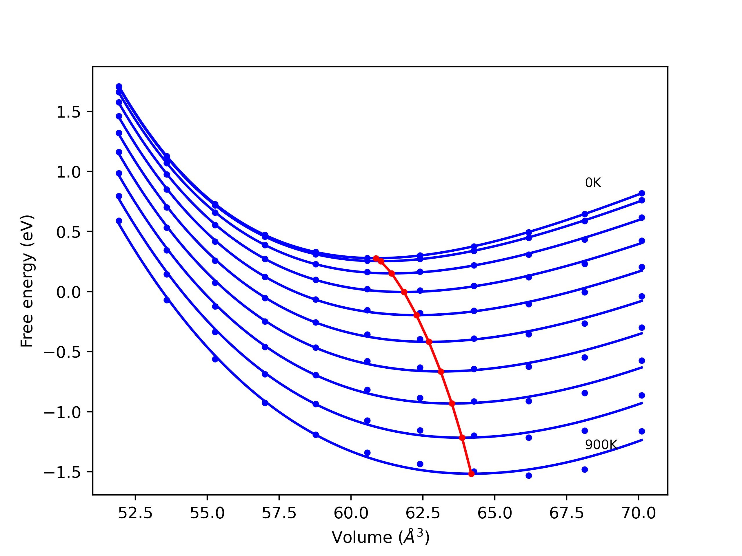
Plots of the potential energy vs interatomic spacing, r, are shown below for all diatom sets associated with the interatomic potential. This calculation provides insights into the functional form of the potential's two-body interactions. A system consisting of only two atoms is created, and the potential energy is evaluated for the atoms separated by 0.02 Å <= r <= 6.0> Å in intervals of 0.02 Å. Two plots are shown: one for the "standard" interaction distance range, and one for small values of r. The small r plot is useful for determining whether the potential is suitable for radiation studies.
The calculation method used is available as the iprPy diatom_scan calculation method.
Clicking on the image of a plot will open an interactive version of it in a new tab. The underlying data for the plots can be downloaded by clicking on the links above each plot.
Notes and Disclaimers:
Version Information:
Plots of potential energy vs interatomic spacing, r, are shown below for a number of crystal structures. The structures are generated based on the ideal atomic positions and b/a and c/a lattice parameter ratios for a given crystal prototype. The size of the system is then uniformly scaled, and the energy calculated without relaxing the system. To obtain these plots, values of r are evaluated every 0.02 Å up to 6 Å.
The calculation method used is available as the iprPy E_vs_r_scan calculation method.
Clicking on the image of a plot will open an interactive version of it in a new tab. The underlying data for the plots can be downloaded by clicking on the links above each plot.
Notes and Disclaimers:
Version Information:
Computed lattice constants and cohesive/potential energies are displayed for a variety of crystal structures. The values displayed here are obtained using the following process.
The calculation methods used are implemented into iprPy as the following calculation styles
Notes and Disclaimers:
Version Information:
Download raw data (including filtered results)
Reference structure matches:
A1--Cu--fcc = mp-8633, oqmd-592135, oqmd-1214518
A15--beta-W = mp-17, oqmd-620565, oqmd-691761, oqmd-1214963, oqmd-1280318
A2--W--bcc = mp-90, oqmd-676284, oqmd-676532, oqmd-677049, oqmd-685486, oqmd-690214, oqmd-691769, oqmd-1215141
A3'--alpha-La--double-hcp = oqmd-1215409
A3--Mg--hcp = mp-89, oqmd-592444, oqmd-622452, oqmd-1215319
A4--C--dc = oqmd-1215498
A5--beta-Sn = oqmd-1215587
A6--In--bct = oqmd-1215676
A7--alpha-As = oqmd-1215765
| prototype | method | Ecoh (eV/atom) | Epot (eV/atom) | a0 (Å) | b0 (Å) | c0 (Å) | α (degrees) | β (degrees) | γ (degrees) | 
|---|---|---|---|---|---|---|---|---|---|
| A2--W--bcc | dynamic | -4.1008 | -4.1012 | 2.866 | 2.866 | 2.866 | 90.0 | 90.0 | 90.0 | 
| A15--beta-W | dynamic | -4.0325 | -4.0329 | 4.5858 | 4.5858 | 4.5858 | 90.0 | 90.0 | 90.0 | 
| oqmd-1214785 | dynamic | -3.9813 | -3.9817 | 8.9034 | 8.9034 | 8.9034 | 90.0 | 90.0 | 90.0 | 
| oqmd-1214785 | box | -3.9749 | -3.9753 | 8.8947 | 8.8947 | 8.8947 | 90.0 | 90.0 | 90.0 | 
| oqmd-691775 | dynamic | -3.9669 | -3.9673 | 2.5516 | 2.5516 | 6.2169 | 90.0 | 90.0 | 120.0 | 
| oqmd-1214874 | static | -3.9416 | -3.942 | 6.2598 | 6.2598 | 6.2598 | 90.0 | 90.0 | 90.0 | 
| A3'--alpha-La--double-hcp | dynamic | -3.9379 | -3.9384 | 2.5982 | 2.5982 | 8.4858 | 90.0 | 90.0 | 120.0 | 
| oqmd-1216032 | dynamic | -3.9379 | -3.9384 | 2.5982 | 2.5982 | 19.0931 | 90.0 | 90.0 | 120.0 | 
| A1--Cu--fcc | dynamic | -3.9379 | -3.9384 | 3.6745 | 3.6745 | 3.6745 | 90.0 | 90.0 | 90.0 | 
| A3--Mg--hcp | dynamic | -3.9379 | -3.9384 | 2.5982 | 2.5982 | 4.2429 | 90.0 | 90.0 | 120.0 | 
| A3--Mg--hcp | box | -3.9379 | -3.9384 | 2.5983 | 2.5983 | 4.2429 | 90.0 | 90.0 | 120.0 | 
| oqmd-1216032 | box | -3.9377 | -3.9382 | 2.5982 | 2.5982 | 19.0935 | 90.0 | 90.0 | 120.0 | 
| oqmd-1214874 | box | -3.9292 | -3.9297 | 6.2671 | 6.2671 | 6.2671 | 90.0 | 90.0 | 90.0 | 
| mp-1059289 | box | -3.919 | -3.9195 | 2.4343 | 4.6687 | 4.17 | 90.0 | 90.0 | 90.0 | 
| mp-1192789 | dynamic | -3.8928 | -3.8932 | 8.7019 | 8.7019 | 4.6451 | 90.0 | 90.0 | 90.0 | 
| mp-1192789 | box | -3.8865 | -3.887 | 8.7009 | 8.7009 | 4.6461 | 90.0 | 90.0 | 90.0 | 
| oqmd-631035 | box | -3.8774 | -3.8778 | 8.6393 | 8.6393 | 4.668 | 90.0 | 90.0 | 90.0 | 
| oqmd-1215052 | box | -3.6546 | -3.6551 | 4.0369 | 8.457 | 2.6818 | 90.0 | 90.0 | 90.0 | 
| oqmd-1214696 | box | -3.6311 | -3.6315 | 2.7175 | 4.0513 | 8.5503 | 90.0 | 90.0 | 90.0 | 
| A5--beta-Sn | static | -3.4695 | -3.4699 | 4.1398 | 4.1398 | 2.4912 | 90.0 | 90.0 | 90.0 | 
| Ah--alpha-Po--sc | static | -3.1885 | -3.1889 | 2.1922 | 2.1922 | 2.1922 | 90.0 | 90.0 | 90.0 | 
| oqmd-1215943 | static | -2.9517 | -2.9521 | 3.8882 | 3.8882 | 3.917 | 90.0 | 90.0 | 120.0 | 
| A7--alpha-As | box | -2.8516 | -2.852 | 3.0161 | 3.0161 | 8.7162 | 90.0 | 90.0 | 120.0 | 
| A4--C--dc | dynamic | -2.0728 | -2.0732 | 5.8224 | 5.8224 | 5.8224 | 90.0 | 90.0 | 90.0 | 
Download raw data (including filtered results)
Reference structure matches:
| prototype | method | Ecoh (eV/atom) | Epot (eV/atom) | a0 (Å) | b0 (Å) | c0 (Å) | α (degrees) | β (degrees) | γ (degrees) | 
|---|---|---|---|---|---|---|---|---|---|
| mp-1077708 | dynamic | -3.7137 | -3.714 | 6.763 | 6.763 | 6.763 | 90.0 | 90.0 | 90.0 | 
| C1--CaF2--fluorite | dynamic | -3.2703 | -3.2706 | 5.6484 | 5.6484 | 5.6484 | 90.0 | 90.0 | 90.0 | 
| oqmd-1232501 | box | -2.8088 | -2.8091 | 5.2425 | 5.2425 | 2.9035 | 90.0 | 90.0 | 90.0 | 
| oqmd-1240427 | static | -1.7096 | -1.7099 | 9.6864 | 9.6864 | 9.6864 | 90.0 | 90.0 | 90.0 | 
| oqmd-1240427 | box | -1.7041 | -1.7044 | 9.906 | 9.906 | 9.906 | 90.0 | 90.0 | 90.0 | 
Download raw data (including filtered results)
Reference structure matches:
| prototype | method | Ecoh (eV/atom) | Epot (eV/atom) | a0 (Å) | b0 (Å) | c0 (Å) | α (degrees) | β (degrees) | γ (degrees) | 
|---|---|---|---|---|---|---|---|---|---|
| oqmd-426579 | static | -3.7135 | -3.7137 | 7.1082 | 7.1082 | 8.7191 | 90.0 | 90.0 | 120.0 | 
Download raw data (including filtered results)
Reference structure matches:
| prototype | method | Ecoh (eV/atom) | Epot (eV/atom) | a0 (Å) | b0 (Å) | c0 (Å) | α (degrees) | β (degrees) | γ (degrees) | 
|---|---|---|---|---|---|---|---|---|---|
| L2_1--AlCu2Mn--heusler | dynamic | -4.9666 | -4.9669 | 5.9882 | 5.9882 | 5.9882 | 90.0 | 90.0 | 90.0 | 
Download raw data (including filtered results)
Reference structure matches:
| prototype | method | Ecoh (eV/atom) | Epot (eV/atom) | a0 (Å) | b0 (Å) | c0 (Å) | α (degrees) | β (degrees) | γ (degrees) | 
|---|---|---|---|---|---|---|---|---|---|
| C1--CaF2--fluorite | dynamic | -3.9328 | -3.9331 | 6.0031 | 6.0031 | 6.0031 | 90.0 | 90.0 | 90.0 | 
Download raw data (including filtered results)
Reference structure matches:
D0_3--BiF3 = mp-1008282, oqmd-310984
L1_2--AuCu3 = mp-1008285, oqmd-343214
| prototype | method | Ecoh (eV/atom) | Epot (eV/atom) | a0 (Å) | b0 (Å) | c0 (Å) | α (degrees) | β (degrees) | γ (degrees) | 
|---|---|---|---|---|---|---|---|---|---|
| D0_3--BiF3 | dynamic | -3.9997 | -4.0 | 5.7756 | 5.7756 | 5.7756 | 90.0 | 90.0 | 90.0 | 
| A15--Cr3Si | dynamic | -3.9648 | -3.9651 | 4.5845 | 4.5845 | 4.5845 | 90.0 | 90.0 | 90.0 | 
| oqmd-318728 | dynamic | -3.8731 | -3.8734 | 5.2339 | 5.2339 | 4.2522 | 90.0 | 90.0 | 120.0 | 
| oqmd-318728 | box | -3.8725 | -3.8728 | 5.2353 | 5.2353 | 4.25 | 90.0 | 90.0 | 120.0 | 
| L1_2--AuCu3 | dynamic | -3.87 | -3.8703 | 3.6968 | 3.6968 | 3.6968 | 90.0 | 90.0 | 90.0 | 
Download raw data (including filtered results)
Reference structure matches:
| prototype | method | Ecoh (eV/atom) | Epot (eV/atom) | a0 (Å) | b0 (Å) | c0 (Å) | α (degrees) | β (degrees) | γ (degrees) | 
|---|---|---|---|---|---|---|---|---|---|
| L1_2--AuCu3 | dynamic | -4.7801 | -4.7805 | 3.8009 | 3.8009 | 3.8009 | 90.0 | 90.0 | 90.0 | 
| D0_3--BiF3 | dynamic | -4.7695 | -4.7698 | 6.0063 | 6.0063 | 6.0063 | 90.0 | 90.0 | 90.0 | 
| A15--Cr3Si | dynamic | -4.7315 | -4.7318 | 4.7502 | 4.7502 | 4.7502 | 90.0 | 90.0 | 90.0 | 
Download raw data (including filtered results)
Reference structure matches:
B1--NaCl--rock-salt = oqmd-1105105
B2--CsCl = oqmd-305920
B3--ZnS--cubic-zinc-blende = oqmd-1219336
L1_0--AuCu = oqmd-337462
| prototype | method | Ecoh (eV/atom) | Epot (eV/atom) | a0 (Å) | b0 (Å) | c0 (Å) | α (degrees) | β (degrees) | γ (degrees) | 
|---|---|---|---|---|---|---|---|---|---|
| mp-1226211 | dynamic | -4.0126 | -4.0128 | 2.8153 | 4.124 | 4.1297 | 90.0 | 90.0 | 90.0 | 
| oqmd-1229015 | dynamic | -3.9859 | -3.9861 | 2.5707 | 2.5707 | 4.1832 | 90.0 | 90.0 | 120.0 | 
| B2--CsCl | dynamic | -3.9843 | -3.9845 | 2.8944 | 2.8944 | 2.8944 | 90.0 | 90.0 | 90.0 | 
| oqmd-1219850 | box | -3.8782 | -3.8784 | 4.185 | 2.7632 | 4.2697 | 90.0 | 90.0 | 90.0 | 
| L1_0--AuCu | dynamic | -3.8715 | -3.8717 | 2.6252 | 2.6252 | 3.6971 | 90.0 | 90.0 | 90.0 | 
| L1_0--AuCu | box | -3.8694 | -3.8696 | 2.6751 | 2.6751 | 3.531 | 90.0 | 90.0 | 90.0 | 
| B1--NaCl--rock-salt | static | -3.0082 | -3.0084 | 4.5775 | 4.5775 | 4.5775 | 90.0 | 90.0 | 90.0 | 
| B3--ZnS--cubic-zinc-blende | static | -2.3472 | -2.3475 | 5.5693 | 5.5693 | 5.5693 | 90.0 | 90.0 | 90.0 | 
| oqmd-1225529 | box | -2.0583 | -2.0585 | 3.4681 | 3.4681 | 5.7201 | 90.0 | 90.0 | 120.0 | 
| B3--ZnS--cubic-zinc-blende | static | -2.0373 | -2.0375 | 4.8539 | 4.8539 | 4.8539 | 90.0 | 90.0 | 90.0 | 
| B3--ZnS--cubic-zinc-blende | box | -2.0357 | -2.036 | 4.9171 | 4.9171 | 4.9171 | 90.0 | 90.0 | 90.0 | 
Download raw data (including filtered results)
Reference structure matches:
| prototype | method | Ecoh (eV/atom) | Epot (eV/atom) | a0 (Å) | b0 (Å) | c0 (Å) | α (degrees) | β (degrees) | γ (degrees) | 
|---|---|---|---|---|---|---|---|---|---|
| C1--CaF2--fluorite | dynamic | -3.3486 | -3.3487 | 5.6676 | 5.6676 | 5.6676 | 90.0 | 90.0 | 90.0 | 
| oqmd-1240426 | static | -1.9273 | -1.9275 | 9.8156 | 9.8156 | 9.8156 | 90.0 | 90.0 | 90.0 | 
Download raw data (including filtered results)
Reference structure matches:
| prototype | method | Ecoh (eV/atom) | Epot (eV/atom) | a0 (Å) | b0 (Å) | c0 (Å) | α (degrees) | β (degrees) | γ (degrees) | 
|---|---|---|---|---|---|---|---|---|---|
| L2_1--AlCu2Mn--heusler | dynamic | -5.4133 | -5.4134 | 5.9716 | 5.9716 | 5.9716 | 90.0 | 90.0 | 90.0 | 
Download raw data (including filtered results)
Reference structure matches:
D0_3--BiF3 = mp-1018067, oqmd-308186
L1_2--AuCu3 = mp-1018081, oqmd-346012
| prototype | method | Ecoh (eV/atom) | Epot (eV/atom) | a0 (Å) | b0 (Å) | c0 (Å) | α (degrees) | β (degrees) | γ (degrees) | 
|---|---|---|---|---|---|---|---|---|---|
| D0_3--BiF3 | dynamic | -4.0396 | -4.0397 | 5.7705 | 5.7705 | 5.7705 | 90.0 | 90.0 | 90.0 | 
| A15--Cr3Si | dynamic | -3.9423 | -3.9424 | 4.621 | 4.621 | 4.621 | 90.0 | 90.0 | 90.0 | 
| oqmd-321526 | dynamic | -3.9386 | -3.9388 | 5.2625 | 5.2625 | 4.2151 | 90.0 | 90.0 | 120.0 | 
| oqmd-321526 | box | -3.9386 | -3.9387 | 5.2625 | 5.2625 | 4.2144 | 90.0 | 90.0 | 120.0 | 
| L1_2--AuCu3 | dynamic | -3.9341 | -3.9342 | 3.7034 | 3.7034 | 3.7034 | 90.0 | 90.0 | 90.0 | 
Download raw data (including filtered results)
Reference structure matches:
| prototype | method | Ecoh (eV/atom) | Epot (eV/atom) | a0 (Å) | b0 (Å) | c0 (Å) | α (degrees) | β (degrees) | γ (degrees) | 
|---|---|---|---|---|---|---|---|---|---|
| mp-1226230 | dynamic | -4.1011 | -4.1012 | 2.8444 | 4.0703 | 20.2685 | 90.0 | 90.0 | 90.0 | 
| mp-1226230 | box | -4.1005 | -4.1005 | 2.8452 | 4.0696 | 20.2762 | 90.0 | 90.0 | 90.0 | 
Download raw data (including filtered results)
Reference structure matches:
| prototype | method | Ecoh (eV/atom) | Epot (eV/atom) | a0 (Å) | b0 (Å) | c0 (Å) | α (degrees) | β (degrees) | γ (degrees) | 
|---|---|---|---|---|---|---|---|---|---|
| L2_1--AlCu2Mn--heusler | dynamic | -6.4493 | -6.4494 | 6.1336 | 6.1336 | 6.1336 | 90.0 | 90.0 | 90.0 | 
Download raw data (including filtered results)
Reference structure matches:
| prototype | method | Ecoh (eV/atom) | Epot (eV/atom) | a0 (Å) | b0 (Å) | c0 (Å) | α (degrees) | β (degrees) | γ (degrees) | 
|---|---|---|---|---|---|---|---|---|---|
| mp-1226162 | dynamic | -6.06 | -6.0602 | 2.8941 | 4.4562 | 4.5479 | 90.0 | 90.0 | 90.0 | 
| L1_0--AuCu | dynamic | -5.9353 | -5.9355 | 2.6735 | 2.6735 | 4.0126 | 90.0 | 90.0 | 90.0 | 
| B2--CsCl | dynamic | -5.8736 | -5.8738 | 3.0889 | 3.0889 | 3.0889 | 90.0 | 90.0 | 90.0 | 
| B1--NaCl--rock-salt | static | -4.6481 | -4.6483 | 5.1464 | 5.1464 | 5.1464 | 90.0 | 90.0 | 90.0 | 
| B3--ZnS--cubic-zinc-blende | static | -3.299 | -3.2992 | 5.894 | 5.894 | 5.894 | 90.0 | 90.0 | 90.0 | 
Download raw data (including filtered results)
Reference structure matches:
| prototype | method | Ecoh (eV/atom) | Epot (eV/atom) | a0 (Å) | b0 (Å) | c0 (Å) | α (degrees) | β (degrees) | γ (degrees) | 
|---|---|---|---|---|---|---|---|---|---|
| C1--CaF2--fluorite | static | -5.7543 | -5.7545 | 6.0913 | 6.0913 | 6.0913 | 90.0 | 90.0 | 90.0 | 
Download raw data (including filtered results)
Reference structure matches:
| prototype | method | Ecoh (eV/atom) | Epot (eV/atom) | a0 (Å) | b0 (Å) | c0 (Å) | α (degrees) | β (degrees) | γ (degrees) | 
|---|---|---|---|---|---|---|---|---|---|
| D0_3--BiF3 | dynamic | -7.338 | -7.3381 | 6.2833 | 6.2833 | 6.2833 | 90.0 | 90.0 | 90.0 | 
| L1_2--AuCu3 | dynamic | -7.2624 | -7.2625 | 3.898 | 3.898 | 3.898 | 90.0 | 90.0 | 90.0 | 
| A15--Cr3Si | dynamic | -7.1968 | -7.1969 | 5.0933 | 5.0933 | 5.0933 | 90.0 | 90.0 | 90.0 | 
Download raw data (including filtered results)
Reference structure matches:
A1--Cu--fcc = mp-150, oqmd-7505, oqmd-1214525
A15--beta-W = oqmd-1214970
A2--W--bcc = mp-13, oqmd-8568, oqmd-22514, oqmd-1215148
A3'--alpha-La--double-hcp = oqmd-1215416
A3--Mg--hcp = mp-136, oqmd-30158, oqmd-51781, oqmd-1215326, oqmd-1215391
A4--C--dc = oqmd-1215505
A5--beta-Sn = oqmd-1215594
A6--In--bct = oqmd-1215683
Ah--alpha-Po--sc = mp-568345
| prototype | method | Ecoh (eV/atom) | Epot (eV/atom) | a0 (Å) | b0 (Å) | c0 (Å) | α (degrees) | β (degrees) | γ (degrees) | 
|---|---|---|---|---|---|---|---|---|---|
| A2--W--bcc | dynamic | -4.1224 | -4.1224 | 2.8553 | 2.8553 | 2.8553 | 90.0 | 90.0 | 90.0 | 
| A15--beta-W | dynamic | -4.0464 | -4.0464 | 4.5362 | 4.5362 | 4.5362 | 90.0 | 90.0 | 90.0 | 
| oqmd-1214792 | dynamic | -4.0341 | -4.0341 | 8.8485 | 8.8485 | 8.8485 | 90.0 | 90.0 | 90.0 | 
| oqmd-1214792 | box | -4.0286 | -4.0286 | 8.8332 | 8.8332 | 8.8332 | 90.0 | 90.0 | 90.0 | 
| A3--Mg--hcp | dynamic | -4.0049 | -4.0049 | 2.6206 | 2.6206 | 4.1453 | 90.0 | 90.0 | 120.0 | 
| oqmd-1216039 | dynamic | -4.0039 | -4.0039 | 2.6142 | 2.6142 | 18.7145 | 90.0 | 90.0 | 120.0 | 
| oqmd-1216039 | box | -4.0039 | -4.0039 | 2.6145 | 2.6145 | 18.7112 | 90.0 | 90.0 | 120.0 | 
| A3'--alpha-La--double-hcp | dynamic | -4.0034 | -4.0034 | 2.6094 | 2.6094 | 8.338 | 90.0 | 90.0 | 120.0 | 
| A1--Cu--fcc | dynamic | -4.002 | -4.002 | 3.6584 | 3.6584 | 3.6584 | 90.0 | 90.0 | 90.0 | 
| A6--In--bct | box | -4.0018 | -4.0018 | 2.6144 | 2.6144 | 3.5689 | 90.0 | 90.0 | 90.0 | 
| oqmd-1214881 | static | -3.9963 | -3.9963 | 6.1773 | 6.1773 | 6.1773 | 90.0 | 90.0 | 90.0 | 
| oqmd-1214881 | box | -3.9956 | -3.9956 | 6.1691 | 6.1691 | 6.1691 | 90.0 | 90.0 | 90.0 | 
| oqmd-1215237 | box | -3.991 | -3.991 | 2.5624 | 4.3922 | 4.3431 | 90.0 | 90.0 | 90.0 | 
| mp-1194030 | dynamic | -3.9709 | -3.9709 | 8.6019 | 8.6019 | 4.6065 | 90.0 | 90.0 | 90.0 | 
| mp-1245108 | dynamic | -3.964 | -3.964 | 10.346 | 10.7256 | 10.8018 | 92.4 | 90.8 | 90.8 | 
| mp-1245108 | static | -3.9567 | -3.9567 | 10.3714 | 10.7283 | 10.7726 | 87.3 | 89.8 | 87.9 | 
| oqmd-21053 | box | -3.9565 | -3.9565 | 8.5071 | 8.5071 | 4.6447 | 90.0 | 90.0 | 90.0 | 
| mp-1194030 | box | -3.95 | -3.95 | 8.477 | 8.477 | 4.6589 | 90.0 | 90.0 | 90.0 | 
| mp-1245108 | box | -3.914 | -3.914 | 10.5235 | 10.5496 | 10.8843 | 90.4 | 91.8 | 91.8 | 
| oqmd-1215059 | box | -3.8174 | -3.8174 | 2.7217 | 4.0857 | 8.9267 | 90.0 | 90.0 | 90.0 | 
| A5--beta-Sn | static | -3.629 | -3.629 | 4.667 | 4.667 | 2.4302 | 90.0 | 90.0 | 90.0 | 
| Ah--alpha-Po--sc | static | -3.4175 | -3.4175 | 2.2421 | 2.2421 | 2.2421 | 90.0 | 90.0 | 90.0 | 
| oqmd-1215950 | box | -3.1876 | -3.1876 | 3.8695 | 4.1278 | 3.8835 | 90.0 | 119.6 | 90.0 | 
| A7--alpha-As | box | -3.1046 | -3.1046 | 3.427 | 3.427 | 9.0029 | 90.0 | 90.0 | 120.0 | 
| A4--C--dc | box | -2.7063 | -2.7063 | 5.4137 | 5.4137 | 5.4137 | 90.0 | 90.0 | 90.0 | 
Download raw data (including filtered results)
Reference structure matches:
| prototype | method | Ecoh (eV/atom) | Epot (eV/atom) | a0 (Å) | b0 (Å) | c0 (Å) | α (degrees) | β (degrees) | γ (degrees) | 
|---|---|---|---|---|---|---|---|---|---|
| mp-20868 | dynamic | -6.3073 | -6.3073 | 4.6647 | 4.6647 | 7.5858 | 90.0 | 90.0 | 120.0 | 
| oqmd-30265 | box | -6.3039 | -6.3039 | 4.6689 | 4.6689 | 7.6044 | 90.0 | 90.0 | 120.0 | 
| mp-20868 | box | -6.3023 | -6.3023 | 4.6594 | 4.6594 | 7.6511 | 90.0 | 90.0 | 120.0 | 
| C1--CaF2--fluorite | dynamic | -5.0449 | -5.0449 | 5.9442 | 5.9442 | 5.9442 | 90.0 | 90.0 | 90.0 | 
| oqmd-1232998 | static | -4.7773 | -4.7773 | 6.8615 | 6.8615 | 2.5691 | 90.0 | 90.0 | 90.0 | 
| oqmd-1232998 | box | -4.7756 | -4.7756 | 6.8596 | 6.8596 | 2.5766 | 90.0 | 90.0 | 90.0 | 
Download raw data (including filtered results)
Reference structure matches:
| prototype | method | Ecoh (eV/atom) | Epot (eV/atom) | a0 (Å) | b0 (Å) | c0 (Å) | α (degrees) | β (degrees) | γ (degrees) | 
|---|---|---|---|---|---|---|---|---|---|
| oqmd-427076 | static | -7.3259 | -7.3259 | 7.5093 | 7.5093 | 8.7329 | 90.0 | 90.0 | 120.0 | 
| oqmd-427076 | box | -6.9628 | -6.9628 | 6.8262 | 6.8262 | 11.4866 | 90.0 | 90.0 | 120.0 | 
Download raw data (including filtered results)
Reference structure matches:
D0_3--BiF3 = oqmd-312528
L1_2--AuCu3 = mp-1184225, oqmd-343953
| prototype | method | Ecoh (eV/atom) | Epot (eV/atom) | a0 (Å) | b0 (Å) | c0 (Å) | α (degrees) | β (degrees) | γ (degrees) | 
|---|---|---|---|---|---|---|---|---|---|
| mp-1184280 | dynamic | -5.691 | -5.691 | 5.2366 | 5.2366 | 4.2228 | 90.0 | 90.0 | 120.0 | 
| oqmd-319467 | box | -5.6907 | -5.6907 | 5.2349 | 5.2349 | 4.2334 | 90.0 | 90.0 | 120.0 | 
| mp-1184280 | box | -5.6905 | -5.6905 | 5.2344 | 5.2344 | 4.2369 | 90.0 | 90.0 | 120.0 | 
| L1_2--AuCu3 | static | -5.6902 | -5.6902 | 3.7027 | 3.7027 | 3.7027 | 90.0 | 90.0 | 90.0 | 
| oqmd-301986 | static | -5.6704 | -5.6704 | 3.6976 | 3.6976 | 7.4678 | 90.0 | 90.0 | 90.0 | 
| A15--Cr3Si | dynamic | -5.6467 | -5.6467 | 4.6958 | 4.6958 | 4.6958 | 90.0 | 90.0 | 90.0 | 
| D0_3--BiF3 | dynamic | -5.6382 | -5.6382 | 5.9489 | 5.9489 | 5.9489 | 90.0 | 90.0 | 90.0 | 
Download raw data (including filtered results)
Reference structure matches:
| prototype | method | Ecoh (eV/atom) | Epot (eV/atom) | a0 (Å) | b0 (Å) | c0 (Å) | α (degrees) | β (degrees) | γ (degrees) | 
|---|---|---|---|---|---|---|---|---|---|
| mp-1227244 | dynamic | -5.106 | -5.106 | 12.5753 | 37.7138 | 8.891 | 90.0 | 90.0 | 90.0 | 
| mp-1227244 | static | -5.106 | -5.106 | 12.5755 | 37.713 | 8.891 | 90.0 | 90.0 | 90.0 | 
| mp-1227244 | box | -5.0802 | -5.0802 | 12.6095 | 37.8412 | 8.9144 | 90.0 | 90.0 | 90.0 | 
Download raw data (including filtered results)
Reference structure matches:
| prototype | method | Ecoh (eV/atom) | Epot (eV/atom) | a0 (Å) | b0 (Å) | c0 (Å) | α (degrees) | β (degrees) | γ (degrees) | 
|---|---|---|---|---|---|---|---|---|---|
| oqmd-30266 | static | -6.8965 | -6.8965 | 4.7828 | 4.7828 | 25.7821 | 90.0 | 90.0 | 120.0 | 
| oqmd-30266 | dynamic | -6.8965 | -6.8965 | 4.7829 | 4.7829 | 25.782 | 90.0 | 90.0 | 120.0 | 
| mp-1473 | static | -6.8965 | -6.8965 | 4.7827 | 4.7827 | 25.7826 | 90.0 | 90.0 | 120.0 | 
| oqmd-30266 | box | -6.8939 | -6.8939 | 4.7706 | 4.7706 | 25.8522 | 90.0 | 90.0 | 120.0 | 
| mp-1473 | box | -6.8933 | -6.8933 | 4.7768 | 4.7768 | 25.8301 | 90.0 | 90.0 | 120.0 | 
Download raw data (including filtered results)
Reference structure matches:
B1--NaCl--rock-salt = oqmd-1105868
B2--CsCl = oqmd-306683
B3--ZnS--cubic-zinc-blende = oqmd-1222541
L1_0--AuCu = oqmd-338225
| prototype | method | Ecoh (eV/atom) | Epot (eV/atom) | a0 (Å) | b0 (Å) | c0 (Å) | α (degrees) | β (degrees) | γ (degrees) | 
|---|---|---|---|---|---|---|---|---|---|
| B2--CsCl | dynamic | -7.0198 | -7.0198 | 3.0267 | 3.0267 | 3.0267 | 90.0 | 90.0 | 90.0 | 
| L1_0--AuCu | static | -6.9916 | -6.9916 | 2.6921 | 2.6921 | 3.6527 | 90.0 | 90.0 | 90.0 | 
| oqmd-1220347 | dynamic | -6.9864 | -6.9864 | 4.3581 | 2.7025 | 4.5259 | 90.0 | 90.0 | 90.0 | 
| oqmd-1220347 | box | -6.962 | -6.962 | 4.3379 | 2.8181 | 4.473 | 90.0 | 90.0 | 90.0 | 
| oqmd-1229512 | static | -6.8128 | -6.8128 | 2.7031 | 2.7031 | 4.2282 | 90.0 | 90.0 | 120.0 | 
| oqmd-327767 | dynamic | -6.8071 | -6.8071 | 2.698 | 2.698 | 12.7395 | 90.0 | 90.0 | 120.0 | 
| B1--NaCl--rock-salt | static | -6.0254 | -6.0254 | 5.1001 | 5.1001 | 5.1001 | 90.0 | 90.0 | 90.0 | 
| oqmd-1226026 | box | -5.1888 | -5.1888 | 4.4543 | 4.4543 | 5.1122 | 90.0 | 90.0 | 120.0 | 
| B3--ZnS--cubic-zinc-blende | static | -4.3997 | -4.3997 | 5.8462 | 5.8462 | 5.8462 | 90.0 | 90.0 | 90.0 | 
Download raw data (including filtered results)
Reference structure matches:
| prototype | method | Ecoh (eV/atom) | Epot (eV/atom) | a0 (Å) | b0 (Å) | c0 (Å) | α (degrees) | β (degrees) | γ (degrees) | 
|---|---|---|---|---|---|---|---|---|---|
| C1--CaF2--fluorite | static | -6.7266 | -6.7266 | 5.9627 | 5.9627 | 5.9627 | 90.0 | 90.0 | 90.0 | 
Download raw data (including filtered results)
Reference structure matches:
D0_3--BiF3 = oqmd-308925
L1_2--AuCu3 = oqmd-347556
| prototype | method | Ecoh (eV/atom) | Epot (eV/atom) | a0 (Å) | b0 (Å) | c0 (Å) | α (degrees) | β (degrees) | γ (degrees) | 
|---|---|---|---|---|---|---|---|---|---|
| D0_3--BiF3 | dynamic | -8.0051 | -8.0051 | 6.1869 | 6.1869 | 6.1869 | 90.0 | 90.0 | 90.0 | 
| oqmd-323070 | dynamic | -7.9602 | -7.9602 | 5.3955 | 5.3955 | 4.4144 | 90.0 | 90.0 | 120.0 | 
| L1_2--AuCu3 | dynamic | -7.9599 | -7.9599 | 3.8134 | 3.8134 | 3.8134 | 90.0 | 90.0 | 90.0 | 
| oqmd-323070 | box | -7.953 | -7.953 | 5.3886 | 5.3886 | 4.4261 | 90.0 | 90.0 | 120.0 | 
| oqmd-298390 | dynamic | -7.9512 | -7.9512 | 3.7961 | 3.7961 | 7.7328 | 90.0 | 90.0 | 90.0 | 
| A15--Cr3Si | static | -7.7988 | -7.7988 | 5.0382 | 5.0382 | 5.0382 | 90.0 | 90.0 | 90.0 | 
Download raw data (including filtered results)
Reference structure matches:
A1--Cu--fcc = mp-8641, oqmd-676155, oqmd-1214584
A15--beta-W = mp-11334, oqmd-9254, oqmd-1215029
A2--W--bcc = mp-91, oqmd-676232, oqmd-1215207
A3'--alpha-La--double-hcp = oqmd-1215475
A3--Mg--hcp = oqmd-1215385
A4--C--dc = oqmd-1215564
A5--beta-Sn = oqmd-1215653
A6--In--bct = oqmd-1215742
A7--alpha-As = oqmd-1215831
| prototype | method | Ecoh (eV/atom) | Epot (eV/atom) | a0 (Å) | b0 (Å) | c0 (Å) | α (degrees) | β (degrees) | γ (degrees) | 
|---|---|---|---|---|---|---|---|---|---|
| A2--W--bcc | dynamic | -8.9 | -8.9 | 3.1652 | 3.1652 | 3.1652 | 90.0 | 90.0 | 90.0 | 
| A3'--alpha-La--double-hcp | dynamic | -8.7454 | -8.7454 | 2.7768 | 2.7768 | 9.069 | 90.0 | 90.0 | 120.0 | 
| A1--Cu--fcc | dynamic | -8.7454 | -8.7454 | 3.927 | 3.927 | 3.927 | 90.0 | 90.0 | 90.0 | 
| A3--Mg--hcp | dynamic | -8.7454 | -8.7454 | 2.7768 | 2.7768 | 4.5345 | 90.0 | 90.0 | 120.0 | 
| oqmd-1216101 | dynamic | -8.7454 | -8.7454 | 2.7768 | 2.7768 | 20.4053 | 90.0 | 90.0 | 120.0 | 
| oqmd-1215296 | box | -8.741 | -8.741 | 2.7341 | 4.8971 | 4.5468 | 90.0 | 90.0 | 90.0 | 
| A15--beta-W | dynamic | -8.6866 | -8.6866 | 5.1366 | 5.1366 | 5.1366 | 90.0 | 90.0 | 90.0 | 
| oqmd-1214851 | dynamic | -8.6697 | -8.6697 | 9.8528 | 9.8528 | 9.8528 | 90.0 | 90.0 | 90.0 | 
| oqmd-1214851 | box | -8.6673 | -8.6673 | 9.8427 | 9.8427 | 9.8427 | 90.0 | 90.0 | 90.0 | 
| mp-1065340 | box | -8.637 | -8.637 | 2.8011 | 4.8446 | 4.6728 | 90.0 | 90.0 | 90.0 | 
| oqmd-1214940 | static | -8.6057 | -8.6057 | 6.8963 | 6.8963 | 6.8963 | 90.0 | 90.0 | 90.0 | 
| oqmd-1214940 | box | -8.6005 | -8.6005 | 6.8969 | 6.8969 | 6.8969 | 90.0 | 90.0 | 90.0 | 
| oqmd-1215118 | box | -8.4207 | -8.4207 | 4.5703 | 9.7554 | 2.8341 | 90.0 | 90.0 | 90.0 | 
| mp-1216274 | box | -8.3825 | -8.3825 | 2.6569 | 2.6569 | 18.037 | 90.0 | 90.0 | 90.0 | 
| A5--beta-Sn | static | -8.0586 | -8.0586 | 5.0066 | 5.0066 | 2.6516 | 90.0 | 90.0 | 90.0 | 
| Ah--alpha-Po--sc | box | -7.5309 | -7.5309 | 2.6005 | 2.6005 | 2.6005 | 90.0 | 90.0 | 90.0 | 
| mp-1191581 | box | -7.4912 | -7.4912 | 10.6433 | 2.6001 | 16.2557 | 90.0 | 93.6 | 90.0 | 
| mp-1178801 | box | -7.4708 | -7.4708 | 10.5774 | 2.6002 | 13.1452 | 90.0 | 92.7 | 90.0 | 
| oqmd-1216009 | box | -6.6854 | -6.6854 | 4.4793 | 4.4793 | 4.9262 | 90.0 | 90.0 | 120.0 | 
| A7--alpha-As | box | -6.612 | -6.612 | 3.7104 | 3.7104 | 10.7031 | 90.0 | 90.0 | 120.0 | 
| A4--C--dc | static | -5.5181 | -5.5181 | 6.0808 | 6.0808 | 6.0808 | 90.0 | 90.0 | 90.0 | 
Static elastic constants are displayed for the unique structures identified in Crystal Structure Predictions above. The values displayed here are obtained by measuring the change in virial stresses due to applying small strains to the relaxed crystals. The initial structure and the strained states are all relaxed using force minimization.
The calculation method used is available as the iprPy elastic_constants_static calculation method.
Notes and Disclaimers:
Version Information:
| 132.668 | 131.453 | 131.453 | -0.000 | -0.000 | -0.000 | 
| 131.453 | 132.668 | 131.453 | -0.000 | -0.000 | -0.000 | 
| 131.453 | 131.453 | 132.668 | -0.000 | -0.000 | -0.000 | 
| -0.000 | -0.000 | -0.000 | 87.544 | -0.000 | -0.000 | 
| -0.000 | -0.000 | -0.000 | -0.000 | 87.544 | -0.000 | 
| -0.000 | -0.000 | -0.000 | -0.000 | -0.000 | 87.544 | 
| 132.668 | 131.453 | 131.453 | 0.000 | 0.000 | 0.000 | 
| 131.453 | 132.668 | 131.453 | 0.000 | 0.000 | 0.000 | 
| 131.453 | 131.453 | 132.668 | 0.000 | 0.000 | -0.000 | 
| 0.000 | 0.000 | 0.000 | 87.544 | 0.000 | 0.000 | 
| 0.000 | 0.000 | 0.000 | 0.000 | 87.544 | 0.000 | 
| 0.000 | 0.000 | 0.000 | 0.000 | 0.000 | 87.544 | 
| 132.668 | 131.454 | 131.454 | -0.000 | 0.000 | -0.000 | 
| 131.454 | 132.668 | 131.454 | -0.000 | -0.000 | -0.000 | 
| 131.454 | 131.454 | 132.668 | -0.000 | -0.000 | -0.000 | 
| -0.000 | 0.000 | 0.000 | 87.544 | -0.000 | -0.000 | 
| 0.000 | -0.000 | 0.000 | -0.000 | 87.544 | -0.000 | 
| 0.000 | 0.000 | -0.000 | -0.000 | -0.000 | 87.544 | 
| 132.669 | 131.453 | 131.453 | 0.000 | 0.000 | 0.000 | 
| 131.453 | 132.669 | 131.453 | 0.000 | 0.000 | 0.000 | 
| 131.453 | 131.453 | 132.669 | 0.000 | 0.000 | 0.000 | 
| 0.000 | -0.000 | -0.000 | 87.544 | 0.000 | 0.000 | 
| -0.000 | 0.000 | -0.000 | 0.000 | 87.544 | -0.000 | 
| -0.000 | -0.000 | 0.000 | 0.000 | -0.000 | 87.544 | 
| 132.667 | 131.454 | 131.454 | -0.000 | -0.000 | -0.000 | 
| 131.454 | 132.667 | 131.454 | -0.000 | -0.000 | -0.000 | 
| 131.454 | 131.454 | 132.667 | -0.000 | -0.000 | -0.000 | 
| -0.000 | 0.000 | 0.000 | 87.544 | -0.000 | -0.000 | 
| 0.000 | -0.000 | 0.000 | -0.000 | 87.544 | -0.000 | 
| 0.000 | 0.000 | -0.000 | -0.000 | -0.000 | 87.544 | 
| 132.670 | 131.453 | 131.453 | 0.000 | 0.000 | 0.000 | 
| 131.453 | 132.670 | 131.453 | -0.000 | 0.000 | 0.000 | 
| 131.453 | 131.453 | 132.670 | 0.000 | 0.000 | 0.000 | 
| 0.000 | -0.000 | -0.000 | 87.544 | 0.000 | -0.000 | 
| -0.000 | 0.000 | -0.000 | 0.000 | 87.544 | 0.000 | 
| -0.000 | -0.000 | 0.000 | 0.000 | 0.000 | 87.544 | 
| 345.041 | 120.735 | 120.735 | -0.000 | 0.000 | -0.000 | 
| 120.735 | 345.041 | 120.735 | -0.000 | 0.000 | -0.000 | 
| 120.735 | 120.735 | 345.041 | -0.000 | 0.000 | 0.000 | 
| 0.000 | -0.000 | 0.000 | 71.048 | 0.000 | -0.000 | 
| 0.000 | -0.000 | 0.000 | -0.000 | 71.048 | -0.000 | 
| 0.000 | -0.000 | -0.000 | -0.000 | 0.000 | 71.048 | 
| 345.041 | 120.735 | 120.735 | 0.000 | -0.000 | -0.000 | 
| 120.735 | 345.041 | 120.735 | 0.000 | -0.000 | 0.000 | 
| 120.735 | 120.735 | 345.041 | 0.000 | -0.000 | 0.000 | 
| -0.000 | 0.000 | -0.000 | 71.048 | -0.000 | -0.000 | 
| -0.000 | 0.000 | -0.000 | 0.000 | 71.048 | -0.000 | 
| -0.000 | 0.000 | 0.000 | 0.000 | -0.000 | 71.048 | 
| 345.041 | 120.735 | 120.735 | -0.000 | 0.000 | -0.000 | 
| 120.735 | 345.041 | 120.735 | -0.000 | 0.000 | 0.000 | 
| 120.735 | 120.735 | 345.041 | -0.000 | 0.000 | -0.000 | 
| -0.000 | -0.000 | -0.000 | 70.591 | 0.000 | 0.000 | 
| -0.000 | -0.000 | -0.000 | -0.000 | 70.591 | 0.000 | 
| -0.000 | -0.000 | -0.000 | -0.000 | 0.000 | 70.591 | 
| 345.041 | 120.735 | 120.735 | 0.000 | -0.000 | 0.000 | 
| 120.735 | 345.041 | 120.735 | 0.000 | -0.000 | -0.000 | 
| 120.735 | 120.735 | 345.041 | -0.000 | 0.000 | 0.000 | 
| 0.000 | 0.000 | 0.000 | 70.591 | -0.000 | -0.000 | 
| 0.000 | 0.000 | 0.000 | 0.000 | 70.591 | -0.000 | 
| 0.000 | 0.000 | 0.000 | 0.000 | -0.000 | 70.591 | 
| 345.042 | 120.736 | 120.736 | -0.000 | 0.000 | -0.000 | 
| 120.736 | 345.042 | 120.736 | -0.000 | 0.000 | 0.000 | 
| 120.736 | 120.736 | 345.042 | -0.000 | 0.000 | -0.000 | 
| -0.000 | -0.000 | -0.000 | 70.591 | 0.000 | -0.000 | 
| -0.000 | -0.000 | -0.000 | -0.000 | 70.591 | 0.000 | 
| -0.000 | -0.000 | -0.000 | -0.000 | 0.000 | 70.591 | 
| 344.796 | 120.857 | 120.857 | 0.000 | 0.000 | 0.000 | 
| 120.857 | 344.796 | 120.857 | 0.000 | -0.000 | 0.000 | 
| 120.857 | 120.857 | 344.796 | 0.000 | -0.000 | -0.000 | 
| 0.000 | 0.000 | 0.000 | 70.591 | -0.000 | -0.000 | 
| 0.000 | 0.000 | 0.000 | -0.000 | 70.591 | -0.000 | 
| 0.000 | 0.000 | 0.000 | 0.000 | -0.000 | 70.591 | 
| 319.385 | 164.025 | 164.025 | -0.000 | -0.000 | -0.000 | 
| 164.025 | 319.385 | 164.025 | -0.000 | 0.000 | -0.000 | 
| 164.025 | 164.025 | 319.385 | -0.000 | -0.000 | -0.000 | 
| -0.000 | -0.000 | 0.000 | 108.317 | -0.000 | -0.000 | 
| -0.000 | -0.000 | -0.000 | 0.000 | 108.317 | -0.000 | 
| -0.000 | -0.000 | 0.000 | 0.000 | -0.000 | 108.317 | 
| 319.385 | 164.025 | 164.025 | 0.000 | 0.000 | 0.000 | 
| 164.025 | 319.385 | 164.025 | 0.000 | -0.000 | 0.000 | 
| 164.025 | 164.025 | 319.385 | 0.000 | 0.000 | 0.000 | 
| 0.000 | 0.000 | -0.000 | 108.317 | 0.000 | 0.000 | 
| 0.000 | 0.000 | 0.000 | 0.000 | 108.317 | 0.000 | 
| 0.000 | 0.000 | -0.000 | -0.000 | 0.000 | 108.317 | 
| 319.385 | 164.025 | 164.025 | -0.000 | -0.000 | -0.000 | 
| 164.025 | 319.385 | 164.025 | -0.000 | -0.000 | -0.000 | 
| 164.025 | 164.025 | 319.385 | -0.000 | -0.000 | -0.000 | 
| 0.000 | -0.000 | 0.000 | 108.317 | -0.000 | -0.000 | 
| -0.000 | 0.000 | 0.000 | -0.000 | 108.317 | -0.000 | 
| -0.000 | -0.000 | 0.000 | -0.000 | -0.000 | 108.317 | 
| 319.385 | 164.025 | 164.025 | 0.000 | 0.000 | 0.000 | 
| 164.025 | 319.385 | 164.025 | 0.000 | 0.000 | 0.000 | 
| 164.025 | 164.025 | 319.385 | 0.000 | 0.000 | 0.000 | 
| -0.000 | 0.000 | -0.000 | 108.317 | 0.000 | 0.000 | 
| 0.000 | -0.000 | 0.000 | 0.000 | 108.317 | 0.000 | 
| 0.000 | 0.000 | -0.000 | -0.000 | 0.000 | 108.317 | 
| 319.385 | 164.026 | 164.026 | 0.000 | -0.000 | -0.000 | 
| 164.026 | 319.385 | 164.026 | -0.000 | -0.000 | -0.000 | 
| 164.026 | 164.026 | 319.385 | 0.000 | -0.000 | -0.000 | 
| 0.000 | -0.000 | 0.000 | 108.317 | -0.000 | -0.000 | 
| -0.000 | 0.000 | 0.000 | 0.000 | 108.317 | -0.000 | 
| -0.000 | 0.000 | 0.000 | 0.000 | -0.000 | 108.317 | 
| 319.385 | 164.025 | 164.025 | 0.000 | -0.000 | 0.000 | 
| 164.025 | 319.385 | 164.025 | -0.000 | -0.000 | 0.000 | 
| 164.025 | 164.025 | 319.385 | 0.000 | -0.000 | 0.000 | 
| -0.000 | 0.000 | -0.000 | 108.317 | 0.000 | 0.000 | 
| 0.000 | -0.000 | -0.000 | 0.000 | 108.317 | 0.000 | 
| 0.000 | -0.000 | -0.000 | -0.000 | 0.000 | 108.317 | 
| 162.837 | 159.242 | 73.496 | 0.000 | -0.000 | -0.000 | 
| 159.242 | 162.837 | 73.496 | -0.000 | 0.000 | -0.000 | 
| 73.496 | 73.496 | 248.584 | -0.000 | 0.000 | 0.000 | 
| 0.000 | -0.000 | -0.000 | 29.586 | 0.000 | 0.000 | 
| -0.000 | -0.000 | -0.000 | 0.000 | 29.586 | 0.000 | 
| -0.000 | 0.000 | -0.000 | 0.000 | 0.000 | 58.565 | 
| 219.605 | 102.475 | 73.496 | -0.000 | -0.000 | -0.000 | 
| 159.242 | 162.838 | 73.496 | 0.000 | -0.000 | 0.000 | 
| 73.496 | 73.496 | 248.584 | -0.000 | -0.000 | -0.000 | 
| -0.000 | 0.000 | 0.000 | 29.586 | -0.000 | 0.000 | 
| 0.000 | 0.000 | 0.000 | -0.000 | 29.586 | -0.000 | 
| 0.000 | -0.000 | 0.000 | -0.000 | -0.000 | 58.565 | 
| 219.605 | 102.475 | 73.496 | 0.000 | 0.000 | 0.000 | 
| 102.475 | 219.605 | 73.496 | -0.000 | 0.000 | 0.000 | 
| 73.496 | 73.496 | 248.584 | 0.000 | 0.000 | 0.000 | 
| -0.000 | -0.000 | -0.000 | 29.586 | 0.000 | 0.000 | 
| -0.000 | -0.000 | -0.000 | 0.000 | 29.586 | 0.000 | 
| -0.000 | -0.000 | -0.000 | 0.000 | 0.000 | 1.798 | 
| 219.605 | 102.474 | 73.496 | -0.000 | -0.000 | -0.000 | 
| 102.474 | 219.605 | 73.496 | -0.000 | -0.000 | -0.000 | 
| 73.496 | 73.496 | 248.584 | -0.000 | -0.000 | -0.000 | 
| 0.000 | 0.000 | 0.000 | 29.586 | -0.000 | -0.000 | 
| 0.000 | 0.000 | 0.000 | 0.000 | 29.586 | -0.000 | 
| 0.000 | 0.000 | 0.000 | -0.000 | -0.000 | 1.798 | 
| 162.837 | 159.242 | 73.495 | -0.000 | 0.000 | -0.000 | 
| 159.245 | 162.834 | 73.495 | -0.000 | 0.000 | -0.000 | 
| 73.496 | 73.496 | 248.585 | -0.000 | -0.000 | 0.000 | 
| 0.000 | -0.001 | -0.000 | 29.586 | -0.000 | -0.000 | 
| -0.001 | 0.000 | -0.000 | 0.000 | 29.586 | -0.000 | 
| -0.001 | -0.000 | -0.001 | 0.000 | 0.000 | 1.798 | 
| 219.605 | 102.474 | 73.496 | -0.000 | -0.000 | -0.000 | 
| 159.240 | 162.841 | 73.496 | -0.000 | -0.000 | 0.000 | 
| 73.495 | 73.495 | 248.584 | -0.000 | 0.000 | -0.000 | 
| -0.000 | 0.001 | 0.000 | 29.586 | -0.000 | 0.000 | 
| 0.001 | -0.000 | 0.000 | -0.000 | 29.586 | 0.000 | 
| 0.001 | 0.000 | 0.001 | -0.000 | -0.000 | 1.798 | 
| 162.837 | 159.242 | 73.496 | -0.000 | 0.000 | -0.000 | 
| 159.242 | 162.837 | 73.496 | -0.000 | -0.000 | -0.000 | 
| 73.496 | 73.496 | 248.584 | -0.000 | 0.000 | -0.000 | 
| -0.000 | 0.000 | 0.000 | 29.586 | 0.000 | -0.000 | 
| -0.000 | 0.000 | 0.000 | -0.000 | 29.586 | -0.000 | 
| -0.000 | 0.000 | -0.000 | -0.000 | -0.000 | 1.798 | 
| 219.605 | 102.475 | 73.496 | 0.000 | -0.000 | 0.000 | 
| 102.475 | 219.605 | 73.496 | -0.000 | -0.000 | -0.000 | 
| 73.496 | 73.496 | 248.584 | 0.000 | -0.000 | -0.000 | 
| 0.000 | 0.000 | -0.000 | 29.586 | -0.000 | -0.000 | 
| 0.000 | -0.000 | -0.000 | 0.000 | 29.586 | 0.000 | 
| 0.000 | -0.000 | 0.000 | 0.000 | 0.000 | 1.798 | 
| 219.605 | 102.475 | 73.496 | -0.000 | -0.000 | -0.000 | 
| 102.475 | 219.605 | 73.496 | -0.000 | -0.000 | -0.000 | 
| 73.496 | 73.496 | 248.584 | -0.000 | -0.000 | -0.000 | 
| 0.000 | -0.000 | -0.000 | 29.586 | 0.000 | 0.000 | 
| -0.000 | 0.000 | -0.000 | -0.000 | 29.586 | -0.000 | 
| -0.000 | -0.000 | -0.000 | -0.000 | -0.000 | 1.798 | 
| 162.837 | 159.242 | 73.496 | 0.000 | 0.000 | 0.000 | 
| 159.242 | 162.838 | 73.496 | 0.000 | -0.000 | 0.000 | 
| 73.496 | 73.496 | 248.584 | 0.000 | 0.000 | 0.000 | 
| -0.000 | 0.000 | 0.000 | 29.586 | 0.000 | 0.000 | 
| 0.000 | -0.000 | 0.000 | 0.000 | 29.586 | -0.000 | 
| 0.000 | 0.000 | 0.000 | 0.000 | 0.000 | 1.798 | 
| 162.838 | 159.241 | 73.495 | -0.000 | -0.000 | -0.000 | 
| 159.246 | 162.834 | 73.495 | -0.000 | -0.000 | -0.000 | 
| 73.496 | 73.496 | 248.585 | -0.000 | 0.000 | -0.000 | 
| 0.000 | -0.001 | -0.000 | 29.586 | 0.000 | -0.000 | 
| -0.001 | 0.000 | -0.000 | -0.000 | 29.586 | -0.000 | 
| -0.001 | -0.000 | -0.001 | -0.000 | -0.000 | 1.798 | 
| 162.837 | 159.243 | 73.496 | 0.000 | -0.000 | 0.000 | 
| 159.239 | 162.841 | 73.496 | 0.000 | 0.000 | 0.000 | 
| 73.495 | 73.495 | 248.584 | 0.000 | 0.000 | 0.000 | 
| -0.000 | 0.001 | 0.000 | 29.586 | -0.000 | 0.000 | 
| 0.001 | -0.000 | 0.000 | 0.000 | 29.586 | 0.000 | 
| 0.001 | 0.000 | 0.001 | 0.000 | -0.000 | 1.798 | 
| 162.890 | 159.118 | 73.494 | -0.000 | 0.000 | 0.000 | 
| 102.440 | 219.568 | 73.494 | 0.000 | 0.000 | 0.000 | 
| 73.489 | 73.489 | 248.552 | 0.000 | 0.000 | 0.000 | 
| 0.000 | -0.000 | -0.000 | 29.606 | -0.000 | 0.000 | 
| 0.000 | -0.000 | -0.000 | 0.000 | 29.606 | -0.000 | 
| 0.000 | -0.000 | -0.000 | 0.000 | 0.000 | 1.886 | 
| 219.568 | 102.440 | 73.494 | -0.000 | -0.000 | -0.000 | 
| 159.118 | 162.890 | 73.494 | 0.000 | -0.000 | -0.000 | 
| 73.489 | 73.489 | 248.552 | -0.000 | 0.000 | -0.000 | 
| -0.000 | 0.000 | 0.000 | 29.606 | 0.000 | 0.000 | 
| -0.000 | 0.000 | 0.000 | 0.000 | 29.606 | -0.000 | 
| -0.000 | 0.000 | 0.000 | 0.000 | -0.000 | 1.886 | 
| 162.890 | 159.118 | 73.494 | 0.000 | -0.000 | 0.000 | 
| 159.118 | 162.890 | 73.494 | 0.000 | 0.000 | 0.000 | 
| 73.489 | 73.489 | 248.552 | -0.000 | -0.000 | 0.000 | 
| 0.000 | -0.000 | -0.000 | 29.606 | 0.000 | 0.000 | 
| -0.000 | 0.000 | -0.000 | 0.000 | 29.606 | -0.000 | 
| -0.000 | -0.000 | -0.000 | -0.000 | -0.000 | 1.886 | 
| 219.568 | 102.440 | 73.494 | 0.000 | -0.000 | -0.000 | 
| 159.118 | 162.890 | 73.494 | -0.000 | -0.000 | -0.000 | 
| 73.488 | 73.488 | 248.552 | -0.000 | -0.000 | -0.000 | 
| -0.000 | 0.000 | 0.000 | 29.606 | -0.000 | -0.000 | 
| 0.000 | -0.000 | 0.000 | -0.000 | 29.606 | -0.000 | 
| 0.000 | 0.000 | 0.000 | -0.000 | -0.000 | 1.886 | 
| 162.890 | 159.117 | 73.493 | -0.000 | -0.000 | 0.000 | 
| 159.121 | 162.886 | 73.493 | -0.000 | 0.000 | 0.000 | 
| 73.489 | 73.489 | 248.553 | 0.000 | 0.000 | 0.000 | 
| 0.000 | -0.001 | -0.000 | 29.606 | -0.000 | 0.000 | 
| -0.001 | 0.000 | -0.000 | 0.000 | 29.606 | 0.000 | 
| -0.001 | -0.000 | -0.001 | 0.000 | -0.000 | 1.886 | 
| 162.890 | 159.119 | 73.495 | -0.000 | 0.000 | -0.000 | 
| 159.115 | 162.894 | 73.495 | 0.000 | -0.000 | -0.000 | 
| 73.488 | 73.488 | 248.552 | 0.000 | 0.000 | -0.000 | 
| -0.000 | 0.001 | 0.000 | 29.606 | 0.000 | -0.000 | 
| 0.001 | -0.000 | 0.000 | -0.000 | 29.606 | -0.000 | 
| 0.001 | 0.000 | 0.001 | 0.000 | -0.000 | 1.886 | 
| 21.095 | 21.095 | 21.095 | -0.000 | -0.000 | -0.000 | 
| 21.095 | 21.095 | 21.095 | -0.000 | -0.000 | -0.000 | 
| 21.095 | 21.095 | 21.095 | -0.000 | -0.000 | -0.000 | 
| -0.000 | -0.000 | -0.000 | -0.000 | -0.000 | -0.000 | 
| -0.000 | -0.000 | -0.000 | -0.000 | -0.000 | -0.000 | 
| -0.000 | -0.000 | -0.000 | -0.000 | -0.000 | -0.000 | 
| 21.095 | 21.095 | 21.095 | -0.000 | 0.000 | 0.000 | 
| 21.095 | 21.095 | 21.095 | 0.000 | -0.000 | 0.000 | 
| 21.095 | 21.095 | 21.095 | 0.000 | 0.000 | 0.000 | 
| 0.000 | 0.000 | 0.000 | 0.000 | 0.000 | 0.000 | 
| 0.000 | 0.000 | 0.000 | 0.000 | 0.000 | 0.000 | 
| 0.000 | 0.000 | 0.000 | 0.000 | 0.000 | 0.000 | 
| 21.095 | 21.095 | 21.095 | -0.000 | -0.000 | -0.000 | 
| 21.095 | 21.095 | 21.095 | -0.000 | -0.000 | -0.000 | 
| 21.095 | 21.095 | 21.095 | -0.000 | -0.000 | -0.000 | 
| -0.000 | -0.000 | -0.000 | -0.000 | -0.000 | -0.000 | 
| -0.000 | -0.000 | -0.000 | -0.000 | -0.000 | -0.000 | 
| -0.000 | -0.000 | -0.000 | -0.000 | -0.000 | -0.000 | 
| 21.095 | 21.095 | 21.095 | -0.000 | 0.000 | 0.000 | 
| 21.095 | 21.095 | 21.095 | 0.000 | -0.000 | 0.000 | 
| 21.095 | 21.095 | 21.095 | 0.000 | 0.000 | 0.000 | 
| 0.000 | 0.000 | 0.000 | 0.000 | 0.000 | 0.000 | 
| 0.000 | 0.000 | 0.000 | 0.000 | 0.000 | 0.000 | 
| 0.000 | 0.000 | 0.000 | 0.000 | 0.000 | 0.000 | 
| 21.095 | 21.095 | 21.095 | -0.000 | -0.000 | -0.000 | 
| 21.095 | 21.095 | 21.095 | -0.000 | -0.000 | -0.000 | 
| 21.095 | 21.095 | 21.095 | -0.000 | -0.000 | -0.000 | 
| -0.000 | -0.000 | -0.000 | -0.000 | -0.000 | -0.000 | 
| -0.000 | -0.000 | -0.000 | -0.000 | -0.000 | -0.000 | 
| -0.000 | -0.000 | -0.000 | -0.000 | -0.000 | -0.000 | 
| 21.095 | 21.095 | 21.095 | -0.000 | 0.000 | 0.000 | 
| 21.095 | 21.095 | 21.095 | 0.000 | -0.000 | 0.000 | 
| 21.095 | 21.095 | 21.095 | 0.000 | 0.000 | 0.000 | 
| 0.000 | 0.000 | 0.000 | 0.000 | 0.000 | 0.000 | 
| 0.000 | 0.000 | 0.000 | 0.000 | 0.000 | 0.000 | 
| 0.000 | 0.000 | 0.000 | 0.000 | 0.000 | 0.000 | 
| 455.402 | 117.163 | 155.667 | -0.000 | -0.000 | -0.000 | 
| 117.163 | 455.402 | 155.667 | -0.000 | -0.000 | 0.000 | 
| 155.667 | 155.667 | 445.302 | -0.000 | -0.000 | -0.000 | 
| -0.000 | 0.000 | 0.000 | 50.336 | -0.000 | -0.000 | 
| -0.000 | 0.000 | 0.000 | -0.000 | 50.336 | -0.000 | 
| 0.000 | 0.000 | 0.000 | -0.000 | -0.000 | -59.600 | 
| 455.402 | 117.163 | 155.667 | 0.000 | 0.000 | 0.000 | 
| 117.163 | 455.402 | 155.667 | 0.000 | 0.000 | 0.000 | 
| 155.667 | 155.667 | 445.302 | 0.000 | 0.000 | 0.000 | 
| 0.000 | -0.000 | -0.000 | 50.336 | 0.000 | -0.000 | 
| 0.000 | -0.000 | -0.000 | 0.000 | 50.336 | 0.000 | 
| -0.000 | -0.000 | -0.000 | 0.000 | 0.000 | -59.600 | 
| 455.402 | 117.164 | 155.667 | -0.000 | -0.000 | -0.000 | 
| 117.163 | 455.402 | 155.667 | -0.000 | -0.000 | -0.000 | 
| 155.667 | 155.667 | 445.302 | -0.000 | -0.000 | -0.000 | 
| 0.000 | 0.000 | -0.000 | 50.336 | -0.000 | 0.000 | 
| 0.000 | 0.000 | 0.000 | -0.000 | 50.336 | 0.000 | 
| 0.000 | 0.000 | 0.000 | -0.000 | -0.000 | -59.600 | 
| 455.402 | 117.163 | 155.667 | 0.000 | 0.000 | 0.000 | 
| 117.163 | 455.402 | 155.667 | 0.000 | 0.000 | 0.000 | 
| 155.667 | 155.667 | 445.301 | 0.000 | 0.000 | 0.000 | 
| -0.000 | -0.000 | 0.000 | 50.336 | 0.000 | 0.000 | 
| -0.000 | -0.000 | -0.000 | 0.000 | 50.336 | 0.000 | 
| -0.000 | -0.000 | -0.000 | -0.000 | 0.000 | -59.600 | 
| 455.403 | 117.165 | 155.668 | -0.000 | -0.000 | -0.000 | 
| 117.165 | 455.403 | 155.668 | -0.000 | -0.000 | 0.000 | 
| 155.667 | 155.667 | 445.303 | 0.000 | -0.000 | 0.000 | 
| 0.000 | 0.000 | 0.000 | 50.336 | -0.000 | 0.000 | 
| 0.000 | 0.000 | 0.000 | -0.000 | 50.336 | 0.000 | 
| 0.001 | 0.000 | 0.000 | -0.000 | -0.000 | -59.600 | 
| 455.401 | 117.162 | 155.666 | 0.000 | 0.000 | 0.000 | 
| 117.162 | 455.401 | 155.666 | 0.000 | 0.000 | 0.000 | 
| 155.666 | 155.666 | 445.300 | 0.000 | -0.000 | -0.000 | 
| -0.000 | -0.000 | -0.000 | 50.336 | 0.000 | 0.000 | 
| -0.000 | -0.000 | -0.000 | 0.000 | 50.336 | -0.000 | 
| -0.001 | -0.000 | -0.000 | 0.000 | 0.000 | -59.600 | 
| 321.585 | 140.298 | 120.728 | -114.559 | 0.000 | 0.000 | 
| 140.298 | 321.585 | 120.728 | 114.559 | -0.000 | 0.000 | 
| 101.941 | 101.941 | -274.455 | 0.000 | -0.000 | 0.000 | 
| -114.559 | 114.559 | 0.000 | 24.098 | 0.000 | 0.000 | 
| 0.000 | 0.000 | 0.000 | 0.000 | 24.098 | -114.559 | 
| 0.000 | 0.000 | 0.000 | -0.000 | -114.559 | 90.644 | 
| 321.585 | 140.298 | 120.728 | -114.559 | -0.000 | -0.000 | 
| 140.298 | 321.585 | 120.728 | 114.559 | 0.000 | -0.000 | 
| 101.941 | 101.941 | -274.455 | -0.000 | 0.000 | -0.000 | 
| -114.559 | 114.559 | -0.000 | 24.098 | 0.000 | -0.000 | 
| -0.000 | -0.000 | -0.000 | -0.000 | 24.098 | -114.559 | 
| -0.000 | -0.000 | -0.000 | 0.000 | -114.559 | 90.644 | 
| 321.586 | 140.298 | 120.728 | -114.559 | 0.000 | 0.000 | 
| 140.298 | 321.586 | 120.728 | 114.559 | -0.000 | 0.000 | 
| 101.941 | 101.941 | -274.455 | 0.000 | -0.000 | 0.000 | 
| -114.559 | 114.559 | 0.000 | 24.098 | 0.000 | 0.000 | 
| 0.000 | 0.000 | 0.000 | -0.000 | 24.098 | -114.559 | 
| 0.000 | 0.000 | 0.000 | -0.000 | -114.559 | 90.644 | 
| 321.585 | 140.298 | 120.728 | -114.559 | 0.000 | -0.000 | 
| 140.298 | 321.585 | 120.728 | 114.559 | -0.000 | -0.000 | 
| 101.941 | 101.941 | -274.455 | 0.000 | -0.000 | -0.000 | 
| -114.559 | 114.559 | -0.000 | 24.098 | -0.000 | -0.000 | 
| -0.000 | -0.000 | -0.000 | 0.000 | 24.098 | -114.559 | 
| -0.000 | -0.000 | -0.000 | 0.000 | -114.559 | 90.644 | 
| 321.587 | 140.298 | 120.729 | -114.559 | 0.000 | 0.000 | 
| 140.299 | 321.587 | 120.729 | 114.559 | -0.000 | 0.000 | 
| 101.941 | 101.941 | -274.456 | 0.000 | 0.000 | 0.000 | 
| -114.559 | 114.559 | -0.000 | 24.098 | 0.000 | 0.000 | 
| 0.000 | 0.000 | -0.000 | -0.000 | 24.098 | -114.559 | 
| 0.000 | 0.000 | 0.000 | -0.000 | -114.559 | 90.644 | 
| 321.583 | 140.297 | 120.728 | -114.558 | -0.000 | -0.000 | 
| 140.297 | 321.584 | 120.728 | 114.558 | -0.000 | -0.000 | 
| 101.941 | 101.941 | -274.454 | 0.000 | 0.000 | -0.000 | 
| -114.559 | 114.559 | 0.000 | 24.098 | 0.000 | -0.000 | 
| -0.000 | -0.000 | 0.000 | 0.000 | 24.098 | -114.559 | 
| -0.000 | -0.000 | -0.000 | 0.000 | -114.559 | 90.644 | 
| 617.613 | 124.635 | 124.635 | 0.000 | -0.000 | -0.000 | 
| 124.635 | 617.613 | 124.635 | 0.000 | 0.000 | -0.000 | 
| 124.635 | 124.635 | 617.613 | 0.000 | 0.000 | 0.000 | 
| -0.000 | -0.000 | -0.000 | 8.143 | 0.000 | 0.000 | 
| 0.000 | -0.000 | 0.000 | 0.000 | 8.143 | 0.000 | 
| -0.000 | -0.000 | 0.000 | 0.000 | -0.000 | 8.143 | 
| 617.613 | 124.635 | 124.635 | -0.000 | 0.000 | -0.000 | 
| 124.635 | 617.613 | 124.635 | -0.000 | -0.000 | 0.000 | 
| 124.635 | 124.635 | 617.613 | -0.000 | -0.000 | -0.000 | 
| 0.000 | 0.000 | -0.000 | 8.143 | -0.000 | -0.000 | 
| 0.000 | 0.000 | -0.000 | -0.000 | 8.143 | -0.000 | 
| 0.000 | 0.000 | -0.000 | -0.000 | -0.000 | 8.143 | 
| 617.614 | 124.635 | 124.635 | 0.000 | 0.000 | 0.000 | 
| 124.635 | 617.614 | 124.635 | 0.000 | 0.000 | 0.000 | 
| 124.635 | 124.635 | 617.614 | 0.000 | 0.000 | -0.000 | 
| -0.000 | 0.000 | 0.000 | 8.143 | 0.000 | 0.000 | 
| 0.000 | -0.000 | 0.000 | 0.000 | 8.143 | 0.000 | 
| 0.000 | 0.000 | -0.000 | 0.000 | 0.000 | 8.143 | 
| 617.613 | 124.635 | 124.635 | 0.000 | -0.000 | 0.000 | 
| 124.635 | 617.613 | 124.635 | -0.000 | -0.000 | -0.000 | 
| 124.635 | 124.635 | 617.613 | -0.000 | -0.000 | 0.000 | 
| 0.000 | -0.000 | -0.000 | 8.143 | -0.000 | -0.000 | 
| -0.000 | 0.000 | -0.000 | -0.000 | 8.143 | -0.000 | 
| -0.000 | -0.000 | 0.000 | -0.000 | 0.000 | 8.143 | 
| 617.616 | 124.636 | 124.636 | 0.000 | -0.000 | -0.000 | 
| 124.636 | 617.616 | 124.636 | 0.000 | -0.000 | -0.000 | 
| 124.636 | 124.636 | 617.616 | 0.000 | 0.000 | 0.000 | 
| -0.000 | 0.000 | 0.000 | 8.143 | 0.000 | 0.000 | 
| 0.000 | -0.000 | 0.000 | 0.000 | 8.143 | 0.000 | 
| 0.000 | 0.000 | -0.000 | 0.000 | 0.000 | 8.143 | 
| 617.611 | 124.634 | 124.634 | 0.000 | 0.000 | -0.000 | 
| 124.634 | 617.611 | 124.634 | -0.000 | -0.000 | -0.000 | 
| 124.634 | 124.634 | 617.611 | -0.000 | 0.000 | -0.000 | 
| 0.000 | -0.000 | -0.000 | 8.143 | -0.000 | -0.000 | 
| -0.000 | 0.000 | -0.000 | 0.000 | 8.143 | -0.000 | 
| -0.000 | -0.000 | 0.000 | -0.000 | -0.000 | 8.143 | 
| 112.043 | 104.455 | -6.297 | 0.000 | 0.000 | 0.000 | 
| 100.784 | 262.515 | 101.838 | 0.000 | 0.000 | 0.000 | 
| -8.115 | 103.691 | 236.390 | 0.000 | -0.000 | 0.000 | 
| -1.541 | 0.225 | -0.551 | 45.126 | 0.000 | 0.000 | 
| -6.289 | 0.919 | -2.247 | 0.000 | -21.218 | 0.000 | 
| -20.811 | 3.042 | -7.435 | 0.000 | 0.000 | -298.253 | 
| 124.620 | 102.617 | -1.804 | -0.000 | -0.000 | -0.000 | 
| 113.361 | 260.676 | 106.331 | -0.000 | 0.000 | -0.000 | 
| 4.462 | 101.853 | 240.883 | -0.000 | -0.000 | -0.000 | 
| 1.541 | -0.225 | 0.551 | 45.126 | 0.000 | -0.000 | 
| 6.289 | -0.919 | 2.247 | -0.000 | -21.218 | -0.000 | 
| 20.811 | -3.042 | 7.435 | -0.000 | -0.000 | -298.253 | 
| 117.702 | 103.628 | -4.275 | 0.000 | 0.000 | 0.000 | 
| 106.444 | 261.687 | 103.859 | 0.000 | 0.000 | 0.000 | 
| -2.455 | 102.864 | 238.412 | 0.000 | 0.000 | 0.000 | 
| -0.151 | 0.022 | -0.054 | 45.197 | 0.000 | 0.000 | 
| -0.629 | 0.092 | -0.225 | 0.000 | -21.218 | 0.000 | 
| -114245308.566 | -24260931.126 | -99116348.341 | 0.000 | 0.000 | -146687746.007 | 
| 118.960 | 103.444 | -3.826 | -0.000 | -0.000 | -0.000 | 
| 107.701 | 261.503 | 104.309 | -0.000 | -0.000 | -0.000 | 
| -1.197 | 102.680 | 238.861 | -0.000 | -0.000 | -0.000 | 
| 0.151 | -0.022 | 0.054 | 45.197 | -0.000 | -0.000 | 
| 0.629 | -0.092 | 0.225 | -0.000 | -21.218 | 0.000 | 
| 114245308.566 | 24260931.126 | 99116348.341 | -0.000 | 0.000 | -146687746.007 | 
| 118.268 | 103.545 | -4.073 | 0.000 | 0.000 | 0.000 | 
| 107.010 | 261.605 | 104.062 | 0.000 | -0.000 | 0.000 | 
| -1.889 | 102.781 | 238.615 | 0.000 | -0.000 | 0.000 | 
| -0.015 | 0.002 | -0.005 | 45.198 | 0.000 | 0.000 | 
| -0.063 | 0.009 | -0.023 | 0.000 | -21.218 | -0.000 | 
| -11424493.064 | -2426101.016 | -9911655.165 | 0.000 | 0.000 | -14668704.705 | 
| 118.394 | 103.527 | -4.027 | -0.000 | -0.000 | -0.000 | 
| 107.135 | 261.586 | 104.106 | -0.000 | -0.000 | -0.000 | 
| -1.763 | 102.762 | 238.658 | -0.000 | -0.000 | -0.000 | 
| 0.015 | -0.002 | 0.005 | 45.198 | 0.000 | -0.000 | 
| 0.063 | -0.009 | 0.023 | -0.000 | -21.218 | 0.000 | 
| 11424493.064 | 2426101.016 | 9911655.165 | -0.000 | 0.000 | -14668704.705 | 
| 1905.732 | 1744.592 | 438.846 | -0.000 | 0.000 | 0.000 | 
| 1744.592 | 1905.732 | 438.846 | -0.000 | 0.000 | -0.000 | 
| 109.980 | 109.980 | 308.885 | 0.000 | 0.000 | 0.000 | 
| 1626.689 | 1626.689 | 331.365 | 63.499 | 0.000 | 0.000 | 
| 1626.689 | 1626.689 | 331.365 | -0.000 | 63.499 | 0.000 | 
| 1626.660 | 1626.660 | 331.347 | -0.000 | 0.000 | 69.322 | 
| -615.457 | -782.385 | 226.523 | 0.000 | -0.000 | -0.000 | 
| -782.385 | -615.457 | 226.523 | 0.000 | -0.000 | 0.000 | 
| -790.818 | -790.818 | 424.035 | -0.000 | -0.000 | -0.000 | 
| -1626.689 | -1626.689 | -331.365 | 63.499 | -0.000 | 0.000 | 
| -1626.689 | -1626.689 | -331.365 | 0.000 | 63.499 | -0.000 | 
| -1626.660 | -1626.660 | -331.347 | -0.000 | -0.000 | 69.322 | 
| 434.791 | 276.169 | 140.913 | 0.000 | 0.000 | 0.000 | 
| 276.169 | 434.791 | 140.913 | 0.000 | 0.000 | 0.000 | 
| 109.980 | 109.980 | 308.885 | 0.000 | 0.000 | 0.000 | 
| 162.675 | 162.675 | 33.139 | 63.499 | 0.000 | 0.000 | 
| 162.675 | 162.675 | 33.139 | -0.000 | 63.499 | 0.000 | 
| 156.772 | 156.773 | 33.147 | 0.000 | 0.000 | 69.333 | 
| 116.349 | -44.790 | 74.332 | -0.000 | -0.000 | -0.000 | 
| -44.790 | 116.349 | 74.332 | -0.000 | -0.000 | 0.000 | 
| -54.820 | -54.820 | 271.706 | -0.000 | -0.000 | -0.000 | 
| -162.675 | -162.675 | -33.139 | 63.499 | -0.000 | -0.000 | 
| -162.675 | -162.675 | -33.139 | 0.000 | 63.499 | -0.000 | 
| -156.772 | -156.773 | -33.147 | -0.000 | -0.000 | 69.333 | 
| 295.475 | 134.911 | 111.058 | -0.000 | 0.000 | -0.000 | 
| 134.911 | 295.475 | 111.058 | 0.000 | 0.000 | 0.000 | 
| 116.815 | 116.815 | 304.763 | 0.000 | 0.000 | 0.000 | 
| -0.000 | -0.000 | -0.000 | 66.101 | -0.000 | 0.000 | 
| -0.000 | -0.000 | -0.000 | 0.000 | 66.101 | 0.000 | 
| 15.458 | 15.458 | 2.713 | -0.000 | 0.000 | 69.403 | 
| 262.146 | 101.325 | 103.900 | -0.000 | -0.000 | 0.000 | 
| 101.325 | 262.146 | 103.900 | 0.000 | -0.000 | -0.000 | 
| 98.492 | 98.492 | 306.739 | 0.000 | -0.000 | -0.000 | 
| 0.000 | 0.000 | 0.000 | 66.101 | -0.000 | 0.000 | 
| 0.000 | 0.000 | 0.000 | 0.000 | 66.101 | -0.000 | 
| -15.458 | -15.458 | -2.713 | 0.000 | -0.000 | 69.403 | 
| 273.841 | 114.160 | 109.046 | 0.000 | 0.000 | 0.000 | 
| 114.160 | 273.841 | 109.046 | 0.000 | 0.000 | 0.000 | 
| 109.955 | 109.955 | 308.925 | 0.000 | 0.000 | -0.000 | 
| 0.000 | -0.000 | 0.000 | 66.051 | 0.000 | -0.000 | 
| 0.000 | -0.000 | 0.000 | 0.000 | 66.051 | 0.000 | 
| 2.841 | 2.841 | 3.086 | 0.000 | 0.000 | 68.683 | 
| 276.635 | 113.406 | 104.372 | -0.000 | -0.000 | -0.000 | 
| 113.406 | 276.635 | 104.372 | -0.000 | -0.000 | 0.000 | 
| 109.955 | 109.955 | 308.925 | -0.000 | -0.000 | -0.000 | 
| -0.000 | 0.000 | -0.000 | 66.050 | -0.000 | 0.000 | 
| -0.000 | 0.000 | -0.000 | -0.000 | 66.050 | -0.000 | 
| -2.841 | -2.841 | -3.086 | -0.000 | -0.000 | 68.683 | 
| 275.435 | 118.800 | 107.583 | 0.000 | 0.000 | 0.000 | 
| 118.800 | 275.435 | 107.583 | 0.000 | 0.000 | 0.000 | 
| 107.935 | 107.935 | 305.065 | 0.000 | 0.000 | 0.000 | 
| -0.000 | -0.000 | -0.000 | 66.050 | 0.000 | 0.000 | 
| -0.000 | -0.000 | -0.000 | 0.000 | 66.050 | -0.000 | 
| -0.000 | -0.000 | -0.000 | 0.000 | 0.000 | 75.101 | 
| 276.084 | 120.643 | 107.309 | -0.000 | -0.000 | -0.000 | 
| 120.643 | 276.084 | 107.309 | -0.000 | -0.000 | -0.000 | 
| 107.654 | 107.654 | 304.867 | -0.000 | -0.000 | -0.000 | 
| 0.000 | 0.000 | 0.000 | 66.050 | -0.000 | 0.000 | 
| 0.000 | 0.000 | 0.000 | -0.000 | 66.050 | -0.000 | 
| 0.000 | 0.000 | 0.000 | -0.000 | -0.000 | 75.101 | 
| 273.060 | 122.329 | 107.704 | 0.000 | 0.000 | -0.000 | 
| 122.329 | 273.060 | 107.704 | 0.000 | 0.000 | 0.000 | 
| 109.955 | 109.955 | 308.926 | 0.000 | 0.000 | 0.000 | 
| 0.034 | 0.034 | 0.037 | 63.161 | 0.000 | 0.000 | 
| 0.034 | 0.034 | 0.037 | 0.000 | 63.161 | 0.000 | 
| 0.022 | 0.022 | 0.024 | 0.000 | 0.000 | 70.022 | 
| 274.835 | 119.935 | 107.303 | -0.000 | -0.000 | -0.000 | 
| 119.935 | 274.835 | 107.303 | -0.000 | -0.000 | -0.000 | 
| 109.954 | 109.954 | 308.925 | -0.000 | -0.000 | -0.000 | 
| -0.034 | -0.034 | -0.037 | 63.161 | -0.000 | 0.000 | 
| -0.034 | -0.034 | -0.037 | -0.000 | 63.161 | -0.000 | 
| -0.022 | -0.022 | -0.024 | -0.000 | -0.000 | 70.022 | 
| -239.064 | -158.771 | -238.960 | 0.000 | 0.000 | -0.000 | 
| -276.949 | 19.488 | -202.586 | 0.000 | 0.000 | -0.000 | 
| -398.080 | -243.528 | 86.148 | 0.000 | -0.000 | -0.000 | 
| 1703041047.489 | 921729633.444 | -125076992.628 | -143207707.439 | -150327378.406 | -22866388.750 | 
| 197488432.638 | 747278887.124 | 1626802675.734 | -55127928.508 | -607650027.861 | -12758308.025 | 
| 0.000 | -0.000 | 0.000 | 0.000 | -0.000 | 98.174 | 
| 195.959 | 138.696 | 10.036 | -0.000 | 0.000 | 0.000 | 
| 137.101 | 302.612 | 34.405 | -0.000 | -0.000 | 0.000 | 
| 339.308 | 260.693 | 508.211 | -0.000 | 0.000 | 0.000 | 
| -1688427846.974 | -1017356629.755 | 160430820.471 | -8473880.505 | -4260888.622 | -6581546.104 | 
| 28283939.528 | -701573184.381 | -1792668215.284 | -4552914.716 | -700305591.426 | -487838019.757 | 
| -0.000 | 0.000 | -0.000 | 0.000 | 0.000 | 98.174 | 
| 92.760 | 68.129 | -49.032 | -0.000 | -0.000 | -0.000 | 
| 54.876 | 246.387 | -12.658 | -0.000 | -0.000 | -0.000 | 
| -66.255 | -16.628 | 276.077 | 0.000 | -0.000 | -0.000 | 
| 173343615.082 | 99638457.820 | -34587378.550 | -907480.859 | -30863124.361 | -368096.605 | 
| 16614222.715 | 45658138.905 | 22508702.497 | 0.000 | -261305080.864 | -0.000 | 
| -36.869 | -25.211 | -21.103 | 0.000 | -0.000 | 98.174 | 
| 166.499 | 118.551 | -6.826 | -0.000 | 0.000 | 0.000 | 
| 137.101 | 302.612 | 34.405 | -0.000 | 0.000 | 0.000 | 
| 8.580 | 34.543 | 318.910 | -0.000 | 0.000 | 0.000 | 
| -168558774.617 | -93468395.209 | 15212603.555 | -2088896.532 | -218874.800 | -6128207.675 | 
| -16614222.715 | -45658138.905 | -22508702.497 | -0.000 | -261305080.864 | 0.000 | 
| 36.869 | 25.211 | 21.103 | -0.000 | 0.000 | 98.174 | 
| 125.944 | 90.820 | -30.039 | 0.000 | 0.000 | -0.000 | 
| 88.059 | 269.078 | 6.336 | 0.000 | -0.000 | -0.000 | 
| 8.580 | 34.544 | 318.911 | 0.000 | 0.000 | -0.000 | 
| 5403478.712 | 30794758.733 | 15664893.556 | -11944303.020 | -0.000 | -0.000 | 
| 1661524.354 | 4565854.697 | 2250869.752 | 0.000 | -26130475.328 | -0.000 | 
| -0.000 | 0.000 | 0.000 | -0.000 | -0.000 | 98.174 | 
| 133.315 | 95.860 | -25.819 | -0.000 | 0.000 | 0.000 | 
| 95.431 | 274.118 | 10.554 | -0.000 | 0.000 | 0.000 | 
| -25.700 | 11.102 | 299.288 | -0.000 | 0.000 | 0.000 | 
| -5403478.712 | -30794758.733 | -15664893.556 | -11944303.020 | 0.000 | 0.000 | 
| -1661524.354 | -4565854.697 | -2250869.752 | -0.000 | -26130475.328 | 0.000 | 
| 0.000 | -0.000 | -0.000 | -0.000 | -0.000 | 98.174 | 
| 911.974 | 744.827 | 744.827 | 0.000 | -0.000 | -0.000 | 
| 744.827 | 911.974 | 744.827 | 0.000 | -0.000 | -0.000 | 
| 744.827 | 744.827 | 911.974 | 0.000 | -0.000 | -0.000 | 
| 626.989 | 626.989 | 626.989 | 57.303 | -0.000 | -0.000 | 
| 626.989 | 626.989 | 626.989 | 0.000 | 57.303 | -0.000 | 
| 626.989 | 626.989 | 626.989 | 0.000 | -0.000 | 57.303 | 
| 307.311 | 120.093 | 120.093 | -0.000 | 0.000 | 0.000 | 
| 120.093 | 307.311 | 120.093 | -0.000 | 0.000 | 0.000 | 
| 120.093 | 120.093 | 307.311 | -0.000 | 0.000 | 0.000 | 
| -626.989 | -626.989 | -626.989 | 57.303 | 0.000 | 0.000 | 
| -626.989 | -626.989 | -626.989 | -0.000 | 57.303 | 0.000 | 
| -626.989 | -626.989 | -626.989 | -0.000 | 0.000 | 57.303 | 
| 307.312 | 120.093 | 120.093 | 0.000 | -0.000 | -0.000 | 
| 120.093 | 307.312 | 120.093 | -0.000 | -0.000 | -0.000 | 
| 120.093 | 120.093 | 307.312 | 0.000 | -0.000 | -0.000 | 
| -0.000 | -0.000 | -0.000 | 69.960 | -0.000 | -0.000 | 
| -0.000 | -0.000 | -0.000 | 0.000 | 69.960 | -0.000 | 
| -0.000 | -0.000 | -0.000 | -0.000 | -0.000 | 69.960 | 
| 221.763 | 55.324 | 55.324 | -0.000 | 0.000 | 0.000 | 
| 55.324 | 221.763 | 55.324 | -0.000 | 0.000 | 0.000 | 
| 55.324 | 55.324 | 221.763 | 0.000 | 0.000 | 0.000 | 
| 0.000 | 0.000 | 0.000 | 69.960 | 0.000 | -0.000 | 
| 0.000 | 0.000 | 0.000 | 0.000 | 69.960 | 0.000 | 
| 0.000 | 0.000 | 0.000 | -0.000 | 0.000 | 69.960 | 
| 307.312 | 120.093 | 120.093 | -0.000 | -0.000 | -0.000 | 
| 120.093 | 307.312 | 120.093 | 0.000 | -0.000 | 0.000 | 
| 120.093 | 120.093 | 307.312 | -0.000 | -0.000 | -0.000 | 
| 12.985 | 12.985 | 12.985 | 58.733 | -0.000 | -0.000 | 
| 12.985 | 12.985 | 12.985 | 0.000 | 58.733 | -0.000 | 
| 12.985 | 12.985 | 12.985 | 0.000 | -0.000 | 58.733 | 
| 307.311 | 120.093 | 120.093 | -0.000 | 0.000 | 0.000 | 
| 120.093 | 307.311 | 120.093 | -0.000 | 0.000 | 0.000 | 
| 120.093 | 120.093 | 307.311 | -0.000 | 0.000 | 0.000 | 
| -12.985 | -12.985 | -12.985 | 58.733 | 0.000 | 0.000 | 
| -12.985 | -12.985 | -12.985 | -0.000 | 58.733 | 0.000 | 
| -12.985 | -12.985 | -12.985 | 0.000 | 0.000 | 58.733 | 
| -592.375 | -766.530 | -766.530 | -0.000 | 0.000 | 0.000 | 
| -766.530 | -592.375 | -766.530 | 0.000 | 0.000 | 0.000 | 
| -766.530 | -766.530 | -592.375 | 0.000 | 0.000 | 0.000 | 
| -885.107 | -885.107 | -885.107 | 62.491 | 0.000 | 0.000 | 
| -885.107 | -885.107 | -885.107 | 0.000 | 62.491 | 0.000 | 
| -885.107 | -885.107 | -885.107 | 0.000 | 0.000 | 62.491 | 
| 1574.643 | 1397.995 | 1397.995 | -0.000 | -0.000 | -0.000 | 
| 1397.995 | 1574.643 | 1397.995 | -0.000 | -0.000 | -0.000 | 
| 1397.995 | 1397.995 | 1574.643 | -0.000 | -0.000 | -0.000 | 
| 885.107 | 885.107 | 885.107 | 62.491 | 0.000 | -0.000 | 
| 885.107 | 885.107 | 885.107 | 0.000 | 62.491 | -0.000 | 
| 885.107 | 885.107 | 885.107 | 0.000 | -0.000 | 62.491 | 
| 166.775 | -9.815 | -9.815 | -0.000 | 0.000 | 0.000 | 
| -9.815 | 166.775 | -9.815 | 0.000 | -0.000 | 0.000 | 
| -9.815 | -9.815 | 166.775 | 0.000 | 0.000 | 0.000 | 
| -127.994 | -127.994 | -127.994 | 61.793 | 0.000 | 0.000 | 
| -127.994 | -127.994 | -127.994 | 0.000 | 61.793 | 0.000 | 
| -127.994 | -127.994 | -127.994 | 0.000 | 0.000 | 61.793 | 
| 381.227 | 207.049 | 207.049 | -0.000 | 0.000 | -0.000 | 
| 207.049 | 381.227 | 207.049 | 0.000 | -0.000 | -0.000 | 
| 207.049 | 207.049 | 381.227 | 0.000 | -0.000 | -0.000 | 
| 127.994 | 127.994 | 127.994 | 61.793 | -0.000 | -0.000 | 
| 127.994 | 127.994 | 127.994 | -0.000 | 61.793 | -0.000 | 
| 127.994 | 127.994 | 127.994 | 0.000 | -0.000 | 61.793 | 
| 281.475 | 105.392 | 105.392 | 0.000 | 0.000 | 0.000 | 
| 105.392 | 281.475 | 105.392 | 0.000 | 0.000 | 0.000 | 
| 105.392 | 105.392 | 281.475 | 0.000 | 0.000 | 0.000 | 
| -17.188 | -17.188 | -17.188 | 60.006 | -0.000 | 0.000 | 
| -17.188 | -17.188 | -17.188 | -0.000 | 60.006 | 0.000 | 
| -17.188 | -17.188 | -17.188 | 0.000 | 0.000 | 60.006 | 
| 307.838 | 130.867 | 130.867 | 0.000 | -0.000 | -0.000 | 
| 130.867 | 307.838 | 130.867 | -0.000 | -0.000 | -0.000 | 
| 130.867 | 130.867 | 307.838 | -0.000 | -0.000 | -0.000 | 
| 17.188 | 17.188 | 17.188 | 60.006 | -0.000 | -0.000 | 
| 17.188 | 17.188 | 17.188 | -0.000 | 60.006 | -0.000 | 
| 17.188 | 17.188 | 17.188 | -0.000 | -0.000 | 60.006 | 
| 262.202 | 174.113 | 174.113 | 0.000 | 0.000 | 0.000 | 
| 174.113 | 262.202 | 174.113 | 0.000 | 0.000 | 0.000 | 
| 174.113 | 174.113 | 262.202 | 0.000 | 0.000 | 0.000 | 
| 49.053 | 49.053 | 49.053 | 74.941 | 0.000 | 0.000 | 
| 49.053 | 49.053 | 49.053 | 0.000 | 74.941 | 0.000 | 
| 49.053 | 49.053 | 49.053 | 0.000 | -0.000 | 74.941 | 
| 172.688 | 78.037 | 78.037 | -0.000 | -0.000 | -0.000 | 
| 78.037 | 172.689 | 78.037 | -0.000 | 0.000 | 0.000 | 
| 78.037 | 78.037 | 172.689 | -0.000 | -0.000 | -0.000 | 
| -49.053 | -49.053 | -49.053 | 74.941 | -0.000 | 0.000 | 
| -49.053 | -49.053 | -49.053 | -0.000 | 74.941 | -0.000 | 
| -49.053 | -49.053 | -49.053 | -0.000 | 0.000 | 74.941 | 
| 226.680 | 132.378 | 132.378 | 0.000 | -0.000 | 0.000 | 
| 132.378 | 226.680 | 132.378 | 0.000 | -0.000 | 0.000 | 
| 132.378 | 132.378 | 226.680 | 0.000 | 0.000 | 0.000 | 
| 4.301 | 4.301 | 4.301 | 64.416 | 0.000 | 0.000 | 
| 4.301 | 4.301 | 4.301 | -0.000 | 64.416 | 0.000 | 
| 4.301 | 4.301 | 4.301 | 0.000 | 0.000 | 64.416 | 
| 225.330 | 127.072 | 127.072 | 0.000 | 0.000 | -0.000 | 
| 127.072 | 225.330 | 127.072 | -0.000 | 0.000 | -0.000 | 
| 127.072 | 127.072 | 225.330 | -0.000 | 0.000 | -0.000 | 
| -4.301 | -4.301 | -4.301 | 64.416 | -0.000 | -0.000 | 
| -4.301 | -4.301 | -4.301 | 0.000 | 64.416 | -0.000 | 
| -4.301 | -4.301 | -4.301 | -0.000 | -0.000 | 64.416 | 
| 218.126 | 128.924 | 128.924 | 0.000 | 0.000 | 0.000 | 
| 128.924 | 218.126 | 128.924 | -0.000 | 0.000 | 0.000 | 
| 128.924 | 128.924 | 218.126 | -0.000 | 0.000 | 0.000 | 
| 0.000 | -0.000 | 0.000 | 79.649 | -0.000 | 0.000 | 
| -0.000 | 0.000 | 0.000 | 0.000 | 79.649 | -0.000 | 
| -0.000 | 0.000 | 0.000 | 0.000 | -0.000 | 79.649 | 
| 219.893 | 126.352 | 126.352 | -0.000 | 0.000 | 0.000 | 
| 126.352 | 219.893 | 126.352 | -0.000 | -0.000 | -0.000 | 
| 126.352 | 126.352 | 219.893 | -0.000 | -0.000 | -0.000 | 
| -0.000 | 0.000 | -0.000 | 79.649 | 0.000 | -0.000 | 
| 0.000 | -0.000 | -0.000 | -0.000 | 79.649 | -0.000 | 
| 0.000 | -0.000 | -0.000 | 0.000 | 0.000 | 79.649 | 
| 216.557 | 124.438 | 124.438 | -0.000 | 0.000 | -0.000 | 
| 124.438 | 216.557 | 124.438 | -0.000 | 0.000 | -0.000 | 
| 124.438 | 124.438 | 216.557 | -0.000 | 0.000 | -0.000 | 
| -0.000 | 0.000 | 0.000 | 79.382 | 0.000 | -0.000 | 
| -0.000 | 0.000 | 0.000 | -0.000 | 79.382 | -0.000 | 
| -0.000 | 0.000 | 0.000 | -0.000 | 0.000 | 79.382 | 
| 217.145 | 125.058 | 125.058 | 0.000 | -0.000 | 0.000 | 
| 125.058 | 217.145 | 125.058 | 0.000 | -0.000 | -0.000 | 
| 125.058 | 125.058 | 217.145 | 0.000 | -0.000 | 0.000 | 
| 0.000 | -0.000 | -0.000 | 79.382 | -0.000 | 0.000 | 
| 0.000 | -0.000 | 0.000 | 0.000 | 79.382 | 0.000 | 
| 0.000 | -0.000 | -0.000 | -0.000 | -0.000 | 79.382 | 
| 214.934 | 126.293 | 126.293 | -0.000 | 0.000 | 0.000 | 
| 126.293 | 214.934 | 126.293 | -0.000 | 0.000 | -0.000 | 
| 126.293 | 126.293 | 214.934 | -0.000 | 0.000 | -0.000 | 
| 0.000 | -0.000 | 0.000 | 79.382 | 0.000 | -0.000 | 
| -0.000 | 0.000 | 0.000 | -0.000 | 79.382 | -0.000 | 
| -0.000 | 0.000 | 0.000 | -0.000 | 0.000 | 79.382 | 
| 216.931 | 124.780 | 124.780 | 0.000 | -0.000 | 0.000 | 
| 124.780 | 216.931 | 124.780 | 0.000 | -0.000 | 0.000 | 
| 124.780 | 124.780 | 216.931 | 0.000 | -0.000 | -0.000 | 
| -0.000 | 0.000 | -0.000 | 79.382 | -0.000 | 0.000 | 
| 0.000 | -0.000 | -0.000 | 0.000 | 79.382 | 0.000 | 
| 0.000 | -0.000 | -0.000 | 0.000 | -0.000 | 79.382 | 
| 222.397 | 124.953 | 124.953 | -0.000 | 0.000 | -0.000 | 
| 124.953 | 222.397 | 124.953 | -0.000 | 0.000 | 0.000 | 
| 124.953 | 124.953 | 222.397 | 0.000 | 0.000 | -0.000 | 
| 0.000 | -0.000 | 0.000 | 79.382 | 0.000 | -0.000 | 
| -0.000 | 0.000 | 0.000 | -0.000 | 79.382 | -0.000 | 
| -0.000 | 0.000 | 0.000 | -0.000 | 0.000 | 79.382 | 
| 214.990 | 126.333 | 126.333 | 0.000 | -0.000 | 0.000 | 
| 126.333 | 214.990 | 126.333 | 0.000 | -0.000 | -0.000 | 
| 126.333 | 126.333 | 214.990 | 0.000 | -0.000 | 0.000 | 
| -0.000 | 0.000 | -0.000 | 79.382 | -0.000 | 0.000 | 
| 0.000 | -0.000 | -0.000 | 0.000 | 79.382 | -0.000 | 
| 0.000 | -0.000 | -0.000 | 0.000 | -0.000 | 79.382 | 
| 332.564 | 57.995 | 131.894 | 0.000 | 0.000 | -0.000 | 
| 67.700 | 376.033 | 20.107 | -0.000 | 0.000 | -0.000 | 
| 134.406 | 3.134 | 142.654 | 0.000 | 0.000 | -0.000 | 
| 0.000 | 0.000 | 0.000 | -37.254 | -0.000 | -0.000 | 
| -0.003 | -0.002 | -0.006 | 0.000 | 113.146 | -0.000 | 
| 0.000 | 0.000 | 0.000 | -0.000 | 0.000 | -0.929 | 
| 332.565 | 57.996 | 131.895 | -0.000 | -0.000 | 0.000 | 
| 57.462 | 369.118 | 0.090 | -0.000 | -0.000 | 0.000 | 
| 134.406 | 3.134 | 142.655 | -0.000 | -0.000 | 0.000 | 
| -0.000 | -0.000 | -0.000 | -37.254 | -0.000 | 0.000 | 
| 0.003 | 0.002 | 0.006 | -0.000 | 113.146 | 0.000 | 
| -0.000 | -0.000 | -0.000 | 0.000 | 0.000 | -0.929 | 
| 347.726 | 68.235 | 161.537 | -0.000 | 0.000 | 0.000 | 
| 57.461 | 369.118 | 0.089 | 0.000 | 0.000 | -0.000 | 
| 164.049 | 23.153 | 200.608 | -0.000 | -0.000 | 0.000 | 
| 56867928.749 | 49504131.944 | 50160498.934 | -251351050.684 | -0.000 | -0.000 | 
| -0.000 | -0.000 | -0.001 | 0.000 | 113.146 | -0.000 | 
| 0.000 | 0.000 | 0.000 | -0.000 | -0.000 | -0.929 | 
| 332.565 | 57.995 | 131.895 | -0.000 | 0.000 | -0.000 | 
| 57.461 | 369.118 | 0.089 | -0.000 | 0.000 | 0.000 | 
| 134.406 | 3.134 | 142.655 | -0.000 | -0.000 | -0.000 | 
| -0.000 | -0.000 | 0.000 | -37.254 | 0.000 | 0.000 | 
| 0.000 | 0.000 | 0.001 | -0.000 | 113.146 | 0.000 | 
| -0.000 | -0.000 | -0.000 | 0.000 | 0.000 | -0.929 | 
| 332.565 | 57.996 | 131.894 | 0.000 | -0.000 | -0.000 | 
| 67.701 | 376.034 | 20.108 | -0.000 | -0.000 | -0.000 | 
| 164.049 | 23.153 | 200.609 | 0.000 | 0.000 | -0.000 | 
| 5686843.539 | 4950464.682 | 5016113.369 | -25135076.030 | -0.000 | 0.000 | 
| 0.000 | 0.000 | 0.000 | 0.000 | 113.146 | -0.000 | 
| 12144303.992 | -730072.775 | 21567529.600 | 1283116.748 | -1420389.597 | 29869.445 | 
| 332.563 | 57.994 | 131.894 | -0.000 | 0.000 | 0.000 | 
| 57.461 | 369.116 | 0.089 | -0.000 | 0.000 | 0.000 | 
| 134.405 | 3.134 | 142.655 | -0.000 | 0.000 | 0.000 | 
| -5686843.539 | -4950464.682 | -5016113.369 | -25135076.030 | 0.000 | -0.000 | 
| -0.000 | -0.000 | -0.000 | -0.000 | 113.146 | 0.000 | 
| -12128860.032 | 732416.676 | -21589210.817 | -1120305.314 | 1239185.710 | -27564.540 | 
| 288.133 | 128.205 | 131.135 | 0.000 | 0.000 | -0.000 | 
| 237.791 | 178.547 | 131.135 | 0.000 | -0.000 | -0.000 | 
| 131.135 | 131.135 | 433.071 | 0.000 | 0.000 | -0.000 | 
| -0.000 | 0.000 | 0.000 | 72.962 | -0.000 | 0.000 | 
| 0.000 | -0.000 | 0.000 | 0.000 | 72.962 | 0.000 | 
| 0.000 | -0.000 | 0.000 | 0.000 | 0.000 | -29.622 | 
| 288.133 | 128.205 | 131.135 | 0.000 | -0.000 | 0.000 | 
| 128.205 | 288.133 | 131.135 | 0.000 | -0.000 | -0.000 | 
| 131.135 | 131.135 | 433.071 | -0.000 | -0.000 | -0.000 | 
| 0.000 | 0.000 | -0.000 | 72.962 | -0.000 | 0.000 | 
| -0.000 | 0.000 | -0.000 | -0.000 | 72.962 | 0.000 | 
| -0.000 | -0.000 | -0.000 | -0.000 | -0.000 | -29.622 | 
| 233.026 | 183.312 | 131.135 | 0.000 | 0.000 | -0.000 | 
| 128.205 | 288.133 | 131.135 | 0.000 | -0.000 | 0.000 | 
| 131.135 | 131.135 | 433.071 | 0.000 | -0.000 | -0.000 | 
| 0.000 | -0.000 | 0.000 | 72.962 | 0.000 | -0.000 | 
| -0.000 | -0.000 | 0.000 | 0.000 | 72.962 | -0.000 | 
| -0.000 | -0.000 | 0.000 | -0.000 | 0.000 | 79.964 | 
| 288.133 | 128.205 | 131.135 | -0.000 | -0.000 | 0.000 | 
| 128.205 | 288.133 | 131.135 | 0.000 | -0.000 | 0.000 | 
| 131.135 | 131.135 | 433.071 | -0.000 | 0.000 | -0.000 | 
| -0.000 | 0.000 | -0.000 | 72.962 | -0.000 | 0.000 | 
| 0.000 | 0.000 | -0.000 | -0.000 | 72.962 | 0.000 | 
| 0.000 | 0.000 | -0.000 | 0.000 | -0.000 | 79.964 | 
| 233.027 | 183.312 | 131.136 | 0.000 | 0.000 | -0.000 | 
| 237.793 | 178.546 | 131.135 | 0.000 | 0.000 | -0.000 | 
| 131.136 | 131.136 | 433.072 | 0.000 | 0.000 | -0.000 | 
| -0.000 | -0.000 | -0.000 | 72.962 | -0.000 | -0.000 | 
| -0.000 | -0.000 | -0.000 | 0.000 | 72.962 | -0.000 | 
| -0.000 | -0.000 | -0.001 | 0.000 | 0.000 | -29.622 | 
| 233.026 | 183.312 | 131.135 | -0.000 | -0.000 | 0.000 | 
| 237.789 | 178.548 | 131.136 | -0.000 | 0.000 | 0.000 | 
| 131.135 | 131.135 | 433.070 | -0.000 | -0.000 | 0.000 | 
| 0.000 | 0.000 | 0.000 | 72.962 | 0.000 | 0.000 | 
| 0.000 | 0.000 | 0.000 | -0.000 | 72.962 | -0.000 | 
| 0.000 | 0.000 | 0.001 | -0.000 | -0.000 | -29.622 | 
| 169.178 | 152.894 | 73.484 | 13.657 | 0.000 | -0.000 | 
| 102.468 | 219.603 | 73.484 | -13.657 | 0.000 | -0.000 | 
| 73.487 | 73.487 | 248.562 | 0.000 | 0.000 | -0.000 | 
| 13.657 | -13.657 | -0.000 | 29.592 | 0.000 | -0.000 | 
| -0.000 | 0.000 | -0.000 | 0.000 | 29.592 | 13.657 | 
| -0.000 | 0.000 | -0.000 | -0.000 | 13.657 | 47.670 | 
| 219.603 | 102.468 | 73.484 | 13.657 | -0.000 | 0.000 | 
| 102.468 | 219.603 | 73.484 | -13.657 | -0.000 | 0.000 | 
| 73.487 | 73.487 | 248.562 | -0.000 | -0.000 | 0.000 | 
| 13.657 | -13.657 | 0.000 | 29.592 | -0.000 | 0.000 | 
| 0.000 | -0.000 | 0.000 | -0.000 | 29.592 | 13.657 | 
| 0.000 | -0.000 | 0.000 | -0.000 | 13.657 | 47.670 | 
| 169.178 | 152.893 | 73.484 | 13.657 | 0.000 | -0.000 | 
| 102.468 | 219.603 | 73.484 | -13.657 | -0.000 | -0.000 | 
| 73.487 | 73.487 | 248.562 | -0.000 | 0.000 | -0.000 | 
| 13.657 | -13.657 | -0.000 | 29.592 | 0.000 | -0.000 | 
| -0.000 | -0.000 | -0.000 | 0.000 | 29.592 | 13.657 | 
| -0.000 | 0.000 | -0.000 | 0.000 | 13.657 | 58.568 | 
| 219.603 | 102.468 | 73.484 | 13.657 | -0.000 | 0.000 | 
| 148.961 | 173.111 | 73.484 | -13.657 | -0.000 | 0.000 | 
| 73.487 | 73.487 | 248.562 | -0.000 | -0.000 | 0.000 | 
| 13.657 | -13.657 | 0.000 | 29.592 | -0.000 | 0.000 | 
| 0.000 | 0.000 | 0.000 | -0.000 | 29.592 | 13.657 | 
| 0.000 | -0.000 | 0.000 | -0.000 | 13.657 | 58.568 | 
| 169.222 | 152.850 | 73.483 | 13.657 | 0.000 | -0.000 | 
| 102.469 | 219.604 | 73.484 | -13.657 | 0.000 | -0.000 | 
| 73.488 | 73.488 | 248.562 | -0.000 | 0.000 | -0.000 | 
| 13.657 | -13.658 | -0.000 | 29.591 | 0.000 | -0.000 | 
| -0.000 | -0.000 | -0.000 | 0.000 | 29.592 | 13.657 | 
| -0.000 | 0.000 | -0.000 | 0.000 | 13.657 | 58.568 | 
| 219.603 | 102.468 | 73.484 | 13.657 | -0.000 | 0.000 | 
| 102.468 | 219.603 | 73.484 | -13.657 | -0.000 | 0.000 | 
| 73.487 | 73.487 | 248.561 | 0.000 | -0.000 | 0.000 | 
| 13.657 | -13.657 | 0.000 | 29.592 | -0.000 | 0.000 | 
| 0.000 | 0.000 | 0.000 | -0.000 | 29.592 | 13.657 | 
| 0.000 | -0.000 | 0.000 | -0.000 | 13.657 | 58.568 | 
| 1252.204 | 1088.251 | -792.519 | 0.000 | -0.000 | 0.000 | 
| 1088.251 | 1252.204 | -792.519 | 0.000 | -0.000 | 0.000 | 
| 130.499 | 130.499 | -922.582 | 0.000 | -0.000 | 0.000 | 
| -1118.414 | -1118.414 | -1058.237 | 63.897 | 0.000 | 0.000 | 
| -1118.414 | -1118.414 | -1058.237 | 0.000 | 63.897 | -0.000 | 
| -1103.613 | -1103.613 | -916.863 | 0.000 | 0.000 | 65.358 | 
| -599.021 | -758.950 | 1179.465 | 0.000 | -0.000 | 0.000 | 
| -758.950 | -599.021 | 1179.465 | 0.000 | -0.000 | -0.000 | 
| -767.716 | -767.716 | 1378.519 | 0.000 | 0.000 | -0.000 | 
| 1118.414 | 1118.414 | 1058.237 | 63.897 | -0.000 | -0.000 | 
| 1118.414 | 1118.414 | 1058.237 | -0.000 | 63.897 | -0.000 | 
| 1103.613 | 1103.613 | 916.863 | 0.000 | 0.000 | 65.358 | 
| 155.257 | 13.896 | 5.685 | 0.000 | 0.000 | 0.000 | 
| 13.896 | 155.257 | 5.685 | -0.000 | 0.000 | 0.000 | 
| 201.767 | 201.767 | 203.111 | 0.000 | 0.000 | 0.000 | 
| -111.821 | -111.821 | -103.873 | 63.430 | -0.000 | 0.000 | 
| -111.821 | -111.821 | -103.873 | -0.000 | 63.430 | 0.000 | 
| -110.315 | -110.315 | -91.694 | 0.000 | -0.000 | 65.358 | 
| 194.240 | 34.266 | 217.794 | -0.000 | 0.000 | -0.000 | 
| 34.266 | 194.240 | 217.794 | -0.000 | 0.000 | -0.000 | 
| 225.009 | 225.009 | 402.251 | 0.000 | -0.000 | 0.000 | 
| 111.821 | 111.821 | 103.873 | 63.430 | 0.000 | -0.000 | 
| 111.821 | 111.821 | 103.873 | 0.000 | 63.430 | -0.000 | 
| 110.315 | 110.315 | 91.694 | 0.000 | 0.000 | 65.358 | 
| 256.834 | 117.163 | 100.860 | 0.000 | -0.000 | 0.000 | 
| 117.163 | 256.834 | 100.860 | -0.000 | 0.000 | 0.000 | 
| 114.078 | 114.078 | 298.332 | -0.000 | -0.000 | -0.000 | 
| -10.902 | -10.902 | -10.475 | 63.493 | -0.000 | -0.000 | 
| -10.902 | -10.902 | -10.475 | 0.000 | 63.493 | 0.000 | 
| 8.809 | 8.809 | -10.685 | 0.000 | 0.000 | 66.346 | 
| 276.506 | 121.126 | 123.361 | 0.000 | 0.000 | -0.000 | 
| 121.126 | 276.506 | 123.361 | 0.000 | -0.000 | -0.000 | 
| 104.856 | 104.856 | 320.690 | -0.000 | -0.000 | -0.000 | 
| 10.902 | 10.902 | 10.475 | 63.493 | 0.000 | -0.000 | 
| 10.902 | 10.902 | 10.475 | 0.000 | 63.493 | -0.000 | 
| -8.809 | -8.809 | 10.685 | -0.000 | 0.000 | 66.346 | 
| 191.997 | 114.444 | 114.444 | -0.000 | -0.000 | -0.000 | 
| 114.444 | 191.997 | 114.444 | -0.000 | -0.000 | 0.000 | 
| 114.444 | 114.444 | 191.997 | -0.000 | -0.000 | 0.000 | 
| -0.000 | 0.000 | -0.000 | 39.263 | -0.000 | 0.000 | 
| -0.000 | 0.000 | -0.000 | -0.000 | 39.263 | 0.000 | 
| -0.000 | -0.000 | -0.000 | -0.000 | -0.000 | 39.263 | 
| 191.997 | 114.444 | 114.444 | 0.000 | 0.000 | -0.000 | 
| 114.444 | 191.997 | 114.444 | 0.000 | 0.000 | -0.000 | 
| 114.444 | 114.444 | 191.997 | 0.000 | 0.000 | -0.000 | 
| 0.000 | -0.000 | 0.000 | 39.263 | 0.000 | -0.000 | 
| 0.000 | -0.000 | 0.000 | 0.000 | 39.263 | -0.000 | 
| 0.000 | -0.000 | 0.000 | 0.000 | 0.000 | 39.263 | 
| 191.997 | 114.444 | 114.444 | -0.000 | -0.000 | 0.000 | 
| 114.444 | 191.997 | 114.444 | -0.000 | 0.000 | -0.000 | 
| 114.444 | 114.444 | 191.997 | -0.000 | -0.000 | 0.000 | 
| 0.000 | 0.000 | 0.000 | 75.022 | -0.000 | 0.000 | 
| 0.000 | 0.000 | 0.000 | -0.000 | 75.022 | 0.000 | 
| 0.000 | 0.000 | 0.000 | -0.000 | 0.000 | 75.022 | 
| 191.997 | 114.444 | 114.444 | 0.000 | 0.000 | -0.000 | 
| 114.444 | 191.997 | 114.444 | 0.000 | 0.000 | -0.000 | 
| 114.444 | 114.444 | 191.997 | -0.000 | 0.000 | -0.000 | 
| -0.000 | -0.000 | -0.000 | 75.022 | 0.000 | -0.000 | 
| -0.000 | -0.000 | -0.000 | 0.000 | 75.022 | -0.000 | 
| -0.000 | -0.000 | -0.000 | 0.000 | 0.000 | 75.022 | 
| 191.997 | 114.444 | 114.444 | -0.000 | 0.000 | -0.000 | 
| 114.444 | 191.997 | 114.444 | -0.000 | -0.000 | 0.000 | 
| 114.444 | 114.444 | 191.997 | 0.000 | 0.000 | 0.000 | 
| 0.000 | 0.000 | 0.000 | 75.022 | 0.000 | 0.000 | 
| 0.000 | 0.000 | 0.000 | -0.000 | 75.022 | 0.000 | 
| 0.000 | 0.000 | 0.000 | -0.000 | -0.000 | 75.022 | 
| 191.996 | 114.444 | 114.444 | 0.000 | 0.000 | -0.000 | 
| 114.444 | 191.996 | 114.444 | 0.000 | 0.000 | -0.000 | 
| 114.444 | 114.444 | 191.996 | 0.000 | -0.000 | -0.000 | 
| -0.000 | -0.000 | -0.000 | 75.022 | -0.000 | -0.000 | 
| -0.000 | -0.000 | -0.000 | 0.000 | 75.022 | -0.000 | 
| -0.000 | -0.000 | -0.000 | 0.000 | 0.000 | 75.022 | 
| 212.587 | 131.598 | 131.598 | -0.000 | -0.000 | -0.000 | 
| 131.598 | 212.587 | 131.598 | -0.000 | -0.000 | -0.000 | 
| 131.598 | 131.598 | 212.587 | -0.000 | -0.000 | -0.000 | 
| -0.000 | 0.000 | -0.000 | 65.522 | -0.000 | -0.000 | 
| -0.000 | 0.000 | -0.000 | -0.000 | 65.522 | -0.000 | 
| -0.000 | 0.000 | -0.000 | -0.000 | -0.000 | 65.522 | 
| 212.587 | 131.598 | 131.598 | 0.000 | 0.000 | 0.000 | 
| 131.598 | 212.587 | 131.598 | 0.000 | 0.000 | 0.000 | 
| 131.598 | 131.598 | 212.587 | 0.000 | 0.000 | 0.000 | 
| 0.000 | -0.000 | 0.000 | 65.522 | 0.000 | 0.000 | 
| 0.000 | -0.000 | 0.000 | 0.000 | 65.522 | 0.000 | 
| 0.000 | -0.000 | 0.000 | 0.000 | 0.000 | 65.522 | 
| 212.587 | 131.598 | 131.598 | -0.000 | -0.000 | -0.000 | 
| 131.598 | 212.587 | 131.598 | -0.000 | -0.000 | -0.000 | 
| 131.598 | 131.598 | 212.587 | -0.000 | -0.000 | -0.000 | 
| -0.000 | -0.000 | 0.000 | 65.555 | -0.000 | -0.000 | 
| -0.000 | -0.000 | 0.000 | -0.000 | 65.555 | -0.000 | 
| -0.000 | 0.000 | -0.000 | -0.000 | -0.000 | 65.555 | 
| 212.587 | 131.598 | 131.598 | 0.000 | 0.000 | 0.000 | 
| 131.598 | 212.587 | 131.598 | 0.000 | 0.000 | 0.000 | 
| 131.598 | 131.598 | 212.587 | 0.000 | 0.000 | 0.000 | 
| 0.000 | 0.000 | -0.000 | 65.555 | 0.000 | 0.000 | 
| 0.000 | 0.000 | -0.000 | 0.000 | 65.555 | 0.000 | 
| 0.000 | -0.000 | 0.000 | 0.000 | 0.000 | 65.555 | 
| 212.588 | 131.598 | 131.598 | -0.000 | -0.000 | -0.000 | 
| 131.598 | 212.588 | 131.598 | -0.000 | -0.000 | -0.000 | 
| 131.598 | 131.598 | 212.588 | -0.000 | -0.000 | -0.000 | 
| -0.000 | -0.000 | 0.000 | 65.522 | -0.000 | -0.000 | 
| -0.000 | -0.000 | 0.000 | -0.000 | 65.522 | -0.000 | 
| -0.000 | 0.000 | -0.000 | -0.000 | -0.000 | 65.522 | 
| 212.587 | 131.597 | 131.597 | 0.000 | 0.000 | 0.000 | 
| 131.597 | 212.587 | 131.597 | 0.000 | 0.000 | 0.000 | 
| 131.597 | 131.597 | 212.587 | 0.000 | 0.000 | 0.000 | 
| 0.000 | 0.000 | -0.000 | 65.522 | 0.000 | 0.000 | 
| 0.000 | 0.000 | -0.000 | 0.000 | 65.522 | 0.000 | 
| 0.000 | -0.000 | 0.000 | 0.000 | 0.000 | 65.522 | 
| 1527.969 | 1470.922 | 144.565 | -0.000 | 0.000 | 0.000 | 
| 1470.922 | 1527.969 | 144.565 | -0.000 | -0.000 | 0.000 | 
| 42.788 | 42.788 | 119.741 | -0.000 | 0.000 | -0.000 | 
| 1682.602 | 1682.602 | 165.947 | -10.057 | 0.000 | 0.000 | 
| 1682.602 | 1682.602 | 165.947 | -0.000 | -10.057 | -0.000 | 
| 1681.657 | 1681.657 | 165.854 | -0.000 | 0.000 | -130.598 | 
| -1835.358 | -1892.406 | -187.145 | 0.000 | -0.000 | 0.000 | 
| -1892.406 | -1835.358 | -187.145 | 0.000 | -0.000 | -0.000 | 
| -1689.884 | -1689.884 | -51.144 | 0.000 | -0.000 | -0.000 | 
| -1682.602 | -1682.602 | -165.947 | -10.057 | -0.000 | -0.000 | 
| -1682.602 | -1682.602 | -165.947 | 0.000 | -10.057 | -0.000 | 
| -1681.657 | -1681.657 | -165.854 | 0.000 | -0.000 | -130.598 | 
| 13.921 | -42.200 | -4.714 | -0.000 | 0.000 | -0.000 | 
| -42.200 | 13.921 | -4.714 | -0.000 | 0.000 | -0.000 | 
| 42.788 | 42.788 | 119.741 | -0.000 | 0.000 | -0.000 | 
| 177.633 | 177.633 | 17.519 | -10.214 | 0.000 | 0.000 | 
| 177.633 | 177.633 | 17.519 | -0.000 | -10.214 | -0.000 | 
| 168.164 | 168.164 | 16.585 | -0.000 | 0.000 | -130.594 | 
| -322.828 | -378.948 | -37.925 | 0.000 | -0.000 | 0.000 | 
| -378.948 | -322.828 | -37.925 | 0.000 | -0.000 | 0.000 | 
| -176.389 | -176.389 | 98.125 | 0.000 | -0.000 | -0.000 | 
| -177.633 | -177.633 | -17.519 | -10.214 | -0.000 | 0.000 | 
| -177.633 | -177.633 | -17.519 | 0.000 | -10.214 | 0.000 | 
| -168.164 | -168.164 | -16.585 | 0.000 | -0.000 | -130.594 | 
| -13702874.982 | -13495966.124 | -4776096.014 | -263298.706 | 33851.499 | 146969.413 | 
| -13308421.804 | -13620256.045 | -4300414.997 | 56470.062 | -147199.895 | 65752.259 | 
| 8.589 | 8.589 | 116.368 | -0.000 | -0.000 | -0.000 | 
| -13393106.923 | -13683241.228 | -4303778.928 | 190738.910 | 137883.133 | 467202.083 | 
| -14087486.248 | -13998512.535 | -3777417.860 | -189721.497 | -33421.594 | -54264.721 | 
| 16.815 | 16.815 | 1.657 | -0.000 | 0.000 | -130.606 | 
| -170.317 | -227.364 | -22.927 | 0.000 | -0.000 | -0.000 | 
| -227.364 | -170.317 | -22.927 | 0.000 | -0.000 | 0.000 | 
| -25.037 | -25.037 | 113.053 | 0.000 | -0.000 | -0.000 | 
| 13955356.346 | 14475467.360 | 4153347.635 | -398385.918 | 359742.949 | -188459.067 | 
| 12975976.149 | 13272657.790 | 3962740.356 | -93477.670 | -54378.452 | -9044.965 | 
| -16.815 | -16.815 | -1.657 | 0.000 | -0.000 | -130.606 | 
| 19.791 | 35.846 | 35.846 | 0.000 | 0.000 | 0.000 | 
| 35.846 | 19.791 | 35.846 | 0.000 | 0.000 | 0.000 | 
| 35.846 | 35.846 | 19.791 | 0.000 | 0.000 | 0.000 | 
| 0.000 | 0.000 | -0.000 | -19.678 | 0.000 | 0.000 | 
| 0.000 | 0.000 | -0.000 | 0.000 | -19.678 | 0.000 | 
| 0.000 | -0.000 | -0.000 | 0.000 | 0.000 | -19.678 | 
| 19.791 | 35.846 | 35.846 | -0.000 | -0.000 | -0.000 | 
| 35.846 | 19.791 | 35.846 | -0.000 | -0.000 | -0.000 | 
| 35.846 | 35.846 | 19.791 | -0.000 | -0.000 | -0.000 | 
| -0.000 | -0.000 | 0.000 | -19.678 | -0.000 | -0.000 | 
| -0.000 | -0.000 | 0.000 | -0.000 | -19.678 | -0.000 | 
| -0.000 | -0.000 | 0.000 | -0.000 | -0.000 | -19.678 | 
| 19.791 | 35.846 | 35.846 | -0.000 | 0.000 | 0.000 | 
| 35.846 | 19.791 | 35.846 | 0.000 | 0.000 | 0.000 | 
| 35.846 | 35.846 | 19.791 | 0.000 | 0.000 | 0.000 | 
| -0.000 | -0.000 | -0.000 | -19.678 | 0.000 | 0.000 | 
| -0.000 | -0.000 | -0.000 | 0.000 | -19.678 | 0.000 | 
| -0.000 | -0.000 | -0.000 | 0.000 | 0.000 | -19.678 | 
| 19.791 | 35.846 | 35.846 | -0.000 | -0.000 | -0.000 | 
| 35.846 | 19.791 | 35.846 | -0.000 | -0.000 | -0.000 | 
| 35.846 | 35.846 | 19.791 | -0.000 | -0.000 | -0.000 | 
| 0.000 | 0.000 | 0.000 | -19.678 | -0.000 | -0.000 | 
| 0.000 | 0.000 | 0.000 | -0.000 | -19.678 | -0.000 | 
| 0.000 | 0.000 | 0.000 | -0.000 | -0.000 | -19.678 | 
| 19.791 | 35.846 | 35.846 | 0.000 | 0.000 | 0.000 | 
| 35.846 | 19.791 | 35.846 | 0.000 | 0.000 | 0.000 | 
| 35.846 | 35.846 | 19.791 | 0.000 | 0.000 | 0.000 | 
| -0.000 | -0.000 | -0.000 | -19.678 | 0.000 | 0.000 | 
| -0.000 | -0.000 | -0.000 | 0.000 | -19.678 | 0.000 | 
| -0.000 | -0.000 | -0.000 | 0.000 | 0.000 | -19.678 | 
| 19.791 | 35.845 | 35.845 | -0.000 | -0.000 | -0.000 | 
| 35.845 | 19.791 | 35.845 | -0.000 | -0.000 | -0.000 | 
| 35.845 | 35.845 | 19.791 | -0.000 | -0.000 | -0.000 | 
| 0.000 | 0.000 | 0.000 | -19.678 | -0.000 | -0.000 | 
| 0.000 | 0.000 | 0.000 | -0.000 | -19.678 | -0.000 | 
| 0.000 | 0.000 | 0.000 | -0.000 | -0.000 | -19.678 | 
| -37.759 | -25.665 | -25.665 | -0.001 | -0.001 | -0.001 | 
| -25.665 | -37.759 | -25.665 | -0.001 | -0.001 | -0.001 | 
| -25.665 | -25.665 | -37.759 | -0.001 | -0.001 | -0.001 | 
| -173522124.535 | -183079898.696 | -183077174.088 | -32763351.297 | -539503.312 | -2243798.621 | 
| -183525803.638 | -173471601.053 | -184475709.616 | -971367.283 | -32323129.328 | -1662044.397 | 
| -183471352.955 | -184661610.185 | -173696606.208 | -670484.336 | -1481189.661 | -33557849.520 | 
| -37.759 | -25.665 | -25.665 | 0.001 | 0.001 | 0.001 | 
| -25.665 | -37.759 | -25.665 | 0.001 | 0.001 | 0.001 | 
| -25.665 | -25.665 | -37.759 | 0.001 | 0.001 | 0.001 | 
| 173414145.125 | 186408037.647 | 187210821.466 | -37259063.861 | -2246526.275 | -203693.994 | 
| 186474896.825 | 173483848.724 | 187189044.563 | -2141166.871 | -37495731.591 | 37092.613 | 
| 187225693.311 | 186964423.764 | 172076715.333 | -1063156.668 | -214530.568 | -37033151.432 | 
| -37.759 | -25.665 | -25.665 | 0.000 | 0.000 | 0.000 | 
| -25.665 | -37.759 | -25.665 | 0.000 | 0.000 | 0.000 | 
| -25.665 | -25.665 | -37.759 | 0.000 | 0.000 | 0.000 | 
| 0.000 | 0.000 | 0.000 | -31.440 | 0.000 | 0.000 | 
| 0.000 | 0.000 | 0.000 | 0.000 | -31.440 | 0.000 | 
| 0.000 | 0.000 | 0.000 | 0.000 | 0.000 | -31.440 | 
| -37.759 | -25.665 | -25.665 | 0.000 | 0.000 | 0.000 | 
| -25.665 | -37.759 | -25.665 | 0.000 | 0.000 | 0.000 | 
| -25.665 | -25.665 | -37.759 | 0.000 | 0.000 | 0.000 | 
| -0.000 | -0.000 | -0.000 | -31.440 | -0.000 | -0.000 | 
| -0.000 | -0.000 | -0.000 | -0.000 | -31.440 | -0.000 | 
| -0.000 | -0.000 | -0.000 | -0.000 | -0.000 | -31.440 | 
| -37.758 | -25.665 | -25.665 | -0.000 | -0.000 | -0.000 | 
| -25.665 | -37.758 | -25.665 | -0.000 | -0.000 | -0.000 | 
| -25.665 | -25.665 | -37.758 | -0.000 | -0.000 | -0.000 | 
| -1723804.220 | -1796620.047 | -1813012.411 | -337279.332 | -16213.043 | -1887.330 | 
| -1807438.383 | -1738186.264 | -1818683.258 | -19991.266 | -337654.828 | -9429.611 | 
| -1844088.162 | -1842299.482 | -1751712.042 | -17980.099 | 3387.948 | -335509.881 | 
| -37.759 | -25.665 | -25.665 | 0.000 | 0.000 | 0.000 | 
| -25.665 | -37.759 | -25.665 | 0.000 | 0.000 | 0.000 | 
| -25.665 | -25.665 | -37.759 | 0.000 | 0.000 | 0.000 | 
| 1724838.472 | 1868177.650 | 1856736.288 | -351096.303 | -13443.353 | 6204.548 | 
| 1869798.881 | 1727514.156 | 1855272.463 | -18156.978 | -357412.804 | 7758.494 | 
| 1873569.215 | 1886234.578 | 1723797.842 | -10083.350 | 2589.298 | -364592.677 | 
| 279.053 | 218.813 | 218.813 | -0.000 | 0.000 | 0.000 | 
| 218.813 | 279.053 | 218.813 | -0.000 | -0.000 | 0.000 | 
| 218.813 | 218.813 | 279.053 | -0.000 | -0.000 | 0.000 | 
| -0.000 | -0.000 | 0.000 | 147.822 | -0.000 | 0.000 | 
| -0.000 | -0.000 | 0.000 | -0.000 | 147.822 | 0.000 | 
| -0.000 | -0.000 | 0.000 | -0.000 | 0.000 | 147.822 | 
| 279.053 | 218.813 | 218.813 | 0.000 | 0.000 | -0.000 | 
| 218.813 | 279.053 | 218.813 | 0.000 | 0.000 | -0.000 | 
| 218.813 | 218.813 | 279.053 | 0.000 | 0.000 | -0.000 | 
| 0.000 | 0.000 | -0.000 | 147.822 | 0.000 | -0.000 | 
| 0.000 | 0.000 | -0.000 | 0.000 | 147.822 | -0.000 | 
| 0.000 | 0.000 | -0.000 | 0.000 | -0.000 | 147.822 | 
| 279.053 | 218.813 | 218.813 | -0.000 | -0.000 | 0.000 | 
| 218.813 | 279.053 | 218.813 | -0.000 | -0.000 | 0.000 | 
| 218.813 | 218.813 | 279.053 | 0.000 | 0.000 | 0.000 | 
| 0.000 | -0.000 | 0.000 | 147.822 | -0.000 | 0.000 | 
| -0.000 | 0.000 | 0.000 | 0.000 | 147.822 | 0.000 | 
| -0.000 | 0.000 | 0.000 | -0.000 | 0.000 | 147.822 | 
| 279.053 | 218.813 | 218.813 | 0.000 | -0.000 | -0.000 | 
| 218.813 | 279.053 | 218.813 | 0.000 | 0.000 | -0.000 | 
| 218.813 | 218.813 | 279.053 | 0.000 | 0.000 | -0.000 | 
| -0.000 | 0.000 | -0.000 | 147.822 | 0.000 | -0.000 | 
| 0.000 | -0.000 | -0.000 | -0.000 | 147.822 | -0.000 | 
| 0.000 | -0.000 | -0.000 | 0.000 | 0.000 | 147.822 | 
| 279.054 | 218.813 | 218.813 | -0.000 | -0.000 | 0.000 | 
| 218.813 | 279.054 | 218.813 | -0.000 | -0.000 | 0.000 | 
| 218.813 | 218.813 | 279.054 | 0.000 | 0.000 | 0.000 | 
| 0.000 | -0.000 | 0.000 | 147.822 | -0.000 | 0.000 | 
| -0.000 | 0.000 | 0.000 | -0.000 | 147.822 | 0.000 | 
| -0.000 | 0.000 | 0.000 | -0.000 | 0.000 | 147.822 | 
| 279.052 | 218.812 | 218.812 | 0.000 | 0.000 | -0.000 | 
| 218.812 | 279.052 | 218.812 | 0.000 | 0.000 | -0.000 | 
| 218.812 | 218.812 | 279.052 | 0.000 | 0.000 | -0.000 | 
| -0.000 | 0.000 | -0.000 | 147.822 | 0.000 | -0.000 | 
| 0.000 | -0.000 | -0.000 | 0.000 | 147.822 | -0.000 | 
| 0.000 | -0.000 | -0.000 | 0.000 | -0.000 | 147.822 | 
| 166.767 | 144.285 | 144.285 | -0.000 | 0.000 | -0.000 | 
| 144.285 | 166.767 | 144.285 | -0.000 | -0.000 | -0.000 | 
| 144.285 | 144.285 | 166.767 | -0.000 | -0.000 | 0.000 | 
| 0.000 | 0.000 | 0.000 | 18.694 | -0.000 | 0.000 | 
| -0.000 | 0.000 | 0.000 | -0.000 | 18.694 | 0.000 | 
| -0.000 | -0.000 | -0.000 | -0.000 | -0.000 | 18.694 | 
| 166.767 | 144.285 | 144.285 | 0.000 | 0.000 | -0.000 | 
| 144.285 | 166.767 | 144.285 | 0.000 | -0.000 | -0.000 | 
| 144.285 | 144.285 | 166.767 | -0.000 | 0.000 | -0.000 | 
| -0.000 | 0.000 | 0.000 | 18.694 | 0.000 | 0.000 | 
| 0.000 | -0.000 | 0.000 | 0.000 | 18.694 | -0.000 | 
| 0.000 | -0.000 | 0.000 | 0.000 | 0.000 | 18.694 | 
| 166.767 | 144.285 | 144.285 | -0.000 | -0.000 | 0.000 | 
| 144.285 | 166.767 | 144.285 | -0.000 | -0.000 | 0.000 | 
| 144.285 | 144.285 | 166.767 | -0.000 | -0.000 | 0.000 | 
| 0.000 | -0.000 | -0.000 | 18.694 | -0.000 | 0.000 | 
| -0.000 | 0.000 | -0.000 | -0.000 | 18.694 | 0.000 | 
| -0.000 | -0.000 | 0.000 | -0.000 | -0.000 | 18.694 | 
| 166.767 | 144.285 | 144.285 | 0.000 | 0.000 | -0.000 | 
| 144.285 | 166.767 | 144.285 | 0.000 | 0.000 | -0.000 | 
| 144.285 | 144.285 | 166.767 | 0.000 | 0.000 | -0.000 | 
| -0.000 | 0.000 | 0.000 | 18.694 | 0.000 | -0.000 | 
| 0.000 | -0.000 | 0.000 | 0.000 | 18.694 | -0.000 | 
| 0.000 | 0.000 | -0.000 | 0.000 | 0.000 | 18.694 | 
| 166.768 | 144.285 | 144.285 | -0.000 | -0.000 | 0.000 | 
| 144.285 | 166.768 | 144.285 | -0.000 | -0.000 | 0.000 | 
| 144.285 | 144.285 | 166.768 | -0.000 | 0.000 | 0.000 | 
| 0.000 | -0.000 | 0.000 | 106.898 | -0.000 | 0.000 | 
| -0.000 | 0.000 | 0.000 | -0.000 | 106.898 | 0.000 | 
| -0.000 | 0.000 | 0.000 | -0.000 | -0.000 | 106.898 | 
| 166.766 | 144.285 | 144.285 | 0.000 | 0.000 | -0.000 | 
| 144.285 | 166.766 | 144.285 | 0.000 | -0.000 | -0.000 | 
| 144.285 | 144.285 | 166.766 | 0.000 | 0.000 | -0.000 | 
| -0.000 | 0.000 | -0.000 | 106.898 | 0.000 | -0.000 | 
| 0.000 | -0.000 | -0.000 | -0.000 | 106.898 | -0.000 | 
| 0.000 | -0.000 | -0.000 | 0.000 | 0.000 | 106.898 | 
| 335.995 | 133.527 | 133.527 | -0.000 | 0.000 | -0.000 | 
| 133.527 | 335.995 | 133.527 | 0.000 | -0.000 | -0.000 | 
| 133.527 | 133.527 | 335.995 | 0.000 | 0.000 | -0.000 | 
| -0.000 | -0.000 | -0.000 | 63.057 | -0.000 | -0.000 | 
| -0.000 | -0.000 | -0.000 | -0.000 | 63.057 | -0.000 | 
| -0.000 | 0.000 | -0.000 | 0.000 | 0.000 | 63.057 | 
| 335.913 | 133.568 | 133.568 | 0.000 | 0.000 | 0.000 | 
| 133.568 | 335.913 | 133.568 | 0.000 | -0.000 | 0.000 | 
| 133.568 | 133.568 | 335.913 | -0.000 | -0.000 | 0.000 | 
| 0.000 | 0.000 | 0.000 | 63.057 | 0.000 | 0.000 | 
| -0.000 | 0.000 | -0.000 | -0.000 | 63.057 | 0.000 | 
| -0.000 | 0.000 | 0.000 | -0.000 | -0.000 | 63.057 | 
| 335.914 | 133.568 | 133.568 | 0.000 | -0.000 | -0.000 | 
| 133.568 | 335.914 | 133.568 | 0.000 | 0.000 | -0.000 | 
| 133.568 | 133.568 | 335.914 | 0.000 | 0.000 | -0.000 | 
| 0.000 | 0.000 | 0.000 | 62.920 | -0.000 | -0.000 | 
| 0.000 | 0.000 | 0.000 | 0.000 | 62.920 | -0.000 | 
| 0.000 | 0.000 | 0.000 | 0.000 | 0.000 | 62.920 | 
| 335.995 | 133.527 | 133.527 | 0.000 | 0.000 | 0.000 | 
| 133.527 | 335.995 | 133.527 | 0.000 | 0.000 | 0.000 | 
| 133.527 | 133.527 | 335.995 | -0.000 | 0.000 | 0.000 | 
| -0.000 | -0.000 | -0.000 | 62.920 | -0.000 | 0.000 | 
| -0.000 | -0.000 | -0.000 | 0.000 | 62.920 | 0.000 | 
| -0.000 | -0.000 | -0.000 | -0.000 | -0.000 | 62.920 | 
| 335.916 | 133.569 | 133.569 | 0.000 | 0.000 | -0.000 | 
| 133.569 | 335.916 | 133.569 | -0.000 | 0.000 | -0.000 | 
| 133.569 | 133.569 | 335.916 | 0.000 | -0.000 | -0.000 | 
| 0.000 | 0.000 | 0.000 | 62.920 | -0.000 | -0.000 | 
| 0.000 | 0.000 | 0.000 | 0.000 | 62.920 | -0.000 | 
| 0.000 | 0.000 | 0.000 | -0.000 | -0.000 | 62.920 | 
| 335.911 | 133.567 | 133.567 | -0.000 | -0.000 | 0.000 | 
| 133.567 | 335.911 | 133.567 | 0.000 | -0.000 | 0.000 | 
| 133.567 | 133.567 | 335.911 | -0.000 | 0.000 | 0.000 | 
| -0.000 | -0.000 | -0.000 | 62.920 | 0.000 | 0.000 | 
| -0.000 | -0.000 | -0.000 | 0.000 | 62.920 | 0.000 | 
| -0.000 | -0.000 | -0.000 | -0.000 | -0.000 | 62.920 | 
| 291.831 | 183.313 | 183.313 | -0.000 | -0.000 | 0.000 | 
| 183.313 | 291.831 | 183.313 | -0.000 | -0.000 | 0.000 | 
| 183.313 | 183.313 | 291.831 | 0.000 | 0.000 | 0.000 | 
| -0.000 | 0.000 | 0.000 | 111.723 | -0.000 | 0.000 | 
| 0.000 | 0.000 | 0.000 | -0.000 | 111.723 | 0.000 | 
| -0.000 | 0.000 | 0.000 | -0.000 | -0.000 | 111.723 | 
| 291.831 | 183.313 | 183.313 | 0.000 | 0.000 | -0.000 | 
| 183.313 | 291.831 | 183.313 | 0.000 | 0.000 | -0.000 | 
| 183.313 | 183.313 | 291.831 | 0.000 | 0.000 | -0.000 | 
| 0.000 | -0.000 | -0.000 | 111.723 | 0.000 | -0.000 | 
| 0.000 | -0.000 | -0.000 | 0.000 | 111.723 | -0.000 | 
| 0.000 | -0.000 | -0.000 | 0.000 | 0.000 | 111.723 | 
| 291.831 | 183.313 | 183.313 | -0.000 | -0.000 | 0.000 | 
| 183.313 | 291.831 | 183.313 | -0.000 | -0.000 | 0.000 | 
| 183.313 | 183.313 | 291.831 | -0.000 | -0.000 | 0.000 | 
| 0.000 | -0.000 | 0.000 | 111.591 | -0.000 | 0.000 | 
| -0.000 | 0.000 | 0.000 | -0.000 | 111.591 | -0.000 | 
| -0.000 | 0.000 | 0.000 | -0.000 | -0.000 | 111.591 | 
| 291.831 | 183.313 | 183.313 | 0.000 | 0.000 | -0.000 | 
| 183.313 | 291.831 | 183.313 | -0.000 | 0.000 | -0.000 | 
| 183.313 | 183.313 | 291.831 | -0.000 | 0.000 | 0.000 | 
| -0.000 | 0.000 | -0.000 | 111.591 | 0.000 | -0.000 | 
| 0.000 | -0.000 | -0.000 | 0.000 | 111.591 | -0.000 | 
| 0.000 | -0.000 | -0.000 | 0.000 | 0.000 | 111.591 | 
| 291.831 | 183.313 | 183.313 | -0.000 | -0.000 | -0.000 | 
| 183.313 | 291.831 | 183.313 | -0.000 | 0.000 | 0.000 | 
| 183.313 | 183.313 | 291.831 | 0.000 | -0.000 | 0.000 | 
| 0.000 | -0.000 | 0.000 | 111.723 | -0.000 | 0.000 | 
| -0.000 | 0.000 | 0.000 | -0.000 | 111.723 | 0.000 | 
| -0.000 | 0.000 | 0.000 | -0.000 | -0.000 | 111.723 | 
| 291.831 | 183.313 | 183.313 | 0.000 | -0.000 | 0.000 | 
| 183.313 | 291.831 | 183.313 | 0.000 | 0.000 | -0.000 | 
| 183.313 | 183.313 | 291.831 | 0.000 | 0.000 | -0.000 | 
| -0.000 | 0.000 | -0.000 | 111.723 | 0.000 | -0.000 | 
| 0.000 | -0.000 | -0.000 | 0.000 | 111.723 | -0.000 | 
| 0.000 | -0.000 | -0.000 | 0.000 | 0.000 | 111.723 | 
| 172.387 | 133.664 | 133.664 | 0.000 | -0.000 | -0.000 | 
| 133.664 | 172.387 | 133.664 | -0.000 | -0.000 | -0.000 | 
| 133.664 | 133.664 | 172.387 | 0.000 | -0.000 | -0.000 | 
| -0.000 | -0.000 | 0.000 | 73.679 | -0.000 | -0.000 | 
| 0.000 | -0.000 | 0.000 | 0.000 | 73.679 | -0.000 | 
| 0.000 | 0.000 | -0.000 | -0.000 | -0.000 | 73.679 | 
| 172.387 | 133.664 | 133.664 | 0.000 | 0.000 | 0.000 | 
| 133.664 | 172.387 | 133.664 | 0.000 | 0.000 | 0.000 | 
| 133.664 | 133.664 | 172.387 | -0.000 | 0.000 | -0.000 | 
| 0.000 | 0.000 | -0.000 | 73.679 | 0.000 | 0.000 | 
| -0.000 | 0.000 | -0.000 | 0.000 | 73.679 | 0.000 | 
| -0.000 | -0.000 | 0.000 | 0.000 | 0.000 | 73.679 | 
| 172.387 | 133.664 | 133.664 | 0.000 | -0.000 | -0.000 | 
| 133.664 | 172.387 | 133.664 | -0.000 | -0.000 | -0.000 | 
| 133.664 | 133.664 | 172.387 | -0.000 | -0.000 | -0.000 | 
| -0.000 | 0.000 | 0.000 | 73.679 | 0.000 | -0.000 | 
| 0.000 | -0.000 | 0.000 | 0.000 | 73.679 | -0.000 | 
| 0.000 | 0.000 | -0.000 | -0.000 | -0.000 | 73.679 | 
| 172.388 | 133.664 | 133.664 | -0.000 | 0.000 | 0.000 | 
| 133.664 | 172.388 | 133.664 | -0.000 | -0.000 | 0.000 | 
| 133.664 | 133.664 | 172.388 | 0.000 | 0.000 | -0.000 | 
| 0.000 | -0.000 | -0.000 | 73.679 | 0.000 | 0.000 | 
| -0.000 | 0.000 | -0.000 | 0.000 | 73.679 | 0.000 | 
| -0.000 | -0.000 | 0.000 | 0.000 | 0.000 | 73.679 | 
| 172.386 | 133.664 | 133.664 | 0.000 | -0.000 | 0.000 | 
| 133.664 | 172.386 | 133.664 | 0.000 | -0.000 | 0.000 | 
| 133.664 | 133.664 | 172.386 | 0.000 | -0.000 | 0.000 | 
| -0.000 | 0.000 | 0.000 | 73.679 | -0.000 | 0.000 | 
| 0.000 | -0.000 | 0.000 | -0.000 | 73.679 | -0.000 | 
| 0.000 | 0.000 | -0.000 | -0.000 | -0.000 | 73.679 | 
| 172.389 | 133.664 | 133.664 | 0.000 | 0.000 | 0.000 | 
| 133.664 | 172.389 | 133.664 | 0.000 | 0.000 | 0.000 | 
| 133.664 | 133.664 | 172.389 | -0.000 | 0.000 | 0.000 | 
| 0.000 | -0.000 | -0.000 | 73.679 | 0.000 | 0.000 | 
| -0.000 | 0.000 | -0.000 | -0.000 | 73.679 | -0.000 | 
| -0.000 | -0.000 | 0.000 | 0.000 | 0.000 | 73.679 | 
| 208.024 | 133.364 | 98.936 | -0.000 | 0.000 | -0.000 | 
| 140.815 | 201.135 | 98.360 | -0.000 | 0.000 | -0.000 | 
| 98.322 | 98.322 | 236.451 | 0.000 | 0.000 | -0.000 | 
| 0.003 | 0.003 | -0.005 | 34.524 | -0.000 | -0.000 | 
| 0.003 | 0.003 | -0.005 | -0.000 | 34.524 | -0.000 | 
| -0.000 | 0.000 | 0.000 | 0.000 | 0.000 | 55.477 | 
| 208.046 | 133.333 | 98.945 | 0.000 | 0.000 | 0.000 | 
| 140.814 | 201.134 | 98.362 | 0.000 | 0.000 | 0.000 | 
| 98.480 | 98.480 | 236.127 | 0.000 | -0.000 | 0.000 | 
| -0.003 | -0.003 | 0.005 | 34.524 | 0.000 | 0.000 | 
| -0.003 | -0.003 | 0.005 | 0.000 | 34.524 | 0.000 | 
| 0.000 | -0.000 | -0.000 | -0.000 | -0.000 | 55.477 | 
| 226.470 | 115.517 | 98.322 | 0.000 | -0.000 | -0.000 | 
| 133.350 | 208.034 | 98.940 | -0.000 | -0.000 | -0.000 | 
| 98.481 | 98.481 | 236.126 | 0.000 | 0.000 | -0.000 | 
| -0.000 | -0.000 | -0.000 | 37.172 | 0.000 | -0.000 | 
| 0.000 | 0.000 | -0.001 | -0.000 | 34.524 | -0.000 | 
| 0.000 | 0.000 | -0.001 | -0.000 | -0.000 | 36.425 | 
| 226.470 | 115.517 | 98.322 | -0.000 | 0.000 | 0.000 | 
| 140.814 | 201.135 | 98.361 | 0.000 | 0.000 | 0.000 | 
| 98.322 | 98.322 | 236.451 | 0.000 | 0.000 | 0.000 | 
| 0.000 | 0.000 | 0.000 | 37.172 | 0.000 | 0.000 | 
| -0.000 | -0.000 | 0.001 | 0.000 | 34.524 | 0.000 | 
| -0.000 | -0.000 | 0.001 | 0.000 | 0.000 | 36.425 | 
| 201.135 | 140.815 | 98.360 | -0.000 | -0.000 | -0.000 | 
| 133.350 | 208.034 | 98.940 | -0.000 | -0.000 | -0.000 | 
| 98.481 | 98.481 | 236.127 | 0.000 | 0.000 | -0.000 | 
| 0.000 | -0.000 | -0.000 | 34.524 | 0.000 | -0.000 | 
| -0.000 | -0.000 | -0.000 | -0.000 | 37.172 | -0.000 | 
| -0.001 | -0.000 | -0.000 | -0.000 | -0.000 | 36.425 | 
| 226.470 | 115.517 | 98.322 | -0.000 | -0.000 | 0.000 | 
| 140.813 | 201.136 | 98.361 | 0.000 | -0.000 | 0.000 | 
| 98.481 | 98.481 | 236.126 | -0.000 | -0.000 | 0.000 | 
| -0.000 | 0.000 | 0.000 | 34.524 | 0.000 | 0.000 | 
| 0.000 | 0.000 | 0.000 | 0.000 | 37.172 | -0.000 | 
| 0.001 | 0.000 | 0.000 | 0.000 | 0.000 | 36.425 | 
| 217.910 | 125.537 | 96.750 | 0.000 | 0.000 | -0.000 | 
| 115.410 | 226.354 | 98.527 | 0.000 | 0.000 | -0.000 | 
| 98.417 | 98.417 | 236.545 | -0.000 | 0.000 | -0.000 | 
| 0.000 | -0.000 | -0.000 | 37.207 | 0.000 | -0.000 | 
| -0.000 | -0.000 | -0.000 | 0.000 | 37.207 | -0.000 | 
| -0.000 | -0.000 | -0.000 | 0.000 | 0.000 | 55.472 | 
| 217.780 | 122.117 | 100.497 | -0.000 | -0.000 | 0.000 | 
| 140.256 | 200.431 | 99.662 | 0.000 | 0.000 | -0.000 | 
| 98.075 | 98.075 | 237.267 | 0.000 | -0.000 | 0.000 | 
| -0.000 | 0.000 | 0.000 | 37.207 | -0.000 | 0.000 | 
| 0.000 | 0.000 | 0.000 | -0.000 | 37.207 | -0.000 | 
| 0.000 | -0.000 | 0.000 | 0.000 | -0.000 | 55.472 | 
| 226.354 | 115.410 | 98.527 | -0.000 | 0.000 | -0.000 | 
| 115.410 | 226.354 | 98.527 | 0.000 | 0.000 | -0.000 | 
| 98.417 | 98.417 | 236.545 | -0.000 | 0.000 | -0.000 | 
| -0.000 | -0.000 | -0.000 | 37.207 | 0.000 | -0.000 | 
| -0.000 | -0.000 | -0.000 | 0.000 | 37.207 | -0.000 | 
| -0.000 | 0.000 | -0.000 | 0.000 | 0.000 | 55.472 | 
| 200.921 | 140.735 | 98.642 | -0.000 | -0.000 | -0.000 | 
| 115.410 | 226.354 | 98.527 | -0.000 | -0.000 | 0.000 | 
| 98.523 | 98.523 | 236.321 | -0.000 | 0.000 | 0.000 | 
| 0.000 | 0.000 | 0.000 | 37.207 | -0.000 | -0.000 | 
| 0.000 | 0.000 | 0.000 | -0.000 | 37.207 | -0.000 | 
| 0.000 | -0.000 | 0.000 | -0.000 | -0.000 | 55.472 | 
| 226.354 | 115.410 | 98.527 | 0.000 | 0.000 | -0.000 | 
| 115.410 | 226.354 | 98.527 | 0.000 | 0.000 | -0.000 | 
| 98.578 | 98.578 | 236.206 | 0.000 | 0.000 | -0.000 | 
| -0.000 | -0.000 | -0.000 | 37.207 | 0.000 | -0.000 | 
| -0.000 | -0.000 | -0.000 | 0.000 | 37.207 | -0.000 | 
| -0.000 | 0.000 | -0.000 | 0.000 | 0.000 | 55.472 | 
| 207.943 | 133.211 | 99.170 | -0.000 | -0.000 | -0.000 | 
| 133.210 | 207.944 | 99.170 | -0.000 | -0.000 | 0.000 | 
| 98.417 | 98.417 | 236.544 | -0.000 | 0.000 | 0.000 | 
| 0.000 | 0.000 | 0.000 | 37.207 | -0.000 | 0.000 | 
| 0.000 | 0.000 | 0.000 | -0.000 | 37.207 | 0.000 | 
| 0.000 | -0.000 | 0.000 | -0.000 | -0.000 | 55.472 | 
| 525.633 | 155.400 | 155.400 | 0.000 | -0.000 | -0.000 | 
| 155.400 | 525.633 | 155.400 | 0.000 | -0.000 | 0.000 | 
| 155.400 | 155.400 | 525.633 | 0.000 | -0.000 | 0.000 | 
| -0.000 | -0.000 | 0.000 | 95.157 | -0.000 | 0.000 | 
| 0.000 | -0.000 | 0.000 | 0.000 | 95.157 | 0.000 | 
| 0.000 | -0.000 | 0.000 | 0.000 | -0.000 | 95.157 | 
| 525.633 | 155.400 | 155.400 | 0.000 | 0.000 | -0.000 | 
| 155.400 | 525.633 | 155.400 | 0.000 | 0.000 | 0.000 | 
| 155.400 | 155.400 | 525.633 | -0.000 | 0.000 | -0.000 | 
| 0.000 | -0.000 | -0.000 | 95.157 | 0.000 | 0.000 | 
| -0.000 | 0.000 | -0.000 | -0.000 | 95.157 | -0.000 | 
| -0.000 | -0.000 | -0.000 | 0.000 | 0.000 | 95.157 | 
| 525.633 | 155.400 | 155.400 | 0.000 | -0.000 | 0.000 | 
| 155.400 | 525.633 | 155.400 | -0.000 | 0.000 | 0.000 | 
| 155.400 | 155.400 | 525.633 | 0.000 | -0.000 | -0.000 | 
| -0.000 | 0.000 | 0.000 | 95.157 | -0.000 | 0.000 | 
| 0.000 | -0.000 | 0.000 | 0.000 | 95.157 | 0.000 | 
| 0.000 | 0.000 | -0.000 | 0.000 | -0.000 | 95.157 | 
| 525.633 | 155.400 | 155.400 | -0.000 | 0.000 | -0.000 | 
| 155.400 | 525.633 | 155.400 | -0.000 | 0.000 | -0.000 | 
| 155.400 | 155.400 | 525.633 | 0.000 | 0.000 | 0.000 | 
| 0.000 | -0.000 | -0.000 | 95.157 | 0.000 | -0.000 | 
| -0.000 | 0.000 | -0.000 | -0.000 | 95.157 | -0.000 | 
| -0.000 | -0.000 | 0.000 | -0.000 | 0.000 | 95.157 | 
| 502.358 | 167.039 | 167.039 | 0.000 | -0.000 | 0.000 | 
| 167.039 | 502.358 | 167.039 | 0.000 | -0.000 | 0.000 | 
| 167.039 | 167.039 | 502.358 | 0.000 | -0.000 | 0.000 | 
| -0.000 | -0.000 | -0.000 | 61.207 | 0.000 | -0.000 | 
| -0.000 | -0.000 | -0.000 | 0.000 | 61.207 | 0.000 | 
| -0.000 | -0.000 | -0.000 | 0.000 | -0.000 | 61.207 | 
| 525.631 | 155.400 | 155.400 | -0.000 | 0.000 | -0.000 | 
| 155.400 | 525.631 | 155.400 | 0.000 | 0.000 | -0.000 | 
| 155.400 | 155.400 | 525.631 | -0.000 | 0.000 | 0.000 | 
| 0.000 | 0.000 | 0.000 | 61.207 | -0.000 | -0.000 | 
| 0.000 | 0.000 | 0.000 | -0.000 | 61.207 | -0.000 | 
| 0.000 | 0.000 | 0.000 | -0.000 | 0.000 | 61.207 | 
| 278.102 | 212.398 | 212.398 | -0.000 | -0.000 | -0.000 | 
| 212.398 | 278.102 | 212.399 | -0.000 | -0.000 | -0.000 | 
| 212.398 | 212.398 | 278.102 | -0.000 | -0.000 | -0.000 | 
| 0.000 | -0.000 | 0.000 | 108.840 | -0.000 | -0.000 | 
| -0.000 | 0.000 | 0.000 | -0.000 | 108.840 | -0.000 | 
| -0.000 | 0.000 | 0.000 | -0.000 | -0.000 | 108.840 | 
| 278.102 | 212.398 | 212.398 | 0.000 | 0.000 | -0.000 | 
| 212.398 | 278.102 | 212.398 | 0.000 | 0.000 | 0.000 | 
| 212.398 | 212.398 | 278.102 | 0.000 | 0.000 | 0.000 | 
| -0.000 | -0.000 | -0.000 | 108.840 | 0.000 | -0.000 | 
| 0.000 | -0.000 | -0.000 | 0.000 | 108.840 | 0.000 | 
| -0.000 | 0.000 | -0.000 | 0.000 | 0.000 | 108.840 | 
| 278.102 | 212.398 | 212.398 | -0.000 | -0.000 | -0.000 | 
| 212.398 | 278.102 | 212.398 | -0.000 | -0.000 | -0.000 | 
| 212.398 | 212.398 | 278.102 | 0.000 | -0.000 | -0.000 | 
| 0.000 | -0.000 | 0.000 | 108.840 | -0.000 | -0.000 | 
| -0.000 | 0.000 | 0.000 | -0.000 | 108.840 | -0.000 | 
| -0.000 | 0.000 | 0.000 | -0.000 | -0.000 | 108.840 | 
| 278.102 | 212.398 | 212.398 | 0.000 | 0.000 | 0.000 | 
| 212.398 | 278.102 | 212.398 | 0.000 | 0.000 | 0.000 | 
| 212.398 | 212.398 | 278.102 | 0.000 | 0.000 | 0.000 | 
| -0.000 | 0.000 | -0.000 | 108.840 | 0.000 | -0.000 | 
| 0.000 | -0.000 | -0.000 | 0.000 | 108.840 | 0.000 | 
| 0.000 | -0.000 | -0.000 | 0.000 | 0.000 | 108.840 | 
| 278.103 | 212.399 | 212.399 | -0.000 | -0.000 | -0.000 | 
| 212.399 | 278.103 | 212.399 | -0.000 | -0.000 | 0.000 | 
| 212.399 | 212.399 | 278.103 | -0.000 | -0.000 | -0.000 | 
| 0.000 | -0.000 | 0.000 | 108.840 | -0.000 | 0.000 | 
| -0.000 | 0.000 | 0.000 | -0.000 | 108.840 | -0.000 | 
| -0.000 | 0.000 | 0.000 | -0.000 | -0.000 | 108.840 | 
| 278.101 | 212.398 | 212.398 | 0.000 | 0.000 | 0.000 | 
| 212.398 | 278.101 | 212.398 | 0.000 | 0.000 | 0.000 | 
| 212.398 | 212.398 | 278.101 | 0.000 | 0.000 | 0.000 | 
| -0.000 | 0.000 | -0.000 | 108.840 | 0.000 | 0.000 | 
| 0.000 | -0.000 | -0.000 | 0.000 | 108.840 | 0.000 | 
| 0.000 | -0.000 | -0.000 | 0.000 | 0.000 | 108.840 | 
| 290.005 | 201.150 | 201.150 | -0.000 | 0.000 | 0.000 | 
| 201.150 | 290.005 | 201.150 | 0.000 | -0.000 | 0.000 | 
| 201.150 | 201.150 | 290.005 | 0.000 | -0.000 | -0.000 | 
| 0.000 | 0.000 | 0.000 | 144.598 | 0.000 | 0.000 | 
| 0.000 | -0.000 | 0.000 | 0.000 | 144.598 | -0.000 | 
| 0.000 | 0.000 | -0.000 | 0.000 | 0.000 | 144.598 | 
| 290.005 | 201.150 | 201.150 | -0.000 | -0.000 | 0.000 | 
| 201.150 | 290.005 | 201.150 | -0.000 | -0.000 | 0.000 | 
| 201.150 | 201.150 | 290.005 | -0.000 | -0.000 | -0.000 | 
| -0.000 | 0.000 | -0.000 | 144.598 | -0.000 | -0.000 | 
| -0.000 | 0.000 | -0.000 | -0.000 | 144.598 | 0.000 | 
| -0.000 | -0.000 | 0.000 | -0.000 | -0.000 | 144.598 | 
| 290.005 | 201.150 | 201.150 | 0.000 | 0.000 | -0.000 | 
| 201.150 | 290.005 | 201.150 | 0.000 | 0.000 | -0.000 | 
| 201.150 | 201.150 | 290.005 | -0.000 | 0.000 | 0.000 | 
| -0.000 | 0.000 | 0.000 | 144.598 | 0.000 | 0.000 | 
| 0.000 | -0.000 | 0.000 | 0.000 | 144.598 | 0.000 | 
| 0.000 | 0.000 | -0.000 | 0.000 | 0.000 | 144.598 | 
| 290.004 | 201.150 | 201.150 | -0.000 | -0.000 | -0.000 | 
| 201.150 | 290.004 | 201.150 | -0.000 | -0.000 | -0.000 | 
| 201.150 | 201.150 | 290.004 | -0.000 | -0.000 | -0.000 | 
| 0.000 | -0.000 | -0.000 | 144.598 | -0.000 | 0.000 | 
| -0.000 | 0.000 | -0.000 | -0.000 | 144.598 | -0.000 | 
| -0.000 | -0.000 | 0.000 | -0.000 | -0.000 | 144.598 | 
| 290.005 | 201.150 | 201.150 | 0.000 | 0.000 | 0.000 | 
| 201.150 | 290.005 | 201.150 | 0.000 | 0.000 | -0.000 | 
| 201.150 | 201.150 | 290.005 | 0.000 | 0.000 | 0.000 | 
| -0.000 | 0.000 | 0.000 | 144.598 | 0.000 | 0.000 | 
| 0.000 | -0.000 | 0.000 | 0.000 | 144.598 | 0.000 | 
| 0.000 | 0.000 | -0.000 | 0.000 | 0.000 | 144.598 | 
| 290.004 | 201.149 | 201.149 | -0.000 | -0.000 | -0.000 | 
| 201.149 | 290.004 | 201.149 | -0.000 | 0.000 | -0.000 | 
| 201.149 | 201.149 | 290.004 | -0.000 | -0.000 | 0.000 | 
| 0.000 | -0.000 | -0.000 | 144.598 | -0.000 | 0.000 | 
| -0.000 | 0.000 | -0.000 | -0.000 | 144.598 | -0.000 | 
| -0.000 | -0.000 | 0.000 | -0.000 | -0.000 | 144.598 | 
| 193.795 | -17.551 | -17.551 | 0.000 | 0.000 | 0.000 | 
| -17.551 | 193.795 | -17.551 | 0.000 | 0.000 | 0.000 | 
| -17.551 | -17.551 | 193.795 | 0.000 | -0.000 | 0.000 | 
| -0.000 | 0.000 | 0.000 | -103.483 | 0.000 | 0.000 | 
| -0.000 | 0.000 | 0.000 | 0.000 | -103.483 | 0.000 | 
| -0.000 | 0.000 | 0.000 | 0.000 | -0.000 | -103.483 | 
| 193.795 | -17.551 | -17.551 | -0.000 | 0.000 | -0.000 | 
| -17.551 | 193.795 | -17.551 | -0.000 | -0.000 | -0.000 | 
| -17.551 | -17.551 | 193.795 | -0.000 | -0.000 | -0.000 | 
| 0.000 | -0.000 | -0.000 | -103.483 | -0.000 | -0.000 | 
| 0.000 | -0.000 | -0.000 | -0.000 | -103.483 | -0.000 | 
| 0.000 | -0.000 | -0.000 | -0.000 | 0.000 | -103.483 | 
| 193.795 | -17.551 | -17.551 | 0.000 | -0.000 | 0.000 | 
| -17.551 | 193.795 | -17.551 | 0.000 | 0.000 | 0.000 | 
| -17.551 | -17.551 | 193.795 | 0.000 | 0.000 | 0.000 | 
| -0.000 | 0.000 | 0.000 | -103.483 | -0.000 | 0.000 | 
| 0.000 | 0.000 | 0.000 | 0.000 | -103.483 | 0.000 | 
| 0.000 | 0.000 | 0.000 | 0.000 | 0.000 | -103.483 | 
| 193.796 | -17.551 | -17.551 | -0.000 | 0.000 | -0.000 | 
| -17.551 | 193.796 | -17.551 | -0.000 | 0.000 | 0.000 | 
| -17.551 | -17.551 | 193.796 | 0.000 | -0.000 | 0.000 | 
| 0.000 | -0.000 | -0.000 | -103.483 | -0.000 | -0.000 | 
| -0.000 | -0.000 | -0.000 | -0.000 | -103.483 | -0.000 | 
| -0.000 | -0.000 | -0.000 | -0.000 | 0.000 | -103.483 | 
| 193.792 | -17.548 | -17.548 | -0.000 | -0.000 | 0.000 | 
| -17.548 | 193.792 | -17.548 | 0.000 | -0.000 | 0.000 | 
| -17.548 | -17.548 | 193.792 | 0.000 | -0.000 | 0.000 | 
| -0.000 | 0.001 | 0.000 | -103.483 | -0.000 | 0.000 | 
| 0.001 | -0.000 | 0.000 | 0.000 | -103.483 | 0.000 | 
| 0.001 | 0.000 | -0.000 | 0.000 | -0.000 | -103.483 | 
| 193.798 | -17.553 | -17.553 | -0.000 | -0.000 | 0.000 | 
| -17.553 | 193.798 | -17.553 | -0.000 | -0.000 | 0.000 | 
| -17.553 | -17.553 | 193.798 | -0.000 | 0.000 | -0.000 | 
| 0.000 | -0.001 | -0.000 | -103.483 | 0.000 | -0.000 | 
| -0.001 | 0.000 | -0.000 | -0.000 | -103.483 | -0.000 | 
| -0.001 | -0.000 | 0.000 | -0.000 | -0.000 | -103.483 | 
| 327.159 | 194.079 | 194.079 | 0.000 | 0.000 | 0.000 | 
| 194.079 | 327.159 | 194.079 | 0.000 | -0.000 | 0.000 | 
| 194.079 | 194.079 | 327.159 | -0.000 | 0.000 | 0.000 | 
| 0.000 | 0.000 | 0.000 | 116.367 | -0.000 | -0.000 | 
| -0.000 | 0.000 | 0.000 | -0.000 | 116.367 | 0.000 | 
| -0.000 | 0.000 | -0.000 | 0.000 | 0.000 | 116.367 | 
| 327.159 | 194.079 | 194.079 | 0.000 | 0.000 | 0.000 | 
| 194.079 | 327.159 | 194.079 | -0.000 | -0.000 | 0.000 | 
| 194.079 | 194.079 | 327.159 | 0.000 | 0.000 | 0.000 | 
| -0.000 | -0.000 | -0.000 | 116.367 | 0.000 | -0.000 | 
| 0.000 | -0.000 | -0.000 | 0.000 | 116.367 | -0.000 | 
| 0.000 | -0.000 | 0.000 | -0.000 | 0.000 | 116.367 | 
| 327.159 | 194.079 | 194.079 | 0.000 | 0.000 | 0.000 | 
| 194.079 | 327.159 | 194.079 | 0.000 | -0.000 | 0.000 | 
| 194.079 | 194.079 | 327.159 | -0.000 | 0.000 | -0.000 | 
| 0.000 | 0.000 | 0.000 | 116.367 | 0.000 | 0.000 | 
| 0.000 | 0.000 | 0.000 | 0.000 | 116.367 | 0.000 | 
| 0.000 | 0.000 | 0.000 | 0.000 | 0.000 | 116.367 | 
| 327.159 | 194.079 | 194.079 | 0.000 | 0.000 | 0.000 | 
| 194.079 | 327.159 | 194.079 | -0.000 | -0.000 | -0.000 | 
| 194.079 | 194.079 | 327.159 | 0.000 | -0.000 | -0.000 | 
| -0.000 | -0.000 | -0.000 | 116.367 | -0.000 | -0.000 | 
| -0.000 | -0.000 | -0.000 | -0.000 | 116.367 | -0.000 | 
| -0.000 | -0.000 | -0.000 | -0.000 | -0.000 | 116.367 | 
| 327.159 | 194.079 | 194.079 | -0.000 | 0.000 | 0.000 | 
| 194.079 | 327.159 | 194.079 | 0.000 | 0.000 | 0.000 | 
| 194.079 | 194.079 | 327.159 | 0.000 | 0.000 | 0.000 | 
| 0.000 | 0.000 | 0.000 | 116.367 | 0.000 | 0.000 | 
| 0.000 | 0.000 | 0.000 | 0.000 | 116.367 | 0.000 | 
| 0.000 | 0.000 | 0.000 | -0.000 | 0.000 | 116.367 | 
| 327.159 | 194.079 | 194.079 | -0.000 | -0.000 | -0.000 | 
| 194.079 | 327.159 | 194.079 | 0.000 | 0.000 | -0.000 | 
| 194.079 | 194.079 | 327.159 | 0.000 | -0.000 | -0.000 | 
| -0.000 | -0.000 | -0.000 | 116.367 | -0.000 | -0.000 | 
| -0.000 | -0.000 | -0.000 | 0.000 | 116.367 | -0.000 | 
| -0.000 | -0.000 | -0.000 | -0.000 | 0.000 | 116.367 | 
| -28.318 | 114.005 | 114.005 | -0.000 | 0.000 | 0.000 | 
| 114.005 | -28.318 | 114.005 | 0.000 | 0.000 | 0.000 | 
| 114.005 | 114.005 | -28.318 | 0.000 | 0.000 | -0.000 | 
| 0.000 | 0.000 | 0.000 | 55.260 | -0.000 | -0.000 | 
| 0.000 | 0.000 | 0.000 | -0.000 | 55.260 | -0.000 | 
| 0.000 | 0.000 | 0.000 | -0.000 | -0.000 | 55.260 | 
| -28.318 | 114.005 | 114.005 | -0.000 | -0.000 | 0.000 | 
| 114.005 | -28.318 | 114.005 | -0.000 | -0.000 | -0.000 | 
| 114.005 | 114.005 | -28.318 | -0.000 | -0.000 | -0.000 | 
| -0.000 | -0.000 | -0.000 | 55.260 | 0.000 | 0.000 | 
| -0.000 | -0.000 | -0.000 | 0.000 | 55.260 | 0.000 | 
| -0.000 | -0.000 | -0.000 | 0.000 | 0.000 | 55.260 | 
| -28.318 | 114.005 | 114.005 | -0.000 | 0.000 | -0.000 | 
| 114.005 | -28.318 | 114.005 | -0.000 | 0.000 | -0.000 | 
| 114.005 | 114.005 | -28.318 | -0.000 | 0.000 | -0.000 | 
| -0.000 | -0.000 | -0.000 | -157.736 | 0.000 | 0.000 | 
| -0.000 | -0.000 | -0.000 | -0.000 | -157.736 | 0.000 | 
| -0.000 | -0.000 | -0.000 | -0.000 | 0.000 | -157.736 | 
| -28.319 | 114.005 | 114.005 | -0.000 | -0.000 | -0.000 | 
| 114.005 | -28.319 | 114.005 | 0.000 | -0.000 | 0.000 | 
| 114.005 | 114.005 | -28.319 | 0.000 | 0.000 | -0.000 | 
| 0.000 | 0.000 | 0.000 | -157.736 | -0.000 | -0.000 | 
| 0.000 | 0.000 | 0.000 | -0.000 | -157.736 | -0.000 | 
| 0.000 | 0.000 | 0.000 | -0.000 | -0.000 | -157.736 | 
| -28.318 | 114.007 | 114.007 | -0.000 | -0.000 | -0.000 | 
| 114.007 | -28.318 | 114.007 | -0.000 | -0.000 | 0.000 | 
| 114.007 | 114.007 | -28.318 | 0.000 | 0.000 | -0.000 | 
| -0.000 | -0.000 | -0.000 | -157.736 | 0.000 | 0.000 | 
| -0.000 | -0.000 | -0.000 | -0.000 | -157.736 | 0.000 | 
| -0.000 | -0.000 | -0.000 | 0.000 | 0.000 | -157.736 | 
| -28.319 | 114.004 | 114.004 | -0.000 | -0.000 | 0.000 | 
| 114.004 | -28.319 | 114.004 | 0.000 | -0.000 | 0.000 | 
| 114.004 | 114.004 | -28.319 | 0.000 | 0.000 | -0.000 | 
| 0.000 | 0.000 | 0.000 | -157.736 | 0.000 | -0.000 | 
| 0.000 | 0.000 | 0.000 | 0.000 | -157.736 | -0.000 | 
| 0.000 | 0.000 | 0.000 | -0.000 | -0.000 | -157.736 | 
| -145.489 | -25.268 | -25.268 | -0.000 | -0.000 | -0.000 | 
| -25.268 | -145.489 | -25.268 | -0.000 | -0.000 | -0.000 | 
| -25.268 | -25.268 | -145.489 | -0.000 | -0.000 | -0.000 | 
| 0.000 | 0.000 | 0.000 | -78.110 | 0.000 | 0.000 | 
| 0.000 | 0.000 | 0.000 | -0.000 | -78.110 | 0.000 | 
| 0.000 | 0.000 | 0.000 | -0.000 | -0.000 | -78.110 | 
| -145.489 | -25.268 | -25.268 | 0.000 | 0.000 | 0.000 | 
| -25.268 | -145.489 | -25.268 | 0.000 | 0.000 | 0.000 | 
| -25.268 | -25.268 | -145.489 | 0.000 | 0.000 | 0.000 | 
| -0.000 | -0.000 | -0.000 | -78.110 | -0.000 | -0.000 | 
| -0.000 | -0.000 | -0.000 | 0.000 | -78.110 | -0.000 | 
| -0.000 | -0.000 | -0.000 | 0.000 | -0.000 | -78.110 | 
| -145.489 | -25.268 | -25.268 | 0.000 | 0.000 | 0.000 | 
| -25.268 | -145.489 | -25.268 | -0.000 | -0.000 | 0.000 | 
| -25.268 | -25.268 | -145.489 | 0.000 | -0.000 | 0.000 | 
| 0.000 | 0.000 | 0.000 | -78.110 | 0.000 | 0.000 | 
| 0.000 | 0.000 | 0.000 | -0.000 | -78.110 | 0.000 | 
| 0.000 | 0.000 | 0.000 | -0.000 | -0.000 | -78.110 | 
| -145.489 | -25.268 | -25.268 | 0.000 | -0.000 | -0.000 | 
| -25.268 | -145.489 | -25.268 | 0.000 | -0.000 | -0.000 | 
| -25.268 | -25.268 | -145.489 | 0.000 | 0.000 | 0.000 | 
| -0.000 | -0.000 | -0.000 | -78.110 | 0.000 | -0.000 | 
| -0.000 | -0.000 | -0.000 | 0.000 | -78.110 | -0.000 | 
| -0.000 | -0.000 | -0.000 | 0.000 | -0.000 | -78.110 | 
| -145.487 | -25.266 | -25.266 | -0.000 | -0.000 | -0.000 | 
| -25.266 | -145.487 | -25.266 | -0.000 | -0.000 | -0.000 | 
| -25.266 | -25.266 | -145.487 | -0.000 | -0.000 | -0.000 | 
| -12342247.546 | -12337795.705 | -12342010.801 | 148749.762 | 11500.741 | -35407.459 | 
| -12093294.239 | -12019019.829 | -12245074.349 | -175640.482 | 33771.032 | 130108.430 | 
| -11602703.770 | -11619141.137 | -11595310.034 | -147322.848 | 192728.400 | 112142.819 | 
| -145.488 | -25.267 | -25.267 | 0.000 | 0.000 | 0.000 | 
| -25.267 | -145.488 | -25.267 | 0.000 | 0.000 | 0.000 | 
| -25.267 | -25.267 | -145.488 | 0.000 | -0.000 | 0.000 | 
| 11839210.490 | 11251320.511 | 11674538.338 | -86284.938 | -44516.474 | 162920.747 | 
| 11962824.372 | 12048011.915 | 12050317.668 | 26899.935 | 67445.940 | 179395.408 | 
| 11561802.392 | 11819502.902 | 11880083.173 | 81190.800 | 62181.322 | 113366.159 | 
| 50.857 | 54.067 | 54.067 | -0.000 | -0.000 | -0.000 | 
| 54.067 | 50.857 | 54.067 | -0.000 | -0.000 | -0.000 | 
| 54.067 | 54.067 | 50.857 | -0.000 | -0.000 | -0.000 | 
| -0.000 | -0.000 | 0.000 | -6.194 | -0.000 | -0.000 | 
| -0.000 | -0.000 | 0.000 | -0.000 | -6.194 | -0.000 | 
| -0.000 | -0.000 | 0.000 | -0.000 | -0.000 | -6.194 | 
| 50.857 | 54.067 | 54.067 | 0.000 | 0.000 | 0.000 | 
| 54.067 | 50.857 | 54.067 | 0.000 | 0.000 | 0.000 | 
| 54.067 | 54.067 | 50.857 | 0.000 | 0.000 | 0.000 | 
| 0.000 | 0.000 | -0.000 | -6.194 | 0.000 | 0.000 | 
| 0.000 | 0.000 | 0.000 | 0.000 | -6.194 | 0.000 | 
| 0.000 | 0.000 | -0.000 | 0.000 | 0.000 | -6.194 | 
| 50.857 | 54.067 | 54.067 | -0.000 | -0.000 | -0.000 | 
| 54.067 | 50.857 | 54.067 | -0.000 | -0.000 | -0.000 | 
| 54.067 | 54.067 | 50.857 | -0.000 | -0.000 | -0.000 | 
| -0.000 | -0.000 | -0.000 | -6.194 | -0.000 | -0.000 | 
| -0.000 | -0.000 | -0.000 | -0.000 | -6.194 | -0.000 | 
| -0.000 | -0.000 | -0.000 | -0.000 | -0.000 | -6.194 | 
| 50.857 | 54.067 | 54.067 | 0.000 | 0.000 | 0.000 | 
| 54.067 | 50.857 | 54.067 | 0.000 | 0.000 | 0.000 | 
| 54.067 | 54.067 | 50.857 | 0.000 | 0.000 | 0.000 | 
| 0.000 | 0.000 | 0.000 | -6.194 | 0.000 | 0.000 | 
| 0.000 | 0.000 | 0.000 | 0.000 | -6.194 | 0.000 | 
| 0.000 | 0.000 | 0.000 | 0.000 | 0.000 | -6.194 | 
| 50.857 | 54.067 | 54.067 | -0.000 | -0.000 | -0.000 | 
| 54.067 | 50.857 | 54.067 | -0.000 | -0.000 | -0.000 | 
| 54.067 | 54.067 | 50.857 | -0.000 | -0.000 | -0.000 | 
| -0.000 | -0.000 | -0.000 | -6.194 | -0.000 | -0.000 | 
| -0.000 | -0.000 | -0.000 | -0.000 | -6.194 | -0.000 | 
| -0.000 | -0.000 | -0.000 | -0.000 | -0.000 | -6.194 | 
| 50.856 | 54.067 | 54.067 | 0.000 | 0.000 | 0.000 | 
| 54.067 | 50.856 | 54.067 | 0.000 | 0.000 | 0.000 | 
| 54.067 | 54.067 | 50.856 | 0.000 | 0.000 | 0.000 | 
| 0.000 | 0.000 | 0.000 | -6.194 | 0.000 | 0.000 | 
| 0.000 | 0.000 | 0.000 | 0.000 | -6.194 | 0.000 | 
| 0.000 | 0.000 | 0.000 | 0.000 | 0.000 | -6.194 | 
| 197.672 | 87.892 | 124.281 | 0.000 | -0.000 | 0.000 | 
| 87.892 | 197.672 | 124.281 | -0.000 | 0.000 | 0.000 | 
| 124.281 | 124.281 | 183.029 | 0.000 | -0.000 | 0.000 | 
| 0.000 | 0.000 | 0.000 | 58.167 | -0.000 | -0.000 | 
| 0.000 | 0.000 | 0.000 | 0.000 | 58.167 | 0.000 | 
| -0.000 | 0.000 | 0.000 | 0.000 | -0.000 | 31.428 | 
| 197.672 | 87.892 | 124.281 | -0.000 | 0.000 | 0.000 | 
| 87.892 | 197.672 | 124.281 | -0.000 | 0.000 | 0.000 | 
| 124.281 | 124.281 | 183.030 | -0.000 | 0.000 | -0.000 | 
| -0.000 | -0.000 | -0.000 | 58.167 | 0.000 | 0.000 | 
| -0.000 | -0.000 | -0.000 | -0.000 | 58.167 | -0.000 | 
| 0.000 | -0.000 | -0.000 | -0.000 | 0.000 | 31.428 | 
| 197.672 | 87.892 | 124.281 | 0.000 | 0.000 | -0.000 | 
| 87.892 | 197.672 | 124.281 | 0.000 | -0.000 | -0.000 | 
| 124.281 | 124.281 | 183.029 | 0.000 | -0.000 | 0.000 | 
| 0.000 | -0.000 | 0.000 | 58.167 | -0.000 | 0.000 | 
| -0.000 | 0.000 | 0.000 | 0.000 | 58.167 | 0.000 | 
| -0.000 | -0.000 | 0.000 | -0.000 | -0.000 | 31.428 | 
| 197.672 | 87.892 | 124.281 | -0.000 | -0.000 | -0.000 | 
| 87.892 | 197.672 | 124.281 | -0.000 | -0.000 | -0.000 | 
| 124.281 | 124.281 | 183.030 | -0.000 | 0.000 | -0.000 | 
| -0.000 | 0.000 | -0.000 | 58.167 | 0.000 | -0.000 | 
| 0.000 | -0.000 | -0.000 | -0.000 | 58.167 | -0.000 | 
| 0.000 | 0.000 | -0.000 | -0.000 | 0.000 | 31.428 | 
| 197.672 | 87.892 | 124.281 | 0.000 | -0.000 | 0.000 | 
| 87.892 | 197.672 | 124.281 | 0.000 | -0.000 | -0.000 | 
| 124.281 | 124.281 | 183.028 | 0.000 | 0.000 | 0.000 | 
| 0.000 | -0.000 | 0.000 | 58.167 | -0.000 | 0.000 | 
| -0.000 | 0.000 | 0.000 | 0.000 | 58.167 | -0.000 | 
| -0.000 | -0.000 | 0.000 | 0.000 | -0.000 | 31.428 | 
| 197.672 | 87.892 | 124.281 | -0.000 | 0.000 | -0.000 | 
| 87.892 | 197.672 | 124.281 | -0.000 | 0.000 | -0.000 | 
| 124.281 | 124.281 | 183.031 | 0.000 | 0.000 | 0.000 | 
| -0.000 | 0.000 | -0.000 | 58.167 | 0.000 | -0.000 | 
| 0.000 | -0.000 | -0.000 | -0.000 | 58.167 | -0.000 | 
| 0.000 | 0.000 | -0.000 | -0.000 | 0.000 | 31.428 | 
| 229.284 | 102.876 | 131.156 | -0.000 | -0.000 | -0.000 | 
| 102.876 | 229.284 | 131.156 | -0.000 | 0.000 | -0.000 | 
| 131.156 | 131.156 | 32.342 | -0.000 | 0.000 | -0.000 | 
| -0.000 | -0.000 | 0.000 | 61.530 | 0.000 | -0.000 | 
| -0.000 | 0.000 | 0.000 | -0.000 | 61.530 | -0.000 | 
| -0.000 | -0.000 | 0.000 | -0.000 | -0.000 | 42.914 | 
| 229.284 | 102.876 | 131.156 | 0.000 | 0.000 | 0.000 | 
| 102.876 | 229.284 | 131.156 | 0.000 | 0.000 | 0.000 | 
| 131.156 | 131.156 | 32.342 | 0.000 | -0.000 | 0.000 | 
| 0.000 | 0.000 | -0.000 | 61.530 | -0.000 | 0.000 | 
| 0.000 | -0.000 | -0.000 | 0.000 | 61.530 | 0.000 | 
| 0.000 | 0.000 | -0.000 | 0.000 | -0.000 | 42.914 | 
| 229.284 | 102.876 | 131.156 | -0.000 | 0.000 | -0.000 | 
| 102.876 | 229.284 | 131.156 | -0.000 | 0.000 | -0.000 | 
| 131.156 | 131.156 | 32.341 | 0.000 | 0.000 | -0.000 | 
| 0.000 | -0.000 | 0.000 | 61.530 | 0.000 | -0.000 | 
| -0.000 | 0.000 | 0.000 | -0.000 | 61.530 | -0.000 | 
| -0.000 | -0.000 | 0.000 | -0.000 | 0.000 | 42.914 | 
| 229.284 | 102.876 | 131.156 | 0.000 | -0.000 | 0.000 | 
| 102.876 | 229.284 | 131.156 | 0.000 | -0.000 | 0.000 | 
| 131.156 | 131.156 | 32.342 | 0.000 | -0.000 | 0.000 | 
| -0.000 | 0.000 | -0.000 | 61.530 | -0.000 | 0.000 | 
| 0.000 | -0.000 | -0.000 | 0.000 | 61.530 | 0.000 | 
| 0.000 | 0.000 | -0.000 | 0.000 | -0.000 | 42.914 | 
| 229.284 | 102.876 | 131.156 | -0.000 | 0.000 | -0.000 | 
| 102.876 | 229.284 | 131.156 | -0.000 | 0.000 | -0.000 | 
| 131.156 | 131.156 | 32.340 | -0.000 | 0.000 | -0.000 | 
| 0.000 | -0.000 | 0.000 | 61.530 | -0.000 | -0.000 | 
| -0.000 | 0.000 | 0.000 | -0.000 | 61.530 | -0.000 | 
| -0.000 | -0.000 | 0.000 | 0.000 | -0.000 | 42.914 | 
| 229.285 | 102.875 | 131.155 | 0.000 | 0.000 | 0.000 | 
| 102.875 | 229.285 | 131.155 | 0.000 | 0.000 | 0.000 | 
| 131.155 | 131.155 | 32.343 | 0.000 | -0.000 | 0.000 | 
| -0.000 | 0.000 | -0.000 | 61.530 | -0.000 | 0.000 | 
| 0.000 | -0.000 | -0.000 | 0.000 | 61.530 | 0.000 | 
| 0.000 | 0.000 | -0.000 | -0.000 | -0.000 | 42.914 | 
| 250.406 | 144.895 | 162.749 | -0.000 | 0.000 | -0.000 | 
| 144.895 | 302.666 | 80.356 | -0.000 | 0.000 | -0.000 | 
| 162.749 | 80.356 | 351.314 | -0.000 | -0.000 | -0.000 | 
| 0.000 | -0.000 | -0.000 | 16.110 | 0.000 | -0.000 | 
| 0.000 | -0.000 | 0.000 | 0.000 | 93.043 | -0.000 | 
| 0.000 | 0.000 | -0.000 | 0.000 | 0.000 | 90.301 | 
| 250.406 | 144.895 | 162.749 | -0.000 | 0.000 | 0.000 | 
| 144.895 | 302.666 | 80.356 | 0.000 | -0.000 | 0.000 | 
| 162.749 | 80.356 | 351.314 | 0.000 | 0.000 | 0.000 | 
| -0.000 | -0.000 | 0.000 | 16.110 | -0.000 | -0.000 | 
| -0.000 | -0.000 | -0.000 | -0.000 | 93.043 | 0.000 | 
| 0.000 | -0.000 | -0.000 | -0.000 | -0.000 | 90.301 | 
| 250.406 | 144.895 | 162.749 | -0.000 | 0.000 | -0.000 | 
| 144.895 | 302.666 | 80.356 | 0.000 | -0.000 | -0.000 | 
| 162.749 | 80.356 | 351.314 | 0.000 | 0.000 | -0.000 | 
| -0.000 | 0.000 | -0.000 | 16.110 | 0.000 | -0.000 | 
| 0.000 | -0.000 | 0.000 | 0.000 | 93.043 | -0.000 | 
| -0.000 | 0.000 | -0.000 | 0.000 | 0.000 | 90.301 | 
| 250.406 | 144.895 | 162.749 | 0.000 | -0.000 | 0.000 | 
| 144.895 | 302.666 | 80.356 | -0.000 | 0.000 | 0.000 | 
| 162.749 | 80.356 | 351.313 | 0.000 | -0.000 | 0.000 | 
| 0.000 | -0.000 | 0.000 | 16.110 | -0.000 | 0.000 | 
| -0.000 | 0.000 | -0.000 | -0.000 | 93.043 | 0.000 | 
| 0.000 | -0.000 | 0.000 | -0.000 | -0.000 | 90.301 | 
| 250.406 | 144.895 | 162.749 | 0.000 | -0.000 | -0.000 | 
| 144.895 | 302.666 | 80.357 | 0.000 | 0.000 | -0.000 | 
| 162.750 | 80.357 | 351.316 | -0.000 | -0.000 | -0.000 | 
| -0.000 | 0.000 | -0.000 | 16.110 | 0.000 | -0.000 | 
| 0.000 | -0.000 | 0.001 | 0.000 | 93.043 | -0.000 | 
| -0.000 | 0.000 | -0.000 | 0.000 | 0.000 | 90.301 | 
| 250.406 | 144.894 | 162.748 | 0.000 | 0.000 | 0.000 | 
| 144.894 | 302.665 | 80.356 | 0.000 | 0.000 | -0.000 | 
| 162.748 | 80.356 | 351.312 | -0.000 | -0.000 | 0.000 | 
| 0.000 | -0.000 | 0.000 | 16.110 | -0.000 | 0.000 | 
| -0.000 | 0.000 | -0.001 | -0.000 | 93.043 | 0.000 | 
| 0.000 | -0.000 | 0.000 | -0.000 | -0.000 | 90.301 | 
| 384.078 | 182.768 | 134.614 | 0.000 | 0.000 | 0.000 | 
| 174.667 | 278.888 | 145.200 | -0.000 | 0.000 | 0.000 | 
| 139.183 | 157.870 | 346.425 | 0.000 | 0.000 | 0.000 | 
| 0.000 | 0.000 | 0.000 | 94.145 | 0.000 | 0.000 | 
| 0.000 | 0.000 | 0.000 | -0.000 | 78.832 | 0.000 | 
| 0.000 | 0.000 | 0.000 | 0.000 | 0.000 | 104.304 | 
| 384.078 | 182.768 | 134.614 | -0.000 | -0.000 | -0.000 | 
| 174.667 | 278.888 | 145.200 | 0.000 | -0.000 | 0.000 | 
| 139.183 | 157.870 | 346.425 | -0.000 | -0.000 | 0.000 | 
| -0.000 | -0.000 | -0.000 | 94.145 | -0.000 | 0.000 | 
| -0.000 | -0.000 | -0.000 | -0.000 | 78.832 | 0.000 | 
| -0.000 | -0.000 | -0.000 | 0.000 | -0.000 | 104.304 | 
| 384.079 | 182.768 | 134.614 | 0.000 | 0.000 | -0.000 | 
| 174.667 | 278.888 | 145.200 | 0.000 | 0.000 | 0.000 | 
| 139.183 | 157.870 | 346.425 | -0.000 | -0.000 | 0.000 | 
| 0.000 | 0.000 | 0.000 | 94.145 | 0.000 | 0.000 | 
| -0.000 | -0.000 | -0.000 | -0.000 | 78.832 | 0.000 | 
| 0.000 | 0.000 | 0.000 | 0.000 | 0.000 | 104.304 | 
| 384.078 | 182.768 | 134.614 | 0.000 | -0.000 | -0.000 | 
| 174.667 | 278.888 | 145.200 | -0.000 | -0.000 | -0.000 | 
| 139.183 | 157.870 | 346.425 | 0.000 | -0.000 | 0.000 | 
| -0.000 | -0.000 | -0.000 | 94.145 | 0.000 | 0.000 | 
| 0.000 | 0.000 | 0.000 | 0.000 | 78.832 | -0.000 | 
| -0.000 | -0.000 | -0.000 | -0.000 | -0.000 | 104.304 | 
| 384.080 | 182.769 | 134.614 | 0.000 | 0.000 | -0.000 | 
| 174.667 | 278.888 | 145.200 | -0.000 | -0.000 | -0.000 | 
| 139.183 | 157.871 | 346.426 | -0.000 | 0.000 | 0.000 | 
| 0.000 | 0.000 | 0.001 | 94.145 | 0.000 | 0.000 | 
| -0.000 | -0.000 | -0.000 | 0.000 | 78.832 | -0.000 | 
| 0.000 | 0.000 | 0.000 | -0.000 | 0.000 | 104.304 | 
| 384.077 | 182.767 | 134.614 | 0.000 | -0.000 | -0.000 | 
| 174.666 | 278.887 | 145.199 | -0.000 | 0.000 | 0.000 | 
| 139.183 | 157.869 | 346.424 | 0.000 | -0.000 | -0.000 | 
| -0.000 | -0.000 | -0.001 | 94.145 | -0.000 | 0.000 | 
| 0.000 | 0.000 | 0.000 | -0.000 | 78.832 | -0.000 | 
| -0.000 | -0.000 | -0.000 | -0.000 | -0.000 | 104.304 | 
| -206.677 | 380.973 | 211.582 | 0.000 | 0.000 | 0.000 | 
| 228.196 | 490.298 | 53.104 | -0.000 | 0.000 | -0.000 | 
| -62.511 | -62.511 | 77.622 | 0.000 | -0.000 | 0.000 | 
| -124.325 | -124.325 | 72.410 | -118.499 | 0.000 | 0.000 | 
| 0.000 | -0.000 | 0.000 | 0.000 | 0.056 | -0.000 | 
| 0.000 | 0.000 | 0.000 | -0.000 | 0.000 | 131.051 | 
| 490.298 | 228.197 | 53.104 | -0.000 | -0.000 | 0.000 | 
| 228.197 | 490.298 | 53.104 | 0.000 | -0.000 | 0.000 | 
| 579.685 | 579.685 | -296.410 | -0.000 | 0.000 | -0.000 | 
| 124.325 | 124.325 | -72.410 | -118.499 | -0.000 | 0.000 | 
| -0.000 | 0.000 | -0.000 | 0.000 | 0.056 | -0.000 | 
| -0.000 | -0.000 | -0.000 | -0.000 | -0.000 | 131.051 | 
| 490.299 | 228.197 | 53.104 | 0.000 | 0.000 | -0.000 | 
| 108.392 | -119.423 | 265.551 | 0.000 | -0.000 | -0.000 | 
| 64.859 | 64.859 | 3.438 | -0.000 | 0.000 | -0.000 | 
| -7.732 | -7.732 | 4.503 | -73.672 | 0.000 | 0.000 | 
| 0.000 | 0.000 | -0.000 | -0.000 | 0.056 | -0.000 | 
| -7.722 | -7.722 | 4.498 | -0.000 | 0.000 | -114.433 | 
| 113.029 | 433.853 | 103.080 | -0.000 | -0.000 | -0.000 | 
| 228.196 | 490.297 | 53.104 | 0.000 | -0.000 | 0.000 | 
| 290.696 | 290.696 | -128.095 | -0.000 | 0.000 | -0.000 | 
| 7.732 | 7.732 | -4.503 | -73.672 | -0.000 | 0.000 | 
| -0.000 | -0.000 | 0.000 | 0.000 | 0.056 | 0.000 | 
| 7.722 | 7.722 | -4.498 | 0.000 | 0.000 | -114.433 | 
| -90.450 | 137.260 | 248.707 | 0.000 | 0.000 | -0.000 | 
| 137.472 | -90.866 | 248.766 | 0.000 | 0.000 | -0.000 | 
| 255.326 | 255.326 | -107.495 | 0.000 | -0.000 | 0.000 | 
| -0.767 | -0.768 | 0.447 | -73.115 | 0.000 | -0.000 | 
| -0.768 | -0.767 | 0.447 | 0.000 | -73.115 | -0.000 | 
| -27120947.768 | -25529669.656 | -16388445.408 | 89363.927 | 27664.740 | 52128.279 | 
| 27891455.505 | 27199632.104 | 16044855.835 | -71127.110 | 59340.412 | 1922.577 | 
| 143.490 | -83.690 | 244.924 | -0.000 | -0.000 | -0.000 | 
| 261.790 | 261.790 | -111.259 | -0.000 | 0.000 | -0.000 | 
| 0.767 | 0.768 | -0.447 | -73.115 | -0.000 | 0.000 | 
| 0.768 | 0.767 | -0.447 | 0.000 | -73.115 | 0.000 | 
| 27477740.509 | 26051868.916 | 16362339.492 | -12722.029 | 43916.015 | -48398.450 | 
| 199.850 | 102.829 | 95.679 | 0.000 | -0.000 | 0.000 | 
| 102.829 | 199.850 | 95.679 | 0.000 | -0.000 | 0.000 | 
| 95.679 | 95.679 | 282.743 | 0.000 | -0.000 | 0.000 | 
| 0.000 | -0.000 | 0.000 | 29.238 | -0.000 | -0.000 | 
| 0.000 | -0.000 | 0.000 | 0.000 | 29.238 | 0.000 | 
| 0.000 | -0.000 | -0.000 | 0.000 | -0.000 | 1.811 | 
| 153.151 | 149.528 | 95.679 | 0.000 | 0.000 | -0.000 | 
| 102.829 | 199.850 | 95.679 | -0.000 | 0.000 | 0.000 | 
| 95.679 | 95.679 | 282.743 | -0.000 | 0.000 | -0.000 | 
| -0.000 | 0.000 | -0.000 | 29.238 | 0.000 | -0.000 | 
| -0.000 | 0.000 | -0.000 | -0.000 | 29.238 | -0.000 | 
| -0.000 | 0.000 | 0.000 | -0.000 | 0.000 | 1.811 | 
| 199.850 | 102.829 | 95.679 | 0.000 | -0.000 | -0.000 | 
| 149.528 | 153.151 | 95.679 | 0.000 | -0.000 | 0.000 | 
| 95.679 | 95.679 | 282.743 | 0.000 | -0.000 | 0.000 | 
| 0.000 | -0.000 | 0.000 | 29.238 | -0.000 | 0.000 | 
| -0.000 | 0.000 | 0.000 | 0.000 | 29.238 | 0.000 | 
| 0.000 | 0.000 | 0.000 | 0.000 | -0.000 | 48.511 | 
| 199.850 | 102.829 | 95.679 | -0.000 | 0.000 | -0.000 | 
| 102.829 | 199.850 | 95.679 | -0.000 | 0.000 | -0.000 | 
| 95.679 | 95.679 | 282.743 | 0.000 | 0.000 | -0.000 | 
| -0.000 | 0.000 | -0.000 | 29.238 | 0.000 | -0.000 | 
| 0.000 | -0.000 | -0.000 | 0.000 | 29.238 | -0.000 | 
| -0.000 | -0.000 | -0.000 | -0.000 | 0.000 | 48.511 | 
| 153.153 | 149.528 | 95.679 | 0.000 | -0.000 | 0.000 | 
| 149.529 | 153.152 | 95.679 | -0.000 | -0.000 | 0.000 | 
| 95.679 | 95.679 | 282.745 | 0.000 | -0.000 | -0.000 | 
| 0.000 | -0.000 | 0.000 | 29.238 | -0.000 | 0.000 | 
| -0.000 | 0.000 | 0.000 | 0.000 | 29.238 | 0.000 | 
| 0.000 | 0.000 | 0.000 | 0.000 | -0.000 | 1.811 | 
| 199.848 | 102.829 | 95.678 | 0.000 | 0.000 | -0.000 | 
| 149.527 | 153.150 | 95.678 | -0.000 | 0.000 | 0.000 | 
| 95.678 | 95.678 | 282.741 | -0.000 | 0.000 | -0.000 | 
| -0.000 | 0.000 | -0.000 | 29.238 | 0.000 | 0.000 | 
| 0.000 | -0.000 | -0.000 | -0.000 | 29.238 | -0.000 | 
| -0.000 | -0.000 | -0.000 | -0.000 | 0.000 | 1.811 | 
| 159.645 | 118.756 | 118.756 | 0.000 | -0.000 | 0.000 | 
| 118.756 | 159.646 | 118.756 | 0.000 | -0.000 | 0.000 | 
| 118.756 | 118.756 | 159.646 | 0.000 | -0.000 | 0.000 | 
| -0.000 | 0.000 | 0.000 | 71.841 | 0.000 | 0.000 | 
| -0.000 | 0.000 | 0.000 | 0.000 | 71.841 | 0.000 | 
| -0.000 | 0.000 | 0.000 | 0.000 | -0.000 | 71.841 | 
| 159.646 | 118.756 | 118.756 | -0.000 | 0.000 | -0.000 | 
| 118.756 | 159.645 | 118.756 | -0.000 | 0.000 | -0.000 | 
| 118.756 | 118.756 | 159.645 | 0.000 | 0.000 | -0.000 | 
| 0.000 | -0.000 | -0.000 | 71.841 | 0.000 | -0.000 | 
| 0.000 | -0.000 | -0.000 | -0.000 | 71.841 | -0.000 | 
| 0.000 | -0.000 | -0.000 | -0.000 | 0.000 | 71.841 | 
| 159.645 | 118.756 | 118.756 | 0.000 | -0.000 | 0.000 | 
| 118.756 | 159.645 | 118.756 | 0.000 | -0.000 | 0.000 | 
| 118.756 | 118.756 | 159.645 | 0.000 | 0.000 | 0.000 | 
| -0.000 | -0.000 | -0.000 | 25.627 | -0.000 | 0.000 | 
| -0.000 | -0.000 | -0.000 | 0.000 | 25.627 | 0.000 | 
| -0.000 | -0.000 | -0.000 | 0.000 | -0.000 | 25.627 | 
| 159.646 | 118.756 | 118.756 | -0.000 | 0.000 | -0.000 | 
| 118.756 | 159.646 | 118.756 | -0.000 | 0.000 | -0.000 | 
| 118.756 | 118.756 | 159.646 | -0.000 | -0.000 | -0.000 | 
| 0.000 | 0.000 | 0.000 | 25.627 | 0.000 | -0.000 | 
| 0.000 | 0.000 | 0.000 | -0.000 | 25.627 | -0.000 | 
| 0.000 | 0.000 | 0.000 | -0.000 | 0.000 | 25.627 | 
| 159.645 | 118.756 | 118.756 | 0.000 | -0.000 | 0.000 | 
| 118.756 | 159.645 | 118.756 | 0.000 | 0.000 | 0.000 | 
| 118.756 | 118.756 | 159.645 | 0.000 | -0.000 | 0.000 | 
| -0.000 | -0.000 | -0.000 | 25.627 | 0.000 | 0.000 | 
| -0.000 | -0.000 | -0.000 | 0.000 | 25.627 | 0.000 | 
| -0.000 | -0.000 | -0.000 | 0.000 | -0.000 | 25.627 | 
| 159.646 | 118.756 | 118.756 | -0.000 | 0.000 | -0.000 | 
| 118.756 | 159.646 | 118.756 | -0.000 | 0.000 | -0.000 | 
| 118.756 | 118.756 | 159.646 | -0.000 | 0.000 | -0.000 | 
| 0.000 | 0.000 | 0.000 | 25.627 | -0.000 | -0.000 | 
| 0.000 | 0.000 | 0.000 | -0.000 | 25.627 | -0.000 | 
| 0.000 | 0.000 | 0.000 | -0.000 | 0.000 | 25.627 | 
| -0.188 | 9.090 | 9.090 | 0.000 | -0.000 | 0.000 | 
| 9.090 | -0.188 | 9.090 | -0.000 | -0.000 | 0.000 | 
| 9.090 | 9.090 | -0.188 | 0.000 | -0.000 | 0.000 | 
| -0.000 | 0.000 | 0.000 | -11.414 | 0.000 | 0.000 | 
| -0.000 | 0.000 | 0.000 | 0.000 | -11.414 | 0.000 | 
| -0.000 | 0.000 | 0.000 | -0.000 | 0.000 | -11.414 | 
| -0.188 | 9.090 | 9.090 | -0.000 | 0.000 | -0.000 | 
| 9.090 | -0.188 | 9.090 | 0.000 | -0.000 | -0.000 | 
| 9.090 | 9.090 | -0.188 | -0.000 | 0.000 | -0.000 | 
| 0.000 | -0.000 | 0.000 | -11.414 | -0.000 | -0.000 | 
| 0.000 | 0.000 | 0.000 | -0.000 | -11.414 | -0.000 | 
| 0.000 | -0.000 | 0.000 | -0.000 | -0.000 | -11.414 | 
| -0.188 | 9.090 | 9.090 | 0.000 | 0.000 | 0.000 | 
| 9.090 | -0.188 | 9.090 | 0.000 | 0.000 | 0.000 | 
| 9.090 | 9.090 | -0.188 | 0.000 | 0.000 | 0.000 | 
| 0.000 | 0.000 | -0.000 | -11.414 | 0.000 | 0.000 | 
| 0.000 | 0.000 | -0.000 | 0.000 | -11.414 | 0.000 | 
| 0.000 | -0.000 | 0.000 | 0.000 | 0.000 | -11.414 | 
| -0.188 | 9.090 | 9.090 | -0.000 | -0.000 | -0.000 | 
| 9.090 | -0.188 | 9.090 | -0.000 | -0.000 | -0.000 | 
| 9.090 | 9.090 | -0.188 | -0.000 | -0.000 | -0.000 | 
| -0.000 | -0.000 | 0.000 | -11.414 | -0.000 | -0.000 | 
| -0.000 | -0.000 | 0.000 | -0.000 | -11.414 | -0.000 | 
| -0.000 | 0.000 | -0.000 | -0.000 | -0.000 | -11.414 | 
| -0.188 | 9.090 | 9.090 | -0.000 | 0.000 | 0.000 | 
| 9.090 | -0.188 | 9.090 | 0.000 | -0.000 | 0.000 | 
| 9.090 | 9.090 | -0.188 | 0.000 | 0.000 | -0.000 | 
| 0.000 | 0.000 | -0.000 | -11.414 | 0.000 | 0.000 | 
| 0.000 | 0.000 | -0.000 | -0.000 | -11.414 | 0.000 | 
| 0.000 | -0.000 | 0.000 | -0.000 | 0.000 | -11.414 | 
| -0.189 | 9.089 | 9.089 | 0.000 | 0.000 | -0.000 | 
| 9.089 | -0.189 | 9.089 | 0.000 | 0.000 | -0.000 | 
| 9.089 | 9.089 | -0.189 | 0.000 | -0.000 | -0.000 | 
| -0.000 | -0.000 | 0.000 | -11.414 | 0.000 | -0.000 | 
| -0.000 | -0.000 | 0.000 | -0.000 | -11.414 | -0.000 | 
| -0.000 | 0.000 | -0.000 | 0.000 | 0.000 | -11.414 | 
| 354.729 | 277.641 | 277.641 | 0.000 | 0.000 | 0.000 | 
| 277.641 | 354.729 | 277.641 | -0.000 | 0.000 | 0.000 | 
| 277.641 | 277.641 | 354.729 | 0.000 | 0.000 | 0.000 | 
| 0.000 | 0.000 | 0.000 | 214.904 | 0.000 | 0.000 | 
| -0.000 | 0.000 | 0.000 | 0.000 | 214.904 | 0.000 | 
| -0.000 | 0.000 | 0.000 | 0.000 | -0.000 | 214.904 | 
| 354.729 | 277.641 | 277.641 | 0.000 | 0.000 | -0.000 | 
| 277.641 | 354.729 | 277.641 | 0.000 | -0.000 | -0.000 | 
| 277.641 | 277.641 | 354.729 | 0.000 | -0.000 | -0.000 | 
| 0.000 | 0.000 | -0.000 | 214.904 | -0.000 | -0.000 | 
| 0.000 | -0.000 | -0.000 | -0.000 | 214.904 | -0.000 | 
| 0.000 | -0.000 | -0.000 | 0.000 | -0.000 | 214.904 | 
| 354.729 | 277.641 | 277.641 | -0.000 | -0.000 | 0.000 | 
| 277.641 | 354.729 | 277.641 | -0.000 | 0.000 | 0.000 | 
| 277.641 | 277.641 | 354.729 | 0.000 | 0.000 | 0.000 | 
| 0.000 | 0.000 | 0.000 | 214.904 | 0.000 | 0.000 | 
| 0.000 | 0.000 | 0.000 | 0.000 | 214.904 | 0.000 | 
| 0.000 | 0.000 | 0.000 | -0.000 | 0.000 | 214.904 | 
| 354.729 | 277.641 | 277.641 | 0.000 | 0.000 | -0.000 | 
| 277.641 | 354.729 | 277.641 | 0.000 | 0.000 | -0.000 | 
| 277.641 | 277.641 | 354.729 | -0.000 | -0.000 | -0.000 | 
| -0.000 | -0.000 | -0.000 | 214.904 | -0.000 | -0.000 | 
| -0.000 | -0.000 | -0.000 | -0.000 | 214.904 | -0.000 | 
| -0.000 | -0.000 | -0.000 | 0.000 | -0.000 | 214.904 | 
| 354.728 | 277.641 | 277.641 | -0.000 | 0.000 | 0.000 | 
| 277.641 | 354.728 | 277.641 | -0.000 | 0.000 | 0.000 | 
| 277.641 | 277.641 | 354.728 | -0.000 | 0.000 | 0.000 | 
| -0.000 | -0.000 | -0.000 | 97.405 | 0.000 | 0.000 | 
| -0.000 | -0.000 | -0.000 | 0.000 | 97.405 | 0.000 | 
| -0.000 | -0.000 | -0.000 | 0.000 | 0.000 | 97.405 | 
| 354.730 | 277.640 | 277.640 | 0.000 | -0.000 | -0.000 | 
| 277.640 | 354.730 | 277.640 | 0.000 | -0.000 | -0.000 | 
| 277.640 | 277.640 | 354.730 | 0.000 | -0.000 | -0.000 | 
| 0.000 | 0.000 | 0.000 | 97.405 | -0.000 | -0.000 | 
| 0.000 | 0.000 | 0.000 | -0.000 | 97.405 | -0.000 | 
| 0.000 | 0.000 | 0.000 | -0.000 | -0.000 | 97.405 | 
| 224.933 | 79.586 | 79.586 | -0.000 | -0.000 | -0.000 | 
| 79.586 | 224.933 | 79.586 | -0.000 | -0.000 | -0.000 | 
| 79.586 | 79.586 | 224.933 | 0.000 | -0.000 | -0.000 | 
| -0.000 | 0.000 | -0.000 | 21.893 | -0.000 | -0.000 | 
| 0.000 | -0.000 | -0.000 | 0.000 | 21.893 | -0.000 | 
| 0.000 | -0.000 | -0.000 | -0.000 | -0.000 | 21.893 | 
| 224.933 | 79.586 | 79.586 | 0.000 | 0.000 | 0.000 | 
| 79.586 | 224.933 | 79.586 | 0.000 | -0.000 | 0.000 | 
| 79.586 | 79.586 | 224.933 | 0.000 | 0.000 | 0.000 | 
| -0.000 | 0.000 | 0.000 | 21.893 | 0.000 | 0.000 | 
| -0.000 | 0.000 | 0.000 | 0.000 | 21.894 | 0.000 | 
| 0.000 | 0.000 | 0.000 | -0.000 | 0.000 | 21.893 | 
| 224.933 | 79.586 | 79.586 | -0.000 | -0.000 | -0.000 | 
| 79.586 | 224.933 | 79.586 | -0.000 | -0.000 | -0.000 | 
| 79.586 | 79.586 | 224.933 | -0.000 | -0.000 | -0.000 | 
| -0.000 | -0.000 | -0.000 | 21.255 | -0.000 | -0.000 | 
| -0.000 | -0.000 | -0.000 | -0.000 | 21.255 | -0.000 | 
| -0.000 | -0.000 | -0.000 | -0.000 | -0.000 | 21.255 | 
| 224.775 | 79.665 | 79.665 | 0.000 | 0.000 | 0.000 | 
| 79.665 | 224.775 | 79.665 | 0.000 | 0.000 | 0.000 | 
| 79.665 | 79.665 | 224.775 | 0.000 | 0.000 | 0.000 | 
| 0.000 | 0.000 | 0.000 | 21.255 | 0.000 | 0.000 | 
| 0.000 | 0.000 | 0.000 | 0.000 | 21.255 | 0.000 | 
| 0.000 | 0.000 | 0.000 | 0.000 | 0.000 | 21.255 | 
| 224.934 | 79.586 | 79.586 | 0.000 | -0.000 | -0.000 | 
| 79.586 | 224.934 | 79.586 | -0.000 | -0.000 | -0.000 | 
| 79.586 | 79.586 | 224.934 | -0.000 | -0.000 | -0.000 | 
| -0.000 | -0.000 | -0.000 | 21.255 | 0.000 | -0.000 | 
| -0.000 | -0.000 | -0.000 | -0.000 | 21.255 | -0.000 | 
| -0.000 | -0.000 | -0.000 | -0.000 | -0.000 | 21.255 | 
| 224.774 | 79.665 | 79.665 | 0.000 | 0.000 | 0.000 | 
| 79.665 | 224.774 | 79.665 | 0.000 | 0.000 | 0.000 | 
| 79.665 | 79.665 | 224.774 | 0.000 | 0.000 | 0.000 | 
| 0.000 | 0.000 | 0.000 | 21.255 | 0.000 | 0.000 | 
| 0.000 | 0.000 | 0.000 | 0.000 | 21.255 | 0.000 | 
| 0.000 | 0.000 | 0.000 | 0.000 | 0.000 | 21.255 | 
| 149.873 | 87.952 | 87.952 | -0.000 | -0.000 | 0.000 | 
| 87.952 | 149.873 | 87.952 | -0.000 | -0.000 | 0.000 | 
| 87.952 | 87.952 | 149.873 | -0.000 | -0.000 | 0.000 | 
| -0.000 | -0.000 | -0.000 | 33.975 | -0.000 | 0.000 | 
| -0.000 | -0.000 | -0.000 | -0.000 | 33.975 | 0.000 | 
| -0.000 | -0.000 | -0.000 | -0.000 | -0.000 | 33.975 | 
| 149.873 | 87.952 | 87.952 | 0.000 | 0.000 | -0.000 | 
| 87.952 | 149.873 | 87.952 | 0.000 | 0.000 | -0.000 | 
| 87.952 | 87.952 | 149.873 | 0.000 | 0.000 | -0.000 | 
| 0.000 | 0.000 | 0.000 | 33.975 | 0.000 | 0.000 | 
| 0.000 | 0.000 | 0.000 | 0.000 | 33.975 | -0.000 | 
| 0.000 | 0.000 | 0.000 | 0.000 | 0.000 | 33.975 | 
| 149.873 | 87.952 | 87.952 | -0.000 | 0.000 | -0.000 | 
| 87.952 | 149.873 | 87.952 | -0.000 | -0.000 | 0.000 | 
| 87.952 | 87.952 | 149.873 | -0.000 | -0.000 | -0.000 | 
| -0.000 | -0.000 | -0.000 | 33.975 | -0.000 | 0.000 | 
| -0.000 | -0.000 | -0.000 | -0.000 | 33.975 | 0.000 | 
| -0.000 | -0.000 | -0.000 | -0.000 | -0.000 | 33.975 | 
| 149.873 | 87.952 | 87.952 | 0.000 | 0.000 | 0.000 | 
| 87.952 | 149.873 | 87.952 | 0.000 | 0.000 | 0.000 | 
| 87.952 | 87.952 | 149.873 | 0.000 | 0.000 | -0.000 | 
| 0.000 | 0.000 | 0.000 | 33.975 | 0.000 | -0.000 | 
| 0.000 | 0.000 | 0.000 | 0.000 | 33.975 | -0.000 | 
| 0.000 | 0.000 | 0.000 | 0.000 | -0.000 | 33.975 | 
| 149.873 | 87.952 | 87.952 | -0.000 | -0.000 | 0.000 | 
| 87.952 | 149.873 | 87.952 | -0.000 | -0.000 | 0.000 | 
| 87.952 | 87.952 | 149.873 | -0.000 | -0.000 | 0.000 | 
| -0.000 | -0.000 | -0.000 | 33.975 | -0.000 | 0.000 | 
| -0.000 | -0.000 | -0.000 | -0.000 | 33.975 | 0.000 | 
| -0.000 | -0.000 | -0.000 | -0.000 | -0.000 | 33.975 | 
| 149.873 | 87.952 | 87.952 | 0.000 | 0.000 | -0.000 | 
| 87.952 | 149.873 | 87.952 | 0.000 | 0.000 | -0.000 | 
| 87.952 | 87.952 | 149.873 | 0.000 | 0.000 | 0.000 | 
| 0.000 | 0.000 | 0.000 | 33.975 | 0.000 | 0.000 | 
| 0.000 | 0.000 | 0.000 | 0.000 | 33.975 | -0.000 | 
| 0.000 | 0.000 | 0.000 | 0.000 | 0.000 | 33.975 | 
| 151.849 | 88.350 | 82.286 | -0.000 | 0.000 | 0.000 | 
| 88.350 | 151.849 | 82.286 | -0.000 | 0.000 | 0.000 | 
| 81.738 | 81.738 | 132.778 | 0.000 | 0.000 | 0.000 | 
| 0.000 | -0.000 | 0.000 | 31.948 | -0.000 | 0.000 | 
| -0.000 | 0.000 | 0.000 | -0.000 | 31.948 | 0.000 | 
| -0.000 | -0.000 | 0.000 | -0.000 | 0.000 | 34.558 | 
| 157.676 | 88.560 | 87.239 | 0.000 | -0.000 | -0.000 | 
| 88.156 | 151.625 | 81.943 | 0.000 | 0.000 | -0.000 | 
| 81.529 | 81.529 | 132.434 | -0.000 | -0.000 | -0.000 | 
| -0.000 | 0.000 | -0.000 | 31.948 | 0.000 | -0.000 | 
| 0.000 | -0.000 | -0.000 | -0.000 | 31.948 | -0.000 | 
| 0.000 | 0.000 | -0.000 | 0.000 | -0.000 | 34.558 | 
| 157.675 | 88.560 | 87.239 | -0.000 | 0.000 | 0.000 | 
| 88.560 | 157.675 | 87.239 | -0.000 | -0.000 | 0.000 | 
| 87.231 | 87.231 | 141.791 | 0.000 | -0.000 | 0.000 | 
| -0.000 | -0.000 | 0.000 | 31.948 | -0.000 | 0.000 | 
| 0.018 | 0.018 | 0.030 | -0.000 | 27.099 | 0.000 | 
| 0.009 | 0.009 | 0.014 | 0.000 | 0.000 | 31.983 | 
| 150.451 | 87.093 | 80.108 | 0.000 | 0.000 | -0.000 | 
| 87.093 | 150.451 | 80.108 | -0.000 | -0.000 | -0.000 | 
| 87.230 | 87.230 | 141.791 | 0.000 | 0.000 | -0.000 | 
| 0.000 | 0.000 | -0.000 | 31.948 | 0.000 | -0.000 | 
| -0.018 | -0.018 | -0.030 | 0.000 | 27.099 | -0.000 | 
| -0.009 | -0.009 | -0.014 | -0.000 | -0.000 | 31.983 | 
| 157.675 | 88.560 | 87.239 | -0.000 | -0.000 | 0.000 | 
| 90.351 | 149.065 | 81.644 | 0.000 | 0.000 | 0.000 | 
| 81.635 | 81.635 | 132.609 | 0.000 | 0.000 | 0.000 | 
| -0.000 | -0.000 | 0.000 | 31.948 | -0.000 | 0.000 | 
| -0.000 | -0.000 | 0.000 | -0.000 | 31.948 | 0.000 | 
| -0.000 | -0.000 | -0.000 | -0.000 | -0.000 | 34.558 | 
| 151.737 | 88.252 | 82.113 | 0.000 | 0.000 | -0.000 | 
| 88.560 | 157.676 | 87.239 | -0.000 | 0.000 | -0.000 | 
| 81.632 | 81.632 | 132.602 | -0.000 | -0.000 | -0.000 | 
| 0.000 | 0.000 | -0.000 | 31.948 | 0.000 | -0.000 | 
| 0.000 | 0.000 | -0.000 | 0.000 | 31.948 | -0.000 | 
| 0.000 | 0.000 | 0.000 | 0.000 | 0.000 | 34.558 | 
| 151.721 | 88.225 | 81.954 | -0.000 | 0.000 | 0.000 | 
| 88.520 | 157.633 | 87.087 | -0.000 | 0.000 | 0.000 | 
| 81.476 | 81.476 | 132.047 | -0.000 | -0.000 | -0.000 | 
| -0.000 | 0.000 | 0.000 | 26.927 | 0.000 | 0.000 | 
| -0.000 | -0.000 | 0.000 | -0.000 | 31.853 | -0.000 | 
| -0.000 | -0.000 | -0.000 | -0.000 | 0.000 | 34.557 | 
| 157.633 | 88.520 | 87.087 | 0.000 | -0.000 | -0.000 | 
| 88.225 | 151.721 | 81.954 | 0.000 | -0.000 | 0.000 | 
| 87.087 | 87.087 | 141.326 | 0.000 | -0.000 | -0.000 | 
| 0.000 | -0.000 | -0.000 | 26.927 | -0.000 | -0.000 | 
| 0.000 | 0.000 | -0.000 | 0.000 | 31.853 | 0.000 | 
| 0.000 | 0.000 | 0.000 | 0.000 | -0.000 | 34.557 | 
| 151.721 | 88.225 | 81.954 | -0.000 | 0.000 | -0.000 | 
| 88.520 | 157.633 | 87.087 | -0.000 | 0.000 | -0.000 | 
| 87.087 | 87.087 | 141.326 | -0.000 | 0.000 | 0.000 | 
| -0.000 | -0.000 | 0.000 | 31.853 | 0.000 | -0.000 | 
| -0.000 | -0.000 | 0.000 | -0.000 | 31.853 | -0.000 | 
| -0.000 | -0.000 | -0.000 | -0.000 | 0.000 | 29.390 | 
| 149.074 | 90.296 | 81.477 | 0.000 | -0.000 | -0.000 | 
| 88.225 | 151.721 | 81.954 | -0.000 | 0.000 | 0.000 | 
| 87.087 | 87.087 | 141.326 | 0.000 | -0.000 | -0.000 | 
| 0.000 | 0.000 | -0.000 | 31.853 | -0.000 | -0.000 | 
| 0.000 | 0.000 | -0.000 | 0.000 | 31.853 | 0.000 | 
| 0.000 | 0.000 | 0.000 | 0.000 | -0.000 | 29.390 | 
| 151.721 | 88.225 | 81.954 | -0.000 | 0.000 | -0.000 | 
| 88.225 | 151.721 | 81.954 | -0.000 | 0.000 | 0.000 | 
| 81.477 | 81.477 | 132.049 | -0.000 | -0.000 | 0.000 | 
| -0.000 | -0.000 | 0.000 | 31.853 | -0.000 | 0.000 | 
| -0.000 | 0.000 | 0.001 | -0.000 | 26.927 | 0.000 | 
| -0.000 | -0.000 | -0.000 | -0.000 | 0.000 | 34.557 | 
| 157.633 | 88.520 | 87.087 | 0.000 | 0.000 | 0.000 | 
| 90.295 | 149.074 | 81.477 | 0.000 | -0.000 | 0.000 | 
| 87.086 | 87.086 | 141.324 | 0.000 | -0.000 | 0.000 | 
| 0.000 | 0.000 | -0.000 | 31.853 | -0.000 | -0.000 | 
| 0.000 | -0.000 | -0.001 | 0.000 | 26.927 | -0.000 | 
| 0.000 | 0.000 | 0.000 | 0.000 | -0.000 | 34.557 | 
| 248.614 | 147.216 | 155.712 | 0.000 | -0.000 | -0.000 | 
| 147.216 | 312.317 | 82.912 | 0.000 | -0.000 | -0.000 | 
| 132.025 | 87.065 | 252.111 | -0.000 | -0.000 | -0.000 | 
| -0.000 | 0.000 | -0.000 | 39.071 | -0.000 | -0.000 | 
| -0.000 | -0.000 | 0.000 | -0.000 | 110.387 | -0.000 | 
| -37.788 | 2.098 | -84.214 | -0.000 | -0.000 | 107.328 | 
| 248.614 | 147.216 | 155.712 | 0.000 | 0.000 | 0.000 | 
| 147.216 | 312.317 | 82.912 | 0.000 | 0.000 | -0.000 | 
| 155.712 | 82.912 | 318.320 | 0.000 | 0.000 | -0.000 | 
| 0.000 | 0.000 | 0.000 | 39.071 | 0.000 | -0.000 | 
| 0.000 | 0.000 | 0.000 | 0.000 | 110.387 | 0.000 | 
| 37.788 | -2.098 | 84.214 | 0.000 | 0.000 | 107.328 | 
| 244.499 | 147.401 | 146.745 | 0.000 | -0.000 | -0.000 | 
| 143.413 | 312.519 | 74.478 | 0.000 | -0.000 | -0.000 | 
| 151.388 | 83.109 | 308.888 | 0.000 | -0.000 | -0.000 | 
| -2.347 | 0.415 | -6.576 | 38.694 | -0.000 | -0.000 | 
| -3.789 | 0.209 | -8.436 | 0.000 | 110.213 | -0.000 | 
| -0.000 | 0.000 | 0.000 | 0.000 | -0.000 | 107.328 | 
| 248.614 | 147.216 | 155.712 | -0.000 | 0.000 | -0.000 | 
| 149.540 | 311.899 | 89.455 | 0.000 | 0.000 | -0.000 | 
| 157.727 | 82.523 | 324.122 | 0.000 | -0.000 | 0.000 | 
| 2.347 | -0.415 | 6.576 | 38.694 | 0.000 | -0.000 | 
| 3.789 | -0.209 | 8.436 | -0.000 | 110.213 | 0.000 | 
| 0.000 | -0.000 | 0.000 | -0.000 | 0.000 | 107.328 | 
| 248.614 | 147.216 | 155.712 | -0.000 | -0.000 | -0.000 | 
| 146.814 | 312.331 | 82.057 | -0.000 | 0.000 | 0.000 | 
| 155.135 | 82.977 | 316.880 | -0.000 | -0.000 | -0.000 | 
| -0.337 | 0.059 | -0.944 | 38.530 | 0.000 | -0.000 | 
| -0.000 | 0.000 | 0.000 | -0.000 | 110.387 | -0.000 | 
| -0.000 | 0.000 | 0.000 | 0.000 | -0.000 | 107.328 | 
| 248.656 | 147.170 | 156.008 | 0.000 | -0.000 | 0.000 | 
| 147.216 | 312.317 | 82.912 | 0.000 | 0.000 | 0.000 | 
| 155.711 | 82.912 | 318.320 | 0.000 | 0.000 | 0.000 | 
| 0.337 | -0.059 | 0.944 | 38.530 | 0.000 | 0.000 | 
| 0.000 | -0.000 | -0.000 | 0.000 | 110.387 | -0.000 | 
| 0.000 | -0.000 | -0.000 | -0.000 | 0.000 | 107.328 | 
| 248.618 | 147.128 | 155.233 | 0.000 | -0.000 | -0.000 | 
| 207.918 | 324.320 | 143.230 | 0.000 | -0.000 | -0.000 | 
| 155.280 | 82.834 | 317.796 | 0.000 | -0.000 | -0.000 | 
| 79.815 | 11.021 | 102.755 | 38.035 | -0.000 | -0.000 | 
| 79.811 | 11.021 | 102.748 | 0.000 | 110.050 | -0.000 | 
| -0.000 | 0.000 | -0.000 | 0.000 | -0.000 | 107.276 | 
| 248.618 | 147.128 | 155.233 | -0.000 | 0.000 | 0.000 | 
| 147.041 | 312.055 | 82.699 | -0.000 | 0.000 | 0.000 | 
| 155.280 | 82.834 | 317.796 | -0.000 | 0.000 | 0.000 | 
| -79.815 | -11.021 | -102.755 | 38.035 | 0.000 | 0.000 | 
| -79.811 | -11.021 | -102.748 | -0.000 | 110.050 | 0.000 | 
| 0.000 | -0.000 | 0.000 | -0.000 | 0.000 | 107.276 | 
| 256.280 | 148.208 | 164.996 | 0.000 | -0.000 | -0.000 | 
| 147.041 | 312.055 | 82.699 | 0.000 | -0.000 | -0.000 | 
| 160.535 | 84.025 | 322.411 | 0.000 | -0.000 | -0.000 | 
| -0.000 | -0.000 | -0.000 | 39.176 | -0.000 | -0.000 | 
| 7.985 | 1.102 | 10.281 | 0.000 | 110.049 | -0.000 | 
| -0.000 | 0.000 | -0.000 | 0.000 | -0.000 | 107.276 | 
| 240.318 | 146.003 | 144.446 | -0.000 | 0.000 | 0.000 | 
| 140.969 | 310.821 | 76.710 | -0.000 | 0.000 | 0.000 | 
| 146.788 | 81.723 | 306.580 | -0.000 | 0.000 | 0.000 | 
| 0.000 | 0.000 | 0.000 | 39.176 | 0.000 | 0.000 | 
| -7.985 | -1.102 | -10.281 | -0.000 | 110.049 | 0.000 | 
| 0.000 | -0.000 | 0.000 | -0.000 | 0.000 | 107.276 | 
| 248.618 | 147.128 | 155.233 | 0.000 | -0.000 | -0.000 | 
| 147.041 | 312.056 | 82.700 | 0.000 | -0.000 | -0.000 | 
| 155.333 | 82.921 | 317.495 | 0.000 | -0.000 | -0.000 | 
| -0.000 | -0.000 | -0.000 | 39.176 | -0.000 | -0.000 | 
| 0.628 | 0.127 | 0.624 | 0.000 | 110.102 | -0.000 | 
| -0.000 | 0.000 | 0.000 | 0.000 | -0.000 | 107.276 | 
| 247.601 | 146.979 | 153.963 | -0.000 | 0.000 | 0.000 | 
| 146.446 | 311.926 | 82.151 | -0.000 | 0.000 | 0.000 | 
| 155.280 | 82.834 | 317.796 | -0.000 | 0.000 | 0.000 | 
| 0.000 | 0.000 | 0.000 | 39.176 | 0.000 | 0.000 | 
| -0.628 | -0.127 | -0.624 | -0.000 | 110.102 | 0.000 | 
| 0.000 | -0.000 | -0.000 | -0.000 | 0.000 | 107.276 | 
| 261.384 | 248.908 | 248.908 | 0.000 | -0.000 | -0.000 | 
| 248.908 | 261.384 | 248.908 | 0.000 | -0.000 | -0.000 | 
| 248.908 | 248.908 | 261.383 | 0.000 | -0.000 | -0.000 | 
| 0.000 | 0.000 | -0.000 | 190.808 | -0.000 | -0.000 | 
| 0.000 | 0.000 | -0.000 | 0.000 | 190.808 | -0.000 | 
| 0.000 | 0.000 | -0.000 | 0.000 | 0.000 | 190.808 | 
| 261.384 | 248.908 | 248.908 | -0.000 | -0.000 | 0.000 | 
| 248.908 | 261.384 | 248.908 | -0.000 | 0.000 | 0.000 | 
| 248.908 | 248.908 | 261.384 | -0.000 | -0.000 | 0.000 | 
| -0.000 | -0.000 | 0.000 | 190.808 | 0.000 | 0.000 | 
| 0.000 | -0.000 | 0.000 | -0.000 | 190.808 | 0.000 | 
| -0.000 | -0.000 | 0.000 | -0.000 | -0.000 | 190.808 | 
| 261.384 | 248.909 | 248.909 | 0.000 | -0.000 | -0.000 | 
| 248.909 | 261.384 | 248.909 | 0.000 | 0.000 | -0.000 | 
| 248.909 | 248.909 | 261.384 | 0.000 | -0.000 | -0.000 | 
| 0.000 | 0.000 | 0.000 | 190.808 | -0.000 | -0.000 | 
| 0.000 | 0.000 | 0.000 | 0.000 | 190.808 | -0.000 | 
| 0.000 | 0.000 | 0.000 | 0.000 | 0.000 | 190.808 | 
| 261.384 | 248.908 | 248.908 | -0.000 | -0.000 | 0.000 | 
| 248.908 | 261.384 | 248.908 | -0.000 | 0.000 | 0.000 | 
| 248.908 | 248.908 | 261.384 | -0.000 | 0.000 | 0.000 | 
| -0.000 | -0.000 | -0.000 | 190.808 | 0.000 | 0.000 | 
| -0.000 | -0.000 | -0.000 | -0.000 | 190.808 | 0.000 | 
| -0.000 | -0.000 | -0.000 | -0.000 | -0.000 | 190.808 | 
| 261.383 | 248.910 | 248.910 | 0.000 | -0.000 | -0.000 | 
| 248.910 | 261.383 | 248.910 | 0.000 | -0.000 | -0.000 | 
| 248.910 | 248.910 | 261.383 | 0.000 | -0.000 | -0.000 | 
| 0.001 | 0.000 | 0.001 | 190.808 | -0.000 | -0.000 | 
| 0.000 | 0.001 | 0.001 | 0.000 | 190.808 | -0.000 | 
| 0.000 | 0.001 | 0.001 | 0.000 | -0.000 | 190.808 | 
| 261.384 | 248.907 | 248.907 | -0.000 | 0.000 | 0.000 | 
| 248.907 | 261.384 | 248.907 | -0.000 | -0.000 | 0.000 | 
| 248.907 | 248.907 | 261.384 | -0.000 | 0.000 | 0.000 | 
| -0.001 | -0.000 | -0.001 | 190.808 | 0.000 | 0.000 | 
| -0.000 | -0.001 | -0.001 | -0.000 | 190.808 | 0.000 | 
| -0.000 | -0.001 | -0.001 | -0.000 | 0.000 | 190.808 | 
| 484.317 | 4.883 | 4.883 | -0.000 | -0.000 | 0.000 | 
| 4.882 | 484.317 | 4.883 | -0.000 | 0.000 | 0.000 | 
| 4.882 | 4.883 | 484.317 | 0.000 | -0.000 | 0.000 | 
| 0.000 | 0.000 | 0.000 | -59.960 | 0.000 | 0.000 | 
| 0.000 | 0.000 | 0.000 | -0.000 | -59.960 | 0.000 | 
| 0.000 | 0.000 | 0.000 | 0.000 | 0.000 | -59.960 | 
| 484.317 | 4.883 | 4.882 | -0.000 | -0.000 | -0.000 | 
| 4.883 | 484.317 | 4.882 | 0.000 | -0.000 | -0.000 | 
| 4.883 | 4.883 | 484.317 | 0.000 | -0.000 | -0.000 | 
| -0.000 | -0.000 | -0.000 | -59.960 | -0.000 | -0.000 | 
| -0.000 | -0.000 | -0.000 | 0.000 | -59.960 | -0.000 | 
| -0.000 | -0.000 | -0.000 | -0.000 | -0.000 | -59.960 | 
| 484.318 | 4.882 | 4.883 | -0.000 | -0.000 | 0.000 | 
| 4.882 | 484.318 | 4.883 | -0.000 | -0.000 | 0.000 | 
| 4.882 | 4.882 | 484.318 | -0.000 | -0.000 | 0.000 | 
| 0.000 | -0.000 | -0.000 | -59.960 | 0.000 | 0.000 | 
| -0.000 | 0.000 | -0.000 | -0.000 | -59.960 | 0.000 | 
| -0.000 | -0.000 | 0.000 | 0.000 | 0.000 | -59.960 | 
| 484.317 | 4.883 | 4.883 | 0.000 | -0.000 | -0.000 | 
| 4.883 | 484.317 | 4.883 | -0.000 | -0.000 | -0.000 | 
| 4.883 | 4.883 | 484.317 | 0.000 | -0.000 | -0.000 | 
| -0.000 | 0.000 | 0.000 | -59.960 | -0.000 | -0.000 | 
| 0.000 | -0.000 | 0.000 | -0.000 | -59.960 | -0.000 | 
| 0.000 | 0.000 | -0.000 | -0.000 | -0.000 | -59.960 | 
| 484.320 | 4.882 | 4.882 | -0.000 | -0.000 | 0.000 | 
| 4.882 | 484.320 | 4.882 | -0.000 | -0.000 | 0.000 | 
| 4.882 | 4.882 | 484.320 | -0.000 | -0.000 | 0.000 | 
| 0.000 | -0.000 | -0.000 | -59.960 | -0.000 | 0.000 | 
| -0.000 | 0.000 | -0.000 | -0.000 | -59.960 | 0.000 | 
| -0.000 | -0.000 | 0.000 | -0.000 | 0.000 | -59.960 | 
| 484.315 | 4.883 | 4.883 | 0.000 | 0.000 | -0.000 | 
| 4.883 | 484.315 | 4.883 | 0.000 | -0.000 | -0.000 | 
| 4.883 | 4.883 | 484.315 | -0.000 | -0.000 | -0.000 | 
| -0.000 | 0.000 | 0.000 | -59.960 | 0.000 | 0.000 | 
| 0.000 | -0.000 | 0.000 | 0.000 | -59.960 | -0.000 | 
| 0.000 | 0.000 | -0.000 | 0.000 | -0.000 | -59.960 | 
| 258.153 | 220.055 | 220.055 | 0.000 | 0.000 | -0.000 | 
| 220.055 | 258.153 | 220.055 | 0.000 | 0.000 | -0.000 | 
| 220.055 | 220.055 | 258.153 | -0.000 | -0.000 | -0.000 | 
| 0.000 | -0.000 | 0.000 | 163.471 | 0.000 | 0.000 | 
| -0.000 | 0.000 | -0.000 | 0.000 | 163.471 | 0.000 | 
| -0.000 | 0.000 | 0.000 | 0.000 | 0.000 | 163.471 | 
| 258.153 | 220.055 | 220.055 | -0.000 | -0.000 | -0.000 | 
| 220.055 | 258.153 | 220.055 | -0.000 | -0.000 | 0.000 | 
| 220.055 | 220.055 | 258.153 | -0.000 | -0.000 | -0.000 | 
| -0.000 | 0.000 | -0.000 | 163.471 | -0.000 | 0.000 | 
| 0.000 | -0.000 | -0.000 | -0.000 | 163.471 | -0.000 | 
| 0.000 | -0.000 | -0.000 | -0.000 | -0.000 | 163.471 | 
| 258.153 | 220.055 | 220.055 | 0.000 | 0.000 | 0.000 | 
| 220.055 | 258.153 | 220.055 | 0.000 | 0.000 | 0.000 | 
| 220.055 | 220.055 | 258.153 | 0.000 | 0.000 | 0.000 | 
| 0.000 | 0.000 | 0.000 | 163.471 | 0.000 | 0.000 | 
| 0.000 | 0.000 | 0.000 | 0.000 | 163.471 | 0.000 | 
| 0.000 | 0.000 | 0.000 | 0.000 | 0.000 | 163.471 | 
| 258.153 | 220.055 | 220.055 | -0.000 | 0.000 | 0.000 | 
| 220.055 | 258.153 | 220.055 | 0.000 | -0.000 | 0.000 | 
| 220.055 | 220.055 | 258.153 | 0.000 | 0.000 | -0.000 | 
| -0.000 | -0.000 | -0.000 | 163.471 | 0.000 | 0.000 | 
| -0.000 | -0.000 | -0.000 | 0.000 | 163.471 | -0.000 | 
| -0.000 | -0.000 | -0.000 | -0.000 | -0.000 | 163.471 | 
| 258.153 | 220.055 | 220.055 | 0.000 | 0.000 | -0.000 | 
| 220.055 | 258.153 | 220.055 | 0.000 | 0.000 | -0.000 | 
| 220.055 | 220.055 | 258.153 | 0.000 | 0.000 | 0.000 | 
| 0.000 | 0.000 | 0.000 | 163.471 | 0.000 | -0.000 | 
| 0.000 | 0.000 | 0.000 | -0.000 | 163.471 | -0.000 | 
| 0.000 | 0.000 | 0.000 | 0.000 | 0.000 | 163.471 | 
| 258.153 | 220.054 | 220.054 | -0.000 | -0.000 | 0.000 | 
| 220.054 | 258.153 | 220.054 | -0.000 | -0.000 | 0.000 | 
| 220.054 | 220.054 | 258.153 | -0.000 | -0.000 | -0.000 | 
| -0.000 | -0.000 | -0.000 | 163.471 | -0.000 | 0.000 | 
| -0.000 | -0.000 | -0.000 | -0.000 | 163.471 | 0.000 | 
| -0.000 | -0.000 | -0.000 | -0.000 | -0.000 | 163.471 | 
| 31.439 | 69.434 | 69.434 | -0.000 | -0.000 | -0.000 | 
| 69.434 | 31.439 | 69.434 | -0.000 | -0.000 | -0.000 | 
| 69.434 | 69.434 | 31.439 | -0.000 | -0.000 | -0.000 | 
| -0.000 | -0.000 | -0.000 | -45.977 | -0.000 | -0.000 | 
| -0.000 | -0.000 | -0.000 | -0.000 | -45.977 | -0.000 | 
| -0.000 | -0.000 | -0.000 | -0.000 | -0.000 | -45.977 | 
| 31.439 | 69.434 | 69.434 | 0.000 | 0.000 | 0.000 | 
| 69.434 | 31.439 | 69.434 | 0.000 | 0.000 | 0.000 | 
| 69.434 | 69.434 | 31.439 | 0.000 | 0.000 | 0.000 | 
| 0.000 | 0.000 | 0.000 | -45.977 | 0.000 | 0.000 | 
| 0.000 | 0.000 | 0.000 | 0.000 | -45.977 | 0.000 | 
| 0.000 | 0.000 | -0.000 | 0.000 | 0.000 | -45.977 | 
| 31.439 | 69.434 | 69.434 | -0.000 | -0.000 | -0.000 | 
| 69.434 | 31.439 | 69.434 | -0.000 | -0.000 | -0.000 | 
| 69.434 | 69.434 | 31.439 | -0.000 | -0.000 | -0.000 | 
| -0.000 | -0.000 | -0.000 | -45.977 | -0.000 | -0.000 | 
| -0.000 | -0.000 | -0.000 | -0.000 | -45.977 | -0.000 | 
| -0.000 | -0.000 | -0.000 | -0.000 | -0.000 | -45.977 | 
| 31.439 | 69.434 | 69.434 | 0.000 | 0.000 | 0.000 | 
| 69.434 | 31.439 | 69.434 | 0.000 | 0.000 | 0.000 | 
| 69.434 | 69.434 | 31.439 | 0.000 | 0.000 | 0.000 | 
| 0.000 | 0.000 | 0.000 | -45.977 | 0.000 | 0.000 | 
| 0.000 | 0.000 | 0.000 | 0.000 | -45.977 | 0.000 | 
| 0.000 | 0.000 | 0.000 | 0.000 | 0.000 | -45.977 | 
| 31.439 | 69.434 | 69.434 | -0.000 | -0.000 | -0.000 | 
| 69.434 | 31.439 | 69.434 | -0.000 | -0.000 | -0.000 | 
| 69.434 | 69.434 | 31.439 | -0.000 | -0.000 | -0.000 | 
| -0.000 | -0.000 | -0.000 | -45.977 | -0.000 | -0.000 | 
| -0.000 | -0.000 | -0.000 | -0.000 | -45.977 | -0.000 | 
| -0.000 | -0.000 | -0.000 | -0.000 | -0.000 | -45.977 | 
| 31.438 | 69.434 | 69.434 | 0.000 | 0.000 | 0.000 | 
| 69.434 | 31.438 | 69.434 | 0.000 | 0.000 | 0.000 | 
| 69.434 | 69.434 | 31.438 | 0.000 | 0.000 | 0.000 | 
| 0.000 | 0.000 | 0.000 | -45.977 | 0.000 | 0.000 | 
| 0.000 | 0.000 | 0.000 | 0.000 | -45.977 | 0.000 | 
| 0.000 | 0.000 | 0.000 | 0.000 | 0.000 | -45.977 | 
| 496.546 | 78.649 | 203.662 | -0.000 | 0.000 | -0.000 | 
| 78.649 | 496.546 | 203.662 | 0.000 | 0.000 | -0.000 | 
| 203.662 | 203.662 | 322.595 | 0.000 | 0.000 | 0.000 | 
| 0.000 | 0.000 | 0.000 | 147.878 | 0.000 | 0.000 | 
| -0.000 | 0.000 | 0.000 | 0.000 | 147.878 | -0.000 | 
| -0.000 | 0.000 | 0.000 | -0.000 | 0.000 | 22.568 | 
| 496.546 | 78.649 | 203.662 | 0.000 | -0.000 | -0.000 | 
| 78.649 | 496.546 | 203.662 | -0.000 | -0.000 | -0.000 | 
| 203.662 | 203.662 | 322.595 | -0.000 | -0.000 | 0.000 | 
| -0.000 | 0.000 | -0.000 | 147.878 | -0.000 | -0.000 | 
| 0.000 | -0.000 | -0.000 | -0.000 | 147.878 | -0.000 | 
| 0.000 | 0.000 | -0.000 | 0.000 | -0.000 | 22.568 | 
| 496.547 | 78.649 | 203.662 | -0.000 | 0.000 | 0.000 | 
| 78.649 | 496.547 | 203.662 | 0.000 | 0.000 | 0.000 | 
| 203.662 | 203.662 | 322.595 | -0.000 | 0.000 | -0.000 | 
| 0.000 | 0.000 | 0.000 | 147.878 | 0.000 | 0.000 | 
| 0.000 | 0.000 | 0.000 | -0.000 | 147.878 | -0.000 | 
| 0.000 | -0.000 | 0.000 | 0.000 | 0.000 | 22.568 | 
| 496.546 | 78.649 | 203.662 | -0.000 | -0.000 | 0.000 | 
| 78.649 | 496.546 | 203.662 | -0.000 | -0.000 | -0.000 | 
| 203.662 | 203.662 | 322.595 | -0.000 | -0.000 | 0.000 | 
| -0.000 | -0.000 | -0.000 | 147.878 | -0.000 | 0.000 | 
| -0.000 | -0.000 | -0.000 | 0.000 | 147.878 | -0.000 | 
| -0.000 | 0.000 | -0.000 | -0.000 | -0.000 | 22.568 | 
| 496.550 | 78.650 | 203.663 | 0.000 | -0.000 | 0.000 | 
| 78.650 | 496.550 | 203.663 | -0.000 | 0.000 | 0.000 | 
| 203.663 | 203.663 | 322.597 | -0.000 | -0.000 | -0.000 | 
| 0.000 | 0.000 | 0.001 | 147.878 | 0.000 | 0.000 | 
| 0.000 | 0.000 | 0.001 | 0.000 | 147.878 | -0.000 | 
| 0.000 | -0.000 | 0.000 | -0.000 | 0.000 | 22.568 | 
| 496.542 | 78.649 | 203.662 | -0.000 | -0.000 | 0.000 | 
| 78.649 | 496.542 | 203.662 | -0.000 | -0.000 | 0.000 | 
| 203.661 | 203.661 | 322.593 | -0.000 | -0.000 | 0.000 | 
| -0.000 | -0.000 | -0.001 | 147.878 | -0.000 | 0.000 | 
| -0.000 | -0.000 | -0.001 | 0.000 | 147.878 | -0.000 | 
| -0.000 | 0.000 | -0.000 | -0.000 | -0.000 | 22.568 | 
| 283.796 | 231.988 | 210.247 | 0.000 | -0.000 | -0.000 | 
| 231.989 | 535.235 | 69.143 | -0.000 | -0.000 | 0.000 | 
| 210.247 | 69.143 | 504.876 | -0.000 | -0.000 | 0.000 | 
| 0.000 | -0.000 | -0.000 | 27.832 | -0.000 | 0.000 | 
| 0.000 | -0.000 | 0.000 | -0.000 | 165.797 | -0.000 | 
| -0.000 | -0.000 | -0.000 | -0.000 | -0.000 | 189.642 | 
| 283.796 | 231.989 | 210.247 | 0.000 | 0.000 | -0.000 | 
| 231.988 | 535.235 | 69.143 | 0.000 | 0.000 | -0.000 | 
| 210.247 | 69.143 | 504.876 | 0.000 | 0.000 | -0.000 | 
| 0.000 | 0.000 | 0.000 | 27.832 | 0.000 | -0.000 | 
| 0.000 | 0.000 | -0.000 | 0.000 | 165.797 | 0.000 | 
| 0.000 | 0.000 | 0.000 | 0.000 | 0.000 | 189.642 | 
| 283.796 | 231.989 | 210.247 | 0.000 | 0.000 | -0.000 | 
| 231.989 | 535.235 | 69.143 | -0.000 | -0.000 | 0.000 | 
| 210.247 | 69.143 | 504.877 | -0.000 | -0.000 | 0.000 | 
| -0.000 | -0.000 | -0.000 | 27.832 | -0.000 | -0.000 | 
| -0.000 | -0.000 | 0.000 | 0.000 | 165.797 | -0.000 | 
| 0.000 | 0.000 | -0.000 | 0.000 | -0.000 | 189.642 | 
| 283.796 | 231.988 | 210.247 | 0.000 | 0.000 | 0.000 | 
| 231.988 | 535.234 | 69.143 | 0.000 | 0.000 | -0.000 | 
| 210.247 | 69.143 | 504.876 | -0.000 | 0.000 | -0.000 | 
| 0.000 | 0.000 | 0.000 | 27.832 | 0.000 | -0.000 | 
| 0.000 | 0.000 | -0.000 | 0.000 | 165.797 | 0.000 | 
| -0.000 | -0.000 | 0.000 | 0.000 | 0.000 | 189.642 | 
| 283.797 | 231.989 | 210.248 | 0.000 | 0.000 | -0.000 | 
| 231.990 | 535.237 | 69.144 | -0.000 | -0.000 | -0.000 | 
| 210.248 | 69.144 | 504.878 | -0.000 | 0.000 | 0.000 | 
| -0.000 | -0.000 | -0.000 | 27.832 | -0.000 | -0.000 | 
| -0.000 | -0.000 | 0.001 | -0.000 | 165.797 | -0.000 | 
| 0.000 | 0.001 | -0.000 | -0.000 | -0.000 | 189.642 | 
| 283.795 | 231.988 | 210.247 | 0.000 | 0.000 | -0.000 | 
| 231.987 | 535.232 | 69.143 | -0.000 | 0.000 | -0.000 | 
| 210.246 | 69.143 | 504.874 | 0.000 | 0.000 | 0.000 | 
| 0.000 | 0.000 | 0.000 | 27.832 | 0.000 | -0.000 | 
| 0.000 | 0.000 | -0.001 | 0.000 | 165.797 | -0.000 | 
| -0.000 | -0.001 | 0.000 | 0.000 | 0.000 | 189.642 | 
| 96.234 | 114.172 | 114.172 | -0.000 | -0.000 | -0.000 | 
| 114.172 | 96.234 | 114.172 | -0.000 | -0.000 | 0.000 | 
| 114.172 | 114.172 | 96.234 | 0.000 | -0.000 | 0.000 | 
| 0.000 | 0.000 | -0.000 | -17.391 | -0.000 | 0.000 | 
| 0.000 | 0.000 | -0.000 | -0.000 | -17.391 | -0.000 | 
| 0.000 | 0.000 | -0.000 | -0.000 | -0.000 | -17.391 | 
| 96.234 | 114.172 | 114.173 | 0.000 | 0.000 | -0.000 | 
| 114.172 | 96.234 | 114.173 | 0.000 | 0.000 | -0.000 | 
| 114.172 | 114.172 | 96.234 | -0.000 | 0.000 | -0.000 | 
| -0.000 | -0.000 | 0.000 | -17.391 | 0.000 | -0.000 | 
| -0.000 | -0.000 | 0.000 | 0.000 | -17.391 | -0.000 | 
| -0.000 | -0.000 | 0.000 | -0.000 | 0.000 | -17.391 | 
| 96.234 | 114.173 | 114.173 | 0.000 | -0.000 | -0.000 | 
| 114.173 | 96.234 | 114.173 | -0.000 | -0.000 | 0.000 | 
| 114.173 | 114.173 | 96.234 | 0.000 | 0.000 | -0.000 | 
| -0.000 | -0.000 | -0.000 | -17.391 | -0.000 | -0.000 | 
| -0.000 | -0.000 | -0.000 | 0.000 | -17.391 | 0.000 | 
| -0.000 | -0.000 | -0.000 | -0.000 | -0.000 | -17.391 | 
| 96.234 | 114.172 | 114.172 | 0.000 | 0.000 | -0.000 | 
| 114.172 | 96.234 | 114.172 | -0.000 | 0.000 | -0.000 | 
| 114.172 | 114.172 | 96.234 | 0.000 | 0.000 | 0.000 | 
| 0.000 | 0.000 | 0.000 | -17.391 | 0.000 | 0.000 | 
| 0.000 | 0.000 | 0.000 | -0.000 | -17.391 | -0.000 | 
| 0.000 | 0.000 | 0.000 | 0.000 | 0.000 | -17.391 | 
| 96.233 | 114.173 | 114.173 | -0.000 | -0.000 | -0.000 | 
| 114.173 | 96.233 | 114.173 | 0.000 | -0.000 | -0.000 | 
| 114.173 | 114.173 | 96.233 | 0.000 | -0.000 | -0.000 | 
| -0.000 | -0.000 | -0.000 | -17.391 | -0.000 | 0.000 | 
| -0.000 | -0.000 | -0.000 | 0.000 | -17.391 | 0.000 | 
| -0.000 | -0.000 | -0.000 | -0.000 | -0.000 | -17.391 | 
| 96.234 | 114.172 | 114.172 | -0.000 | 0.000 | 0.000 | 
| 114.172 | 96.234 | 114.172 | -0.000 | 0.000 | -0.000 | 
| 114.172 | 114.172 | 96.234 | -0.000 | -0.000 | -0.000 | 
| 0.000 | 0.000 | 0.000 | -17.391 | 0.000 | -0.000 | 
| 0.000 | 0.000 | 0.000 | -0.000 | -17.391 | -0.000 | 
| 0.000 | 0.000 | 0.000 | 0.000 | 0.000 | -17.391 | 
| 525.462 | 102.154 | 102.154 | -0.000 | -0.000 | 0.000 | 
| 102.154 | 525.462 | 102.154 | -0.000 | -0.000 | 0.000 | 
| 102.154 | 102.154 | 525.462 | -0.000 | 0.000 | 0.000 | 
| 0.000 | -0.000 | 0.000 | 56.736 | 0.000 | -0.000 | 
| 0.000 | -0.000 | -0.000 | -0.000 | 56.736 | -0.000 | 
| 0.000 | 0.000 | 0.000 | 0.000 | -0.000 | 56.736 | 
| 525.759 | 102.006 | 102.006 | -0.000 | 0.000 | 0.000 | 
| 102.006 | 525.759 | 102.006 | -0.000 | 0.000 | 0.000 | 
| 102.006 | 102.006 | 525.759 | -0.000 | -0.000 | 0.000 | 
| -0.000 | -0.000 | -0.000 | 56.736 | -0.000 | -0.000 | 
| -0.000 | 0.000 | 0.000 | 0.000 | 56.736 | -0.000 | 
| -0.000 | -0.000 | -0.000 | -0.000 | 0.000 | 56.736 | 
| 525.759 | 102.006 | 102.006 | 0.000 | -0.000 | -0.000 | 
| 102.006 | 525.759 | 102.006 | 0.000 | -0.000 | -0.000 | 
| 102.006 | 102.006 | 525.759 | 0.000 | 0.000 | 0.000 | 
| -0.000 | 0.000 | -0.000 | 53.058 | 0.000 | -0.000 | 
| 0.000 | -0.000 | -0.000 | -0.000 | 53.058 | -0.000 | 
| 0.000 | -0.000 | -0.000 | -0.000 | -0.000 | 53.058 | 
| 525.461 | 102.154 | 102.154 | -0.000 | 0.000 | -0.000 | 
| 102.154 | 525.461 | 102.154 | -0.000 | 0.000 | 0.000 | 
| 102.154 | 102.154 | 525.461 | 0.000 | -0.000 | -0.000 | 
| 0.000 | -0.000 | 0.000 | 53.058 | -0.000 | -0.000 | 
| -0.000 | 0.000 | 0.000 | -0.000 | 53.058 | 0.000 | 
| -0.000 | 0.000 | 0.000 | -0.000 | 0.000 | 53.058 | 
| 525.465 | 102.154 | 102.154 | -0.000 | -0.000 | 0.000 | 
| 102.154 | 525.465 | 102.154 | -0.000 | -0.000 | 0.000 | 
| 102.154 | 102.154 | 525.465 | 0.000 | -0.000 | 0.000 | 
| -0.000 | 0.000 | -0.000 | 53.058 | -0.000 | -0.000 | 
| 0.000 | -0.000 | -0.000 | -0.000 | 53.058 | 0.000 | 
| 0.000 | -0.000 | -0.000 | -0.000 | 0.000 | 53.058 | 
| 525.756 | 102.006 | 102.006 | 0.000 | 0.000 | -0.000 | 
| 102.006 | 525.756 | 102.006 | -0.000 | 0.000 | -0.000 | 
| 102.006 | 102.006 | 525.756 | 0.000 | 0.000 | -0.000 | 
| 0.000 | -0.000 | 0.000 | 53.058 | -0.000 | 0.000 | 
| -0.000 | 0.000 | 0.000 | 0.000 | 53.058 | 0.000 | 
| -0.000 | 0.000 | 0.000 | -0.000 | 0.000 | 53.058 | 
| 385.603 | 226.604 | 226.604 | -0.000 | -0.000 | 0.000 | 
| 226.604 | 385.603 | 226.604 | -0.000 | -0.000 | 0.000 | 
| 226.604 | 226.604 | 385.603 | -0.000 | -0.000 | 0.000 | 
| 0.000 | 0.000 | -0.000 | 179.637 | -0.000 | 0.000 | 
| 0.000 | 0.000 | -0.000 | -0.000 | 179.637 | 0.000 | 
| 0.000 | 0.000 | -0.000 | -0.000 | -0.000 | 179.637 | 
| 385.603 | 226.604 | 226.604 | 0.000 | 0.000 | -0.000 | 
| 226.604 | 385.603 | 226.604 | 0.000 | 0.000 | -0.000 | 
| 226.604 | 226.604 | 385.603 | 0.000 | -0.000 | -0.000 | 
| -0.000 | -0.000 | 0.000 | 179.637 | 0.000 | -0.000 | 
| -0.000 | -0.000 | 0.000 | 0.000 | 179.637 | -0.000 | 
| -0.000 | -0.000 | 0.000 | 0.000 | 0.000 | 179.637 | 
| 385.602 | 226.604 | 226.604 | -0.000 | 0.000 | 0.000 | 
| 226.604 | 385.602 | 226.604 | -0.000 | -0.000 | 0.000 | 
| 226.604 | 226.604 | 385.602 | -0.000 | -0.000 | 0.000 | 
| 0.000 | 0.000 | 0.000 | 179.637 | -0.000 | 0.000 | 
| 0.000 | 0.000 | 0.000 | -0.000 | 179.637 | 0.000 | 
| 0.000 | 0.000 | 0.000 | -0.000 | -0.000 | 179.637 | 
| 385.603 | 226.604 | 226.604 | 0.000 | 0.000 | -0.000 | 
| 226.604 | 385.603 | 226.604 | 0.000 | 0.000 | -0.000 | 
| 226.604 | 226.604 | 385.603 | 0.000 | 0.000 | -0.000 | 
| -0.000 | -0.000 | -0.000 | 179.637 | 0.000 | -0.000 | 
| -0.000 | -0.000 | -0.000 | 0.000 | 179.637 | -0.000 | 
| -0.000 | -0.000 | -0.000 | 0.000 | 0.000 | 179.637 | 
| 385.601 | 226.605 | 226.605 | -0.000 | -0.000 | 0.000 | 
| 226.605 | 385.601 | 226.605 | -0.000 | -0.000 | 0.000 | 
| 226.605 | 226.605 | 385.601 | 0.000 | -0.000 | 0.000 | 
| 0.001 | 0.000 | 0.001 | 180.772 | -0.000 | 0.000 | 
| 0.000 | 0.001 | 0.001 | -0.000 | 180.772 | 0.000 | 
| 0.000 | 0.001 | 0.001 | 0.000 | -0.000 | 180.772 | 
| 385.604 | 226.603 | 226.603 | 0.000 | 0.000 | -0.000 | 
| 226.603 | 385.604 | 226.603 | 0.000 | 0.000 | -0.000 | 
| 226.603 | 226.603 | 385.604 | 0.000 | 0.000 | -0.000 | 
| -0.001 | -0.000 | -0.001 | 180.772 | 0.000 | -0.000 | 
| -0.000 | -0.001 | -0.001 | 0.000 | 180.772 | -0.000 | 
| -0.000 | -0.001 | -0.001 | -0.000 | 0.000 | 180.772 | 
| 272.669 | 214.430 | 214.430 | 0.000 | 0.000 | -0.000 | 
| 214.430 | 272.669 | 214.430 | 0.000 | 0.000 | -0.000 | 
| 214.430 | 214.430 | 272.669 | 0.000 | 0.000 | -0.000 | 
| -0.000 | 0.000 | 0.000 | 160.058 | -0.000 | -0.000 | 
| 0.000 | -0.000 | 0.000 | -0.000 | 160.058 | -0.000 | 
| 0.000 | 0.000 | -0.000 | 0.000 | 0.000 | 160.058 | 
| 272.669 | 214.430 | 214.430 | -0.000 | 0.000 | 0.000 | 
| 214.430 | 272.669 | 214.430 | -0.000 | 0.000 | 0.000 | 
| 214.430 | 214.430 | 272.669 | 0.000 | 0.000 | 0.000 | 
| 0.000 | -0.000 | -0.000 | 160.058 | 0.000 | -0.000 | 
| -0.000 | 0.000 | -0.000 | 0.000 | 160.058 | -0.000 | 
| -0.000 | -0.000 | 0.000 | -0.000 | -0.000 | 160.058 | 
| 272.669 | 214.430 | 214.430 | 0.000 | 0.000 | -0.000 | 
| 214.430 | 272.669 | 214.430 | 0.000 | 0.000 | 0.000 | 
| 214.430 | 214.430 | 272.669 | 0.000 | -0.000 | -0.000 | 
| -0.000 | 0.000 | 0.000 | 160.058 | -0.000 | -0.000 | 
| 0.000 | -0.000 | 0.000 | 0.000 | 160.058 | -0.000 | 
| 0.000 | 0.000 | -0.000 | 0.000 | 0.000 | 160.058 | 
| 272.669 | 214.430 | 214.430 | -0.000 | -0.000 | -0.000 | 
| 214.430 | 272.669 | 214.430 | -0.000 | 0.000 | 0.000 | 
| 214.430 | 214.430 | 272.669 | -0.000 | 0.000 | 0.000 | 
| 0.000 | -0.000 | -0.000 | 160.058 | 0.000 | 0.000 | 
| -0.000 | 0.000 | -0.000 | -0.000 | 160.058 | 0.000 | 
| -0.000 | -0.000 | 0.000 | -0.000 | -0.000 | 160.058 | 
| 272.670 | 214.431 | 214.431 | 0.000 | -0.000 | -0.000 | 
| 214.431 | 272.670 | 214.431 | 0.000 | 0.000 | -0.000 | 
| 214.431 | 214.431 | 272.670 | -0.000 | -0.000 | 0.000 | 
| -0.000 | 0.001 | 0.001 | 160.058 | -0.000 | -0.000 | 
| 0.001 | -0.000 | 0.001 | 0.000 | 160.058 | -0.000 | 
| 0.001 | 0.001 | -0.000 | 0.000 | 0.000 | 160.058 | 
| 272.667 | 214.429 | 214.429 | -0.000 | -0.000 | -0.000 | 
| 214.429 | 272.667 | 214.429 | -0.000 | -0.000 | -0.000 | 
| 214.429 | 214.429 | 272.667 | 0.000 | -0.000 | 0.000 | 
| 0.000 | -0.001 | -0.001 | 160.058 | 0.000 | 0.000 | 
| -0.001 | 0.000 | -0.001 | -0.000 | 160.058 | 0.000 | 
| -0.001 | -0.001 | 0.000 | -0.000 | -0.000 | 160.058 | 
| 68.015 | 40.322 | 40.322 | 0.000 | 0.000 | 0.000 | 
| 40.322 | 68.015 | 40.322 | 0.000 | 0.000 | -0.000 | 
| 40.322 | 40.322 | 68.015 | 0.000 | 0.000 | 0.000 | 
| -0.000 | 0.000 | 0.000 | 9.654 | 0.000 | 0.000 | 
| 0.000 | 0.000 | 0.000 | 0.000 | 9.654 | 0.000 | 
| 0.000 | 0.000 | 0.000 | 0.000 | 0.000 | 9.654 | 
| 68.015 | 40.322 | 40.322 | -0.000 | -0.000 | -0.000 | 
| 40.322 | 68.015 | 40.322 | -0.000 | -0.000 | -0.000 | 
| 40.322 | 40.322 | 68.015 | -0.000 | -0.000 | -0.000 | 
| 0.000 | -0.000 | -0.000 | 9.654 | -0.000 | -0.000 | 
| -0.000 | -0.000 | -0.000 | -0.000 | 9.654 | 0.000 | 
| -0.000 | -0.000 | 0.000 | -0.000 | -0.000 | 9.654 | 
| 68.015 | 40.322 | 40.322 | 0.000 | 0.000 | 0.000 | 
| 40.322 | 68.015 | 40.322 | 0.000 | 0.000 | 0.000 | 
| 40.322 | 40.322 | 68.015 | 0.000 | 0.000 | 0.000 | 
| -0.000 | 0.000 | 0.000 | 9.654 | 0.000 | -0.000 | 
| 0.000 | -0.000 | 0.000 | 0.000 | 9.654 | -0.000 | 
| 0.000 | 0.000 | -0.000 | 0.000 | 0.000 | 9.654 | 
| 68.015 | 40.322 | 40.322 | -0.000 | -0.000 | -0.000 | 
| 40.322 | 68.015 | 40.322 | -0.000 | -0.000 | 0.000 | 
| 40.322 | 40.322 | 68.015 | -0.000 | -0.000 | -0.000 | 
| 0.000 | -0.000 | -0.000 | 9.654 | -0.000 | 0.000 | 
| -0.000 | 0.000 | -0.000 | -0.000 | 9.654 | -0.000 | 
| -0.000 | -0.000 | 0.000 | -0.000 | -0.000 | 9.654 | 
| 68.015 | 40.323 | 40.323 | 0.000 | 0.000 | -0.000 | 
| 40.323 | 68.015 | 40.323 | 0.000 | 0.000 | -0.000 | 
| 40.323 | 40.323 | 68.015 | -0.000 | 0.000 | 0.000 | 
| -0.000 | 0.001 | 0.001 | 9.654 | 0.000 | -0.000 | 
| 0.001 | -0.000 | 0.001 | 0.000 | 9.654 | -0.000 | 
| 0.001 | 0.001 | -0.000 | 0.000 | 0.000 | 9.654 | 
| 68.015 | 40.321 | 40.321 | -0.000 | -0.000 | 0.000 | 
| 40.321 | 68.015 | 40.321 | -0.000 | -0.000 | 0.000 | 
| 40.321 | 40.321 | 68.015 | -0.000 | -0.000 | -0.000 | 
| 0.000 | -0.001 | -0.001 | 9.654 | -0.000 | 0.000 | 
| -0.001 | 0.000 | -0.001 | -0.000 | 9.654 | 0.000 | 
| -0.001 | -0.001 | 0.000 | -0.000 | -0.000 | 9.654 | 
| 280.313 | 62.157 | 62.157 | 0.000 | 0.000 | -0.000 | 
| 62.157 | 280.313 | 62.157 | -0.000 | 0.000 | -0.000 | 
| 62.157 | 62.157 | 280.313 | 0.000 | 0.000 | -0.000 | 
| 0.000 | -0.000 | 0.000 | 31.095 | -0.000 | 0.000 | 
| 0.000 | -0.000 | 0.000 | -0.000 | 31.095 | -0.000 | 
| 0.000 | -0.000 | 0.000 | -0.000 | 0.000 | 31.095 | 
| 280.313 | 62.157 | 62.157 | -0.000 | -0.000 | -0.000 | 
| 62.157 | 280.313 | 62.157 | 0.000 | -0.000 | -0.000 | 
| 62.157 | 62.157 | 280.313 | 0.000 | -0.000 | 0.000 | 
| -0.000 | 0.000 | -0.000 | 31.095 | 0.000 | 0.000 | 
| -0.000 | 0.000 | -0.000 | 0.000 | 31.095 | 0.000 | 
| -0.000 | 0.000 | -0.000 | 0.000 | -0.000 | 31.095 | 
| 280.313 | 62.157 | 62.157 | -0.000 | -0.000 | 0.000 | 
| 62.157 | 280.313 | 62.157 | 0.000 | 0.000 | -0.000 | 
| 62.157 | 62.157 | 280.313 | -0.000 | 0.000 | -0.000 | 
| 0.000 | 0.000 | 0.000 | 33.319 | -0.000 | 0.000 | 
| 0.000 | -0.000 | 0.000 | -0.000 | 33.319 | -0.000 | 
| 0.000 | 0.000 | 0.000 | 0.000 | 0.000 | 33.319 | 
| 280.312 | 62.157 | 62.157 | 0.000 | 0.000 | -0.000 | 
| 62.157 | 280.312 | 62.157 | 0.000 | -0.000 | 0.000 | 
| 62.157 | 62.157 | 280.312 | 0.000 | -0.000 | 0.000 | 
| -0.000 | -0.000 | -0.000 | 33.319 | 0.000 | 0.000 | 
| -0.000 | -0.000 | -0.000 | 0.000 | 33.319 | 0.000 | 
| -0.000 | -0.000 | -0.000 | 0.000 | -0.000 | 33.319 | 
| 280.669 | 61.981 | 61.981 | -0.000 | 0.000 | 0.000 | 
| 61.981 | 280.669 | 61.981 | -0.000 | 0.000 | -0.000 | 
| 61.981 | 61.981 | 280.669 | -0.000 | 0.000 | -0.000 | 
| 0.000 | 0.000 | 0.000 | 31.095 | 0.000 | 0.000 | 
| 0.000 | 0.000 | 0.000 | 0.000 | 31.095 | -0.000 | 
| 0.000 | 0.000 | 0.000 | 0.000 | 0.000 | 31.095 | 
| 280.663 | 61.980 | 61.980 | 0.000 | -0.000 | 0.000 | 
| 61.980 | 280.663 | 61.980 | -0.000 | -0.000 | -0.000 | 
| 61.980 | 61.980 | 280.663 | -0.000 | -0.000 | 0.000 | 
| -0.000 | -0.000 | -0.000 | 31.095 | 0.000 | 0.000 | 
| -0.000 | -0.000 | -0.000 | 0.000 | 31.095 | -0.000 | 
| -0.000 | -0.000 | -0.000 | -0.000 | -0.000 | 31.095 | 
| 243.359 | 145.009 | 145.009 | 0.000 | 0.000 | -0.000 | 
| 145.009 | 243.359 | 145.009 | 0.000 | 0.000 | -0.000 | 
| 145.009 | 145.009 | 243.359 | 0.000 | 0.000 | -0.000 | 
| -0.000 | 0.000 | 0.000 | 116.037 | 0.000 | -0.000 | 
| -0.000 | 0.000 | 0.000 | 0.000 | 116.037 | 0.000 | 
| -0.000 | 0.000 | 0.000 | 0.000 | 0.000 | 116.037 | 
| 243.359 | 145.009 | 145.009 | 0.000 | -0.000 | -0.000 | 
| 145.009 | 243.359 | 145.009 | 0.000 | 0.000 | -0.000 | 
| 145.009 | 145.009 | 243.359 | -0.000 | -0.000 | -0.000 | 
| 0.000 | -0.000 | -0.000 | 116.037 | -0.000 | -0.000 | 
| 0.000 | -0.000 | -0.000 | -0.000 | 116.037 | -0.000 | 
| 0.000 | -0.000 | -0.000 | -0.000 | -0.000 | 116.037 | 
| 243.359 | 145.009 | 145.009 | -0.000 | 0.000 | -0.000 | 
| 145.009 | 243.359 | 145.009 | 0.000 | 0.000 | -0.000 | 
| 145.009 | 145.009 | 243.359 | 0.000 | 0.000 | 0.000 | 
| -0.000 | -0.000 | 0.000 | 116.037 | 0.000 | 0.000 | 
| -0.000 | -0.000 | 0.000 | 0.000 | 116.037 | -0.000 | 
| -0.000 | 0.000 | -0.000 | 0.000 | 0.000 | 116.037 | 
| 243.359 | 145.009 | 145.009 | 0.000 | -0.000 | 0.000 | 
| 145.009 | 243.359 | 145.009 | -0.000 | -0.000 | 0.000 | 
| 145.009 | 145.009 | 243.359 | 0.000 | -0.000 | -0.000 | 
| 0.000 | 0.000 | -0.000 | 116.037 | -0.000 | -0.000 | 
| 0.000 | 0.000 | -0.000 | 0.000 | 116.037 | -0.000 | 
| 0.000 | -0.000 | -0.000 | -0.000 | -0.000 | 116.037 | 
| 243.359 | 145.009 | 145.009 | 0.000 | -0.000 | 0.000 | 
| 145.009 | 243.359 | 145.009 | -0.000 | 0.000 | 0.000 | 
| 145.009 | 145.009 | 243.359 | 0.000 | 0.000 | -0.000 | 
| -0.000 | -0.000 | 0.000 | 116.037 | 0.000 | 0.000 | 
| -0.000 | -0.000 | 0.000 | 0.000 | 116.037 | -0.000 | 
| -0.000 | 0.000 | -0.000 | 0.000 | 0.000 | 116.037 | 
| 243.360 | 145.009 | 145.009 | -0.000 | -0.000 | 0.000 | 
| 145.009 | 243.360 | 145.009 | 0.000 | -0.000 | 0.000 | 
| 145.009 | 145.009 | 243.360 | -0.000 | -0.000 | 0.000 | 
| 0.000 | 0.000 | -0.000 | 116.037 | -0.000 | -0.000 | 
| 0.000 | 0.000 | -0.000 | 0.000 | 116.037 | -0.000 | 
| 0.000 | -0.000 | 0.000 | -0.000 | -0.000 | 116.037 | 
| 48.474 | 36.691 | 58.213 | 0.000 | 0.000 | -0.000 | 
| 36.790 | 48.376 | 58.213 | 0.000 | 0.000 | -0.000 | 
| 58.213 | 58.213 | 108.020 | -0.000 | 0.000 | -0.000 | 
| -0.000 | -0.000 | 0.000 | 27.465 | 0.000 | -0.000 | 
| -0.000 | -0.000 | 0.000 | 0.000 | 27.465 | -0.000 | 
| -0.000 | -0.000 | 0.000 | 0.000 | 0.000 | 5.891 | 
| 48.474 | 36.691 | 58.213 | -0.000 | -0.000 | 0.000 | 
| 36.691 | 48.474 | 58.213 | -0.000 | -0.000 | 0.000 | 
| 58.213 | 58.213 | 108.020 | 0.000 | 0.000 | 0.000 | 
| 0.000 | 0.000 | -0.000 | 27.465 | -0.000 | -0.000 | 
| 0.000 | 0.000 | -0.000 | -0.000 | 27.465 | 0.000 | 
| 0.000 | 0.000 | -0.000 | 0.000 | -0.000 | 5.891 | 
| 48.474 | 36.691 | 58.213 | 0.000 | 0.000 | -0.000 | 
| 36.691 | 48.474 | 58.213 | 0.000 | 0.000 | -0.000 | 
| 58.214 | 58.214 | 108.021 | 0.000 | 0.000 | -0.000 | 
| -0.000 | -0.000 | 0.000 | 27.465 | 0.000 | 0.000 | 
| -0.000 | -0.000 | 0.000 | 0.000 | 27.465 | 0.000 | 
| -0.000 | -0.000 | -0.000 | 0.000 | 0.000 | 5.891 | 
| 48.376 | 36.790 | 58.213 | -0.000 | -0.000 | 0.000 | 
| 36.790 | 48.376 | 58.213 | -0.000 | -0.000 | 0.000 | 
| 58.213 | 58.213 | 108.020 | 0.000 | 0.000 | 0.000 | 
| 0.000 | 0.000 | -0.000 | 27.465 | -0.000 | 0.000 | 
| 0.000 | 0.000 | -0.000 | 0.000 | 27.465 | -0.000 | 
| 0.000 | 0.000 | 0.000 | -0.000 | -0.000 | 5.891 | 
| 48.374 | 36.789 | 58.213 | 0.000 | 0.000 | 0.000 | 
| 36.789 | 48.374 | 58.213 | 0.000 | 0.000 | 0.000 | 
| 58.214 | 58.214 | 108.023 | -0.000 | 0.000 | -0.000 | 
| -0.000 | -0.000 | 0.000 | 27.465 | 0.000 | -0.000 | 
| -0.000 | -0.000 | 0.000 | 0.000 | 27.465 | -0.000 | 
| -0.000 | -0.000 | -0.000 | 0.000 | 0.000 | 5.891 | 
| 48.476 | 36.692 | 58.213 | -0.000 | 0.000 | 0.000 | 
| 36.790 | 48.378 | 58.214 | -0.000 | -0.000 | -0.000 | 
| 58.213 | 58.213 | 108.018 | 0.000 | -0.000 | 0.000 | 
| 0.000 | 0.000 | -0.000 | 27.465 | -0.000 | 0.000 | 
| 0.000 | 0.000 | -0.000 | -0.000 | 27.465 | -0.000 | 
| 0.000 | 0.000 | 0.000 | -0.000 | -0.000 | 5.891 | 
| 64.190 | 42.256 | 65.558 | -0.000 | 0.000 | -0.000 | 
| 42.050 | 64.396 | 65.558 | -0.000 | 0.000 | -0.000 | 
| 65.558 | 65.558 | 138.771 | -0.000 | 0.000 | -0.000 | 
| -0.000 | -0.000 | 0.000 | 34.743 | 0.000 | -0.000 | 
| -0.000 | -0.000 | 0.000 | -0.000 | 34.743 | -0.000 | 
| -0.000 | -0.000 | -0.000 | -0.000 | 0.000 | 10.967 | 
| 64.190 | 42.256 | 65.558 | 0.000 | -0.000 | -0.000 | 
| 42.256 | 64.190 | 65.558 | 0.000 | -0.000 | -0.000 | 
| 65.558 | 65.558 | 138.771 | 0.000 | -0.000 | 0.000 | 
| 0.000 | 0.000 | -0.000 | 34.743 | -0.000 | 0.000 | 
| 0.000 | 0.000 | -0.000 | 0.000 | 34.743 | -0.000 | 
| 0.000 | 0.000 | 0.000 | 0.000 | -0.000 | 10.967 | 
| 64.190 | 42.256 | 65.558 | -0.000 | 0.000 | 0.000 | 
| 42.256 | 64.190 | 65.558 | -0.000 | 0.000 | -0.000 | 
| 65.558 | 65.558 | 138.771 | -0.000 | 0.000 | 0.000 | 
| -0.000 | -0.000 | 0.000 | 34.743 | 0.000 | -0.000 | 
| -0.000 | -0.000 | 0.000 | -0.000 | 34.743 | -0.000 | 
| -0.000 | -0.000 | -0.000 | -0.000 | 0.000 | 11.173 | 
| 64.190 | 42.256 | 65.558 | 0.000 | -0.000 | 0.000 | 
| 42.050 | 64.396 | 65.558 | 0.000 | -0.000 | 0.000 | 
| 65.558 | 65.558 | 138.771 | 0.000 | -0.000 | -0.000 | 
| 0.000 | 0.000 | -0.000 | 34.743 | -0.000 | -0.000 | 
| 0.000 | 0.000 | -0.000 | 0.000 | 34.743 | 0.000 | 
| 0.000 | 0.000 | 0.000 | 0.000 | -0.000 | 11.173 | 
| 64.188 | 42.256 | 65.558 | -0.000 | 0.000 | -0.000 | 
| 42.256 | 64.188 | 65.558 | -0.000 | 0.000 | 0.000 | 
| 65.559 | 65.559 | 138.774 | -0.000 | -0.000 | -0.000 | 
| -0.000 | -0.000 | 0.000 | 34.743 | 0.000 | -0.000 | 
| -0.000 | -0.000 | 0.000 | -0.000 | 34.743 | -0.000 | 
| -0.000 | -0.000 | -0.000 | -0.000 | 0.000 | 10.967 | 
| 64.192 | 42.257 | 65.558 | 0.000 | -0.000 | 0.000 | 
| 42.257 | 64.192 | 65.558 | 0.000 | -0.000 | 0.000 | 
| 65.557 | 65.557 | 138.768 | 0.000 | -0.000 | 0.000 | 
| 0.000 | 0.000 | -0.000 | 34.743 | -0.000 | 0.000 | 
| 0.000 | 0.000 | -0.000 | 0.000 | 34.743 | -0.000 | 
| 0.000 | 0.000 | 0.000 | 0.000 | -0.000 | 10.967 | 
| 41.075 | 51.565 | 51.565 | -0.000 | -0.000 | -0.000 | 
| 51.565 | 41.075 | 51.565 | -0.000 | -0.000 | -0.000 | 
| 51.565 | 51.565 | 41.075 | 0.000 | 0.000 | -0.000 | 
| 0.000 | -0.000 | 0.000 | 37.584 | 0.000 | -0.000 | 
| 0.000 | -0.000 | 0.000 | 0.000 | 37.584 | -0.000 | 
| 0.000 | -0.000 | 0.000 | 0.000 | -0.000 | 37.584 | 
| 41.075 | 51.565 | 51.565 | 0.000 | 0.000 | 0.000 | 
| 51.565 | 41.075 | 51.565 | 0.000 | 0.000 | 0.000 | 
| 51.565 | 51.565 | 41.075 | 0.000 | 0.000 | 0.000 | 
| -0.000 | 0.000 | -0.000 | 37.584 | -0.000 | -0.000 | 
| -0.000 | 0.000 | -0.000 | -0.000 | 37.584 | 0.000 | 
| -0.000 | 0.000 | -0.000 | 0.000 | -0.000 | 37.584 | 
| 41.075 | 51.565 | 51.565 | -0.000 | 0.000 | -0.000 | 
| 51.565 | 41.075 | 51.565 | 0.000 | 0.000 | -0.000 | 
| 51.565 | 51.565 | 41.075 | 0.000 | 0.000 | -0.000 | 
| 0.000 | 0.000 | 0.000 | 37.584 | -0.000 | -0.000 | 
| 0.000 | 0.000 | 0.000 | 0.000 | 37.584 | 0.000 | 
| 0.000 | 0.000 | 0.000 | -0.000 | 0.000 | 37.584 | 
| 41.075 | 51.565 | 51.565 | -0.000 | 0.000 | 0.000 | 
| 51.565 | 41.075 | 51.565 | 0.000 | 0.000 | 0.000 | 
| 51.565 | 51.565 | 41.075 | -0.000 | 0.000 | 0.000 | 
| -0.000 | -0.000 | -0.000 | 37.584 | 0.000 | 0.000 | 
| -0.000 | -0.000 | -0.000 | 0.000 | 37.584 | -0.000 | 
| -0.000 | -0.000 | -0.000 | -0.000 | -0.000 | 37.584 | 
| 41.075 | 51.565 | 51.565 | -0.000 | -0.000 | -0.000 | 
| 51.565 | 41.075 | 51.565 | -0.000 | -0.000 | -0.000 | 
| 51.565 | 51.565 | 41.075 | -0.000 | -0.000 | -0.000 | 
| -0.000 | -0.000 | -0.000 | -15.913 | 0.000 | -0.000 | 
| -0.000 | -0.000 | -0.000 | 0.000 | -15.913 | -0.000 | 
| -0.000 | -0.000 | -0.000 | 0.000 | 0.000 | -15.913 | 
| 41.075 | 51.564 | 51.564 | 0.000 | -0.000 | 0.000 | 
| 51.564 | 41.075 | 51.564 | 0.000 | -0.000 | 0.000 | 
| 51.564 | 51.564 | 41.075 | 0.000 | 0.000 | 0.000 | 
| 0.000 | 0.000 | 0.000 | -15.913 | 0.000 | -0.000 | 
| 0.000 | 0.000 | 0.000 | -0.000 | -15.913 | 0.000 | 
| 0.000 | 0.000 | 0.000 | -0.000 | -0.000 | -15.913 | 
| 198.121 | -41.882 | 58.971 | -0.000 | -0.000 | -0.000 | 
| -41.882 | 198.121 | 58.971 | -0.000 | 0.000 | 0.000 | 
| 58.971 | 58.971 | 310.832 | -0.000 | 0.000 | 0.000 | 
| -0.000 | -0.000 | -0.000 | 26.365 | -0.000 | 0.000 | 
| -0.000 | -0.000 | -0.000 | -0.000 | 26.365 | 0.000 | 
| -0.000 | -0.000 | -0.000 | -0.000 | 0.000 | -78.856 | 
| 198.121 | -41.882 | 58.971 | 0.000 | -0.000 | 0.000 | 
| -41.882 | 198.121 | 58.971 | 0.000 | 0.000 | -0.000 | 
| 58.971 | 58.971 | 310.832 | 0.000 | 0.000 | 0.000 | 
| 0.000 | 0.000 | 0.000 | 26.365 | 0.000 | 0.000 | 
| 0.000 | 0.000 | 0.000 | 0.000 | 26.365 | -0.000 | 
| 0.000 | 0.000 | 0.000 | 0.000 | -0.000 | -78.856 | 
| 198.121 | -41.882 | 58.971 | -0.000 | 0.000 | 0.000 | 
| -41.882 | 198.121 | 58.971 | -0.000 | -0.000 | 0.000 | 
| 58.971 | 58.971 | 310.832 | -0.000 | 0.000 | 0.000 | 
| -0.000 | -0.000 | -0.000 | 24.515 | 0.000 | -0.000 | 
| -0.000 | -0.000 | -0.000 | -0.000 | 24.515 | 0.000 | 
| -0.000 | -0.000 | -0.000 | -0.000 | 0.000 | -78.856 | 
| 198.121 | -41.882 | 58.971 | 0.000 | -0.000 | 0.000 | 
| -41.882 | 198.121 | 58.971 | 0.000 | -0.000 | -0.000 | 
| 58.971 | 58.971 | 310.832 | 0.000 | 0.000 | -0.000 | 
| 0.000 | 0.000 | 0.000 | 24.515 | 0.000 | 0.000 | 
| 0.000 | 0.000 | 0.000 | -0.000 | 24.515 | -0.000 | 
| 0.000 | 0.000 | 0.000 | 0.000 | 0.000 | -78.856 | 
| 198.120 | -41.883 | 58.971 | -0.000 | 0.000 | 0.000 | 
| -41.883 | 198.120 | 58.971 | -0.000 | 0.000 | 0.000 | 
| 58.971 | 58.971 | 310.832 | -0.000 | -0.000 | -0.000 | 
| -0.000 | -0.000 | -0.000 | 24.515 | -0.000 | 0.000 | 
| -0.000 | -0.000 | -0.000 | -0.000 | 24.515 | -0.000 | 
| -0.000 | -0.001 | -0.000 | -0.000 | 0.000 | -78.856 | 
| 198.122 | -41.882 | 58.971 | 0.000 | -0.000 | 0.000 | 
| -41.882 | 198.122 | 58.971 | 0.000 | -0.000 | -0.000 | 
| 58.971 | 58.971 | 310.832 | 0.000 | -0.000 | 0.000 | 
| 0.000 | 0.000 | 0.000 | 24.515 | -0.000 | 0.000 | 
| 0.000 | 0.000 | 0.000 | 0.000 | 24.515 | -0.000 | 
| 0.000 | 0.001 | 0.000 | 0.000 | -0.000 | -78.856 | 
| 74.779 | 75.666 | 60.367 | -0.000 | 0.000 | 0.000 | 
| 75.666 | 74.779 | 60.367 | -0.000 | 0.000 | 0.000 | 
| 60.367 | 60.367 | 18.603 | 0.000 | 0.000 | 0.000 | 
| 0.000 | 0.000 | 0.000 | 29.784 | 0.000 | -0.000 | 
| 0.000 | 0.000 | 0.000 | 0.000 | 29.784 | 0.000 | 
| -0.000 | -0.000 | 0.000 | 0.000 | 0.000 | 45.127 | 
| 74.779 | 75.666 | 60.367 | -0.000 | -0.000 | -0.000 | 
| 75.666 | 74.779 | 60.367 | -0.000 | 0.000 | 0.000 | 
| 60.367 | 60.367 | 18.603 | -0.000 | -0.000 | -0.000 | 
| -0.000 | -0.000 | -0.000 | 29.784 | -0.000 | -0.000 | 
| -0.000 | -0.000 | -0.000 | -0.000 | 29.784 | 0.000 | 
| 0.000 | 0.000 | -0.000 | -0.000 | -0.000 | 45.127 | 
| 74.779 | 75.666 | 60.367 | 0.000 | 0.000 | -0.000 | 
| 75.666 | 74.779 | 60.367 | -0.000 | -0.000 | 0.000 | 
| 60.367 | 60.367 | 18.603 | 0.000 | 0.000 | 0.000 | 
| 0.000 | 0.000 | 0.000 | 29.784 | 0.000 | 0.000 | 
| 0.000 | 0.000 | 0.000 | 0.000 | 29.784 | 0.000 | 
| -0.000 | -0.000 | 0.000 | 0.000 | 0.000 | 45.127 | 
| 74.779 | 75.666 | 60.367 | -0.000 | -0.000 | 0.000 | 
| 75.666 | 74.779 | 60.367 | -0.000 | -0.000 | 0.000 | 
| 60.367 | 60.367 | 18.603 | -0.000 | -0.000 | 0.000 | 
| -0.000 | -0.000 | -0.000 | 29.784 | -0.000 | -0.000 | 
| -0.000 | -0.000 | -0.000 | -0.000 | 29.784 | -0.000 | 
| 0.000 | 0.000 | -0.000 | -0.000 | -0.000 | 45.127 | 
| 74.777 | 75.666 | 60.368 | 0.000 | 0.000 | -0.000 | 
| 75.666 | 74.777 | 60.368 | 0.000 | 0.000 | -0.000 | 
| 60.368 | 60.368 | 18.603 | 0.000 | 0.000 | -0.000 | 
| 0.000 | 0.000 | 0.001 | 29.784 | -0.000 | 0.000 | 
| 0.000 | 0.000 | 0.001 | 0.000 | 29.784 | -0.000 | 
| -0.000 | -0.000 | 0.000 | 0.000 | 0.000 | 45.127 | 
| 74.780 | 75.666 | 60.367 | -0.000 | 0.000 | -0.000 | 
| 75.666 | 74.780 | 60.367 | -0.000 | -0.000 | -0.000 | 
| 60.367 | 60.367 | 18.603 | -0.000 | -0.000 | 0.000 | 
| -0.000 | -0.000 | -0.001 | 29.784 | -0.000 | 0.000 | 
| -0.000 | -0.000 | -0.001 | -0.000 | 29.784 | -0.000 | 
| 0.000 | 0.000 | -0.000 | -0.000 | -0.000 | 45.127 | 
| -74.879 | -16.238 | 80.888 | -57.588 | -0.000 | 0.000 | 
| -16.238 | -74.879 | 80.888 | 57.588 | -0.000 | 0.000 | 
| 72.622 | 72.622 | 30.632 | -0.000 | -0.000 | 0.000 | 
| -57.588 | 57.588 | -0.000 | 50.922 | -0.000 | 0.000 | 
| -0.000 | -0.000 | -0.000 | -0.000 | 50.922 | -57.588 | 
| -0.000 | -0.000 | -0.000 | -0.000 | -57.588 | -29.321 | 
| -74.879 | -16.238 | 80.888 | -57.588 | 0.000 | -0.000 | 
| -16.238 | -74.879 | 80.888 | 57.588 | 0.000 | -0.000 | 
| 72.622 | 72.622 | 30.632 | 0.000 | 0.000 | -0.000 | 
| -57.588 | 57.588 | 0.000 | 50.922 | 0.000 | -0.000 | 
| 0.000 | 0.000 | 0.000 | 0.000 | 50.922 | -57.588 | 
| -0.000 | 0.000 | 0.000 | 0.000 | -57.588 | -29.321 | 
| -74.879 | -16.238 | 80.888 | -57.588 | -0.000 | 0.000 | 
| -16.238 | -74.879 | 80.888 | 57.588 | -0.000 | 0.000 | 
| 72.622 | 72.622 | 30.632 | -0.000 | 0.000 | 0.000 | 
| -57.588 | 57.588 | -0.000 | 50.922 | -0.000 | 0.000 | 
| -0.000 | -0.000 | -0.000 | -0.000 | 50.922 | -57.588 | 
| -0.000 | -0.000 | -0.000 | -0.000 | -57.588 | -29.321 | 
| -74.879 | -16.238 | 80.888 | -57.588 | -0.000 | -0.000 | 
| -16.238 | -74.879 | 80.888 | 57.588 | 0.000 | -0.000 | 
| 72.622 | 72.622 | 30.632 | 0.000 | 0.000 | -0.000 | 
| -57.588 | 57.588 | 0.000 | 50.922 | -0.000 | -0.000 | 
| 0.000 | 0.000 | 0.000 | 0.000 | 50.922 | -57.588 | 
| 0.000 | 0.000 | 0.000 | 0.000 | -57.588 | -29.321 | 
| -74.880 | -16.238 | 80.888 | -57.588 | -0.000 | 0.000 | 
| -16.238 | -74.880 | 80.888 | 57.588 | -0.000 | 0.000 | 
| 72.622 | 72.622 | 30.631 | -0.000 | 0.000 | 0.000 | 
| -57.588 | 57.588 | -0.000 | 50.922 | 0.000 | 0.000 | 
| -0.000 | -0.000 | -0.000 | -0.000 | 50.922 | -57.588 | 
| -0.000 | -0.000 | -0.000 | -0.000 | -57.588 | -29.321 | 
| -74.878 | -16.238 | 80.888 | -57.588 | 0.000 | -0.000 | 
| -16.238 | -74.878 | 80.888 | 57.588 | 0.000 | -0.000 | 
| 72.622 | 72.622 | 30.634 | 0.000 | 0.000 | -0.000 | 
| -57.588 | 57.588 | 0.000 | 50.922 | 0.000 | -0.000 | 
| 0.000 | 0.000 | 0.000 | 0.000 | 50.922 | -57.588 | 
| 0.000 | 0.000 | 0.000 | 0.000 | -57.588 | -29.321 | 
| 672.454 | 7.860 | 7.860 | -0.000 | -0.000 | 0.000 | 
| 7.860 | 672.454 | 7.860 | 0.000 | 0.000 | -0.000 | 
| 7.860 | 7.860 | 672.454 | -0.000 | 0.000 | 0.000 | 
| -0.000 | -0.000 | -0.000 | -25.767 | 0.000 | -0.000 | 
| 0.000 | -0.000 | -0.000 | -0.000 | -25.767 | 0.000 | 
| 0.000 | -0.000 | -0.000 | 0.000 | 0.000 | -25.767 | 
| 672.454 | 7.860 | 7.860 | 0.000 | 0.000 | -0.000 | 
| 7.860 | 672.454 | 7.860 | 0.000 | -0.000 | -0.000 | 
| 7.860 | 7.860 | 672.454 | 0.000 | -0.000 | -0.000 | 
| 0.000 | 0.000 | 0.000 | -25.767 | -0.000 | -0.000 | 
| -0.000 | 0.000 | 0.000 | 0.000 | -25.767 | -0.000 | 
| -0.000 | 0.000 | 0.000 | -0.000 | 0.000 | -25.767 | 
| 672.455 | 7.860 | 7.860 | -0.000 | 0.000 | 0.000 | 
| 7.860 | 672.455 | 7.860 | 0.000 | 0.000 | 0.000 | 
| 7.860 | 7.860 | 672.455 | -0.000 | 0.000 | 0.000 | 
| 0.000 | 0.000 | 0.000 | -25.767 | 0.000 | 0.000 | 
| 0.000 | 0.000 | 0.000 | -0.000 | -25.767 | 0.000 | 
| 0.000 | 0.000 | 0.000 | -0.000 | 0.000 | -25.767 | 
| 672.454 | 7.860 | 7.860 | -0.000 | 0.000 | -0.000 | 
| 7.860 | 672.454 | 7.860 | -0.000 | -0.000 | -0.000 | 
| 7.860 | 7.860 | 672.454 | 0.000 | 0.000 | -0.000 | 
| -0.000 | -0.000 | -0.000 | -25.767 | -0.000 | -0.000 | 
| -0.000 | -0.000 | -0.000 | 0.000 | -25.767 | -0.000 | 
| -0.000 | -0.000 | -0.000 | 0.000 | -0.000 | -25.767 | 
| 672.462 | 7.861 | 7.861 | 0.000 | 0.000 | 0.000 | 
| 7.861 | 672.462 | 7.861 | 0.000 | 0.000 | -0.000 | 
| 7.861 | 7.861 | 672.462 | -0.000 | -0.000 | 0.000 | 
| 0.000 | 0.001 | 0.000 | -25.767 | 0.000 | 0.000 | 
| 0.001 | 0.000 | 0.000 | -0.000 | -25.767 | 0.000 | 
| 0.001 | 0.000 | 0.000 | 0.000 | 0.000 | -25.767 | 
| 672.446 | 7.859 | 7.859 | 0.000 | -0.000 | -0.000 | 
| 7.859 | 672.446 | 7.859 | 0.000 | -0.000 | -0.000 | 
| 7.859 | 7.859 | 672.446 | 0.000 | 0.000 | -0.000 | 
| -0.000 | -0.001 | -0.000 | -25.767 | 0.000 | -0.000 | 
| -0.001 | -0.000 | -0.000 | 0.000 | -25.767 | -0.000 | 
| -0.001 | -0.000 | -0.000 | 0.000 | -0.000 | -25.767 | 
| 232.136 | 91.521 | 69.140 | -0.000 | -0.000 | 0.000 | 
| 91.521 | 232.136 | 69.140 | 0.000 | -0.000 | 0.000 | 
| 73.184 | 73.184 | 213.382 | -0.000 | 0.000 | 0.000 | 
| 200.888 | 200.888 | 79.403 | 40.852 | 0.000 | 0.000 | 
| 200.888 | 200.888 | 79.403 | -0.000 | 40.852 | 0.000 | 
| 200.898 | 200.898 | 79.407 | -0.000 | 0.000 | 44.318 | 
| 232.136 | 91.521 | 69.140 | -0.000 | -0.000 | -0.000 | 
| 91.521 | 232.136 | 69.140 | -0.000 | 0.000 | -0.000 | 
| -448.137 | -448.137 | 144.016 | 0.000 | -0.000 | -0.000 | 
| -200.888 | -200.888 | -79.403 | 40.852 | -0.000 | -0.000 | 
| -200.888 | -200.888 | -79.403 | 0.000 | 40.852 | -0.000 | 
| -200.898 | -200.898 | -79.407 | 0.000 | -0.000 | 44.318 | 
| 237.010 | 111.452 | 75.988 | 0.000 | 0.000 | 0.000 | 
| 111.452 | 237.010 | 75.988 | -0.000 | 0.000 | 0.000 | 
| 125.717 | 125.717 | 217.405 | -0.000 | -0.000 | 0.000 | 
| 0.000 | 0.000 | 0.000 | 42.968 | 0.000 | 0.000 | 
| 0.000 | -0.000 | 0.000 | -0.000 | 42.968 | 0.000 | 
| 36.653 | 36.653 | 7.149 | -0.000 | -0.000 | 35.669 | 
| 194.545 | 71.084 | 59.889 | 0.000 | 0.000 | -0.000 | 
| 71.084 | 194.545 | 59.889 | -0.000 | -0.000 | -0.000 | 
| 52.919 | 52.919 | 202.808 | 0.000 | 0.000 | -0.000 | 
| -0.000 | -0.000 | -0.000 | 42.968 | -0.000 | -0.000 | 
| -0.000 | 0.000 | -0.000 | 0.000 | 42.968 | -0.000 | 
| -36.653 | -36.653 | -7.149 | 0.000 | -0.000 | 35.669 | 
| 232.136 | 91.521 | 69.141 | 0.000 | 0.000 | 0.000 | 
| 91.521 | 232.136 | 69.141 | -0.000 | 0.000 | 0.000 | 
| 73.184 | 73.184 | 213.383 | -0.000 | 0.000 | 0.000 | 
| -0.000 | 0.000 | 0.000 | 42.968 | 0.000 | 0.000 | 
| 0.000 | -0.000 | 0.000 | -0.000 | 42.968 | 0.000 | 
| -0.000 | 0.000 | -0.000 | 0.000 | 0.000 | 57.615 | 
| 232.135 | 91.521 | 69.140 | -0.000 | -0.000 | -0.000 | 
| 91.521 | 232.135 | 69.140 | -0.000 | -0.000 | -0.000 | 
| 70.712 | 70.712 | 209.985 | 0.000 | 0.000 | -0.000 | 
| 0.000 | -0.000 | -0.000 | 42.968 | 0.000 | -0.000 | 
| -0.000 | 0.000 | -0.000 | -0.000 | 42.968 | -0.000 | 
| 0.000 | -0.000 | 0.000 | -0.000 | -0.000 | 57.615 | 
| 214.828 | 85.510 | 68.043 | 0.000 | 0.000 | -0.000 | 
| 85.510 | 214.828 | 68.043 | 0.000 | 0.000 | -0.000 | 
| 68.043 | 68.043 | 231.899 | 0.000 | -0.000 | -0.000 | 
| 0.000 | 0.000 | 0.000 | 40.542 | 0.000 | -0.000 | 
| 0.000 | 0.000 | 0.000 | -0.000 | 40.542 | -0.000 | 
| 0.000 | -0.000 | 0.000 | 0.000 | 0.000 | 58.571 | 
| 214.828 | 85.510 | 68.043 | -0.000 | 0.000 | 0.000 | 
| 85.510 | 214.828 | 68.043 | -0.000 | 0.000 | 0.000 | 
| 46.467 | 46.467 | 320.175 | -0.000 | -0.000 | 0.000 | 
| -0.000 | 0.000 | 0.000 | 40.542 | 0.000 | 0.000 | 
| -0.000 | 0.000 | 0.000 | -0.000 | 40.542 | 0.000 | 
| 0.000 | -0.000 | 0.000 | -0.000 | 0.000 | 58.571 | 
| 214.828 | 85.510 | 68.043 | 0.000 | 0.000 | -0.000 | 
| 85.510 | 214.828 | 68.043 | 0.000 | 0.000 | -0.000 | 
| 68.043 | 68.043 | 231.900 | 0.000 | 0.000 | -0.000 | 
| -0.000 | 0.000 | 0.000 | 40.542 | -0.000 | -0.000 | 
| 0.000 | -0.000 | 0.000 | 0.000 | 40.542 | -0.000 | 
| -0.000 | 0.000 | -0.000 | 0.000 | 0.000 | 58.571 | 
| 194.466 | 88.621 | 77.330 | -0.000 | -0.000 | 0.000 | 
| 88.621 | 194.466 | 77.330 | -0.000 | -0.000 | 0.000 | 
| 68.043 | 68.043 | 231.899 | 0.000 | 0.000 | 0.000 | 
| 0.000 | -0.000 | -0.000 | 40.542 | 0.000 | 0.000 | 
| -0.000 | 0.000 | -0.000 | 0.000 | 40.542 | 0.000 | 
| 0.000 | -0.000 | 0.000 | -0.000 | 0.000 | 58.571 | 
| 185.905 | 104.568 | 65.245 | 0.000 | -0.000 | -0.000 | 
| 104.568 | 185.905 | 65.245 | -0.000 | -0.000 | -0.000 | 
| 68.043 | 68.043 | 231.901 | 0.000 | -0.000 | -0.000 | 
| -0.000 | 0.000 | 0.000 | 40.542 | -0.000 | -0.000 | 
| 0.000 | -0.000 | 0.000 | 0.000 | 40.542 | -0.000 | 
| 0.356 | 0.356 | -1.611 | 0.000 | 0.000 | 47.329 | 
| 214.827 | 85.510 | 68.043 | -0.000 | -0.000 | 0.000 | 
| 85.510 | 214.827 | 68.043 | -0.000 | -0.000 | 0.000 | 
| 66.697 | 66.697 | 225.736 | -0.000 | -0.000 | 0.000 | 
| 0.000 | -0.000 | -0.000 | 40.542 | 0.000 | 0.000 | 
| -0.000 | 0.000 | -0.000 | -0.000 | 40.542 | 0.000 | 
| -0.356 | -0.356 | 1.611 | -0.000 | -0.000 | 47.329 | 
| 335.504 | 108.097 | 15.720 | -58.816 | -225.599 | 329.296 | 
| 219.677 | 224.051 | 17.298 | -56.696 | -228.679 | 325.214 | 
| 91.845 | 93.093 | 219.482 | -5.848 | 3.329 | 0.375 | 
| 127.694 | 15.680 | -81.849 | -5.794 | -229.108 | 329.967 | 
| 237.710 | 560.354 | -241.245 | -281.919 | -560.164 | 330.289 | 
| -1.476 | -6.119 | 0.512 | -0.411 | 6.063 | 65.043 | 
| -67.526 | -219.972 | 260.597 | 406.079 | 458.860 | -305.617 | 
| 94.280 | 225.980 | 92.849 | 4.464 | -0.379 | -6.120 | 
| -32.938 | 80.388 | 283.667 | 55.963 | 232.517 | -329.993 | 
| 3.478 | 1.825 | -5.848 | 63.931 | 0.338 | -0.423 | 
| -122.018 | -12.995 | 79.482 | 61.983 | 284.882 | -326.693 | 
| -1.476 | -6.119 | 0.512 | -0.411 | 6.063 | 65.043 | 
| 222.995 | 96.030 | 84.449 | -3.640 | -19.153 | 31.908 | 
| 120.853 | 217.141 | 76.666 | -36.218 | -44.984 | 27.361 | 
| 91.845 | 93.093 | 219.482 | -5.848 | 3.329 | 0.375 | 
| 15.189 | 3.615 | -13.102 | 49.284 | -22.625 | 32.523 | 
| 29.080 | 31.365 | -12.773 | -39.425 | -1.234 | 34.266 | 
| -1.476 | -6.119 | 0.512 | -0.411 | 6.063 | 65.043 | 
| 161.184 | 38.946 | 114.075 | 29.234 | 64.026 | -32.598 | 
| 70.946 | 126.326 | 118.506 | 31.445 | 59.859 | -35.082 | 
| 91.845 | 93.092 | 219.481 | -5.848 | 3.329 | 0.375 | 
| 3.478 | 1.825 | -5.848 | 63.931 | 0.338 | -0.423 | 
| -9.531 | -0.923 | 10.745 | 6.798 | 78.397 | -29.271 | 
| -26.982 | -34.030 | 16.724 | 39.010 | 50.825 | 16.844 | 
| 209.762 | 94.948 | 91.251 | 1.633 | 1.230 | 2.520 | 
| 94.280 | 225.981 | 92.849 | 4.464 | -0.379 | -6.120 | 
| 91.845 | 93.093 | 219.482 | -5.849 | 3.329 | 0.375 | 
| 3.478 | 1.825 | -5.848 | 63.931 | 0.338 | -0.423 | 
| 4.343 | 0.607 | 2.269 | 0.021 | 52.579 | 7.369 | 
| 0.813 | 0.116 | -1.707 | -5.007 | 1.547 | 50.984 | 
| 223.503 | 94.042 | 91.898 | 3.474 | 3.509 | -0.583 | 
| 93.441 | 206.898 | 94.688 | 5.318 | 3.464 | -8.612 | 
| 91.845 | 93.092 | 219.481 | -5.848 | 3.329 | 0.375 | 
| 1.377 | 2.099 | -4.656 | 56.616 | 2.818 | -4.120 | 
| 1.447 | -2.813 | 5.563 | 4.293 | 49.130 | 1.258 | 
| -3.137 | -4.994 | 1.331 | -0.369 | 8.279 | 55.148 | 
| 1009.683 | 542.584 | 953.469 | 210.699 | 853.632 | 893.881 | 
| 90.675 | 213.514 | 88.843 | 2.092 | 2.365 | -0.266 | 
| 405.163 | 286.970 | 6.319 | 49.736 | 107.482 | 526.177 | 
| 311.278 | 200.841 | -203.684 | 111.180 | 106.625 | 527.921 | 
| 820.862 | 458.497 | 866.605 | 210.872 | 898.707 | 895.274 | 
| 5.517 | -0.266 | 1.515 | 2.335 | -0.110 | 62.726 | 
| -97.640 | -141.370 | -364.643 | -210.635 | -9.866 | -564.542 | 
| -220.915 | 2.921 | 286.312 | -54.647 | -104.193 | -527.313 | 
| -217.483 | -111.081 | 400.287 | -63.349 | -104.785 | -525.489 | 
| -311.374 | -197.211 | 190.349 | -1.909 | -105.647 | -523.746 | 
| -316.619 | -197.063 | 198.467 | -56.008 | -51.623 | -526.088 | 
| 5.517 | -0.266 | 1.515 | 2.335 | -0.110 | 62.726 | 
| 223.770 | 87.715 | 90.675 | -0.938 | -3.459 | 6.623 | 
| 121.600 | 221.869 | 69.558 | 7.560 | 12.575 | 51.198 | 
| 92.551 | 87.804 | 224.664 | -6.877 | 0.276 | 1.081 | 
| 31.089 | 21.722 | -26.374 | 60.308 | 11.107 | 54.682 | 
| 25.845 | 21.867 | -18.250 | 6.187 | 65.096 | 52.337 | 
| 5.517 | -0.266 | 1.515 | 2.335 | -0.110 | 62.726 | 
| 170.470 | 64.607 | 46.012 | -20.723 | -4.786 | -52.199 | 
| 39.869 | 145.351 | 78.782 | -26.115 | -3.085 | -58.367 | 
| 40.257 | 47.242 | 172.387 | -34.766 | -5.326 | -56.655 | 
| -31.183 | -18.091 | 13.038 | 48.961 | -10.129 | -50.504 | 
| -36.431 | -17.941 | 21.152 | -5.118 | 43.921 | -52.847 | 
| -25.611 | -24.855 | -44.831 | -18.912 | -0.041 | -7.041 | 
| 223.770 | 87.715 | 90.675 | -0.938 | -3.459 | 6.623 | 
| 90.675 | 213.515 | 88.844 | 2.092 | 2.365 | -0.267 | 
| 96.735 | 89.582 | 197.710 | -4.517 | 1.341 | 6.673 | 
| -0.834 | 2.002 | -6.877 | 61.679 | 1.515 | 2.284 | 
| -5.527 | 2.314 | 0.276 | 1.515 | 63.538 | -0.663 | 
| 7.105 | 0.286 | 5.512 | 4.331 | 0.562 | 55.324 | 
| 173.638 | 81.741 | 75.007 | -3.075 | -14.933 | -6.153 | 
| 87.222 | 199.624 | 91.320 | 1.313 | 0.847 | -6.885 | 
| 91.032 | 86.064 | 202.503 | -7.337 | 0.470 | -4.764 | 
| -4.321 | -1.955 | -7.179 | 42.894 | -0.653 | -3.582 | 
| -8.774 | -0.617 | -4.048 | -1.959 | 48.854 | -5.697 | 
| -1.462 | -6.286 | -0.625 | -0.758 | 0.761 | 39.180 | 
| 50.067 | 52.315 | 29.743 | -0.000 | 0.000 | -0.000 | 
| 52.116 | 85.259 | 42.233 | -0.000 | 0.000 | -0.000 | 
| 30.313 | 43.001 | 33.415 | -0.000 | 0.000 | -0.000 | 
| 0.000 | 0.000 | 0.000 | 11.391 | 0.000 | -0.000 | 
| 0.000 | 0.000 | 0.000 | -0.000 | 9.901 | -0.000 | 
| 0.001 | 0.000 | 0.001 | -0.000 | -0.000 | 18.384 | 
| 50.066 | 52.314 | 29.740 | 0.000 | 0.000 | 0.000 | 
| 52.115 | 85.259 | 42.230 | 0.000 | -0.000 | 0.000 | 
| 30.312 | 43.001 | 33.412 | 0.000 | -0.000 | 0.000 | 
| -0.000 | -0.000 | -0.000 | 11.391 | -0.000 | 0.000 | 
| -0.000 | -0.000 | -0.000 | 0.000 | 9.901 | 0.000 | 
| -0.001 | -0.000 | -0.001 | 0.000 | -0.000 | 18.384 | 
| 50.066 | 52.315 | 29.742 | -0.000 | 0.000 | -0.000 | 
| 52.115 | 85.259 | 42.231 | -0.000 | 0.000 | -0.000 | 
| 30.312 | 43.001 | 33.413 | -0.000 | 0.000 | -0.000 | 
| -0.000 | -0.000 | -0.000 | 11.391 | 0.000 | -0.000 | 
| -0.000 | -0.000 | -0.000 | -0.000 | 9.901 | -0.000 | 
| 0.000 | 0.000 | -0.000 | -0.000 | 0.000 | 22.526 | 
| 50.066 | 52.315 | 29.741 | 0.000 | -0.000 | 0.000 | 
| 53.301 | 85.603 | 45.024 | -0.000 | -0.000 | 0.000 | 
| 30.312 | 43.001 | 33.413 | 0.000 | -0.000 | 0.000 | 
| 0.000 | 0.000 | 0.000 | 11.391 | -0.000 | 0.000 | 
| 0.000 | 0.000 | 0.000 | 0.000 | 9.901 | 0.000 | 
| -0.000 | -0.000 | 0.000 | -0.000 | -0.000 | 22.526 | 
| 50.065 | 52.315 | 29.741 | -0.000 | 0.000 | -0.000 | 
| 52.116 | 85.260 | 42.230 | -0.000 | 0.000 | -0.000 | 
| 30.311 | 43.000 | 33.410 | -0.000 | 0.000 | -0.000 | 
| -0.000 | -0.000 | -0.000 | 11.391 | 0.000 | -0.000 | 
| -0.000 | -0.000 | -0.000 | -0.000 | 9.901 | -0.000 | 
| 0.000 | 0.001 | -0.000 | -0.000 | 0.000 | 18.384 | 
| 54.153 | 53.500 | 39.363 | -0.000 | -0.000 | 0.000 | 
| 52.115 | 85.257 | 42.232 | 0.000 | -0.000 | 0.000 | 
| 30.313 | 43.002 | 33.417 | 0.000 | -0.000 | 0.000 | 
| 0.000 | 0.000 | 0.000 | 11.391 | -0.000 | 0.000 | 
| 0.000 | 0.000 | 0.000 | 0.000 | 9.901 | 0.000 | 
| -0.000 | -0.001 | 0.000 | 0.000 | -0.000 | 18.384 | 
| 1025.870 | 938.795 | 938.795 | -0.000 | 0.000 | 0.000 | 
| 938.795 | 1025.870 | 938.795 | -0.000 | 0.000 | 0.000 | 
| 938.795 | 938.795 | 1025.870 | -0.000 | -0.000 | 0.000 | 
| 878.689 | 878.689 | 878.689 | 32.423 | 0.000 | -0.000 | 
| 878.689 | 878.689 | 878.689 | -0.000 | 32.423 | 0.000 | 
| 878.689 | 878.689 | 878.689 | -0.000 | 0.000 | 32.423 | 
| 202.706 | 74.404 | 74.404 | 0.000 | 0.000 | -0.000 | 
| 74.404 | 202.706 | 74.404 | 0.000 | -0.000 | -0.000 | 
| 74.404 | 74.404 | 202.706 | 0.000 | -0.000 | -0.000 | 
| -878.689 | -878.689 | -878.689 | 32.423 | -0.000 | -0.000 | 
| -878.689 | -878.689 | -878.689 | 0.000 | 32.423 | -0.000 | 
| -878.689 | -878.689 | -878.689 | 0.000 | -0.000 | 32.423 | 
| 256.825 | 157.400 | 157.400 | 0.000 | 0.000 | 0.000 | 
| 157.400 | 256.825 | 157.400 | -0.000 | -0.000 | 0.000 | 
| 157.400 | 157.400 | 256.825 | -0.000 | 0.000 | 0.000 | 
| -0.000 | -0.000 | -0.000 | 44.480 | 0.000 | 0.000 | 
| -0.000 | -0.000 | -0.000 | -0.000 | 44.480 | 0.000 | 
| -0.000 | -0.000 | -0.000 | -0.000 | 0.000 | 44.480 | 
| 202.706 | 74.404 | 74.404 | 0.000 | -0.000 | -0.000 | 
| 74.404 | 202.706 | 74.404 | 0.000 | -0.000 | -0.000 | 
| 74.404 | 74.404 | 202.706 | 0.000 | -0.000 | -0.000 | 
| 0.000 | 0.000 | 0.000 | 44.480 | -0.000 | -0.000 | 
| 0.000 | 0.000 | 0.000 | 0.000 | 44.480 | -0.000 | 
| 0.000 | 0.000 | 0.000 | 0.000 | -0.000 | 44.480 | 
| 202.706 | 74.404 | 74.404 | -0.000 | -0.000 | 0.000 | 
| 74.404 | 202.706 | 74.404 | 0.000 | -0.000 | 0.000 | 
| 74.404 | 74.404 | 202.706 | -0.000 | 0.000 | 0.000 | 
| -0.000 | -0.000 | -0.000 | 44.480 | -0.000 | 0.000 | 
| -0.000 | -0.000 | -0.000 | -0.000 | 44.480 | 0.000 | 
| -0.000 | -0.000 | -0.000 | 0.000 | -0.000 | 44.480 | 
| 156.415 | 61.934 | 61.934 | 0.000 | -0.000 | -0.000 | 
| 61.934 | 156.415 | 61.934 | 0.000 | -0.000 | -0.000 | 
| 61.934 | 61.934 | 156.415 | 0.000 | -0.000 | -0.000 | 
| 0.000 | 0.000 | 0.000 | 44.480 | -0.000 | -0.000 | 
| 0.000 | 0.000 | 0.000 | 0.000 | 44.480 | -0.000 | 
| 0.000 | 0.000 | 0.000 | 0.000 | -0.000 | 44.480 | 
| 203.002 | 73.870 | 73.870 | 0.000 | -0.000 | -0.000 | 
| 73.870 | 203.002 | 73.870 | -0.000 | 0.000 | -0.000 | 
| 73.870 | 73.870 | 203.002 | 0.000 | -0.000 | -0.000 | 
| 0.000 | -0.000 | -0.000 | 44.783 | -0.000 | -0.000 | 
| 0.000 | -0.000 | -0.000 | -0.000 | 44.783 | -0.000 | 
| 0.000 | -0.000 | 0.000 | -0.000 | -0.000 | 44.783 | 
| 136.476 | 41.520 | 41.520 | -0.000 | -0.000 | 0.000 | 
| 41.520 | 136.476 | 41.520 | 0.000 | -0.000 | 0.000 | 
| 41.520 | 41.520 | 136.476 | 0.000 | 0.000 | 0.000 | 
| -0.000 | 0.000 | 0.000 | 44.783 | -0.000 | 0.000 | 
| 0.000 | 0.000 | -0.000 | -0.000 | 44.783 | 0.000 | 
| -0.000 | 0.000 | 0.000 | 0.000 | 0.000 | 44.783 | 
| 203.002 | 73.870 | 73.870 | -0.000 | -0.000 | -0.000 | 
| 73.870 | 203.002 | 73.870 | -0.000 | -0.000 | -0.000 | 
| 73.870 | 73.870 | 203.002 | 0.000 | 0.000 | -0.000 | 
| 4.078 | 4.078 | 4.078 | 35.192 | -0.000 | -0.000 | 
| 4.078 | 4.078 | 4.078 | -0.000 | 35.192 | -0.000 | 
| 4.078 | 4.078 | 4.078 | -0.000 | -0.000 | 35.192 | 
| 203.002 | 73.870 | 73.870 | 0.000 | -0.000 | 0.000 | 
| 73.870 | 203.002 | 73.870 | 0.000 | 0.000 | 0.000 | 
| 73.870 | 73.870 | 203.002 | 0.000 | -0.000 | 0.000 | 
| -4.078 | -4.078 | -4.078 | 35.192 | 0.000 | 0.000 | 
| -4.078 | -4.078 | -4.078 | 0.000 | 35.192 | 0.000 | 
| -4.078 | -4.078 | -4.078 | 0.000 | 0.000 | 35.192 | 
| 170.970 | 70.218 | 70.218 | -0.000 | -0.000 | -0.000 | 
| 70.218 | 170.970 | 70.218 | -0.000 | -0.000 | -0.000 | 
| 70.218 | 70.218 | 170.970 | -0.000 | 0.000 | -0.000 | 
| -0.000 | -0.000 | -0.000 | 44.783 | 0.000 | -0.000 | 
| -0.000 | -0.000 | -0.000 | -0.000 | 44.783 | -0.000 | 
| -0.000 | -0.000 | -0.000 | -0.000 | -0.000 | 44.783 | 
| 171.121 | 69.465 | 69.465 | 0.000 | -0.000 | 0.000 | 
| 69.465 | 171.121 | 69.465 | 0.000 | 0.000 | 0.000 | 
| 69.465 | 69.465 | 171.121 | 0.000 | 0.000 | 0.000 | 
| 0.000 | 0.000 | 0.000 | 44.783 | 0.000 | 0.000 | 
| 0.000 | 0.000 | 0.000 | 0.000 | 44.783 | 0.000 | 
| 0.000 | 0.000 | 0.000 | 0.000 | 0.000 | 44.783 | 
| 76.193 | 72.570 | 72.570 | -0.000 | 0.000 | 0.000 | 
| 72.570 | 76.193 | 72.570 | -0.000 | -0.000 | 0.000 | 
| 72.570 | 72.570 | 76.193 | -0.000 | -0.000 | 0.000 | 
| 1.208 | 1.208 | 1.208 | 17.044 | -0.000 | 0.000 | 
| 1.208 | 1.208 | 1.208 | -0.000 | 17.044 | 0.000 | 
| 1.208 | 1.208 | 1.208 | -0.000 | -0.000 | 17.044 | 
| 74.011 | 70.409 | 70.409 | 0.000 | 0.000 | -0.000 | 
| 70.409 | 74.011 | 70.409 | 0.000 | 0.000 | 0.000 | 
| 70.409 | 70.409 | 74.011 | 0.000 | -0.000 | -0.000 | 
| -1.208 | -1.208 | -1.208 | 17.044 | 0.000 | 0.000 | 
| -1.208 | -1.208 | -1.208 | 0.000 | 17.044 | 0.000 | 
| -1.208 | -1.208 | -1.208 | 0.000 | 0.000 | 17.044 | 
| 60.959 | 78.379 | 78.379 | -0.000 | -0.000 | 0.000 | 
| 78.379 | 60.959 | 78.379 | -0.000 | -0.000 | 0.000 | 
| 78.379 | 78.379 | 60.959 | -0.000 | -0.000 | 0.000 | 
| -0.000 | 0.000 | 0.000 | 38.957 | 0.000 | -0.000 | 
| 0.000 | -0.000 | 0.000 | 0.000 | 38.957 | -0.000 | 
| 0.000 | 0.000 | -0.000 | -0.000 | 0.000 | 38.957 | 
| 64.644 | 72.411 | 72.411 | 0.000 | 0.000 | -0.000 | 
| 72.411 | 64.644 | 72.411 | 0.000 | 0.000 | 0.000 | 
| 72.411 | 72.411 | 64.644 | 0.000 | 0.000 | -0.000 | 
| 0.000 | -0.000 | -0.000 | 38.957 | -0.000 | -0.000 | 
| -0.000 | 0.000 | -0.000 | -0.000 | 38.957 | 0.000 | 
| -0.000 | -0.000 | 0.000 | -0.000 | -0.000 | 38.957 | 
| 75.114 | 71.500 | 71.500 | -0.000 | -0.000 | 0.000 | 
| 71.500 | 75.114 | 71.500 | -0.000 | -0.000 | 0.000 | 
| 71.500 | 71.500 | 75.114 | -0.000 | -0.000 | 0.000 | 
| 0.012 | 0.012 | 0.012 | 17.029 | -0.000 | 0.000 | 
| 0.012 | 0.012 | 0.012 | -0.000 | 17.029 | 0.000 | 
| 0.012 | 0.012 | 0.012 | -0.000 | -0.000 | 17.029 | 
| 112.761 | 67.203 | 67.203 | 0.000 | -0.000 | -0.000 | 
| 67.203 | 112.761 | 67.203 | 0.000 | -0.000 | 0.000 | 
| 67.203 | 67.203 | 112.761 | -0.000 | -0.000 | 0.000 | 
| -0.012 | -0.012 | -0.012 | 17.029 | 0.000 | -0.000 | 
| -0.012 | -0.012 | -0.012 | 0.000 | 17.029 | -0.000 | 
| -0.012 | -0.012 | -0.012 | 0.000 | 0.000 | 17.029 | 
| 136.955 | 87.183 | 15.240 | 0.000 | 0.000 | 0.000 | 
| 87.060 | 201.744 | -42.790 | 0.000 | 0.000 | 0.000 | 
| 60.456 | 3.382 | 208.943 | 0.000 | 0.000 | 0.000 | 
| -260594584.367 | 433453598.396 | -485777911.824 | -540779528.976 | 0.000 | 0.000 | 
| -0.000 | 0.000 | -0.000 | 0.000 | 24.496 | 0.000 | 
| -0.000 | 0.000 | -0.000 | 0.000 | 0.000 | 84.075 | 
| 168.864 | 119.655 | 61.725 | -0.000 | -0.000 | -0.000 | 
| 119.562 | 234.819 | 4.559 | -0.000 | -0.000 | -0.000 | 
| 60.456 | 3.382 | 208.943 | -0.000 | 0.000 | -0.000 | 
| 260594584.367 | -433453598.396 | 485777911.824 | -540779528.976 | -0.000 | -0.000 | 
| 0.000 | -0.000 | 0.000 | -0.000 | 24.496 | -0.000 | 
| 0.000 | -0.000 | 0.000 | 0.000 | -0.000 | 84.075 | 
| 135.369 | 85.569 | 12.930 | 0.000 | 0.000 | 0.000 | 
| 119.562 | 234.819 | 4.559 | 0.000 | 0.000 | 0.000 | 
| 11.581 | -46.354 | 137.744 | 0.000 | 0.000 | 0.000 | 
| -26059452.906 | 43345371.655 | -48577830.809 | -54077899.899 | 0.000 | 0.000 | 
| 1.029 | 1.047 | 1.498 | 0.000 | -147.368 | 0.000 | 
| 0.176 | 0.179 | 0.257 | 0.000 | 0.000 | 84.075 | 
| 135.017 | 85.211 | 12.417 | -0.000 | -0.000 | -0.000 | 
| 85.121 | 199.772 | -45.613 | -0.000 | -0.000 | -0.000 | 
| 60.456 | 3.382 | 208.943 | -0.000 | -0.000 | -0.000 | 
| 26059452.906 | -43345371.655 | 48577830.809 | -54077899.899 | -0.000 | -0.000 | 
| -1.029 | -1.047 | -1.498 | -0.000 | -147.368 | -0.000 | 
| -0.176 | -0.179 | -0.257 | -0.000 | -0.000 | 84.075 | 
| 135.210 | 85.408 | 12.698 | 0.000 | 0.000 | 0.000 | 
| 85.315 | 199.969 | -45.332 | 0.000 | 0.000 | 0.000 | 
| 60.455 | 3.382 | 208.942 | 0.000 | 0.000 | 0.000 | 
| -2605939.760 | 4334548.981 | -4857822.708 | -5407736.991 | 0.000 | 0.000 | 
| 0.100 | 0.104 | 0.146 | 0.000 | -147.393 | 0.000 | 
| 0.017 | 0.018 | 0.026 | 0.000 | 0.000 | 84.075 | 
| 135.176 | 85.372 | 12.649 | -0.000 | 0.000 | -0.000 | 
| 85.280 | 199.933 | -45.381 | -0.000 | -0.000 | -0.000 | 
| 11.388 | -46.550 | 137.464 | -0.000 | 0.000 | -0.000 | 
| 2605939.760 | -4334548.981 | 4857822.708 | -5407736.991 | -0.000 | -0.000 | 
| -0.100 | -0.104 | -0.146 | -0.000 | -147.393 | -0.000 | 
| -0.017 | -0.018 | -0.026 | -0.000 | -0.000 | 84.075 | 
| 126.721 | 79.885 | 39.474 | 0.009 | -0.000 | -0.000 | 
| 86.744 | 143.672 | 22.042 | 0.042 | 0.000 | -0.000 | 
| 42.292 | 35.926 | 60.724 | 0.024 | 0.000 | -0.000 | 
| 0.190 | -0.496 | -0.345 | 6.108 | -0.000 | -0.000 | 
| 0.178 | -0.467 | -0.325 | 0.012 | 10.496 | -0.000 | 
| 0.201 | -0.525 | -0.366 | 0.013 | -0.000 | 45.693 | 
| 126.228 | 81.174 | 40.372 | -0.018 | 0.000 | 0.000 | 
| 79.480 | 162.680 | 35.275 | -0.011 | -0.000 | 0.000 | 
| 41.498 | 38.004 | 62.170 | -0.009 | 0.000 | 0.000 | 
| -0.190 | 0.498 | 0.347 | 6.080 | 0.000 | 0.000 | 
| -0.178 | 0.467 | 0.325 | -0.012 | 10.496 | 0.000 | 
| -0.201 | 0.525 | 0.366 | -0.013 | -0.000 | 45.693 | 
| 124.986 | 84.426 | 42.636 | 0.004 | -0.000 | -0.000 | 
| 84.796 | 148.768 | 25.590 | -0.004 | -0.000 | -0.000 | 
| 41.454 | 38.120 | 62.251 | 0.000 | -0.000 | 0.000 | 
| 0.022 | -0.058 | -0.040 | 6.023 | -0.000 | -0.000 | 
| 0.018 | -0.047 | -0.033 | 0.001 | 10.496 | -0.000 | 
| 0.171 | -0.447 | -0.312 | 0.007 | -0.000 | 44.616 | 
| 126.683 | 79.982 | 39.543 | 0.000 | 0.000 | -0.000 | 
| 84.226 | 150.260 | 26.629 | 0.003 | 0.000 | 0.000 | 
| 44.744 | 29.512 | 56.258 | 0.001 | 0.000 | 0.000 | 
| -0.022 | 0.058 | 0.040 | 6.020 | 0.000 | 0.000 | 
| -0.018 | 0.047 | 0.033 | -0.001 | 10.496 | 0.000 | 
| -0.171 | 0.447 | 0.312 | -0.007 | 0.000 | 44.616 | 
| 124.680 | 85.232 | 43.196 | -0.000 | 0.000 | -0.000 | 
| 84.607 | 149.266 | 25.935 | 0.001 | -0.000 | -0.000 | 
| 45.142 | 28.466 | 55.529 | 0.000 | -0.000 | -0.000 | 
| 0.002 | -0.006 | -0.004 | 6.019 | 0.000 | -0.000 | 
| 0.001 | -0.005 | -0.004 | 0.000 | 10.496 | -0.000 | 
| 0.022 | -0.058 | -0.041 | -0.000 | 0.000 | 44.585 | 
| 126.681 | 79.982 | 39.543 | 0.000 | 0.000 | -0.000 | 
| 84.550 | 149.411 | 26.040 | -0.001 | 0.000 | 0.000 | 
| 45.088 | 28.612 | 55.633 | -0.000 | 0.000 | 0.000 | 
| -0.002 | 0.006 | 0.004 | 6.019 | -0.000 | 0.000 | 
| -0.001 | 0.005 | 0.004 | -0.000 | 10.496 | 0.000 | 
| -0.022 | 0.058 | 0.041 | 0.000 | 0.000 | 44.585 | 
| 197.927 | 82.164 | 374.458 | -0.000 | -62.207 | 0.000 | 
| 66.048 | 233.693 | 68.824 | -0.000 | 0.881 | 0.000 | 
| 391.888 | 32.778 | 69.680 | -0.000 | -6.554 | 0.000 | 
| 0.929 | 0.022 | -0.928 | 27.829 | 1.807 | -2.620 | 
| -5.993 | -4.787 | -4.217 | -0.000 | -60.785 | 0.000 | 
| 0.693 | 0.016 | -0.692 | -2.452 | 1.349 | 42.329 | 
| 262.707 | 68.633 | 280.357 | 0.000 | -0.231 | -0.000 | 
| 65.187 | 233.703 | 69.678 | 0.000 | -1.623 | -0.000 | 
| 391.633 | 32.648 | 69.633 | 0.000 | -8.201 | -0.000 | 
| -0.929 | -0.022 | 0.928 | 27.829 | -1.807 | -2.620 | 
| -6.382 | -4.868 | -4.007 | 0.000 | -62.279 | -0.000 | 
| -0.693 | -0.016 | 0.692 | -2.452 | -1.349 | 42.329 | 
| 182.149 | 87.593 | 403.687 | 0.000 | -49.221 | -0.000 | 
| 88.473 | 228.743 | 33.561 | 0.000 | -2.430 | -0.000 | 
| 397.171 | 32.825 | 65.003 | 0.000 | 9.046 | -0.000 | 
| -0.021 | 0.000 | 0.028 | 27.298 | 0.032 | -2.481 | 
| -13.583 | -2.915 | 7.855 | 0.000 | -62.214 | -0.000 | 
| -0.020 | 0.000 | 0.027 | -2.235 | 0.033 | 42.271 | 
| 182.128 | 87.579 | 403.676 | -0.000 | -49.374 | 0.000 | 
| 88.454 | 228.729 | 33.548 | -0.000 | -2.579 | 0.000 | 
| 397.155 | 32.809 | 64.981 | -0.000 | 8.895 | 0.000 | 
| 0.021 | -0.000 | -0.028 | 27.298 | -0.032 | -2.481 | 
| -6.232 | -4.833 | -4.074 | 0.000 | -61.611 | -0.000 | 
| 0.020 | -0.000 | -0.027 | -2.235 | -0.033 | 42.271 | 
| 182.150 | 87.588 | 403.677 | 0.000 | -49.275 | -0.000 | 
| 88.468 | 228.736 | 33.552 | 0.000 | -2.491 | -0.000 | 
| 397.150 | 32.833 | 65.042 | 0.000 | 8.982 | -0.000 | 
| -0.002 | 0.000 | 0.003 | 27.298 | 0.003 | -2.481 | 
| -6.210 | -4.828 | -4.084 | -0.000 | -61.529 | 0.000 | 
| -0.002 | 0.000 | 0.003 | -2.235 | 0.003 | 42.271 | 
| 182.125 | 87.585 | 403.691 | -0.000 | -49.317 | 0.000 | 
| 88.467 | 228.735 | 33.546 | -0.000 | -2.505 | 0.000 | 
| 397.178 | 32.801 | 64.941 | -0.000 | 8.965 | 0.000 | 
| 0.002 | -0.000 | -0.003 | 27.298 | -0.003 | -2.481 | 
| -6.216 | -4.830 | -4.084 | 0.000 | -61.545 | -0.000 | 
| 0.002 | -0.000 | -0.003 | -2.235 | -0.003 | 42.271 | 
| 55.189 | 39.042 | 61.080 | 0.452 | -0.000 | -0.000 | 
| 38.987 | 55.293 | 61.248 | -0.409 | -0.000 | -0.000 | 
| 61.248 | 61.248 | 119.476 | 0.000 | -0.000 | 0.000 | 
| 0.488 | -0.488 | 0.000 | 30.430 | -0.000 | -0.000 | 
| -0.000 | 0.000 | 0.000 | 0.000 | 30.473 | 0.409 | 
| -0.000 | -0.000 | -0.000 | 0.000 | 0.409 | 8.153 | 
| 55.293 | 38.987 | 61.248 | 0.409 | 0.000 | 0.000 | 
| 38.987 | 55.293 | 61.248 | -0.409 | 0.000 | 0.000 | 
| 61.180 | 61.180 | 119.011 | -0.000 | 0.000 | 0.000 | 
| 0.409 | -0.409 | -0.000 | 30.473 | 0.000 | 0.000 | 
| 0.000 | -0.000 | -0.000 | -0.000 | 30.473 | 0.409 | 
| 0.000 | 0.000 | 0.000 | -0.000 | 0.409 | 8.153 | 
| 55.292 | 38.987 | 61.248 | 0.409 | -0.000 | -0.000 | 
| 38.987 | 55.292 | 61.248 | -0.409 | 0.000 | -0.000 | 
| 61.248 | 61.248 | 119.476 | 0.000 | -0.000 | -0.000 | 
| 0.409 | -0.409 | 0.000 | 30.473 | -0.000 | -0.000 | 
| -0.000 | -0.000 | 0.000 | 0.000 | 30.473 | 0.409 | 
| -0.000 | -0.000 | -0.000 | 0.000 | 0.409 | 8.153 | 
| 55.293 | 38.987 | 61.248 | 0.409 | 0.000 | 0.000 | 
| 39.042 | 55.189 | 61.080 | -0.452 | 0.000 | 0.000 | 
| 61.248 | 61.248 | 119.475 | -0.000 | 0.000 | 0.000 | 
| 0.409 | -0.409 | -0.000 | 30.473 | 0.000 | 0.000 | 
| 0.000 | 0.000 | -0.000 | -0.000 | 30.473 | 0.409 | 
| 0.000 | 0.000 | 0.000 | -0.000 | 0.409 | 8.153 | 
| 55.291 | 38.987 | 61.248 | 0.409 | 0.000 | -0.000 | 
| 39.042 | 55.188 | 61.080 | -0.452 | -0.000 | -0.000 | 
| 61.248 | 61.248 | 119.478 | -0.000 | -0.000 | -0.000 | 
| 0.409 | -0.409 | 0.000 | 30.473 | -0.000 | -0.000 | 
| -0.000 | -0.000 | 0.000 | 0.000 | 30.430 | 0.488 | 
| -0.000 | -0.000 | -0.000 | 0.000 | 0.488 | 8.008 | 
| 55.191 | 39.042 | 61.080 | 0.452 | 0.000 | 0.000 | 
| 39.042 | 55.191 | 61.080 | -0.452 | 0.000 | -0.000 | 
| 61.247 | 61.247 | 119.473 | -0.000 | 0.000 | 0.000 | 
| 0.409 | -0.409 | -0.000 | 30.473 | 0.000 | 0.000 | 
| 0.000 | 0.000 | -0.000 | -0.000 | 30.430 | 0.488 | 
| 0.000 | 0.000 | 0.000 | -0.000 | 0.488 | 8.008 | 
| 55.707 | 39.126 | 61.441 | 0.432 | 0.000 | 0.000 | 
| 39.117 | 55.622 | 61.110 | -0.452 | 0.000 | 0.000 | 
| 61.434 | 61.434 | 120.083 | -0.000 | -0.000 | 0.000 | 
| 0.417 | -0.485 | -0.239 | 30.641 | -0.000 | 0.000 | 
| -0.000 | 0.000 | 0.000 | 0.000 | 30.651 | 0.432 | 
| -0.000 | -0.000 | 0.000 | 0.000 | 0.432 | 8.290 | 
| 55.707 | 39.126 | 61.441 | 0.432 | -0.000 | -0.000 | 
| 39.126 | 55.707 | 61.441 | -0.432 | -0.000 | -0.000 | 
| 61.434 | 61.434 | 120.083 | -0.000 | -0.000 | -0.000 | 
| 0.432 | -0.432 | -0.000 | 30.651 | -0.000 | -0.000 | 
| 0.000 | -0.000 | -0.000 | -0.000 | 30.651 | 0.432 | 
| 0.000 | 0.000 | -0.000 | -0.000 | 0.432 | 8.290 | 
| 55.707 | 39.126 | 61.441 | 0.432 | 0.000 | 0.000 | 
| 39.264 | 55.543 | 61.351 | -0.512 | -0.000 | 0.000 | 
| 61.364 | 61.364 | 119.596 | -0.000 | -0.000 | 0.000 | 
| 0.509 | -0.515 | -0.022 | 30.609 | -0.000 | 0.000 | 
| -0.011 | -0.011 | -0.074 | 0.000 | 30.620 | 0.490 | 
| -0.000 | -0.000 | -0.000 | 0.000 | 0.432 | 8.290 | 
| 55.579 | 39.213 | 61.297 | 0.489 | -0.000 | -0.000 | 
| 39.126 | 55.707 | 61.441 | -0.432 | 0.000 | -0.000 | 
| 61.370 | 61.370 | 119.640 | 0.000 | -0.000 | -0.000 | 
| 0.501 | -0.480 | 0.074 | 30.620 | -0.000 | -0.000 | 
| 0.011 | 0.011 | 0.074 | -0.000 | 30.620 | 0.490 | 
| 0.000 | 0.000 | 0.000 | -0.000 | 0.432 | 8.290 | 
| 55.706 | 39.126 | 61.441 | 0.432 | 0.000 | -0.000 | 
| 39.126 | 55.706 | 61.441 | -0.432 | -0.000 | 0.000 | 
| 61.367 | 61.367 | 119.618 | -0.000 | -0.000 | 0.000 | 
| 0.432 | -0.432 | 0.000 | 30.651 | 0.000 | 0.000 | 
| -0.002 | -0.001 | -0.010 | 0.000 | 30.609 | 0.511 | 
| -0.002 | -0.002 | -0.010 | 0.000 | 0.512 | 8.140 | 
| 55.709 | 39.127 | 61.441 | 0.432 | -0.000 | -0.000 | 
| 39.188 | 55.599 | 61.273 | -0.477 | -0.000 | -0.000 | 
| 61.367 | 61.367 | 119.617 | 0.000 | -0.000 | -0.000 | 
| 0.432 | -0.432 | -0.000 | 30.651 | -0.000 | -0.000 | 
| 0.002 | 0.001 | 0.010 | -0.000 | 30.609 | 0.511 | 
| 0.002 | 0.002 | 0.010 | -0.000 | 0.512 | 8.140 | 
| 878.894 | 753.044 | 872.599 | -0.000 | 0.000 | 0.000 | 
| 753.044 | 878.894 | 872.599 | -0.000 | 0.000 | 0.000 | 
| 732.250 | 732.250 | 1018.250 | -0.000 | 0.000 | 0.000 | 
| 894.329 | 894.329 | 1143.846 | 38.733 | 0.000 | 0.000 | 
| 894.329 | 894.329 | 1143.846 | -0.000 | 38.733 | 0.000 | 
| 0.000 | -0.000 | -0.000 | -0.000 | 0.000 | 58.244 | 
| -684.374 | -798.639 | -1074.844 | 0.000 | -0.000 | -0.000 | 
| -798.639 | -684.374 | -1074.844 | 0.000 | -0.000 | -0.000 | 
| -822.837 | -822.837 | -930.274 | -0.000 | -0.000 | -0.000 | 
| -894.329 | -894.329 | -1143.846 | 38.733 | -0.000 | -0.000 | 
| -894.329 | -894.329 | -1143.846 | 0.000 | 38.733 | -0.000 | 
| -0.000 | 0.000 | 0.000 | 0.000 | -0.000 | 58.244 | 
| 284.040 | 158.169 | 148.810 | -0.000 | 0.000 | 0.000 | 
| 158.169 | 284.040 | 148.810 | -0.000 | 0.000 | 0.000 | 
| 137.313 | 137.313 | 294.390 | -0.000 | 0.000 | -0.000 | 
| 89.455 | 89.455 | 114.415 | 38.731 | 0.000 | -0.000 | 
| 89.455 | 89.455 | 114.415 | -0.000 | 38.731 | 0.000 | 
| -0.000 | 0.000 | -0.000 | -0.000 | 0.000 | 58.244 | 
| 120.592 | 6.110 | -45.515 | 0.000 | -0.000 | 0.000 | 
| 6.110 | 120.592 | -45.515 | 0.000 | -0.000 | 0.000 | 
| 72.177 | 72.177 | 217.036 | 0.000 | -0.000 | -0.000 | 
| -89.455 | -89.455 | -114.415 | 38.731 | 0.000 | -0.000 | 
| -89.455 | -89.455 | -114.415 | 0.000 | 38.731 | -0.000 | 
| 0.000 | -0.000 | 0.000 | 0.000 | -0.000 | 58.244 | 
| 229.383 | 90.481 | 69.134 | -0.000 | 0.000 | 0.000 | 
| 90.481 | 229.383 | 69.134 | -0.000 | -0.000 | 0.000 | 
| 80.518 | 80.518 | 224.935 | -0.000 | -0.000 | -0.000 | 
| 6.790 | 6.790 | 8.262 | 40.707 | 0.000 | 0.000 | 
| 6.790 | 6.790 | 8.262 | -0.000 | 40.707 | 0.000 | 
| 7.130 | 7.130 | 8.676 | -0.000 | 0.000 | 47.843 | 
| 199.798 | 86.121 | 56.428 | 0.000 | -0.000 | -0.000 | 
| 86.121 | 199.798 | 56.428 | 0.000 | -0.000 | -0.000 | 
| 64.600 | 64.600 | 205.813 | 0.000 | -0.000 | 0.000 | 
| -6.790 | -6.790 | -8.262 | 40.707 | -0.000 | -0.000 | 
| -6.790 | -6.790 | -8.262 | 0.000 | 40.707 | -0.000 | 
| -7.130 | -7.130 | -8.676 | 0.000 | -0.000 | 47.843 | 
| 244.844 | 233.634 | 233.634 | 0.000 | -0.000 | 0.000 | 
| 233.634 | 244.844 | 233.634 | 0.000 | -0.000 | 0.000 | 
| 233.634 | 233.634 | 244.844 | 0.000 | -0.000 | 0.000 | 
| 0.000 | 0.000 | 0.000 | 10.052 | -0.000 | 0.000 | 
| 0.000 | 0.000 | 0.000 | 0.000 | 10.052 | 0.000 | 
| 0.000 | 0.000 | 0.000 | 0.000 | -0.000 | 10.052 | 
| 244.844 | 233.634 | 233.634 | -0.000 | -0.000 | -0.000 | 
| 233.634 | 244.844 | 233.634 | -0.000 | -0.000 | -0.000 | 
| 233.634 | 233.634 | 244.844 | -0.000 | 0.000 | -0.000 | 
| -0.000 | -0.000 | -0.000 | 10.052 | 0.000 | -0.000 | 
| -0.000 | -0.000 | -0.000 | -0.000 | 10.052 | -0.000 | 
| -0.000 | -0.000 | -0.000 | -0.000 | 0.000 | 10.052 | 
| 244.844 | 233.634 | 233.634 | 0.000 | 0.000 | 0.000 | 
| 233.634 | 244.844 | 233.634 | 0.000 | -0.000 | 0.000 | 
| 233.634 | 233.634 | 244.844 | 0.000 | 0.000 | 0.000 | 
| 0.000 | 0.000 | 0.000 | 198.626 | 0.000 | 0.000 | 
| 0.000 | 0.000 | 0.000 | 0.000 | 198.626 | 0.000 | 
| 0.000 | 0.000 | 0.000 | 0.000 | -0.000 | 198.626 | 
| 244.844 | 233.634 | 233.634 | -0.000 | 0.000 | -0.000 | 
| 233.634 | 244.844 | 233.634 | -0.000 | -0.000 | -0.000 | 
| 233.634 | 233.634 | 244.844 | 0.000 | 0.000 | -0.000 | 
| -0.000 | -0.000 | -0.000 | 198.626 | -0.000 | -0.000 | 
| -0.000 | -0.000 | -0.000 | -0.000 | 198.626 | -0.000 | 
| -0.000 | -0.000 | -0.000 | -0.000 | 0.000 | 198.626 | 
| 244.843 | 233.635 | 233.635 | 0.000 | -0.000 | 0.000 | 
| 233.635 | 244.843 | 233.635 | 0.000 | 0.000 | 0.000 | 
| 233.635 | 233.635 | 244.843 | 0.000 | -0.000 | 0.000 | 
| -0.000 | -0.000 | -0.000 | 10.052 | -0.000 | 0.000 | 
| -0.000 | -0.000 | -0.000 | 0.000 | 10.052 | 0.000 | 
| -0.000 | -0.000 | -0.000 | 0.000 | -0.000 | 10.052 | 
| 244.844 | 233.634 | 233.634 | -0.000 | 0.000 | -0.000 | 
| 233.634 | 244.844 | 233.634 | -0.000 | -0.000 | -0.000 | 
| 233.634 | 233.634 | 244.844 | -0.000 | -0.000 | -0.000 | 
| 0.000 | 0.000 | 0.000 | 10.052 | 0.000 | -0.000 | 
| 0.000 | 0.000 | 0.000 | -0.000 | 10.052 | -0.000 | 
| 0.000 | 0.000 | 0.000 | -0.000 | 0.000 | 10.052 | 
| 184.802 | -27.833 | -436.858 | -0.000 | 0.000 | 0.000 | 
| 157.939 | 379.436 | 146.677 | -0.000 | 0.000 | -0.000 | 
| 148.259 | 148.259 | 341.031 | -0.000 | 0.000 | 0.000 | 
| -182.837 | -182.837 | -589.716 | 82.859 | -0.000 | -0.000 | 
| -182.883 | -182.883 | -589.675 | 0.000 | 90.048 | -0.000 | 
| 0.000 | 0.000 | -0.000 | 0.000 | -0.000 | 110.748 | 
| 550.536 | 337.901 | 742.496 | -0.000 | -0.000 | 0.000 | 
| 336.933 | 551.452 | 742.526 | -0.000 | 0.000 | -0.000 | 
| 337.232 | 337.232 | 923.911 | -0.000 | 0.000 | -0.000 | 
| 182.837 | 182.837 | 589.716 | 82.859 | -0.000 | -0.000 | 
| 182.883 | 182.883 | 589.675 | -0.000 | 90.048 | -0.000 | 
| -0.000 | -0.000 | 0.000 | 0.000 | 0.000 | 110.748 | 
| 340.718 | 129.932 | 101.215 | 0.000 | -0.000 | 0.000 | 
| 129.932 | 340.718 | 101.215 | 0.000 | 0.000 | 0.000 | 
| 136.112 | 136.112 | 275.234 | 0.000 | 0.000 | -0.000 | 
| -18.283 | -18.283 | -58.969 | 82.859 | -0.000 | -0.000 | 
| 0.000 | 0.000 | 0.000 | 0.000 | 102.310 | 0.000 | 
| -18.270 | -18.270 | -58.989 | -0.000 | -0.000 | 107.259 | 
| 360.437 | 149.294 | 231.383 | -0.000 | 0.000 | -0.000 | 
| 173.418 | 386.061 | 211.673 | -0.000 | 0.000 | -0.000 | 
| 178.946 | 178.946 | 387.310 | -0.000 | -0.000 | -0.000 | 
| 18.283 | 18.283 | 58.969 | 82.859 | -0.000 | -0.000 | 
| -0.000 | -0.000 | -0.000 | -0.000 | 102.310 | -0.000 | 
| 18.270 | 18.270 | 58.989 | 0.000 | 0.000 | 107.259 | 
| 366.156 | 153.324 | 146.906 | -0.000 | 0.000 | 0.000 | 
| 147.202 | 362.783 | 154.658 | 0.000 | -0.000 | -0.000 | 
| 159.787 | 159.787 | 325.569 | -0.000 | -0.000 | -0.000 | 
| -1.068 | -1.067 | -7.461 | 90.216 | -0.000 | 0.000 | 
| -1.067 | -1.068 | -7.461 | 0.000 | 90.216 | 0.000 | 
| -0.881 | -0.881 | -6.158 | 0.000 | -0.000 | 105.792 | 
| 365.647 | 149.385 | 160.218 | -0.000 | 0.000 | -0.000 | 
| 157.937 | 379.428 | 146.676 | 0.000 | 0.000 | -0.000 | 
| 148.258 | 148.258 | 341.025 | 0.000 | 0.000 | 0.000 | 
| 1.068 | 1.067 | 7.461 | 90.216 | 0.000 | -0.000 | 
| 1.067 | 1.068 | 7.461 | -0.000 | 90.216 | -0.000 | 
| 0.881 | 0.881 | 6.158 | -0.000 | 0.000 | 105.792 | 
| 388.546 | 161.755 | 164.938 | -0.000 | 0.000 | 0.000 | 
| 161.755 | 388.546 | 164.938 | -0.000 | -0.000 | 0.000 | 
| 164.938 | 164.938 | 417.555 | -0.000 | 0.000 | 0.000 | 
| 0.000 | 0.000 | 0.000 | 116.311 | 0.000 | 0.000 | 
| 1.383 | 1.383 | -0.853 | -0.000 | 108.977 | 0.000 | 
| 0.431 | 0.431 | -0.282 | 0.000 | -0.000 | 109.333 | 
| 376.291 | 157.372 | 170.348 | 0.000 | 0.000 | -0.000 | 
| 154.641 | 377.495 | 170.492 | 0.000 | -0.000 | -0.000 | 
| 164.938 | 164.938 | 417.555 | -0.000 | -0.000 | -0.000 | 
| -0.000 | -0.000 | -0.000 | 116.311 | -0.000 | -0.000 | 
| -1.383 | -1.383 | 0.853 | -0.000 | 108.977 | -0.000 | 
| -0.431 | -0.431 | 0.282 | -0.000 | -0.000 | 109.333 | 
| 377.807 | 154.980 | 170.291 | -0.000 | 0.000 | 0.000 | 
| 154.980 | 377.807 | 170.291 | -0.000 | 0.000 | 0.000 | 
| 170.484 | 170.484 | 413.723 | -0.000 | 0.000 | 0.000 | 
| 0.142 | 0.142 | -0.087 | 108.791 | 0.000 | 0.000 | 
| 0.000 | 0.000 | 0.000 | 0.000 | 116.311 | 0.000 | 
| 0.066 | 0.066 | -0.041 | -0.000 | 0.000 | 109.709 | 
| 377.749 | 154.918 | 170.327 | 0.000 | -0.000 | -0.000 | 
| 161.755 | 388.545 | 164.938 | 0.000 | -0.000 | -0.000 | 
| 164.938 | 164.938 | 417.555 | -0.000 | -0.000 | -0.000 | 
| -0.142 | -0.142 | 0.087 | 108.791 | -0.000 | -0.000 | 
| -0.000 | -0.000 | -0.000 | 0.000 | 116.311 | -0.000 | 
| -0.066 | -0.066 | 0.041 | 0.000 | -0.000 | 109.709 | 
| 377.790 | 154.955 | 170.309 | -0.000 | 0.000 | 0.000 | 
| 154.954 | 377.788 | 170.309 | -0.000 | 0.000 | 0.000 | 
| 170.458 | 170.458 | 413.745 | -0.000 | -0.000 | 0.000 | 
| 0.001 | 0.002 | 0.001 | 116.311 | -0.000 | 0.000 | 
| 0.002 | 0.001 | 0.001 | 0.000 | 116.311 | 0.000 | 
| 0.001 | 0.001 | 0.001 | -0.000 | 0.000 | 113.395 | 
| 376.611 | 157.694 | 170.130 | 0.000 | 0.000 | -0.000 | 
| 154.945 | 377.768 | 170.309 | 0.000 | 0.000 | -0.000 | 
| 170.203 | 170.203 | 413.128 | -0.000 | 0.000 | -0.000 | 
| -0.001 | -0.002 | -0.001 | 116.311 | -0.000 | -0.000 | 
| -0.002 | -0.001 | -0.001 | 0.000 | 116.311 | -0.000 | 
| -0.001 | -0.001 | -0.001 | 0.000 | -0.000 | 113.395 | 
| 228.228 | 224.195 | 65.765 | -0.000 | -0.000 | -0.000 | 
| 224.195 | 228.228 | 65.765 | -0.000 | -0.000 | -0.000 | 
| 64.889 | 64.889 | 360.323 | -0.000 | -0.000 | 0.000 | 
| -0.188 | -0.188 | 8.440 | -93.541 | -0.000 | -0.000 | 
| -0.188 | -0.188 | 8.440 | -0.000 | -93.541 | -0.000 | 
| -0.021 | -0.021 | 0.959 | -0.000 | -0.000 | 205.231 | 
| 228.274 | 224.241 | 63.729 | 0.000 | 0.000 | 0.000 | 
| 224.241 | 228.274 | 63.729 | 0.000 | 0.000 | 0.000 | 
| 64.889 | 64.889 | 360.323 | 0.000 | 0.000 | -0.000 | 
| 0.188 | 0.188 | -8.440 | -93.541 | 0.000 | 0.000 | 
| 0.188 | 0.188 | -8.440 | -0.000 | -93.541 | 0.000 | 
| 0.021 | 0.021 | -0.959 | 0.000 | 0.000 | 205.231 | 
| 228.249 | 224.216 | 64.863 | -0.000 | -0.000 | -0.000 | 
| 224.216 | 228.249 | 64.863 | -0.000 | -0.000 | -0.000 | 
| 65.636 | 65.636 | 326.833 | -0.000 | -0.000 | -0.000 | 
| 0.000 | 0.000 | 0.000 | 39.309 | 0.000 | -0.000 | 
| 0.000 | 0.000 | 0.000 | -0.000 | 39.309 | 0.000 | 
| 0.000 | 0.000 | 0.000 | -0.000 | -0.000 | 205.268 | 
| 228.253 | 224.220 | 64.664 | 0.000 | 0.000 | 0.000 | 
| 224.220 | 228.253 | 64.664 | 0.000 | -0.000 | 0.000 | 
| 64.889 | 64.889 | 360.323 | 0.000 | 0.000 | -0.000 | 
| -0.000 | -0.000 | -0.000 | 39.309 | 0.000 | -0.000 | 
| -0.000 | -0.000 | -0.000 | 0.000 | 39.309 | 0.000 | 
| -0.000 | -0.000 | -0.000 | 0.000 | 0.000 | 205.268 | 
| 228.250 | 224.219 | 64.773 | -0.000 | -0.000 | -0.000 | 
| 224.219 | 228.250 | 64.773 | -0.000 | -0.000 | -0.000 | 
| 65.638 | 65.638 | 326.746 | -0.000 | -0.000 | -0.000 | 
| -0.002 | -0.002 | 0.085 | -95.435 | -0.000 | -0.000 | 
| -0.002 | -0.002 | 0.085 | -0.000 | -95.435 | -0.000 | 
| 0.000 | 0.001 | 0.000 | -0.000 | -0.000 | 205.268 | 
| 228.251 | 224.217 | 64.753 | 0.000 | 0.000 | 0.000 | 
| 224.217 | 228.251 | 64.753 | 0.000 | 0.000 | 0.000 | 
| 65.638 | 65.638 | 326.716 | 0.000 | 0.000 | 0.000 | 
| 0.002 | 0.002 | -0.085 | -95.435 | 0.000 | 0.000 | 
| 0.002 | 0.002 | -0.085 | 0.000 | -95.435 | 0.000 | 
| -0.000 | -0.001 | -0.000 | -0.000 | -0.000 | 205.268 | 
| 229.511 | 225.778 | 65.266 | 0.000 | -0.000 | -0.000 | 
| 225.778 | 229.511 | 65.266 | 0.000 | -0.000 | -0.000 | 
| 65.266 | 65.266 | 381.879 | 0.000 | 0.000 | -0.000 | 
| -0.054 | -0.054 | 2.308 | -96.193 | 0.000 | -0.000 | 
| -0.054 | -0.054 | 2.308 | 0.000 | -96.193 | -0.000 | 
| -0.053 | -0.053 | 2.268 | 0.000 | 0.000 | 206.603 | 
| 229.547 | 225.814 | 63.738 | -0.000 | -0.000 | 0.000 | 
| 225.814 | 229.547 | 63.738 | -0.000 | -0.000 | 0.000 | 
| 66.104 | 66.104 | 346.085 | -0.000 | -0.000 | 0.000 | 
| 0.054 | 0.054 | -2.308 | -96.193 | -0.000 | 0.000 | 
| 0.054 | 0.054 | -2.308 | -0.000 | -96.193 | 0.000 | 
| 0.053 | 0.053 | -2.268 | -0.000 | -0.000 | 206.603 | 
| 229.511 | 225.778 | 65.266 | 0.000 | 0.000 | -0.000 | 
| 225.778 | 229.511 | 65.266 | 0.000 | 0.000 | -0.000 | 
| 66.044 | 66.044 | 348.624 | 0.000 | 0.000 | -0.000 | 
| -0.005 | -0.005 | 0.231 | -96.193 | 0.000 | -0.000 | 
| -0.005 | -0.005 | 0.231 | 0.000 | -96.193 | -0.000 | 
| -0.005 | -0.005 | 0.213 | 0.000 | 0.000 | 206.606 | 
| 229.511 | 225.778 | 65.266 | 0.000 | 0.000 | 0.000 | 
| 225.778 | 229.511 | 65.266 | 0.000 | -0.000 | 0.000 | 
| 65.266 | 65.266 | 381.878 | -0.000 | -0.000 | 0.000 | 
| 0.005 | 0.005 | -0.231 | -96.193 | -0.000 | 0.000 | 
| 0.005 | 0.005 | -0.231 | -0.000 | -96.193 | 0.000 | 
| 0.005 | 0.005 | -0.213 | -0.000 | -0.000 | 206.606 | 
| 229.487 | 225.764 | 66.079 | 0.000 | 0.000 | -0.000 | 
| 225.764 | 229.487 | 66.079 | 0.000 | 0.000 | -0.000 | 
| 66.049 | 66.049 | 348.420 | 0.000 | 0.000 | -0.000 | 
| -0.001 | -0.001 | 0.023 | -96.193 | 0.000 | -0.000 | 
| -0.001 | -0.001 | 0.023 | 0.000 | -96.193 | -0.000 | 
| 0.000 | 0.001 | 0.000 | 0.000 | 0.000 | 206.644 | 
| 229.493 | 225.759 | 66.033 | -0.000 | -0.000 | 0.000 | 
| 225.759 | 229.493 | 66.033 | -0.000 | -0.000 | 0.000 | 
| 66.050 | 66.050 | 348.366 | -0.000 | -0.000 | 0.000 | 
| 0.001 | 0.001 | -0.023 | -96.193 | -0.000 | 0.000 | 
| 0.001 | 0.001 | -0.023 | -0.000 | -96.193 | 0.000 | 
| -0.000 | -0.001 | -0.000 | -0.000 | -0.000 | 206.644 | 
| 351.853 | 145.852 | 157.235 | -0.000 | 0.000 | -0.000 | 
| 145.852 | 351.853 | 157.235 | 0.000 | 0.000 | -0.000 | 
| 157.850 | 157.850 | 376.624 | 0.000 | 0.000 | -0.000 | 
| 0.000 | 0.000 | 0.000 | 105.398 | 0.000 | -0.000 | 
| 2.763 | 2.763 | -1.665 | -0.000 | 95.144 | -0.000 | 
| 0.000 | 0.000 | 0.000 | -0.000 | -0.000 | 105.009 | 
| 361.602 | 151.585 | 151.473 | 0.000 | -0.000 | 0.000 | 
| 151.585 | 361.602 | 151.473 | 0.000 | 0.000 | 0.000 | 
| 157.062 | 157.062 | 377.029 | -0.000 | -0.000 | 0.000 | 
| -0.000 | -0.000 | -0.000 | 105.398 | 0.000 | 0.000 | 
| -2.763 | -2.763 | 1.665 | -0.000 | 95.144 | 0.000 | 
| -0.000 | -0.000 | -0.000 | 0.000 | 0.000 | 105.009 | 
| 349.843 | 148.684 | 156.986 | 0.000 | 0.000 | -0.000 | 
| 145.399 | 351.511 | 157.445 | -0.000 | -0.000 | -0.000 | 
| 157.404 | 157.404 | 376.664 | -0.000 | 0.000 | -0.000 | 
| 0.000 | 0.000 | 0.000 | 105.398 | 0.000 | -0.000 | 
| 0.000 | 0.000 | 0.000 | 0.000 | 105.398 | -0.000 | 
| -0.194 | -0.194 | 0.167 | 0.000 | 0.000 | 100.608 | 
| 350.098 | 148.433 | 156.903 | 0.000 | -0.000 | 0.000 | 
| 151.585 | 361.601 | 151.473 | 0.000 | 0.000 | 0.000 | 
| 157.339 | 157.339 | 376.908 | -0.000 | -0.000 | 0.000 | 
| -0.000 | -0.000 | -0.000 | 105.398 | -0.000 | 0.000 | 
| -0.000 | -0.000 | -0.000 | -0.000 | 105.398 | 0.000 | 
| 0.194 | 0.194 | -0.167 | -0.000 | -0.000 | 100.608 | 
| 350.171 | 148.500 | 156.880 | -0.000 | 0.000 | -0.000 | 
| 145.352 | 351.478 | 157.471 | 0.000 | 0.000 | -0.000 | 
| 157.386 | 157.386 | 376.891 | -0.000 | -0.000 | -0.000 | 
| 0.032 | 0.033 | -0.016 | 93.905 | -0.000 | -0.000 | 
| 0.002 | 0.001 | 0.001 | 0.000 | 105.398 | -0.000 | 
| 0.001 | 0.001 | 0.001 | -0.000 | -0.000 | 105.009 | 
| 350.139 | 148.482 | 156.883 | 0.000 | 0.000 | 0.000 | 
| 145.338 | 351.454 | 157.472 | -0.000 | 0.000 | 0.000 | 
| 151.866 | 151.866 | 381.010 | 0.000 | 0.000 | 0.000 | 
| -0.032 | -0.033 | 0.016 | 93.905 | -0.000 | 0.000 | 
| -0.002 | -0.001 | -0.001 | -0.000 | 105.398 | 0.000 | 
| -0.001 | -0.001 | -0.001 | 0.000 | 0.000 | 105.009 | 
| 644.918 | 384.227 | 354.856 | -27.924 | -0.000 | 0.000 | 
| 279.111 | 713.302 | 255.678 | 6.357 | -0.000 | 0.000 | 
| 374.864 | 374.864 | 434.489 | 0.000 | -0.000 | 0.000 | 
| 52.576 | 125.427 | 73.978 | 84.337 | -0.000 | -0.000 | 
| 48.890 | 48.889 | 117.265 | 0.000 | 151.372 | -31.088 | 
| 44.745 | 44.745 | 107.324 | 0.000 | -28.992 | 126.051 | 
| 713.302 | 279.111 | 255.678 | -6.357 | 0.000 | 0.000 | 
| 302.276 | 533.966 | 132.724 | 31.529 | 0.000 | 0.000 | 
| 265.685 | 265.685 | 457.859 | -0.000 | 0.000 | 0.000 | 
| -6.357 | 6.357 | 0.000 | 212.718 | 0.000 | 0.000 | 
| -48.890 | -48.889 | -117.265 | -0.000 | 151.372 | -31.088 | 
| -44.745 | -44.745 | -107.324 | -0.000 | -28.991 | 126.051 | 
| 586.234 | 358.556 | 264.180 | -32.027 | -0.000 | -0.000 | 
| 327.782 | 521.634 | 291.797 | 57.924 | -0.000 | -0.000 | 
| 265.685 | 265.685 | 457.859 | 0.000 | -0.000 | -0.000 | 
| -57.255 | 75.524 | 1.857 | 63.350 | -0.000 | -0.000 | 
| -0.000 | -0.000 | 0.000 | 0.000 | 212.718 | -6.357 | 
| 8.420 | 8.420 | 9.006 | 0.000 | -36.954 | 102.523 | 
| 713.302 | 279.111 | 255.678 | -6.357 | 0.000 | -0.000 | 
| 350.309 | 572.317 | 239.400 | 32.732 | 0.000 | -0.000 | 
| 258.415 | 258.415 | 362.640 | -0.000 | 0.000 | -0.000 | 
| -47.829 | 29.275 | -8.507 | 79.856 | 0.000 | 0.000 | 
| 0.000 | 0.000 | -0.000 | -0.000 | 212.718 | -6.357 | 
| -8.420 | -8.420 | -9.006 | -0.000 | -36.954 | 102.523 | 
| 579.579 | 355.177 | 253.187 | -32.434 | -0.000 | 0.000 | 
| 279.112 | 713.304 | 255.678 | 6.356 | -0.000 | -0.000 | 
| 262.981 | 262.981 | 371.372 | 0.000 | -0.000 | 0.000 | 
| -65.713 | 67.525 | 0.133 | 63.566 | -0.000 | -0.000 | 
| -0.000 | 0.000 | 0.001 | 0.000 | 212.718 | -6.357 | 
| -0.000 | 0.000 | 0.000 | 0.000 | -6.357 | 217.096 | 
| 528.461 | 327.648 | 273.762 | -37.619 | 0.000 | 0.000 | 
| 279.110 | 713.301 | 255.677 | 6.357 | 0.000 | -0.000 | 
| 265.684 | 265.684 | 457.858 | -0.000 | -0.000 | -0.000 | 
| -6.357 | 6.357 | -0.001 | 212.718 | 0.000 | 0.000 | 
| 0.000 | -0.000 | -0.001 | -0.000 | 212.718 | -6.357 | 
| 0.000 | -0.000 | -0.000 | -0.000 | -6.357 | 217.096 | 
| 664.900 | 209.757 | 209.757 | 0.000 | 0.000 | -0.000 | 
| 209.757 | 664.900 | 209.757 | 0.000 | 0.000 | -0.000 | 
| 209.757 | 209.757 | 664.900 | 0.000 | -0.000 | -0.000 | 
| 0.000 | -0.000 | -0.000 | 76.342 | 0.000 | -0.000 | 
| -0.000 | -0.000 | -0.000 | 0.000 | 76.342 | -0.000 | 
| -0.000 | -0.000 | -0.000 | 0.000 | 0.000 | 76.342 | 
| 664.900 | 209.757 | 209.757 | -0.000 | -0.000 | 0.000 | 
| 209.757 | 664.900 | 209.757 | -0.000 | 0.000 | 0.000 | 
| 209.757 | 209.757 | 664.900 | -0.000 | 0.000 | 0.000 | 
| -0.000 | 0.000 | 0.000 | 76.342 | -0.000 | 0.000 | 
| 0.000 | 0.000 | 0.000 | -0.000 | 76.342 | 0.000 | 
| 0.000 | 0.000 | 0.000 | -0.000 | 0.000 | 76.342 | 
| 664.901 | 209.757 | 209.757 | -0.000 | -0.000 | -0.000 | 
| 209.757 | 664.901 | 209.757 | 0.000 | -0.000 | -0.000 | 
| 209.757 | 209.757 | 664.901 | 0.000 | -0.000 | -0.000 | 
| -0.000 | 0.000 | 0.000 | 140.059 | 0.000 | -0.000 | 
| 0.000 | -0.000 | 0.000 | 0.000 | 140.059 | -0.000 | 
| 0.000 | 0.000 | -0.000 | 0.000 | -0.000 | 140.059 | 
| 708.330 | 188.042 | 188.042 | -0.000 | -0.000 | 0.000 | 
| 188.042 | 708.330 | 188.042 | -0.000 | 0.000 | 0.000 | 
| 188.042 | 188.042 | 708.330 | -0.000 | 0.000 | 0.000 | 
| 0.000 | -0.000 | -0.000 | 140.059 | -0.000 | 0.000 | 
| -0.000 | 0.000 | -0.000 | -0.000 | 140.059 | 0.000 | 
| -0.000 | -0.000 | 0.000 | -0.000 | 0.000 | 140.059 | 
| 708.333 | 188.043 | 188.043 | 0.000 | 0.000 | -0.000 | 
| 188.043 | 708.333 | 188.043 | 0.000 | -0.000 | -0.000 | 
| 188.043 | 188.043 | 708.333 | 0.000 | -0.000 | -0.000 | 
| 0.000 | -0.001 | -0.001 | 76.342 | -0.000 | -0.000 | 
| -0.001 | 0.000 | -0.001 | 0.000 | 76.342 | -0.000 | 
| -0.001 | -0.001 | 0.000 | 0.000 | 0.000 | 76.342 | 
| 664.898 | 209.756 | 209.756 | -0.000 | 0.000 | 0.000 | 
| 209.756 | 664.898 | 209.756 | -0.000 | -0.000 | 0.000 | 
| 209.756 | 209.756 | 664.898 | -0.000 | 0.000 | 0.000 | 
| -0.000 | 0.001 | 0.001 | 76.342 | 0.000 | 0.000 | 
| 0.001 | -0.000 | 0.001 | -0.000 | 76.342 | 0.000 | 
| 0.001 | 0.001 | -0.000 | 0.000 | -0.000 | 76.342 | 
| 316.997 | 266.750 | 266.750 | -0.000 | 0.000 | -0.000 | 
| 266.750 | 316.997 | 266.750 | -0.000 | 0.000 | -0.000 | 
| 266.750 | 266.750 | 316.997 | -0.000 | 0.000 | 0.000 | 
| -0.000 | 0.000 | -0.000 | 68.558 | 0.000 | -0.000 | 
| -0.000 | 0.000 | -0.000 | -0.000 | 68.558 | -0.000 | 
| 0.000 | 0.000 | -0.000 | 0.000 | 0.000 | 68.558 | 
| 316.997 | 266.750 | 266.750 | 0.000 | -0.000 | 0.000 | 
| 266.750 | 316.997 | 266.750 | 0.000 | 0.000 | 0.000 | 
| 266.750 | 266.750 | 316.997 | 0.000 | -0.000 | 0.000 | 
| 0.000 | -0.000 | 0.000 | 68.558 | -0.000 | 0.000 | 
| 0.000 | 0.000 | 0.000 | 0.000 | 68.558 | 0.000 | 
| 0.000 | -0.000 | 0.000 | 0.000 | -0.000 | 68.558 | 
| 316.997 | 266.751 | 266.751 | -0.000 | 0.000 | -0.000 | 
| 266.751 | 316.997 | 266.751 | -0.000 | 0.000 | -0.000 | 
| 266.751 | 266.751 | 316.997 | 0.000 | 0.000 | -0.000 | 
| 0.000 | 0.000 | 0.000 | 216.830 | 0.000 | -0.000 | 
| 0.000 | 0.000 | 0.000 | -0.000 | 216.830 | -0.000 | 
| 0.000 | 0.000 | 0.000 | -0.000 | 0.000 | 216.830 | 
| 316.997 | 266.750 | 266.750 | 0.000 | -0.000 | 0.000 | 
| 266.750 | 316.997 | 266.750 | 0.000 | -0.000 | 0.000 | 
| 266.750 | 266.750 | 316.997 | -0.000 | -0.000 | -0.000 | 
| -0.000 | -0.000 | -0.000 | 216.830 | -0.000 | 0.000 | 
| -0.000 | -0.000 | -0.000 | 0.000 | 216.830 | 0.000 | 
| -0.000 | -0.000 | -0.000 | 0.000 | -0.000 | 216.830 | 
| 316.996 | 266.751 | 266.751 | -0.000 | 0.000 | -0.000 | 
| 266.751 | 316.996 | 266.751 | -0.000 | -0.000 | 0.000 | 
| 266.751 | 266.751 | 316.996 | -0.000 | 0.000 | 0.000 | 
| 0.001 | 0.000 | 0.001 | 216.830 | 0.000 | -0.000 | 
| 0.000 | 0.001 | 0.001 | -0.000 | 216.830 | -0.000 | 
| 0.000 | 0.001 | 0.001 | -0.000 | 0.000 | 216.830 | 
| 316.997 | 266.749 | 266.749 | 0.000 | -0.000 | 0.000 | 
| 266.749 | 316.997 | 266.749 | 0.000 | -0.000 | 0.000 | 
| 266.749 | 266.749 | 316.997 | 0.000 | -0.000 | 0.000 | 
| -0.001 | -0.000 | -0.001 | 216.830 | -0.000 | -0.000 | 
| -0.000 | -0.001 | -0.001 | 0.000 | 216.830 | 0.000 | 
| -0.000 | -0.001 | -0.001 | 0.000 | -0.000 | 216.830 | 
| 436.078 | 237.272 | 237.272 | 0.000 | 0.000 | 0.000 | 
| 237.272 | 436.078 | 237.272 | 0.000 | 0.000 | 0.000 | 
| 237.272 | 237.272 | 436.078 | -0.000 | 0.000 | 0.000 | 
| -0.000 | 0.000 | 0.000 | 189.869 | 0.000 | 0.000 | 
| 0.000 | 0.000 | 0.000 | -0.000 | 189.869 | 0.000 | 
| 0.000 | 0.000 | 0.000 | -0.000 | 0.000 | 189.869 | 
| 436.078 | 237.272 | 237.272 | 0.000 | 0.000 | -0.000 | 
| 237.272 | 436.078 | 237.272 | -0.000 | 0.000 | -0.000 | 
| 237.272 | 237.272 | 436.078 | 0.000 | 0.000 | -0.000 | 
| -0.000 | -0.000 | -0.000 | 189.869 | 0.000 | -0.000 | 
| -0.000 | -0.000 | -0.000 | 0.000 | 189.869 | -0.000 | 
| -0.000 | -0.000 | -0.000 | 0.000 | 0.000 | 189.869 | 
| 436.078 | 237.272 | 237.272 | 0.000 | -0.000 | 0.000 | 
| 237.272 | 436.078 | 237.272 | 0.000 | 0.000 | 0.000 | 
| 237.272 | 237.272 | 436.078 | -0.000 | -0.000 | 0.000 | 
| -0.000 | 0.000 | 0.000 | 189.869 | 0.000 | 0.000 | 
| 0.000 | -0.000 | 0.000 | -0.000 | 189.869 | 0.000 | 
| 0.000 | 0.000 | 0.000 | 0.000 | 0.000 | 189.869 | 
| 436.077 | 237.272 | 237.272 | -0.000 | 0.000 | -0.000 | 
| 237.272 | 436.077 | 237.272 | -0.000 | -0.000 | -0.000 | 
| 237.272 | 237.272 | 436.077 | 0.000 | -0.000 | -0.000 | 
| 0.000 | -0.000 | -0.000 | 189.869 | 0.000 | -0.000 | 
| -0.000 | 0.000 | -0.000 | -0.000 | 189.869 | -0.000 | 
| -0.000 | -0.000 | -0.000 | -0.000 | -0.000 | 189.869 | 
| 436.080 | 237.274 | 237.274 | 0.000 | -0.000 | 0.000 | 
| 237.274 | 436.080 | 237.274 | -0.000 | 0.000 | 0.000 | 
| 237.274 | 237.274 | 436.080 | 0.000 | -0.000 | 0.000 | 
| -0.000 | 0.001 | 0.001 | 189.869 | 0.000 | 0.000 | 
| 0.001 | -0.000 | 0.001 | 0.000 | 189.869 | 0.000 | 
| 0.001 | 0.001 | -0.000 | -0.000 | -0.000 | 189.869 | 
| 436.075 | 237.271 | 237.271 | -0.000 | 0.000 | -0.000 | 
| 237.271 | 436.075 | 237.271 | -0.000 | -0.000 | -0.000 | 
| 237.271 | 237.271 | 436.075 | 0.000 | -0.000 | -0.000 | 
| 0.000 | -0.001 | -0.001 | 189.869 | 0.000 | 0.000 | 
| -0.001 | 0.000 | -0.001 | -0.000 | 189.869 | -0.000 | 
| -0.001 | -0.001 | 0.000 | 0.000 | -0.000 | 189.869 | 
| 608.473 | 234.661 | 175.168 | 0.000 | 0.000 | 0.000 | 
| 234.661 | 608.473 | 175.168 | 0.000 | -0.000 | 0.000 | 
| 176.108 | 176.108 | 507.536 | 0.000 | 0.000 | 0.000 | 
| 0.000 | -0.000 | 0.000 | 129.000 | -0.000 | 0.000 | 
| -0.004 | -0.003 | -0.025 | 0.000 | 34.649 | 0.000 | 
| -0.001 | -0.001 | -0.008 | -0.000 | -0.000 | 173.404 | 
| 569.520 | 262.018 | 134.676 | -0.000 | 0.000 | -0.000 | 
| 247.366 | 592.837 | 164.934 | -0.000 | 0.000 | -0.000 | 
| 156.448 | 156.447 | 370.234 | -0.000 | 0.000 | -0.000 | 
| 0.004 | 0.003 | 0.025 | 34.649 | -0.000 | -0.000 | 
| 0.004 | 0.003 | 0.025 | -0.000 | 34.649 | -0.000 | 
| 0.001 | 0.001 | 0.008 | 0.000 | 0.000 | 173.404 | 
| 608.474 | 234.661 | 175.168 | -0.000 | -0.000 | 0.000 | 
| 262.005 | 569.527 | 134.652 | 0.000 | -0.000 | 0.000 | 
| 156.445 | 156.445 | 370.217 | 0.000 | -0.000 | 0.000 | 
| -0.000 | -0.000 | -0.002 | 34.649 | -0.000 | 0.000 | 
| -0.000 | -0.000 | -0.002 | 0.000 | 34.649 | 0.000 | 
| 0.001 | 0.001 | 0.005 | 0.000 | -0.000 | 133.794 | 
| 592.834 | 247.366 | 164.926 | -0.000 | -0.000 | -0.000 | 
| 234.661 | 608.473 | 175.168 | -0.000 | 0.000 | -0.000 | 
| 176.108 | 176.108 | 507.535 | -0.000 | 0.000 | -0.000 | 
| 0.000 | 0.000 | 0.002 | 34.649 | 0.000 | -0.000 | 
| 0.000 | 0.000 | 0.002 | -0.000 | 34.649 | -0.000 | 
| -0.001 | -0.001 | -0.005 | -0.000 | 0.000 | 133.794 | 
| 569.532 | 262.007 | 134.655 | 0.000 | -0.000 | 0.000 | 
| 234.663 | 608.479 | 175.169 | 0.000 | -0.000 | 0.000 | 
| 156.448 | 156.448 | 370.227 | 0.000 | -0.000 | 0.000 | 
| 0.000 | -0.000 | 0.000 | 34.649 | -0.000 | 0.000 | 
| -0.000 | 0.000 | 0.000 | -0.000 | 34.649 | 0.000 | 
| 0.000 | 0.002 | 0.000 | 0.000 | 0.000 | 186.906 | 
| 608.467 | 234.660 | 175.167 | -0.000 | -0.000 | -0.000 | 
| 234.659 | 608.468 | 175.167 | -0.000 | -0.000 | -0.000 | 
| 156.443 | 156.443 | 370.208 | -0.000 | 0.000 | -0.000 | 
| -0.000 | 0.000 | -0.000 | 34.649 | 0.000 | -0.000 | 
| 0.000 | -0.000 | -0.000 | -0.000 | 34.649 | -0.000 | 
| -0.000 | -0.002 | -0.000 | -0.000 | -0.000 | 186.906 | 
| 610.992 | 235.769 | 182.854 | 0.000 | -0.000 | 0.000 | 
| 250.078 | 593.601 | 171.325 | 0.000 | 0.000 | 0.000 | 
| 182.854 | 182.854 | 523.944 | -0.000 | -0.000 | 0.000 | 
| -0.495 | -0.495 | -3.704 | 40.928 | 0.000 | -0.000 | 
| -0.495 | -0.495 | -3.704 | -0.000 | 40.928 | -0.000 | 
| 0.000 | 0.000 | 0.000 | 0.000 | 0.000 | 187.612 | 
| 594.315 | 250.166 | 174.328 | 0.000 | 0.000 | -0.000 | 
| 235.769 | 610.992 | 182.854 | -0.000 | 0.000 | -0.000 | 
| 164.871 | 164.872 | 389.463 | -0.000 | 0.000 | -0.000 | 
| 0.495 | 0.495 | 3.704 | 40.928 | -0.000 | 0.000 | 
| 0.495 | 0.495 | 3.704 | 0.000 | 40.928 | 0.000 | 
| -0.000 | -0.000 | -0.000 | -0.000 | 0.000 | 187.611 | 
| 610.993 | 235.769 | 182.854 | 0.000 | -0.000 | 0.000 | 
| 290.935 | 550.857 | 164.272 | 0.000 | -0.000 | 0.000 | 
| 164.494 | 164.494 | 386.643 | -0.000 | 0.000 | 0.000 | 
| -0.050 | -0.050 | -0.370 | 40.897 | 0.000 | -0.000 | 
| -0.050 | -0.050 | -0.370 | -0.000 | 40.897 | -0.000 | 
| 0.000 | 0.000 | 0.000 | 0.000 | 0.000 | 187.612 | 
| 610.992 | 235.769 | 182.854 | -0.000 | 0.000 | -0.000 | 
| 235.769 | 610.992 | 182.854 | -0.000 | 0.000 | -0.000 | 
| 164.563 | 164.563 | 387.154 | 0.000 | 0.000 | -0.000 | 
| 0.050 | 0.050 | 0.370 | 40.897 | -0.000 | 0.000 | 
| 0.050 | 0.050 | 0.370 | 0.000 | 40.897 | 0.000 | 
| -0.000 | -0.000 | -0.000 | -0.000 | -0.000 | 187.611 | 
| 610.998 | 235.770 | 182.855 | 0.000 | -0.000 | 0.000 | 
| 235.771 | 610.997 | 182.855 | -0.000 | 0.000 | 0.000 | 
| 164.525 | 164.525 | 386.866 | -0.000 | 0.000 | 0.000 | 
| -0.005 | -0.005 | -0.037 | 40.897 | 0.000 | -0.000 | 
| -0.005 | -0.005 | -0.037 | 0.000 | 40.897 | -0.000 | 
| -0.001 | -0.000 | -0.013 | 0.000 | -0.000 | 172.512 | 
| 610.986 | 235.768 | 182.853 | 0.000 | -0.000 | -0.000 | 
| 235.767 | 610.987 | 182.853 | 0.000 | 0.000 | -0.000 | 
| 164.530 | 164.530 | 386.915 | 0.000 | -0.000 | -0.000 | 
| 0.005 | 0.005 | 0.037 | 40.897 | -0.000 | 0.000 | 
| 0.005 | 0.005 | 0.037 | -0.000 | 40.897 | 0.000 | 
| 0.001 | 0.000 | 0.013 | -0.000 | -0.000 | 172.512 | 
| 341.031 | 325.249 | 230.841 | -0.000 | -0.000 | 0.000 | 
| 325.249 | 341.031 | 230.841 | -0.000 | 0.000 | 0.000 | 
| 230.841 | 230.841 | 373.822 | 0.000 | 0.000 | 0.000 | 
| 0.000 | -0.000 | -0.000 | 29.978 | -0.000 | 0.000 | 
| -0.000 | 0.000 | -0.000 | -0.000 | 29.978 | 0.000 | 
| 0.000 | 0.000 | 0.000 | -0.000 | 0.000 | 195.673 | 
| 341.031 | 325.249 | 230.841 | 0.000 | 0.000 | 0.000 | 
| 325.249 | 341.031 | 230.841 | 0.000 | -0.000 | -0.000 | 
| 230.841 | 230.841 | 373.822 | -0.000 | -0.000 | -0.000 | 
| -0.000 | 0.000 | 0.000 | 29.978 | 0.000 | 0.000 | 
| 0.000 | -0.000 | 0.000 | 0.000 | 29.978 | -0.000 | 
| -0.000 | -0.000 | -0.000 | 0.000 | 0.000 | 195.673 | 
| 422.409 | 243.872 | 230.842 | -0.000 | 0.000 | -0.000 | 
| 243.872 | 422.409 | 230.842 | -0.000 | 0.000 | -0.000 | 
| 230.842 | 230.842 | 373.822 | 0.000 | 0.000 | 0.000 | 
| 0.000 | -0.000 | -0.000 | 29.978 | 0.000 | 0.000 | 
| -0.000 | 0.000 | -0.000 | 0.000 | 29.978 | 0.000 | 
| 0.000 | 0.000 | -0.000 | -0.000 | -0.000 | 195.673 | 
| 422.409 | 243.872 | 230.841 | 0.000 | 0.000 | -0.000 | 
| 243.872 | 422.409 | 230.841 | 0.000 | 0.000 | -0.000 | 
| 230.841 | 230.841 | 373.822 | 0.000 | -0.000 | -0.000 | 
| -0.000 | 0.000 | 0.000 | 29.978 | -0.000 | -0.000 | 
| 0.000 | -0.000 | 0.000 | -0.000 | 29.978 | -0.000 | 
| -0.000 | -0.000 | 0.000 | 0.000 | 0.000 | 195.673 | 
| 422.410 | 243.873 | 230.843 | 0.000 | 0.000 | -0.000 | 
| 243.873 | 422.410 | 230.843 | -0.000 | 0.000 | 0.000 | 
| 230.843 | 230.843 | 373.824 | 0.000 | 0.000 | 0.000 | 
| 0.001 | -0.001 | -0.001 | 29.978 | 0.000 | 0.000 | 
| -0.001 | 0.001 | -0.001 | 0.000 | 29.978 | 0.000 | 
| 0.001 | 0.001 | -0.000 | -0.000 | -0.000 | 195.673 | 
| 341.031 | 325.248 | 230.841 | 0.000 | 0.000 | -0.000 | 
| 325.248 | 341.031 | 230.841 | 0.000 | -0.000 | -0.000 | 
| 230.840 | 230.840 | 373.820 | -0.000 | -0.000 | -0.000 | 
| -0.001 | 0.001 | 0.001 | 29.978 | -0.000 | -0.000 | 
| 0.001 | -0.001 | 0.001 | -0.000 | 29.978 | -0.000 | 
| -0.001 | -0.001 | 0.000 | 0.000 | -0.000 | 195.673 | 
| 557.843 | 283.594 | 167.091 | 0.000 | -0.000 | -0.000 | 
| 234.998 | 609.259 | 177.111 | 0.000 | -0.000 | 0.000 | 
| 158.515 | 158.515 | 374.558 | -0.000 | -0.000 | -0.000 | 
| -0.007 | -0.007 | -0.052 | 36.252 | -0.000 | -0.000 | 
| 0.000 | 0.000 | 0.000 | -0.000 | 130.379 | 0.000 | 
| -0.002 | -0.003 | -0.018 | 0.000 | -0.000 | 173.242 | 
| 609.259 | 234.998 | 177.111 | -0.000 | 0.000 | -0.000 | 
| 234.998 | 609.259 | 177.111 | -0.000 | 0.000 | -0.000 | 
| 177.827 | 177.827 | 511.831 | -0.000 | 0.000 | 0.000 | 
| 0.007 | 0.007 | 0.052 | 36.252 | 0.000 | 0.000 | 
| -0.000 | -0.000 | -0.000 | 0.000 | 130.379 | 0.000 | 
| 0.002 | 0.003 | 0.018 | -0.000 | 0.000 | 173.242 | 
| 593.291 | 248.102 | 166.932 | -0.000 | -0.000 | -0.000 | 
| 248.102 | 593.291 | 166.932 | -0.000 | -0.000 | -0.000 | 
| 177.828 | 177.828 | 511.831 | 0.000 | -0.000 | -0.000 | 
| 0.000 | 0.000 | 0.000 | 130.379 | -0.000 | -0.000 | 
| 0.000 | 0.000 | 0.000 | 0.000 | 130.379 | 0.000 | 
| 0.000 | 0.000 | 0.000 | 0.000 | -0.000 | 187.131 | 
| 593.291 | 248.102 | 166.936 | 0.000 | 0.000 | 0.000 | 
| 263.574 | 569.431 | 137.128 | 0.000 | 0.000 | 0.000 | 
| 158.521 | 158.521 | 374.596 | -0.000 | 0.000 | 0.000 | 
| -0.000 | -0.000 | -0.000 | 130.379 | 0.000 | -0.000 | 
| -0.000 | -0.000 | -0.000 | -0.000 | 130.379 | -0.000 | 
| -0.000 | -0.000 | -0.000 | -0.000 | 0.000 | 187.131 | 
| 569.436 | 263.575 | 137.120 | 0.000 | -0.000 | -0.000 | 
| 235.000 | 609.264 | 177.112 | 0.000 | -0.000 | -0.000 | 
| 158.523 | 158.523 | 374.602 | -0.000 | -0.000 | -0.000 | 
| 0.000 | -0.000 | 0.000 | 36.252 | -0.000 | -0.000 | 
| -0.000 | 0.000 | 0.000 | 0.000 | 36.252 | -0.000 | 
| 0.000 | 0.002 | 0.000 | -0.000 | -0.000 | 187.131 | 
| 609.253 | 234.997 | 177.111 | 0.000 | 0.000 | -0.000 | 
| 234.996 | 609.254 | 177.111 | -0.000 | 0.000 | 0.000 | 
| 158.518 | 158.518 | 374.585 | -0.000 | 0.000 | 0.000 | 
| -0.000 | 0.000 | -0.000 | 36.252 | 0.000 | 0.000 | 
| 0.000 | -0.000 | -0.000 | -0.000 | 36.252 | 0.000 | 
| -0.000 | -0.002 | -0.000 | -0.000 | 0.000 | 187.131 | 
| 314.878 | 181.882 | 106.318 | 0.000 | 0.000 | -0.000 | 
| 181.882 | 316.095 | 106.358 | 0.000 | -0.000 | -0.000 | 
| 106.318 | 106.358 | 392.429 | 0.000 | 0.000 | 0.000 | 
| -0.000 | -0.000 | 0.000 | 66.926 | -0.000 | 0.000 | 
| 666.126 | 739.875 | 266.902 | 0.000 | 42.970 | -0.000 | 
| 666.124 | 739.873 | 266.901 | 0.000 | 0.000 | 107.430 | 
| 314.877 | 181.882 | 106.318 | -0.000 | -0.000 | -0.000 | 
| -502.094 | -490.110 | -167.548 | -0.000 | -0.000 | 0.000 | 
| 106.318 | 106.357 | 392.429 | -0.000 | 0.000 | 0.000 | 
| -0.000 | -0.000 | -0.000 | 66.926 | 0.000 | -0.000 | 
| -666.126 | -739.875 | -266.902 | -0.000 | 42.970 | -0.000 | 
| -666.124 | -739.873 | -266.901 | -0.000 | -0.000 | 107.430 | 
| 377.804 | 311.212 | 186.283 | 0.000 | 0.000 | -0.000 | 
| 181.882 | 316.095 | 106.358 | 0.000 | 0.000 | -0.000 | 
| 106.318 | 106.358 | 392.429 | 0.000 | 0.000 | 0.000 | 
| 137.957 | 163.836 | 99.021 | 46.381 | 0.000 | -0.000 | 
| 66.446 | 73.803 | 26.623 | 0.000 | 43.029 | -0.000 | 
| 66.431 | 73.786 | 26.618 | 0.000 | 0.000 | 107.525 | 
| 182.304 | 90.461 | 73.043 | -0.000 | -0.000 | 0.000 | 
| 9.224 | 75.720 | -12.277 | -0.000 | 0.000 | -0.000 | 
| 32.316 | 24.643 | 288.387 | -0.000 | -0.000 | 0.000 | 
| -137.957 | -163.836 | -99.021 | 46.381 | -0.000 | -0.000 | 
| -66.446 | -73.803 | -26.623 | -0.000 | 43.029 | 0.000 | 
| -66.431 | -73.786 | -26.618 | -0.000 | -0.000 | 107.525 | 
| 268.795 | 174.495 | 103.421 | 0.000 | -0.000 | -0.000 | 
| 174.068 | 271.434 | 103.341 | 0.000 | 0.000 | -0.000 | 
| 106.577 | 107.020 | 334.559 | 0.000 | 0.000 | 0.000 | 
| 5.658 | 6.284 | 2.267 | 46.660 | 0.000 | 0.000 | 
| 0.000 | 0.000 | 0.000 | 0.000 | 66.885 | 0.000 | 
| 5.686 | 6.315 | 2.278 | 0.000 | 0.000 | 112.560 | 
| 314.875 | 181.881 | 106.317 | -0.000 | -0.000 | 0.000 | 
| 181.881 | 316.092 | 106.357 | -0.000 | -0.000 | -0.000 | 
| 94.403 | 93.558 | 320.424 | -0.000 | -0.000 | -0.000 | 
| -5.658 | -6.284 | -2.267 | 46.660 | -0.000 | 0.000 | 
| -0.000 | -0.000 | -0.000 | -0.000 | 66.885 | -0.000 | 
| -5.686 | -6.315 | -2.278 | -0.000 | -0.000 | 112.560 | 
| 1575.409 | -3703.362 | 2715.665 | 0.000 | 0.000 | -0.000 | 
| 1499.187 | -3625.683 | 2715.423 | -0.000 | -0.000 | -0.000 | 
| 1442.125 | -3764.148 | 2912.355 | -0.000 | 0.000 | -0.000 | 
| 1345.801 | -3858.828 | 2620.709 | 39.061 | -0.000 | 0.000 | 
| 0.000 | 0.000 | -0.000 | 0.000 | 64.017 | -0.000 | 
| 4491.866 | -5174.091 | 4902.481 | -0.000 | -0.000 | 85.389 | 
| -1116.244 | 4014.265 | -2525.747 | 0.000 | 0.000 | 0.000 | 
| -4339.091 | 5404.013 | -4799.925 | 0.000 | 0.000 | -0.000 | 
| -5162.816 | 5407.664 | -3277.540 | -0.000 | 0.000 | 0.000 | 
| -1345.801 | 3858.828 | -2620.709 | 39.061 | 0.000 | 0.000 | 
| -0.000 | -0.000 | -0.000 | -0.000 | 64.017 | -0.000 | 
| -4491.866 | 5174.091 | -4902.481 | 0.000 | 0.000 | 85.389 | 
| 364.418 | -230.208 | 356.954 | -0.000 | -0.000 | 0.000 | 
| 288.050 | -152.502 | 356.826 | 0.000 | -0.000 | 0.000 | 
| 230.837 | -291.050 | 553.429 | 0.000 | -0.000 | 0.000 | 
| 0.000 | 0.000 | 0.000 | 64.021 | -0.000 | -0.000 | 
| 406.551 | -343.639 | 241.576 | -0.000 | 46.867 | -0.000 | 
| 449.241 | -517.220 | 490.053 | -0.000 | -0.000 | 85.413 | 
| -172.491 | 485.245 | -157.584 | 0.000 | -0.000 | 0.000 | 
| 18.745 | 618.628 | -167.326 | -0.000 | 0.000 | -0.000 | 
| -38.178 | 480.402 | 29.996 | -0.000 | 0.000 | -0.000 | 
| -0.000 | -0.000 | -0.000 | 64.021 | 0.000 | -0.000 | 
| -406.551 | 343.639 | -241.576 | 0.000 | 46.867 | -0.000 | 
| -449.241 | 517.220 | -490.053 | 0.000 | 0.000 | 85.413 | 
| 247.502 | 119.320 | 120.715 | -0.000 | -0.000 | 0.000 | 
| 181.698 | 198.531 | 109.604 | 0.000 | -0.000 | -0.000 | 
| 150.168 | 51.843 | 325.370 | -0.000 | 0.000 | -0.000 | 
| 39.824 | -34.931 | 24.513 | 46.410 | 0.000 | -0.000 | 
| 13.207 | -37.868 | 25.718 | 0.000 | 39.222 | -0.000 | 
| 45.279 | -50.293 | 47.544 | -0.000 | -0.000 | 87.175 | 
| 216.503 | 192.541 | 69.736 | 0.000 | -0.000 | 0.000 | 
| 102.551 | 272.177 | 59.732 | -0.000 | -0.000 | -0.000 | 
| 83.619 | 132.249 | 271.643 | 0.000 | 0.000 | 0.000 | 
| -39.824 | 34.931 | -24.513 | 46.410 | -0.000 | -0.000 | 
| -13.207 | 37.868 | -25.718 | 0.000 | 39.222 | -0.000 | 
| -45.279 | 50.293 | -47.544 | 0.000 | 0.000 | 87.175 | 
| 471.642 | 189.499 | 176.186 | -5.276 | -0.000 | -0.000 | 
| 2339.937 | 2593.669 | -578.026 | 5.159 | -0.000 | 0.000 | 
| 2362.345 | 2362.345 | -235.622 | 0.000 | 0.000 | 0.000 | 
| 2173.276 | 2183.597 | -788.548 | 53.793 | 0.000 | -0.000 | 
| 2095.910 | 2095.910 | 246.201 | 0.000 | 75.158 | -4.439 | 
| -0.000 | 0.000 | 0.000 | 0.000 | -5.276 | 141.071 | 
| -1763.660 | -2017.778 | 999.045 | -5.161 | -0.000 | 0.000 | 
| 189.499 | 471.642 | 176.186 | 5.276 | 0.000 | 0.000 | 
| 177.086 | 177.086 | 592.713 | -0.000 | -0.000 | -0.000 | 
| -5.276 | 5.276 | -0.000 | 128.483 | -0.000 | 0.000 | 
| -2095.910 | -2095.910 | -246.201 | -0.000 | 75.157 | -4.439 | 
| 0.000 | 0.000 | -0.000 | -0.000 | -5.276 | 141.071 | 
| 471.642 | 189.499 | 176.186 | -5.276 | 0.000 | -0.000 | 
| 377.468 | 629.230 | 134.024 | 5.151 | -0.000 | 0.000 | 
| 399.400 | 399.400 | 479.544 | 0.000 | -0.000 | -0.000 | 
| -5.276 | 5.276 | 0.000 | 128.483 | 0.000 | 0.000 | 
| 213.084 | 213.084 | -77.132 | -0.000 | 55.425 | -5.163 | 
| 218.834 | 218.834 | -79.213 | -0.000 | -5.160 | 126.903 | 
| 471.641 | 189.499 | 176.186 | -5.276 | -0.000 | -0.000 | 
| -56.333 | 199.257 | 287.790 | 5.167 | -0.000 | -0.000 | 
| -28.860 | -28.860 | 623.467 | -0.000 | -0.000 | -0.000 | 
| -218.247 | -207.921 | 77.132 | 55.425 | 0.000 | 0.000 | 
| -213.084 | -213.084 | 77.132 | 0.000 | 55.425 | -5.163 | 
| -218.834 | -218.834 | 79.213 | 0.000 | -5.160 | 126.903 | 
| 428.391 | 170.777 | 203.860 | -5.175 | -0.000 | -0.000 | 
| 170.781 | 428.398 | 203.854 | 5.175 | -0.000 | -0.000 | 
| 218.112 | 218.112 | 563.929 | 0.000 | 0.000 | -0.000 | 
| 16.276 | 24.877 | 4.552 | 80.067 | 0.000 | -0.000 | 
| 20.577 | 20.577 | 4.552 | -0.000 | 80.067 | -4.301 | 
| 29.068 | 29.068 | -10.522 | -0.000 | -5.121 | 122.251 | 
| 354.344 | 134.420 | 185.600 | -4.179 | -0.000 | 0.000 | 
| 189.498 | 471.639 | 176.185 | 5.276 | -0.000 | 0.000 | 
| 190.738 | 190.738 | 558.910 | -0.000 | -0.000 | -0.000 | 
| -33.092 | -24.332 | -1.181 | 80.675 | -0.000 | 0.000 | 
| -20.577 | -20.577 | -4.552 | 0.000 | 80.067 | -4.301 | 
| -29.068 | -29.068 | 10.522 | 0.000 | -5.121 | 122.251 | 
| 474.993 | 191.284 | 175.741 | -5.085 | -0.000 | -0.000 | 
| 191.284 | 474.993 | 175.741 | 5.085 | -0.000 | 0.000 | 
| 177.148 | 177.148 | 584.482 | 0.000 | -0.000 | -0.000 | 
| 1512.794 | 1522.838 | -1665.216 | 72.359 | -0.000 | -0.000 | 
| -0.000 | -0.000 | 0.000 | 0.000 | 128.015 | -5.085 | 
| -0.000 | 0.000 | 0.000 | 0.000 | -5.085 | 141.854 | 
| 474.993 | 191.284 | 175.741 | -5.085 | -0.000 | 0.000 | 
| -1348.840 | -1086.440 | 1860.603 | 5.022 | 0.000 | 0.000 | 
| 177.148 | 177.148 | 584.483 | 0.000 | 0.000 | 0.000 | 
| -5.085 | 5.085 | 0.000 | 128.015 | 0.000 | 0.000 | 
| 0.000 | -0.000 | -0.000 | -0.000 | 128.015 | -5.085 | 
| 0.000 | -0.000 | 0.000 | 0.000 | -5.085 | 141.854 | 
| 584.198 | 324.287 | 24.429 | -5.015 | -0.000 | -0.000 | 
| 324.287 | 584.198 | 24.429 | 5.015 | -0.000 | -0.000 | 
| 344.964 | 344.964 | 395.423 | 0.000 | -0.000 | -0.000 | 
| 177.515 | 186.258 | -151.883 | 93.814 | -0.000 | 0.000 | 
| 0.000 | 0.000 | 0.000 | -0.000 | 128.015 | -5.085 | 
| 148.140 | 148.140 | -146.663 | -0.000 | -4.369 | 115.322 | 
| 474.992 | 191.284 | 175.741 | -5.085 | 0.000 | 0.000 | 
| 191.284 | 474.992 | 175.741 | 5.085 | 0.000 | 0.000 | 
| 46.844 | 46.844 | 698.966 | -0.000 | 0.000 | 0.000 | 
| -155.611 | -145.567 | 165.213 | 72.796 | 0.000 | -0.000 | 
| -0.000 | -0.000 | -0.000 | 0.000 | 128.015 | -5.085 | 
| -148.140 | -148.140 | 146.663 | 0.000 | -4.369 | 115.322 | 
| 474.995 | 191.285 | 175.742 | -5.085 | -0.000 | -0.000 | 
| 191.285 | 474.995 | 175.742 | 5.085 | -0.000 | -0.000 | 
| 211.738 | 211.738 | 542.453 | 0.000 | -0.000 | -0.000 | 
| -5.085 | 5.085 | 0.001 | 128.015 | -0.000 | -0.000 | 
| 0.000 | 0.000 | 0.001 | -0.000 | 128.015 | -5.085 | 
| 0.000 | 0.001 | 0.000 | 0.000 | -5.085 | 141.854 | 
| 347.117 | 141.081 | 204.799 | -4.464 | -0.000 | 0.000 | 
| 144.288 | 354.102 | 207.648 | 4.013 | 0.000 | 0.000 | 
| 189.268 | 189.268 | 566.845 | -0.000 | 0.000 | 0.000 | 
| -5.085 | 5.084 | -0.001 | 128.015 | 0.000 | 0.000 | 
| -0.000 | -0.000 | -0.001 | 0.000 | 128.015 | -5.085 | 
| -0.000 | -0.001 | -0.000 | -0.000 | -5.085 | 141.854 | 
| 392.155 | 134.623 | 350.569 | -5.343 | 0.000 | -0.000 | 
| 188.736 | 470.478 | 179.377 | 5.601 | 0.000 | -0.000 | 
| 179.376 | 179.376 | 614.665 | 0.000 | 0.000 | -0.000 | 
| -5.601 | 5.601 | 0.000 | 130.477 | 0.000 | -0.000 | 
| -0.000 | -0.000 | 0.000 | 0.000 | 130.477 | -5.601 | 
| -0.000 | -0.000 | 0.000 | 0.000 | -5.601 | 140.871 | 
| 470.478 | 188.736 | 179.377 | -5.601 | -0.000 | 0.000 | 
| 75.749 | 320.166 | 139.195 | 4.675 | 0.000 | 0.000 | 
| 179.376 | 179.376 | 614.665 | -0.000 | -0.000 | 0.000 | 
| -5.601 | 5.601 | -0.000 | 130.477 | -0.000 | 0.000 | 
| 0.000 | 0.000 | -0.000 | -0.000 | 130.477 | -5.601 | 
| 0.000 | 0.000 | -0.000 | -0.000 | -5.601 | 140.871 | 
| 470.478 | 188.736 | 179.377 | -5.601 | -0.000 | -0.000 | 
| 155.659 | 417.382 | 218.291 | 5.388 | 0.000 | -0.000 | 
| 179.376 | 179.376 | 614.666 | 0.000 | 0.000 | -0.000 | 
| -5.601 | 5.601 | 0.000 | 130.477 | 0.000 | -0.000 | 
| 0.000 | 0.000 | 0.000 | -0.000 | 130.477 | -5.601 | 
| 0.000 | 0.000 | 0.000 | 0.000 | -5.601 | 140.871 | 
| 392.778 | 157.907 | 177.514 | -4.289 | -0.000 | 0.000 | 
| 145.990 | 399.661 | 201.959 | 5.302 | -0.000 | 0.000 | 
| 179.376 | 179.376 | 614.664 | -0.000 | -0.000 | 0.000 | 
| -4.023 | 6.733 | -11.920 | 73.907 | -0.000 | 0.000 | 
| -0.000 | -0.000 | -0.000 | 0.000 | 130.477 | -5.601 | 
| -0.000 | -0.000 | -0.000 | -0.000 | -5.601 | 140.871 | 
| 371.902 | 157.834 | 190.254 | -3.840 | 0.000 | -0.000 | 
| 156.209 | 417.545 | 208.582 | 5.384 | -0.000 | -0.000 | 
| 199.264 | 199.264 | 587.859 | 0.000 | 0.000 | -0.000 | 
| -5.600 | 5.601 | 0.001 | 130.477 | 0.000 | -0.000 | 
| 0.000 | 0.000 | 0.001 | -0.000 | 130.477 | -5.601 | 
| 0.000 | 0.001 | 0.000 | 0.000 | -5.601 | 140.871 | 
| 413.681 | 153.945 | 208.360 | -5.367 | -0.000 | 0.000 | 
| 188.735 | 470.475 | 179.376 | 5.601 | -0.000 | 0.000 | 
| 199.152 | 199.152 | 586.610 | -0.000 | -0.000 | 0.000 | 
| -5.601 | 5.600 | -0.001 | 130.477 | -0.000 | 0.000 | 
| -0.000 | -0.000 | -0.001 | 0.000 | 130.477 | -5.601 | 
| -0.000 | -0.001 | -0.000 | -0.000 | -5.601 | 140.871 | 
| 929.444 | 19.404 | 19.404 | 0.000 | -0.000 | -0.000 | 
| 19.404 | 929.444 | 19.404 | 0.000 | -0.000 | -0.000 | 
| 19.404 | 19.404 | 929.444 | -0.000 | -0.000 | -0.000 | 
| 0.000 | -0.000 | -0.000 | -33.315 | 0.000 | 0.000 | 
| 0.000 | -0.000 | -0.000 | 0.000 | -33.315 | -0.000 | 
| 0.000 | -0.000 | 0.000 | 0.000 | -0.000 | -33.315 | 
| 929.444 | 19.404 | 19.404 | -0.000 | 0.000 | -0.000 | 
| 19.404 | 929.444 | 19.404 | -0.000 | 0.000 | -0.000 | 
| 19.404 | 19.404 | 929.444 | -0.000 | 0.000 | -0.000 | 
| -0.000 | 0.000 | 0.000 | -33.315 | -0.000 | 0.000 | 
| -0.000 | 0.000 | 0.000 | -0.000 | -33.315 | 0.000 | 
| -0.000 | 0.000 | -0.000 | -0.000 | 0.000 | -33.315 | 
| 929.445 | 19.404 | 19.404 | 0.000 | 0.000 | 0.000 | 
| 19.404 | 929.445 | 19.404 | 0.000 | -0.000 | 0.000 | 
| 19.404 | 19.404 | 929.445 | 0.000 | 0.000 | 0.000 | 
| 0.000 | 0.000 | -0.000 | -33.315 | -0.000 | -0.000 | 
| 0.000 | 0.000 | -0.000 | 0.000 | -33.315 | -0.000 | 
| 0.000 | -0.000 | 0.000 | 0.000 | -0.000 | -33.315 | 
| 929.443 | 19.404 | 19.404 | -0.000 | 0.000 | 0.000 | 
| 19.404 | 929.443 | 19.404 | -0.000 | 0.000 | 0.000 | 
| 19.404 | 19.404 | 929.443 | 0.000 | 0.000 | -0.000 | 
| -0.000 | -0.000 | 0.000 | -33.315 | 0.000 | 0.000 | 
| -0.000 | -0.000 | 0.000 | -0.000 | -33.315 | 0.000 | 
| -0.000 | 0.000 | -0.000 | -0.000 | 0.000 | -33.315 | 
| 929.450 | 19.404 | 19.404 | 0.000 | -0.000 | -0.000 | 
| 19.404 | 929.450 | 19.404 | 0.000 | 0.000 | -0.000 | 
| 19.404 | 19.404 | 929.450 | 0.000 | -0.000 | -0.000 | 
| 0.000 | 0.000 | -0.001 | -33.315 | -0.000 | -0.000 | 
| 0.000 | 0.000 | -0.001 | 0.000 | -33.315 | -0.000 | 
| 0.000 | -0.001 | 0.000 | 0.000 | -0.000 | -33.315 | 
| 929.438 | 19.404 | 19.404 | -0.000 | -0.000 | 0.000 | 
| 19.404 | 929.438 | 19.404 | -0.000 | 0.000 | 0.000 | 
| 19.404 | 19.404 | 929.438 | -0.000 | 0.000 | 0.000 | 
| -0.000 | -0.000 | 0.001 | -33.315 | 0.000 | 0.000 | 
| -0.000 | -0.000 | 0.001 | -0.000 | -33.315 | 0.000 | 
| -0.000 | 0.001 | -0.000 | -0.000 | 0.000 | -33.315 | 
| 397.015 | 349.022 | 349.022 | 0.000 | 0.000 | 0.000 | 
| 349.022 | 397.015 | 349.022 | 0.000 | 0.000 | 0.000 | 
| 349.022 | 349.022 | 397.015 | 0.000 | 0.000 | 0.000 | 
| 0.000 | 0.000 | 0.000 | 293.368 | 0.000 | 0.000 | 
| 0.000 | 0.000 | 0.000 | 0.000 | 293.368 | 0.000 | 
| 0.000 | 0.000 | 0.000 | 0.000 | 0.000 | 293.368 | 
| 397.015 | 349.022 | 349.022 | -0.000 | -0.000 | -0.000 | 
| 349.022 | 397.015 | 349.022 | -0.000 | -0.000 | -0.000 | 
| 349.022 | 349.022 | 397.015 | -0.000 | -0.000 | -0.000 | 
| -0.000 | -0.000 | -0.000 | 293.368 | -0.000 | -0.000 | 
| -0.000 | -0.000 | -0.000 | -0.000 | 293.368 | -0.000 | 
| -0.000 | -0.000 | -0.000 | -0.000 | -0.000 | 293.368 | 
| 397.015 | 349.022 | 349.022 | 0.000 | 0.000 | 0.000 | 
| 349.022 | 397.015 | 349.022 | 0.000 | 0.000 | -0.000 | 
| 349.022 | 349.022 | 397.015 | 0.000 | 0.000 | 0.000 | 
| 0.000 | 0.000 | 0.000 | 293.368 | 0.000 | 0.000 | 
| 0.000 | 0.000 | 0.000 | -0.000 | 293.368 | 0.000 | 
| 0.000 | 0.000 | 0.000 | 0.000 | 0.000 | 293.368 | 
| 397.015 | 349.021 | 349.021 | -0.000 | -0.000 | -0.000 | 
| 349.021 | 397.015 | 349.021 | -0.000 | -0.000 | -0.000 | 
| 349.021 | 349.021 | 397.015 | -0.000 | -0.000 | -0.000 | 
| -0.000 | -0.000 | -0.000 | 293.368 | -0.000 | -0.000 | 
| -0.000 | -0.000 | -0.000 | -0.000 | 293.368 | -0.000 | 
| -0.000 | -0.000 | -0.000 | -0.000 | -0.000 | 293.368 | 
| 397.016 | 349.023 | 349.023 | 0.000 | 0.000 | 0.000 | 
| 349.023 | 397.016 | 349.023 | 0.000 | 0.000 | 0.000 | 
| 349.023 | 349.023 | 397.016 | 0.000 | 0.000 | 0.000 | 
| 0.001 | 0.001 | 0.001 | 293.368 | 0.000 | 0.000 | 
| 0.001 | 0.001 | 0.001 | 0.000 | 293.368 | -0.000 | 
| 0.001 | 0.001 | 0.001 | 0.000 | 0.000 | 293.368 | 
| 397.014 | 349.020 | 349.020 | -0.000 | 0.000 | -0.000 | 
| 349.020 | 397.014 | 349.020 | -0.000 | -0.000 | -0.000 | 
| 349.020 | 349.020 | 397.014 | -0.000 | 0.000 | -0.000 | 
| -0.001 | -0.001 | -0.001 | 293.368 | -0.000 | -0.000 | 
| -0.001 | -0.001 | -0.001 | -0.000 | 293.368 | -0.000 | 
| -0.001 | -0.001 | -0.001 | -0.000 | -0.000 | 293.368 | 
| 80.289 | 131.958 | 131.958 | 0.000 | -0.000 | -0.000 | 
| 131.958 | 80.289 | 131.958 | -0.000 | 0.000 | -0.000 | 
| 131.958 | 131.958 | 80.289 | -0.000 | -0.000 | -0.000 | 
| -0.000 | 0.000 | -0.000 | -57.963 | 0.000 | -0.000 | 
| -0.000 | -0.000 | -0.000 | -0.000 | -57.963 | -0.000 | 
| -0.000 | -0.000 | -0.000 | -0.000 | -0.000 | -57.963 | 
| 80.289 | 131.958 | 131.958 | -0.000 | 0.000 | 0.000 | 
| 131.958 | 80.289 | 131.958 | 0.000 | -0.000 | 0.000 | 
| 131.958 | 131.958 | 80.289 | 0.000 | -0.000 | -0.000 | 
| 0.000 | 0.000 | 0.000 | -57.963 | -0.000 | 0.000 | 
| 0.000 | 0.000 | 0.000 | 0.000 | -57.963 | 0.000 | 
| 0.000 | 0.000 | 0.000 | 0.000 | -0.000 | -57.963 | 
| 80.289 | 131.958 | 131.958 | -0.000 | -0.000 | -0.000 | 
| 131.958 | 80.289 | 131.958 | -0.000 | -0.000 | -0.000 | 
| 131.958 | 131.958 | 80.289 | -0.000 | -0.000 | -0.000 | 
| -0.000 | -0.000 | -0.000 | -57.963 | 0.000 | -0.000 | 
| -0.000 | -0.000 | -0.000 | 0.000 | -57.963 | -0.000 | 
| -0.000 | -0.000 | -0.000 | -0.000 | 0.000 | -57.963 | 
| 80.289 | 131.958 | 131.958 | 0.000 | -0.000 | 0.000 | 
| 131.958 | 80.289 | 131.958 | 0.000 | 0.000 | 0.000 | 
| 131.958 | 131.958 | 80.289 | 0.000 | -0.000 | 0.000 | 
| 0.000 | 0.000 | 0.000 | -57.963 | -0.000 | 0.000 | 
| 0.000 | 0.000 | 0.000 | 0.000 | -57.963 | 0.000 | 
| 0.000 | 0.000 | 0.000 | 0.000 | -0.000 | -57.963 | 
| 80.289 | 131.958 | 131.958 | -0.000 | -0.000 | -0.000 | 
| 131.958 | 80.289 | 131.958 | -0.000 | 0.000 | -0.000 | 
| 131.958 | 131.958 | 80.289 | -0.000 | -0.000 | -0.000 | 
| -0.000 | -0.000 | -0.000 | -57.963 | 0.000 | -0.000 | 
| -0.000 | -0.000 | -0.000 | -0.000 | -57.963 | -0.000 | 
| -0.000 | -0.000 | -0.000 | 0.000 | 0.000 | -57.963 | 
| 80.289 | 131.957 | 131.957 | -0.000 | 0.000 | 0.000 | 
| 131.957 | 80.289 | 131.957 | 0.000 | -0.000 | 0.000 | 
| 131.957 | 131.957 | 80.289 | 0.000 | 0.000 | -0.000 | 
| 0.000 | 0.000 | 0.000 | -57.963 | 0.000 | 0.000 | 
| 0.000 | 0.000 | 0.000 | 0.000 | -57.963 | 0.000 | 
| 0.000 | 0.000 | 0.000 | 0.000 | -0.000 | -57.963 | 
| 425.478 | 175.836 | 356.890 | -0.000 | -0.000 | -0.000 | 
| 175.836 | 425.478 | 356.890 | 0.000 | -0.000 | -0.000 | 
| 356.890 | 356.890 | 614.271 | 0.000 | 0.000 | -0.000 | 
| 0.000 | 0.000 | 0.000 | 300.603 | -0.000 | -0.000 | 
| 0.000 | 0.000 | 0.000 | -0.000 | 300.603 | -0.000 | 
| 0.000 | 0.000 | 0.000 | 0.000 | -0.000 | 124.150 | 
| 425.478 | 175.836 | 356.890 | -0.000 | -0.000 | 0.000 | 
| 175.836 | 425.478 | 356.890 | 0.000 | 0.000 | 0.000 | 
| 356.890 | 356.890 | 614.271 | 0.000 | 0.000 | 0.000 | 
| -0.000 | -0.000 | -0.000 | 300.603 | 0.000 | 0.000 | 
| -0.000 | -0.000 | -0.000 | -0.000 | 300.603 | 0.000 | 
| -0.000 | -0.000 | -0.000 | -0.000 | 0.000 | 124.150 | 
| 425.479 | 175.836 | 356.890 | 0.000 | 0.000 | -0.000 | 
| 175.836 | 425.479 | 356.890 | 0.000 | 0.000 | -0.000 | 
| 356.890 | 356.890 | 614.271 | -0.000 | 0.000 | -0.000 | 
| 0.000 | 0.000 | 0.000 | 300.603 | -0.000 | -0.000 | 
| 0.000 | 0.000 | 0.000 | -0.000 | 300.603 | -0.000 | 
| 0.000 | 0.000 | 0.000 | -0.000 | -0.000 | 124.150 | 
| 425.478 | 175.836 | 356.890 | -0.000 | -0.000 | 0.000 | 
| 175.836 | 425.478 | 356.890 | -0.000 | 0.000 | 0.000 | 
| 356.890 | 356.890 | 614.271 | -0.000 | 0.000 | 0.000 | 
| -0.000 | -0.000 | -0.000 | 300.603 | -0.000 | 0.000 | 
| -0.000 | -0.000 | -0.000 | 0.000 | 300.603 | 0.000 | 
| -0.000 | -0.000 | -0.000 | -0.000 | 0.000 | 124.150 | 
| 425.482 | 175.837 | 356.891 | -0.000 | -0.000 | -0.000 | 
| 175.837 | 425.482 | 356.891 | 0.000 | -0.000 | 0.000 | 
| 356.892 | 356.892 | 614.273 | -0.000 | -0.000 | -0.000 | 
| 0.001 | 0.000 | 0.002 | 300.603 | -0.000 | -0.000 | 
| 0.000 | 0.001 | 0.002 | -0.000 | 300.603 | -0.000 | 
| 0.000 | 0.000 | 0.001 | -0.000 | 0.000 | 124.150 | 
| 425.475 | 175.835 | 356.889 | 0.000 | -0.000 | 0.000 | 
| 175.835 | 425.475 | 356.889 | -0.000 | 0.000 | 0.000 | 
| 356.887 | 356.887 | 614.268 | -0.000 | -0.000 | 0.000 | 
| -0.001 | -0.000 | -0.002 | 300.603 | 0.000 | 0.000 | 
| -0.000 | -0.001 | -0.002 | -0.000 | 300.603 | -0.000 | 
| -0.000 | -0.000 | -0.001 | -0.000 | -0.000 | 124.150 | 
| 654.435 | 291.413 | 73.542 | -0.000 | 0.000 | -0.000 | 
| -758.051 | -910.374 | 298.178 | -0.000 | -0.000 | -0.000 | 
| 77.957 | 285.856 | 625.783 | -0.000 | 0.000 | -0.000 | 
| -1091.125 | -1210.347 | 42.049 | 135.777 | -0.000 | -0.000 | 
| -1060.208 | -1176.051 | 40.857 | -0.000 | -62.874 | -0.000 | 
| -4862.786 | -4040.790 | 1582.919 | -0.000 | 0.000 | 244.109 | 
| 654.435 | 291.413 | 73.542 | 0.000 | -0.000 | 0.000 | 
| 1471.814 | 1556.169 | 205.061 | 0.000 | 0.000 | 0.000 | 
| 5076.290 | 4429.287 | -1011.564 | 0.000 | -0.000 | 0.000 | 
| 1091.125 | 1210.347 | -42.049 | 135.777 | 0.000 | 0.000 | 
| 1060.208 | 1176.051 | -40.857 | 0.000 | -62.873 | 0.000 | 
| 4862.786 | 4040.790 | -1582.919 | 0.000 | -0.000 | 244.109 | 
| -231.843 | -439.867 | 367.386 | -0.000 | 0.000 | -0.000 | 
| -519.011 | -396.538 | 545.397 | -0.000 | 0.000 | -0.000 | 
| -272.786 | -15.594 | 729.649 | -0.000 | 0.000 | -0.000 | 
| -476.210 | -395.998 | 154.719 | 195.674 | -0.000 | -0.000 | 
| -486.299 | -404.095 | 158.300 | 0.000 | 6.624 | -0.000 | 
| -486.279 | -404.079 | 158.292 | -0.000 | 0.000 | 244.109 | 
| 740.731 | 368.304 | 50.796 | 0.000 | -0.000 | 0.000 | 
| 315.197 | 291.673 | 268.709 | 0.000 | 0.000 | 0.000 | 
| 700.018 | 792.783 | 412.999 | 0.000 | -0.000 | 0.000 | 
| 476.210 | 395.998 | -154.719 | 195.674 | 0.000 | 0.000 | 
| 486.299 | 404.095 | -158.300 | -0.000 | 6.624 | 0.000 | 
| 486.279 | 404.079 | -158.292 | 0.000 | -0.000 | 244.109 | 
| 205.872 | -76.139 | 224.910 | -0.000 | 0.000 | -0.000 | 
| -81.336 | -32.866 | 402.905 | -0.000 | 0.000 | -0.000 | 
| 77.957 | 285.859 | 625.789 | -0.000 | 0.000 | -0.000 | 
| -8.862 | -6.324 | 3.959 | 197.334 | 0.000 | -0.000 | 
| -48.629 | -40.409 | 15.829 | 0.000 | 6.624 | -0.000 | 
| 0.002 | 0.001 | -0.000 | -0.000 | 0.000 | 244.110 | 
| 302.935 | 4.507 | 193.296 | 0.000 | -0.000 | -0.000 | 
| 15.827 | 47.892 | 371.299 | 0.000 | -0.000 | 0.000 | 
| 262.132 | 428.895 | 555.515 | 0.000 | -0.000 | 0.000 | 
| 8.862 | 6.324 | -3.959 | 197.334 | -0.000 | 0.000 | 
| 48.629 | 40.409 | -15.829 | -0.000 | 6.624 | 0.000 | 
| -0.002 | -0.001 | 0.000 | 0.000 | -0.000 | 244.110 | 
| 516.711 | 134.580 | 153.439 | -0.000 | 0.000 | -0.000 | 
| 248.530 | 403.990 | 296.998 | -0.000 | -0.000 | -0.000 | 
| 132.134 | 296.998 | 743.011 | 0.000 | -0.000 | -0.000 | 
| -4.428 | -4.902 | -0.162 | 190.583 | 0.000 | -0.000 | 
| 0.000 | 0.000 | -0.000 | 0.000 | 74.797 | -0.000 | 
| -5.904 | -6.536 | -0.216 | -0.000 | 0.000 | 194.673 | 
| 542.241 | 154.420 | 150.829 | 0.000 | -0.000 | 0.000 | 
| 248.530 | 403.990 | 296.998 | 0.000 | 0.000 | 0.000 | 
| 139.385 | 295.442 | 739.242 | -0.000 | -0.000 | 0.000 | 
| 4.428 | 4.902 | 0.162 | 190.583 | -0.000 | 0.000 | 
| -0.000 | -0.000 | 0.000 | -0.000 | 74.797 | 0.000 | 
| 5.904 | 6.536 | 0.216 | 0.000 | -0.000 | 194.673 | 
| 678.058 | 248.530 | 132.133 | 0.000 | -0.000 | -0.000 | 
| 233.224 | 374.487 | 291.151 | 0.000 | 0.000 | -0.000 | 
| 150.858 | 304.744 | 738.233 | -0.000 | 0.000 | -0.000 | 
| -0.442 | -0.489 | -0.016 | 190.712 | 0.000 | -0.000 | 
| -1.061 | -0.819 | 0.111 | -0.000 | 18.991 | -0.000 | 
| -0.590 | -0.654 | -0.022 | -0.000 | 0.000 | 194.673 | 
| 530.751 | 145.491 | 152.003 | 0.000 | -0.000 | 0.000 | 
| 145.776 | 319.631 | 305.604 | 0.000 | -0.000 | 0.000 | 
| 153.411 | 306.727 | 737.970 | 0.000 | -0.000 | 0.000 | 
| 0.442 | 0.489 | 0.016 | 190.712 | -0.000 | 0.000 | 
| 1.061 | 0.819 | -0.111 | 0.000 | 18.991 | 0.000 | 
| 0.590 | 0.654 | 0.022 | 0.000 | -0.000 | 194.673 | 
| 529.365 | 144.412 | 152.148 | -0.000 | 0.000 | -0.000 | 
| 233.539 | 374.912 | 291.195 | -0.000 | 0.000 | -0.000 | 
| 137.404 | 294.386 | 739.654 | 0.000 | 0.000 | -0.000 | 
| -0.044 | -0.049 | 0.001 | 190.713 | 0.000 | -0.000 | 
| -0.105 | -0.082 | 0.010 | -0.000 | 18.993 | -0.000 | 
| -0.058 | -0.065 | -0.002 | -0.000 | 0.000 | 194.673 | 
| 529.598 | 144.592 | 152.116 | 0.000 | -0.000 | 0.000 | 
| 144.623 | 318.731 | 305.721 | -0.000 | -0.000 | 0.000 | 
| 132.133 | 296.996 | 743.004 | -0.000 | 0.000 | 0.000 | 
| 0.044 | 0.049 | -0.001 | 190.713 | -0.000 | 0.000 | 
| 0.105 | 0.082 | -0.010 | 0.000 | 18.993 | 0.000 | 
| 0.058 | 0.065 | 0.002 | 0.000 | -0.000 | 194.673 | 
| 236.014 | 242.952 | 11.074 | -0.000 | 0.000 | -0.000 | 
| 130.723 | 348.243 | 11.074 | -0.000 | 0.000 | 0.000 | 
| 11.074 | 11.074 | 684.112 | -0.000 | 0.000 | -0.000 | 
| -0.000 | -0.000 | -0.000 | -22.194 | 0.000 | -0.000 | 
| -0.000 | 0.000 | -0.000 | 0.000 | -22.194 | -0.000 | 
| 0.000 | -0.000 | -0.000 | -0.000 | 0.000 | -6.908 | 
| 348.243 | 130.723 | 11.074 | 0.000 | -0.000 | -0.000 | 
| 242.952 | 236.014 | 11.074 | 0.000 | -0.000 | 0.000 | 
| 11.074 | 11.074 | 684.112 | 0.000 | -0.000 | 0.000 | 
| 0.000 | -0.000 | 0.000 | -22.194 | -0.000 | 0.000 | 
| 0.000 | -0.000 | 0.000 | 0.000 | -22.194 | 0.000 | 
| -0.000 | 0.000 | 0.000 | 0.000 | -0.000 | -6.908 | 
| 236.015 | 242.951 | 11.074 | -0.000 | 0.000 | -0.000 | 
| 242.953 | 236.013 | 11.074 | -0.000 | 0.000 | -0.000 | 
| 11.074 | 11.074 | 684.112 | -0.000 | 0.000 | -0.000 | 
| -0.000 | -0.000 | -0.000 | -22.194 | 0.000 | 0.000 | 
| -0.000 | -0.000 | -0.000 | -0.000 | -22.194 | 0.000 | 
| 0.000 | 0.000 | -0.000 | -0.000 | 0.000 | 108.760 | 
| 348.243 | 130.723 | 11.074 | 0.000 | -0.000 | -0.000 | 
| 81164104.028 | 67663289.984 | 70083887.847 | -10507790.480 | 145213.290 | -84821.330 | 
| 11.074 | 11.074 | 684.111 | -0.000 | -0.000 | 0.000 | 
| 0.000 | 0.000 | 0.000 | -22.194 | -0.000 | 0.000 | 
| 0.000 | 0.000 | 0.000 | 0.000 | -22.194 | -0.000 | 
| -0.000 | -0.000 | 0.000 | 0.000 | -0.000 | 108.760 | 
| 348.245 | 130.724 | 11.074 | -0.000 | 0.000 | 0.000 | 
| 434427.869 | -1753290.426 | -17890379.978 | -2.910 | -0.000 | 0.000 | 
| 11.074 | 11.074 | 684.116 | -0.000 | 0.000 | -0.000 | 
| -0.000 | 0.000 | -0.000 | -22.194 | 0.000 | -0.000 | 
| 0.000 | -0.000 | -0.000 | -0.000 | -22.194 | -0.000 | 
| -5980682.122 | -6747576.734 | -5954632.250 | -603114.625 | 991031.997 | -629626.408 | 
| 236.004 | 242.960 | 11.074 | 0.000 | 0.000 | 0.000 | 
| 8113350.795 | 6392196.101 | 6890763.087 | -1306502.345 | 2913.895 | -43833.844 | 
| 11.074 | 11.074 | 684.107 | 0.000 | -0.000 | 0.000 | 
| 0.000 | -0.000 | 0.000 | -22.194 | -0.000 | 0.000 | 
| -0.000 | 0.000 | 0.000 | 0.000 | -22.194 | -0.000 | 
| 6011719.743 | 6536534.963 | 5948740.062 | 500663.209 | 781303.005 | -583761.360 | 
| 346.155 | 143.793 | 205.792 | 0.000 | -0.000 | 0.000 | 
| 143.793 | 346.155 | 205.792 | -0.000 | 0.000 | -0.000 | 
| 205.792 | 205.792 | 828.912 | 0.000 | -0.000 | -0.000 | 
| -0.000 | 0.000 | 0.000 | 156.499 | -0.000 | 0.000 | 
| 0.000 | 0.000 | 0.000 | -0.000 | 156.499 | 0.000 | 
| 0.000 | -0.000 | 0.000 | -0.000 | -0.000 | 9.678 | 
| 346.155 | 143.793 | 205.792 | -0.000 | 0.000 | 0.000 | 
| 235.297 | 254.652 | 205.792 | -0.000 | 0.000 | -0.000 | 
| 205.792 | 205.792 | 828.912 | -0.000 | 0.000 | 0.000 | 
| -0.000 | 0.000 | -0.000 | 156.499 | 0.000 | -0.000 | 
| -0.000 | 0.000 | -0.000 | -0.000 | 156.499 | -0.000 | 
| -0.000 | 0.000 | -0.000 | -0.000 | 0.000 | 9.678 | 
| 346.156 | 143.793 | 205.792 | 0.000 | -0.000 | 0.000 | 
| 235.297 | 254.652 | 205.792 | 0.000 | -0.000 | 0.000 | 
| 205.792 | 205.792 | 828.913 | 0.000 | -0.000 | 0.000 | 
| 0.000 | -0.000 | 0.000 | 156.499 | -0.000 | 0.000 | 
| -0.000 | 0.000 | 0.000 | 0.000 | 156.499 | 0.000 | 
| 0.000 | 0.000 | -0.000 | 0.000 | -0.000 | 9.678 | 
| 254.651 | 235.297 | 205.792 | 0.000 | 0.000 | 0.000 | 
| 143.793 | 346.155 | 205.792 | -0.000 | 0.000 | -0.000 | 
| 205.792 | 205.792 | 828.911 | -0.000 | 0.000 | -0.000 | 
| -0.000 | 0.000 | -0.000 | 156.499 | -0.000 | 0.000 | 
| 0.000 | -0.000 | -0.000 | -0.000 | 156.499 | -0.000 | 
| -0.000 | -0.000 | 0.000 | -0.000 | 0.000 | 9.678 | 
| 254.660 | 235.294 | 205.792 | 0.000 | -0.000 | 0.000 | 
| 235.302 | 254.652 | 205.792 | 0.000 | -0.000 | -0.000 | 
| 205.794 | 205.794 | 828.918 | 0.000 | -0.000 | 0.000 | 
| 0.001 | -0.000 | 0.002 | 156.499 | -0.000 | 0.000 | 
| 0.000 | 0.000 | 0.002 | 0.000 | 156.499 | 0.000 | 
| 0.000 | 0.001 | -0.000 | 0.000 | -0.000 | 9.678 | 
| 254.665 | 235.280 | 205.791 | 0.000 | 0.000 | -0.000 | 
| 235.292 | 254.652 | 205.791 | -0.000 | 0.000 | -0.000 | 
| 205.790 | 205.790 | 828.906 | -0.000 | -0.000 | 0.000 | 
| -0.001 | 0.000 | -0.002 | 156.499 | 0.000 | -0.000 | 
| -0.000 | -0.000 | -0.002 | -0.000 | 156.499 | -0.000 | 
| -0.000 | -0.001 | 0.000 | -0.000 | 0.000 | 9.678 | 
| 354.835 | 146.635 | 189.910 | -113.227 | -0.000 | -0.000 | 
| 146.635 | 354.835 | 189.910 | 113.227 | -0.000 | -0.000 | 
| 189.910 | 189.910 | 859.869 | 0.000 | -0.000 | -0.000 | 
| -113.227 | 113.227 | -0.000 | 142.373 | -0.000 | -0.000 | 
| 0.000 | -0.000 | -0.000 | 0.000 | 142.373 | -113.227 | 
| 0.000 | 0.000 | -0.000 | 0.000 | -113.227 | 104.100 | 
| 354.834 | 146.635 | 189.910 | -113.227 | 0.000 | 0.000 | 
| 146.635 | 354.834 | 189.910 | 113.227 | 0.000 | 0.000 | 
| 189.910 | 189.910 | 859.869 | -0.000 | 0.000 | 0.000 | 
| -113.227 | 113.227 | 0.000 | 142.373 | 0.000 | 0.000 | 
| -0.000 | 0.000 | 0.000 | 0.000 | 142.373 | -113.227 | 
| -0.000 | -0.000 | 0.000 | -0.000 | -113.227 | 104.100 | 
| 354.835 | 146.635 | 189.910 | -113.227 | -0.000 | 0.000 | 
| 146.635 | 354.835 | 189.910 | 113.227 | -0.000 | -0.000 | 
| 189.910 | 189.910 | 859.870 | -0.000 | 0.000 | -0.000 | 
| -113.227 | 113.227 | 0.000 | 142.373 | 0.000 | -0.000 | 
| 0.000 | 0.000 | 0.000 | -0.000 | 142.373 | -113.227 | 
| 0.000 | 0.000 | 0.000 | -0.000 | -113.227 | 104.100 | 
| 354.834 | 146.635 | 189.910 | -113.227 | 0.000 | -0.000 | 
| 146.635 | 354.834 | 189.910 | 113.227 | 0.000 | 0.000 | 
| 189.910 | 189.910 | 859.868 | -0.000 | 0.000 | 0.000 | 
| -113.227 | 113.227 | -0.000 | 142.373 | 0.000 | 0.000 | 
| -0.000 | -0.000 | -0.000 | 0.000 | 142.373 | -113.227 | 
| -0.000 | -0.000 | -0.000 | 0.000 | -113.227 | 104.100 | 
| 354.838 | 146.636 | 189.911 | -113.227 | -0.000 | 0.000 | 
| 146.636 | 354.837 | 189.911 | 113.227 | -0.000 | -0.000 | 
| 189.912 | 189.912 | 859.875 | -0.000 | -0.000 | -0.000 | 
| -113.227 | 113.227 | 0.002 | 142.374 | -0.000 | 0.000 | 
| 0.000 | 0.000 | 0.002 | -0.001 | 142.373 | -113.227 | 
| 0.000 | 0.001 | 0.000 | -0.000 | -113.227 | 104.100 | 
| 354.831 | 146.635 | 189.909 | -113.227 | 0.000 | 0.000 | 
| 146.634 | 354.832 | 189.909 | 113.227 | 0.000 | 0.000 | 
| 189.908 | 189.908 | 859.863 | -0.000 | 0.000 | 0.000 | 
| -113.227 | 113.227 | -0.002 | 142.372 | 0.000 | 0.000 | 
| -0.000 | -0.000 | -0.002 | 0.001 | 142.373 | -113.227 | 
| -0.000 | -0.001 | -0.000 | 0.000 | -113.227 | 104.100 | 
| 180.220 | 216.596 | 216.596 | 0.000 | 0.000 | 0.000 | 
| 216.596 | 180.220 | 216.596 | -0.000 | -0.000 | 0.000 | 
| 216.596 | 216.596 | 180.220 | 0.000 | 0.000 | 0.000 | 
| -0.000 | -0.000 | 0.000 | 171.832 | 0.000 | 0.000 | 
| -0.000 | -0.000 | 0.000 | 0.000 | 171.832 | 0.000 | 
| -0.000 | -0.000 | 0.000 | 0.000 | 0.000 | 171.832 | 
| 180.220 | 216.596 | 216.596 | -0.000 | -0.000 | -0.000 | 
| 216.596 | 180.220 | 216.596 | 0.000 | 0.000 | -0.000 | 
| 216.596 | 216.596 | 180.220 | 0.000 | 0.000 | -0.000 | 
| 0.000 | 0.000 | -0.000 | 171.832 | 0.000 | -0.000 | 
| 0.000 | 0.000 | -0.000 | -0.000 | 171.832 | -0.000 | 
| 0.000 | 0.000 | -0.000 | -0.000 | -0.000 | 171.832 | 
| 180.220 | 216.596 | 216.596 | 0.000 | 0.000 | 0.000 | 
| 216.596 | 180.220 | 216.596 | 0.000 | -0.000 | 0.000 | 
| 216.596 | 216.596 | 180.220 | 0.000 | 0.000 | 0.000 | 
| -0.000 | -0.000 | -0.000 | -35.720 | 0.000 | 0.000 | 
| -0.000 | -0.000 | -0.000 | 0.000 | -35.720 | 0.000 | 
| -0.000 | -0.000 | -0.000 | 0.000 | 0.000 | -35.720 | 
| 180.220 | 216.596 | 216.596 | -0.000 | 0.000 | -0.000 | 
| 216.596 | 180.220 | 216.596 | 0.000 | -0.000 | -0.000 | 
| 216.596 | 216.596 | 180.220 | -0.000 | 0.000 | -0.000 | 
| 0.000 | 0.000 | 0.000 | -35.720 | -0.000 | 0.000 | 
| 0.000 | 0.000 | 0.000 | -0.000 | -35.720 | -0.000 | 
| 0.000 | 0.000 | 0.000 | -0.000 | -0.000 | -35.720 | 
| 180.219 | 216.597 | 216.597 | 0.000 | 0.000 | 0.000 | 
| 216.597 | 180.219 | 216.597 | 0.000 | 0.000 | 0.000 | 
| 216.597 | 216.597 | 180.219 | 0.000 | 0.000 | 0.000 | 
| -0.000 | -0.000 | -0.000 | -35.720 | 0.000 | 0.000 | 
| -0.000 | -0.000 | -0.000 | 0.000 | -35.720 | 0.000 | 
| -0.000 | -0.000 | -0.000 | 0.000 | 0.000 | -35.720 | 
| 180.220 | 216.596 | 216.596 | 0.000 | 0.000 | -0.000 | 
| 216.596 | 180.220 | 216.596 | -0.000 | -0.000 | -0.000 | 
| 216.596 | 216.596 | 180.220 | -0.000 | -0.000 | -0.000 | 
| 0.000 | 0.000 | 0.000 | -35.720 | -0.000 | -0.000 | 
| 0.000 | 0.000 | 0.000 | -0.000 | -35.720 | -0.000 | 
| 0.000 | 0.000 | 0.000 | -0.000 | -0.000 | -35.720 | 
| 480.581 | 68.241 | 68.241 | -0.000 | -0.000 | -0.000 | 
| 68.241 | 480.581 | 68.241 | -0.000 | -0.000 | 0.000 | 
| 68.241 | 68.241 | 480.581 | -0.000 | -0.000 | -0.000 | 
| -0.000 | -0.000 | -0.000 | -6.822 | -0.000 | 0.000 | 
| -0.000 | -0.000 | -0.000 | -0.000 | -6.822 | 0.000 | 
| -0.000 | -0.000 | -0.000 | -0.000 | -0.000 | -6.822 | 
| 481.016 | 68.024 | 68.024 | 0.000 | 0.000 | -0.000 | 
| 68.024 | 481.016 | 68.024 | 0.000 | 0.000 | -0.000 | 
| 68.024 | 68.024 | 481.016 | 0.000 | 0.000 | -0.000 | 
| 0.000 | 0.000 | 0.000 | -6.822 | 0.000 | 0.000 | 
| 0.000 | 0.000 | 0.000 | 0.000 | -6.822 | -0.000 | 
| 0.000 | 0.000 | 0.000 | -0.000 | 0.000 | -6.822 | 
| 480.581 | 68.241 | 68.241 | 0.000 | 0.000 | -0.000 | 
| 68.241 | 480.581 | 68.241 | 0.000 | -0.000 | -0.000 | 
| 68.241 | 68.241 | 480.581 | 0.000 | -0.000 | 0.000 | 
| -0.000 | -0.000 | -0.000 | 20.589 | -0.000 | -0.000 | 
| -0.000 | -0.000 | -0.000 | -0.000 | 20.589 | 0.000 | 
| -0.000 | -0.000 | -0.000 | 0.000 | -0.000 | 20.589 | 
| 480.581 | 68.241 | 68.241 | 0.000 | 0.000 | -0.000 | 
| 68.241 | 480.581 | 68.241 | 0.000 | -0.000 | 0.000 | 
| 68.241 | 68.241 | 480.581 | -0.000 | 0.000 | 0.000 | 
| 0.000 | 0.000 | 0.000 | 20.589 | 0.000 | -0.000 | 
| 0.000 | 0.000 | 0.000 | -0.000 | 20.589 | -0.000 | 
| 0.000 | 0.000 | 0.000 | -0.000 | 0.000 | 20.589 | 
| 481.018 | 68.024 | 68.024 | 0.000 | -0.000 | 0.000 | 
| 68.024 | 481.018 | 68.024 | -0.000 | -0.000 | 0.000 | 
| 68.024 | 68.024 | 481.018 | -0.000 | -0.000 | 0.000 | 
| -0.001 | -0.001 | -0.001 | -6.822 | -0.000 | 0.000 | 
| -0.001 | -0.001 | -0.001 | -0.000 | -6.822 | 0.000 | 
| -0.001 | -0.001 | -0.001 | -0.000 | -0.000 | -6.822 | 
| 481.014 | 68.024 | 68.024 | -0.000 | 0.000 | -0.000 | 
| 68.024 | 481.014 | 68.024 | -0.000 | 0.000 | -0.000 | 
| 68.024 | 68.024 | 481.014 | 0.000 | 0.000 | -0.000 | 
| 0.001 | 0.001 | 0.001 | -6.822 | 0.000 | 0.000 | 
| 0.001 | 0.001 | 0.001 | 0.000 | -6.822 | -0.000 | 
| 0.001 | 0.001 | 0.001 | 0.000 | 0.000 | -6.822 | 
| 303.153 | 230.993 | 230.993 | -0.000 | -0.000 | -0.000 | 
| 230.993 | 303.153 | 230.993 | -0.000 | -0.000 | -0.000 | 
| 230.993 | 230.993 | 303.153 | -0.000 | -0.000 | -0.000 | 
| 0.000 | -0.000 | -0.000 | 167.970 | -0.000 | -0.000 | 
| 0.000 | 0.000 | -0.000 | -0.000 | 167.970 | -0.000 | 
| 0.000 | 0.000 | -0.000 | -0.000 | -0.000 | 167.970 | 
| 303.153 | 230.993 | 230.993 | 0.000 | -0.000 | 0.000 | 
| 230.993 | 303.153 | 230.993 | 0.000 | -0.000 | 0.000 | 
| 230.993 | 230.993 | 303.153 | 0.000 | -0.000 | 0.000 | 
| -0.000 | 0.000 | 0.000 | 167.970 | 0.000 | 0.000 | 
| -0.000 | -0.000 | 0.000 | 0.000 | 167.970 | 0.000 | 
| -0.000 | -0.000 | 0.000 | 0.000 | 0.000 | 167.970 | 
| 303.153 | 230.993 | 230.993 | -0.000 | -0.000 | -0.000 | 
| 230.993 | 303.153 | 230.993 | -0.000 | -0.000 | -0.000 | 
| 230.993 | 230.993 | 303.153 | -0.000 | -0.000 | -0.000 | 
| 0.000 | 0.000 | 0.000 | 167.970 | -0.000 | -0.000 | 
| 0.000 | 0.000 | 0.000 | -0.000 | 167.970 | -0.000 | 
| 0.000 | 0.000 | 0.000 | -0.000 | -0.000 | 167.970 | 
| 303.153 | 230.992 | 230.992 | 0.000 | 0.000 | 0.000 | 
| 230.992 | 303.153 | 230.992 | 0.000 | -0.000 | 0.000 | 
| 230.992 | 230.992 | 303.153 | 0.000 | 0.000 | 0.000 | 
| -0.000 | -0.000 | -0.000 | 167.970 | 0.000 | 0.000 | 
| -0.000 | -0.000 | -0.000 | 0.000 | 167.970 | 0.000 | 
| -0.000 | -0.000 | -0.000 | 0.000 | 0.000 | 167.970 | 
| 303.152 | 230.994 | 230.994 | 0.000 | -0.000 | -0.000 | 
| 230.994 | 303.152 | 230.994 | -0.000 | 0.000 | -0.000 | 
| 230.994 | 230.994 | 303.152 | -0.000 | -0.000 | -0.000 | 
| 0.001 | 0.001 | 0.001 | 167.970 | -0.000 | -0.000 | 
| 0.001 | 0.001 | 0.001 | -0.000 | 167.970 | -0.000 | 
| 0.001 | 0.001 | 0.001 | -0.000 | -0.000 | 167.970 | 
| 303.153 | 230.991 | 230.991 | 0.000 | 0.000 | 0.000 | 
| 230.991 | 303.153 | 230.991 | 0.000 | 0.000 | 0.000 | 
| 230.991 | 230.991 | 303.153 | 0.000 | 0.000 | 0.000 | 
| -0.001 | -0.001 | -0.001 | 167.970 | 0.000 | 0.000 | 
| -0.001 | -0.001 | -0.001 | 0.000 | 167.970 | 0.000 | 
| -0.001 | -0.001 | -0.001 | 0.000 | 0.000 | 167.970 | 
| 376.628 | 257.834 | 257.834 | 0.000 | 0.000 | -0.000 | 
| 257.834 | 376.628 | 257.834 | 0.000 | 0.000 | -0.000 | 
| 257.834 | 257.834 | 376.628 | -0.000 | -0.000 | 0.000 | 
| 0.000 | 0.000 | 0.000 | 203.145 | -0.000 | -0.000 | 
| 0.000 | -0.000 | 0.000 | -0.000 | 203.145 | -0.000 | 
| 0.000 | 0.000 | 0.000 | 0.000 | 0.000 | 203.145 | 
| 376.628 | 257.834 | 257.834 | -0.000 | -0.000 | 0.000 | 
| 257.834 | 376.628 | 257.834 | 0.000 | -0.000 | -0.000 | 
| 257.834 | 257.834 | 376.628 | 0.000 | 0.000 | -0.000 | 
| -0.000 | -0.000 | -0.000 | 203.145 | 0.000 | -0.000 | 
| -0.000 | 0.000 | -0.000 | 0.000 | 203.145 | 0.000 | 
| -0.000 | -0.000 | -0.000 | -0.000 | -0.000 | 203.145 | 
| 376.628 | 257.834 | 257.834 | 0.000 | -0.000 | -0.000 | 
| 257.834 | 376.628 | 257.834 | -0.000 | 0.000 | 0.000 | 
| 257.834 | 257.834 | 376.628 | -0.000 | 0.000 | -0.000 | 
| -0.000 | 0.000 | 0.000 | 203.145 | 0.000 | 0.000 | 
| 0.000 | -0.000 | 0.000 | 0.000 | 203.145 | -0.000 | 
| 0.000 | 0.000 | -0.000 | 0.000 | 0.000 | 203.145 | 
| 376.628 | 257.834 | 257.834 | -0.000 | -0.000 | -0.000 | 
| 257.834 | 376.628 | 257.834 | -0.000 | -0.000 | -0.000 | 
| 257.834 | 257.834 | 376.628 | 0.000 | 0.000 | -0.000 | 
| 0.000 | -0.000 | -0.000 | 203.145 | -0.000 | 0.000 | 
| -0.000 | 0.000 | -0.000 | -0.000 | 203.145 | 0.000 | 
| -0.000 | -0.000 | 0.000 | -0.000 | -0.000 | 203.145 | 
| 376.632 | 257.836 | 257.836 | 0.000 | 0.000 | -0.000 | 
| 257.836 | 376.632 | 257.836 | 0.000 | 0.000 | -0.000 | 
| 257.836 | 257.836 | 376.632 | -0.000 | -0.000 | 0.000 | 
| -0.000 | 0.002 | 0.002 | 203.145 | 0.000 | 0.000 | 
| 0.002 | -0.000 | 0.002 | 0.000 | 203.145 | 0.000 | 
| 0.002 | 0.002 | -0.000 | 0.000 | 0.000 | 203.145 | 
| 376.624 | 257.832 | 257.832 | -0.000 | -0.000 | 0.000 | 
| 257.832 | 376.624 | 257.832 | -0.000 | -0.000 | -0.000 | 
| 257.832 | 257.832 | 376.624 | 0.000 | 0.000 | 0.000 | 
| 0.000 | -0.002 | -0.002 | 203.145 | -0.000 | 0.000 | 
| -0.002 | 0.000 | -0.002 | -0.000 | 203.145 | 0.000 | 
| -0.002 | -0.002 | 0.000 | -0.000 | -0.000 | 203.145 | 
| 351.151 | 315.009 | 232.071 | 0.000 | -0.000 | 0.000 | 
| 315.009 | 351.151 | 232.071 | 0.000 | -0.000 | 0.000 | 
| 232.071 | 232.071 | 296.180 | 0.000 | -0.000 | 0.000 | 
| -0.000 | 0.000 | 0.000 | 172.643 | -0.000 | 0.000 | 
| 0.000 | -0.000 | 0.000 | 0.000 | 172.643 | 0.000 | 
| 0.000 | 0.000 | -0.000 | 0.000 | -0.000 | 240.883 | 
| 351.151 | 315.009 | 232.071 | -0.000 | 0.000 | -0.000 | 
| 315.009 | 351.151 | 232.071 | -0.000 | 0.000 | -0.000 | 
| 232.071 | 232.071 | 296.180 | -0.000 | 0.000 | -0.000 | 
| 0.000 | -0.000 | -0.000 | 172.643 | 0.000 | -0.000 | 
| -0.000 | 0.000 | -0.000 | -0.000 | 172.643 | -0.000 | 
| -0.000 | -0.000 | 0.000 | -0.000 | -0.000 | 240.883 | 
| 351.151 | 315.009 | 232.071 | 0.000 | -0.000 | 0.000 | 
| 315.009 | 351.151 | 232.071 | 0.000 | -0.000 | 0.000 | 
| 232.071 | 232.071 | 296.180 | 0.000 | -0.000 | 0.000 | 
| -0.000 | 0.000 | 0.000 | 172.643 | -0.000 | 0.000 | 
| 0.000 | -0.000 | 0.000 | 0.000 | 172.643 | 0.000 | 
| 0.000 | 0.000 | -0.000 | 0.000 | -0.000 | 240.883 | 
| 351.151 | 315.008 | 232.071 | -0.000 | 0.000 | -0.000 | 
| 315.008 | 351.151 | 232.071 | -0.000 | 0.000 | -0.000 | 
| 232.071 | 232.071 | 296.180 | -0.000 | 0.000 | -0.000 | 
| 0.000 | -0.000 | -0.000 | 172.643 | 0.000 | -0.000 | 
| -0.000 | 0.000 | -0.000 | -0.000 | 172.643 | -0.000 | 
| -0.000 | -0.000 | 0.000 | -0.000 | -0.000 | 240.883 | 
| 351.155 | 315.011 | 232.073 | 0.000 | -0.000 | 0.000 | 
| 315.011 | 351.155 | 232.073 | 0.000 | -0.000 | 0.000 | 
| 232.073 | 232.073 | 296.183 | 0.000 | -0.000 | 0.000 | 
| -0.000 | 0.002 | 0.002 | 179.040 | -0.000 | 0.000 | 
| 0.002 | -0.000 | 0.002 | 0.000 | 179.040 | 0.000 | 
| 0.001 | 0.002 | -0.000 | 0.000 | -0.000 | 240.883 | 
| 351.147 | 315.007 | 232.068 | -0.000 | 0.000 | -0.000 | 
| 315.007 | 351.147 | 232.068 | -0.000 | 0.000 | -0.000 | 
| 232.069 | 232.069 | 296.177 | -0.000 | 0.000 | -0.000 | 
| 0.000 | -0.002 | -0.002 | 179.040 | 0.000 | -0.000 | 
| -0.002 | 0.000 | -0.002 | -0.000 | 179.040 | -0.000 | 
| -0.001 | -0.002 | 0.000 | -0.000 | 0.000 | 240.883 | 
| 530.797 | 213.943 | 150.768 | 0.000 | 0.000 | 0.000 | 
| 270.322 | 458.805 | 155.897 | 0.000 | -0.000 | 0.000 | 
| 162.749 | 162.749 | 578.842 | 0.000 | 0.000 | 0.000 | 
| 3.178 | 3.178 | -2.088 | 86.448 | -0.000 | 0.000 | 
| 3.178 | 3.178 | -2.088 | 0.000 | 86.448 | 0.000 | 
| 0.000 | 0.000 | 0.000 | 0.000 | 0.000 | 158.427 | 
| 530.797 | 213.943 | 150.768 | -0.000 | -0.000 | -0.000 | 
| 213.943 | 530.797 | 150.768 | -0.000 | -0.000 | -0.000 | 
| 152.393 | 152.393 | 585.646 | 0.000 | -0.000 | 0.000 | 
| -3.178 | -3.178 | 2.088 | 86.448 | -0.000 | -0.000 | 
| -3.178 | -3.178 | 2.088 | -0.000 | 86.448 | -0.000 | 
| -0.000 | -0.000 | -0.000 | -0.000 | -0.000 | 158.427 | 
| 530.798 | 213.943 | 150.768 | 0.000 | 0.000 | 0.000 | 
| 213.943 | 530.797 | 150.768 | 0.000 | 0.000 | 0.000 | 
| 152.393 | 152.393 | 585.647 | 0.000 | -0.000 | -0.000 | 
| 0.318 | 0.318 | -0.209 | 86.448 | -0.000 | 0.000 | 
| 0.000 | 0.000 | 0.000 | 0.000 | 98.044 | 0.000 | 
| 0.000 | 0.000 | 0.000 | 0.000 | 0.000 | 158.427 | 
| 497.500 | 211.177 | 162.615 | -0.000 | 0.000 | -0.000 | 
| 266.374 | 456.422 | 157.976 | -0.000 | -0.000 | -0.000 | 
| 159.252 | 159.252 | 581.139 | -0.000 | 0.000 | -0.000 | 
| -0.318 | -0.318 | 0.209 | 86.448 | 0.000 | -0.000 | 
| -0.000 | -0.000 | -0.000 | -0.000 | 98.044 | -0.000 | 
| -0.000 | -0.000 | -0.000 | -0.000 | -0.000 | 158.427 | 
| 497.368 | 211.691 | 162.493 | -0.000 | -0.000 | 0.000 | 
| 266.737 | 456.786 | 157.742 | 0.000 | 0.000 | 0.000 | 
| 152.395 | 152.395 | 585.653 | -0.000 | -0.000 | 0.000 | 
| 0.032 | 0.032 | -0.019 | 86.448 | -0.000 | 0.000 | 
| 0.161 | 0.162 | -0.104 | 0.000 | 86.450 | 0.000 | 
| 0.000 | 0.002 | 0.000 | 0.000 | 0.000 | 158.427 | 
| 456.706 | 266.668 | 157.783 | -0.000 | 0.000 | -0.000 | 
| 213.940 | 530.790 | 150.768 | -0.000 | -0.000 | -0.000 | 
| 159.537 | 159.537 | 580.944 | -0.000 | 0.000 | -0.000 | 
| -0.032 | -0.032 | 0.019 | 86.448 | 0.000 | -0.000 | 
| -0.161 | -0.162 | 0.104 | -0.000 | 86.450 | -0.000 | 
| -0.000 | -0.002 | -0.000 | -0.000 | -0.000 | 158.427 | 
| 476.502 | 204.927 | 171.297 | 0.000 | 0.000 | 0.000 | 
| 207.468 | 513.080 | 159.451 | 0.000 | 0.000 | -0.000 | 
| 159.451 | 159.451 | 609.425 | -0.000 | 0.000 | -0.000 | 
| 0.055 | 0.055 | -0.034 | 94.533 | 0.000 | 0.000 | 
| 0.055 | 0.055 | -0.034 | -0.000 | 94.533 | 0.000 | 
| -0.019 | -0.019 | 0.012 | 0.000 | 0.000 | 85.325 | 
| 513.080 | 207.468 | 159.451 | -0.000 | -0.000 | 0.000 | 
| 207.468 | 513.080 | 159.451 | -0.000 | -0.000 | -0.000 | 
| 159.451 | 159.451 | 609.425 | 0.000 | 0.000 | 0.000 | 
| -0.055 | -0.055 | 0.034 | 94.533 | -0.000 | -0.000 | 
| -0.055 | -0.055 | 0.034 | -0.000 | 94.533 | 0.000 | 
| 0.019 | 0.019 | -0.012 | 0.000 | 0.000 | 85.325 | 
| 476.507 | 204.911 | 171.300 | -0.000 | 0.000 | -0.000 | 
| 204.912 | 476.507 | 171.300 | 0.000 | 0.000 | -0.000 | 
| 159.451 | 159.451 | 609.426 | -0.000 | -0.000 | -0.000 | 
| 0.006 | 0.006 | -0.003 | 94.533 | 0.000 | 0.000 | 
| 0.006 | 0.006 | -0.003 | -0.000 | 94.533 | -0.000 | 
| 0.000 | 0.000 | 0.000 | 0.000 | 0.000 | 152.806 | 
| 476.507 | 204.908 | 171.301 | -0.000 | -0.000 | 0.000 | 
| 204.907 | 476.507 | 171.301 | -0.000 | 0.000 | -0.000 | 
| 159.451 | 159.451 | 609.424 | 0.000 | -0.000 | 0.000 | 
| -0.006 | -0.006 | 0.003 | 94.533 | 0.000 | -0.000 | 
| -0.006 | -0.006 | 0.003 | 0.000 | 94.533 | -0.000 | 
| -0.000 | -0.000 | -0.000 | -0.000 | -0.000 | 152.806 | 
| 513.088 | 207.469 | 159.452 | 0.000 | 0.000 | 0.000 | 
| 262.982 | 433.469 | 166.751 | -0.000 | 0.000 | 0.000 | 
| 159.453 | 159.453 | 609.432 | -0.000 | -0.000 | -0.000 | 
| 0.000 | 0.000 | 0.002 | 104.459 | 0.000 | -0.000 | 
| 0.001 | 0.001 | 0.002 | -0.000 | 94.533 | 0.000 | 
| 0.001 | 0.003 | -0.001 | 0.000 | 0.000 | 92.169 | 
| 513.072 | 207.467 | 159.451 | -0.000 | 0.000 | -0.000 | 
| 262.975 | 433.456 | 166.751 | 0.000 | -0.000 | -0.000 | 
| 159.449 | 159.449 | 609.418 | -0.000 | -0.000 | 0.000 | 
| -0.000 | -0.000 | -0.002 | 104.459 | -0.000 | 0.000 | 
| -0.001 | -0.001 | -0.002 | 0.000 | 94.533 | -0.000 | 
| -0.001 | -0.003 | 0.001 | 0.000 | -0.000 | 92.169 | 
| 221.511 | 196.220 | 196.220 | 0.000 | -0.000 | -0.000 | 
| 196.220 | 221.511 | 196.220 | 0.000 | 0.000 | -0.000 | 
| 196.220 | 196.220 | 221.511 | 0.000 | -0.000 | 0.000 | 
| 0.000 | 0.000 | 0.000 | 146.078 | 0.000 | -0.000 | 
| 0.000 | 0.000 | 0.000 | 0.000 | 146.078 | 0.000 | 
| 0.000 | 0.000 | -0.000 | 0.000 | 0.000 | 146.078 | 
| 221.511 | 196.220 | 196.220 | -0.000 | 0.000 | 0.000 | 
| 196.220 | 221.511 | 196.220 | -0.000 | -0.000 | 0.000 | 
| 196.220 | 196.220 | 221.511 | -0.000 | 0.000 | -0.000 | 
| -0.000 | -0.000 | -0.000 | 146.078 | -0.000 | 0.000 | 
| -0.000 | -0.000 | -0.000 | -0.000 | 146.078 | 0.000 | 
| -0.000 | -0.000 | 0.000 | -0.000 | 0.000 | 146.078 | 
| 221.511 | 196.220 | 196.220 | 0.000 | 0.000 | 0.000 | 
| 196.220 | 221.511 | 196.220 | 0.000 | -0.000 | 0.000 | 
| 196.220 | 196.220 | 221.511 | 0.000 | 0.000 | -0.000 | 
| -0.000 | 0.000 | 0.000 | 146.078 | 0.000 | -0.000 | 
| 0.000 | -0.000 | 0.000 | 0.000 | 146.078 | -0.000 | 
| 0.000 | 0.000 | -0.000 | 0.000 | -0.000 | 146.078 | 
| 221.511 | 196.220 | 196.220 | -0.000 | -0.000 | -0.000 | 
| 196.220 | 221.511 | 196.220 | -0.000 | 0.000 | 0.000 | 
| 196.220 | 196.220 | 221.511 | -0.000 | -0.000 | 0.000 | 
| 0.000 | -0.000 | -0.000 | 146.078 | -0.000 | -0.000 | 
| -0.000 | 0.000 | -0.000 | -0.000 | 146.078 | 0.000 | 
| -0.000 | -0.000 | 0.000 | -0.000 | -0.000 | 146.078 | 
| 221.513 | 196.221 | 196.221 | 0.000 | -0.000 | -0.000 | 
| 196.221 | 221.513 | 196.221 | 0.000 | 0.000 | -0.000 | 
| 196.221 | 196.221 | 221.513 | 0.000 | 0.000 | -0.000 | 
| -0.000 | 0.001 | 0.001 | 146.078 | 0.000 | -0.000 | 
| 0.001 | -0.000 | 0.001 | 0.000 | 146.078 | -0.000 | 
| 0.001 | 0.001 | -0.000 | 0.000 | 0.000 | 146.078 | 
| 221.509 | 196.219 | 196.219 | -0.000 | -0.000 | -0.000 | 
| 196.219 | 221.509 | 196.219 | -0.000 | 0.000 | -0.000 | 
| 196.219 | 196.219 | 221.509 | -0.000 | -0.000 | 0.000 | 
| 0.000 | -0.001 | -0.001 | 146.078 | -0.000 | 0.000 | 
| -0.001 | 0.000 | -0.001 | -0.000 | 146.078 | 0.000 | 
| -0.001 | -0.001 | 0.000 | -0.000 | -0.000 | 146.078 | 
| 526.376 | 119.621 | 119.621 | 0.000 | 0.000 | 0.000 | 
| 119.621 | 526.376 | 119.621 | 0.000 | 0.000 | 0.000 | 
| 119.621 | 119.621 | 526.376 | -0.000 | 0.000 | 0.000 | 
| -0.000 | -0.000 | 0.000 | 68.967 | 0.000 | -0.000 | 
| -0.000 | -0.000 | 0.000 | 0.000 | 68.967 | 0.000 | 
| 0.000 | -0.000 | 0.000 | 0.000 | 0.000 | 68.967 | 
| 527.349 | 119.134 | 119.134 | -0.000 | -0.000 | -0.000 | 
| 119.134 | 527.349 | 119.134 | -0.000 | -0.000 | -0.000 | 
| 119.134 | 119.134 | 527.349 | -0.000 | -0.000 | -0.000 | 
| 0.000 | 0.000 | -0.000 | 68.967 | -0.000 | -0.000 | 
| -0.000 | 0.000 | -0.000 | 0.000 | 68.967 | -0.000 | 
| -0.000 | 0.000 | -0.000 | -0.000 | -0.000 | 68.967 | 
| 527.349 | 119.134 | 119.134 | 0.000 | 0.000 | 0.000 | 
| 119.134 | 527.349 | 119.134 | 0.000 | 0.000 | -0.000 | 
| 119.134 | 119.134 | 527.349 | 0.000 | 0.000 | 0.000 | 
| -0.000 | -0.000 | -0.000 | 68.967 | 0.000 | -0.000 | 
| -0.000 | -0.000 | -0.000 | 0.000 | 68.967 | 0.000 | 
| -0.000 | -0.000 | -0.000 | 0.000 | 0.000 | 68.967 | 
| 526.376 | 119.621 | 119.621 | -0.000 | 0.000 | -0.000 | 
| 119.621 | 526.376 | 119.621 | -0.000 | -0.000 | -0.000 | 
| 119.621 | 119.621 | 526.376 | 0.000 | 0.000 | -0.000 | 
| 0.000 | 0.000 | 0.000 | 68.967 | -0.000 | -0.000 | 
| 0.000 | 0.000 | 0.000 | -0.000 | 68.967 | -0.000 | 
| 0.000 | 0.000 | 0.000 | -0.000 | -0.000 | 68.967 | 
| 526.378 | 119.620 | 119.620 | 0.000 | 0.000 | -0.000 | 
| 119.620 | 526.378 | 119.620 | -0.000 | 0.000 | 0.000 | 
| 119.620 | 119.620 | 526.378 | -0.000 | -0.000 | -0.000 | 
| -0.000 | -0.000 | -0.000 | 68.967 | 0.000 | -0.000 | 
| -0.000 | -0.000 | -0.000 | 0.000 | 68.967 | 0.000 | 
| -0.000 | -0.000 | -0.000 | 0.000 | 0.000 | 68.967 | 
| 526.374 | 119.621 | 119.621 | -0.000 | -0.000 | -0.000 | 
| 119.621 | 526.374 | 119.621 | -0.000 | -0.000 | 0.000 | 
| 119.621 | 119.621 | 526.374 | -0.000 | -0.000 | -0.000 | 
| 0.000 | 0.000 | 0.000 | 68.967 | -0.000 | -0.000 | 
| 0.000 | 0.000 | 0.000 | -0.000 | 68.967 | -0.000 | 
| 0.000 | 0.000 | 0.000 | -0.000 | 0.000 | 68.967 | 
| 522.413 | 204.391 | 204.391 | 0.000 | 0.000 | 0.000 | 
| 204.391 | 522.413 | 204.391 | 0.000 | 0.000 | 0.000 | 
| 204.391 | 204.391 | 522.413 | -0.000 | -0.000 | 0.000 | 
| 0.000 | 0.000 | 0.000 | 160.588 | 0.000 | -0.000 | 
| 0.000 | 0.000 | 0.000 | 0.000 | 160.588 | -0.000 | 
| 0.000 | 0.000 | 0.000 | 0.000 | 0.000 | 160.588 | 
| 522.413 | 204.391 | 204.391 | -0.000 | -0.000 | -0.000 | 
| 204.391 | 522.413 | 204.391 | -0.000 | -0.000 | -0.000 | 
| 204.391 | 204.391 | 522.413 | -0.000 | -0.000 | -0.000 | 
| -0.000 | -0.000 | -0.000 | 160.588 | -0.000 | -0.000 | 
| -0.000 | -0.000 | -0.000 | -0.000 | 160.588 | -0.000 | 
| -0.000 | -0.000 | -0.000 | -0.000 | -0.000 | 160.588 | 
| 522.413 | 204.391 | 204.391 | 0.000 | 0.000 | 0.000 | 
| 204.391 | 522.413 | 204.391 | 0.000 | 0.000 | 0.000 | 
| 204.391 | 204.391 | 522.413 | 0.000 | 0.000 | 0.000 | 
| 0.000 | 0.000 | 0.000 | 160.588 | 0.000 | 0.000 | 
| 0.000 | 0.000 | 0.000 | 0.000 | 160.588 | 0.000 | 
| 0.000 | 0.000 | 0.000 | 0.000 | 0.000 | 160.588 | 
| 522.414 | 204.391 | 204.391 | -0.000 | -0.000 | -0.000 | 
| 204.391 | 522.414 | 204.391 | -0.000 | -0.000 | -0.000 | 
| 204.391 | 204.391 | 522.414 | -0.000 | -0.000 | 0.000 | 
| -0.000 | -0.000 | -0.000 | 160.588 | -0.000 | -0.000 | 
| -0.000 | -0.000 | -0.000 | -0.000 | 160.588 | -0.000 | 
| -0.000 | -0.000 | -0.000 | -0.000 | -0.000 | 160.588 | 
| 522.409 | 204.392 | 204.392 | 0.000 | 0.000 | 0.000 | 
| 204.392 | 522.409 | 204.392 | 0.000 | -0.000 | 0.000 | 
| 204.392 | 204.392 | 522.409 | 0.000 | 0.000 | -0.000 | 
| 0.001 | 0.001 | 0.001 | 160.588 | 0.000 | 0.000 | 
| 0.001 | 0.001 | 0.001 | 0.000 | 160.588 | -0.000 | 
| 0.001 | 0.001 | 0.001 | 0.000 | 0.000 | 160.588 | 
| 522.417 | 204.390 | 204.390 | -0.000 | -0.000 | 0.000 | 
| 204.390 | 522.417 | 204.390 | -0.000 | -0.000 | 0.000 | 
| 204.390 | 204.390 | 522.417 | -0.000 | -0.000 | -0.000 | 
| -0.001 | -0.001 | -0.001 | 160.588 | -0.000 | -0.000 | 
| -0.001 | -0.001 | -0.001 | -0.000 | 160.588 | -0.000 | 
| -0.001 | -0.001 | -0.001 | -0.000 | -0.000 | 160.588 | 
| 354.944 | 151.742 | 107.265 | 0.000 | -0.000 | 0.000 | 
| 151.742 | 354.944 | 107.265 | 0.000 | -0.000 | 0.000 | 
| 107.265 | 107.265 | 399.422 | 0.000 | 0.000 | 0.000 | 
| 0.000 | -0.000 | -0.000 | 57.123 | -0.000 | 0.000 | 
| 0.000 | -0.000 | 0.000 | 0.000 | 57.123 | 0.000 | 
| 0.000 | -0.000 | 0.000 | 0.000 | -0.000 | 32.338 | 
| 285.681 | 221.006 | 107.265 | -0.000 | 0.000 | -0.000 | 
| 221.005 | 285.681 | 107.265 | -0.000 | -0.000 | -0.000 | 
| 107.265 | 107.265 | 399.422 | 0.000 | 0.000 | -0.000 | 
| -0.000 | 0.000 | -0.000 | 57.123 | 0.000 | -0.000 | 
| -0.000 | 0.000 | -0.000 | -0.000 | 57.123 | -0.000 | 
| -0.000 | 0.000 | -0.000 | -0.000 | -0.000 | 32.338 | 
| 285.681 | 221.005 | 107.265 | 0.000 | 0.000 | 0.000 | 
| 221.006 | 285.681 | 107.265 | -0.000 | 0.000 | 0.000 | 
| 107.265 | 107.265 | 399.422 | 0.000 | -0.000 | 0.000 | 
| 0.000 | 0.000 | 0.000 | 57.123 | -0.000 | 0.000 | 
| 0.000 | 0.000 | 0.000 | 0.000 | 57.123 | 0.000 | 
| 0.000 | 0.000 | 0.000 | 0.000 | 0.000 | 32.338 | 
| 354.944 | 151.742 | 107.265 | -0.000 | 0.000 | -0.000 | 
| 151.742 | 354.944 | 107.265 | -0.000 | 0.000 | -0.000 | 
| 107.265 | 107.265 | 399.421 | -0.000 | -0.000 | -0.000 | 
| -0.000 | -0.000 | -0.000 | 57.123 | 0.000 | -0.000 | 
| -0.000 | -0.000 | -0.000 | -0.000 | 57.123 | -0.000 | 
| -0.000 | -0.000 | -0.000 | -0.000 | 0.000 | 32.338 | 
| 285.685 | 221.005 | 107.265 | 0.000 | -0.000 | 0.000 | 
| 221.007 | 285.683 | 107.265 | 0.000 | 0.000 | 0.000 | 
| 107.266 | 107.266 | 399.425 | 0.000 | -0.000 | 0.000 | 
| 0.000 | 0.000 | 0.001 | 57.123 | 0.000 | 0.000 | 
| 0.000 | 0.000 | 0.001 | 0.000 | 57.123 | 0.000 | 
| 0.000 | 0.001 | 0.000 | 0.000 | 0.000 | 32.338 | 
| 285.677 | 221.005 | 107.264 | -0.000 | 0.000 | -0.000 | 
| 221.004 | 285.679 | 107.264 | -0.000 | -0.000 | -0.000 | 
| 107.264 | 107.264 | 399.419 | -0.000 | 0.000 | -0.000 | 
| -0.000 | -0.000 | -0.001 | 57.123 | -0.000 | -0.000 | 
| -0.000 | -0.000 | -0.001 | -0.000 | 57.123 | -0.000 | 
| -0.000 | -0.001 | -0.000 | -0.000 | -0.000 | 32.338 | 
| 354.944 | 151.742 | 107.265 | -0.000 | -0.000 | -0.000 | 
| 221.006 | 285.681 | 107.265 | 0.000 | 0.000 | -0.000 | 
| 107.265 | 107.265 | 399.422 | -0.000 | -0.000 | -0.000 | 
| 0.000 | 0.000 | 0.000 | 57.123 | -0.000 | -0.000 | 
| -0.000 | 0.000 | 0.000 | -0.000 | 57.123 | -0.000 | 
| -0.000 | 0.000 | 0.000 | -0.000 | -0.000 | 32.338 | 
| 354.944 | 151.742 | 107.265 | 0.000 | 0.000 | 0.000 | 
| 151.742 | 354.944 | 107.265 | 0.000 | 0.000 | 0.000 | 
| 107.265 | 107.265 | 399.422 | -0.000 | 0.000 | 0.000 | 
| 0.000 | -0.000 | -0.000 | 57.123 | 0.000 | 0.000 | 
| 0.000 | -0.000 | -0.000 | 0.000 | 57.123 | 0.000 | 
| 0.000 | -0.000 | -0.000 | -0.000 | 0.000 | 32.338 | 
| 354.944 | 151.742 | 107.265 | -0.000 | -0.000 | -0.000 | 
| 151.743 | 354.944 | 107.265 | -0.000 | -0.000 | -0.000 | 
| 107.265 | 107.265 | 399.422 | -0.000 | 0.000 | -0.000 | 
| 0.000 | -0.000 | 0.000 | 57.123 | -0.000 | -0.000 | 
| -0.000 | 0.000 | 0.000 | -0.000 | 57.123 | -0.000 | 
| 0.000 | 0.000 | 0.000 | 0.000 | 0.000 | 32.338 | 
| 354.944 | 151.742 | 107.265 | 0.000 | 0.000 | 0.000 | 
| 221.005 | 285.681 | 107.265 | 0.000 | -0.000 | 0.000 | 
| 107.265 | 107.265 | 399.421 | 0.000 | -0.000 | 0.000 | 
| -0.000 | 0.000 | -0.000 | 57.123 | 0.000 | 0.000 | 
| 0.000 | -0.000 | -0.000 | -0.000 | 57.123 | 0.000 | 
| -0.000 | -0.000 | -0.000 | -0.000 | 0.000 | 32.338 | 
| 285.686 | 221.004 | 107.265 | 0.000 | -0.000 | -0.000 | 
| 221.005 | 285.685 | 107.265 | 0.000 | -0.000 | -0.000 | 
| 107.266 | 107.266 | 399.425 | -0.000 | 0.000 | 0.000 | 
| 0.000 | -0.000 | 0.001 | 57.123 | -0.000 | -0.000 | 
| -0.000 | 0.000 | 0.001 | 0.000 | 57.123 | -0.000 | 
| 0.000 | 0.001 | 0.000 | -0.000 | 0.000 | 32.338 | 
| 285.676 | 221.007 | 107.264 | -0.000 | 0.000 | 0.000 | 
| 221.003 | 285.679 | 107.264 | 0.000 | -0.000 | 0.000 | 
| 107.264 | 107.264 | 399.419 | 0.000 | -0.000 | 0.000 | 
| -0.000 | 0.000 | -0.001 | 57.123 | 0.000 | 0.000 | 
| 0.000 | -0.000 | -0.001 | 0.000 | 57.123 | 0.000 | 
| -0.000 | -0.001 | -0.000 | 0.000 | 0.000 | 32.338 | 
| 4.752 | 62.344 | 62.344 | 0.000 | 0.000 | 0.000 | 
| 62.344 | 4.752 | 62.344 | 0.000 | 0.000 | 0.000 | 
| 62.344 | 62.344 | 4.752 | 0.000 | 0.000 | 0.000 | 
| 0.000 | 0.000 | -0.000 | -63.128 | 0.000 | 0.000 | 
| -0.000 | 0.000 | 0.000 | 0.000 | -63.128 | 0.000 | 
| 0.000 | 0.000 | -0.000 | 0.000 | 0.000 | -63.128 | 
| 4.752 | 62.344 | 62.344 | -0.000 | -0.000 | -0.000 | 
| 62.344 | 4.752 | 62.344 | -0.000 | -0.000 | -0.000 | 
| 62.344 | 62.344 | 4.752 | -0.000 | -0.000 | -0.000 | 
| 0.000 | -0.000 | 0.000 | -63.128 | -0.000 | -0.000 | 
| -0.000 | -0.000 | 0.000 | -0.000 | -63.128 | -0.000 | 
| -0.000 | -0.000 | 0.000 | -0.000 | -0.000 | -63.128 | 
| 4.752 | 62.344 | 62.344 | 0.000 | 0.000 | 0.000 | 
| 62.344 | 4.752 | 62.344 | 0.000 | 0.000 | 0.000 | 
| 62.344 | 62.344 | 4.752 | 0.000 | 0.000 | 0.000 | 
| -0.000 | 0.000 | -0.000 | -63.128 | 0.000 | 0.000 | 
| 0.000 | -0.000 | -0.000 | 0.000 | -63.128 | 0.000 | 
| 0.000 | -0.000 | -0.000 | 0.000 | 0.000 | -63.128 | 
| 4.752 | 62.344 | 62.344 | -0.000 | -0.000 | -0.000 | 
| 62.344 | 4.752 | 62.344 | -0.000 | -0.000 | -0.000 | 
| 62.344 | 62.344 | 4.752 | -0.000 | -0.000 | -0.000 | 
| 0.000 | -0.000 | 0.000 | -63.128 | -0.000 | -0.000 | 
| -0.000 | 0.000 | 0.000 | -0.000 | -63.128 | -0.000 | 
| -0.000 | 0.000 | 0.000 | -0.000 | -0.000 | -63.128 | 
| 4.753 | 62.345 | 62.345 | 0.000 | 0.000 | 0.000 | 
| 62.345 | 4.753 | 62.345 | 0.000 | 0.000 | 0.000 | 
| 62.345 | 62.345 | 4.753 | 0.000 | 0.000 | 0.000 | 
| -0.000 | 0.000 | -0.000 | -63.128 | 0.000 | 0.000 | 
| 0.000 | -0.000 | -0.000 | 0.000 | -63.128 | 0.000 | 
| 0.000 | -0.000 | -0.000 | 0.000 | 0.000 | -63.128 | 
| 4.752 | 62.344 | 62.344 | -0.000 | -0.000 | -0.000 | 
| 62.344 | 4.752 | 62.344 | -0.000 | -0.000 | -0.000 | 
| 62.344 | 62.344 | 4.752 | -0.000 | -0.000 | -0.000 | 
| 0.000 | -0.000 | 0.000 | -63.128 | -0.000 | -0.000 | 
| -0.000 | 0.000 | 0.000 | -0.000 | -63.128 | -0.000 | 
| -0.000 | 0.000 | 0.000 | -0.000 | -0.000 | -63.128 | 
| 1048.335 | -26.830 | 165.120 | 0.000 | -0.000 | 0.000 | 
| -26.830 | 1048.335 | 165.120 | 0.000 | -0.000 | 0.000 | 
| 165.120 | 165.120 | 816.810 | 0.000 | -0.000 | -0.000 | 
| -0.000 | -0.000 | -0.000 | 95.456 | -0.000 | 0.000 | 
| -0.000 | 0.000 | -0.000 | 0.000 | 95.456 | -0.000 | 
| -0.000 | 0.000 | -0.000 | 0.000 | -0.000 | -87.895 | 
| 991.582 | 29.923 | 165.120 | -0.000 | 0.000 | 0.000 | 
| 29.923 | 991.582 | 165.120 | -0.000 | -0.000 | 0.000 | 
| 165.120 | 165.120 | 816.810 | -0.000 | -0.000 | 0.000 | 
| 0.000 | 0.000 | 0.000 | 95.456 | 0.000 | 0.000 | 
| 0.000 | -0.000 | 0.000 | -0.000 | 95.456 | 0.000 | 
| 0.000 | -0.000 | 0.000 | -0.000 | 0.000 | -87.895 | 
| 991.582 | 29.924 | 165.120 | 0.000 | -0.000 | -0.000 | 
| 29.924 | 991.582 | 165.120 | 0.000 | -0.000 | -0.000 | 
| 165.120 | 165.120 | 816.811 | 0.000 | 0.000 | -0.000 | 
| -0.000 | -0.000 | -0.000 | 95.456 | -0.000 | -0.000 | 
| -0.000 | -0.000 | -0.000 | 0.000 | 95.456 | -0.000 | 
| 0.000 | -0.000 | -0.000 | 0.000 | -0.000 | -87.895 | 
| 991.582 | 29.923 | 165.120 | -0.000 | 0.000 | 0.000 | 
| 29.923 | 991.582 | 165.120 | -0.000 | 0.000 | 0.000 | 
| 165.120 | 165.120 | 816.809 | -0.000 | -0.000 | 0.000 | 
| 0.000 | 0.000 | 0.000 | 95.456 | 0.000 | -0.000 | 
| 0.000 | 0.000 | 0.000 | -0.000 | 95.456 | 0.000 | 
| -0.000 | 0.000 | 0.000 | -0.000 | 0.000 | -87.895 | 
| 1048.340 | -26.830 | 165.120 | 0.000 | -0.000 | 0.000 | 
| -26.830 | 1048.340 | 165.120 | 0.000 | -0.000 | -0.000 | 
| 165.120 | 165.120 | 816.817 | 0.000 | -0.000 | -0.000 | 
| -0.000 | -0.001 | -0.001 | 95.456 | -0.000 | 0.000 | 
| -0.001 | -0.000 | -0.001 | 0.000 | 95.456 | 0.000 | 
| 0.000 | -0.001 | -0.000 | 0.000 | -0.000 | -87.895 | 
| 991.582 | 29.922 | 165.121 | -0.000 | 0.000 | -0.000 | 
| 29.922 | 991.582 | 165.121 | -0.000 | -0.000 | 0.000 | 
| 165.120 | 165.120 | 816.804 | -0.000 | 0.000 | 0.000 | 
| 0.000 | 0.001 | 0.001 | 95.456 | 0.000 | 0.000 | 
| 0.001 | 0.000 | 0.001 | -0.000 | 95.456 | 0.000 | 
| -0.000 | 0.001 | 0.000 | -0.000 | 0.000 | -87.895 | 
| 14.586 | -4.780 | 52.477 | -47.746 | 0.000 | -0.000 | 
| -4.777 | 14.590 | 52.481 | 47.746 | 0.000 | -0.000 | 
| 40.170 | 40.170 | -49.439 | 0.000 | -0.000 | -0.000 | 
| -47.749 | 47.742 | -0.003 | 45.223 | 0.000 | -0.000 | 
| 0.000 | 0.000 | 0.000 | 0.000 | 45.223 | -47.746 | 
| 0.000 | 0.000 | 0.000 | 0.000 | -47.746 | 9.683 | 
| 14.593 | -4.773 | 52.484 | -47.746 | -0.000 | 0.000 | 
| -4.773 | 14.593 | 52.484 | 47.746 | -0.000 | -0.000 | 
| 40.177 | 40.177 | -49.433 | -0.000 | -0.000 | 0.000 | 
| -47.742 | 47.749 | 0.003 | 45.223 | -0.000 | 0.000 | 
| -0.000 | -0.000 | -0.000 | -0.000 | 45.223 | -47.746 | 
| -0.000 | -0.000 | -0.000 | -0.000 | -47.746 | 9.683 | 
| 14.590 | -4.777 | 52.481 | -47.746 | 0.000 | -0.000 | 
| -4.777 | 14.589 | 52.480 | 47.746 | 0.000 | -0.000 | 
| 40.173 | 40.173 | -49.436 | 0.000 | 0.000 | -0.000 | 
| -47.746 | 47.746 | -0.000 | 45.223 | -0.000 | -0.000 | 
| 0.000 | 0.000 | 0.000 | -0.000 | 45.223 | -47.746 | 
| 0.000 | 0.000 | 0.000 | -0.000 | -47.746 | 9.683 | 
| 14.589 | -4.777 | 52.481 | -47.746 | -0.000 | 0.000 | 
| -4.776 | 14.590 | 52.481 | 47.746 | -0.000 | 0.000 | 
| 40.174 | 40.174 | -49.435 | -0.000 | -0.000 | 0.000 | 
| -47.745 | 47.746 | 0.000 | 45.223 | 0.000 | 0.000 | 
| -0.000 | -0.000 | -0.000 | 0.000 | 45.223 | -47.746 | 
| -0.000 | -0.000 | -0.000 | 0.000 | -47.746 | 9.683 | 
| 14.590 | -4.777 | 52.481 | -47.746 | 0.000 | -0.000 | 
| -4.777 | 14.590 | 52.481 | 47.746 | -0.000 | -0.000 | 
| 40.174 | 40.174 | -49.435 | 0.000 | 0.000 | -0.000 | 
| -47.746 | 47.746 | 0.000 | 45.223 | -0.000 | -0.000 | 
| 0.000 | 0.000 | 0.000 | -0.000 | 45.223 | -47.746 | 
| 0.000 | 0.000 | 0.000 | -0.000 | -47.746 | 9.683 | 
| 14.589 | -4.777 | 52.480 | -47.746 | -0.000 | 0.000 | 
| -4.777 | 14.589 | 52.480 | 47.745 | -0.000 | 0.000 | 
| 40.173 | 40.173 | -49.436 | -0.000 | -0.000 | 0.000 | 
| -47.746 | 47.746 | -0.000 | 45.223 | 0.000 | 0.000 | 
| -0.000 | -0.000 | -0.000 | 0.000 | 45.223 | -47.746 | 
| -0.000 | -0.000 | -0.000 | 0.000 | -47.746 | 9.683 | 
| 898.691 | -2.160 | -2.160 | -0.000 | 0.000 | 0.000 | 
| -2.160 | 898.691 | -2.160 | -0.000 | 0.000 | 0.000 | 
| -2.160 | -2.160 | 898.691 | -0.000 | 0.000 | 0.000 | 
| 0.000 | 0.000 | -0.000 | -55.151 | -0.000 | -0.000 | 
| 0.000 | 0.000 | -0.000 | -0.000 | -55.151 | -0.000 | 
| 0.000 | -0.000 | 0.000 | 0.000 | 0.000 | -55.151 | 
| 898.690 | -2.160 | -2.160 | 0.000 | -0.000 | -0.000 | 
| -2.160 | 898.690 | -2.160 | 0.000 | 0.000 | -0.000 | 
| -2.160 | -2.160 | 898.690 | 0.000 | -0.000 | -0.000 | 
| -0.000 | -0.000 | 0.000 | -55.151 | 0.000 | -0.000 | 
| -0.000 | -0.000 | 0.000 | 0.000 | -55.151 | 0.000 | 
| -0.000 | 0.000 | -0.000 | 0.000 | -0.000 | -55.151 | 
| 898.691 | -2.160 | -2.160 | -0.000 | 0.000 | -0.000 | 
| -2.160 | 898.691 | -2.160 | -0.000 | 0.000 | -0.000 | 
| -2.160 | -2.160 | 898.691 | -0.000 | 0.000 | -0.000 | 
| 0.000 | 0.000 | -0.000 | -55.151 | 0.000 | -0.000 | 
| 0.000 | 0.000 | -0.000 | -0.000 | -55.151 | 0.000 | 
| 0.000 | -0.000 | 0.000 | 0.000 | 0.000 | -55.151 | 
| 898.690 | -2.160 | -2.160 | 0.000 | 0.000 | 0.000 | 
| -2.160 | 898.690 | -2.160 | 0.000 | -0.000 | 0.000 | 
| -2.160 | -2.160 | 898.690 | -0.000 | 0.000 | -0.000 | 
| -0.000 | -0.000 | 0.000 | -55.151 | -0.000 | -0.000 | 
| -0.000 | -0.000 | 0.000 | -0.000 | -55.151 | -0.000 | 
| -0.000 | 0.000 | -0.000 | -0.000 | -0.000 | -55.151 | 
| 898.698 | -2.160 | -2.160 | -0.000 | -0.000 | 0.000 | 
| -2.160 | 898.698 | -2.160 | -0.000 | 0.000 | -0.000 | 
| -2.160 | -2.160 | 898.698 | -0.000 | -0.000 | 0.000 | 
| 0.000 | 0.000 | -0.000 | -55.151 | 0.000 | 0.000 | 
| 0.000 | 0.000 | -0.000 | -0.000 | -55.151 | -0.000 | 
| 0.000 | -0.000 | 0.000 | -0.000 | 0.000 | -55.151 | 
| 898.683 | -2.160 | -2.160 | 0.000 | -0.000 | 0.000 | 
| -2.160 | 898.683 | -2.160 | 0.000 | 0.000 | 0.000 | 
| -2.160 | -2.160 | 898.683 | 0.000 | -0.000 | 0.000 | 
| -0.000 | -0.000 | 0.000 | -55.151 | -0.000 | -0.000 | 
| -0.000 | -0.000 | 0.000 | 0.000 | -55.151 | 0.000 | 
| -0.000 | 0.000 | -0.000 | 0.000 | -0.000 | -55.151 | 
| 143.219 | 238.969 | 43.561 | 0.000 | -0.000 | 0.000 | 
| 207.188 | 185.839 | 52.706 | 0.000 | -0.000 | 0.000 | 
| 49.300 | 57.957 | 230.142 | 0.000 | 0.000 | -0.000 | 
| -2.896 | 2.820 | -0.155 | 19.053 | -0.000 | -0.000 | 
| -3.058 | 2.977 | -0.164 | 0.000 | 21.637 | -0.000 | 
| -14.112 | 13.742 | -0.756 | 0.000 | -0.000 | -18.115 | 
| 175.425 | 207.609 | 45.287 | -0.000 | 0.000 | -0.000 | 
| 239.412 | 154.460 | 54.434 | -0.000 | -0.000 | -0.000 | 
| 56.358 | 51.085 | 230.520 | -0.000 | -0.000 | 0.000 | 
| 2.895 | -2.819 | 0.155 | 19.053 | -0.000 | 0.000 | 
| 3.058 | -2.977 | 0.164 | -0.000 | 21.637 | -0.000 | 
| 14.112 | -13.742 | 0.756 | -0.000 | 0.000 | -18.115 | 
| 156.465 | 226.071 | 44.271 | 0.000 | 0.000 | 0.000 | 
| 223.007 | 170.435 | 53.554 | 0.000 | -0.000 | 0.000 | 
| 47.611 | 59.602 | 230.051 | 0.000 | -0.000 | 0.000 | 
| -0.179 | 0.174 | -0.010 | 19.075 | -0.000 | -0.000 | 
| -0.306 | 0.298 | -0.016 | 0.000 | 21.637 | 0.000 | 
| -1.422 | 1.385 | -0.076 | 0.000 | -0.000 | -18.847 | 
| 159.649 | 222.970 | 44.441 | -0.000 | -0.000 | -0.000 | 
| 226.192 | 167.333 | 53.725 | -0.000 | -0.000 | -0.000 | 
| 50.910 | 56.389 | 230.228 | -0.000 | -0.000 | -0.000 | 
| 0.179 | -0.174 | 0.010 | 19.075 | -0.000 | 0.000 | 
| 0.306 | -0.298 | 0.016 | -0.000 | 21.637 | 0.000 | 
| 1.422 | -1.385 | 0.076 | -0.000 | -0.000 | -18.847 | 
| 157.893 | 224.685 | 44.349 | 0.000 | 0.000 | 0.000 | 
| 224.457 | 169.028 | 53.634 | 0.000 | -0.000 | 0.000 | 
| 48.866 | 58.381 | 230.120 | 0.000 | 0.000 | 0.000 | 
| -0.017 | 0.017 | -0.000 | 19.077 | 0.000 | -0.000 | 
| -0.031 | 0.030 | -0.001 | 0.000 | 21.637 | -0.000 | 
| -0.142 | 0.140 | -0.006 | 0.000 | 0.000 | -18.855 | 
| 158.196 | 224.380 | 44.362 | -0.000 | 0.000 | -0.000 | 
| 224.768 | 168.716 | 53.647 | -0.000 | 0.000 | -0.000 | 
| 49.183 | 58.070 | 230.133 | -0.000 | 0.000 | -0.000 | 
| 0.017 | -0.017 | 0.000 | 19.077 | 0.000 | 0.000 | 
| 0.031 | -0.030 | 0.001 | -0.000 | 21.637 | 0.000 | 
| 0.142 | -0.140 | 0.006 | -0.000 | 0.000 | -18.855 | 
| 85416992.362 | -121933511.052 | 132007091.678 | -13535373.429 | -30485602.423 | -2108920.675 | 
| 85380571.552 | -121978748.747 | 131984459.490 | -13519759.331 | -30478579.281 | -2092093.670 | 
| 85425486.639 | -121920801.793 | 132011135.888 | -13538710.040 | -30487614.115 | -2110510.450 | 
| 85403972.001 | -121961289.309 | 132012209.005 | -13521351.265 | -30488961.043 | -2095389.980 | 
| 85389040.402 | -121971402.255 | 131992859.751 | -13521384.696 | -30484550.049 | -2094212.235 | 
| 85386168.498 | -121971417.897 | 131986703.061 | -13522047.868 | -30479567.753 | -2093595.787 | 
| -85409923.481 | 121947838.049 | -132009362.470 | 13527884.342 | 30486606.182 | 2103136.881 | 
| -85439821.009 | 121908108.211 | -132020585.720 | 13542882.788 | 30491692.626 | 2113844.998 | 
| -85414394.223 | 121938805.166 | -132007582.894 | 13531984.092 | 30485801.402 | 2106601.988 | 
| -85416704.841 | 121930750.906 | -132002475.840 | 13537259.154 | 30485509.485 | 2109291.330 | 
| -85453138.911 | 121905139.777 | -132034615.592 | 13541527.236 | 30496129.674 | 2111053.853 | 
| -85409051.947 | 121948773.925 | -132007248.859 | 13528886.058 | 30486664.193 | 2104114.574 | 
| 8543169.763 | -12193468.547 | 13202182.514 | -1353906.586 | -3049131.936 | -210451.160 | 
| 8532884.020 | -12203868.883 | 13195944.242 | -1350462.047 | -3046227.521 | -206343.269 | 
| 8523305.928 | -12211580.513 | 13188438.913 | -1349899.070 | -3045291.216 | -205747.089 | 
| 8544660.909 | -12191218.001 | 13202196.225 | -1354594.197 | -3047145.694 | -210118.754 | 
| 8524190.398 | -12209177.042 | 13187879.971 | -1350904.056 | -3044022.179 | -206716.959 | 
| 8540257.611 | -12194705.998 | 13198234.549 | -1353451.049 | -3047221.984 | -209256.184 | 
| -8499486.598 | 12238430.200 | -13161029.166 | 1345223.215 | 3043448.690 | 203310.994 | 
| -8546836.517 | 12188743.654 | -13203352.061 | 1355556.793 | 3050049.142 | 212835.244 | 
| -8547551.389 | 12186276.207 | -13203273.708 | 1355989.273 | 3048906.365 | 212330.717 | 
| -8537313.463 | 12199778.467 | -13196776.418 | 1353194.325 | 3048240.489 | 210406.687 | 
| -8543581.441 | 12192608.414 | -13202859.668 | 1353306.970 | 3049712.650 | 210515.440 | 
| -8536576.173 | 12200715.098 | -13197355.368 | 1352084.992 | 3048120.188 | 210018.368 | 
| 851757.684 | -1222879.924 | 1318167.227 | -135310.896 | -304234.252 | -21224.191 | 
| 849218.489 | -1226456.936 | 1315294.796 | -131218.440 | -302069.892 | -21623.454 | 
| 851804.513 | -1222979.136 | 1318355.896 | -132352.426 | -307059.341 | -18923.258 | 
| 852908.301 | -1216555.811 | 1319654.990 | -134093.391 | -304689.295 | -19790.074 | 
| 854680.704 | -1218054.524 | 1319862.471 | -135977.876 | -304138.320 | -21483.789 | 
| 855016.411 | -1218257.977 | 1320657.306 | -135758.339 | -304209.334 | -20287.190 | 
| -856424.865 | 1217570.884 | -1320685.111 | 134132.297 | 307136.808 | 19722.685 | 
| -853622.242 | 1219262.450 | -1318947.501 | 135283.871 | 304120.778 | 21661.635 | 
| -857806.720 | 1216514.796 | -1322690.144 | 135807.173 | 305234.582 | 21821.438 | 
| -849757.396 | 1228516.730 | -1314675.342 | 134865.329 | 302746.436 | 22938.909 | 
| -852275.597 | 1222814.792 | -1319519.058 | 134104.288 | 305396.374 | 20101.639 | 
| -764160.702 | 1265146.428 | -1214696.557 | 114724.102 | 296705.916 | 21425.427 | 
| 56201114.682 | -79178689.473 | -21379376.523 | -5795001.701 | 3552768.376 | -9019584.623 | 
| 56209781.878 | -79178485.139 | -21380816.369 | -5786170.831 | 3536265.362 | -9018498.365 | 
| 56197364.091 | -79180597.568 | -21380998.049 | -5796789.682 | 3555988.280 | -9018724.175 | 
| 56202412.131 | -79178847.066 | -21378384.789 | -5795237.725 | 3552034.224 | -9019971.953 | 
| 56200948.054 | -79178421.657 | -21381291.486 | -5792834.233 | 3550747.371 | -9018914.687 | 
| 56197461.331 | -79179748.842 | -21382727.668 | -5794340.073 | 3554363.655 | -9018056.034 | 
| -56201059.061 | 79179959.545 | 21379674.470 | 5795035.534 | -3551601.418 | 9019181.538 | 
| -56197470.431 | 79182793.689 | 21376703.273 | 5802085.299 | -3561079.318 | 9020207.290 | 
| -56204877.925 | 79178654.774 | 21377845.437 | 5793870.309 | -3548365.897 | 9019980.801 | 
| -56199581.920 | 79178963.956 | 21381270.799 | 5793825.951 | -3552398.580 | 9018567.143 | 
| -56200189.257 | 79179554.631 | 21379232.497 | 5795970.294 | -3553716.634 | 9019363.029 | 
| -56203372.228 | 79178871.471 | 21377920.877 | 5794869.340 | -3550490.210 | 9019831.811 | 
| 5620512.027 | -7917752.216 | -2137225.632 | -580200.780 | 355824.105 | -902258.320 | 
| 5724239.528 | -7879420.877 | -2093427.663 | -546974.962 | 396134.923 | -910137.680 | 
| 5618881.881 | -7919333.203 | -2137933.564 | -580946.568 | 356643.252 | -901786.674 | 
| 5619905.552 | -7917935.406 | -2137648.057 | -580042.402 | 356202.053 | -902078.699 | 
| 5620179.699 | -7917870.208 | -2138923.938 | -578428.444 | 354096.108 | -901628.128 | 
| 5619270.569 | -7918830.666 | -2138719.543 | -579885.877 | 355550.596 | -901626.762 | 
| -5619802.494 | 7919436.009 | 2137738.038 | 580438.761 | -355209.194 | 901714.634 | 
| -5619033.519 | 7920850.756 | 2136765.592 | 583091.287 | -359904.110 | 902730.225 | 
| -5620147.518 | 7918523.008 | 2137855.097 | 579892.285 | -355357.260 | 901820.181 | 
| -5620077.688 | 7918159.276 | 2138325.016 | 579217.585 | -354560.515 | 901747.432 | 
| -5620442.165 | 7918445.874 | 2136618.514 | 580786.387 | -355928.844 | 902305.487 | 
| -5620741.942 | 7917773.042 | 2136963.797 | 579978.881 | -355361.571 | 902240.140 | 
| 561608.965 | -792303.995 | -214199.570 | -58372.730 | 36386.873 | -90221.498 | 
| 578355.444 | -794219.178 | -219530.062 | -57186.332 | 40528.211 | -87951.914 | 
| 561572.298 | -792039.439 | -214059.205 | -58134.827 | 35823.311 | -90146.380 | 
| 562171.506 | -791734.228 | -213403.051 | -58158.038 | 35958.110 | -90362.260 | 
| 564606.900 | -792570.222 | -217454.677 | -55283.047 | 32495.802 | -91393.810 | 
| 594590.519 | -780616.503 | -202811.364 | -64671.620 | 40819.333 | -102145.684 | 
| -602264.288 | 780121.564 | 198564.788 | 60250.037 | -46701.393 | 102654.711 | 
| -562839.825 | 792195.876 | 212898.103 | 58623.755 | -37112.487 | 91080.280 | 
| -562297.076 | 791879.034 | 214014.061 | 57713.990 | -35333.609 | 90216.899 | 
| -561892.948 | 792124.336 | 214181.120 | 57834.291 | -35060.159 | 90010.152 | 
| -561991.315 | 792071.834 | 213259.704 | 58601.996 | -36311.195 | 90362.689 | 
| -562015.215 | 791537.943 | 213357.414 | 58169.964 | -36148.865 | 90340.583 | 
| 743.782 | -5.597 | 101.160 | -0.000 | -0.000 | 0.000 | 
| -5.597 | 743.782 | 101.160 | 0.000 | -0.000 | 0.000 | 
| 102.766 | 102.766 | 401.968 | -0.000 | 0.000 | -0.000 | 
| 0.081 | 0.081 | -1.226 | -262.559 | -0.000 | 0.000 | 
| 0.081 | 0.081 | -1.226 | -0.000 | -262.559 | 0.000 | 
| 0.003 | 0.003 | -0.046 | 0.000 | 0.000 | -59.605 | 
| 728.808 | 8.344 | 109.009 | 0.000 | 0.000 | -0.000 | 
| 8.344 | 728.808 | 109.009 | 0.000 | 0.000 | -0.000 | 
| 102.766 | 102.766 | 401.967 | 0.000 | 0.000 | -0.000 | 
| -0.081 | -0.081 | 1.226 | -262.559 | 0.000 | -0.000 | 
| -0.081 | -0.081 | 1.226 | 0.000 | -262.559 | -0.000 | 
| -0.003 | -0.003 | 0.046 | 0.000 | 0.000 | -59.605 | 
| 728.811 | 8.351 | 108.945 | 0.000 | 0.000 | 0.000 | 
| 8.351 | 728.811 | 108.945 | -0.000 | -0.000 | 0.000 | 
| 108.864 | 108.864 | 309.251 | -0.000 | -0.000 | -0.000 | 
| 137642710.253 | -124695080.907 | 33746718.251 | -112134991.867 | -2051113.846 | 5187114.457 | 
| -105903267.002 | 123058973.260 | 13545370.468 | 269188.306 | -95973880.747 | -2599098.840 | 
| 0.000 | 0.000 | -0.005 | -0.000 | -0.000 | -59.605 | 
| 728.809 | 8.350 | 108.957 | 0.000 | 0.000 | -0.000 | 
| 8.350 | 728.809 | 108.957 | 0.000 | -0.000 | -0.000 | 
| 108.863 | 108.863 | 309.260 | -0.000 | 0.000 | -0.000 | 
| -106388423.898 | 88709521.624 | -14433890.433 | -81161824.999 | -404179.190 | -5715994.983 | 
| 121092762.446 | -135550693.966 | -31511269.004 | -1227563.765 | -111298270.696 | 421101.556 | 
| -0.000 | -0.000 | 0.005 | 0.000 | 0.000 | -59.605 | 
| 743.789 | -5.597 | 101.160 | 0.000 | -0.000 | 0.000 | 
| -5.597 | 743.789 | 101.160 | -0.000 | -0.000 | 0.000 | 
| 108.865 | 108.865 | 309.252 | -0.000 | -0.000 | -0.000 | 
| 13660049.863 | -12326168.452 | 2854998.466 | -10900769.688 | 340944.180 | -218569.921 | 
| 6012536.385 | 1088481.879 | 4032896.169 | -0.005 | -10454983.386 | 0.000 | 
| 0.000 | -0.000 | -0.000 | 0.000 | 0.000 | -59.605 | 
| 728.770 | 8.605 | 107.258 | 0.000 | -0.000 | -0.000 | 
| 8.605 | 728.770 | 107.258 | 0.000 | 0.000 | -0.000 | 
| 108.863 | 108.863 | 309.259 | -0.000 | 0.000 | 0.000 | 
| -1088481.880 | -6012536.384 | -4032896.168 | -10454983.386 | 0.008 | 0.001 | 
| -6012536.381 | -1088481.882 | -4032896.159 | 0.005 | -10454983.382 | 0.000 | 
| -0.000 | 0.000 | 0.000 | 0.000 | 0.000 | -59.605 | 
| 81.225 | -125.610 | -125.610 | 0.000 | -0.000 | 0.000 | 
| -125.610 | 81.225 | -125.610 | 0.000 | -0.000 | -0.000 | 
| -125.610 | -125.610 | 81.225 | 0.000 | -0.000 | 0.000 | 
| -259.945 | -259.945 | -259.945 | 41.725 | -0.000 | 0.000 | 
| -259.945 | -259.945 | -259.945 | 0.000 | 41.725 | 0.000 | 
| -259.945 | -259.945 | -259.945 | 0.000 | -0.000 | 41.725 | 
| 601.104 | 394.459 | 394.459 | 0.000 | 0.000 | -0.000 | 
| 394.459 | 601.104 | 394.459 | -0.000 | 0.000 | -0.000 | 
| 394.459 | 394.459 | 601.104 | -0.000 | 0.000 | 0.000 | 
| 259.945 | 259.945 | 259.945 | 41.725 | 0.000 | -0.000 | 
| 259.945 | 259.945 | 259.945 | -0.000 | 41.725 | -0.000 | 
| 259.945 | 259.945 | 259.945 | -0.000 | 0.000 | 41.725 | 
| 385.712 | 116.595 | 116.595 | 0.000 | -0.000 | 0.000 | 
| 116.595 | 385.712 | 116.595 | 0.000 | -0.000 | -0.000 | 
| 116.595 | 116.595 | 385.712 | 0.000 | -0.000 | 0.000 | 
| -0.000 | 0.000 | 0.000 | 72.074 | -0.000 | 0.000 | 
| 0.000 | -0.000 | 0.000 | 0.000 | 72.074 | 0.000 | 
| 0.000 | 0.000 | -0.000 | 0.000 | -0.000 | 72.074 | 
| 385.711 | 116.594 | 116.594 | -0.000 | 0.000 | -0.000 | 
| 116.594 | 385.711 | 116.594 | -0.000 | 0.000 | -0.000 | 
| 116.594 | 116.594 | 385.711 | -0.000 | 0.000 | -0.000 | 
| 0.000 | -0.000 | -0.000 | 72.074 | 0.000 | -0.000 | 
| -0.000 | 0.000 | -0.000 | -0.000 | 72.074 | -0.000 | 
| -0.000 | -0.000 | 0.000 | -0.000 | 0.000 | 72.074 | 
| 330.275 | 133.892 | 133.892 | 0.000 | -0.000 | 0.000 | 
| 133.892 | 330.275 | 133.892 | 0.000 | -0.000 | -0.000 | 
| 133.892 | 133.892 | 330.275 | 0.000 | -0.000 | 0.000 | 
| -0.000 | 0.001 | 0.001 | 72.074 | -0.000 | 0.000 | 
| 0.001 | -0.000 | 0.001 | 0.000 | 72.074 | 0.000 | 
| 0.001 | 0.001 | -0.000 | 0.000 | -0.000 | 72.074 | 
| 385.707 | 116.593 | 116.593 | -0.000 | 0.000 | -0.000 | 
| 116.593 | 385.707 | 116.593 | -0.000 | 0.000 | -0.000 | 
| 116.593 | 116.593 | 385.707 | -0.000 | 0.000 | -0.000 | 
| 0.000 | -0.001 | -0.001 | 72.074 | 0.000 | -0.000 | 
| -0.001 | 0.000 | -0.001 | -0.000 | 72.074 | -0.000 | 
| -0.001 | -0.001 | 0.000 | -0.000 | 0.000 | 72.074 | 
| 325.201 | 134.463 | 134.463 | 0.000 | 0.000 | 0.000 | 
| 134.463 | 325.201 | 134.463 | 0.000 | 0.000 | 0.000 | 
| 134.463 | 134.463 | 325.201 | 0.000 | 0.000 | 0.000 | 
| -8.506 | -8.506 | -8.506 | 46.317 | 0.000 | 0.000 | 
| -8.506 | -8.506 | -8.506 | 0.000 | 46.317 | 0.000 | 
| -8.506 | -8.506 | -8.506 | 0.000 | 0.000 | 46.317 | 
| 379.577 | 114.866 | 114.866 | 0.000 | -0.000 | 0.000 | 
| 114.866 | 379.577 | 114.866 | 0.000 | -0.000 | 0.000 | 
| 114.866 | 114.866 | 379.577 | -0.000 | -0.000 | 0.000 | 
| 8.506 | 8.506 | 8.506 | 46.317 | -0.000 | -0.000 | 
| 8.506 | 8.506 | 8.506 | -0.000 | 46.317 | -0.000 | 
| 8.506 | 8.506 | 8.506 | -0.000 | -0.000 | 46.317 | 
| 379.578 | 114.866 | 114.866 | 0.000 | 0.000 | -0.000 | 
| 114.866 | 379.578 | 114.866 | 0.000 | 0.000 | -0.000 | 
| 114.866 | 114.866 | 379.578 | 0.000 | 0.000 | -0.000 | 
| -0.000 | 0.000 | 0.000 | 71.495 | 0.000 | -0.000 | 
| 0.000 | -0.000 | 0.000 | 0.000 | 71.495 | -0.000 | 
| 0.000 | 0.000 | -0.000 | 0.000 | 0.000 | 71.495 | 
| 379.577 | 114.866 | 114.866 | -0.000 | -0.000 | 0.000 | 
| 114.866 | 379.577 | 114.866 | -0.000 | -0.000 | 0.000 | 
| 114.866 | 114.866 | 379.577 | -0.000 | -0.000 | 0.000 | 
| 0.000 | -0.000 | -0.000 | 71.495 | -0.000 | 0.000 | 
| -0.000 | 0.000 | -0.000 | -0.000 | 71.495 | 0.000 | 
| -0.000 | -0.000 | 0.000 | -0.000 | -0.000 | 71.495 | 
| 291.520 | 143.166 | 143.166 | 0.000 | 0.000 | 0.000 | 
| 143.166 | 291.520 | 143.166 | 0.000 | 0.000 | 0.000 | 
| 143.166 | 143.166 | 291.520 | 0.000 | 0.000 | 0.000 | 
| 0.157 | 0.157 | 0.157 | 33.155 | 0.000 | 0.000 | 
| 0.157 | 0.157 | 0.157 | 0.000 | 33.155 | 0.000 | 
| 0.157 | 0.157 | 0.157 | 0.000 | 0.000 | 33.155 | 
| 323.362 | 136.624 | 136.624 | -0.000 | -0.000 | -0.000 | 
| 136.624 | 323.362 | 136.624 | -0.000 | -0.000 | -0.000 | 
| 136.624 | 136.624 | 323.362 | -0.000 | -0.000 | -0.000 | 
| -0.157 | -0.157 | -0.157 | 33.155 | -0.000 | -0.000 | 
| -0.157 | -0.157 | -0.157 | -0.000 | 33.155 | -0.000 | 
| -0.157 | -0.157 | -0.157 | -0.000 | -0.000 | 33.155 | 
| 180.181 | 126.864 | 126.864 | -0.000 | -0.000 | -0.000 | 
| 126.864 | 180.181 | 126.864 | 0.000 | 0.000 | 0.000 | 
| 126.864 | 126.864 | 180.181 | -0.000 | -0.000 | 0.000 | 
| 0.005 | 0.005 | 0.005 | 32.372 | -0.003 | -0.003 | 
| 0.005 | 0.005 | 0.005 | -0.003 | 32.372 | -0.003 | 
| 0.005 | 0.005 | 0.005 | -0.003 | -0.003 | 32.372 | 
| 42.411 | 187.217 | 187.217 | -0.006 | -0.006 | -0.006 | 
| 187.217 | 42.411 | 187.217 | -0.006 | -0.006 | -0.006 | 
| 187.217 | 187.217 | 42.411 | -0.006 | -0.006 | -0.006 | 
| -0.005 | -0.005 | -0.005 | 32.374 | 0.003 | 0.003 | 
| -0.005 | -0.005 | -0.005 | 0.003 | 32.374 | 0.003 | 
| -0.005 | -0.005 | -0.005 | 0.003 | 0.003 | 32.374 | 
| 180.181 | 126.864 | 126.864 | -0.000 | 0.000 | 0.000 | 
| 126.864 | 180.181 | 126.864 | -0.000 | -0.000 | 0.000 | 
| 126.864 | 126.864 | 180.181 | 0.000 | 0.000 | -0.000 | 
| 0.000 | 0.001 | 0.001 | 32.373 | -0.000 | -0.000 | 
| 0.000 | 0.000 | 0.001 | -0.000 | 32.373 | -0.000 | 
| 0.000 | 0.001 | 0.000 | -0.000 | -0.000 | 32.373 | 
| 129.880 | 149.738 | 149.738 | 0.000 | 0.000 | 0.000 | 
| 149.738 | 129.880 | 149.738 | 0.000 | 0.000 | 0.000 | 
| 149.738 | 149.738 | 129.880 | 0.000 | 0.000 | 0.000 | 
| -0.000 | -0.001 | -0.001 | 32.373 | 0.000 | 0.000 | 
| -0.000 | -0.000 | -0.001 | 0.000 | 32.373 | 0.000 | 
| -0.000 | -0.001 | -0.000 | 0.000 | 0.000 | 32.373 | 
| 129.889 | 149.742 | 149.742 | -0.000 | -0.000 | -0.000 | 
| 149.742 | 129.889 | 149.742 | -0.000 | -0.000 | -0.000 | 
| 149.742 | 149.742 | 129.889 | -0.000 | -0.000 | -0.000 | 
| 0.000 | 0.000 | 0.000 | 32.373 | -0.000 | -0.000 | 
| 0.000 | 0.000 | 0.000 | -0.000 | 32.373 | -0.000 | 
| 0.000 | 0.000 | 0.000 | -0.000 | -0.000 | 32.373 | 
| 159.547 | 136.928 | 136.928 | 0.000 | 0.000 | 0.000 | 
| 136.928 | 159.547 | 136.928 | 0.000 | 0.000 | 0.000 | 
| 136.928 | 136.928 | 159.547 | 0.000 | 0.000 | 0.000 | 
| -0.000 | -0.000 | -0.000 | 32.373 | 0.000 | 0.000 | 
| -0.000 | -0.000 | -0.000 | 0.000 | 32.373 | 0.000 | 
| -0.000 | -0.000 | -0.000 | 0.000 | 0.000 | 32.373 | 
| 128.895 | 137.692 | 137.688 | 0.340 | 0.338 | 0.339 | 
| 137.692 | 128.894 | 137.688 | 0.340 | 0.338 | 0.339 | 
| 137.692 | 137.692 | 128.891 | 0.340 | 0.338 | 0.339 | 
| -9.119 | -9.119 | -9.123 | -5.320 | 0.335 | 0.336 | 
| -9.119 | -9.119 | -9.123 | 0.337 | -5.321 | 0.336 | 
| -9.119 | -9.119 | -9.123 | 0.337 | 0.335 | -5.320 | 
| 165.954 | 146.479 | 146.480 | -0.119 | -0.118 | -0.119 | 
| 146.479 | 165.954 | 146.480 | -0.119 | -0.118 | -0.119 | 
| 146.479 | 146.479 | 165.956 | -0.119 | -0.118 | -0.119 | 
| 9.112 | 9.112 | 9.116 | -5.921 | -0.335 | -0.336 | 
| 9.112 | 9.112 | 9.116 | -0.336 | -5.919 | -0.336 | 
| 9.112 | 9.112 | 9.116 | -0.336 | -0.335 | -5.921 | 
| 179.717 | 126.606 | 126.606 | 0.000 | 0.000 | 0.000 | 
| 126.606 | 179.717 | 126.606 | 0.000 | 0.000 | 0.000 | 
| 126.606 | 126.606 | 179.717 | 0.000 | 0.000 | 0.000 | 
| -0.991 | -0.991 | -0.991 | 23.816 | 0.008 | 0.008 | 
| -0.991 | -0.991 | -0.991 | 0.008 | 23.816 | 0.008 | 
| -0.991 | -0.991 | -0.991 | 0.008 | 0.008 | 23.816 | 
| 153.097 | 140.783 | 140.783 | -0.013 | -0.013 | -0.013 | 
| 140.783 | 153.097 | 140.783 | -0.013 | -0.013 | -0.013 | 
| 140.783 | 140.783 | 153.097 | -0.013 | -0.013 | -0.013 | 
| 0.991 | 0.991 | 0.991 | 23.777 | -0.008 | -0.008 | 
| 0.991 | 0.991 | 0.991 | -0.008 | 23.777 | -0.008 | 
| 0.991 | 0.991 | 0.991 | -0.008 | -0.008 | 23.777 | 
| 131.733 | 148.069 | 148.069 | 0.001 | 0.001 | 0.001 | 
| 148.069 | 131.733 | 148.069 | 0.001 | 0.001 | 0.001 | 
| 148.069 | 148.069 | 131.733 | 0.001 | 0.001 | 0.001 | 
| 0.000 | 0.000 | 0.000 | 83.790 | 0.000 | -0.000 | 
| 0.000 | 0.000 | 0.000 | 0.000 | 83.790 | -0.000 | 
| 0.000 | 0.000 | 0.000 | -0.000 | -0.000 | 83.790 | 
| 159.157 | 136.698 | 136.698 | -0.002 | -0.002 | -0.002 | 
| 126.605 | 179.715 | 126.605 | -0.000 | -0.000 | -0.000 | 
| 136.698 | 136.698 | 159.157 | -0.002 | -0.002 | -0.002 | 
| -0.000 | -0.000 | -0.000 | 83.790 | -0.000 | -0.000 | 
| 0.131 | 0.131 | 0.131 | -0.001 | 10.175 | -0.001 | 
| -0.000 | -0.000 | -0.000 | -0.000 | -0.000 | 83.790 | 
| 758.524 | 131.513 | 244.437 | -0.000 | 0.000 | 0.000 | 
| 130.522 | 968.822 | 94.017 | -0.000 | 0.000 | -0.000 | 
| 219.697 | 94.136 | 243.878 | -0.000 | 0.000 | 0.000 | 
| -0.000 | 0.000 | -0.000 | 42.051 | 0.000 | 0.000 | 
| 0.966 | 0.027 | 0.787 | 0.000 | 194.141 | 0.000 | 
| -0.000 | -0.000 | -0.000 | -0.000 | 0.000 | 78.265 | 
| 758.524 | 131.513 | 244.437 | 0.000 | 0.000 | -0.000 | 
| 130.059 | 968.809 | 93.639 | 0.000 | -0.000 | -0.000 | 
| 244.438 | 94.818 | 264.044 | 0.000 | 0.000 | -0.000 | 
| 0.000 | -0.000 | 0.000 | 42.051 | 0.000 | -0.000 | 
| -0.966 | -0.027 | -0.787 | 0.000 | 194.141 | 0.000 | 
| 0.000 | 0.000 | 0.000 | 0.000 | -0.000 | 78.265 | 
| 727.780 | 130.666 | 219.377 | -0.000 | 0.000 | 0.000 | 
| 130.740 | 968.828 | 94.195 | -0.000 | -0.000 | -0.000 | 
| 219.385 | 94.127 | 243.624 | -0.000 | -0.000 | -0.000 | 
| 0.562 | 0.015 | 0.458 | -264.558 | 0.000 | -0.000 | 
| 0.097 | 0.003 | 0.079 | -0.000 | 194.141 | -0.000 | 
| 0.028 | 0.001 | 0.023 | -0.000 | 0.000 | -198.192 | 
| 758.524 | 131.513 | 244.437 | 0.000 | -0.000 | -0.000 | 
| 130.668 | 968.825 | 94.135 | 0.000 | 0.000 | -0.000 | 
| 244.438 | 94.818 | 264.044 | 0.000 | 0.000 | 0.000 | 
| -0.562 | -0.015 | -0.458 | -264.558 | -0.000 | -0.000 | 
| -0.097 | -0.003 | -0.079 | -0.000 | 194.141 | -0.000 | 
| -0.028 | -0.001 | -0.023 | 0.000 | -0.000 | -198.192 | 
| 727.732 | 130.664 | 219.338 | -0.000 | 0.000 | 0.000 | 
| 131.556 | 968.856 | 94.861 | -0.000 | -0.000 | -0.000 | 
| 219.341 | 94.126 | 243.590 | -0.000 | 0.000 | 0.000 | 
| -0.000 | 0.000 | 0.000 | -264.572 | 0.000 | -0.000 | 
| 0.011 | 0.000 | 0.009 | 0.000 | 194.141 | 0.000 | 
| 0.003 | -0.002 | 0.002 | -0.000 | -0.000 | -198.192 | 
| 727.753 | 130.665 | 219.357 | 0.000 | 0.000 | -0.000 | 
| 130.705 | 968.821 | 94.164 | -0.000 | -0.000 | 0.000 | 
| 244.437 | 94.817 | 264.042 | 0.000 | -0.000 | -0.000 | 
| 0.000 | -0.000 | -0.000 | -264.572 | 0.000 | -0.000 | 
| -0.011 | -0.000 | -0.009 | 0.000 | 194.141 | -0.000 | 
| -0.003 | 0.002 | -0.002 | 0.000 | -0.000 | -198.192 | 
| 404.148 | 182.217 | 106.318 | -0.002 | 0.000 | 0.000 | 
| 185.312 | 225.532 | 89.160 | -0.002 | 0.000 | 0.000 | 
| 108.792 | 88.539 | 370.078 | -0.002 | 0.000 | 0.000 | 
| -0.000 | 0.000 | 0.000 | 66.536 | 0.000 | 0.000 | 
| -0.000 | 0.000 | 0.000 | -0.000 | 36.174 | 0.000 | 
| -0.001 | 0.001 | 0.000 | -0.003 | 0.000 | -13.362 | 
| 404.149 | 182.217 | 106.318 | 0.002 | -0.000 | -0.000 | 
| 185.313 | 225.532 | 89.159 | 0.002 | -0.000 | -0.000 | 
| 108.793 | 88.538 | 370.077 | 0.002 | -0.000 | -0.000 | 
| 0.000 | -0.000 | -0.000 | 66.537 | -0.000 | -0.000 | 
| 0.000 | -0.000 | -0.000 | 0.000 | 36.174 | -0.000 | 
| 0.001 | -0.001 | -0.000 | 0.003 | -0.000 | -13.362 | 
| 404.149 | 182.217 | 106.318 | -0.000 | 0.000 | 0.000 | 
| 185.313 | 225.532 | 89.160 | -0.000 | 0.000 | 0.000 | 
| 108.793 | 88.539 | 370.078 | -0.000 | 0.000 | 0.000 | 
| 0.000 | 0.000 | 0.000 | 66.537 | 0.000 | 0.000 | 
| 0.000 | 0.000 | 0.000 | -0.000 | 36.174 | -0.000 | 
| -0.000 | 0.000 | 0.000 | -0.000 | 0.000 | -13.362 | 
| 404.148 | 182.217 | 106.318 | 0.000 | -0.000 | -0.000 | 
| 185.313 | 225.532 | 89.160 | 0.000 | -0.000 | -0.000 | 
| 108.792 | 88.539 | 370.077 | 0.000 | -0.000 | -0.000 | 
| -0.000 | -0.000 | -0.000 | 66.537 | -0.000 | -0.000 | 
| -0.000 | -0.000 | -0.000 | 0.000 | 36.174 | -0.000 | 
| 0.000 | -0.000 | -0.000 | 0.000 | -0.000 | -13.362 | 
| 404.156 | 182.217 | 106.318 | -0.000 | 0.000 | 0.000 | 
| 185.315 | 225.534 | 89.160 | -0.000 | 0.000 | 0.000 | 
| 108.793 | 88.540 | 370.080 | -0.000 | 0.000 | 0.000 | 
| 0.000 | 0.000 | 0.001 | 68.686 | 0.000 | 0.000 | 
| 0.000 | 0.000 | 0.001 | -0.000 | 36.174 | 0.000 | 
| 0.000 | 0.001 | 0.000 | -0.000 | 0.000 | -13.362 | 
| 404.141 | 182.218 | 106.318 | 0.000 | -0.000 | -0.000 | 
| 185.311 | 225.530 | 89.159 | 0.000 | -0.000 | -0.000 | 
| 108.792 | 88.538 | 370.075 | 0.000 | -0.000 | -0.000 | 
| -0.000 | -0.000 | -0.001 | 66.537 | -0.000 | -0.000 | 
| -0.000 | -0.000 | -0.001 | 0.000 | 36.174 | 0.000 | 
| -0.000 | -0.001 | -0.000 | 0.000 | -0.000 | -13.362 | 
| 259.606 | 376.817 | -16.812 | -0.000 | 0.000 | -0.000 | 
| 176.279 | 460.144 | -16.812 | 0.000 | -0.000 | -0.000 | 
| -16.813 | -16.813 | 682.645 | 0.000 | -0.000 | -0.000 | 
| 0.000 | -0.000 | -0.000 | -57.226 | 0.000 | -0.000 | 
| 0.000 | -0.000 | -0.000 | 0.000 | -57.226 | -0.000 | 
| 0.000 | -0.000 | -0.000 | -0.000 | 0.000 | -58.606 | 
| 460.143 | 176.279 | -16.812 | 0.000 | 0.000 | 0.000 | 
| 176.279 | 460.144 | -16.812 | -0.000 | -0.000 | -0.000 | 
| -16.813 | -16.813 | 682.645 | -0.000 | -0.000 | 0.000 | 
| 0.000 | 0.000 | 0.000 | -57.226 | -0.000 | 0.000 | 
| -0.000 | 0.000 | 0.000 | -0.000 | -57.226 | 0.000 | 
| -0.000 | 0.000 | 0.000 | -0.000 | -0.000 | -58.606 | 
| -83713737.392 | -76005125.710 | -132687490.362 | -1946699.220 | 294071.037 | 14114.069 | 
| -101116778.461 | -102188484.137 | -108831568.256 | -1659759.908 | 412102.739 | 790278.146 | 
| -16.813 | -16.813 | 682.645 | -0.000 | 0.000 | -0.000 | 
| 0.000 | 0.000 | -0.000 | -57.226 | 0.000 | -0.000 | 
| 0.000 | 0.000 | -0.000 | 0.000 | -57.226 | -0.000 | 
| 0.000 | 0.000 | 0.000 | 0.000 | -0.000 | 141.932 | 
| 101513525.459 | 97693673.233 | 114495162.563 | -291103.065 | -194421.890 | 179911.486 | 
| 176.279 | 460.143 | -16.812 | -0.000 | 0.000 | 0.000 | 
| -16.813 | -16.813 | 682.644 | 0.000 | -0.000 | 0.000 | 
| -0.000 | -0.000 | 0.000 | -57.226 | -0.000 | 0.000 | 
| -0.000 | -0.000 | 0.000 | -0.000 | -57.226 | 0.000 | 
| -0.000 | -0.000 | -0.000 | -0.000 | 0.000 | 141.932 | 
| -8213451.853 | -7445591.784 | -12949178.007 | -101329.680 | -13120.010 | -4712.610 | 
| -10415733.002 | -10415476.220 | -11214872.453 | -155825.819 | 66142.427 | 130252.650 | 
| -16.813 | -16.813 | 682.649 | -0.000 | 0.000 | -0.000 | 
| 0.000 | 0.000 | -0.000 | -57.226 | 0.000 | -0.000 | 
| 0.000 | 0.000 | -0.000 | 0.000 | -57.226 | -0.000 | 
| -9495102.972 | -10295083.756 | -17377465.501 | 36428.363 | 15620.590 | -124342.637 | 
| 10382682.460 | 9933505.463 | 11455697.712 | 37736.661 | 26166.800 | 104775.606 | 
| 7563891.664 | 7002952.802 | 11678809.454 | 71905.369 | -27573.780 | -33530.940 | 
| -16.813 | -16.813 | 682.641 | -0.000 | -0.000 | 0.000 | 
| -0.000 | -0.000 | 0.000 | -57.226 | -0.000 | 0.000 | 
| -0.000 | -0.000 | 0.000 | 0.000 | -57.226 | 0.000 | 
| 10792488.032 | 10842949.339 | 17970795.887 | 20326.293 | -6463.469 | -975.099 | 
| 354.935 | 151.739 | 107.263 | 20.967 | -0.000 | -0.000 | 
| 151.739 | 354.935 | 107.263 | -20.967 | 0.000 | 0.000 | 
| 107.263 | 107.263 | 399.417 | 0.000 | -0.000 | 0.000 | 
| 20.967 | -20.967 | -0.000 | 57.122 | 0.000 | 0.000 | 
| 0.000 | -0.000 | -0.000 | -0.000 | 57.122 | 20.967 | 
| 0.000 | 0.000 | -0.000 | 0.000 | 20.967 | 101.598 | 
| 293.368 | 213.306 | 107.264 | 20.967 | 0.000 | 0.000 | 
| 213.306 | 293.368 | 107.264 | -20.967 | 0.000 | 0.000 | 
| 107.263 | 107.263 | 399.417 | -0.000 | 0.000 | 0.000 | 
| 20.967 | -20.967 | 0.000 | 57.122 | -0.000 | 0.000 | 
| -0.000 | 0.000 | 0.000 | 0.000 | 57.122 | 20.967 | 
| -0.000 | -0.000 | 0.000 | -0.000 | 20.967 | 101.598 | 
| 354.935 | 151.739 | 107.264 | 20.967 | -0.000 | -0.000 | 
| 151.739 | 354.935 | 107.264 | -20.967 | 0.000 | 0.000 | 
| 107.263 | 107.263 | 399.417 | 0.000 | -0.000 | -0.000 | 
| 20.967 | -20.967 | 0.000 | 57.122 | -0.000 | -0.000 | 
| 0.000 | 0.000 | 0.000 | 0.000 | 57.122 | 20.967 | 
| 0.000 | 0.000 | -0.000 | 0.000 | 20.967 | 101.598 | 
| 354.935 | 151.739 | 107.263 | 20.967 | 0.000 | 0.000 | 
| 213.306 | 293.367 | 107.263 | -20.967 | -0.000 | 0.000 | 
| 107.263 | 107.263 | 399.417 | 0.000 | -0.000 | 0.000 | 
| 20.967 | -20.967 | -0.000 | 57.122 | 0.000 | 0.000 | 
| -0.000 | -0.000 | -0.000 | -0.000 | 57.122 | 20.967 | 
| -0.000 | -0.000 | 0.000 | -0.000 | 20.967 | 101.598 | 
| 293.372 | 213.305 | 107.264 | 20.967 | -0.000 | 0.000 | 
| 213.307 | 293.371 | 107.264 | -20.967 | -0.000 | 0.000 | 
| 107.264 | 107.264 | 399.420 | 0.000 | -0.000 | -0.000 | 
| 20.967 | -20.967 | 0.001 | 57.122 | -0.000 | -0.000 | 
| -0.000 | 0.000 | 0.001 | 0.000 | 57.122 | 20.967 | 
| 0.000 | 0.001 | 0.000 | -0.000 | 20.967 | 40.031 | 
| 354.931 | 151.738 | 107.263 | 20.967 | 0.000 | 0.000 | 
| 213.305 | 293.364 | 107.263 | -20.967 | 0.000 | 0.000 | 
| 107.262 | 107.262 | 399.414 | 0.000 | -0.000 | 0.000 | 
| 20.967 | -20.967 | -0.001 | 57.122 | 0.000 | 0.000 | 
| 0.000 | -0.000 | -0.001 | -0.000 | 57.122 | 20.967 | 
| -0.000 | -0.001 | -0.000 | 0.000 | 20.967 | 40.031 | 
Phonon band structures and crystal properties estimated from quasi-harmonic approximation (QHA) calculations are displayed for select crystals. The calculations were performed using phonopy and LAMMPS. For the phonon calculations, 3x3 supercells of the potential-specific relaxed crystals were used. The QHA calculations were based on 11 strain states ranging from -0.05 to 0.05.
The calculation method used is available as the iprPy phonon calculation method.
Notes and Disclaimers:
Version Information:



















































































































































































































































































Static free surface formation energies are displayed for select crystals. The values displayed here are obtained by taking a perfect periodic bulk crystal, slicing along a crystallographic plane, and using force minimization to statically relax the surfaces. The free surface formation energy is computed by comparing the energy of the defect system to the bulk system and dividing by the total surface area created by the cut.
The calculation method used is available as the iprPy surface_energy_static calculation method.
Notes and Disclaimers:
Version Information:
| Surface | γfs (mJ/m2) | 
|---|---|
| (311) | -2207.94 | 
| (321) | -1968.50 | 
| (310) | -706.45 | 
| (111) | 1832.51 | 
| (332) | 2034.79 | 
| (322) | 2057.25 | 
| (100) | 2122.78 | 
| (221) | 2123.49 | 
| (211) | 2167.52 | 
| (331) | 2195.02 | 
| (110) | 2261.62 | 
| (320) | 2365.78 | 
| (210) | 2385.85 | 
| Surface | γfs (mJ/m2) | 
|---|---|
| (211) 2 | 2132.09 | 
| (210) | 2169.06 | 
| (100) | 2227.30 | 
| (332) 2 | 2229.34 | 
| (311) | 2243.24 | 
| (321) 2 | 2256.08 | 
| (321) 1 | 2269.44 | 
| (111) | 2272.78 | 
| (221) | 2278.70 | 
| (322) | 2294.58 | 
| (331) | 2316.77 | 
| (320) | 2322.86 | 
| (310) | 2325.93 | 
| (332) 1 | 2359.93 | 
| (110) | 2369.03 | 
| (211) 1 | 2387.22 | 
| Surface | γfs (mJ/m2) | 
|---|---|
| (110) | 2157.37 | 
| (320) | 2330.48 | 
| (100) | 2373.92 | 
| (210) | 2397.90 | 
| (321) | 2424.53 | 
| (310) | 2438.32 | 
| (331) | 2445.32 | 
| (211) | 2468.86 | 
| (221) | 2540.24 | 
| (322) | 2588.28 | 
| (332) | 2603.97 | 
| (111) | 2655.24 | 
| Surface | γfs (mJ/m2) | 
|---|---|
| (2021) 1 | 123.99 | 
| (2021) 2 | 571.98 | 
| (1012) 1 | 601.18 | 
| (2131) 1 | 683.80 | 
| (2130) | 683.93 | 
| (2131) 2 | 698.52 | 
| (2132) 2 | 718.63 | 
| (2241) | 836.58 | 
| (1121) | 847.45 | 
| (2132) 1 | 1119.24 | 
| (2112) | 1651.36 | 
| (0001) | 1832.51 | 
| (1012) 2 | 2006.68 | 
| (1011) 1 | 2039.53 | 
| (1120) | 2260.89 | 
| (1010) | 2282.50 | 
| (1011) 2 | 2359.79 | 
| Surface | γfs (mJ/m2) | 
|---|---|
| (331) 1 | -112885.28 | 
| (331) 2 | -111907.58 | 
| (332) | -104990.85 | 
| (322) | -93825.05 | 
| (321) | -92539.84 | 
| (320) | -83986.29 | 
| (311) 1 | -82759.84 | 
| (311) 2 | -77432.54 | 
| (310) | -75352.64 | 
| (221) | -66102.14 | 
| (211) | -61412.49 | 
| (210) | -54144.63 | 
| (111) 1 | -41264.60 | 
| (111) 2 | 276.49 | 
| (110) | 338.44 | 
| (100) | 485.34 | 
| Surface | γfs (mJ/m2) | 
|---|---|
| (322) | -3158.17 | 
| (321) | -2169.80 | 
| (311) | -1242.46 | 
| (320) | -986.06 | 
| (211) | -906.62 | 
| (310) | -736.69 | 
| (210) | -313.83 | 
| (111) | 1433.56 | 
| (100) | 1573.29 | 
| (332) | 1573.41 | 
| (221) | 1633.17 | 
| (331) | 1679.58 | 
| (110) | 1713.63 | 
| Surface | γfs (mJ/m2) | 
|---|---|
| (211) 2 | 1573.40 | 
| (332) 2 | 1640.27 | 
| (321) 2 | 1666.91 | 
| (111) | 1674.50 | 
| (311) | 1675.05 | 
| (321) 1 | 1676.47 | 
| (221) | 1682.70 | 
| (322) | 1690.76 | 
| (320) | 1706.73 | 
| (331) | 1715.04 | 
| (100) | 1721.44 | 
| (332) 1 | 1737.45 | 
| (210) | 1737.80 | 
| (310) | 1748.00 | 
| (211) 1 | 1767.28 | 
| (110) | 1773.43 | 
| Surface | γfs (mJ/m2) | 
|---|---|
| (110) | 1650.59 | 
| (320) | 1777.03 | 
| (100) | 1785.25 | 
| (210) | 1826.44 | 
| (310) | 1854.26 | 
| (321) | 1856.15 | 
| (331) | 1863.28 | 
| (211) | 1886.93 | 
| (311) | 1924.46 | 
| (221) | 1929.96 | 
| (322) | 1962.12 | 
| (332) | 1968.70 | 
| (111) | 1997.91 | 
| Surface | γfs (mJ/m2) | 
|---|---|
| (2021) 1 | -126.60 | 
| (2021) 2 | -126.60 | 
| (1012) 2 | 59.65 | 
| (2130) | 480.93 | 
| (2131) 1 | 489.60 | 
| (2131) 2 | 489.60 | 
| (2132) 1 | 515.64 | 
| (2241) | 542.79 | 
| (1121) | 556.34 | 
| (2132) 2 | 709.11 | 
| (1010) | 1015.74 | 
| (2112) | 1149.51 | 
| (1011) 2 | 1190.96 | 
| (1011) 1 | 1190.96 | 
| (0001) | 1425.18 | 
| (1012) 1 | 1524.51 | 
| (1120) | 1714.17 | 
| Surface | γfs (mJ/m2) | 
|---|---|
| (2132) 2 | -1424.81 | 
| (2132) 1 | -1116.25 | 
| (1012) 1 | -527.57 | 
| (1011) 1 | 30.78 | 
| (2130) 2 | 469.47 | 
| (2112) | 490.13 | 
| (2131) 2 | 507.74 | 
| (2241) | 541.83 | 
| (1121) | 586.69 | 
| (2131) 1 | 617.18 | 
| (2130) 1 | 618.18 | 
| (0001) | 1424.19 | 
| (1010) 1 | 1526.36 | 
| (1011) 2 | 1527.21 | 
| (2021) 1 | 1573.56 | 
| (1012) 2 | 1706.58 | 
| (1120) | 1713.42 | 
| (2021) 2 | 1791.44 | 
| (1010) 2 | 1976.42 | 
| Surface | γfs (mJ/m2) | 
|---|---|
| (111) | 2358.01 | 
| (332) | 2610.63 | 
| (322) | 2645.76 | 
| (100) | 2649.57 | 
| (221) | 2726.65 | 
| (211) | 2786.19 | 
| (331) | 2825.55 | 
| (311) | 2887.76 | 
| (110) | 2919.86 | 
| (321) | 2940.67 | 
| (310) | 3004.59 | 
| (320) | 3050.05 | 
| (210) | 3078.25 | 
| Surface | γfs (mJ/m2) | 
|---|---|
| (211) 2 | 2410.49 | 
| (210) | 2465.36 | 
| (332) 2 | 2499.99 | 
| (321) 2 | 2538.16 | 
| (311) | 2539.34 | 
| (111) | 2556.95 | 
| (221) | 2557.74 | 
| (331) | 2559.38 | 
| (321) 1 | 2568.38 | 
| (322) | 2575.58 | 
| (320) | 2575.77 | 
| (100) | 2582.30 | 
| (332) 1 | 2595.07 | 
| (310) | 2649.87 | 
| (211) 1 | 2688.06 | 
| (110) | 2775.27 | 
| Surface | γfs (mJ/m2) | 
|---|---|
| (110) | 2575.38 | 
| (320) | 2836.38 | 
| (100) | 2923.76 | 
| (210) | 2947.02 | 
| (321) | 2961.16 | 
| (331) | 2980.58 | 
| (310) | 3022.90 | 
| (211) | 3045.75 | 
| (221) | 3119.89 | 
| (311) | 3141.70 | 
| (322) | 3197.51 | 
| (332) | 3219.46 | 
| (111) | 3301.16 | 
| Surface | γfs (mJ/m2) | 
|---|---|
| (2130) | 1431.68 | 
| (2131) 2 | 2215.97 | 
| (0001) | 2358.01 | 
| (1012) 2 | 2529.91 | 
| (2021) 1 | 2589.39 | 
| (1011) 1 | 2616.11 | 
| (2021) 2 | 2798.23 | 
| (1120) | 2907.18 | 
| (1012) 1 | 2907.30 | 
| (2131) 1 | 2916.84 | 
| (1010) | 2939.98 | 
| (2132) 2 | 2949.96 | 
| (2132) 1 | 2959.23 | 
| (2241) | 2962.01 | 
| (1011) 2 | 2985.20 | 
| (1121) | 2999.66 | 
| (2112) | 3027.08 | 
Static point defect formation energies, Ef, and elastic dipole tensors, pij, are displayed for select crystals. Relaxed defect configurations are obtained by taking a 12x12x12 supercell of a perfect periodic bulk crystal, inserting the point defect, and using force minimization to statically relax the atomic positions while keeping the system dimensions constant. Ef is computed by comparing the energy of the defect system to the same number of atoms in a perfect bulk crystal. pij is estimated as the difference in the system's global pressure with and without the defect multiplied by the system's volume.
Simple structural comparisons of the unrelaxed and relaxed defect configurations are used to help determine if the defect structure has relaxed to a different configuration. Relaxed structures that are identified as no longer consistent with the ideal defect definition are excluded from the table below. The only exception to this is if the lowest energy interstitial configuration does not coincide with a known ideal defect, its energies and pressure tensor are included under the listing "relaxed interstitial". The full list of calculation results including the transformed structures and the structural comparison values is included in the csv file available from the "Download raw data" link.
The calculation method used is available as the iprPy point_defect_static calculation method.
Notes and Disclaimers:
| Point Defect | Ef (eV) | p11 (eV) | p22 (eV) | p33 (eV) | p12 (eV) | p13 (eV) | p23 (eV) | 
|---|---|---|---|---|---|---|---|
| relaxed interstitial | -449.632 | -5440.409 | -4445.757 | -3409.269 | -1173.186 | -833.679 | 624.169 | 
| tetrahedral interstitial | 1.606 | -22.602 | -22.602 | -22.602 | 0.000 | 0.000 | 0.000 | 
| octahedral interstitial | 2.533 | 1.281 | 1.281 | 1.281 | 0.000 | 0.000 | -0.000 | 
| vacancy | 2.593 | -1.925 | -1.925 | -1.925 | 0.000 | 0.000 | 0.000 | 
| 2nn divacancy | 5.194 | -5.005 | -5.005 | -4.480 | 0.000 | 0.000 | 0.000 | 
| Point Defect | Ef (eV) | p11 (eV) | p22 (eV) | p33 (eV) | p12 (eV) | p13 (eV) | p23 (eV) | 
|---|---|---|---|---|---|---|---|
| vacancy | 2.519 | -2.783 | -2.783 | -2.783 | -0.000 | 0.000 | -0.000 | 
| 110 dumbbell | 3.977 | 15.669 | 15.484 | 15.484 | 0.000 | 0.000 | 3.244 | 
| 111 dumbbell | 4.045 | 12.747 | 12.747 | 12.747 | 3.171 | 3.171 | 3.171 | 
| crowdion interstitial | 4.073 | 13.081 | 13.081 | 13.081 | 3.262 | 3.262 | 3.262 | 
| octahedral interstitial | 4.462 | 16.836 | 8.246 | 8.246 | -0.000 | 0.000 | -0.000 | 
| 2nn divacancy | 4.725 | -5.853 | -5.853 | -7.566 | -0.000 | 0.000 | 0.000 | 
| 1nn divacancy | 4.758 | -4.176 | -4.176 | -4.176 | 0.456 | 0.456 | 0.456 | 
| Point Defect | Ef (eV) | p11 (eV) | p22 (eV) | p33 (eV) | p12 (eV) | p13 (eV) | p23 (eV) | 
|---|---|---|---|---|---|---|---|
| relaxed interstitial | -19126.585 | -4650.579 | -4409.388 | -4452.850 | -160.744 | 104.588 | 220.432 | 
| Point Defect | Ef (eV) | p11 (eV) | p22 (eV) | p33 (eV) | p12 (eV) | p13 (eV) | p23 (eV) | 
|---|---|---|---|---|---|---|---|
| octahedral interstitial | 1.618 | 4.436 | 4.436 | 4.436 | 0.000 | 0.000 | 0.000 | 
| vacancy | 1.756 | -1.377 | -1.377 | -1.377 | 0.000 | 0.000 | 0.000 | 
| Point Defect | Ef (eV) | p11 (eV) | p22 (eV) | p33 (eV) | p12 (eV) | p13 (eV) | p23 (eV) | 
|---|---|---|---|---|---|---|---|
| vacancy | 1.712 | -2.976 | -2.976 | -2.976 | -0.000 | 0.000 | 0.000 | 
| 2nn divacancy | 3.188 | -6.463 | -6.463 | -7.010 | 0.000 | -0.000 | -0.000 | 
| 1nn divacancy | 3.297 | -4.901 | -4.901 | -4.901 | 0.634 | 0.634 | 0.634 | 
| 110 dumbbell | 3.526 | 17.796 | 14.618 | 14.618 | -0.000 | -0.000 | 3.798 | 
| crowdion interstitial | 4.008 | 12.839 | 12.839 | 12.839 | 6.486 | 6.486 | 6.486 | 
| 111 dumbbell | 4.013 | 12.373 | 12.373 | 12.373 | 6.423 | 6.423 | 6.423 | 
| octahedral interstitial | 4.194 | 17.788 | 9.962 | 9.962 | -0.000 | 0.000 | 0.000 | 
| Point Defect | Ef (eV) | p11 (eV) | p22 (eV) | p33 (eV) | p12 (eV) | p13 (eV) | p23 (eV) | 
|---|---|---|---|---|---|---|---|
| relaxed interstitial | -178.327 | -1559.555 | -2334.211 | -2346.725 | -832.008 | -0.040 | -0.141 | 
| vacancy | 1.768 | -2.179 | -2.179 | -2.023 | 0.000 | 0.000 | 0.000 | 
| Point Defect | Ef (eV) | p11 (eV) | p22 (eV) | p33 (eV) | p12 (eV) | p13 (eV) | p23 (eV) | 
|---|---|---|---|---|---|---|---|
| vacancy | 3.333 | -4.448 | -4.448 | -4.448 | -0.000 | -0.000 | -0.000 | 
| 1nn divacancy | 6.185 | -11.024 | -7.531 | -7.531 | -0.000 | 0.000 | -0.751 | 
| 2nn divacancy | 6.662 | -9.380 | -9.380 | -9.425 | 0.000 | -0.000 | 0.000 | 
| octahedral interstitial | 7.202 | 74.903 | 74.903 | 74.903 | -0.000 | -0.000 | -0.000 | 
| tetrahedral interstitial | 7.388 | 92.273 | 92.273 | 92.273 | -0.000 | -0.000 | -0.000 | 
| Point Defect | Ef (eV) | p11 (eV) | p22 (eV) | p33 (eV) | p12 (eV) | p13 (eV) | p23 (eV) | 
|---|---|---|---|---|---|---|---|
| vacancy | 3.632 | -4.224 | -4.224 | -4.224 | -0.000 | 0.000 | 0.000 | 
| 1nn divacancy | 6.831 | -7.035 | -7.035 | -7.035 | 0.402 | 0.402 | 0.402 | 
| 2nn divacancy | 6.862 | -9.254 | -9.254 | -10.222 | -0.000 | 0.000 | 0.000 | 
| crowdion interstitial | 8.867 | 42.533 | 42.533 | 42.533 | 16.321 | 16.321 | 16.321 | 
| 100 dumbbell | 9.792 | 33.196 | 33.196 | 52.658 | 0.000 | -0.000 | -0.000 | 
Plots of the atomic structure of dislocation cores are shown here. The dislocations were constructed using dislocation monopole configurations in which a straight dislocation is created in the center of the system using anisotropic elasticity and the elastic constants computed above. A cylindrical region centered around the dislocation is allowed to relax while the remaining atoms are held fixed. The relaxation consists of 1 million NVT steps at 10 K followed by an energy/force minimization. The final plots show the atomic configuration near the center of the monopole system, and display differential displacement arrows and Nye tensor color maps that are both taken with respect to the Burgers vector direction.
These plots show a wide range of final structures, some corresponding to expected dislocation structures and others not. While the characterizations are dislocation-type dependent, some general classification guidelines are listed here.
The calculation method used is available as the iprPy dislocation_monopole calculation method.
Links are provided above the images allowing for users to download the final defect configuration and a corresponding defect-free configuration if they wish to further analyze the structures or use them for subsequent simulations.
Notes and Disclaimers:
Version Information:
Plots of lattice and elastic constants are shown as a function of temperature. The 0K points were taken from the Crystal Structure Predictions and the Elastic Constants Predictions sections above for the unique crystal structures relaxed with the "dynamic" method. Starting from the 0 K relaxed crystal unit cells, supercell systems are created by replicating all three dimensions by the same multiplier to achieve at least 4000 atoms. The systems are then relaxed at 50 K and zero pressure using 1 million NPT steps. Lattice constants are estimated by averaging the measured box dimensions. Temperatures are iteratively increased by 50 K, with each subsequent relaxation calculation starting from the final atomic configuration at the previous temperature and relaxing for another 1 million steps.
The elastic constants are calculated using the deformation–fluctuation hybrid method. Starting from the final atomic configurations of the dynamic relaxations, the system is allowed to evolve at constant volume with a Langevin thermostat. The Born matrix is computed during this run by evaluating how the atomic forces would vary due to applied linear strain fields. The elastic constants can then be estimated using the averaged Born matrix values and the averaged stresses on the system.
The calculation methods used are available as the iprPy relax_dynamic and elastic_constants_dynamic calculation methods.
Clicking on the image of a plot will open an interactive version of it in a new tab. The underlying data for the plots can be downloaded by clicking on the links above each plot.
Notes and Disclaimers:
Version Information:
Plots of radial distribution functions at different temperatures and the temperature-dependent diffusion and viscosity are shown here for elemental liquids. Melt phases are constructed by starting with a 10x10x10 fcc super cell and relaxing with 50,000 NPT steps at zero pressure and a high melting temperature (3000 K for most potentials and elements). Following the melt, liquid structures are relaxed by running NPT for 10,000 steps over which the temperature is dropped by 50 K, then 50,000 NPT at the target temperature to estimate the equilibrium volume, followed by 20,000 NVT steps at the averaged equilibrium volume and target temperature. Structures from the NVT run are sampled to compute the radial distribution function of the liquid at the corresponding temperature.
The final relaxed configurations at each temperature explored are used as the initial configurations for the diffusion and viscosity calculations. For diffusion, the system is integrated for 100 runs of 2,000 NVT steps during which both the mean squared displacement (MSD) and the velocity auto correlation function (VACF) are computed. From these simulations, three estimates of diffusion are computed: one from the MSD of the full 200,000 step run, one in which the MSD is reset for each short run and then averaged, and one from the VACF computed for each short run and averaged. For viscosity, the Green-Kubo method is used which is evaluated during a 1 million step NVT run.
The calculation methods used are available as the iprPy relax_liquid_redo, diffusion_liquid, and viscosity_green_kubo calculation methods.
Clicking on the image of a plot will open an interactive version of it in a new tab. The underlying data for the plots can be downloaded by clicking on the links above each plot.
Notes and Disclaimers:
Version Information:
Plots of internal energy, Gibbs free energy, entropy, heat capacity and volume are shown here as a function of temperature for various crystal structures and liquid phases. The included crystal structures correspond to those in the Solid Structures vs. Temperature section, and the liquid phases to those in the Liquid Properties section. Internal energy and volume are taken from the associated structure relaxations mentioned in those previous sections. Constant pressure heat capacity is estimated using 3-point numerical derivatives of enthalpy versus temperature. Note that since all simulations done here are at 0 pressure, internal energy and enthalpy are equivalent.
The Gibbs energies of the phases are estimated using thermodynamic integration between the interatomic potential in question and a simpler model with known Gibbs free energy values. For solids, the reference model is an Einstein solid, while for liquids it is the Uhlenbeck-Ford potential. Besides a short run at the start of the solid calculations to estimate Einstein model spring constants, the two calculations proceed similarly. Starting with the final relaxation configurations, the systems are stabilized for 25,000 steps. Then, over the next 50,000 steps the potential is swapped out for the reference potential. The system is then stabilized for another 25,000 steps with the reference model before a reverse swap of 50,000 steps is performed. The simulation ends with one final 25,000 step stabilization period. From the simulation, the irreversible work of transformation is estimated and used to compute the absolute Gibbs free energy of the target phase and potential relative to the reference potential. Entropy is estimated as the difference in enthalpy and Gibbs free energy and divided by temperature.
The calculation methods used are available as the iprPy relax_dynamic, relax_liquid_redo, free_energy, and free_energy_liquid calculation methods.
Clicking on the image of a plot will open an interactive version of it in a new tab. The underlying data for the plots can be downloaded by clicking on the links above each plot.
Notes and Disclaimers:
Version Information:
            
            





