Plots of the potential energy vs interatomic spacing, r, are shown below for all diatom sets associated with the interatomic potential. This calculation provides insights into the functional form of the potential's two-body interactions. A system consisting of only two atoms is created, and the potential energy is evaluated for the atoms separated by 0.02 Å <= r <= 6.0> Å in intervals of 0.02 Å. Two plots are shown: one for the "standard" interaction distance range, and one for small values of r. The small r plot is useful for determining whether the potential is suitable for radiation studies.
The calculation method used is available as the iprPy diatom_scan calculation method.
Clicking on the image of a plot will open an interactive version of it in a new tab. The underlying data for the plots can be downloaded by clicking on the links above each plot.
Notes and Disclaimers:
Version Information:
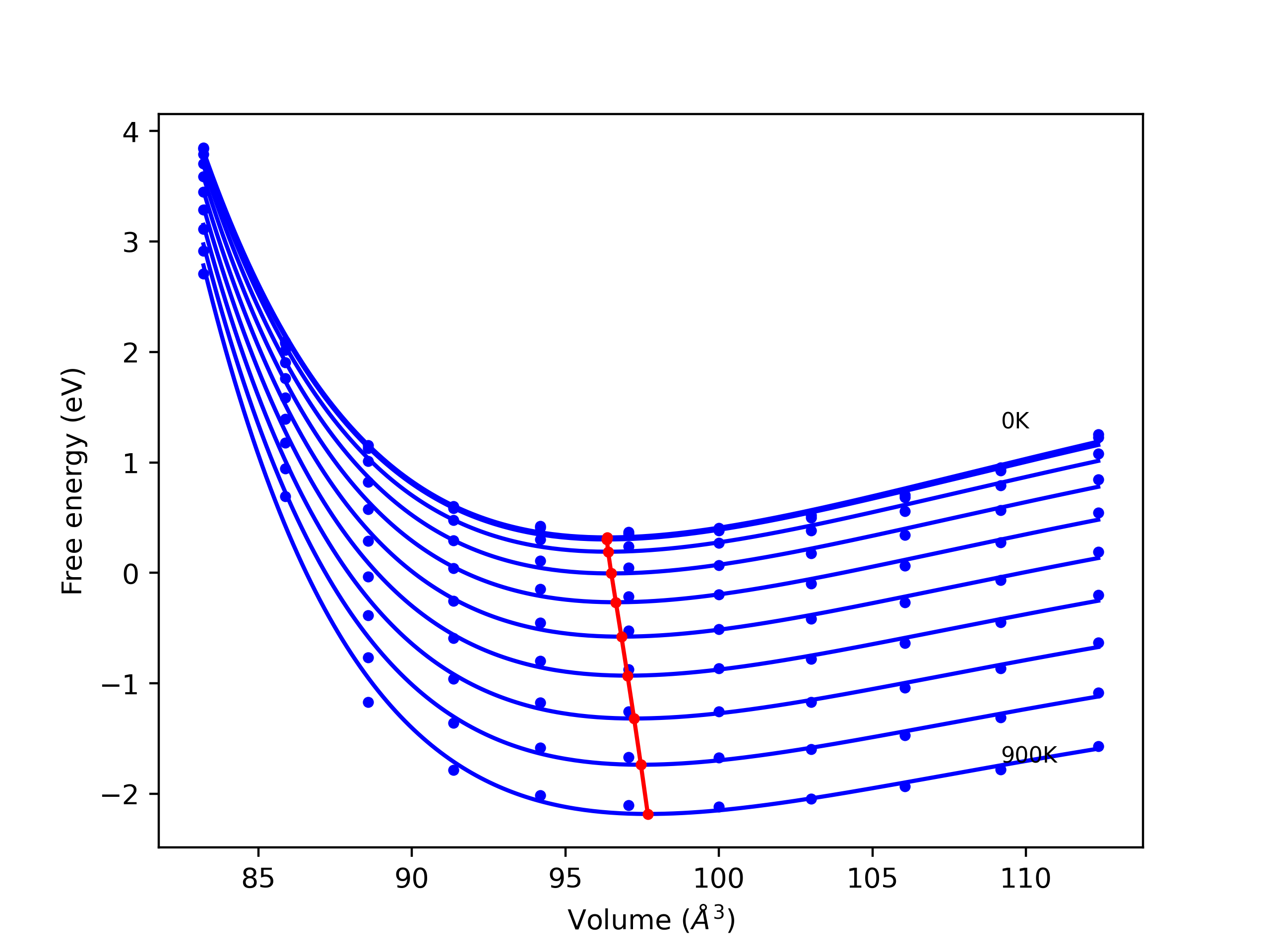
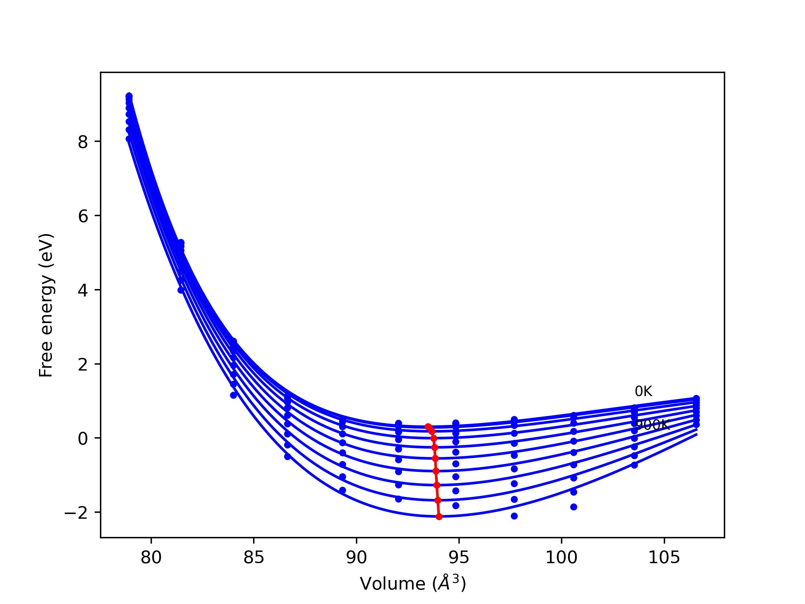
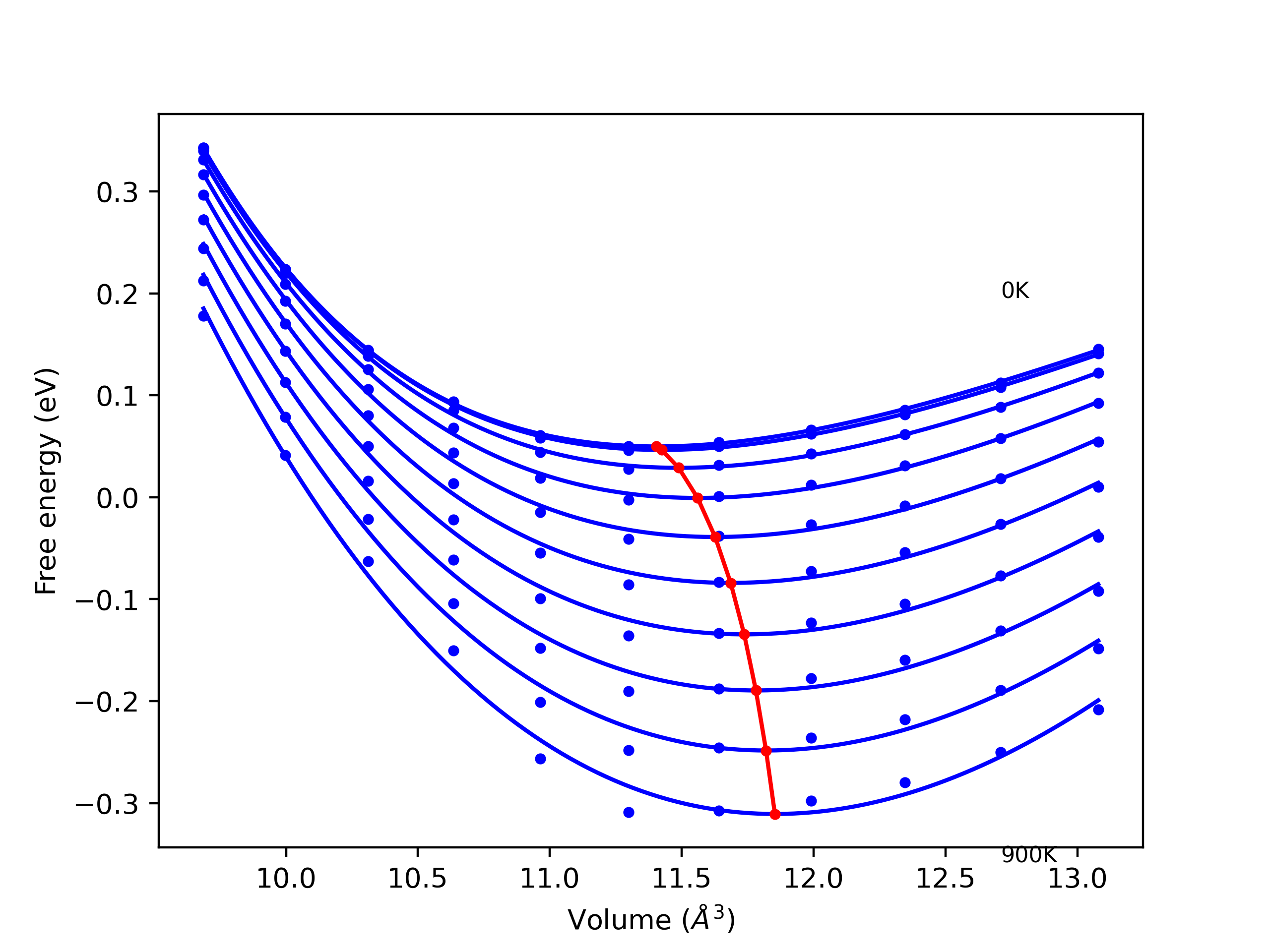
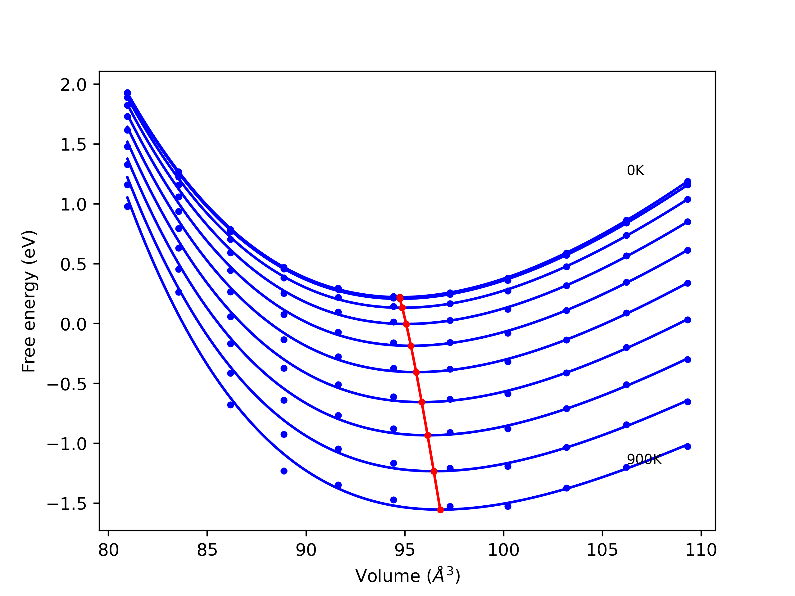
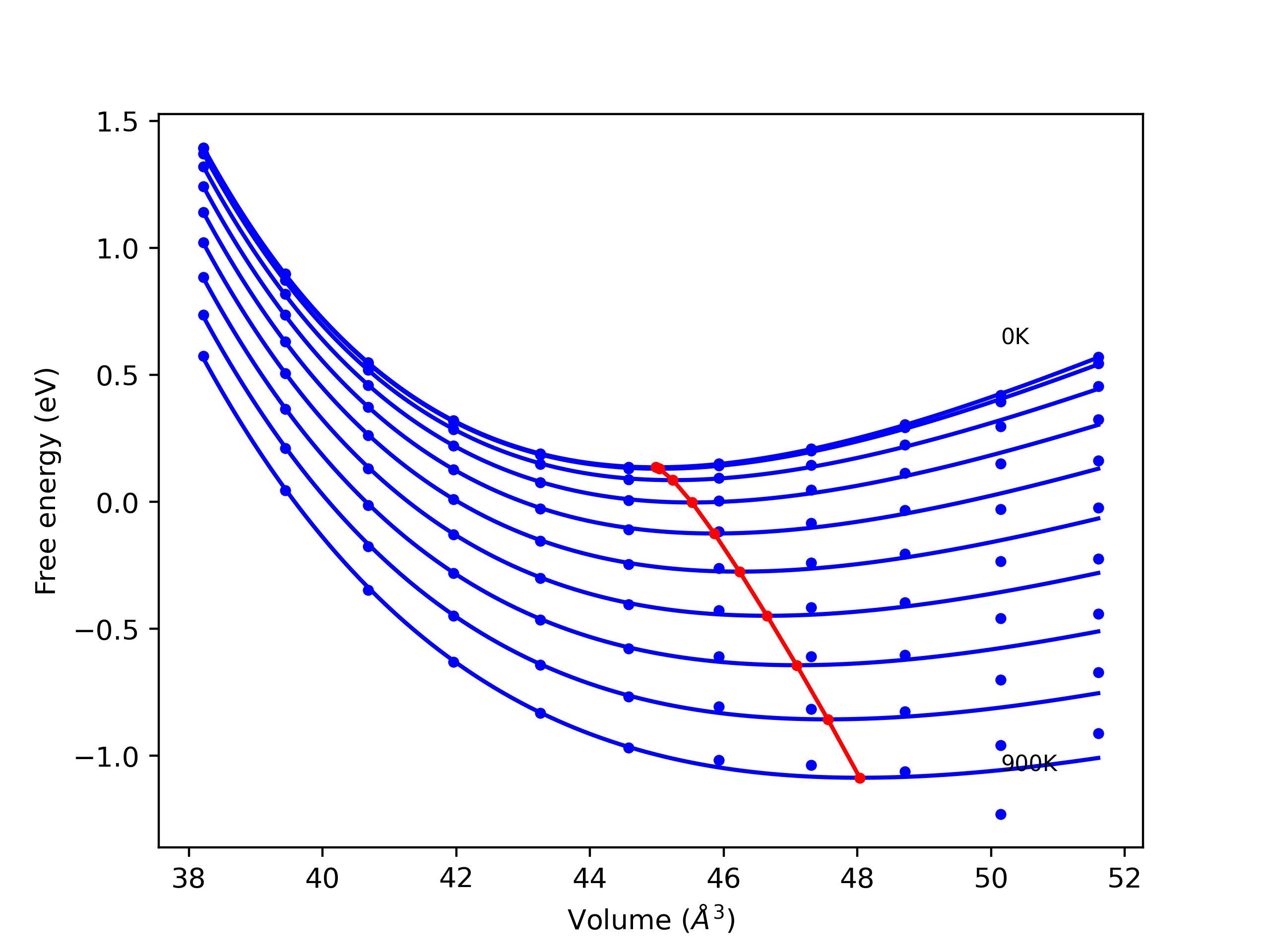
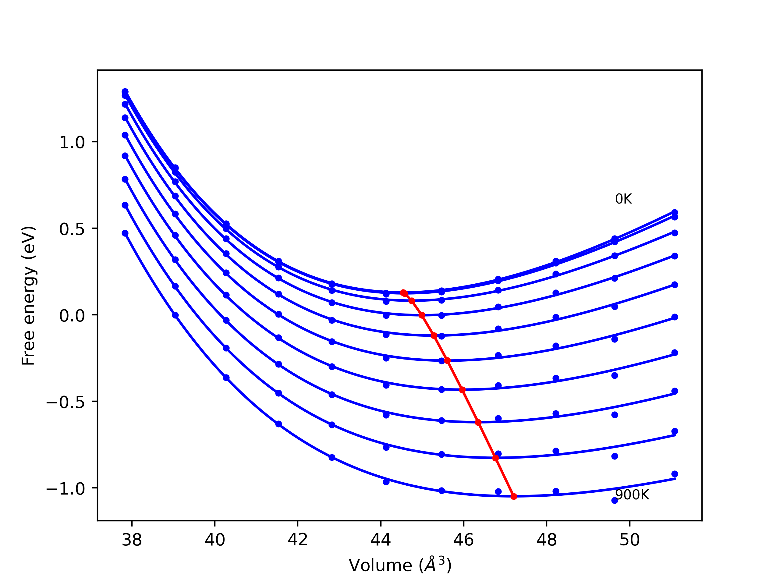
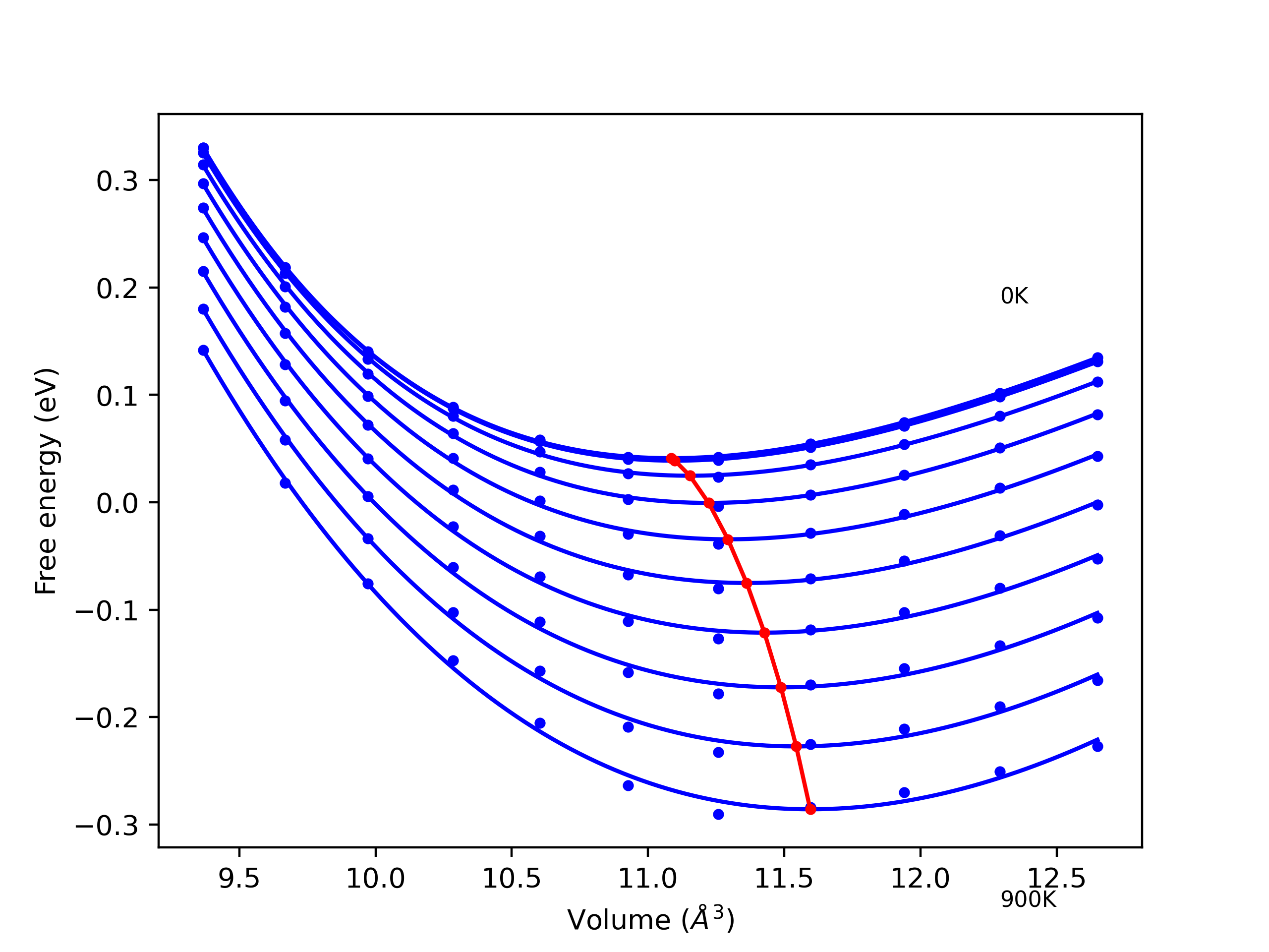
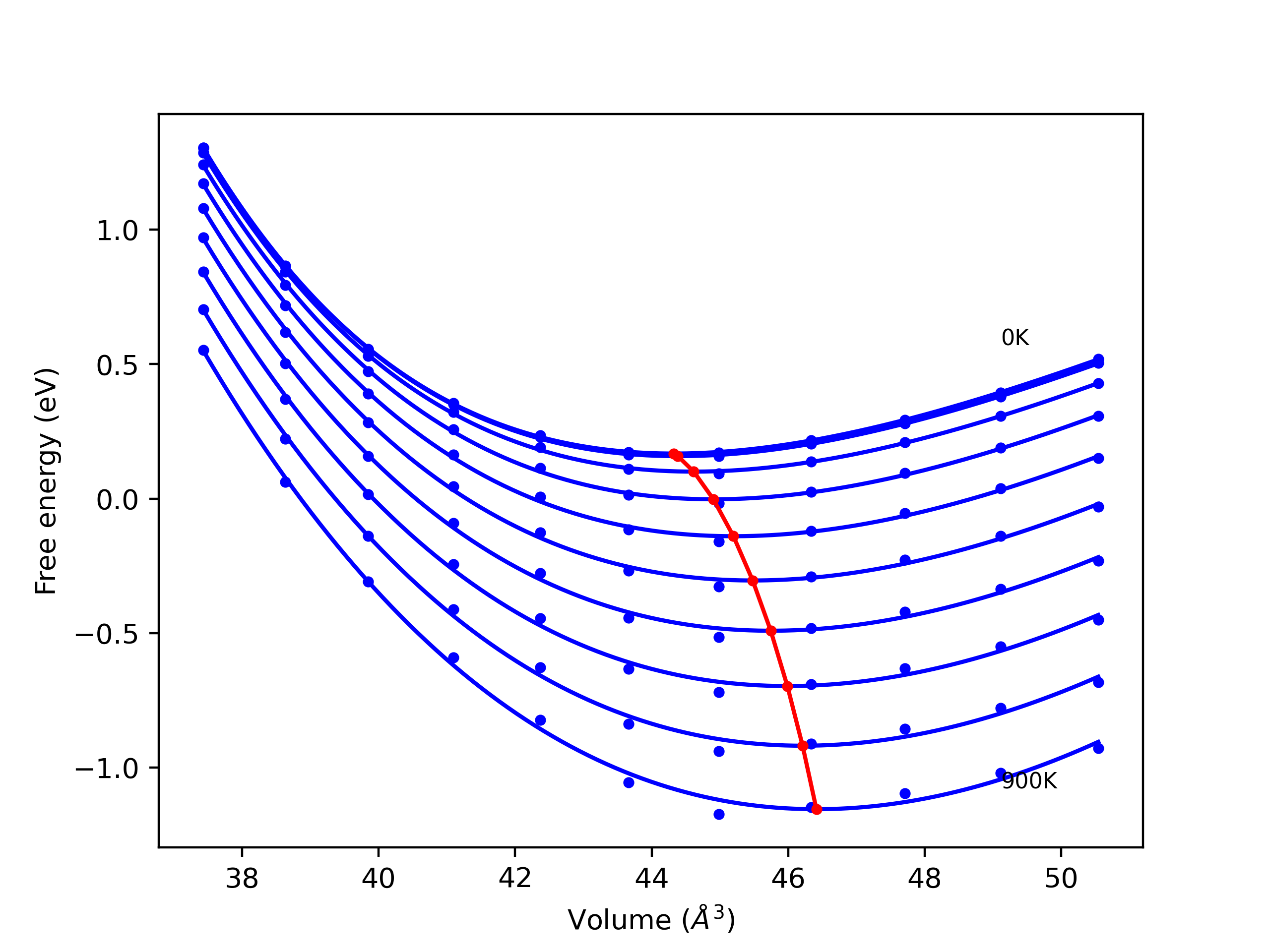
Plots of potential energy vs interatomic spacing, r, are shown below for a number of crystal structures. The structures are generated based on the ideal atomic positions and b/a and c/a lattice parameter ratios for a given crystal prototype. The size of the system is then uniformly scaled, and the energy calculated without relaxing the system. To obtain these plots, values of r are evaluated every 0.02 Å up to 6 Å.
The calculation method used is available as the iprPy E_vs_r_scan calculation method.
Clicking on the image of a plot will open an interactive version of it in a new tab. The underlying data for the plots can be downloaded by clicking on the links above each plot.
Notes and Disclaimers:
Version Information:
Computed lattice constants and cohesive/potential energies are displayed for a variety of crystal structures. The values displayed here are obtained using the following process.
The calculation methods used are implemented into iprPy as the following calculation styles
Notes and Disclaimers:
Version Information:
Download raw data (including filtered results)
Reference structure matches:
A1--Cu--fcc = mp-8633, oqmd-592135, oqmd-1214518
A15--beta-W = mp-17, oqmd-620565, oqmd-691761, oqmd-1214963, oqmd-1280318
A2--W--bcc = mp-90, oqmd-676284, oqmd-676532, oqmd-677049, oqmd-685486, oqmd-690214, oqmd-691769, oqmd-1215141
A3'--alpha-La--double-hcp = oqmd-1215409
A3--Mg--hcp = mp-89, oqmd-592444, oqmd-622452, oqmd-1215319
A4--C--dc = oqmd-1215498
A5--beta-Sn = oqmd-1215587
A6--In--bct = oqmd-1215676
A7--alpha-As = oqmd-1215765
| prototype | method | Ecoh (eV/atom) | Epot (eV/atom) | a0 (Å) | b0 (Å) | c0 (Å) | α (degrees) | β (degrees) | γ (degrees) |
|---|---|---|---|---|---|---|---|---|---|
| A1--Cu--fcc | dynamic | -4.2001 | -4.2001 | 3.5341 | 3.5341 | 3.5341 | 90.0 | 90.0 | 90.0 |
| A3'--alpha-La--double-hcp | dynamic | -4.1816 | -4.1816 | 2.4953 | 2.4953 | 8.194 | 90.0 | 90.0 | 120.0 |
| oqmd-1216032 | dynamic | -4.1756 | -4.1756 | 2.4936 | 2.4936 | 18.4954 | 90.0 | 90.0 | 120.0 |
| oqmd-1216032 | box | -4.1756 | -4.1756 | 2.4935 | 2.4935 | 18.5058 | 90.0 | 90.0 | 120.0 |
| A3--Mg--hcp | dynamic | -4.1638 | -4.1638 | 2.4902 | 2.4902 | 4.1413 | 90.0 | 90.0 | 120.0 |
| A3--Mg--hcp | box | -4.1638 | -4.1638 | 2.4903 | 2.4903 | 4.1413 | 90.0 | 90.0 | 120.0 |
| oqmd-1215230 | box | -4.1493 | -4.1493 | 2.4277 | 4.4774 | 4.1811 | 90.0 | 90.0 | 90.0 |
| A15--beta-W | dynamic | -4.1383 | -4.1383 | 4.5956 | 4.5956 | 4.5956 | 90.0 | 90.0 | 90.0 |
| mp-1059289 | box | -4.1369 | -4.1369 | 2.409 | 4.556 | 4.209 | 90.0 | 90.0 | 90.0 |
| oqmd-691775 | static | -4.116 | -4.116 | 2.5452 | 2.5452 | 6.2658 | 90.0 | 90.0 | 120.0 |
| A2--W--bcc | static | -4.1033 | -4.1033 | 2.8822 | 2.8822 | 2.8822 | 90.0 | 90.0 | 90.0 |
| oqmd-1214785 | dynamic | -4.0956 | -4.0956 | 8.898 | 8.898 | 8.898 | 90.0 | 90.0 | 90.0 |
| oqmd-1214785 | static | -4.0956 | -4.0956 | 8.8981 | 8.8981 | 8.8981 | 90.0 | 90.0 | 90.0 |
| oqmd-1214785 | box | -4.0923 | -4.0923 | 8.9043 | 8.9043 | 8.9043 | 90.0 | 90.0 | 90.0 |
| oqmd-1214874 | static | -4.0745 | -4.0745 | 6.2163 | 6.2163 | 6.2163 | 90.0 | 90.0 | 90.0 |
| oqmd-1214874 | box | -4.0713 | -4.0713 | 6.2279 | 6.2279 | 6.2279 | 90.0 | 90.0 | 90.0 |
| oqmd-631035 | static | -4.0296 | -4.0296 | 8.6394 | 8.6394 | 4.6694 | 90.0 | 90.0 | 90.0 |
| mp-1192789 | static | -4.0296 | -4.0296 | 8.6392 | 8.6392 | 4.6694 | 90.0 | 90.0 | 90.0 |
| mp-1192789 | box | -4.0172 | -4.0172 | 8.7123 | 8.7123 | 4.6575 | 90.0 | 90.0 | 90.0 |
| oqmd-631035 | box | -4.0134 | -4.0134 | 8.7059 | 8.7059 | 4.6592 | 90.0 | 90.0 | 90.0 |
| oqmd-1215052 | box | -3.9454 | -3.9454 | 2.5398 | 8.6897 | 4.1918 | 90.0 | 90.0 | 90.0 |
| A5--beta-Sn | static | -3.7387 | -3.7387 | 4.4434 | 4.4434 | 2.3584 | 90.0 | 90.0 | 90.0 |
| Ah--alpha-Po--sc | static | -3.5816 | -3.5816 | 2.3422 | 2.3422 | 2.3422 | 90.0 | 90.0 | 90.0 |
| A7--alpha-As | box | -3.5814 | -3.5814 | 3.3121 | 3.3121 | 8.1157 | 90.0 | 90.0 | 120.0 |
| A7--alpha-As | box | -3.1873 | -3.1873 | 3.2798 | 3.2798 | 9.8746 | 90.0 | 90.0 | 120.0 |
| oqmd-1215943 | static | -3.1557 | -3.1557 | 4.0259 | 4.0259 | 4.469 | 90.0 | 90.0 | 120.0 |
| A4--C--dc | box | -2.5777 | -2.5777 | 5.3336 | 5.3336 | 5.3336 | 90.0 | 90.0 | 90.0 |
Download raw data (including filtered results)
Reference structure matches:
| prototype | method | Ecoh (eV/atom) | Epot (eV/atom) | a0 (Å) | b0 (Å) | c0 (Å) | α (degrees) | β (degrees) | γ (degrees) |
|---|---|---|---|---|---|---|---|---|---|
| mp-1077708 | static | -3.5634 | -3.5634 | 6.9022 | 6.9022 | 6.9022 | 90.0 | 90.0 | 90.0 |
| C1--CaF2--fluorite | dynamic | -3.32 | -3.32 | 5.7041 | 5.7041 | 5.7041 | 90.0 | 90.0 | 90.0 |
| oqmd-1232501 | box | -2.7249 | -2.7249 | 6.6743 | 6.6743 | 3.0114 | 90.0 | 90.0 | 90.0 |
| oqmd-1240427 | static | -2.0762 | -2.0762 | 11.3212 | 11.3212 | 11.3212 | 90.0 | 90.0 | 90.0 |
Download raw data (including filtered results)
Reference structure matches:
| prototype | method | Ecoh (eV/atom) | Epot (eV/atom) | a0 (Å) | b0 (Å) | c0 (Å) | α (degrees) | β (degrees) | γ (degrees) |
|---|---|---|---|---|---|---|---|---|---|
| oqmd-426579 | static | -3.7078 | -3.7078 | 7.0186 | 7.0186 | 8.956 | 90.0 | 90.0 | 120.0 |
Download raw data (including filtered results)
Reference structure matches:
L2_1--AlCu2Mn--heusler = oqmd-387658
| prototype | method | Ecoh (eV/atom) | Epot (eV/atom) | a0 (Å) | b0 (Å) | c0 (Å) | α (degrees) | β (degrees) | γ (degrees) |
|---|---|---|---|---|---|---|---|---|---|
| L2_1--AlCu2Mn--heusler | static | -3.9742 | -3.9742 | 5.7858 | 5.7858 | 5.7858 | 90.0 | 90.0 | 90.0 |
Download raw data (including filtered results)
Reference structure matches:
| prototype | method | Ecoh (eV/atom) | Epot (eV/atom) | a0 (Å) | b0 (Å) | c0 (Å) | α (degrees) | β (degrees) | γ (degrees) |
|---|---|---|---|---|---|---|---|---|---|
| mp-1077252 | dynamic | -3.8088 | -3.8088 | 6.805 | 6.805 | 6.805 | 90.0 | 90.0 | 90.0 |
| C1--CaF2--fluorite | dynamic | -3.4835 | -3.4835 | 5.7867 | 5.7867 | 5.7867 | 90.0 | 90.0 | 90.0 |
| oqmd-1232523 | box | -2.9262 | -2.9262 | 5.3439 | 5.3439 | 3.4185 | 90.0 | 90.0 | 90.0 |
| oqmd-1238640 | static | -2.1091 | -2.1091 | 11.3839 | 11.3839 | 11.3839 | 90.0 | 90.0 | 90.0 |
Download raw data (including filtered results)
Reference structure matches:
D0_3--BiF3 = mp-1008282, oqmd-310984
L1_2--AuCu3 = mp-1008285, oqmd-343214
| prototype | method | Ecoh (eV/atom) | Epot (eV/atom) | a0 (Å) | b0 (Å) | c0 (Å) | α (degrees) | β (degrees) | γ (degrees) |
|---|---|---|---|---|---|---|---|---|---|
| mp-1017511 | dynamic | -3.9959 | -3.9959 | 3.5273 | 3.5273 | 6.9921 | 90.0 | 90.0 | 90.0 |
| L1_2--AuCu3 | dynamic | -3.9776 | -3.9776 | 3.5202 | 3.5202 | 3.5202 | 90.0 | 90.0 | 90.0 |
| oqmd-318728 | dynamic | -3.974 | -3.974 | 4.9791 | 4.9791 | 4.0844 | 90.0 | 90.0 | 120.0 |
| oqmd-318728 | box | -3.9732 | -3.9732 | 4.9771 | 4.9771 | 4.0755 | 90.0 | 90.0 | 120.0 |
| D0_3--BiF3 | static | -3.8979 | -3.8979 | 5.7762 | 5.7762 | 5.7762 | 90.0 | 90.0 | 90.0 |
| A15--Cr3Si | dynamic | -3.8815 | -3.8815 | 4.515 | 4.515 | 4.515 | 90.0 | 90.0 | 90.0 |
Download raw data (including filtered results)
Reference structure matches:
A15--Cr3Si = oqmd-1280316
D0_3--BiF3 = mp-1008275, oqmd-313086
L1_2--AuCu3 = mp-1008278, oqmd-344860
| prototype | method | Ecoh (eV/atom) | Epot (eV/atom) | a0 (Å) | b0 (Å) | c0 (Å) | α (degrees) | β (degrees) | γ (degrees) |
|---|---|---|---|---|---|---|---|---|---|
| oqmd-302544 | dynamic | -4.0675 | -4.0675 | 3.8162 | 3.8162 | 6.6704 | 90.0 | 90.0 | 90.0 |
| D0_3--BiF3 | dynamic | -4.0637 | -4.0637 | 5.8397 | 5.8397 | 5.8397 | 90.0 | 90.0 | 90.0 |
| A15--Cr3Si | dynamic | -4.0248 | -4.0248 | 4.6337 | 4.6337 | 4.6337 | 90.0 | 90.0 | 90.0 |
| oqmd-320374 | static | -4.0128 | -4.0128 | 5.1692 | 5.1692 | 4.2693 | 90.0 | 90.0 | 120.0 |
| L1_2--AuCu3 | dynamic | -4.0026 | -4.0026 | 3.6577 | 3.6577 | 3.6577 | 90.0 | 90.0 | 90.0 |
| oqmd-320374 | box | -3.9887 | -3.9887 | 5.1821 | 5.1821 | 4.2686 | 90.0 | 90.0 | 120.0 |
Download raw data (including filtered results)
Reference structure matches:
| prototype | method | Ecoh (eV/atom) | Epot (eV/atom) | a0 (Å) | b0 (Å) | c0 (Å) | α (degrees) | β (degrees) | γ (degrees) |
|---|---|---|---|---|---|---|---|---|---|
| mp-1226243 | box | -4.0041 | -4.0041 | 2.843 | 4.1265 | 21.1401 | 90.0 | 90.0 | 90.0 |
Download raw data (including filtered results)
Reference structure matches:
B1--NaCl--rock-salt = oqmd-1105105
B2--CsCl = oqmd-305920
B3--ZnS--cubic-zinc-blende = oqmd-1219336
L1_0--AuCu = oqmd-337462
| prototype | method | Ecoh (eV/atom) | Epot (eV/atom) | a0 (Å) | b0 (Å) | c0 (Å) | α (degrees) | β (degrees) | γ (degrees) |
|---|---|---|---|---|---|---|---|---|---|
| oqmd-1219850 | dynamic | -3.965 | -3.965 | 4.0991 | 2.6032 | 4.2279 | 90.0 | 90.0 | 90.0 |
| oqmd-1219850 | box | -3.9648 | -3.9648 | 4.1013 | 2.6088 | 4.2273 | 90.0 | 90.0 | 90.0 |
| L1_0--AuCu | dynamic | -3.9614 | -3.9614 | 2.6077 | 2.6077 | 3.3221 | 90.0 | 90.0 | 90.0 |
| B2--CsCl | dynamic | -3.9432 | -3.9432 | 2.8582 | 2.8582 | 2.8582 | 90.0 | 90.0 | 90.0 |
| oqmd-327004 | dynamic | -3.9423 | -3.9423 | 2.543 | 2.543 | 11.9684 | 90.0 | 90.0 | 120.0 |
| oqmd-1229015 | dynamic | -3.9243 | -3.9243 | 2.5449 | 2.5449 | 3.9746 | 90.0 | 90.0 | 120.0 |
| mp-1226211 | dynamic | -3.8649 | -3.8649 | 2.6998 | 4.415 | 4.1891 | 90.0 | 90.0 | 90.0 |
| B1--NaCl--rock-salt | static | -3.4608 | -3.4608 | 4.8529 | 4.8529 | 4.8529 | 90.0 | 90.0 | 90.0 |
| B4--ZnS--wurtzite | box | -2.4046 | -2.4046 | 4.0282 | 4.0282 | 6.5767 | 90.0 | 90.0 | 120.0 |
| oqmd-1225529 | box | -2.4045 | -2.4045 | 4.0271 | 4.0271 | 6.5802 | 90.0 | 90.0 | 120.0 |
| B3--ZnS--cubic-zinc-blende | static | -2.4014 | -2.4014 | 5.6969 | 5.6969 | 5.6969 | 90.0 | 90.0 | 90.0 |
Download raw data (including filtered results)
Reference structure matches:
| prototype | method | Ecoh (eV/atom) | Epot (eV/atom) | a0 (Å) | b0 (Å) | c0 (Å) | α (degrees) | β (degrees) | γ (degrees) |
|---|---|---|---|---|---|---|---|---|---|
| C1--CaF2--fluorite | static | -3.3018 | -3.3018 | 5.6593 | 5.6593 | 5.6593 | 90.0 | 90.0 | 90.0 |
| oqmd-1240426 | static | -1.8695 | -1.8695 | 11.364 | 11.364 | 11.364 | 90.0 | 90.0 | 90.0 |
Download raw data (including filtered results)
Reference structure matches:
L2_1--AlCu2Mn--heusler = oqmd-527070
| prototype | method | Ecoh (eV/atom) | Epot (eV/atom) | a0 (Å) | b0 (Å) | c0 (Å) | α (degrees) | β (degrees) | γ (degrees) |
|---|---|---|---|---|---|---|---|---|---|
| L2_1--AlCu2Mn--heusler | dynamic | -4.1953 | -4.1953 | 5.7078 | 5.7078 | 5.7078 | 90.0 | 90.0 | 90.0 |
Download raw data (including filtered results)
Reference structure matches:
D0_3--BiF3 = mp-1018067, oqmd-308186
L1_2--AuCu3 = mp-1018081, oqmd-346012
| prototype | method | Ecoh (eV/atom) | Epot (eV/atom) | a0 (Å) | b0 (Å) | c0 (Å) | α (degrees) | β (degrees) | γ (degrees) |
|---|---|---|---|---|---|---|---|---|---|
| oqmd-297657 | dynamic | -4.0928 | -4.0928 | 3.534 | 3.534 | 7.0004 | 90.0 | 90.0 | 90.0 |
| oqmd-321526 | dynamic | -4.0857 | -4.0857 | 4.9898 | 4.9898 | 4.0751 | 90.0 | 90.0 | 120.0 |
| oqmd-321526 | box | -4.0833 | -4.0833 | 4.991 | 4.991 | 4.0628 | 90.0 | 90.0 | 120.0 |
| L1_2--AuCu3 | dynamic | -4.0748 | -4.0748 | 3.5265 | 3.5265 | 3.5265 | 90.0 | 90.0 | 90.0 |
| D0_3--BiF3 | static | -3.9846 | -3.9846 | 5.7543 | 5.7543 | 5.7543 | 90.0 | 90.0 | 90.0 |
| A15--Cr3Si | dynamic | -3.8473 | -3.8473 | 4.5951 | 4.5951 | 4.5951 | 90.0 | 90.0 | 90.0 |
Download raw data (including filtered results)
Reference structure matches:
| prototype | method | Ecoh (eV/atom) | Epot (eV/atom) | a0 (Å) | b0 (Å) | c0 (Å) | α (degrees) | β (degrees) | γ (degrees) |
|---|---|---|---|---|---|---|---|---|---|
| mp-1226230 | box | -4.0917 | -4.0917 | 2.7515 | 4.2623 | 20.864 | 90.0 | 90.0 | 90.0 |
Download raw data (including filtered results)
Reference structure matches:
| prototype | method | Ecoh (eV/atom) | Epot (eV/atom) | a0 (Å) | b0 (Å) | c0 (Å) | α (degrees) | β (degrees) | γ (degrees) |
|---|---|---|---|---|---|---|---|---|---|
| oqmd-958168 | dynamic | -3.5989 | -3.5989 | 5.6721 | 5.6721 | 5.6721 | 90.0 | 90.0 | 90.0 |
| oqmd-959986 | static | -3.4611 | -3.4611 | 5.7442 | 5.7442 | 5.7442 | 90.0 | 90.0 | 90.0 |
| oqmd-835095 | box | -3.408 | -3.408 | 5.6862 | 5.6862 | 5.6862 | 90.0 | 90.0 | 90.0 |
Download raw data (including filtered results)
Reference structure matches:
L2_1--AlCu2Mn--heusler = oqmd-528888
| prototype | method | Ecoh (eV/atom) | Epot (eV/atom) | a0 (Å) | b0 (Å) | c0 (Å) | α (degrees) | β (degrees) | γ (degrees) |
|---|---|---|---|---|---|---|---|---|---|
| L2_1--AlCu2Mn--heusler | static | -4.1081 | -4.1081 | 5.8168 | 5.8168 | 5.8168 | 90.0 | 90.0 | 90.0 |
Download raw data (including filtered results)
Reference structure matches:
B1--NaCl--rock-salt = oqmd-1106140
B2--CsCl = mp-1226196, oqmd-306955
B3--ZnS--cubic-zinc-blende = oqmd-1219358
L1_0--AuCu = oqmd-338497
| prototype | method | Ecoh (eV/atom) | Epot (eV/atom) | a0 (Å) | b0 (Å) | c0 (Å) | α (degrees) | β (degrees) | γ (degrees) |
|---|---|---|---|---|---|---|---|---|---|
| oqmd-328039 | dynamic | -4.0479 | -4.0479 | 2.528 | 2.528 | 12.5717 | 90.0 | 90.0 | 120.0 |
| oqmd-1219872 | dynamic | -4.0383 | -4.0383 | 4.2403 | 2.8488 | 4.2711 | 90.0 | 90.0 | 90.0 |
| B2--CsCl | static | -4.0371 | -4.0371 | 2.958 | 2.958 | 2.958 | 90.0 | 90.0 | 90.0 |
| oqmd-1229037 | dynamic | -4.0297 | -4.0297 | 2.5101 | 2.5101 | 4.3105 | 90.0 | 90.0 | 120.0 |
| oqmd-1219872 | box | -4.0273 | -4.0273 | 4.2762 | 2.6409 | 4.5476 | 90.0 | 90.0 | 90.0 |
| B1--NaCl--rock-salt | static | -3.445 | -3.445 | 4.9368 | 4.9368 | 4.9368 | 90.0 | 90.0 | 90.0 |
| oqmd-1225551 | box | -3.0674 | -3.0674 | 4.2399 | 4.2399 | 4.95 | 90.0 | 90.0 | 120.0 |
| B4--ZnS--wurtzite | box | -2.7586 | -2.7586 | 4.0029 | 4.0029 | 6.5221 | 90.0 | 90.0 | 120.0 |
| B3--ZnS--cubic-zinc-blende | static | -2.7543 | -2.7543 | 5.6567 | 5.6567 | 5.6567 | 90.0 | 90.0 | 90.0 |
Download raw data (including filtered results)
Reference structure matches:
| prototype | method | Ecoh (eV/atom) | Epot (eV/atom) | a0 (Å) | b0 (Å) | c0 (Å) | α (degrees) | β (degrees) | γ (degrees) |
|---|---|---|---|---|---|---|---|---|---|
| mp-784631 | dynamic | -4.1538 | -4.1538 | 2.5257 | 3.7753 | 7.4948 | 90.0 | 90.0 | 90.0 |
| mp-784631 | box | -4.148 | -4.148 | 2.5223 | 3.7952 | 7.4432 | 90.0 | 90.0 | 90.0 |
| mp-1077077 | dynamic | -4.0615 | -4.0615 | 6.7577 | 6.7577 | 6.7577 | 90.0 | 90.0 | 90.0 |
| C1--CaF2--fluorite | static | -3.5372 | -3.5372 | 5.6983 | 5.6983 | 5.6983 | 90.0 | 90.0 | 90.0 |
| oqmd-1238639 | static | -2.2436 | -2.2436 | 11.1786 | 11.1786 | 11.1786 | 90.0 | 90.0 | 90.0 |
Download raw data (including filtered results)
Reference structure matches:
D0_3--BiF3 = mp-1007975, oqmd-309832
L1_2--AuCu3 = mp-1007974, oqmd-348114
| prototype | method | Ecoh (eV/atom) | Epot (eV/atom) | a0 (Å) | b0 (Å) | c0 (Å) | α (degrees) | β (degrees) | γ (degrees) |
|---|---|---|---|---|---|---|---|---|---|
| mp-1226338 | dynamic | -4.2099 | -4.2099 | 2.4928 | 2.4928 | 25.5613 | 90.0 | 90.0 | 120.0 |
| mp-1226338 | box | -4.2033 | -4.2033 | 2.4968 | 2.4968 | 25.5886 | 90.0 | 90.0 | 120.0 |
| oqmd-299290 | dynamic | -4.1857 | -4.1857 | 3.7331 | 3.7331 | 6.8581 | 90.0 | 90.0 | 90.0 |
| D0_3--BiF3 | dynamic | -4.1611 | -4.1611 | 5.7238 | 5.7238 | 5.7238 | 90.0 | 90.0 | 90.0 |
| oqmd-323628 | dynamic | -4.1389 | -4.1389 | 5.1778 | 5.1778 | 4.2317 | 90.0 | 90.0 | 120.0 |
| oqmd-323628 | box | -4.1388 | -4.1388 | 5.1785 | 5.1785 | 4.2314 | 90.0 | 90.0 | 120.0 |
| L1_2--AuCu3 | dynamic | -4.1267 | -4.1267 | 3.6605 | 3.6605 | 3.6605 | 90.0 | 90.0 | 90.0 |
| A15--Cr3Si | static | -3.9862 | -3.9862 | 4.6531 | 4.6531 | 4.6531 | 90.0 | 90.0 | 90.0 |
Download raw data (including filtered results)
Reference structure matches:
A1--Cu--fcc = mp-150, oqmd-7505, oqmd-1214525
A15--beta-W = oqmd-1214970
A2--W--bcc = mp-13, oqmd-8568, oqmd-22514, oqmd-1215148
A3'--alpha-La--double-hcp = oqmd-1215416
A3--Mg--hcp = mp-136, oqmd-30158, oqmd-51781, oqmd-1215326, oqmd-1215391
A4--C--dc = oqmd-1215505
A5--beta-Sn = oqmd-1215594
A6--In--bct = oqmd-1215683
Ah--alpha-Po--sc = mp-568345
| prototype | method | Ecoh (eV/atom) | Epot (eV/atom) | a0 (Å) | b0 (Å) | c0 (Å) | α (degrees) | β (degrees) | γ (degrees) |
|---|---|---|---|---|---|---|---|---|---|
| A6--In--bct | dynamic | -4.4026 | -4.4026 | 2.4432 | 2.4432 | 4.0075 | 90.0 | 90.0 | 90.0 |
| oqmd-1215237 | dynamic | -4.4026 | -4.4026 | 2.4432 | 4.6936 | 4.1722 | 90.0 | 90.0 | 90.0 |
| oqmd-1215237 | box | -4.402 | -4.402 | 2.4468 | 4.6745 | 4.1607 | 90.0 | 90.0 | 90.0 |
| oqmd-1216039 | dynamic | -4.3996 | -4.3996 | 2.5187 | 2.5187 | 18.5087 | 90.0 | 90.0 | 120.0 |
| A3'--alpha-La--double-hcp | dynamic | -4.3996 | -4.3996 | 2.5187 | 2.5187 | 8.2261 | 90.0 | 90.0 | 120.0 |
| A3--Mg--hcp | dynamic | -4.3996 | -4.3996 | 2.5187 | 2.5187 | 4.1131 | 90.0 | 90.0 | 120.0 |
| A1--Cu--fcc | dynamic | -4.3996 | -4.3996 | 3.562 | 3.562 | 3.562 | 90.0 | 90.0 | 90.0 |
| A6--In--bct | box | -4.3978 | -4.3978 | 2.4704 | 2.4704 | 3.7806 | 90.0 | 90.0 | 90.0 |
| mp-1096950 | dynamic | -4.2894 | -4.2894 | 2.4463 | 2.4463 | 2.3616 | 90.0 | 90.0 | 120.0 |
| A2--W--bcc | dynamic | -4.2803 | -4.2803 | 2.86 | 2.86 | 2.86 | 90.0 | 90.0 | 90.0 |
| oqmd-1214881 | dynamic | -4.2521 | -4.2521 | 6.3464 | 6.3464 | 6.3464 | 90.0 | 90.0 | 90.0 |
| mp-1245108 | dynamic | -4.249 | -4.249 | 10.3729 | 10.7777 | 11.0218 | 95.4 | 92.1 | 90.8 |
| oqmd-1214881 | box | -4.2488 | -4.2488 | 6.3629 | 6.3629 | 6.3629 | 90.0 | 90.0 | 90.0 |
| oqmd-1215059 | box | -4.2452 | -4.2452 | 2.5528 | 4.1949 | 8.9298 | 90.0 | 90.0 | 90.0 |
| oqmd-1214792 | static | -4.2381 | -4.2381 | 8.9696 | 8.9696 | 8.9696 | 90.0 | 90.0 | 90.0 |
| mp-1245108 | static | -4.2255 | -4.2255 | 10.4808 | 10.8408 | 10.9188 | 92.4 | 92.9 | 90.4 |
| oqmd-1214792 | box | -4.2196 | -4.2196 | 8.9943 | 8.9943 | 8.9943 | 90.0 | 90.0 | 90.0 |
| A15--beta-W | dynamic | -4.1865 | -4.1865 | 4.6653 | 4.6653 | 4.6653 | 90.0 | 90.0 | 90.0 |
| oqmd-21053 | static | -4.1614 | -4.1614 | 8.704 | 8.704 | 4.7331 | 90.0 | 90.0 | 90.0 |
| mp-1245108 | box | -4.1455 | -4.1455 | 10.6773 | 10.7833 | 11.0069 | 92.0 | 90.9 | 91.1 |
| mp-1194030 | box | -4.1429 | -4.1429 | 8.8013 | 8.8013 | 4.7401 | 90.0 | 90.0 | 90.0 |
| oqmd-21053 | box | -4.1375 | -4.1375 | 8.7799 | 8.7799 | 4.7444 | 90.0 | 90.0 | 90.0 |
| A5--beta-Sn | static | -4.0994 | -4.0994 | 4.5498 | 4.5498 | 2.3873 | 90.0 | 90.0 | 90.0 |
| Ah--alpha-Po--sc | dynamic | -3.974 | -3.974 | 2.3895 | 2.3895 | 2.3895 | 90.0 | 90.0 | 90.0 |
| oqmd-21731 | box | -3.9738 | -3.9738 | 2.3895 | 2.3895 | 7.1688 | 90.0 | 90.0 | 90.0 |
| oqmd-1215950 | box | -3.3714 | -3.3714 | 4.1328 | 4.635 | 4.1459 | 90.0 | 119.7 | 90.0 |
| A4--C--dc | static | -2.5774 | -2.5774 | 5.5483 | 5.5483 | 5.5483 | 90.0 | 90.0 | 90.0 |
Download raw data (including filtered results)
Reference structure matches:
| prototype | method | Ecoh (eV/atom) | Epot (eV/atom) | a0 (Å) | b0 (Å) | c0 (Å) | α (degrees) | β (degrees) | γ (degrees) |
|---|---|---|---|---|---|---|---|---|---|
| mp-1224697 | dynamic | -4.3751 | -4.3751 | 2.5066 | 2.5066 | 6.1116 | 90.0 | 90.0 | 120.0 |
| mp-1224697 | box | -4.3743 | -4.3743 | 2.5062 | 2.5062 | 6.1337 | 90.0 | 90.0 | 120.0 |
| mp-1077745 | static | -3.9387 | -3.9387 | 6.826 | 6.826 | 6.826 | 90.0 | 90.0 | 90.0 |
| C1--CaF2--fluorite | static | -3.8166 | -3.8166 | 5.5543 | 5.5543 | 5.5543 | 90.0 | 90.0 | 90.0 |
| oqmd-1232964 | dynamic | -3.7235 | -3.7235 | 6.2028 | 6.2028 | 2.4542 | 90.0 | 90.0 | 90.0 |
| oqmd-1232964 | box | -3.3737 | -3.3737 | 5.9672 | 5.9672 | 2.7936 | 90.0 | 90.0 | 90.0 |
| oqmd-1236414 | static | -2.1962 | -2.1962 | 10.6842 | 10.6842 | 10.6842 | 90.0 | 90.0 | 90.0 |
Download raw data (including filtered results)
Reference structure matches:
| prototype | method | Ecoh (eV/atom) | Epot (eV/atom) | a0 (Å) | b0 (Å) | c0 (Å) | α (degrees) | β (degrees) | γ (degrees) |
|---|---|---|---|---|---|---|---|---|---|
| oqmd-427042 | box | -3.9366 | -3.9366 | 6.1518 | 6.1518 | 12.4544 | 90.0 | 90.0 | 120.0 |
Download raw data (including filtered results)
Reference structure matches:
D0_3--BiF3 = mp-1007853, oqmd-312075
L1_2--AuCu3 = mp-999189, oqmd-343549
| prototype | method | Ecoh (eV/atom) | Epot (eV/atom) | a0 (Å) | b0 (Å) | c0 (Å) | α (degrees) | β (degrees) | γ (degrees) |
|---|---|---|---|---|---|---|---|---|---|
| mp-1007862 | dynamic | -4.4699 | -4.4699 | 3.5772 | 3.5772 | 6.9142 | 90.0 | 90.0 | 90.0 |
| oqmd-319063 | dynamic | -4.4527 | -4.4527 | 5.0182 | 5.0182 | 4.0908 | 90.0 | 90.0 | 120.0 |
| oqmd-319063 | box | -4.4527 | -4.4527 | 5.018 | 5.018 | 4.0893 | 90.0 | 90.0 | 120.0 |
| L1_2--AuCu3 | dynamic | -4.4391 | -4.4391 | 3.5457 | 3.5457 | 3.5457 | 90.0 | 90.0 | 90.0 |
| mp-1224827 | dynamic | -4.3812 | -4.3812 | 2.5095 | 2.5095 | 24.5093 | 90.0 | 90.0 | 120.0 |
| mp-1224827 | static | -4.3812 | -4.3812 | 2.5095 | 2.5095 | 24.509 | 90.0 | 90.0 | 120.0 |
| mp-1224827 | box | -4.3801 | -4.3801 | 2.5107 | 2.5107 | 24.384 | 90.0 | 90.0 | 120.0 |
| D0_3--BiF3 | static | -4.3599 | -4.3599 | 5.719 | 5.719 | 5.719 | 90.0 | 90.0 | 90.0 |
| A15--Cr3Si | dynamic | -4.2528 | -4.2528 | 4.5891 | 4.5891 | 4.5891 | 90.0 | 90.0 | 90.0 |
| mp-1224780 | box | -4.2443 | -4.2443 | 2.9468 | 4.0187 | 7.9914 | 90.0 | 90.0 | 90.0 |
Download raw data (including filtered results)
Reference structure matches:
| prototype | method | Ecoh (eV/atom) | Epot (eV/atom) | a0 (Å) | b0 (Å) | c0 (Å) | α (degrees) | β (degrees) | γ (degrees) |
|---|---|---|---|---|---|---|---|---|---|
| mp-1225009 | dynamic | -4.4519 | -4.4519 | 2.5955 | 2.5955 | 16.9212 | 90.0 | 90.0 | 90.0 |
| mp-1225009 | box | -4.4509 | -4.4509 | 2.5953 | 2.5953 | 16.9605 | 90.0 | 90.0 | 90.0 |
Download raw data (including filtered results)
Reference structure matches:
B1--NaCl--rock-salt = oqmd-1105634
B2--CsCl = oqmd-306449
B3--ZnS--cubic-zinc-blende = oqmd-1222507
L1_0--AuCu = mp-2213, oqmd-17225, oqmd-30230, oqmd-337991
| prototype | method | Ecoh (eV/atom) | Epot (eV/atom) | a0 (Å) | b0 (Å) | c0 (Å) | α (degrees) | β (degrees) | γ (degrees) |
|---|---|---|---|---|---|---|---|---|---|
| oqmd-1220313 | dynamic | -4.4925 | -4.4925 | 4.101 | 2.5976 | 4.2479 | 90.0 | 90.0 | 90.0 |
| oqmd-1220313 | box | -4.4883 | -4.4883 | 4.0837 | 2.5809 | 4.2624 | 90.0 | 90.0 | 90.0 |
| L1_0--AuCu | dynamic | -4.4847 | -4.4847 | 2.6048 | 2.6048 | 3.3479 | 90.0 | 90.0 | 90.0 |
| B2--CsCl | dynamic | -4.4481 | -4.4481 | 2.8456 | 2.8456 | 2.8456 | 90.0 | 90.0 | 90.0 |
| mp-1224976 | dynamic | -4.4227 | -4.4227 | 2.5167 | 2.5167 | 11.9617 | 90.0 | 90.0 | 120.0 |
| oqmd-1229478 | dynamic | -4.4121 | -4.4121 | 2.5162 | 2.5162 | 3.9769 | 90.0 | 90.0 | 120.0 |
| mp-1224965 | box | -4.2583 | -4.2583 | 2.8872 | 4.1062 | 3.9831 | 90.0 | 90.0 | 90.0 |
| B1--NaCl--rock-salt | dynamic | -3.9979 | -3.9979 | 4.8066 | 4.8066 | 4.8066 | 90.0 | 90.0 | 90.0 |
| oqmd-1225992 | static | -3.4788 | -3.4788 | 4.1561 | 4.1561 | 4.7971 | 90.0 | 90.0 | 120.0 |
| B4--ZnS--wurtzite | box | -3.0003 | -3.0003 | 3.8557 | 3.8557 | 6.0881 | 90.0 | 90.0 | 120.0 |
| B3--ZnS--cubic-zinc-blende | static | -2.9938 | -2.9938 | 5.4252 | 5.4252 | 5.4252 | 90.0 | 90.0 | 90.0 |
Download raw data (including filtered results)
Reference structure matches:
| prototype | method | Ecoh (eV/atom) | Epot (eV/atom) | a0 (Å) | b0 (Å) | c0 (Å) | α (degrees) | β (degrees) | γ (degrees) |
|---|---|---|---|---|---|---|---|---|---|
| mp-1072076 | static | -4.1342 | -4.1342 | 6.6625 | 6.6625 | 6.6625 | 90.0 | 90.0 | 90.0 |
| C1--CaF2--fluorite | static | -3.8908 | -3.8908 | 5.5903 | 5.5903 | 5.5903 | 90.0 | 90.0 | 90.0 |
| oqmd-1236413 | static | -2.5753 | -2.5753 | 10.8599 | 10.8599 | 10.8599 | 90.0 | 90.0 | 90.0 |
Download raw data (including filtered results)
Reference structure matches:
D0_3--BiF3 = mp-1007854, oqmd-308521
L1_2--AuCu3 = mp-1418, oqmd-7241, oqmd-347103
| prototype | method | Ecoh (eV/atom) | Epot (eV/atom) | a0 (Å) | b0 (Å) | c0 (Å) | α (degrees) | β (degrees) | γ (degrees) |
|---|---|---|---|---|---|---|---|---|---|
| mp-1007855 | dynamic | -4.4965 | -4.4965 | 3.5628 | 3.5628 | 6.8956 | 90.0 | 90.0 | 90.0 |
| mp-1079337 | dynamic | -4.491 | -4.491 | 4.0706 | 5.0316 | 4.2704 | 90.0 | 90.0 | 90.0 |
| mp-1079337 | box | -4.4877 | -4.4877 | 4.0619 | 5.0187 | 4.2869 | 90.0 | 90.0 | 90.0 |
| oqmd-322617 | dynamic | -4.4695 | -4.4695 | 5.0006 | 5.0006 | 4.0853 | 90.0 | 90.0 | 120.0 |
| L1_2--AuCu3 | dynamic | -4.4642 | -4.4642 | 3.5337 | 3.5337 | 3.5337 | 90.0 | 90.0 | 90.0 |
| oqmd-322617 | box | -4.4633 | -4.4633 | 4.9973 | 4.9973 | 4.0712 | 90.0 | 90.0 | 120.0 |
| mp-1225078 | dynamic | -4.4115 | -4.4115 | 2.4953 | 2.4953 | 24.5653 | 90.0 | 90.0 | 120.0 |
| mp-1225078 | box | -4.4074 | -4.4074 | 2.4958 | 2.4958 | 24.3719 | 90.0 | 90.0 | 120.0 |
| D0_3--BiF3 | static | -4.3877 | -4.3877 | 5.6615 | 5.6615 | 5.6615 | 90.0 | 90.0 | 90.0 |
| A15--Cr3Si | static | -4.2427 | -4.2427 | 4.521 | 4.521 | 4.521 | 90.0 | 90.0 | 90.0 |
Download raw data (including filtered results)
Reference structure matches:
A1--Cu--fcc = mp-23, oqmd-676148, oqmd-1214550
A15--beta-W = oqmd-1214995, oqmd-1280360
A2--W--bcc = mp-1008728, oqmd-22516, oqmd-1215173
A3'--alpha-La--double-hcp = oqmd-1215441
A3--Mg--hcp = mp-10257, oqmd-677944, oqmd-1215351
A4--C--dc = oqmd-1215530
A5--beta-Sn = oqmd-1215619
A6--In--bct = oqmd-1215708
| prototype | method | Ecoh (eV/atom) | Epot (eV/atom) | a0 (Å) | b0 (Å) | c0 (Å) | α (degrees) | β (degrees) | γ (degrees) |
|---|---|---|---|---|---|---|---|---|---|
| A1--Cu--fcc | dynamic | -4.4487 | -4.4487 | 3.5225 | 3.5225 | 3.5225 | 90.0 | 90.0 | 90.0 |
| A3'--alpha-La--double-hcp | dynamic | -4.4378 | -4.4378 | 2.4877 | 2.4877 | 8.1467 | 90.0 | 90.0 | 120.0 |
| oqmd-1216067 | dynamic | -4.4342 | -4.4342 | 2.4867 | 2.4867 | 18.3411 | 90.0 | 90.0 | 120.0 |
| A3--Mg--hcp | dynamic | -4.427 | -4.427 | 2.4847 | 2.4847 | 4.081 | 90.0 | 90.0 | 120.0 |
| oqmd-1215262 | box | -4.4264 | -4.4264 | 2.4786 | 4.3136 | 4.0872 | 90.0 | 90.0 | 90.0 |
| oqmd-1214906 | dynamic | -4.3653 | -4.3653 | 6.1322 | 6.1322 | 6.1322 | 90.0 | 90.0 | 90.0 |
| oqmd-1214906 | box | -4.3526 | -4.3526 | 6.1375 | 6.1375 | 6.1375 | 90.0 | 90.0 | 90.0 |
| A2--W--bcc | static | -4.3513 | -4.3513 | 2.8001 | 2.8001 | 2.8001 | 90.0 | 90.0 | 90.0 |
| oqmd-1214817 | dynamic | -4.3488 | -4.3488 | 8.7502 | 8.7502 | 8.7502 | 90.0 | 90.0 | 90.0 |
| oqmd-1214817 | box | -4.3403 | -4.3403 | 8.7579 | 8.7579 | 8.7579 | 90.0 | 90.0 | 90.0 |
| A15--beta-W | dynamic | -4.3022 | -4.3022 | 4.5356 | 4.5356 | 4.5356 | 90.0 | 90.0 | 90.0 |
| oqmd-1215084 | box | -4.2103 | -4.2103 | 2.4785 | 4.2896 | 9.2799 | 90.0 | 90.0 | 90.0 |
| oqmd-1214728 | static | -4.1718 | -4.1718 | 2.4633 | 2.4633 | 8.3251 | 90.0 | 90.0 | 90.0 |
| oqmd-1214728 | box | -4.1713 | -4.1713 | 2.4595 | 2.4595 | 8.3507 | 90.0 | 90.0 | 90.0 |
| A5--beta-Sn | static | -4.0123 | -4.0123 | 4.7362 | 4.7362 | 2.4533 | 90.0 | 90.0 | 90.0 |
| Ah--alpha-Po--sc | static | -3.9433 | -3.9433 | 2.439 | 2.439 | 2.439 | 90.0 | 90.0 | 90.0 |
| mp-1014111 | dynamic | -3.8571 | -3.8571 | 2.4685 | 2.4685 | 13.7699 | 90.0 | 90.0 | 120.0 |
| mp-1014111 | box | -3.8571 | -3.8571 | 2.4685 | 2.4685 | 13.9919 | 90.0 | 90.0 | 120.0 |
| mp-1014111 | static | -3.8571 | -3.8571 | 2.4685 | 2.4685 | 13.9917 | 90.0 | 90.0 | 120.0 |
| oqmd-1215975 | box | -3.5122 | -3.5122 | 4.1194 | 4.1194 | 4.7128 | 90.0 | 90.0 | 120.0 |
| A4--C--dc | static | -3.2942 | -3.2942 | 5.427 | 5.427 | 5.427 | 90.0 | 90.0 | 90.0 |
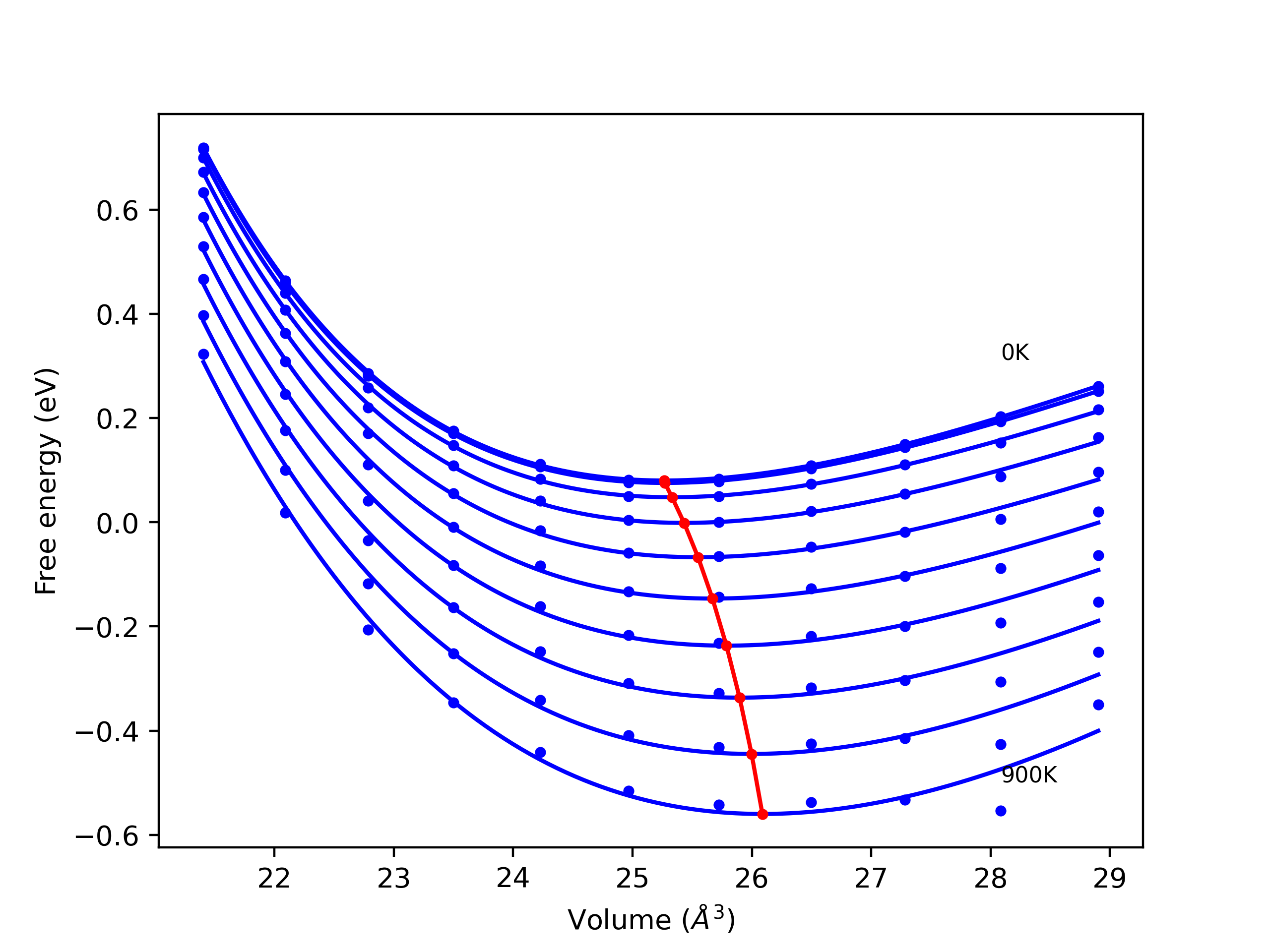
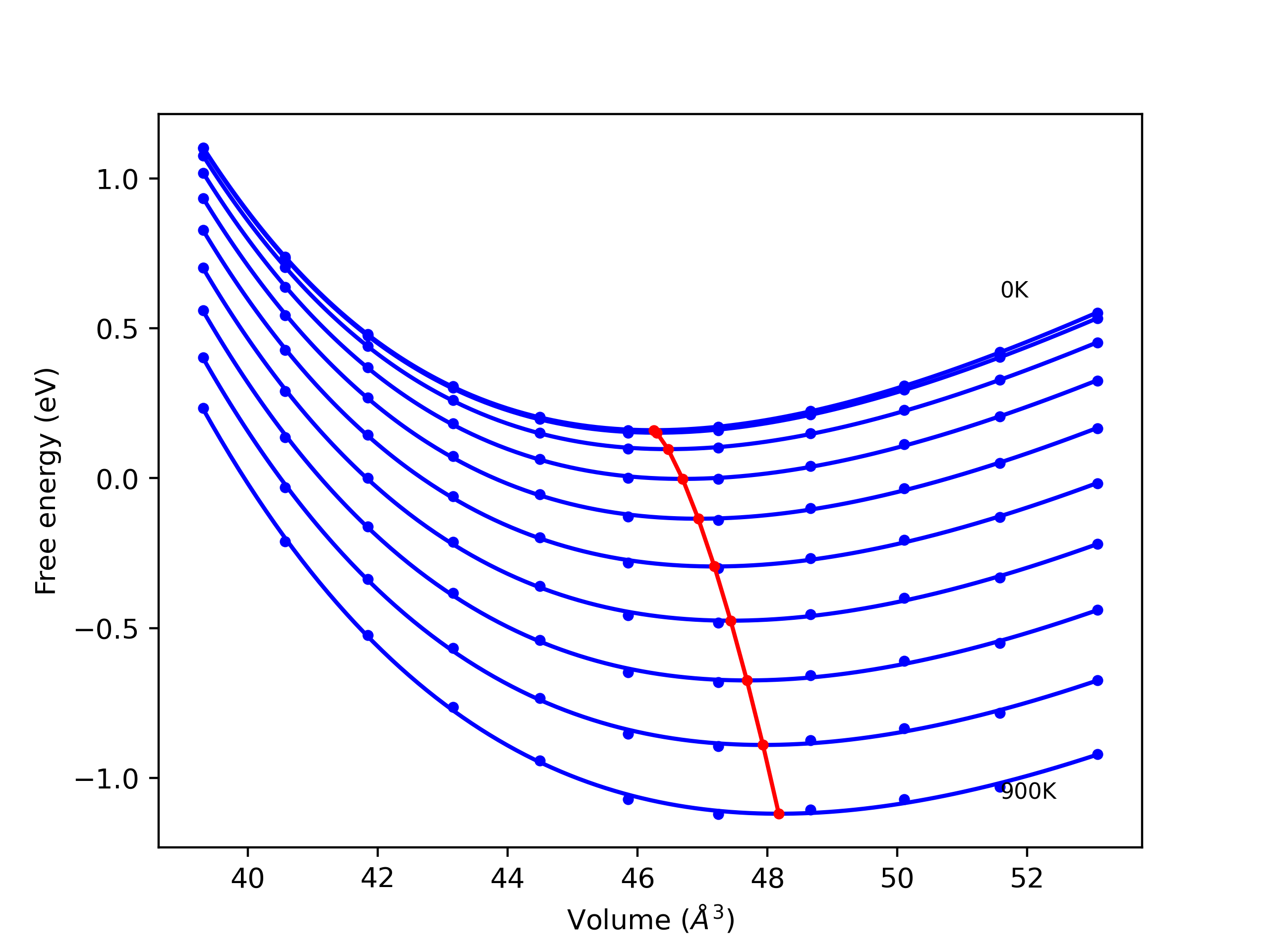
Static elastic constants are displayed for the unique structures identified in Crystal Structure Predictions above. The values displayed here are obtained by measuring the change in virial stresses due to applying small strains to the relaxed crystals. The initial structure and the strained states are all relaxed using force minimization.
The calculation method used is available as the iprPy elastic_constants_static calculation method.
Notes and Disclaimers:
Version Information:
| 245.456 | 173.420 | 173.420 | -0.000 | 0.000 | -0.000 |
| 173.420 | 245.456 | 173.420 | 0.000 | 0.000 | -0.000 |
| 173.420 | 173.420 | 245.456 | 0.000 | 0.000 | -0.000 |
| -0.000 | 0.000 | 0.000 | 148.397 | 0.000 | -0.000 |
| 0.000 | 0.000 | 0.000 | 0.000 | 148.397 | -0.000 |
| 0.000 | 0.000 | -0.000 | 0.000 | -0.000 | 148.397 |
| 245.456 | 173.420 | 173.420 | -0.000 | -0.000 | 0.000 |
| 173.420 | 245.456 | 173.420 | -0.000 | -0.000 | 0.000 |
| 173.420 | 173.420 | 245.456 | -0.000 | -0.000 | 0.000 |
| 0.000 | -0.000 | -0.000 | 148.397 | -0.000 | 0.000 |
| -0.000 | -0.000 | -0.000 | -0.000 | 148.397 | 0.000 |
| -0.000 | -0.000 | 0.000 | -0.000 | -0.000 | 148.397 |
| 245.456 | 173.420 | 173.420 | -0.000 | 0.000 | -0.000 |
| 173.420 | 245.456 | 173.420 | 0.000 | -0.000 | -0.000 |
| 173.420 | 173.420 | 245.456 | 0.000 | 0.000 | -0.000 |
| 0.000 | 0.000 | 0.000 | 148.397 | 0.000 | 0.000 |
| 0.000 | 0.000 | 0.000 | 0.000 | 148.397 | -0.000 |
| 0.000 | 0.000 | 0.000 | 0.000 | 0.000 | 148.397 |
| 245.456 | 173.420 | 173.420 | -0.000 | -0.000 | 0.000 |
| 173.420 | 245.456 | 173.420 | -0.000 | -0.000 | -0.000 |
| 173.420 | 173.420 | 245.456 | -0.000 | -0.000 | 0.000 |
| -0.000 | -0.000 | -0.000 | 148.397 | -0.000 | 0.000 |
| -0.000 | -0.000 | -0.000 | -0.000 | 148.397 | 0.000 |
| -0.000 | -0.000 | -0.000 | -0.000 | -0.000 | 148.397 |
| 245.459 | 173.421 | 173.421 | 0.000 | -0.000 | -0.000 |
| 173.421 | 245.459 | 173.421 | -0.000 | -0.000 | -0.000 |
| 173.421 | 173.421 | 245.459 | 0.000 | 0.000 | -0.000 |
| 0.000 | 0.001 | 0.001 | 148.397 | 0.000 | -0.000 |
| 0.001 | 0.000 | 0.001 | 0.000 | 148.397 | -0.000 |
| 0.001 | 0.001 | 0.000 | 0.000 | 0.000 | 148.397 |
| 245.454 | 173.419 | 173.419 | -0.000 | -0.000 | 0.000 |
| 173.419 | 245.454 | 173.419 | -0.000 | 0.000 | 0.000 |
| 173.419 | 173.419 | 245.454 | -0.000 | -0.000 | 0.000 |
| -0.000 | -0.001 | -0.001 | 148.397 | -0.000 | 0.000 |
| -0.001 | -0.000 | -0.001 | -0.000 | 148.397 | 0.000 |
| -0.001 | -0.001 | -0.000 | -0.000 | -0.000 | 148.397 |
| 323.997 | 89.065 | 89.065 | 0.000 | 0.000 | -0.000 |
| 89.065 | 323.997 | 89.065 | -0.000 | 0.000 | -0.000 |
| 89.065 | 89.065 | 323.997 | 0.000 | -0.000 | 0.000 |
| -0.000 | 0.000 | -0.000 | 71.258 | -0.000 | 0.000 |
| -0.000 | 0.000 | -0.000 | -0.000 | 71.258 | -0.000 |
| -0.000 | 0.000 | -0.000 | 0.000 | 0.000 | 71.258 |
| 323.997 | 89.065 | 89.065 | 0.000 | 0.000 | 0.000 |
| 89.065 | 323.997 | 89.065 | 0.000 | -0.000 | 0.000 |
| 89.065 | 89.065 | 323.997 | -0.000 | -0.000 | 0.000 |
| 0.000 | -0.000 | -0.000 | 71.258 | 0.000 | -0.000 |
| 0.000 | -0.000 | 0.000 | -0.000 | 71.258 | 0.000 |
| 0.000 | -0.000 | 0.000 | -0.000 | 0.000 | 71.258 |
| 323.997 | 89.065 | 89.065 | -0.000 | 0.000 | 0.000 |
| 89.065 | 323.997 | 89.065 | -0.000 | 0.000 | -0.000 |
| 89.065 | 89.065 | 323.997 | -0.000 | -0.000 | 0.000 |
| 0.000 | -0.000 | -0.000 | 71.258 | -0.000 | -0.000 |
| -0.000 | 0.000 | -0.000 | 0.000 | 71.258 | 0.000 |
| -0.000 | -0.000 | 0.000 | -0.000 | 0.000 | 71.258 |
| 323.997 | 89.065 | 89.065 | 0.000 | -0.000 | 0.000 |
| 89.065 | 323.997 | 89.065 | 0.000 | -0.000 | -0.000 |
| 89.065 | 89.065 | 323.997 | -0.000 | -0.000 | -0.000 |
| -0.000 | 0.000 | 0.000 | 71.258 | 0.000 | -0.000 |
| 0.000 | -0.000 | 0.000 | -0.000 | 71.258 | -0.000 |
| 0.000 | 0.000 | -0.000 | -0.000 | -0.000 | 71.258 |
| 325.161 | 88.484 | 88.484 | -0.000 | -0.000 | 0.000 |
| 88.484 | 325.161 | 88.484 | 0.000 | 0.000 | -0.000 |
| 88.484 | 88.484 | 325.161 | -0.000 | -0.000 | -0.000 |
| 0.000 | -0.000 | -0.000 | 77.595 | -0.000 | -0.000 |
| -0.000 | 0.000 | -0.000 | -0.000 | 77.595 | -0.000 |
| -0.000 | -0.000 | 0.000 | -0.000 | -0.000 | 77.595 |
| 323.995 | 89.065 | 89.065 | 0.000 | 0.000 | -0.000 |
| 89.065 | 323.995 | 89.065 | -0.000 | 0.000 | -0.000 |
| 89.065 | 89.065 | 323.995 | -0.000 | 0.000 | 0.000 |
| -0.000 | 0.000 | 0.000 | 77.595 | 0.000 | 0.000 |
| 0.000 | -0.000 | 0.000 | -0.000 | 77.595 | 0.000 |
| 0.000 | 0.000 | -0.000 | -0.000 | 0.000 | 77.595 |
| -0.523 | 55.281 | 55.281 | -0.000 | 0.000 | -0.000 |
| 55.281 | -0.523 | 55.281 | 0.000 | 0.000 | -0.000 |
| 55.281 | 55.281 | -0.523 | 0.000 | 0.000 | -0.000 |
| 0.000 | -0.000 | 0.000 | 43.725 | 0.000 | -0.000 |
| -0.000 | 0.000 | -0.000 | -0.000 | 43.725 | -0.000 |
| -0.000 | -0.000 | -0.000 | -0.000 | 0.000 | 43.725 |
| -0.523 | 55.281 | 55.281 | 0.000 | -0.000 | 0.000 |
| 55.281 | -0.523 | 55.281 | 0.000 | -0.000 | 0.000 |
| 55.281 | 55.281 | -0.523 | 0.000 | -0.000 | 0.000 |
| -0.000 | 0.000 | 0.000 | 43.725 | -0.000 | -0.000 |
| 0.000 | -0.000 | 0.000 | 0.000 | 43.725 | 0.000 |
| 0.000 | 0.000 | 0.000 | 0.000 | -0.000 | 43.725 |
| -0.523 | 55.281 | 55.281 | -0.000 | 0.000 | -0.000 |
| 55.281 | -0.523 | 55.281 | -0.000 | 0.000 | -0.000 |
| 55.281 | 55.281 | -0.523 | -0.000 | 0.000 | -0.000 |
| 0.000 | -0.000 | -0.000 | 43.725 | 0.000 | 0.000 |
| -0.000 | 0.000 | -0.000 | -0.000 | 43.725 | -0.000 |
| -0.000 | -0.000 | 0.000 | -0.000 | 0.000 | 43.725 |
| -0.523 | 55.281 | 55.281 | 0.000 | -0.000 | 0.000 |
| 55.281 | -0.523 | 55.281 | 0.000 | -0.000 | 0.000 |
| 55.281 | 55.281 | -0.523 | 0.000 | -0.000 | 0.000 |
| -0.000 | 0.000 | 0.000 | 43.725 | -0.000 | 0.000 |
| 0.000 | -0.000 | 0.000 | 0.000 | 43.725 | 0.000 |
| 0.000 | 0.000 | -0.000 | 0.000 | -0.000 | 43.725 |
| -0.524 | 55.281 | 55.281 | -0.000 | 0.000 | -0.000 |
| 55.281 | -0.524 | 55.281 | -0.000 | 0.000 | -0.000 |
| 55.281 | 55.281 | -0.524 | -0.000 | 0.000 | -0.000 |
| 0.000 | -0.000 | -0.000 | 43.725 | -0.000 | -0.000 |
| -0.000 | 0.000 | -0.000 | -0.000 | 43.725 | -0.000 |
| -0.000 | -0.000 | 0.000 | -0.000 | 0.000 | 43.725 |
| -0.523 | 55.281 | 55.281 | 0.000 | -0.000 | 0.000 |
| 55.281 | -0.523 | 55.281 | -0.000 | -0.000 | 0.000 |
| 55.281 | 55.281 | -0.523 | 0.000 | -0.000 | 0.000 |
| -0.000 | 0.000 | 0.000 | 43.725 | 0.000 | 0.000 |
| 0.000 | -0.000 | 0.000 | 0.000 | 43.725 | 0.000 |
| 0.000 | 0.000 | -0.000 | 0.000 | -0.000 | 43.725 |
| 361.720 | 137.065 | 79.122 | -0.000 | 0.000 | -0.000 |
| 137.065 | 361.720 | 79.122 | 0.000 | 0.000 | -0.000 |
| 79.122 | 79.122 | 253.019 | 0.000 | 0.000 | -0.000 |
| -0.000 | -0.000 | -0.000 | 54.556 | 0.000 | -0.000 |
| -0.000 | -0.000 | -0.000 | 0.000 | 54.556 | -0.000 |
| -0.000 | 0.000 | -0.000 | 0.000 | 0.000 | 112.327 |
| 361.719 | 137.065 | 79.122 | 0.000 | -0.000 | 0.000 |
| 137.065 | 361.719 | 79.122 | 0.000 | -0.000 | 0.000 |
| 79.122 | 79.122 | 253.019 | -0.000 | -0.000 | 0.000 |
| 0.000 | 0.000 | 0.000 | 54.556 | -0.000 | 0.000 |
| 0.000 | 0.000 | 0.000 | -0.000 | 54.556 | 0.000 |
| 0.000 | -0.000 | 0.000 | -0.000 | -0.000 | 112.327 |
| 361.720 | 137.065 | 79.122 | -0.000 | 0.000 | -0.000 |
| 180.889 | 317.896 | 79.122 | 0.000 | 0.000 | -0.000 |
| 79.122 | 79.122 | 253.019 | 0.000 | 0.000 | -0.000 |
| 0.000 | 0.000 | 0.000 | 54.556 | 0.000 | -0.000 |
| 0.000 | 0.000 | 0.000 | 0.000 | 54.556 | -0.000 |
| 0.000 | 0.000 | 0.000 | 0.000 | 0.000 | 68.503 |
| 361.719 | 137.065 | 79.122 | 0.000 | -0.000 | 0.000 |
| 137.065 | 361.719 | 79.122 | 0.000 | -0.000 | 0.000 |
| 79.122 | 79.122 | 253.019 | -0.000 | 0.000 | 0.000 |
| -0.000 | -0.000 | -0.000 | 54.556 | -0.000 | 0.000 |
| -0.000 | -0.000 | -0.000 | -0.000 | 54.556 | 0.000 |
| -0.000 | -0.000 | -0.000 | -0.000 | -0.000 | 68.503 |
| 361.723 | 137.066 | 79.123 | 0.000 | 0.000 | -0.000 |
| 137.066 | 361.723 | 79.123 | -0.000 | 0.000 | -0.000 |
| 79.122 | 79.122 | 253.019 | 0.000 | -0.000 | -0.000 |
| 0.000 | 0.000 | 0.000 | 54.556 | 0.000 | -0.000 |
| 0.000 | 0.000 | 0.000 | 0.000 | 54.556 | -0.000 |
| 0.000 | 0.001 | 0.000 | 0.000 | 0.000 | 68.503 |
| 361.716 | 137.064 | 79.122 | -0.000 | -0.000 | 0.000 |
| 180.888 | 317.892 | 79.122 | -0.000 | -0.000 | 0.000 |
| 79.122 | 79.122 | 253.019 | -0.000 | -0.000 | 0.000 |
| -0.000 | -0.000 | -0.000 | 54.556 | -0.000 | 0.000 |
| -0.000 | -0.000 | -0.000 | -0.000 | 54.556 | 0.000 |
| -0.000 | -0.001 | -0.000 | -0.000 | -0.000 | 68.503 |
| 313.757 | 185.508 | 60.253 | 0.000 | -0.000 | -0.000 |
| 185.508 | 313.757 | 60.253 | 0.000 | -0.000 | -0.000 |
| 60.253 | 60.253 | 158.617 | 0.000 | 0.000 | -0.000 |
| -0.000 | 0.000 | -0.000 | 37.348 | -0.000 | -0.000 |
| -0.000 | 0.000 | -0.000 | 0.000 | 37.348 | -0.000 |
| -0.000 | 0.000 | -0.000 | 0.000 | -0.000 | 64.124 |
| 362.811 | 136.455 | 60.253 | -0.000 | -0.000 | 0.000 |
| 136.455 | 362.811 | 60.253 | -0.000 | -0.000 | 0.000 |
| 60.253 | 60.253 | 158.617 | -0.000 | 0.000 | 0.000 |
| 0.000 | -0.000 | 0.000 | 37.348 | 0.000 | 0.000 |
| 0.000 | -0.000 | 0.000 | -0.000 | 37.348 | 0.000 |
| 0.000 | -0.000 | 0.000 | -0.000 | 0.000 | 64.124 |
| 362.811 | 136.455 | 60.253 | 0.000 | 0.000 | -0.000 |
| 185.508 | 313.757 | 60.253 | 0.000 | -0.000 | -0.000 |
| 60.253 | 60.253 | 158.617 | 0.000 | 0.000 | -0.000 |
| 0.000 | 0.000 | -0.000 | 37.348 | -0.000 | -0.000 |
| 0.000 | 0.000 | -0.000 | 0.000 | 37.348 | -0.000 |
| 0.000 | 0.000 | 0.000 | 0.000 | 0.000 | 113.178 |
| 362.810 | 136.455 | 60.253 | -0.000 | -0.000 | 0.000 |
| 185.508 | 313.757 | 60.253 | -0.000 | 0.000 | 0.000 |
| 60.253 | 60.253 | 158.617 | -0.000 | 0.000 | 0.000 |
| -0.000 | -0.000 | 0.000 | 37.348 | -0.000 | 0.000 |
| -0.000 | -0.000 | 0.000 | -0.000 | 37.348 | 0.000 |
| -0.000 | -0.000 | -0.000 | -0.000 | 0.000 | 113.178 |
| 313.760 | 185.509 | 60.254 | -0.000 | -0.000 | 0.000 |
| 185.510 | 313.760 | 60.254 | 0.000 | -0.000 | -0.000 |
| 60.253 | 60.253 | 158.615 | 0.000 | -0.000 | -0.000 |
| 0.000 | 0.000 | 0.000 | 37.348 | -0.000 | -0.000 |
| 0.000 | 0.000 | 0.000 | 0.000 | 37.348 | -0.000 |
| 0.000 | 0.001 | 0.000 | -0.000 | -0.000 | 64.124 |
| 313.753 | 185.508 | 60.253 | -0.000 | 0.000 | 0.000 |
| 185.507 | 313.754 | 60.253 | -0.000 | 0.000 | 0.000 |
| 60.253 | 60.253 | 158.618 | -0.000 | 0.000 | 0.000 |
| -0.000 | -0.000 | -0.000 | 37.348 | 0.000 | 0.000 |
| -0.000 | -0.000 | -0.000 | -0.000 | 37.348 | 0.000 |
| -0.000 | -0.001 | -0.000 | -0.000 | 0.000 | 64.124 |
| 362.650 | 136.383 | 60.227 | 0.000 | -0.000 | -0.000 |
| 185.440 | 313.593 | 60.227 | 0.000 | 0.000 | -0.000 |
| 60.220 | 60.220 | 158.598 | 0.000 | -0.000 | -0.000 |
| 0.000 | -0.000 | 0.000 | 37.334 | -0.000 | -0.000 |
| 0.000 | -0.000 | 0.000 | -0.000 | 37.334 | -0.000 |
| 0.000 | 0.000 | 0.000 | 0.000 | 0.000 | 64.077 |
| 313.593 | 185.440 | 60.227 | -0.000 | -0.000 | 0.000 |
| 136.383 | 362.649 | 60.227 | -0.000 | 0.000 | 0.000 |
| 60.220 | 60.220 | 158.598 | 0.000 | 0.000 | 0.000 |
| -0.000 | -0.000 | -0.000 | 37.334 | 0.000 | 0.000 |
| -0.000 | 0.000 | -0.000 | 0.000 | 37.334 | 0.000 |
| -0.000 | -0.000 | -0.000 | -0.000 | 0.000 | 64.077 |
| 313.593 | 185.440 | 60.227 | 0.000 | 0.000 | -0.000 |
| 136.383 | 362.650 | 60.227 | 0.000 | -0.000 | -0.000 |
| 60.220 | 60.220 | 158.598 | -0.000 | -0.000 | -0.000 |
| 0.000 | 0.000 | 0.000 | 37.334 | -0.000 | -0.000 |
| 0.000 | 0.000 | 0.000 | -0.000 | 37.334 | -0.000 |
| 0.000 | 0.000 | 0.000 | 0.000 | -0.000 | 113.133 |
| 313.593 | 185.440 | 60.227 | -0.000 | 0.000 | 0.000 |
| 185.439 | 313.593 | 60.227 | -0.000 | 0.000 | 0.000 |
| 60.220 | 60.220 | 158.598 | -0.000 | 0.000 | 0.000 |
| -0.000 | -0.000 | -0.000 | 37.334 | 0.000 | 0.000 |
| -0.000 | -0.000 | -0.000 | 0.000 | 37.334 | 0.000 |
| -0.000 | -0.000 | -0.000 | -0.000 | 0.000 | 113.133 |
| 362.653 | 136.384 | 60.228 | 0.000 | -0.000 | -0.000 |
| 185.441 | 313.596 | 60.228 | 0.000 | -0.000 | -0.000 |
| 60.220 | 60.220 | 158.596 | 0.000 | -0.000 | -0.000 |
| 0.000 | 0.000 | 0.000 | 37.334 | -0.000 | -0.000 |
| 0.000 | 0.000 | 0.000 | 0.000 | 37.334 | -0.000 |
| 0.000 | 0.001 | 0.000 | 0.000 | 0.000 | 64.077 |
| 362.646 | 136.382 | 60.227 | 0.000 | 0.000 | 0.000 |
| 185.438 | 313.590 | 60.227 | -0.000 | 0.000 | 0.000 |
| 60.220 | 60.220 | 158.600 | 0.000 | -0.000 | 0.000 |
| -0.000 | -0.000 | -0.000 | 37.334 | 0.000 | 0.000 |
| -0.000 | -0.000 | -0.000 | -0.000 | 37.334 | 0.000 |
| -0.000 | -0.001 | -0.000 | -0.000 | -0.000 | 64.077 |
| 3.482 | 39.345 | 39.345 | 0.000 | -0.000 | 0.000 |
| 39.346 | 3.482 | 39.345 | 0.000 | 0.000 | -0.000 |
| 39.346 | 39.345 | 3.482 | 0.000 | 0.000 | 0.000 |
| 0.000 | -0.000 | -0.000 | 33.340 | 0.000 | 0.000 |
| 0.000 | -0.000 | -0.000 | 0.000 | 33.340 | 0.000 |
| 0.000 | -0.000 | -0.000 | -0.000 | -0.000 | 33.340 |
| 3.482 | 39.346 | 39.346 | -0.000 | 0.000 | 0.000 |
| 39.345 | 3.482 | 39.346 | -0.000 | -0.000 | 0.000 |
| 39.345 | 39.346 | 3.482 | 0.000 | 0.000 | -0.000 |
| -0.000 | 0.000 | 0.000 | 33.340 | 0.000 | -0.000 |
| -0.000 | 0.000 | 0.000 | -0.000 | 33.340 | 0.000 |
| -0.000 | 0.000 | 0.000 | -0.000 | 0.000 | 33.340 |
| 3.482 | 39.346 | 39.346 | 0.000 | 0.000 | -0.000 |
| 39.346 | 3.482 | 39.346 | 0.000 | -0.000 | -0.000 |
| 39.346 | 39.346 | 3.482 | 0.000 | -0.000 | 0.000 |
| 0.000 | 0.000 | 0.000 | -54.053 | 0.000 | 0.000 |
| 0.000 | 0.000 | 0.000 | 0.000 | -54.053 | 0.000 |
| 0.000 | 0.000 | 0.000 | 0.000 | -0.000 | -54.053 |
| 3.482 | 39.345 | 39.345 | -0.000 | 0.000 | 0.000 |
| 39.345 | 3.482 | 39.345 | -0.000 | -0.000 | 0.000 |
| 39.345 | 39.345 | 3.482 | 0.000 | 0.000 | -0.000 |
| -0.000 | -0.000 | -0.000 | -54.053 | 0.000 | -0.000 |
| -0.000 | -0.000 | -0.000 | -0.000 | -54.053 | -0.000 |
| -0.000 | -0.000 | -0.000 | 0.000 | -0.000 | -54.053 |
| 3.482 | 39.346 | 39.346 | 0.000 | -0.000 | 0.000 |
| 39.346 | 3.482 | 39.346 | -0.000 | 0.000 | -0.000 |
| 39.346 | 39.346 | 3.482 | -0.000 | -0.000 | 0.000 |
| 0.000 | 0.000 | 0.000 | 33.340 | 0.000 | -0.000 |
| 0.000 | 0.000 | 0.000 | 0.000 | 33.340 | 0.000 |
| 0.000 | 0.000 | 0.000 | 0.000 | -0.000 | 33.340 |
| 3.481 | 39.345 | 39.345 | -0.000 | -0.000 | -0.000 |
| 39.345 | 3.481 | 39.345 | -0.000 | 0.000 | -0.000 |
| 39.345 | 39.345 | 3.481 | 0.000 | 0.000 | -0.000 |
| -0.000 | -0.000 | -0.000 | 33.340 | -0.000 | -0.000 |
| -0.000 | -0.000 | -0.000 | -0.000 | 33.340 | 0.000 |
| -0.000 | -0.000 | -0.000 | 0.000 | 0.000 | 33.340 |
| 431.935 | -38.852 | -13.162 | 0.000 | 0.000 | 0.000 |
| -38.852 | 431.935 | -13.162 | 0.000 | 0.000 | 0.000 |
| -13.162 | -13.162 | 168.535 | 0.000 | 0.000 | -0.000 |
| 0.000 | -0.000 | -0.000 | -46.958 | -0.000 | 0.000 |
| 0.000 | -0.000 | -0.000 | 0.000 | -46.958 | 0.000 |
| 0.000 | -0.000 | -0.000 | 0.000 | 0.000 | -54.528 |
| -23.823 | 416.906 | -13.162 | -0.000 | -0.000 | 0.000 |
| 416.906 | -23.823 | -13.162 | -0.000 | -0.000 | 0.000 |
| -13.162 | -13.162 | 168.535 | -0.000 | -0.000 | -0.000 |
| -0.000 | 0.000 | 0.000 | -46.958 | -0.000 | -0.000 |
| 0.000 | 0.000 | -0.000 | -0.000 | -46.958 | -0.000 |
| -0.000 | 0.000 | 0.000 | -0.000 | -0.000 | -54.528 |
| 431.936 | -38.852 | -13.162 | 0.000 | 0.000 | 0.000 |
| -38.852 | 431.936 | -13.162 | 0.000 | 0.000 | 0.000 |
| -13.162 | -13.162 | 168.535 | 0.000 | 0.000 | -0.000 |
| -0.000 | 0.000 | -0.000 | -46.958 | 0.000 | 0.000 |
| 0.000 | -0.000 | -0.000 | 0.000 | -46.958 | 0.000 |
| 0.000 | -0.000 | -0.000 | 0.000 | 0.000 | -54.528 |
| 68299983.407 | 42869793.513 | -45879847.164 | -2198199.845 | 1446528.869 | -1390807.087 |
| 51733708.224 | 91663390.473 | -127940140.462 | -10587568.247 | -186968.951 | 527460.447 |
| -13.162 | -13.162 | 168.535 | -0.000 | -0.000 | -0.000 |
| 0.000 | -0.000 | 0.000 | -46.958 | -0.000 | 0.000 |
| -0.000 | 0.000 | 0.000 | -0.000 | -46.958 | 0.000 |
| -0.000 | 0.000 | 0.000 | -0.000 | -0.000 | -54.528 |
| -3756298.831 | -5827685.094 | 4835940.168 | 91854.953 | -72463.419 | -120930.333 |
| -5754724.792 | -4737343.220 | -4618869.668 | 146375.064 | -596703.389 | -401368.809 |
| -13.162 | -13.162 | 168.536 | 0.000 | 0.000 | -0.000 |
| -0.000 | 0.000 | -0.000 | -46.958 | 0.000 | 0.000 |
| 0.000 | -0.000 | -0.000 | 0.000 | -46.958 | -0.000 |
| 0.000 | -0.000 | -0.000 | 0.000 | 0.000 | -54.528 |
| 5302633.663 | 4564831.335 | 3623369.228 | 211317.589 | 418904.816 | -197366.473 |
| 5168372.874 | 9127268.986 | 9377490.875 | -64412.230 | 980083.843 | -1159876.286 |
| -13.162 | -13.162 | 168.534 | -0.000 | -0.000 | -0.000 |
| 0.000 | -0.000 | 0.000 | -46.958 | -0.000 | -0.000 |
| -0.000 | 0.000 | 0.000 | -0.000 | -46.958 | -0.000 |
| -0.000 | 0.000 | 0.000 | -0.000 | -0.000 | -54.528 |
| 53.213 | 4.438 | 31.002 | -37.591 | -0.000 | 0.000 |
| 4.438 | 53.213 | 31.002 | 37.591 | -0.000 | -0.000 |
| 19.531 | 19.531 | -112.512 | 0.000 | -0.000 | -0.000 |
| -37.591 | 37.591 | -0.000 | 27.982 | -0.000 | -0.000 |
| -0.000 | -0.000 | -0.000 | 0.000 | 27.982 | -37.591 |
| -0.000 | 0.000 | -0.000 | 0.000 | -37.591 | 24.388 |
| 53.214 | 4.438 | 31.002 | -37.591 | 0.000 | -0.000 |
| 4.438 | 53.214 | 31.002 | 37.591 | 0.000 | -0.000 |
| 19.531 | 19.531 | -112.512 | -0.000 | 0.000 | -0.000 |
| -37.591 | 37.591 | 0.000 | 27.982 | 0.000 | -0.000 |
| 0.000 | 0.000 | -0.000 | -0.000 | 27.982 | -37.591 |
| 0.000 | -0.000 | 0.000 | -0.000 | -37.591 | 24.388 |
| 53.214 | 4.438 | 31.002 | -37.591 | -0.000 | 0.000 |
| 4.438 | 53.213 | 31.002 | 37.591 | -0.000 | 0.000 |
| 19.531 | 19.531 | -112.512 | 0.000 | -0.000 | 0.000 |
| -37.591 | 37.591 | 0.000 | 27.982 | -0.000 | 0.000 |
| -0.000 | -0.000 | 0.000 | -0.000 | 27.982 | -37.591 |
| -0.000 | 0.000 | -0.000 | -0.000 | -37.591 | 24.388 |
| 53.214 | 4.438 | 31.002 | -37.591 | 0.000 | 0.000 |
| 4.438 | 53.214 | 31.002 | 37.591 | 0.000 | -0.000 |
| 19.531 | 19.531 | -112.512 | -0.000 | 0.000 | -0.000 |
| -37.591 | 37.591 | -0.000 | 27.982 | 0.000 | -0.000 |
| 0.000 | 0.000 | -0.000 | 0.000 | 27.982 | -37.591 |
| 0.000 | -0.000 | 0.000 | 0.000 | -37.591 | 24.388 |
| 53.213 | 4.438 | 31.002 | -37.591 | -0.000 | 0.000 |
| 4.438 | 53.213 | 31.002 | 37.591 | -0.000 | 0.000 |
| 19.531 | 19.531 | -112.512 | -0.000 | -0.000 | 0.000 |
| -37.591 | 37.591 | 0.000 | 27.982 | -0.000 | 0.000 |
| -0.000 | -0.000 | 0.000 | -0.000 | 27.982 | -37.591 |
| -0.000 | 0.000 | -0.000 | -0.000 | -37.591 | 24.388 |
| 53.214 | 4.438 | 31.002 | -37.591 | 0.000 | -0.000 |
| 4.438 | 53.214 | 31.002 | 37.591 | 0.000 | -0.000 |
| 19.531 | 19.531 | -112.512 | 0.000 | 0.000 | -0.000 |
| -37.591 | 37.591 | -0.000 | 27.982 | 0.000 | 0.000 |
| 0.000 | 0.000 | -0.000 | 0.000 | 27.982 | -37.591 |
| 0.000 | -0.000 | 0.000 | 0.000 | -37.591 | 24.388 |
| 343.280 | -14.230 | -14.230 | 0.000 | 0.000 | -0.000 |
| -14.230 | 343.280 | -14.230 | 0.000 | 0.000 | -0.000 |
| -14.230 | -14.230 | 343.280 | 0.000 | 0.000 | -0.000 |
| -0.000 | -0.000 | 0.000 | -21.554 | 0.000 | -0.000 |
| -0.000 | -0.000 | 0.000 | 0.000 | -21.554 | 0.000 |
| -0.000 | -0.000 | -0.000 | 0.000 | 0.000 | -21.554 |
| 343.280 | -14.230 | -14.230 | -0.000 | -0.000 | 0.000 |
| -14.230 | 343.280 | -14.230 | -0.000 | -0.000 | 0.000 |
| -14.230 | -14.230 | 343.280 | -0.000 | -0.000 | 0.000 |
| 0.000 | 0.000 | -0.000 | -21.554 | -0.000 | 0.000 |
| 0.000 | 0.000 | -0.000 | -0.000 | -21.554 | 0.000 |
| 0.000 | 0.000 | 0.000 | -0.000 | -0.000 | -21.554 |
| 343.280 | -14.230 | -14.230 | 0.000 | 0.000 | -0.000 |
| -14.230 | 343.280 | -14.230 | 0.000 | 0.000 | -0.000 |
| -14.230 | -14.230 | 343.280 | 0.000 | 0.000 | -0.000 |
| -0.000 | -0.000 | -0.000 | -21.554 | 0.000 | -0.000 |
| -0.000 | -0.000 | -0.000 | 0.000 | -21.554 | 0.000 |
| -0.000 | -0.000 | -0.000 | 0.000 | 0.000 | -21.554 |
| 343.280 | -14.230 | -14.230 | -0.000 | -0.000 | -0.000 |
| -14.230 | 343.280 | -14.230 | -0.000 | -0.000 | -0.000 |
| -14.230 | -14.230 | 343.280 | -0.000 | -0.000 | 0.000 |
| 0.000 | 0.000 | 0.000 | -21.554 | -0.000 | -0.000 |
| 0.000 | 0.000 | 0.000 | -0.000 | -21.554 | -0.000 |
| 0.000 | 0.000 | 0.000 | -0.000 | -0.000 | -21.554 |
| 343.282 | -14.230 | -14.230 | 0.000 | 0.000 | 0.000 |
| -14.230 | 343.282 | -14.230 | 0.000 | 0.000 | -0.000 |
| -14.230 | -14.230 | 343.282 | 0.000 | 0.000 | 0.000 |
| -0.000 | -0.000 | -0.000 | -21.554 | 0.000 | 0.000 |
| -0.000 | -0.000 | -0.000 | 0.000 | -21.554 | 0.000 |
| -0.000 | -0.000 | -0.000 | 0.000 | 0.000 | -21.554 |
| 343.279 | -14.230 | -14.230 | -0.000 | -0.000 | 0.000 |
| -14.230 | 343.279 | -14.230 | -0.000 | -0.000 | 0.000 |
| -14.230 | -14.230 | 343.279 | -0.000 | -0.000 | -0.000 |
| 0.000 | 0.000 | 0.000 | -21.554 | -0.000 | 0.000 |
| 0.000 | 0.000 | 0.000 | -0.000 | -21.554 | -0.000 |
| 0.000 | 0.000 | 0.000 | -0.000 | -0.000 | -21.554 |
| 393.396 | 215.961 | 67.451 | -0.000 | 0.000 | -0.000 |
| 163.704 | 179.141 | 33.158 | -0.000 | 0.000 | -0.000 |
| 42.453 | 60.418 | 195.690 | -0.000 | 0.000 | -0.000 |
| -20.153 | 38.544 | 8.696 | 35.477 | 0.000 | -0.000 |
| -20.153 | 38.544 | 8.696 | -0.000 | 29.853 | -0.000 |
| 0.000 | 0.000 | 0.000 | -0.000 | 0.000 | 105.069 |
| 433.702 | 138.873 | 50.059 | 0.000 | -0.000 | 0.000 |
| 204.010 | 102.053 | 15.766 | 0.000 | -0.000 | 0.000 |
| 82.759 | -16.670 | 178.298 | 0.000 | -0.000 | 0.000 |
| 20.153 | -38.544 | -8.696 | 35.477 | -0.000 | 0.000 |
| 20.153 | -38.544 | -8.696 | 0.000 | 29.853 | 0.000 |
| -0.000 | -0.000 | -0.000 | 0.000 | 0.000 | 105.069 |
| 446.192 | 114.985 | 44.670 | -0.000 | 0.000 | -0.000 |
| 181.841 | 144.452 | 25.332 | -0.000 | 0.000 | -0.000 |
| 60.591 | 25.728 | 187.863 | -0.000 | 0.000 | -0.000 |
| -0.417 | 0.798 | 0.180 | 35.457 | -0.000 | -0.000 |
| -2.015 | 3.854 | 0.870 | -0.000 | 29.853 | -0.000 |
| -2.205 | 4.216 | 0.951 | -0.000 | -0.000 | 69.311 |
| 415.564 | 173.563 | 57.885 | 0.000 | -0.000 | 0.000 |
| 185.872 | 136.743 | 23.593 | 0.000 | 0.000 | 0.000 |
| 64.621 | 18.019 | 186.124 | 0.000 | -0.000 | 0.000 |
| 0.417 | -0.798 | -0.180 | 35.457 | 0.000 | 0.000 |
| 2.015 | -3.854 | -0.870 | 0.000 | 29.853 | 0.000 |
| 2.205 | -4.216 | -0.951 | 0.000 | -0.000 | 69.311 |
| 413.351 | 177.803 | 58.842 | -0.000 | 0.000 | -0.000 |
| 183.657 | 140.984 | 24.550 | -0.000 | 0.000 | -0.000 |
| 62.405 | 22.259 | 187.079 | -0.000 | 0.000 | -0.000 |
| -0.041 | 0.079 | 0.018 | 35.477 | -0.000 | -0.000 |
| -0.201 | 0.386 | 0.087 | -0.000 | 29.853 | -0.000 |
| -0.220 | 0.422 | 0.095 | -0.000 | 0.000 | 69.298 |
| 413.747 | 177.032 | 58.668 | 0.000 | -0.000 | 0.000 |
| 184.057 | 140.211 | 24.375 | 0.000 | -0.000 | 0.000 |
| 62.807 | 21.488 | 186.908 | 0.000 | -0.000 | 0.000 |
| 0.041 | -0.079 | -0.018 | 35.477 | -0.000 | 0.000 |
| 0.201 | -0.386 | -0.087 | 0.000 | 29.853 | 0.000 |
| 0.220 | -0.422 | -0.095 | 0.000 | -0.000 | 69.298 |
| 110.091 | -63.779 | 41.248 | 0.000 | -0.000 | 0.000 |
| -63.779 | 110.091 | 41.248 | 0.000 | -0.000 | 0.000 |
| 71.241 | 71.241 | 259.596 | 0.000 | -0.000 | 0.000 |
| -145.511 | -145.511 | -31.595 | 61.875 | -0.000 | 0.000 |
| -145.511 | -145.511 | -31.595 | 0.000 | 61.875 | 0.000 |
| -3319.414 | -3319.414 | -1525.493 | 0.000 | -0.000 | -35.658 |
| 401.135 | 227.250 | 104.441 | -0.000 | 0.000 | -0.000 |
| 227.250 | 401.135 | 104.441 | 0.000 | 0.000 | -0.000 |
| 216.709 | 216.709 | 287.038 | -0.000 | -0.000 | -0.000 |
| 145.511 | 145.511 | 31.595 | 61.875 | -0.000 | -0.000 |
| 145.511 | 145.511 | 31.595 | 0.000 | 61.875 | -0.000 |
| 3319.414 | 3319.414 | 1525.493 | -0.000 | -0.000 | -35.658 |
| -241.178 | -114.605 | -83.902 | -0.000 | -0.000 | 0.000 |
| -114.605 | -241.178 | -83.902 | 0.000 | -0.000 | 0.000 |
| 56.626 | 56.626 | 252.202 | -0.000 | 0.000 | 0.000 |
| -318.935 | -318.935 | -145.589 | -23.993 | 0.000 | 0.000 |
| -318.935 | -318.935 | -145.589 | 0.000 | -23.993 | 0.000 |
| -309.171 | -309.171 | -139.029 | 0.000 | -0.000 | -26.793 |
| 270.244 | 96.371 | 76.022 | -0.000 | 0.000 | -0.000 |
| 96.371 | 270.244 | 76.022 | -0.000 | 0.000 | -0.000 |
| 600.765 | 600.765 | 499.945 | -0.000 | 0.000 | -0.000 |
| 318.935 | 318.935 | 145.589 | -23.993 | 0.000 | -0.000 |
| 318.935 | 318.935 | 145.589 | 0.000 | -23.993 | -0.000 |
| 309.171 | 309.171 | 139.029 | -0.000 | 0.000 | -26.793 |
| 266.201 | 79.171 | 72.682 | -0.000 | -0.000 | 0.000 |
| 79.171 | 266.201 | 72.682 | 0.000 | 0.000 | 0.000 |
| 71.241 | 71.241 | 259.597 | 0.000 | -0.000 | 0.000 |
| -0.000 | -0.000 | -0.000 | 64.559 | -0.000 | 0.000 |
| -0.000 | -0.000 | -0.000 | 0.000 | 64.559 | 0.000 |
| -1.864 | -1.864 | -0.405 | 0.000 | -0.000 | 65.325 |
| 233.900 | 95.717 | 74.837 | -0.000 | -0.000 | -0.000 |
| 95.717 | 233.900 | 74.837 | -0.000 | 0.000 | -0.000 |
| 72.886 | 72.886 | 255.775 | -0.000 | -0.000 | -0.000 |
| 0.000 | 0.000 | 0.000 | 64.559 | 0.000 | -0.000 |
| 0.000 | 0.000 | 0.000 | -0.000 | 64.559 | -0.000 |
| 1.864 | 1.864 | 0.405 | -0.000 | 0.000 | 65.325 |
| 244.864 | 63.140 | 63.140 | 0.000 | -0.000 | 0.000 |
| 63.140 | 244.864 | 63.140 | -0.000 | -0.000 | 0.000 |
| 63.140 | 63.140 | 244.864 | -0.000 | -0.000 | 0.000 |
| 0.000 | 0.000 | 0.000 | 52.451 | -0.000 | -0.000 |
| 0.000 | 0.000 | 0.000 | 0.000 | 52.451 | -0.000 |
| 0.000 | 0.000 | 0.000 | 0.000 | -0.000 | 52.451 |
| 244.864 | 63.140 | 63.140 | 0.000 | 0.000 | 0.000 |
| 63.140 | 244.864 | 63.140 | 0.000 | 0.000 | 0.000 |
| 63.140 | 63.140 | 244.864 | 0.000 | 0.000 | 0.000 |
| -0.000 | -0.000 | -0.000 | 52.451 | 0.000 | -0.000 |
| -0.000 | -0.000 | -0.000 | 0.000 | 52.451 | -0.000 |
| -0.000 | -0.000 | -0.000 | 0.000 | 0.000 | 52.451 |
| 244.864 | 63.140 | 63.140 | 0.000 | -0.000 | -0.000 |
| 63.140 | 244.864 | 63.140 | -0.000 | -0.000 | -0.000 |
| 63.140 | 63.140 | 244.864 | -0.000 | -0.000 | 0.000 |
| 7.875 | 7.875 | 7.875 | 34.831 | -0.000 | 0.000 |
| 7.875 | 7.875 | 7.875 | 0.000 | 34.831 | 0.000 |
| 7.875 | 7.875 | 7.875 | 0.000 | -0.000 | 34.831 |
| 205.070 | 61.508 | 61.508 | -0.000 | 0.000 | -0.000 |
| 61.508 | 205.070 | 61.508 | -0.000 | 0.000 | -0.000 |
| 61.508 | 61.508 | 205.070 | -0.000 | 0.000 | -0.000 |
| -7.875 | -7.875 | -7.875 | 34.831 | 0.000 | -0.000 |
| -7.875 | -7.875 | -7.875 | -0.000 | 34.831 | -0.000 |
| -7.875 | -7.875 | -7.875 | -0.000 | 0.000 | 34.831 |
| 220.204 | 68.926 | 68.926 | 0.000 | 0.000 | 0.000 |
| 68.926 | 220.204 | 68.926 | 0.000 | 0.000 | 0.000 |
| 68.926 | 68.926 | 220.204 | 0.000 | 0.000 | 0.000 |
| -0.000 | -0.000 | -0.000 | 52.451 | -0.000 | 0.000 |
| -0.000 | -0.000 | -0.000 | -0.000 | 52.451 | -0.000 |
| -0.000 | -0.000 | -0.000 | -0.000 | -0.000 | 52.451 |
| 244.863 | 63.140 | 63.140 | 0.000 | 0.000 | 0.000 |
| 63.140 | 244.863 | 63.140 | 0.000 | 0.000 | -0.000 |
| 63.140 | 63.140 | 244.863 | 0.000 | 0.000 | 0.000 |
| 0.000 | 0.000 | 0.000 | 52.451 | 0.000 | 0.000 |
| 0.000 | 0.000 | 0.000 | 0.000 | 52.451 | 0.000 |
| 0.000 | 0.000 | 0.000 | 0.000 | 0.000 | 52.451 |
| 1639.040 | 1483.447 | 1483.447 | 0.000 | -0.000 | -0.000 |
| 1483.447 | 1639.040 | 1483.447 | -0.000 | -0.000 | -0.000 |
| 1483.447 | 1483.447 | 1639.040 | 0.000 | -0.000 | -0.000 |
| 1568.463 | 1568.463 | 1568.463 | 29.322 | -0.000 | -0.000 |
| 1568.463 | 1568.463 | 1568.463 | -0.000 | 29.322 | -0.000 |
| 1568.463 | 1568.463 | 1568.463 | -0.000 | -0.000 | 29.322 |
| -1371.686 | -1501.643 | -1501.643 | -0.000 | -0.000 | 0.000 |
| -1501.643 | -1371.686 | -1501.643 | -0.000 | 0.000 | 0.000 |
| -1501.643 | -1501.643 | -1371.686 | -0.000 | 0.000 | 0.000 |
| -1568.463 | -1568.463 | -1568.463 | 29.322 | 0.000 | 0.000 |
| -1568.463 | -1568.463 | -1568.463 | -0.000 | 29.322 | 0.000 |
| -1568.463 | -1568.463 | -1568.463 | -0.000 | 0.000 | 29.322 |
| 303.995 | 165.331 | 165.331 | 0.000 | -0.000 | -0.000 |
| 165.331 | 303.995 | 165.331 | 0.000 | -0.000 | -0.000 |
| 165.331 | 165.331 | 303.995 | -0.000 | -0.000 | 0.000 |
| 229.072 | 229.072 | 229.072 | 29.943 | -0.000 | -0.000 |
| 229.072 | 229.072 | 229.072 | 0.000 | 29.943 | -0.000 |
| 229.072 | 229.072 | 229.072 | 0.000 | -0.000 | 29.943 |
| 72.471 | -82.987 | -82.987 | -0.000 | 0.000 | 0.000 |
| -82.987 | 72.471 | -82.987 | -0.000 | -0.000 | 0.000 |
| -82.987 | -82.987 | 72.471 | 0.000 | 0.000 | 0.000 |
| -229.072 | -229.072 | -229.072 | 29.943 | 0.000 | 0.000 |
| -229.072 | -229.072 | -229.072 | -0.000 | 29.943 | 0.000 |
| -229.072 | -229.072 | -229.072 | -0.000 | 0.000 | 29.943 |
| 213.416 | 82.336 | 82.336 | 0.000 | -0.000 | -0.000 |
| 82.336 | 213.416 | 82.336 | -0.000 | 0.000 | -0.000 |
| 82.336 | 82.336 | 213.416 | 0.000 | -0.000 | -0.000 |
| 15.576 | 15.576 | 15.576 | 29.555 | -0.000 | -0.000 |
| 15.576 | 15.576 | 15.576 | 0.000 | 29.555 | -0.000 |
| 15.576 | 15.576 | 15.576 | 0.000 | 0.000 | 29.555 |
| 198.873 | 45.517 | 45.517 | -0.000 | 0.000 | 0.000 |
| 45.517 | 198.873 | 45.517 | -0.000 | 0.000 | 0.000 |
| 45.517 | 45.517 | 198.873 | -0.000 | 0.000 | 0.000 |
| -15.576 | -15.576 | -15.576 | 29.555 | 0.000 | 0.000 |
| -15.576 | -15.576 | -15.576 | -0.000 | 29.555 | 0.000 |
| -15.576 | -15.576 | -15.576 | -0.000 | 0.000 | 29.555 |
| 183.710 | 90.648 | 90.648 | -0.000 | -0.000 | -0.000 |
| 90.648 | 183.710 | 90.648 | -0.000 | 0.000 | -0.000 |
| 90.648 | 90.648 | 183.710 | -0.000 | 0.000 | -0.000 |
| -0.002 | -0.002 | -0.002 | 63.336 | 0.000 | -0.000 |
| -0.002 | -0.002 | -0.002 | -0.000 | 63.336 | -0.000 |
| -0.002 | -0.002 | -0.002 | -0.000 | 0.000 | 63.336 |
| 183.710 | 90.648 | 90.648 | 0.000 | 0.000 | 0.000 |
| 90.648 | 183.710 | 90.648 | 0.000 | 0.000 | 0.000 |
| 90.648 | 90.648 | 183.710 | -0.000 | 0.000 | -0.000 |
| 0.002 | 0.002 | 0.002 | 63.336 | -0.000 | -0.000 |
| 0.002 | 0.002 | 0.002 | 0.000 | 63.336 | 0.000 |
| 0.002 | 0.002 | 0.002 | 0.000 | -0.000 | 63.336 |
| 183.710 | 90.648 | 90.648 | -0.000 | -0.000 | 0.000 |
| 90.648 | 183.710 | 90.648 | -0.000 | 0.000 | -0.000 |
| 90.648 | 90.648 | 183.710 | 0.000 | -0.000 | -0.000 |
| -0.000 | -0.000 | -0.000 | 63.336 | 0.000 | -0.000 |
| -0.000 | -0.000 | -0.000 | -0.000 | 63.336 | -0.000 |
| -0.000 | -0.000 | -0.000 | -0.000 | 0.000 | 63.336 |
| 165.751 | 90.932 | 90.932 | 0.000 | -0.000 | 0.000 |
| 90.932 | 165.751 | 90.932 | 0.000 | -0.000 | 0.000 |
| 90.932 | 90.932 | 165.751 | 0.000 | -0.000 | -0.000 |
| 0.000 | 0.000 | 0.000 | 63.336 | -0.000 | 0.000 |
| 0.000 | 0.000 | 0.000 | 0.000 | 63.336 | -0.000 |
| 0.000 | 0.000 | 0.000 | 0.000 | -0.000 | 63.336 |
| 134.238 | 111.283 | 111.283 | -0.000 | 0.000 | -0.000 |
| 111.283 | 134.238 | 111.283 | -0.000 | 0.000 | -0.000 |
| 111.283 | 111.283 | 134.238 | -0.000 | 0.000 | 0.000 |
| 0.000 | 0.000 | 0.000 | 78.923 | -0.000 | -0.000 |
| 0.000 | 0.000 | 0.000 | -0.000 | 78.923 | -0.000 |
| 0.000 | 0.000 | 0.000 | 0.000 | -0.000 | 78.923 |
| 183.709 | 90.648 | 90.648 | -0.000 | 0.000 | 0.000 |
| 90.648 | 183.709 | 90.648 | -0.000 | 0.000 | 0.000 |
| 90.648 | 90.648 | 183.709 | 0.000 | 0.000 | 0.000 |
| -0.000 | -0.000 | -0.000 | 78.923 | 0.000 | 0.000 |
| -0.000 | -0.000 | -0.000 | -0.000 | 78.923 | 0.000 |
| -0.000 | -0.000 | -0.000 | -0.000 | 0.000 | 78.923 |
| 161.241 | 87.021 | 87.021 | 0.000 | -0.000 | 0.000 |
| 87.021 | 161.241 | 87.021 | -0.000 | 0.000 | 0.000 |
| 87.021 | 87.021 | 161.241 | -0.000 | -0.000 | -0.000 |
| 0.090 | 0.090 | 0.090 | 62.651 | -0.000 | 0.000 |
| 0.090 | 0.090 | 0.090 | 0.000 | 62.651 | -0.000 |
| 0.090 | 0.090 | 0.090 | -0.000 | -0.000 | 62.651 |
| 179.663 | 87.523 | 87.523 | 0.000 | 0.000 | -0.000 |
| 87.523 | 179.663 | 87.523 | 0.000 | -0.000 | -0.000 |
| 87.523 | 87.523 | 179.663 | 0.000 | 0.000 | 0.000 |
| -0.090 | -0.090 | -0.090 | 62.651 | -0.000 | -0.000 |
| -0.090 | -0.090 | -0.090 | -0.000 | 62.651 | -0.000 |
| -0.090 | -0.090 | -0.090 | -0.000 | -0.000 | 62.651 |
| 179.663 | 87.523 | 87.523 | -0.000 | 0.000 | 0.000 |
| 87.523 | 179.663 | 87.523 | -0.000 | -0.000 | -0.000 |
| 87.523 | 87.523 | 179.663 | -0.000 | -0.000 | 0.000 |
| 0.008 | 0.008 | 0.008 | 59.921 | -0.000 | 0.000 |
| 0.008 | 0.008 | 0.008 | -0.000 | 59.921 | 0.000 |
| 0.008 | 0.008 | 0.008 | -0.000 | -0.000 | 59.921 |
| 161.300 | 86.900 | 86.900 | -0.000 | 0.000 | 0.000 |
| 86.900 | 161.300 | 86.900 | -0.000 | 0.000 | -0.000 |
| 86.900 | 86.900 | 161.300 | 0.000 | 0.000 | -0.000 |
| -0.008 | -0.008 | -0.008 | 59.921 | 0.000 | 0.000 |
| -0.008 | -0.008 | -0.008 | 0.000 | 59.921 | -0.000 |
| -0.008 | -0.008 | -0.008 | 0.000 | 0.000 | 59.921 |
| 161.299 | 86.913 | 86.913 | 0.000 | -0.000 | -0.000 |
| 86.913 | 161.299 | 86.913 | 0.000 | 0.000 | -0.000 |
| 86.913 | 86.913 | 161.299 | 0.000 | -0.000 | 0.000 |
| 0.001 | 0.001 | 0.001 | 59.922 | -0.000 | 0.000 |
| 0.001 | 0.001 | 0.001 | -0.000 | 59.922 | 0.000 |
| 0.001 | 0.001 | 0.001 | -0.000 | -0.000 | 59.922 |
| 179.663 | 87.523 | 87.523 | 0.000 | -0.000 | 0.000 |
| 87.523 | 179.663 | 87.523 | 0.000 | 0.000 | -0.000 |
| 87.523 | 87.523 | 179.663 | 0.000 | 0.000 | 0.000 |
| -0.001 | -0.001 | -0.001 | 59.922 | 0.000 | -0.000 |
| -0.001 | -0.001 | -0.001 | 0.000 | 59.922 | -0.000 |
| -0.001 | -0.001 | -0.001 | -0.000 | 0.000 | 59.922 |
| 264.570 | 32.863 | 94.373 | -0.000 | -0.000 | -0.000 |
| 31.417 | 344.557 | -42.007 | 0.000 | -0.000 | -0.000 |
| 93.851 | -41.084 | 244.725 | 0.000 | 0.000 | -0.000 |
| -0.000 | 0.000 | -0.000 | -58.130 | 0.000 | -0.000 |
| -0.000 | -0.000 | 0.000 | 0.000 | 78.149 | -0.000 |
| -0.000 | 0.000 | 0.000 | -0.000 | 0.000 | 14.657 |
| 254.347 | 46.318 | 93.198 | 0.000 | -0.000 | 0.000 |
| 51.986 | 317.484 | -39.642 | 0.000 | 0.000 | 0.000 |
| 97.054 | -45.299 | 245.093 | 0.000 | 0.000 | 0.000 |
| 0.000 | -0.000 | 0.000 | -58.130 | -0.000 | 0.000 |
| 0.000 | -0.000 | -0.000 | -0.000 | 78.149 | 0.000 |
| 0.000 | -0.000 | -0.000 | 0.000 | 0.000 | 14.657 |
| 264.570 | 32.863 | 94.373 | -0.000 | 0.000 | -0.000 |
| 31.417 | 344.557 | -42.007 | -0.000 | 0.000 | -0.000 |
| 93.851 | -41.084 | 244.724 | 0.000 | -0.000 | -0.000 |
| -0.000 | 0.000 | -0.000 | -58.130 | -0.000 | -0.000 |
| 0.000 | -0.000 | 0.000 | -0.000 | 78.149 | -0.000 |
| 0.000 | 0.000 | -0.000 | 0.000 | -0.000 | 14.657 |
| 264.570 | 32.863 | 94.373 | 0.000 | -0.000 | 0.000 |
| 31.417 | 344.557 | -42.007 | 0.000 | 0.000 | 0.000 |
| 93.851 | -41.084 | 244.725 | -0.000 | -0.000 | 0.000 |
| 0.000 | -0.000 | 0.000 | -58.130 | 0.000 | 0.000 |
| -0.000 | 0.000 | -0.000 | -0.000 | 78.149 | 0.000 |
| -0.000 | -0.000 | 0.000 | 0.000 | 0.000 | 14.657 |
| 264.571 | 32.863 | 94.374 | -0.000 | -0.000 | -0.000 |
| 31.417 | 344.560 | -42.007 | -0.000 | 0.000 | -0.000 |
| 93.852 | -41.084 | 244.724 | -0.000 | 0.000 | -0.000 |
| -9909092.299 | -11060456.031 | 12913558.602 | -10056382.579 | -0.000 | -0.000 |
| 0.000 | -0.000 | 0.000 | -0.000 | 78.149 | -0.000 |
| -0.035 | 0.051 | -0.006 | 0.000 | -0.000 | -393.169 |
| 264.569 | 32.863 | 94.373 | 0.000 | -0.000 | 0.000 |
| 31.416 | 344.554 | -42.007 | 0.000 | -0.000 | 0.000 |
| 92.476 | -39.274 | 244.567 | -0.000 | 0.000 | 0.000 |
| 9909092.299 | 11060456.031 | -12913558.602 | -10056382.579 | -0.000 | 0.000 |
| -0.000 | 0.000 | -0.000 | 0.000 | 78.149 | 0.000 |
| 0.035 | -0.051 | 0.006 | -0.000 | 0.000 | -393.169 |
| 445.607 | 115.492 | 45.192 | -0.000 | 0.000 | -0.000 |
| 180.319 | 152.787 | 27.706 | -0.000 | 0.000 | -0.000 |
| 48.993 | 48.985 | 191.700 | 0.000 | -0.000 | -0.000 |
| -0.810 | 1.519 | 0.331 | 35.456 | 0.000 | -0.000 |
| -3.745 | 7.024 | 1.529 | -0.000 | 30.143 | -0.000 |
| 0.000 | 0.000 | 0.000 | 0.000 | 0.000 | 105.341 |
| 416.200 | 170.651 | 57.202 | 0.000 | -0.000 | 0.000 |
| 187.808 | 138.740 | 24.647 | 0.000 | 0.000 | 0.000 |
| 66.277 | 16.565 | 184.641 | 0.000 | 0.000 | 0.000 |
| 0.810 | -1.519 | -0.331 | 35.456 | -0.000 | 0.000 |
| 3.745 | -7.024 | -1.529 | 0.000 | 30.143 | 0.000 |
| -0.000 | -0.000 | -0.000 | -0.000 | -0.000 | 105.341 |
| 445.607 | 115.492 | 45.192 | 0.000 | 0.000 | -0.000 |
| 183.690 | 146.466 | 26.330 | -0.000 | -0.000 | -0.000 |
| 62.158 | 24.291 | 186.323 | -0.000 | 0.000 | -0.000 |
| 0.000 | 0.000 | 0.000 | 36.648 | 0.000 | -0.000 |
| -0.374 | 0.702 | 0.153 | -0.000 | 30.143 | -0.000 |
| -0.407 | 0.764 | 0.166 | -0.000 | 0.000 | 69.231 |
| 445.607 | 115.492 | 45.192 | -0.000 | -0.000 | 0.000 |
| 184.438 | 145.061 | 26.024 | 0.000 | 0.000 | 0.000 |
| 62.907 | 22.887 | 186.017 | 0.000 | 0.000 | 0.000 |
| -0.000 | -0.000 | -0.000 | 36.648 | -0.000 | 0.000 |
| 0.374 | -0.702 | -0.153 | 0.000 | 30.143 | 0.000 |
| 0.407 | -0.764 | -0.166 | 0.000 | 0.000 | 69.231 |
| 412.421 | 177.746 | 58.747 | -0.000 | 0.000 | -0.000 |
| 184.028 | 145.835 | 26.193 | -0.000 | -0.000 | -0.000 |
| 62.495 | 23.659 | 186.184 | -0.000 | -0.000 | -0.000 |
| -0.008 | 0.015 | 0.003 | 35.524 | -0.000 | -0.000 |
| -0.037 | 0.070 | 0.015 | -0.000 | 30.143 | -0.000 |
| -0.041 | 0.077 | 0.017 | -0.000 | -0.000 | 69.231 |
| 412.490 | 177.605 | 58.716 | 0.000 | 0.000 | 0.000 |
| 184.100 | 145.692 | 26.161 | 0.000 | 0.000 | 0.000 |
| 62.569 | 23.519 | 186.156 | 0.000 | -0.000 | 0.000 |
| 0.008 | -0.015 | -0.003 | 35.524 | 0.000 | 0.000 |
| 0.037 | -0.070 | -0.015 | 0.000 | 30.143 | 0.000 |
| 0.041 | -0.077 | -0.017 | 0.000 | 0.000 | 69.231 |
| -911341582.810 | -906099090.233 | -876125394.959 | -5676574.513 | -1440429.789 | -1099020.801 |
| 160.744 | 6.705 | -12.858 | -0.000 | -0.000 | 0.000 |
| -12.858 | -12.858 | 2585.439 | -0.000 | -0.000 | 0.000 |
| 0.000 | -0.000 | -0.000 | -16.670 | 0.000 | 0.000 |
| 0.000 | -0.000 | -0.000 | 0.000 | -16.670 | 0.000 |
| 0.000 | -0.000 | -0.000 | 0.000 | -0.000 | 39.942 |
| 6.705 | 160.744 | -12.858 | 0.000 | 0.000 | -0.000 |
| 263.103 | -95.654 | -12.858 | 0.000 | 0.000 | -0.000 |
| -12.858 | -12.858 | 2585.436 | -0.000 | 0.000 | -0.000 |
| -0.000 | 0.000 | 0.000 | -16.670 | -0.000 | -0.000 |
| -0.000 | 0.000 | 0.000 | -0.000 | -16.670 | -0.000 |
| -0.000 | 0.000 | 0.000 | -0.000 | 0.000 | 39.942 |
| -44959936.869 | -44891825.771 | -22531157.533 | -25564.259 | 43934.537 | -377901.524 |
| 43.782 | 123.666 | -12.858 | 0.000 | 0.000 | 0.000 |
| -12.858 | -12.858 | 2585.455 | -0.000 | -0.000 | 0.000 |
| 0.000 | 0.000 | -0.000 | -16.670 | 0.000 | 0.000 |
| 0.000 | 0.000 | -0.000 | -0.000 | -16.670 | 0.000 |
| 0.000 | -0.000 | 0.000 | -0.000 | -0.000 | 39.942 |
| 6.704 | 160.744 | -12.858 | 0.000 | 0.000 | -0.000 |
| 43.782 | 123.666 | -12.858 | 0.000 | 0.000 | -0.000 |
| -12.858 | -12.858 | 2585.420 | -0.000 | 0.000 | -0.000 |
| -0.000 | -0.000 | 0.000 | -16.670 | -0.000 | -0.000 |
| -0.000 | -0.000 | 0.000 | 0.000 | -16.670 | -0.000 |
| -0.000 | 0.000 | -0.000 | 0.000 | 0.000 | 39.942 |
| -7356186.414 | -7453222.420 | -6447016.795 | -62703.541 | -31808.265 | 91737.825 |
| -9376139.253 | -9466691.494 | -9324123.470 | -2069.100 | -44612.014 | -77700.913 |
| -12.858 | -12.858 | 2585.609 | -0.000 | -0.000 | 0.000 |
| 0.000 | 0.000 | -0.001 | -16.670 | -0.000 | 0.000 |
| 0.000 | 0.000 | -0.001 | 0.000 | -16.670 | 0.000 |
| -7996281.751 | -7936920.284 | -6614791.242 | 49900.632 | -17470.755 | 35436.272 |
| 8881986.220 | 9144894.272 | 8519756.180 | 6631.330 | 6708.315 | 20710.280 |
| 7650559.210 | 7727306.559 | 6763820.914 | -18107.607 | -9970.671 | -105871.751 |
| -12.858 | -12.858 | 2585.266 | 0.000 | 0.000 | -0.000 |
| -0.000 | -0.000 | 0.001 | -16.670 | 0.000 | -0.000 |
| -0.000 | -0.000 | 0.001 | -0.000 | -16.670 | -0.000 |
| 8017941.554 | 8032822.843 | 6428690.782 | 53099.405 | -24934.901 | -13498.311 |
| 362.066 | 136.808 | 72.447 | 17.856 | -0.000 | 0.000 |
| 136.808 | 362.066 | 72.447 | -17.856 | -0.000 | 0.000 |
| 72.537 | 72.537 | 218.504 | 0.000 | -0.000 | 0.000 |
| 17.856 | -17.856 | -0.000 | 48.693 | -0.000 | 0.000 |
| -0.147 | -0.147 | -0.896 | 0.000 | 47.307 | 10.227 |
| -0.153 | -0.152 | -0.930 | 0.000 | 9.941 | 69.059 |
| 321.151 | 175.254 | 64.923 | 10.647 | 0.000 | -0.000 |
| 180.143 | 318.148 | 70.670 | -9.930 | 0.000 | -0.000 |
| 72.537 | 72.537 | 218.504 | -0.000 | 0.000 | -0.000 |
| 17.856 | -17.856 | -0.000 | 48.693 | 0.000 | -0.000 |
| 0.147 | 0.147 | 0.896 | -0.000 | 47.307 | 10.226 |
| 0.153 | 0.152 | 0.930 | 0.000 | 9.941 | 69.059 |
| 321.921 | 174.242 | 64.181 | 10.809 | -0.000 | 0.000 |
| 136.808 | 362.067 | 72.446 | -17.856 | -0.000 | 0.000 |
| 72.537 | 72.537 | 218.504 | 0.000 | -0.000 | 0.000 |
| 17.856 | -17.856 | 0.000 | 48.693 | -0.000 | 0.000 |
| -0.015 | -0.015 | -0.093 | -0.000 | 47.253 | 9.933 |
| 0.000 | 0.000 | 0.000 | 0.000 | 17.856 | 112.629 |
| 321.776 | 174.429 | 64.312 | 10.779 | 0.000 | -0.000 |
| 136.807 | 362.066 | 72.446 | -17.856 | 0.000 | -0.000 |
| 72.537 | 72.537 | 218.504 | -0.000 | 0.000 | 0.000 |
| 9.949 | -9.918 | 0.093 | 47.253 | 0.000 | -0.000 |
| 0.015 | 0.015 | 0.093 | 0.000 | 47.253 | 9.933 |
| -0.000 | -0.000 | -0.000 | -0.000 | 17.856 | 112.629 |
| 362.070 | 136.808 | 72.447 | 17.856 | -0.000 | 0.000 |
| 136.809 | 362.070 | 72.447 | -17.856 | -0.000 | -0.000 |
| 72.537 | 72.537 | 218.504 | 0.000 | -0.000 | 0.000 |
| 17.856 | -17.856 | 0.000 | 48.693 | -0.000 | -0.000 |
| 0.000 | 0.000 | 0.000 | 0.000 | 48.693 | 17.856 |
| -0.001 | -0.001 | -0.009 | -0.000 | 9.930 | 69.002 |
| 362.063 | 136.807 | 72.446 | 17.856 | 0.000 | -0.000 |
| 136.806 | 362.063 | 72.446 | -17.856 | 0.000 | -0.000 |
| 70.561 | 70.561 | 206.459 | -0.000 | 0.000 | -0.000 |
| 9.932 | -9.929 | 0.009 | 47.253 | 0.000 | -0.000 |
| -0.000 | -0.000 | -0.000 | -0.000 | 48.693 | 17.856 |
| 0.001 | 0.001 | 0.009 | 0.000 | 9.930 | 69.002 |
| 362.355 | 136.995 | 72.755 | 17.854 | -0.000 | 0.000 |
| 447.094 | 653.675 | 1931.094 | -16.152 | -0.000 | -0.000 |
| 371.783 | 371.783 | 2065.544 | 0.000 | 0.000 | 0.000 |
| 317.177 | 284.873 | 1860.288 | 48.372 | 0.000 | -0.000 |
| 0.000 | 0.000 | 0.000 | 0.000 | 48.680 | 17.854 |
| 0.000 | 0.000 | 0.000 | -0.000 | 17.854 | 112.680 |
| 362.355 | 136.995 | 72.755 | 17.854 | 0.000 | -0.000 |
| 136.995 | 362.355 | 72.755 | -17.854 | -0.000 | 0.000 |
| -230.267 | -230.267 | -1655.030 | 0.000 | -0.000 | 0.000 |
| -284.873 | -317.177 | -1860.288 | 48.372 | -0.000 | 0.000 |
| -0.000 | -0.000 | -0.000 | -0.000 | 48.680 | 17.854 |
| -0.000 | -0.000 | -0.000 | -0.000 | 17.854 | 112.680 |
| 362.355 | 136.995 | 72.755 | 17.854 | 0.000 | 0.000 |
| 210.457 | 348.452 | 256.787 | -9.935 | -0.000 | -0.000 |
| 100.861 | 100.861 | 391.286 | -0.000 | 0.000 | -0.000 |
| 17.854 | -17.854 | 0.000 | 48.680 | 0.000 | 0.000 |
| 30.105 | 30.105 | 186.043 | -0.000 | 48.371 | 16.152 |
| 0.000 | 0.000 | 0.000 | 0.000 | 17.854 | 112.680 |
| 362.354 | 136.995 | 72.755 | 17.854 | 0.000 | -0.000 |
| 115.904 | 322.437 | -115.754 | -16.148 | -0.000 | -0.000 |
| 40.656 | 40.656 | 19.229 | -0.000 | 0.000 | -0.000 |
| -13.953 | -46.257 | -186.045 | 48.371 | 0.000 | 0.000 |
| -30.105 | -30.105 | -186.043 | -0.000 | 48.371 | 16.152 |
| -0.000 | -0.000 | -0.000 | -0.000 | 17.854 | 112.680 |
| 362.358 | 136.996 | 72.756 | 17.854 | -0.000 | -0.000 |
| 136.996 | 362.358 | 72.756 | -17.854 | -0.000 | -0.000 |
| 72.756 | 72.756 | 217.597 | 0.000 | 0.000 | 0.000 |
| 17.854 | -17.854 | 0.000 | 48.680 | -0.000 | -0.000 |
| 0.000 | 0.000 | 0.000 | 0.000 | 48.680 | 17.854 |
| 0.000 | 0.001 | 0.000 | 0.000 | 17.854 | 112.680 |
| 362.351 | 136.995 | 72.755 | 17.854 | 0.000 | 0.000 |
| 144.276 | 347.053 | 47.984 | -15.807 | 0.000 | 0.000 |
| 72.755 | 72.755 | 217.598 | 0.000 | -0.000 | -0.000 |
| 6.924 | -12.945 | -18.603 | 47.244 | 0.000 | 0.000 |
| -0.000 | -0.000 | -0.000 | -0.000 | 48.680 | 17.854 |
| -0.000 | -0.001 | -0.000 | -0.000 | 17.854 | 112.680 |
| 376.030 | 210.030 | 12.389 | 0.000 | -0.000 | 0.000 |
| 210.030 | 376.030 | 12.389 | -0.000 | -0.000 | 0.000 |
| 198.883 | 198.883 | 218.904 | 0.000 | -0.000 | -0.000 |
| -130.228 | -130.228 | -138.278 | -15.019 | -0.000 | -0.000 |
| -130.228 | -130.228 | -138.278 | 0.000 | -15.019 | -0.000 |
| 125.861 | 125.861 | -60.522 | 0.000 | -0.000 | 62.995 |
| 266.463 | 79.285 | 72.842 | 0.000 | 0.000 | -0.000 |
| 79.285 | 266.463 | 72.842 | -0.000 | 0.000 | 0.000 |
| -54.997 | -54.997 | 313.399 | 0.000 | 0.000 | -0.000 |
| 130.228 | 130.228 | 138.278 | -15.019 | 0.000 | 0.000 |
| 130.228 | 130.228 | 138.278 | -0.000 | -15.019 | 0.000 |
| -125.861 | -125.861 | 60.522 | 0.000 | 0.000 | 62.995 |
| 266.463 | 79.285 | 72.842 | 0.000 | -0.000 | -0.000 |
| 79.285 | 266.463 | 72.842 | 0.000 | -0.000 | -0.000 |
| 83.827 | 83.827 | 246.990 | 0.000 | -0.000 | 0.000 |
| 13.395 | 13.395 | -6.441 | 60.121 | -0.000 | 0.000 |
| 13.395 | 13.395 | -6.441 | -0.000 | 60.121 | 0.000 |
| 13.387 | 13.388 | -6.438 | 0.000 | -0.000 | 62.309 |
| 235.513 | 70.715 | 79.518 | -0.000 | 0.000 | -0.000 |
| 70.715 | 235.513 | 79.518 | -0.000 | 0.000 | -0.000 |
| 57.777 | 57.777 | 258.456 | -0.000 | 0.000 | -0.000 |
| -13.395 | -13.395 | 6.441 | 60.121 | 0.000 | -0.000 |
| -13.395 | -13.395 | 6.441 | -0.000 | 60.121 | -0.000 |
| -13.387 | -13.388 | 6.438 | -0.000 | 0.000 | 62.309 |
| 204.052 | 118.080 | 69.971 | -0.000 | -0.000 | 0.000 |
| 118.080 | 204.052 | 69.971 | 0.000 | -0.000 | 0.000 |
| 71.646 | 71.646 | 250.298 | -0.000 | -0.000 | 0.000 |
| -0.000 | -0.000 | -0.000 | 64.665 | -0.000 | -0.000 |
| -0.000 | -0.000 | -0.000 | -0.000 | 64.665 | -0.000 |
| 1.351 | 1.351 | -0.278 | 0.000 | -0.000 | 53.277 |
| 240.743 | 83.949 | 74.067 | -0.000 | 0.000 | -0.000 |
| 83.949 | 240.743 | 74.067 | -0.000 | 0.000 | -0.000 |
| 68.589 | 68.589 | 250.927 | -0.000 | -0.000 | -0.000 |
| 0.000 | 0.000 | 0.000 | 64.665 | 0.000 | -0.000 |
| 0.000 | 0.000 | 0.000 | 0.000 | 64.665 | 0.000 |
| -1.351 | -1.351 | 0.278 | -0.000 | 0.000 | 53.277 |
| 225.275 | 90.329 | 51.657 | -0.000 | -0.000 | 0.000 |
| 90.329 | 225.275 | 51.657 | -0.000 | 0.000 | 0.000 |
| 51.657 | 51.657 | 307.233 | -0.000 | 0.000 | 0.000 |
| -0.000 | -0.000 | -0.000 | -37.198 | 0.000 | 0.000 |
| 0.000 | 0.000 | -0.000 | -0.000 | 36.958 | 0.000 |
| 0.000 | 0.000 | -0.000 | -0.000 | -0.000 | 71.601 |
| 229.402 | 86.201 | 51.657 | 0.000 | 0.000 | -0.000 |
| 86.201 | 229.402 | 51.657 | -0.000 | 0.000 | -0.000 |
| 51.657 | 51.657 | 307.233 | -0.000 | -0.000 | -0.000 |
| 0.000 | 0.000 | 0.000 | -37.198 | -0.000 | -0.000 |
| -0.000 | -0.000 | 0.000 | -0.000 | 36.958 | -0.000 |
| -0.000 | -0.000 | -0.000 | 0.000 | -0.000 | 71.601 |
| 225.275 | 90.329 | 51.657 | -0.000 | 0.000 | 0.000 |
| 90.329 | 225.275 | 51.657 | 0.000 | 0.000 | 0.000 |
| 51.657 | 51.657 | 307.233 | 0.000 | 0.000 | 0.000 |
| -0.000 | -0.000 | 0.000 | 36.958 | 0.000 | 0.000 |
| -0.000 | -0.000 | 0.000 | -0.000 | 36.958 | 0.000 |
| -0.000 | -0.000 | -0.000 | -0.000 | 0.000 | 67.473 |
| 229.402 | 86.201 | 51.657 | -0.000 | -0.000 | -0.000 |
| 90.329 | 225.275 | 51.657 | 0.000 | -0.000 | -0.000 |
| 51.657 | 51.657 | 307.232 | -0.000 | -0.000 | -0.000 |
| 0.000 | 0.000 | -0.000 | 36.958 | 0.000 | -0.000 |
| 0.000 | 0.000 | -0.000 | -0.000 | 36.958 | -0.000 |
| 0.000 | 0.000 | 0.000 | 0.000 | -0.000 | 67.473 |
| 225.275 | 90.329 | 51.657 | -0.000 | 0.000 | 0.000 |
| 90.329 | 225.275 | 51.657 | -0.000 | 0.000 | 0.000 |
| 51.658 | 51.658 | 307.235 | 0.000 | 0.000 | 0.000 |
| -0.001 | -0.001 | -0.000 | -37.198 | 0.000 | 0.000 |
| -0.001 | -0.001 | -0.000 | -0.000 | -37.198 | 0.000 |
| -0.000 | -0.000 | -0.000 | 0.000 | 0.000 | 67.473 |
| 229.402 | 86.201 | 51.657 | 0.000 | -0.000 | -0.000 |
| 90.328 | 225.275 | 51.657 | 0.000 | -0.000 | -0.000 |
| 51.657 | 51.657 | 307.230 | -0.000 | -0.000 | -0.000 |
| 0.001 | 0.001 | 0.000 | -37.198 | -0.000 | -0.000 |
| 0.001 | 0.001 | 0.000 | 0.000 | -37.198 | -0.000 |
| 0.000 | 0.000 | 0.000 | -0.000 | -0.000 | 67.473 |
| 220.776 | 196.031 | 196.031 | 0.000 | -0.000 | -0.000 |
| 196.031 | 220.776 | 196.031 | 0.000 | -0.000 | -0.000 |
| 196.031 | 196.031 | 220.776 | -0.000 | -0.000 | -0.000 |
| 0.000 | 0.000 | 0.000 | 189.336 | -0.000 | -0.000 |
| 0.000 | 0.000 | 0.000 | -0.000 | 189.336 | -0.000 |
| 0.000 | 0.000 | 0.000 | -0.000 | -0.000 | 189.336 |
| 220.776 | 196.031 | 196.031 | -0.000 | 0.000 | 0.000 |
| 196.031 | 220.776 | 196.031 | -0.000 | 0.000 | 0.000 |
| 196.031 | 196.031 | 220.776 | 0.000 | 0.000 | 0.000 |
| -0.000 | -0.000 | -0.000 | 189.336 | 0.000 | 0.000 |
| -0.000 | -0.000 | -0.000 | 0.000 | 189.336 | 0.000 |
| -0.000 | -0.000 | -0.000 | 0.000 | 0.000 | 189.336 |
| 220.776 | 196.031 | 196.031 | 0.000 | -0.000 | -0.000 |
| 196.031 | 220.776 | 196.031 | 0.000 | -0.000 | -0.000 |
| 196.031 | 196.031 | 220.776 | -0.000 | -0.000 | -0.000 |
| 0.000 | -0.000 | -0.000 | 8.543 | -0.000 | -0.000 |
| -0.000 | 0.000 | -0.000 | -0.000 | 8.543 | -0.000 |
| -0.000 | -0.000 | 0.000 | -0.000 | -0.000 | 8.543 |
| 220.776 | 196.031 | 196.031 | -0.000 | 0.000 | 0.000 |
| 196.031 | 220.776 | 196.031 | -0.000 | 0.000 | 0.000 |
| 196.031 | 196.031 | 220.776 | 0.000 | 0.000 | 0.000 |
| -0.000 | 0.000 | 0.000 | 8.543 | 0.000 | 0.000 |
| 0.000 | -0.000 | 0.000 | 0.000 | 8.543 | 0.000 |
| 0.000 | 0.000 | -0.000 | 0.000 | 0.000 | 8.543 |
| 220.777 | 196.033 | 196.033 | 0.000 | -0.000 | -0.000 |
| 196.033 | 220.777 | 196.033 | 0.000 | -0.000 | -0.000 |
| 196.033 | 196.033 | 220.777 | -0.000 | -0.000 | -0.000 |
| 0.000 | -0.001 | -0.001 | 8.543 | -0.000 | -0.000 |
| -0.001 | 0.000 | -0.001 | 0.000 | 8.543 | -0.000 |
| -0.001 | -0.001 | 0.000 | 0.000 | -0.000 | 8.543 |
| 220.775 | 196.029 | 196.029 | -0.000 | 0.000 | 0.000 |
| 196.029 | 220.775 | 196.029 | -0.000 | 0.000 | 0.000 |
| 196.029 | 196.029 | 220.775 | 0.000 | 0.000 | 0.000 |
| -0.000 | 0.001 | 0.001 | 8.543 | 0.000 | 0.000 |
| 0.001 | -0.000 | 0.001 | 0.000 | 8.543 | 0.000 |
| 0.001 | 0.001 | -0.000 | -0.000 | 0.000 | 8.543 |
| 96.118 | 50.271 | 50.271 | -0.000 | -0.000 | 0.000 |
| 50.271 | 96.118 | 50.271 | 0.000 | -0.000 | -0.000 |
| 50.271 | 50.271 | 96.118 | -0.000 | -0.000 | 0.000 |
| -70967162.582 | 82130575.998 | 82130575.219 | -38903688.216 | -0.039 | -0.134 |
| 82130575.998 | -70967162.580 | 82130575.220 | -0.039 | -38903688.218 | -0.133 |
| -985530777.366 | -987885932.411 | -1036465227.753 | -5651578.107 | -26069133.813 | -12661196.859 |
| 96.118 | 50.271 | 50.271 | -0.000 | 0.000 | -0.000 |
| 50.271 | 96.118 | 50.271 | -0.000 | 0.000 | 0.000 |
| 50.271 | 50.271 | 96.118 | 0.000 | 0.000 | -0.000 |
| 70967162.441 | -82130576.009 | -82130575.231 | -38903688.311 | 1.484 | 1.459 |
| -82130576.091 | 70967161.477 | -82130575.313 | -0.572 | -38903688.960 | -0.568 |
| -82130576.092 | -82130575.314 | 70967161.461 | -0.572 | -0.568 | -38903688.970 |
| 96.118 | 50.271 | 50.271 | -0.000 | -0.000 | 0.000 |
| 50.271 | 96.118 | 50.271 | 0.000 | -0.000 | -0.000 |
| 50.271 | 50.271 | 96.118 | -0.000 | -0.000 | 0.000 |
| -7096695.322 | 8213070.841 | 8213070.063 | -3890323.220 | 0.000 | 0.000 |
| 8213070.841 | -7096695.322 | 8213070.063 | 0.000 | -3890323.220 | 0.000 |
| 8213070.841 | 8213070.063 | -7096695.322 | 0.000 | -0.000 | -3890323.220 |
| 96.118 | 50.271 | 50.271 | 0.000 | -0.000 | 0.000 |
| 50.271 | 96.118 | 50.271 | -0.000 | 0.000 | -0.000 |
| 50.271 | 50.271 | 96.118 | -0.000 | 0.000 | 0.000 |
| 7096695.322 | -8213070.841 | -8213070.063 | -3890323.220 | -0.004 | -0.004 |
| -8213070.841 | 7096695.322 | -8213070.063 | -0.004 | -3890323.220 | -0.004 |
| -8213070.841 | -8213070.063 | 7096695.322 | -0.004 | -0.004 | -3890323.220 |
| 96.117 | 50.271 | 50.271 | 0.000 | -0.000 | 0.000 |
| 50.271 | 96.117 | 50.271 | 0.000 | -0.000 | -0.000 |
| 50.271 | 50.271 | 96.117 | -0.000 | -0.000 | 0.000 |
| -709649.273 | 821320.268 | 821319.490 | -388986.265 | 0.000 | -0.000 |
| 821320.268 | -709649.273 | 821319.490 | 0.000 | -388986.265 | -0.000 |
| 821320.268 | 821319.490 | -709649.273 | 0.000 | -0.000 | -388986.265 |
| 96.118 | 50.271 | 50.271 | 0.000 | 0.000 | -0.000 |
| 50.271 | 96.118 | 50.271 | -0.000 | 0.000 | -0.000 |
| 50.271 | 50.271 | 96.118 | 0.000 | 0.000 | -0.000 |
| 709649.273 | -821320.268 | -821319.490 | -388986.265 | -0.000 | -0.000 |
| -821320.268 | 709649.273 | -821319.490 | -0.000 | -388986.265 | -0.000 |
| -821320.268 | -821319.490 | 709649.273 | -0.000 | -0.000 | -388986.265 |
| -89.186 | -57.308 | -48.924 | 0.000 | 0.000 | -0.000 |
| -57.308 | -89.186 | -48.924 | 0.000 | 0.000 | -0.000 |
| -46.598 | -46.598 | -54.279 | 0.000 | 0.000 | -0.000 |
| 0.016 | 0.016 | 0.013 | -24.412 | 0.000 | -0.000 |
| 0.016 | 0.016 | 0.013 | 0.000 | -24.412 | -0.000 |
| 643124268.241 | 639375195.736 | 899178174.075 | -2797381.860 | -1563766.106 | -7622888.324 |
| -89.200 | -57.323 | -48.936 | -0.000 | -0.000 | 0.000 |
| -57.323 | -89.200 | -48.936 | -0.000 | -0.000 | 0.000 |
| -46.613 | -46.613 | -54.291 | -0.000 | -0.000 | 0.000 |
| -0.016 | -0.016 | -0.013 | -24.412 | -0.000 | 0.000 |
| -0.016 | -0.016 | -0.013 | 0.000 | -24.412 | 0.000 |
| -0.016 | -0.016 | -0.013 | 0.000 | -0.000 | -118.856 |
| -89.192 | -57.315 | -48.929 | 0.000 | 0.000 | -0.000 |
| -57.315 | -89.192 | -48.929 | 0.000 | 0.000 | -0.000 |
| -46.604 | -46.604 | -54.284 | 0.000 | 0.000 | -0.000 |
| -0.000 | -0.000 | -0.000 | -26.538 | 0.000 | -0.000 |
| -0.000 | -0.000 | -0.000 | 0.000 | -26.538 | -0.000 |
| 64156299.260 | 62988283.506 | 79554363.409 | 70242.191 | 135435.005 | -688437.009 |
| -89.774 | -56.795 | -48.955 | -0.000 | -0.000 | 0.000 |
| -56.795 | -89.774 | -48.955 | 0.000 | -0.000 | 0.000 |
| -46.605 | -46.605 | -54.285 | 0.000 | -0.000 | 0.000 |
| -0.000 | -0.000 | -0.000 | 9.095 | -0.000 | 0.000 |
| 0.000 | 0.000 | 0.000 | -0.000 | -26.538 | 0.000 |
| -64604361.098 | -68016210.732 | -76739507.235 | 175571.364 | -203910.706 | 695306.775 |
| 6826177.135 | 6907734.258 | 6479229.927 | -3980.191 | 29752.799 | -37573.104 |
| 6780521.545 | 7067684.330 | 6858697.809 | 27289.065 | -76.498 | 40241.198 |
| -46.606 | -46.606 | -54.285 | -0.000 | 0.000 | -0.000 |
| -0.000 | -0.001 | -0.001 | -24.412 | 0.000 | -0.000 |
| 0.000 | 0.000 | -0.000 | 0.000 | -26.538 | -0.000 |
| 6482956.023 | 6412619.971 | 7626506.726 | 83198.643 | 41428.937 | -120143.638 |
| -6708008.453 | -7023041.034 | -6396353.799 | -40593.084 | 13601.217 | 3667.917 |
| -6874000.194 | -6710085.909 | -6189044.772 | -58404.427 | 45766.968 | 35848.843 |
| -46.604 | -46.604 | -54.284 | -0.000 | -0.000 | 0.000 |
| -0.000 | -0.000 | 0.000 | -26.538 | -0.000 | 0.000 |
| -0.000 | -0.000 | 0.000 | -0.000 | -26.538 | 0.000 |
| -6471428.709 | -6583095.078 | -7346912.672 | -67074.844 | -8855.864 | -60353.869 |
| 35.496 | 37.663 | 37.663 | 0.000 | 0.000 | 0.000 |
| 37.663 | 35.496 | 37.663 | 0.000 | 0.000 | -0.000 |
| 37.663 | 37.663 | 35.496 | 0.000 | 0.000 | 0.000 |
| -0.000 | -0.000 | -0.000 | -2.687 | 0.000 | 0.000 |
| -0.000 | -0.000 | -0.000 | 0.000 | -2.687 | 0.000 |
| -0.000 | -0.000 | -0.000 | 0.000 | 0.000 | -2.687 |
| 35.496 | 37.663 | 37.663 | 0.000 | -0.000 | 0.000 |
| 37.663 | 35.496 | 37.663 | 0.000 | 0.000 | -0.000 |
| 37.663 | 37.663 | 35.496 | 0.000 | -0.000 | 0.000 |
| 0.000 | 0.000 | 0.000 | -2.687 | -0.000 | -0.000 |
| 0.000 | 0.000 | 0.000 | -0.000 | -2.687 | -0.000 |
| 0.000 | 0.000 | 0.000 | -0.000 | -0.000 | -2.687 |
| 35.496 | 37.663 | 37.663 | 0.000 | 0.000 | 0.000 |
| 37.663 | 35.496 | 37.663 | 0.000 | 0.000 | 0.000 |
| 37.663 | 37.663 | 35.496 | 0.000 | 0.000 | 0.000 |
| -0.000 | -0.000 | -0.000 | -2.687 | 0.000 | 0.000 |
| -0.000 | -0.000 | -0.000 | 0.000 | -2.687 | 0.000 |
| -0.000 | -0.000 | -0.000 | 0.000 | 0.000 | -2.687 |
| 35.496 | 37.663 | 37.663 | 0.000 | -0.000 | 0.000 |
| 37.663 | 35.496 | 37.663 | -0.000 | 0.000 | -0.000 |
| 37.663 | 37.663 | 35.496 | 0.000 | -0.000 | 0.000 |
| 0.000 | 0.000 | 0.000 | -2.687 | -0.000 | -0.000 |
| 0.000 | 0.000 | 0.000 | -0.000 | -2.687 | -0.000 |
| 0.000 | 0.000 | 0.000 | -0.000 | -0.000 | -2.687 |
| 35.497 | 37.663 | 37.663 | 0.000 | 0.000 | -0.000 |
| 37.663 | 35.497 | 37.663 | -0.000 | 0.000 | 0.000 |
| 37.663 | 37.663 | 35.497 | 0.000 | 0.000 | 0.000 |
| -0.000 | -0.000 | -0.000 | -2.687 | 0.000 | 0.000 |
| -0.000 | -0.000 | -0.000 | 0.000 | -2.687 | 0.000 |
| -0.000 | -0.000 | -0.000 | 0.000 | 0.000 | -2.687 |
| 35.496 | 37.663 | 37.663 | -0.000 | -0.000 | -0.000 |
| 37.663 | 35.496 | 37.663 | -0.000 | -0.000 | -0.000 |
| 37.663 | 37.663 | 35.496 | -0.000 | -0.000 | -0.000 |
| 0.000 | 0.000 | 0.000 | -2.687 | -0.000 | -0.000 |
| 0.000 | 0.000 | 0.000 | -0.000 | -2.687 | -0.000 |
| 0.000 | 0.000 | 0.000 | -0.000 | -0.000 | -2.687 |
| 149.739 | 142.608 | 142.608 | -0.000 | 0.000 | -0.000 |
| 142.608 | 149.739 | 142.608 | -0.000 | 0.000 | -0.000 |
| 142.608 | 142.608 | 149.739 | -0.000 | 0.000 | -0.000 |
| -0.000 | -0.000 | -0.000 | 107.756 | 0.000 | -0.000 |
| -0.000 | -0.000 | -0.000 | -0.000 | 107.756 | -0.000 |
| -0.000 | -0.000 | -0.000 | -0.000 | -0.000 | 107.756 |
| 149.739 | 142.608 | 142.608 | 0.000 | 0.000 | 0.000 |
| 142.608 | 149.739 | 142.608 | 0.000 | 0.000 | 0.000 |
| 142.608 | 142.608 | 149.739 | -0.000 | -0.000 | 0.000 |
| 0.000 | 0.000 | 0.000 | 107.757 | -0.000 | 0.000 |
| 0.000 | 0.000 | 0.000 | 0.000 | 107.757 | 0.000 |
| 0.000 | 0.000 | 0.000 | 0.000 | 0.000 | 107.757 |
| 149.739 | 142.608 | 142.608 | -0.000 | -0.000 | -0.000 |
| 142.608 | 149.739 | 142.608 | 0.000 | -0.000 | -0.000 |
| 142.608 | 142.608 | 149.739 | -0.000 | -0.000 | -0.000 |
| 0.000 | -0.000 | 0.000 | 117.867 | -0.000 | -0.000 |
| -0.000 | 0.000 | 0.000 | -0.000 | 117.867 | -0.000 |
| -0.000 | 0.000 | 0.000 | -0.000 | 0.000 | 117.867 |
| 149.739 | 142.608 | 142.608 | 0.000 | -0.000 | 0.000 |
| 142.608 | 149.739 | 142.608 | 0.000 | -0.000 | 0.000 |
| 142.608 | 142.608 | 149.739 | 0.000 | -0.000 | 0.000 |
| -0.000 | 0.000 | -0.000 | 117.867 | 0.000 | 0.000 |
| 0.000 | -0.000 | -0.000 | 0.000 | 117.867 | 0.000 |
| 0.000 | -0.000 | -0.000 | 0.000 | 0.000 | 117.867 |
| 149.739 | 142.608 | 142.608 | -0.000 | 0.000 | -0.000 |
| 142.608 | 149.739 | 142.608 | -0.000 | 0.000 | -0.000 |
| 142.608 | 142.608 | 149.739 | -0.000 | -0.000 | -0.000 |
| 0.000 | -0.000 | -0.000 | 107.756 | 0.000 | -0.000 |
| -0.000 | 0.000 | -0.000 | -0.000 | 107.756 | -0.000 |
| -0.000 | -0.000 | 0.000 | -0.000 | -0.000 | 107.756 |
| 149.739 | 142.608 | 142.608 | 0.000 | 0.000 | 0.000 |
| 142.608 | 149.739 | 142.608 | 0.000 | -0.000 | 0.000 |
| 142.608 | 142.608 | 149.739 | 0.000 | 0.000 | 0.000 |
| -0.000 | 0.000 | 0.000 | 107.756 | -0.000 | 0.000 |
| 0.000 | -0.000 | 0.000 | 0.000 | 107.756 | 0.000 |
| 0.000 | 0.000 | -0.000 | 0.000 | 0.000 | 107.756 |
| 73.913 | 43.951 | 43.951 | 0.000 | 0.000 | 0.000 |
| 43.951 | 73.913 | 43.951 | 0.000 | 0.000 | 0.000 |
| 43.951 | 43.951 | 73.913 | 0.000 | 0.000 | 0.000 |
| 0.000 | 0.000 | -0.000 | 34.538 | 0.000 | -0.000 |
| 0.000 | 0.000 | 0.000 | 0.000 | 34.538 | 0.000 |
| 0.000 | 0.000 | -0.000 | 0.000 | 0.000 | 34.538 |
| 73.913 | 43.951 | 43.951 | -0.000 | 0.000 | -0.000 |
| 43.951 | 73.913 | 43.951 | -0.000 | -0.000 | -0.000 |
| 43.951 | 43.951 | 73.913 | 0.000 | -0.000 | -0.000 |
| -0.000 | -0.000 | 0.000 | 34.538 | -0.000 | 0.000 |
| -0.000 | -0.000 | 0.000 | -0.000 | 34.538 | -0.000 |
| -0.000 | -0.000 | 0.000 | -0.000 | -0.000 | 34.538 |
| 73.913 | 43.951 | 43.951 | 0.000 | 0.000 | 0.000 |
| 43.951 | 73.913 | 43.951 | 0.000 | 0.000 | 0.000 |
| 43.951 | 43.951 | 73.913 | -0.000 | 0.000 | -0.000 |
| 0.000 | -0.000 | -0.000 | 34.538 | 0.000 | 0.000 |
| -0.000 | 0.000 | -0.000 | 0.000 | 34.538 | 0.000 |
| -0.000 | -0.000 | 0.000 | 0.000 | 0.000 | 34.538 |
| 73.913 | 43.951 | 43.951 | -0.000 | -0.000 | -0.000 |
| 43.951 | 73.913 | 43.951 | -0.000 | -0.000 | -0.000 |
| 43.951 | 43.951 | 73.913 | 0.000 | -0.000 | -0.000 |
| -0.000 | 0.000 | 0.000 | 34.538 | -0.000 | 0.000 |
| 0.000 | -0.000 | 0.000 | -0.000 | 34.538 | -0.000 |
| 0.000 | 0.000 | -0.000 | -0.000 | -0.000 | 34.538 |
| 73.913 | 43.951 | 43.951 | -0.000 | 0.000 | 0.000 |
| 43.951 | 73.913 | 43.951 | 0.000 | 0.000 | 0.000 |
| 43.951 | 43.951 | 73.913 | 0.000 | 0.000 | 0.000 |
| 0.000 | -0.000 | -0.000 | 11.650 | 0.000 | 0.000 |
| -0.000 | 0.000 | -0.000 | 0.000 | 11.650 | 0.000 |
| -0.000 | -0.000 | 0.000 | 0.000 | 0.000 | 11.650 |
| 73.913 | 43.951 | 43.951 | -0.000 | -0.000 | -0.000 |
| 43.951 | 73.913 | 43.951 | -0.000 | -0.000 | -0.000 |
| 43.951 | 43.951 | 73.913 | -0.000 | -0.000 | -0.000 |
| -0.000 | 0.000 | 0.000 | 11.650 | -0.000 | 0.000 |
| 0.000 | -0.000 | 0.000 | -0.000 | 11.650 | -0.000 |
| 0.000 | 0.000 | -0.000 | -0.000 | -0.000 | 11.650 |
| 236.015 | 85.743 | 85.743 | -0.000 | -0.000 | 0.000 |
| 85.743 | 236.015 | 85.743 | -0.000 | -0.000 | 0.000 |
| 85.743 | 85.743 | 236.015 | -0.000 | -0.000 | 0.000 |
| 0.000 | -0.000 | -0.000 | 51.307 | 0.000 | 0.000 |
| 0.000 | -0.000 | -0.000 | 0.000 | 51.307 | 0.000 |
| -0.000 | -0.000 | -0.000 | 0.000 | 0.000 | 51.307 |
| 236.015 | 85.743 | 85.743 | 0.000 | 0.000 | -0.000 |
| 85.743 | 236.015 | 85.743 | 0.000 | 0.000 | -0.000 |
| 85.743 | 85.743 | 236.015 | 0.000 | 0.000 | -0.000 |
| 0.000 | 0.000 | 0.000 | 51.307 | -0.000 | -0.000 |
| 0.000 | 0.000 | 0.000 | -0.000 | 51.307 | -0.000 |
| 0.000 | 0.000 | 0.000 | -0.000 | -0.000 | 51.307 |
| 236.015 | 85.743 | 85.743 | -0.000 | -0.000 | 0.000 |
| 85.743 | 236.015 | 85.743 | -0.000 | -0.000 | 0.000 |
| 85.743 | 85.743 | 236.015 | -0.000 | -0.000 | 0.000 |
| -0.000 | -0.000 | 0.000 | 70.855 | -0.000 | 0.000 |
| -0.000 | -0.000 | 0.000 | -0.000 | 70.855 | 0.000 |
| -0.000 | 0.000 | -0.000 | -0.000 | -0.000 | 70.855 |
| 236.015 | 85.743 | 85.743 | 0.000 | 0.000 | -0.000 |
| 85.743 | 236.015 | 85.743 | 0.000 | 0.000 | -0.000 |
| 85.743 | 85.743 | 236.015 | 0.000 | 0.000 | -0.000 |
| 0.000 | 0.000 | -0.000 | 70.855 | 0.000 | -0.000 |
| 0.000 | 0.000 | -0.000 | 0.000 | 70.855 | -0.000 |
| 0.000 | -0.000 | 0.000 | 0.000 | 0.000 | 70.855 |
| 236.016 | 85.743 | 85.743 | -0.000 | -0.000 | 0.000 |
| 85.743 | 236.016 | 85.743 | -0.000 | -0.000 | 0.000 |
| 85.743 | 85.743 | 236.016 | -0.000 | -0.000 | 0.000 |
| -0.000 | -0.000 | -0.000 | 51.307 | 0.000 | 0.000 |
| -0.000 | -0.000 | -0.000 | 0.000 | 51.307 | 0.000 |
| -0.000 | -0.000 | -0.000 | 0.000 | 0.000 | 51.307 |
| 236.014 | 85.743 | 85.743 | -0.000 | 0.000 | -0.000 |
| 85.743 | 236.014 | 85.743 | 0.000 | 0.000 | -0.000 |
| 85.743 | 85.743 | 236.014 | 0.000 | 0.000 | -0.000 |
| 0.000 | 0.000 | 0.000 | 51.307 | -0.000 | -0.000 |
| 0.000 | 0.000 | 0.000 | -0.000 | 51.307 | -0.000 |
| 0.000 | 0.000 | 0.000 | -0.000 | -0.000 | 51.307 |
| -119.746 | -99.771 | -87.857 | -0.000 | -0.000 | -0.000 |
| -99.771 | -119.746 | -87.857 | 0.000 | 0.000 | 0.000 |
| -86.289 | -86.289 | -138.268 | -0.000 | 0.000 | -0.000 |
| -0.000 | -0.000 | -0.000 | -43.572 | 0.000 | 0.000 |
| 0.000 | -0.000 | -0.000 | -0.000 | -43.572 | 0.000 |
| 0.000 | 0.000 | 0.000 | -0.000 | 0.000 | -123.728 |
| 219.860 | 239.697 | -29.325 | -0.000 | -0.000 | -0.000 |
| 239.697 | 219.860 | -29.325 | -0.000 | -0.000 | -0.000 |
| -86.290 | -86.290 | -138.268 | 0.000 | -0.000 | 0.000 |
| -0.000 | 0.000 | 0.000 | -43.572 | 0.000 | -0.000 |
| -0.000 | 0.000 | 0.000 | 0.000 | -43.572 | -0.000 |
| -0.000 | -0.000 | -0.000 | 0.000 | -0.000 | -123.728 |
| -113898845.685 | -115535855.217 | -104538457.382 | -366719.023 | 179125.423 | -191015.533 |
| -121887712.013 | -122949816.849 | -111687885.854 | 1169391.449 | 49787.966 | -716201.578 |
| -86.293 | -86.293 | -138.268 | -0.000 | -0.000 | -0.000 |
| -0.000 | -0.000 | -0.000 | -43.572 | 0.000 | 0.000 |
| -0.000 | -0.000 | -0.000 | -0.000 | -43.572 | 0.000 |
| -0.000 | -0.000 | -0.000 | -0.000 | 0.000 | -123.728 |
| -119.970 | -99.995 | -87.895 | -0.000 | -0.000 | 0.000 |
| -99.995 | -119.970 | -87.895 | 0.000 | -0.000 | 0.000 |
| -86.291 | -86.291 | -138.268 | -0.000 | -0.000 | 0.000 |
| 0.000 | 0.000 | 0.000 | -43.572 | -0.000 | -0.000 |
| 0.000 | 0.000 | 0.000 | 0.000 | -43.572 | -0.000 |
| 0.000 | 0.000 | 0.000 | 0.000 | -0.000 | -123.728 |
| -119.925 | -99.949 | -87.890 | 0.000 | 0.000 | 0.000 |
| -99.949 | -119.925 | -87.890 | -0.000 | -0.000 | 0.000 |
| -86.300 | -86.300 | -138.272 | -0.000 | 0.000 | -0.000 |
| -13246255.903 | -12992525.700 | -11552748.661 | 552.555 | 20104.237 | -23443.592 |
| -11594940.684 | -12154999.597 | -10824257.024 | -19133.927 | 20478.018 | 103713.984 |
| -0.005 | -0.005 | -0.003 | -0.000 | -0.000 | -123.728 |
| 10239893.709 | 10752207.853 | 9605630.608 | 2882.948 | 26997.102 | -128045.522 |
| 10307763.449 | 9696197.992 | 9306615.519 | -16704.475 | -12187.191 | 130161.866 |
| -86.284 | -86.284 | -138.264 | -0.000 | -0.000 | -0.000 |
| 13362929.913 | 13182501.102 | 11759367.473 | 100632.343 | -102080.582 | 19035.172 |
| 11814434.364 | 11860086.701 | 10538681.718 | 58115.862 | 12102.689 | 103671.178 |
| 0.005 | 0.005 | 0.003 | 0.000 | -0.000 | -123.728 |
| 8.343 | 10.376 | 10.376 | -0.000 | -0.000 | 0.000 |
| 10.376 | 8.343 | 10.376 | -0.000 | -0.000 | 0.000 |
| 10.376 | 10.376 | 8.343 | -0.000 | -0.000 | -0.000 |
| -0.000 | -0.000 | -0.000 | -2.645 | -0.000 | -0.000 |
| -0.000 | -0.000 | -0.000 | -0.000 | -2.645 | -0.000 |
| -0.000 | -0.000 | 0.000 | -0.000 | -0.000 | -2.645 |
| 8.343 | 10.376 | 10.376 | 0.000 | 0.000 | -0.000 |
| 10.376 | 8.343 | 10.376 | 0.000 | 0.000 | -0.000 |
| 10.376 | 10.376 | 8.343 | 0.000 | 0.000 | -0.000 |
| 0.000 | 0.000 | -0.000 | -2.645 | 0.000 | 0.000 |
| 0.000 | -0.000 | -0.000 | 0.000 | -2.645 | 0.000 |
| 0.000 | 0.000 | -0.000 | 0.000 | 0.000 | -2.645 |
| 8.343 | 10.376 | 10.376 | -0.000 | -0.000 | 0.000 |
| 10.376 | 8.343 | 10.376 | -0.000 | -0.000 | 0.000 |
| 10.376 | 10.376 | 8.343 | -0.000 | -0.000 | -0.000 |
| 0.000 | 0.000 | 0.000 | 9.022 | -0.000 | 0.000 |
| 0.000 | 0.000 | 0.000 | -0.000 | 9.022 | 0.000 |
| 0.000 | 0.000 | 0.000 | -0.000 | -0.000 | 9.022 |
| 8.343 | 10.376 | 10.376 | 0.000 | 0.000 | -0.000 |
| 10.376 | 8.343 | 10.376 | 0.000 | 0.000 | -0.000 |
| 10.376 | 10.376 | 8.343 | 0.000 | 0.000 | -0.000 |
| -0.000 | -0.000 | -0.000 | 9.022 | 0.000 | -0.000 |
| -0.000 | -0.000 | -0.000 | 0.000 | 9.022 | 0.000 |
| -0.000 | -0.000 | -0.000 | 0.000 | 0.000 | 9.022 |
| 8.343 | 10.376 | 10.376 | -0.000 | -0.000 | 0.000 |
| 10.376 | 8.343 | 10.376 | -0.000 | -0.000 | 0.000 |
| 10.376 | 10.376 | 8.343 | -0.000 | -0.000 | -0.000 |
| -0.000 | -0.000 | -0.000 | -2.645 | -0.000 | -0.000 |
| -0.000 | -0.000 | -0.000 | -0.000 | -2.645 | -0.000 |
| -0.000 | -0.000 | -0.000 | -0.000 | -0.000 | -2.645 |
| 8.343 | 10.376 | 10.376 | 0.000 | 0.000 | -0.000 |
| 10.376 | 8.343 | 10.376 | 0.000 | 0.000 | -0.000 |
| 10.376 | 10.376 | 8.343 | 0.000 | 0.000 | 0.000 |
| 0.000 | 0.000 | 0.000 | -2.645 | 0.000 | -0.000 |
| 0.000 | 0.000 | 0.000 | 0.000 | -2.645 | -0.000 |
| 0.000 | 0.000 | 0.000 | 0.000 | 0.000 | -2.645 |
| 458.409 | 112.504 | 112.504 | 0.000 | -0.000 | -0.000 |
| 112.504 | 458.410 | 112.504 | -0.000 | 0.000 | -0.000 |
| 112.504 | 112.504 | 458.409 | 0.000 | 0.000 | -0.000 |
| 0.000 | 0.000 | -0.000 | 65.765 | 0.000 | -0.000 |
| -0.000 | 0.000 | 0.000 | 0.000 | 65.765 | -0.000 |
| -0.000 | -0.000 | 0.000 | -0.000 | 0.000 | 65.765 |
| 458.409 | 112.504 | 112.504 | 0.000 | 0.000 | 0.000 |
| 112.504 | 458.409 | 112.504 | -0.000 | 0.000 | 0.000 |
| 112.504 | 112.504 | 458.409 | -0.000 | 0.000 | 0.000 |
| -0.000 | -0.000 | 0.000 | 65.765 | -0.000 | 0.000 |
| 0.000 | -0.000 | -0.000 | 0.000 | 65.765 | 0.000 |
| 0.000 | -0.000 | 0.000 | 0.000 | -0.000 | 65.765 |
| 458.410 | 112.504 | 112.504 | 0.000 | -0.000 | -0.000 |
| 112.504 | 458.410 | 112.504 | -0.000 | -0.000 | -0.000 |
| 112.504 | 112.504 | 458.410 | 0.000 | -0.000 | -0.000 |
| -0.000 | -0.000 | -0.000 | 85.955 | 0.000 | -0.000 |
| -0.000 | -0.000 | -0.000 | 0.000 | 85.955 | -0.000 |
| -0.000 | -0.000 | -0.000 | -0.000 | -0.000 | 85.955 |
| 458.409 | 112.504 | 112.504 | -0.000 | -0.000 | 0.000 |
| 112.504 | 458.409 | 112.504 | -0.000 | -0.000 | 0.000 |
| 112.504 | 112.504 | 458.409 | -0.000 | -0.000 | 0.000 |
| 0.000 | 0.000 | 0.000 | 85.955 | -0.000 | -0.000 |
| 0.000 | 0.000 | 0.000 | -0.000 | 85.955 | 0.000 |
| 0.000 | 0.000 | 0.000 | 0.000 | 0.000 | 85.955 |
| 458.412 | 112.504 | 112.504 | 0.000 | -0.000 | -0.000 |
| 112.504 | 458.412 | 112.504 | 0.000 | 0.000 | -0.000 |
| 112.504 | 112.504 | 458.412 | 0.000 | -0.000 | -0.000 |
| -0.000 | -0.000 | -0.000 | 65.765 | -0.000 | -0.000 |
| -0.000 | -0.000 | -0.000 | 0.000 | 65.765 | -0.000 |
| -0.000 | -0.000 | -0.000 | -0.000 | -0.000 | 65.765 |
| 462.954 | 110.230 | 110.230 | 0.000 | 0.000 | 0.000 |
| 110.230 | 462.954 | 110.230 | -0.000 | 0.000 | 0.000 |
| 110.230 | 110.230 | 462.954 | -0.000 | -0.000 | 0.000 |
| 0.000 | 0.000 | 0.000 | 65.765 | -0.000 | 0.000 |
| 0.000 | 0.000 | 0.000 | -0.000 | 65.765 | 0.000 |
| 0.000 | 0.000 | 0.000 | -0.000 | -0.000 | 65.765 |
| 94.134 | 121.484 | 121.484 | -0.000 | -0.000 | -0.000 |
| 121.484 | 94.134 | 121.484 | -0.000 | -0.000 | -0.000 |
| 121.484 | 121.484 | 94.134 | -0.000 | 0.000 | 0.000 |
| -0.000 | -0.000 | 0.000 | 98.116 | -0.000 | -0.000 |
| -0.000 | 0.000 | 0.000 | -0.000 | 98.116 | 0.000 |
| -0.000 | 0.000 | 0.000 | -0.000 | -0.000 | 98.116 |
| 94.134 | 121.484 | 121.484 | 0.000 | 0.000 | 0.000 |
| 121.484 | 94.134 | 121.484 | 0.000 | 0.000 | 0.000 |
| 121.484 | 121.484 | 94.134 | -0.000 | 0.000 | 0.000 |
| 0.000 | 0.000 | -0.000 | 98.116 | 0.000 | 0.000 |
| 0.000 | -0.000 | -0.000 | 0.000 | 98.116 | -0.000 |
| 0.000 | 0.000 | -0.000 | 0.000 | -0.000 | 98.116 |
| 94.134 | 121.484 | 121.484 | -0.000 | 0.000 | 0.000 |
| 121.484 | 94.134 | 121.484 | -0.000 | 0.000 | 0.000 |
| 121.484 | 121.484 | 94.134 | -0.000 | -0.000 | 0.000 |
| 0.000 | -0.000 | -0.000 | 98.116 | 0.000 | -0.000 |
| -0.000 | 0.000 | -0.000 | 0.000 | 98.116 | -0.000 |
| -0.000 | -0.000 | 0.000 | -0.000 | 0.000 | 98.116 |
| 94.134 | 121.484 | 121.484 | 0.000 | -0.000 | -0.000 |
| 121.484 | 94.134 | 121.484 | 0.000 | 0.000 | -0.000 |
| 121.484 | 121.484 | 94.134 | 0.000 | 0.000 | 0.000 |
| -0.000 | 0.000 | 0.000 | 98.116 | 0.000 | 0.000 |
| 0.000 | -0.000 | 0.000 | -0.000 | 98.116 | -0.000 |
| 0.000 | 0.000 | -0.000 | 0.000 | 0.000 | 98.116 |
| 94.133 | 121.484 | 121.484 | -0.000 | -0.000 | -0.000 |
| 121.484 | 94.133 | 121.484 | 0.000 | 0.000 | -0.000 |
| 121.484 | 121.484 | 94.133 | -0.000 | -0.000 | 0.000 |
| 0.000 | -0.000 | -0.000 | 104.130 | -0.000 | -0.000 |
| -0.000 | 0.000 | -0.000 | -0.000 | 104.130 | 0.000 |
| -0.000 | -0.000 | 0.000 | -0.000 | 0.000 | 104.130 |
| 94.134 | 121.484 | 121.484 | 0.000 | 0.000 | -0.000 |
| 121.484 | 94.134 | 121.484 | 0.000 | 0.000 | 0.000 |
| 121.484 | 121.484 | 94.134 | -0.000 | -0.000 | -0.000 |
| -0.000 | 0.000 | 0.000 | 104.130 | 0.000 | 0.000 |
| 0.000 | -0.000 | 0.000 | 0.000 | 104.130 | 0.000 |
| 0.000 | 0.000 | -0.000 | 0.000 | -0.000 | 104.130 |
| 473.335 | 281.062 | 281.062 | -0.000 | 0.000 | -0.000 |
| 281.062 | 473.335 | 281.062 | -0.000 | -0.000 | -0.000 |
| 281.062 | 281.062 | 473.335 | -0.000 | -0.000 | -0.000 |
| -0.000 | 0.000 | 0.000 | 243.385 | -0.000 | -0.000 |
| 0.000 | -0.000 | 0.000 | -0.000 | 243.385 | -0.000 |
| 0.000 | 0.000 | -0.000 | -0.000 | 0.000 | 243.385 |
| 473.335 | 281.062 | 281.062 | 0.000 | -0.000 | 0.000 |
| 281.062 | 473.335 | 281.062 | 0.000 | 0.000 | 0.000 |
| 281.062 | 281.062 | 473.335 | 0.000 | 0.000 | 0.000 |
| 0.000 | -0.000 | -0.000 | 243.385 | -0.000 | 0.000 |
| -0.000 | 0.000 | -0.000 | 0.000 | 243.385 | 0.000 |
| -0.000 | -0.000 | 0.000 | 0.000 | 0.000 | 243.385 |
| 473.336 | 281.063 | 281.063 | -0.000 | -0.000 | -0.000 |
| 281.063 | 473.336 | 281.063 | -0.000 | -0.000 | -0.000 |
| 281.063 | 281.063 | 473.336 | -0.000 | -0.000 | -0.000 |
| -0.000 | 0.000 | 0.000 | 243.385 | -0.000 | -0.000 |
| 0.000 | -0.000 | 0.000 | -0.000 | 243.385 | 0.000 |
| 0.000 | 0.000 | -0.000 | -0.000 | 0.000 | 243.385 |
| 473.334 | 281.062 | 281.062 | 0.000 | -0.000 | 0.000 |
| 281.062 | 473.334 | 281.062 | 0.000 | 0.000 | 0.000 |
| 281.062 | 281.062 | 473.334 | 0.000 | 0.000 | 0.000 |
| 0.000 | -0.000 | -0.000 | 243.385 | 0.000 | -0.000 |
| -0.000 | 0.000 | -0.000 | 0.000 | 243.385 | 0.000 |
| -0.000 | -0.000 | 0.000 | 0.000 | 0.000 | 243.385 |
| 473.343 | 281.066 | 281.066 | -0.000 | 0.000 | -0.000 |
| 281.066 | 473.343 | 281.066 | 0.000 | -0.000 | -0.000 |
| 281.066 | 281.066 | 473.343 | -0.000 | -0.000 | -0.000 |
| -0.000 | 0.003 | 0.004 | 243.385 | -0.000 | 0.000 |
| 0.003 | -0.000 | 0.004 | 0.000 | 243.385 | -0.000 |
| 0.003 | 0.004 | -0.000 | -0.000 | -0.000 | 243.385 |
| 473.327 | 281.058 | 281.058 | 0.000 | -0.000 | -0.000 |
| 281.058 | 473.327 | 281.058 | -0.000 | 0.000 | 0.000 |
| 281.058 | 281.058 | 473.327 | 0.000 | 0.000 | 0.000 |
| 0.000 | -0.003 | -0.004 | 243.385 | -0.000 | 0.000 |
| -0.003 | 0.000 | -0.004 | 0.000 | 243.385 | 0.000 |
| -0.003 | -0.004 | 0.000 | 0.000 | 0.000 | 243.385 |
| 486.052 | 257.395 | 326.050 | -0.000 | 0.000 | 0.000 |
| 257.395 | 486.052 | 326.050 | 0.000 | 0.000 | 0.000 |
| 326.050 | 326.050 | 584.018 | 0.000 | 0.000 | 0.000 |
| 0.000 | 0.000 | 0.000 | 247.385 | 0.000 | 0.000 |
| 0.000 | 0.000 | 0.000 | -0.000 | 247.385 | 0.000 |
| 0.000 | 0.000 | 0.000 | 0.000 | 0.000 | 218.576 |
| 442.242 | 301.205 | 326.050 | -0.000 | 0.000 | 0.000 |
| 301.205 | 442.242 | 326.050 | -0.000 | -0.000 | 0.000 |
| 326.050 | 326.050 | 584.018 | 0.000 | -0.000 | 0.000 |
| -0.000 | -0.000 | -0.000 | 247.385 | 0.000 | -0.000 |
| -0.000 | -0.000 | -0.000 | 0.000 | 247.385 | -0.000 |
| -0.000 | -0.000 | -0.000 | -0.000 | -0.000 | 218.576 |
| 486.052 | 257.395 | 326.050 | 0.000 | 0.000 | 0.000 |
| 257.395 | 486.052 | 326.050 | 0.000 | 0.000 | 0.000 |
| 326.050 | 326.050 | 584.019 | 0.000 | 0.000 | 0.000 |
| -0.000 | 0.000 | 0.000 | 287.596 | -0.000 | -0.000 |
| 0.000 | -0.000 | 0.000 | 0.000 | 287.596 | 0.000 |
| 0.000 | 0.000 | -0.000 | 0.000 | 0.000 | 218.576 |
| 486.051 | 257.394 | 326.050 | -0.000 | -0.000 | -0.000 |
| 257.394 | 486.051 | 326.050 | -0.000 | -0.000 | -0.000 |
| 326.050 | 326.050 | 584.017 | -0.000 | -0.000 | -0.000 |
| 0.000 | -0.000 | -0.000 | 287.596 | 0.000 | -0.000 |
| -0.000 | 0.000 | -0.000 | -0.000 | 287.596 | -0.000 |
| -0.000 | -0.000 | 0.000 | -0.000 | -0.000 | 218.576 |
| 486.060 | 257.399 | 326.054 | 0.000 | 0.000 | 0.000 |
| 257.399 | 486.060 | 326.054 | 0.000 | -0.000 | 0.000 |
| 326.054 | 326.054 | 584.026 | 0.000 | 0.000 | 0.000 |
| 0.001 | 0.001 | 0.002 | 247.385 | -0.000 | 0.000 |
| 0.001 | 0.001 | 0.002 | -0.000 | 247.385 | 0.000 |
| 0.003 | 0.004 | -0.000 | 0.000 | 0.000 | 218.576 |
| 486.043 | 257.391 | 326.046 | -0.000 | -0.000 | -0.000 |
| 257.391 | 486.043 | 326.046 | -0.000 | 0.000 | -0.000 |
| 326.046 | 326.046 | 584.010 | -0.000 | -0.000 | -0.000 |
| -0.001 | -0.001 | -0.002 | 247.385 | 0.000 | -0.000 |
| -0.001 | -0.001 | -0.002 | -0.000 | 247.385 | -0.000 |
| -0.003 | -0.004 | 0.000 | -0.000 | -0.000 | 218.576 |
| 589.513 | 242.411 | 140.311 | 0.000 | 0.000 | 0.000 |
| 240.770 | 644.648 | 193.070 | 0.000 | -0.000 | 0.000 |
| 192.432 | 192.432 | 631.425 | 0.000 | 0.000 | 0.000 |
| 0.001 | 0.001 | 0.003 | 70.183 | -0.000 | 0.000 |
| 0.000 | -0.000 | 0.000 | 0.000 | 152.536 | -0.000 |
| 0.001 | 0.001 | 0.002 | 0.000 | -0.000 | 166.600 |
| 644.648 | 240.770 | 193.070 | -0.000 | -0.000 | -0.000 |
| 240.770 | 644.648 | 193.070 | -0.000 | -0.000 | -0.000 |
| 148.784 | 148.784 | 545.329 | -0.000 | -0.000 | -0.000 |
| -0.001 | -0.001 | -0.003 | 70.183 | 0.000 | -0.000 |
| -0.000 | 0.000 | -0.000 | -0.000 | 152.536 | -0.000 |
| -0.001 | -0.001 | -0.002 | 0.000 | 0.000 | 166.600 |
| 644.649 | 240.770 | 193.070 | -0.000 | 0.000 | 0.000 |
| 251.347 | 577.189 | 136.968 | 0.000 | -0.000 | 0.000 |
| 148.785 | 148.785 | 545.330 | 0.000 | -0.000 | 0.000 |
| 0.000 | 0.000 | 0.000 | 152.536 | -0.000 | 0.000 |
| 0.000 | 0.000 | 0.000 | 0.000 | 152.536 | 0.000 |
| 0.000 | 0.000 | 0.000 | 0.000 | -0.000 | 166.600 |
| 577.187 | 251.346 | 136.969 | 0.000 | 0.000 | -0.000 |
| 251.346 | 577.187 | 136.969 | -0.000 | 0.000 | -0.000 |
| 148.782 | 148.782 | 545.325 | -0.000 | 0.000 | -0.000 |
| -0.000 | -0.000 | -0.000 | 152.536 | 0.000 | -0.000 |
| -0.000 | -0.000 | -0.000 | -0.000 | 152.536 | 0.000 |
| -0.000 | -0.000 | -0.000 | -0.000 | -0.000 | 166.600 |
| 577.199 | 251.349 | 136.966 | 0.000 | -0.000 | 0.000 |
| 269.228 | 571.954 | 149.428 | 0.000 | 0.000 | 0.000 |
| 148.784 | 148.784 | 545.330 | 0.000 | -0.000 | 0.000 |
| 0.000 | 0.001 | 0.003 | 152.536 | -0.000 | 0.000 |
| 0.001 | 0.000 | 0.003 | -0.000 | 152.536 | -0.000 |
| 0.001 | 0.004 | 0.000 | 0.000 | -0.000 | 201.939 |
| 589.500 | 242.408 | 140.312 | -0.000 | 0.000 | -0.000 |
| 242.406 | 589.504 | 140.313 | -0.000 | 0.000 | -0.000 |
| 148.785 | 148.785 | 545.330 | -0.000 | 0.000 | -0.000 |
| -0.000 | -0.001 | -0.003 | 152.536 | 0.000 | -0.000 |
| -0.001 | -0.000 | -0.003 | 0.000 | 152.536 | -0.000 |
| -0.001 | -0.004 | -0.000 | -0.000 | -0.000 | 201.939 |
| 625.665 | 233.014 | 179.009 | -0.000 | -0.000 | 0.000 |
| 233.014 | 625.665 | 179.009 | -0.000 | 0.000 | -0.000 |
| 179.009 | 179.009 | 594.879 | -0.000 | 0.000 | 0.000 |
| 0.000 | -0.000 | 0.000 | 141.915 | 0.000 | -0.000 |
| 0.000 | -0.000 | 0.000 | -0.000 | 141.915 | -0.000 |
| 0.000 | 0.000 | -0.000 | -0.000 | -0.000 | 196.325 |
| 555.440 | 261.822 | 140.828 | 0.000 | 0.000 | 0.000 |
| 234.113 | 572.534 | 131.044 | 0.000 | -0.000 | -0.000 |
| 179.009 | 179.009 | 594.878 | 0.000 | 0.000 | 0.000 |
| 0.000 | -0.000 | -0.000 | 141.915 | -0.000 | -0.000 |
| -0.000 | 0.000 | -0.000 | 0.000 | 141.915 | -0.000 |
| -0.000 | -0.000 | 0.000 | 0.000 | 0.000 | 196.325 |
| 625.666 | 233.014 | 179.009 | -0.000 | -0.000 | 0.000 |
| 233.015 | 625.666 | 179.009 | -0.000 | -0.000 | -0.000 |
| 140.518 | 140.518 | 523.912 | -0.000 | -0.000 | -0.000 |
| 0.000 | 0.000 | 0.000 | 141.915 | -0.000 | 0.000 |
| 0.000 | 0.000 | 0.000 | -0.000 | 141.915 | -0.000 |
| 0.002 | 0.002 | 0.003 | -0.000 | 0.000 | 147.304 |
| 572.538 | 234.123 | 131.057 | 0.000 | 0.000 | 0.000 |
| 233.014 | 625.663 | 179.009 | 0.000 | 0.000 | 0.000 |
| 140.517 | 140.517 | 523.908 | 0.000 | 0.000 | 0.000 |
| -0.000 | -0.000 | -0.000 | 141.915 | 0.000 | 0.000 |
| -0.000 | -0.000 | -0.000 | 0.000 | 141.915 | -0.000 |
| -0.002 | -0.002 | -0.003 | 0.000 | 0.000 | 147.304 |
| 572.573 | 234.125 | 131.076 | -0.000 | -0.000 | -0.000 |
| 234.128 | 572.548 | 131.056 | -0.000 | 0.000 | -0.000 |
| 140.518 | 140.518 | 523.912 | -0.000 | 0.000 | -0.000 |
| 0.000 | -0.001 | -0.001 | 69.823 | 0.000 | -0.000 |
| -0.001 | 0.000 | -0.001 | -0.000 | 69.823 | -0.000 |
| 0.001 | 0.004 | 0.000 | -0.000 | -0.000 | 196.325 |
| 625.650 | 233.012 | 179.008 | 0.000 | 0.000 | 0.000 |
| 233.010 | 625.652 | 179.008 | 0.000 | 0.000 | 0.000 |
| 140.518 | 140.518 | 523.908 | 0.000 | -0.000 | -0.000 |
| -0.000 | 0.001 | 0.001 | 69.823 | -0.000 | 0.000 |
| 0.001 | -0.000 | 0.001 | 0.000 | 69.823 | 0.000 |
| -0.001 | -0.004 | -0.000 | 0.000 | 0.000 | 196.325 |
| 275.101 | 84.149 | 84.149 | 0.000 | 0.000 | 0.000 |
| 84.149 | 275.101 | 84.149 | 0.000 | 0.000 | -0.000 |
| 84.149 | 84.149 | 275.101 | -0.000 | 0.000 | 0.000 |
| 0.000 | 0.000 | -0.000 | 69.091 | 0.000 | -0.000 |
| 0.000 | 0.000 | 0.000 | 0.000 | 69.091 | -0.000 |
| 0.000 | 0.000 | -0.000 | 0.000 | 0.000 | 69.091 |
| 275.101 | 84.149 | 84.149 | -0.000 | 0.000 | 0.000 |
| 84.149 | 275.101 | 84.149 | 0.000 | -0.000 | -0.000 |
| 84.149 | 84.149 | 275.101 | -0.000 | -0.000 | -0.000 |
| -0.000 | -0.000 | 0.000 | 69.091 | -0.000 | 0.000 |
| -0.000 | -0.000 | -0.000 | -0.000 | 69.091 | 0.000 |
| -0.000 | -0.000 | 0.000 | 0.000 | -0.000 | 69.091 |
| 275.101 | 84.149 | 84.149 | 0.000 | -0.000 | 0.000 |
| 84.149 | 275.101 | 84.149 | 0.000 | 0.000 | 0.000 |
| 84.149 | 84.149 | 275.101 | 0.000 | 0.000 | -0.000 |
| 0.000 | 0.000 | 0.000 | 62.616 | -0.000 | -0.000 |
| 0.000 | 0.000 | 0.000 | 0.000 | 62.616 | 0.000 |
| 0.000 | 0.000 | 0.000 | 0.000 | 0.000 | 62.616 |
| 275.101 | 84.149 | 84.149 | -0.000 | -0.000 | 0.000 |
| 84.149 | 275.101 | 84.149 | -0.000 | 0.000 | -0.000 |
| 84.149 | 84.149 | 275.101 | -0.000 | -0.000 | 0.000 |
| -0.000 | -0.000 | -0.000 | 62.616 | -0.000 | -0.000 |
| -0.000 | -0.000 | -0.000 | -0.000 | 62.616 | 0.000 |
| -0.000 | -0.000 | -0.000 | -0.000 | -0.000 | 62.616 |
| 276.241 | 83.580 | 83.580 | 0.000 | 0.000 | -0.000 |
| 83.580 | 276.241 | 83.580 | -0.000 | -0.000 | 0.000 |
| 83.580 | 83.580 | 276.241 | 0.000 | -0.000 | -0.000 |
| 0.000 | 0.000 | 0.000 | 62.616 | 0.000 | 0.000 |
| 0.000 | 0.000 | 0.000 | -0.000 | 62.616 | -0.000 |
| 0.000 | 0.000 | 0.000 | 0.000 | 0.000 | 62.616 |
| 275.099 | 84.149 | 84.149 | -0.000 | 0.000 | 0.000 |
| 84.149 | 275.099 | 84.149 | -0.000 | -0.000 | 0.000 |
| 84.149 | 84.149 | 275.099 | -0.000 | -0.000 | 0.000 |
| -0.000 | -0.000 | -0.000 | 62.616 | -0.000 | -0.000 |
| -0.000 | -0.000 | -0.000 | -0.000 | 62.616 | -0.000 |
| -0.000 | -0.000 | -0.000 | -0.000 | -0.000 | 62.616 |
| 96.642 | 83.329 | 83.329 | 0.000 | 0.000 | 0.000 |
| 83.329 | 96.642 | 83.329 | 0.000 | 0.000 | 0.000 |
| 83.329 | 83.329 | 96.642 | -0.000 | 0.000 | 0.000 |
| -0.000 | -0.000 | 0.000 | 69.808 | 0.000 | 0.000 |
| -0.000 | -0.000 | 0.000 | -0.000 | 69.808 | -0.000 |
| -0.000 | -0.000 | 0.000 | -0.000 | -0.000 | 69.808 |
| 96.642 | 83.329 | 83.329 | -0.000 | -0.000 | -0.000 |
| 83.329 | 96.642 | 83.329 | -0.000 | -0.000 | -0.000 |
| 83.329 | 83.329 | 96.642 | 0.000 | 0.000 | 0.000 |
| 0.000 | 0.000 | -0.000 | 69.808 | -0.000 | 0.000 |
| 0.000 | 0.000 | -0.000 | 0.000 | 69.808 | 0.000 |
| 0.000 | 0.000 | -0.000 | 0.000 | 0.000 | 69.808 |
| 96.642 | 83.329 | 83.329 | 0.000 | 0.000 | -0.000 |
| 83.329 | 96.642 | 83.329 | 0.000 | 0.000 | -0.000 |
| 83.329 | 83.329 | 96.642 | -0.000 | -0.000 | 0.000 |
| 0.000 | -0.000 | -0.000 | 69.808 | 0.000 | 0.000 |
| -0.000 | 0.000 | -0.000 | -0.000 | 69.808 | -0.000 |
| -0.000 | -0.000 | 0.000 | -0.000 | 0.000 | 69.808 |
| 96.641 | 83.329 | 83.329 | 0.000 | -0.000 | -0.000 |
| 83.329 | 96.641 | 83.329 | 0.000 | -0.000 | 0.000 |
| 83.329 | 83.329 | 96.641 | 0.000 | -0.000 | -0.000 |
| -0.000 | 0.000 | 0.000 | 69.808 | -0.000 | 0.000 |
| 0.000 | 0.000 | 0.000 | -0.000 | 69.808 | 0.000 |
| 0.000 | 0.000 | -0.000 | 0.000 | 0.000 | 69.808 |
| 96.642 | 83.329 | 83.329 | 0.000 | 0.000 | -0.000 |
| 83.329 | 96.642 | 83.329 | -0.000 | 0.000 | 0.000 |
| 83.329 | 83.329 | 96.642 | -0.000 | 0.000 | 0.000 |
| 0.000 | -0.000 | -0.000 | 68.347 | 0.000 | -0.000 |
| -0.000 | 0.000 | -0.000 | -0.000 | 68.347 | 0.000 |
| -0.000 | -0.000 | 0.000 | -0.000 | 0.000 | 68.347 |
| 96.641 | 83.329 | 83.329 | -0.000 | -0.000 | 0.000 |
| 83.329 | 96.641 | 83.329 | 0.000 | -0.000 | 0.000 |
| 83.329 | 83.329 | 96.641 | 0.000 | 0.000 | -0.000 |
| -0.000 | 0.000 | 0.000 | 68.347 | -0.000 | -0.000 |
| 0.000 | -0.000 | 0.000 | 0.000 | 68.347 | -0.000 |
| 0.000 | 0.000 | -0.000 | 0.000 | -0.000 | 68.347 |
| 111.151 | 98.409 | 98.409 | -0.000 | 0.000 | 0.000 |
| 98.409 | 111.151 | 98.409 | 0.000 | -0.000 | 0.000 |
| 98.409 | 98.409 | 111.151 | 0.000 | 0.000 | 0.000 |
| 0.000 | 0.000 | 0.000 | 83.149 | 0.000 | 0.000 |
| -0.000 | 0.000 | 0.000 | 0.000 | 83.149 | 0.000 |
| 0.000 | 0.000 | 0.000 | 0.000 | -0.000 | 83.149 |
| 111.151 | 98.409 | 98.409 | -0.000 | -0.000 | -0.000 |
| 98.409 | 111.151 | 98.409 | -0.000 | 0.000 | -0.000 |
| 98.409 | 98.409 | 111.151 | -0.000 | -0.000 | -0.000 |
| -0.000 | -0.000 | -0.000 | 83.149 | -0.000 | -0.000 |
| -0.000 | -0.000 | -0.000 | -0.000 | 83.149 | -0.000 |
| -0.000 | -0.000 | -0.000 | 0.000 | 0.000 | 83.149 |
| 111.151 | 98.409 | 98.409 | -0.000 | -0.000 | 0.000 |
| 98.409 | 111.151 | 98.409 | -0.000 | -0.000 | 0.000 |
| 98.409 | 98.409 | 111.151 | -0.000 | -0.000 | 0.000 |
| 0.000 | 0.000 | 0.000 | 83.149 | 0.000 | 0.000 |
| 0.000 | 0.000 | 0.000 | -0.000 | 83.149 | 0.000 |
| 0.000 | 0.000 | 0.000 | -0.000 | -0.000 | 83.149 |
| 111.151 | 98.409 | 98.409 | 0.000 | 0.000 | -0.000 |
| 98.409 | 111.151 | 98.409 | 0.000 | 0.000 | -0.000 |
| 98.409 | 98.409 | 111.151 | -0.000 | -0.000 | -0.000 |
| -0.000 | -0.000 | -0.000 | 83.149 | 0.000 | -0.000 |
| -0.000 | -0.000 | -0.000 | -0.000 | 83.149 | -0.000 |
| -0.000 | -0.000 | -0.000 | -0.000 | -0.000 | 83.149 |
| 111.152 | 98.409 | 98.409 | -0.000 | -0.000 | 0.000 |
| 98.409 | 111.152 | 98.409 | 0.000 | -0.000 | 0.000 |
| 98.409 | 98.409 | 111.152 | 0.000 | 0.000 | 0.000 |
| 0.000 | 0.000 | 0.000 | 83.149 | 0.000 | 0.000 |
| 0.000 | 0.000 | 0.000 | 0.000 | 83.149 | 0.000 |
| 0.000 | 0.000 | 0.000 | -0.000 | -0.000 | 83.149 |
| 111.150 | 98.408 | 98.408 | 0.000 | 0.000 | -0.000 |
| 98.408 | 111.150 | 98.408 | -0.000 | 0.000 | -0.000 |
| 98.408 | 98.408 | 111.150 | -0.000 | -0.000 | -0.000 |
| -0.000 | -0.000 | -0.000 | 83.149 | 0.000 | -0.000 |
| -0.000 | -0.000 | -0.000 | 0.000 | 83.149 | -0.000 |
| -0.000 | -0.000 | -0.000 | 0.000 | 0.000 | 83.149 |
| 86.994 | 83.080 | 111.295 | 0.000 | 0.000 | -0.000 |
| 83.080 | 86.994 | 111.295 | 0.000 | 0.000 | -0.000 |
| 111.295 | 111.295 | 179.819 | 0.000 | 0.000 | -0.000 |
| -0.000 | 0.000 | 0.000 | 94.782 | -0.000 | 0.000 |
| -0.000 | -0.000 | -0.000 | 0.000 | 94.782 | -0.000 |
| -0.000 | 0.000 | -0.000 | 0.000 | -0.000 | 66.077 |
| 88.349 | 81.726 | 111.295 | 0.000 | 0.000 | 0.000 |
| 81.726 | 88.349 | 111.295 | -0.000 | 0.000 | 0.000 |
| 111.295 | 111.295 | 179.819 | 0.000 | 0.000 | -0.000 |
| 0.000 | 0.000 | -0.000 | 94.782 | -0.000 | 0.000 |
| 0.000 | 0.000 | 0.000 | -0.000 | 94.782 | 0.000 |
| 0.000 | -0.000 | 0.000 | -0.000 | -0.000 | 66.077 |
| 86.994 | 83.081 | 111.295 | 0.000 | -0.000 | -0.000 |
| 83.081 | 86.994 | 111.295 | 0.000 | 0.000 | 0.000 |
| 111.295 | 111.295 | 179.819 | 0.000 | -0.000 | 0.000 |
| 0.000 | 0.000 | 0.000 | 95.583 | 0.000 | 0.000 |
| 0.000 | 0.000 | 0.000 | 0.000 | 95.583 | -0.000 |
| 0.000 | 0.000 | 0.000 | 0.000 | -0.000 | 66.077 |
| 86.994 | 83.080 | 111.295 | -0.000 | 0.000 | 0.000 |
| 83.080 | 86.994 | 111.295 | -0.000 | -0.000 | -0.000 |
| 111.295 | 111.295 | 179.819 | -0.000 | -0.000 | 0.000 |
| -0.000 | -0.000 | -0.000 | 95.583 | -0.000 | 0.000 |
| -0.000 | -0.000 | -0.000 | -0.000 | 95.583 | 0.000 |
| -0.000 | -0.000 | -0.000 | -0.000 | -0.000 | 66.077 |
| 88.349 | 81.726 | 111.295 | 0.000 | -0.000 | -0.000 |
| 81.726 | 88.349 | 111.295 | -0.000 | -0.000 | -0.000 |
| 111.295 | 111.295 | 179.820 | 0.000 | -0.000 | -0.000 |
| 0.000 | 0.000 | 0.000 | 95.583 | 0.000 | -0.000 |
| 0.000 | 0.000 | 0.000 | 0.000 | 95.583 | -0.000 |
| 0.000 | 0.000 | 0.000 | 0.000 | -0.000 | 66.077 |
| 88.349 | 81.725 | 111.294 | -0.000 | -0.000 | 0.000 |
| 81.725 | 88.349 | 111.294 | 0.000 | 0.000 | 0.000 |
| 111.294 | 111.294 | 179.819 | -0.000 | -0.000 | 0.000 |
| -0.000 | -0.000 | -0.000 | 95.583 | -0.000 | 0.000 |
| -0.000 | -0.000 | -0.000 | 0.000 | 95.583 | 0.000 |
| -0.000 | -0.000 | -0.000 | -0.000 | 0.000 | 66.077 |
| 124.149 | 128.386 | 38.016 | 0.000 | -0.000 | 0.000 |
| 128.386 | 124.149 | 38.016 | 0.000 | 0.000 | 0.000 |
| 38.013 | 38.013 | 225.940 | -0.000 | -0.000 | 0.000 |
| -0.015 | -0.015 | -0.001 | 23.765 | -0.000 | 0.000 |
| -0.000 | 0.000 | 0.000 | 0.000 | 23.782 | 0.000 |
| -0.000 | 0.000 | 0.000 | 0.000 | 0.000 | 55.953 |
| 182.268 | 70.362 | 38.019 | -0.000 | -0.000 | -0.000 |
| 118.179 | 133.887 | 38.001 | 0.000 | 0.000 | -0.000 |
| 38.019 | 38.019 | 225.940 | 0.000 | 0.000 | -0.000 |
| 0.015 | 0.015 | 0.001 | 23.765 | 0.000 | -0.000 |
| 0.000 | -0.000 | 0.000 | -0.000 | 23.782 | -0.000 |
| 0.000 | -0.000 | -0.000 | -0.000 | -0.000 | 55.953 |
| 182.268 | 70.362 | 38.019 | 0.000 | -0.000 | 0.000 |
| 117.903 | 134.118 | 37.999 | 0.000 | -0.000 | 0.000 |
| 38.019 | 38.019 | 225.940 | 0.000 | 0.000 | 0.000 |
| 0.000 | 0.000 | -0.000 | 23.782 | -0.000 | 0.000 |
| 0.000 | 0.000 | -0.000 | 0.000 | 23.782 | 0.000 |
| -0.002 | -0.002 | -0.000 | -0.000 | -0.000 | 6.378 |
| 182.268 | 70.362 | 38.019 | -0.000 | 0.000 | -0.000 |
| 117.955 | 134.074 | 37.999 | 0.000 | 0.000 | -0.000 |
| 38.019 | 38.019 | 225.940 | -0.000 | -0.000 | -0.000 |
| -0.000 | -0.000 | 0.000 | 23.782 | 0.000 | -0.000 |
| -0.000 | -0.000 | 0.000 | -0.000 | 23.782 | -0.000 |
| 0.002 | 0.002 | 0.000 | -0.000 | 0.000 | 6.378 |
| 182.269 | 70.363 | 38.019 | 0.000 | 0.000 | 0.000 |
| 117.927 | 134.099 | 37.999 | -0.000 | -0.000 | 0.000 |
| 38.019 | 38.019 | 225.940 | 0.000 | -0.000 | 0.000 |
| 0.000 | 0.000 | -0.000 | 23.782 | -0.000 | 0.000 |
| -0.000 | -0.000 | -0.000 | 0.000 | 23.760 | 0.000 |
| 0.000 | 0.000 | 0.000 | 0.000 | -0.000 | 55.953 |
| 134.093 | 117.932 | 37.999 | -0.000 | 0.000 | -0.000 |
| 128.389 | 124.151 | 38.016 | 0.000 | 0.000 | -0.000 |
| 38.019 | 38.019 | 225.940 | -0.000 | 0.000 | -0.000 |
| -0.000 | -0.000 | 0.000 | 23.782 | 0.000 | -0.000 |
| 0.000 | 0.000 | 0.000 | -0.000 | 23.760 | -0.000 |
| -0.000 | -0.000 | -0.000 | -0.000 | 0.000 | 55.953 |
| 176.918 | 67.551 | 36.607 | -0.000 | -0.000 | -0.000 |
| 116.656 | 127.351 | 36.601 | -0.000 | 0.000 | -0.000 |
| 36.143 | 36.143 | 224.050 | -0.000 | 0.000 | -0.000 |
| 0.000 | -0.000 | 0.000 | 22.976 | -0.000 | -0.000 |
| 0.000 | 0.000 | 0.000 | -0.000 | 22.976 | -0.000 |
| -0.005 | -0.005 | -0.000 | -0.000 | 0.000 | 3.990 |
| 127.245 | 116.783 | 36.601 | 0.000 | -0.000 | 0.000 |
| 116.783 | 127.245 | 36.601 | 0.000 | -0.000 | 0.000 |
| 36.145 | 36.145 | 224.050 | 0.000 | 0.000 | 0.000 |
| 0.000 | -0.000 | -0.000 | 22.976 | -0.000 | 0.000 |
| -0.000 | 0.000 | -0.000 | 0.000 | 22.976 | 0.000 |
| 0.005 | 0.005 | 0.000 | 0.000 | -0.000 | 3.990 |
| 127.303 | 116.714 | 36.601 | -0.000 | 0.000 | -0.000 |
| 67.551 | 176.918 | 36.607 | -0.000 | -0.000 | -0.000 |
| 36.144 | 36.144 | 224.050 | -0.000 | -0.000 | -0.000 |
| 0.000 | 0.000 | -0.000 | 22.976 | 0.000 | -0.000 |
| -0.000 | -0.000 | -0.000 | -0.000 | 22.948 | -0.000 |
| 0.000 | 0.000 | 0.000 | -0.000 | 0.000 | -7.344 |
| 176.918 | 67.551 | 36.607 | 0.000 | 0.000 | 0.000 |
| 127.619 | 116.783 | 36.606 | 0.000 | -0.000 | 0.000 |
| 36.144 | 36.144 | 224.050 | 0.000 | 0.000 | 0.000 |
| -0.000 | -0.000 | 0.000 | 22.976 | -0.000 | 0.000 |
| 0.000 | 0.000 | 0.000 | 0.000 | 22.948 | 0.000 |
| -0.000 | -0.000 | -0.000 | 0.000 | -0.000 | -7.344 |
| 176.919 | 67.551 | 36.608 | -0.000 | 0.000 | -0.000 |
| 116.720 | 127.299 | 36.601 | -0.000 | 0.000 | -0.000 |
| 36.145 | 36.145 | 224.050 | -0.000 | 0.000 | -0.000 |
| 0.000 | 0.000 | -0.000 | 22.976 | 0.000 | -0.000 |
| -0.000 | 0.000 | -0.000 | -0.000 | 22.948 | -0.000 |
| 0.000 | 0.000 | 0.000 | -0.000 | 0.000 | 3.989 |
| 127.295 | 116.720 | 36.601 | 0.000 | -0.000 | 0.000 |
| 116.720 | 127.295 | 36.601 | 0.000 | -0.000 | 0.000 |
| 36.145 | 36.145 | 224.050 | 0.000 | -0.000 | 0.000 |
| -0.000 | -0.000 | 0.000 | 22.976 | 0.000 | 0.000 |
| 0.000 | -0.000 | 0.000 | 0.000 | 22.948 | 0.000 |
| -0.000 | -0.000 | -0.000 | 0.000 | -0.000 | 3.989 |
| 6.801 | 74.879 | 146.867 | -0.000 | 0.000 | -0.000 |
| 45.372 | 145.102 | 74.039 | -0.000 | -0.000 | -0.000 |
| 52.737 | 9.413 | 235.624 | -0.000 | -0.000 | -0.000 |
| 0.000 | -0.000 | 0.000 | -17.332 | -0.000 | -0.000 |
| -13.151 | 15.136 | 79.842 | -0.000 | 54.716 | -0.000 |
| -0.000 | 0.000 | 0.000 | -0.000 | -0.000 | 48.609 |
| 37.859 | 46.958 | -9.387 | 0.000 | 0.000 | 0.000 |
| 61.057 | 131.242 | -3.880 | 0.000 | 0.000 | 0.000 |
| 80.967 | -19.905 | 77.335 | 0.000 | 0.000 | -0.000 |
| -0.000 | 0.000 | 0.000 | -17.332 | 0.000 | 0.000 |
| 13.151 | -15.136 | -79.842 | 0.000 | 54.716 | 0.000 |
| -0.000 | -0.000 | -0.000 | 0.000 | 0.000 | 48.609 |
| 20.774 | 62.317 | 76.566 | -0.000 | -0.000 | -0.000 |
| 61.057 | 131.242 | -3.880 | -0.000 | 0.000 | -0.000 |
| 68.427 | -4.343 | 158.126 | -0.000 | -0.000 | -0.000 |
| -0.000 | 0.000 | 0.000 | -17.332 | -0.000 | -0.000 |
| -1.555 | 1.398 | 7.821 | -0.000 | 55.250 | -0.000 |
| -0.000 | -0.000 | -0.000 | -0.000 | -0.000 | 48.609 |
| 22.847 | 59.011 | 60.185 | 0.000 | 0.000 | 0.000 |
| 62.454 | 129.745 | -11.902 | 0.000 | 0.000 | 0.000 |
| 68.427 | -4.343 | 158.126 | 0.000 | 0.000 | 0.000 |
| 0.000 | -0.000 | -0.000 | -17.332 | 0.000 | -0.000 |
| 1.555 | -1.398 | -7.821 | 0.000 | 55.250 | 0.000 |
| 0.000 | 0.000 | 0.000 | 0.000 | 0.000 | 48.609 |
| 22.106 | 61.057 | 69.607 | -0.000 | -0.000 | -0.000 |
| 61.057 | 131.241 | -3.880 | -0.000 | -0.000 | 0.000 |
| 68.427 | -4.343 | 158.125 | -0.000 | -0.000 | -0.000 |
| -0.079 | 0.193 | 0.899 | -18.267 | -0.000 | -0.000 |
| -0.000 | -0.000 | -0.000 | -0.000 | 55.421 | -0.000 |
| -0.000 | -0.000 | -0.000 | -0.000 | -0.000 | 48.609 |
| 21.651 | 60.367 | 67.361 | 0.000 | 0.000 | 0.000 |
| 61.057 | 131.243 | -3.880 | 0.000 | 0.000 | 0.000 |
| 68.419 | -4.700 | 156.666 | 0.000 | 0.000 | 0.000 |
| 0.079 | -0.193 | -0.899 | -18.267 | 0.000 | 0.000 |
| 0.000 | 0.000 | 0.000 | 0.000 | 55.421 | 0.000 |
| 0.000 | 0.000 | 0.000 | 0.000 | 0.000 | 48.609 |
| 1445.495 | 24.524 | 24.525 | 0.000 | 0.000 | -0.000 |
| 24.524 | 1445.495 | 24.525 | 0.000 | 0.000 | -0.000 |
| 24.524 | 24.524 | 1445.495 | 0.000 | -0.000 | -0.000 |
| -0.000 | 0.000 | 0.000 | 7.338 | -0.000 | -0.000 |
| 0.000 | 0.000 | 0.000 | 0.000 | 7.338 | -0.000 |
| -0.000 | -0.000 | 0.000 | 0.000 | 0.000 | 7.338 |
| 1445.495 | 24.524 | 24.524 | 0.000 | -0.000 | 0.000 |
| 24.524 | 1445.495 | 24.524 | 0.000 | -0.000 | 0.000 |
| 24.524 | 24.524 | 1445.495 | -0.000 | -0.000 | 0.000 |
| -0.000 | 0.000 | -0.000 | 7.338 | -0.000 | 0.000 |
| 0.000 | -0.000 | -0.000 | -0.000 | 7.338 | 0.000 |
| 0.000 | 0.000 | -0.000 | -0.000 | -0.000 | 7.338 |
| 1445.497 | 24.524 | 24.524 | -0.000 | 0.000 | -0.000 |
| 24.524 | 1445.497 | 24.524 | -0.000 | 0.000 | -0.000 |
| 24.524 | 24.524 | 1445.497 | -0.000 | -0.000 | -0.000 |
| -0.000 | 0.000 | -0.000 | 7.338 | 0.000 | -0.000 |
| 0.000 | 0.000 | -0.000 | 0.000 | 7.338 | -0.000 |
| 0.000 | -0.000 | 0.000 | 0.000 | 0.000 | 7.338 |
| 1445.493 | 24.524 | 24.524 | -0.000 | -0.000 | 0.000 |
| 24.524 | 1445.493 | 24.524 | -0.000 | -0.000 | 0.000 |
| 24.524 | 24.524 | 1445.493 | 0.000 | 0.000 | 0.000 |
| 0.000 | -0.000 | 0.000 | 7.338 | -0.000 | 0.000 |
| -0.000 | -0.000 | 0.000 | -0.000 | 7.338 | 0.000 |
| -0.000 | 0.000 | -0.000 | -0.000 | -0.000 | 7.338 |
| 1445.514 | 24.525 | 24.525 | 0.000 | 0.000 | -0.000 |
| 24.525 | 1445.514 | 24.525 | -0.000 | -0.000 | -0.000 |
| 24.525 | 24.525 | 1445.514 | -0.000 | 0.000 | -0.000 |
| -0.000 | 0.000 | -0.000 | 7.338 | 0.000 | -0.000 |
| 0.000 | -0.000 | -0.000 | 0.000 | 7.338 | -0.000 |
| 0.000 | -0.000 | -0.000 | 0.000 | 0.000 | 7.338 |
| 1445.477 | 24.524 | 24.524 | -0.000 | -0.000 | 0.000 |
| 24.524 | 1445.477 | 24.524 | -0.000 | 0.000 | 0.000 |
| 24.524 | 24.524 | 1445.477 | -0.000 | -0.000 | 0.000 |
| 0.000 | -0.000 | 0.000 | 7.338 | -0.000 | 0.000 |
| -0.000 | 0.000 | 0.000 | -0.000 | 7.338 | 0.000 |
| -0.000 | 0.000 | 0.000 | -0.000 | -0.000 | 7.338 |
| 446.303 | 395.422 | 395.422 | -0.000 | -0.000 | -0.000 |
| 395.422 | 446.303 | 395.422 | -0.000 | 0.000 | -0.000 |
| 395.422 | 395.422 | 446.303 | -0.000 | 0.000 | 0.000 |
| 0.000 | 0.000 | 0.000 | 358.218 | -0.000 | -0.000 |
| 0.000 | 0.000 | 0.000 | -0.000 | 358.218 | 0.000 |
| 0.000 | 0.000 | 0.000 | -0.000 | 0.000 | 358.218 |
| 446.303 | 395.422 | 395.422 | 0.000 | -0.000 | 0.000 |
| 395.422 | 446.303 | 395.422 | 0.000 | 0.000 | -0.000 |
| 395.422 | 395.422 | 446.303 | 0.000 | -0.000 | 0.000 |
| -0.000 | -0.000 | -0.000 | 358.218 | 0.000 | -0.000 |
| -0.000 | -0.000 | -0.000 | 0.000 | 358.218 | 0.000 |
| -0.000 | -0.000 | -0.000 | 0.000 | -0.000 | 358.218 |
| 446.303 | 395.422 | 395.422 | -0.000 | 0.000 | 0.000 |
| 395.422 | 446.303 | 395.422 | -0.000 | -0.000 | 0.000 |
| 395.422 | 395.422 | 446.303 | -0.000 | 0.000 | -0.000 |
| 0.000 | 0.000 | 0.000 | 358.218 | -0.000 | -0.000 |
| 0.000 | 0.000 | 0.000 | -0.000 | 358.218 | 0.000 |
| 0.000 | 0.000 | 0.000 | -0.000 | -0.000 | 358.218 |
| 446.302 | 395.422 | 395.422 | 0.000 | 0.000 | -0.000 |
| 395.422 | 446.302 | 395.422 | 0.000 | -0.000 | -0.000 |
| 395.422 | 395.422 | 446.302 | 0.000 | -0.000 | 0.000 |
| -0.000 | -0.000 | -0.000 | 358.218 | 0.000 | 0.000 |
| -0.000 | -0.000 | -0.000 | 0.000 | 358.218 | -0.000 |
| -0.000 | -0.000 | -0.000 | 0.000 | -0.000 | 358.218 |
| 446.307 | 395.426 | 395.426 | -0.000 | 0.000 | -0.000 |
| 395.426 | 446.307 | 395.426 | -0.000 | -0.000 | -0.000 |
| 395.426 | 395.426 | 446.307 | -0.000 | -0.000 | 0.000 |
| 0.003 | 0.002 | 0.003 | 358.218 | -0.000 | -0.000 |
| 0.002 | 0.003 | 0.003 | -0.000 | 358.218 | -0.000 |
| 0.002 | 0.003 | 0.003 | -0.000 | 0.000 | 358.218 |
| 446.299 | 395.418 | 395.418 | 0.000 | 0.000 | 0.000 |
| 395.418 | 446.299 | 395.418 | 0.000 | 0.000 | 0.000 |
| 395.418 | 395.418 | 446.299 | 0.000 | 0.000 | 0.000 |
| -0.003 | -0.002 | -0.003 | 358.218 | 0.000 | -0.000 |
| -0.002 | -0.003 | -0.003 | 0.000 | 358.218 | -0.000 |
| -0.002 | -0.003 | -0.003 | 0.000 | 0.000 | 358.218 |
| 83.383 | 102.805 | 102.805 | -0.000 | -0.000 | -0.000 |
| 102.805 | 83.383 | 102.805 | -0.000 | -0.000 | -0.000 |
| 102.805 | 102.805 | 83.383 | -0.000 | -0.000 | -0.000 |
| 0.000 | -0.000 | -0.000 | -20.492 | -0.000 | -0.000 |
| -0.000 | -0.000 | -0.000 | -0.000 | -20.492 | -0.000 |
| -0.000 | -0.000 | 0.000 | -0.000 | -0.000 | -20.492 |
| 83.383 | 102.805 | 102.805 | 0.000 | 0.000 | 0.000 |
| 102.805 | 83.383 | 102.805 | 0.000 | 0.000 | 0.000 |
| 102.805 | 102.805 | 83.383 | 0.000 | 0.000 | 0.000 |
| -0.000 | 0.000 | 0.000 | -20.492 | 0.000 | 0.000 |
| 0.000 | 0.000 | 0.000 | 0.000 | -20.492 | 0.000 |
| 0.000 | 0.000 | 0.000 | 0.000 | 0.000 | -20.492 |
| 83.383 | 102.805 | 102.805 | -0.000 | -0.000 | -0.000 |
| 102.805 | 83.383 | 102.805 | -0.000 | -0.000 | -0.000 |
| 102.805 | 102.805 | 83.383 | -0.000 | -0.000 | -0.000 |
| -0.000 | -0.000 | -0.000 | -20.492 | -0.000 | -0.000 |
| -0.000 | -0.000 | -0.000 | -0.000 | -20.492 | -0.000 |
| -0.000 | -0.000 | -0.000 | -0.000 | -0.000 | -20.492 |
| 83.383 | 102.805 | 102.805 | 0.000 | 0.000 | 0.000 |
| 102.805 | 83.383 | 102.805 | 0.000 | 0.000 | 0.000 |
| 102.805 | 102.805 | 83.383 | 0.000 | 0.000 | 0.000 |
| 0.000 | 0.000 | 0.000 | -20.492 | 0.000 | 0.000 |
| 0.000 | 0.000 | 0.000 | 0.000 | -20.492 | 0.000 |
| 0.000 | 0.000 | 0.000 | 0.000 | 0.000 | -20.492 |
| 83.383 | 102.806 | 102.806 | -0.000 | -0.000 | -0.000 |
| 102.806 | 83.383 | 102.806 | -0.000 | -0.000 | -0.000 |
| 102.806 | 102.806 | 83.383 | -0.000 | -0.000 | -0.000 |
| -0.000 | -0.000 | -0.000 | -20.492 | -0.000 | -0.000 |
| -0.000 | -0.000 | -0.000 | -0.000 | -20.492 | -0.000 |
| -0.000 | -0.000 | -0.000 | -0.000 | -0.000 | -20.492 |
| 83.382 | 102.804 | 102.804 | 0.000 | 0.000 | 0.000 |
| 102.804 | 83.382 | 102.804 | 0.000 | 0.000 | 0.000 |
| 102.804 | 102.804 | 83.382 | 0.000 | 0.000 | 0.000 |
| 0.000 | 0.000 | 0.000 | -20.492 | 0.000 | 0.000 |
| 0.000 | 0.000 | 0.000 | 0.000 | -20.492 | 0.000 |
| 0.000 | 0.000 | 0.000 | 0.000 | 0.000 | -20.492 |
| 402.665 | 208.016 | 436.102 | -0.000 | -0.000 | -0.000 |
| 208.016 | 402.665 | 436.102 | 0.000 | -0.000 | -0.000 |
| 436.102 | 436.102 | 821.087 | -0.000 | -0.000 | 0.000 |
| 0.000 | 0.000 | 0.000 | 394.350 | 0.000 | -0.000 |
| 0.000 | 0.000 | 0.000 | -0.000 | 394.350 | -0.000 |
| 0.000 | 0.000 | 0.000 | 0.000 | -0.000 | 166.853 |
| 402.665 | 208.016 | 436.102 | -0.000 | 0.000 | -0.000 |
| 208.016 | 402.665 | 436.102 | 0.000 | 0.000 | 0.000 |
| 436.102 | 436.102 | 821.087 | 0.000 | -0.000 | 0.000 |
| -0.000 | -0.000 | -0.000 | 394.350 | -0.000 | -0.000 |
| -0.000 | -0.000 | -0.000 | 0.000 | 394.350 | 0.000 |
| -0.000 | -0.000 | -0.000 | -0.000 | 0.000 | 166.853 |
| 402.666 | 208.017 | 436.103 | -0.000 | -0.000 | -0.000 |
| 208.017 | 402.666 | 436.103 | -0.000 | -0.000 | 0.000 |
| 436.103 | 436.103 | 821.088 | -0.000 | -0.000 | -0.000 |
| 0.000 | 0.000 | 0.001 | 394.350 | -0.000 | -0.000 |
| 0.000 | 0.000 | 0.001 | -0.000 | 394.350 | -0.000 |
| 0.000 | 0.000 | 0.000 | 0.000 | -0.000 | 166.853 |
| 402.665 | 208.016 | 436.102 | 0.000 | 0.000 | 0.000 |
| 208.016 | 402.665 | 436.102 | 0.000 | -0.000 | 0.000 |
| 436.102 | 436.102 | 821.086 | 0.000 | 0.000 | 0.000 |
| -0.000 | -0.000 | -0.001 | 394.350 | -0.000 | -0.000 |
| -0.000 | -0.000 | -0.001 | -0.000 | 394.350 | 0.000 |
| -0.000 | -0.000 | -0.000 | -0.000 | 0.000 | 166.853 |
| 402.668 | 208.019 | 436.106 | -0.000 | 0.000 | -0.000 |
| 208.019 | 402.668 | 436.106 | -0.000 | 0.000 | -0.000 |
| 436.108 | 436.108 | 821.096 | 0.000 | -0.000 | -0.000 |
| 0.003 | 0.002 | 0.005 | 394.350 | 0.000 | -0.000 |
| 0.002 | 0.003 | 0.005 | -0.000 | 394.350 | -0.000 |
| 0.002 | 0.002 | 0.003 | -0.000 | -0.000 | 166.853 |
| 402.663 | 208.014 | 436.099 | -0.000 | 0.000 | -0.000 |
| 208.014 | 402.663 | 436.099 | 0.000 | 0.000 | -0.000 |
| 436.096 | 436.096 | 821.078 | 0.000 | 0.000 | 0.000 |
| -0.003 | -0.002 | -0.005 | 394.350 | 0.000 | -0.000 |
| -0.002 | -0.003 | -0.005 | 0.000 | 394.350 | 0.000 |
| -0.002 | -0.002 | -0.003 | 0.000 | 0.000 | 166.853 |
| 253.165 | 68.537 | 217.163 | 0.000 | 0.000 | 0.000 |
| 68.537 | 215.940 | 24.357 | -0.000 | 0.000 | 0.000 |
| 217.163 | 24.357 | 525.748 | 0.000 | 0.000 | 0.000 |
| -0.000 | 0.000 | -0.000 | 5.347 | 0.000 | 0.000 |
| 0.000 | 0.000 | 0.000 | -0.000 | 197.948 | 0.000 |
| -0.000 | 0.000 | -0.000 | -0.000 | 0.000 | 43.970 |
| 253.165 | 68.537 | 217.163 | 0.000 | -0.000 | 0.000 |
| 68.537 | 215.940 | 24.357 | 0.000 | -0.000 | -0.000 |
| 217.163 | 24.357 | 525.747 | -0.000 | -0.000 | -0.000 |
| 0.000 | 0.000 | 0.000 | 5.347 | -0.000 | -0.000 |
| -0.000 | -0.000 | -0.000 | 0.000 | 197.948 | -0.000 |
| 0.000 | 0.000 | 0.000 | 0.000 | -0.000 | 43.970 |
| 253.165 | 68.537 | 217.163 | 0.000 | 0.000 | 0.000 |
| 68.537 | 215.940 | 24.357 | 0.000 | 0.000 | 0.000 |
| 217.163 | 24.357 | 525.749 | 0.000 | 0.000 | 0.000 |
| -0.000 | -0.000 | -0.000 | 5.347 | 0.000 | 0.000 |
| 0.000 | -0.000 | 0.001 | 0.000 | 197.948 | 0.000 |
| -0.000 | -0.000 | -0.000 | -0.000 | 0.000 | 43.970 |
| 253.165 | 68.537 | 217.162 | -0.000 | -0.000 | -0.000 |
| 68.537 | 215.940 | 24.357 | -0.000 | -0.000 | 0.000 |
| 217.162 | 24.357 | 525.746 | -0.000 | 0.000 | -0.000 |
| 0.000 | 0.000 | 0.000 | 5.347 | -0.000 | -0.000 |
| -0.000 | 0.000 | -0.001 | 0.000 | 197.948 | -0.000 |
| 0.000 | 0.000 | 0.000 | 0.000 | -0.000 | 43.970 |
| 253.166 | 68.537 | 217.165 | -0.000 | 0.000 | 0.000 |
| 68.537 | 215.940 | 24.357 | -0.000 | 0.000 | 0.000 |
| 217.169 | 24.357 | 525.762 | 0.000 | 0.000 | 0.000 |
| -0.000 | -0.000 | -0.000 | 5.347 | -0.000 | 0.000 |
| 0.002 | -0.000 | 0.006 | 0.000 | 197.948 | 0.000 |
| -0.000 | -0.000 | -0.000 | 0.000 | 0.000 | 43.970 |
| 253.164 | 68.537 | 217.160 | 0.000 | -0.000 | -0.000 |
| 68.537 | 215.940 | 24.357 | -0.000 | 0.000 | -0.000 |
| 217.156 | 24.357 | 525.733 | 0.000 | -0.000 | -0.000 |
| 0.000 | 0.000 | 0.000 | 5.347 | 0.000 | -0.000 |
| -0.002 | 0.000 | -0.006 | -0.000 | 197.948 | -0.000 |
| 0.000 | 0.000 | 0.000 | -0.000 | -0.000 | 43.970 |
| 814.667 | 293.998 | 146.280 | 0.000 | 0.000 | -0.000 |
| 104.427 | 264.254 | 292.298 | 0.000 | 0.000 | -0.000 |
| 146.280 | 345.380 | 934.598 | 0.000 | 0.000 | 0.000 |
| -0.000 | -0.000 | -0.000 | 232.511 | -0.000 | -0.000 |
| -0.000 | -0.000 | -0.000 | 0.000 | 65.782 | -0.000 |
| 0.000 | -0.000 | -0.000 | 0.000 | -0.000 | 252.241 |
| 529.476 | 104.427 | 95.798 | -0.000 | -0.000 | 0.000 |
| 104.427 | 264.255 | 292.298 | -0.000 | -0.000 | 0.000 |
| 95.799 | 292.298 | 892.517 | -0.000 | 0.000 | 0.000 |
| 0.000 | 0.000 | 0.000 | 232.511 | 0.000 | -0.000 |
| 0.000 | 0.000 | 0.000 | -0.000 | 65.782 | 0.000 |
| -0.000 | 0.000 | 0.000 | -0.000 | 0.000 | 252.241 |
| 529.475 | 104.427 | 95.798 | 0.000 | 0.000 | 0.000 |
| 104.427 | 264.255 | 292.299 | 0.000 | 0.000 | -0.000 |
| 95.798 | 292.299 | 892.519 | -0.000 | -0.000 | -0.000 |
| 0.000 | 0.000 | 0.001 | 232.511 | -0.000 | -0.000 |
| -0.000 | -0.000 | -0.000 | 0.000 | 59.413 | -0.000 |
| 0.000 | 0.000 | -0.000 | -0.000 | -0.000 | 252.241 |
| 529.476 | 104.427 | 95.798 | -0.000 | -0.000 | 0.000 |
| 104.427 | 264.254 | 292.298 | -0.000 | -0.000 | 0.000 |
| 95.798 | 292.298 | 892.515 | -0.000 | 0.000 | 0.000 |
| -0.000 | -0.000 | -0.001 | 232.511 | 0.000 | 0.000 |
| 0.000 | 0.000 | 0.000 | -0.000 | 59.413 | 0.000 |
| -0.000 | -0.000 | 0.000 | 0.000 | 0.000 | 252.241 |
| 529.473 | 104.426 | 95.799 | -0.000 | 0.000 | -0.000 |
| 104.426 | 264.256 | 292.303 | -0.000 | 0.000 | -0.000 |
| 95.799 | 292.307 | 892.537 | -0.000 | -0.000 | -0.000 |
| 0.000 | 0.003 | 0.008 | 232.511 | -0.000 | 0.000 |
| 0.000 | -0.000 | -0.000 | 0.000 | 59.413 | -0.000 |
| 0.003 | 0.001 | -0.000 | -0.000 | -0.000 | 252.241 |
| 529.478 | 104.428 | 95.798 | -0.000 | -0.000 | 0.000 |
| 104.428 | 264.253 | 292.294 | 0.000 | -0.000 | 0.000 |
| 95.798 | 292.289 | 892.496 | 0.000 | 0.000 | 0.000 |
| -0.000 | -0.003 | -0.008 | 232.511 | 0.000 | 0.000 |
| -0.000 | 0.000 | 0.000 | -0.000 | 59.413 | 0.000 |
| -0.003 | -0.001 | 0.000 | 0.000 | 0.000 | 252.241 |
| 538.821 | 108.222 | 90.635 | -0.000 | 0.000 | 0.000 |
| 115.150 | 263.268 | 274.936 | -0.000 | -0.000 | 0.000 |
| 105.964 | 283.337 | 856.391 | -0.000 | -0.000 | 0.000 |
| 6.644 | 1.968 | -3.135 | 219.013 | 0.000 | 0.000 |
| 2.437 | -1.089 | -4.270 | -0.000 | 65.453 | 0.000 |
| 2.634 | -1.177 | -4.613 | -0.000 | 0.000 | 244.951 |
| 601.237 | 182.997 | 158.126 | 0.000 | 0.000 | 0.000 |
| 285.120 | 393.815 | 332.859 | 0.000 | -0.000 | -0.000 |
| 139.002 | 310.222 | 870.250 | 0.000 | -0.000 | -0.000 |
| -6.644 | -1.968 | 3.135 | 219.013 | -0.000 | -0.000 |
| -2.437 | 1.089 | 4.270 | 0.000 | 65.453 | -0.000 |
| -2.634 | 1.177 | 4.613 | 0.000 | -0.000 | 244.951 |
| 526.702 | 102.261 | 92.270 | -0.000 | -0.000 | 0.000 |
| 238.081 | 336.895 | 281.021 | -0.000 | -0.000 | 0.000 |
| 93.845 | 277.377 | 858.027 | -0.000 | -0.000 | 0.000 |
| 0.661 | 0.216 | -0.277 | 219.173 | 0.000 | 0.000 |
| 2.005 | 1.165 | 0.038 | -0.000 | 59.057 | 0.000 |
| 0.264 | -0.117 | -0.461 | -0.000 | -0.000 | 244.951 |
| 524.009 | 100.936 | 92.633 | 0.000 | 0.000 | -0.000 |
| 100.338 | 255.982 | 276.934 | 0.000 | -0.000 | -0.000 |
| 142.782 | 332.819 | 905.456 | -0.000 | -0.000 | -0.000 |
| -0.661 | -0.216 | 0.277 | 219.173 | -0.000 | -0.000 |
| -2.005 | -1.165 | -0.038 | 0.000 | 59.057 | -0.000 |
| -0.264 | 0.117 | 0.461 | 0.000 | 0.000 | 244.951 |
| 525.489 | 101.664 | 92.434 | -0.000 | -0.000 | 0.000 |
| 101.818 | 256.713 | 276.739 | -0.000 | 0.000 | 0.000 |
| 92.633 | 276.789 | 858.210 | -0.000 | -0.000 | 0.000 |
| 0.095 | 0.042 | -0.018 | 219.173 | -0.000 | 0.000 |
| 0.201 | 0.117 | 0.003 | -0.000 | 59.053 | 0.000 |
| 0.032 | -0.009 | -0.046 | -0.000 | 0.000 | 244.951 |
| 525.221 | 101.533 | 92.469 | 0.000 | -0.000 | -0.000 |
| 101.550 | 256.577 | 276.766 | 0.000 | -0.000 | -0.000 |
| 92.363 | 276.638 | 858.204 | 0.000 | 0.000 | -0.000 |
| -0.095 | -0.042 | 0.018 | 219.173 | 0.000 | 0.000 |
| -0.201 | -0.117 | -0.003 | 0.000 | 59.053 | -0.000 |
| -0.032 | 0.009 | 0.046 | 0.000 | -0.000 | 244.951 |
| 190.440 | 68.313 | 33.408 | -0.000 | -0.000 | -0.000 |
| 104.717 | 74.213 | 111.026 | 0.000 | 0.000 | 0.000 |
| 33.730 | 33.730 | 221.514 | -0.000 | -0.000 | 0.000 |
| -0.006 | -0.006 | 0.011 | -12.767 | 0.000 | -0.000 |
| -0.006 | -0.006 | 0.011 | -0.000 | -12.767 | 0.000 |
| -0.006 | -0.006 | 0.011 | 0.000 | 0.000 | -15.041 |
| 190.440 | 68.313 | 33.408 | 0.000 | 0.000 | -0.000 |
| 68.313 | 190.440 | 33.408 | -0.000 | 0.000 | -0.000 |
| 111.755 | 111.755 | 69.778 | -0.000 | -0.000 | 0.000 |
| 0.006 | 0.006 | -0.011 | -12.767 | -0.000 | 0.000 |
| 0.006 | 0.006 | -0.011 | -0.000 | -12.767 | -0.000 |
| 0.006 | 0.006 | -0.011 | 0.000 | -0.000 | -15.041 |
| 190.440 | 68.313 | 33.408 | 0.000 | -0.000 | 0.000 |
| 104.722 | 74.216 | 111.017 | -0.000 | 0.000 | -0.000 |
| 111.752 | 111.752 | 69.784 | 0.000 | 0.000 | -0.000 |
| -0.001 | -0.001 | 0.001 | -12.767 | 0.000 | -0.000 |
| 0.000 | 0.000 | -0.000 | -0.000 | 26.544 | -0.000 |
| -0.001 | -0.001 | 0.001 | -0.000 | 0.000 | -15.041 |
| 190.440 | 68.313 | 33.408 | -0.000 | 0.000 | -0.000 |
| 104.264 | 74.219 | 111.459 | -0.000 | -0.000 | 0.000 |
| 111.790 | 111.790 | 69.710 | -0.000 | -0.000 | 0.000 |
| 0.001 | 0.001 | -0.001 | -12.767 | -0.000 | 0.000 |
| -0.000 | -0.000 | 0.000 | 0.000 | 26.544 | -0.000 |
| 0.001 | 0.001 | -0.001 | 0.000 | -0.000 | -15.041 |
| 74.187 | 104.252 | 111.504 | 0.000 | -0.000 | -0.000 |
| 104.731 | 74.193 | 111.032 | 0.000 | 0.000 | 0.000 |
| 111.750 | 111.750 | 69.788 | 0.000 | 0.000 | -0.000 |
| -0.000 | -0.000 | -0.000 | -12.767 | 0.000 | -0.000 |
| -0.000 | -0.000 | -0.000 | -0.000 | -12.767 | 0.000 |
| -0.001 | -0.000 | 0.000 | 0.000 | 0.000 | -15.041 |
| 74.219 | 104.722 | 111.014 | -0.000 | -0.000 | 0.000 |
| 104.713 | 74.245 | 110.997 | -0.000 | -0.000 | 0.000 |
| 111.749 | 111.749 | 69.788 | -0.000 | -0.000 | 0.000 |
| 0.000 | 0.000 | 0.000 | -12.767 | -0.000 | -0.000 |
| 0.000 | 0.000 | 0.000 | 0.000 | -12.767 | -0.000 |
| 0.001 | 0.000 | -0.000 | -0.000 | -0.000 | -15.041 |
| 360.947 | 142.995 | 331.499 | 0.000 | 0.000 | 0.000 |
| 203.151 | 300.792 | 331.499 | 0.000 | 0.000 | 0.000 |
| 331.499 | 331.499 | 1045.300 | 0.000 | 0.000 | 0.000 |
| 0.000 | 0.000 | 0.000 | 300.272 | 0.000 | 0.000 |
| 0.000 | 0.000 | 0.000 | 0.000 | 300.272 | 0.000 |
| 0.000 | -0.000 | 0.000 | 0.000 | 0.000 | 48.821 |
| 360.947 | 142.995 | 331.499 | -0.000 | -0.000 | 0.000 |
| 203.151 | 300.792 | 331.499 | -0.000 | -0.000 | -0.000 |
| 331.499 | 331.499 | 1045.300 | -0.000 | -0.000 | -0.000 |
| -0.000 | -0.000 | -0.000 | 300.272 | -0.000 | -0.000 |
| -0.000 | -0.000 | -0.000 | -0.000 | 300.272 | -0.000 |
| -0.000 | 0.000 | -0.000 | -0.000 | -0.000 | 48.821 |
| 300.792 | 203.150 | 331.499 | 0.000 | 0.000 | 0.000 |
| 203.151 | 300.792 | 331.499 | 0.000 | 0.000 | 0.000 |
| 331.500 | 331.500 | 1045.302 | 0.000 | 0.000 | -0.000 |
| 0.000 | 0.000 | 0.001 | 300.272 | 0.000 | 0.000 |
| 0.000 | 0.000 | 0.001 | 0.000 | 300.272 | 0.000 |
| 0.000 | 0.000 | 0.000 | 0.000 | 0.000 | 108.976 |
| 300.791 | 203.151 | 331.499 | -0.000 | -0.000 | -0.000 |
| 203.150 | 300.792 | 331.499 | -0.000 | -0.000 | -0.000 |
| 331.498 | 331.498 | 1045.298 | -0.000 | -0.000 | 0.000 |
| -0.000 | -0.000 | -0.001 | 300.272 | -0.000 | -0.000 |
| -0.000 | -0.000 | -0.001 | -0.000 | 300.272 | -0.000 |
| -0.000 | -0.000 | -0.000 | -0.000 | -0.000 | 108.976 |
| 300.797 | 203.148 | 331.501 | 0.000 | 0.000 | 0.000 |
| 203.115 | 300.830 | 331.501 | 0.000 | 0.000 | 0.000 |
| 331.505 | 331.505 | 1045.317 | 0.000 | 0.000 | -0.000 |
| 0.002 | 0.001 | 0.005 | 300.272 | 0.000 | 0.000 |
| 0.001 | 0.002 | 0.005 | 0.000 | 300.272 | 0.000 |
| 0.000 | 0.000 | 0.001 | 0.000 | 0.000 | 108.976 |
| 300.787 | 203.153 | 331.497 | -0.000 | -0.000 | -0.000 |
| 203.186 | 300.754 | 331.497 | -0.000 | -0.000 | -0.000 |
| 331.493 | 331.493 | 1045.282 | -0.000 | -0.000 | -0.000 |
| -0.002 | -0.001 | -0.005 | 300.272 | -0.000 | -0.000 |
| -0.001 | -0.002 | -0.005 | -0.000 | 300.272 | -0.000 |
| -0.000 | -0.000 | -0.001 | -0.000 | -0.000 | 108.976 |
| 348.421 | 138.610 | 316.267 | -120.947 | 0.000 | -0.000 |
| 138.610 | 348.421 | 316.267 | 120.947 | 0.000 | -0.000 |
| 316.267 | 316.267 | 1193.283 | -0.000 | 0.000 | -0.000 |
| -120.947 | 120.947 | 0.000 | 285.430 | 0.000 | -0.000 |
| 0.000 | 0.000 | 0.000 | -0.000 | 285.430 | -120.947 |
| 0.000 | -0.000 | 0.000 | -0.000 | -120.947 | 104.905 |
| 348.421 | 138.610 | 316.267 | -120.947 | -0.000 | 0.000 |
| 138.610 | 348.421 | 316.267 | 120.947 | -0.000 | 0.000 |
| 316.267 | 316.267 | 1193.283 | -0.000 | -0.000 | 0.000 |
| -120.947 | 120.947 | -0.000 | 285.430 | -0.000 | 0.000 |
| -0.000 | -0.000 | -0.000 | 0.000 | 285.430 | -120.947 |
| -0.000 | 0.000 | -0.000 | 0.000 | -120.947 | 104.905 |
| 348.421 | 138.610 | 316.267 | -120.947 | 0.000 | -0.000 |
| 138.610 | 348.421 | 316.267 | 120.947 | 0.000 | -0.000 |
| 316.268 | 316.268 | 1193.285 | -0.000 | 0.000 | -0.000 |
| -120.947 | 120.947 | 0.001 | 285.430 | 0.000 | -0.000 |
| 0.000 | 0.000 | 0.001 | -0.000 | 285.430 | -120.947 |
| 0.000 | 0.000 | 0.000 | -0.000 | -120.947 | 104.905 |
| 348.421 | 138.610 | 316.267 | -120.947 | -0.000 | 0.000 |
| 138.610 | 348.421 | 316.267 | 120.947 | -0.000 | 0.000 |
| 316.266 | 316.266 | 1193.281 | -0.000 | -0.000 | 0.000 |
| -120.947 | 120.947 | -0.001 | 285.430 | -0.000 | 0.000 |
| -0.000 | -0.000 | -0.001 | 0.000 | 285.430 | -120.947 |
| -0.000 | -0.000 | -0.000 | 0.000 | -120.947 | 104.905 |
| 348.422 | 138.611 | 316.270 | -120.948 | 0.000 | -0.000 |
| 138.611 | 348.423 | 316.270 | 120.948 | 0.000 | -0.000 |
| 316.273 | 316.273 | 1193.303 | 0.000 | 0.000 | -0.000 |
| -120.946 | 120.949 | 0.005 | 285.432 | 0.000 | -0.000 |
| 0.002 | 0.001 | 0.005 | -0.002 | 285.430 | -120.947 |
| 0.000 | 0.000 | 0.001 | -0.000 | -120.947 | 104.905 |
| 348.420 | 138.610 | 316.264 | -120.946 | -0.000 | 0.000 |
| 138.610 | 348.419 | 316.264 | 120.946 | -0.000 | 0.000 |
| 316.261 | 316.261 | 1193.262 | -0.000 | -0.000 | 0.000 |
| -120.947 | 120.945 | -0.005 | 285.428 | -0.000 | 0.000 |
| -0.002 | -0.001 | -0.005 | 0.002 | 285.430 | -120.947 |
| -0.000 | -0.000 | -0.001 | 0.000 | -120.947 | 104.905 |
| 292.512 | 284.442 | 284.442 | 0.000 | 0.000 | 0.000 |
| 284.442 | 292.512 | 284.442 | 0.000 | 0.000 | -0.000 |
| 284.442 | 284.442 | 292.512 | 0.000 | 0.000 | 0.000 |
| 0.000 | 0.000 | 0.000 | 265.885 | 0.000 | 0.000 |
| 0.000 | 0.000 | 0.000 | 0.000 | 265.885 | -0.000 |
| 0.000 | 0.000 | 0.000 | 0.000 | 0.000 | 265.885 |
| 292.512 | 284.442 | 284.442 | -0.000 | -0.000 | 0.000 |
| 284.442 | 292.512 | 284.442 | -0.000 | -0.000 | 0.000 |
| 284.442 | 284.442 | 292.512 | -0.000 | -0.000 | 0.000 |
| -0.000 | -0.000 | -0.000 | 265.885 | -0.000 | 0.000 |
| -0.000 | -0.000 | -0.000 | -0.000 | 265.885 | 0.000 |
| -0.000 | -0.000 | -0.000 | 0.000 | -0.000 | 265.885 |
| 292.512 | 284.442 | 284.442 | 0.000 | 0.000 | 0.000 |
| 284.442 | 292.512 | 284.442 | 0.000 | 0.000 | 0.000 |
| 284.442 | 284.442 | 292.512 | 0.000 | 0.000 | 0.000 |
| 0.000 | -0.000 | -0.000 | 14.704 | 0.000 | -0.000 |
| -0.000 | 0.000 | -0.000 | 0.000 | 14.704 | -0.000 |
| -0.000 | -0.000 | 0.000 | 0.000 | 0.000 | 14.704 |
| 292.511 | 284.441 | 284.441 | -0.000 | -0.000 | 0.000 |
| 284.441 | 292.511 | 284.441 | -0.000 | -0.000 | 0.000 |
| 284.441 | 284.441 | 292.511 | -0.000 | -0.000 | -0.000 |
| -0.000 | 0.000 | 0.000 | 14.704 | -0.000 | -0.000 |
| 0.000 | -0.000 | 0.000 | 0.000 | 14.704 | -0.000 |
| 0.000 | 0.000 | -0.000 | -0.000 | -0.000 | 14.704 |
| 292.514 | 284.443 | 284.443 | -0.000 | 0.000 | 0.000 |
| 284.443 | 292.514 | 284.443 | 0.000 | 0.000 | 0.000 |
| 284.443 | 284.443 | 292.514 | 0.000 | 0.000 | 0.000 |
| 0.001 | -0.001 | -0.001 | 14.704 | 0.000 | -0.000 |
| -0.001 | 0.001 | -0.001 | 0.000 | 14.704 | -0.000 |
| -0.001 | -0.001 | 0.001 | 0.000 | 0.000 | 14.704 |
| 292.509 | 284.440 | 284.440 | -0.000 | -0.000 | -0.000 |
| 284.440 | 292.509 | 284.440 | -0.000 | -0.000 | 0.000 |
| 284.440 | 284.440 | 292.509 | -0.000 | -0.000 | 0.000 |
| -0.001 | 0.001 | 0.001 | 14.704 | -0.000 | -0.000 |
| 0.001 | -0.001 | 0.001 | -0.000 | 14.704 | -0.000 |
| 0.001 | 0.001 | -0.001 | -0.000 | -0.000 | 14.704 |
| 25.410 | 28.912 | 28.912 | -0.000 | -0.000 | -0.000 |
| 28.912 | 25.410 | 28.912 | -0.000 | -0.000 | -0.000 |
| 28.912 | 28.912 | 25.410 | -0.000 | -0.000 | -0.000 |
| 0.000 | -0.000 | -0.000 | -3.645 | -0.000 | -0.000 |
| -0.000 | 0.000 | -0.000 | -0.000 | -3.645 | -0.000 |
| -0.000 | -0.000 | 0.000 | -0.000 | -0.000 | -3.645 |
| 25.410 | 28.912 | 28.912 | 0.000 | 0.000 | 0.000 |
| 28.912 | 25.410 | 28.912 | 0.000 | 0.000 | 0.000 |
| 28.912 | 28.912 | 25.410 | 0.000 | 0.000 | 0.000 |
| -0.000 | 0.000 | 0.000 | -3.645 | 0.000 | 0.000 |
| 0.000 | -0.000 | 0.000 | 0.000 | -3.645 | 0.000 |
| 0.000 | 0.000 | 0.000 | 0.000 | 0.000 | -3.645 |
| 25.410 | 28.912 | 28.912 | -0.000 | -0.000 | -0.000 |
| 28.912 | 25.410 | 28.912 | -0.000 | -0.000 | -0.000 |
| 28.912 | 28.912 | 25.410 | -0.000 | -0.000 | -0.000 |
| 0.000 | 0.000 | 0.000 | 28.007 | -0.000 | -0.000 |
| 0.000 | 0.000 | 0.000 | -0.000 | 28.007 | -0.000 |
| 0.000 | 0.000 | 0.000 | -0.000 | -0.000 | 28.007 |
| 25.410 | 28.912 | 28.912 | 0.000 | 0.000 | 0.000 |
| 28.912 | 25.410 | 28.912 | 0.000 | 0.000 | 0.000 |
| 28.912 | 28.912 | 25.410 | 0.000 | 0.000 | 0.000 |
| -0.000 | -0.000 | -0.000 | 28.007 | -0.000 | 0.000 |
| -0.000 | -0.000 | -0.000 | -0.000 | 28.007 | 0.000 |
| -0.000 | -0.000 | -0.000 | -0.000 | 0.000 | 28.007 |
| 25.410 | 28.913 | 28.913 | -0.000 | -0.000 | -0.000 |
| 28.913 | 25.410 | 28.913 | -0.000 | -0.000 | -0.000 |
| 28.913 | 28.913 | 25.410 | -0.000 | -0.000 | -0.000 |
| -0.000 | -0.000 | -0.000 | -3.645 | -0.000 | -0.000 |
| -0.000 | -0.000 | -0.000 | -0.000 | -3.645 | -0.000 |
| -0.000 | -0.000 | -0.000 | -0.000 | -0.000 | -3.645 |
| 25.410 | 28.912 | 28.912 | 0.000 | 0.000 | 0.000 |
| 28.912 | 25.410 | 28.912 | 0.000 | 0.000 | 0.000 |
| 28.912 | 28.912 | 25.410 | 0.000 | 0.000 | 0.000 |
| 0.000 | 0.000 | 0.000 | -3.645 | 0.000 | 0.000 |
| 0.000 | 0.000 | 0.000 | 0.000 | -3.645 | 0.000 |
| 0.000 | 0.000 | 0.000 | 0.000 | 0.000 | -3.645 |
| 423.086 | 336.973 | 336.973 | 0.000 | -0.000 | 0.000 |
| 336.973 | 423.086 | 336.973 | 0.000 | -0.000 | 0.000 |
| 336.973 | 336.973 | 423.086 | 0.000 | 0.000 | 0.000 |
| 0.000 | -0.000 | 0.000 | 268.157 | -0.000 | -0.000 |
| 0.000 | 0.000 | 0.000 | 0.000 | 268.157 | 0.000 |
| 0.000 | 0.000 | 0.000 | 0.000 | -0.000 | 268.157 |
| 423.086 | 336.973 | 336.972 | -0.000 | -0.000 | -0.000 |
| 336.973 | 423.086 | 336.972 | -0.000 | 0.000 | 0.000 |
| 336.972 | 336.973 | 423.086 | -0.000 | 0.000 | -0.000 |
| -0.000 | 0.000 | -0.000 | 268.157 | 0.000 | -0.000 |
| -0.000 | -0.000 | -0.000 | -0.000 | 268.157 | -0.000 |
| -0.000 | -0.000 | -0.000 | -0.000 | 0.000 | 268.157 |
| 423.086 | 336.973 | 336.973 | 0.000 | 0.000 | 0.000 |
| 336.973 | 423.086 | 336.973 | 0.000 | -0.000 | 0.000 |
| 336.973 | 336.973 | 423.086 | 0.000 | -0.000 | 0.000 |
| 0.000 | 0.000 | 0.000 | 297.691 | -0.000 | -0.000 |
| 0.000 | 0.000 | 0.000 | 0.000 | 297.691 | 0.000 |
| 0.000 | 0.000 | 0.000 | 0.000 | -0.000 | 297.691 |
| 423.086 | 336.972 | 336.972 | -0.000 | 0.000 | -0.000 |
| 336.972 | 423.086 | 336.972 | -0.000 | 0.000 | -0.000 |
| 336.972 | 336.972 | 423.086 | -0.000 | 0.000 | -0.000 |
| -0.000 | -0.000 | -0.000 | 297.691 | 0.000 | -0.000 |
| -0.000 | -0.000 | -0.000 | -0.000 | 297.691 | -0.000 |
| -0.000 | -0.000 | -0.000 | -0.000 | 0.000 | 297.691 |
| 423.089 | 336.974 | 336.974 | 0.000 | -0.000 | 0.000 |
| 336.974 | 423.089 | 336.974 | 0.000 | -0.000 | 0.000 |
| 336.974 | 336.974 | 423.089 | 0.000 | 0.000 | 0.000 |
| 0.001 | 0.000 | 0.001 | 268.157 | 0.000 | 0.000 |
| 0.000 | 0.001 | 0.001 | 0.000 | 268.157 | 0.000 |
| 0.000 | 0.001 | 0.001 | 0.000 | -0.000 | 268.157 |
| 423.083 | 336.971 | 336.971 | -0.000 | 0.000 | -0.000 |
| 336.971 | 423.083 | 336.971 | -0.000 | 0.000 | -0.000 |
| 336.971 | 336.971 | 423.083 | -0.000 | -0.000 | -0.000 |
| -0.001 | -0.000 | -0.001 | 268.157 | -0.000 | -0.000 |
| -0.000 | -0.001 | -0.001 | -0.000 | 268.157 | -0.000 |
| -0.000 | -0.001 | -0.001 | -0.000 | 0.000 | 268.157 |
| 535.462 | 82.611 | 82.611 | -0.000 | 0.000 | -0.000 |
| 82.611 | 535.462 | 82.611 | -0.000 | 0.000 | -0.000 |
| 82.611 | 82.611 | 535.462 | 0.000 | 0.000 | -0.000 |
| -0.000 | -0.000 | -0.000 | 47.768 | 0.000 | -0.000 |
| 0.000 | -0.000 | 0.000 | -0.000 | 47.768 | -0.000 |
| -0.000 | -0.000 | -0.000 | -0.000 | -0.000 | 47.768 |
| 535.474 | 82.605 | 82.605 | 0.000 | -0.000 | -0.000 |
| 82.605 | 535.474 | 82.605 | 0.000 | -0.000 | 0.000 |
| 82.605 | 82.605 | 535.475 | -0.000 | -0.000 | -0.000 |
| 0.000 | 0.000 | 0.000 | 47.768 | -0.000 | 0.000 |
| -0.000 | 0.000 | -0.000 | 0.000 | 47.768 | 0.000 |
| 0.000 | 0.000 | 0.000 | 0.000 | 0.000 | 47.768 |
| 535.475 | 82.605 | 82.605 | -0.000 | 0.000 | 0.000 |
| 82.605 | 535.475 | 82.605 | -0.000 | 0.000 | -0.000 |
| 82.605 | 82.605 | 535.475 | -0.000 | 0.000 | -0.000 |
| 0.000 | 0.000 | 0.000 | 48.100 | 0.000 | -0.000 |
| 0.000 | 0.000 | 0.000 | -0.000 | 48.100 | -0.000 |
| 0.000 | 0.000 | 0.000 | -0.000 | 0.000 | 48.100 |
| 535.461 | 82.611 | 82.611 | 0.000 | 0.000 | 0.000 |
| 82.611 | 535.461 | 82.611 | 0.000 | -0.000 | -0.000 |
| 82.611 | 82.611 | 535.461 | -0.000 | 0.000 | 0.000 |
| -0.000 | -0.000 | -0.000 | 48.100 | -0.000 | 0.000 |
| -0.000 | -0.000 | -0.000 | 0.000 | 48.100 | 0.000 |
| -0.000 | -0.000 | -0.000 | 0.000 | 0.000 | 48.100 |
| 535.467 | 82.612 | 82.612 | -0.000 | -0.000 | -0.000 |
| 82.612 | 535.467 | 82.612 | -0.000 | -0.000 | -0.000 |
| 82.612 | 82.612 | 535.467 | -0.000 | -0.000 | -0.000 |
| 0.000 | 0.001 | 0.000 | 48.100 | 0.000 | 0.000 |
| 0.001 | 0.000 | 0.000 | -0.000 | 48.100 | -0.000 |
| 0.001 | 0.000 | 0.000 | 0.000 | 0.000 | 48.100 |
| 535.456 | 82.611 | 82.611 | 0.000 | -0.000 | 0.000 |
| 82.611 | 535.456 | 82.611 | -0.000 | 0.000 | 0.000 |
| 82.611 | 82.611 | 535.456 | 0.000 | -0.000 | 0.000 |
| -0.000 | -0.001 | -0.000 | 48.100 | -0.000 | 0.000 |
| -0.001 | -0.000 | -0.000 | -0.000 | 48.100 | 0.000 |
| -0.001 | -0.000 | -0.000 | 0.000 | -0.000 | 48.100 |
| 186.304 | 187.164 | 187.164 | 0.000 | -0.000 | -0.000 |
| 187.164 | 186.304 | 187.164 | -0.000 | -0.000 | -0.000 |
| 187.164 | 187.164 | 186.304 | -0.000 | 0.000 | -0.000 |
| 0.000 | 0.000 | 0.000 | 119.434 | 0.000 | -0.000 |
| 0.000 | 0.000 | 0.000 | -0.000 | 119.434 | -0.000 |
| 0.000 | 0.000 | 0.000 | -0.000 | -0.000 | 119.434 |
| 186.304 | 187.164 | 187.164 | 0.000 | -0.000 | -0.000 |
| 187.164 | 186.304 | 187.164 | 0.000 | 0.000 | -0.000 |
| 187.164 | 187.164 | 186.304 | -0.000 | -0.000 | 0.000 |
| -0.000 | -0.000 | -0.000 | 119.434 | -0.000 | 0.000 |
| -0.000 | -0.000 | -0.000 | 0.000 | 119.434 | 0.000 |
| -0.000 | -0.000 | -0.000 | 0.000 | 0.000 | 119.434 |
| 186.304 | 187.164 | 187.164 | -0.000 | -0.000 | -0.000 |
| 187.164 | 186.304 | 187.164 | -0.000 | 0.000 | -0.000 |
| 187.164 | 187.164 | 186.304 | -0.000 | -0.000 | -0.000 |
| 0.000 | 0.000 | 0.000 | 119.434 | 0.000 | -0.000 |
| 0.000 | 0.000 | 0.000 | -0.000 | 119.434 | -0.000 |
| 0.000 | 0.000 | 0.000 | -0.000 | 0.000 | 119.434 |
| 186.304 | 187.164 | 187.164 | 0.000 | -0.000 | 0.000 |
| 187.164 | 186.304 | 187.164 | 0.000 | 0.000 | 0.000 |
| 187.164 | 187.164 | 186.304 | 0.000 | -0.000 | 0.000 |
| -0.000 | -0.000 | -0.000 | 119.434 | -0.000 | 0.000 |
| -0.000 | -0.000 | -0.000 | 0.000 | 119.434 | 0.000 |
| -0.000 | -0.000 | -0.000 | 0.000 | -0.000 | 119.434 |
| 186.307 | 187.166 | 187.166 | -0.000 | -0.000 | -0.000 |
| 187.166 | 186.307 | 187.166 | -0.000 | 0.000 | -0.000 |
| 187.166 | 187.166 | 186.307 | -0.000 | -0.000 | -0.000 |
| 0.002 | 0.002 | 0.002 | 151.382 | 0.000 | -0.000 |
| 0.002 | 0.002 | 0.002 | -0.000 | 151.382 | -0.000 |
| 0.002 | 0.002 | 0.002 | -0.000 | -0.000 | 151.382 |
| 186.301 | 187.162 | 187.162 | 0.000 | -0.000 | 0.000 |
| 187.162 | 186.301 | 187.162 | 0.000 | 0.000 | 0.000 |
| 187.162 | 187.162 | 186.301 | 0.000 | 0.000 | 0.000 |
| -0.002 | -0.002 | -0.002 | 151.382 | -0.000 | -0.000 |
| -0.002 | -0.002 | -0.002 | 0.000 | 151.382 | 0.000 |
| -0.002 | -0.002 | -0.002 | 0.000 | 0.000 | 151.382 |
| 415.325 | 239.426 | 239.426 | 0.000 | 0.000 | 0.000 |
| 239.426 | 415.325 | 239.426 | 0.000 | 0.000 | 0.000 |
| 239.426 | 239.426 | 415.325 | 0.000 | -0.000 | 0.000 |
| -0.000 | 0.000 | 0.000 | 190.408 | -0.000 | 0.000 |
| 0.000 | -0.000 | 0.000 | 0.000 | 190.408 | 0.000 |
| 0.000 | 0.000 | -0.000 | 0.000 | -0.000 | 190.408 |
| 415.325 | 239.426 | 239.426 | -0.000 | -0.000 | -0.000 |
| 239.426 | 415.325 | 239.426 | -0.000 | -0.000 | -0.000 |
| 239.426 | 239.426 | 415.325 | -0.000 | 0.000 | -0.000 |
| 0.000 | -0.000 | -0.000 | 190.408 | 0.000 | -0.000 |
| -0.000 | 0.000 | -0.000 | -0.000 | 190.408 | -0.000 |
| -0.000 | -0.000 | 0.000 | -0.000 | 0.000 | 190.408 |
| 415.326 | 239.426 | 239.426 | 0.000 | -0.000 | 0.000 |
| 239.426 | 415.326 | 239.426 | 0.000 | 0.000 | 0.000 |
| 239.426 | 239.426 | 415.326 | 0.000 | -0.000 | 0.000 |
| -0.000 | 0.000 | 0.000 | 190.408 | -0.000 | 0.000 |
| 0.000 | -0.000 | 0.000 | 0.000 | 190.408 | 0.000 |
| 0.000 | 0.000 | -0.000 | 0.000 | 0.000 | 190.408 |
| 415.324 | 239.425 | 239.425 | -0.000 | -0.000 | -0.000 |
| 239.425 | 415.324 | 239.425 | -0.000 | 0.000 | -0.000 |
| 239.425 | 239.425 | 415.324 | -0.000 | 0.000 | -0.000 |
| 0.000 | -0.000 | -0.000 | 190.408 | 0.000 | -0.000 |
| -0.000 | 0.000 | -0.000 | -0.000 | 190.408 | -0.000 |
| -0.000 | -0.000 | 0.000 | -0.000 | -0.000 | 190.408 |
| 415.336 | 239.431 | 239.431 | 0.000 | -0.000 | 0.000 |
| 239.431 | 415.336 | 239.431 | 0.000 | -0.000 | 0.000 |
| 239.431 | 239.431 | 415.336 | 0.000 | 0.000 | 0.000 |
| -0.000 | 0.004 | 0.004 | 190.408 | -0.000 | 0.000 |
| 0.004 | -0.000 | 0.004 | 0.000 | 190.408 | 0.000 |
| 0.004 | 0.004 | -0.000 | 0.000 | 0.000 | 190.408 |
| 415.314 | 239.421 | 239.421 | -0.000 | -0.000 | -0.000 |
| 239.421 | 415.314 | 239.421 | -0.000 | 0.000 | -0.000 |
| 239.421 | 239.421 | 415.314 | -0.000 | 0.000 | -0.000 |
| 0.000 | -0.004 | -0.004 | 190.408 | 0.000 | -0.000 |
| -0.004 | 0.000 | -0.004 | -0.000 | 190.408 | -0.000 |
| -0.004 | -0.004 | 0.000 | -0.000 | 0.000 | 190.408 |
| 400.899 | 231.590 | 297.038 | 0.000 | 0.000 | -0.000 |
| 231.590 | 400.899 | 297.038 | -0.000 | 0.000 | -0.000 |
| 297.038 | 297.038 | 564.352 | 0.000 | 0.000 | -0.000 |
| 0.000 | 0.000 | 0.000 | 214.297 | -0.000 | -0.000 |
| 0.000 | 0.000 | 0.000 | 0.000 | 214.297 | -0.000 |
| 0.000 | 0.000 | 0.000 | 0.000 | 0.000 | 155.098 |
| 400.899 | 231.590 | 297.038 | -0.000 | 0.000 | 0.000 |
| 231.590 | 400.899 | 297.038 | -0.000 | -0.000 | 0.000 |
| 297.038 | 297.038 | 564.351 | -0.000 | 0.000 | 0.000 |
| -0.000 | -0.000 | -0.000 | 214.297 | 0.000 | 0.000 |
| -0.000 | -0.000 | -0.000 | -0.000 | 214.297 | 0.000 |
| -0.000 | -0.000 | 0.000 | -0.000 | -0.000 | 155.098 |
| 400.900 | 231.591 | 297.038 | 0.000 | -0.000 | -0.000 |
| 231.591 | 400.900 | 297.038 | -0.000 | 0.000 | -0.000 |
| 297.038 | 297.038 | 564.353 | 0.000 | 0.000 | -0.000 |
| 0.000 | 0.000 | 0.000 | 214.297 | 0.000 | -0.000 |
| 0.000 | 0.000 | 0.000 | -0.000 | 214.297 | -0.000 |
| 0.000 | 0.001 | -0.000 | 0.000 | 0.000 | 155.098 |
| 400.898 | 231.589 | 297.037 | -0.000 | 0.000 | 0.000 |
| 231.589 | 400.898 | 297.037 | -0.000 | -0.000 | 0.000 |
| 297.037 | 297.037 | 564.350 | -0.000 | -0.000 | 0.000 |
| -0.000 | -0.000 | -0.000 | 214.297 | -0.000 | 0.000 |
| -0.000 | -0.000 | -0.000 | 0.000 | 214.297 | 0.000 |
| -0.000 | -0.001 | 0.000 | -0.000 | -0.000 | 155.098 |
| 400.910 | 231.596 | 297.042 | 0.000 | 0.000 | -0.000 |
| 231.596 | 400.910 | 297.042 | 0.000 | 0.000 | -0.000 |
| 297.043 | 297.043 | 564.362 | -0.000 | -0.000 | -0.000 |
| -0.000 | 0.004 | 0.004 | 247.267 | 0.000 | -0.000 |
| 0.004 | -0.000 | 0.004 | 0.000 | 247.267 | -0.000 |
| 0.005 | 0.005 | -0.000 | 0.000 | 0.000 | 155.098 |
| 400.888 | 231.584 | 297.033 | -0.000 | -0.000 | 0.000 |
| 231.584 | 400.888 | 297.033 | -0.000 | -0.000 | 0.000 |
| 297.033 | 297.033 | 564.341 | -0.000 | -0.000 | 0.000 |
| 0.000 | -0.004 | -0.004 | 247.267 | -0.000 | 0.000 |
| -0.004 | 0.000 | -0.004 | -0.000 | 247.267 | 0.000 |
| -0.005 | -0.005 | 0.000 | 0.000 | -0.000 | 155.098 |
| 518.595 | 206.104 | 174.785 | -0.000 | -0.000 | -0.000 |
| 198.302 | 481.879 | 139.413 | -0.000 | -0.000 | 0.000 |
| 174.785 | 174.785 | 544.300 | -0.000 | -0.000 | -0.000 |
| 0.020 | 0.020 | 0.031 | 72.850 | -0.000 | -0.000 |
| 0.020 | 0.020 | 0.031 | -0.000 | 72.850 | -0.000 |
| 0.010 | 0.010 | 0.016 | -0.000 | 0.000 | 142.191 |
| 481.857 | 198.280 | 139.379 | 0.000 | 0.000 | -0.000 |
| 198.280 | 481.857 | 139.379 | -0.000 | 0.000 | -0.000 |
| 174.785 | 174.785 | 544.299 | 0.000 | 0.000 | 0.000 |
| -0.020 | -0.020 | -0.031 | 72.850 | 0.000 | 0.000 |
| -0.020 | -0.020 | -0.031 | 0.000 | 72.850 | 0.000 |
| -0.010 | -0.010 | -0.016 | -0.000 | 0.000 | 142.191 |
| 518.597 | 206.104 | 174.785 | -0.000 | -0.000 | -0.000 |
| 206.105 | 518.596 | 174.785 | -0.000 | -0.000 | -0.000 |
| 174.785 | 174.785 | 544.300 | -0.000 | -0.000 | -0.000 |
| 0.000 | 0.000 | 0.000 | 124.158 | -0.000 | -0.000 |
| 0.002 | 0.002 | 0.003 | -0.000 | 72.850 | -0.000 |
| 0.001 | 0.001 | 0.002 | -0.000 | -0.000 | 142.191 |
| 518.593 | 206.104 | 174.785 | 0.000 | 0.000 | -0.000 |
| 198.290 | 481.866 | 139.394 | -0.000 | -0.000 | 0.000 |
| 174.785 | 174.785 | 544.298 | 0.000 | 0.000 | 0.000 |
| -0.000 | -0.000 | -0.000 | 124.158 | 0.000 | 0.000 |
| -0.002 | -0.002 | -0.003 | 0.000 | 72.850 | 0.000 |
| -0.001 | -0.001 | -0.002 | 0.000 | 0.000 | 142.191 |
| 481.889 | 198.294 | 139.403 | -0.000 | -0.000 | -0.000 |
| 206.109 | 518.609 | 174.787 | -0.000 | -0.000 | 0.000 |
| 174.788 | 174.788 | 544.309 | -0.000 | -0.000 | 0.000 |
| 0.000 | -0.000 | -0.000 | 72.850 | -0.000 | -0.000 |
| -0.000 | 0.000 | -0.000 | -0.000 | 72.850 | -0.000 |
| 0.001 | 0.004 | -0.000 | 0.000 | -0.000 | 142.191 |
| 518.578 | 206.102 | 174.783 | 0.000 | 0.000 | -0.000 |
| 198.287 | 481.853 | 139.394 | -0.000 | -0.000 | 0.000 |
| 174.782 | 174.782 | 544.290 | 0.000 | 0.000 | -0.000 |
| -0.000 | 0.000 | 0.000 | 72.850 | 0.000 | 0.000 |
| 0.000 | -0.000 | 0.000 | -0.000 | 72.850 | -0.000 |
| -0.001 | -0.004 | 0.000 | -0.000 | 0.000 | 142.191 |
| 516.027 | 205.942 | 199.719 | 0.000 | 0.000 | 0.000 |
| 202.751 | 480.267 | 164.413 | 0.000 | 0.000 | 0.000 |
| 162.549 | 162.549 | 549.409 | 0.000 | 0.000 | 0.000 |
| 0.000 | 0.000 | 0.000 | 145.604 | 0.000 | 0.000 |
| 0.003 | 0.003 | 0.005 | -0.000 | 94.986 | 0.000 |
| 0.002 | 0.002 | 0.003 | 0.000 | 0.000 | 139.104 |
| 480.263 | 202.747 | 164.407 | -0.000 | -0.000 | -0.000 |
| 202.747 | 480.263 | 164.407 | -0.000 | -0.000 | -0.000 |
| 162.545 | 162.545 | 549.402 | 0.000 | -0.000 | -0.000 |
| 0.000 | -0.000 | -0.000 | 145.604 | -0.000 | -0.000 |
| -0.003 | -0.003 | -0.005 | 0.000 | 94.985 | -0.000 |
| -0.002 | -0.002 | -0.003 | -0.000 | -0.000 | 139.104 |
| 516.028 | 205.942 | 199.719 | 0.000 | 0.000 | 0.000 |
| 205.942 | 516.028 | 199.719 | 0.000 | 0.000 | 0.000 |
| 162.547 | 162.547 | 549.406 | 0.000 | 0.000 | 0.000 |
| 0.000 | 0.000 | 0.000 | 145.604 | 0.000 | 0.000 |
| 0.000 | 0.000 | 0.001 | 0.000 | 94.985 | 0.000 |
| 0.000 | 0.001 | 0.000 | -0.000 | 0.000 | 139.104 |
| 480.263 | 202.749 | 164.410 | -0.000 | -0.000 | -0.000 |
| 205.941 | 516.025 | 199.719 | -0.000 | -0.000 | -0.000 |
| 162.547 | 162.547 | 549.405 | -0.000 | -0.000 | -0.000 |
| -0.000 | -0.000 | -0.000 | 145.604 | -0.000 | -0.000 |
| -0.000 | -0.000 | -0.001 | -0.000 | 94.985 | -0.000 |
| -0.000 | -0.001 | -0.000 | -0.000 | -0.000 | 139.104 |
| 480.278 | 202.751 | 164.409 | 0.000 | 0.000 | 0.000 |
| 201.405 | 473.463 | 157.013 | 0.000 | 0.000 | 0.000 |
| 162.547 | 162.547 | 549.409 | 0.000 | 0.000 | 0.000 |
| 0.001 | 0.002 | 0.004 | 145.604 | 0.000 | 0.000 |
| 0.001 | 0.001 | 0.003 | 0.000 | 94.985 | 0.000 |
| 0.001 | 0.004 | -0.000 | 0.000 | 0.000 | 139.104 |
| 480.244 | 202.747 | 164.403 | -0.000 | -0.000 | -0.000 |
| 202.745 | 480.255 | 164.412 | -0.000 | -0.000 | -0.000 |
| 198.504 | 198.504 | 614.585 | -0.000 | -0.000 | -0.000 |
| -0.001 | -0.002 | -0.004 | 145.604 | -0.000 | -0.000 |
| -0.001 | -0.001 | -0.003 | -0.000 | 94.985 | -0.000 |
| -0.001 | -0.004 | 0.000 | -0.000 | -0.000 | 139.104 |
| -61.472 | -431.818 | -1208.477 | 0.000 | -0.000 | -0.000 |
| -243.954 | -370.163 | -1361.702 | 0.000 | -0.000 | -0.000 |
| -207.946 | -548.943 | -1162.954 | 0.000 | -0.000 | -0.000 |
| -311.269 | -499.180 | -1310.960 | -72.664 | -0.000 | -0.000 |
| -311.172 | -499.024 | -1310.549 | 0.000 | 78.895 | -0.000 |
| -311.164 | -499.011 | -1310.516 | 0.000 | -0.000 | 38.240 |
| 253.749 | 73.809 | 120.211 | -0.000 | 0.000 | 0.000 |
| 378.307 | 627.752 | 1259.044 | -0.000 | 0.000 | 0.000 |
| 121.118 | -20.736 | 227.843 | -0.000 | 0.000 | 0.000 |
| 311.269 | 499.180 | 1310.960 | -72.664 | 0.000 | 0.000 |
| 311.172 | 499.024 | 1310.549 | -0.000 | 78.895 | 0.000 |
| 311.164 | 499.011 | 1310.516 | -0.000 | 0.000 | 38.240 |
| 222.285 | 23.371 | -12.090 | 0.000 | -0.000 | -0.000 |
| 36.400 | 79.442 | -180.911 | 0.000 | -0.000 | -0.000 |
| 74.384 | -96.137 | 26.472 | 0.000 | -0.000 | -0.000 |
| -31.927 | -51.200 | -134.464 | -73.152 | -0.000 | -0.000 |
| -31.194 | -50.026 | -131.378 | 0.000 | 78.872 | -0.000 |
| -31.116 | -49.901 | -131.052 | 0.000 | -0.000 | 38.240 |
| 279.967 | 115.722 | 229.316 | -0.000 | 0.000 | 0.000 |
| 73.803 | 139.597 | -21.649 | -0.000 | 0.000 | 0.000 |
| 132.427 | -3.075 | 270.718 | -0.000 | 0.000 | 0.000 |
| 31.927 | 51.200 | 134.464 | -73.152 | 0.000 | 0.000 |
| 31.194 | 50.026 | 131.378 | -0.000 | 78.872 | 0.000 |
| 31.116 | 49.901 | 131.052 | -0.000 | 0.000 | 38.240 |
| 253.749 | 73.808 | 120.212 | 0.000 | -0.000 | -0.000 |
| 73.803 | 139.598 | -21.649 | 0.000 | -0.000 | -0.000 |
| 106.878 | -43.887 | 164.761 | 0.000 | -0.000 | -0.000 |
| -8167875.879 | 1232093.085 | -1721497.627 | -735702.332 | 0.000 | 0.002 |
| -3.572 | -5.729 | -15.043 | 0.000 | 77.524 | -0.000 |
| -0.001 | -0.000 | -0.000 | 0.000 | -0.000 | 38.240 |
| 254.010 | 74.165 | 120.682 | -0.000 | 0.000 | 0.000 |
| 73.803 | 139.597 | -21.649 | -0.000 | 0.000 | 0.000 |
| 112.399 | -34.971 | 188.554 | -0.000 | 0.000 | 0.000 |
| 8167875.866 | -1232093.102 | 1721497.613 | -735702.347 | -0.000 | 0.001 |
| 3.572 | 5.729 | 15.043 | -0.000 | 77.524 | 0.000 |
| 0.001 | 0.000 | 0.000 | -0.000 | 0.000 | 38.240 |
| 127.590 | 174.517 | 174.517 | 0.000 | 0.000 | 0.000 |
| 174.517 | 127.590 | 174.517 | 0.000 | 0.000 | -0.000 |
| 174.517 | 174.517 | 127.590 | 0.000 | 0.000 | -0.000 |
| -0.000 | 0.000 | 0.000 | -44.392 | 0.000 | -0.000 |
| -0.000 | 0.000 | 0.000 | 0.000 | -44.392 | -0.000 |
| -0.000 | 0.000 | 0.000 | 0.000 | -0.000 | -44.392 |
| 127.590 | 174.517 | 174.517 | -0.000 | -0.000 | -0.000 |
| 174.517 | 127.590 | 174.517 | -0.000 | -0.000 | 0.000 |
| 174.517 | 174.517 | 127.590 | -0.000 | -0.000 | 0.000 |
| 0.000 | -0.000 | -0.000 | -44.392 | -0.000 | 0.000 |
| 0.000 | -0.000 | 0.000 | -0.000 | -44.392 | 0.000 |
| 0.000 | -0.000 | -0.000 | -0.000 | 0.000 | -44.392 |
| 127.590 | 174.517 | 174.517 | 0.000 | 0.000 | -0.000 |
| 174.517 | 127.590 | 174.517 | 0.000 | 0.000 | -0.000 |
| 174.517 | 174.517 | 127.590 | 0.000 | -0.000 | 0.000 |
| 0.000 | -0.000 | -0.000 | -44.392 | 0.000 | -0.000 |
| -0.000 | 0.000 | -0.000 | 0.000 | -44.392 | -0.000 |
| -0.000 | -0.000 | 0.000 | 0.000 | -0.000 | -44.392 |
| 127.590 | 174.517 | 174.517 | -0.000 | -0.000 | -0.000 |
| 174.517 | 127.590 | 174.517 | -0.000 | -0.000 | 0.000 |
| 174.517 | 174.517 | 127.590 | -0.000 | -0.000 | 0.000 |
| -0.000 | 0.000 | 0.000 | -44.392 | 0.000 | 0.000 |
| 0.000 | -0.000 | 0.000 | -0.000 | -44.392 | 0.000 |
| 0.000 | 0.000 | -0.000 | -0.000 | 0.000 | -44.392 |
| 127.591 | 174.518 | 174.518 | 0.000 | 0.000 | -0.000 |
| 174.518 | 127.591 | 174.518 | 0.000 | 0.000 | 0.000 |
| 174.518 | 174.518 | 127.591 | 0.000 | 0.000 | -0.000 |
| 0.000 | -0.000 | -0.000 | -44.392 | -0.000 | -0.000 |
| -0.000 | 0.000 | -0.000 | 0.000 | -44.392 | -0.000 |
| -0.000 | -0.000 | 0.000 | 0.000 | -0.000 | -44.392 |
| 127.589 | 174.516 | 174.516 | -0.000 | -0.000 | 0.000 |
| 174.516 | 127.589 | 174.516 | -0.000 | -0.000 | 0.000 |
| 174.516 | 174.516 | 127.589 | -0.000 | -0.000 | -0.000 |
| -0.000 | 0.000 | 0.000 | -44.392 | -0.000 | 0.000 |
| 0.000 | -0.000 | 0.000 | -0.000 | -44.392 | 0.000 |
| 0.000 | 0.000 | -0.000 | -0.000 | 0.000 | -44.392 |
| 252.502 | 191.040 | 191.040 | 0.000 | 0.000 | 0.000 |
| 191.040 | 252.502 | 191.040 | 0.000 | -0.000 | 0.000 |
| 191.040 | 191.040 | 252.502 | 0.000 | 0.000 | 0.000 |
| 0.000 | -0.000 | -0.000 | 60.110 | 0.000 | 0.000 |
| -0.000 | -0.000 | -0.000 | 0.000 | 60.110 | 0.000 |
| -0.000 | -0.000 | 0.000 | 0.000 | 0.000 | 60.110 |
| 252.501 | 191.040 | 191.040 | -0.000 | -0.000 | -0.000 |
| 191.040 | 252.501 | 191.040 | -0.000 | -0.000 | -0.000 |
| 191.040 | 191.040 | 252.501 | -0.000 | -0.000 | -0.000 |
| -0.000 | 0.000 | 0.000 | 60.110 | -0.000 | -0.000 |
| 0.000 | 0.000 | 0.000 | -0.000 | 60.110 | -0.000 |
| 0.000 | 0.000 | -0.000 | -0.000 | -0.000 | 60.110 |
| 252.502 | 191.040 | 191.040 | 0.000 | 0.000 | 0.000 |
| 191.040 | 252.502 | 191.040 | 0.000 | 0.000 | 0.000 |
| 191.040 | 191.040 | 252.502 | 0.000 | 0.000 | 0.000 |
| 0.000 | 0.000 | 0.000 | 174.380 | -0.000 | -0.000 |
| 0.000 | 0.000 | 0.000 | -0.000 | 174.380 | -0.000 |
| 0.000 | 0.000 | 0.000 | -0.000 | -0.000 | 174.380 |
| 252.501 | 191.040 | 191.040 | -0.000 | -0.000 | -0.000 |
| 191.040 | 252.501 | 191.040 | -0.000 | -0.000 | -0.000 |
| 191.040 | 191.040 | 252.501 | -0.000 | -0.000 | -0.000 |
| -0.000 | -0.000 | -0.000 | 174.380 | 0.000 | 0.000 |
| -0.000 | -0.000 | -0.000 | 0.000 | 174.380 | 0.000 |
| -0.000 | -0.000 | -0.000 | 0.000 | 0.000 | 174.380 |
| 252.503 | 191.041 | 191.041 | -0.000 | 0.000 | 0.000 |
| 191.041 | 252.503 | 191.041 | 0.000 | 0.000 | 0.000 |
| 191.041 | 191.041 | 252.503 | 0.000 | 0.000 | 0.000 |
| 0.000 | -0.000 | -0.000 | 34.725 | 0.000 | 0.000 |
| -0.000 | 0.000 | -0.000 | 0.000 | 34.725 | 0.000 |
| -0.000 | -0.000 | 0.000 | 0.000 | 0.000 | 34.725 |
| 252.500 | 191.039 | 191.039 | -0.000 | -0.000 | -0.000 |
| 191.039 | 252.500 | 191.039 | -0.000 | -0.000 | -0.000 |
| 191.039 | 191.039 | 252.500 | -0.000 | -0.000 | -0.000 |
| -0.000 | 0.000 | 0.000 | 34.725 | -0.000 | -0.000 |
| 0.000 | -0.000 | 0.000 | -0.000 | 34.725 | -0.000 |
| 0.000 | 0.000 | -0.000 | -0.000 | -0.000 | 34.725 |
| 73.486 | 87.197 | 87.197 | 0.000 | 0.000 | 0.000 |
| 87.197 | 73.486 | 87.197 | 0.000 | -0.000 | 0.000 |
| 87.197 | 87.197 | 73.486 | 0.000 | 0.000 | -0.000 |
| -0.000 | 0.000 | 0.000 | 70.619 | -0.000 | 0.000 |
| -0.000 | 0.000 | 0.000 | -0.000 | 70.619 | -0.000 |
| -0.000 | 0.000 | 0.000 | -0.000 | -0.000 | 70.619 |
| 73.486 | 87.197 | 87.197 | 0.000 | -0.000 | -0.000 |
| 87.197 | 73.486 | 87.197 | -0.000 | 0.000 | 0.000 |
| 87.197 | 87.197 | 73.486 | -0.000 | -0.000 | -0.000 |
| 0.000 | -0.000 | -0.000 | 70.619 | 0.000 | 0.000 |
| 0.000 | -0.000 | -0.000 | 0.000 | 70.619 | -0.000 |
| 0.000 | -0.000 | -0.000 | 0.000 | -0.000 | 70.619 |
| 73.486 | 87.197 | 87.197 | 0.000 | 0.000 | 0.000 |
| 87.197 | 73.486 | 87.197 | 0.000 | 0.000 | 0.000 |
| 87.197 | 87.197 | 73.486 | 0.000 | 0.000 | 0.000 |
| 0.000 | -0.000 | 0.000 | 70.619 | -0.000 | -0.000 |
| -0.000 | 0.000 | 0.000 | -0.000 | 70.619 | -0.000 |
| -0.000 | 0.000 | 0.000 | -0.000 | -0.000 | 70.619 |
| 73.486 | 87.197 | 87.197 | 0.000 | 0.000 | -0.000 |
| 87.197 | 73.486 | 87.197 | -0.000 | 0.000 | -0.000 |
| 87.197 | 87.197 | 73.486 | -0.000 | -0.000 | 0.000 |
| -0.000 | 0.000 | -0.000 | 70.619 | 0.000 | 0.000 |
| 0.000 | -0.000 | -0.000 | 0.000 | 70.619 | 0.000 |
| 0.000 | -0.000 | -0.000 | 0.000 | 0.000 | 70.619 |
| 73.485 | 87.197 | 87.197 | -0.000 | 0.000 | 0.000 |
| 87.197 | 73.485 | 87.197 | 0.000 | -0.000 | 0.000 |
| 87.197 | 87.197 | 73.485 | 0.000 | 0.000 | 0.000 |
| -0.000 | -0.000 | -0.000 | -14.029 | 0.000 | -0.000 |
| -0.000 | -0.000 | -0.000 | 0.000 | -14.029 | 0.000 |
| -0.000 | -0.000 | -0.000 | 0.000 | 0.000 | -14.029 |
| 73.486 | 87.197 | 87.197 | -0.000 | -0.000 | -0.000 |
| 87.197 | 73.486 | 87.197 | -0.000 | 0.000 | -0.000 |
| 87.197 | 87.197 | 73.486 | -0.000 | -0.000 | -0.000 |
| 0.000 | 0.000 | 0.000 | -14.029 | -0.000 | -0.000 |
| 0.000 | 0.000 | 0.000 | -0.000 | -14.029 | -0.000 |
| 0.000 | 0.000 | 0.000 | -0.000 | -0.000 | -14.029 |
| 140.909 | 145.550 | 145.550 | -0.000 | 0.000 | 0.000 |
| 145.550 | 140.909 | 145.550 | -0.000 | 0.000 | 0.000 |
| 145.550 | 145.550 | 140.909 | -0.000 | 0.000 | 0.000 |
| 0.000 | -0.000 | -0.000 | 102.493 | 0.000 | 0.000 |
| 0.000 | 0.000 | 0.000 | 0.000 | 102.493 | 0.000 |
| 0.000 | 0.000 | 0.000 | -0.000 | 0.000 | 102.493 |
| 140.909 | 145.550 | 145.550 | 0.000 | -0.000 | -0.000 |
| 145.550 | 140.909 | 145.550 | 0.000 | -0.000 | -0.000 |
| 145.550 | 145.550 | 140.909 | 0.000 | -0.000 | -0.000 |
| -0.000 | 0.000 | -0.000 | 102.493 | -0.000 | -0.000 |
| -0.000 | -0.000 | -0.000 | 0.000 | 102.493 | -0.000 |
| -0.000 | -0.000 | -0.000 | 0.000 | -0.000 | 102.493 |
| 140.909 | 145.550 | 145.550 | -0.000 | 0.000 | 0.000 |
| 145.550 | 140.909 | 145.550 | -0.000 | 0.000 | 0.000 |
| 145.550 | 145.550 | 140.909 | -0.000 | -0.000 | 0.000 |
| 0.000 | -0.000 | 0.000 | 102.493 | 0.000 | 0.000 |
| -0.000 | 0.000 | 0.000 | 0.000 | 102.493 | 0.000 |
| -0.000 | 0.000 | 0.000 | -0.000 | 0.000 | 102.493 |
| 140.909 | 145.550 | 145.550 | -0.000 | -0.000 | -0.000 |
| 145.550 | 140.909 | 145.550 | 0.000 | -0.000 | -0.000 |
| 145.550 | 145.550 | 140.909 | -0.000 | -0.000 | -0.000 |
| -0.000 | 0.000 | -0.000 | 102.493 | -0.000 | -0.000 |
| 0.000 | -0.000 | -0.000 | -0.000 | 102.493 | -0.000 |
| 0.000 | -0.000 | -0.000 | 0.000 | -0.000 | 102.493 |
| 140.909 | 145.551 | 145.551 | -0.000 | 0.000 | 0.000 |
| 145.551 | 140.909 | 145.551 | -0.000 | 0.000 | 0.000 |
| 145.551 | 145.551 | 140.909 | -0.000 | 0.000 | 0.000 |
| 0.000 | -0.000 | 0.000 | 102.493 | 0.000 | 0.000 |
| -0.000 | 0.000 | 0.000 | 0.000 | 102.493 | 0.000 |
| -0.000 | 0.000 | 0.000 | -0.000 | 0.000 | 102.493 |
| 140.908 | 145.550 | 145.550 | 0.000 | -0.000 | -0.000 |
| 145.550 | 140.908 | 145.550 | 0.000 | -0.000 | -0.000 |
| 145.550 | 145.550 | 140.908 | -0.000 | -0.000 | -0.000 |
| -0.000 | 0.000 | -0.000 | 102.493 | -0.000 | -0.000 |
| 0.000 | -0.000 | -0.000 | 0.000 | 102.493 | -0.000 |
| 0.000 | -0.000 | -0.000 | 0.000 | -0.000 | 102.493 |
| 254.420 | -2.690 | -2.690 | -0.000 | -0.000 | 0.000 |
| -2.690 | 254.420 | -2.690 | -0.000 | 0.000 | 0.000 |
| -2.690 | -2.690 | 254.420 | -0.000 | -0.000 | 0.000 |
| 0.000 | 0.000 | -0.000 | -17.933 | -0.000 | 0.000 |
| -0.000 | 0.000 | -0.000 | -0.000 | -17.933 | 0.000 |
| -0.000 | 0.000 | 0.000 | -0.000 | 0.000 | -17.933 |
| 254.419 | -2.690 | -2.690 | 0.000 | 0.000 | -0.000 |
| -2.690 | 254.419 | -2.690 | 0.000 | -0.000 | -0.000 |
| -2.690 | -2.690 | 254.419 | 0.000 | -0.000 | -0.000 |
| 0.000 | -0.000 | -0.000 | -17.933 | 0.000 | -0.000 |
| -0.000 | -0.000 | -0.000 | 0.000 | -17.933 | -0.000 |
| 0.000 | -0.000 | -0.000 | 0.000 | -0.000 | -17.933 |
| 254.420 | -2.690 | -2.690 | -0.000 | 0.000 | 0.000 |
| -2.690 | 254.420 | -2.690 | -0.000 | 0.000 | 0.000 |
| -2.690 | -2.690 | 254.420 | -0.000 | 0.000 | 0.000 |
| 0.000 | 0.000 | -0.000 | -17.933 | -0.000 | 0.000 |
| 0.000 | 0.000 | -0.000 | -0.000 | -17.933 | 0.000 |
| 0.000 | -0.000 | 0.000 | -0.000 | 0.000 | -17.933 |
| 254.419 | -2.690 | -2.690 | 0.000 | 0.000 | -0.000 |
| -2.690 | 254.419 | -2.690 | 0.000 | -0.000 | -0.000 |
| -2.690 | -2.690 | 254.419 | 0.000 | 0.000 | -0.000 |
| -0.000 | -0.000 | 0.000 | -17.933 | 0.000 | -0.000 |
| -0.000 | -0.000 | 0.000 | 0.000 | -17.933 | -0.000 |
| -0.000 | 0.000 | -0.000 | 0.000 | -0.000 | -17.933 |
| 254.425 | -2.690 | -2.690 | -0.000 | 0.000 | 0.000 |
| -2.690 | 254.425 | -2.690 | 0.000 | 0.000 | 0.000 |
| -2.690 | -2.690 | 254.425 | -0.000 | -0.000 | 0.000 |
| 0.000 | 0.000 | -0.000 | -17.933 | 0.000 | 0.000 |
| 0.000 | 0.000 | -0.000 | -0.000 | -17.933 | 0.000 |
| 0.000 | -0.000 | 0.000 | 0.000 | 0.000 | -17.933 |
| 254.414 | -2.690 | -2.690 | 0.000 | -0.000 | -0.000 |
| -2.690 | 254.414 | -2.690 | 0.000 | -0.000 | -0.000 |
| -2.690 | -2.690 | 254.414 | 0.000 | -0.000 | -0.000 |
| -0.000 | -0.000 | 0.000 | -17.933 | -0.000 | -0.000 |
| -0.000 | -0.000 | 0.000 | 0.000 | -17.933 | -0.000 |
| -0.000 | 0.000 | -0.000 | -0.000 | -0.000 | -17.933 |
| 100.586 | 94.917 | 94.917 | -0.000 | -0.000 | 0.000 |
| 94.917 | 100.586 | 94.917 | -0.000 | -0.000 | 0.000 |
| 94.917 | 94.917 | 100.586 | 0.000 | 0.000 | -0.000 |
| -0.000 | -0.000 | -0.000 | 77.938 | 0.000 | -0.000 |
| -0.000 | -0.000 | -0.000 | -0.000 | 77.938 | -0.000 |
| -0.000 | -0.000 | -0.000 | 0.000 | 0.000 | 77.938 |
| 100.586 | 94.917 | 94.917 | 0.000 | -0.000 | 0.000 |
| 94.917 | 100.586 | 94.917 | 0.000 | -0.000 | -0.000 |
| 94.917 | 94.917 | 100.586 | 0.000 | -0.000 | 0.000 |
| 0.000 | 0.000 | 0.000 | 77.938 | -0.000 | -0.000 |
| 0.000 | 0.000 | 0.000 | 0.000 | 77.938 | -0.000 |
| 0.000 | 0.000 | 0.000 | -0.000 | -0.000 | 77.938 |
| 100.586 | 94.917 | 94.917 | -0.000 | 0.000 | -0.000 |
| 94.917 | 100.586 | 94.917 | -0.000 | -0.000 | -0.000 |
| 94.917 | 94.917 | 100.586 | -0.000 | 0.000 | -0.000 |
| -0.000 | -0.000 | -0.000 | 77.938 | 0.000 | 0.000 |
| -0.000 | -0.000 | -0.000 | 0.000 | 77.938 | -0.000 |
| -0.000 | -0.000 | -0.000 | 0.000 | 0.000 | 77.938 |
| 100.586 | 94.917 | 94.917 | 0.000 | -0.000 | -0.000 |
| 94.917 | 100.586 | 94.917 | 0.000 | -0.000 | -0.000 |
| 94.917 | 94.917 | 100.586 | -0.000 | -0.000 | -0.000 |
| 0.000 | 0.000 | 0.000 | 77.938 | -0.000 | 0.000 |
| 0.000 | 0.000 | 0.000 | -0.000 | 77.938 | 0.000 |
| 0.000 | 0.000 | 0.000 | 0.000 | -0.000 | 77.938 |
| 100.586 | 94.917 | 94.917 | -0.000 | 0.000 | 0.000 |
| 94.917 | 100.586 | 94.917 | -0.000 | 0.000 | 0.000 |
| 94.917 | 94.917 | 100.586 | -0.000 | 0.000 | 0.000 |
| -0.000 | -0.000 | -0.000 | 77.938 | 0.000 | -0.000 |
| -0.000 | -0.000 | -0.000 | 0.000 | 77.938 | -0.000 |
| -0.000 | -0.000 | -0.000 | 0.000 | 0.000 | 77.938 |
| 100.587 | 94.917 | 94.917 | 0.000 | -0.000 | 0.000 |
| 94.917 | 100.587 | 94.917 | -0.000 | -0.000 | -0.000 |
| 94.917 | 94.917 | 100.587 | -0.000 | -0.000 | -0.000 |
| 0.000 | 0.000 | 0.000 | 77.938 | -0.000 | -0.000 |
| 0.000 | 0.000 | 0.000 | -0.000 | 77.938 | -0.000 |
| 0.000 | 0.000 | 0.000 | -0.000 | -0.000 | 77.938 |
| 44.999 | 57.281 | 57.281 | 0.000 | 0.000 | 0.000 |
| 57.281 | 44.999 | 57.281 | 0.000 | 0.000 | 0.000 |
| 57.281 | 57.281 | 44.999 | 0.000 | 0.000 | 0.000 |
| -0.000 | 0.000 | -0.000 | -17.710 | 0.000 | 0.000 |
| -0.000 | 0.000 | -0.000 | 0.000 | -17.710 | 0.000 |
| -0.000 | 0.000 | -0.000 | 0.000 | 0.000 | -17.710 |
| 44.999 | 57.281 | 57.281 | -0.000 | -0.000 | -0.000 |
| 57.281 | 44.999 | 57.281 | -0.000 | -0.000 | -0.000 |
| 57.281 | 57.281 | 44.999 | -0.000 | -0.000 | -0.000 |
| 0.000 | -0.000 | 0.000 | -17.710 | -0.000 | -0.000 |
| 0.000 | -0.000 | 0.000 | -0.000 | -17.710 | 0.000 |
| 0.000 | -0.000 | 0.000 | -0.000 | -0.000 | -17.710 |
| 44.999 | 57.281 | 57.281 | 0.000 | 0.000 | 0.000 |
| 57.281 | 44.999 | 57.281 | 0.000 | 0.000 | 0.000 |
| 57.281 | 57.281 | 44.999 | 0.000 | 0.000 | 0.000 |
| -0.000 | -0.000 | -0.000 | -17.710 | 0.000 | 0.000 |
| -0.000 | -0.000 | -0.000 | 0.000 | -17.710 | 0.000 |
| -0.000 | -0.000 | -0.000 | 0.000 | 0.000 | -17.710 |
| 44.999 | 57.281 | 57.281 | -0.000 | -0.000 | -0.000 |
| 57.281 | 44.999 | 57.281 | -0.000 | -0.000 | -0.000 |
| 57.281 | 57.281 | 44.999 | -0.000 | -0.000 | -0.000 |
| 0.000 | 0.000 | 0.000 | -17.710 | -0.000 | -0.000 |
| 0.000 | 0.000 | 0.000 | -0.000 | -17.710 | -0.000 |
| 0.000 | 0.000 | 0.000 | -0.000 | -0.000 | -17.710 |
| 44.999 | 57.281 | 57.281 | 0.000 | 0.000 | 0.000 |
| 57.281 | 44.999 | 57.281 | 0.000 | 0.000 | 0.000 |
| 57.281 | 57.281 | 44.999 | 0.000 | 0.000 | 0.000 |
| -0.000 | -0.000 | -0.000 | -17.710 | 0.000 | 0.000 |
| -0.000 | -0.000 | -0.000 | 0.000 | -17.710 | 0.000 |
| -0.000 | -0.000 | -0.000 | 0.000 | 0.000 | -17.710 |
| 44.999 | 57.281 | 57.281 | -0.000 | -0.000 | -0.000 |
| 57.281 | 44.999 | 57.281 | -0.000 | -0.000 | -0.000 |
| 57.281 | 57.281 | 44.999 | -0.000 | -0.000 | -0.000 |
| 0.000 | 0.000 | 0.000 | -17.710 | -0.000 | -0.000 |
| 0.000 | 0.000 | 0.000 | -0.000 | -17.710 | -0.000 |
| 0.000 | 0.000 | 0.000 | -0.000 | -0.000 | -17.710 |
| 206.126 | 82.513 | 33.367 | 0.000 | 0.000 | 0.000 |
| 83.456 | 125.146 | 88.210 | 0.000 | -0.000 | 0.000 |
| 35.220 | 105.046 | 181.961 | 0.000 | 0.000 | 0.000 |
| 0.001 | 0.003 | 0.002 | 63.407 | 0.000 | 0.000 |
| 0.002 | 0.005 | 0.003 | 0.000 | 15.131 | 0.000 |
| 0.001 | 0.001 | 0.001 | 0.000 | 0.000 | 66.247 |
| 206.458 | 83.456 | 33.484 | 0.000 | -0.000 | -0.000 |
| 82.010 | 120.032 | 89.183 | -0.000 | -0.000 | -0.000 |
| 33.484 | 88.210 | 198.850 | -0.000 | -0.000 | -0.000 |
| -0.001 | -0.003 | -0.002 | 63.406 | -0.000 | -0.000 |
| -0.002 | -0.005 | -0.003 | -0.000 | 15.134 | -0.000 |
| -0.001 | -0.001 | -0.001 | -0.000 | -0.000 | 66.247 |
| 206.126 | 82.512 | 33.367 | 0.000 | 0.000 | 0.000 |
| 80.623 | 104.968 | 105.049 | 0.000 | 0.000 | 0.000 |
| 35.220 | 105.048 | 181.958 | 0.000 | 0.000 | 0.000 |
| 0.000 | 0.000 | 0.000 | 63.406 | 0.000 | 0.000 |
| 0.000 | -0.000 | 0.000 | 0.000 | 13.714 | 0.000 |
| 0.000 | 0.000 | 0.000 | 0.000 | 0.000 | 66.247 |
| 206.126 | 82.512 | 33.366 | -0.000 | -0.000 | -0.000 |
| 80.623 | 104.968 | 105.048 | -0.000 | -0.000 | -0.000 |
| 35.220 | 105.049 | 181.957 | -0.000 | -0.000 | -0.000 |
| -0.000 | -0.000 | -0.000 | 63.406 | -0.000 | -0.000 |
| -0.000 | 0.000 | -0.000 | -0.000 | 13.714 | -0.000 |
| -0.000 | -0.000 | -0.000 | -0.000 | -0.000 | 66.247 |
| 206.459 | 83.456 | 33.485 | 0.000 | -0.000 | 0.000 |
| 80.623 | 104.968 | 105.049 | 0.000 | 0.000 | 0.000 |
| 35.220 | 105.049 | 181.958 | 0.000 | 0.000 | 0.000 |
| -0.000 | -0.000 | -0.000 | 63.406 | 0.000 | 0.000 |
| 0.000 | -0.000 | -0.000 | 0.000 | 13.714 | 0.000 |
| -0.000 | -0.000 | -0.000 | 0.000 | 0.000 | 66.247 |
| 205.946 | 80.852 | 34.995 | 0.000 | -0.000 | -0.000 |
| 80.623 | 104.968 | 105.048 | -0.000 | -0.000 | -0.000 |
| 35.220 | 105.048 | 181.957 | -0.000 | -0.000 | -0.000 |
| 0.000 | 0.000 | 0.000 | 63.406 | -0.000 | -0.000 |
| -0.000 | 0.000 | 0.000 | -0.000 | 13.714 | -0.000 |
| 0.000 | 0.000 | 0.000 | -0.000 | -0.000 | 66.247 |
| 206.312 | 36.882 | 56.765 | 0.000 | -0.000 | 0.000 |
| 41.174 | 123.203 | 120.358 | 0.000 | 0.000 | 0.000 |
| 48.666 | 98.784 | 126.793 | 0.000 | 0.000 | 0.000 |
| -1.720 | -12.180 | 14.307 | 0.468 | 0.000 | -0.000 |
| 0.000 | -0.000 | 0.000 | 0.000 | 28.567 | 0.000 |
| -1.052 | -7.447 | 8.748 | 0.000 | 0.000 | 28.526 |
| 208.415 | 51.776 | 39.268 | -0.000 | -0.000 | 0.000 |
| 46.321 | 155.866 | 77.562 | 0.000 | 0.000 | -0.000 |
| 52.322 | 120.957 | 96.394 | -0.000 | 0.000 | -0.000 |
| 1.720 | 12.180 | -14.307 | 0.468 | -0.000 | 0.000 |
| -0.000 | 0.000 | -0.000 | -0.000 | 28.567 | 0.000 |
| 1.052 | 7.447 | -8.748 | -0.000 | -0.000 | 28.526 |
| 207.959 | 48.559 | 43.063 | 0.000 | -0.000 | 0.000 |
| 47.437 | 165.273 | 68.281 | 0.000 | -0.000 | -0.000 |
| 50.888 | 111.489 | 108.321 | 0.000 | -0.000 | 0.000 |
| -0.156 | -1.028 | 1.296 | -3.808 | -0.000 | -0.000 |
| -0.016 | -0.115 | 0.135 | 0.000 | 28.485 | 0.000 |
| -0.105 | -0.745 | 0.875 | 0.000 | -0.000 | 28.526 |
| 207.339 | 44.461 | 48.223 | -0.000 | 0.000 | -0.000 |
| 42.608 | 132.671 | 108.431 | -0.000 | 0.000 | -0.000 |
| 51.149 | 113.210 | 106.152 | -0.000 | 0.000 | 0.000 |
| 0.156 | 1.028 | -1.296 | -3.808 | 0.000 | -0.000 |
| 0.016 | 0.115 | -0.135 | -0.000 | 28.485 | -0.000 |
| 0.105 | 0.745 | -0.875 | -0.000 | -0.000 | 28.526 |
| 207.195 | 43.515 | 49.415 | 0.000 | -0.000 | -0.000 |
| 42.465 | 131.725 | 109.624 | 0.000 | -0.000 | -0.000 |
| 51.005 | 112.264 | 107.346 | 0.000 | -0.000 | -0.000 |
| -0.016 | -0.103 | 0.130 | -3.814 | 0.000 | -0.000 |
| -0.001 | -0.011 | 0.013 | 0.000 | 28.488 | 0.000 |
| -0.000 | -0.000 | 0.000 | 0.000 | -0.000 | 28.526 |
| 207.959 | 48.559 | 43.063 | -0.000 | 0.000 | 0.000 |
| 42.491 | 131.896 | 109.407 | -0.000 | 0.000 | -0.000 |
| 44.775 | 71.115 | 159.152 | -0.000 | 0.000 | -0.000 |
| 0.016 | 0.103 | -0.130 | -3.814 | -0.000 | 0.000 |
| 0.001 | 0.011 | -0.013 | 0.000 | 28.488 | 0.000 |
| 0.000 | 0.000 | -0.000 | -0.000 | 0.000 | 28.526 |
| 119.372 | 131.561 | -0.839 | 0.000 | 0.000 | 0.000 |
| 131.561 | 119.372 | -0.839 | 0.000 | 0.000 | 0.000 |
| -0.755 | -0.755 | 177.548 | -0.000 | 0.000 | 0.000 |
| -0.000 | 0.000 | 0.000 | -11.535 | 0.000 | -0.000 |
| -0.000 | -0.000 | 0.000 | 0.000 | -11.535 | 0.000 |
| 0.000 | -0.000 | -0.000 | -0.000 | 0.000 | -6.095 |
| 183.818 | 67.115 | -0.839 | -0.000 | -0.000 | 0.000 |
| 67.115 | 183.818 | -0.839 | -0.000 | -0.000 | 0.000 |
| -0.755 | -0.755 | 177.548 | -0.000 | -0.000 | 0.000 |
| 0.000 | -0.000 | -0.000 | -11.535 | -0.000 | 0.000 |
| 0.000 | 0.000 | -0.000 | -0.000 | -11.535 | 0.000 |
| -0.000 | 0.000 | 0.000 | 0.000 | -0.000 | -6.095 |
| 126.463 | 124.470 | -0.839 | -0.000 | 0.000 | 0.000 |
| 67.115 | 183.818 | -0.839 | 0.000 | 0.000 | 0.000 |
| -0.755 | -0.755 | 177.548 | 0.000 | 0.000 | -0.000 |
| -0.000 | 0.000 | -0.000 | -11.535 | 0.000 | 0.000 |
| 0.000 | 0.000 | -0.000 | 0.000 | -11.535 | 0.000 |
| -69821830.515 | -71416849.038 | -72681480.425 | 504450.098 | -1483783.263 | -1668762.555 |
| 126.462 | 124.470 | -0.839 | -0.000 | -0.000 | -0.000 |
| 124.470 | 126.463 | -0.839 | -0.000 | 0.000 | -0.000 |
| -0.755 | -0.755 | 177.547 | 0.000 | -0.000 | 0.000 |
| 0.000 | -0.000 | 0.000 | -11.535 | -0.000 | 0.000 |
| -0.000 | -0.000 | 0.000 | -0.000 | -11.535 | 0.000 |
| 67822067.229 | 69371409.530 | 68455924.991 | -503876.011 | -658466.525 | -2345202.598 |
| 126.373 | 124.562 | -0.839 | 0.000 | 0.000 | 0.000 |
| 124.244 | 126.691 | -0.839 | -0.000 | 0.000 | -0.000 |
| -0.755 | -0.755 | 177.552 | 0.000 | 0.000 | -0.000 |
| 0.000 | 0.000 | -0.000 | -11.535 | 0.000 | 0.000 |
| 0.000 | 0.000 | -0.000 | 0.000 | -11.535 | 0.000 |
| -0.000 | 0.000 | 0.000 | 0.000 | 0.000 | 1.228 |
| 7860244.217 | 7319685.512 | 7037400.835 | 190758.739 | 2872.746 | 20100.889 |
| 124.550 | 126.381 | -0.839 | -0.000 | -0.000 | 0.000 |
| -0.755 | -0.755 | 177.543 | -0.000 | -0.000 | -0.000 |
| -0.000 | -0.000 | 0.000 | -11.535 | -0.000 | 0.000 |
| -0.000 | -0.000 | 0.000 | -0.000 | -11.535 | 0.000 |
| 0.000 | -0.000 | -0.000 | -0.000 | -0.000 | 1.228 |
| 322.365 | 123.198 | 113.779 | -0.000 | -0.000 | 0.000 |
| 124.611 | 320.952 | 113.779 | 0.000 | 0.000 | -0.000 |
| 113.779 | 113.779 | 265.103 | 0.000 | -0.000 | -0.000 |
| 0.000 | -0.000 | 0.000 | 90.369 | -0.000 | 0.000 |
| 0.000 | -0.000 | 0.000 | 0.000 | 90.369 | 0.000 |
| -0.000 | -0.000 | 0.000 | 0.000 | -0.000 | 98.170 |
| 320.952 | 124.611 | 113.779 | -0.000 | 0.000 | -0.000 |
| 123.198 | 322.365 | 113.779 | -0.000 | -0.000 | -0.000 |
| 113.779 | 113.779 | 265.103 | 0.000 | 0.000 | -0.000 |
| -0.000 | 0.000 | -0.000 | 90.369 | 0.000 | 0.000 |
| -0.000 | 0.000 | -0.000 | 0.000 | 90.369 | -0.000 |
| 0.000 | 0.000 | -0.000 | -0.000 | 0.000 | 98.170 |
| 322.365 | 123.198 | 113.779 | -0.000 | 0.000 | -0.000 |
| 124.611 | 320.952 | 113.779 | 0.000 | -0.000 | -0.000 |
| 113.779 | 113.779 | 265.103 | -0.000 | 0.000 | -0.000 |
| 0.000 | 0.000 | 0.000 | 90.369 | -0.000 | 0.000 |
| 0.000 | 0.000 | 0.000 | 0.000 | 90.369 | 0.000 |
| 0.000 | 0.000 | 0.000 | 0.000 | -0.000 | 99.584 |
| 322.365 | 123.198 | 113.779 | -0.000 | 0.000 | -0.000 |
| 124.611 | 320.952 | 113.779 | -0.000 | 0.000 | -0.000 |
| 113.779 | 113.779 | 265.103 | 0.000 | 0.000 | 0.000 |
| -0.000 | -0.000 | -0.000 | 90.369 | 0.000 | -0.000 |
| -0.000 | -0.000 | -0.000 | -0.000 | 90.369 | -0.000 |
| -0.000 | -0.000 | -0.000 | -0.000 | -0.000 | 99.584 |
| 320.953 | 124.612 | 113.779 | -0.000 | -0.000 | 0.000 |
| 124.612 | 320.953 | 113.779 | 0.000 | -0.000 | 0.000 |
| 113.779 | 113.779 | 265.102 | 0.000 | -0.000 | -0.000 |
| 0.000 | 0.000 | 0.000 | 90.369 | -0.000 | -0.000 |
| 0.000 | 0.000 | 0.000 | -0.000 | 90.369 | -0.000 |
| 0.000 | 0.000 | 0.000 | -0.000 | -0.000 | 98.170 |
| 320.951 | 124.611 | 113.778 | -0.000 | 0.000 | 0.000 |
| 124.611 | 320.951 | 113.778 | -0.000 | -0.000 | -0.000 |
| 113.778 | 113.778 | 265.103 | -0.000 | 0.000 | -0.000 |
| -0.000 | -0.000 | -0.000 | 90.369 | 0.000 | -0.000 |
| -0.000 | -0.000 | -0.000 | 0.000 | 90.369 | -0.000 |
| -0.000 | -0.000 | -0.000 | -0.000 | 0.000 | 98.170 |
| 91.464 | 92.891 | 92.891 | -0.000 | -0.000 | 0.000 |
| 92.891 | 91.464 | 92.891 | -0.000 | -0.000 | 0.000 |
| 92.891 | 92.891 | 91.464 | -0.000 | -0.000 | 0.000 |
| 0.000 | 0.000 | -0.000 | 75.690 | -0.000 | 0.000 |
| 0.000 | 0.000 | 0.000 | 0.000 | 75.690 | 0.000 |
| 0.000 | 0.000 | 0.000 | 0.000 | 0.000 | 75.690 |
| 91.464 | 92.891 | 92.891 | 0.000 | 0.000 | -0.000 |
| 92.891 | 91.464 | 92.891 | 0.000 | 0.000 | -0.000 |
| 92.891 | 92.891 | 91.464 | -0.000 | -0.000 | -0.000 |
| -0.000 | -0.000 | 0.000 | 75.690 | 0.000 | -0.000 |
| -0.000 | -0.000 | -0.000 | 0.000 | 75.690 | -0.000 |
| -0.000 | -0.000 | -0.000 | -0.000 | 0.000 | 75.690 |
| 91.464 | 92.891 | 92.891 | -0.000 | -0.000 | 0.000 |
| 92.891 | 91.464 | 92.891 | 0.000 | 0.000 | 0.000 |
| 92.891 | 92.891 | 91.464 | -0.000 | -0.000 | -0.000 |
| 0.000 | 0.000 | 0.000 | 75.690 | 0.000 | 0.000 |
| 0.000 | 0.000 | 0.000 | -0.000 | 75.690 | 0.000 |
| 0.000 | 0.000 | 0.000 | -0.000 | 0.000 | 75.690 |
| 91.464 | 92.891 | 92.891 | -0.000 | -0.000 | -0.000 |
| 92.891 | 91.464 | 92.891 | -0.000 | 0.000 | 0.000 |
| 92.891 | 92.891 | 91.464 | -0.000 | -0.000 | -0.000 |
| -0.000 | -0.000 | -0.000 | 75.690 | -0.000 | -0.000 |
| -0.000 | -0.000 | -0.000 | 0.000 | 75.690 | -0.000 |
| -0.000 | -0.000 | -0.000 | 0.000 | -0.000 | 75.690 |
| 91.465 | 92.892 | 92.892 | 0.000 | 0.000 | 0.000 |
| 92.892 | 91.465 | 92.892 | 0.000 | -0.000 | 0.000 |
| 92.892 | 92.892 | 91.465 | 0.000 | 0.000 | 0.000 |
| 0.001 | 0.000 | 0.000 | 75.690 | 0.000 | 0.000 |
| 0.000 | 0.001 | 0.000 | -0.000 | 75.690 | 0.000 |
| 0.000 | 0.000 | 0.001 | -0.000 | 0.000 | 75.690 |
| 91.463 | 92.890 | 92.890 | -0.000 | 0.000 | -0.000 |
| 92.890 | 91.463 | 92.890 | 0.000 | -0.000 | -0.000 |
| 92.890 | 92.890 | 91.463 | 0.000 | -0.000 | -0.000 |
| -0.001 | -0.000 | -0.000 | 75.690 | -0.000 | -0.000 |
| -0.000 | -0.001 | -0.000 | -0.000 | 75.690 | -0.000 |
| -0.000 | -0.000 | -0.001 | 0.000 | -0.000 | 75.690 |
| 352.542 | 144.650 | 144.650 | 0.000 | -0.000 | -0.000 |
| 144.650 | 352.542 | 144.650 | 0.000 | 0.000 | -0.000 |
| 144.650 | 144.650 | 352.542 | -0.000 | 0.000 | -0.000 |
| -0.000 | 0.000 | 0.000 | 117.016 | 0.000 | -0.000 |
| 0.000 | 0.000 | 0.000 | 0.000 | 117.016 | -0.000 |
| 0.000 | 0.000 | 0.000 | 0.000 | 0.000 | 117.016 |
| 352.542 | 144.650 | 144.650 | 0.000 | -0.000 | 0.000 |
| 144.650 | 352.542 | 144.650 | -0.000 | -0.000 | 0.000 |
| 144.650 | 144.650 | 352.542 | -0.000 | -0.000 | 0.000 |
| 0.000 | -0.000 | -0.000 | 117.016 | -0.000 | 0.000 |
| -0.000 | -0.000 | -0.000 | -0.000 | 117.016 | 0.000 |
| -0.000 | -0.000 | -0.000 | -0.000 | -0.000 | 117.016 |
| 352.542 | 144.650 | 144.650 | 0.000 | 0.000 | -0.000 |
| 144.650 | 352.542 | 144.650 | 0.000 | 0.000 | -0.000 |
| 144.650 | 144.650 | 352.542 | 0.000 | 0.000 | -0.000 |
| 0.000 | 0.000 | 0.000 | 123.855 | 0.000 | -0.000 |
| 0.000 | 0.000 | 0.000 | -0.000 | 123.855 | -0.000 |
| 0.000 | 0.000 | 0.000 | -0.000 | 0.000 | 123.855 |
| 352.542 | 144.650 | 144.650 | -0.000 | -0.000 | 0.000 |
| 144.650 | 352.542 | 144.650 | -0.000 | -0.000 | 0.000 |
| 144.650 | 144.650 | 352.542 | -0.000 | -0.000 | 0.000 |
| -0.000 | -0.000 | -0.000 | 123.855 | -0.000 | 0.000 |
| -0.000 | -0.000 | -0.000 | -0.000 | 123.855 | 0.000 |
| -0.000 | -0.000 | -0.000 | -0.000 | -0.000 | 123.855 |
| 352.544 | 144.651 | 144.651 | 0.000 | 0.000 | -0.000 |
| 144.651 | 352.544 | 144.651 | 0.000 | 0.000 | -0.000 |
| 144.651 | 144.651 | 352.544 | 0.000 | 0.000 | -0.000 |
| 0.000 | 0.000 | 0.000 | 117.016 | 0.000 | -0.000 |
| 0.000 | 0.000 | 0.000 | 0.000 | 117.016 | -0.000 |
| 0.000 | 0.000 | 0.000 | 0.000 | 0.000 | 117.016 |
| 352.540 | 144.649 | 144.649 | 0.000 | -0.000 | 0.000 |
| 144.649 | 352.540 | 144.649 | -0.000 | -0.000 | 0.000 |
| 144.649 | 144.649 | 352.540 | -0.000 | -0.000 | 0.000 |
| -0.000 | -0.000 | -0.000 | 117.016 | -0.000 | 0.000 |
| -0.000 | -0.000 | -0.000 | 0.000 | 117.016 | 0.000 |
| -0.000 | -0.000 | -0.000 | -0.000 | -0.000 | 117.016 |
| 268.578 | 95.477 | 97.909 | -0.000 | -0.000 | 0.000 |
| 96.386 | 152.980 | 108.002 | -0.000 | -0.000 | 0.000 |
| 107.190 | 105.696 | 473.582 | 0.000 | -0.000 | 0.000 |
| 0.000 | 0.000 | 0.000 | 77.178 | 0.000 | 0.000 |
| 0.000 | 0.000 | 0.000 | -0.000 | 73.344 | 0.000 |
| 0.000 | 0.000 | 0.000 | 0.000 | 0.000 | 69.820 |
| 270.329 | 95.795 | 108.905 | 0.000 | 0.000 | -0.000 |
| 96.068 | 152.922 | 106.006 | -0.000 | -0.000 | -0.000 |
| 107.190 | 105.696 | 473.582 | -0.000 | -0.000 | -0.000 |
| -0.000 | -0.000 | -0.000 | 77.178 | -0.000 | -0.000 |
| -0.000 | -0.000 | -0.000 | 0.000 | 73.344 | -0.000 |
| -0.000 | -0.000 | -0.000 | -0.000 | -0.000 | 69.820 |
| 270.329 | 95.795 | 108.905 | 0.000 | -0.000 | 0.000 |
| 96.068 | 152.922 | 106.006 | 0.000 | -0.000 | 0.000 |
| 96.194 | 103.700 | 404.521 | -0.000 | 0.000 | 0.000 |
| 0.000 | -0.000 | 0.000 | 77.178 | 0.000 | 0.000 |
| -0.000 | 0.000 | -0.000 | 0.000 | 78.273 | 0.000 |
| -0.000 | 0.000 | 0.000 | 0.000 | -0.000 | 69.820 |
| 270.329 | 95.795 | 108.905 | 0.000 | 0.000 | -0.000 |
| 96.386 | 152.980 | 108.002 | 0.000 | 0.000 | -0.000 |
| 96.194 | 103.700 | 404.520 | -0.000 | -0.000 | -0.000 |
| -0.000 | 0.000 | -0.000 | 77.178 | -0.000 | -0.000 |
| 0.000 | -0.000 | 0.000 | 0.000 | 78.273 | -0.000 |
| 0.000 | -0.000 | -0.000 | 0.000 | 0.000 | 69.820 |
| 270.329 | 95.795 | 108.905 | 0.000 | 0.000 | 0.000 |
| 96.069 | 152.922 | 106.006 | -0.000 | -0.000 | 0.000 |
| 96.194 | 103.700 | 404.522 | -0.000 | 0.000 | 0.000 |
| 0.000 | -0.000 | -0.000 | 77.178 | 0.000 | 0.000 |
| -0.000 | 0.000 | -0.000 | 0.000 | 78.273 | 0.000 |
| -0.000 | 0.000 | 0.000 | 0.000 | 0.000 | 69.820 |
| 270.329 | 95.795 | 108.905 | 0.000 | 0.000 | -0.000 |
| 96.068 | 152.922 | 106.005 | 0.000 | -0.000 | -0.000 |
| 96.193 | 103.699 | 404.511 | -0.000 | 0.000 | -0.000 |
| -0.000 | 0.000 | 0.000 | 77.178 | -0.000 | -0.000 |
| 0.000 | -0.000 | 0.000 | -0.000 | 78.273 | -0.000 |
| 0.000 | -0.000 | -0.000 | -0.000 | 0.000 | 69.820 |
| 232.351 | 87.278 | -92.511 | -0.000 | -0.000 | 0.000 |
| 56.667 | 143.882 | -89.677 | 0.000 | -0.000 | 0.000 |
| 59.831 | 93.276 | 176.574 | 0.000 | 0.000 | -0.000 |
| -39.424 | -8.812 | -191.769 | 78.546 | -0.000 | -0.000 |
| -39.497 | -8.828 | -192.126 | -0.000 | 82.270 | 0.000 |
| -39.423 | -8.812 | -191.765 | -0.000 | -0.000 | 70.824 |
| 311.197 | 104.902 | 291.020 | 0.000 | 0.000 | 0.000 |
| 135.513 | 161.506 | 293.854 | 0.000 | 0.000 | -0.000 |
| 138.678 | 110.900 | 560.105 | 0.000 | 0.000 | -0.000 |
| 39.424 | 8.812 | 191.769 | 78.546 | -0.000 | -0.000 |
| 39.497 | 8.828 | 192.126 | 0.000 | 82.270 | 0.000 |
| 39.423 | 8.812 | 191.765 | 0.000 | 0.000 | 70.824 |
| 267.832 | 95.209 | 80.078 | 0.000 | -0.000 | 0.000 |
| 92.148 | 151.813 | 82.912 | 0.000 | -0.000 | 0.000 |
| 110.126 | 104.518 | 421.224 | -0.000 | -0.000 | -0.000 |
| 0.000 | -0.000 | 0.000 | 78.631 | 0.000 | -0.000 |
| -0.000 | 0.000 | -0.000 | -0.000 | 84.387 | 0.000 |
| -3.942 | -0.881 | -19.177 | -0.000 | -0.000 | 70.824 |
| 274.009 | 96.590 | 110.126 | 0.000 | 0.000 | -0.000 |
| 96.590 | 152.805 | 104.518 | -0.000 | 0.000 | -0.000 |
| 110.126 | 104.518 | 421.223 | 0.000 | 0.000 | 0.000 |
| -0.000 | 0.000 | -0.000 | 78.631 | 0.000 | -0.000 |
| 0.000 | -0.000 | 0.000 | 0.000 | 84.387 | 0.000 |
| 3.942 | 0.881 | 19.177 | -0.000 | 0.000 | 70.824 |
| 271.380 | 96.002 | 97.337 | -0.000 | -0.000 | -0.000 |
| 95.696 | 152.606 | 100.171 | 0.000 | -0.000 | 0.000 |
| 98.860 | 102.000 | 366.424 | -0.000 | -0.000 | 0.000 |
| -0.434 | -0.097 | -2.113 | 78.537 | -0.000 | 0.000 |
| -0.000 | 0.000 | -0.000 | 0.000 | 84.387 | -0.000 |
| -0.394 | -0.088 | -1.918 | -0.000 | -0.000 | 70.824 |
| 272.168 | 96.178 | 101.172 | 0.000 | 0.000 | -0.000 |
| 96.589 | 152.805 | 104.518 | 0.000 | 0.000 | -0.000 |
| 99.649 | 102.176 | 370.253 | -0.000 | -0.000 | -0.000 |
| 0.434 | 0.097 | 2.113 | 78.537 | 0.000 | -0.000 |
| 0.000 | -0.000 | 0.000 | -0.000 | 84.387 | -0.000 |
| 0.394 | 0.088 | 1.918 | -0.000 | -0.000 | 70.824 |
| 18.983 | 19.866 | 19.866 | 0.000 | 0.000 | -0.000 |
| 19.866 | 18.983 | 19.866 | 0.000 | 0.000 | -0.000 |
| 19.866 | 19.866 | 18.983 | 0.000 | 0.000 | 0.000 |
| 0.000 | 0.000 | 0.000 | -2.328 | 0.000 | -0.000 |
| -0.000 | 0.000 | 0.000 | 0.000 | -2.328 | 0.000 |
| 0.000 | 0.000 | 0.000 | 0.000 | 0.000 | -2.328 |
| 18.983 | 19.866 | 19.866 | -0.000 | -0.000 | -0.000 |
| 19.866 | 18.983 | 19.866 | -0.000 | -0.000 | 0.000 |
| 19.866 | 19.866 | 18.983 | -0.000 | -0.000 | -0.000 |
| -0.000 | -0.000 | -0.000 | -2.328 | -0.000 | 0.000 |
| 0.000 | -0.000 | -0.000 | -0.000 | -2.328 | 0.000 |
| 0.000 | -0.000 | -0.000 | -0.000 | -0.000 | -2.328 |
| 18.983 | 19.866 | 19.866 | 0.000 | 0.000 | 0.000 |
| 19.866 | 18.983 | 19.866 | 0.000 | 0.000 | 0.000 |
| 19.866 | 19.866 | 18.983 | 0.000 | 0.000 | 0.000 |
| 0.000 | 0.000 | 0.000 | 18.524 | 0.000 | 0.000 |
| 0.000 | 0.000 | 0.000 | 0.000 | 18.524 | 0.000 |
| 0.000 | 0.000 | 0.000 | 0.000 | 0.000 | 18.524 |
| 18.983 | 19.866 | 19.866 | -0.000 | -0.000 | 0.000 |
| 19.866 | 18.983 | 19.866 | -0.000 | -0.000 | 0.000 |
| 19.866 | 19.866 | 18.983 | -0.000 | -0.000 | -0.000 |
| -0.000 | -0.000 | -0.000 | 18.524 | -0.000 | -0.000 |
| -0.000 | -0.000 | -0.000 | -0.000 | 18.524 | -0.000 |
| -0.000 | -0.000 | -0.000 | -0.000 | -0.000 | 18.524 |
| 18.983 | 19.866 | 19.866 | 0.000 | 0.000 | -0.000 |
| 19.866 | 18.983 | 19.866 | 0.000 | 0.000 | -0.000 |
| 19.866 | 19.866 | 18.983 | 0.000 | 0.000 | 0.000 |
| 0.000 | 0.000 | 0.000 | 18.524 | 0.000 | 0.000 |
| 0.000 | 0.000 | 0.000 | 0.000 | 18.524 | 0.000 |
| 0.000 | 0.000 | 0.000 | 0.000 | 0.000 | 18.524 |
| 18.983 | 19.866 | 19.866 | 0.000 | -0.000 | -0.000 |
| 19.866 | 18.983 | 19.866 | -0.000 | 0.000 | -0.000 |
| 19.866 | 19.866 | 18.983 | -0.000 | -0.000 | 0.000 |
| -0.000 | -0.000 | -0.000 | 18.524 | -0.000 | -0.000 |
| -0.000 | -0.000 | -0.000 | -0.000 | 18.524 | -0.000 |
| -0.000 | -0.000 | -0.000 | 0.000 | -0.000 | 18.524 |
| 295.526 | 42.104 | 42.104 | 0.000 | 0.000 | -0.000 |
| 42.104 | 295.526 | 42.104 | -0.000 | -0.000 | 0.000 |
| 42.104 | 42.104 | 295.526 | 0.000 | 0.000 | 0.000 |
| 0.000 | 0.000 | 0.000 | -29.496 | 0.000 | -0.000 |
| 0.000 | 0.000 | 0.000 | -0.000 | -29.496 | -0.000 |
| 0.000 | 0.000 | 0.000 | -0.000 | 0.000 | -29.496 |
| 294.432 | 42.651 | 42.651 | -0.000 | -0.000 | -0.000 |
| 42.651 | 294.432 | 42.651 | -0.000 | -0.000 | 0.000 |
| 42.651 | 42.651 | 294.432 | 0.000 | -0.000 | 0.000 |
| -0.000 | -0.000 | -0.000 | -29.496 | -0.000 | -0.000 |
| -0.000 | -0.000 | -0.000 | -0.000 | -29.496 | 0.000 |
| -0.000 | 0.000 | -0.000 | -0.000 | -0.000 | -29.496 |
| 295.526 | 42.104 | 42.104 | -0.000 | 0.000 | -0.000 |
| 42.104 | 295.526 | 42.104 | -0.000 | 0.000 | 0.000 |
| 42.104 | 42.104 | 295.526 | 0.000 | -0.000 | -0.000 |
| 0.000 | 0.000 | 0.000 | -29.496 | 0.000 | 0.000 |
| 0.000 | 0.000 | 0.000 | -0.000 | -29.496 | -0.000 |
| 0.000 | 0.000 | 0.000 | -0.000 | 0.000 | -29.496 |
| 295.525 | 42.104 | 42.104 | 0.000 | -0.000 | 0.000 |
| 42.104 | 295.525 | 42.104 | -0.000 | -0.000 | 0.000 |
| 42.104 | 42.104 | 295.525 | -0.000 | -0.000 | 0.000 |
| -0.000 | -0.000 | -0.000 | -29.496 | -0.000 | 0.000 |
| -0.000 | -0.000 | -0.000 | -0.000 | -29.496 | -0.000 |
| -0.000 | -0.000 | -0.000 | -0.000 | -0.000 | -29.496 |
| 294.434 | 42.651 | 42.651 | 0.000 | -0.000 | -0.000 |
| 42.651 | 294.434 | 42.651 | -0.000 | 0.000 | 0.000 |
| 42.651 | 42.651 | 294.434 | 0.000 | 0.000 | 0.000 |
| 0.000 | 0.000 | 0.000 | -29.496 | 0.000 | 0.000 |
| 0.000 | 0.000 | 0.000 | 0.000 | -29.496 | -0.000 |
| 0.000 | 0.000 | 0.000 | 0.000 | 0.000 | -29.496 |
| 294.430 | 42.651 | 42.651 | -0.000 | -0.000 | 0.000 |
| 42.651 | 294.430 | 42.651 | 0.000 | -0.000 | -0.000 |
| 42.651 | 42.651 | 294.430 | 0.000 | 0.000 | 0.000 |
| -0.000 | -0.000 | -0.000 | -29.496 | -0.000 | -0.000 |
| -0.000 | -0.000 | -0.000 | -0.000 | -29.496 | -0.000 |
| -0.000 | -0.000 | -0.000 | -0.000 | -0.000 | -29.496 |
| 157.729 | 146.521 | 146.521 | -0.000 | -0.000 | -0.000 |
| 146.521 | 157.729 | 146.521 | -0.000 | -0.000 | 0.000 |
| 146.521 | 146.521 | 157.729 | -0.000 | -0.000 | -0.000 |
| 0.000 | -0.000 | -0.000 | 118.786 | -0.000 | -0.000 |
| 0.000 | 0.000 | -0.000 | -0.000 | 118.786 | -0.000 |
| 0.000 | -0.000 | -0.000 | 0.000 | -0.000 | 118.786 |
| 157.729 | 146.521 | 146.521 | -0.000 | 0.000 | -0.000 |
| 146.521 | 157.729 | 146.521 | -0.000 | 0.000 | 0.000 |
| 146.521 | 146.521 | 157.729 | -0.000 | 0.000 | -0.000 |
| -0.000 | 0.000 | 0.000 | 118.786 | 0.000 | 0.000 |
| -0.000 | 0.000 | 0.000 | -0.000 | 118.786 | -0.000 |
| -0.000 | 0.000 | 0.000 | -0.000 | 0.000 | 118.786 |
| 157.729 | 146.521 | 146.521 | 0.000 | -0.000 | -0.000 |
| 146.521 | 157.729 | 146.521 | -0.000 | -0.000 | 0.000 |
| 146.521 | 146.521 | 157.729 | 0.000 | -0.000 | 0.000 |
| 0.000 | 0.000 | 0.000 | 118.786 | -0.000 | -0.000 |
| 0.000 | 0.000 | 0.000 | 0.000 | 118.786 | -0.000 |
| 0.000 | 0.000 | 0.000 | 0.000 | -0.000 | 118.786 |
| 157.729 | 146.521 | 146.521 | -0.000 | 0.000 | -0.000 |
| 146.521 | 157.729 | 146.521 | -0.000 | -0.000 | 0.000 |
| 146.521 | 146.521 | 157.729 | -0.000 | 0.000 | 0.000 |
| -0.000 | -0.000 | -0.000 | 118.786 | 0.000 | -0.000 |
| -0.000 | -0.000 | -0.000 | -0.000 | 118.786 | 0.000 |
| -0.000 | -0.000 | -0.000 | -0.000 | 0.000 | 118.786 |
| 157.731 | 146.522 | 146.522 | -0.000 | -0.000 | -0.000 |
| 146.522 | 157.731 | 146.522 | -0.000 | -0.000 | -0.000 |
| 146.522 | 146.522 | 157.731 | 0.000 | 0.000 | -0.000 |
| 0.001 | 0.001 | 0.001 | 118.786 | -0.000 | -0.000 |
| 0.001 | 0.001 | 0.001 | 0.000 | 118.786 | 0.000 |
| 0.001 | 0.001 | 0.001 | -0.000 | -0.000 | 118.786 |
| 157.727 | 146.520 | 146.520 | 0.000 | 0.000 | -0.000 |
| 146.520 | 157.727 | 146.520 | -0.000 | 0.000 | -0.000 |
| 146.520 | 146.520 | 157.727 | -0.000 | 0.000 | 0.000 |
| -0.001 | -0.001 | -0.001 | 118.786 | 0.000 | -0.000 |
| -0.001 | -0.001 | -0.001 | -0.000 | 118.786 | 0.000 |
| -0.001 | -0.001 | -0.001 | 0.000 | 0.000 | 118.786 |
| 140.997 | 92.845 | 92.845 | 0.000 | 0.000 | 0.000 |
| 92.845 | 140.997 | 92.845 | 0.000 | -0.000 | 0.000 |
| 92.845 | 92.845 | 140.997 | 0.000 | 0.000 | 0.000 |
| 0.000 | 0.000 | -0.000 | 66.883 | -0.000 | -0.000 |
| 0.000 | -0.000 | -0.000 | 0.000 | 66.883 | 0.000 |
| 0.000 | 0.000 | -0.000 | 0.000 | 0.000 | 66.883 |
| 140.997 | 92.845 | 92.845 | 0.000 | 0.000 | -0.000 |
| 92.845 | 140.997 | 92.845 | 0.000 | 0.000 | -0.000 |
| 92.845 | 92.845 | 140.997 | 0.000 | -0.000 | -0.000 |
| -0.000 | 0.000 | 0.000 | 66.883 | 0.000 | -0.000 |
| -0.000 | -0.000 | 0.000 | 0.000 | 66.883 | -0.000 |
| -0.000 | -0.000 | 0.000 | -0.000 | -0.000 | 66.883 |
| 140.997 | 92.845 | 92.845 | 0.000 | -0.000 | 0.000 |
| 92.845 | 140.997 | 92.845 | 0.000 | 0.000 | 0.000 |
| 92.845 | 92.845 | 140.997 | 0.000 | -0.000 | 0.000 |
| -0.000 | -0.000 | 0.000 | 66.883 | -0.000 | 0.000 |
| -0.000 | -0.000 | 0.000 | 0.000 | 66.883 | -0.000 |
| -0.000 | 0.000 | -0.000 | 0.000 | 0.000 | 66.883 |
| 140.997 | 92.845 | 92.845 | 0.000 | 0.000 | -0.000 |
| 92.845 | 140.997 | 92.845 | 0.000 | 0.000 | -0.000 |
| 92.845 | 92.845 | 140.997 | 0.000 | 0.000 | 0.000 |
| 0.000 | 0.000 | -0.000 | 66.883 | -0.000 | 0.000 |
| 0.000 | 0.000 | -0.000 | -0.000 | 66.883 | -0.000 |
| 0.000 | -0.000 | 0.000 | -0.000 | -0.000 | 66.883 |
| 140.997 | 92.845 | 92.845 | 0.000 | 0.000 | -0.000 |
| 92.845 | 140.997 | 92.845 | -0.000 | 0.000 | 0.000 |
| 92.845 | 92.845 | 140.997 | -0.000 | -0.000 | 0.000 |
| -0.000 | -0.000 | 0.000 | 66.883 | -0.000 | 0.000 |
| -0.000 | -0.000 | 0.000 | 0.000 | 66.883 | 0.000 |
| -0.000 | 0.000 | -0.000 | 0.000 | 0.000 | 66.883 |
| 140.997 | 92.845 | 92.845 | -0.000 | 0.000 | 0.000 |
| 92.845 | 140.997 | 92.845 | 0.000 | -0.000 | -0.000 |
| 92.845 | 92.845 | 140.997 | -0.000 | -0.000 | -0.000 |
| 0.000 | 0.000 | -0.000 | 66.883 | -0.000 | -0.000 |
| 0.000 | 0.000 | -0.000 | -0.000 | 66.883 | -0.000 |
| 0.000 | -0.000 | 0.000 | -0.000 | 0.000 | 66.883 |
| 318.190 | 125.940 | 108.908 | 1.921 | 0.000 | -0.000 |
| 125.940 | 318.190 | 108.908 | -1.921 | 0.000 | -0.000 |
| 107.503 | 107.503 | 281.046 | 0.000 | -0.000 | -0.000 |
| 1.921 | -1.921 | -0.000 | 79.377 | -0.000 | -0.000 |
| -0.000 | -0.000 | -0.000 | 0.000 | 79.377 | 1.921 |
| -0.000 | 0.000 | -0.000 | 0.000 | 1.921 | 96.125 |
| 318.190 | 125.940 | 108.908 | 1.921 | 0.000 | 0.000 |
| 125.940 | 318.190 | 108.908 | -1.921 | 0.000 | 0.000 |
| 107.516 | 107.516 | 281.055 | -0.000 | 0.000 | 0.000 |
| 7.433 | -7.391 | 0.015 | 70.034 | 0.000 | 0.000 |
| 0.000 | 0.000 | 0.000 | -0.000 | 79.377 | 1.921 |
| 0.000 | -0.000 | 0.000 | -0.000 | 1.921 | 96.125 |
| 314.468 | 124.744 | 107.072 | 4.070 | 0.000 | -0.000 |
| 124.744 | 314.468 | 107.072 | -4.070 | -0.000 | -0.000 |
| 107.509 | 107.509 | 281.050 | 0.000 | -0.000 | -0.000 |
| 7.410 | -7.414 | -0.002 | 70.034 | -0.000 | -0.000 |
| 0.000 | 0.000 | 0.000 | -0.000 | 79.377 | 1.921 |
| 0.000 | 0.000 | 0.000 | -0.000 | 1.921 | 96.125 |
| 314.467 | 124.745 | 107.072 | 4.071 | 0.000 | 0.000 |
| 127.295 | 313.089 | 107.510 | -7.412 | -0.000 | 0.000 |
| 108.908 | 108.908 | 282.095 | -0.000 | 0.000 | 0.000 |
| 7.414 | -7.410 | 0.002 | 70.034 | 0.000 | 0.000 |
| -0.000 | -0.000 | -0.000 | 0.000 | 79.377 | 1.921 |
| -0.000 | -0.000 | -0.000 | 0.000 | 1.921 | 96.125 |
| 318.196 | 125.941 | 108.909 | 1.920 | -0.000 | -0.000 |
| 125.942 | 318.195 | 108.909 | -1.920 | 0.000 | -0.000 |
| 108.909 | 108.909 | 282.096 | 0.000 | -0.000 | -0.000 |
| 7.412 | -7.412 | -0.000 | 70.034 | -0.000 | -0.000 |
| -0.000 | -0.000 | -0.000 | 0.000 | 70.034 | 7.412 |
| 0.000 | 0.001 | 0.000 | -0.000 | 1.921 | 96.125 |
| 318.184 | 125.939 | 108.908 | 1.921 | 0.000 | 0.000 |
| 127.293 | 313.085 | 107.509 | -7.412 | 0.000 | 0.000 |
| 108.908 | 108.908 | 282.095 | -0.000 | -0.000 | 0.000 |
| 7.412 | -7.412 | 0.000 | 70.034 | 0.000 | 0.000 |
| 0.000 | 0.000 | 0.000 | -0.000 | 70.034 | 7.412 |
| -0.000 | -0.001 | -0.000 | 0.000 | 1.921 | 96.125 |
| 296.370 | 117.424 | 105.790 | 2.705 | -0.000 | 0.000 |
| 117.424 | 296.370 | 105.790 | -2.705 | -0.000 | 0.000 |
| 104.354 | 104.354 | 276.828 | -0.000 | -0.000 | -0.000 |
| 2.705 | -2.705 | -0.000 | 77.802 | 0.000 | 0.000 |
| -0.003 | -0.003 | -0.003 | -0.000 | 69.106 | 7.624 |
| -0.003 | -0.003 | -0.003 | -0.000 | 7.624 | 86.691 |
| 293.098 | 116.302 | 104.125 | 4.605 | -0.000 | -0.000 |
| 116.302 | 293.098 | 104.125 | -4.605 | -0.000 | -0.000 |
| 104.356 | 104.356 | 276.829 | 0.000 | -0.000 | -0.000 |
| 2.705 | -2.705 | 0.000 | 77.802 | 0.000 | -0.000 |
| 0.003 | 0.003 | 0.003 | 0.000 | 69.106 | 7.624 |
| 0.003 | 0.003 | 0.003 | 0.000 | 7.624 | 86.691 |
| 293.098 | 116.301 | 104.125 | 4.605 | 0.000 | 0.000 |
| 117.424 | 296.370 | 105.790 | -2.705 | -0.000 | 0.000 |
| 104.355 | 104.355 | 276.828 | -0.000 | -0.000 | -0.000 |
| 7.623 | -7.624 | -0.000 | 69.106 | -0.000 | 0.000 |
| 0.000 | 0.000 | 0.000 | -0.000 | 77.802 | 2.705 |
| -0.000 | -0.000 | -0.000 | -0.000 | 7.624 | 86.691 |
| 293.097 | 116.301 | 104.125 | 4.605 | 0.000 | -0.000 |
| 117.424 | 296.369 | 105.790 | -2.705 | -0.000 | -0.000 |
| 105.636 | 105.636 | 277.799 | 0.000 | 0.000 | -0.000 |
| 2.705 | -2.705 | -0.000 | 77.802 | 0.000 | -0.000 |
| -0.000 | -0.000 | -0.000 | 0.000 | 77.802 | 2.705 |
| 0.000 | 0.000 | 0.000 | 0.000 | 7.624 | 86.691 |
| 296.376 | 117.425 | 105.791 | 2.705 | -0.000 | 0.000 |
| 117.426 | 296.375 | 105.791 | -2.705 | -0.000 | 0.000 |
| 105.636 | 105.636 | 277.800 | -0.000 | -0.000 | -0.000 |
| 7.624 | -7.624 | 0.000 | 69.106 | -0.000 | 0.000 |
| 0.000 | 0.000 | 0.000 | -0.000 | 77.802 | 2.705 |
| 0.001 | 0.001 | 0.000 | -0.000 | 2.705 | 89.473 |
| 296.364 | 117.423 | 105.790 | 2.705 | -0.000 | -0.000 |
| 117.422 | 296.365 | 105.790 | -2.705 | 0.000 | -0.000 |
| 104.354 | 104.354 | 276.828 | 0.000 | 0.000 | -0.000 |
| 7.624 | -7.624 | -0.000 | 69.106 | -0.000 | -0.000 |
| -0.000 | -0.000 | -0.000 | 0.000 | 77.802 | 2.705 |
| -0.001 | -0.001 | -0.000 | 0.000 | 2.705 | 89.473 |
| 158.600 | 91.413 | 104.403 | 0.000 | 0.000 | -0.000 |
| 91.413 | 158.600 | 104.403 | -0.000 | -0.000 | -0.000 |
| 104.403 | 104.403 | 190.567 | -0.000 | 0.000 | -0.000 |
| -0.000 | -0.000 | 0.000 | 77.146 | -0.000 | -0.000 |
| -0.000 | -0.000 | 0.000 | -0.000 | 77.146 | -0.000 |
| 0.000 | -0.000 | 0.000 | 0.000 | -0.000 | 63.635 |
| 158.600 | 91.413 | 104.403 | -0.000 | -0.000 | 0.000 |
| 91.413 | 158.600 | 104.403 | -0.000 | 0.000 | 0.000 |
| 104.403 | 104.403 | 190.567 | 0.000 | 0.000 | 0.000 |
| 0.000 | 0.000 | -0.000 | 77.146 | -0.000 | 0.000 |
| -0.000 | 0.000 | -0.000 | 0.000 | 77.146 | 0.000 |
| 0.000 | 0.000 | -0.000 | -0.000 | 0.000 | 63.635 |
| 158.600 | 91.413 | 104.403 | -0.000 | 0.000 | -0.000 |
| 91.413 | 158.600 | 104.403 | -0.000 | 0.000 | -0.000 |
| 104.403 | 104.403 | 190.567 | -0.000 | -0.000 | -0.000 |
| 0.000 | 0.000 | 0.000 | 76.774 | 0.000 | 0.000 |
| 0.000 | -0.000 | 0.000 | -0.000 | 76.774 | -0.000 |
| 0.000 | 0.000 | 0.000 | -0.000 | -0.000 | 63.635 |
| 158.600 | 91.413 | 104.403 | -0.000 | -0.000 | 0.000 |
| 91.413 | 158.600 | 104.403 | -0.000 | -0.000 | 0.000 |
| 104.403 | 104.403 | 190.567 | 0.000 | -0.000 | 0.000 |
| -0.000 | -0.000 | -0.000 | 76.774 | -0.000 | 0.000 |
| -0.000 | 0.000 | -0.000 | 0.000 | 76.774 | 0.000 |
| -0.000 | -0.000 | -0.000 | 0.000 | 0.000 | 63.635 |
| 158.600 | 91.413 | 104.403 | -0.000 | -0.000 | -0.000 |
| 91.413 | 158.600 | 104.403 | -0.000 | -0.000 | -0.000 |
| 104.403 | 104.403 | 190.567 | -0.000 | -0.000 | -0.000 |
| -0.000 | 0.000 | 0.000 | 76.774 | 0.000 | -0.000 |
| 0.000 | -0.000 | 0.000 | 0.000 | 76.774 | -0.000 |
| 0.000 | 0.000 | 0.000 | -0.000 | -0.000 | 63.635 |
| 158.599 | 91.413 | 104.402 | 0.000 | -0.000 | 0.000 |
| 91.413 | 158.599 | 104.402 | -0.000 | 0.000 | 0.000 |
| 104.402 | 104.402 | 190.567 | -0.000 | -0.000 | 0.000 |
| 0.000 | -0.000 | -0.000 | 76.774 | -0.000 | 0.000 |
| -0.000 | 0.000 | -0.000 | 0.000 | 76.774 | 0.000 |
| -0.000 | -0.000 | -0.000 | 0.000 | 0.000 | 63.635 |
| 167.259 | 88.135 | 56.747 | 0.000 | -0.000 | 0.000 |
| 77.335 | 180.643 | 56.894 | 0.000 | -0.000 | -0.000 |
| 56.894 | 56.894 | 198.003 | 0.000 | -0.000 | -0.000 |
| -0.000 | 0.000 | -0.000 | 31.547 | 0.000 | -0.000 |
| -0.000 | -0.000 | -0.000 | -0.000 | 31.547 | -0.000 |
| -0.000 | -0.000 | -0.000 | 0.000 | -0.000 | 34.273 |
| 157.127 | 100.235 | 56.859 | -0.000 | 0.000 | 0.000 |
| 77.335 | 180.643 | 56.894 | 0.000 | -0.000 | 0.000 |
| 56.856 | 56.856 | 197.998 | -0.000 | 0.000 | -0.000 |
| -0.000 | 0.000 | 0.000 | 31.547 | -0.000 | 0.000 |
| 0.000 | -0.000 | -0.000 | -0.000 | 31.547 | -0.000 |
| 0.000 | 0.000 | 0.000 | 0.000 | 0.000 | 34.273 |
| 180.643 | 77.335 | 56.894 | -0.000 | 0.000 | -0.000 |
| 100.235 | 157.127 | 56.859 | 0.000 | -0.000 | -0.000 |
| 56.894 | 56.894 | 198.003 | -0.000 | -0.000 | -0.000 |
| 0.000 | -0.000 | -0.000 | 31.547 | -0.000 | -0.000 |
| -0.000 | -0.000 | -0.000 | -0.000 | 31.547 | -0.000 |
| -0.000 | -0.000 | -0.000 | 0.000 | 0.000 | 51.654 |
| 167.259 | 88.135 | 56.747 | -0.000 | -0.000 | 0.000 |
| 100.235 | 157.127 | 56.859 | 0.000 | 0.000 | 0.000 |
| 56.856 | 56.856 | 197.998 | 0.000 | -0.000 | 0.000 |
| -0.000 | 0.000 | 0.000 | 31.547 | -0.000 | 0.000 |
| 0.000 | 0.000 | 0.000 | 0.000 | 31.547 | -0.000 |
| 0.000 | 0.000 | 0.000 | 0.000 | -0.000 | 51.654 |
| 157.127 | 100.235 | 56.859 | 0.000 | -0.000 | -0.000 |
| 88.135 | 167.259 | 56.747 | 0.000 | -0.000 | -0.000 |
| 56.856 | 56.856 | 197.998 | 0.000 | -0.000 | 0.000 |
| -0.000 | -0.000 | -0.000 | 31.547 | -0.000 | -0.000 |
| -0.000 | -0.000 | -0.000 | -0.000 | 31.547 | -0.000 |
| -0.000 | -0.000 | -0.000 | 0.000 | -0.000 | 27.807 |
| 167.259 | 88.135 | 56.747 | -0.000 | -0.000 | 0.000 |
| 88.135 | 167.259 | 56.747 | 0.000 | 0.000 | 0.000 |
| 56.855 | 56.855 | 197.999 | 0.000 | 0.000 | 0.000 |
| 0.000 | 0.000 | 0.000 | 31.547 | 0.000 | 0.000 |
| 0.000 | 0.000 | 0.000 | 0.000 | 31.547 | 0.000 |
| 0.000 | 0.000 | 0.000 | -0.000 | 0.000 | 27.807 |
| 180.586 | 77.268 | 56.867 | 0.000 | -0.000 | 0.000 |
| 329.974 | 426.998 | 85.246 | -0.000 | -0.000 | 0.000 |
| 56.840 | 56.840 | 197.877 | 0.000 | -0.000 | 0.000 |
| 0.000 | -0.000 | 0.000 | 31.537 | -0.000 | 0.000 |
| 0.000 | -0.000 | 0.000 | -0.000 | 31.537 | 0.000 |
| -0.000 | -0.000 | 0.000 | 0.000 | -0.000 | 51.659 |
| -72.796 | -169.819 | 28.412 | 0.000 | 0.000 | -0.000 |
| -169.819 | -72.796 | 28.412 | -0.000 | 0.000 | -0.000 |
| 56.840 | 56.840 | 197.877 | 0.000 | 0.000 | -0.000 |
| -0.000 | 0.000 | -0.000 | 31.537 | 0.000 | -0.000 |
| -0.000 | 0.000 | -0.000 | 0.000 | 31.537 | -0.000 |
| 0.000 | 0.000 | -0.000 | -0.000 | 0.000 | 51.659 |
| 202.121 | 105.106 | 59.675 | 0.000 | -0.000 | 0.000 |
| 105.106 | 202.121 | 59.675 | -0.000 | -0.000 | 0.000 |
| 56.840 | 56.840 | 197.877 | -0.000 | -0.000 | 0.000 |
| 24.989 | 24.989 | 2.842 | 31.537 | 0.000 | 0.000 |
| -0.000 | -0.000 | -0.000 | 0.000 | 31.537 | 0.000 |
| 24.989 | 24.989 | 2.842 | 0.000 | -0.000 | 28.412 |
| 152.073 | 55.058 | 53.983 | 0.000 | 0.000 | -0.000 |
| 77.268 | 180.586 | 56.867 | -0.000 | 0.000 | -0.000 |
| 56.840 | 56.840 | 197.877 | -0.000 | 0.000 | -0.000 |
| -24.989 | -24.989 | -2.842 | 31.537 | 0.000 | -0.000 |
| 0.000 | 0.000 | 0.000 | 0.000 | 31.537 | -0.000 |
| -24.989 | -24.989 | -2.842 | -0.000 | 0.000 | 28.412 |
| 180.584 | 77.268 | 56.868 | 0.000 | -0.000 | 0.000 |
| 77.267 | 180.585 | 56.868 | 0.000 | -0.000 | 0.000 |
| 56.840 | 56.840 | 197.877 | -0.000 | -0.000 | 0.000 |
| 2.499 | 2.499 | 0.284 | 31.537 | -0.000 | 0.000 |
| -0.000 | -0.000 | -0.000 | -0.000 | 31.537 | 0.000 |
| -0.000 | -0.000 | -0.000 | 0.000 | -0.000 | 51.659 |
| 180.587 | 77.268 | 56.867 | -0.000 | 0.000 | -0.000 |
| 77.268 | 180.587 | 56.867 | -0.000 | 0.000 | -0.000 |
| 56.840 | 56.840 | 197.877 | 0.000 | 0.000 | -0.000 |
| -2.499 | -2.499 | -0.284 | 31.537 | 0.000 | -0.000 |
| 0.000 | 0.000 | 0.000 | 0.000 | 31.537 | -0.000 |
| 0.000 | 0.000 | 0.000 | -0.000 | 0.000 | 51.659 |
| 153.992 | 121.971 | 121.971 | 0.000 | 0.000 | 0.000 |
| 121.971 | 153.992 | 121.971 | 0.000 | 0.000 | 0.000 |
| 121.971 | 121.971 | 153.992 | 0.000 | 0.000 | 0.000 |
| 0.000 | -0.000 | -0.000 | 77.032 | 0.000 | 0.000 |
| 0.000 | 0.000 | 0.000 | 0.000 | 77.032 | 0.000 |
| -0.000 | 0.000 | -0.000 | 0.000 | 0.000 | 77.032 |
| 153.992 | 121.971 | 121.971 | -0.000 | -0.000 | 0.000 |
| 121.971 | 153.992 | 121.971 | -0.000 | -0.000 | 0.000 |
| 121.971 | 121.971 | 153.992 | -0.000 | -0.000 | -0.000 |
| -0.000 | 0.000 | 0.000 | 77.032 | -0.000 | -0.000 |
| 0.000 | -0.000 | 0.000 | -0.000 | 77.032 | -0.000 |
| 0.000 | -0.000 | 0.000 | -0.000 | -0.000 | 77.032 |
| 153.993 | 121.971 | 121.971 | 0.000 | 0.000 | 0.000 |
| 121.971 | 153.993 | 121.971 | 0.000 | 0.000 | 0.000 |
| 121.971 | 121.971 | 153.993 | 0.000 | 0.000 | 0.000 |
| -0.000 | -0.000 | -0.000 | 77.032 | 0.000 | 0.000 |
| -0.000 | -0.000 | -0.000 | 0.000 | 77.032 | 0.000 |
| -0.000 | -0.000 | -0.000 | 0.000 | 0.000 | 77.032 |
| 153.992 | 121.971 | 121.971 | -0.000 | -0.000 | -0.000 |
| 121.971 | 153.992 | 121.971 | -0.000 | -0.000 | -0.000 |
| 121.971 | 121.971 | 153.992 | -0.000 | -0.000 | -0.000 |
| 0.000 | 0.000 | 0.000 | 77.032 | -0.000 | -0.000 |
| 0.000 | 0.000 | 0.000 | -0.000 | 77.032 | -0.000 |
| 0.000 | 0.000 | 0.000 | -0.000 | -0.000 | 77.032 |
| 153.995 | 121.971 | 121.971 | 0.000 | 0.000 | 0.000 |
| 121.971 | 153.995 | 121.971 | 0.000 | 0.000 | 0.000 |
| 121.971 | 121.971 | 153.995 | 0.000 | -0.000 | 0.000 |
| -0.000 | -0.000 | -0.000 | 77.032 | 0.000 | 0.000 |
| -0.000 | -0.000 | -0.000 | 0.000 | 77.032 | 0.000 |
| -0.000 | -0.000 | -0.000 | 0.000 | 0.000 | 77.032 |
| 153.990 | 121.971 | 121.971 | -0.000 | -0.000 | -0.000 |
| 121.971 | 153.990 | 121.971 | -0.000 | -0.000 | -0.000 |
| 121.971 | 121.971 | 153.990 | 0.000 | -0.000 | -0.000 |
| 0.000 | 0.000 | 0.000 | 77.032 | 0.000 | 0.000 |
| 0.000 | 0.000 | 0.000 | -0.000 | 77.032 | -0.000 |
| 0.000 | 0.000 | 0.000 | -0.000 | -0.000 | 77.032 |
| 469.779 | 75.056 | 75.056 | 0.000 | -0.000 | -0.000 |
| 75.056 | 469.779 | 75.056 | 0.000 | -0.000 | -0.000 |
| 75.056 | 75.056 | 469.779 | 0.000 | -0.000 | -0.000 |
| 0.000 | 0.000 | -0.000 | 23.287 | -0.000 | 0.000 |
| 0.000 | 0.000 | -0.000 | 0.000 | 23.287 | -0.000 |
| 0.000 | 0.000 | -0.000 | 0.000 | 0.000 | 23.287 |
| 469.392 | 75.249 | 75.249 | -0.000 | -0.000 | 0.000 |
| 75.249 | 469.392 | 75.249 | -0.000 | 0.000 | 0.000 |
| 75.249 | 75.249 | 469.392 | -0.000 | -0.000 | 0.000 |
| -0.000 | -0.000 | 0.000 | 23.287 | -0.000 | 0.000 |
| -0.000 | -0.000 | 0.000 | -0.000 | 23.287 | 0.000 |
| -0.000 | -0.000 | 0.000 | -0.000 | -0.000 | 23.287 |
| 469.393 | 75.249 | 75.249 | 0.000 | -0.000 | -0.000 |
| 75.249 | 469.393 | 75.249 | 0.000 | 0.000 | -0.000 |
| 75.249 | 75.249 | 469.393 | 0.000 | 0.000 | -0.000 |
| 0.000 | 0.000 | 0.000 | 23.287 | -0.000 | -0.000 |
| 0.000 | 0.000 | 0.000 | -0.000 | 23.287 | -0.000 |
| 0.000 | 0.000 | 0.000 | 0.000 | 0.000 | 23.287 |
| 469.392 | 75.249 | 75.249 | -0.000 | -0.000 | 0.000 |
| 75.249 | 469.392 | 75.249 | -0.000 | 0.000 | 0.000 |
| 75.249 | 75.249 | 469.392 | 0.000 | -0.000 | 0.000 |
| -0.000 | -0.000 | -0.000 | 23.287 | 0.000 | 0.000 |
| -0.000 | -0.000 | -0.000 | -0.000 | 23.287 | 0.000 |
| -0.000 | -0.000 | -0.000 | -0.000 | -0.000 | 23.287 |
| 469.782 | 75.056 | 75.056 | 0.000 | 0.000 | 0.000 |
| 75.056 | 469.782 | 75.056 | -0.000 | -0.000 | -0.000 |
| 75.056 | 75.056 | 469.782 | -0.000 | -0.000 | -0.000 |
| 0.000 | 0.000 | -0.000 | 31.894 | 0.000 | 0.000 |
| 0.000 | 0.000 | 0.000 | 0.000 | 23.287 | -0.000 |
| 0.000 | -0.000 | 0.000 | 0.000 | 0.000 | 31.894 |
| 469.390 | 75.249 | 75.249 | -0.000 | -0.000 | 0.000 |
| 75.249 | 469.390 | 75.249 | -0.000 | -0.000 | 0.000 |
| 75.249 | 75.249 | 469.390 | -0.000 | -0.000 | 0.000 |
| -0.000 | -0.000 | 0.000 | 31.894 | -0.000 | 0.000 |
| -0.000 | -0.000 | -0.000 | -0.000 | 23.287 | 0.000 |
| -0.000 | 0.000 | -0.000 | -0.000 | -0.000 | 31.894 |
| 185.217 | 153.828 | 153.828 | 0.000 | 0.000 | -0.000 |
| 153.828 | 185.217 | 153.828 | 0.000 | -0.000 | -0.000 |
| 153.828 | 153.828 | 185.217 | 0.000 | 0.000 | -0.000 |
| 0.000 | 0.000 | 0.000 | 109.519 | -0.000 | -0.000 |
| 0.000 | 0.000 | 0.000 | 0.000 | 109.519 | -0.000 |
| 0.000 | 0.000 | 0.000 | 0.000 | -0.000 | 109.519 |
| 185.217 | 153.828 | 153.828 | -0.000 | 0.000 | 0.000 |
| 153.828 | 185.217 | 153.828 | -0.000 | 0.000 | 0.000 |
| 153.828 | 153.828 | 185.217 | -0.000 | 0.000 | 0.000 |
| -0.000 | -0.000 | 0.000 | 109.519 | 0.000 | 0.000 |
| -0.000 | -0.000 | 0.000 | 0.000 | 109.519 | 0.000 |
| -0.000 | -0.000 | -0.000 | 0.000 | 0.000 | 109.519 |
| 185.218 | 153.828 | 153.828 | -0.000 | -0.000 | -0.000 |
| 153.828 | 185.218 | 153.828 | 0.000 | -0.000 | -0.000 |
| 153.828 | 153.828 | 185.218 | 0.000 | -0.000 | -0.000 |
| 0.000 | 0.000 | 0.000 | 109.519 | -0.000 | -0.000 |
| 0.000 | 0.000 | 0.000 | 0.000 | 109.519 | -0.000 |
| 0.000 | 0.000 | 0.000 | 0.000 | -0.000 | 109.519 |
| 185.217 | 153.828 | 153.828 | -0.000 | 0.000 | 0.000 |
| 153.828 | 185.217 | 153.828 | -0.000 | 0.000 | 0.000 |
| 153.828 | 153.828 | 185.217 | -0.000 | 0.000 | 0.000 |
| -0.000 | -0.000 | -0.000 | 109.519 | 0.000 | 0.000 |
| -0.000 | -0.000 | -0.000 | -0.000 | 109.519 | 0.000 |
| -0.000 | -0.000 | -0.000 | -0.000 | 0.000 | 109.519 |
| 185.220 | 153.829 | 153.829 | 0.000 | -0.000 | -0.000 |
| 153.829 | 185.220 | 153.829 | -0.000 | -0.000 | -0.000 |
| 153.829 | 153.829 | 185.220 | -0.000 | -0.000 | -0.000 |
| 0.001 | 0.001 | 0.001 | 109.519 | -0.000 | -0.000 |
| 0.001 | 0.001 | 0.001 | 0.000 | 109.519 | -0.000 |
| 0.001 | 0.001 | 0.001 | 0.000 | -0.000 | 109.519 |
| 185.214 | 153.827 | 153.827 | -0.000 | 0.000 | 0.000 |
| 153.827 | 185.214 | 153.827 | -0.000 | 0.000 | 0.000 |
| 153.827 | 153.827 | 185.214 | 0.000 | 0.000 | 0.000 |
| -0.001 | -0.001 | -0.001 | 109.519 | 0.000 | 0.000 |
| -0.001 | -0.001 | -0.001 | 0.000 | 109.519 | 0.000 |
| -0.001 | -0.001 | -0.001 | -0.000 | 0.000 | 109.519 |
| 192.251 | 124.394 | 81.290 | 0.000 | 0.000 | -0.000 |
| 124.393 | 192.251 | 81.290 | 0.000 | 0.000 | -0.000 |
| 81.290 | 81.290 | 235.354 | 0.000 | 0.000 | -0.000 |
| -0.000 | -0.000 | 0.000 | 36.351 | 0.000 | -0.000 |
| -0.000 | -0.000 | 0.000 | 0.000 | 36.351 | -0.000 |
| -0.000 | 0.000 | 0.000 | 0.000 | 0.000 | 33.928 |
| 192.251 | 124.394 | 81.290 | -0.000 | -0.000 | 0.000 |
| 124.394 | 192.250 | 81.290 | -0.000 | -0.000 | 0.000 |
| 81.290 | 81.290 | 235.354 | -0.000 | -0.000 | 0.000 |
| 0.000 | 0.000 | -0.000 | 36.351 | -0.000 | 0.000 |
| -0.000 | 0.000 | -0.000 | -0.000 | 36.351 | 0.000 |
| 0.000 | -0.000 | -0.000 | -0.000 | -0.000 | 33.929 |
| 192.251 | 124.394 | 81.290 | 0.000 | 0.000 | -0.000 |
| 101.630 | 215.014 | 81.290 | 0.000 | 0.000 | -0.000 |
| 81.290 | 81.290 | 235.354 | 0.000 | 0.000 | -0.000 |
| 0.000 | 0.000 | 0.000 | 36.351 | 0.000 | -0.000 |
| 0.000 | 0.000 | 0.000 | 0.000 | 36.351 | -0.000 |
| 0.000 | -0.000 | 0.000 | 0.000 | 0.000 | 56.692 |
| 192.250 | 124.394 | 81.290 | -0.000 | -0.000 | 0.000 |
| 101.630 | 215.014 | 81.290 | -0.000 | -0.000 | 0.000 |
| 81.290 | 81.290 | 235.354 | -0.000 | -0.000 | 0.000 |
| -0.000 | -0.000 | -0.000 | 36.351 | -0.000 | 0.000 |
| -0.000 | -0.000 | -0.000 | -0.000 | 36.351 | 0.000 |
| -0.000 | 0.000 | -0.000 | -0.000 | -0.000 | 56.692 |
| 215.014 | 101.631 | 81.291 | 0.000 | 0.000 | -0.000 |
| 124.393 | 192.253 | 81.291 | 0.000 | 0.000 | -0.000 |
| 81.290 | 81.290 | 235.354 | 0.000 | 0.000 | -0.000 |
| -0.000 | 0.000 | 0.000 | 36.351 | 0.000 | -0.000 |
| 0.000 | -0.000 | 0.000 | 0.000 | 36.351 | -0.000 |
| 0.000 | -0.000 | 0.000 | 0.000 | 0.000 | 56.692 |
| 215.013 | 101.630 | 81.290 | -0.000 | -0.000 | 0.000 |
| 124.394 | 192.248 | 81.289 | -0.000 | -0.000 | 0.000 |
| 81.290 | 81.290 | 235.354 | 0.000 | -0.000 | 0.000 |
| 0.000 | -0.000 | -0.000 | 36.351 | -0.000 | 0.000 |
| -0.000 | 0.000 | -0.000 | -0.000 | 36.351 | 0.000 |
| -0.000 | 0.000 | -0.000 | -0.000 | -0.000 | 56.692 |
| 215.014 | 101.630 | 81.290 | 0.000 | -0.000 | 0.000 |
| 124.394 | 192.251 | 81.290 | 0.000 | -0.000 | -0.000 |
| 81.290 | 81.290 | 235.354 | 0.000 | -0.000 | -0.000 |
| -0.000 | 0.000 | 0.000 | 36.351 | -0.000 | 0.000 |
| -0.000 | 0.000 | 0.000 | 0.000 | 36.351 | 0.000 |
| -0.000 | 0.000 | 0.000 | 0.000 | -0.000 | 56.692 |
| 192.250 | 124.394 | 81.290 | 0.000 | -0.000 | 0.000 |
| 124.394 | 192.250 | 81.290 | -0.000 | 0.000 | -0.000 |
| 81.290 | 81.290 | 235.354 | -0.000 | 0.000 | -0.000 |
| 0.000 | -0.000 | -0.000 | 36.351 | 0.000 | 0.000 |
| 0.000 | -0.000 | -0.000 | 0.000 | 36.351 | -0.000 |
| 0.000 | -0.000 | -0.000 | -0.000 | -0.000 | 56.692 |
| 215.014 | 101.630 | 81.290 | 0.000 | -0.000 | -0.000 |
| 124.393 | 192.251 | 81.290 | -0.000 | -0.000 | -0.000 |
| 81.290 | 81.290 | 235.354 | 0.000 | -0.000 | 0.000 |
| 0.000 | 0.000 | 0.000 | 36.351 | -0.000 | 0.000 |
| 0.000 | 0.000 | 0.000 | 0.000 | 36.351 | 0.000 |
| 0.000 | -0.000 | 0.000 | 0.000 | 0.000 | 56.692 |
| 192.250 | 124.393 | 81.290 | 0.000 | 0.000 | -0.000 |
| 124.394 | 192.250 | 81.290 | -0.000 | 0.000 | 0.000 |
| 81.290 | 81.290 | 235.354 | -0.000 | -0.000 | 0.000 |
| -0.000 | -0.000 | -0.000 | 36.351 | 0.000 | -0.000 |
| -0.000 | -0.000 | -0.000 | -0.000 | 36.351 | -0.000 |
| -0.000 | 0.000 | -0.000 | -0.000 | -0.000 | 56.692 |
| 192.252 | 124.394 | 81.291 | -0.000 | -0.000 | -0.000 |
| 101.631 | 215.014 | 81.291 | 0.000 | -0.000 | 0.000 |
| 81.290 | 81.290 | 235.354 | 0.000 | -0.000 | -0.000 |
| -0.000 | 0.000 | 0.000 | 36.351 | -0.000 | 0.000 |
| 0.000 | -0.000 | 0.000 | 0.000 | 36.351 | 0.000 |
| 0.001 | 0.000 | 0.001 | 0.000 | -0.000 | 33.928 |
| 192.250 | 124.393 | 81.289 | -0.000 | 0.000 | 0.000 |
| 124.395 | 192.248 | 81.289 | -0.000 | 0.000 | 0.000 |
| 81.290 | 81.290 | 235.354 | 0.000 | 0.000 | -0.000 |
| 0.000 | -0.000 | -0.000 | 36.351 | 0.000 | 0.000 |
| -0.000 | 0.000 | -0.000 | -0.000 | 36.351 | -0.000 |
| -0.001 | -0.000 | -0.001 | -0.000 | 0.000 | 33.928 |
| -2.583 | 53.502 | 53.502 | -0.000 | -0.000 | -0.000 |
| 53.502 | -2.583 | 53.502 | -0.000 | -0.000 | -0.000 |
| 53.502 | 53.502 | -2.583 | -0.000 | -0.000 | -0.000 |
| -0.000 | -0.000 | -0.000 | -61.294 | -0.000 | -0.000 |
| -0.000 | -0.000 | -0.000 | -0.000 | -61.294 | -0.000 |
| -0.000 | -0.000 | 0.000 | -0.000 | -0.000 | -61.294 |
| -2.583 | 53.502 | 53.502 | 0.000 | 0.000 | 0.000 |
| 53.502 | -2.583 | 53.502 | 0.000 | 0.000 | 0.000 |
| 53.502 | 53.502 | -2.583 | 0.000 | 0.000 | 0.000 |
| 0.000 | 0.000 | 0.000 | -61.294 | 0.000 | 0.000 |
| 0.000 | 0.000 | 0.000 | 0.000 | -61.294 | 0.000 |
| 0.000 | 0.000 | -0.000 | 0.000 | 0.000 | -61.294 |
| -2.583 | 53.502 | 53.502 | -0.000 | -0.000 | -0.000 |
| 53.502 | -2.583 | 53.502 | -0.000 | -0.000 | -0.000 |
| 53.502 | 53.502 | -2.583 | -0.000 | -0.000 | -0.000 |
| -0.000 | -0.000 | -0.000 | -61.294 | -0.000 | -0.000 |
| -0.000 | -0.000 | -0.000 | -0.000 | -61.294 | -0.000 |
| -0.000 | -0.000 | -0.000 | -0.000 | -0.000 | -61.294 |
| -2.583 | 53.502 | 53.502 | 0.000 | 0.000 | 0.000 |
| 53.502 | -2.583 | 53.502 | 0.000 | 0.000 | 0.000 |
| 53.502 | 53.502 | -2.583 | 0.000 | 0.000 | 0.000 |
| 0.000 | 0.000 | 0.000 | -61.294 | 0.000 | 0.000 |
| 0.000 | 0.000 | 0.000 | 0.000 | -61.294 | 0.000 |
| 0.000 | 0.000 | 0.000 | 0.000 | 0.000 | -61.294 |
| -2.584 | 53.502 | 53.502 | -0.000 | -0.000 | -0.000 |
| 53.502 | -2.584 | 53.502 | -0.000 | -0.000 | -0.000 |
| 53.502 | 53.502 | -2.584 | -0.000 | -0.000 | -0.000 |
| -0.000 | -0.000 | -0.000 | -61.294 | -0.000 | -0.000 |
| -0.000 | -0.000 | -0.000 | -0.000 | -61.294 | -0.000 |
| -0.000 | -0.000 | -0.000 | -0.000 | -0.000 | -61.294 |
| -2.583 | 53.502 | 53.502 | 0.000 | 0.000 | 0.000 |
| 53.502 | -2.583 | 53.502 | 0.000 | 0.000 | 0.000 |
| 53.502 | 53.502 | -2.583 | 0.000 | 0.000 | 0.000 |
| 0.000 | 0.000 | 0.000 | -61.294 | 0.000 | 0.000 |
| 0.000 | 0.000 | 0.000 | 0.000 | -61.294 | 0.000 |
| 0.000 | 0.000 | 0.000 | 0.000 | 0.000 | -61.294 |
| 1076.956 | 126.486 | 86.397 | 0.000 | -0.000 | 0.000 |
| 126.486 | 1076.956 | 86.397 | -0.000 | -0.000 | 0.000 |
| 86.397 | 86.397 | 800.233 | 0.000 | 0.000 | 0.000 |
| -0.000 | 0.000 | -0.000 | -14.375 | -0.000 | 0.000 |
| 0.000 | 0.000 | -0.000 | -0.000 | -14.375 | 0.000 |
| 0.000 | 0.000 | 0.000 | 0.000 | -0.000 | 83.349 |
| -5082076484.960 | 2043485740.722 | -1712436594.713 | -0.000 | -0.000 | -0.000 |
| 2043485740.721 | -5082076484.960 | -1712436594.713 | -0.000 | -0.000 | 0.000 |
| 86.397 | 86.397 | 800.233 | -0.000 | -0.000 | -0.000 |
| -0.000 | -0.000 | 0.000 | -14.375 | 0.000 | 0.000 |
| -0.000 | -0.000 | 0.000 | 0.000 | -14.375 | -0.000 |
| -0.000 | 0.000 | 0.000 | -0.000 | -0.000 | 83.349 |
| -204348235.045 | 508208000.875 | 171243814.348 | -0.000 | 0.000 | 0.000 |
| 508208000.875 | -204348235.045 | 171243814.348 | 0.000 | 0.000 | 0.000 |
| 86.397 | 86.397 | 800.234 | 0.000 | -0.000 | 0.000 |
| 0.000 | 0.000 | 0.000 | -14.375 | -0.000 | 0.000 |
| 0.000 | 0.000 | 0.000 | -0.000 | -14.375 | 0.000 |
| 0.000 | 0.000 | 0.000 | 0.000 | 0.000 | 83.349 |
| -508206074.592 | 204348669.692 | -171243475.310 | -0.000 | -0.000 | -0.000 |
| 204348669.692 | -508206074.592 | -171243475.310 | -0.000 | 0.000 | 0.000 |
| 86.397 | 86.397 | 800.232 | -0.000 | -0.000 | -0.000 |
| -0.000 | -0.000 | -0.000 | -14.375 | -0.000 | -0.000 |
| -0.000 | -0.000 | -0.000 | 0.000 | -14.375 | -0.000 |
| -0.000 | -0.000 | -0.000 | 0.000 | 0.000 | 83.349 |
| -20434527.942 | 50820959.839 | 17124502.408 | 0.000 | 0.000 | -0.000 |
| 50820959.839 | -20434527.942 | 17124502.408 | 0.000 | 0.000 | 0.000 |
| 86.397 | 86.397 | 800.242 | 0.000 | -0.000 | 0.000 |
| 0.000 | 0.001 | 0.000 | -14.375 | 0.000 | 0.000 |
| 0.001 | 0.000 | 0.000 | 0.000 | -14.375 | 0.000 |
| 0.001 | 0.000 | 0.000 | 0.000 | 0.000 | 83.349 |
| -50819033.561 | 20434962.588 | -17124163.369 | 0.000 | -0.000 | -0.000 |
| 20434962.588 | -50819033.561 | -17124163.369 | 0.000 | -0.000 | -0.000 |
| 86.396 | 86.396 | 800.223 | 0.000 | 0.000 | -0.000 |
| -0.000 | -0.001 | -0.000 | -14.375 | -0.000 | -0.000 |
| -0.001 | -0.000 | -0.000 | -0.000 | -14.375 | -0.000 |
| -0.001 | -0.000 | -0.000 | -0.000 | -0.000 | 83.349 |
| 672.230 | 120.887 | 133.486 | -0.000 | -0.000 | 0.000 |
| 120.887 | 672.230 | 133.486 | -0.000 | -0.000 | 0.000 |
| 133.486 | 133.486 | 181.502 | -0.000 | -0.000 | -0.000 |
| -0.000 | -0.000 | -0.000 | 88.833 | -0.000 | 0.000 |
| -0.000 | 0.000 | -0.000 | -0.000 | 88.833 | -0.000 |
| 0.000 | 0.000 | -0.000 | -0.000 | -0.000 | 76.089 |
| 672.229 | 120.886 | 133.486 | 0.000 | -0.000 | -0.000 |
| 120.886 | 672.229 | 133.486 | -0.000 | 0.000 | -0.000 |
| 133.486 | 133.486 | 181.502 | 0.000 | 0.000 | -0.000 |
| -0.000 | 0.000 | 0.000 | 88.833 | 0.000 | 0.000 |
| 0.000 | -0.000 | 0.000 | 0.000 | 88.833 | -0.000 |
| -0.000 | -0.000 | 0.000 | 0.000 | -0.000 | 76.089 |
| 672.230 | 120.887 | 133.486 | -0.000 | -0.000 | 0.000 |
| 120.887 | 672.230 | 133.486 | 0.000 | -0.000 | -0.000 |
| 133.486 | 133.486 | 181.501 | -0.000 | -0.000 | 0.000 |
| -0.000 | -0.000 | -0.000 | 88.833 | -0.000 | 0.000 |
| -0.000 | -0.000 | -0.000 | -0.000 | 88.833 | 0.000 |
| 0.000 | 0.000 | -0.000 | -0.000 | -0.000 | 76.089 |
| 672.228 | 120.886 | 133.486 | 0.000 | 0.000 | -0.000 |
| 120.886 | 672.228 | 133.486 | 0.000 | 0.000 | -0.000 |
| 133.486 | 133.486 | 181.502 | 0.000 | 0.000 | -0.000 |
| 0.000 | 0.000 | 0.000 | 88.833 | 0.000 | 0.000 |
| 0.000 | 0.000 | 0.000 | 0.000 | 88.833 | -0.000 |
| -0.000 | -0.000 | 0.000 | 0.000 | 0.000 | 76.089 |
| 672.239 | 120.887 | 133.486 | -0.000 | 0.000 | 0.000 |
| 120.887 | 672.239 | 133.486 | 0.000 | 0.000 | 0.000 |
| 133.486 | 133.486 | 181.499 | -0.000 | -0.000 | 0.000 |
| -0.000 | -0.000 | -0.000 | 88.833 | -0.000 | -0.000 |
| -0.000 | -0.000 | -0.000 | -0.000 | 88.833 | 0.000 |
| 0.000 | 0.000 | -0.000 | -0.000 | -0.000 | 76.089 |
| 672.220 | 120.886 | 133.486 | 0.000 | 0.000 | -0.000 |
| 120.886 | 672.220 | 133.486 | 0.000 | 0.000 | 0.000 |
| 133.486 | 133.486 | 181.504 | 0.000 | 0.000 | -0.000 |
| 0.000 | 0.000 | 0.000 | 88.833 | 0.000 | 0.000 |
| 0.000 | 0.000 | 0.000 | 0.000 | 88.833 | -0.000 |
| -0.000 | -0.000 | 0.000 | 0.000 | 0.000 | 76.089 |
| 474.310 | 102.175 | 127.670 | -0.000 | -0.000 | 0.000 |
| 102.175 | 474.310 | 127.670 | -0.000 | 0.000 | 0.000 |
| 127.670 | 127.670 | 4.249 | 0.000 | 0.000 | 0.000 |
| -0.000 | -0.000 | 0.000 | 82.930 | 0.000 | 0.000 |
| -0.000 | -0.000 | 0.000 | 0.000 | 82.930 | 0.000 |
| 0.000 | -0.000 | -0.000 | -0.000 | 0.000 | 57.276 |
| 474.310 | 102.175 | 127.670 | -0.000 | -0.000 | -0.000 |
| 102.175 | 474.310 | 127.670 | 0.000 | -0.000 | -0.000 |
| 127.670 | 127.670 | 4.249 | 0.000 | -0.000 | -0.000 |
| 0.000 | 0.000 | -0.000 | 82.930 | -0.000 | -0.000 |
| -0.000 | 0.000 | -0.000 | 0.000 | 82.930 | -0.000 |
| -0.000 | 0.000 | -0.000 | -0.000 | 0.000 | 57.276 |
| 474.311 | 102.175 | 127.670 | -0.000 | -0.000 | 0.000 |
| 102.175 | 474.311 | 127.670 | -0.000 | 0.000 | 0.000 |
| 127.670 | 127.670 | 4.249 | 0.000 | 0.000 | 0.000 |
| -0.000 | -0.000 | -0.000 | 82.930 | 0.000 | 0.000 |
| -0.000 | -0.000 | -0.000 | 0.000 | 82.930 | 0.000 |
| 0.000 | 0.000 | -0.000 | -0.000 | 0.000 | 57.276 |
| 474.309 | 102.175 | 127.670 | 0.000 | 0.000 | -0.000 |
| 102.175 | 474.309 | 127.670 | 0.000 | -0.000 | -0.000 |
| 127.670 | 127.670 | 4.249 | 0.000 | -0.000 | -0.000 |
| 0.000 | 0.000 | -0.000 | 82.930 | -0.000 | -0.000 |
| 0.000 | 0.000 | -0.000 | -0.000 | 82.930 | -0.000 |
| -0.000 | -0.000 | 0.000 | -0.000 | 0.000 | 57.276 |
| 474.320 | 102.176 | 127.670 | 0.000 | 0.000 | 0.000 |
| 102.176 | 474.320 | 127.670 | -0.000 | 0.000 | 0.000 |
| 127.670 | 127.670 | 4.251 | 0.000 | 0.000 | 0.000 |
| -0.000 | -0.000 | -0.000 | 82.930 | 0.000 | 0.000 |
| -0.000 | -0.000 | -0.000 | 0.000 | 82.930 | 0.000 |
| 0.000 | 0.000 | -0.000 | -0.000 | 0.000 | 57.276 |
| 474.300 | 102.174 | 127.670 | 0.000 | -0.000 | -0.000 |
| 102.174 | 474.300 | 127.670 | -0.000 | -0.000 | -0.000 |
| 127.670 | 127.670 | 4.248 | -0.000 | -0.000 | -0.000 |
| 0.000 | 0.000 | 0.000 | 82.930 | -0.000 | -0.000 |
| 0.000 | 0.000 | 0.000 | -0.000 | 82.930 | -0.000 |
| -0.000 | -0.000 | 0.000 | -0.000 | 0.000 | 57.276 |
| 974.739 | 109.727 | 109.727 | -0.000 | 0.000 | 0.000 |
| 109.727 | 974.739 | 109.727 | 0.000 | 0.000 | 0.000 |
| 109.727 | 109.727 | 974.739 | 0.000 | 0.000 | 0.000 |
| 0.000 | 0.000 | 0.000 | 71.503 | 0.000 | 0.000 |
| 0.000 | 0.000 | 0.000 | 0.000 | 71.503 | 0.000 |
| 0.000 | 0.000 | 0.000 | -0.000 | 0.000 | 71.503 |
| 974.739 | 109.727 | 109.727 | -0.000 | -0.000 | -0.000 |
| 109.727 | 974.739 | 109.727 | -0.000 | -0.000 | -0.000 |
| 109.727 | 109.727 | 974.739 | 0.000 | -0.000 | 0.000 |
| -0.000 | -0.000 | -0.000 | 71.503 | -0.000 | -0.000 |
| -0.000 | -0.000 | -0.000 | 0.000 | 71.503 | -0.000 |
| -0.000 | -0.000 | -0.000 | 0.000 | -0.000 | 71.503 |
| 974.740 | 109.727 | 109.727 | 0.000 | 0.000 | 0.000 |
| 109.727 | 974.740 | 109.727 | 0.000 | 0.000 | 0.000 |
| 109.727 | 109.727 | 974.740 | 0.000 | 0.000 | 0.000 |
| -0.000 | 0.000 | 0.000 | 71.503 | 0.000 | 0.000 |
| 0.000 | -0.000 | 0.000 | 0.000 | 71.503 | 0.000 |
| 0.000 | 0.000 | -0.000 | -0.000 | 0.000 | 71.503 |
| 974.739 | 109.727 | 109.727 | 0.000 | -0.000 | -0.000 |
| 109.727 | 974.739 | 109.727 | -0.000 | -0.000 | -0.000 |
| 109.727 | 109.727 | 974.739 | 0.000 | -0.000 | -0.000 |
| 0.000 | -0.000 | -0.000 | 71.503 | -0.000 | -0.000 |
| -0.000 | 0.000 | -0.000 | -0.000 | 71.503 | -0.000 |
| -0.000 | -0.000 | 0.000 | -0.000 | -0.000 | 71.503 |
| 974.748 | 109.728 | 109.728 | 0.000 | 0.000 | 0.000 |
| 109.728 | 974.748 | 109.728 | 0.000 | 0.000 | 0.000 |
| 109.728 | 109.728 | 974.748 | 0.000 | 0.000 | 0.000 |
| -0.000 | 0.000 | 0.000 | 71.503 | 0.000 | 0.000 |
| 0.000 | -0.000 | 0.000 | 0.000 | 71.503 | 0.000 |
| 0.000 | 0.000 | -0.000 | 0.000 | 0.000 | 71.503 |
| 974.731 | 109.726 | 109.726 | 0.000 | -0.000 | -0.000 |
| 109.726 | 974.731 | 109.726 | -0.000 | -0.000 | -0.000 |
| 109.726 | 109.726 | 974.731 | -0.000 | -0.000 | -0.000 |
| 0.000 | -0.000 | -0.000 | 71.503 | -0.000 | -0.000 |
| -0.000 | 0.000 | -0.000 | -0.000 | 71.503 | -0.000 |
| -0.000 | -0.000 | 0.000 | -0.000 | -0.000 | 71.503 |
| 711.904 | 267.514 | 150.870 | -0.000 | -0.000 | -0.000 |
| 267.514 | 711.903 | 150.870 | -0.000 | -0.000 | -0.000 |
| 150.870 | 150.870 | 1313.582 | -0.000 | -0.000 | -0.000 |
| -0.000 | -0.000 | -0.000 | 107.937 | -0.000 | -0.000 |
| 0.000 | -0.000 | -0.000 | -0.000 | 107.937 | -0.000 |
| 0.000 | 0.000 | -0.000 | -0.000 | -0.000 | 222.195 |
| 711.903 | 267.514 | 150.870 | 0.000 | 0.000 | 0.000 |
| 267.514 | 711.903 | 150.870 | 0.000 | 0.000 | 0.000 |
| 150.870 | 150.870 | 1313.581 | 0.000 | 0.000 | 0.000 |
| 0.000 | 0.000 | 0.000 | 107.937 | 0.000 | 0.000 |
| 0.000 | 0.000 | 0.000 | 0.000 | 107.937 | 0.000 |
| -0.000 | -0.000 | 0.000 | 0.000 | 0.000 | 222.195 |
| 711.904 | 267.514 | 150.870 | -0.000 | -0.000 | -0.000 |
| 267.514 | 711.904 | 150.870 | -0.000 | -0.000 | -0.000 |
| 150.870 | 150.870 | 1313.582 | -0.000 | -0.000 | -0.000 |
| 0.000 | 0.000 | 0.000 | 107.937 | 0.000 | -0.000 |
| 0.000 | 0.000 | 0.000 | -0.000 | 107.937 | -0.000 |
| 0.000 | 0.000 | 0.000 | -0.000 | -0.000 | 222.195 |
| 711.902 | 267.514 | 150.870 | 0.000 | 0.000 | 0.000 |
| 267.514 | 711.903 | 150.870 | 0.000 | 0.000 | 0.000 |
| 150.870 | 150.870 | 1313.581 | 0.000 | 0.000 | 0.000 |
| -0.000 | -0.000 | -0.000 | 107.937 | -0.000 | 0.000 |
| -0.000 | -0.000 | -0.000 | 0.000 | 107.937 | 0.000 |
| -0.000 | -0.000 | -0.000 | 0.000 | 0.000 | 222.195 |
| 711.913 | 267.515 | 150.870 | -0.000 | -0.000 | -0.000 |
| 267.517 | 711.911 | 150.870 | -0.000 | -0.000 | -0.000 |
| 150.871 | 150.871 | 1313.591 | -0.000 | -0.000 | -0.000 |
| 0.000 | 0.000 | 0.000 | 107.937 | -0.000 | -0.000 |
| 0.000 | 0.000 | 0.000 | -0.000 | 107.937 | -0.000 |
| 0.000 | 0.003 | 0.000 | -0.000 | -0.000 | 222.195 |
| 711.894 | 267.513 | 150.869 | 0.000 | 0.000 | 0.000 |
| 267.511 | 711.896 | 150.869 | 0.000 | 0.000 | 0.000 |
| 150.869 | 150.869 | 1313.572 | 0.000 | 0.000 | 0.000 |
| -0.000 | -0.000 | -0.000 | 107.937 | 0.000 | 0.000 |
| -0.000 | -0.000 | -0.000 | 0.000 | 107.937 | 0.000 |
| -0.000 | -0.003 | -0.000 | 0.000 | 0.000 | 222.195 |
| -1055.946 | -1084.333 | -39.369 | 0.000 | 0.000 | 0.000 |
| -1084.333 | -1055.946 | -39.369 | 0.000 | -0.000 | -0.000 |
| -1183.318 | -1183.318 | 231.151 | 0.000 | 0.000 | 0.000 |
| -1276.354 | -1276.354 | -156.663 | 30.172 | -0.000 | 0.000 |
| -1276.354 | -1276.354 | -156.663 | 0.000 | 30.172 | 0.000 |
| 0.000 | 0.000 | -0.000 | -0.000 | -0.000 | 98.301 |
| 1102.157 | 997.369 | -81.565 | -0.000 | 0.000 | -0.000 |
| 997.369 | 1102.157 | -81.565 | -0.000 | 0.000 | 0.000 |
| 912.855 | 912.855 | 219.952 | -0.000 | -0.000 | -0.000 |
| 1276.354 | 1276.354 | 156.663 | 30.172 | 0.000 | -0.000 |
| 1276.354 | 1276.354 | 156.663 | 0.000 | 30.172 | -0.000 |
| -0.000 | -0.000 | 0.000 | -0.000 | -0.000 | 98.301 |
| 138.078 | 57.756 | 61.181 | 0.000 | 0.000 | -0.000 |
| 57.756 | 138.078 | 61.181 | 0.000 | -0.000 | -0.000 |
| -3.033 | -3.033 | 415.456 | 0.000 | -0.000 | 0.000 |
| -126.008 | -126.008 | -15.594 | 30.565 | -0.000 | -0.000 |
| -126.008 | -126.008 | -15.594 | -0.000 | 30.565 | 0.000 |
| -113.021 | -113.021 | -17.667 | -0.000 | 0.000 | 51.450 |
| 348.780 | 128.018 | 98.629 | -0.000 | 0.000 | -0.000 |
| 128.018 | 348.780 | 98.629 | -0.000 | 0.000 | -0.000 |
| 167.201 | 167.201 | 403.473 | -0.000 | -0.000 | 0.000 |
| 126.008 | 126.008 | 15.594 | 30.565 | 0.000 | -0.000 |
| 126.008 | 126.008 | 15.594 | 0.000 | 30.565 | 0.000 |
| 113.021 | 113.021 | 17.667 | -0.000 | -0.000 | 51.450 |
| 226.603 | 141.785 | 94.413 | 0.000 | -0.000 | -0.000 |
| 141.785 | 226.603 | 94.413 | 0.000 | -0.000 | 0.000 |
| 85.183 | 85.183 | 407.251 | 0.000 | 0.000 | -0.000 |
| -12.278 | -12.279 | 2.891 | 43.510 | 0.000 | 0.000 |
| -12.279 | -12.278 | 2.891 | 0.000 | 43.510 | -0.000 |
| 0.002 | 0.002 | 0.000 | 0.000 | -0.000 | 98.300 |
| 265.337 | 171.773 | 108.477 | -0.000 | -0.000 | 0.000 |
| 171.773 | 265.337 | 108.477 | -0.000 | 0.000 | -0.000 |
| 111.531 | 111.531 | 420.696 | -0.000 | 0.000 | -0.000 |
| 12.278 | 12.279 | -2.891 | 43.510 | -0.000 | 0.000 |
| 12.279 | 12.278 | -2.891 | -0.000 | 43.510 | -0.000 |
| -0.002 | -0.002 | -0.000 | -0.000 | 0.000 | 98.300 |
| 420.714 | 165.394 | 164.337 | -8.095 | -2.374 | -18.988 |
| 279.024 | 326.590 | 267.593 | 23.014 | 15.188 | 199.917 |
| 284.190 | 110.498 | 465.574 | 17.655 | 24.828 | 192.540 |
| 109.373 | -51.973 | 102.138 | 117.795 | 16.681 | 191.137 |
| -3.116 | 0.917 | 14.917 | 2.039 | 121.435 | -8.106 |
| 258.879 | 156.329 | -90.220 | 70.650 | 152.783 | 470.243 |
| 420.714 | 165.394 | 164.337 | -8.095 | -2.374 | -18.988 |
| -53.353 | 182.602 | 237.321 | -121.136 | -116.796 | -310.739 |
| 48.307 | 235.252 | 276.489 | -2.406 | -3.936 | -186.551 |
| -126.489 | 72.787 | -87.067 | 97.712 | -12.096 | -187.926 |
| -3.116 | 0.917 | 14.917 | 2.039 | 121.435 | -8.106 |
| -136.698 | 73.052 | -91.631 | -8.218 | -17.278 | -88.737 |
| 420.714 | 165.394 | 164.337 | -8.095 | -2.374 | -18.988 |
| 164.960 | 427.717 | 169.251 | 12.853 | 0.966 | 13.883 |
| 178.160 | 166.687 | 379.623 | 8.675 | 11.790 | 22.085 |
| 3.272 | 4.148 | 17.015 | 108.847 | 3.734 | 20.610 |
| 22.165 | 22.001 | -7.064 | 8.750 | 89.974 | 43.202 |
| -21.041 | 13.884 | 2.394 | 0.920 | -5.119 | 122.235 |
| 294.476 | 140.420 | 171.260 | -18.559 | -17.139 | -42.760 |
| 164.960 | 427.716 | 169.251 | 12.853 | 0.966 | 13.883 |
| 154.361 | 179.112 | 361.934 | 6.597 | 9.045 | -16.085 |
| -8.122 | 9.746 | 5.818 | 126.502 | 2.039 | 0.871 |
| -3.116 | 0.917 | 14.917 | 2.039 | 121.435 | -8.106 |
| -30.588 | 16.929 | -6.507 | 0.803 | -4.335 | 81.847 |
| 327.495 | 159.100 | 163.580 | -3.128 | -3.039 | -8.940 |
| 158.136 | 350.661 | 173.630 | 12.488 | 3.926 | 7.736 |
| 165.962 | 175.214 | 333.025 | 8.326 | 7.125 | 4.548 |
| -7.201 | 9.734 | 8.839 | 105.917 | 2.490 | 3.935 |
| -2.674 | 0.104 | 11.177 | 2.423 | 101.617 | -3.273 |
| -17.255 | 9.645 | 4.046 | 2.017 | -2.484 | 100.388 |
| 334.392 | 155.316 | 165.511 | -6.931 | -5.828 | -15.401 |
| 154.857 | 347.891 | 174.667 | 9.934 | 2.241 | 2.735 |
| 164.955 | 174.169 | 364.741 | 7.720 | 9.694 | 0.625 |
| -6.829 | 4.066 | 10.481 | 76.122 | 2.347 | -0.473 |
| -7.041 | 3.877 | 5.161 | 1.518 | 82.748 | -2.510 |
| -19.941 | 11.185 | 1.964 | 1.747 | -2.927 | 97.557 |
| 128.521 | 57.295 | -416.501 | 329.993 | -156.695 | -475.102 |
| 52.163 | 155.363 | -395.032 | 316.766 | -155.763 | -471.878 |
| 58.484 | 424.182 | 80.177 | 216.126 | -149.429 | -239.477 |
| 440.386 | -61.294 | -306.051 | 70.534 | 29.277 | -231.188 |
| -8.657 | -0.117 | -10.436 | 2.145 | 107.851 | -0.737 |
| -72.853 | -65.040 | -535.141 | 329.037 | -145.493 | -434.733 |
| 349.767 | 133.294 | 140.792 | -2.645 | -7.869 | -5.464 |
| -347.304 | 442.441 | 353.544 | -122.137 | 77.844 | 221.003 |
| 140.375 | 139.819 | 336.479 | -11.201 | -10.436 | 2.532 |
| -442.156 | 40.403 | 285.971 | 74.531 | -24.636 | 229.590 |
| -8.657 | -0.117 | -10.436 | 2.145 | 107.851 | -0.737 |
| -483.453 | 110.961 | 213.941 | -114.377 | 83.929 | 304.080 |
| 193.836 | 118.046 | 59.036 | 34.592 | -20.649 | -48.330 |
| 172.645 | 289.158 | 109.866 | -10.183 | -1.818 | -21.097 |
| 140.375 | 139.819 | 336.479 | -11.201 | -10.436 | 2.532 |
| 46.575 | -20.825 | -32.873 | 102.930 | -5.296 | -22.382 |
| -12.188 | -11.319 | -55.064 | 34.653 | 20.776 | -43.233 |
| 43.015 | -9.418 | -22.147 | 10.759 | -4.498 | 62.858 |
| 349.767 | 133.294 | 140.792 | -2.645 | -7.869 | -5.464 |
| 83.130 | 343.714 | 160.522 | -19.835 | 5.529 | 23.724 |
| 91.632 | 151.235 | 329.002 | -22.614 | -0.919 | 22.005 |
| -1.736 | -10.101 | -11.201 | 105.579 | 2.145 | 0.309 |
| -56.053 | 8.852 | 12.679 | -8.659 | 101.502 | 22.308 |
| 53.479 | 56.685 | 65.448 | -21.678 | 16.113 | 117.153 |
| 304.195 | 131.330 | 136.584 | -1.062 | -7.943 | -3.245 |
| 137.363 | 325.468 | 136.272 | -6.973 | -4.011 | -1.215 |
| 138.408 | 140.263 | 274.375 | -10.616 | -7.312 | -3.994 |
| -1.736 | -10.101 | -11.201 | 105.579 | 2.145 | 0.309 |
| -4.172 | -4.565 | -10.372 | 2.252 | 75.112 | -0.756 |
| 0.912 | 0.251 | -3.337 | 0.633 | 2.659 | 81.142 |
| 262.311 | 127.255 | 131.395 | -2.228 | -8.040 | 2.578 |
| 125.321 | 284.919 | 139.404 | -12.601 | -2.596 | 4.620 |
| 133.486 | 141.744 | 301.578 | -12.615 | -7.556 | 1.977 |
| -4.772 | -9.990 | -7.503 | 74.252 | 2.052 | 1.264 |
| -8.657 | -0.117 | -10.437 | 2.145 | 107.851 | -0.737 |
| -8.461 | 1.868 | 1.760 | -0.105 | 3.158 | 98.115 |
| 276.489 | 119.969 | 95.111 | -0.000 | 0.000 | -0.000 |
| 154.740 | 92.112 | 52.309 | -0.000 | 0.000 | -0.000 |
| 110.447 | 32.878 | 230.499 | -0.000 | 0.000 | -0.000 |
| 3.611 | -8.427 | -1.657 | 27.590 | 0.000 | -0.000 |
| 10.118 | -23.612 | -4.644 | -0.000 | 48.577 | -0.000 |
| 6.858 | -16.004 | -3.148 | -0.000 | 0.000 | 55.113 |
| 256.250 | 167.200 | 104.400 | 0.000 | -0.000 | 0.000 |
| 134.503 | 139.340 | 61.598 | 0.000 | -0.000 | 0.000 |
| 90.212 | 80.100 | 239.786 | 0.000 | -0.000 | 0.000 |
| -3.612 | 8.429 | 1.658 | 27.590 | -0.000 | 0.000 |
| -10.118 | 23.612 | 4.644 | 0.000 | 48.577 | 0.000 |
| -6.858 | 16.004 | 3.148 | 0.000 | -0.000 | 55.113 |
| 267.382 | 141.225 | 99.292 | -0.000 | 0.000 | -0.000 |
| 145.633 | 113.364 | 56.489 | -0.000 | 0.000 | -0.000 |
| 101.340 | 54.129 | 234.678 | -0.000 | 0.000 | -0.000 |
| 0.153 | -0.357 | -0.070 | 28.235 | 0.000 | -0.000 |
| 1.012 | -2.361 | -0.464 | -0.000 | 48.577 | -0.000 |
| 0.599 | -1.398 | -0.275 | -0.000 | 0.000 | 56.399 |
| 265.356 | 145.948 | 100.220 | 0.000 | -0.000 | 0.000 |
| 143.610 | 118.086 | 57.418 | 0.000 | -0.000 | 0.000 |
| 99.317 | 58.852 | 235.607 | 0.000 | -0.000 | 0.000 |
| -0.153 | 0.357 | 0.070 | 28.235 | -0.000 | 0.000 |
| -1.012 | 2.361 | 0.464 | 0.000 | 48.577 | 0.000 |
| -0.599 | 1.398 | 0.275 | 0.000 | -0.000 | 56.399 |
| 266.481 | 143.350 | 99.710 | -0.000 | 0.000 | -0.000 |
| 144.722 | 115.493 | 56.908 | -0.000 | 0.000 | -0.000 |
| 100.430 | 56.255 | 235.096 | -0.000 | 0.000 | -0.000 |
| 0.015 | -0.035 | -0.007 | 28.243 | 0.000 | -0.000 |
| 0.102 | -0.236 | -0.046 | -0.000 | 48.577 | -0.000 |
| 0.060 | -0.140 | -0.027 | -0.000 | 0.000 | 56.415 |
| 266.256 | 143.823 | 99.802 | 0.000 | -0.000 | 0.000 |
| 144.521 | 115.957 | 56.999 | 0.000 | -0.000 | 0.000 |
| 100.227 | 56.727 | 235.189 | 0.000 | -0.000 | 0.000 |
| -0.015 | 0.035 | 0.007 | 28.243 | -0.000 | 0.000 |
| -0.102 | 0.236 | 0.046 | 0.000 | 48.577 | 0.000 |
| -0.060 | 0.140 | 0.027 | 0.000 | -0.000 | 56.415 |
| 350.518 | 113.920 | 113.920 | -0.000 | -0.000 | -0.000 |
| 113.920 | 350.518 | 113.920 | -0.000 | -0.000 | -0.000 |
| 113.920 | 113.920 | 350.518 | 0.000 | -0.000 | -0.000 |
| 0.000 | 0.000 | -0.000 | 73.259 | 0.000 | -0.000 |
| 0.000 | 0.000 | 0.000 | 0.000 | 73.259 | -0.000 |
| 0.000 | 0.000 | -0.000 | 0.000 | 0.000 | 73.259 |
| 350.518 | 113.920 | 113.920 | -0.000 | 0.000 | 0.000 |
| 113.920 | 350.518 | 113.920 | -0.000 | 0.000 | 0.000 |
| 113.920 | 113.920 | 350.518 | 0.000 | 0.000 | 0.000 |
| -0.000 | -0.000 | 0.000 | 73.259 | -0.000 | 0.000 |
| -0.000 | -0.000 | 0.000 | -0.000 | 73.259 | 0.000 |
| -0.000 | -0.000 | -0.000 | 0.000 | -0.000 | 73.259 |
| 133.430 | -31.179 | -31.179 | 0.000 | 0.000 | -0.000 |
| -31.179 | 133.430 | -31.179 | 0.000 | -0.000 | -0.000 |
| -31.179 | -31.179 | 133.430 | -0.000 | -0.000 | -0.000 |
| -0.000 | 0.000 | 0.000 | 73.259 | -0.000 | -0.000 |
| 0.000 | -0.000 | 0.000 | -0.000 | 73.259 | -0.000 |
| 0.000 | 0.000 | -0.000 | -0.000 | -0.000 | 73.259 |
| 386.367 | 223.398 | 223.398 | -0.000 | -0.000 | 0.000 |
| 223.398 | 386.367 | 223.398 | -0.000 | 0.000 | 0.000 |
| 223.398 | 223.398 | 386.367 | -0.000 | 0.000 | 0.000 |
| 0.000 | -0.000 | -0.000 | 73.259 | 0.000 | 0.000 |
| -0.000 | 0.000 | -0.000 | -0.000 | 73.259 | 0.000 |
| -0.000 | -0.000 | 0.000 | -0.000 | 0.000 | 73.259 |
| 255.410 | 86.906 | 86.906 | 0.000 | -0.000 | -0.000 |
| 86.906 | 255.410 | 86.906 | 0.000 | -0.000 | -0.000 |
| 86.906 | 86.906 | 255.410 | -0.000 | -0.000 | -0.000 |
| -0.000 | 0.000 | 0.000 | 73.259 | -0.000 | -0.000 |
| 0.000 | -0.000 | 0.000 | 0.000 | 73.259 | -0.000 |
| 0.000 | 0.000 | -0.000 | -0.000 | -0.000 | 73.259 |
| 296.505 | 128.340 | 128.340 | -0.000 | -0.000 | 0.000 |
| 128.340 | 296.505 | 128.340 | 0.000 | -0.000 | 0.000 |
| 128.340 | 128.340 | 296.505 | 0.000 | -0.000 | 0.000 |
| 0.000 | -0.000 | -0.000 | 73.259 | 0.000 | 0.000 |
| -0.000 | 0.000 | -0.000 | 0.000 | 73.259 | 0.000 |
| -0.000 | -0.000 | 0.000 | -0.000 | 0.000 | 73.259 |
| -261.861 | -282.966 | -282.966 | 0.000 | 0.000 | 0.000 |
| -282.966 | -261.861 | -282.966 | 0.000 | 0.000 | 0.000 |
| -282.966 | -282.966 | -261.861 | 0.000 | 0.000 | 0.000 |
| -0.000 | -0.000 | -0.000 | 95.753 | -0.000 | -0.000 |
| -0.000 | -0.000 | -0.000 | 0.000 | 95.753 | 0.000 |
| -0.000 | -0.000 | -0.000 | 0.000 | -0.000 | 95.753 |
| 251.071 | 137.784 | 137.784 | -0.000 | 0.000 | 0.000 |
| 137.784 | 251.071 | 137.784 | -0.000 | -0.000 | 0.000 |
| 137.784 | 137.784 | 251.071 | -0.000 | 0.000 | 0.000 |
| 0.000 | 0.000 | 0.000 | 95.753 | 0.000 | 0.000 |
| 0.000 | 0.000 | 0.000 | -0.000 | 95.753 | 0.000 |
| 0.000 | 0.000 | 0.000 | -0.000 | 0.000 | 95.753 |
| 98.679 | 98.666 | 98.666 | -0.000 | -0.000 | -0.000 |
| 98.666 | 98.679 | 98.666 | -0.000 | -0.000 | -0.000 |
| 98.666 | 98.666 | 98.679 | -0.000 | -0.000 | -0.000 |
| 0.000 | -0.000 | -0.000 | 95.753 | -0.000 | 0.000 |
| -0.000 | 0.000 | -0.000 | 0.000 | 95.753 | -0.000 |
| -0.000 | -0.000 | 0.000 | 0.000 | -0.000 | 95.753 |
| 251.071 | 137.784 | 137.784 | -0.000 | 0.000 | -0.000 |
| 137.784 | 251.071 | 137.784 | -0.000 | -0.000 | 0.000 |
| 137.784 | 137.784 | 251.071 | -0.000 | 0.000 | -0.000 |
| -0.000 | 0.000 | 0.000 | 95.753 | 0.000 | 0.000 |
| 0.000 | -0.000 | 0.000 | -0.000 | 95.753 | 0.000 |
| 0.000 | 0.000 | -0.000 | -0.000 | 0.000 | 95.753 |
| 142.111 | 128.433 | 128.433 | 0.000 | 0.000 | 0.000 |
| 128.433 | 142.111 | 128.433 | 0.000 | 0.000 | 0.000 |
| 128.433 | 128.433 | 142.111 | 0.000 | 0.000 | 0.000 |
| -0.657 | -0.657 | -0.657 | 68.824 | 0.000 | 0.000 |
| -0.657 | -0.657 | -0.657 | 0.000 | 68.824 | 0.000 |
| -0.657 | -0.657 | -0.657 | 0.000 | 0.000 | 68.824 |
| 160.041 | 130.770 | 130.770 | -0.000 | -0.000 | -0.000 |
| 130.770 | 160.041 | 130.770 | -0.000 | -0.000 | -0.000 |
| 130.770 | 130.770 | 160.041 | -0.000 | -0.000 | -0.000 |
| 0.657 | 0.657 | 0.657 | 68.824 | -0.000 | -0.000 |
| 0.657 | 0.657 | 0.657 | -0.000 | 68.824 | -0.000 |
| 0.657 | 0.657 | 0.657 | -0.000 | -0.000 | 68.824 |
| 225.342 | 132.112 | 132.095 | 0.004 | -0.010 | -0.002 |
| 132.090 | 225.313 | 132.088 | 0.004 | -0.010 | -0.002 |
| 132.099 | 132.113 | 225.348 | 0.004 | -0.009 | -0.002 |
| 0.000 | 0.000 | 0.000 | 97.644 | -0.000 | 0.000 |
| 0.000 | 0.000 | 0.000 | 0.000 | 97.644 | 0.000 |
| -0.000 | 0.000 | 0.000 | 0.000 | 0.000 | 97.644 |
| 259.179 | 137.410 | 137.410 | -0.000 | 0.000 | -0.000 |
| 137.410 | 259.179 | 137.410 | -0.000 | 0.000 | -0.000 |
| 137.410 | 137.410 | 259.179 | -0.000 | -0.000 | -0.000 |
| 0.000 | -0.000 | -0.000 | 97.644 | -0.000 | -0.000 |
| 0.000 | -0.000 | -0.000 | -0.000 | 97.644 | -0.000 |
| 0.000 | -0.000 | -0.000 | -0.000 | 0.000 | 97.644 |
| 182.901 | 127.760 | 127.759 | 0.000 | -0.000 | -0.000 |
| 127.759 | 182.902 | 127.759 | 0.000 | -0.000 | -0.000 |
| 127.759 | 127.760 | 182.901 | 0.000 | -0.000 | -0.000 |
| 0.290 | 0.290 | 0.289 | 70.867 | -0.000 | -0.000 |
| 0.290 | 0.290 | 0.289 | 0.000 | 70.867 | -0.000 |
| 0.290 | 0.290 | 0.289 | 0.000 | -0.000 | 70.867 |
| 259.179 | 137.410 | 137.410 | -0.000 | -0.000 | -0.000 |
| 137.410 | 259.179 | 137.410 | -0.000 | -0.000 | -0.000 |
| 137.410 | 137.410 | 259.179 | -0.000 | 0.000 | -0.000 |
| -0.290 | -0.290 | -0.289 | 70.867 | 0.000 | 0.000 |
| -0.290 | -0.290 | -0.289 | -0.000 | 70.868 | 0.000 |
| -0.290 | -0.290 | -0.289 | -0.000 | 0.000 | 70.867 |
| 182.639 | 127.570 | 127.569 | 0.000 | -0.000 | -0.000 |
| 127.569 | 182.639 | 127.569 | 0.000 | -0.000 | -0.000 |
| 127.570 | 127.570 | 182.641 | 0.000 | -0.000 | -0.000 |
| 0.019 | 0.019 | 0.019 | 72.273 | -0.000 | -0.000 |
| 0.019 | 0.019 | 0.019 | 0.000 | 72.273 | -0.000 |
| 0.019 | 0.019 | 0.019 | 0.000 | -0.000 | 72.273 |
| 182.589 | 127.529 | 127.529 | -0.000 | 0.000 | 0.000 |
| 127.529 | 182.589 | 127.529 | -0.000 | 0.000 | 0.000 |
| 127.529 | 127.529 | 182.589 | -0.000 | 0.000 | 0.000 |
| -0.019 | -0.019 | -0.019 | 72.273 | 0.000 | 0.000 |
| -0.019 | -0.019 | -0.019 | -0.000 | 72.273 | 0.000 |
| -0.019 | -0.019 | -0.019 | -0.000 | 0.000 | 72.273 |
| 246.478 | 197.228 | 116.757 | 0.000 | 0.000 | -0.000 |
| 197.304 | 490.174 | -48.782 | 0.000 | -0.000 | 0.000 |
| 117.016 | -48.599 | 567.172 | 0.000 | 0.000 | -0.000 |
| -0.000 | -0.000 | 0.000 | -19.977 | -0.000 | 0.000 |
| 0.000 | -0.000 | -0.000 | -0.000 | 68.728 | 0.000 |
| 0.000 | 0.000 | -0.000 | -0.000 | -0.000 | 151.784 |
| 246.589 | 195.748 | 111.370 | 0.000 | 0.000 | -0.000 |
| 197.304 | 490.174 | -48.782 | -0.000 | 0.000 | 0.000 |
| 117.016 | -48.599 | 567.171 | 0.000 | 0.000 | -0.000 |
| 0.000 | -0.000 | -0.000 | -19.977 | 0.000 | 0.000 |
| -0.000 | 0.000 | 0.000 | 0.000 | 68.728 | -0.000 |
| -0.000 | -0.000 | 0.000 | 0.000 | 0.000 | 151.784 |
| 246.478 | 197.228 | 116.757 | 0.000 | -0.000 | -0.000 |
| 197.304 | 490.175 | -48.782 | 0.000 | -0.000 | 0.000 |
| 117.016 | -48.599 | 567.174 | 0.000 | -0.000 | 0.000 |
| -0.000 | 0.000 | 0.000 | -19.977 | 0.000 | 0.000 |
| 0.000 | -0.000 | 0.000 | -0.000 | 68.865 | 0.000 |
| 0.000 | 0.000 | -0.000 | -0.000 | -0.000 | 151.784 |
| 246.589 | 195.748 | 111.370 | 0.000 | 0.000 | -0.000 |
| 195.824 | 509.872 | 22.937 | 0.000 | 0.000 | -0.000 |
| 111.629 | 23.119 | 828.280 | 0.000 | 0.000 | -0.000 |
| 0.000 | -0.000 | -0.000 | -19.977 | 0.000 | 0.000 |
| -0.000 | 0.000 | -0.000 | 0.000 | 68.865 | -0.000 |
| -0.000 | -0.000 | 0.000 | 0.000 | 0.000 | 151.784 |
| 246.589 | 195.749 | 111.371 | 0.000 | -0.000 | -0.000 |
| 197.307 | 490.181 | -48.780 | 0.000 | -0.000 | 0.000 |
| 117.019 | -48.595 | 567.195 | 0.000 | -0.000 | 0.000 |
| -3264866.923 | 6578186.324 | -2068690.258 | -9298296.358 | -0.000 | 0.000 |
| 0.000 | 0.002 | 0.008 | -0.000 | 68.728 | 0.000 |
| 0.000 | 0.002 | -0.000 | -0.000 | -0.000 | 151.784 |
| 246.588 | 195.747 | 111.370 | -0.000 | 0.000 | -0.000 |
| 197.301 | 490.166 | -48.783 | -0.000 | 0.000 | 0.000 |
| 117.012 | -48.603 | 567.148 | -0.000 | 0.000 | -0.000 |
| 3264866.923 | -6578186.324 | 2068690.258 | -9298296.358 | 0.000 | -0.000 |
| -0.000 | -0.002 | -0.008 | -0.000 | 68.728 | -0.000 |
| -0.000 | -0.002 | 0.000 | 0.000 | 0.000 | 151.784 |
| 671.996 | 133.630 | 129.820 | 0.000 | -0.000 | 0.000 |
| 133.630 | 214.430 | 94.938 | 0.000 | 0.000 | -0.000 |
| 124.300 | 179.203 | 493.541 | -0.000 | -0.000 | 0.000 |
| 0.000 | 0.000 | 0.000 | 95.405 | -0.000 | -0.000 |
| -0.000 | 0.000 | 0.000 | 0.000 | 79.542 | 0.000 |
| -0.000 | 0.000 | 0.001 | 0.000 | -0.000 | 84.976 |
| 671.996 | 133.630 | 129.819 | -0.000 | -0.000 | -0.000 |
| 133.630 | 214.430 | 94.938 | -0.000 | -0.000 | 0.000 |
| 129.820 | 94.938 | 362.838 | -0.000 | 0.000 | 0.000 |
| -0.000 | -0.000 | -0.000 | 95.405 | 0.000 | 0.000 |
| 0.000 | -0.000 | -0.000 | -0.000 | 79.542 | 0.000 |
| 0.000 | -0.000 | -0.000 | -0.000 | 0.000 | 84.976 |
| 671.997 | 133.630 | 129.820 | 0.000 | 0.000 | -0.000 |
| 133.630 | 214.429 | 94.938 | 0.000 | 0.000 | -0.000 |
| 129.820 | 94.937 | 362.837 | 0.000 | -0.000 | -0.000 |
| -0.000 | -0.000 | -0.000 | 95.405 | -0.000 | -0.000 |
| 0.000 | 0.000 | 0.000 | 0.000 | 79.542 | -0.000 |
| -0.000 | 0.000 | 0.000 | 0.000 | -0.000 | 84.976 |
| 671.995 | 133.630 | 129.820 | -0.000 | 0.000 | -0.000 |
| 133.630 | 214.430 | 94.939 | -0.000 | -0.000 | 0.000 |
| 129.820 | 94.939 | 362.839 | -0.000 | 0.000 | 0.000 |
| 0.000 | 0.000 | 0.000 | 95.405 | 0.000 | 0.000 |
| -0.000 | -0.000 | -0.000 | -0.000 | 79.542 | 0.000 |
| 0.000 | -0.000 | -0.000 | -0.000 | 0.000 | 84.976 |
| 672.006 | 133.630 | 129.820 | 0.000 | -0.000 | -0.000 |
| 133.630 | 214.425 | 94.933 | 0.000 | -0.000 | 0.000 |
| 129.820 | 94.932 | 362.829 | 0.000 | 0.000 | -0.000 |
| -0.000 | -0.001 | -0.000 | 95.405 | -0.000 | 0.000 |
| 0.000 | -0.000 | -0.000 | 0.000 | 79.542 | -0.000 |
| -0.000 | -0.000 | 0.000 | 0.000 | 0.000 | 84.976 |
| 671.987 | 133.630 | 129.819 | -0.000 | 0.000 | 0.000 |
| 133.630 | 214.435 | 94.943 | -0.000 | -0.000 | 0.000 |
| 129.819 | 94.944 | 362.847 | -0.000 | 0.000 | 0.000 |
| 0.000 | 0.001 | 0.000 | 95.405 | 0.000 | 0.000 |
| -0.000 | 0.000 | 0.000 | -0.000 | 79.542 | 0.000 |
| 0.000 | 0.000 | -0.000 | -0.000 | -0.000 | 84.976 |
| 650.370 | 134.765 | 131.006 | 0.001 | 0.000 | 0.000 |
| 133.828 | 179.499 | 70.997 | 0.001 | 0.000 | 0.000 |
| 129.768 | 70.695 | 339.787 | 0.001 | -0.000 | 0.000 |
| -0.001 | 0.012 | 0.018 | 85.671 | -0.000 | 0.000 |
| -0.002 | 0.039 | 0.056 | 0.001 | 77.986 | 0.000 |
| -0.004 | 0.071 | 0.103 | 0.002 | -0.000 | 83.843 |
| 650.375 | 134.679 | 130.882 | -0.001 | 0.000 | -0.000 |
| 133.833 | 179.413 | 70.873 | -0.001 | -0.000 | -0.000 |
| 129.773 | 70.609 | 339.663 | -0.001 | -0.000 | -0.000 |
| 0.001 | -0.012 | -0.018 | 85.670 | 0.000 | -0.000 |
| 0.002 | -0.039 | -0.056 | -0.001 | 77.986 | -0.000 |
| 0.004 | -0.071 | -0.103 | -0.002 | 0.000 | 83.843 |
| 650.373 | 134.726 | 130.950 | 0.000 | 0.000 | 0.000 |
| 133.831 | 179.460 | 70.940 | 0.000 | -0.000 | 0.000 |
| 129.770 | 70.655 | 339.730 | 0.000 | 0.000 | 0.000 |
| -0.000 | 0.001 | 0.002 | 85.671 | -0.000 | 0.000 |
| -0.000 | 0.004 | 0.006 | 0.000 | 77.986 | 0.000 |
| -0.000 | 0.007 | 0.010 | 0.000 | 0.000 | 83.843 |
| 650.372 | 134.718 | 130.938 | -0.000 | -0.000 | -0.000 |
| 133.831 | 179.452 | 70.929 | -0.000 | 0.000 | -0.000 |
| 129.771 | 70.649 | 339.720 | -0.000 | -0.000 | -0.000 |
| 0.000 | -0.001 | -0.002 | 85.670 | 0.000 | -0.000 |
| 0.000 | -0.004 | -0.006 | -0.000 | 77.986 | -0.000 |
| 0.000 | -0.007 | -0.010 | -0.000 | 0.000 | 83.843 |
| 650.382 | 134.722 | 130.945 | 0.000 | 0.000 | 0.000 |
| 133.831 | 179.450 | 70.929 | 0.000 | -0.000 | 0.000 |
| 129.771 | 70.644 | 339.714 | 0.000 | -0.000 | 0.000 |
| -0.000 | -0.001 | -0.000 | 85.670 | 0.000 | 0.000 |
| 0.000 | 0.000 | 0.000 | 0.000 | 77.986 | 0.000 |
| -0.000 | 0.001 | 0.001 | 0.000 | -0.000 | 83.843 |
| 650.363 | 134.721 | 130.943 | -0.000 | 0.000 | -0.000 |
| 133.831 | 179.462 | 70.941 | -0.000 | 0.000 | -0.000 |
| 129.770 | 70.660 | 339.736 | -0.000 | -0.000 | -0.000 |
| 0.000 | 0.001 | 0.000 | 85.670 | 0.000 | -0.000 |
| -0.000 | -0.000 | -0.000 | -0.000 | 77.986 | -0.000 |
| 0.000 | -0.001 | -0.001 | -0.000 | 0.000 | 83.843 |
| 317.663 | 103.115 | 264.299 | 0.005 | 16.169 | -0.003 |
| 103.910 | 637.372 | 101.309 | 0.005 | -0.772 | -0.003 |
| 261.437 | 101.624 | 325.416 | 0.008 | 1.507 | -0.005 |
| -0.014 | -0.000 | 0.014 | 74.104 | -0.013 | -0.709 |
| 0.161 | -0.564 | 1.558 | 0.008 | 32.556 | -0.005 |
| -0.013 | -0.000 | 0.013 | -0.807 | -0.012 | 76.751 |
| 319.964 | 103.272 | 261.925 | -0.008 | 19.194 | 0.005 |
| 103.941 | 637.372 | 101.278 | -0.005 | -0.747 | 0.003 |
| 261.590 | 101.624 | 325.265 | -0.008 | 1.555 | 0.005 |
| 0.013 | 0.000 | -0.013 | 74.096 | 0.011 | -0.704 |
| 0.213 | -0.564 | 1.505 | -0.008 | 32.783 | 0.005 |
| 0.014 | 0.000 | -0.014 | -0.816 | 0.012 | 76.756 |
| 317.401 | 103.112 | 264.553 | 0.000 | 17.163 | -0.000 |
| 103.085 | 637.348 | 102.134 | -0.000 | -0.289 | 0.000 |
| 264.200 | 101.884 | 322.562 | 0.001 | 0.518 | -0.001 |
| -0.001 | 0.000 | 0.001 | 74.100 | -0.001 | -0.707 |
| 1.082 | -0.410 | 0.592 | 0.001 | 29.728 | -0.001 |
| -0.001 | 0.000 | 0.001 | -0.811 | -0.001 | 76.753 |
| 317.437 | 103.112 | 264.517 | -0.000 | 17.222 | 0.000 |
| 103.114 | 637.348 | 102.105 | 0.000 | -0.257 | -0.000 |
| 264.236 | 101.884 | 322.525 | -0.001 | 0.577 | 0.001 |
| 0.001 | -0.000 | -0.001 | 74.100 | 0.001 | -0.706 |
| 1.117 | -0.410 | 0.557 | -0.001 | 29.786 | 0.001 |
| 0.001 | -0.000 | -0.001 | -0.812 | 0.001 | 76.754 |
| 317.415 | 103.113 | 264.541 | 0.000 | 17.195 | -0.000 |
| 103.527 | 637.346 | 101.701 | 0.000 | -0.512 | -0.000 |
| 264.219 | 101.883 | 322.542 | 0.000 | 1.180 | -0.000 |
| -0.001 | 0.000 | 0.001 | 74.100 | -0.001 | -0.706 |
| 0.482 | -0.412 | 1.187 | 0.000 | 29.750 | -0.000 |
| 0.000 | 0.000 | 0.000 | -0.811 | -0.000 | 76.753 |
| 317.417 | 103.112 | 264.535 | -0.000 | 17.201 | 0.000 |
| 103.529 | 637.339 | 101.697 | -0.000 | -0.507 | 0.000 |
| 264.220 | 101.882 | 322.536 | -0.000 | 1.186 | 0.000 |
| 0.001 | -0.000 | -0.001 | 74.100 | 0.001 | -0.706 |
| 0.486 | -0.412 | 1.183 | -0.000 | 29.756 | 0.000 |
| -0.000 | -0.000 | -0.000 | -0.812 | 0.000 | 76.753 |
| 194.780 | 121.864 | 81.290 | 9.589 | -0.000 | 0.000 |
| 101.630 | 215.014 | 81.290 | -9.589 | 0.000 | 0.000 |
| 81.290 | 81.290 | 235.354 | -0.000 | -0.000 | -0.000 |
| 9.589 | -9.589 | 0.000 | 36.351 | 0.000 | 0.000 |
| -0.000 | -0.000 | 0.000 | 0.000 | 36.351 | 9.589 |
| -0.000 | 0.000 | 0.000 | -0.000 | 9.589 | 36.458 |
| 215.014 | 101.630 | 81.290 | 9.589 | 0.000 | -0.000 |
| 121.864 | 194.780 | 81.290 | -9.589 | 0.000 | 0.000 |
| 81.290 | 81.290 | 235.354 | -0.000 | -0.000 | 0.000 |
| 9.589 | -9.589 | -0.000 | 36.351 | -0.000 | 0.000 |
| 0.000 | -0.000 | -0.000 | 0.000 | 36.351 | 9.589 |
| 0.000 | -0.000 | -0.000 | 0.000 | 9.589 | 36.458 |
| 215.014 | 101.630 | 81.290 | 9.589 | -0.000 | 0.000 |
| 101.630 | 215.014 | 81.290 | -9.589 | -0.000 | 0.000 |
| 81.290 | 81.290 | 235.354 | 0.000 | 0.000 | -0.000 |
| 9.589 | -9.589 | 0.000 | 36.351 | -0.000 | 0.000 |
| 0.000 | 0.000 | 0.000 | -0.000 | 36.351 | 9.589 |
| 0.000 | 0.000 | 0.000 | -0.000 | 9.589 | 56.692 |
| 215.014 | 101.630 | 81.290 | 9.589 | -0.000 | -0.000 |
| 121.864 | 194.780 | 81.290 | -9.589 | -0.000 | -0.000 |
| 81.290 | 81.290 | 235.354 | -0.000 | 0.000 | 0.000 |
| 9.589 | -9.589 | -0.000 | 36.351 | -0.000 | 0.000 |
| -0.000 | -0.000 | -0.000 | 0.000 | 36.351 | 9.589 |
| -0.000 | 0.000 | -0.000 | 0.000 | 9.589 | 56.692 |
| 194.781 | 121.865 | 81.291 | 9.588 | 0.000 | 0.000 |
| 101.631 | 215.014 | 81.291 | -9.588 | 0.000 | 0.000 |
| 81.290 | 81.290 | 235.354 | -0.000 | 0.000 | -0.000 |
| 9.589 | -9.588 | 0.000 | 36.351 | 0.000 | 0.000 |
| 0.000 | -0.000 | 0.000 | -0.000 | 36.351 | 9.589 |
| 0.001 | 0.000 | 0.000 | 0.000 | 9.589 | 36.458 |
| 215.013 | 101.630 | 81.290 | 9.589 | 0.000 | -0.000 |
| 121.865 | 194.778 | 81.289 | -9.589 | -0.000 | 0.000 |
| 81.290 | 81.290 | 235.354 | -0.000 | -0.000 | 0.000 |
| 9.589 | -9.589 | -0.000 | 36.351 | 0.000 | -0.000 |
| -0.000 | 0.000 | -0.000 | 0.000 | 36.351 | 9.589 |
| -0.001 | -0.000 | -0.000 | -0.000 | 9.589 | 36.458 |
| -142.391 | -316.108 | -111.606 | -0.000 | 0.000 | -0.000 |
| -316.108 | -142.391 | -111.606 | -0.000 | 0.000 | -0.000 |
| 100.066 | 100.066 | 438.089 | 0.000 | 0.000 | -0.000 |
| 0.000 | 0.000 | 0.000 | 66.392 | 0.000 | 0.000 |
| 0.000 | 0.000 | 0.000 | -0.000 | 66.392 | -0.000 |
| -454.518 | -454.518 | -228.312 | -0.000 | 0.000 | 82.213 |
| 497.205 | 361.325 | 305.471 | 0.000 | -0.000 | 0.000 |
| 361.325 | 497.205 | 305.471 | 0.000 | 0.000 | 0.000 |
| 566.801 | 566.801 | 648.234 | 0.000 | -0.000 | 0.000 |
| -0.000 | -0.000 | -0.000 | 66.392 | 0.000 | -0.000 |
| -0.000 | -0.000 | -0.000 | 0.000 | 66.392 | -0.000 |
| 454.518 | 454.518 | 228.312 | 0.000 | -0.000 | 82.213 |
| 269.641 | 92.213 | 92.628 | -0.000 | 0.000 | -0.000 |
| 92.213 | 269.641 | 92.628 | -0.000 | 0.000 | -0.000 |
| 67.350 | 67.350 | 396.969 | -0.000 | -0.000 | 0.000 |
| 0.000 | 0.000 | 0.000 | 66.392 | 0.000 | 0.000 |
| 0.000 | 0.000 | 0.000 | -0.000 | 66.392 | -0.000 |
| -16.144 | -16.144 | -38.129 | -0.000 | -0.000 | 83.969 |
| 315.790 | 172.035 | 143.880 | 0.000 | 0.000 | 0.000 |
| 172.035 | 315.790 | 143.880 | -0.000 | -0.000 | -0.000 |
| 157.115 | 157.115 | 443.049 | 0.000 | 0.000 | 0.000 |
| -0.000 | -0.000 | -0.000 | 66.392 | -0.000 | -0.000 |
| -0.000 | -0.000 | -0.000 | 0.000 | 66.392 | -0.000 |
| 16.144 | 16.144 | 38.129 | -0.000 | -0.000 | 83.969 |
| 310.375 | 130.292 | 111.132 | -0.000 | 0.000 | -0.000 |
| 130.292 | 310.375 | 111.132 | -0.000 | 0.000 | -0.000 |
| 108.121 | 108.121 | 419.414 | -0.000 | 0.000 | -0.000 |
| 1.146 | 1.146 | -5.059 | 38.950 | 0.000 | 0.000 |
| 1.146 | 1.146 | -5.059 | -0.000 | 38.950 | 0.000 |
| -2.284 | -2.284 | -2.111 | -0.000 | 0.000 | 81.698 |
| 239.694 | 190.041 | 100.324 | 0.000 | -0.000 | -0.000 |
| 190.041 | 239.694 | 100.324 | 0.000 | -0.000 | 0.000 |
| 108.186 | 108.186 | 416.543 | 0.000 | -0.000 | 0.000 |
| -1.146 | -1.146 | 5.059 | 38.950 | -0.000 | 0.000 |
| -1.146 | -1.146 | 5.059 | 0.000 | 38.950 | -0.000 |
| 2.284 | 2.284 | 2.111 | 0.000 | -0.000 | 81.698 |
| 974.697 | 109.724 | 109.663 | 0.000 | -0.000 | -0.000 |
| 109.724 | 974.697 | 109.663 | 0.000 | 0.000 | -0.000 |
| 109.694 | 109.694 | 974.223 | 0.000 | -0.000 | -0.000 |
| 0.000 | 0.000 | 0.000 | 71.507 | 0.000 | -0.000 |
| 0.000 | 0.000 | 0.000 | 0.000 | 71.507 | -0.000 |
| 0.000 | 0.000 | -0.000 | -0.000 | -0.000 | 71.504 |
| 974.697 | 109.724 | 109.663 | -0.000 | 0.000 | 0.000 |
| 109.724 | 974.697 | 109.663 | -0.000 | -0.000 | 0.000 |
| 109.694 | 109.694 | 974.222 | -0.000 | 0.000 | 0.000 |
| -0.000 | -0.000 | -0.000 | 71.507 | -0.000 | 0.000 |
| -0.000 | -0.000 | -0.000 | 0.000 | 71.507 | 0.000 |
| -0.000 | -0.000 | 0.000 | 0.000 | 0.000 | 71.504 |
| 974.698 | 109.724 | 109.663 | -0.000 | -0.000 | -0.000 |
| 109.724 | 974.698 | 109.663 | 0.000 | 0.000 | -0.000 |
| 109.694 | 109.694 | 974.223 | 0.000 | -0.000 | -0.000 |
| -0.000 | 0.000 | -0.000 | 71.507 | -0.000 | -0.000 |
| 0.000 | -0.000 | -0.000 | 0.000 | 71.507 | -0.000 |
| 0.000 | 0.000 | -0.000 | -0.000 | 0.000 | 71.504 |
| 974.696 | 109.724 | 109.663 | -0.000 | 0.000 | 0.000 |
| 109.724 | 974.696 | 109.663 | 0.000 | -0.000 | 0.000 |
| 109.694 | 109.694 | 974.222 | 0.000 | 0.000 | 0.000 |
| 0.000 | -0.000 | -0.000 | 71.507 | 0.000 | 0.000 |
| -0.000 | 0.000 | -0.000 | -0.000 | 71.507 | 0.000 |
| -0.000 | -0.000 | 0.000 | 0.000 | -0.000 | 71.504 |
| 974.705 | 109.725 | 109.664 | 0.000 | -0.000 | 0.000 |
| 109.725 | 974.705 | 109.664 | 0.000 | -0.000 | -0.000 |
| 109.694 | 109.694 | 974.231 | 0.000 | 0.000 | -0.000 |
| -0.000 | 0.000 | 0.000 | 71.507 | 0.000 | -0.000 |
| 0.000 | -0.000 | 0.000 | 0.000 | 71.507 | -0.000 |
| 0.000 | 0.000 | -0.000 | -0.000 | -0.000 | 71.504 |
| 974.689 | 109.723 | 109.663 | -0.000 | -0.000 | 0.000 |
| 109.723 | 974.689 | 109.663 | -0.000 | -0.000 | 0.000 |
| 109.693 | 109.693 | 974.214 | 0.000 | -0.000 | 0.000 |
| 0.000 | -0.000 | -0.000 | 71.507 | -0.000 | 0.000 |
| -0.000 | 0.000 | -0.000 | -0.000 | 71.507 | 0.000 |
| -0.000 | -0.000 | 0.000 | 0.000 | 0.000 | 71.504 |
| 157.317 | 106.726 | 106.726 | -0.000 | -0.000 | 0.000 |
| 106.726 | 157.317 | 106.726 | 0.000 | 0.000 | 0.000 |
| 106.726 | 106.726 | 157.317 | 0.000 | -0.000 | 0.000 |
| 0.000 | -0.000 | -0.000 | 8.289 | -0.000 | -0.000 |
| 0.000 | -0.000 | -0.000 | 0.000 | 8.289 | -0.000 |
| 0.000 | 0.000 | 0.000 | 0.000 | -0.000 | 8.289 |
| 157.317 | 106.726 | 106.726 | -0.000 | -0.000 | 0.000 |
| 106.726 | 157.317 | 106.726 | -0.000 | 0.000 | 0.000 |
| 106.726 | 106.726 | 157.317 | -0.000 | 0.000 | 0.000 |
| -0.000 | 0.000 | 0.000 | 8.289 | 0.000 | 0.000 |
| -0.000 | 0.000 | 0.000 | -0.000 | 8.289 | 0.000 |
| -0.000 | 0.000 | 0.000 | -0.000 | -0.000 | 8.289 |
| 157.318 | 106.726 | 106.726 | -0.000 | -0.000 | 0.000 |
| 106.726 | 157.318 | 106.726 | -0.000 | -0.000 | 0.000 |
| 106.726 | 106.726 | 157.318 | 0.000 | -0.000 | -0.000 |
| 0.000 | -0.000 | -0.000 | 75.968 | -0.000 | 0.000 |
| -0.000 | 0.000 | -0.000 | -0.000 | 75.968 | -0.000 |
| -0.000 | -0.000 | 0.000 | 0.000 | -0.000 | 75.968 |
| 157.317 | 106.726 | 106.726 | -0.000 | -0.000 | -0.000 |
| 106.726 | 157.317 | 106.726 | -0.000 | 0.000 | 0.000 |
| 106.726 | 106.726 | 157.317 | -0.000 | 0.000 | 0.000 |
| -0.000 | 0.000 | 0.000 | 75.968 | 0.000 | 0.000 |
| 0.000 | -0.000 | 0.000 | -0.000 | 75.968 | 0.000 |
| 0.000 | 0.000 | -0.000 | -0.000 | 0.000 | 75.968 |
| 157.318 | 106.726 | 106.726 | 0.000 | -0.000 | -0.000 |
| 106.726 | 157.318 | 106.726 | 0.000 | 0.000 | -0.000 |
| 106.726 | 106.726 | 157.318 | 0.000 | -0.000 | -0.000 |
| 0.000 | -0.000 | -0.000 | 8.289 | -0.000 | -0.000 |
| -0.000 | 0.000 | -0.000 | 0.000 | 8.289 | -0.000 |
| -0.000 | -0.000 | 0.000 | 0.000 | -0.000 | 8.289 |
| 157.317 | 106.726 | 106.726 | -0.000 | 0.000 | 0.000 |
| 106.726 | 157.317 | 106.726 | -0.000 | 0.000 | 0.000 |
| 106.726 | 106.726 | 157.317 | -0.000 | 0.000 | 0.000 |
| -0.000 | 0.000 | 0.000 | 8.289 | 0.000 | -0.000 |
| 0.000 | -0.000 | 0.000 | -0.000 | 8.289 | 0.000 |
| 0.000 | 0.000 | -0.000 | -0.000 | 0.000 | 8.289 |
| 211.273 | 132.669 | 132.669 | -0.000 | -0.000 | -0.000 |
| 132.669 | 211.273 | 132.669 | -0.000 | -0.000 | -0.000 |
| 132.669 | 132.669 | 211.273 | -0.000 | -0.000 | -0.000 |
| -0.000 | -0.000 | 0.000 | 95.477 | -0.000 | -0.000 |
| 0.000 | -0.000 | 0.000 | -0.000 | 95.477 | -0.000 |
| 0.000 | -0.000 | -0.000 | -0.000 | -0.000 | 95.477 |
| 211.273 | 132.669 | 132.669 | 0.000 | 0.000 | 0.000 |
| 132.669 | 211.273 | 132.669 | 0.000 | 0.000 | 0.000 |
| 132.669 | 132.669 | 211.273 | 0.000 | 0.000 | 0.000 |
| 0.000 | 0.000 | -0.000 | 95.477 | 0.000 | 0.000 |
| -0.000 | 0.000 | -0.000 | 0.000 | 95.477 | 0.000 |
| -0.000 | 0.000 | 0.000 | 0.000 | 0.000 | 95.477 |
| 211.274 | 132.669 | 132.669 | -0.000 | -0.000 | -0.000 |
| 132.669 | 211.274 | 132.669 | -0.000 | -0.000 | -0.000 |
| 132.669 | 132.669 | 211.274 | -0.000 | -0.000 | -0.000 |
| -0.000 | 0.000 | 0.000 | 95.477 | -0.000 | -0.000 |
| 0.000 | -0.000 | 0.000 | -0.000 | 95.477 | -0.000 |
| 0.000 | 0.000 | -0.000 | -0.000 | -0.000 | 95.477 |
| 211.273 | 132.669 | 132.669 | 0.000 | 0.000 | 0.000 |
| 132.669 | 211.273 | 132.669 | 0.000 | 0.000 | 0.000 |
| 132.669 | 132.669 | 211.273 | 0.000 | 0.000 | 0.000 |
| 0.000 | -0.000 | -0.000 | 95.477 | 0.000 | 0.000 |
| -0.000 | 0.000 | -0.000 | 0.000 | 95.477 | 0.000 |
| -0.000 | -0.000 | 0.000 | 0.000 | 0.000 | 95.477 |
| 211.275 | 132.670 | 132.670 | -0.000 | -0.000 | -0.000 |
| 132.670 | 211.275 | 132.670 | -0.000 | -0.000 | -0.000 |
| 132.670 | 132.670 | 211.275 | -0.000 | -0.000 | -0.000 |
| -0.000 | 0.000 | 0.001 | 95.477 | -0.000 | -0.000 |
| 0.000 | -0.000 | 0.001 | -0.000 | 95.477 | -0.000 |
| 0.000 | 0.001 | -0.000 | -0.000 | -0.000 | 95.477 |
| 211.272 | 132.668 | 132.668 | 0.000 | 0.000 | 0.000 |
| 132.668 | 211.272 | 132.668 | 0.000 | 0.000 | 0.000 |
| 132.668 | 132.668 | 211.272 | 0.000 | 0.000 | 0.000 |
| 0.000 | -0.000 | -0.001 | 95.477 | 0.000 | 0.000 |
| -0.000 | 0.000 | -0.001 | 0.000 | 95.477 | 0.000 |
| -0.000 | -0.001 | 0.000 | 0.000 | 0.000 | 95.477 |
| 1165.656 | 1019.868 | 3543.241 | 48.270 | 0.000 | 0.000 |
| 1019.868 | 1165.656 | 3543.241 | -48.270 | -0.000 | 0.000 |
| 1042.321 | 1042.321 | 3834.696 | -0.000 | -0.000 | 0.000 |
| 953.185 | 873.922 | 3415.516 | 76.872 | 0.000 | -0.000 |
| -0.000 | 0.000 | 0.000 | 0.000 | 121.647 | 50.657 |
| 913.558 | 913.558 | 3415.533 | -0.000 | 48.270 | 72.894 |
| 261.527 | 114.564 | 160.762 | 50.657 | -0.000 | -0.000 |
| -807.248 | -661.460 | -3287.825 | -48.270 | 0.000 | -0.000 |
| 161.822 | 161.822 | 542.761 | -0.000 | 0.000 | 0.000 |
| -873.944 | -953.206 | -3415.597 | 76.872 | -0.000 | -0.000 |
| 0.000 | -0.000 | -0.000 | -0.000 | 121.647 | 50.657 |
| -913.558 | -913.558 | -3415.533 | 0.000 | 48.270 | 72.894 |
| 261.527 | 114.564 | 160.762 | 50.657 | 0.000 | -0.000 |
| 197.715 | 343.502 | 469.444 | -48.268 | -0.000 | 0.000 |
| 220.123 | 220.123 | 760.731 | 0.000 | 0.000 | -0.000 |
| 140.339 | 43.838 | 344.294 | 111.874 | 0.000 | -0.000 |
| 91.358 | 91.358 | 341.560 | -0.000 | 76.872 | 39.631 |
| 0.000 | 0.000 | 0.000 | -0.000 | 50.657 | 73.482 |
| 261.527 | 114.563 | 160.762 | 50.657 | 0.000 | -0.000 |
| 17.080 | 158.612 | -213.854 | -39.631 | 0.000 | 0.000 |
| 37.408 | 37.408 | 77.613 | -0.000 | -0.000 | -0.000 |
| 50.657 | -50.657 | -0.000 | 121.647 | 0.000 | 0.000 |
| -91.358 | -91.358 | -341.560 | 0.000 | 76.872 | 39.631 |
| -0.000 | 0.000 | -0.000 | 0.000 | 50.657 | 73.482 |
| 260.247 | 118.410 | 165.561 | 40.249 | 0.000 | -0.000 |
| 114.564 | 261.527 | 160.763 | -50.657 | -0.000 | -0.000 |
| 161.823 | 161.823 | 542.762 | -0.000 | -0.000 | 0.000 |
| 61.848 | -31.549 | 56.638 | 105.571 | -0.000 | 0.000 |
| 0.000 | 0.000 | 0.000 | -0.000 | 121.647 | 50.657 |
| 0.000 | -0.000 | 0.000 | -0.000 | 50.657 | 73.482 |
| 261.526 | 114.563 | 160.761 | 50.657 | 0.000 | -0.000 |
| 96.956 | 242.728 | 92.708 | -48.240 | 0.000 | -0.000 |
| 119.632 | 119.632 | 385.025 | -0.000 | 0.000 | 0.000 |
| 30.495 | -48.767 | -34.155 | 76.872 | 0.000 | -0.000 |
| -0.000 | -0.000 | -0.000 | 0.000 | 121.647 | 50.657 |
| -0.000 | 0.000 | -0.000 | 0.000 | 50.657 | 73.482 |
| 265.264 | 116.390 | 165.072 | -49.970 | 0.000 | -0.000 |
| 107.861 | 255.276 | 129.843 | 47.241 | 0.000 | -0.000 |
| 165.072 | 165.072 | 544.187 | -0.000 | 0.000 | -0.000 |
| -38.293 | 38.293 | 0.001 | 79.217 | -0.000 | 0.000 |
| 0.000 | 0.000 | 0.001 | 0.000 | 79.217 | -38.293 |
| -0.000 | 0.000 | -0.000 | -0.000 | -49.970 | 74.437 |
| 265.264 | 116.390 | 165.072 | -49.970 | 0.000 | -0.000 |
| 107.861 | 255.276 | 129.843 | 47.241 | -0.000 | -0.000 |
| 165.072 | 165.072 | 544.187 | -0.000 | -0.000 | -0.000 |
| -38.293 | 38.293 | -0.001 | 79.217 | -0.000 | 0.000 |
| -0.000 | -0.000 | -0.001 | -0.000 | 79.217 | -38.293 |
| 0.000 | -0.000 | 0.000 | -0.000 | -49.970 | 74.437 |
| 255.276 | 107.861 | 129.843 | -47.241 | 0.000 | 0.000 |
| 116.390 | 265.264 | 165.072 | 49.970 | 0.000 | 0.000 |
| 165.072 | 165.072 | 544.187 | -0.000 | -0.000 | -0.000 |
| -49.970 | 49.970 | 0.000 | 122.919 | -0.000 | 0.000 |
| 0.000 | 0.000 | 0.000 | 0.000 | 79.217 | -38.293 |
| 0.000 | 0.000 | 0.000 | 0.000 | -38.293 | 71.317 |
| 255.276 | 107.861 | 129.843 | -47.241 | -0.000 | -0.000 |
| 107.861 | 255.276 | 129.843 | 47.241 | -0.000 | -0.000 |
| 131.848 | 131.848 | 417.765 | -0.000 | -0.000 | -0.000 |
| -38.293 | 38.293 | -0.000 | 79.217 | -0.000 | 0.000 |
| -0.000 | -0.000 | -0.000 | -0.000 | 79.217 | -38.293 |
| -0.000 | -0.000 | -0.000 | -0.000 | -38.293 | 71.317 |
| 265.264 | 116.390 | 165.072 | -49.970 | 0.000 | 0.000 |
| 107.861 | 255.277 | 129.843 | 47.241 | -0.000 | 0.000 |
| 131.849 | 131.849 | 417.764 | 0.000 | -0.000 | 0.000 |
| -38.293 | 38.293 | 0.000 | 79.216 | 0.000 | 0.000 |
| 0.000 | 0.000 | 0.000 | 0.000 | 79.217 | -38.293 |
| 0.000 | -0.000 | 0.000 | 0.000 | -49.970 | 74.437 |
| 255.276 | 107.861 | 129.843 | -47.241 | 0.000 | 0.000 |
| 116.390 | 265.263 | 165.071 | 49.970 | 0.000 | -0.000 |
| 131.847 | 131.847 | 417.763 | -0.000 | -0.000 | -0.000 |
| -38.293 | 38.293 | -0.000 | 79.218 | 0.000 | -0.000 |
| -0.000 | -0.000 | -0.000 | -0.000 | 79.217 | -38.293 |
| -0.000 | 0.000 | -0.000 | -0.000 | -49.970 | 74.437 |
| 253.170 | 119.770 | 100.331 | -0.000 | 0.000 | -0.000 |
| 119.770 | 253.170 | 100.331 | 0.000 | 0.000 | -0.000 |
| 119.539 | 119.539 | 120.324 | -0.000 | 0.000 | -0.000 |
| 0.000 | 0.000 | -0.000 | 36.221 | -0.000 | -0.000 |
| 0.000 | 0.000 | -0.000 | -0.000 | 36.221 | -0.000 |
| 0.000 | 0.000 | 0.000 | -0.000 | 0.000 | 100.816 |
| 259.339 | 125.314 | 83.435 | -0.000 | -0.000 | 0.000 |
| 125.315 | 259.339 | 83.435 | 0.000 | -0.000 | 0.000 |
| 103.513 | 103.513 | 166.559 | 0.000 | -0.000 | 0.000 |
| -0.000 | -0.000 | 0.000 | 36.221 | -0.000 | 0.000 |
| -0.000 | -0.000 | 0.000 | 0.000 | 36.221 | 0.000 |
| -0.000 | -0.000 | -0.000 | -0.000 | -0.000 | 100.816 |
| 253.170 | 119.770 | 100.331 | 0.000 | 0.000 | -0.000 |
| 119.770 | 253.170 | 100.331 | -0.000 | 0.000 | -0.000 |
| 103.513 | 103.513 | 166.559 | 0.000 | 0.000 | -0.000 |
| 0.000 | 0.000 | 0.000 | 91.870 | 0.000 | -0.000 |
| 0.000 | 0.000 | 0.000 | -0.000 | 91.870 | -0.000 |
| -0.000 | -0.000 | 0.000 | -0.000 | 0.000 | 95.938 |
| 259.339 | 125.314 | 83.435 | 0.000 | -0.000 | 0.000 |
| 125.314 | 259.339 | 83.435 | 0.000 | -0.000 | 0.000 |
| 119.539 | 119.539 | 120.323 | 0.000 | -0.000 | 0.000 |
| -0.000 | -0.000 | -0.000 | 91.870 | -0.000 | 0.000 |
| -0.000 | -0.000 | -0.000 | 0.000 | 91.870 | 0.000 |
| 0.000 | 0.000 | -0.000 | 0.000 | -0.000 | 95.938 |
| 253.170 | 119.770 | 100.332 | -0.000 | 0.000 | -0.000 |
| 119.770 | 253.170 | 100.332 | 0.000 | -0.000 | -0.000 |
| 119.539 | 119.539 | 120.326 | -0.000 | 0.000 | -0.000 |
| 0.000 | 0.000 | 0.000 | 36.221 | 0.000 | -0.000 |
| 0.000 | 0.000 | 0.000 | -0.000 | 36.221 | -0.000 |
| -0.000 | -0.000 | 0.000 | -0.000 | 0.000 | 95.938 |
| 253.169 | 119.770 | 100.330 | 0.000 | -0.000 | 0.000 |
| 119.770 | 253.169 | 100.330 | 0.000 | -0.000 | 0.000 |
| 119.539 | 119.539 | 120.321 | 0.000 | -0.000 | 0.000 |
| -0.000 | -0.000 | -0.000 | 36.221 | -0.000 | 0.000 |
| -0.000 | -0.000 | -0.000 | 0.000 | 36.221 | 0.000 |
| 0.000 | 0.000 | -0.000 | 0.000 | -0.000 | 95.938 |
| 308.045 | 163.422 | 115.201 | -0.000 | -0.000 | 0.000 |
| 163.422 | 308.045 | 115.201 | -0.000 | -0.000 | 0.000 |
| 116.613 | 116.613 | 430.855 | -0.000 | -0.000 | 0.000 |
| 0.002 | 0.002 | -0.009 | 76.066 | -0.000 | -0.000 |
| 0.002 | 0.002 | -0.009 | -0.000 | 76.066 | -0.000 |
| 0.000 | 0.000 | -0.002 | -0.000 | -0.000 | 142.926 |
| 307.571 | 163.166 | 117.039 | 0.000 | 0.000 | 0.000 |
| 163.166 | 307.571 | 117.039 | 0.000 | 0.000 | -0.000 |
| 115.201 | 115.201 | 437.967 | 0.000 | 0.000 | -0.000 |
| -0.002 | -0.002 | 0.009 | 76.066 | 0.000 | 0.000 |
| -0.002 | -0.002 | 0.009 | 0.000 | 76.066 | -0.000 |
| -0.000 | -0.000 | 0.002 | 0.000 | 0.000 | 142.926 |
| 307.572 | 163.166 | 117.037 | -0.000 | -0.000 | -0.000 |
| 163.166 | 307.572 | 117.037 | -0.000 | -0.000 | 0.000 |
| 116.612 | 116.612 | 430.858 | -0.000 | -0.000 | -0.000 |
| 0.000 | 0.000 | -0.001 | 76.066 | -0.000 | -0.000 |
| 0.000 | 0.000 | -0.001 | -0.000 | 76.066 | -0.000 |
| 0.000 | 0.000 | -0.000 | -0.000 | -0.000 | 142.926 |
| 308.045 | 163.422 | 115.201 | 0.000 | 0.000 | 0.000 |
| 163.422 | 308.045 | 115.201 | 0.000 | 0.000 | 0.000 |
| 116.612 | 116.612 | 430.857 | 0.000 | 0.000 | -0.000 |
| -0.000 | -0.000 | 0.001 | 76.066 | 0.000 | -0.000 |
| -0.000 | -0.000 | 0.001 | 0.000 | 76.066 | 0.000 |
| -0.000 | -0.000 | 0.000 | 0.000 | 0.000 | 142.926 |
| 308.046 | 163.422 | 115.202 | -0.000 | 0.000 | 0.000 |
| 163.422 | 308.046 | 115.202 | -0.000 | -0.000 | -0.000 |
| 116.613 | 116.613 | 430.864 | -0.000 | -0.000 | -0.000 |
| 0.000 | 0.000 | -0.000 | 76.066 | -0.000 | -0.000 |
| 0.000 | 0.000 | -0.000 | -0.000 | 76.066 | -0.000 |
| -0.000 | 0.000 | 0.000 | -0.000 | -0.000 | 142.926 |
| 307.570 | 163.166 | 117.037 | 0.000 | 0.000 | -0.000 |
| 163.166 | 307.570 | 117.037 | 0.000 | -0.000 | -0.000 |
| 116.612 | 116.612 | 430.851 | 0.000 | 0.000 | -0.000 |
| -0.000 | -0.000 | 0.000 | 76.066 | 0.000 | 0.000 |
| -0.000 | -0.000 | 0.000 | 0.000 | 76.066 | -0.000 |
| 0.000 | -0.000 | -0.000 | 0.000 | 0.000 | 142.926 |
| -1.170 | 9.648 | 9.648 | -0.000 | -0.000 | -0.000 |
| 9.648 | -1.170 | 9.648 | -0.000 | -0.000 | -0.000 |
| 9.648 | 9.648 | -1.170 | -0.000 | -0.000 | -0.000 |
| 0.000 | 0.000 | 0.000 | -13.478 | -0.000 | -0.000 |
| 0.000 | -0.000 | 0.000 | -0.000 | -13.478 | -0.000 |
| 0.000 | 0.000 | 0.000 | -0.000 | -0.000 | -13.478 |
| -1.170 | 9.648 | 9.648 | 0.000 | 0.000 | 0.000 |
| 9.648 | -1.170 | 9.648 | 0.000 | 0.000 | 0.000 |
| 9.648 | 9.648 | -1.170 | 0.000 | 0.000 | 0.000 |
| -0.000 | -0.000 | -0.000 | -13.478 | 0.000 | 0.000 |
| -0.000 | 0.000 | -0.000 | 0.000 | -13.478 | 0.000 |
| -0.000 | -0.000 | -0.000 | 0.000 | 0.000 | -13.478 |
| -1.170 | 9.648 | 9.648 | -0.000 | -0.000 | -0.000 |
| 9.648 | -1.170 | 9.648 | -0.000 | -0.000 | -0.000 |
| 9.648 | 9.648 | -1.170 | -0.000 | -0.000 | -0.000 |
| 0.000 | 0.000 | 0.000 | 7.405 | 0.000 | -0.000 |
| 0.000 | 0.000 | 0.000 | 0.000 | 7.405 | -0.000 |
| 0.000 | 0.000 | 0.000 | 0.000 | -0.000 | 7.405 |
| -1.170 | 9.648 | 9.648 | 0.000 | 0.000 | 0.000 |
| 9.648 | -1.170 | 9.648 | 0.000 | 0.000 | 0.000 |
| 9.648 | 9.648 | -1.170 | 0.000 | 0.000 | 0.000 |
| -0.000 | -0.000 | -0.000 | 7.405 | -0.000 | 0.000 |
| -0.000 | -0.000 | -0.000 | -0.000 | 7.405 | 0.000 |
| -0.000 | -0.000 | -0.000 | -0.000 | 0.000 | 7.405 |
| -1.170 | 9.648 | 9.648 | -0.000 | -0.000 | -0.000 |
| 9.648 | -1.170 | 9.648 | -0.000 | -0.000 | -0.000 |
| 9.648 | 9.648 | -1.170 | -0.000 | -0.000 | -0.000 |
| -0.000 | 0.000 | 0.000 | -13.478 | -0.000 | -0.000 |
| 0.000 | -0.000 | 0.000 | -0.000 | -13.478 | -0.000 |
| 0.000 | 0.000 | -0.000 | -0.000 | -0.000 | -13.478 |
| -1.170 | 9.648 | 9.648 | 0.000 | 0.000 | 0.000 |
| 9.648 | -1.170 | 9.648 | 0.000 | 0.000 | 0.000 |
| 9.648 | 9.648 | -1.170 | 0.000 | 0.000 | 0.000 |
| 0.000 | -0.000 | -0.000 | -13.478 | 0.000 | 0.000 |
| -0.000 | 0.000 | -0.000 | 0.000 | -13.478 | 0.000 |
| -0.000 | -0.000 | 0.000 | 0.000 | 0.000 | -13.478 |
| 620.168 | 114.341 | 114.341 | 0.000 | 0.000 | 0.000 |
| 114.341 | 620.168 | 114.341 | 0.000 | -0.000 | -0.000 |
| 114.341 | 114.341 | 620.168 | 0.000 | -0.000 | 0.000 |
| -0.000 | -0.000 | 0.000 | 70.323 | -0.000 | -0.000 |
| -0.000 | 0.000 | 0.000 | 0.000 | 70.323 | -0.000 |
| 0.000 | 0.000 | 0.000 | 0.000 | 0.000 | 70.323 |
| 620.277 | 114.286 | 114.286 | 0.000 | 0.000 | 0.000 |
| 114.286 | 620.277 | 114.286 | 0.000 | 0.000 | 0.000 |
| 114.286 | 114.286 | 620.277 | -0.000 | 0.000 | -0.000 |
| 0.000 | -0.000 | -0.000 | 70.323 | 0.000 | 0.000 |
| 0.000 | -0.000 | -0.000 | -0.000 | 70.323 | -0.000 |
| -0.000 | -0.000 | -0.000 | -0.000 | -0.000 | 70.323 |
| 620.168 | 114.341 | 114.341 | 0.000 | -0.000 | -0.000 |
| 114.341 | 620.168 | 114.341 | 0.000 | 0.000 | -0.000 |
| 114.341 | 114.341 | 620.168 | 0.000 | -0.000 | 0.000 |
| 0.000 | 0.000 | 0.000 | 70.323 | -0.000 | -0.000 |
| 0.000 | 0.000 | 0.000 | 0.000 | 70.323 | -0.000 |
| 0.000 | 0.000 | 0.000 | 0.000 | -0.000 | 70.323 |
| 620.167 | 114.341 | 114.341 | -0.000 | -0.000 | 0.000 |
| 114.341 | 620.167 | 114.341 | -0.000 | 0.000 | 0.000 |
| 114.341 | 114.341 | 620.167 | -0.000 | 0.000 | 0.000 |
| -0.000 | -0.000 | -0.000 | 70.323 | 0.000 | 0.000 |
| -0.000 | -0.000 | -0.000 | -0.000 | 70.323 | 0.000 |
| -0.000 | -0.000 | -0.000 | -0.000 | -0.000 | 70.323 |
| 620.173 | 114.342 | 114.342 | 0.000 | -0.000 | -0.000 |
| 114.342 | 620.173 | 114.342 | 0.000 | -0.000 | 0.000 |
| 114.342 | 114.342 | 620.173 | 0.000 | 0.000 | -0.000 |
| 0.000 | 0.000 | 0.000 | 70.323 | -0.000 | -0.000 |
| 0.000 | 0.000 | 0.000 | 0.000 | 70.323 | -0.000 |
| 0.000 | 0.000 | 0.000 | 0.000 | -0.000 | 70.323 |
| 620.163 | 114.340 | 114.340 | -0.000 | 0.000 | 0.000 |
| 114.340 | 620.163 | 114.340 | -0.000 | -0.000 | -0.000 |
| 114.340 | 114.340 | 620.163 | -0.000 | -0.000 | -0.000 |
| -0.000 | -0.000 | -0.000 | 70.323 | 0.000 | 0.000 |
| -0.000 | -0.000 | -0.000 | -0.000 | 70.323 | 0.000 |
| -0.000 | -0.000 | -0.000 | -0.000 | -0.000 | 70.323 |
| 324.784 | 192.587 | 192.587 | 0.000 | -0.000 | -0.000 |
| 192.587 | 324.784 | 192.587 | 0.000 | -0.000 | -0.000 |
| 192.587 | 192.587 | 324.784 | 0.000 | 0.000 | -0.000 |
| -0.000 | 0.000 | 0.000 | 148.800 | 0.000 | -0.000 |
| 0.000 | -0.000 | 0.000 | 0.000 | 148.800 | -0.000 |
| 0.000 | 0.000 | -0.000 | 0.000 | -0.000 | 148.800 |
| 324.784 | 192.587 | 192.587 | 0.000 | -0.000 | -0.000 |
| 192.587 | 324.784 | 192.587 | -0.000 | 0.000 | -0.000 |
| 192.587 | 192.587 | 324.784 | -0.000 | 0.000 | 0.000 |
| 0.000 | 0.000 | -0.000 | 148.800 | -0.000 | 0.000 |
| -0.000 | 0.000 | -0.000 | -0.000 | 148.800 | 0.000 |
| -0.000 | -0.000 | 0.000 | -0.000 | 0.000 | 148.800 |
| 324.784 | 192.587 | 192.587 | 0.000 | 0.000 | -0.000 |
| 192.587 | 324.784 | 192.587 | 0.000 | -0.000 | -0.000 |
| 192.587 | 192.587 | 324.784 | 0.000 | 0.000 | -0.000 |
| -0.000 | 0.000 | 0.000 | 148.800 | -0.000 | 0.000 |
| 0.000 | -0.000 | 0.000 | 0.000 | 148.800 | -0.000 |
| 0.000 | 0.000 | -0.000 | 0.000 | -0.000 | 148.800 |
| 324.783 | 192.587 | 192.587 | -0.000 | 0.000 | 0.000 |
| 192.587 | 324.783 | 192.587 | -0.000 | 0.000 | 0.000 |
| 192.587 | 192.587 | 324.783 | -0.000 | -0.000 | 0.000 |
| 0.000 | -0.000 | -0.000 | 148.800 | 0.000 | 0.000 |
| -0.000 | 0.000 | -0.000 | -0.000 | 148.800 | 0.000 |
| -0.000 | -0.000 | 0.000 | -0.000 | 0.000 | 148.800 |
| 324.786 | 192.588 | 192.588 | 0.000 | -0.000 | -0.000 |
| 192.588 | 324.786 | 192.588 | 0.000 | -0.000 | -0.000 |
| 192.588 | 192.588 | 324.786 | 0.000 | -0.000 | 0.000 |
| -0.000 | 0.000 | 0.001 | 148.800 | 0.000 | -0.000 |
| 0.000 | -0.000 | 0.001 | 0.000 | 148.800 | -0.000 |
| 0.000 | 0.001 | -0.000 | 0.000 | 0.000 | 148.800 |
| 324.781 | 192.586 | 192.586 | -0.000 | 0.000 | 0.000 |
| 192.586 | 324.781 | 192.586 | -0.000 | 0.000 | 0.000 |
| 192.586 | 192.586 | 324.781 | 0.000 | 0.000 | 0.000 |
| 0.000 | -0.000 | -0.001 | 148.800 | 0.000 | 0.000 |
| -0.000 | 0.000 | -0.001 | -0.000 | 148.800 | 0.000 |
| -0.000 | -0.001 | 0.000 | -0.000 | 0.000 | 148.800 |
| 322.026 | 186.017 | 231.162 | 0.000 | 0.000 | -0.000 |
| 186.017 | 322.026 | 231.162 | 0.000 | 0.000 | -0.000 |
| 231.162 | 231.162 | 476.883 | 0.000 | 0.000 | -0.000 |
| -0.000 | 0.000 | 0.000 | 174.708 | -0.000 | 0.000 |
| 0.000 | 0.000 | 0.000 | 0.000 | 174.708 | -0.000 |
| -0.000 | 0.000 | -0.000 | 0.000 | 0.000 | 131.094 |
| 322.026 | 186.017 | 231.162 | -0.000 | 0.000 | -0.000 |
| 186.017 | 322.026 | 231.162 | -0.000 | -0.000 | -0.000 |
| 231.162 | 231.162 | 476.882 | 0.000 | -0.000 | 0.000 |
| 0.000 | -0.000 | -0.000 | 174.708 | -0.000 | 0.000 |
| -0.000 | -0.000 | -0.000 | -0.000 | 174.708 | 0.000 |
| 0.000 | -0.000 | 0.000 | -0.000 | -0.000 | 131.094 |
| 322.026 | 186.017 | 231.162 | 0.000 | 0.000 | -0.000 |
| 186.017 | 322.026 | 231.162 | 0.000 | 0.000 | -0.000 |
| 231.162 | 231.162 | 476.883 | 0.000 | 0.000 | -0.000 |
| -0.000 | 0.000 | 0.000 | 174.708 | -0.000 | -0.000 |
| 0.000 | -0.000 | 0.000 | 0.000 | 174.708 | -0.000 |
| 0.000 | 0.000 | -0.000 | -0.000 | 0.000 | 131.094 |
| 322.026 | 186.017 | 231.162 | -0.000 | -0.000 | 0.000 |
| 186.017 | 322.026 | 231.162 | -0.000 | -0.000 | 0.000 |
| 231.162 | 231.162 | 476.882 | -0.000 | 0.000 | 0.000 |
| 0.000 | -0.000 | -0.000 | 174.708 | 0.000 | -0.000 |
| -0.000 | 0.000 | -0.000 | -0.000 | 174.708 | 0.000 |
| -0.000 | -0.000 | 0.000 | 0.000 | -0.000 | 131.094 |
| 322.030 | 186.017 | 231.164 | 0.000 | 0.000 | -0.000 |
| 186.017 | 322.030 | 231.164 | 0.000 | 0.000 | -0.000 |
| 231.164 | 231.164 | 476.887 | -0.000 | 0.000 | -0.000 |
| -0.000 | 0.001 | 0.001 | 186.693 | -0.000 | 0.000 |
| 0.001 | -0.000 | 0.001 | 0.000 | 186.693 | -0.000 |
| 0.000 | 0.001 | -0.000 | -0.000 | 0.000 | 131.094 |
| 332.056 | 175.983 | 231.160 | -0.000 | -0.000 | 0.000 |
| 175.983 | 332.056 | 231.160 | -0.000 | -0.000 | 0.000 |
| 231.160 | 231.160 | 476.878 | -0.000 | -0.000 | 0.000 |
| 0.000 | -0.001 | -0.001 | 186.693 | 0.000 | 0.000 |
| -0.001 | 0.000 | -0.001 | -0.000 | 186.693 | 0.000 |
| -0.000 | -0.001 | 0.000 | 0.000 | 0.000 | 131.094 |
| -305.343 | 553.417 | -181.177 | -0.000 | -0.000 | -0.000 |
| -233.750 | 585.379 | -320.885 | 0.000 | -0.000 | 0.000 |
| -160.378 | 487.081 | -104.879 | -0.000 | -0.000 | -0.000 |
| -363.816 | 422.946 | -384.599 | 13.475 | -0.000 | 0.000 |
| -363.794 | 422.921 | -384.575 | -0.000 | 161.938 | -0.000 |
| -363.770 | 422.893 | -384.550 | -0.000 | -0.000 | 84.266 |
| 422.197 | -292.369 | 587.923 | 0.000 | 0.000 | 0.000 |
| 493.790 | -260.407 | 448.215 | -0.000 | 0.000 | 0.000 |
| 207.578 | 59.322 | 284.096 | 0.000 | 0.000 | 0.000 |
| 363.816 | -422.946 | 384.599 | 13.475 | 0.000 | 0.000 |
| 363.794 | -422.921 | 384.575 | 0.000 | 161.938 | 0.000 |
| 363.770 | -422.893 | 384.550 | 0.000 | 0.000 | 84.266 |
| 22.050 | 172.814 | 164.918 | 0.000 | 0.000 | -0.000 |
| 93.643 | 204.775 | 25.210 | -0.000 | 0.000 | -0.000 |
| 167.015 | 106.478 | 241.216 | -0.000 | -0.000 | -0.000 |
| -34.792 | 40.446 | -36.779 | -50.482 | -0.000 | -0.000 |
| -36.377 | 42.289 | -38.455 | -0.000 | 157.919 | -0.000 |
| 0.000 | 0.000 | -0.000 | 0.000 | -0.000 | 84.266 |
| 94.803 | 88.235 | 241.828 | -0.000 | 0.000 | 0.000 |
| 125.416 | 167.838 | 58.798 | -0.000 | -0.000 | -0.000 |
| 239.769 | 21.899 | 318.125 | 0.000 | -0.000 | 0.000 |
| 34.792 | -40.446 | 36.779 | -50.482 | 0.000 | 0.000 |
| 36.377 | -42.289 | 38.455 | 0.000 | 157.919 | 0.000 |
| -0.000 | -0.000 | 0.000 | -0.000 | 0.000 | 84.266 |
| 54.791 | 134.755 | 199.528 | -0.000 | -0.000 | -0.000 |
| 126.385 | 166.718 | 59.820 | -0.000 | -0.000 | -0.000 |
| 199.757 | 68.417 | 275.827 | 0.000 | 0.000 | -0.000 |
| -3.639 | 4.229 | -3.846 | -59.005 | -0.000 | 0.000 |
| -3.637 | 4.228 | -3.843 | 0.000 | 157.919 | 0.000 |
| -3.637 | 4.231 | -3.846 | -0.000 | 0.000 | 84.266 |
| 62.062 | 126.294 | 207.217 | -0.000 | 0.000 | 0.000 |
| 125.413 | 167.835 | 58.797 | 0.000 | -0.000 | 0.000 |
| 207.028 | 59.960 | 283.514 | 0.000 | -0.000 | 0.000 |
| 3.639 | -4.229 | 3.846 | -59.005 | 0.000 | 0.000 |
| 3.637 | -4.228 | 3.843 | 0.000 | 157.919 | 0.000 |
| 3.637 | -4.231 | 3.846 | 0.000 | 0.000 | 84.266 |
| -5502.446 | -5640.749 | -21445.043 | 42.253 | 0.000 | 0.000 |
| -5638.517 | -5504.677 | -21445.040 | -34.055 | 0.000 | 0.000 |
| -5631.315 | -5631.315 | -21203.170 | -0.000 | 0.000 | 0.000 |
| -5703.375 | -5787.880 | -21558.016 | 92.376 | -0.000 | 0.000 |
| -5745.851 | -5745.851 | -21558.856 | -0.000 | 92.375 | 42.253 |
| -5745.842 | -5745.842 | -21558.820 | -0.000 | 34.055 | 66.920 |
| 252.094 | 112.491 | 143.976 | 44.640 | 0.000 | 0.000 |
| 5853.167 | 5987.006 | 21672.600 | -34.055 | -0.000 | -0.000 |
| 5859.400 | 5859.400 | 21910.836 | 0.000 | -0.000 | -0.000 |
| 5787.880 | 5703.375 | 21558.016 | 92.376 | -0.000 | -0.000 |
| 5745.851 | 5745.851 | 21558.856 | 0.000 | 92.375 | 42.253 |
| 5745.842 | 5745.842 | 21558.820 | 0.000 | 34.055 | 66.920 |
| -331.172 | -469.475 | -2042.042 | 42.253 | 0.000 | 0.000 |
| -469.422 | -331.119 | -2041.843 | -42.253 | 0.000 | 0.000 |
| -460.804 | -460.804 | -1803.035 | -0.000 | -0.000 | 0.000 |
| -540.529 | -608.639 | -2155.882 | 62.265 | 0.000 | 0.000 |
| -574.679 | -574.679 | -2156.239 | -0.000 | 92.374 | 42.252 |
| -574.569 | -574.569 | -2155.824 | -0.000 | 42.253 | 69.152 |
| 815.738 | 681.898 | 2269.620 | 34.055 | -0.000 | -0.000 |
| 681.909 | 815.749 | 2269.662 | -34.055 | -0.000 | -0.000 |
| 143.976 | 143.976 | 466.144 | 0.000 | -0.000 | 0.000 |
| 44.640 | -44.640 | 0.000 | 101.146 | -0.000 | -0.000 |
| 574.679 | 574.679 | 2156.239 | 0.000 | 92.374 | 42.252 |
| 574.569 | 574.569 | 2155.824 | 0.000 | 42.253 | 69.152 |
| 252.094 | 112.491 | 143.977 | 44.640 | 0.000 | 0.000 |
| 49.876 | 183.716 | -101.772 | -34.055 | 0.000 | 0.000 |
| 56.322 | 56.322 | 137.258 | -0.000 | 0.000 | 0.000 |
| -23.403 | -91.513 | -215.588 | 62.266 | -0.000 | 0.000 |
| -57.458 | -57.458 | -215.588 | -0.000 | 62.265 | 34.055 |
| 0.000 | -0.000 | 0.000 | -0.000 | 44.640 | 69.802 |
| 252.094 | 112.491 | 143.975 | 44.641 | -0.000 | -0.000 |
| 162.634 | 300.935 | 329.675 | -42.249 | -0.000 | -0.000 |
| 143.975 | 143.975 | 466.144 | 0.000 | -0.000 | 0.000 |
| 91.514 | 23.403 | 215.588 | 62.265 | 0.000 | -0.000 |
| 57.458 | 57.458 | 215.588 | 0.000 | 62.265 | 34.055 |
| -0.000 | 0.000 | -0.000 | 0.000 | 44.640 | 69.802 |
| 251.780 | 112.483 | 134.629 | 38.573 | 0.000 | 0.000 |
| 114.706 | 256.953 | 148.747 | -43.554 | 0.000 | -0.000 |
| 123.104 | 123.104 | 373.118 | 0.000 | -0.000 | -0.000 |
| 50.566 | -26.098 | 46.704 | 84.839 | 0.000 | 0.000 |
| 12.234 | 12.234 | 46.704 | 0.000 | 84.839 | 38.332 |
| 0.000 | -0.000 | -0.000 | 0.000 | 43.554 | 71.124 |
| 256.953 | 114.706 | 148.747 | 43.554 | -0.000 | 0.000 |
| 101.134 | 241.814 | 93.945 | -40.909 | 0.000 | 0.000 |
| 111.000 | 111.000 | 326.911 | -0.000 | -0.000 | 0.000 |
| 43.554 | -43.554 | -0.000 | 102.467 | -0.000 | -0.000 |
| -12.234 | -12.234 | -46.704 | -0.000 | 84.839 | 38.332 |
| -0.000 | 0.000 | 0.000 | -0.000 | 43.554 | 71.124 |
| 248.135 | 107.548 | 118.252 | 40.752 | -0.000 | -0.000 |
| 110.692 | 246.237 | 120.631 | -32.243 | 0.000 | -0.000 |
| 117.657 | 117.657 | 352.324 | 0.000 | -0.000 | -0.000 |
| 35.043 | -29.836 | 9.940 | 64.950 | 0.000 | -0.000 |
| 0.000 | 0.000 | 0.000 | -0.000 | 102.467 | 43.554 |
| 0.000 | -0.000 | 0.000 | -0.000 | 43.554 | 71.124 |
| 256.953 | 114.706 | 148.747 | 43.554 | -0.000 | -0.000 |
| 106.405 | 247.026 | 113.954 | -40.808 | -0.000 | 0.000 |
| 116.446 | 116.446 | 347.704 | -0.000 | 0.000 | 0.000 |
| 43.554 | -43.554 | -0.000 | 102.467 | 0.000 | -0.000 |
| -0.000 | -0.000 | -0.000 | 0.000 | 102.467 | 43.554 |
| -0.000 | 0.000 | -0.000 | 0.000 | 43.554 | 71.124 |
| 245.693 | 110.147 | 118.552 | 32.242 | 0.000 | -0.000 |
| 110.147 | 245.693 | 118.552 | -32.242 | 0.000 | -0.000 |
| 117.114 | 117.114 | 350.252 | 0.000 | 0.000 | -0.000 |
| 43.554 | -43.554 | 0.000 | 102.467 | 0.000 | -0.000 |
| 0.000 | 0.000 | 0.000 | -0.000 | 102.467 | 43.554 |
| 0.000 | -0.000 | 0.000 | -0.000 | 43.554 | 71.124 |
| 247.528 | 106.921 | 115.899 | 40.786 | -0.000 | 0.000 |
| 114.705 | 256.953 | 148.746 | -43.554 | -0.000 | -0.000 |
| 116.991 | 116.991 | 349.784 | -0.000 | -0.000 | 0.000 |
| 43.554 | -43.554 | -0.000 | 102.467 | -0.000 | -0.000 |
| -0.000 | -0.000 | -0.000 | 0.000 | 102.467 | 43.554 |
| -0.000 | 0.000 | -0.000 | 0.000 | 43.554 | 71.124 |
| 427.641 | 171.852 | 144.233 | 0.000 | 0.000 | -0.000 |
| 171.852 | 427.641 | 144.233 | -0.000 | 0.000 | 0.000 |
| 126.773 | 126.773 | 421.408 | 0.000 | 0.000 | -0.000 |
| -0.000 | 0.000 | 0.000 | 99.668 | 0.000 | 0.000 |
| -0.000 | 0.000 | 0.000 | 0.000 | 99.668 | 0.000 |
| -0.000 | 0.000 | -0.000 | -0.000 | 0.000 | 127.894 |
| 407.052 | 172.659 | 123.975 | -0.000 | -0.000 | 0.000 |
| 175.945 | 401.289 | 121.438 | -0.000 | -0.000 | -0.000 |
| 126.772 | 126.772 | 421.406 | -0.000 | -0.000 | 0.000 |
| 0.000 | 0.000 | -0.000 | 99.668 | -0.000 | -0.000 |
| 0.000 | -0.000 | -0.000 | -0.000 | 99.668 | -0.000 |
| 0.000 | -0.000 | 0.000 | 0.000 | -0.000 | 127.894 |
| 427.641 | 171.852 | 144.233 | -0.000 | 0.000 | 0.000 |
| 171.852 | 427.641 | 144.233 | 0.000 | 0.000 | -0.000 |
| 144.140 | 144.140 | 456.977 | 0.000 | -0.000 | 0.000 |
| 0.000 | 0.000 | 0.000 | 66.405 | 0.000 | -0.000 |
| 0.000 | 0.000 | 0.000 | 0.000 | 66.405 | 0.000 |
| 0.000 | 0.000 | 0.000 | 0.000 | 0.000 | 127.894 |
| 407.051 | 172.659 | 123.975 | -0.000 | -0.000 | -0.000 |
| 175.945 | 401.289 | 121.439 | 0.000 | -0.000 | -0.000 |
| 126.772 | 126.772 | 421.407 | -0.000 | -0.000 | -0.000 |
| -0.000 | -0.000 | -0.000 | 66.405 | -0.000 | -0.000 |
| -0.000 | -0.000 | -0.000 | -0.000 | 66.405 | -0.000 |
| -0.000 | -0.000 | -0.000 | 0.000 | -0.000 | 127.894 |
| 427.646 | 171.853 | 144.233 | -0.000 | 0.000 | 0.000 |
| 183.337 | 399.235 | 126.900 | 0.000 | 0.000 | -0.000 |
| 126.771 | 126.771 | 421.402 | 0.000 | 0.000 | -0.000 |
| 0.000 | 0.000 | 0.000 | 99.668 | 0.000 | -0.000 |
| 0.000 | 0.000 | 0.000 | 0.000 | 99.668 | 0.000 |
| 0.000 | 0.001 | -0.000 | 0.000 | 0.000 | 115.251 |
| 427.635 | 171.851 | 144.232 | -0.000 | -0.000 | -0.000 |
| 171.850 | 427.636 | 144.232 | 0.000 | 0.000 | -0.000 |
| 126.773 | 126.773 | 421.412 | -0.000 | -0.000 | -0.000 |
| -0.000 | -0.000 | -0.000 | 99.668 | -0.000 | -0.000 |
| -0.000 | -0.000 | -0.000 | -0.000 | 99.668 | -0.000 |
| -0.000 | -0.001 | 0.000 | -0.000 | -0.000 | 115.251 |
| 427.316 | 171.639 | 143.545 | -0.000 | -0.000 | 0.000 |
| 171.639 | 427.316 | 143.545 | -0.000 | -0.000 | 0.000 |
| 143.545 | 143.545 | 457.273 | 0.000 | -0.000 | 0.000 |
| 137.092 | 137.092 | 277.160 | 66.258 | -0.000 | 0.000 |
| 137.607 | 137.607 | 278.200 | 0.000 | 81.636 | 0.000 |
| 0.000 | 0.000 | -0.000 | -0.000 | -0.000 | 127.838 |
| 427.315 | 171.639 | 143.545 | 0.000 | 0.000 | -0.000 |
| 34.980 | 272.272 | -151.322 | 0.000 | 0.000 | -0.000 |
| -10.948 | -10.948 | 144.934 | 0.000 | 0.000 | -0.000 |
| -137.092 | -137.092 | -277.160 | 66.258 | -0.000 | -0.000 |
| -137.607 | -137.607 | -278.200 | -0.000 | 81.636 | -0.000 |
| -0.000 | -0.000 | 0.000 | 0.000 | 0.000 | 127.838 |
| 427.316 | 171.639 | 143.545 | -0.000 | -0.000 | 0.000 |
| 189.741 | 422.145 | 156.616 | -0.000 | 0.000 | 0.000 |
| 139.853 | 139.853 | 449.809 | -0.000 | -0.000 | 0.000 |
| 17.323 | 17.323 | 35.021 | 77.058 | -0.000 | 0.000 |
| 0.000 | 0.000 | 0.000 | -0.000 | 99.323 | 0.000 |
| 15.939 | 15.939 | 32.224 | -0.000 | -0.000 | 114.044 |
| 394.559 | 157.981 | 96.627 | 0.000 | 0.000 | -0.000 |
| 171.639 | 427.315 | 143.545 | 0.000 | 0.000 | -0.000 |
| 112.435 | 112.435 | 394.378 | 0.000 | 0.000 | -0.000 |
| -17.323 | -17.323 | -35.021 | 77.058 | -0.000 | -0.000 |
| -0.000 | -0.000 | -0.000 | -0.000 | 99.323 | -0.000 |
| -15.939 | -15.939 | -32.224 | 0.000 | 0.000 | 114.044 |
| 427.321 | 171.640 | 143.546 | -0.000 | -0.000 | 0.000 |
| 177.689 | 401.334 | 123.392 | 0.000 | 0.000 | 0.000 |
| 127.514 | 127.514 | 424.861 | -0.000 | -0.000 | 0.000 |
| 1.371 | 1.371 | 2.772 | 66.258 | -0.000 | 0.000 |
| 1.371 | 1.371 | 2.772 | -0.000 | 66.258 | 0.000 |
| 2.390 | 2.390 | 4.830 | 0.000 | 0.000 | 108.042 |
| 405.438 | 170.731 | 120.517 | 0.000 | 0.000 | -0.000 |
| 171.637 | 427.311 | 143.544 | 0.000 | 0.000 | -0.000 |
| 124.774 | 124.774 | 419.326 | 0.000 | -0.000 | -0.000 |
| -1.371 | -1.371 | -2.772 | 66.258 | 0.000 | -0.000 |
| -1.371 | -1.371 | -2.772 | 0.000 | 66.258 | -0.000 |
| -2.390 | -2.390 | -4.830 | -0.000 | -0.000 | 108.042 |
| 280.681 | 108.254 | 216.780 | 0.000 | 0.000 | 0.000 |
| 108.254 | 280.681 | 216.780 | 0.000 | 0.000 | 0.000 |
| 226.431 | 226.431 | 445.374 | 0.000 | 0.000 | 0.000 |
| -0.000 | -0.000 | 0.000 | 200.176 | -0.000 | 0.000 |
| -0.000 | 0.000 | -0.000 | 0.000 | 200.176 | 0.000 |
| -0.624 | -0.624 | -1.284 | -0.000 | 0.000 | 79.584 |
| 281.080 | 108.653 | 217.669 | -0.000 | -0.000 | -0.000 |
| 108.653 | 281.080 | 217.669 | -0.000 | -0.000 | -0.000 |
| 240.831 | 240.831 | 477.596 | -0.000 | -0.000 | -0.000 |
| 0.000 | -0.000 | 0.000 | 200.176 | -0.000 | -0.000 |
| 0.000 | -0.000 | -0.000 | -0.000 | 200.176 | -0.000 |
| 0.624 | 0.624 | 1.284 | 0.000 | -0.000 | 79.584 |
| 280.893 | 108.466 | 217.243 | 0.000 | 0.000 | 0.000 |
| 108.466 | 280.893 | 217.243 | 0.000 | 0.000 | -0.000 |
| 227.055 | 227.055 | 446.692 | 0.000 | 0.000 | 0.000 |
| -0.118 | -0.118 | -0.243 | 183.452 | -0.000 | 0.000 |
| -0.118 | -0.118 | -0.243 | 0.000 | 183.452 | 0.000 |
| -0.062 | -0.062 | -0.128 | -0.000 | 0.000 | 79.584 |
| 278.889 | 106.462 | 213.924 | 0.000 | -0.000 | -0.000 |
| 106.462 | 278.889 | 213.924 | 0.000 | -0.000 | -0.000 |
| 240.831 | 240.831 | 477.596 | -0.000 | -0.000 | -0.000 |
| 0.118 | 0.118 | 0.244 | 183.452 | 0.000 | -0.000 |
| 0.118 | 0.118 | 0.243 | 0.000 | 183.452 | -0.000 |
| 0.062 | 0.062 | 0.128 | 0.000 | -0.000 | 79.584 |
| 285.041 | 112.614 | 223.614 | 0.000 | 0.000 | 0.000 |
| 112.614 | 285.041 | 223.614 | 0.000 | 0.000 | -0.000 |
| 215.091 | 215.091 | 427.062 | 0.000 | 0.000 | 0.000 |
| -0.007 | -0.007 | -0.015 | 173.253 | 0.000 | 0.000 |
| -0.007 | -0.007 | -0.015 | 0.000 | 173.253 | 0.000 |
| -0.006 | -0.006 | -0.013 | -0.000 | 0.000 | 79.584 |
| 292.739 | 120.313 | 240.337 | -0.000 | -0.000 | -0.000 |
| 120.313 | 292.739 | 240.337 | -0.000 | 0.000 | -0.000 |
| 219.639 | 219.639 | 434.528 | -0.000 | -0.000 | -0.000 |
| 0.007 | 0.007 | 0.015 | 173.253 | 0.000 | -0.000 |
| 0.007 | 0.007 | 0.015 | -0.000 | 173.253 | -0.000 |
| 0.006 | 0.006 | 0.013 | -0.000 | -0.000 | 79.584 |
| -3306.595 | -3478.682 | -5989.375 | 0.000 | 0.000 | -0.000 |
| -3478.682 | -3306.595 | -5989.375 | 0.000 | 0.000 | -0.000 |
| 242.287 | 242.287 | 483.718 | 0.000 | 0.000 | -0.000 |
| -3610.836 | -3610.836 | -6346.124 | 170.395 | 0.000 | -0.000 |
| -3610.836 | -3610.836 | -6346.124 | 0.000 | 170.395 | -0.000 |
| 0.000 | -0.000 | -0.000 | 0.000 | 0.000 | 80.012 |
| 3864.809 | 3692.723 | 6420.101 | -0.000 | 0.000 | 0.000 |
| 3692.723 | 3864.809 | 6420.101 | -0.000 | 0.000 | 0.000 |
| 3801.065 | 3801.065 | 6637.610 | -0.000 | -0.000 | 0.000 |
| 3610.836 | 3610.836 | 6346.124 | 170.395 | -0.000 | 0.000 |
| 3610.836 | 3610.836 | 6346.124 | -0.000 | 170.395 | 0.000 |
| -0.000 | -0.000 | 0.000 | -0.000 | -0.000 | 80.012 |
| 293.803 | 121.717 | 242.287 | 0.000 | 0.000 | -0.000 |
| 121.717 | 293.803 | 242.287 | 0.000 | 0.000 | -0.000 |
| -147.249 | -147.249 | -211.373 | 0.000 | 0.000 | -0.000 |
| -360.637 | -360.637 | -625.491 | 173.425 | -0.000 | -0.000 |
| -360.637 | -360.637 | -625.491 | -0.000 | 173.425 | -0.000 |
| 0.000 | 0.000 | 0.000 | 0.000 | -0.000 | 80.012 |
| 643.152 | 471.066 | 849.188 | -0.000 | -0.000 | 0.000 |
| 471.066 | 643.152 | 849.188 | 0.000 | 0.000 | 0.000 |
| 570.260 | 570.260 | 1049.000 | -0.000 | -0.000 | 0.000 |
| 360.637 | 360.637 | 625.491 | 173.425 | 0.000 | 0.000 |
| 360.637 | 360.637 | 625.491 | 0.000 | 173.425 | 0.000 |
| -0.000 | -0.000 | -0.000 | -0.000 | 0.000 | 80.012 |
| 293.803 | 121.717 | 242.288 | 0.000 | -0.000 | -0.000 |
| 121.717 | 293.803 | 242.288 | 0.000 | 0.000 | -0.000 |
| 179.506 | 179.506 | 370.825 | 0.000 | 0.000 | -0.000 |
| -33.509 | -33.509 | -58.900 | 172.542 | 0.000 | -0.000 |
| -33.509 | -33.509 | -58.900 | 0.000 | 172.542 | -0.000 |
| 0.000 | 0.000 | 0.000 | 0.000 | 0.000 | 80.012 |
| 315.118 | 143.032 | 277.715 | -0.000 | -0.000 | 0.000 |
| 143.032 | 315.118 | 277.715 | -0.000 | -0.000 | 0.000 |
| 242.287 | 242.287 | 483.717 | -0.000 | 0.000 | 0.000 |
| 33.509 | 33.509 | 58.900 | 172.542 | 0.000 | 0.000 |
| 33.509 | 33.509 | 58.900 | -0.000 | 172.542 | 0.000 |
| -0.000 | -0.000 | -0.000 | -0.000 | -0.000 | 80.012 |
| 497.426 | 56.283 | 56.283 | 0.000 | 0.000 | 0.000 |
| 56.283 | 497.426 | 56.283 | -0.000 | 0.000 | 0.000 |
| 56.283 | 56.283 | 497.426 | 0.000 | 0.000 | -0.000 |
| -0.000 | 0.000 | 0.000 | 22.703 | 0.000 | 0.000 |
| -0.000 | -0.000 | 0.000 | 0.000 | 22.703 | 0.000 |
| -0.000 | -0.000 | 0.000 | -0.000 | 0.000 | 22.703 |
| 497.426 | 56.283 | 56.283 | -0.000 | 0.000 | -0.000 |
| 56.283 | 497.426 | 56.283 | -0.000 | 0.000 | -0.000 |
| 56.283 | 56.283 | 497.426 | -0.000 | 0.000 | 0.000 |
| 0.000 | 0.000 | -0.000 | 22.703 | -0.000 | -0.000 |
| 0.000 | 0.000 | -0.000 | -0.000 | 22.703 | -0.000 |
| 0.000 | 0.000 | -0.000 | -0.000 | -0.000 | 22.703 |
| 497.426 | 56.283 | 56.283 | 0.000 | -0.000 | 0.000 |
| 56.283 | 497.426 | 56.283 | -0.000 | 0.000 | 0.000 |
| 56.283 | 56.283 | 497.426 | -0.000 | -0.000 | 0.000 |
| -0.000 | 0.000 | -0.000 | 22.703 | 0.000 | -0.000 |
| 0.000 | -0.000 | -0.000 | -0.000 | 22.703 | 0.000 |
| 0.000 | -0.000 | 0.000 | 0.000 | 0.000 | 22.703 |
| 497.426 | 56.283 | 56.283 | -0.000 | 0.000 | 0.000 |
| 56.283 | 497.426 | 56.283 | -0.000 | -0.000 | 0.000 |
| 56.283 | 56.283 | 497.426 | 0.000 | 0.000 | -0.000 |
| 0.000 | -0.000 | 0.000 | 22.703 | -0.000 | -0.000 |
| -0.000 | 0.000 | 0.000 | 0.000 | 22.703 | -0.000 |
| -0.000 | 0.000 | -0.000 | -0.000 | -0.000 | 22.703 |
| 497.427 | 56.283 | 56.283 | 0.000 | 0.000 | -0.000 |
| 56.283 | 497.427 | 56.283 | -0.000 | 0.000 | -0.000 |
| 56.283 | 56.283 | 497.427 | 0.000 | 0.000 | -0.000 |
| -0.000 | 0.000 | -0.000 | 22.703 | 0.000 | -0.000 |
| 0.000 | -0.000 | -0.000 | 0.000 | 22.703 | 0.000 |
| 0.000 | -0.000 | -0.000 | 0.000 | 0.000 | 22.703 |
| 497.425 | 56.282 | 56.282 | 0.000 | -0.000 | -0.000 |
| 56.282 | 497.425 | 56.282 | -0.000 | 0.000 | -0.000 |
| 56.282 | 56.282 | 497.425 | 0.000 | -0.000 | -0.000 |
| 0.000 | -0.000 | 0.000 | 22.703 | -0.000 | -0.000 |
| -0.000 | 0.000 | 0.000 | -0.000 | 22.703 | -0.000 |
| -0.000 | 0.000 | 0.000 | -0.000 | -0.000 | 22.703 |
| 271.320 | 234.921 | 234.921 | -0.000 | 0.000 | -0.000 |
| 234.921 | 271.320 | 234.921 | -0.000 | 0.000 | -0.000 |
| 234.921 | 234.921 | 271.320 | -0.000 | -0.000 | -0.000 |
| -0.000 | -0.000 | -0.000 | 193.928 | -0.000 | 0.000 |
| -0.000 | 0.000 | -0.000 | -0.000 | 193.928 | 0.000 |
| -0.000 | -0.000 | 0.000 | -0.000 | 0.000 | 193.928 |
| 271.320 | 234.921 | 234.921 | 0.000 | -0.000 | 0.000 |
| 234.921 | 271.320 | 234.921 | 0.000 | 0.000 | 0.000 |
| 234.921 | 234.921 | 271.320 | 0.000 | 0.000 | -0.000 |
| 0.000 | 0.000 | 0.000 | 193.928 | -0.000 | 0.000 |
| 0.000 | 0.000 | 0.000 | 0.000 | 193.928 | -0.000 |
| 0.000 | 0.000 | -0.000 | -0.000 | 0.000 | 193.928 |
| 271.320 | 234.921 | 234.921 | -0.000 | 0.000 | -0.000 |
| 234.921 | 271.320 | 234.921 | -0.000 | 0.000 | 0.000 |
| 234.921 | 234.921 | 271.320 | -0.000 | -0.000 | -0.000 |
| 0.000 | -0.000 | -0.000 | 193.928 | 0.000 | 0.000 |
| -0.000 | 0.000 | -0.000 | -0.000 | 193.928 | 0.000 |
| -0.000 | -0.000 | 0.000 | 0.000 | 0.000 | 193.928 |
| 271.320 | 234.921 | 234.921 | -0.000 | -0.000 | -0.000 |
| 234.921 | 271.320 | 234.921 | 0.000 | -0.000 | -0.000 |
| 234.921 | 234.921 | 271.320 | 0.000 | 0.000 | 0.000 |
| -0.000 | 0.000 | 0.000 | 193.928 | -0.000 | -0.000 |
| 0.000 | -0.000 | 0.000 | 0.000 | 193.928 | -0.000 |
| 0.000 | 0.000 | -0.000 | -0.000 | -0.000 | 193.928 |
| 271.321 | 234.921 | 234.921 | -0.000 | 0.000 | 0.000 |
| 234.921 | 271.321 | 234.921 | -0.000 | 0.000 | -0.000 |
| 234.921 | 234.921 | 271.321 | -0.000 | 0.000 | -0.000 |
| 0.000 | -0.000 | -0.000 | 193.928 | -0.000 | 0.000 |
| -0.000 | 0.000 | -0.000 | -0.000 | 193.928 | 0.000 |
| -0.000 | -0.000 | 0.000 | -0.000 | 0.000 | 193.928 |
| 271.319 | 234.921 | 234.921 | 0.000 | -0.000 | -0.000 |
| 234.921 | 271.319 | 234.921 | 0.000 | -0.000 | -0.000 |
| 234.921 | 234.921 | 271.319 | 0.000 | -0.000 | -0.000 |
| -0.000 | 0.000 | 0.000 | 193.928 | -0.000 | -0.000 |
| 0.000 | -0.000 | 0.000 | 0.000 | 193.928 | -0.000 |
| 0.000 | 0.000 | -0.000 | 0.000 | 0.000 | 193.928 |
| -2.528 | 43.167 | 43.167 | -0.000 | -0.000 | -0.000 |
| 43.167 | -2.528 | 43.167 | -0.000 | 0.000 | -0.000 |
| 43.167 | 43.167 | -2.528 | -0.000 | -0.000 | -0.000 |
| -0.000 | -0.000 | -0.000 | -55.612 | -0.000 | -0.000 |
| -0.000 | -0.000 | -0.000 | -0.000 | -55.612 | -0.000 |
| -0.000 | -0.000 | -0.000 | -0.000 | 0.000 | -55.612 |
| -2.528 | 43.167 | 43.167 | 0.000 | 0.000 | 0.000 |
| 43.167 | -2.528 | 43.167 | 0.000 | 0.000 | 0.000 |
| 43.167 | 43.167 | -2.528 | 0.000 | 0.000 | 0.000 |
| 0.000 | 0.000 | 0.000 | -55.612 | 0.000 | 0.000 |
| 0.000 | 0.000 | -0.000 | 0.000 | -55.612 | 0.000 |
| 0.000 | 0.000 | 0.000 | -0.000 | -0.000 | -55.612 |
| -2.528 | 43.167 | 43.167 | -0.000 | 0.000 | -0.000 |
| 43.167 | -2.528 | 43.167 | -0.000 | 0.000 | -0.000 |
| 43.167 | 43.167 | -2.528 | -0.000 | -0.000 | -0.000 |
| 0.000 | -0.000 | -0.000 | 26.790 | 0.000 | 0.000 |
| -0.000 | 0.000 | -0.000 | 0.000 | 26.790 | 0.000 |
| -0.000 | -0.000 | 0.000 | 0.000 | 0.000 | 26.790 |
| -2.528 | 43.167 | 43.167 | 0.000 | -0.000 | 0.000 |
| 43.167 | -2.528 | 43.167 | 0.000 | -0.000 | 0.000 |
| 43.167 | 43.167 | -2.528 | 0.000 | 0.000 | 0.000 |
| -0.000 | 0.000 | 0.000 | 26.790 | -0.000 | -0.000 |
| 0.000 | -0.000 | 0.000 | -0.000 | 26.790 | -0.000 |
| 0.000 | 0.000 | -0.000 | -0.000 | -0.000 | 26.790 |
| -2.529 | 43.167 | 43.167 | -0.000 | -0.000 | -0.000 |
| 43.167 | -2.529 | 43.167 | -0.000 | -0.000 | -0.000 |
| 43.167 | 43.167 | -2.529 | -0.000 | -0.000 | -0.000 |
| -0.000 | -0.000 | -0.000 | -55.612 | -0.000 | -0.000 |
| -0.000 | -0.000 | -0.000 | -0.000 | -55.612 | -0.000 |
| -0.000 | -0.000 | -0.000 | -0.000 | -0.000 | -55.612 |
| -2.528 | 43.167 | 43.167 | 0.000 | 0.000 | 0.000 |
| 43.167 | -2.528 | 43.167 | 0.000 | -0.000 | 0.000 |
| 43.167 | 43.167 | -2.528 | 0.000 | -0.000 | 0.000 |
| 0.000 | 0.000 | 0.000 | -55.612 | 0.000 | 0.000 |
| 0.000 | 0.000 | 0.000 | 0.000 | -55.612 | 0.000 |
| 0.000 | 0.000 | 0.000 | 0.000 | 0.000 | -55.612 |
| 316.893 | 146.372 | 271.091 | -0.000 | -0.000 | 0.000 |
| 146.372 | 316.893 | 271.091 | 0.000 | -0.000 | 0.000 |
| 271.091 | 271.091 | 520.839 | 0.000 | -0.000 | 0.000 |
| -0.000 | -0.000 | -0.000 | 229.532 | -0.000 | 0.000 |
| -0.000 | -0.000 | -0.000 | 0.000 | 229.532 | 0.000 |
| -0.000 | -0.000 | -0.000 | 0.000 | -0.000 | 105.346 |
| 316.893 | 146.372 | 271.091 | -0.000 | 0.000 | -0.000 |
| 146.372 | 316.893 | 271.091 | -0.000 | 0.000 | -0.000 |
| 271.091 | 271.091 | 520.839 | 0.000 | -0.000 | -0.000 |
| -0.000 | 0.000 | -0.000 | 229.532 | 0.000 | -0.000 |
| 0.000 | 0.000 | -0.000 | 0.000 | 229.532 | -0.000 |
| 0.000 | 0.000 | 0.000 | -0.000 | 0.000 | 105.346 |
| 316.893 | 146.372 | 271.091 | 0.000 | -0.000 | 0.000 |
| 146.372 | 316.893 | 271.091 | 0.000 | -0.000 | 0.000 |
| 271.091 | 271.091 | 520.840 | -0.000 | -0.000 | 0.000 |
| 0.000 | -0.000 | 0.000 | 229.532 | -0.000 | 0.000 |
| -0.000 | 0.000 | 0.000 | 0.000 | 229.532 | 0.000 |
| 0.000 | 0.000 | 0.000 | 0.000 | -0.000 | 105.346 |
| 316.893 | 146.372 | 271.091 | -0.000 | -0.000 | -0.000 |
| 146.372 | 316.893 | 271.091 | 0.000 | 0.000 | -0.000 |
| 271.091 | 271.091 | 520.839 | -0.000 | -0.000 | 0.000 |
| -0.000 | 0.000 | -0.000 | 229.532 | 0.000 | -0.000 |
| 0.000 | -0.000 | -0.000 | 0.000 | 229.532 | -0.000 |
| -0.000 | -0.000 | -0.000 | -0.000 | 0.000 | 105.346 |
| 316.893 | 146.373 | 271.092 | 0.000 | -0.000 | 0.000 |
| 146.373 | 316.893 | 271.092 | 0.000 | -0.000 | 0.000 |
| 271.092 | 271.092 | 520.841 | 0.000 | -0.000 | 0.000 |
| 0.000 | -0.000 | 0.000 | 229.532 | -0.000 | 0.000 |
| -0.000 | 0.000 | 0.000 | 0.000 | 229.532 | 0.000 |
| 0.000 | 0.000 | 0.000 | -0.000 | -0.000 | 105.346 |
| 316.892 | 146.372 | 271.091 | -0.000 | 0.000 | -0.000 |
| 146.372 | 316.892 | 271.091 | 0.000 | 0.000 | -0.000 |
| 271.091 | 271.091 | 520.838 | -0.000 | -0.000 | -0.000 |
| -0.000 | 0.000 | -0.000 | 229.532 | 0.000 | -0.000 |
| 0.000 | -0.000 | -0.000 | 0.000 | 229.532 | -0.000 |
| -0.000 | -0.000 | -0.000 | 0.000 | 0.000 | 105.346 |
| 121.408 | 86.038 | 227.440 | 0.000 | 0.000 | -0.000 |
| 86.038 | 151.154 | -2.877 | -0.000 | 0.000 | -0.000 |
| 227.440 | -2.877 | 306.726 | -0.000 | 0.000 | -0.000 |
| -0.000 | 0.000 | -0.000 | -41.802 | -0.000 | -0.000 |
| -0.000 | 0.000 | 0.000 | -0.000 | 188.732 | -0.000 |
| -0.000 | 0.000 | -0.000 | -0.000 | 0.000 | 47.742 |
| 121.408 | 86.038 | 227.440 | 0.000 | -0.000 | 0.000 |
| 86.038 | 151.154 | -2.877 | 0.000 | 0.000 | 0.000 |
| 227.440 | -2.877 | 306.727 | 0.000 | 0.000 | 0.000 |
| 0.000 | -0.000 | 0.000 | -41.802 | 0.000 | -0.000 |
| 0.000 | -0.000 | -0.000 | 0.000 | 188.732 | 0.000 |
| 0.000 | -0.000 | 0.000 | 0.000 | -0.000 | 47.742 |
| 121.408 | 86.038 | 227.440 | 0.000 | -0.000 | -0.000 |
| 86.038 | 151.154 | -2.877 | -0.000 | 0.000 | -0.000 |
| 227.440 | -2.877 | 306.726 | 0.000 | -0.000 | -0.000 |
| -0.000 | 0.000 | -0.000 | -41.802 | -0.000 | -0.000 |
| -0.000 | -0.000 | 0.000 | -0.000 | 188.732 | -0.000 |
| -0.000 | -0.000 | -0.000 | -0.000 | 0.000 | 47.742 |
| 121.408 | 86.038 | 227.440 | 0.000 | 0.000 | 0.000 |
| 86.038 | 151.154 | -2.877 | -0.000 | -0.000 | 0.000 |
| 227.440 | -2.877 | 306.727 | -0.000 | -0.000 | 0.000 |
| 0.000 | -0.000 | 0.000 | -41.802 | 0.000 | 0.000 |
| 0.000 | 0.000 | -0.000 | 0.000 | 188.732 | 0.000 |
| 0.000 | 0.000 | 0.000 | 0.000 | -0.000 | 47.742 |
| 121.409 | 86.038 | 227.440 | 0.000 | 0.000 | -0.000 |
| 86.038 | 151.154 | -2.877 | -0.000 | 0.000 | -0.000 |
| 227.440 | -2.877 | 306.726 | -0.000 | 0.000 | -0.000 |
| -0.000 | 0.000 | -0.000 | -41.802 | 0.000 | -0.000 |
| -0.001 | -0.000 | 0.000 | 0.000 | 188.732 | -0.000 |
| -0.001 | -0.000 | -0.000 | -0.000 | 0.000 | 47.742 |
| 121.407 | 86.039 | 227.440 | 0.000 | -0.000 | 0.000 |
| 86.038 | 151.154 | -2.877 | 0.000 | 0.000 | 0.000 |
| 227.439 | -2.877 | 306.727 | 0.000 | -0.000 | 0.000 |
| 0.000 | -0.000 | 0.000 | -41.802 | -0.000 | 0.000 |
| 0.001 | 0.000 | -0.000 | 0.000 | 188.732 | 0.000 |
| 0.001 | 0.000 | 0.000 | 0.000 | -0.000 | 47.742 |
| 300.052 | 127.230 | 211.489 | -61.700 | -0.000 | 0.000 |
| 127.230 | 300.052 | 211.489 | 61.700 | 0.000 | 0.000 |
| 211.489 | 211.489 | 683.249 | 0.000 | -0.000 | 0.000 |
| -61.700 | 61.700 | 0.000 | 170.032 | -0.000 | -0.000 |
| 0.000 | -0.000 | 0.000 | 0.000 | 170.032 | -61.700 |
| 0.000 | -0.000 | -0.000 | 0.000 | -61.700 | 86.411 |
| 300.052 | 127.230 | 211.489 | -61.700 | -0.000 | -0.000 |
| 127.230 | 300.052 | 211.489 | 61.700 | 0.000 | -0.000 |
| 211.489 | 211.489 | 683.249 | -0.000 | -0.000 | 0.000 |
| -61.700 | 61.700 | -0.000 | 170.031 | -0.000 | -0.000 |
| -0.000 | 0.000 | -0.000 | 0.000 | 170.031 | -61.700 |
| -0.000 | 0.000 | 0.000 | -0.000 | -61.700 | 86.411 |
| 300.052 | 127.230 | 211.489 | -61.700 | -0.000 | 0.000 |
| 127.230 | 300.052 | 211.489 | 61.700 | 0.000 | 0.000 |
| 211.489 | 211.489 | 683.250 | 0.000 | 0.000 | 0.000 |
| -61.700 | 61.700 | 0.000 | 170.032 | 0.000 | 0.000 |
| 0.000 | 0.000 | 0.000 | 0.000 | 170.032 | -61.700 |
| 0.000 | -0.000 | 0.000 | 0.000 | -61.700 | 86.411 |
| 300.052 | 127.230 | 211.489 | -61.700 | -0.000 | -0.000 |
| 127.230 | 300.052 | 211.489 | 61.700 | 0.000 | -0.000 |
| 211.489 | 211.489 | 683.249 | -0.000 | -0.000 | -0.000 |
| -61.700 | 61.700 | -0.000 | 170.032 | -0.000 | -0.000 |
| -0.000 | -0.000 | -0.000 | -0.000 | 170.032 | -61.700 |
| -0.000 | -0.000 | -0.000 | -0.000 | -61.700 | 86.411 |
| 300.053 | 127.230 | 211.490 | -61.700 | 0.000 | 0.000 |
| 127.230 | 300.053 | 211.490 | 61.699 | -0.000 | 0.000 |
| 211.490 | 211.490 | 683.251 | 0.000 | 0.000 | 0.000 |
| -61.700 | 61.700 | 0.000 | 170.032 | -0.000 | 0.000 |
| 0.000 | 0.000 | 0.000 | 0.000 | 170.032 | -61.700 |
| 0.000 | 0.000 | 0.000 | 0.000 | -61.700 | 86.411 |
| 300.052 | 127.229 | 211.488 | -61.700 | -0.000 | -0.000 |
| 127.230 | 300.052 | 211.488 | 61.700 | -0.000 | -0.000 |
| 211.488 | 211.488 | 683.248 | -0.000 | -0.000 | -0.000 |
| -61.700 | 61.700 | -0.000 | 170.032 | -0.000 | -0.000 |
| -0.000 | -0.000 | -0.000 | -0.000 | 170.032 | -61.700 |
| -0.000 | -0.000 | -0.000 | -0.000 | -61.700 | 86.411 |
| 423.561 | 125.065 | 120.574 | -0.000 | -0.000 | -0.000 |
| 149.033 | 292.649 | 222.356 | -0.000 | -0.000 | -0.000 |
| 128.055 | 229.481 | 592.058 | 0.000 | -0.000 | 0.000 |
| -0.368 | -0.029 | -0.525 | 161.943 | -0.000 | -0.000 |
| -0.031 | 0.177 | -0.462 | -0.000 | 57.216 | -0.000 |
| -0.619 | -0.184 | -0.570 | -0.000 | -0.000 | 152.210 |
| 439.131 | 136.620 | 118.744 | 0.000 | 0.000 | 0.000 |
| 126.431 | 275.700 | 225.420 | -0.000 | 0.000 | 0.000 |
| 129.073 | 229.731 | 593.118 | 0.000 | 0.000 | 0.000 |
| 0.368 | 0.029 | 0.525 | 161.943 | 0.000 | 0.000 |
| 0.031 | -0.177 | 0.462 | -0.000 | 57.216 | 0.000 |
| 0.619 | 0.184 | 0.570 | -0.000 | 0.000 | 152.210 |
| 423.756 | 124.989 | 121.065 | -0.000 | -0.000 | -0.000 |
| 197.426 | 323.175 | 229.231 | -0.000 | -0.000 | -0.000 |
| 123.377 | 226.146 | 592.289 | 0.000 | -0.000 | -0.000 |
| -0.031 | 0.002 | -0.055 | 161.877 | -0.000 | -0.000 |
| -0.003 | 0.018 | -0.046 | -0.000 | 57.246 | -0.000 |
| -0.062 | -0.018 | -0.057 | 0.000 | -0.000 | 152.210 |
| 423.799 | 124.972 | 121.174 | 0.000 | 0.000 | 0.000 |
| 197.426 | 323.175 | 229.231 | -0.000 | 0.000 | 0.000 |
| 123.420 | 226.129 | 592.397 | -0.000 | 0.000 | 0.000 |
| 0.031 | -0.002 | 0.055 | 161.877 | 0.000 | 0.000 |
| 0.003 | -0.018 | 0.046 | 0.000 | 57.246 | 0.000 |
| 0.062 | 0.018 | 0.057 | 0.000 | 0.000 | 152.210 |
| 423.774 | 124.982 | 121.114 | 0.000 | -0.000 | -0.000 |
| 125.650 | 275.544 | 224.525 | 0.000 | -0.000 | -0.000 |
| 123.396 | 226.140 | 592.340 | 0.000 | -0.000 | -0.000 |
| -0.003 | 0.000 | -0.005 | 161.877 | -0.000 | 0.000 |
| -0.000 | 0.002 | -0.005 | -0.000 | 57.246 | -0.000 |
| -0.006 | -0.002 | -0.006 | -0.000 | -0.000 | 152.210 |
| 423.781 | 124.980 | 121.125 | 0.000 | 0.000 | 0.000 |
| 125.653 | 275.542 | 224.534 | 0.000 | 0.000 | -0.000 |
| 123.400 | 226.136 | 592.346 | 0.000 | 0.000 | 0.000 |
| 0.003 | -0.000 | 0.005 | 161.877 | 0.000 | 0.000 |
| 0.000 | -0.002 | 0.005 | 0.000 | 57.246 | 0.000 |
| 0.006 | 0.002 | 0.006 | 0.000 | 0.000 | 152.210 |
| 434.207 | 122.045 | 115.791 | -0.000 | 0.000 | 0.000 |
| 191.511 | 320.209 | 227.554 | 0.000 | -0.000 | 0.000 |
| 122.667 | 225.843 | 587.500 | 0.000 | 0.000 | 0.000 |
| 0.001 | 0.000 | 0.000 | 159.621 | 0.000 | -0.000 |
| 0.002 | 0.001 | 0.000 | -0.000 | 53.579 | 0.000 |
| 0.001 | 0.001 | 0.000 | -0.000 | 0.000 | 150.233 |
| 434.205 | 122.043 | 115.791 | 0.000 | -0.000 | 0.000 |
| 191.511 | 320.209 | 227.554 | -0.000 | 0.000 | -0.000 |
| 122.666 | 225.843 | 587.500 | 0.000 | -0.000 | -0.000 |
| -0.001 | -0.000 | -0.000 | 159.621 | -0.000 | -0.000 |
| -0.002 | -0.001 | -0.000 | -0.000 | 53.579 | -0.000 |
| -0.001 | -0.001 | -0.000 | 0.000 | -0.000 | 150.233 |
| 434.206 | 122.044 | 115.791 | 0.000 | 0.000 | 0.000 |
| 122.044 | 273.102 | 221.132 | -0.000 | -0.000 | 0.000 |
| 115.791 | 221.132 | 587.012 | -0.000 | -0.000 | 0.000 |
| 0.000 | 0.000 | 0.000 | 159.372 | -0.000 | 0.000 |
| 0.000 | 0.000 | -0.000 | -0.000 | 53.579 | 0.000 |
| 0.000 | 0.000 | 0.000 | -0.000 | 0.000 | 150.233 |
| 434.206 | 122.044 | 115.791 | 0.000 | -0.000 | -0.000 |
| 191.511 | 320.209 | 227.554 | 0.000 | 0.000 | -0.000 |
| 115.790 | 221.131 | 587.012 | 0.000 | 0.000 | -0.000 |
| -0.000 | -0.000 | -0.000 | 159.372 | 0.000 | 0.000 |
| -0.000 | -0.000 | 0.000 | -0.000 | 53.579 | -0.000 |
| -0.000 | -0.000 | -0.000 | -0.000 | -0.000 | 150.233 |
| 434.206 | 122.044 | 115.791 | -0.000 | 0.000 | 0.000 |
| 122.044 | 273.103 | 221.132 | -0.000 | -0.000 | 0.000 |
| 115.791 | 221.132 | 587.013 | 0.000 | -0.000 | 0.000 |
| 0.000 | -0.000 | 0.000 | 159.372 | -0.000 | 0.000 |
| -0.000 | 0.000 | -0.000 | -0.000 | 53.579 | 0.000 |
| 0.000 | 0.000 | -0.000 | -0.000 | 0.000 | 150.233 |
| 434.206 | 122.044 | 115.790 | 0.000 | -0.000 | -0.000 |
| 122.044 | 273.102 | 221.131 | -0.000 | -0.000 | -0.000 |
| 115.790 | 221.131 | 587.012 | -0.000 | 0.000 | -0.000 |
| -0.000 | 0.000 | -0.000 | 159.372 | 0.000 | 0.000 |
| 0.000 | -0.000 | 0.000 | 0.000 | 53.579 | -0.000 |
| -0.000 | -0.000 | 0.000 | 0.000 | -0.000 | 150.233 |
| 206.790 | 79.973 | 33.034 | -0.000 | 0.000 | -0.000 |
| 79.973 | 206.790 | 33.034 | -0.000 | -0.000 | -0.000 |
| 33.034 | 33.034 | 367.491 | -0.000 | -0.000 | -0.000 |
| 0.000 | 0.000 | -0.000 | 11.006 | -0.000 | -0.000 |
| 0.000 | 0.000 | 0.000 | -0.000 | 11.006 | -0.000 |
| 0.000 | 0.000 | -0.000 | -0.000 | -0.000 | 63.409 |
| 139.654 | 147.109 | 33.034 | 0.000 | -0.000 | 0.000 |
| 79.973 | 206.790 | 33.034 | 0.000 | 0.000 | 0.000 |
| 33.034 | 33.034 | 367.491 | 0.000 | 0.000 | 0.000 |
| -0.000 | -0.000 | -0.000 | 11.006 | 0.000 | 0.000 |
| -0.000 | -0.000 | -0.000 | 0.000 | 11.006 | 0.000 |
| -0.000 | -0.000 | 0.000 | 0.000 | 0.000 | 63.409 |
| 139.654 | 147.109 | 33.034 | 0.000 | 0.000 | -0.000 |
| 79.973 | 206.790 | 33.034 | -0.000 | -0.000 | -0.000 |
| 33.034 | 33.034 | 367.491 | -0.000 | -0.000 | -0.000 |
| 0.000 | 0.000 | -0.000 | 11.006 | -0.000 | -0.000 |
| 0.000 | 0.000 | -0.000 | -0.000 | 11.006 | -0.000 |
| 0.000 | -0.000 | -0.000 | -0.000 | -0.000 | 63.409 |
| 138.454 | 148.309 | 33.034 | 0.000 | -0.000 | -0.000 |
| 79.973 | 206.790 | 33.034 | 0.000 | 0.000 | 0.000 |
| 33.034 | 33.034 | 367.491 | 0.000 | 0.000 | 0.000 |
| -0.000 | -0.000 | 0.000 | 11.006 | 0.000 | 0.000 |
| -0.000 | -0.000 | 0.000 | 0.000 | 11.006 | 0.000 |
| -0.000 | 0.000 | 0.000 | 0.000 | 0.000 | 63.409 |
| 138.453 | 148.310 | 33.034 | -0.000 | 0.000 | -0.000 |
| 148.313 | 138.450 | 33.034 | 0.000 | -0.000 | -0.000 |
| 33.035 | 33.035 | 367.492 | -0.000 | -0.000 | -0.000 |
| 0.000 | 0.000 | -0.000 | 11.006 | 0.000 | -0.000 |
| 0.000 | 0.000 | -0.000 | -0.000 | 11.006 | -0.000 |
| -0.000 | -0.000 | -0.000 | -0.000 | -0.000 | -4.930 |
| 139.654 | 147.109 | 33.034 | -0.000 | 0.000 | 0.000 |
| 147.107 | 139.655 | 33.034 | 0.000 | -0.000 | 0.000 |
| 33.034 | 33.034 | 367.490 | 0.000 | 0.000 | 0.000 |
| -0.000 | -0.000 | 0.000 | 11.006 | 0.000 | 0.000 |
| -0.000 | -0.000 | 0.000 | 0.000 | 11.006 | 0.000 |
| 0.000 | 0.000 | 0.000 | 0.000 | -0.000 | -4.930 |
| 277.411 | 151.757 | 203.613 | -0.000 | -0.000 | -0.000 |
| 151.757 | 277.411 | 203.613 | 0.000 | -0.000 | -0.000 |
| 203.613 | 203.613 | 568.014 | 0.000 | 0.000 | 0.000 |
| -0.000 | 0.000 | -0.000 | 161.984 | -0.000 | -0.000 |
| -0.000 | -0.000 | -0.000 | 0.000 | 161.984 | 0.000 |
| -0.000 | 0.000 | -0.000 | -0.000 | -0.000 | 62.827 |
| 277.411 | 151.757 | 203.613 | 0.000 | 0.000 | 0.000 |
| 151.757 | 277.411 | 203.613 | 0.000 | 0.000 | 0.000 |
| 203.613 | 203.613 | 568.014 | 0.000 | 0.000 | -0.000 |
| -0.000 | -0.000 | 0.000 | 161.984 | 0.000 | 0.000 |
| -0.000 | 0.000 | 0.000 | -0.000 | 161.984 | 0.000 |
| 0.000 | -0.000 | 0.000 | -0.000 | 0.000 | 62.827 |
| 277.412 | 151.757 | 203.613 | -0.000 | 0.000 | -0.000 |
| 151.757 | 277.412 | 203.613 | 0.000 | -0.000 | 0.000 |
| 203.613 | 203.613 | 568.014 | 0.000 | -0.000 | -0.000 |
| 0.000 | 0.000 | 0.000 | 161.984 | -0.000 | -0.000 |
| 0.000 | 0.000 | 0.000 | 0.000 | 161.984 | -0.000 |
| 0.000 | 0.000 | 0.000 | 0.000 | -0.000 | 62.827 |
| 301.377 | 127.792 | 203.612 | 0.000 | 0.000 | -0.000 |
| 151.757 | 277.411 | 203.612 | 0.000 | 0.000 | 0.000 |
| 203.612 | 203.612 | 568.014 | -0.000 | 0.000 | 0.000 |
| -0.000 | -0.000 | -0.000 | 161.984 | 0.000 | 0.000 |
| -0.000 | -0.000 | -0.000 | 0.000 | 161.984 | -0.000 |
| -0.000 | -0.000 | -0.000 | -0.000 | 0.000 | 62.827 |
| 277.412 | 151.757 | 203.613 | 0.000 | -0.000 | -0.000 |
| 151.757 | 277.413 | 203.613 | 0.000 | -0.000 | 0.000 |
| 203.613 | 203.613 | 568.014 | -0.000 | -0.000 | -0.000 |
| 0.000 | 0.000 | 0.000 | 161.984 | -0.000 | -0.000 |
| 0.000 | 0.000 | 0.000 | 0.000 | 161.984 | -0.000 |
| 0.000 | 0.000 | 0.000 | 0.000 | -0.000 | 86.792 |
| 277.411 | 151.757 | 203.612 | 0.000 | 0.000 | 0.000 |
| 127.792 | 301.376 | 203.612 | -0.000 | 0.000 | 0.000 |
| 203.612 | 203.612 | 568.014 | 0.000 | 0.000 | 0.000 |
| -0.000 | -0.000 | -0.000 | 161.984 | 0.000 | 0.000 |
| -0.000 | -0.000 | -0.000 | -0.000 | 161.984 | 0.000 |
| -0.000 | -0.000 | -0.000 | -0.000 | 0.000 | 86.792 |
| 123.885 | 117.609 | 117.608 | -0.000 | 0.000 | 0.000 |
| 117.608 | 123.885 | 117.608 | -0.000 | -0.000 | 0.000 |
| 117.608 | 117.609 | 123.885 | -0.000 | -0.000 | 0.000 |
| -0.000 | 0.000 | -0.000 | 90.441 | -0.000 | 0.000 |
| -0.000 | 0.000 | 0.000 | -0.000 | 90.441 | 0.000 |
| -0.000 | 0.000 | -0.000 | -0.000 | -0.000 | 90.441 |
| 123.885 | 117.608 | 117.608 | 0.000 | 0.000 | -0.000 |
| 117.608 | 123.885 | 117.608 | 0.000 | -0.000 | -0.000 |
| 117.608 | 117.608 | 123.885 | 0.000 | 0.000 | -0.000 |
| 0.000 | -0.000 | 0.000 | 90.441 | -0.000 | -0.000 |
| 0.000 | -0.000 | 0.000 | 0.000 | 90.441 | -0.000 |
| 0.000 | -0.000 | -0.000 | 0.000 | 0.000 | 90.441 |
| 123.885 | 117.608 | 117.608 | -0.000 | -0.000 | 0.000 |
| 117.608 | 123.885 | 117.608 | -0.000 | -0.000 | 0.000 |
| 117.608 | 117.608 | 123.885 | -0.000 | -0.000 | 0.000 |
| 0.000 | -0.000 | -0.000 | 90.441 | -0.000 | 0.000 |
| -0.000 | 0.000 | -0.000 | -0.000 | 90.441 | 0.000 |
| -0.000 | -0.000 | 0.000 | -0.000 | -0.000 | 90.441 |
| 123.885 | 117.608 | 117.608 | 0.000 | 0.000 | -0.000 |
| 117.608 | 123.885 | 117.608 | 0.000 | 0.000 | -0.000 |
| 117.608 | 117.608 | 123.885 | 0.000 | -0.000 | -0.000 |
| -0.000 | 0.000 | 0.000 | 90.441 | 0.000 | -0.000 |
| 0.000 | -0.000 | 0.000 | 0.000 | 90.441 | -0.000 |
| 0.000 | 0.000 | -0.000 | 0.000 | 0.000 | 90.441 |
| 123.886 | 117.609 | 117.609 | 0.000 | -0.000 | 0.000 |
| 117.609 | 123.886 | 117.609 | 0.000 | -0.000 | 0.000 |
| 117.609 | 117.609 | 123.886 | -0.000 | -0.000 | 0.000 |
| 0.000 | -0.000 | -0.000 | 90.441 | -0.000 | 0.000 |
| -0.000 | 0.000 | -0.000 | -0.000 | 90.441 | 0.000 |
| -0.000 | -0.000 | 0.000 | -0.000 | -0.000 | 90.441 |
| 123.885 | 117.608 | 117.608 | 0.000 | 0.000 | -0.000 |
| 117.608 | 123.885 | 117.608 | 0.000 | -0.000 | -0.000 |
| 117.608 | 117.608 | 123.885 | 0.000 | 0.000 | -0.000 |
| -0.000 | 0.000 | 0.000 | 90.441 | 0.000 | 0.000 |
| 0.000 | -0.000 | 0.000 | 0.000 | 90.441 | -0.000 |
| 0.000 | 0.000 | -0.000 | 0.000 | 0.000 | 90.441 |
| 259.221 | 153.922 | 153.922 | -0.000 | 0.000 | 0.000 |
| 153.922 | 259.221 | 153.922 | -0.000 | 0.000 | -0.000 |
| 153.922 | 153.922 | 259.221 | -0.000 | -0.000 | 0.000 |
| 0.000 | -0.000 | -0.000 | 115.939 | -0.000 | -0.000 |
| 0.000 | -0.000 | -0.000 | -0.000 | 115.939 | -0.000 |
| 0.000 | -0.000 | -0.000 | -0.000 | -0.000 | 115.939 |
| 259.221 | 153.922 | 153.922 | 0.000 | -0.000 | -0.000 |
| 153.922 | 259.221 | 153.922 | 0.000 | 0.000 | 0.000 |
| 153.922 | 153.922 | 259.221 | 0.000 | 0.000 | -0.000 |
| -0.000 | 0.000 | 0.000 | 115.939 | 0.000 | 0.000 |
| -0.000 | 0.000 | 0.000 | 0.000 | 115.939 | 0.000 |
| -0.000 | 0.000 | 0.000 | 0.000 | 0.000 | 115.939 |
| 259.221 | 153.922 | 153.922 | -0.000 | 0.000 | 0.000 |
| 153.922 | 259.221 | 153.922 | -0.000 | 0.000 | -0.000 |
| 153.922 | 153.922 | 259.221 | -0.000 | -0.000 | -0.000 |
| 0.000 | 0.000 | 0.000 | 114.766 | -0.000 | -0.000 |
| 0.000 | -0.000 | 0.000 | -0.000 | 114.766 | -0.000 |
| 0.000 | 0.000 | -0.000 | -0.000 | -0.000 | 114.766 |
| 259.221 | 153.922 | 153.922 | 0.000 | -0.000 | -0.000 |
| 153.922 | 259.221 | 153.922 | 0.000 | -0.000 | 0.000 |
| 153.922 | 153.922 | 259.221 | 0.000 | 0.000 | 0.000 |
| -0.000 | -0.000 | -0.000 | 114.766 | -0.000 | 0.000 |
| -0.000 | 0.000 | -0.000 | 0.000 | 114.766 | 0.000 |
| -0.000 | -0.000 | 0.000 | 0.000 | 0.000 | 114.766 |
| 259.222 | 153.923 | 153.923 | -0.000 | 0.000 | -0.000 |
| 153.923 | 259.222 | 153.923 | -0.000 | -0.000 | 0.000 |
| 153.923 | 153.923 | 259.222 | -0.000 | -0.000 | -0.000 |
| 0.000 | 0.000 | 0.001 | 114.766 | -0.000 | 0.000 |
| 0.000 | 0.000 | 0.001 | -0.000 | 114.766 | -0.000 |
| 0.000 | 0.001 | 0.000 | -0.000 | -0.000 | 114.766 |
| 259.220 | 153.922 | 153.922 | 0.000 | 0.000 | -0.000 |
| 153.922 | 259.220 | 153.922 | 0.000 | -0.000 | 0.000 |
| 153.922 | 153.922 | 259.220 | 0.000 | -0.000 | -0.000 |
| -0.000 | -0.000 | -0.001 | 114.766 | 0.000 | 0.000 |
| -0.000 | -0.000 | -0.001 | 0.000 | 114.766 | 0.000 |
| -0.000 | -0.001 | -0.000 | 0.000 | 0.000 | 114.766 |
| 20.344 | 20.516 | 20.516 | -0.000 | -0.000 | -0.000 |
| 20.516 | 20.344 | 20.516 | -0.000 | 0.000 | -0.000 |
| 20.516 | 20.516 | 20.344 | -0.000 | 0.000 | -0.000 |
| -0.000 | 0.000 | 0.000 | 18.736 | 0.000 | -0.000 |
| -0.000 | 0.000 | 0.000 | 0.000 | 18.736 | -0.000 |
| -0.000 | 0.000 | 0.000 | 0.000 | -0.000 | 18.736 |
| 20.344 | 20.516 | 20.516 | -0.000 | -0.000 | 0.000 |
| 20.516 | 20.344 | 20.516 | 0.000 | -0.000 | 0.000 |
| 20.516 | 20.516 | 20.344 | -0.000 | -0.000 | -0.000 |
| 0.000 | -0.000 | -0.000 | 18.736 | 0.000 | 0.000 |
| 0.000 | -0.000 | -0.000 | 0.000 | 18.736 | 0.000 |
| 0.000 | -0.000 | 0.000 | 0.000 | 0.000 | 18.736 |
| 20.344 | 20.516 | 20.516 | -0.000 | -0.000 | -0.000 |
| 20.516 | 20.344 | 20.516 | -0.000 | -0.000 | -0.000 |
| 20.516 | 20.516 | 20.344 | 0.000 | 0.000 | -0.000 |
| -0.000 | -0.000 | -0.000 | -1.464 | 0.000 | -0.000 |
| -0.000 | -0.000 | -0.000 | 0.000 | -1.464 | -0.000 |
| -0.000 | -0.000 | -0.000 | 0.000 | 0.000 | -1.464 |
| 20.344 | 20.516 | 20.516 | 0.000 | 0.000 | 0.000 |
| 20.516 | 20.344 | 20.516 | 0.000 | -0.000 | 0.000 |
| 20.516 | 20.516 | 20.344 | 0.000 | -0.000 | 0.000 |
| 0.000 | 0.000 | 0.000 | -1.464 | -0.000 | 0.000 |
| 0.000 | 0.000 | 0.000 | -0.000 | -1.464 | -0.000 |
| 0.000 | 0.000 | 0.000 | -0.000 | -0.000 | -1.464 |
| 20.344 | 20.516 | 20.516 | -0.000 | -0.000 | -0.000 |
| 20.516 | 20.344 | 20.516 | -0.000 | -0.000 | -0.000 |
| 20.516 | 20.516 | 20.344 | -0.000 | -0.000 | -0.000 |
| -0.000 | -0.000 | -0.000 | -1.464 | 0.000 | 0.000 |
| -0.000 | -0.000 | -0.000 | 0.000 | -1.464 | -0.000 |
| -0.000 | -0.000 | -0.000 | 0.000 | 0.000 | -1.464 |
| 20.344 | 20.516 | 20.516 | 0.000 | -0.000 | 0.000 |
| 20.516 | 20.344 | 20.516 | -0.000 | 0.000 | 0.000 |
| 20.516 | 20.516 | 20.344 | 0.000 | 0.000 | 0.000 |
| 0.000 | 0.000 | 0.000 | -1.464 | -0.000 | 0.000 |
| 0.000 | 0.000 | 0.000 | -0.000 | -1.464 | -0.000 |
| 0.000 | 0.000 | 0.000 | -0.000 | -0.000 | -1.464 |
| 548.579 | 80.371 | 80.371 | -0.000 | 0.000 | 0.000 |
| 80.371 | 548.579 | 80.371 | -0.000 | 0.000 | 0.000 |
| 80.371 | 80.371 | 548.579 | -0.000 | -0.000 | 0.000 |
| 0.000 | -0.000 | -0.000 | -5.318 | -0.000 | 0.000 |
| -0.000 | -0.000 | -0.000 | -0.000 | -5.318 | -0.000 |
| -0.000 | -0.000 | -0.000 | -0.000 | -0.000 | -5.318 |
| 548.578 | 80.371 | 80.371 | 0.000 | 0.000 | -0.000 |
| 80.371 | 548.578 | 80.371 | 0.000 | 0.000 | -0.000 |
| 80.371 | 80.371 | 548.578 | 0.000 | 0.000 | -0.000 |
| -0.000 | 0.000 | 0.000 | -5.318 | 0.000 | 0.000 |
| 0.000 | 0.000 | 0.000 | 0.000 | -5.318 | 0.000 |
| 0.000 | 0.000 | 0.000 | 0.000 | 0.000 | -5.318 |
| 548.579 | 80.371 | 80.371 | -0.000 | -0.000 | 0.000 |
| 80.371 | 548.579 | 80.371 | -0.000 | -0.000 | 0.000 |
| 80.371 | 80.371 | 548.579 | -0.000 | 0.000 | 0.000 |
| 0.000 | -0.000 | -0.000 | -5.318 | -0.000 | 0.000 |
| -0.000 | 0.000 | -0.000 | -0.000 | -5.318 | -0.000 |
| -0.000 | -0.000 | 0.000 | -0.000 | -0.000 | -5.318 |
| 545.163 | 82.078 | 82.078 | -0.000 | 0.000 | 0.000 |
| 82.078 | 545.163 | 82.078 | 0.000 | 0.000 | 0.000 |
| 82.078 | 82.078 | 545.163 | 0.000 | 0.000 | 0.000 |
| -0.000 | 0.000 | 0.000 | -5.318 | 0.000 | -0.000 |
| 0.000 | -0.000 | 0.000 | 0.000 | -5.318 | -0.000 |
| 0.000 | 0.000 | -0.000 | 0.000 | 0.000 | -5.318 |
| 545.167 | 82.079 | 82.079 | -0.000 | 0.000 | -0.000 |
| 82.079 | 545.167 | 82.079 | -0.000 | -0.000 | 0.000 |
| 82.079 | 82.079 | 545.167 | 0.000 | 0.000 | 0.000 |
| 0.000 | -0.000 | -0.001 | -5.318 | -0.000 | 0.000 |
| -0.000 | 0.000 | -0.001 | -0.000 | -5.318 | -0.000 |
| -0.000 | -0.001 | 0.000 | -0.000 | 0.000 | -5.318 |
| 545.160 | 82.078 | 82.078 | 0.000 | -0.000 | 0.000 |
| 82.078 | 545.160 | 82.078 | 0.000 | -0.000 | 0.000 |
| 82.078 | 82.078 | 545.160 | -0.000 | 0.000 | -0.000 |
| -0.000 | 0.000 | 0.001 | -5.318 | 0.000 | 0.000 |
| 0.000 | -0.000 | 0.001 | 0.000 | -5.318 | 0.000 |
| 0.000 | 0.001 | -0.000 | 0.000 | 0.000 | -5.318 |
| 153.955 | 220.281 | 220.281 | 0.000 | -0.000 | 0.000 |
| 220.281 | 153.955 | 220.281 | -0.000 | -0.000 | -0.000 |
| 220.281 | 220.281 | 153.955 | -0.000 | -0.000 | 0.000 |
| 0.000 | 0.000 | -0.000 | 181.324 | -0.000 | -0.000 |
| -0.000 | 0.000 | -0.000 | 0.000 | 181.324 | -0.000 |
| -0.000 | 0.000 | -0.000 | -0.000 | -0.000 | 181.324 |
| 153.955 | 220.281 | 220.281 | 0.000 | 0.000 | 0.000 |
| 220.281 | 153.955 | 220.281 | -0.000 | 0.000 | 0.000 |
| 220.281 | 220.281 | 153.955 | -0.000 | 0.000 | 0.000 |
| -0.000 | -0.000 | 0.000 | 181.324 | 0.000 | 0.000 |
| 0.000 | -0.000 | 0.000 | -0.000 | 181.324 | 0.000 |
| 0.000 | -0.000 | 0.000 | -0.000 | 0.000 | 181.324 |
| 153.955 | 220.281 | 220.281 | -0.000 | -0.000 | -0.000 |
| 220.281 | 153.955 | 220.281 | -0.000 | -0.000 | -0.000 |
| 220.281 | 220.281 | 153.955 | 0.000 | -0.000 | -0.000 |
| 0.000 | 0.000 | 0.000 | 181.324 | -0.000 | -0.000 |
| 0.000 | 0.000 | 0.000 | 0.000 | 181.324 | -0.000 |
| 0.000 | 0.000 | 0.000 | 0.000 | -0.000 | 181.324 |
| 153.955 | 220.281 | 220.281 | -0.000 | 0.000 | 0.000 |
| 220.281 | 153.955 | 220.281 | -0.000 | 0.000 | 0.000 |
| 220.281 | 220.281 | 153.955 | -0.000 | -0.000 | 0.000 |
| -0.000 | -0.000 | -0.000 | 181.324 | 0.000 | -0.000 |
| -0.000 | -0.000 | -0.000 | -0.000 | 181.324 | 0.000 |
| -0.000 | -0.000 | -0.000 | -0.000 | 0.000 | 181.324 |
| 153.956 | 220.282 | 220.282 | 0.000 | -0.000 | -0.000 |
| 220.282 | 153.956 | 220.282 | 0.000 | -0.000 | -0.000 |
| 220.282 | 220.282 | 153.956 | 0.000 | -0.000 | 0.000 |
| 0.001 | 0.000 | 0.000 | 181.244 | -0.000 | -0.000 |
| 0.000 | 0.001 | 0.000 | 0.000 | 181.244 | -0.000 |
| 0.000 | 0.000 | 0.001 | 0.000 | -0.000 | 181.244 |
| 153.954 | 220.280 | 220.280 | -0.000 | 0.000 | 0.000 |
| 220.280 | 153.954 | 220.280 | 0.000 | 0.000 | 0.000 |
| 220.280 | 220.280 | 153.954 | -0.000 | 0.000 | 0.000 |
| -0.001 | -0.000 | -0.000 | 181.244 | 0.000 | -0.000 |
| -0.000 | -0.001 | -0.000 | 0.000 | 181.244 | 0.000 |
| -0.000 | -0.000 | -0.001 | -0.000 | 0.000 | 181.244 |
| 358.746 | 200.433 | 200.433 | 0.000 | 0.000 | -0.000 |
| 200.433 | 358.746 | 200.433 | -0.000 | 0.000 | -0.000 |
| 200.433 | 200.433 | 358.746 | 0.000 | 0.000 | -0.000 |
| 0.000 | 0.000 | 0.000 | 161.228 | 0.000 | -0.000 |
| 0.000 | 0.000 | 0.000 | 0.000 | 161.228 | -0.000 |
| 0.000 | 0.000 | -0.000 | 0.000 | 0.000 | 161.228 |
| 358.746 | 200.433 | 200.433 | -0.000 | -0.000 | 0.000 |
| 200.433 | 358.746 | 200.433 | -0.000 | -0.000 | 0.000 |
| 200.433 | 200.433 | 358.746 | -0.000 | 0.000 | 0.000 |
| -0.000 | -0.000 | -0.000 | 161.228 | -0.000 | -0.000 |
| -0.000 | -0.000 | -0.000 | -0.000 | 161.228 | 0.000 |
| -0.000 | -0.000 | 0.000 | -0.000 | -0.000 | 161.228 |
| 358.746 | 200.434 | 200.434 | 0.000 | 0.000 | 0.000 |
| 200.434 | 358.746 | 200.434 | 0.000 | 0.000 | -0.000 |
| 200.434 | 200.434 | 358.746 | 0.000 | -0.000 | -0.000 |
| -0.000 | 0.000 | 0.000 | 161.228 | -0.000 | -0.000 |
| 0.000 | -0.000 | 0.000 | 0.000 | 161.228 | -0.000 |
| 0.000 | 0.000 | -0.000 | -0.000 | 0.000 | 161.228 |
| 358.746 | 200.433 | 200.433 | -0.000 | -0.000 | 0.000 |
| 200.433 | 358.746 | 200.433 | -0.000 | -0.000 | -0.000 |
| 200.433 | 200.433 | 358.746 | -0.000 | -0.000 | 0.000 |
| 0.000 | -0.000 | -0.000 | 161.228 | -0.000 | 0.000 |
| -0.000 | 0.000 | -0.000 | -0.000 | 161.228 | 0.000 |
| -0.000 | -0.000 | 0.000 | 0.000 | -0.000 | 161.228 |
| 358.748 | 200.435 | 200.435 | 0.000 | 0.000 | 0.000 |
| 200.435 | 358.748 | 200.435 | 0.000 | 0.000 | -0.000 |
| 200.435 | 200.435 | 358.748 | 0.000 | 0.000 | -0.000 |
| -0.000 | 0.001 | 0.001 | 161.228 | 0.000 | -0.000 |
| 0.001 | -0.000 | 0.001 | -0.000 | 161.228 | -0.000 |
| 0.001 | 0.001 | -0.000 | 0.000 | 0.000 | 161.228 |
| 358.744 | 200.432 | 200.432 | -0.000 | -0.000 | 0.000 |
| 200.432 | 358.744 | 200.432 | -0.000 | 0.000 | 0.000 |
| 200.432 | 200.432 | 358.744 | -0.000 | -0.000 | 0.000 |
| 0.000 | -0.001 | -0.001 | 161.228 | -0.000 | -0.000 |
| -0.001 | 0.000 | -0.001 | 0.000 | 161.228 | 0.000 |
| -0.001 | -0.001 | 0.000 | -0.000 | -0.000 | 161.228 |
| 373.117 | 187.159 | 234.819 | -0.000 | -0.000 | 0.000 |
| 187.159 | 373.117 | 234.819 | -0.000 | -0.000 | 0.000 |
| 234.819 | 234.819 | 443.152 | -0.000 | -0.000 | 0.000 |
| -0.000 | 0.000 | 0.000 | 190.347 | -0.000 | 0.000 |
| 0.000 | -0.000 | 0.000 | -0.000 | 190.347 | 0.000 |
| -0.000 | 0.000 | -0.000 | -0.000 | -0.000 | 141.610 |
| 373.117 | 187.159 | 234.819 | 0.000 | 0.000 | 0.000 |
| 187.159 | 373.117 | 234.819 | 0.000 | 0.000 | -0.000 |
| 234.819 | 234.819 | 443.152 | 0.000 | 0.000 | -0.000 |
| 0.000 | -0.000 | -0.000 | 190.347 | 0.000 | -0.000 |
| -0.000 | 0.000 | -0.000 | 0.000 | 190.347 | -0.000 |
| 0.000 | -0.000 | 0.000 | 0.000 | 0.000 | 141.610 |
| 377.957 | 182.319 | 234.819 | -0.000 | -0.000 | 0.000 |
| 182.319 | 377.957 | 234.819 | -0.000 | -0.000 | 0.000 |
| 234.819 | 234.819 | 443.153 | -0.000 | -0.000 | 0.000 |
| -0.000 | 0.000 | 0.000 | 190.347 | 0.000 | -0.000 |
| 0.000 | -0.000 | 0.000 | -0.000 | 190.347 | 0.000 |
| 0.000 | 0.000 | -0.000 | -0.000 | -0.000 | 141.610 |
| 373.117 | 187.159 | 234.819 | 0.000 | 0.000 | -0.000 |
| 187.159 | 373.117 | 234.819 | 0.000 | 0.000 | -0.000 |
| 234.819 | 234.819 | 443.152 | 0.000 | -0.000 | 0.000 |
| 0.000 | -0.000 | -0.000 | 190.347 | -0.000 | -0.000 |
| -0.000 | 0.000 | -0.000 | 0.000 | 190.347 | -0.000 |
| -0.000 | -0.000 | 0.000 | 0.000 | 0.000 | 141.610 |
| 373.120 | 187.160 | 234.820 | -0.000 | -0.000 | 0.000 |
| 187.160 | 373.120 | 234.820 | -0.000 | -0.000 | -0.000 |
| 234.820 | 234.820 | 443.155 | -0.000 | -0.000 | -0.000 |
| -0.000 | 0.001 | 0.001 | 194.774 | -0.000 | 0.000 |
| 0.001 | -0.000 | 0.001 | -0.000 | 194.774 | -0.000 |
| 0.000 | 0.001 | -0.000 | -0.000 | -0.000 | 141.610 |
| 373.115 | 187.158 | 234.817 | 0.000 | -0.000 | -0.000 |
| 187.158 | 373.115 | 234.817 | 0.000 | 0.000 | 0.000 |
| 234.818 | 234.818 | 443.150 | 0.000 | 0.000 | -0.000 |
| 0.000 | -0.001 | -0.001 | 194.774 | 0.000 | -0.000 |
| -0.001 | 0.000 | -0.001 | 0.000 | 194.774 | -0.000 |
| -0.000 | -0.001 | 0.000 | 0.000 | 0.000 | 141.610 |
| 481.619 | 169.313 | 139.850 | 0.000 | 0.000 | -0.000 |
| 168.971 | 448.969 | 196.798 | 0.000 | 0.000 | 0.000 |
| 149.745 | 211.238 | 480.836 | 0.000 | -0.000 | 0.000 |
| -0.000 | 0.000 | 0.000 | 158.442 | 0.000 | 0.000 |
| 0.000 | 0.000 | 0.000 | -0.000 | 101.394 | 0.000 |
| 0.000 | 0.000 | 0.000 | -0.000 | -0.000 | 126.886 |
| 481.619 | 169.313 | 139.850 | -0.000 | -0.000 | -0.000 |
| 168.971 | 448.969 | 196.798 | -0.000 | -0.000 | -0.000 |
| 146.561 | 192.502 | 518.925 | -0.000 | -0.000 | -0.000 |
| -0.000 | -0.000 | -0.000 | 158.442 | -0.000 | 0.000 |
| -0.000 | -0.000 | -0.000 | -0.000 | 101.394 | -0.000 |
| -0.000 | -0.000 | -0.000 | 0.000 | -0.000 | 126.886 |
| 467.196 | 155.241 | 151.827 | 0.000 | -0.000 | 0.000 |
| 168.971 | 448.970 | 196.798 | 0.000 | 0.000 | 0.000 |
| 151.693 | 204.267 | 493.604 | 0.000 | -0.000 | 0.000 |
| 0.000 | 0.000 | 0.000 | 158.442 | 0.000 | -0.000 |
| 0.000 | 0.000 | 0.000 | 0.000 | 101.394 | 0.000 |
| 0.000 | 0.000 | 0.000 | -0.000 | 0.000 | 126.886 |
| 469.826 | 161.625 | 155.372 | -0.000 | 0.000 | -0.000 |
| 164.315 | 439.730 | 203.041 | -0.000 | 0.000 | -0.000 |
| 153.902 | 206.189 | 495.590 | -0.000 | 0.000 | 0.000 |
| -0.000 | -0.000 | -0.000 | 158.442 | -0.000 | -0.000 |
| -0.000 | -0.000 | -0.000 | -0.000 | 101.394 | -0.000 |
| -0.000 | -0.000 | -0.000 | 0.000 | -0.000 | 126.886 |
| 466.337 | 157.501 | 155.801 | -0.000 | -0.000 | 0.000 |
| 154.914 | 427.588 | 207.391 | 0.000 | 0.000 | 0.000 |
| 153.502 | 203.844 | 493.629 | 0.000 | -0.000 | 0.000 |
| 0.172 | 0.062 | -0.360 | 133.854 | -0.000 | 0.000 |
| 0.018 | 0.120 | -0.242 | 0.000 | 94.783 | 0.000 |
| 0.022 | 0.150 | -0.303 | -0.000 | -0.000 | 125.423 |
| 466.214 | 157.232 | 156.249 | -0.000 | -0.000 | 0.000 |
| 154.213 | 427.421 | 208.605 | -0.000 | -0.000 | -0.000 |
| 141.499 | 198.788 | 508.886 | 0.000 | -0.000 | -0.000 |
| -0.172 | -0.062 | 0.360 | 133.854 | 0.000 | -0.000 |
| -0.018 | -0.120 | 0.242 | -0.000 | 94.783 | -0.000 |
| -0.022 | -0.150 | 0.303 | 0.000 | 0.000 | 125.423 |
| 305.551 | -490.052 | 192.539 | -0.000 | 0.000 | -0.000 |
| -297.635 | -453.298 | 519.160 | -0.000 | 0.000 | -0.000 |
| 10.255 | -406.291 | 541.877 | -0.000 | 0.000 | -0.000 |
| -353.413 | -783.648 | 201.976 | 137.470 | -0.000 | 0.000 |
| -148.118 | -630.594 | 35.568 | -0.000 | 85.299 | -0.000 |
| 0.000 | 0.000 | 0.000 | -0.000 | -0.000 | 124.886 |
| 908.252 | 1014.006 | -151.227 | 0.000 | -0.000 | 0.000 |
| 303.185 | 1041.973 | 176.282 | 0.000 | -0.000 | 0.000 |
| 509.306 | 1003.140 | 305.982 | 0.000 | 0.000 | 0.000 |
| 353.413 | 783.648 | -201.976 | 137.470 | 0.000 | 0.000 |
| 148.118 | 630.594 | -35.568 | 0.000 | 85.299 | 0.000 |
| -0.000 | -0.000 | -0.000 | 0.000 | -0.000 | 124.886 |
| 435.586 | 76.465 | 163.879 | -0.000 | 0.000 | -0.000 |
| 116.505 | 330.748 | 234.276 | -0.000 | 0.000 | 0.000 |
| 138.844 | 203.718 | 524.561 | -0.000 | 0.000 | 0.000 |
| 0.000 | 0.000 | 0.000 | 163.391 | 0.000 | -0.000 |
| -14.188 | -60.402 | 3.407 | -0.000 | 85.852 | -0.000 |
| 0.000 | 0.000 | 0.000 | -0.000 | 0.000 | 124.886 |
| 472.957 | 207.582 | 149.340 | 0.000 | -0.000 | 0.000 |
| 170.274 | 474.398 | 207.796 | 0.000 | -0.000 | -0.000 |
| 138.843 | 203.718 | 524.560 | 0.000 | -0.000 | 0.000 |
| -0.000 | -0.000 | -0.000 | 163.391 | -0.000 | -0.000 |
| 14.188 | 60.402 | -3.407 | 0.000 | 85.852 | 0.000 |
| -0.000 | -0.000 | -0.000 | 0.000 | -0.000 | 124.886 |
| 454.975 | 143.665 | 156.763 | -0.000 | -0.000 | -0.000 |
| 147.472 | 401.326 | 217.091 | -0.000 | 0.000 | 0.000 |
| 147.502 | 205.354 | 514.600 | -0.000 | 0.000 | -0.000 |
| -1.376 | -5.859 | 0.332 | 142.034 | 0.000 | -0.000 |
| 0.001 | 0.000 | 0.000 | -0.000 | 98.427 | 0.000 |
| -1.125 | -4.792 | 0.270 | -0.000 | 0.000 | 122.346 |
| 466.718 | 163.678 | 147.387 | 0.000 | -0.000 | 0.000 |
| 157.701 | 421.668 | 211.001 | 0.000 | -0.000 | 0.000 |
| 154.880 | 216.194 | 508.608 | 0.000 | -0.000 | 0.000 |
| 1.376 | 5.859 | -0.332 | 142.034 | -0.000 | -0.000 |
| -0.001 | -0.000 | -0.000 | 0.000 | 98.427 | -0.000 |
| 1.125 | 4.792 | -0.270 | 0.000 | -0.000 | 122.346 |
| 301.187 | 125.744 | 151.041 | 36.929 | 0.000 | 0.000 |
| 119.260 | 287.926 | 119.128 | -26.226 | 0.000 | 0.000 |
| 151.039 | 151.039 | 479.834 | 0.000 | -0.000 | 0.000 |
| 36.929 | -36.929 | -0.000 | 112.512 | -0.000 | -0.000 |
| -0.000 | -0.000 | -0.001 | 0.000 | 78.710 | 26.226 |
| -0.000 | -0.000 | -0.001 | 0.000 | 26.226 | 84.333 |
| 287.925 | 119.260 | 119.129 | 26.226 | 0.000 | -0.000 |
| 125.744 | 301.186 | 151.041 | -36.929 | -0.000 | -0.000 |
| 151.039 | 151.039 | 479.834 | -0.000 | -0.000 | -0.000 |
| 26.226 | -26.226 | 0.001 | 78.710 | -0.000 | -0.000 |
| 0.000 | 0.000 | 0.001 | -0.000 | 78.710 | 26.226 |
| 0.000 | 0.000 | 0.001 | -0.000 | 26.226 | 84.333 |
| 301.187 | 125.744 | 151.041 | 36.929 | -0.000 | 0.000 |
| 116.152 | 289.789 | 117.114 | -34.077 | -0.000 | 0.000 |
| 119.126 | 119.126 | 376.673 | 0.000 | -0.000 | -0.000 |
| 36.929 | -36.929 | 0.000 | 112.512 | 0.000 | 0.000 |
| 0.000 | 0.000 | 0.000 | 0.000 | 112.512 | 36.929 |
| 0.000 | 0.000 | -0.000 | 0.000 | 26.226 | 84.333 |
| 289.788 | 116.151 | 117.114 | 34.077 | 0.000 | 0.000 |
| 119.260 | 287.925 | 119.128 | -26.226 | -0.000 | -0.000 |
| 151.039 | 151.039 | 479.834 | -0.000 | -0.000 | -0.000 |
| 26.226 | -26.226 | 0.000 | 78.710 | 0.000 | -0.000 |
| -0.000 | -0.000 | -0.000 | -0.000 | 112.512 | 36.929 |
| -0.000 | -0.000 | 0.000 | -0.000 | 26.226 | 84.333 |
| 289.796 | 116.152 | 117.115 | 34.077 | 0.000 | -0.000 |
| 119.262 | 287.932 | 119.129 | -26.226 | 0.000 | 0.000 |
| 119.126 | 119.126 | 376.674 | 0.000 | 0.000 | -0.000 |
| 26.226 | -26.226 | -0.000 | 78.710 | -0.000 | 0.000 |
| -0.000 | -0.000 | -0.000 | 0.000 | 78.710 | 26.226 |
| 0.001 | 0.002 | 0.000 | 0.000 | 36.929 | 87.721 |
| 301.179 | 125.743 | 151.041 | 36.929 | 0.000 | -0.000 |
| 125.742 | 301.180 | 151.041 | -36.929 | -0.000 | -0.000 |
| 119.126 | 119.126 | 376.672 | -0.000 | 0.000 | -0.000 |
| 26.226 | -26.226 | 0.000 | 78.710 | -0.000 | -0.000 |
| 0.000 | 0.000 | 0.000 | -0.000 | 78.710 | 26.226 |
| -0.001 | -0.002 | -0.000 | -0.000 | 36.929 | 87.721 |
| 291.842 | 118.272 | 126.404 | 35.361 | -0.000 | 0.000 |
| 127.658 | 302.830 | 158.889 | -38.035 | -0.000 | 0.000 |
| 125.766 | 125.766 | 390.583 | -0.000 | -0.000 | -0.000 |
| 28.536 | -27.272 | 2.015 | 80.286 | -0.000 | 0.000 |
| 0.632 | 0.632 | 2.015 | -0.000 | 80.286 | 27.904 |
| 0.626 | 0.626 | 1.997 | 0.000 | 27.996 | 84.580 |
| 302.830 | 127.658 | 158.890 | 38.035 | -0.000 | -0.000 |
| 120.758 | 289.857 | 127.204 | -27.895 | -0.000 | -0.000 |
| 125.451 | 125.451 | 389.578 | 0.000 | -0.000 | 0.000 |
| 27.272 | -28.536 | -2.015 | 80.286 | 0.000 | 0.000 |
| -0.632 | -0.632 | -2.015 | 0.000 | 80.286 | 27.904 |
| -0.626 | -0.626 | -1.997 | 0.000 | 27.996 | 84.580 |
| 291.710 | 118.137 | 125.978 | 35.365 | 0.000 | 0.000 |
| 127.658 | 302.831 | 158.890 | -38.035 | -0.000 | 0.000 |
| 156.791 | 156.791 | 489.515 | 0.000 | -0.000 | 0.000 |
| 38.035 | -38.035 | 0.000 | 114.120 | -0.000 | 0.000 |
| -0.000 | 0.000 | 0.000 | 0.000 | 114.120 | 38.035 |
| 0.063 | 0.063 | 0.202 | 0.000 | 27.896 | 84.550 |
| 302.830 | 127.658 | 158.889 | 38.035 | -0.000 | -0.000 |
| 127.658 | 302.830 | 158.889 | -38.035 | 0.000 | -0.000 |
| 125.593 | 125.593 | 390.031 | 0.000 | -0.000 | 0.000 |
| 27.831 | -27.958 | -0.202 | 80.256 | 0.000 | -0.000 |
| 0.000 | -0.000 | -0.000 | -0.000 | 114.120 | 38.035 |
| -0.063 | -0.063 | -0.202 | 0.000 | 27.896 | 84.550 |
| 302.838 | 127.659 | 158.890 | 38.035 | 0.000 | 0.000 |
| 118.125 | 291.703 | 125.935 | -35.365 | -0.000 | 0.000 |
| 125.610 | 125.610 | 390.087 | -0.000 | -0.000 | 0.000 |
| 38.035 | -38.035 | 0.000 | 114.120 | -0.000 | 0.000 |
| 0.006 | 0.006 | 0.020 | 0.000 | 80.255 | 27.895 |
| 0.001 | 0.002 | 0.000 | 0.000 | 38.035 | 87.586 |
| 291.685 | 118.119 | 125.925 | 35.365 | 0.000 | -0.000 |
| 118.118 | 291.687 | 125.925 | -35.366 | -0.000 | -0.000 |
| 125.607 | 125.607 | 390.075 | -0.000 | 0.000 | -0.000 |
| 27.888 | -27.901 | -0.020 | 80.255 | -0.000 | -0.000 |
| -0.006 | -0.006 | -0.020 | -0.000 | 80.255 | 27.895 |
| -0.001 | -0.002 | -0.000 | -0.000 | 38.035 | 87.586 |
| 480.943 | 187.626 | 139.822 | 0.000 | -0.000 | -0.000 |
| 156.494 | 419.440 | 93.302 | 0.000 | 0.000 | 0.000 |
| 139.061 | 139.061 | 430.257 | 0.000 | 0.000 | -0.000 |
| 0.000 | -0.000 | -0.000 | 96.733 | 0.000 | 0.000 |
| 0.000 | -0.000 | -0.000 | 0.000 | 96.733 | 0.000 |
| -0.000 | 0.000 | -0.000 | -0.000 | -0.000 | 146.659 |
| 487.129 | 213.277 | 155.809 | -0.000 | 0.000 | -0.000 |
| 187.626 | 480.943 | 139.822 | 0.000 | 0.000 | 0.000 |
| 139.061 | 139.061 | 430.257 | 0.000 | 0.000 | -0.000 |
| -0.000 | 0.000 | 0.000 | 96.733 | 0.000 | 0.000 |
| -0.000 | 0.000 | 0.000 | -0.000 | 96.733 | -0.000 |
| 0.000 | -0.000 | 0.000 | 0.000 | 0.000 | 146.659 |
| 480.943 | 187.626 | 139.822 | 0.000 | -0.000 | -0.000 |
| 187.626 | 480.943 | 139.822 | -0.000 | -0.000 | -0.000 |
| 139.061 | 139.061 | 430.257 | -0.000 | -0.000 | -0.000 |
| 0.000 | -0.000 | 0.000 | 96.733 | -0.000 | -0.000 |
| -0.000 | 0.000 | 0.000 | 0.000 | 96.733 | -0.000 |
| -0.000 | 0.000 | 0.000 | -0.000 | -0.000 | 146.659 |
| 445.804 | 197.252 | 127.009 | -0.000 | 0.000 | -0.000 |
| 187.626 | 480.943 | 139.822 | 0.000 | 0.000 | 0.000 |
| 139.061 | 139.061 | 430.257 | -0.000 | 0.000 | 0.000 |
| -0.000 | 0.000 | -0.000 | 96.733 | 0.000 | 0.000 |
| 0.000 | -0.000 | -0.000 | -0.000 | 96.733 | -0.000 |
| 0.000 | -0.000 | -0.000 | 0.000 | 0.000 | 146.659 |
| 480.946 | 187.627 | 139.822 | 0.000 | -0.000 | 0.000 |
| 185.257 | 445.181 | 120.672 | 0.000 | -0.000 | 0.000 |
| 123.024 | 123.024 | 414.150 | 0.000 | -0.000 | -0.000 |
| 0.000 | -0.000 | 0.000 | 96.733 | 0.000 | 0.000 |
| -0.000 | 0.000 | 0.000 | 0.000 | 96.733 | -0.000 |
| -0.000 | 0.001 | 0.000 | -0.000 | -0.000 | 146.659 |
| 480.941 | 187.626 | 139.821 | -0.000 | -0.000 | 0.000 |
| 187.625 | 480.941 | 139.821 | -0.000 | 0.000 | 0.000 |
| 139.061 | 139.061 | 430.257 | 0.000 | 0.000 | -0.000 |
| -0.000 | 0.000 | -0.000 | 96.733 | -0.000 | 0.000 |
| 0.000 | -0.000 | -0.000 | -0.000 | 96.733 | -0.000 |
| 0.000 | -0.001 | -0.000 | 0.000 | 0.000 | 146.659 |
| 476.007 | 184.737 | 135.669 | 0.000 | -0.000 | -0.000 |
| 190.762 | 438.123 | 119.998 | 0.000 | -0.000 | -0.000 |
| 135.669 | 135.669 | 430.574 | 0.000 | 0.000 | -0.000 |
| 0.033 | 0.033 | 0.033 | 74.793 | -0.000 | 0.000 |
| 0.033 | 0.033 | 0.033 | 0.000 | 74.793 | -0.000 |
| 0.017 | 0.017 | 0.017 | -0.000 | -0.000 | 133.049 |
| 440.560 | 182.087 | 116.930 | 0.000 | 0.000 | 0.000 |
| 175.980 | 448.600 | 117.881 | 0.000 | 0.000 | 0.000 |
| 119.976 | 119.976 | 415.136 | 0.000 | 0.000 | 0.000 |
| -0.033 | -0.033 | -0.033 | 74.793 | 0.000 | 0.000 |
| -0.033 | -0.033 | -0.033 | 0.000 | 74.793 | 0.000 |
| -0.017 | -0.017 | -0.017 | -0.000 | 0.000 | 133.049 |
| 476.007 | 184.737 | 135.669 | 0.000 | -0.000 | 0.000 |
| 182.100 | 440.570 | 116.941 | -0.000 | -0.000 | 0.000 |
| 119.988 | 119.988 | 415.148 | -0.000 | -0.000 | -0.000 |
| 0.000 | -0.000 | 0.000 | 95.975 | -0.000 | -0.000 |
| 0.003 | 0.003 | 0.003 | 0.000 | 74.793 | -0.000 |
| 0.000 | 0.000 | 0.000 | -0.000 | -0.000 | 145.635 |
| 448.608 | 175.990 | 117.890 | 0.000 | 0.000 | 0.000 |
| 175.990 | 448.608 | 117.890 | 0.000 | 0.000 | 0.000 |
| 119.986 | 119.986 | 415.146 | 0.000 | 0.000 | 0.000 |
| -0.000 | 0.000 | -0.000 | 95.975 | 0.000 | -0.000 |
| -0.003 | -0.003 | -0.003 | 0.000 | 74.793 | 0.000 |
| -0.000 | -0.000 | -0.000 | 0.000 | -0.000 | 145.635 |
| 440.571 | 182.099 | 116.940 | -0.000 | -0.000 | -0.000 |
| 182.100 | 440.570 | 116.940 | -0.000 | -0.000 | -0.000 |
| 119.987 | 119.987 | 415.146 | 0.000 | -0.000 | -0.000 |
| 0.000 | -0.000 | 0.000 | 95.975 | -0.000 | -0.000 |
| 0.000 | 0.000 | 0.000 | -0.000 | 74.793 | -0.000 |
| 0.000 | 0.001 | 0.000 | 0.000 | -0.000 | 133.049 |
| 448.607 | 175.991 | 117.891 | 0.000 | -0.000 | 0.000 |
| 175.990 | 448.607 | 117.891 | 0.000 | 0.000 | 0.000 |
| 119.987 | 119.987 | 415.147 | 0.000 | -0.000 | 0.000 |
| -0.000 | 0.000 | -0.000 | 95.975 | -0.000 | 0.000 |
| -0.000 | -0.000 | -0.000 | -0.000 | 74.793 | 0.000 |
| -0.000 | -0.001 | -0.000 | 0.000 | 0.000 | 133.049 |
| 247.113 | 144.161 | 144.161 | 0.000 | 0.000 | 0.000 |
| 144.161 | 247.113 | 144.161 | 0.000 | 0.000 | 0.000 |
| 144.161 | 144.161 | 247.113 | 0.000 | 0.000 | 0.000 |
| 0.000 | 0.000 | 0.000 | 107.641 | 0.000 | 0.000 |
| 0.000 | 0.000 | 0.000 | 0.000 | 107.641 | 0.000 |
| 0.000 | 0.000 | 0.000 | 0.000 | 0.000 | 107.641 |
| 247.113 | 144.161 | 144.161 | -0.000 | -0.000 | -0.000 |
| 144.161 | 247.113 | 144.161 | -0.000 | -0.000 | -0.000 |
| 144.161 | 144.161 | 247.113 | -0.000 | 0.000 | -0.000 |
| -0.000 | -0.000 | -0.000 | 107.641 | -0.000 | -0.000 |
| -0.000 | -0.000 | -0.000 | -0.000 | 107.641 | -0.000 |
| -0.000 | -0.000 | 0.000 | -0.000 | -0.000 | 107.641 |
| 247.113 | 144.161 | 144.161 | 0.000 | -0.000 | 0.000 |
| 144.161 | 247.113 | 144.161 | 0.000 | 0.000 | 0.000 |
| 144.161 | 144.161 | 247.113 | 0.000 | 0.000 | 0.000 |
| -0.000 | 0.000 | 0.000 | 107.641 | 0.000 | 0.000 |
| 0.000 | -0.000 | 0.000 | 0.000 | 107.641 | 0.000 |
| 0.000 | 0.000 | -0.000 | 0.000 | 0.000 | 107.641 |
| 247.112 | 144.161 | 144.161 | -0.000 | -0.000 | -0.000 |
| 144.161 | 247.112 | 144.161 | -0.000 | 0.000 | -0.000 |
| 144.161 | 144.161 | 247.112 | -0.000 | -0.000 | -0.000 |
| 0.000 | -0.000 | -0.000 | 107.641 | -0.000 | 0.000 |
| -0.000 | -0.000 | -0.000 | -0.000 | 107.641 | -0.000 |
| -0.000 | -0.000 | 0.000 | -0.000 | -0.000 | 107.641 |
| 247.116 | 144.163 | 144.163 | 0.000 | 0.000 | 0.000 |
| 144.163 | 247.116 | 144.163 | 0.000 | 0.000 | 0.000 |
| 144.163 | 144.163 | 247.116 | 0.000 | 0.000 | 0.000 |
| -0.000 | 0.001 | 0.002 | 107.641 | 0.000 | -0.000 |
| 0.001 | -0.000 | 0.002 | 0.000 | 107.641 | 0.000 |
| 0.001 | 0.002 | -0.000 | 0.000 | 0.000 | 107.641 |
| 247.110 | 144.159 | 144.159 | -0.000 | -0.000 | -0.000 |
| 144.159 | 247.110 | 144.159 | 0.000 | -0.000 | -0.000 |
| 144.159 | 144.159 | 247.110 | -0.000 | -0.000 | -0.000 |
| 0.000 | -0.001 | -0.002 | 107.641 | -0.000 | -0.000 |
| -0.001 | 0.000 | -0.002 | -0.000 | 107.641 | -0.000 |
| -0.001 | -0.002 | 0.000 | -0.000 | -0.000 | 107.641 |
| 448.191 | 79.391 | 79.391 | 0.000 | 0.000 | -0.000 |
| 79.391 | 448.191 | 79.391 | 0.000 | 0.000 | -0.000 |
| 79.391 | 79.391 | 448.191 | 0.000 | 0.000 | 0.000 |
| -0.000 | -0.000 | 0.000 | 24.201 | 0.000 | -0.000 |
| -0.000 | -0.000 | 0.000 | 0.000 | 24.201 | -0.000 |
| -0.000 | 0.000 | 0.000 | 0.000 | 0.000 | 24.201 |
| 448.191 | 79.391 | 79.391 | -0.000 | -0.000 | 0.000 |
| 79.391 | 448.191 | 79.391 | -0.000 | -0.000 | 0.000 |
| 79.391 | 79.391 | 448.191 | -0.000 | -0.000 | 0.000 |
| -0.000 | 0.000 | 0.000 | 24.201 | -0.000 | -0.000 |
| 0.000 | -0.000 | -0.000 | -0.000 | 24.201 | 0.000 |
| 0.000 | 0.000 | -0.000 | -0.000 | -0.000 | 24.201 |
| 448.785 | 79.095 | 79.095 | 0.000 | 0.000 | 0.000 |
| 79.095 | 448.785 | 79.095 | -0.000 | -0.000 | 0.000 |
| 79.095 | 79.095 | 448.785 | -0.000 | -0.000 | 0.000 |
| 0.000 | 0.000 | 0.000 | 45.609 | 0.000 | 0.000 |
| 0.000 | 0.000 | 0.000 | 0.000 | 45.609 | 0.000 |
| 0.000 | 0.000 | 0.000 | 0.000 | 0.000 | 45.609 |
| 448.784 | 79.095 | 79.095 | -0.000 | 0.000 | -0.000 |
| 79.095 | 448.784 | 79.095 | -0.000 | -0.000 | 0.000 |
| 79.095 | 79.095 | 448.784 | -0.000 | -0.000 | -0.000 |
| -0.000 | -0.000 | -0.000 | 45.609 | 0.000 | 0.000 |
| -0.000 | -0.000 | -0.000 | -0.000 | 45.609 | -0.000 |
| -0.000 | -0.000 | -0.000 | -0.000 | -0.000 | 45.609 |
| 448.787 | 79.095 | 79.095 | 0.000 | 0.000 | -0.000 |
| 79.095 | 448.787 | 79.095 | 0.000 | 0.000 | -0.000 |
| 79.095 | 79.095 | 448.787 | 0.000 | -0.000 | 0.000 |
| 0.000 | 0.000 | 0.000 | 45.609 | 0.000 | -0.000 |
| 0.000 | 0.000 | 0.000 | 0.000 | 45.609 | 0.000 |
| 0.000 | 0.000 | 0.000 | -0.000 | 0.000 | 45.609 |
| 448.783 | 79.094 | 79.094 | -0.000 | -0.000 | -0.000 |
| 79.094 | 448.783 | 79.094 | -0.000 | 0.000 | -0.000 |
| 79.094 | 79.094 | 448.783 | -0.000 | -0.000 | -0.000 |
| -0.000 | -0.000 | -0.000 | 45.609 | 0.000 | -0.000 |
| -0.000 | -0.000 | -0.000 | -0.000 | 45.609 | -0.000 |
| -0.000 | -0.000 | -0.000 | 0.000 | -0.000 | 45.609 |
| 219.818 | 260.734 | 260.734 | 0.000 | 0.000 | -0.000 |
| 260.734 | 219.818 | 260.734 | -0.000 | 0.000 | -0.000 |
| 260.734 | 260.734 | 219.818 | 0.000 | 0.000 | -0.000 |
| 0.000 | 0.000 | 0.000 | 224.880 | 0.000 | -0.000 |
| 0.000 | 0.000 | 0.000 | -0.000 | 224.880 | -0.000 |
| 0.000 | 0.000 | -0.000 | -0.000 | 0.000 | 224.880 |
| 219.818 | 260.734 | 260.734 | 0.000 | 0.000 | -0.000 |
| 260.734 | 219.818 | 260.734 | 0.000 | 0.000 | -0.000 |
| 260.734 | 260.734 | 219.818 | 0.000 | 0.000 | -0.000 |
| -0.000 | -0.000 | -0.000 | 224.880 | -0.000 | -0.000 |
| -0.000 | -0.000 | -0.000 | -0.000 | 224.880 | -0.000 |
| -0.000 | -0.000 | -0.000 | -0.000 | 0.000 | 224.880 |
| 219.819 | 260.735 | 260.735 | -0.000 | -0.000 | 0.000 |
| 260.735 | 219.819 | 260.735 | 0.000 | 0.000 | 0.000 |
| 260.735 | 260.735 | 219.819 | -0.000 | 0.000 | -0.000 |
| 0.000 | 0.000 | 0.000 | 224.880 | 0.000 | -0.000 |
| 0.000 | 0.000 | 0.000 | 0.000 | 224.880 | 0.000 |
| 0.000 | 0.000 | 0.000 | -0.000 | 0.000 | 224.880 |
| 219.818 | 260.734 | 260.734 | -0.000 | -0.000 | -0.000 |
| 260.734 | 219.818 | 260.734 | -0.000 | 0.000 | -0.000 |
| 260.734 | 260.734 | 219.818 | -0.000 | 0.000 | -0.000 |
| -0.000 | -0.000 | -0.000 | 224.880 | -0.000 | -0.000 |
| -0.000 | -0.000 | -0.000 | 0.000 | 224.880 | -0.000 |
| -0.000 | -0.000 | -0.000 | 0.000 | -0.000 | 224.880 |
| 219.821 | 260.736 | 260.736 | 0.000 | 0.000 | 0.000 |
| 260.736 | 219.821 | 260.736 | -0.000 | -0.000 | 0.000 |
| 260.736 | 260.736 | 219.821 | -0.000 | -0.000 | 0.000 |
| 0.001 | 0.001 | 0.001 | 224.880 | 0.000 | 0.000 |
| 0.001 | 0.001 | 0.001 | 0.000 | 224.880 | 0.000 |
| 0.001 | 0.001 | 0.001 | -0.000 | -0.000 | 224.880 |
| 219.816 | 260.733 | 260.733 | 0.000 | -0.000 | -0.000 |
| 260.733 | 219.816 | 260.733 | -0.000 | 0.000 | -0.000 |
| 260.733 | 260.733 | 219.816 | -0.000 | -0.000 | -0.000 |
| -0.001 | -0.001 | -0.001 | 224.880 | -0.000 | 0.000 |
| -0.001 | -0.001 | -0.001 | 0.000 | 224.880 | -0.000 |
| -0.001 | -0.001 | -0.001 | -0.000 | 0.000 | 224.880 |
| 317.712 | 130.325 | 93.130 | -0.000 | 0.000 | -0.000 |
| 141.509 | 306.529 | 93.130 | -0.000 | 0.000 | -0.000 |
| 93.130 | 93.130 | 264.860 | -0.000 | 0.000 | -0.000 |
| -0.000 | 0.000 | 0.000 | 56.676 | 0.000 | -0.000 |
| -0.000 | 0.000 | 0.000 | 0.000 | 56.676 | -0.000 |
| 0.000 | 0.000 | 0.000 | 0.000 | 0.000 | 82.510 |
| 317.712 | 130.325 | 93.130 | 0.000 | -0.000 | 0.000 |
| 141.509 | 306.528 | 93.130 | -0.000 | -0.000 | 0.000 |
| 93.130 | 93.130 | 264.860 | -0.000 | -0.000 | 0.000 |
| 0.000 | -0.000 | -0.000 | 56.676 | -0.000 | 0.000 |
| 0.000 | -0.000 | -0.000 | -0.000 | 56.676 | 0.000 |
| -0.000 | -0.000 | -0.000 | 0.000 | -0.000 | 82.510 |
| 317.713 | 130.325 | 93.130 | -0.000 | 0.000 | -0.000 |
| 141.509 | 306.529 | 93.130 | -0.000 | 0.000 | -0.000 |
| 93.130 | 93.130 | 264.860 | -0.000 | 0.000 | -0.000 |
| 0.000 | 0.000 | 0.000 | 56.676 | 0.000 | -0.000 |
| 0.000 | 0.000 | 0.000 | 0.000 | 56.676 | -0.000 |
| 0.000 | 0.000 | -0.000 | 0.000 | 0.000 | 82.510 |
| 306.528 | 141.509 | 93.130 | 0.000 | -0.000 | 0.000 |
| 130.325 | 317.712 | 93.130 | 0.000 | -0.000 | 0.000 |
| 93.130 | 93.130 | 264.859 | -0.000 | -0.000 | 0.000 |
| -0.000 | -0.000 | -0.000 | 56.676 | 0.000 | 0.000 |
| -0.000 | -0.000 | -0.000 | -0.000 | 56.676 | 0.000 |
| -0.000 | -0.000 | 0.000 | 0.000 | -0.000 | 82.510 |
| 306.535 | 141.510 | 93.130 | -0.000 | 0.000 | -0.000 |
| 130.327 | 317.718 | 93.131 | -0.000 | 0.000 | -0.000 |
| 93.131 | 93.131 | 264.866 | -0.000 | 0.000 | -0.000 |
| 0.000 | 0.000 | 0.001 | 56.676 | 0.000 | -0.000 |
| 0.000 | 0.000 | 0.001 | -0.000 | 56.676 | -0.000 |
| 0.000 | 0.002 | -0.000 | -0.000 | 0.000 | 82.510 |
| 317.705 | 130.324 | 93.129 | 0.000 | -0.000 | 0.000 |
| 141.507 | 306.523 | 93.129 | 0.000 | -0.000 | 0.000 |
| 93.128 | 93.128 | 264.854 | -0.000 | -0.000 | 0.000 |
| -0.000 | -0.000 | -0.001 | 56.676 | -0.000 | 0.000 |
| -0.000 | -0.000 | -0.001 | 0.000 | 56.676 | 0.000 |
| -0.000 | -0.002 | 0.000 | 0.000 | -0.000 | 82.510 |
| 318.451 | 147.004 | 78.514 | 0.000 | 0.000 | -0.000 |
| 134.722 | 330.733 | 78.514 | 0.000 | -0.000 | 0.000 |
| 78.514 | 78.514 | 203.717 | 0.000 | 0.000 | -0.000 |
| 0.000 | 0.000 | 0.000 | 42.160 | 0.000 | -0.000 |
| 0.000 | 0.000 | 0.000 | 0.000 | 42.160 | -0.000 |
| 0.000 | 0.000 | 0.000 | 0.000 | 0.000 | 98.006 |
| 318.451 | 147.004 | 78.514 | -0.000 | -0.000 | 0.000 |
| 134.722 | 330.733 | 78.514 | -0.000 | -0.000 | 0.000 |
| 78.514 | 78.514 | 203.716 | -0.000 | -0.000 | 0.000 |
| -0.000 | -0.000 | -0.000 | 42.160 | -0.000 | 0.000 |
| -0.000 | -0.000 | -0.000 | -0.000 | 42.160 | 0.000 |
| -0.000 | -0.000 | -0.000 | -0.000 | -0.000 | 98.006 |
| 318.451 | 147.004 | 78.514 | 0.000 | -0.000 | -0.000 |
| 147.004 | 318.451 | 78.514 | 0.000 | 0.000 | 0.000 |
| 78.514 | 78.514 | 203.717 | 0.000 | 0.000 | -0.000 |
| 0.000 | 0.000 | 0.000 | 42.160 | -0.000 | -0.000 |
| 0.000 | 0.000 | 0.000 | 0.000 | 42.160 | -0.000 |
| 0.000 | 0.000 | -0.000 | 0.000 | 0.000 | 85.723 |
| 318.450 | 147.004 | 78.514 | -0.000 | -0.000 | 0.000 |
| 147.004 | 318.450 | 78.514 | -0.000 | -0.000 | 0.000 |
| 78.514 | 78.514 | 203.716 | -0.000 | -0.000 | -0.000 |
| -0.000 | -0.000 | -0.000 | 42.160 | -0.000 | 0.000 |
| -0.000 | -0.000 | -0.000 | -0.000 | 42.160 | -0.000 |
| -0.000 | -0.000 | 0.000 | -0.000 | -0.000 | 85.723 |
| 318.458 | 147.005 | 78.514 | 0.000 | -0.000 | -0.000 |
| 147.006 | 318.456 | 78.514 | 0.000 | 0.000 | -0.000 |
| 78.515 | 78.515 | 203.722 | 0.000 | 0.000 | -0.000 |
| 0.000 | 0.000 | 0.001 | 42.160 | 0.000 | -0.000 |
| 0.000 | 0.000 | 0.001 | 0.000 | 42.160 | -0.000 |
| 0.000 | 0.002 | -0.000 | 0.000 | 0.000 | 85.723 |
| 318.444 | 147.003 | 78.514 | -0.000 | -0.000 | -0.000 |
| 147.001 | 318.445 | 78.514 | -0.000 | -0.000 | 0.000 |
| 78.512 | 78.512 | 203.711 | -0.000 | -0.000 | 0.000 |
| -0.000 | -0.000 | -0.001 | 42.160 | -0.000 | 0.000 |
| -0.000 | -0.000 | -0.001 | -0.000 | 42.160 | 0.000 |
| -0.000 | -0.002 | 0.000 | -0.000 | -0.000 | 85.723 |
| 100.120 | 124.795 | 124.795 | -0.000 | -0.000 | -0.000 |
| 124.795 | 100.120 | 124.795 | -0.000 | -0.000 | -0.000 |
| 124.795 | 124.795 | 100.120 | -0.000 | -0.000 | -0.000 |
| -0.000 | -0.000 | -0.000 | 106.891 | 0.000 | 0.000 |
| -0.000 | 0.000 | 0.000 | 0.000 | 106.891 | 0.000 |
| -0.000 | 0.000 | 0.000 | 0.000 | 0.000 | 106.891 |
| 100.120 | 124.795 | 124.795 | 0.000 | 0.000 | 0.000 |
| 124.795 | 100.120 | 124.795 | 0.000 | 0.000 | 0.000 |
| 124.795 | 124.795 | 100.120 | 0.000 | 0.000 | 0.000 |
| 0.000 | -0.000 | -0.000 | 106.891 | 0.000 | 0.000 |
| 0.000 | -0.000 | -0.000 | 0.000 | 106.891 | -0.000 |
| 0.000 | -0.000 | -0.000 | 0.000 | 0.000 | 106.891 |
| 100.120 | 124.795 | 124.795 | -0.000 | -0.000 | -0.000 |
| 124.795 | 100.120 | 124.795 | -0.000 | -0.000 | -0.000 |
| 124.795 | 124.795 | 100.120 | -0.000 | -0.000 | -0.000 |
| 0.000 | -0.000 | 0.000 | 106.891 | -0.000 | 0.000 |
| -0.000 | 0.000 | 0.000 | -0.000 | 106.891 | 0.000 |
| -0.000 | 0.000 | 0.000 | -0.000 | -0.000 | 106.891 |
| 100.120 | 124.795 | 124.795 | 0.000 | 0.000 | 0.000 |
| 124.795 | 100.120 | 124.795 | 0.000 | 0.000 | 0.000 |
| 124.795 | 124.795 | 100.120 | 0.000 | 0.000 | 0.000 |
| -0.000 | 0.000 | -0.000 | 106.891 | 0.000 | -0.000 |
| 0.000 | -0.000 | -0.000 | 0.000 | 106.891 | -0.000 |
| 0.000 | -0.000 | -0.000 | 0.000 | -0.000 | 106.891 |
| 100.120 | 124.795 | 124.795 | -0.000 | -0.000 | -0.000 |
| 124.795 | 100.120 | 124.795 | -0.000 | -0.000 | -0.000 |
| 124.795 | 124.795 | 100.120 | -0.000 | -0.000 | -0.000 |
| -0.000 | -0.000 | -0.000 | -33.491 | -0.000 | -0.000 |
| -0.000 | -0.000 | -0.000 | -0.000 | -33.491 | -0.000 |
| -0.000 | -0.000 | -0.000 | -0.000 | -0.000 | -33.491 |
| 100.120 | 124.794 | 124.794 | 0.000 | 0.000 | 0.000 |
| 124.794 | 100.120 | 124.794 | 0.000 | 0.000 | 0.000 |
| 124.794 | 124.794 | 100.120 | 0.000 | 0.000 | 0.000 |
| 0.000 | 0.000 | 0.000 | -33.491 | 0.000 | 0.000 |
| 0.000 | 0.000 | 0.000 | 0.000 | -33.491 | 0.000 |
| 0.000 | 0.000 | 0.000 | 0.000 | 0.000 | -33.491 |
| 292.204 | 17.511 | 24.076 | 0.000 | -0.000 | 0.000 |
| 17.511 | 292.204 | 24.076 | 0.000 | -0.000 | 0.000 |
| 24.076 | 24.076 | 290.676 | 0.000 | -0.000 | 0.000 |
| -0.000 | -0.000 | -0.000 | -40.993 | -0.000 | -0.000 |
| -0.000 | -0.000 | -0.000 | 0.000 | -40.993 | 0.000 |
| -0.000 | -0.000 | -0.000 | 0.000 | -0.000 | -9.785 |
| 292.204 | 17.511 | 24.076 | -0.000 | 0.000 | -0.000 |
| 17.511 | 292.204 | 24.076 | -0.000 | 0.000 | 0.000 |
| 24.076 | 24.076 | 290.676 | -0.000 | 0.000 | -0.000 |
| 0.000 | 0.000 | 0.000 | -40.993 | 0.000 | -0.000 |
| 0.000 | -0.000 | 0.000 | -0.000 | -40.993 | -0.000 |
| 0.000 | 0.000 | 0.000 | -0.000 | 0.000 | -9.785 |
| 292.204 | 17.511 | 24.077 | 0.000 | -0.000 | 0.000 |
| 17.511 | 292.204 | 24.077 | 0.000 | -0.000 | 0.000 |
| 24.076 | 24.076 | 290.676 | 0.000 | -0.000 | 0.000 |
| -0.000 | -0.000 | -0.000 | -40.993 | -0.000 | -0.000 |
| -0.000 | -0.000 | -0.000 | 0.000 | -40.993 | 0.000 |
| -0.000 | -0.000 | -0.000 | 0.000 | -0.000 | -9.785 |
| -441.460 | 751.176 | 24.077 | -0.000 | 0.000 | 0.000 |
| 751.176 | -441.460 | 24.077 | 0.000 | 0.000 | -0.000 |
| 24.076 | 24.076 | 290.675 | -0.000 | 0.000 | -0.000 |
| 0.000 | 0.000 | 0.000 | -40.993 | 0.000 | -0.000 |
| 0.000 | 0.000 | 0.000 | -0.000 | -40.993 | -0.000 |
| 0.000 | 0.000 | 0.000 | -0.000 | 0.000 | -9.785 |
| -917.293 | 1227.017 | 24.067 | -0.000 | 0.000 | 0.000 |
| 1227.017 | -917.293 | 24.067 | 0.000 | -0.000 | 0.000 |
| 24.076 | 24.076 | 290.680 | 0.000 | -0.000 | 0.000 |
| -0.000 | -0.000 | -0.000 | -40.993 | -0.000 | 0.000 |
| -0.000 | -0.000 | -0.000 | 0.000 | -40.993 | 0.000 |
| -0.000 | -0.000 | -0.000 | 0.000 | -0.000 | -9.785 |
| -770.082 | 1079.793 | 24.084 | -0.000 | -0.000 | -0.000 |
| 1079.793 | -770.082 | 24.084 | -0.000 | -0.000 | -0.000 |
| 24.077 | 24.077 | 290.671 | 0.000 | 0.000 | -0.000 |
| 0.000 | 0.000 | 0.000 | -40.993 | 0.000 | -0.000 |
| 0.000 | 0.000 | 0.000 | -0.000 | -40.993 | -0.000 |
| 0.000 | 0.000 | 0.000 | -0.000 | 0.000 | -9.785 |
| 366.064 | 14.510 | 14.510 | 0.000 | 0.000 | 0.000 |
| 14.510 | 366.064 | 14.510 | 0.000 | -0.000 | 0.000 |
| 14.510 | 14.510 | 366.064 | 0.000 | 0.000 | 0.000 |
| 0.000 | -0.000 | -0.000 | -12.380 | -0.000 | 0.000 |
| 0.000 | -0.000 | -0.000 | 0.000 | -12.380 | 0.000 |
| 0.000 | -0.000 | -0.000 | 0.000 | -0.000 | -12.380 |
| 366.064 | 14.510 | 14.510 | -0.000 | 0.000 | 0.000 |
| 14.510 | 366.064 | 14.510 | -0.000 | 0.000 | 0.000 |
| 14.510 | 14.510 | 366.064 | -0.000 | 0.000 | 0.000 |
| -0.000 | 0.000 | 0.000 | -12.380 | -0.000 | -0.000 |
| -0.000 | -0.000 | 0.000 | -0.000 | -12.380 | -0.000 |
| -0.000 | 0.000 | 0.000 | -0.000 | 0.000 | -12.380 |
| 366.065 | 14.510 | 14.510 | 0.000 | -0.000 | -0.000 |
| 14.510 | 366.065 | 14.510 | 0.000 | -0.000 | -0.000 |
| 14.510 | 14.510 | 366.065 | 0.000 | -0.000 | 0.000 |
| 0.000 | 0.000 | -0.000 | -12.380 | -0.000 | -0.000 |
| 0.000 | 0.000 | -0.000 | 0.000 | -12.380 | 0.000 |
| 0.000 | -0.000 | 0.000 | 0.000 | -0.000 | -12.380 |
| 366.064 | 14.510 | 14.510 | -0.000 | -0.000 | 0.000 |
| 14.510 | 366.064 | 14.510 | -0.000 | 0.000 | 0.000 |
| 14.510 | 14.510 | 366.064 | -0.000 | 0.000 | -0.000 |
| -0.000 | -0.000 | 0.000 | -12.380 | 0.000 | -0.000 |
| -0.000 | -0.000 | 0.000 | -0.000 | -12.380 | -0.000 |
| -0.000 | 0.000 | -0.000 | -0.000 | 0.000 | -12.380 |
| 366.069 | 14.510 | 14.510 | 0.000 | -0.000 | 0.000 |
| 14.510 | 366.069 | 14.510 | 0.000 | -0.000 | 0.000 |
| 14.510 | 14.510 | 366.069 | 0.000 | -0.000 | 0.000 |
| 0.000 | 0.000 | -0.000 | -12.380 | -0.000 | 0.000 |
| 0.000 | 0.000 | -0.000 | 0.000 | -12.380 | 0.000 |
| 0.000 | -0.000 | 0.000 | 0.000 | -0.000 | -12.380 |
| 366.060 | 14.510 | 14.510 | -0.000 | 0.000 | 0.000 |
| 14.510 | 366.060 | 14.510 | -0.000 | 0.000 | -0.000 |
| 14.510 | 14.510 | 366.060 | 0.000 | 0.000 | -0.000 |
| -0.000 | -0.000 | 0.000 | -12.380 | 0.000 | -0.000 |
| -0.000 | -0.000 | 0.000 | -0.000 | -12.380 | -0.000 |
| -0.000 | 0.000 | -0.000 | -0.000 | 0.000 | -12.380 |
| 71.724 | -18.243 | -0.186 | -0.000 | 0.000 | -0.000 |
| 9.620 | 22.816 | 6.021 | 0.000 | -0.000 | -0.000 |
| 0.055 | 0.452 | 0.395 | -0.000 | -0.000 | -0.000 |
| -0.052 | -0.119 | -0.278 | -11.409 | 0.000 | -0.000 |
| -0.357 | -0.814 | -1.903 | -0.000 | -14.875 | -0.000 |
| -0.074 | -0.169 | -0.394 | -0.000 | 0.000 | 8.390 |
| 72.198 | -17.075 | 0.186 | 0.000 | -0.000 | 0.000 |
| -14.307 | -36.882 | 4.007 | 0.000 | -0.000 | 0.000 |
| 0.105 | 0.564 | 0.677 | 0.000 | 0.000 | 0.000 |
| 0.052 | 0.119 | 0.278 | -11.408 | 0.000 | 0.000 |
| 0.357 | 0.814 | 1.903 | 0.000 | -14.875 | 0.000 |
| 0.074 | 0.169 | 0.394 | 0.000 | 0.000 | 8.390 |
| 71.937 | -17.717 | -0.019 | -0.000 | 0.000 | -0.000 |
| -14.704 | -37.710 | -0.019 | -0.000 | 0.000 | -0.000 |
| -2.232 | -5.246 | -0.020 | -0.000 | 0.000 | -0.000 |
| -0.005 | -0.012 | -0.028 | -11.408 | -0.000 | -0.000 |
| 0.000 | 0.000 | -0.000 | 0.000 | -2.056 | -0.000 |
| -0.007 | -0.017 | -0.039 | -0.000 | -0.000 | 8.390 |
| 71.985 | -17.601 | 0.019 | 0.000 | -0.000 | 0.000 |
| -14.656 | -37.593 | 0.019 | 0.000 | -0.000 | 0.000 |
| -2.185 | -5.129 | 0.020 | 0.000 | -0.000 | 0.000 |
| 0.005 | 0.012 | 0.028 | -11.408 | -0.000 | 0.000 |
| -0.000 | -0.000 | 0.000 | -0.000 | -2.056 | 0.000 |
| 0.007 | 0.017 | 0.039 | 0.000 | -0.000 | 8.390 |
| 71.960 | -17.665 | -0.002 | -0.000 | 0.000 | -0.000 |
| -14.682 | -37.657 | -0.002 | -0.000 | 0.000 | -0.000 |
| -2.211 | -5.193 | -0.013 | -0.000 | 0.000 | -0.000 |
| 2070253.092 | 5052314.902 | -0.008 | -0.000 | -0.000 | -0.000 |
| 1505063.882 | 3098271.601 | -0.006 | 0.000 | -0.000 | -0.000 |
| -0.001 | -0.002 | -0.004 | -0.000 | -0.000 | 8.390 |
| 71.962 | -17.653 | 0.002 | 0.000 | -0.000 | 0.000 |
| -14.678 | -37.646 | 0.002 | 0.000 | -0.000 | 0.000 |
| -2.206 | -5.182 | 0.013 | 0.000 | -0.000 | 0.000 |
| -2070253.092 | -5052314.902 | 0.007 | -0.000 | 0.000 | 0.000 |
| -0.000 | -0.000 | 0.000 | -0.000 | -2.056 | 0.000 |
| 0.001 | 0.002 | 0.004 | 0.000 | -0.000 | 8.390 |
| 863.282 | 541.815 | -883.295 | -0.000 | -0.000 | 0.000 |
| 541.815 | 863.282 | -883.295 | 0.000 | -0.000 | 0.000 |
| 601.409 | 601.409 | -656.707 | 0.000 | -0.000 | 0.000 |
| 507.029 | 507.029 | -976.653 | -42.733 | -0.000 | 0.000 |
| 507.029 | 507.029 | -976.653 | 0.000 | -42.733 | 0.000 |
| 507.029 | 507.029 | -976.653 | -0.000 | -0.000 | 15.533 |
| -150.776 | -472.242 | 1070.010 | 0.000 | 0.000 | -0.000 |
| -472.242 | -150.776 | 1070.010 | -0.000 | 0.000 | -0.000 |
| -412.648 | -412.648 | 1296.598 | -0.000 | -0.000 | -0.000 |
| -507.029 | -507.029 | 976.653 | -42.733 | 0.000 | -0.000 |
| -507.029 | -507.029 | 976.653 | -0.000 | -42.733 | -0.000 |
| -507.029 | -507.029 | 976.653 | -0.000 | 0.000 | 15.533 |
| 406.957 | 85.489 | -4.308 | -0.000 | 0.000 | 0.000 |
| 85.489 | 406.957 | -4.308 | -0.000 | 0.000 | 0.000 |
| 145.083 | 145.083 | 222.281 | 0.000 | 0.000 | 0.000 |
| 0.000 | 0.000 | 0.000 | 40.152 | 0.000 | 0.000 |
| 0.000 | 0.000 | 0.000 | 0.000 | 40.152 | 0.000 |
| 0.000 | -0.000 | 0.000 | 0.000 | -0.000 | 15.533 |
| 305.550 | -15.917 | 191.023 | -0.000 | 0.000 | -0.000 |
| -15.917 | 305.550 | 191.023 | 0.000 | 0.000 | -0.000 |
| 43.677 | 43.677 | 417.610 | 0.000 | 0.000 | -0.000 |
| -0.000 | -0.000 | -0.000 | 40.152 | -0.000 | -0.000 |
| -0.000 | -0.000 | -0.000 | -0.000 | 40.152 | -0.000 |
| -0.000 | 0.000 | -0.000 | -0.000 | 0.000 | 15.533 |
| 369.015 | 47.543 | 68.786 | 0.000 | -0.000 | 0.000 |
| 47.543 | 369.015 | 68.786 | 0.000 | -0.000 | 0.000 |
| 99.451 | 99.451 | 310.186 | 0.000 | 0.000 | 0.000 |
| 5.067 | 5.067 | -9.761 | -42.733 | -0.000 | 0.000 |
| 5.067 | 5.067 | -9.761 | 0.000 | -42.733 | 0.000 |
| 0.000 | -0.000 | 0.000 | 0.000 | 0.000 | 15.533 |
| 351.178 | 29.716 | 103.124 | 0.000 | -0.000 | -0.000 |
| 29.716 | 351.178 | 103.124 | -0.000 | 0.000 | -0.000 |
| 89.309 | 89.309 | 329.706 | -0.000 | -0.000 | -0.000 |
| -5.067 | -5.067 | 9.761 | -42.733 | -0.000 | -0.000 |
| -5.067 | -5.067 | 9.761 | -0.000 | -42.733 | -0.000 |
| -0.000 | 0.000 | -0.000 | -0.000 | 0.000 | 15.533 |
| 341.770 | 35.767 | 99.336 | -0.000 | -0.000 | -0.000 |
| 35.767 | 341.770 | 99.336 | -0.000 | -0.000 | -0.000 |
| 99.336 | 99.336 | 343.583 | 0.000 | -0.000 | -0.000 |
| -0.000 | -0.000 | 0.000 | -43.777 | -0.000 | 0.000 |
| -0.000 | -0.000 | 0.000 | 0.000 | -43.777 | 0.000 |
| -0.000 | 0.000 | 0.000 | -0.000 | -0.000 | 18.708 |
| 341.770 | 35.767 | 99.336 | 0.000 | 0.000 | -0.000 |
| 35.767 | 341.770 | 99.336 | -0.000 | 0.000 | -0.000 |
| 74.568 | 74.568 | 386.352 | 0.000 | -0.000 | 0.000 |
| 0.000 | 0.000 | -0.000 | -43.777 | 0.000 | -0.000 |
| 0.000 | 0.000 | -0.000 | 0.000 | -43.777 | -0.000 |
| 0.000 | -0.000 | -0.000 | 0.000 | 0.000 | 18.708 |
| 341.770 | 35.767 | 99.336 | -0.000 | -0.000 | 0.000 |
| 35.767 | 341.770 | 99.336 | -0.000 | -0.000 | 0.000 |
| 99.336 | 99.336 | 343.583 | -0.000 | -0.000 | -0.000 |
| 0.000 | 0.000 | 0.000 | 44.487 | -0.000 | 0.000 |
| 0.000 | 0.000 | 0.000 | -0.000 | 44.487 | 0.000 |
| 0.000 | -0.000 | 0.000 | -0.000 | -0.000 | 18.708 |
| 341.769 | 35.767 | 99.336 | 0.000 | 0.000 | -0.000 |
| 35.767 | 341.769 | 99.336 | -0.000 | 0.000 | -0.000 |
| 99.336 | 99.336 | 343.582 | 0.000 | 0.000 | 0.000 |
| -0.000 | -0.000 | -0.000 | 44.487 | 0.000 | -0.000 |
| -0.000 | -0.000 | -0.000 | 0.000 | 44.487 | -0.000 |
| -0.000 | 0.000 | -0.000 | 0.000 | 0.000 | 18.708 |
| 341.775 | 35.767 | 99.336 | -0.000 | -0.000 | -0.000 |
| 35.767 | 341.775 | 99.336 | -0.000 | -0.000 | -0.000 |
| 99.337 | 99.337 | 343.589 | -0.000 | -0.000 | -0.000 |
| -0.001 | -0.001 | 0.002 | -43.777 | -0.000 | -0.000 |
| -0.001 | -0.001 | 0.002 | -0.000 | -43.777 | 0.000 |
| 0.000 | -0.000 | 0.001 | 0.000 | -0.000 | 18.708 |
| 341.764 | 35.767 | 99.335 | -0.000 | 0.000 | -0.000 |
| 35.767 | 341.764 | 99.335 | -0.000 | 0.000 | -0.000 |
| 99.335 | 99.335 | 343.577 | 0.000 | 0.000 | -0.000 |
| 0.001 | 0.001 | -0.002 | -43.777 | 0.000 | -0.000 |
| 0.001 | 0.001 | -0.002 | 0.000 | -43.777 | -0.000 |
| -0.000 | 0.000 | -0.001 | 0.000 | 0.000 | 18.708 |
| 241.090 | 22.501 | 22.501 | -0.000 | -0.000 | -0.000 |
| 22.501 | 241.090 | 22.501 | -0.000 | -0.000 | -0.000 |
| 22.501 | 22.501 | 241.090 | -0.000 | -0.000 | -0.000 |
| -106.419 | -106.419 | -106.419 | 94.339 | -0.000 | -0.000 |
| -106.419 | -106.419 | -106.419 | -0.000 | 94.339 | -0.000 |
| -106.419 | -106.419 | -106.419 | -0.000 | -0.000 | 94.339 |
| 498.905 | 350.680 | 350.680 | -0.000 | 0.000 | 0.000 |
| 350.680 | 498.905 | 350.680 | 0.000 | 0.000 | -0.000 |
| 350.680 | 350.680 | 498.905 | 0.000 | 0.000 | 0.000 |
| 106.419 | 106.419 | 106.419 | 94.339 | 0.000 | 0.000 |
| 106.419 | 106.419 | 106.419 | 0.000 | 94.339 | 0.000 |
| 106.419 | 106.419 | 106.419 | 0.000 | 0.000 | 94.339 |
| 279.340 | 130.676 | 130.676 | 0.000 | -0.000 | 0.000 |
| 130.676 | 279.340 | 130.676 | 0.000 | -0.000 | -0.000 |
| 130.676 | 130.676 | 279.340 | -0.000 | -0.000 | 0.000 |
| -19.934 | -19.934 | -19.934 | 15.410 | -0.000 | 0.000 |
| -19.934 | -19.934 | -19.934 | 0.000 | 15.410 | 0.000 |
| -19.934 | -19.934 | -19.934 | -0.000 | -0.000 | 15.410 |
| 356.190 | 140.656 | 140.656 | 0.000 | 0.000 | 0.000 |
| 140.656 | 356.190 | 140.656 | 0.000 | 0.000 | 0.000 |
| 140.656 | 140.656 | 356.190 | 0.000 | 0.000 | 0.000 |
| 19.934 | 19.934 | 19.934 | 15.410 | 0.000 | -0.000 |
| 19.934 | 19.934 | 19.934 | 0.000 | 15.410 | -0.000 |
| 19.934 | 19.934 | 19.934 | 0.000 | 0.000 | 15.410 |
| 321.895 | 137.748 | 137.748 | -0.000 | -0.000 | -0.000 |
| 137.748 | 321.895 | 137.748 | -0.000 | -0.000 | -0.000 |
| 137.748 | 137.748 | 321.895 | -0.000 | -0.000 | -0.000 |
| -1.628 | -1.628 | -1.628 | 27.388 | -0.000 | 0.000 |
| -1.628 | -1.628 | -1.628 | -0.000 | 27.388 | 0.000 |
| -1.628 | -1.628 | -1.628 | 0.000 | -0.000 | 27.388 |
| 312.467 | 147.416 | 147.416 | 0.000 | 0.000 | -0.000 |
| 147.416 | 312.467 | 147.416 | 0.000 | 0.000 | -0.000 |
| 147.416 | 147.416 | 312.467 | 0.000 | 0.000 | -0.000 |
| 1.628 | 1.628 | 1.628 | 27.388 | 0.000 | -0.000 |
| 1.628 | 1.628 | 1.628 | 0.000 | 27.388 | -0.000 |
| 1.628 | 1.628 | 1.628 | 0.000 | 0.000 | 27.388 |
| 377.324 | 112.348 | 112.348 | -0.000 | 0.000 | -0.000 |
| 112.348 | 377.324 | 112.348 | -0.000 | -0.000 | -0.000 |
| 112.348 | 112.348 | 377.324 | -0.000 | -0.000 | -0.000 |
| 1904.250 | 1904.250 | 1904.250 | 58.610 | -0.000 | -0.000 |
| 1904.250 | 1904.250 | 1904.250 | -0.000 | 58.610 | -0.000 |
| 1904.250 | 1904.250 | 1904.250 | -0.000 | -0.000 | 58.610 |
| -1720.038 | -1895.411 | -1895.411 | 0.000 | 0.000 | -0.000 |
| -1895.411 | -1720.038 | -1895.411 | 0.000 | -0.000 | -0.000 |
| -1895.411 | -1895.411 | -1720.038 | -0.000 | 0.000 | -0.000 |
| -1904.250 | -1904.250 | -1904.250 | 58.610 | 0.000 | 0.000 |
| -1904.250 | -1904.250 | -1904.250 | 0.000 | 58.610 | 0.000 |
| -1904.250 | -1904.250 | -1904.250 | 0.000 | 0.000 | 58.610 |
| 507.362 | 328.458 | 328.458 | -0.000 | -0.000 | -0.000 |
| 328.458 | 507.362 | 328.458 | -0.000 | -0.000 | -0.000 |
| 328.458 | 328.458 | 507.362 | -0.000 | 0.000 | -0.000 |
| -0.000 | 0.000 | 0.000 | 79.913 | 0.000 | -0.000 |
| 0.000 | 0.000 | 0.000 | -0.000 | 79.913 | -0.000 |
| 0.000 | 0.000 | -0.000 | -0.000 | -0.000 | 79.913 |
| 120.070 | -48.971 | -48.971 | -0.000 | -0.000 | 0.000 |
| -48.971 | 120.070 | -48.971 | -0.000 | 0.000 | 0.000 |
| -48.971 | -48.971 | 120.070 | 0.000 | -0.000 | 0.000 |
| 0.000 | -0.000 | -0.000 | 79.913 | 0.000 | 0.000 |
| -0.000 | 0.000 | -0.000 | 0.000 | 79.913 | 0.000 |
| -0.000 | -0.000 | 0.000 | 0.000 | 0.000 | 79.913 |
| 326.699 | 157.672 | 157.672 | -0.000 | 0.000 | -0.000 |
| 157.672 | 326.699 | 157.672 | -0.000 | -0.000 | -0.000 |
| 157.672 | 157.672 | 326.699 | 0.000 | -0.000 | -0.000 |
| 0.000 | 0.000 | 0.000 | 79.913 | 0.000 | -0.000 |
| 0.000 | 0.000 | 0.000 | -0.000 | 79.913 | -0.000 |
| 0.000 | 0.000 | 0.000 | 0.000 | -0.000 | 79.913 |
| 377.321 | 112.347 | 112.347 | 0.000 | 0.000 | 0.000 |
| 112.347 | 377.321 | 112.347 | 0.000 | -0.000 | 0.000 |
| 112.347 | 112.347 | 377.321 | -0.000 | -0.000 | 0.000 |
| -0.000 | -0.000 | -0.000 | 79.913 | -0.000 | 0.000 |
| -0.000 | -0.000 | -0.000 | 0.000 | 79.913 | 0.000 |
| -0.000 | -0.000 | -0.000 | 0.000 | 0.000 | 79.913 |
| 445.897 | 346.336 | 346.330 | -0.009 | 0.011 | -0.017 |
| 346.368 | 445.866 | 346.329 | -0.009 | 0.011 | -0.017 |
| 346.368 | 346.334 | 445.861 | -0.009 | 0.011 | -0.017 |
| 170.449 | 170.399 | 170.391 | 68.523 | 0.016 | -0.025 |
| 170.449 | 170.399 | 170.391 | -0.013 | 68.552 | -0.025 |
| 170.449 | 170.399 | 170.391 | -0.013 | 0.016 | 68.511 |
| 303.000 | 141.826 | 141.826 | -0.000 | 0.000 | -0.000 |
| 141.826 | 303.000 | 141.826 | -0.000 | 0.000 | -0.000 |
| 141.826 | 141.826 | 303.000 | 0.000 | -0.000 | -0.000 |
| -170.449 | -170.399 | -170.391 | 68.549 | -0.016 | 0.025 |
| -170.449 | -170.399 | -170.391 | 0.013 | 68.520 | 0.025 |
| -170.449 | -170.399 | -170.391 | 0.013 | -0.016 | 68.561 |
| 303.000 | 141.826 | 141.826 | -0.000 | 0.000 | 0.000 |
| 141.826 | 303.000 | 141.826 | -0.000 | 0.000 | 0.000 |
| 141.826 | 141.826 | 303.000 | -0.000 | -0.000 | -0.000 |
| 16.949 | 16.944 | 16.943 | 68.764 | 0.002 | -0.002 |
| 16.949 | 16.944 | 16.943 | -0.001 | 68.767 | -0.002 |
| 16.949 | 16.944 | 16.943 | -0.001 | 0.002 | 68.763 |
| 303.000 | 141.826 | 141.826 | 0.000 | 0.000 | -0.000 |
| 141.826 | 303.000 | 141.826 | 0.000 | 0.000 | -0.000 |
| 141.826 | 141.826 | 303.000 | 0.000 | 0.000 | -0.000 |
| -16.949 | -16.944 | -16.943 | 68.767 | -0.002 | 0.002 |
| -16.949 | -16.944 | -16.943 | 0.001 | 68.764 | 0.002 |
| -16.949 | -16.944 | -16.943 | 0.001 | -0.002 | 68.768 |
| 283.793 | 152.803 | 152.802 | -0.000 | 0.000 | -0.000 |
| 152.803 | 283.793 | 152.802 | -0.000 | 0.000 | -0.000 |
| 152.803 | 152.802 | 283.793 | -0.000 | 0.000 | -0.000 |
| 0.000 | 0.000 | 0.000 | 109.318 | -0.000 | 0.000 |
| 1.587 | 1.586 | 1.586 | -0.000 | 71.351 | -0.000 |
| 0.000 | 0.000 | 0.000 | 0.000 | 0.000 | 109.318 |
| 280.137 | 150.511 | 150.511 | 0.000 | -0.000 | 0.000 |
| 150.511 | 280.138 | 150.511 | 0.000 | -0.000 | 0.000 |
| 150.511 | 150.511 | 280.138 | 0.000 | -0.000 | 0.000 |
| -0.000 | -0.000 | -0.000 | 109.318 | 0.000 | 0.000 |
| -0.000 | -0.000 | -0.000 | 0.000 | 109.318 | -0.000 |
| -0.000 | -0.000 | -0.000 | 0.000 | 0.000 | 109.318 |
| 309.026 | 123.149 | 65.167 | -0.000 | -0.000 | -0.000 |
| 336.913 | 248.704 | 149.476 | 0.000 | -0.000 | -0.000 |
| 66.751 | -0.369 | 189.921 | 0.000 | 0.000 | -0.000 |
| 211.881 | -8.693 | 149.771 | -29.857 | 0.000 | -0.000 |
| 213.154 | -8.745 | 150.671 | -0.000 | 18.050 | -0.000 |
| 0.000 | 0.000 | 0.000 | 0.000 | -0.000 | 92.256 |
| 78.101 | 132.623 | -98.066 | 0.000 | 0.000 | 0.000 |
| -86.823 | 266.088 | -150.049 | 0.000 | 0.000 | 0.000 |
| 66.751 | -0.369 | 189.921 | -0.000 | 0.000 | 0.000 |
| -211.881 | 8.693 | -149.771 | -29.857 | -0.000 | 0.000 |
| -213.154 | 8.745 | -150.671 | 0.000 | 18.050 | 0.000 |
| -0.000 | -0.000 | -0.000 | 0.000 | 0.000 | 92.256 |
| 309.027 | 123.149 | 65.167 | -0.000 | -0.000 | -0.000 |
| 146.232 | 256.527 | 14.690 | 0.000 | -0.000 | -0.000 |
| 66.751 | -0.369 | 189.921 | -0.000 | 0.000 | -0.000 |
| 21.547 | -0.884 | 15.231 | -32.030 | -0.000 | -0.000 |
| 32.524 | -1.334 | 22.990 | 0.000 | 8.789 | -0.000 |
| 21.187 | -0.869 | 14.976 | -0.000 | -0.000 | 92.256 |
| 309.025 | 123.149 | 65.167 | 0.000 | 0.000 | 0.000 |
| 103.858 | 258.265 | -15.263 | -0.000 | -0.000 | 0.000 |
| 32.094 | 1.053 | 165.422 | -0.000 | 0.000 | 0.000 |
| -21.547 | 0.884 | -15.231 | -32.030 | 0.000 | 0.000 |
| -32.524 | 1.334 | -22.990 | 0.000 | 8.789 | 0.000 |
| -21.187 | 0.869 | -14.976 | 0.000 | 0.000 | 92.256 |
| 292.094 | 123.845 | 53.194 | 0.000 | 0.000 | -0.000 |
| 127.165 | 257.313 | 1.211 | 0.000 | -0.000 | -0.000 |
| 55.400 | 0.097 | 181.901 | 0.000 | -0.000 | -0.000 |
| 3.488 | -0.143 | 2.465 | -29.939 | -0.000 | -0.000 |
| 10.962 | -0.450 | 7.749 | 0.000 | -54.927 | -0.000 |
| 0.000 | 0.002 | -0.000 | 0.000 | -0.000 | 92.256 |
| 287.845 | 124.017 | 50.199 | -0.000 | -0.000 | 0.000 |
| 122.924 | 257.478 | -1.784 | -0.000 | 0.000 | 0.000 |
| 66.750 | -0.369 | 189.916 | -0.000 | 0.000 | 0.000 |
| -3.488 | 0.143 | -2.465 | -29.939 | 0.000 | 0.000 |
| -10.962 | 0.450 | -7.749 | 0.000 | -54.927 | 0.000 |
| -0.000 | -0.002 | 0.000 | -0.000 | 0.000 | 92.256 |
| 344.726 | 139.456 | 73.436 | 0.001 | -0.000 | 0.000 |
| 140.064 | 303.337 | 74.763 | 0.001 | -0.000 | 0.000 |
| 73.921 | 74.735 | 187.996 | 0.000 | -0.000 | 0.000 |
| -0.030 | 0.029 | 0.001 | 39.277 | -0.000 | 0.000 |
| -0.072 | 0.071 | 0.001 | 0.000 | 37.506 | 0.000 |
| -0.125 | 0.124 | 0.002 | 0.001 | -0.000 | 80.494 |
| 344.969 | 139.216 | 73.431 | -0.001 | 0.000 | -0.000 |
| 140.306 | 303.096 | 74.758 | -0.001 | 0.000 | 0.000 |
| 73.877 | 74.779 | 187.996 | -0.000 | 0.000 | -0.000 |
| 0.027 | -0.027 | -0.001 | 39.277 | 0.000 | -0.000 |
| 0.072 | -0.071 | -0.001 | -0.000 | 37.506 | -0.000 |
| 0.125 | -0.124 | -0.002 | -0.001 | 0.000 | 80.494 |
| 344.835 | 139.349 | 73.434 | 0.000 | -0.000 | 0.000 |
| 140.174 | 303.228 | 74.761 | 0.000 | -0.000 | 0.000 |
| 74.077 | 74.580 | 187.993 | 0.000 | -0.000 | -0.000 |
| -0.002 | 0.002 | 0.000 | 39.278 | -0.000 | 0.000 |
| -0.007 | 0.007 | 0.000 | 0.000 | 37.506 | 0.000 |
| -0.012 | 0.013 | 0.000 | 0.000 | -0.000 | 80.493 |
| 344.858 | 139.325 | 73.433 | -0.000 | 0.000 | 0.000 |
| 140.198 | 303.203 | 74.760 | -0.000 | 0.000 | -0.000 |
| 74.101 | 74.556 | 187.992 | -0.000 | 0.000 | -0.000 |
| 0.002 | -0.002 | -0.000 | 39.278 | 0.000 | -0.000 |
| 0.007 | -0.007 | -0.000 | -0.000 | 37.506 | -0.000 |
| 0.012 | -0.013 | -0.000 | -0.000 | 0.000 | 80.493 |
| 344.852 | 139.339 | 73.434 | 0.000 | -0.000 | 0.000 |
| 140.187 | 303.222 | 74.761 | 0.000 | -0.000 | 0.000 |
| 74.090 | 74.570 | 187.998 | 0.000 | -0.000 | 0.000 |
| -0.000 | 0.001 | 0.001 | 39.278 | -0.000 | 0.000 |
| -0.001 | 0.001 | 0.001 | 0.000 | 37.506 | -0.000 |
| -0.001 | 0.003 | -0.000 | 0.000 | -0.000 | 80.493 |
| 344.841 | 139.335 | 73.433 | -0.000 | 0.000 | -0.000 |
| 140.185 | 303.209 | 74.760 | -0.000 | 0.000 | -0.000 |
| 74.089 | 74.565 | 187.987 | -0.000 | 0.000 | -0.000 |
| 0.000 | -0.001 | -0.001 | 39.278 | -0.000 | -0.000 |
| 0.001 | -0.001 | -0.001 | -0.000 | 37.506 | -0.000 |
| 0.001 | -0.003 | 0.000 | -0.000 | 0.000 | 80.493 |
| 238.629 | 93.320 | -5.584 | 0.000 | -0.000 | -0.000 |
| 237.287 | 94.662 | -5.584 | -0.000 | 0.000 | -0.000 |
| -5.584 | -5.584 | 226.069 | 0.000 | -0.000 | -0.000 |
| 0.000 | -0.000 | -0.000 | -26.306 | -0.000 | -0.000 |
| 0.000 | 0.000 | -0.000 | 0.000 | -26.306 | -0.000 |
| -0.000 | -0.000 | 0.000 | 0.000 | 0.000 | -52.906 |
| 238.629 | 93.320 | -5.584 | -0.000 | -0.000 | 0.000 |
| 218.881 | 113.068 | -5.584 | -0.000 | -0.000 | -0.000 |
| -5.584 | -5.584 | 226.069 | -0.000 | -0.000 | 0.000 |
| -0.000 | 0.000 | 0.000 | -26.306 | 0.000 | 0.000 |
| -0.000 | 0.000 | 0.000 | -0.000 | -26.306 | 0.000 |
| -0.000 | 0.000 | 0.000 | -0.000 | 0.000 | -52.906 |
| 113.069 | 218.880 | -5.584 | 0.000 | 0.000 | -0.000 |
| 218.882 | 113.067 | -5.584 | 0.000 | -0.000 | -0.000 |
| -5.584 | -5.584 | 226.069 | -0.000 | -0.000 | -0.000 |
| -0.000 | -0.000 | -0.000 | -26.306 | -0.000 | -0.000 |
| -0.000 | -0.000 | -0.000 | 0.000 | -26.306 | -0.000 |
| -0.000 | -0.000 | -0.000 | 0.000 | 0.000 | -52.906 |
| 238.629 | 93.320 | -5.584 | -0.000 | 0.000 | 0.000 |
| 237.285 | 94.664 | -5.584 | -0.000 | 0.000 | 0.000 |
| -5.584 | -5.584 | 226.068 | -0.000 | -0.000 | 0.000 |
| 0.000 | 0.000 | 0.000 | -26.306 | 0.000 | 0.000 |
| 0.000 | 0.000 | 0.000 | -0.000 | -26.306 | 0.000 |
| 0.000 | 0.000 | 0.000 | -0.000 | -0.000 | -52.906 |
| 113.068 | 218.882 | -5.584 | -0.000 | 0.000 | -0.000 |
| -4055049.672 | -3921431.974 | -3829922.680 | -48941.394 | -42875.579 | -28410.521 |
| -5.584 | -5.584 | 226.070 | -0.000 | -0.000 | -0.000 |
| -0.000 | -0.000 | -0.000 | -26.306 | -0.000 | -0.000 |
| -0.000 | -0.000 | -0.000 | -0.000 | -26.306 | -0.000 |
| -3961851.232 | -4060093.246 | -3700213.252 | -38367.579 | -9911.949 | -30425.483 |
| 113.058 | 218.889 | -5.584 | -0.000 | -0.000 | 0.000 |
| 4353595.190 | 3945161.344 | 3689415.557 | -94520.885 | 40973.283 | -39645.489 |
| -5.584 | -5.584 | 226.067 | -0.000 | -0.000 | 0.000 |
| 0.000 | 0.000 | 0.000 | -26.306 | 0.000 | 0.000 |
| 0.000 | 0.000 | 0.000 | 0.000 | -26.306 | 0.000 |
| 4166498.704 | 4255624.465 | 3825637.739 | 25742.981 | 25750.103 | -48527.284 |
| 312.903 | 140.043 | 86.055 | 6.665 | -0.000 | -0.000 |
| 140.043 | 312.903 | 86.055 | -6.665 | -0.000 | -0.000 |
| 87.765 | 87.765 | 242.434 | 0.000 | 0.000 | -0.000 |
| 6.153 | -6.153 | 0.000 | 51.240 | -0.000 | -0.000 |
| 0.000 | 0.000 | 0.000 | 0.000 | 51.240 | 6.153 |
| 0.000 | 0.000 | -0.000 | 0.000 | 6.153 | 84.346 |
| 312.903 | 140.043 | 86.055 | 6.665 | 0.000 | 0.000 |
| 131.839 | 322.195 | 88.318 | -8.816 | 0.000 | 0.000 |
| 87.765 | 87.765 | 242.434 | -0.000 | 0.000 | 0.000 |
| 6.153 | -6.153 | -0.000 | 51.240 | 0.000 | 0.000 |
| -0.000 | -0.000 | 0.000 | -0.000 | 51.240 | 6.153 |
| -0.000 | -0.000 | 0.000 | -0.000 | 6.153 | 84.346 |
| 322.195 | 131.840 | 88.318 | 8.816 | -0.000 | -0.000 |
| 140.043 | 312.903 | 86.055 | -6.665 | -0.000 | -0.000 |
| 88.318 | 88.318 | 244.736 | 0.000 | -0.000 | 0.000 |
| 6.153 | -6.153 | 0.000 | 51.240 | -0.000 | -0.000 |
| 0.000 | 0.000 | 0.000 | 0.000 | 51.240 | 6.153 |
| 0.000 | 0.000 | -0.000 | -0.000 | 6.153 | 84.346 |
| 322.194 | 131.839 | 88.318 | 8.816 | 0.000 | 0.000 |
| 131.839 | 322.194 | 88.318 | -8.816 | 0.000 | 0.000 |
| 87.765 | 87.765 | 242.434 | -0.000 | -0.000 | 0.000 |
| 6.153 | -6.153 | -0.000 | 51.240 | -0.000 | 0.000 |
| -0.000 | -0.000 | -0.000 | -0.000 | 51.240 | 6.153 |
| -0.000 | -0.000 | 0.000 | 0.000 | 6.153 | 84.346 |
| 322.202 | 131.840 | 88.319 | 8.816 | 0.000 | -0.000 |
| 140.045 | 312.908 | 86.055 | -6.665 | -0.000 | -0.000 |
| 87.767 | 87.767 | 242.440 | -0.000 | -0.000 | -0.000 |
| 8.816 | -8.815 | 0.001 | 51.895 | 0.000 | -0.000 |
| 0.000 | 0.000 | 0.001 | 0.000 | 51.240 | 6.153 |
| 0.000 | 0.002 | -0.000 | -0.000 | 6.153 | 84.346 |
| 312.896 | 140.042 | 86.054 | 6.665 | 0.000 | 0.000 |
| 142.536 | 311.225 | 87.765 | -6.153 | -0.000 | 0.000 |
| 87.763 | 87.763 | 242.429 | 0.000 | 0.000 | 0.000 |
| 8.816 | -8.816 | -0.001 | 51.895 | 0.000 | 0.000 |
| -0.000 | -0.000 | -0.001 | -0.000 | 51.240 | 6.153 |
| -0.000 | -0.002 | 0.000 | 0.000 | 6.153 | 84.346 |
Phonon band structures and crystal properties estimated from quasi-harmonic approximation (QHA) calculations are displayed for select crystals. The calculations were performed using phonopy and LAMMPS. For the phonon calculations, 3x3 supercells of the potential-specific relaxed crystals were used. The QHA calculations were based on 11 strain states ranging from -0.05 to 0.05.
The calculation method used is available as the iprPy phonon calculation method.
Notes and Disclaimers:
Version Information:














































































































































































































































































Static free surface formation energies are displayed for select crystals. The values displayed here are obtained by taking a perfect periodic bulk crystal, slicing along a crystallographic plane, and using force minimization to statically relax the surfaces. The free surface formation energy is computed by comparing the energy of the defect system to the bulk system and dividing by the total surface area created by the cut.
The calculation method used is available as the iprPy surface_energy_static calculation method.
Notes and Disclaimers:
Version Information:
| Surface | γfs (mJ/m2) |
|---|---|
| (111) | 2321.43 |
| (100) | 2351.38 |
| (332) | 2426.99 |
| (322) | 2465.17 |
| (221) | 2470.53 |
| (331) | 2500.51 |
| (110) | 2501.77 |
| (211) | 2514.44 |
| (311) | 2520.32 |
| (321) | 2548.41 |
| (310) | 2551.79 |
| (210) | 2564.73 |
| (320) | 2568.68 |
| Surface | γfs (mJ/m2) |
|---|---|
| (211) 2 | 2042.75 |
| (210) | 2129.06 |
| (332) 2 | 2139.71 |
| (321) 2 | 2161.42 |
| (321) 1 | 2161.85 |
| (311) | 2167.02 |
| (111) | 2170.81 |
| (221) | 2180.69 |
| (322) | 2184.80 |
| (110) | 2201.41 |
| (331) | 2202.77 |
| (310) | 2203.62 |
| (100) | 2207.58 |
| (332) 1 | 2227.64 |
| (320) | 2241.51 |
| (211) 1 | 2281.51 |
| Surface | γfs (mJ/m2) |
|---|---|
| (0001) | 2274.05 |
| (1012) 2 | 2316.45 |
| (1011) 1 | 2401.96 |
| (1120) | 2407.42 |
| (2021) 1 | 2423.26 |
| (2241) | 2460.13 |
| (2131) 1 | 2476.13 |
| (2021) 2 | 2478.64 |
| (2132) 2 | 2481.61 |
| (1121) | 2498.38 |
| (2130) | 2513.21 |
| (2132) 1 | 2522.73 |
| (1010) | 2533.80 |
| (2112) | 2533.99 |
| (2131) 2 | 2544.40 |
| (1012) 1 | 2561.12 |
| (1011) 2 | 2576.83 |
| Surface | γfs (mJ/m2) |
|---|---|
| (111) | 1792.29 |
| (100) | 1866.10 |
| (332) | 1931.91 |
| (322) | 1960.71 |
| (221) | 1992.63 |
| (211) | 2031.83 |
| (331) | 2045.63 |
| (311) | 2068.04 |
| (110) | 2103.81 |
| (310) | 2107.83 |
| (321) | 2114.13 |
| (320) | 2167.55 |
| (210) | 2169.15 |
| Surface | γfs (mJ/m2) |
|---|---|
| (331) | -5936.70 |
| (322) | -5284.28 |
| (332) 2 | -5123.34 |
| (332) 1 | -5102.70 |
| (320) | -4570.53 |
| (321) 1 | -3358.54 |
| (211) 2 | -3171.72 |
| (321) 2 | -3093.41 |
| (310) | -2985.74 |
| (221) | -2846.36 |
| (311) | -2754.70 |
| (210) | -2726.68 |
| (211) 1 | -2680.08 |
| (111) | -523.95 |
| (110) | 20.69 |
| (100) | 255.54 |
| Surface | γfs (mJ/m2) |
|---|---|
| (320) | -3620.68 |
| (332) | -3532.21 |
| (321) | -3487.10 |
| (322) | -3476.90 |
| (311) | -3284.31 |
| (211) | -2058.86 |
| (210) | -1590.08 |
| (310) | -753.00 |
| (110) | 1662.87 |
| (100) | 1884.40 |
| (331) | 1897.41 |
| (221) | 1979.48 |
| (111) | 2089.78 |
| Surface | γfs (mJ/m2) |
|---|---|
| (0001) | 1792.28 |
| (1012) 2 | 1824.96 |
| (1011) 1 | 1929.21 |
| (2021) 1 | 1935.98 |
| (2021) 2 | 2033.70 |
| (1120) | 2056.46 |
| (2131) 1 | 2085.68 |
| (2132) 2 | 2094.94 |
| (2241) | 2097.11 |
| (1011) 2 | 2099.05 |
| (1010) | 2106.70 |
| (2132) 1 | 2122.70 |
| (1121) | 2125.52 |
| (1012) 1 | 2130.58 |
| (2130) | 2141.87 |
| (2112) | 2150.55 |
| (2131) 2 | 2168.54 |
| Surface | γfs (mJ/m2) |
|---|---|
| (100) | 1435.12 |
| (310) | 1685.02 |
| (210) | 1745.71 |
| (110) | 1756.67 |
| (320) | 1770.25 |
| (311) | 1784.97 |
| (111) | 1790.80 |
| (331) | 1829.61 |
| (332) | 1835.75 |
| (211) | 1835.75 |
| (322) | 1836.56 |
| (221) | 1841.57 |
| (321) | 1857.50 |
| Surface | γfs (mJ/m2) |
|---|---|
| (111) | 1764.75 |
| (100) | 1831.99 |
| (332) | 1884.47 |
| (322) | 1901.53 |
| (221) | 1929.58 |
| (110) | 1939.78 |
| (211) | 1954.88 |
| (331) | 1958.58 |
| (311) | 1970.69 |
| (310) | 1996.13 |
| (321) | 1999.94 |
| (320) | 2002.66 |
| (210) | 2003.86 |
| Surface | γfs (mJ/m2) |
|---|---|
| (332) 1 | -1003.43 |
| (322) | -650.53 |
| (221) | -567.56 |
| (310) | -213.40 |
| (321) 1 | -143.04 |
| (211) 1 | -73.60 |
| (320) | 354.09 |
| (331) | 593.35 |
| (210) | 782.97 |
| (211) 2 | 1313.57 |
| (332) 2 | 1372.75 |
| (111) | 1396.57 |
| (321) 2 | 1408.24 |
| (311) | 1435.62 |
| (110) | 1503.57 |
| (100) | 1563.20 |
| Surface | γfs (mJ/m2) |
|---|---|
| (0001) | 1735.00 |
| (1012) 2 | 1805.43 |
| (1011) 1 | 1862.80 |
| (2021) 1 | 1868.12 |
| (1120) | 1918.29 |
| (2021) 2 | 1941.34 |
| (2241) | 1958.65 |
| (2131) 1 | 1971.85 |
| (2132) 2 | 1976.70 |
| (1121) | 1987.79 |
| (1010) | 1991.44 |
| (2130) | 1998.94 |
| (2132) 1 | 2001.90 |
| (2112) | 2013.05 |
| (2131) 2 | 2022.16 |
| (1012) 1 | 2030.16 |
| (1011) 2 | 2031.64 |
| Surface | γfs (mJ/m2) |
|---|---|
| (0001) | 1705.43 |
| (1011) 2 | 1792.34 |
| (1010) 1 | 1813.96 |
| (2021) 1 | 1855.97 |
| (1012) 1 | 1872.37 |
| (1120) | 1900.63 |
| (2130) 1 | 1929.94 |
| (2112) | 1935.87 |
| (2131) 2 | 1969.00 |
| (1012) 2 | 1975.78 |
| (2241) | 1975.85 |
| (2132) 1 | 1976.71 |
| (2132) 2 | 1984.62 |
| (1121) | 2010.03 |
| (2021) 2 | 2014.79 |
| (2131) 1 | 2021.17 |
| (2130) 2 | 2038.24 |
| (1010) 2 | 2154.63 |
| (1011) 1 | 2261.05 |
Stacking fault energy plots and maps are displayed for select crystals. The values are computed by
The calculation method used is available as the iprPy stacking_fault_map_2D calculation method.
Notes and Disclaimers:
Version Information:
| E_usf a/2 [0 -1 1] | 1429.58 |
| τ_ideal a/2 [0 -1 1] | 19.94 |




| E_isf | 218.80 |
| E_usf a/2 [0 -1 1] | 354.06 |
| τ_ideal a/2 [0 -1 1] | 6.91 |




| E_usf a/2 [0 -1 1] | 912.21 |
| τ_ideal a/2 [0 -1 1] | 24.24 |




| E_isf | 0.00 |
| E_usf a/2 [0 -1 1] | 484.33 |
| τ_ideal a/2 [0 -1 1] | 13.41 |




| E_usf a/2 [-1 1 -1] | 280.50 |
| τ_ideal a/2 [-1 1 -1] | 8.70 |




| E_usf a/2 [-1 -1 1] | 338.17 |
| τ_ideal a/2 [-1 -1 1] | 10.05 |




| E_usf a/2 [-1 -1 1] | 330.35 |
| τ_ideal a/2 [-1 -1 1] | 40.09 |




| E_usf a/2 [0 -1 1] | 900.98 |
| τ_ideal a/2 [0 -1 1] | 14.76 |




| E_isf | 130.41 |
| E_usf a/2 [0 -1 1] | 301.31 |
| τ_ideal a/2 [0 -1 1] | 6.02 |




| E_isf | -129.14 |
| E_usf a/3 [-2 1 1 0] | 171.64 |
| τ_ideal a/3 [-2 1 1 0] | 6.03 |




| E_usf a/3 [-1 2 -1 0] | 671.50 |
| τ_ideal a/3 [-1 2 -1 0] | 9.86 |




| E_usf a/3 [-1 2 -1 0] | 1134.96 |
| τ_ideal a/3 [-1 2 -1 0] | 19.08 |




| E_usf a/3 [-1 2 -1 0] | 1018.12 |
| E_usf a/3 [-2 1 1 3] | 3306.87 |
| τ_ideal a/3 [-1 2 -1 0] | 14.63 |
| τ_ideal a/3 [-2 1 1 3] | 72.80 |





| E_usf a/3 [-1 2 -1 0] | 708.34 |
| E_usf a/3 [-2 1 1 3] | 991.83 |
| τ_ideal a/3 [-1 2 -1 0] | 11.54 |
| τ_ideal a/3 [-2 1 1 3] | 16.25 |





| E_usf a/3 [-2 1 1 3] | 1657.74 |
| τ_ideal a/3 [-2 1 1 3] | 21.26 |




Static point defect formation energies, Ef, and elastic dipole tensors, pij, are displayed for select crystals. Relaxed defect configurations are obtained by taking a 12x12x12 supercell of a perfect periodic bulk crystal, inserting the point defect, and using force minimization to statically relax the atomic positions while keeping the system dimensions constant. Ef is computed by comparing the energy of the defect system to the same number of atoms in a perfect bulk crystal. pij is estimated as the difference in the system's global pressure with and without the defect multiplied by the system's volume.
Simple structural comparisons of the unrelaxed and relaxed defect configurations are used to help determine if the defect structure has relaxed to a different configuration. Relaxed structures that are identified as no longer consistent with the ideal defect definition are excluded from the table below. The only exception to this is if the lowest energy interstitial configuration does not coincide with a known ideal defect, its energies and pressure tensor are included under the listing "relaxed interstitial". The full list of calculation results including the transformed structures and the structural comparison values is included in the csv file available from the "Download raw data" link.
The calculation method used is available as the iprPy point_defect_static calculation method.
Notes and Disclaimers:
| Point Defect | Ef (eV) | p11 (eV) | p22 (eV) | p33 (eV) | p12 (eV) | p13 (eV) | p23 (eV) |
|---|---|---|---|---|---|---|---|
| vacancy | 2.193 | -1.551 | -1.551 | -1.551 | -0.000 | 0.000 | 0.000 |
| 1nn divacancy | 4.104 | -4.802 | -2.456 | -2.456 | -0.000 | -0.000 | -0.321 |
| 2nn divacancy | 4.317 | -3.175 | -3.175 | -4.184 | -0.000 | 0.000 | 0.000 |
| 100 dumbbell | 4.837 | 32.942 | 32.942 | 28.945 | 0.000 | -0.000 | -0.000 |
| tetrahedral interstitial | 5.374 | 39.117 | 39.117 | 39.117 | 0.000 | 0.000 | 0.000 |
| Point Defect | Ef (eV) | p11 (eV) | p22 (eV) | p33 (eV) | p12 (eV) | p13 (eV) | p23 (eV) |
|---|---|---|---|---|---|---|---|
| vacancy | 1.870 | -1.578 | -1.578 | -1.578 | -0.000 | -0.000 | -0.000 |
| 1nn divacancy | 3.495 | -3.216 | -2.718 | -2.718 | 0.000 | 0.000 | -0.383 |
| 2nn divacancy | 3.697 | -3.196 | -3.196 | -4.785 | 0.000 | 0.000 | 0.000 |
| 100 dumbbell | 5.230 | 48.424 | 48.424 | 31.617 | 0.000 | -0.000 | -0.000 |
| crowdion interstitial | 5.566 | 52.445 | 39.594 | 53.531 | 13.350 | 0.000 | -0.000 |
| Point Defect | Ef (eV) | p11 (eV) | p22 (eV) | p33 (eV) | p12 (eV) | p13 (eV) | p23 (eV) |
|---|---|---|---|---|---|---|---|
| relaxed interstitial | -262.257 | 1169.270 | 1159.977 | 1179.774 | -224.486 | -226.875 | -222.345 |
| Point Defect | Ef (eV) | p11 (eV) | p22 (eV) | p33 (eV) | p12 (eV) | p13 (eV) | p23 (eV) |
|---|---|---|---|---|---|---|---|
| vacancy | 1.391 | -1.973 | -1.973 | -1.973 | -0.000 | -0.000 | -0.000 |
| 1nn divacancy | 2.664 | -5.415 | -3.369 | -3.369 | 0.000 | -0.000 | -0.317 |
| 2nn divacancy | 2.738 | -4.031 | -4.031 | -4.274 | 0.000 | -0.000 | -0.000 |
| 100 dumbbell | 5.813 | 52.279 | 52.279 | 49.606 | -0.000 | 0.000 | 0.000 |
| 110 dumbbell | 6.388 | 57.931 | 52.294 | 52.294 | -0.000 | -0.000 | 24.316 |
| crowdion interstitial | 6.388 | 52.198 | 52.198 | 57.788 | 24.324 | -0.000 | -0.000 |
| Point Defect | Ef (eV) | p11 (eV) | p22 (eV) | p33 (eV) | p12 (eV) | p13 (eV) | p23 (eV) |
|---|---|---|---|---|---|---|---|
| vacancy | 1.364 | -2.061 | -2.061 | -1.852 | -0.000 | -0.000 | 0.000 |
| relaxed interstitial | 5.745 | 48.826 | 45.822 | 61.050 | -2.602 | -0.071 | 0.041 |
Plots of the atomic structure of dislocation cores are shown here. The dislocations were constructed using dislocation monopole configurations in which a straight dislocation is created in the center of the system using anisotropic elasticity and the elastic constants computed above. A cylindrical region centered around the dislocation is allowed to relax while the remaining atoms are held fixed. The relaxation consists of 1 million NVT steps at 10 K followed by an energy/force minimization. The final plots show the atomic configuration near the center of the monopole system, and display differential displacement arrows and Nye tensor color maps that are both taken with respect to the Burgers vector direction.
These plots show a wide range of final structures, some corresponding to expected dislocation structures and others not. While the characterizations are dislocation-type dependent, some general classification guidelines are listed here.
The calculation method used is available as the iprPy dislocation_monopole calculation method.
Links are provided above the images allowing for users to download the final defect configuration and a corresponding defect-free configuration if they wish to further analyze the structures or use them for subsequent simulations.
Notes and Disclaimers:
Version Information:
Plots of lattice and elastic constants are shown as a function of temperature. The 0K points were taken from the Crystal Structure Predictions and the Elastic Constants Predictions sections above for the unique crystal structures relaxed with the "dynamic" method. Starting from the 0 K relaxed crystal unit cells, supercell systems are created by replicating all three dimensions by the same multiplier to achieve at least 4000 atoms. The systems are then relaxed at 50 K and zero pressure using 1 million NPT steps. Lattice constants are estimated by averaging the measured box dimensions. Temperatures are iteratively increased by 50 K, with each subsequent relaxation calculation starting from the final atomic configuration at the previous temperature and relaxing for another 1 million steps.
The elastic constants are calculated using the deformation–fluctuation hybrid method. Starting from the final atomic configurations of the dynamic relaxations, the system is allowed to evolve at constant volume with a Langevin thermostat. The Born matrix is computed during this run by evaluating how the atomic forces would vary due to applied linear strain fields. The elastic constants can then be estimated using the averaged Born matrix values and the averaged stresses on the system.
The calculation methods used are available as the iprPy relax_dynamic and elastic_constants_dynamic calculation methods.
Clicking on the image of a plot will open an interactive version of it in a new tab. The underlying data for the plots can be downloaded by clicking on the links above each plot.
Notes and Disclaimers:
Version Information:
Plots of radial distribution functions at different temperatures and the temperature-dependent diffusion and viscosity are shown here for elemental liquids. Melt phases are constructed by starting with a 10x10x10 fcc super cell and relaxing with 50,000 NPT steps at zero pressure and a high melting temperature (3000 K for most potentials and elements). Following the melt, liquid structures are relaxed by running NPT for 10,000 steps over which the temperature is dropped by 50 K, then 50,000 NPT at the target temperature to estimate the equilibrium volume, followed by 20,000 NVT steps at the averaged equilibrium volume and target temperature. Structures from the NVT run are sampled to compute the radial distribution function of the liquid at the corresponding temperature.
The final relaxed configurations at each temperature explored are used as the initial configurations for the diffusion and viscosity calculations. For diffusion, the system is integrated for 100 runs of 2,000 NVT steps during which both the mean squared displacement (MSD) and the velocity auto correlation function (VACF) are computed. From these simulations, three estimates of diffusion are computed: one from the MSD of the full 200,000 step run, one in which the MSD is reset for each short run and then averaged, and one from the VACF computed for each short run and averaged. For viscosity, the Green-Kubo method is used which is evaluated during a 1 million step NVT run.
The calculation methods used are available as the iprPy relax_liquid_redo, diffusion_liquid, and viscosity_green_kubo calculation methods.
Clicking on the image of a plot will open an interactive version of it in a new tab. The underlying data for the plots can be downloaded by clicking on the links above each plot.
Notes and Disclaimers:
Version Information:
Estimated melting temperatures are tabulated below. The melting temperature is computed here using a two-phase solid-liquid atomic configuration. The two-phase configuration is created by starting with a crystalline system in which the c box vector is roughly twice the length of the other two box vectors. Based on some input temperature Tinit, an NPH plus a Berensen thermostat simulation is performed for 10,000 steps in which half the system is subjected to a temperature of 1.25*Tinit and the other half to a temperature of 0.5*Tinit. This is then followed by 10,000 steps during which the temperature of the two regions are both scaled to Tinit. The system is then ran for 200,000 NPH steps to equilibrate the system. For the second half of the final NPH run, the average temperature of the system is calculated and the polyhedral template matching algorithm is used to estimate the number of solid and liquid atoms for a number of configuration snapshots. If the averaged fraction of solid atoms is found to be between 0.25-0.75, then the averaged temperature provides an estimate of the melting temperature.
This calculation is iteratively performed where the Tinit value is adjusted up or down if the fraction of solid atoms is outside the range 0.25-0.75. Iterations are repeated until 10 calculations are performed that produce solid fractions in the target range, or 30 total calculations are performed.
The calculation method used is available as the iprPy melting_temperature calculation method.
Notes and Disclaimers:
Version Information:
| prototype | Tmelt | stderr |
|---|---|---|
| A1--Cu--fcc | 1963.07 | 1.31 |
| prototype | Tmelt | stderr |
|---|---|---|
| A1--Cu--fcc | 1990.68 | 1.96 |
| A2--W--bcc | 396.91 | 89.39 |
| prototype | Tmelt | stderr |
|---|---|---|
| A1--Cu--fcc | 1567.7 | 0.9 |
| A3--Mg--hcp | 1546.36 | 4.2 |
Plots of internal energy, Gibbs free energy, entropy, heat capacity and volume are shown here as a function of temperature for various crystal structures and liquid phases. The included crystal structures correspond to those in the Solid Structures vs. Temperature section, and the liquid phases to those in the Liquid Properties section. Internal energy and volume are taken from the associated structure relaxations mentioned in those previous sections. Constant pressure heat capacity is estimated using 3-point numerical derivatives of enthalpy versus temperature. Note that since all simulations done here are at 0 pressure, internal energy and enthalpy are equivalent.
The Gibbs energies of the phases are estimated using thermodynamic integration between the interatomic potential in question and a simpler model with known Gibbs free energy values. For solids, the reference model is an Einstein solid, while for liquids it is the Uhlenbeck-Ford potential. Besides a short run at the start of the solid calculations to estimate Einstein model spring constants, the two calculations proceed similarly. Starting with the final relaxation configurations, the systems are stabilized for 25,000 steps. Then, over the next 50,000 steps the potential is swapped out for the reference potential. The system is then stabilized for another 25,000 steps with the reference model before a reverse swap of 50,000 steps is performed. The simulation ends with one final 25,000 step stabilization period. From the simulation, the irreversible work of transformation is estimated and used to compute the absolute Gibbs free energy of the target phase and potential relative to the reference potential. Entropy is estimated as the difference in enthalpy and Gibbs free energy and divided by temperature.
The calculation methods used are available as the iprPy relax_dynamic, relax_liquid_redo, free_energy, and free_energy_liquid calculation methods.
Clicking on the image of a plot will open an interactive version of it in a new tab. The underlying data for the plots can be downloaded by clicking on the links above each plot.
Notes and Disclaimers:
Version Information:






