428 | 236.220 | -26.004 | -0.000 | 0.000 | 
| 227.960 | 227.960 | 1001.088 | -0.000 | -0.000 | 0.000 | 
| 24.637 | -28.200 | 3.560 | 197.058 | -0.000 | 0.000 | 
| -1.781 | -1.782 | 3.560 | 0.000 | 197.039 | 26.413 | 
| -1.818 | -1.818 | 3.633 | 0.000 | 25.916 | 264.474 | 
| 4840.428 | 4443.468 | -7842.560 | 11.766 | 0.000 | -0.000 | 
| 4435.904 | 4833.815 | -7828.361 | -11.810 | 0.000 | 0.000 | 
| 4315.719 | 4315.719 | -7190.937 | -0.000 | -0.000 | -0.000 | 
| 2496.478 | 2453.932 | -4960.146 | 208.433 | -0.000 | -0.000 | 
| 3232.173 | 3232.174 | -6477.060 | -0.000 | 186.582 | 16.858 | 
| 4047.753 | 4047.752 | -8111.396 | -0.001 | 11.861 | 199.510 | 
| -1556.156 | -2138.633 | 5161.616 | 21.285 | 0.000 | -0.000 | 
| -3647.175 | -3245.289 | 8365.559 | -11.994 | -0.000 | -0.000 | 
| -2255.083 | -2255.084 | 5976.483 | -0.000 | -0.000 | -0.001 | 
| -2453.085 | -2495.640 | 4958.447 | 208.458 | -0.000 | -0.001 | 
| -3232.173 | -3232.174 | 6477.061 | 0.000 | 186.582 | 16.858 | 
| -4047.752 | -4047.752 | 8111.396 | 0.001 | 11.861 | 199.509 | 
| 1183.568 | 796.293 | -524.189 | 11.317 | 0.000 | 0.000 | 
| 796.293 | 1183.568 | -524.188 | -11.317 | 0.000 | 0.000 | 
| 656.838 | 656.838 | 141.196 | 0.000 | 0.000 | 0.000 | 
| 269.811 | 227.396 | -498.185 | 208.111 | 0.000 | 0.000 | 
| 401.944 | 401.944 | -805.466 | 0.000 | 162.696 | 12.032 | 
| 400.389 | 400.389 | -802.351 | 0.000 | 12.126 | 202.361 | 
| 409.663 | -13.454 | 1062.573 | 12.978 | 0.000 | 0.000 | 
| 84.813 | 604.280 | 769.114 | -19.669 | -0.000 | -0.000 | 
| -36.179 | -36.179 | 1529.952 | -0.000 | 0.000 | 0.000 | 
| -227.130 | -269.576 | 497.684 | 208.186 | -0.000 | -0.000 | 
| -401.943 | -401.944 | 805.466 | -0.000 | 162.696 | 12.032 | 
| -400.389 | -400.389 | 802.350 | -0.000 | 12.126 | 202.361 | 
| 897.900 | 377.641 | 181.517 | 17.479 | 0.000 | -0.000 | 
| 372.433 | 917.195 | 167.402 | -19.561 | -0.000 | -0.000 | 
| 256.607 | 256.607 | 943.234 | -0.000 | 0.000 | 0.000 | 
| 48.151 | 11.361 | -59.630 | 194.188 | 0.000 | 0.000 | 
| 27.692 | 27.692 | -55.493 | 0.000 | 199.689 | 19.506 | 
| 27.426 | 27.424 | -54.958 | 0.000 | 19.662 | 273.429 | 
| 843.268 | 313.499 | 300.518 | 17.919 | -0.000 | -0.000 | 
| 313.494 | 843.286 | 300.505 | -17.920 | -0.000 | 0.000 | 
| 201.168 | 201.168 | 1054.322 | -0.000 | 0.000 | -0.000 | 
| -8.185 | -47.198 | 55.493 | 199.689 | 0.000 | -0.000 | 
| -27.692 | -27.692 | 55.493 | -0.000 | 199.689 | 19.506 | 
| -27.426 | -27.424 | 54.958 | -0.000 | 19.662 | 273.429 | 
| 510.212 | 252.908 | 252.909 | 0.001 | -0.000 | -0.000 | 
| 252.908 | 510.211 | 252.909 | 0.001 | -0.000 | -0.000 | 
| 252.908 | 252.908 | 510.210 | 0.001 | 0.000 | -0.000 | 
| 0.001 | -0.000 | 0.001 | 84.843 | 0.000 | -0.000 | 
| 0.001 | -0.000 | 0.001 | 0.001 | 84.841 | -0.000 | 
| 0.001 | -0.000 | -0.000 | 0.001 | 0.000 | 84.841 | 
| 856.132 | 81.664 | 81.664 | -0.001 | -0.000 | 0.000 | 
| 81.664 | 856.134 | 81.664 | -0.001 | -0.000 | 0.000 | 
| 81.664 | 81.664 | 856.133 | -0.000 | -0.000 | 0.000 | 
| -0.001 | 0.000 | -0.001 | 84.839 | -0.000 | 0.000 | 
| -0.000 | 0.000 | -0.001 | -0.001 | 84.840 | 0.000 | 
| -0.001 | 0.000 | 0.000 | 0.000 | 0.000 | 84.841 | 
| 512.974 | 248.928 | 248.928 | 0.000 | 0.000 | -0.000 | 
| 248.928 | 512.974 | 248.928 | 0.000 | 0.000 | -0.000 | 
| 248.928 | 248.928 | 512.974 | 0.000 | 0.000 | -0.000 | 
| 0.000 | -0.000 | 0.000 | 172.123 | 0.000 | -0.000 | 
| -0.000 | -0.000 | -0.000 | 0.000 | 172.123 | -0.000 | 
| 0.000 | -0.000 | 0.000 | 0.000 | -0.000 | 172.123 | 
| 512.895 | 248.967 | 248.966 | -0.000 | -0.000 | 0.000 | 
| 248.967 | 512.895 | 248.966 | -0.000 | -0.000 | 0.000 | 
| 248.966 | 248.967 | 512.895 | -0.000 | -0.000 | 0.000 | 
| -0.000 | 0.000 | -0.000 | 172.123 | -0.000 | 0.000 | 
| -0.000 | 0.000 | -0.000 | -0.000 | 172.123 | 0.000 | 
| -0.000 | 0.000 | -0.000 | -0.000 | -0.000 | 172.123 | 
| 513.709 | 248.571 | 248.571 | 0.000 | 0.000 | -0.000 | 
| 248.571 | 513.709 | 248.571 | 0.000 | 0.000 | -0.000 | 
| 248.571 | 248.571 | 513.709 | 0.000 | 0.000 | -0.000 | 
| 0.000 | -0.000 | -0.000 | 84.841 | 0.000 | -0.000 | 
| -0.000 | 0.000 | -0.000 | 0.000 | 84.841 | -0.000 | 
| -0.000 | -0.000 | 0.000 | 0.000 | 0.000 | 84.841 | 
| 510.243 | 252.892 | 252.892 | -0.000 | -0.000 | 0.000 | 
| 252.892 | 510.243 | 252.892 | -0.000 | -0.000 | 0.000 | 
| 252.892 | 252.892 | 510.243 | -0.000 | -0.000 | 0.000 | 
| -0.000 | 0.000 | 0.000 | 84.841 | 0.000 | 0.000 | 
| 0.000 | -0.000 | 0.000 | -0.000 | 84.841 | 0.000 | 
| 0.000 | 0.000 | -0.000 | -0.000 | -0.000 | 84.841 | 
| 313.012 | 265.422 | 99.048 | -0.000 | 0.000 | -0.000 | 
| 287.067 | 151.710 | 28.190 | -0.000 | 0.000 | -0.000 | 
| -174.757 | -145.398 | -248.719 | -0.000 | -0.000 | -0.000 | 
| -56.845 | -54.511 | -72.040 | -8.662 | 0.000 | -0.000 | 
| -193.475 | -131.679 | -279.360 | -0.000 | 35.121 | -0.000 | 
| -182.699 | -143.004 | -252.492 | -0.000 | 0.000 | 128.322 | 
| 538.769 | 326.150 | 248.719 | -0.000 | -0.000 | 0.000 | 
| 318.555 | 290.975 | 105.533 | 0.000 | 0.000 | 0.000 | 
| 88.459 | 21.664 | 382.350 | 0.000 | 0.000 | 0.000 | 
| 56.845 | 54.511 | 72.040 | -8.662 | -0.000 | 0.000 | 
| 193.476 | 131.679 | 279.360 | 0.000 | 35.121 | 0.000 | 
| 182.699 | 143.004 | 252.492 | 0.000 | -0.000 | 128.322 | 
| 424.972 | 259.841 | 124.306 | 0.000 | 0.000 | -0.000 | 
| 283.540 | 259.330 | 61.821 | -0.000 | 0.000 | -0.000 | 
| -8.967 | -14.844 | -24.869 | -0.000 | 0.000 | -0.000 | 
| 0.000 | -0.000 | -0.000 | 59.805 | 0.000 | -0.000 | 
| -0.000 | -0.000 | -0.000 | -0.000 | 158.733 | -0.000 | 
| -2.994 | -2.871 | -3.795 | -0.000 | 0.000 | 136.548 | 
| 439.763 | 260.088 | 128.659 | 0.000 | -0.000 | 0.000 | 
| 284.667 | 273.139 | 67.618 | 0.000 | 0.000 | 0.000 | 
| 88.459 | 21.664 | 382.350 | -0.000 | 0.000 | 0.000 | 
| -0.000 | 0.000 | 0.000 | 59.805 | -0.000 | 0.000 | 
| -0.000 | 0.000 | 0.000 | 0.000 | 158.733 | 0.000 | 
| 2.994 | 2.871 | 3.795 | 0.000 | -0.000 | 136.548 | 
| 432.147 | 259.786 | 126.236 | -0.000 | 0.000 | -0.000 | 
| 189.068 | 217.812 | -2.478 | -0.000 | -0.000 | -0.000 | 
| 7.624 | -1.801 | -2.454 | -0.000 | 0.000 | -0.000 | 
| -1.768 | -1.426 | -2.309 | 18.344 | 0.000 | -0.000 | 
| -1.842 | -1.451 | -2.487 | -0.000 | -0.000 | -0.000 | 
| -0.775 | -0.652 | -1.005 | -0.000 | 0.000 | 128.544 | 
| 356.414 | 182.533 | 2.485 | 0.000 | -0.000 | 0.000 | 
| 222.789 | 243.782 | 90.145 | 0.000 | -0.000 | 0.000 | 
| 11.281 | 1.128 | 2.452 | 0.000 | 0.000 | 0.000 | 
| 1.768 | 1.426 | 2.309 | 18.344 | 0.000 | 0.000 | 
| 1.842 | 1.451 | 2.487 | 0.000 | -0.000 | 0.000 | 
| 0.775 | 0.652 | 1.005 | 0.000 | 0.000 | 128.544 | 
| -2674.406 | -3188.444 | 7302.979 | -0.000 | -0.001 | 0.002 | 
| -3188.447 | -2674.408 | 7302.979 | -0.001 | -0.001 | -0.000 | 
| 58.005 | 58.006 | 1340.426 | -0.000 | -0.001 | -0.000 | 
| -0.000 | 0.001 | 0.001 | 283.457 | 0.000 | -0.000 | 
| -3545.355 | -3545.355 | 7074.312 | -0.001 | 197.474 | 0.001 | 
| -0.000 | -0.001 | 0.001 | -0.000 | 0.000 | 462.187 | 
| 4939.348 | 4476.664 | -7940.548 | 0.001 | 0.001 | -0.002 | 
| 237.480 | 1161.845 | 57.597 | 0.000 | 0.000 | 0.001 | 
| 4350.843 | 4350.843 | -7225.396 | 0.000 | 0.000 | -0.001 | 
| 0.000 | -0.002 | -0.000 | 283.458 | 0.000 | -0.001 | 
| 3545.355 | 3545.355 | -7074.312 | 0.001 | 197.475 | -0.000 | 
| 0.000 | 0.001 | -0.000 | 0.001 | 0.000 | 462.184 | 
| 518.053 | 3.025 | 933.815 | 0.000 | -0.000 | 0.000 | 
| 3.033 | 518.069 | 933.791 | 0.000 | -0.000 | -0.000 | 
| 58.005 | 58.006 | 1340.427 | -0.000 | -0.000 | -0.000 | 
| -354.541 | -354.540 | 707.441 | 197.473 | -0.000 | -0.000 | 
| 0.000 | 0.000 | 0.000 | -0.000 | 283.457 | -0.000 | 
| -409.168 | -409.168 | 816.443 | -0.000 | -0.000 | 232.265 | 
| 1198.755 | 744.738 | -485.310 | -0.000 | 0.000 | 0.000 | 
| 237.480 | 1161.847 | 57.596 | 0.000 | -0.000 | 0.000 | 
| 644.764 | 644.764 | 169.623 | 0.000 | 0.000 | -0.000 | 
| 354.541 | 354.540 | -707.441 | 197.473 | 0.000 | 0.000 | 
| -0.000 | -0.000 | 0.000 | 0.000 | 283.457 | -0.000 | 
| 409.168 | 409.168 | -816.443 | 0.000 | 0.000 | 232.265 | 
| 838.109 | 326.473 | 291.802 | 0.000 | -0.000 | 0.000 | 
| 363.207 | 793.048 | 300.110 | -0.000 | -0.000 | 0.000 | 
| 194.333 | 194.333 | 1068.405 | -0.000 | -0.000 | 0.000 | 
| -37.401 | -37.401 | 74.629 | 192.627 | -0.000 | -0.000 | 
| -37.401 | -37.401 | 74.629 | -0.000 | 192.627 | 0.000 | 
| -37.966 | -37.964 | 75.754 | -0.000 | -0.000 | 216.202 | 
| 860.663 | 429.916 | 166.091 | -0.000 | 0.000 | 0.000 | 
| 393.158 | 900.093 | 163.423 | -0.000 | 0.000 | 0.000 | 
| 266.466 | 266.466 | 924.467 | 0.000 | 0.000 | -0.000 | 
| 37.401 | 37.401 | -74.629 | 192.627 | 0.000 | -0.000 | 
| 37.401 | 37.401 | -74.629 | 0.000 | 192.627 | -0.000 | 
| 37.966 | 37.964 | -75.754 | 0.000 | 0.000 | 216.202 | 
| 240.476 | -295.767 | 1510.702 | 0.000 | 0.001 | -0.000 | 
| -295.765 | 240.478 | 1510.704 | -0.000 | 0.001 | -0.001 | 
| 57.905 | 57.905 | 1341.063 | 0.000 | -0.002 | -0.001 | 
| 0.000 | -0.000 | -0.005 | 283.211 | -0.001 | -0.000 | 
| 0.001 | 0.000 | -0.007 | -0.001 | 283.212 | -0.001 | 
| -643.205 | -643.204 | 1284.913 | -0.001 | -0.001 | 266.987 | 
| 1524.569 | 993.927 | -1060.087 | -0.000 | -0.000 | 0.000 | 
| 994.007 | 1524.606 | -1060.201 | 0.001 | -0.000 | 0.001 | 
| 855.752 | 855.752 | -252.775 | 0.002 | -0.001 | 0.000 | 
| -0.000 | 0.000 | 0.006 | 283.213 | -0.000 | 0.000 | 
| -0.001 | -0.000 | 0.010 | 0.001 | 283.213 | 0.000 | 
| 643.205 | 643.204 | -1284.913 | 0.001 | -0.001 | 266.987 | 
| 1162.026 | 237.389 | 57.699 | 0.000 | -0.000 | -0.000 | 
| 279.286 | 819.850 | 357.627 | -0.000 | -0.000 | -0.000 | 
| 57.905 | 57.905 | 1341.060 | -0.000 | 0.000 | -0.000 | 
| -63.189 | -63.189 | 126.232 | 196.359 | 0.000 | -0.000 | 
| -0.000 | 0.000 | -0.001 | -0.000 | 283.212 | -0.000 | 
| -63.826 | -63.826 | 127.503 | -0.000 | -0.000 | 268.489 | 
| 943.472 | 407.980 | 105.605 | 0.000 | 0.000 | 0.000 | 
| 407.985 | 943.466 | 105.606 | 0.000 | 0.000 | 0.000 | 
| 292.370 | 292.370 | 872.675 | 0.000 | 0.000 | 0.000 | 
| 63.189 | 63.189 | -126.232 | 196.359 | 0.000 | 0.000 | 
| -0.000 | -0.000 | 0.000 | 0.000 | 283.212 | 0.000 | 
| 63.826 | 63.826 | -127.503 | 0.000 | 0.000 | 268.489 | 
| 817.939 | 398.431 | 240.532 | -0.000 | -0.000 | -0.000 | 
| 400.550 | 844.561 | 211.826 | -0.000 | 0.000 | -0.000 | 
| 223.529 | 223.529 | 1010.199 | -0.000 | -0.000 | -0.000 | 
| -6.260 | -6.260 | 12.504 | 197.215 | 0.000 | -0.000 | 
| -6.258 | -6.257 | 12.500 | 0.000 | 197.203 | -0.000 | 
| -4.405 | -4.419 | 8.813 | -0.000 | -0.000 | 233.421 | 
| 888.734 | 349.119 | 219.069 | -0.000 | -0.000 | 0.000 | 
| 349.479 | 887.854 | 219.588 | -0.000 | 0.000 | 0.000 | 
| 236.019 | 236.019 | 985.243 | 0.000 | -0.000 | 0.000 | 
| 6.260 | 6.260 | -12.504 | 197.215 | 0.000 | 0.000 | 
| 6.258 | 6.257 | -12.500 | -0.000 | 197.203 | 0.000 | 
| 4.405 | 4.419 | -8.813 | 0.000 | -0.000 | 233.421 | 
| 1162.196 | 237.307 | 57.796 | 0.000 | -0.000 | -0.000 | 
| 345.184 | 783.091 | 328.997 | 0.000 | -0.000 | -0.000 | 
| 181.765 | 181.765 | 1093.774 | 0.000 | 0.000 | -0.000 | 
| -49.484 | -49.484 | 98.958 | 196.027 | -0.000 | 0.000 | 
| 0.002 | 0.000 | 0.002 | 0.000 | 282.985 | 0.000 | 
| 0.001 | 0.000 | 0.003 | 0.000 | -0.000 | 462.445 | 
| 1162.200 | 237.307 | 57.795 | 0.000 | 0.000 | 0.000 | 
| 237.308 | 1162.197 | 57.794 | 0.000 | 0.000 | -0.000 | 
| 279.242 | 279.242 | 898.838 | 0.000 | 0.000 | -0.000 | 
| 49.484 | 49.484 | -98.959 | 196.027 | 0.001 | 0.000 | 
| -0.001 | -0.000 | -0.002 | 0.000 | 282.986 | -0.000 | 
| -0.000 | -0.000 | -0.002 | -0.000 | 0.001 | 462.445 | 
| 838.232 | 377.392 | 241.657 | 0.000 | -0.000 | 0.000 | 
| 332.791 | 883.300 | 241.190 | -0.000 | -0.000 | 0.000 | 
| 57.814 | 57.814 | 1341.651 | 0.000 | -0.000 | -0.000 | 
| -0.000 | 0.000 | 0.000 | 282.985 | -0.000 | -0.000 | 
| -4.894 | -4.894 | 9.786 | 0.000 | 196.985 | -0.000 | 
| -0.000 | 0.000 | 0.000 | -0.000 | -0.000 | 462.445 | 
| 1162.197 | 237.307 | 57.795 | 0.000 | 0.000 | 0.000 | 
| 237.307 | 1162.197 | 57.795 | -0.000 | 0.000 | 0.000 | 
| 234.695 | 234.695 | 987.923 | -0.000 | 0.000 | 0.000 | 
| 0.000 | -0.000 | 0.000 | 282.985 | 0.000 | -0.000 | 
| 4.894 | 4.894 | -9.787 | -0.000 | 196.985 | 0.000 | 
| 0.000 | -0.000 | -0.000 | 0.000 | 0.000 | 462.445 | 
| 842.198 | 382.701 | 232.386 | 0.000 | -0.000 | -0.000 | 
| 237.308 | 1162.201 | 57.796 | -0.000 | -0.000 | -0.000 | 
| 229.289 | 229.289 | 998.739 | 0.000 | -0.000 | -0.000 | 
| -0.489 | -0.489 | 0.978 | 196.998 | 0.000 | -0.000 | 
| -0.490 | -0.489 | 0.978 | 0.000 | 196.997 | -0.000 | 
| 0.000 | 0.000 | 0.000 | 0.000 | -0.000 | 462.445 | 
| 888.629 | 338.258 | 230.391 | -0.000 | 0.000 | 0.000 | 
| 237.307 | 1162.193 | 57.795 | 0.000 | 0.000 | -0.000 | 
| 230.274 | 230.274 | 996.764 | -0.000 | 0.000 | 0.000 | 
| 0.489 | 0.489 | -0.978 | 196.998 | 0.000 | -0.000 | 
| 0.490 | 0.489 | -0.978 | -0.000 | 196.997 | 0.000 | 
| -0.000 | -0.000 | -0.000 | -0.000 | 0.000 | 462.445 | 
| 918.417 | 165.784 | 108.605 | -0.000 | -0.000 | -0.000 | 
| 163.002 | 540.604 | 22.812 | -0.000 | -0.000 | -0.000 | 
| 115.702 | 32.691 | 483.828 | -0.000 | -0.000 | -0.000 | 
| 0.001 | 0.001 | -0.000 | 60.575 | -0.000 | -0.000 | 
| 0.000 | 0.001 | -0.000 | -0.000 | 226.353 | -0.000 | 
| 0.000 | 0.001 | -0.000 | 0.000 | -0.000 | 252.516 | 
| 355.248 | 673.241 | 127.258 | 0.000 | 0.000 | 0.000 | 
| -45.862 | 675.434 | 21.761 | 0.000 | 0.000 | 0.000 | 
| 115.701 | 32.690 | 483.828 | 0.000 | 0.000 | 0.000 | 
| -0.001 | -0.001 | 0.000 | 60.575 | 0.000 | 0.000 | 
| -0.000 | -0.001 | 0.000 | 0.000 | 226.353 | 0.000 | 
| -0.000 | -0.001 | 0.000 | -0.000 | -0.000 | 252.517 | 
| 690.335 | 276.419 | 180.579 | -0.000 | -0.000 | -0.000 | 
| 353.708 | 220.497 | 76.344 | 0.000 | -0.000 | -0.000 | 
| 43.188 | -25.344 | 18.862 | -0.000 | -0.000 | -0.000 | 
| 0.000 | 0.000 | -0.000 | 60.576 | -0.000 | -0.000 | 
| 25.669 | -29.755 | 3.648 | 0.000 | 71.614 | -0.000 | 
| 43.952 | -50.947 | 6.246 | -0.000 | -0.000 | 114.768 | 
| 918.416 | 165.783 | 108.605 | 0.000 | 0.000 | 0.000 | 
| 205.031 | 259.898 | 91.999 | 0.000 | 0.000 | 0.000 | 
| 165.362 | 158.018 | 151.724 | 0.000 | 0.000 | 0.000 | 
| -0.000 | -0.000 | 0.000 | 60.576 | 0.000 | 0.000 | 
| -25.669 | 29.755 | -3.648 | 0.000 | 71.614 | 0.000 | 
| -43.952 | 50.947 | -6.246 | 0.000 | 0.000 | 114.768 | 
| 559.074 | 184.821 | 32.743 | -0.000 | -0.000 | -0.000 | 
| 209.017 | 198.236 | 1.852 | -0.000 | -0.000 | -0.000 | 
| 10.720 | 6.337 | 1.921 | 0.000 | -0.000 | -0.000 | 
| 3.262 | -3.781 | 0.463 | 17.559 | -0.000 | -0.000 | 
| -3.029 | 5.897 | 1.939 | -0.000 | 12.889 | -0.000 | 
| 3.981 | -3.144 | 2.156 | 0.000 | -0.000 | 96.162 | 
| 548.102 | 211.806 | -1.888 | 0.000 | 0.000 | 0.000 | 
| 202.013 | 204.834 | -1.847 | 0.000 | 0.000 | 0.000 | 
| 3.469 | 13.161 | -2.021 | 0.000 | 0.000 | 0.000 | 
| -3.262 | 3.781 | -0.463 | 17.559 | 0.000 | 0.000 | 
| 3.029 | -5.897 | -1.939 | 0.000 | 12.889 | 0.000 | 
| -3.981 | 3.144 | -2.156 | -0.000 | 0.000 | 96.162 | 
| 309.969 | 178.786 | 160.760 | 0.000 | -0.000 | -0.000 | 
| 127.559 | 207.214 | 116.251 | 0.000 | -0.000 | -0.001 | 
| 105.545 | 101.420 | 418.105 | -0.000 | 0.000 | -0.000 | 
| -0.001 | 0.000 | -0.000 | 172.806 | -0.000 | 0.000 | 
| 0.001 | 0.000 | 0.001 | 0.000 | 85.862 | -0.000 | 
| -0.001 | 0.000 | 0.001 | 0.000 | -0.000 | 101.004 | 
| 201.525 | 125.042 | 111.825 | 0.000 | -0.000 | -0.000 | 
| 118.011 | 484.740 | 101.420 | -0.000 | 0.000 | 0.000 | 
| 105.546 | 101.420 | 418.104 | -0.000 | -0.000 | 0.000 | 
| 0.001 | -0.001 | -0.000 | 172.805 | -0.000 | 0.000 | 
| -0.001 | -0.000 | -0.000 | 0.000 | 85.862 | 0.000 | 
| 0.001 | -0.000 | -0.000 | 0.000 | 0.000 | 101.005 | 
| 201.519 | 125.044 | 111.827 | 0.000 | -0.000 | 0.000 | 
| 118.010 | 484.740 | 101.420 | 0.000 | -0.000 | -0.000 | 
| 64.961 | 67.482 | 85.586 | 0.000 | 0.000 | 0.000 | 
| -0.000 | 0.000 | 0.000 | 172.806 | -0.000 | -0.000 | 
| -0.000 | -0.000 | 0.000 | 0.000 | 53.403 | -0.000 | 
| -0.000 | 0.000 | 0.000 | 0.000 | -0.000 | 65.603 | 
| 309.881 | 178.817 | 160.787 | -0.000 | 0.000 | 0.000 | 
| 118.010 | 484.740 | 101.420 | -0.000 | 0.000 | 0.000 | 
| 112.648 | 115.878 | 148.806 | 0.000 | 0.000 | -0.000 | 
| 0.000 | -0.000 | -0.000 | 172.806 | -0.000 | 0.000 | 
| 0.000 | 0.000 | -0.000 | -0.000 | 53.403 | 0.000 | 
| 0.000 | 0.000 | -0.000 | -0.000 | -0.000 | 65.603 | 
| 140.503 | 43.992 | 51.408 | 0.000 | 0.000 | -0.000 | 
| 32.431 | 132.235 | 23.868 | 0.000 | -0.000 | 0.000 | 
| 112.650 | 115.881 | 148.807 | 0.000 | 0.000 | -0.000 | 
| 0.000 | -0.000 | 0.000 | 172.806 | -0.000 | 0.000 | 
| -0.000 | 0.000 | -0.000 | 0.000 | 85.861 | -0.000 | 
| -0.000 | 0.000 | 0.000 | -0.000 | 0.000 | 202.383 | 
| 125.980 | 28.935 | 6.985 | -0.000 | 0.000 | 0.000 | 
| 70.443 | 159.368 | 77.060 | -0.000 | -0.000 | -0.000 | 
| 160.992 | 149.462 | 259.315 | -0.000 | 0.000 | -0.000 | 
| -0.000 | 0.000 | -0.000 | 172.806 | 0.000 | 0.000 | 
| 0.000 | -0.000 | 0.000 | -0.000 | 85.861 | 0.000 | 
| 0.000 | -0.000 | -0.000 | -0.000 | -0.000 | 202.383 | 
| 154.142 | 199.291 | -565.600 | 0.000 | -0.000 | -0.000 | 
| 111.038 | 458.394 | 99.490 | 0.000 | -0.000 | 0.000 | 
| 69.623 | 175.606 | -527.698 | 0.000 | 0.000 | 0.000 | 
| -83.606 | 7.302 | -703.671 | 43.287 | 0.000 | 0.000 | 
| -1498.805 | -1456.513 | -3319.316 | 0.000 | -18.140 | 0.000 | 
| -1191.862 | 66.001 | -1611.559 | -0.000 | -0.000 | 45.215 | 
| 1530.335 | 1454.137 | 3314.455 | 0.000 | 0.000 | 0.000 | 
| 274.103 | 233.050 | 874.267 | 0.000 | -0.000 | -0.001 | 
| 236.056 | 160.260 | 880.630 | -0.000 | -0.000 | 0.000 | 
| 83.606 | -7.302 | 703.671 | 43.288 | 0.000 | -0.000 | 
| 1498.805 | 1456.513 | 3319.316 | -0.000 | -18.141 | -0.000 | 
| 1191.862 | -66.000 | 1611.560 | 0.000 | -0.000 | 45.215 | 
| 80.138 | 114.413 | -44.392 | -0.000 | -0.000 | 0.000 | 
| 173.568 | 267.138 | 99.740 | -0.000 | -0.000 | 0.000 | 
| 141.542 | 163.859 | 128.378 | 0.000 | 0.000 | 0.000 | 
| -7.620 | 0.665 | -64.131 | 54.274 | 0.000 | -0.000 | 
| -118.163 | 6.529 | -156.547 | -0.000 | 20.047 | 0.000 | 
| 0.000 | -0.000 | 0.000 | 0.000 | 0.000 | 196.911 | 
| 271.811 | 116.504 | 286.570 | 0.000 | 0.000 | -0.000 | 
| 111.035 | 458.394 | 99.487 | -0.000 | 0.000 | -0.000 | 
| 94.169 | 97.301 | 386.232 | 0.000 | 0.000 | -0.000 | 
| 7.620 | -0.665 | 64.131 | 54.274 | -0.000 | 0.000 | 
| 118.163 | -6.529 | 156.547 | -0.000 | 20.047 | -0.000 | 
| -0.000 | 0.000 | -0.000 | -0.000 | -0.000 | 196.911 | 
| 134.546 | 50.764 | 46.585 | -0.000 | -0.000 | 0.000 | 
| 4.420 | 116.468 | -0.659 | -0.000 | 0.000 | 0.000 | 
| -2.540 | 5.777 | 4.075 | 0.000 | 0.000 | -0.000 | 
| -0.585 | 0.051 | -4.924 | 80.501 | 0.000 | -0.000 | 
| -0.578 | 0.051 | -4.868 | -0.000 | 73.520 | 0.000 | 
| -0.546 | 0.048 | -4.591 | 0.000 | 0.000 | 99.418 | 
| 154.566 | 51.934 | 70.041 | 0.000 | 0.000 | 0.000 | 
| 169.424 | 299.702 | 156.046 | -0.000 | -0.000 | 0.000 | 
| 80.558 | 70.772 | 111.021 | -0.000 | 0.000 | 0.000 | 
| 0.585 | -0.051 | 4.924 | 80.501 | -0.000 | 0.000 | 
| 0.578 | -0.051 | 4.868 | 0.000 | 73.520 | 0.000 | 
| 0.546 | -0.048 | 4.591 | -0.000 | -0.000 | 99.418 | 
| 260.672 | 142.659 | 142.664 | 0.001 | 0.000 | -0.000 | 
| 142.660 | 260.670 | 142.648 | -0.000 | -0.000 | -0.000 | 
| 142.653 | 142.659 | 260.682 | 0.000 | 0.001 | 0.000 | 
| -0.001 | -0.000 | 0.000 | 164.898 | -0.000 | 0.000 | 
| 0.000 | -0.000 | -0.008 | 0.000 | 164.898 | 0.000 | 
| 0.002 | 0.000 | 0.003 | 0.001 | 0.001 | 164.898 | 
| 81.711 | 53.949 | 53.937 | -0.001 | -0.000 | 0.000 | 
| 53.949 | 81.710 | 53.945 | -0.001 | 0.000 | -0.000 | 
| 53.949 | 53.949 | 81.713 | -0.001 | 0.000 | 0.000 | 
| 0.000 | -0.000 | -0.001 | 164.896 | -0.001 | -0.000 | 
| -0.002 | 0.000 | 0.007 | -0.000 | 164.897 | -0.000 | 
| -0.002 | -0.000 | -0.003 | -0.001 | -0.001 | 164.898 | 
| 81.867 | 53.911 | 53.912 | 0.000 | -0.000 | -0.000 | 
| 53.911 | 81.867 | 53.911 | 0.000 | 0.000 | 0.000 | 
| 53.911 | 53.911 | 81.867 | -0.000 | 0.000 | -0.000 | 
| 0.000 | -0.000 | -0.001 | 164.898 | -0.000 | -0.000 | 
| 0.000 | 0.000 | 0.000 | 0.000 | 164.898 | 0.000 | 
| 0.000 | 0.000 | -0.000 | 0.000 | 0.000 | 164.898 | 
| 81.718 | 53.951 | 53.952 | -0.000 | -0.000 | -0.000 | 
| 142.658 | 260.670 | 142.657 | -0.000 | -0.000 | 0.000 | 
| 53.951 | 53.951 | 81.718 | -0.000 | 0.000 | -0.000 | 
| -0.000 | -0.000 | -0.001 | 72.890 | -0.000 | 0.000 | 
| -0.000 | -0.000 | -0.000 | -0.000 | 164.898 | -0.000 | 
| 0.000 | -0.000 | 0.001 | -0.000 | -0.000 | 72.891 | 
| 31.915 | -35.062 | -35.062 | 0.000 | 0.000 | 0.000 | 
| -35.062 | 31.915 | -35.062 | 0.000 | 0.000 | -0.000 | 
| -32.711 | -32.712 | 26.543 | 0.000 | 0.000 | -0.000 | 
| 0.000 | -0.000 | 0.000 | 164.898 | 0.000 | 0.000 | 
| 0.000 | 0.000 | 0.000 | 0.000 | 164.898 | 0.000 | 
| -0.000 | 0.000 | 0.000 | 0.000 | 0.000 | 164.898 | 
| 260.660 | 142.661 | 142.661 | -0.000 | 0.000 | 0.000 | 
| 142.661 | 260.660 | 142.661 | 0.000 | -0.000 | -0.000 | 
| 142.661 | 142.661 | 260.660 | 0.000 | 0.000 | 0.000 | 
| -0.000 | 0.000 | -0.000 | 164.898 | -0.000 | -0.000 | 
| -0.000 | -0.000 | -0.000 | -0.000 | 164.898 | -0.000 | 
| 0.000 | -0.000 | -0.000 | -0.000 | -0.000 | 164.898 | 
| 206.775 | 157.624 | 157.625 | -0.001 | -0.000 | 0.000 | 
| 157.625 | 206.775 | 157.622 | -0.000 | -0.001 | 0.001 | 
| 157.622 | 157.624 | 206.774 | -0.000 | -0.000 | -0.000 | 
| 11.389 | 11.390 | 11.388 | 23.830 | -0.000 | 0.000 | 
| 11.389 | 11.389 | 11.391 | -0.000 | 23.829 | 0.000 | 
| 11.389 | 11.389 | 11.390 | -0.000 | -0.000 | 23.830 | 
| 35.978 | -52.722 | -52.720 | -0.000 | 0.000 | -0.000 | 
| -52.723 | 35.980 | -52.721 | -0.000 | 0.000 | -0.000 | 
| -52.721 | -52.722 | 35.982 | -0.000 | 0.000 | -0.000 | 
| -11.389 | -11.390 | -11.387 | 23.830 | 0.001 | 0.000 | 
| -11.389 | -11.389 | -11.390 | -0.000 | 23.830 | -0.000 | 
| -11.390 | -11.389 | -11.390 | 0.000 | 0.000 | 23.830 | 
| 152.233 | 83.729 | 83.729 | 0.000 | 0.000 | -0.000 | 
| 83.729 | 152.233 | 83.730 | 0.000 | 0.000 | 0.000 | 
| 83.729 | 83.729 | 152.233 | 0.000 | 0.000 | 0.000 | 
| 0.910 | 0.910 | 0.910 | 49.987 | -0.000 | 0.000 | 
| 0.910 | 0.910 | 0.910 | -0.000 | 49.987 | 0.000 | 
| 0.910 | 0.910 | 0.910 | -0.000 | -0.000 | 49.987 | 
| 221.896 | 137.698 | 137.698 | 0.000 | 0.000 | 0.000 | 
| 137.698 | 221.896 | 137.698 | -0.000 | 0.000 | -0.000 | 
| 137.698 | 137.698 | 221.896 | 0.000 | 0.000 | -0.000 | 
| -0.910 | -0.910 | -0.910 | 49.987 | 0.000 | -0.000 | 
| -0.910 | -0.910 | -0.910 | 0.000 | 49.987 | -0.000 | 
| -0.910 | -0.910 | -0.910 | -0.000 | 0.000 | 49.987 | 
| 58.775 | 21.644 | 21.644 | 0.000 | -0.000 | -0.000 | 
| 52.834 | 80.153 | 52.834 | 0.000 | 0.000 | 0.000 | 
| 21.644 | 21.644 | 58.775 | 0.000 | -0.000 | 0.000 | 
| 0.876 | 0.876 | 0.876 | 34.976 | -0.000 | -0.000 | 
| 0.876 | 0.876 | 0.876 | 0.000 | 34.976 | 0.000 | 
| 0.876 | 0.876 | 0.876 | 0.000 | 0.000 | 34.976 | 
| 74.399 | 49.407 | 49.407 | -0.000 | 0.000 | -0.000 | 
| 49.407 | 74.399 | 49.407 | -0.000 | -0.000 | -0.000 | 
| 49.407 | 49.407 | 74.399 | 0.000 | -0.000 | 0.000 | 
| -0.876 | -0.876 | -0.876 | 34.976 | -0.000 | -0.000 | 
| -0.876 | -0.876 | -0.876 | 0.000 | 34.976 | 0.000 | 
| -0.876 | -0.876 | -0.876 | -0.000 | 0.000 | 34.976 | 
| 34.217 | -36.985 | -36.983 | -0.000 | 0.000 | 0.000 | 
| -36.982 | 34.215 | -36.984 | 0.000 | 0.000 | -0.000 | 
| -36.982 | -36.986 | 34.219 | 0.000 | 0.000 | -0.000 | 
| -2622.953 | -2622.955 | -2622.953 | 33.052 | 0.000 | 0.000 | 
| -2622.955 | -2622.955 | -2622.953 | -0.000 | 33.052 | -0.000 | 
| -2622.956 | -2622.954 | -2622.953 | 0.000 | -0.000 | 33.052 | 
| 1501.484 | 1422.906 | 1422.906 | 0.000 | 0.000 | -0.000 | 
| 1422.909 | 1501.483 | 1422.904 | 0.000 | 0.000 | -0.000 | 
| 1422.909 | 1422.904 | 1501.481 | 0.000 | -0.000 | -0.000 | 
| 2622.953 | 2622.955 | 2622.953 | 33.052 | 0.000 | 0.000 | 
| 2622.955 | 2622.955 | 2622.953 | 0.000 | 33.052 | -0.000 | 
| 2622.956 | 2622.954 | 2622.953 | 0.000 | 0.000 | 33.052 | 
| 397.499 | 90.048 | 90.048 | -0.000 | 0.000 | 0.000 | 
| 90.047 | 397.498 | 90.048 | -0.000 | -0.000 | -0.000 | 
| 90.047 | 90.048 | 397.499 | -0.000 | 0.000 | 0.000 | 
| -17.576 | -17.577 | -17.577 | 37.357 | 0.000 | 0.000 | 
| -17.577 | -17.577 | -17.577 | -0.000 | 37.357 | -0.000 | 
| -17.578 | -17.577 | -17.577 | -0.000 | 0.000 | 37.357 | 
| 236.606 | 156.738 | 156.738 | -0.000 | 0.000 | -0.000 | 
| 156.737 | 236.606 | 156.737 | -0.000 | -0.000 | -0.000 | 
| 156.738 | 156.738 | 236.606 | 0.000 | -0.000 | 0.000 | 
| 17.577 | 17.577 | 17.577 | 37.357 | 0.000 | 0.000 | 
| 17.577 | 17.577 | 17.577 | 0.000 | 37.357 | -0.000 | 
| 17.577 | 17.577 | 17.577 | 0.000 | -0.000 | 37.357 | 
| 7.634 | -56.096 | -56.096 | -0.000 | -0.000 | 0.000 | 
| -56.096 | 7.634 | -56.096 | -0.000 | -0.000 | 0.000 | 
| -56.096 | -56.096 | 7.634 | 0.000 | -0.000 | -0.000 | 
| -11.791 | -11.791 | -11.791 | 29.440 | 0.000 | 0.000 | 
| -13.296 | -13.296 | -13.296 | -0.000 | 32.831 | 0.000 | 
| -11.791 | -11.791 | -11.791 | -0.000 | -0.000 | 29.440 | 
| 68.680 | 10.189 | 10.189 | 0.000 | 0.000 | -0.000 | 
| 10.189 | 68.680 | 10.189 | -0.000 | 0.000 | -0.000 | 
| 84.454 | 84.454 | 115.575 | 0.000 | -0.000 | -0.000 | 
| 11.791 | 11.791 | 11.791 | 29.440 | 0.000 | -0.000 | 
| 13.296 | 13.296 | 13.296 | 0.000 | 32.831 | -0.000 | 
| 11.791 | 11.791 | 11.791 | 0.000 | 0.000 | 29.440 | 
| 251.606 | 137.977 | 142.101 | -3.960 | 0.000 | -0.000 | 
| 113.687 | 534.061 | 119.998 | 7.398 | 0.000 | -0.000 | 
| 171.272 | 171.272 | 241.358 | -0.000 | 0.000 | 0.000 | 
| -7.399 | 7.398 | -0.000 | 193.757 | 0.000 | 0.000 | 
| 0.000 | 0.001 | 0.001 | 0.000 | 96.749 | -7.506 | 
| -0.001 | 0.000 | -0.001 | -0.000 | -7.398 | 210.187 | 
| 251.599 | 137.970 | 142.098 | -3.960 | -0.000 | -0.000 | 
| 113.689 | 534.061 | 119.996 | 7.398 | -0.000 | -0.000 | 
| 171.273 | 171.270 | 241.356 | -0.000 | -0.000 | 0.000 | 
| -4.729 | 4.724 | -0.001 | 65.338 | -0.000 | 0.000 | 
| -0.000 | -0.001 | -0.001 | -0.000 | 96.749 | -7.506 | 
| 0.001 | -0.000 | 0.000 | -0.000 | -7.398 | 210.187 | 
| 251.600 | 137.975 | 142.100 | -3.960 | 0.000 | 0.000 | 
| 113.688 | 534.062 | 119.998 | 7.398 | 0.000 | -0.000 | 
| 119.998 | 119.998 | 382.643 | -0.000 | 0.000 | -0.000 | 
| -7.506 | 7.506 | -0.000 | 96.749 | 0.000 | 0.000 | 
| -0.000 | 0.000 | 0.000 | -0.000 | 193.757 | -7.398 | 
| -0.000 | 0.000 | 0.000 | -0.000 | -7.398 | 210.187 | 
| 251.606 | 137.972 | 142.097 | -3.960 | -0.000 | 0.000 | 
| 113.688 | 534.061 | 119.998 | 7.398 | -0.000 | 0.000 | 
| 119.998 | 119.998 | 382.642 | 0.000 | -0.000 | 0.000 | 
| -2.420 | 2.419 | -0.000 | 57.347 | -0.000 | 0.000 | 
| 0.000 | -0.000 | 0.000 | 0.000 | 193.757 | -7.398 | 
| 0.000 | -0.000 | -0.000 | 0.000 | -7.398 | 210.187 | 
| 183.150 | 56.864 | 77.408 | -9.150 | 0.000 | -0.000 | 
| 137.852 | 251.958 | 142.006 | 3.961 | 0.000 | -0.000 | 
| 171.077 | 171.077 | 241.893 | 0.000 | 0.000 | -0.000 | 
| -4.727 | 4.727 | 0.000 | 65.345 | 0.000 | -0.000 | 
| 0.000 | 0.000 | 0.000 | 0.000 | 193.757 | -7.398 | 
| -0.000 | -0.000 | 0.000 | 0.000 | -7.502 | 98.562 | 
| 151.593 | 27.312 | 10.618 | -2.423 | -0.000 | 0.000 | 
| 184.177 | 356.744 | 173.071 | 7.513 | -0.000 | -0.000 | 
| 37.243 | 37.243 | 44.815 | 0.000 | -0.000 | 0.000 | 
| -7.506 | 7.506 | 0.000 | 96.751 | -0.000 | -0.000 | 
| 0.000 | -0.000 | 0.000 | 0.000 | 96.749 | -7.506 | 
| 0.000 | 0.000 | -0.000 | -0.000 | -7.502 | 98.562 | 
| 515.287 | 107.554 | 115.613 | -6.769 | -0.000 | -0.000 | 
| 3123.033 | 3299.260 | -3052.296 | 7.266 | -0.000 | -0.000 | 
| 4861.678 | 4861.676 | -1953.849 | 0.003 | -0.001 | -0.000 | 
| 5370.537 | 5375.643 | 363.421 | 68.409 | -0.001 | -0.000 | 
| -0.000 | -0.000 | 0.003 | 0.003 | 185.278 | -6.773 | 
| 2945.844 | 2945.844 | -3212.952 | 0.002 | -7.264 | 88.213 | 
| -2596.191 | -2772.521 | 3377.762 | -7.267 | 0.001 | -0.000 | 
| -4571.905 | -4458.717 | 2274.061 | 5.402 | 0.001 | 0.000 | 
| -4582.633 | -4582.633 | 2293.326 | -0.003 | 0.002 | 0.000 | 
| -2958.131 | -2943.606 | 3218.425 | 89.746 | 0.000 | 0.001 | 
| 0.000 | -0.000 | -0.003 | -0.003 | 185.278 | -6.772 | 
| -2945.844 | -2945.844 | 3212.952 | -0.002 | -7.262 | 88.213 | 
| 738.813 | 623.372 | -61.298 | -5.457 | -0.000 | -0.000 | 
| 637.604 | 799.500 | 139.871 | 2.732 | -0.000 | -0.000 | 
| 648.678 | 648.678 | 191.821 | 0.000 | -0.000 | -0.000 | 
| 287.745 | 302.271 | -321.756 | 89.774 | -0.000 | -0.000 | 
| 295.008 | 295.008 | -321.757 | 0.000 | 89.774 | -7.263 | 
| 0.000 | 0.000 | 0.000 | 0.000 | -6.772 | 203.867 | 
| 53.946 | -121.250 | 486.688 | -7.265 | 0.000 | 0.000 | 
| -641.746 | -536.776 | 32.815 | 6.782 | 0.000 | 0.000 | 
| -138.117 | -138.117 | 549.898 | -0.000 | 0.000 | 0.000 | 
| -477.343 | -466.526 | 211.903 | 53.943 | 0.000 | 0.000 | 
| -295.008 | -295.008 | 321.757 | -0.000 | 89.774 | -7.263 | 
| 0.000 | -0.000 | -0.001 | -0.000 | -6.772 | 203.867 | 
| 380.454 | 203.993 | 131.294 | -7.262 | -0.000 | -0.000 | 
| 139.006 | 276.876 | 88.616 | 7.033 | -0.000 | -0.000 | 
| 186.147 | 186.147 | 204.295 | 0.000 | -0.000 | -0.000 | 
| 21.816 | 36.328 | -31.708 | 91.161 | -0.000 | 0.000 | 
| 29.091 | 29.091 | -31.729 | -0.000 | 91.100 | -7.256 | 
| 28.304 | 28.304 | -30.870 | 0.000 | -7.243 | 92.746 | 
| 199.928 | 92.119 | 160.218 | -4.678 | 0.000 | 0.000 | 
| 92.114 | 199.901 | 160.219 | 4.678 | 0.000 | 0.000 | 
| 114.632 | 114.632 | 357.919 | -0.000 | 0.000 | 0.000 | 
| -36.328 | -21.816 | 31.708 | 91.163 | 0.000 | 0.000 | 
| -29.091 | -29.091 | 31.729 | 0.000 | 91.100 | -7.256 | 
| -28.304 | -28.304 | 30.870 | -0.000 | -7.243 | 92.746 | 
| 389.540 | 94.881 | 97.749 | -0.000 | -0.000 | 0.000 | 
| 132.197 | 261.325 | 150.770 | -0.002 | -0.002 | -0.000 | 
| 97.748 | 94.377 | 511.065 | 0.000 | -0.000 | -0.000 | 
| -0.000 | -0.004 | 0.005 | 80.906 | -0.001 | 0.001 | 
| 0.000 | -0.003 | 0.003 | -0.001 | 173.613 | 0.001 | 
| -0.000 | -0.000 | 0.005 | -0.001 | -0.001 | 69.630 | 
| 389.539 | 94.877 | 97.744 | 0.002 | 0.000 | -0.000 | 
| 132.200 | 261.332 | 150.762 | 0.002 | 0.002 | 0.000 | 
| 152.709 | 147.960 | 348.649 | 0.002 | 0.001 | -0.001 | 
| 0.000 | 0.003 | -0.003 | 80.907 | 0.000 | -0.000 | 
| -0.001 | 0.003 | -0.003 | 0.001 | 173.614 | -0.000 | 
| 0.000 | 0.001 | -0.005 | 0.002 | 0.001 | 69.629 | 
| 243.754 | 131.540 | 154.571 | -0.000 | -0.000 | 0.000 | 
| 94.879 | 411.764 | 94.379 | -0.000 | -0.000 | 0.000 | 
| 97.747 | 94.379 | 511.062 | -0.000 | -0.000 | 0.000 | 
| 0.000 | -0.001 | 0.000 | 55.890 | -0.000 | 0.000 | 
| -0.000 | -0.000 | 0.000 | -0.000 | 85.008 | 0.000 | 
| 0.000 | 0.000 | 0.000 | -0.000 | -0.000 | 150.771 | 
| 70.747 | 58.757 | 56.614 | 0.000 | 0.000 | 0.000 | 
| 15.386 | 57.008 | 11.793 | 0.000 | 0.000 | -0.000 | 
| 97.747 | 94.379 | 511.062 | 0.000 | 0.000 | 0.000 | 
| -0.000 | 0.001 | -0.000 | 55.890 | 0.000 | -0.000 | 
| 0.000 | 0.000 | -0.000 | 0.000 | 85.008 | -0.000 | 
| -0.000 | -0.000 | -0.000 | 0.000 | 0.000 | 150.771 | 
| 70.684 | 58.766 | 56.627 | -0.000 | -0.000 | 0.000 | 
| 15.462 | 57.105 | 11.876 | -0.000 | -0.000 | 0.000 | 
| 42.460 | 41.174 | 137.062 | -0.000 | -0.000 | 0.000 | 
| 0.000 | -0.000 | -0.000 | 80.907 | -0.000 | -0.000 | 
| -0.000 | -0.000 | 0.000 | -0.000 | 53.647 | 0.000 | 
| -0.000 | -0.000 | 0.000 | -0.000 | -0.000 | 69.628 | 
| 38.935 | 12.741 | 7.507 | 0.000 | 0.000 | -0.000 | 
| 58.414 | 85.350 | 56.477 | 0.000 | 0.000 | -0.000 | 
| 42.458 | 41.172 | 137.078 | 0.000 | 0.000 | -0.000 | 
| -0.000 | 0.000 | 0.000 | 80.907 | 0.000 | -0.000 | 
| 0.000 | 0.000 | -0.000 | 0.000 | 53.647 | -0.000 | 
| 0.000 | 0.000 | -0.000 | 0.000 | 0.000 | 69.628 | 
| 105.769 | 416.278 | 34.364 | 0.002 | -0.000 | 0.000 | 
| 90.327 | 391.710 | 89.306 | 0.001 | -0.001 | 0.000 | 
| 28.679 | 434.017 | 208.037 | 0.004 | -0.001 | 0.000 | 
| -121.064 | 291.646 | -114.955 | 61.226 | -0.001 | 0.000 | 
| -121.064 | 291.647 | -114.956 | 0.003 | 65.617 | 0.000 | 
| -121.100 | 291.734 | -114.988 | 0.002 | -0.001 | 58.083 | 
| 64.914 | -373.201 | -32.005 | -0.002 | 0.001 | -0.001 | 
| -225.866 | -332.021 | -455.283 | -0.003 | 0.000 | -0.000 | 
| 271.677 | -148.629 | 435.614 | -0.004 | 0.000 | -0.000 | 
| 121.064 | -291.646 | 114.955 | 61.221 | 0.000 | -0.000 | 
| 121.064 | -291.647 | 114.955 | -0.003 | 65.618 | -0.000 | 
| 121.100 | -291.733 | 114.989 | -0.002 | 0.001 | 58.082 | 
| 127.143 | 143.151 | 120.895 | 0.000 | -0.000 | 0.000 | 
| 114.327 | 273.651 | 133.193 | 0.000 | -0.000 | 0.000 | 
| 18.199 | 69.249 | 109.306 | 0.000 | -0.000 | -0.000 | 
| 0.000 | 0.000 | 0.000 | 164.303 | -0.000 | 0.000 | 
| -11.628 | 28.011 | -11.041 | 0.000 | 69.562 | 0.000 | 
| -11.868 | 28.591 | -11.269 | 0.000 | -0.000 | 59.783 | 
| -144.056 | -161.131 | -201.154 | -0.000 | 0.000 | -0.000 | 
| 137.700 | 218.521 | 154.975 | -0.000 | 0.000 | -0.000 | 
| 163.184 | 116.288 | 328.508 | -0.000 | -0.000 | -0.000 | 
| -0.000 | -0.000 | -0.000 | 164.303 | 0.000 | -0.000 | 
| 11.628 | -28.011 | 11.041 | -0.000 | 69.562 | 0.000 | 
| 11.868 | -28.591 | 11.269 | -0.000 | 0.000 | 59.783 | 
| 20.965 | -18.247 | -11.915 | 0.000 | -0.000 | 0.000 | 
| -10.499 | 22.134 | 23.589 | 0.000 | -0.000 | 0.000 | 
| -10.663 | -5.989 | 107.581 | 0.000 | -0.000 | 0.000 | 
| 0.966 | 4.336 | 2.300 | 46.065 | -0.000 | 0.000 | 
| 1.045 | 4.492 | 2.414 | 0.000 | 45.206 | 0.000 | 
| 5.251 | 8.381 | 10.114 | 0.000 | -0.000 | 18.875 | 
| 23.610 | -11.514 | -16.747 | -0.000 | 0.000 | -0.000 | 
| -28.489 | 28.461 | -29.546 | -0.000 | 0.000 | -0.000 | 
| -0.423 | 6.103 | 56.520 | 0.000 | 0.000 | -0.000 | 
| -0.966 | -4.336 | -2.300 | 46.065 | 0.000 | -0.000 | 
| -1.045 | -4.492 | -2.414 | -0.000 | 45.205 | -0.000 | 
| -5.251 | -8.381 | -10.114 | -0.000 | 0.000 | 18.875 | 
| 871.628 | 139.854 | 0.000 | 0.000 | 0.000 | -0.000 | 
| 298.384 | 713.096 | 0.000 | 0.000 | 0.000 | -0.000 | 
| -0.000 | 0.000 | 0.000 | 0.000 | 0.000 | 0.000 | 
| 0.000 | -0.000 | 0.000 | 0.000 | 0.000 | -0.000 | 
| -0.000 | 0.000 | 0.000 | 0.000 | 0.000 | 0.000 | 
| 0.001 | -0.000 | 0.000 | 0.000 | 0.000 | 365.887 | 
| 871.628 | 139.853 | -0.000 | -0.000 | -0.000 | -0.000 | 
| 139.853 | 871.627 | -0.000 | -0.000 | -0.000 | -0.000 | 
| 0.000 | -0.000 | -0.000 | -0.000 | -0.000 | -0.000 | 
| 0.000 | -0.000 | -0.000 | -0.000 | -0.000 | -0.000 | 
| 0.000 | -0.000 | -0.000 | -0.000 | -0.000 | -0.000 | 
| -0.000 | -0.000 | -0.000 | -0.000 | -0.000 | 365.887 | 
| 713.098 | 298.383 | 0.000 | 0.000 | 0.000 | 0.000 | 
| 298.386 | 713.095 | 0.000 | 0.000 | 0.000 | 0.000 | 
| -0.000 | 0.000 | 0.000 | 0.000 | 0.000 | 0.000 | 
| -0.000 | 0.000 | 0.000 | 0.000 | 0.000 | -0.000 | 
| -0.000 | 0.000 | 0.000 | 0.000 | 0.000 | -0.000 | 
| -0.000 | 0.000 | 0.000 | 0.000 | 0.000 | 207.356 | 
| 713.095 | 298.386 | -0.000 | -0.000 | -0.000 | -0.000 | 
| 298.382 | 713.098 | -0.000 | -0.000 | -0.000 | -0.000 | 
| 0.000 | -0.000 | -0.000 | -0.000 | -0.000 | -0.000 | 
| 0.000 | -0.000 | -0.000 | -0.000 | -0.000 | -0.000 | 
| -0.000 | -0.000 | -0.000 | -0.000 | -0.000 | 0.000 | 
| 0.000 | -0.000 | -0.000 | -0.000 | -0.000 | 207.356 | 
| 713.115 | 298.369 | 0.000 | 0.000 | 0.000 | -0.000 | 
| 298.402 | 713.081 | 0.000 | 0.000 | 0.000 | -0.000 | 
| -0.000 | 0.000 | 0.000 | 0.000 | 0.000 | 0.000 | 
| -0.000 | 0.000 | 0.000 | 0.000 | 0.000 | 0.000 | 
| -0.000 | 0.000 | 0.000 | 0.000 | 0.000 | -0.000 | 
| -0.000 | 0.000 | 0.000 | 0.000 | 0.000 | 207.356 | 
| 713.079 | 298.399 | -0.000 | -0.000 | -0.000 | -0.000 | 
| 298.366 | 713.112 | -0.000 | -0.000 | -0.000 | 0.000 | 
| 0.000 | -0.000 | -0.000 | -0.000 | -0.000 | -0.000 | 
| 0.000 | -0.000 | -0.000 | -0.000 | -0.000 | -0.000 | 
| 0.000 | -0.000 | -0.000 | -0.000 | -0.000 | -0.000 | 
| 0.000 | -0.000 | -0.000 | -0.000 | -0.000 | 207.356 | 
| 220.313 | 92.187 | 0.000 | 0.000 | 0.000 | 0.000 | 
| 43.208 | 269.293 | 0.000 | 0.000 | 0.000 | 0.000 | 
| -0.000 | 0.000 | 0.000 | 0.000 | 0.000 | 0.000 | 
| -0.000 | 0.000 | 0.000 | 0.000 | 0.000 | 0.000 | 
| -0.000 | 0.000 | 0.000 | 0.000 | 0.000 | 0.000 | 
| -0.000 | 0.000 | 0.000 | 0.000 | 0.000 | 64.064 | 
| 220.314 | 92.187 | -0.000 | -0.000 | -0.000 | -0.000 | 
| 92.187 | 220.314 | -0.000 | -0.000 | -0.000 | -0.000 | 
| 0.000 | -0.000 | -0.000 | -0.000 | -0.000 | -0.000 | 
| 0.000 | -0.000 | -0.000 | -0.000 | -0.000 | -0.000 | 
| 0.000 | -0.000 | -0.000 | -0.000 | -0.000 | -0.000 | 
| 0.000 | -0.000 | -0.000 | -0.000 | -0.000 | 64.063 | 
| 220.313 | 92.187 | 0.000 | 0.000 | 0.000 | 0.000 | 
| 92.187 | 220.313 | 0.000 | 0.000 | 0.000 | -0.000 | 
| -0.000 | 0.000 | 0.000 | 0.000 | 0.000 | 0.000 | 
| -0.000 | 0.000 | 0.000 | 0.000 | 0.000 | 0.000 | 
| -0.000 | 0.000 | 0.000 | 0.000 | 0.000 | 0.000 | 
| -0.000 | 0.000 | 0.000 | 0.000 | 0.000 | 64.063 | 
| 220.313 | 92.187 | -0.000 | -0.000 | -0.000 | -0.000 | 
| 92.220 | 220.281 | -0.000 | -0.000 | -0.000 | -0.000 | 
| 0.000 | -0.000 | -0.000 | -0.000 | -0.000 | -0.000 | 
| 0.000 | -0.000 | -0.000 | -0.000 | -0.000 | -0.000 | 
| 0.000 | -0.000 | -0.000 | -0.000 | -0.000 | -0.000 | 
| 0.000 | -0.000 | -0.000 | -0.000 | -0.000 | 64.063 | 
| 220.313 | 92.188 | 0.000 | 0.000 | 0.000 | 0.000 | 
| 92.192 | 220.309 | 0.000 | 0.000 | 0.000 | 0.000 | 
| -0.000 | 0.000 | 0.000 | 0.000 | 0.000 | 0.000 | 
| -0.000 | 0.000 | 0.000 | 0.000 | 0.000 | 0.000 | 
| -0.000 | 0.000 | 0.000 | 0.000 | 0.000 | 0.000 | 
| -0.000 | 0.000 | 0.000 | 0.000 | 0.000 | 64.063 | 
| 220.308 | 92.192 | -0.000 | -0.000 | -0.000 | 0.000 | 
| 92.181 | 220.318 | -0.000 | -0.000 | -0.000 | -0.000 | 
| 0.000 | -0.000 | -0.000 | -0.000 | -0.000 | -0.000 | 
| 0.000 | -0.000 | -0.000 | -0.000 | -0.000 | -0.000 | 
| 0.000 | -0.000 | -0.000 | -0.000 | -0.000 | -0.000 | 
| 0.000 | -0.000 | -0.000 | -0.000 | -0.000 | 64.063 | 
| 347.813 | 55.807 | 0.000 | 0.000 | 0.000 | 0.001 | 
| 55.807 | 347.813 | 0.000 | 0.000 | 0.000 | 0.000 | 
| -0.000 | 0.000 | 0.000 | 0.000 | 0.000 | 0.000 | 
| -0.000 | 0.000 | 0.000 | 0.000 | 0.000 | 0.000 | 
| -0.000 | 0.000 | 0.000 | 0.000 | 0.000 | 0.000 | 
| -0.000 | -0.000 | 0.000 | 0.000 | 0.000 | 82.744 | 
| 347.813 | 55.808 | -0.000 | -0.000 | -0.000 | -0.000 | 
| 119.067 | 284.553 | -0.000 | -0.000 | -0.000 | -0.000 | 
| 0.000 | -0.000 | -0.000 | -0.000 | -0.000 | -0.000 | 
| 0.000 | -0.000 | -0.000 | -0.000 | -0.000 | -0.001 | 
| 0.000 | -0.000 | -0.000 | -0.000 | -0.000 | -0.000 | 
| 0.000 | -0.000 | -0.000 | -0.000 | -0.000 | 82.743 | 
| 284.554 | 119.066 | 0.000 | 0.000 | 0.000 | 0.000 | 
| 119.025 | 284.596 | 0.000 | 0.000 | 0.000 | 0.000 | 
| -0.000 | 0.000 | 0.000 | 0.000 | 0.000 | 0.000 | 
| -0.000 | 0.000 | 0.000 | 0.000 | 0.000 | 0.000 | 
| -0.000 | 0.000 | 0.000 | 0.000 | 0.000 | 0.000 | 
| -0.000 | 0.000 | 0.000 | 0.000 | 0.000 | 82.743 | 
| 347.813 | 55.807 | -0.000 | -0.000 | -0.000 | -0.000 | 
| 119.069 | 284.551 | -0.000 | -0.000 | -0.000 | -0.000 | 
| 0.000 | -0.000 | -0.000 | -0.000 | -0.000 | -0.000 | 
| 0.000 | -0.000 | -0.000 | -0.000 | -0.000 | -0.000 | 
| 0.000 | -0.000 | -0.000 | -0.000 | -0.000 | -0.000 | 
| 0.000 | -0.000 | -0.000 | -0.000 | -0.000 | 82.743 | 
| 284.561 | 119.061 | 0.000 | 0.000 | 0.000 | 0.000 | 
| 119.074 | 284.547 | 0.000 | 0.000 | 0.000 | 0.000 | 
| -0.000 | 0.000 | 0.000 | 0.000 | 0.000 | 0.000 | 
| -0.000 | 0.000 | 0.000 | 0.000 | 0.000 | 0.000 | 
| -0.000 | 0.000 | 0.000 | 0.000 | 0.000 | 0.000 | 
| -0.000 | 0.000 | 0.000 | 0.000 | 0.000 | 82.743 | 
| 284.546 | 119.073 | -0.000 | -0.000 | -0.000 | -0.000 | 
| 119.060 | 284.559 | -0.000 | -0.000 | -0.000 | -0.000 | 
| 0.000 | -0.000 | -0.000 | -0.000 | -0.000 | -0.000 | 
| 0.000 | -0.000 | -0.000 | -0.000 | -0.000 | -0.000 | 
| 0.000 | -0.000 | -0.000 | -0.000 | -0.000 | -0.000 | 
| 0.000 | -0.000 | -0.000 | -0.000 | -0.000 | 82.743 | 
| 379.431 | 158.767 | 0.000 | 0.000 | 0.000 | 0.000 | 
| 74.414 | 463.783 | 0.000 | 0.000 | 0.000 | 0.000 | 
| 0.000 | 0.000 | 0.000 | 0.000 | 0.000 | -0.000 | 
| 0.000 | 0.000 | 0.000 | 0.000 | 0.000 | 0.000 | 
| 0.000 | 0.000 | 0.000 | 0.000 | 0.000 | 0.000 | 
| 0.000 | 0.000 | 0.000 | 0.000 | 0.000 | 110.332 | 
| 379.430 | 158.767 | -0.000 | -0.000 | -0.000 | 0.000 | 
| 158.766 | 379.431 | -0.000 | -0.000 | -0.000 | -0.000 | 
| -0.000 | -0.000 | -0.000 | -0.000 | -0.000 | 0.000 | 
| -0.000 | -0.000 | -0.000 | -0.000 | -0.000 | -0.000 | 
| -0.000 | -0.000 | -0.000 | -0.000 | -0.000 | -0.000 | 
| -0.000 | -0.000 | -0.000 | -0.000 | -0.000 | 110.332 | 
| 379.417 | 158.781 | 0.000 | 0.000 | 0.000 | 0.000 | 
| 158.768 | 379.430 | 0.000 | 0.000 | 0.000 | 0.000 | 
| 0.000 | 0.000 | 0.000 | 0.000 | 0.000 | -0.000 | 
| 0.000 | 0.000 | 0.000 | 0.000 | 0.000 | 0.000 | 
| 0.000 | 0.000 | 0.000 | 0.000 | 0.000 | 0.000 | 
| 0.000 | 0.000 | 0.000 | 0.000 | 0.000 | 110.332 | 
| 379.444 | 158.753 | -0.000 | -0.000 | -0.000 | 0.000 | 
| 158.823 | 379.374 | -0.000 | -0.000 | -0.000 | -0.000 | 
| -0.000 | -0.000 | -0.000 | -0.000 | -0.000 | 0.000 | 
| -0.000 | -0.000 | -0.000 | -0.000 | -0.000 | -0.000 | 
| -0.000 | -0.000 | -0.000 | -0.000 | -0.000 | 0.000 | 
| -0.000 | -0.000 | -0.000 | -0.000 | -0.000 | 110.332 | 
| 378.867 | 159.332 | 0.000 | 0.000 | 0.000 | 0.000 | 
| 158.776 | 379.422 | 0.000 | 0.000 | 0.000 | 0.000 | 
| 0.000 | 0.000 | 0.000 | 0.000 | 0.000 | -0.000 | 
| 0.000 | 0.000 | 0.000 | 0.000 | 0.000 | 0.000 | 
| 0.000 | 0.000 | 0.000 | 0.000 | 0.000 | 0.000 | 
| -0.000 | 0.000 | 0.000 | 0.000 | 0.000 | 110.332 | 
| 379.421 | 158.775 | -0.000 | -0.000 | -0.000 | 0.000 | 
| 158.757 | 379.439 | -0.000 | -0.000 | -0.000 | 0.000 | 
| -0.000 | -0.000 | -0.000 | -0.000 | -0.000 | 0.000 | 
| -0.000 | -0.000 | -0.000 | -0.000 | -0.000 | -0.000 | 
| -0.000 | -0.000 | -0.000 | -0.000 | -0.000 | -0.000 | 
| 0.000 | -0.000 | -0.000 | -0.000 | -0.000 | 110.332 | 
| -459.750 | -426.434 | -427.757 | -1.529 | -1.113 | -0.695 | 
| -510.487 | -434.667 | -510.302 | -0.566 | -0.409 | -0.257 | 
| 58.520 | 58.486 | 51.419 | -0.444 | -0.328 | -0.202 | 
| 1.368 | 1.346 | 1.379 | -24.292 | -0.308 | -0.189 | 
| 1.368 | 1.346 | 1.379 | -0.418 | -24.183 | -0.189 | 
| 1.373 | 1.351 | 1.383 | -0.418 | -0.308 | -24.085 | 
| 335.091 | 294.502 | 294.161 | 0.643 | 0.467 | 0.292 | 
| 63.891 | 63.515 | 63.890 | 0.419 | 0.309 | 0.190 | 
| 294.272 | 294.508 | 335.074 | 0.636 | 0.462 | 0.289 | 
| 428.036 | 428.429 | 427.852 | 0.826 | 0.303 | 0.190 | 
| -1.374 | -1.351 | -1.384 | 0.418 | -23.589 | 0.190 | 
| -1.369 | -1.346 | -1.379 | 0.417 | 0.308 | -23.686 | 
| -29.644 | -34.959 | -35.012 | -0.068 | -0.050 | -0.031 | 
| -16.938 | -20.983 | -16.944 | 0.050 | 0.036 | 0.023 | 
| -35.001 | -34.965 | -29.669 | -0.068 | -0.050 | -0.031 | 
| -6.905 | -6.878 | -6.918 | -1.730 | -0.007 | -0.004 | 
| 1.934 | 1.990 | 1.908 | -0.081 | 42.104 | -0.037 | 
| -6.913 | -6.885 | -6.925 | -0.009 | -0.007 | -1.730 | 
| -10.435 | -28.019 | -27.992 | 0.073 | 0.053 | 0.033 | 
| -27.999 | -10.464 | -27.991 | 0.073 | 0.053 | 0.033 | 
| 26.568 | 26.551 | 24.260 | -0.022 | -0.015 | -0.010 | 
| 6.932 | 6.905 | 6.945 | -1.705 | 0.006 | 0.004 | 
| -1.938 | -1.994 | -1.912 | 0.081 | 42.037 | 0.037 | 
| 6.925 | 6.898 | 6.938 | 0.008 | 0.006 | -1.702 | 
| 2.670 | -3.590 | -3.593 | -0.002 | -0.002 | -0.001 | 
| -4.278 | 4.125 | -4.280 | 0.004 | 0.003 | 0.002 | 
| -5.813 | -5.811 | 4.358 | -0.008 | -0.006 | -0.004 | 
| -1.726 | -1.719 | -1.730 | 6.122 | -0.003 | -0.002 | 
| -1.726 | -1.719 | -1.730 | -0.004 | 6.123 | -0.002 | 
| -1.726 | -1.719 | -1.730 | -0.004 | -0.003 | 6.124 | 
| 7.705 | -5.319 | -5.315 | 0.014 | 0.010 | 0.006 | 
| -4.356 | 6.725 | -4.355 | 0.001 | 0.001 | 0.000 | 
| -1.539 | -1.541 | 4.932 | 0.074 | 0.054 | 0.034 | 
| 1.081 | 1.078 | 1.082 | 7.861 | 0.003 | 0.002 | 
| 1.081 | 1.078 | 1.082 | 0.004 | 7.859 | 0.002 | 
| 1.081 | 1.078 | 1.082 | 0.004 | 0.003 | 7.860 | 
| 85.943 | 82.199 | 82.199 | 0.012 | -0.079 | -0.035 | 
| 82.216 | 85.959 | 82.216 | 0.023 | -0.045 | 0.003 | 
| 82.192 | 82.192 | 85.936 | 0.007 | 0.016 | -0.026 | 
| 0.000 | 0.000 | 0.000 | 255.732 | 0.000 | -0.000 | 
| -0.000 | 0.000 | 0.000 | -0.000 | 255.732 | -0.000 | 
| -0.000 | -0.000 | -0.000 | -0.000 | -0.000 | 255.732 | 
| -79.936 | -79.514 | -79.514 | -0.000 | 0.000 | -0.000 | 
| -79.514 | -79.936 | -79.514 | -0.000 | 0.000 | -0.000 | 
| -104.609 | -104.609 | 8.941 | -0.000 | 0.000 | 0.000 | 
| -0.000 | -0.000 | 0.000 | 255.732 | -0.000 | 0.000 | 
| 0.000 | -0.000 | 0.000 | 0.000 | 255.732 | 0.000 | 
| -0.000 | -0.000 | -0.000 | 0.000 | -0.000 | 255.732 | 
| 6.944 | 8.569 | 8.569 | 0.000 | -0.000 | -0.000 | 
| 8.569 | 6.944 | 8.569 | 0.000 | -0.000 | 0.000 | 
| 8.569 | 8.569 | 6.944 | 0.000 | -0.000 | 0.000 | 
| 8.422 | 8.422 | 8.422 | 2.467 | -0.000 | -0.000 | 
| 8.422 | 8.422 | 8.422 | -0.000 | 2.467 | 0.000 | 
| 8.422 | 8.422 | 8.422 | 0.000 | -0.000 | 2.467 | 
| 86.279 | -27.203 | -27.203 | -0.000 | 0.000 | 0.000 | 
| -27.203 | 86.279 | -27.203 | -0.000 | -0.000 | 0.000 | 
| -27.203 | -27.203 | 86.279 | -0.000 | 0.000 | 0.000 | 
| -8.422 | -8.422 | -8.422 | 2.467 | 0.000 | 0.000 | 
| -8.422 | -8.422 | -8.422 | -0.000 | 2.467 | -0.000 | 
| -8.422 | -8.422 | -8.422 | 0.000 | 0.000 | 2.467 | 
| 1.131 | 1.131 | 1.131 | -0.000 | 0.000 | 0.000 | 
| 1.131 | 1.131 | 1.131 | -0.000 | -0.000 | -0.000 | 
| 1.131 | 1.131 | 1.131 | -0.000 | -0.000 | -0.000 | 
| 0.833 | 0.833 | 0.833 | -0.000 | -0.000 | -0.000 | 
| 0.833 | 0.833 | 0.833 | 0.000 | -0.000 | -0.000 | 
| 0.833 | 0.833 | 0.833 | 0.000 | -0.000 | -0.000 | 
| -0.829 | -0.831 | -0.831 | -0.000 | 0.000 | 0.000 | 
| -0.831 | -0.829 | -0.831 | 0.000 | 0.000 | 0.000 | 
| -0.820 | -0.820 | -0.821 | -0.000 | 0.000 | 0.000 | 
| -0.833 | -0.833 | -0.833 | -0.000 | 0.000 | 0.000 | 
| -0.833 | -0.833 | -0.833 | 0.000 | -0.000 | 0.000 | 
| -0.833 | -0.833 | -0.833 | -0.000 | 0.000 | -0.000 | 
| 2.969 | 4.547 | 4.547 | -0.000 | -0.000 | -0.000 | 
| 4.547 | 2.969 | 4.547 | -0.000 | -0.000 | -0.000 | 
| 4.547 | 4.547 | 2.969 | -0.000 | 0.000 | -0.000 | 
| -0.244 | -0.244 | -0.244 | 2.458 | -0.000 | 0.000 | 
| -0.244 | -0.244 | -0.244 | -0.000 | 2.459 | -0.000 | 
| -0.244 | -0.244 | -0.244 | -0.000 | 0.000 | 2.459 | 
| 95.339 | -17.916 | -17.916 | 0.000 | -0.000 | 0.000 | 
| -17.917 | 95.339 | -17.916 | 0.000 | -0.000 | 0.000 | 
| -17.916 | -17.916 | 95.339 | 0.000 | -0.000 | 0.000 | 
| 0.244 | 0.244 | 0.244 | 2.459 | -0.000 | 0.000 | 
| 0.244 | 0.244 | 0.244 | 0.000 | 2.459 | 0.000 | 
| 0.244 | 0.244 | 0.244 | 0.000 | -0.000 | 2.459 | 
| 2.966 | 4.760 | 4.760 | 0.000 | 0.000 | -0.000 | 
| 4.760 | 2.966 | 4.760 | -0.000 | 0.000 | -0.000 | 
| 4.760 | 4.760 | 2.966 | -0.000 | 0.000 | -0.000 | 
| -0.024 | -0.024 | -0.024 | 2.469 | 0.000 | 0.000 | 
| -0.024 | -0.024 | -0.024 | -0.000 | 2.469 | 0.000 | 
| -0.024 | -0.024 | -0.024 | -0.000 | 0.000 | 2.469 | 
| 0.401 | -3.302 | -3.301 | -0.000 | 0.000 | -0.000 | 
| -3.302 | 0.401 | -3.302 | -0.000 | 0.000 | -0.000 | 
| -3.302 | -3.302 | 0.401 | -0.000 | -0.000 | -0.000 | 
| 0.024 | 0.024 | 0.024 | 2.469 | -0.000 | 0.000 | 
| 0.024 | 0.024 | 0.024 | 0.000 | 2.469 | 0.000 | 
| 0.024 | 0.024 | 0.024 | 0.000 | -0.000 | 2.469 | 
| 0.298 | 0.298 | 0.298 | -0.000 | 0.000 | -0.000 | 
| 0.298 | 0.298 | 0.298 | -0.000 | 0.000 | 0.000 | 
| 0.298 | 0.298 | 0.298 | 0.000 | 0.000 | -0.000 | 
| -0.002 | -0.002 | -0.002 | 2.461 | 0.000 | 0.000 | 
| -0.002 | -0.002 | -0.002 | 0.000 | 2.461 | -0.000 | 
| -0.002 | -0.002 | -0.002 | -0.000 | 0.000 | 2.461 | 
| 2.444 | -0.341 | -0.341 | 0.000 | -0.000 | 0.000 | 
| -0.341 | 2.444 | -0.341 | 0.000 | 0.000 | 0.000 | 
| -0.341 | -0.341 | 2.444 | -0.000 | 0.000 | 0.000 | 
| 0.002 | 0.002 | 0.002 | 2.461 | -0.000 | 0.000 | 
| 0.002 | 0.002 | 0.002 | 0.000 | 2.461 | 0.000 | 
| 0.002 | 0.002 | 0.002 | 0.000 | -0.000 | 2.461 | 
| 2411.496 | 31.836 | 0.008 | -0.000 | 2.303 | 0.000 | 
| 0.001 | 2367.299 | 131.694 | -0.000 | 0.007 | 0.000 | 
| 73325.328 | -9559731.347 | -353975.801 | -40.331 | -134368.378 | 0.000 | 
| -0.000 | 0.000 | -0.000 | 143.568 | 0.000 | 0.008 | 
| 1.645 | -9455889.543 | -788161.786 | 1.755 | 20561.422 | 0.000 | 
| -0.000 | 0.000 | -0.000 | 0.008 | 0.000 | 128.772 | 
| 2411.496 | 31.836 | 0.008 | 0.000 | 2.303 | -0.000 | 
| 0.001 | 2367.298 | 131.694 | 0.000 | 0.007 | -0.000 | 
| -1.643 | 9455926.339 | 788162.208 | -1.755 | -20558.672 | 0.000 | 
| 0.000 | -0.000 | 0.000 | 143.568 | 0.000 | 0.008 | 
| -112522.790 | 9459602.014 | 108870.204 | -0.364 | 255070.401 | -0.000 | 
| 0.000 | -0.000 | 0.000 | 0.008 | 0.000 | 128.772 | 
| 2411.497 | 31.836 | 0.008 | -0.000 | 2.303 | 0.000 | 
| 0.001 | 2367.300 | 131.694 | -0.000 | 0.007 | 0.000 | 
| 13568.399 | -955819.414 | 2275.854 | -2.508 | -28756.177 | 0.000 | 
| -0.000 | 0.000 | 0.000 | 143.568 | 0.000 | 0.008 | 
| 0.216 | -949775.194 | -79165.599 | 0.141 | 4011.885 | 0.000 | 
| -0.000 | -0.000 | -0.000 | 0.008 | 0.000 | 128.772 | 
| 2411.495 | 31.836 | 0.008 | 0.000 | 2.303 | -0.000 | 
| 0.001 | 2367.298 | 131.694 | 0.000 | 0.007 | 0.000 | 
| -0.214 | 949801.500 | 79165.145 | 0.169 | -4012.195 | -0.000 | 
| 0.000 | -0.000 | -0.000 | 143.568 | 0.000 | 0.008 | 
| -8551.484 | 956112.858 | 28046.766 | 4.340 | 16399.359 | -0.000 | 
| 0.000 | 0.000 | 0.000 | 0.008 | 0.000 | 128.772 | 
| 2411.508 | 31.836 | 0.008 | -0.000 | 2.303 | 0.000 | 
| 0.001 | 2367.309 | 131.695 | -0.000 | 0.007 | 0.000 | 
| 3738.375 | -94945.302 | 14662.139 | 0.001 | -8786.071 | 0.000 | 
| -0.000 | 0.000 | 0.000 | 143.568 | -0.000 | 0.008 | 
| 0.022 | -94977.270 | -7916.539 | -0.044 | 401.219 | 0.000 | 
| 0.000 | -0.001 | -0.000 | 0.008 | 0.000 | 128.772 | 
| 2411.485 | 31.836 | 0.008 | 0.000 | 2.303 | -0.000 | 
| 0.001 | 2367.288 | 131.694 | 0.000 | 0.007 | -0.000 | 
| -0.020 | 95008.631 | 7916.508 | 0.017 | -401.181 | 0.000 | 
| 0.000 | -0.000 | -0.000 | 143.568 | 0.000 | 0.008 | 
| -2316.228 | 94977.265 | -6072.895 | -0.001 | 5291.033 | -0.000 | 
| -0.000 | 0.001 | 0.000 | 0.008 | 0.000 | 128.772 | 
| 0.000 | 0.000 | 0.001 | 0.001 | 0.003 | 0.000 | 
| 0.000 | 0.000 | 0.001 | 0.001 | 0.002 | 0.000 | 
| 0.000 | 0.000 | 1187.689 | 0.000 | 0.002 | 0.000 | 
| 0.000 | -0.000 | 0.001 | 0.002 | 0.002 | -0.000 | 
| -0.000 | 0.000 | 0.001 | 0.001 | 0.002 | 0.000 | 
| 0.000 | 0.000 | 0.001 | 0.001 | 0.002 | 0.000 | 
| -0.000 | -0.000 | -0.001 | -0.001 | -0.003 | -0.000 | 
| -0.000 | -0.000 | -0.001 | -0.004 | -0.002 | -0.000 | 
| -0.000 | -0.000 | 1187.687 | 0.001 | 0.000 | -0.000 | 
| -0.000 | -0.000 | -0.001 | -0.001 | -0.002 | -0.000 | 
| -0.000 | -0.000 | -0.001 | -0.001 | -0.002 | -0.000 | 
| -0.000 | -0.000 | -0.001 | -0.001 | -0.002 | -0.000 | 
| 0.000 | 0.000 | 0.000 | 0.000 | 0.000 | 0.000 | 
| 0.000 | 0.000 | 0.000 | 0.000 | 0.000 | 0.000 | 
| 0.000 | 0.000 | 1187.688 | 0.000 | 0.000 | 0.000 | 
| 0.000 | 0.000 | -0.000 | 0.000 | 0.000 | -0.000 | 
| -0.000 | 0.000 | -0.000 | 0.000 | 0.000 | 0.000 | 
| 0.000 | 0.000 | 0.000 | 0.000 | 0.000 | 0.000 | 
| -0.000 | -0.000 | -0.000 | -0.000 | -0.000 | -0.000 | 
| -0.000 | -0.000 | -0.000 | -0.000 | -0.000 | -0.000 | 
| -0.000 | -0.000 | 1187.687 | -0.000 | -0.000 | -0.000 | 
| -0.000 | -0.000 | 0.000 | -0.000 | -0.000 | -0.000 | 
| -0.000 | -0.000 | 0.000 | -0.000 | -0.000 | -0.000 | 
| -0.000 | -0.000 | -0.000 | -0.000 | -0.000 | -0.000 | 
| 0.000 | 0.000 | 0.000 | 0.000 | 0.000 | 0.000 | 
| 0.000 | 0.000 | 0.000 | 0.000 | 0.000 | 0.000 | 
| 0.000 | 0.000 | 1187.693 | -0.000 | 0.000 | 0.000 | 
| 0.000 | -0.000 | -0.001 | -0.000 | 0.000 | -0.000 | 
| -0.000 | 0.000 | -0.001 | 0.000 | 0.000 | 0.000 | 
| 0.000 | 0.000 | 0.000 | 0.000 | 0.000 | 0.000 | 
| -0.000 | -0.000 | -0.000 | -0.000 | -0.000 | -0.000 | 
| -0.000 | -0.000 | -0.000 | -0.000 | -0.000 | -0.000 | 
| -0.000 | -0.000 | 1187.683 | 0.000 | -0.000 | -0.000 | 
| -0.000 | 0.000 | 0.001 | -0.000 | -0.000 | -0.000 | 
| -0.000 | -0.000 | 0.001 | -0.000 | -0.000 | -0.000 | 
| -0.000 | -0.000 | -0.000 | -0.000 | -0.000 | -0.000 | 
| 771.860 | 322.973 | 0.000 | 0.000 | 0.000 | -0.000 | 
| 151.378 | 943.455 | 0.000 | 0.000 | 0.000 | -0.000 | 
| -0.000 | -0.000 | 0.000 | 0.000 | 0.000 | 0.000 | 
| -0.000 | -0.000 | 0.000 | 0.000 | 0.000 | -0.000 | 
| -0.000 | -0.000 | 0.000 | 0.000 | 0.000 | -0.000 | 
| -0.000 | 0.000 | 0.000 | 0.000 | 0.000 | 224.444 | 
| 771.860 | 322.973 | -0.000 | -0.000 | -0.000 | 0.000 | 
| 322.973 | 771.861 | -0.000 | -0.000 | -0.000 | 0.000 | 
| 0.000 | 0.000 | -0.000 | -0.000 | -0.000 | -0.000 | 
| 0.000 | 0.000 | -0.000 | -0.000 | -0.000 | 0.000 | 
| 0.000 | 0.000 | -0.000 | -0.000 | -0.000 | 0.000 | 
| -0.000 | -0.000 | -0.000 | -0.000 | -0.000 | 224.444 | 
| 771.854 | 322.980 | 0.000 | 0.000 | 0.000 | -0.000 | 
| 322.975 | 771.859 | 0.000 | 0.000 | 0.000 | -0.000 | 
| -0.000 | -0.000 | 0.000 | 0.000 | 0.000 | 0.000 | 
| -0.000 | -0.000 | 0.000 | 0.000 | 0.000 | -0.000 | 
| -0.000 | -0.000 | 0.000 | 0.000 | 0.000 | 0.000 | 
| -0.000 | 0.000 | 0.000 | 0.000 | 0.000 | 224.444 | 
| 771.858 | 322.974 | -0.000 | -0.000 | -0.000 | 0.000 | 
| 323.088 | 771.745 | -0.000 | -0.000 | -0.000 | 0.000 | 
| 0.000 | 0.000 | -0.000 | -0.000 | -0.000 | -0.000 | 
| -0.000 | 0.000 | -0.000 | -0.000 | -0.000 | 0.000 | 
| 0.000 | 0.000 | -0.000 | -0.000 | -0.000 | 0.000 | 
| 0.000 | -0.000 | -0.000 | -0.000 | -0.000 | 224.444 | 
| 771.582 | 323.255 | 0.000 | 0.000 | 0.000 | -0.000 | 
| 322.992 | 771.844 | 0.000 | 0.000 | 0.000 | -0.000 | 
| -0.000 | -0.000 | 0.000 | 0.000 | 0.000 | 0.000 | 
| -0.000 | -0.000 | 0.000 | 0.000 | 0.000 | 0.000 | 
| 0.000 | -0.000 | 0.000 | 0.000 | 0.000 | -0.000 | 
| -0.000 | 0.000 | 0.000 | 0.000 | 0.000 | 224.444 | 
| 771.841 | 322.989 | -0.000 | -0.000 | -0.000 | 0.000 | 
| 322.953 | 771.877 | -0.000 | -0.000 | -0.000 | 0.000 | 
| 0.000 | 0.000 | -0.000 | -0.000 | -0.000 | -0.000 | 
| 0.000 | 0.000 | -0.000 | -0.000 | -0.000 | 0.000 | 
| -0.000 | 0.000 | -0.000 | -0.000 | -0.000 | 0.000 | 
| 0.000 | -0.000 | -0.000 | -0.000 | -0.000 | 224.444 | 
| 799.306 | 605.539 | 0.000 | 0.000 | 0.000 | 0.000 | 
| 605.539 | 799.306 | 0.000 | 0.000 | 0.000 | 0.000 | 
| -0.000 | 0.000 | 0.000 | 0.000 | 0.000 | -0.000 | 
| -0.000 | 0.000 | 0.000 | 0.000 | 0.000 | -0.000 | 
| -0.000 | 0.000 | 0.000 | 0.000 | 0.000 | -0.000 | 
| -0.000 | 0.000 | 0.000 | 0.000 | 0.000 | 702.423 | 
| 799.306 | 605.539 | -0.000 | -0.000 | -0.000 | 0.000 | 
| 605.539 | 799.306 | -0.000 | -0.000 | -0.000 | -0.000 | 
| 0.000 | -0.000 | -0.000 | -0.000 | -0.000 | 0.000 | 
| 0.000 | -0.000 | -0.000 | -0.000 | -0.000 | 0.000 | 
| 0.000 | -0.000 | -0.000 | -0.000 | -0.000 | -0.000 | 
| 0.000 | -0.000 | -0.000 | -0.000 | -0.000 | 702.423 | 
| 799.306 | 605.540 | 0.000 | 0.000 | 0.000 | 0.000 | 
| 605.540 | 799.306 | 0.000 | 0.000 | 0.000 | -0.000 | 
| -0.000 | 0.000 | 0.000 | 0.000 | 0.000 | -0.000 | 
| -0.000 | 0.000 | 0.000 | 0.000 | 0.000 | -0.000 | 
| -0.000 | 0.000 | 0.000 | 0.000 | 0.000 | 0.000 | 
| 0.000 | 0.000 | 0.000 | 0.000 | 0.000 | 702.423 | 
| 799.306 | 605.539 | -0.000 | -0.000 | -0.000 | 0.000 | 
| 605.539 | 799.306 | -0.000 | -0.000 | -0.000 | -0.000 | 
| 0.000 | -0.000 | -0.000 | -0.000 | -0.000 | 0.000 | 
| 0.000 | -0.000 | -0.000 | -0.000 | -0.000 | -0.000 | 
| 0.000 | -0.000 | -0.000 | -0.000 | -0.000 | -0.000 | 
| -0.000 | -0.000 | -0.000 | -0.000 | -0.000 | 702.423 | 
| 799.307 | 605.542 | 0.000 | 0.000 | 0.000 | 0.000 | 
| 605.542 | 799.307 | 0.000 | 0.000 | 0.000 | -0.000 | 
| -0.000 | 0.000 | 0.000 | 0.000 | 0.000 | -0.000 | 
| -0.000 | 0.000 | 0.000 | 0.000 | 0.000 | -0.000 | 
| -0.000 | 0.000 | 0.000 | 0.000 | 0.000 | -0.000 | 
| 0.001 | 0.002 | 0.000 | 0.000 | 0.000 | 702.423 | 
| 799.304 | 605.537 | -0.000 | -0.000 | -0.000 | 0.000 | 
| 605.537 | 799.304 | -0.000 | -0.000 | -0.000 | -0.000 | 
| -0.000 | -0.000 | -0.000 | -0.000 | -0.000 | 0.000 | 
| 0.000 | -0.000 | -0.000 | -0.000 | -0.000 | 0.000 | 
| 0.000 | -0.000 | -0.000 | -0.000 | -0.000 | 0.000 | 
| -0.001 | -0.002 | -0.000 | -0.000 | -0.000 | 702.423 | 
| 799.306 | 605.539 | 0.000 | 0.000 | 0.000 | 0.000 | 
| 605.539 | 799.306 | 0.000 | 0.000 | 0.000 | 0.000 | 
| 0.000 | 0.000 | 0.000 | 0.000 | 0.000 | 0.000 | 
| 0.000 | 0.000 | 0.000 | 0.000 | 0.000 | 0.000 | 
| 0.000 | 0.000 | 0.000 | 0.000 | 0.000 | 0.000 | 
| 0.000 | 0.000 | 0.000 | 0.000 | 0.000 | 702.423 | 
| 799.306 | 605.539 | -0.000 | -0.000 | -0.000 | -0.000 | 
| 605.539 | 799.306 | -0.000 | -0.000 | -0.000 | 0.000 | 
| -0.000 | -0.000 | -0.000 | -0.000 | -0.000 | -0.000 | 
| -0.000 | -0.000 | -0.000 | -0.000 | -0.000 | -0.000 | 
| -0.000 | -0.000 | -0.000 | -0.000 | -0.000 | -0.000 | 
| -0.000 | -0.000 | -0.000 | -0.000 | -0.000 | 702.423 | 
| 799.306 | 605.540 | 0.000 | 0.000 | 0.000 | 0.000 | 
| 605.540 | 799.306 | 0.000 | 0.000 | 0.000 | -0.000 | 
| 0.000 | 0.000 | 0.000 | 0.000 | 0.000 | 0.000 | 
| -0.000 | 0.000 | 0.000 | 0.000 | 0.000 | 0.000 | 
| -0.000 | 0.000 | 0.000 | 0.000 | 0.000 | 0.000 | 
| 0.000 | 0.000 | 0.000 | 0.000 | 0.000 | 702.423 | 
| 799.306 | 605.539 | -0.000 | -0.000 | -0.000 | -0.000 | 
| 605.539 | 799.306 | -0.000 | -0.000 | -0.000 | -0.000 | 
| -0.000 | -0.000 | -0.000 | -0.000 | -0.000 | -0.000 | 
| -0.000 | -0.000 | -0.000 | -0.000 | -0.000 | -0.000 | 
| -0.000 | -0.000 | -0.000 | -0.000 | -0.000 | -0.000 | 
| -0.000 | -0.000 | -0.000 | -0.000 | -0.000 | 702.423 | 
| 799.307 | 605.542 | 0.000 | 0.000 | 0.000 | 0.000 | 
| 605.542 | 799.307 | 0.000 | 0.000 | 0.000 | 0.000 | 
| 0.000 | 0.000 | 0.000 | 0.000 | 0.000 | 0.000 | 
| 0.000 | -0.000 | 0.000 | 0.000 | 0.000 | 0.000 | 
| 0.000 | 0.000 | 0.000 | 0.000 | 0.000 | 0.000 | 
| 0.001 | 0.002 | 0.000 | 0.000 | 0.000 | 702.423 | 
| 799.304 | 605.537 | -0.000 | -0.000 | -0.000 | -0.000 | 
| 605.537 | 799.304 | -0.000 | -0.000 | -0.000 | -0.000 | 
| -0.000 | -0.000 | -0.000 | -0.000 | -0.000 | -0.000 | 
| -0.000 | -0.000 | -0.000 | -0.000 | -0.000 | -0.000 | 
| -0.000 | -0.000 | -0.000 | -0.000 | -0.000 | 0.000 | 
| -0.001 | -0.002 | -0.000 | -0.000 | -0.000 | 702.423 | 
| 513.097 | 249.258 | 249.256 | -0.000 | -0.000 | 0.000 | 
| 249.260 | 513.095 | 249.256 | -0.000 | 0.000 | 0.000 | 
| 249.260 | 249.257 | 513.095 | -0.001 | -0.000 | 0.000 | 
| 0.001 | -0.000 | 0.000 | 84.809 | 0.000 | 0.000 | 
| 0.001 | 0.000 | -0.000 | -0.000 | 84.808 | -0.000 | 
| 0.001 | -0.000 | -0.001 | -0.000 | 0.000 | 84.809 | 
| 513.094 | 249.258 | 249.257 | 0.000 | 0.000 | 0.000 | 
| 249.256 | 513.096 | 249.257 | 0.000 | 0.000 | 0.000 | 
| 249.256 | 249.258 | 513.097 | 0.000 | 0.000 | -0.000 | 
| -0.001 | 0.000 | 0.000 | 84.809 | 0.001 | -0.000 | 
| -0.001 | -0.000 | 0.000 | 0.000 | 84.809 | 0.000 | 
| -0.001 | 0.000 | 0.001 | 0.000 | 0.000 | 84.809 | 
| 513.177 | 249.218 | 249.218 | 0.000 | 0.000 | -0.000 | 
| 249.218 | 513.177 | 249.218 | 0.000 | 0.000 | 0.000 | 
| 249.218 | 249.218 | 513.177 | 0.000 | -0.000 | -0.000 | 
| 0.000 | -0.000 | -0.000 | 73.187 | -0.000 | 0.000 | 
| 0.000 | -0.000 | -0.000 | -0.000 | 73.187 | 0.000 | 
| 0.000 | -0.000 | -0.000 | 0.000 | -0.000 | 73.187 | 
| 513.098 | 249.256 | 249.257 | 0.000 | -0.000 | -0.000 | 
| 249.256 | 513.099 | 249.257 | -0.000 | -0.000 | -0.000 | 
| 249.256 | 249.256 | 513.099 | -0.000 | -0.000 | 0.000 | 
| -0.000 | 0.000 | 0.000 | 73.187 | -0.000 | 0.000 | 
| -0.000 | 0.000 | 0.000 | 0.000 | 73.187 | -0.000 | 
| -0.000 | 0.000 | 0.000 | 0.000 | 0.000 | 73.187 | 
| 510.382 | 253.215 | 253.215 | 0.000 | 0.000 | 0.000 | 
| 253.215 | 510.382 | 253.215 | 0.000 | 0.000 | 0.000 | 
| 253.215 | 253.215 | 510.382 | 0.000 | -0.000 | -0.000 | 
| -0.000 | -0.000 | -0.000 | 73.187 | -0.000 | 0.000 | 
| -0.000 | -0.000 | -0.000 | -0.000 | 73.187 | 0.000 | 
| -0.000 | -0.000 | -0.000 | 0.000 | 0.000 | 73.187 | 
| 510.444 | 253.185 | 253.185 | 0.000 | 0.000 | -0.000 | 
| 253.185 | 510.444 | 253.185 | 0.000 | 0.000 | -0.000 | 
| 253.185 | 253.185 | 510.444 | 0.000 | -0.000 | 0.000 | 
| 0.000 | 0.000 | 0.000 | 73.187 | -0.000 | -0.000 | 
| 0.000 | 0.000 | 0.000 | -0.000 | 73.187 | -0.000 | 
| 0.000 | 0.000 | 0.000 | 0.000 | -0.000 | 73.187 | 
| 837.276 | 350.345 | 0.000 | 0.000 | 0.000 | -0.001 | 
| 164.207 | 1023.413 | 0.000 | 0.000 | 0.000 | 0.000 | 
| -0.000 | 0.000 | 0.000 | 0.000 | 0.000 | -0.000 | 
| -0.000 | 0.000 | 0.000 | 0.000 | 0.000 | -0.001 | 
| -0.000 | 0.000 | 0.000 | 0.000 | 0.000 | -0.000 | 
| -0.000 | -0.000 | 0.000 | 0.000 | 0.000 | 243.465 | 
| 837.276 | 350.345 | -0.000 | -0.000 | -0.000 | 0.000 | 
| 350.345 | 837.276 | -0.000 | -0.000 | -0.000 | 0.000 | 
| 0.000 | -0.000 | -0.000 | -0.000 | -0.000 | 0.000 | 
| 0.000 | -0.000 | -0.000 | -0.000 | -0.000 | 0.001 | 
| 0.000 | -0.000 | -0.000 | -0.000 | -0.000 | 0.000 | 
| 0.000 | -0.000 | -0.000 | -0.000 | -0.000 | 243.466 | 
| 837.269 | 350.352 | 0.000 | 0.000 | 0.000 | -0.000 | 
| 350.347 | 837.274 | 0.000 | 0.000 | 0.000 | 0.000 | 
| -0.000 | 0.000 | 0.000 | 0.000 | 0.000 | -0.000 | 
| -0.000 | 0.000 | 0.000 | 0.000 | 0.000 | -0.000 | 
| -0.000 | 0.000 | 0.000 | 0.000 | 0.000 | -0.000 | 
| -0.000 | 0.000 | 0.000 | 0.000 | 0.000 | 243.465 | 
| 837.274 | 350.347 | -0.000 | -0.000 | -0.000 | 0.000 | 
| 350.469 | 837.151 | -0.000 | -0.000 | -0.000 | 0.000 | 
| 0.000 | -0.000 | -0.000 | -0.000 | -0.000 | 0.000 | 
| 0.000 | -0.000 | -0.000 | -0.000 | -0.000 | 0.000 | 
| 0.000 | -0.000 | -0.000 | -0.000 | -0.000 | 0.000 | 
| 0.000 | -0.000 | -0.000 | -0.000 | -0.000 | 243.465 | 
| 836.973 | 350.651 | 0.000 | 0.000 | 0.000 | -0.000 | 
| 350.366 | 837.258 | 0.000 | 0.000 | 0.000 | 0.000 | 
| -0.000 | 0.000 | 0.000 | 0.000 | 0.000 | -0.000 | 
| -0.000 | 0.000 | 0.000 | 0.000 | 0.000 | -0.000 | 
| -0.000 | 0.000 | 0.000 | 0.000 | 0.000 | -0.000 | 
| -0.000 | 0.000 | 0.000 | 0.000 | 0.000 | 243.465 | 
| 837.254 | 350.363 | -0.000 | -0.000 | -0.000 | 0.000 | 
| 350.324 | 837.294 | -0.000 | -0.000 | -0.000 | -0.000 | 
| 0.000 | -0.000 | -0.000 | -0.000 | -0.000 | 0.000 | 
| 0.000 | -0.000 | -0.000 | -0.000 | -0.000 | 0.000 | 
| 0.000 | -0.000 | -0.000 | -0.000 | -0.000 | 0.000 | 
| 0.000 | -0.000 | -0.000 | -0.000 | -0.000 | 243.465 | 
| 505.175 | 124.162 | 111.044 | -0.001 | 0.000 | -0.000 | 
| 186.865 | 251.647 | 145.967 | -0.001 | -0.001 | -0.000 | 
| 157.158 | 136.647 | 236.691 | -0.001 | -0.001 | -0.000 | 
| 0.000 | 0.000 | -0.003 | 181.810 | 0.001 | 0.000 | 
| 0.000 | 0.001 | 0.000 | 0.000 | 187.497 | 0.000 | 
| -15.753 | -22.833 | -20.155 | -0.001 | -0.001 | 94.377 | 
| 359.308 | 201.693 | 180.959 | -0.000 | 0.001 | 0.000 | 
| 193.989 | 376.131 | 168.470 | 0.000 | 0.001 | -0.000 | 
| 187.035 | 182.002 | 289.482 | 0.001 | 0.000 | -0.000 | 
| -0.001 | -0.000 | 0.002 | 181.811 | -0.000 | -0.000 | 
| 0.000 | -0.001 | -0.001 | 0.001 | 187.497 | -0.000 | 
| 15.753 | 22.833 | 20.154 | 0.000 | 0.000 | 94.378 | 
| 195.456 | 117.738 | 111.067 | -0.000 | 0.000 | -0.000 | 
| 59.344 | 149.479 | 72.325 | 0.000 | 0.000 | -0.000 | 
| 167.832 | 154.984 | 270.713 | 0.000 | -0.000 | -0.000 | 
| 0.000 | -0.000 | -0.000 | 181.812 | 0.000 | -0.000 | 
| -0.000 | 0.000 | -0.000 | -0.000 | 187.499 | 0.000 | 
| -1.419 | -2.057 | -1.816 | -0.000 | -0.000 | 106.118 | 
| 331.131 | 189.108 | 169.992 | 0.000 | 0.000 | -0.000 | 
| 190.163 | 335.351 | 159.441 | 0.000 | 0.000 | -0.000 | 
| 129.472 | 134.579 | 169.459 | -0.000 | 0.000 | 0.000 | 
| -0.000 | 0.000 | 0.000 | 181.812 | 0.000 | 0.000 | 
| 0.000 | -0.000 | -0.000 | -0.000 | 187.499 | -0.000 | 
| 1.419 | 2.057 | 1.816 | 0.000 | 0.000 | 106.118 | 
| 210.349 | 130.213 | 117.005 | -0.000 | -0.000 | -0.000 | 
| 32.460 | 137.209 | 23.707 | -0.000 | -0.000 | -0.000 | 
| 29.057 | 20.345 | 46.337 | -0.000 | -0.000 | -0.000 | 
| -1.022 | -1.248 | -0.634 | 44.280 | -0.000 | -0.000 | 
| -1.418 | -1.687 | -0.967 | 0.000 | 46.898 | -0.000 | 
| -0.000 | 0.000 | 0.000 | -0.000 | -0.000 | 212.931 | 
| 213.691 | 132.898 | 118.302 | 0.000 | -0.000 | 0.000 | 
| 135.240 | 219.836 | 122.869 | 0.000 | -0.000 | 0.000 | 
| 169.245 | 157.224 | 273.879 | 0.000 | 0.000 | -0.000 | 
| 1.022 | 1.248 | 0.634 | 44.280 | 0.000 | 0.000 | 
| 1.418 | 1.687 | 0.967 | 0.000 | 46.898 | 0.000 | 
| 0.000 | -0.000 | -0.000 | -0.000 | 0.000 | 212.931 | 
| 2414.217 | 2534.466 | -2040.086 | 0.000 | -0.001 | 0.000 | 
| 1697.304 | 1572.229 | -2426.717 | 0.000 | -0.000 | 0.000 | 
| 1377.918 | 2105.263 | -2155.784 | -0.000 | -0.001 | 0.000 | 
| 1522.917 | 1253.359 | -2584.171 | 73.160 | -0.000 | -0.000 | 
| 1522.929 | 1253.370 | -2584.192 | 0.000 | 80.828 | -0.000 | 
| 1522.344 | 1252.888 | -2583.200 | 0.000 | -0.001 | 91.836 | 
| -1201.372 | -1068.176 | 2732.765 | 0.000 | 0.001 | -0.000 | 
| -1087.331 | -1705.439 | 2508.216 | -0.000 | 0.000 | -0.000 | 
| -1102.177 | -1854.198 | 2594.633 | -0.000 | 0.001 | -0.000 | 
| -1522.917 | -1253.359 | 2584.171 | 73.160 | 0.000 | -0.000 | 
| -1522.930 | -1253.370 | 2584.192 | -0.000 | 80.829 | -0.000 | 
| -1522.344 | -1252.888 | 2583.200 | -0.000 | 0.001 | 91.836 | 
| 465.068 | 314.066 | -107.438 | 0.000 | -0.000 | 0.000 | 
| 275.148 | 476.349 | -105.059 | 0.000 | -0.000 | -0.000 | 
| 261.023 | 328.311 | -17.386 | 0.000 | -0.000 | -0.000 | 
| 210.392 | 243.352 | -218.441 | 66.212 | -0.000 | 0.000 | 
| 210.028 | 243.399 | -218.387 | -0.000 | 73.726 | 0.000 | 
| 264.722 | 265.650 | -180.240 | 0.000 | -0.000 | 36.860 | 
| 7.976 | -187.373 | 289.665 | 0.000 | 0.000 | -0.000 | 
| -221.894 | -143.784 | 226.830 | 0.000 | 0.000 | 0.000 | 
| 13.012 | -80.277 | 449.506 | -0.000 | 0.000 | 0.000 | 
| -210.392 | -243.352 | 218.441 | 66.212 | 0.000 | 0.000 | 
| -210.029 | -243.399 | 218.387 | 0.000 | 73.726 | -0.000 | 
| -264.722 | -265.650 | 180.240 | 0.000 | 0.000 | 36.860 | 
| 321.653 | 195.637 | 136.380 | 0.000 | -0.000 | 0.000 | 
| 69.105 | 171.670 | 31.162 | -0.000 | -0.000 | 0.000 | 
| 16.784 | 16.441 | 11.467 | 0.000 | -0.000 | -0.000 | 
| 21.260 | 25.387 | -26.987 | 46.413 | -0.000 | -0.000 | 
| 0.000 | 0.000 | 0.000 | 0.000 | 177.957 | 0.000 | 
| 13.759 | 11.323 | -23.347 | -0.000 | -0.000 | 102.900 | 
| 119.360 | 20.867 | 68.019 | -0.000 | 0.000 | 0.000 | 
| 122.399 | 207.177 | 144.541 | -0.000 | 0.000 | 0.000 | 
| -17.885 | -23.511 | 52.409 | 0.000 | 0.000 | -0.000 | 
| -21.260 | -25.387 | 26.987 | 46.413 | 0.000 | 0.000 | 
| -0.000 | -0.000 | -0.000 | -0.000 | 177.957 | -0.000 | 
| -13.759 | -11.323 | 23.347 | -0.000 | 0.000 | 102.900 | 
| 1162.490 | 238.090 | 57.632 | -0.001 | 0.001 | -0.002 | 
| 381.790 | 841.790 | 233.812 | -0.001 | 0.000 | -0.002 | 
| 230.176 | 230.177 | 998.476 | -0.001 | -0.000 | -0.001 | 
| -0.001 | -0.000 | -0.001 | 284.065 | 0.002 | -0.001 | 
| -0.119 | -0.118 | 0.230 | 0.000 | 197.892 | -0.000 | 
| -0.123 | -0.122 | 0.239 | -0.000 | -0.000 | 227.864 | 
| 1162.492 | 238.090 | 57.639 | 0.000 | -0.001 | 0.000 | 
| 382.039 | 842.020 | 233.345 | 0.000 | -0.001 | 0.001 | 
| 230.414 | 230.413 | 998.013 | 0.001 | -0.001 | 0.001 | 
| 0.001 | 0.000 | 0.002 | 284.065 | 0.001 | 0.002 | 
| 0.119 | 0.118 | -0.230 | 0.000 | 197.891 | 0.001 | 
| 0.123 | 0.122 | -0.239 | 0.001 | -0.000 | 227.865 | 
| 841.898 | 381.899 | 233.600 | -0.000 | 0.000 | -0.000 | 
| 381.904 | 841.889 | 233.605 | -0.000 | 0.000 | -0.000 | 
| 230.284 | 230.285 | 998.265 | -0.000 | 0.000 | -0.000 | 
| -0.012 | -0.012 | 0.023 | 197.892 | 0.000 | 0.000 | 
| -0.000 | -0.000 | -0.001 | 0.000 | 284.065 | -0.000 | 
| -0.012 | -0.012 | 0.024 | -0.000 | 0.000 | 227.865 | 
| 841.916 | 381.926 | 233.556 | 0.000 | 0.000 | 0.000 | 
| 386.116 | 841.851 | 229.450 | 0.000 | -0.000 | 0.000 | 
| 230.375 | 230.375 | 998.085 | 0.000 | -0.000 | 0.000 | 
| 0.012 | 0.012 | -0.023 | 197.892 | 0.000 | 0.000 | 
| 0.000 | 0.000 | 0.001 | 0.000 | 284.065 | 0.000 | 
| 0.012 | 0.012 | -0.024 | 0.000 | 0.000 | 227.865 | 
| 841.902 | 381.915 | 233.584 | -0.000 | 0.000 | -0.000 | 
| 386.122 | 841.800 | 229.498 | -0.000 | 0.000 | -0.000 | 
| 230.312 | 230.312 | 998.214 | -0.000 | 0.000 | -0.000 | 
| 0.000 | 0.000 | -0.000 | 284.065 | -0.000 | -0.000 | 
| 0.000 | 0.000 | -0.000 | -0.000 | 284.065 | -0.000 | 
| -0.002 | -0.001 | 0.003 | -0.000 | 0.000 | 227.865 | 
| 841.906 | 381.913 | 233.575 | -0.000 | -0.000 | -0.000 | 
| 386.091 | 841.871 | 229.453 | -0.000 | 0.000 | 0.000 | 
| 230.295 | 230.295 | 998.241 | 0.000 | -0.000 | 0.000 | 
| -0.000 | -0.000 | 0.000 | 284.065 | 0.000 | 0.000 | 
| -0.000 | -0.000 | 0.000 | 0.000 | 284.065 | 0.000 | 
| 0.002 | 0.001 | -0.003 | 0.000 | -0.000 | 227.865 | 
| 809.586 | 326.572 | 320.060 | -0.000 | -0.000 | 0.002 | 
| 346.003 | 775.943 | 334.244 | -0.000 | -0.000 | 0.002 | 
| 177.136 | 177.135 | 1102.499 | -0.000 | 0.000 | 0.003 | 
| 0.000 | -0.000 | -0.001 | 283.351 | -0.000 | 0.003 | 
| -0.000 | 0.000 | -0.001 | 0.000 | 283.351 | 0.002 | 
| -0.000 | -0.000 | -0.001 | 0.000 | 0.000 | 462.188 | 
| 879.783 | 447.587 | 129.219 | 0.000 | 0.000 | -0.001 | 
| 408.077 | 922.027 | 126.484 | 0.000 | -0.000 | -0.004 | 
| 282.234 | 282.236 | 892.707 | -0.000 | -0.000 | -0.004 | 
| -0.000 | 0.000 | 0.002 | 283.350 | -0.000 | -0.002 | 
| -0.000 | -0.000 | 0.001 | 0.000 | 283.351 | -0.001 | 
| 0.000 | -0.000 | 0.001 | -0.000 | -0.000 | 462.183 | 
| 829.730 | 421.187 | 205.523 | 0.000 | 0.000 | 0.000 | 
| 347.045 | 866.411 | 242.911 | -0.000 | 0.000 | 0.000 | 
| 224.441 | 224.441 | 1008.073 | 0.000 | 0.000 | 0.000 | 
| -5.251 | -5.251 | 10.480 | 197.352 | 0.000 | 0.000 | 
| 0.000 | 0.000 | -0.000 | -0.000 | 283.350 | 0.000 | 
| 0.000 | 0.000 | -0.000 | -0.000 | 0.000 | 462.185 | 
| 876.734 | 357.886 | 221.789 | 0.000 | 0.000 | 0.000 | 
| 357.885 | 876.736 | 221.788 | 0.000 | -0.000 | -0.000 | 
| 57.929 | 57.929 | 1340.463 | -0.000 | -0.000 | -0.000 | 
| 5.251 | 5.251 | -10.480 | 197.352 | -0.000 | -0.000 | 
| -0.000 | -0.000 | 0.000 | 0.000 | 283.350 | -0.000 | 
| -0.000 | -0.000 | 0.000 | 0.000 | -0.000 | 462.185 | 
| 871.071 | 351.914 | 233.404 | -0.000 | 0.000 | 0.000 | 
| 351.529 | 872.049 | 232.812 | -0.000 | 0.000 | 0.000 | 
| 57.930 | 57.930 | 1340.469 | 0.000 | 0.000 | 0.000 | 
| -0.525 | -0.526 | 1.049 | 197.369 | 0.000 | 0.000 | 
| -0.525 | -0.525 | 1.048 | -0.000 | 197.370 | 0.000 | 
| -0.567 | -0.565 | 1.128 | 0.000 | -0.000 | 214.970 | 
| 835.119 | 427.726 | 193.614 | 0.000 | -0.000 | -0.000 | 
| 398.945 | 829.210 | 228.238 | -0.000 | 0.000 | -0.000 | 
| 230.192 | 230.192 | 996.588 | -0.000 | -0.000 | -0.000 | 
| 0.525 | 0.526 | -1.049 | 197.369 | -0.000 | -0.000 | 
| 0.525 | 0.525 | -1.048 | -0.000 | 197.370 | -0.000 | 
| 0.567 | 0.565 | -1.128 | 0.000 | -0.000 | 214.970 | 
| 2295.172 | 1790.345 | -2622.473 | 0.001 | 0.000 | 0.002 | 
| 1790.343 | 2295.173 | -2622.472 | -0.001 | 0.001 | 0.002 | 
| 1322.407 | 1322.408 | -1182.594 | 0.000 | 0.000 | 0.002 | 
| -0.001 | 0.001 | -0.001 | 283.448 | 0.001 | 0.002 | 
| 1111.673 | 1111.675 | -2218.489 | -0.000 | 210.280 | 0.002 | 
| -0.001 | 0.001 | 0.005 | -0.000 | 0.001 | 462.235 | 
| 1161.992 | 237.523 | 57.635 | 0.001 | -0.000 | -0.002 | 
| -1084.875 | -579.830 | 3115.141 | -0.000 | -0.000 | -0.002 | 
| -1190.754 | -1190.753 | 3832.731 | 0.001 | -0.000 | -0.002 | 
| 0.001 | -0.002 | -0.004 | 283.447 | -0.000 | -0.002 | 
| -1111.673 | -1111.675 | 2218.488 | 0.000 | 210.279 | -0.002 | 
| -0.000 | -0.001 | -0.005 | 0.000 | -0.001 | 462.232 | 
| 1001.018 | 496.181 | -39.834 | -0.000 | 0.000 | 0.000 | 
| 237.524 | 1161.991 | 57.638 | 0.000 | 0.000 | 0.000 | 
| 360.216 | 360.216 | 737.584 | 0.000 | 0.000 | 0.000 | 
| 143.644 | 143.644 | -286.659 | 188.569 | 0.000 | 0.000 | 
| -0.000 | 0.000 | 0.000 | 0.000 | 283.447 | 0.000 | 
| -0.000 | 0.000 | 0.000 | 0.000 | 0.000 | 462.233 | 
| 1161.990 | 237.524 | 57.637 | -0.000 | -0.000 | -0.000 | 
| 208.738 | 715.656 | 531.715 | 0.000 | -0.000 | -0.000 | 
| 103.872 | 103.872 | 1249.150 | 0.000 | -0.000 | -0.000 | 
| -143.644 | -143.644 | 286.659 | 188.569 | -0.000 | -0.000 | 
| -0.000 | -0.000 | -0.000 | -0.000 | 283.447 | -0.000 | 
| 0.000 | -0.000 | -0.000 | -0.000 | -0.000 | 462.233 | 
| 904.538 | 358.082 | 194.233 | 0.000 | 0.000 | 0.000 | 
| 375.102 | 872.525 | 209.194 | -0.000 | 0.000 | 0.000 | 
| 246.424 | 246.424 | 964.672 | -0.000 | 0.000 | 0.000 | 
| 13.727 | 13.726 | -27.393 | 192.782 | 0.000 | 0.000 | 
| 13.732 | 13.732 | -27.405 | 0.000 | 192.744 | 0.000 | 
| 12.243 | 12.241 | -24.431 | 0.000 | 0.000 | 209.658 | 
| 809.977 | 398.154 | 248.596 | 0.000 | -0.000 | -0.000 | 
| 334.315 | 877.154 | 245.266 | 0.000 | -0.000 | -0.000 | 
| 220.712 | 220.712 | 1015.979 | 0.000 | 0.000 | -0.000 | 
| -13.727 | -13.726 | 27.393 | 192.782 | -0.000 | -0.000 | 
| -13.732 | -13.732 | 27.405 | -0.000 | 192.744 | -0.000 | 
| -12.243 | -12.241 | 24.431 | -0.000 | -0.000 | 209.658 | 
| 1162.102 | 237.589 | 57.664 | 0.001 | 0.000 | 0.002 | 
| 237.589 | 1162.099 | 57.662 | 0.001 | -0.000 | 0.001 | 
| 573.009 | 573.011 | 313.237 | 0.000 | -0.000 | 0.001 | 
| 304.284 | 304.282 | -607.143 | 107.303 | 0.001 | 0.001 | 
| 304.284 | 304.281 | -607.145 | -0.000 | 107.303 | 0.001 | 
| -0.001 | 0.000 | 0.000 | -0.000 | 0.000 | 462.257 | 
| 1162.096 | 237.591 | 57.645 | -0.001 | 0.001 | -0.001 | 
| 152.009 | 428.885 | 874.543 | -0.000 | -0.001 | -0.001 | 
| 58.072 | 58.071 | 1340.699 | 0.000 | 0.000 | -0.001 | 
| -304.284 | -304.282 | 607.145 | 107.303 | -0.000 | -0.001 | 
| -304.283 | -304.281 | 607.146 | 0.000 | 107.303 | -0.001 | 
| 0.000 | -0.000 | -0.003 | 0.000 | -0.000 | 462.254 | 
| 890.097 | 358.810 | 208.092 | 0.000 | -0.000 | 0.000 | 
| 237.590 | 1162.101 | 57.657 | 0.000 | -0.000 | 0.000 | 
| 250.329 | 250.329 | 957.099 | 0.000 | -0.000 | 0.000 | 
| 16.742 | 16.742 | -33.405 | 186.549 | 0.000 | 0.000 | 
| 14.595 | 14.595 | -29.122 | -0.000 | 199.387 | 0.000 | 
| -0.000 | 0.000 | 0.000 | -0.000 | -0.000 | 462.255 | 
| 867.258 | 327.606 | 262.007 | 0.000 | 0.000 | -0.000 | 
| 330.938 | 871.598 | 254.351 | -0.000 | 0.000 | -0.000 | 
| 221.567 | 221.567 | 1014.490 | -0.000 | 0.000 | -0.000 | 
| -16.742 | -16.742 | 33.405 | 186.549 | 0.000 | -0.000 | 
| -14.595 | -14.595 | 29.122 | 0.000 | 199.387 | -0.000 | 
| 0.000 | -0.000 | -0.000 | 0.000 | 0.000 | 462.255 | 
| 1162.104 | 237.591 | 57.658 | -0.000 | 0.000 | 0.000 | 
| 339.675 | 889.206 | 228.072 | -0.000 | 0.000 | 0.000 | 
| 233.029 | 233.029 | 991.619 | 0.000 | -0.000 | 0.000 | 
| 1.488 | 1.488 | -2.970 | 197.322 | 0.000 | 0.000 | 
| 1.488 | 1.488 | -2.970 | -0.000 | 197.322 | 0.000 | 
| 0.001 | 0.000 | 0.000 | 0.000 | 0.000 | 462.255 | 
| 886.246 | 336.653 | 234.033 | 0.000 | 0.000 | -0.000 | 
| 336.645 | 886.268 | 234.019 | 0.000 | -0.000 | -0.000 | 
| 58.070 | 58.070 | 1340.713 | -0.000 | 0.000 | -0.000 | 
| -1.488 | -1.488 | 2.970 | 197.322 | 0.000 | -0.000 | 
| -1.488 | -1.488 | 2.970 | -0.000 | 197.322 | -0.000 | 
| -0.001 | -0.000 | -0.000 | -0.000 | -0.000 | 462.255 | 
| 1162.505 | 237.422 | 57.867 | -0.001 | -0.001 | 0.003 | 
| 237.422 | 1162.506 | 57.866 | -0.001 | -0.001 | -0.001 | 
| 229.930 | 229.933 | 997.936 | 0.000 | -0.000 | 0.002 | 
| 0.000 | 0.005 | 0.000 | 282.995 | -0.000 | 0.001 | 
| 0.000 | 0.000 | -0.001 | -0.000 | 282.995 | -0.002 | 
| 0.000 | 0.001 | -0.000 | -0.000 | -0.000 | 462.541 | 
| 888.347 | 337.912 | 231.545 | -0.000 | 0.001 | -0.000 | 
| 337.913 | 888.345 | 231.544 | 0.000 | 0.001 | -0.002 | 
| 57.875 | 57.874 | 1342.054 | 0.000 | 0.001 | -0.000 | 
| -0.000 | -0.004 | 0.001 | 282.995 | 0.001 | -0.000 | 
| -0.000 | -0.000 | 0.001 | -0.000 | 282.995 | 0.002 | 
| -0.001 | -0.001 | 0.000 | 0.000 | 0.000 | 462.541 | 
| 888.346 | 337.913 | 231.541 | -0.000 | -0.000 | -0.001 | 
| 337.914 | 888.344 | 231.543 | -0.000 | -0.000 | 0.000 | 
| 229.861 | 229.861 | 998.078 | 0.000 | -0.000 | -0.000 | 
| -0.000 | 0.000 | -0.000 | 196.968 | -0.000 | 0.000 | 
| 0.000 | 0.000 | -0.000 | 0.000 | 282.995 | -0.000 | 
| 0.000 | 0.000 | -0.000 | 0.000 | 0.000 | 462.541 | 
| 888.347 | 337.913 | 231.541 | 0.000 | 0.000 | -0.000 | 
| 337.920 | 888.326 | 231.554 | 0.000 | 0.000 | -0.000 | 
| 229.929 | 229.929 | 997.944 | 0.000 | 0.000 | -0.000 | 
| 0.000 | -0.000 | 0.000 | 196.968 | 0.000 | -0.000 | 
| -0.000 | -0.000 | 0.000 | -0.000 | 282.995 | -0.000 | 
| -0.000 | -0.000 | -0.000 | -0.000 | -0.000 | 462.541 | 
| 888.347 | 337.915 | 231.542 | -0.000 | -0.000 | 0.000 | 
| 337.841 | 888.548 | 231.415 | -0.000 | -0.000 | 0.000 | 
| 229.931 | 229.931 | 997.941 | -0.000 | -0.000 | 0.000 | 
| 0.000 | -0.000 | -0.000 | 196.968 | -0.000 | 0.000 | 
| 0.000 | 0.000 | -0.000 | -0.000 | 282.995 | 0.000 | 
| 0.000 | 0.000 | 0.000 | -0.000 | -0.000 | 462.541 | 
| 888.346 | 337.912 | 231.540 | -0.000 | 0.000 | -0.000 | 
| 337.904 | 888.367 | 231.526 | 0.000 | 0.000 | -0.000 | 
| 229.912 | 229.912 | 997.974 | 0.000 | 0.000 | 0.000 | 
| -0.000 | 0.000 | 0.000 | 196.968 | 0.000 | -0.000 | 
| -0.000 | -0.000 | 0.000 | 0.000 | 282.995 | 0.000 | 
| -0.000 | -0.000 | -0.000 | 0.000 | 0.000 | 462.541 | 
| -1203.255 | -1495.886 | 4149.879 | 11.083 | 0.000 | 0.002 | 
| 237.386 | 1161.906 | 57.662 | -50.776 | -0.001 | 0.003 | 
| -395.949 | -395.952 | 2247.161 | 0.000 | -0.000 | 0.001 | 
| -530.909 | -608.929 | 1138.117 | 241.675 | 0.000 | 0.003 | 
| -1751.278 | -1751.279 | 3497.266 | 0.001 | 154.199 | 14.269 | 
| 0.000 | 0.001 | -0.021 | 0.000 | 50.776 | 462.258 | 
| 1563.544 | 859.021 | -964.071 | 39.378 | -0.000 | -0.002 | 
| 237.388 | 1161.902 | 57.653 | -50.776 | -0.003 | 0.001 | 
| 2234.775 | 2234.775 | -3006.361 | 0.000 | -0.000 | -0.001 | 
| 608.878 | 530.857 | -1138.005 | 241.679 | -0.001 | 0.001 | 
| 1751.278 | 1751.278 | -3497.267 | -0.000 | 154.198 | 14.268 | 
| -0.001 | 0.001 | 0.017 | -0.000 | 50.776 | 462.257 | 
| 872.344 | 247.727 | 336.449 | 34.121 | 0.000 | 0.000 | 
| 223.449 | 570.898 | 661.681 | -14.527 | 0.000 | 0.000 | 
| 150.710 | 150.710 | 1155.482 | -0.000 | -0.000 | 0.000 | 
| -25.499 | -100.927 | 126.233 | 237.093 | -0.000 | -0.000 | 
| -63.196 | -63.195 | 126.199 | -0.000 | 237.106 | 37.718 | 
| 0.000 | -0.000 | -0.001 | -0.000 | 50.776 | 462.258 | 
| 918.968 | 573.401 | -35.282 | 14.157 | -0.000 | -0.000 | 
| 603.093 | 897.123 | -43.121 | -11.171 | -0.000 | -0.000 | 
| 388.176 | 388.176 | 681.268 | 0.000 | -0.000 | -0.000 | 
| 100.909 | 25.472 | -126.188 | 237.110 | -0.000 | 0.000 | 
| 63.196 | 63.196 | -126.198 | 0.000 | 237.106 | 37.717 | 
| -0.000 | -0.000 | 0.001 | 0.000 | 50.776 | 462.258 | 
| 1161.907 | 237.388 | 57.652 | 50.776 | 0.000 | 0.000 | 
| 346.345 | 865.832 | 244.485 | -27.558 | -0.000 | 0.000 | 
| 216.035 | 216.035 | 1025.035 | -0.000 | -0.000 | 0.000 | 
| 14.742 | -38.169 | 23.390 | 197.287 | 0.000 | -0.000 | 
| 0.000 | 0.000 | -0.000 | 0.000 | 283.277 | 50.776 | 
| -10.904 | -10.906 | 21.776 | 0.000 | 28.181 | 264.352 | 
| 890.331 | 367.879 | 198.516 | 27.758 | 0.000 | -0.000 | 
| 363.158 | 879.525 | 214.020 | -25.138 | -0.000 | 0.000 | 
| 239.721 | 239.721 | 977.728 | 0.000 | -0.000 | -0.000 | 
| 36.869 | -11.100 | -25.729 | 188.553 | 0.000 | 0.000 | 
| -0.000 | -0.000 | 0.000 | -0.000 | 283.277 | 50.776 | 
| 10.904 | 10.906 | -21.776 | -0.000 | 28.181 | 264.352 | 
| 1648.488 | 1697.462 | -1850.354 | -8.595 | -0.001 | 0.000 | 
| 588.791 | 1266.748 | -397.112 | -26.877 | 0.000 | 0.001 | 
| 578.055 | 578.055 | 311.410 | -0.000 | 0.000 | -0.000 | 
| 36.258 | -36.257 | -0.058 | 287.832 | -0.000 | 0.000 | 
| 1099.786 | 1099.784 | -2144.769 | 0.000 | 83.955 | -4.904 | 
| 0.000 | 0.000 | -0.048 | -0.001 | 36.258 | 458.430 | 
| 573.620 | -41.313 | 893.255 | 23.879 | -0.000 | -0.000 | 
| -41.314 | 573.614 | 893.164 | -23.878 | 0.000 | -0.000 | 
| 59.071 | 59.070 | 1323.509 | -0.001 | -0.001 | -0.000 | 
| -302.005 | -352.480 | 638.181 | 233.241 | 0.000 | -0.001 | 
| -1099.786 | -1099.787 | 2144.768 | -0.001 | 83.954 | -4.905 | 
| -0.001 | -0.002 | 0.049 | 0.000 | 36.258 | 458.428 | 
| 852.541 | 434.649 | 157.102 | 13.086 | 0.000 | -0.000 | 
| 434.651 | 852.538 | 157.101 | -13.086 | 0.000 | -0.000 | 
| 303.178 | 303.178 | 847.471 | 0.000 | 0.000 | 0.000 | 
| 65.457 | 24.216 | -87.440 | 210.381 | -0.000 | 0.000 | 
| 0.000 | 0.000 | -0.002 | 0.000 | 287.832 | 36.258 | 
| 0.000 | 0.000 | -0.002 | 0.000 | 36.258 | 458.430 | 
| 774.775 | 302.920 | 361.380 | 15.593 | -0.000 | 0.000 | 
| 302.930 | 774.713 | 361.430 | -15.589 | 0.000 | -0.000 | 
| 226.506 | 226.506 | 996.992 | -0.000 | -0.000 | 0.000 | 
| -61.481 | -80.759 | 138.693 | 155.989 | -0.000 | -0.000 | 
| -0.000 | -0.000 | 0.002 | 0.000 | 287.832 | 36.258 | 
| 0.000 | 0.000 | 0.002 | -0.000 | 36.258 | 458.430 | 
| 882.515 | 345.098 | 215.199 | 18.637 | -0.000 | -0.000 | 
| 354.204 | 873.446 | 215.164 | -20.966 | -0.000 | -0.000 | 
| 232.418 | 232.418 | 985.468 | -0.000 | -0.000 | 0.000 | 
| 23.892 | -14.062 | -9.586 | 202.241 | -0.000 | 0.000 | 
| 4.664 | 4.664 | -9.097 | -0.000 | 201.371 | 18.802 | 
| 4.720 | 4.720 | -9.205 | -0.000 | 18.591 | 268.207 | 
| 873.210 | 335.641 | 233.489 | 18.644 | -0.000 | -0.000 | 
| 345.130 | 863.068 | 234.126 | -20.905 | -0.000 | 0.000 | 
| 223.019 | 223.019 | 1003.793 | 0.000 | -0.000 | -0.000 | 
| 14.141 | -23.467 | 9.095 | 201.385 | -0.000 | -0.000 | 
| -4.664 | -4.664 | 9.097 | 0.000 | 201.371 | 18.802 | 
| -4.720 | -4.720 | 9.205 | 0.000 | 18.591 | 268.207 | 
| 172.480 | -21.373 | -21.372 | 0.001 | -0.000 | -0.000 | 
| -21.377 | 172.486 | -21.374 | 0.000 | 0.000 | 0.000 | 
| -21.377 | -21.372 | 172.483 | 0.001 | 0.000 | -0.000 | 
| -0.005 | -0.001 | -0.002 | 158.755 | 0.000 | 0.000 | 
| -0.005 | -0.001 | 0.001 | 0.000 | 158.753 | 0.000 | 
| -0.006 | -0.001 | -0.001 | 0.001 | 0.000 | 158.755 | 
| 68.100 | 50.139 | 50.137 | -0.000 | -0.001 | -0.000 | 
| 50.144 | 68.095 | 50.141 | -0.000 | 0.000 | -0.000 | 
| 50.144 | 50.139 | 68.096 | -0.001 | -0.000 | -0.000 | 
| 0.005 | 0.001 | 0.002 | 158.753 | 0.000 | 0.000 | 
| 0.005 | 0.001 | -0.001 | -0.001 | 158.753 | -0.000 | 
| 0.006 | 0.001 | 0.002 | -0.001 | -0.000 | 158.755 | 
| 227.700 | 141.072 | 141.072 | 0.000 | -0.000 | 0.000 | 
| 141.072 | 227.700 | 141.072 | -0.000 | 0.000 | 0.000 | 
| 141.072 | 141.072 | 227.701 | 0.000 | -0.000 | 0.000 | 
| 9.021 | 9.021 | 9.021 | -7.583 | -0.000 | 0.000 | 
| 9.021 | 9.021 | 9.021 | 0.000 | -7.583 | -0.000 | 
| 9.021 | 9.021 | 9.021 | 0.000 | -0.000 | -7.583 | 
| 59.824 | -7.644 | -7.644 | -0.000 | -0.000 | 0.000 | 
| -7.644 | 59.823 | -7.644 | -0.000 | 0.000 | 0.000 | 
| -7.644 | -7.644 | 59.823 | -0.000 | 0.000 | -0.000 | 
| -9.021 | -9.021 | -9.021 | -7.583 | -0.000 | -0.000 | 
| -9.021 | -9.021 | -9.021 | -0.000 | -7.583 | 0.000 | 
| -9.021 | -9.021 | -9.021 | -0.000 | 0.000 | -7.583 | 
| 81.185 | 54.226 | 54.227 | 0.000 | 0.000 | 0.000 | 
| 54.227 | 81.185 | 54.226 | 0.000 | -0.000 | 0.000 | 
| 54.226 | 54.227 | 81.185 | 0.000 | -0.000 | 0.000 | 
| 0.000 | -0.000 | 0.000 | 158.754 | 0.000 | 0.000 | 
| 1.031 | 1.031 | 1.031 | 0.000 | 26.146 | 0.000 | 
| -0.000 | 0.000 | 0.000 | 0.000 | 0.000 | 158.754 | 
| 32.959 | -24.567 | -24.567 | -0.000 | 0.000 | -0.000 | 
| -24.567 | 32.959 | -24.567 | -0.000 | 0.000 | -0.000 | 
| -24.567 | -24.567 | 32.959 | 0.000 | 0.000 | 0.000 | 
| -0.000 | 0.000 | -0.000 | 158.754 | 0.000 | -0.000 | 
| -1.031 | -1.031 | -1.031 | -0.000 | 26.146 | -0.000 | 
| 0.000 | -0.000 | -0.000 | -0.000 | 0.000 | 158.754 | 
| -685.902 | -547.044 | -932.300 | 0.000 | -0.000 | 0.000 | 
| 181.246 | 475.282 | 23.238 | -0.001 | -0.000 | -0.000 | 
| -867.341 | -692.472 | -1449.878 | -0.000 | -0.001 | 0.000 | 
| 0.002 | -0.000 | -0.002 | 63.113 | -0.000 | 0.000 | 
| -860.920 | -848.251 | -1350.276 | 0.001 | 0.009 | 0.000 | 
| -56.793 | -841.762 | -820.775 | 0.000 | -0.000 | -126.576 | 
| 274.069 | 847.118 | 636.679 | 0.000 | 0.000 | -0.000 | 
| 181.242 | 475.282 | 23.241 | -0.001 | 0.001 | 0.000 | 
| 94.176 | 23.239 | 406.177 | -0.001 | -0.000 | -0.000 | 
| -0.002 | 0.000 | 0.002 | 63.112 | 0.001 | -0.000 | 
| 49.767 | 737.627 | 719.240 | -0.001 | -253.660 | -0.000 | 
| 56.793 | 841.762 | 820.775 | -0.000 | -0.000 | -126.576 | 
| 419.912 | 270.503 | 119.154 | 0.000 | 0.000 | 0.000 | 
| 139.144 | 160.701 | 32.417 | 0.000 | 0.000 | 0.000 | 
| -76.145 | -84.774 | -135.016 | 0.000 | -0.000 | 0.000 | 
| -2.049 | -30.375 | -29.618 | 17.066 | 0.000 | 0.000 | 
| -90.348 | -108.831 | -150.865 | -0.000 | 44.560 | -0.000 | 
| -1.849 | -27.413 | -26.729 | -0.000 | 0.000 | 133.330 | 
| 479.475 | 288.945 | 151.252 | 0.000 | -0.000 | -0.000 | 
| 181.244 | 475.282 | 23.239 | 0.000 | 0.000 | -0.000 | 
| 94.178 | 23.239 | 406.181 | 0.000 | -0.000 | -0.000 | 
| 2.049 | 30.375 | 29.618 | 17.066 | 0.000 | 0.000 | 
| 90.348 | 108.831 | 150.865 | 0.000 | 44.561 | -0.000 | 
| 56.128 | 56.876 | 83.647 | 0.000 | -0.000 | 122.692 | 
| 371.427 | 183.461 | -13.493 | 0.000 | 0.000 | 0.000 | 
| 193.240 | 222.280 | -13.501 | 0.000 | -0.000 | 0.000 | 
| 1.369 | -8.500 | -13.459 | 0.000 | -0.000 | 0.000 | 
| -8.902 | -7.940 | -12.252 | 19.350 | 0.000 | 0.000 | 
| -0.125 | -1.853 | -1.807 | 0.000 | 63.200 | 0.000 | 
| -7.354 | -8.897 | -13.863 | -0.000 | 0.000 | 135.641 | 
| 388.670 | 200.415 | 13.500 | -0.000 | -0.000 | -0.000 | 
| 210.472 | 239.106 | 13.508 | 0.000 | 0.000 | -0.000 | 
| 18.545 | 8.497 | 13.464 | -0.000 | 0.000 | -0.000 | 
| 8.902 | 7.940 | 12.252 | 19.350 | 0.000 | -0.000 | 
| 0.125 | 1.853 | 1.807 | 0.000 | 63.200 | -0.000 | 
| 7.354 | 8.897 | 13.863 | -0.000 | 0.000 | 135.641 | 
| 933.539 | 142.931 | 153.864 | 0.000 | 0.001 | 0.000 | 
| 276.949 | 233.663 | 124.956 | -0.000 | 0.001 | -0.000 | 
| 166.520 | 30.607 | 1121.623 | -0.001 | -0.000 | -0.000 | 
| -0.003 | 0.000 | 0.008 | 118.509 | -0.000 | 0.000 | 
| -0.003 | -0.000 | 0.001 | 0.001 | 416.358 | 0.000 | 
| -0.003 | 0.000 | 0.017 | -0.001 | -0.000 | 220.608 | 
| 678.017 | 224.153 | 323.460 | -0.001 | -0.000 | -0.000 | 
| 277.921 | 229.151 | 106.419 | 0.001 | 0.001 | -0.000 | 
| 166.526 | 30.607 | 1121.636 | 0.002 | -0.000 | 0.000 | 
| 0.003 | 0.000 | -0.010 | 118.510 | 0.001 | -0.000 | 
| -7.864 | -1.190 | -5.200 | -0.000 | 231.669 | -0.000 | 
| 0.003 | -0.000 | -0.017 | -0.001 | 0.001 | 220.608 | 
| 677.523 | 253.771 | 298.460 | 0.000 | -0.000 | 0.000 | 
| 277.694 | 231.047 | 116.929 | -0.000 | -0.000 | 0.000 | 
| 347.882 | 91.815 | 879.717 | 0.000 | 0.000 | -0.000 | 
| 0.056 | -0.013 | 0.752 | 75.410 | -0.000 | -0.000 | 
| -0.000 | 0.000 | 0.001 | 0.000 | 416.357 | -0.000 | 
| -0.000 | -0.000 | 0.000 | -0.000 | -0.000 | 220.609 | 
| 683.494 | 222.450 | 325.430 | -0.000 | 0.000 | -0.000 | 
| 277.799 | 230.581 | 115.076 | 0.000 | 0.000 | -0.000 | 
| 347.630 | 91.782 | 878.677 | -0.000 | 0.000 | 0.000 | 
| -0.056 | 0.013 | -0.752 | 75.410 | 0.000 | -0.000 | 
| 0.000 | -0.000 | -0.001 | -0.000 | 416.357 | -0.000 | 
| 0.000 | -0.000 | -0.000 | 0.000 | 0.000 | 220.609 | 
| 677.277 | 253.595 | 297.995 | 0.000 | 0.000 | -0.000 | 
| 253.219 | 227.514 | 141.237 | -0.000 | -0.000 | 0.000 | 
| 347.803 | 91.812 | 879.207 | 0.000 | -0.000 | -0.000 | 
| 0.005 | -0.001 | 0.075 | 75.417 | 0.000 | 0.000 | 
| 0.257 | 0.042 | 0.034 | 0.000 | 224.941 | -0.000 | 
| 0.032 | 0.018 | 0.051 | -0.000 | 0.000 | 98.998 | 
| 677.170 | 255.429 | 296.976 | 0.000 | -0.000 | -0.000 | 
| 253.118 | 227.572 | 141.081 | 0.000 | 0.000 | 0.000 | 
| 309.678 | 153.806 | 863.897 | 0.000 | 0.000 | 0.000 | 
| -0.005 | 0.001 | -0.075 | 75.417 | -0.000 | -0.000 | 
| -0.257 | -0.042 | -0.034 | 0.000 | 224.941 | 0.000 | 
| -0.032 | -0.018 | -0.051 | 0.000 | -0.000 | 98.998 | 
| 780.286 | 227.940 | 237.461 | -0.000 | 0.000 | -0.000 | 
| 387.500 | 288.268 | -35.008 | 0.000 | 0.000 | 0.000 | 
| 166.955 | 30.728 | 1123.316 | 0.000 | -0.000 | -0.000 | 
| 100.505 | 11.084 | -94.115 | 71.635 | -0.000 | 0.000 | 
| -0.000 | 0.000 | -0.000 | 0.000 | 417.752 | -0.000 | 
| 0.000 | 0.000 | -0.000 | -0.000 | 0.000 | 219.551 | 
| 583.855 | 223.014 | 420.945 | 0.000 | 0.000 | -0.000 | 
| 140.148 | 496.582 | 15.955 | -0.000 | -0.000 | 0.000 | 
| 246.634 | 102.244 | 962.171 | 0.000 | 0.000 | -0.000 | 
| -100.505 | -11.084 | 94.115 | 71.636 | 0.000 | 0.000 | 
| 0.000 | -0.000 | 0.000 | 0.000 | 417.752 | 0.000 | 
| -0.000 | -0.000 | 0.000 | 0.000 | -0.000 | 219.551 | 
| 937.445 | 142.325 | 154.358 | -0.000 | 0.000 | -0.000 | 
| 292.773 | 234.468 | 97.448 | 0.000 | 0.000 | 0.000 | 
| 166.955 | 30.728 | 1123.316 | 0.000 | 0.000 | -0.000 | 
| 13.449 | -0.184 | -12.192 | 75.312 | -0.000 | 0.000 | 
| 12.409 | 2.373 | -12.859 | 0.000 | 225.759 | 0.000 | 
| 10.536 | 1.295 | -10.115 | -0.000 | 0.000 | 98.379 | 
| 937.444 | 142.325 | 154.358 | 0.000 | 0.000 | 0.000 | 
| 261.014 | 225.839 | 133.901 | 0.000 | -0.000 | 0.000 | 
| 338.547 | 92.344 | 889.433 | 0.000 | -0.000 | -0.000 | 
| -13.449 | 0.184 | 12.192 | 75.312 | 0.000 | -0.000 | 
| -10.551 | 0.145 | 9.565 | -0.000 | 233.415 | -0.000 | 
| -10.536 | -1.295 | 10.115 | -0.000 | -0.000 | 98.379 | 
| 681.777 | 253.538 | 297.990 | -0.000 | 0.000 | -0.000 | 
| 253.826 | 226.280 | 140.043 | -0.000 | 0.000 | 0.000 | 
| 349.674 | 91.751 | 879.889 | -0.000 | -0.000 | 0.000 | 
| 1.350 | -0.019 | -1.224 | 75.161 | -0.000 | -0.000 | 
| 0.844 | 0.790 | -0.959 | -0.000 | 225.641 | 0.000 | 
| 1.053 | 0.129 | -1.011 | -0.000 | -0.000 | 98.368 | 
| 679.682 | 253.300 | 299.992 | 0.000 | -0.000 | 0.000 | 
| 275.896 | 229.161 | 117.428 | 0.000 | -0.000 | -0.000 | 
| 347.581 | 91.831 | 881.716 | 0.000 | 0.000 | -0.000 | 
| -1.350 | 0.019 | 1.224 | 75.161 | 0.000 | 0.000 | 
| -0.844 | -0.790 | 0.959 | 0.000 | 225.641 | -0.000 | 
| -1.053 | -0.129 | 1.011 | 0.000 | 0.000 | 98.368 | 
| 1179.017 | 992.588 | -1364.607 | -6.619 | -0.000 | -0.001 | 
| 957.200 | 1180.501 | -1353.118 | 7.751 | 0.000 | -0.001 | 
| 991.830 | 991.829 | -1296.836 | 0.000 | 0.000 | 0.000 | 
| 770.201 | 785.702 | -1519.708 | 112.265 | 0.000 | 0.001 | 
| 777.951 | 777.950 | -1519.708 | -0.000 | 112.265 | -7.753 | 
| 777.945 | 777.942 | -1519.695 | -0.000 | -7.751 | 111.840 | 
| -752.074 | -907.558 | 1993.229 | -3.652 | -0.000 | -0.002 | 
| -600.328 | -376.640 | 1689.181 | 7.752 | -0.000 | -0.002 | 
| -608.921 | -608.912 | 1791.551 | -0.000 | -0.000 | 0.002 | 
| -786.044 | -770.540 | 1520.374 | 112.227 | -0.000 | -0.001 | 
| -777.951 | -777.950 | 1519.708 | 0.000 | 112.264 | -7.753 | 
| -777.945 | -777.941 | 1519.695 | 0.000 | -7.751 | 111.840 | 
| 270.779 | 127.499 | -185.250 | -5.254 | 0.000 | -0.000 | 
| 257.269 | 478.215 | 15.997 | 7.752 | 0.000 | 0.000 | 
| 247.616 | 247.616 | 118.208 | -0.000 | 0.000 | 0.000 | 
| 76.486 | 89.527 | -153.161 | 90.129 | 0.000 | 0.000 | 
| 78.333 | 78.333 | -153.021 | -0.000 | 111.655 | -7.752 | 
| 82.860 | 82.859 | -153.050 | -0.000 | -6.545 | 91.862 | 
| 252.918 | 80.956 | 317.339 | -6.271 | -0.000 | -0.000 | 
| 117.607 | 552.476 | 124.135 | 7.653 | -0.000 | -0.000 | 
| 11.424 | 11.424 | 381.921 | -0.000 | -0.000 | 0.000 | 
| -7.653 | 7.653 | 0.000 | 200.438 | -0.000 | -0.000 | 
| -78.333 | -78.333 | 153.021 | 0.000 | 111.655 | -7.752 | 
| -82.860 | -82.859 | 153.051 | 0.000 | -6.545 | 91.862 | 
| 379.633 | 199.431 | 160.351 | -7.771 | 0.000 | 0.000 | 
| 150.181 | 275.019 | 132.052 | 4.149 | 0.000 | 0.000 | 
| 124.136 | 124.136 | 395.837 | -0.000 | 0.000 | -0.000 | 
| -7.653 | 7.653 | 0.000 | 200.438 | 0.000 | 0.000 | 
| 8.629 | 8.629 | -16.857 | -0.000 | 102.635 | -7.762 | 
| -0.000 | 0.000 | 0.000 | -0.000 | -7.653 | 217.434 | 
| 183.654 | 56.156 | 106.509 | -8.757 | -0.000 | 0.000 | 
| 178.653 | 366.985 | 194.679 | 7.768 | -0.000 | 0.000 | 
| 65.476 | 65.476 | 100.436 | 0.000 | -0.000 | -0.000 | 
| -16.374 | -0.851 | 16.825 | 102.821 | -0.000 | 0.000 | 
| -8.629 | -8.629 | 16.857 | 0.000 | 102.635 | -7.762 | 
| 0.000 | -0.000 | -0.000 | 0.000 | -7.653 | 217.434 | 
| 4657.688 | 4455.842 | -13301.027 | -7.468 | -0.000 | 0.000 | 
| -11415.569 | -11358.920 | -38356.780 | -2.958 | 0.001 | -0.001 | 
| 4449.139 | 4449.144 | -13232.048 | -0.007 | 0.000 | -0.000 | 
| -261.163 | -253.198 | -31126.955 | 10.183 | -0.001 | -0.000 | 
| -11429.306 | -11429.308 | -38321.218 | -0.001 | 8.993 | 2.927 | 
| 4281.262 | 4281.259 | -13466.726 | -0.001 | -7.468 | 100.916 | 
| -3900.557 | -4102.596 | 13619.367 | -7.464 | -0.000 | 0.000 | 
| 111.703 | 532.306 | 119.478 | 7.097 | 0.001 | 0.000 | 
| 20879.855 | 20879.854 | 48852.822 | -0.002 | -0.001 | 0.000 | 
| -4284.600 | -4269.672 | 13453.748 | 101.443 | 0.001 | 0.000 | 
| 11429.308 | 11429.308 | 38321.218 | 0.001 | 8.993 | 2.927 | 
| -4281.261 | -4281.259 | 13466.726 | 0.001 | -7.466 | 100.916 | 
| -1592.649 | -1666.806 | -4381.357 | -6.399 | -0.000 | -0.000 | 
| 607.829 | 807.463 | -1194.618 | 7.469 | 0.000 | 0.000 | 
| -1626.190 | -1626.191 | -4352.629 | -0.000 | 0.000 | -0.000 | 
| -7.098 | 7.099 | 0.000 | 191.870 | -0.000 | -0.000 | 
| -25.664 | -25.664 | -3109.342 | 0.000 | 10.378 | -3.983 | 
| -25.534 | -25.534 | -3108.194 | 0.000 | -3.985 | 12.914 | 
| 1751.558 | 1675.069 | 4424.039 | -6.514 | 0.000 | -0.000 | 
| 1674.937 | 1751.434 | 4423.853 | 6.514 | 0.000 | 0.000 | 
| -260.224 | -260.224 | 1581.130 | -0.000 | 0.000 | 0.000 | 
| 2072.658 | 2099.671 | 4880.020 | 45.180 | 0.000 | 0.000 | 
| 25.664 | 25.664 | 3109.342 | -0.000 | 10.378 | -3.983 | 
| 25.534 | 25.534 | 3108.194 | -0.000 | -3.984 | 12.914 | 
| 118.222 | 136.689 | -200.879 | -3.080 | -0.000 | -0.000 | 
| 136.939 | 117.980 | -201.070 | 3.081 | 0.000 | -0.000 | 
| -123.224 | -123.224 | -388.747 | 0.000 | -0.000 | 0.000 | 
| 35.804 | 50.741 | -136.114 | 100.384 | -0.000 | -0.000 | 
| 43.273 | 43.274 | -136.117 | -0.000 | 100.382 | -7.469 | 
| -259.978 | -259.978 | -479.553 | 0.000 | 2.379 | 65.335 | 
| 532.305 | 111.704 | 119.480 | -7.099 | 0.000 | 0.000 | 
| 146.672 | 263.880 | 384.382 | 5.183 | 0.000 | 0.000 | 
| 216.280 | 216.280 | 500.122 | 0.000 | -0.000 | 0.000 | 
| -7.099 | 7.099 | -0.000 | 191.870 | 0.000 | 0.000 | 
| -43.273 | -43.274 | 136.117 | 0.000 | 100.382 | -7.469 | 
| 259.978 | 259.978 | 479.553 | -0.000 | 2.379 | 65.335 | 
| -475.845 | 1247.689 | 1322.682 | -0.000 | 0.001 | -0.000 | 
| 6.961 | 1105.140 | 268.957 | 0.000 | 0.000 | -0.000 | 
| -860.803 | 1672.953 | 1642.353 | 0.000 | 0.000 | -0.000 | 
| -1174.003 | 1070.787 | 1049.313 | 35.720 | -0.000 | 0.000 | 
| 0.000 | 0.000 | 0.001 | 0.000 | 406.872 | -0.001 | 
| -0.000 | 0.001 | -0.000 | 0.000 | 0.000 | 193.227 | 
| 1055.832 | 12.184 | 228.991 | -0.000 | 0.000 | -0.000 | 
| 1423.541 | -467.660 | -539.460 | 0.000 | 0.000 | 0.000 | 
| 230.577 | 275.767 | 896.759 | -0.000 | 0.000 | 0.000 | 
| 1174.003 | -1070.787 | -1049.313 | 35.720 | 0.000 | 0.001 | 
| -0.000 | -0.000 | -0.000 | 0.000 | 406.871 | 0.000 | 
| -0.000 | 0.001 | -0.000 | -0.000 | 0.000 | 193.228 | 
| 673.087 | 257.602 | 394.357 | 0.000 | 0.000 | -0.000 | 
| 123.507 | 831.880 | 436.972 | -0.000 | -0.000 | -0.000 | 
| 314.896 | 443.351 | 801.858 | 0.000 | -0.000 | -0.000 | 
| -0.000 | 0.000 | 0.000 | 486.592 | 0.000 | -0.000 | 
| 0.000 | -0.000 | 0.000 | 0.000 | 406.872 | -0.000 | 
| -0.000 | 0.000 | 0.000 | 0.000 | -0.000 | 193.228 | 
| 712.941 | 187.983 | 172.118 | 0.000 | 0.000 | 0.000 | 
| 6.960 | 1105.140 | 268.957 | -0.000 | 0.000 | 0.000 | 
| 230.577 | 275.767 | 896.760 | -0.000 | -0.000 | 0.000 | 
| 0.000 | -0.000 | -0.000 | 486.592 | -0.000 | -0.000 | 
| -0.000 | -0.000 | -0.000 | -0.000 | 406.872 | 0.000 | 
| 0.000 | 0.000 | 0.000 | -0.000 | -0.000 | 193.228 | 
| 745.587 | 195.478 | 336.378 | -0.000 | -0.000 | -0.000 | 
| 175.473 | 795.515 | 368.071 | 0.000 | -0.000 | -0.000 | 
| 319.457 | 373.704 | 713.394 | 0.000 | -0.000 | -0.000 | 
| -5.074 | 6.723 | 6.028 | 275.784 | -0.000 | -0.000 | 
| -3.379 | 8.691 | 7.018 | -0.000 | 235.731 | -0.000 | 
| -0.000 | -0.000 | 0.000 | 0.000 | 0.000 | 193.227 | 
| 751.488 | 187.772 | 327.143 | -0.000 | -0.000 | 0.000 | 
| 193.172 | 792.254 | 337.537 | -0.000 | -0.000 | 0.000 | 
| 316.553 | 373.379 | 670.433 | 0.000 | -0.000 | 0.000 | 
| 5.074 | -6.723 | -6.028 | 275.784 | 0.000 | -0.000 | 
| 3.379 | -8.691 | -7.018 | -0.000 | 235.731 | 0.000 | 
| 0.000 | 0.000 | -0.000 | 0.000 | -0.000 | 193.227 | 
| 1030.750 | 28.566 | 221.097 | -0.000 | 90.702 | -0.001 | 
| 40.357 | 1109.482 | 232.645 | 0.000 | -156.933 | 0.000 | 
| 207.232 | 240.796 | 951.832 | 0.000 | 145.934 | -0.001 | 
| -0.002 | 0.001 | -0.000 | 452.834 | -0.000 | -151.227 | 
| 19.621 | -73.932 | 100.486 | -0.000 | 223.311 | -0.000 | 
| -0.001 | 0.000 | -0.001 | -153.235 | 0.000 | 225.815 | 
| 1030.754 | 28.565 | 221.097 | 0.000 | 90.703 | -0.000 | 
| 184.751 | 812.987 | 345.299 | 0.000 | -70.855 | -0.001 | 
| 301.289 | 349.850 | 755.949 | 0.000 | 100.982 | -0.000 | 
| 0.001 | 0.001 | 0.000 | 452.834 | 0.000 | -151.226 | 
| 51.606 | -154.924 | 145.934 | 0.000 | 383.671 | 0.001 | 
| 0.001 | 0.000 | 0.000 | -153.235 | 0.000 | 225.816 | 
| 738.898 | 195.989 | 322.405 | -0.000 | 36.568 | -0.000 | 
| 181.556 | 811.993 | 347.554 | -0.000 | -72.426 | -0.000 | 
| 297.427 | 348.110 | 759.696 | 0.000 | 99.861 | -0.000 | 
| -0.000 | -0.000 | -0.000 | 452.834 | -0.000 | -151.227 | 
| 22.303 | -72.404 | 95.225 | -0.000 | 220.703 | -0.000 | 
| -0.241 | -0.063 | 0.163 | -54.965 | -0.119 | 125.761 | 
| 739.367 | 196.271 | 322.026 | 0.000 | 36.858 | -0.000 | 
| 40.359 | 1109.481 | 232.645 | 0.000 | -156.932 | -0.000 | 
| 308.179 | 338.589 | 754.268 | -0.000 | 94.442 | 0.000 | 
| 0.000 | -0.000 | -0.000 | 452.834 | 0.000 | -151.227 | 
| 24.735 | -70.916 | 93.753 | -0.000 | 220.641 | 0.000 | 
| 0.241 | 0.063 | -0.163 | -54.965 | 0.119 | 125.761 | 
| 722.509 | 189.935 | 315.771 | 0.000 | 43.436 | -0.000 | 
| 196.296 | 807.797 | 329.671 | -0.000 | -69.430 | -0.000 | 
| 310.086 | 339.400 | 754.996 | -0.000 | 89.783 | 0.000 | 
| -0.033 | -0.010 | 0.026 | 265.630 | -0.010 | -49.245 | 
| 22.646 | -72.367 | 94.974 | -0.000 | 220.698 | -0.000 | 
| -0.024 | -0.007 | 0.016 | -54.967 | -0.012 | 125.763 | 
| 722.588 | 189.955 | 315.718 | -0.000 | 43.443 | 0.000 | 
| 196.376 | 807.809 | 329.599 | 0.000 | -69.409 | 0.000 | 
| 310.130 | 339.395 | 754.982 | 0.000 | 89.812 | -0.000 | 
| 0.033 | 0.010 | -0.026 | 265.630 | 0.010 | -49.245 | 
| 23.775 | -66.107 | 88.849 | 0.000 | 221.528 | 0.000 | 
| 0.024 | 0.007 | -0.016 | -54.967 | 0.012 | 125.763 | 
| 783.761 | 133.702 | 367.890 | -0.000 | 0.000 | -0.000 | 
| 133.702 | 783.761 | 367.890 | -0.000 | 0.001 | -0.000 | 
| 309.978 | 309.978 | 853.364 | 0.000 | 0.002 | -0.000 | 
| 0.000 | -0.000 | 0.000 | 365.221 | 0.000 | 0.000 | 
| 0.000 | 0.000 | 0.000 | 0.000 | 365.226 | 0.000 | 
| 0.000 | -0.000 | 0.000 | -0.000 | 0.002 | 135.314 | 
| 760.610 | 226.889 | 306.148 | -0.000 | -0.002 | 0.000 | 
| 226.889 | 760.610 | 306.148 | 0.000 | -0.003 | -0.000 | 
| 141.520 | 141.520 | 1150.380 | -0.001 | -0.004 | 0.000 | 
| -0.000 | 0.000 | -0.000 | 365.221 | -0.001 | 0.000 | 
| -0.000 | -0.000 | -0.000 | -0.000 | 365.222 | -0.000 | 
| -0.000 | 0.000 | -0.000 | 0.000 | -0.002 | 135.314 | 
| 783.882 | 134.236 | 367.313 | -0.000 | 0.000 | 0.000 | 
| 134.236 | 783.882 | 367.313 | -0.000 | 0.000 | 0.000 | 
| 310.302 | 310.302 | 852.793 | 0.000 | 0.000 | -0.000 | 
| 0.000 | 0.000 | -0.000 | 365.223 | 0.000 | -0.000 | 
| -0.000 | 0.000 | -0.000 | -0.000 | 365.223 | 0.000 | 
| -0.000 | -0.000 | 0.000 | -0.000 | 0.000 | 135.314 | 
| 783.748 | 134.401 | 367.285 | 0.000 | -0.000 | -0.000 | 
| 134.401 | 783.748 | 367.285 | 0.000 | -0.000 | -0.000 | 
| 310.368 | 310.368 | 852.676 | 0.000 | -0.000 | -0.000 | 
| -0.000 | 0.000 | 0.000 | 365.223 | -0.000 | -0.000 | 
| 0.000 | -0.000 | 0.000 | 0.000 | 365.223 | -0.000 | 
| 0.000 | 0.000 | -0.000 | 0.000 | -0.000 | 135.314 | 
| 760.197 | 226.538 | 306.824 | 0.000 | 0.000 | 0.000 | 
| 226.538 | 760.197 | 306.824 | -0.000 | 0.000 | 0.000 | 
| 310.331 | 310.331 | 852.745 | 0.000 | 0.000 | -0.000 | 
| -0.004 | -0.005 | 0.007 | 192.823 | 0.000 | -0.000 | 
| -0.005 | -0.004 | 0.007 | -0.000 | 192.823 | 0.000 | 
| -0.007 | -0.007 | 0.012 | -0.000 | 0.000 | 91.584 | 
| 760.301 | 226.520 | 306.743 | -0.000 | -0.000 | 0.000 | 
| 226.520 | 760.301 | 306.743 | -0.000 | -0.000 | -0.000 | 
| 310.346 | 310.346 | 852.712 | 0.000 | -0.000 | -0.000 | 
| 0.004 | 0.005 | -0.007 | 192.823 | -0.000 | -0.000 | 
| 0.005 | 0.004 | -0.007 | 0.000 | 192.823 | 0.000 | 
| 0.007 | 0.007 | -0.012 | 0.000 | -0.000 | 91.584 | 
| 761.413 | 224.606 | 310.418 | -0.000 | 0.000 | 0.000 | 
| 224.608 | 761.411 | 310.418 | -0.001 | 0.000 | 0.000 | 
| 310.414 | 310.412 | 842.473 | -0.000 | 0.000 | 0.000 | 
| 0.001 | -0.000 | 0.001 | 364.034 | -0.000 | 0.000 | 
| 0.001 | -0.000 | 0.001 | -0.003 | 364.035 | 0.000 | 
| -0.001 | -0.003 | 0.006 | -0.002 | 0.001 | 93.942 | 
| 761.414 | 224.609 | 310.411 | -0.000 | -0.002 | -0.000 | 
| 224.608 | 761.416 | 310.410 | 0.004 | -0.000 | -0.000 | 
| 142.829 | 142.832 | 1143.102 | 0.001 | -0.000 | -0.000 | 
| -0.001 | 0.000 | -0.000 | 364.036 | 0.000 | -0.000 | 
| -0.001 | 0.000 | -0.001 | 0.003 | 364.035 | 0.000 | 
| 0.001 | 0.003 | -0.006 | 0.002 | -0.001 | 93.942 | 
| 784.846 | 133.596 | 371.032 | -0.000 | 0.000 | 0.000 | 
| 133.596 | 784.845 | 371.032 | -0.000 | 0.000 | 0.000 | 
| 310.414 | 310.414 | 842.470 | -0.000 | 0.000 | 0.000 | 
| -0.000 | -0.000 | 0.000 | 190.986 | 0.000 | 0.000 | 
| -0.000 | -0.000 | 0.000 | -0.000 | 190.986 | 0.000 | 
| -0.000 | -0.000 | 0.001 | -0.000 | 0.000 | 93.942 | 
| 761.418 | 224.606 | 310.410 | 0.000 | -0.000 | -0.000 | 
| 224.606 | 761.418 | 310.410 | 0.000 | -0.000 | -0.000 | 
| 142.832 | 142.832 | 1143.102 | 0.000 | -0.000 | -0.000 | 
| 0.000 | 0.000 | -0.000 | 190.986 | -0.000 | -0.000 | 
| 0.000 | 0.000 | -0.000 | 0.000 | 190.986 | -0.000 | 
| 0.000 | 0.000 | -0.001 | 0.000 | -0.000 | 93.942 | 
| 761.367 | 224.620 | 310.448 | -0.000 | 0.000 | 0.000 | 
| 224.620 | 761.367 | 310.448 | -0.000 | 0.000 | 0.000 | 
| 310.410 | 310.410 | 842.479 | -0.000 | 0.000 | 0.000 | 
| 0.000 | -0.000 | -0.000 | 190.986 | 0.000 | 0.000 | 
| -0.000 | 0.000 | -0.000 | -0.000 | 190.986 | 0.000 | 
| -0.000 | -0.000 | -0.000 | -0.000 | 0.000 | 93.942 | 
| 761.492 | 224.472 | 310.463 | -0.000 | -0.000 | -0.000 | 
| 224.472 | 761.492 | 310.463 | 0.000 | -0.000 | -0.000 | 
| 310.418 | 310.418 | 842.459 | 0.000 | -0.000 | -0.000 | 
| -0.000 | 0.000 | 0.000 | 190.986 | -0.000 | -0.000 | 
| 0.000 | -0.000 | 0.000 | 0.000 | 190.986 | -0.000 | 
| 0.000 | 0.000 | 0.000 | 0.000 | -0.000 | 93.942 | 
| 571.387 | 264.761 | 264.761 | -0.000 | -0.000 | -0.000 | 
| 264.761 | 571.387 | 264.761 | 0.000 | -0.000 | -0.001 | 
| 264.761 | 264.764 | 571.387 | 0.001 | -0.000 | -0.000 | 
| 0.004 | 0.004 | 0.006 | 129.600 | -0.000 | -0.000 | 
| 0.004 | 0.007 | 0.005 | -0.000 | 129.599 | -0.000 | 
| 0.004 | 0.005 | 0.005 | -0.000 | -0.000 | 129.599 | 
| 570.181 | 265.337 | 265.339 | -0.000 | -0.000 | 0.001 | 
| 265.340 | 570.184 | 265.339 | -0.000 | 0.000 | 0.000 | 
| 265.340 | 265.338 | 570.180 | -0.000 | 0.000 | 0.001 | 
| -0.005 | -0.005 | -0.006 | 129.599 | 0.000 | 0.000 | 
| -0.005 | -0.007 | -0.005 | 0.000 | 129.599 | 0.000 | 
| -0.005 | -0.005 | -0.005 | 0.000 | 0.000 | 129.600 | 
| 586.915 | 257.033 | 257.034 | 0.000 | -0.000 | 0.000 | 
| 257.034 | 586.916 | 257.034 | -0.000 | -0.000 | -0.000 | 
| 257.034 | 257.033 | 586.915 | 0.000 | -0.000 | -0.000 | 
| 0.000 | 0.000 | 0.000 | 280.430 | -0.000 | -0.000 | 
| 0.000 | 0.000 | 0.000 | 0.000 | 280.430 | -0.000 | 
| -0.000 | 0.000 | 0.000 | -0.000 | -0.000 | 280.430 | 
| 586.870 | 257.055 | 257.055 | -0.000 | 0.000 | -0.000 | 
| 257.055 | 586.870 | 257.055 | -0.000 | 0.000 | 0.000 | 
| 257.055 | 257.055 | 586.870 | -0.000 | 0.000 | -0.000 | 
| 0.000 | 0.000 | -0.000 | 280.430 | 0.000 | 0.000 | 
| -0.000 | -0.000 | -0.000 | 0.000 | 280.430 | 0.000 | 
| -0.000 | -0.000 | -0.000 | 0.000 | 0.000 | 280.430 | 
| 570.204 | 265.336 | 265.336 | 0.000 | 0.000 | 0.000 | 
| 265.336 | 570.204 | 265.336 | 0.000 | -0.000 | -0.000 | 
| 265.336 | 265.336 | 570.204 | 0.000 | -0.000 | 0.000 | 
| -0.021 | 0.012 | 0.009 | 123.393 | -0.000 | -0.000 | 
| 0.012 | -0.021 | 0.009 | 0.000 | 123.393 | 0.000 | 
| 0.012 | 0.009 | -0.021 | 0.000 | -0.000 | 123.393 | 
| 571.394 | 264.749 | 264.749 | -0.000 | 0.000 | 0.000 | 
| 264.749 | 571.394 | 264.749 | 0.000 | 0.000 | 0.000 | 
| 264.749 | 264.749 | 571.394 | -0.000 | 0.000 | 0.000 | 
| 0.021 | -0.012 | -0.009 | 123.393 | -0.000 | 0.000 | 
| -0.012 | 0.021 | -0.009 | -0.000 | 123.393 | 0.000 | 
| -0.012 | -0.009 | 0.021 | 0.000 | -0.000 | 123.393 | 
| 337.197 | 256.711 | 256.711 | -0.000 | 0.000 | 0.000 | 
| 256.711 | 337.197 | 256.712 | 0.000 | -0.000 | 0.000 | 
| 256.711 | 256.712 | 337.197 | 0.000 | -0.000 | 0.000 | 
| 0.000 | 0.000 | -0.000 | 276.017 | -0.000 | 0.000 | 
| 0.000 | -0.000 | -0.001 | -0.000 | 276.017 | -0.000 | 
| 0.000 | 0.000 | 0.000 | 0.000 | 0.000 | 276.018 | 
| 337.197 | 256.712 | 256.712 | 0.000 | 0.000 | -0.000 | 
| 256.712 | 337.197 | 256.711 | -0.000 | 0.000 | -0.000 | 
| 256.712 | 256.712 | 337.197 | 0.000 | -0.000 | -0.000 | 
| -0.000 | -0.000 | 0.000 | 276.017 | 0.000 | -0.000 | 
| -0.000 | 0.000 | 0.000 | 0.000 | 276.018 | -0.000 | 
| -0.000 | -0.000 | 0.000 | -0.000 | 0.000 | 276.018 | 
| 488.673 | 180.974 | 180.974 | -0.000 | -0.000 | -0.000 | 
| 180.974 | 488.673 | 180.974 | 0.000 | -0.000 | 0.000 | 
| 180.974 | 180.974 | 488.673 | 0.000 | 0.000 | 0.000 | 
| 0.000 | -0.000 | 0.000 | 118.159 | -0.000 | 0.000 | 
| -0.000 | 0.000 | 0.000 | 0.000 | 118.159 | 0.000 | 
| -0.000 | -0.000 | 0.000 | -0.000 | -0.000 | 118.159 | 
| 488.672 | 180.974 | 180.974 | 0.000 | -0.000 | -0.000 | 
| 180.974 | 488.672 | 180.974 | 0.000 | -0.000 | -0.000 | 
| 180.974 | 180.974 | 488.672 | 0.000 | 0.000 | -0.000 | 
| -0.000 | 0.000 | -0.000 | 118.159 | 0.000 | -0.000 | 
| 0.000 | -0.000 | -0.000 | 0.000 | 118.159 | 0.000 | 
| 0.000 | 0.000 | -0.000 | 0.000 | 0.000 | 118.159 | 
| 337.213 | 256.704 | 256.704 | -0.000 | 0.000 | -0.000 | 
| 256.704 | 337.213 | 256.704 | -0.000 | -0.000 | 0.000 | 
| 256.704 | 256.704 | 337.213 | 0.000 | 0.000 | 0.000 | 
| 0.000 | -0.000 | -0.000 | 118.159 | 0.000 | 0.000 | 
| -0.000 | 0.000 | -0.000 | -0.000 | 118.159 | 0.000 | 
| -0.000 | -0.000 | 0.000 | -0.000 | -0.000 | 118.159 | 
| 337.181 | 256.719 | 256.719 | 0.000 | 0.000 | -0.000 | 
| 256.719 | 337.181 | 256.719 | -0.000 | 0.000 | -0.000 | 
| 256.719 | 256.719 | 337.181 | -0.000 | -0.000 | -0.000 | 
| -0.000 | 0.000 | 0.000 | 118.159 | -0.000 | 0.000 | 
| 0.000 | -0.000 | 0.000 | 0.000 | 118.159 | 0.000 | 
| 0.000 | 0.000 | -0.000 | 0.000 | 0.000 | 118.159 | 
| 81.412 | 53.745 | 53.746 | 0.001 | -0.002 | -0.001 | 
| 53.745 | 81.411 | 53.746 | 0.001 | -0.002 | 0.000 | 
| 53.745 | 53.746 | 81.413 | 0.001 | -0.002 | -0.000 | 
| 0.003 | 0.001 | 0.004 | 72.615 | -0.002 | 0.000 | 
| 0.003 | 0.001 | 0.005 | 0.000 | 72.615 | 0.000 | 
| 0.004 | 0.006 | 0.005 | 0.001 | 0.001 | 72.615 | 
| 424.778 | 96.226 | 96.228 | 0.000 | 0.001 | -0.000 | 
| 96.229 | 424.778 | 96.228 | -0.001 | -0.000 | 0.000 | 
| 96.230 | 96.227 | 424.777 | -0.000 | 0.002 | -0.001 | 
| -0.003 | -0.002 | -0.004 | 72.613 | 0.002 | 0.000 | 
| -0.003 | -0.002 | -0.005 | 0.000 | 72.617 | 0.000 | 
| -0.004 | -0.002 | -0.005 | 0.000 | -0.001 | 72.616 | 
| 58.303 | 18.358 | 18.358 | 0.000 | -0.000 | 0.000 | 
| 18.358 | 58.303 | 18.358 | 0.000 | -0.000 | 0.000 | 
| 18.358 | 18.358 | 58.303 | -0.000 | -0.000 | -0.000 | 
| 0.000 | 0.000 | 0.000 | 72.615 | -0.000 | 0.000 | 
| 0.000 | 0.000 | 0.001 | -0.000 | 72.615 | -0.000 | 
| 0.000 | 0.000 | 0.000 | 0.000 | -0.000 | 72.615 | 
| 259.685 | 142.118 | 142.118 | -0.000 | 0.000 | -0.000 | 
| 142.118 | 259.684 | 142.118 | -0.000 | -0.000 | 0.000 | 
| 142.118 | 142.119 | 259.684 | -0.000 | -0.000 | 0.000 | 
| 0.000 | 0.000 | 0.000 | 164.274 | 0.000 | -0.000 | 
| -0.000 | -0.000 | -0.001 | -0.000 | 72.615 | 0.000 | 
| -0.000 | -0.000 | -0.000 | -0.000 | 0.000 | 72.615 | 
| 58.358 | 18.367 | 18.367 | 0.000 | -0.000 | -0.000 | 
| 18.367 | 58.358 | 18.367 | 0.000 | -0.000 | -0.000 | 
| 18.367 | 18.367 | 58.358 | 0.000 | -0.000 | 0.000 | 
| 0.000 | -0.000 | -0.000 | 72.615 | -0.000 | 0.000 | 
| -0.000 | 0.000 | -0.000 | 0.000 | 72.615 | -0.000 | 
| -0.000 | -0.000 | 0.000 | 0.000 | -0.000 | 72.615 | 
| 81.398 | 53.719 | 53.719 | -0.000 | 0.000 | -0.000 | 
| 53.719 | 81.398 | 53.719 | -0.000 | -0.000 | 0.000 | 
| 53.719 | 53.719 | 81.398 | -0.000 | 0.000 | 0.000 | 
| -0.000 | 0.000 | 0.000 | 72.615 | 0.000 | 0.000 | 
| 0.000 | -0.000 | 0.000 | -0.000 | 72.615 | 0.000 | 
| 0.000 | 0.000 | -0.000 | -0.000 | 0.000 | 72.615 | 
| 394.009 | 89.260 | 89.255 | 0.000 | 0.005 | 0.000 | 
| 89.257 | 394.012 | 89.255 | 0.000 | 0.003 | -0.000 | 
| 89.257 | 89.263 | 394.009 | -0.000 | 0.006 | 0.000 | 
| 0.491 | 0.494 | 0.488 | 51.060 | 0.004 | -0.000 | 
| 0.490 | 0.499 | 0.489 | -0.002 | 51.065 | 0.000 | 
| 0.492 | 0.496 | 0.488 | 0.000 | 0.004 | 51.056 | 
| 229.588 | 134.311 | 134.316 | 0.000 | -0.005 | -0.000 | 
| 134.314 | 229.586 | 134.316 | 0.000 | -0.009 | 0.000 | 
| 134.315 | 134.310 | 229.589 | -0.000 | -0.007 | 0.000 | 
| -0.490 | -0.493 | -0.490 | 51.059 | -0.004 | 0.000 | 
| -0.490 | -0.499 | -0.489 | -0.003 | 51.054 | -0.000 | 
| -0.492 | -0.493 | -0.488 | -0.000 | -0.004 | 51.056 | 
| 74.301 | 48.428 | 48.428 | 0.000 | 0.001 | 0.000 | 
| 48.428 | 74.302 | 48.428 | 0.000 | 0.000 | 0.000 | 
| 48.428 | 48.428 | 74.301 | 0.000 | -0.000 | -0.000 | 
| -0.610 | -0.609 | -0.610 | 33.940 | 0.000 | -0.000 | 
| -0.610 | -0.609 | -0.610 | 0.000 | 33.940 | 0.000 | 
| -0.610 | -0.609 | -0.610 | 0.000 | -0.000 | 33.940 | 
| 241.070 | 131.711 | 131.711 | -0.000 | 0.000 | 0.000 | 
| 131.711 | 241.069 | 131.711 | -0.000 | 0.001 | -0.000 | 
| 131.711 | 131.710 | 241.070 | 0.000 | -0.000 | -0.000 | 
| 0.610 | 0.609 | 0.610 | 33.940 | -0.000 | -0.000 | 
| 0.610 | 0.609 | 0.610 | 0.000 | 33.939 | -0.000 | 
| 0.610 | 0.610 | 0.610 | -0.000 | 0.000 | 33.940 | 
| 75.321 | 49.702 | 49.702 | 0.000 | 0.000 | 0.000 | 
| -21.849 | 34.600 | -21.849 | 0.000 | 0.000 | 0.000 | 
| 49.702 | 49.702 | 75.321 | 0.000 | 0.000 | 0.000 | 
| -0.049 | -0.049 | -0.049 | 31.703 | 0.000 | 0.000 | 
| -0.000 | 0.000 | 0.000 | 0.000 | 152.376 | -0.000 | 
| -0.049 | -0.049 | -0.049 | 0.000 | 0.000 | 31.703 | 
| 29.483 | -32.444 | -32.444 | 0.000 | -0.000 | -0.000 | 
| -32.444 | 29.483 | -32.444 | -0.000 | -0.000 | -0.000 | 
| -32.444 | -32.444 | 29.483 | 0.000 | -0.000 | -0.000 | 
| 0.049 | 0.049 | 0.049 | 31.703 | -0.000 | 0.000 | 
| 0.000 | -0.000 | -0.000 | 0.000 | 152.376 | -0.000 | 
| 0.049 | 0.049 | 0.049 | 0.000 | -0.000 | 31.703 | 
| 241.866 | 135.599 | 135.599 | 0.000 | -0.005 | 0.000 | 
| 135.599 | 241.865 | 135.598 | 0.000 | -0.006 | -0.000 | 
| 135.599 | 135.599 | 241.865 | -0.001 | -0.000 | -0.000 | 
| 3.475 | 3.475 | 3.475 | 53.363 | -0.002 | -0.000 | 
| 3.475 | 3.475 | 3.474 | -0.001 | 53.359 | 0.000 | 
| 3.475 | 3.474 | 3.474 | -0.000 | -0.003 | 53.361 | 
| 554.372 | 600.706 | 600.705 | -0.000 | 0.002 | -0.000 | 
| 600.705 | 554.373 | 600.706 | -0.000 | 0.000 | 0.000 | 
| 600.705 | 600.706 | 554.373 | 0.000 | 0.002 | -0.001 | 
| -3.475 | -3.475 | -3.476 | 53.364 | 0.003 | 0.000 | 
| -3.475 | -3.475 | -3.474 | -0.001 | 53.365 | 0.000 | 
| -3.475 | -3.475 | -3.474 | 0.000 | 0.003 | 53.361 | 
| -20.993 | 18.261 | 18.261 | 0.000 | -0.000 | -0.000 | 
| 18.261 | -20.993 | 18.261 | 0.000 | -0.000 | 0.000 | 
| 18.261 | 18.261 | -20.993 | 0.000 | -0.000 | 0.000 | 
| 0.000 | -0.000 | 0.000 | 152.068 | -0.000 | -0.000 | 
| 0.000 | -0.000 | -0.000 | -0.000 | 152.068 | 0.000 | 
| 0.000 | -0.000 | -0.000 | -0.000 | -0.000 | 152.068 | 
| 241.379 | 130.847 | 130.847 | -0.000 | 0.000 | -0.000 | 
| 130.847 | 241.379 | 130.847 | -0.000 | 0.000 | 0.000 | 
| 130.847 | 130.848 | 241.379 | -0.000 | -0.000 | -0.000 | 
| -0.000 | 0.000 | 0.000 | 152.068 | 0.000 | -0.000 | 
| 0.000 | -0.000 | 0.000 | -0.000 | 152.068 | -0.000 | 
| -0.000 | -0.000 | 0.000 | -0.000 | -0.000 | 152.068 | 
| 4.960 | -59.850 | -59.849 | 0.000 | 0.000 | 0.000 | 
| -59.849 | 4.960 | -59.849 | 0.000 | -0.000 | -0.000 | 
| -59.849 | -59.849 | 4.960 | -0.000 | -0.000 | 0.000 | 
| -4.088 | -4.088 | -4.088 | 28.311 | -0.000 | 0.000 | 
| -4.088 | -4.088 | -4.088 | 0.000 | 28.311 | -0.000 | 
| -4.088 | -4.088 | -4.088 | -0.000 | -0.000 | 28.311 | 
| 62.283 | 30.182 | 30.182 | 0.000 | -0.000 | -0.000 | 
| 30.182 | 62.283 | 30.182 | -0.000 | 0.000 | -0.000 | 
| 30.182 | 30.182 | 62.283 | 0.000 | 0.000 | 0.000 | 
| 4.088 | 4.088 | 4.088 | 28.311 | 0.000 | 0.000 | 
| 4.088 | 4.088 | 4.088 | 0.000 | 28.311 | 0.000 | 
| 4.088 | 4.088 | 4.088 | 0.000 | 0.000 | 28.311 | 
| 1309.707 | 209.030 | 227.320 | -0.001 | -0.000 | 0.000 | 
| 182.896 | 283.533 | 198.319 | -0.001 | -0.000 | 0.001 | 
| 173.022 | 178.218 | 491.357 | 0.000 | -0.000 | -0.000 | 
| -0.000 | -0.000 | 0.000 | 204.950 | -0.000 | -0.000 | 
| 0.000 | -0.000 | 0.000 | 0.001 | 299.740 | 0.000 | 
| 0.020 | 0.002 | 0.001 | 0.000 | 0.000 | 121.794 | 
| 400.253 | 109.565 | 213.615 | -0.000 | 0.000 | 0.000 | 
| 209.030 | 474.005 | 109.123 | -0.000 | 0.000 | -0.001 | 
| 172.955 | 178.205 | 491.370 | -0.000 | -0.000 | -0.001 | 
| 0.000 | 0.000 | 0.000 | 204.950 | -0.000 | -0.000 | 
| 0.000 | 0.000 | -0.000 | 0.000 | 299.740 | -0.000 | 
| -0.019 | -0.002 | -0.001 | -0.000 | 0.000 | 121.793 | 
| 397.869 | 109.304 | 213.579 | -0.000 | -0.000 | -0.000 | 
| 2.467 | 364.060 | 145.315 | -0.000 | 0.000 | -0.000 | 
| 172.992 | 178.212 | 491.363 | 0.000 | -0.000 | -0.000 | 
| 0.000 | -0.000 | -0.000 | 204.950 | -0.000 | -0.000 | 
| 0.001 | 0.000 | 0.000 | -0.000 | 200.948 | 0.000 | 
| -0.000 | 0.000 | 0.000 | 0.000 | -0.000 | 245.942 | 
| 307.339 | 147.898 | 241.900 | -0.000 | -0.000 | 0.000 | 
| 118.152 | 115.824 | 76.950 | 0.000 | -0.000 | -0.000 | 
| 172.986 | 178.210 | 491.365 | -0.000 | -0.000 | 0.000 | 
| 0.000 | -0.000 | 0.000 | 204.950 | -0.000 | 0.000 | 
| -0.001 | -0.000 | -0.000 | -0.000 | 200.948 | -0.000 | 
| 0.000 | -0.000 | -0.000 | -0.000 | 0.000 | 245.942 | 
| 272.637 | 146.284 | 244.856 | 0.000 | 0.000 | -0.000 | 
| 131.583 | 153.449 | 117.144 | -0.000 | -0.000 | -0.000 | 
| 211.336 | 142.218 | 392.362 | -0.000 | -0.000 | 0.000 | 
| -0.000 | -0.000 | -0.000 | 85.513 | 0.000 | 0.000 | 
| 0.000 | 0.000 | -0.000 | 0.000 | 132.261 | 0.000 | 
| 0.001 | 0.000 | 0.000 | 0.000 | 0.000 | 121.797 | 
| 274.806 | 139.167 | 194.740 | 0.000 | 0.000 | -0.000 | 
| 128.492 | 98.497 | 61.744 | -0.000 | -0.000 | 0.000 | 
| 166.377 | 101.303 | 343.162 | 0.000 | 0.000 | -0.000 | 
| 0.000 | 0.000 | 0.000 | 85.514 | 0.000 | 0.000 | 
| -0.000 | -0.000 | 0.000 | 0.000 | 132.261 | -0.000 | 
| -0.001 | -0.000 | -0.000 | -0.000 | 0.000 | 121.797 | 
| -249.655 | -719.345 | 595.053 | 1.036 | -2.340 | -1.139 | 
| -559.191 | -741.619 | 24.650 | 1.208 | -0.872 | 4.341 | 
| 107.276 | 66.653 | 380.947 | 0.000 | -0.000 | -0.000 | 
| -136.299 | -131.299 | 59.660 | 31.579 | -1.623 | 3.523 | 
| -329.898 | -360.842 | 47.327 | 1.071 | -81.959 | -1.893 | 
| -462.034 | -590.887 | 125.915 | 1.211 | -1.026 | 37.297 | 
| 235.127 | 183.779 | 35.560 | -1.468 | 1.617 | -3.520 | 
| 308.625 | 228.504 | -194.955 | -1.502 | 3.597 | -1.259 | 
| 229.940 | 193.738 | 72.602 | -1.466 | 1.617 | -3.467 | 
| 136.247 | 131.250 | -59.635 | 28.663 | 1.623 | -3.522 | 
| 423.657 | 479.462 | -62.723 | -1.909 | 41.568 | 0.494 | 
| 410.134 | 661.256 | -142.233 | -1.174 | -0.829 | -22.266 | 
| -18.635 | -83.960 | -0.788 | 0.141 | -0.152 | -0.111 | 
| 107.007 | 215.954 | 132.506 | 0.062 | -0.071 | -0.117 | 
| 2.564 | -34.653 | 57.536 | 0.088 | -0.242 | 0.005 | 
| -36.621 | -63.854 | 19.094 | -5.112 | 0.081 | 0.220 | 
| -35.378 | -41.306 | 3.803 | 0.154 | 12.975 | -0.188 | 
| -43.784 | -56.423 | 10.547 | 0.134 | -0.106 | 12.400 | 
| 20.027 | -41.473 | -46.920 | -0.143 | 0.112 | -0.273 | 
| 10.789 | 29.770 | -50.260 | -0.123 | 0.135 | 0.096 | 
| 19.910 | -40.111 | 13.953 | -0.138 | 0.041 | -0.402 | 
| 20.633 | 72.893 | -57.209 | -1.117 | 0.176 | -0.002 | 
| 3.200 | 3.683 | -0.312 | -0.062 | 59.224 | 0.116 | 
| 22.706 | 16.438 | -9.421 | -0.147 | 0.290 | 24.851 | 
| 4.917 | -10.350 | 16.662 | 0.011 | -0.020 | -0.002 | 
| 0.031 | -8.493 | 8.601 | 0.012 | -0.015 | 0.003 | 
| 5.560 | -18.056 | 70.175 | 0.014 | -0.016 | 0.001 | 
| -1.796 | -7.378 | 4.597 | 4.540 | -0.007 | 0.011 | 
| -0.547 | -9.479 | 6.815 | 0.013 | 2.659 | 0.012 | 
| -1.808 | -1.704 | 0.520 | 0.010 | -0.022 | 26.090 | 
| 0.511 | 4.816 | -4.050 | -0.014 | 0.012 | -0.014 | 
| -7.284 | 14.141 | -14.785 | -0.013 | 0.014 | 0.004 | 
| 0.871 | -9.328 | 57.192 | -0.012 | 0.018 | -0.031 | 
| 2.400 | 5.780 | -4.372 | 5.832 | 0.022 | 0.001 | 
| 0.081 | 9.648 | -6.897 | -0.013 | 2.031 | -0.025 | 
| 3.088 | 6.942 | -4.510 | -0.012 | 0.015 | 2.438 | 
| 487.132 | 119.252 | 104.380 | 0.001 | -0.000 | -0.001 | 
| 119.252 | 487.131 | 104.382 | -0.000 | -0.001 | -0.001 | 
| 156.425 | 156.425 | 262.392 | 0.001 | -0.000 | -0.001 | 
| 0.004 | 0.004 | -0.002 | 83.499 | -0.001 | -0.001 | 
| 0.004 | 0.004 | -0.004 | 0.001 | 83.496 | -0.000 | 
| 0.004 | 0.004 | -0.002 | 0.001 | -0.001 | 101.972 | 
| 314.214 | 181.465 | 157.333 | -0.000 | 0.001 | 0.000 | 
| 181.465 | 314.215 | 157.335 | -0.000 | 0.001 | 0.001 | 
| 156.420 | 156.419 | 262.387 | -0.001 | 0.000 | 0.001 | 
| -0.004 | -0.003 | 0.001 | 83.498 | 0.000 | 0.001 | 
| -0.004 | -0.004 | 0.004 | -0.001 | 83.497 | 0.000 | 
| -0.004 | -0.004 | 0.002 | -0.001 | 0.001 | 101.973 | 
| 314.240 | 181.462 | 157.324 | 0.000 | -0.000 | -0.000 | 
| 181.461 | 314.240 | 157.324 | 0.000 | -0.000 | -0.000 | 
| 156.423 | 156.423 | 262.386 | 0.000 | -0.000 | -0.000 | 
| 0.000 | 0.000 | -0.000 | 83.497 | -0.000 | -0.000 | 
| 0.000 | 0.000 | 0.000 | 0.000 | 177.056 | -0.000 | 
| 0.000 | 0.000 | -0.000 | 0.000 | -0.000 | 204.522 | 
| 142.296 | 46.154 | 49.644 | -0.000 | 0.000 | 0.000 | 
| 72.913 | 161.347 | 79.692 | -0.000 | 0.000 | 0.000 | 
| 156.422 | 156.421 | 262.390 | -0.000 | 0.000 | 0.000 | 
| -0.000 | -0.000 | 0.000 | 83.496 | 0.000 | 0.000 | 
| -0.000 | -0.000 | -0.000 | -0.000 | 177.056 | 0.000 | 
| -0.000 | -0.000 | 0.000 | -0.000 | 0.000 | 204.522 | 
| 142.315 | 46.174 | 49.659 | 0.000 | -0.000 | -0.000 | 
| 73.366 | 159.695 | 80.080 | 0.000 | -0.000 | -0.000 | 
| 8.697 | 8.697 | 36.625 | 0.000 | -0.000 | -0.000 | 
| 0.000 | -0.000 | 0.000 | 177.056 | -0.000 | -0.000 | 
| -0.000 | 0.000 | 0.000 | 0.000 | 177.056 | -0.000 | 
| -0.000 | 0.000 | -0.000 | 0.000 | -0.000 | 66.251 | 
| 142.294 | 46.152 | 49.641 | -0.000 | 0.000 | 0.000 | 
| 46.152 | 142.294 | 49.641 | -0.000 | 0.000 | 0.000 | 
| 156.416 | 156.416 | 262.406 | -0.000 | 0.000 | 0.000 | 
| -0.000 | 0.000 | -0.000 | 177.056 | 0.000 | 0.000 | 
| 0.000 | -0.000 | 0.000 | -0.000 | 45.776 | 0.000 | 
| 0.000 | -0.000 | 0.000 | -0.000 | 0.000 | 66.251 | 
| 768.101 | 645.010 | -5080.872 | -0.000 | 0.000 | -0.000 | 
| 645.009 | 768.100 | -5080.871 | 0.000 | -0.000 | -0.000 | 
| 411.209 | 411.209 | -6515.462 | 0.000 | 0.000 | -0.000 | 
| 608.636 | 608.635 | -2413.773 | 80.421 | 0.000 | -0.000 | 
| 608.635 | 608.635 | -2413.771 | 0.000 | 80.421 | -0.000 | 
| 626.108 | 626.107 | -3182.294 | -0.000 | 0.000 | 74.416 | 
| -398.758 | -521.922 | 5211.985 | -0.000 | -0.000 | 0.001 | 
| -521.923 | -398.759 | 5211.985 | -0.000 | -0.000 | 0.000 | 
| -496.975 | -496.976 | 3374.379 | 0.000 | -0.000 | 0.000 | 
| -608.636 | -608.635 | 2413.772 | 80.420 | 0.000 | 0.000 | 
| -608.635 | -608.635 | 2413.771 | -0.000 | 80.420 | 0.001 | 
| -626.108 | -626.108 | 3182.294 | 0.000 | 0.000 | 74.417 | 
| 241.464 | 119.555 | -449.427 | 0.000 | -0.000 | -0.000 | 
| 119.555 | 241.464 | -449.427 | 0.000 | 0.000 | -0.000 | 
| 191.282 | 191.282 | -127.782 | 0.000 | 0.000 | 0.000 | 
| 60.877 | 60.877 | -241.430 | 80.401 | 0.000 | -0.000 | 
| 60.877 | 60.877 | -241.430 | 0.000 | 80.401 | -0.000 | 
| 60.839 | 60.839 | -241.280 | -0.000 | -0.000 | 95.264 | 
| 186.394 | 82.698 | 447.226 | -0.000 | 0.000 | 0.000 | 
| 82.698 | 186.394 | 447.226 | 0.000 | -0.000 | 0.000 | 
| 82.223 | 82.223 | 495.836 | -0.000 | 0.000 | 0.000 | 
| -60.877 | -60.877 | 241.430 | 80.401 | -0.000 | 0.000 | 
| -60.877 | -60.877 | 241.430 | 0.000 | 80.401 | 0.000 | 
| -60.839 | -60.839 | 241.280 | -0.000 | 0.000 | 95.265 | 
| 311.877 | 176.701 | 121.274 | -0.000 | -0.000 | -0.000 | 
| 176.701 | 311.877 | 121.274 | -0.000 | -0.000 | -0.000 | 
| -67.018 | -67.018 | -120.677 | 0.000 | -0.000 | -0.000 | 
| 5.951 | 5.951 | -32.052 | 52.526 | 0.000 | -0.000 | 
| 5.951 | 5.951 | -32.052 | 0.000 | 52.526 | -0.000 | 
| 6.521 | 6.521 | -48.119 | -0.000 | -0.000 | 64.924 | 
| 116.147 | 15.596 | 71.043 | -0.000 | 0.000 | 0.000 | 
| 3.499 | 106.022 | 47.914 | 0.000 | -0.000 | 0.000 | 
| 1.647 | 1.647 | 97.771 | -0.000 | -0.000 | 0.000 | 
| -5.951 | -5.951 | 32.052 | 52.526 | 0.000 | 0.000 | 
| -5.951 | -5.951 | 32.052 | -0.000 | 52.526 | 0.000 | 
| -6.521 | -6.521 | 48.119 | 0.000 | -0.000 | 64.924 | 
| 396.650 | 96.612 | 99.532 | -0.001 | 0.000 | -0.000 | 
| 134.612 | 266.098 | 153.521 | -0.001 | 0.000 | -0.000 | 
| 99.531 | 96.103 | 520.397 | -0.000 | 0.000 | -0.000 | 
| -0.004 | -0.000 | -0.000 | 175.595 | -0.000 | 0.000 | 
| 0.000 | 0.000 | -0.001 | -0.001 | 176.785 | 0.000 | 
| 0.000 | -0.005 | 0.001 | -0.001 | 0.000 | 70.900 | 
| 396.654 | 96.612 | 99.533 | 0.000 | 0.000 | 0.000 | 
| 134.612 | 266.108 | 153.518 | 0.000 | -0.000 | 0.000 | 
| 99.533 | 96.105 | 520.398 | 0.000 | 0.000 | 0.000 | 
| 0.000 | 0.003 | -0.001 | 82.385 | 0.000 | 0.000 | 
| -0.000 | -0.001 | 0.001 | 0.000 | 176.785 | -0.000 | 
| -0.000 | 0.005 | -0.001 | 0.001 | -0.000 | 70.900 | 
| 72.042 | 59.831 | 57.649 | -0.000 | 0.000 | -0.000 | 
| 96.612 | 419.285 | 96.103 | 0.000 | -0.000 | 0.000 | 
| 99.532 | 96.103 | 520.397 | -0.000 | -0.000 | -0.000 | 
| -0.000 | 0.000 | -0.000 | 175.595 | -0.000 | -0.000 | 
| -0.000 | -0.000 | 0.000 | -0.000 | 176.785 | -0.000 | 
| -0.000 | -0.000 | 0.000 | -0.000 | 0.000 | 70.900 | 
| 72.041 | 59.832 | 57.649 | 0.000 | -0.000 | -0.000 | 
| 85.575 | 112.956 | 82.556 | 0.000 | 0.000 | 0.000 | 
| 155.500 | 150.662 | 355.018 | 0.000 | -0.000 | -0.000 | 
| 0.000 | 0.000 | -0.000 | 175.595 | 0.000 | 0.000 | 
| 0.000 | 0.000 | -0.000 | 0.000 | 176.785 | 0.000 | 
| 0.000 | 0.000 | -0.000 | 0.000 | -0.000 | 70.900 | 
| 39.942 | 13.133 | 7.840 | -0.000 | -0.000 | 0.000 | 
| 15.700 | 58.111 | 12.048 | -0.000 | -0.000 | 0.000 | 
| 76.813 | 74.805 | 180.248 | -0.000 | -0.000 | 0.000 | 
| 0.000 | -0.000 | -0.000 | 82.385 | -0.000 | -0.000 | 
| -0.000 | -0.000 | 0.000 | -0.000 | 54.627 | 0.000 | 
| -0.000 | -0.000 | 0.000 | -0.000 | 0.000 | 70.900 | 
| 247.441 | 134.135 | 157.692 | 0.000 | 0.000 | 0.000 | 
| 96.612 | 419.284 | 96.103 | 0.000 | 0.000 | 0.000 | 
| 43.234 | 41.925 | 139.582 | 0.000 | -0.000 | -0.000 | 
| -0.000 | 0.000 | 0.000 | 82.385 | 0.000 | 0.000 | 
| 0.000 | 0.000 | -0.000 | 0.000 | 54.627 | 0.000 | 
| 0.000 | 0.000 | -0.000 | 0.000 | -0.000 | 70.900 | 
| 370.605 | 90.602 | 92.593 | -0.000 | -0.000 | 0.000 | 
| -1962.579 | -1699.710 | -509.471 | -0.000 | -0.000 | 0.000 | 
| -344.622 | 161.226 | 256.022 | 0.000 | -0.000 | 0.000 | 
| -723.150 | -646.719 | 107.222 | 81.719 | -0.000 | 0.000 | 
| -723.296 | -646.817 | 107.246 | -0.000 | 84.850 | 0.000 | 
| -722.982 | -647.145 | 107.163 | -0.001 | -0.000 | 43.564 | 
| 627.882 | 207.562 | 99.630 | 0.000 | 0.000 | -0.000 | 
| 711.759 | 135.380 | 93.902 | -0.000 | 0.000 | -0.000 | 
| 93.046 | 89.696 | 489.341 | 0.000 | 0.000 | -0.000 | 
| 1773.831 | 1447.653 | 1535.078 | 90.182 | 0.000 | -0.000 | 
| 723.296 | 646.817 | -107.246 | 0.000 | 84.850 | -0.000 | 
| 1976.799 | 1547.016 | 520.510 | 0.000 | 0.000 | -85.372 | 
| -102.326 | -127.042 | -16.133 | 0.000 | -0.000 | -0.000 | 
| -99.582 | -86.242 | -27.838 | 0.000 | -0.000 | -0.000 | 
| -13.539 | -0.863 | 238.676 | -0.000 | -0.000 | 0.000 | 
| -73.835 | -59.698 | 11.329 | 59.189 | -0.000 | 0.000 | 
| -45.167 | -3.473 | 8.920 | -0.000 | -1.364 | 0.000 | 
| -73.370 | -61.805 | 11.108 | -0.000 | -0.000 | 33.636 | 
| 171.163 | 154.766 | 179.306 | 0.000 | 0.000 | -0.000 | 
| 188.553 | 166.447 | 167.475 | 0.000 | 0.000 | -0.000 | 
| 225.326 | 180.838 | 217.077 | 0.000 | 0.000 | -0.000 | 
| 73.835 | 59.698 | -11.329 | 59.189 | 0.000 | -0.000 | 
| 45.167 | 3.473 | -8.920 | 0.000 | -1.364 | -0.000 | 
| 73.370 | 61.805 | -11.108 | 0.000 | 0.000 | 33.636 | 
| 52.089 | 43.542 | 50.269 | -0.000 | -0.000 | 0.000 | 
| 46.413 | 70.719 | 51.990 | -0.000 | -0.000 | 0.000 | 
| 19.076 | 16.647 | 112.168 | -0.000 | -0.000 | 0.000 | 
| -2.338 | -0.180 | 0.462 | 75.279 | -0.000 | -0.000 | 
| -6.563 | -4.514 | 1.055 | -0.000 | 49.567 | -0.000 | 
| -6.484 | -4.675 | 1.029 | -0.000 | -0.000 | 29.262 | 
| 77.393 | 63.079 | 51.187 | 0.000 | 0.000 | -0.000 | 
| 59.810 | 78.952 | 49.186 | 0.000 | 0.000 | -0.000 | 
| 55.247 | 54.325 | 146.229 | 0.000 | 0.000 | -0.000 | 
| 2.338 | 0.180 | -0.462 | 75.279 | 0.000 | -0.000 | 
| 6.563 | 4.514 | -1.055 | 0.000 | 49.567 | -0.000 | 
| 6.484 | 4.675 | -1.029 | 0.000 | 0.000 | 29.262 | 
| 361.684 | 282.400 | 282.400 | -0.000 | 0.000 | 0.000 | 
| 282.400 | 361.684 | 282.400 | 0.000 | 0.000 | -0.000 | 
| 282.400 | 282.400 | 361.684 | -0.000 | -0.000 | 0.000 | 
| -0.000 | 0.000 | -0.000 | 124.283 | 0.000 | 0.000 | 
| 0.000 | 0.000 | -0.000 | 0.000 | 124.283 | 0.000 | 
| 0.000 | -0.000 | 0.000 | 0.000 | 0.000 | 124.283 | 
| 361.684 | 282.400 | 282.401 | -0.000 | -0.000 | -0.000 | 
| 282.401 | 361.684 | 282.401 | -0.000 | -0.000 | -0.000 | 
| 282.401 | 282.400 | 361.684 | -0.000 | -0.000 | -0.000 | 
| 0.000 | -0.000 | 0.000 | 124.283 | -0.000 | -0.000 | 
| 0.000 | -0.000 | 0.000 | -0.000 | 124.283 | -0.000 | 
| 0.000 | -0.000 | -0.000 | -0.000 | -0.000 | 124.283 | 
| 361.684 | 282.400 | 282.400 | 0.000 | 0.000 | 0.000 | 
| 282.400 | 361.684 | 282.400 | 0.000 | 0.000 | 0.000 | 
| 282.400 | 282.400 | 361.684 | 0.000 | 0.000 | 0.000 | 
| 0.000 | -0.000 | -0.000 | 217.804 | 0.000 | 0.000 | 
| -0.000 | 0.000 | -0.000 | 0.000 | 217.804 | 0.000 | 
| -0.000 | -0.000 | 0.000 | 0.000 | 0.000 | 217.804 | 
| 361.685 | 282.401 | 282.401 | -0.000 | -0.000 | 0.000 | 
| 282.401 | 361.685 | 282.401 | -0.000 | -0.000 | -0.000 | 
| 282.401 | 282.401 | 361.685 | -0.000 | -0.000 | 0.000 | 
| -0.000 | 0.000 | 0.000 | 217.804 | -0.000 | 0.000 | 
| 0.000 | -0.000 | 0.000 | -0.000 | 217.804 | -0.000 | 
| 0.000 | 0.000 | -0.000 | -0.000 | -0.000 | 217.804 | 
| 361.678 | 282.398 | 282.398 | 0.000 | 0.000 | 0.000 | 
| 282.398 | 361.678 | 282.398 | 0.000 | 0.000 | 0.000 | 
| 282.398 | 282.398 | 361.678 | 0.000 | 0.000 | 0.000 | 
| -0.000 | -0.004 | -0.003 | 124.283 | 0.000 | 0.000 | 
| -0.004 | -0.000 | -0.003 | 0.000 | 124.283 | 0.000 | 
| -0.004 | -0.003 | -0.000 | 0.000 | 0.000 | 124.283 | 
| 361.691 | 282.403 | 282.403 | -0.000 | -0.000 | -0.000 | 
| 282.403 | 361.691 | 282.403 | -0.000 | -0.000 | -0.000 | 
| 282.403 | 282.403 | 361.691 | 0.000 | 0.000 | -0.000 | 
| 0.000 | 0.004 | 0.003 | 124.283 | -0.000 | -0.000 | 
| 0.004 | 0.000 | 0.003 | -0.000 | 124.283 | -0.000 | 
| 0.004 | 0.003 | 0.000 | -0.000 | -0.000 | 124.283 | 
| 3591421.402 | 3591359.588 | 1052762.492 | -0.000 | -0.000 | -0.000 | 
| 3591359.587 | 3591421.402 | 1052762.492 | -0.000 | -0.000 | 0.000 | 
| 3590399.464 | 3590399.464 | 1052835.833 | 0.000 | 0.000 | -0.000 | 
| 1795315.421 | 1795315.402 | 526236.493 | 972012.869 | 0.000 | 0.000 | 
| 1795315.402 | 1795315.422 | 526236.493 | -0.000 | 972012.869 | 0.000 | 
| 1795609.710 | 1795609.746 | 526322.767 | -0.000 | -0.000 | 1795802.040 | 
| 201.833 | 139.922 | 100.404 | -0.000 | -0.000 | 0.000 | 
| 139.922 | 201.833 | 100.404 | -0.000 | -0.000 | 0.000 | 
| 87.026 | 87.026 | 421.820 | -0.000 | -0.000 | -0.000 | 
| -1795315.421 | -1795315.402 | -526236.493 | 972012.869 | -0.000 | -0.000 | 
| -1795315.402 | -1795315.422 | -526236.493 | 0.000 | 972012.869 | 0.000 | 
| -1795609.710 | -1795609.746 | -526322.767 | -0.000 | -0.000 | 1795802.040 | 
| 360478.986 | 360417.176 | 105704.281 | -0.000 | -0.000 | 0.000 | 
| 360417.176 | 360478.986 | 105704.281 | -0.000 | -0.000 | 0.000 | 
| 359456.292 | 359456.292 | 105677.529 | -0.000 | -0.000 | 0.000 | 
| 179844.274 | 179844.255 | 52715.319 | 97378.717 | -0.000 | 0.000 | 
| 179844.255 | 179844.274 | 52715.319 | -0.000 | 97378.717 | 0.000 | 
| 180138.563 | 180138.599 | 52801.593 | -0.000 | -0.000 | 180330.776 | 
| 201.833 | 139.922 | 100.404 | -0.000 | -0.000 | -0.000 | 
| 139.922 | 201.833 | 100.404 | 0.000 | 0.000 | 0.000 | 
| 86.409 | 86.409 | 340.321 | -0.000 | -0.000 | 0.000 | 
| -179844.274 | -179844.255 | -52715.319 | 97378.717 | -0.000 | -0.000 | 
| -179844.255 | -179844.274 | -52715.319 | 0.000 | 97378.717 | -0.000 | 
| -180138.563 | -180138.599 | -52801.593 | 0.000 | 0.000 | 180330.776 | 
| 37384.468 | 37323.221 | 10998.911 | -0.000 | -0.000 | 0.000 | 
| 37323.221 | 37384.468 | 10998.911 | 0.000 | -0.000 | 0.000 | 
| 36362.052 | 36362.052 | 10971.745 | -0.000 | -0.000 | 0.000 | 
| 18297.159 | 18297.140 | 5363.202 | 9915.302 | 0.000 | -0.000 | 
| 18297.140 | 18297.159 | 5363.202 | -0.000 | 9915.302 | -0.000 | 
| 18591.447 | 18591.485 | 5449.477 | -0.000 | 0.000 | 18783.649 | 
| 201.535 | 140.213 | 99.945 | 0.000 | -0.000 | -0.000 | 
| 140.213 | 201.535 | 99.945 | -0.000 | 0.000 | -0.000 | 
| 86.397 | 86.397 | 338.769 | 0.000 | 0.000 | 0.000 | 
| -18297.159 | -18297.140 | -5363.202 | 9915.302 | 0.000 | -0.000 | 
| -18297.140 | -18297.159 | -5363.202 | -0.000 | 9915.302 | -0.000 | 
| -18591.447 | -18591.485 | -5449.477 | 0.000 | 0.000 | 18783.649 | 
| 414.159 | 152.136 | 235.604 | 3.895 | -0.000 | -0.000 | 
| 185.286 | 348.807 | 215.342 | 11.989 | 0.003 | -0.000 | 
| 178.529 | 178.522 | 296.265 | -0.003 | 0.000 | -0.000 | 
| 3.895 | -3.895 | -0.000 | 192.849 | -0.000 | 0.000 | 
| 0.000 | -0.000 | -0.000 | -0.000 | 192.849 | 3.895 | 
| 5.148 | 5.153 | 3.019 | 0.024 | -9.203 | 91.551 | 
| 360.817 | 170.418 | 222.266 | -8.012 | 0.003 | -0.000 | 
| 170.419 | 360.822 | 222.268 | 7.966 | 0.003 | -0.000 | 
| 208.348 | 208.343 | 338.633 | -0.024 | 0.003 | -0.000 | 
| 3.895 | -3.895 | 0.000 | 192.849 | 0.000 | -0.000 | 
| -0.000 | -0.000 | 0.000 | 0.000 | 192.849 | 3.895 | 
| -5.149 | -5.153 | -3.019 | -0.024 | -9.197 | 91.551 | 
| 414.159 | 152.136 | 235.605 | 3.895 | -0.000 | 0.000 | 
| 178.948 | 358.991 | 223.788 | 9.711 | -0.000 | 0.000 | 
| 225.324 | 225.324 | 352.812 | -0.000 | -0.000 | 0.000 | 
| 3.895 | -3.895 | 0.000 | 192.849 | -0.000 | 0.000 | 
| -0.000 | -0.000 | 0.000 | -0.000 | 192.849 | 3.895 | 
| 0.000 | 0.000 | 0.000 | -0.000 | 3.895 | 131.012 | 
| 345.890 | 186.647 | 217.114 | -12.904 | -0.000 | 0.000 | 
| 152.136 | 414.159 | 235.604 | -3.895 | 0.000 | -0.000 | 
| 225.324 | 225.324 | 352.811 | 0.000 | 0.000 | 0.000 | 
| -21.900 | 21.140 | -0.256 | 140.283 | -0.000 | 0.000 | 
| -0.000 | -0.000 | -0.000 | 0.000 | 192.849 | 3.895 | 
| 0.000 | -0.000 | -0.000 | 0.000 | 3.895 | 131.012 | 
| 346.335 | 186.840 | 217.224 | -12.856 | 0.000 | -0.000 | 
| 178.176 | 359.124 | 223.640 | 9.558 | -0.000 | 0.000 | 
| 202.209 | 202.209 | 330.934 | 0.000 | -0.000 | 0.000 | 
| 3.895 | -3.895 | 0.000 | 192.849 | -0.000 | 0.000 | 
| 0.000 | 0.000 | 0.000 | 0.000 | 192.849 | 3.895 | 
| 0.000 | 0.000 | 0.000 | 0.000 | 3.895 | 131.012 | 
| 359.155 | 178.004 | 223.607 | -9.524 | 0.000 | -0.000 | 
| 152.135 | 414.158 | 235.604 | -3.895 | 0.000 | -0.000 | 
| 225.324 | 225.324 | 352.811 | 0.000 | 0.000 | 0.000 | 
| -17.841 | 17.670 | -0.050 | 159.639 | 0.000 | -0.000 | 
| -0.000 | -0.000 | -0.000 | -0.000 | 192.849 | 3.895 | 
| -0.000 | -0.000 | -0.000 | -0.000 | 3.895 | 131.012 | 
| 516.763 | 452.654 | 1367.899 | 87.228 | 447.619 | -138.803 | 
| 149.600 | 1232.541 | 1668.670 | -270.714 | 1043.263 | -341.947 | 
| 181.423 | 186.026 | 565.117 | 21.536 | 32.880 | 2.279 | 
| -189.590 | 935.343 | 1524.243 | -231.028 | 1222.666 | -422.398 | 
| -45.522 | 800.681 | 1507.867 | -257.650 | 1141.778 | -345.751 | 
| -2.427 | -19.141 | -1.731 | 2.865 | -31.613 | 152.621 | 
| 381.236 | -77.006 | -1008.189 | -107.407 | -441.170 | 137.273 | 
| 191.419 | 491.039 | 181.252 | 5.741 | 4.199 | -18.957 | 
| 181.423 | 186.026 | 565.117 | 21.536 | 32.880 | 2.279 | 
| 35.557 | -779.932 | -1466.481 | 389.616 | -1024.358 | 333.101 | 
| -67.107 | -256.566 | -1168.002 | -91.848 | -318.776 | 121.694 | 
| -67.471 | -277.104 | -1197.729 | -94.927 | -479.005 | 278.782 | 
| 428.807 | 271.260 | 335.213 | -37.010 | 106.580 | -36.393 | 
| 191.419 | 491.039 | 181.252 | 5.741 | 4.199 | -18.957 | 
| 196.016 | 252.910 | 660.725 | 16.261 | 104.889 | -14.700 | 
| -1.347 | 67.516 | 188.336 | 121.873 | 91.502 | -3.893 | 
| 7.456 | 34.721 | 139.115 | 15.188 | 170.256 | -30.123 | 
| 6.871 | 43.052 | 161.236 | 1.393 | 49.804 | 134.134 | 
| 442.312 | 161.354 | 61.096 | -19.816 | -41.193 | 13.022 | 
| 184.337 | 435.236 | 69.058 | -11.333 | -35.114 | 3.192 | 
| 193.767 | 110.997 | 345.109 | 42.278 | -76.792 | 26.678 | 
| -1.680 | -77.349 | -133.522 | 152.899 | -98.210 | 42.831 | 
| -6.123 | -18.175 | -98.950 | -4.244 | 81.014 | -2.575 | 
| -2.427 | -19.141 | -1.731 | 2.865 | -31.613 | 152.621 | 
| 439.781 | 196.928 | 196.718 | -11.767 | 11.036 | -5.730 | 
| 193.976 | 459.084 | 198.943 | -1.837 | 15.570 | -13.707 | 
| 188.782 | 195.705 | 513.444 | 15.233 | 34.119 | -8.216 | 
| -10.776 | 22.206 | 30.587 | 119.631 | 19.269 | -2.478 | 
| 1.300 | 2.584 | 32.879 | 3.082 | 140.000 | -12.230 | 
| 0.498 | -10.870 | 3.039 | 3.404 | -29.847 | 141.388 | 
| 448.935 | 185.168 | 167.842 | -11.061 | -1.237 | 0.549 | 
| 194.609 | 442.359 | 171.844 | 0.873 | -0.350 | -9.350 | 
| 182.663 | 190.316 | 502.436 | 17.220 | 18.544 | -3.438 | 
| -10.149 | 8.842 | 3.340 | 125.837 | 0.513 | 4.710 | 
| -0.948 | 4.753 | 5.425 | 8.212 | 106.798 | -16.472 | 
| -0.491 | -14.988 | -18.017 | 1.691 | -37.724 | 142.980 | 
| 474.712 | 178.511 | 192.217 | -12.962 | -3.365 | 0.192 | 
| 138.505 | 439.194 | 278.009 | -8.023 | -43.160 | 26.944 | 
| 55.063 | 253.697 | 707.104 | 4.664 | -14.626 | 26.151 | 
| -127.189 | 61.880 | 166.810 | 109.956 | -4.013 | -37.286 | 
| -120.564 | 56.279 | 139.903 | -1.508 | 120.966 | -61.127 | 
| 0.296 | 0.207 | 1.058 | -1.014 | -39.309 | 144.108 | 
| 507.600 | 180.240 | 109.039 | -2.263 | 37.641 | -26.665 | 
| 239.222 | 430.104 | 107.403 | 6.686 | 39.951 | -26.936 | 
| 191.719 | 193.752 | 578.745 | 30.266 | 5.138 | 1.786 | 
| 38.697 | 7.875 | -56.460 | 130.647 | 42.810 | -27.070 | 
| 118.855 | -57.058 | -138.648 | 3.546 | 131.195 | 12.389 | 
| 49.985 | -4.049 | -84.134 | 6.232 | 2.422 | 111.256 | 
| 451.048 | 185.457 | 203.114 | -10.204 | -8.149 | 3.006 | 
| 182.908 | 463.047 | 192.424 | 8.111 | -2.563 | -0.008 | 
| 188.330 | 194.820 | 562.279 | 28.101 | -1.329 | 3.236 | 
| -14.999 | 22.384 | 30.266 | 132.645 | 1.516 | -0.008 | 
| -12.597 | 5.140 | 14.349 | 0.785 | 125.852 | -27.702 | 
| -14.318 | 6.751 | 16.693 | -4.218 | -44.097 | 137.934 | 
| 462.502 | 184.166 | 185.456 | -8.894 | 0.421 | -2.533 | 
| 182.908 | 463.047 | 192.424 | 8.111 | -2.563 | -0.008 | 
| 198.488 | 193.917 | 545.623 | 29.639 | 7.151 | -2.193 | 
| -6.354 | 11.477 | 20.045 | 123.700 | 5.516 | -2.898 | 
| -0.910 | -1.557 | 5.138 | 1.516 | 138.202 | -20.175 | 
| 0.296 | 0.206 | 1.058 | -1.014 | -39.309 | 144.108 | 
| 453.101 | 185.992 | 195.375 | -8.992 | -4.303 | 0.471 | 
| 189.868 | 424.780 | 194.647 | -3.909 | -2.165 | 0.590 | 
| 198.742 | 182.608 | 544.365 | 28.856 | 1.727 | 1.022 | 
| -11.594 | 10.283 | 29.649 | 121.269 | 0.680 | 0.189 | 
| -1.975 | -0.060 | 2.674 | 1.125 | 128.693 | -23.458 | 
| 0.296 | 0.207 | 1.058 | -1.014 | -39.309 | 144.108 | 
| 474.710 | 178.511 | 192.216 | -12.962 | -3.365 | 0.192 | 
| 193.044 | 406.052 | 179.849 | 2.812 | -1.860 | 0.293 | 
| 194.056 | 194.336 | 552.157 | 28.913 | 3.331 | 0.163 | 
| -10.233 | 9.774 | 27.512 | 121.076 | 1.682 | -0.472 | 
| -0.792 | -0.851 | 1.769 | 1.283 | 131.224 | -20.701 | 
| 0.296 | 0.206 | 1.058 | -1.014 | -39.309 | 144.108 | 
| 3140.634 | 187.063 | 187.064 | -0.000 | -0.000 | -0.000 | 
| 187.063 | 3140.634 | 187.064 | 0.000 | -0.000 | -0.000 | 
| 187.063 | 187.063 | 3140.634 | -0.000 | -0.000 | 0.000 | 
| -0.000 | -0.000 | 0.000 | 193.082 | -0.000 | 0.000 | 
| -0.000 | -0.000 | -0.000 | -0.000 | 193.082 | -0.000 | 
| -0.000 | -0.000 | -0.000 | -0.000 | -0.000 | 193.082 | 
| 3140.634 | 187.064 | 187.064 | 0.000 | 0.001 | 0.000 | 
| 187.064 | 3140.634 | 187.064 | 0.000 | 0.001 | 0.000 | 
| 187.064 | 187.064 | 3140.634 | 0.000 | 0.000 | 0.000 | 
| 0.000 | 0.000 | 0.001 | 193.082 | 0.000 | 0.000 | 
| 0.000 | 0.000 | 0.000 | 0.000 | 193.083 | -0.000 | 
| 0.000 | 0.000 | 0.000 | 0.000 | 0.000 | 193.082 | 
| 3145.862 | 184.450 | 184.450 | -0.000 | -0.000 | -0.000 | 
| 184.450 | 3145.862 | 184.450 | -0.000 | -0.000 | -0.000 | 
| 184.450 | 184.450 | 3145.862 | -0.000 | -0.000 | -0.000 | 
| 0.000 | -0.000 | -0.000 | 70.795 | -0.000 | 0.000 | 
| -0.000 | -0.000 | -0.000 | -0.000 | 70.794 | -0.000 | 
| -0.000 | -0.000 | -0.000 | -0.000 | -0.000 | 70.794 | 
| 3140.633 | 187.063 | 187.063 | 0.000 | 0.000 | -0.000 | 
| 187.063 | 3140.633 | 187.063 | 0.000 | 0.000 | -0.000 | 
| 187.063 | 187.063 | 3140.633 | 0.000 | 0.000 | 0.000 | 
| 0.000 | 0.000 | 0.000 | 70.794 | 0.000 | 0.000 | 
| 0.000 | 0.000 | 0.000 | 0.000 | 70.795 | 0.000 | 
| 0.000 | 0.000 | 0.000 | 0.000 | 0.000 | 70.795 | 
| 3140.640 | 187.063 | 187.063 | 0.000 | -0.000 | -0.000 | 
| 187.063 | 3140.640 | 187.063 | -0.000 | -0.000 | -0.000 | 
| 187.063 | 187.063 | 3140.640 | -0.000 | -0.000 | 0.000 | 
| -0.000 | -0.001 | -0.002 | 70.794 | -0.000 | -0.000 | 
| -0.001 | -0.000 | -0.002 | -0.000 | 70.794 | -0.000 | 
| -0.001 | -0.002 | -0.000 | -0.000 | -0.000 | 70.794 | 
| 3140.627 | 187.064 | 187.064 | 0.000 | 0.000 | 0.000 | 
| 187.064 | 3140.627 | 187.064 | 0.000 | 0.000 | -0.000 | 
| 187.064 | 187.064 | 3140.627 | 0.000 | 0.000 | -0.000 | 
| 0.000 | 0.001 | 0.002 | 70.794 | 0.000 | 0.000 | 
| 0.001 | 0.000 | 0.002 | -0.000 | 70.794 | 0.000 | 
| 0.001 | 0.002 | 0.000 | 0.000 | 0.000 | 70.794 | 
| 1313.568 | 1458.589 | 1458.589 | -0.000 | -0.000 | 0.000 | 
| 1458.589 | 1313.568 | 1458.589 | -0.000 | -0.000 | 0.000 | 
| 1458.589 | 1458.589 | 1313.567 | -0.000 | -0.000 | 0.000 | 
| 7810565406.326 | 7888198917.926 | 7860801055.770 | -44702375.223 | 87792132.174 | 35657549.238 | 
| 7846626982.207 | 7757965386.800 | 7843890611.404 | 3326596.776 | -33344811.918 | -120024258.281 | 
| 7901327207.285 | 7934363443.954 | 7811976437.223 | -6465264.987 | 20577702.723 | 3453601.020 | 
| 1313.568 | 1458.589 | 1458.589 | -0.000 | 0.000 | -0.000 | 
| 1458.589 | 1313.567 | 1458.589 | -0.000 | 0.000 | -0.000 | 
| 1458.589 | 1458.589 | 1313.568 | -0.000 | 0.000 | -0.000 | 
| -7809446279.252 | -7899361658.085 | -7952889712.962 | -48833650.715 | -54068148.171 | 15070682.551 | 
| -7835628227.589 | -7667838764.887 | -7911923017.523 | 34745609.475 | -15088298.341 | -33597143.503 | 
| -7874577314.032 | -7850309958.258 | -7725346727.967 | -15663913.516 | 16344713.054 | -55476593.973 | 
| 1313.568 | 1458.590 | 1458.589 | -0.000 | -0.000 | 0.000 | 
| 1458.590 | 1313.568 | 1458.589 | -0.000 | -0.000 | 0.000 | 
| 1458.590 | 1458.589 | 1313.568 | -0.000 | -0.000 | 0.000 | 
| 778029901.389 | 786793034.165 | 783812623.876 | -3463000.162 | 7178193.444 | 2707778.266 | 
| 779560377.792 | 772938527.200 | 781487672.450 | 5375002.704 | -4053163.748 | 332932.149 | 
| 786468245.655 | 798875989.827 | 771222848.829 | -3836559.585 | 3352422.272 | -4948134.900 | 
| 1313.567 | 1458.588 | 1458.588 | 0.000 | 0.000 | -0.000 | 
| 1458.588 | 1313.567 | 1458.588 | 0.000 | 0.000 | -0.000 | 
| 1458.588 | 1458.588 | 1313.567 | 0.000 | 0.000 | -0.000 | 
| -773496602.797 | -791936451.742 | -785083476.925 | -159373.215 | 6120568.363 | -5711133.041 | 
| -780525139.364 | -775492334.982 | -769598410.527 | -3076000.810 | -2867844.926 | -1797091.944 | 
| -793136909.734 | -785667801.864 | -782364453.421 | -2676991.441 | 2678318.947 | -5256180.712 | 
| 1313.573 | 1458.596 | 1458.596 | 0.000 | -0.000 | 0.000 | 
| 1458.596 | 1313.573 | 1458.596 | 0.000 | -0.000 | 0.000 | 
| 1458.596 | 1458.596 | 1313.573 | 0.000 | -0.000 | 0.000 | 
| 78138292.682 | 79546117.237 | 78077546.567 | -73338.437 | -189752.113 | -45283.485 | 
| 78034217.870 | 77679225.286 | 77924016.976 | 61029.689 | 62244.729 | 209299.866 | 
| 78491202.267 | 78622121.969 | 76759930.406 | -507080.612 | -140806.236 | 108600.547 | 
| 1313.562 | 1458.581 | 1458.581 | 0.000 | 0.000 | -0.000 | 
| 1458.581 | 1313.562 | 1458.581 | -0.000 | 0.000 | -0.000 | 
| 1458.581 | 1458.581 | 1313.562 | -0.000 | 0.000 | -0.000 | 
| -77344671.668 | -78827538.357 | -78596399.751 | -102354.051 | 460347.523 | -434884.378 | 
| -78988904.224 | -76213249.146 | -78761234.036 | 328046.124 | -656903.581 | -272754.981 | 
| -78665348.353 | -77837109.603 | -77975326.876 | 71394.459 | 301947.939 | -898343.278 | 
| 2945.676 | 3603.268 | 3603.268 | -0.000 | -0.000 | 0.000 | 
| 3603.268 | 2945.676 | 3603.268 | -0.000 | -0.000 | -0.000 | 
| 3603.268 | 3603.268 | 2945.676 | -0.000 | -0.000 | 0.000 | 
| 0.000 | -0.001 | -0.000 | -939.427 | -0.000 | 0.000 | 
| -0.000 | -0.000 | -0.000 | -0.000 | -939.427 | 0.001 | 
| -0.000 | -0.000 | 0.000 | 0.000 | 0.000 | -939.426 | 
| 2945.676 | 3603.268 | 3603.268 | 0.000 | 0.000 | -0.000 | 
| 3603.268 | 2945.676 | 3603.267 | -0.000 | -0.000 | -0.001 | 
| 3603.268 | 3603.268 | 2945.675 | 0.000 | 0.000 | -0.000 | 
| -0.000 | 0.001 | -0.000 | -939.426 | -0.000 | -0.000 | 
| -0.000 | 0.000 | 0.000 | -0.000 | -939.426 | -0.000 | 
| -0.000 | -0.000 | -0.000 | -0.000 | -0.000 | -939.428 | 
| 2945.678 | 3603.270 | 3603.270 | -0.000 | -0.000 | 0.000 | 
| 3603.270 | 2945.678 | 3603.270 | -0.000 | -0.000 | 0.000 | 
| 3603.270 | 3603.270 | 2945.678 | 0.000 | -0.000 | 0.000 | 
| 0.001 | 0.000 | -0.000 | -939.426 | -0.000 | -0.000 | 
| 0.000 | 0.001 | -0.000 | -0.000 | -939.426 | 0.000 | 
| 0.000 | -0.000 | 0.001 | -0.000 | 0.000 | -939.426 | 
| 2945.673 | 3603.266 | 3603.266 | 0.000 | 0.000 | -0.000 | 
| 3603.266 | 2945.673 | 3603.266 | 0.000 | 0.000 | -0.000 | 
| 3603.266 | 3603.266 | 2945.673 | 0.000 | -0.000 | -0.000 | 
| -0.001 | -0.000 | 0.000 | -939.426 | 0.000 | -0.000 | 
| -0.000 | -0.001 | 0.000 | 0.000 | -939.426 | -0.000 | 
| -0.000 | 0.000 | -0.001 | 0.000 | 0.000 | -939.427 | 
| 2945.702 | 3603.290 | 3603.290 | -0.000 | -0.000 | 0.000 | 
| 3603.290 | 2945.702 | 3603.290 | 0.000 | -0.000 | 0.000 | 
| 3603.290 | 3603.290 | 2945.702 | 0.000 | 0.000 | -0.000 | 
| 0.007 | 0.001 | -0.001 | -939.426 | -0.000 | -0.000 | 
| 0.001 | 0.007 | -0.001 | 0.000 | -939.426 | -0.000 | 
| 0.001 | -0.001 | 0.007 | -0.000 | -0.000 | -939.426 | 
| 2945.649 | 3603.246 | 3603.246 | 0.000 | 0.000 | -0.000 | 
| 3603.246 | 2945.649 | 3603.246 | 0.000 | 0.000 | -0.000 | 
| 3603.246 | 3603.246 | 2945.649 | 0.000 | 0.000 | -0.000 | 
| -0.007 | -0.001 | 0.001 | -939.426 | 0.000 | -0.000 | 
| -0.001 | -0.007 | 0.001 | 0.000 | -939.426 | -0.000 | 
| -0.001 | 0.001 | -0.007 | 0.000 | 0.000 | -939.426 | 
| 480.066 | 193.020 | 164.105 | -0.000 | -0.001 | -0.000 | 
| 137.259 | 407.239 | 275.803 | -0.000 | -0.001 | -0.000 | 
| 103.266 | 103.266 | 542.519 | -0.000 | -0.001 | -0.000 | 
| -56.880 | -56.881 | 94.890 | 97.729 | -0.001 | -0.000 | 
| -58.779 | -58.779 | 113.537 | -0.000 | 105.438 | 0.000 | 
| 0.000 | 0.000 | 0.000 | -0.000 | -0.001 | 143.523 | 
| 524.301 | 254.599 | 49.216 | 0.000 | 0.001 | -0.000 | 
| 254.598 | 524.301 | 49.216 | 0.000 | 0.001 | -0.000 | 
| 219.323 | 219.323 | 336.600 | 0.000 | 0.000 | -0.000 | 
| 56.880 | 56.880 | -94.890 | 97.729 | 0.000 | -0.001 | 
| 58.779 | 58.779 | -113.537 | 0.000 | 105.440 | -0.000 | 
| -0.000 | -0.000 | -0.000 | 0.000 | 0.001 | 143.522 | 
| 480.066 | 193.020 | 164.105 | -0.000 | -0.000 | 0.000 | 
| 195.182 | 447.378 | 168.591 | -0.000 | -0.000 | 0.000 | 
| 152.790 | 152.790 | 458.320 | -0.000 | -0.000 | -0.000 | 
| -6.201 | -6.201 | 9.820 | 92.310 | -0.000 | -0.000 | 
| -7.117 | -7.117 | 13.747 | -0.000 | 101.254 | 0.000 | 
| -6.237 | -6.237 | 12.047 | -0.000 | -0.000 | 134.375 | 
| 480.065 | 193.020 | 164.105 | 0.000 | 0.000 | -0.000 | 
| 203.996 | 464.790 | 148.940 | 0.000 | 0.000 | -0.000 | 
| 163.349 | 163.349 | 484.437 | 0.000 | 0.000 | -0.000 | 
| 6.201 | 6.201 | -9.820 | 92.310 | 0.000 | -0.000 | 
| 7.117 | 7.117 | -13.747 | 0.000 | 101.254 | 0.000 | 
| 6.237 | 6.237 | -12.047 | 0.000 | 0.000 | 134.375 | 
| 462.944 | 195.081 | 164.611 | -0.000 | -0.000 | -0.000 | 
| 193.021 | 480.067 | 164.106 | -0.000 | -0.000 | -0.000 | 
| 162.264 | 162.264 | 451.258 | -0.000 | -0.000 | -0.000 | 
| -0.675 | -0.675 | 1.075 | 89.740 | -0.000 | 0.000 | 
| 0.000 | 0.000 | 0.000 | -0.000 | 125.297 | 0.000 | 
| 0.000 | 0.000 | 0.000 | -0.000 | -0.000 | 143.522 | 
| 480.064 | 193.020 | 164.105 | 0.000 | -0.000 | -0.000 | 
| 196.526 | 463.603 | 162.001 | 0.000 | 0.000 | -0.000 | 
| 159.602 | 159.602 | 446.418 | 0.000 | 0.000 | 0.000 | 
| 0.675 | 0.675 | -1.075 | 89.740 | 0.000 | 0.000 | 
| -0.000 | -0.000 | -0.000 | 0.000 | 125.297 | 0.000 | 
| -0.000 | -0.000 | -0.000 | 0.000 | 0.000 | 143.522 | 
| 425.020 | 66.823 | -90.579 | 0.000 | 0.000 | 0.000 | 
| 72.160 | 356.810 | -42.715 | 0.000 | 0.000 | 0.000 | 
| 214.278 | 237.808 | 520.812 | -0.000 | -0.000 | 0.000 | 
| -85.206 | -154.142 | -276.300 | 170.160 | 0.000 | 0.000 | 
| -85.189 | -154.113 | -276.247 | 0.000 | 151.532 | 0.000 | 
| -117.153 | -92.069 | -309.307 | 0.000 | 0.000 | 97.981 | 
| 605.183 | 171.683 | 214.495 | 0.000 | -0.000 | 0.000 | 
| 276.582 | 598.928 | 536.726 | 0.000 | -0.000 | -0.000 | 
| 214.278 | 237.808 | 520.812 | 0.000 | -0.000 | -0.000 | 
| 85.206 | 154.142 | 276.301 | 170.160 | -0.000 | -0.000 | 
| 85.189 | 154.113 | 276.247 | -0.000 | 151.532 | -0.000 | 
| 117.153 | 92.069 | 309.307 | 0.000 | -0.000 | 97.981 | 
| 534.309 | 149.835 | 187.578 | -0.000 | 0.000 | 0.000 | 
| 149.250 | 495.868 | 206.052 | -0.000 | 0.000 | 0.000 | 
| 206.042 | 216.711 | 471.681 | -0.000 | 0.000 | 0.000 | 
| -8.612 | -15.579 | -27.925 | 170.064 | 0.000 | 0.000 | 
| -8.453 | -15.293 | -27.413 | -0.000 | 151.679 | 0.000 | 
| -11.787 | -9.025 | -30.981 | 0.000 | 0.000 | 97.450 | 
| 570.590 | 171.963 | 242.435 | 0.000 | 0.000 | -0.000 | 
| 171.326 | 516.245 | 258.444 | -0.000 | 0.000 | -0.000 | 
| 223.364 | 247.735 | 526.721 | -0.000 | -0.000 | -0.000 | 
| 8.611 | 15.579 | 27.925 | 170.064 | -0.000 | -0.000 | 
| 8.453 | 15.293 | 27.413 | -0.000 | 151.679 | -0.000 | 
| 11.787 | 9.026 | 30.981 | -0.000 | -0.000 | 97.451 | 
| 545.268 | 159.613 | 216.935 | 0.000 | 0.000 | 0.000 | 
| 172.160 | 523.455 | 238.502 | 0.000 | -0.000 | 0.000 | 
| 213.567 | 229.594 | 493.444 | 0.000 | -0.000 | 0.000 | 
| -1.034 | -0.950 | -2.811 | 161.239 | 0.000 | 0.000 | 
| -0.000 | -0.000 | 0.000 | 0.000 | 170.679 | 0.000 | 
| -1.451 | -2.626 | -4.707 | 0.000 | -0.000 | 110.501 | 
| 550.511 | 160.359 | 219.545 | 0.000 | -0.000 | -0.000 | 
| 157.855 | 511.906 | 235.382 | 0.000 | -0.000 | -0.000 | 
| 215.647 | 232.210 | 496.036 | -0.000 | -0.000 | -0.000 | 
| 1.034 | 0.950 | 2.811 | 161.239 | -0.000 | -0.000 | 
| 0.000 | 0.000 | -0.000 | 0.000 | 170.679 | 0.000 | 
| 1.451 | 2.626 | 4.707 | 0.000 | -0.000 | 110.501 | 
| 471.335 | 200.582 | 166.226 | -0.000 | -0.002 | 0.000 | 
| 203.226 | 463.956 | 160.290 | -0.000 | -0.001 | 0.000 | 
| 166.384 | 166.385 | 455.483 | -0.000 | -0.001 | 0.000 | 
| -0.000 | 0.000 | -0.000 | 90.737 | -0.002 | 0.000 | 
| -0.001 | -0.000 | -0.000 | -0.000 | 126.810 | 0.000 | 
| -0.001 | -0.000 | -0.000 | -0.000 | -0.002 | 145.275 | 
| 488.271 | 197.722 | 166.858 | 0.000 | 0.002 | -0.000 | 
| 200.584 | 471.335 | 166.226 | 0.000 | 0.002 | -0.000 | 
| 166.858 | 166.858 | 489.428 | 0.000 | 0.002 | -0.000 | 
| 0.000 | -0.000 | 0.000 | 90.737 | 0.002 | -0.000 | 
| 0.001 | 0.000 | 0.000 | 0.000 | 126.813 | -0.000 | 
| 0.002 | -0.000 | 0.000 | 0.000 | 0.001 | 145.275 | 
| 471.335 | 200.582 | 166.226 | -0.000 | -0.000 | 0.000 | 
| 197.721 | 488.271 | 166.858 | -0.000 | -0.000 | 0.000 | 
| 166.858 | 166.858 | 489.427 | -0.000 | -0.000 | 0.000 | 
| -0.000 | 0.000 | 0.000 | 97.851 | -0.000 | 0.000 | 
| -0.000 | -0.000 | -0.000 | -0.000 | 126.811 | 0.000 | 
| -0.000 | 0.000 | 0.000 | -0.000 | -0.000 | 128.616 | 
| 463.956 | 203.226 | 160.290 | 0.000 | 0.000 | -0.000 | 
| 203.226 | 463.956 | 160.290 | 0.000 | 0.000 | -0.000 | 
| 166.858 | 166.858 | 489.427 | 0.000 | 0.000 | -0.000 | 
| 0.000 | 0.000 | -0.000 | 97.851 | 0.000 | -0.000 | 
| 0.000 | 0.000 | 0.000 | 0.000 | 126.812 | -0.000 | 
| 0.000 | -0.000 | -0.000 | 0.000 | 0.000 | 128.616 | 
| 488.273 | 197.722 | 166.858 | -0.000 | -0.000 | 0.000 | 
| 200.583 | 471.337 | 166.226 | -0.000 | -0.000 | 0.000 | 
| 166.858 | 166.858 | 489.429 | -0.000 | -0.000 | 0.000 | 
| 0.000 | 0.000 | 0.000 | 126.812 | -0.000 | 0.000 | 
| 0.000 | 0.000 | 0.000 | -0.000 | 97.851 | 0.000 | 
| 0.000 | 0.000 | 0.000 | -0.000 | -0.000 | 134.900 | 
| 471.334 | 200.581 | 166.225 | 0.000 | 0.000 | -0.000 | 
| 200.581 | 471.334 | 166.225 | -0.000 | 0.000 | -0.000 | 
| 162.590 | 162.590 | 452.440 | 0.000 | -0.000 | -0.000 | 
| -0.000 | -0.000 | -0.000 | 126.812 | 0.000 | -0.000 | 
| -0.000 | -0.000 | -0.000 | 0.000 | 97.851 | -0.000 | 
| -0.000 | -0.000 | -0.000 | 0.000 | 0.000 | 134.900 | 
| 480.686 | 193.375 | 164.258 | -0.000 | -0.000 | -0.000 | 
| 1967.087 | 2232.015 | 4947.292 | -0.000 | 0.000 | 0.000 | 
| 799.335 | 799.335 | 3386.529 | -0.000 | -0.000 | 0.000 | 
| 1824.367 | 1824.367 | 4754.269 | 89.816 | -0.000 | -0.000 | 
| 1770.174 | 1770.174 | 4790.295 | -0.000 | 94.460 | 0.000 | 
| 1844.464 | 1844.464 | 4710.658 | -0.000 | -0.000 | 128.738 | 
| -176.119 | -440.976 | -2794.479 | 0.001 | -0.001 | -0.000 | 
| -1573.198 | -1308.270 | -4633.205 | 0.000 | -0.000 | 0.000 | 
| -474.974 | -474.974 | -2525.762 | -0.000 | -0.000 | -0.000 | 
| -1824.367 | -1824.367 | -4754.269 | 89.816 | 0.000 | -0.000 | 
| -1770.174 | -1770.174 | -4790.295 | 0.000 | 94.460 | 0.000 | 
| -1844.464 | -1844.464 | -4710.658 | -0.000 | -0.000 | 128.737 | 
| 638.853 | 373.933 | 636.128 | 0.000 | 0.000 | 0.000 | 
| 373.933 | 638.853 | 636.128 | 0.000 | 0.000 | 0.000 | 
| 342.376 | 342.376 | 919.537 | -0.000 | -0.000 | 0.000 | 
| 0.000 | -0.000 | 0.000 | 125.408 | 0.000 | 0.000 | 
| 184.263 | 184.263 | 471.538 | -0.000 | 90.239 | -0.000 | 
| 176.993 | 176.993 | 479.014 | -0.000 | 0.000 | 132.463 | 
| 284.949 | 20.023 | -321.909 | -0.000 | 0.000 | -0.000 | 
| 20.017 | 284.941 | -321.939 | 0.000 | 0.000 | 0.000 | 
| -19.429 | -19.429 | -21.711 | -0.000 | -0.000 | -0.000 | 
| -0.000 | -0.000 | -0.000 | 125.408 | -0.000 | -0.000 | 
| -184.263 | -184.263 | -471.538 | 0.000 | 90.239 | -0.000 | 
| -176.993 | -176.993 | -479.014 | -0.000 | 0.000 | 132.463 | 
| 479.093 | 214.392 | 205.288 | -0.000 | -0.000 | 0.000 | 
| 202.357 | 468.569 | 191.229 | -0.000 | 0.000 | -0.000 | 
| 163.583 | 163.583 | 484.718 | -0.000 | -0.000 | -0.000 | 
| 6.415 | 6.415 | 29.761 | 99.389 | -0.000 | 0.000 | 
| 18.974 | 18.974 | 48.974 | -0.000 | 90.255 | 0.000 | 
| 0.000 | 0.000 | 0.000 | -0.000 | -0.000 | 143.656 | 
| 453.851 | 190.034 | 132.393 | 0.000 | -0.000 | 0.000 | 
| 179.963 | 444.528 | 109.872 | 0.000 | 0.000 | 0.000 | 
| 140.981 | 140.981 | 399.880 | -0.000 | -0.000 | -0.000 | 
| -6.415 | -6.415 | -29.761 | 99.389 | 0.000 | 0.000 | 
| -18.974 | -18.974 | -48.974 | 0.000 | 90.255 | -0.000 | 
| -0.000 | -0.000 | -0.000 | -0.000 | -0.000 | 143.656 | 
| 918.288 | 1297.130 | 1482.835 | 0.000 | -0.000 | -0.000 | 
| 996.309 | 1198.923 | 126.038 | 0.000 | -0.000 | 0.000 | 
| 1051.298 | 918.041 | 391.208 | 0.000 | -0.000 | -0.000 | 
| -449.031 | 912.084 | 1031.269 | 162.277 | -0.000 | -0.000 | 
| 0.000 | 0.000 | -0.000 | 0.000 | 170.660 | 0.000 | 
| 0.000 | -0.001 | -0.000 | 0.000 | -0.000 | 131.035 | 
| 605.014 | 171.590 | 214.453 | -0.000 | 0.000 | -0.000 | 
| -202.823 | -629.720 | -1031.918 | -0.000 | 0.000 | 0.000 | 
| 140.349 | -550.105 | -745.103 | -0.000 | 0.000 | -0.000 | 
| 449.031 | -912.084 | -1031.269 | 162.277 | 0.000 | -0.000 | 
| -0.000 | -0.000 | 0.000 | -0.000 | 170.661 | -0.000 | 
| 0.000 | -0.001 | 0.000 | -0.000 | 0.000 | 131.036 | 
| 642.987 | 225.847 | 203.710 | 0.000 | -0.000 | -0.000 | 
| 240.043 | 578.184 | 221.161 | 0.000 | -0.000 | 0.000 | 
| 224.628 | 304.563 | 601.182 | 0.000 | -0.000 | -0.000 | 
| -0.000 | -0.000 | -0.000 | 179.072 | -0.000 | 0.000 | 
| 36.469 | 113.352 | 126.181 | 0.000 | 148.079 | 0.000 | 
| 84.178 | 69.092 | -10.596 | 0.000 | -0.000 | 117.686 | 
| 478.089 | 88.877 | 224.885 | -0.000 | 0.000 | 0.000 | 
| 149.163 | 427.274 | 105.620 | -0.000 | 0.000 | 0.000 | 
| 185.456 | 117.798 | 365.842 | -0.000 | 0.000 | 0.000 | 
| 0.000 | -0.000 | 0.000 | 179.072 | 0.000 | 0.000 | 
| -36.469 | -113.351 | -126.181 | -0.000 | 148.079 | 0.000 | 
| -84.178 | -69.092 | 10.596 | -0.000 | 0.000 | 117.686 | 
| 560.288 | 160.345 | 213.506 | 0.000 | -0.000 | 0.000 | 
| 163.704 | 515.526 | 230.749 | 0.000 | -0.000 | 0.000 | 
| 223.623 | 240.001 | 499.235 | -0.000 | -0.000 | -0.000 | 
| -0.000 | -0.000 | -0.000 | 179.072 | -0.000 | 0.000 | 
| 7.640 | 6.271 | -0.961 | 0.000 | 151.421 | -0.000 | 
| 9.718 | 7.976 | -1.223 | 0.000 | -0.000 | 115.625 | 
| 557.128 | 151.348 | 215.556 | -0.000 | 0.000 | -0.000 | 
| 155.896 | 497.285 | 215.681 | -0.000 | 0.000 | 0.000 | 
| 218.118 | 222.743 | 474.074 | -0.000 | 0.000 | 0.000 | 
| 0.000 | 0.000 | 0.000 | 179.072 | 0.000 | 0.000 | 
| -7.640 | -6.271 | 0.961 | -0.000 | 151.421 | 0.000 | 
| -9.718 | -7.976 | 1.223 | -0.000 | 0.000 | 115.625 | 
| 593.939 | 165.703 | 206.966 | 0.000 | -0.000 | 0.000 | 
| 154.079 | 495.618 | 223.095 | 0.000 | -0.000 | 0.000 | 
| 206.642 | 224.143 | 481.974 | 0.000 | -0.000 | 0.000 | 
| -0.000 | 0.000 | 0.000 | 178.160 | -0.000 | 0.000 | 
| 0.012 | 0.002 | -0.005 | 0.000 | 152.042 | -0.000 | 
| 0.012 | -0.007 | -0.014 | -0.000 | -0.000 | 88.256 | 
| 593.939 | 165.702 | 206.966 | -0.000 | 0.000 | 0.000 | 
| 165.703 | 513.700 | 231.711 | 0.000 | 0.000 | -0.000 | 
| 206.966 | 231.711 | 508.759 | -0.000 | 0.000 | 0.000 | 
| 0.000 | -0.000 | -0.000 | 178.160 | -0.000 | 0.000 | 
| -0.012 | -0.002 | 0.006 | -0.000 | 152.042 | -0.000 | 
| -0.012 | 0.007 | 0.014 | -0.000 | 0.000 | 88.256 | 
| 549.637 | 150.201 | 206.676 | 0.000 | -0.000 | 0.000 | 
| 151.339 | 501.711 | 225.740 | 0.000 | -0.000 | 0.000 | 
| 206.966 | 231.712 | 508.759 | -0.000 | -0.000 | -0.000 | 
| -0.000 | -0.000 | 0.000 | 178.160 | -0.000 | -0.000 | 
| 0.002 | 0.000 | -0.001 | 0.000 | 148.099 | 0.000 | 
| 0.003 | 0.000 | -0.002 | -0.000 | -0.000 | 83.039 | 
| 593.939 | 165.702 | 206.966 | -0.000 | 0.000 | -0.000 | 
| 165.702 | 513.700 | 231.711 | 0.000 | -0.000 | -0.000 | 
| 206.966 | 231.711 | 508.759 | -0.000 | 0.000 | -0.000 | 
| 0.000 | 0.000 | 0.000 | 178.160 | 0.000 | -0.000 | 
| -0.002 | -0.000 | 0.001 | -0.000 | 148.099 | -0.000 | 
| -0.003 | -0.000 | 0.002 | -0.000 | 0.000 | 83.039 | 
| 534.276 | 154.534 | 211.912 | 0.000 | -0.000 | -0.000 | 
| 154.067 | 495.632 | 223.116 | 0.000 | -0.000 | -0.000 | 
| 208.373 | 223.341 | 477.698 | -0.000 | 0.000 | -0.000 | 
| -0.000 | -0.000 | -0.000 | 178.160 | -0.000 | 0.000 | 
| -0.000 | -0.000 | 0.000 | -0.000 | 168.994 | -0.000 | 
| 0.000 | 0.000 | -0.000 | -0.000 | -0.000 | 129.520 | 
| 549.631 | 150.199 | 206.676 | -0.000 | 0.000 | -0.000 | 
| 151.337 | 501.709 | 225.740 | -0.000 | -0.000 | -0.000 | 
| 206.965 | 231.711 | 508.757 | -0.000 | 0.000 | 0.000 | 
| 0.000 | 0.000 | 0.000 | 178.160 | 0.000 | -0.000 | 
| 0.000 | 0.000 | -0.000 | 0.000 | 168.994 | -0.000 | 
| -0.000 | -0.000 | 0.000 | 0.000 | 0.000 | 129.520 | 
| 374.043 | 180.572 | 180.572 | -0.000 | -0.000 | -0.000 | 
| 180.573 | 374.043 | 180.572 | -0.000 | -0.000 | -0.000 | 
| 180.573 | 180.572 | 374.043 | -0.000 | -0.000 | 0.000 | 
| 0.000 | -0.000 | 0.000 | 122.403 | 0.000 | 0.000 | 
| 0.000 | 0.000 | 0.000 | 0.000 | 122.403 | 0.000 | 
| 0.000 | 0.000 | 0.000 | 0.000 | 0.000 | 122.403 | 
| 461.013 | 276.820 | 276.820 | 0.000 | -0.000 | 0.000 | 
| 276.820 | 461.013 | 276.820 | 0.000 | -0.000 | 0.000 | 
| 276.820 | 276.820 | 461.013 | 0.000 | 0.000 | 0.000 | 
| -0.000 | 0.000 | -0.000 | 122.403 | -0.000 | -0.000 | 
| -0.000 | -0.000 | -0.000 | -0.000 | 122.403 | -0.000 | 
| -0.000 | -0.000 | -0.000 | -0.000 | -0.000 | 122.403 | 
| 349.999 | 163.830 | 163.830 | -0.000 | -0.000 | -0.000 | 
| 163.830 | 349.999 | 163.830 | -0.000 | -0.000 | -0.000 | 
| 163.830 | 163.830 | 349.999 | -0.000 | -0.000 | -0.000 | 
| 0.000 | -0.000 | 0.000 | 122.403 | 0.000 | -0.000 | 
| 0.000 | 0.000 | 0.000 | 0.000 | 122.403 | 0.000 | 
| 0.000 | 0.000 | 0.000 | 0.000 | 0.000 | 122.403 | 
| 386.131 | 164.294 | 164.294 | -0.000 | -0.000 | -0.000 | 
| 164.294 | 386.131 | 164.294 | -0.000 | -0.000 | -0.000 | 
| 164.294 | 164.294 | 386.131 | -0.000 | -0.000 | -0.000 | 
| -0.000 | 0.000 | -0.000 | 122.403 | -0.000 | -0.000 | 
| -0.000 | -0.000 | -0.000 | -0.000 | 122.403 | -0.000 | 
| -0.000 | -0.000 | -0.000 | -0.000 | -0.000 | 122.403 | 
| 386.133 | 164.295 | 164.295 | 0.000 | 0.000 | 0.000 | 
| 164.295 | 386.133 | 164.295 | 0.000 | 0.000 | 0.000 | 
| 164.295 | 164.295 | 386.133 | 0.000 | 0.000 | 0.000 | 
| -0.857 | -0.857 | -0.857 | 108.985 | 0.000 | -0.000 | 
| -0.857 | -0.857 | -0.857 | -0.000 | 108.985 | 0.000 | 
| -0.857 | -0.857 | -0.857 | -0.000 | 0.000 | 108.985 | 
| 366.413 | 172.238 | 172.238 | 0.000 | -0.000 | -0.000 | 
| 172.238 | 366.413 | 172.238 | -0.000 | -0.000 | 0.000 | 
| 172.238 | 172.238 | 366.413 | 0.000 | 0.000 | -0.000 | 
| 0.857 | 0.857 | 0.857 | 108.985 | -0.000 | -0.000 | 
| 0.857 | 0.857 | 0.857 | -0.000 | 108.985 | 0.000 | 
| 0.857 | 0.857 | 0.857 | -0.000 | -0.000 | 108.985 | 
| 324.127 | 126.703 | 126.703 | -0.000 | -0.000 | -0.000 | 
| 126.703 | 324.127 | 126.703 | -0.000 | -0.000 | -0.000 | 
| 126.703 | 126.703 | 324.127 | -0.000 | -0.000 | 0.000 | 
| -0.000 | 0.000 | 0.000 | 122.507 | -0.000 | -0.000 | 
| -0.000 | 0.000 | -0.000 | -0.000 | 122.507 | -0.000 | 
| -0.000 | 0.000 | -0.000 | -0.000 | -0.000 | 122.507 | 
| 412.672 | 215.316 | 215.317 | 0.000 | 0.000 | 0.000 | 
| 215.317 | 412.671 | 215.317 | 0.000 | 0.000 | 0.000 | 
| 215.317 | 215.316 | 412.671 | 0.000 | 0.000 | 0.000 | 
| 0.000 | -0.000 | 0.000 | 122.507 | 0.000 | 0.000 | 
| 0.000 | -0.000 | 0.000 | 0.000 | 122.507 | 0.000 | 
| 0.000 | -0.000 | 0.000 | 0.000 | 0.000 | 122.507 | 
| 364.287 | 166.485 | 166.485 | -0.000 | -0.000 | -0.000 | 
| 164.554 | 386.539 | 164.554 | -0.000 | -0.000 | 0.000 | 
| 166.485 | 166.485 | 364.287 | -0.000 | -0.000 | -0.000 | 
| -0.000 | 0.000 | 0.000 | 122.507 | -0.000 | -0.000 | 
| -0.000 | 0.000 | 0.000 | -0.000 | 122.507 | -0.000 | 
| -0.000 | 0.000 | -0.000 | -0.000 | -0.000 | 122.507 | 
| 372.141 | 176.584 | 176.584 | 0.000 | 0.000 | 0.000 | 
| 176.584 | 372.141 | 176.584 | 0.000 | 0.000 | 0.000 | 
| 176.584 | 176.584 | 372.141 | 0.000 | 0.000 | 0.000 | 
| 0.000 | -0.000 | -0.000 | 122.507 | 0.000 | 0.000 | 
| 0.000 | -0.000 | -0.000 | 0.000 | 122.507 | 0.000 | 
| 0.000 | -0.000 | 0.000 | 0.000 | 0.000 | 122.507 | 
| 386.540 | 164.554 | 164.554 | -0.000 | -0.000 | -0.000 | 
| 164.554 | 386.540 | 164.554 | -0.000 | -0.000 | -0.000 | 
| 164.554 | 164.554 | 386.540 | -0.000 | -0.000 | -0.000 | 
| -0.515 | -0.515 | -0.515 | 110.283 | -0.000 | -0.000 | 
| -0.515 | -0.515 | -0.515 | -0.000 | 110.283 | -0.000 | 
| -0.515 | -0.515 | -0.515 | -0.000 | -0.000 | 110.283 | 
| 386.538 | 164.553 | 164.553 | 0.000 | 0.000 | 0.000 | 
| 164.553 | 386.538 | 164.553 | 0.000 | 0.000 | 0.000 | 
| 164.553 | 164.553 | 386.538 | 0.000 | 0.000 | -0.000 | 
| 0.515 | 0.515 | 0.515 | 110.283 | 0.000 | 0.000 | 
| 0.515 | 0.515 | 0.515 | 0.000 | 110.283 | 0.000 | 
| 0.515 | 0.515 | 0.515 | 0.000 | 0.000 | 110.283 | 
| 386.074 | 164.257 | 164.257 | -0.001 | -0.001 | -0.000 | 
| 164.257 | 386.074 | 164.257 | -0.001 | -0.001 | -0.000 | 
| 164.257 | 164.257 | 386.073 | -0.000 | -0.000 | -0.000 | 
| -0.001 | -0.001 | -0.001 | 110.122 | -0.000 | -0.000 | 
| -0.000 | -0.001 | -0.001 | -0.000 | 110.122 | -0.000 | 
| -0.001 | -0.001 | -0.001 | -0.000 | 0.000 | 110.122 | 
| 368.414 | 170.460 | 170.461 | 0.001 | 0.000 | 0.000 | 
| 172.893 | 363.856 | 172.894 | -0.000 | -0.000 | -0.000 | 
| 172.893 | 172.894 | 363.857 | -0.000 | -0.000 | -0.000 | 
| 0.001 | 0.001 | 0.001 | 110.122 | -0.000 | 0.000 | 
| 0.000 | 0.001 | 0.001 | 0.000 | 110.122 | 0.000 | 
| 0.001 | 0.001 | 0.001 | 0.000 | 0.000 | 110.122 | 
| 365.047 | 172.605 | 172.605 | 0.000 | -0.000 | 0.000 | 
| 172.605 | 365.047 | 172.605 | 0.000 | 0.000 | 0.000 | 
| 172.605 | 172.605 | 365.047 | 0.000 | 0.000 | 0.000 | 
| -0.000 | -0.000 | -0.000 | 110.122 | -0.000 | -0.000 | 
| -0.000 | -0.000 | -0.000 | -0.000 | 110.122 | -0.000 | 
| -0.000 | 0.000 | -0.000 | -0.000 | -0.000 | 110.122 | 
| 386.074 | 164.258 | 164.258 | 0.000 | 0.000 | 0.000 | 
| 164.257 | 386.074 | 164.258 | 0.000 | 0.000 | 0.000 | 
| 164.258 | 164.258 | 386.074 | 0.000 | 0.000 | 0.000 | 
| 0.000 | 0.000 | 0.000 | 110.122 | -0.000 | -0.000 | 
| 0.000 | 0.000 | 0.000 | -0.000 | 110.122 | 0.000 | 
| 0.000 | 0.000 | 0.000 | 0.000 | -0.000 | 110.122 | 
| 368.417 | 170.459 | 170.459 | 0.000 | -0.000 | -0.000 | 
| 170.459 | 368.417 | 170.459 | -0.000 | -0.000 | -0.000 | 
| 170.459 | 170.459 | 368.417 | 0.000 | 0.000 | -0.000 | 
| 0.000 | 0.000 | 0.000 | 110.122 | -0.000 | -0.000 | 
| 0.000 | 0.000 | 0.000 | -0.000 | 110.122 | -0.000 | 
| 0.000 | 0.000 | 0.000 | -0.000 | -0.000 | 110.122 | 
| 368.414 | 170.458 | 170.458 | 0.000 | 0.000 | 0.000 | 
| 170.458 | 368.414 | 170.458 | 0.000 | 0.000 | 0.000 | 
| 170.458 | 170.458 | 368.414 | -0.000 | -0.000 | 0.000 | 
| -0.000 | -0.000 | -0.000 | 110.122 | -0.000 | 0.000 | 
| -0.000 | -0.000 | -0.000 | -0.000 | 110.122 | 0.000 | 
| -0.000 | -0.000 | -0.000 | 0.000 | 0.000 | 110.122 | 
| 869.610 | 106.745 | 106.744 | 0.000 | 0.000 | 0.000 | 
| 106.745 | 869.610 | 106.745 | 0.000 | 0.000 | 0.000 | 
| 106.745 | 106.745 | 869.610 | 0.000 | 0.000 | -0.000 | 
| 0.000 | 0.000 | -0.000 | 72.649 | 0.000 | -0.000 | 
| 0.000 | 0.000 | -0.000 | 0.000 | 72.649 | 0.000 | 
| 0.000 | 0.000 | -0.000 | 0.000 | 0.000 | 72.648 | 
| 869.610 | 106.744 | 106.744 | -0.000 | -0.000 | -0.000 | 
| 106.744 | 869.610 | 106.744 | -0.000 | -0.000 | -0.000 | 
| 106.744 | 106.744 | 869.610 | -0.000 | -0.000 | 0.000 | 
| -0.000 | -0.000 | 0.000 | 72.648 | -0.000 | 0.000 | 
| -0.000 | -0.000 | 0.000 | -0.000 | 72.648 | -0.000 | 
| -0.000 | -0.000 | 0.000 | -0.000 | -0.000 | 72.648 | 
| 869.610 | 106.744 | 106.744 | 0.000 | 0.000 | 0.000 | 
| 106.744 | 869.610 | 106.744 | 0.000 | 0.000 | 0.000 | 
| 106.744 | 106.744 | 869.610 | 0.000 | 0.000 | -0.000 | 
| 0.000 | 0.000 | -0.000 | 72.649 | 0.000 | -0.000 | 
| 0.000 | 0.000 | -0.000 | 0.000 | 72.649 | 0.000 | 
| 0.000 | 0.000 | -0.000 | 0.000 | 0.000 | 72.649 | 
| 869.609 | 106.744 | 106.744 | -0.000 | -0.000 | -0.000 | 
| 106.744 | 869.609 | 106.744 | -0.000 | -0.000 | -0.000 | 
| 106.744 | 106.744 | 869.609 | -0.000 | -0.000 | 0.000 | 
| -0.000 | -0.000 | 0.000 | 72.648 | -0.000 | -0.000 | 
| -0.000 | -0.000 | 0.000 | -0.000 | 72.648 | -0.000 | 
| -0.000 | 0.000 | 0.000 | -0.000 | -0.000 | 72.649 | 
| 869.614 | 106.745 | 106.745 | 0.000 | 0.000 | 0.000 | 
| 106.745 | 869.614 | 106.745 | 0.000 | 0.000 | 0.000 | 
| 106.745 | 106.745 | 869.614 | 0.000 | 0.000 | -0.000 | 
| -0.000 | 0.000 | -0.000 | 72.649 | 0.000 | -0.000 | 
| 0.000 | -0.000 | -0.000 | 0.000 | 72.649 | 0.000 | 
| 0.000 | -0.000 | -0.000 | 0.000 | 0.000 | 72.649 | 
| 869.606 | 106.744 | 106.744 | -0.000 | -0.000 | 0.000 | 
| 106.744 | 869.606 | 106.744 | -0.000 | -0.000 | 0.000 | 
| 106.744 | 106.744 | 869.606 | -0.000 | -0.000 | 0.000 | 
| 0.000 | -0.000 | 0.000 | 72.649 | -0.000 | -0.000 | 
| -0.000 | 0.000 | 0.000 | -0.000 | 72.649 | 0.000 | 
| -0.000 | 0.000 | 0.000 | -0.000 | -0.000 | 72.649 | 
| 2426.834 | 1080.204 | 1080.204 | 0.000 | 0.000 | 0.000 | 
| 1080.204 | 2426.834 | 1080.205 | 0.000 | 0.000 | 0.000 | 
| 1080.204 | 1080.204 | 2426.834 | 0.000 | 0.000 | 0.000 | 
| 0.000 | 0.000 | 0.000 | 955.154 | 0.000 | 0.000 | 
| -0.000 | 0.000 | 0.000 | 0.000 | 955.154 | 0.000 | 
| 0.000 | 0.000 | 0.000 | 0.000 | 0.000 | 955.154 | 
| 2426.834 | 1080.204 | 1080.204 | -0.000 | -0.000 | -0.000 | 
| 1080.204 | 2426.834 | 1080.204 | -0.000 | -0.000 | -0.000 | 
| 1080.204 | 1080.204 | 2426.834 | -0.000 | -0.000 | -0.000 | 
| 0.000 | -0.000 | -0.000 | 955.154 | -0.000 | -0.000 | 
| -0.000 | -0.000 | -0.000 | -0.000 | 955.154 | -0.000 | 
| 0.000 | -0.000 | -0.000 | -0.000 | -0.000 | 955.154 | 
| 2426.834 | 1080.204 | 1080.204 | 0.000 | 0.000 | 0.000 | 
| 1080.204 | 2426.834 | 1080.204 | 0.000 | 0.000 | 0.000 | 
| 1080.204 | 1080.204 | 2426.834 | 0.000 | 0.000 | 0.000 | 
| 0.000 | -0.000 | -0.000 | 955.154 | 0.000 | 0.000 | 
| -0.000 | 0.000 | -0.000 | 0.000 | 955.154 | 0.000 | 
| -0.000 | -0.000 | 0.000 | 0.000 | 0.000 | 955.154 | 
| 2426.834 | 1080.204 | 1080.204 | -0.000 | -0.000 | -0.000 | 
| 1080.204 | 2426.834 | 1080.204 | -0.000 | -0.000 | -0.000 | 
| 1080.204 | 1080.204 | 2426.834 | -0.000 | -0.000 | -0.000 | 
| -0.000 | 0.000 | 0.000 | 955.154 | -0.000 | -0.000 | 
| 0.000 | -0.000 | 0.000 | -0.000 | 955.154 | -0.000 | 
| 0.000 | 0.000 | -0.000 | -0.000 | -0.000 | 955.154 | 
| 2426.834 | 1080.206 | 1080.206 | 0.000 | 0.000 | 0.000 | 
| 1080.206 | 2426.834 | 1080.206 | 0.000 | 0.000 | 0.000 | 
| 1080.206 | 1080.206 | 2426.834 | 0.000 | 0.000 | 0.000 | 
| 0.001 | -0.003 | -0.002 | 955.154 | 0.000 | 0.000 | 
| -0.003 | 0.001 | -0.002 | 0.000 | 955.154 | 0.000 | 
| -0.003 | -0.002 | 0.001 | 0.000 | 0.000 | 955.154 | 
| 2426.835 | 1080.202 | 1080.202 | -0.000 | -0.000 | -0.000 | 
| 1080.202 | 2426.835 | 1080.202 | -0.000 | -0.000 | -0.000 | 
| 1080.202 | 1080.202 | 2426.835 | -0.000 | -0.000 | -0.000 | 
| -0.001 | 0.003 | 0.002 | 955.154 | -0.000 | -0.000 | 
| 0.003 | -0.001 | 0.002 | -0.000 | 955.154 | -0.000 | 
| 0.003 | 0.002 | -0.001 | -0.000 | -0.000 | 955.154 | 
| 7262990.639 | 3631284.687 | 3631284.687 | 0.000 | 0.000 | 0.000 | 
| 3631284.687 | 7262990.639 | 3631284.687 | 0.000 | 0.000 | -0.000 | 
| 3631284.687 | 3631284.687 | 7262990.639 | 0.000 | -0.000 | 0.000 | 
| 0.000 | 1815587.210 | 1815587.246 | 1815710.234 | 0.000 | 0.000 | 
| 1815587.210 | 0.000 | 1815587.246 | 0.000 | 1815710.234 | 0.000 | 
| 1815587.210 | 1815587.246 | 0.000 | 0.000 | 0.000 | 1815710.234 | 
| 641.727 | 110.158 | 110.159 | 0.000 | 0.000 | 0.000 | 
| 110.158 | 641.727 | 110.159 | 0.000 | 0.000 | 0.000 | 
| 110.158 | 110.158 | 641.727 | 0.000 | 0.000 | 0.000 | 
| -0.000 | -1815587.210 | -1815587.246 | 1815710.234 | -0.000 | 0.000 | 
| -1815587.210 | -0.000 | -1815587.246 | -0.000 | 1815710.234 | -0.000 | 
| -1815587.210 | -1815587.246 | -0.000 | -0.000 | -0.000 | 1815710.234 | 
| 728414.095 | 363996.415 | 363996.415 | -0.000 | 0.000 | 0.000 | 
| 363996.415 | 728414.095 | 363996.415 | 0.000 | -0.000 | 0.000 | 
| 363996.415 | 363996.415 | 728414.095 | -0.000 | -0.000 | 0.000 | 
| 0.000 | 181943.074 | 181943.110 | 182066.098 | 0.000 | -0.000 | 
| 181943.074 | 0.000 | 181943.110 | 0.000 | 182066.098 | 0.000 | 
| 181943.074 | 181943.110 | 0.000 | 0.000 | 0.000 | 182066.098 | 
| 641.727 | 110.158 | 110.158 | 0.000 | 0.000 | 0.000 | 
| 110.158 | 641.727 | 110.158 | 0.000 | 0.000 | 0.000 | 
| 110.158 | 110.158 | 641.727 | 0.000 | 0.000 | 0.000 | 
| -0.000 | -181943.074 | -181943.110 | 182066.098 | 0.000 | 0.000 | 
| -181943.074 | -0.000 | -181943.110 | 0.000 | 182066.098 | 0.000 | 
| -181943.074 | -181943.110 | -0.000 | 0.000 | 0.000 | 182066.098 | 
| 74956.444 | 37267.592 | 37267.592 | -0.000 | -0.000 | 0.000 | 
| 37267.592 | 74956.444 | 37267.592 | -0.000 | -0.000 | -0.000 | 
| 37267.592 | 37267.592 | 74956.444 | 0.000 | -0.000 | -0.000 | 
| 0.001 | 18578.659 | 18578.696 | 18701.683 | -0.000 | 0.000 | 
| 18578.659 | 0.001 | 18578.696 | -0.000 | 18701.683 | -0.000 | 
| 18578.659 | 18578.696 | 0.001 | -0.000 | -0.000 | 18701.683 | 
| 641.725 | 110.158 | 110.158 | -0.000 | 0.000 | 0.000 | 
| 110.158 | 641.725 | 110.158 | 0.000 | 0.000 | -0.000 | 
| 110.158 | 110.158 | 641.725 | -0.000 | -0.000 | 0.000 | 
| -0.001 | -18578.659 | -18578.696 | 18701.683 | -0.000 | 0.000 | 
| -18578.659 | -0.001 | -18578.696 | -0.000 | 18701.683 | 0.000 | 
| -18578.659 | -18578.696 | -0.001 | -0.000 | -0.000 | 18701.683 | 
| 194.479 | 233.289 | 233.288 | 0.000 | 0.000 | 0.000 | 
| 233.288 | 194.480 | 233.288 | 0.000 | 0.000 | 0.000 | 
| 233.288 | 233.289 | 194.480 | 0.000 | -0.000 | -0.000 | 
| -0.000 | -0.000 | 0.000 | -55.229 | 0.000 | 0.000 | 
| -0.000 | 0.000 | 0.000 | 0.000 | -55.229 | 0.000 | 
| 0.000 | 0.000 | -0.000 | 0.000 | 0.000 | -55.228 | 
| 194.480 | 233.288 | 233.288 | -0.000 | -0.000 | 0.000 | 
| 233.288 | 194.479 | 233.288 | -0.000 | -0.000 | -0.000 | 
| 233.288 | 233.288 | 194.479 | -0.000 | -0.000 | 0.000 | 
| -0.000 | -0.000 | -0.000 | -55.229 | 0.000 | -0.000 | 
| -0.000 | 0.000 | -0.000 | 0.000 | -55.229 | -0.000 | 
| -0.000 | -0.000 | -0.000 | -0.000 | 0.000 | -55.229 | 
| 194.480 | 233.288 | 233.288 | 0.000 | 0.000 | 0.000 | 
| 233.288 | 194.480 | 233.288 | 0.000 | 0.000 | -0.000 | 
| 233.288 | 233.288 | 194.480 | 0.000 | 0.000 | 0.000 | 
| -0.000 | 0.000 | 0.000 | -55.229 | -0.000 | 0.000 | 
| -0.000 | -0.000 | 0.000 | 0.000 | -55.229 | 0.000 | 
| -0.000 | 0.000 | -0.000 | 0.000 | 0.000 | -55.229 | 
| 194.479 | 233.288 | 233.288 | -0.000 | -0.000 | -0.000 | 
| 233.288 | 194.479 | 233.288 | -0.000 | -0.000 | -0.000 | 
| 233.288 | 233.288 | 194.479 | 0.000 | 0.000 | 0.000 | 
| 0.000 | -0.000 | -0.000 | -55.229 | -0.000 | -0.000 | 
| 0.000 | 0.000 | -0.000 | -0.000 | -55.229 | -0.000 | 
| 0.000 | -0.000 | 0.000 | -0.000 | 0.000 | -55.229 | 
| 194.480 | 233.289 | 233.289 | 0.000 | 0.000 | 0.000 | 
| 233.289 | 194.480 | 233.289 | 0.000 | 0.000 | 0.000 | 
| 233.289 | 233.289 | 194.480 | 0.000 | 0.000 | 0.000 | 
| -0.000 | -0.000 | -0.000 | -55.229 | 0.000 | 0.000 | 
| -0.000 | -0.000 | -0.000 | 0.000 | -55.229 | 0.000 | 
| -0.000 | -0.000 | -0.000 | 0.000 | 0.000 | -55.229 | 
| 194.479 | 233.287 | 233.287 | -0.000 | -0.000 | -0.000 | 
| 233.287 | 194.479 | 233.287 | -0.000 | -0.000 | 0.000 | 
| 233.287 | 233.287 | 194.479 | 0.000 | 0.000 | -0.000 | 
| 0.000 | 0.000 | 0.000 | -55.229 | -0.000 | -0.000 | 
| 0.000 | 0.000 | 0.000 | -0.000 | -55.229 | 0.000 | 
| 0.000 | 0.000 | 0.000 | 0.000 | 0.000 | -55.229 | 
| 3573810.459 | 933.465 | 3817860.633 | -0.000 | -0.001 | 0.000 | 
| 933.465 | 3573810.459 | 3817860.633 | -0.000 | -0.000 | 0.000 | 
| 3572647.994 | 3572647.994 | 7636095.040 | -0.000 | -0.000 | -0.000 | 
| 0.000 | 1786192.250 | 1908850.177 | 1846648.552 | -0.000 | -0.000 | 
| 1786192.250 | 0.000 | 1908850.177 | -0.000 | 1846648.552 | -0.000 | 
| 0.000 | 0.000 | 0.000 | -0.001 | -0.001 | 776.349 | 
| 1453.976 | 933.466 | 190.224 | 0.000 | 0.001 | -0.000 | 
| 933.466 | 1453.976 | 190.224 | 0.000 | 0.001 | 0.000 | 
| 234.380 | 234.380 | 632.419 | 0.001 | 0.001 | 0.000 | 
| -0.000 | -1786192.250 | -1908850.177 | 1846648.553 | 0.000 | 0.000 | 
| -1786192.250 | -0.000 | -1908850.177 | 0.000 | 1846648.553 | 0.000 | 
| -0.000 | -0.000 | -0.000 | 0.001 | 0.001 | 776.349 | 
| 359437.429 | 933.465 | 382756.491 | -0.000 | -0.000 | 0.000 | 
| 933.465 | 359437.429 | 382756.491 | -0.000 | -0.000 | 0.000 | 
| 358274.964 | 358274.964 | 765886.755 | -0.000 | -0.000 | -0.000 | 
| 0.000 | 179005.735 | 191298.105 | 185195.415 | -0.000 | -0.000 | 
| 179005.735 | 0.000 | 191298.105 | -0.000 | 185195.415 | 0.000 | 
| -0.000 | -0.000 | 0.000 | -0.000 | -0.000 | 776.349 | 
| 1453.976 | 933.466 | 190.225 | 0.000 | 0.000 | -0.000 | 
| 933.466 | 1453.976 | 190.225 | 0.000 | 0.000 | -0.000 | 
| 234.380 | 234.380 | 632.419 | 0.000 | 0.000 | 0.000 | 
| -0.000 | -179005.735 | -191298.105 | 185195.415 | 0.000 | 0.000 | 
| -179005.735 | -0.000 | -191298.105 | 0.000 | 185195.415 | 0.000 | 
| 0.000 | 0.000 | -0.000 | 0.000 | 0.000 | 776.349 | 
| 38000.124 | 933.465 | 39246.079 | -0.000 | -0.000 | -0.000 | 
| 933.465 | 38000.124 | 39246.079 | -0.000 | -0.000 | -0.000 | 
| 36837.664 | 36837.664 | 78865.930 | 0.000 | -0.000 | -0.000 | 
| 0.001 | 18287.083 | 19542.898 | 19050.100 | -0.000 | -0.000 | 
| 18287.083 | 0.001 | 19542.898 | -0.000 | 19050.100 | -0.000 | 
| -0.004 | -0.003 | 0.001 | -0.000 | -0.000 | 776.349 | 
| 1453.977 | 933.466 | 190.223 | 0.000 | 0.000 | 0.000 | 
| 933.466 | 1453.977 | 190.223 | 0.000 | 0.000 | 0.000 | 
| 234.379 | 234.379 | 632.418 | 0.000 | 0.000 | 0.000 | 
| -0.001 | -18287.083 | -19542.898 | 19050.100 | 0.000 | -0.000 | 
| -18287.083 | -0.001 | -19542.898 | 0.000 | 19050.100 | 0.000 | 
| 0.004 | 0.003 | -0.001 | 0.000 | 0.000 | 776.349 | 
| 1587.004 | 303.644 | 251.069 | -0.000 | -0.000 | -0.000 | 
| 354.117 | 461.901 | 72.043 | 0.000 | -0.000 | 0.000 | 
| 285.881 | 56.383 | 655.714 | 0.000 | 0.000 | -0.000 | 
| 0.000 | 0.000 | 0.000 | 72.734 | -0.000 | -0.000 | 
| 0.000 | 0.000 | 0.000 | -0.000 | 161.382 | -0.000 | 
| 0.000 | 0.000 | 0.000 | -0.000 | -0.000 | 262.117 | 
| 1587.004 | 303.644 | 251.069 | -0.000 | 0.000 | 0.000 | 
| 354.117 | 461.900 | 72.043 | 0.000 | 0.000 | 0.000 | 
| 285.881 | 56.383 | 655.714 | 0.000 | 0.000 | 0.000 | 
| -0.000 | -0.000 | -0.000 | 72.734 | 0.000 | 0.000 | 
| -0.000 | -0.000 | -0.000 | 0.000 | 161.382 | 0.000 | 
| -0.000 | -0.000 | -0.000 | 0.000 | 0.000 | 262.117 | 
| 1587.003 | 303.644 | 251.069 | -0.000 | -0.000 | 0.000 | 
| 354.117 | 461.901 | 72.044 | -0.000 | -0.000 | -0.000 | 
| 285.881 | 56.383 | 655.715 | 0.000 | 0.000 | -0.000 | 
| -0.000 | 0.000 | 0.000 | 72.734 | -0.000 | -0.000 | 
| 0.000 | -0.000 | 0.000 | -0.000 | 161.382 | -0.000 | 
| -0.000 | 0.000 | 0.000 | -0.000 | -0.000 | 262.117 | 
| 1587.005 | 303.644 | 251.068 | -0.000 | 0.000 | 0.000 | 
| 354.116 | 461.900 | 72.043 | -0.000 | 0.000 | 0.000 | 
| 285.881 | 56.383 | 655.714 | -0.000 | -0.000 | 0.000 | 
| 0.000 | -0.000 | -0.000 | 72.734 | 0.000 | 0.000 | 
| -0.000 | 0.000 | -0.000 | 0.000 | 161.382 | 0.000 | 
| 0.000 | -0.000 | -0.000 | 0.000 | 0.000 | 262.117 | 
| 1586.990 | 303.646 | 251.071 | -0.000 | -0.000 | -0.000 | 
| 354.118 | 461.902 | 72.044 | -0.000 | -0.000 | 0.000 | 
| 285.882 | 56.383 | 655.716 | 0.000 | -0.000 | 0.000 | 
| -0.000 | 0.000 | -0.000 | 72.734 | -0.000 | -0.000 | 
| 0.001 | -0.000 | 0.000 | -0.000 | 161.382 | -0.000 | 
| -0.000 | 0.000 | -0.000 | -0.000 | -0.000 | 262.117 | 
| 1587.018 | 303.642 | 251.066 | 0.000 | 0.000 | -0.000 | 
| 354.115 | 461.899 | 72.043 | -0.000 | 0.000 | 0.000 | 
| 285.880 | 56.383 | 655.712 | -0.000 | 0.000 | 0.000 | 
| 0.000 | -0.000 | 0.000 | 72.734 | 0.000 | 0.000 | 
| -0.001 | 0.000 | -0.000 | 0.000 | 161.382 | 0.000 | 
| 0.000 | -0.000 | 0.000 | -0.000 | 0.000 | 262.117 | 
| 354.866 | 170.945 | 447.212 | 0.003 | 0.001 | 0.000 | 
| 181.232 | 446.459 | 441.206 | 0.003 | 0.000 | -0.000 | 
| 446.098 | 446.098 | 2746.671 | 0.002 | -0.001 | -0.000 | 
| -0.000 | -0.000 | 0.001 | 345.579 | 0.000 | -0.000 | 
| -0.001 | -0.000 | 0.003 | 0.001 | 231.474 | 0.000 | 
| -0.000 | -0.000 | 0.002 | 0.002 | 0.002 | 75.728 | 
| 354.866 | 170.946 | 447.209 | -0.001 | -0.000 | -0.000 | 
| 181.232 | 446.459 | 441.202 | -0.003 | -0.001 | -0.000 | 
| 441.203 | 441.203 | 2747.244 | -0.002 | -0.001 | 0.000 | 
| 0.000 | -0.000 | -0.000 | 345.574 | -0.001 | 0.000 | 
| 0.000 | 0.000 | -0.003 | -0.002 | 231.472 | 0.000 | 
| 0.000 | 0.000 | -0.002 | -0.002 | -0.001 | 75.728 | 
| 348.075 | 196.644 | 446.097 | 0.000 | 0.000 | -0.000 | 
| 181.232 | 446.459 | 441.203 | 0.000 | 0.000 | -0.000 | 
| 446.098 | 446.098 | 2746.669 | 0.000 | 0.000 | -0.000 | 
| 0.000 | -0.000 | -0.000 | 345.577 | -0.000 | 0.000 | 
| -0.000 | 0.000 | -0.000 | 0.000 | 345.577 | -0.000 | 
| -0.000 | 0.000 | 0.000 | 0.000 | 0.000 | 132.613 | 
| 354.866 | 170.945 | 447.212 | -0.000 | 0.000 | -0.000 | 
| 196.644 | 348.075 | 446.097 | -0.000 | -0.000 | -0.000 | 
| 446.097 | 446.097 | 2746.671 | -0.000 | 0.000 | 0.000 | 
| -0.000 | 0.000 | 0.000 | 345.577 | -0.000 | 0.000 | 
| 0.000 | -0.000 | 0.000 | -0.000 | 345.577 | 0.000 | 
| 0.000 | -0.000 | -0.000 | -0.000 | -0.000 | 132.614 | 
| 354.867 | 170.946 | 447.213 | 0.000 | -0.000 | -0.000 | 
| 196.647 | 348.103 | 446.096 | 0.000 | 0.000 | -0.000 | 
| 446.100 | 446.100 | 2746.658 | 0.000 | 0.000 | 0.000 | 
| -0.000 | -0.001 | -0.003 | 231.473 | 0.000 | 0.000 | 
| -0.001 | -0.000 | -0.003 | 0.000 | 231.473 | 0.000 | 
| -0.000 | 0.000 | -0.000 | 0.000 | 0.000 | 132.614 | 
| 348.075 | 196.643 | 446.096 | -0.000 | -0.000 | 0.000 | 
| 170.942 | 354.840 | 447.213 | -0.000 | 0.000 | 0.000 | 
| 446.095 | 446.095 | 2746.682 | -0.000 | -0.000 | -0.000 | 
| 0.000 | 0.001 | 0.003 | 231.473 | -0.000 | -0.000 | 
| 0.001 | 0.000 | 0.003 | -0.000 | 231.473 | -0.000 | 
| 0.000 | -0.000 | 0.000 | -0.000 | -0.000 | 132.614 | 
| 176.126 | 230.872 | 238.612 | 0.000 | -0.000 | 0.000 | 
| 152.409 | 388.786 | 96.382 | 0.000 | -0.000 | -0.000 | 
| 215.779 | 215.779 | 251.470 | 0.000 | -0.000 | 0.001 | 
| -0.000 | 0.000 | 0.000 | 53.045 | 0.000 | 0.000 | 
| -0.000 | 0.000 | 0.000 | 0.000 | 53.045 | 0.000 | 
| 0.000 | 0.000 | 0.000 | 0.000 | -0.000 | 118.189 | 
| 388.786 | 152.409 | 96.382 | -0.000 | 0.001 | -0.000 | 
| 232.176 | 177.211 | 236.078 | -0.001 | 0.000 | -0.000 | 
| 216.948 | 216.948 | 248.990 | 0.000 | 0.001 | -0.001 | 
| -0.000 | -0.000 | -0.000 | 53.044 | 0.000 | -0.000 | 
| 0.000 | 0.000 | -0.000 | -0.000 | 53.045 | -0.000 | 
| -0.000 | 0.000 | -0.000 | -0.000 | 0.000 | 118.188 | 
| 176.614 | 231.458 | 237.472 | 0.000 | -0.000 | 0.000 | 
| 231.456 | 176.619 | 237.469 | 0.000 | -0.000 | 0.000 | 
| 216.307 | 216.307 | 250.350 | 0.000 | -0.000 | 0.000 | 
| -0.071 | -0.072 | 0.151 | -31.701 | -0.000 | 0.000 | 
| 0.000 | 0.000 | -0.000 | 0.000 | 53.045 | 0.000 | 
| -0.064 | -0.064 | 0.136 | 0.000 | -0.000 | -31.815 | 
| 176.730 | 231.586 | 237.214 | -0.000 | 0.000 | -0.000 | 
| 152.409 | 388.786 | 96.382 | -0.000 | 0.000 | -0.000 | 
| 83.884 | 83.884 | 531.045 | -0.000 | 0.000 | -0.000 | 
| 0.071 | 0.072 | -0.151 | -31.701 | 0.000 | 0.000 | 
| -0.000 | -0.000 | 0.000 | -0.000 | 53.045 | -0.000 | 
| 0.064 | 0.064 | -0.136 | -0.000 | 0.000 | -31.815 | 
| 176.667 | 231.516 | 237.356 | 0.000 | -0.000 | 0.000 | 
| 231.522 | 176.650 | 237.367 | 0.000 | -0.000 | 0.000 | 
| 216.374 | 216.374 | 250.209 | 0.000 | -0.000 | 0.000 | 
| 0.000 | 0.000 | -0.000 | 53.045 | -0.000 | 0.000 | 
| 0.000 | 0.000 | -0.000 | 0.000 | 53.045 | 0.000 | 
| 0.021 | 0.021 | -0.045 | 0.000 | -0.000 | -31.871 | 
| 176.282 | 239.952 | 228.820 | -0.000 | 0.000 | -0.000 | 
| 231.524 | 176.686 | 237.324 | -0.000 | 0.000 | -0.000 | 
| 216.353 | 216.353 | 250.250 | -0.000 | 0.000 | -0.000 | 
| -0.000 | -0.000 | 0.000 | 53.045 | 0.000 | -0.000 | 
| -0.000 | -0.000 | 0.000 | -0.000 | 53.045 | -0.000 | 
| -0.021 | -0.021 | 0.045 | -0.000 | 0.000 | -31.871 | 
| 561.254 | 219.113 | 231.120 | -0.000 | -0.000 | -0.001 | 
| 308.739 | 471.628 | 231.120 | 0.000 | -0.000 | 0.000 | 
| 231.120 | 231.120 | 730.802 | 0.000 | -0.000 | -0.000 | 
| -0.000 | -0.000 | -0.000 | 204.097 | 0.000 | 0.001 | 
| -0.000 | -0.001 | -0.000 | 0.000 | 204.097 | 0.001 | 
| -0.000 | -0.001 | -0.000 | -0.000 | -0.000 | 171.071 | 
| 561.254 | 219.113 | 231.121 | 0.000 | 0.000 | -0.000 | 
| 308.739 | 471.628 | 231.121 | -0.000 | 0.000 | -0.001 | 
| 231.120 | 231.121 | 730.802 | 0.000 | 0.000 | 0.000 | 
| -0.000 | 0.000 | 0.000 | 204.097 | -0.000 | -0.001 | 
| 0.000 | 0.001 | 0.000 | 0.000 | 204.097 | -0.001 | 
| -0.000 | 0.000 | 0.000 | 0.000 | 0.000 | 171.070 | 
| 561.254 | 219.113 | 231.120 | -0.000 | -0.000 | 0.000 | 
| 308.739 | 471.628 | 231.120 | 0.000 | -0.000 | 0.000 | 
| 231.120 | 231.120 | 730.802 | -0.000 | -0.000 | -0.000 | 
| 0.000 | -0.000 | -0.000 | 204.097 | 0.000 | 0.000 | 
| -0.000 | -0.000 | -0.000 | 0.000 | 204.097 | -0.000 | 
| -0.000 | -0.000 | -0.000 | 0.000 | -0.000 | 81.444 | 
| 561.254 | 219.113 | 231.120 | 0.000 | 0.000 | -0.000 | 
| 308.738 | 471.628 | 231.120 | -0.000 | 0.000 | -0.000 | 
| 231.120 | 231.120 | 730.802 | -0.000 | -0.000 | -0.000 | 
| -0.000 | 0.000 | 0.000 | 204.097 | -0.000 | -0.000 | 
| 0.000 | 0.000 | 0.000 | 0.000 | 204.097 | 0.000 | 
| 0.000 | 0.000 | 0.000 | -0.000 | 0.000 | 81.444 | 
| 561.255 | 219.113 | 231.121 | -0.000 | -0.000 | 0.000 | 
| 308.742 | 471.626 | 231.121 | 0.000 | -0.000 | 0.000 | 
| 231.121 | 231.121 | 730.804 | 0.000 | 0.000 | -0.000 | 
| 0.000 | -0.000 | 0.000 | 204.097 | 0.000 | 0.000 | 
| -0.000 | 0.000 | 0.000 | -0.000 | 204.097 | 0.000 | 
| -0.000 | 0.000 | -0.000 | 0.000 | -0.000 | 81.444 | 
| 471.624 | 308.741 | 231.120 | 0.000 | 0.000 | -0.000 | 
| 308.735 | 471.629 | 231.120 | 0.000 | 0.000 | 0.000 | 
| 231.120 | 231.120 | 730.800 | 0.000 | 0.000 | 0.000 | 
| -0.000 | 0.000 | -0.000 | 204.097 | 0.000 | -0.000 | 
| 0.000 | -0.000 | -0.000 | 0.000 | 204.097 | 0.000 | 
| 0.000 | -0.000 | 0.000 | -0.000 | 0.000 | 81.444 | 
| 1707.460 | 680.282 | 680.282 | 0.000 | -0.000 | -0.000 | 
| 680.282 | 1707.460 | 680.282 | 0.000 | 0.000 | -0.000 | 
| 680.282 | 680.282 | 1707.460 | 0.000 | 0.000 | -0.000 | 
| 0.000 | -0.001 | -0.000 | 586.048 | -0.000 | -0.000 | 
| -0.000 | -0.001 | -0.000 | 0.000 | 586.048 | 0.000 | 
| -0.000 | -0.000 | 0.000 | 0.000 | 0.000 | 586.049 | 
| 1707.460 | 680.283 | 680.282 | -0.000 | -0.000 | -0.000 | 
| 680.282 | 1707.460 | 680.282 | -0.000 | -0.000 | -0.000 | 
| 680.282 | 680.283 | 1707.460 | -0.000 | -0.000 | 0.000 | 
| -0.000 | 0.000 | -0.000 | 586.048 | -0.000 | -0.000 | 
| 0.000 | 0.001 | -0.000 | -0.000 | 586.048 | 0.000 | 
| 0.000 | 0.001 | 0.000 | 0.000 | 0.000 | 586.048 | 
| 1707.460 | 680.282 | 680.282 | 0.000 | 0.000 | -0.000 | 
| 680.282 | 1707.460 | 680.282 | 0.000 | 0.000 | 0.000 | 
| 680.282 | 680.282 | 1707.460 | 0.000 | 0.000 | -0.000 | 
| 0.000 | -0.000 | -0.000 | 579.885 | 0.000 | -0.000 | 
| -0.000 | -0.000 | -0.000 | 0.000 | 579.885 | -0.000 | 
| -0.000 | -0.000 | 0.000 | -0.000 | -0.000 | 579.885 | 
| 1707.460 | 680.282 | 680.282 | -0.000 | -0.000 | 0.000 | 
| 680.282 | 1707.460 | 680.282 | -0.000 | -0.000 | -0.000 | 
| 680.282 | 680.282 | 1707.460 | -0.000 | -0.000 | 0.000 | 
| -0.000 | 0.000 | 0.000 | 579.885 | -0.000 | -0.000 | 
| 0.000 | 0.000 | 0.000 | -0.000 | 579.885 | 0.000 | 
| 0.000 | 0.000 | -0.000 | -0.000 | -0.000 | 579.885 | 
| 1707.460 | 680.283 | 680.283 | 0.000 | 0.000 | -0.000 | 
| 680.283 | 1707.460 | 680.283 | 0.000 | 0.000 | -0.000 | 
| 680.283 | 680.283 | 1707.460 | 0.000 | 0.000 | -0.000 | 
| 0.000 | -0.003 | -0.002 | 586.048 | 0.000 | -0.000 | 
| -0.003 | 0.000 | -0.002 | 0.000 | 586.048 | -0.000 | 
| -0.003 | -0.002 | 0.000 | 0.000 | 0.000 | 586.048 | 
| 1707.461 | 680.282 | 680.282 | -0.000 | -0.000 | 0.000 | 
| 680.282 | 1707.461 | 680.282 | -0.000 | -0.000 | -0.000 | 
| 680.282 | 680.282 | 1707.461 | -0.000 | -0.000 | 0.000 | 
| -0.000 | 0.003 | 0.002 | 586.048 | -0.000 | -0.000 | 
| 0.003 | -0.000 | 0.002 | -0.000 | 586.048 | 0.000 | 
| 0.003 | 0.002 | -0.000 | -0.000 | -0.000 | 586.048 | 
| 640.452 | 188.140 | 207.811 | -0.000 | -0.000 | 0.000 | 
| 189.544 | 544.289 | 153.956 | -0.000 | -0.000 | 0.000 | 
| 232.532 | 153.956 | 552.711 | -0.000 | -0.000 | 0.000 | 
| -0.000 | -0.000 | -0.000 | 90.405 | 0.000 | 0.000 | 
| 0.000 | -0.000 | 0.000 | -0.000 | 172.159 | 0.000 | 
| -0.000 | -0.000 | -0.000 | -0.000 | -0.000 | 115.604 | 
| 640.452 | 188.140 | 207.811 | 0.000 | -0.000 | -0.000 | 
| 189.544 | 544.289 | 153.956 | 0.000 | -0.000 | -0.000 | 
| 203.100 | 147.149 | 504.885 | 0.000 | 0.000 | -0.000 | 
| 0.000 | 0.000 | -0.000 | 90.405 | -0.000 | 0.000 | 
| 0.000 | 0.000 | 0.000 | 0.000 | 172.159 | -0.000 | 
| -0.000 | 0.000 | -0.000 | 0.000 | -0.000 | 115.604 | 
| 663.664 | 189.544 | 232.532 | -0.000 | 0.000 | 0.000 | 
| 184.709 | 526.113 | 145.715 | -0.000 | -0.000 | 0.000 | 
| 203.100 | 147.149 | 504.885 | -0.000 | -0.000 | -0.000 | 
| -0.000 | -0.000 | 0.000 | 115.197 | -0.000 | -0.000 | 
| -0.000 | 0.000 | 0.000 | 0.000 | 172.159 | 0.000 | 
| 0.000 | -0.000 | 0.000 | -0.000 | -0.000 | 115.604 | 
| 663.665 | 189.544 | 232.532 | 0.000 | 0.000 | -0.000 | 
| 189.028 | 532.166 | 155.425 | 0.000 | 0.000 | 0.000 | 
| 201.407 | 148.880 | 504.040 | 0.000 | 0.000 | -0.000 | 
| -0.000 | 0.000 | -0.000 | 115.197 | 0.000 | -0.000 | 
| 0.000 | -0.000 | -0.000 | 0.000 | 172.159 | 0.000 | 
| -0.000 | 0.000 | -0.000 | 0.000 | 0.000 | 115.604 | 
| 663.660 | 189.545 | 232.532 | -0.000 | -0.000 | -0.000 | 
| 189.029 | 532.168 | 155.426 | -0.000 | -0.000 | 0.000 | 
| 201.407 | 148.881 | 504.042 | -0.000 | -0.000 | 0.000 | 
| 0.000 | -0.000 | 0.000 | 90.405 | -0.000 | -0.000 | 
| -0.000 | 0.000 | 0.000 | 0.000 | 172.159 | 0.000 | 
| 0.000 | 0.000 | 0.000 | -0.000 | -0.000 | 115.604 | 
| 637.491 | 184.464 | 202.151 | 0.000 | 0.000 | -0.000 | 
| 184.708 | 526.112 | 145.714 | -0.000 | 0.000 | -0.000 | 
| 201.406 | 148.879 | 504.038 | 0.000 | 0.000 | 0.000 | 
| -0.000 | 0.000 | -0.000 | 90.405 | 0.000 | 0.000 | 
| 0.000 | -0.000 | -0.000 | 0.000 | 172.159 | 0.000 | 
| -0.000 | -0.000 | -0.000 | 0.000 | 0.000 | 115.604 | 
| 1312.598 | 609.640 | 603.461 | -0.000 | -0.000 | 0.000 | 
| 823.640 | 935.766 | 577.587 | -0.000 | -0.000 | 0.000 | 
| 225.457 | 148.581 | 551.373 | -0.000 | -0.000 | 0.000 | 
| 928.090 | 443.576 | 482.940 | 86.144 | 0.000 | 0.001 | 
| -0.000 | -0.000 | -0.000 | -0.000 | 179.707 | 0.000 | 
| 650.700 | 452.276 | 407.587 | -0.000 | -0.000 | 110.114 | 
| -264.365 | -280.729 | -287.965 | 0.000 | 0.000 | -0.000 | 
| -476.449 | 33.068 | -237.118 | 0.000 | 0.000 | -0.000 | 
| -881.528 | -258.664 | -378.957 | 0.000 | 0.000 | -0.000 | 
| -928.090 | -443.576 | -482.940 | 86.144 | 0.000 | -0.000 | 
| -0.000 | 0.000 | 0.000 | 0.000 | 179.707 | -0.000 | 
| -650.700 | -452.276 | -407.587 | 0.000 | 0.000 | 110.114 | 
| 700.228 | 167.545 | 231.111 | -0.000 | -0.000 | 0.000 | 
| 229.064 | 522.923 | 204.997 | -0.000 | -0.000 | 0.000 | 
| 295.096 | 185.921 | 585.455 | -0.000 | -0.000 | 0.000 | 
| 63.403 | 44.069 | 39.714 | 78.562 | 0.000 | 0.000 | 
| 105.932 | 39.726 | 87.235 | 0.000 | 165.019 | 0.000 | 
| 64.848 | 45.073 | 40.619 | -0.000 | -0.000 | 110.124 | 
| 557.988 | 121.371 | 106.791 | 0.000 | 0.000 | -0.000 | 
| 168.307 | 512.566 | 154.997 | 0.000 | 0.000 | -0.000 | 
| 116.113 | 107.298 | 446.246 | 0.000 | 0.000 | -0.000 | 
| -63.403 | -44.069 | -39.714 | 78.562 | -0.000 | -0.000 | 
| -105.932 | -39.726 | -87.235 | 0.000 | 165.019 | -0.000 | 
| -64.848 | -45.073 | -40.619 | 0.000 | 0.000 | 110.124 | 
| 673.156 | 164.044 | 202.321 | -0.000 | -0.000 | 0.000 | 
| 169.057 | 502.016 | 159.616 | -0.000 | -0.000 | 0.000 | 
| 198.883 | 152.388 | 506.759 | -0.000 | -0.000 | 0.000 | 
| 9.540 | 2.277 | 8.657 | 84.245 | -0.000 | 0.000 | 
| 4.745 | 3.299 | 2.973 | 0.000 | 169.235 | 0.000 | 
| 5.409 | 3.760 | 3.388 | -0.000 | -0.000 | 110.620 | 
| 654.837 | 157.407 | 186.307 | 0.000 | 0.000 | -0.000 | 
| 151.012 | 490.030 | 143.058 | 0.000 | 0.000 | -0.000 | 
| 182.032 | 141.117 | 497.526 | 0.000 | 0.000 | -0.000 | 
| -9.540 | -2.277 | -8.657 | 84.245 | 0.000 | -0.000 | 
| -4.745 | -3.299 | -2.973 | 0.000 | 169.235 | -0.000 | 
| -5.409 | -3.760 | -3.388 | 0.000 | -0.000 | 110.620 | 
| 378.217 | 234.466 | 185.054 | -0.000 | 0.000 | -0.000 | 
| 228.035 | 395.777 | 182.088 | -0.000 | 0.000 | 0.000 | 
| 181.266 | 182.088 | 333.267 | 0.000 | 0.000 | -0.000 | 
| -0.000 | 0.000 | -0.000 | 87.316 | -0.000 | -0.000 | 
| -0.000 | -0.000 | -0.000 | 0.000 | 173.046 | 0.000 | 
| -0.000 | 0.000 | -0.000 | -0.000 | 0.000 | 168.773 | 
| 387.358 | 220.939 | 213.050 | 0.000 | 0.000 | -0.000 | 
| 234.295 | 402.276 | 198.112 | 0.000 | -0.000 | -0.000 | 
| 181.266 | 182.088 | 333.267 | 0.000 | -0.000 | -0.000 | 
| 0.000 | -0.000 | 0.000 | 87.316 | -0.000 | 0.000 | 
| -0.000 | -0.000 | -0.000 | 0.000 | 173.046 | -0.000 | 
| 0.000 | -0.000 | 0.000 | 0.000 | -0.000 | 168.773 | 
| 376.384 | 228.036 | 181.266 | 0.000 | 0.000 | -0.000 | 
| 234.295 | 402.276 | 198.112 | -0.000 | 0.000 | -0.000 | 
| 213.049 | 153.954 | 426.833 | 0.000 | 0.000 | -0.000 | 
| -0.000 | 0.000 | -0.000 | 87.316 | 0.000 | 0.000 | 
| 0.000 | 0.000 | 0.000 | -0.000 | 173.046 | 0.000 | 
| 0.000 | 0.000 | 0.000 | -0.000 | 0.000 | 168.773 | 
| 387.358 | 220.939 | 213.049 | -0.000 | -0.000 | 0.000 | 
| 228.035 | 395.777 | 182.088 | -0.000 | -0.000 | -0.000 | 
| 186.197 | 196.849 | 343.965 | 0.000 | 0.000 | -0.000 | 
| 0.000 | -0.000 | 0.000 | 87.316 | -0.000 | 0.000 | 
| -0.000 | -0.000 | -0.000 | 0.000 | 173.046 | -0.000 | 
| -0.000 | -0.000 | 0.000 | 0.000 | -0.000 | 168.773 | 
| 376.385 | 228.036 | 181.267 | -0.000 | 0.000 | 0.000 | 
| 228.036 | 395.778 | 182.089 | -0.000 | 0.000 | 0.000 | 
| 181.266 | 182.089 | 333.268 | -0.000 | 0.000 | 0.000 | 
| 0.000 | 0.000 | -0.000 | 87.316 | 0.000 | -0.000 | 
| -0.000 | 0.000 | -0.000 | -0.000 | 43.988 | 0.000 | 
| 0.000 | 0.000 | 0.000 | -0.000 | 0.000 | 168.405 | 
| 376.383 | 228.035 | 181.265 | 0.000 | 0.000 | -0.000 | 
| 234.294 | 402.275 | 198.111 | -0.000 | -0.000 | -0.000 | 
| 181.266 | 182.087 | 333.267 | 0.000 | -0.000 | -0.000 | 
| -0.000 | -0.000 | 0.000 | 87.316 | 0.000 | -0.000 | 
| 0.000 | -0.000 | 0.000 | 0.000 | 43.988 | 0.000 | 
| -0.000 | -0.000 | -0.000 | 0.000 | -0.000 | 168.405 | 
| 373.201 | 215.666 | 201.696 | 0.000 | 0.000 | 0.000 | 
| 103.054 | 248.848 | -154.878 | -0.000 | 0.000 | -0.000 | 
| 68.096 | 35.899 | -14.208 | -0.000 | 0.000 | 0.000 | 
| -108.493 | -154.847 | -312.550 | 98.395 | 0.000 | 0.000 | 
| -108.493 | -154.847 | -312.550 | -0.000 | 51.614 | -0.000 | 
| -108.064 | -155.777 | -311.040 | -0.000 | 0.000 | 157.411 | 
| 472.933 | 377.218 | 485.598 | 0.000 | -0.000 | -0.000 | 
| 327.236 | 539.646 | 496.127 | 0.000 | -0.000 | -0.000 | 
| 272.442 | 370.012 | 566.942 | 0.000 | -0.000 | 0.000 | 
| 108.493 | 154.847 | 312.550 | 98.395 | -0.000 | 0.000 | 
| 108.493 | 154.847 | 312.550 | 0.000 | 51.614 | -0.000 | 
| 108.064 | 155.777 | 311.040 | 0.000 | -0.000 | 157.411 | 
| 373.201 | 215.666 | 201.696 | -0.000 | 0.000 | -0.000 | 
| 207.893 | 369.314 | 152.323 | 0.000 | 0.000 | 0.000 | 
| 165.740 | 175.261 | 267.087 | -0.000 | 0.000 | 0.000 | 
| 0.000 | 0.000 | 0.000 | 123.943 | 0.000 | 0.000 | 
| -10.849 | -15.485 | -31.255 | -0.000 | 51.614 | -0.000 | 
| -5.636 | -1.741 | -17.356 | -0.000 | 0.000 | 155.248 | 
| 369.231 | 236.350 | 185.583 | 0.000 | -0.000 | 0.000 | 
| 227.740 | 395.668 | 209.846 | 0.000 | -0.000 | -0.000 | 
| 187.438 | 206.230 | 329.597 | 0.000 | -0.000 | -0.000 | 
| -0.000 | -0.000 | -0.000 | 123.943 | -0.000 | 0.000 | 
| 10.849 | 15.485 | 31.255 | 0.000 | 51.614 | 0.000 | 
| 5.636 | 1.741 | 17.356 | -0.000 | -0.000 | 155.248 | 
| 373.201 | 215.666 | 201.697 | -0.000 | 0.000 | -0.000 | 
| 217.658 | 383.252 | 180.453 | -0.000 | 0.000 | 0.000 | 
| 180.905 | 207.196 | 308.949 | -0.000 | 0.000 | 0.000 | 
| 0.000 | 0.000 | 0.000 | 123.943 | 0.000 | -0.000 | 
| -1.085 | -1.548 | -3.126 | -0.000 | 51.614 | -0.000 | 
| -1.053 | -1.618 | -3.013 | 0.000 | 0.000 | 158.874 | 
| 365.524 | 223.918 | 176.174 | 0.000 | -0.000 | -0.000 | 
| 219.827 | 386.347 | 186.702 | 0.000 | -0.000 | -0.000 | 
| 182.296 | 206.421 | 313.446 | 0.000 | -0.000 | -0.000 | 
| -0.000 | -0.000 | -0.000 | 123.943 | -0.000 | 0.000 | 
| 1.085 | 1.548 | 3.126 | 0.000 | 51.614 | 0.000 | 
| 1.053 | 1.618 | 3.013 | 0.000 | -0.000 | 158.874 | 
| 367.876 | 229.338 | 177.750 | -0.000 | 0.000 | 0.000 | 
| 219.302 | 386.746 | 184.742 | -0.000 | -0.000 | -0.000 | 
| 181.974 | 208.316 | 312.626 | -0.000 | 0.000 | 0.000 | 
| -0.043 | 0.094 | -0.152 | 98.767 | -0.000 | 0.000 | 
| -0.038 | 0.082 | -0.133 | -0.000 | 51.390 | -0.000 | 
| -0.000 | 0.000 | 0.000 | -0.000 | 0.000 | 170.338 | 
| 367.916 | 229.249 | 177.892 | -0.000 | -0.000 | -0.000 | 
| 225.145 | 394.030 | 201.868 | -0.000 | -0.000 | 0.000 | 
| 182.016 | 208.226 | 312.771 | -0.000 | -0.000 | 0.000 | 
| 0.043 | -0.094 | 0.152 | 98.767 | -0.000 | -0.000 | 
| 0.038 | -0.082 | 0.133 | 0.000 | 51.389 | -0.000 | 
| -0.000 | -0.000 | -0.000 | 0.000 | 0.000 | 170.338 | 
| 375.023 | 216.478 | 202.419 | -0.000 | -0.000 | -0.000 | 
| 219.323 | 386.710 | 184.815 | -0.000 | -0.000 | -0.000 | 
| 205.745 | 163.024 | 395.107 | -0.000 | 0.000 | 0.000 | 
| -0.004 | 0.009 | -0.015 | 98.767 | -0.000 | 0.000 | 
| 0.000 | 0.000 | 0.000 | -0.000 | 170.661 | -0.000 | 
| 0.000 | 0.000 | 0.000 | -0.000 | 0.000 | 170.338 | 
| 366.254 | 223.265 | 173.690 | -0.000 | 0.000 | 0.000 | 
| 219.328 | 386.702 | 184.831 | 0.000 | -0.000 | 0.000 | 
| 177.010 | 192.089 | 299.794 | 0.000 | -0.000 | 0.000 | 
| 0.004 | -0.009 | 0.015 | 98.767 | 0.000 | -0.000 | 
| -0.000 | -0.000 | -0.000 | 0.000 | 170.661 | 0.000 | 
| -0.000 | -0.000 | -0.000 | 0.000 | -0.000 | 170.338 | 
| 366.252 | 223.271 | 173.682 | 0.000 | -0.000 | -0.000 | 
| 219.326 | 386.707 | 184.824 | -0.000 | -0.000 | -0.000 | 
| 177.008 | 192.094 | 299.786 | -0.000 | 0.000 | -0.000 | 
| -0.000 | 0.001 | -0.002 | 98.767 | -0.000 | -0.000 | 
| -0.000 | 0.001 | -0.002 | -0.000 | 51.389 | 0.000 | 
| -0.000 | 0.001 | -0.001 | -0.000 | -0.000 | 158.887 | 
| 367.895 | 229.292 | 177.821 | 0.000 | 0.000 | -0.000 | 
| 219.325 | 386.704 | 184.823 | -0.000 | 0.000 | 0.000 | 
| 177.008 | 192.091 | 299.787 | 0.000 | -0.000 | 0.000 | 
| 0.000 | -0.001 | 0.002 | 98.767 | -0.000 | 0.000 | 
| 0.000 | -0.001 | 0.002 | 0.000 | 51.389 | -0.000 | 
| 0.000 | -0.001 | 0.001 | 0.000 | -0.000 | 158.887 | 
| 460.559 | 183.367 | -9.382 | -0.000 | 0.000 | 0.000 | 
| 391.807 | 252.118 | -9.382 | 0.000 | -0.000 | -0.000 | 
| 0.966 | 0.966 | 154.467 | 0.000 | 0.000 | -0.000 | 
| 0.000 | 0.000 | -0.000 | -7.369 | -0.000 | 0.000 | 
| 0.000 | 0.000 | 0.000 | -0.000 | -7.369 | 0.000 | 
| 0.000 | 0.000 | -0.000 | -0.000 | -0.000 | -69.844 | 
| 460.559 | 183.367 | -9.382 | 0.000 | -0.000 | 0.000 | 
| 391.807 | 252.119 | -9.382 | 0.000 | 0.000 | 0.000 | 
| 0.966 | 0.966 | 154.467 | 0.000 | 0.000 | 0.000 | 
| -0.000 | -0.000 | 0.000 | -7.369 | 0.000 | -0.000 | 
| 0.000 | -0.000 | -0.000 | 0.000 | -7.369 | -0.000 | 
| 0.000 | -0.000 | 0.000 | 0.000 | 0.000 | -69.844 | 
| 460.559 | 183.367 | -9.382 | -0.000 | 0.000 | -0.000 | 
| 391.772 | 252.154 | -9.382 | -0.000 | -0.000 | 0.000 | 
| 0.966 | 0.966 | 154.467 | -0.000 | -0.000 | -0.000 | 
| 0.000 | 0.000 | -0.000 | -7.369 | -0.000 | 0.000 | 
| -0.000 | 0.000 | -0.000 | -0.000 | -7.369 | -0.000 | 
| 0.000 | 0.000 | 0.000 | -0.000 | 0.000 | 138.596 | 
| 252.154 | 391.771 | -9.382 | 0.000 | 0.000 | -0.000 | 
| 391.805 | 252.120 | -9.382 | 0.000 | 0.000 | -0.000 | 
| 0.966 | 0.966 | 154.466 | -0.000 | 0.000 | 0.000 | 
| -0.000 | -0.000 | 0.000 | -7.369 | 0.000 | 0.000 | 
| 0.000 | -0.000 | 0.000 | 0.000 | -7.369 | 0.000 | 
| -0.000 | -0.000 | -0.000 | 0.000 | -0.000 | 138.596 | 
| 252.136 | 391.792 | -9.382 | -0.000 | -0.000 | 0.000 | 
| 391.825 | 252.103 | -9.382 | -0.000 | -0.000 | 0.000 | 
| 0.966 | 0.966 | 154.468 | -0.000 | -0.000 | -0.000 | 
| -0.000 | -0.000 | -0.000 | -7.369 | -0.000 | 0.000 | 
| -0.000 | -0.000 | -0.000 | -0.000 | -7.369 | 0.000 | 
| 0.000 | -0.000 | -0.000 | -0.000 | -0.000 | -69.844 | 
| 252.101 | 391.822 | -9.382 | 0.000 | 0.000 | 0.000 | 
| 391.790 | 252.134 | -9.382 | 0.000 | 0.000 | 0.000 | 
| 0.966 | 0.966 | 154.466 | -0.000 | -0.000 | 0.000 | 
| 0.000 | 0.000 | 0.000 | -7.369 | 0.000 | -0.000 | 
| 0.000 | 0.000 | 0.000 | 0.000 | -7.369 | -0.000 | 
| -0.000 | 0.000 | 0.000 | 0.000 | 0.000 | -69.844 | 
| 452.976 | 102.267 | 102.267 | 0.000 | 0.000 | -0.000 | 
| 102.267 | 452.976 | 102.267 | 0.000 | 0.000 | -0.000 | 
| 102.267 | 102.267 | 452.976 | 0.000 | 0.000 | 0.000 | 
| 0.000 | 0.000 | 0.000 | -82.842 | -0.000 | 0.000 | 
| -0.000 | -0.000 | 0.000 | -0.000 | -82.842 | 0.000 | 
| -0.000 | -0.000 | 0.000 | 0.000 | 0.000 | -82.842 | 
| 452.976 | 102.267 | 102.267 | -0.000 | -0.000 | -0.000 | 
| 102.267 | 452.976 | 102.267 | -0.000 | -0.000 | -0.000 | 
| 102.267 | 102.267 | 452.976 | -0.000 | -0.000 | -0.000 | 
| -0.000 | -0.000 | -0.000 | -82.842 | -0.000 | 0.000 | 
| 0.000 | -0.000 | 0.000 | -0.000 | -82.842 | 0.000 | 
| 0.000 | 0.000 | -0.000 | -0.000 | -0.000 | -82.842 | 
| 460.270 | 98.621 | 98.621 | 0.000 | 0.000 | -0.000 | 
| 98.621 | 460.270 | 98.621 | 0.000 | 0.000 | -0.000 | 
| 98.621 | 98.621 | 460.270 | -0.000 | 0.000 | 0.000 | 
| 0.000 | 0.000 | 0.000 | 59.353 | 0.000 | -0.000 | 
| 0.000 | 0.000 | 0.000 | 0.000 | 59.353 | 0.000 | 
| 0.000 | 0.000 | 0.000 | 0.000 | 0.000 | 59.353 | 
| 460.269 | 98.621 | 98.621 | -0.000 | -0.000 | 0.000 | 
| 98.621 | 460.269 | 98.621 | -0.000 | -0.000 | 0.000 | 
| 98.621 | 98.621 | 460.269 | -0.000 | -0.000 | -0.000 | 
| -0.000 | -0.000 | -0.000 | 59.353 | -0.000 | -0.000 | 
| -0.000 | -0.000 | -0.000 | -0.000 | 59.353 | -0.000 | 
| -0.000 | -0.000 | -0.000 | -0.000 | -0.000 | 59.353 | 
| 452.978 | 102.268 | 102.268 | 0.000 | 0.000 | -0.000 | 
| 102.268 | 452.978 | 102.268 | 0.000 | 0.000 | -0.000 | 
| 102.268 | 102.268 | 452.978 | 0.000 | 0.000 | 0.000 | 
| 0.001 | -0.000 | -0.000 | -82.842 | 0.000 | -0.000 | 
| -0.000 | 0.001 | -0.000 | 0.000 | -82.842 | 0.000 | 
| -0.000 | -0.000 | 0.001 | 0.000 | 0.000 | -82.842 | 
| 460.268 | 98.620 | 98.620 | -0.000 | -0.000 | -0.000 | 
| 98.620 | 460.268 | 98.620 | -0.000 | -0.000 | -0.000 | 
| 98.620 | 98.620 | 460.268 | -0.000 | -0.000 | -0.000 | 
| -0.001 | 0.000 | 0.000 | -82.842 | 0.000 | 0.000 | 
| 0.000 | -0.001 | 0.000 | -0.000 | -82.842 | -0.000 | 
| 0.000 | 0.000 | -0.001 | -0.000 | 0.000 | -82.842 | 
| -44.844 | 315.601 | 315.601 | 0.000 | 0.000 | 0.000 | 
| 315.601 | -44.845 | 315.601 | 0.000 | 0.000 | 0.000 | 
| 315.601 | 315.601 | -44.845 | 0.000 | 0.000 | 0.000 | 
| 0.000 | -0.000 | 0.000 | 47.493 | 0.000 | 0.000 | 
| 0.000 | -0.000 | -0.000 | 0.000 | 47.493 | 0.000 | 
| 0.000 | -0.000 | 0.000 | 0.000 | 0.000 | 47.493 | 
| -44.845 | 315.601 | 315.601 | -0.000 | -0.000 | -0.000 | 
| 315.601 | -44.844 | 315.601 | -0.000 | -0.000 | -0.000 | 
| 315.601 | 315.601 | -44.845 | 0.000 | -0.000 | -0.000 | 
| 0.000 | 0.000 | 0.000 | 47.493 | -0.000 | -0.000 | 
| -0.000 | 0.000 | 0.000 | -0.000 | 47.493 | -0.000 | 
| -0.000 | 0.000 | -0.000 | 0.000 | -0.000 | 47.493 | 
| -44.844 | 315.601 | 315.601 | 0.000 | 0.000 | 0.000 | 
| 315.601 | -44.844 | 315.601 | 0.000 | 0.000 | 0.000 | 
| 315.601 | 315.601 | -44.844 | 0.000 | 0.000 | 0.000 | 
| 0.000 | -0.000 | 0.000 | 180.412 | 0.000 | 0.000 | 
| -0.000 | 0.000 | 0.000 | -0.000 | 180.412 | 0.000 | 
| -0.000 | 0.000 | 0.000 | 0.000 | 0.000 | 180.412 | 
| -44.845 | 315.600 | 315.600 | -0.000 | -0.000 | -0.000 | 
| 315.600 | -44.845 | 315.600 | -0.000 | -0.000 | -0.000 | 
| 315.600 | 315.600 | -44.845 | -0.000 | -0.000 | -0.000 | 
| -0.000 | 0.000 | -0.000 | 180.412 | -0.000 | -0.000 | 
| -0.000 | -0.000 | -0.000 | -0.000 | 180.412 | -0.000 | 
| -0.000 | -0.000 | -0.000 | -0.000 | -0.000 | 180.412 | 
| -44.844 | 315.602 | 315.602 | 0.000 | 0.000 | 0.000 | 
| 315.602 | -44.844 | 315.602 | 0.000 | 0.000 | 0.000 | 
| 315.602 | 315.602 | -44.844 | 0.000 | 0.000 | 0.000 | 
| 0.000 | -0.000 | 0.000 | 180.412 | 0.000 | 0.000 | 
| -0.000 | 0.000 | 0.000 | 0.000 | 180.412 | 0.000 | 
| -0.000 | 0.000 | 0.000 | -0.000 | 0.000 | 180.412 | 
| -44.845 | 315.600 | 315.600 | -0.000 | -0.000 | -0.000 | 
| 315.600 | -44.845 | 315.600 | -0.000 | -0.000 | -0.000 | 
| 315.600 | 315.600 | -44.845 | -0.000 | -0.000 | -0.000 | 
| -0.000 | 0.000 | -0.000 | 180.412 | -0.000 | -0.000 | 
| 0.000 | -0.000 | -0.000 | -0.000 | 180.412 | -0.000 | 
| 0.000 | -0.000 | -0.000 | 0.000 | -0.000 | 180.412 | 
| 992.090 | 197.431 | 197.431 | 0.000 | 0.000 | 0.000 | 
| 197.431 | 992.090 | 197.431 | 0.000 | 0.000 | 0.000 | 
| 197.431 | 197.431 | 992.090 | 0.000 | 0.000 | 0.000 | 
| -0.000 | -0.000 | 0.000 | 132.950 | 0.000 | 0.000 | 
| 0.000 | -0.000 | -0.000 | -0.000 | 132.950 | 0.000 | 
| 0.000 | -0.000 | 0.000 | -0.000 | -0.000 | 132.950 | 
| 992.090 | 197.431 | 197.431 | -0.000 | -0.000 | 0.000 | 
| 197.431 | 992.090 | 197.431 | 0.000 | 0.000 | -0.000 | 
| 197.431 | 197.431 | 992.090 | -0.000 | -0.000 | -0.000 | 
| -0.000 | -0.000 | -0.000 | 132.950 | -0.000 | -0.000 | 
| -0.000 | 0.000 | -0.000 | -0.000 | 132.950 | -0.000 | 
| -0.000 | 0.000 | -0.000 | 0.000 | 0.000 | 132.950 | 
| 992.089 | 197.431 | 197.431 | 0.000 | 0.000 | 0.000 | 
| 197.431 | 992.089 | 197.431 | -0.000 | 0.000 | 0.000 | 
| 197.431 | 197.431 | 992.089 | 0.000 | 0.000 | 0.000 | 
| -0.000 | 0.000 | 0.000 | 132.950 | -0.000 | 0.000 | 
| 0.000 | -0.000 | 0.000 | -0.000 | 132.950 | 0.000 | 
| 0.000 | 0.000 | -0.000 | -0.000 | 0.000 | 132.950 | 
| 992.091 | 197.431 | 197.431 | -0.000 | -0.000 | -0.000 | 
| 197.431 | 992.091 | 197.431 | 0.000 | 0.000 | -0.000 | 
| 197.431 | 197.431 | 992.091 | -0.000 | -0.000 | -0.000 | 
| 0.000 | -0.000 | -0.000 | 132.950 | 0.000 | 0.000 | 
| -0.000 | 0.000 | -0.000 | 0.000 | 132.950 | -0.000 | 
| -0.000 | 0.000 | 0.000 | 0.000 | -0.000 | 132.950 | 
| 992.084 | 197.433 | 197.433 | -0.000 | -0.000 | 0.000 | 
| 197.433 | 992.084 | 197.433 | -0.000 | -0.000 | 0.000 | 
| 197.433 | 197.433 | 992.084 | 0.000 | 0.000 | 0.000 | 
| -0.000 | 0.000 | 0.000 | 132.950 | 0.000 | 0.000 | 
| 0.000 | -0.000 | 0.000 | 0.000 | 132.950 | 0.000 | 
| 0.000 | 0.000 | -0.000 | -0.000 | -0.000 | 132.950 | 
| 992.096 | 197.429 | 197.429 | 0.000 | -0.000 | -0.000 | 
| 197.429 | 992.096 | 197.429 | -0.000 | -0.000 | -0.000 | 
| 197.429 | 197.429 | 992.096 | 0.000 | 0.000 | -0.000 | 
| 0.000 | -0.000 | -0.000 | 132.950 | -0.000 | 0.000 | 
| -0.000 | 0.000 | -0.000 | -0.000 | 132.950 | -0.000 | 
| -0.000 | -0.000 | 0.000 | 0.000 | 0.000 | 132.950 | 
| 3851536.105 | 156.399 | 156.399 | 0.000 | 0.000 | 0.000 | 
| 156.399 | 3851536.105 | 156.399 | 0.000 | 0.000 | 0.000 | 
| 156.399 | 156.399 | 3851536.105 | 0.000 | 0.000 | 0.000 | 
| -0.000 | 0.000 | 0.000 | 130.472 | 0.000 | 0.000 | 
| -0.000 | 0.000 | 0.000 | 0.000 | 130.472 | 0.000 | 
| -0.000 | 0.000 | 0.000 | 0.000 | -0.000 | 130.472 | 
| 265.404 | 156.399 | 156.399 | -0.000 | -0.000 | -0.000 | 
| 156.399 | 265.403 | 156.399 | -0.000 | -0.000 | -0.000 | 
| 156.399 | 156.399 | 265.404 | 0.000 | 0.000 | -0.000 | 
| 0.000 | -0.000 | -0.000 | 130.472 | -0.000 | -0.000 | 
| 0.000 | -0.000 | -0.000 | 0.000 | 130.472 | 0.000 | 
| 0.000 | -0.000 | -0.000 | -0.000 | -0.000 | 130.472 | 
| 386052.989 | 156.399 | 156.399 | 0.000 | 0.000 | 0.000 | 
| 156.399 | 386052.989 | 156.399 | -0.000 | 0.000 | 0.000 | 
| 156.399 | 156.399 | 386052.989 | -0.000 | 0.000 | 0.000 | 
| -0.000 | 0.000 | 0.000 | 130.472 | 0.000 | 0.000 | 
| 0.000 | -0.000 | 0.000 | 0.000 | 130.472 | 0.000 | 
| 0.000 | 0.000 | -0.000 | 0.000 | -0.000 | 130.472 | 
| 265.403 | 156.399 | 156.399 | -0.000 | -0.000 | -0.000 | 
| 156.399 | 265.403 | 156.399 | -0.000 | -0.000 | -0.000 | 
| 156.399 | 156.399 | 265.403 | -0.000 | 0.000 | -0.000 | 
| 0.000 | -0.000 | -0.000 | 130.472 | -0.000 | -0.000 | 
| -0.000 | 0.000 | -0.000 | -0.000 | 130.472 | -0.000 | 
| -0.000 | -0.000 | 0.000 | -0.000 | 0.000 | 130.472 | 
| 39504.674 | 156.401 | 156.401 | -0.000 | -0.000 | 0.000 | 
| 156.401 | 39504.674 | 156.401 | 0.000 | 0.000 | -0.000 | 
| 156.401 | 156.401 | 39504.674 | 0.000 | 0.000 | 0.000 | 
| -0.000 | 0.000 | 0.000 | 130.472 | 0.000 | 0.000 | 
| 0.000 | -0.000 | 0.000 | 0.000 | 130.472 | 0.000 | 
| 0.000 | 0.000 | -0.000 | 0.000 | 0.000 | 130.472 | 
| 265.403 | 156.399 | 156.399 | -0.000 | -0.000 | -0.000 | 
| 156.399 | 265.403 | 156.399 | -0.000 | -0.000 | -0.000 | 
| 156.399 | 156.399 | 265.403 | -0.000 | 0.000 | -0.000 | 
| 0.000 | -0.000 | -0.000 | 130.472 | -0.000 | -0.000 | 
| -0.000 | 0.000 | -0.000 | -0.000 | 130.472 | -0.000 | 
| -0.000 | -0.000 | 0.000 | -0.000 | -0.000 | 130.472 | 
| 0.000 | 0.000 | -0.000 | -0.000 | 0.000 | 0.000 | 
| 0.000 | 0.000 | -0.000 | -0.000 | 0.000 | 0.000 | 
| -0.000 | 0.000 | -0.000 | -0.000 | 0.000 | 0.000 | 
| 0.000 | 0.000 | -0.000 | -0.000 | 0.000 | 0.000 | 
| 0.000 | 0.000 | -0.000 | -0.000 | 0.000 | 0.000 | 
| 0.000 | 0.000 | -0.000 | -0.000 | 0.000 | 0.000 | 
| -0.000 | -0.000 | 0.000 | 0.000 | -0.000 | -0.000 | 
| -0.000 | -0.000 | 0.000 | 0.000 | -0.000 | -0.000 | 
| 0.000 | -0.000 | 0.000 | 0.000 | -0.000 | -0.000 | 
| -0.000 | -0.000 | 0.000 | 0.000 | -0.000 | 0.000 | 
| -0.000 | -0.000 | 0.000 | 0.000 | -0.000 | -0.000 | 
| -0.000 | -0.000 | 0.000 | 0.000 | -0.000 | -0.000 | 
| 0.000 | 0.000 | -0.000 | -0.000 | 0.000 | 0.000 | 
| 0.000 | 0.000 | -0.000 | -0.000 | 0.000 | 0.000 | 
| -0.000 | 0.000 | -0.000 | -0.000 | 0.000 | 0.000 | 
| 0.000 | -0.000 | -0.000 | -0.000 | 0.000 | -0.000 | 
| 0.000 | 0.000 | -0.000 | -0.000 | 0.000 | 0.000 | 
| 0.000 | 0.000 | -0.000 | -0.000 | 0.000 | 0.000 | 
| -0.000 | -0.000 | 0.000 | 0.000 | -0.000 | -0.000 | 
| -0.000 | -0.000 | 0.000 | 0.000 | -0.000 | -0.000 | 
| 0.000 | -0.000 | 0.000 | 0.000 | -0.000 | -0.000 | 
| -0.000 | 0.000 | 0.000 | 0.000 | -0.000 | -0.000 | 
| -0.000 | -0.000 | 0.000 | 0.000 | -0.000 | -0.000 | 
| -0.000 | -0.000 | 0.000 | 0.000 | -0.000 | -0.000 | 
| -0.000 | 0.000 | -0.000 | -0.000 | 0.000 | 0.000 | 
| 0.000 | 0.000 | -0.000 | -0.000 | 0.000 | 0.000 | 
| 0.000 | 0.000 | -0.000 | -0.000 | 0.000 | 0.000 | 
| 0.000 | -0.000 | -0.000 | -0.000 | 0.000 | -0.000 | 
| -0.000 | 0.000 | -0.000 | -0.000 | 0.000 | 0.000 | 
| 0.000 | 0.000 | -0.000 | -0.000 | 0.000 | 0.000 | 
| 0.000 | -0.000 | 0.000 | 0.000 | -0.000 | -0.000 | 
| -0.000 | -0.000 | 0.000 | 0.000 | -0.000 | -0.000 | 
| -0.000 | -0.000 | -0.000 | 0.000 | -0.000 | -0.000 | 
| -0.000 | 0.000 | 0.000 | 0.000 | -0.000 | -0.000 | 
| 0.000 | -0.000 | 0.000 | 0.000 | -0.000 | -0.000 | 
| -0.000 | -0.000 | 0.000 | 0.000 | -0.000 | -0.000 | 
| 324.002 | 139.359 | 205.246 | 0.000 | 0.000 | -0.000 | 
| 139.359 | 324.002 | 205.246 | -0.000 | -0.000 | -0.000 | 
| 32.192 | 32.192 | 450.602 | 0.000 | 0.000 | 0.000 | 
| -139.855 | -139.855 | 57.774 | 114.440 | -0.000 | 0.000 | 
| -139.855 | -139.855 | 57.774 | -0.000 | 114.440 | 0.000 | 
| -0.000 | 0.000 | -0.000 | 0.000 | -0.000 | 160.123 | 
| 401.234 | 197.130 | 169.312 | -0.000 | -0.000 | 0.000 | 
| 197.130 | 401.234 | 169.312 | 0.000 | 0.000 | 0.000 | 
| 168.443 | 168.443 | 432.338 | -0.000 | -0.000 | -0.000 | 
| 139.855 | 139.855 | -57.774 | 114.440 | -0.000 | 0.000 | 
| 139.855 | 139.855 | -57.774 | -0.000 | 114.440 | 0.000 | 
| 0.000 | -0.000 | -0.000 | 0.000 | -0.000 | 160.123 | 
| 376.418 | 189.204 | 178.412 | -0.000 | 0.000 | 0.000 | 
| 189.204 | 376.418 | 178.412 | 0.000 | -0.000 | -0.000 | 
| 168.443 | 168.443 | 432.338 | 0.000 | -0.000 | 0.000 | 
| -13.909 | -13.909 | 5.746 | 114.505 | 0.000 | 0.000 | 
| -13.909 | -13.909 | 5.746 | -0.000 | 114.505 | -0.000 | 
| -6.620 | -6.620 | 3.486 | 0.000 | -0.000 | 137.863 | 
| 403.277 | 217.683 | 167.206 | 0.000 | -0.000 | 0.000 | 
| 217.683 | 403.277 | 167.206 | -0.000 | -0.000 | -0.000 | 
| 176.655 | 176.655 | 407.353 | 0.000 | -0.000 | -0.000 | 
| 13.909 | 13.909 | -5.746 | 114.505 | -0.000 | -0.000 | 
| 13.909 | 13.909 | -5.746 | 0.000 | 114.505 | 0.000 | 
| 6.620 | 6.620 | -3.486 | -0.000 | -0.000 | 137.863 | 
| 388.011 | 203.467 | 171.195 | 0.000 | 0.000 | 0.000 | 
| 203.322 | 387.387 | 171.584 | 0.000 | 0.000 | -0.000 | 
| 170.210 | 170.210 | 403.230 | 0.000 | -0.000 | 0.000 | 
| -0.616 | -0.616 | -0.390 | 110.375 | -0.000 | 0.000 | 
| -0.616 | -0.616 | -0.390 | 0.000 | 110.375 | -0.000 | 
| -0.977 | -0.977 | -0.972 | 0.000 | 0.000 | 143.503 | 
| 401.233 | 197.130 | 169.312 | -0.000 | 0.000 | 0.000 | 
| 203.727 | 391.317 | 172.282 | -0.000 | -0.000 | -0.000 | 
| 172.302 | 172.302 | 402.340 | 0.000 | -0.000 | -0.000 | 
| 0.616 | 0.616 | 0.390 | 110.375 | -0.000 | 0.000 | 
| 0.616 | 0.616 | 0.390 | 0.000 | 110.375 | -0.000 | 
| 2.019 | 2.019 | -0.834 | 0.000 | -0.000 | 146.005 | 
| 912.599 | 104.483 | 303.203 | 0.000 | -17.940 | -0.000 | 
| 196.328 | 431.430 | 138.454 | 0.000 | -15.909 | -0.000 | 
| 262.218 | 135.572 | 832.478 | 0.000 | -5.347 | -0.000 | 
| -0.000 | -0.000 | 0.000 | 102.707 | 0.000 | -8.681 | 
| 206.336 | 20.268 | 510.633 | 0.000 | 189.484 | -0.000 | 
| 259.156 | -70.097 | 151.640 | -14.854 | -25.639 | 129.726 | 
| 485.626 | 131.181 | -324.816 | -0.000 | -4.282 | 0.000 | 
| -68.389 | 475.434 | -30.396 | -0.000 | 6.448 | 0.000 | 
| 181.194 | 138.319 | 429.594 | -0.000 | -0.898 | 0.000 | 
| 0.000 | 0.000 | -0.000 | 102.707 | -0.000 | -8.681 | 
| -271.709 | 55.096 | -154.108 | -0.000 | 149.788 | 0.000 | 
| -259.156 | 70.097 | -151.640 | -14.854 | 25.639 | 129.726 | 
| 669.023 | 167.414 | 163.911 | 0.000 | 4.100 | -0.000 | 
| 196.328 | 431.430 | 138.454 | 0.000 | -15.909 | -0.000 | 
| 163.600 | 110.413 | 412.289 | 0.000 | -2.880 | -0.000 | 
| -0.000 | -0.000 | 0.000 | 102.707 | 0.000 | -8.681 | 
| -4.769 | -11.679 | -0.898 | 0.000 | 137.017 | 0.000 | 
| 22.735 | 2.888 | 47.917 | -19.568 | 8.254 | 87.315 | 
| 730.992 | 180.257 | 167.763 | -0.000 | 18.600 | 0.000 | 
| 164.071 | 410.171 | 104.417 | 0.000 | -16.881 | 0.000 | 
| 132.468 | 128.487 | 381.078 | -0.000 | 0.526 | 0.000 | 
| -0.000 | 0.000 | -0.000 | 102.707 | -0.000 | -8.681 | 
| -4.769 | -11.679 | -0.898 | -0.000 | 137.017 | 0.000 | 
| -22.735 | -2.888 | -47.917 | -19.568 | -8.254 | 87.315 | 
| 656.188 | 175.422 | 151.436 | 0.000 | 8.531 | -0.000 | 
| 195.345 | 403.543 | 123.641 | 0.000 | -19.721 | -0.000 | 
| 163.306 | 119.355 | 398.434 | 0.000 | -2.642 | -0.000 | 
| 0.000 | 0.000 | 0.000 | 102.707 | -0.000 | -8.681 | 
| -11.709 | -17.843 | -0.536 | 0.000 | 117.497 | -0.000 | 
| 0.837 | 0.246 | 3.702 | -17.973 | -0.017 | 101.159 | 
| 655.378 | 176.944 | 149.533 | -0.000 | 9.520 | 0.000 | 
| 180.388 | 393.454 | 112.218 | -0.000 | -20.574 | 0.000 | 
| 163.749 | 116.634 | 382.760 | -0.000 | -2.124 | 0.000 | 
| -0.000 | -0.000 | -0.000 | 102.707 | 0.000 | -8.681 | 
| -21.226 | -16.270 | -5.554 | -0.000 | 115.922 | 0.000 | 
| -0.837 | -0.246 | -3.702 | -17.973 | 0.017 | 101.159 | 
| 354.366 | 167.687 | 174.397 | 0.000 | 0.000 | 0.000 | 
| 167.687 | 354.366 | 174.397 | -0.000 | -0.000 | 0.000 | 
| 185.157 | 185.157 | 353.528 | -0.000 | 0.000 | 0.000 | 
| -0.000 | -0.000 | 0.000 | 109.545 | 0.000 | 0.000 | 
| -0.000 | -0.000 | -0.000 | 0.000 | 102.485 | 0.000 | 
| -0.000 | -0.000 | -0.000 | -0.000 | 0.000 | 112.265 | 
| 383.170 | 158.641 | 185.387 | -0.000 | -0.000 | -0.000 | 
| 158.640 | 383.171 | 185.387 | 0.000 | -0.000 | -0.000 | 
| 171.796 | 171.797 | 338.663 | 0.000 | -0.000 | -0.000 | 
| 0.000 | 0.000 | 0.000 | 109.545 | 0.000 | -0.000 | 
| 0.000 | 0.000 | -0.000 | -0.000 | 102.485 | -0.000 | 
| -0.000 | 0.000 | -0.000 | 0.000 | -0.000 | 112.265 | 
| 383.171 | 158.641 | 185.387 | -0.000 | -0.000 | 0.000 | 
| 167.687 | 354.366 | 174.397 | -0.000 | 0.000 | 0.000 | 
| 185.157 | 185.157 | 353.528 | -0.000 | -0.000 | 0.000 | 
| -0.000 | -0.000 | 0.000 | 138.377 | 0.000 | 0.000 | 
| -0.000 | -0.000 | 0.000 | -0.000 | 109.545 | 0.000 | 
| -0.000 | -0.000 | 0.000 | -0.000 | 0.000 | 91.606 | 
| 383.170 | 158.641 | 185.387 | 0.000 | 0.000 | -0.000 | 
| 167.687 | 354.366 | 174.397 | 0.000 | -0.000 | -0.000 | 
| 171.796 | 171.796 | 338.663 | 0.000 | -0.000 | -0.000 | 
| -0.000 | 0.000 | -0.000 | 138.377 | -0.000 | -0.000 | 
| 0.000 | 0.000 | -0.000 | -0.000 | 109.545 | -0.000 | 
| 0.000 | 0.000 | -0.000 | 0.000 | 0.000 | 91.606 | 
| 350.606 | 165.583 | 171.133 | 0.000 | 0.000 | 0.000 | 
| 165.582 | 350.607 | 171.134 | -0.000 | -0.000 | 0.000 | 
| 185.158 | 185.158 | 353.529 | -0.000 | 0.000 | 0.000 | 
| -0.000 | -0.000 | 0.000 | 102.485 | 0.000 | 0.000 | 
| -0.000 | 0.000 | 0.000 | -0.000 | 109.545 | 0.000 | 
| 0.000 | -0.000 | 0.000 | -0.000 | -0.000 | 94.943 | 
| 354.365 | 167.687 | 174.396 | 0.000 | -0.000 | -0.000 | 
| 158.640 | 383.169 | 185.387 | 0.000 | -0.000 | -0.000 | 
| 171.796 | 171.796 | 338.662 | 0.000 | -0.000 | -0.000 | 
| -0.000 | 0.000 | -0.000 | 102.485 | 0.000 | -0.000 | 
| 0.000 | -0.000 | -0.000 | -0.000 | 109.545 | -0.000 | 
| -0.000 | 0.000 | -0.000 | 0.000 | 0.000 | 94.943 | 
| 375.086 | 153.917 | 179.488 | 0.000 | 0.000 | -0.000 | 
| 160.372 | 342.625 | 165.066 | -0.000 | 0.000 | -0.000 | 
| 165.943 | 165.944 | 330.516 | -0.000 | 0.000 | 0.000 | 
| 0.000 | 0.000 | -0.000 | 107.789 | 0.000 | -0.000 | 
| 0.000 | 0.001 | -0.000 | -0.000 | 107.789 | 0.000 | 
| -0.000 | 0.001 | -0.000 | -0.000 | 0.000 | 90.238 | 
| 375.086 | 153.916 | 179.488 | 0.000 | 0.000 | 0.000 | 
| 162.572 | 346.357 | 168.357 | 0.000 | 0.000 | 0.000 | 
| 165.943 | 165.942 | 330.517 | -0.000 | -0.000 | 0.000 | 
| -0.000 | -0.000 | 0.000 | 107.789 | -0.000 | 0.000 | 
| -0.000 | -0.000 | 0.000 | 0.000 | 107.789 | 0.000 | 
| 0.000 | -0.001 | 0.000 | -0.000 | -0.000 | 90.239 | 
| 375.086 | 153.917 | 179.488 | 0.000 | 0.000 | 0.000 | 
| 153.917 | 375.086 | 179.488 | -0.000 | 0.000 | -0.000 | 
| 165.943 | 165.943 | 330.517 | 0.000 | 0.000 | -0.000 | 
| 0.000 | 0.000 | 0.000 | 136.072 | 0.000 | -0.000 | 
| 0.000 | 0.000 | 0.000 | -0.000 | 136.072 | -0.000 | 
| -0.000 | -0.000 | -0.000 | -0.000 | -0.000 | 90.238 | 
| 375.086 | 153.917 | 179.488 | 0.000 | 0.000 | -0.000 | 
| 162.572 | 346.357 | 168.356 | -0.000 | -0.000 | -0.000 | 
| 179.488 | 179.488 | 345.540 | 0.000 | -0.000 | 0.000 | 
| -0.000 | -0.000 | -0.000 | 136.072 | -0.000 | 0.000 | 
| -0.000 | 0.000 | -0.000 | 0.000 | 136.072 | -0.000 | 
| -0.000 | -0.000 | 0.000 | -0.000 | -0.000 | 90.238 | 
| 346.358 | 162.572 | 168.357 | 0.000 | 0.000 | -0.000 | 
| 160.372 | 342.627 | 165.067 | -0.000 | -0.000 | -0.000 | 
| 165.943 | 165.943 | 330.518 | 0.000 | 0.000 | 0.000 | 
| 0.000 | -0.000 | 0.000 | 100.794 | -0.000 | 0.000 | 
| 0.000 | 0.000 | 0.000 | -0.000 | 136.072 | -0.000 | 
| 0.000 | 0.000 | 0.000 | 0.000 | 0.000 | 110.585 | 
| 346.356 | 162.571 | 168.356 | 0.000 | -0.000 | -0.000 | 
| 160.371 | 342.623 | 165.066 | 0.000 | 0.000 | 0.000 | 
| 179.487 | 179.487 | 345.539 | 0.000 | -0.000 | 0.000 | 
| -0.000 | 0.000 | -0.000 | 100.794 | -0.000 | 0.000 | 
| -0.000 | -0.000 | -0.000 | 0.000 | 136.072 | 0.000 | 
| -0.000 | -0.000 | -0.000 | 0.000 | -0.000 | 110.585 | 
| 365.967 | 95.420 | 205.938 | -0.000 | -0.000 | -0.000 | 
| 196.824 | 250.112 | 180.734 | -0.000 | -0.000 | 0.000 | 
| 181.065 | 139.517 | 437.750 | -0.000 | -0.000 | -0.000 | 
| 0.000 | -0.000 | -0.000 | 98.179 | -0.000 | -0.000 | 
| -11.322 | -112.811 | 14.408 | -0.000 | 133.042 | -0.000 | 
| -19.071 | -109.816 | 16.035 | -0.000 | -0.000 | 133.620 | 
| 382.926 | 296.574 | 159.335 | 0.000 | 0.000 | 0.000 | 
| 203.550 | 466.277 | 139.424 | 0.000 | 0.000 | 0.000 | 
| 181.065 | 139.517 | 437.750 | 0.000 | -0.000 | 0.000 | 
| -0.000 | 0.000 | 0.000 | 98.179 | 0.000 | 0.000 | 
| 11.322 | 112.811 | -14.408 | 0.000 | 133.042 | -0.000 | 
| 19.071 | 109.816 | -16.035 | 0.000 | 0.000 | 133.620 | 
| 423.686 | 184.523 | 181.400 | -0.000 | -0.000 | -0.000 | 
| 188.140 | 418.489 | 143.469 | -0.000 | -0.000 | 0.000 | 
| 181.065 | 139.517 | 437.750 | -0.000 | -0.000 | -0.000 | 
| 0.000 | -0.000 | 0.000 | 98.179 | -0.000 | -0.000 | 
| -0.385 | -6.408 | 1.472 | -0.000 | 134.103 | -0.000 | 
| -2.833 | -13.176 | 2.393 | -0.000 | -0.000 | 132.406 | 
| 393.936 | 200.874 | 180.026 | 0.000 | 0.000 | -0.000 | 
| 188.140 | 418.489 | 143.469 | -0.000 | 0.000 | 0.000 | 
| 182.026 | 156.952 | 418.441 | 0.000 | 0.000 | 0.000 | 
| -0.000 | 0.000 | -0.000 | 98.179 | 0.000 | 0.000 | 
| -0.000 | -0.000 | -0.000 | 0.000 | 138.219 | 0.000 | 
| 2.833 | 13.176 | -2.393 | 0.000 | 0.000 | 132.406 | 
| 393.332 | 194.072 | 181.606 | -0.000 | -0.000 | -0.000 | 
| 188.432 | 357.685 | 153.061 | -0.000 | -0.000 | -0.000 | 
| 181.136 | 147.483 | 421.160 | -0.000 | -0.000 | -0.000 | 
| -0.168 | -1.521 | 0.156 | 49.535 | -0.000 | -0.000 | 
| -0.072 | -0.776 | 0.113 | -0.000 | 134.406 | -0.000 | 
| -0.000 | 0.000 | 0.000 | -0.000 | -0.000 | 139.759 | 
| 391.027 | 189.415 | 181.461 | 0.000 | 0.000 | -0.000 | 
| 190.573 | 360.176 | 151.192 | 0.000 | 0.000 | 0.000 | 
| 181.133 | 149.148 | 422.883 | 0.000 | 0.000 | 0.000 | 
| 0.168 | 1.521 | -0.156 | 49.535 | 0.000 | -0.000 | 
| 0.072 | 0.776 | -0.113 | 0.000 | 134.406 | 0.000 | 
| 0.000 | -0.000 | -0.000 | 0.000 | 0.000 | 139.759 | 
| 260.675 | 122.342 | 155.671 | 0.000 | -0.000 | -0.000 | 
| 116.568 | 381.907 | 157.719 | 0.000 | 0.000 | -0.000 | 
| 152.369 | 156.732 | 324.132 | -0.000 | 0.000 | -0.000 | 
| -2.574 | -0.373 | 0.314 | 78.930 | 0.000 | -0.000 | 
| -3.133 | -0.426 | 0.260 | 0.000 | 115.018 | -0.000 | 
| -3.637 | -0.450 | 0.109 | 0.000 | 0.000 | 19.988 | 
| 277.018 | 122.231 | 159.022 | 0.000 | -0.000 | 0.000 | 
| 123.988 | 383.629 | 158.355 | -0.000 | 0.000 | 0.000 | 
| 160.558 | 157.357 | 324.121 | -0.000 | -0.000 | 0.000 | 
| 2.574 | 0.373 | -0.314 | 78.930 | -0.000 | 0.000 | 
| 3.133 | 0.426 | -0.260 | 0.000 | 115.018 | 0.000 | 
| 3.637 | 0.450 | -0.109 | -0.000 | 0.000 | 19.988 | 
| 267.501 | 120.827 | 156.577 | -0.000 | 0.000 | -0.000 | 
| 121.450 | 382.730 | 158.414 | -0.000 | 0.000 | -0.000 | 
| 155.710 | 157.065 | 324.237 | -0.000 | 0.000 | -0.000 | 
| -0.516 | -0.050 | -0.004 | 78.978 | 0.000 | -0.000 | 
| -0.501 | -0.049 | 0.008 | 0.000 | 114.993 | -0.000 | 
| -0.514 | -0.049 | 0.008 | -0.000 | 0.000 | 20.220 | 
| 269.044 | 120.989 | 156.608 | 0.000 | -0.000 | 0.000 | 
| 123.004 | 382.893 | 158.444 | 0.000 | -0.000 | 0.000 | 
| 157.298 | 157.060 | 324.277 | -0.000 | -0.000 | 0.000 | 
| 0.516 | 0.050 | 0.004 | 78.978 | -0.000 | 0.000 | 
| 0.501 | 0.049 | -0.008 | -0.000 | 114.993 | 0.000 | 
| 0.514 | 0.049 | -0.008 | 0.000 | -0.000 | 20.220 | 
| 268.195 | 120.879 | 156.601 | 0.000 | 0.000 | -0.000 | 
| 122.119 | 382.803 | 158.377 | -0.000 | 0.000 | -0.000 | 
| 156.149 | 156.684 | 324.246 | -0.000 | 0.000 | -0.000 | 
| -0.055 | -0.005 | 0.000 | 78.980 | 0.000 | -0.000 | 
| -0.057 | -0.006 | 0.000 | -0.000 | 114.993 | -0.000 | 
| -0.056 | -0.006 | 0.000 | 0.000 | 0.000 | 20.221 | 
| 268.348 | 120.895 | 156.604 | 0.000 | -0.000 | 0.000 | 
| 122.273 | 382.817 | 158.379 | 0.000 | -0.000 | 0.000 | 
| 156.303 | 156.699 | 324.246 | 0.000 | -0.000 | 0.000 | 
| 0.055 | 0.005 | -0.000 | 78.980 | -0.000 | 0.000 | 
| 0.058 | 0.006 | -0.000 | -0.000 | 114.993 | 0.000 | 
| 0.056 | 0.006 | -0.000 | -0.000 | -0.000 | 20.221 | 
| 932.673 | 266.733 | 198.437 | 0.000 | 0.000 | -0.000 | 
| 266.733 | 932.673 | 198.437 | -0.000 | -0.000 | 0.000 | 
| 198.437 | 198.437 | 699.431 | 0.000 | -0.000 | 0.000 | 
| -0.000 | -0.000 | 0.000 | 80.096 | 0.000 | 0.000 | 
| -0.000 | -0.000 | -0.000 | -0.000 | 80.096 | -0.000 | 
| -0.000 | -0.000 | -0.000 | 0.000 | -0.000 | 132.812 | 
| 1002.810 | 196.596 | 198.437 | 0.000 | 0.000 | 0.000 | 
| 196.596 | 1002.810 | 198.437 | 0.000 | 0.000 | 0.000 | 
| 198.437 | 198.437 | 699.431 | 0.000 | 0.000 | -0.000 | 
| 0.000 | 0.000 | -0.000 | 80.096 | -0.000 | 0.000 | 
| 0.000 | 0.000 | 0.000 | 0.000 | 80.096 | 0.000 | 
| 0.000 | 0.000 | 0.000 | 0.000 | 0.000 | 132.812 | 
| 1002.810 | 196.596 | 198.437 | -0.000 | -0.000 | 0.000 | 
| 196.596 | 1002.810 | 198.437 | -0.000 | 0.000 | 0.000 | 
| 198.437 | 198.437 | 699.430 | 0.000 | -0.000 | 0.000 | 
| 0.000 | -0.000 | -0.000 | 80.096 | -0.000 | 0.000 | 
| 0.000 | 0.000 | -0.000 | -0.000 | 80.096 | 0.000 | 
| 0.000 | -0.000 | -0.000 | 0.000 | -0.000 | 132.812 | 
| 932.674 | 266.733 | 198.437 | -0.000 | 0.000 | 0.000 | 
| 266.733 | 932.674 | 198.437 | 0.000 | 0.000 | 0.000 | 
| 198.437 | 198.437 | 699.431 | 0.000 | 0.000 | -0.000 | 
| -0.000 | -0.000 | 0.000 | 80.096 | 0.000 | 0.000 | 
| -0.000 | -0.000 | 0.000 | 0.000 | 80.096 | 0.000 | 
| -0.000 | 0.000 | 0.000 | -0.000 | 0.000 | 132.812 | 
| 932.667 | 266.735 | 198.438 | -0.000 | -0.000 | -0.000 | 
| 266.735 | 932.667 | 198.438 | 0.000 | -0.000 | -0.000 | 
| 198.438 | 198.438 | 699.426 | 0.000 | -0.000 | -0.000 | 
| 0.000 | 0.000 | -0.000 | 80.096 | -0.000 | -0.000 | 
| 0.000 | 0.000 | -0.000 | 0.000 | 80.096 | -0.000 | 
| 0.000 | 0.000 | -0.000 | -0.000 | -0.000 | 132.812 | 
| 932.679 | 266.731 | 198.436 | -0.000 | 0.000 | 0.000 | 
| 266.731 | 932.679 | 198.436 | 0.000 | 0.000 | -0.000 | 
| 198.435 | 198.435 | 699.435 | -0.000 | 0.000 | -0.000 | 
| -0.000 | -0.000 | 0.000 | 80.096 | 0.000 | -0.000 | 
| -0.000 | -0.000 | 0.000 | -0.000 | 80.096 | 0.000 | 
| -0.000 | -0.000 | 0.000 | 0.000 | 0.000 | 132.812 | 
| 477.841 | 209.994 | 296.969 | 0.000 | -0.000 | -0.000 | 
| 209.995 | 477.840 | 296.969 | 0.000 | -0.000 | -0.000 | 
| 299.185 | 299.184 | 477.567 | -0.000 | -0.001 | -0.000 | 
| 0.333 | 0.332 | -0.224 | 135.163 | -0.000 | -0.000 | 
| 0.333 | 0.332 | -0.224 | -0.000 | 135.163 | -0.000 | 
| 0.000 | -0.000 | 0.000 | 0.000 | -0.000 | 142.632 | 
| 477.670 | 209.816 | 297.086 | -0.000 | 0.000 | 0.000 | 
| 241.274 | 526.540 | 270.037 | 0.000 | 0.000 | 0.000 | 
| 299.002 | 299.002 | 477.690 | 0.000 | 0.000 | 0.000 | 
| -0.333 | -0.332 | 0.224 | 135.163 | 0.000 | 0.000 | 
| -0.333 | -0.332 | 0.224 | -0.000 | 135.164 | 0.000 | 
| -0.000 | 0.000 | -0.000 | -0.000 | 0.000 | 142.633 | 
| 477.763 | 209.914 | 297.022 | 0.000 | -0.000 | -0.000 | 
| 209.914 | 477.764 | 297.022 | 0.000 | -0.000 | -0.000 | 
| 299.103 | 299.103 | 477.623 | 0.000 | 0.000 | -0.000 | 
| 0.033 | 0.033 | -0.023 | 135.161 | -0.000 | -0.000 | 
| 0.033 | 0.033 | -0.023 | -0.000 | 135.161 | -0.000 | 
| 0.014 | 0.014 | -0.009 | -0.000 | -0.000 | 130.325 | 
| 526.540 | 241.275 | 270.037 | 0.000 | 0.000 | 0.000 | 
| 241.274 | 526.540 | 270.037 | -0.000 | 0.000 | 0.000 | 
| 299.084 | 299.084 | 477.635 | 0.000 | 0.000 | 0.000 | 
| -0.033 | -0.033 | 0.023 | 135.161 | 0.000 | 0.000 | 
| -0.033 | -0.033 | 0.023 | 0.000 | 135.161 | 0.000 | 
| -0.014 | -0.014 | 0.009 | 0.000 | 0.000 | 130.325 | 
| 477.755 | 209.905 | 297.028 | -0.000 | -0.000 | 0.000 | 
| 209.907 | 477.757 | 297.027 | 0.000 | -0.000 | -0.000 | 
| 273.716 | 273.716 | 494.721 | 0.000 | -0.000 | -0.000 | 
| 0.003 | 0.002 | -0.004 | 135.161 | -0.000 | -0.000 | 
| 0.002 | 0.003 | -0.004 | -0.000 | 135.161 | -0.000 | 
| -0.002 | -0.001 | 0.000 | -0.000 | -0.000 | 129.667 | 
| 475.890 | 216.559 | 295.415 | -0.000 | 0.000 | 0.000 | 
| 216.548 | 476.305 | 295.279 | -0.000 | 0.000 | 0.000 | 
| 273.715 | 273.715 | 494.719 | -0.000 | 0.000 | 0.000 | 
| -0.003 | -0.002 | 0.004 | 135.161 | 0.000 | 0.000 | 
| -0.002 | -0.003 | 0.004 | -0.000 | 135.161 | 0.000 | 
| 0.002 | 0.001 | -0.000 | 0.000 | 0.000 | 129.667 | 
| 1069.190 | 423.462 | 276.051 | -0.000 | 0.000 | -0.000 | 
| 423.462 | 1069.189 | 276.051 | 0.000 | 0.000 | 0.000 | 
| 302.540 | 302.540 | 470.028 | 0.000 | 0.000 | -0.000 | 
| 0.000 | 0.000 | -0.000 | 130.438 | 0.000 | 0.000 | 
| 0.000 | -0.000 | 0.000 | -0.000 | 130.437 | -0.000 | 
| 0.000 | 0.000 | -0.000 | -0.000 | 0.000 | 322.864 | 
| 1015.471 | 399.341 | 303.952 | 0.000 | 0.000 | -0.000 | 
| 423.462 | 1069.190 | 276.051 | -0.000 | -0.000 | 0.000 | 
| 302.540 | 302.540 | 470.028 | -0.000 | 0.000 | 0.000 | 
| -0.000 | -0.000 | -0.000 | 130.437 | 0.000 | 0.000 | 
| -0.000 | 0.000 | 0.000 | -0.000 | 130.438 | 0.000 | 
| -0.000 | -0.000 | 0.000 | 0.000 | -0.000 | 322.864 | 
| 1020.824 | 392.294 | 304.560 | 0.000 | -0.000 | -0.000 | 
| 399.341 | 1015.472 | 303.952 | 0.000 | -0.000 | -0.000 | 
| 276.051 | 276.051 | 489.018 | 0.000 | -0.000 | 0.000 | 
| -0.000 | -0.000 | -0.000 | 176.728 | 0.000 | 0.000 | 
| -0.000 | -0.000 | -0.000 | 0.000 | 130.437 | -0.000 | 
| -0.000 | 0.000 | -0.000 | -0.000 | 0.000 | 322.864 | 
| 1069.189 | 423.462 | 276.051 | -0.000 | -0.000 | 0.000 | 
| 399.340 | 1015.471 | 303.952 | 0.000 | 0.000 | 0.000 | 
| 276.051 | 276.051 | 489.018 | 0.000 | -0.000 | -0.000 | 
| 0.000 | 0.000 | 0.000 | 176.728 | -0.000 | -0.000 | 
| 0.000 | 0.000 | 0.000 | 0.000 | 130.437 | 0.000 | 
| 0.000 | -0.000 | 0.000 | 0.000 | -0.000 | 322.864 | 
| 1015.477 | 399.341 | 303.951 | -0.000 | -0.000 | -0.000 | 
| 392.296 | 1020.827 | 304.559 | 0.000 | -0.000 | -0.000 | 
| 276.051 | 276.051 | 489.019 | -0.000 | -0.000 | -0.000 | 
| -0.000 | -0.001 | -0.000 | 176.728 | -0.000 | 0.000 | 
| -0.002 | -0.000 | -0.002 | -0.000 | 130.437 | -0.000 | 
| -0.000 | 0.002 | -0.001 | -0.000 | -0.000 | 305.153 | 
| 1020.819 | 392.295 | 304.560 | -0.000 | 0.000 | 0.000 | 
| 392.292 | 1020.820 | 304.560 | -0.000 | 0.000 | -0.000 | 
| 276.050 | 276.050 | 489.017 | -0.000 | -0.000 | -0.000 | 
| 0.000 | 0.001 | 0.000 | 176.728 | -0.000 | -0.000 | 
| 0.002 | 0.000 | 0.002 | -0.000 | 130.437 | 0.000 | 
| 0.000 | -0.002 | 0.001 | 0.000 | 0.000 | 305.153 | 
| 423.169 | 184.215 | 180.452 | 0.000 | 0.000 | 0.000 | 
| 102.811 | 237.962 | 167.055 | 0.000 | -0.000 | 0.000 | 
| 180.494 | 138.657 | 435.808 | 0.000 | -0.000 | 0.000 | 
| -108.500 | 91.698 | 71.365 | 85.010 | 0.000 | -0.000 | 
| -0.000 | 0.000 | 0.000 | 0.000 | 138.212 | 0.000 | 
| -88.493 | -106.473 | 11.554 | 0.000 | -0.000 | 132.496 | 
| 511.388 | 98.807 | 108.440 | 0.000 | 0.000 | -0.000 | 
| 279.355 | 452.390 | 143.551 | -0.000 | 0.000 | -0.000 | 
| 180.494 | 138.657 | 435.808 | 0.000 | 0.000 | -0.000 | 
| 108.500 | -91.697 | -71.365 | 85.010 | -0.000 | -0.000 | 
| 0.000 | -0.000 | 0.000 | 0.000 | 138.213 | -0.000 | 
| 88.493 | 106.473 | -11.554 | -0.000 | 0.000 | 132.496 | 
| 391.579 | 200.285 | 187.531 | 0.000 | -0.000 | -0.000 | 
| 183.037 | 376.035 | 162.743 | -0.000 | -0.000 | -0.000 | 
| 180.494 | 138.657 | 435.808 | -0.000 | -0.000 | 0.000 | 
| -6.491 | -23.726 | 6.602 | 53.200 | -0.000 | -0.000 | 
| -0.000 | 0.000 | 0.000 | 0.000 | 138.212 | 0.000 | 
| -0.000 | 0.000 | 0.000 | -0.000 | -0.000 | 139.593 | 
| 423.169 | 184.215 | 180.452 | 0.000 | 0.000 | -0.000 | 
| 194.886 | 376.049 | 145.327 | -0.000 | 0.000 | -0.000 | 
| 190.073 | 159.355 | 409.628 | 0.000 | 0.000 | -0.000 | 
| 0.000 | -0.000 | -0.000 | 97.885 | 0.000 | -0.000 | 
| -0.000 | -0.000 | -0.000 | 0.000 | 138.212 | -0.000 | 
| 0.000 | -0.000 | -0.000 | -0.000 | 0.000 | 139.593 | 
| 394.308 | 194.624 | 181.412 | 0.000 | 0.000 | 0.000 | 
| 189.788 | 357.431 | 150.037 | 0.000 | -0.000 | -0.000 | 
| 179.876 | 146.826 | 419.693 | 0.000 | -0.000 | 0.000 | 
| -2.336 | 1.974 | 1.537 | 70.169 | 0.000 | 0.000 | 
| -0.785 | -0.383 | 0.247 | -0.000 | 134.187 | 0.000 | 
| -1.778 | 1.503 | 1.170 | -0.000 | -0.000 | 135.654 | 
| 423.168 | 184.215 | 180.451 | -0.000 | -0.000 | -0.000 | 
| 189.818 | 360.455 | 150.158 | -0.000 | 0.000 | -0.000 | 
| 180.493 | 138.657 | 435.806 | 0.000 | 0.000 | -0.000 | 
| 2.336 | -1.974 | -1.537 | 70.169 | -0.000 | -0.000 | 
| 0.785 | 0.383 | -0.247 | 0.000 | 134.187 | -0.000 | 
| 0.501 | 3.864 | -1.202 | 0.000 | 0.000 | 131.178 | 
| 419.630 | 192.811 | 180.710 | 0.000 | -0.000 | -0.000 | 
| 192.811 | 438.269 | 142.273 | -0.000 | -0.000 | -0.000 | 
| 180.710 | 142.272 | 437.645 | -0.000 | -0.000 | -0.000 | 
| 0.000 | -0.000 | 0.000 | 98.677 | -0.000 | 0.000 | 
| -0.000 | 0.000 | -0.000 | -0.000 | 135.430 | -0.000 | 
| 0.000 | -0.000 | -0.000 | -0.000 | 0.000 | 132.441 | 
| 389.180 | 204.771 | 180.703 | -0.000 | -0.000 | 0.000 | 
| 197.121 | 379.323 | 149.160 | 0.000 | 0.000 | 0.000 | 
| 180.710 | 142.272 | 437.645 | 0.000 | 0.000 | 0.000 | 
| -0.000 | 0.000 | -0.000 | 98.677 | 0.000 | 0.000 | 
| 0.000 | -0.000 | 0.000 | -0.000 | 135.431 | 0.000 | 
| -0.000 | 0.000 | 0.000 | -0.000 | 0.000 | 132.441 | 
| 419.630 | 192.811 | 180.710 | -0.000 | 0.000 | 0.000 | 
| 201.670 | 395.701 | 150.731 | -0.000 | -0.000 | -0.000 | 
| 180.705 | 150.572 | 424.374 | -0.000 | -0.000 | 0.000 | 
| -0.000 | -0.000 | 0.000 | 98.677 | 0.000 | -0.000 | 
| 0.000 | 0.000 | 0.000 | 0.000 | 134.974 | -0.000 | 
| 0.000 | -0.000 | 0.000 | -0.000 | 0.000 | 131.227 | 
| 389.180 | 204.771 | 180.703 | 0.000 | 0.000 | 0.000 | 
| 192.811 | 438.269 | 142.272 | 0.000 | -0.000 | 0.000 | 
| 180.710 | 142.272 | 437.645 | -0.000 | 0.000 | 0.000 | 
| 0.000 | 0.000 | -0.000 | 98.677 | -0.000 | -0.000 | 
| 0.000 | -0.000 | 0.000 | 0.000 | 134.974 | 0.000 | 
| -0.000 | 0.000 | -0.000 | -0.000 | 0.000 | 131.227 | 
| 386.525 | 198.341 | 181.407 | -0.000 | 0.000 | 0.000 | 
| 197.119 | 379.333 | 149.159 | -0.000 | -0.000 | 0.000 | 
| 180.705 | 150.572 | 424.376 | -0.000 | 0.000 | 0.000 | 
| 0.000 | 0.000 | 0.000 | 73.309 | 0.000 | 0.000 | 
| 0.000 | 0.000 | 0.000 | 0.000 | 139.222 | -0.000 | 
| -0.000 | 0.000 | 0.000 | -0.000 | 0.000 | 135.736 | 
| 389.180 | 204.770 | 180.702 | 0.000 | -0.000 | 0.000 | 
| 197.120 | 379.322 | 149.160 | 0.000 | -0.000 | -0.000 | 
| 182.122 | 149.317 | 422.412 | 0.000 | 0.000 | 0.000 | 
| -0.000 | -0.000 | -0.000 | 73.309 | -0.000 | 0.000 | 
| -0.000 | -0.000 | -0.000 | 0.000 | 139.222 | 0.000 | 
| 0.000 | -0.000 | -0.000 | 0.000 | 0.000 | 135.736 | 
| 269.484 | 118.351 | 158.372 | -0.000 | -0.000 | 0.000 | 
| 121.852 | 381.734 | 157.279 | -0.000 | -0.000 | -0.000 | 
| 159.739 | 155.020 | 323.963 | -0.000 | -0.000 | 0.000 | 
| 0.466 | -1.262 | 0.038 | 78.732 | -0.000 | 0.000 | 
| 0.538 | -1.525 | 0.063 | -0.000 | 115.653 | 0.000 | 
| 0.616 | -2.064 | 0.129 | -0.000 | -0.000 | 20.010 | 
| 270.097 | 125.901 | 156.189 | 0.000 | -0.000 | -0.000 | 
| 120.841 | 386.727 | 157.021 | 0.000 | 0.000 | -0.000 | 
| 158.112 | 157.995 | 323.634 | 0.000 | 0.000 | -0.000 | 
| -0.466 | 1.262 | -0.038 | 78.732 | 0.000 | -0.000 | 
| -0.538 | 1.525 | -0.063 | 0.000 | 115.653 | -0.000 | 
| -0.616 | 2.064 | -0.129 | 0.000 | 0.000 | 20.010 | 
| 269.264 | 120.794 | 155.997 | -0.000 | -0.000 | 0.000 | 
| 122.424 | 383.733 | 157.514 | -0.000 | -0.000 | 0.000 | 
| 156.178 | 156.263 | 323.690 | -0.000 | -0.000 | 0.000 | 
| 0.065 | -0.264 | 0.018 | 78.671 | -0.000 | 0.000 | 
| 0.047 | -0.236 | 0.013 | -0.000 | 115.412 | 0.000 | 
| 0.051 | -0.233 | 0.013 | -0.000 | -0.000 | 20.034 | 
| 269.264 | 121.282 | 155.979 | 0.000 | 0.000 | -0.000 | 
| 122.424 | 384.221 | 157.496 | 0.000 | 0.000 | -0.000 | 
| 156.310 | 156.799 | 323.689 | 0.000 | 0.000 | -0.000 | 
| -0.065 | 0.264 | -0.018 | 78.671 | 0.000 | -0.000 | 
| -0.047 | 0.236 | -0.013 | 0.000 | 115.412 | -0.000 | 
| -0.051 | 0.233 | -0.013 | 0.000 | 0.000 | 20.034 | 
| 269.265 | 121.012 | 155.991 | -0.000 | -0.000 | -0.000 | 
| 122.423 | 383.954 | 157.501 | -0.000 | -0.000 | -0.000 | 
| 156.020 | 156.119 | 323.680 | -0.000 | -0.000 | 0.000 | 
| 0.005 | -0.025 | 0.002 | 78.670 | -0.000 | 0.000 | 
| 0.004 | -0.024 | 0.001 | -0.000 | 115.412 | 0.000 | 
| 0.004 | -0.024 | 0.001 | -0.000 | -0.000 | 20.031 | 
| 269.263 | 121.060 | 155.989 | 0.000 | 0.000 | -0.000 | 
| 122.422 | 384.000 | 157.498 | 0.000 | 0.000 | -0.000 | 
| 156.019 | 156.166 | 323.676 | 0.000 | 0.000 | -0.000 | 
| -0.005 | 0.025 | -0.002 | 78.670 | 0.000 | 0.000 | 
| -0.004 | 0.024 | -0.001 | 0.000 | 115.412 | -0.000 | 
| -0.004 | 0.024 | -0.001 | 0.000 | 0.000 | 20.031 | 
| 290.744 | 124.732 | 165.609 | 0.000 | 0.000 | 0.000 | 
| 117.873 | 384.706 | 152.449 | -0.000 | -0.000 | 0.000 | 
| 165.506 | 153.189 | 320.233 | -0.000 | 0.000 | 0.000 | 
| 0.000 | -0.000 | -0.000 | 106.398 | 0.000 | -0.000 | 
| -0.000 | 0.000 | 0.000 | -0.000 | 128.271 | 0.000 | 
| -0.000 | -0.000 | -0.000 | 0.000 | 0.000 | 19.678 | 
| 395.960 | 110.087 | 164.408 | -0.000 | -0.000 | -0.000 | 
| 126.718 | 388.639 | 155.135 | -0.000 | 0.000 | 0.000 | 
| 154.523 | 153.365 | 319.064 | 0.000 | -0.000 | -0.000 | 
| 0.000 | 0.000 | 0.000 | 77.642 | -0.000 | -0.000 | 
| -0.000 | 0.000 | -0.000 | 0.000 | 128.271 | -0.000 | 
| 0.000 | 0.000 | 0.000 | 0.000 | -0.000 | 19.678 | 
| 290.744 | 124.732 | 165.610 | -0.000 | 0.000 | 0.000 | 
| 126.718 | 388.639 | 155.135 | -0.000 | 0.000 | 0.000 | 
| 165.506 | 153.189 | 320.233 | -0.000 | -0.000 | 0.000 | 
| 0.000 | -0.000 | 0.000 | 106.398 | 0.000 | -0.000 | 
| -0.000 | 0.000 | 0.000 | -0.000 | 114.724 | 0.000 | 
| -0.000 | -0.000 | -0.000 | 0.000 | 0.000 | 25.506 | 
| 290.744 | 124.732 | 165.609 | 0.000 | 0.000 | 0.000 | 
| 126.718 | 388.639 | 155.135 | -0.000 | -0.000 | -0.000 | 
| 165.506 | 153.189 | 320.233 | -0.000 | -0.000 | -0.000 | 
| -0.000 | 0.000 | -0.000 | 106.398 | -0.000 | -0.000 | 
| -0.000 | -0.000 | -0.000 | 0.000 | 115.694 | -0.000 | 
| 0.000 | 0.000 | 0.000 | -0.000 | -0.000 | 25.506 | 
| 290.744 | 124.733 | 165.610 | -0.000 | 0.000 | 0.000 | 
| 126.718 | 388.640 | 155.136 | 0.000 | 0.000 | 0.000 | 
| 165.506 | 153.189 | 320.236 | 0.000 | 0.000 | 0.000 | 
| 0.000 | -0.000 | 0.000 | 77.101 | 0.000 | -0.000 | 
| 0.000 | 0.000 | 0.000 | 0.000 | 128.271 | 0.000 | 
| -0.000 | -0.000 | -0.000 | -0.000 | 0.000 | 19.678 | 
| 266.437 | 120.226 | 156.656 | -0.000 | 0.000 | -0.000 | 
| 126.717 | 388.638 | 155.135 | 0.000 | 0.000 | -0.000 | 
| 154.523 | 153.365 | 319.061 | -0.000 | 0.000 | -0.000 | 
| -0.000 | 0.000 | -0.000 | 77.101 | -0.000 | -0.000 | 
| -0.000 | -0.000 | -0.000 | -0.000 | 128.271 | -0.000 | 
| -0.000 | -0.000 | -0.000 | -0.000 | -0.000 | 72.103 | 
| 384.172 | 159.231 | 186.206 | 0.000 | 0.000 | -0.000 | 
| 168.322 | 355.354 | 175.235 | 0.000 | 0.000 | -0.000 | 
| 185.923 | 185.923 | 354.574 | 0.000 | 0.000 | 0.000 | 
| -0.001 | -0.000 | -0.000 | 101.368 | 0.000 | -0.000 | 
| -0.000 | 0.000 | -0.000 | 0.000 | 138.690 | 0.000 | 
| -0.001 | -0.001 | -0.001 | 0.000 | 0.000 | 91.775 | 
| 355.356 | 168.323 | 175.236 | -0.000 | -0.000 | 0.000 | 
| 159.231 | 384.173 | 186.206 | 0.000 | -0.000 | -0.000 | 
| 185.924 | 185.924 | 354.574 | -0.000 | -0.000 | -0.000 | 
| 0.001 | 0.000 | 0.001 | 101.368 | -0.000 | -0.000 | 
| 0.000 | 0.000 | -0.000 | -0.000 | 138.690 | -0.000 | 
| 0.001 | 0.001 | 0.001 | 0.000 | -0.000 | 91.775 | 
| 355.355 | 168.323 | 175.235 | 0.000 | 0.000 | -0.000 | 
| 159.231 | 384.172 | 186.206 | 0.000 | 0.000 | 0.000 | 
| 185.924 | 185.924 | 354.574 | 0.000 | 0.000 | -0.000 | 
| -0.000 | -0.000 | 0.000 | 138.690 | 0.000 | 0.000 | 
| -0.000 | -0.000 | 0.000 | 0.000 | 138.690 | 0.000 | 
| -0.000 | -0.000 | 0.000 | 0.000 | 0.000 | 112.471 | 
| 355.355 | 168.323 | 175.235 | -0.000 | -0.000 | 0.000 | 
| 166.225 | 351.589 | 171.974 | -0.000 | -0.000 | -0.000 | 
| 185.924 | 185.924 | 354.574 | -0.000 | -0.000 | 0.000 | 
| 0.000 | -0.000 | -0.000 | 138.690 | -0.000 | 0.000 | 
| 0.000 | -0.000 | -0.000 | 0.000 | 138.690 | -0.000 | 
| 0.000 | 0.000 | -0.000 | -0.000 | -0.000 | 112.471 | 
| 384.174 | 159.231 | 186.207 | 0.000 | 0.000 | 0.000 | 
| 166.225 | 351.591 | 171.975 | 0.000 | 0.000 | 0.000 | 
| 172.587 | 172.587 | 339.739 | 0.000 | 0.000 | 0.000 | 
| 0.000 | 0.000 | 0.000 | 138.690 | -0.000 | 0.000 | 
| 0.000 | 0.000 | 0.000 | 0.000 | 138.690 | 0.000 | 
| 0.000 | 0.000 | 0.000 | 0.000 | 0.000 | 112.471 | 
| 384.171 | 159.230 | 186.206 | -0.000 | -0.000 | -0.000 | 
| 159.230 | 384.171 | 186.206 | -0.000 | -0.000 | 0.000 | 
| 172.585 | 172.585 | 339.737 | -0.000 | -0.000 | 0.000 | 
| -0.000 | -0.000 | -0.000 | 138.690 | -0.000 | -0.000 | 
| -0.000 | -0.000 | -0.000 | -0.000 | 138.690 | -0.000 | 
| -0.000 | -0.000 | -0.000 | 0.000 | -0.000 | 112.471 | 
| 532.069 | 204.069 | 130.595 | -0.000 | 0.000 | -7.652 | 
| 204.069 | 532.069 | 130.595 | -0.000 | 0.000 | 7.652 | 
| 137.112 | 137.112 | 483.344 | -0.000 | 0.000 | -0.000 | 
| 2.466 | 2.466 | 0.056 | 72.570 | 0.000 | -0.000 | 
| 2.466 | 2.466 | 0.056 | -0.000 | 72.570 | -0.000 | 
| -7.198 | 8.265 | 0.012 | 0.000 | -0.000 | 160.678 | 
| 626.703 | 261.809 | 130.065 | 0.000 | 0.000 | -6.827 | 
| 261.809 | 626.703 | 130.065 | 0.000 | 0.000 | 6.827 | 
| 135.210 | 135.210 | 483.279 | 0.000 | -0.000 | 0.000 | 
| -2.466 | -2.466 | -0.056 | 72.570 | 0.000 | 0.000 | 
| -2.466 | -2.466 | -0.056 | 0.000 | 72.570 | 0.000 | 
| -8.265 | 7.198 | -0.012 | 0.000 | 0.000 | 160.678 | 
| 626.703 | 261.809 | 130.065 | -0.000 | 0.000 | -6.827 | 
| 261.809 | 626.703 | 130.065 | -0.000 | -0.000 | 6.827 | 
| 135.112 | 135.112 | 483.337 | -0.000 | 0.000 | 0.000 | 
| 0.298 | 0.298 | 0.007 | 72.349 | -0.000 | -0.000 | 
| 0.298 | 0.298 | 0.007 | 0.000 | 72.349 | -0.000 | 
| -6.828 | 6.827 | 0.000 | -0.000 | -0.000 | 178.008 | 
| 626.703 | 261.809 | 130.065 | 0.000 | -0.000 | -6.828 | 
| 261.809 | 626.703 | 130.065 | -0.000 | 0.000 | 6.828 | 
| 135.871 | 135.871 | 483.323 | -0.000 | -0.000 | 0.000 | 
| -0.298 | -0.298 | -0.007 | 72.349 | 0.000 | 0.000 | 
| -0.298 | -0.298 | -0.007 | 0.000 | 72.349 | 0.000 | 
| -6.827 | 6.828 | -0.000 | 0.000 | -0.000 | 178.008 | 
| 519.537 | 230.531 | 130.449 | -0.000 | -0.000 | -11.781 | 
| 230.531 | 519.537 | 130.449 | -0.000 | -0.000 | 11.781 | 
| 135.464 | 135.464 | 483.325 | -0.000 | 0.000 | -0.000 | 
| 0.000 | 0.000 | -0.000 | 73.626 | 0.000 | -0.000 | 
| 0.000 | 0.000 | -0.000 | -0.000 | 73.626 | 0.000 | 
| -6.828 | 6.827 | 0.000 | 0.000 | 0.000 | 178.008 | 
| 519.541 | 230.524 | 130.446 | 0.000 | 0.000 | -11.785 | 
| 230.524 | 519.541 | 130.446 | -0.000 | -0.000 | 11.785 | 
| 135.111 | 135.111 | 483.335 | -0.000 | -0.000 | 0.000 | 
| -0.000 | -0.000 | 0.000 | 73.626 | 0.000 | 0.000 | 
| -0.000 | -0.000 | 0.000 | -0.000 | 73.626 | -0.000 | 
| -6.827 | 6.828 | -0.000 | 0.000 | 0.000 | 178.008 | 
| 602.218 | 197.304 | 114.754 | -0.000 | -0.000 | 22.478 | 
| 197.304 | 602.218 | 114.754 | -0.000 | -0.000 | -22.477 | 
| 114.891 | 114.891 | 486.825 | -0.000 | 0.000 | 0.000 | 
| -0.000 | 0.000 | 0.000 | 67.511 | 0.000 | 0.000 | 
| -0.000 | 0.000 | 0.000 | 0.000 | 67.511 | 0.000 | 
| 16.664 | -16.664 | 0.000 | -0.000 | 0.000 | 188.357 | 
| 602.218 | 197.304 | 114.754 | 0.000 | 0.000 | 22.477 | 
| 197.304 | 602.218 | 114.754 | 0.000 | 0.000 | -22.478 | 
| 116.082 | 116.082 | 486.857 | 0.000 | 0.000 | -0.000 | 
| 0.000 | 0.000 | -0.000 | 67.511 | -0.000 | -0.000 | 
| 0.000 | -0.000 | -0.000 | 0.000 | 67.511 | -0.000 | 
| 16.664 | -16.664 | -0.000 | 0.000 | -0.000 | 188.356 | 
| 666.546 | 244.373 | 116.082 | -0.000 | 0.000 | 16.664 | 
| 244.373 | 666.546 | 116.082 | -0.000 | 0.000 | -16.664 | 
| 114.891 | 114.891 | 486.825 | -0.000 | 0.000 | 0.000 | 
| -0.000 | -0.000 | -0.000 | 66.695 | 0.000 | 0.000 | 
| -0.000 | -0.000 | -0.000 | -0.000 | 66.695 | 0.000 | 
| 16.664 | -16.664 | 0.000 | -0.000 | 0.000 | 188.357 | 
| 602.218 | 197.304 | 114.753 | 0.000 | 0.000 | 22.478 | 
| 197.304 | 602.218 | 114.753 | 0.000 | 0.000 | -22.478 | 
| 116.082 | 116.082 | 486.857 | 0.000 | -0.000 | 0.000 | 
| 0.000 | 0.000 | 0.000 | 66.695 | -0.000 | -0.000 | 
| 0.000 | 0.000 | 0.000 | 0.000 | 66.695 | -0.000 | 
| 16.664 | -16.664 | -0.000 | 0.000 | 0.000 | 188.356 | 
| 593.517 | 206.400 | 114.956 | -0.000 | 0.000 | 29.376 | 
| 206.400 | 593.517 | 114.956 | -0.000 | 0.000 | -29.376 | 
| 116.082 | 116.082 | 486.859 | -0.000 | 0.000 | -0.000 | 
| 0.000 | 0.000 | -0.000 | 66.695 | 0.000 | -0.000 | 
| 0.000 | 0.000 | -0.000 | -0.000 | 66.695 | 0.000 | 
| 27.830 | -27.830 | 0.000 | -0.000 | -0.000 | 164.612 | 
| 592.458 | 200.756 | 114.966 | -0.000 | -0.000 | 28.273 | 
| 200.756 | 592.458 | 114.966 | 0.000 | -0.000 | -28.273 | 
| 116.081 | 116.081 | 486.855 | 0.000 | 0.000 | -0.000 | 
| -0.000 | -0.000 | 0.000 | 66.695 | -0.000 | 0.000 | 
| -0.000 | -0.000 | 0.000 | 0.000 | 66.695 | -0.000 | 
| 27.830 | -27.830 | -0.000 | 0.000 | -0.000 | 164.612 | 
| 394.571 | 169.462 | 154.370 | 0.000 | 44.337 | 0.000 | 
| 219.827 | 354.666 | 118.039 | -0.000 | 26.247 | 0.000 | 
| 160.331 | 165.743 | 387.206 | -0.000 | -21.396 | 0.000 | 
| 12.175 | 2.935 | -12.087 | 97.655 | 73.327 | 1.594 | 
| 23.407 | -3.667 | -21.396 | 0.000 | 118.992 | 0.000 | 
| 65.010 | -6.893 | -26.812 | 0.418 | 32.821 | 105.785 | 
| 315.248 | 162.053 | 169.308 | -0.000 | -34.893 | 0.000 | 
| 95.133 | 368.763 | 170.166 | -0.000 | -36.868 | -0.000 | 
| 93.555 | 151.776 | 390.140 | 0.000 | -53.890 | -0.000 | 
| -12.175 | -2.935 | 12.087 | 97.655 | -73.327 | 1.594 | 
| 23.407 | -3.667 | -21.396 | -0.000 | 118.992 | -0.000 | 
| -65.011 | 6.893 | 26.812 | 0.418 | -32.821 | 105.785 | 
| 394.571 | 169.462 | 154.370 | -0.000 | 44.337 | -0.000 | 
| 168.166 | 360.187 | 143.963 | 0.000 | -2.643 | 0.000 | 
| 165.856 | 146.841 | 357.167 | 0.000 | -15.226 | 0.000 | 
| 0.000 | -0.000 | 0.000 | 126.340 | -0.000 | -5.722 | 
| 19.842 | -5.012 | -22.770 | -0.000 | 112.365 | 0.000 | 
| 9.559 | -1.013 | -3.942 | 3.781 | 4.826 | 98.301 | 
| 327.899 | 163.155 | 160.247 | -0.000 | 33.845 | -0.000 | 
| 170.568 | 392.335 | 164.307 | -0.000 | -4.675 | 0.000 | 
| 160.330 | 165.743 | 387.206 | 0.000 | -21.396 | -0.000 | 
| -0.000 | -0.000 | -0.000 | 126.340 | 0.000 | -5.722 | 
| 24.758 | -7.724 | -18.140 | -0.000 | 92.130 | -0.000 | 
| -9.559 | 1.013 | 3.942 | 3.781 | -4.826 | 98.301 | 
| 336.117 | 157.913 | 153.742 | -0.000 | 33.960 | 0.000 | 
| 164.161 | 361.541 | 144.384 | -0.000 | -7.007 | 0.000 | 
| 160.281 | 145.047 | 363.026 | 0.000 | -20.223 | 0.000 | 
| -0.230 | -0.106 | -0.116 | 103.694 | 0.390 | 3.537 | 
| 23.407 | -3.666 | -21.396 | -0.000 | 118.992 | 0.000 | 
| 0.093 | -0.010 | -0.110 | -5.514 | 0.785 | 73.821 | 
| 329.301 | 163.960 | 157.973 | -0.000 | 38.452 | -0.000 | 
| 157.632 | 365.286 | 146.910 | -0.000 | -5.903 | -0.000 | 
| 163.953 | 146.768 | 359.724 | 0.000 | -20.437 | -0.000 | 
| 0.230 | 0.106 | 0.116 | 103.694 | -0.390 | 3.537 | 
| 23.407 | -3.667 | -21.396 | -0.000 | 118.992 | -0.000 | 
| -0.093 | 0.010 | 0.110 | -5.514 | -0.785 | 73.821 | 
| 516.813 | 164.311 | 151.026 | 0.000 | 32.022 | -0.000 | 
| 137.689 | 355.535 | 143.668 | 0.000 | -0.842 | -0.000 | 
| 154.609 | 159.848 | 387.366 | 0.000 | -17.280 | -0.000 | 
| -0.000 | -0.000 | 0.000 | 122.837 | -0.000 | -6.016 | 
| -1.828 | -1.009 | -14.107 | -0.000 | 108.607 | -0.000 | 
| -0.000 | -0.000 | -0.000 | -4.916 | 0.000 | 76.792 | 
| 516.813 | 164.312 | 151.026 | -0.000 | 32.022 | 0.000 | 
| 133.119 | 358.589 | 143.953 | -0.000 | -0.964 | 0.000 | 
| 141.007 | 142.718 | 362.342 | -0.000 | -11.806 | 0.000 | 
| 0.000 | 0.000 | -0.000 | 122.836 | 0.000 | -6.015 | 
| -1.828 | -1.009 | -14.106 | -0.000 | 108.607 | 0.000 | 
| 0.000 | 0.000 | 0.000 | -4.916 | -0.000 | 76.792 | 
| 516.813 | 164.312 | 151.026 | 0.000 | 32.022 | -0.000 | 
| 133.119 | 358.589 | 143.953 | 0.000 | -0.964 | -0.000 | 
| 132.234 | 142.191 | 366.950 | 0.000 | -13.671 | -0.000 | 
| 0.000 | -0.000 | 0.000 | 122.837 | -0.000 | -6.015 | 
| -3.705 | -0.515 | -10.977 | 0.000 | 106.946 | -0.000 | 
| -0.000 | -0.000 | -0.000 | -4.916 | 0.000 | 76.792 | 
| 516.813 | 164.311 | 151.026 | -0.000 | 32.022 | 0.000 | 
| 139.986 | 354.750 | 145.198 | -0.000 | -1.211 | 0.000 | 
| 132.234 | 142.191 | 366.950 | -0.000 | -13.671 | 0.000 | 
| -0.000 | 0.000 | -0.000 | 122.837 | 0.000 | -6.015 | 
| 7.930 | -2.917 | -17.280 | -0.000 | 116.182 | 0.000 | 
| 0.000 | 0.000 | 0.000 | -4.916 | -0.000 | 76.792 | 
| 399.560 | 139.220 | 139.245 | 0.000 | 18.979 | -0.000 | 
| 137.689 | 355.536 | 143.669 | 0.000 | -0.842 | -0.000 | 
| 141.997 | 144.543 | 361.900 | 0.000 | -11.717 | -0.000 | 
| -0.000 | -0.000 | 0.000 | 97.342 | -0.000 | -2.749 | 
| -1.827 | -1.009 | -14.107 | 0.000 | 108.608 | -0.000 | 
| 0.000 | 0.000 | 0.000 | -6.015 | 0.000 | 120.254 | 
| 401.691 | 137.038 | 139.028 | -0.000 | 18.681 | 0.000 | 
| 137.689 | 355.534 | 143.668 | -0.000 | -0.842 | 0.000 | 
| 132.233 | 142.191 | 366.949 | -0.000 | -13.671 | 0.000 | 
| 0.000 | 0.000 | -0.000 | 97.342 | 0.000 | -2.749 | 
| -3.705 | -0.515 | -10.977 | -0.000 | 106.946 | 0.000 | 
| -0.000 | -0.000 | -0.000 | -6.015 | -0.000 | 120.254 | 
| 219.874 | 172.375 | 172.375 | -0.000 | 0.000 | 0.000 | 
| 172.376 | 219.873 | 172.375 | -0.000 | 0.000 | -0.000 | 
| 172.376 | 172.376 | 219.873 | -0.000 | 0.000 | -0.000 | 
| 3.319 | 3.319 | 3.318 | -73.774 | 0.000 | 0.000 | 
| 3.319 | 3.319 | 3.318 | -0.000 | -73.774 | 0.000 | 
| 3.319 | 3.318 | 3.318 | -0.000 | -0.000 | -73.774 | 
| 210.454 | 162.958 | 162.958 | 0.000 | -0.000 | -0.000 | 
| 162.958 | 210.455 | 162.958 | 0.000 | -0.000 | 0.000 | 
| 162.958 | 162.958 | 210.455 | 0.000 | 0.000 | 0.000 | 
| -3.319 | -3.319 | -3.318 | -73.774 | -0.000 | -0.000 | 
| -3.319 | -3.319 | -3.318 | 0.000 | -73.774 | -0.000 | 
| -3.319 | -3.319 | -3.318 | 0.000 | -0.000 | -73.774 | 
| 211.708 | 164.211 | 164.211 | -0.000 | 0.000 | 0.000 | 
| 164.211 | 211.708 | 164.211 | -0.000 | 0.000 | 0.000 | 
| 172.376 | 172.376 | 219.873 | -0.000 | 0.000 | 0.000 | 
| 0.333 | 0.333 | 0.333 | -74.643 | 0.000 | 0.000 | 
| 0.333 | 0.333 | 0.333 | -0.000 | -74.643 | 0.000 | 
| 0.333 | 0.333 | 0.333 | -0.000 | 0.000 | -74.643 | 
| 211.480 | 163.983 | 163.983 | 0.000 | -0.000 | 0.000 | 
| 163.983 | 211.480 | 163.983 | 0.000 | -0.000 | 0.000 | 
| 163.983 | 163.983 | 211.480 | 0.000 | -0.000 | 0.000 | 
| -0.333 | -0.333 | -0.333 | -74.643 | -0.000 | -0.000 | 
| -0.333 | -0.333 | -0.333 | 0.000 | -74.643 | -0.000 | 
| -0.333 | -0.333 | -0.333 | 0.000 | -0.000 | -74.643 | 
| 211.604 | 164.111 | 164.111 | -0.000 | 0.000 | 0.000 | 
| 164.111 | 211.604 | 164.111 | -0.000 | 0.000 | -0.000 | 
| 164.111 | 164.111 | 211.604 | -0.000 | 0.000 | 0.000 | 
| 0.033 | 0.034 | 0.034 | -74.651 | 0.000 | 0.000 | 
| 0.034 | 0.033 | 0.034 | -0.000 | -74.651 | -0.000 | 
| 0.034 | 0.034 | 0.033 | -0.000 | 0.000 | -74.651 | 
| 211.582 | 164.085 | 164.085 | 0.000 | -0.000 | -0.000 | 
| 164.085 | 211.582 | 164.085 | 0.000 | -0.000 | 0.000 | 
| 164.085 | 164.085 | 211.582 | 0.000 | 0.000 | -0.000 | 
| -0.033 | -0.034 | -0.034 | -74.651 | -0.000 | -0.000 | 
| -0.034 | -0.033 | -0.034 | 0.000 | -74.651 | -0.000 | 
| -0.034 | -0.034 | -0.033 | 0.000 | -0.000 | -74.651 | 
| 212.820 | 165.310 | 165.310 | 0.000 | -0.000 | 0.000 | 
| 165.310 | 212.820 | 165.310 | -0.000 | 0.000 | 0.000 | 
| 165.310 | 165.310 | 212.820 | 0.000 | 0.000 | 0.000 | 
| 0.958 | 0.958 | 0.958 | 73.168 | 0.000 | 0.000 | 
| 0.958 | 0.958 | 0.958 | 0.000 | 73.168 | 0.000 | 
| 0.958 | 0.958 | 0.958 | 0.000 | 0.000 | 73.168 | 
| 210.964 | 163.453 | 163.453 | 0.000 | 0.000 | -0.000 | 
| 163.453 | 210.964 | 163.453 | 0.000 | 0.000 | -0.000 | 
| 163.453 | 163.453 | 210.964 | 0.000 | 0.000 | -0.000 | 
| -0.958 | -0.958 | -0.958 | 73.168 | -0.000 | -0.000 | 
| -0.958 | -0.958 | -0.958 | 0.000 | 73.168 | -0.000 | 
| -0.958 | -0.958 | -0.958 | 0.000 | 0.000 | 73.168 | 
| 211.985 | 164.474 | 164.474 | -0.000 | 0.000 | 0.000 | 
| 164.474 | 211.985 | 164.474 | 0.000 | 0.000 | 0.000 | 
| 164.474 | 164.474 | 211.985 | -0.000 | -0.000 | 0.000 | 
| 0.271 | 0.271 | 0.271 | -74.849 | -0.000 | 0.000 | 
| 0.271 | 0.271 | 0.271 | -0.000 | -74.849 | 0.000 | 
| 0.271 | 0.271 | 0.271 | 0.000 | -0.000 | -74.849 | 
| 211.799 | 164.289 | 164.289 | 0.000 | 0.000 | 0.000 | 
| 164.289 | 211.799 | 164.289 | -0.000 | 0.000 | -0.000 | 
| 164.289 | 164.289 | 211.799 | -0.000 | -0.000 | -0.000 | 
| -0.271 | -0.271 | -0.271 | -74.849 | 0.000 | -0.000 | 
| -0.271 | -0.271 | -0.271 | 0.000 | -74.849 | -0.000 | 
| -0.271 | -0.271 | -0.271 | -0.000 | 0.000 | -74.849 | 
| 211.902 | 164.391 | 164.391 | -0.000 | -0.000 | 0.000 | 
| 164.391 | 211.902 | 164.391 | -0.000 | -0.000 | -0.000 | 
| 164.391 | 164.391 | 211.902 | -0.000 | -0.000 | 0.000 | 
| 0.027 | 0.027 | 0.027 | -74.855 | 0.000 | 0.000 | 
| 0.027 | 0.027 | 0.027 | -0.000 | -74.855 | 0.000 | 
| 0.027 | 0.027 | 0.027 | -0.000 | 0.000 | -74.855 | 
| 211.881 | 164.373 | 164.373 | 0.000 | 0.000 | -0.000 | 
| 164.373 | 211.881 | 164.373 | 0.000 | 0.000 | -0.000 | 
| 164.373 | 164.373 | 211.881 | -0.000 | -0.000 | -0.000 | 
| -0.027 | -0.027 | -0.027 | -74.855 | 0.000 | -0.000 | 
| -0.027 | -0.027 | -0.027 | 0.000 | -74.855 | -0.000 | 
| -0.027 | -0.027 | -0.027 | 0.000 | 0.000 | -74.855 | 
| 205.889 | 141.274 | 141.274 | 0.000 | -0.000 | -0.000 | 
| 141.274 | 205.889 | 141.274 | -0.000 | -0.000 | -0.000 | 
| 141.274 | 141.274 | 205.889 | 0.000 | -0.000 | -0.000 | 
| 0.000 | 0.000 | 0.000 | 101.146 | 0.000 | -0.000 | 
| 0.000 | 0.000 | -0.000 | 0.000 | 101.146 | -0.000 | 
| -0.000 | -0.000 | 0.000 | 0.000 | -0.000 | 101.146 | 
| 205.889 | 141.274 | 141.274 | -0.000 | -0.000 | 0.000 | 
| 141.274 | 205.889 | 141.274 | -0.000 | -0.000 | -0.000 | 
| 141.274 | 141.274 | 205.889 | 0.000 | 0.000 | 0.000 | 
| -0.000 | -0.000 | -0.000 | 101.146 | -0.000 | -0.000 | 
| 0.000 | -0.000 | -0.000 | -0.000 | 101.146 | 0.000 | 
| -0.000 | 0.000 | -0.000 | -0.000 | 0.000 | 101.146 | 
| 205.889 | 141.274 | 141.274 | 0.000 | 0.000 | -0.000 | 
| 141.274 | 205.889 | 141.274 | 0.000 | -0.000 | 0.000 | 
| 141.274 | 141.274 | 205.889 | 0.000 | 0.000 | -0.000 | 
| -0.000 | 0.000 | 0.000 | 101.146 | 0.000 | -0.000 | 
| 0.000 | -0.000 | 0.000 | 0.000 | 101.146 | 0.000 | 
| 0.000 | 0.000 | -0.000 | 0.000 | -0.000 | 101.146 | 
| 205.889 | 141.274 | 141.274 | 0.000 | 0.000 | 0.000 | 
| 141.274 | 205.889 | 141.274 | 0.000 | 0.000 | 0.000 | 
| 141.274 | 141.274 | 205.889 | -0.000 | 0.000 | 0.000 | 
| 0.000 | -0.000 | -0.000 | 101.146 | -0.000 | -0.000 | 
| -0.000 | 0.000 | -0.000 | -0.000 | 101.146 | 0.000 | 
| -0.000 | -0.000 | 0.000 | 0.000 | 0.000 | 101.146 | 
| 205.889 | 141.275 | 141.275 | 0.000 | 0.000 | -0.000 | 
| 141.275 | 205.889 | 141.275 | -0.000 | -0.000 | -0.000 | 
| 141.275 | 141.275 | 205.889 | -0.000 | -0.000 | -0.000 | 
| -0.000 | 0.000 | 0.000 | 101.146 | -0.000 | 0.000 | 
| 0.000 | -0.000 | 0.000 | -0.000 | 101.146 | -0.000 | 
| 0.000 | 0.000 | -0.000 | 0.000 | -0.000 | 101.146 | 
| 205.889 | 141.274 | 141.274 | -0.000 | 0.000 | 0.000 | 
| 141.274 | 205.889 | 141.274 | -0.000 | 0.000 | 0.000 | 
| 141.274 | 141.274 | 205.889 | -0.000 | 0.000 | 0.000 | 
| 0.000 | -0.000 | -0.000 | 101.146 | 0.000 | 0.000 | 
| -0.000 | 0.000 | -0.000 | -0.000 | 101.146 | 0.000 | 
| -0.000 | -0.000 | 0.000 | -0.000 | 0.000 | 101.146 | 
| 330.370 | 73.978 | 73.978 | -0.000 | -0.000 | 0.000 | 
| 73.978 | 330.370 | 73.978 | 0.000 | -0.000 | 0.000 | 
| 73.978 | 73.978 | 330.370 | 0.000 | -0.000 | 0.000 | 
| -0.000 | 0.000 | -0.000 | 32.464 | 0.000 | -0.000 | 
| -0.000 | 0.000 | -0.000 | 0.000 | 32.464 | 0.000 | 
| -0.000 | -0.000 | -0.000 | 0.000 | -0.000 | 32.464 | 
| 328.609 | 74.858 | 74.858 | 0.000 | 0.000 | -0.000 | 
| 74.858 | 328.609 | 74.858 | -0.000 | 0.000 | -0.000 | 
| 74.858 | 74.858 | 328.609 | -0.000 | 0.000 | -0.000 | 
| -0.000 | 0.000 | 0.000 | 32.464 | 0.000 | -0.000 | 
| -0.000 | -0.000 | 0.000 | -0.000 | 32.464 | -0.000 | 
| 0.000 | 0.000 | 0.000 | -0.000 | 0.000 | 32.464 | 
| 328.609 | 74.858 | 74.858 | -0.000 | -0.000 | 0.000 | 
| 74.858 | 328.609 | 74.858 | 0.000 | -0.000 | -0.000 | 
| 74.858 | 74.858 | 328.609 | -0.000 | -0.000 | 0.000 | 
| 0.000 | 0.000 | -0.000 | 32.464 | -0.000 | 0.000 | 
| 0.000 | 0.000 | -0.000 | -0.000 | 32.464 | 0.000 | 
| 0.000 | 0.000 | -0.000 | 0.000 | -0.000 | 32.464 | 
| 330.370 | 73.978 | 73.978 | -0.000 | 0.000 | -0.000 | 
| 73.978 | 330.370 | 73.978 | -0.000 | 0.000 | -0.000 | 
| 73.978 | 73.978 | 330.370 | -0.000 | 0.000 | 0.000 | 
| -0.000 | -0.000 | 0.000 | 32.464 | 0.000 | -0.000 | 
| -0.000 | -0.000 | 0.000 | -0.000 | 32.464 | -0.000 | 
| -0.000 | 0.000 | -0.000 | -0.000 | 0.000 | 32.464 | 
| 328.610 | 74.859 | 74.859 | -0.000 | -0.000 | -0.000 | 
| 74.859 | 328.610 | 74.859 | -0.000 | -0.000 | -0.000 | 
| 74.859 | 74.859 | 328.610 | -0.000 | 0.000 | 0.000 | 
| 0.000 | 0.000 | 0.000 | 41.816 | -0.000 | -0.000 | 
| 0.000 | 0.000 | 0.000 | -0.000 | 32.464 | 0.000 | 
| 0.000 | 0.000 | 0.000 | 0.000 | -0.000 | 41.816 | 
| 328.607 | 74.858 | 74.858 | -0.000 | 0.000 | -0.000 | 
| 74.858 | 328.607 | 74.858 | 0.000 | 0.000 | -0.000 | 
| 74.858 | 74.858 | 328.607 | 0.000 | 0.000 | 0.000 | 
| -0.000 | -0.000 | -0.000 | 41.816 | 0.000 | -0.000 | 
| -0.000 | -0.000 | -0.000 | -0.000 | 32.464 | -0.000 | 
| -0.000 | -0.000 | -0.000 | 0.000 | 0.000 | 32.464 | 
| 218.665 | 142.270 | 142.270 | 0.000 | 0.000 | 0.000 | 
| 142.270 | 218.665 | 142.270 | 0.000 | 0.000 | 0.000 | 
| 142.270 | 142.270 | 218.665 | 0.000 | 0.000 | 0.000 | 
| 0.000 | -0.000 | -0.000 | 129.952 | 0.000 | 0.000 | 
| -0.000 | 0.000 | -0.000 | 0.000 | 129.952 | 0.000 | 
| 0.000 | 0.000 | -0.000 | 0.000 | 0.000 | 129.952 | 
| 218.665 | 142.270 | 142.270 | -0.000 | -0.000 | -0.000 | 
| 142.270 | 218.665 | 142.270 | -0.000 | -0.000 | 0.000 | 
| 142.270 | 142.270 | 218.665 | 0.000 | -0.000 | -0.000 | 
| -0.000 | -0.000 | 0.000 | 129.952 | -0.000 | -0.000 | 
| -0.000 | -0.000 | 0.000 | -0.000 | 129.952 | -0.000 | 
| -0.000 | -0.000 | 0.000 | -0.000 | 0.000 | 129.952 | 
| 218.665 | 142.270 | 142.270 | 0.000 | 0.000 | 0.000 | 
| 142.270 | 218.665 | 142.270 | 0.000 | 0.000 | 0.000 | 
| 142.270 | 142.270 | 218.665 | 0.000 | 0.000 | 0.000 | 
| 0.000 | -0.000 | 0.000 | 129.952 | 0.000 | 0.000 | 
| -0.000 | 0.000 | 0.000 | 0.000 | 129.952 | 0.000 | 
| -0.000 | 0.000 | 0.000 | 0.000 | 0.000 | 129.952 | 
| 218.665 | 142.270 | 142.270 | -0.000 | -0.000 | -0.000 | 
| 142.270 | 218.665 | 142.270 | -0.000 | -0.000 | -0.000 | 
| 142.270 | 142.270 | 218.665 | -0.000 | -0.000 | -0.000 | 
| -0.000 | 0.000 | -0.000 | 129.952 | -0.000 | -0.000 | 
| 0.000 | -0.000 | -0.000 | -0.000 | 129.952 | -0.000 | 
| 0.000 | -0.000 | -0.000 | -0.000 | -0.000 | 129.952 | 
| 218.665 | 142.270 | 142.270 | 0.000 | 0.000 | 0.000 | 
| 142.270 | 218.665 | 142.270 | 0.000 | 0.000 | 0.000 | 
| 142.270 | 142.270 | 218.665 | 0.000 | 0.000 | 0.000 | 
| 0.000 | -0.000 | 0.000 | 129.952 | 0.000 | 0.000 | 
| -0.000 | 0.000 | 0.000 | 0.000 | 129.952 | 0.000 | 
| -0.000 | 0.000 | 0.000 | 0.000 | 0.000 | 129.952 | 
| 218.664 | 142.269 | 142.269 | 0.000 | -0.000 | -0.000 | 
| 142.269 | 218.664 | 142.269 | -0.000 | -0.000 | -0.000 | 
| 142.269 | 142.269 | 218.664 | -0.000 | -0.000 | -0.000 | 
| -0.000 | 0.000 | -0.000 | 129.952 | -0.000 | -0.000 | 
| 0.000 | -0.000 | -0.000 | -0.000 | 129.952 | -0.000 | 
| 0.000 | -0.000 | -0.000 | 0.000 | -0.000 | 129.952 | 
| 273.650 | 118.409 | 96.312 | 0.000 | 0.000 | -0.000 | 
| 138.282 | 253.777 | 96.312 | 0.000 | 0.000 | -0.000 | 
| 96.312 | 96.312 | 296.622 | 0.000 | -0.000 | 0.000 | 
| 0.000 | 0.000 | 0.000 | 55.850 | 0.000 | -0.000 | 
| -0.000 | 0.000 | 0.000 | 0.000 | 55.850 | -0.000 | 
| 0.000 | 0.000 | 0.000 | 0.000 | 0.000 | 77.621 | 
| 253.777 | 138.282 | 96.312 | -0.000 | -0.000 | 0.000 | 
| 138.282 | 253.777 | 96.312 | -0.000 | -0.000 | 0.000 | 
| 96.312 | 96.312 | 296.622 | 0.000 | -0.000 | -0.000 | 
| -0.000 | -0.000 | -0.000 | 55.850 | -0.000 | 0.000 | 
| 0.000 | -0.000 | -0.000 | -0.000 | 55.850 | 0.000 | 
| -0.000 | -0.000 | -0.000 | -0.000 | -0.000 | 77.621 | 
| 253.777 | 138.282 | 96.312 | 0.000 | 0.000 | -0.000 | 
| 118.409 | 273.650 | 96.312 | 0.000 | 0.000 | 0.000 | 
| 96.312 | 96.312 | 296.622 | 0.000 | 0.000 | -0.000 | 
| 0.000 | -0.000 | 0.000 | 55.850 | 0.000 | -0.000 | 
| -0.000 | 0.000 | 0.000 | 0.000 | 55.850 | 0.000 | 
| -0.000 | 0.000 | -0.000 | 0.000 | 0.000 | 57.748 | 
| 273.650 | 118.409 | 96.312 | -0.000 | -0.000 | 0.000 | 
| 138.282 | 253.777 | 96.312 | -0.000 | -0.000 | 0.000 | 
| 96.312 | 96.312 | 296.622 | -0.000 | -0.000 | 0.000 | 
| -0.000 | 0.000 | -0.000 | 55.850 | -0.000 | 0.000 | 
| 0.000 | -0.000 | -0.000 | -0.000 | 55.850 | -0.000 | 
| 0.000 | -0.000 | 0.000 | -0.000 | -0.000 | 57.748 | 
| 253.779 | 138.282 | 96.312 | 0.000 | 0.000 | -0.000 | 
| 138.283 | 253.778 | 96.312 | 0.000 | 0.000 | -0.000 | 
| 96.313 | 96.313 | 296.623 | 0.000 | 0.000 | 0.000 | 
| 0.000 | -0.000 | 0.000 | 55.850 | 0.000 | -0.000 | 
| -0.000 | -0.000 | 0.000 | 0.000 | 55.850 | 0.000 | 
| -0.000 | 0.000 | -0.000 | 0.000 | 0.000 | 57.748 | 
| 253.776 | 138.282 | 96.312 | -0.000 | -0.000 | 0.000 | 
| 118.408 | 273.649 | 96.312 | -0.000 | -0.000 | -0.000 | 
| 96.312 | 96.312 | 296.621 | -0.000 | -0.000 | 0.000 | 
| -0.000 | 0.000 | -0.000 | 55.850 | -0.000 | 0.000 | 
| 0.000 | 0.000 | -0.000 | -0.000 | 55.850 | 0.000 | 
| 0.000 | -0.000 | 0.000 | -0.000 | -0.000 | 57.748 | 
| 251.826 | 139.216 | 97.259 | -0.000 | -0.000 | 0.000 | 
| 139.216 | 251.826 | 97.259 | -0.000 | -0.000 | 0.000 | 
| 97.259 | 97.259 | 295.547 | -0.000 | -0.000 | -0.000 | 
| 0.000 | 0.000 | -0.000 | 56.458 | -0.000 | 0.000 | 
| -0.000 | 0.000 | -0.000 | -0.000 | 56.458 | 0.000 | 
| -0.000 | 0.000 | -0.000 | -0.000 | -0.000 | 56.305 | 
| 272.559 | 118.483 | 97.259 | 0.000 | 0.000 | -0.000 | 
| 139.216 | 251.826 | 97.259 | 0.000 | 0.000 | -0.000 | 
| 97.259 | 97.259 | 295.547 | 0.000 | 0.000 | -0.000 | 
| 0.000 | 0.000 | 0.000 | 56.458 | 0.000 | -0.000 | 
| 0.000 | -0.000 | 0.000 | 0.000 | 56.458 | -0.000 | 
| 0.000 | 0.000 | 0.000 | 0.000 | 0.000 | 56.305 | 
| 272.559 | 118.483 | 97.259 | -0.000 | -0.000 | 0.000 | 
| 139.217 | 251.826 | 97.259 | -0.000 | -0.000 | 0.000 | 
| 97.259 | 97.259 | 295.547 | -0.000 | -0.000 | 0.000 | 
| 0.000 | -0.000 | 0.000 | 56.458 | -0.000 | -0.000 | 
| -0.000 | 0.000 | 0.000 | -0.000 | 56.458 | 0.000 | 
| -0.000 | 0.000 | -0.000 | -0.000 | -0.000 | 56.305 | 
| 272.559 | 118.483 | 97.259 | 0.000 | 0.000 | -0.000 | 
| 118.483 | 272.559 | 97.259 | 0.000 | 0.000 | -0.000 | 
| 97.259 | 97.259 | 295.547 | 0.000 | 0.000 | -0.000 | 
| -0.000 | 0.000 | -0.000 | 56.458 | 0.000 | -0.000 | 
| 0.000 | -0.000 | -0.000 | 0.000 | 56.458 | -0.000 | 
| 0.000 | -0.000 | 0.000 | 0.000 | 0.000 | 56.305 | 
| 272.560 | 118.483 | 97.259 | -0.000 | -0.000 | 0.000 | 
| 139.217 | 251.826 | 97.259 | -0.000 | -0.000 | 0.000 | 
| 97.260 | 97.260 | 295.548 | -0.000 | -0.000 | 0.000 | 
| 0.000 | -0.000 | 0.000 | 56.458 | 0.000 | 0.000 | 
| -0.000 | 0.000 | 0.000 | -0.000 | 56.458 | 0.000 | 
| -0.000 | 0.000 | -0.000 | -0.000 | 0.000 | 56.305 | 
| 251.824 | 139.216 | 97.259 | 0.000 | 0.000 | -0.000 | 
| 139.216 | 251.825 | 97.259 | 0.000 | -0.000 | -0.000 | 
| 97.259 | 97.259 | 295.546 | 0.000 | 0.000 | -0.000 | 
| -0.000 | 0.000 | -0.000 | 56.458 | 0.000 | -0.000 | 
| 0.000 | -0.000 | -0.000 | 0.000 | 56.458 | -0.000 | 
| 0.000 | -0.000 | 0.000 | 0.000 | 0.000 | 56.305 | 
| 35.885 | 42.098 | 42.098 | -0.000 | -0.000 | -0.000 | 
| 42.098 | 35.885 | 42.098 | -0.000 | -0.000 | -0.000 | 
| 42.098 | 42.098 | 35.885 | -0.000 | -0.000 | -0.000 | 
| -0.000 | -0.000 | 0.000 | -9.735 | -0.000 | -0.000 | 
| -0.000 | -0.000 | 0.000 | -0.000 | -9.735 | -0.000 | 
| -0.000 | -0.000 | 0.000 | -0.000 | -0.000 | -9.735 | 
| 35.885 | 42.098 | 42.098 | 0.000 | 0.000 | 0.000 | 
| 42.098 | 35.885 | 42.098 | 0.000 | 0.000 | 0.000 | 
| 42.098 | 42.098 | 35.885 | 0.000 | 0.000 | 0.000 | 
| 0.000 | 0.000 | -0.000 | -9.735 | 0.000 | 0.000 | 
| 0.000 | 0.000 | -0.000 | 0.000 | -9.735 | 0.000 | 
| -0.000 | 0.000 | -0.000 | 0.000 | 0.000 | -9.735 | 
| 35.885 | 42.098 | 42.098 | -0.000 | -0.000 | -0.000 | 
| 42.098 | 35.885 | 42.098 | -0.000 | -0.000 | -0.000 | 
| 42.098 | 42.098 | 35.885 | -0.000 | -0.000 | -0.000 | 
| -0.000 | -0.000 | -0.000 | -9.735 | -0.000 | -0.000 | 
| -0.000 | -0.000 | -0.000 | -0.000 | -9.735 | -0.000 | 
| -0.000 | -0.000 | -0.000 | -0.000 | -0.000 | -9.735 | 
| 35.885 | 42.098 | 42.098 | 0.000 | 0.000 | 0.000 | 
| 42.098 | 35.885 | 42.098 | 0.000 | 0.000 | 0.000 | 
| 42.098 | 42.098 | 35.885 | 0.000 | 0.000 | 0.000 | 
| 0.000 | 0.000 | 0.000 | -9.735 | 0.000 | 0.000 | 
| 0.000 | 0.000 | 0.000 | 0.000 | -9.735 | 0.000 | 
| 0.000 | 0.000 | 0.000 | 0.000 | 0.000 | -9.735 | 
| 35.885 | 42.098 | 42.098 | -0.000 | -0.000 | -0.000 | 
| 42.098 | 35.885 | 42.098 | -0.000 | -0.000 | -0.000 | 
| 42.098 | 42.098 | 35.885 | -0.000 | -0.000 | -0.000 | 
| -0.000 | -0.000 | -0.000 | -9.735 | -0.000 | -0.000 | 
| -0.000 | -0.000 | -0.000 | -0.000 | -9.735 | -0.000 | 
| -0.000 | -0.000 | -0.000 | -0.000 | -0.000 | -9.735 | 
| 35.885 | 42.098 | 42.098 | 0.000 | 0.000 | 0.000 | 
| 42.098 | 35.885 | 42.098 | 0.000 | 0.000 | 0.000 | 
| 42.098 | 42.098 | 35.885 | 0.000 | 0.000 | 0.000 | 
| 0.000 | 0.000 | 0.000 | -9.735 | 0.000 | 0.000 | 
| 0.000 | 0.000 | 0.000 | 0.000 | -9.735 | 0.000 | 
| 0.000 | 0.000 | 0.000 | 0.000 | 0.000 | -9.735 | 
| 601.345 | 55.775 | 236.484 | -0.000 | 0.000 | -0.000 | 
| 55.775 | 601.345 | 236.484 | -0.000 | -0.000 | -0.000 | 
| 236.484 | 236.484 | 607.310 | -0.000 | -0.000 | 0.000 | 
| 0.000 | 0.000 | -0.000 | 215.650 | 0.000 | -0.000 | 
| 0.000 | 0.000 | 0.000 | 0.000 | 215.650 | 0.000 | 
| 0.000 | -0.000 | 0.000 | 0.000 | -0.000 | 15.786 | 
| 601.345 | 55.775 | 236.484 | -0.000 | 0.000 | 0.000 | 
| 55.775 | 601.345 | 236.484 | 0.000 | 0.000 | 0.000 | 
| 236.484 | 236.484 | 607.310 | -0.000 | 0.000 | 0.000 | 
| -0.000 | -0.000 | -0.000 | 215.650 | 0.000 | -0.000 | 
| -0.000 | -0.000 | -0.000 | -0.000 | 215.650 | 0.000 | 
| 0.000 | 0.000 | -0.000 | -0.000 | 0.000 | 15.786 | 
| 601.345 | 55.775 | 236.484 | -0.000 | -0.000 | 0.000 | 
| 55.775 | 601.345 | 236.484 | 0.000 | -0.000 | -0.000 | 
| 236.484 | 236.484 | 607.310 | -0.000 | -0.000 | -0.000 | 
| 0.000 | 0.000 | 0.000 | 215.650 | -0.000 | -0.000 | 
| 0.000 | 0.000 | 0.000 | 0.000 | 215.650 | -0.000 | 
| -0.000 | -0.000 | -0.000 | 0.000 | -0.000 | 15.786 | 
| 601.344 | 55.775 | 236.484 | -0.000 | 0.000 | 0.000 | 
| 55.775 | 601.344 | 236.484 | 0.000 | 0.000 | 0.000 | 
| 236.484 | 236.484 | 607.310 | 0.000 | 0.000 | -0.000 | 
| -0.000 | -0.000 | -0.000 | 215.650 | 0.000 | 0.000 | 
| -0.000 | -0.000 | -0.000 | -0.000 | 215.650 | 0.000 | 
| 0.000 | 0.000 | 0.000 | 0.000 | 0.000 | 15.786 | 
| 601.347 | 55.775 | 236.485 | -0.000 | -0.000 | -0.000 | 
| 55.775 | 601.347 | 236.485 | 0.000 | -0.000 | -0.000 | 
| 236.484 | 236.484 | 607.312 | -0.000 | 0.000 | -0.000 | 
| 0.000 | 0.001 | 0.000 | 215.650 | -0.000 | -0.000 | 
| 0.001 | 0.000 | 0.000 | 0.000 | 215.650 | -0.000 | 
| -0.000 | -0.000 | -0.000 | 0.000 | 0.000 | 15.786 | 
| 601.342 | 55.775 | 236.483 | 0.000 | 0.000 | 0.000 | 
| 55.775 | 601.342 | 236.483 | -0.000 | 0.000 | 0.000 | 
| 236.484 | 236.484 | 607.309 | -0.000 | -0.000 | 0.000 | 
| -0.000 | -0.001 | -0.000 | 215.650 | 0.000 | 0.000 | 
| -0.001 | -0.000 | -0.000 | -0.000 | 215.650 | 0.000 | 
| 0.000 | 0.000 | 0.000 | -0.000 | 0.000 | 15.786 | 
| 267.468 | 0.000 | -0.000 | -0.000 | 0.000 | 0.000 | 
| 0.000 | 267.468 | -0.000 | -0.000 | -0.000 | 0.000 | 
| 0.000 | 0.000 | 267.468 | 0.000 | 0.000 | -0.000 | 
| -0.000 | 0.000 | -0.000 | -15.101 | -0.000 | 0.000 | 
| 0.000 | -0.000 | -0.000 | -0.000 | -15.101 | 0.000 | 
| 0.000 | 0.000 | 0.000 | -0.000 | 0.000 | -15.101 | 
| 267.468 | -0.000 | 0.000 | 0.000 | -0.000 | -0.000 | 
| 0.000 | 267.468 | 0.000 | -0.000 | -0.000 | -0.000 | 
| -0.000 | -0.000 | 267.468 | 0.000 | -0.000 | -0.000 | 
| 0.000 | 0.000 | 0.000 | -15.101 | 0.000 | 0.000 | 
| -0.000 | 0.000 | 0.000 | 0.000 | -15.101 | -0.000 | 
| -0.000 | -0.000 | 0.000 | 0.000 | -0.000 | -15.101 | 
| 267.468 | 0.000 | -0.000 | -0.000 | -0.000 | -0.000 | 
| 0.000 | 267.468 | -0.000 | -0.000 | -0.000 | 0.000 | 
| 0.000 | 0.000 | 267.468 | -0.000 | 0.000 | 0.000 | 
| -0.000 | 0.000 | -0.000 | -15.101 | 0.000 | 0.000 | 
| 0.000 | 0.000 | -0.000 | 0.000 | -15.101 | -0.000 | 
| 0.000 | -0.000 | -0.000 | -0.000 | -0.000 | -15.101 | 
| 267.467 | -0.000 | 0.000 | -0.000 | 0.000 | 0.000 | 
| 0.000 | 267.467 | 0.000 | 0.000 | -0.000 | -0.000 | 
| -0.000 | -0.000 | 267.467 | 0.000 | -0.000 | -0.000 | 
| 0.000 | -0.000 | 0.000 | -15.101 | -0.000 | 0.000 | 
| -0.000 | -0.000 | 0.000 | -0.000 | -15.101 | -0.000 | 
| -0.000 | 0.000 | 0.000 | -0.000 | 0.000 | -15.101 | 
| 267.469 | 0.000 | -0.000 | -0.000 | 0.000 | 0.000 | 
| -0.000 | 267.469 | -0.000 | -0.000 | -0.000 | 0.000 | 
| -0.000 | 0.000 | 267.469 | 0.000 | 0.000 | 0.000 | 
| -0.000 | 0.000 | -0.000 | -15.101 | 0.000 | 0.000 | 
| 0.000 | 0.000 | -0.000 | -0.000 | -15.101 | -0.000 | 
| 0.000 | -0.000 | -0.000 | -0.000 | 0.000 | -15.101 | 
| 267.466 | -0.000 | 0.000 | 0.000 | 0.000 | -0.000 | 
| -0.000 | 267.466 | 0.000 | 0.000 | 0.000 | -0.000 | 
| -0.000 | -0.000 | 267.466 | 0.000 | -0.000 | 0.000 | 
| 0.000 | -0.000 | 0.000 | -15.101 | 0.000 | -0.000 | 
| -0.000 | -0.000 | 0.000 | 0.000 | -15.101 | 0.000 | 
| -0.000 | 0.000 | 0.000 | -0.000 | 0.000 | -15.101 | 
| 272.709 | 112.105 | 0.000 | -0.000 | -0.000 | -0.000 | 
| 112.105 | 272.709 | 0.000 | -0.000 | -0.000 | -0.000 | 
| 0.000 | 0.000 | 272.599 | -0.000 | -0.000 | -0.000 | 
| 0.000 | 0.000 | 0.000 | -19.046 | 0.000 | -0.000 | 
| 0.000 | 0.000 | 0.000 | 0.000 | -19.046 | -0.000 | 
| -0.000 | 0.000 | 0.000 | 0.000 | 0.000 | 80.302 | 
| 272.709 | 112.105 | -0.000 | -0.000 | -0.000 | 0.000 | 
| 112.105 | 272.709 | -0.000 | 0.000 | 0.000 | 0.000 | 
| -0.000 | -0.000 | 272.599 | 0.000 | 0.000 | 0.000 | 
| -0.000 | -0.000 | -0.000 | -19.046 | -0.000 | 0.000 | 
| -0.000 | -0.000 | -0.000 | 0.000 | -19.046 | 0.000 | 
| -0.000 | -0.000 | -0.000 | -0.000 | -0.000 | 80.302 | 
| 272.709 | 112.105 | 0.000 | 0.000 | 0.000 | -0.000 | 
| 112.105 | 272.709 | 0.000 | 0.000 | 0.000 | -0.000 | 
| 0.000 | 0.000 | 272.599 | -0.000 | -0.000 | -0.000 | 
| 0.000 | 0.000 | -0.000 | -19.046 | -0.000 | -0.000 | 
| 0.000 | 0.000 | -0.000 | -0.000 | -19.046 | -0.000 | 
| -0.000 | 0.000 | 0.000 | 0.000 | 0.000 | 80.302 | 
| 272.709 | 112.105 | -0.000 | -0.000 | -0.000 | 0.000 | 
| 112.105 | 272.709 | -0.000 | 0.000 | 0.000 | 0.000 | 
| -0.000 | -0.000 | 272.599 | -0.000 | 0.000 | 0.000 | 
| -0.000 | -0.000 | 0.000 | -19.046 | 0.000 | 0.000 | 
| -0.000 | -0.000 | 0.000 | 0.000 | -19.046 | 0.000 | 
| 0.000 | -0.000 | -0.000 | -0.000 | -0.000 | 80.302 | 
| 272.711 | 112.105 | 0.000 | 0.000 | 0.000 | -0.000 | 
| 112.105 | 272.710 | 0.000 | -0.000 | 0.000 | -0.000 | 
| 0.000 | 0.000 | 272.601 | -0.000 | -0.000 | -0.000 | 
| -0.000 | 0.000 | -0.000 | -19.046 | 0.000 | -0.000 | 
| 0.000 | -0.000 | -0.000 | -0.000 | -19.046 | -0.000 | 
| -0.000 | 0.000 | 0.000 | 0.000 | 0.000 | 80.302 | 
| 272.708 | 112.105 | -0.000 | -0.000 | -0.000 | 0.000 | 
| 112.104 | 272.708 | -0.000 | -0.000 | -0.000 | 0.000 | 
| -0.000 | -0.000 | 272.598 | 0.000 | 0.000 | 0.000 | 
| 0.000 | -0.000 | 0.000 | -19.046 | -0.000 | 0.000 | 
| -0.000 | 0.000 | 0.000 | 0.000 | -19.046 | 0.000 | 
| 0.000 | -0.000 | -0.000 | -0.000 | -0.000 | 80.302 | 
| 455.261 | 478.876 | -63.144 | -0.000 | -0.000 | -0.000 | 
| 478.876 | 455.261 | -63.144 | 0.000 | 0.000 | -0.000 | 
| 91.599 | 91.599 | 312.105 | -0.000 | -0.000 | -0.000 | 
| 0.000 | -0.000 | -0.000 | 53.455 | -0.000 | -0.000 | 
| 0.000 | 0.000 | -0.000 | 0.000 | 53.455 | -0.000 | 
| 265.059 | 265.059 | -145.958 | -0.000 | 0.000 | 16.439 | 
| 248.583 | 115.901 | 56.511 | 0.000 | -0.000 | 0.000 | 
| 115.901 | 248.583 | 56.511 | 0.000 | 0.000 | 0.000 | 
| -174.502 | -174.502 | 448.423 | -0.000 | 0.000 | -0.000 | 
| -0.000 | 0.000 | -0.000 | 53.455 | -0.000 | -0.000 | 
| 0.000 | -0.000 | -0.000 | 0.000 | 53.455 | 0.000 | 
| -121.250 | -121.250 | -2.718 | 0.000 | -0.000 | 14.202 | 
| 311.970 | 119.419 | 86.766 | -0.000 | 0.000 | -0.000 | 
| 119.419 | 311.970 | 86.766 | 0.000 | 0.000 | -0.000 | 
| 91.599 | 91.599 | 312.106 | -0.000 | 0.000 | -0.000 | 
| 2.524 | 2.524 | 3.160 | 46.871 | 0.000 | 0.000 | 
| 2.524 | 2.524 | 3.160 | -0.000 | 46.871 | -0.000 | 
| 0.000 | 0.000 | 0.000 | -0.000 | 0.000 | 75.292 | 
| 311.970 | 119.419 | 86.766 | 0.000 | 0.000 | 0.000 | 
| 119.419 | 311.970 | 86.766 | 0.000 | -0.000 | -0.000 | 
| 91.599 | 91.599 | 312.105 | 0.000 | -0.000 | -0.000 | 
| -2.524 | -2.524 | -3.160 | 46.871 | -0.000 | 0.000 | 
| -2.524 | -2.524 | -3.160 | -0.000 | 46.871 | 0.000 | 
| -0.000 | -0.000 | -0.000 | 0.000 | 0.000 | 75.292 | 
| 284.507 | 135.097 | 87.760 | -0.000 | 0.000 | -0.000 | 
| 135.097 | 284.507 | 87.760 | -0.000 | 0.000 | -0.000 | 
| 92.173 | 92.173 | 306.232 | -0.000 | 0.000 | -0.000 | 
| 0.560 | 0.560 | -0.123 | 43.364 | -0.000 | -0.000 | 
| 0.560 | 0.560 | -0.123 | -0.000 | 43.364 | -0.000 | 
| 0.152 | 0.152 | 0.190 | 0.000 | 0.000 | 55.834 | 
| 258.732 | 155.717 | 86.327 | 0.000 | -0.000 | 0.000 | 
| 155.717 | 258.732 | 86.327 | 0.000 | 0.000 | 0.000 | 
| 91.769 | 91.769 | 305.776 | 0.000 | 0.000 | 0.000 | 
| -0.560 | -0.560 | 0.123 | 43.364 | -0.000 | -0.000 | 
| -0.560 | -0.560 | 0.123 | 0.000 | 43.364 | 0.000 | 
| -0.152 | -0.152 | -0.190 | 0.000 | -0.000 | 55.834 | 
| 274.648 | 99.338 | 76.076 | 0.000 | -0.000 | 0.000 | 
| 99.338 | 274.648 | 76.076 | -0.000 | -0.000 | 0.000 | 
| 76.076 | 76.076 | 303.749 | -0.000 | 0.000 | 0.000 | 
| 0.000 | 0.000 | 0.001 | 37.391 | -0.000 | 0.000 | 
| 0.000 | 0.000 | 0.001 | -0.000 | 37.391 | 0.000 | 
| 0.000 | 0.000 | -0.000 | 0.000 | -0.000 | 51.717 | 
| 274.648 | 99.338 | 76.076 | -0.000 | 0.000 | -0.000 | 
| 99.338 | 274.648 | 76.076 | 0.000 | 0.000 | -0.000 | 
| 76.076 | 76.076 | 303.749 | 0.000 | 0.000 | -0.000 | 
| -0.000 | -0.000 | -0.001 | 37.391 | 0.000 | -0.000 | 
| -0.000 | -0.000 | -0.001 | 0.000 | 37.391 | -0.000 | 
| -0.000 | -0.000 | 0.000 | 0.000 | 0.000 | 51.717 | 
| 274.648 | 99.338 | 76.076 | -0.000 | -0.000 | 0.000 | 
| 99.338 | 274.648 | 76.076 | -0.000 | -0.000 | 0.000 | 
| 76.313 | 76.313 | 297.780 | -0.000 | -0.000 | 0.000 | 
| 0.000 | 0.000 | 0.000 | 37.391 | -0.000 | 0.000 | 
| 0.000 | 0.000 | 0.000 | -0.000 | 37.391 | 0.000 | 
| 0.000 | 0.000 | 0.000 | -0.000 | -0.000 | 68.067 | 
| 250.246 | 111.496 | 76.492 | 0.000 | 0.000 | -0.000 | 
| 111.496 | 250.246 | 76.492 | 0.000 | 0.000 | -0.000 | 
| 76.069 | 76.069 | 297.285 | 0.000 | 0.000 | -0.000 | 
| -0.000 | -0.000 | -0.000 | 37.391 | 0.000 | -0.000 | 
| -0.000 | -0.000 | -0.000 | 0.000 | 37.391 | -0.000 | 
| -0.000 | -0.000 | 0.000 | -0.000 | 0.000 | 48.847 | 
| 250.247 | 111.496 | 76.492 | -0.000 | -0.000 | 0.000 | 
| 111.496 | 250.247 | 76.492 | -0.000 | -0.000 | -0.000 | 
| 76.313 | 76.313 | 297.781 | -0.000 | -0.000 | 0.000 | 
| 0.000 | 0.000 | -0.000 | 39.334 | -0.000 | -0.000 | 
| 0.000 | 0.000 | -0.000 | -0.000 | 39.334 | -0.000 | 
| 0.000 | 0.000 | 0.000 | -0.000 | -0.000 | 51.717 | 
| 231.715 | 127.897 | 74.260 | 0.000 | 0.000 | 0.000 | 
| 127.897 | 231.715 | 74.260 | 0.000 | 0.000 | 0.000 | 
| 76.313 | 76.313 | 297.778 | -0.000 | 0.000 | -0.000 | 
| -0.000 | -0.000 | 0.000 | 39.334 | 0.000 | 0.000 | 
| -0.000 | -0.000 | 0.000 | 0.000 | 39.334 | 0.000 | 
| -0.000 | -0.000 | -0.000 | -0.000 | 0.000 | 51.717 | 
| 321.660 | 32.028 | -52.046 | -123.861 | 5.152 | 6.902 | 
| 227.058 | 238.608 | -2.019 | -45.982 | 14.599 | -31.281 | 
| 136.091 | 132.319 | 339.000 | -1.863 | -3.872 | -0.775 | 
| 169.700 | -165.270 | -234.824 | -144.424 | -55.907 | 26.321 | 
| -1.866 | -1.714 | -3.872 | -1.735 | 104.327 | 1.341 | 
| 71.446 | -48.684 | -126.923 | -128.676 | 14.560 | 77.891 | 
| 207.308 | 192.726 | 256.133 | 46.780 | -13.160 | 22.991 | 
| 27.406 | 367.498 | 255.653 | 44.351 | -14.535 | 28.553 | 
| 27.876 | 192.680 | 436.385 | 45.491 | -18.241 | 29.981 | 
| -77.459 | 44.918 | 128.666 | 197.574 | -13.123 | -7.422 | 
| -99.415 | 64.507 | 125.145 | 43.115 | 78.314 | 31.180 | 
| -9.764 | -1.870 | -1.245 | -1.253 | 5.033 | 96.880 | 
| 330.175 | 130.692 | 135.665 | 1.430 | -0.740 | -6.679 | 
| 137.438 | 296.594 | 113.671 | -5.433 | 1.514 | -4.421 | 
| 136.091 | 132.319 | 339.000 | -1.863 | -3.872 | -0.775 | 
| 1.535 | -5.066 | -1.863 | 99.586 | -1.734 | -1.310 | 
| -1.865 | -1.714 | -3.872 | -1.734 | 104.327 | 1.341 | 
| -9.764 | -1.870 | -1.245 | -1.253 | 5.033 | 96.880 | 
| 330.175 | 130.692 | 135.665 | 1.430 | -0.740 | -6.679 | 
| 118.672 | 266.906 | 132.763 | 10.368 | -1.217 | -0.914 | 
| 116.979 | 134.482 | 318.754 | 5.076 | -5.145 | 3.173 | 
| 1.535 | -5.066 | -1.863 | 99.586 | -1.734 | -1.310 | 
| -5.038 | 4.594 | 9.623 | 10.100 | 75.162 | 0.481 | 
| -9.764 | -1.870 | -1.245 | -1.253 | 5.033 | 96.880 | 
| 287.546 | 128.711 | 123.235 | 2.878 | 2.219 | -6.365 | 
| 128.306 | 297.382 | 124.408 | -1.343 | 0.478 | -1.723 | 
| 125.642 | 123.455 | 275.076 | -4.729 | -2.805 | 3.577 | 
| 1.535 | -5.065 | -1.862 | 99.586 | -1.734 | -1.310 | 
| 2.137 | -3.482 | -4.756 | -3.580 | 80.193 | 1.641 | 
| -8.401 | -2.079 | -1.887 | -1.221 | 4.677 | 84.180 | 
| 288.896 | 128.117 | 123.616 | 3.394 | 2.331 | -6.679 | 
| 129.028 | 276.714 | 124.025 | -3.817 | -1.944 | 0.386 | 
| 124.787 | 127.540 | 300.328 | 1.226 | -3.724 | 0.502 | 
| 0.722 | -2.812 | 2.235 | 85.106 | -2.270 | -0.324 | 
| -0.404 | 1.181 | -1.986 | -1.529 | 90.217 | 1.637 | 
| -9.765 | -1.870 | -1.245 | -1.253 | 5.033 | 96.880 | 
| 330.295 | 130.878 | 135.859 | 1.339 | -0.415 | -6.670 | 
| 56.312 | 338.028 | 79.971 | -31.197 | -39.630 | 96.515 | 
| 136.230 | 132.500 | 339.364 | -2.166 | -3.712 | -0.791 | 
| -148.172 | -30.436 | -219.605 | 54.000 | -27.745 | 105.047 | 
| -69.851 | 39.984 | -49.315 | -32.059 | 51.533 | 98.564 | 
| -9.770 | -1.810 | -1.259 | -1.228 | 4.946 | 96.921 | 
| 374.199 | 88.591 | 172.721 | 31.737 | 41.740 | -104.169 | 
| 197.741 | 258.793 | 171.745 | 28.879 | 40.121 | -98.469 | 
| 271.709 | 149.330 | 493.028 | 18.297 | 22.638 | -104.001 | 
| 259.272 | -36.917 | 215.700 | 70.665 | -13.848 | -51.059 | 
| 71.567 | -39.524 | 42.424 | 28.022 | 131.256 | -96.417 | 
| -9.770 | -1.810 | -1.259 | -1.228 | 4.946 | 96.921 | 
| 330.295 | 130.878 | 135.859 | 1.339 | -0.415 | -6.670 | 
| 129.878 | 337.206 | 131.004 | -1.939 | -1.593 | -1.797 | 
| 119.257 | 131.352 | 295.850 | -2.923 | -7.726 | 10.373 | 
| -5.163 | 0.112 | -4.452 | 82.876 | -6.033 | 8.893 | 
| -6.280 | 4.210 | -8.062 | -5.037 | 87.515 | 10.882 | 
| -9.770 | -1.810 | -1.259 | -1.228 | 4.946 | 96.921 | 
| 330.295 | 130.878 | 135.859 | 1.339 | -0.415 | -6.670 | 
| 134.232 | 295.431 | 130.620 | 1.849 | 4.218 | -10.829 | 
| 134.400 | 123.848 | 308.746 | 2.901 | 0.290 | -9.350 | 
| 1.487 | -5.206 | -2.166 | 99.621 | -1.755 | -1.333 | 
| 8.020 | -3.724 | 1.171 | 0.995 | 95.122 | -8.730 | 
| 16.369 | -2.388 | 23.506 | 0.593 | 3.405 | 68.058 | 
| 299.357 | 128.416 | 125.244 | 1.446 | 1.757 | -5.719 | 
| 126.362 | 296.203 | 125.216 | -1.314 | 0.091 | -0.259 | 
| 122.393 | 125.018 | 275.431 | -3.570 | -2.783 | 3.477 | 
| 1.741 | -5.484 | -4.454 | 74.527 | -2.599 | 0.551 | 
| 0.005 | -1.662 | -5.248 | -3.012 | 80.127 | 1.682 | 
| -10.283 | -0.759 | -0.851 | -0.977 | 3.885 | 83.750 | 
| 301.499 | 127.582 | 126.456 | 2.109 | 2.598 | -7.893 | 
| 128.337 | 283.761 | 125.743 | -1.935 | -0.581 | -1.193 | 
| 127.854 | 126.975 | 302.818 | 0.454 | -3.114 | -0.959 | 
| 2.772 | -4.062 | 1.066 | 83.705 | -1.653 | -1.855 | 
| 3.027 | -0.749 | -0.933 | -2.109 | 82.949 | 0.380 | 
| -8.785 | -1.683 | 0.041 | -0.391 | 4.813 | 83.182 | 
| 242.378 | 338.652 | 165.771 | -88.950 | -76.756 | 132.469 | 
| 58.280 | 528.341 | 173.721 | -82.070 | -72.091 | 133.942 | 
| 56.716 | 345.302 | 337.712 | -87.936 | -77.137 | 134.484 | 
| 83.292 | 206.611 | 66.985 | -26.341 | -116.417 | 205.484 | 
| -1.555 | 148.029 | 49.221 | -75.279 | -73.870 | 268.082 | 
| -63.527 | 221.245 | 50.025 | -92.432 | -64.979 | 214.623 | 
| 367.228 | -97.838 | 72.734 | 91.713 | 62.459 | -128.801 | 
| 126.550 | 350.698 | 135.242 | 11.594 | -2.757 | 5.554 | 
| 32.306 | -83.301 | 192.475 | 104.878 | 109.852 | -202.711 | 
| 63.774 | -213.614 | -44.114 | 180.836 | 71.293 | -132.875 | 
| -88.913 | -206.071 | -73.723 | 105.063 | 193.309 | -207.159 | 
| -18.346 | -141.295 | -26.878 | 72.117 | 183.362 | -232.441 | 
| 299.453 | 142.494 | 124.125 | -7.697 | -14.189 | 15.048 | 
| 126.550 | 350.698 | 135.242 | 11.594 | -2.757 | 5.554 | 
| 112.931 | 148.927 | 295.656 | -6.661 | -14.514 | 16.971 | 
| 1.454 | 7.270 | 0.816 | 105.060 | 2.338 | -2.422 | 
| 1.249 | 18.363 | -2.282 | -8.046 | 62.975 | 21.199 | 
| 1.613 | 5.537 | 3.216 | -2.326 | 5.456 | 96.501 | 
| 309.794 | 98.327 | 114.322 | 10.434 | -0.112 | -11.373 | 
| 126.550 | 350.698 | 135.242 | 11.594 | -2.757 | 5.554 | 
| 125.529 | 105.164 | 286.524 | 11.464 | -0.548 | -9.253 | 
| 7.499 | -17.287 | -2.263 | 99.406 | 8.660 | -15.341 | 
| -1.276 | -24.248 | -12.177 | 10.690 | 93.391 | -12.014 | 
| 5.288 | -18.859 | -1.131 | 6.956 | 11.603 | 70.919 | 
| 303.826 | 123.238 | 119.828 | 0.199 | -8.052 | 3.529 | 
| 119.743 | 307.678 | 126.773 | 7.210 | -3.009 | 4.115 | 
| 118.553 | 125.840 | 275.723 | 0.835 | -9.814 | 6.124 | 
| 1.454 | 7.270 | 0.816 | 105.060 | 2.338 | -2.422 | 
| -8.088 | 0.069 | -6.914 | 0.580 | 84.681 | 2.485 | 
| 1.613 | 5.537 | 3.216 | -2.326 | 5.456 | 96.501 | 
| 342.869 | 126.678 | 127.350 | 1.375 | -8.989 | 5.304 | 
| 117.067 | 291.666 | 124.057 | 7.982 | -1.172 | 1.719 | 
| 117.350 | 122.569 | 268.493 | 0.764 | -6.989 | 2.533 | 
| 1.454 | 7.270 | 0.816 | 105.060 | 2.338 | -2.422 | 
| -6.666 | -4.732 | -7.913 | 2.555 | 85.936 | -0.405 | 
| 1.612 | 5.536 | 3.216 | -2.326 | 5.456 | 96.501 | 
| 328.799 | 122.540 | 122.540 | 0.000 | -0.000 | 0.000 | 
| 122.540 | 328.799 | 122.540 | 0.000 | -0.000 | 0.000 | 
| 122.540 | 122.540 | 328.799 | -0.000 | -0.000 | 0.000 | 
| -0.000 | -0.000 | -0.000 | 84.025 | -0.000 | 0.000 | 
| 0.000 | -0.000 | -0.000 | 0.000 | 84.025 | 0.000 | 
| 0.000 | -0.000 | -0.000 | -0.000 | -0.000 | 84.025 | 
| 291.415 | 115.487 | 115.487 | -0.000 | 0.000 | -0.000 | 
| 115.487 | 291.415 | 115.487 | -0.000 | 0.000 | -0.000 | 
| 115.487 | 115.487 | 291.415 | -0.000 | -0.000 | -0.000 | 
| -0.000 | 0.000 | -0.000 | 84.025 | -0.000 | -0.000 | 
| -0.000 | 0.000 | 0.000 | -0.000 | 84.025 | -0.000 | 
| -0.000 | 0.000 | 0.000 | -0.000 | 0.000 | 84.025 | 
| 298.374 | 121.401 | 121.401 | -0.000 | -0.000 | -0.000 | 
| 121.401 | 298.374 | 121.401 | 0.000 | -0.000 | 0.000 | 
| 121.401 | 121.401 | 298.374 | -0.000 | -0.000 | 0.000 | 
| -0.000 | -0.000 | -0.000 | 63.605 | -0.000 | 0.000 | 
| -0.000 | -0.000 | -0.000 | -0.000 | 63.605 | 0.000 | 
| -0.000 | -0.000 | -0.000 | 0.000 | -0.000 | 63.605 | 
| 328.799 | 122.540 | 122.540 | 0.000 | -0.000 | -0.000 | 
| 122.540 | 328.799 | 122.540 | -0.000 | 0.000 | -0.000 | 
| 122.540 | 122.540 | 328.799 | -0.000 | -0.000 | -0.000 | 
| 0.000 | 0.000 | 0.000 | 63.605 | 0.000 | -0.000 | 
| 0.000 | 0.000 | 0.000 | 0.000 | 63.605 | -0.000 | 
| 0.000 | 0.000 | 0.000 | -0.000 | 0.000 | 63.605 | 
| 328.801 | 122.541 | 122.541 | 0.000 | 0.000 | 0.000 | 
| 122.541 | 328.801 | 122.541 | 0.000 | -0.000 | 0.000 | 
| 122.541 | 122.541 | 328.801 | -0.000 | 0.000 | 0.000 | 
| 0.000 | 0.000 | 0.000 | 84.025 | -0.000 | 0.000 | 
| 0.000 | 0.000 | 0.000 | 0.000 | 84.025 | 0.000 | 
| 0.000 | 0.000 | 0.000 | -0.000 | 0.000 | 84.025 | 
| 328.798 | 122.540 | 122.540 | -0.000 | 0.000 | -0.000 | 
| 122.540 | 328.798 | 122.540 | -0.000 | 0.000 | -0.000 | 
| 122.540 | 122.540 | 328.798 | -0.000 | 0.000 | -0.000 | 
| -0.000 | -0.000 | -0.000 | 84.025 | 0.000 | -0.000 | 
| -0.000 | -0.000 | -0.000 | -0.000 | 84.025 | -0.000 | 
| -0.000 | -0.000 | -0.000 | -0.000 | -0.000 | 84.025 | 
| 25.971 | -159.843 | -159.843 | -0.000 | -0.000 | -0.000 | 
| -159.843 | 25.971 | -159.843 | -0.000 | -0.000 | 0.000 | 
| -159.843 | -159.843 | 25.971 | -0.000 | 0.000 | -0.000 | 
| 0.000 | -0.000 | -0.000 | 83.991 | -0.000 | -0.000 | 
| -0.000 | 0.000 | -0.000 | -0.000 | 83.991 | 0.000 | 
| 0.000 | -0.000 | -0.000 | -0.000 | -0.000 | 83.991 | 
| 585.730 | 399.661 | 399.661 | 0.000 | 0.000 | -0.000 | 
| 399.661 | 585.730 | 399.661 | 0.000 | 0.000 | 0.000 | 
| 399.661 | 399.661 | 585.730 | 0.000 | 0.000 | -0.000 | 
| -0.000 | 0.000 | 0.000 | 83.991 | 0.000 | 0.000 | 
| -0.000 | 0.000 | 0.000 | 0.000 | 83.991 | 0.000 | 
| -0.000 | 0.000 | -0.000 | 0.000 | 0.000 | 83.991 | 
| 328.630 | 122.459 | 122.459 | -0.000 | -0.000 | 0.000 | 
| 122.459 | 328.630 | 122.459 | -0.000 | -0.000 | -0.000 | 
| 122.459 | 122.459 | 328.630 | -0.000 | -0.000 | -0.000 | 
| 0.000 | 0.000 | 0.000 | 83.991 | 0.000 | -0.000 | 
| 0.000 | 0.000 | 0.000 | -0.000 | 83.991 | 0.000 | 
| 0.000 | 0.000 | 0.000 | -0.000 | 0.000 | 83.991 | 
| 335.332 | 148.658 | 148.658 | 0.000 | 0.000 | -0.000 | 
| 148.658 | 335.332 | 148.658 | 0.000 | 0.000 | -0.000 | 
| 148.658 | 148.658 | 335.332 | 0.000 | -0.000 | 0.000 | 
| -0.000 | -0.000 | -0.000 | 83.991 | -0.000 | 0.000 | 
| -0.000 | -0.000 | -0.000 | 0.000 | 83.991 | 0.000 | 
| -0.000 | -0.000 | -0.000 | 0.000 | 0.000 | 83.991 | 
| 328.631 | 122.459 | 122.459 | -0.000 | -0.000 | 0.000 | 
| 122.459 | 328.631 | 122.459 | -0.000 | 0.000 | 0.000 | 
| 122.459 | 122.459 | 328.631 | -0.000 | -0.000 | -0.000 | 
| 0.000 | 0.000 | 0.000 | 83.991 | -0.000 | 0.000 | 
| 0.000 | 0.000 | 0.000 | -0.000 | 83.991 | -0.000 | 
| -4.335 | -4.335 | -4.335 | -0.000 | 0.000 | 63.470 | 
| 328.628 | 122.458 | 122.458 | 0.000 | -0.000 | -0.000 | 
| 122.458 | 328.628 | 122.458 | 0.000 | 0.000 | 0.000 | 
| 122.458 | 122.458 | 328.628 | 0.000 | 0.000 | 0.000 | 
| -0.000 | -0.000 | -0.000 | 83.991 | 0.000 | 0.000 | 
| 4.335 | 4.335 | 4.335 | 0.000 | 63.470 | 0.000 | 
| -0.000 | -0.000 | -0.000 | 0.000 | 0.000 | 83.991 | 
| 157.482 | 139.459 | 139.459 | 0.000 | -0.001 | 0.000 | 
| 139.459 | 157.482 | 139.459 | 0.000 | -0.001 | 0.000 | 
| 139.459 | 139.459 | 157.482 | 0.000 | -0.001 | 0.000 | 
| 0.126 | 0.126 | 0.126 | 30.838 | -0.002 | 0.000 | 
| 0.126 | 0.126 | 0.126 | 0.000 | 30.831 | 0.000 | 
| 0.126 | 0.126 | 0.126 | 0.000 | -0.002 | 30.840 | 
| 157.107 | 139.356 | 139.356 | -0.000 | 0.001 | -0.000 | 
| 139.356 | 157.107 | 139.356 | -0.000 | 0.001 | -0.000 | 
| 139.356 | 139.356 | 157.107 | -0.000 | 0.001 | -0.000 | 
| -0.126 | -0.126 | -0.126 | 30.838 | 0.002 | -0.000 | 
| -0.126 | -0.126 | -0.126 | -0.000 | 30.846 | -0.000 | 
| -0.126 | -0.126 | -0.126 | -0.000 | 0.002 | 30.837 | 
| 157.317 | 139.413 | 139.413 | 0.000 | -0.000 | 0.000 | 
| 139.413 | 157.317 | 139.413 | 0.000 | -0.000 | 0.000 | 
| 139.413 | 139.413 | 157.317 | 0.000 | -0.000 | 0.000 | 
| 0.000 | 0.000 | 0.000 | 80.474 | 0.000 | 0.000 | 
| 0.000 | 0.000 | 0.000 | -0.000 | 80.474 | -0.000 | 
| 0.000 | 0.000 | 0.000 | 0.000 | -0.000 | 80.474 | 
| 157.280 | 139.402 | 139.402 | -0.000 | 0.000 | -0.000 | 
| 139.402 | 157.280 | 139.402 | -0.000 | 0.000 | -0.000 | 
| 139.402 | 139.402 | 157.280 | -0.000 | 0.000 | -0.000 | 
| -0.000 | -0.000 | -0.000 | 80.474 | -0.000 | -0.000 | 
| -1955347.068 | -4444366.099 | -3026737.638 | -88762.941 | -9866042.443 | 17264.480 | 
| -0.000 | -0.000 | -0.000 | 0.000 | -0.000 | 80.474 | 
| 144.151 | 143.284 | 143.284 | 0.000 | -0.001 | 0.000 | 
| 143.284 | 144.151 | 143.284 | 0.000 | -0.001 | 0.000 | 
| 143.284 | 143.284 | 144.151 | 0.000 | -0.001 | 0.000 | 
| 427771.045 | 288677.911 | 250702.922 | -965755.723 | -82712.095 | -52249.428 | 
| 191329.951 | 454471.768 | 290079.753 | 27510.926 | -987409.188 | 28336.748 | 
| 300874.292 | 189231.927 | 421532.130 | 95484.244 | 17929.723 | -1009052.732 | 
| 146.045 | 142.890 | 142.890 | -0.000 | 0.000 | -0.000 | 
| 142.890 | 146.045 | 142.890 | -0.000 | 0.000 | -0.000 | 
| 142.890 | 142.890 | 146.045 | -0.000 | 0.000 | -0.000 | 
| -451207.286 | -280975.763 | -215285.951 | -982960.159 | -97700.475 | 73863.242 | 
| -196720.472 | -438825.789 | -319116.585 | -13000.495 | -977192.279 | 9988.948 | 
| -303101.065 | -195409.083 | -421820.531 | 97856.743 | -47596.204 | -988399.733 | 
| 234.798 | 148.060 | 66.627 | -0.000 | -0.000 | -0.000 | 
| 147.528 | 325.340 | 21.487 | -0.000 | -0.000 | 0.000 | 
| 86.105 | 26.158 | 339.871 | -0.000 | -0.000 | 0.000 | 
| 0.000 | 0.000 | 0.000 | -57.304 | -0.000 | 0.000 | 
| 0.000 | -0.000 | 0.000 | -0.000 | -41.425 | 0.000 | 
| 0.000 | 0.000 | -0.000 | -0.000 | -0.000 | 121.778 | 
| 234.798 | 148.060 | 66.627 | 0.000 | 0.000 | 0.000 | 
| 147.528 | 325.340 | 21.487 | 0.000 | 0.000 | -0.000 | 
| 65.385 | 20.778 | 321.391 | 0.000 | 0.000 | 0.000 | 
| -0.000 | -0.000 | -0.000 | -57.304 | 0.000 | -0.000 | 
| -0.000 | 0.000 | -0.000 | 0.000 | -41.425 | -0.000 | 
| -0.000 | -0.000 | 0.000 | 0.000 | 0.000 | 121.778 | 
| 258.029 | 154.092 | 87.347 | -0.000 | -0.000 | 0.000 | 
| 153.560 | 326.906 | 26.867 | -0.000 | -0.000 | -0.000 | 
| 65.386 | 20.778 | 321.391 | -0.000 | -0.000 | -0.000 | 
| -0.000 | 0.000 | -0.000 | -57.304 | -0.000 | 0.000 | 
| -0.000 | -0.000 | -0.000 | -0.000 | -41.425 | 0.000 | 
| -0.000 | 0.000 | -0.000 | -0.000 | -0.000 | 121.778 | 
| 234.798 | 148.060 | 66.627 | 0.000 | 0.000 | -0.000 | 
| 147.528 | 325.340 | 21.487 | 0.000 | 0.000 | -0.000 | 
| 65.385 | 20.778 | 321.391 | 0.000 | 0.000 | 0.000 | 
| 0.000 | -0.000 | 0.000 | -57.304 | 0.000 | -0.000 | 
| 0.000 | 0.000 | 0.000 | 0.000 | -41.425 | -0.000 | 
| 0.000 | -0.000 | -0.000 | 0.000 | 0.000 | 121.778 | 
| 234.799 | 148.061 | 66.627 | -0.000 | -0.000 | -0.000 | 
| 147.529 | 325.341 | 21.487 | -0.000 | -0.000 | 0.000 | 
| 65.386 | 20.778 | 321.392 | -0.000 | -0.000 | 0.000 | 
| -0.000 | 0.000 | -0.001 | -57.304 | -0.000 | 0.000 | 
| -0.000 | -0.000 | -0.001 | -0.000 | -41.425 | 0.000 | 
| -0.000 | 0.000 | -0.000 | -0.000 | -0.000 | 121.778 | 
| 234.796 | 148.060 | 66.626 | 0.000 | 0.000 | -0.000 | 
| 153.559 | 326.905 | 26.867 | 0.000 | 0.000 | -0.000 | 
| 65.385 | 20.778 | 321.389 | 0.000 | 0.000 | 0.000 | 
| 0.000 | -0.000 | 0.001 | -57.304 | 0.000 | -0.000 | 
| 0.000 | 0.000 | 0.001 | 0.000 | -41.425 | -0.000 | 
| 0.000 | -0.000 | 0.000 | 0.000 | 0.000 | 121.778 | 
| 291.812 | 122.437 | 83.181 | 0.000 | -0.000 | -0.000 | 
| 127.141 | 254.798 | 96.582 | 0.000 | -0.000 | -0.000 | 
| 88.157 | 96.854 | 286.672 | 0.000 | -0.000 | -0.000 | 
| -0.000 | 0.000 | 0.000 | 59.962 | -0.000 | -0.000 | 
| 0.000 | 0.000 | 0.000 | -0.000 | 48.868 | 0.000 | 
| 0.000 | 0.000 | 0.000 | 0.000 | -0.000 | 48.723 | 
| 291.812 | 122.437 | 83.181 | -0.000 | 0.000 | -0.000 | 
| 127.141 | 254.798 | 96.582 | -0.000 | 0.000 | 0.000 | 
| 88.157 | 96.854 | 286.672 | -0.000 | 0.000 | 0.000 | 
| 0.000 | -0.000 | -0.000 | 59.962 | 0.000 | 0.000 | 
| 0.000 | -0.000 | 0.000 | -0.000 | 48.868 | -0.000 | 
| 0.000 | -0.000 | -0.000 | -0.000 | 0.000 | 48.723 | 
| 291.812 | 122.438 | 83.181 | 0.000 | -0.000 | -0.000 | 
| 127.141 | 254.798 | 96.582 | 0.000 | -0.000 | -0.000 | 
| 88.157 | 96.854 | 286.672 | 0.000 | -0.000 | -0.000 | 
| 0.000 | -0.000 | 0.000 | 59.962 | -0.000 | 0.000 | 
| -0.000 | 0.000 | 0.000 | 0.000 | 48.868 | 0.000 | 
| -0.000 | 0.000 | -0.000 | 0.000 | -0.000 | 48.723 | 
| 291.811 | 122.437 | 83.181 | -0.000 | 0.000 | -0.000 | 
| 127.141 | 254.798 | 96.582 | -0.000 | -0.000 | 0.000 | 
| 88.157 | 96.854 | 286.672 | -0.000 | 0.000 | 0.000 | 
| -0.000 | 0.000 | -0.000 | 59.962 | 0.000 | -0.000 | 
| 0.000 | -0.000 | -0.000 | 0.000 | 48.868 | -0.000 | 
| 0.000 | -0.000 | 0.000 | -0.000 | 0.000 | 48.723 | 
| 291.813 | 122.438 | 83.181 | 0.000 | -0.000 | -0.000 | 
| 127.142 | 254.799 | 96.582 | 0.000 | -0.000 | -0.000 | 
| 88.157 | 96.855 | 286.673 | 0.000 | -0.000 | -0.000 | 
| 0.000 | -0.000 | 0.000 | 59.962 | -0.000 | -0.000 | 
| -0.000 | 0.000 | 0.000 | 0.000 | 48.868 | 0.000 | 
| -0.000 | 0.000 | -0.000 | 0.000 | -0.000 | 48.723 | 
| 291.810 | 122.437 | 83.181 | -0.000 | 0.000 | 0.000 | 
| 127.140 | 254.797 | 96.582 | -0.000 | 0.000 | 0.000 | 
| 88.156 | 96.854 | 286.671 | -0.000 | 0.000 | 0.000 | 
| -0.000 | 0.000 | -0.000 | 59.962 | 0.000 | 0.000 | 
| 0.000 | -0.000 | -0.000 | -0.000 | 48.868 | -0.000 | 
| 0.000 | -0.000 | 0.000 | -0.000 | 0.000 | 48.723 | 
| 538.607 | 377.081 | 465.616 | 0.026 | 20.308 | -0.012 | 
| 376.474 | 1203.194 | 342.414 | -0.015 | -8.655 | 0.007 | 
| 466.057 | 334.186 | 477.321 | 0.026 | 2.608 | -0.012 | 
| 0.002 | 0.000 | -0.002 | 253.401 | 0.007 | -6.853 | 
| -15.034 | -10.583 | 2.119 | 0.020 | 74.462 | -0.009 | 
| 0.002 | 0.000 | -0.002 | -7.014 | 0.007 | 282.255 | 
| 538.551 | 377.077 | 465.665 | -0.026 | 20.119 | 0.012 | 
| 376.437 | 1203.192 | 342.448 | 0.015 | -8.773 | -0.007 | 
| 465.970 | 334.185 | 477.406 | -0.026 | 2.409 | 0.012 | 
| -0.002 | -0.000 | 0.002 | 253.405 | -0.007 | -6.855 | 
| -15.095 | -10.585 | 2.175 | -0.020 | 74.287 | 0.009 | 
| -0.002 | -0.000 | 0.002 | -7.011 | -0.007 | 282.253 | 
| 535.721 | 377.768 | 469.782 | -0.001 | 24.178 | 0.001 | 
| 383.218 | 1202.795 | 334.771 | 0.002 | -11.201 | -0.001 | 
| 466.710 | 334.381 | 477.013 | -0.001 | 5.933 | 0.001 | 
| 0.001 | 0.000 | -0.000 | 253.390 | 0.002 | -6.852 | 
| -18.006 | -10.138 | 5.920 | -0.001 | 74.165 | 0.001 | 
| 0.000 | 0.000 | -0.000 | -7.013 | 0.001 | 282.254 | 
| 535.712 | 377.767 | 469.789 | 0.001 | 24.160 | -0.001 | 
| 383.209 | 1202.795 | 334.780 | -0.002 | -11.218 | 0.001 | 
| 466.704 | 334.379 | 477.016 | 0.001 | 5.915 | -0.001 | 
| -0.001 | -0.000 | 0.000 | 253.391 | -0.002 | -6.853 | 
| -18.015 | -10.138 | 5.927 | 0.001 | 74.147 | -0.001 | 
| -0.000 | -0.000 | 0.000 | -7.012 | -0.001 | 282.254 | 
| 535.724 | 377.773 | 469.787 | -0.000 | 24.177 | 0.000 | 
| 383.743 | 1202.790 | 334.229 | -0.000 | -10.292 | 0.000 | 
| 466.696 | 334.386 | 477.037 | -0.000 | 5.926 | 0.000 | 
| 0.000 | 0.002 | 0.002 | 253.390 | 0.000 | -6.853 | 
| -18.008 | -10.135 | 5.924 | -0.000 | 74.157 | 0.000 | 
| 0.002 | 0.002 | -0.000 | -7.008 | 0.000 | 282.253 | 
| 535.709 | 377.762 | 469.785 | 0.000 | 24.163 | -0.000 | 
| 383.739 | 1202.782 | 334.226 | 0.000 | -10.294 | -0.000 | 
| 466.719 | 334.374 | 476.992 | 0.000 | 5.925 | -0.000 | 
| -0.000 | -0.002 | -0.002 | 253.390 | -0.000 | -6.853 | 
| -18.017 | -10.140 | 5.927 | 0.000 | 74.155 | -0.000 | 
| -0.002 | -0.002 | 0.000 | -7.008 | -0.000 | 282.253 | 
| 273.287 | 118.433 | 96.617 | 10.835 | 0.000 | -0.000 | 
| 118.433 | 273.287 | 96.617 | -10.835 | 0.000 | -0.000 | 
| 97.253 | 97.253 | 295.759 | -0.000 | 0.000 | -0.000 | 
| 10.835 | -10.835 | 0.000 | 56.049 | 0.000 | -0.000 | 
| -0.000 | -0.000 | 0.000 | 0.000 | 56.049 | 10.835 | 
| 0.000 | -0.000 | 0.000 | 0.000 | 10.835 | 77.427 | 
| 273.287 | 118.433 | 96.618 | 10.835 | 0.000 | 0.000 | 
| 120.981 | 269.466 | 97.110 | -10.862 | -0.000 | 0.000 | 
| 96.620 | 96.620 | 296.250 | -0.000 | -0.000 | 0.000 | 
| 10.835 | -10.835 | -0.000 | 56.049 | -0.000 | 0.000 | 
| 0.000 | 0.000 | -0.000 | -0.000 | 56.049 | 10.835 | 
| 0.000 | 0.000 | -0.000 | -0.000 | 10.835 | 77.427 | 
| 273.287 | 118.433 | 96.617 | 10.835 | 0.000 | -0.000 | 
| 122.902 | 268.991 | 96.550 | -10.872 | -0.000 | -0.000 | 
| 96.620 | 96.620 | 296.251 | -0.000 | 0.000 | -0.000 | 
| 10.926 | -10.799 | -0.049 | 56.049 | 0.000 | -0.000 | 
| -0.000 | -0.000 | 0.000 | 0.000 | 56.049 | 10.835 | 
| 0.087 | 0.087 | -0.068 | -0.000 | 10.872 | 73.066 | 
| 268.860 | 122.685 | 96.685 | 10.872 | 0.000 | 0.000 | 
| 118.433 | 273.286 | 96.617 | -10.835 | -0.000 | 0.000 | 
| 96.557 | 96.557 | 296.299 | -0.000 | -0.000 | 0.000 | 
| 10.835 | -10.835 | -0.000 | 56.049 | -0.000 | 0.000 | 
| 0.000 | 0.000 | -0.000 | -0.000 | 56.049 | 10.835 | 
| -0.087 | -0.087 | 0.068 | 0.000 | 10.872 | 73.066 | 
| 256.579 | 135.202 | 96.594 | 10.977 | 0.000 | -0.000 | 
| 136.442 | 255.290 | 96.613 | -10.988 | -0.000 | -0.000 | 
| 96.620 | 96.620 | 296.251 | -0.000 | -0.000 | -0.000 | 
| 10.835 | -10.835 | 0.000 | 56.049 | 0.000 | -0.000 | 
| -0.000 | -0.000 | 0.000 | 0.000 | 56.049 | 10.835 | 
| -0.000 | 0.000 | 0.000 | 0.000 | 10.835 | 77.427 | 
| 257.051 | 134.596 | 96.645 | 10.973 | -0.000 | 0.000 | 
| 136.428 | 255.276 | 96.622 | -10.988 | -0.000 | 0.000 | 
| 96.613 | 96.613 | 296.254 | 0.000 | 0.000 | 0.000 | 
| 10.856 | -10.869 | 0.005 | 56.049 | -0.000 | 0.000 | 
| 0.000 | 0.000 | -0.000 | -0.000 | 56.049 | 10.835 | 
| 0.000 | -0.000 | -0.000 | -0.000 | 10.835 | 77.427 | 
| 273.287 | 118.434 | 96.627 | 10.836 | -0.000 | -0.000 | 
| 136.419 | 255.295 | 96.630 | -10.989 | -0.000 | -0.000 | 
| 96.627 | 96.627 | 296.265 | -0.000 | -0.000 | -0.000 | 
| 10.836 | -10.836 | 0.000 | 56.052 | -0.000 | -0.000 | 
| -0.000 | 0.000 | -0.000 | -0.000 | 56.051 | 10.989 | 
| -0.000 | 0.000 | -0.000 | -0.000 | 10.836 | 77.426 | 
| 255.295 | 136.419 | 96.630 | 10.989 | 0.000 | 0.000 | 
| 118.434 | 273.287 | 96.627 | -10.836 | 0.000 | 0.000 | 
| 96.628 | 96.628 | 296.264 | 0.000 | -0.000 | 0.000 | 
| 10.836 | -10.836 | 0.000 | 56.052 | 0.000 | 0.000 | 
| 0.000 | -0.000 | 0.000 | 0.000 | 56.051 | 10.989 | 
| 0.000 | -0.000 | 0.000 | -0.000 | 10.836 | 77.426 | 
| 255.295 | 136.419 | 96.630 | 10.989 | 0.000 | -0.000 | 
| 118.434 | 273.287 | 96.627 | -10.836 | 0.000 | -0.000 | 
| 96.627 | 96.627 | 296.265 | 0.000 | 0.000 | -0.000 | 
| 10.989 | -10.989 | 0.000 | 56.051 | -0.000 | -0.000 | 
| -0.000 | 0.000 | 0.000 | 0.000 | 56.051 | 10.989 | 
| -0.000 | 0.000 | 0.000 | 0.000 | 10.836 | 77.426 | 
| 273.287 | 118.434 | 96.627 | 10.836 | -0.000 | 0.000 | 
| 118.434 | 273.287 | 96.627 | -10.836 | 0.000 | 0.000 | 
| 96.627 | 96.627 | 296.264 | 0.000 | 0.000 | 0.000 | 
| 10.989 | -10.989 | -0.000 | 56.051 | 0.000 | 0.000 | 
| 0.000 | -0.000 | -0.000 | -0.000 | 56.051 | 10.989 | 
| 0.000 | -0.000 | -0.000 | 0.000 | 10.836 | 77.426 | 
| 273.288 | 118.434 | 96.627 | 10.836 | 0.000 | -0.000 | 
| 136.439 | 255.282 | 96.628 | -10.989 | -0.000 | -0.000 | 
| 96.627 | 96.627 | 296.266 | -0.000 | 0.000 | -0.000 | 
| 10.989 | -10.989 | 0.000 | 56.051 | -0.000 | -0.000 | 
| -0.000 | 0.000 | 0.000 | 0.000 | 56.051 | 10.989 | 
| -0.000 | 0.000 | -0.000 | 0.000 | 10.836 | 77.426 | 
| 273.286 | 118.434 | 96.627 | 10.836 | -0.000 | 0.000 | 
| 136.438 | 255.281 | 96.627 | -10.989 | -0.000 | 0.000 | 
| 96.627 | 96.627 | 296.263 | -0.000 | 0.000 | 0.000 | 
| 10.989 | -10.989 | -0.000 | 56.051 | 0.000 | 0.000 | 
| 0.000 | -0.000 | -0.000 | -0.000 | 56.051 | 10.989 | 
| 0.000 | -0.000 | 0.000 | -0.000 | 10.836 | 77.426 | 
| 329.878 | 174.500 | 46.727 | 0.000 | -0.000 | -0.000 | 
| 174.500 | 329.878 | 46.727 | 0.000 | -0.000 | 0.000 | 
| 137.204 | 137.204 | 267.353 | 0.000 | -0.000 | -0.000 | 
| 52.732 | 52.732 | -57.256 | 44.208 | -0.000 | 0.000 | 
| 52.732 | 52.732 | -57.256 | 0.000 | 44.208 | 0.000 | 
| -0.000 | -0.000 | 0.000 | 0.000 | 0.000 | 73.154 | 
| 215.910 | 79.476 | 141.787 | -0.000 | 0.000 | 0.000 | 
| 79.476 | 215.910 | 141.787 | -0.000 | -0.000 | -0.000 | 
| 37.065 | 37.065 | 338.336 | -0.000 | 0.000 | -0.000 | 
| -52.732 | -52.732 | 57.256 | 44.208 | -0.000 | -0.000 | 
| -52.732 | -52.732 | 57.256 | -0.000 | 44.208 | -0.000 | 
| 0.000 | -0.000 | -0.000 | -0.000 | 0.000 | 73.154 | 
| 283.451 | 131.456 | 80.682 | 0.000 | -0.000 | 0.000 | 
| 131.456 | 283.451 | 80.682 | 0.000 | -0.000 | -0.000 | 
| 92.529 | 92.529 | 301.746 | 0.000 | 0.000 | -0.000 | 
| 0.000 | 0.000 | 0.000 | 51.125 | -0.000 | 0.000 | 
| 0.000 | 0.000 | 0.000 | 0.000 | 51.125 | -0.000 | 
| 5.006 | 5.006 | -3.836 | 0.000 | -0.000 | 55.725 | 
| 301.006 | 113.451 | 84.306 | -0.000 | 0.000 | -0.000 | 
| 113.451 | 301.006 | 84.306 | -0.000 | 0.000 | 0.000 | 
| 81.923 | 81.923 | 310.305 | -0.000 | 0.000 | -0.000 | 
| -0.000 | -0.000 | -0.000 | 51.125 | 0.000 | 0.000 | 
| -0.000 | -0.000 | -0.000 | -0.000 | 51.125 | -0.000 | 
| -5.006 | -5.006 | 3.836 | -0.000 | 0.000 | 55.725 | 
| 274.381 | 128.904 | 84.504 | 0.000 | 0.000 | 0.000 | 
| 128.904 | 274.381 | 84.504 | 0.000 | -0.000 | 0.000 | 
| 87.298 | 87.298 | 306.335 | 0.000 | -0.000 | 0.000 | 
| 0.472 | 0.472 | -0.652 | 42.580 | -0.000 | -0.000 | 
| 0.472 | 0.472 | -0.652 | 0.000 | 42.580 | 0.000 | 
| 0.525 | 0.525 | -0.402 | 0.000 | -0.000 | 54.870 | 
| 259.014 | 137.932 | 84.886 | -0.000 | 0.000 | -0.000 | 
| 137.932 | 259.014 | 84.886 | -0.000 | 0.000 | -0.000 | 
| 87.160 | 87.160 | 313.316 | -0.000 | 0.000 | -0.000 | 
| -0.472 | -0.472 | 0.652 | 42.580 | 0.000 | 0.000 | 
| -0.472 | -0.472 | 0.652 | -0.000 | 42.580 | -0.000 | 
| -0.525 | -0.525 | 0.402 | -0.000 | 0.000 | 54.870 | 
| 267.462 | 0.000 | -0.005 | 0.000 | 0.000 | 0.000 | 
| -0.000 | 267.462 | -0.005 | -0.000 | 0.000 | 0.000 | 
| -0.000 | 0.000 | 267.416 | 0.000 | 0.000 | 0.000 | 
| -0.000 | 0.000 | -0.000 | -15.095 | 0.000 | 0.000 | 
| 0.000 | 0.000 | -0.000 | 0.000 | -15.095 | 0.000 | 
| -0.000 | 0.000 | -0.000 | 0.000 | 0.000 | -15.101 | 
| 267.462 | -0.000 | -0.005 | -0.000 | -0.000 | -0.000 | 
| 0.000 | 267.462 | -0.005 | 0.000 | -0.000 | -0.000 | 
| 0.000 | -0.000 | 267.416 | 0.000 | 0.000 | -0.000 | 
| 0.000 | -0.000 | 0.000 | -15.095 | -0.000 | -0.000 | 
| 0.000 | -0.000 | 0.000 | -0.000 | -15.095 | -0.000 | 
| 0.000 | -0.000 | 0.000 | -0.000 | -0.000 | -15.101 | 
| 267.462 | 0.000 | -0.005 | 0.000 | 0.000 | 0.000 | 
| -0.000 | 267.462 | -0.005 | 0.000 | 0.000 | 0.000 | 
| -0.000 | 0.000 | 267.416 | 0.000 | 0.000 | 0.000 | 
| -0.000 | 0.000 | -0.000 | -15.095 | 0.000 | 0.000 | 
| -0.000 | 0.000 | -0.000 | 0.000 | -15.095 | 0.000 | 
| -0.000 | -0.000 | -0.000 | 0.000 | 0.000 | -15.101 | 
| 267.462 | -0.000 | -0.005 | -0.000 | -0.000 | -0.000 | 
| 0.000 | 267.462 | -0.005 | -0.000 | -0.000 | -0.000 | 
| 0.000 | -0.000 | 267.415 | 0.000 | 0.000 | -0.000 | 
| 0.000 | -0.000 | 0.000 | -15.095 | -0.000 | -0.000 | 
| 0.000 | -0.000 | 0.000 | -0.000 | -15.095 | -0.000 | 
| 0.000 | 0.000 | 0.000 | -0.000 | 0.000 | -15.101 | 
| 267.464 | 0.000 | -0.005 | 0.000 | 0.000 | 0.000 | 
| -0.000 | 267.464 | -0.005 | 0.000 | 0.000 | 0.000 | 
| -0.000 | 0.000 | 267.417 | 0.000 | 0.000 | 0.000 | 
| -0.000 | 0.000 | -0.000 | -15.095 | 0.000 | 0.000 | 
| 0.000 | 0.000 | -0.000 | 0.000 | -15.095 | 0.000 | 
| 0.000 | -0.000 | -0.000 | 0.000 | 0.000 | -15.101 | 
| 267.461 | -0.000 | -0.005 | -0.000 | -0.000 | -0.000 | 
| 0.000 | 267.461 | -0.005 | -0.000 | -0.000 | -0.000 | 
| 0.000 | -0.000 | 267.414 | -0.000 | -0.000 | -0.000 | 
| 0.000 | -0.000 | 0.000 | -15.095 | -0.000 | -0.000 | 
| -0.000 | -0.000 | 0.000 | -0.000 | -15.095 | -0.000 | 
| -0.000 | 0.000 | 0.000 | -0.000 | -0.000 | -15.101 | 
Phonon band structures and crystal properties estimated from quasi-harmonic approximation (QHA) calculations are displayed for select crystals. The calculations were performed using phonopy and LAMMPS. For the phonon calculations, 3x3 supercells of the potential-specific relaxed crystals were used. The QHA calculations were based on 11 strain states ranging from -0.05 to 0.05.
The calculation method used is available as the iprPy phonon calculation method.
Notes and Disclaimers:
Version Information:





































































































































































Static free surface formation energies are displayed for select crystals. The values displayed here are obtained by taking a perfect periodic bulk crystal, slicing along a crystallographic plane, and using force minimization to statically relax the surfaces. The free surface formation energy is computed by comparing the energy of the defect system to the bulk system and dividing by the total surface area created by the cut.
The calculation method used is available as the iprPy surface_energy_static calculation method.
Notes and Disclaimers:
Version Information:
| Surface | γfs (mJ/m2) | 
|---|---|
| (001) | 0.00 | 
| (101) | 2808.58 | 
| (201) | 3033.12 | 
| (100) | 3120.85 | 
| (111) | 4518.72 | 
| (112) | 5857.45 | 
| (211) | 6157.77 | 
| (110) | 8405.58 | 
| Surface | γfs (mJ/m2) | 
|---|---|
| (0001) 1 | 0.00 | 
| (0001) 2 | 0.00 | 
| (1011) 1 | 4947.21 | 
| (2112) 2 | 5830.37 | 
| (2112) 1 | 5830.37 | 
| (2131) 1 | 5968.01 | 
| (1121) 1 | 6117.00 | 
| (1121) 2 | 6117.00 | 
| (2241) 1 | 6195.51 | 
| (2241) 2 | 6195.51 | 
| (1120) | 6222.37 | 
| (1012) 2 | 6392.32 | 
| (1012) 1 | 6392.32 | 
| (2132) 1 | 6724.10 | 
| (2132) 2 | 6724.10 | 
| (2130) | 6921.47 | 
| (2021) 1 | 7511.92 | 
| (2021) 2 | 7511.92 | 
| (1010) | 7609.17 | 
| (2131) 2 | 8675.49 | 
| (1011) 2 | 11828.93 | 
| Surface | γfs (mJ/m2) | 
|---|---|
| (111) | 1363.48 | 
| (332) | 1547.91 | 
| (322) | 1571.83 | 
| (100) | 1621.83 | 
| (221) | 1633.75 | 
| (211) | 1683.58 | 
| (331) | 1708.07 | 
| (311) | 1781.62 | 
| (321) | 1805.89 | 
| (110) | 1808.51 | 
| (310) | 1882.39 | 
| (320) | 1910.00 | 
| (210) | 1941.16 | 
| Surface | γfs (mJ/m2) | 
|---|---|
| (211) 2 | 1298.83 | 
| (210) | 1326.21 | 
| (332) 2 | 1357.51 | 
| (311) | 1375.51 | 
| (321) 2 | 1388.99 | 
| (100) | 1391.76 | 
| (221) | 1400.80 | 
| (321) 1 | 1402.61 | 
| (111) | 1403.73 | 
| (322) | 1424.74 | 
| (331) | 1443.80 | 
| (320) | 1451.84 | 
| (310) | 1461.37 | 
| (332) 1 | 1477.45 | 
| (211) 1 | 1502.54 | 
| (110) | 1561.20 | 
| Surface | γfs (mJ/m2) | 
|---|---|
| (110) | 1350.08 | 
| (320) | 1516.00 | 
| (321) | 1565.39 | 
| (331) | 1587.27 | 
| (210) | 1595.01 | 
| (211) | 1630.70 | 
| (100) | 1632.68 | 
| (310) | 1663.18 | 
| (221) | 1676.20 | 
| (311) | 1720.85 | 
| (322) | 1732.17 | 
| (332) | 1745.15 | 
| (111) | 1807.74 | 
| Surface | γfs (mJ/m2) | 
|---|---|
| (111) | -13772.51 | 
| (201) | -12923.72 | 
| (100) | 1041.64 | 
| (101) 1 | 1324.70 | 
| (211) 1 | 1345.60 | 
| (112) | 1368.10 | 
| (211) 2 | 1526.34 | 
| (001) | 1556.23 | 
| (110) | 1646.00 | 
| (101) 2 | 2238.58 | 
Stacking fault energy plots and maps are displayed for select crystals. The values are computed by
The calculation method used is available as the iprPy stacking_fault_map_2D calculation method.
Notes and Disclaimers:
Version Information:
| E_usf a/2 [0 -1 1] | 1564.43 | 
| τ_ideal a/2 [0 -1 1] | 38.21 | 




| E_isf | -18.59 | 
| E_usf a/2 [0 -1 1] | 270.52 | 
| τ_ideal a/2 [0 -1 1] | 7.48 | 




| E_usf a/2 [-1 1 -1] | 901.22 | 
| τ_ideal a/2 [-1 1 -1] | 14.30 | 




| E_usf a/2 [-1 -1 1] | 1054.97 | 
| τ_ideal a/2 [-1 -1 1] | 15.86 | 




| E_usf a/2 [-1 -1 1] | 1042.27 | 
| τ_ideal a/2 [-1 -1 1] | 15.32 | 




Static point defect formation energies, Ef, and elastic dipole tensors, pij, are displayed for select crystals. Relaxed defect configurations are obtained by taking a 12x12x12 supercell of a perfect periodic bulk crystal, inserting the point defect, and using force minimization to statically relax the atomic positions while keeping the system dimensions constant. Ef is computed by comparing the energy of the defect system to the same number of atoms in a perfect bulk crystal. pij is estimated as the difference in the system's global pressure with and without the defect multiplied by the system's volume.
Simple structural comparisons of the unrelaxed and relaxed defect configurations are used to help determine if the defect structure has relaxed to a different configuration. Relaxed structures that are identified as no longer consistent with the ideal defect definition are excluded from the table below. The only exception to this is if the lowest energy interstitial configuration does not coincide with a known ideal defect, its energies and pressure tensor are included under the listing "relaxed interstitial". The full list of calculation results including the transformed structures and the structural comparison values is included in the csv file available from the "Download raw data" link.
The calculation method used is available as the iprPy point_defect_static calculation method.
Notes and Disclaimers:
| Point Defect | Ef (eV) | p11 (eV) | p22 (eV) | p33 (eV) | p12 (eV) | p13 (eV) | p23 (eV) | 
|---|---|---|---|---|---|---|---|
| vacancy | 1.919 | -2.935 | -2.935 | -2.935 | 0.000 | -0.000 | 0.000 | 
| 1nn divacancy | 3.533 | -5.657 | -5.509 | -5.509 | 0.000 | -0.000 | -0.084 | 
| 100 dumbbell | 3.567 | 19.646 | 19.646 | 21.691 | 0.000 | -0.000 | -0.000 | 
| 2nn divacancy | 3.865 | -5.931 | -5.931 | -5.916 | 0.000 | -0.000 | 0.000 | 
| tetrahedral interstitial | 4.042 | 20.745 | 20.745 | 20.745 | 0.000 | -0.000 | -0.000 | 
| octahedral interstitial | 4.624 | 19.622 | 19.622 | 19.622 | 0.000 | -0.000 | 0.000 | 
| Point Defect | Ef (eV) | p11 (eV) | p22 (eV) | p33 (eV) | p12 (eV) | p13 (eV) | p23 (eV) | 
|---|---|---|---|---|---|---|---|
| vacancy | 1.565 | -4.524 | -4.524 | -4.524 | 0.000 | 0.000 | -0.000 | 
| 2nn divacancy | 2.937 | -9.555 | -9.555 | -10.743 | 0.000 | 0.000 | -0.000 | 
| 1nn divacancy | 2.995 | -7.437 | -7.437 | -7.437 | 0.637 | 0.637 | 0.637 | 
| 110 dumbbell | 4.525 | 17.991 | 14.283 | 14.283 | 0.000 | 0.000 | 6.029 | 
| 111 dumbbell | 4.783 | 18.489 | 18.489 | 18.489 | 9.247 | 9.247 | 9.247 | 
| tetrahedral interstitial | 5.252 | 19.353 | 10.615 | 19.353 | -0.000 | 0.000 | 0.000 | 
| 100 dumbbell | 5.785 | 17.352 | 17.352 | 24.906 | 0.000 | -0.000 | -0.000 | 
Plots of the atomic structure of dislocation cores are shown here. The dislocations were constructed using dislocation monopole configurations in which a straight dislocation is created in the center of the system using anisotropic elasticity and the elastic constants computed above. A cylindrical region centered around the dislocation is allowed to relax while the remaining atoms are held fixed. The relaxation consists of 1 million NVT steps at 10 K followed by an energy/force minimization. The final plots show the atomic configuration near the center of the monopole system, and display differential displacement arrows and Nye tensor color maps that are both taken with respect to the Burgers vector direction.
These plots show a wide range of final structures, some corresponding to expected dislocation structures and others not. While the characterizations are dislocation-type dependent, some general classification guidelines are listed here.
The calculation method used is available as the iprPy dislocation_monopole calculation method.
Links are provided above the images allowing for users to download the final defect configuration and a corresponding defect-free configuration if they wish to further analyze the structures or use them for subsequent simulations.
Notes and Disclaimers:
Version Information:
Plots of lattice and elastic constants are shown as a function of temperature. The 0K points were taken from the Crystal Structure Predictions and the Elastic Constants Predictions sections above for the unique crystal structures relaxed with the "dynamic" method. Starting from the 0 K relaxed crystal unit cells, supercell systems are created by replicating all three dimensions by the same multiplier to achieve at least 4000 atoms. The systems are then relaxed at 50 K and zero pressure using 1 million NPT steps. Lattice constants are estimated by averaging the measured box dimensions. Temperatures are iteratively increased by 50 K, with each subsequent relaxation calculation starting from the final atomic configuration at the previous temperature and relaxing for another 1 million steps.
The elastic constants are calculated using the deformation–fluctuation hybrid method. Starting from the final atomic configurations of the dynamic relaxations, the system is allowed to evolve at constant volume with a Langevin thermostat. The Born matrix is computed during this run by evaluating how the atomic forces would vary due to applied linear strain fields. The elastic constants can then be estimated using the averaged Born matrix values and the averaged stresses on the system.
The calculation methods used are available as the iprPy relax_dynamic and elastic_constants_dynamic calculation methods.
Clicking on the image of a plot will open an interactive version of it in a new tab. The underlying data for the plots can be downloaded by clicking on the links above each plot.
Notes and Disclaimers:
Version Information:
Plots of radial distribution functions at different temperatures and the temperature-dependent diffusion and viscosity are shown here for elemental liquids. Melt phases are constructed by starting with a 10x10x10 fcc super cell and relaxing with 50,000 NPT steps at zero pressure and a high melting temperature (3000 K for most potentials and elements). Following the melt, liquid structures are relaxed by running NPT for 10,000 steps over which the temperature is dropped by 50 K, then 50,000 NPT at the target temperature to estimate the equilibrium volume, followed by 20,000 NVT steps at the averaged equilibrium volume and target temperature. Structures from the NVT run are sampled to compute the radial distribution function of the liquid at the corresponding temperature.
The final relaxed configurations at each temperature explored are used as the initial configurations for the diffusion and viscosity calculations. For diffusion, the system is integrated for 100 runs of 2,000 NVT steps during which both the mean squared displacement (MSD) and the velocity auto correlation function (VACF) are computed. From these simulations, three estimates of diffusion are computed: one from the MSD of the full 200,000 step run, one in which the MSD is reset for each short run and then averaged, and one from the VACF computed for each short run and averaged. For viscosity, the Green-Kubo method is used which is evaluated during a 1 million step NVT run.
The calculation methods used are available as the iprPy relax_liquid_redo, diffusion_liquid, and viscosity_green_kubo calculation methods.
Clicking on the image of a plot will open an interactive version of it in a new tab. The underlying data for the plots can be downloaded by clicking on the links above each plot.
Notes and Disclaimers:
Version Information:
Plots of internal energy, Gibbs free energy, entropy, heat capacity and volume are shown here as a function of temperature for various crystal structures and liquid phases. The included crystal structures correspond to those in the Solid Structures vs. Temperature section, and the liquid phases to those in the Liquid Properties section. Internal energy and volume are taken from the associated structure relaxations mentioned in those previous sections. Constant pressure heat capacity is estimated using 3-point numerical derivatives of enthalpy versus temperature. Note that since all simulations done here are at 0 pressure, internal energy and enthalpy are equivalent.
The Gibbs energies of the phases are estimated using thermodynamic integration between the interatomic potential in question and a simpler model with known Gibbs free energy values. For solids, the reference model is an Einstein solid, while for liquids it is the Uhlenbeck-Ford potential. Besides a short run at the start of the solid calculations to estimate Einstein model spring constants, the two calculations proceed similarly. Starting with the final relaxation configurations, the systems are stabilized for 25,000 steps. Then, over the next 50,000 steps the potential is swapped out for the reference potential. The system is then stabilized for another 25,000 steps with the reference model before a reverse swap of 50,000 steps is performed. The simulation ends with one final 25,000 step stabilization period. From the simulation, the irreversible work of transformation is estimated and used to compute the absolute Gibbs free energy of the target phase and potential relative to the reference potential. Entropy is estimated as the difference in enthalpy and Gibbs free energy and divided by temperature.
The calculation methods used are available as the iprPy relax_dynamic, relax_liquid_redo, free_energy, and free_energy_liquid calculation methods.
Clicking on the image of a plot will open an interactive version of it in a new tab. The underlying data for the plots can be downloaded by clicking on the links above each plot.
Notes and Disclaimers:
Version Information:
            
            





