Plots of the potential energy vs interatomic spacing, r, are shown below for all diatom sets associated with the interatomic potential. This calculation provides insights into the functional form of the potential's two-body interactions. A system consisting of only two atoms is created, and the potential energy is evaluated for the atoms separated by 0.02 Å <= r <= 6.0> Å in intervals of 0.02 Å. Two plots are shown: one for the "standard" interaction distance range, and one for small values of r. The small r plot is useful for determining whether the potential is suitable for radiation studies.
The calculation method used is available as the iprPy diatom_scan calculation method.
Clicking on the image of a plot will open an interactive version of it in a new tab. The underlying data for the plots can be downloaded by clicking on the links above each plot.
Notes and Disclaimers:
Version Information:
Plots of potential energy vs interatomic spacing, r, are shown below for a number of crystal structures. The structures are generated based on the ideal atomic positions and b/a and c/a lattice parameter ratios for a given crystal prototype. The size of the system is then uniformly scaled, and the energy calculated without relaxing the system. To obtain these plots, values of r are evaluated every 0.02 Å up to 6 Å.
The calculation method used is available as the iprPy E_vs_r_scan calculation method.
Clicking on the image of a plot will open an interactive version of it in a new tab. The underlying data for the plots can be downloaded by clicking on the links above each plot.
Notes and Disclaimers:
Version Information:
Computed lattice constants and cohesive/potential energies are displayed for a variety of crystal structures. The values displayed here are obtained using the following process.
The calculation methods used are implemented into iprPy as the following calculation styles
Notes and Disclaimers:
Version Information:
Download raw data (including filtered results)
Reference structure matches:
A1--Cu--fcc = mp-8633, oqmd-592135, oqmd-1214518
A15--beta-W = mp-17, oqmd-620565, oqmd-691761, oqmd-1214963, oqmd-1280318
A2--W--bcc = mp-90, oqmd-676284, oqmd-676532, oqmd-677049, oqmd-685486, oqmd-690214, oqmd-691769, oqmd-1215141
A3'--alpha-La--double-hcp = oqmd-1215409
A3--Mg--hcp = mp-89, oqmd-592444, oqmd-622452, oqmd-1215319
A4--C--dc = oqmd-1215498
A5--beta-Sn = oqmd-1215587
A6--In--bct = oqmd-1215676
A7--alpha-As = oqmd-1215765
| prototype | method | Ecoh (eV/atom) | Epot (eV/atom) | a0 (Å) | b0 (Å) | c0 (Å) | α (degrees) | β (degrees) | γ (degrees) |
|---|---|---|---|---|---|---|---|---|---|
| A2--W--bcc | dynamic | -4.1008 | -4.1012 | 2.866 | 2.866 | 2.866 | 90.0 | 90.0 | 90.0 |
| A15--beta-W | dynamic | -4.0325 | -4.0329 | 4.5858 | 4.5858 | 4.5858 | 90.0 | 90.0 | 90.0 |
| oqmd-1214785 | dynamic | -3.9813 | -3.9817 | 8.9034 | 8.9034 | 8.9034 | 90.0 | 90.0 | 90.0 |
| oqmd-691775 | dynamic | -3.9669 | -3.9673 | 2.5516 | 2.5516 | 6.2169 | 90.0 | 90.0 | 120.0 |
| oqmd-1214874 | static | -3.9416 | -3.942 | 6.2598 | 6.2598 | 6.2598 | 90.0 | 90.0 | 90.0 |
| A3'--alpha-La--double-hcp | dynamic | -3.9379 | -3.9384 | 2.5982 | 2.5982 | 8.4858 | 90.0 | 90.0 | 120.0 |
| oqmd-1216032 | dynamic | -3.9379 | -3.9384 | 2.5982 | 2.5982 | 19.0931 | 90.0 | 90.0 | 120.0 |
| A3--Mg--hcp | dynamic | -3.9379 | -3.9384 | 2.5982 | 2.5982 | 4.2429 | 90.0 | 90.0 | 120.0 |
| A1--Cu--fcc | dynamic | -3.9379 | -3.9384 | 3.6745 | 3.6745 | 3.6745 | 90.0 | 90.0 | 90.0 |
| mp-1059289 | box | -3.919 | -3.9195 | 2.4343 | 4.6687 | 4.17 | 90.0 | 90.0 | 90.0 |
| mp-1192789 | dynamic | -3.8928 | -3.8932 | 8.7019 | 8.7019 | 4.6451 | 90.0 | 90.0 | 90.0 |
| mp-1192789 | box | -3.8865 | -3.887 | 8.7009 | 8.7009 | 4.6461 | 90.0 | 90.0 | 90.0 |
| A5--beta-Sn | static | -3.4695 | -3.4699 | 4.1398 | 4.1398 | 2.4912 | 90.0 | 90.0 | 90.0 |
| Ah--alpha-Po--sc | static | -3.1885 | -3.1889 | 2.1922 | 2.1922 | 2.1922 | 90.0 | 90.0 | 90.0 |
| oqmd-1215943 | static | -2.9517 | -2.9521 | 3.8882 | 3.8882 | 3.917 | 90.0 | 90.0 | 120.0 |
| A4--C--dc | dynamic | -2.0728 | -2.0732 | 5.8224 | 5.8224 | 5.8224 | 90.0 | 90.0 | 90.0 |
Download raw data (including filtered results)
Reference structure matches:
| prototype | method | Ecoh (eV/atom) | Epot (eV/atom) | a0 (Å) | b0 (Å) | c0 (Å) | α (degrees) | β (degrees) | γ (degrees) |
|---|---|---|---|---|---|---|---|---|---|
| mp-1077708 | dynamic | -3.7137 | -3.714 | 6.763 | 6.763 | 6.763 | 90.0 | 90.0 | 90.0 |
| C1--CaF2--fluorite | dynamic | -3.2703 | -3.2706 | 5.6484 | 5.6484 | 5.6484 | 90.0 | 90.0 | 90.0 |
| oqmd-1240427 | static | -1.7096 | -1.7099 | 9.6864 | 9.6864 | 9.6864 | 90.0 | 90.0 | 90.0 |
Download raw data (including filtered results)
Reference structure matches:
| prototype | method | Ecoh (eV/atom) | Epot (eV/atom) | a0 (Å) | b0 (Å) | c0 (Å) | α (degrees) | β (degrees) | γ (degrees) |
|---|---|---|---|---|---|---|---|---|---|
| oqmd-426579 | static | -3.7135 | -3.7137 | 7.1082 | 7.1082 | 8.7191 | 90.0 | 90.0 | 120.0 |
Download raw data (including filtered results)
Reference structure matches:
| prototype | method | Ecoh (eV/atom) | Epot (eV/atom) | a0 (Å) | b0 (Å) | c0 (Å) | α (degrees) | β (degrees) | γ (degrees) |
|---|---|---|---|---|---|---|---|---|---|
| L2_1--AlCu2Mn--heusler | dynamic | -4.9666 | -4.9669 | 5.9882 | 5.9882 | 5.9882 | 90.0 | 90.0 | 90.0 |
Download raw data (including filtered results)
Reference structure matches:
| prototype | method | Ecoh (eV/atom) | Epot (eV/atom) | a0 (Å) | b0 (Å) | c0 (Å) | α (degrees) | β (degrees) | γ (degrees) |
|---|---|---|---|---|---|---|---|---|---|
| C1--CaF2--fluorite | dynamic | -3.9328 | -3.9331 | 6.0031 | 6.0031 | 6.0031 | 90.0 | 90.0 | 90.0 |
Download raw data (including filtered results)
Reference structure matches:
D0_3--BiF3 = mp-1008282, oqmd-310984
L1_2--AuCu3 = mp-1008285, oqmd-343214
| prototype | method | Ecoh (eV/atom) | Epot (eV/atom) | a0 (Å) | b0 (Å) | c0 (Å) | α (degrees) | β (degrees) | γ (degrees) |
|---|---|---|---|---|---|---|---|---|---|
| D0_3--BiF3 | dynamic | -3.9997 | -4.0 | 5.7756 | 5.7756 | 5.7756 | 90.0 | 90.0 | 90.0 |
| A15--Cr3Si | dynamic | -3.9648 | -3.9651 | 4.5845 | 4.5845 | 4.5845 | 90.0 | 90.0 | 90.0 |
| oqmd-318728 | dynamic | -3.8731 | -3.8734 | 5.2339 | 5.2339 | 4.2522 | 90.0 | 90.0 | 120.0 |
| L1_2--AuCu3 | dynamic | -3.87 | -3.8703 | 3.6968 | 3.6968 | 3.6968 | 90.0 | 90.0 | 90.0 |
Download raw data (including filtered results)
Reference structure matches:
| prototype | method | Ecoh (eV/atom) | Epot (eV/atom) | a0 (Å) | b0 (Å) | c0 (Å) | α (degrees) | β (degrees) | γ (degrees) |
|---|---|---|---|---|---|---|---|---|---|
| L1_2--AuCu3 | dynamic | -4.7801 | -4.7805 | 3.8009 | 3.8009 | 3.8009 | 90.0 | 90.0 | 90.0 |
| D0_3--BiF3 | dynamic | -4.7695 | -4.7698 | 6.0063 | 6.0063 | 6.0063 | 90.0 | 90.0 | 90.0 |
| A15--Cr3Si | dynamic | -4.7315 | -4.7318 | 4.7502 | 4.7502 | 4.7502 | 90.0 | 90.0 | 90.0 |
Download raw data (including filtered results)
Reference structure matches:
B1--NaCl--rock-salt = oqmd-1105105
B2--CsCl = oqmd-305920
B3--ZnS--cubic-zinc-blende = oqmd-1219336
L1_0--AuCu = oqmd-337462
| prototype | method | Ecoh (eV/atom) | Epot (eV/atom) | a0 (Å) | b0 (Å) | c0 (Å) | α (degrees) | β (degrees) | γ (degrees) |
|---|---|---|---|---|---|---|---|---|---|
| mp-1226211 | dynamic | -4.0126 | -4.0128 | 2.8153 | 4.124 | 4.1297 | 90.0 | 90.0 | 90.0 |
| oqmd-1229015 | dynamic | -3.9859 | -3.9861 | 2.5707 | 2.5707 | 4.1832 | 90.0 | 90.0 | 120.0 |
| B2--CsCl | dynamic | -3.9843 | -3.9845 | 2.8944 | 2.8944 | 2.8944 | 90.0 | 90.0 | 90.0 |
| L1_0--AuCu | dynamic | -3.8715 | -3.8717 | 2.6252 | 2.6252 | 3.6971 | 90.0 | 90.0 | 90.0 |
| B1--NaCl--rock-salt | static | -3.0082 | -3.0084 | 4.5775 | 4.5775 | 4.5775 | 90.0 | 90.0 | 90.0 |
| B4--ZnS--wurtzite | box | -2.3518 | -2.352 | 3.947 | 3.947 | 6.3663 | 90.0 | 90.0 | 120.0 |
| B3--ZnS--cubic-zinc-blende | static | -2.3472 | -2.3475 | 5.5693 | 5.5693 | 5.5693 | 90.0 | 90.0 | 90.0 |
| B4--ZnS--wurtzite | box | -2.062 | -2.0622 | 3.4533 | 3.4533 | 5.5678 | 90.0 | 90.0 | 120.0 |
| B3--ZnS--cubic-zinc-blende | static | -2.0373 | -2.0375 | 4.8539 | 4.8539 | 4.8539 | 90.0 | 90.0 | 90.0 |
Download raw data (including filtered results)
Reference structure matches:
| prototype | method | Ecoh (eV/atom) | Epot (eV/atom) | a0 (Å) | b0 (Å) | c0 (Å) | α (degrees) | β (degrees) | γ (degrees) |
|---|---|---|---|---|---|---|---|---|---|
| C1--CaF2--fluorite | dynamic | -3.3486 | -3.3487 | 5.6676 | 5.6676 | 5.6676 | 90.0 | 90.0 | 90.0 |
| oqmd-1240426 | static | -1.9273 | -1.9275 | 9.8156 | 9.8156 | 9.8156 | 90.0 | 90.0 | 90.0 |
Download raw data (including filtered results)
Reference structure matches:
| prototype | method | Ecoh (eV/atom) | Epot (eV/atom) | a0 (Å) | b0 (Å) | c0 (Å) | α (degrees) | β (degrees) | γ (degrees) |
|---|---|---|---|---|---|---|---|---|---|
| L2_1--AlCu2Mn--heusler | dynamic | -5.4133 | -5.4134 | 5.9716 | 5.9716 | 5.9716 | 90.0 | 90.0 | 90.0 |
Download raw data (including filtered results)
Reference structure matches:
D0_3--BiF3 = mp-1018067, oqmd-308186
L1_2--AuCu3 = mp-1018081, oqmd-346012
| prototype | method | Ecoh (eV/atom) | Epot (eV/atom) | a0 (Å) | b0 (Å) | c0 (Å) | α (degrees) | β (degrees) | γ (degrees) |
|---|---|---|---|---|---|---|---|---|---|
| D0_3--BiF3 | dynamic | -4.0396 | -4.0397 | 5.7705 | 5.7705 | 5.7705 | 90.0 | 90.0 | 90.0 |
| A15--Cr3Si | dynamic | -3.9423 | -3.9424 | 4.621 | 4.621 | 4.621 | 90.0 | 90.0 | 90.0 |
| oqmd-321526 | dynamic | -3.9386 | -3.9388 | 5.2625 | 5.2625 | 4.2152 | 90.0 | 90.0 | 120.0 |
| L1_2--AuCu3 | dynamic | -3.9341 | -3.9342 | 3.7034 | 3.7034 | 3.7034 | 90.0 | 90.0 | 90.0 |
Download raw data (including filtered results)
Reference structure matches:
| prototype | method | Ecoh (eV/atom) | Epot (eV/atom) | a0 (Å) | b0 (Å) | c0 (Å) | α (degrees) | β (degrees) | γ (degrees) |
|---|---|---|---|---|---|---|---|---|---|
| mp-1226230 | dynamic | -4.1011 | -4.1012 | 2.8444 | 4.0703 | 20.2685 | 90.0 | 90.0 | 90.0 |
| mp-1226230 | box | -4.1005 | -4.1005 | 2.8452 | 4.0696 | 20.2762 | 90.0 | 90.0 | 90.0 |
Download raw data (including filtered results)
Reference structure matches:
| prototype | method | Ecoh (eV/atom) | Epot (eV/atom) | a0 (Å) | b0 (Å) | c0 (Å) | α (degrees) | β (degrees) | γ (degrees) |
|---|---|---|---|---|---|---|---|---|---|
| L2_1--AlCu2Mn--heusler | dynamic | -6.4493 | -6.4494 | 6.1336 | 6.1336 | 6.1336 | 90.0 | 90.0 | 90.0 |
Download raw data (including filtered results)
Reference structure matches:
| prototype | method | Ecoh (eV/atom) | Epot (eV/atom) | a0 (Å) | b0 (Å) | c0 (Å) | α (degrees) | β (degrees) | γ (degrees) |
|---|---|---|---|---|---|---|---|---|---|
| mp-1226162 | dynamic | -6.06 | -6.0602 | 2.8941 | 4.4562 | 4.5479 | 90.0 | 90.0 | 90.0 |
| L1_0--AuCu | dynamic | -5.9353 | -5.9355 | 2.6735 | 2.6735 | 4.0126 | 90.0 | 90.0 | 90.0 |
| B2--CsCl | dynamic | -5.8736 | -5.8738 | 3.0889 | 3.0889 | 3.0889 | 90.0 | 90.0 | 90.0 |
| B1--NaCl--rock-salt | static | -4.6481 | -4.6483 | 5.1464 | 5.1464 | 5.1464 | 90.0 | 90.0 | 90.0 |
| B4--ZnS--wurtzite | box | -3.304 | -3.3042 | 4.1719 | 4.1719 | 6.7733 | 90.0 | 90.0 | 120.0 |
| B3--ZnS--cubic-zinc-blende | static | -3.299 | -3.2992 | 5.894 | 5.894 | 5.894 | 90.0 | 90.0 | 90.0 |
Download raw data (including filtered results)
Reference structure matches:
| prototype | method | Ecoh (eV/atom) | Epot (eV/atom) | a0 (Å) | b0 (Å) | c0 (Å) | α (degrees) | β (degrees) | γ (degrees) |
|---|---|---|---|---|---|---|---|---|---|
| C1--CaF2--fluorite | static | -5.7543 | -5.7545 | 6.0913 | 6.0913 | 6.0913 | 90.0 | 90.0 | 90.0 |
Download raw data (including filtered results)
Reference structure matches:
| prototype | method | Ecoh (eV/atom) | Epot (eV/atom) | a0 (Å) | b0 (Å) | c0 (Å) | α (degrees) | β (degrees) | γ (degrees) |
|---|---|---|---|---|---|---|---|---|---|
| D0_3--BiF3 | dynamic | -7.338 | -7.3381 | 6.2833 | 6.2833 | 6.2833 | 90.0 | 90.0 | 90.0 |
| L1_2--AuCu3 | dynamic | -7.2624 | -7.2625 | 3.898 | 3.898 | 3.898 | 90.0 | 90.0 | 90.0 |
| A15--Cr3Si | dynamic | -7.1968 | -7.1969 | 5.0933 | 5.0933 | 5.0933 | 90.0 | 90.0 | 90.0 |
Download raw data (including filtered results)
Reference structure matches:
A1--Cu--fcc = mp-150, oqmd-7505, oqmd-1214525
A15--beta-W = oqmd-1214970
A2--W--bcc = mp-13, oqmd-8568, oqmd-22514, oqmd-1215148
A3'--alpha-La--double-hcp = oqmd-1215416
A3--Mg--hcp = mp-136, oqmd-30158, oqmd-51781, oqmd-1215326, oqmd-1215391
A4--C--dc = oqmd-1215505
A5--beta-Sn = oqmd-1215594
A6--In--bct = oqmd-1215683
Ah--alpha-Po--sc = mp-568345
| prototype | method | Ecoh (eV/atom) | Epot (eV/atom) | a0 (Å) | b0 (Å) | c0 (Å) | α (degrees) | β (degrees) | γ (degrees) |
|---|---|---|---|---|---|---|---|---|---|
| A2--W--bcc | dynamic | -4.1224 | -4.1224 | 2.8553 | 2.8553 | 2.8553 | 90.0 | 90.0 | 90.0 |
| A15--beta-W | dynamic | -4.0464 | -4.0464 | 4.5362 | 4.5362 | 4.5362 | 90.0 | 90.0 | 90.0 |
| oqmd-1214792 | dynamic | -4.0341 | -4.0341 | 8.8485 | 8.8485 | 8.8485 | 90.0 | 90.0 | 90.0 |
| A3--Mg--hcp | dynamic | -4.0049 | -4.0049 | 2.6206 | 2.6206 | 4.1453 | 90.0 | 90.0 | 120.0 |
| oqmd-1216039 | dynamic | -4.0039 | -4.0039 | 2.6142 | 2.6142 | 18.7145 | 90.0 | 90.0 | 120.0 |
| A3'--alpha-La--double-hcp | dynamic | -4.0034 | -4.0034 | 2.6094 | 2.6094 | 8.338 | 90.0 | 90.0 | 120.0 |
| A1--Cu--fcc | dynamic | -4.002 | -4.002 | 3.6584 | 3.6584 | 3.6584 | 90.0 | 90.0 | 90.0 |
| oqmd-1214881 | static | -3.9963 | -3.9963 | 6.1773 | 6.1773 | 6.1773 | 90.0 | 90.0 | 90.0 |
| mp-1194030 | dynamic | -3.9709 | -3.9709 | 8.6019 | 8.6019 | 4.6065 | 90.0 | 90.0 | 90.0 |
| mp-1245108 | dynamic | -3.964 | -3.964 | 10.3461 | 10.7256 | 10.8018 | 92.4 | 90.8 | 90.8 |
| mp-1245108 | static | -3.957 | -3.957 | 10.3701 | 10.7319 | 10.7706 | 87.4 | 89.9 | 88.0 |
| mp-1194030 | box | -3.95 | -3.95 | 8.477 | 8.477 | 4.6589 | 90.0 | 90.0 | 90.0 |
| mp-1245108 | box | -3.914 | -3.914 | 10.5235 | 10.5496 | 10.8843 | 90.4 | 91.8 | 91.8 |
| A5--beta-Sn | static | -3.629 | -3.629 | 4.667 | 4.667 | 2.4302 | 90.0 | 90.0 | 90.0 |
| Ah--alpha-Po--sc | static | -3.4175 | -3.4175 | 2.2421 | 2.2421 | 2.2421 | 90.0 | 90.0 | 90.0 |
Download raw data (including filtered results)
Reference structure matches:
| prototype | method | Ecoh (eV/atom) | Epot (eV/atom) | a0 (Å) | b0 (Å) | c0 (Å) | α (degrees) | β (degrees) | γ (degrees) |
|---|---|---|---|---|---|---|---|---|---|
| mp-20868 | dynamic | -6.3073 | -6.3073 | 4.6647 | 4.6647 | 7.5858 | 90.0 | 90.0 | 120.0 |
| mp-20868 | box | -6.3023 | -6.3023 | 4.6594 | 4.6594 | 7.6511 | 90.0 | 90.0 | 120.0 |
| C1--CaF2--fluorite | dynamic | -5.0449 | -5.0449 | 5.9442 | 5.9442 | 5.9442 | 90.0 | 90.0 | 90.0 |
| oqmd-1232998 | static | -4.7773 | -4.7773 | 6.8615 | 6.8615 | 2.5691 | 90.0 | 90.0 | 90.0 |
Download raw data (including filtered results)
Reference structure matches:
| prototype | method | Ecoh (eV/atom) | Epot (eV/atom) | a0 (Å) | b0 (Å) | c0 (Å) | α (degrees) | β (degrees) | γ (degrees) |
|---|---|---|---|---|---|---|---|---|---|
| oqmd-427076 | static | -7.3259 | -7.3259 | 7.5093 | 7.5093 | 8.7329 | 90.0 | 90.0 | 120.0 |
Download raw data (including filtered results)
Reference structure matches:
D0_3--BiF3 = oqmd-312528
L1_2--AuCu3 = mp-1184225, oqmd-343953
| prototype | method | Ecoh (eV/atom) | Epot (eV/atom) | a0 (Å) | b0 (Å) | c0 (Å) | α (degrees) | β (degrees) | γ (degrees) |
|---|---|---|---|---|---|---|---|---|---|
| mp-1184280 | dynamic | -5.691 | -5.691 | 5.2366 | 5.2366 | 4.2228 | 90.0 | 90.0 | 120.0 |
| oqmd-319467 | static | -5.691 | -5.691 | 5.2365 | 5.2365 | 4.2229 | 90.0 | 90.0 | 120.0 |
| mp-1184280 | box | -5.6905 | -5.6905 | 5.2344 | 5.2344 | 4.2369 | 90.0 | 90.0 | 120.0 |
| L1_2--AuCu3 | static | -5.6902 | -5.6902 | 3.7027 | 3.7027 | 3.7027 | 90.0 | 90.0 | 90.0 |
| oqmd-301986 | static | -5.6704 | -5.6704 | 3.6976 | 3.6976 | 7.4678 | 90.0 | 90.0 | 90.0 |
| A15--Cr3Si | dynamic | -5.6467 | -5.6467 | 4.6958 | 4.6958 | 4.6958 | 90.0 | 90.0 | 90.0 |
| D0_3--BiF3 | dynamic | -5.6382 | -5.6382 | 5.9489 | 5.9489 | 5.9489 | 90.0 | 90.0 | 90.0 |
Download raw data (including filtered results)
Reference structure matches:
| prototype | method | Ecoh (eV/atom) | Epot (eV/atom) | a0 (Å) | b0 (Å) | c0 (Å) | α (degrees) | β (degrees) | γ (degrees) |
|---|---|---|---|---|---|---|---|---|---|
| mp-1227244 | dynamic | -5.106 | -5.106 | 12.5754 | 37.7139 | 8.891 | 90.0 | 90.0 | 90.0 |
| mp-1227244 | static | -5.106 | -5.106 | 12.5755 | 37.7132 | 8.891 | 90.0 | 90.0 | 90.0 |
| mp-1227244 | box | -5.0802 | -5.0802 | 12.6095 | 37.8412 | 8.9144 | 90.0 | 90.0 | 90.0 |
Download raw data (including filtered results)
Reference structure matches:
| prototype | method | Ecoh (eV/atom) | Epot (eV/atom) | a0 (Å) | b0 (Å) | c0 (Å) | α (degrees) | β (degrees) | γ (degrees) |
|---|---|---|---|---|---|---|---|---|---|
| mp-1473 | dynamic | -6.8965 | -6.8965 | 4.7828 | 4.7828 | 25.782 | 90.0 | 90.0 | 120.0 |
| mp-1473 | static | -6.8965 | -6.8965 | 4.7827 | 4.7827 | 25.7823 | 90.0 | 90.0 | 120.0 |
| mp-1473 | box | -6.8933 | -6.8933 | 4.7768 | 4.7768 | 25.8301 | 90.0 | 90.0 | 120.0 |
Download raw data (including filtered results)
Reference structure matches:
B1--NaCl--rock-salt = oqmd-1105868
B2--CsCl = oqmd-306683
B3--ZnS--cubic-zinc-blende = oqmd-1222541
L1_0--AuCu = oqmd-338225
| prototype | method | Ecoh (eV/atom) | Epot (eV/atom) | a0 (Å) | b0 (Å) | c0 (Å) | α (degrees) | β (degrees) | γ (degrees) |
|---|---|---|---|---|---|---|---|---|---|
| B2--CsCl | dynamic | -7.0198 | -7.0198 | 3.0267 | 3.0267 | 3.0267 | 90.0 | 90.0 | 90.0 |
| L1_0--AuCu | static | -6.9916 | -6.9916 | 2.6921 | 2.6921 | 3.6527 | 90.0 | 90.0 | 90.0 |
| oqmd-1220347 | dynamic | -6.9864 | -6.9864 | 4.3581 | 2.7025 | 4.5259 | 90.0 | 90.0 | 90.0 |
| oqmd-1229512 | static | -6.8128 | -6.8128 | 2.7031 | 2.7031 | 4.2282 | 90.0 | 90.0 | 120.0 |
| oqmd-327767 | static | -6.8071 | -6.8071 | 2.698 | 2.698 | 12.7395 | 90.0 | 90.0 | 120.0 |
| B1--NaCl--rock-salt | static | -6.0254 | -6.0254 | 5.1001 | 5.1001 | 5.1001 | 90.0 | 90.0 | 90.0 |
| B4--ZnS--wurtzite | box | -4.4178 | -4.4178 | 4.1341 | 4.1341 | 6.7437 | 90.0 | 90.0 | 120.0 |
| B3--ZnS--cubic-zinc-blende | static | -4.3997 | -4.3997 | 5.8462 | 5.8462 | 5.8462 | 90.0 | 90.0 | 90.0 |
Download raw data (including filtered results)
Reference structure matches:
| prototype | method | Ecoh (eV/atom) | Epot (eV/atom) | a0 (Å) | b0 (Å) | c0 (Å) | α (degrees) | β (degrees) | γ (degrees) |
|---|---|---|---|---|---|---|---|---|---|
| C1--CaF2--fluorite | static | -6.7266 | -6.7266 | 5.9627 | 5.9627 | 5.9627 | 90.0 | 90.0 | 90.0 |
Download raw data (including filtered results)
Reference structure matches:
D0_3--BiF3 = oqmd-308925
L1_2--AuCu3 = oqmd-347556
| prototype | method | Ecoh (eV/atom) | Epot (eV/atom) | a0 (Å) | b0 (Å) | c0 (Å) | α (degrees) | β (degrees) | γ (degrees) |
|---|---|---|---|---|---|---|---|---|---|
| D0_3--BiF3 | dynamic | -8.0051 | -8.0051 | 6.1869 | 6.1869 | 6.1869 | 90.0 | 90.0 | 90.0 |
| oqmd-323070 | dynamic | -7.9602 | -7.9602 | 5.3955 | 5.3955 | 4.4144 | 90.0 | 90.0 | 120.0 |
| L1_2--AuCu3 | dynamic | -7.9599 | -7.9599 | 3.8134 | 3.8134 | 3.8134 | 90.0 | 90.0 | 90.0 |
| oqmd-298390 | dynamic | -7.9512 | -7.9512 | 3.7961 | 3.7961 | 7.7328 | 90.0 | 90.0 | 90.0 |
| A15--Cr3Si | static | -7.7988 | -7.7988 | 5.0382 | 5.0382 | 5.0382 | 90.0 | 90.0 | 90.0 |
Download raw data (including filtered results)
Reference structure matches:
A1--Cu--fcc = mp-8641, oqmd-676155, oqmd-1214584
A15--beta-W = mp-11334, oqmd-9254, oqmd-1215029
A2--W--bcc = mp-91, oqmd-676232, oqmd-1215207
A3'--alpha-La--double-hcp = oqmd-1215475
A3--Mg--hcp = oqmd-1215385
A4--C--dc = oqmd-1215564
A5--beta-Sn = oqmd-1215653
A6--In--bct = oqmd-1215742
A7--alpha-As = oqmd-1215831
| prototype | method | Ecoh (eV/atom) | Epot (eV/atom) | a0 (Å) | b0 (Å) | c0 (Å) | α (degrees) | β (degrees) | γ (degrees) |
|---|---|---|---|---|---|---|---|---|---|
| A2--W--bcc | dynamic | -8.9 | -8.9 | 3.1652 | 3.1652 | 3.1652 | 90.0 | 90.0 | 90.0 |
| A3'--alpha-La--double-hcp | dynamic | -8.7454 | -8.7454 | 2.7768 | 2.7768 | 9.069 | 90.0 | 90.0 | 120.0 |
| A1--Cu--fcc | dynamic | -8.7454 | -8.7454 | 3.927 | 3.927 | 3.927 | 90.0 | 90.0 | 90.0 |
| oqmd-1216101 | dynamic | -8.7454 | -8.7454 | 2.7768 | 2.7768 | 20.4053 | 90.0 | 90.0 | 120.0 |
| A3--Mg--hcp | dynamic | -8.7454 | -8.7454 | 2.7768 | 2.7768 | 4.5345 | 90.0 | 90.0 | 120.0 |
| A15--beta-W | dynamic | -8.6866 | -8.6866 | 5.1366 | 5.1366 | 5.1366 | 90.0 | 90.0 | 90.0 |
| oqmd-1214851 | dynamic | -8.6697 | -8.6697 | 9.8528 | 9.8528 | 9.8528 | 90.0 | 90.0 | 90.0 |
| mp-1065340 | box | -8.637 | -8.637 | 2.8011 | 4.8446 | 4.6728 | 90.0 | 90.0 | 90.0 |
| oqmd-1214940 | static | -8.6057 | -8.6057 | 6.8963 | 6.8963 | 6.8963 | 90.0 | 90.0 | 90.0 |
| mp-1216274 | box | -8.3825 | -8.3825 | 2.6569 | 2.6569 | 18.037 | 90.0 | 90.0 | 90.0 |
| A5--beta-Sn | static | -8.0586 | -8.0586 | 5.0066 | 5.0066 | 2.6516 | 90.0 | 90.0 | 90.0 |
| mp-1191581 | box | -7.4912 | -7.4912 | 10.6433 | 2.6001 | 16.2557 | 90.0 | 93.6 | 90.0 |
| mp-1178801 | box | -7.4708 | -7.4708 | 10.5774 | 2.6002 | 13.1452 | 90.0 | 92.7 | 90.0 |
| A4--C--dc | static | -5.5181 | -5.5181 | 6.0808 | 6.0808 | 6.0808 | 90.0 | 90.0 | 90.0 |
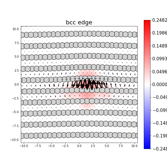
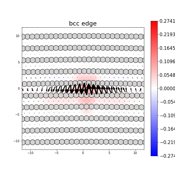
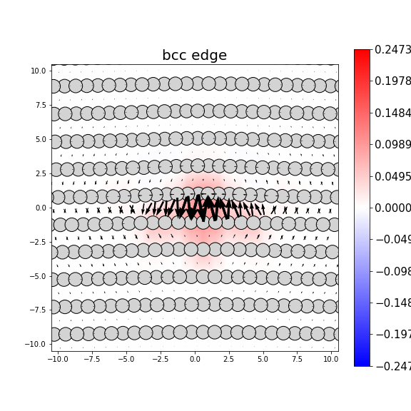
Static elastic constants are displayed for the unique structures identified in Crystal Structure Predictions above. The values displayed here are obtained by measuring the change in virial stresses due to applying small strains to the relaxed crystals. The initial structure and the strained states are all relaxed using force minimization.
The calculation method used is available as the iprPy elastic_constants_static calculation method.
Notes and Disclaimers:
Version Information:
| 132.668 | 131.453 | 131.453 | -0.000 | -0.000 | -0.000 |
| 131.453 | 132.668 | 131.453 | -0.000 | -0.000 | -0.000 |
| 131.453 | 131.453 | 132.668 | 0.000 | -0.000 | -0.000 |
| -0.000 | -0.000 | -0.000 | 87.544 | 0.000 | -0.000 |
| -0.000 | -0.000 | -0.000 | 0.000 | 87.544 | -0.000 |
| -0.000 | -0.000 | -0.000 | -0.000 | -0.000 | 87.544 |
| 132.668 | 131.453 | 131.453 | 0.000 | 0.000 | 0.000 |
| 131.453 | 132.668 | 131.453 | 0.000 | 0.000 | 0.000 |
| 131.453 | 131.453 | 132.668 | -0.000 | 0.000 | 0.000 |
| 0.000 | 0.000 | 0.000 | 87.544 | 0.000 | 0.000 |
| 0.000 | 0.000 | 0.000 | 0.000 | 87.544 | 0.000 |
| 0.000 | 0.000 | 0.000 | 0.000 | 0.000 | 87.544 |
| 132.668 | 131.454 | 131.454 | -0.000 | -0.000 | -0.000 |
| 131.454 | 132.668 | 131.454 | -0.000 | -0.000 | -0.000 |
| 131.454 | 131.454 | 132.668 | -0.000 | -0.000 | -0.000 |
| -0.000 | 0.000 | 0.000 | 87.544 | -0.000 | -0.000 |
| 0.000 | -0.000 | 0.000 | -0.000 | 87.544 | -0.000 |
| 0.000 | 0.000 | -0.000 | -0.000 | -0.000 | 87.544 |
| 132.669 | 131.453 | 131.453 | 0.000 | 0.000 | 0.000 |
| 131.453 | 132.669 | 131.453 | 0.000 | 0.000 | 0.000 |
| 131.453 | 131.453 | 132.669 | 0.000 | 0.000 | 0.000 |
| 0.000 | -0.000 | -0.000 | 87.544 | 0.000 | 0.000 |
| -0.000 | 0.000 | -0.000 | 0.000 | 87.544 | 0.000 |
| -0.000 | -0.000 | 0.000 | 0.000 | -0.000 | 87.544 |
| 132.667 | 131.454 | 131.454 | -0.000 | -0.000 | -0.000 |
| 131.454 | 132.667 | 131.454 | -0.000 | -0.000 | -0.000 |
| 131.454 | 131.454 | 132.667 | -0.000 | -0.000 | -0.000 |
| -0.000 | 0.000 | 0.000 | 87.544 | -0.000 | -0.000 |
| 0.000 | -0.000 | 0.000 | -0.000 | 87.544 | -0.000 |
| 0.000 | 0.000 | -0.000 | -0.000 | -0.000 | 87.544 |
| 132.670 | 131.453 | 131.453 | 0.000 | 0.000 | 0.000 |
| 131.453 | 132.670 | 131.453 | 0.000 | 0.000 | 0.000 |
| 131.453 | 131.453 | 132.670 | 0.000 | 0.000 | 0.000 |
| 0.000 | -0.000 | -0.000 | 87.544 | 0.000 | -0.000 |
| -0.000 | 0.000 | -0.000 | 0.000 | 87.544 | 0.000 |
| -0.000 | -0.000 | 0.000 | 0.000 | 0.000 | 87.544 |
| 345.041 | 120.735 | 120.735 | -0.000 | 0.000 | 0.000 |
| 120.735 | 345.041 | 120.735 | -0.000 | 0.000 | 0.000 |
| 120.735 | 120.735 | 345.041 | -0.000 | 0.000 | 0.000 |
| 0.000 | -0.000 | 0.000 | 71.048 | 0.000 | 0.000 |
| 0.000 | -0.000 | 0.000 | -0.000 | 71.048 | 0.000 |
| 0.000 | -0.000 | 0.000 | -0.000 | 0.000 | 71.048 |
| 345.041 | 120.735 | 120.735 | 0.000 | -0.000 | -0.000 |
| 120.735 | 345.041 | 120.735 | 0.000 | -0.000 | -0.000 |
| 120.735 | 120.735 | 345.041 | 0.000 | -0.000 | -0.000 |
| -0.000 | 0.000 | -0.000 | 71.048 | -0.000 | -0.000 |
| -0.000 | 0.000 | -0.000 | -0.000 | 71.048 | -0.000 |
| -0.000 | 0.000 | -0.000 | 0.000 | -0.000 | 71.048 |
| 345.041 | 120.735 | 120.735 | -0.000 | 0.000 | 0.000 |
| 120.735 | 345.041 | 120.735 | -0.000 | 0.000 | 0.000 |
| 120.735 | 120.735 | 345.041 | -0.000 | 0.000 | 0.000 |
| -0.000 | -0.000 | -0.000 | 70.591 | 0.000 | 0.000 |
| -0.000 | -0.000 | -0.000 | -0.000 | 70.591 | 0.000 |
| -0.000 | -0.000 | -0.000 | -0.000 | 0.000 | 70.591 |
| 345.041 | 120.735 | 120.735 | 0.000 | -0.000 | -0.000 |
| 120.735 | 345.041 | 120.735 | 0.000 | -0.000 | -0.000 |
| 120.735 | 120.735 | 345.041 | -0.000 | -0.000 | -0.000 |
| 0.000 | 0.000 | 0.000 | 70.591 | -0.000 | -0.000 |
| 0.000 | 0.000 | 0.000 | 0.000 | 70.591 | -0.000 |
| 0.000 | 0.000 | 0.000 | 0.000 | -0.000 | 70.591 |
| 345.042 | 120.736 | 120.736 | -0.000 | 0.000 | 0.000 |
| 120.736 | 345.042 | 120.736 | -0.000 | 0.000 | 0.000 |
| 120.736 | 120.736 | 345.042 | 0.000 | 0.000 | 0.000 |
| -0.000 | -0.000 | -0.000 | 70.591 | 0.000 | 0.000 |
| -0.000 | -0.000 | -0.000 | 0.000 | 70.591 | 0.000 |
| -0.000 | -0.000 | -0.000 | -0.000 | 0.000 | 70.591 |
| 344.796 | 120.857 | 120.857 | -0.000 | -0.000 | -0.000 |
| 120.857 | 344.796 | 120.857 | -0.000 | -0.000 | -0.000 |
| 120.857 | 120.857 | 344.796 | 0.000 | 0.000 | -0.000 |
| 0.000 | 0.000 | 0.000 | 70.591 | -0.000 | -0.000 |
| 0.000 | 0.000 | 0.000 | -0.000 | 70.591 | -0.000 |
| 0.000 | 0.000 | 0.000 | -0.000 | -0.000 | 70.591 |
| 319.385 | 164.025 | 164.025 | -0.000 | -0.000 | -0.000 |
| 164.025 | 319.385 | 164.025 | -0.000 | 0.000 | -0.000 |
| 164.025 | 164.025 | 319.385 | -0.000 | -0.000 | -0.000 |
| -0.000 | -0.000 | 0.000 | 108.317 | -0.000 | -0.000 |
| -0.000 | -0.000 | -0.000 | -0.000 | 108.317 | -0.000 |
| -0.000 | -0.000 | 0.000 | 0.000 | -0.000 | 108.317 |
| 319.385 | 164.025 | 164.025 | 0.000 | 0.000 | 0.000 |
| 164.025 | 319.385 | 164.025 | 0.000 | -0.000 | 0.000 |
| 164.025 | 164.025 | 319.385 | 0.000 | 0.000 | 0.000 |
| 0.000 | 0.000 | -0.000 | 108.317 | 0.000 | 0.000 |
| 0.000 | 0.000 | 0.000 | 0.000 | 108.317 | 0.000 |
| 0.000 | 0.000 | -0.000 | -0.000 | 0.000 | 108.317 |
| 319.385 | 164.025 | 164.025 | -0.000 | -0.000 | -0.000 |
| 164.025 | 319.385 | 164.025 | -0.000 | -0.000 | -0.000 |
| 164.025 | 164.025 | 319.385 | -0.000 | -0.000 | -0.000 |
| 0.000 | -0.000 | 0.000 | 108.317 | -0.000 | -0.000 |
| -0.000 | 0.000 | 0.000 | -0.000 | 108.317 | -0.000 |
| -0.000 | -0.000 | 0.000 | 0.000 | -0.000 | 108.317 |
| 319.385 | 164.025 | 164.025 | 0.000 | 0.000 | 0.000 |
| 164.025 | 319.385 | 164.025 | 0.000 | 0.000 | 0.000 |
| 164.025 | 164.025 | 319.385 | 0.000 | 0.000 | 0.000 |
| -0.000 | 0.000 | -0.000 | 108.317 | 0.000 | 0.000 |
| 0.000 | -0.000 | -0.000 | 0.000 | 108.317 | 0.000 |
| 0.000 | 0.000 | -0.000 | -0.000 | 0.000 | 108.317 |
| 319.385 | 164.026 | 164.026 | 0.000 | -0.000 | -0.000 |
| 164.026 | 319.385 | 164.026 | 0.000 | -0.000 | -0.000 |
| 164.026 | 164.026 | 319.385 | 0.000 | -0.000 | -0.000 |
| 0.000 | -0.000 | 0.000 | 108.317 | -0.000 | -0.000 |
| -0.000 | 0.000 | 0.000 | 0.000 | 108.317 | -0.000 |
| -0.000 | 0.000 | 0.000 | 0.000 | -0.000 | 108.317 |
| 319.385 | 164.025 | 164.025 | 0.000 | -0.000 | 0.000 |
| 164.025 | 319.385 | 164.025 | -0.000 | -0.000 | 0.000 |
| 164.025 | 164.025 | 319.385 | 0.000 | -0.000 | 0.000 |
| -0.000 | 0.000 | -0.000 | 108.317 | 0.000 | 0.000 |
| 0.000 | -0.000 | -0.000 | 0.000 | 108.317 | 0.000 |
| 0.000 | -0.000 | -0.000 | -0.000 | 0.000 | 108.317 |
| 162.837 | 159.242 | 73.496 | 0.000 | 0.000 | -0.000 |
| 159.242 | 162.837 | 73.496 | 0.000 | 0.000 | -0.000 |
| 73.496 | 73.496 | 248.584 | 0.000 | 0.000 | -0.000 |
| 0.000 | -0.000 | 0.000 | 29.586 | 0.000 | -0.000 |
| -0.000 | -0.000 | -0.000 | 0.000 | 29.586 | -0.000 |
| -0.000 | -0.000 | -0.000 | 0.000 | 0.000 | 58.565 |
| 219.605 | 102.475 | 73.496 | -0.000 | -0.000 | 0.000 |
| 159.242 | 162.838 | 73.496 | 0.000 | -0.000 | 0.000 |
| 73.496 | 73.496 | 248.584 | -0.000 | -0.000 | 0.000 |
| -0.000 | 0.000 | -0.000 | 29.586 | -0.000 | 0.000 |
| 0.000 | 0.000 | 0.000 | -0.000 | 29.586 | 0.000 |
| 0.000 | 0.000 | 0.000 | -0.000 | -0.000 | 58.565 |
| 219.605 | 102.475 | 73.496 | -0.000 | 0.000 | -0.000 |
| 102.475 | 219.605 | 73.496 | -0.000 | -0.000 | -0.000 |
| 73.496 | 73.496 | 248.584 | 0.000 | 0.000 | -0.000 |
| -0.000 | -0.000 | -0.000 | 29.586 | 0.000 | -0.000 |
| -0.000 | -0.000 | -0.000 | 0.000 | 29.586 | -0.000 |
| -0.000 | -0.000 | -0.000 | 0.000 | 0.000 | 1.798 |
| 219.605 | 102.474 | 73.496 | -0.000 | -0.000 | 0.000 |
| 102.474 | 219.605 | 73.496 | 0.000 | -0.000 | 0.000 |
| 73.496 | 73.496 | 248.584 | -0.000 | -0.000 | 0.000 |
| 0.000 | 0.000 | 0.000 | 29.586 | -0.000 | 0.000 |
| 0.000 | 0.000 | 0.000 | -0.000 | 29.586 | 0.000 |
| 0.000 | 0.000 | 0.000 | -0.000 | -0.000 | 1.798 |
| 162.837 | 159.242 | 73.495 | -0.000 | 0.000 | -0.000 |
| 159.245 | 162.834 | 73.495 | 0.000 | 0.000 | -0.000 |
| 73.496 | 73.496 | 248.585 | 0.000 | 0.000 | -0.000 |
| 0.000 | -0.001 | -0.000 | 29.586 | 0.000 | -0.000 |
| -0.001 | 0.000 | -0.000 | -0.000 | 29.586 | -0.000 |
| -0.001 | -0.000 | -0.001 | 0.000 | 0.000 | 1.798 |
| 219.605 | 102.474 | 73.496 | -0.000 | -0.000 | 0.000 |
| 159.240 | 162.841 | 73.496 | -0.000 | -0.000 | 0.000 |
| 73.495 | 73.495 | 248.584 | -0.000 | -0.000 | 0.000 |
| -0.000 | 0.001 | 0.000 | 29.586 | -0.000 | 0.000 |
| 0.001 | -0.000 | 0.000 | -0.000 | 29.586 | 0.000 |
| 0.001 | 0.000 | 0.001 | 0.000 | -0.000 | 1.798 |
| 162.837 | 159.242 | 73.496 | 0.000 | 0.000 | 0.000 |
| 159.242 | 162.837 | 73.496 | 0.000 | -0.000 | 0.000 |
| 73.496 | 73.496 | 248.584 | 0.000 | -0.000 | -0.000 |
| 0.000 | -0.000 | 0.000 | 29.586 | -0.000 | -0.000 |
| -0.000 | -0.000 | 0.000 | 0.000 | 29.586 | -0.000 |
| -0.000 | -0.000 | -0.000 | 0.000 | 0.000 | 1.798 |
| 219.605 | 102.475 | 73.496 | -0.000 | 0.000 | 0.000 |
| 102.475 | 219.605 | 73.496 | -0.000 | 0.000 | 0.000 |
| 73.496 | 73.496 | 248.584 | -0.000 | 0.000 | 0.000 |
| -0.000 | 0.000 | -0.000 | 29.586 | 0.000 | -0.000 |
| 0.000 | 0.000 | -0.000 | -0.000 | 29.586 | -0.000 |
| 0.000 | 0.000 | 0.000 | -0.000 | 0.000 | 1.798 |
| 219.605 | 102.475 | 73.496 | 0.000 | -0.000 | -0.000 |
| 102.475 | 219.605 | 73.496 | 0.000 | -0.000 | -0.000 |
| 73.496 | 73.496 | 248.584 | 0.000 | -0.000 | -0.000 |
| 0.000 | -0.000 | -0.000 | 29.586 | -0.000 | -0.000 |
| -0.000 | 0.000 | -0.000 | 0.000 | 29.586 | -0.000 |
| -0.000 | -0.000 | -0.000 | 0.000 | -0.000 | 1.798 |
| 162.837 | 159.242 | 73.496 | -0.000 | -0.000 | 0.000 |
| 159.242 | 162.838 | 73.496 | -0.000 | -0.000 | 0.000 |
| 73.496 | 73.496 | 248.584 | -0.000 | 0.000 | -0.000 |
| -0.000 | 0.000 | 0.000 | 29.586 | 0.000 | -0.000 |
| 0.000 | -0.000 | 0.000 | -0.000 | 29.586 | -0.000 |
| 0.000 | 0.000 | 0.000 | -0.000 | 0.000 | 1.798 |
| 162.838 | 159.241 | 73.495 | 0.000 | -0.000 | 0.000 |
| 159.246 | 162.834 | 73.495 | 0.000 | -0.000 | 0.000 |
| 73.496 | 73.496 | 248.585 | 0.000 | -0.000 | -0.000 |
| 0.000 | -0.001 | -0.000 | 29.586 | -0.000 | 0.000 |
| -0.001 | 0.000 | -0.000 | 0.000 | 29.586 | 0.000 |
| -0.001 | -0.000 | -0.001 | 0.000 | 0.000 | 1.798 |
| 162.837 | 159.243 | 73.496 | -0.000 | 0.000 | -0.000 |
| 159.239 | 162.841 | 73.496 | -0.000 | -0.000 | -0.000 |
| 73.495 | 73.495 | 248.584 | -0.000 | 0.000 | 0.000 |
| -0.000 | 0.001 | 0.000 | 29.586 | 0.000 | -0.000 |
| 0.001 | -0.000 | 0.000 | -0.000 | 29.586 | 0.000 |
| 0.001 | 0.000 | 0.001 | -0.000 | 0.000 | 1.798 |
| 21.095 | 21.095 | 21.095 | 0.000 | 0.000 | 0.000 |
| 21.095 | 21.095 | 21.095 | 0.000 | 0.000 | 0.000 |
| 21.095 | 21.095 | 21.095 | 0.000 | 0.000 | 0.000 |
| -0.000 | -0.000 | -0.000 | 0.000 | 0.000 | 0.000 |
| -0.000 | -0.000 | -0.000 | 0.000 | 0.000 | 0.000 |
| -0.000 | -0.000 | -0.000 | 0.000 | 0.000 | 0.000 |
| 21.095 | 21.095 | 21.095 | -0.000 | -0.000 | -0.000 |
| 21.095 | 21.095 | 21.095 | -0.000 | -0.000 | -0.000 |
| 21.095 | 21.095 | 21.095 | -0.000 | -0.000 | -0.000 |
| 0.000 | 0.000 | 0.000 | -0.000 | -0.000 | -0.000 |
| 0.000 | 0.000 | 0.000 | -0.000 | -0.000 | -0.000 |
| 0.000 | 0.000 | 0.000 | -0.000 | -0.000 | -0.000 |
| 21.095 | 21.095 | 21.095 | 0.000 | 0.000 | 0.000 |
| 21.095 | 21.095 | 21.095 | 0.000 | 0.000 | 0.000 |
| 21.095 | 21.095 | 21.095 | 0.000 | 0.000 | 0.000 |
| -0.000 | -0.000 | -0.000 | 0.000 | 0.000 | 0.000 |
| -0.000 | -0.000 | -0.000 | 0.000 | 0.000 | 0.000 |
| -0.000 | -0.000 | -0.000 | 0.000 | 0.000 | 0.000 |
| 21.095 | 21.095 | 21.095 | -0.000 | -0.000 | -0.000 |
| 21.095 | 21.095 | 21.095 | -0.000 | -0.000 | -0.000 |
| 21.095 | 21.095 | 21.095 | -0.000 | -0.000 | -0.000 |
| 0.000 | 0.000 | 0.000 | -0.000 | -0.000 | -0.000 |
| 0.000 | 0.000 | 0.000 | -0.000 | -0.000 | -0.000 |
| 0.000 | 0.000 | 0.000 | -0.000 | -0.000 | -0.000 |
| 21.095 | 21.095 | 21.095 | 0.000 | 0.000 | 0.000 |
| 21.095 | 21.095 | 21.095 | 0.000 | 0.000 | 0.000 |
| 21.095 | 21.095 | 21.095 | 0.000 | 0.000 | 0.000 |
| -0.000 | -0.000 | -0.000 | 0.000 | 0.000 | 0.000 |
| -0.000 | -0.000 | -0.000 | 0.000 | 0.000 | 0.000 |
| -0.000 | -0.000 | -0.000 | 0.000 | 0.000 | 0.000 |
| 21.095 | 21.095 | 21.095 | -0.000 | -0.000 | -0.000 |
| 21.095 | 21.095 | 21.095 | -0.000 | -0.000 | -0.000 |
| 21.095 | 21.095 | 21.095 | -0.000 | -0.000 | -0.000 |
| 0.000 | 0.000 | 0.000 | -0.000 | -0.000 | -0.000 |
| 0.000 | 0.000 | 0.000 | -0.000 | -0.000 | -0.000 |
| 0.000 | 0.000 | 0.000 | -0.000 | -0.000 | -0.000 |
| 455.402 | 117.163 | 155.667 | 0.000 | 0.000 | -0.000 |
| 117.163 | 455.402 | 155.667 | 0.000 | 0.000 | 0.000 |
| 155.667 | 155.667 | 445.302 | -0.000 | 0.000 | 0.000 |
| -0.000 | 0.000 | 0.000 | 50.336 | 0.000 | -0.000 |
| -0.000 | 0.000 | 0.000 | 0.000 | 50.336 | 0.000 |
| 0.000 | 0.000 | 0.000 | -0.000 | 0.000 | -59.600 |
| 455.402 | 117.163 | 155.667 | -0.000 | -0.000 | 0.000 |
| 117.163 | 455.402 | 155.667 | -0.000 | -0.000 | 0.000 |
| 155.667 | 155.667 | 445.302 | 0.000 | -0.000 | -0.000 |
| 0.000 | -0.000 | -0.000 | 50.336 | -0.000 | -0.000 |
| 0.000 | -0.000 | -0.000 | -0.000 | 50.336 | 0.000 |
| -0.000 | -0.000 | -0.000 | -0.000 | -0.000 | -59.600 |
| 455.402 | 117.164 | 155.667 | 0.000 | 0.000 | 0.000 |
| 117.163 | 455.402 | 155.667 | -0.000 | 0.000 | -0.000 |
| 155.667 | 155.667 | 445.302 | 0.000 | 0.000 | 0.000 |
| 0.000 | 0.000 | 0.000 | 50.336 | 0.000 | 0.000 |
| 0.000 | 0.000 | 0.000 | 0.000 | 50.336 | 0.000 |
| 0.000 | 0.000 | 0.000 | 0.000 | 0.000 | -59.600 |
| 455.402 | 117.163 | 155.667 | -0.000 | -0.000 | 0.000 |
| 117.163 | 455.402 | 155.667 | -0.000 | -0.000 | -0.000 |
| 155.667 | 155.667 | 445.301 | -0.000 | -0.000 | -0.000 |
| -0.000 | -0.000 | -0.000 | 50.336 | -0.000 | 0.000 |
| -0.000 | -0.000 | -0.000 | -0.000 | 50.336 | -0.000 |
| -0.000 | -0.000 | -0.000 | -0.000 | -0.000 | -59.600 |
| 455.403 | 117.165 | 155.668 | -0.000 | 0.000 | -0.000 |
| 117.165 | 455.403 | 155.668 | 0.000 | 0.000 | 0.000 |
| 155.667 | 155.667 | 445.303 | 0.000 | 0.000 | 0.000 |
| 0.000 | 0.000 | 0.000 | 50.336 | 0.000 | 0.000 |
| 0.000 | 0.000 | 0.000 | 0.000 | 50.336 | 0.000 |
| 0.001 | 0.000 | 0.000 | 0.000 | 0.000 | -59.600 |
| 455.401 | 117.162 | 155.666 | -0.000 | -0.000 | 0.000 |
| 117.162 | 455.401 | 155.666 | -0.000 | -0.000 | 0.000 |
| 155.666 | 155.666 | 445.300 | -0.000 | -0.000 | -0.000 |
| -0.000 | -0.000 | -0.000 | 50.336 | -0.000 | 0.000 |
| -0.000 | -0.000 | -0.000 | -0.000 | 50.336 | -0.000 |
| -0.001 | -0.000 | -0.000 | -0.000 | -0.000 | -59.600 |
| 617.613 | 124.635 | 124.635 | 0.000 | -0.000 | -0.000 |
| 124.635 | 617.613 | 124.635 | 0.000 | 0.000 | -0.000 |
| 124.635 | 124.635 | 617.613 | 0.000 | 0.000 | 0.000 |
| -0.000 | -0.000 | -0.000 | 8.143 | 0.000 | 0.000 |
| -0.000 | -0.000 | -0.000 | 0.000 | 8.143 | 0.000 |
| -0.000 | -0.000 | -0.000 | 0.000 | 0.000 | 8.143 |
| 617.613 | 124.635 | 124.635 | -0.000 | 0.000 | -0.000 |
| 124.635 | 617.613 | 124.635 | -0.000 | -0.000 | 0.000 |
| 124.635 | 124.635 | 617.613 | -0.000 | -0.000 | -0.000 |
| 0.000 | 0.000 | -0.000 | 8.143 | -0.000 | -0.000 |
| 0.000 | 0.000 | -0.000 | -0.000 | 8.143 | -0.000 |
| 0.000 | 0.000 | 0.000 | -0.000 | -0.000 | 8.143 |
| 617.614 | 124.635 | 124.635 | 0.000 | 0.000 | 0.000 |
| 124.635 | 617.614 | 124.635 | 0.000 | 0.000 | 0.000 |
| 124.635 | 124.635 | 617.614 | 0.000 | 0.000 | -0.000 |
| -0.000 | 0.000 | 0.000 | 8.143 | 0.000 | 0.000 |
| 0.000 | -0.000 | 0.000 | 0.000 | 8.143 | 0.000 |
| 0.000 | 0.000 | -0.000 | 0.000 | 0.000 | 8.143 |
| 617.613 | 124.635 | 124.635 | -0.000 | -0.000 | 0.000 |
| 124.635 | 617.613 | 124.635 | -0.000 | -0.000 | -0.000 |
| 124.635 | 124.635 | 617.613 | -0.000 | -0.000 | 0.000 |
| 0.000 | -0.000 | -0.000 | 8.143 | -0.000 | -0.000 |
| -0.000 | 0.000 | -0.000 | -0.000 | 8.143 | -0.000 |
| -0.000 | -0.000 | 0.000 | -0.000 | -0.000 | 8.143 |
| 617.616 | 124.636 | 124.636 | 0.000 | 0.000 | -0.000 |
| 124.636 | 617.616 | 124.636 | 0.000 | 0.000 | -0.000 |
| 124.636 | 124.636 | 617.616 | 0.000 | 0.000 | 0.000 |
| -0.000 | 0.000 | 0.000 | 8.143 | 0.000 | 0.000 |
| 0.000 | -0.000 | 0.000 | 0.000 | 8.143 | 0.000 |
| 0.000 | 0.000 | -0.000 | 0.000 | 0.000 | 8.143 |
| 617.611 | 124.634 | 124.634 | -0.000 | -0.000 | -0.000 |
| 124.634 | 617.611 | 124.634 | -0.000 | -0.000 | -0.000 |
| 124.634 | 124.634 | 617.611 | -0.000 | 0.000 | -0.000 |
| 0.000 | -0.000 | -0.000 | 8.143 | -0.000 | 0.000 |
| -0.000 | 0.000 | -0.000 | -0.000 | 8.143 | -0.000 |
| -0.000 | -0.000 | 0.000 | -0.000 | -0.000 | 8.143 |
| 437.550 | 261.495 | 261.495 | -0.000 | 0.000 | 0.000 |
| 261.495 | 437.550 | 261.495 | -0.000 | 0.000 | 0.000 |
| 261.495 | 261.495 | 437.550 | -0.000 | 0.000 | 0.000 |
| -0.000 | -0.000 | -0.000 | 70.234 | 0.000 | 0.000 |
| -0.000 | -0.000 | -0.000 | -0.000 | 70.234 | 0.000 |
| -0.000 | -0.000 | -0.000 | -0.000 | 0.000 | 70.234 |
| -207.343 | -383.928 | -383.928 | 0.000 | -0.000 | -0.000 |
| -383.928 | -207.343 | -383.928 | -0.000 | -0.000 | -0.000 |
| -383.928 | -383.928 | -207.343 | 0.000 | -0.000 | -0.000 |
| 0.000 | 0.000 | 0.000 | 70.234 | 0.000 | -0.000 |
| 0.000 | 0.000 | -0.000 | 0.000 | 70.234 | -0.000 |
| 0.000 | 0.000 | 0.000 | 0.000 | -0.000 | 70.234 |
| 305.283 | 118.654 | 118.654 | -0.000 | 0.000 | 0.000 |
| 118.654 | 305.283 | 118.654 | -0.000 | 0.000 | 0.000 |
| 118.654 | 118.654 | 305.283 | -0.000 | 0.000 | 0.000 |
| 50.208 | 50.208 | 50.208 | 61.812 | 0.000 | 0.000 |
| 50.208 | 50.208 | 50.208 | -0.000 | 61.812 | 0.000 |
| 50.208 | 50.208 | 50.208 | -0.000 | 0.000 | 61.812 |
| 262.961 | 89.421 | 89.421 | 0.000 | -0.000 | -0.000 |
| 89.421 | 262.961 | 89.421 | 0.000 | 0.000 | -0.000 |
| 89.421 | 89.421 | 262.961 | 0.000 | -0.000 | -0.000 |
| -50.208 | -50.208 | -50.208 | 61.812 | -0.000 | 0.000 |
| -50.208 | -50.208 | -50.208 | 0.000 | 61.812 | -0.000 |
| -50.208 | -50.208 | -50.208 | 0.000 | -0.000 | 61.812 |
| 295.446 | 121.532 | 121.532 | -0.000 | 0.000 | 0.000 |
| 121.532 | 295.446 | 121.532 | -0.000 | 0.000 | -0.000 |
| 121.532 | 121.532 | 295.446 | -0.000 | -0.000 | 0.000 |
| 2.156 | 2.156 | 2.156 | 60.148 | 0.000 | -0.000 |
| 2.156 | 2.156 | 2.156 | -0.000 | 60.148 | 0.000 |
| 2.156 | 2.156 | 2.156 | -0.000 | 0.000 | 60.148 |
| 289.368 | 115.774 | 115.774 | 0.000 | -0.000 | -0.000 |
| 115.774 | 289.368 | 115.774 | 0.000 | -0.000 | -0.000 |
| 115.774 | 115.774 | 289.368 | 0.000 | -0.000 | -0.000 |
| -2.156 | -2.156 | -2.156 | 60.148 | -0.000 | 0.000 |
| -2.156 | -2.156 | -2.156 | 0.000 | 60.148 | -0.000 |
| -2.156 | -2.156 | -2.156 | 0.000 | 0.000 | 60.148 |
| 178.547 | 237.791 | 131.135 | -0.000 | 0.000 | -0.000 |
| 128.205 | 288.133 | 131.135 | -0.000 | 0.000 | -0.000 |
| 131.135 | 131.135 | 433.071 | -0.000 | 0.000 | -0.000 |
| 0.000 | -0.000 | -0.000 | 72.962 | 0.000 | -0.000 |
| 0.000 | 0.000 | -0.000 | -0.000 | 72.962 | 0.000 |
| 0.000 | 0.000 | -0.000 | -0.000 | 0.000 | -29.622 |
| 288.133 | 128.205 | 131.135 | 0.000 | -0.000 | 0.000 |
| 183.312 | 233.026 | 131.135 | 0.000 | -0.000 | 0.000 |
| 131.135 | 131.135 | 433.071 | 0.000 | -0.000 | -0.000 |
| -0.000 | -0.000 | 0.000 | 72.962 | -0.000 | 0.000 |
| -0.000 | -0.000 | 0.000 | 0.000 | 72.962 | 0.000 |
| -0.000 | 0.000 | 0.000 | 0.000 | -0.000 | -29.622 |
| 288.133 | 128.205 | 131.135 | -0.000 | 0.000 | -0.000 |
| 237.791 | 178.547 | 131.135 | -0.000 | 0.000 | -0.000 |
| 131.135 | 131.135 | 433.071 | -0.000 | 0.000 | -0.000 |
| -0.000 | -0.000 | -0.000 | 72.962 | 0.000 | 0.000 |
| -0.000 | -0.000 | -0.000 | -0.000 | 72.962 | 0.000 |
| -0.000 | -0.000 | -0.000 | -0.000 | 0.000 | -29.622 |
| 233.026 | 183.312 | 131.135 | 0.000 | -0.000 | -0.000 |
| 128.205 | 288.133 | 131.135 | 0.000 | -0.000 | 0.000 |
| 131.135 | 131.135 | 433.071 | -0.000 | -0.000 | 0.000 |
| 0.000 | 0.000 | 0.000 | 72.962 | -0.000 | -0.000 |
| 0.000 | 0.000 | 0.000 | 0.000 | 72.962 | -0.000 |
| 0.000 | 0.000 | 0.000 | 0.000 | -0.000 | -29.622 |
| 178.548 | 237.791 | 131.135 | -0.000 | 0.000 | 0.000 |
| 183.313 | 233.026 | 131.136 | -0.000 | 0.000 | 0.000 |
| 131.136 | 131.136 | 433.072 | -0.000 | 0.000 | 0.000 |
| -0.000 | -0.000 | -0.000 | 72.962 | 0.000 | 0.000 |
| -0.000 | -0.000 | -0.000 | -0.000 | 72.962 | 0.000 |
| -0.000 | -0.000 | -0.001 | -0.000 | 0.000 | -29.622 |
| 178.546 | 237.792 | 131.136 | 0.000 | -0.000 | 0.000 |
| 237.789 | 178.548 | 131.136 | 0.000 | -0.000 | -0.000 |
| 131.135 | 131.135 | 433.070 | 0.000 | -0.000 | 0.000 |
| 0.000 | 0.000 | 0.000 | 72.962 | -0.000 | -0.000 |
| 0.000 | 0.000 | 0.000 | 0.000 | 72.962 | -0.000 |
| 0.000 | 0.000 | 0.001 | 0.000 | -0.000 | -29.622 |
| 219.605 | 102.475 | 73.496 | 13.661 | -0.000 | -0.000 |
| 141.826 | 180.254 | 73.496 | -13.661 | -0.000 | -0.000 |
| 73.496 | 73.496 | 248.584 | -0.000 | -0.000 | -0.000 |
| 13.661 | -13.661 | -0.000 | 29.586 | -0.000 | -0.000 |
| -0.000 | -0.000 | -0.000 | 0.000 | 29.586 | 13.661 |
| -0.000 | 0.000 | -0.000 | -0.000 | 13.661 | 58.565 |
| 219.605 | 102.475 | 73.496 | 13.661 | 0.000 | 0.000 |
| 141.826 | 180.254 | 73.496 | -13.661 | 0.000 | 0.000 |
| 73.496 | 73.496 | 248.584 | 0.000 | 0.000 | 0.000 |
| 13.661 | -13.661 | -0.000 | 29.586 | 0.000 | 0.000 |
| 0.000 | 0.000 | 0.000 | -0.000 | 29.586 | 13.661 |
| 0.000 | -0.000 | 0.000 | 0.000 | 13.661 | 58.565 |
| 169.294 | 152.786 | 73.495 | 13.661 | -0.000 | -0.000 |
| 102.475 | 219.605 | 73.496 | -13.661 | -0.000 | -0.000 |
| 73.496 | 73.496 | 248.584 | -0.000 | 0.000 | -0.000 |
| 13.661 | -13.661 | -0.000 | 29.586 | -0.000 | -0.000 |
| -0.000 | -0.000 | -0.000 | 0.000 | 29.586 | 13.661 |
| -0.000 | 0.000 | -0.000 | 0.000 | 13.661 | 58.565 |
| 219.605 | 102.475 | 73.496 | 13.661 | 0.000 | 0.000 |
| 102.475 | 219.605 | 73.496 | -13.661 | 0.000 | 0.000 |
| 73.496 | 73.496 | 248.584 | 0.000 | 0.000 | 0.000 |
| 13.661 | -13.661 | 0.000 | 29.586 | 0.000 | 0.000 |
| 0.000 | 0.000 | 0.000 | -0.000 | 29.586 | 13.661 |
| 0.000 | -0.000 | 0.000 | -0.000 | 13.661 | 58.565 |
| 219.606 | 102.475 | 73.496 | 13.661 | -0.000 | -0.000 |
| 102.475 | 219.606 | 73.496 | -13.661 | 0.000 | -0.000 |
| 73.496 | 73.496 | 248.585 | -0.000 | -0.000 | -0.000 |
| 13.661 | -13.661 | -0.000 | 29.586 | 0.000 | -0.000 |
| -0.000 | -0.000 | -0.000 | 0.000 | 29.586 | 13.661 |
| -0.001 | -0.000 | -0.001 | -0.000 | 13.661 | 8.106 |
| 219.605 | 102.474 | 73.496 | 13.661 | 0.000 | 0.000 |
| 152.931 | 169.150 | 73.496 | -13.661 | 0.000 | 0.000 |
| 73.495 | 73.495 | 248.584 | 0.000 | 0.000 | 0.000 |
| 13.661 | -13.661 | 0.000 | 29.586 | 0.000 | 0.000 |
| 0.000 | 0.000 | 0.000 | -0.000 | 29.586 | 13.661 |
| 0.001 | 0.000 | 0.001 | 0.000 | 13.661 | 8.106 |
| 291.780 | 118.010 | 109.955 | -0.000 | -0.000 | 0.000 |
| 118.010 | 291.780 | 109.955 | 0.000 | -0.000 | -0.000 |
| -154.564 | -154.564 | 337.346 | -0.000 | -0.000 | 0.000 |
| -0.000 | -0.000 | -0.000 | 66.051 | -0.000 | -0.000 |
| -0.000 | -0.000 | -0.000 | -0.000 | 66.050 | -0.000 |
| -0.000 | -0.000 | 0.000 | 0.000 | -0.000 | 75.101 |
| 291.780 | 118.010 | 109.955 | -0.000 | 0.000 | -0.000 |
| 118.010 | 291.780 | 109.955 | -0.000 | 0.000 | 0.000 |
| 256.838 | 256.838 | 212.367 | 0.000 | 0.000 | -0.000 |
| 0.000 | 0.000 | -0.000 | 66.051 | 0.000 | -0.000 |
| 0.000 | 0.000 | -0.000 | -0.000 | 66.051 | 0.000 |
| 0.000 | 0.000 | -0.000 | -0.000 | 0.000 | 75.101 |
| 291.780 | 118.010 | 109.955 | 0.000 | -0.000 | -0.000 |
| 118.010 | 291.780 | 109.955 | 0.000 | -0.000 | -0.000 |
| 109.955 | 109.955 | 308.926 | -0.000 | -0.000 | 0.000 |
| -0.000 | -0.000 | -0.000 | 66.051 | -0.000 | 0.000 |
| -0.000 | -0.000 | -0.000 | -0.000 | 66.051 | -0.000 |
| -0.000 | -0.000 | -0.000 | 0.000 | -0.000 | 75.101 |
| 286.363 | 135.981 | 99.610 | 0.000 | 0.000 | 0.000 |
| 135.981 | 286.363 | 99.610 | 0.000 | 0.000 | 0.000 |
| 121.993 | 121.993 | 296.490 | -0.000 | 0.000 | 0.000 |
| 0.000 | 0.000 | 0.000 | 66.051 | 0.000 | -0.000 |
| 0.000 | 0.000 | 0.000 | 0.000 | 66.051 | 0.000 |
| 0.000 | 0.000 | 0.000 | -0.000 | 0.000 | 75.101 |
| 279.264 | 113.969 | 108.090 | 0.000 | -0.000 | 0.000 |
| 113.969 | 279.264 | 108.090 | -0.000 | -0.000 | -0.000 |
| 105.795 | 105.795 | 305.639 | 0.000 | -0.000 | -0.000 |
| -0.000 | -0.000 | -0.000 | 66.051 | -0.000 | -0.000 |
| -0.000 | -0.000 | -0.000 | -0.000 | 66.051 | 0.000 |
| -1.727 | -1.727 | 0.929 | 0.000 | -0.000 | 69.571 |
| 291.779 | 118.010 | 109.954 | -0.000 | 0.000 | 0.000 |
| 118.010 | 291.779 | 109.954 | -0.000 | 0.000 | 0.000 |
| 109.955 | 109.955 | 308.925 | 0.000 | 0.000 | -0.000 |
| 0.000 | 0.000 | 0.000 | 66.051 | 0.000 | -0.000 |
| 0.000 | 0.000 | 0.000 | 0.000 | 66.051 | 0.000 |
| 1.727 | 1.727 | -0.929 | 0.000 | 0.000 | 69.571 |
| 332.113 | 148.105 | 135.049 | 0.000 | -0.000 | 0.000 |
| 149.435 | 330.784 | 135.049 | -0.000 | -0.000 | 0.000 |
| 135.049 | 135.049 | 393.230 | -0.000 | 0.000 | -0.000 |
| -0.000 | 0.000 | 0.000 | 74.902 | 0.000 | -0.000 |
| -0.000 | 0.000 | -0.000 | -0.000 | 74.902 | -0.000 |
| -0.000 | 0.000 | -0.000 | -0.000 | -0.000 | 92.004 |
| 332.113 | 148.105 | 135.049 | 0.000 | -0.000 | 0.000 |
| 149.435 | 330.784 | 135.049 | 0.000 | 0.000 | -0.000 |
| 135.049 | 135.049 | 393.230 | -0.000 | -0.000 | -0.000 |
| 0.000 | -0.000 | -0.000 | 74.902 | -0.000 | 0.000 |
| 0.000 | -0.000 | -0.000 | 0.000 | 74.902 | -0.000 |
| 0.000 | -0.000 | -0.000 | 0.000 | 0.000 | 92.004 |
| 330.784 | 149.435 | 135.049 | -0.000 | -0.000 | 0.000 |
| 148.105 | 332.114 | 135.049 | -0.000 | -0.000 | -0.000 |
| 135.049 | 135.049 | 393.230 | -0.000 | 0.000 | 0.000 |
| 0.000 | 0.000 | 0.000 | 63.506 | -0.000 | 0.000 |
| 0.000 | 0.000 | 0.000 | -0.000 | 63.506 | 0.000 |
| -0.000 | 0.000 | 0.000 | -0.000 | -0.000 | 90.675 |
| 330.784 | 149.435 | 135.049 | 0.000 | 0.000 | -0.000 |
| 148.105 | 332.113 | 135.049 | 0.000 | 0.000 | 0.000 |
| 135.049 | 135.049 | 393.230 | -0.000 | 0.000 | -0.000 |
| -0.000 | -0.000 | -0.000 | 63.506 | -0.000 | -0.000 |
| -0.000 | -0.000 | -0.000 | 0.000 | 63.506 | -0.000 |
| 0.000 | -0.000 | -0.000 | 0.000 | -0.000 | 90.675 |
| 332.115 | 148.105 | 135.050 | -0.000 | 0.000 | 0.000 |
| 148.106 | 332.114 | 135.050 | -0.000 | 0.000 | 0.000 |
| 135.050 | 135.050 | 393.231 | -0.000 | 0.000 | 0.000 |
| 0.000 | 0.000 | 0.000 | 63.506 | 0.000 | 0.000 |
| 0.000 | 0.000 | 0.000 | -0.000 | 63.506 | 0.000 |
| -0.000 | 0.000 | 0.000 | -0.000 | 0.000 | 92.004 |
| 332.112 | 148.105 | 135.049 | 0.000 | 0.000 | -0.000 |
| 148.104 | 332.112 | 135.049 | -0.000 | -0.000 | -0.000 |
| 135.048 | 135.048 | 393.229 | 0.000 | 0.000 | -0.000 |
| -0.000 | -0.000 | -0.000 | 63.506 | -0.000 | -0.000 |
| -0.000 | -0.000 | -0.000 | 0.000 | 63.506 | -0.000 |
| 0.000 | -0.000 | -0.000 | 0.000 | -0.000 | 92.004 |
| 191.997 | 114.444 | 114.444 | -0.000 | 0.000 | 0.000 |
| 114.444 | 191.997 | 114.444 | 0.000 | 0.000 | -0.000 |
| 114.444 | 114.444 | 191.997 | 0.000 | 0.000 | -0.000 |
| -0.000 | -0.000 | -0.000 | 39.263 | 0.000 | 0.000 |
| -0.000 | -0.000 | 0.000 | -0.000 | 39.263 | 0.000 |
| -0.000 | -0.000 | -0.000 | 0.000 | 0.000 | 39.263 |
| 191.997 | 114.444 | 114.444 | -0.000 | -0.000 | -0.000 |
| 114.444 | 191.997 | 114.444 | -0.000 | -0.000 | -0.000 |
| 114.444 | 114.444 | 191.997 | -0.000 | -0.000 | -0.000 |
| 0.000 | 0.000 | -0.000 | 39.263 | -0.000 | 0.000 |
| 0.000 | 0.000 | -0.000 | 0.000 | 39.263 | -0.000 |
| 0.000 | 0.000 | -0.000 | -0.000 | -0.000 | 39.263 |
| 191.997 | 114.444 | 114.444 | 0.000 | 0.000 | -0.000 |
| 114.444 | 191.997 | 114.444 | 0.000 | 0.000 | -0.000 |
| 114.444 | 114.444 | 191.997 | 0.000 | -0.000 | -0.000 |
| 0.000 | -0.000 | 0.000 | 75.022 | 0.000 | -0.000 |
| 0.000 | 0.000 | 0.000 | -0.000 | 75.022 | 0.000 |
| 0.000 | 0.000 | 0.000 | 0.000 | 0.000 | 75.022 |
| 191.997 | 114.444 | 114.444 | -0.000 | -0.000 | -0.000 |
| 114.444 | 191.997 | 114.444 | -0.000 | -0.000 | -0.000 |
| 114.444 | 114.444 | 191.997 | -0.000 | -0.000 | 0.000 |
| -0.000 | 0.000 | -0.000 | 75.022 | -0.000 | -0.000 |
| -0.000 | -0.000 | -0.000 | 0.000 | 75.022 | -0.000 |
| -0.000 | -0.000 | -0.000 | -0.000 | -0.000 | 75.022 |
| 191.997 | 114.444 | 114.444 | 0.000 | 0.000 | 0.000 |
| 114.444 | 191.997 | 114.444 | 0.000 | 0.000 | 0.000 |
| 114.444 | 114.444 | 191.997 | 0.000 | 0.000 | 0.000 |
| 0.000 | -0.000 | -0.000 | 39.263 | 0.000 | -0.000 |
| -0.000 | 0.000 | -0.000 | -0.000 | 39.263 | 0.000 |
| -0.000 | -0.000 | 0.000 | 0.000 | 0.000 | 39.263 |
| 191.996 | 114.444 | 114.444 | 0.000 | -0.000 | 0.000 |
| 114.444 | 191.996 | 114.444 | 0.000 | -0.000 | -0.000 |
| 114.444 | 114.444 | 191.996 | 0.000 | -0.000 | -0.000 |
| -0.000 | 0.000 | 0.000 | 39.263 | -0.000 | -0.000 |
| 0.000 | -0.000 | 0.000 | 0.000 | 39.263 | 0.000 |
| 0.000 | 0.000 | -0.000 | -0.000 | -0.000 | 39.263 |
| 212.587 | 131.598 | 131.598 | 0.000 | 0.000 | -0.000 |
| 131.598 | 212.587 | 131.598 | 0.000 | 0.000 | -0.000 |
| 131.598 | 131.598 | 212.587 | 0.000 | 0.000 | -0.000 |
| -0.000 | -0.000 | 0.000 | 65.555 | -0.000 | -0.000 |
| 0.000 | -0.000 | 0.000 | -0.000 | 65.555 | -0.000 |
| -0.000 | -0.000 | 0.000 | 0.000 | 0.000 | 65.555 |
| 212.587 | 131.598 | 131.598 | -0.000 | -0.000 | 0.000 |
| 131.598 | 212.587 | 131.598 | -0.000 | -0.000 | 0.000 |
| 131.598 | 131.598 | 212.587 | -0.000 | -0.000 | 0.000 |
| -0.000 | 0.000 | -0.000 | 65.555 | -0.000 | 0.000 |
| -0.000 | 0.000 | -0.000 | -0.000 | 65.555 | 0.000 |
| -0.000 | 0.000 | -0.000 | -0.000 | -0.000 | 65.555 |
| 212.587 | 131.598 | 131.598 | 0.000 | 0.000 | -0.000 |
| 131.598 | 212.587 | 131.598 | 0.000 | 0.000 | -0.000 |
| 131.598 | 131.598 | 212.587 | 0.000 | 0.000 | -0.000 |
| -0.000 | -0.000 | 0.000 | 65.555 | 0.000 | -0.000 |
| -0.000 | -0.000 | 0.000 | 0.000 | 65.555 | -0.000 |
| -0.000 | 0.000 | -0.000 | 0.000 | -0.000 | 65.555 |
| 212.587 | 131.598 | 131.598 | -0.000 | -0.000 | 0.000 |
| 131.598 | 212.587 | 131.598 | -0.000 | 0.000 | 0.000 |
| 131.598 | 131.598 | 212.587 | -0.000 | -0.000 | 0.000 |
| 0.000 | 0.000 | -0.000 | 65.555 | -0.000 | 0.000 |
| 0.000 | 0.000 | -0.000 | -0.000 | 65.555 | 0.000 |
| 0.000 | -0.000 | 0.000 | 0.000 | -0.000 | 65.555 |
| 212.588 | 131.598 | 131.598 | 0.000 | -0.000 | -0.000 |
| 131.598 | 212.588 | 131.598 | -0.000 | 0.000 | -0.000 |
| 131.598 | 131.598 | 212.588 | 0.000 | 0.000 | -0.000 |
| -0.000 | -0.000 | 0.000 | 65.522 | -0.000 | -0.000 |
| -0.000 | -0.000 | 0.000 | 0.000 | 65.522 | -0.000 |
| -0.000 | 0.000 | -0.000 | 0.000 | -0.000 | 65.522 |
| 212.587 | 131.597 | 131.597 | -0.000 | 0.000 | 0.000 |
| 131.597 | 212.587 | 131.597 | -0.000 | 0.000 | 0.000 |
| 131.597 | 131.597 | 212.587 | 0.000 | 0.000 | 0.000 |
| 0.000 | 0.000 | -0.000 | 65.522 | 0.000 | -0.000 |
| 0.000 | 0.000 | -0.000 | -0.000 | 65.522 | 0.000 |
| 0.000 | -0.000 | 0.000 | -0.000 | 0.000 | 65.522 |
| 19.791 | 35.846 | 35.846 | 0.000 | 0.000 | 0.000 |
| 35.846 | 19.791 | 35.846 | 0.000 | 0.000 | 0.000 |
| 35.846 | 35.846 | 19.791 | 0.000 | 0.000 | 0.000 |
| 0.000 | 0.000 | -0.000 | -19.678 | 0.000 | 0.000 |
| 0.000 | 0.000 | -0.000 | 0.000 | -19.678 | 0.000 |
| 0.000 | -0.000 | -0.000 | 0.000 | 0.000 | -19.678 |
| 19.791 | 35.846 | 35.846 | -0.000 | -0.000 | -0.000 |
| 35.846 | 19.791 | 35.846 | -0.000 | -0.000 | -0.000 |
| 35.846 | 35.846 | 19.791 | -0.000 | -0.000 | -0.000 |
| -0.000 | -0.000 | 0.000 | -19.678 | -0.000 | -0.000 |
| -0.000 | -0.000 | 0.000 | -0.000 | -19.678 | -0.000 |
| -0.000 | -0.000 | 0.000 | -0.000 | -0.000 | -19.678 |
| 19.791 | 35.846 | 35.846 | -0.000 | 0.000 | 0.000 |
| 35.846 | 19.791 | 35.846 | 0.000 | 0.000 | 0.000 |
| 35.846 | 35.846 | 19.791 | 0.000 | 0.000 | 0.000 |
| -0.000 | -0.000 | -0.000 | -19.678 | 0.000 | 0.000 |
| -0.000 | -0.000 | -0.000 | 0.000 | -19.678 | 0.000 |
| -0.000 | -0.000 | -0.000 | 0.000 | 0.000 | -19.678 |
| 19.791 | 35.846 | 35.846 | -0.000 | -0.000 | -0.000 |
| 35.846 | 19.791 | 35.846 | -0.000 | -0.000 | -0.000 |
| 35.846 | 35.846 | 19.791 | -0.000 | -0.000 | -0.000 |
| 0.000 | 0.000 | 0.000 | -19.678 | -0.000 | -0.000 |
| 0.000 | 0.000 | 0.000 | -0.000 | -19.678 | -0.000 |
| 0.000 | 0.000 | 0.000 | -0.000 | -0.000 | -19.678 |
| 19.791 | 35.846 | 35.846 | 0.000 | 0.000 | 0.000 |
| 35.846 | 19.791 | 35.846 | 0.000 | 0.000 | 0.000 |
| 35.846 | 35.846 | 19.791 | 0.000 | 0.000 | 0.000 |
| -0.000 | -0.000 | -0.000 | -19.678 | 0.000 | 0.000 |
| -0.000 | -0.000 | -0.000 | 0.000 | -19.678 | 0.000 |
| -0.000 | -0.000 | -0.000 | 0.000 | 0.000 | -19.678 |
| 19.791 | 35.845 | 35.845 | -0.000 | -0.000 | -0.000 |
| 35.845 | 19.791 | 35.845 | -0.000 | -0.000 | -0.000 |
| 35.845 | 35.845 | 19.791 | -0.000 | -0.000 | -0.000 |
| 0.000 | 0.000 | 0.000 | -19.678 | -0.000 | -0.000 |
| 0.000 | 0.000 | 0.000 | -0.000 | -19.678 | -0.000 |
| 0.000 | 0.000 | 0.000 | -0.000 | -0.000 | -19.678 |
| 279.053 | 218.813 | 218.813 | -0.000 | 0.000 | 0.000 |
| 218.813 | 279.053 | 218.813 | -0.000 | 0.000 | 0.000 |
| 218.813 | 218.813 | 279.053 | -0.000 | -0.000 | 0.000 |
| 0.000 | 0.000 | -0.000 | 147.822 | -0.000 | 0.000 |
| 0.000 | 0.000 | 0.000 | -0.000 | 147.822 | 0.000 |
| 0.000 | 0.000 | 0.000 | -0.000 | -0.000 | 147.822 |
| 279.053 | 218.813 | 218.813 | 0.000 | 0.000 | -0.000 |
| 218.813 | 279.053 | 218.813 | 0.000 | 0.000 | -0.000 |
| 218.813 | 218.813 | 279.053 | 0.000 | 0.000 | -0.000 |
| -0.000 | -0.000 | -0.000 | 147.822 | 0.000 | -0.000 |
| -0.000 | -0.000 | -0.000 | 0.000 | 147.822 | -0.000 |
| -0.000 | -0.000 | -0.000 | 0.000 | 0.000 | 147.822 |
| 279.053 | 218.813 | 218.813 | -0.000 | 0.000 | 0.000 |
| 218.813 | 279.053 | 218.813 | -0.000 | -0.000 | 0.000 |
| 218.813 | 218.813 | 279.053 | -0.000 | -0.000 | 0.000 |
| 0.000 | -0.000 | 0.000 | 147.822 | -0.000 | 0.000 |
| -0.000 | 0.000 | 0.000 | 0.000 | 147.822 | 0.000 |
| -0.000 | 0.000 | 0.000 | -0.000 | -0.000 | 147.822 |
| 279.053 | 218.813 | 218.813 | 0.000 | 0.000 | -0.000 |
| 218.813 | 279.053 | 218.813 | 0.000 | 0.000 | -0.000 |
| 218.813 | 218.813 | 279.053 | 0.000 | 0.000 | -0.000 |
| -0.000 | 0.000 | -0.000 | 147.822 | 0.000 | -0.000 |
| 0.000 | -0.000 | -0.000 | -0.000 | 147.822 | -0.000 |
| 0.000 | -0.000 | -0.000 | 0.000 | 0.000 | 147.822 |
| 279.054 | 218.813 | 218.813 | 0.000 | 0.000 | 0.000 |
| 218.813 | 279.054 | 218.813 | 0.000 | 0.000 | 0.000 |
| 218.813 | 218.813 | 279.054 | -0.000 | 0.000 | 0.000 |
| 0.000 | -0.000 | 0.000 | 147.822 | -0.000 | 0.000 |
| -0.000 | 0.000 | 0.000 | -0.000 | 147.822 | 0.000 |
| -0.000 | 0.000 | 0.000 | -0.000 | 0.000 | 147.822 |
| 279.052 | 218.812 | 218.812 | 0.000 | -0.000 | -0.000 |
| 218.812 | 279.052 | 218.812 | 0.000 | -0.000 | -0.000 |
| 218.812 | 218.812 | 279.052 | 0.000 | 0.000 | -0.000 |
| -0.000 | 0.000 | -0.000 | 147.822 | -0.000 | -0.000 |
| 0.000 | -0.000 | -0.000 | 0.000 | 147.822 | -0.000 |
| 0.000 | -0.000 | -0.000 | 0.000 | 0.000 | 147.822 |
| 166.767 | 144.285 | 144.285 | -0.000 | 0.000 | -0.000 |
| 144.285 | 166.767 | 144.285 | 0.000 | -0.000 | -0.000 |
| 144.285 | 144.285 | 166.767 | 0.000 | 0.000 | -0.000 |
| -0.000 | -0.000 | 0.000 | 18.694 | 0.000 | 0.000 |
| -0.000 | -0.000 | 0.000 | -0.000 | 18.694 | -0.000 |
| -0.000 | -0.000 | 0.000 | 0.000 | -0.000 | 18.694 |
| 166.767 | 144.285 | 144.285 | 0.000 | 0.000 | -0.000 |
| 144.285 | 166.767 | 144.285 | 0.000 | -0.000 | -0.000 |
| 144.285 | 144.285 | 166.767 | 0.000 | 0.000 | 0.000 |
| 0.000 | 0.000 | -0.000 | 18.694 | 0.000 | 0.000 |
| 0.000 | 0.000 | -0.000 | 0.000 | 18.694 | 0.000 |
| 0.000 | 0.000 | -0.000 | -0.000 | 0.000 | 18.694 |
| 166.767 | 144.285 | 144.285 | -0.000 | -0.000 | -0.000 |
| 144.285 | 166.767 | 144.285 | 0.000 | -0.000 | -0.000 |
| 144.285 | 144.285 | 166.767 | 0.000 | -0.000 | -0.000 |
| 0.000 | -0.000 | -0.000 | 18.694 | -0.000 | -0.000 |
| -0.000 | 0.000 | -0.000 | 0.000 | 18.694 | -0.000 |
| -0.000 | -0.000 | 0.000 | -0.000 | -0.000 | 18.694 |
| 166.767 | 144.285 | 144.285 | 0.000 | 0.000 | 0.000 |
| 144.285 | 166.767 | 144.285 | -0.000 | 0.000 | 0.000 |
| 144.285 | 144.285 | 166.767 | 0.000 | 0.000 | 0.000 |
| -0.000 | 0.000 | 0.000 | 18.694 | 0.000 | 0.000 |
| 0.000 | -0.000 | 0.000 | -0.000 | 18.694 | -0.000 |
| 0.000 | 0.000 | -0.000 | 0.000 | 0.000 | 18.694 |
| 166.768 | 144.285 | 144.285 | 0.000 | 0.000 | -0.000 |
| 144.285 | 166.768 | 144.285 | -0.000 | -0.000 | 0.000 |
| 144.285 | 144.285 | 166.768 | 0.000 | 0.000 | -0.000 |
| 0.000 | -0.000 | 0.000 | 106.898 | -0.000 | 0.000 |
| -0.000 | 0.000 | 0.000 | 0.000 | 106.898 | -0.000 |
| -0.000 | 0.000 | 0.000 | -0.000 | -0.000 | 106.898 |
| 166.766 | 144.285 | 144.285 | 0.000 | -0.000 | 0.000 |
| 144.285 | 166.766 | 144.285 | -0.000 | -0.000 | 0.000 |
| 144.285 | 144.285 | 166.766 | 0.000 | 0.000 | 0.000 |
| -0.000 | 0.000 | -0.000 | 106.898 | 0.000 | 0.000 |
| 0.000 | -0.000 | -0.000 | 0.000 | 106.898 | 0.000 |
| 0.000 | -0.000 | -0.000 | 0.000 | 0.000 | 106.898 |
| 335.995 | 133.527 | 133.527 | -0.000 | 0.000 | -0.000 |
| 133.527 | 335.995 | 133.527 | 0.000 | -0.000 | -0.000 |
| 133.527 | 133.527 | 335.995 | 0.000 | 0.000 | -0.000 |
| -0.000 | -0.000 | -0.000 | 63.057 | -0.000 | -0.000 |
| -0.000 | -0.000 | -0.000 | 0.000 | 63.057 | -0.000 |
| -0.000 | -0.000 | -0.000 | 0.000 | 0.000 | 63.057 |
| 335.913 | 133.568 | 133.568 | 0.000 | 0.000 | 0.000 |
| 133.568 | 335.913 | 133.568 | -0.000 | -0.000 | 0.000 |
| 133.568 | 133.568 | 335.913 | -0.000 | -0.000 | 0.000 |
| 0.000 | 0.000 | -0.000 | 63.057 | 0.000 | 0.000 |
| -0.000 | 0.000 | 0.000 | -0.000 | 63.057 | 0.000 |
| 0.000 | 0.000 | 0.000 | -0.000 | -0.000 | 63.057 |
| 335.914 | 133.568 | 133.568 | 0.000 | -0.000 | -0.000 |
| 133.568 | 335.914 | 133.568 | 0.000 | 0.000 | -0.000 |
| 133.568 | 133.568 | 335.914 | 0.000 | 0.000 | -0.000 |
| 0.000 | 0.000 | 0.000 | 62.920 | 0.000 | -0.000 |
| 0.000 | 0.000 | 0.000 | 0.000 | 62.920 | -0.000 |
| 0.000 | 0.000 | 0.000 | 0.000 | 0.000 | 62.920 |
| 335.995 | 133.527 | 133.527 | 0.000 | 0.000 | 0.000 |
| 133.527 | 335.995 | 133.527 | 0.000 | 0.000 | 0.000 |
| 133.527 | 133.527 | 335.995 | 0.000 | 0.000 | 0.000 |
| -0.000 | -0.000 | -0.000 | 62.920 | -0.000 | 0.000 |
| -0.000 | -0.000 | -0.000 | 0.000 | 62.920 | 0.000 |
| -0.000 | -0.000 | -0.000 | -0.000 | -0.000 | 62.920 |
| 335.916 | 133.569 | 133.569 | 0.000 | 0.000 | -0.000 |
| 133.569 | 335.916 | 133.569 | -0.000 | 0.000 | -0.000 |
| 133.569 | 133.569 | 335.916 | -0.000 | -0.000 | -0.000 |
| 0.000 | 0.000 | 0.000 | 62.920 | -0.000 | -0.000 |
| 0.000 | 0.000 | 0.000 | 0.000 | 62.920 | -0.000 |
| 0.000 | 0.000 | 0.000 | 0.000 | -0.000 | 62.920 |
| 335.911 | 133.567 | 133.567 | 0.000 | -0.000 | 0.000 |
| 133.567 | 335.911 | 133.567 | 0.000 | -0.000 | 0.000 |
| 133.567 | 133.567 | 335.911 | -0.000 | -0.000 | 0.000 |
| -0.000 | -0.000 | -0.000 | 62.920 | 0.000 | 0.000 |
| -0.000 | -0.000 | -0.000 | 0.000 | 62.920 | 0.000 |
| -0.000 | -0.000 | -0.000 | -0.000 | -0.000 | 62.920 |
| 291.831 | 183.313 | 183.313 | -0.000 | -0.000 | 0.000 |
| 183.313 | 291.831 | 183.313 | -0.000 | -0.000 | 0.000 |
| 183.313 | 183.313 | 291.831 | -0.000 | 0.000 | 0.000 |
| 0.000 | 0.000 | -0.000 | 111.723 | 0.000 | 0.000 |
| 0.000 | 0.000 | -0.000 | 0.000 | 111.723 | 0.000 |
| 0.000 | 0.000 | -0.000 | 0.000 | -0.000 | 111.723 |
| 291.831 | 183.313 | 183.313 | 0.000 | 0.000 | -0.000 |
| 183.313 | 291.831 | 183.313 | 0.000 | 0.000 | -0.000 |
| 183.313 | 183.313 | 291.831 | 0.000 | 0.000 | -0.000 |
| -0.000 | -0.000 | 0.000 | 111.723 | -0.000 | -0.000 |
| -0.000 | -0.000 | 0.000 | -0.000 | 111.723 | -0.000 |
| -0.000 | -0.000 | 0.000 | -0.000 | -0.000 | 111.723 |
| 291.831 | 183.313 | 183.313 | -0.000 | -0.000 | 0.000 |
| 183.313 | 291.831 | 183.313 | -0.000 | -0.000 | 0.000 |
| 183.313 | 183.313 | 291.831 | -0.000 | -0.000 | 0.000 |
| 0.000 | -0.000 | 0.000 | 111.591 | -0.000 | 0.000 |
| -0.000 | 0.000 | 0.000 | 0.000 | 111.591 | 0.000 |
| -0.000 | 0.000 | 0.000 | 0.000 | -0.000 | 111.591 |
| 291.831 | 183.313 | 183.313 | 0.000 | 0.000 | -0.000 |
| 183.313 | 291.831 | 183.313 | -0.000 | 0.000 | -0.000 |
| 183.313 | 183.313 | 291.831 | -0.000 | -0.000 | -0.000 |
| -0.000 | 0.000 | -0.000 | 111.591 | 0.000 | -0.000 |
| 0.000 | -0.000 | -0.000 | 0.000 | 111.591 | -0.000 |
| 0.000 | -0.000 | -0.000 | -0.000 | 0.000 | 111.591 |
| 291.831 | 183.313 | 183.313 | -0.000 | 0.000 | 0.000 |
| 183.313 | 291.831 | 183.313 | -0.000 | 0.000 | 0.000 |
| 183.313 | 183.313 | 291.831 | -0.000 | -0.000 | 0.000 |
| 0.000 | -0.000 | 0.000 | 111.723 | -0.000 | 0.000 |
| -0.000 | 0.000 | 0.000 | -0.000 | 111.723 | 0.000 |
| -0.000 | 0.000 | 0.000 | -0.000 | 0.000 | 111.723 |
| 291.831 | 183.313 | 183.313 | 0.000 | -0.000 | -0.000 |
| 183.313 | 291.831 | 183.313 | 0.000 | 0.000 | -0.000 |
| 183.313 | 183.313 | 291.831 | 0.000 | 0.000 | -0.000 |
| -0.000 | 0.000 | -0.000 | 111.723 | 0.000 | -0.000 |
| 0.000 | -0.000 | -0.000 | 0.000 | 111.723 | -0.000 |
| 0.000 | -0.000 | -0.000 | 0.000 | 0.000 | 111.723 |
| 172.387 | 133.664 | 133.664 | -0.000 | -0.000 | -0.000 |
| 133.664 | 172.387 | 133.664 | -0.000 | 0.000 | -0.000 |
| 133.664 | 133.664 | 172.387 | 0.000 | -0.000 | -0.000 |
| -0.000 | -0.000 | -0.000 | 73.679 | 0.000 | -0.000 |
| -0.000 | -0.000 | 0.000 | 0.000 | 73.679 | -0.000 |
| -0.000 | 0.000 | -0.000 | 0.000 | -0.000 | 73.679 |
| 172.387 | 133.664 | 133.664 | -0.000 | 0.000 | 0.000 |
| 133.664 | 172.387 | 133.664 | -0.000 | -0.000 | 0.000 |
| 133.664 | 133.664 | 172.387 | -0.000 | 0.000 | 0.000 |
| 0.000 | 0.000 | 0.000 | 73.679 | -0.000 | 0.000 |
| 0.000 | 0.000 | 0.000 | -0.000 | 73.679 | 0.000 |
| 0.000 | -0.000 | 0.000 | -0.000 | 0.000 | 73.679 |
| 172.387 | 133.664 | 133.664 | 0.000 | -0.000 | -0.000 |
| 133.664 | 172.387 | 133.664 | -0.000 | 0.000 | -0.000 |
| 133.664 | 133.664 | 172.387 | -0.000 | -0.000 | -0.000 |
| -0.000 | 0.000 | 0.000 | 73.679 | 0.000 | -0.000 |
| 0.000 | -0.000 | 0.000 | 0.000 | 73.679 | -0.000 |
| 0.000 | 0.000 | -0.000 | -0.000 | -0.000 | 73.679 |
| 172.388 | 133.664 | 133.664 | -0.000 | 0.000 | 0.000 |
| 133.664 | 172.388 | 133.664 | -0.000 | -0.000 | 0.000 |
| 133.664 | 133.664 | 172.388 | -0.000 | 0.000 | 0.000 |
| 0.000 | -0.000 | -0.000 | 73.679 | -0.000 | 0.000 |
| -0.000 | 0.000 | -0.000 | -0.000 | 73.679 | 0.000 |
| -0.000 | -0.000 | 0.000 | 0.000 | 0.000 | 73.679 |
| 172.386 | 133.664 | 133.664 | 0.000 | -0.000 | 0.000 |
| 133.664 | 172.386 | 133.664 | 0.000 | -0.000 | -0.000 |
| 133.664 | 133.664 | 172.386 | 0.000 | -0.000 | -0.000 |
| -0.000 | 0.000 | 0.000 | 73.679 | -0.000 | -0.000 |
| 0.000 | -0.000 | 0.000 | 0.000 | 73.679 | -0.000 |
| 0.000 | 0.000 | -0.000 | 0.000 | -0.000 | 73.679 |
| 172.389 | 133.664 | 133.664 | -0.000 | 0.000 | 0.000 |
| 133.664 | 172.389 | 133.664 | -0.000 | 0.000 | 0.000 |
| 133.664 | 133.664 | 172.389 | -0.000 | -0.000 | 0.000 |
| 0.000 | -0.000 | -0.000 | 73.679 | 0.000 | 0.000 |
| -0.000 | 0.000 | -0.000 | -0.000 | 73.679 | 0.000 |
| -0.000 | -0.000 | 0.000 | -0.000 | -0.000 | 73.679 |
| 321.264 | 219.613 | -105.447 | 0.000 | 0.000 | -0.000 |
| 115.517 | 226.470 | 98.322 | -0.000 | 0.000 | -0.000 |
| 98.322 | 98.322 | 236.451 | 0.000 | -0.000 | -0.000 |
| 0.000 | -0.000 | -0.000 | 37.172 | -0.000 | -0.000 |
| 99.522 | 99.522 | -203.926 | 0.000 | 36.551 | 0.000 |
| 99.523 | 99.523 | -203.928 | 0.000 | 0.000 | 50.826 |
| 101.433 | 41.357 | 302.405 | -0.000 | -0.000 | -0.000 |
| 20.568 | 122.219 | 302.409 | -0.000 | -0.000 | -0.000 |
| -1.039 | -1.039 | 440.048 | -0.000 | -0.000 | 0.000 |
| 0.000 | 0.000 | 0.000 | 37.172 | -0.000 | -0.000 |
| -99.522 | -99.522 | 203.926 | -0.000 | 36.551 | 0.000 |
| -99.523 | -99.523 | 203.928 | -0.000 | -0.000 | 50.826 |
| 211.018 | 150.714 | 78.093 | 0.000 | 0.000 | 0.000 |
| 115.517 | 226.470 | 98.322 | -0.000 | 0.000 | -0.000 |
| 98.322 | 98.322 | 236.451 | 0.000 | -0.000 | 0.000 |
| 9.952 | 9.952 | -20.392 | 34.524 | 0.000 | 0.000 |
| -0.000 | -0.000 | -0.000 | 0.000 | 37.172 | -0.000 |
| 9.950 | 9.950 | -20.389 | 0.000 | 0.000 | 30.152 |
| 211.750 | 110.124 | 118.930 | -0.000 | -0.000 | 0.000 |
| 115.517 | 226.470 | 98.322 | -0.000 | 0.000 | -0.000 |
| 98.322 | 98.322 | 236.451 | -0.000 | -0.000 | -0.000 |
| -9.952 | -9.952 | 20.392 | 34.524 | -0.000 | -0.000 |
| 0.000 | 0.000 | 0.000 | -0.000 | 37.172 | 0.000 |
| -9.950 | -9.950 | 20.389 | -0.000 | -0.000 | 30.152 |
| 226.470 | 115.517 | 98.322 | 0.000 | 0.000 | -0.000 |
| 115.517 | 226.470 | 98.322 | 0.000 | 0.000 | 0.000 |
| 99.476 | 99.476 | 234.087 | 0.000 | 0.000 | 0.000 |
| -0.000 | -0.000 | -0.000 | 37.172 | 0.000 | -0.000 |
| -0.000 | -0.000 | -0.000 | 0.000 | 37.172 | 0.000 |
| -0.000 | 0.000 | -0.000 | 0.000 | 0.000 | 55.477 |
| 226.470 | 115.517 | 98.322 | 0.000 | 0.000 | -0.000 |
| 115.516 | 226.470 | 98.322 | -0.000 | 0.000 | -0.000 |
| 97.486 | 97.486 | 238.165 | -0.000 | 0.000 | 0.000 |
| 0.000 | 0.000 | 0.000 | 37.172 | -0.000 | 0.000 |
| 0.000 | 0.000 | 0.000 | -0.000 | 37.172 | 0.000 |
| 0.000 | -0.000 | 0.000 | -0.000 | 0.000 | 55.477 |
| 525.633 | 155.400 | 155.400 | -0.000 | -0.000 | 0.000 |
| 155.400 | 525.633 | 155.400 | -0.000 | -0.000 | 0.000 |
| 155.400 | 155.400 | 525.633 | -0.000 | -0.000 | 0.000 |
| -0.000 | -0.000 | 0.000 | 95.157 | -0.000 | 0.000 |
| 0.000 | 0.000 | 0.000 | 0.000 | 95.157 | 0.000 |
| 0.000 | -0.000 | 0.000 | -0.000 | -0.000 | 95.157 |
| 525.633 | 155.400 | 155.400 | 0.000 | 0.000 | -0.000 |
| 155.400 | 525.633 | 155.400 | 0.000 | 0.000 | -0.000 |
| 155.400 | 155.400 | 525.633 | 0.000 | 0.000 | -0.000 |
| 0.000 | -0.000 | -0.000 | 95.157 | 0.000 | -0.000 |
| -0.000 | 0.000 | -0.000 | -0.000 | 95.157 | -0.000 |
| -0.000 | -0.000 | -0.000 | 0.000 | 0.000 | 95.157 |
| 525.633 | 155.400 | 155.400 | -0.000 | -0.000 | 0.000 |
| 155.400 | 525.633 | 155.400 | -0.000 | -0.000 | 0.000 |
| 155.400 | 155.400 | 525.633 | 0.000 | -0.000 | 0.000 |
| -0.000 | 0.000 | 0.000 | 95.157 | -0.000 | 0.000 |
| 0.000 | -0.000 | 0.000 | 0.000 | 95.157 | 0.000 |
| 0.000 | 0.000 | -0.000 | -0.000 | -0.000 | 95.157 |
| 525.633 | 155.400 | 155.400 | 0.000 | 0.000 | -0.000 |
| 155.400 | 525.633 | 155.400 | -0.000 | 0.000 | -0.000 |
| 155.400 | 155.400 | 525.633 | 0.000 | 0.000 | -0.000 |
| 0.000 | -0.000 | -0.000 | 95.157 | 0.000 | -0.000 |
| -0.000 | 0.000 | -0.000 | -0.000 | 95.157 | -0.000 |
| -0.000 | -0.000 | 0.000 | 0.000 | 0.000 | 95.157 |
| 502.358 | 167.039 | 167.039 | 0.000 | -0.000 | 0.000 |
| 167.039 | 502.358 | 167.039 | 0.000 | 0.000 | 0.000 |
| 167.039 | 167.039 | 502.358 | 0.000 | -0.000 | 0.000 |
| -0.000 | -0.000 | -0.000 | 61.207 | 0.000 | 0.000 |
| -0.000 | -0.000 | -0.000 | 0.000 | 61.207 | 0.000 |
| -0.000 | -0.000 | -0.000 | 0.000 | -0.000 | 61.207 |
| 525.631 | 155.400 | 155.400 | 0.000 | 0.000 | -0.000 |
| 155.400 | 525.631 | 155.400 | 0.000 | 0.000 | -0.000 |
| 155.400 | 155.400 | 525.631 | 0.000 | 0.000 | 0.000 |
| 0.000 | 0.000 | 0.000 | 61.207 | -0.000 | -0.000 |
| 0.000 | 0.000 | 0.000 | -0.000 | 61.207 | -0.000 |
| 0.000 | 0.000 | 0.000 | -0.000 | 0.000 | 61.207 |
| 278.102 | 212.398 | 212.398 | -0.000 | 0.000 | 0.000 |
| 212.398 | 278.102 | 212.398 | 0.000 | 0.000 | 0.000 |
| 212.398 | 212.398 | 278.102 | 0.000 | 0.000 | 0.000 |
| -0.000 | -0.000 | -0.000 | 152.378 | -0.000 | -0.000 |
| 0.000 | -0.000 | -0.000 | -0.000 | 152.378 | -0.000 |
| -0.000 | -0.000 | -0.000 | -0.000 | -0.000 | 152.378 |
| 278.102 | 212.398 | 212.398 | -0.000 | 0.000 | -0.000 |
| 212.398 | 278.102 | 212.398 | 0.000 | -0.000 | -0.000 |
| 212.398 | 212.398 | 278.102 | 0.000 | -0.000 | -0.000 |
| 0.000 | -0.000 | 0.000 | 152.378 | 0.000 | 0.000 |
| 0.000 | 0.000 | 0.000 | 0.000 | 152.378 | -0.000 |
| 0.000 | 0.000 | 0.000 | 0.000 | 0.000 | 152.378 |
| 278.102 | 212.398 | 212.398 | -0.000 | 0.000 | 0.000 |
| 212.398 | 278.102 | 212.398 | -0.000 | -0.000 | -0.000 |
| 212.398 | 212.398 | 278.102 | -0.000 | -0.000 | 0.000 |
| 0.000 | -0.000 | 0.000 | 108.840 | 0.000 | 0.000 |
| -0.000 | 0.000 | 0.000 | -0.000 | 108.840 | 0.000 |
| -0.000 | 0.000 | 0.000 | -0.000 | 0.000 | 108.840 |
| 278.102 | 212.398 | 212.398 | -0.000 | -0.000 | -0.000 |
| 212.398 | 278.102 | 212.398 | 0.000 | -0.000 | 0.000 |
| 212.398 | 212.398 | 278.102 | 0.000 | 0.000 | -0.000 |
| -0.000 | 0.000 | -0.000 | 108.840 | -0.000 | 0.000 |
| 0.000 | -0.000 | -0.000 | 0.000 | 108.840 | -0.000 |
| 0.000 | -0.000 | -0.000 | 0.000 | -0.000 | 108.840 |
| 278.103 | 212.399 | 212.399 | -0.000 | -0.000 | 0.000 |
| 212.399 | 278.103 | 212.399 | -0.000 | 0.000 | 0.000 |
| 212.399 | 212.399 | 278.103 | -0.000 | -0.000 | 0.000 |
| 0.000 | -0.000 | 0.000 | 152.378 | 0.000 | 0.000 |
| -0.000 | 0.000 | 0.000 | -0.000 | 152.378 | 0.000 |
| -0.000 | 0.000 | 0.000 | -0.000 | 0.000 | 152.378 |
| 278.101 | 212.398 | 212.398 | 0.000 | -0.000 | 0.000 |
| 212.398 | 278.101 | 212.398 | 0.000 | -0.000 | 0.000 |
| 212.398 | 212.398 | 278.101 | 0.000 | -0.000 | 0.000 |
| -0.000 | 0.000 | -0.000 | 152.378 | -0.000 | 0.000 |
| 0.000 | -0.000 | -0.000 | 0.000 | 152.378 | -0.000 |
| 0.000 | -0.000 | -0.000 | 0.000 | -0.000 | 152.378 |
| 290.005 | 201.150 | 201.150 | 0.000 | 0.000 | 0.000 |
| 201.150 | 290.005 | 201.150 | 0.000 | -0.000 | 0.000 |
| 201.150 | 201.150 | 290.005 | 0.000 | -0.000 | -0.000 |
| 0.000 | 0.000 | 0.000 | 144.598 | 0.000 | 0.000 |
| 0.000 | -0.000 | 0.000 | 0.000 | 144.598 | -0.000 |
| 0.000 | 0.000 | -0.000 | 0.000 | 0.000 | 144.598 |
| 290.005 | 201.150 | 201.150 | -0.000 | -0.000 | 0.000 |
| 201.150 | 290.005 | 201.150 | -0.000 | 0.000 | 0.000 |
| 201.150 | 201.150 | 290.005 | -0.000 | -0.000 | 0.000 |
| -0.000 | 0.000 | -0.000 | 144.598 | -0.000 | -0.000 |
| -0.000 | 0.000 | -0.000 | -0.000 | 144.598 | 0.000 |
| -0.000 | -0.000 | 0.000 | -0.000 | -0.000 | 144.598 |
| 290.005 | 201.150 | 201.150 | -0.000 | -0.000 | -0.000 |
| 201.150 | 290.005 | 201.150 | 0.000 | 0.000 | -0.000 |
| 201.150 | 201.150 | 290.005 | 0.000 | 0.000 | 0.000 |
| -0.000 | 0.000 | 0.000 | 144.598 | 0.000 | 0.000 |
| 0.000 | -0.000 | 0.000 | 0.000 | 144.598 | 0.000 |
| 0.000 | 0.000 | -0.000 | 0.000 | -0.000 | 144.598 |
| 290.004 | 201.150 | 201.150 | -0.000 | -0.000 | -0.000 |
| 201.150 | 290.004 | 201.150 | -0.000 | -0.000 | -0.000 |
| 201.150 | 201.150 | 290.004 | -0.000 | -0.000 | -0.000 |
| 0.000 | -0.000 | -0.000 | 144.598 | -0.000 | 0.000 |
| -0.000 | 0.000 | -0.000 | -0.000 | 144.598 | -0.000 |
| -0.000 | -0.000 | 0.000 | -0.000 | -0.000 | 144.598 |
| 290.005 | 201.150 | 201.150 | 0.000 | 0.000 | 0.000 |
| 201.150 | 290.005 | 201.150 | -0.000 | 0.000 | 0.000 |
| 201.150 | 201.150 | 290.005 | 0.000 | 0.000 | 0.000 |
| -0.000 | 0.000 | 0.000 | 144.598 | 0.000 | 0.000 |
| 0.000 | -0.000 | 0.000 | 0.000 | 144.598 | 0.000 |
| 0.000 | 0.000 | -0.000 | -0.000 | 0.000 | 144.598 |
| 290.004 | 201.149 | 201.149 | -0.000 | -0.000 | -0.000 |
| 201.149 | 290.004 | 201.149 | -0.000 | 0.000 | -0.000 |
| 201.149 | 201.149 | 290.004 | -0.000 | -0.000 | -0.000 |
| 0.000 | -0.000 | -0.000 | 144.598 | -0.000 | 0.000 |
| -0.000 | 0.000 | -0.000 | -0.000 | 144.598 | -0.000 |
| -0.000 | -0.000 | 0.000 | 0.000 | -0.000 | 144.598 |
| 193.795 | -17.551 | -17.551 | 0.000 | -0.000 | 0.000 |
| -17.551 | 193.795 | -17.551 | 0.000 | 0.000 | 0.000 |
| -17.551 | -17.551 | 193.795 | 0.000 | 0.000 | 0.000 |
| -0.000 | 0.000 | -0.000 | -103.483 | 0.000 | 0.000 |
| -0.000 | 0.000 | -0.000 | 0.000 | -103.483 | 0.000 |
| -0.000 | 0.000 | -0.000 | -0.000 | -0.000 | -103.483 |
| 193.795 | -17.551 | -17.551 | -0.000 | 0.000 | -0.000 |
| -17.551 | 193.795 | -17.551 | -0.000 | 0.000 | -0.000 |
| -17.551 | -17.551 | 193.795 | -0.000 | 0.000 | -0.000 |
| 0.000 | -0.000 | 0.000 | -103.483 | -0.000 | -0.000 |
| 0.000 | -0.000 | 0.000 | -0.000 | -103.483 | -0.000 |
| 0.000 | -0.000 | 0.000 | -0.000 | 0.000 | -103.483 |
| 193.795 | -17.551 | -17.551 | 0.000 | -0.000 | 0.000 |
| -17.551 | 193.795 | -17.551 | 0.000 | -0.000 | 0.000 |
| -17.551 | -17.551 | 193.795 | 0.000 | -0.000 | 0.000 |
| -0.000 | 0.000 | 0.000 | -103.483 | -0.000 | 0.000 |
| 0.000 | -0.000 | 0.000 | 0.000 | -103.483 | 0.000 |
| 0.000 | 0.000 | -0.000 | 0.000 | -0.000 | -103.483 |
| 193.796 | -17.551 | -17.551 | -0.000 | 0.000 | -0.000 |
| -17.551 | 193.796 | -17.551 | -0.000 | 0.000 | -0.000 |
| -17.551 | -17.551 | 193.796 | -0.000 | 0.000 | -0.000 |
| 0.000 | -0.000 | -0.000 | -103.483 | -0.000 | -0.000 |
| -0.000 | 0.000 | -0.000 | -0.000 | -103.483 | -0.000 |
| -0.000 | -0.000 | 0.000 | -0.000 | 0.000 | -103.483 |
| 193.792 | -17.548 | -17.548 | 0.000 | -0.000 | 0.000 |
| -17.548 | 193.792 | -17.548 | 0.000 | 0.000 | 0.000 |
| -17.548 | -17.548 | 193.792 | 0.000 | -0.000 | 0.000 |
| -0.000 | 0.001 | 0.000 | -103.483 | 0.000 | 0.000 |
| 0.001 | -0.000 | 0.000 | -0.000 | -103.483 | 0.000 |
| 0.001 | 0.000 | -0.000 | -0.000 | -0.000 | -103.483 |
| 193.798 | -17.553 | -17.553 | -0.000 | 0.000 | -0.000 |
| -17.553 | 193.798 | -17.553 | 0.000 | -0.000 | -0.000 |
| -17.553 | -17.553 | 193.798 | -0.000 | 0.000 | -0.000 |
| 0.000 | -0.001 | -0.000 | -103.483 | 0.000 | -0.000 |
| -0.001 | 0.000 | -0.000 | 0.000 | -103.483 | -0.000 |
| -0.001 | -0.000 | 0.000 | 0.000 | 0.000 | -103.483 |
| 327.159 | 194.079 | 194.079 | -0.000 | -0.000 | 0.000 |
| 194.079 | 327.159 | 194.079 | -0.000 | -0.000 | -0.000 |
| 194.079 | 194.079 | 327.159 | -0.000 | 0.000 | 0.000 |
| 0.000 | -0.000 | -0.000 | 116.367 | -0.000 | -0.000 |
| 0.000 | -0.000 | -0.000 | -0.000 | 116.367 | 0.000 |
| 0.000 | -0.000 | -0.000 | -0.000 | 0.000 | 116.367 |
| 327.159 | 194.079 | 194.079 | 0.000 | 0.000 | 0.000 |
| 194.079 | 327.159 | 194.079 | 0.000 | -0.000 | -0.000 |
| 194.079 | 194.079 | 327.159 | 0.000 | 0.000 | 0.000 |
| -0.000 | 0.000 | 0.000 | 116.367 | 0.000 | -0.000 |
| -0.000 | 0.000 | 0.000 | 0.000 | 116.367 | -0.000 |
| -0.000 | -0.000 | 0.000 | 0.000 | 0.000 | 116.367 |
| 327.159 | 194.079 | 194.079 | -0.000 | 0.000 | 0.000 |
| 194.079 | 327.159 | 194.079 | -0.000 | -0.000 | 0.000 |
| 194.079 | 194.079 | 327.159 | -0.000 | -0.000 | 0.000 |
| 0.000 | 0.000 | 0.000 | 116.367 | -0.000 | 0.000 |
| 0.000 | 0.000 | 0.000 | -0.000 | 116.367 | 0.000 |
| 0.000 | 0.000 | 0.000 | -0.000 | -0.000 | 116.367 |
| 327.159 | 194.079 | 194.079 | 0.000 | 0.000 | 0.000 |
| 194.079 | 327.159 | 194.079 | 0.000 | -0.000 | -0.000 |
| 194.079 | 194.079 | 327.159 | 0.000 | -0.000 | -0.000 |
| -0.000 | -0.000 | -0.000 | 116.367 | -0.000 | -0.000 |
| -0.000 | -0.000 | -0.000 | -0.000 | 116.367 | -0.000 |
| -0.000 | -0.000 | -0.000 | 0.000 | -0.000 | 116.367 |
| 327.159 | 194.079 | 194.079 | -0.000 | 0.000 | 0.000 |
| 194.079 | 327.159 | 194.079 | -0.000 | 0.000 | 0.000 |
| 194.079 | 194.079 | 327.159 | -0.000 | 0.000 | 0.000 |
| 0.000 | 0.000 | 0.000 | 116.367 | -0.000 | 0.000 |
| 0.000 | 0.000 | 0.000 | -0.000 | 116.367 | 0.000 |
| 0.000 | 0.000 | 0.000 | -0.000 | -0.000 | 116.367 |
| 327.159 | 194.079 | 194.079 | 0.000 | 0.000 | -0.000 |
| 194.079 | 327.159 | 194.079 | 0.000 | 0.000 | -0.000 |
| 194.079 | 194.079 | 327.159 | 0.000 | 0.000 | -0.000 |
| -0.000 | -0.000 | -0.000 | 116.367 | 0.000 | -0.000 |
| -0.000 | -0.000 | -0.000 | 0.000 | 116.367 | -0.000 |
| -0.000 | -0.000 | -0.000 | 0.000 | 0.000 | 116.367 |
| -28.318 | 114.005 | 114.005 | 0.000 | 0.000 | 0.000 |
| 114.005 | -28.318 | 114.005 | 0.000 | 0.000 | 0.000 |
| 114.005 | 114.005 | -28.318 | 0.000 | 0.000 | 0.000 |
| 0.000 | 0.000 | 0.000 | 55.260 | -0.000 | -0.000 |
| 0.000 | 0.000 | 0.000 | -0.000 | 55.260 | -0.000 |
| 0.000 | 0.000 | 0.000 | -0.000 | -0.000 | 55.260 |
| -28.318 | 114.005 | 114.005 | -0.000 | -0.000 | -0.000 |
| 114.005 | -28.318 | 114.005 | -0.000 | -0.000 | -0.000 |
| 114.005 | 114.005 | -28.318 | -0.000 | -0.000 | -0.000 |
| -0.000 | -0.000 | -0.000 | 55.260 | 0.000 | 0.000 |
| -0.000 | -0.000 | -0.000 | -0.000 | 55.260 | 0.000 |
| -0.000 | -0.000 | -0.000 | -0.000 | -0.000 | 55.260 |
| -28.318 | 114.005 | 114.005 | 0.000 | 0.000 | 0.000 |
| 114.005 | -28.318 | 114.005 | 0.000 | 0.000 | 0.000 |
| 114.005 | 114.005 | -28.318 | 0.000 | 0.000 | 0.000 |
| -0.000 | -0.000 | -0.000 | -157.736 | 0.000 | 0.000 |
| -0.000 | -0.000 | -0.000 | 0.000 | -157.736 | 0.000 |
| -0.000 | -0.000 | -0.000 | 0.000 | 0.000 | -157.736 |
| -28.319 | 114.005 | 114.005 | -0.000 | -0.000 | -0.000 |
| 114.005 | -28.319 | 114.005 | -0.000 | -0.000 | -0.000 |
| 114.005 | 114.005 | -28.319 | -0.000 | -0.000 | -0.000 |
| 0.000 | 0.000 | 0.000 | -157.736 | -0.000 | -0.000 |
| 0.000 | 0.000 | 0.000 | -0.000 | -157.736 | -0.000 |
| 0.000 | 0.000 | 0.000 | -0.000 | -0.000 | -157.736 |
| -28.318 | 114.007 | 114.007 | 0.000 | 0.000 | 0.000 |
| 114.007 | -28.318 | 114.007 | 0.000 | 0.000 | 0.000 |
| 114.007 | 114.007 | -28.318 | 0.000 | 0.000 | 0.000 |
| -0.000 | -0.000 | -0.000 | -157.736 | 0.000 | 0.000 |
| -0.000 | -0.000 | -0.000 | 0.000 | -157.736 | 0.000 |
| -0.000 | -0.000 | -0.000 | 0.000 | 0.000 | -157.736 |
| -28.319 | 114.004 | 114.004 | -0.000 | -0.000 | -0.000 |
| 114.004 | -28.319 | 114.004 | -0.000 | -0.000 | -0.000 |
| 114.004 | 114.004 | -28.319 | -0.000 | -0.000 | -0.000 |
| 0.000 | 0.000 | 0.000 | -157.736 | -0.000 | -0.000 |
| 0.000 | 0.000 | 0.000 | -0.000 | -157.736 | -0.000 |
| 0.000 | 0.000 | 0.000 | -0.000 | -0.000 | -157.736 |
| 50.857 | 54.067 | 54.067 | -0.000 | 0.000 | -0.000 |
| 54.067 | 50.857 | 54.067 | -0.000 | 0.000 | 0.000 |
| 54.067 | 54.067 | 50.857 | 0.000 | 0.000 | -0.000 |
| -0.000 | 0.000 | -0.000 | -6.194 | 0.000 | 0.000 |
| -0.000 | -0.000 | -0.000 | 0.000 | -6.194 | 0.000 |
| -0.000 | -0.000 | -0.000 | 0.000 | 0.000 | -6.194 |
| 50.857 | 54.067 | 54.067 | -0.000 | -0.000 | 0.000 |
| 54.067 | 50.857 | 54.067 | 0.000 | -0.000 | -0.000 |
| 54.067 | 54.067 | 50.857 | -0.000 | -0.000 | -0.000 |
| 0.000 | 0.000 | 0.000 | -6.194 | -0.000 | -0.000 |
| 0.000 | 0.000 | 0.000 | 0.000 | -6.194 | 0.000 |
| 0.000 | 0.000 | 0.000 | -0.000 | -0.000 | -6.194 |
| 50.857 | 54.067 | 54.067 | 0.000 | 0.000 | 0.000 |
| 54.067 | 50.857 | 54.067 | -0.000 | 0.000 | -0.000 |
| 54.067 | 54.067 | 50.857 | -0.000 | -0.000 | 0.000 |
| -0.000 | -0.000 | -0.000 | -6.194 | 0.000 | -0.000 |
| -0.000 | -0.000 | -0.000 | 0.000 | -6.194 | 0.000 |
| -0.000 | -0.000 | -0.000 | 0.000 | 0.000 | -6.194 |
| 50.857 | 54.067 | 54.067 | -0.000 | -0.000 | -0.000 |
| 54.067 | 50.857 | 54.067 | 0.000 | -0.000 | -0.000 |
| 54.067 | 54.067 | 50.857 | -0.000 | -0.000 | -0.000 |
| 0.000 | 0.000 | 0.000 | -6.194 | -0.000 | -0.000 |
| 0.000 | 0.000 | 0.000 | -0.000 | -6.194 | 0.000 |
| 0.000 | 0.000 | 0.000 | -0.000 | -0.000 | -6.194 |
| 50.857 | 54.067 | 54.067 | 0.000 | 0.000 | -0.000 |
| 54.067 | 50.857 | 54.067 | -0.000 | 0.000 | 0.000 |
| 54.067 | 54.067 | 50.857 | -0.000 | 0.000 | -0.000 |
| -0.000 | -0.000 | -0.000 | -6.194 | -0.000 | -0.000 |
| -0.000 | -0.000 | -0.000 | 0.000 | -6.194 | -0.000 |
| -0.000 | -0.000 | -0.000 | -0.000 | 0.000 | -6.194 |
| 50.856 | 54.067 | 54.067 | -0.000 | -0.000 | 0.000 |
| 54.067 | 50.856 | 54.067 | 0.000 | -0.000 | -0.000 |
| 54.067 | 54.067 | 50.856 | 0.000 | 0.000 | 0.000 |
| 0.000 | 0.000 | 0.000 | -6.194 | -0.000 | -0.000 |
| 0.000 | 0.000 | 0.000 | -0.000 | -6.194 | -0.000 |
| 0.000 | 0.000 | 0.000 | -0.000 | -0.000 | -6.194 |
| 197.672 | 87.892 | 124.281 | 0.000 | -0.000 | -0.000 |
| 87.892 | 197.672 | 124.281 | -0.000 | -0.000 | 0.000 |
| 124.281 | 124.281 | 183.029 | 0.000 | 0.000 | -0.000 |
| 0.000 | -0.000 | -0.000 | 58.167 | -0.000 | -0.000 |
| -0.000 | -0.000 | -0.000 | 0.000 | 58.167 | -0.000 |
| -0.000 | -0.000 | -0.000 | 0.000 | -0.000 | 31.428 |
| 197.672 | 87.892 | 124.281 | -0.000 | -0.000 | 0.000 |
| 87.892 | 197.672 | 124.281 | -0.000 | -0.000 | 0.000 |
| 124.281 | 124.281 | 183.030 | -0.000 | -0.000 | 0.000 |
| -0.000 | 0.000 | 0.000 | 58.167 | 0.000 | 0.000 |
| 0.000 | -0.000 | 0.000 | -0.000 | 58.167 | 0.000 |
| 0.000 | 0.000 | 0.000 | -0.000 | -0.000 | 31.428 |
| 197.672 | 87.892 | 124.281 | 0.000 | 0.000 | -0.000 |
| 87.892 | 197.672 | 124.281 | 0.000 | -0.000 | -0.000 |
| 124.281 | 124.281 | 183.029 | 0.000 | -0.000 | 0.000 |
| 0.000 | -0.000 | 0.000 | 58.167 | -0.000 | -0.000 |
| -0.000 | 0.000 | 0.000 | 0.000 | 58.167 | -0.000 |
| -0.000 | -0.000 | 0.000 | 0.000 | -0.000 | 31.428 |
| 197.672 | 87.892 | 124.281 | -0.000 | 0.000 | -0.000 |
| 87.892 | 197.672 | 124.281 | -0.000 | 0.000 | 0.000 |
| 124.281 | 124.281 | 183.030 | -0.000 | 0.000 | -0.000 |
| -0.000 | 0.000 | -0.000 | 58.167 | 0.000 | 0.000 |
| 0.000 | -0.000 | -0.000 | -0.000 | 58.167 | -0.000 |
| 0.000 | 0.000 | -0.000 | -0.000 | 0.000 | 31.428 |
| 197.672 | 87.892 | 124.281 | 0.000 | 0.000 | -0.000 |
| 87.892 | 197.672 | 124.281 | 0.000 | -0.000 | -0.000 |
| 124.281 | 124.281 | 183.028 | 0.000 | 0.000 | 0.000 |
| 0.000 | -0.000 | 0.000 | 58.167 | -0.000 | 0.000 |
| -0.000 | 0.000 | 0.000 | 0.000 | 58.167 | -0.000 |
| -0.000 | -0.000 | 0.000 | 0.000 | -0.000 | 31.428 |
| 197.672 | 87.892 | 124.281 | -0.000 | 0.000 | -0.000 |
| 87.892 | 197.672 | 124.281 | -0.000 | -0.000 | -0.000 |
| 124.281 | 124.281 | 183.031 | -0.000 | 0.000 | 0.000 |
| -0.000 | 0.000 | -0.000 | 58.167 | 0.000 | 0.000 |
| 0.000 | -0.000 | -0.000 | -0.000 | 58.167 | 0.000 |
| 0.000 | 0.000 | -0.000 | -0.000 | 0.000 | 31.428 |
| 250.406 | 144.895 | 162.749 | -0.000 | -0.000 | 0.000 |
| 144.895 | 302.666 | 80.356 | 0.000 | 0.000 | -0.000 |
| 162.749 | 80.356 | 351.314 | 0.000 | 0.000 | 0.000 |
| -0.000 | -0.000 | 0.000 | 16.110 | 0.000 | -0.000 |
| 0.000 | 0.000 | 0.000 | -0.000 | 93.043 | -0.000 |
| -0.000 | 0.000 | 0.000 | -0.000 | -0.000 | 90.301 |
| 250.406 | 144.895 | 162.749 | -0.000 | -0.000 | 0.000 |
| 144.895 | 302.666 | 80.356 | -0.000 | 0.000 | -0.000 |
| 162.749 | 80.356 | 351.314 | -0.000 | 0.000 | -0.000 |
| -0.000 | -0.000 | 0.000 | 16.110 | -0.000 | 0.000 |
| -0.000 | -0.000 | -0.000 | 0.000 | 93.043 | 0.000 |
| 0.000 | -0.000 | -0.000 | -0.000 | -0.000 | 90.301 |
| 250.406 | 144.895 | 162.749 | -0.000 | -0.000 | -0.000 |
| 144.895 | 302.666 | 80.356 | -0.000 | -0.000 | 0.000 |
| 162.749 | 80.356 | 351.314 | 0.000 | 0.000 | 0.000 |
| -0.000 | 0.000 | -0.000 | 16.110 | 0.000 | 0.000 |
| 0.000 | -0.000 | 0.000 | 0.000 | 93.043 | -0.000 |
| -0.000 | 0.000 | -0.000 | -0.000 | 0.000 | 90.301 |
| 250.406 | 144.895 | 162.749 | -0.000 | 0.000 | 0.000 |
| 144.895 | 302.666 | 80.356 | 0.000 | -0.000 | 0.000 |
| 162.749 | 80.356 | 351.313 | -0.000 | 0.000 | -0.000 |
| 0.000 | -0.000 | 0.000 | 16.110 | -0.000 | 0.000 |
| -0.000 | 0.000 | -0.000 | 0.000 | 93.043 | -0.000 |
| 0.000 | -0.000 | 0.000 | -0.000 | 0.000 | 90.301 |
| 250.406 | 144.895 | 162.749 | 0.000 | 0.000 | 0.000 |
| 144.895 | 302.666 | 80.357 | -0.000 | -0.000 | -0.000 |
| 162.750 | 80.357 | 351.316 | -0.000 | -0.000 | 0.000 |
| -0.000 | 0.000 | -0.000 | 16.110 | 0.000 | -0.000 |
| 0.000 | -0.000 | 0.001 | -0.000 | 93.043 | -0.000 |
| -0.000 | 0.000 | -0.000 | 0.000 | -0.000 | 90.301 |
| 250.406 | 144.894 | 162.748 | -0.000 | 0.000 | 0.000 |
| 144.894 | 302.665 | 80.356 | -0.000 | 0.000 | 0.000 |
| 162.748 | 80.356 | 351.312 | -0.000 | 0.000 | -0.000 |
| 0.000 | -0.000 | 0.000 | 16.110 | 0.000 | 0.000 |
| -0.000 | 0.000 | -0.001 | 0.000 | 93.043 | 0.000 |
| 0.000 | -0.000 | 0.000 | -0.000 | -0.000 | 90.301 |
| 159.645 | 118.756 | 118.756 | 0.000 | -0.000 | 0.000 |
| 118.756 | 159.645 | 118.756 | -0.000 | -0.000 | 0.000 |
| 118.756 | 118.756 | 159.645 | 0.000 | -0.000 | 0.000 |
| -0.000 | -0.000 | -0.000 | 71.841 | -0.000 | 0.000 |
| -0.000 | -0.000 | -0.000 | -0.000 | 71.841 | 0.000 |
| -0.000 | -0.000 | -0.000 | -0.000 | -0.000 | 71.841 |
| 159.646 | 118.756 | 118.756 | -0.000 | 0.000 | -0.000 |
| 118.756 | 159.646 | 118.756 | 0.000 | 0.000 | -0.000 |
| 118.756 | 118.756 | 159.646 | -0.000 | 0.000 | -0.000 |
| 0.000 | 0.000 | 0.000 | 71.841 | 0.000 | -0.000 |
| 0.000 | 0.000 | 0.000 | -0.000 | 71.841 | -0.000 |
| 0.000 | 0.000 | 0.000 | -0.000 | 0.000 | 71.841 |
| 159.645 | 118.756 | 118.756 | -0.000 | -0.000 | 0.000 |
| 118.756 | 159.645 | 118.756 | 0.000 | -0.000 | 0.000 |
| 118.756 | 118.756 | 159.645 | 0.000 | -0.000 | 0.000 |
| -0.000 | -0.000 | -0.000 | 25.627 | -0.000 | 0.000 |
| -0.000 | -0.000 | -0.000 | -0.000 | 25.627 | 0.000 |
| -0.000 | -0.000 | -0.000 | 0.000 | -0.000 | 25.627 |
| 159.646 | 118.756 | 118.756 | -0.000 | 0.000 | -0.000 |
| 118.756 | 159.646 | 118.756 | 0.000 | 0.000 | -0.000 |
| 118.756 | 118.756 | 159.646 | -0.000 | 0.000 | -0.000 |
| 0.000 | 0.000 | 0.000 | 25.627 | 0.000 | -0.000 |
| 0.000 | 0.000 | 0.000 | 0.000 | 25.627 | -0.000 |
| 0.000 | 0.000 | 0.000 | -0.000 | 0.000 | 25.627 |
| 159.645 | 118.756 | 118.756 | 0.000 | -0.000 | 0.000 |
| 118.756 | 159.645 | 118.756 | -0.000 | -0.000 | 0.000 |
| 118.756 | 118.756 | 159.645 | 0.000 | -0.000 | 0.000 |
| -0.000 | -0.000 | -0.000 | 25.627 | -0.000 | 0.000 |
| -0.000 | -0.000 | -0.000 | -0.000 | 25.627 | 0.000 |
| -0.000 | -0.000 | -0.000 | 0.000 | -0.000 | 25.627 |
| 159.646 | 118.756 | 118.756 | 0.000 | 0.000 | -0.000 |
| 118.756 | 159.646 | 118.756 | 0.000 | 0.000 | -0.000 |
| 118.756 | 118.756 | 159.646 | 0.000 | 0.000 | -0.000 |
| 0.000 | 0.000 | 0.000 | 25.627 | 0.000 | -0.000 |
| 0.000 | 0.000 | 0.000 | -0.000 | 25.627 | -0.000 |
| 0.000 | 0.000 | 0.000 | -0.000 | 0.000 | 25.627 |
| -0.188 | 9.090 | 9.090 | 0.000 | -0.000 | 0.000 |
| 9.090 | -0.188 | 9.090 | -0.000 | -0.000 | 0.000 |
| 9.090 | 9.090 | -0.188 | 0.000 | -0.000 | 0.000 |
| -0.000 | 0.000 | 0.000 | -11.414 | 0.000 | 0.000 |
| -0.000 | 0.000 | 0.000 | 0.000 | -11.414 | 0.000 |
| -0.000 | 0.000 | 0.000 | -0.000 | 0.000 | -11.414 |
| -0.188 | 9.090 | 9.090 | -0.000 | 0.000 | -0.000 |
| 9.090 | -0.188 | 9.090 | 0.000 | -0.000 | -0.000 |
| 9.090 | 9.090 | -0.188 | -0.000 | 0.000 | -0.000 |
| 0.000 | -0.000 | 0.000 | -11.414 | -0.000 | -0.000 |
| 0.000 | 0.000 | 0.000 | -0.000 | -11.414 | -0.000 |
| 0.000 | -0.000 | 0.000 | -0.000 | -0.000 | -11.414 |
| -0.188 | 9.090 | 9.090 | 0.000 | 0.000 | 0.000 |
| 9.090 | -0.188 | 9.090 | 0.000 | 0.000 | 0.000 |
| 9.090 | 9.090 | -0.188 | 0.000 | 0.000 | 0.000 |
| 0.000 | 0.000 | -0.000 | -11.414 | 0.000 | 0.000 |
| 0.000 | 0.000 | -0.000 | 0.000 | -11.414 | 0.000 |
| 0.000 | -0.000 | 0.000 | 0.000 | 0.000 | -11.414 |
| -0.188 | 9.090 | 9.090 | -0.000 | -0.000 | -0.000 |
| 9.090 | -0.188 | 9.090 | -0.000 | -0.000 | -0.000 |
| 9.090 | 9.090 | -0.188 | -0.000 | -0.000 | -0.000 |
| -0.000 | -0.000 | 0.000 | -11.414 | -0.000 | -0.000 |
| -0.000 | -0.000 | 0.000 | -0.000 | -11.414 | -0.000 |
| -0.000 | 0.000 | -0.000 | -0.000 | -0.000 | -11.414 |
| -0.188 | 9.090 | 9.090 | -0.000 | 0.000 | 0.000 |
| 9.090 | -0.188 | 9.090 | 0.000 | -0.000 | 0.000 |
| 9.090 | 9.090 | -0.188 | 0.000 | 0.000 | -0.000 |
| 0.000 | 0.000 | -0.000 | -11.414 | 0.000 | 0.000 |
| 0.000 | 0.000 | -0.000 | -0.000 | -11.414 | 0.000 |
| 0.000 | -0.000 | 0.000 | -0.000 | 0.000 | -11.414 |
| -0.189 | 9.089 | 9.089 | 0.000 | 0.000 | -0.000 |
| 9.089 | -0.189 | 9.089 | 0.000 | 0.000 | -0.000 |
| 9.089 | 9.089 | -0.189 | 0.000 | -0.000 | -0.000 |
| -0.000 | -0.000 | 0.000 | -11.414 | 0.000 | -0.000 |
| -0.000 | -0.000 | 0.000 | -0.000 | -11.414 | -0.000 |
| -0.000 | 0.000 | -0.000 | 0.000 | 0.000 | -11.414 |
| 354.729 | 277.641 | 277.641 | -0.000 | 0.000 | 0.000 |
| 277.641 | 354.729 | 277.641 | 0.000 | 0.000 | 0.000 |
| 277.641 | 277.641 | 354.729 | -0.000 | 0.000 | 0.000 |
| 0.000 | -0.000 | -0.000 | 214.904 | 0.000 | 0.000 |
| -0.000 | 0.000 | -0.000 | -0.000 | 214.904 | 0.000 |
| 0.000 | 0.000 | -0.000 | 0.000 | 0.000 | 214.904 |
| 354.729 | 277.641 | 277.641 | 0.000 | 0.000 | -0.000 |
| 277.641 | 354.729 | 277.641 | -0.000 | -0.000 | -0.000 |
| 277.641 | 277.641 | 354.729 | 0.000 | -0.000 | -0.000 |
| -0.000 | 0.000 | 0.000 | 214.904 | -0.000 | -0.000 |
| 0.000 | -0.000 | 0.000 | 0.000 | 214.904 | -0.000 |
| 0.000 | -0.000 | 0.000 | -0.000 | -0.000 | 214.904 |
| 354.729 | 277.641 | 277.641 | -0.000 | -0.000 | 0.000 |
| 277.641 | 354.729 | 277.641 | -0.000 | 0.000 | 0.000 |
| 277.641 | 277.641 | 354.729 | -0.000 | 0.000 | 0.000 |
| 0.000 | 0.000 | 0.000 | 214.904 | 0.000 | 0.000 |
| 0.000 | 0.000 | 0.000 | -0.000 | 214.904 | 0.000 |
| 0.000 | 0.000 | 0.000 | -0.000 | 0.000 | 214.904 |
| 354.729 | 277.641 | 277.641 | -0.000 | -0.000 | -0.000 |
| 277.641 | 354.729 | 277.641 | 0.000 | -0.000 | -0.000 |
| 277.641 | 277.641 | 354.729 | 0.000 | 0.000 | -0.000 |
| -0.000 | -0.000 | -0.000 | 214.904 | 0.000 | -0.000 |
| -0.000 | -0.000 | -0.000 | 0.000 | 214.904 | -0.000 |
| -0.000 | -0.000 | -0.000 | 0.000 | 0.000 | 214.904 |
| 354.728 | 277.641 | 277.641 | -0.000 | 0.000 | 0.000 |
| 277.641 | 354.728 | 277.641 | -0.000 | -0.000 | 0.000 |
| 277.641 | 277.641 | 354.728 | -0.000 | 0.000 | 0.000 |
| -0.000 | -0.000 | -0.000 | 97.405 | 0.000 | 0.000 |
| -0.000 | -0.000 | -0.000 | 0.000 | 97.405 | 0.000 |
| -0.000 | -0.000 | -0.000 | -0.000 | 0.000 | 97.405 |
| 354.730 | 277.640 | 277.640 | 0.000 | -0.000 | -0.000 |
| 277.640 | 354.730 | 277.640 | -0.000 | 0.000 | -0.000 |
| 277.640 | 277.640 | 354.730 | 0.000 | 0.000 | -0.000 |
| 0.000 | 0.000 | 0.000 | 97.405 | -0.000 | -0.000 |
| 0.000 | 0.000 | 0.000 | -0.000 | 97.405 | -0.000 |
| 0.000 | 0.000 | 0.000 | 0.000 | -0.000 | 97.405 |
| 224.933 | 79.586 | 79.586 | -0.000 | -0.000 | 0.000 |
| 79.586 | 224.933 | 79.586 | 0.000 | -0.000 | -0.000 |
| 79.586 | 79.586 | 224.933 | 0.000 | -0.000 | 0.000 |
| -0.000 | 0.000 | 0.000 | 21.893 | -0.000 | -0.000 |
| 0.000 | -0.000 | -0.000 | -0.000 | 21.893 | 0.000 |
| 0.000 | -0.000 | 0.000 | 0.000 | -0.000 | 21.893 |
| 224.933 | 79.586 | 79.586 | -0.000 | 0.000 | -0.000 |
| 79.586 | 224.933 | 79.586 | -0.000 | 0.000 | -0.000 |
| 79.586 | 79.586 | 224.933 | -0.000 | 0.000 | -0.000 |
| 0.000 | -0.000 | -0.000 | 21.893 | 0.000 | -0.000 |
| 0.000 | 0.000 | -0.000 | 0.000 | 21.894 | -0.000 |
| -0.000 | -0.000 | 0.000 | -0.000 | 0.000 | 21.893 |
| 224.933 | 79.586 | 79.586 | 0.000 | -0.000 | 0.000 |
| 79.586 | 224.933 | 79.586 | 0.000 | -0.000 | 0.000 |
| 79.586 | 79.586 | 224.933 | 0.000 | -0.000 | -0.000 |
| -0.000 | -0.000 | -0.000 | 21.255 | -0.000 | 0.000 |
| -0.000 | -0.000 | -0.000 | 0.000 | 21.255 | 0.000 |
| -0.000 | -0.000 | -0.000 | 0.000 | -0.000 | 21.255 |
| 224.775 | 79.665 | 79.665 | 0.000 | 0.000 | -0.000 |
| 79.665 | 224.775 | 79.665 | -0.000 | 0.000 | 0.000 |
| 79.665 | 79.665 | 224.775 | 0.000 | 0.000 | 0.000 |
| 0.000 | 0.000 | 0.000 | 21.255 | 0.000 | 0.000 |
| 0.000 | 0.000 | 0.000 | -0.000 | 21.255 | -0.000 |
| 0.000 | 0.000 | 0.000 | 0.000 | 0.000 | 21.255 |
| 224.934 | 79.586 | 79.586 | 0.000 | -0.000 | 0.000 |
| 79.586 | 224.934 | 79.586 | 0.000 | -0.000 | 0.000 |
| 79.586 | 79.586 | 224.934 | 0.000 | -0.000 | 0.000 |
| -0.000 | -0.000 | -0.000 | 21.255 | -0.000 | 0.000 |
| -0.000 | -0.000 | -0.000 | 0.000 | 21.255 | 0.000 |
| -0.000 | -0.000 | -0.000 | 0.000 | -0.000 | 21.255 |
| 224.774 | 79.665 | 79.665 | 0.000 | 0.000 | 0.000 |
| 79.665 | 224.774 | 79.665 | 0.000 | -0.000 | -0.000 |
| 79.665 | 79.665 | 224.774 | -0.000 | 0.000 | -0.000 |
| 0.000 | 0.000 | 0.000 | 21.255 | 0.000 | -0.000 |
| 0.000 | 0.000 | 0.000 | -0.000 | 21.255 | -0.000 |
| 0.000 | 0.000 | 0.000 | -0.000 | 0.000 | 21.255 |
| 261.141 | 177.241 | 177.241 | 0.000 | 0.000 | -0.000 |
| 177.241 | 261.141 | 177.241 | 0.000 | 0.000 | -0.000 |
| 177.241 | 177.241 | 261.140 | 0.000 | 0.000 | -0.000 |
| -0.000 | -0.000 | -0.000 | 115.947 | -0.000 | -0.000 |
| -0.000 | 0.000 | -0.000 | 0.000 | 115.947 | -0.000 |
| 0.000 | -0.000 | -0.000 | 0.000 | -0.000 | 115.947 |
| 261.141 | 177.241 | 177.241 | -0.000 | 0.000 | 0.000 |
| 177.241 | 261.141 | 177.241 | -0.000 | 0.000 | 0.000 |
| 177.241 | 177.241 | 261.140 | -0.000 | 0.000 | 0.000 |
| 0.000 | -0.000 | 0.000 | 115.947 | 0.000 | 0.000 |
| 0.000 | 0.000 | 0.000 | -0.000 | 115.947 | 0.000 |
| -0.000 | 0.000 | 0.000 | -0.000 | 0.000 | 115.947 |
| 261.141 | 177.241 | 177.241 | 0.000 | -0.000 | -0.000 |
| 177.241 | 261.141 | 177.241 | -0.000 | -0.000 | -0.000 |
| 177.241 | 177.241 | 261.141 | 0.000 | 0.000 | -0.000 |
| 0.000 | -0.000 | 0.000 | 115.906 | -0.000 | -0.000 |
| -0.000 | 0.000 | 0.000 | 0.000 | 115.906 | -0.000 |
| -0.000 | 0.000 | 0.000 | 0.000 | -0.000 | 115.906 |
| 261.140 | 177.241 | 177.241 | -0.000 | -0.000 | 0.000 |
| 177.241 | 261.140 | 177.241 | -0.000 | 0.000 | 0.000 |
| 177.241 | 177.241 | 261.140 | -0.000 | 0.000 | 0.000 |
| -0.000 | 0.000 | -0.000 | 115.906 | 0.000 | 0.000 |
| 0.000 | -0.000 | -0.000 | 0.000 | 115.906 | 0.000 |
| 0.000 | -0.000 | -0.000 | -0.000 | 0.000 | 115.906 |
| 261.141 | 177.242 | 177.242 | 0.000 | 0.000 | -0.000 |
| 177.242 | 261.141 | 177.242 | 0.000 | 0.000 | -0.000 |
| 177.242 | 177.242 | 261.141 | -0.000 | -0.000 | -0.000 |
| 0.000 | -0.000 | 0.000 | 115.906 | -0.000 | 0.000 |
| -0.000 | 0.000 | 0.000 | 0.000 | 115.906 | -0.000 |
| -0.000 | 0.000 | 0.000 | 0.000 | -0.000 | 115.906 |
| 261.140 | 177.240 | 177.240 | -0.000 | 0.000 | 0.000 |
| 177.240 | 261.140 | 177.240 | 0.000 | 0.000 | 0.000 |
| 177.240 | 177.240 | 261.140 | 0.000 | 0.000 | 0.000 |
| -0.000 | 0.000 | -0.000 | 115.906 | 0.000 | 0.000 |
| 0.000 | -0.000 | -0.000 | -0.000 | 115.906 | 0.000 |
| 0.000 | -0.000 | -0.000 | -0.000 | 0.000 | 115.906 |
| 149.873 | 87.952 | 87.952 | -0.000 | -0.000 | 0.000 |
| 87.952 | 149.873 | 87.952 | -0.000 | -0.000 | 0.000 |
| 87.952 | 87.952 | 149.873 | -0.000 | -0.000 | -0.000 |
| -0.000 | -0.000 | -0.000 | 33.975 | -0.000 | 0.000 |
| -0.000 | -0.000 | -0.000 | -0.000 | 33.975 | -0.000 |
| -0.000 | -0.000 | -0.000 | -0.000 | -0.000 | 33.975 |
| 149.873 | 87.952 | 87.952 | 0.000 | 0.000 | -0.000 |
| 87.952 | 149.873 | 87.952 | 0.000 | 0.000 | -0.000 |
| 87.952 | 87.952 | 149.873 | 0.000 | 0.000 | -0.000 |
| 0.000 | 0.000 | 0.000 | 33.975 | 0.000 | 0.000 |
| 0.000 | 0.000 | 0.000 | 0.000 | 33.975 | 0.000 |
| 0.000 | 0.000 | 0.000 | 0.000 | 0.000 | 33.975 |
| 149.873 | 87.952 | 87.952 | -0.000 | 0.000 | -0.000 |
| 87.952 | 149.873 | 87.952 | -0.000 | -0.000 | -0.000 |
| 87.952 | 87.952 | 149.873 | -0.000 | -0.000 | -0.000 |
| -0.000 | -0.000 | -0.000 | 33.975 | -0.000 | 0.000 |
| -0.000 | -0.000 | -0.000 | -0.000 | 33.975 | 0.000 |
| -0.000 | -0.000 | -0.000 | -0.000 | -0.000 | 33.975 |
| 149.873 | 87.952 | 87.952 | 0.000 | 0.000 | 0.000 |
| 87.952 | 149.873 | 87.952 | 0.000 | 0.000 | 0.000 |
| 87.952 | 87.952 | 149.873 | 0.000 | 0.000 | 0.000 |
| 0.000 | 0.000 | 0.000 | 33.975 | 0.000 | -0.000 |
| 0.000 | 0.000 | 0.000 | 0.000 | 33.975 | -0.000 |
| 0.000 | 0.000 | 0.000 | 0.000 | -0.000 | 33.975 |
| 149.873 | 87.952 | 87.952 | -0.000 | -0.000 | 0.000 |
| 87.952 | 149.873 | 87.952 | -0.000 | -0.000 | 0.000 |
| 87.952 | 87.952 | 149.873 | -0.000 | -0.000 | 0.000 |
| -0.000 | -0.000 | -0.000 | 33.975 | -0.000 | 0.000 |
| -0.000 | -0.000 | -0.000 | -0.000 | 33.975 | 0.000 |
| -0.000 | -0.000 | -0.000 | -0.000 | -0.000 | 33.975 |
| 149.873 | 87.952 | 87.952 | 0.000 | 0.000 | -0.000 |
| 87.952 | 149.873 | 87.952 | 0.000 | 0.000 | -0.000 |
| 87.952 | 87.952 | 149.873 | 0.000 | 0.000 | 0.000 |
| 0.000 | 0.000 | 0.000 | 33.975 | 0.000 | 0.000 |
| 0.000 | 0.000 | 0.000 | 0.000 | 33.975 | -0.000 |
| 0.000 | 0.000 | 0.000 | 0.000 | -0.000 | 33.975 |
| 157.629 | 88.517 | 87.081 | 0.000 | 0.000 | 0.000 |
| 87.840 | 150.791 | 80.865 | 0.000 | -0.000 | -0.000 |
| 82.147 | 82.147 | 133.152 | 0.000 | -0.000 | 0.000 |
| -0.000 | 0.000 | 0.000 | 31.851 | -0.000 | -0.000 |
| -0.000 | 0.000 | 0.000 | 0.000 | 31.851 | -0.000 |
| -0.000 | -0.000 | -0.000 | 0.000 | 0.000 | 34.556 |
| 150.015 | 86.373 | 79.010 | 0.000 | 0.000 | 0.000 |
| 88.517 | 157.629 | 87.081 | -0.000 | -0.000 | -0.000 |
| 87.081 | 87.081 | 141.313 | 0.000 | -0.000 | 0.000 |
| 0.000 | -0.000 | -0.000 | 31.851 | -0.000 | 0.000 |
| 0.000 | -0.000 | -0.000 | -0.000 | 31.851 | 0.000 |
| 0.000 | 0.000 | 0.000 | -0.000 | -0.000 | 34.556 |
| 151.790 | 88.284 | 82.059 | 0.000 | 0.000 | 0.000 |
| 87.148 | 150.488 | 80.043 | -0.000 | -0.000 | -0.000 |
| 81.538 | 81.538 | 132.145 | -0.000 | -0.000 | 0.000 |
| -0.000 | -0.000 | 0.000 | 31.851 | -0.000 | -0.000 |
| -0.000 | -0.000 | 0.000 | 0.000 | 31.851 | 0.000 |
| -0.000 | -0.000 | -0.000 | 0.000 | 0.000 | 34.556 |
| 157.629 | 88.516 | 87.081 | -0.000 | -0.000 | 0.000 |
| 88.159 | 151.646 | 81.836 | -0.000 | 0.000 | -0.000 |
| 87.081 | 87.081 | 141.313 | 0.000 | -0.000 | 0.000 |
| 0.000 | 0.000 | -0.000 | 31.851 | -0.000 | 0.000 |
| 0.000 | 0.000 | -0.000 | -0.000 | 31.851 | 0.000 |
| 0.000 | 0.000 | 0.000 | -0.000 | -0.000 | 34.556 |
| 151.725 | 88.228 | 81.960 | 0.000 | -0.000 | 0.000 |
| 88.228 | 151.725 | 81.959 | 0.000 | 0.000 | 0.000 |
| 81.478 | 81.478 | 132.046 | -0.000 | -0.000 | 0.000 |
| 0.012 | 0.012 | 0.020 | 26.923 | 0.000 | 0.000 |
| -0.000 | -0.000 | 0.000 | 0.000 | 31.851 | -0.000 |
| -0.000 | -0.000 | -0.000 | 0.000 | 0.000 | 34.556 |
| 151.711 | 88.215 | 81.936 | -0.000 | 0.000 | -0.000 |
| 88.215 | 151.711 | 81.936 | -0.000 | 0.000 | -0.000 |
| 87.080 | 87.080 | 141.311 | -0.000 | 0.000 | 0.000 |
| -0.012 | -0.012 | -0.020 | 26.923 | 0.000 | -0.000 |
| 0.000 | 0.000 | -0.000 | -0.000 | 31.851 | 0.000 |
| 0.000 | 0.000 | 0.000 | -0.000 | -0.000 | 34.556 |
| 319.011 | 168.516 | 193.367 | -0.000 | -0.000 | 0.000 |
| 217.971 | 333.652 | 121.104 | -0.000 | -0.000 | -0.000 |
| 280.083 | 104.181 | 462.233 | -0.000 | 0.000 | -0.000 |
| 124.920 | 21.283 | 144.928 | 37.933 | 0.000 | -0.000 |
| -0.000 | 0.000 | -0.000 | -0.000 | 110.387 | -0.000 |
| -0.000 | -0.000 | -0.000 | 0.000 | 0.000 | 107.328 |
| 248.614 | 147.216 | 155.712 | 0.000 | -0.000 | 0.000 |
| 76.467 | 290.971 | 44.786 | 0.000 | -0.000 | -0.000 |
| 30.250 | 61.617 | 172.387 | 0.000 | -0.000 | -0.000 |
| -124.920 | -21.283 | -144.928 | 37.933 | -0.000 | -0.000 |
| -0.000 | -0.000 | 0.000 | 0.000 | 110.387 | 0.000 |
| 0.000 | 0.000 | 0.000 | -0.000 | -0.000 | 107.328 |
| 255.337 | 149.309 | 159.030 | -0.000 | 0.000 | -0.000 |
| 159.683 | 314.438 | 97.391 | -0.000 | 0.000 | -0.000 |
| 167.659 | 85.027 | 331.802 | -0.000 | 0.000 | -0.000 |
| 12.518 | 2.130 | 14.536 | 37.930 | -0.000 | -0.000 |
| -0.000 | 0.000 | 0.000 | -0.000 | 110.387 | -0.000 |
| -0.000 | 0.000 | 0.000 | -0.000 | 0.000 | 107.328 |
| 241.180 | 145.041 | 151.385 | 0.000 | -0.000 | -0.000 |
| 147.216 | 312.317 | 82.912 | 0.000 | -0.000 | -0.000 |
| 155.712 | 82.912 | 318.320 | 0.000 | 0.000 | 0.000 |
| -12.518 | -2.130 | -14.536 | 37.930 | -0.000 | 0.000 |
| 0.000 | -0.000 | -0.000 | 0.000 | 110.387 | 0.000 |
| 0.000 | -0.000 | -0.000 | 0.000 | -0.000 | 107.328 |
| 249.004 | 147.390 | 155.657 | -0.000 | 0.000 | 0.000 |
| 147.927 | 312.525 | 83.327 | -0.000 | 0.000 | 0.000 |
| 155.900 | 83.085 | 317.873 | -0.000 | 0.000 | 0.000 |
| 0.767 | 0.231 | 0.413 | 38.444 | 0.000 | 0.000 |
| -0.000 | 0.000 | 0.000 | -0.000 | 110.387 | -0.000 |
| -0.000 | 0.000 | 0.000 | -0.000 | 0.000 | 107.328 |
| 247.521 | 146.962 | 154.764 | 0.000 | -0.000 | 0.000 |
| 147.216 | 312.317 | 82.912 | 0.000 | -0.000 | 0.000 |
| 155.711 | 82.912 | 318.320 | 0.000 | -0.000 | 0.000 |
| -0.767 | -0.231 | -0.413 | 38.444 | -0.000 | 0.000 |
| 0.000 | -0.000 | -0.000 | 0.000 | 110.387 | 0.000 |
| 0.000 | -0.000 | -0.000 | 0.000 | -0.000 | 107.328 |
| 261.384 | 248.908 | 248.908 | 0.000 | -0.000 | -0.000 |
| 248.908 | 261.384 | 248.908 | 0.000 | -0.000 | -0.000 |
| 248.908 | 248.908 | 261.383 | 0.000 | -0.000 | -0.000 |
| -0.000 | -0.000 | -0.000 | 190.808 | -0.000 | -0.000 |
| -0.000 | 0.000 | -0.000 | 0.000 | 190.808 | -0.000 |
| -0.000 | 0.000 | -0.000 | 0.000 | -0.000 | 190.808 |
| 261.384 | 248.908 | 248.908 | -0.000 | -0.000 | 0.000 |
| 248.908 | 261.384 | 248.908 | -0.000 | 0.000 | 0.000 |
| 248.908 | 248.908 | 261.384 | -0.000 | -0.000 | 0.000 |
| -0.000 | 0.000 | 0.000 | 190.808 | 0.000 | 0.000 |
| 0.000 | -0.000 | 0.000 | -0.000 | 190.808 | 0.000 |
| 0.000 | -0.000 | 0.000 | -0.000 | 0.000 | 190.808 |
| 261.384 | 248.909 | 248.909 | 0.000 | -0.000 | -0.000 |
| 248.909 | 261.384 | 248.909 | -0.000 | -0.000 | -0.000 |
| 248.909 | 248.909 | 261.384 | 0.000 | -0.000 | -0.000 |
| 0.000 | 0.000 | 0.000 | 190.808 | -0.000 | -0.000 |
| 0.000 | 0.000 | 0.000 | 0.000 | 190.808 | -0.000 |
| 0.000 | 0.000 | 0.000 | 0.000 | -0.000 | 190.808 |
| 261.384 | 248.908 | 248.908 | -0.000 | 0.000 | 0.000 |
| 248.908 | 261.384 | 248.908 | -0.000 | 0.000 | 0.000 |
| 248.908 | 248.908 | 261.384 | -0.000 | 0.000 | 0.000 |
| -0.000 | -0.000 | -0.000 | 190.808 | 0.000 | 0.000 |
| -0.000 | -0.000 | -0.000 | -0.000 | 190.808 | 0.000 |
| -0.000 | -0.000 | -0.000 | -0.000 | 0.000 | 190.808 |
| 261.383 | 248.910 | 248.910 | 0.000 | -0.000 | -0.000 |
| 248.910 | 261.383 | 248.910 | 0.000 | -0.000 | -0.000 |
| 248.910 | 248.910 | 261.383 | 0.000 | -0.000 | -0.000 |
| 0.001 | 0.000 | 0.001 | 190.808 | -0.000 | -0.000 |
| 0.000 | 0.001 | 0.001 | 0.000 | 190.808 | -0.000 |
| 0.000 | 0.001 | 0.001 | 0.000 | -0.000 | 190.808 |
| 261.384 | 248.907 | 248.907 | -0.000 | 0.000 | 0.000 |
| 248.907 | 261.384 | 248.907 | -0.000 | 0.000 | 0.000 |
| 248.907 | 248.907 | 261.384 | -0.000 | 0.000 | 0.000 |
| -0.001 | -0.000 | -0.001 | 190.808 | 0.000 | 0.000 |
| -0.000 | -0.001 | -0.001 | -0.000 | 190.808 | 0.000 |
| -0.000 | -0.001 | -0.001 | -0.000 | 0.000 | 190.808 |
| 484.317 | 4.883 | 4.883 | -0.000 | -0.000 | 0.000 |
| 4.882 | 484.317 | 4.883 | -0.000 | 0.000 | 0.000 |
| 4.882 | 4.883 | 484.317 | 0.000 | -0.000 | 0.000 |
| 0.000 | 0.000 | 0.000 | -59.960 | 0.000 | 0.000 |
| 0.000 | 0.000 | 0.000 | 0.000 | -59.960 | 0.000 |
| 0.000 | 0.000 | 0.000 | 0.000 | 0.000 | -59.960 |
| 484.317 | 4.883 | 4.882 | -0.000 | -0.000 | -0.000 |
| 4.883 | 484.317 | 4.882 | -0.000 | -0.000 | -0.000 |
| 4.883 | 4.883 | 484.317 | 0.000 | -0.000 | -0.000 |
| -0.000 | -0.000 | -0.000 | -59.960 | -0.000 | -0.000 |
| -0.000 | -0.000 | -0.000 | 0.000 | -59.960 | -0.000 |
| -0.000 | -0.000 | -0.000 | -0.000 | -0.000 | -59.960 |
| 484.318 | 4.882 | 4.883 | -0.000 | -0.000 | 0.000 |
| 4.882 | 484.318 | 4.883 | -0.000 | 0.000 | 0.000 |
| 4.882 | 4.882 | 484.318 | 0.000 | 0.000 | 0.000 |
| 0.000 | -0.000 | -0.000 | -59.960 | 0.000 | 0.000 |
| -0.000 | 0.000 | -0.000 | 0.000 | -59.960 | 0.000 |
| -0.000 | -0.000 | 0.000 | 0.000 | 0.000 | -59.960 |
| 484.317 | 4.883 | 4.883 | 0.000 | -0.000 | -0.000 |
| 4.883 | 484.317 | 4.883 | -0.000 | -0.000 | -0.000 |
| 4.883 | 4.883 | 484.317 | 0.000 | -0.000 | -0.000 |
| -0.000 | 0.000 | 0.000 | -59.960 | -0.000 | -0.000 |
| 0.000 | -0.000 | 0.000 | -0.000 | -59.960 | -0.000 |
| 0.000 | 0.000 | -0.000 | -0.000 | -0.000 | -59.960 |
| 484.320 | 4.882 | 4.882 | -0.000 | -0.000 | 0.000 |
| 4.882 | 484.320 | 4.882 | -0.000 | -0.000 | 0.000 |
| 4.882 | 4.882 | 484.320 | -0.000 | 0.000 | 0.000 |
| 0.000 | -0.000 | -0.000 | -59.960 | -0.000 | 0.000 |
| -0.000 | 0.000 | -0.000 | -0.000 | -59.960 | 0.000 |
| -0.000 | -0.000 | 0.000 | -0.000 | 0.000 | -59.960 |
| 484.315 | 4.883 | 4.883 | 0.000 | 0.000 | -0.000 |
| 4.883 | 484.315 | 4.883 | 0.000 | -0.000 | -0.000 |
| 4.883 | 4.883 | 484.315 | -0.000 | -0.000 | -0.000 |
| -0.000 | 0.000 | 0.000 | -59.960 | 0.000 | 0.000 |
| 0.000 | -0.000 | 0.000 | 0.000 | -59.960 | -0.000 |
| 0.000 | 0.000 | -0.000 | 0.000 | -0.000 | -59.960 |
| 258.153 | 220.055 | 220.055 | 0.000 | 0.000 | 0.000 |
| 220.055 | 258.153 | 220.055 | 0.000 | 0.000 | 0.000 |
| 220.055 | 220.055 | 258.153 | 0.000 | 0.000 | 0.000 |
| 0.000 | 0.000 | 0.000 | 163.471 | 0.000 | 0.000 |
| 0.000 | 0.000 | 0.000 | 0.000 | 163.471 | 0.000 |
| 0.000 | 0.000 | 0.000 | 0.000 | 0.000 | 163.471 |
| 258.153 | 220.055 | 220.055 | -0.000 | -0.000 | -0.000 |
| 220.055 | 258.153 | 220.055 | -0.000 | -0.000 | -0.000 |
| 220.055 | 220.055 | 258.153 | -0.000 | -0.000 | -0.000 |
| -0.000 | -0.000 | -0.000 | 163.471 | -0.000 | -0.000 |
| -0.000 | -0.000 | -0.000 | -0.000 | 163.471 | -0.000 |
| -0.000 | -0.000 | -0.000 | -0.000 | -0.000 | 163.471 |
| 258.153 | 220.055 | 220.055 | 0.000 | 0.000 | 0.000 |
| 220.055 | 258.153 | 220.055 | 0.000 | 0.000 | 0.000 |
| 220.055 | 220.055 | 258.153 | 0.000 | 0.000 | 0.000 |
| 0.000 | 0.000 | 0.000 | 163.471 | -0.000 | 0.000 |
| 0.000 | 0.000 | 0.000 | 0.000 | 163.471 | 0.000 |
| 0.000 | 0.000 | 0.000 | 0.000 | 0.000 | 163.471 |
| 258.153 | 220.055 | 220.055 | -0.000 | -0.000 | -0.000 |
| 220.055 | 258.153 | 220.055 | -0.000 | -0.000 | -0.000 |
| 220.055 | 220.055 | 258.153 | -0.000 | -0.000 | -0.000 |
| -0.000 | -0.000 | -0.000 | 163.471 | -0.000 | -0.000 |
| -0.000 | -0.000 | -0.000 | -0.000 | 163.471 | -0.000 |
| -0.000 | -0.000 | -0.000 | -0.000 | -0.000 | 163.471 |
| 258.153 | 220.055 | 220.055 | 0.000 | 0.000 | 0.000 |
| 220.055 | 258.153 | 220.055 | 0.000 | 0.000 | 0.000 |
| 220.055 | 220.055 | 258.153 | 0.000 | 0.000 | 0.000 |
| 0.000 | 0.000 | 0.000 | 163.471 | -0.000 | 0.000 |
| 0.000 | 0.000 | 0.000 | 0.000 | 163.471 | 0.000 |
| 0.000 | 0.000 | 0.000 | 0.000 | 0.000 | 163.471 |
| 258.153 | 220.054 | 220.054 | -0.000 | 0.000 | -0.000 |
| 220.054 | 258.153 | 220.054 | -0.000 | -0.000 | -0.000 |
| 220.054 | 220.054 | 258.153 | -0.000 | 0.000 | -0.000 |
| -0.000 | -0.000 | -0.000 | 163.471 | 0.000 | 0.000 |
| -0.000 | -0.000 | -0.000 | -0.000 | 163.471 | -0.000 |
| -0.000 | -0.000 | -0.000 | -0.000 | -0.000 | 163.471 |
| 31.439 | 69.434 | 69.434 | 0.000 | -0.000 | 0.000 |
| 69.434 | 31.439 | 69.434 | 0.000 | 0.000 | 0.000 |
| 69.434 | 69.434 | 31.439 | -0.000 | -0.000 | 0.000 |
| -0.000 | 0.000 | -0.000 | -45.977 | 0.000 | 0.000 |
| -0.000 | -0.000 | -0.000 | -0.000 | -45.977 | 0.000 |
| -0.000 | -0.000 | -0.000 | -0.000 | -0.000 | -45.977 |
| 31.439 | 69.434 | 69.434 | -0.000 | 0.000 | 0.000 |
| 69.434 | 31.439 | 69.434 | 0.000 | -0.000 | 0.000 |
| 69.434 | 69.434 | 31.439 | 0.000 | 0.000 | -0.000 |
| 0.000 | -0.000 | 0.000 | -45.977 | 0.000 | -0.000 |
| 0.000 | 0.000 | 0.000 | -0.000 | -45.977 | -0.000 |
| 0.000 | -0.000 | 0.000 | -0.000 | 0.000 | -45.977 |
| 31.439 | 69.434 | 69.434 | 0.000 | 0.000 | 0.000 |
| 69.434 | 31.439 | 69.434 | -0.000 | -0.000 | -0.000 |
| 69.434 | 69.434 | 31.439 | -0.000 | -0.000 | 0.000 |
| -0.000 | -0.000 | -0.000 | -45.977 | -0.000 | 0.000 |
| -0.000 | -0.000 | -0.000 | -0.000 | -45.977 | 0.000 |
| -0.000 | -0.000 | -0.000 | 0.000 | -0.000 | -45.977 |
| 31.439 | 69.434 | 69.434 | 0.000 | 0.000 | -0.000 |
| 69.434 | 31.439 | 69.434 | -0.000 | -0.000 | 0.000 |
| 69.434 | 69.434 | 31.439 | -0.000 | 0.000 | -0.000 |
| 0.000 | 0.000 | 0.000 | -45.977 | 0.000 | 0.000 |
| 0.000 | 0.000 | 0.000 | -0.000 | -45.977 | -0.000 |
| 0.000 | 0.000 | 0.000 | -0.000 | 0.000 | -45.977 |
| 31.439 | 69.434 | 69.434 | 0.000 | -0.000 | 0.000 |
| 69.434 | 31.439 | 69.434 | -0.000 | -0.000 | 0.000 |
| 69.434 | 69.434 | 31.439 | 0.000 | -0.000 | 0.000 |
| -0.000 | -0.000 | -0.000 | -45.977 | -0.000 | 0.000 |
| -0.000 | -0.000 | -0.000 | -0.000 | -45.977 | 0.000 |
| -0.000 | -0.000 | -0.000 | 0.000 | -0.000 | -45.977 |
| 31.438 | 69.434 | 69.434 | -0.000 | 0.000 | -0.000 |
| 69.434 | 31.438 | 69.434 | -0.000 | -0.000 | -0.000 |
| 69.434 | 69.434 | 31.438 | 0.000 | -0.000 | -0.000 |
| 0.000 | 0.000 | 0.000 | -45.977 | 0.000 | 0.000 |
| 0.000 | 0.000 | 0.000 | -0.000 | -45.977 | -0.000 |
| 0.000 | 0.000 | 0.000 | 0.000 | 0.000 | -45.977 |
| 496.546 | 78.649 | 203.662 | -0.000 | -0.000 | 0.000 |
| 78.649 | 496.546 | 203.662 | -0.000 | -0.000 | 0.000 |
| 203.662 | 203.662 | 322.595 | 0.000 | -0.000 | 0.000 |
| 0.000 | 0.000 | 0.000 | 147.878 | -0.000 | -0.000 |
| -0.000 | 0.000 | 0.000 | 0.000 | 147.878 | 0.000 |
| 0.000 | 0.000 | 0.000 | -0.000 | -0.000 | 22.568 |
| 496.546 | 78.649 | 203.662 | -0.000 | 0.000 | -0.000 |
| 78.649 | 496.546 | 203.662 | -0.000 | 0.000 | -0.000 |
| 203.662 | 203.662 | 322.595 | -0.000 | 0.000 | -0.000 |
| -0.000 | 0.000 | -0.000 | 147.878 | -0.000 | -0.000 |
| -0.000 | -0.000 | -0.000 | -0.000 | 147.878 | -0.000 |
| -0.000 | 0.000 | -0.000 | -0.000 | 0.000 | 22.568 |
| 496.547 | 78.649 | 203.662 | 0.000 | -0.000 | 0.000 |
| 78.649 | 496.547 | 203.662 | 0.000 | -0.000 | 0.000 |
| 203.662 | 203.662 | 322.595 | -0.000 | -0.000 | 0.000 |
| 0.000 | 0.000 | 0.000 | 147.878 | -0.000 | 0.000 |
| 0.000 | 0.000 | 0.000 | 0.000 | 147.878 | 0.000 |
| 0.000 | -0.000 | 0.000 | 0.000 | -0.000 | 22.568 |
| 496.546 | 78.649 | 203.662 | -0.000 | 0.000 | -0.000 |
| 78.649 | 496.546 | 203.662 | -0.000 | 0.000 | -0.000 |
| 203.662 | 203.662 | 322.595 | -0.000 | 0.000 | -0.000 |
| -0.000 | -0.000 | -0.000 | 147.878 | 0.000 | 0.000 |
| -0.000 | -0.000 | -0.000 | -0.000 | 147.878 | -0.000 |
| -0.000 | 0.000 | -0.000 | -0.000 | 0.000 | 22.568 |
| 496.550 | 78.650 | 203.663 | -0.000 | -0.000 | 0.000 |
| 78.650 | 496.550 | 203.663 | 0.000 | -0.000 | 0.000 |
| 203.663 | 203.663 | 322.597 | 0.000 | -0.000 | 0.000 |
| 0.000 | 0.000 | 0.001 | 147.878 | -0.000 | 0.000 |
| 0.000 | 0.000 | 0.001 | 0.000 | 147.878 | 0.000 |
| 0.000 | -0.000 | 0.000 | -0.000 | -0.000 | 22.568 |
| 496.542 | 78.649 | 203.662 | -0.000 | 0.000 | -0.000 |
| 78.649 | 496.542 | 203.662 | -0.000 | 0.000 | -0.000 |
| 203.661 | 203.661 | 322.593 | -0.000 | 0.000 | -0.000 |
| -0.000 | -0.000 | -0.001 | 147.878 | 0.000 | 0.000 |
| -0.000 | -0.000 | -0.001 | -0.000 | 147.878 | -0.000 |
| -0.000 | 0.000 | -0.000 | -0.000 | 0.000 | 22.568 |
| 283.796 | 231.989 | 210.247 | 0.000 | -0.000 | 0.000 |
| 231.989 | 535.235 | 69.143 | 0.000 | -0.000 | 0.000 |
| 210.247 | 69.143 | 504.876 | 0.000 | -0.000 | 0.000 |
| -0.000 | 0.000 | -0.000 | 27.832 | -0.000 | -0.000 |
| -0.000 | 0.000 | 0.000 | 0.000 | 165.797 | 0.000 |
| -0.000 | 0.000 | -0.000 | 0.000 | -0.000 | 189.642 |
| 283.796 | 231.988 | 210.247 | 0.000 | 0.000 | -0.000 |
| 231.988 | 535.235 | 69.143 | 0.000 | 0.000 | 0.000 |
| 210.247 | 69.143 | 504.876 | 0.000 | 0.000 | 0.000 |
| 0.000 | -0.000 | 0.000 | 27.832 | 0.000 | -0.000 |
| 0.000 | -0.000 | -0.000 | -0.000 | 165.797 | -0.000 |
| 0.000 | -0.000 | 0.000 | 0.000 | 0.000 | 189.642 |
| 283.796 | 231.989 | 210.247 | 0.000 | 0.000 | 0.000 |
| 231.989 | 535.235 | 69.143 | -0.000 | -0.000 | -0.000 |
| 210.247 | 69.143 | 504.877 | -0.000 | -0.000 | 0.000 |
| -0.000 | -0.000 | -0.000 | 27.832 | -0.000 | -0.000 |
| -0.000 | 0.000 | 0.000 | 0.000 | 165.797 | 0.000 |
| 0.000 | 0.000 | -0.000 | 0.000 | -0.000 | 189.642 |
| 283.796 | 231.988 | 210.247 | -0.000 | 0.000 | 0.000 |
| 231.988 | 535.234 | 69.143 | 0.000 | 0.000 | -0.000 |
| 210.247 | 69.143 | 504.876 | -0.000 | 0.000 | -0.000 |
| 0.000 | 0.000 | 0.000 | 27.832 | 0.000 | -0.000 |
| 0.000 | 0.000 | -0.000 | -0.000 | 165.797 | -0.000 |
| -0.000 | -0.000 | 0.000 | 0.000 | 0.000 | 189.642 |
| 283.797 | 231.989 | 210.248 | 0.000 | 0.000 | -0.000 |
| 231.990 | 535.237 | 69.144 | -0.000 | -0.000 | 0.000 |
| 210.248 | 69.144 | 504.878 | -0.000 | -0.000 | 0.000 |
| -0.000 | -0.000 | -0.000 | 27.832 | -0.000 | -0.000 |
| -0.000 | -0.000 | 0.001 | -0.000 | 165.797 | 0.000 |
| 0.000 | 0.001 | -0.000 | 0.000 | -0.000 | 189.642 |
| 283.795 | 231.988 | 210.247 | 0.000 | 0.000 | -0.000 |
| 231.987 | 535.232 | 69.143 | 0.000 | 0.000 | -0.000 |
| 210.246 | 69.143 | 504.874 | 0.000 | 0.000 | -0.000 |
| 0.000 | 0.000 | 0.000 | 27.832 | 0.000 | -0.000 |
| 0.000 | 0.000 | -0.001 | 0.000 | 165.797 | -0.000 |
| -0.000 | -0.001 | 0.000 | -0.000 | 0.000 | 189.642 |
| 96.234 | 114.173 | 114.173 | 0.000 | -0.000 | -0.000 |
| 114.172 | 96.234 | 114.172 | 0.000 | -0.000 | -0.000 |
| 114.172 | 114.172 | 96.234 | 0.000 | -0.000 | 0.000 |
| -0.000 | 0.000 | -0.000 | -17.391 | 0.000 | 0.000 |
| 0.000 | 0.000 | -0.000 | 0.000 | -17.391 | 0.000 |
| 0.000 | 0.000 | -0.000 | 0.000 | 0.000 | -17.391 |
| 96.234 | 114.172 | 114.172 | -0.000 | -0.000 | -0.000 |
| 114.172 | 96.234 | 114.172 | -0.000 | -0.000 | -0.000 |
| 114.172 | 114.172 | 96.234 | -0.000 | -0.000 | -0.000 |
| -0.000 | -0.000 | 0.000 | -17.391 | -0.000 | -0.000 |
| -0.000 | -0.000 | -0.000 | -0.000 | -17.391 | -0.000 |
| -0.000 | -0.000 | 0.000 | -0.000 | -0.000 | -17.391 |
| 96.234 | 114.173 | 114.173 | 0.000 | 0.000 | 0.000 |
| 114.173 | 96.234 | 114.173 | 0.000 | 0.000 | 0.000 |
| 114.173 | 114.173 | 96.234 | 0.000 | 0.000 | 0.000 |
| -0.000 | -0.000 | -0.000 | -17.391 | 0.000 | -0.000 |
| -0.000 | -0.000 | -0.000 | 0.000 | -17.391 | 0.000 |
| -0.000 | -0.000 | -0.000 | 0.000 | 0.000 | -17.391 |
| 96.234 | 114.172 | 114.172 | -0.000 | -0.000 | -0.000 |
| 114.172 | 96.234 | 114.172 | -0.000 | 0.000 | -0.000 |
| 114.172 | 114.172 | 96.234 | -0.000 | -0.000 | 0.000 |
| 0.000 | 0.000 | 0.000 | -17.391 | -0.000 | -0.000 |
| 0.000 | 0.000 | 0.000 | -0.000 | -17.391 | -0.000 |
| 0.000 | 0.000 | 0.000 | -0.000 | -0.000 | -17.391 |
| 96.233 | 114.173 | 114.173 | 0.000 | -0.000 | 0.000 |
| 114.173 | 96.233 | 114.173 | 0.000 | 0.000 | -0.000 |
| 114.173 | 114.173 | 96.233 | 0.000 | -0.000 | 0.000 |
| -0.000 | -0.000 | -0.000 | -17.391 | 0.000 | 0.000 |
| -0.000 | -0.000 | -0.000 | 0.000 | -17.391 | 0.000 |
| -0.000 | -0.000 | -0.000 | 0.000 | 0.000 | -17.391 |
| 96.234 | 114.172 | 114.172 | -0.000 | 0.000 | -0.000 |
| 114.172 | 96.234 | 114.172 | -0.000 | 0.000 | -0.000 |
| 114.172 | 114.172 | 96.234 | -0.000 | -0.000 | -0.000 |
| 0.000 | 0.000 | 0.000 | -17.391 | -0.000 | -0.000 |
| 0.000 | 0.000 | 0.000 | -0.000 | -17.391 | -0.000 |
| 0.000 | 0.000 | 0.000 | -0.000 | -0.000 | -17.391 |
| 525.759 | 102.006 | 102.006 | 0.000 | -0.000 | 0.000 |
| 102.006 | 525.759 | 102.006 | 0.000 | -0.000 | 0.000 |
| 102.006 | 102.006 | 525.759 | -0.000 | 0.000 | 0.000 |
| -0.000 | -0.000 | 0.000 | 53.058 | -0.000 | -0.000 |
| -0.000 | -0.000 | -0.000 | -0.000 | 53.058 | 0.000 |
| -0.000 | -0.000 | -0.000 | -0.000 | -0.000 | 53.058 |
| 525.462 | 102.154 | 102.154 | 0.000 | 0.000 | -0.000 |
| 102.154 | 525.462 | 102.154 | 0.000 | 0.000 | -0.000 |
| 102.154 | 102.154 | 525.462 | 0.000 | 0.000 | -0.000 |
| 0.000 | 0.000 | 0.000 | 53.058 | 0.000 | -0.000 |
| 0.000 | 0.000 | -0.000 | 0.000 | 53.058 | -0.000 |
| 0.000 | 0.000 | 0.000 | 0.000 | 0.000 | 53.058 |
| 525.462 | 102.154 | 102.154 | -0.000 | -0.000 | 0.000 |
| 102.154 | 525.462 | 102.154 | -0.000 | -0.000 | 0.000 |
| 102.154 | 102.154 | 525.462 | -0.000 | -0.000 | 0.000 |
| -0.000 | 0.000 | -0.000 | 53.058 | -0.000 | 0.000 |
| 0.000 | -0.000 | -0.000 | -0.000 | 53.058 | 0.000 |
| 0.000 | -0.000 | -0.000 | -0.000 | -0.000 | 53.058 |
| 525.759 | 102.006 | 102.006 | -0.000 | 0.000 | -0.000 |
| 102.006 | 525.759 | 102.006 | -0.000 | 0.000 | -0.000 |
| 102.006 | 102.006 | 525.759 | 0.000 | -0.000 | -0.000 |
| 0.000 | -0.000 | 0.000 | 53.058 | 0.000 | 0.000 |
| -0.000 | 0.000 | 0.000 | 0.000 | 53.058 | -0.000 |
| -0.000 | 0.000 | 0.000 | 0.000 | 0.000 | 53.058 |
| 525.762 | 102.006 | 102.006 | 0.000 | -0.000 | 0.000 |
| 102.006 | 525.762 | 102.006 | 0.000 | -0.000 | 0.000 |
| 102.006 | 102.006 | 525.762 | -0.000 | -0.000 | 0.000 |
| -0.000 | -0.000 | -0.000 | 56.736 | -0.000 | 0.000 |
| -0.000 | -0.000 | -0.000 | -0.000 | 56.736 | 0.000 |
| -0.000 | -0.000 | -0.000 | 0.000 | -0.000 | 56.736 |
| 525.756 | 102.006 | 102.006 | -0.000 | 0.000 | -0.000 |
| 102.006 | 525.756 | 102.006 | -0.000 | 0.000 | -0.000 |
| 102.006 | 102.006 | 525.756 | -0.000 | 0.000 | -0.000 |
| 0.000 | 0.000 | 0.000 | 56.736 | 0.000 | -0.000 |
| 0.000 | 0.000 | 0.000 | -0.000 | 56.736 | -0.000 |
| 0.000 | 0.000 | 0.000 | -0.000 | 0.000 | 56.736 |
| 385.603 | 226.604 | 226.604 | 0.000 | -0.000 | 0.000 |
| 226.604 | 385.603 | 226.604 | 0.000 | 0.000 | 0.000 |
| 226.604 | 226.604 | 385.603 | 0.000 | -0.000 | 0.000 |
| 0.000 | 0.000 | 0.000 | 179.637 | -0.000 | 0.000 |
| 0.000 | 0.000 | 0.000 | 0.000 | 179.637 | 0.000 |
| 0.000 | 0.000 | 0.000 | 0.000 | -0.000 | 179.637 |
| 385.603 | 226.604 | 226.604 | -0.000 | -0.000 | -0.000 |
| 226.604 | 385.603 | 226.604 | -0.000 | -0.000 | -0.000 |
| 226.604 | 226.604 | 385.603 | -0.000 | -0.000 | -0.000 |
| -0.000 | -0.000 | -0.000 | 179.637 | 0.000 | -0.000 |
| -0.000 | -0.000 | -0.000 | -0.000 | 179.637 | -0.000 |
| -0.000 | -0.000 | -0.000 | -0.000 | 0.000 | 179.637 |
| 385.602 | 226.604 | 226.604 | 0.000 | 0.000 | 0.000 |
| 226.604 | 385.602 | 226.604 | 0.000 | -0.000 | 0.000 |
| 226.604 | 226.604 | 385.602 | 0.000 | 0.000 | 0.000 |
| 0.000 | 0.000 | 0.000 | 179.637 | -0.000 | 0.000 |
| 0.000 | 0.000 | 0.000 | 0.000 | 179.637 | 0.000 |
| 0.000 | 0.000 | 0.000 | 0.000 | -0.000 | 179.637 |
| 385.603 | 226.604 | 226.604 | -0.000 | -0.000 | -0.000 |
| 226.604 | 385.603 | 226.604 | -0.000 | -0.000 | -0.000 |
| 226.604 | 226.604 | 385.603 | -0.000 | 0.000 | -0.000 |
| -0.000 | -0.000 | -0.000 | 179.637 | 0.000 | -0.000 |
| -0.000 | -0.000 | -0.000 | -0.000 | 179.637 | -0.000 |
| -0.000 | -0.000 | -0.000 | -0.000 | 0.000 | 179.637 |
| 385.601 | 226.605 | 226.605 | 0.000 | -0.000 | 0.000 |
| 226.605 | 385.601 | 226.605 | 0.000 | 0.000 | 0.000 |
| 226.605 | 226.605 | 385.601 | -0.000 | -0.000 | 0.000 |
| 0.001 | 0.000 | 0.001 | 180.772 | -0.000 | 0.000 |
| 0.000 | 0.001 | 0.001 | 0.000 | 180.772 | 0.000 |
| 0.000 | 0.001 | 0.001 | 0.000 | -0.000 | 180.772 |
| 385.604 | 226.603 | 226.603 | -0.000 | 0.000 | -0.000 |
| 226.603 | 385.604 | 226.603 | -0.000 | 0.000 | -0.000 |
| 226.603 | 226.603 | 385.604 | -0.000 | 0.000 | -0.000 |
| -0.001 | -0.000 | -0.001 | 180.772 | 0.000 | -0.000 |
| -0.000 | -0.001 | -0.001 | -0.000 | 180.772 | -0.000 |
| -0.000 | -0.001 | -0.001 | -0.000 | 0.000 | 180.772 |
| 272.669 | 214.430 | 214.430 | 0.000 | 0.000 | -0.000 |
| 214.430 | 272.669 | 214.430 | 0.000 | 0.000 | -0.000 |
| 214.430 | 214.430 | 272.669 | 0.000 | 0.000 | -0.000 |
| -0.000 | 0.000 | 0.000 | 160.058 | -0.000 | -0.000 |
| 0.000 | -0.000 | 0.000 | -0.000 | 160.058 | -0.000 |
| 0.000 | 0.000 | -0.000 | 0.000 | 0.000 | 160.058 |
| 272.669 | 214.430 | 214.430 | -0.000 | 0.000 | 0.000 |
| 214.430 | 272.669 | 214.430 | -0.000 | -0.000 | 0.000 |
| 214.430 | 214.430 | 272.669 | 0.000 | 0.000 | 0.000 |
| 0.000 | -0.000 | -0.000 | 160.058 | 0.000 | 0.000 |
| -0.000 | 0.000 | -0.000 | -0.000 | 160.058 | -0.000 |
| -0.000 | -0.000 | 0.000 | -0.000 | -0.000 | 160.058 |
| 272.669 | 214.430 | 214.430 | 0.000 | 0.000 | -0.000 |
| 214.430 | 272.669 | 214.430 | 0.000 | 0.000 | 0.000 |
| 214.430 | 214.430 | 272.669 | 0.000 | -0.000 | -0.000 |
| -0.000 | 0.000 | 0.000 | 160.058 | -0.000 | -0.000 |
| 0.000 | -0.000 | 0.000 | 0.000 | 160.058 | -0.000 |
| 0.000 | 0.000 | -0.000 | 0.000 | 0.000 | 160.058 |
| 272.669 | 214.430 | 214.430 | -0.000 | -0.000 | -0.000 |
| 214.430 | 272.669 | 214.430 | -0.000 | -0.000 | 0.000 |
| 214.430 | 214.430 | 272.669 | -0.000 | 0.000 | 0.000 |
| 0.000 | -0.000 | -0.000 | 160.058 | 0.000 | 0.000 |
| -0.000 | 0.000 | -0.000 | -0.000 | 160.058 | 0.000 |
| -0.000 | -0.000 | 0.000 | -0.000 | -0.000 | 160.058 |
| 272.670 | 214.431 | 214.431 | 0.000 | -0.000 | -0.000 |
| 214.431 | 272.670 | 214.431 | 0.000 | 0.000 | -0.000 |
| 214.431 | 214.431 | 272.670 | 0.000 | -0.000 | 0.000 |
| -0.000 | 0.001 | 0.001 | 160.058 | -0.000 | 0.000 |
| 0.001 | -0.000 | 0.001 | 0.000 | 160.058 | -0.000 |
| 0.001 | 0.001 | -0.000 | 0.000 | 0.000 | 160.058 |
| 272.667 | 214.429 | 214.429 | -0.000 | -0.000 | 0.000 |
| 214.429 | 272.667 | 214.429 | -0.000 | -0.000 | -0.000 |
| 214.429 | 214.429 | 272.667 | -0.000 | -0.000 | 0.000 |
| 0.000 | -0.001 | -0.001 | 160.058 | 0.000 | 0.000 |
| -0.001 | 0.000 | -0.001 | -0.000 | 160.058 | 0.000 |
| -0.001 | -0.001 | 0.000 | -0.000 | -0.000 | 160.058 |
| 68.015 | 40.322 | 40.322 | 0.000 | 0.000 | 0.000 |
| 40.322 | 68.015 | 40.322 | -0.000 | 0.000 | 0.000 |
| 40.322 | 40.322 | 68.015 | -0.000 | -0.000 | 0.000 |
| -0.000 | 0.000 | 0.000 | 9.654 | -0.000 | 0.000 |
| 0.000 | 0.000 | 0.000 | -0.000 | 9.654 | 0.000 |
| 0.000 | 0.000 | -0.000 | -0.000 | 0.000 | 9.654 |
| 68.015 | 40.322 | 40.322 | -0.000 | 0.000 | -0.000 |
| 40.322 | 68.015 | 40.322 | 0.000 | 0.000 | -0.000 |
| 40.322 | 40.322 | 68.015 | 0.000 | 0.000 | -0.000 |
| 0.000 | -0.000 | -0.000 | 9.654 | 0.000 | -0.000 |
| -0.000 | 0.000 | -0.000 | 0.000 | 9.654 | 0.000 |
| -0.000 | -0.000 | 0.000 | 0.000 | 0.000 | 9.654 |
| 68.015 | 40.322 | 40.322 | -0.000 | -0.000 | 0.000 |
| 40.322 | 68.015 | 40.322 | -0.000 | -0.000 | 0.000 |
| 40.322 | 40.322 | 68.015 | -0.000 | -0.000 | 0.000 |
| -0.000 | 0.000 | 0.000 | 9.654 | 0.000 | -0.000 |
| 0.000 | -0.000 | 0.000 | -0.000 | 9.654 | 0.000 |
| 0.000 | 0.000 | -0.000 | -0.000 | -0.000 | 9.654 |
| 68.015 | 40.322 | 40.322 | 0.000 | -0.000 | -0.000 |
| 40.322 | 68.015 | 40.322 | 0.000 | 0.000 | 0.000 |
| 40.322 | 40.322 | 68.015 | 0.000 | 0.000 | -0.000 |
| 0.000 | -0.000 | -0.000 | 9.654 | 0.000 | 0.000 |
| -0.000 | 0.000 | -0.000 | 0.000 | 9.654 | 0.000 |
| -0.000 | -0.000 | 0.000 | 0.000 | 0.000 | 9.654 |
| 68.015 | 40.323 | 40.323 | -0.000 | 0.000 | -0.000 |
| 40.323 | 68.015 | 40.323 | -0.000 | -0.000 | -0.000 |
| 40.323 | 40.323 | 68.015 | -0.000 | 0.000 | 0.000 |
| -0.000 | 0.001 | 0.001 | 9.654 | -0.000 | -0.000 |
| 0.001 | -0.000 | 0.001 | -0.000 | 9.654 | -0.000 |
| 0.001 | 0.001 | -0.000 | -0.000 | -0.000 | 9.654 |
| 68.015 | 40.321 | 40.321 | 0.000 | 0.000 | 0.000 |
| 40.321 | 68.015 | 40.321 | 0.000 | 0.000 | 0.000 |
| 40.321 | 40.321 | 68.015 | 0.000 | 0.000 | -0.000 |
| 0.000 | -0.001 | -0.001 | 9.654 | 0.000 | 0.000 |
| -0.001 | 0.000 | -0.001 | 0.000 | 9.654 | 0.000 |
| -0.001 | -0.001 | 0.000 | 0.000 | 0.000 | 9.654 |
| 280.313 | 62.157 | 62.157 | -0.000 | -0.000 | 0.000 |
| 62.157 | 280.313 | 62.157 | 0.000 | 0.000 | 0.000 |
| 62.157 | 62.157 | 280.313 | 0.000 | -0.000 | 0.000 |
| 0.000 | 0.000 | 0.000 | 31.095 | 0.000 | 0.000 |
| 0.000 | 0.000 | -0.000 | 0.000 | 31.095 | 0.000 |
| 0.000 | 0.000 | 0.000 | 0.000 | -0.000 | 31.095 |
| 280.313 | 62.157 | 62.157 | -0.000 | 0.000 | -0.000 |
| 62.157 | 280.313 | 62.157 | -0.000 | 0.000 | -0.000 |
| 62.157 | 62.157 | 280.313 | -0.000 | 0.000 | -0.000 |
| -0.000 | -0.000 | -0.000 | 31.095 | -0.000 | -0.000 |
| -0.000 | -0.000 | 0.000 | -0.000 | 31.095 | -0.000 |
| -0.000 | -0.000 | -0.000 | -0.000 | 0.000 | 31.095 |
| 280.313 | 62.157 | 62.157 | 0.000 | -0.000 | 0.000 |
| 62.157 | 280.313 | 62.157 | 0.000 | -0.000 | 0.000 |
| 62.157 | 62.157 | 280.313 | 0.000 | 0.000 | 0.000 |
| 0.000 | 0.000 | 0.000 | 33.319 | -0.000 | 0.000 |
| 0.000 | 0.000 | 0.000 | 0.000 | 33.319 | 0.000 |
| 0.000 | 0.000 | 0.000 | -0.000 | -0.000 | 33.319 |
| 280.312 | 62.157 | 62.157 | 0.000 | -0.000 | -0.000 |
| 62.157 | 280.312 | 62.157 | 0.000 | 0.000 | -0.000 |
| 62.157 | 62.157 | 280.312 | -0.000 | 0.000 | -0.000 |
| -0.000 | -0.000 | -0.000 | 33.319 | 0.000 | -0.000 |
| -0.000 | -0.000 | -0.000 | 0.000 | 33.319 | -0.000 |
| -0.000 | -0.000 | -0.000 | 0.000 | 0.000 | 33.319 |
| 280.316 | 62.158 | 62.158 | 0.000 | 0.000 | 0.000 |
| 62.158 | 280.316 | 62.158 | 0.000 | -0.000 | 0.000 |
| 62.158 | 62.158 | 280.316 | 0.000 | -0.000 | 0.000 |
| 0.000 | 0.000 | 0.000 | 33.319 | -0.000 | 0.000 |
| 0.000 | 0.000 | 0.000 | 0.000 | 33.319 | 0.000 |
| 0.000 | 0.000 | 0.000 | -0.000 | -0.000 | 33.319 |
| 280.310 | 62.157 | 62.157 | -0.000 | 0.000 | -0.000 |
| 62.157 | 280.310 | 62.157 | 0.000 | -0.000 | -0.000 |
| 62.157 | 62.157 | 280.310 | -0.000 | 0.000 | -0.000 |
| -0.000 | -0.000 | -0.000 | 33.319 | 0.000 | -0.000 |
| -0.000 | -0.000 | -0.000 | 0.000 | 33.319 | -0.000 |
| -0.000 | -0.000 | -0.000 | 0.000 | 0.000 | 33.319 |
| 243.359 | 145.009 | 145.009 | -0.000 | -0.000 | -0.000 |
| 145.009 | 243.359 | 145.009 | -0.000 | -0.000 | -0.000 |
| 145.009 | 145.009 | 243.359 | -0.000 | -0.000 | -0.000 |
| -0.000 | 0.000 | -0.000 | 116.037 | -0.000 | -0.000 |
| -0.000 | -0.000 | -0.000 | -0.000 | 116.037 | 0.000 |
| -0.000 | 0.000 | -0.000 | -0.000 | -0.000 | 116.037 |
| 243.359 | 145.009 | 145.009 | 0.000 | 0.000 | -0.000 |
| 145.009 | 243.359 | 145.009 | 0.000 | 0.000 | -0.000 |
| 145.009 | 145.009 | 243.359 | 0.000 | -0.000 | -0.000 |
| 0.000 | -0.000 | 0.000 | 116.037 | 0.000 | -0.000 |
| 0.000 | -0.000 | 0.000 | 0.000 | 116.037 | -0.000 |
| 0.000 | -0.000 | 0.000 | 0.000 | 0.000 | 116.037 |
| 243.359 | 145.009 | 145.009 | -0.000 | -0.000 | -0.000 |
| 145.009 | 243.359 | 145.009 | -0.000 | 0.000 | -0.000 |
| 145.009 | 145.009 | 243.359 | -0.000 | 0.000 | 0.000 |
| -0.000 | -0.000 | 0.000 | 116.037 | -0.000 | 0.000 |
| -0.000 | -0.000 | 0.000 | -0.000 | 116.037 | -0.000 |
| -0.000 | 0.000 | -0.000 | -0.000 | -0.000 | 116.037 |
| 243.359 | 145.009 | 145.009 | 0.000 | -0.000 | 0.000 |
| 145.009 | 243.359 | 145.009 | 0.000 | 0.000 | 0.000 |
| 145.009 | 145.009 | 243.359 | 0.000 | 0.000 | -0.000 |
| 0.000 | 0.000 | -0.000 | 116.037 | 0.000 | -0.000 |
| 0.000 | 0.000 | -0.000 | 0.000 | 116.037 | -0.000 |
| 0.000 | -0.000 | 0.000 | 0.000 | 0.000 | 116.037 |
| 243.359 | 145.009 | 145.009 | -0.000 | -0.000 | -0.000 |
| 145.009 | 243.359 | 145.009 | -0.000 | -0.000 | 0.000 |
| 145.009 | 145.009 | 243.359 | -0.000 | 0.000 | -0.000 |
| -0.000 | -0.000 | 0.000 | 116.037 | -0.000 | 0.000 |
| -0.000 | -0.000 | 0.000 | -0.000 | 116.037 | -0.000 |
| -0.000 | 0.000 | -0.000 | -0.000 | -0.000 | 116.037 |
| 243.360 | 145.009 | 145.009 | 0.000 | -0.000 | 0.000 |
| 145.009 | 243.360 | 145.009 | 0.000 | 0.000 | 0.000 |
| 145.009 | 145.009 | 243.360 | 0.000 | -0.000 | 0.000 |
| 0.000 | 0.000 | -0.000 | 116.037 | 0.000 | 0.000 |
| 0.000 | 0.000 | -0.000 | 0.000 | 116.037 | 0.000 |
| 0.000 | -0.000 | 0.000 | 0.000 | -0.000 | 116.037 |
| 48.474 | 36.691 | 58.213 | 0.000 | -0.000 | 0.000 |
| 36.790 | 48.376 | 58.213 | 0.000 | -0.000 | 0.000 |
| 58.213 | 58.213 | 108.020 | -0.000 | -0.000 | 0.000 |
| -0.000 | 0.000 | 0.000 | 27.465 | 0.000 | 0.000 |
| -0.000 | 0.000 | 0.000 | 0.000 | 27.465 | 0.000 |
| -0.000 | -0.000 | -0.000 | -0.000 | -0.000 | 5.891 |
| 48.474 | 36.691 | 58.213 | -0.000 | 0.000 | 0.000 |
| 36.691 | 48.474 | 58.213 | 0.000 | 0.000 | 0.000 |
| 58.213 | 58.213 | 108.020 | -0.000 | 0.000 | -0.000 |
| 0.000 | -0.000 | -0.000 | 27.465 | -0.000 | -0.000 |
| 0.000 | -0.000 | -0.000 | -0.000 | 27.465 | -0.000 |
| 0.000 | -0.000 | 0.000 | 0.000 | 0.000 | 5.891 |
| 48.474 | 36.691 | 58.213 | 0.000 | 0.000 | 0.000 |
| 36.691 | 48.474 | 58.213 | 0.000 | 0.000 | 0.000 |
| 58.214 | 58.214 | 108.021 | 0.000 | -0.000 | 0.000 |
| -0.000 | -0.000 | 0.000 | 27.465 | -0.000 | 0.000 |
| -0.000 | -0.000 | 0.000 | 0.000 | 27.465 | 0.000 |
| -0.000 | -0.000 | -0.000 | -0.000 | -0.000 | 5.891 |
| 48.376 | 36.790 | 58.213 | -0.000 | -0.000 | -0.000 |
| 36.790 | 48.376 | 58.213 | -0.000 | 0.000 | -0.000 |
| 58.213 | 58.213 | 108.020 | -0.000 | -0.000 | -0.000 |
| 0.000 | 0.000 | -0.000 | 27.465 | 0.000 | -0.000 |
| 0.000 | 0.000 | -0.000 | 0.000 | 27.465 | -0.000 |
| 0.000 | 0.000 | 0.000 | 0.000 | 0.000 | 5.891 |
| 48.374 | 36.789 | 58.213 | -0.000 | -0.000 | 0.000 |
| 36.789 | 48.374 | 58.213 | 0.000 | -0.000 | 0.000 |
| 58.214 | 58.214 | 108.023 | 0.000 | -0.000 | 0.000 |
| -0.000 | -0.000 | 0.000 | 27.465 | -0.000 | 0.000 |
| -0.000 | -0.000 | 0.000 | 0.000 | 27.465 | 0.000 |
| -0.000 | -0.000 | -0.000 | 0.000 | -0.000 | 5.891 |
| 48.476 | 36.692 | 58.213 | -0.000 | -0.000 | -0.000 |
| 36.790 | 48.378 | 58.214 | -0.000 | 0.000 | -0.000 |
| 58.213 | 58.213 | 108.018 | -0.000 | 0.000 | -0.000 |
| 0.000 | 0.000 | -0.000 | 27.465 | 0.000 | -0.000 |
| 0.000 | 0.000 | -0.000 | -0.000 | 27.465 | -0.000 |
| 0.000 | 0.000 | 0.000 | -0.000 | 0.000 | 5.891 |
| 64.190 | 42.256 | 65.558 | 0.000 | 0.000 | -0.000 |
| 42.050 | 64.396 | 65.558 | 0.000 | 0.000 | -0.000 |
| 65.558 | 65.558 | 138.771 | 0.000 | 0.000 | -0.000 |
| -0.000 | -0.000 | 0.000 | 34.743 | 0.000 | -0.000 |
| -0.000 | 0.000 | 0.000 | -0.000 | 34.743 | -0.000 |
| -0.000 | -0.000 | -0.000 | 0.000 | 0.000 | 10.967 |
| 64.190 | 42.256 | 65.558 | -0.000 | -0.000 | 0.000 |
| 42.256 | 64.190 | 65.558 | -0.000 | -0.000 | 0.000 |
| 65.558 | 65.558 | 138.771 | -0.000 | -0.000 | 0.000 |
| 0.000 | 0.000 | -0.000 | 34.743 | -0.000 | 0.000 |
| 0.000 | 0.000 | -0.000 | -0.000 | 34.743 | 0.000 |
| 0.000 | 0.000 | 0.000 | -0.000 | -0.000 | 10.967 |
| 64.190 | 42.256 | 65.558 | 0.000 | 0.000 | -0.000 |
| 42.256 | 64.190 | 65.558 | 0.000 | 0.000 | -0.000 |
| 65.558 | 65.558 | 138.771 | -0.000 | 0.000 | -0.000 |
| -0.000 | -0.000 | 0.000 | 34.743 | 0.000 | -0.000 |
| -0.000 | -0.000 | 0.000 | 0.000 | 34.743 | -0.000 |
| -0.000 | -0.000 | -0.000 | 0.000 | 0.000 | 11.173 |
| 64.190 | 42.256 | 65.558 | -0.000 | -0.000 | 0.000 |
| 42.050 | 64.396 | 65.558 | -0.000 | -0.000 | 0.000 |
| 65.558 | 65.558 | 138.771 | -0.000 | -0.000 | 0.000 |
| 0.000 | 0.000 | -0.000 | 34.743 | -0.000 | 0.000 |
| 0.000 | 0.000 | -0.000 | -0.000 | 34.743 | 0.000 |
| 0.000 | 0.000 | 0.000 | -0.000 | -0.000 | 11.173 |
| 64.188 | 42.256 | 65.558 | 0.000 | 0.000 | -0.000 |
| 42.256 | 64.188 | 65.558 | 0.000 | 0.000 | -0.000 |
| 65.559 | 65.559 | 138.774 | 0.000 | 0.000 | -0.000 |
| -0.000 | -0.000 | 0.000 | 34.743 | 0.000 | -0.000 |
| -0.000 | -0.000 | 0.000 | 0.000 | 34.743 | -0.000 |
| -0.000 | -0.000 | -0.000 | 0.000 | 0.000 | 10.967 |
| 64.192 | 42.257 | 65.558 | -0.000 | -0.000 | 0.000 |
| 42.257 | 64.192 | 65.558 | -0.000 | -0.000 | 0.000 |
| 65.557 | 65.557 | 138.768 | -0.000 | -0.000 | 0.000 |
| 0.000 | 0.000 | -0.000 | 34.743 | -0.000 | 0.000 |
| 0.000 | 0.000 | -0.000 | -0.000 | 34.743 | 0.000 |
| 0.000 | 0.000 | 0.000 | -0.000 | -0.000 | 10.967 |
| 198.121 | -41.882 | 58.971 | -0.000 | 0.000 | -0.000 |
| -41.882 | 198.121 | 58.971 | -0.000 | 0.000 | -0.000 |
| 58.971 | 58.971 | 310.832 | -0.000 | 0.000 | 0.000 |
| -0.000 | -0.000 | -0.000 | 26.365 | 0.000 | 0.000 |
| -0.000 | -0.000 | -0.000 | -0.000 | 26.365 | 0.000 |
| -0.000 | -0.000 | -0.000 | -0.000 | 0.000 | -78.856 |
| 198.121 | -41.882 | 58.971 | 0.000 | -0.000 | -0.000 |
| -41.882 | 198.121 | 58.971 | 0.000 | 0.000 | 0.000 |
| 58.971 | 58.971 | 310.832 | 0.000 | 0.000 | 0.000 |
| 0.000 | 0.000 | 0.000 | 26.365 | 0.000 | 0.000 |
| 0.000 | 0.000 | 0.000 | 0.000 | 26.365 | -0.000 |
| 0.000 | 0.000 | 0.000 | 0.000 | -0.000 | -78.856 |
| 198.121 | -41.882 | 58.971 | -0.000 | 0.000 | 0.000 |
| -41.882 | 198.121 | 58.971 | -0.000 | -0.000 | -0.000 |
| 58.971 | 58.971 | 310.832 | -0.000 | 0.000 | -0.000 |
| -0.000 | -0.000 | -0.000 | 24.515 | 0.000 | -0.000 |
| -0.000 | -0.000 | -0.000 | -0.000 | 24.515 | -0.000 |
| -0.000 | -0.000 | -0.000 | -0.000 | 0.000 | -78.856 |
| 198.121 | -41.882 | 58.971 | 0.000 | -0.000 | -0.000 |
| -41.882 | 198.121 | 58.971 | 0.000 | -0.000 | -0.000 |
| 58.971 | 58.971 | 310.832 | 0.000 | 0.000 | 0.000 |
| 0.000 | 0.000 | 0.000 | 24.515 | 0.000 | -0.000 |
| 0.000 | 0.000 | 0.000 | -0.000 | 24.515 | -0.000 |
| 0.000 | 0.000 | 0.000 | 0.000 | -0.000 | -78.856 |
| 198.120 | -41.883 | 58.971 | -0.000 | 0.000 | 0.000 |
| -41.883 | 198.120 | 58.971 | -0.000 | 0.000 | -0.000 |
| 58.971 | 58.971 | 310.832 | -0.000 | 0.000 | -0.000 |
| -0.000 | -0.000 | -0.000 | 24.515 | 0.000 | 0.000 |
| -0.000 | -0.000 | -0.000 | -0.000 | 24.515 | -0.000 |
| -0.000 | -0.001 | -0.000 | -0.000 | 0.000 | -78.856 |
| 198.122 | -41.882 | 58.971 | 0.000 | -0.000 | 0.000 |
| -41.882 | 198.122 | 58.971 | 0.000 | -0.000 | 0.000 |
| 58.971 | 58.971 | 310.832 | 0.000 | -0.000 | 0.000 |
| 0.000 | 0.000 | 0.000 | 24.515 | 0.000 | 0.000 |
| 0.000 | 0.000 | 0.000 | 0.000 | 24.515 | 0.000 |
| 0.000 | 0.001 | 0.000 | 0.000 | -0.000 | -78.856 |
| 672.454 | 7.860 | 7.860 | -0.000 | -0.000 | 0.000 |
| 7.860 | 672.454 | 7.860 | 0.000 | 0.000 | -0.000 |
| 7.860 | 7.860 | 672.454 | -0.000 | 0.000 | 0.000 |
| -0.000 | -0.000 | -0.000 | -25.767 | 0.000 | -0.000 |
| 0.000 | -0.000 | -0.000 | -0.000 | -25.767 | 0.000 |
| 0.000 | -0.000 | -0.000 | 0.000 | 0.000 | -25.767 |
| 672.454 | 7.860 | 7.860 | 0.000 | 0.000 | -0.000 |
| 7.860 | 672.454 | 7.860 | 0.000 | -0.000 | -0.000 |
| 7.860 | 7.860 | 672.454 | 0.000 | -0.000 | -0.000 |
| 0.000 | 0.000 | 0.000 | -25.767 | -0.000 | -0.000 |
| -0.000 | 0.000 | 0.000 | 0.000 | -25.767 | -0.000 |
| -0.000 | 0.000 | 0.000 | -0.000 | 0.000 | -25.767 |
| 672.455 | 7.860 | 7.860 | -0.000 | 0.000 | 0.000 |
| 7.860 | 672.455 | 7.860 | 0.000 | 0.000 | 0.000 |
| 7.860 | 7.860 | 672.455 | -0.000 | 0.000 | 0.000 |
| 0.000 | 0.000 | 0.000 | -25.767 | 0.000 | 0.000 |
| 0.000 | 0.000 | 0.000 | -0.000 | -25.767 | 0.000 |
| 0.000 | 0.000 | 0.000 | -0.000 | 0.000 | -25.767 |
| 672.454 | 7.860 | 7.860 | -0.000 | 0.000 | -0.000 |
| 7.860 | 672.454 | 7.860 | -0.000 | 0.000 | -0.000 |
| 7.860 | 7.860 | 672.454 | 0.000 | 0.000 | -0.000 |
| -0.000 | -0.000 | -0.000 | -25.767 | -0.000 | -0.000 |
| -0.000 | -0.000 | -0.000 | 0.000 | -25.767 | -0.000 |
| -0.000 | -0.000 | -0.000 | 0.000 | -0.000 | -25.767 |
| 672.462 | 7.861 | 7.861 | 0.000 | 0.000 | 0.000 |
| 7.861 | 672.462 | 7.861 | 0.000 | 0.000 | -0.000 |
| 7.861 | 7.861 | 672.462 | -0.000 | -0.000 | 0.000 |
| 0.000 | 0.001 | 0.000 | -25.767 | 0.000 | 0.000 |
| 0.001 | 0.000 | 0.000 | -0.000 | -25.767 | 0.000 |
| 0.001 | 0.000 | 0.000 | 0.000 | 0.000 | -25.767 |
| 672.446 | 7.859 | 7.859 | 0.000 | -0.000 | -0.000 |
| 7.859 | 672.446 | 7.859 | 0.000 | -0.000 | -0.000 |
| 7.859 | 7.859 | 672.446 | 0.000 | 0.000 | -0.000 |
| -0.000 | -0.001 | -0.000 | -25.767 | 0.000 | -0.000 |
| -0.001 | -0.000 | -0.000 | 0.000 | -25.767 | -0.000 |
| -0.001 | -0.000 | -0.000 | 0.000 | -0.000 | -25.767 |
| -518.352 | -627.574 | 3572.724 | 0.000 | 0.000 | 0.000 |
| -627.574 | -518.352 | 3572.724 | 0.000 | 0.000 | 0.000 |
| -759.809 | -759.809 | 3221.149 | 0.000 | 0.000 | -0.000 |
| -1764.055 | -1764.055 | 3475.364 | 33.713 | 0.000 | -0.000 |
| -1764.055 | -1764.055 | 3475.364 | 0.000 | 33.713 | -0.000 |
| -828.778 | -828.778 | 3000.766 | -0.000 | 0.000 | 43.241 |
| 1006.366 | 941.863 | -2933.323 | -0.000 | -0.000 | -0.000 |
| 941.863 | 1006.366 | -2933.323 | -0.000 | 0.000 | -0.000 |
| 1830.852 | 1830.852 | -3248.262 | -0.000 | -0.000 | 0.000 |
| 1764.055 | 1764.055 | -3475.364 | 33.713 | -0.000 | 0.000 |
| 1764.055 | 1764.055 | -3475.364 | -0.000 | 33.713 | 0.000 |
| 828.778 | 828.778 | -3000.766 | -0.000 | -0.000 | 43.241 |
| 127.771 | 18.570 | 417.676 | -0.000 | 0.000 | 0.000 |
| 18.570 | 127.771 | 417.676 | 0.000 | 0.000 | 0.000 |
| -89.340 | -89.340 | 560.496 | -0.000 | 0.000 | -0.000 |
| -176.414 | -176.414 | 347.582 | 33.713 | 0.000 | -0.000 |
| -176.414 | -176.414 | 347.582 | 0.000 | 33.713 | -0.000 |
| -176.369 | -176.369 | 347.592 | 0.000 | 0.000 | 42.249 |
| 271.394 | 162.148 | -283.456 | 0.000 | -0.000 | -0.000 |
| 162.148 | 271.394 | -283.456 | -0.000 | 0.000 | -0.000 |
| 68.043 | 68.043 | 231.898 | 0.000 | -0.000 | 0.000 |
| 176.414 | 176.414 | -347.582 | 33.713 | -0.000 | 0.000 |
| 176.414 | 176.414 | -347.582 | -0.000 | 33.713 | 0.000 |
| 176.369 | 176.369 | -347.592 | 0.000 | -0.000 | 42.249 |
| 173.611 | 78.946 | 98.998 | -0.000 | 0.000 | -0.000 |
| 78.946 | 173.611 | 98.998 | 0.000 | 0.000 | -0.000 |
| 49.460 | 49.460 | 261.623 | 0.000 | -0.000 | 0.000 |
| -7.191 | -7.191 | 35.112 | 37.123 | 0.000 | 0.000 |
| -7.191 | -7.191 | 35.112 | -0.000 | 37.123 | 0.000 |
| -15.398 | -15.398 | 33.177 | 0.000 | 0.000 | 45.654 |
| 209.092 | 114.030 | 29.411 | 0.000 | -0.000 | 0.000 |
| 114.030 | 209.092 | 29.411 | -0.000 | -0.000 | 0.000 |
| 83.534 | 83.534 | 192.841 | -0.000 | -0.000 | 0.000 |
| 7.191 | 7.191 | -35.112 | 37.123 | -0.000 | -0.000 |
| 7.191 | 7.191 | -35.112 | -0.000 | 37.123 | -0.000 |
| 15.398 | 15.398 | -33.177 | -0.000 | -0.000 | 45.654 |
| 223.502 | 94.041 | 91.898 | 3.477 | 3.514 | -0.584 |
| 94.280 | 225.979 | 92.849 | 4.465 | -0.378 | -6.121 |
| 331.553 | 74.644 | 276.281 | 128.089 | 189.713 | 34.491 |
| 366.623 | 18.599 | 196.309 | 292.196 | 199.716 | -32.248 |
| 242.797 | -18.753 | 72.672 | 134.254 | 241.962 | 37.898 |
| 237.718 | -23.926 | 70.213 | 132.568 | 192.983 | 91.445 |
| -156.368 | -24.915 | -160.370 | -207.365 | -181.461 | -105.877 |
| 94.280 | 225.979 | 92.849 | 4.465 | -0.378 | -6.121 |
| 91.844 | 93.092 | 219.483 | -5.848 | 3.331 | 0.375 |
| 3.479 | 1.822 | -5.848 | 63.930 | 0.339 | -0.423 |
| 2.554 | -0.391 | 3.331 | 0.339 | 62.655 | 3.472 |
| -241.537 | 14.464 | -68.880 | -134.439 | -180.497 | 23.441 |
| 223.502 | 94.041 | 91.898 | 3.477 | 3.514 | -0.584 |
| 94.280 | 225.979 | 92.849 | 4.465 | -0.378 | -6.121 |
| 115.943 | 91.913 | 213.743 | 7.965 | 21.691 | 3.893 |
| 3.479 | 1.822 | -5.848 | 63.930 | 0.339 | -0.423 |
| 38.140 | 12.794 | 28.913 | 22.632 | 62.165 | 15.362 |
| 22.079 | -6.644 | 7.631 | 12.428 | 24.941 | 60.800 |
| 185.988 | 96.628 | 85.164 | -10.872 | -14.796 | -4.660 |
| 94.280 | 225.979 | 92.849 | 4.465 | -0.378 | -6.121 |
| 54.950 | 92.029 | 172.709 | -30.063 | -15.836 | 2.804 |
| -35.101 | 0.794 | -25.998 | 23.248 | -19.398 | 2.206 |
| -20.805 | 2.357 | -3.830 | -12.607 | 36.591 | 0.487 |
| -38.390 | -5.012 | -20.508 | -25.662 | -14.519 | 53.472 |
| 223.503 | 94.042 | 91.898 | 3.477 | 3.514 | -0.584 |
| 98.303 | 196.793 | 95.088 | 6.569 | 1.938 | -4.023 |
| 91.845 | 93.092 | 219.484 | -5.848 | 3.331 | 0.375 |
| 4.947 | 2.503 | -3.921 | 51.000 | 2.490 | -1.171 |
| 6.999 | 1.653 | 6.040 | 3.808 | 46.428 | 5.296 |
| 0.528 | -4.809 | 1.398 | 0.398 | 8.187 | 57.135 |
| 205.915 | 94.988 | 91.372 | 0.901 | 1.851 | -1.705 |
| 92.230 | 208.003 | 92.920 | 3.041 | -1.525 | -4.986 |
| 89.361 | 94.152 | 204.180 | -6.788 | 0.916 | 0.135 |
| -0.058 | 2.481 | -6.040 | 53.518 | -1.267 | -1.408 |
| 2.554 | -0.391 | 3.331 | 0.339 | 62.655 | 3.472 |
| -4.418 | -4.533 | -0.062 | -2.332 | 4.287 | 57.105 |
| 11.612 | -99.706 | -99.706 | -0.000 | 0.000 | 0.000 |
| -99.706 | 11.612 | -99.706 | -0.000 | 0.000 | 0.000 |
| -99.706 | -99.706 | 11.612 | -0.000 | 0.000 | -0.000 |
| -170.303 | -170.303 | -170.303 | 38.186 | 0.000 | -0.000 |
| -170.303 | -170.303 | -170.303 | -0.000 | 38.186 | 0.000 |
| -170.303 | -170.303 | -170.303 | -0.000 | 0.000 | 38.186 |
| 203.001 | 73.872 | 73.872 | 0.000 | -0.000 | -0.000 |
| 73.872 | 203.001 | 73.872 | 0.000 | -0.000 | -0.000 |
| 73.872 | 73.872 | 203.001 | 0.000 | -0.000 | -0.000 |
| 170.303 | 170.303 | 170.303 | 38.186 | -0.000 | -0.000 |
| 170.303 | 170.303 | 170.303 | 0.000 | 38.186 | -0.000 |
| 170.303 | 170.303 | 170.303 | 0.000 | -0.000 | 38.186 |
| 203.001 | 73.872 | 73.872 | -0.000 | 0.000 | -0.000 |
| 73.872 | 203.001 | 73.872 | -0.000 | 0.000 | -0.000 |
| 73.872 | 73.872 | 203.001 | -0.000 | 0.000 | 0.000 |
| -0.000 | -0.000 | -0.000 | 44.782 | 0.000 | 0.000 |
| -0.000 | -0.000 | -0.000 | -0.000 | 44.782 | 0.000 |
| -0.000 | -0.000 | -0.000 | -0.000 | 0.000 | 44.782 |
| 199.279 | 90.329 | 90.329 | 0.000 | -0.000 | -0.000 |
| 90.329 | 199.279 | 90.329 | 0.000 | -0.000 | 0.000 |
| 90.329 | 90.329 | 199.279 | 0.000 | -0.000 | -0.000 |
| 0.000 | 0.000 | 0.000 | 44.782 | -0.000 | -0.000 |
| 0.000 | 0.000 | 0.000 | 0.000 | 44.782 | -0.000 |
| 0.000 | 0.000 | 0.000 | 0.000 | -0.000 | 44.782 |
| 170.950 | 67.657 | 67.657 | -0.000 | 0.000 | 0.000 |
| 67.657 | 170.950 | 67.657 | -0.000 | -0.000 | 0.000 |
| 67.657 | 67.657 | 170.950 | -0.000 | 0.000 | 0.000 |
| -2.702 | -2.703 | -2.702 | 34.315 | 0.000 | -0.000 |
| -2.703 | -2.702 | -2.702 | -0.000 | 34.315 | 0.000 |
| -2.703 | -2.702 | -2.702 | -0.000 | 0.000 | 34.315 |
| 203.001 | 73.872 | 73.872 | 0.000 | -0.000 | -0.000 |
| 73.872 | 203.001 | 73.872 | 0.000 | -0.000 | -0.000 |
| 73.872 | 73.872 | 203.001 | 0.000 | -0.000 | 0.000 |
| 2.702 | 2.703 | 2.702 | 34.315 | -0.000 | -0.000 |
| 2.703 | 2.702 | 2.702 | 0.000 | 34.315 | -0.000 |
| 2.703 | 2.702 | 2.702 | 0.000 | -0.000 | 34.315 |
| 429.889 | 453.431 | 453.431 | -0.000 | -0.000 | 0.000 |
| 453.431 | 429.889 | 453.431 | -0.000 | 0.000 | -0.000 |
| 453.431 | 453.431 | 429.889 | -0.000 | -0.000 | 0.000 |
| 373.131 | 373.131 | 373.131 | 0.584 | -0.000 | 0.000 |
| 373.131 | 373.131 | 373.131 | -0.000 | 0.584 | 0.000 |
| 373.131 | 373.131 | 373.131 | -0.000 | -0.000 | 0.584 |
| -293.279 | -297.154 | -297.154 | 0.000 | 0.000 | -0.000 |
| -297.154 | -293.279 | -297.154 | 0.000 | 0.000 | -0.000 |
| -297.154 | -297.154 | -293.279 | 0.000 | 0.000 | -0.000 |
| -373.131 | -373.131 | -373.131 | 0.584 | 0.000 | -0.000 |
| -373.131 | -373.131 | -373.131 | 0.000 | 0.584 | -0.000 |
| -373.131 | -373.131 | -373.131 | 0.000 | 0.000 | 0.584 |
| 112.761 | 67.203 | 67.203 | 0.000 | 0.000 | 0.000 |
| 67.203 | 112.761 | 67.203 | -0.000 | 0.000 | 0.000 |
| 67.203 | 67.203 | 112.761 | 0.000 | 0.000 | 0.000 |
| -0.000 | 0.000 | 0.000 | 38.957 | 0.000 | 0.000 |
| 0.000 | -0.000 | 0.000 | 0.000 | 38.957 | 0.000 |
| 0.000 | 0.000 | -0.000 | -0.000 | 0.000 | 38.957 |
| 10.784 | 70.951 | 70.951 | 0.000 | 0.000 | -0.000 |
| 70.951 | 10.784 | 70.951 | 0.000 | 0.000 | 0.000 |
| 70.951 | 70.951 | 10.784 | 0.000 | 0.000 | 0.000 |
| 0.000 | -0.000 | -0.000 | 38.957 | 0.000 | -0.000 |
| -0.000 | 0.000 | -0.000 | 0.000 | 38.957 | -0.000 |
| -0.000 | -0.000 | 0.000 | -0.000 | -0.000 | 38.957 |
| 49.265 | 74.077 | 74.077 | -0.000 | -0.000 | -0.000 |
| 74.077 | 49.265 | 74.077 | -0.000 | -0.000 | -0.000 |
| 74.077 | 74.077 | 49.265 | -0.000 | -0.000 | -0.000 |
| 3.527 | 3.527 | 3.527 | 10.940 | 0.000 | 0.000 |
| 3.527 | 3.527 | 3.527 | -0.000 | 10.940 | 0.000 |
| 3.527 | 3.527 | 3.527 | -0.000 | 0.000 | 10.940 |
| 112.761 | 67.203 | 67.203 | -0.000 | -0.000 | 0.000 |
| 67.203 | 112.761 | 67.203 | -0.000 | -0.000 | -0.000 |
| 67.203 | 67.203 | 112.761 | -0.000 | 0.000 | -0.000 |
| -3.527 | -3.527 | -3.527 | 10.940 | -0.000 | -0.000 |
| -3.527 | -3.527 | -3.527 | 0.000 | 10.940 | -0.000 |
| -3.527 | -3.527 | -3.527 | 0.000 | -0.000 | 10.940 |
| 55.184 | 39.040 | 61.080 | 0.452 | -0.000 | -0.000 |
| 38.985 | 55.287 | 61.247 | -0.409 | 0.000 | -0.000 |
| 61.247 | 61.247 | 119.476 | -0.000 | 0.000 | -0.000 |
| 0.488 | -0.488 | 0.000 | 30.429 | 0.000 | -0.000 |
| 0.000 | 0.000 | 0.000 | 0.000 | 30.472 | 0.409 |
| -0.000 | -0.000 | -0.000 | 0.000 | 0.488 | 8.006 |
| 55.184 | 39.040 | 61.080 | 0.452 | 0.000 | 0.000 |
| 38.985 | 55.287 | 61.247 | -0.409 | -0.000 | 0.000 |
| 61.180 | 61.180 | 119.011 | -0.000 | -0.000 | 0.000 |
| 0.488 | -0.488 | -0.000 | 30.429 | -0.000 | 0.000 |
| -0.000 | -0.000 | -0.000 | -0.000 | 30.472 | 0.409 |
| 0.000 | 0.000 | 0.000 | -0.000 | 0.488 | 8.006 |
| 55.132 | 39.121 | 61.180 | 0.488 | -0.000 | -0.000 |
| 38.985 | 55.287 | 61.247 | -0.409 | -0.000 | -0.000 |
| 61.247 | 61.247 | 119.476 | 0.000 | -0.000 | -0.000 |
| 0.409 | -0.409 | 0.000 | 30.472 | -0.000 | -0.000 |
| -0.000 | -0.000 | 0.000 | 0.000 | 30.429 | 0.488 |
| -0.000 | -0.000 | -0.000 | 0.000 | 0.409 | 8.151 |
| 55.184 | 39.040 | 61.080 | 0.452 | 0.000 | 0.000 |
| 39.121 | 55.132 | 61.180 | -0.488 | -0.000 | -0.000 |
| 61.180 | 61.180 | 119.011 | 0.000 | -0.000 | 0.000 |
| 0.488 | -0.488 | -0.000 | 30.429 | -0.000 | 0.000 |
| 0.000 | 0.000 | -0.000 | -0.000 | 30.429 | 0.488 |
| 0.000 | 0.000 | 0.000 | -0.000 | 0.409 | 8.151 |
| 55.131 | 39.120 | 61.180 | 0.488 | -0.000 | -0.000 |
| 38.985 | 55.286 | 61.247 | -0.409 | 0.000 | -0.000 |
| 61.180 | 61.180 | 119.014 | -0.000 | -0.000 | -0.000 |
| 0.488 | -0.488 | 0.000 | 30.429 | -0.000 | -0.000 |
| -0.000 | -0.000 | 0.000 | 0.000 | 30.472 | 0.409 |
| -0.000 | -0.000 | -0.000 | 0.000 | 0.409 | 8.151 |
| 55.134 | 39.121 | 61.180 | 0.488 | 0.000 | 0.000 |
| 38.986 | 55.289 | 61.247 | -0.409 | 0.000 | 0.000 |
| 61.247 | 61.247 | 119.474 | 0.000 | 0.000 | 0.000 |
| 0.409 | -0.409 | -0.000 | 30.472 | -0.000 | 0.000 |
| 0.000 | 0.000 | -0.000 | -0.000 | 30.472 | 0.409 |
| 0.000 | 0.000 | 0.000 | -0.000 | 0.409 | 8.151 |
| 244.844 | 233.634 | 233.634 | 0.000 | -0.000 | 0.000 |
| 233.634 | 244.844 | 233.634 | 0.000 | -0.000 | 0.000 |
| 233.634 | 233.634 | 244.844 | 0.000 | 0.000 | -0.000 |
| -0.000 | -0.000 | 0.000 | 10.052 | -0.000 | 0.000 |
| -0.000 | -0.000 | 0.000 | -0.000 | 10.052 | 0.000 |
| -0.000 | -0.000 | 0.000 | -0.000 | -0.000 | 10.052 |
| 244.844 | 233.634 | 233.634 | -0.000 | -0.000 | -0.000 |
| 233.634 | 244.844 | 233.634 | -0.000 | 0.000 | -0.000 |
| 233.634 | 233.634 | 244.844 | 0.000 | 0.000 | 0.000 |
| 0.000 | 0.000 | -0.000 | 10.052 | 0.000 | -0.000 |
| 0.000 | 0.000 | -0.000 | 0.000 | 10.052 | -0.000 |
| 0.000 | 0.000 | -0.000 | 0.000 | 0.000 | 10.052 |
| 244.844 | 233.634 | 233.634 | 0.000 | -0.000 | 0.000 |
| 233.634 | 244.844 | 233.634 | -0.000 | -0.000 | 0.000 |
| 233.634 | 233.634 | 244.844 | 0.000 | -0.000 | 0.000 |
| 0.000 | 0.000 | 0.000 | 198.626 | 0.000 | 0.000 |
| 0.000 | 0.000 | 0.000 | 0.000 | 198.626 | 0.000 |
| 0.000 | 0.000 | 0.000 | 0.000 | -0.000 | 198.626 |
| 244.844 | 233.634 | 233.634 | -0.000 | 0.000 | -0.000 |
| 233.634 | 244.844 | 233.634 | -0.000 | -0.000 | 0.000 |
| 233.634 | 233.634 | 244.844 | 0.000 | 0.000 | -0.000 |
| -0.000 | -0.000 | -0.000 | 198.626 | -0.000 | 0.000 |
| -0.000 | -0.000 | -0.000 | -0.000 | 198.626 | 0.000 |
| -0.000 | -0.000 | -0.000 | -0.000 | 0.000 | 198.626 |
| 244.843 | 233.635 | 233.635 | 0.000 | -0.000 | 0.000 |
| 233.635 | 244.843 | 233.635 | 0.000 | -0.000 | 0.000 |
| 233.635 | 233.635 | 244.843 | 0.000 | 0.000 | 0.000 |
| -0.000 | -0.000 | -0.000 | 10.052 | -0.000 | 0.000 |
| -0.000 | -0.000 | -0.000 | -0.000 | 10.052 | 0.000 |
| -0.000 | -0.000 | -0.000 | 0.000 | -0.000 | 10.052 |
| 244.844 | 233.634 | 233.634 | -0.000 | 0.000 | -0.000 |
| 233.634 | 244.844 | 233.634 | -0.000 | -0.000 | 0.000 |
| 233.634 | 233.634 | 244.844 | -0.000 | 0.000 | -0.000 |
| 0.000 | 0.000 | 0.000 | 10.052 | 0.000 | -0.000 |
| 0.000 | 0.000 | 0.000 | 0.000 | 10.052 | -0.000 |
| 0.000 | 0.000 | 0.000 | -0.000 | 0.000 | 10.052 |
| 391.329 | 173.267 | 154.803 | 0.000 | -0.000 | 0.000 |
| 161.753 | 388.540 | 164.938 | 0.000 | 0.000 | -0.000 |
| 187.597 | 187.597 | 399.741 | 0.000 | -0.000 | -0.000 |
| 0.000 | 0.000 | 0.000 | 116.310 | -0.000 | 0.000 |
| 0.000 | 0.000 | 0.000 | 0.000 | 116.310 | 0.000 |
| 0.000 | 0.000 | 0.000 | 0.000 | -0.000 | 113.393 |
| 388.539 | 161.753 | 164.938 | -0.000 | 0.000 | -0.000 |
| 161.753 | 388.539 | 164.938 | -0.000 | -0.000 | -0.000 |
| 153.275 | 153.275 | 428.514 | -0.000 | 0.000 | 0.000 |
| -0.000 | -0.000 | 0.000 | 116.310 | 0.000 | 0.000 |
| -0.000 | -0.000 | -0.000 | -0.000 | 116.310 | 0.000 |
| -0.000 | -0.000 | -0.000 | -0.000 | 0.000 | 113.393 |
| 378.804 | 156.050 | 169.390 | 0.000 | 0.000 | -0.000 |
| 161.753 | 388.540 | 164.938 | 0.000 | -0.000 | 0.000 |
| 164.938 | 164.938 | 417.561 | 0.000 | -0.000 | 0.000 |
| 0.000 | 0.000 | 0.000 | 116.310 | -0.000 | 0.000 |
| 0.000 | 0.000 | 0.000 | 0.000 | 116.310 | -0.000 |
| 0.000 | 0.000 | 0.000 | 0.000 | -0.000 | 113.393 |
| 388.539 | 161.752 | 164.938 | -0.000 | 0.000 | 0.000 |
| 153.717 | 376.529 | 171.327 | -0.000 | -0.000 | -0.000 |
| 164.937 | 164.937 | 417.560 | -0.000 | 0.000 | 0.000 |
| -0.000 | -0.000 | -0.000 | 116.310 | 0.000 | 0.000 |
| -0.000 | -0.000 | -0.000 | -0.000 | 116.310 | 0.000 |
| -0.000 | -0.000 | -0.000 | 0.000 | 0.000 | 113.393 |
| 377.893 | 155.065 | 170.215 | 0.000 | 0.000 | 0.000 |
| 161.754 | 388.547 | 164.940 | 0.000 | -0.000 | -0.000 |
| 164.939 | 164.939 | 417.567 | 0.000 | -0.000 | -0.000 |
| 0.001 | 0.002 | 0.001 | 116.310 | -0.000 | -0.000 |
| 0.002 | 0.001 | 0.001 | 0.000 | 116.310 | -0.000 |
| 0.001 | 0.001 | 0.001 | 0.000 | 0.000 | 113.393 |
| 388.532 | 161.751 | 164.936 | -0.000 | 0.000 | -0.000 |
| 157.570 | 376.474 | 170.269 | 0.000 | 0.000 | -0.000 |
| 170.290 | 170.290 | 413.868 | 0.000 | -0.000 | 0.000 |
| -0.001 | -0.002 | -0.001 | 116.310 | 0.000 | -0.000 |
| -0.002 | -0.001 | -0.001 | -0.000 | 116.310 | 0.000 |
| -0.001 | -0.001 | -0.001 | -0.000 | 0.000 | 113.393 |
| 229.476 | 225.743 | 66.764 | -0.000 | -0.000 | 0.000 |
| 225.743 | 229.476 | 66.764 | -0.000 | -0.000 | 0.000 |
| 66.033 | 66.033 | 349.108 | -0.000 | -0.000 | 0.000 |
| -0.141 | -0.141 | 6.029 | -95.229 | -0.000 | 0.000 |
| -0.141 | -0.141 | 6.029 | -0.000 | -95.229 | 0.000 |
| -0.016 | -0.016 | 0.669 | -0.000 | -0.000 | 206.605 |
| 229.507 | 225.775 | 65.409 | 0.000 | 0.000 | -0.000 |
| 225.775 | 229.507 | 65.409 | 0.000 | -0.000 | -0.000 |
| 66.066 | 66.066 | 347.687 | 0.000 | 0.000 | -0.000 |
| 0.141 | 0.141 | -6.029 | -95.229 | 0.000 | -0.000 |
| 0.141 | 0.141 | -6.029 | 0.000 | -95.229 | -0.000 |
| 0.016 | 0.016 | -0.669 | 0.000 | 0.000 | 206.605 |
| 229.491 | 225.758 | 66.127 | -0.000 | -0.000 | 0.000 |
| 225.758 | 229.491 | 66.127 | -0.000 | 0.000 | 0.000 |
| 66.048 | 66.048 | 348.469 | -0.000 | -0.000 | 0.000 |
| 0.000 | 0.000 | 0.000 | 38.676 | -0.000 | 0.000 |
| 0.000 | 0.000 | 0.000 | -0.000 | 38.676 | 0.000 |
| 0.000 | 0.000 | 0.000 | -0.000 | -0.000 | 206.644 |
| 229.511 | 225.778 | 65.266 | 0.000 | 0.000 | -0.000 |
| 225.778 | 229.511 | 65.266 | 0.000 | 0.000 | -0.000 |
| 66.051 | 66.051 | 348.326 | 0.000 | 0.000 | -0.000 |
| -0.000 | -0.000 | -0.000 | 38.676 | 0.000 | -0.000 |
| -0.000 | -0.000 | -0.000 | 0.000 | 38.676 | -0.000 |
| -0.000 | -0.000 | -0.000 | 0.000 | -0.000 | 206.644 |
| 229.492 | 225.761 | 66.063 | -0.000 | -0.000 | 0.000 |
| 225.761 | 229.492 | 66.063 | -0.000 | -0.000 | 0.000 |
| 66.050 | 66.050 | 348.408 | -0.000 | -0.000 | 0.000 |
| -0.002 | -0.001 | 0.060 | -96.193 | -0.000 | 0.000 |
| -0.001 | -0.002 | 0.060 | -0.000 | -96.193 | 0.000 |
| 0.000 | 0.001 | 0.007 | -0.000 | -0.000 | 206.606 |
| 229.493 | 225.759 | 66.049 | 0.000 | 0.000 | -0.000 |
| 225.759 | 229.493 | 66.049 | 0.000 | -0.000 | -0.000 |
| 66.050 | 66.050 | 348.387 | 0.000 | 0.000 | 0.000 |
| 0.002 | 0.001 | -0.060 | -96.193 | 0.000 | -0.000 |
| 0.001 | 0.002 | -0.060 | 0.000 | -96.193 | -0.000 |
| -0.000 | -0.001 | -0.007 | 0.000 | 0.000 | 206.606 |
| 664.900 | 209.757 | 209.757 | 0.000 | 0.000 | -0.000 |
| 209.757 | 664.900 | 209.757 | 0.000 | 0.000 | -0.000 |
| 209.757 | 209.757 | 664.900 | 0.000 | -0.000 | -0.000 |
| 0.000 | -0.000 | -0.000 | 76.342 | 0.000 | -0.000 |
| -0.000 | -0.000 | -0.000 | 0.000 | 76.342 | -0.000 |
| -0.000 | -0.000 | -0.000 | 0.000 | 0.000 | 76.342 |
| 664.900 | 209.757 | 209.757 | -0.000 | -0.000 | 0.000 |
| 209.757 | 664.900 | 209.757 | -0.000 | 0.000 | 0.000 |
| 209.757 | 209.757 | 664.900 | 0.000 | 0.000 | 0.000 |
| -0.000 | 0.000 | 0.000 | 76.342 | -0.000 | 0.000 |
| 0.000 | 0.000 | 0.000 | -0.000 | 76.342 | 0.000 |
| 0.000 | 0.000 | 0.000 | -0.000 | 0.000 | 76.342 |
| 664.901 | 209.757 | 209.757 | -0.000 | -0.000 | -0.000 |
| 209.757 | 664.901 | 209.757 | 0.000 | -0.000 | -0.000 |
| 209.757 | 209.757 | 664.901 | 0.000 | -0.000 | -0.000 |
| -0.000 | 0.000 | 0.000 | 140.059 | 0.000 | -0.000 |
| 0.000 | -0.000 | 0.000 | 0.000 | 140.059 | -0.000 |
| 0.000 | 0.000 | -0.000 | 0.000 | -0.000 | 140.059 |
| 708.330 | 188.042 | 188.042 | -0.000 | -0.000 | 0.000 |
| 188.042 | 708.330 | 188.042 | -0.000 | 0.000 | 0.000 |
| 188.042 | 188.042 | 708.330 | -0.000 | 0.000 | 0.000 |
| 0.000 | -0.000 | -0.000 | 140.059 | -0.000 | 0.000 |
| -0.000 | 0.000 | -0.000 | -0.000 | 140.059 | 0.000 |
| -0.000 | -0.000 | 0.000 | -0.000 | 0.000 | 140.059 |
| 708.333 | 188.043 | 188.043 | 0.000 | 0.000 | -0.000 |
| 188.043 | 708.333 | 188.043 | 0.000 | -0.000 | -0.000 |
| 188.043 | 188.043 | 708.333 | 0.000 | -0.000 | -0.000 |
| 0.000 | -0.001 | -0.001 | 76.342 | -0.000 | -0.000 |
| -0.001 | 0.000 | -0.001 | 0.000 | 76.342 | -0.000 |
| -0.001 | -0.001 | 0.000 | 0.000 | 0.000 | 76.342 |
| 664.898 | 209.756 | 209.756 | -0.000 | 0.000 | 0.000 |
| 209.756 | 664.898 | 209.756 | -0.000 | -0.000 | 0.000 |
| 209.756 | 209.756 | 664.898 | -0.000 | 0.000 | 0.000 |
| -0.000 | 0.001 | 0.001 | 76.342 | 0.000 | 0.000 |
| 0.001 | -0.000 | 0.001 | -0.000 | 76.342 | 0.000 |
| 0.001 | 0.001 | -0.000 | 0.000 | -0.000 | 76.342 |
| 316.997 | 266.750 | 266.750 | 0.000 | 0.000 | 0.000 |
| 266.750 | 316.997 | 266.750 | -0.000 | 0.000 | 0.000 |
| 266.750 | 266.751 | 316.997 | -0.000 | -0.000 | 0.000 |
| 0.000 | 0.000 | -0.000 | 68.558 | 0.000 | 0.000 |
| 0.000 | 0.000 | -0.000 | -0.000 | 68.558 | 0.000 |
| 0.000 | 0.000 | -0.000 | -0.000 | 0.000 | 68.558 |
| 316.997 | 266.750 | 266.750 | -0.000 | 0.000 | -0.000 |
| 266.750 | 316.997 | 266.750 | 0.000 | 0.000 | -0.000 |
| 266.750 | 266.750 | 316.997 | 0.000 | -0.000 | -0.000 |
| -0.000 | -0.000 | 0.000 | 68.558 | -0.000 | -0.000 |
| -0.000 | -0.000 | 0.000 | 0.000 | 68.558 | -0.000 |
| -0.000 | -0.000 | 0.000 | 0.000 | -0.000 | 68.558 |
| 316.997 | 266.751 | 266.751 | -0.000 | 0.000 | 0.000 |
| 266.751 | 316.997 | 266.751 | -0.000 | 0.000 | 0.000 |
| 266.751 | 266.751 | 316.997 | -0.000 | 0.000 | 0.000 |
| 0.000 | 0.000 | 0.000 | 216.830 | 0.000 | 0.000 |
| 0.000 | 0.000 | 0.000 | -0.000 | 216.830 | 0.000 |
| 0.000 | 0.000 | 0.000 | -0.000 | 0.000 | 216.830 |
| 316.997 | 266.750 | 266.750 | 0.000 | 0.000 | -0.000 |
| 266.750 | 316.997 | 266.750 | 0.000 | 0.000 | -0.000 |
| 266.750 | 266.750 | 316.997 | 0.000 | 0.000 | -0.000 |
| -0.000 | -0.000 | -0.000 | 216.830 | -0.000 | -0.000 |
| -0.000 | -0.000 | -0.000 | 0.000 | 216.830 | -0.000 |
| -0.000 | -0.000 | -0.000 | 0.000 | 0.000 | 216.830 |
| 316.996 | 266.751 | 266.751 | 0.000 | -0.000 | 0.000 |
| 266.751 | 316.996 | 266.751 | -0.000 | 0.000 | 0.000 |
| 266.751 | 266.751 | 316.996 | -0.000 | 0.000 | 0.000 |
| 0.001 | 0.000 | 0.001 | 216.830 | -0.000 | -0.000 |
| 0.000 | 0.001 | 0.001 | -0.000 | 216.830 | 0.000 |
| 0.000 | 0.001 | 0.001 | -0.000 | -0.000 | 216.830 |
| 316.997 | 266.749 | 266.749 | 0.000 | -0.000 | -0.000 |
| 266.749 | 316.997 | 266.749 | -0.000 | 0.000 | -0.000 |
| 266.749 | 266.749 | 316.997 | 0.000 | -0.000 | -0.000 |
| -0.001 | -0.000 | -0.001 | 216.830 | 0.000 | -0.000 |
| -0.000 | -0.001 | -0.001 | 0.000 | 216.830 | -0.000 |
| -0.000 | -0.001 | -0.001 | 0.000 | 0.000 | 216.830 |
| 436.078 | 237.272 | 237.272 | -0.000 | -0.000 | 0.000 |
| 237.272 | 436.078 | 237.272 | 0.000 | 0.000 | 0.000 |
| 237.272 | 237.272 | 436.078 | 0.000 | 0.000 | 0.000 |
| -0.000 | 0.000 | 0.000 | 189.869 | 0.000 | 0.000 |
| 0.000 | 0.000 | 0.000 | -0.000 | 189.869 | 0.000 |
| 0.000 | 0.000 | 0.000 | 0.000 | 0.000 | 189.869 |
| 436.078 | 237.272 | 237.272 | -0.000 | 0.000 | -0.000 |
| 237.272 | 436.078 | 237.272 | -0.000 | 0.000 | -0.000 |
| 237.272 | 237.272 | 436.078 | 0.000 | 0.000 | -0.000 |
| 0.000 | -0.000 | -0.000 | 189.869 | 0.000 | -0.000 |
| -0.000 | -0.000 | -0.000 | 0.000 | 189.869 | -0.000 |
| -0.000 | -0.000 | -0.000 | 0.000 | 0.000 | 189.869 |
| 436.078 | 237.272 | 237.272 | 0.000 | -0.000 | 0.000 |
| 237.272 | 436.078 | 237.272 | 0.000 | -0.000 | 0.000 |
| 237.272 | 237.272 | 436.078 | 0.000 | -0.000 | 0.000 |
| -0.000 | 0.000 | 0.000 | 189.869 | 0.000 | 0.000 |
| 0.000 | -0.000 | 0.000 | 0.000 | 189.869 | 0.000 |
| 0.000 | 0.000 | -0.000 | 0.000 | 0.000 | 189.869 |
| 436.077 | 237.272 | 237.272 | 0.000 | 0.000 | -0.000 |
| 237.272 | 436.077 | 237.272 | -0.000 | 0.000 | -0.000 |
| 237.272 | 237.272 | 436.077 | -0.000 | -0.000 | -0.000 |
| 0.000 | -0.000 | -0.000 | 189.869 | 0.000 | -0.000 |
| -0.000 | 0.000 | -0.000 | -0.000 | 189.869 | -0.000 |
| -0.000 | -0.000 | 0.000 | -0.000 | -0.000 | 189.869 |
| 436.080 | 237.274 | 237.274 | 0.000 | -0.000 | 0.000 |
| 237.274 | 436.080 | 237.274 | -0.000 | -0.000 | 0.000 |
| 237.274 | 237.274 | 436.080 | 0.000 | 0.000 | 0.000 |
| -0.000 | 0.001 | 0.001 | 189.869 | 0.000 | 0.000 |
| 0.001 | -0.000 | 0.001 | 0.000 | 189.869 | 0.000 |
| 0.001 | 0.001 | -0.000 | -0.000 | -0.000 | 189.869 |
| 436.075 | 237.271 | 237.271 | -0.000 | 0.000 | -0.000 |
| 237.271 | 436.075 | 237.271 | -0.000 | -0.000 | -0.000 |
| 237.271 | 237.271 | 436.075 | -0.000 | 0.000 | -0.000 |
| 0.000 | -0.001 | -0.001 | 189.869 | -0.000 | 0.000 |
| -0.001 | 0.000 | -0.001 | -0.000 | 189.869 | -0.000 |
| -0.001 | -0.001 | 0.000 | 0.000 | -0.000 | 189.869 |
| 610.997 | 235.772 | 182.875 | 0.000 | 0.000 | 0.000 |
| 235.772 | 610.997 | 182.875 | 0.000 | 0.000 | 0.000 |
| 182.873 | 182.873 | 523.989 | 0.000 | 0.000 | 0.000 |
| -0.000 | 0.000 | -0.000 | 40.914 | 0.000 | 0.000 |
| 0.000 | 0.000 | 0.000 | 0.000 | 134.409 | 0.000 |
| 0.000 | 0.000 | 0.000 | 0.000 | 0.000 | 187.613 |
| 568.531 | 267.980 | 144.510 | -0.000 | -0.000 | -0.000 |
| 250.123 | 593.971 | 172.868 | -0.000 | -0.000 | -0.000 |
| 182.873 | 182.873 | 523.989 | -0.000 | -0.000 | -0.000 |
| 0.000 | -0.000 | 0.000 | 40.914 | 0.000 | -0.000 |
| -0.000 | -0.000 | -0.000 | -0.000 | 134.409 | -0.000 |
| -0.000 | -0.000 | -0.000 | -0.000 | -0.000 | 187.613 |
| 568.531 | 267.980 | 144.510 | 0.000 | 0.000 | 0.000 |
| 250.123 | 593.971 | 172.868 | 0.000 | 0.000 | 0.000 |
| 182.873 | 182.873 | 523.990 | 0.000 | 0.000 | 0.000 |
| 0.000 | -0.000 | 0.000 | 40.914 | 0.000 | 0.000 |
| 0.000 | 0.000 | 0.000 | 0.000 | 134.409 | 0.000 |
| 0.000 | 0.000 | -0.000 | 0.000 | 0.000 | 172.509 |
| 593.970 | 250.123 | 172.868 | -0.000 | -0.000 | -0.000 |
| 235.771 | 610.997 | 182.875 | -0.000 | -0.000 | -0.000 |
| 182.873 | 182.873 | 523.989 | -0.000 | -0.000 | -0.000 |
| -0.000 | 0.000 | -0.000 | 40.914 | -0.000 | -0.000 |
| -0.000 | -0.000 | -0.000 | -0.000 | 134.409 | -0.000 |
| -0.000 | -0.000 | 0.000 | -0.000 | -0.000 | 172.509 |
| 568.537 | 267.981 | 144.511 | 0.000 | 0.000 | 0.000 |
| 250.125 | 593.976 | 172.869 | 0.000 | 0.000 | 0.000 |
| 164.553 | 164.553 | 386.952 | 0.000 | 0.000 | 0.000 |
| 0.000 | 0.000 | 0.001 | 134.409 | 0.000 | 0.000 |
| 0.000 | 0.000 | 0.001 | 0.000 | 134.409 | 0.000 |
| 0.000 | 0.002 | 0.000 | 0.000 | 0.000 | 187.613 |
| 593.964 | 250.122 | 172.868 | -0.000 | -0.000 | -0.000 |
| 235.770 | 610.992 | 182.875 | -0.000 | -0.000 | -0.000 |
| 164.555 | 164.555 | 386.987 | -0.000 | -0.000 | -0.000 |
| -0.000 | -0.000 | -0.001 | 134.409 | -0.000 | -0.000 |
| -0.000 | -0.000 | -0.001 | -0.000 | 134.409 | -0.000 |
| -0.000 | -0.002 | -0.000 | -0.000 | -0.000 | 187.613 |
| 341.031 | 325.249 | 230.841 | 0.000 | 0.000 | 0.000 |
| 325.249 | 341.031 | 230.841 | 0.000 | 0.000 | 0.000 |
| 230.841 | 230.841 | 373.822 | 0.000 | 0.000 | 0.000 |
| 0.000 | -0.000 | -0.000 | 29.978 | 0.000 | 0.000 |
| -0.000 | 0.000 | -0.000 | 0.000 | 29.978 | 0.000 |
| 0.000 | 0.000 | 0.000 | 0.000 | 0.000 | 195.673 |
| 422.409 | 243.872 | 230.841 | -0.000 | -0.000 | -0.000 |
| 243.872 | 422.409 | 230.841 | -0.000 | -0.000 | -0.000 |
| 230.841 | 230.841 | 373.822 | -0.000 | -0.000 | -0.000 |
| -0.000 | 0.000 | 0.000 | 29.978 | -0.000 | -0.000 |
| 0.000 | -0.000 | 0.000 | -0.000 | 29.978 | -0.000 |
| -0.000 | -0.000 | -0.000 | -0.000 | -0.000 | 195.673 |
| 422.409 | 243.872 | 230.842 | 0.000 | 0.000 | 0.000 |
| 243.872 | 422.409 | 230.842 | 0.000 | 0.000 | 0.000 |
| 230.842 | 230.842 | 373.822 | 0.000 | 0.000 | 0.000 |
| 0.000 | -0.000 | -0.000 | 29.978 | 0.000 | 0.000 |
| -0.000 | 0.000 | -0.000 | 0.000 | 29.978 | 0.000 |
| 0.000 | 0.000 | -0.000 | 0.000 | 0.000 | 195.673 |
| 422.409 | 243.872 | 230.841 | -0.000 | -0.000 | -0.000 |
| 243.872 | 422.409 | 230.841 | -0.000 | -0.000 | -0.000 |
| 230.841 | 230.841 | 373.822 | -0.000 | -0.000 | -0.000 |
| -0.000 | 0.000 | 0.000 | 29.978 | -0.000 | -0.000 |
| 0.000 | -0.000 | 0.000 | -0.000 | 29.978 | -0.000 |
| -0.000 | -0.000 | 0.000 | -0.000 | -0.000 | 195.673 |
| 422.410 | 243.873 | 230.843 | 0.000 | 0.000 | 0.000 |
| 243.873 | 422.410 | 230.843 | 0.000 | 0.000 | 0.000 |
| 230.843 | 230.843 | 373.824 | 0.000 | 0.000 | 0.000 |
| 0.001 | -0.001 | -0.001 | 29.978 | 0.000 | 0.000 |
| -0.001 | 0.001 | -0.001 | 0.000 | 29.978 | 0.000 |
| 0.001 | 0.001 | -0.000 | 0.000 | 0.000 | 195.673 |
| 422.408 | 243.870 | 230.840 | -0.000 | 0.000 | -0.000 |
| 243.870 | 422.408 | 230.840 | -0.000 | -0.000 | -0.000 |
| 230.840 | 230.840 | 373.820 | -0.000 | -0.000 | -0.000 |
| -0.001 | 0.001 | 0.001 | 29.978 | -0.000 | -0.000 |
| 0.001 | -0.001 | 0.001 | -0.000 | 29.978 | -0.000 |
| -0.001 | -0.001 | 0.000 | -0.000 | -0.000 | 195.673 |
| 593.972 | 250.105 | 172.806 | -0.000 | -0.000 | 0.000 |
| 287.928 | 556.773 | 175.143 | -0.000 | 0.000 | 0.000 |
| 182.822 | 182.822 | 523.867 | 0.000 | 0.000 | -0.000 |
| -0.001 | -0.000 | -0.005 | 40.867 | -0.000 | 0.000 |
| 0.000 | -0.000 | 0.000 | -0.000 | 134.368 | -0.000 |
| -0.001 | -0.001 | -0.008 | 0.000 | 0.000 | 143.582 |
| 610.987 | 235.767 | 182.817 | -0.000 | -0.000 | 0.000 |
| 235.767 | 610.987 | 182.817 | -0.000 | -0.000 | 0.000 |
| 164.491 | 164.491 | 386.823 | 0.000 | 0.000 | -0.000 |
| 0.001 | 0.000 | 0.005 | 40.867 | 0.000 | -0.000 |
| -0.000 | 0.000 | -0.000 | 0.000 | 134.368 | 0.000 |
| 0.001 | 0.001 | 0.008 | 0.000 | -0.000 | 143.582 |
| 610.988 | 235.767 | 182.817 | 0.000 | 0.000 | -0.000 |
| 250.105 | 593.972 | 172.808 | -0.000 | 0.000 | 0.000 |
| 182.822 | 182.822 | 523.868 | 0.000 | 0.000 | -0.000 |
| -0.000 | -0.000 | -0.000 | 40.867 | 0.000 | 0.000 |
| -0.000 | -0.000 | -0.000 | 0.000 | 40.867 | 0.000 |
| 0.000 | 0.000 | -0.000 | -0.000 | 0.000 | 172.519 |
| 610.987 | 235.767 | 182.816 | -0.000 | -0.000 | 0.000 |
| 250.105 | 593.972 | 172.808 | 0.000 | -0.000 | -0.000 |
| 182.822 | 182.822 | 523.867 | -0.000 | -0.000 | 0.000 |
| 0.000 | 0.000 | 0.000 | 40.867 | 0.000 | -0.000 |
| 0.000 | 0.000 | 0.000 | 0.000 | 40.867 | -0.000 |
| -0.000 | -0.000 | 0.000 | -0.000 | -0.000 | 172.519 |
| 568.550 | 267.942 | 144.432 | -0.000 | 0.000 | -0.000 |
| 250.107 | 593.977 | 172.809 | -0.000 | 0.000 | 0.000 |
| 164.493 | 164.493 | 386.829 | 0.000 | -0.000 | 0.000 |
| 0.000 | -0.000 | 0.000 | 40.867 | 0.000 | 0.000 |
| -0.000 | 0.000 | 0.000 | 0.000 | 40.867 | 0.000 |
| 0.000 | 0.002 | 0.000 | -0.000 | 0.000 | 172.519 |
| 610.981 | 235.766 | 182.816 | -0.000 | -0.000 | 0.000 |
| 235.765 | 610.982 | 182.816 | -0.000 | -0.000 | 0.000 |
| 164.488 | 164.488 | 386.812 | 0.000 | 0.000 | -0.000 |
| -0.000 | 0.000 | -0.000 | 40.867 | 0.000 | -0.000 |
| 0.000 | -0.000 | -0.000 | 0.000 | 40.867 | -0.000 |
| -0.000 | -0.002 | -0.000 | 0.000 | -0.000 | 172.519 |
| 314.878 | 181.882 | 106.318 | -0.000 | 0.000 | -0.000 |
| 181.882 | 316.095 | 106.358 | 0.000 | -0.000 | 0.000 |
| 764.766 | 838.357 | 583.288 | -0.000 | 0.000 | -0.000 |
| 0.000 | 0.000 | -0.000 | 66.926 | -0.000 | 0.000 |
| 666.018 | 739.935 | 267.085 | -0.000 | 42.970 | 0.000 |
| 666.017 | 739.934 | 267.084 | -0.000 | 0.000 | 107.430 |
| -416.944 | -575.669 | -167.416 | 0.000 | -0.000 | 0.000 |
| 181.882 | 316.094 | 106.358 | 0.000 | -0.000 | -0.000 |
| -1294.710 | -1554.795 | -691.525 | 0.000 | 0.000 | 0.000 |
| -0.000 | -0.000 | 0.000 | 66.926 | 0.000 | -0.000 |
| -666.018 | -739.935 | -267.085 | 0.000 | 42.970 | 0.000 |
| -666.017 | -739.934 | -267.084 | 0.000 | 0.000 | 107.430 |
| 377.800 | 311.225 | 186.302 | -0.000 | 0.000 | 0.000 |
| 337.200 | 452.458 | 236.340 | -0.000 | -0.000 | 0.000 |
| 106.318 | 106.358 | 392.429 | -0.000 | -0.000 | 0.000 |
| 66.437 | 73.810 | 26.642 | 43.123 | -0.000 | -0.000 |
| 66.435 | 73.809 | 26.642 | -0.000 | 43.030 | -0.000 |
| 0.000 | 0.000 | 0.000 | -0.000 | -0.000 | 142.452 |
| 182.314 | 90.454 | 73.025 | 0.000 | -0.000 | -0.000 |
| -26.668 | 20.352 | -35.755 | -0.000 | 0.000 | -0.000 |
| 106.317 | 106.357 | 392.428 | 0.000 | 0.000 | 0.000 |
| -66.437 | -73.810 | -26.642 | 43.123 | 0.000 | -0.000 |
| -66.435 | -73.809 | -26.642 | 0.000 | 43.030 | -0.000 |
| -0.000 | -0.000 | -0.000 | 0.000 | 0.000 | 142.452 |
| 254.935 | 178.313 | 116.545 | -0.000 | -0.000 | -0.000 |
| 174.067 | 271.435 | 103.342 | -0.000 | -0.000 | -0.000 |
| 106.576 | 107.020 | 334.560 | -0.000 | -0.000 | -0.000 |
| 0.000 | 0.000 | 0.000 | 66.926 | -0.000 | 0.000 |
| 0.000 | 0.000 | 0.000 | -0.000 | 66.885 | -0.000 |
| 5.685 | 6.316 | 2.280 | -0.000 | -0.000 | 112.559 |
| 314.875 | 181.881 | 106.317 | -0.000 | 0.000 | 0.000 |
| 160.437 | 249.736 | 97.898 | 0.000 | -0.000 | -0.000 |
| 78.558 | 76.182 | 296.349 | 0.000 | 0.000 | 0.000 |
| -0.000 | -0.000 | -0.000 | 66.926 | 0.000 | 0.000 |
| -0.000 | -0.000 | -0.000 | 0.000 | 66.885 | 0.000 |
| -5.685 | -6.316 | -2.280 | 0.000 | 0.000 | 112.559 |
| -5950.972 | -6167.578 | 3709.490 | -4.138 | 0.000 | 0.000 |
| -4511.486 | -4245.734 | 4499.362 | 5.430 | 0.000 | 0.000 |
| 179.386 | 179.386 | 614.684 | 0.000 | 0.000 | 0.000 |
| -5920.618 | -5912.284 | 3473.409 | 62.815 | 0.000 | 0.000 |
| 0.000 | 0.000 | 0.000 | -0.000 | 130.481 | -5.600 |
| -5917.612 | -5917.612 | 3472.809 | -0.000 | -4.166 | 112.569 |
| 6296.769 | 6071.522 | -3282.462 | -4.170 | -0.000 | -0.000 |
| 6477.295 | 6694.001 | -3330.120 | 4.141 | -0.000 | -0.000 |
| 179.386 | 179.386 | 614.684 | -0.000 | -0.000 | -0.000 |
| -5.600 | 5.600 | -0.000 | 130.481 | -0.000 | -0.000 |
| -0.000 | -0.000 | 0.000 | 0.000 | 130.481 | -5.600 |
| 5917.612 | 5917.612 | -3472.809 | 0.000 | -4.166 | 112.569 |
| -35.710 | -301.546 | 628.797 | -5.431 | -0.000 | 0.000 |
| 188.747 | 470.501 | 179.386 | 5.600 | 0.000 | 0.000 |
| 179.386 | 179.386 | 614.685 | -0.000 | 0.000 | 0.000 |
| -5.600 | 5.600 | 0.000 | 130.481 | 0.000 | 0.000 |
| -631.458 | -631.458 | 352.341 | -0.000 | 98.301 | -4.137 |
| -467.242 | -467.242 | 429.577 | -0.000 | -5.430 | 132.880 |
| 972.868 | 747.016 | -156.168 | -4.188 | -0.000 | -0.000 |
| 634.205 | 899.835 | -231.541 | 5.428 | -0.000 | -0.000 |
| 179.385 | 179.385 | 614.683 | 0.000 | -0.000 | -0.000 |
| 586.246 | 594.587 | -346.656 | 62.958 | -0.000 | -0.000 |
| 631.458 | 631.458 | -352.341 | 0.000 | 98.301 | -4.137 |
| 467.242 | 467.242 | -429.577 | 0.000 | -5.430 | 132.880 |
| 380.440 | 115.034 | 245.762 | -5.426 | 0.000 | 0.000 |
| 115.023 | 380.426 | 245.772 | 5.426 | 0.000 | 0.000 |
| 179.387 | 179.387 | 614.692 | -0.000 | 0.000 | 0.000 |
| -67.149 | -58.951 | 35.585 | 83.566 | 0.000 | 0.000 |
| 0.000 | 0.000 | 0.001 | -0.000 | 130.481 | -5.600 |
| -60.466 | -60.466 | 34.607 | -0.000 | -4.081 | 111.140 |
| 479.174 | 223.386 | 145.321 | -5.324 | 0.000 | -0.000 |
| 188.747 | 470.498 | 179.385 | 5.600 | -0.000 | -0.000 |
| 250.152 | 250.152 | 546.773 | 0.000 | -0.000 | -0.000 |
| 42.081 | 52.935 | -43.679 | 86.519 | -0.000 | -0.000 |
| -0.000 | -0.000 | -0.001 | 0.000 | 130.481 | -5.600 |
| 60.466 | 60.466 | -34.607 | 0.000 | -4.081 | 111.140 |
| 929.444 | 19.404 | 19.404 | 0.000 | -0.000 | -0.000 |
| 19.404 | 929.444 | 19.404 | 0.000 | -0.000 | -0.000 |
| 19.404 | 19.404 | 929.444 | 0.000 | -0.000 | -0.000 |
| 0.000 | -0.000 | -0.000 | -33.315 | 0.000 | 0.000 |
| 0.000 | -0.000 | -0.000 | 0.000 | -33.315 | 0.000 |
| 0.000 | -0.000 | 0.000 | 0.000 | -0.000 | -33.315 |
| 929.444 | 19.404 | 19.404 | -0.000 | 0.000 | -0.000 |
| 19.404 | 929.444 | 19.404 | -0.000 | 0.000 | -0.000 |
| 19.404 | 19.404 | 929.444 | -0.000 | 0.000 | 0.000 |
| -0.000 | 0.000 | 0.000 | -33.315 | -0.000 | 0.000 |
| -0.000 | 0.000 | 0.000 | -0.000 | -33.315 | 0.000 |
| -0.000 | 0.000 | -0.000 | -0.000 | 0.000 | -33.315 |
| 929.445 | 19.404 | 19.404 | 0.000 | 0.000 | 0.000 |
| 19.404 | 929.445 | 19.404 | 0.000 | -0.000 | 0.000 |
| 19.404 | 19.404 | 929.445 | 0.000 | 0.000 | 0.000 |
| 0.000 | 0.000 | -0.000 | -33.315 | -0.000 | -0.000 |
| 0.000 | 0.000 | -0.000 | 0.000 | -33.315 | -0.000 |
| 0.000 | -0.000 | 0.000 | 0.000 | -0.000 | -33.315 |
| 929.443 | 19.404 | 19.404 | -0.000 | 0.000 | 0.000 |
| 19.404 | 929.443 | 19.404 | -0.000 | 0.000 | 0.000 |
| 19.404 | 19.404 | 929.443 | -0.000 | 0.000 | 0.000 |
| -0.000 | -0.000 | 0.000 | -33.315 | 0.000 | 0.000 |
| -0.000 | -0.000 | 0.000 | -0.000 | -33.315 | -0.000 |
| -0.000 | 0.000 | -0.000 | -0.000 | 0.000 | -33.315 |
| 929.450 | 19.404 | 19.404 | 0.000 | -0.000 | -0.000 |
| 19.404 | 929.450 | 19.404 | 0.000 | 0.000 | -0.000 |
| 19.404 | 19.404 | 929.450 | 0.000 | -0.000 | -0.000 |
| 0.000 | 0.000 | -0.001 | -33.315 | -0.000 | -0.000 |
| 0.000 | 0.000 | -0.001 | 0.000 | -33.315 | -0.000 |
| 0.000 | -0.001 | 0.000 | 0.000 | -0.000 | -33.315 |
| 929.438 | 19.404 | 19.404 | -0.000 | -0.000 | 0.000 |
| 19.404 | 929.438 | 19.404 | -0.000 | 0.000 | 0.000 |
| 19.404 | 19.404 | 929.438 | -0.000 | 0.000 | 0.000 |
| -0.000 | -0.000 | 0.001 | -33.315 | 0.000 | 0.000 |
| -0.000 | -0.000 | 0.001 | -0.000 | -33.315 | 0.000 |
| -0.000 | 0.001 | -0.000 | -0.000 | 0.000 | -33.315 |
| 397.015 | 349.022 | 349.022 | 0.000 | -0.000 | -0.000 |
| 349.022 | 397.015 | 349.022 | -0.000 | -0.000 | -0.000 |
| 349.022 | 349.022 | 397.015 | -0.000 | -0.000 | -0.000 |
| 0.000 | 0.000 | 0.000 | 293.368 | -0.000 | -0.000 |
| 0.000 | 0.000 | 0.000 | 0.000 | 293.368 | 0.000 |
| 0.000 | 0.000 | 0.000 | -0.000 | -0.000 | 293.368 |
| 397.015 | 349.022 | 349.022 | -0.000 | 0.000 | 0.000 |
| 349.022 | 397.015 | 349.022 | -0.000 | 0.000 | 0.000 |
| 349.022 | 349.022 | 397.015 | 0.000 | 0.000 | 0.000 |
| -0.000 | -0.000 | -0.000 | 293.368 | 0.000 | 0.000 |
| -0.000 | -0.000 | -0.000 | -0.000 | 293.368 | 0.000 |
| -0.000 | -0.000 | -0.000 | 0.000 | 0.000 | 293.368 |
| 397.015 | 349.022 | 349.022 | 0.000 | 0.000 | -0.000 |
| 349.022 | 397.015 | 349.022 | 0.000 | -0.000 | 0.000 |
| 349.022 | 349.022 | 397.015 | 0.000 | 0.000 | -0.000 |
| 0.000 | 0.000 | 0.000 | 293.368 | -0.000 | 0.000 |
| 0.000 | 0.000 | 0.000 | 0.000 | 293.368 | -0.000 |
| 0.000 | 0.000 | 0.000 | -0.000 | 0.000 | 293.368 |
| 397.015 | 349.021 | 349.021 | 0.000 | -0.000 | 0.000 |
| 349.021 | 397.015 | 349.021 | -0.000 | 0.000 | 0.000 |
| 349.021 | 349.021 | 397.015 | -0.000 | -0.000 | 0.000 |
| -0.000 | -0.000 | -0.000 | 293.368 | 0.000 | 0.000 |
| -0.000 | -0.000 | -0.000 | -0.000 | 293.368 | 0.000 |
| -0.000 | -0.000 | -0.000 | 0.000 | -0.000 | 293.368 |
| 397.016 | 349.023 | 349.023 | -0.000 | -0.000 | -0.000 |
| 349.023 | 397.016 | 349.023 | -0.000 | -0.000 | -0.000 |
| 349.023 | 349.023 | 397.016 | 0.000 | 0.000 | -0.000 |
| 0.001 | 0.001 | 0.001 | 293.368 | 0.000 | -0.000 |
| 0.001 | 0.001 | 0.001 | 0.000 | 293.368 | -0.000 |
| 0.001 | 0.001 | 0.001 | -0.000 | -0.000 | 293.368 |
| 397.014 | 349.020 | 349.020 | -0.000 | 0.000 | 0.000 |
| 349.020 | 397.014 | 349.020 | -0.000 | 0.000 | -0.000 |
| 349.020 | 349.020 | 397.014 | -0.000 | 0.000 | 0.000 |
| -0.001 | -0.001 | -0.001 | 293.368 | -0.000 | 0.000 |
| -0.001 | -0.001 | -0.001 | 0.000 | 293.368 | -0.000 |
| -0.001 | -0.001 | -0.001 | -0.000 | 0.000 | 293.368 |
| 80.289 | 131.958 | 131.958 | -0.000 | -0.000 | -0.000 |
| 131.958 | 80.289 | 131.958 | -0.000 | -0.000 | -0.000 |
| 131.958 | 131.958 | 80.289 | -0.000 | -0.000 | -0.000 |
| 0.000 | -0.000 | -0.000 | -57.963 | -0.000 | -0.000 |
| 0.000 | -0.000 | -0.000 | -0.000 | -57.963 | -0.000 |
| 0.000 | -0.000 | -0.000 | -0.000 | -0.000 | -57.963 |
| 80.289 | 131.958 | 131.958 | 0.000 | 0.000 | 0.000 |
| 131.958 | 80.289 | 131.958 | 0.000 | 0.000 | 0.000 |
| 131.958 | 131.958 | 80.289 | 0.000 | 0.000 | 0.000 |
| -0.000 | 0.000 | 0.000 | -57.963 | 0.000 | 0.000 |
| -0.000 | 0.000 | 0.000 | 0.000 | -57.963 | 0.000 |
| -0.000 | 0.000 | 0.000 | 0.000 | 0.000 | -57.963 |
| 80.289 | 131.958 | 131.958 | -0.000 | -0.000 | -0.000 |
| 131.958 | 80.289 | 131.958 | -0.000 | -0.000 | -0.000 |
| 131.958 | 131.958 | 80.289 | -0.000 | -0.000 | -0.000 |
| -0.000 | -0.000 | -0.000 | -57.963 | -0.000 | -0.000 |
| -0.000 | -0.000 | -0.000 | -0.000 | -57.963 | -0.000 |
| -0.000 | -0.000 | -0.000 | -0.000 | -0.000 | -57.963 |
| 80.289 | 131.958 | 131.958 | 0.000 | 0.000 | 0.000 |
| 131.958 | 80.289 | 131.958 | 0.000 | 0.000 | 0.000 |
| 131.958 | 131.958 | 80.289 | 0.000 | 0.000 | 0.000 |
| 0.000 | 0.000 | 0.000 | -57.963 | 0.000 | 0.000 |
| 0.000 | 0.000 | 0.000 | 0.000 | -57.963 | 0.000 |
| 0.000 | 0.000 | 0.000 | 0.000 | 0.000 | -57.963 |
| 80.289 | 131.958 | 131.958 | -0.000 | -0.000 | -0.000 |
| 131.958 | 80.289 | 131.958 | -0.000 | -0.000 | -0.000 |
| 131.958 | 131.958 | 80.289 | -0.000 | -0.000 | -0.000 |
| -0.000 | -0.000 | -0.000 | -57.963 | -0.000 | -0.000 |
| -0.000 | -0.000 | -0.000 | -0.000 | -57.963 | -0.000 |
| -0.000 | -0.000 | -0.000 | -0.000 | -0.000 | -57.963 |
| 80.289 | 131.957 | 131.957 | 0.000 | 0.000 | 0.000 |
| 131.957 | 80.289 | 131.957 | 0.000 | 0.000 | 0.000 |
| 131.957 | 131.957 | 80.289 | 0.000 | 0.000 | 0.000 |
| 0.000 | 0.000 | 0.000 | -57.963 | 0.000 | 0.000 |
| 0.000 | 0.000 | 0.000 | 0.000 | -57.963 | 0.000 |
| 0.000 | 0.000 | 0.000 | 0.000 | 0.000 | -57.963 |
| 425.478 | 175.836 | 356.890 | 0.000 | -0.000 | -0.000 |
| 175.836 | 425.478 | 356.890 | -0.000 | -0.000 | -0.000 |
| 356.890 | 356.890 | 614.271 | -0.000 | -0.000 | -0.000 |
| 0.000 | 0.000 | 0.000 | 300.603 | -0.000 | -0.000 |
| 0.000 | 0.000 | 0.000 | -0.000 | 300.603 | -0.000 |
| 0.000 | 0.000 | 0.000 | -0.000 | -0.000 | 124.150 |
| 425.478 | 175.836 | 356.890 | 0.000 | -0.000 | 0.000 |
| 175.836 | 425.478 | 356.890 | 0.000 | -0.000 | 0.000 |
| 356.890 | 356.890 | 614.271 | -0.000 | -0.000 | 0.000 |
| -0.000 | -0.000 | -0.000 | 300.603 | 0.000 | 0.000 |
| -0.000 | -0.000 | -0.000 | -0.000 | 300.603 | 0.000 |
| -0.000 | -0.000 | -0.000 | -0.000 | 0.000 | 124.150 |
| 425.479 | 175.836 | 356.890 | -0.000 | -0.000 | -0.000 |
| 175.836 | 425.479 | 356.890 | 0.000 | 0.000 | -0.000 |
| 356.890 | 356.890 | 614.271 | -0.000 | 0.000 | -0.000 |
| 0.000 | 0.000 | 0.000 | 300.603 | -0.000 | -0.000 |
| 0.000 | 0.000 | 0.000 | -0.000 | 300.603 | -0.000 |
| 0.000 | 0.000 | 0.000 | -0.000 | -0.000 | 124.150 |
| 425.478 | 175.836 | 356.890 | -0.000 | -0.000 | 0.000 |
| 175.836 | 425.478 | 356.890 | -0.000 | 0.000 | 0.000 |
| 356.890 | 356.890 | 614.271 | -0.000 | -0.000 | 0.000 |
| -0.000 | -0.000 | -0.000 | 300.603 | 0.000 | 0.000 |
| -0.000 | -0.000 | -0.000 | -0.000 | 300.603 | 0.000 |
| -0.000 | -0.000 | -0.000 | -0.000 | 0.000 | 124.150 |
| 425.482 | 175.837 | 356.891 | -0.000 | 0.000 | -0.000 |
| 175.837 | 425.482 | 356.891 | 0.000 | 0.000 | -0.000 |
| 356.892 | 356.892 | 614.273 | -0.000 | 0.000 | -0.000 |
| 0.001 | 0.000 | 0.002 | 300.603 | -0.000 | -0.000 |
| 0.000 | 0.001 | 0.002 | 0.000 | 300.603 | -0.000 |
| 0.000 | 0.000 | 0.001 | -0.000 | -0.000 | 124.150 |
| 425.475 | 175.835 | 356.889 | -0.000 | -0.000 | 0.000 |
| 175.835 | 425.475 | 356.889 | -0.000 | 0.000 | 0.000 |
| 356.887 | 356.887 | 614.268 | 0.000 | -0.000 | 0.000 |
| -0.001 | -0.000 | -0.002 | 300.603 | 0.000 | 0.000 |
| -0.000 | -0.001 | -0.002 | 0.000 | 300.603 | 0.000 |
| -0.000 | -0.000 | -0.001 | -0.000 | 0.000 | 124.150 |
| 529.388 | 145.411 | 152.546 | -0.000 | 0.000 | 0.000 |
| 230.140 | 372.446 | 291.621 | -0.000 | 0.000 | 0.000 |
| 137.020 | 294.987 | 740.063 | -0.000 | 0.000 | 0.000 |
| 0.000 | 0.000 | 0.000 | 242.433 | 0.000 | 0.000 |
| 0.016 | 0.679 | 0.279 | -0.000 | 18.975 | 0.000 |
| -0.486 | 0.609 | 0.465 | -0.000 | 0.000 | 194.672 |
| 529.531 | 143.576 | 151.712 | 0.000 | -0.000 | -0.000 |
| 144.565 | 317.710 | 305.321 | 0.000 | -0.000 | -0.000 |
| 137.837 | 293.804 | 739.214 | 0.000 | -0.000 | -0.000 |
| -0.000 | -0.000 | -0.000 | 242.433 | -0.000 | -0.000 |
| -0.016 | -0.679 | -0.279 | 0.000 | 18.975 | -0.000 |
| 0.486 | -0.609 | -0.465 | 0.000 | -0.000 | 194.672 |
| 529.454 | 144.586 | 152.171 | -0.000 | 0.000 | 0.000 |
| 144.487 | 318.720 | 305.779 | -0.000 | 0.000 | 0.000 |
| 132.128 | 297.000 | 743.011 | -0.000 | -0.000 | 0.000 |
| -0.032 | 0.073 | 0.045 | 190.717 | 0.000 | 0.000 |
| 0.002 | 0.068 | 0.028 | -0.000 | 18.991 | 0.000 |
| -0.048 | 0.061 | 0.047 | -0.000 | 0.000 | 194.672 |
| 615.650 | 226.072 | 149.463 | 0.000 | -0.000 | -0.000 |
| 248.527 | 403.979 | 297.000 | 0.000 | -0.000 | -0.000 |
| 152.136 | 305.645 | 738.059 | 0.000 | -0.000 | -0.000 |
| 0.032 | -0.073 | -0.045 | 190.717 | -0.000 | -0.000 |
| -0.002 | -0.068 | -0.028 | 0.000 | 18.991 | -0.000 |
| 0.048 | -0.061 | -0.047 | 0.000 | -0.000 | 194.672 |
| 529.475 | 144.514 | 152.135 | -0.000 | 0.000 | 0.000 |
| 144.498 | 318.644 | 305.742 | -0.000 | 0.000 | 0.000 |
| 137.409 | 294.404 | 739.655 | -0.000 | 0.000 | 0.000 |
| -0.002 | 0.006 | 0.005 | 190.717 | 0.000 | 0.000 |
| 0.001 | 0.007 | 0.002 | -0.000 | 18.991 | 0.000 |
| -0.003 | 0.007 | 0.005 | -0.000 | 0.000 | 194.672 |
| 529.470 | 144.496 | 152.122 | 0.000 | -0.000 | -0.000 |
| 144.489 | 318.610 | 305.733 | 0.000 | -0.000 | -0.000 |
| 132.127 | 296.997 | 743.005 | 0.000 | -0.000 | -0.000 |
| 0.002 | -0.006 | -0.005 | 190.717 | -0.000 | -0.000 |
| -0.001 | -0.007 | -0.002 | 0.000 | 18.991 | -0.000 |
| 0.003 | -0.007 | -0.005 | 0.000 | -0.000 | 194.672 |
| 346.155 | 143.793 | 205.792 | 0.000 | 0.000 | 0.000 |
| 143.793 | 346.155 | 205.792 | 0.000 | 0.000 | 0.000 |
| 205.792 | 205.792 | 828.912 | 0.000 | 0.000 | 0.000 |
| -0.000 | 0.000 | 0.000 | 156.499 | 0.000 | 0.000 |
| -0.000 | 0.000 | 0.000 | 0.000 | 156.499 | 0.000 |
| -0.000 | 0.000 | 0.000 | 0.000 | 0.000 | 9.678 |
| 346.155 | 143.793 | 205.792 | 0.000 | -0.000 | -0.000 |
| 235.297 | 254.652 | 205.792 | -0.000 | -0.000 | -0.000 |
| 205.792 | 205.792 | 828.912 | -0.000 | -0.000 | -0.000 |
| -0.000 | 0.000 | -0.000 | 156.499 | -0.000 | -0.000 |
| 0.000 | 0.000 | -0.000 | -0.000 | 156.499 | -0.000 |
| 0.000 | -0.000 | 0.000 | -0.000 | -0.000 | 9.678 |
| 346.156 | 143.793 | 205.792 | 0.000 | -0.000 | 0.000 |
| 235.297 | 254.652 | 205.792 | 0.000 | 0.000 | 0.000 |
| 205.792 | 205.792 | 828.913 | 0.000 | 0.000 | 0.000 |
| 0.000 | -0.000 | 0.000 | 156.499 | 0.000 | 0.000 |
| -0.000 | 0.000 | 0.000 | 0.000 | 156.499 | 0.000 |
| 0.000 | 0.000 | -0.000 | 0.000 | 0.000 | 9.678 |
| 254.651 | 235.297 | 205.792 | -0.000 | -0.000 | -0.000 |
| 143.793 | 346.155 | 205.792 | -0.000 | -0.000 | -0.000 |
| 205.792 | 205.792 | 828.911 | -0.000 | -0.000 | -0.000 |
| -0.000 | 0.000 | -0.000 | 156.499 | -0.000 | -0.000 |
| 0.000 | -0.000 | -0.000 | -0.000 | 156.499 | -0.000 |
| -0.000 | -0.000 | 0.000 | -0.000 | -0.000 | 9.678 |
| 254.660 | 235.294 | 205.792 | 0.000 | 0.000 | 0.000 |
| 235.302 | 254.652 | 205.792 | 0.000 | 0.000 | 0.000 |
| 205.794 | 205.794 | 828.918 | 0.000 | -0.000 | 0.000 |
| 0.001 | -0.000 | 0.002 | 156.499 | 0.000 | 0.000 |
| 0.000 | 0.000 | 0.002 | 0.000 | 156.499 | 0.000 |
| 0.000 | 0.001 | -0.000 | 0.000 | 0.000 | 9.678 |
| 254.665 | 235.280 | 205.791 | -0.000 | -0.000 | -0.000 |
| 235.292 | 254.652 | 205.791 | -0.000 | -0.000 | -0.000 |
| 205.790 | 205.790 | 828.906 | -0.000 | -0.000 | -0.000 |
| -0.001 | 0.000 | -0.002 | 156.499 | -0.000 | -0.000 |
| -0.000 | -0.000 | -0.002 | -0.000 | 156.499 | -0.000 |
| -0.000 | -0.001 | 0.000 | -0.000 | -0.000 | 9.678 |
| 180.220 | 216.596 | 216.596 | -0.000 | -0.000 | -0.000 |
| 216.596 | 180.220 | 216.596 | -0.000 | 0.000 | 0.000 |
| 216.596 | 216.596 | 180.220 | 0.000 | -0.000 | -0.000 |
| 0.000 | 0.000 | 0.000 | 171.832 | -0.000 | -0.000 |
| 0.000 | -0.000 | 0.000 | 0.000 | 171.832 | -0.000 |
| 0.000 | 0.000 | 0.000 | 0.000 | -0.000 | 171.832 |
| 180.220 | 216.596 | 216.596 | -0.000 | 0.000 | 0.000 |
| 216.596 | 180.220 | 216.596 | 0.000 | 0.000 | 0.000 |
| 216.596 | 216.596 | 180.220 | 0.000 | 0.000 | 0.000 |
| -0.000 | 0.000 | -0.000 | 171.832 | 0.000 | -0.000 |
| -0.000 | 0.000 | -0.000 | -0.000 | 171.832 | -0.000 |
| 0.000 | -0.000 | -0.000 | -0.000 | 0.000 | 171.832 |
| 180.220 | 216.596 | 216.596 | -0.000 | -0.000 | 0.000 |
| 216.596 | 180.220 | 216.596 | -0.000 | -0.000 | -0.000 |
| 216.596 | 216.596 | 180.220 | 0.000 | 0.000 | 0.000 |
| -0.000 | -0.000 | -0.000 | -35.720 | 0.000 | -0.000 |
| -0.000 | -0.000 | -0.000 | 0.000 | -35.720 | 0.000 |
| -0.000 | -0.000 | -0.000 | 0.000 | -0.000 | -35.720 |
| 180.220 | 216.596 | 216.596 | 0.000 | 0.000 | 0.000 |
| 216.596 | 180.220 | 216.596 | 0.000 | 0.000 | 0.000 |
| 216.596 | 216.596 | 180.220 | -0.000 | 0.000 | 0.000 |
| 0.000 | 0.000 | 0.000 | -35.720 | 0.000 | 0.000 |
| 0.000 | 0.000 | 0.000 | 0.000 | -35.720 | -0.000 |
| 0.000 | 0.000 | 0.000 | -0.000 | 0.000 | -35.720 |
| 180.219 | 216.597 | 216.597 | -0.000 | -0.000 | -0.000 |
| 216.597 | 180.219 | 216.597 | -0.000 | -0.000 | 0.000 |
| 216.597 | 216.597 | 180.219 | 0.000 | -0.000 | -0.000 |
| -0.000 | -0.000 | -0.000 | -35.720 | -0.000 | -0.000 |
| -0.000 | -0.000 | -0.000 | -0.000 | -35.720 | 0.000 |
| -0.000 | -0.000 | -0.000 | 0.000 | -0.000 | -35.720 |
| 180.220 | 216.596 | 216.596 | 0.000 | 0.000 | 0.000 |
| 216.596 | 180.220 | 216.596 | 0.000 | 0.000 | 0.000 |
| 216.596 | 216.596 | 180.220 | -0.000 | 0.000 | 0.000 |
| 0.000 | 0.000 | 0.000 | -35.720 | 0.000 | -0.000 |
| 0.000 | 0.000 | 0.000 | -0.000 | -35.720 | -0.000 |
| 0.000 | 0.000 | 0.000 | -0.000 | 0.000 | -35.720 |
| 480.581 | 68.241 | 68.241 | 0.000 | 0.000 | 0.000 |
| 68.241 | 480.581 | 68.241 | 0.000 | -0.000 | -0.000 |
| 68.241 | 68.241 | 480.581 | 0.000 | -0.000 | 0.000 |
| 0.000 | 0.000 | -0.000 | -6.822 | 0.000 | 0.000 |
| -0.000 | -0.000 | 0.000 | 0.000 | -6.822 | 0.000 |
| -0.000 | -0.000 | 0.000 | 0.000 | 0.000 | -6.822 |
| 481.016 | 68.024 | 68.024 | -0.000 | -0.000 | -0.000 |
| 68.024 | 481.016 | 68.024 | -0.000 | 0.000 | -0.000 |
| 68.024 | 68.024 | 481.016 | -0.000 | 0.000 | 0.000 |
| -0.000 | -0.000 | 0.000 | -6.822 | -0.000 | -0.000 |
| 0.000 | 0.000 | -0.000 | -0.000 | -6.822 | -0.000 |
| 0.000 | 0.000 | -0.000 | -0.000 | -0.000 | -6.822 |
| 480.581 | 68.241 | 68.241 | 0.000 | 0.000 | -0.000 |
| 68.241 | 480.581 | 68.241 | -0.000 | -0.000 | -0.000 |
| 68.241 | 68.241 | 480.581 | 0.000 | -0.000 | 0.000 |
| -0.000 | -0.000 | -0.000 | 20.589 | -0.000 | 0.000 |
| -0.000 | -0.000 | -0.000 | 0.000 | 20.589 | 0.000 |
| -0.000 | -0.000 | -0.000 | 0.000 | 0.000 | 20.589 |
| 480.581 | 68.241 | 68.241 | -0.000 | 0.000 | -0.000 |
| 68.241 | 480.581 | 68.241 | -0.000 | 0.000 | 0.000 |
| 68.241 | 68.241 | 480.581 | -0.000 | 0.000 | 0.000 |
| 0.000 | 0.000 | 0.000 | 20.589 | 0.000 | -0.000 |
| 0.000 | 0.000 | 0.000 | -0.000 | 20.589 | -0.000 |
| 0.000 | 0.000 | 0.000 | -0.000 | -0.000 | 20.589 |
| 481.018 | 68.024 | 68.024 | 0.000 | 0.000 | 0.000 |
| 68.024 | 481.018 | 68.024 | 0.000 | -0.000 | 0.000 |
| 68.024 | 68.024 | 481.018 | 0.000 | 0.000 | 0.000 |
| -0.001 | -0.001 | -0.001 | -6.822 | 0.000 | 0.000 |
| -0.001 | -0.001 | -0.001 | 0.000 | -6.822 | 0.000 |
| -0.001 | -0.001 | -0.001 | 0.000 | 0.000 | -6.822 |
| 481.014 | 68.024 | 68.024 | -0.000 | 0.000 | -0.000 |
| 68.024 | 481.014 | 68.024 | -0.000 | -0.000 | -0.000 |
| 68.024 | 68.024 | 481.014 | -0.000 | 0.000 | -0.000 |
| 0.001 | 0.001 | 0.001 | -6.822 | -0.000 | 0.000 |
| 0.001 | 0.001 | 0.001 | -0.000 | -6.822 | -0.000 |
| 0.001 | 0.001 | 0.001 | -0.000 | -0.000 | -6.822 |
| 303.153 | 230.993 | 230.993 | -0.000 | -0.000 | -0.000 |
| 230.993 | 303.153 | 230.993 | -0.000 | -0.000 | -0.000 |
| 230.993 | 230.993 | 303.153 | -0.000 | -0.000 | -0.000 |
| 0.000 | -0.000 | -0.000 | 167.970 | -0.000 | -0.000 |
| 0.000 | 0.000 | -0.000 | -0.000 | 167.970 | -0.000 |
| 0.000 | 0.000 | -0.000 | -0.000 | -0.000 | 167.970 |
| 303.153 | 230.993 | 230.993 | 0.000 | -0.000 | 0.000 |
| 230.993 | 303.153 | 230.993 | 0.000 | -0.000 | 0.000 |
| 230.993 | 230.993 | 303.153 | 0.000 | -0.000 | 0.000 |
| -0.000 | -0.000 | 0.000 | 167.970 | 0.000 | 0.000 |
| 0.000 | -0.000 | 0.000 | 0.000 | 167.970 | 0.000 |
| -0.000 | -0.000 | 0.000 | 0.000 | 0.000 | 167.970 |
| 303.153 | 230.993 | 230.993 | -0.000 | -0.000 | -0.000 |
| 230.993 | 303.153 | 230.993 | -0.000 | -0.000 | -0.000 |
| 230.993 | 230.993 | 303.153 | -0.000 | -0.000 | -0.000 |
| 0.000 | 0.000 | 0.000 | 167.970 | -0.000 | -0.000 |
| 0.000 | 0.000 | 0.000 | -0.000 | 167.970 | -0.000 |
| 0.000 | 0.000 | 0.000 | -0.000 | -0.000 | 167.970 |
| 303.153 | 230.992 | 230.992 | 0.000 | 0.000 | 0.000 |
| 230.992 | 303.153 | 230.992 | 0.000 | -0.000 | 0.000 |
| 230.992 | 230.992 | 303.153 | 0.000 | 0.000 | 0.000 |
| -0.000 | -0.000 | -0.000 | 167.970 | 0.000 | 0.000 |
| -0.000 | -0.000 | -0.000 | 0.000 | 167.970 | 0.000 |
| -0.000 | -0.000 | -0.000 | 0.000 | 0.000 | 167.970 |
| 303.152 | 230.994 | 230.994 | 0.000 | -0.000 | -0.000 |
| 230.994 | 303.152 | 230.994 | -0.000 | 0.000 | -0.000 |
| 230.994 | 230.994 | 303.152 | -0.000 | -0.000 | -0.000 |
| 0.001 | 0.001 | 0.001 | 167.970 | -0.000 | -0.000 |
| 0.001 | 0.001 | 0.001 | -0.000 | 167.970 | -0.000 |
| 0.001 | 0.001 | 0.001 | -0.000 | -0.000 | 167.970 |
| 303.153 | 230.991 | 230.991 | 0.000 | 0.000 | 0.000 |
| 230.991 | 303.153 | 230.991 | 0.000 | 0.000 | 0.000 |
| 230.991 | 230.991 | 303.153 | 0.000 | 0.000 | 0.000 |
| -0.001 | -0.001 | -0.001 | 167.970 | 0.000 | 0.000 |
| -0.001 | -0.001 | -0.001 | 0.000 | 167.970 | 0.000 |
| -0.001 | -0.001 | -0.001 | 0.000 | 0.000 | 167.970 |
| 376.628 | 257.834 | 257.834 | 0.000 | 0.000 | -0.000 |
| 257.834 | 376.628 | 257.834 | -0.000 | 0.000 | -0.000 |
| 257.834 | 257.834 | 376.628 | -0.000 | -0.000 | 0.000 |
| 0.000 | 0.000 | 0.000 | 203.145 | 0.000 | -0.000 |
| 0.000 | -0.000 | 0.000 | 0.000 | 203.145 | -0.000 |
| 0.000 | 0.000 | 0.000 | 0.000 | -0.000 | 203.145 |
| 376.628 | 257.834 | 257.834 | 0.000 | -0.000 | 0.000 |
| 257.834 | 376.628 | 257.834 | -0.000 | -0.000 | -0.000 |
| 257.834 | 257.834 | 376.628 | 0.000 | 0.000 | 0.000 |
| -0.000 | -0.000 | -0.000 | 203.145 | -0.000 | 0.000 |
| -0.000 | 0.000 | -0.000 | -0.000 | 203.145 | 0.000 |
| -0.000 | -0.000 | -0.000 | -0.000 | -0.000 | 203.145 |
| 376.628 | 257.834 | 257.834 | 0.000 | 0.000 | -0.000 |
| 257.834 | 376.628 | 257.834 | -0.000 | 0.000 | -0.000 |
| 257.834 | 257.834 | 376.628 | -0.000 | 0.000 | -0.000 |
| -0.000 | 0.000 | 0.000 | 203.145 | 0.000 | -0.000 |
| 0.000 | -0.000 | 0.000 | 0.000 | 203.145 | -0.000 |
| 0.000 | 0.000 | -0.000 | 0.000 | 0.000 | 203.145 |
| 376.628 | 257.834 | 257.834 | -0.000 | -0.000 | 0.000 |
| 257.834 | 376.628 | 257.834 | -0.000 | -0.000 | 0.000 |
| 257.834 | 257.834 | 376.628 | -0.000 | -0.000 | 0.000 |
| 0.000 | -0.000 | -0.000 | 203.145 | -0.000 | 0.000 |
| -0.000 | 0.000 | -0.000 | -0.000 | 203.145 | 0.000 |
| -0.000 | -0.000 | 0.000 | -0.000 | 0.000 | 203.145 |
| 376.632 | 257.836 | 257.836 | -0.000 | -0.000 | -0.000 |
| 257.836 | 376.632 | 257.836 | -0.000 | 0.000 | -0.000 |
| 257.836 | 257.836 | 376.632 | 0.000 | 0.000 | -0.000 |
| -0.000 | 0.002 | 0.002 | 203.145 | 0.000 | 0.000 |
| 0.002 | -0.000 | 0.002 | 0.000 | 203.145 | -0.000 |
| 0.002 | 0.002 | -0.000 | 0.000 | -0.000 | 203.145 |
| 376.624 | 257.832 | 257.832 | 0.000 | 0.000 | 0.000 |
| 257.832 | 376.624 | 257.832 | 0.000 | 0.000 | 0.000 |
| 257.832 | 257.832 | 376.624 | -0.000 | -0.000 | 0.000 |
| 0.000 | -0.002 | -0.002 | 203.145 | -0.000 | 0.000 |
| -0.002 | 0.000 | -0.002 | 0.000 | 203.145 | 0.000 |
| -0.002 | -0.002 | 0.000 | 0.000 | -0.000 | 203.145 |
| 351.151 | 315.009 | 232.071 | -0.000 | 0.000 | -0.000 |
| 315.009 | 351.151 | 232.071 | 0.000 | 0.000 | -0.000 |
| 232.071 | 232.071 | 296.180 | 0.000 | -0.000 | -0.000 |
| -0.000 | 0.000 | 0.000 | 172.643 | -0.000 | -0.000 |
| 0.000 | -0.000 | 0.000 | 0.000 | 172.643 | -0.000 |
| 0.000 | 0.000 | 0.000 | 0.000 | -0.000 | 240.883 |
| 351.151 | 315.009 | 232.071 | -0.000 | -0.000 | 0.000 |
| 315.009 | 351.151 | 232.071 | -0.000 | -0.000 | 0.000 |
| 232.071 | 232.071 | 296.180 | 0.000 | -0.000 | 0.000 |
| 0.000 | -0.000 | -0.000 | 172.643 | 0.000 | 0.000 |
| -0.000 | 0.000 | -0.000 | -0.000 | 172.643 | 0.000 |
| -0.000 | -0.000 | -0.000 | 0.000 | 0.000 | 240.883 |
| 351.152 | 315.009 | 232.071 | 0.000 | -0.000 | -0.000 |
| 315.009 | 351.152 | 232.071 | -0.000 | -0.000 | -0.000 |
| 232.071 | 232.071 | 296.180 | -0.000 | 0.000 | -0.000 |
| -0.000 | 0.000 | 0.000 | 179.040 | 0.000 | -0.000 |
| 0.000 | -0.000 | 0.000 | 0.000 | 179.040 | -0.000 |
| 0.000 | 0.000 | -0.000 | -0.000 | 0.000 | 240.883 |
| 351.151 | 315.008 | 232.071 | -0.000 | -0.000 | 0.000 |
| 315.008 | 351.151 | 232.071 | -0.000 | 0.000 | 0.000 |
| 232.071 | 232.071 | 296.180 | -0.000 | -0.000 | 0.000 |
| 0.000 | -0.000 | -0.000 | 179.040 | -0.000 | -0.000 |
| -0.000 | 0.000 | -0.000 | -0.000 | 179.040 | 0.000 |
| -0.000 | -0.000 | 0.000 | 0.000 | 0.000 | 240.883 |
| 370.052 | 296.114 | 232.073 | -0.000 | -0.000 | -0.000 |
| 296.114 | 370.052 | 232.073 | -0.000 | -0.000 | -0.000 |
| 232.073 | 232.073 | 296.183 | -0.000 | -0.000 | -0.000 |
| -0.000 | 0.002 | 0.002 | 172.643 | -0.000 | -0.000 |
| 0.002 | -0.000 | 0.002 | -0.000 | 172.643 | -0.000 |
| 0.002 | 0.002 | -0.000 | 0.000 | 0.000 | 240.883 |
| 370.045 | 296.109 | 232.069 | -0.000 | -0.000 | 0.000 |
| 296.109 | 370.045 | 232.069 | 0.000 | -0.000 | 0.000 |
| 232.069 | 232.069 | 296.177 | -0.000 | -0.000 | 0.000 |
| 0.000 | -0.002 | -0.002 | 172.643 | 0.000 | 0.000 |
| -0.002 | 0.000 | -0.002 | 0.000 | 172.643 | 0.000 |
| -0.002 | -0.002 | 0.000 | -0.000 | -0.000 | 240.883 |
| 1923.741 | 1639.057 | -701.225 | 0.000 | -0.000 | -0.000 |
| 207.468 | 513.080 | 159.451 | 0.000 | 0.000 | 0.000 |
| 1599.830 | 1599.830 | -262.912 | 0.000 | -0.000 | 0.000 |
| 0.000 | -0.000 | 0.000 | 104.459 | -0.000 | -0.000 |
| -0.000 | -0.000 | 0.000 | 0.000 | 104.459 | -0.000 |
| 1433.086 | 1433.086 | -867.920 | 0.000 | -0.000 | 85.818 |
| -942.582 | -1227.266 | 1034.707 | 0.000 | 0.000 | 0.000 |
| -1227.266 | -942.581 | 1034.707 | -0.000 | 0.000 | 0.000 |
| 159.451 | 159.451 | 609.425 | -0.000 | -0.000 | -0.000 |
| 0.000 | -0.000 | -0.000 | 104.459 | 0.000 | 0.000 |
| -0.000 | 0.000 | -0.000 | -0.000 | 104.459 | 0.000 |
| -1433.086 | -1433.086 | 867.920 | -0.000 | 0.000 | 85.818 |
| 513.080 | 207.468 | 159.451 | -0.000 | -0.000 | -0.000 |
| 405.700 | 577.336 | 79.966 | 0.000 | -0.000 | -0.000 |
| 159.451 | 159.451 | 609.425 | -0.000 | 0.000 | 0.000 |
| 0.000 | 0.000 | 0.000 | 104.459 | -0.000 | -0.000 |
| 0.000 | 0.000 | 0.000 | 0.000 | 104.459 | -0.000 |
| 0.000 | 0.000 | 0.000 | 0.000 | -0.000 | 152.806 |
| 346.555 | 61.960 | 253.939 | -0.000 | 0.000 | -0.000 |
| 61.960 | 346.555 | 253.939 | -0.000 | 0.000 | 0.000 |
| 159.451 | 159.451 | 609.424 | -0.000 | 0.000 | 0.000 |
| -0.000 | -0.000 | -0.000 | 104.459 | 0.000 | -0.000 |
| -0.000 | -0.000 | -0.000 | -0.000 | 104.459 | 0.000 |
| -0.000 | -0.000 | -0.000 | -0.000 | -0.000 | 152.806 |
| 513.088 | 207.469 | 159.452 | -0.000 | -0.000 | -0.000 |
| 275.593 | 447.025 | 158.828 | 0.000 | -0.000 | -0.000 |
| 159.453 | 159.453 | 609.432 | 0.000 | -0.000 | -0.000 |
| 15.704 | 15.704 | -9.509 | 102.115 | -0.000 | -0.000 |
| 0.000 | 0.000 | 0.002 | 0.000 | 104.459 | -0.000 |
| 0.000 | 0.002 | 0.000 | 0.000 | 0.000 | 152.806 |
| 470.888 | 189.251 | 177.741 | 0.000 | 0.000 | -0.000 |
| 207.466 | 513.073 | 159.451 | -0.000 | -0.000 | 0.000 |
| 159.449 | 159.449 | 609.418 | -0.000 | -0.000 | -0.000 |
| -15.704 | -15.704 | 9.509 | 102.115 | 0.000 | 0.000 |
| -0.000 | -0.000 | -0.002 | -0.000 | 104.459 | 0.000 |
| -0.000 | -0.002 | -0.000 | -0.000 | 0.000 | 152.806 |
| 221.511 | 196.220 | 196.220 | 0.000 | 0.000 | 0.000 |
| 196.220 | 221.511 | 196.220 | 0.000 | 0.000 | 0.000 |
| 196.220 | 196.220 | 221.511 | 0.000 | 0.000 | 0.000 |
| -0.000 | 0.000 | 0.000 | 146.078 | 0.000 | 0.000 |
| 0.000 | -0.000 | 0.000 | 0.000 | 146.078 | 0.000 |
| 0.000 | 0.000 | -0.000 | 0.000 | 0.000 | 146.078 |
| 221.511 | 196.220 | 196.220 | -0.000 | -0.000 | -0.000 |
| 196.220 | 221.511 | 196.220 | -0.000 | -0.000 | -0.000 |
| 196.220 | 196.220 | 221.511 | 0.000 | -0.000 | -0.000 |
| 0.000 | -0.000 | -0.000 | 146.078 | -0.000 | -0.000 |
| -0.000 | 0.000 | -0.000 | 0.000 | 146.078 | -0.000 |
| -0.000 | -0.000 | 0.000 | -0.000 | -0.000 | 146.078 |
| 221.511 | 196.220 | 196.220 | 0.000 | 0.000 | 0.000 |
| 196.220 | 221.511 | 196.220 | 0.000 | 0.000 | 0.000 |
| 196.220 | 196.220 | 221.511 | 0.000 | 0.000 | 0.000 |
| -0.000 | 0.000 | 0.000 | 146.078 | 0.000 | 0.000 |
| 0.000 | -0.000 | 0.000 | 0.000 | 146.078 | 0.000 |
| 0.000 | 0.000 | -0.000 | 0.000 | 0.000 | 146.078 |
| 221.511 | 196.220 | 196.220 | -0.000 | -0.000 | -0.000 |
| 196.220 | 221.511 | 196.220 | -0.000 | -0.000 | -0.000 |
| 196.220 | 196.220 | 221.511 | 0.000 | -0.000 | -0.000 |
| 0.000 | -0.000 | -0.000 | 146.078 | -0.000 | -0.000 |
| -0.000 | 0.000 | -0.000 | -0.000 | 146.078 | -0.000 |
| -0.000 | -0.000 | 0.000 | 0.000 | -0.000 | 146.078 |
| 221.513 | 196.221 | 196.221 | 0.000 | 0.000 | 0.000 |
| 196.221 | 221.513 | 196.221 | -0.000 | 0.000 | 0.000 |
| 196.221 | 196.221 | 221.513 | 0.000 | 0.000 | 0.000 |
| -0.000 | 0.001 | 0.001 | 146.078 | 0.000 | 0.000 |
| 0.001 | -0.000 | 0.001 | -0.000 | 146.078 | 0.000 |
| 0.001 | 0.001 | -0.000 | 0.000 | 0.000 | 146.078 |
| 221.509 | 196.219 | 196.219 | -0.000 | -0.000 | -0.000 |
| 196.219 | 221.509 | 196.219 | -0.000 | -0.000 | -0.000 |
| 196.219 | 196.219 | 221.509 | -0.000 | -0.000 | -0.000 |
| 0.000 | -0.001 | -0.001 | 146.078 | -0.000 | -0.000 |
| -0.001 | 0.000 | -0.001 | -0.000 | 146.078 | -0.000 |
| -0.001 | -0.001 | 0.000 | -0.000 | -0.000 | 146.078 |
| 526.376 | 119.621 | 119.621 | -0.000 | -0.000 | 0.000 |
| 119.621 | 526.376 | 119.621 | 0.000 | 0.000 | -0.000 |
| 119.621 | 119.621 | 526.376 | -0.000 | 0.000 | 0.000 |
| 0.000 | -0.000 | 0.000 | 68.967 | 0.000 | -0.000 |
| 0.000 | -0.000 | 0.000 | 0.000 | 68.967 | 0.000 |
| 0.000 | -0.000 | 0.000 | -0.000 | 0.000 | 68.967 |
| 527.349 | 119.134 | 119.134 | -0.000 | -0.000 | -0.000 |
| 119.134 | 527.349 | 119.134 | -0.000 | 0.000 | 0.000 |
| 119.134 | 119.134 | 527.349 | -0.000 | 0.000 | -0.000 |
| 0.000 | 0.000 | -0.000 | 68.967 | 0.000 | 0.000 |
| -0.000 | 0.000 | -0.000 | 0.000 | 68.967 | 0.000 |
| -0.000 | 0.000 | -0.000 | 0.000 | -0.000 | 68.967 |
| 527.349 | 119.134 | 119.134 | 0.000 | 0.000 | 0.000 |
| 119.134 | 527.349 | 119.134 | 0.000 | -0.000 | -0.000 |
| 119.134 | 119.134 | 527.349 | 0.000 | -0.000 | 0.000 |
| -0.000 | -0.000 | -0.000 | 68.967 | -0.000 | -0.000 |
| -0.000 | -0.000 | -0.000 | -0.000 | 68.967 | -0.000 |
| -0.000 | -0.000 | -0.000 | 0.000 | 0.000 | 68.967 |
| 526.376 | 119.621 | 119.621 | -0.000 | 0.000 | 0.000 |
| 119.621 | 526.376 | 119.621 | -0.000 | -0.000 | 0.000 |
| 119.621 | 119.621 | 526.376 | 0.000 | 0.000 | -0.000 |
| 0.000 | 0.000 | 0.000 | 68.967 | 0.000 | -0.000 |
| 0.000 | 0.000 | 0.000 | -0.000 | 68.967 | 0.000 |
| 0.000 | 0.000 | 0.000 | -0.000 | 0.000 | 68.967 |
| 526.378 | 119.620 | 119.620 | -0.000 | 0.000 | -0.000 |
| 119.620 | 526.378 | 119.620 | -0.000 | -0.000 | -0.000 |
| 119.620 | 119.620 | 526.378 | -0.000 | -0.000 | 0.000 |
| -0.000 | -0.000 | -0.000 | 68.967 | -0.000 | -0.000 |
| -0.000 | -0.000 | -0.000 | 0.000 | 68.967 | 0.000 |
| -0.000 | -0.000 | -0.000 | 0.000 | -0.000 | 68.967 |
| 526.374 | 119.621 | 119.621 | 0.000 | -0.000 | -0.000 |
| 119.621 | 526.374 | 119.621 | -0.000 | -0.000 | 0.000 |
| 119.621 | 119.621 | 526.374 | -0.000 | 0.000 | -0.000 |
| 0.000 | 0.000 | 0.000 | 68.967 | -0.000 | -0.000 |
| 0.000 | 0.000 | 0.000 | -0.000 | 68.967 | 0.000 |
| 0.000 | 0.000 | 0.000 | -0.000 | 0.000 | 68.967 |
| 522.413 | 204.391 | 204.391 | -0.000 | 0.000 | -0.000 |
| 204.391 | 522.413 | 204.391 | -0.000 | -0.000 | -0.000 |
| 204.391 | 204.391 | 522.413 | -0.000 | -0.000 | -0.000 |
| 0.000 | 0.000 | 0.000 | 160.588 | -0.000 | -0.000 |
| 0.000 | 0.000 | 0.000 | -0.000 | 160.588 | -0.000 |
| 0.000 | 0.000 | 0.000 | -0.000 | 0.000 | 160.588 |
| 522.413 | 204.391 | 204.391 | 0.000 | -0.000 | 0.000 |
| 204.391 | 522.413 | 204.391 | 0.000 | -0.000 | 0.000 |
| 204.391 | 204.391 | 522.413 | 0.000 | -0.000 | 0.000 |
| -0.000 | -0.000 | -0.000 | 160.588 | 0.000 | -0.000 |
| -0.000 | -0.000 | -0.000 | 0.000 | 160.588 | 0.000 |
| -0.000 | -0.000 | -0.000 | 0.000 | 0.000 | 160.588 |
| 522.413 | 204.391 | 204.391 | -0.000 | -0.000 | 0.000 |
| 204.391 | 522.413 | 204.391 | -0.000 | 0.000 | -0.000 |
| 204.391 | 204.391 | 522.413 | -0.000 | 0.000 | -0.000 |
| 0.000 | 0.000 | 0.000 | 160.588 | -0.000 | -0.000 |
| 0.000 | 0.000 | 0.000 | -0.000 | 160.588 | -0.000 |
| 0.000 | 0.000 | 0.000 | -0.000 | -0.000 | 160.588 |
| 522.414 | 204.391 | 204.391 | 0.000 | -0.000 | -0.000 |
| 204.391 | 522.414 | 204.391 | 0.000 | -0.000 | 0.000 |
| 204.391 | 204.391 | 522.414 | 0.000 | -0.000 | 0.000 |
| -0.000 | -0.000 | -0.000 | 160.588 | -0.000 | 0.000 |
| -0.000 | -0.000 | -0.000 | 0.000 | 160.588 | 0.000 |
| -0.000 | -0.000 | -0.000 | 0.000 | 0.000 | 160.588 |
| 522.409 | 204.392 | 204.392 | -0.000 | 0.000 | -0.000 |
| 204.392 | 522.409 | 204.392 | -0.000 | -0.000 | 0.000 |
| 204.392 | 204.392 | 522.409 | -0.000 | 0.000 | -0.000 |
| 0.001 | 0.001 | 0.001 | 160.588 | -0.000 | -0.000 |
| 0.001 | 0.001 | 0.001 | -0.000 | 160.588 | -0.000 |
| 0.001 | 0.001 | 0.001 | -0.000 | 0.000 | 160.588 |
| 522.417 | 204.390 | 204.390 | 0.000 | 0.000 | 0.000 |
| 204.390 | 522.417 | 204.390 | 0.000 | -0.000 | 0.000 |
| 204.390 | 204.390 | 522.417 | -0.000 | -0.000 | -0.000 |
| -0.001 | -0.001 | -0.001 | 160.588 | -0.000 | 0.000 |
| -0.001 | -0.001 | -0.001 | 0.000 | 160.588 | 0.000 |
| -0.001 | -0.001 | -0.001 | 0.000 | -0.000 | 160.588 |
| 354.944 | 151.742 | 107.265 | 0.000 | -0.000 | -0.000 |
| 151.742 | 354.944 | 107.265 | -0.000 | -0.000 | 0.000 |
| 107.265 | 107.265 | 399.422 | -0.000 | -0.000 | -0.000 |
| 0.000 | 0.000 | -0.000 | 57.123 | -0.000 | -0.000 |
| 0.000 | 0.000 | -0.000 | 0.000 | 57.123 | -0.000 |
| 0.000 | 0.000 | -0.000 | -0.000 | -0.000 | 32.338 |
| 285.681 | 221.006 | 107.265 | 0.000 | 0.000 | 0.000 |
| 221.005 | 285.681 | 107.265 | 0.000 | -0.000 | 0.000 |
| 107.265 | 107.265 | 399.422 | -0.000 | 0.000 | 0.000 |
| -0.000 | 0.000 | 0.000 | 57.123 | 0.000 | -0.000 |
| -0.000 | 0.000 | 0.000 | -0.000 | 57.123 | 0.000 |
| -0.000 | -0.000 | 0.000 | -0.000 | 0.000 | 32.338 |
| 285.681 | 221.005 | 107.265 | 0.000 | -0.000 | -0.000 |
| 221.006 | 285.681 | 107.265 | -0.000 | 0.000 | -0.000 |
| 107.265 | 107.265 | 399.422 | -0.000 | -0.000 | -0.000 |
| 0.000 | 0.000 | 0.000 | 57.123 | 0.000 | -0.000 |
| 0.000 | 0.000 | 0.000 | 0.000 | 57.123 | -0.000 |
| 0.000 | 0.000 | 0.000 | 0.000 | -0.000 | 32.338 |
| 354.944 | 151.742 | 107.265 | -0.000 | 0.000 | 0.000 |
| 151.742 | 354.944 | 107.265 | -0.000 | 0.000 | -0.000 |
| 107.265 | 107.265 | 399.421 | -0.000 | -0.000 | 0.000 |
| -0.000 | -0.000 | -0.000 | 57.123 | 0.000 | 0.000 |
| -0.000 | -0.000 | -0.000 | -0.000 | 57.123 | -0.000 |
| -0.000 | -0.000 | -0.000 | -0.000 | 0.000 | 32.338 |
| 285.685 | 221.005 | 107.265 | -0.000 | -0.000 | 0.000 |
| 221.007 | 285.683 | 107.265 | -0.000 | 0.000 | -0.000 |
| 107.266 | 107.266 | 399.425 | -0.000 | -0.000 | -0.000 |
| 0.000 | 0.000 | 0.001 | 57.123 | -0.000 | -0.000 |
| 0.000 | 0.000 | 0.001 | 0.000 | 57.123 | -0.000 |
| 0.000 | 0.001 | 0.000 | 0.000 | -0.000 | 32.338 |
| 285.677 | 221.005 | 107.264 | 0.000 | 0.000 | -0.000 |
| 221.004 | 285.679 | 107.264 | -0.000 | 0.000 | -0.000 |
| 107.264 | 107.264 | 399.419 | 0.000 | 0.000 | -0.000 |
| -0.000 | -0.000 | -0.001 | 57.123 | 0.000 | 0.000 |
| -0.000 | -0.000 | -0.001 | -0.000 | 57.123 | 0.000 |
| -0.000 | -0.001 | -0.000 | -0.000 | 0.000 | 32.338 |
| 4.752 | 62.344 | 62.344 | -0.000 | -0.000 | -0.000 |
| 62.344 | 4.752 | 62.344 | -0.000 | -0.000 | -0.000 |
| 62.344 | 62.344 | 4.752 | -0.000 | -0.000 | -0.000 |
| -0.000 | 0.000 | -0.000 | -63.128 | -0.000 | -0.000 |
| -0.000 | 0.000 | -0.000 | -0.000 | -63.128 | -0.000 |
| -0.000 | 0.000 | -0.000 | -0.000 | -0.000 | -63.128 |
| 4.752 | 62.344 | 62.344 | 0.000 | 0.000 | 0.000 |
| 62.344 | 4.752 | 62.344 | 0.000 | 0.000 | 0.000 |
| 62.344 | 62.344 | 4.752 | 0.000 | 0.000 | 0.000 |
| 0.000 | -0.000 | 0.000 | -63.128 | 0.000 | 0.000 |
| 0.000 | -0.000 | -0.000 | 0.000 | -63.128 | 0.000 |
| 0.000 | -0.000 | 0.000 | 0.000 | 0.000 | -63.128 |
| 4.752 | 62.344 | 62.344 | -0.000 | -0.000 | -0.000 |
| 62.344 | 4.752 | 62.344 | -0.000 | -0.000 | -0.000 |
| 62.344 | 62.344 | 4.752 | -0.000 | -0.000 | -0.000 |
| -0.000 | 0.000 | -0.000 | -63.128 | -0.000 | -0.000 |
| 0.000 | -0.000 | -0.000 | -0.000 | -63.128 | -0.000 |
| 0.000 | -0.000 | -0.000 | -0.000 | -0.000 | -63.128 |
| 4.752 | 62.344 | 62.344 | 0.000 | 0.000 | 0.000 |
| 62.344 | 4.752 | 62.344 | 0.000 | 0.000 | 0.000 |
| 62.344 | 62.344 | 4.752 | 0.000 | 0.000 | 0.000 |
| 0.000 | -0.000 | 0.000 | -63.128 | 0.000 | 0.000 |
| -0.000 | 0.000 | 0.000 | 0.000 | -63.128 | 0.000 |
| -0.000 | 0.000 | 0.000 | 0.000 | 0.000 | -63.128 |
| 4.753 | 62.345 | 62.345 | -0.000 | -0.000 | -0.000 |
| 62.345 | 4.753 | 62.345 | -0.000 | -0.000 | -0.000 |
| 62.345 | 62.345 | 4.753 | -0.000 | -0.000 | -0.000 |
| -0.000 | 0.000 | -0.000 | -63.128 | -0.000 | -0.000 |
| 0.000 | -0.000 | -0.000 | -0.000 | -63.128 | -0.000 |
| 0.000 | -0.000 | -0.000 | -0.000 | -0.000 | -63.128 |
| 4.752 | 62.344 | 62.344 | 0.000 | 0.000 | 0.000 |
| 62.344 | 4.752 | 62.344 | 0.000 | 0.000 | 0.000 |
| 62.344 | 62.344 | 4.752 | 0.000 | 0.000 | 0.000 |
| 0.000 | -0.000 | 0.000 | -63.128 | 0.000 | 0.000 |
| -0.000 | 0.000 | 0.000 | 0.000 | -63.128 | 0.000 |
| -0.000 | 0.000 | 0.000 | 0.000 | 0.000 | -63.128 |
| 1048.335 | -26.830 | 165.120 | 0.000 | 0.000 | -0.000 |
| -26.830 | 1048.335 | 165.120 | 0.000 | -0.000 | 0.000 |
| 165.120 | 165.120 | 816.810 | 0.000 | 0.000 | 0.000 |
| -0.000 | -0.000 | -0.000 | 95.456 | 0.000 | 0.000 |
| -0.000 | 0.000 | -0.000 | 0.000 | 95.456 | -0.000 |
| -0.000 | 0.000 | -0.000 | 0.000 | -0.000 | -87.895 |
| 991.582 | 29.923 | 165.120 | -0.000 | -0.000 | 0.000 |
| 29.923 | 991.582 | 165.120 | -0.000 | -0.000 | 0.000 |
| 165.120 | 165.120 | 816.810 | -0.000 | -0.000 | 0.000 |
| 0.000 | 0.000 | 0.000 | 95.456 | 0.000 | -0.000 |
| 0.000 | -0.000 | 0.000 | -0.000 | 95.456 | -0.000 |
| 0.000 | -0.000 | 0.000 | -0.000 | 0.000 | -87.895 |
| 991.582 | 29.924 | 165.120 | 0.000 | -0.000 | -0.000 |
| 29.924 | 991.582 | 165.120 | 0.000 | -0.000 | -0.000 |
| 165.120 | 165.120 | 816.811 | 0.000 | 0.000 | -0.000 |
| -0.000 | -0.000 | -0.000 | 95.456 | -0.000 | -0.000 |
| -0.000 | -0.000 | -0.000 | 0.000 | 95.456 | -0.000 |
| 0.000 | -0.000 | -0.000 | 0.000 | -0.000 | -87.895 |
| 991.582 | 29.923 | 165.120 | -0.000 | -0.000 | -0.000 |
| 29.923 | 991.582 | 165.120 | -0.000 | 0.000 | -0.000 |
| 165.120 | 165.120 | 816.809 | -0.000 | -0.000 | 0.000 |
| 0.000 | 0.000 | 0.000 | 95.456 | 0.000 | -0.000 |
| 0.000 | 0.000 | 0.000 | -0.000 | 95.456 | 0.000 |
| -0.000 | 0.000 | 0.000 | -0.000 | -0.000 | -87.895 |
| 1048.340 | -26.830 | 165.120 | 0.000 | 0.000 | -0.000 |
| -26.830 | 1048.340 | 165.120 | 0.000 | -0.000 | -0.000 |
| 165.120 | 165.120 | 816.817 | 0.000 | -0.000 | 0.000 |
| -0.000 | -0.001 | -0.001 | 95.456 | -0.000 | -0.000 |
| -0.001 | -0.000 | -0.001 | 0.000 | 95.456 | -0.000 |
| 0.000 | -0.001 | -0.000 | 0.000 | -0.000 | -87.895 |
| 991.582 | 29.922 | 165.121 | -0.000 | 0.000 | 0.000 |
| 29.922 | 991.582 | 165.121 | -0.000 | -0.000 | 0.000 |
| 165.120 | 165.120 | 816.804 | 0.000 | 0.000 | 0.000 |
| 0.000 | 0.001 | 0.001 | 95.456 | 0.000 | -0.000 |
| 0.001 | 0.000 | 0.001 | -0.000 | 95.456 | 0.000 |
| -0.000 | 0.001 | 0.000 | -0.000 | 0.000 | -87.895 |
| -357.605 | -540.111 | -540.111 | 0.000 | -0.000 | -0.000 |
| -540.111 | -357.605 | -540.111 | -0.000 | 0.000 | -0.000 |
| -540.111 | -540.111 | -357.605 | -0.000 | -0.000 | -0.000 |
| -1461.855 | -1461.855 | -1461.855 | -19.813 | -0.000 | -0.000 |
| -1461.855 | -1461.855 | -1461.855 | -0.000 | -19.813 | -0.000 |
| -1461.855 | -1461.855 | -1461.855 | -0.000 | -0.000 | -19.813 |
| 997.912 | 815.400 | 815.400 | 0.000 | -0.000 | 0.000 |
| 815.400 | 997.912 | 815.400 | 0.000 | -0.000 | 0.000 |
| 815.400 | 815.400 | 997.912 | 0.000 | 0.000 | 0.000 |
| 1461.855 | 1461.855 | 1461.855 | -19.813 | 0.000 | 0.000 |
| 1461.855 | 1461.855 | 1461.855 | 0.000 | -19.813 | 0.000 |
| 1461.855 | 1461.855 | 1461.855 | 0.000 | 0.000 | -19.813 |
| 167.351 | 22.112 | 22.112 | 0.000 | 0.000 | 0.000 |
| 22.112 | 167.351 | 22.112 | 0.000 | 0.000 | 0.000 |
| 22.112 | 22.112 | 167.351 | 0.000 | 0.000 | 0.000 |
| -67.744 | -67.744 | -67.744 | 31.317 | -0.000 | -0.000 |
| -67.744 | -67.744 | -67.744 | -0.000 | 31.317 | -0.000 |
| -67.744 | -67.744 | -67.744 | 0.000 | 0.000 | 31.317 |
| 387.954 | 205.446 | 205.446 | 0.000 | 0.000 | 0.000 |
| 205.446 | 387.954 | 205.446 | 0.000 | -0.000 | 0.000 |
| 205.446 | 205.446 | 387.954 | -0.000 | -0.000 | 0.000 |
| 67.744 | 67.744 | 67.744 | 31.317 | 0.000 | 0.000 |
| 67.744 | 67.744 | 67.744 | -0.000 | 31.317 | 0.000 |
| 67.744 | 67.744 | 67.744 | 0.000 | 0.000 | 31.317 |
| 277.114 | 134.114 | 134.114 | 0.000 | 0.000 | 0.000 |
| 134.114 | 277.114 | 134.114 | 0.000 | 0.000 | 0.000 |
| 134.114 | 134.114 | 277.114 | 0.000 | 0.000 | 0.000 |
| -6.248 | -6.249 | -6.249 | 34.437 | 0.000 | -0.000 |
| -6.249 | -6.248 | -6.249 | -0.000 | 34.437 | -0.000 |
| -6.249 | -6.249 | -6.248 | -0.000 | 0.000 | 34.437 |
| 308.169 | 154.961 | 154.961 | -0.000 | -0.000 | -0.000 |
| 154.961 | 308.169 | 154.961 | -0.000 | -0.000 | -0.000 |
| 154.961 | 154.961 | 308.169 | -0.000 | -0.000 | -0.000 |
| 6.248 | 6.249 | 6.249 | 34.437 | 0.000 | 0.000 |
| 6.249 | 6.248 | 6.249 | 0.000 | 34.437 | 0.000 |
| 6.249 | 6.249 | 6.248 | 0.000 | 0.000 | 34.437 |
| 406.148 | 446.157 | 446.157 | 0.000 | 0.000 | 0.000 |
| 446.157 | 406.148 | 446.157 | 0.000 | 0.000 | 0.000 |
| 446.157 | 446.157 | 406.148 | 0.000 | 0.000 | 0.000 |
| 0.000 | 0.000 | 0.000 | 83.964 | 0.000 | 0.000 |
| 0.000 | -0.000 | 0.000 | 0.000 | 83.964 | 0.000 |
| 0.000 | 0.000 | 0.000 | 0.000 | -0.000 | 83.964 |
| -173.526 | -134.836 | -134.836 | -0.000 | -0.000 | -0.000 |
| -134.836 | -173.526 | -134.836 | -0.000 | -0.000 | -0.000 |
| -134.836 | -134.836 | -173.526 | -0.000 | -0.000 | -0.000 |
| -0.000 | -0.000 | -0.000 | 83.964 | -0.000 | -0.000 |
| -0.000 | -0.000 | -0.000 | -0.000 | 83.964 | -0.000 |
| -0.000 | -0.000 | 0.000 | -0.000 | -0.000 | 83.964 |
| 141.516 | 152.438 | 152.438 | -0.000 | -0.000 | -0.000 |
| 152.438 | 141.516 | 152.438 | -0.000 | -0.000 | -0.000 |
| 152.438 | 152.438 | 141.516 | -0.000 | -0.000 | -0.000 |
| 0.000 | 0.000 | 0.000 | 83.964 | 0.000 | 0.000 |
| 0.000 | 0.000 | 0.000 | 0.000 | 83.964 | 0.000 |
| 0.000 | 0.000 | 0.000 | 0.000 | 0.000 | 83.964 |
| 180.181 | 126.864 | 126.864 | -0.000 | 0.000 | -0.000 |
| 126.864 | 180.181 | 126.864 | -0.000 | 0.000 | -0.000 |
| 126.864 | 126.864 | 180.181 | -0.000 | -0.000 | -0.000 |
| -0.000 | -0.000 | -0.000 | 83.964 | 0.000 | -0.000 |
| -0.000 | -0.000 | -0.000 | -0.000 | 83.964 | -0.000 |
| -0.000 | -0.000 | -0.000 | -0.000 | 0.000 | 83.964 |
| 159.876 | 137.089 | 137.089 | -0.000 | -0.000 | -0.000 |
| 137.089 | 159.876 | 137.089 | -0.000 | -0.000 | -0.000 |
| 137.089 | 137.089 | 159.876 | -0.000 | -0.000 | -0.000 |
| 4.074 | 4.075 | 4.075 | -3.874 | -0.000 | -0.000 |
| 4.075 | 4.074 | 4.075 | -0.000 | -3.874 | -0.000 |
| 4.075 | 4.075 | 4.074 | -0.000 | -0.000 | -3.874 |
| 125.951 | 148.415 | 148.415 | -0.000 | -0.000 | -0.000 |
| 148.415 | 125.951 | 148.415 | -0.000 | -0.000 | 0.000 |
| 148.415 | 148.415 | 125.951 | -0.000 | -0.000 | -0.000 |
| -4.074 | -4.075 | -4.075 | -3.874 | 0.000 | 0.000 |
| -4.075 | -4.074 | -4.075 | 0.000 | -3.874 | 0.000 |
| -4.075 | -4.075 | -4.074 | 0.000 | 0.000 | -3.874 |
Static free surface formation energies are displayed for select crystals. The values displayed here are obtained by taking a perfect periodic bulk crystal, slicing along a crystallographic plane, and using force minimization to statically relax the surfaces. The free surface formation energy is computed by comparing the energy of the defect system to the bulk system and dividing by the total surface area created by the cut.
The calculation method used is available as the iprPy surface_energy_static calculation method.
Notes and Disclaimers:
Version Information:
| Surface | γfs (mJ/m2) |
|---|---|
| (321) | -2625.24 |
| (311) | -1765.33 |
| (310) | -727.90 |
| (111) | 1832.51 |
| (332) | 2034.79 |
| (322) | 2057.25 |
| (100) | 2122.78 |
| (221) | 2123.49 |
| (211) | 2167.52 |
| (331) | 2195.02 |
| (110) | 2261.62 |
| (320) | 2365.78 |
| (210) | 2385.85 |
| Surface | γfs (mJ/m2) |
|---|---|
| (211) 2 | 2132.09 |
| (210) | 2169.06 |
| (100) | 2227.30 |
| (332) 2 | 2229.34 |
| (311) | 2243.24 |
| (321) 2 | 2256.08 |
| (321) 1 | 2269.44 |
| (111) | 2272.78 |
| (221) | 2278.70 |
| (322) | 2294.58 |
| (331) | 2316.77 |
| (320) | 2322.86 |
| (310) | 2325.93 |
| (332) 1 | 2359.93 |
| (110) | 2369.03 |
| (211) 1 | 2387.22 |
| Surface | γfs (mJ/m2) |
|---|---|
| (110) | 2157.37 |
| (320) | 2330.48 |
| (100) | 2373.92 |
| (210) | 2397.90 |
| (321) | 2424.53 |
| (310) | 2438.32 |
| (331) | 2445.32 |
| (211) | 2468.86 |
| (311) | 2517.58 |
| (221) | 2540.24 |
| (322) | 2588.28 |
| (332) | 2603.97 |
| (111) | 2655.24 |
| Surface | γfs (mJ/m2) |
|---|---|
| (2021) 1 | 123.99 |
| (2021) 2 | 573.97 |
| (1012) 1 | 601.18 |
| (2131) 1 | 683.80 |
| (2130) | 683.93 |
| (2131) 2 | 698.52 |
| (2132) 2 | 718.63 |
| (2241) | 836.58 |
| (1121) | 847.45 |
| (2132) 1 | 1119.24 |
| (2112) | 1651.36 |
| (0001) | 1832.51 |
| (1012) 2 | 2006.68 |
| (1011) 1 | 2039.53 |
| (1120) | 2260.89 |
| (1010) | 2282.50 |
| (1011) 2 | 2359.79 |
| Surface | γfs (mJ/m2) |
|---|---|
| (331) 1 | -112483.01 |
| (331) 2 | -109953.94 |
| (332) | -104990.85 |
| (322) | -93825.05 |
| (321) | -91507.50 |
| (320) | -83743.99 |
| (311) 1 | -83538.86 |
| (311) 2 | -77432.54 |
| (310) | -76177.47 |
| (221) | -66102.14 |
| (211) | -64497.87 |
| (210) | -54824.71 |
| (111) 1 | -39331.93 |
| (110) | -31234.27 |
| (111) 2 | 276.49 |
| (100) | 485.34 |
| Surface | γfs (mJ/m2) |
|---|---|
| (322) | -3034.36 |
| (321) | -1611.54 |
| (311) | -1282.33 |
| (320) | -972.85 |
| (211) | -793.99 |
| (310) | -426.16 |
| (210) | -4.62 |
| (111) | 1433.56 |
| (100) | 1573.29 |
| (332) | 1573.41 |
| (221) | 1633.17 |
| (331) | 1679.58 |
| (110) | 1713.63 |
| Surface | γfs (mJ/m2) |
|---|---|
| (110) | 1650.59 |
| (320) | 1777.03 |
| (100) | 1785.25 |
| (210) | 1826.44 |
| (310) | 1854.26 |
| (321) | 1856.15 |
| (331) | 1863.28 |
| (211) | 1886.93 |
| (311) | 1924.46 |
| (221) | 1929.96 |
| (322) | 1962.12 |
| (332) | 1968.70 |
| (111) | 1997.91 |
| Surface | γfs (mJ/m2) |
|---|---|
| (2021) 1 | -330.36 |
| (2021) 2 | -126.60 |
| (1012) 1 | 59.65 |
| (2130) | 480.93 |
| (2131) 1 | 487.82 |
| (2131) 2 | 489.60 |
| (2132) 2 | 515.64 |
| (2241) | 542.79 |
| (1121) | 556.34 |
| (2132) 1 | 709.11 |
| (1011) 1 | 775.94 |
| (1010) | 1015.74 |
| (2112) | 1149.51 |
| (1011) 2 | 1190.96 |
| (0001) | 1425.18 |
| (1012) 2 | 1524.51 |
| (1120) | 1714.17 |
| Surface | γfs (mJ/m2) |
|---|---|
| (2132) 2 | -1424.81 |
| (2132) 1 | -1116.25 |
| (1012) 1 | -527.57 |
| (1011) 1 | 30.78 |
| (2130) 2 | 469.47 |
| (2112) | 490.13 |
| (2131) 2 | 507.74 |
| (2241) | 541.83 |
| (1121) | 586.69 |
| (2131) 1 | 617.18 |
| (2130) 1 | 618.18 |
| (0001) | 1424.19 |
| (1010) 1 | 1526.36 |
| (1011) 2 | 1527.21 |
| (2021) 1 | 1573.56 |
| (1012) 2 | 1706.58 |
| (1120) | 1713.42 |
| (2021) 2 | 1791.44 |
| (1010) 2 | 1976.42 |
| Surface | γfs (mJ/m2) |
|---|---|
| (111) | 2358.01 |
| (332) | 2610.63 |
| (322) | 2645.76 |
| (100) | 2649.57 |
| (221) | 2726.65 |
| (211) | 2786.19 |
| (331) | 2825.55 |
| (311) | 2887.76 |
| (110) | 2919.86 |
| (321) | 2940.67 |
| (310) | 3004.59 |
| (320) | 3050.05 |
| (210) | 3078.25 |
| Surface | γfs (mJ/m2) |
|---|---|
| (211) 2 | 2410.49 |
| (210) | 2465.36 |
| (332) 2 | 2499.99 |
| (321) 2 | 2538.16 |
| (311) | 2539.34 |
| (111) | 2556.95 |
| (221) | 2557.74 |
| (331) | 2559.38 |
| (321) 1 | 2568.38 |
| (322) | 2575.58 |
| (320) | 2575.77 |
| (100) | 2582.30 |
| (332) 1 | 2595.07 |
| (310) | 2649.87 |
| (211) 1 | 2688.06 |
| (110) | 2775.27 |
| Surface | γfs (mJ/m2) |
|---|---|
| (110) | 2575.38 |
| (320) | 2836.38 |
| (100) | 2923.76 |
| (210) | 2947.02 |
| (321) | 2961.16 |
| (331) | 2980.58 |
| (310) | 3022.90 |
| (211) | 3045.75 |
| (221) | 3119.89 |
| (311) | 3141.70 |
| (322) | 3197.51 |
| (332) | 3219.46 |
| (111) | 3301.16 |
| Surface | γfs (mJ/m2) |
|---|---|
| (2130) | 1431.68 |
| (2131) 2 | 2218.31 |
| (0001) | 2358.01 |
| (1012) 2 | 2529.91 |
| (2021) 1 | 2589.39 |
| (1011) 1 | 2616.11 |
| (2021) 2 | 2798.23 |
| (1120) | 2907.18 |
| (1012) 1 | 2907.30 |
| (2131) 1 | 2916.84 |
| (1010) | 2939.98 |
| (2132) 2 | 2949.96 |
| (2132) 1 | 2959.23 |
| (2241) | 2962.01 |
| (1011) 2 | 2985.20 |
| (1121) | 2999.66 |
| (2112) | 3027.08 |
Stacking fault energy plots and maps are displayed for select crystals. The values are computed by
The calculation method used is available as the iprPy stacking_fault_map_2D calculation method.
Notes and Disclaimers:
Version Information:
| E_usf a/2 [0 -1 1] | 2024.99 |
| τ_ideal a/2 [0 -1 1] | 27.60 |




| E_isf | -0.00 |
| E_usf a/2 [0 -1 1] | 22.57 |
| τ_ideal a/2 [0 -1 1] | 2.87 |




| E_usf a/2 [-1 1 -1] | 1081.47 |
| τ_ideal a/2 [-1 1 -1] | 14.65 |




| E_usf a/2 [-1 -1 1] | 1251.44 |
| τ_ideal a/2 [-1 -1 1] | 18.71 |




| E_usf a/2 [-1 -1 1] | 1228.88 |
| τ_ideal a/2 [-1 -1 1] | 18.23 |




| E_usf a/2 [0 -1 1] | 1054.32 |
| τ_ideal a/2 [0 -1 1] | 17.20 |




| E_isf | -13.69 |
| E_usf a/2 [0 -1 1] | 12.15 |
| τ_ideal a/2 [0 -1 1] | 3.33 |




| E_usf a/2 [-1 1 -1] | 660.04 |
| τ_ideal a/2 [-1 1 -1] | 9.28 |




| E_usf a/2 [-1 -1 1] | 766.89 |
| τ_ideal a/2 [-1 -1 1] | 12.92 |




| E_usf a/2 [-1 -1 1] | 754.43 |
| τ_ideal a/2 [-1 -1 1] | 12.73 |




| E_isf | 17.15 |
| E_usf a/3 [-2 1 1 0] | 51.77 |
| τ_ideal a/3 [-2 1 1 0] | 2.74 |




| E_usf a/3 [-1 2 -1 0] | 307.84 |
| τ_ideal a/3 [-1 2 -1 0] | 5.45 |




| E_usf a/3 [-1 2 -1 0] | 1408.09 |
| τ_ideal a/3 [-1 2 -1 0] | 22.02 |




| E_usf a/3 [-1 2 -1 0] | 484.38 |
| E_usf a/3 [-2 1 1 3] | 3005.51 |
| τ_ideal a/3 [-1 2 -1 0] | 9.03 |
| τ_ideal a/3 [-2 1 1 3] | 52.65 |





| E_usf a/3 [-1 2 -1 0] | 701.73 |
| E_usf a/3 [-2 1 1 3] | 1161.64 |
| τ_ideal a/3 [-1 2 -1 0] | 11.41 |
| τ_ideal a/3 [-2 1 1 3] | 16.85 |





| E_usf a/3 [-2 1 1 3] | 1334.65 |
| τ_ideal a/3 [-2 1 1 3] | 16.90 |




| E_usf a/2 [0 -1 1] | 1872.02 |
| τ_ideal a/2 [0 -1 1] | 29.20 |




| E_isf | 0.00 |
| E_usf a/2 [0 -1 1] | 111.89 |
| τ_ideal a/2 [0 -1 1] | 4.38 |




| E_usf a/2 [-1 1 -1] | 1024.26 |
| τ_ideal a/2 [-1 1 -1] | 10.87 |




| E_usf a/2 [-1 -1 1] | 1192.52 |
| τ_ideal a/2 [-1 -1 1] | 13.23 |




| E_usf a/2 [-1 -1 1] | 1170.90 |
| τ_ideal a/2 [-1 -1 1] | 13.06 |




Static point defect formation energies, Ef, and elastic dipole tensors, pij, are displayed for select crystals. Relaxed defect configurations are obtained by taking a 12x12x12 supercell of a perfect periodic bulk crystal, inserting the point defect, and using force minimization to statically relax the atomic positions while keeping the system dimensions constant. Ef is computed by comparing the energy of the defect system to the same number of atoms in a perfect bulk crystal. pij is estimated as the difference in the system's global pressure with and without the defect multiplied by the system's volume.
Simple structural comparisons of the unrelaxed and relaxed defect configurations are used to help determine if the defect structure has relaxed to a different configuration. Relaxed structures that are identified as no longer consistent with the ideal defect definition are excluded from the table below. The only exception to this is if the lowest energy interstitial configuration does not coincide with a known ideal defect, its energies and pressure tensor are included under the listing "relaxed interstitial". The full list of calculation results including the transformed structures and the structural comparison values is included in the csv file available from the "Download raw data" link.
The calculation method used is available as the iprPy point_defect_static calculation method.
Notes and Disclaimers:
| Point Defect | Ef (eV) | p11 (eV) | p22 (eV) | p33 (eV) | p12 (eV) | p13 (eV) | p23 (eV) |
|---|---|---|---|---|---|---|---|
| relaxed interstitial | -449.632 | -5440.409 | -4445.757 | -3409.269 | -1173.186 | -833.679 | 624.169 |
| tetrahedral interstitial | 1.606 | -22.602 | -22.602 | -22.602 | 0.000 | 0.000 | 0.000 |
| octahedral interstitial | 2.533 | 1.281 | 1.281 | 1.281 | 0.000 | 0.000 | -0.000 |
| vacancy | 2.593 | -1.925 | -1.925 | -1.925 | 0.000 | 0.000 | 0.000 |
| 2nn divacancy | 5.194 | -5.005 | -5.005 | -4.480 | 0.000 | 0.000 | 0.000 |
| Point Defect | Ef (eV) | p11 (eV) | p22 (eV) | p33 (eV) | p12 (eV) | p13 (eV) | p23 (eV) |
|---|---|---|---|---|---|---|---|
| vacancy | 2.519 | -2.783 | -2.783 | -2.783 | 0.000 | 0.000 | -0.000 |
| 110 dumbbell | 3.977 | 15.669 | 15.484 | 15.484 | 0.000 | 0.000 | 3.244 |
| 111 dumbbell | 4.045 | 12.747 | 12.747 | 12.747 | 3.171 | 3.171 | 3.171 |
| crowdion interstitial | 4.073 | 13.081 | 13.081 | 13.081 | 3.262 | 3.262 | 3.262 |
| octahedral interstitial | 4.462 | 16.836 | 8.246 | 8.246 | -0.000 | 0.000 | -0.000 |
| 2nn divacancy | 4.725 | -5.853 | -5.853 | -7.566 | 0.000 | 0.000 | 0.000 |
| 1nn divacancy | 4.758 | -4.176 | -4.176 | -4.176 | 0.456 | 0.456 | 0.456 |
| Point Defect | Ef (eV) | p11 (eV) | p22 (eV) | p33 (eV) | p12 (eV) | p13 (eV) | p23 (eV) |
|---|---|---|---|---|---|---|---|
| relaxed interstitial | -19121.705 | -4216.690 | -3669.657 | -4355.762 | 116.343 | 456.137 | 220.297 |
| Point Defect | Ef (eV) | p11 (eV) | p22 (eV) | p33 (eV) | p12 (eV) | p13 (eV) | p23 (eV) |
|---|---|---|---|---|---|---|---|
| octahedral interstitial | 1.618 | 4.436 | 4.436 | 4.436 | 0.000 | 0.000 | 0.000 |
| vacancy | 1.756 | -1.377 | -1.377 | -1.377 | 0.000 | 0.000 | 0.000 |
| Point Defect | Ef (eV) | p11 (eV) | p22 (eV) | p33 (eV) | p12 (eV) | p13 (eV) | p23 (eV) |
|---|---|---|---|---|---|---|---|
| vacancy | 1.712 | -2.976 | -2.976 | -2.976 | 0.000 | 0.000 | 0.000 |
| 2nn divacancy | 3.188 | -6.463 | -6.463 | -7.010 | 0.000 | -0.000 | 0.000 |
| 1nn divacancy | 3.297 | -4.901 | -4.901 | -4.901 | 0.634 | 0.634 | 0.634 |
| 110 dumbbell | 3.526 | 17.796 | 14.618 | 14.618 | -0.000 | -0.000 | 3.798 |
| crowdion interstitial | 4.008 | 12.839 | 12.839 | 12.839 | 6.486 | 6.486 | 6.486 |
| 111 dumbbell | 4.013 | 12.373 | 12.373 | 12.373 | 6.423 | 6.423 | 6.423 |
| octahedral interstitial | 4.194 | 17.788 | 9.962 | 9.962 | 0.000 | 0.000 | 0.000 |
| Point Defect | Ef (eV) | p11 (eV) | p22 (eV) | p33 (eV) | p12 (eV) | p13 (eV) | p23 (eV) |
|---|---|---|---|---|---|---|---|
| relaxed interstitial | -178.327 | -1559.555 | -2334.211 | -2346.725 | -832.008 | -0.040 | -0.141 |
| vacancy | 1.768 | -2.179 | -2.179 | -2.023 | -0.000 | 0.000 | -0.000 |
| Point Defect | Ef (eV) | p11 (eV) | p22 (eV) | p33 (eV) | p12 (eV) | p13 (eV) | p23 (eV) |
|---|---|---|---|---|---|---|---|
| vacancy | 3.333 | -4.448 | -4.448 | -4.448 | 0.000 | 0.000 | 0.000 |
| 1nn divacancy | 6.185 | -11.024 | -7.531 | -7.531 | 0.000 | 0.000 | -0.751 |
| 2nn divacancy | 6.662 | -9.380 | -9.380 | -9.425 | -0.000 | 0.000 | -0.000 |
| octahedral interstitial | 7.202 | 74.903 | 74.903 | 74.903 | 0.000 | 0.000 | -0.000 |
| tetrahedral interstitial | 7.388 | 92.273 | 92.273 | 92.273 | 0.000 | 0.000 | 0.000 |
| Point Defect | Ef (eV) | p11 (eV) | p22 (eV) | p33 (eV) | p12 (eV) | p13 (eV) | p23 (eV) |
|---|---|---|---|---|---|---|---|
| vacancy | 3.632 | -4.224 | -4.224 | -4.224 | 0.000 | -0.000 | -0.000 |
| 1nn divacancy | 6.831 | -7.035 | -7.035 | -7.035 | 0.402 | 0.402 | 0.402 |
| 2nn divacancy | 6.862 | -9.254 | -9.254 | -10.222 | 0.000 | 0.000 | -0.000 |
| crowdion interstitial | 8.867 | 42.533 | 42.533 | 42.533 | 16.321 | 16.321 | 16.321 |
| 100 dumbbell | 9.792 | 33.196 | 33.196 | 52.658 | -0.000 | 0.000 | 0.000 |
| tetrahedral interstitial | 9.967 | 48.475 | 42.639 | 48.475 | -0.000 | -0.000 | -0.000 |
Plots of the atomic structure of dislocation cores are shown here. The dislocations were constructed using dislocation monopole configurations in which a straight dislocation is created in the center of the system using anisotropic elasticity and the elastic constants computed above. A cylindrical region centered around the dislocation is allowed to relax while the remaining atoms are held fixed. The relaxation consists of 1 million NVT steps at 10 K followed by an energy/force minimization. The final plots show the atomic configuration near the center of the monopole system, and display differential displacement arrows and Nye tensor color maps that are both taken with respect to the Burgers vector direction.
These plots show a wide range of final structures, some corresponding to expected dislocation structures and others not. While the characterizations are dislocation-type dependent, some general classification guidelines are listed here.
The calculation method used is available as the iprPy dislocation_monopole calculation method.
Links are provided above the images allowing for users to download the final defect configuration and a corresponding defect-free configuration if they wish to further analyze the structures or use them for subsequent simulations.
Notes and Disclaimers:
Version Information:
Plots of lattice and elastic constants are shown as a function of temperature. The 0K points were taken from the Crystal Structure Predictions and the Elastic Constants Predictions sections above for the unique crystal structures relaxed with the "dynamic" method. Starting from the 0 K relaxed crystal unit cells, supercell systems are created by replicating all three dimensions by the same multiplier to achieve at least 4000 atoms. The systems are then relaxed at 50 K and zero pressure using 1 million NPT steps. Lattice constants are estimated by averaging the measured box dimensions. Temperatures are iteratively increased by 50 K, with each subsequent relaxation calculation starting from the final atomic configuration at the previous temperature and relaxing for another 1 million steps.
The elastic constants are calculated using the deformation–fluctuation hybrid method. Starting from the final atomic configurations of the dynamic relaxations, the system is allowed to evolve at constant volume with a Langevin thermostat. The Born matrix is computed during this run by evaluating how the atomic forces would vary due to applied linear strain fields. The elastic constants can then be estimated using the averaged Born matrix values and the averaged stresses on the system.
The calculation methods used are available as the iprPy relax_dynamic and elastic_constants_dynamic calculation methods.
Clicking on the image of a plot will open an interactive version of it in a new tab. The underlying data for the plots can be downloaded by clicking on the links above each plot.
Notes and Disclaimers:
Version Information:
Plots of radial distribution functions at different temperatures and the temperature-dependent diffusion and viscosity are shown here for elemental liquids. Melt phases are constructed by starting with a 10x10x10 fcc super cell and relaxing with 50,000 NPT steps at zero pressure and a high melting temperature (3000 K for most potentials and elements). Following the melt, liquid structures are relaxed by running NPT for 10,000 steps over which the temperature is dropped by 50 K, then 50,000 NPT at the target temperature to estimate the equilibrium volume, followed by 20,000 NVT steps at the averaged equilibrium volume and target temperature. Structures from the NVT run are sampled to compute the radial distribution function of the liquid at the corresponding temperature.
The final relaxed configurations at each temperature explored are used as the initial configurations for the diffusion and viscosity calculations. For diffusion, the system is integrated for 100 runs of 2,000 NVT steps during which both the mean squared displacement (MSD) and the velocity auto correlation function (VACF) are computed. From these simulations, three estimates of diffusion are computed: one from the MSD of the full 200,000 step run, one in which the MSD is reset for each short run and then averaged, and one from the VACF computed for each short run and averaged. For viscosity, the Green-Kubo method is used which is evaluated during a 1 million step NVT run.
The calculation methods used are available as the iprPy relax_liquid_redo, diffusion_liquid, and viscosity_green_kubo calculation methods.
Clicking on the image of a plot will open an interactive version of it in a new tab. The underlying data for the plots can be downloaded by clicking on the links above each plot.
Notes and Disclaimers:
Version Information:
Plots of internal energy, Gibbs free energy, entropy, heat capacity and volume are shown here as a function of temperature for various crystal structures and liquid phases. The included crystal structures correspond to those in the Solid Structures vs. Temperature section, and the liquid phases to those in the Liquid Properties section. Internal energy and volume are taken from the associated structure relaxations mentioned in those previous sections. Constant pressure heat capacity is estimated using 3-point numerical derivatives of enthalpy versus temperature. Note that since all simulations done here are at 0 pressure, internal energy and enthalpy are equivalent.
The Gibbs energies of the phases are estimated using thermodynamic integration between the interatomic potential in question and a simpler model with known Gibbs free energy values. For solids, the reference model is an Einstein solid, while for liquids it is the Uhlenbeck-Ford potential. Besides a short run at the start of the solid calculations to estimate Einstein model spring constants, the two calculations proceed similarly. Starting with the final relaxation configurations, the systems are stabilized for 25,000 steps. Then, over the next 50,000 steps the potential is swapped out for the reference potential. The system is then stabilized for another 25,000 steps with the reference model before a reverse swap of 50,000 steps is performed. The simulation ends with one final 25,000 step stabilization period. From the simulation, the irreversible work of transformation is estimated and used to compute the absolute Gibbs free energy of the target phase and potential relative to the reference potential. Entropy is estimated as the difference in enthalpy and Gibbs free energy and divided by temperature.
The calculation methods used are available as the iprPy relax_dynamic, relax_liquid_redo, free_energy, and free_energy_liquid calculation methods.
Clicking on the image of a plot will open an interactive version of it in a new tab. The underlying data for the plots can be downloaded by clicking on the links above each plot.
Notes and Disclaimers:
Version Information:





